WO2024040080A1 - Kras inhibitor conjugates - Google Patents
Kras inhibitor conjugates Download PDFInfo
- Publication number
- WO2024040080A1 WO2024040080A1 PCT/US2023/072251 US2023072251W WO2024040080A1 WO 2024040080 A1 WO2024040080 A1 WO 2024040080A1 US 2023072251 W US2023072251 W US 2023072251W WO 2024040080 A1 WO2024040080 A1 WO 2024040080A1
- Authority
- WO
- WIPO (PCT)
- Prior art keywords
- compound
- mmol
- alkyl
- methyl
- carcinoma
- Prior art date
- Legal status (The legal status is an assumption and is not a legal conclusion. Google has not performed a legal analysis and makes no representation as to the accuracy of the status listed.)
- Ceased
Links
Classifications
-
- A—HUMAN NECESSITIES
- A61—MEDICAL OR VETERINARY SCIENCE; HYGIENE
- A61P—SPECIFIC THERAPEUTIC ACTIVITY OF CHEMICAL COMPOUNDS OR MEDICINAL PREPARATIONS
- A61P35/00—Antineoplastic agents
-
- C—CHEMISTRY; METALLURGY
- C07—ORGANIC CHEMISTRY
- C07D—HETEROCYCLIC COMPOUNDS
- C07D487/00—Heterocyclic compounds containing nitrogen atoms as the only ring hetero atoms in the condensed system, not provided for by groups C07D451/00 - C07D477/00
- C07D487/02—Heterocyclic compounds containing nitrogen atoms as the only ring hetero atoms in the condensed system, not provided for by groups C07D451/00 - C07D477/00 in which the condensed system contains two hetero rings
- C07D487/08—Bridged systems
-
- C—CHEMISTRY; METALLURGY
- C07—ORGANIC CHEMISTRY
- C07D—HETEROCYCLIC COMPOUNDS
- C07D519/00—Heterocyclic compounds containing more than one system of two or more relevant hetero rings condensed among themselves or condensed with a common carbocyclic ring system not provided for in groups C07D453/00 or C07D455/00
Definitions
- Embodiments herein relate to compounds, compositions and methods for the treatment of RAS-mediated disease.
- embodiments herein relate to compounds and methods for treating diseases such as cancer via targeting oncogenic mutants of the K-RAS isoform.
- Ras proteins are small guaonnine nucleotide-binding proteins that act as molecular switches by cycling between active GTP-bound and inactive GDP-bound conformations. Ras signaling is regulated through a balance between activation by guanine nucleotide exchange factors (GEFs), most commonly son of sevenless (SOS), and inactivation by GTPase-activating proteins (GAPs) such as neurofibromin or pl20GAP.
- GEFs guanine nucleotide exchange factors
- SOS most commonly son of sevenless
- GAPs GTPase-activating proteins
- the Ras proteins play an important role in the regulation of cell proliferation, differentiation, and survival. Dysregulation of the Ras signaling pathway is almost invariably associated with disease. Hyper-activating somatic mutations in Ras are among the most common lesions found in human cancer.
- K- Ras, N-Ras, or H-Ras mutation of any one of the three Ras isoforms
- K- Ras mutations are by far the most common in human cancer.
- K- Ras mutations are known to be often associated with pancreatic, colorectal and non-small-cell lung carcinomas.
- H-Ras mutations are common in cancers such as papillary thyroid cancer, lung cancers and skin cancers.
- N-Ras mutations occur frequently in hepatocellular carcinoma.
- K-Ras is the most frequently mutated oncoprotein in human cancers, and the G12D mutation is among the most prevalent. Accordingly, there is a need to develop selective inhibitors of KRAS G12D.
- the present embodiments meet this and other needs.
- R 1 is Ci-Ce alkyl, 4-10 membered heterocyclyl, 3-10 membered cycloalkyl, 6-10 membered aryl or 5-10 membered heteroaryl, wherein said Ci-Ce alkyl, heterocyclyl, cycloalkyl, aryl and heteroaryl are optionally substituted with OH, halo, CN, CF 3 , C 1-4 alkyl, CM alkoxy, C3-4 cycloalkyl, C3-4 cycloalkoxy, and C 1-3 alkyl-OH;
- X is C-H, C-halo, C-C 1-3 alkyl, C-CF3, C-C 1-3 haloalkyl, C- C 3-4 cycloalkyl, C- cyano, or N;
- Y is O, NR 2 , S, or absent, wherein R 2 is H or C 1-4 alkyl;
- Y’ is C 1-3 alkyl or absent
- Z is O, NR Z , S, or absent; wherein R z is hydrogen or methyl;
- Z’ is null, substituted or unsubstituted alkylene, substituted or unsubstituted heterocyclylalkylene, substituted or unsubstituted heterocyclyloxyalkylene, substituted or unsubstituted alkoxalkylene, substituted or unsubstituted heteroalkylene, substituted or unsubstituted arylalkylene, substituted or unsubstituted aryloxyalkylene, substituted or unsubstituted heteroarylalkylene, substituted or unsubstituted heteroaryloxyalkylene, substituted or unsubstituted cycloalkylalkylene, or a substituted or unsubstituted cycloalkyloxyalkylene;
- L is: bond, NH, S, O, C(O), C(O)O, OC(O), NHC(O), C(O)NH, NHC(O)NH, NHC(NH)NH, C(S), substituted or unsubstituted alkylene, substituted or unsubstituted heteroalkylene, substituted or unsubstituted cycloalkylene, substituted or unsubstituted spirocycloalkylene, substituted or unsubstituted heterocycloalkylene, substituted or unsubstituted spiroheterocycloalkylene, substituted or unsubstituted arylene, substituted or unsubstituted heteroarylene or combinations thereof; and
- UBM comprises a ubiquitin binding moiety structure of Formula (la): wherein W is aryl, heteroaryl, or -NH-;
- R b is C1-C4 alkyl
- G and G' are independently H, methyl, ethyl, isopropyl, or hydroxymethyl; or G and G' combine to form a cyclopropyl;
- m is an integer from 0 to5;
- each R T is independently halogen, C1-C4 alkyl, C1-C4 alkoxy, cyano, OH, - NH2, cyclopropyl, or cyclobutyl;
- each of T 1 , T 2 , T 3 , T 4 , or T 5 is independently N, CH, or CR T ; wherein 0 to 3 of T 1 , T 2 , T 3 , T 4 , or T 5 are N.
- the present embodiments provide a pharmaceutical composition
- a pharmaceutical composition comprising a pharmaceutically effective amount of the compound disclosed herein, or a pharmaceutically acceptable salt thereof, and a pharmaceutically acceptable excipient.
- the present embodiments provide a method of treating a subject having cancer, the cancer characterized by the presence of a KRAS G12D mutation, the method comprising administering to the subject a therapeutically effective amount of a compound disclosed herein, or a pharmaceutically acceptable salt thereof, or a pharmaceutical composition as disclosed herein.
- the present embodiments provide a method for manufacturing a medicament for treating a subject having cancer, the cancer characterized by the presence of a KRAS G12D mutation, the medicament comprising a conjugate disclosed herein, or a pharmaceutically acceptable salt thereof, or a a pharmaceutical composition as disclosed herein, is used.
- the present embodiments provide for the use of a conjugate disclosed herein, or a pharmaceutically acceptable salt thereof, or a a pharmaceutical composition as disclosed herein, for the manufacture of a medicament for the treatment of cancer in a subject, the cancer characterized by the presence of a KRAS G12D mutation.
- the present embodiments provide the conjugates disclosed herein, or a pharmaceutically acceptable salt thereof, or a a pharmaceutical composition as disclosed herein, for use in the treatment of cancer in a subject, the cancer characterized by a KRAS G12D mutation.
- the present embodiments provide conjugates of selective inhibitors of KRAS G12D exhibiting good selectivity over wild- type KRAS conjugated to ubiquitin binding moieties and are useful for treating a cancer characterized by a KRAS G12D mutation.
- ‘A,” “an,” or “the” as used herein not only include aspects with one member, but also include aspects with more than one member.
- the singular forms “a,” “an,” and “the” include plural referents unless the context clearly dictates otherwise.
- a cell includes a plurality of such cells and reference to “the agent” includes reference to one or more agents known to those skilled in the art, and so forth.
- An “acetyl” group which is a type of acyl, refers to a (--C( C) )CH , ) group.
- An “alkylcarbonyl” or “alkanoyl” group refers to an alkyl group attached to the parent molecular moiety through a carbonyl group. Examples of such groups include, without limitation, methylcarbonyl and ethylcarbonyl.
- an “arylcarbonyl” or “aroyl” group refers to an aryl group attached to the parent molecular moiety through a carbonyl group.
- examples of such groups include, without limitation, benzoyl and naphthoyl.
- generic examples of acyl groups include alkanoyl, aroyl, heteroaroyl, and so on.
- Specific examples of acyl groups include, without limitation, formyl, acetyl, acryloyl, benzoyl, trifluoroacetyl and the like.
- alkenyl refers to a straightchain or branched-chain hydrocarbon radical having one or more double bonds and containing from 2 to 20 carbon atoms.
- the alkenyl may comprise from 2 to 6 carbon atoms, or from 2 to 4 carbons, either of which may be referred to as “lower alkenyl.”
- Alkenyl can include any number of carbons, such as C2, C2-3, C2-4, C2-5, C2-6, C2-7, C2-8, C2-9, C2-10, C3, C3-4, C3-5, C3-6, C4, C4-5, C4-6, C5, C5-6, and Ce, and so on up to 20 carbon atoms.
- Alkenyl groups can have any suitable number of double bonds, including, but not limited to, 1, 2, 3, 4, 5 or more. Examples of alkenyl groups include, but are not limited to, vinyl (ethenyl), propenyl, isopropenyl, 1 -butenyl, 2-butenyl, isobutenyl, butadienyl, 1 -pentenyl,
- Alkenyl groups can be substituted or unsubstituted. Unless otherwise specified, the term “alkenyl” may include “alkenylene” groups.
- alkoxy refers to an alkyl ether radical, wherein the term alkyl is as defined below.
- Alkoxy groups may have the general formula: alkyl-O-.
- alkyl group alkoxy groups can have any suitable number of carbon atoms, such as Ci-6.
- Alkoxy groups include, for example, methoxy, ethoxy, propoxy, iso-propoxy, butoxy, 2-butoxy, iso-butoxy, sec-butoxy, tert-butoxy, pentoxy, hexoxy, and the like.
- the alkoxy groups can be further optionally substituted as defined herein.
- alkyl refers to a straight-chain or branched-chain alkyl radical containing from 1 to 20 carbon atoms.
- the alkyl may comprise from 1 to 10 carbon atoms.
- the alkyl may comprise from 1 to 6 carbon atoms, or from 1 to 4 carbon atoms.
- Alkyl can include any number of carbons, such as C1-2, C 1-3 , C1-4, C1-5, C1-6, C1-7, C1-8, C1-9, Ci-10, C2-3, C2-4, C2-5, C2-6, C3-4, C3-5, C3-6, C4-5, C4-6 and C5-6.
- Ci-6 alkyl includes, but is not limited to, methyl, ethyl, propyl, isopropyl, butyl, isobutyl, sec-butyl, tert-butyl, pentyl, isopentyl, hexyl, etc.
- Alkyl can also refer to alkyl groups having up to 20 carbons atoms, such as, but not limited to heptyl, octyl, nonyl, decyl, etc. Alkyl groups can be substituted or unsubstituted.
- alkylene refers to a saturated aliphatic group derived from a straight or branched chain saturated hydrocarbon attached at two or more positions, such as methylene (— CH 2 — ). Unless otherwise specified, the term “alkyl” may include “alkylene” groups. When the alkyl is methyl, it may be represented structurally as CH3, Me, or just a single bond terminating with no end group substitution.
- alkylamino refers to an alkyl group attached to the parent molecular moiety through an amino group. Suitable alkylamino groups may be mono- or dialkylated, forming groups such as, for example, N- methylamino (— NHMe), N-ethylamino (— NHEt), N,N-dimethylamino (— NMe2), N,N- ethylmethylamino (— NMeEt) and the like.
- aminoalkyl refers to reverse orientation in which the amino group appears distal to the parent molecular moiety and attachment to the parent molecular moiety is through the alkyl group.
- NH2(CH 2 )n — describes an aminoalkyl group with a terminal amine at the end of an alkyl group attached to the parent molecular moiety.
- alkylamino and aminoalkyl can be combined to describe an “alkylaminoalkyl” group in which an alkyl group resides on a nitrogen atom distal to the parent molecular moiety, such as MeNH(CH 2 )n— .
- an aryl group as defined herein, may combine in a similar fashion providing an arylaminoalkyl group ArNH(CH 2 )n— .
- N- in the name, such as N-arylaminoalkyl, which is understood to mean that the aryl group is a substituent on the nitrogen atom of the aminoalkyl group, the alkyl being attached the parent molecular moiety.
- alkylidene refers to an alkenyl group in which one carbon atom of the carbon-carbon double bond belongs to the moiety to which the alkenyl group is attached.
- alkylthio refers to an alkyl thioether (AlkS-) radical wherein the term alkyl is as defined above and wherein the sulfur may be singly or doubly oxidized.
- alkyl thioether radicals include methylthio, ethylthio, n-propylthio, isopropylthio, n-butylthio, iso-butylthio, sec-butylthio, tert-butylthio, methanesulfonyl, ethanesulfinyl, and the like.
- arylthio refers to arylthioether (ArS-) radical wherein the term aryl is as defined herein and wherein the sulfur may be singly or double oxidized.
- alkynyl refers to a straightchain or branched chain hydrocarbon radical having one or more triple bonds and containing from 2 to 20 carbon atoms. In certain embodiments, said alkynyl comprises from 2 to 6 carbon atoms. In further embodiments, said alkynyl comprises from 2 to 4 carbon atoms.
- alkynylene refers to a carbon-carbon triple bond attached at two positions such as ethynylene.
- Alkynyl can include any number of carbons, such as C2, C2-3, C2-4, C2-5, C2-6, C2-7, C2-8, C2-9, C2-10, C3, C34, C3-5, C3-6, C4, C4-5, C4-6, C5, C5-6, and Ce.
- alkynyl groups include, but are not limited to, acetylenyl, propynyl, 1-butynyl, 2-butynyl, butadiynyl, 1 -pentynyl, 2-pentynyl, isopentynyl, 1,3 -pentadiynyl,
- Alkynyl groups can be substituted or unsubstituted. Unless otherwise specified, the term “alkynyl” may include “alkynylene” groups.
- acylamino as used herein, alone or in combination, refers to an amino group as described below attached to the parent molecular moiety through a carbonyl group.
- acylamino as used herein, alone or in combination, embraces an acyl group attached to the parent moiety through an amino group.
- An example of an “acylamino” group is acetylamino (CH 3 C(O)NH-).
- amino refers to — N(R)(R') or — N + (R)(R')(R"), wherein R, R' and R" are independently selected from the group consisting of hydrogen, alkyl, acyl, heteroalkyl, aryl, cycloalkyl, heteroaryl, and heterocycloalkyl, any of which may themselves be optionally substituted.
- amino acid means a substituent of the form — NRCH(R')C(O)OH, wherein R is typically hydrogen, but may be cyclized with N (for example, as in the case of the amino acid proline), and R' is selected from the group consisting of hydrogen, alkyl, heteroalkyl, cycloalkyl, heterocycloalkyl, aryl, heteroaryl, amino, amido, cycloalkylalkyl, heterocycloalkylalkyl, arylalkyl, heteroarylalkyl, aminoalkyl, amidoalkyl, hydroxyalkyl, thiol, thioalkyl, alkylthioalkyl, and alkylthio, any of which may be optionally substituted.
- amino acid includes all naturally occurring amino acids as well as synthetic analogues.
- aryl as used herein, alone or in combination, means a carbocyclic aromatic system containing one, two or three rings wherein such rings may be attached together in a pendent manner or may be fused.
- aryl embraces aromatic radicals such as benzyl, phenyl, naphthyl, anthracenyl, phenanthryl, indanyl, indenyl, annulenyl, azulenyl, tetrahydronaphthyl, and biphenyl.
- arylalkenyl or “aralkenyl,” as used herein, alone or in combination, refers to an aryl group attached to the parent molecular moiety through an alkenyl group.
- arylalkoxy or “aralkoxy,” as used herein, alone or in combination, refers to an aryl group attached to the parent molecular moiety through an alkoxy group.
- arylalkyl or “aralkyl,” as used herein, alone or in combination, refers to an aryl group attached to the parent molecular moiety through an alkyl group.
- arylalkynyl or “aralkynyl,” as used herein, alone or in combination, refers to an aryl group attached to the parent molecular moiety through an alkynyl group.
- arylalkanoyl or “aralkanoyl” or “aroyl,” as used herein, alone or in combination, refers to an acyl radical derived from an aryl-substituted alkanecarboxylic acid such as benzoyl, naphthoyl, phenylacetyl, 3 -phenylpropionyl (hydrocinnamoyl), 4- phenylbutyryl, (2-naphthyl)acetyl, 4-chlorohydrocinnamoyl, and the like.
- aryloxy refers to an aryl group attached to the parent molecular moiety through an oxy.
- benzo and “benz,” as used herein, alone or in combination, refer to the divalent radical C 6 H 4 derived from benzene. Examples include benzothiophene and benzimidazole.
- carbamate refers to an ester of carbamic acid (— NHCOO— ) which may be attached to the parent molecular moiety from either the nitrogen or acid (oxygen) end, and which may be optionally substituted as defined herein.
- O-carbamyl as used herein, alone or in combination, refers to a — OC(O)NRR', group, with R and R' as defined herein.
- N-carbamyl as used herein, alone or in combination, refers to a ROC(O)NR'— group, with R and R' as defined herein.
- cyano as used herein, alone or in combination, refers to — CN.
- cycloalkyl refers to a saturated or partially saturated monocyclic, bicyclic or tricyclic alkyl radical wherein each cyclic moiety contains from 3 to 12 carbon atom ring members and which may optionally be a benzo fused ring system which is optionally substituted as defined herein.
- a cycloalkyl may comprise from from 3 to 7 carbon atoms, or from 5 to 7 carbon atoms.
- cycloalkyl radicals examples include cyclopropyl, cyclobutyl, cyclopentyl, cyclohexyl, cycloheptyl, octahydronaphthyl, 2,3- dihydro-lH-indenyl, adamantyl and the like.
- “Bicyclic” and “tricyclic” as used herein are intended to include both fused ring systems, such as decahydronaphthalene, octahydronaphthalene as well as the multicyclic (multicentered) saturated or partially unsaturated type. The latter type of isomer is exemplified in general by, bicyclo[l.l.l]pentane, camphor, adamantane, and bicyclo[3.2.1]octane.
- ether typically refers to an oxy group bridging two moieties linked at carbon atoms. “Ether” may also include polyethers, such as, for example, -RO(CH 2 )2O(CH 2 )2O(CH 2 )2OR', — RO(CH 2 )2O(CH 2 )2OR', -RO(CH 2 )2OR', and -RO(CH 2 ) 2 OH.
- halo or halogen, as used herein, alone or in combination, refers to fluorine, chlorine, bromine, or iodine.
- haloalkoxy refers to a haloalkyl group attached to the parent molecular moiety through an oxygen atom.
- haloalkyl refers to an alkyl radical having the meaning as defined above wherein one or more hydrogens are replaced with a halogen. Specifically embraced are monohaloalkyl, dihaloalkyl, trihaloalkyl and polyhaloalkyl radicals.
- a monohaloalkyl radical for one example, may have an iodo, bromo, chloro or fluoro atom within the radical.
- Dihalo and polyhaloalkyl radicals may have two or more of the same halo atoms or a combination of different halo radicals.
- haloalkyl radicals include fluoromethyl, difluoromethyl, trifluoromethyl, chloromethyl, dichloromethyl, trichloromethyl, pentafluoroethyl, heptafluoropropyl, difluorochloromethyl, dichlorofluoromethyl, difluoroethyl, difluoropropyl, dichloroethyl and dichloropropyl.
- “Haloalkylene” refers to a haloalkyl group attached at two or more positions. Examples include fluoromethylene (-CFH-), difluoromethylene (-CF2-), chloromethylene (-CHC1— ) and the like.
- heteroalkyl refers to a stable straight or branched chain, or cyclic hydrocarbon radical, or combinations thereof, fully saturated or containing from 1 to 3 degrees of unsaturation, consisting of the stated number of carbon atoms and from one to three heteroatoms selected from the group consisting of O, N, and S, and wherein the nitrogen and sulfur atoms may optionally be oxidized and the nitrogen heteroatom may optionally be quatemized (i.e. bond to 4 groups).
- the heteroatom(s) O, N and S may be placed at any interior position of the heteroalkyl group. Up to two heteroatoms may be consecutive, such as, for example, - CH 2 NHOCH3.
- the term heteroalkyl may include ethers.
- heteroaryl refers to 3 to 7 membered unsaturated heteromonocyclic rings, or fused polycyclic rings, each of which is 3 to 7 membered, in which at least one of the fused rings is unsaturated, wherein at least one atom is selected from the group consisting of O, S, and N.
- a heteroaryl may comprise from 5 to 7 carbon atoms.
- the term also embraces fused polycyclic groups wherein heterocyclic radicals are fused with aryl radicals, wherein heteroaryl radicals are fused with other heteroaryl radicals, or wherein heteroaryl radicals are fused with cycloalkyl radicals.
- heteroaryl groups include pyrrolyl, pyrrolinyl, imidazolyl, pyrazolyl, pyridyl, pyrimidinyl, pyrazinyl, pyridazinyl, triazolyl, pyranyl, furyl, thienyl, oxazolyl, isoxazolyl, oxadiazolyl, thiazolyl, thiadiazolyl, isothiazolyl, indolyl, isoindolyl, indolizinyl, benzimidazolyl, quinolyl, isoquinolyl, quinoxalinyl, quinazolinyl, indazolyl, benzotriazolyl, benzodioxolyl, benzopyranyl, benzoxazolyl, benzoxadiazolyl, benzothiazolyl, benzothiadiazolyl, benzofuryl, benzothienyl, chro
- Exemplary tricyclic heterocyclic groups include carbazolyl, benzidolyl, phenanthrolinyl, dibenzofuranyl, acridinyl, phenanthridinyl, xanthenyl and the like.
- Heteroaryl groups can include any number of ring atoms, such as, 5 to 6, 3 to 8, 4 to 8, 5 to 8, 6 to 8, 3 to 9, 3 to 10, 3 to 11, or 3 to 12 ring members. Any suitable number of heteroatoms can be included in the heteroaryl groups, such as 1, 2, 3, 4, or 5, or 1 to 2, 1 to 3, 1 to 4, 1 to 5, 2 to 3, 2 to 4, 2 to 5, 3 to 4, or 3 to 5. Heteroaryl groups can have from 5 to 8 ring members and from 1 to 4 heteroatoms, or from 5 to 8 ring members and from 1 to 3 heteroatoms, or from 5 to 6 ring members and from 1 to 4 heteroatoms, or from 5 to 6 ring members and from 1 to 3 heteroatoms.
- the heteroaryl group can include groups such as pyrrole, pyridine, imidazole, pyrazole, triazole, tetrazole, pyrazine, pyrimidine, pyridazine, triazine (1,2,3-, 1,2,4- and 1,3,5-isomers), thiophene, furan, thiazole, isothiazole, oxazole, and isoxazole.
- heteroaryl groups can also be fused to aromatic ring systems, such as a phenyl ring, to form members including, but not limited to, benzopyrroles such as indole and isoindole, benzopyridines such as quinoline and isoquinoline, benzopyrazine (quinoxaline), benzopyrimidine (quinazoline), benzopyridazines such as phthalazine and cinnoline, benzothiophene, and benzofuran.
- Other heteroaryl groups include heteroaryl rings linked by a bond, such as bipyridine. Heteroaryl groups can be substituted or unsubstituted.
- the heteroaryl groups can be linked via any position on the ring.
- pyrrole includes 1-, 2- and 3-pyrrole
- pyridine includes 2-, 3- and 4-pyridine
- imidazole includes 1-, 2-, 4- and 5-imidazole
- pyrazole includes 1-, 3-, 4- and 5-pyrazole
- triazole includes 1-, 4- and 5-triazole
- tetrazole includes 1- and 5-tetrazole
- pyrimidine includes 2-, 4-, 5- and 6- pyrimidine
- pyridazine includes 3- and 4-pyridazine
- 1,2, 3 -triazine includes 4- and 5-triazine
- 1 ,2,4-triazine includes 3-, 5- and 6-triazine
- 1,3,5-triazine includes 2- triazine
- thiophene includes 2- and 3 -thiophene
- furan includes 2- and 3 -furan
- thiazole includes 2-, 4- and 5-thiazole
- heteroaryl groups include those having from 5 to 10 ring members and from 1 to 3 ring atoms including N, O or S, such as pyrrole, pyridine, imidazole, pyrazole, triazole, pyrazine, pyrimidine, pyridazine, triazine (1,2,3-, 1,2,4- and 1,3, 5 -isomers), thiophene, furan, thiazole, isothiazole, oxazole, isoxazole, indole, isoindole, quinoline, isoquinoline, quinoxaline, quinazoline, phthalazine, cinnoline, benzothiophene, and benzofuran.
- N, O or S such as pyrrole, pyridine, imidazole, pyrazole, triazole, pyrazine, pyrimidine, pyridazine, triazine (1,2,3-, 1,2,4- and
- heteroaryl groups include those having from 5 to 8 ring members and from 1 to 3 heteroatoms, such as pyrrole, pyridine, imidazole, pyrazole, triazole, pyrazine, pyrimidine, pyridazine, triazine (1,2,3-, 1,2,4- and 1,3,5-isomers), thiophene, furan, thiazole, isothiazole, oxazole, and isoxazole.
- heteroatoms such as pyrrole, pyridine, imidazole, pyrazole, triazole, pyrazine, pyrimidine, pyridazine, triazine (1,2,3-, 1,2,4- and 1,3,5-isomers), thiophene, furan, thiazole, isothiazole, oxazole, and isoxazole.
- heteroaryl groups include those having from 9 to 12 ring members and from 1 to 3 heteroatoms, such as indole, isoindole, quinoline, isoquinoline, quinoxaline, quinazoline, phthalazine, cinnoline, benzothiophene, benzofuran and bipyridine.
- heteroaryl groups include those having from 5 to 6 ring members and from 1 to 2 ring atoms including N, O or S, such as pyrrole, pyridine, imidazole, pyrazole, pyrazine, pyrimidine, pyridazine, thiophene, furan, thiazole, isothiazole, oxazole, and isoxazole.
- heterocycloalkyl and, interchangeably, “heterocycle,” or “heterocyclyl” as used herein, alone or in combination, each refer to a saturated, partially unsaturated, or fully unsaturated monocyclic, bicyclic, spirocyclic, or tricyclic heterocyclic radical containing at least one heteroatom as ring members, wherein each heteroatom may be independently selected from the group consisting of nitrogen, oxygen, and sulfur.
- a heterocycloalkyl may comprise from 1 to 4 heteroatoms as ring members.
- a heterocycloalkyl may comprise from 1 to 2 heteroatoms ring members.
- a heterocycloalkyl may comprise from 3 to 8 ring members in each ring. In further embodiments, a heterocycloalkyl may comprise from 3 to 7 ring members in each ring. In yet further embodiments, a heterocycloalkyl may comprise from 5 to 6 ring members in each ring.
- “Heterocycloalkyl” and “heterocycle” are intended to include sugars, sulfones, sulfoxides, N-oxides of tertiary nitrogen ring members, and carbocyclic fused and benzo fused ring systems; additionally, both terms also include systems where a heterocycle ring is fused to an aryl group, as defined herein, or an additional heterocycle group.
- heterocycloalkyl groups include aziridinyl, azetidinyl, 1,3-benzodioxolyl, dihydroisoindolyl, dihydroisoquinolinyl, dihydrocinnolinyl, dihydrobenzodioxinyl, dihydro [1,3] oxazolo[4,5-b]pyridinyl, benzothiazolyl, dihydroindolyl, dihy-dropyridinyl, 1,3-dioxanyl, 1 ,4-dioxanyl, 1,3- dioxolanyl, epoxy, isoindolinyl, morpholinyl, piperazinyl, pyrrolidinyl, tetrahydropyridinyl, piperidinyl, thiomorpholinyl, hexahydro- I H/-pyrrol izine and the like.
- Heterocycloalkyl may refer to a saturated ring system having from 3 to 12 ring members and from 1 to 5 heteroatoms of N, O and S.
- the heteroatoms can also be oxidized, such as, but not limited to, S(O) and S(O)2 .
- Heterocycloalkyl groups can include any number of ring atoms, such as, 3 to 6, 4 to 6, 5 to 6, 3 to 8, 4 to 8, 5 to 8, 6 to 8, 3 to 9, 3 to 10, 3 to 1 1, or 3 to 12 ring members.
- heteroatoms can be included in the heterocycloalkyl groups, such as 1, 2, 3, 4, or 5, or 1 to 2, 1 to 3, 1 to 4, 1 to 5, 2 to 3, 2 to 4, 2 to 5, 3 to 4 or 3 to 5.
- the heterocycloalkyl group can include any number of carbons, such as C3-6, C4-6, C5-6, C3-8, C4-8, C5-8, Ce-8, C3-9, C3-10, C3-11, and C3-12.
- the heterocycloalkyl group can include groups such as aziridine, azetidine, pyrrolidine, piperidine, azepane, diazepane, azocane, quinuclidine, pyrazolidine, imidazolidine, piperazine (1,2-, 1,3- and 1,4-isomers), oxirane, oxetane, tetrahydrofuran, oxane (tetrahydropyran), oxepane, thiirane, thietane, thiolane (tetrahydrothiophene), thiane (tetrahydrothiopyran), oxazolidine, isoxazolidine, thiazolidine, isothiazolidine, dioxolane, dithiolane, morpholine, thiomorpholine, dioxane, or dithiane.
- groups such as aziridine, azetidine, pyrrolidine,
- heterocycloalkyl groups can also be fused to aromatic or non-aromatic ring systems to form members including, but not limited to, indoline, diazabicycloheptane, diazabicyclooctane, diazaspirooctane or diazaspirononane.
- Heterocycloalkyl groups can be unsubstituted or substituted.
- Heterocycloalkyl groups can also include a double bond or a triple bond, such as, but not limited to dihydropyridine or 1,2,3,6-tetrahydropyridine.
- the heterocycloalkyl groups can be linked via any position on the ring.
- aziridine can be 1- or 2-aziridine
- azetidine can be 1- or 2- azetidine
- pyrrolidine can be 1-, 2- or 3 -pyrrolidine
- piperidine can be 1-, 2-, 3- or 4-piperidine
- pyrazolidine can be 1-, 2-, 3-, or 4-pyrazolidine
- imidazolidine can be 1-, 2-, 3- or 4-imidazolidine
- piperazine can be 1-, 2-, 3- or 4-piperazine
- tetrahydrofuran can be 1- or 2-tetrahydrofuran
- oxazolidine can be 2-, 3-, 4- or 5-oxazolidine
- isoxazolidine can be 2-, 3-, 4- or 5- isoxazolidine
- thiazolidine can be 2-, 3-, 4- or 5-thiazolidine
- isothiazolidine can be 2-, 3-, 4- or 5- isothiazolidine
- heterocycloalkyl includes 3 to 8 ring members and 1 to 3 heteroatoms
- representative members include, but are not limited to, pyrrolidine, piperidine, tetrahydrofuran, oxane, tetrahydrothiophene, thiane, pyrazolidine, imidazolidine, piperazine, oxazolidine, isoxzoalidine, thiazolidine, isothiazolidine, morpholine, thiomorpholine, dioxane and dithiane.
- Heterocycloalkyl can also form a ring having 5 to 6 ring members and 1 to 2 heteroatoms, with representative members including, but not limited to, pyrrolidine, piperidine, tetrahydrofuran, tetrahydrothiophene, pyrazolidine, imidazolidine, piperazine, oxazolidine, isoxazolidine, thiazolidine, isothiazolidine, and morpholine.
- hydrazinyl refers to two amino groups joined by a single bond, i.e., -N-N-.
- the hydrazinyl group has optional substitution on at least one NH hydrogen to confer stability.
- hydroxamic acid or its ester as used herein, refers to — C(O)ON(R)O(R'), wherein R and R' are as defined herein, or the corresponding “hydroxamate” anion, including any corresponding hydroxamic acid salt.
- hydroxy refers to OH.
- hydroxyalkyl refers to a hydroxy group attached to the parent molecular moiety through an alkyl group.
- “Hydroxyalkyl” or “alkylhydroxy” refers to an alkyl group, as defined above, where at least one of the hydrogen atoms is replaced with a hydroxy group.
- alkyl group hydroxyalkyl or alkylhydroxy groups can have any suitable number of carbon atoms, such as C 1-6 .
- Exemplary 4 1-6 hydroxyalkyl groups include, but are not limited to, hydroxymethyl, hydroxyethyl (where the hydroxy is in the 1 or 2position), hydroxypropyl (where the hydroxy is in the 1, 2 or 3position), hydroxybutyl (where the hydroxy is in the 1, 2, 3 or 4position), 1 ,2dihydroxyethyl, and the like.
- isocyanato refers to a — NCO group.
- isothiocyanato refers to a — NCS group.
- linear chain of atoms refers to the longest straight chain of atoms independently selected from carbon, nitrogen, oxygen and sulfur.
- linking group refers to any nitrogen containing organic fragment that serves to connect the pyrimidine or pyridone core of the compounds disclosed herein to the electrophilic moiety E, as defined herein.
- exemplary linking groups include piperazines, aminoalkyls, alkyl- or aryl-based diamines, aminocycloalkyls, amine - containing spirocyclics, any of which may be optionally substituted as defined herein.
- linking groups may comprise the substructure L-Q-L’-E wherein Q is a monocyclic 4 to 7 membered ring or a bicyclic, bridged, or fused, or spiro 6- 11 membered ring, any of which optionally include one or more nitrogen atoms, E is the electrophilic group, L is bond, Ci-6 alkylene, — O — C0-5 alkylene, — S — C0-5 alkylene, or — NH — C0-5 alkylene, and for C2-6 alkylene, — O — C2-5 alkylene, — S — C2-5 alkylene, and NH — C2-5 alkylene, one carbon atom of any of the alkylene groups can optionally be replaced with O, S, or NH; and L’ is bond when Q comprises a nitrogen to link to E, otherwise L’ is NR, where R is hydrogen or alkyl.
- lower means containing from 1 to and including 6 carbon atoms, or from 1 to 4 carbon atoms.
- mercaptyl as used herein, alone or in combination, refers to an RS— group, where R is as defined herein.
- nitro refers to — NO2.
- perhaloalkoxy refers to an alkoxy group where all of the hydrogen atoms are replaced by halogen atoms.
- perhaloalkyl refers to an alkyl group where all of the hydrogen atoms are replaced by halogen atoms.
- phosphonate refers to a group of the form ROP(OR')(OR)O— wherein R and R' are selected from the group consisting of hydrogen, alkyl, acyl, heteroalkyl, aryl, cycloalkyl, heteroaryl, and heterocycloalkyl, any of which may themselves be optionally substituted.
- Phosphonate includes “phosphate [(OH)2P(O)O— ] and related phosphoric acid anions which may form salts.
- sulfonate refers to the -SO3H group and its anion as the sulfonic acid is used in salt formation or sulfonate ester where OH is replaced by OR, where R is not hydrogen, but otherwise is as defined herein, and typically being alkyl or aryl.
- thia and thio refer to a — S- group or an ether wherein the oxygen is replaced with sulfur.
- the oxidized derivatives of the thio group namely sulfinyl and sulfonyl, are included in the definition of thia and thio.
- thiol refers to an — SH group.
- thiocyanato refers to a — CNS group.
- trihalomethanesulfonamido refers to a X 3 CSWOfiNR— group with X is a halogen and R as defined herein.
- trimethoxy refers to a X 3 CO— group where X is a halogen.
- trimethysilyl as used herein, alone or in combination, refers to a silicone group substituted at its three free valences with groups as listed herein under the definition of substituted amino. Examples include trimethysilyl, tert-butyldimethylsilyl, triphenylsilyl and the like.
- any definition herein may be used in combination with any other definition to describe a composite structural group.
- the trailing element of any such definition is that which attaches to the parent moiety.
- the composite group alkylamido would represent an alkyl group attached to the parent molecule through an amido group
- the term alkoxyalkyl would represent an alkoxy group attached to the parent molecule through an alkyl group.
- null When a group is defined to be “null,” what is meant is that said group is absent.
- a “null” group occurring between two other group may also be understood to be a collapsing of flanking groups. For example, if in -(CH 2 ) X G 1 G 2 G 3 , the element G 2 were null, said group would become — (CH 2 ) X G 1 G 3 .
- optionally substituted means the anteceding group or groups may be substituted or unsubstituted. Groups constituting optional substitution may themselves be optionally substituted. For example, where an alkyl group is embraced by an optional substitution, that alkyl group itself may also be optionally substituted.
- the substituents of an “optionally substituted” group may include, without limitation, one or more substituents independently selected from the following groups or a particular designated set of groups, alone or in combination: alkyl, alkenyl, alkynyl, alkanoyl, heteroalkyl, heterocycloalkyl, haloalkyl, haloalkenyl, haloalkynyl, lower perhaloalkyl, perhaloalkoxy, cycloalkyl, phenyl, aryl, aryloxy, alkoxy, haloalkoxy, oxo, acyloxy, carbonyl, carboxyl, alkylcarbonyl, carboxyester, carboxamido, cyano, hydrogen, halogen, hydroxy, amino, alkylamino, arylamino, amido, nitro, thiol, alkylthio, haloalkylthio, perhaloalkylthio, arylthi
- optional substitution include, without limitation: (1) alkyl, halo, and alkoxy; (2) alkyl and halo; (3) alkyl and alkoxy; (4) alkyl, aryl, and heteroaryl; (5) halo and alkoxy; and (6) hydroxyl, alkyl, halo, alkoxy, and cyano.
- an optional substitution comprises a heteroatom-hydrogen bond (-NH-, SH, OH)
- further optional substitution of the heteroatom hydrogen is contemplated and includes, without limitation optional substitution with alkyl, acyl, alkoxymethyl, alkoxyethyl, arylsulfonyl, alkyl sulfonyl, any of which are further optionally substituted.
- Optionally substituted may include any of the chemical functional groups defined hereinabove and throughout this disclosure. Two optional substituents may be joined together to form a fused five-, six-, or seven-membered carbocyclic or heterocyclic ring consisting of zero to three heteroatoms, for example forming methylenedioxy or ethylenedioxy.
- An optionally substituted group may be unsubstituted (e.g., -CH 2 CH3), fully substituted (e.g., -CF2CF3), monosubstituted (e.g., -CH 2 CH 2 F) or substituted at a level anywhere in-between fully substituted and monosubstituted (e.g., -CH 2 CF3).
- a carbon chain may be substituted with an alkyl group, a halo group, and an alkoxy group.
- substituents are recited without qualification as to substitution, both substituted and unsubstituted forms are encompassed.
- substituent is qualified as “substituted,” the substituted form is specifically intended.
- different sets of optional substituents to a particular moiety may be defined as needed; in these cases, the optional substitution will be as defined, often immediately following the phrase, “optionally substituted with.”
- R or the term R' appearing by itself and without a number designation, unless otherwise defined, refers to a moiety selected from the group consisting of hydrogen, hydroxyl, halogen, alkyl, cycloalkyl, heteroalkyl, aryl, heteroaryl and heterocycloalkyl, any of which may be optionally substituted.
- R and R' groups should be understood to be optionally substituted as defined herein.
- every substituent, and every term should be understood to be independent of every other in terms of selection from a group. Should any variable, substituent, or term (e.g. aryl, heterocycle, R, etc.) occur more than one time in a formula or generic structure, its definition at each occurrence is independent of the definition at every other occurrence.
- substituent, or term e.g. aryl, heterocycle, R, etc.
- its definition at each occurrence is independent of the definition at every other occurrence.
- certain groups may be attached to a parent molecule or may occupy a position in a chain of elements from either end as written. Thus, by way of example only, an unsymmetrical group such as — C(O)N(R)— may be attached to the parent moiety at either the carbon or the nitrogen.
- substituents include, but are not limited to, halogen, haloalkyl, haloalkoxy, -OR’,
- R’, R” and R’ each independently refer to hydrogen, unsubstituted alkyl, such as unsubstituted Ci-6 alkyl.
- R’ and R”, or R” and R’ when attached to the same nitrogen, are combined with the nitrogen to which they are attached to form a heterocycloalkyl or heteroaryl ring, as defined above.
- Conjugate refers to compounds disclosed herein that are constructed by linking two components, a binder of KRAS having the G12D mutation and ubiquitin binding moiety.
- conjugate and “compound” may be used interchangeably.
- UBM Ubiquitin binding moiety
- the UBM refers to a portion of the conjugates, as set forth herein, that is capable of binding to an E3 ubiquitin ligase.
- the UBM is a monovalent form of a E3 ubiquitin ligase ligand that is covalently bonded in the conjugate.
- the UBM is a divalent form of a E3 ubiquitin ligase ligand that is integrated into the conjugate.
- the substrate recognition subunits of E3 ubiquitin ligases include, for example, Von Hippel-Lindau (VHL), cereblon (CRBN), inhibitor of apoptosis (IAP), and mouse double minute 2 homolog (MDM2) ligases.
- VHL Von Hippel-Lindau
- CRBN cereblon
- IAP inhibitor of apoptosis
- MDM2 mouse double minute 2 homolog
- Salt refers to acid or base salts of the compounds, which can be used in the methods disclosed herein.
- Illustrative examples of pharmaceutically acceptable salts are mineral acid (hydrochloric acid, hydrobromic acid, phosphoric acid, and the like) salts, organic acid (acetic acid, propionic acid, glutamic acid, citric acid and the like) salts, quaternary ammonium (methyl iodide, ethyl iodide, and the like) salts. It is understood that the pharmaceutically acceptable salts are non-toxic. Additional information on suitable pharmaceutically acceptable salts can be found in Remington's Pharmaceutical Sciences, 17th ed., Mack Publishing Company, Easton, Pa., 1985, which is incorporated herein by reference.
- salts of the acidic compounds disclosed herein are salts formed with bases, namely cationic salts such as alkali and alkaline earth metal salts, such as sodium, lithium, potassium, calcium, magnesium, as well as ammonium salts, such as ammonium, trimethyl-ammonium, diethylammonium, and tris-(hydroxymethyl)-methyl-ammonium salts.
- bases namely cationic salts such as alkali and alkaline earth metal salts, such as sodium, lithium, potassium, calcium, magnesium, as well as ammonium salts, such as ammonium, trimethyl-ammonium, diethylammonium, and tris-(hydroxymethyl)-methyl-ammonium salts.
- acid addition salts such as of mineral acids, organic carboxylic and organic sulfonic acids, e.g., hydrochloric acid, methanesulfonic acid, maleic acid, are also possible provided a basic group, such as pyridyl, constitutes part of the structure.
- the neutral forms of the compounds may be regenerated by contacting the salt with a base or acid and isolating the parent compound in the conventional manner.
- the parent form of the compound differs from the various salt forms in certain physical properties, such as solubility in polar solvents, but otherwise the salts are equivalent to the parent form of the compound for the purposes of the present embodiments.
- Hydrate refers to a compound that is complexed to at least one water molecule.
- the compounds disclosed herein can be complexed with from 1 to 10 water molecules.
- composition as used herein is intended to encompass a product comprising the specified ingredients in the specified amounts, as well as any product, which results, directly or indirectly, from combination of the specified ingredients in the specified amounts.
- pharmaceutically acceptable it is meant the carrier, diluent or excipient must be compatible with the other ingredients of the formulation and deleterious to the recipient thereof.
- “Pharmaceutically acceptable excipient” refers to a substance that aids the administration of an active agent to and absorption by a subject.
- Pharmaceutical excipients useful in the present embodiments include, but are not limited to, binders, fillers, disintegrants, lubricants, coatings, sweeteners, flavors and colors.
- binders include, but are not limited to, binders, fillers, disintegrants, lubricants, coatings, sweeteners, flavors and colors.
- ‘Treat”, “treating” and “treatment” refers to any indicia of success in the treatment or amelioration of an injury, pathology, condition, or symptom (e.g., pain), including any objective or subjective parameter such as abatement; remission; diminishing of symptoms or making the symptom, injury, pathology or condition more tolerable to the patient; decreasing the frequency or duration of the symptom or condition; or, in some situations, preventing the onset of the symptom.
- the treatment or amelioration of symptoms can be based on any objective or subjective parameter; including, e.g., the result of a physical examination.
- administering refers to oral administration, administration as a suppository, topical contact, parenteral, intravenous, intraperitoneal, intramuscular, intralesional, intranasal or subcutaneous administration, intrathecal administration, or the implantation of a slow-release device e.g., a mini-osmotic pump, to the subject.
- a slow-release device e.g., a mini-osmotic pump
- “Therapeutically effective amount or dose” or “therapeutically sufficient amount or dose” or “effective or sufficient amount or dose” refer to a dose that produces therapeutic effects for which it is administered. The exact dose will depend on the purpose of the treatment, and will be ascertainable by one skilled in the art using known techniques (see, e.g., Lieberman, Pharmaceutical Dosage Forms (vols. 1-3, 1992); Lloyd, The Art, Science and Technology of Pharmaceutical Compounding (1999); Pickar, Dosage Calculations (1999); and Remington: The Science and Practice of Pharmacy, 20th Edition, 2003, Gennaro, Ed., Lippincott, Williams & Wilkins). In sensitized cells, the therapeutically effective dose can often be lower than the conventional therapeutically effective dose for non-sensitized cells.
- Subject refers to animals such as mammals, including, but not limited to, primates (e.g., humans), cows, sheep, goats, horses, dogs, cats, rabbits, rats, mice and the like. In certain embodiments, the subject is a human.
- R 1 is Ci-Ce alkyl, 4-10 membered heterocyclyl, 3-10 membered cycloalkyl, 6-10 membered aryl or 5-10 membered heteroaryl, wherein said Ci-Ce alkyl, heterocyclyl, cycloalkyl, aryl and heteroaryl are optionally substituted with OH, halo, CN, CF3, C 1-4 alkyl, CM alkoxy, C3-4 cycloalkyl, C3-4 cycloalkoxy, and C 1-3 alkyl-OH;
- X is C-H, C-halo, C-C 1-3 alkyl, C-CF3, C-C 1-3 haloalkyl, C- C 3-4 cycloalkyl, C- cyano, or N;
- Y is O, NR 2 , S, or absent, wherein R 2 is H or C 1-4 alkyl;
- Y’ is C 1-3 alkyl or absent
- Z is O, NR Z , S, or absent; wherein R z is hydrogen or methyl;
- Z’ is null, substituted or unsubstituted alkylene, substituted or unsubstituted heterocyclylalkylene, substituted or unsubstituted heterocyclyloxyalkylene, substituted or unsubstituted alkoxalkylene, substituted or unsubstituted heteroalkylene, substituted or unsubstituted arylalkylene, substituted or unsubstituted aryloxyalkylene, substituted or unsubstituted heteroarylalkylene, substituted or unsubstituted heteroaryloxyalkylene, substituted or unsubstituted cycloalkylalkylene, or a substituted or unsubstituted cycloalkyloxyalkylene;
- L is: bond, NH, S, O, C(O), C(O)O, OC(O), NHC(O), C(O)NH, NHC(O)NH, NHC(NH)NH, C(S), substituted or unsubstituted alkylene, substituted or unsubstituted heteroalkylene, substituted or unsubstituted cycloalkylene, substituted or unsubstituted spirocycloalkylene, substituted or unsubstituted heterocycloalkylene, substituted or unsubstituted spiroheterocycloalkylene, substituted or unsubstituted arylene, substituted or unsubstituted heteroarylene or combinations thereof; and
- UBM comprises a ubiquitin binding moiety structure of Formula (la): wherein W is aryl, heteroaryl, or -NH-;
- R b is C1-C4 alkyl
- G and G' are independently H, methyl, ethyl, isopropyl, or hydroxymethyl; or G and G' combine to form a cyclopropyl;
- m is an integer from 0 to 5;
- each R T is independently halogen, C1-C4 alkyl, C1-C4 alkoxy, cyano, OH, - NH2, cyclopropyl, or cyclobutyl;
- each of T 1 , T 2 , T 3 , T 4 , or T 5 is independently N, CH, or CR T ; wherein 0 to 3 ofT 1 , T 2 , T 3 , T 4 , or T 5 are N.
- W is isoxazolyl, oxazolyl, thiazolyl, isothiazolyl, thiophenyl, pyrrolyl, imidazolyl, furanyl, triazolyl, furazanyl, thiadiazolyl, dioxazolyl, dithiazolyl, pyridyl, or phenyl.
- W is isoxazolyl or triazolyl.
- R b is n-propyl, i-propyl, n-butyl, i-butyl, sec-butyl, or tert-butyl.
- Formula (la) is (lb):
- G is H, methyl, or hydroxymethyl.
- Formula (la) is (Icl) or (Ic2): wherein G is H, methyl, or hydroxymethyl.
- Formula (la) is (Id): wherein G is H, methyl, or hydroxymethyl.
- Formula (la) is (lai ): wherein G is H, methyl, or hydroxymethyl.
- Formula (la) is (Ia2): wherein G is H, methyl, or hydroxymethyl.
- Formula (la) is (Ia3): wherein G is H, methyl, or hydroxymethyl.
- Formula (la) is (Ia4): wherein G is H, methyl, or hydroxymethyl.
- Formula (la) is (Ia5): wherein G is H, methyl, or hydroxymethyl.
- Formula (la) is (Ia6): wherein G is H, methyl, or hydroxymethyl.
- Formula (la) is (Ia7): wherein G is H, methyl, or hydroxymethyl.
- Formula (la) is (Ia8): wherein G is H, methyl, or hydroxymethyl.
- Formula (la) is (Ia9): wherein G is H, methyl, or hydroxymethyl.
- Formula (la) is (laid): wherein G is H, methyl, or hydroxymethyl.
- Formula (la) is (la1 1): wherein G is H, methyl, or hydroxymethyl.
- W is isoxazolyl or triazolyl
- R b is i-propyl
- W is -NH- and R b is i-propyl or t-butyl.
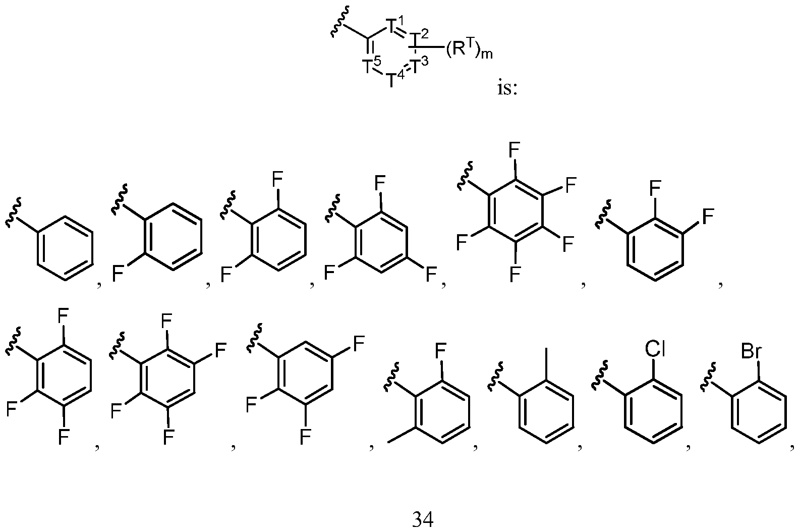
- Ar is selected from: wherein:
- R 14 is H, halo, halo-Ci- 3 haloalkyl, Cfrialkoxy, Cfrihaloalkoxy, cyclopropyl, Ci- 3 alkylthio, or CF 3 ;
- R 15 is H, halo, halo-Ci- 3 haloalkyl, Ci- 3 alkoxy, Ci- 3 haloalkoxy, cyclopropyl, Ci- 3 alkylthio, or CF 3 ; or
- R 14 and R 15 together with the atoms to which they are each bonded, form 5 to 6 membered heteroaryl or 6 membered aryl, wherein the 5 to 6 membered heteroaryl and 6 membered aryl is optionally substituted with 1 to 4 substituents selected from the group consisting of halo, Ci- 3 alkyl, Ci- 3 alkoxy;
- R 16 is H, halo, halo-Ci- 3 haloalkyl, Ci- 3 alkoxy, Ci- 3 haloalkoxy, cyclopropyl, Ci- 3 alkylthio, or CF 3 ;
- R 17 is H or CIR; wherein each C 1-3 alkyl is independently optionally substituted with 1 to 5 halogens; and, each C 1-3 alkoxy is independently optionally substituted with 1 to 3 halogens.
- (Al) is: [0134]
- (A2) is:
- (A2) is: [0136] In embodiments, (A2) is: wherein R c is selected from hydrogen, alkyl, cycloalkyl, and heterocyclyl.
- (A2) is: wherein R c is selected from hydrogen, alkyl, cycloalkyl, and heterocyclyl.
- (A2) is:
- (A2) is:
- (A2) is:
- Ar is: wherein R 11 , R 12 , and R 13 , are independently selected from halogen, hydrogen, hydroxyl, alkoxy, alkyl, cycloalkyl, amino, and A-alkylamino; and, wherein R 14 is hydrogen, halogen, halo-C 1-3 haloalkyl, C 1-3 alkoxy, Ci-
- (A4) is:
- Ar is: wherein R 11 , R 12 , and R 13 , are independently selected from halogen, hydrogen, hydroxyl, alkoxy, alkyl, cycloalkyl, amino, and A-alkylamino; and, wherein R 14 is hydrogen, halogen, halo-C 1-3 haloalkyl, C 1-3 alkoxy, Ci- 3haloalkoxy, cyclopropyl, C 1-3 alkylthio, or CF3.
- (A4) is:
- (A3) is:
- two V form a bridge: -CH 2 - or -CH 2 -CH 2 -.
- UBM ubiquitin binding moiety
- linker -L- is:
- -L- is a structure according to formula (LO): wherein each k is independently 0 or 1; and, each g is independently 1 or 2. [0153] In embodiments, Z is O.
- Z’ is C1-C3 alkylene.
- the ubiquitin binding moiety structure of Formula (la) is:
- R 1 is: substituted with OH, halo, CN, CF 3 , C1-4 alkyl, C1-4 alkoxy, and C 1-3 alkyl-OH.
- Formula (I) is:
- the compound of Formula (I) is:
- the compound of Formula (I) is:
- the compounds disclosed herein can exist as salts.
- the present embodiments include such salts, which can be pharmaceutically acceptable salts.
- Examples of applicable salt forms include hydrochlorides, hydrobromides, sulfates, methanesulfonates, nitrates, maleates, acetates, citrates, fumarates, tartrates (eg (+)-tartrates, (-)-tartrates or mixtures thereof including racemic mixtures, succinates, benzoates and salts with amino acids such as glutamic acid.
- These salts may be prepared by methods known to those skilled in art.
- base addition salts such as sodium, potassium, calcium, ammonium, organic amino, or magnesium salt, or a similar salt.
- acid addition salts can be obtained by contacting the neutral form of such compounds with a sufficient amount of the desired acid, either neat or in a suitable inert solvent.
- acceptable acid addition salts include those derived from inorganic acids like hydrochloric, hydrobromic, nitric, carbonic, monohydrogencarbonic, phosphoric, monohydrogenphosphoric, dihydrogenphosphoric, sulfuric, monohydrogensulfuric, hydriodic, or phosphorous acids and the like, as well as the salts derived organic acids like acetic, propionic, isobutyric, maleic, malonic, benzoic, succinic, suberic, fumaric, lactic, mandelic, phthalic, benzenesulfonic, p-tolylsulfonic, citric, tartaric, methanesulfonic, and the like.
- salts of amino acids such as arginate and the like, and salts of organic acids like glucuronic or galactunoric acids and the like.
- Certain specific compounds disclosed herein contain both basic and acidic functionalities that allow the compounds to be converted into either base or acid addition salts.
- salts include acid or base salts of the compounds used in the methods of the present embodiments.
- Illustrative examples of pharmaceutically acceptable salts are mineral acid (hydrochloric acid, hydrobromic acid, phosphoric acid, and the like) salts, organic acid (acetic acid, propionic acid, glutamic acid, citric acid and the like) salts, and quaternary ammonium (methyl iodide, ethyl iodide, and the like) salts. It is understood that the pharmaceutically acceptable salts are non-toxic. Additional information on suitable pharmaceutically acceptable salts can be found in Remington's Pharmaceutical Sciences, 17th ed., Mack Publishing Company, Easton, Pa., 1985, which is incorporated herein by reference.
- Pharmaceutically acceptable salts include salts of the active compounds which are prepared with relatively nontoxic acids or bases, depending on the particular substituents found on the compounds described herein.
- base addition salts can be obtained by contacting the neutral form of such compounds with a sufficient amount of the desired base, either neat or in a suitable inert solvent.
- Examples of pharmaceutically acceptable base addition salts include sodium, potassium, calcium, ammonium, organic amino, or magnesium salt, or a similar salt.
- acid addition salts can be obtained by contacting the neutral form of such compounds with a sufficient amount of the desired acid, either neat or in a suitable inert solvent.
- Examples of pharmaceutically acceptable acid addition salts include those derived from inorganic acids like hydrochloric, hydrobromic, nitric, carbonic, monohydrogencarbonic, phosphoric, monohydrogenphosphoric, dihydrogenphosphoric, sulfuric, monohydrogensulfuric, hydriodic, or phosphorous acids and the like, as well as the salts derived from relatively nontoxic organic acids like acetic, propionic, isobutyric, maleic, malonic, benzoic, succinic, suberic, fumaric, lactic, mandelic, phthalic, benzenesulfonic, p-tolylsulfonic, citric, tartaric, methanesulfonic, and the like.
- inorganic acids like hydrochloric, hydrobromic, nitric, carbonic, monohydrogencarbonic, phosphoric, monohydrogenphosphoric, dihydrogenphosphoric, sulfuric, monohydrogensulfuric, hydriodic, or phosphorous acids and
- salts of amino acids such as arginate and the like, and salts of organic acids like glucuronic or galactunoric acids and the like (see, for example, Berge et al., "Pharmaceutical Salts” , Journal of Pharmaceutical Science, 1977, 66, 1-19).
- Certain specific compounds disclosed herein contain both basic and acidic functionalities that allow the compounds to be converted into either base or acid addition salts.
- the neutral forms of the compounds are preferably regenerated by contacting the salt with a base or acid and isolating the parent compound in the conventional manner.
- the parent form of the compound differs from the various salt forms in certain physical properties, such as solubility in polar solvents.
- Certain compounds disclosed herein can exist in unsolvated forms as well as solvated forms, including hydrated forms. In general, the solvated forms are equivalent to unsolvated forms and are encompassed within the scope of the present embodiments. Certain compounds disclosed herein may exist in multiple crystalline or amorphous forms. In general, all physical forms are equivalent for the uses contemplated by the present embodiments and are intended to be within the scope of the present embodiments.
- Certain compounds disclosed herein possess asymmetric carbon atoms (optical centers) or double bonds; the enantiomers, racemates, diastereomers, tautomers, geometric isomers, stereoisometric forms that may be defined, in terms of absolute stereochemistry, as (R)-or (S)- or, as (D)- or (L)- for amino acids, and individual isomers are encompassed within the scope of the present embodiments.
- the compounds disclosed herein do not include those which are known in art to be too unstable to synthesize and/or isolate.
- the present embodiments are meant to include compounds in racemic and optically pure forms.
- Optically active (R)- and (S)-, or (D)- and (L)-isomers may be prepared using chiral synthons or chiral reagents, or resolved using conventional techniques.
- the compounds disclosed herein can be provided as a mixture of atropisomers or can be pure atropisomers.
- Isomers include compounds having the same number and kind of atoms, and hence the same molecular weight, but differing in respect to the structural arrangement or configuration of the atoms.
- structures depicted herein are also meant to include all stereochemical forms of the structure; i.e., the R and S configurations for each asymmetric center. Therefore, single stereochemical isomers as well as enantiomeric and diastereomeric mixtures of the present compounds are within the scope of the embodiments.
- the compounds disclosed herein may also contain unnatural proportions of atomic isotopes at one or more of the atoms that constitute such compounds.
- the compounds disclosed herein may be labeled with radioactive or stable isotopes, such as for example deuterium ( 2 H), tritium ( 3 H), iodine- 125 ( 125 I), fluorine-18 ( 18 F), nitrogen-15 ( 15 N), oxygen-17 ( 17 O), oxygen-18 ( 18 O), carbon-13 ( 13 C), or carbon- 14 ( 14 C). All isotopic variations of the compounds disclosed herein, whether radioactive or not, are encompassed within the scope of the present embodiments.
- the present embodiments provide compounds, which are in a prodrug form.
- Prodrugs of the compounds described herein are those compounds that readily undergo chemical changes under physiological conditions to provide the compounds disclosed herein.
- prodrugs can be converted to the compounds disclosed herein by chemical or biochemical methods in an ex vivo environment. For example, prodrugs can be slowly converted to the compounds disclosed herein when placed in a transdermal patch reservoir with a suitable enzyme or chemical reagent.
- reaction Schemes below provide routes for synthesizing the compounds disclosed herein as well as key intermediates.
- the starting materials and the intermediates of the synthetic reaction schemes can be isolated and purified if desired using conventional techniques, including but not limited to, filtration, distillation, crystallization, chromatography, and the like. Such materials can be characterized using conventional means, including physical constants and spectral data.
- the reactions described herein preferably are conducted under an inert atmosphere at atmospheric pressure at a reaction temperature range of from about -78 °C to about 150 °C, more preferably from about 0 °C to about 125 °C, and most preferably and conveniently at about room (or ambient) temperature, or, about 20 °C.
- compositions comprise a conjugate of any one of the compounds disclosed herein and a pharmaceutically acceptable excipient.
- a pharmaceutical composition comprising a pharmaceutically effective amount of a conjugate of Formula (A) or a pharmaceutically acceptable salt thereof, and a pharmaceutically acceptable excipient.
- the pharmaceutical composition further comprises an additional therapeutic agent.
- the additional therapeutic agent is a chemotherapeutic agent.
- the chemotherapeutic agent is an anti-microtubule agent, a platinum coordination complex, a alkylating agent, an antibiotic agent, a topoisomerase II inhibitor, a antimetabolite, a topoisomerase I inhibitor, a hormone or hormonal analogue, a signal transduction pathway inhibitor, a non-receptor tyrosine kinase angiogenesis inhibitor, a immunotherapeutic agent, a proapoptotic agent, an inhibitor of LDH-A, an inhibitor of fatty acid biosynthesis, a cell cycle signalling inhibitor, a HD AC inhibitor, a proteasome inhibitor, or an inhibitor of cancer metabolism.
- the chemotherapeutic agent is cisplatin, carboplatin, doxorubicin, ionizing radiation, docetaxel or paclitaxel.
- the compounds disclosed herein can be prepared and administered in a wide variety of oral, parenteral and topical dosage forms.
- Oral preparations include tablets, pills, powder, dragees, capsules, liquids, lozenges, gels, syrups, slurries, suspensions, etc., suitable for ingestion by the patient.
- the compounds disclosed herein can also be administered by injection, that is, intravenously, intramuscularly, intracutaneously, subcutaneously, intraduodenally, or intraperitoneally.
- the compounds described herein can be administered by inhalation, for example, intranasally. Additionally, the compounds disclosed herein can be administered transdermally.
- the compounds disclosed herein can also be administered by in intraocular, intravaginal, and intrarectal routes including suppositories, insufflation, powders and aerosol formulations (for examples of steroid inhalants, see Rohatagi, J. Clin. Pharmacol. 35: 1187-1193, 1995; Tjwa, Ann. Allergy Asthma Immunol. 75: 107-111, 1995).
- the present embodiments also provide pharmaceutical compositions including one or more pharmaceutically acceptable carriers and/or excipients and either a compound of Formula I, or a pharmaceutically acceptable salt of a compound of Formula I.
- pharmaceutically acceptable carriers can be either solid or liquid.
- Solid form preparations include powders, tablets, pills, capsules, cachets, suppositories, and dispersible granules.
- a solid carrier can be one or more substances, which may also act as diluents, flavoring agents, surfactants, binders, preservatives, tablet disintegrating agents, or an encapsulating material. Details on techniques for formulation and administration are well described in the scientific and patent literature, see, e.g., the latest edition of Remington's Pharmaceutical Sciences, Maack Publishing Co, Easton PA ("Remington's").
- the carrier is a finely divided solid, which is in a mixture with the finely divided active component.
- the active component is mixed with the carrier having the necessary binding properties and additional excipients as required in suitable proportions and compacted in the shape and size desired.
- the powders, capsules and tablets preferably contain from 5% or 10% to 70% of the active compound.
- Suitable carriers are magnesium carbonate, magnesium stearate, talc, sugar, lactose, pectin, dextrin, starch, gelatin, tragacanth, methylcellulose, sodium carboxymethylcellulose, a low melting wax, cocoa butter, and the like.
- the term “preparation” is intended to include the formulation of the active compound with encapsulating material as a carrier providing a capsule in which the active component with or without other exceipients, is surrounded by a carrier, which is thus in association with it. Similarly, cachets and lozenges are included.
- Suitable solid excipients are carbohydrate or protein fillers including, but not limited to sugars, including lactose, sucrose, mannitol, or sorbitol; starch from com, wheat, rice, potato, or other plants; cellulose such as methyl cellulose, hydroxypropylmethyl-cellulose, or sodium carboxymethylcellulose; and gums including arabic and tragacanth; as well as proteins such as gelatin and collagen.
- disintegrating or solubilizing agents may be added, such as the cross-linked polyvinyl pyrrolidone, agar, alginic acid, or a salt thereof, such as sodium alginate.
- Dragee cores are provided with suitable coatings such as concentrated sugar solutions, which may also contain gum arabic, talc, polyvinylpyrrolidone, carbopol gel, polyethylene glycol, and/or titanium dioxide, lacquer solutions, and suitable organic solvents or solvent mixtures.
- Dyestuffs or pigments may be added to the tablets or dragee coatings for product identification or to characterize the quantity of active compound (i.e., dosage).
- Pharmaceutical preparations can also be used orally using, for example, push- fit capsules made of gelatin, as well as soft, sealed capsules made of gelatin and a coating such as glycerol or sorbitol.
- Push- fit capsules can contain the compounds disclosed herein mixed with a filler or binders such as lactose or starches, lubricants such as talc or magnesium stearate, and, optionally, stabilizers.
- the compounds disclosed herein may be dissolved or suspended in suitable liquids, such as fatty oils, liquid paraffin, or liquid polyethylene glycol with or without stabilizers.
- suitable liquids such as fatty oils, liquid paraffin, or liquid polyethylene glycol with or without stabilizers.
- a low melting wax such as a mixture of fatty acid glycerides or cocoa butter, is first melted and the active component is dispersed homogeneously therein, as by stirring. The molten homogeneous mixture is then poured into convenient sized molds, allowed to cool, and thereby to solidify.
- Liquid form preparations include solutions, suspensions, and emulsions, for example, water or water/propylene glycol solutions.
- liquid preparations can be formulated in solution in aqueous polyethylene glycol solution.
- Aqueous solutions suitable for oral use can be prepared by dissolving the active component in water and adding suitable colorants, flavors, stabilizers, and thickening agents as desired.
- Aqueous suspensions suitable for oral use can be made by dispersing the finely divided active component in water with viscous material, such as natural or synthetic gums, resins, methylcellulose, sodium carboxymethylcellulose, hydroxypropylmethylcellulose, sodium alginate, polyvinylpyrrolidone, gum tragacanth and gum acacia, and dispersing or wetting agents such as a naturally occurring phosphatide (e.g., lecithin), a condensation product of an alkylene oxide with a fatty acid (e.g., polyoxyethylene stearate), a condensation product of ethylene oxide with a long chain aliphatic alcohol (e.g., heptadecaethylene oxycetanol), a condensation product of ethylene oxide with a partial ester derived from a fatty acid and a hexitol (e.g., polyoxyethylene sorbitol mono-oleate), or a condensation product of ethylene oxide with a partial ester derived from fatty
- the aqueous suspension can also contain one or more preservatives such as ethyl or n-propyl p-hydroxybenzoate, one or more coloring agents, one or more flavoring agents and one or more sweetening agents, such as sucrose, aspartame or saccharin.
- preservatives such as ethyl or n-propyl p-hydroxybenzoate
- coloring agents such as a coloring agent
- flavoring agents such as aqueous suspension
- sweetening agents such as sucrose, aspartame or saccharin.
- Formulations can be adjusted for osmolarity.
- solid form preparations which are intended to be converted, shortly before use, to liquid form preparations for oral administration.
- liquid forms include solutions, suspensions, and emulsions.
- These preparations may contain, in addition to the active component, colorants, flavors, stabilizers, buffers, artificial and natural sweeteners, dispersants, thickeners, solubilizing agents, and the like.
- Oil suspensions can be formulated by suspending the compounds disclosed herein in a vegetable oil, such as arachis oil, olive oil, sesame oil or coconut oil, or in a mineral oil such as liquid paraffin; or a mixture of these.
- the oil suspensions can contain a thickening agent, such as beeswax, hard paraffin or cetyl alcohol.
- Sweetening agents can be added to provide a palatable oral preparation, such as glycerol, sorbitol or sucrose.
- These formulations can be preserved by the addition of an antioxidant such as ascorbic acid.
- an injectable oil vehicle see Minto, J. Pharmacol. Exp. Ther. 281:93-102, 1997.
- the pharmaceutical formulations can also be in the form of oil-in- water emulsions.
- the oily phase can be a vegetable oil or a mineral oil, described above, or a mixture of these.
- Suitable emulsifying agents include naturally-occurring gums, such as gum acacia and gum tragacanth, naturally occurring phosphatides, such as soybean lecithin, esters or partial esters derived from fatty acids and hexitol anhydrides, such as sorbitan mono-oleate, and condensation products of these partial esters with ethylene oxide, such as polyoxyethylene sorbitan mono-oleate.
- the emulsion can also contain sweetening agents and flavoring agents, as in the formulation of syrups and elixirs. Such formulations can also contain a demulcent, a preservative, or a coloring agent.
- the compounds disclosed herein can be delivered by transdermally, by a topical route, formulated as applicator sticks, solutions, suspensions, emulsions, gels, creams, ointments, pastes, jellies, paints, powders, and aerosols.
- microspheres can be administered via intradermal injection of drug -containing microspheres, which slowly release subcutaneously (see Rao, J. Biomater Sci. Polym. Ed. 7:623-645, 1995; as biodegradable and injectable gel formulations (see, e.g., Gao Pharm. Res. 12:857-863, 1995); or, as microspheres for oral administration (see, e.g., Eyles, J. Pharm. Pharmacol. 49:669-674, 1997). Both transdermal and intradermal routes afford constant delivery for weeks or months.
- the pharmaceutical formulations of the compounds disclosed herein can be provided as a salt and can be formed with many acids, including but not limited to hydrochloric, sulfuric, acetic, lactic, tartaric, malic, succinic, etc. Salts tend to be more soluble in aqueous or other protonic solvents that are the corresponding free base forms.
- the preparation may be a lyophilized powder in 1 mM-50 mM histidine, 0.1 %-2% sucrose, 2%-7% mannitol at a pH range of 4.5 to 5.5, that is combined with buffer prior to use.
- the pharmaceutical formulations of the compounds disclosed herein can be provided as a salt and can be formed with bases, namely cationic salts such as alkali and alkaline earth metal salts, such as sodium, lithium, potassium, calcium, magnesium, as well as ammonium salts, such as ammonium, trimethyl-ammonium, diethylammonium, and tris-(hydroxymethyl)-methyl-ammonium salts.
- bases namely cationic salts such as alkali and alkaline earth metal salts, such as sodium, lithium, potassium, calcium, magnesium, as well as ammonium salts, such as ammonium, trimethyl-ammonium, diethylammonium, and tris-(hydroxymethyl)-methyl-ammonium salts.
- the formulations of the compounds disclosed herein can be delivered by the use of liposomes which fuse with the cellular membrane or are endocytosed, i.e., by employing ligands attached to the liposome, or attached directly to the oligonucleotide, that bind to surface membrane protein receptors of the cell resulting in endocytosis.
- liposomes particularly where the liposome surface carries ligands specific for target cells, or are otherwise preferentially directed to a specific organ, one can focus the delivery of the GR modulator into the target cells in vivo.
- Al- Muhammed J. Microencapsul. 13:293-306, 1996; Chonn, Curr. Opin. Biotechnol. 6:698- 708, 1995; Ostro, Am. J. Hosp. Pharm. 46: 1576-1587, 1989).
- the pharmaceutical preparation is preferably in unit dosage form.
- the preparation is subdivided into unit doses containing appropriate quantities of the active component.
- the unit dosage form can be a packaged preparation, the package containing discrete quantities of preparation, such as packeted tablets, capsules, and powders in vials or ampoules.
- the unit dosage form can be a capsule, tablet, cachet, or lozenge itself, or it can be the appropriate number of any of these in packaged form.
- the quantity of active component in a unit dose preparation may be varied or adjusted from 0.1 mg to 10000 mg, more typically 1.0 mg to 1000 mg, most typically 10 mg to 500 mg, according to the particular application and the potency of the active component.
- the composition can, if desired, also contain other compatible therapeutic agents.
- the dosage regimen also takes into consideration pharmacokinetics parameters well known in the art, i.e., the rate of absorption, bioavailability, metabolism, clearance, and the like (see, e.g., Hidalgo-Aragones (1996) J. Steroid Biochem. Mol. Biol. 58:611- 617; Groning (1996) Pharmazie 51 :337-341; Fotherby (1996) Contraception 54:59-69; Johnson (1995) J. Pharm. Sei. 84: 1144-1146; Rohatagi (1995) Pharmazie 50:610-613; Brophy (1983) Eur. J. Clin. Pharmacol. 24: 103-108; the latest Remington's, supra).
- the state of the art allows the clinician to determine the dosage regimen for each individual patient, GR and /or MR modulator and disease or condition treated.
- the pharmaceutical formulations for oral administration of the compounds disclosed herein is in a daily amount of between about 0.5 to about 30 mg per kilogram of body weight per day.
- dosages are from about 1 mg to about 20 mg per kg of body weight per patient per day are used.
- Lower dosages can be used, particularly when the drug is administered to an anatomically secluded site, such as the cerebral spinal fluid (CSF) space, in contrast to administration orally, into the blood stream, into a body cavity or into a lumen of an organ.
- CSF cerebral spinal fluid
- Substantially higher dosages can be used in topical administration.
- Actual methods for preparing formulations including the compounds disclosed herein for parenteral administration are known or apparent to those skilled in the art and are described in more detail in such publications as Remington's, supra. See also Nieman, In “Receptor Mediated Antisteroid Action,” Agarwal, et al., eds., De Gruyter, New York (1987).
- the compounds described herein can be used in combination with one another, with other active agents known to be useful in modulating a glucocorticoid receptor, or with adjunctive agents that may not be effective alone, but may contribute to the efficacy of the active agent.
- co-administration includes administering one active agent within 0.5, 1, 2, 4, 6, 8, 10, 12, 16, 20, or 24 hours of a second active agent.
- Coadministration includes administering two active agents simultaneously, approximately simultaneously (e.g., within about 1, 5, 10, 15, 20, or 30 minutes of each other), or sequentially in any order.
- co-administration can be accomplished by co-formulation, i.e., preparing a single pharmaceutical composition including both active agents.
- the active agents can be formulated separately.
- the active and/or adjunctive agents may be linked or conjugated to one another.
- a pharmaceutical composition including a compound disclosed herein has been formulated in one or more acceptable carriers, it can be placed in an appropriate container and labeled for treatment of an indicated condition.
- labeling would include, e.g., instructions concerning the amount, frequency and method of administration.
- the compositions disclosed herein are useful for parenteral administration, such as intravenous (IV) administration or administration into a body cavity or lumen of an organ.
- the formulations for administration will commonly comprise a solution of the compositions disclosed herein dissolved in one or more pharmaceutically acceptable carriers.
- pharmaceutically acceptable carriers include water and Ringer's solution, an isotonic sodium chloride.
- sterile fixed oils can conventionally be employed as a solvent or suspending medium.
- any bland fixed oil can be employed including synthetic mono- or diglycerides.
- fatty acids such as oleic acid can likewise be used in the preparation of injectables. These solutions are sterile and generally free of undesirable matter.
- formulations may be sterilized by conventional, well known sterilization techniques.
- the formulations may contain pharmaceutically acceptable auxiliary substances as required to approximate physiological conditions such as pH adjusting and buffering agents, tonicity adjusting agents, e.g., sodium acetate, sodium chloride, potassium chloride, calcium chloride, sodium lactate and the like.
- concentration of the compositions in these formulations can vary widely, and will be selected primarily based on fluid volumes, viscosities, body weight, and the like, in accordance with the particular mode of administration selected and the patient's needs.
- the formulation can be a sterile injectable preparation, such as a sterile injectable aqueous or oleaginous suspension.
- This suspension can be formulated according to the known art using those suitable dispersing or wetting agents and suspending agents.
- the sterile injectable preparation can also be a sterile injectable solution or suspension in a nontoxic parenterally-acceptable diluent or solvent, such as a solution of 1,3 -butanediol.
- the formulations of the compositions disclosed herein can be delivered by the use of liposomes which fuse with the cellular membrane or are endocytosed, i.e., by employing ligands attached to the liposome, or attached directly to the oligonucleotide, that bind to surface membrane protein receptors of the cell resulting in endocytosis.
- liposomes particularly where the liposome surface carries ligands specific for target cells, or are otherwise preferentially directed to a specific organ, one can focus the delivery of the compositions disclosed herein into the target cells in vivo.
- a method of treating a disorder or condition in a subject comprising administering to the human a therapeutically effective amount of a compound disclosed herein, or a pharmaceutically acceptable salt thereof, or a pharmaceutical composition as disclosed herein.
- KRAS refers to Kirsten rat carcoma virus.
- the KRAS or “K-Ras” protein is a GTPase, a class of enzymes that convert the nucleotide guanosine triphosphate into guanosine diphosphate.
- KRAS is an intregral part of numerous signal transduction pathways.
- KRAS G12D refers to the G12D mutation. Specifically, the amino acid position 12 of the KRAS protein is an cysteine instead of a glycine (wildtype).
- the present application contemplates ligands that are KRAS G12D inhibitors. KRAS G12D inhibitors specifically bind to the KRAS G12D.
- Example KRAS G12D inhibitors adaptable into a PROTAC degrader include those disclosed in WO/2022/105859, WO/2022/105855, WO/2022/105857, WO/2022/098625, WO/2022/066646, WG/2022/042630, WO/2022/031678, WO/2022/015375, WG/2022/002102, WO/2021/248079, WO/2021/248095, WO/2021/248082, WO/2021/248083, WO/2021/248090, WO/2021/215544, WG/2021/107160, WO/2021/106231, WO/2021/081212, and WO/2021/081212, all of which are incorporated herein by reference in their entirety.
- KRAS G12C refers to the G12C mutation. Specifically, the amino acid position 12 of the KRAS protein is an aspartic acid instead of a glycine (wildtype). In other aspects of the application, ligands that are KRAS G12C inhibitors are contemplated. KRAS G12C inhibitors specifically bind to the KRAS G12C.
- Example KRAS G12C inhibitors adaptable into a PROTAC degrader include those disclosed in WO/2022/119748, WO/2022/111513, WO/2022/115439, WO/2022/111527, WO/2022/11 1521, WO/2022/109485, WO/2022/109487, WO/2022/093856, WO/2022/087371, WO/2022/087624, WO/2022/087375, WO/2022/083569, WO/2022/081655, WO/2022/063297, WO/2022/037560, WO/2022/028492, WO/2021/259331, WO/2021/249563, WO/2021/252339, WO/2021/244603, WO/2021/248079, WO/2021/248095, WO/2021/248082, WO/2021/248083, WO/2021/248090, WO/2021/218110, WO/2021/219090, WO/2021/219091
- a method for inhibiting KRAS G12D activity in a cell comprising contacting the cell in which inhibition of KRAS G12D activity is desired with an effective amount of a compound disclosed herein or a pharmaceutically acceptable salt thereof.
- a method for inhibiting KRAS G12D activity in a cell comprising contacting the cell in which inhibition of KRAS G12D activity is desired with the pharmaceutical composition disclosed herein.
- a method for treating a KRAS G HD- associated cancer comprising administering to a patient in need thereof a therapeutically effective amount of a compound disclosed herein, or a pharmaceutically acceptable salt thereof.
- a method for treating a KRAS G HD- associated cancer comprising administering to a patient in need thereof the pharmaceutical composition disclosed herein.
- a method of treating a subject having cancer, the cancer characterized by the presence of a KRAS G12D mutation comprising administering to the human a therapeutically effective amount of a compound of of Formula (I) or a pharmaceutically acceptable salt thereof, or a a pharmaceutical composition as disclosed herein.
- a method for manufacturing a medicament for treating a subject having cancer the cancer characterized by the presence of a KRAS G12D mutation, the compound comprising Formula (I), or a pharmaceutically acceptable salt thereof, or a pharmaceutical composition.
- a method for treating cancer in a patient in need thereof comprising (a) determining that the cancer is associated with a KRAS G12D mutation (e.g, a KRAS G12D- associated cancer); and (b) administering to the patient a therapeutically effective amount of a compound disclosed herein.
- a KRAS G12D mutation e.g, a KRAS G12D- associated cancer
- a method for treating cancer in a patient in need thereof comprising (a) determining that the cancer is associated with a KRas G12D mutation (e.g., a KRAS G12D- associated cancer); and (b) administering to the patient the pharmaceutical composition disclosed herein.
- a KRas G12D mutation e.g., a KRAS G12D- associated cancer
- the cancer is Cardiac: sarcoma (angiosarcoma, fibrosarcoma, rhabdomyosarcoma, liposarcoma), myxoma, rhabdomyoma, fibroma, lipoma and teratoma; Lung: bronchogenic carcinoma (squamous cell, undifferentiated small cell, undifferentiated large cell, adenocarcinoma), alveolar (bronchiolar) carcinoma, bronchial adenoma, sarcoma, lymphoma, chondromatous hamartoma, mesothelioma; Gastrointestinal: esophagus (squamous cell carcinoma, adenocarcinoma, leiomyosarcoma, lymphoma), stomach (carcinoma, lymphoma, leiomyosarcoma), pancreas (ductal adenocarcinoma, insulino
- sarcoma an
- the cancer is non-small cell lung cancer, small cell lung cancer, colorectal cancer, rectal cancer, or pancreatic cancer.
- treatment may be administered after one or more symptoms have developed. In other embodiments, treatment may be administered in the absence of symptoms. For example, treatment may be administered to a susceptible individual prior to the onset of symptoms (e.g., in light of a history of symptoms and/or in light of genetic or other susceptibility factors). Treatment may also be continued after symptoms have resolved, for example to prevent or delay their recurrence.
- the compounds of Formula (I), or a pharmaceutically acceptable salt thereof can be inhibitors of KRAS G12D.
- the inhibition constant (Ki) of the compounds disclosed herein can be less than about 50 pM, or less than about 40, 30, 20, 10, 9, 8, 7, 6, 5, 4, 3, 2, or less than about 1 pM.
- the inhibition constant (Ki) of the compounds disclosed herein can be less than about 1,000 nM, or less than about 900, 800, 700, 600, 500, 400, 300, 200, 100, 90, 80, 70, 60, 50, 40, 30, 20, 10, 9, 8, 7, 6, 5, 4, 3, 2, or less than about 1 nM.
- the inhibition constant (Ki) of the compounds disclosed herein can be less than about 1 nM, or less than about 0.9, 0.8, 0.7, 0.6, 0.5, 0.4, 0.3, 0.2, or less than about 0.1 nM.
- KRAS G12D inhibition constant (IC50) of the compounds disclosed herein can be at least 2-fold less than the inhibition constant of one or more of KRAS wild-type, or NRAS, or HRAS, or at least 3, 4, 5, 6, 7, 8, 9, 10, 20, 30, 40, 50, 60, 70, 80, 90 or 100-fold less.
- the KRAS gl2D inhibition constant (Ki) of the compounds disclosed herein can also be at least 100-fold less than the inhibition constant of one or more of KRAS wild-type, or NRAS, or HRAS, or at least 200, 300, 400, 500, 600, 700, 800, 900, 1000, or 10,000-fold less.
- the compounds disclosed herein or salts thereof may be employed alone or in combination with other agents for treatment.
- the second agent of the pharmaceutical combination formulation or dosing regimen may have complementary activities to the compounds disclosed herein such that they do not adversely affect each other.
- the compounds may be administered together in a unitary pharmaceutical composition or separately.
- a compound or a pharmaceutically acceptable salt can be co-administered with a cytotoxic agent to treat proliferative diseases and cancer.
- co-administering refers to either simultaneous administration, or any manner of separate sequential administration, of a compound disclosed herein or a salt thereof, and a further active pharmaceutical ingredient or ingredients, including cytotoxic agents and radiation treatment. If the administration is not simultaneous, the compounds are administered in a close time proximity to each other. Furthermore, it does not matter if the compounds are administered in the same dosage form, e.g. one compound may be administered topically and another compound may be administered orally.
- Those additional agents may be administered separately from an inventive compound-containing composition, as part of a multiple dosage regimen.
- those agents may be part of a single dosage form, mixed together with a compound disclosed herein, in a single composition. If administered as part of a multiple dosage regime, the two active agents may be submitted simultaneously, sequentially or within a period of time from one another normally within five hours from one another.
- the term “combination,” “combined,” and related terms refers to the simultaneous or sequential administration of therapeutic agents in accordance with embodiments herein.
- a compound disclosed herein may be administered with another therapeutic agent simultaneously or sequentially in separate unit dosage forms or together in a single unit dosage form.
- the present embodiments provide a single unit dosage form comprising a compound of Formula (I), an additional therapeutic agent, and a pharmaceutically acceptable carrier, adjuvant, or vehicle.
- compositions disclosed herein are formulated such that a dosage of between 0.01 - 100 mg/kg body weight/day of an inventive can be administered.
- any agent that has activity against a disease or condition being treated may be co-administered.
- examples of such agents can be found in Cancer Principles and Practice of Oncology by V.T. Devita and S. Hellman (editors), 6 th edition (February 15, 2001), Lippincott Williams & Wilkins Publishers. A person of ordinary skill in the art would be able to discern which combinations of agents would be useful based on the particular characteristics of the drugs and the disease involved.
- the treatment method includes the co-administration of a compound disclosed herein or a pharmaceutically acceptable salt thereof and at least one cytotoxic agent.
- cytotoxic agent refers to a substance that inhibits or prevents a cellular function and/or causes cell death or destruction.
- Cytotoxic agents include, but are not limited to, radioactive isotopes (e.g., At 211 , 1 131 , 1 125 , Y 90 , Re 186 , Re 188 , Sm 153 , Bi 212 , P 32 , Pb 212 and radioactive isotopes of Lu); chemotherapeutic agents; growth inhibitory agents; enzymes and fragments thereof such as nucleolytic enzymes; and toxins such as small molecule toxins or enzymatically active toxins of bacterial, fungal, plant or animal origin, including fragments and/or variants thereof.
- radioactive isotopes e.g., At 211 , 1 131 , 1 125 , Y 90 , Re 186 , Re 188 , Sm 153 , Bi 212 , P 32 , Pb 212 and radioactive iso
- Exemplary cytotoxic agents can be selected from anti-microtubule agents, platinum coordination complexes, alkylating agents, antibiotic agents, topoisomerase II inhibitors, antimetabolites, topoisomerase I inhibitors, hormones and hormonal analogues, signal transduction pathway inhibitors, non-receptor tyrosine kinase angiogenesis inhibitors, immunotherapeutic agents, proapoptotic agents, inhibitors of LDH-A; inhibitors of fatty acid biosynthesis; cell cycle signalling inhibitors; HDAC inhibitors, proteasome inhibitors; and inhibitors of cancer metabolism.
- chemotherapeutic agent includes chemical compounds useful in the treatment of cancer.
- chemotherapeutic agents include erlotinib (TARCEVA®, Genentech/OSI Pharm.), bortezomib (VELCADE®, Millennium Pharm.), disulfiram , epigallocatechin gallate , salinosporamide A, carfilzomib, 17-AAG(geldanamycin), radicicol, lactate dehydrogenase A (LDH-A), fulvestrant (FASLODEX®, AstraZeneca), sunitib (SUTENT®, Pfizer/Sugen), letrozole (FEMARA®, Novartis), imatinib mesylate (GLEEVEC®., Novartis), finasunate (VATALANIB®, Novartis), oxaliplatin (ELOXATIN®, Sanofi), 5-FU (5 -fluorouracil), leucovorin,
- dynemicin including dynemicin A; bisphosphonates, such as clodronate; an esperamicin; as well as neocarzinostatin chromophore and related chromoprotein enediyne antibiotic chromophores), aclacinomysins, actinomycin, authramycin, azaserine, bleomycins, cactinomycin, carabicin, caminomycin, carzinophilin, chromomycinis, dactinomycin, daunorubicin, detorubicin, 6-diazo-5-oxo-L-norleucine, ADRIAMYCIN® (doxorubicin), morpholino-doxorubicin, cyanomorpholino-doxorubicin, 2-pyrrolino-doxorubicin and deoxydoxorubicin), epirubicin, es
- Chemotherapeutic agent also includes (i) anti-hormonal agents that act to regulate or inhibit hormone action on tumors such as anti-estrogens and selective estrogen receptor modulators (SERMs), including, for example, tamoxifen (including NOLVADEX®; tamoxifen citrate), raloxifene, droloxifene, iodoxyfene , 4- hydroxytamoxifen, trioxifene, keoxifene, LY117018, onapristone, and FARESTON® (toremifine citrate); (ii) aromatase inhibitors that inhibit the enzyme aromatase, which regulates estrogen production in the adrenal glands, such as, for example, 4(5)-imidazoles, aminoglutethimide, MEGASE® (megestrol acetate), AROMASIN® (exemestane; Pfizer), formestanie, fadrozole, RIVISOR® (vorozole), F
- Chemotherapeutic agent also includes antibodies such as alemtuzumab (Campath), bevacizumab (AVASTIN®, Genentech); cetuximab (ERBITUX®, Imclone); panitumumab (VECTIBIX®, Amgen), rituximab (RITUXAN®, Genentech/Biogen pie), pertuzumab (OMNITARG®, 2C4, Genentech), trastuzumab (HERCEPTIN®, Genentech), tositumomab (Bexxar, Corixia), and the antibody drug conjugate, gemtuzumab ozogamicin (MYLOTARG®, Wyeth).
- antibodies such as alemtuzumab (Campath), bevacizumab (AVASTIN®, Genentech); cetuximab (ERBITUX®, Imclone); panitumumab (VECTIBIX®, Amgen), rituximab (RIT
- Additional humanized monoclonal antibodies with therapeutic potential as agents in combination with the compounds disclosed herein include: apolizumab, aselizumab, atlizumab, bapineuzumab, bivatuzumab mertansine, cantuzumab mertansine, cedelizumab, certolizumab pegol, cidfusituzumab, cidtuzumab, daclizumab, eculizumab, efalizumab, epratuzumab, erlizumab, felvizumab, fontolizumab, gemtuzumab ozogamicin, inotuzumab ozogamicin, ipilimumab, labetuzumab, lintuzumab, matuzumab, mepolizumab, motavizumab, motovizumab, natalizumab, nimotuzumab, nolovizum
- Chemotherapeutic agent also includes “EGFR inhibitors,” which refers to compounds that bind to or otherwise interact directly with EGFR and prevent or reduce its signaling activity, and is alternatively referred to as an “EGFR antagonist.”
- EGFR inhibitors refers to compounds that bind to or otherwise interact directly with EGFR and prevent or reduce its signaling activity
- Examples of such agents include antibodies and small molecules that bind to EGFR.
- antibodies which bind to EGFR include MAb 579 (ATCC CRL HB 8506), MAb 455 (ATCC CRL HB8507), MAb 225 (ATCC CRL 8508), MAb 528 (ATCC CRL 8509) (see, US Patent No.
- EMD 55900 Stragliotto et al. Eur. J. Cancer 32A:636-640 (1996)
- EMD7200 (matuzumab) a humanized EGFR antibody directed against EGFR that competes with both EGF and TGF-alpha for EGFR binding (EMD/Merck); human EGFR antibody, HuMax-EGFR (GenMab); fully human antibodies known as El .1 , E2.4, E2.5, E6.2, E6.4, E2.11, E6. 3 and E7.6.
- the anti-EGFR antibody may be conjugated with a cytotoxic agent, thus generating an immunoconjugate (see, e.g., EP659.439A2, Merck Patent GmbH).
- EGFR antagonists include small molecules such as compounds described in US Patent Nos: 5,616,582, 5,457,105, 5,475,001, 5,654,307, 5,679,683, 6,084,095, 6,265,410, 6,455,534, 6,521,620, 6,596,726, 6,713,484, 5,770,599, 6,140,332, 5,866,572, 6,399,602, 6,344,459, 6,602,863, 6,391,874, 6,344,455, 5,760,041, 6,002,008, and 5,747,498, as well as the following PCT publications: WO98/14451, W098/50038, W099/09016, and WO99/24037.
- EGFR antagonists include OSI-774 (CP-358774, erlotinib, TARCEVA® Genentech/OSI Pharmaceuticals); PD 183805 (CI 1033, 2- propenamide, N-[4-[(3-chloro-4-fluorophenyl)amino]-7-[3-(4-morpholinyl)propoxy]-6- quinazolinyl]-, dihydrochloride, Pfizer Inc.); ZD 1839, gefitinib (IRESSA®) 4-(3’-Chloro- 4’-fluoroanilino)-7-methoxy-6-(3-morpholinopropoxy)quinazoline, AstraZeneca); ZM 105180 ((6-amino-4-(3-methylphenyl-amino)-quinazoline, Zeneca); BIBX-1382 (N8-(3- chloro-4-fluoro-phenyl)-N2-(l-methyl-piperid
- Chemotherapeutic agents also include “tyrosine kinase inhibitors” including the EGFR-targeted drugs noted in the preceding paragraph; small molecule HER2 tyrosine kinase inhibitor such as TAK165 available from Takeda; CP-724,714, an oral selective inhibitor of the ErbB2 receptor tyrosine kinase (Pfizer and OSI); dual-HER inhibitors such as EKB-569 (available from Wyeth) which preferentially binds EGFR but inhibits both HER2 and EGFR-overexpressing cells; lapatinib (GSK572016; available from GlaxoSmithKline), an oral HER2 and EGFR tyrosine kinase inhibitor; PKI-166 (available from Novartis); pan- HER inhibitors such as canertinib (CI-1033; Pharmacia); Raf-1 inhibitors such as antisense agent ISIS-5132 available from ISIS Pharmaceuticals which inhibit Raf- 1 signaling; non
- Chemotherapeutic agents also include dexamethasone, interferons, colchicine, metoprine, cyclosporine, amphotericin, metronidazole, alemtuzumab, alitretinoin, allopurinol, amifostine, arsenic trioxide, asparaginase, BCG live, bevacuzimab, bexarotene, cladribine, clofarabine, darbepoetin alfa, denileukin, dexrazoxane, epoetin alfa, elotinib, filgrastim, histrelin acetate, ibritumomab, interferon alfa-2a, interferon alfa- 2b, lenalidomide, levamisole, mesna, methoxsalen, nandrolone, nelarabine, nofetumomab, opre
- Chemotherapeutic agents also include hydrocortisone, hydrocortisone acetate, cortisone acetate, tixocortol pivalate, triamcinolone acetonide, triamcinolone alcohol, mometasone, amcinonide, budesonide, desonide, fluocinonide, fluocinolone acetonide, betamethasone, betamethasone sodium phosphate, dexamethasone, dexamethasone sodium phosphate, fluocortolone, hydrocortisone- 17-butyrate, hydrocortisone- 17-valerate, aclometasone dipropionate, betamethasone valerate, betamethasone dipropionate, prednicarbate, clobetasone- 17-butyrate, clobetasol-17-propionate, fluocortolone caproate, fluocortolone pivalate and fluprednidene
- celecoxib or etoricoxib proteosome inhibitor
- CCI-779 tipifamib (R11577); orafenib, ABT510
- Bcl-2 inhibitor such as oblimersen sodium (GENASENSE®)
- pixantrone famesyltransferase inhibitors such as lonafamib (SCH 6636, SARASARTM)
- pharmaceutically acceptable salts, acids or derivatives of any of the above as well as combinations of two or more of the above such as CHOP, an abbreviation for a combined therapy of cyclophosphamide, doxorubicin, vincristine, and prednisolone
- FOLFOX an abbreviation for a treatment regimen with oxaliplatin (ELOXATINTM) combined with 5-FU and leucovorin.
- ELOXATINTM oxaliplatin
- Chemotherapeutic agents also include non-steroidal anti-inflammatory drugs with analgesic, antipyretic and anti-inflammatory effects.
- NSAIDs include non-selective inhibitors of the enzyme cyclooxygenase.
- Specific examples of NSAIDs include aspirin, propionic acid derivatives such as ibuprofen, fenoprofen, ketoprofen, flurbiprofen, oxaprozin and naproxen, acetic acid derivatives such as indomethacin, sulindac, etodolac, diclofenac, enolic acid derivatives such as piroxicam, meloxicam, tenoxicam, droxicam, lomoxicam and isoxicam, fenamic acid derivatives such as mefenamic acid, meclofenamic acid, flufenamic acid, tolfenamic acid, and COX-2 inhibitors such as celecoxib, etoricoxib, lumiracoxi
- NSAIDs can be indicated for the symptomatic relief of conditions such as rheumatoid arthritis, osteoarthritis, inflammatory arthropathies, ankylosing spondylitis, psoriatic arthritis, Reiter's syndrome, acute gout, dysmenorrhoea, metastatic bone pain, headache and migraine, postoperative pain, mild-to-moderate pain due to inflammation and tissue injury, pyrexia, ileus, and renal colic.
- conditions such as rheumatoid arthritis, osteoarthritis, inflammatory arthropathies, ankylosing spondylitis, psoriatic arthritis, Reiter's syndrome, acute gout, dysmenorrhoea, metastatic bone pain, headache and migraine, postoperative pain, mild-to-moderate pain due to inflammation and tissue injury, pyrexia, ileus, and renal colic.
- chemotherapeutic agents include, but are not limited to, doxorubicin, dexamethasone, vincristine, cyclophosphamide, fluorouracil, topotecan, interferons, platinum derivatives, taxanes (e.g., paclitaxel, docetaxel), vinca alkaloids (e.g., vinblastine), anthracyclines (e.g., doxorubicin), epipodophyllotoxins (e.g., etoposide), cisplatin, an mTOR inhibitor (e.g., a rapamycin), methotrexate, actinomycin D, dolastatin 10, colchicine, trimetrexate, metoprine, cyclosporine, daunorubicin, teniposide, amphotericin, alkylating agents (e.g., chlorambucil), 5-fluorouracil, campthothecin,
- compounds disclosed herein, or a pharmaceutically acceptable composition thereof are administered in combination with an antiproliferative or chemotherapeutic agent selected from any one or more of abarelix, aldesleukin, alemtuzumab, alitretinoin, allopurinol, altretamine, amifostine, anastrozole, arsenic trioxide, asparaginase, azacitidine, BCG live, bevacuzimab, fluorouracil, bexarotene, bleomycin, bortezomib, busulfan, calusterone, capecitabine, camptothecin, carboplatin, carmustine, cetuximab, chlorambucil, cladribine, clofarabine, cyclophosphamide, cytarabine, dactinomycin, darbepoetin alfa, daunorubicin, denileukin, dex
- Chemotherapeutic agents also include treatments for Alzheimer's Disease such as donepezil hydrochloride and rivastigmine; treatments for Parkinson's Disease such as L- DOPA/carbidopa, entacapone, ropinrole, pramipexole, bromocriptine, pergolide, trihexephendyl, and amantadine; agents for treating multiple sclerosis (MS) such as beta interferon (e.g., Avonex® and Rebif®), glatiramer acetate, and mitoxantrone; treatments for asthma such as albuterol and montelukast sodium; agents for treating schizophrenia such as zyprexa, risperdal, seroquel, and haloperidol; anti-inflammatory agents such as corticosteroids, TNF blockers, IL- 1 RA, azathioprine, cyclophosphamide, and sulfasalazine; immunomodulatory and immunosuppressive agents
- chemotherapeutic agents include pharmaceutically acceptable salts, acids or derivatives of any of chemotherapeutic agents, described herein, as well as combinations of two or more of them.
- LiHMDS lithium bis(trimethylsilyl)amide mCPBA -3 -chloroperoxybenzoic acid
- the compounds of Formula (I) may be prepared from commercially available reagents using the synthetic methods and reaction schemes herein, or using other reagents and conventional methods well known to those skilled in the art. For instance, compounds of the present application may be prepared according to the general reaction schemes set forth below.
- step 2 Compound of formula 1 and compound of formula 2 are reacted to yield compound of formula 3.
- step 2 compound of formula 3 is converted to compound of formula 4.
- step 3 Compound of formula 4 is converted to compound of formula 5.
- step 4 cyclopropyl group is installed on the core to produce compound of formula 6.
- Ar group is coupled to compound of formula 6 to give compound of formula 7.
- step 6 compound of formula 7 is oxidized to produce compound of formula 8.
- step 7 compound of formula 8 is reacted with R 1 -YH to yield compound of formula 9.
- step 8 compound of formula 9 is deprotected to generate compound of formula 10.
- step 9 the ether bond in compound of formula 11 is generated from compound of formula 10 and a substituted benzyl alcohol.
- Compound of formula A is coupled with compound of formula B to yield compound of formula C.
- compound of formula C is subjected to deprotection conditions to generate compound of formula D.
- Step 1 -amino-4-bromo-5-chloro-3-fluoro-benzoic acid
- Step 3 7-bromo-2,4,6-trichloro-8-fluoro-quinazoline [0260] To a solution of 7-bromo-6-chloro-8-fluoro-lH-quinazoline-2, 4-dione (31 g, 105.6 mmol, 1 eq) in phosphoryl chloride (360 mL) was added N,N-diisopropylethylamine (310.0 mmol, 54 mL, 2.94 eq), the mixture was stirred at 110 °C for 16 hours. LCMS showed that the reactant was consumed completely. The mixture was concentrated under reduced pressure to give the crude product.
- Step 1 tert-butyl N-(2-chloro-3-fluoro-4-pyridyl)carbamate
- Step 4 ethyl 4-amino-6-chloro-5-fluoro- pyridine-3-carboxylate
- Step 5 4-amino-6-chloro-5-fluoronicotinic acid
- Step 6 7 -chloro-8-fluoro-2-sulfanyl-pyrido[4,3-d]pyrimidin-4-ol
- Step 7 7-chloro-8-fluoro-2-methylsulfanyl-pyrido [4,3-d]pyrimidin-4-ol
- Step 9 tert-butyl 3-(7-chloro-8-fluoro-2- methylsulfanyl-pyrido[4,3- d]pyrimidin-4-yl)-3,8-diazabicyclo[3.2. l]octane-8-carboxylate
- Step 1 tert-butyl (R)-(2-hydroxy-l-(2',3',6'-trifluoro-[l,r-biphenyl]-4- yl)ethyl)carbamate
- Step 2 (R)-2-amino-2-(2',3',6'-trifluoro-[ 1 , 1 '-biphenyl]-4-yl)ethan- 1 -ol
- Step 3 tert-butyl (2S,4R)-4-hydroxy-2-(((R)-2-hydroxy- 1 -(2',3',6'-trifluoro-[ 1 , 1 '- biphenyl]-4-yl)ethyl)carbamoyl)pyrrolidine- 1 -carboxylate
- Step 4 (2S,4R)-4-hydroxy-N-((R)-2-hydroxy-l-(2',3',6'-trifluoro-[1,1- biphenyl]-4-yl)ethyl)pyrrolidine-2-carboxamide
- Step 5 tert-butyl ((S)-l-((2S,4R)-4-hydroxy-2-(((R)-2-hydroxy-l-(2',3',6'- trifluoro-[ 1 , 1 '-biphenyl]-4-yl)ethyl)carbamoyl)pyrrolidin- 1 -yl)-3-methyl- 1 -oxobutan-2-
- Step 6 (2S,4R)-l-(L-valyl)-4-hydroxy-N-((R)-2-hydroxy-l-(2',3',6'-trifluoro-
- Step 7 (2S,4R)-l-((S)-2-azido-3-methylbutanoyl)-4-hydroxy-N-((R)-2-hydroxy- 1 -(2',3',6'-trifluoro-[ 1 , 1 '-biphenyl]-4-yl)ethyl)pyrrolidine-2-carboxamide
- Step 2 (R)-2-amino-2-(4-(pyridin-3-yl)phenyl)ethan-l-ol
- Step 3 tert-butyl (2S,4R)-4-hydroxy-2-(((R)-2-hydroxy-l-(4-(pyridin-3- yl)phenyl)ethyl) carbamoyl)pyrrolidine- 1 -carboxylate
- reaction mixture was diluted with water (40 mL) and extracted with chloroform/isopropanol (10/1, 50 mL x 2), washed with brine (50 ml x 2), dried over anhydrous sodium sulfate, filtered and then concentrated in vacuum to get a hresidue.
- Step 4 (2S,4R)-4-hydroxy-N-((R)-2-hydroxy-l-(4-(pyridin-3- yl)phenyl)ethyl)pyrrolidine-2-carboxamide
- Step 5 tert-butyl ((S)- 1 -((2S,4R)-4-hydroxy-2-(((R)-2-hydroxy- 1 -(4-(pyri din-3 - yl)phenyl) ethyl)carbamoyl)pyrrolidin- 1 -yl)-3-methyl- 1 -oxobutan-2-yl)carbamate
- Step 6 (2S,4R)-l-(L-valyl)-4-hydroxy-N-((R)-2-hydroxy-l-(4-(pyridin-3- yl)phenyl)ethyl) pyrrolidine-2-carboxamide
- Step 7 (2S,4R)-l-((S)-2-azido-3-methylbutanoyl)-4-hydroxy-N-((R)-2-hydroxy- l-(4-(pyridin-3-yl)phenyl)ethyl)pyrrolidine-2-carboxamide
- Step 2 (R)-2-amino-2-(2'-fluoro-[l , 1 '-biphenyl]-4-yl)ethan- 1 -ol
- Step 3 tert-butyl (2S,4R)-2-(((R)-l-(2'-fluoro-[l,r-biphenyl]-4-yl)-2- hydroxyethyl)carbamoyl)-4-hydroxypyrrolidine- 1 -carboxylate
- Step 4 (2S,4R)-N-((R)-l-(2'-fluoro-[l,l'-biphenyl]-4-yl)-2-hydroxyethyl)-4- hydroxypyrrolidine-2-carboxamide
- Step 5 tert-butyl ((S)-l-((2S,4R)-2-(((R)-l-(2'-fluoro-[l,T-biphenyl]-4-yl)-2- hydroxyethyl)carbamoyl)-4-hydroxypyrrolidin- 1 -yl)-3-methyl- 1 -oxobutan-2-yl)carbamate
- Step 6 (2S,4R)- 1 -(L-valyl)-N-((R)- 1 -(2'-fluoro-[ 1 , 1 '-biphenyl]-4-yl)-2- hydroxyethyl)-4-hydroxypyrrolidine-2-carboxamide
- Step 7 (2S,4R)- 1 -((S)-2-azido-3 -methylbutanoyl)-N-((R)- 1 -(2'-fluoro-[ 1 , 1'- biphenyl]-4-yl)-2-hydroxyethyl)-4-hydroxypyrrolidine-2-carboxamide
- Example 1 (2S,4R)-l-((2S)-2-(4-(4-(((7-(2-amino-3-cyano-7- fluorobenzo[b]thiophen-4-yl)-4-((lR,5S)-3,8-diazabicyclo[3.2.1]octan-3-yl)-6-chloro-2- ((tetrahydro-2H-pyran-4-yl)oxy)quinazolin-8-yl)oxy)methyl)phenyl)- 1H- 1 ,2,3-triazol- 1 - yl)-3-methylbutanoyl)-4-hydroxy-N-((R)-2-hydroxy- 1 -(2',3',6'-trifluoro-[l , 1 '-biphenyl]-4- yl)ethyl)pyrrolidine-2-carboxamide
- Step 1 tert-butyl (lR,5S)-3-(7-bromo-2,6-dichloro-8-fluoroquinazolin-4-yl)-3,8- diazabicyclo[3.2. l]octane-8-carboxylate
- Step2 tert-butyl (lR,5S)-3-(7-bromo-6-chloro-8-fluoro-2-((tetrahydro-2H- pyran-4-yl)oxy)quinazolin-4-yl)-3,8-diazabicyclo[3.2. l]octane-8-carboxylate
- the mixture was stirred at 50 °C for 12 h. LCMS showed the desired compound was detected.
- the reaction mixture was diluted with water (40 mL) and extracted with ethyl acetate (40 mL x 3). The combined organic layers were washed with water (50 mL), brine (50 mL), dried over anhydrous sodium sulfate, filtered and the filtrate was concentrated under reduced pressure to give a residue.
- Step 3 tert-butyl (lR,5S)-3-(7-(2-((tert-butoxycarbonyl)amino)-3-cyano-7- fluorobenzo[b]thiophen-4-yl)-6-chloro-8-fluoro-2-((tetrahydro-2H-pyran-4- yl)oxy)quinazolin-4-yl)-3,8-diazabicyclo[3.2.1]octane-8-carboxylate
- Step 4 tert-butyl (lR,5S)-3-(7-(2-((tert-butoxycarbonyl)amino)-3-cyano-7- fluorobenzo[b]thiophen-4-yl)-6-chloro-8-((4-ethynylbenzyl)oxy)-2-((tetrahydro-2H- pyran-4-yl)oxy)quinazolin-4-yl)-3,8-diazabicyclo[3.2. l]octane-8-carboxylate
- Step 5 tert-butyl (lR,5S)-3-(7-(2-((tert-butoxycarbonyl)amino)-3-cyano-7- fluorobenzo[b]thiophen-4-yl)-6-chloro-8-((4-(l-((S)-l-((2S,4R)-4-hydroxy-2-(((R)-2- hydroxy- 1 -(2',3',6'-trifluoro-[ 1 , 1 '-biphenyl]-4-yl)ethyl)carbamoyl)pyrrolidin- 1 -yl)-3 - methyl- 1 -oxobutan-2-yl)- 1H- 1 ,2,3-triazol-4-yl)benzyl)oxy)-2-((tetrahydro-2H-pyran-4- yl)oxy)quinazolin-4-yl)-3,8-diazabicyclo[
- Step 6 (2S,4R)-l-((2S)-2-(4-(4-(((7-(2-amino-3-cyano-7- fluorobenzo[b]thiophen-4-yl)-4-((lR,5S)-3,8-diazabicyclo[3.2.1]octan-3-yl)-6-chloro-2- ((tetrahydro-2H-pyran-4-yl)oxy)quinazolin-8-yl)oxy)methyl)phenyl)- 1H- 1 ,2,3-triazol- 1 - yl)-3-methylbutanoyl)-4-hydroxy-N-((R)-2-hydroxy- 1 -(2',3',6'-trifluoro-[l , 1 '-biphenyl]-4- yl)ethyl)pyrrolidine-2-carboxamide
- Step 1 tert-butyl (lR,5S)-3-(7-chloro-8-fluoro-2-((tetrahydro-2H-pyran-4- yl)oxy) pyrido[4,3-d]pyrimidin-4-yl)-3,8-diazabicyclo[3.2.1]octane-8-carboxylate [0340] To a solution of tert-butyl 3-(2,7-dichloro-8-fluoro-pyrido[4,3-d]pyrimidin-4-yl)-
- Step 3 tert-butyl (lR,5S)-3-(7-(8-ethyl-7-fluoro-3- (methoxymethoxy)naphthalen-l-yl)-8-((4-ethynylbenzyl)oxy)-2-((tetrahydro-2H-pyran-4- yl)oxy)pyrido[4,3-d]pyrimidin-4-yl)-3,8-diazabicyclo[3.2.1]octane-8-carboxylate
- the reaction mixture was quenched by water (30 mL), 2% ethylenediamine tetraacetic acid disodium solution (30 mL), and then diluted with dichloromethane (30 mL). The mixture was stirred at 25 °C for 0.5 h. The mixture was filtered and extracted with dichloromethane (20 mL x 3). The combined organic layers were washed with brine (20 mL x 3), dried over anhydrous sodium sulfate, filtered and concentrated under reduced pressure to give a residue.
- Step 5 (2S,4R)-l-((S)-2-(4-(4-(((4-((lR,5S)-3,8-diazabicyclo[3.2.1]octan-3-yl)- 7-(8-ethyl-7-fluoro-3-hydroxynaphthalen-l-yl)-2-((tetrahydro-2H-pyran-4- yl)oxy)pyrido[4,3-d]pyrimidin-8-yl)oxy)methyl)phenyl)-lH-l,2,3-triazol-l-yl)-3- methylbutanoyl)-4-hydroxy-N-((R)-2-hydroxy- 1 -(2',3',6'-trifluoro-[l , 1 ’-biphenyl] -4- yl)ethyl)pyrrolidine-2-carboxamide 2H), 2.23 (br cl, ,7 - 7.2 Hz
- Example 3 (2S,4R)- 1 -((2S)-2-(4-(4-(((4-(( 1 S,4S)-2,5- diazabicyclo[2.2.1]heptan-2-yl)-6-cyclopropyl-7-(6-fluoro-5-methyl-lH-indazol-4-yl)-2- ((tetrahydro-2H-pyran-4-yl)oxy)quinazolin-8-yl)oxy)methyl)phenyl)- 1H- 1 ,2,3-triazol- 1 - yl)-3-methylbutanoyl)-4-hydroxy-N-((R)-2-hydroxy- 1 -(2',3',6'-trifluoro-[l , 1 '-biphenyl]-4- yl)ethyl)pyrrolidine-2-carboxamide
- Step 1 tert-butyl (1 S,4S)-5-(7-bromo-2-chloro-8-fluoro-6-iodoquinazolin-4-yl)-
- Step 2 tert-butyl (lS,4S)-5-(7-bromo-8-fluoro-6-iodo-2-((tetrahydro-2H-pyran- 4-yl)oxy)quinazolin-4-yl)-2,5-diazabicyclo[2.2.1]heptane-2-carboxylate
- Step 3 tert-butyl (lS,4S)-5-(8-(benzyloxy)-7-bromo-6-iodo-2-((tetrahydro-2H- pyran-4-yl)oxy)quinazolin-4-yl)-2,5-diazabicyclo[2.2.1 ]heptane-2-carboxylate
- reaction mixture was quenched by pouring into saturated aqueous ammonium chloride (200 mL), then extracted with ethyl acetate (100 mL x 3). The combined organic phase was washed with brine (50 mL x 2), dried over anhydrous sodium sulfate, filtered and concentrated in vacuum to get a residue.
- Step 4 tert-butyl (lS,4S)-5-(8-(benzyloxy)-7-bromo-6-cyclopropyl-2- ((tetrahydro-2H-pyran-4-yl)oxy)quinazolin-4-yl)-2,5-diazabicyclo[2.2.1]heptane-2- carboxylate
- Step 5 tert-butyl (1 S,4S)-5-(8-(benzyloxy)-6-cyclopropyl-7-(6-fluoro-5-methyl-
- the suspension was degassed and purged with nitrogen for three times. And the mixture was stirred at 90 °C for 2 h. LCMS showed the reaction was completed.
- the reaction mixture was diluted with water (50 mL), then extracted with ethyl acetate (25 mL x 3). The combined organic phase was washed with brine (30 mL x 2), dried over anhydrous sodium sulfate, filtered and concentrated in vacuum.
- Step j tert-butyl (1 S,4S)-5-(6-cyclopropyl-7-(6-fluoro-5-methyl-2H-indazol-4- yl)-8-hydroxy-2-((tetrahydro-2H-pyran-4-yl)oxy)quinazolin-4-yl)-2,5- diazabicyclo[2.2.1]heptane-2-carboxylate
- Step 7 tert-butyl (lS,4S)-5-(6-cyclopropyl-7-(6-fluoro-5-methyl-2-trityl-2H- indazol-4-yl)-8-hydroxy-2-((tetrahydro-2H-pyran-4-yl)oxy)quinazolin-4-yl)-2,5- diazabicyclo[2.2.1]heptane-2-carboxylate
- Step 8 tert-butyl (lS,4S)-5-(6-cyclopropyl-8-((4-ethynylbenzyl)oxy)-7-(6- fluoro-5-methyl-2-trityl-2H-indazol-4-yl)-2-((tetrahydro-2H-pyran-4-yl)oxy)quinazolin-4- yl)-2,5-diazabicyclo[2.2.1]heptane-2-carboxylate
- Step 9 tert-butyl (lS,4S)-5-(6-cyclopropyl-7-(6-fluoro-5-methyl-2-trityl-2H- indazol-4-yl)-8-((4-(l-((S)-l-((2S,4R)-4-hydroxy-2-(((R)-2-hydroxy-l-(2',3',6'-trifluoro- [1,1 ' -biphenyl] -4-yl)ethyl)carbamoyl)pyrrolidin- 1 -yl)-3 -methyl- 1 -oxobutan-2-yl)- 1H- l,2,3-triazol-4-yl)benzyl)oxy)-2-((tetrahydro-2H-pyran-4-yl)oxy)quinazolin-4-yl)-2,5- diazabicyclo[2.2.1]heptane-2-carboxylate
- Step 10 (2S,4R)-l-((2S)-2-(4-(4-(((4-((lS,4S)-2,5-diazabicyclo[2.2.1]heptan-2- yl)-6-cyclopropyl-7-(6-fluoro-5-methyl-lH-indazol-4-yl)-2-((tetrahydro-2H-pyran-4- yl)oxy)quinazolin-8-yl)oxy)methyl)phenyl)- 1 H- 1 ,2,3-triazol- 1 -yl)-3-methylbutanoyl)-4- hydroxy-N-((R)-2-hydroxy- 1 -(2',3',6'-trifluoro-[ 1 , 1 '-biphenyl]-4-yl)ethyl)pyrrolidine-2- carboxamide
- Step 1 tert-butyl (lS,4S)-5-(7-bromo-2-chloro-8-fluoro-6-
- Step 2 tert-butyl (lS,4S)-5-(7-bromo-8-fluoro-2-((S)-2-methoxypropoxy)-6- (trifluoromethyl) quinazolin-4-yl)-2,5-diazabicyclo[2.2.1 ]heptane-2-carboxylate
- Step 3 tert-butyl (lS,4S)-5-(8-fluoro-7-(6-fluoro-5-methyl-2-trityl-2H-indazol- 4-yl)-2-((S)-2-methoxypropoxy)-6-(trifluoromethyl)quinazolin-4-yl)-2,5- diazabicyclo[2.2.1]heptane-2-carboxylate
- Step 4 tert-butyl (lS,4S)-5-(8-((4-ethynylbenzyl)oxy)-7-(6-fluoro-5-methyl-2- trityl-2H-indazol-4-yl)-2-((S)-2-methoxypropoxy)-6-(trifluoromethyl)quinazolin-4-yl)- 2,5-diazabicyclo[2.2.1]heptane-2-carboxylate
- the reaction mixture was diluted with saturated aqueous ammonium chloride (50 mL), and then extracted with ethyl acetate (50 mL x 2). The combined organic layers were washed with brine (100 mL), dried over anhydrous sodium sulfate, filtered and concentrated under reduced pressure to give a residue. The residue was purified with by silica gel column chromatography (S1O2, Petroleum ether/Ethyl acetate 3/ 1 to 2/1) to afford the product (300 mg, 0.29 mmol, 53% yield) as a yellow solid.
- Step 5 tert-butyl (lS,4S)-5-(7-(6-fluoro-5-methyl-2-trityl-2H-indazol-4-yl)-8- ((4-( 1 -((S)- 1 -((2S,4R)-4-hydroxy-2-(((R)-2-hydroxy- 1 -(4-(pyridin-3- yl)phenyl)ethyl)carbamoyl)pyrro lidin- 1 -yl)-3 -methyl- 1 -oxobutan-2-yl)- 1H- 1 ,2,3-triazol-4- yl)benzyl)oxy)-2-((S)-2-methoxypropoxy)-6-(trifluoromethyl)quinazolin-4-yl)-2,5- diazabicyclo[2.2.1]heptane-2-carboxylate
- the mixture was stirred at 50 °C for 5 h. LCMS showed the starting material was consumed completely and one main peak with desired mass was detected.
- the reaction mixture was diluted with dichloromethane (20 mL) and added 2% aqueous disodium ethylenediamine tetraacetate (20 mL), then the mixture was stirred at 25 °C for 30 min before extracting with dichloromethane (15 mL x 3). The combined organic layers were washed with brine (20 mL x 2), dried over anhydrous sodium sulfate, filtered and concentrated under reduced pressure to give a residue.
- Step 6 (2S,4R)-l-((2S)-2-(4-(4-(((4-((lS,4S)-2,5-diazabicyclo[2.2.1]heptan-2- yl)-7-(6-fluoro-5-methyl-lH-indazol-4-yl)-2-((S)-2-methoxypropoxy)-6- (trifluoromethyl)quinazolin-8-yl)oxy)methyl)phenyl)- 1 H- 1 ,2,3-triazol- 1 -yl)-3 - methylbutanoyl)-4-hydroxy-N-((R)-2-hydroxy- 1 -(4-(pyridin-3- yl)phenyl)ethyl)pyrrolidine-2-carboxamide
- Example 5 (2S,4R)-l-((S)-2-(4-(4-(((4-((lS,4S)-2,5-diazabicyclo[2.2.1]heptan- 2-yl)-6-chloro-7-(6-fluoro-5-methyl-2H-indazol-4-yl)-2-((S)-2- methoxypropoxy)quinazolin-8-yl)oxy)methyl)phenyl)- 1 H- 1 ,2,3-triazol- 1 -yl)-3 - methylbutanoyl)-4-hydroxy-N-((R)-2-hydroxy- 1 -(4-(pyridin-3- yl)phenyl)ethyl)pyrrolidine-2-carboxamide
- Step 1 tert-butyl (1 S,4S)-5-(7-bromo-2,6-dichloro-8-fluoroquinazolin-4-yl)-2,5- diazabicyclo[2.2.1]heptane-2-carboxylate [0385] To a solution of tert-butyl (lS,4S)-2,5-diazabicyclo[2.2.1]heptane-2-carboxylate
- Step 2 tert-butyl (lS,4S)-5-(7-bromo-6-chloro-8-fluoro-2-((S)-2- methoxypropoxy)quinazolin-4-yl)-2,5-diazabicyclo[2.2.1]heptane-2-carboxylate
- the mixture was stirred at 50 °C for 5 h. LCMS showed the desired compound was detected.
- the reaction mixture was diluted with water (40 mL) and extracted with ethyl acetate (40 mL x 2). The combined organic layers were washed with water (40 mL), brine (40 mL), dried over sodium sulfate, filtered and
- Step 4 tert-butyl (1 S,4S)-5-(7-(2-((tert-butoxycarbonyl)amino)-3-cyano-7- fluorobenzo[b] thiophen-4-yl)-6-chloro-8-((4-ethynylbenzyl)oxy)-2-((S)-2- methoxypropoxy)quinazolin-4-yl)-2,5-diazabicyclo[2.2.1]heptane-2-carboxylate
- Step 5 tert-butyl (lS,4S)-5-(6-chloro-7-(6-fluoro-5-methyl-2-trityl-2H-indazol- 4-yl)-8-((4-( 1 -((S)- 1 -((2S,4R)-4-hydroxy-2-(((R)-2-hydroxy- 1 -(4-(pyridin-3- yl)phenyl)ethyl)carbamoyl)pyrro lidin- 1 -yl)-3 -methyl- 1 -oxobutan-2-yl)- 1H- 1 ,2,3-triazol-4- yl)benzyl)oxy)-2-((S)-2-methoxypropoxy) quinazolin-4-yl)-2,5- diazabicyclo[2.2.1]heptane-2-carboxylate
- the mixture was stirred at 50 °C for 4 h. LCMS showed the starting material was consumed completely and one main peak with desired mass was detected.
- the reaction mixture was diluted with dichloromethane (20 mL) and added 2% aqueous disodium ethylenediamine tetraacetate (20 mL). Then the mixture was stirred at 25 °C for 30 min. Color of the mixture turned to blue, then the mixture was extracted with dichloromethane (15 mL x 3). The combined organic layers were washed with brine (20 mL x 2), dried over anhydrous sodium sulfate, filtered and concentrated under reduced pressure to give a residue.
- Step 6 (2S,4R)-l-((S)-2-(4-(4-(((4-((lS,4S)-2,5-diazabicyclo[2.2.1]heptan-2- yl)-6-chloro-7-(6-fluoro-5-methyl-2H-indazol-4-yl)-2-((S)-2-methoxypropoxy)quinazolin- 8-yl)oxy)methyl)phenyl)- 1H- 1 ,2,3-triazol- 1 -yl)-3-methylbutanoyl)-4-hydroxy-N-((R)-2- hydroxy- 1 -(4-(pyridin-3-yl)phenyl)ethyl)pyrrolidine-2-carboxamide [0396]
- Example 6 (2S,4R)-l-((2S)-2-(4-(4-(((4-((lS,4S)-2,5- diazabicyclo[2.2.1
- Step 1 tert-butyl (1 S,4S)-5-(7-(6-fluoro-5-methyl-2-trityl-2H-indazol-4-yl)-8- ((4-( 1 -((S)- 1 -((2S,4R)-2-(((R)- 1 -(2'-fluoro- [ 1 , l'-biphenyl]-4-yl)-2- hydroxyethyl)carbamoyl)-4-hydroxypyrrolidin- 1 -yl)-3-methyl- 1 -oxobutan-2-yl)- 1H- 1 ,2,3- triazol-4-yl)benzyl)oxy)-2-((S)-2-methoxypropoxy)-6-(trifluoromethyl)quinazolin-4-yl)- 2,5-diazabicyclo[2.2.1]heptane-2-carboxylate Boc
- Step 2 (2S.4R)-l-((2S)-2-(4-(4-(((4-((lS.4S)-2.5-diazabicvclor2.2.11heptan-2- yl)-7-(6-fluoro-5-methyl-lH-indazol-4-yl)-2-((S)-2-methoxypropoxy)-6- (trifluoromethyl)quinazolin-8-yl)oxy)methyl)phenyl)- 1 H- 1 ,2,3-triazol- 1 -yl)-3 - methylbutanoyl)-N-((R)- 1 -(2'-fluoro-[l , 1 ’-biphenyl] -4-yl)-2-hydroxyethyl)-4- hydroxypyrrolidine-2-carboxamide
- Step 1 tert-butyl (lS,4S)-5-(7-bromo-8-fluoro-6-iodo-2-((S)-2- methoxypropoxy)quinazolin-4-yl)-2,5-diazabicyclo[2.2.1]heptane-2-carboxylate [0403] To a solution of tert-butyl (lS,4S)-5-(7-bromo-2-chloro-8-fluoro-6- iodoquinazolin-4-yl)-2,5-diazabicyclo[2.2.
- Step 2 tert-butyl (lS,4S)-5-(7-bromo-6-cyclopropyl-8-fluoro-2-((S)-2- methoxypropoxy)quinazolin-4-yl)-2,5-diazabicyclo[2.2.1]heptane-2-carboxylate
- reaction mixture was diluted with water (100 mL), then extracted with ethyl acetate (100 mL x 3). The combined organic phase was washed with brine (50 mL x 2), dried over anhydrous sodium sulfate, filtered and concentrated in vacuum to get a residue.
- Step 3 tert-butyl (lS,4S)-5-(8-(benzyloxy)-7-bromo-6-cyclopropyl-2-((S)-2- methoxypropoxy)quinazolin-4-yl)-2,5-diazabicyclo[2.2.1]heptane-2-carboxylate
- Step 4 tert-butyl (1 S,4S)-5-(8-(benzyloxy)-6-cyclopropyl-7-(6-fluoro-5-methyl- 2-trityl-2H-indazol-4-yl)-2-((S)-2-methoxypropoxy)quinazolin-4-yl)-2,5- diazabicyclo[2.2.1]heptane-2-carboxylate [0409] To a solution of 6-fluoro-5-methyl-4-(4,4,5,5-tetramethyl-l,3,2-dioxaborolan-2- yl)-2-trityl-2H-indazole (1.96 g, 3.78 mmol, 1.1 eq), tert-butyl (lS,4S)-5-(8-(benzyloxy)- 7-bromo-6-cyclopropyl-2-((S)-2-methoxypropoxy)quinazolin-4-yl)-2
- Step 5 tert-butyl (1 S,4S)-5-(6-cyclopropyl-7-(6-fluoro-5-methyl-2H-indazol-4- yl)-8-hydroxy-2-((S)-2-methoxypropoxy)quinazolin-4-yl)-2,5-diazabicyclo[2.2.1]heptane- 2-carboxylate
- Step 6 tert-butyl (lS,4S)-5-(6-cyclopropyl-7-(6-fluoro-5-methyl-2-trityl-2H- indazol-4-yl)-8-hydroxy-2-((S)-2-methoxypropoxy)quinazolin-4-yl)-2,5- diazabicyclo[2.2.1]heptane-2-carboxylate
- Step 7 tert-butyl (lS,4S)-5-(6-cyclopropyl-8-((4-ethynylbenzyl)oxy)-7-(6- fluoro-5-methyl-2-trityl-2H-indazol-4-yl)-2-((S)-2-methoxypropoxy)quinazolin-4-yl)-2,5- diazabicyclo[2.2.1]heptane-2-carboxylate
- Step 1 tert-butyl (/? )-(2- hydroxy- 1 -(4-(3 -methyl pyri di n-4- yl)phenyl)ethyl)carbamate
- Step 2 (R)-2-amino-2-(4-(3-methylpyridin-4-yl)phenyl)ethan-l-ol
- Step 3 tert-butyl (2S,4R)-4-hydroxy-2-(((R)-2-hydroxy-l-(4-(3-methylpyridin- 4-yl)phenyl)ethyl) carbamoyl)pyrrolidine- 1 -carboxylate
- the mixture was stirred at 20 °C for 1 h. LCMS showed the starting material was consumed completely and one main peak with desired mass was detected.
- the reaction mixture was diluted with water (150 mL) and extracted with ethyl acetate (80 mL x 3). The combined organic layers were washed with brine (80 mL x 3), dried over anhydrous sodium sulfate, filtered and concentrated under reduced pressure to give a residue.
- Step 4 (2S,4R)-4-hydroxy-N-((R)-2-hydroxy- 1 -(4-(3-methylpyridin-4- yl)phenyl)ethyl)pyrrolidine-2-carboxamide
- Step 5 tert-butyl ((S)- 1 -((2S,4R)-4-hydroxy-2-(((R)-2-hydroxy- 1 -(4-(3- methylpyridin-4-yl)phenyl)ethyl)carbamoyl)pyrro lidin- 1 -yl)-3 -methyl- 1 -oxobutan-2- yl)carbamate
- the mixture was stirred at 20 °C for 1 h. LCMS showed the starting material was consumed completely and one main peak with desired mass was detected.
- the reaction mixture was diluted with water (100 mL) and extracted with ethyl acetate (80 mL x 3). The combined organic layers were washed with brine (50 mL x 3), dried over anhydrous sodium sulfate, filtered and concentrated under reduced pressure to give a residue.
- Step 6 (25,4R )- l-(£-valyl)-4-hydroxy-N-((R )-2-hydroxy-l-(4-(3-methylpyridin- 4-yl)phenyl)ethyl) pyrrolidine-2-carboxamide
- Step 7 (25,4R )- 1 -((5)-2-azido-3 -methylbutanoyl)-4-hydroxy-N-((R )-2-hydroxy- l-(4-(3-methylpyridin-4-yl)phenyl)ethyl)pyrrolidine-2-carboxamide
- Step 1 tert-butyl (R)-(2-hydroxy-l-(4-(2-methylpyridin-3- yl)phenyl)ethyl)carbamate
- Step 2 (R)-2-amino-2-(4-(2-methylpyridin-3-yl)phenyl)ethan-l-ol
- Step 3 tert-butyl (2S,4R)-4-hydroxy-2-(((R)-2-hydroxy-l-(4-(2-methylpyridin- 3 -yl)phenyl) ethyl)carbamoyl)pyrrolidine- 1 -carboxylate
- Step 4 (2S,4R)-4-hydroxy-N-((R)-2-hydroxy-l-(4-(2-methylpyridin-3- yl)phenyl)ethyl)pyrrolidine-2-carboxamide
- Step 5 tert-butyl ((S)-l-((2S,4R)-4-hydroxy-2-(((R)-2-hydroxy-l-(4-(2- methylpyridin-3-yl)phenyl)ethyl)carbamoyl)pyrro lidin- 1 -yl)-3 -methyl- 1 -oxobutan-2- yl)carbamate
- Step 6 (2S,4R)-l-(L-valyl)-4-hydroxy-N-((R)-2-hydroxy-l-(4-(2-methylpyridin- 3-yl)phenyl)ethyl)pyrrolidine-2-carboxamide
- Step 7 (2S,4R)-l-((S)-2-azido-3-methylbutanoyl)-4-hydroxy-N-((R)-2-hydroxy- l-(4-(2-methylpyridin-3-yl)phenyl)ethyl)pyrrolidine-2-carboxamide
- Step 1 tert-butyl (R)-(l-(4-(2-chloropyridin-3-yl)phenyl)-2- hydroxyethyl)carbamate
- Step 2 (R)-2-amino-2-(4-(2-chloropyridin-3-yl)phenyl)ethan-l-ol
- Step 3 tert-butyl (2S,4R)-2-(((R)-l-(4-(2-chloropyridin-3-yl)phenyl)-2- hydroxyethyl)carbamoyl)-4-hydroxypyrrolidine- 1 -carboxylate
- Step 5 tert-butyl ((S)-l-((2S,4R)-2-(((R)-l-(4-(2-chloropyridin-3-yl)phenyl)-2- hydroxyethyl)carbamoyl)-4-hydroxypyrrolidin- 1 -yl)-3-methyl- 1 -oxobutan-2-yl)carbamate , -3-yl)phenyl)-2- hydroxyethyl)-4-hydroxypyrrolidine-2-carboxamide (2.59 g, 6.50 mmol, 1.00 eq, hydrochloride) and (tert-butoxycarbonyl)-L-valine (1.70 g, 7.80 mmol, 1.20 eq) in N,N- dimethylformamide (40 mL) was added N,N-diisopropylethylamine (2.52 g, 19.51 mmol, 3.40 mL, 3.00 eq) and
- Step 6 (2S,4R)-l-(L-valyl)-N-((R)-l-(4-(2-chloropyridin-3-yl)phenyl)-2- hydroxyethyl)-4-hydroxypyrrolidine-2-carboxamide
- Step 7 (2S,4R)-l-((S)-2-azido-3-methylbutanoyl)-N-((R)-l-(4-(2-chloropyridin- 3-yl)phenyl)-2-hydroxyethyl)-4-hydroxypyrrolidine-2-carboxamide
- Step 2 (R)-2-amino-2-(4-(3-fluoropyridin-4-yl)phenyl)ethan-l-ol
- Step 3 tert-butyl (2S,4R)-2-(((R)-l-(4-(3-fluoropyridin-4-yl)phenyl)-2- hydroxyethyl)carbamoyl)-4-hydroxypyrrolidine- 1 -carboxylate
- Step 5 tert-butyl ((S)- 1 -((2S,4R)-2-(((R)- 1 -(4-(3-fluoropyridin-4-yl)phenyl)-2- hydroxyethyl)carbamoyl)-4-hydroxypyrrolidin- 1 -yl)-3-methyl- 1 -oxobutan-2-yl)carbamate
- Step 6 (2S,4R)- l-(L-valyl)-N-((R)- 1 -(4-(3-fluoropyridin-4-yl)phenyl)-2- hydroxyethyl)-4-hydroxypyrrolidine-2-carboxamide
- Step 7 (2S,4R)-l-((S)-2-azido-3-methylbutanoyl)-N-((R)-l-(4-(3-fluoropyridin- 4-yl)phenyl)-2-hydroxyethyl)-4-hydroxypyrrolidine-2-carboxamide
- Step 1 tert-butyl (R)-(l-(4-(3-chloropyridin-4-yl)phenyl)-2- hydroxyethyl)carbamate
- Step 2 (R)-2-amino-2-(4-(3-chloropyridin-4-yl)phenyl)ethan-l-ol
- Step 3 tert-butyl (2S,4R)-2-(((R)-l-(4-(3-chloropyridin-4-yl)phenyl)-2- hydroxyethyl)carbamoyl)-4-hydroxypyrrolidine- 1 -carboxylate
- Step 4 (2S,4R)-N-((R)- 1 -(4-(3-chloropyridin-4-yl)phenyl)-2-hydroxyethyl)-4- hydroxypyrrolidine-2-carboxamide
- Step 5 tert-butyl ((S)-l-((2S,4R)-2-(((R)-l-(4-(3-chloropyridin-4-yl)phenyl)-2- hydroxyethyl)carbamoyl)-4-hydroxypyrrolidin- 1 -yl)-3-methyl- 1 -oxobutan-2-yl)carbamate
- Step 6 (2S,4R)-l-(L-valyl)-N-((R)-l-(4-(3-chloropyridin-4-yl)phenyl)-2- hydroxyethyl)-4-hydroxypyrrolidine-2-carboxamide
- Step 7 (2S,4R)-l-((S)-2-azido-3-methylbutanoyl)-N-((R)-l-(4-(3-chloropyridin- 4-yl)phenyl)-2-hydroxyethyl)-4-hydroxypyrrolidine-2-carboxamide
- Step 2 tert-butyl (2S,4R)-4-hydroxy-2-(((R)-2-hydroxy-l-(4-(pyrimidin-5- yl)phenyl)ethyl)carbamoyl)pyrrolidine- 1 -carboxylate
- Step 5 tert-butyl ((S)-l-((2S,4R)-4-hydroxy-2-(((R)-2-hydroxy-l-(4-(pyrimidin- 5-yl)phenyl)ethyl)carbamoyl)pyrrolidin-l-yl)-3-methyl-l-oxobutan-2-yl)carbamate
- Step 7 (2S,4R)-l-((S)-2-azido-3-methylbutanoyl)-4-hydroxy-N-((R)-2-hydroxy- l-(4-(pyrimidin-5-yl)phenyl)ethyl)pyrrolidine-2-carboxamide
- Example 7 (2S,4R)-l-((2S)-2-(4-(4-(((4-((lS,4S)-2,5- diazabicyclo[2.2.1]heptan-2-yl)-6-cyclopropyl-7-(6-fluoro-5-methyl-lH-indazol-4-yl)-2- ((tetrahydro-2H-pyran-4-yl)oxy)quinazolin-8-yl)oxy)methyl)phenyl)- 1H- 1 ,2,3-triazol- 1 - yl)-3-methylbutanoyl)-4-hydroxy-N-((R)-2-hydroxy-l-(4-(2-methylpyridin-3- yl)phenyl)ethyl)pyrrolidine-2-carboxamide
- Step 1 tert-butyl (lS,4S)-5-(6-cyclopropyl-7-(6-fluoro-5-methyl-2-trityl-2H- indazol-4-yl)-8-((4-( 1 -((S)- 1 -((2S,4R)-4-hydroxy-2-(((R)-2-hydroxy- 1 -(4-(2- methylpyridin-3-yl)phenyl)ethyl)carbamoyl)pyrro lidin- 1 -yl)-3 -methyl- 1 -oxobutan-2-yl)- lH-l,2,3-triazol-4-yl)benzyl)oxy)-2-((tetrahydro-2H-pyran-4-yl)oxy)quinazolin-4-yl)-2,5- diazabicyclo[2.2.1]heptane-2-carboxylate
- the mixture was stirred at 50 °C for 5 h under nitrogen. TLC showed the desired compound was detected.
- the reaction mixture was diluted with dichloromethane (20 mL) and added 2% aqueous disodium ethylenediamine tetraacetate (20 ml), then the mixture was stirred at 25 °C for 30 min, it was observed that the color of the mixture changed from green to blue, extracted with dichloromethane (15 mL x 3). The combined organic layers were washed with brine (20 mL x 2), dried over anhydrous sodium sulfate, filtered and concentrated under reduced pressure to give a residue.
- Step 2 (2S,4R)-l-((2S)-2-(4-(4-(((4-((l S,4S)-2,5-diazabicyclo[2.2.1]heptan-2- yl)-6-cyclopropyl-7-(6-fluoro-5-methyl-lH-indazol-4-yl)-2-((tetrahydro-2H-pyran-4- yl)oxy)quinazolin-8-yl)oxy)methyl)phenyl)- 1 H- 1 ,2,3-triazol- 1 -yl)-3-methylbutanoyl)-4- hydroxy-N-((R)-2-hydroxy-l-(4-(2-methylpyridin-3-yl)phenyl)ethyl)pyrrolidine-2- carboxamide
- Example 8 (2S,4R)-l-((S)-2-(4-(4-(((4-((lS,4S)-2,5-diazabicyclo[2.2.1]heptan- 2-yl)-6-cyclopropyl-7-(6-fluoro-5-methyl-2H-indazol-4-yl)-2-((tetrahydro-2H-pyran-4- yl)oxy)quinazolin-8-yl)oxy)methyl)phenyl)- 1 H- 1 ,2,3-triazol- 1 -yl)-3-methylbutanoyl)-4- hydroxy-N-((R)-2-hydroxy-l-(4-(3-methylpyridin-4-ylg)phenyl)ethyl)pyrrolidine-2- carboxamide
- Step 1 tert-butyl (lS,4S)-5-(6-cyclopropyl-7-(6-fluoro-5-methyl-2-trityl-2H- indazol-4-yl)-8-((4-(l-((S)-l-((2S,4R)-4-hydroxy-2-(((R)-2-hydroxy-l-(4-(3- methylpyridin-4-yl)phenyl)ethyl)carbamoyl)pyrro lidin- 1 -yl)-3 -methyl- 1 -oxobutan-2-yl)- lH-l,2,3-triazol-4-yl)benzyl)oxy)-2-((tetrahydro-2H-pyran-4-yl)oxy)quinazolin-4-yl)-2,5- diazabicyclo[2.2.1]heptane-2-carboxylate
- the mixture was stirred at 50 °C for 12 h. LCMS showed the starting material was consumed completely and one main peak with desired mass was detected.
- the reaction mixture was quenched by water (30 mL), 2% disodium ethylenediamine tetraacetate solution (30 mL), and then diluted with dichloromethane (30 mL). The mixture was stirred at 20 °C for 0.5 h before extracting with dichloromethane (20 mL x 3). The combined organic layers were washed with brine (20 mL x 3), dried over anhydrous sodium sulfate, filtered and concentrated under reduced pressure to give the crude product.
- Step 2 (2S,4R)- 1 -((S)-2-(4-(4-(((4-(( 1 S,4S)-2,5-diazabicyclo[2.2.1 ]heptan-2-yl)- 6-cyclopropyl-7-(6-fluoro-5-methyl-2H-indazol-4-yl)-2-((tetrahydro-2H-pyran-4- yl)oxy)quinazolin-8-yl)oxy)methyl)phenyl)- 1 H- 1 ,2,3-triazol- 1 -yl)-3-methylbutanoyl)-4- hydroxy-N-((R)-2-hydroxy-l-(4-(3-methylpyridin-4-yl)phenyl)ethyl)pyrrolidine-2- carboxamide
- Example 9 (2S,4R)-l-((2S)-2-(4-(4-(((4-((lS,4S)-2,5- diazabicyclo[2.2.1]heptan-2-yl)-6-cyclopropyl-7-(6-fluoro-5-methyl-lH-indazol-4-yl)-2- ((S)-2-methoxypropoxy)quinazolin-8-yl)oxy)methyl)phenyl)- 1 H- 1 ,2,3 -triazol- 1 -yl)-3 - methylbutanoyl)-4-hydroxy-N-((R)-2-hydroxy- 1 -(4-(2-methylpyridin-3 - yl)phenyl)ethyl)pyrrolidine-2-carboxamide.
- Step 1 tert-butyl (lS,4S)-5-(6-cyclopropyl-7-(6-fluoro-5-methyl-2-trityl-2H- indazol-4-yl)-8-((4-( 1 -((S)- 1 -((2S,4R)-4-hydroxy-2-(((R)-2-hydroxy- 1 -(4-(2- methylpyridin-3-yl)phenyl)ethyl)carbamoyl)pyrro lidin- 1 -yl)-3 -methyl- 1 -oxobutan-2-yl)- lH-l,2,3-triazol-4-yl)benzyl)oxy)-2-((S)-2-methoxypropoxy)quinazolin-4-yl)-2,5- diazabicyclo[2.2.1]heptane-2-carboxylate
- the mixture was stirred at 50 °C for 5 h under nitrogen. LCMS showed the desired compound was detected.
- the reaction mixture was diluted with dichloromethane (20 mL) and added 2% aqueous disodium ethylenediamine tetraacetate (20 mL), then the mixture was stirred at 25 °C for 30 min before extracting with dichloromethane (15 mL x 3).
- the combined organic layers were washed with brine (20 mL x 3), dried over anhydrous sodium sulfate, filtered and the filtrate was concentrated under reduced pressure to give a residue.
- Step 2 (2S,4R)-l-((2S)-2-(4-(4-(((4-((l S,4S)-2,5-diazabicyclo[2.2.1]heptan-2- yl)-6-cyclopropyl-7-(6-fluoro-5-methyl-lH-indazol-4-yl)-2-((S)-2- methoxypropoxy)quinazolin-8-yl)oxy)methyl)phenyl)- 1 H- 1 ,2,3-triazol- 1 -y l)-3 - methylbutanoyl)-4-hydroxy-N-((R)-2-hydroxy- 1 -(4-(2-methylpyridin-3 - yl)phenyl)ethyl)pyrrolidine-2-carboxamide (ERAS-9271 )
- Example 10 (2S,4R)-l-((2S)-2-(4-(4-(((4-((lS,4S)-2,5- diazabicyclo[2.2.1]heptan-2-yl)-6-cyclopropyl-7-(6-fluoro-5-methyl-lH-indazol-4-yl)-2- ((S)-2-methoxypropoxy)quinazolin-8-yl)oxy)methyl)phenyl)- 1 H- 1 ,2,3 -triazol- 1 -yl)-3 - methylbutanoyl)-4-hydroxy-N-((R)-2-hydroxy- 1 -(4-(pyridin-3- yl)phenyl)ethyl)pyrrolidine-2-carboxamide.
- Step 1 tert-butyl (1 S,4S)-5-(6-cyclopropyl-7-(6-fluoro-5-methyl-2-trityl-2H- indazol-4-yl)-8-((4-(l-((S)-l-((2S,4R)-4-hydroxy-2-(((R)-2-hydroxy-l-(4-(pyridin-3- yl)phenyl)ethyl)carbamoyl) pyrro lidin- 1 -yl) -3 -methyl- 1 -oxobutan-2-yl)- 1H- 1 ,2,3-triazol- 4-yl)benzyl)oxy)-2-((S)-2-methoxypropoxy)quinazolin-4-yl)-2,5- diazabicyclo[2.2.1]heptane-2-carboxylate
- Step 2 (2S,4R)-l-((2S)-2-(4-(4-(((4-((lS,4S)-2,5-diazabicyclo[2.2.1]heptan-2- yl)-6-cyclopropyl-7-(6-fluoro-5-methyl-lH-indazol-4-yl)-2-((S)-2- methoxypropoxy)quinazolin-8-yl)oxy)methyl) phenyl)- 1H- 1 ,2,3-triazol- 1 -yl)-3 - methylbutanoyl)-4-hydroxy-N-((R)-2-hydroxy- 1 -(4-(pyridin-3- yl)phenyl)ethyl)pyrrolidine-2-carboxamide
- Example 11 Synthesis of (2S,4R)-l-((2S)-2-(4-(4-(((4-((lS,4S)-2,5- diazabicyclo[2.2.1]heptan-2-yl)-6-cyclopropyl-7-(6-fluoro-5-methyl-lH-indazol-4-yl)-2- ((S)-2-methoxypropoxy)quinazolin-8-yl)oxy)methyl)phenyl)- 1 H- 1 ,2,3 -triazol- 1 -yl)-3 - methylbutanoyl)-N-((R)-l-(4-(2-chloropyridin-3-yl)phenyl)-2-hydroxyethyl)-4- hydroxypyrrolidine-2-carboxamide.
- Step 1 tert-butyl (lS,4S)-5-(8-((4-(l-((S)-l-((2S,4R)-2-(((R)-l-(4-(2- chloropyridin-3-yl)phenyl)-2-hydroxyethyl)carbamoyl)-4-hydroxypyrrolidin- 1 -yl)-3 - methyl- 1 -oxobutan-2-yl)- 1H- 1 ,2,3-triazol-4-yl)benzyl)oxy)-6-cyclopropyl-7-(6-fluoro-5- methyl-2-trityl-2H-indazol-4-yl)-2-((S)-2-methoxypropoxy)quinazolin-4-yl)-2,5- diazabicyclo[2.2.1]heptane-2-carboxylate
- cuprous iodide (4.59 mg, 0.02 mmol, 0.5 eq) and sodium ascorbate (14 mg, 0.07 mmol, 1.5 eq) were added. The mixture was stirred at 50 °C for 5 h under nitrogen. LCMS showed the desired compound was detected.
- the reaction mixture was diluted with dichloromethane (20 mL) and added 2% disodium ethylenediamine tetraacetate solution (20 ml), extracted with dichloromethane (15 mL x 3). The combined organic layers were washed with brine (20 mL x 3), dried over anhydrous sodium sulfate, filtered and the filtrate was concentrated under reduced pressure to give a residue.
- Step 2 (2S,4R)-l-((2S)-2-(4-(4-(((4-((l S,4S)-2,5-diazabicyclo[2.2.1]heptan-2- yl)-6-cyclopropyl-7-(6-fluoro-5-methyl-lH-indazol-4-yl)-2-((S)-2- methoxypropoxy)quinazolin-8-yl)oxy)methyl)phenyl)- 1 H- 1 ,2,3-triazol- 1 -y l)-3 - methylbutanoyl)-N-((R)-l-(4-(2-chloropyridin-3-yl)phenyl)-2-hydroxyethyl)-4- hydroxypyrrolidine-2-carboxamide (ERAS-9256)
- Example 12 (2S,4R)-l-((S)-2-(4-(4-(((4-((lS,4S)-2,5- diazabicyclo[2.2.1]heptan-2-yl)-6-cyclopropyl-7-(6-fluoro-5-methyl-2H-indazol-4-yl)-2- ((S)-2-methoxypropoxy)quinazolin-8-yl)oxy)methyl)phenyl)- 1 H- 1 ,2,3 -triazol- 1 -yl)-3 - methylbutanoyl)-N-((R)-l-(4-(3-fluoropyridin-4-yl)phenyl)-2-hydroxyethyl)-4- hydroxypyrrolidine-2-carboxamide
- Step 1 tert-butyl (lS,4S)-5-(6-cyclopropyl-7-(6-fluoro-5-methyl-2-trityl-2H- indazol-4-yl)-8-((4-(l-((S)-l-((2S,4R)-2-(((R)-l-(4-(3-fluoropyridin-4-yl)phenyl)-2- hydroxyethyl)carbamoyl)-4-hydroxypyrrolidin- 1 -yl)-3-methyl- 1 -oxobutan-2-yl)- 1H- 1 ,2,3- triazol-4-yl)benzyl)oxy)-2-((S)-2-methoxypropoxy)quinazolin-4-yl)-2,5- diazabicyclo[2.2.1]heptane-2-carboxylate Boc i
- Step 2 (2S,4R)- 1 -((S)-2-(4-(4-(((4-(( 1 S,4S)-2,5-diazabicyclo[2.2.1 ]heptan-2-yl)- 6-cyclopropyl-7-(6-fluoro-5-methyl-2H-indazol-4-yl)-2-((S)-2- methoxypropoxy)quinazolin-8-yl)oxy)methyl)phenyl)- 1 H- 1 ,2,3-triazol-l-yl)-3- methylbutanoyl)-N-((R)-l-(4-(3-fluoropyridin-4-yl)phenyl)-2-hydroxyethyl)-4- hydroxypyrrolidine-2-carboxamide
- Examples 84a and 84b (2S,4R)-l-((S)-2-(4-(4-((((S)-4-((lS,4S)-2,5- diazabicyclo[2.2.1]heptan-2-yl)-6-cyclopropyl-7-(6-fluoro-5-methyl-lH-indazol-4-yl)-2- ((S)-2-methoxypropoxy)quinazolin-8-yl)oxy)methyl)phenyl)- 1 H- 1 ,2,3 -triazol- 1 -yl)-3 - methylbutanoyl)-4-hydroxy-N-((R)-2-hydroxy- 1 -(4-(2-methylpyridin-3 - yl)phenyl)ethyl)pyrrolidine-2-carboxamide (84a) and (2S,4R)-l-((S)-2-(4-(4-((((R)-4- ((lS,
- Step 1 tert-butyl (1 S,4S)-5-(6-cyclopropyl-7-(6-fluoro-5-methyl-2-trityl-2H- indazol-4-yl)-8-((4-( 1 -((S)- 1 -((2S,4R)-4-hydroxy-2-(((R)-2-hydroxy- 1 -(4-(2- methylpyridin-3 -yl)phenyl)ethyl)carbamoyl)pyrro lidin- 1 -yl)-3 -methyl- 1 -oxobutan-2-yl)- lH-l,2,3-triazol-4-yl)benzyl)oxy)-2-((S)-2-methoxypropoxy)quinazolin-4-yl)-2,5- diazabicyclo[2.2.1]heptane-2-carboxylate
- the mixture was degassed and purged with nitrogen for 3 times, and then the mixture was stirred at 50 °C for 5 h under nitrogen. LCMS showed the reaction was completed.
- the reaction mixture was diluted with dichloromethane (20 mL) and added 2% disodium ethylenediamine tetraacetate solution (20 mL), extracted with dichloromethane (15 mL x 3). The combined organic layers were washed with brine (20 mL x 3), dried over anhydrous sodium sulfate, filtered and the filtrate was concentrated under reduced pressure to give a residue.
- Step 2 (2S,4R)-l-((S)-2-(4-(4-((((S)-4-((lS,4S)-2,5-diazabicyclo[2.2.1]heptan-
- Examples 85a and 85b (2S,4R)-l-((S)-2-(4-(4-((((S)-4-((lS,4S)-2,5- diazabicyclo[2.2.1]heptan-2-yl)-6-cyclopropyl-7-(6-fluoro-5-methyl-lH-indazol-4-yl)-2- ((S)-2-methoxypropoxy)quinazolin-8-yl)oxy)methyl)phenyl)- 1 H- 1 ,2,3 -triazol- 1 -yl)-3 - methylbutanoyl)-N-((R)-l-(4-(3-fluoropyridin-2-yl)phenyl)-2-hydroxyethyl)-4- hydroxypyrrolidine-2-carboxamide and (2S,4R)-l-((S)-2-(4-(4-((((R)-4-((l S,4S)-2,
- Step 1 tert-butyl (lS,4S)-5-(6-cyclopropyl-7-(6-fluoro-5-methyl-2-trityl-2H- indazol-4-yl)-8-((4-(l-((S)-l-((2S,4R)-2-(((R)-l-(4-(3-fluoropyridin-2-yl)phenyl)-2- hydroxyethyl)carbamoyl)-4-hydroxypyrrolidin- 1 -yl)-3-methyl- 1 -oxobutan-2-yl)- 1H- 1 ,2,3- triazol-4-yl)benzyl)oxy)-2-((S)-2-methoxypropoxy)quinazolin-4-yl)-2,5- diazabicyclo[2.2.1]heptane-2-carboxylate [0543] A mixture of tert-butyl (lS,4S)-5-(6-
- the reaction mixture was diluted with dichloromethane (20 mL) and added 2% disodium ethylenediamine tetraacetate solution (20 mL), extracted with dichloromethane (15 mL x 3). The combined organic layers were washed with brine (20 mL x 3), dried over anhydrous sodium sulfate, filtered and the filtrate was concentrated under reduced pressure to give a residue.
- Step 2 (2S,4R)-l-((S)-2-(4-(4-((((S)-4-((lS,4S)-2,5-diazabicyclo[2.2.1]heptan- 2-yl)-6-cyclopropyl-7-(6-fluoro-5-methyl-lH-indazol-4-yl)-2-((S)-2- methoxypropoxy)quinazolin-8-yl)oxy)methyl)phenyl)- 1 H- 1 ,2,3-triazol- 1 -yl)-3 - methylbutanoyl)-N-((R)- 1 -(4-(3 -fluoropyridin-2-yl)phenyl)-2-hydroxyethyl)-4- hydroxypyrrolidine-2-carboxamide and (2S,4R)-l-((S)-2-(4-(4-((((R)-4-((l S,4S)-2,5-
- Examples 86a and 86b (2S,4R)-l-((S)-2-(4-(4-((((S)-4-((lS,4S)-2,5- diazabicyclo[2.2.1]heptan-2-yl)-6-cyclopropyl-7-(6-fluoro-5-methyl-lH-indazol-4-yl)-2- ((S)-2-methoxypropoxy)quinazolin-8-yl)oxy)methyl)phenyl)- 1 H- 1 ,2,3 -triazol- 1 -yl)-3 - methylbutanoyl)-4-hydroxy-N-((R)-2-hydroxy- 1 -(4-(pyridin-3- yl)phenyl)ethyl)pyrrolidine-2-carboxamide and (2S,4R)-l-((S)-2-(4-(4-((((R)-4-((lS,4S)- 2,5-
- Step 1 tert-butyl (lS,4S)-5-(6-cyclopropyl-7-(6-fluoro-5-methyl-2-trityl-2H- indazol-4-yl)-8-((4-(l-((S)-l-((2S,4R)-4-hydroxy-2-(((R)-2-hydroxy-l-(4-(pyridin-3- yl)phenyl)ethyl)carbamoyl) pyrro lidin- 1 -yl)-3-methyl- 1 -oxobutan-2-yl)- 1 H- 1 ,2,3-triazol- 4-yl)benzyl)oxy)-2-((S)-2-methoxypropoxy)quinazolin-4-yl)-2,5- diazabicyclo[2.2.1]heptane-2-carboxylate
- the mixture was degassed and purged with nitrogen for 3 times, and then the mixture was stirred at 50 °C for 5 h under nitrogen. LCMS showed the reaction was completed.
- the reaction mixture was diluted with dichloromethane (20 mL) and added 2% disodium ethylenediamine tetraacetate solution (20 mL), extracted with dichloromethane (15 mL x 3). The combined organic layers were washed with brine (20 mL x 3), dried over anhydrous sodium sulfate, filtered and the filtrate was concentrated under reduced pressure to give a residue.
- Step 2 (2S,4R)-l-((S)-2-(4-(4-((((S)-4-((lS,4S)-2,5-diazabicyclo[2.2.1]heptan- 2-yl)-6-cyclopropyl-7-(6-fluoro-5-methyl-lH-indazol-4-yl)-2-((S)-2- methoxypropoxy)quinazolin-8-yl)oxy)methyl) phenyl)- 1H- 1 ,2,3-triazol- 1 -yl)-3 - methylbutanoyl)-4-hydroxy-N-((R)-2-hydroxy- 1 -(4-(pyridin-3- yl)phenyl)ethyl)pyrrolidine-2-carboxamide and (2S,4R)-l-((S)-2-(4-(4-((((R)-4-((lS,4S)- 2,5-diazabicy
- Step 1 tert-butyl (R)-(l-(4-(3-fluoropyridin-2-yl)phenyl)-2- hydroxyethyl)carbamate
- Step 2 (R)-2-amino-2-(4-(3-fluoropyridin-2-yl)phenyl)ethan- 1 -ol
- Step 3 tert-butyl (2S,4R)-2-(((R)-l-(4-(3-fluoropyridin-2-yl)phenyl)-2- hydroxyethyl)carbamoyl)-4-hydroxypyrrolidine- 1 -carboxylate
- Step 4 (2S,4R)-N-((R)- 1 -(4-(3-fluoropyridin-2-yl)phenyl)-2-hydroxyethyl)-4- hydroxypyrrolidine-2-carboxamide
- Step 5 tert-butyl ((S)- 1 -((2S,4R)-2-(((R)- 1 -(4-(3-fluoropyridin-2-yl)phenyl)-2- hydroxyethyl)carbamoyl)-4-hydroxypyrrolidin- 1 -yl)-3-methyl- 1 -oxobutan-2-yl)carbamate
Landscapes
- Chemical & Material Sciences (AREA)
- Organic Chemistry (AREA)
- Health & Medical Sciences (AREA)
- General Chemical & Material Sciences (AREA)
- Medicinal Chemistry (AREA)
- Nuclear Medicine, Radiotherapy & Molecular Imaging (AREA)
- Chemical Kinetics & Catalysis (AREA)
- Pharmacology & Pharmacy (AREA)
- Life Sciences & Earth Sciences (AREA)
- Animal Behavior & Ethology (AREA)
- General Health & Medical Sciences (AREA)
- Public Health (AREA)
- Veterinary Medicine (AREA)
- Pharmaceuticals Containing Other Organic And Inorganic Compounds (AREA)
Abstract
The present embodiments provide compounds of Formula I, compositions of the compounds, and methods for treating diseases such as cancer.
Description
KRAS INHIBITOR CONJUGATES
REFERENCE TO SEQUENCE LISTING
[0001] This application incorporates by reference a Computer Readable Form of a Sequence Listing in ASCII text format submitted with this application, entitled 055745- 549001 WO_SL_ST26.xml, was created on August 15, 2023, and is 3,782 bytes in size.
BACKGROUND
[0002] Embodiments herein relate to compounds, compositions and methods for the treatment of RAS-mediated disease. In particular, embodiments herein relate to compounds and methods for treating diseases such as cancer via targeting oncogenic mutants of the K-RAS isoform.
[0003] Ras proteins are small guaonnine nucleotide-binding proteins that act as molecular switches by cycling between active GTP-bound and inactive GDP-bound conformations. Ras signaling is regulated through a balance between activation by guanine nucleotide exchange factors (GEFs), most commonly son of sevenless (SOS), and inactivation by GTPase-activating proteins (GAPs) such as neurofibromin or pl20GAP. The Ras proteins play an important role in the regulation of cell proliferation, differentiation, and survival. Dysregulation of the Ras signaling pathway is almost invariably associated with disease. Hyper-activating somatic mutations in Ras are among the most common lesions found in human cancer. Most of these mutations have been shown to decrease the sensitivity of Ras to GAP stimulation and decrease its intrinsic GTPase activity, leading to an increase in the active GTP-bound population. Although mutation of any one of the three Ras isoforms (K- Ras, N-Ras, or H-Ras) has been shown to lead to oncogenic transformation, K-Ras mutations are by far the most common in human cancer. For example, K- Ras mutations are known to be often associated with pancreatic, colorectal and non-small-cell lung carcinomas. Similarly, H-Ras mutations are common in cancers such as papillary thyroid cancer, lung cancers and skin cancers. Finally, N-Ras mutations occur frequently in hepatocellular carcinoma.
[0004] K-Ras is the most frequently mutated oncoprotein in human cancers, and the G12D mutation is among the most prevalent. Accordingly, there is a need to develop selective inhibitors of KRAS G12D. The present embodiments meet this and other needs.
SUMMARY
[0005] In one aspect, the present embodiments provide compositions of Formula (I):
wherein t is an integer from 0 to 4; each V is independently selected from methyl, cyanomethyl, or any two V combine to form a bridge or spirocycle structure, optionally comprising a heteroatom in the bridge or spirocycle selected from S, SO2, O or N, and wherein the bridge or spirocycle structure is optionally substituted with oxo (=0);
Ar is selected from 6- to 10-membered aryl, 5-10 membered heteroaryl; wherein the 5-10 membered heteroaryl ring contains 1 to 4 heteroatoms independently selected from O, N and S; and wherein Ar is optionally substituted with 1 to 5 substituents independently selected from the group consisting of OH, oxo (=0), halo, CN, NR'R", CM alkyl, CF3, C1-4 haloalkyl, C1-4 alkoxy, C3-4 cycloalkyl, C2-4 alkynyl; wherein R' and R" are independently selected from alkyl and hydrogen;
R1 is Ci-Ce alkyl, 4-10 membered heterocyclyl, 3-10 membered cycloalkyl, 6-10 membered aryl or 5-10 membered heteroaryl, wherein said Ci-Ce alkyl, heterocyclyl, cycloalkyl, aryl and heteroaryl are optionally substituted with OH, halo, CN, CF3, C1-4 alkyl, CM alkoxy, C3-4 cycloalkyl, C3-4 cycloalkoxy, and C1-3 alkyl-OH;
X is C-H, C-halo, C-C1-3 alkyl, C-CF3, C-C1-3 haloalkyl, C- C3-4 cycloalkyl, C- cyano, or N;
Y is O, NR2, S, or absent, wherein R2 is H or C1-4 alkyl;
Y’ is C1-3 alkyl or absent;
Z is O, NRZ, S, or absent; wherein Rz is hydrogen or methyl;
Z’ is null, substituted or unsubstituted alkylene, substituted or unsubstituted heterocyclylalkylene, substituted or unsubstituted heterocyclyloxyalkylene, substituted or
unsubstituted alkoxalkylene, substituted or unsubstituted heteroalkylene, substituted or unsubstituted arylalkylene, substituted or unsubstituted aryloxyalkylene, substituted or unsubstituted heteroarylalkylene, substituted or unsubstituted heteroaryloxyalkylene, substituted or unsubstituted cycloalkylalkylene, or a substituted or unsubstituted cycloalkyloxyalkylene;
L is: bond, NH, S, O, C(O), C(O)O, OC(O), NHC(O), C(O)NH, NHC(O)NH, NHC(NH)NH, C(S), substituted or unsubstituted alkylene, substituted or unsubstituted heteroalkylene, substituted or unsubstituted cycloalkylene, substituted or unsubstituted spirocycloalkylene, substituted or unsubstituted heterocycloalkylene, substituted or unsubstituted spiroheterocycloalkylene, substituted or unsubstituted arylene, substituted or unsubstituted heteroarylene or combinations thereof; and
UBM comprises a ubiquitin binding moiety structure of Formula (la):
wherein W is aryl, heteroaryl, or -NH-;
Rb is C1-C4 alkyl;
G and G' are independently H, methyl, ethyl, isopropyl, or hydroxymethyl; or G and G' combine to form a cyclopropyl; m is an integer from 0 to5; each RT is independently halogen, C1-C4 alkyl, C1-C4 alkoxy, cyano, OH, - NH2, cyclopropyl, or cyclobutyl; each of T1, T2, T3, T4, or T5 is independently N, CH, or CRT; wherein 0 to 3 of T1, T2, T3, T4, or T5 are N.
[0006] In another aspect, the present embodiments provide a pharmaceutical composition comprising a pharmaceutically effective amount of the compound disclosed herein, or a pharmaceutically acceptable salt thereof, and a pharmaceutically acceptable excipient.
[0007] In another embodiment, the present embodiments provide a method of treating a subject having cancer, the cancer characterized by the presence of a KRAS G12D
mutation, the method comprising administering to the subject a therapeutically effective amount of a compound disclosed herein, or a pharmaceutically acceptable salt thereof, or a pharmaceutical composition as disclosed herein.
[0008] In another embodiment, the present embodiments provide a method for manufacturing a medicament for treating a subject having cancer, the cancer characterized by the presence of a KRAS G12D mutation, the medicament comprising a conjugate disclosed herein, or a pharmaceutically acceptable salt thereof, or a a pharmaceutical composition as disclosed herein, is used.
[0009] In another embodiment, the present embodiments provide for the use of a conjugate disclosed herein, or a pharmaceutically acceptable salt thereof, or a a pharmaceutical composition as disclosed herein, for the manufacture of a medicament for the treatment of cancer in a subject, the cancer characterized by the presence of a KRAS G12D mutation.
[0010] In another embodiment, the present embodiments provide the conjugates disclosed herein, or a pharmaceutically acceptable salt thereof, or a a pharmaceutical composition as disclosed herein, for use in the treatment of cancer in a subject, the cancer characterized by a KRAS G12D mutation.
DETAILED DESCRIPTION
I. GENERAL
[0011] The present embodiments provide conjugates of selective inhibitors of KRAS G12D exhibiting good selectivity over wild- type KRAS conjugated to ubiquitin binding moieties and are useful for treating a cancer characterized by a KRAS G12D mutation.
II. DEFINITIONS
[0012] Unless specifically indicated otherwise, all technical and scientific terms used herein have the same meaning as commonly understood by those of ordinary skill in the art to which the embodiments belong. In addition, any method or material similar or equivalent to a method or material described herein can be used in the practice of the present embodiments. For purposes of the present embodiments, the following terms are defined.
[0013] ‘ ‘A,” “an,” or “the” as used herein not only include aspects with one member, but also include aspects with more than one member. For instance, the singular forms “a,” “an,” and “the” include plural referents unless the context clearly dictates otherwise.
Thus, for example, reference to “a cell” includes a plurality of such cells and reference to
“the agent” includes reference to one or more agents known to those skilled in the art, and so forth.
[0014] The following chemical functional group definitions are provided to give guidance in understanding their meaning and scope. Those skilled in the art will recognize that these functional groups are being used in a manner consistent with practice of the chemical arts. Any of the following chemical functional groups may be optionally substituted as defined below and each chemical functional group below may itself be an optional substitution.
[0015] The term “acyl,” as used herein, alone or in combination, refers to a carbonyl (C=O) attached to an alkenyl, alkyl, aryl, cycloalkyl, heteroaryl, heterocycloalkyl, or any other moiety were the atom attached to the carbonyl is carbon. An “acetyl” group, which is a type of acyl, refers to a (--C( C) )CH , ) group. An “alkylcarbonyl” or “alkanoyl” group refers to an alkyl group attached to the parent molecular moiety through a carbonyl group. Examples of such groups include, without limitation, methylcarbonyl and ethylcarbonyl. Similarly, an “arylcarbonyl” or “aroyl” group refers to an aryl group attached to the parent molecular moiety through a carbonyl group. Examples of such groups include, without limitation, benzoyl and naphthoyl. Accordingly, generic examples of acyl groups include alkanoyl, aroyl, heteroaroyl, and so on. Specific examples of acyl groups include, without limitation, formyl, acetyl, acryloyl, benzoyl, trifluoroacetyl and the like.
[0016] The term “alkenyl,” as used herein, alone or in combination, refers to a straightchain or branched-chain hydrocarbon radical having one or more double bonds and containing from 2 to 20 carbon atoms. In certain embodiments, the alkenyl may comprise from 2 to 6 carbon atoms, or from 2 to 4 carbons, either of which may be referred to as “lower alkenyl.” The term “alkenylene” refers to a carbon-carbon double bond system attached at two or more positions such as ethenylene (— CH=CH— ). Alkenyl can include any number of carbons, such as C2, C2-3, C2-4, C2-5, C2-6, C2-7, C2-8, C2-9, C2-10, C3, C3-4, C3-5, C3-6, C4, C4-5, C4-6, C5, C5-6, and Ce, and so on up to 20 carbon atoms. Alkenyl groups can have any suitable number of double bonds, including, but not limited to, 1, 2, 3, 4, 5 or more. Examples of alkenyl groups include, but are not limited to, vinyl (ethenyl), propenyl, isopropenyl, 1 -butenyl, 2-butenyl, isobutenyl, butadienyl, 1 -pentenyl,
2 -pentenyl, isopentenyl, 1,3 -pentadienyl, 1 ,4-pentadienyl, 1 -hexenyl, 2-hexenyl,
3-hexenyl, 1,3 -hexadienyl, 1,4-hexadienyl, 1,5 -hexadienyl, 2,4-hexadienyl, or
1,3,5-hexatrienyl. Alkenyl groups can be substituted or unsubstituted. Unless otherwise specified, the term “alkenyl” may include “alkenylene” groups.
[0017] The term “alkoxy,” as used herein, alone or in combination, refers to an alkyl ether radical, wherein the term alkyl is as defined below. Alkoxy groups may have the general formula: alkyl-O-. As for alkyl group, alkoxy groups can have any suitable number of carbon atoms, such as Ci-6. Alkoxy groups include, for example, methoxy, ethoxy, propoxy, iso-propoxy, butoxy, 2-butoxy, iso-butoxy, sec-butoxy, tert-butoxy, pentoxy, hexoxy, and the like. The alkoxy groups can be further optionally substituted as defined herein.
[0018] The term “alkyl,” as used herein, alone or in combination, (sometimes abbreviated Aik) refers to a straight-chain or branched-chain alkyl radical containing from 1 to 20 carbon atoms. In certain embodiments, the alkyl may comprise from 1 to 10 carbon atoms. In further embodiments, the alkyl may comprise from 1 to 6 carbon atoms, or from 1 to 4 carbon atoms. Alkyl can include any number of carbons, such as C1-2, C1-3, C1-4, C1-5, C1-6, C1-7, C1-8, C1-9, Ci-10, C2-3, C2-4, C2-5, C2-6, C3-4, C3-5, C3-6, C4-5, C4-6 and C5-6. For example, Ci-6 alkyl includes, but is not limited to, methyl, ethyl, propyl, isopropyl, butyl, isobutyl, sec-butyl, tert-butyl, pentyl, isopentyl, hexyl, etc. Alkyl can also refer to alkyl groups having up to 20 carbons atoms, such as, but not limited to heptyl, octyl, nonyl, decyl, etc. Alkyl groups can be substituted or unsubstituted. The term “alkylene,” as used herein, alone or in combination, refers to a saturated aliphatic group derived from a straight or branched chain saturated hydrocarbon attached at two or more positions, such as methylene (— CH2— ). Unless otherwise specified, the term “alkyl” may include “alkylene” groups. When the alkyl is methyl, it may be represented structurally as CH3, Me, or just a single bond terminating with no end group substitution.
[0019] The term “alkylamino,” as used herein, alone or in combination, refers to an alkyl group attached to the parent molecular moiety through an amino group. Suitable alkylamino groups may be mono- or dialkylated, forming groups such as, for example, N- methylamino (— NHMe), N-ethylamino (— NHEt), N,N-dimethylamino (— NMe2), N,N- ethylmethylamino (— NMeEt) and the like. The term “aminoalkyl” refers to reverse orientation in which the amino group appears distal to the parent molecular moiety and attachment to the parent molecular moiety is through the alkyl group. For example, NH2(CH2)n — describes an aminoalkyl group with a terminal amine at the end of an alkyl group attached to the parent molecular moiety. The two terms alkylamino and aminoalkyl
can be combined to describe an “alkylaminoalkyl” group in which an alkyl group resides on a nitrogen atom distal to the parent molecular moiety, such as MeNH(CH2)n— . In a similar manner, an aryl group, as defined herein, may combine in a similar fashion providing an arylaminoalkyl group ArNH(CH2)n— . For additional clarity nomenclature may be provided where the group that is attached to nitrogen is indicated so by use of “N-” in the name, such as N-arylaminoalkyl, which is understood to mean that the aryl group is a substituent on the nitrogen atom of the aminoalkyl group, the alkyl being attached the parent molecular moiety.
[0020] The term “alkylidene,” as used herein, alone or in combination, refers to an alkenyl group in which one carbon atom of the carbon-carbon double bond belongs to the moiety to which the alkenyl group is attached.
[0021] The term “alkylthio,” as used herein, alone or in combination, refers to an alkyl thioether (AlkS-) radical wherein the term alkyl is as defined above and wherein the sulfur may be singly or doubly oxidized. Examples of suitable alkyl thioether radicals include methylthio, ethylthio, n-propylthio, isopropylthio, n-butylthio, iso-butylthio, sec-butylthio, tert-butylthio, methanesulfonyl, ethanesulfinyl, and the like. Similarly, “arylthio” refers to arylthioether (ArS-) radical wherein the term aryl is as defined herein and wherein the sulfur may be singly or double oxidized.
[0022] The term “alkynyl,” as used herein, alone or in combination, refers to a straightchain or branched chain hydrocarbon radical having one or more triple bonds and containing from 2 to 20 carbon atoms. In certain embodiments, said alkynyl comprises from 2 to 6 carbon atoms. In further embodiments, said alkynyl comprises from 2 to 4 carbon atoms. The term “alkynylene” refers to a carbon-carbon triple bond attached at two positions such as ethynylene. Alkynyl can include any number of carbons, such as C2, C2-3, C2-4, C2-5, C2-6, C2-7, C2-8, C2-9, C2-10, C3, C34, C3-5, C3-6, C4, C4-5, C4-6, C5, C5-6, and Ce. Examples of alkynyl groups include, but are not limited to, acetylenyl, propynyl, 1-butynyl, 2-butynyl, butadiynyl, 1 -pentynyl, 2-pentynyl, isopentynyl, 1,3 -pentadiynyl,
1.4-pentadiynyl, 1-hexynyl, 2-hexynyl, 3-hexynyl, 1,3 -hexadiynyl, 1 ,4-hexadiynyl,
1.5 -hexadiynyl, 2,4-hexadiynyl, or 1,3,5-hexatriynyl. Alkynyl groups can be substituted or unsubstituted. Unless otherwise specified, the term “alkynyl” may include “alkynylene” groups.
[0023] The terms “amido,” as used herein, alone or in combination, refer to an amino group as described below attached to the parent molecular moiety through a carbonyl
group. The term “C-amido” as used herein, alone or in combination, refers to a — C(=O)N(R)2 group where is R as defined herein. The term “N-amido” as used herein, alone or in combination, refers to RC(=O)N(R')— group, with R and R' as defined herein. The term “acylamino” as used herein, alone or in combination, embraces an acyl group attached to the parent moiety through an amino group. An example of an “acylamino” group is acetylamino (CH3C(O)NH-).
[0024] The term “amino,” as used herein, alone or in combination, refers to — N(R)(R') or — N+(R)(R')(R"), wherein R, R' and R" are independently selected from the group consisting of hydrogen, alkyl, acyl, heteroalkyl, aryl, cycloalkyl, heteroaryl, and heterocycloalkyl, any of which may themselves be optionally substituted.
[0025] The term “amino acid,” as used herein, alone or in combination, means a substituent of the form — NRCH(R')C(O)OH, wherein R is typically hydrogen, but may be cyclized with N (for example, as in the case of the amino acid proline), and R' is selected from the group consisting of hydrogen, alkyl, heteroalkyl, cycloalkyl, heterocycloalkyl, aryl, heteroaryl, amino, amido, cycloalkylalkyl, heterocycloalkylalkyl, arylalkyl, heteroarylalkyl, aminoalkyl, amidoalkyl, hydroxyalkyl, thiol, thioalkyl, alkylthioalkyl, and alkylthio, any of which may be optionally substituted. The term “amino acid” includes all naturally occurring amino acids as well as synthetic analogues.
[0026] The term “aryl,” as used herein, alone or in combination, means a carbocyclic aromatic system containing one, two or three rings wherein such rings may be attached together in a pendent manner or may be fused. The term “aryl” embraces aromatic radicals such as benzyl, phenyl, naphthyl, anthracenyl, phenanthryl, indanyl, indenyl, annulenyl, azulenyl, tetrahydronaphthyl, and biphenyl.
[0027] The term “arylalkenyl” or “aralkenyl,” as used herein, alone or in combination, refers to an aryl group attached to the parent molecular moiety through an alkenyl group. [0028] The term “arylalkoxy” or “aralkoxy,” as used herein, alone or in combination, refers to an aryl group attached to the parent molecular moiety through an alkoxy group. [0029] The term “arylalkyl” or “aralkyl,” as used herein, alone or in combination, refers to an aryl group attached to the parent molecular moiety through an alkyl group.
[0030] The term “arylalkynyl” or “aralkynyl,” as used herein, alone or in combination, refers to an aryl group attached to the parent molecular moiety through an alkynyl group. [0031] The term “arylalkanoyl” or “aralkanoyl” or “aroyl,” as used herein, alone or in combination, refers to an acyl radical derived from an aryl-substituted alkanecarboxylic
acid such as benzoyl, naphthoyl, phenylacetyl, 3 -phenylpropionyl (hydrocinnamoyl), 4- phenylbutyryl, (2-naphthyl)acetyl, 4-chlorohydrocinnamoyl, and the like.
[0032] The term aryloxy as used herein, alone or in combination, refers to an aryl group attached to the parent molecular moiety through an oxy.
[0033] The terms “benzo” and “benz,” as used herein, alone or in combination, refer to the divalent radical C6 H4 derived from benzene. Examples include benzothiophene and benzimidazole.
[0034] The term “carbamate,” as used herein, alone or in combination, refers to an ester of carbamic acid (— NHCOO— ) which may be attached to the parent molecular moiety from either the nitrogen or acid (oxygen) end, and which may be optionally substituted as defined herein.
[0035] The term “O-carbamyl” as used herein, alone or in combination, refers to a — OC(O)NRR', group, with R and R' as defined herein.
[0036] The term “N-carbamyl” as used herein, alone or in combination, refers to a ROC(O)NR'— group, with R and R' as defined herein.
[0037] The term “carbonyl,” as used herein, when alone includes formyl [— C(=O)H] and in combination is a — C(=O)— group.
[0038] The term “carboxyl” or “carboxyl,” as used herein, refers to — C(=O)OH, O- carboxy, C-carboxy, or the corresponding “carboxylate” anion, such as is in a carboxylic acid salt. An “O-carboxy” group refers to a RC(=O)O— group, where R is as defined herein. A “C-carboxy” group refers to a — C(=O)OR groups where R is as defined herein. [0039] The term “cyano,” as used herein, alone or in combination, refers to — CN.
[0040] The term “cycloalkyl,” or, alternatively, “carbocycle,” as used herein, alone or in combination, refers to a saturated or partially saturated monocyclic, bicyclic or tricyclic alkyl radical wherein each cyclic moiety contains from 3 to 12 carbon atom ring members and which may optionally be a benzo fused ring system which is optionally substituted as defined herein. In some embodiments, a cycloalkyl may comprise from from 3 to 7 carbon atoms, or from 5 to 7 carbon atoms. Examples of such cycloalkyl radicals include cyclopropyl, cyclobutyl, cyclopentyl, cyclohexyl, cycloheptyl, octahydronaphthyl, 2,3- dihydro-lH-indenyl, adamantyl and the like. “Bicyclic” and “tricyclic” as used herein are intended to include both fused ring systems, such as decahydronaphthalene, octahydronaphthalene as well as the multicyclic (multicentered) saturated or partially
unsaturated type. The latter type of isomer is exemplified in general by, bicyclo[l.l.l]pentane, camphor, adamantane, and bicyclo[3.2.1]octane.
[0041] The term “ester,” as used herein, alone or in combination, refers to a carboxyl group bridging two moieties linked at carbon atoms (-CRR’C(=O)OCRR’-), where each R and R’ are independent and defined herein.
[0042] The term “ether,” as used herein, alone or in combination, typically refers to an oxy group bridging two moieties linked at carbon atoms. “Ether” may also include polyethers, such as, for example, -RO(CH2)2O(CH2)2O(CH2)2OR', — RO(CH2)2O(CH2)2OR', -RO(CH2)2OR', and -RO(CH2)2OH.
[0043] The term “halo,” or “halogen,” as used herein, alone or in combination, refers to fluorine, chlorine, bromine, or iodine.
[0044] The term “haloalkoxy,” as used herein, alone or in combination, refers to a haloalkyl group attached to the parent molecular moiety through an oxygen atom.
[0045] The term “haloalkyl,” as used herein, alone or in combination, refers to an alkyl radical having the meaning as defined above wherein one or more hydrogens are replaced with a halogen. Specifically embraced are monohaloalkyl, dihaloalkyl, trihaloalkyl and polyhaloalkyl radicals. A monohaloalkyl radical, for one example, may have an iodo, bromo, chloro or fluoro atom within the radical. Dihalo and polyhaloalkyl radicals may have two or more of the same halo atoms or a combination of different halo radicals.
Examples of haloalkyl radicals include fluoromethyl, difluoromethyl, trifluoromethyl, chloromethyl, dichloromethyl, trichloromethyl, pentafluoroethyl, heptafluoropropyl, difluorochloromethyl, dichlorofluoromethyl, difluoroethyl, difluoropropyl, dichloroethyl and dichloropropyl. “Haloalkylene” refers to a haloalkyl group attached at two or more positions. Examples include fluoromethylene (-CFH-), difluoromethylene (-CF2-), chloromethylene (-CHC1— ) and the like.
[0046] The term “heteroalkyl,” as used herein, alone or in combination, refers to a stable straight or branched chain, or cyclic hydrocarbon radical, or combinations thereof, fully saturated or containing from 1 to 3 degrees of unsaturation, consisting of the stated number of carbon atoms and from one to three heteroatoms selected from the group consisting of O, N, and S, and wherein the nitrogen and sulfur atoms may optionally be oxidized and the nitrogen heteroatom may optionally be quatemized (i.e. bond to 4 groups). The heteroatom(s) O, N and S may be placed at any interior position of the
heteroalkyl group. Up to two heteroatoms may be consecutive, such as, for example, - CH2NHOCH3. The term heteroalkyl may include ethers.
[0047] The term “heteroaryl,” as used herein, alone or in combination, refers to 3 to 7 membered unsaturated heteromonocyclic rings, or fused polycyclic rings, each of which is 3 to 7 membered, in which at least one of the fused rings is unsaturated, wherein at least one atom is selected from the group consisting of O, S, and N. In some embodiments, a heteroaryl may comprise from 5 to 7 carbon atoms. The term also embraces fused polycyclic groups wherein heterocyclic radicals are fused with aryl radicals, wherein heteroaryl radicals are fused with other heteroaryl radicals, or wherein heteroaryl radicals are fused with cycloalkyl radicals. Non-limiting examples of heteroaryl groups include pyrrolyl, pyrrolinyl, imidazolyl, pyrazolyl, pyridyl, pyrimidinyl, pyrazinyl, pyridazinyl, triazolyl, pyranyl, furyl, thienyl, oxazolyl, isoxazolyl, oxadiazolyl, thiazolyl, thiadiazolyl, isothiazolyl, indolyl, isoindolyl, indolizinyl, benzimidazolyl, quinolyl, isoquinolyl, quinoxalinyl, quinazolinyl, indazolyl, benzotriazolyl, benzodioxolyl, benzopyranyl, benzoxazolyl, benzoxadiazolyl, benzothiazolyl, benzothiadiazolyl, benzofuryl, benzothienyl, chromonyl, coumarinyl, benzopyranyl, tetrahydroquinolinyl, tetrazolopyridazinyl, tetrahydroisoquinolinyl, thienopyridinyl, furopyridinyl, pyrrolopyridinyl and the like. Exemplary tricyclic heterocyclic groups include carbazolyl, benzidolyl, phenanthrolinyl, dibenzofuranyl, acridinyl, phenanthridinyl, xanthenyl and the like.
[0048] Heteroaryl groups can include any number of ring atoms, such as, 5 to 6, 3 to 8, 4 to 8, 5 to 8, 6 to 8, 3 to 9, 3 to 10, 3 to 11, or 3 to 12 ring members. Any suitable number of heteroatoms can be included in the heteroaryl groups, such as 1, 2, 3, 4, or 5, or 1 to 2, 1 to 3, 1 to 4, 1 to 5, 2 to 3, 2 to 4, 2 to 5, 3 to 4, or 3 to 5. Heteroaryl groups can have from 5 to 8 ring members and from 1 to 4 heteroatoms, or from 5 to 8 ring members and from 1 to 3 heteroatoms, or from 5 to 6 ring members and from 1 to 4 heteroatoms, or from 5 to 6 ring members and from 1 to 3 heteroatoms. The heteroaryl group can include groups such as pyrrole, pyridine, imidazole, pyrazole, triazole, tetrazole, pyrazine, pyrimidine, pyridazine, triazine (1,2,3-, 1,2,4- and 1,3,5-isomers), thiophene, furan, thiazole, isothiazole, oxazole, and isoxazole. The heteroaryl groups can also be fused to aromatic ring systems, such as a phenyl ring, to form members including, but not limited to, benzopyrroles such as indole and isoindole, benzopyridines such as quinoline and isoquinoline, benzopyrazine (quinoxaline), benzopyrimidine (quinazoline),
benzopyridazines such as phthalazine and cinnoline, benzothiophene, and benzofuran. Other heteroaryl groups include heteroaryl rings linked by a bond, such as bipyridine. Heteroaryl groups can be substituted or unsubstituted.
[0049] The heteroaryl groups can be linked via any position on the ring. For example, pyrrole includes 1-, 2- and 3-pyrrole, pyridine includes 2-, 3- and 4-pyridine, imidazole includes 1-, 2-, 4- and 5-imidazole, pyrazole includes 1-, 3-, 4- and 5-pyrazole, triazole includes 1-, 4- and 5-triazole, tetrazole includes 1- and 5-tetrazole, pyrimidine includes 2-, 4-, 5- and 6- pyrimidine, pyridazine includes 3- and 4-pyridazine, 1,2, 3 -triazine includes 4- and 5-triazine, 1 ,2,4-triazine includes 3-, 5- and 6-triazine, 1,3,5-triazine includes 2- triazine, thiophene includes 2- and 3 -thiophene, furan includes 2- and 3 -furan, thiazole includes 2-, 4- and 5-thiazole, isothiazole includes 3-, 4- and 5-isothiazole, oxazole includes 2-, 4- and 5-oxazole, isoxazole includes 3-, 4- and 5-isoxazole, indole includes 1-, 2- and 3 -indole, isoindole includes 1- and 2-isoindole, quinoline includes 2-, 3- and 4- quinoline, isoquinoline includes 1-, 3- and 4-isoquinoline, quinazoline includes 2- and 4- quinoazoline, cinnoline includes 3- and 4-cinnoline, benzothiophene includes 2- and 3- benzothiophene, and benzo furan includes 2- and 3 -benzo furan.
[0050] Some heteroaryl groups include those having from 5 to 10 ring members and from 1 to 3 ring atoms including N, O or S, such as pyrrole, pyridine, imidazole, pyrazole, triazole, pyrazine, pyrimidine, pyridazine, triazine (1,2,3-, 1,2,4- and 1,3, 5 -isomers), thiophene, furan, thiazole, isothiazole, oxazole, isoxazole, indole, isoindole, quinoline, isoquinoline, quinoxaline, quinazoline, phthalazine, cinnoline, benzothiophene, and benzofuran. Other heteroaryl groups include those having from 5 to 8 ring members and from 1 to 3 heteroatoms, such as pyrrole, pyridine, imidazole, pyrazole, triazole, pyrazine, pyrimidine, pyridazine, triazine (1,2,3-, 1,2,4- and 1,3,5-isomers), thiophene, furan, thiazole, isothiazole, oxazole, and isoxazole. Some other heteroaryl groups include those having from 9 to 12 ring members and from 1 to 3 heteroatoms, such as indole, isoindole, quinoline, isoquinoline, quinoxaline, quinazoline, phthalazine, cinnoline, benzothiophene, benzofuran and bipyridine. Still other heteroaryl groups include those having from 5 to 6 ring members and from 1 to 2 ring atoms including N, O or S, such as pyrrole, pyridine, imidazole, pyrazole, pyrazine, pyrimidine, pyridazine, thiophene, furan, thiazole, isothiazole, oxazole, and isoxazole.
[0051] The terms “heterocycloalkyl” and, interchangeably, “heterocycle,” or “heterocyclyl” as used herein, alone or in combination, each refer to a saturated, partially
unsaturated, or fully unsaturated monocyclic, bicyclic, spirocyclic, or tricyclic heterocyclic radical containing at least one heteroatom as ring members, wherein each heteroatom may be independently selected from the group consisting of nitrogen, oxygen, and sulfur. In certain embodiments, a heterocycloalkyl may comprise from 1 to 4 heteroatoms as ring members. In further embodiments, a heterocycloalkyl may comprise from 1 to 2 heteroatoms ring members. In some embodiments, a heterocycloalkyl may comprise from 3 to 8 ring members in each ring. In further embodiments, a heterocycloalkyl may comprise from 3 to 7 ring members in each ring. In yet further embodiments, a heterocycloalkyl may comprise from 5 to 6 ring members in each ring. “Heterocycloalkyl” and “heterocycle” are intended to include sugars, sulfones, sulfoxides, N-oxides of tertiary nitrogen ring members, and carbocyclic fused and benzo fused ring systems; additionally, both terms also include systems where a heterocycle ring is fused to an aryl group, as defined herein, or an additional heterocycle group. Examples of heterocycloalkyl groups include aziridinyl, azetidinyl, 1,3-benzodioxolyl, dihydroisoindolyl, dihydroisoquinolinyl, dihydrocinnolinyl, dihydrobenzodioxinyl, dihydro [1,3] oxazolo[4,5-b]pyridinyl, benzothiazolyl, dihydroindolyl, dihy-dropyridinyl, 1,3-dioxanyl, 1 ,4-dioxanyl, 1,3- dioxolanyl, epoxy, isoindolinyl, morpholinyl, piperazinyl, pyrrolidinyl, tetrahydropyridinyl, piperidinyl, thiomorpholinyl, hexahydro- I H/-pyrrol izine and the like. The heterocycloalkyl groups may be optionally substituted unless specifically prohibited. [0052] “Heterocycloalkyl” may refer to a saturated ring system having from 3 to 12 ring members and from 1 to 5 heteroatoms of N, O and S. The heteroatoms can also be oxidized, such as, but not limited to, S(O) and S(O)2 . Heterocycloalkyl groups can include any number of ring atoms, such as, 3 to 6, 4 to 6, 5 to 6, 3 to 8, 4 to 8, 5 to 8, 6 to 8, 3 to 9, 3 to 10, 3 to 1 1, or 3 to 12 ring members. Any suitable number of heteroatoms can be included in the heterocycloalkyl groups, such as 1, 2, 3, 4, or 5, or 1 to 2, 1 to 3, 1 to 4, 1 to 5, 2 to 3, 2 to 4, 2 to 5, 3 to 4 or 3 to 5. The heterocycloalkyl group can include any number of carbons, such as C3-6, C4-6, C5-6, C3-8, C4-8, C5-8, Ce-8, C3-9, C3-10, C3-11, and C3-12. The heterocycloalkyl group can include groups such as aziridine, azetidine, pyrrolidine, piperidine, azepane, diazepane, azocane, quinuclidine, pyrazolidine, imidazolidine, piperazine (1,2-, 1,3- and 1,4-isomers), oxirane, oxetane, tetrahydrofuran, oxane (tetrahydropyran), oxepane, thiirane, thietane, thiolane (tetrahydrothiophene), thiane (tetrahydrothiopyran), oxazolidine, isoxazolidine, thiazolidine, isothiazolidine, dioxolane, dithiolane, morpholine, thiomorpholine, dioxane, or dithiane. The heterocycloalkyl
groups can also be fused to aromatic or non-aromatic ring systems to form members including, but not limited to, indoline, diazabicycloheptane, diazabicyclooctane, diazaspirooctane or diazaspirononane. Heterocycloalkyl groups can be unsubstituted or substituted. For example, heterocycloalkyl groups can be substituted with Cl 6 alkyl or oxo (=0), among many others. Heterocycloalkyl groups can also include a double bond or a triple bond, such as, but not limited to dihydropyridine or 1,2,3,6-tetrahydropyridine. [0053] The heterocycloalkyl groups can be linked via any position on the ring. For example, aziridine can be 1- or 2-aziridine, azetidine can be 1- or 2- azetidine, pyrrolidine can be 1-, 2- or 3 -pyrrolidine, piperidine can be 1-, 2-, 3- or 4-piperidine, pyrazolidine can be 1-, 2-, 3-, or 4-pyrazolidine, imidazolidine can be 1-, 2-, 3- or 4-imidazolidine, piperazine can be 1-, 2-, 3- or 4-piperazine, tetrahydrofuran can be 1- or 2-tetrahydrofuran, oxazolidine can be 2-, 3-, 4- or 5-oxazolidine, isoxazolidine can be 2-, 3-, 4- or 5- isoxazolidine, thiazolidine can be 2-, 3-, 4- or 5-thiazolidine, isothiazolidine can be 2-, 3-, 4- or 5- isothiazolidine, morpholine can be 2-, 3- or 4-morpholine, and hexahydro- \H- pyrrolizine can be 1-, 2-, 3-, 5-, 6-, 7-, 7a- hexahydro- 1/7-pyrrolizine.
[0054] When heterocycloalkyl includes 3 to 8 ring members and 1 to 3 heteroatoms, representative members include, but are not limited to, pyrrolidine, piperidine, tetrahydrofuran, oxane, tetrahydrothiophene, thiane, pyrazolidine, imidazolidine, piperazine, oxazolidine, isoxzoalidine, thiazolidine, isothiazolidine, morpholine, thiomorpholine, dioxane and dithiane. Heterocycloalkyl can also form a ring having 5 to 6 ring members and 1 to 2 heteroatoms, with representative members including, but not limited to, pyrrolidine, piperidine, tetrahydrofuran, tetrahydrothiophene, pyrazolidine, imidazolidine, piperazine, oxazolidine, isoxazolidine, thiazolidine, isothiazolidine, and morpholine.
[0055] The term “hydrazinyl” as used herein, alone or in combination, refers to two amino groups joined by a single bond, i.e., -N-N-. In general, the hydrazinyl group has optional substitution on at least one NH hydrogen to confer stability.
[0056] The term “hydroxamic acid” or its ester as used herein, refers to — C(O)ON(R)O(R'), wherein R and R' are as defined herein, or the corresponding “hydroxamate” anion, including any corresponding hydroxamic acid salt.
[0057] The term “hydroxy,” as used herein, alone or in combination, refers to OH. [0058] The term “hydroxyalkyl,” as used herein, alone or in combination, refers to a hydroxy group attached to the parent molecular moiety through an alkyl group.
“Hydroxyalkyl” or “alkylhydroxy” refers to an alkyl group, as defined above, where at least one of the hydrogen atoms is replaced with a hydroxy group. As for the alkyl group, hydroxyalkyl or alkylhydroxy groups can have any suitable number of carbon atoms, such as C1-6. Exemplary 41-6 hydroxyalkyl groups include, but are not limited to, hydroxymethyl, hydroxyethyl (where the hydroxy is in the 1 or 2position), hydroxypropyl (where the hydroxy is in the 1, 2 or 3position), hydroxybutyl (where the hydroxy is in the 1, 2, 3 or 4position), 1 ,2dihydroxyethyl, and the like.
[0059] The term “imino,” as used herein, alone or in combination, refers to C=NR. [0060] The term “iminohydroxy,” as used herein, alone or in combination, refers to C=N(OH) and it O-ether C=N— OR.
[0061] The term “isocyanato” refers to a — NCO group.
[0062] The term “isothiocyanato” refers to a — NCS group.
[0063] The phrase “linear chain of atoms” refers to the longest straight chain of atoms independently selected from carbon, nitrogen, oxygen and sulfur.
[0064] The term “linking group,” as used herein refers to any nitrogen containing organic fragment that serves to connect the pyrimidine or pyridone core of the compounds disclosed herein to the electrophilic moiety E, as defined herein. Exemplary linking groups include piperazines, aminoalkyls, alkyl- or aryl-based diamines, aminocycloalkyls, amine - containing spirocyclics, any of which may be optionally substituted as defined herein. In some embodiments, linking groups may comprise the substructure L-Q-L’-E wherein Q is a monocyclic 4 to 7 membered ring or a bicyclic, bridged, or fused, or spiro 6- 11 membered ring, any of which optionally include one or more nitrogen atoms, E is the electrophilic group, L is bond, Ci-6 alkylene, — O — C0-5 alkylene, — S — C0-5 alkylene, or — NH — C0-5 alkylene, and for C2-6 alkylene, — O — C2-5 alkylene, — S — C2-5 alkylene, and NH — C2-5 alkylene, one carbon atom of any of the alkylene groups can optionally be replaced with O, S, or NH; and L’ is bond when Q comprises a nitrogen to link to E, otherwise L’ is NR, where R is hydrogen or alkyl.
[0065] The term “lower,” as used herein, alone or in combination, means containing from 1 to and including 6 carbon atoms, or from 1 to 4 carbon atoms.
[0066] The term “mercaptyl” as used herein, alone or in combination, refers to an RS— group, where R is as defined herein.
[0067] The term “nitro,” as used herein, alone or in combination, refers to — NO2.
[0068] The terms “oxy” or “oxa,” as used herein, alone or in combination, refer to — O— .
[0069] The term “oxo,” as used herein, alone or in combination, refers to =0.
[0070] The term “perhaloalkoxy” refers to an alkoxy group where all of the hydrogen atoms are replaced by halogen atoms.
[0071] The term “perhaloalkyl” as used herein, alone or in combination, refers to an alkyl group where all of the hydrogen atoms are replaced by halogen atoms.
[0072] The term “phosphoamide” as used herein, alone or in combination, refers to a phosphate group [(OH)2P(=O)O-] in which one or more of the hydroxyl groups has been replaced by nitrogen, amino, or amido.
[0073] The term “phosphonate” as used herein, alone or in combination, refers to a group of the form ROP(OR')(OR)O— wherein R and R' are selected from the group consisting of hydrogen, alkyl, acyl, heteroalkyl, aryl, cycloalkyl, heteroaryl, and heterocycloalkyl, any of which may themselves be optionally substituted. “Phosphonate” includes “phosphate [(OH)2P(O)O— ] and related phosphoric acid anions which may form salts.
[0074] The terms “sulfonate,” “sulfonic acid,” and “sulfonic,” as used herein, alone or in combination, refers to the -SO3H group and its anion as the sulfonic acid is used in salt formation or sulfonate ester where OH is replaced by OR, where R is not hydrogen, but otherwise is as defined herein, and typically being alkyl or aryl.
[0075] The term “sulfanyl,” as used herein, alone or in combination, refers to — S— .
[0076] The term “sulfinyl,” as used herein, alone or in combination, refers to — S(O)— .
[0077] The term “sulfonyl,” as used herein, alone or in combination, refers to — S(O)2-.
[0078] The term “N-sulfonamido” refers to a RS(=O)2NR'— group with R and R' as defined herein.
[0079] The term “S-sulfonamido” refers to a -S(=O)2NRR', group, with R and R' as defined herein.
[0080] The terms “thia” and “thio,” as used herein, alone or in combination, refer to a — S- group or an ether wherein the oxygen is replaced with sulfur. The oxidized derivatives of the thio group, namely sulfinyl and sulfonyl, are included in the definition of thia and thio.
[0081] The term “thiol,” as used herein, alone or in combination, refers to an — SH group.
[0082] The term “thiocarbonyl,” as used herein, when alone includes thioformyl — C(=S)H and in combination is a — C(=S)— group.
[0083] The term “,V-th iocarbamyl” refers to an ROC(=S)NR'— group, with R and R' as defined herein.
[0084] The term “O-thiocarbamyl” refers to a — OC(=S)NRR', group with R and R' as defined herein.
[0085] The term “thiocyanato” refers to a — CNS group.
[0086] The term “trihalomethanesulfonamido” refers to a X3CSWOfiNR— group with X is a halogen and R as defined herein.
[0087] The term “trihalomethanesulfonyl” refers to a X3CS(=O)2- group where X is a halogen.
[0088] The term “trihalomethoxy” refers to a X3CO— group where X is a halogen.
[0089] The term “trisubstituted silyl,” as used herein, alone or in combination, refers to a silicone group substituted at its three free valences with groups as listed herein under the definition of substituted amino. Examples include trimethysilyl, tert-butyldimethylsilyl, triphenylsilyl and the like.
[0090] Any definition herein may be used in combination with any other definition to describe a composite structural group. By convention, the trailing element of any such definition is that which attaches to the parent moiety. For example, the composite group alkylamido would represent an alkyl group attached to the parent molecule through an amido group, and the term alkoxyalkyl would represent an alkoxy group attached to the parent molecule through an alkyl group.
[0091] When a group is defined to be “null,” what is meant is that said group is absent. A “null” group occurring between two other group may also be understood to be a collapsing of flanking groups. For example, if in -(CH2)XG1G2G3, the element G2 were null, said group would become — (CH2)XG1G3.
[0092] The term “optionally substituted” means the anteceding group or groups may be substituted or unsubstituted. Groups constituting optional substitution may themselves be optionally substituted. For example, where an alkyl group is embraced by an optional substitution, that alkyl group itself may also be optionally substituted. When substituted, the substituents of an “optionally substituted” group may include, without limitation, one or more substituents independently selected from the following groups or a particular designated set of groups, alone or in combination: alkyl, alkenyl, alkynyl, alkanoyl, heteroalkyl, heterocycloalkyl, haloalkyl, haloalkenyl, haloalkynyl, lower perhaloalkyl, perhaloalkoxy, cycloalkyl, phenyl, aryl, aryloxy, alkoxy, haloalkoxy, oxo, acyloxy,
carbonyl, carboxyl, alkylcarbonyl, carboxyester, carboxamido, cyano, hydrogen, halogen, hydroxy, amino, alkylamino, arylamino, amido, nitro, thiol, alkylthio, haloalkylthio, perhaloalkylthio, arylthio, sulfonate, sulfonic acid, trisubstituted silyl, N3, SH, SCH3, C(O)CH3, CO2CH3, CO2H, pyridinyl, thiophene, furanyl, carbamate, and urea. Particular subsets of optional substitution include, without limitation: (1) alkyl, halo, and alkoxy; (2) alkyl and halo; (3) alkyl and alkoxy; (4) alkyl, aryl, and heteroaryl; (5) halo and alkoxy; and (6) hydroxyl, alkyl, halo, alkoxy, and cyano. Where an optional substitution comprises a heteroatom-hydrogen bond (-NH-, SH, OH), further optional substitution of the heteroatom hydrogen is contemplated and includes, without limitation optional substitution with alkyl, acyl, alkoxymethyl, alkoxyethyl, arylsulfonyl, alkyl sulfonyl, any of which are further optionally substituted. These subsets of optional substitutions are intended to be merely exemplary and any combination of 2 to 5, or 2 to 10, or 2 to 20 of the groups recited above up to all the group recited above and any subrange in between are contemplated. “Optionally substituted” may include any of the chemical functional groups defined hereinabove and throughout this disclosure. Two optional substituents may be joined together to form a fused five-, six-, or seven-membered carbocyclic or heterocyclic ring consisting of zero to three heteroatoms, for example forming methylenedioxy or ethylenedioxy. An optionally substituted group may be unsubstituted (e.g., -CH2CH3), fully substituted (e.g., -CF2CF3), monosubstituted (e.g., -CH2CH2F) or substituted at a level anywhere in-between fully substituted and monosubstituted (e.g., -CH2CF3).
[0093] The various optional substitutions need not be the same and any combination of optional substituent groups may be combined. For example, a carbon chain may be substituted with an alkyl group, a halo group, and an alkoxy group. Where substituents are recited without qualification as to substitution, both substituted and unsubstituted forms are encompassed. Where a substituent is qualified as “substituted,” the substituted form is specifically intended. Additionally, different sets of optional substituents to a particular moiety may be defined as needed; in these cases, the optional substitution will be as defined, often immediately following the phrase, “optionally substituted with.”
[0094] The term R or the term R', appearing by itself and without a number designation, unless otherwise defined, refers to a moiety selected from the group consisting of hydrogen, hydroxyl, halogen, alkyl, cycloalkyl, heteroalkyl, aryl, heteroaryl and heterocycloalkyl, any of which may be optionally substituted. Each such R and R' groups should be understood to be optionally substituted as defined herein. Each incidence of R
and R’ should be understood to be independent. Whether an R group has a number designation or not, every R group, including R, R' and Rn where n = (1, 2, 3, . . . n), every substituent, and every term should be understood to be independent of every other in terms of selection from a group. Should any variable, substituent, or term (e.g. aryl, heterocycle, R, etc.) occur more than one time in a formula or generic structure, its definition at each occurrence is independent of the definition at every other occurrence. Those of skill in the art will further recognize that certain groups may be attached to a parent molecule or may occupy a position in a chain of elements from either end as written. Thus, by way of example only, an unsymmetrical group such as — C(O)N(R)— may be attached to the parent moiety at either the carbon or the nitrogen.
[0095] The groups defined above can optionally be substituted by any suitable number and type of subsituents. Representative substituents include, but are not limited to, halogen, haloalkyl, haloalkoxy, -OR’,
-0, -OC(O)R’, -(O)R’, -O2R’, -ONR’R”, -OC(O)NR’R”, =NR’, N-OR’, -NR’R”, -NR”C(O)R’, -NR’-(O)NR”R”’, -NR”C(O)OR’, -NH-(NH2)=NH, -NR’C(NI 12) N I I, -NH-(NH2)=NR’, -SR’, -S(O)R’, -S(O)2R’, -S(O)2NR ’R”, -NR’S(O)2R”, -NS and -NO2. R’, R” and R’” each independently refer to hydrogen, unsubstituted alkyl, such as unsubstituted Ci-6 alkyl. Alternatively, R’ and R”, or R” and R’”, when attached to the same nitrogen, are combined with the nitrogen to which they are attached to form a heterocycloalkyl or heteroaryl ring, as defined above.
[0096] “Conjugate” refers to compounds disclosed herein that are constructed by linking two components, a binder of KRAS having the G12D mutation and ubiquitin binding moiety. The term “conjugate” and “compound” may be used interchangeably.
[0097] “Ubiquitin binding moiety,” or “UBM,” refers to a portion of the conjugates, as set forth herein, that is capable of binding to an E3 ubiquitin ligase. In embodiments, the UBM is a monovalent form of a E3 ubiquitin ligase ligand that is covalently bonded in the conjugate. In embodiments, the UBM is a divalent form of a E3 ubiquitin ligase ligand that is integrated into the conjugate. The substrate recognition subunits of E3 ubiquitin ligases include, for example, Von Hippel-Lindau (VHL), cereblon (CRBN), inhibitor of apoptosis (IAP), and mouse double minute 2 homolog (MDM2) ligases.
[0098] “ Salt” refers to acid or base salts of the compounds, which can be used in the methods disclosed herein. Illustrative examples of pharmaceutically acceptable salts are mineral acid (hydrochloric acid, hydrobromic acid, phosphoric acid, and the like) salts,
organic acid (acetic acid, propionic acid, glutamic acid, citric acid and the like) salts, quaternary ammonium (methyl iodide, ethyl iodide, and the like) salts. It is understood that the pharmaceutically acceptable salts are non-toxic. Additional information on suitable pharmaceutically acceptable salts can be found in Remington's Pharmaceutical Sciences, 17th ed., Mack Publishing Company, Easton, Pa., 1985, which is incorporated herein by reference.
[0099] Pharmaceutically acceptable salts of the acidic compounds disclosed herein are salts formed with bases, namely cationic salts such as alkali and alkaline earth metal salts, such as sodium, lithium, potassium, calcium, magnesium, as well as ammonium salts, such as ammonium, trimethyl-ammonium, diethylammonium, and tris-(hydroxymethyl)-methyl-ammonium salts.
[0100] Similarly acid addition salts, such as of mineral acids, organic carboxylic and organic sulfonic acids, e.g., hydrochloric acid, methanesulfonic acid, maleic acid, are also possible provided a basic group, such as pyridyl, constitutes part of the structure.
[0101] The neutral forms of the compounds may be regenerated by contacting the salt with a base or acid and isolating the parent compound in the conventional manner. The parent form of the compound differs from the various salt forms in certain physical properties, such as solubility in polar solvents, but otherwise the salts are equivalent to the parent form of the compound for the purposes of the present embodiments.
[0102] Certain compounds disclosed herein possess asymmetric carbon atoms (optical centers) or double bonds; the racemates, diastereomers, geometric isomers and individual isomers are all intended to be encompassed within the scope of the present embodiments. [0103] “Hydrate” refers to a compound that is complexed to at least one water molecule. The compounds disclosed herein can be complexed with from 1 to 10 water molecules.
[0104] “Composition” as used herein is intended to encompass a product comprising the specified ingredients in the specified amounts, as well as any product, which results, directly or indirectly, from combination of the specified ingredients in the specified amounts. By “pharmaceutically acceptable” it is meant the carrier, diluent or excipient must be compatible with the other ingredients of the formulation and deleterious to the recipient thereof.
[0105] “Pharmaceutically acceptable excipient” refers to a substance that aids the administration of an active agent to and absorption by a subject. Pharmaceutical excipients useful in the present embodiments include, but are not limited to, binders,
fillers, disintegrants, lubricants, coatings, sweeteners, flavors and colors. One of skill in the art will recognize that other pharmaceutical excipients are useful in the present embodiments.
[0106] ‘ ‘Treat”, “treating” and “treatment” refers to any indicia of success in the treatment or amelioration of an injury, pathology, condition, or symptom (e.g., pain), including any objective or subjective parameter such as abatement; remission; diminishing of symptoms or making the symptom, injury, pathology or condition more tolerable to the patient; decreasing the frequency or duration of the symptom or condition; or, in some situations, preventing the onset of the symptom. The treatment or amelioration of symptoms can be based on any objective or subjective parameter; including, e.g., the result of a physical examination.
[0107] “Administering” refers to oral administration, administration as a suppository, topical contact, parenteral, intravenous, intraperitoneal, intramuscular, intralesional, intranasal or subcutaneous administration, intrathecal administration, or the implantation of a slow-release device e.g., a mini-osmotic pump, to the subject.
[0108] “Therapeutically effective amount or dose” or “therapeutically sufficient amount or dose” or “effective or sufficient amount or dose” refer to a dose that produces therapeutic effects for which it is administered. The exact dose will depend on the purpose of the treatment, and will be ascertainable by one skilled in the art using known techniques (see, e.g., Lieberman, Pharmaceutical Dosage Forms (vols. 1-3, 1992); Lloyd, The Art, Science and Technology of Pharmaceutical Compounding (1999); Pickar, Dosage Calculations (1999); and Remington: The Science and Practice of Pharmacy, 20th Edition, 2003, Gennaro, Ed., Lippincott, Williams & Wilkins). In sensitized cells, the therapeutically effective dose can often be lower than the conventional therapeutically effective dose for non-sensitized cells.
[0109] “Subject” refers to animals such as mammals, including, but not limited to, primates (e.g., humans), cows, sheep, goats, horses, dogs, cats, rabbits, rats, mice and the like. In certain embodiments, the subject is a human.
III. COMPOUNDS
[0110] The present embodiments provide compounds of Formula (I):
wherein t is an integer from 0 to 4; each V is independently selected from methyl, cyanomethyl, or any two V combine to form a bridge or spirocycle structure, optionally comprising a heteroatom in the bridge or spirocycle selected from S, SO2, O or N, and wherein the bridge or spirocycle structure is optionally substituted with oxo (=0);
Ar is selected from 6- to 10-membered aryl, 5-10 membered heteroaryl; wherein the 5-10 membered heteroaryl ring contains 1 to 4 heteroatoms independently selected from O, N and S; and wherein Ar is optionally substituted with 1 to 5 substituents independently selected from the group consisting of OH, oxo (=0), halo, CN, NR'R", CM alkyl, CF3, C1-4 haloalkyl, C1-4 alkoxy, C3-4 cycloalkyl, C2-4 alkynyl; wherein R’ and R” are independently selected from alkyl and hydrogen;
R1 is Ci-Ce alkyl, 4-10 membered heterocyclyl, 3-10 membered cycloalkyl, 6-10 membered aryl or 5-10 membered heteroaryl, wherein said Ci-Ce alkyl, heterocyclyl, cycloalkyl, aryl and heteroaryl are optionally substituted with OH, halo, CN, CF3, C1-4 alkyl, CM alkoxy, C3-4 cycloalkyl, C3-4 cycloalkoxy, and C1-3 alkyl-OH;
X is C-H, C-halo, C-C1-3 alkyl, C-CF3, C-C1-3 haloalkyl, C- C3-4 cycloalkyl, C- cyano, or N;
Y is O, NR2, S, or absent, wherein R2 is H or C1-4 alkyl;
Y’ is C1-3 alkyl or absent;
Z is O, NRZ, S, or absent; wherein Rz is hydrogen or methyl;
Z’ is null, substituted or unsubstituted alkylene, substituted or unsubstituted heterocyclylalkylene, substituted or unsubstituted heterocyclyloxyalkylene, substituted or unsubstituted alkoxalkylene, substituted or unsubstituted heteroalkylene, substituted or unsubstituted arylalkylene, substituted or unsubstituted aryloxyalkylene, substituted or
unsubstituted heteroarylalkylene, substituted or unsubstituted heteroaryloxyalkylene, substituted or unsubstituted cycloalkylalkylene, or a substituted or unsubstituted cycloalkyloxyalkylene;
L is: bond, NH, S, O, C(O), C(O)O, OC(O), NHC(O), C(O)NH, NHC(O)NH, NHC(NH)NH, C(S), substituted or unsubstituted alkylene, substituted or unsubstituted heteroalkylene, substituted or unsubstituted cycloalkylene, substituted or unsubstituted spirocycloalkylene, substituted or unsubstituted heterocycloalkylene, substituted or unsubstituted spiroheterocycloalkylene, substituted or unsubstituted arylene, substituted or unsubstituted heteroarylene or combinations thereof; and
UBM comprises a ubiquitin binding moiety structure of Formula (la):
wherein W is aryl, heteroaryl, or -NH-;
Rb is C1-C4 alkyl;
G and G' are independently H, methyl, ethyl, isopropyl, or hydroxymethyl; or G and G' combine to form a cyclopropyl; m is an integer from 0 to 5; each RT is independently halogen, C1-C4 alkyl, C1-C4 alkoxy, cyano, OH, - NH2, cyclopropyl, or cyclobutyl; each of T1, T2, T3, T4, or T5 is independently N, CH, or CRT; wherein 0 to 3 ofT1, T2, T3, T4, or T5 are N.
[0111] In embodiments, W is isoxazolyl, oxazolyl, thiazolyl, isothiazolyl, thiophenyl, pyrrolyl, imidazolyl, furanyl, triazolyl, furazanyl, thiadiazolyl, dioxazolyl, dithiazolyl, pyridyl, or phenyl.
[0112] In embodiments, W is isoxazolyl or triazolyl.
[0113] In embodiments, Rb is n-propyl, i-propyl, n-butyl, i-butyl, sec-butyl, or tert-butyl.
[0114] In embodiments, Formula (la) is (lb):
[0128] In embodiments, W is isoxazolyl or triazolyl, and Rb is i-propyl.
[0129] In embodiments, W is -NH- and Rb is i-propyl or t-butyl.
[0130] In embodiments, Ar is selected from:
haloalkyl and at least one of R20 and R21 is halogen, -CH=N-, -C-halogen,-C-OH, N, NH, NMe or -CE, wherein E is CN; wherein either G1 or G2 forms a double bond with carbon of the -CR10 moiety; wherein R7, R8, and R9, are independently selected from halogen, hydrogen, hydroxyl, alkoxy, alkyl, cycloalkyl, amino, and A-alkylamino; and R10 is hydrogen, hydroxyl, alkoxy, amino, A-alkylamino, C-amide (-CONRR’), N-amides (- NHCOR), urea (-NHCONHR), ether (-OR), or sulfonamide (-NHSO2R or -SO2NHR)3; or wherein G1 and G2 are independently selected from S, O, CH, -CH=CH-, -CH=N-, N, NH, NMe or -CE, where E is CN, halogen, OH, OMe, alkyl- or aryl sulfonamide, alkyl- or aryl sulfone, acyl, formyl, amide, ester, carboxylic acid, or CF3; wherein either G1 or G2 forms a double bond with carbon of the -CR10 moiety; wherein R7, R8, and R9 are independently selected from halogen, hydrogen, hydroxyl, alkoxy, alkyl, cycloalkyl, amino, and N-
alkylamino; and R10 is hydrogen, hydroxyl, alkoxy, amino, A'-alkylamino, C-amide (- CONRR’), N-amides (-NHCOR), urea (-NHCONHR), ether (-OR), or sulfonamide (- NHSO2R or -SO2NHR)3; or
wherein Z1, Z2, Z3, and Z4 are independently selected from N, NH, N-alkyl, N-cycloalkyl, N-heterocyclyl, CH, C-(Ci-C4)-alkyl, C-halo, p
y , 2, and R13, are independently selected from halogen, hydrogen, hydroxyl, alkoxy, alkyl, cycloalkyl, amino, and A-alkylamino.
R14 is H, halo, halo-Ci-3haloalkyl, Cfrialkoxy, Cfrihaloalkoxy, cyclopropyl, Ci-3alkylthio, or CF3;
R15 is H, halo, halo-Ci-3haloalkyl, Ci-3alkoxy, Ci-3haloalkoxy, cyclopropyl, Ci-3alkylthio, or CF3; or
R14 and R15, together with the atoms to which they are each bonded, form 5 to 6 membered heteroaryl or 6 membered aryl, wherein the 5 to 6 membered heteroaryl and 6 membered aryl is optionally substituted with 1 to 4 substituents selected from the group consisting of halo, Ci-3 alkyl, Ci-3 alkoxy;
R16 is H, halo, halo-Ci-3haloalkyl, Ci-3alkoxy, Ci-3haloalkoxy, cyclopropyl, Ci-3alkylthio, or CF3;
R17 is H or CIR; wherein each C1-3 alkyl is independently optionally substituted with 1 to 5 halogens; and, each C1-3 alkoxy is independently optionally substituted with 1 to 3 halogens. [0132] In embodiments, (Al) is:
[0134] In embodiments, (A2) is:
[0135] In embodiments, (A2) is:
[0136] In embodiments, (A2) is:
wherein Rc is selected from hydrogen, alkyl, cycloalkyl, and heterocyclyl.
[0137] In embodiments, (A2) is:
wherein Rc is selected from hydrogen, alkyl, cycloalkyl, and heterocyclyl.
[0142] In embodiments, Ar is:
wherein R11, R12, and R13, are independently selected from halogen, hydrogen, hydroxyl, alkoxy, alkyl, cycloalkyl, amino, and A-alkylamino; and, wherein R14 is hydrogen, halogen, halo-C1-3haloalkyl, C1-3alkoxy, Ci-
[0144] In embodiments, Ar is:
wherein R11, R12, and R13, are independently selected from halogen, hydrogen, hydroxyl, alkoxy, alkyl, cycloalkyl, amino, and A-alkylamino; and, wherein R14 is hydrogen, halogen, halo-C1-3haloalkyl, C1-3alkoxy, Ci- 3haloalkoxy, cyclopropyl, C1-3alkylthio, or CF3.
[0147] In embodiments, two V form a bridge: -CH2- or -CH2-CH2-. [0148] In embodiments, the linking piperazine of Formula (I) is:
wherein any number of carbon or oxygen atoms of L are optionally exchanged with a heteroatom selected from NRL, S, or SO2 atoms, where RL is hydrogen or methyl; and i, j, m, n, 0, p, q are integers independently selected from 0, 1, 2, 3, 4, 5, 6, 7, 8, 9 and 10; and
wherein each carbon atom of L is optionally substituted with oxo (=0), OH, halo, NR3R4, C1-4 alkyl, C1-4 haloalkyl, C1-4 alkoxy, or C3-4 cycloalkyl; wherein each L is attached to Z’ and ubiquitin binding moiety (UBM) in either orientation.
[0150] In embodiments, linker -L- is:
wherein each A and B are independently selected from absent, a 3- to 10-membered cycloalkylene, 4- to 10-membered heterocycloalkylene, 5- to 10-membered heteroarylene and 6- to 10-membered arylene, wherein any number of carbon or oxygen atoms of L are optionally exchanged with a heteroatom selected from NRL, S or SO2 atoms, where RL is hydrogen or methyl; r, s, u, v are integers independently selected from 0, 1, 2, 3, 4, 5, 6, 7, 8, 9 and 10; wherein each carbon atom of L is optionally substituted with oxo (=0), OH, halo, NR3R4, C1-4 alkyl, C1-4 haloalkyl, C1-4 alkoxy, C3-4 cycloalkyl; wherein each L is attached to Z’ and ubiquitin binding moiety (UBM) in either orientation; and when A and B are a 3- to 10-membered cycloalkyl or 4- to 10-membered heterocycloalkyl, they are incorporated at any two independent ring atoms, or at the same ring atom; wherein R3 is H or alkyl; R4 is H or alkyl.
-L- is a structure according to formula (LO):
wherein each k is independently 0 or 1; and, each g is independently 1 or 2.
[0153] In embodiments, Z is O.
[0154] In embodiments, Z’ is C1-C3 alkylene.
817
[0157] In embodiments, R1 is:
substituted with OH, halo, CN, CF3, C1-4 alkyl, C1-4 alkoxy, and C1-3 alkyl-OH.
[0165] The compounds disclosed herein can exist as salts. The present embodiments include such salts, which can be pharmaceutically acceptable salts. Examples of applicable salt forms include hydrochlorides, hydrobromides, sulfates, methanesulfonates, nitrates, maleates, acetates, citrates, fumarates, tartrates (eg (+)-tartrates, (-)-tartrates or mixtures thereof including racemic mixtures, succinates, benzoates and salts with amino acids such as glutamic acid. These salts may be prepared by methods known to those skilled in art. Also included are base addition salts such as sodium, potassium, calcium, ammonium, organic amino, or magnesium salt, or a similar salt. When compounds disclosed herein contain relatively basic functionalities, acid addition salts can be obtained by contacting the neutral form of such compounds with a sufficient amount of the desired acid, either neat or in a suitable inert solvent. Examples of acceptable acid addition salts include those derived from inorganic acids like hydrochloric, hydrobromic, nitric,
carbonic, monohydrogencarbonic, phosphoric, monohydrogenphosphoric, dihydrogenphosphoric, sulfuric, monohydrogensulfuric, hydriodic, or phosphorous acids and the like, as well as the salts derived organic acids like acetic, propionic, isobutyric, maleic, malonic, benzoic, succinic, suberic, fumaric, lactic, mandelic, phthalic, benzenesulfonic, p-tolylsulfonic, citric, tartaric, methanesulfonic, and the like. Also included are salts of amino acids such as arginate and the like, and salts of organic acids like glucuronic or galactunoric acids and the like. Certain specific compounds disclosed herein contain both basic and acidic functionalities that allow the compounds to be converted into either base or acid addition salts.
[0166] Other salts include acid or base salts of the compounds used in the methods of the present embodiments. Illustrative examples of pharmaceutically acceptable salts are mineral acid (hydrochloric acid, hydrobromic acid, phosphoric acid, and the like) salts, organic acid (acetic acid, propionic acid, glutamic acid, citric acid and the like) salts, and quaternary ammonium (methyl iodide, ethyl iodide, and the like) salts. It is understood that the pharmaceutically acceptable salts are non-toxic. Additional information on suitable pharmaceutically acceptable salts can be found in Remington's Pharmaceutical Sciences, 17th ed., Mack Publishing Company, Easton, Pa., 1985, which is incorporated herein by reference.
[0167] Pharmaceutically acceptable salts include salts of the active compounds which are prepared with relatively nontoxic acids or bases, depending on the particular substituents found on the compounds described herein. When compounds disclosed herein contain relatively acidic functionalities, base addition salts can be obtained by contacting the neutral form of such compounds with a sufficient amount of the desired base, either neat or in a suitable inert solvent. Examples of pharmaceutically acceptable base addition salts include sodium, potassium, calcium, ammonium, organic amino, or magnesium salt, or a similar salt. When compounds disclosed herein contain relatively basic functionalities, acid addition salts can be obtained by contacting the neutral form of such compounds with a sufficient amount of the desired acid, either neat or in a suitable inert solvent. Examples of pharmaceutically acceptable acid addition salts include those derived from inorganic acids like hydrochloric, hydrobromic, nitric, carbonic, monohydrogencarbonic, phosphoric, monohydrogenphosphoric, dihydrogenphosphoric, sulfuric, monohydrogensulfuric, hydriodic, or phosphorous acids and the like, as well as the salts derived from relatively nontoxic organic acids like acetic, propionic, isobutyric,
maleic, malonic, benzoic, succinic, suberic, fumaric, lactic, mandelic, phthalic, benzenesulfonic, p-tolylsulfonic, citric, tartaric, methanesulfonic, and the like. Also included are salts of amino acids such as arginate and the like, and salts of organic acids like glucuronic or galactunoric acids and the like (see, for example, Berge et al., "Pharmaceutical Salts" , Journal of Pharmaceutical Science, 1977, 66, 1-19). Certain specific compounds disclosed herein contain both basic and acidic functionalities that allow the compounds to be converted into either base or acid addition salts.
[0168] The neutral forms of the compounds are preferably regenerated by contacting the salt with a base or acid and isolating the parent compound in the conventional manner. The parent form of the compound differs from the various salt forms in certain physical properties, such as solubility in polar solvents.
[0169] Certain compounds disclosed herein can exist in unsolvated forms as well as solvated forms, including hydrated forms. In general, the solvated forms are equivalent to unsolvated forms and are encompassed within the scope of the present embodiments. Certain compounds disclosed herein may exist in multiple crystalline or amorphous forms. In general, all physical forms are equivalent for the uses contemplated by the present embodiments and are intended to be within the scope of the present embodiments.
[0170] Certain compounds disclosed herein possess asymmetric carbon atoms (optical centers) or double bonds; the enantiomers, racemates, diastereomers, tautomers, geometric isomers, stereoisometric forms that may be defined, in terms of absolute stereochemistry, as (R)-or (S)- or, as (D)- or (L)- for amino acids, and individual isomers are encompassed within the scope of the present embodiments. The compounds disclosed herein do not include those which are known in art to be too unstable to synthesize and/or isolate. The present embodiments are meant to include compounds in racemic and optically pure forms. Optically active (R)- and (S)-, or (D)- and (L)-isomers may be prepared using chiral synthons or chiral reagents, or resolved using conventional techniques. The compounds disclosed herein can be provided as a mixture of atropisomers or can be pure atropisomers.
[0171] Isomers include compounds having the same number and kind of atoms, and hence the same molecular weight, but differing in respect to the structural arrangement or configuration of the atoms.
[0172] Unless otherwise stated, structures depicted herein are also meant to include all stereochemical forms of the structure; i.e., the R and S configurations for each asymmetric
center. Therefore, single stereochemical isomers as well as enantiomeric and diastereomeric mixtures of the present compounds are within the scope of the embodiments.
[0173] Unless otherwise stated, the compounds disclosed herein may also contain unnatural proportions of atomic isotopes at one or more of the atoms that constitute such compounds. For example, the compounds disclosed herein may be labeled with radioactive or stable isotopes, such as for example deuterium (2H), tritium (3H), iodine- 125 (125I), fluorine-18 (18F), nitrogen-15 (15N), oxygen-17 (17O), oxygen-18 (18O), carbon-13 (13C), or carbon- 14 (14C). All isotopic variations of the compounds disclosed herein, whether radioactive or not, are encompassed within the scope of the present embodiments. [0174] In addition to salt forms, the present embodiments provide compounds, which are in a prodrug form. Prodrugs of the compounds described herein are those compounds that readily undergo chemical changes under physiological conditions to provide the compounds disclosed herein. Additionally, prodrugs can be converted to the compounds disclosed herein by chemical or biochemical methods in an ex vivo environment. For example, prodrugs can be slowly converted to the compounds disclosed herein when placed in a transdermal patch reservoir with a suitable enzyme or chemical reagent.
[0175] Compounds disclosed herein can be made by a variety of methods depicted in the illustrative synthetic reaction schemes shown and described below. The starting materials and reagents used in preparing these compounds generally are either available from commercial suppliers, such as Aldrich Chemical Co., or are prepared by methods known to those skilled in the art following procedures set forth in references such as Fieser and Fieser’s Reagents for Organic Synthesis,' Wiley & Sons: New York, vol. 1-21; R. C. LaRock, Comprehensive Organic Transformations, 2nd edition Wiley-VCH, New York 1999; Comprehensive Organic Synthesis, B. Trost and I. Fleming (Eds.) vol. 1-9 Pergamon, Oxford, 1991; Comprehensive Heterocyclic Chemistry, A. R. Katritzky and C. W. Rees (Eds.) Pergamon, Oxford 1984, vol. 1-9; Comprehensive Heterocyclic Chemistry 11, A. R. Katritzky and C. W. Rees (Eds) Pergamon, Oxford 1996, vol. 1-11; and Organic Reactions, Wiley & Sons: New York, 1991, vol. 1-40. The following synthetic reaction schemes are merely illustrative of some methods by which the compounds disclosed herein can be synthesized, and various modifications to these synthetic reaction schemes can be made and will be suggested to one skilled in the art having referred to the disclosure contained herein.
[0176] For illustrative purposes, reaction Schemes below provide routes for synthesizing the compounds disclosed herein as well as key intermediates. For a more detailed description of the individual reaction steps, see the Examples section below. Those skilled in the art will appreciate that other synthetic routes may be used. Although some specific starting materials and reagents are depicted in the Schemes and discussed below, other starting materials and reagents can be substituted to provide a variety of derivatives or reaction conditions. In addition, many of the compounds prepared by the methods described below can be further modified in light of this disclosure using conventional chemistry well known to those skilled in the art.
[0177] The starting materials and the intermediates of the synthetic reaction schemes can be isolated and purified if desired using conventional techniques, including but not limited to, filtration, distillation, crystallization, chromatography, and the like. Such materials can be characterized using conventional means, including physical constants and spectral data.
[0178] Unless specified to the contrary, the reactions described herein preferably are conducted under an inert atmosphere at atmospheric pressure at a reaction temperature range of from about -78 °C to about 150 °C, more preferably from about 0 °C to about 125 °C, and most preferably and conveniently at about room (or ambient) temperature, or, about 20 °C.
[0179] Some compounds in following schemes are depicted with generalized substituents; however, one skilled in the art will immediately appreciate that the nature of the substituents can varied to afford the various compounds contemplated in the present embodiments. Moreover, the reaction conditions are exemplary and alternative conditions are well known. The reaction sequences in the following examples are not meant to limit the scope of the embodiments as set forth in the claims.
IV. PHARMACEUTICAL FORMULATIONS
[0180] In some embodiments, pharmaceutical compositions comprise a conjugate of any one of the compounds disclosed herein and a pharmaceutically acceptable excipient.
[0181] In some embodiments, there is provided a pharmaceutical composition comprising a pharmaceutically effective amount of a conjugate of Formula (A) or a pharmaceutically acceptable salt thereof, and a pharmaceutically acceptable excipient. [0182] In some embodiments, the pharmaceutical composition further comprises an additional therapeutic agent.
[0183] In some embodiments, the additional therapeutic agent is a chemotherapeutic agent. In some embodiments, the chemotherapeutic agent is an anti-microtubule agent, a platinum coordination complex, a alkylating agent, an antibiotic agent, a topoisomerase II inhibitor, a antimetabolite, a topoisomerase I inhibitor, a hormone or hormonal analogue, a signal transduction pathway inhibitor, a non-receptor tyrosine kinase angiogenesis inhibitor, a immunotherapeutic agent, a proapoptotic agent, an inhibitor of LDH-A, an inhibitor of fatty acid biosynthesis, a cell cycle signalling inhibitor, a HD AC inhibitor, a proteasome inhibitor, or an inhibitor of cancer metabolism. In some embodiments, the chemotherapeutic agent is cisplatin, carboplatin, doxorubicin, ionizing radiation, docetaxel or paclitaxel.
[0184] The compounds disclosed herein can be prepared and administered in a wide variety of oral, parenteral and topical dosage forms. Oral preparations include tablets, pills, powder, dragees, capsules, liquids, lozenges, gels, syrups, slurries, suspensions, etc., suitable for ingestion by the patient. The compounds disclosed herein can also be administered by injection, that is, intravenously, intramuscularly, intracutaneously, subcutaneously, intraduodenally, or intraperitoneally. Also, the compounds described herein can be administered by inhalation, for example, intranasally. Additionally, the compounds disclosed herein can be administered transdermally. The compounds disclosed herein can also be administered by in intraocular, intravaginal, and intrarectal routes including suppositories, insufflation, powders and aerosol formulations (for examples of steroid inhalants, see Rohatagi, J. Clin. Pharmacol. 35: 1187-1193, 1995; Tjwa, Ann. Allergy Asthma Immunol. 75: 107-111, 1995). Accordingly, the present embodiments also provide pharmaceutical compositions including one or more pharmaceutically acceptable carriers and/or excipients and either a compound of Formula I, or a pharmaceutically acceptable salt of a compound of Formula I.
[0185] For preparing pharmaceutical compositions from the conjugates disclosed herein, pharmaceutically acceptable carriers can be either solid or liquid. Solid form preparations include powders, tablets, pills, capsules, cachets, suppositories, and dispersible granules. A solid carrier can be one or more substances, which may also act as diluents, flavoring agents, surfactants, binders, preservatives, tablet disintegrating agents, or an encapsulating material. Details on techniques for formulation and administration are well described in the scientific and patent literature, see, e.g., the latest edition of Remington's Pharmaceutical Sciences, Maack Publishing Co, Easton PA ("Remington's").
[0186] In powders, the carrier is a finely divided solid, which is in a mixture with the finely divided active component. In tablets, the active component is mixed with the carrier having the necessary binding properties and additional excipients as required in suitable proportions and compacted in the shape and size desired.
[0187] The powders, capsules and tablets preferably contain from 5% or 10% to 70% of the active compound. Suitable carriers are magnesium carbonate, magnesium stearate, talc, sugar, lactose, pectin, dextrin, starch, gelatin, tragacanth, methylcellulose, sodium carboxymethylcellulose, a low melting wax, cocoa butter, and the like. The term “preparation” is intended to include the formulation of the active compound with encapsulating material as a carrier providing a capsule in which the active component with or without other exceipients, is surrounded by a carrier, which is thus in association with it. Similarly, cachets and lozenges are included. Tablets, powders, capsules, pills, cachets, and lozenges can be used as solid dosage forms suitable for oral administration. [0188] Suitable solid excipients are carbohydrate or protein fillers including, but not limited to sugars, including lactose, sucrose, mannitol, or sorbitol; starch from com, wheat, rice, potato, or other plants; cellulose such as methyl cellulose, hydroxypropylmethyl-cellulose, or sodium carboxymethylcellulose; and gums including arabic and tragacanth; as well as proteins such as gelatin and collagen. If desired, disintegrating or solubilizing agents may be added, such as the cross-linked polyvinyl pyrrolidone, agar, alginic acid, or a salt thereof, such as sodium alginate.
[0189] Dragee cores are provided with suitable coatings such as concentrated sugar solutions, which may also contain gum arabic, talc, polyvinylpyrrolidone, carbopol gel, polyethylene glycol, and/or titanium dioxide, lacquer solutions, and suitable organic solvents or solvent mixtures. Dyestuffs or pigments may be added to the tablets or dragee coatings for product identification or to characterize the quantity of active compound (i.e., dosage). Pharmaceutical preparations can also be used orally using, for example, push- fit capsules made of gelatin, as well as soft, sealed capsules made of gelatin and a coating such as glycerol or sorbitol. Push- fit capsules can contain the compounds disclosed herein mixed with a filler or binders such as lactose or starches, lubricants such as talc or magnesium stearate, and, optionally, stabilizers. In soft capsules, the compounds disclosed herein may be dissolved or suspended in suitable liquids, such as fatty oils, liquid paraffin, or liquid polyethylene glycol with or without stabilizers.
[0190] For preparing suppositories, a low melting wax, such as a mixture of fatty acid glycerides or cocoa butter, is first melted and the active component is dispersed homogeneously therein, as by stirring. The molten homogeneous mixture is then poured into convenient sized molds, allowed to cool, and thereby to solidify.
[0191] Liquid form preparations include solutions, suspensions, and emulsions, for example, water or water/propylene glycol solutions. For parenteral injection, liquid preparations can be formulated in solution in aqueous polyethylene glycol solution. [0192] Aqueous solutions suitable for oral use can be prepared by dissolving the active component in water and adding suitable colorants, flavors, stabilizers, and thickening agents as desired. Aqueous suspensions suitable for oral use can be made by dispersing the finely divided active component in water with viscous material, such as natural or synthetic gums, resins, methylcellulose, sodium carboxymethylcellulose, hydroxypropylmethylcellulose, sodium alginate, polyvinylpyrrolidone, gum tragacanth and gum acacia, and dispersing or wetting agents such as a naturally occurring phosphatide (e.g., lecithin), a condensation product of an alkylene oxide with a fatty acid (e.g., polyoxyethylene stearate), a condensation product of ethylene oxide with a long chain aliphatic alcohol (e.g., heptadecaethylene oxycetanol), a condensation product of ethylene oxide with a partial ester derived from a fatty acid and a hexitol (e.g., polyoxyethylene sorbitol mono-oleate), or a condensation product of ethylene oxide with a partial ester derived from fatty acid and a hexitol anhydride (e.g., polyoxyethylene sorbitan mono-oleate). The aqueous suspension can also contain one or more preservatives such as ethyl or n-propyl p-hydroxybenzoate, one or more coloring agents, one or more flavoring agents and one or more sweetening agents, such as sucrose, aspartame or saccharin. Formulations can be adjusted for osmolarity.
[0193] Also included are solid form preparations, which are intended to be converted, shortly before use, to liquid form preparations for oral administration. Such liquid forms include solutions, suspensions, and emulsions. These preparations may contain, in addition to the active component, colorants, flavors, stabilizers, buffers, artificial and natural sweeteners, dispersants, thickeners, solubilizing agents, and the like.
[0194] Oil suspensions can be formulated by suspending the compounds disclosed herein in a vegetable oil, such as arachis oil, olive oil, sesame oil or coconut oil, or in a mineral oil such as liquid paraffin; or a mixture of these. The oil suspensions can contain a thickening agent, such as beeswax, hard paraffin or cetyl alcohol. Sweetening agents
can be added to provide a palatable oral preparation, such as glycerol, sorbitol or sucrose. These formulations can be preserved by the addition of an antioxidant such as ascorbic acid. As an example of an injectable oil vehicle, see Minto, J. Pharmacol. Exp. Ther. 281:93-102, 1997. The pharmaceutical formulations can also be in the form of oil-in- water emulsions. The oily phase can be a vegetable oil or a mineral oil, described above, or a mixture of these. Suitable emulsifying agents include naturally-occurring gums, such as gum acacia and gum tragacanth, naturally occurring phosphatides, such as soybean lecithin, esters or partial esters derived from fatty acids and hexitol anhydrides, such as sorbitan mono-oleate, and condensation products of these partial esters with ethylene oxide, such as polyoxyethylene sorbitan mono-oleate. The emulsion can also contain sweetening agents and flavoring agents, as in the formulation of syrups and elixirs. Such formulations can also contain a demulcent, a preservative, or a coloring agent.
[0195] The compounds disclosed herein can be delivered by transdermally, by a topical route, formulated as applicator sticks, solutions, suspensions, emulsions, gels, creams, ointments, pastes, jellies, paints, powders, and aerosols.
[0196] The compounds disclosed herein can also be delivered as microspheres for slow release in the body. For example, microspheres can be administered via intradermal injection of drug -containing microspheres, which slowly release subcutaneously (see Rao, J. Biomater Sci. Polym. Ed. 7:623-645, 1995; as biodegradable and injectable gel formulations (see, e.g., Gao Pharm. Res. 12:857-863, 1995); or, as microspheres for oral administration (see, e.g., Eyles, J. Pharm. Pharmacol. 49:669-674, 1997). Both transdermal and intradermal routes afford constant delivery for weeks or months.
[0197] The pharmaceutical formulations of the compounds disclosed herein can be provided as a salt and can be formed with many acids, including but not limited to hydrochloric, sulfuric, acetic, lactic, tartaric, malic, succinic, etc. Salts tend to be more soluble in aqueous or other protonic solvents that are the corresponding free base forms. In other cases, the preparation may be a lyophilized powder in 1 mM-50 mM histidine, 0.1 %-2% sucrose, 2%-7% mannitol at a pH range of 4.5 to 5.5, that is combined with buffer prior to use.
[0198] The pharmaceutical formulations of the compounds disclosed herein can be provided as a salt and can be formed with bases, namely cationic salts such as alkali and alkaline earth metal salts, such as sodium, lithium, potassium, calcium, magnesium, as
well as ammonium salts, such as ammonium, trimethyl-ammonium, diethylammonium, and tris-(hydroxymethyl)-methyl-ammonium salts.
[0199] In some embodiments, the formulations of the compounds disclosed herein can be delivered by the use of liposomes which fuse with the cellular membrane or are endocytosed, i.e., by employing ligands attached to the liposome, or attached directly to the oligonucleotide, that bind to surface membrane protein receptors of the cell resulting in endocytosis. By using liposomes, particularly where the liposome surface carries ligands specific for target cells, or are otherwise preferentially directed to a specific organ, one can focus the delivery of the GR modulator into the target cells in vivo. (See, e.g., Al- Muhammed, J. Microencapsul. 13:293-306, 1996; Chonn, Curr. Opin. Biotechnol. 6:698- 708, 1995; Ostro, Am. J. Hosp. Pharm. 46: 1576-1587, 1989).
[0200] The pharmaceutical preparation is preferably in unit dosage form. In such form the preparation is subdivided into unit doses containing appropriate quantities of the active component. The unit dosage form can be a packaged preparation, the package containing discrete quantities of preparation, such as packeted tablets, capsules, and powders in vials or ampoules. Also, the unit dosage form can be a capsule, tablet, cachet, or lozenge itself, or it can be the appropriate number of any of these in packaged form.
[0201] The quantity of active component in a unit dose preparation may be varied or adjusted from 0.1 mg to 10000 mg, more typically 1.0 mg to 1000 mg, most typically 10 mg to 500 mg, according to the particular application and the potency of the active component. The composition can, if desired, also contain other compatible therapeutic agents.
[0202] The dosage regimen also takes into consideration pharmacokinetics parameters well known in the art, i.e., the rate of absorption, bioavailability, metabolism, clearance, and the like (see, e.g., Hidalgo-Aragones (1996) J. Steroid Biochem. Mol. Biol. 58:611- 617; Groning (1996) Pharmazie 51 :337-341; Fotherby (1996) Contraception 54:59-69; Johnson (1995) J. Pharm. Sei. 84: 1144-1146; Rohatagi (1995) Pharmazie 50:610-613; Brophy (1983) Eur. J. Clin. Pharmacol. 24: 103-108; the latest Remington's, supra). The state of the art allows the clinician to determine the dosage regimen for each individual patient, GR and /or MR modulator and disease or condition treated.
[0203] Single or multiple administrations of the compounds disclosed herein formulations can be administered depending on the dosage and frequency as required and tolerated by the patient. The formulations should provide a sufficient quantity of active
agent to effectively treat the disease state. Thus, in one embodiment, the pharmaceutical formulations for oral administration of the compounds disclosed herein is in a daily amount of between about 0.5 to about 30 mg per kilogram of body weight per day. In an alternative embodiment, dosages are from about 1 mg to about 20 mg per kg of body weight per patient per day are used. Lower dosages can be used, particularly when the drug is administered to an anatomically secluded site, such as the cerebral spinal fluid (CSF) space, in contrast to administration orally, into the blood stream, into a body cavity or into a lumen of an organ. Substantially higher dosages can be used in topical administration. Actual methods for preparing formulations including the compounds disclosed herein for parenteral administration are known or apparent to those skilled in the art and are described in more detail in such publications as Remington's, supra. See also Nieman, In "Receptor Mediated Antisteroid Action," Agarwal, et al., eds., De Gruyter, New York (1987).
[0204] The compounds described herein can be used in combination with one another, with other active agents known to be useful in modulating a glucocorticoid receptor, or with adjunctive agents that may not be effective alone, but may contribute to the efficacy of the active agent.
[0205] In some embodiments, co-administration includes administering one active agent within 0.5, 1, 2, 4, 6, 8, 10, 12, 16, 20, or 24 hours of a second active agent. Coadministration includes administering two active agents simultaneously, approximately simultaneously (e.g., within about 1, 5, 10, 15, 20, or 30 minutes of each other), or sequentially in any order. In some embodiments, co-administration can be accomplished by co-formulation, i.e., preparing a single pharmaceutical composition including both active agents. In some embodiments, the active agents can be formulated separately. In some embodiments, the active and/or adjunctive agents may be linked or conjugated to one another.
[0206] After a pharmaceutical composition including a compound disclosed herein has been formulated in one or more acceptable carriers, it can be placed in an appropriate container and labeled for treatment of an indicated condition. For administration of the compounds of Formula I, such labeling would include, e.g., instructions concerning the amount, frequency and method of administration.
[0207] In some embodiments, the compositions disclosed herein are useful for parenteral administration, such as intravenous (IV) administration or administration into a
body cavity or lumen of an organ. The formulations for administration will commonly comprise a solution of the compositions disclosed herein dissolved in one or more pharmaceutically acceptable carriers. Among the acceptable vehicles and solvents that can be employed are water and Ringer's solution, an isotonic sodium chloride. In addition, sterile fixed oils can conventionally be employed as a solvent or suspending medium. For this purpose any bland fixed oil can be employed including synthetic mono- or diglycerides. In addition, fatty acids such as oleic acid can likewise be used in the preparation of injectables. These solutions are sterile and generally free of undesirable matter. These formulations may be sterilized by conventional, well known sterilization techniques. The formulations may contain pharmaceutically acceptable auxiliary substances as required to approximate physiological conditions such as pH adjusting and buffering agents, tonicity adjusting agents, e.g., sodium acetate, sodium chloride, potassium chloride, calcium chloride, sodium lactate and the like. The concentration of the compositions in these formulations can vary widely, and will be selected primarily based on fluid volumes, viscosities, body weight, and the like, in accordance with the particular mode of administration selected and the patient's needs. For IV administration, the formulation can be a sterile injectable preparation, such as a sterile injectable aqueous or oleaginous suspension. This suspension can be formulated according to the known art using those suitable dispersing or wetting agents and suspending agents. The sterile injectable preparation can also be a sterile injectable solution or suspension in a nontoxic parenterally-acceptable diluent or solvent, such as a solution of 1,3 -butanediol.
[0208] In some embodiments, the formulations of the compositions disclosed herein can be delivered by the use of liposomes which fuse with the cellular membrane or are endocytosed, i.e., by employing ligands attached to the liposome, or attached directly to the oligonucleotide, that bind to surface membrane protein receptors of the cell resulting in endocytosis. By using liposomes, particularly where the liposome surface carries ligands specific for target cells, or are otherwise preferentially directed to a specific organ, one can focus the delivery of the compositions disclosed herein into the target cells in vivo. (See, e.g., Al-Muhammed, J. Microencapsul. 13:293-306, 1996; Chonn, Curr. Opin. Biotechnol. 6:698-708, 1995; Ostro, Am. J. Hosp. Pharm. 46: 1576-1587, 1989).
V. METHODS
[0209] In some embodiments, there is provided a method of treating a disorder or condition in a subject, the method comprising administering to the human a therapeutically
effective amount of a compound disclosed herein, or a pharmaceutically acceptable salt thereof, or a pharmaceutical composition as disclosed herein.
[0210] As used herein, the term “KRAS” refers to Kirsten rat carcoma virus. The KRAS or “K-Ras” protein is a GTPase, a class of enzymes that convert the nucleotide guanosine triphosphate into guanosine diphosphate. KRAS is an intregral part of numerous signal transduction pathways.
[0211] As used herein, the “KRAS G12D” refers to the G12D mutation. Specifically, the amino acid position 12 of the KRAS protein is an cysteine instead of a glycine (wildtype). The present application contemplates ligands that are KRAS G12D inhibitors. KRAS G12D inhibitors specifically bind to the KRAS G12D.
[0212] Example KRAS G12D inhibitors adaptable into a PROTAC degrader include those disclosed in WO/2022/105859, WO/2022/105855, WO/2022/105857, WO/2022/098625, WO/2022/066646, WG/2022/042630, WO/2022/031678, WO/2022/015375, WG/2022/002102, WO/2021/248079, WO/2021/248095, WO/2021/248082, WO/2021/248083, WO/2021/248090, WO/2021/215544, WG/2021/107160, WO/2021/106231, WO/2021/081212, and WO/2021/081212, all of which are incorporated herein by reference in their entirety.
[0213] As used herein, the “KRAS G12C” refers to the G12C mutation. Specifically, the amino acid position 12 of the KRAS protein is an aspartic acid instead of a glycine (wildtype). In other aspects of the application, ligands that are KRAS G12C inhibitors are contemplated. KRAS G12C inhibitors specifically bind to the KRAS G12C. Example KRAS G12C inhibitors adaptable into a PROTAC degrader include those disclosed in WO/2022/119748, WO/2022/111513, WO/2022/115439, WO/2022/111527, WO/2022/11 1521, WO/2022/109485, WO/2022/109487, WO/2022/093856, WO/2022/087371, WO/2022/087624, WO/2022/087375, WO/2022/083569, WO/2022/081655, WO/2022/063297, WO/2022/037560, WO/2022/028492, WO/2021/259331, WO/2021/249563, WO/2021/252339, WO/2021/244603, WO/2021/248079, WO/2021/248095, WO/2021/248082, WO/2021/248083, WO/2021/248090, WO/2021/218110, WO/2021/219090, WO/2021/219091, WO/2021/216770, WO/2021/190467, WO/2021/168193, WO/2021/155716, WO/2021/143693, WO/2021/141628, WO/2021/139678, WO/2021/129824, WO/2021/129820, WO/2021/118877, WO/2021/113595, WO/2021/104431, WO/2021/098859, WO/2021/093758, WO/2021/088938, WO/2021/086833,
WO/2021/078285, WO/2021/081212, WO/2021/068898, WO/2021/063346, WO/2021/058018, WO/2021/055728, WO/2021/043322, WO/2021/037018, WO/2021/027911, WO/2021/027943, WO/2020/259432, WO/2020/259573, WO/2020/259513, WO/2020/239077, WO/2020/239123, WO/2020/233592, WO/2020/236940, WO/2020/156285, WO/2020/146613, WO/2020/113071, WO/2020/106640, WO/2020/101736, WO/2020/086739, WO/2020/081282, WO/2020/050890, WO/2020/047192, WO/2020/028706, WO/2020/027083, WO/2020/027084, WO/2019/241157, WO/2019/232419, WO/2019/217307, WO/2019/217691, WO/2019/213516, WO/2019/213526, WO/2019/141250, WO/2019/ 110751, WO/2019/099524, WO/2019/051291, WO/2018/218069, WO/2018/218070, WO/2018/217651 , WO/2018/218071, WO/2018/206539, WO/2018/143315, WO/2018/140513, WO/2018/140514, WO/2018/140598, WO/2018/140599, WO/2018/140600, WO/2018/140512, WO/2018/119183, WO/2018/068017, WO/2018/064510, WO/2017/201 161, WO/2017/087528, WO/2017/058915, WO/2017/058902, WO/2017/058768, WO/2017/058728, WO/2017/058805, WO/2017/058807, WO/2017/058792, WO/2017/015562, WO/2016/168540, WO/2016/164675, WO/2016/049524, WO/2015/054572, WO/2014/152588, and WO/2014/143659, all of which are incorporated herein by reference in their entirety.
[0214] In some embodiments, there is provided a method for inhibiting KRAS G12D activity in a cell, comprising contacting the cell in which inhibition of KRAS G12D activity is desired with an effective amount of a compound disclosed herein or a pharmaceutically acceptable salt thereof.
[0215] In some embodiments, there is provided a method for inhibiting KRAS G12D activity in a cell, comprising contacting the cell in which inhibition of KRAS G12D activity is desired with the pharmaceutical composition disclosed herein.
[0216] In some embodiments, there is provided a method for treating a KRAS G HD- associated cancer comprising administering to a patient in need thereof a therapeutically effective amount of a compound disclosed herein, or a pharmaceutically acceptable salt thereof.
[0217] In some embodiments, there is provided a method for treating a KRAS G HD- associated cancer comprising administering to a patient in need thereof the pharmaceutical composition disclosed herein.
[0218] In some embodiments, there is provided a method of treating a subject having cancer, the cancer characterized by the presence of a KRAS G12D mutation, the method comprising administering to the human a therapeutically effective amount of a compound of of Formula (I) or a pharmaceutically acceptable salt thereof, or a a pharmaceutical composition as disclosed herein.
[0219] In some embodiments, there is provided a method for manufacturing a medicament for treating a subject having cancer, the cancer characterized by the presence of a KRAS G12D mutation, the compound comprising Formula (I), or a pharmaceutically acceptable salt thereof, or a pharmaceutical composition.
[0220] In some embodiments, there is provided a use of a compound of Formula (I) o, or a pharmaceutically acceptable salt thereof, or a a pharmaceutical composition as disclosed herein, for the manufacture of a medicament for the treatment in a human having cancer, the cancer characterized by the presence of a KRAS G12D mutation.
[0221] In some embodiments, there are provided compounds of Formula (I), or a pharmaceutically acceptable salt thereof, or a a pharmaceutical composition as disclosed herein, for use in the treatment of a subject having cancer, the cancer characterized by the presence of a KRAS G12D mutation.
[0222] In some embodiments, there is provided a method for treating cancer in a patient in need thereof, the method comprising (a) determining that the cancer is associated with a KRAS G12D mutation (e.g, a KRAS G12D- associated cancer); and (b) administering to the patient a therapeutically effective amount of a compound disclosed herein.
[0223] In some embodiments, there is provided a method for treating cancer in a patient in need thereof, the method comprising (a) determining that the cancer is associated with a KRas G12D mutation (e.g., a KRAS G12D- associated cancer); and (b) administering to the patient the pharmaceutical composition disclosed herein.
[0224] In some embodiments, the cancer is Cardiac: sarcoma (angiosarcoma, fibrosarcoma, rhabdomyosarcoma, liposarcoma), myxoma, rhabdomyoma, fibroma, lipoma and teratoma; Lung: bronchogenic carcinoma (squamous cell, undifferentiated small cell, undifferentiated large cell, adenocarcinoma), alveolar (bronchiolar) carcinoma, bronchial adenoma, sarcoma, lymphoma, chondromatous hamartoma, mesothelioma; Gastrointestinal: esophagus (squamous cell carcinoma, adenocarcinoma, leiomyosarcoma, lymphoma), stomach (carcinoma, lymphoma, leiomyosarcoma), pancreas (ductal adenocarcinoma, insulinoma, glucagonoma, gastrinoma, carcinoid tumors, vipoma), small
bowel (adenocarcinoma, lymphoma, carcinoid tumors, Kaposi's sarcoma, leiomyoma, hemangioma, lipoma, neurofibroma, fibroma), large bowel (adenocarcinoma, tubular adenoma, villous adenoma, hamartoma, leiomyoma); Genitourinary tract: kidney (adenocarcinoma, Wilm's tumor (nephroblastoma), lymphoma, leukemia), bladder and urethra (squamous cell carcinoma, transitional cell carcinoma, adenocarcinoma), prostate (adenocarcinoma, sarcoma), testis (seminoma, teratoma, embryonal carcinoma, teratocarcinoma, choriocarcinoma, sarcoma, interstitial cell carcinoma, fibroma, fibroadenoma, adenomatoid tumors, lipoma); Liver: hepatoma (hepatocellular carcinoma), cholangiocarcinoma, hepatoblastoma, angiosarcoma, hepatocellular adenoma, hemangioma; Biliary tract: gall bladder carcinoma, ampullary carcinoma, cholangiocarcinoma; Bone: osteogenic sarcoma (osteosarcoma), fibrosarcoma, malignant fibrous histiocytoma, chondrosarcoma, Ewing's sarcoma, malignant lymphoma (reticulum cell sarcoma), multiple myeloma, malignant giant cell tumor chordoma, osteochronfroma (osteocartilaginous exostoses), benign chondroma, chondroblastoma, chondromyxofibroma, osteoid osteoma and giant cell tumors; Nervous system: skull (osteoma, hemangioma, granuloma, xanthoma, osteitis deformans), meninges (meningioma, meningiosarcoma, gliomatosis), brain (astrocytoma, medulloblastoma, glioma, ependymoma, germinoma (pinealoma), glioblastoma multiform, oligodendroglioma, schwannoma, retinoblastoma, congenital tumors), spinal cord neurofibroma, meningioma, glioma, sarcoma); Gynecological: uterus (endometrial 'carcinoma (serous cystadenocarcinoma, mucinous cystadenocarcinoma, unclassified carcinoma), granulosa-thecal cell tumors, Sertoli-Leydig cell tumors, dysgerminoma, malignant teratoma), vulva (squamous cell carcinoma, intraepithelial carcinoma, adenocarcinoma, fibrosarcoma, melanoma), vagina (clear cell carcinoma, squamous cell carcinoma, botryoid sarcoma (embryonal rhabdomyosarcoma), fallopian tubes (carcinoma); Hematologic: blood (myeloid leukemia (acute and chronic), acute lymphoblastic leukemia, chronic lymphocytic leukemia, myeloproliferative diseases, multiple myeloma, myelodysplastic syndrome), Hodgkin's disease, non-Hodgkin's lymphoma (malignant lymphoma); Skin: malignant melanoma, basal cell carcinoma, squamous cell carcinoma, Kaposi's sarcoma, moles dysplastic nevi, lipoma, angioma, dermatofibroma, keloids, psoriasis; or Adrenal glands: neuroblastoma.
[0225] In some embodiments, the cancer is non-small cell lung cancer, small cell lung cancer, colorectal cancer, rectal cancer, or pancreatic cancer.
[0226] In certain embodiments, treatment may be administered after one or more symptoms have developed. In other embodiments, treatment may be administered in the absence of symptoms. For example, treatment may be administered to a susceptible individual prior to the onset of symptoms (e.g., in light of a history of symptoms and/or in light of genetic or other susceptibility factors). Treatment may also be continued after symptoms have resolved, for example to prevent or delay their recurrence.
[0227] The compounds of Formula (I), or a pharmaceutically acceptable salt thereof, can be inhibitors of KRAS G12D. For example, the inhibition constant (Ki) of the compounds disclosed herein can be less than about 50 pM, or less than about 40, 30, 20, 10, 9, 8, 7, 6, 5, 4, 3, 2, or less than about 1 pM. The inhibition constant (Ki) of the compounds disclosed herein can be less than about 1,000 nM, or less than about 900, 800, 700, 600, 500, 400, 300, 200, 100, 90, 80, 70, 60, 50, 40, 30, 20, 10, 9, 8, 7, 6, 5, 4, 3, 2, or less than about 1 nM. The inhibition constant (Ki) of the compounds disclosed herein can be less than about 1 nM, or less than about 0.9, 0.8, 0.7, 0.6, 0.5, 0.4, 0.3, 0.2, or less than about 0.1 nM.
[0228] The compounds of Formula (I), or a pharmaceutically acceptable salt thereof, can be selective inhibitors of KRAS G12D. For example, KRAS G12D inhibition constant (IC50) of the compounds disclosed herein can be at least 2-fold less than the inhibition constant of one or more of KRAS wild-type, or NRAS, or HRAS, or at least 3, 4, 5, 6, 7, 8, 9, 10, 20, 30, 40, 50, 60, 70, 80, 90 or 100-fold less. The KRAS gl2D inhibition constant (Ki) of the compounds disclosed herein can also be at least 100-fold less than the inhibition constant of one or more of KRAS wild-type, or NRAS, or HRAS, or at least 200, 300, 400, 500, 600, 700, 800, 900, 1000, or 10,000-fold less.
A. Cancer Combination Therapies
[0229] The compounds disclosed herein or salts thereof may be employed alone or in combination with other agents for treatment. For example, the second agent of the pharmaceutical combination formulation or dosing regimen may have complementary activities to the compounds disclosed herein such that they do not adversely affect each other. The compounds may be administered together in a unitary pharmaceutical composition or separately. In one embodiment a compound or a pharmaceutically acceptable salt can be co-administered with a cytotoxic agent to treat proliferative diseases and cancer.
[0230] The term "co-administering" refers to either simultaneous administration, or any manner of separate sequential administration, of a compound disclosed herein or a salt thereof, and a further active pharmaceutical ingredient or ingredients, including cytotoxic agents and radiation treatment. If the administration is not simultaneous, the compounds are administered in a close time proximity to each other. Furthermore, it does not matter if the compounds are administered in the same dosage form, e.g. one compound may be administered topically and another compound may be administered orally.
[0231] Those additional agents may be administered separately from an inventive compound-containing composition, as part of a multiple dosage regimen. Alternatively, those agents may be part of a single dosage form, mixed together with a compound disclosed herein, in a single composition. If administered as part of a multiple dosage regime, the two active agents may be submitted simultaneously, sequentially or within a period of time from one another normally within five hours from one another.
[0232] As used herein, the term “combination,” “combined,” and related terms refers to the simultaneous or sequential administration of therapeutic agents in accordance with embodiments herein. For example, a compound disclosed herein may be administered with another therapeutic agent simultaneously or sequentially in separate unit dosage forms or together in a single unit dosage form. Accordingly, the present embodiments provide a single unit dosage form comprising a compound of Formula (I), an additional therapeutic agent, and a pharmaceutically acceptable carrier, adjuvant, or vehicle.
[0233] The amount of both a compound of the present application and an additional therapeutic agent (in those compositions which comprise an additional therapeutic agent as described above) that may be combined with the carrier materials to produce a single dosage form will vary depending upon the host treated and the particular mode of administration. In certain embodiments, compositions disclosed herein are formulated such that a dosage of between 0.01 - 100 mg/kg body weight/day of an inventive can be administered.
[0234] Typically, any agent that has activity against a disease or condition being treated may be co-administered. Examples of such agents can be found in Cancer Principles and Practice of Oncology by V.T. Devita and S. Hellman (editors), 6th edition (February 15, 2001), Lippincott Williams & Wilkins Publishers. A person of ordinary skill in the art would be able to discern which combinations of agents would be useful based on the particular characteristics of the drugs and the disease involved.
[0235] In one embodiment, the treatment method includes the co-administration of a compound disclosed herein or a pharmaceutically acceptable salt thereof and at least one cytotoxic agent. The term "cytotoxic agent" as used herein refers to a substance that inhibits or prevents a cellular function and/or causes cell death or destruction. Cytotoxic agents include, but are not limited to, radioactive isotopes (e.g., At211, 1131, 1125, Y90, Re186, Re188, Sm153, Bi212, P32, Pb212 and radioactive isotopes of Lu); chemotherapeutic agents; growth inhibitory agents; enzymes and fragments thereof such as nucleolytic enzymes; and toxins such as small molecule toxins or enzymatically active toxins of bacterial, fungal, plant or animal origin, including fragments and/or variants thereof.
[0236] Exemplary cytotoxic agents can be selected from anti-microtubule agents, platinum coordination complexes, alkylating agents, antibiotic agents, topoisomerase II inhibitors, antimetabolites, topoisomerase I inhibitors, hormones and hormonal analogues, signal transduction pathway inhibitors, non-receptor tyrosine kinase angiogenesis inhibitors, immunotherapeutic agents, proapoptotic agents, inhibitors of LDH-A; inhibitors of fatty acid biosynthesis; cell cycle signalling inhibitors; HDAC inhibitors, proteasome inhibitors; and inhibitors of cancer metabolism.
[0237] "Chemotherapeutic agent" includes chemical compounds useful in the treatment of cancer. Examples of chemotherapeutic agents include erlotinib (TARCEVA®, Genentech/OSI Pharm.), bortezomib (VELCADE®, Millennium Pharm.), disulfiram , epigallocatechin gallate , salinosporamide A, carfilzomib, 17-AAG(geldanamycin), radicicol, lactate dehydrogenase A (LDH-A), fulvestrant (FASLODEX®, AstraZeneca), sunitib (SUTENT®, Pfizer/Sugen), letrozole (FEMARA®, Novartis), imatinib mesylate (GLEEVEC®., Novartis), finasunate (VATALANIB®, Novartis), oxaliplatin (ELOXATIN®, Sanofi), 5-FU (5 -fluorouracil), leucovorin, Rapamycin (Sirolimus, RAPAMUNE®, Wyeth), Lapatinib (TYKERB®, GSK572016, Glaxo Smith Kline), Lonafamib (SCH 66336), sorafenib (NEXAVAR®, Bayer Labs), gefitinib (IRESSA®, AstraZeneca), AG1478, alkylating agents such as thiotepa and CYTOXAN® cyclosphosphamide; alkyl sulfonates such as busulfan, improsulfan and piposulfan; aziridines such as benzodopa, carboquone, meturedopa, and uredopa; ethylenimines and methylamelamines including altretamine, triethylenemelamine, triethylenephosphoramide, triethylenethiophosphoramide and trimethylomelamine; acetogenins (especially bullatacin and bullatacinone); a camptothecin (including topotecan and irinotecan); bryostatin; callystatin; CC-1065 (including its adozelesin, carzelesin and bizelesin synthetic analogs);
cryptophycins (particularly cryptophycin 1 and cryptophycin 8); adrenocorticosteroids (including prednisone and prednisolone); cyproterone acetate; 5 > -reductases including finasteride and dutasteride); vorinostat, romidepsin, panobinostat, valproic acid, mocetinostat dolastatin; aldesleukin, talc duocarmycin (including the synthetic analogs, KW-2189 and CB1-TM1); eleutherobin; pancratistatin; a sarcodictyin; spongistatin; nitrogen mustards such as chlorambucil, chlomaphazine, chlorophosphamide, estramustine, ifosfamide, mechlorethamine, mechlorethamine oxide hydrochloride, melphalan, novembichin, phenesterine, prednimustine, trofosfamide, uracil mustard; nitrosoureas such as carmustine, chlorozotocin, fotemustine, lomustine, nimustine, and ranimnustine; antibiotics such as the enediyne antibiotics (e.g., calicheamicin, especially calicheamicin y II and calicheamicin mi l (Angew Chem. Inti. Ed. Engl. 199433:183-186); dynemicin, including dynemicin A; bisphosphonates, such as clodronate; an esperamicin; as well as neocarzinostatin chromophore and related chromoprotein enediyne antibiotic chromophores), aclacinomysins, actinomycin, authramycin, azaserine, bleomycins, cactinomycin, carabicin, caminomycin, carzinophilin, chromomycinis, dactinomycin, daunorubicin, detorubicin, 6-diazo-5-oxo-L-norleucine, ADRIAMYCIN® (doxorubicin), morpholino-doxorubicin, cyanomorpholino-doxorubicin, 2-pyrrolino-doxorubicin and deoxydoxorubicin), epirubicin, esorubicin, idarubicin, marcellomycin, mitomycins such as mitomycin C, mycophenolic acid, nogalamycin, olivomycins, peplomycin, porfiromycin, puromycin, quelamycin, rodorubicin, streptonigrin, streptozocin, tubercidin, ubenimex, zinostatin, zorubicin; anti-metabolites such as methotrexate and 5-fluorouracil (5-FU); folic acid analogs such as denopterin, methotrexate, pteropterin, trimetrexate; purine analogs such as fludarabine, 6-mercaptopurine, thiamiprine, thioguanine; pyrimidine analogs such as ancitabine, azacitidine, 6-azauridine, carmofur, cytarabine, dideoxyuridine, doxifluridine, enocitabine, floxuridine; androgens such as calusterone, dromostanolone propionate, epitiostanol, mepitiostane, testolactone; anti-adrenals such as aminoglutethimide, mitotane, trilostane; folic acid replenisher such as frolinic acid; aceglatone; aldophosphamide glycoside; aminolevulinic acid; eniluracil; amsacrine; bestrabucil; bisantrene; edatraxate; defofamine; demecolcine; diaziquone; elfomithine; elliptinium acetate; an epothilone; etoglucid; gallium nitrate; hydroxyurea; lentinan; lonidainine; maytansinoids such as maytansine and ansamitocins; mitoguazone; mitoxantrone; mopidamnol; nitraerine; pentostatin; phenamet; pirarubicin; losoxantrone; podophyllinic acid; 2-ethylhydrazide; procarbazine; PSK® polysaccharide complex (JHS
Natural Products, Eugene, Oreg.); razoxane; rhizoxin; sizofuran; spirogermanium; tenuazonic acid; triaziquone; 2,2',2"-trichlorotriethylamine; trichothecenes (especially T-2 toxin, verracurin A, roridin A and anguidine); urethan; vindesine; dacarbazine; mannomustine; mitobronitol; mitolactol; pipobroman; gacytosine; arabinoside ("Ara-C"); cyclophosphamide; thiotepa; taxoids, e.g., TAXOL (paclitaxel; Bristol-Myers Squibb Oncology, Princeton, N.J.), ABRAXANE® (Cremophor-free), albumin-engineered nanoparticle formulations of paclitaxel (American Pharmaceutical Partners, Schaumberg, Ill.), and TAXOTERE® (docetaxel, doxetaxel; Sanofi-Aventis); chloranmbucil; GEMZAR® (gemcitabine); 6-thioguanine; mercaptopurine; methotrexate; platinum analogs such as cisplatin and carboplatin; vinblastine; etoposide (VP- 16); ifosfamide; mitoxantrone; vincristine; NAVELBINE® (vinorelbine); novantrone; teniposide; edatrexate; daunomycin; aminopterin; capecitabine (XELODA®); ibandronate; CPT-11; topoisomerase inhibitor RFS 2000; difluoromethylomithine (DMFO); retinoids such as retinoic acid; and pharmaceutically acceptable salts, acids and derivatives of any of the above.
[0238] Chemotherapeutic agent also includes (i) anti-hormonal agents that act to regulate or inhibit hormone action on tumors such as anti-estrogens and selective estrogen receptor modulators (SERMs), including, for example, tamoxifen (including NOLVADEX®; tamoxifen citrate), raloxifene, droloxifene, iodoxyfene , 4- hydroxytamoxifen, trioxifene, keoxifene, LY117018, onapristone, and FARESTON® (toremifine citrate); (ii) aromatase inhibitors that inhibit the enzyme aromatase, which regulates estrogen production in the adrenal glands, such as, for example, 4(5)-imidazoles, aminoglutethimide, MEGASE® (megestrol acetate), AROMASIN® (exemestane; Pfizer), formestanie, fadrozole, RIVISOR® (vorozole), FEMARA® (letrozole; Novartis), and ARIMIDEX® (anastrozole; AstraZeneca); (iii) anti-androgens such as flutamide, nilutamide, bicalutamide, leuprolide and goserelin; buserelin, tripterelin, medroxyprogesterone acetate, diethylstilbestrol, premarin, fluoxymesterone, all transretionic acid, fenretinide, as well as troxacitabine (a 1,3-dioxolane nucleoside cytosine analog); (iv) protein kinase inhibitors; (v) lipid kinase inhibitors; (vi) antisense oligonucleotides, particularly those which inhibit expression of genes in signaling pathways implicated in aberrant cell proliferation, such as, for example, PKC-alpha, Ralf and H-Ras; (vii) ribozymes such as VEGF expression inhibitors (e.g., ANGIOZYME®) and HER2 expression inhibitors; (viii) vaccines such as gene therapy vaccines, for
example, ALLOVECTIN®, LEUVECTIN®, and VAXID®; PROLEUKIN®, rIL-2; a topoisomerase 1 inhibitor such as LURTOTECAN®; ABARELIX® rmRH; and (ix) pharmaceutically acceptable salts, acids and derivatives of any of the above.
[0239] Chemotherapeutic agent also includes antibodies such as alemtuzumab (Campath), bevacizumab (AVASTIN®, Genentech); cetuximab (ERBITUX®, Imclone); panitumumab (VECTIBIX®, Amgen), rituximab (RITUXAN®, Genentech/Biogen Idee), pertuzumab (OMNITARG®, 2C4, Genentech), trastuzumab (HERCEPTIN®, Genentech), tositumomab (Bexxar, Corixia), and the antibody drug conjugate, gemtuzumab ozogamicin (MYLOTARG®, Wyeth). Additional humanized monoclonal antibodies with therapeutic potential as agents in combination with the compounds disclosed herein include: apolizumab, aselizumab, atlizumab, bapineuzumab, bivatuzumab mertansine, cantuzumab mertansine, cedelizumab, certolizumab pegol, cidfusituzumab, cidtuzumab, daclizumab, eculizumab, efalizumab, epratuzumab, erlizumab, felvizumab, fontolizumab, gemtuzumab ozogamicin, inotuzumab ozogamicin, ipilimumab, labetuzumab, lintuzumab, matuzumab, mepolizumab, motavizumab, motovizumab, natalizumab, nimotuzumab, nolovizumab, numavizumab, ocrelizumab, omalizumab, palivizumab, pascolizumab, peefusituzumab, pectuzumab, pexelizumab, ralivizumab, ranibizumab, reslivizumab, reslizumab, resyvizumab, rovelizumab, ruplizumab, sibrotuzumab, siplizumab, sontuzumab, tacatuzumab tetraxetan, tadocizumab, talizumab, tefibazumab, tocilizumab, toralizumab, tucotuzumab celmoleukin, tucusituzumab, umavizumab, urtoxazumab, ustekinumab, visilizumab, and the anti-interleukin- 12 (ABT-874/J695, Wyeth Research and Abbott Laboratories) which is a recombinant exclusively human-sequence, full-length IgGi A antibody genetically modified to recognize interleukin- 12 p40 protein.
[0240] Chemotherapeutic agent also includes “EGFR inhibitors,” which refers to compounds that bind to or otherwise interact directly with EGFR and prevent or reduce its signaling activity, and is alternatively referred to as an “EGFR antagonist.” Examples of such agents include antibodies and small molecules that bind to EGFR. Examples of antibodies which bind to EGFR include MAb 579 (ATCC CRL HB 8506), MAb 455 (ATCC CRL HB8507), MAb 225 (ATCC CRL 8508), MAb 528 (ATCC CRL 8509) (see, US Patent No. 4,943, 533, Mendelsohn et al.) and variants thereof, such as chimerized 225 (C225 or Cetuximab; ERBUTIX®) and reshaped human 225 (H225) (see, WO 96/40210, Imclone Systems Inc.); IMC-11F8, a fully human, EGFR-targeted antibody (Imclone); antibodies that bind type II mutant EGFR (US Patent No. 5,212,290); humanized and
chimeric antibodies that bind EGFR as described in US Patent No. 5,891,996; and human antibodies that bind EGFR, such as ABX-EGF or Panitumumab (see WO98/50433, Abgenix/Amgen); EMD 55900 (Stragliotto et al. Eur. J. Cancer 32A:636-640 (1996)); EMD7200 (matuzumab) a humanized EGFR antibody directed against EGFR that competes with both EGF and TGF-alpha for EGFR binding (EMD/Merck); human EGFR antibody, HuMax-EGFR (GenMab); fully human antibodies known as El .1 , E2.4, E2.5, E6.2, E6.4, E2.11, E6. 3 and E7.6. 3 and described in US 6,235,883; MDX-447 (Medarex Inc); and mAb 806 or humanized mAb 806 (Johns et al., J. Biol. Chem. 279(29):30375- 30384 (2004)). The anti-EGFR antibody may be conjugated with a cytotoxic agent, thus generating an immunoconjugate (see, e.g., EP659.439A2, Merck Patent GmbH). EGFR antagonists include small molecules such as compounds described in US Patent Nos: 5,616,582, 5,457,105, 5,475,001, 5,654,307, 5,679,683, 6,084,095, 6,265,410, 6,455,534, 6,521,620, 6,596,726, 6,713,484, 5,770,599, 6,140,332, 5,866,572, 6,399,602, 6,344,459, 6,602,863, 6,391,874, 6,344,455, 5,760,041, 6,002,008, and 5,747,498, as well as the following PCT publications: WO98/14451, W098/50038, W099/09016, and WO99/24037. Particular small molecule EGFR antagonists include OSI-774 (CP-358774, erlotinib, TARCEVA® Genentech/OSI Pharmaceuticals); PD 183805 (CI 1033, 2- propenamide, N-[4-[(3-chloro-4-fluorophenyl)amino]-7-[3-(4-morpholinyl)propoxy]-6- quinazolinyl]-, dihydrochloride, Pfizer Inc.); ZD 1839, gefitinib (IRESSA®) 4-(3’-Chloro- 4’-fluoroanilino)-7-methoxy-6-(3-morpholinopropoxy)quinazoline, AstraZeneca); ZM 105180 ((6-amino-4-(3-methylphenyl-amino)-quinazoline, Zeneca); BIBX-1382 (N8-(3- chloro-4-fluoro-phenyl)-N2-(l-methyl-piperidin-4-yl)-pyrimido[5,4-d]pyrimidine-2,8- diamine, Boehringer Ingelheim); PKI-166 ((R)-4-[4-[(l-phenylethyl)amino]-lH- pyrrolo[2,3-d]pyrimidin-6-yl]-phenol); (R)-6-(4-hydroxyphenyl)-4-[(l- phenylethyl)amino]-7H-pyrrolo[2,3-d]pyrimidine); CL-387785 (N-[4-[(3- bromophenyl)amino]-6-quinazolinyl]-2-butynamide); EKB-569 (N-[4-[(3-chloro-4- fluorophenyljamino] -3 -cyano-7-ethoxy-6-quinolinyl] -4-(dimethylamino)-2-butenamide) (Wyeth); AG1478 (Pfizer); AG1571 (SU 5271; Pfizer); dual EGFR/HER2 tyrosine kinase inhibitors such as lapatinib (TYKERB®, GSK572016 or N-[3-chloro-4-[(3 fluorophenyl)methoxy]phenyl]-6[5[[[2methylsulfonyl)ethyl]amino]methyl]-2-furanyl]-4- quinazolinamine).
[0241] Chemotherapeutic agents also include “tyrosine kinase inhibitors” including the EGFR-targeted drugs noted in the preceding paragraph; small molecule HER2 tyrosine
kinase inhibitor such as TAK165 available from Takeda; CP-724,714, an oral selective inhibitor of the ErbB2 receptor tyrosine kinase (Pfizer and OSI); dual-HER inhibitors such as EKB-569 (available from Wyeth) which preferentially binds EGFR but inhibits both HER2 and EGFR-overexpressing cells; lapatinib (GSK572016; available from GlaxoSmithKline), an oral HER2 and EGFR tyrosine kinase inhibitor; PKI-166 (available from Novartis); pan- HER inhibitors such as canertinib (CI-1033; Pharmacia); Raf-1 inhibitors such as antisense agent ISIS-5132 available from ISIS Pharmaceuticals which inhibit Raf- 1 signaling; non-HER targeted TK inhibitors such as imatinib mesylate (GLEEVEC®, available from Glaxo SmithKline); multi-targeted tyrosine kinase inhibitors such as sunitinib (SUTENT®, available from Pfizer); VEGF receptor tyrosine kinase inhibitors such as vatalanib (PTK787/ZK222584, available from Novartis/Schering AG); MAPK extracellular regulated kinase I inhibitor CI- 1040 (available from Pharmacia); quinazolines, such as PD 153035, 4-(3-chloroanilino) quinazoline; pyridopyrimidines; pyrimidopyrimidines; pyrrolopyrimidines, such as CGP 59326, CGP 60261 and CGP 62706; pyrazolopyrimidines, 4-(phenylamino)-7H-pyrrolo[2,3-d] pyrimidines; curcumin (diferuloyl methane, 4,5-bis (4-fluoroanilino)phthalimide); tyrphostines containing nitrothiophene moieties; PD-0183805 (Wamer-Lamber); antisense molecules (e.g. those that bind to HER-encoding nucleic acid); quinoxalines (US Patent No. 5,804,396); tryphostins (US Patent No. 5,804,396); ZD6474 (Astra Zeneca); PTK-787 (Novartis/Schering AG); pan-HER inhibitors such as CI-1033 (Pfizer); Affinitac (ISIS 3521; Isis/Lilly); imatinib mesylate (GLEEVEC®); PKI 166 (Novartis); GW2016 (Glaxo SmithKline); CI-1033 (Pfizer); EKB-569 (Wyeth); Semaxinib (Pfizer); ZD6474 (AstraZeneca); PTK-787 (Novartis/Schering AG); INC-1C11 (Imclone), rapamycin (sirolimus, RAPAMUNE®); or as described in any of the following patent publications: US Patent No. 5,804,396; WO 1999/09016 (American Cyanamid); WO 1998/43960 (American Cyanamid); WO 1997/38983 (Warner Lambert); WO 1999/06378 (Warner Lambert); WO 1999/06396 (Warner Lambert); WO 1996/30347 (Pfizer, Inc); WO 1996/33978 (Zeneca); WO 1996/3397 (Zeneca) and WO 1996/33980 (Zeneca).
[0242] Chemotherapeutic agents also include dexamethasone, interferons, colchicine, metoprine, cyclosporine, amphotericin, metronidazole, alemtuzumab, alitretinoin, allopurinol, amifostine, arsenic trioxide, asparaginase, BCG live, bevacuzimab, bexarotene, cladribine, clofarabine, darbepoetin alfa, denileukin, dexrazoxane, epoetin alfa, elotinib, filgrastim, histrelin acetate, ibritumomab, interferon alfa-2a, interferon alfa-
2b, lenalidomide, levamisole, mesna, methoxsalen, nandrolone, nelarabine, nofetumomab, oprelvekin, palifermin, pamidronate, pegademase, pegaspargase, pegfilgrastim, pemetrexed disodium, plicamycin, porfimer sodium, quinacrine, rasburicase, sargramostim, temozolomide, VM-26, 6-TG, toremifene, tretinoin, ATRA, valrubicin, zoledronate, and zoledronic acid, and pharmaceutically acceptable salts thereof.
[0243] Chemotherapeutic agents also include hydrocortisone, hydrocortisone acetate, cortisone acetate, tixocortol pivalate, triamcinolone acetonide, triamcinolone alcohol, mometasone, amcinonide, budesonide, desonide, fluocinonide, fluocinolone acetonide, betamethasone, betamethasone sodium phosphate, dexamethasone, dexamethasone sodium phosphate, fluocortolone, hydrocortisone- 17-butyrate, hydrocortisone- 17-valerate, aclometasone dipropionate, betamethasone valerate, betamethasone dipropionate, prednicarbate, clobetasone- 17-butyrate, clobetasol-17-propionate, fluocortolone caproate, fluocortolone pivalate and fluprednidene acetate; immune selective anti-inflammatory peptides (ImSAIDs) such as phenylalanine-glutamine-glycine (FEG) and its D-isomeric form (feG) (IMULAN BioTherapeutics, LLC); anti-rheumatic drugs such as azathioprine, ciclosporin (cyclosporine A), D-penicillamine, gold salts, hydroxychloroquine, leflunomideminocycline, sulfasalazine, tumor necrosis factor alpha (TNFa) blockers such as etanercept (Enbrel), infliximab (Remicade), adalimumab (Humira), certolizumab pegol (Cimzia), golimumab (Simponi), Interleukin 1 (IL-1) blockers such as anakinra (Kineret), T cell costimulation blockers such as abatacept (Orencia), Interleukin 6 (IL-6) blockers such as tocilizumab (ACTEMERA®); Interleukin 13 (IL- 13) blockers such as lebrikizumab; Interferon alpha (IFN) blockers such as Rontalizumab; Beta 7 integrin blockers such as rhuMAb Beta7; IgE pathway blockers such as Anti-Ml prime; Secreted homotrimeric LTa3 and membrane bound heterotrimer LTal/β2 blockers such as Anti- lymphotoxin alpha (LTa); radioactive isotopes (e.g., At211, I131, I125, Y90, Re186, Re188, Sm153, Bi212, P32, Pb212 and radioactive isotopes of Lu); miscellaneous investigational agents such as thioplatin, PS-341, phenylbutyrate, ET-18- OCH3, or famesyl transferase inhibitors (L-739749, L-744832); polyphenols such as quercetin, resveratrol, piceatannol, epigallocatechine gallate, theaflavins, flavanols, procyanidins, betulinic acid and derivatives thereof; autophagy inhibitors such as chloroquine; delta-9- tetrahydrocannabinol (dronabinol, MARINOL®); beta-lapachone; lapachol; colchicines; betulinic acid; acetylcamptothecin, scopolectin, and 9-aminocamptothecin); podophyllotoxin; tegafur (UFTORAL®); bexarotene (TARGRETIN®); bisphosphonates
such as clodronate (for example, BONEFOS® or OSTAC®), etidronate (DIDROCAL®), NE-58095, zoledronic acid/zoledronate (ZOMETA®), alendronate (FOSAMAX®), pamidronate (AREDIA®), tiludronate (SKELID®), or risedronate (ACTONEL®); and epidermal growth factor receptor (EGF-R); vaccines such as THERATOPE® vaccine; perifosine, COX-2 inhibitor (e.g. celecoxib or etoricoxib), proteosome inhibitor (e.g. PS341); CCI-779; tipifamib (R11577); orafenib, ABT510; Bcl-2 inhibitor such as oblimersen sodium (GENASENSE®); pixantrone; famesyltransferase inhibitors such as lonafamib (SCH 6636, SARASAR™); and pharmaceutically acceptable salts, acids or derivatives of any of the above; as well as combinations of two or more of the above such as CHOP, an abbreviation for a combined therapy of cyclophosphamide, doxorubicin, vincristine, and prednisolone; and FOLFOX, an abbreviation for a treatment regimen with oxaliplatin (ELOXATIN™) combined with 5-FU and leucovorin.
[0244] Chemotherapeutic agents also include non-steroidal anti-inflammatory drugs with analgesic, antipyretic and anti-inflammatory effects. NSAIDs include non-selective inhibitors of the enzyme cyclooxygenase. Specific examples of NSAIDs include aspirin, propionic acid derivatives such as ibuprofen, fenoprofen, ketoprofen, flurbiprofen, oxaprozin and naproxen, acetic acid derivatives such as indomethacin, sulindac, etodolac, diclofenac, enolic acid derivatives such as piroxicam, meloxicam, tenoxicam, droxicam, lomoxicam and isoxicam, fenamic acid derivatives such as mefenamic acid, meclofenamic acid, flufenamic acid, tolfenamic acid, and COX-2 inhibitors such as celecoxib, etoricoxib, lumiracoxib, parecoxib, rofecoxib, rofecoxib, and valdecoxib. NSAIDs can be indicated for the symptomatic relief of conditions such as rheumatoid arthritis, osteoarthritis, inflammatory arthropathies, ankylosing spondylitis, psoriatic arthritis, Reiter's syndrome, acute gout, dysmenorrhoea, metastatic bone pain, headache and migraine, postoperative pain, mild-to-moderate pain due to inflammation and tissue injury, pyrexia, ileus, and renal colic.
[0245] In certain embodiments, chemotherapeutic agents include, but are not limited to, doxorubicin, dexamethasone, vincristine, cyclophosphamide, fluorouracil, topotecan, interferons, platinum derivatives, taxanes (e.g., paclitaxel, docetaxel), vinca alkaloids (e.g., vinblastine), anthracyclines (e.g., doxorubicin), epipodophyllotoxins (e.g., etoposide), cisplatin, an mTOR inhibitor (e.g., a rapamycin), methotrexate, actinomycin D, dolastatin 10, colchicine, trimetrexate, metoprine, cyclosporine, daunorubicin, teniposide, amphotericin, alkylating agents (e.g., chlorambucil), 5-fluorouracil, campthothecin,
cisplatin, metronidazole, and imatinib mesylate, among others. In other embodiments, a compound disclosed herein is administered in combination with a biologic agent, such as bevacizumab or panitumumab.
[0246] In certain embodiments, compounds disclosed herein, or a pharmaceutically acceptable composition thereof, are administered in combination with an antiproliferative or chemotherapeutic agent selected from any one or more of abarelix, aldesleukin, alemtuzumab, alitretinoin, allopurinol, altretamine, amifostine, anastrozole, arsenic trioxide, asparaginase, azacitidine, BCG live, bevacuzimab, fluorouracil, bexarotene, bleomycin, bortezomib, busulfan, calusterone, capecitabine, camptothecin, carboplatin, carmustine, cetuximab, chlorambucil, cladribine, clofarabine, cyclophosphamide, cytarabine, dactinomycin, darbepoetin alfa, daunorubicin, denileukin, dexrazoxane, docetaxel, doxorubicin (neutral), doxorubicin hydrochloride, dromostanolone propionate, epirubicin, epoetin alfa, elotinib, estramustine, etoposide phosphate, etoposide, exemestane, filgrastim, floxuridine, fludarabine, fulvestrant, gefitinib, gemcitabine, gemtuzumab, goserelin acetate, histrelin acetate, hydroxyurea, ibritumomab, idarubicin, ifosfamide, imatinib mesylate, interferon alfa-2a, interferon alfa-2b, irinotecan, lenalidomide, letrozole, leucovorin, leuprolide acetate, levamisole, lomustine, megestrol acetate, melphalan, mercaptopurine, 6-MP, mesna, methotrexate, methoxsalen, mitomycin C, mitotane, mitoxantrone, nandrolone, nelarabine, nofetumomab, oprelvekin, oxaliplatin, paclitaxel, palifermin, pamidronate, pegademase, pegaspargase, pegfilgrastim, pemetrexed disodium, pentostatin, pipobroman, plicamycin, porfimer sodium, procarbazine, quinacrine, rasburicase, rituximab, sargramostim, sorafenib, streptozocin, sunitinib maleate, talc, tamoxifen, temozolomide, teniposide, VM-26, testolactone, thioguanine, 6- TG, thiotepa, topotecan, toremifene, tositumomab, trastuzumab, tretinoin, ATRA, uracil mustard, valrubicin, vinblastine, vincristine, vinorelbine, zoledronate, or zoledronic acid.
[0247] Chemotherapeutic agents also include treatments for Alzheimer's Disease such as donepezil hydrochloride and rivastigmine; treatments for Parkinson's Disease such as L- DOPA/carbidopa, entacapone, ropinrole, pramipexole, bromocriptine, pergolide, trihexephendyl, and amantadine; agents for treating multiple sclerosis (MS) such as beta interferon (e.g., Avonex® and Rebif®), glatiramer acetate, and mitoxantrone; treatments for asthma such as albuterol and montelukast sodium; agents for treating schizophrenia such as zyprexa, risperdal, seroquel, and haloperidol; anti-inflammatory agents such as corticosteroids, TNF blockers, IL- 1 RA, azathioprine, cyclophosphamide, and
sulfasalazine; immunomodulatory and immunosuppressive agents such as cyclosporin, tacrolimus, rapamycin, mycophenolate mofetil, interferons, corticosteroids, cyclophophamide, azathioprine, and sulfasalazine; neurotrophic factors such as acetylcholinesterase inhibitors, MAO inhibitors, interferons, anti-convulsants, ion channel blockers, riluzole, and anti-Parkinsonian agents; agents for treating cardiovascular disease such as beta-blockers, ACE inhibitors, diuretics, nitrates, calcium channel blockers, and statins; agents for treating liver disease such as corticosteroids, cholestyramine, interferons, and anti-viral agents; agents for treating blood disorders such as corticosteroids, anti-leukemic agents, and growth factors; and agents for treating immunodeficiency disorders such as gamma globulin.
[0248] Additionally, chemotherapeutic agents include pharmaceutically acceptable salts, acids or derivatives of any of chemotherapeutic agents, described herein, as well as combinations of two or more of them.
VI. EXAMPLES
[0249] Abbreviations:
ACN - acetonitrile
AC2O - acetyl acetate
BINAP - (+/-)-2,2’-bis(diphenylphosphino)-l,r-binaphthyl
BOC2O - di-tert-butyl dicarbonate
BOP - (benzotriazol-l-yloxy)tris(dimethylamino)phosphonium hexafluorophosphate DBU - l,8-diazabicyclo[5.4.0]undec-7-ene DCE- 1,2-dichloroethane DCM - dichloromethane
DIEA or DIPEA - A,N-diisopropylethylamine
DMA - A,N-dimethylacetamide
DMAc - A,N-dimethylacetamide DMAP - 4-dimethylaminopyridine DMF - N,N-di methyl formamide DMSO - dimethyl sulfoxide EA - ethyl acetate EtOAc - ethyl acetate EtOH - ethanol
HATU -2-(7-azabenzotriazol-l -yl)-A,A,A’,A’-tetramethyluronium hexafluorophosphate
HFIP - hexafluoroisopropanol
HOAc - acetic acid iPrOAc - isopropyl acetate
KF - potassium fluoride
KO Ac - potassium acetate
LDA - lithium diisopropylamide
LiHMDS - lithium bis(trimethylsilyl)amide mCPBA -3 -chloroperoxybenzoic acid
MeCN - acetonitrile
Mel - iodomethane
MeOH - methanol
MeONa - sodium methoxide or sodium methanolate
MTBE - methyl tert-butyl ether
MW - microwave
NaBH(OAc)3 - sodium triacetoxyborohydride
NIS - A-iodosuccinimide
P(Cy)3 or PCy3 - tricyclohexylphosphine
P(t-Bu)3HBF4 - tri-tert-buty Iphosphonium tetrafluoroborate
Pd/C - palladium on carbon
Pd2(dba)3 - tris(dibenzylideneacetone)dipalladium(0)
Pd2(dba)3CHC13 - tris(dibenzylidenacetone)dipalladium(0) chloroform
Pd(dppf)C12.CH2C12 - [l,l’-bis(diphenylphosphino)ferrocene]dichloropalladium(II) or dichloro [ 1.1 ’-bis(diphenylphosphino)ferrocene]palladium(II), complexed with dichloromethane
Pd(PPh3)4 - tetrakis(triphenylphosphine)palladium(0)
Pd(PPh3)2C12 - bis(triphenylphosphine)palladium(II) dichloride
PE - petroleum ether
PMBC1 - 4-methoxybenzylchloride pTsA - p-toluenesulfbnic acid r.t. - room temperature
Sn2(n-Bu)e - hexabutylditin
TBSC1 - tert-butyldimethylsilyl chloride or tert-butyldimethylchlorosilane [Rh(COD)Cl]2 - chloro(l,5-cyclooctadiene)rhodium(I) dimer
TEA - triethylamine
TFA- trifluoroacetic acid or 2,2,2-trifluoroacetic acid
THF - tetrahydrofuran
THP - tetrahydropyran TsOH - p-toluenesulfonic acid
A. Synthetic Procedures
General Procedure
[0250] The compounds of Formula (I) may be prepared from commercially available reagents using the synthetic methods and reaction schemes herein, or using other reagents and conventional methods well known to those skilled in the art. For instance, compounds of the present application may be prepared according to the general reaction schemes set forth below.
[0251] Compound of formula 1 and compound of formula 2 are reacted to yield compound of formula 3. In step 2, compound of formula 3 is converted to compound of formula 4. In step 3, Compound of formula 4 is converted to compound of formula 5. In step 4, cyclopropyl group is installed on the core to produce compound of formula 6. In step 5, Ar group is coupled to compound of formula 6 to give compound of formula 7. In step 6, compound of formula 7 is oxidized to produce compound of formula 8. In step 7, compound of formula 8 is reacted with R1-YH to yield compound of formula 9. In step 8, compound of formula 9 is deprotected to generate compound of formula 10. In step 9, the
ether bond in compound of formula 11 is generated from compound of formula 10 and a substituted benzyl alcohol.
[0252] Compound of formula I is reacted with compound of formula II to yield compound of formula III. In step 2, compound of formula III is subjected to deprotection conditions to give compound of formula IV. Scheme 3
[0253] Compound of formula A is coupled with compound of formula B to yield compound of formula C. In step 2, compound of formula C is subjected to deprotection conditions to generate compound of formula D.
Intermediate 1
[0256] To a solution of 2-amino-4-bromo-3-fluoro-benzoic acid (25 g, 106.83 mmol, 1 eq) in N,N-dimethylformamide (400 mL) was added A-chlorosuccinimide (15.69 g, 117.51 mmol, 1.1 eq). The mixture was stirred at 70 °C for 12 hours. The mixture was cooled to 25 °C, and then poured into water (2000 mL). The resultant mixture was filtered and the filter cake was collected, dried under reduced pressure to get the crude product (28 g, 104.30 mmol, 97% yield) as a yellow solid, which was used for next step directly. 1H ).
[0258] A mixture of 2-amino-4-bromo-5-chloro-3-fluoro-benzoic acid (29 g, 108.0 mmol, 1 eq) in urea (64.87 g, 1.08 mol, 10 eq) was stirred at 200 °C for 1 hour. LCMS showed that the desired mass was detected. The mixture was cooled to 25 °C, diluted with water (800 mL) and stirred at 25 °C for 1 hour. The mixture was filtered and the solid was dried in vacuum to give the crude product (31 g, 105.63 mmol, 97% yield) as a brown solid, which was used for next step directly. LCMS (ESI, m/z): 293.9 [M+l]+. ' l l NMR (400 MHz, DMSO-d6) d: 7.24 (s, 1H).
[0259] Step 3: 7-bromo-2,4,6-trichloro-8-fluoro-quinazoline
[0260] To a solution of 7-bromo-6-chloro-8-fluoro-lH-quinazoline-2, 4-dione (31 g, 105.6 mmol, 1 eq) in phosphoryl chloride (360 mL) was added N,N-diisopropylethylamine (310.0 mmol, 54 mL, 2.94 eq), the mixture was stirred at 110 °C for 16 hours. LCMS showed that the reactant was consumed completely. The mixture was concentrated under reduced pressure to give the crude product. The crude product was purified by silica gel column chromatography eluted by petroleum ether/tetrahydro furan = 40/1 to give the product (24 g, 72.65 mmol, 68% yield) as a yellow solid.
NMR: (400 MHz, DMSO- d6) d: 8.03 (s, 1H).
[0263] To a solution of 2-chloro-3-fluoro-pyridine-4-carboxylic acid (10 g, 56.97 mmol, 1 eq) in toluene (73 mL) was added triethylamine (17.29 g, 170.91 mmol, 3 eq) and tertiary butanol (56.16 g, 757.70 mmol, 13.3 eq). Then the mixture was stirred at 110 °C
for 0.5 hour. The mixture was cooled to 25 °C and diphenylphosphoryl azide (23.52 g, 85.45 mmol, 1.5 eq) was added into the mixture. Then the mixture was stirred at 110 °C for additional 5 hours. The mixture was diluted with water (200 mL), extracted with ethyl acetate (200 mL x 3), washed with brine (200 mL), dried over anhydrous sodium sulfate, filtered and concentrated under reduced pressure to give the crude product which was purified by column chromatography (silicon dioxide, petroleum ether/ethyl acetate = 50/1 to 20/1) to afford the desired product (12.9 g, 52.30 mmol, 92% yield) as a yellow oil. LCMS: (ESI, m/z): 191.1 [M-56]+. 'H NMR: (400MHz, CDCh) 8: 8.14 (t, J= 5.6 Hz, 1H), 8.02 (d, J= 6.0 Hz, 1H), 1.54 (s, 9H).
[0265] To a solution of tert-butyl N-(2-chloro-3-fluoro-4-pyridyl)carbamate (12 g, 48.65 mmol, 1 eq) in acetonitrile (120 mL) was added hydrogen chloride/dioxane (4 M, 50 mL). Then the mixture was stirred at 20 °C for 2 hours. The mixture was concentrated, diluted with water (30 mL), adjusted the pH with saturated aqueous sodium bicarbonate (50 mL) to about 9, extracted with ethyl acetate (200 mL x 3). The combined organic layers were washed with brine (300 mL), dried over anhydrous sodium sulfate, filtered and concentrated under reduced pressure to give the crude product (7 g, 47.77 mmol, 98% yield) which was directly used for next step.
[0267] To a solution of 2-chloro-3-fluoro-pyridin-4-amine (2 g, 13.65 mmol, 1 eq) and N-iodosuccinimide (3.68 g, 16.38 mmol, 1.2 eq) in acetonitrile (10 mL) was added p- toluenesulfonic acid (130 mg, 0.68 mmol, 0.05 eq). Then the mixture was stirred at 70 °C for 12 hours. The mixture was diluted with water (50 mL), extracted with ethyl acetate (100 mL x 3), quenched with saturated aqueous sodium sulfite (200 mL). The organic layer was washed with brine (100 mL), dried over anhydrous sodium sulfate, filtered and concentrated under reduced pressure to get a residue. The residue was purified by column chromatography (silicon dioxide, petroleum ether/ethyl acetate = 100/1 to 5/1) to afford
the desired product (2.7 g, 9.91 mmol, 72% yield) as a yellow solid. LCMS: (ESI, m/z):
273.2 [M+l]+. NMR: (400MHZ, MeOD) 8: 8.08 (s, 1H).
[0269] To a solution of 2-chloro-3-fluoro-5-iodo-pyridin-4-amine (1 g, 3.67 mmol, 1 eq) in ethyl alcoho (10 mL) was added triethylamine (1.34 g, 13.21 mmol, 3.6 eq) and [1,1'- bis(diphenylphosphino)ferrocene]dichloropalladium(ii) (257 mg, 0.37 mmol, 0.1 eq).
Then the mixture was purged with nitrogen for 3 times. The mixture was stirred under carbon monoxide (50 Psi) at 80 °C for 12 hours. The mixture was filtered and then concentrated under reduced pressure to get a residue. The residue was purified by column chromatography (silicon dioxide, petroleum ether/ethyl acetate = 10/1 to 3/1) to give the desired product (580 mg, 2.65 mmol, 72% yield) as a yellow solid. LCMS: (ESI, m/z): 219.4 [M+l]+. 1H NMR: (400MHz, DMSO-d6) d: 8.38 (s, 1H), 7.60 (s, 2H), 4.38 - 4.26 (m, 2H), 1.32 (t, J= 7.2 Hz, 3H).
[0271] To a solution of ethyl 4-amino-6-chloro-5-fluoronicotinate (5 g, 22.87 mmol, 1 eq) in tetrahydro furan (45 mL) and water (20 mL) was added sodium hydroxide (9. 15 g, 228.72 mmol, 10 eq). Then the mixture was stirred at 20 °C for 12 hours. The mixture was concentrated under vacuum to remove tetrahydrofuran, adjusted the pH with aqueous hydrochloric (2M) to about 2, filtered, and washed with water (50 mL). The filter cake was triturated by dichloromethane (20 mL) to give the desired product (3.9 g, 20.47 mmol, 89% yield) as a gray solid. LCMS: (ESI, m/z): 191.4 [M+l]+. ' l l NMR: (400MHz, DMSO-d6) d: 8.36 (s, 1H), 7.61 (s, 3H).
[0273] To a solution of 4-amino-6-chloro-5-fluoro-pyridine-3-carboxylic acid (2 g, 10.50 mmol, 1 eq) in phosphorus oxychloride (20 mL) was stirred at 90 °C for 2 hours. Then the mixture was concentrated under reduced pressure to remove phosphorus oxychloride and then the residue was dissolved in tetrahydro furan (10 mL). A solution of ammonium thiocyanate (728 mg, 9.57 mmol, 2 eq) in tetrahydrofuran (10 mL) was added into the mixture at 20 °C. Then the mixture was stirred at 60 °C for 12 hours. The mixture was diluted with water (30 mL), extracted with ethyl acetate (30 mL x 3). The organic layers were washed with brine (30 mL), dried over anhydrous sodium sulfate, filtered and concentrated under reduced pressure to get a residue which was triturated with dichloromethane (10 mL) at 20 °C for 10 min to generate the desired product (1.1 g, 4.75 mmol, 99% yield) as a yellow solid.
NMR: (400MHz, DMSO-d6) 3: 13.32 (s, 1H), 12.89 (s, 1H), 8.65 (s, 1H).
[0275] To a solution of 7-chloro-8-fluoro-2-sulfanyl-pyrido[4,3-d]pyrimidin-4-ol (5.9 g, 25.47 mmol, 1 eq) in N,N-dimethylformamide (30 mL) was added sodium methoxide (1.38 g, 25.47 mmol, 1 eq). The mixture was stirred at 20 °C for 10 minutes. Methyl iodide (3.62 g, 25.47 mmol, 1 eq) was added into the mixture and the stirring continued at 20 °C for 2 hours. The mixture was diluted with water (300 mL), extracted with ethyl acetate (200 ml x 2). The combined organic layers were washed with brine (200 mL), dried over anhydrous sodium sulfate, filtered and concentrated under reduced pressure to generate a residue which was triturated with petroleum ether (50 mL) at 20 °C for 10 min to afford the desired product (6 g, 24.42 mmol, 95% yield) as a yellow solid. LCMS: (ESI, m/z): 246.3
8.82 (s, 1H), 2.62 (s, 3H). [0276] Step 8: 4,7 -dichloro-8-fluoro-2-methylsulfanyl-pyrido[4,3-d] pyrimidine
[0277] To a solution of 7-chloro-8-fluoro-2-methylsulfanyl-pyrido[4,3-d]pyrimidin-4-ol (5 g, 20.35 mmol, 1 eq) in phosphorus oxychloride (60 mL) was added N, N- diisopropylethylamine (5.26 g, 40.71 mmol, 2 eq). Then the mixture was stirred at 90 °C for 6 hours. The mixture was concentrated to generate a residue which was purified by column chromatography (silica dioxide, Petroleum ether/Ethyl acetate = 100/1 to 10/1) to give the desired product (2.5 g, 9.47 mmol, 46% yield) as a white solid.
[0278] Step 9 : tert-butyl 3-(7-chloro-8-fluoro-2- methylsulfanyl-pyrido[4,3- d]pyrimidin-4-yl)-3,8-diazabicyclo[3.2. l]octane-8-carboxylate
[0279] To a solution of 4,7-dichloro-8-fluoro-2-methylsulfanyl-pyrido[4,3-d]pyrimidine (2 g, 7.57 mmol, 1 eq) and N,N-diisopropylethylamine (4.89 g, 37.86 mmol, 6.60 mL, 5 eq) in dichloromethane (20 mL) was added tert-butyl 3,8-diazabicyclo[3.2. l]octane-8- carboxylate (1.61 g, 7.57 mmol, 1 eq) at -60 °C and stirred at -60 °C for 10 minutes. The mixture was diluted with water (20 mL), extracted with dichloromethane (20 mL x 3). The combined organic layers were washed with brine (30 mL), dried over sodium sulfate, filtered and then concentrated under vacuum to generate a residue which was purified by column chromatography (silica dioxide, petroleum ether/ethyl acetate = 10/1 to 3/1) to afford the desired product (2.68 g, 6.09 mmol, 80% yield) as a yellow solid. 1H NMR: (400MHz, DMSO-d6) d: 8.92 (s, 1H), 4.50 (d, J= 12.4 Hz, 2H), 4.25 (s, 2H), 3.64 (d, J = 12.8 Hz, 2H), 2.56 (s, 3H), 1.85 - 1.74 (m, 2H), 1.61 (d, J= 7.6 Hz, 2H), 1.47 (s, 9H).
[0280] Synthesis of Intermediate 3 ((2S,4R)-l-((S)-2-azido-3-methylbutanoyl)-4- hydroxy-N-((R)-2-hydroxy- 1 -(2',3',6'-trifluoro-[ 1 , 1 '-biphenyl]-4-yl)ethyl)pyrrolidine-2- carboxamide)
[0282] To a solution of tert-butyl (R)-(l-(4-bromophenyl)-2-hydroxyethyl)carbamate (5 g, 15.81 mmol, 1.00 eq) and (2,3,6-trifluorophenyl)boronic acid (8.34 g, 47.44 mmol, 3.00 eq) in dioxane (90 mL) and water (15 mL) was added cesium fluoride (7.21 g, 47.44 mmol, 1.75 mL, 3.00 eq) and ditert-butyl(cyclopentyl)phosphane;dichloropalladium;iron (1.03 g, 1.58 mmol, 0.10 eq). Then the mixture was degassed and purged with nitrogen for 3 times, the mixture was stirred at 90 °C for 12 h under nitrogen atmosphere. LCMS showed the reaction was completed. The reaction mixture was diluted with ethyl acetate (50 mL) and water (100 mL), then extracted with ethyl acetate (50 mL x 3). The combined organic layers were washed with brine (20 mL x 2), dried over anhydrous sodium sulfate, filtered and concentrated under reduced pressure to give a residue. The residue was purified by prep-TLC (Petroleum ether/Ethyl acetate = 1/1) to afford the product tert-butyl (R)-(2-hydroxy-l-(2',3',6'-trifluoro-[l,r-biphenyl]-4-yl)ethyl)carbamate (2.58 g, 7.02 mmol, 44% yield) as a yellow solid. LCMS (ESI, m/z): 390.1 [M+Na]+.
[0284] To a solution of tert-butyl (R)-(2-hydroxy- 1 -(2',3',6'-trifluoro-[ 1 , 1 ’-biphenyl] -4- yl)ethyl)carbamate (2.58 g, 7.02 mmol, 1.00 eq) in dichloromethane (10 mL) was added hydrochloric acid/dioxane (4 M, 10 mL, 5.70 eq). The mixture was stirred at 25 °C for 0.5 h. LCMS showed the reaction was completed. The reaction was concentrated in vacuum to give a residue. The residue was used for the next step without further purification to afford (R)-2-amino-2-(2',3',6'-trifluoro-[l,r-biphenyl]-4-yl)ethan-l-ol (2.1 g, 6.91 mmol, 98% yield, hydrochloride) as a yellow solid. LCMS (ESI, m/z): 251.0 [M-16]+.
[0285] Step 3: tert-butyl (2S,4R)-4-hydroxy-2-(((R)-2-hydroxy- 1 -(2',3',6'-trifluoro-[ 1 , 1 '- biphenyl]-4-yl)ethyl)carbamoyl)pyrrolidine- 1 -carboxylate
[0286] To a solution of (R)-2-amino-2-(2',3',6'-trifluoro-[l,T-biphenyl]-4-yl)ethan-l-ol (2.1 g, 6.91 mmol, 1.00 eq, hydrochloride) and (2S,4R)-l-(tert-butoxycarbonyl)-4- hydroxypyrrolidine-2-carboxylic acid (3.20 g, 13.83 mmol, 2.00 eq) in N ,N- dimethylformamide (30 mL) was added l-ethyl-3-(3-dimethylaminopropyl)carbodiimide hydrochloride (3.98 g, 20.74 mmol, 3.00 eq), 1 -hydroxybenzotriazole (2.80 g, 20.74 mmol, 3.00 eq), N-methylmorpholine (3.50 g, 34.57 mmol, 3.80 mL, 5.00 eq). The mixture was stirred at 25 °C for 12 h. LCMS showed the reaction was completed. The reaction mixture was quenched by water (200 mL), and then extracted with ethyl acetate (80 mL x 3). The combined organic layers were washed with brine (60 mL x 2), dried over anhydrous sodium sulfate, filtered and concentrated under reduced pressure to give a residue. The residue was purified by prep-HPLC (column: UniSil 10-120 C18 70x250mm; mobile phase: [water(FA)-ACN];B%: 25%-55%,25min) to afford tert-butyl (2S,4R)-4- hydroxy-2-(((R)-2-hydroxy- 1 -(2',3',6'-trifluoro-[ 1, 1 '-biphenyl]-4- yl)ethyl)carbamoyl)pyrrolidine-l -carboxylate (1.2 g, 2.50 mmol, 36% yield) as a yellow solid. LCMS (ESI, m/z): 481.3 [M+l]+.
[0287] Step 4: (2S,4R)-4-hydroxy-N-((R)-2-hydroxy-l-(2',3',6'-trifluoro-[1,1- biphenyl]-4-yl)ethyl)pyrrolidine-2-carboxamide
[0288] To a solution of tert-butyl (2S,4R)-4-hydroxy-2-(((R)-2-hydroxy-l-(2',3',6'- trifluoro-[l,T-biphenyl]-4-yl)ethyl)carbamoyl)pyrrolidine-l -carboxylate (1.15 g, 2.39 mmol, 1.00 eq) in dichloromethane (4 mL) was added hydrochloric acid/dioxane (4 M, 4 mL, 6.68 eq). The mixture was stirred at 25 °C for 0.5 h. TLC showed the reaction was completed. The reaction mixture was concentrated in vacuum to give a residue. The residue was used for the next step without further purification to afford the crude product
(2S,4R)-4-hydroxy-N-((R)-2-hydroxy- 1 -(2',3',6'-trifluoro-[ 1 , 1 '-biphenyl]-4- yl)ethyl)pyrrolidine-2-carboxamide (997 mg, crude, hydrochloride) as a yellow solid.
[0289] Step 5: tert-butyl ((S)-l-((2S,4R)-4-hydroxy-2-(((R)-2-hydroxy-l-(2',3',6'- trifluoro-[ 1 , 1 '-biphenyl]-4-yl)ethyl)carbamoyl)pyrrolidin- 1 -yl)-3-methyl- 1 -oxobutan-2-
[0290] To a solution of (2S,4R)-4-hydroxy-N-((R)-2-hydroxy-l-(2',3',6'-trifluoro-[l,r- biphenyl]-4-yl)ethyl)pyrrolidine-2-carboxamide (997 mg, 2.39 mmol, 1.00 eq, hydrochloride) and (2S)-2- (tert-butoxycarbonyl)-L-valine (623 mg, 2.87 mmol, 1.20 eq) in N,N-dimethylformamide (10 mL) was added N, A-Di isopropyl ethylamine (927 mg, 7.18 mmol, 1.25 mL, 3.00 eq) and O-(7-azabenzotriazole-l-yl)-N,N,N',N'-tetramethyluronium hexafluorophosphate (1.36 g, 3.59 mmol, 1.50 eq). The mixture was stirred at 25 °C for 0.5 h. LCMS showed the reaction was completed. The reaction mixture was quenched by water (40 mL), and then extracted with ethyl acetate (20 mL x 3). The combined organic layers were washed with brine (30 mL x 2), dried over anhydrous sodium sulfate, filtered and concentrated under reduced pressure to give a residue. The residue was purified by prep-HPLC (column: Phenomenex luna C18 (250*70mm, 10 um);mobile phase: [water(FA)-ACN];B%: 40%-70%,20min) to afford tert-butyl ((S)-l-((2S,4R)-4-hydroxy- 2-(((R)-2-hydroxy- 1 -(2',3',6'-trifluoro-[ 1 , 1 '-biphenyl]-4-yl)ethyl)carbamoyl)pyrrolidin- 1 - yl)-3-methyl-l-oxobutan-2-yl)carbamate (970 mg, 1.67 mmol, 69% yield) as a yellow solid. LCMS (ESI, m/z): 580.3 [M+l]+.
[0291] Step 6: (2S,4R)-l-(L-valyl)-4-hydroxy-N-((R)-2-hydroxy-l-(2',3',6'-trifluoro-
[ 1 , l'-biphenyl] -4-yl)ethyl)pyrrolidine-2-carboxamide
[0292] To a solution of tert-butyl ((S)- 1 -((2S,4R)-4-hydroxy-2-(((R)-2-hydroxy- 1 - (2',3',6'-trifluoro-[ 1 , 1 '-biphenyl]-4-yl)ethyl)carbamoyl)pyrrolidin- 1 -yl)-3 -methyl- 1 - oxobutan-2-yl)carbamate (500 mg, 0.86 mmol, 1.00 eq) in dichloromethane (3 mL) was added hydrochloric acid/dioxane (4 M, 3 mL, 13.91 eq). The mixture was stirred at 25 °C for 0.5 h. LCMS showed the reaction was completed. The reaction mixture was concentrated in vacuum to give a residue. The residue was used for the next step without further purification to afford (2S,4R)-l-(L-valyl)-4-hydroxy-N-((R)-2-hydroxy-l-(2',3',6'- trifluoro-[l,T-biphenyl]-4-yl)ethyl)pyrrolidine-2-carboxamide (445 mg, crude, hydrochloride) as a yellow solid. LCMS (ESI, m/z): 480.3 [M+l]+.
[0293] Step 7: (2S,4R)-l-((S)-2-azido-3-methylbutanoyl)-4-hydroxy-N-((R)-2-hydroxy- 1 -(2',3',6'-trifluoro-[ 1 , 1 '-biphenyl]-4-yl)ethyl)pyrrolidine-2-carboxamide
[0294] To a solution of (2S,4R)-l-(L-valyl)-4-hydroxy-N-((R)-2-hydroxy-l-(2',3',6'- trifluoro-[l,r-biphenyl]-4-yl)ethyl)pyrrolidine-2-carboxamide (445 mg, 0.86 mmol, 1.00 eq, hydrochloride) in tetrahydrofuran (5 mL) and acetonitrile (5 mL) was added triethylamine (610 mg, 6.04 mmol, 7 eq), the mixture was stirred at 0°C for 15 min. Then 2-azido-l,3-dimethyl-4,5-dihydroimidazol-l-ium;hexafluorophosphate (270 mg, 0.94 mmol, 1.10 eq) in acetonitrile (2 mL) was added. The mixture was stirred at 0°C for 1 h. LCMS showed the reaction was completed. The reaction mixture was diluted with water (30 mL), and then extracted with ethyl acetate (25 mL x 3). The combined organic layers were washed with brine (30 mL x 2), dried over anhydrous sodium sulfate, filtered and concentrated under reduced pressure to give a residue. The residue was purified by prep- TLC (dichloromethane/methanol = 10/1) to afford the product (2S,4R)-l-((S)-2-azido-3- methylbutanoyl)-4-hydroxy-N-((R)-2-hydroxy- 1 -(2',3',6'-trifluoro-[l , 1 ’-biphenyl] -4- yl)ethyl)pyrrolidine-2-carboxamide (300 mg, 0.59 mmol, 68% yield) as a white solid. LCMS (ESI, m/z): 506.2 [M+l]+.
[0295] Synthesis of Intermediate 4: (2S,4R)-l-((S)-2-azido-3-methylbutanoyl)-4- hydroxy-N-((R)-2-hydroxy-l-(4-(pyridin-3-yl)phenyl)ethyl)pyrrolidine-2-carboxamide
[0296] Step 1 : tert-butyl (R)-(2-hydroxy- 1 -(4-(pyridin-3-yl)phenyl)ethyl)carbamate
[0297] A mixture of tert-butyl (R)-(l-(4-bromophenyl)-2-hydroxyethyl)carbamate (2.5 g, 7.91 mmol, 1 eq) , pyridin-3-ylboronic acid (2.92 g, 23.72 mmol, 3 eq) , cesium fluoride (3.60 g, 23.72 mmol, 0.87 mL, 3 eq) , [l,l'-Bis(di-tert-butylphosphino)ferrocene]- palladium(II) dichloride (515 mg, 0.79 mmol, 0.1 eq) in dioxane (30 mL) and water (5 mL) was degassed and purged with nitrogen for three times, and then the mixture was stirred at 85 °C for 5 h under nitrogen. LCMS showed the starting material was consumed completely and one main peak with desired mass was detected. The reaction mixture was filtered with diatomite to remove cesium fluoride, then it diluted with water (100 mL) and extracted with ethyl acetate (100 mL x 3). The combined organic layers were washed with
brine (100 mL x 2), dried over anhydrous sodium sulfate, filtered and concentrated under reduced pressure to give a residue. The residue was purified by column chromatography (SiC>2, Petroleum ether/Ethyl acetate = 10/1 to 1/1) to afford the desired product (390 mg, 1.24 mmol, 15% yield) as a brown solid. LCMS (ESI, m/z): 315.1 [M+l]+.
[0299] To a solution of tert-butyl (R)-(2-hydroxy-l-(4-(pyridin-3- yl)phenyl)ethyl)carbamate (117 g, 3.72 mmol, 100 eq) in methanol (10 mL) was added hydrochloric acid/dioxane (4 M, 10 mL, 10.75 eq). The mixture was stirred at 25 °C for 10 min. LCMS showed the starting material was consumed completely and one main peak with desired mass was detected. The reaction mixture was concentrated under reduced pressure to give the crude product (R)-2-amino-2-(4-(pyridin-3-yl)phenyl)ethan-l-ol (930 mg, crude, hydrochloride) as a gray solid. LCMS (ESI, m/z): 215.11 [M+l]+.
[0300] Step 3: tert-butyl (2S,4R)-4-hydroxy-2-(((R)-2-hydroxy-l-(4-(pyridin-3- yl)phenyl)ethyl) carbamoyl)pyrrolidine- 1 -carboxylate
[0301] To a solution of (R)-2-amino-2-(4-(pyridin-3-yl)phenyl)ethan-l-ol (930 mg, 3.71 mmol, 1.0 eq, hydrochloride) in N,N-dimethylformamide (20 mL) was added N, N- diisopropylethylamine (1.44 g, 11.13 mmol, 1.9 mL, 3 eq) and (2S,4R)-l-(tert- butoxycarbonyl)-4-hydroxypyrrolidine-2-carboxylic acid (943 mg, 4.08 mmol, 1.1 eq), then the mixture was added o-(7-azabenzotriazol-l-yl)-n,n,n,n-tetramethyluronium hexafluorophosphate (2.12 g, 5.56 mmol, 1.5 eq) at 0 °C. Then the mixture was stirred at 0 °C for 0.5 h. LCMS showed the starting material was consumed completely and one main peak with desired mass was detected. The reaction mixture was diluted with water (40 mL) and extracted with chloroform/isopropanol (10/1, 50 mL x 2), washed with brine (50 ml x 2), dried over anhydrous sodium sulfate, filtered and then concentrated in
vacuum to get a hresidue. The residue was purified by prep-HPLC (column: Phenomenex luna C18 (250*70mm,10 um);mobile phase: [water(FA)-MeOH];B%: 0%-20%,20min) to afford the product (900 mg, 2.11 mmol, 56% yield) as a white solid. LCMS (ESI, m/z): 428.2 [M+l]+
[0302] Step 4: (2S,4R)-4-hydroxy-N-((R)-2-hydroxy-l-(4-(pyridin-3- yl)phenyl)ethyl)pyrrolidine-2-carboxamide
[0303] To a solution of tert-butyl (2S,4R)-4-hydroxy-2-(((R)-2-hydroxy-l-(4-(pyridin- 3-yl)phenyl)ethyl) carbamoyl)pyrrolidine-l -carboxylate (900 mg, 2.11 mmol, 1.00 eq) in methanol (10 mL) was added hydrochloric acid/dioxane (4 M, 15 mL, 28.50 eq). The mixture was stirred at 25 °C for 10 min. LCMS showed the starting material was consumed completely and one main peak with desired mass was detected. The reaction mixture was concentrated under reduced pressure to give the crude product (2S,4R)-4- hydroxy-N-((R)-2-hydroxy- 1 -(4-(pyridin-3-yl)phenyl)ethyl) pyrrolidine-2-carboxamide (760 mg, crude, hydrochloride) as a white solid. LCMS (ESI, m/z): 328.0 [M+l]+
[0304] Step 5: tert-butyl ((S)- 1 -((2S,4R)-4-hydroxy-2-(((R)-2-hydroxy- 1 -(4-(pyri din-3 - yl)phenyl) ethyl)carbamoyl)pyrrolidin- 1 -yl)-3-methyl- 1 -oxobutan-2-yl)carbamate
[0305] To a solution of (2S,4R)-4-hydroxy-N-((R)-2-hydroxy-l-(4-(pyridin-3- yl)phenyl)ethyl)pyrrolidine-2-carboxamide (760 mg, 2.09 mmol, 1.00 eq, hydrochloride) in A; A'-di methyl formamide (10 mL) was added N, A'-diisopropylcthylaminc (809 mg, 6.27 mmol, 1.09 mL, 3 eq), (tert-butoxycarbonyl)-L-valine (544 mg, 2.51 mmol, 1.2 eq) and o- (7-azabenzotriazol-l-yl)-n,n,n,n-tetramethyluronium hexafluorophosphate (1.19 g, 3.13 mmol, 1.5 eq) at 0 °C. The mixture was stirred at 0 °C for 0.5 h. LCMS showed the
starting material was consumed completely and one main peak with desired mass was detected. The reaction mixture was diluted with water (50 mL) and extracted with chloroform/isopropanol (10/1, 50 mL x 2), washed with brine (50 mL), dried over anhydrous sodium sulfate, filtered and then concentrated. The residue was purified by prep-HPLC (column: Phenomenex luna Cl 8 250*50mm*10 um;mobile phase: [water(FA)-ACN];B%: 10%-40%,21min) to afford the desired product (800 mg, 1.52 mmol, 72% yield) as a white solid. LCMS (ESI, m/z): 527.3 [M+l]+.
[0306] Step 6: (2S,4R)-l-(L-valyl)-4-hydroxy-N-((R)-2-hydroxy-l-(4-(pyridin-3- yl)phenyl)ethyl) pyrrolidine-2-carboxamide
[0307] To a solution of tert-butyl ((S)- 1 -((2S,4R)-4-hydroxy-2-(((R)-2-hydroxy- 1 -(4- (pyridin-3-yl)phenyl) ethyl)carbamoyl)pyrro lidin- l-yl)-3-methyl- 1 -oxobutan-2- yl)carbamate (300 mg, 0.56 mmol, 1.00 eq) in methanol (3 mL) was added hydrochloric acid/dioxane (4 M, 6 mL, 42. 13 eq). The mixture was stirred at 25 °C for 5 min. LCMS showed the starting material was consumed completely and one main peak with desired mass was detected. The reaction mixture was concentrated under reduced pressure to give the crude product (2S,4R)-l-(L-valyl)-4-hydroxy-N-((R)-2-hydroxy-l-(4-(pyridin-3- yl)phenyl)ethyl) pyrrolidine-2-carboxamide (260 mg, crude, hydrochloride) as a white solid. LCMS (ESI, m/z): 427.2 [M+l]+.
[0308] Step 7: (2S,4R)-l-((S)-2-azido-3-methylbutanoyl)-4-hydroxy-N-((R)-2-hydroxy- l-(4-(pyridin-3-yl)phenyl)ethyl)pyrrolidine-2-carboxamide
[0309] To a solution of (2S,4R)-l-(L-valyl)-4-hydroxy-N-((R)-2-hydroxy-l-(4-(pyridin- 3-yl)phenyl)ethyl) pyrrolidine-2-carboxamide (260 mg, 0.56 mmol, 1.00 eq,
hydrochloride) in tetrahydrofuran (4 mL) and acetonitrile (4 mL) was added N,N- dnsopropylethylamme (508 mg, 3.93 mmol, 0.68 mL, 7 eq), the mixture was stirred at 0 °C for 15 min. Then 2-azido-l,3-dimethyl-4,5-dihydro-lH-imidazol-3-ium hexafluorophosphate(V) (176 mg, 0.61 mmol, 1.1 eq) in acetonitrile (2 mL) was added, and the mixture was stirred at 0 °C for 1 h. LCMS showed the starting material was consumed completely and one main peak with desired mass was detected. The reaction mixture was diluted with water (20 mL) and extracted with ethyl acetate (20 ml x 3). The combined organic layers were washed with brine (20 mL x 3), dried over anhydrous sodium sulfate, filtered and concentrated under reduced pressure to give a residue. The residue was purified by prep-TLC (dichloromethane/methanol = 9/1) to afford the product (127 mg, 0.28 mmol, 49% yield) as a colorless solid. LCMS (ESI, m/z): 453.2 [M+l]+.
[0310] Synthesis of Intermediate 5: (2S,4R)-l-((S)-2-azido-3-methylbutanoyl)-N-((R)- 1 -(2'-fluoro-[ 1 , r-biphenyl]-4-yl)-2-hydroxyethyl)-4-hydroxypyrrolidine-2-carboxamide
[0311] Step 1: tert-butyl (R)-(l-(2'-fluoro-[l,1-biphenyl]-4-yl)-2- hydroxyethyl)carbamate
[0312] A mixture of tert-butyl (R)-(l-(4-bromophenyl)-2-hydroxyethyl)carbamate (590 mg, 1.87 mmol, 1 eq), (2-fluorophenyl)boronic acid (783 mg, 5.60 mmol, 3 eq), cesium fluoride (850 mg, 5.60 mmol, 0.2 mL, 3 eq) in the mixed solvent of dioxane (10 mL) and water (1 mL) was degassed and purged with nitrogen for 3 times, then [ 1 , 1 '-Bis(di-tert- butylphosphino)ferrocene]palladium(II) dichloride (121.6 mg, 0.2 mmol, 0.1 eq) was added, the mixture was stirred at 85 °C for 1 h under nitrogen. TLC (petroleum ether/ethyl acetate 1 /1 ) indicated the starting material was consumed completely. The mixture was diluted with water (100 mL) and extracted with ethyl acetate (50 mL x 3). The combined organic layers were washed with brine (100 mL), dried over anhydrous sodium sulfate, filtered and concentrated under reduced pressure to give a residue. The residue was purified by column chromatography (petroleum ether/ethyl acetate = 10/1 to 1/1) to offer the desired compound (600 mg, 1.8 mmol, 97% yield) as a brown solid. 1H NMR (400 MHz, CDCh) 3: 7.56 (dd, J= 1.6, 8.0 Hz, 2H), 7.46 - 7.38 (m, 3H), 7.36 - 7.28 (m, 1H), 7.25 - 7.12 (m, 2H), 5.28 ( d, J= 6.0 Hz, 1H), 4.85 ( s, 1H), 3.91 ( s, 2H), 2.27 ( d, J= 1.6 Hz, 1H), 1.46 ( s, 9H).
[0314] To a solution of tert-butyl (R)-(l-(2'-fluoro-[1,1-biphenyl]-4-yl)-2- hydroxyethyl)carbamate (600 mg, 1.8 mmol, 1 eq) in dichloromethane (10 mL) was added hydrogen chloride/dioxane (4 M, 2.3 mL, 5 eq). The mixture was stirred at 25 °C for 0.5 h. TLC (dichloromethane/methanol = 10/1) indicated the starting material was consumed completely. The mixture was concentrated under reduced pressure to offer the desired compound (400 mg, 1.64 mmol, 90% yield, 95% purity) as a brown solid. LCMS (ESI, m/z): 197.0 [M+l]+. ‘H NMR (400 MHz, CDCh) 3: 8.64 - 8.33 (m, 1H), 7.69 - 7.41 (m,
2H), 7.18 - 6.96 (m, 1H), 3.68 - 3.65 (m, 1H), 2.24 - 1.80 (m, 5H), 1.35 - 1.14 (m, 3H), 0.97 - 0.75 (m, 1H).
[0315] Step 3: tert-butyl (2S,4R)-2-(((R)-l-(2'-fluoro-[l,r-biphenyl]-4-yl)-2- hydroxyethyl)carbamoyl)-4-hydroxypyrrolidine- 1 -carboxylate
[0316] To a solution of (2S,4R)-l-(tert-butoxycarbonyl)-4-hydroxypyrrolidine-2- carboxylic acid (570 mg, 2.47 mmol, 1.2 eq) in N,N-dimethylformamide (10 mL) was added diisopropylethylamine (796 mg, 6.16 mmol, 1.1 mL, 3 eq) and o-(7- azabenzotriazol- 1 -yl)-n,n,n,n-tetramethyluronium hexafluorophosphate (1.56 g, 4.11 mmol, 2 eq), then the (2R)-2-amino-2-[4-(2-fluorophenyl)phenyl]ethanol (550 mg, 2.1 mmol, 1 eq, hydrochloride) was added. The mixture was stirred at 25 °C for 2 h. LCMS showed the starting material was consumed completely and one main peak with desired mass was detected. The mixture was diluted with water (50 mL) and extracted with ethyl acetate (20 mL x 3). The combined organic layers were washed with brine (100 mL), dried over anhydrous sodium sulfate, and filtered and concentrated under reduced pressure to give a residue. The residue was purified by prep-HPLC (column: Phenomenex luna Cl 8 150*40mm* 15um;mobile phase: [water(formic acid)-acetonitrile];B%: 30%-60%,15 min) to offer the desired compound (227 mg, 0.5 mmol, 24% yield) as a yellow solid. LCMS (ESI, m/z): 445.2[M+1]+.
[0317] Step 4: (2S,4R)-N-((R)-l-(2'-fluoro-[l,l'-biphenyl]-4-yl)-2-hydroxyethyl)-4- hydroxypyrrolidine-2-carboxamide
[0318] To a solution of tert-butyl (2S,4R)-2-(((R)-l-(2'-fluoro-[l,l'-biphenyl]-4-yl)-2- hydroxyethyl)carbamoyl)-4-hydroxypyrrolidine-l -carboxylate (227 mg, 0.5 mmol, 1 eq)
in dichloromethane (5 mL) was added hydrogen chloride/dioxane (4M, 0.6 mL, 5 eq). The mixture was stirred at 25 °C for 0.5 h. LCMS showed the starting material was consumed completely and one main peak with desired mass was detected. The mixture was concentrated under reduced pressure to afford the desired compound (150 mg, 0.4 mmol, 85% yield) as a white solid. LCMS (ESI, m/z): 345.1 [M+l]+.
[0319] Step 5: tert-butyl ((S)-l-((2S,4R)-2-(((R)-l-(2'-fluoro-[l,T-biphenyl]-4-yl)-2- hydroxyethyl)carbamoyl)-4-hydroxypyrrolidin- 1 -yl)-3-methyl- 1 -oxobutan-2-yl)carbamate
[0320] To a solution of (2S,4R)-N-((R)-l-(2'-fhioro-[l,l'-biphenyl]-4-yl)-2- hydroxyethyl)-4-hydroxypyrrolidine-2-carboxamide (1.2 g, 3.15 mmol, 1 eq, hydrochloride) in N,N-dimethylformamide (15 mL) was added diisopropylethylamine (1.22 g, 9.45 mmol, 1.6 mL, 3 eq) and (tert-butoxycarbonyl)-L-valine (547 mg, 2.5 mmol, 0.8 eq), then the o-(7-azabenzotriazol-l-yl)-n,n,n,n-tetramethyluronium hexafluorophosphate (1.20 g, 3.1 mmol, 1 eq) was added. The mixture was stirred at 25 °C for 1 h. LCMS showed the starting material was consumed completely and one main peak with desired mass was detected. The mixture was diluted with water (100 mL) and extracted with ethyl acetate (50 mL x 2). The combined organic layers were washed with brine (100 mL), dried over anhydrous sodium sulfate, filtered and concentrated under reduced pressure to give a residue. The residue was purified by column chromatography (silicon dioxide, dichloromethane/methanol = 50/1 to 10/1) to offer the desired compound
(1.1 g, 2.0 mmol, 64 % yield) as a yellow oil. LCMS (ESI, m/z): 544.2[M+1]+. 1H NMR (400 MHz, CDCh) d: 7.80 - 7.60 (m, 1H), 7.56 - 7.48 (m, 2H), 7.48 - 7.36 (m, 3H), 7.36 - 7.28 (m, 1H), 7.24 - 7.20 (m, 2H), 5.34 - 5.25 (m, 1H), 5.24 - 5.12 (m, 1H), 4.64 ( t, J = 8.4 Hz, 1H), 4.48 ( s, 1H), 4.26 - 4.18 (m, 1H), 3.94 ( d, J= 11.2 Hz, 3H), 3.88 - 3.80 (m, 1H), 3.72 - 3.66 (m, 1H), 2.48 (s, 2H), 2.18 (d, J = 7.2 Hz, 2H), 2.04 - 1.96 (m, 1H), 1.42 (s, 9H), 1.00 (d, J= 6.4 Hz, 3H), 0.92 (d, J= 6.8 Hz, 3H).
[0321 ] Step 6: (2S,4R)- 1 -(L-valyl)-N-((R)- 1 -(2'-fluoro-[ 1 , 1 '-biphenyl]-4-yl)-2- hydroxyethyl)-4-hydroxypyrrolidine-2-carboxamide
[0322] To a solution of tert-butyl ((S)-l-((2S,4R)-2-(((R)-l-(2'-fluoro-[l,l'-biphenyl]-4- yl)-2-hydroxyethyl)carbamoyl)-4-hydroxypyrrolidin-l-yl)-3-methyl-l-oxobutan-2- yl)carbamate (200 mg, 0.4 mmol, 1 eq) in dichloromethane (3 mL) was added hydrogen chloride/dioxane (4 M, 0.5 mL, 5 eq). The mixture was stirred at 25 °C for 1 h. LCMS showed the starting material was consumed completely and one main peak with desired mass was detected. The mixture was concentrated under reduced pressure distillation to afford the desired compound (170 mg, 0.4 mmol, 96% yield, hydrochloride) as a yellow oil. LCMS (ESI, m/z): 444.2 [M+l]+.
[0323] Step 7: (2S,4R)- 1 -((S)-2-azido-3 -methylbutanoyl)-N-((R)- 1 -(2'-fluoro-[ 1 , 1'- biphenyl]-4-yl)-2-hydroxyethyl)-4-hydroxypyrrolidine-2-carboxamide
[0324] To a solution of (2S,4R)-l-(L-valyl)-N-((R)-l-(2'-fluoro-[l,l'-biphenyl]-4-yl)-2- hydroxyethyl)-4-hydroxypyrrolidine-2-carboxamide (170 mg, 0.4 mmol, 1 eq, hydrogen chloride) in acetonitrile (2 mL) and tetrahydro furan (3 mL) was added triethylamine (250 mg, 2.48 mmol, 0.4 mL, 7 eq), the mixture was stirred at 0 °C for 15 min. Then the 2- azido-l,3-dimethyl-4,5-dihydroimidazol-l-ium;hexafluorophosphate (111 mg, 0.4 mmol, 1.1 eq) in acetonitrile (2 mL) was added. The mixture was stirred at 0 °C for 1 h. LCMS showed the starting material was consumed completely and one main peak with desired mass was detected. The mixture was diluted with water (40 mL) and extracted with ethyl acetate (20 mL x 3). The combined organic layers were washed with brine (100 mL), dried over anhydrous sodium sulfate filtered and concentrated under reduced pressure to give a residue. The residue was purified by prep-thin layer chromatography (silicon dioxide, dichloromethane/methanol = 10/1) to offer the desired compound (76 mg, 0. 16 mmol,
45% yield) as a white oil. LCMS (ESI, m/z): 470.2 [M+l]+.
NMR (400 MHz, CDC13) S: 7.58 - 7.52 (m, 2H), 7.46 - 7.40 (m, 3H), 7.36 - 7.28 (m, 1H), 7.24 - 7.12 (m, 3H), 5.28 - 5.12 (m, 1H), 4.72 - 4.64 (m, 2H), 4.00 - 3.92 (m, 1H), 3.90 - 3.82 (m, 1H), 3.78 - 3.72 (m, 1H), 3.64 - 3.6 (m, 1H), 3.40 (d, J = 9.2 Hz, 1H), 2.44 (s, 1H), 2.34 - 2.26 (m, 1H), 2.22 - 2.14 (m, 1H), 2.12 - 1.98 (m, 1H), 1.30 - 1.24 (m, 1H), 1.12 (d, J= 6.4 Hz, 3H), 1.02 (d, J
= 6.4 Hz, 3H).
[0325] Example 1: (2S,4R)-l-((2S)-2-(4-(4-(((7-(2-amino-3-cyano-7- fluorobenzo[b]thiophen-4-yl)-4-((lR,5S)-3,8-diazabicyclo[3.2.1]octan-3-yl)-6-chloro-2- ((tetrahydro-2H-pyran-4-yl)oxy)quinazolin-8-yl)oxy)methyl)phenyl)- 1H- 1 ,2,3-triazol- 1 - yl)-3-methylbutanoyl)-4-hydroxy-N-((R)-2-hydroxy- 1 -(2',3',6'-trifluoro-[l , 1 '-biphenyl]-4- yl)ethyl)pyrrolidine-2-carboxamide
[0326] Step 1 : tert-butyl (lR,5S)-3-(7-bromo-2,6-dichloro-8-fluoroquinazolin-4-yl)-3,8- diazabicyclo[3.2. l]octane-8-carboxylate
[0327] To a solution of 7-bromo-2,4,6-trichloro-8-fluoro-quinazoline (4.00 g, 12.11 mmol, 1.00 eq) in dichloromethane (50 mL) was added N, N-diisopropylethylamine (4.69 g, 36.32 mmol, 6.3 mL, 3.00 eq) and tert-butyl (lS,5R)-3,8-diazabicyclo[3.2.1]octane-8- carboxylate (2.57 g, 12.11 mmol, 1.00 eq). The mixture was stirred at 0 °C for 2 h. TLC (petroleum ether/ethyl acetate 5/1 ) showed the starting material was consumed completely. The reaction mixture was diluted with water (50 mL) and extracted with dichloromethane (50 mL x 2). The combined organic layers were washed with water (50 mL) and brine (50 mL), dried over anhydrous sodium sulfate, filtered and the filtrate was concentrated under reduced pressure to give a residue. The residue was purified by column chromatography (petroleum ether/ethyl acetate = 1/0 to 1/1) to get the desired compound
(5.60 g, 11.06 mmol, 91% yield) as a yellow solid.1 H NMR (400 MHz, DMSO-d6) d 8.16 (d, - 2.0 Hz, 1H), 4.43 (d, J = 11.6 Hz, 2H), 4.30 (s, 2H), 3.70 (d, J = 12.4 Hz, 2H), 1.83 (d, J= 5.2 Hz, 2H), 1.67 (d, J= 8.0 Hz, 2H), 1.52 (s, 9H).
[0328] Step2: tert-butyl (lR,5S)-3-(7-bromo-6-chloro-8-fluoro-2-((tetrahydro-2H- pyran-4-yl)oxy)quinazolin-4-yl)-3,8-diazabicyclo[3.2. l]octane-8-carboxylate
[0329] To a solution of tert-butyl 3-(7-bromo-2,6-dichloro-8-fluoro-quinazolin-4-yl)- 3,8-diazabicyclo[3.2.1]octane-8-carboxylate (2.50 g, 4.94 mmol, 1.00 eq) in acetonitrile (30 mL) was added cesium carbonate (3.22 g, 9.88 mmol, 2.00 eq), tetrahydropyran-4-ol (1.51 g, 14.82 mmol, 1.5 mL, 3.00 eq) and l,4-diazabicyclo[2.2.2]octane (111 mg, 0.99 mmol, 0.1 mL, 0.20 eq). The mixture was stirred at 50 °C for 12 h. LCMS showed the desired compound was detected. The reaction mixture was diluted with water (40 mL) and extracted with ethyl acetate (40 mL x 3). The combined organic layers were washed with water (50 mL), brine (50 mL), dried over anhydrous sodium sulfate, filtered and the filtrate was concentrated under reduced pressure to give a residue. The residue was purified by flash silica gel chromatography (ISCO®; 45 g SepaFlash® Silica Flash Column, Eluent of 0-50% Ethyl acetate/Petroleum ethergradient @ 200mL/min) to get the desired compound (2.35 g, 4.11 mmol, 83% yield) as a white solid. LCMS (ESI, m/z): 571.0, 573.0 [M+l]+.
(400 MHz, DMSO-d6) 3 7.95 (d, J= 1.6 Hz, 1H), 5.25 - 5.1 1 (m, 1H), 4.35 - 4.19 (m, 4H), 3.87 (m, 2H), 3.58 - 3.48 (m, 4H), 2.07 - 1.99 (m, 2H), 1.80 - 1.61 (m, 6H), 1.46 (s, 9H).
[0330] Step 3 : tert-butyl (lR,5S)-3-(7-(2-((tert-butoxycarbonyl)amino)-3-cyano-7- fluorobenzo[b]thiophen-4-yl)-6-chloro-8-fluoro-2-((tetrahydro-2H-pyran-4- yl)oxy)quinazolin-4-yl)-3,8-diazabicyclo[3.2.1]octane-8-carboxylate
[0331] To a solution of tert-butyl N-[3-cyano-7-fluoro-4-(4,4,5,5-tetramethyl-l,3,2- dioxaborolan-2-yl)benzothiophen-2-yl]carbamate (1.02 g, 2.45 mmol, 1.4 eq) in dioxane (25 mL) and water (4 mL) was added added N,N-diisopropylethylamine (1.13 g, 8.74 mmol, 1.5 mL, 5.00 eq) and tert-butyl 3-(7-bromo-6-chloro-8-fluoro-2-tetrahydropyran-4- yloxy-quinazolin-4-yl)-3,8-diazabicyclo[3.2.1]octane-8-carboxylate (1.00 g, 1.75 mmol, 1.00 eq), ditert-butyl(cyclopentyl)phosphane;dichloropalladium;iron (228 mg, 0.35 mmol, 0.20 eq) at 80 °C under nitrogen. The mixture was stirred at 80 °C for 2 h. TLC (petroleum ether/ethyl acetate = 2/1) showed the reaction was completed. The mixture was quenched with water (20 mL) and extracted with ethyl acetate (20 mL x 3). The combined organic layers were washed with water (20 mL x 2) and brine (20 mL), dried over sodium sulfate and then concentrated under reduced pressure to give a residue. The residue was purified by column chromatography (petroleum ether/ethyl acetate = 10/1 to 2/1) to get the desired compound (500 mg, 0.64 mmol, 37% yield) as a light yellow solid. LCMS (ESI, m/z): 783.2 [M+l]+.
[0332] Step 4 : tert-butyl (lR,5S)-3-(7-(2-((tert-butoxycarbonyl)amino)-3-cyano-7- fluorobenzo[b]thiophen-4-yl)-6-chloro-8-((4-ethynylbenzyl)oxy)-2-((tetrahydro-2H- pyran-4-yl)oxy)quinazolin-4-yl)-3,8-diazabicyclo[3.2. l]octane-8-carboxylate
[0333] To a solution of (4-ethynylphenyl)methanol (250 mg, 1.89 mmol, 2.32 eq) in tetrahydrofuran (15 mL) was added sodium hydride (100 mg, 2.50 mmol, 60% purity, 3.06 eq) at 0 °C, and the mixture was stirred at 0 °C for 0.5 h. Then tert-butyl 3-[7-[2-(tert- butoxycarbonylamino)-3-cyano-7-fluoro-benzothiophen-4-yl]-6-chloro-8-fluoro-2-
tetrahydropyran-4-yloxy-quinazolin-4-yl]-3,8-diazabicyclo[3.2. l]octane-8-carboxylate (640 mg, 0.82 mmol, 1.00 eq) was added to the mixture at 0 °C, and then the mixture was warmed to 20 °C. The mixture was stirred at 20 °C for 12 h. LCMS showed the reaction was completed. The mixture was quenched with saturated ammonium chloride solution (40 mL) and extracted with ethyl acetate (40 mL x 3). The organic layers were washed with water (40 mL x 2) and brine (40 mL), dried over sodium sulfate and then concentrated under reduced pressure to give a residue. The residue was purified by prep- TLC (petroleum ether/ethyl acetate = 2/1, Rf= 0.35) to get the desired compound (350 mg, 0.39 mmol, 48% yield) as a light yellow solid. LCMS (ESI, m/z): 895.2 [M+l]+. [0334] Step 5 : tert-butyl (lR,5S)-3-(7-(2-((tert-butoxycarbonyl)amino)-3-cyano-7- fluorobenzo[b]thiophen-4-yl)-6-chloro-8-((4-(l-((S)-l-((2S,4R)-4-hydroxy-2-(((R)-2- hydroxy- 1 -(2',3',6'-trifluoro-[ 1 , 1 '-biphenyl]-4-yl)ethyl)carbamoyl)pyrrolidin- 1 -yl)-3 - methyl- 1 -oxobutan-2-yl)- 1H- 1 ,2,3-triazol-4-yl)benzyl)oxy)-2-((tetrahydro-2H-pyran-4- yl)oxy)quinazolin-4-yl)-3,8-diazabicyclo[3.2.1]octane-8-carboxylate
[0335] To a solution of tert-butyl 3-[7-[2-(tert-butoxycarbonylamino)-3-cyano-7-fluoro- benzothiophen-4-yl]-6-chloro-8-[(4-ethynylphenyl)methoxy]-2-tetrahydropyran-4-yloxy- quinazolin-4-yl]-3,8-diazabicyclo[3.2.1]octane-8-carboxylate (330 mg, 0.37 mmol, 1.00 eq) in tertiary butanol (8 mL), tetrahydrofuran (8 mL) and water (5 mL) was added (2S,4R)-l-[(2S)-2-azido-3-methyl-butanoyl]-4-hydroxy-N-[(lR)-2-hydroxy-l-[4-(2,3,6- trifluorophenyl)phenyl]ethyl]pyrrolidine-2-carboxamide (186 mg, 0.37 mmol, 1.00 eq), sodium;(2R)-2-[(lS)-l,2-dihydroxyethyl]-4-hydroxy-5-oxo-2H-furan-3-olate (110 mg, 0.55 mmol, 1.50 eq) and copper iodide (35 mg, 0. 18 mmol, 0.50 eq) at 50 °C and the mixture was stirred at 50 °C for 1 h. LCMS showed the desired MS was detected. The mixture was quenched with water (40 mL) and extracted with ethyl acetate (30 mL x 3).
The combined organic layers were washed with water (20 mL x 2), brine (20 mL), dried over sodium sulfate and then concentrated under reduced pressure to give a residue. The residue was purified by prep-TLC (dichloromethane/methanol = 10/1) to get the desired compound (320 mg, 0.23 mmol, 62% yield) as a white solid. LCMS (ESI, m/z): 1400.4 [M+l]+.
[0336] Step 6: (2S,4R)-l-((2S)-2-(4-(4-(((7-(2-amino-3-cyano-7- fluorobenzo[b]thiophen-4-yl)-4-((lR,5S)-3,8-diazabicyclo[3.2.1]octan-3-yl)-6-chloro-2- ((tetrahydro-2H-pyran-4-yl)oxy)quinazolin-8-yl)oxy)methyl)phenyl)- 1H- 1 ,2,3-triazol- 1 - yl)-3-methylbutanoyl)-4-hydroxy-N-((R)-2-hydroxy- 1 -(2',3',6'-trifluoro-[l , 1 '-biphenyl]-4- yl)ethyl)pyrrolidine-2-carboxamide
[0337] To a solution of tert-butyl 3-[7-[2-(tert-butoxycarbonylamino)-3-cyano-7-fluoro- benzothiophen-4-yl]-6-chloro-8-[[4-[l-[(lS)-l-[(2S,4R)-4-hydroxy-2-[[(lR)-2-hydroxy-l- [4-(2, 3, 6-trifluorophenyl)phenyl]ethyl]carbamoyl]pyrrolidine-l-carbonyl]-2 -methyl- propyl]triazol-4-yl]phenyl]methoxy]-2-tetrahydropyran-4-yloxy-quinazolin-4-yl]-3,8- diazabicyclo[3.2.1]octane-8-carboxylate (60 mg, 0.04 mmol, 1.00 eq) in dichloromethane (3 mL) was added trifluoroacetic acid (1.54 g, 13.51 mmol, 1.0 mL, 315.35 eq). The mixture was stirred at 25 °C for 1 h. LCMS showed the desired compound was detected. The mixture was concentrated under reduced pressure to get the crude product. The crude product was purified by prep-HPLC (column: Waters Xbridge 150*25mm* 5um;mobile phase: [water( NH4HCO3)-ACN];B%: 45%-75%,9min) to get the desired compound (16.88 mg, 0.01 mmol, 33% yield) as a white solid. LCMS (ESI, m/z): 1200.4 [M+l]+. 1H NMR (400 MHz, DMSO-d6) 8 8.71 (s, 1H), 8.53 (d, J= 7.6 Hz, 1H), 7.97 (s, 2H), 7.80 - 7.71 (m, 3H), 7.61 - 7.42 (m, 5H), 7.33 - 7.24 (m, 1H), 7.22 - 7.16 (m, 1H), 7.14 - 7.07 (m, 1H), 7.00 (d, J= 6.4 Hz, 2H), 5.35 (d, J= 10.4 Hz, 1H), 5.26 - 5.08 (m, 4H), 4.95 - 4.84 (m, 2H), 4.53 - 4.43 (m, 1H), 4.37 - 4.30 (m, 1H), 4.29 - 4.18 (m, 2H), 3.93 - 3.84 (m, 2H),
3.83 - 3.58 (m, 4H), 3.54 - 3.38 (m, 7H), 2.08 (d, J= 9.6 Hz, 3H), 1.86 - 1.59 (m, 7H), 1.27 - 0.95 (m, 4H), 0.74 (d, J= 6.4 Hz, 3H).
[0338] Example 2: ((2S,4R)-l-((S)-2-(4-(4-(((4-((lR,5S)-3,8-diazabicyclo[3.2.1]octan-
3-yl)-7-(8-ethyl-7-fluoro-3-hydroxynaphthalen-l-yl)-2-((tetrahydro-2H-pyran-4- yl)oxy)pyrido[4,3-d]pyrimidin-8-yl)oxy)methyl)phenyl)-lH-l,2,3-triazol-l-yl)-3- methylbutanoyl)-4-hydroxy-N-((R)-2-hydroxy- 1 -(2',3',6'-trifluoro-[l , 1 ’-biphenyl] -4- yl)ethyl)pyrrolidine-2-carboxamide
[0339] Step 1: tert-butyl (lR,5S)-3-(7-chloro-8-fluoro-2-((tetrahydro-2H-pyran-4- yl)oxy) pyrido[4,3-d]pyrimidin-4-yl)-3,8-diazabicyclo[3.2.1]octane-8-carboxylate
[0340] To a solution of tert-butyl 3-(2,7-dichloro-8-fluoro-pyrido[4,3-d]pyrimidin-4-yl)-
3,8-diazabicyclo[3.2.1]octane-8-carboxylate (2.00 g, 4.67 mmol, 1.00 eq) in acetonitrile (30 mL) was added tetrahydropyran-4-ol (715 mg, 7.00 mmol, 1.50 eq), 1,4-diazabicyclo [2.2.2]octane (52 mg, 0.47 mmol, 0.10 eq) and cesium carbonate (4.56 g, 14.01 mmol, 3.00 eq). The mixture was stirred at 50 °C for 3 h. LCMS showed the desired mass was detected. The reaction mixture was partitioned between water (20 mL) and ethyl acetate (20 mL x 3). The organic phase was separated, washed with brine (20 mL), dried over anhydrous sodium sulfate, filtered and concentrated under reduced pressure to give a residue. The residue was purified by silica gel chromatography (petroleum ether/ethyl acetate = 1/0 to 1/1) to get the desired compound (1.2 g, 2.43 mmol, 52% yield) as a white solid. LCMS (ESI, m/z): 494.4 [
8.75 (s, 1H), 5.36 (d, J = 4.4, 8.8 Hz, 1H), 4.52 - 4.32 (m, 4H), 4.05 (m, J = 4.4, 11.6 Hz, 2H), 3.74 - 3.58 (m, 4H), 2.20 - 2.07 (m, 2H), 2.02 - 1.96 (m, 2H), 1 .92 (d, J = 9.2 Hz, 2H), 1.74 (d, J = 7.6 Hz, 2H), 1.53 (s, 9H).
[0341] Step 2: tert-butyl (lR,5S)-3-(7-(8-ethyl-7-fluoro-3-
(methoxymethoxy)naphthalen-l-yl)-8-fluoro-2-((tetrahydro-2H-pyran-4- yl)oxy)pyrido[4,3-d]pyrimidin-4-yl)-3,8-diazabicyclo[3.2.1]octane-8-carboxylate
[0342] To a solution of tert-butyl (lR,5S)-3-(7-chloro-8-fluoro-2-((tetrahydro-2H- pyran-4-yl)oxy)pyrido[4,3-d]pyrimidin-4-yl)-3,8-diazabicyclo[3.2.1]octane-8-carboxylate (2.60 g, 5.26 mmol, 1.00 eq) in tetrahydrofuran (30 mL) and water (10 mL) was added [8- ethyl-7-fluoro-3-(methoxymethoxy)-l-naphthyl]boronic acid (2.20 g, 7.90 mmol, 1.5 eq), potassium phosphate (3.35 g, 15.79 mmol, 3.00 eq) and (2-dicyclohexylphosphino-2',6'- dimethoxybiphenyl) [2-(2'-amino-l,r-biphenyl)]palladium(ii) methanesulfonate (411 mg, 0.53 mmol, 0.10 eq). The mixture was stirred at 70 °C for 1 h. LCMS showed the desired mass was detected. The reaction mixture was partitioned between water (20 mL) and ethyl acetate (20 mL x 3). The organic phase was separated, washed with brine (20 mL), dried over anhydrous sodium sulfate, filtered and concentrated under reduced pressure to give a residue. The residue was purified by silica gel chromatography (petroleum ether/ethyl acetate = 1/0 to 3/1) to get the desired compound tert-butyl (lR,5S)-3-(7-(8-ethyl-7- fluoro-3-(methoxymethoxy)naphthalen-l-yl)-8-fluoro-2-((tetrahydro-2H-pyran-4- yl)oxy)pyrido[4,3-d]pyrimidin-4-yl)-3,8-diazabicyclo[3.2.1]octane-8-carboxylate (1.80 g, 2.60 mmol, 49% yield) as a yellow solid. LCMS (ESI, m/z): 692.3 [M+l]+.
[0343] Step 3: tert-butyl (lR,5S)-3-(7-(8-ethyl-7-fluoro-3- (methoxymethoxy)naphthalen-l-yl)-8-((4-ethynylbenzyl)oxy)-2-((tetrahydro-2H-pyran-4- yl)oxy)pyrido[4,3-d]pyrimidin-4-yl)-3,8-diazabicyclo[3.2.1]octane-8-carboxylate
[0344] To a solution of (4-ethynylphenyl)methanol (220 mg, 1.66 mmol, 2.30 eq) in tetrahydro furan (5 mL) was added sodium hydride (87 mg, 2.17 mmol, 60% purity, 3.00 eq) at 0 °C, and the mixture was stirred at 0 °C for 0.5 h. Then tert-butyl 3-[7-[8-ethyl-7- fluoro-3 -(methoxymethoxy)- 1 -naphthyl]-8-fluoro-2-tetrahydropyran-4-yloxy-pyrido[4,3- d]pyrimidin-4-yl]-3,8-diazabicyclo[3.2.1]octane-8-carboxylate (500 mg, 0.72 mmol, 1.00 eq) was added to the mixture at 0 °C and the mixture was warmed to 20 °C. The mixture was stirred at 20°C for 12 h. LCMS showed the desired compound was detected. The mixture was quenched with saturated ammonium chloride solution (100 mL) and extracted with ethyl acetate (50 mL). The organic layer was washed with water (50 mL x 2), brine (50 mL), dried over anhydrous sodium sulfate and then concentrated under reduced pressure to give a residue. The residue was purified by prep-TLC (petroleum ether/ethyl acetate = 3/1, Rf= 0.39) to get the desired compound (250 mg, 0.31 mmol, 43% yield) as a white solid. LCMS (ESI, m/z): 804.3 [M+l]+. [0345] Step 4: tert-butyl (lR,5S)-3-(7-(8-ethyl-7-fluoro-3-
(methoxymethoxy)naphthalen- 1 -yl)-8-((4-(l -((S)- 1 -((2S,4R)-4-hydroxy-2-(((R)-2- hydroxy- 1 -(2',3',6'-trifluoro-[ 1 , 1 '-biphenyl]-4-yl)ethyl)carbamoyl)pyrrolidin- 1 -yl)-3 - methyl- 1 -oxobutan-2-yl)- 1H- 1 ,2,3-triazol-4-yl)benzyl)oxy)-2-((tetrahydro-2H-pyran-4- yl)oxy)pyrido[4,3-d]pyrimidin-4-yl)-3,8-diazabicyclo[3.2.1]octane-8-carboxylate
[0346] To a solution of (2S,4R)-l-[(2S)-2-azido-3-methyl-butanoyl]-4-hydroxy-N- [(lR)-2-hydroxy-l-[4-(2,3,6-trifluorophenyl)phenyl]ethyl]pyrrolidine-2-carboxamide (40 mg, 0.08 mmol, 1.00 eq) and tert-butyl (lR,5S)-3-(7-(8-ethyl-7-fluoro-3- (methoxymethoxy)naphthalen-l-yl)-8-((4-ethynylbenzyl)oxy)-2-((tetrahydro-2H-pyran-4- yl)oxy)pyrido[4,3-d]pyrimidin-4-yl)-3,8-diazabicyclo[3.2. l]octane-8-carboxylate (63 mg, 0.08 mmol, 1.00 eq) in tetrahydrofuran (1 mL), tertiary butanol (1 mL), water (1 mL) was added sodium;(2R)-2-[(lS)-l,2-dihydroxyethyl]-4-hydroxy-5-oxo-2H-furan-3-olate (23 mg, 0.12 mmol, 1.50 eq), cuprous iodide (8 mg, 0.04 mmol, 0.50 eq). The mixture was degassed and purged with nitrogen for 3 times, and then the mixture was stirred at 50 °C for 2 h under nitrogen atmosphere. LCMS showed the reaction was completed. The reaction mixture was quenched by water (30 mL), 2% ethylenediamine tetraacetic acid disodium solution (30 mL), and then diluted with dichloromethane (30 mL). The mixture was stirred at 25 °C for 0.5 h. The mixture was filtered and extracted with dichloromethane (20 mL x 3). The combined organic layers were washed with brine (20 mL x 3), dried over anhydrous sodium sulfate, filtered and concentrated under reduced pressure to give a residue. The residue was purified by prep-TLC (dichloromethane/methanol = 10/1) to afford tert-butyl (lR,5S)-3-(7-(8-ethyl-7-fluoro-3- (methoxymethoxy)naphthalen- 1 -yl)-8-((4-(l -((S)- 1 -((2S,4R)-4-hydroxy-2-(((R)-2- hydroxy- 1 -(2',3',6'-trifluoro-[ 1 , 1 '-biphenyl]-4-yl)ethyl)carbamoyl)pyrrolidin- 1 -yl)-3 - methyl- 1 -oxobutan-2-yl)- 1H- 1 ,2,3-triazol-4-yl)benzyl)oxy)-2-((tetrahydro-2H-pyran-4- yl)oxy)pyrido[4,3-d]pyrimidin-4-yl)-3,8-diazabicyclo[3.2. l]octane-8-carboxylate (70 mg, 0.05 mmol, 67% yield) as a white solid. LCMS (ESI, m/z): 1309.7 [M+l]+.
[0347] Step 5: (2S,4R)-l-((S)-2-(4-(4-(((4-((lR,5S)-3,8-diazabicyclo[3.2.1]octan-3-yl)- 7-(8-ethyl-7-fluoro-3-hydroxynaphthalen-l-yl)-2-((tetrahydro-2H-pyran-4- yl)oxy)pyrido[4,3-d]pyrimidin-8-yl)oxy)methyl)phenyl)-lH-l,2,3-triazol-l-yl)-3-
methylbutanoyl)-4-hydroxy-N-((R)-2-hydroxy- 1 -(2',3',6'-trifluoro-[l , 1 ’-biphenyl] -4- yl)ethyl)pyrrolidine-2-carboxamide
2H), 2.23 (br cl, ,7 - 7.2 Hz, 3H), 2.11 - 2.04 (m, 3H), 1.81 (dt, J = 4.4, 8.4 Hz, 1H), 1.74 - 1.65 (m, 6H), 1.09 (br cl, .7 - 6.4 Hz, 3H), 0.78 - 0.71 (m, 6H).
[0349] Example 3 : (2S,4R)- 1 -((2S)-2-(4-(4-(((4-(( 1 S,4S)-2,5- diazabicyclo[2.2.1]heptan-2-yl)-6-cyclopropyl-7-(6-fluoro-5-methyl-lH-indazol-4-yl)-2- ((tetrahydro-2H-pyran-4-yl)oxy)quinazolin-8-yl)oxy)methyl)phenyl)- 1H- 1 ,2,3-triazol- 1 - yl)-3-methylbutanoyl)-4-hydroxy-N-((R)-2-hydroxy- 1 -(2',3',6'-trifluoro-[l , 1 '-biphenyl]-4- yl)ethyl)pyrrolidine-2-carboxamide
[0350] Step 1 : tert-butyl (1 S,4S)-5-(7-bromo-2-chloro-8-fluoro-6-iodoquinazolin-4-yl)-
[0351] To a solution of 7-bromo-2,4-dichloro-8-fluoro-6-iodoquinazoline (9.2 g, 21.81 mmol, 1 eq) in dichloromethane (90 mL) was added diisopropylethylamine (8.46 g, 65.43 mmol, 11.4 mL, 3 eq), the suspension was degassed and purged with nitrogen for three times. Then tert-butyl (lS,4S)-2,5-diazabicyclo[2.2.1]heptane-2-carboxylate (2.16 g, 10.91 mmol, 0.5 eq) in dichloromethane (10 mL) was added, the mixture was stirred at -40 °C for 1 h. LCMS showed the reaction was completed. The reaction mixture was diluted with water (50 mL), then extracted with dichloromethane (50 mL x 3), the combined organic phase was washed with brine (30 mL x 2), dried over anhydrous sodium sulfate, filtered and concentrated in vacuum. The residue was purified by silica gel column
chromatography (Petroleum ether/Ethyl acetate = 1/0 to 3/1) to afford tert-butyl (lS,4S)-5- (7-bromo-2-chloro-8-fluoro-6-iodoquinazolin-4-yl)-2,5-diazabicyclo[2.2.1]heptane-2- carboxylate (5.51 g, 9.44 mmol, 43 % yield) as a yellow solid. LCMS (ESI, m/z): 583.0, 585.0 [M+l]+.
[0352] Step 2: tert-butyl (lS,4S)-5-(7-bromo-8-fluoro-6-iodo-2-((tetrahydro-2H-pyran- 4-yl)oxy)quinazolin-4-yl)-2,5-diazabicyclo[2.2.1]heptane-2-carboxylate
[0353] To a solution of tert-butyl (lS,4S)-5-(7-bromo-2-chloro-8-fluoro-6- iodoquinazolin-4-yl)-2,5-diazabicyclo[2.2.1]heptane-2-carboxylate (5.9 g, 10.11 mmol, 1 eq) and tetrahydropyran-4-ol (2.06 g, 20.22 mmol, 2.0 mL, 2 eq) in acetonitrile (60 mL) was added 1,4-Diazabicyclo[2.2.2]octane (113 mg, 0.1 eq) and cesium carbonate (9.88 g, 30.33 mmol, 3 eq), the mixture was stirred at 50 °C for 5 h. LCMS showed the reaction was completed. The mixture was filtered, and the filtrate was concentrated under reduced pressure to give a residue. The residue was purified by silica gel chromatography (Petroleum ether/Ethyl acetate = 1/0 to 3/1) to afford the desired product tert-butyl (lS,4S)-5-(7-bromo-8-fluoro-6-iodo-2-((tetrahydro-2H-pyran-4-yl)oxy)quinazolin-4-yl)- 2,5-diazabicyclo[2.2.1]heptane-2-carboxylate (5.65 g, 8.35 mmol, 82% yield, 96% purity) as a yellow solid. LCMS (ESI, m/z): 651.1, 652.1 [M+l]+.
[0354] Step 3: tert-butyl (lS,4S)-5-(8-(benzyloxy)-7-bromo-6-iodo-2-((tetrahydro-2H- pyran-4-yl)oxy)quinazolin-4-yl)-2,5-diazabicyclo[2.2.1 ]heptane-2-carboxylate
[0355] To a solution of phenylmethanol (1.03 g, 9.54 mmol, 1.0 mL, 1.20 eq) in tetrahydrofuran (10 mL) was added sodium hydride (478 mg, 11.97 mmol, 60% purity, 1.5 eq) at 0 °C, the mixture was stirred at 0 °C for 0.5 h. Then tert-butyl (lS,4S)-5-(7-bromo-
8-fluoro-6-iodo-2-((tetrahydro-2H-pyran-4-yl)oxy)quinazolin-4-yl)-2,5- diazabicyclo[2.2.1]heptane-2-carboxylate (5.18 g, 7.98 mmol, 1 eq) in tetrahydrofuran (50 mL) was added. The mixture was stirred at 50 °C for 12 h. LCMS showed the reaction was completed. The reaction mixture was quenched by pouring into saturated aqueous ammonium chloride (200 mL), then extracted with ethyl acetate (100 mL x 3). The combined organic phase was washed with brine (50 mL x 2), dried over anhydrous sodium sulfate, filtered and concentrated in vacuum to get a residue. The residue was purified by silica gel column chromatography (Petroleum ether/Ethyl acetate = 1/0 to 1/1) to afford tert-butyl (lS,4S)-5-(8-(benzyloxy)-7-bromo-6-iodo-2-((tetrahydro-2H-pyran-4- yl)oxy)quinazolin-4-yl)-2,5-diazabicyclo[2.2.1]heptane-2-carboxylate (5.5 g, 7.46 mmol, 93% yield) as a yellow solid. LCMS (ESI, m/z): 737.1, 739.1 [M+l]+.
[0356] Step 4 : tert-butyl (lS,4S)-5-(8-(benzyloxy)-7-bromo-6-cyclopropyl-2- ((tetrahydro-2H-pyran-4-yl)oxy)quinazolin-4-yl)-2,5-diazabicyclo[2.2.1]heptane-2- carboxylate
[0357] To a solution of tert-butyl (lS,4S)-5-(8-(benzyloxy)-7-bromo-6-iodo-2- ((tetrahydro-2H-pyran-4-yl)oxy)quinazolin-4-yl)-2,5-diazabicyclo[2.2.1]heptane-2- carboxylate (1.9 g, 2.58 mmol, 1 eq), cyclopropylboronic acid (332 mg, 3.87 mmol, 1.5 eq) in dioxane (20 mL) was added potassium phosphate (1.5 M, 5 mL, 2.91 eq) and 1,1'- Bis(diphenylphosphino)ferrocene-palladium(II) dichloride (188 mg, 0.25 mmol, 0.1 eq). The mixture was stirred at 100 °C for 2.5 h under nitrogen. LCMS showed the reaction was completed. The reaction mixture was diluted with water (50 mL) then extracted with ethyl acetate (100 mL x 3). The combined organic phase was washed with brine (50 mL x 2), dried over anhydrous sodium sulfate, filtered and concentrated in vacuum. The residue was purified by prep-HPLC (column: UniSil 10-120 C18 70x250mm;mobile phase: [water(FA)-ACN];B%: 35%-65%,18min) and (column: Phenomenex luna Cl 8 (250*70mm,10 um);mobile phase: [water(FA)-ACN];B%: 40%-60%,47min) to afford tert-butyl (lS,4S)-5-(8-(benzyloxy)-7-bromo-6-cyclopropyl-2-((tetrahydro-2H-pyran-4-
yl)oxy)quinazolin-4-yl)-2,5-diazabicyclo[2.2.1]heptane-2-carboxylate (355 mg, 0.54 mmol, 21% yield) as a yellow solid. LCMS (ESI, m/z): 651.3, 653.3 [M+l]+.
[0358] Step 5 : tert-butyl (1 S,4S)-5-(8-(benzyloxy)-6-cyclopropyl-7-(6-fluoro-5-methyl-
2-trityl-2H-indazol-4-yl)-2-((tetrahydro-2H-pyran-4-yl)oxy)quinazolin-4-yl)-2,5- diazabicyclo[2.2.1]heptane-2-carboxylate
[0359] To a solution of tert-butyl (lS,4S)-5-(8-(benzyloxy)-7-bromo-6-cyclopropyl-2- ((tetrahydro-2H-pyran-4-yl)oxy)quinazolin-4-yl)-2,5-diazabicyclo[2.2.1]heptane-2- carboxylate (0.58 g, 0.89 mmol, 1 eq), 6-fluoro-5-methyl-4-(4, 4,5, 5 -tetramethyl- 1,3,2- dioxaborolan-2-yl)-2-trityl-2H-indazole (553 mg, 1.07 mmol, 1.2 eq) in dioxane (10 mL) and water (2 mL) was added ditertbutyl(cyclopentyl)phosphane;dichloropalladium;iron (58 mg, 0.09 mmol, 0.1 eq), sodium carbonate (283 mg, 2.67 mmol, 3 eq). The suspension was degassed and purged with nitrogen for three times. And the mixture was stirred at 90 °C for 2 h. LCMS showed the reaction was completed. The reaction mixture was diluted with water (50 mL), then extracted with ethyl acetate (25 mL x 3). The combined organic phase was washed with brine (30 mL x 2), dried over anhydrous sodium sulfate, filtered and concentrated in vacuum. The residue was purified by prep- HPLC(column: Phenomenex luna C 18 150*40mm* 15pm;mobile phase: [water(TLA)- ACN];B%: 60%-90%,15min) to afford tert-butyl (lS,4S)-5-(8-(benzyloxy)-6-cyclopropyl- 7-(6-fluoro-5-methyl-2-trityl-2H-indazol-4-yl)-2-((tetrahydro-2H-pyran-4- yl)oxy)quinazolin-4-yl)-2,5-diazabicyclo[2.2.1]heptane-2-carboxylate (425 mg, 0.44 mmol, 49% yield) as a yellow oil. LCMS (ESI, m/z): 963.4 [M+l]+.
[0360] Step j»: tert-butyl (1 S,4S)-5-(6-cyclopropyl-7-(6-fluoro-5-methyl-2H-indazol-4- yl)-8-hydroxy-2-((tetrahydro-2H-pyran-4-yl)oxy)quinazolin-4-yl)-2,5- diazabicyclo[2.2.1]heptane-2-carboxylate
[0361] To a solution of tert-butyl (lS,4S)-5-(8-(benzyloxy)-6-cyclopropyl-7-(6-fluoro- 5-methyl-2-trityl-2H-indazol-4-yl)-2-((tetrahydro-2H-pyran-4-yl)oxy)quinazolin-4-yl)- 2,5-diazabicyclo[2.2.1]heptane-2-carboxylate (500 mg, 0.52 mmol, 1 eq) in methanol (5 mL) was added palladium on activated carbon (100 mg, 5% purity), the mixture was stirred at 25 °C for 2h under hydrogen (15 Psi). LCMS showed the reaction was completed. The reaction mixture was filtered and concentrated in reduced pressure to give the crude product tert-butyl (lS,4S)-5-(6-cyclopropyl-7-(6-fluoro-5-methyl-2H-indazol-4- yl)-8-hydroxy-2-((tetrahydro-2H-pyran-4-yl)oxy)quinazolin-4-yl)-2,5- diazabicyclo[2.2.1]heptane-2-carboxylate (400 mg, crude) as a colorless oil, which was used into next step without further purification. LCMS (ESI, m/z): 631.3 [M+l]+.
[0362] Step 7: tert-butyl (lS,4S)-5-(6-cyclopropyl-7-(6-fluoro-5-methyl-2-trityl-2H- indazol-4-yl)-8-hydroxy-2-((tetrahydro-2H-pyran-4-yl)oxy)quinazolin-4-yl)-2,5- diazabicyclo[2.2.1]heptane-2-carboxylate
[0363] To a solution of tert-butyl (lS,4S)-5-(6-cyclopropyl-7-(6-fluoro-5-methyl-2H- indazol-4-yl)-8-hydroxy-2-((tetrahydro-2H-pyran-4-yl)oxy)quinazolin-4-yl)-2,5- diazabicyclo[2.2.1]heptane-2-carboxylate (400 mg, 0.63 mmol, 1 eq) in dichloromethane (5 mL) was added trityl chloride (265 mg, 0.95 mmol, 1.5 eq) and triethylamine (192mg, 1.90 mmol, 0.3 mL, 3 eq). The mixture was stirred at 25 °C for 12 h. TLC (Petroleum ether/Ethyl acetate 3/1 ) showed the reaction was completed. The reaction mixture was
diluted with water (20 mL), then extracted with dichloromethane (20 mL x 3). The combined organic phase was washed with brine (20 mL x 2), dried over anhydrous sodium sulfate, filtered and concentrated in vacuum. The residue was purified by silica gel chromatography (Petroleum ether/Ethyl acetate = 10/1 to 5/1) to afford tert-butyl (1S,4S)- 5-(6-cyclopropyl-7-(6-fluoro-5-methyl-2-trityl-2H-indazol-4-yl)-8-hydroxy-2- ((tetrahydro-2H-pyran-4-yl)oxy)quinazolin-4-yl)-2,5-diazabicyclo[2.2.1]heptane-2- carboxylate (400 mg, 0.45 mmol, 72% yield) as a yellow solid.
[0364] Step 8: tert-butyl (lS,4S)-5-(6-cyclopropyl-8-((4-ethynylbenzyl)oxy)-7-(6- fluoro-5-methyl-2-trityl-2H-indazol-4-yl)-2-((tetrahydro-2H-pyran-4-yl)oxy)quinazolin-4- yl)-2,5-diazabicyclo[2.2.1]heptane-2-carboxylate
[0365] To a solution of tert-butyl (lS,4S)-5-(6-cyclopropyl-7-(6-fluoro-5-methyl-2- trityl-2H-indazol-4-yl)-8-hydroxy-2-((tetrahydro-2H-pyran-4-yl)oxy)quinazolin-4-yl)-2,5- diazabicyclo[2.2.1]heptane-2-carboxylate (100 mg, 0.11 mmol, 1 eq), 1 -(chloromethyl)-4- ethynyl-benzene (25 mg, 0.17 mmol, 1.5 eq) in acetonitrile (2 mL) was added cesium carbonate (46 mg, 0.33 mmol, 3 eq). The mixture was stirred at 70 °C for 2 h. LCMS showed the reaction was completed. The reaction mixture was filtered and concentrated in reduced pressure to give a residue. The residue was purified by prep-TLC (Petroleum ether/Ethyl acetate = 1/1) to afford tert-butyl (lS,4S)-5-(6-cyclopropyl-8-((4- ethynylbenzyl)oxy)-7-(6-fluoro-5-methyl-2-trityl-2H-indazol-4-yl)-2-((tetrahydro-2H- pyran-4-yl)oxy)quinazolin-4-yl)-2,5-diazabicyclo[2.2.1 ]heptane-2-carboxylate (90 mg, 0.09 mmol, 79% yield) as a white solid. LCMS (ESI, m/z): 988.6 [M+l]+.
[0366] Step 9: tert-butyl (lS,4S)-5-(6-cyclopropyl-7-(6-fluoro-5-methyl-2-trityl-2H- indazol-4-yl)-8-((4-(l-((S)-l-((2S,4R)-4-hydroxy-2-(((R)-2-hydroxy-l-(2',3',6'-trifluoro- [1,1 ' -biphenyl] -4-yl)ethyl)carbamoyl)pyrrolidin- 1 -yl)-3 -methyl- 1 -oxobutan-2-yl)- 1H-
l,2,3-triazol-4-yl)benzyl)oxy)-2-((tetrahydro-2H-pyran-4-yl)oxy)quinazolin-4-yl)-2,5- diazabicyclo[2.2.1]heptane-2-carboxylate
[0367] To a solution of tert-butyl (lS,4S)-5-(6-cyclopropyl-8-((4-ethynylbenzyl)oxy)-7- (6-fluoro-5-methyl-2-trityl-2H-indazol-4-yl)-2-((tetrahydro-2H-pyran-4- yl)oxy)quinazolin-4-yl)-2,5-diazabicyclo[2.2.1]heptane-2-carboxylate (34 mg, 34.44 umol, 1 eq), (2S,4R)-l-((S)-2-azido-3-methylbutanoyl)-4-hydroxy-N-((R)-2-hydroxy-l- (2',3',6'-trifluoro-[l,r-biphenyl]-4-yl)ethyl)pyrrolidine-2-carboxamide (17 mg, 0.034 mmol, 1 eq) in tetrahydro furan (1 mL), tert-butyl alcohol (1 mL) , water (1 mL) was added copper(l) iodide (3 mg, 0.017 mmol, 0.5 eq) and sodium ascorbate (10 mg, 0.05 mmol, 1.5 eq). The mixture was stirred at 50 °C for 5 h. LCMS showed the reaction was completed. The reaction mixture was quenched by 2% ethylenediamine tetraacetic acid disodium solution (30 mL) and dichloromethane(30 mL) the mixture was stirred at 25°C for 0.5 h then filtered and extracted with dichloromethane (20 mL x 3), the combined organic layers were washed with brine (20 mL x 3), dried over anhydrous sodium sulfate, filtered and concentrated under reduced pressure to give a residue. The residue was purified by prep- TLC (Dichloromethane : Mcthanol= 101 ) to afford tert-butyl (lS,4S)-5-(6-cyclopropyl-7- (6-fluoro-5-methyl-2-trityl-2H-indazol-4-yl)-8-((4-(l-((S)-l-((2S,4R)-4-hydroxy-2-(((R)- 2-hydroxy- 1 -(2',3',6'-trifluoro-[ 1 , T-biphenyl]-4-yl)ethyl)carbamoyl)pyrro lidin- 1 -yl)-3 - methyl- 1 -oxobutan-2-yl)- 1H- 1 ,2,3-triazol-4-yl)benzyl)oxy)-2-((tetrahydro-2H-pyran-4- yl)oxy)quinazolin-4-yl)-2,5-diazabicyclo[2.2.1]heptane-2-carboxylate (30 mg, 0.02 mmol, 58% yield) as a white solid. LCMS (ESI, m/z): 1494.0 [M+l]+.
[0368] Step 10: (2S,4R)-l-((2S)-2-(4-(4-(((4-((lS,4S)-2,5-diazabicyclo[2.2.1]heptan-2- yl)-6-cyclopropyl-7-(6-fluoro-5-methyl-lH-indazol-4-yl)-2-((tetrahydro-2H-pyran-4- yl)oxy)quinazolin-8-yl)oxy)methyl)phenyl)- 1 H- 1 ,2,3-triazol- 1 -yl)-3-methylbutanoyl)-4- hydroxy-N-((R)-2-hydroxy- 1 -(2',3',6'-trifluoro-[ 1 , 1 '-biphenyl]-4-yl)ethyl)pyrrolidine-2- carboxamide
[0369] To a solution of tert-butyl (lS,4S)-5-(6-cyclopropyl-7-(6-fluoro-5-methyl-2- trityl-2H-indazol-4-yl)-8-((4-( 1 -((S)- 1 -((2S,4R)-4-hydroxy-2-(((R)-2-hydroxy- 1 -(2', 3 ' ,6'- trifluoro-[ 1 , 1 '-biphenyl]-4-yl)ethyl)carbamoyl)pyrrolidin- 1 -yl)-3-methyl- 1 -oxobutan-2- yl)- 1 H- 1 ,2,3-triazol-4-yl)benzyl)oxy)-2-((tetrahydro-2H-pyran-4-yl)oxy)quinazolin-4-yl)- 2,5-diazabicyclo[2.2.1]heptane-2-carboxylate (60 mg, 0.04 mmol, 1 eq) in dichloromethane (1 mL) was added trifluoroacetic acid ( 1 mL). The mixture was stirred at 25 °C for 10 min. LCMS showed the reaction was completed. The reaction mixture was concentrated in reduced pressure to give a residue. The residue was purified by prep-
triazol- 1 -yl)-3-methylbutanoyl)-4-hydroxy-N-((R)-2-hydroxy- 1 -(4-(pyridin-3- yl)phenyl)ethyl)pyrrolidine-2-carboxamide
[0371] Step 1: tert-butyl (lS,4S)-5-(7-bromo-2-chloro-8-fluoro-6-
[0372] A mixture of 7-bromo-2,4-dichloro-8-fluoro-6-(trifluoromethyl)quinazoline (10 g, 27.48 mmol, 1.00 eq), A,A-diisopropylethylamine (10.65 g, 82.44 mmol, 14.4 mL, 3 eq) in dichloromethane (120 mL) was degassed and purged with nitrogen for three times, and then tert-butyl (lS,4S)-2,5-diazabicyclo[2.2.1]heptane-2-carboxylate (4.90 g, 24.73 mmol, 0.9 eq) in dichloromethane (20 mL) was added at -40 °C. The mixture was stirred at -40 °C for 1 h. LCMS showed the starting material was consumed completely and one main peak with desired mass was detected. The reaction mixture was diluted with water (200 mL) and extracted with dichloromethane (100 mL x 3). The combined organic layers were washed with water (300 mL), dried over anhydrous sodium sulfate, filtered and concentrated under reduced pressure to give a residue. The residue was purified by column chromatography (SiCL, Petroleum ether/Ethyl acetate = 3/1 to 1/1) to afford the desired product (14.4 g, 27.39 mmol, 99% yield) as a yellow solid. LCMS (ESI, m/z): 525.2, 527.2 [M+l]+.
[0373] Step 2: tert-butyl (lS,4S)-5-(7-bromo-8-fluoro-2-((S)-2-methoxypropoxy)-6- (trifluoromethyl) quinazolin-4-yl)-2,5-diazabicyclo[2.2.1 ]heptane-2-carboxylate
[0374] To a solution of tert-butyl (lS,4S)-5-(7-bromo-2-chloro-8-fluoro-6- (trifluoromethyl)quinazolin-4-yl)-2,5-diazabicyclo[2.2. l]heptane-2-carboxylate (6.3 g, 11.98 mmol, 1.00 eq) and (S)-2-methoxypropan-l-ol (1.40 g, 15.58 mmol, 1.5 mL, 1.3 eq) in acetonitrile (100 mL) was added cesium carbonate (11.71 g, 35.95 mmol, 3 eq) and 1,4- diazabicyclo[2.2.2]octane (134 mg, 1.20 mmol, 0.13 mL, 0.1 eq). The mixture was stirred at 50 °C for 2 h. LCMS showed the starting material was consumed completely and one main peak with desired mass was detected. The reaction mixture was filtered and diluted with ethyl acetate (50 mL) and water (400 mL), and then extracted with ethyl acetate (100 mL x 3). The combined organic layers were washed with brine (100 mL x 2), dried over anhydrous sodium sulfate, filtered and concentrated under reduced pressure to give a residue. The residue was purified by column chromatography (SiCL, Petroleum ether/Ethyl acetate = 20/1 to 5/1) to afford the product (6 g, 10.36 mmol, 86% yield) as a yellow solid. LCMS (ESI, m/z): 579.1, 581.1 [M+l]+.
[0375] Step 3: tert-butyl (lS,4S)-5-(8-fluoro-7-(6-fluoro-5-methyl-2-trityl-2H-indazol- 4-yl)-2-((S)-2-methoxypropoxy)-6-(trifluoromethyl)quinazolin-4-yl)-2,5- diazabicyclo[2.2.1]heptane-2-carboxylate
[0376] To a solution of tert-butyl (lS,4S)-5-(7-bromo-8-fluoro-2-((S)-2- methoxypropoxy)-6-(trifluoromethyl)quinazolin-4-yl)-2,5-diazabicyclo[2.2. l]heptane-2- carboxylate (2 g, 3.45 mmol, 1.00 eq) and 6-fluoro-5-methyl-4-(4,4,5,5-tetramethyl-l,3,2- dioxaborolan-2-yl)-2-trityl-2H-indazole (1.79 g, 3.45 mmol, 1.00 eq) in dioxane (42 mL)
was added potassium phosphate (1.5 M, 6.90 mL, 3 eq) and (2-dicyclohexylphosphino- 2’,6’-dimethoxybiphenyl)[2-(2’-amino- 1, 1 ’-biphenyl)]palladium(II) methanesulfonate (269 mg, 0.34 mmol, 0. 1 eq). The mixture was degassed and purged with nitrogen for three times, and then the mixture was stirred at 100 °C for 2.5 h under nitrogen. LCMS showed the starting material was consumed completely and one main peak with desired mass was detected. The reaction mixture was diluted with water (300 mL), and then extracted with ethyl acetate (100 mL x 3). The combined organic layers were washed with brine (100 mL x 2), dried over anhydrous sodium sulfate, filtered and concentrated under reduced pressure to give a residue. The residue was purified by silica gel column chromatography (Si CL, Petroleum ether/Ethyl acetate = 20/1 to 3/1) to afford the desired product (7.26 g, 8.15 mmol, 80% yield) as a yellow solid. LCMS (ESI, m/z): 891.4 [M+l]+.
[0377] Step 4: tert-butyl (lS,4S)-5-(8-((4-ethynylbenzyl)oxy)-7-(6-fluoro-5-methyl-2- trityl-2H-indazol-4-yl)-2-((S)-2-methoxypropoxy)-6-(trifluoromethyl)quinazolin-4-yl)- 2,5-diazabicyclo[2.2.1]heptane-2-carboxylate
[0378] A mixture of sodium hydride (56 mg, 1.40 mmol, 60% purity, 2.5 eq) in tetrahydro furan (10 mL) was degassed and purged with nitrogen for three times, and then (4-ethynylphenyl)methanol (163 mg, 1.23 mmol, 2.2 eq) was added at 0 °C under nitrogen atmosphere. The mixture was stirred at 0 °C for 0.5 h. Then tert-butyl (lS,4S)-5-(8-fluoro- 7-(6-fluoro-5-methyl-2-trityl-2H-indazol-4-yl)-2-((S)-2-methoxypropoxy)-6- (trifluoromethyl)quinazolin-4-yl)-2,5-diazabicyclo [2.2.1]heptane-2-carboxylate (500 mg, 0.56 mmol, 1.00 eq) was added at 0 °C. The reaction mixture was allowed to warm to 25 °C, and stirred at 25 °C for 2 h. TLC showed the reaction was completed. The reaction mixture was diluted with saturated aqueous ammonium chloride (50 mL), and then extracted with ethyl acetate (50 mL x 2). The combined organic layers were washed with brine (100 mL), dried over anhydrous sodium sulfate, filtered and concentrated under
reduced pressure to give a residue. The residue was purified with by silica gel column chromatography (S1O2, Petroleum ether/Ethyl acetate 3/ 1 to 2/1) to afford the product (300 mg, 0.29 mmol, 53% yield) as a yellow solid.
[0379] Step 5: tert-butyl (lS,4S)-5-(7-(6-fluoro-5-methyl-2-trityl-2H-indazol-4-yl)-8- ((4-( 1 -((S)- 1 -((2S,4R)-4-hydroxy-2-(((R)-2-hydroxy- 1 -(4-(pyridin-3- yl)phenyl)ethyl)carbamoyl)pyrro lidin- 1 -yl)-3 -methyl- 1 -oxobutan-2-yl)- 1H- 1 ,2,3-triazol-4- yl)benzyl)oxy)-2-((S)-2-methoxypropoxy)-6-(trifluoromethyl)quinazolin-4-yl)-2,5- diazabicyclo[2.2.1]heptane-2-carboxylate
[0380] To a solution of (2S,4R)-l-((S)-2-azido-3-methylbutanoyl)-4-hydroxy-N-((R)-2- hydroxy-l-(4-(pyridin-3-yl)phenyl)ethyl)pyrrolidine-2-carboxamide (60 mg, 0.13 mmol, 1 eq), tert-butyl (1 S,4S)-5-(8-((4-ethynylbenzyl)oxy)-7-(6-fluoro-5-methyl-2-trityl-2H- indazol-4-yl)-2-((S)-2-methoxypropoxy)-6-(trifluoromethyl)quinazolin-4-yl)-2,5- diazabicyclo[2.2.1]heptane-2-carboxylate (133 mg, 0.13 mmol, 1.00 eq) in tetrahydrofuran (1 mL), 2-methylpropan-2-ol (1 mL), water (1 mL) was added cuprous iodide (12 mg, 0.06 mmol, 0.5 eq) and sodium (2R)-2-[(lS)-l,2-dihydroxyethyl]-4-hydroxy-5-oxo-2H- furan-3-olate (39 mg, 0.19 mmol, 1.5 eq). The mixture was stirred at 50 °C for 5 h. LCMS showed the starting material was consumed completely and one main peak with desired mass was detected. The reaction mixture was diluted with dichloromethane (20 mL) and added 2% aqueous disodium ethylenediamine tetraacetate (20 mL), then the mixture was stirred at 25 °C for 30 min before extracting with dichloromethane (15 mL x 3). The combined organic layers were washed with brine (20 mL x 2), dried over anhydrous sodium sulfate, filtered and concentrated under reduced pressure to give a residue. The residue was purified by prep-TLC (dichloromethane/methanol = 9/1) to afford the desired product (64 mg, 0.04 mmol, 33% yield) as a light yellow solid. LCMS (ESI, m/z): 1456.7 [M+l]+.
[0381] Step 6: (2S,4R)-l-((2S)-2-(4-(4-(((4-((lS,4S)-2,5-diazabicyclo[2.2.1]heptan-2- yl)-7-(6-fluoro-5-methyl-lH-indazol-4-yl)-2-((S)-2-methoxypropoxy)-6- (trifluoromethyl)quinazolin-8-yl)oxy)methyl)phenyl)- 1 H- 1 ,2,3-triazol- 1 -yl)-3 - methylbutanoyl)-4-hydroxy-N-((R)-2-hydroxy- 1 -(4-(pyridin-3- yl)phenyl)ethyl)pyrrolidine-2-carboxamide
[0382] To a solution of tert-butyl (lS,4S)-5-(7-(6-fluoro-5-methyl-2-trityl-2H-indazol- 4-yl)-8-((4-( 1 -((S)- 1 -((2S,4R)-4-hydroxy-2-(((R)-2-hydroxy- 1 -(4-(pyridin-3- yl)phenyl)ethyl)carbamoyl)pyrro lidin- 1 -yl)-3 -methyl- 1 -oxobutan-2-yl)- 1H- 1 ,2,3-triazol-4- yl)benzyl)oxy)-2-((S)-2-methoxypropoxy)-6-(trifluoromethyl)quinazolin-4-yl)-2,5- diazabicyclo[2.2.1]heptane-2-carboxylate (64 mg, 0.04 mmol, 1.00 eq) in dichloromethane (1 mL) was added trifluoroacetic acid (1.54 g, 13.51 mmol, 1 mL, 307.18 eq). The mixture was stirred at 25 °C for 5 min. LCMS showed the starting material was consumed completely and one main peak with desired mass was detected. The reaction mixture was concentrated under reduced pressure to give a residue. The residue was purified by prep- HPLC (column: Phenomenex luna Cl 8 150*25mm* 10um;mobile phase: [water(FA)- ACN];B%: 10%-40%, 1 Omin) to afford the desired product (17 mg, 0.01 mmol, 34% yield, 95% purity, formate[l]) as a white solid. LCMS (ESI, m/z): 1113.5 [M+l]+, 1H NMR (400 MHz, DMSO-d6) 3: 13.26 - 12.99 (m, 1H), 8.88 (d, J= 1.6 Hz, 1H), 8.64 (s, 1H), 8.56 (d, J - 4.4 Hz, 1H), 8.48 (br d, J= 8.0 Hz, 1H), 8.31 (s, 1H), 8.24 (s, 1H), 8.06 (br d, .7 - 7.6 Hz, 1H), 7.66 (br t, J= 8.8 Hz, 4H), 7.52 - 7.38 (m, 5H), 6.78 - 6.69 (m, 2H), 5.42 - 5.30 (m, 2H), 5.19 (br s, 1H), 5.00 - 4.83 (m, 2H), 4.72 (br d, J= 11.8 Hz, 1H), 4.46 (br t, J = 8.0 Hz, 1H), 4.34 (br d, J= 4.4 Hz, 4H), 3.92 - 3.85 (m, 2H), 3.79 (br dd, J= 4.4, 10.4 Hz, 2H), 3.75 - 3.67 (m, 3H), 3.66 - 3.57 (m, 4H), 3.17 - 3.05 (m, 4H), 2.11 - 2.03 (m, 1H), 1.99 - 1.91 (m, 4H), 1.84 - 1.76 (m, 2H), 1.14 (d, J = 6.8 Hz, 3H), 1.08 (br d, J = 6.4 Hz, 3H), 0.72 (br d, J = 6.4 Hz, 3H).
[0383] Example 5: (2S,4R)-l-((S)-2-(4-(4-(((4-((lS,4S)-2,5-diazabicyclo[2.2.1]heptan- 2-yl)-6-chloro-7-(6-fluoro-5-methyl-2H-indazol-4-yl)-2-((S)-2- methoxypropoxy)quinazolin-8-yl)oxy)methyl)phenyl)- 1 H- 1 ,2,3-triazol- 1 -yl)-3 - methylbutanoyl)-4-hydroxy-N-((R)-2-hydroxy- 1 -(4-(pyridin-3- yl)phenyl)ethyl)pyrrolidine-2-carboxamide
Example 5
[0384] Step 1 : tert-butyl (1 S,4S)-5-(7-bromo-2,6-dichloro-8-fluoroquinazolin-4-yl)-2,5- diazabicyclo[2.2.1]heptane-2-carboxylate
[0385] To a solution of tert-butyl (lS,4S)-2,5-diazabicyclo[2.2.1]heptane-2-carboxylate
(2.40 g, 12.11 mmol, 1.00 eq) in dichloromethane (100 mL) was added N,N- diisopropylethylamine (4.69 g, 36.32 mmol, 6.3 mL, 3.00 eq) and 7-bromo-2,4,6-trichloro- 8-fluoro-quinazoline (4 g, 12.11 mmol, 1.00 eq). The mixture was stirred at 0 °C for 2 h. TLC (petroleum ether/ethyl acetate 3/1 ) showed the starting material was consumed completely. The reaction mixture was diluted with water (100 mL) and extracted with dichloromethane (100 mL x 2). The combined organic layers were washed with water (100 mL), brine (100 mL), dried over anhydrous sodium sulfate, filtered and concentrated under reduced pressure to give a residue. The residue was purified by silica gel column chromatography (Si O2, Petroleum ether/Ethyl acetate = 10/1 to 3/1) to offer the product (4.5 g, 9.14 mmol, 75% yield) as a white solid. HNMR (400 MHz, DMSO-d6) d: 8.08 (s,
1H), 5.36 - 5.11 (m, 1H), 4.57 (d, J= 16.4 Hz, 1H), 4.42 - 4.20 (m, 1H), 3.95 - 3.70 (m, 1H), 3.55 - 3.43 (m, 2H), 1.99 (s, 2H), 1.38 (d, J= 12.8 Hz, 9H).
[0386] Step 2: tert-butyl (lS,4S)-5-(7-bromo-6-chloro-8-fluoro-2-((S)-2- methoxypropoxy)quinazolin-4-yl)-2,5-diazabicyclo[2.2.1]heptane-2-carboxylate
[0387] To a solution of tert-butyl (lS,4S)-5-(7-bromo-2,6-dichloro-8-fluoro-quinazolin- 4-yl)-2,5-diazabicyclo[2.2.1]heptane-2-carboxylate (3 g, 6.10 mmol, 1.00 eq) in acetonitrile (40 mL) was added l,4-diazabicyclo[2.2.2]octane (136 mg, 1.22 mmol, 0.13 mL, 0.20 eq) and (2S)-2-methoxypropan-l-ol (1.10 g, 12.19 mmol, 1.17 mL, 2.00 eq) and cesium carbonate (3.97 g, 12.19 mmol, 2.00 eq). The mixture was stirred at 50 °C for 5 h. LCMS showed the desired compound was detected. The reaction mixture was diluted with water (40 mL) and extracted with ethyl acetate (40 mL x 2). The combined organic layers were washed with water (40 mL), brine (40 mL), dried over sodium sulfate, filtered and
[0389] A mixture of tert-butyl (lS,4S)-5-[7-bromo-6-chloro-8-fluoro-2-[(2S)-2- methoxypropoxy] quinazolin-4-yl]-2,5-diazabicyclo[2.2.1]heptane-2-carboxylate (1 g, 1.83 mmol, 1.00 eq), 6-fluoro-5-methyl-4-(4,4,5,5-tetramethyl-l,3,2-dioxaborolan-2-yl)-2-
trityl-indazole (1.14 g, 2.20 mmol, 1.20 eq), (2-dicyclohexylphosphino-2’,6’- dimethoxybiphenyl) [2-(2 ’ -amino- 1,1 ’ -biphenyl)]palladium(II) methanesulfonate (238.81 mg, 0.36 mmol , 0.20 eq), and sodium carbonate (485.45 mg, 4.58 mmol, 2.50 eq) in dioxane (20 mL) and water (4 mL) was degassed and purged with nitrogen for three times. The mixture was stirred at 90 °C for 2 h under nitrogen. LCMS showed the desired compound was detected. The reaction mixture was diluted with water (40 mL) and extracted with ethyl acetate (40 mL x 2). The combined organic layers were washed with water (40 mL) and brine (40 mL), dried over sodium sulfate, filtered and concentrated under reduced pressure to give a residue. The residue was purified by silica gel column chromatography (Si Oz. Petroleum ether/Ethyl acetate = 1/0 to 3/1) to get the desired compound (1.1 g, 1.17 mmol, 64% yield) as a white solid. LCMS: MS (ESI) m/z: 857.5 [M+l]+.
[0390] Step 4 : tert-butyl (1 S,4S)-5-(7-(2-((tert-butoxycarbonyl)amino)-3-cyano-7- fluorobenzo[b] thiophen-4-yl)-6-chloro-8-((4-ethynylbenzyl)oxy)-2-((S)-2- methoxypropoxy)quinazolin-4-yl)-2,5-diazabicyclo[2.2.1]heptane-2-carboxylate
[0391] To a solution of(4-ethynylphenyl)methanol (226 mg, 1.71 mmol, 2.10 eq) in tetrahydrofuran (10 mL) was added sodium hydride (83 mg, 2.08 mmol, 60% purity, 2.55 eq) at 0 °C, and mixture was stirred at 0 °C for 0.5 h. Then tert-butyl (lS,4S)-5-[6-chloro- 8-fluoro-7-(6-fluoro-5-methyl-2-trityl-indazol-4-yl)-2-[(2S)-2- methoxypropoxy]quinazolin-4-yl]-2,5-diazabicyclo[2.2. l]heptane-2-carboxylate (700 mg, 0.8 Immol, 1.00 eq) was added to the mixture at 0 °C and the mixture was slowly warmed to 20 °C. The mixture was stirred at 20 °C for 12 h. LCMS showed the desired compound was detected. The mixture was quenched with saturated aqueous ammonium chloride (20 mL) and extracted with ethyl acetate (40 mL). The combined organic layers were washed with water (10 mL x 2), brine (10 mL), dried over sodium sulfate and then concentrated under reduced pressure to get a residue. The residue was purified by prep-TLC (petroleum
ether/ethyl acetate = 3/1, Rf= 0.39) to get the desired compound (280 mg, 0.28mmol, 35% yield) as a white solid. LCMS: MS (ESI) m/z 969.4 [M+l]+
[0392] Step 5: tert-butyl (lS,4S)-5-(6-chloro-7-(6-fluoro-5-methyl-2-trityl-2H-indazol- 4-yl)-8-((4-( 1 -((S)- 1 -((2S,4R)-4-hydroxy-2-(((R)-2-hydroxy- 1 -(4-(pyridin-3- yl)phenyl)ethyl)carbamoyl)pyrro lidin- 1 -yl)-3 -methyl- 1 -oxobutan-2-yl)- 1H- 1 ,2,3-triazol-4- yl)benzyl)oxy)-2-((S)-2-methoxypropoxy) quinazolin-4-yl)-2,5- diazabicyclo[2.2.1]heptane-2-carboxylate
[0393] To a solution of tert-butyl (lS,4S)-5-(6-chloro-8-((4-ethynylbenzyl)oxy)-7-(6- fluoro-5-methyl-2-trityl-2H-indazol-4-yl)-2-((S)-2-methoxypropoxy)quinazolin-4-yl)-2,5- diazabicyclo[2.2.1]heptane-2-carboxylate (70 mg, 0.07 mmol, 1.00 eq), (2S,4R)-l-((S)-2- azido-3 -methylbutanoyl)-4-hydroxy-N-((R)-2-hydroxy- 1 -(4-(pyridin-3 - yl)phenyl)ethyl)pyrrolidine-2-carboxamide (32 mg, 0.07 mmol, 1.00 eq) in 2- methylpropan-2-ol (1 mL), tetrahydro furan (1 mL), water (1 mL) was added cuprous iodide (6 mg, 0.03 mmol, 0.5 eq) and sodium (2R)-2-[(lS)-l,2-dihydroxyethyl]-4- hydroxy-5-oxo-2H-furan-3-olate (21 mg, 0.10 mmol, 1.5 eq). The mixture was stirred at 50 °C for 4 h. LCMS showed the starting material was consumed completely and one main peak with desired mass was detected. The reaction mixture was diluted with dichloromethane (20 mL) and added 2% aqueous disodium ethylenediamine tetraacetate (20 mL). Then the mixture was stirred at 25 °C for 30 min. Color of the mixture turned to blue, then the mixture was extracted with dichloromethane (15 mL x 3). The combined organic layers were washed with brine (20 mL x 2), dried over anhydrous sodium sulfate, filtered and concentrated under reduced pressure to give a residue. The residue was purified by prep-TLC (dichloromethane/methanol = 9/1) to afford the desired product (67 mg, 0.04 mmol, 65% yield) as a white solid. LCMS: MS (ESI) m/z: 1422.6 [M+l]+.
[0394] Step 6: (2S,4R)-l-((S)-2-(4-(4-(((4-((lS,4S)-2,5-diazabicyclo[2.2.1]heptan-2- yl)-6-chloro-7-(6-fluoro-5-methyl-2H-indazol-4-yl)-2-((S)-2-methoxypropoxy)quinazolin- 8-yl)oxy)methyl)phenyl)- 1H- 1 ,2,3-triazol- 1 -yl)-3-methylbutanoyl)-4-hydroxy-N-((R)-2- hydroxy- 1 -(4-(pyridin-3-yl)phenyl)ethyl)pyrrolidine-2-carboxamide
[0396] Example 6: (2S,4R)-l-((2S)-2-(4-(4-(((4-((lS,4S)-2,5- diazabicyclo[2.2.1]heptan-2-yl)-7-(6-fluoro-5-methyl-lH-indazol-4-yl)-2-((S)-2- methoxypropoxy)-6-(trifluoromethyl)quinazolin-8-yl)oxy)methyl)phenyl)-lH- 1,2,3- triazol- 1 -yl)-3-methylbutanoyl)-N-((R)- 1 -(2'-fluoro-[ 1, 1 ’-biphenyl]-4-yl)-2-hydroxyethyl)- 4-hydroxypyrrolidine-2-carboxamide
[0397] Step 1: tert-butyl (1 S,4S)-5-(7-(6-fluoro-5-methyl-2-trityl-2H-indazol-4-yl)-8- ((4-( 1 -((S)- 1 -((2S,4R)-2-(((R)- 1 -(2'-fluoro- [ 1 , l'-biphenyl]-4-yl)-2- hydroxyethyl)carbamoyl)-4-hydroxypyrrolidin- 1 -yl)-3-methyl- 1 -oxobutan-2-yl)- 1H- 1 ,2,3- triazol-4-yl)benzyl)oxy)-2-((S)-2-methoxypropoxy)-6-(trifluoromethyl)quinazolin-4-yl)- 2,5-diazabicyclo[2.2.1]heptane-2-carboxylate
Boc
[0398] A solution of (2S,4R)-l-((S)-2-azido-3-methylbutanoyl)-N-((R)-l-(2'-fluoro- [l,l'-biphenyl]-4-yl)-2-hydroxyethyl)-4-hydroxypyrrolidine-2-carboxamide (30 mg, 0.06 mmol, 1.3 eq) and tert-butyl (lS,4S)-5-(8-((4-ethynylbenzyl)oxy)-7-(6-fluoro-5-methyl-2- trityl-2H-indazol-4-yl)-2-((S)-2-methoxypropoxy)-6-(trifluoromethyl)quinazolin-4-yl)- 2,5-diazabicyclo[2.2.1]heptane-2-carboxylate (50 mg, 0.05 mmol, 1.0 eq) in tetrahydro furan (1 mL) and water (1 mL) was degassed and purged with nitrogen for 3 times. Cuprous iodide (5 mg, 0.02 mmol, 0.5 eq) was added before the mixture was stirred under nitrogen at 50 °C for 2 h. LCMS showed the starting material was consumed completely and one main peak with desired mass was detected. The mixture was diluted with water (30 mL) and extracted with ethyl acetate (20 mL x 3). The combined organic layers were washed with brine (50 mL), dried over anhydrous sodium sulfate, filtered and concentrated under reduced pressure to give a residue. The residue was purified by prep- thin layer chromatography (Silicon dioxide, dichloromethane/methanol = 10/1) to offer the desired compound (57 mg, 0.04 mmol, 80% yield) as a white solid. LCMS (ESI, m/z): 1472.8 [M+l]+.
[0399] Step 2: (2S.4R)-l-((2S)-2-(4-(4-(((4-((lS.4S)-2.5-diazabicvclor2.2.11heptan-2- yl)-7-(6-fluoro-5-methyl-lH-indazol-4-yl)-2-((S)-2-methoxypropoxy)-6- (trifluoromethyl)quinazolin-8-yl)oxy)methyl)phenyl)- 1 H- 1 ,2,3-triazol- 1 -yl)-3 - methylbutanoyl)-N-((R)- 1 -(2'-fluoro-[l , 1 ’-biphenyl] -4-yl)-2-hydroxyethyl)-4- hydroxypyrrolidine-2-carboxamide
[0400] To a solution of tert-butyl (lS,4S)-5-(7-(6-fluoro-5-methyl-2-trityl-2H-indazol- 4-yl)-8-((4-( 1 -((S)- 1 -((2S,4R)-2-(((R)- 1 -(2'-fluoro-[ 1 , 1 '-biphenyl]-4-yl)-2- hydroxyethyl)carbamoyl)-4-hydroxypyrrolidin- 1 -yl)-3-methyl- 1 -oxobutan-2-yl)- 1H- 1 ,2,3- triazol-4-yl)benzyl)oxy)-2-((S)-2-methoxypropoxy)-6-(trifluoromethyl)quinazolin-4-yl)- 2,5-diazabicyclo[2.2.1]heptane-2-carboxylate (57 mg, 0.04 mmol, 1 eq) in dichloromethane (5 mL) was added trifluoroacetic acid (22 mg, 0.02 mmol, 0.02 mL, 5 eq). The mixture was stirred at 25 °C for 1 h. LCMS showed the starting material was consumed completely and one main peak with desired mass was detected. The mixture was concentrated under reduced pressure distillation to get the product. The residue was purified by prep-thin layer chromatography (Silicon dioxide, dichloromethane/methanol = 10/1) to offer the desired compound (6.2 mg, 0.005 mmol, 14.22% yield) as a white solid. LCMS (ESI, m/z): 1130.5 [M+l]+ /H NMR (400 MHz, DMSO-d6) S: 8.68 - 8.60 (m, 1H), 8.52 - 8.44 (m, 1H), 8.36 - 8.28 (m, 1H), 7.66 (d, J= 8.4 Hz, 2H), 7.58 - 7.48 (m, 5H),
7.46 - 7.36 (m, 5H), 7.36 - 7.28 (m, 2H), 6.78 - 6.66 (m, 2H), 5.48 - 5.30 (m, 2H), 5.24 -
5.12 (m, 2H), 4.92 - 4.82 (m, 2H), 4.78 - 4.62 (m, 1H), 4.52 - 4.42 (m, 1H), 4.39 - 4.28 (m,
4H), 3.90 - 3.82 (m, 2H), 3.75 - 3.67 (m, 2H), 3.6 - 3.5 (m, 3H), 2.02 - 1.88 (m, 6H), 1.85 -
1.68 (m, 3H), 1.27 - 1.20 (m, 2H), 1.18 - 1.04 (m, 8H), 0.76 - 0.70 (m, 3H).
[0401] Synthesis of Intermediate 6: tert-butyl (lS,4S)-5-(6-cyclopropyl-8-((4- ethynylbenzyl)oxy)-7-(6-fluoro-5-methyl-2-trityl-2H-indazol-4-yl)-2-((S)-2- methoxypropoxy)quinazolin-4-yl)-2,5-diazabicyclo[2.2.1]heptane-2-carboxylate
Intermediate 6 [0402] Step 1: tert-butyl (lS,4S)-5-(7-bromo-8-fluoro-6-iodo-2-((S)-2- methoxypropoxy)quinazolin-4-yl)-2,5-diazabicyclo[2.2.1]heptane-2-carboxylate
[0403] To a solution of tert-butyl (lS,4S)-5-(7-bromo-2-chloro-8-fluoro-6- iodoquinazolin-4-yl)-2,5-diazabicyclo[2.2. l]heptane-2-carboxylate (5 g, 8.57 mmol, 1 eq), (2S)-2-methoxypropan-l-ol (2.32 g, 12.85 mmol, 2.4 mL, 1.5 eq) in acetonitrile (50 mL) was added l,4-diazabicyclo[2.2.2]octane (96 mg, 0.85 mmol, 0.1 eq) and cesium carbonate (8.37 g, 25.70 mmol, 3 eq). The mixture was stirred at 50 °C for 5 h. LCMS showed the reaction was completed. The reaction mixture was filtered and concentrated in reduced pressure to give a residue. The residue was purified by silica gel chromatography (petroleum ether/ethyl acetate = 1/0 to 3/1) to afford tert-butyl (lS,4S)-5-(7-bromo-8- fluoro-6-iodo-2-((S)-2-methoxypropoxy)quinazolin-4-yl)-2,5-diazabicyclo[2.2.1]heptane- 2-carboxylate (10.5 g, 16.48 mmol, 96% yield) as a yellow oil. LCMS (ESI, m/z): 636.2, 638.9 [M+l]+
[0404] Step 2: tert-butyl (lS,4S)-5-(7-bromo-6-cyclopropyl-8-fluoro-2-((S)-2- methoxypropoxy)quinazolin-4-yl)-2,5-diazabicyclo[2.2.1]heptane-2-carboxylate
B i oc
[0405] To a solution of tert-butyl (lS,4S)-5-[7-bromo-8-fluoro-6-iodo-2-[(2S)-2- methoxypropoxy]quinazolin-4-yl]-2,5-diazabicyclo[2.2. l]heptane-2-carboxylate (10.5 g, 16.48 mmol, 1 eq), cyclopropylboronic acid (1.56 g, 18.12 mmol, 1.1 eq) in dioxane (100 mL) and water (20 mL) was added sodium carbonate (4.37 g, 41.19 mmol, 2.5 eq) and [l,l'-bis(diphenylphosphino)ferrocene]dichloropalladium(ii) (2.41 g, 3.30 mmol, 0.2 eq). The mixture was stirred at 100 °C for 12 h. LCMS showed the reaction was completed. The reaction mixture was diluted with water (100 mL), then extracted with ethyl acetate (100 mL x 3). The combined organic phase was washed with brine (50 mL x 2), dried over anhydrous sodium sulfate, filtered and concentrated in vacuum to get a residue. The residue was purified by silica gel chromatography (petroleum ether/ethyl acetate = 1/0 to 3/1) to afford tert-butyl (lS,4S)-5-(7-bromo-6-cyclopropyl-8-fluoro-2-((S)-2- methoxypropoxy)quinazolin-4-yl)-2,5-diazabicyclo[2.2.1]heptane-2-carboxylate (4 g, 7.25 mmol, 44% yield) as a yellow solid. LCMS (ESI, m/z): 551.2, 553.4 [M+l]+.
[0406] Step 3: tert-butyl (lS,4S)-5-(8-(benzyloxy)-7-bromo-6-cyclopropyl-2-((S)-2- methoxypropoxy)quinazolin-4-yl)-2,5-diazabicyclo[2.2.1]heptane-2-carboxylate
[0407] To a solution of phenylmethanol (1.13 g, 10.43 mmol, 1 mL, 2.3 eq) in tetrahydrofuran (10 mL) was added sodium hydride (453 mg, 11.33 mmol, 60% purity, 2.5 eq) at 0 °C, and the mixture was stirred at 0 °C for 0.5 h. Then tert-butyl (lS,4S)-5-(7- bromo-6-cyclopropyl-8-fluoro-2-((S)-2-methoxypropoxy)quinazolin-4-yl)-2,5- diazabicyclo[2.2.1]heptane-2-carboxylate (2.5 g, 4.53 mmol, 1 eq) in tetrahydrofuran (25 mL) was added, the mixture was stirred at 25 °C for 12 h. LCMS showed the reaction was completed. The reaction mixture was quenched by pouring it into water (100 mL), extracted with ethyl acetate (100 mL x 3). The combined organic phase was washed with brine (100 mL x 2), dried over anhydrous sodium sulfate, filtered and concentrated in vacuum. The residue was purified by prep-HPLC (column: UniSil 10-120 Cl 8 70x250mm;mobile phase: [water(TFA)-ACN];B%: 40%-70%,17min) to afford tert-butyl (lS,4S)-5-(8-(benzyloxy)-7-bromo-6-cyclopropyl-2-((S)-2-methoxypropoxy)quinazolin-4- yl)-2,5-diazabicyclo[2.2.1]heptane-2-carboxylate (1 g, 1.56 mmol, 34% yield) as a yellow oil. LCMS (ESI, m/z): 639.4, 641.2 [M+l]+.
[0408] Step 4 : tert-butyl (1 S,4S)-5-(8-(benzyloxy)-6-cyclopropyl-7-(6-fluoro-5-methyl- 2-trityl-2H-indazol-4-yl)-2-((S)-2-methoxypropoxy)quinazolin-4-yl)-2,5- diazabicyclo[2.2.1]heptane-2-carboxylate
[0409] To a solution of 6-fluoro-5-methyl-4-(4,4,5,5-tetramethyl-l,3,2-dioxaborolan-2- yl)-2-trityl-2H-indazole (1.96 g, 3.78 mmol, 1.1 eq), tert-butyl (lS,4S)-5-(8-(benzyloxy)- 7-bromo-6-cyclopropyl-2-((S)-2-methoxypropoxy)quinazolin-4-yl)-2,5- diazabicyclo[2.2.1]heptane-2-carboxylate (2.2 g, 3.44 mmol, 1 eq) in dioxane (40 mL) was added sodium carbonate (1.09 g, 10.32 mmol, 3 eq) in water (5 mL) and [ 1 , 1 '-Bis(di-tert- butylphosphino)ferrocene]palladium(II) dichloride (224 mg, 0.34 mmol, 0.1 eq). The mixture was stirred at 100 °C for 2 h under nitrogen. LCMS showed the reaction was completed. The reaction mixture was filtered and concentrated in reduced pressure to give a residue. The residue was purified by prep-HPLC (column: Phenomenex luna Cl 8 (250*70mm,10 um);mobile phase: [water(TFA)-ACN];B%: 20%-50%,14min) to afford tert-butyl (lS,4S)-5-(8-(benzyloxy)-6-cyclopropyl-7-(6-fluoro-5-methyl-2-trityl-2H- indazol-4-yl)-2-((S)-2-methoxypropoxy)quinazolin-4-yl)-2,5-diazabicyclo[2.2.1]heptane- 2-carboxylate (2.5 g, 2.63 mmol, 76% yield) as a yellow oil. LCMS (ESI, m/z): 951.7 [M]+.
[0410] Step 5 : tert-butyl (1 S,4S)-5-(6-cyclopropyl-7-(6-fluoro-5-methyl-2H-indazol-4- yl)-8-hydroxy-2-((S)-2-methoxypropoxy)quinazolin-4-yl)-2,5-diazabicyclo[2.2.1]heptane- 2-carboxylate
[0411] To a solution of tert-butyl (lS,4S)-5-(8-(benzyloxy)-6-cyclopropyl-7-(6-fluoro- 5-methyl-2-trityl-2H-indazol-4-yl)-2-((S)-2-methoxypropoxy)quinazolin-4-yl)-2,5- diazabicyclo[2.2.1]heptane-2-carboxylate (2.5 g, 2.63 mmol, 1 eq) in methanol (20 mL) was added palladium on activated carbon catalyst (500 mg, 5% purity). The mixture was stirred at 25 °C for 2 h under hydrogen. LCMS showed the reaction was completed. The reaction mixture was filtered and concentrated in reduced pressure to get the crude product tert-butyl (lS,4S)-5-(6-cyclopropyl-7-(6-fluoro-5-methyl-2H-indazol-4-yl)-8-hydroxy-2- ((S)-2-methoxypropoxy)quinazolin-4-yl)-2,5-diazabicyclo[2.2.1]heptane-2-carboxylate (2
g, crude) as a yellow oil, which was used into next step without further purification.
LCMS (ESI, m/z): 619.4 [M+l]+.
[0412] Step 6: tert-butyl (lS,4S)-5-(6-cyclopropyl-7-(6-fluoro-5-methyl-2-trityl-2H- indazol-4-yl)-8-hydroxy-2-((S)-2-methoxypropoxy)quinazolin-4-yl)-2,5- diazabicyclo[2.2.1]heptane-2-carboxylate
[0413] To a solution of tert-butyl (lS,4S)-5-(6-cyclopropyl-7-(6-fluoro-5-methyl-2H- indazol-4-yl)-8-hydroxy-2-((S)-2-methoxypropoxy)quinazolin-4-yl)-2,5- diazabicyclo[2.2.1]heptane-2-carboxylate (2 g, 3.23 mmol, 1 eq) in dichloromethane (20 mL) was added triethylamine (981 mg, 9.70 mmol, 1.3 mL, 3 eq) and (chloromethanetriyl)tribenzene (270 mg, 0.96 mmol, 0.3 eq). The mixture was stirred at 25 °C for 2 h. TLC (petroleum ether/ethyl acetate = 1/1) showed the reaction was completed. The reaction mixture was diluted with water (50 mL), then extracted with ethyl acetate (20 mL x 3). The combined organic phase was washed with brine (20 mL x 2), dried over anhydrous sodium sulfate, filtered and concentrated in vacuum to get the crude product. The crude product was purified by silica gel chromatography (petroleum ether/ethyl acetate = 10/1 to 3/1) to afford tert-butyl (lS,4S)-5-(6-cyclopropyl-7-(6-fluoro- 5-methyl-2-trityl-2H-indazol-4-yl)-8-hydroxy-2-((S)-2-methoxypropoxy)quinazolin-4-yl)- 2,5-diazabicyclo[2.2.1]heptane-2-carboxylate (1.2 g, 1.32 mmol, 40% yield, 95% purity) as a yellow solid.
[0414] Step 7: tert-butyl (lS,4S)-5-(6-cyclopropyl-8-((4-ethynylbenzyl)oxy)-7-(6- fluoro-5-methyl-2-trityl-2H-indazol-4-yl)-2-((S)-2-methoxypropoxy)quinazolin-4-yl)-2,5- diazabicyclo[2.2.1]heptane-2-carboxylate
[0415] To a solution of l-(chloromethyl)-4-ethynylbenzene (367 mg, 2.44 mmol, 2 eq), tert-butyl (lS,4S)-5-(6-cyclopropyl-7-(6-fluoro-5-methyl-2-trityl-2H-indazol-4-yl)-8- hydroxy-2-((S)-2-methoxypropoxy)quinazolin-4-yl)-2,5-diazabicyclo[2.2.1]heptane-2- carboxylate (1.05 g, 1.22 mmol, 1 eq) in acetonitrile (20 mL) was added cesium carbonate (1.19 g, 3.66 mmol, 3 eq). The mixture was stirred at 70 °C for 2 h. LCMS showed the reaction was completed. The reaction mixture was filtered and concentrated in reduced pressure to give a residue. The residue was purified by silica gel chromatography (petroleum ether/ethyl acetate = 1/0 to 1/1) to afford tert-butyl (lS,4S)-5-(6-cyclopropyl-
[0417] Step 1 : tert-butyl (/? )-(2- hydroxy- 1 -(4-(3 -methyl pyri di n-4- yl)phenyl)ethyl)carbamate
[0418] A mixture of tert-butyl (R )-(l-(4-bromophenyl)-2-hydroxyethyl)carbamate (5 g, 15.81 mmol, 1 eq), (3-methylpyridin-4-yl)boronic acid (2.60 g, 18.98 mmol, 1.2 eq), cesium fluoride (4.80 g, 31.63 mmol, 2 eq) and [ 1 , l'-Bis(di-tert- butylphosphino)ferrocene]-palladium(II) dichloride (1.03 g, 1.58 mmol, 0.1 eq) in dioxane (50 mL) and water (10 mL) was degassed and purged with nitrogen for 3 times, and then the mixture was stirred at 90 °C for 12 h under nitrogen. LCMS showed the starting material was consumed completely and one main peak with desired mass was detected. The reaction mixture was filtered and concentrated under reduced pressure to give a residue. The residue was purified by prep-HPLC (column: Phenomenex luna Cl 8 (250*70mm,10 um);mobile phase: [water(FA)-ACN];B%: 47%-77%,20min) to afford the title compound tert-butyl ( R )-(2-hydroxy- 1 -(4-(3 -methyl pyri din-4-
yl)phenyl)ethyl)carbamate (4 g, 12.22 mmol, 77% yield) as a yellow solid. LCMS (ESI, m/z): 329.2[M+1]+. 1H NMR (400 MHz, DMSO-d6) 3 8.49 (s, 1H), 8.43
5.2 Hz, 1H), 7.42 - 7.35 (m, 4H), 7.31 - 7.15 (m, 2H), 4.84 (s, 1H), 4.60 (d, J= 7.2 Hz, 1H), 3.61 - 3.48 (m, 2H), 2.26 (s, 3H), 1.38 (s, 9H).
[0420] To a solution of tert-butyl (R )-(2-hydroxy-l-(4-(3-methylpyridin-4- yl)phenyl)ethyl)carbamate (4.4 g, 13.40 mmol, 1 eq) in dichloromethane (40 mL) was added hydrogen chloride/di oxane solution (4 M, 20 mL, 6.30 eq). The mixture was stirred at 20 °C for 1 h. TLC (dichloromethane/methanol = 10: 1) showed the starting material was consumed completely and one main spot was detected. The reaction mixture was concentrated under reduced pressure to offer the title compound (R)-2-amino-2-(4-(3- methylpyridin-4-yl)phenyl)ethan- 1 -ol (3.55 g, crude, hydrochloride) as a yellow solid. [0421] Step 3: tert-butyl (2S,4R)-4-hydroxy-2-(((R)-2-hydroxy-l-(4-(3-methylpyridin- 4-yl)phenyl)ethyl) carbamoyl)pyrrolidine- 1 -carboxylate
[0422] To a solution of(R)-2-amino-2-(4-(3-methylpyridin-4-yl)phenyl)ethan-l-ol (3.55 g, 13.41 mmol, 1 eq, hydrochloride) in NN '-di methyl formamide (40 mL) was added N, N- diisopropylethylamine (5.20 g, 40.23 mmol, 3 eq), then (2.S',4/?)- l -(tert-butoxycarbonyl)- 4-hydroxypyrrolidine-2-carboxylic acid (2.48 g, 10.73 mmol, 0.8 eq) and O-(J- Azabenzotriazol-l-yl)-N,N,N’,N’-tetramethyluronium hexafluorophosphate (5.10 g, 13.41 mmol, 1 eq) were added into the mixture. The mixture was stirred at 20 °C for 1 h. LCMS showed the starting material was consumed completely and one main peak with desired mass was detected. The reaction mixture was diluted with water (150 mL) and extracted with ethyl acetate (80 mL x 3). The combined organic layers were washed with brine (80
mL x 3), dried over anhydrous sodium sulfate, filtered and concentrated under reduced pressure to give a residue. The residue was purified flash silica gel chromatography (ISCO®; 40 g SepaFlash® Silica Flash Column, Eluent of 0—10% methanol/dichloromethane gradient @80 mL/min) to offer the desired compound tertbutyl (25',4R)-4-hydroxy-2-(((R)-2-hydroxy-l-(4-(3-methylpyridin-4-yl)phenyl)ethyl) carbamoyl) pyrrolidine- 1 -carboxylate (4.5 g, 10.19 mmol, 76% yield) as a yellow solid. LCMS (ESI, m/z): 442.2[
8.49 (s, 1H), 8.43 (d, J - 4.8 Hz, 1H), 8.26 (d, ./- 8.0 Hz, 1H), 7.46 - 7.32 (m, 4H), 7.21 (d, J = 4.8 I Iz, 1H), 5.03 - 4.97 (m, 1H), 4.95 - 4.80 (m, 2H), 4.32 - 4.16 (m, 2H), 3.75 - 3.58 (m, 2H), 3.47 - 3.38 (m, 1H), 3.31 - 3.24 (m, 1H), 2.26 (s, 3H), 2.15 - 2.01 (m, 1H), 1.86 - 1.72 (m, 1H), 1.41 (s, 3H), 1.31 (s, 6H).
[0423] Step 4: (2S,4R)-4-hydroxy-N-((R)-2-hydroxy- 1 -(4-(3-methylpyridin-4- yl)phenyl)ethyl)pyrrolidine-2-carboxamide
[0424] To a solution of tert-butyl (25',4R)-4-hydroxy-2-(((R)-2-hydroxy-l-(4-(3- methylpyridin-4-yl)phenyl)ethyl)carbamoyl)pyrrolidine-l -carboxylate (4.5 g, 10.19 mmol, 1 eq) in dichloromethane (40 mL) was added hydrogen chloride/dioxane solution (4 M, 30 mL, 11.77 eq). The mixture was stirred at 20 °C for 1 h. LCMS showed the starting material was concentrated under reduced pressure to offer the title compound (25,4R)-4- hydroxy-N-((R)-2-hydroxy-l-(4-(3-methylpyridin-4-yl)phenyl)ethyl)pyrrolidine-2- carboxamide (3.48 g, 10.19 mmol, 100 % yield, hydrochloride) as a yellow solid. LCMS (ESI, m/z): 342.1[M+1]+.
[0425] Step 5: tert-butyl ((S)- 1 -((2S,4R)-4-hydroxy-2-(((R)-2-hydroxy- 1 -(4-(3- methylpyridin-4-yl)phenyl)ethyl)carbamoyl)pyrro lidin- 1 -yl)-3 -methyl- 1 -oxobutan-2- yl)carbamate
[0426] To a solution of (25,4R )-4-hydroxy- N-((R)-2-hydroxy-l-(4-(3-methylpyridin-4- yl)phenyl)ethyl)pyrrolidine-2-carboxamide (3.48 g, 10.19 mmol, 1 eq) in N,N- dimethylformamide (30 mL) was added N, N-diisopropylethylamine (3.95 g, 30.58 mmol, 3 eq), then (tert-butoxycarbonyl)-L-valine (1.77 g, 8.15 mmol, 0.8 eq) and O-(J- Azabenzotriazol-l-yl)-N,N,N’,N’-tetramethyluronium hexafluorophosphate (3.88 g, 10.19 mmol, 1 eq) were added into the mixture. The mixture was stirred at 20 °C for 1 h. LCMS showed the starting material was consumed completely and one main peak with desired mass was detected. The reaction mixture was diluted with water (100 mL) and extracted with ethyl acetate (80 mL x 3). The combined organic layers were washed with brine (50 mL x 3), dried over anhydrous sodium sulfate, filtered and concentrated under reduced pressure to give a residue. The residue was purified silica gel chromatography (dichloromethane/methanol 40/1 to 10/1) to offer the title compound tert-butyl ((S)-l- ((25,4R )-4-hydroxy-2-(((R )-2-hydroxy- 1 -(4-(3-methylpyridin-4- yl)phenyl)ethyl)carbamoyl)pyrrolidin- 1 -yl)-3 -methyl- 1 -oxobutan-2-yl)carbamate (4.4 g, 8.14 mmol, 79% yield) as a yellow solid. LCMS (ESI, m/z): 541.5[M+1] +. 1H NMR (400MHz, DMSO-d6) 8 8.49 (s, 1H), 8.43 (d, J= 4.8 Hz, 1H), 8.37 (d, J= 8.0 Hz, 1H), 7.46 - 7.33 (m, 4H), 7.21 (d, J= 4.8 I Iz, 1H), 6.70 (d, J = 8.4 Hz, 1H), 5.75 (s, 1H), 5.11 (d, J= 3.6 Hz, 1H), 4.94 - 4.84 (m, 1H), 4.79 (t, J = 6.0 Hz, 1H), 4.48 (t, J = 8.0 Hz, 1H), 4.31 (s, 1H), 3.67 - 3.55 (m, 4H), 2.26 (s, 3H), 2.09 - 2.00 (m, 1H), 1.96 - 1.88 (m, 1H), 1.87 - 1.75 (m, 1H), 1.38 (s, 9H), 0.96 - 0.79 (m, 6H).
[0427] Step 6: (25,4R )- l-(£-valyl)-4-hydroxy-N-((R )-2-hydroxy-l-(4-(3-methylpyridin- 4-yl)phenyl)ethyl) pyrrolidine-2-carboxamide
[0428] To a solution of tert-butyl ((S)- 1 -((25,4R )-4-hydroxy-2-(((R )-2-hydroxy- 1 -(4-(3- methylpyridin-4-yl)phenyl)ethyl)carbamoyl)pyrro lidin- 1 -yl)-3 -methyl- 1 -oxobutan-2- yl)carbamate (1 g, 1.85 mmol, 1 eq) in dichloromethane (10 mL) was added hydrogen chloride/dioxane solution (4 M, 5 mL, 10.81 eq). The mixture was stirred at 20 °C for 1 h. LCMS showed the starting material was consumed completely and one main peak with desired mass was detected. The reaction mixture was concentrated under reduced pressure to offer the title compound (25,4R )-l-(L-valyl)-4-hydroxy-N-((R )-2-hydroxy-l-(4-(3- methylpyridin-4-yl)phenyl)ethyl) pyrrolidine-2-carboxamide (810 mg, 1.84 mmol, 99% yield, hydrochloride) as a yellow solid. LCMS (ESI, m/z): 441.3 [M+l] +.
[0429] Step 7: (25,4R )- 1 -((5)-2-azido-3 -methylbutanoyl)-4-hydroxy-N-((R )-2-hydroxy- l-(4-(3-methylpyridin-4-yl)phenyl)ethyl)pyrrolidine-2-carboxamide
[0430] To a solution of (25,4R )- l-(L-valyl)-4-hydroxy-N-((R )-2-hydroxy-l-(4-(3- methylpyridin-4-yl)phenyl)ethyl)pyrrolidine-2-carboxamide (800 mg, 1.82 mmol, 1 eq) in acetonitrile (10 mL) and tetrahydrofuran (10 mL) was added triethylamine (1.29 g, 12.71 mmol, 7 eq). The mixture was stirred at 0 °C for 15 min. Then 2-azido-l,3-dimethyl-4,5- dihydroimidazol- 1 -ium; hexafluorophosphate (570 mg, 2.00 mmol, 1.1 eq) in acetonitrile (10 mL) was added at 0 °C. The mixture was stirred at 0 °C for 1 h. LCMS showed the starting material was consumed completely and one main peak with desired mass was detected. The reaction mixture was diluted with water (20 mL) and extracted with ethyl acetate (20 mL x 3). The combined organic layers were washed with brine (20 mL x 3), dried over anhydrous sodium sulfate, filtered and concentrated under reduced pressure to give a residue. The residue was purified by prep-TLC (silicon dioxide,
dichloromethane/methanol 10/1 ) to offer the title compound (25,4R )- l-((5)-2-azido-3 - methyl butanoyl )-4-hydroxy-,V-( ( /?)-2- hydroxy- 1 -(4-(3 -methylpyridin-4-yl)phenyl) ethyl)pyrrolidine-2-carboxamide (560 mg, 1.18 mmol, 65% yield, 98% purity) as an off- white solid. LCMS (ESI, m/z): 467.3[M+1] +. [0431] Synthesis of Intermediate 8: (2S,4R)-l-((S)-2-azido-3-methylbutanoyl)-4- hydroxy-N-((R)-2-hydroxy-l-(4-(2-methylpyridin-3-yl)phenyl)ethyl)pyrrolidine-2- carboxamide
Intermediate 8
[0433] A mixture of tert-butyl (R)-(l-(4-bromophenyl)-2-hydroxyethyl)carbamate (4 g, 12.65 mmol, 1.00 eq) , (2-methylpyridin-3-yl)boronic acid (3.46 g, 25.30 mmol, 2.00 eq) and [l,r-Bis(di-tert-butylphosphino)ferrocene]palladium(II) dichloride (824 mg, 1.27 mmol, 0.1 eq) and cesium fluoride (5.77 g, 37.95 mmol, 1.40 mL, 3.00 eq) in dioxane (60 mL) and water (10 mL) was degassed and purged with nitrogen for three times, and then the mixture was stirred at 85 °C for 5 h under nitrogen. LCMS showed the desired compound was detected. Water (60 mL) was added before the mixture was extracted by ethyl acetate (70 mL x3). The combined organic layers were washed with brine (60 mL x 2), dried over anhydrous sodium sulfate, filtered and concentrated under reduced pressure to give a residue. The residue was purified by flash silica gel chromatography (Petroleum ether/Ethyl acetate=5/l to 1/1) to get the desired compound (4 g, 12. 18 mmol, 96% yield) as a brown solid. LCMS: MS (ESI) m/z\ 329.3 [M+l]+.
[0435] To a solution of tert-butyl (R)-(2-hydroxy-l-(4-(2-methylpyridin-3- yl)phenyl)ethyl)carbamate (3.6 g, 10.96 mmol, 1.00 eq) in methanol (20 mL) was added hydrochloric acid/dioxane (4 M, 40 mL, 14.60 eq). The mixture was stirred at 25 °C for 0.5 h. The reaction mixture was concentrated under reduced pressure to get the crude product (R)-2-amino-2-(4-(2-methylpyridin-3-yl)phenyl)ethan-l-ol (2.9 g, crude, hydrochloride) as a yellow solid.
[0436] Step 3: tert-butyl (2S,4R)-4-hydroxy-2-(((R)-2-hydroxy-l-(4-(2-methylpyridin- 3 -yl)phenyl) ethyl)carbamoyl)pyrrolidine- 1 -carboxylate
[0437] To a solution of (R)-2-amino-2-(4-(2-methylpyridin-3-yl)phenyl)ethan-l-ol (2.9 g, 10.95 mmol, 1.00 eq, hydrochloride) in N, N- dimethylformamide (20 mL) was added N,N-diisopropylethylamine (5.66 g, 43.81 mmol, 7.63 mL, 4.00 eq) and (2S,4R)-1 -(tert- butoxycarbonyl)-4-hydroxypyrrolidine-2-carboxylic acid (3.04 g, 13.14 mmol, 1.2 eq), the mixture was stirred at 0°C for 5 min. Then o-(7-azabenzotriazol-l-yl)-n,n,n,n- tetramethyluronium hexafluorophosphate (6.25 g, 16.43 mmol, 1.5 eq) was added. The mixture was stirred at 25 °C for 0.5 h. LCMS showed the desired compound was detected. The reaction mixture was quenched by addition water (20 mL), and then extracted with chloroform and isopropanol (10/1, 40 mL x 3). The combined organic layers were washed with brine (80 mL x 2), dried over sodium sulfate, filtered and concentrated under reduced pressure to give a residue. The residue was purified by prep-HPLC (column: Phenomenex luna cl8 250mm* 100mm* 10um;mobile phase: [water(FA)-ACN];B%: 0%-30%,20min) to get the desired compound (1.77 g, 4.01 mmol, 36% yield) as a white solid. LCMS: MS (ESI) m/z: 442.3[M+1]+.
[0438] Step 4: (2S,4R)-4-hydroxy-N-((R)-2-hydroxy-l-(4-(2-methylpyridin-3- yl)phenyl)ethyl)pyrrolidine-2-carboxamide
[0439] To a solution of tert-butyl (2S,4R)-4-hydroxy-2-(((R)-2-hydroxy-l-(4-(2- methylpyridin-3-yl)phenyl) ethyl)carbamoyl)pyrrolidine- 1 -carboxylate (1.67 g, 3.78 mmol, 1.00 eq) in methanol (4 mL) was added hydrochloric acid/dioxane (4 M, 4 mL, 4.23 eq). The mixture was stirred at 25 °C for 10 min. LCMS showed the desired compound was detected. The reaction mixture was concentrated under reduced pressure to get the crude product (2S,4R)-4-hydroxy-N-((R)-2-hydroxy-l-(4-(2-methylpyridin-3-
yl)phenyl)ethyl)pyrrolidine-2-carboxamide (1.4 g, 3.71 mmol, 97% yield, hydrochloride) as a white solid. LCMS: MS (ESI) m/z\ 342.2[M+1]+.
[0440] Step 5: tert-butyl ((S)-l-((2S,4R)-4-hydroxy-2-(((R)-2-hydroxy-l-(4-(2- methylpyridin-3-yl)phenyl)ethyl)carbamoyl)pyrro lidin- 1 -yl)-3 -methyl- 1 -oxobutan-2- yl)carbamate
[0441] To a solution of (2S,4R)-4-hydroxy-N-((R)-2-hydroxy-l-(4-(2-methylpyridin-3- yl)phenyl)ethyl) pyrrolidine-2-carboxamide (1.4 g, 3.71 mmol, 1.00 eq, hydrochloride) in N,N-di methyl formamide (20 mL) was added N, A'-di isopropyl ethyl am inc (1.44 g, 11.12 mmol, 1.94 mL, 3.00 eq) and (tert-butoxycarbonyl)-L-valine (965 mg, 4.45 mmol, 1.2 eq), then o-(7-azabenzotriazol-l-yl)-N,N,N,N-tetramethyluronium hexafluorophosphate (2.11 g, 5.56 mmol, 1.5 eq) was added at 0 °C. The mixture was stirred at 0 °C for 0.5 h.
LCMS showed the desired compound was detected. The reaction mixture was quenched by addition water (20 mL), and then extracted with chloroform and isopropanol (10/1, 40 mL x 3). The combined organic layers were washed with brine (80 mL) , dried over sodium sulfate, filtered and concentrated under reduced pressure to give a residue. The residue was purified by prep-HPLC (column: Phenomenex luna C18 (250*70mm,10 um);mobile phase: [water(FA)-ACN];B%: 20%-50%,20min) to get the desired compound (1.2 g, 2.22 mmol, 59% yield) as a light yellow solid. LCMS: MS (ESI) m/z: 541.3[M+1]+.
[0442] Step 6: (2S,4R)-l-(L-valyl)-4-hydroxy-N-((R)-2-hydroxy-l-(4-(2-methylpyridin- 3-yl)phenyl)ethyl)pyrrolidine-2-carboxamide
[0443] To a solution of tert-butyl ((S)- 1 -((2S,4R)-4-hydroxy-2-(((R)-2-hydroxy- 1 -(4-(2- methylpyridin-3-yl)phenyl)ethyl)carbamoyl)pyrro lidin- 1 -yl)-3 -methyl- 1 -oxobutan-2-
yl)carbamate (300 mg, 0.55 mmol, 1.00 eq) in methanol (2 mL) was added hydrochloric acid/dioxane (4 M, 6.00 mL, 43.25 eq). The mixture was stirred at 25 °C for 10 min. LCMS showed the desired compound was detected. The reaction mixture was concentrated under reduced pressure to get the crude product (2S,4R)-l-(L-valyl)-4- hydroxy-N-((R)-2-hydroxy-l-(4-(2-methylpyridin-3-yl)phenyl)ethyl)pyrrolidine-2- carboxamide (260 mg, 0.54 mmol, 98% yield, hydrochloride) as a white solid. LCMS: MS (ESI) m/z: 441.5[M+1]+.
[0444] Step 7: (2S,4R)-l-((S)-2-azido-3-methylbutanoyl)-4-hydroxy-N-((R)-2-hydroxy- l-(4-(2-methylpyridin-3-yl)phenyl)ethyl)pyrrolidine-2-carboxamide
[0445] To a solution of (2S,4R)-l-(L-valyl)-4-hydroxy-N-((R)-2-hydroxy-l-(4-(2- methylpyridin-3-yl)phenyl)ethyl)pyrrolidine-2-carboxamide (260 mg, 0.54 mmol, 1.00 eq, hydrochloride) in tetrahydrofuran (4 mL) and acetonitrile (4 mL) was added N,N- diisopropylethylamine (493 mg, 3.82 mmol, 0.66 mL, 7.00 eq), the mixture was stirred at 0°C for 15 min. Then 2-azido-l,3-dimethyl-4,5-dihydro-lH-imidazol-3-ium hexafluorophosphate(V) (170 mg, 0.59 mmol, 1.10 eq) in acetonitrile (2 mL) was added. The mixture was stirred at 0°C for 1 h. LCMS showed the desired compound was detected. The reaction mixture was quenched by addition water (10 mL) at 25 °C, and then extracted with chloroform and isopropanol (10/1, 20 mL x 3). The combined organic layers were washed with brine (40 mL x 2) , dried over sodium sulfate, filtered and concentrated under reduced pressure to give a residue. The residue was purified by prep- TLC (SiO2, dichloromethane: methanol = 9:1) to get the compound (141 mg, 0.30 mmol, 55% yield) as a white solid. LCMS: MS (ESI) m/z: 467.3[M+1]+.
[0446] Synthesis of Intermediate 9: (2S,4R)-l-((S)-2-azido-3-methylbutanoyl)-N-((R)- l-(4-(2-chloropyridin-3-yl)phenyl)-2-hydroxyethyl)-4-hydroxypyrrolidine-2-carboxamide.
[0448] A mixture of tert-butyl (R)-(l-(4-bromophenyl)-2-hydroxyethyl)carbamate (2.5 g, 7.91 mmol, 1.00 eq), (2-chloropyridin-3-yl)boronic acid (2.49 g, 15.81 mmol, 2.00 eq), [1,1-Bis(di-tert-butylphosphino)ferrocene]palladium(II) dichloride (515mg, 0.79 mmol, 0.10 eq), cesium fluoride (3.60 g, 23.72 mmol, 3.00 eq) in dioxane (4 mL) and water (20 mL) was degassed and purged with nitrogen for three times, and then the mixture was stirred at 85 °C for 12 h under nitrogen atmosphere. LCMS showed the desired compound was detected. The reaction mixture was quenched by addition water (100 mL) at 25 °C,
and then extracted with ethyl acetate (100 mL x 2). The combined organic layers were washed with brine (200 mL), dried over sodium sulfate, filtered and concentrated under reduced pressure to give a residue. The residue was purified by column chromatography (Petroleum ether/Ethyl acetate=2/l to 1/1) to afford the desired compound (3.5 g, 10.03 mmol, 63% yield) as a brown solid. LCMS: MS (ESI) m/z 349.1 [M+1]+.
[0450] To a solution of tert-butyl (R)-(l-(4-(2-chloropyridin-3-yl)phenyl)-2- hydroxyethyl)carbamate (3.5 g, 10.03 mmol, 1.00 eq) in methanol (30 mL) was added hydrochloric acid/dioxane (4 M, 30 mL, 11.96 eq). The mixture was stirred at 25 °C for 0.5 h. The reaction mixture was concentrated under reduced pressure to remove solvent. The crude product was used into the next step without further purification. Compound (R)- 2-amino-2-(4-(2-chloropyridin-3-yl)phenyl)ethan-l-ol (2.8 g, 9.82 mmol, 97% yield, hydrochloride) was obtained as a white solid.
[0451] Step 3: tert-butyl (2S,4R)-2-(((R)-l-(4-(2-chloropyridin-3-yl)phenyl)-2- hydroxyethyl)carbamoyl)-4-hydroxypyrrolidine- 1 -carboxylate
[0452] To a solution of (2S,4R)-l-(tert-butoxycarbonyl)-4-hydroxypyrrolidine-2- carboxylic acid (3.41 g, 14.73 mmol, 1.50 eq) and (R)-2-amino-2-(4-(2-chloropyridin-3- yl)phenyl)ethan-l-ol (2.8 g, 9.82 mmol, 1.00 eq, hydrochloride) in N,N- dimethylformamide (30 mL) was added o-(7-azabenzotriazol-l-yl)-n,n,n,n- tetramethyluronium hexafluorophosphate (5.60 g, 14.73 mmol, 1.50 eq) and N,N- diisopropylethylamine (5.08 g, 39.28 mmol, 6.84 mL, 4.00 eq). The mixture was stirred at 25 °C for 1 h. LCMS showed the desired compound was detected. The reaction mixture was quenched by addition water (100 mL) at 25 °C, and then extracted with chloroform and isopropanol (10/1, 200 mL x 2). The combined organic layers were washed with brine
(200 mL x 2), dried over sodium sulfate, filtered and concentrated under reduced pressure to give a residue. The residue was purified by prep-HPLC (column: Phenomenex luna Cl 8 (250*70mm,10 um);mobile phase: [water(FA)-ACN];B%: 25%-55%,17 min) to afford the desired compound (3.5 g, 7.58 mmol, 77% yield) as a yellow solid. LCMS: MS (ESI) m/z:
[0454] To a solution of tert-butyl (2S,4R)-2-(((R)-l-(4-(2-chloropyridin-3-yl)phenyl)-2- hydroxyethyl)carbamoyl)-4-hydroxypyrrolidine-l -carboxylate (3 g, 6.49 mmol, 1.00 eq) in dichloromethane (20 mL) and methanol (10 mL) was added hydrochloric acid/dioxane (4 M, 35 mL, 21.56 eq). The mixture was stirred at 25 °C for 0.5 h. The reaction mixture was concentrated under reduced pressure. The crude product was used into the next step without further purification. Compound (2S,4R)-N-((R)-l-(4-(2-chloropyridin-3- yl)phenyl)-2-hydroxyethyl)-4-hydroxypyrrolidine-2-carboxamide (2.59 g, 6.50 mmol, 100% yield, hydrochloride) was obtained as a light yellow solid.
[0455] Step 5: tert-butyl ((S)-l-((2S,4R)-2-(((R)-l-(4-(2-chloropyridin-3-yl)phenyl)-2- hydroxyethyl)carbamoyl)-4-hydroxypyrrolidin- 1 -yl)-3-methyl- 1 -oxobutan-2-yl)carbamate
, -3-yl)phenyl)-2- hydroxyethyl)-4-hydroxypyrrolidine-2-carboxamide (2.59 g, 6.50 mmol, 1.00 eq, hydrochloride) and (tert-butoxycarbonyl)-L-valine (1.70 g, 7.80 mmol, 1.20 eq) in N,N- dimethylformamide (40 mL) was added N,N-diisopropylethylamine (2.52 g, 19.51 mmol, 3.40 mL, 3.00 eq) and o-(7-azabenzotriazol-l-yl)-n,n,n,n-tetramethyluronium
hexafluorophosphate (3.71 g, 9.75 mmol, 1.50 eq). The mixture was stirred at 25 °C for 2 h. LCMS showed the desired compound was detected. The reaction mixture was quenched by addition water (200 mL) at 25°C, and then extracted with chloroform and isopropanol (10/1, 40 mL x 3). The combined organic layers were washed with brine (80 mL x 2), dried over sodium sulfate, filtered and concentrated under reduced pressure to give a residue. The residue was purified by prep-HPLC (column: Phenomenex luna Cl 8 (250*70mm, 10 um); mobile phase: [water(FA)-ACN];gradient:25%-55% B over 20 min) to afford the desired compound (2.5 g, 4.46 mmol, 68% yield) as a light yellow solid. LCMS: MS (ESI) m/z: 561.4[M+1]+.
[0457] Step 6: (2S,4R)-l-(L-valyl)-N-((R)-l-(4-(2-chloropyridin-3-yl)phenyl)-2- hydroxyethyl)-4-hydroxypyrrolidine-2-carboxamide
[0458] To a solution of tert-butyl ((S)-l-((2S,4R)-2-(((R)-l-(4-(2-chloropyridin-3- yl)phenyl)-2-hydroxyethyl)carbamoyl)-4-hydroxypyrrolidin-l-yl)-3-methyl-l-oxobutan-2- yl)carbamate (1 g, 1.78 mmol, 1.00 eq) in methanol (5 mL) was added hydrochloric acid/dioxane (4 M, 10 mL, 22.44 eq). The mixture was stirred at 25 °C for 15 min. The reaction mixture was concentrated under reduced pressure. The crude product was used into the next step without further purification. Compound (2S,4R)-l-(L-valyl)-N-((R)-l- (4-(2-chloropyridin-3-yl)phenyl)-2-hydroxyethyl)-4-hydroxypyrrolidine-2-carboxamide (880 mg, 1.77 mmol, 99% yield, hydrochloride) was obtained as a light yellow solid.
[0459] Step 7: (2S,4R)-l-((S)-2-azido-3-methylbutanoyl)-N-((R)-l-(4-(2-chloropyridin- 3-yl)phenyl)-2-hydroxyethyl)-4-hydroxypyrrolidine-2-carboxamide
[0460] To a solution of(2S,4R)-l-(L-valyl)-N-((R)-l-(4-(2-chloropyridin-3-yl)phenyl)- 2-hydroxyethyl)-4-hydroxypyrrolidine-2-carboxamide (880 mg, 1.77 mmol, 1.00 eq,
hydrochloride) in tetrahydro furan (10 mL) and acetonitrile (10 mL)was added N,N- diisopropylethylamine (1.60 g, 12.38 mmol, 2.16 mL, 7.00 eq) was degassed and purged with nitrogen for three times, the mixture was stirred at 0°C for 15 min. Then 2-azido-l,3- dimethyl-4,5-dihydro-lH-imidazol-3-ium hexafluorophosphate(V) (554 mg, 1.95 mmol, 1.10 eq) in acetonitrile (6 mL) was added. The mixture was stirred at 0°C for 1 h. LCMS showed the desired compound was detected. The reaction mixture was quenched by addition water (30 mL) at 25°C, and then extracted with chloroform and isopropanol (10/1, 30 mL x 3). The combined organic layers were washed with brine (80 mL x 2), dried over sodium sulfate, filtered and concentrated under reduced pressure to give a residue. The residue was purified by prep-TLC (DCM: MeOf 1= 10: 1) to afford the desired compound (480 mg, 0.98 mmol, 55% yield) as a white solid. LCMS: MS (ESI) m/z: 487.2[M+1]+.
[0461] Synthesis of Intermediate 10: (2S,4R)-l-((S)-2-azido-3-methylbutanoyl)-N- ((R)-l-(4-(3-fluoropyridin-4-yl)phenyl)-2-hydroxyethyl)-4-hydroxypyrrolidine-2- carboxamide
[0462] Step 1: tert-butyl (R)-(l-(4-(3-fluoropyridin-4-yl)phenyl)-2- hydroxyethyl)carbamate
[0463] A mixture of tert-butyl N-[(lR)-l-(4-bromophenyl)-2-hydroxy-ethyl]carbamate (3 g, 9.49 mmol, 1 eq), (3-fluoro-4-pyridyl)boronic acid (2.01 g, 14.24 mmol, 1.5 eq), ditert-butyl(cyclopentyl)phosphane;dichloropalladium;iron (618.37 mg, 0.95 mmol, 0.1 eq) and cesium fluoride (4.32 g, 28.47 mmol, 1 mL, 3 eq) in dioxane (30 mL) and water (6 mL) was degassed and purged with nitrogen for 3 times, and then the mixture was stirred at 90 °C for 12 h under nitrogen atmosphere. LCMS showed the starting material was consumed completely and the desired mass was detected. The crude mixture was filtered. The reaction mixture was partitioned between water (20 mL) and ethyl acetate (20 mL x 3). The organic phase was separated, washed with brine (20 mL), dried over anhydrous sodium sulfate, filtered and concentrated under reduced pressure to give a residue. The residue was purified by silica gel chromatography (Petroleum ether/Ethyl acetate = 1/0 to 1/1) to offer the desired compound (1.5 g, 4.51 mmol, 47% yield) as a yellow solid. LCMS (ESI, m/z): 333.1 [M+l]+.
[0465] To a solution of tert-butyl N-[(lR)-l-[4-(3-fluoro-4-pyridyl)phenyl]-2-hydroxy- ethyl] carbamate (1.50 g, 4.53 mmol, 1 eq) in dichloromethane (10 mL) was added hydrogen chloride/dioxane (4 M, 10 mL, 9 eq). The mixture was stirred at 20 °C for 0.5 h. Thin layer chromatography (Petroleum ether/Ethyl acetate 1 /I ) showed the reaction was completed. The reaction mixture was concentrated under reduced pressure to offer the desired compound (1 g, 4.31 mmol, 95% yield) as a yellow solid.
[0466] Step 3: tert-butyl (2S,4R)-2-(((R)-l-(4-(3-fluoropyridin-4-yl)phenyl)-2- hydroxyethyl)carbamoyl)-4-hydroxypyrrolidine- 1 -carboxylate
[0467] To a solution of (2R)-2-amino-2-[4-(3-fluoro-4-pyridyl)phenyl]ethanol (1 g, 4.31 mmol, 1 eq) in N,N-dimethylformamide (10 mL) was added (2S,4R)- 1 -tert- butoxycarbonyl-4-hydroxy-pyrrolidine-2-carboxylic acid (796 mg, 3.44 mmol, 0.8 eq), O- (7-Azabenzotriazol-l-yl)-N,N,N,N ’ -tetramethyluronium exafluorophosphate (3.27 g, 8.61 mmol, 2 eq) and diisopropylethylamine (1.48 g, 11.48 mmol, 2 mL, 3 eq). The mixture was stirred at 20 °C for 2 h. LCMS showed the desired mass was detected. The reaction mixture was partitioned between water (100 mL) and ethyl acetate (100 mL x 3). The organic phase was separated, washed with brine (100 mL), dried over anhydrous sodium sulfate, filtered and concentrated under reduced pressure to give a residue. The residue was purified by silica gel chromatography (Dichloromethane / Methanol 50/1 to 20/1) to offer the desired compound (1 g, 2.24 mmol, 52 % yield) as a yellow oil. LCMS (ESI, m/z): 446.2[M+1]+. 1H NMR (400 MHz, CDCl3-d) δ 8.54 (d, J = 2.4 Hz, 1H), 8.47 (d, J= 4.8 Hz, 1H), 7.65 - 7.55 (m, 2H), 7.49 (br d, J= 8.0 Hz, 2H), 7.42 - 131 (m, 1H), 42
, - hydroxy-ethyl]carbamoyl]-4-hydroxy-pyrrolidine-l -carboxylate (1 g, 2.24 mmol, 1 eq) in dichloromethane (5 mL) was added hydrogen chloride/dioxane (4 M, 0.5 mL, 1 eq). The mixture was stirred at 20 °C for 0.5 h. LCMS showed the desired mass was detected. The reaction mixture was concentrated under reduced pressure to give a residue to offer the
desired compound (770 mg, 2.23 mmol, 99 % yield) as a yellow solid. LCMS (ESI, m/z): 346. 1 [M+1]+.
[0470] Step 5: tert-butyl ((S)- 1 -((2S,4R)-2-(((R)- 1 -(4-(3-fluoropyridin-4-yl)phenyl)-2- hydroxyethyl)carbamoyl)-4-hydroxypyrrolidin- 1 -yl)-3-methyl- 1 -oxobutan-2-yl)carbamate
[0471] To a solution of (2S,4R)-N-[(lR)-l-[4-(3-fluoro-4-pyridyl)phenyl]-2-hydroxy- ethyl]-4-hydroxy-pyrrolidine-2-carboxamide (770 mg, 2.23 mmol, 1 eq) in N,N- dimethylformamide (10 mL) was added (2S)-2-(tert-butoxycarbonylamino)-3-methyl- butanoic acid (387 mg, 1.78 mmol, 0.8 eq), diisopropylethylamine (1.44 g, 11.15 mmol, 5 eq) and O-(7 -Azabenzotriazo 1- 1 -yl)-N,N,N ’ ,N ’ -tetramethyluronium exafluorophosphate (1.70 g, 4.46 mmol, 2 eq) .The mixture was stirred at 20 °C for 2 h. LCMS showed the desired mass was detected. The reaction mixture was partitioned between water (100 mL) and ethyl acetate (100 mL x 3). The organic phase was separated, washed with brine (100 mL), dried over anhydrous sodium sulfate, filtered and concentrated under reduced pressure to give a residue. The residue was purified by prep- Thin layer chromatography (Silicon dioxide, Dichloromethane/ Methanol = 10/1) to offer the desired compound ((417 mg, 0.77 mmol, 34% yield) as a yellow oil. LCMS (ESI, m/z): 545.4[M+1]+.
[0472] Step 6: (2S,4R)- l-(L-valyl)-N-((R)- 1 -(4-(3-fluoropyridin-4-yl)phenyl)-2- hydroxyethyl)-4-hydroxypyrrolidine-2-carboxamide
[0473] To a solution of tert-butyl N-[(lS)-l-[(2S,4R)-2-[[(lR)-l-[4-(3-fluoro-4- pyridyl)phenyl]-2-hydroxy-ethyl]carbamoyl]-4-hydroxy-pyrrolidine-l-carbonyl]-2- methyl-propyl] carbamate (417 mg, 0.77 mmol, 1 eq) in dichloromethane (5 mL) was added hydrogen chloride/di oxane (4 M, 5 mL, 26 eq).The mixture was stirred at 20 °C for
2 h. LCMS showed the desired mass was detected. The reaction mixture was concentrated under reduced pressure to offer the desired compound (340 mg, 0.77 mmol, 99% yield) as a yellow solid. LCMS (ESI, m/z): 445.2[M+1]+.
[0474] Step 7: (2S,4R)-l-((S)-2-azido-3-methylbutanoyl)-N-((R)-l-(4-(3-fluoropyridin- 4-yl)phenyl)-2-hydroxyethyl)-4-hydroxypyrrolidine-2-carboxamide
[0475] To a solution of (2S,4R)-l-[(2S)-2-amino-3-methyl-butanoyl]-N-[(lR)-l-[4-(3- fluoro-4-pyridyl)phenyl]-2-hydroxy-ethyl]-4-hydroxy-pyrrolidine-2-carboxamide (340 mg, 0.77 mmol, 1 eq) in acetonitrile (4 mL) and tetrahydrofuran (6 mL) was added dropwise triethylamine (542 mg, 5.35 mmol, 7 eq) at 0°C. After addition, the mixture was stirred at this temperature for 1.5h, and then 2-azido-l,3-dimethyl-4,5-dihydroimidazol-l- ium;hexafluorophosphate (240 mg, 0.84mol, 1.1 eq) in acetonitrile (4 mL) was added dropwise at 0°C. The resulting mixture was stirred at 0°C for Ih. LCMS showed the desired mass was detected. The reaction mixture was partitioned between water (20 mL) and ethyl acetate (20 mL x 3). The organic phase was separated, washed with brine (20 mL), dried over anhydrous sodium sulfate, filtered and concentrated under reduced pressure. The residue was purified by prep-Thin layer chromatography (Silicon dioxide, Dichloromethane/ Methanol = 10/1) to offer the desired compound (70 mg, 0.06 mmol, 99% yield) as a yellow oil. LCMS (ESI, m/z): 472.4[M+1]+.
[0476] Synthesis of Intermediate 11: (2S,4R)-l-((S)-2-azido-3-methylbutanoyl)-N- ((R)-l-(4-(3-chloropyridin-4-yl)phenyl)-2-hydroxyethyl)-4-hydroxypyrrolidine-2- carboxamide
Intermediate 11
[0478] A mixture of tert-butyl (R)-(l-(4-bromophenyl)-2-hydroxyethyl)carbamate (2 g, 6.33 mmol, 1 eq), (3-chloropyridin-4-yl)boronic acid (2.9 g, 18.99 mmol, 3 eq), cesium fluoride (2.8 g, 18.99 mmol, 0.7 mL, 3 eq), ditert-butyl(cyclopentyl)phosphane; dichloropalladium;iron (412 mg, 0.6 mmol, 0.1 eq) in water (5 mL) and dioxane (25 mL) was degassed and purged with nitrogen for 3 times, and then the mixture was stirred at 80 °C for 12 h under nitrogen. LCMS showed the starting material was consumed completely and one main peak with desired mass was detected. The reaction mixture was partitioned between water (100 mL) and ethyl acetate (100 mL). The organic phase was separated, washed with brine (50 mL x 3), dried over anhydrous sodium sulfate, filtered and concentrated under reduced pressure to give a residue. The residue was purified by flash silica gel chromatography (ISCO®; 45 g SepaFlash® Silica Flash Column, Eluent of 0-50% Ethyl acetate/Petroleum ethergradient @ 80 mL/min) to offer the desired compound (1.7 g, 4.68 mmol, 73 % yield, 96% purity) as a brown solid. LCMS: MS (ESI)
m/z: 349.2[M+1] +.
NMR (400 MHz, CDCl3-d) 8 8.77 - 8.58 (m, 1H), 8.50 (s, 1H), 7.56
- 7.35 (m, 4H), 5.42 (d, J = 4.4 Hz, 1H), 5.01 - 4.73 (m, 1H), 3.93 (s, 2H), 2.53 (d, J= 0.8
Hz, 1H), 1.46 (s, 8H)
[0480] To a solution of tert-butyl (R)-(l-(4-(3-chloropyridin-4-yl)phenyl)-2- hydroxyethyl)carbamate (1.7 g, 4.87 mmol, 1 eq) in dichloromethane (30 mL) was added hydrogen chloride / dioxane (4 M, 15 mL, 12.31 eq). The mixture was stirred at 20 °C for 1 h. LCMS showed the starting material was consumed completely and one main peak with desired mass was detected. The reaction mixture was concentrated under reduced pressure to offer the desired compound (1.3 g, 4.87 mmol, 100 % yield, hydrochloride) as a brown solid. LCMS: MS (ESI) m/z: 249.0[M+l]+.
[0481] Step 3: tert-butyl (2S,4R)-2-(((R)-l-(4-(3-chloropyridin-4-yl)phenyl)-2- hydroxyethyl)carbamoyl)-4-hydroxypyrrolidine- 1 -carboxylate
[0482] To a solution of (2S,4R)-l-(tert-butoxycarbonyl)-4-hydroxypyrrolidine-2- carboxylic acid (1.1 g, 4.87 mmol, 1 eq) in N,N-dimethylformamide (20 mL) was added N,N-diisopropylethylamine (14.61 mmol, 2.5 mL, 3 eq) and O-(7-Azabenzotriazol-l-yl)- N,N,N’,N’-tetramethyluronium Hexafluorophosphate (3.7 g, 9.74 mmol, 2 eq). The mixture was stirred at 20 °C for 30 min. Then (R)-2-amino-2-(4-(3-chloropyridin-4- yl)phenyl)ethan-l-ol (1.4 g, 4.87 mmol, 1 eq, hydrogen chloride) was added, the mixture was stirred at 20 °C for Ih 30min. LCMS showed the starting material was consumed completely and one main peak with desired mass was detected. The reaction mixture was partitioned between water (50 mL) and ethyl acetate (50 mL), and extracted with ethyl acetate (50 mL x 3). The organic phase was separated, washed with brine (50 mL x 3), dried over anhydrous sodium sulfate, filtered and concentrated under reduced pressure to
give a residue. The residue was purified by prep-HPLC (column: Phenomenex luna Cl 8 150*25mm* I 0um;mobilc phase: [water(FA)-ACN];B%: 25%-55%,7min) to offer the desired compound (1 g, 2.06 mmol, 42 % yield, 95% purity) as a white solid. LCMS: MS (ESI) m/z: 462.2 [M+l]+. 'H NMR (400 MHz, DMSO-d) δ 8.72 (s, 1H), 8.57 (d, J= 4.8 Hz, 1H), 8.32 - 8.24 (m, 1H), 7.54 - 7.41 (m, 5H), 5.01 - 4.81 (m, 2H), 4.33 - 4.11 (m, 2H), 3.75 - 3.53 (m, 2H), 3.46 - 3.34 (m, 1H), 3.28 - 3.21 (m, 1H), 2.14 - 2.02 (m, 1H), 1.87 - 1.70 (m, 1H), 1.44 - 1.27 (m, 9H).
[0483] Step 4: (2S,4R)-N-((R)- 1 -(4-(3-chloropyridin-4-yl)phenyl)-2-hydroxyethyl)-4- hydroxypyrrolidine-2-carboxamide
[0484] To a solution of tert-butyl (2S,4R)-2-(((R)-l-(4-(3-chloropyridin-4-yl)phenyl)-2- hydroxyethyl)carbamoyl)-4-hydroxypyrrolidine-l -carboxylate (1 g, 2.16 mmol, 1 eq) in dichloromethane (10 mL) was added hydrogen chloride /dioxane (4 M, 10 mL, 18.48 eq). The mixture was stirred at 20 °C for 1 h. LCMS showed the starting material was consumed completely and one main peak with desired mass was detected. The reaction mixture was concentrated under reduced pressure to offer the desired compound (860 mg, 2.16 mmol, 99.74% yield, hydrochloride) as a brown solid. LCMS: MS (ESI) m/z: 362.2 [M+l]+.
[0485] Step 5: tert-butyl ((S)-l-((2S,4R)-2-(((R)-l-(4-(3-chloropyridin-4-yl)phenyl)-2- hydroxyethyl)carbamoyl)-4-hydroxypyrrolidin- 1 -yl)-3-methyl- 1 -oxobutan-2-yl)carbamate
[0486] To a solution of (2S,4R)-N-((R)-l-(4-(3-chloropyridin-4-yl)phenyl)-2- hydroxyethyl)-4-hydroxypyrrolidine-2-carboxamide (860 mg, 2.16 mmol, 1 eq, hydrochloride) and (2S)-2-(tert-butoxycarbonylamino)-3-methyl-butanoic acid (375 mg, 1.73 mmol, 0.8 eq) in N,N-dimethylformamide (10 mL) was added N,N-
diisopropylethylamine (6.48 mmol, 1.1 mL, 3 eq) and O-(7-Azabenzotriazol-l-yl)- N,N,N’,N’-tetramethyluronium Hexafluorophosphate (821 mg, 2.16 mmol, 1 eq). The mixture was stirred at 20 °C for 1 h. LCMS showed the starting material was consumed completely and one main peak with desired m/z was detected. The reaction mixture was partitioned between water (50 mL) and ethyl acetate (50 mL), and extracted with ethyl acetate (50 mL x 3). The organic phase was separated, washed with brine (50 mL x 3), dried over anhydrous sodium sulfate, filtered and concentrated under reduced pressure to give a residue. The residue was purified by column chromatography (silicon dioxide, dichloromethane/methanol=l/0 to 30/1) to offer the desired compound (400 mg, 0.6 mmol, 28 % yield, 87% purity) as a white solid. LCMS: MS (ESI) m/z: 561.2 [M+l]+. ' l l NMR (400 MHz, DMSO-d) 5 8.72 (s, 1H), 8.57 (s, 1H), 8.44 - 8.32 (m, 1H), 7.46 (d, J= 12.0 Hz, 4H), 6.68 (d, ./ - 8.4 Hz, 1H), 5.10 (s, 1H), 5.15 - 4.78 (m, 1H), 4.53 - 4.41 (m, 1H), 4.30 (s, 1H), 4.05 - 3.99 (m, 1H), 3.60 (s, 3H), 2.09 - 1.76 (m, 5H), 1.38 (s, 9H), 1.20 - 1.15 (m, 1H), 0.93 - 0.80 (m, 6H)
[0487] Step 6: (2S,4R)-l-(L-valyl)-N-((R)-l-(4-(3-chloropyridin-4-yl)phenyl)-2- hydroxyethyl)-4-hydroxypyrrolidine-2-carboxamide
[0488] To a solution of tert-butyl ((S)-l-((2S,4R)-2-(((R)-l-(4-(3-chloropyridin-4- yl)phenyl)-2-hydroxyethyl)carbamoyl)-4-hydroxypyrrolidin-l-yl)-3-methyl-l-oxobutan-2- yl)carbamate (600 mg, 1.14 mmol, 1 eq) in dichloromethane (8 mL) was added hydrogen chloride /dioxane (4 M, 0.2 mL, 1 eq). The mixture was stirred at 20 °C for 0.5 h. LCMS showed the starting material was consumed completely and one main peak with desired m/z was detected. The reaction mixture was concentrated under reduced pressure to offer the desired compound (2S,4R)-l-[(2S)-2-amino-3-methyl-butanoyl]-4-hydroxy-N-[(lR)- 2-hydroxy-l-[4-(2-pyridyl)phenyl]ethyl]pyrrolidine-2-carboxamide (525 mg, 1.13 mmol, 99 % yield, hydrochloride) as a white solid. LCMS: MS (ESI) m/z: 427.2 [M+l]+.
[0489] Step 7: (2S,4R)-l-((S)-2-azido-3-methylbutanoyl)-N-((R)-l-(4-(3-chloropyridin- 4-yl)phenyl)-2-hydroxyethyl)-4-hydroxypyrrolidine-2-carboxamide
[0490] To a solution of (2S,4R)-l-[(2S)-2-amino-3-methyl-butanoyl]-4-hydroxy-N- [(lR)-2-hydroxy-l-[4-(2-pyridyl)phenyl]ethyl]pyrrolidine-2-carboxamide (525 mg, 1.13 mmol, 1 eq, hydrochloride) in acetonitrile (5 mL) and tetrahydrofuran (5 mL) was added triethylamine (803 mg, 7.94 mmol, 1.1 mL, 7 eq) , the mixture was stirred at 0 °C for 15 min. Then 2-azido-l,3-dimethyl-4,5-dihydro-lH-imidazol-3-ium hexafluorophosphate(V) (355 mg, 1.25 mmol, 1.1 eq) in acetonitrile (2 mL) was added to the solution, the mixture was stirred at 0 °C for 2 h. LCMS showed the starting material was consumed completely and one main peak with desired m/z was detected. The reaction mixture was partitioned between water (100 mL) and ethyl acetated (100 mL). The organic phase was separated, washed with brine (50 mL x 3), dried over sodium sulfate, filtered and concentrated under reduced pressure to give a residue. The residue was purified by prep-TLC (silicon dioxide, dichloromethane/methanol 10/1 ) to offer the desired compound (341 mg, 0.7 mmol, 66 % yield) as a white solid. LCMS: MS (ESI) m/z: 453.3 [M+l]+ [0491] Synthesis of Intermediate 12: (2S,4R)-l-((S)-2-azido-3-methylbutanoyl)-4- hydroxy-N-((R)-2-hydroxy-l-(4-(pyrimidin-5-yl)phenyl)ethyl)pyrrolidine-2-carboxamide.
[0493] To a solution of tert-butyl (R)-(2-hydroxy-l-(4-(pyrimidin-5- yl)phenyl)ethyl)carbamate (1.8 g, 5.71 mmol, 1.00 eq) in methanol (20 mL) was added hydrochloric acid/dioxane (4 M, 40 mL, 14.60 eq). The mixture was stirred at 25 °C for 0.5 h. The reaction mixture was concentrated under reduced pressure to get the crude product (R)-2-amino-2-(4-(pyrimidin-5-yl)phenyl)ethan-l-ol (1.44 g, crude, hydrochloride) as a yellow solid.
[0494] Step 2: tert-butyl (2S,4R)-4-hydroxy-2-(((R)-2-hydroxy-l-(4-(pyrimidin-5- yl)phenyl)ethyl)carbamoyl)pyrrolidine- 1 -carboxylate
[0495] To a solution of (R)-2-amino-2-(4-(pyrimidin-5-yl)phenyl)ethan-l-ol (1.44 g,
5.72 mmol, 1.00 eq, hydrochloride) in N,N-dimethylformamide (20 mL) was added N,N-
diisopropylethylamine (739 mg, 5.72 mmol, 1.0 eq) and (2S,4R)-l-(tert-butoxycarbonyl)- 4-hydroxypyrrolidine-2-carboxylic acid (1.32 g, 5.72 mmol, 1 eq), the mixture was stirred at 0°C for 5 min. Then o-(7-azabenzotriazol-l-yl)-N,N,N,N-tetramethyluronium hexafluorophosphate (2.18 g, 5.72 mmol, 1.5 eq) was added. The mixture was stirred at 25 °C for 0.5 h. LCMS showed the desired compound was detected. The reaction mixture was quenched by addition water (20 mL), and then extracted with chloroform and isopropanol (10/1, 40 mL x 3). The combined organic layers were washed with brine (80 mL x 2), dried over sodium sulfate, filtered and concentrated under reduced pressure to give a residue. The residue was purified by flash silica gel chromatography as a white
, -l-(4- (pyrimidin-5-yl)phenyl)ethyl)carbamoyl)pyrrolidine-l-carboxylate (360 mg, 0.84 mmol 1.00 eq) in methanol (4 mL) was added hydrochloric acid/dioxane (4 M, 4 mL, 4.23 eq). The mixture was stirred at 25 °C for 10 min. LCMS showed the desired compound was detected. The reaction mixture was concentrated under reduced pressure to get the crude product (2S,4R)-4-hydroxy-N-((R)-2-hydroxy- 1 -(4-(pyrimidin-5- yl)phenyl)ethyl)pyrrolidine-2-carboxamide (306 mg, 0.84 mmol, 99% yield, hydrochloride) as a white solid. LCMS: MS (ESI) m/z 365.8 [M+l]+.
[0498] Step 5: tert-butyl ((S)-l-((2S,4R)-4-hydroxy-2-(((R)-2-hydroxy-l-(4-(pyrimidin- 5-yl)phenyl)ethyl)carbamoyl)pyrrolidin-l-yl)-3-methyl-l-oxobutan-2-yl)carbamate
[0499] To a solution of (2S,4R)-4-hydroxy-N-((R)-2-hydroxy-l-(4-(pyrimidin-5- yl)phenyl)ethyl)pyrrolidine-2-carboxamide (306 mg, 0.84 mmol, 1 eq, hydrochloride) in N,N-di methyl formamide (20 mL) was added N, A-di isopropyl ethyl am ine (108.40 mg, 838.76 pmol, 1 eq) and (tert-butoxycarbonyl)-L-valine (182.23 mg, 0.84 mmol, 1 eq), then o-(7-azabenzotriazol-l-yl)-n,n,n,n-tetramethyhironium hexafluorophosphate (318.92 mg, 0.84 mmol, 1 eq) was added at 0 °C. The mixture was stirred at 0 °C for 0.5 h. LCMS showed the desired compound was detected. The reaction mixture was quenched by addition water (20 mL), and then extracted with chloroform and isopropanol (10/1, 40 mL x 3). The combined organic layers were washed with brine (80 mL) , dried over sodium sulfate, filtered and concentrated under reduced pressure to give a residue. The residue was purified by prep-HPLC (column: Phenomenex luna Cl 8 (250*70mm,10 um);mobile phase: [water(FA)-ACN];B%: 20%-50%,15min) to get the desired compound (160 mg, 0.30 mmol, 36% yield) as a light yellow solid. LCMS: MS (ESI) m/z: 527. 1 [M+l]+. [0500] Step 6: (2S,4R)-l-(L-valyl)-4-hydroxy-N-((R)-2-hydroxy-l-(4-(pyrimidin-5- yl)phenyl)ethyl)pyrrolidine-2-carboxamide
[0501] To a solution of tert-butyl ((S)-l-((2S,4R)-4-hydroxy-2-(((R)-2-hydroxy-l-(4- (pyrimidin-5-yl)phenyl)ethyl)carbamoyl)pyrrolidin- 1 -yl)-3 -methyl- 1 -oxobutan-2- yl)carbamate (160 mg, 0.30 mmol, 1.00 eq) in methanol (2 mL) was added hydrochloric acid/dioxane (4 M, 6.00 mL, 43.25 eq). The mixture was stirred at 25 °C for 10 min. LCMS showed the desired compound was detected. The reaction mixture was concentrated under reduced pressure to get the crude product (2S,4R)-l-(L-valyl)-4-
hydroxy-N-((R)-2-hydroxy-l-(4-(pyrimidin-5-yl)phenyl)ethyl)pyrrolidine-2-carboxamide.
LCMS: MS (ESI) m/z: 428.3 [M+l]+.
[0502] Step 7: (2S,4R)-l-((S)-2-azido-3-methylbutanoyl)-4-hydroxy-N-((R)-2-hydroxy- l-(4-(pyrimidin-5-yl)phenyl)ethyl)pyrrolidine-2-carboxamide
[0503] To a solution of (2S,4R)-l-(L-valyl)-4-hydroxy-N-((R)-2-hydroxy-l-(4- (pyrimidin-5-yl)phenyl)ethyl)pyrrolidine-2-carboxamide (153 mg, 0.33 mmol, 1.00 eq, hydrochloride) in tetrahydrofuran (4 mL) and acetonitrile (4 mL) was added N,N- diisopropylethylamine (234 mg, 0.93 mmol, 0.17 mL, 7.00 eq), the mixture was stirred at 0°C for 15 min. Then 2-azido-l,3-dimethyl-4,5-dihydro-lH-imidazol-3-ium hexafluorophosphate(V) (104 mg, 0.36 mmol, 1.10 eq) in acetonitrile (2 mL) was added. The mixture was stirred at 0°C for 1 h. LCMS showed the desired compound was detected. The reaction mixture was quenched by addition water (10 mL) at 25 °C, and then extracted with chloroform CHCl and isopropanol (10/1, 20 mL x 3). The combined organic layers were washed with brine (40 mL x 2) , dried over sodium sulfate, filtered and concentrated under reduced pressure to give a residue. The residue was purified by prep-TLC (SiO2, dichloromethane: methanol = 9:1) to get the compound (69 mg, 0.09 mmol, 45% yield) as a white solid. LCMS: MS (ESI) m/z: 454.2 [M+l]+.
[0504] Example 7: (2S,4R)-l-((2S)-2-(4-(4-(((4-((lS,4S)-2,5- diazabicyclo[2.2.1]heptan-2-yl)-6-cyclopropyl-7-(6-fluoro-5-methyl-lH-indazol-4-yl)-2- ((tetrahydro-2H-pyran-4-yl)oxy)quinazolin-8-yl)oxy)methyl)phenyl)- 1H- 1 ,2,3-triazol- 1 - yl)-3-methylbutanoyl)-4-hydroxy-N-((R)-2-hydroxy-l-(4-(2-methylpyridin-3- yl)phenyl)ethyl)pyrrolidine-2-carboxamide
[0505] Step 1: tert-butyl (lS,4S)-5-(6-cyclopropyl-7-(6-fluoro-5-methyl-2-trityl-2H- indazol-4-yl)-8-((4-( 1 -((S)- 1 -((2S,4R)-4-hydroxy-2-(((R)-2-hydroxy- 1 -(4-(2- methylpyridin-3-yl)phenyl)ethyl)carbamoyl)pyrro lidin- 1 -yl)-3 -methyl- 1 -oxobutan-2-yl)- lH-l,2,3-triazol-4-yl)benzyl)oxy)-2-((tetrahydro-2H-pyran-4-yl)oxy)quinazolin-4-yl)-2,5- diazabicyclo[2.2.1]heptane-2-carboxylate
[0506] To a solution of (2S,4R)-l-((S)-2-azido-3-methylbutanoyl)-4-hydroxy-N-((R)-2- hydroxy- 1 -(4-(2-methylpyridin-3-yl)phenyl)ethyl)pyrrolidine-2-carboxamide (28 mg, 0.060 mmol, 1 eq) in tetrahydrofuran (1 mL), water (1 mL) and tertiary butanol (1 mL) was added tert-butyl (lS,4S)-5-(6-cyclopropyl-8-((4-ethynylcyclohexa-l,3-dien-l- yl)methoxy)-7-(6-fluoro-5-methyl-2-trityl-2H-indazol-4-yl)-2-((tetrahydro-2H-pyran-4- yl)oxy)quinazolin-4-yl)-2,5-diazabicyclo[2.2.1]heptane-2-carboxylate (60 mg, 0.060 mmol, 1 eq), cuprous iodide (6 mg, 0.030 mmol, 0.5 eq) and sodium ascorbate (18 mg, 0.091 mmol, 1.5 eq). The mixture was stirred at 50 °C for 5 h under nitrogen. TLC showed the desired compound was detected. The reaction mixture was diluted with dichloromethane (20 mL) and added 2% aqueous disodium ethylenediamine tetraacetate (20 ml), then the mixture was stirred at 25 °C for 30 min, it was observed that the color of the mixture changed from green to blue, extracted with dichloromethane (15 mL x 3). The combined organic layers were washed with brine (20 mL x 2), dried over anhydrous sodium sulfate, filtered and concentrated under reduced pressure to give a residue. The residue was purified by prep-TLC (dichloromethane/methanol = 9/1) to afford tert-butyl (lS,4S)-5-(6-cyclopropyl-7-(6-fluoro-5-methyl-2-trityl-2H-indazol-4-yl)-8-((4-(l-((S)-l- ((2S,4R)-4-hydroxy-2-(((R)-2-hydroxy- 1 -(4-(2-methylpyridin-3 - yl)phenyl)ethyl)carbamoyl)pyrro lidin- 1 -yl)-3 -methyl- 1 -oxobutan-2-yl)- 1H- 1 ,2,3-triazol-4- yl)benzyl)oxy)-2-((tetrahydro-2H-pyran-4-yl)oxy)quinazolin-4-yl)-2,5- diazabicyclo[2.2.1]heptane-2-carboxylate (82 mg, 0.056 mmol, 92% yield) as a white solid.
[0507] Step 2: (2S,4R)-l-((2S)-2-(4-(4-(((4-((l S,4S)-2,5-diazabicyclo[2.2.1]heptan-2- yl)-6-cyclopropyl-7-(6-fluoro-5-methyl-lH-indazol-4-yl)-2-((tetrahydro-2H-pyran-4- yl)oxy)quinazolin-8-yl)oxy)methyl)phenyl)- 1 H- 1 ,2,3-triazol- 1 -yl)-3-methylbutanoyl)-4-
hydroxy-N-((R)-2-hydroxy-l-(4-(2-methylpyridin-3-yl)phenyl)ethyl)pyrrolidine-2- carboxamide
[0508] To a solution of tert-butyl (lS,4S)-5-(6-cyclopropyl-7-(6-fluoro-5-methyl-2- trityl-2H-indazol-4-yl)-8-((4-( 1 -((S)- 1 -((2S,4R)-4-hydroxy-2-(((R)-2-hydroxy- 1 -(4-(2- methylpyridin-3-yl)phenyl)ethyl)carbamoyl)pyrro lidin- 1 -yl)-3 -methyl- 1 -oxobutan-2-yl)- lH-l,2,3-triazol-4-yl)benzyl)oxy)-2-((tetrahydro-2H-pyran-4-yl)oxy)quinazolin-4-yl)-2,5- diazabicyclo[2.2.1]heptane-2-carboxylate (82 mg, 0.056 mmol, 1 eq) in dichloromethane (2 mL) was added trifluoroacetic acid (3.07 g, 26.92 mmol, 2 mL, 477.32 eq). The mixture was stirred at 25 °C for 1 h. LCMS showed the desired compound was detected. The reaction mixture was concentrated in vacuum to get a residue. The residue was purified by prep-HPLC (column: YMC-Actus Triart C18 150*30mm*7um;mobile phase: [water(FA)-ACN] gradient: 13 %-30% B over 10 min) to afford (2S,4R)-l-((2S)-2-(4-(4- (((4-((lS,4S)-2,5-diazabicyclo[2.2.1]heptan-2-yl)-6-cyclopropyl-7-(6-fluoro-5-methyl-lH- indazol-4-yl)-2-((tetrahydro-2H-pyran-4-yl)oxy)quinazolin-8-yl)oxy)methyl)phenyl)-lH- 1 ,2,3-triazol- 1 -yl)-3-methylbutanoyl)-4-hydroxy-N-((R)-2-hydroxy- 1 -(4-(2- methylpyridin-3-yl)phenyl)ethyl)pyrrolidine-2-carboxamide (21 mg, 0.019 mmol, 34 % yield, 97.44% purity, formate[l]) as a white solid. LCMS (ESI, m/z): 1111.6 [M+l]+, 1H NMR (400 MHz, DMSO-d6) d: 13.05 (br d, J = 12.8 Hz, 1H), 8.70 - 8.59 (m, 1H), 8.51 - 8.42 (m, 2H), 8.20 (br d, J= 2.0 Hz, 1H), 7.54 (br d, J= 2.4 Hz, 11H), 6.94 - 6.74 (m, 2H), 5.46 - 4.98 (m, 5H), 4.97 - 4.80 (m, 2H), 4.75 - 4.68 (m, 1H), 4.42 (s, 1H), 4.38 - 4.25 (m, 2H), 4.08 - 3.95 (m, 1H), 3.92 - 3.56 (m, 9H), 3.23 - 3.08 (m, 4H), 2.60 - 2.53 (m, 2H), 2.42 - 2.37 (m, 1H), 2.35 - 2.30 (m, 1H), 2.15 (br d, J= 2.4 Hz, 7H), 1.87 - 1.76 (m, 2H), 1.74 - 1.59 (m, 2H), 1.53 - 1.31 (m, 1H), 1.16 - 1.02 (m, 3H), 0.80 - 0.48 (m, 7H).
[0509] Example 8: (2S,4R)-l-((S)-2-(4-(4-(((4-((lS,4S)-2,5-diazabicyclo[2.2.1]heptan- 2-yl)-6-cyclopropyl-7-(6-fluoro-5-methyl-2H-indazol-4-yl)-2-((tetrahydro-2H-pyran-4-
yl)oxy)quinazolin-8-yl)oxy)methyl)phenyl)- 1 H- 1 ,2,3-triazol- 1 -yl)-3-methylbutanoyl)-4- hydroxy-N-((R)-2-hydroxy-l-(4-(3-methylpyridin-4-ylg)phenyl)ethyl)pyrrolidine-2- carboxamide
[0510] Step 1: tert-butyl (lS,4S)-5-(6-cyclopropyl-7-(6-fluoro-5-methyl-2-trityl-2H- indazol-4-yl)-8-((4-(l-((S)-l-((2S,4R)-4-hydroxy-2-(((R)-2-hydroxy-l-(4-(3- methylpyridin-4-yl)phenyl)ethyl)carbamoyl)pyrro lidin- 1 -yl)-3 -methyl- 1 -oxobutan-2-yl)- lH-l,2,3-triazol-4-yl)benzyl)oxy)-2-((tetrahydro-2H-pyran-4-yl)oxy)quinazolin-4-yl)-2,5- diazabicyclo[2.2.1]heptane-2-carboxylate
[0511] To a solution of tert-butyl (lS,4S)-5-[6-cyclopropyl-8-[(4- ethynylphenyl)methoxy]-7-(6-fluoro-5-methyl-2-trityl-indazol-4-yl)-2-tetrahydropyran-4- yloxy-quinazolin-4-yl]-2,5-diazabicyclo[2.2.1]heptane-2-carboxylate (48 mg, 0.048 mmol, 1 eq) and (2S,4R)-l-[(2S)-2-azido-3-methyl-butanoyl]-4-hydroxy-N-[(lR)-2-hydroxy-l- [4-(3-methyl-4-pyridyl)phenyl]ethyl]pyrrolidine-2-carboxamide (25 mg, 0.054 mmol, 1.1 eq) in tetrahydro furan (1 mL), tertiary butanol (1 mL) and water (1 mL) was added cuprous iodide (4.63 mg, 0.024 mmol, 0.5 eq) and sodium ascorbate (15 mg, 0.073 mmol, 1.5 eq). The mixture was stirred at 50 °C for 12 h. LCMS showed the starting material was consumed completely and one main peak with desired mass was detected. The reaction mixture was quenched by water (30 mL), 2% disodium ethylenediamine tetraacetate solution (30 mL), and then diluted with dichloromethane (30 mL). The mixture was stirred at 20 °C for 0.5 h before extracting with dichloromethane (20 mL x 3). The combined organic layers were washed with brine (20 mL x 3), dried over anhydrous sodium sulfate, filtered and concentrated under reduced pressure to give the crude product. The crude product was purified by prep-TLC (silicon dioxide, dichloromethane/methanol = 10/1) to afford the desired product (50 mg, 0.034 mmol, 70% yield) as a white solid. LCMS (ESI, m/z): 1454.8 [M+l]+.
[0512] Step 2: (2S,4R)- 1 -((S)-2-(4-(4-(((4-(( 1 S,4S)-2,5-diazabicyclo[2.2.1 ]heptan-2-yl)- 6-cyclopropyl-7-(6-fluoro-5-methyl-2H-indazol-4-yl)-2-((tetrahydro-2H-pyran-4- yl)oxy)quinazolin-8-yl)oxy)methyl)phenyl)- 1 H- 1 ,2,3-triazol- 1 -yl)-3-methylbutanoyl)-4- hydroxy-N-((R)-2-hydroxy-l-(4-(3-methylpyridin-4-yl)phenyl)ethyl)pyrrolidine-2- carboxamide
[0513] To a solution of tert-butyl (lS,4S)-5-[6-cyclopropyl-7-(6-fluoro-5-methyl-2- trityl-indazol-4-yl)-8-[[4-[l-[(lS)-l-[(2S,4R)-4-hydroxy-2-[[(lR)-2-hydroxy-l-[4-(3- methyl-4-pyridyl)phenyl]ethyl]carbamoyl]pyrrolidine-l-carbonyl]-2-methyl- propyl]triazol-4-yl]phenyl]methoxy]-2-tetrahydropyran-4-yloxy-quinazolin-4-yl]-2,5- diazabicyclo[2.2.1]heptane-2-carboxylate (50 mg, 0.034 mmol, 1 eq) in dichloromethane (2 mL) was added trifluoroacetic acid (0.5 mL). The mixture was stirred at 20 °C for 0.5 h. LCMS showed the starting material was consumed completely and one main peak with desired mass was detected. The reaction mixture was concentrated under reduced pressure to give a residue. The residue was purified prep-HPLC (column: Phenomenex luna Cl 8 150*25mm* 10um;mobile phase: [water(FA)-ACN];gradient:13%-33% B over 10 min) to offer the desired product (8.06 mg, 0.007 mmol, 21% yield, 99% purity, formate[l]) as a yellow solid. LCMS (ESI, m/z): 1111.7 [M+l]+.
(400MHz, DMSO-d6 ) S: 13.13 (d, J= 5.2 Hz, 1H), 8.72 - 8.59 (m, 1H), 8.55 - 8.39 (m, 3H), 8.30 - 8.17 (m, 1H), 7.74 - 7.63 (m, 2H), 7.48 (s, 1H), 7.44 - 7.36 (m, 6H), 7.22 (d, J= 5.2 Hz, 1H), 6.84 - 6.70 (m, 2H), 5.37 - 5.23 (m, 2H), 5.23 - 5.13 (m, 2H), 5.07 (s, 1H), 4.96 - 4.82 (m, 2H), 4.71 (d, J = 11.6 Hz, 1H), 4.46 (t, J = 8.0 Hz, 1H), 4.39 - 4.22 (m, 2H), 3.90 - 3.83 (m, 3H), 3.83 - 3.77 (m, 2H), 3.73 - 3.69 (m, 1H), 3.67 - 3.57 (m, 3H), 3.21 - 3.17 (m, 2H), 3.11 - 3.03 (m, 2H), 2.27 (s, 3H), 2.14 - 1.92 (m, 8H), 1.83 - 1.74 (m, 2H), 1.72 - 1.64 (m, 2H), 1.42 - 1.32 (m, 1H), 1.13 - 1.03 (m, 3H), 0.76 - 0.69 (m, 3H), 0.67 - 0.47 (m, 4H).
[0514] Example 9: (2S,4R)-l-((2S)-2-(4-(4-(((4-((lS,4S)-2,5- diazabicyclo[2.2.1]heptan-2-yl)-6-cyclopropyl-7-(6-fluoro-5-methyl-lH-indazol-4-yl)-2- ((S)-2-methoxypropoxy)quinazolin-8-yl)oxy)methyl)phenyl)- 1 H- 1 ,2,3 -triazol- 1 -yl)-3 - methylbutanoyl)-4-hydroxy-N-((R)-2-hydroxy- 1 -(4-(2-methylpyridin-3 - yl)phenyl)ethyl)pyrrolidine-2-carboxamide.
[0515] Step 1: tert-butyl (lS,4S)-5-(6-cyclopropyl-7-(6-fluoro-5-methyl-2-trityl-2H- indazol-4-yl)-8-((4-( 1 -((S)- 1 -((2S,4R)-4-hydroxy-2-(((R)-2-hydroxy- 1 -(4-(2- methylpyridin-3-yl)phenyl)ethyl)carbamoyl)pyrro lidin- 1 -yl)-3 -methyl- 1 -oxobutan-2-yl)- lH-l,2,3-triazol-4-yl)benzyl)oxy)-2-((S)-2-methoxypropoxy)quinazolin-4-yl)-2,5- diazabicyclo[2.2.1]heptane-2-carboxylate
[0516] A mixture of tert-butyl (lS,4S)-5-(6-cyclopropyl-8-((4-ethynylbenzyl)oxy)-7-(6- fluoro-5-methyl-2-trityl-2H-indazol-4-yl)-2-((S)-2-methoxypropoxy)quinazolin-4-yl)-2,5- diazabicyclo[2.2.1]heptane-2-carboxylate (47 mg, 0.05 mmol, 1 eq), (2S,4R)-l-((S)-2- azido-3-methylbutanoyl)-4-hydroxy-N-((R)-2-hydroxy-l-(4-(2-methylpyridin-3- yl)phenyl)ethyl)pyrrolidine-2-carboxamide (25 mg, 0.05 mmol, 1.1 eq) was dissolved in the mixed solvent of tetrahydro furan (1 mL), tertiary butanol (1 mL) and water (1 mL), then cuprous iodide (5 mg, 0.024 mmol, 0.5 eq) and sodium ascorbate (14 mg, 0.07 mmol, 1.5 eq) were added. The mixture was stirred at 50 °C for 5 h under nitrogen. LCMS showed the desired compound was detected. The reaction mixture was diluted with dichloromethane (20 mL) and added 2% aqueous disodium ethylenediamine tetraacetate (20 mL), then the mixture was stirred at 25 °C for 30 min before extracting with dichloromethane (15 mL x 3). The combined organic layers were washed with brine (20 mL x 3), dried over anhydrous sodium sulfate, filtered and the filtrate was concentrated under reduced pressure to give a residue. The residue was purified by prep-TLC (SiCL, dichloromethane/methanol = 9/1) to get the desired compound (30 mg, 0.02 mmol, 43% yield) as a white solid. LCMS: MS (ESI) m/z 1141.6 [M+l]+.
[0517] Step 2: (2S,4R)-l-((2S)-2-(4-(4-(((4-((l S,4S)-2,5-diazabicyclo[2.2.1]heptan-2- yl)-6-cyclopropyl-7-(6-fluoro-5-methyl-lH-indazol-4-yl)-2-((S)-2- methoxypropoxy)quinazolin-8-yl)oxy)methyl)phenyl)- 1 H- 1 ,2,3-triazol- 1 -y l)-3 - methylbutanoyl)-4-hydroxy-N-((R)-2-hydroxy- 1 -(4-(2-methylpyridin-3 - yl)phenyl)ethyl)pyrrolidine-2-carboxamide (ERAS-9271 )
[0518] To a solution of tert-butyl (lS,4S)-5-(6-cyclopropyl-7-(6-fluoro-5-methyl-2- trityl-2H-indazol-4-yl)-8-((4-( 1 -((S)- 1 -((2S,4R)-4-hydroxy-2-(((R)-2-hydroxy- 1 -(4-(2- methylpyridin-3-yl)phenyl)ethyl)carbamoyl)pyrro lidin- 1 -yl)-3 -methyl- 1 -oxobutan-2-yl)- lH-l,2,3-triazol-4-yl)benzyl)oxy)-2-((S)-2-methoxypropoxy)quinazolin-4-yl)-2,5- diazabicyclo[2.2.1]heptane-2-carboxylate (30 mg, 0.02 mmol, 1 eq) in dichloromethane (1 mL) was added trifluoroacetate (1 mL). The mixture was stirred at 25 °C for 0.5 h.
LCMS showed the desired compound was detected. The reaction mixture was concentrated under reduced pressure to give a residue. The residue was purified by prep- HPLC (column: Phenomenex luna Cl 8 150*25mm* 10um;mobile phase: [water(FA)- ACN];gradient:10%-40% B over 10 min) to get the desired compound (10.11 mg, 0.008 mmol, 39.28% yield, 92.6% purity, formate[l]) as a white solid. LCMS: MS (ESI) m/z: 1099.7 [M+1]+.1H NMR (400 MHz, DMSO-d6 ) δ : 13.16 - 13.05 (m, 1H), 8.67 - 8.63 (m, 1H), 8.52 - 8.44 (m, 2H), 8.28 - 8.23 (m, 2H), 7.70 (s, 2H), 7.62 - 7.56 (m, 1H), 7.51 - 7.33 (m, 7H), 7.33 - 7.27 (m, 1H), 6.84 - 6.78 (m, 2H), 5.38 - 5.29 (m, 1H), 5.22 - 5.14 (m, 1H), 5.11 - 5.06 (m, 1H), 4.98 (s, 2H), 4.50 - 4.41 (m, 1H), 4.36 - 4.24 (m, 4H), 3.86 - 3.78 (m, 3H), 3.75 - 3.59 (m, 6H), 3.19 - 3.16 (m, 4H), 2.46 - 2.43 (m, 4H), 2.14 - 2.05 (m, 1H), 2.03 - 1.97 (m, 3H), 1.96 - 1.90 (m, 1H), 1.86 - 1.74 (m, 2H), 1.41 - 1.32 (m, 1H), 1.29 - 1.22 (m, 1H), 1.17 (s, 6H), 0.77 - 0.70 (m, 3H), 0.69 - 0.49 (m, 4H).
[0519] Example 10: (2S,4R)-l-((2S)-2-(4-(4-(((4-((lS,4S)-2,5- diazabicyclo[2.2.1]heptan-2-yl)-6-cyclopropyl-7-(6-fluoro-5-methyl-lH-indazol-4-yl)-2- ((S)-2-methoxypropoxy)quinazolin-8-yl)oxy)methyl)phenyl)- 1 H- 1 ,2,3 -triazol- 1 -yl)-3 - methylbutanoyl)-4-hydroxy-N-((R)-2-hydroxy- 1 -(4-(pyridin-3- yl)phenyl)ethyl)pyrrolidine-2-carboxamide.
[0520] Step 1: tert-butyl (1 S,4S)-5-(6-cyclopropyl-7-(6-fluoro-5-methyl-2-trityl-2H- indazol-4-yl)-8-((4-(l-((S)-l-((2S,4R)-4-hydroxy-2-(((R)-2-hydroxy-l-(4-(pyridin-3- yl)phenyl)ethyl)carbamoyl) pyrro lidin- 1 -yl) -3 -methyl- 1 -oxobutan-2-yl)- 1H- 1 ,2,3-triazol- 4-yl)benzyl)oxy)-2-((S)-2-methoxypropoxy)quinazolin-4-yl)-2,5- diazabicyclo[2.2.1]heptane-2-carboxylate
[0521] A mixture of tert-butyl (lS,4S)-5-(6-cyclopropyl-8-((4-ethynylbenzyl)oxy)-7-(6- fluoro-5-methyl-2-trityl-2H-indazol-4-yl)-2-((S)-2-methoxypropoxy)quinazolin-4-yl)-2,5- diazabicyclo[2.2.1] heptane-2-carboxylate (50 mg, 0.05 mmol, 1.00 eq), (2S,4R)-l-((S)-2- azido-3 -methylbutanoyl)-4-hydroxy-N-((R)-2-hydroxy- 1 -(4-(pyridin-3 - yl)phenyl)ethyl)pyrrolidine-2-carboxamide (25 mg, 0.06 mmol, 1.1 eq), cuprous iodide (5 mg, 0.02 mmol, 0.5 eq), sodium ascorbate (15 mg, 0.07 mmol, 1.5 eq) and in tetrahydro furan (1 mL), water (1 mL), tertiary butanol (1 mL) was degassed and purged with nitrogen for three times, and then the mixture was stirred at 50 °C for 5 h under nitrogen atmosphere. LCMS showed the starting material was consumed completely and one main peak with desired mass was detected. The reaction mixture was diluted with dichloromethane (20 mL) and added 2% aqueous disodium ethylenediamine tetraacetate (20 ml), then the mixture was stirred at 25 °C for 30 min. The mixture was filtered and extracted with dichloromethane (15 mL x 3). The combined organic layers were washed with brine (20 mL x 2), dried over anhydrous sodium sulfate, filtered and concentrated under reduced pressure to give a residue. The residue was purified by prep-TLC (dichloromethane/methanol = 9/1) to afford the desired product (43 mg, 0.03 mmol, 58% yield) as a white solid. LCMS (ESI, m/z): 1428.0 [M+l]+.
[0522] Step 2: (2S,4R)-l-((2S)-2-(4-(4-(((4-((lS,4S)-2,5-diazabicyclo[2.2.1]heptan-2- yl)-6-cyclopropyl-7-(6-fluoro-5-methyl-lH-indazol-4-yl)-2-((S)-2- methoxypropoxy)quinazolin-8-yl)oxy)methyl) phenyl)- 1H- 1 ,2,3-triazol- 1 -yl)-3 - methylbutanoyl)-4-hydroxy-N-((R)-2-hydroxy- 1 -(4-(pyridin-3- yl)phenyl)ethyl)pyrrolidine-2-carboxamide
[0523] To a solution of tert-butyl (lS,4S)-5-(6-cyclopropyl-7-(6-fluoro-5-methyl-2- trityl-2H-indazol-4-yl)-8-((4-( 1 -((S)- 1 -((2S,4R)-4-hydroxy-2-(((R)-2-hydroxy- 1 -(4- (pyridin-3-yl)phenyl)ethyl) carbamoyl) pyrrolidin- 1 -yl)-3 -methyl- 1 -oxobutan-2-yl)- 1 H- l,2,3-triazol-4-yl)benzyl)oxy)-2-((S)-2-methoxypropoxy)quinazolin-4-yl)-2,5- diazabicyclo[2.2.1]heptane-2-carboxylate (43 mg, 0.03 mmol, 1.00 eq) in dichloromethane (2 mL) was added trifluoroacetic acid (3.07 g, 26.92 mmol, 2 mL, 893.93 eq). The mixture was stirred at 25 °C for 5 min. LCMS showed the starting material was consumed completely and one main peak with desired mass was detected. The reaction mixture was concentrated under reduced pressure to give a residue. The residue was purified by prep- HPLC (column: Phenomenex Luna Cl 8 150*30mm*5um;mobile phase: [water(FA)- ACN];gradient:13%-43% B over 10 min) to afford the product (5.14 mg, 0.004 mmol, 13% yield, 86% purity) as a white solid. LCMS (ESI, m/z): 1085.6 [M+l]+, 1H NMR (400 MHz, DMSO-d6) d: 13.30 - 12.95 (m, 1H), 8.92 - 8.84 (m, 1H), 8.71 - 8.62 (m, 1H), 8.60 - 8.46 (m, 2H), 8.25 (s, 1H), 8.11 - 7.99 (m, 1H), 7.75 (s, 4H), 7.53 (s, 6H), 6.86 - 6.73 (m, 2H), 5.33 (br t, J = 9.4 Hz, 1H), 5.23 - 5.06 (m, 2H), 5.00 - 4.81 (m, 2H), 4.79 - 4.72 (m, 1H), 4.52 - 4.41 (m, 1H), 4.40 - 4.19 (m, 4H), 4.17 - 4.05 (m, 1H), 3.97 - 3.86 (m, 1H), 3.83 - 3.75 (m, 1H), 3.70 (br dd, J= 1.2, 7.2 Hz, 2H), 3.66 - 3.57 (m, 2H), 3.56 (br d, J= 1.6 Hz, 1H), 3.30 (s, 3H), 3.22 - 3.16 (m, 2H), 2.35 - 2.27 (m, 1H), 2.13 - 2.04 (m, 2H), 2.04 - 1.94 (m, 3H), 1.90 - 1.73 (m, 2H), 1.43 - 1.32 (m, 1H), 1.18 - 1.01 (m, 6H), 0.77 - 0.50 (m, 7H).
[0524] Example 11: Synthesis of (2S,4R)-l-((2S)-2-(4-(4-(((4-((lS,4S)-2,5- diazabicyclo[2.2.1]heptan-2-yl)-6-cyclopropyl-7-(6-fluoro-5-methyl-lH-indazol-4-yl)-2- ((S)-2-methoxypropoxy)quinazolin-8-yl)oxy)methyl)phenyl)- 1 H- 1 ,2,3 -triazol- 1 -yl)-3 - methylbutanoyl)-N-((R)-l-(4-(2-chloropyridin-3-yl)phenyl)-2-hydroxyethyl)-4- hydroxypyrrolidine-2-carboxamide.
[0525] Step 1: tert-butyl (lS,4S)-5-(8-((4-(l-((S)-l-((2S,4R)-2-(((R)-l-(4-(2- chloropyridin-3-yl)phenyl)-2-hydroxyethyl)carbamoyl)-4-hydroxypyrrolidin- 1 -yl)-3 - methyl- 1 -oxobutan-2-yl)- 1H- 1 ,2,3-triazol-4-yl)benzyl)oxy)-6-cyclopropyl-7-(6-fluoro-5- methyl-2-trityl-2H-indazol-4-yl)-2-((S)-2-methoxypropoxy)quinazolin-4-yl)-2,5- diazabicyclo[2.2.1]heptane-2-carboxylate
[0526] A mixture of tert-butyl (lS,4S)-5-(6-cyclopropyl-8-((4-ethynylbenzyl)oxy)-7-(6- fluoro-5-methyl-2-trityl-2H-indazol-4-yl)-2-((S)-2-methoxypropoxy)quinazolin-4-yl)-2,5- diazabicyclo[2.2.1]heptane-2-carboxylate (47 mg, 0.05 mmol, 1 eq) and (2S,4R)-l-((S)-2- azido-3-methylbutanoyl)-N-((R)-l-(4-(2-chloropyridin-3-yl)phenyl)-2-hydroxyethyl)-4- hydroxypyrrolidine-2-carboxamide (26 mg, 0.05 mmol, 1.1 eq) was dissolved in tetrahydro furan (1 mL), tertiary butanol (1 mL) and water (1 mL). Then cuprous iodide (4.59 mg, 0.02 mmol, 0.5 eq) and sodium ascorbate (14 mg, 0.07 mmol, 1.5 eq) were added. The mixture was stirred at 50 °C for 5 h under nitrogen. LCMS showed the desired compound was detected. The reaction mixture was diluted with dichloromethane (20 mL) and added 2% disodium ethylenediamine tetraacetate solution (20 ml), extracted with dichloromethane (15 mL x 3). The combined organic layers were washed with brine (20 mL x 3), dried over anhydrous sodium sulfate, filtered and the filtrate was concentrated under reduced pressure to give a residue. The residue was purified by prep- TLC (dichloromethane/methanol = 9/1) to get the desired compound (43 mg, 0.03 mmol, 61% yield) as a yellow solid. LCMS: MS (ESI) m/z: 1462.6 [M+l]+.
[0527] Step 2: (2S,4R)-l-((2S)-2-(4-(4-(((4-((l S,4S)-2,5-diazabicyclo[2.2.1]heptan-2- yl)-6-cyclopropyl-7-(6-fluoro-5-methyl-lH-indazol-4-yl)-2-((S)-2- methoxypropoxy)quinazolin-8-yl)oxy)methyl)phenyl)- 1 H- 1 ,2,3-triazol- 1 -y l)-3 - methylbutanoyl)-N-((R)-l-(4-(2-chloropyridin-3-yl)phenyl)-2-hydroxyethyl)-4- hydroxypyrrolidine-2-carboxamide (ERAS-9256)
[0528] To a solution of tert-butyl (lS,4S)-5-(8-((4-(l-((S)-l-((2S,4R)-2-(((R)-l-(4-(2- chloropyridin-3-yl)phenyl)-2-hydroxyethyl)carbamoyl)-4-hydroxypyrrolidin-l-yl)-3- methyl- 1 -oxobutan-2-yl)- 1H- 1 ,2,3-triazol-4-yl)benzyl)oxy)-6-cyclopropyl-7-(6-fluoro-5- methyl-2-trityl-2H-indazol-4-yl)-2-((S)-2-methoxypropoxy)quinazolin-4-yl)-2,5- diazabicyclo[2.2.1]heptane-2-carboxylate (43 mg, 0.03 mmol, 1 eq) in dichloromethane (1 mL) was added trifluoroacetic acid (1 mL). The mixture was stirred at 25 °C for 0.5 h. LCMS showed the desired compound was detected. The reaction mixture was concentrated under reduced pressure to give the crude product. The crude product was purified by prep-HPLC (column: Phenomenex luna Cl 8 150*25mm* 10um;mobile phase: [water(FA)-ACN];gradient:25%-55% B over 7 min) to get the desired product (14.41 mg, 0.01 mmol, 41.48% yield, 94.8% purity) as a white solid. LCMS: MS (ESI) m/z\ 1119.5[M+1]+. 1H NMR (400 MHz, DMSO-d6 ) <δ: 13.30 - 13.05 (m, 1H), 9.17 - 8.99 (m, 1H), 8.75 - 8.59 (m, 1H), 8.59 - 8.38 (m, 2H), 8.35 - 8.18 (m, 1H), 7.95 - 7.80 (m, 1H),
7.74 - 7.60 (m, 2H), 7.53 - 7.34 (m, 7H), 6.87 - 6.74 (m, 1H), 5.40 - 5.28 (m, 1H), 5.24 -
5.12 (m, 2H), 5.01 - 4.83 (m, 3H) 4.58 - 4.43 (m, 2H), 4.38 - 4.25 (m, 3H), 4.15 - 3.96 (m, 1H), 3.80 - 3.59 (m, 9H), 3.32 - 3.23 (m, 5H), 2.44 - 2.39 (m, 2H), 2.30 - 2.23 (m, 1H),
2.15 - 2.04 (m, 1H), 2.01 - 1.97 (m, 3H), 1.91 - 1.73 (m, 1H), 1.47 - 1.31 (m, 1H), 1.21 -
1.02 (m, 6H), 0.76 - 0.69 (m, 4H), 0.64 - 0.49 (m, 2H).
[0529] Example 12: (2S,4R)-l-((S)-2-(4-(4-(((4-((lS,4S)-2,5- diazabicyclo[2.2.1]heptan-2-yl)-6-cyclopropyl-7-(6-fluoro-5-methyl-2H-indazol-4-yl)-2- ((S)-2-methoxypropoxy)quinazolin-8-yl)oxy)methyl)phenyl)- 1 H- 1 ,2,3 -triazol- 1 -yl)-3 - methylbutanoyl)-N-((R)-l-(4-(3-fluoropyridin-4-yl)phenyl)-2-hydroxyethyl)-4- hydroxypyrrolidine-2-carboxamide
[0530] Step 1: tert-butyl (lS,4S)-5-(6-cyclopropyl-7-(6-fluoro-5-methyl-2-trityl-2H- indazol-4-yl)-8-((4-(l-((S)-l-((2S,4R)-2-(((R)-l-(4-(3-fluoropyridin-4-yl)phenyl)-2- hydroxyethyl)carbamoyl)-4-hydroxypyrrolidin- 1 -yl)-3-methyl- 1 -oxobutan-2-yl)- 1H- 1 ,2,3- triazol-4-yl)benzyl)oxy)-2-((S)-2-methoxypropoxy)quinazolin-4-yl)-2,5- diazabicyclo[2.2.1]heptane-2-carboxylate
Boc i
[0531] A mixture of tert-butyl (lS,4S)-5-(6-cyclopropyl-8-((4-ethynylbenzyl)oxy)-7-(6- fluoro-5-methyl-2-trityl-2H-indazol-4-yl)-2-((S)-2-methoxypropoxy)quinazolin-4-yl)-2,5- diazabicyclo[2.2.1]heptane-2-carboxylate (60 mg, 0.06 mmol, 1 eq), (2S,4R)-l-((S)-2- azido-3-methylbutanoyl)-N-((R)-l-(4-(3-fluoropyridin-4-yl)phenyl)-2-hydroxyethyl)-4- hydroxypyrrolidine-2-carboxamide (40 mg, 0.085 mmol, 1.43 eq), cuprous iodide (6 mg, 0.03 mmol, 0.5 eq) and sodium ascorbate (24 mg, 0.12 mmol, 2 eq) in tetrahydro furan (1 mL), tertiary butanol (1 mL) and water (1 mL) was degassed and purged with nitrogen for 3 times. Then the mixture was stirred at 50 °C for 2 h under nitrogen atmosphere. LCMS showed the starting material was consumed completely and one main peak with desired mass was detected. The reaction mixture was quenched by water (30 mL), 2% disodium ethylenediamine tetraacetate solution (30 mL), and then diluted with dichloromethane (30 mL). The mixture was stirred at 20 °C for 0.5 h before extracting with dichloromethane (20 mL x 3). The combined organic layers were washed with brine (20 mL x 3), dried over anhydrous sodium sulfate, filtered and concentrated under reduced pressure to give a residue. The residue was purified by prep-thin layer chromatography (dichloromethane/methanol = 10/1) to afford the desired product (27 mg, 0.02 mmol, 31% yield) as a white solid. LCMS (ESI, m/z): 1470.9 [M]+.
[0532] Step 2: (2S,4R)- 1 -((S)-2-(4-(4-(((4-(( 1 S,4S)-2,5-diazabicyclo[2.2.1 ]heptan-2-yl)- 6-cyclopropyl-7-(6-fluoro-5-methyl-2H-indazol-4-yl)-2-((S)-2- methoxypropoxy)quinazolin-8-yl)oxy)methyl)phenyl)- 1 H- 1 ,2,3-triazol-l-yl)-3- methylbutanoyl)-N-((R)-l-(4-(3-fluoropyridin-4-yl)phenyl)-2-hydroxyethyl)-4- hydroxypyrrolidine-2-carboxamide
[0533] To a solution of tert-butyl (lS,4S)-5-(6-cyclopropyl-7-(6-fluoro-5-methyl-2- trityl-2H-indazol-4-yl)-8-((4-(l-((S)-l-((2S,4R)-2-(((R)-l-(4-(3-fluoropyridin-4- yl)phenyl)-2-hydroxyethyl)carbamoyl)-4-hydroxypyrrolidin-l-yl)-3-methyl-l-oxobutan-2- yl)-lH-l,2,3-triazol-4-yl)benzyl)oxy)-2-((S)-2-methoxypropoxy)quinazolin-4-yl)-2,5- diazabicyclo[2.2.1]heptane-2-carboxylate (27 mg, 0.02 mmol, 1 eq) in dichloromethane (3 mL) was added trifluoroacetic acid (1.54 g, 13.46 mmol, 732 eq). The mixture was stirred at 20 °C for 0.5 h. LCMS showed the starting material was consumed completely and one main peak with desired mass was detected. The reaction mixture concentrated under reduced pressure to give a residue. The residue was purified prep-HPLC (column: Waters Xbridge 150*25mm* 5um;mobile phase: [water( ammonia bicarbonate)- acetonitrile];gradient:38%-68% B over 9 min) to offer the product (6.37 mg, 5.65 pmol, 30.76% yield) as a white solid. LCMS (ESI, m/z): 1127.7 [M+l]+. 1H NMR (400MHz, DMSO-d6) 3: 8.66 (s, 1H), 8.54 - 8.48 (m, 2H), 8.44 (d, J= 5.2 Hz, 1H), 8.33 (s, 1H), 7.66 (d, J= 8.4 Hz, 2H), 7.51 - 7.43 (m, 2H), 7.43 - 7.37 (m, 4H), 7.23 (d, J = 4.8 Hz, 1H), 6.73 (d, J= 8.4 Hz, 2H), 5.43 - 5.31 (m, 2H), 5.18 (s, 2H), 4.99 - 4.83 (m, 2H), 4.72 (d, J= 11.6 Hz, 1H), 4.47 (t, J= 8.0 Hz, 1H), 4.34 (d, J= 4.8 Hz, 3H), 3.84 (s, 3H), 3.76 - 3.68 (m, 2H), 3.67 - 3.58 (m, 2H), 3.30 (s, 3H), 2.28 (s, 4H), 1.95 (d, J= 2.4 Hz, 4H), 1.79 (t, J = 8.8 Hz, 2H), 1.24 (s, 3H), 1.14 (d, J = 6.4 Hz, 3H), 1.09 (d, J= 6.4 Hz, 3H), 0.84 (b d, J = 12, 10.4 Hz, 2H), 0.73 (d, J= 6.4 Hz, 3H).
[0534] Examples 84a and 84b: (2S,4R)-l-((S)-2-(4-(4-((((S)-4-((lS,4S)-2,5- diazabicyclo[2.2.1]heptan-2-yl)-6-cyclopropyl-7-(6-fluoro-5-methyl-lH-indazol-4-yl)-2- ((S)-2-methoxypropoxy)quinazolin-8-yl)oxy)methyl)phenyl)- 1 H- 1 ,2,3 -triazol- 1 -yl)-3 - methylbutanoyl)-4-hydroxy-N-((R)-2-hydroxy- 1 -(4-(2-methylpyridin-3 - yl)phenyl)ethyl)pyrrolidine-2-carboxamide (84a) and (2S,4R)-l-((S)-2-(4-(4-((((R)-4-
((lS,4S)-2,5-diazabicyclo[2.2.1]heptan-2-yl)-6-cyclopropyl-7-(6-fluoro-5-methyl-lH- indazol-4-yl)-2-((S)-2-methoxypropoxy)quinazolin-8-yl)oxy)methyl)phenyl)-lH- 1,2,3- triazol- 1 -yl)-3-methylbutanoyl)-4-hydroxy-N-((R)-2-hydroxy- 1 -(4-(2-methylpyridin-3- yl)phenyl)ethyl)pyrrolidine-2-carboxamide (84b)
[0535] Step 1: tert-butyl (1 S,4S)-5-(6-cyclopropyl-7-(6-fluoro-5-methyl-2-trityl-2H- indazol-4-yl)-8-((4-( 1 -((S)- 1 -((2S,4R)-4-hydroxy-2-(((R)-2-hydroxy- 1 -(4-(2- methylpyridin-3 -yl)phenyl)ethyl)carbamoyl)pyrro lidin- 1 -yl)-3 -methyl- 1 -oxobutan-2-yl)- lH-l,2,3-triazol-4-yl)benzyl)oxy)-2-((S)-2-methoxypropoxy)quinazolin-4-yl)-2,5- diazabicyclo[2.2.1]heptane-2-carboxylate
[0536] To a solution of tert-butyl (lS,4S)-5-(6-cyclopropyl-8-((4-ethynylbenzyl)oxy)-7- (6-fluoro-5-methyl-2-trityl-2H-indazol-4-yl)-2-((S)-2-methoxypropoxy)quinazolin-4-yl)- 2,5-diazabicyclo[2.2.1]heptane-2-carboxylate (250 mg, 0.25 mmol, 1.00 eq) and (2S,4R)-
1-((S)-2-azido-3-methylbutanoyl)-4-hydroxy-N-((R)-2-hydroxy-l-(4-(2-methylpyridin-3- yl)phenyl)ethyl)pyrrolidine-2-carboxamide (131 mg, 0.28 mmol, 1.10 eq) in tetrahydrofuran (2 mL), water (2 mL), tertiary butanol (2 mL) was added cuprous iodide (24 mg, 0.13 mmol, 0.5 eq) and sodium ascorbate (76 mg, 0.38 mmol, 1.5 eq). The mixture was degassed and purged with nitrogen for 3 times, and then the mixture was stirred at 50 °C for 5 h under nitrogen. LCMS showed the reaction was completed. The reaction mixture was diluted with dichloromethane (20 mL) and added 2% disodium ethylenediamine tetraacetate solution (20 mL), extracted with dichloromethane (15 mL x 3). The combined organic layers were washed with brine (20 mL x 3), dried over anhydrous sodium sulfate, filtered and the filtrate was concentrated under reduced pressure to give a residue. The residue was purified by column chromatography by prep- TLC (dichloromethane/methanol = 10/1) to afford tert-butyl (lS,4S)-5-(6-cyclopropyl-7- (6-fluoro-5-methyl-2-trityl-2H-indazol-4-yl)-8-((4-(l-((S)-l-((2S,4R)-4-hydroxy-2-(((R)-
2-hydroxy-l-(4-(2-methylpyridin-3-yl)phenyl)ethyl)carbamoyl)pyrrolidin-l-yl)-3-methyl-
1-oxobutan-2-yl)-lH-l,2,3-triazol-4-yl)benzyl)oxy)-2-((S)-2-methoxypropoxy)quinazolin- 4-yl)-2,5-diazabicyclo[2.2.1]heptane-2-carboxylate (216 mg, 0.15 mmol, 58% yield) as a yellow solid. LCMS (ESI, m/z): 1443.0 [M+l]+.
[0537] Step 2: (2S,4R)-l-((S)-2-(4-(4-((((S)-4-((lS,4S)-2,5-diazabicyclo[2.2.1]heptan-
2-yl)-6-cyclopropyl-7-(6-fluoro-5-methyl-lH-indazol-4-yl)-2-((S)-2- methoxypropoxy)quinazolin-8-yl)oxy)methyl)phenyl)- 1 H- 1 ,2,3-triazol- 1 -y l)-3 - methylbutanoyl)-4-hydroxy-N-((R)-2-hydroxy- 1 -(4-(2-methylpyridin-3 - yl)phenyl)ethyl)pyrrolidine-2-carboxamide (84a) and (2S,4R)-l-((S)-2-(4-(4-((((R)-4-
((lS,4S)-2,5-diazabicyclo[2.2.1]heptan-2-yl)-6-cyclopropyl-7-(6-fluoro-5-methyl-lH- indazol-4-yl)-2-((S)-2-methoxypropoxy)quinazolin-8-yl)oxy)methyl)phenyl)-lH- 1,2,3- triazol- 1 -yl)-3-methylbutanoyl)-4-hydroxy-N-((R)-2-hydroxy- 1 -(4-(2-methylpyridin-3- yl)phenyl)ethyl)pyrrolidine-2-carboxamide (84b)
[0538] To a solution of tert-butyl (lS,4S)-5-(6-cyclopropyl-7-(6-fluoro-5-methyl-2- trityl-2H-indazol-4-yl)-8-((4-( 1 -((S)- 1 -((2S,4R)-4-hydroxy-2-(((R)-2-hydroxy- 1 -(4-(2- methylpyridin-3-yl)phenyl)ethyl)carbamoyl)pyrro lidin- 1 -yl)-3 -methyl- 1 -oxobutan-2-yl)- lH-l,2,3-triazol-4-yl)benzyl)oxy)-2-((S)-2-methoxypropoxy)quinazolin-4-yl)-2,5- diazabicyclo[2.2.1]heptane-2-carboxylate (216 mg, 0.15 mmol, 1.00 eq) in dichloromethane (2 mL) was added trifluoroacetic acid (3.07 g, 26.92 mmol, 2 mL, 179.71 eq). The mixture was stirred at 25 °C for 10 min. LCMS showed the reaction was completed. The reaction was concentrated in vacuum to give a residue. The residue was purified by prep-HPLC (column: YMC Triart C18 150*25mm*5um; mobile phase: [water(FA)-ACN] gradient: 13 %-43% B over 10 min).
[0539] Compound 84a (2S,4R)-l-((S)-2-(4-(4-((((S)-4-((lS,4S)-2,5- diazabicyclo[2.2.1]heptan-2-yl)-6-cyclopropyl-7-(6-fluoro-5-methyl-lH-indazol-4-yl)-2- ((S)-2-methoxypropoxy)quinazolin-8-yl)oxy)methyl)phenyl)- 1 H- 1 ,2,3 -triazol- 1 -yl)-3 - methylbutanoyl)-4-hydroxy-N-((R)-2-hydroxy- 1 -(4-(2-methylpyridin-3 - yl)phenyl)ethyl)pyrrolidine-2-carboxamide (33.11 mg, 0.03 mmol, 19.66% yield, 97.8% purity, tR = 2.525 min) was obtained as a white solid. LCMS (ESI, m/z): 1099.6 [M+l]+. (400 MHz, DMSO-d6) S: 13.11 (br s, 1H), 8.65 (s, 1H), 8.48 - 8.44 (m, 2H), 7.67 (d, J= 8.0 Hz, 2H), 7.58 (dd, J= 1.6, 7.6 Hz, 1H), 7.49 (s, 1H), 7.43 - 7.34 (m, 6H), 7.29 (dd, J= 4.8, 7.6 Hz, 1H), 6.81 (d, J= 8.4 Hz, 2H), 5.33 (d, J= 10.4 Hz, 1H), 5.19 - 5.14 (m, 3H), 4.95 - 4.84 (m, 3H), 4.49 - 4.27 (m, 7H), 3.98 (br d, J= 9.2 Hz, 1H), 3.85 - 3.77 (m, 1H), 3.74 - 3.68 (m, 2H), 3.66 - 3.59 (m, 2H), 3.51 - 3.45 (m, 2H), 2.44 (s, 3H), 2.23 - 2.17 (m, 1H), 2.11 - 2.05 (m, 1H), 2.01 - 1.91 (m, 5H), 1.85 - 1.77 (m, 1H), 1.42 - 1.33 (m, 1H), 1.16 - 1.01 (m, 8H), 0.76 - 0.64 (m, 6H), 0.63 - 0.54 (m, 2H).
[0540] Compound 84b (2S,4R)-l-((S)-2-(4-(4-((((R)-4-((lS,4S)-2,5- diazabicyclo[2.2.1]heptan-2-yl)-6-cyclopropyl-7-(6-fluoro-5-methyl-lH-indazol-4-yl)-2- ((S)-2-methoxypropoxy)quinazolin-8-yl)oxy)methyl)phenyl)- 1 H- 1 ,2,3 -triazol- 1 -yl)-3 - methylbutanoyl)-4-hydroxy-N-((R)-2-hydroxy- 1 -(4-(2-methylpyridin-3 - yl)phenyl)ethyl)pyrrolidine-2-carboxamide (30.94 mg, 0.02 mmol, 17.60% yield, 97.6% purity, formate [l], tj< = 1.827 min) was obtained as a white solid. LCMS (ESI, m/z): 1099.6 [M+l]+. *H NMR (400 MHz, DMSO- d6 ) <5: 13.17 - 13.08 (m, 1H), 8.64 (s, 1H), 8.48 - 8.43 (m, 2H), 8.17 (s, 1H), 7.67 - 7.62 (m, 2H), 7.59 - 7.56 (m, 1H), 7.45 - 7.35 (m, 7H), 7.29 (dd, J= 4.8, 7.6 Hz, 1H), 6.79 (d, J= 8.4 Hz, 2H), 5.32 (t, J = 10.4 Hz, 2H), 5.18 - 5.10 (m, 2H), 4.93 - 4.81 (m, 2H), 4.75 (d, J = 11.6 Hz, 1H), 4.46 (t, J= 8.0 Hz, 1H), 4.34 - 4.27 (m, 4H), 4.12 - 4.07 (m, 1H), 3.93 - 3.86 (m, 1H), 3.79 (br dd, - 4.0, 10.8 Hz, 2H), 3.72 - 3.68 (m, 2H), 3.65 - 3.60 (m, 2H), 3.19 (br s, 3H), 2.43 (s, 4H), 2.11 - 2.04 (m, 2H), 1.99 (d, J= 2.4 Hz, 3H), 1.87 - 1.78 (m, 2H), 1.41 - 1.33 (m, 1H), 1.13 (d, J = 6.4 Hz, 3H), 1.08 (br d, J = 6.4 Hz, 3H), 0.78 - 0.50 (m, 9H).
[0541] Examples 85a and 85b: (2S,4R)-l-((S)-2-(4-(4-((((S)-4-((lS,4S)-2,5- diazabicyclo[2.2.1]heptan-2-yl)-6-cyclopropyl-7-(6-fluoro-5-methyl-lH-indazol-4-yl)-2- ((S)-2-methoxypropoxy)quinazolin-8-yl)oxy)methyl)phenyl)- 1 H- 1 ,2,3 -triazol- 1 -yl)-3 - methylbutanoyl)-N-((R)-l-(4-(3-fluoropyridin-2-yl)phenyl)-2-hydroxyethyl)-4- hydroxypyrrolidine-2-carboxamide and (2S,4R)-l-((S)-2-(4-(4-((((R)-4-((l S,4S)-2,5- diazabicyclo[2.2.1]heptan-2-yl)-6-cyclopropyl-7-(6-fluoro-5-methyl-lH-indazol-4-yl)-2- ((S)-2-methoxypropoxy)quinazolin-8-yl)oxy)methyl)phenyl)- 1 H- 1 ,2,3 -triazol- 1 -yl)-3 - methylbutanoyl)-N-((R)-l-(4-(3-fluoropyridin-2-yl)phenyl)-2-hydroxyethyl)-4- hydroxypyrrolidine-2-carboxamide
[0542] Step 1: tert-butyl (lS,4S)-5-(6-cyclopropyl-7-(6-fluoro-5-methyl-2-trityl-2H- indazol-4-yl)-8-((4-(l-((S)-l-((2S,4R)-2-(((R)-l-(4-(3-fluoropyridin-2-yl)phenyl)-2- hydroxyethyl)carbamoyl)-4-hydroxypyrrolidin- 1 -yl)-3-methyl- 1 -oxobutan-2-yl)- 1H- 1 ,2,3- triazol-4-yl)benzyl)oxy)-2-((S)-2-methoxypropoxy)quinazolin-4-yl)-2,5- diazabicyclo[2.2.1]heptane-2-carboxylate
[0543] A mixture of tert-butyl (lS,4S)-5-(6-cyclopropyl-8-((4-ethynylbenzyl)oxy)-7-(6- fluoro-5-methyl-2-trityl-2H-indazol-4-yl)-2-((S)-2-methoxypropoxy)quinazolin-4-yl)-2,5- diazabicyclo[2.2.1]heptane-2-carboxylate (220 mg, 0.23 mmol, 1.00 eq), (2S,4R)-l-((S)-2-
azido-3-methylbutanoyl)-N-((R)-l-(4-(3-fluoropyridin-2-yl)phenyl)-2-hydroxyethyl)-4- hydroxypyrrolidine-2-carboxamide (138 mg, 0.29 mmol, 1.30 eq), cuprous iodide (21 mg, 0.11 mmol, 0.50 eq) and sodium ascorbate (67 mg, 0.34 mmol, 1.50 eq) in tertiary butanol (2 mL), tetrahydrofuran (2 mL) and water (2 mL) was degassed and purged with nitrogen for 3 times, and then the mixture was stirred at 50 °C for 10 h under nitrogen. The reaction mixture was diluted with dichloromethane (20 mL) and added 2% disodium ethylenediamine tetraacetate solution (20 mL), extracted with dichloromethane (15 mL x 3). The combined organic layers were washed with brine (20 mL x 3), dried over anhydrous sodium sulfate, filtered and the filtrate was concentrated under reduced pressure to give a residue. The residue was purified by column chromatography by prep- TLC (dichloromethane/methanol = 10/1) to afford tert-butyl (lS,4S)-5-(6-cyclopropyl-7- (6-fluoro-5-methyl-2-trityl-2H-indazol-4-yl)-8-((4-(l-((S)-l-((2S,4R)-2-(((R)-l-(4-(3- fluoropyridin-2-yl)phenyl)-2-hydroxyethyl)carbamoyl)-4-hydroxypyrrolidin-l-yl)-3- methyl- 1 -oxobutan-2-yl)- 1 H- 1 ,2,3-triazol-4-yl)benzyl)oxy)-2-((S)-2- methoxypropoxy)quinazolin-4-yl)-2,5-diazabicyclo[2.2. l]heptane-2-carboxylate (250 mg, 0.17 mmol, 76% yield) as a yellow solid. LCMS (ESI, m/z): 1446.9 [M+l]+.
[0544] Step 2: (2S,4R)-l-((S)-2-(4-(4-((((S)-4-((lS,4S)-2,5-diazabicyclo[2.2.1]heptan- 2-yl)-6-cyclopropyl-7-(6-fluoro-5-methyl-lH-indazol-4-yl)-2-((S)-2- methoxypropoxy)quinazolin-8-yl)oxy)methyl)phenyl)- 1 H- 1 ,2,3-triazol- 1 -yl)-3 - methylbutanoyl)-N-((R)- 1 -(4-(3 -fluoropyridin-2-yl)phenyl)-2-hydroxyethyl)-4- hydroxypyrrolidine-2-carboxamide and (2S,4R)-l-((S)-2-(4-(4-((((R)-4-((l S,4S)-2,5- diazabicyclo[2.2.1]heptan-2-yl)-6-cyclopropyl-7-(6-fluoro-5-methyl-lH-indazol-4-yl)-2- ((S)-2-methoxypropoxy)quinazolin-8-yl)oxy)methyl)phenyl)- 1 H- 1 ,2,3 -triazol- 1 -yl)-3 - methylbutanoyl)-N-((R)- 1 -(4-(3 -fluoropyridin-2-yl)phenyl)-2-hydroxyethyl)-4- hydroxypyrrolidine-2-carboxamide (85a and 85b)
[0545] To a solution of tert-butyl (lS,4S)-5-(6-cyclopropyl-7-(6-fluoro-5-methyl-2- trityl-2H-indazol-4-yl)-8-((4-(l-((S)-l-((2S,4R)-2-(((R)-l-(4-(3-fluoropyridin-2- yl)phenyl)-2-hydroxyethyl)carbamoyl)-4-hydroxypyrrolidin-l-yl)-3-methyl-l-oxobutan-2- yl)-lH-l,2,3-triazol-4-yl)benzyl)oxy)-2-((S)-2-methoxypropoxy)quinazolin-4-yl)-2,5- diazabicyclo[2.2.1]heptane-2-carboxylate (250 mg, 0.17 mmol, 1.00 eq) in dichloromethane (2 mL) was added trifluoroacetic acid (3.07 g, 26.92 mmol, 2 mL, 155.69 eq) . The mixture was stirred at 25 °C for 0.5 h. The reaction mixture was concentrated under reduced pressure to remove solvent. The residue was purified by prep-HPLC (column: Phenomenex luna Cl 8 150*25mm* 10um;mobile phase: [water(FA)- ACN];gradient:20%-40% B over 10 min) to yield two pure atropisomers, the first peak was assigned 85a, and the second peak was assigned 85b.
[0546] 85a: (2S,4R)-l-((S)-2-(4-(4-((((S)-4-((lS,4S)-2,5-diazabicyclo[2.2.1]heptan-2- yl)-6-cyclopropyl-7-(6-fluoro-5-methyl-lH-indazol-4-yl)-2-((S)-2- methoxypropoxy)quinazolin-8-yl)oxy)methyl)phenyl)- 1 H- 1 ,2,3-triazol-l-yl)-3- methylbutanoyl)-N-((R)-l-(4-(3-fluoropyridin-2-yl)phenyl)-2-hydroxyethyl)-4- hydroxypyrrolidine-2-carboxamide (42.98 mg, 0.04 mmol, 42.55% yield, 99.02% purity, tR = 2.912 min) was obtained as a white solid. LCMS (ESI, m/z): 1103.6 [M]+. 1H NMR (400 MHz, DMSO-d6) S: 13.15 - 13.08 (m, 1H), 8.66 (s, 1H), 8.57 - 8.53 (m, 1H), 8.53 - 8.47 (m, 1H), 7.90 - 7.79 (m, 3H), 7.70 - 7.65 (m, 2H), 7.51 - 7.46 (m, 2H), 7.43 (br d, J = 8.4 Hz, 3H), 7.38 (s, 1H), 6.86 - 6.79 (m, 2H), 5.37 - 5.31 (m, 1H), 5.21 - 5.14 (m, 3H), 4.98 - 4.92 (m, 1H), 4.92 - 4.84 (m, 2H), 4.50 - 4.39 (m, 3H), 4.36 - 4.28 (m, 3H), 4.05 - 3.97 (m, 1H), 3.78 (br d, J = 4.0 Hz, 1H), 3.76 - 3.68 (m, 2H), 3.67 - 3.58 (m, 2H), 3.56 - 3.50 (m, 1H), 3.30 (s, 4H), 2.27 - 2.20 (m, 1H), 2.13 - 2.06 (m, 1H), 2.00 (br d, .7 - 2.0 Hz, 3H), 1.96 (br s, 1H), 1.85 - 1.76 (m, 1H), 1.44 - 1.35 (m, 1H), 1.27 - 1.18 (m, 2H), 1.14 (d, .7 - 6.4 Hz, 3H), 1.09 (br d, J = 6.4 Hz, 3H), 0.76 - 0.68 (m, 5H), 0.64 - 0.54 (m, 2H).
[0547] 85b: (2S,4R)- 1 -((S)-2-(4-(4-((((R)-4-(( 1 S,4S)-2,5-diazabicyclo[2.2.1 ]heptan-2- yl)-6-cyclopropyl-7-(6-fluoro-5-methyl-lH-indazol-4-yl)-2-((S)-2- methoxypropoxy)quinazolin-8-yl)oxy)methyl)phenyl)- 1 H- 1 ,2,3-triazol-l-yl)-3- methylbutanoyl)-N-((R)-l-(4-(3-fluoropyridin-2-yl)phenyl)-2-hydroxyethyl)-4- hydroxypyrrolidine-2-carboxamide (44.63 mg, 0.04 mmol, 44.27% yield, 99.18% purity, tR = 1.602 min) was obtained as a white solid. LCMS (ESI, m/z): 1103.6 [M]+. 'l l NMR (400 MHz, DMSO-d6) 3: 13.18 - 13.09 (m, 1H), 8.68 - 8.63 (m, 1H), 8.59 - 8.48 (m, 2H), 8.18 (br d, .7 - 4.8 Hz, 1H), 7.90 - 7.80 (m, 3H), 7.69 - 7.63 (m, 2H), 7.50 - 7.45 (m, 2H),
7.43 (br d, J= 10.8 Hz, 3H), 6.84 - 6.75 (m, 2H), 5.37 - 5.29 (m, 2H), 5.21 - 5.11 (m, 2H), 4.91 - 4.86 (m, 1H), 4.79 - 4.74 (m, 1H), 4.50 - 4.44 (m, 1H), 4.39 - 4.28 (m, 4H), 4.16 -
4.10 (m, 1H), 3.92 (br del, 5.2, 8.4 Hz, 1H), 3.82 - 3.76 (m, 1H), 3.75 - 3.61 (m, 5H), 3.26 - 3.13 (m, 5H), 2.07 (br del,
1.8, 7.2 Hz, 2H), 2.00 (br s, 3H), 1.91 - 1.77 (m, 2H), 1.42 - 1.34 (m, 1H), 1.18 - 1.04 (m, 8H), 0.73 (br d, J = 6.8 Hz, 3H), 0.70 - 0.55 (m, 4H).
[0548] Examples 86a and 86b: (2S,4R)-l-((S)-2-(4-(4-((((S)-4-((lS,4S)-2,5- diazabicyclo[2.2.1]heptan-2-yl)-6-cyclopropyl-7-(6-fluoro-5-methyl-lH-indazol-4-yl)-2- ((S)-2-methoxypropoxy)quinazolin-8-yl)oxy)methyl)phenyl)- 1 H- 1 ,2,3 -triazol- 1 -yl)-3 - methylbutanoyl)-4-hydroxy-N-((R)-2-hydroxy- 1 -(4-(pyridin-3- yl)phenyl)ethyl)pyrrolidine-2-carboxamide and (2S,4R)-l-((S)-2-(4-(4-((((R)-4-((lS,4S)- 2,5-diazabicyclo[2.2.1]heptan-2-yl)-6-cyclopropyl-7-(6-fluoro-5-methyl-lH-indazol-4-yl)- 2-((S)-2-methoxypropoxy)quinazolin-8-yl)oxy)methyl)phenyl)- 1 H- 1 ,2,3-triazol- 1 -yl)-3 - methylbutanoyl)-4-hydroxy-N-((R)-2-hydroxy- 1 -(4-(pyridin-3- yl)phenyl)ethyl)pyrrolidine-2-carboxamide
[0549] Step 1: tert-butyl (lS,4S)-5-(6-cyclopropyl-7-(6-fluoro-5-methyl-2-trityl-2H- indazol-4-yl)-8-((4-(l-((S)-l-((2S,4R)-4-hydroxy-2-(((R)-2-hydroxy-l-(4-(pyridin-3- yl)phenyl)ethyl)carbamoyl) pyrro lidin- 1 -yl)-3-methyl- 1 -oxobutan-2-yl)- 1 H- 1 ,2,3-triazol- 4-yl)benzyl)oxy)-2-((S)-2-methoxypropoxy)quinazolin-4-yl)-2,5- diazabicyclo[2.2.1]heptane-2-carboxylate
[0550] To a solution of tert-butyl (lS,4S)-5-(6-cyclopropyl-8-((4-ethynylbenzyl)oxy)-7- (6-fluoro-5-methyl-2-trityl-2H-indazol-4-yl)-2-((S)-2-methoxypropoxy)quinazolin-4-yl)- 2,5-diazabicyclo[2.2.1] heptane-2-carboxylate (450 mg, 0.46 mmol, 1.00 eq), (2S,4R)-1- ((S)-2-azido-3-methylbutanoyl)-4-hydroxy-N-((R)-2-hydroxy-l-(4-(pyridin-3- yl)phenyl)ethyl)pyrrolidine-2-carboxamide (271 mg, 0.59 mmol, 1.3 eq) in tetrahydrofuran (4 mL), water (4 mL), tertiary butanol (4 mL) was added cuprous iodide (43 mg, 0.23 mmol, 0.5 eq) and sodium ascorbate (137 mg, 0.69 mmol, 1.5 eq). The mixture was degassed and purged with nitrogen for 3 times, and then the mixture was stirred at 50 °C for 5 h under nitrogen. LCMS showed the reaction was completed. The reaction mixture was diluted with dichloromethane (20 mL) and added 2% disodium ethylenediamine tetraacetate solution (20 mL), extracted with dichloromethane (15 mL x
3). The combined organic layers were washed with brine (20 mL x 3), dried over anhydrous sodium sulfate, filtered and the filtrate was concentrated under reduced pressure to give a residue. The residue was purified by column chromatography by prep- TLC (dichloromethane/methanol = 10/1) to afford tert-butyl (lS,4S)-5-(6-cyclopropyl-7- (6-fluoro-5-methyl-2-trityl-2H-indazol-4-yl)-8-((4-(l-((S)-l-((2S,4R)-4-hydroxy-2-(((R)- 2-hydroxy- l-(4-(pyridin-3-yl)phenyl)ethyl)carbamoyl) pyrrolidin- 1 -yl)-3 -methyl- 1 - oxobutan-2-yl)-lH-l,2,3-triazol-4-yl)benzyl)oxy)-2-((S)-2-methoxypropoxy)quinazolin-4- yl)-2,5-diazabicyclo[2.2.1] heptane-2-carboxylate (390 mg, 0.27 mmol, 59% yield) as a light yellow solid. LCMS (ESI, m/z): 1428.5 [M+l]+.
[0551] Step 2: (2S,4R)-l-((S)-2-(4-(4-((((S)-4-((lS,4S)-2,5-diazabicyclo[2.2.1]heptan- 2-yl)-6-cyclopropyl-7-(6-fluoro-5-methyl-lH-indazol-4-yl)-2-((S)-2- methoxypropoxy)quinazolin-8-yl)oxy)methyl) phenyl)- 1H- 1 ,2,3-triazol- 1 -yl)-3 - methylbutanoyl)-4-hydroxy-N-((R)-2-hydroxy- 1 -(4-(pyridin-3- yl)phenyl)ethyl)pyrrolidine-2-carboxamide and (2S,4R)-l-((S)-2-(4-(4-((((R)-4-((lS,4S)- 2,5-diazabicyclo[2.2.1]heptan-2-yl)-6-cyclopropyl-7-(6-fluoro-5-methyl-lH-indazol-4-yl)- 2-((S)-2-methoxypropoxy)quinazolin-8-yl)oxy)methyl)phenyl)- 1 H- 1 ,2,3-triazol- 1 -yl)-3 - methylbutanoyl)-4-hydroxy-N-((R)-2-hydroxy- 1 -(4-(pyridin-3- yl)phenyl)ethyl)pyrrolidine-2-carboxamide (86a and 86b)
[0552] To a solution of tert-butyl (lS,4S)-5-(6-cyclopropyl-7-(6-fluoro-5-methyl-2- trityl-2H-indazol-4-yl)-8-((4-( 1 -((S)- 1 -((2S,4R)-4-hydroxy-2-(((R)-2-hydroxy- 1 -(4- (pyridin-3-yl)phenyl)ethyl) carbamoyl) pyrrolidin- 1 -yl)-3 -methyl- 1 -oxobutan-2-yl)- 1 H- l,2,3-triazol-4-yl)benzyl)oxy)-2-((S)-2-methoxypropoxy)quinazolin-4-yl)-2,5- diazabicyclo[2.2.1]heptane-2-carboxylate (390 mg, 0.27 mmol, 1.00 eq) in dichloromethane (6 mL) was added trifluoroacetic acid (9.21 g, 80.77 mmol, 6 mL, 271.33 eq). The mixture was stirred at 25 °C for 10 min. LCMS showed the reaction was completed. The reaction mixture was concentrated under reduced pressure to give a
residue. The residue was purified prep-HPLC (column: Phenomenex luna Cl 8 150*25mm* 10um;mobile phase: [water(FA)-ACN];gradient:13%-33% B over 10 min). The first peak was assigned 86a; the second peak was assigned 86b.
[0553] 86a: (2S,4R)-l-((S)-2-(4-(4-((((S)-4-((lS,4S)-2,5-diazabicyclo[2.2.1]heptan-2- yl)-6-cyclopropyl-7-(6-fluoro-5-methyl-lH-indazol-4-yl)-2-((S)-2- methoxypropoxy)quinazolin-8-yl)oxy)methyl)phenyl)- 1 H- 1 ,2,3-triazol- 1 -y l)-3 - methylbutanoyl)-4-hydroxy-N-((R)-2-hydroxy- 1 -(4-(pyridin-3- yl)phenyl)ethyl)pyrrolidine-2-carboxamide (36.76 mg, 0.03 mmol, 17.64% yield, 96% purity, formate[l], tj< = 5.323 min) was obtained as a white solid. LCMS (ESI, m/z):
1085.6 [M+l]+. 1H NMR (400 MHz, DMSO- d6 ) <5: 13.19 - 13.03 (m, 1H), 8.89 (d, J= 1.6 Hz, 1H), 8.69 - 8.63 (m, 1H), 8.60 - 8.54 (m, 1H), 8.50 (br d, J= 7.6 Hz, 1H), 8.23 (br d, J = 1.2 Hz, 1H), 8.10 - 8.02 (m, 1H), 7.73 - 7.62 (m, 4H), 7.52 - 7.36 (m, 6H), 6.82 (br d, J = 8.0 Hz, 2H), 5.39 - 5.28 (m, 1H), 5.26 - 5.07 (m, 3H), 5.04 - 4.80 (m, 3H), 4.51 - 4.41 (m, 1H), 4.39 - 4.23 (m, 4H), 4.07 - 3.94 (m, 1H), 3.87 - 3.76 (m, 2H), 3.75 - 3.57 (m, 5H), 3.37 - 3.34 (m, 2H), 3.28 - 3.23 (m, 2H), 3.18 - 3.09 (m, 2H), 2.12 - 1.96 (m, 5H), 1.89 - 1.73 (m, 2H), 1.44 - 1.32 (m, 1H), 1.18 - 1.04 (m, 6H), 0.77 - 0.52 (m, 7H).
[0554] 86b: (2S,4R)-l-((S)-2-(4-(4-((((R)-4-(( IS, 4S)-2,5-diazabicyclo [2.2.1 ]heptan-2- yl)-6-cyclopropyl-7-(6-fluoro-5-methyl-lH-indazol-4-yl)-2-((S)-2- methoxypropoxy)quinazolin-8-yl)oxy)methyl)phenyl)- 1 H- 1 ,2,3-triazol- 1 -y l)-3 - methylbutanoyl)-4-hydroxy-N-((R)-2-hydroxy- 1 -(4-(pyridin-3- yl)phenyl)ethyl)pyrrolidine-2-carboxamide (60.02 mg, 0.05 mmol, 28.21% yield, 94% purity, formate[l], IR = 3.325 min) was obtained as a white solid. LCMS (ESI, m/z):
1085.7 [M+l]+. iH NMR (400 MHz, DMSO-d6 ) S: 13.22 - 13.03 (m, 1H), 8.92 - 8.85 (m, 1H), 8.65 (s, 1H), 8.60 - 8.53 (m, 1H), 8.53 - 8.46 (m, 1H), 8.24 (s, 1H), 8.10 - 8.02 (m, 1H), 7.71 - 7.63 (m, 4H), 7.51 - 131 (m, 6H), 6.80 (d, J= 8.0 Hz, 2H), 5.38 - 5.27 (m, 2H), 5.16 - 5.08 (m, 1H), 4.91 - 4.84 (m, 1H), 4.80 - 4.73 (m, 1H), 4.51 - 4.43 (m, 1H), 4.36 - 4.24 (m, 4H), 4.01 - 3.93 (m, 1H), 3.89 - 3.75 (m, 3H), 3.74 - 3.55 (m, 6H), 3.42 - 3.34 (m, 2H), 3.25 - 3.18 (m, 2H), 3.17 - 3.07 (m, 2H), 2.12 - 2.05 (m, 1H), 2.00 (d, J = 2.0 Hz, 4H), 1.88 - 1.73 (m, 2H), 1.43 - 1.33 (m, 1H), 1.17 - 1.05 (m, 6H), 0.77 - 0.54 (m, 7H).
[0555] Synthesis of Intermediate 13: (2S,4R)-l-((S)-2-azido-3-methylbutanoyl)-N- ((R)-l-(4-(3-fluoropyridin-2-yl)phenyl)-2-hydroxyethyl)-4-hydroxypyrrolidine-2- carboxamide
Intermediate 13 [0556] Step 1 : tert-butyl (R)-(l-(4-(3-fluoropyridin-2-yl)phenyl)-2- hydroxyethyl)carbamate
[0557] A mixture of 2-bromo-3 -fluoropyridine (1.6 g, 9.1 mmol, 1 eq), tert-butyl (R)-(2- hydroxy- 1 -(4-(4,4,5,5-tetramethyl- 1 ,3,2-dioxaborolan-2-yl)phenyl)ethyl)carbamate (3.3 g, 9.1 mmol, 1 eq), potassium carbonate (2.5 g, 18.2 mmol,2eq) and [1,1- bis(diphenylphosphino)ferrocene]dichloropall,adium(ii) (664 mg, 0.1 mmol, 0.1 eq) in dioxane (30 mL) and water (10 mL) was degassed and purged with nitrogen for 3 times, and then the mixture was stirred at 90 °C for 12 h under nitrogen. LCMS showed the
starting material was consumed completely and one main peak with desired mass was detected. The mixture was diluted with water (100 mL) and extracted with ethyl acetate (50 mL x 2). The combined organic layers were washed with brine (100 mL), dried over anhydrous sodium sulfate filtered and concentrated under reduced pressure to give a residue. The residue was purified by column chromatography (petroleum ether/ethyl acetate=20/l to 3/1) to offer the desired compound (1.5 g, 4.5 mmol, 49.7 % yield) as a white solid. LCMS (ESI, m/z): 333.1 [M+1]+. 'HNMR (400 MHz, CHLOROFORM-d/) 5 : 8.49 (s, 1H), 7.95 ( d, J= 7.6 Hz, 2H), 7.48 (dd, J= 8.4, 10.8 Hz, 1H), 7.41 (d, J = 7.6 I Iz, 2H), 7.26 (s, 1H), 5.36 (s, 1H), 4.83 (s, 1H), 3.86 (s, 2H), 1.52 - 1.35 (m, 9H).
[0559] To a solution of tert-butyl (R)-(l-(4-(3-fluoropyridin-2-yl)phenyl)-2- hydroxyethyl)carbamate (1.5 g, 4.5 mmol, 1 eq) in dichloromethane (15 mL) was added hydrogen chloride/dioxane (4 M, 1.1 mL, 1 eq), the mixture was stirred at 20°C for 1 h. LCMS showed the starting material was consumed completely and one main peak with desired mass was detected. The mixture was concentrated under reduced pressure to offer the desired compound (1.2 g, 4.5 mmol, 98.9% yield, hydrochloride) as a white solid. LCMS (ESI, m/z): 216.1 [M+1]+.
[0560] Step 3: tert-butyl (2S,4R)-2-(((R)-l-(4-(3-fluoropyridin-2-yl)phenyl)-2- hydroxyethyl)carbamoyl)-4-hydroxypyrrolidine- 1 -carboxylate
[0561] To a solution of (R)-2-amino-2-(4-(3-fluoropyridin-2-yl)phenyl)ethan-l-ol (1.2 g, 4.5 mmol, 1 eq, hydrochloride) and (2S,4R)-l-(tert-butoxycarbonyl)-4- hydroxypyrrolidine-2-carboxylic acid (1.1 g, 4.5 mmol, 1 eq) in N,N-dimethylformamide
(5 mL)was added N,N-diisopropylethylamine (1.7 g, 13.5 mmol, 2.3 mL, 3 eq) and O-(7-
Azabenzotriazol-l-yl)-N,N,N’,N’-tetramethyluronium exafluorophosphate (1.7 g, 4.5 mmol, 1 eq). The mixture was stirred at 25 °C for 2 h. LCMS showed the starting material was consumed completely and one main peak with desired mass was detected. The mixture was diluted with water (100 mL) and extracted with ethyl acetate (50 mL x 2). The combined organic layers were washed with brine (100 mL), dried over anhydrous sodium sulfate filtered and concentrated under reduced pressure to give a residue. The residue was purified by prep-HPLC (column: Kromasil Eternity XT 250*80mm*10um;mobile phase: [water( ammonium bicarbonate)- acetonitrile] ;gradient: 15%-45% B over 20 min) to offer the desired compound ( 1.6 g, 3.5 mmol, 78% yield, 99% purity) as a white solid. LCMS (ESI, m/z): 446.1 [M+1]+. 1H NMR (400 MHz, CDCl3-d) 3 : 8.50 (d, J= 4.8 Hz, 1H), 7.92 (d, J= 6.4 Hz, 2H), 7.53 - 7.40 (m, 3H), 7.27 (s, 2H), 5.24 - 5.06 (m, 1H), 4.60 - 4.26 (m, 1H), 4.02 - 3.76 (m, 2H), 3.66 - 3.56 (m, 1H), 3.46 (d, J= 9.6 Hz, 1H), 3.07 - 2.76 (m, 1H), 2.41 - 2.20 (m, 1H), 2.10 - 1.95 (m, 1H), 1.45 (s, 9H).
[0562] Step 4: (2S,4R)-N-((R)- 1 -(4-(3-fluoropyridin-2-yl)phenyl)-2-hydroxyethyl)-4- hydroxypyrrolidine-2-carboxamide
[0563] To a solution of tert-butyl (2S,4R)-2-(((R)-l-(4-(3-fluoropyridin-2-yl)phenyl)-2- hydroxyethyl)carbamoyl)-4-hydroxypyrrolidine-l -carboxylate (L6 g, 3.6 mmol, 1 eq) in dichloromethane (5 mL) was added hydrogen chloride /dioxane (4 M, 4.5 mL, 5 eq). The mixture was stirred at 25 °C for 1 h. LCMS showed the starting material was consumed completely and one main peak with desired mass was detected. The mixture was concentrated under reduced pressure to offer the desired compound (1.4 g, 3.6 mmol, 100 % yield, hydrochloride) as a white solid. LCMS (ESI, m/z): 346.1 [M+1]+.
[0564] Step 5: tert-butyl ((S)- 1 -((2S,4R)-2-(((R)- 1 -(4-(3-fluoropyridin-2-yl)phenyl)-2- hydroxyethyl)carbamoyl)-4-hydroxypyrrolidin- 1 -yl)-3-methyl- 1 -oxobutan-2-yl)carbamate
[0565] To a solution of (tert-butoxycarbonyl)-L-valine (780 mg, 3.6 mmol, 1 eq) in N,N-dimethylformamide (5 mL) was added N,N-diisopropylethylamine (1.34 g, 10.8 mmol, 1.9 mL, 3 eq) and (2S,4R)-N-((R)-l-(4-(3-fluoropyridin-2-yl)phenyl)-2- hydroxyethyl)-4-hydroxypyrrolidine-2-carboxamide (1.4 g, 3.6 mmol, 1 eq, hydrochloride), then the O-(7-Azabenzotriazol-l-yl)-N,N,N’,N’-tetramethyluronium exafluorophosphate (1.4 g, 3.6 mmol, 1 eq) was added. The mixture was stirred at 25 °C for 1 h. LCMS showed the starting material was consumed completely and one main peak with desired mass was detected. The mixture was diluted with water (100 mL) and extracted with ethyl acetate (50 mL x 2). The combined organic layers were washed with brine (100 mL), dried over anhydrous sodium sulfate filtered and concentrated under reduced pressure to give a residue. The residue was purified by prep-HPLC (column: Phenomenex luna C18 (250*70mm,10 um);mobile phase: [water(formic acid)- acetonitrile];gradient: 15%-45% B over 25 min) to offer the desired compound (1.5 g, 2.8 mmol, 77.5% yield, 99% purity) as a white solid. LCMS (ESI, m/z): 545.2[M+1]+. 1H NMR (400 MHz, CHLOROFORM-d/) δ : 8.56 - 8.49 (m, 1H), 7.96 (d, J= 7.2 Hz, 2H), 7.57 - 7.42 (m, 4H), 7.33 - 7.28 (m, 1H), 5.31 - 5. 11 (m, 2H), 4.68 - 4.49 (m, 2H), 4.24 -
4.14 (m, 1H), 4.09 - 3.89 (m, 2H), 3.84 (dd, J= 6.4, 11.6 Hz, 1H), 3.75 - 3.63 (m, 1H),
2.38 - 2.24 (m, 1H), 2.23 - 1.96 (m, 3H), 1.48 - 1.36 (m, 9H), 0.98 (dd, J= 6.8, 17.6 Hz,
6H).
[0566] Step 6: (2S,4R)- l-(L-valyl)-N-((R)- 1 -(4-(3-fluoropyridin-2-yl)phenyl)-2- hydroxyethyl)-4-hydroxypyrrolidine-2-carboxamide
[0567] To a solution of tert-butyl ((S)-l-((2S,4R)-2-(((R)-l-(4-(3-fluoropyridin-2- yl)phenyl)-2-hydroxyethyl)carbamoyl)-4-hydroxypyrrolidin-l-yl)-3-methyl-l-oxobutan-2- yl)carbamate (600 mg, 1.1 mmol, 1 eq) in dichloromethane (10 mL) was added hydrogen chloride/dioxane (4 M, 10 mL). The mixture was stirred at 25 °C for 1 h. TLC (dichloromethane/methanol = 10/1, Rf=0.1 ) indicated the starting material was consumed completely and one new spot formed. The mixture was concentrated under reduced pressure to offer the desired compound (520 mg, 1.1 mmol, 98% yield, hydrochloride) as a white solid.
[0568] Step 7: (2S,4R)-l-((S)-2-azido-3-methylbutanoyl)-N-((R)-l-(4-(3-fluoropyridin-
[0569] To a solution of (2S,4R)-l-(L-valyl)-N-((R)-l-(4-(3-fluoropyridin-2-yl)phenyl)- 2-hydroxyethyl)-4-hydroxypyrrolidine-2-carboxamide (520 mg, 1.1 mmol, 1 eq, hydrochloride) in acetonitrile (3 mL) was added triethylamine (765 mg, 7.6 mmol, 1.1 mL, 7 eq), the mixture was stirred at 0°C for 15 min. Then the 2-azido-l,3-dimethyl-4,5- dihydroimidazol- 1 -ium;hexafluorophosphate (339 mg, 1.2 mmol, 1.1 eq) in tetrahydrofuran (4 mL)was added. The mixture was stirred at 0 °C for 1 h. LCMS showed the starting material was consumed completely and one main peak with desired mass was detected. The mixture was diluted with water (40 mL) and extracted with ethyl acetate (20 mL x 2). The combined organic layers were washed with brine (100 mL), dried over anhydrous sodium sulfate filtered and concentrated under reduced pressure to give a residue. The residue was purified by prep-TLC ( dichloromethane: methanol = 10:1) to offer the desired compound (480 mg, 1.1 mmol, 94.3% yield) as a white soild. LCMS (ESI, m/z): 471.2[M+1]+. 'HNMR (400 MHz, DMSO-d6) 3 : 8.62 - 8.42 (m, 2H), 7.90 - 7.79 (m, 3H), 7.48 - 7.40 (m, 3H), 5.13 (d, J = 3.6 Hz, 1H), 4.97 - 4.79 (m, 2H), 4.62 - 4.49 (m, 1H), 4.20 (d, J= 1.2 Hz, 1H), 3.72 (d, J = 8.4 Hz, 1H), 3.67 - 3.57 (m, 2H), 3.53 - 3.49 (m, 2H), 3.12 - 3.02 (m, 2H), 2.19 - 1.98 (m, 2H), 1.76 (ddd, 4.4, 8.4, 12.8 Hz, 1H), 1.16 (t, J= 7.2 Hz, 3H).
[0570] Synthesis of Intermediate 14: (2S,4R)-l-((S)-2-azido-3-methylbutanoyl)-4- hydroxy-N-((R)-2-hydroxy-l-(4-(pyrazin-2-yl)phenyl)ethyl)pyrrolidine-2-carboxamide
[0571] Step 1 : tert-butyl (R)-(2-hydroxy- 1 -(4-(4,4,5,5-tetramethyl- 1 ,3,2-dioxaborolan- 2-yl)phenyl)ethyl)carbamate
[0572] A mixture of tert-butyl (R)-(l-(4-bromophenyl)-2-hydroxyethyl)carbamate (10 g, 31.63 mmol, 1 eq), bis(pinacolato)diboron (24 g, 94.88 mmol, 3 eq), [1,1'- bis(diphenylphosphino)ferrocene]dichloropalladium(II) (2.31 g, 3.16 mmol, 0.1 eq) and potassium acetate (10 g, 110.69 mmol, 3.5 eq) in toluene (100 mL) was degassed and purged with nitrogen for 3 times, and then the mixture was stirred at 110 °C for 12 h under nitrogen. LCMS showed the starting material was consumed completely and one main peak with desired m/z was detected. The reaction mixture was partitioned between water (150 mL) and ethyl acetate (150 mL). The organic phase was separated, washed with brine (100 mL x 3), dried over anhydrous sodium sulfate, filtered and concentrated under reduced pressure to give a residue. The residue was purified by column chromatography (silicon dioxide, Petroleum ether/Ethyl acetate- 1/0 to 79/21) to offer the desired compound (11 g, 30.28 mmol, 95 % yield) as a yellow solid. LCMS: MS (ESI) m/z: 264.1 ),
[0574] A mixture of 2-bromopyrazine (1 g, 6.3 mmol, leq), tert-butyl (R)-(2-hydroxy-l- (4-(4,4,5,5-tetramethyl-l,3,2-dioxaborolan-2-yl)phenyl)ethyl)carbamate (2.5 g, 6.9 mmol, 1.1 eq), potassium carbonate (2.6 g, 18.8 mmol, 3 eq) in dioxane (20 mL) and water (5 mL) was degassed and purged with nitrogen for 3 times, and then the [1,1- bis(diphenylphosphino)ferrocene]dichloropall,adium(ii) (460 mg, 0.6 mmol, 0.1 eq) was added, the mixture was stirred at 90 °C for 12 h under nitrogen. LCMS showed the starting material was consumed completely and one main peak with desired mass was detected. The mixture was diluted with water (100 mL) and extracted with ethyl acetate (50 mL x 2). The combined organic layers were washed with brine (100 mL), dried over anhydrous sodium sulfate filtered and concentrated under reduced pressure to give a residue. The residue was purified by column chromatography (silicon dioxide, petroleum ether/ethyl acetate- 10/1 to 5/1) to offer the desired compound (1.6 g, 5.1 mmol, 80.7% yield) as a white solid. LCMS (ESI, m/z): 316.0[M+l]+. ' l l NMR (400 MHz, DMSO-d6)
δ : 9.23 (d, J= 1.2 Hz, 1H), 8.71 ( J= 1.6, 2.4 Hz, 1H), 8.60 (d, - 2.4 Hz, 1H), 8.07 ( d, J = 8.0 Hz, 2H), 7.45 (d, J = 8.0 Hz, 2H), 7.31 ( d, J = 8.0 Hz, 1H), 4.84 ( t, J = 5.6 Hz, 1H), 4.65 - 4.47 (m, 1H), 3.60 - 3.44 (m, 2H), 1.37 (s, 9H).
[0576] To a solution of tert-butyl (R)-(2-hydroxy- 1 -(4-(pyrazin-2- yl)phenyl)ethyl)carbamate (2.4 g, 7.6 mmol, 1 eq) in dichloromethane (25 mL) was added hydrogen chloride /dioxane (4 M, 9.5 mL, 5 eq) . The mixture was stirred at 20 °C for 1 h. LCMS showed the starting material was consumed completely and one main peak with desired mass was detected. The mixture was concentrated under reduced pressure to offer the desired compound (1.6 g, 6.4 mmol, 83.5% yield, hydrochloride) as a white solid.
LCMS (ESI, m/z): 199.1 [M-16]+.
[0577] Step 4: tert-butyl (2S,4R)-4-hydroxy-2-(((R)-2-hydroxy-l-(4-(pyrazin-2- yl)phenyl)ethyl)carbamoyl)pyrrolidine- 1 -carboxylate
[0578] To a solution of (2R)-2-amino-2-(4-pyrazin-2-ylphenyl)ethanol (1.7 g, 8.1 mmol, 1 eq) and (2S,4R)-l-(tert-butoxycarbonyl)-4-hydroxypyrrolidine-2-carboxylic acid (1.9 g, 8.1 mmol, 1 eq) in A; A'-di methyl formamide (5 mL) was added diisopropylethylamine (3.1 g, 24.2 mmol, 4.2 mL, 3 eq) and O-(7-Azabenzotriazol-l -yl)-N,N,N’,N’- tetramethyluronium exafluorophosphate (3.1 g, 8.1 mmol, 1 eq). The mixture was stirred at 25 °C for 2 h. LCMS showed the starting material was consumed completely and one main peak with desired mass was detected. The mixture was diluted with water (100 mL) and extracted with ethyl acetate (50 mL x 2). The combined organic layers were washed with brine (100 mL), dried over anhydrous sodium sulfate filtered and concentrated under reduced pressure to give a residue. The residue was purified by prep-HPLC (column: Kromasil Eternity XT 250*80mm*10um; mobile phase: [water( ammonium bicarbonate)-
acetonitrile]; gradient:5%-35% B over 20 min) to offer the desired compound (2.1 g, 6.6 mmol, 81.8% yield, 99% purity) as a white solid. LCMS (ESI, m/z): 329.1[M+1]+1. 1H NMR (400 MHz, CDCl3-d) 5 : 8.99 (s, 1H), 8.73 - 8.46 (m, 2H), 7.99 (d, J= 8.0 Hz, 2H), 7.49 ( d, J= 8.0 Hz, 2H), 7.42 - 7.27 (m, 1H), 5.17 ( s, 1H), 4.64 - 4.25 (m, 2H), 4.05 - 3.75 (m, 2H), 3.72 - 3.35 (m, 2H), 2.47 - 2.17 (m, 5H), 1.46 ( s, 8H)
[0579] Step 5: (2S,4R)-4-hydroxy-N-((R)-2-hydroxy-l-(4-(pyrazin-2- yl)phenyl)ethyl)pyrrolidine-2-carboxamide
[0580] To a solution of tert-butyl (2S,4R)-4-hydroxy-2-[[(lR)-2-hydroxy-l-(4-pyrazin- 2-ylphenyl)ethyl]carbamoyl]pyrrolidine-l -carboxylate (2.8 g, 6.4 mmol, 1 eq) in dichloromethane (20 mL) was added hydrogen chloride/dioxane (4 M, 8.1 mL, 5 eq). The mixture was stirred at 25 °C for 0.5 h. Thin layer chromatography (dichloromethane/methanoHl 0/1 , Rf = 0.2) indicated the starting material was consumed completely and one new spot formed. The reaction was clean according to thin layer chromatography. The mixture was concentrated under reduced pressure to offer the desired compound (2.3 g, 6.3 mmol, 98.2% yield, hydrochloride) as a white solid.
[0581] Step 6: tert-butyl ((S)-l-((2S,4R)-4-hydroxy-2-(((R)-2-hydroxy-l-(4-(pyrazin-2- yl)phenyl)ethyl)carbamoyl)pyrro lidin- 1 -yl)-3 -methyl- 1 -oxobutan-2-yl)carbamate
[0582] To a solution of (2S,4R)-4-hydroxy-N-((R)-2-hydroxy-l-(4-(pyrazin-2- yl)phenyl)ethyl)pyrrolidine-2-carboxamide (2.3 g, 6.4 mmol, 1 eq, hydrochloride) and (2S)-2-(tert-butoxycarbonylamino)-3-methyl-butanoic acid (1.4 g, 6.4 mmol, 1 eq) inN,N- dimethylformamide (5 mL) was added diisopropylethylamine (2.5 g, 19.2 mmol, 3.3 mL,
3 eq), then the O-(7-Azabenzotriazol-l-yl)-N,N,N’,N’-tetramethyluronium exafluorophosphate (2.4 g, 6.4 mmol, 1 eq) was added. The mixture was stirred at 25 °C
for 2 h. LCMS showed the starting material was consumed completely and one main peak with desired mass was detected. The mixture was diluted with water (100 mL) and extracted with ethyl acetate (50 mL x 2). The combined organic layers were washed with brine (100 ml), dried over anhydrous sodium sulfate filtered and concentrated under reduced pressure to give a residue. The residue was purified by column chromatography (silicon dioxide, dichloromethane/methano 1 20/1 to 10/1) to offer the desired compound (2.9 g, 5.4 mmol, 84.8 % yield, 99 % purity) as a white solid. LCMS (ESI, m/z): 528.2[M+1]+.
NMR (400 MHz, CDCl3-d) 5 : 9.00 ( s, 1H), 8.71 - 8.46 (m, 2H), 7.99 (d, .7 - 8.0 Hz, 2H), 7.68 ( d, J= 8.0 Hz, 1H), 7.51 (d, J= 8.4 Hz, 2H), 5.35 - 5.24 (m, 1H), 5.23 - 5.16 (m, 1H), 4.65 ( t, J = 8.4 Hz, 1H), 4.51 ( s, 1H), 4.21 ( t, J= 7.6 Hz, 1H), 4.04 - 3.91 (m, 211), 3.84 ( .7 - 7.2, 11.6 Hz, 1H), 2.31 - 2.14 (m, 2H), 1.55 - 1.45 (m, 3H), 1.44 - 1.36 (m, 9H), 1.01 (d, .7 - 6.4 Hz, 3H), 0.95 (d, J = 6.4 Hz, 3H).
[0583] Step 7: (2S,4R)-l-(L-valyl)-4-hydroxy-N-((R)-2-hydroxy-l-(4-(pyrazin-2- yl)phenyl)ethyl)pyrrolidine-2-carboxamide
[0584] To a solution of tert-butyl ((S)- 1 -((2S,4R)-4-hydroxy-2-(((R)-2-hydroxy- 1 -(4- (pyrazin-2-yl)phenyl)ethyl)carbamoyl)pyrro lidin- 1 -yl)-3-methyl- 1 -oxobutan-2- yl)carbamate (1 g, 1.9 mmol, 1 eq) in dichloromethane (10 mL) was added hydrogen chloride/dioxane (4 M, 2.4 mL, 5 eq). The mixture was stirred at 20 °C for 1 h. LCMS showed the starting material was consumed completely and one main peak with desired mass was detected. The mixture was concentrated under reduced pressure to offer the desired compound (800 mg, 1.9 mmol, 98 % yield, hydrochloride) as a white solid. LCMS (ESI, m/z): 428.2[M+1]+
[0585] Step 8: (2S,4R)- 1 -((S)-2-azido-3-methylbutanoyl)-4-hydroxy-N-((R)-2-hydroxy- l-(4-(pyrazin-2-yl)phenyl)ethyl)pyrrolidine-2-carboxamide
[0586] To a solution of (2S,4R)-l-(L-valyl)-4-hydroxy-N-((R)-2-hydroxy-l-(4-(pyrazin- 2-yl)phenyl)ethyl)pyrrolidine-2-carboxamide (800 mg, 1 .72 mmol, 1 eq, hydrochloride) in acetonitrile (3 mL) was added triethylamine (1.2 g, 12.1 mmol, 1.7 mL, 7 eq), the mixture was stirred at 0°C for 15 min. Then the 2-azido-l,3-dimethyl-4,5-dihydroimidazol-l- ium;hexafluorophosphate (540 mg, 1.9 mmol, 1.1 eq) in tetrahydro furan (4 mL) was added. The mixture was stirred at 0 °C for 1 h. LCMS showed the starting material was consumed completely and one main peak with desired mass was detected. The mixture was diluted with water (40 mL) and extracted with ethyl acetate (20 mL x 2). The
Intermediate 15
[0588] A mixture of tert-butyl N-[(lR)-2-hydroxy-l-[4-(4,4,5,5-tetramethyl-l,3,2- dioxaborolan-2-yl)phenyl]ethyl]carbamate (9 g, 24.78 mmol, 1.00 eq) , 2- bromopyrimidine (4.73 g, 29.73 mmol, 1.20 eq), [l,rbis(diphenylphosphino)ferrocene]dichloropalladium(II) (3.63 g, 4.96 mmol, 0.20 eq), sodium carbonate (6.56 g, 61.94 mmol, 2.50 eq) in dioxane (120 mL) and water (30 mL) was degassed and purged with nitrogen for 3 times, and then the mixture was stirred at 90 °C for 12 h under nitrogen. LCMS showed the desired compound was detected. The reaction mixture was diluted with water (100 mL) and extracted with ethyl acetate (100 mL x 2). The combined organic layers were washed with water (100 mL), brine (lOOmL), dried over anhydrous sodium sulfate, filtered and concentrated under reduced pressure to
[0590] To a solution of tert-butyl N-[(lR)-2-hydroxy-l-(4-pyrimidin-2- ylphenyl) ethyl] carbamate (3.60 g, 11.42 mmol, 1.00 eq) in dichloromethane (50 mL) was added hydrochloride/dioxane (4 M, 10 mL, 3.50 eq). The mixture was stirred at 25 °C for 0.5 h. LCMS showed the desired compound was detected. The mixture was concentrated under reduced pressure distillation to get the desired compound (4.0 g, crude, hydrochloride) as a light brown solid. LCMS: MS (ESI) m/z: 199.0[M+l]+.
[0591] Step 3: Tert-butyl (2S,4R)-4-hydroxy-2-(((R)-2-hydroxy-l-(4-(pyrimidin-2- yl)phenyl)ethyl)carbamoyl)pyrrolidine- 1 -carboxylate
[0592] To a solution of (2S,4R)-l-tert-butoxycarbonyl-4-hydroxy-pyrrolidine-2- carboxylic acid (3.49 g, 15.10 mmol, 0.95 eq) in N,N-dimethylformamide (70 mL) was added O-(7-Azabenzotriazol- 1 -yl)-N,N,N ’ ,N ’ -tetramethyluronium exafluorophosphate (7.86 g, 20.66 mmol, 1.30 eq) and N,N-diisopropylethylamine (12.32 g, 95.35 mmol, 16.61 mL, 6.00 eq). Then (2R)-2-amino-2-(4-pyrimidin-2-ylphenyl)ethanol (4 g, 15.89 mmol, 1.00 eq, hydrochloride ) was added to the mixture and the mixture was stirred at 25 °C for 2 h. LCMS showed the desired compound was detected. The reaction mixture was diluted with water (100 mL) and extracted with ethyl acetate (100 mL x 2). The combined organic layers were washed with water (100 mL), brine (lOOmL), dried over sodium sulfate, filtered and concentrated under reduced pressure to give a residue. The residue was purified by prep-HPLC (column: UniSil 10-120 C18 70x250mm;mobile phase: [water(FA)-ACN] gradient: 15%-45% B over 15 min).to get the desired compound (3.30 g, 7.70 mmol, 48% yield) as a white solid. LCMS: MS (ESI) m/z: 429.2[M+1]+.
[0593] Step 4: (2S,4R)-4-hydroxy-N-((R)-2-hydroxy-l-(4-(pyrimidin-2- yl)phenyl)ethyl)pyrrolidine-2-carboxamide
[0594] To a solution of tert-butyl (2S,4R)-4-hydroxy-2-[[(lR)-2-hydroxy-l-(4- pyrimidin-2-ylphenyl)ethyl]carbamoyl]pyrrolidine-l-carboxylate (1.50 g, 3.50 mmol, 1.00 eq) in dichloromethane (10 mL) was added hydrochloride /dioxane (4 M, 0.87mL, 1.00 eq). The mixture was stirred at 25 °C for 0.5 h. LCMS showed the desired compound was detected. The mixture was concentrated under reduced pressure distillation to get the desired compound (1.20 g, 3.29 mmol, 94% yield, hydrochloride) as a white solid. LCMS: MS (ESI) m/z: 329.1[M+1]+. 'HNMR (400 MHz, DMSO-d6) 5 10.21 (dd, J= 5.6, 10.8 Hz, 1H), 9.41 (d, ./ - 7.6 Hz, 1H), 8.90 (d, J = 4.8 I Iz, 2H), 8.67 - 8.53 (m, 1H), 8.34 (d, J = 8.4 Hz, 2H), 7.51 - 7.38 (m, 3H), 4.94 ( d, J= 6.4 Hz, 1H), 4.52 - 4.44 (m, 1H), 4.40 ( s, 1H), 3.72 - 3.61 (m, 2H), 3.34 - 3.23 (m, 1H), 3.11 - 3.07 (m, 1H), 2.44 (dd, J= 7.2, 13.2 Hz, 1H), 1.81 (d, J - 4.4 Hz, 1H), 1.32 (d, ./ - 6.4 Hz, 2H)
[0595] Step 5: Tert-butyl ((S)- 1 -((2S,4R)-4-hydroxy-2-(((R)-2-hydroxy- 1 -(4- (pyrimidin-2-yl)phenyl)ethyl)carbamoyl)pyrrolidin- 1 -yl)-3 -methyl- 1 -oxobutan-2- yl)carbamate
[0596] To a solution of (2S,4R)-4-hydroxy-N-[(lR)-2-hydroxy-l-(4-pyrimidin-2- ylphenyl)ethyl]pyrrolidine-2-carboxamide (1.50 g, 4.11 mmol, 1.00 eq, hydrochloride) in N,N-dimethylformamide (20 mL) was added O-(7-Azabenzotriazol-l-yl)-N,N,N’,N’- tetramethyluronium exafluorophosphate (2.35 g, 6.17 mmol, 1.50 eq) and N,N- diisopropylethylamine (3.19 g, 24.67 mmol, 4.30 mL, 6.00 eq) and (2S)-2-(tert- butoxycarbonylamino)-3-methyl-butanoic acid (1.00 g, 4.60 mmol, 1.12 eq). The mixture was stirred at 25 °C for 2 h. LCMS showed the desired compound was detected. The reaction mixture was diluted with water (100 mL) and extracted with ethyl acetate (50 mL x 2). The combined organic layers were washed with water (20 mL), brine (20mL), dried
over sodium sulfate, filtered and concentrated under reduced pressure to give a residue. The residue was purified by prep-HPLC (column: Phenomenex luna Cl 8 250*50mm*10 umpnobile phase: [water(FA)-ACN];gradient:22%-52% B over 20 min).to get the desired compound (700 mg, 1.33 mmol, 32% yield) as a light brown solid. LCMS: MS (ESI) m/z: 528.3[M+1]+
[0597] Step 6: (2S,4R)-l-(L-valyl)-4-hydroxy-N-((R)-2-hydroxy-l-(4-(pyrimidin-2- yl)phenyl)ethyl)pyrrolidine-2-carboxamide
[0598] To a solution of tert-butyl N-[(lS)-l-[(2S,4R)-4-hydroxy-2-[[(lR)-2-hydroxy-l- (4-pyrimidin-2-ylphenyl)ethyl] carbamoyl]pyrrolidine- 1 -carbonyl] -2-methyl- propyl] carbamate (700 mg, 1.33 mmol, 1.00 eq) in dichloromethane (10 mL) was added hydrochloride/dioxane (4 M, 3 mL, 9.04 eq). The mixture was stirred at 25 °C for 0.5 h.
LCMS showed the desired compound was detected. The mixture was concentrated under reduced pressure distillation to get the desired compound (600 mg, 1.29 mmol, 97% yield, hydrochloride) as a light brown solid. LCMS: MS (ESI) m/z: 428.2[M+1]+
[0599] Step 7: (2S.4R)- 1 -((S)-2-azido-3-methylbutanoyl)-4-hydroxy-N-((R)-2-hydroxy- l-(4-(pyrimidin-2-yl)phenyl)ethyl)pyrrolidine-2-carboxamide
[0600] To a solution of (2S,4R)-l-[(2S)-2-amino-3-methyl-butanoyl]-4-hydroxy-N-
[(lR)-2-hydroxy-l-(4-pyrimidin-2-ylphenyl)ethyl]pyrrolidine-2-carboxamide (600 mg, 1.29 mmol, 1.00 eq, hydrochloride ) in tetrahydrofuran (5 mL) and acetonitrile (5 mL) was added 2-azido-l,3-dimethyl-4,5-dihydroimidazol-l-ium;hexafluorophosphate (442 mg, 1.55 mmol, 1.20 eq) and triethylamine (916 mg, 9.05 mmol, 1.26 mL, 7.00 eq). The mixture was stirred at 0 °C for 1 h. LCMS showed the desired compound was detected. The reaction mixture was diluted with water (10 mL) and extracted with ethyl acetate (10
mL x 2). The combined organic layers were washed with water (20 mL), brine (20mL), dried over sodium sulfate, filtered and concentrated under reduced pressure to give a residue. The residue was purified by prep-TLC (dichloromethane/methanol = 10/1, Rf= 0.41) to get desired compound (260 mg, 0.57mmol, 44% yield) as a white solid. LCMS: MS (ESI) m/z: 454.3[M+1]+.
[0601] Synthesis of Intermediate 16: (2S,4R)-l-((S)-2-azido-3-methylbutanoyl)-4- hydroxy-N-((R)-2-hydroxy-l-(4-(3-methylpyrazin-2-yl)phenyl)ethyl)pyrrolidine-2- carboxamide
Intermediate 16
[0603] A mixture of tert-butyl N-[(lR)-2-hydroxy-l-[4-(4,4,5,5-tetramethyl-l,3,2- dioxaborolan-2-yl)phenyl]ethyl]carbamate (10.4 g, 28.61 mmol, 1.1 eq), 2-bromo-3- methyl-pyrazine (4.5 g, 26.01 mmol, 1 eq), cesium fluoride (11.85 g, 78.03 mmol, 2.88 mL, 3 eq), [1,1-Bis(di-tert-butylphosphino)ferrocene]palladium(II) dichloride (1.70 g, 2.60 mmol, 0.1 eq) in water (20 mL) and dioxane (120 mL) was degassed and purged with nitrogen for 3 times, and then the mixture was stirred at 90 °C for 12 h under nitrogen. LCMS showed the starting material was consumed completely and one main peak with desired mass was detected. The reaction mixture was concentrated under reduced pressure to remove solvent. The residue was diluted with water 50 mL and extracted with ethyl acetate (50 mL x3). The combined organic layers were washed with brine (20 mL x 3), dried over anhydrous sodium sulfate, filtered and concentrated under reduced pressure to give a residue. The residue was purified by column chromatography (silicon dioxide, Petroleum ether/Ethyl acetate=l/l ) to offer the desired compound (1.8 g, 4.97 mmol, 19.12% yield, 91% purity) as a white solid. LCMS (ESI, m/z): 330.2[M+l]+.
[0605] To a solution of tert-butyl (R)-(2-hydroxy-l-(4-(3-methylpyrazin-2- yl)phenyl)ethyl)carbamate (1.8 g, 5.46 mmol, 1 eq) in dichloromethane (20 mL) was added hydrochloride /dioxane (4 M, 10 mL). The mixture was stirred at 25 °C for 0.5 h. LCMS showed the starting material was consumed completely and one main peak with desired mass was detected. The reaction mixture was concentrated under reduced pressure to offer the desired compound (1.45 g, 5.46 mmol, 100.00% yield, hydrochloride) as a white solid. LCMS (ESI, m/z): 213.13[M-17]+.
[0606] Step 3: tert-butyl (2S,4R)-4-hydroxy-2-(((R)-2-hydroxy-l-(4-(3-methylpyrazin- 2-yl)phenyl)ethyl)carbamoyl)pyrrolidine- 1 -carboxylate
[0607] To a solution of (R)-2-amino-2-(4-(3-methylpyrazin-2-yl)phenyl)ethan-l-ol (1.45 g, 5.46 mmol, 1 eq, hydrochloride) in N,N-dimethylformamide (10 mL) was added N,N-diisopropylethylamine (2.12 g, 16.37 mmol, 2.85 mL, 3 eq). Then (2S,4R)-l-(tert- butoxycarbonyl)-4-hydroxypyrrolidine-2-carboxylic acid (1.26 g, 5.46 mmol, 1 eq) was added. The mixture was stirred at 25 °C for 5 min. O-(7-Azabenzotriazol-l-yl)- N,N,N’,N’-tetramethyluronium Hexafluorophosphate (3.1 g, 8.18 mmol, 1.5 eq) was added. The mixture was stirred at 25 °C for 2 h. LCMS showed the starting material was consumed completely and one main peak with desired mass was detected. The reaction mixture was concentrated under reduced pressure to remove solvent. The residue was diluted with water 50 mL and extracted with ethyl acetate (50 mL x3). The combined organic layers were washed with brine (20 mL x 3), dried over anhydrous sodium sulfate, filtered and concentrated under reduced pressure to give a residue. The residue was purified by column chromatography (silicon dioxide, Petroleum ether/Ethyl acetate=O/l )
[0609] To a solution of tert-butyl (2S,4R)-4-hydroxy-2-(((R)-2-hydroxy-l-(4-(3- methylpyrazin-2-yl)phenyl)ethyl)carbamoyl)pyrrolidine-l -carboxylate (6.8 g, 15.37 mmol, 1 eq) in dichloromethane (20 mL) was added hydrogen chloride /dioxane (4 M, 10 mL). The mixture was stirred at 25 °C for 0.5 h. LCMS showed the starting material was consumed completely and one main peak with desired mass was detected. The reaction mixture was concentrated under reduced pressure to offer the desired compound (5.82 g, 15.36 mmol, 100.00% yield, hydrochloride) as a white solid. LCMS (ESI, m/z): 343.2[M+1]+.
[0610] Step 5: tert-butyl ((S)-l-((2S,4R)-4-hydroxy-2-(((R)-2-hydroxy-l-(4-(3- methylpyrazin-2-yl)phenyl)ethyl)carbamoyl)pyrrolidin- 1 -yl)-3-methyl- 1 -oxobutan-2- yl)carbamate
[0611] To a solution of (2S,4R)-4-hydroxy-N-[(lR)-2-hydroxy-l-[4-(3-methylpyrazin- 2-yl)phenyl]ethyl]pyrrolidine-2-carboxamide (5.8 g, 15.36 mmol, 1 eq, hydrochloride) and (2S)-2-(tert-butoxycarbonylamino)-3-methyl-butanoic acid (3.3 g, 15.36 mmol, 1 eq) in N,N-dimethylformamide (30 mL) was added O-(7-Azabenzotriazol-l -yl)-N,N,N’,N’- tetramethyluronium Hexafluorophosphate (8.8 g, 23.04 mmol, 1.5 eq) and N,N- diisopropylethylamine (6 g, 46 mmol, 3 eq). The mixture was stirred at 25 °C for 2 h. LCMS showed the starting material was consumed completely and one main peak with desired mass was detected. The reaction mixture was concentrated under reduced pressure to remove solvent. The residue was purified by prep-HPLC (column: Phenomenex luna C18 (250*70mm,10 um);mobile phase: [water(formic acid)- acetonitrile] ;gradi ent: 15%- 45% B over 20 min) to offer the desired compound (2.4 g, 3.69 mmol, 24% yield, 84% purity) as a red solid. LCMS (ESI, m/z): 442.2[M-100]+. ' l l NMR (400MHz, CDCl3-d d: 8.61 - 8.40 (m, 2H), 8.03 (s, 1H), 7.65 - 7.53 (m, 3H), 7.52 - 7.42 (m, 2H), 5.35 (d, J= 8.8 Hz, 1H), 5.25 - 5.09 (m, 1H), 4.63 (t, J = 8.4 Hz, 1H), 4.53 (s, 1H), 4.22 (t, J= 7.6 Hz, 1H), 4.03 (d, J = 11.2 Hz, 1H), 3.95 (dd, J= 3.6, 11.6 Hz, 1H), 3.84 (dd, J= 6.8, 11.6 Hz, 1H), 3.75 - 3.63 (m, 1H), 2.64 (s, 3H), 2.35 - 2.12 (m, 2H), 2.05 - 1.97 (m, 1H), 1.52 - 1.36 (m, 9H), 1.06 - 0.90 (m, 6H).
[0612] Step 6: (2S,4R)-l-(L-valyl)-4-hydroxy-N-((R)-2-hydroxy-l-(4-(3- methylpyrazin-2-yl)phenyl)ethyl)pyrrolidine-2-carboxamide
[0613] To a solution of tert-butyl ((S)- 1 -((2S,4R)-4-hydroxy-2-(((R)-2-hydroxy- 1 -(4-(3- methylpyrazin-2-yl)phenyl)ethyl)carbamoyl)pyrrolidin- 1 -yl)-3-methyl- 1 -oxobutan-2- yl)carbamate (2.4 g, 4.4 mmol, 1 eq) in dichloromethane (5 mL) was added hydrochloride /dioxane (10 mL). The mixture was stirred at 25 °C for 0.5 h. LCMS showed the starting material was consumed completely and one main peak with desired mass was detected. The reaction mixture was concentrated under reduced pressure to offer the desired compound (2.1 g, crude, hydrochloride) as a white solid. LCMS (ESI, m/z): 442.4[M+1]+. [0614] Step 7: (2S,4R)-l-((S)-2-azido-3-methylbutanoyl)-4-hydroxy-N-((R)-2-hydroxy- l-(4-(3-methylpyrazin-2-yl)phenyl)ethyl)pyrrolidine-2-carboxamide
[0615] To a solution of (2S,4R)-l-[(2S)-2-amino-3-methyl-butanoyl]-4-hydroxy-N- [(lR)-2-hydroxy-l-[4-(3-methylpyrazin-2-yl)phenyl]ethyl]pyrrolidine-2-carboxamide (2.1 g, 4.39 mmol, 1 eq, hydrochloride) in tetrahydrofuran (5 mL) and acetonitrile (5 mL) was added triethylamine (3.1 g, 30.75 mmol, 7 eq). Then 2-azido-l,3-dimethyl-4,5-dihydro- lH-imidazol-3-ium hexafluorophosphate(V) (1.4 g, 4.83 mmol, 1.1 eq) was added, The mixture was stirred at 0 °C for 1 h. LCMS showed the starting material was consumed completely and one main peak with desired mass was detected. The reaction mixture was concentrated under reduced pressure to remove solvent. The residue was diluted with water 50 mL and extracted with ethyl acetate (50 mL x3). The combined organic layers were washed with brine (60 mL x 3), dried over anhydrous sodium sulfate, filtered and concentrated under reduced pressure to give a residue. The residue was purified by prep-
TLC (silicon dioxide, dichloromethane/methanol = 10/1) to offer the desired compound (1.6 g, 3.23 mmol, 54.4% yield, 97% purity) as a yellow solid. LCMS (ESI, m/z):
degassed and purged with nitrogen for 3 times, and then the mixture was stirred at 90 °C for 12 h under nitrogen. The reaction mixture was quenched by addition water 100 mL at 25°C, and then extracted with ethyl acetate (100 mL x 2). The combined organic layers were washed with brine 200 mL, dried over sodium sulfate, filtered and concentrated under reduced pressure to give a residue. The residue was purified by column chromatography (Petroleum ether/Ethyl acetate=2/l to 1/9) to afford the desired product tert-butyl (R)-(2-hydroxy-l-(4-(4-methylpyrimidin-5-yl)phenyl)ethyl)carbamate (2 g, 6.07 mmol, 58.04% yield) as a yellow solid. LCMS (ESI, m/z): 330.2 [M+l]+
[0620] To a solution of tert-butyl (R)-(2-hydroxy-l-(4-(4-methylpyrimidin-5- yl)phenyl)ethyl)carbamate (2 g, 6.07 mmol, 1.00 eq) in dichloromethane (5 mL) was added hydrochloric acid /dioxane (4 M, 20 mL, 13.18 eq). The mixture was stirred at 25 °C for 0.5 h. The reaction mixture was concentrated under reduced pressure to remove solvent to afford the crude product (R)-2-amino-2-(4-(4-methylpyrimidin-5- yl)phenyl)ethan-l-ol (1.6 g, 6.02 mmol, 99.16% yield, hydrochloride) as a white solid. [0621] Step 3: tert-butyl (2S,4R)-4-hydroxy-2-(((R)-2-hydroxy-l-(4-(4- methylpyrimidin-5-yl)phenyl)ethyl)carbamoyl)pyrrolidine- 1 -carboxylate
[0622] To a solution of (R)-2-amino-2-(4-(4-methylpyrimidin-5-yl)phenyl)ethan-l-ol (1.6 g, 6.02 mmol, 1.00 eq, hydrochloride) in N,N-dimethylformamide (15 mL) was added N,N-diisopropylethylamine (3.11 g, 24.08 mmol, 4.19 mL, 4.00 eq) , o-(7-azabenzotriazol- l-yl)-n,n,n,n-tetramethyluronium hexafluorophosphate (3.43 g, 9.03 mmol, 1.50 eq) and (2S,4R)-l-(tert-butoxycarbonyl)-4-hydroxypyrrolidine-2-carboxylic acid (1.67 g, 7.23 mmol, 1.2 eq) . The mixture was stirred at 25 °C for 1 h. The reaction mixture was
quenched by addition water 100 mL at 25 °C, and then extracted with 10% isopropyl alcohol in trichlormethane (50 mL x 3). The combined organic layers were washed with brine (100 mL x 3), dried over sodium sulfate, filtered and concentrated under reduced pressure to give a residue. The residue was purified by prep-HPLC (column: Phenomenex luna C18 (250*70mm,10 um);mobile phase: [water(FA)-ACN];gradient:20%-50% B over 15 min) to afford the desired product tert-butyl (2S,4R)-4-hydroxy-2-(((R)-2-hydroxy-l- (4-(4-methylpyrimidin-5-yl)phenyl)ethyl)carbamoyl)pyrrolidine-l -carboxylate (1.0 g, 2.26 mmol, 37.53% yield) as a white solid. LCMS (ESI, m/z): 443.3 [M+l]+.
[0623] Step 4: (2S,4R)-4-hydroxy-N-((R)-2-hydroxy- 1 -(4-(4-methylpyrimidin-5- yl)phenyl)ethyl)pyrrolidine-2-carboxamide
[0624] To a solution of tert-butyl (2S,4R)-4-hydroxy-2-(((R)-2-hydroxy-l-(4-(4- methylpyrimidin-5-yl)phenyl)ethyl)carbamoyl)pyrrolidine-l -carboxylate (1 g, 2.26 mmol, 1 eq) in dichloromethane (2 mL) was added hydrochloric acid/dioxane (4 M, 10 mL, 17.70 eq). The mixture was stirred at 20 °C for 0.5 h. The reaction mixture was concentrated under reduced pressure. The crude product was used into the next step without further purification to get the compound (2S,4R)-4-hydroxy-N-((R)-2-hydroxy-l-(4-(4- methylpyrimidin-5-yl)phenyl)ethyl)pyrrolidine-2-carboxamide (856 mg, 2.26 mmol, 99.98% yield, hydrochloride) as a white solid.
[0625] Step 5: tert-butyl ((S)-l-((2S,4R)-4-hydroxy-2-(((R)-2-hydroxy-l-(4-(4- methylpyrimidin-5-yl)phenyl)ethyl)carbamoyl)pyrrolidin-l-yl)-3-methyl-l-oxobutan-2- yl)carbamate
[0626] To a solution of (2S,4R)-4-hydroxy-N-((R)-2-hydroxy-l-(4-(4-methylpyrimidin- 5-yl)phenyl)ethyl)pyrrolidine-2-carboxamide (856 mg, 2.26 mmol, 1 eq, hydrochloride) and (tert-butoxycarbonyl)-L- valine (539.98 mg, 2.49 mmol, 1.1 eq) inN,N- dimethylformamide (15 mL) was added N, N-diisopropylethylamine (1.17 g, 9.04 mmol, 1.57 mL, 4 eq) and o-(7-azabenzotriazol-l-yl)-n,n,n,n-tetramethyhironium hexafluorophosphate (1.29 g, 3.39 mmol, 1.5 eq). The mixture was stirred at 20 °C for 0.5 h. The reaction mixture was quenched by addition water 80 mL, and then extracted with chloroform and isopropanol ( 10/1, 50 mL x 3). The combined organic layers were washed with brine (100 mL x 3), dried over sodium sulfate, filtered and concentrated under reduced pressure to give a residue. The residue was purified by prep-HPLC (column: Phenomenex luna Cl 8 (250*70mm,10 um);mobile phase: [water(FA)- ACN];gradient:15%-45% B over 20 min) to afford the desired product tert-butyl ((S)-l- ((2S,4R)-4-hydroxy-2-(((R)-2-hydroxy- 1 -(4-(4-methylpyrimidin-5- yl)phenyl)ethyl)carbamoyl)pyrrolidin- 1 -yl)-3 -methyl- 1 -oxobutan-2-yl)carbamate (700 mg, 1.29 mmol, 57.20% yield) as a white solid. LCMS (ESI, m/z): 542.4 [M+l]+.
[0627] Step 6: (2S,4R)-l-(L-valyl)-4-hydroxy-N-((R)-2-hydroxy-l-(4-(4- methylpyrimidin-5-yl)phenyl)ethyl)pyrrolidine-2-carboxamide
[0628] To a solution of tert-butyl ((S)- 1 -((2S,4R)-4-hydroxy-2-(((R)-2-hydroxy- 1 -(4-(4- methylpyrimidin-5-yl)phenyl)ethyl)carbamoyl)pyrrolidin-l-yl)-3-methyl-l-oxobutan-2- yl)carbamate (300 mg, 0.55 mmol, 1 eq) in methanol (10 mL) was added hydrochloric acid/dioxane (4 M, 0.14 mL). The mixture was stirred at 25 °C for 0.5 h. The reaction mixture was concentrated under reduced pressure. The crude product was used into the next step without further purification to get the compound (2S,4R)- 1 -(L-valyl)-4-hydroxy- N-((R)-2-hydroxy-l-(4-(4-methylpyrimidin-5-yl)phenyl)ethyl)pyrrolidine-2-carboxamide (250 mg, 0.52 mmol, 94.43% yield, hydrochloride) as a white solid.
[0629] Step 7: (2S,4R)-l-((S)-2-azido-3-methylbutanoyl)-4-hydroxy-N-((R)-2-hydroxy- l-(4-(4-methylpyrimidin-5-yl)phenyl)ethyl)pyrrolidine-2-carboxamide
[0630] Amixture of (2S,4R)-l-(L-valyl)-4-hydroxy-N-((R)-2-hydroxy-l-(4-(4- methylpyrimidin-5-yl)phenyl)ethyl)pyrrolidine-2-carboxamide (250 mg, 0.52 mmol, 1 eq, hydrochloride) in tetrahydrofuran (5 mL), acetonitrile (5 mL) and N,N- diisopropylethylamine (406 mg, 3.14 mmol, 0.54 mL, 6 eq) was degassed and purged with nitrogen for 3 times, the mixture was stirred at 0°C for 15 min. Then 2-azido-l,3- dimethyl-4,5-dihydroimidazol-l-ium;hexafluorophosphate (296 mg, 1.05 mmol, 2.0 eq) was added. The mixture was stirred at 0 °C for 1 h under nitrogen. The reaction mixture was quenched by addition water 20 mL, diluted with ethyl acetate 10 mL and then extracted with ethyl acetate (20 mL x 2). The combined organic layers were washed with brine 50 mL, dried over sodium sulfate, filtered and concentrated under reduced pressure to give a residue. The residue was purified by prep-TLC (dichloromethane: methanol = 10:1) to get the desired compound (2S,4R)-l-((S)-2-azido-3-methylbutanoyl)-4-hydroxy- N-((R)-2-hydroxy-l-(4-(4-methylpyrimidin-5-yl)phenyl)ethyl)pyrrolidine-2-carboxamide (110 mg, 0.23 mmol, 44.98% yield) as a white solid. LCMS (ESI, m/z): 468.3 [M+l]+. [0631] [0632] Example 87: (2S,4R)-l-((S)-2-(4-(4-((((R)-4-((lS,4S)-2,5- diazabicyclo[2.2.1]heptan-2-yl)-6-cyclopropyl-7-(6-fluoro-5-methyl-lH-indazol-4-yl)-2- ((tetrahydro-2H-pyran-4-yl)oxy)quinazolin-8-yl)oxy)methyl)phenyl)- 1H- 1 ,2,3-triazol- 1 - yl)-3-methylbutanoyl)-4-hydroxy-N-((R)-2-hydroxy-l-(4-(pyrimidin-5- yl)phenyl)ethyl)pyrrolidine-2-carboxamide
[0633] Step 1: tert-butyl (lS,4S)-5-(6-cyclopropyl-7-(6-fluoro-5-methyl-2-trityl-2H- indazol-4-yl)-8-((4-(l-((S)-l-((2S,4R)-4-hydroxy-2-(((R)-2-hydroxy-l-(4-(pyrimidin-5- yl)phenyl)ethyl)carbamoyl)pyrro lidin- 1 -yl)-3 -methyl- 1 -oxobutan-2-yl)- 1H- 1 ,2,3-triazol-4- yl)benzyl)oxy)-2-((tetrahydro-2H-pyran-4-yl)oxy)quinazolin-4-yl)-2,5- diazabicyclo[2.2.1]heptane-2-carboxylate
[0634] A mixture of tert-butyl (lS,4S)-5-(6-cyclopropyl-8-((4-ethynylbenzyl)oxy)-7-(6- fluoro-5-methyl-2-trityl-2H-indazol-4-yl)-2-((tetrahydro-2H-pyran-4-yl)oxy)quinazolin-4- yl)-2,5-diazabicyclo[2.2.1]heptane-2-carboxylate (350 mg, 0.354 mmol, 1 eq), (2S,4R)-1- ((S)-2-azido-3-methylbutanoyl)-4-hydroxy-N-((R)-2-hydroxy-l-(4-(pyrimidin-5- yl)phenyl)ethyl)pyrrolidine-2-carboxamide (209 mg, 0.460 mmol, 1.3 eq), cuprous iodide (33 mg, 0.177 mmol, 0.5 eq) and sodium ascorbate (105 mg, 0.531 mmol, 1.5 eq) in tertiary butanol (10 mL) , tetrahydrofuran (10 mL) and water (10 mL) was degassed and purged with nitrogen for 3 times, and then the mixture was stirred at 50 °C for 5 h under nitrogen. The reaction mixture was diluted with dichloromethane (30 mL) and added 2% aqueous disodium ethylenediamine tetraacetate (30 mL), extracted with di chloromethane (40 mL x 3). The combined organic layers were washed with brine (20 mL x 3), dried over anhydrous sodium sulfate, filtered and the filtrate was concentrated under reduced pressure to give a residue. The residue was purified by column chromatography by prep-
TLC (dichloromethane/methanol = 9/1) to afford tert-butyl (lS,4S)-5-(6-cyclopropyl-7-(6- fluoro-5-methyl-2-trityl-2H-indazol-4-yl)-8-((4-(l-((S)-l-((2S,4R)-4-hydroxy-2-(((R)-2- hydroxy- 1 -(4-(pyrimidin-5-yl)phenyl)ethyl)carbamoyl)pyrrolidin- 1 -yl)-3 -methyl- 1 - oxobutan-2-yl)- 1 H- 1 ,2,3-triazol-4-yl)benzyl)oxy)-2-((tetrahydro-2H-pyran-4- yl)oxy)quinazolin-4-yl)-2,5-diazabicyclo[2.2.1]heptane-2-carboxylate (340 mg, 0.236 mmol, 66% yield) as a yellow solid. LCMS (ESI, m/z): 1440.7 [M+l]+.
[0635] Step 2: (2S,4R)-l-((S)-2-(4-(4-((((R)-4-((lS,4S)-2,5-diazabicyclo[2.2.1]heptan- 2-yl)-6-cyclopropyl-7-(6-fluoro-5-methyl-lH-indazol-4-yl)-2-((tetrahydro-2H-pyran-4- yl)oxy)quinazolin-8-yl)oxy)methyl)phenyl)- 1 H- 1 ,2,3-triazol- 1 -yl)-3-methylbutanoyl)-4- hydroxy-N-((R)-2-hydroxy-l-(4-(pyrimidin-5-yl)phenyl)ethyl)pyrrolidine-2-carboxamide
[0636] To a solution of tert-butyl (lS,4S)-5-(6-cyclopropyl-7-(6-fluoro-5-methyl-2- trityl-2H-indazol-4-yl)-8-((4-( 1 -((S)- 1 -((2S,4R)-4-hydroxy-2-(((R)-2-hydroxy- 1 -(4- (pyrimidin-5-yl)phenyl)ethyl)carbamoyl)pyrrolidin- 1 -yl)-3 -methyl- 1 -oxobutan-2-yl)- 1H- l,2,3-triazol-4-yl)benzyl)oxy)-2-((tetrahydro-2H-pyran-4-yl)oxy)quinazolin-4-yl)-2,5- diazabicyclo[2.2.1]heptane-2-carboxylate (340 mg, 0.236 mmol, 1 eq) in dichloromethane (4 mL) was added trifluoroacetic acid (6.14 g, 53.85 mmol, 4 mL, 228.17 eq). The mixture was stirred at 25 °C for 0.5 h. The reaction mixture was concentrated under reduced pressure to remove solvent. The residue was purified by prep-HPLC (column: YMC-Actus Triart C18 150*30mm*7um;mobile phase: [water(FA)-ACN];gradient:20%- 50% B over 10 min) to afford (2S,4R)-l-((S)-2-(4-(4-((((R)-4-((lS,4S)-2,5- diazabicyclo[2.2.1]heptan-2-yl)-6-cyclopropyl-7-(6-fluoro-5-methyl-lH-indazol-4-yl)-2- ((tetrahydro-2H-pyran-4-yl)oxy)quinazolin-8-yl)oxy)methyl)phenyl)- 1H- 1 ,2,3-triazol- 1 - yl)-3-methylbutanoyl)-4-hydroxy-N-((R)-2-hydroxy-l-(4-(pyrimidin-5- yl)phenyl)ethyl)pyrrolidine-2-carboxamide (83.55 mg, 0.07 mmol, 39% yield, 99.03% purity, the second eluted fraction) as a white solid. LCMS (ESI, m/z): 1098.6 [M]+.
NMR (400 MHz, DMSO- d6) <5: 13.30 - 13.06 (m, 1H), 9.24 - 9.05 (m, 4H), 8.63 (br d, J= 6.8 Hz, 1H), 8.55 (br d, J= 1.6 Hz, 1H), 8.41 - 8.24 (m, 1H), 7.84 - 7.62 (m, 4H), 7.52 - 7.41 (m, 4H), 7.40 - 7.33 (m, 1H), 6.79 (d, ./ ~ 8.0 Hz, 2H), 5.35 (d, J= 10.4 Hz, 1H), 5.31
- 5.17 (m, 3H), 4.94 - 4.85 (m, 1H), 4.73 (br d, J= 11.2 Hz, 1H), 4.57 - 4.42 (m, 3H), 4.36 - 4.26 (m, 1H), 4.15 - 4.01 (m, 2H), 3.88 (br d, J = 10.0 Hz, 3H), 3.84 - 3.76 (m, 3H), 3.54
- 3.32 (m, 6H), 2.32 - 2.25 (m, 1H), 2.15 - 1.97 (m, 7H), 1.89 - 1.63 (m, 3H), 1.46 - 1.34
(m, 1H), 1.16 - 1.02 (m, 3H), 0.78 - 0.56 (m, 7H).
[0637] Example 88: (2S,4R)-l-((S)-2-(4-(4-((((R)-4-((lS,4S)-2,5- diazabicyclo[2.2.1]heptan-2-yl)-6-cyclopropyl-7-(6-fluoro-5-methyl-lH-indazol-4-yl)-2- ((S)-2-methoxypropoxy)quinazolin-8-yl)oxy)methyl)phenyl)- 1 H- 1 ,2,3 -triazol- 1 -yl)-3 - methylbutanoyl)-4-hydroxy-N-((R)-2-hydroxy- 1 -(4-(pyrimidin-5- yl)phenyl)ethyl)pyrrolidine-2-carboxamide
[0638] Step 1: Tert-butyl (lS,4S)-5-(7-(5-chloro-6-fluoro-l-trityl-lH-indazol-4-yl)-6- cyclopropyl-8-((4-(l-((S)-l-((2S,4R)-4-hydroxy-2-(((R)-2-hydroxy-l-(4-(pyrimidin-5- yl)phenyl)ethyl)carbamoyl)pyrro lidin- 1 -yl)-3 -methyl- 1 -oxobutan-2-yl)- 1H- 1 ,2,3-triazol-4- yl)benzyl)oxy)-2-((S)-2-methoxypropoxy)quinazolin-4-yl)-2,5- diazabicyclo[2.2.1]heptane-2-carboxylate
[0639] A mixture of tert-butyl (lS,4S)-5-[6-cyclopropyl-8-[(4-ethynylphenyl)methoxy]- 7-(6-fluoro-5-methyl-2-trityl-indazol-4-yl)-2-[(2S)-2-methoxypropoxy]quinazolin-4-yl]- 2,5-diazabicyclo[2.2.1]heptane-2-carboxylate (400 mg, 0.41 mmol, 1.00 eq), (2S,4R)-1- [(2S)-2-azido-3-methyl-butanoyl]-4-hydroxy-N-[( lR)-2-hydroxy- 1 -(4-pyrimidin-5- ylphenyl)ethyl]pyrrolidine-2-carboxamide (186 mg, 0.41 mmol, 1.00 eq), cuprous iodide (39 mg, 0.21 mmol, 0.50 eq), sodium ascorbate (122 mg, 0.62 mmol, 1.50 eq) in tetrahydrofuran (6 mL), tertiary butanol (6 mL) and water (6 mL) was degassed and purged with nitrogen for 3 times. The mixture was stirred at 50 °C for 3 h under nitrogen. LCMS showed the desire mass was detected. The reaction mixture was diluted with dichloromethane (50 mL) and added 2% disodium ethylenediamine tetraacetate solution (50 mL), extracted with dichloromethane (30 mL x 3). The combined organic layers were washed with brine (20 mL x 3), dried over anhydrous sodium sulfate, filtered and the filtrate was concentrated under reduced pressure to give a residue. The residue was purified by prep-TLC (dichloromethane/methanol = 10/1, Rf = 0.35) to offer the desired compound (486 mg, 0.34 mmol, 83% yield) as a light yellow solid. LCMS (ESI, m/z): 1428.8 [M+l]+.
[0640] Step 2: (2S,4R)-l-((S)-2-(4-(4-((((R)-4-((lS,4S)-2,5-diazabicyclo[2.2.1]heptan- 2-yl)-6-cyclopropyl-7-(6-fluoro-5-methyl-lH-indazol-4-yl)-2-((S)-2- methoxypropoxy)quinazolin-8-yl)oxy)methyl)phenyl)- 1 H- 1 ,2,3-triazol- 1 -y l)-3 - methylbutanoyl)-4-hydroxy-N-((R)-2-hydroxy- 1 -(4-(pyrimidin-5- yl)phenyl)ethyl)pyrrolidine-2-carboxamide
[0641] To a solution of tert-butyl (lS,4S)-5-[6-cyclopropyl-7-(6-fluoro-5-methyl-2- trityl-indazol-4-yl)-8-[[4-[l-[(lS)-l-[(2S,4R)-4-hydroxy-2-[[(lR)-2-hydroxy-l-(4- pyrimidin-5-ylphenyl)ethyl]carbamoyl]pyrrolidine-l-carbonyl]-2-methyl-propyl]triazol-4- yl]phenyl]methoxy]-2-[(2S)-2-methoxypropoxy]quinazolin-4-yl]-2,5- diazabicyclo[2.2.1]heptane-2-carboxylate (480 mg, 0.34 mmol, 1.00 eq) in dichloromethane (4 mL) was added trifluoroacetic acid (6.14 g, 53.85 mmol, 4 mL, 160.27 eq). The mixture was stirred at 25 °C for 0.5 h. LCMS showed the desired mass was detected. The mixture was concentrated under reduced pressure to get a residue. The residue was purified by prep-HPLC (column: Phenomenex luna Cl 8 150*25mm* lOum; mobile phase: [water (formic acid)- acetonitrile];gradient:23%-53% B over 10 min to offer desire compound (95.93 mg, 0.81 mmol, 24% yield, 96% purity, formate[l], the second eluted fraction with desired mass) as a white solid. LCMS (ESI, m/z): 1086.8 [M+l]+. 1H NMR (400 MHz, DMSO-d d: 13.42 - 12.86 (m, 1H), 9.18 (s, 1H), 9.14 (s, 2H), 8.65 (s, 1H), 8.51 (d, J= 7.6 Hz, 1H), 8.23 (s, 1H), 7.77 (d, J= 8.0 Hz, 2H), 7.66 (d, J= 8.0 Hz, 2H), 7.52 - 7.40 (m, 5H), 6.80 (d, J= 8.0 Hz, 2H), 5.33 (dd, J= 7.6, 10.8 Hz, 2H), 5.13 (s, 1H), 5.02 - 4.73 (m, 3H), 4.47 (t, J= 8.0 Hz, 1H), 4.35 - 4.24 (m, 4H), 4.05 (s, 1H), 3.88 (d, J= 9.2 Hz, 1H), 3.85 - 3.54 (m, 7H), 3.51 - 3.33 (m, 2H), 3.28 (s, 1H), 3.18 (s, 1H), 3.15 (s, 1H), 2.53 - 2.52 (m, 1H), 2.14 - 1.98 (m, 5H), 1.91 - 1.73 (m, 2H), 1.43 - 1.31 (m, 1H), 1.18 - 1.06 (m, 6H), 0.73 (d, J= 6.4 Hz, 3H), 0.71 - 0.51 (m, 4H).
[0642] Example 89: (2S,4R)-l-((S)-2-(4-(4-((((R)-4-((lS,4S)-2,5- diazabicyclo[2.2.1]heptan-2-yl)-6-cyclopropyl-7-(6-fluoro-5-methyl-lH-indazol-4-yl)-2- ((S)-2-methoxypropoxy)quinazolin-8-yl)oxy)methyl)phenyl)- 1 H- 1 ,2,3 -triazol- 1 -yl)-3 - methylbutanoyl)-4-hydroxy-N-((R)-2-hydroxy- 1 -(4-(pyrimidin-2- yl)phenyl)ethyl)pyrrolidine-2-carboxamide
[0643] Step 1: Tert-butyl (lS,4S)-5-(6-cyclopropyl-7-(6-fluoro-5-methyl-2-trityl-2H- indazol-4-yl)-8-((4-(l-((S)-l-((2S,4R)-4-hydroxy-2-(((R)-2-hydroxy-l-(4-(pyrimidin-2- yl)phenyl)ethyl)carbamoyl)pyrro lidin- 1 -yl)-3 -methyl- 1 -oxobutan-2-yl)- 1H- 1 ,2,3-triazol-4- yl)benzyl)oxy)-2-((S)-2-methoxypropoxy)quinazolin-4-yl)-2,5- diazabicyclo[2.2.1]heptane-2-carboxylate
[0644] A mixture of tert-butyl (lS,4S)-5-[6-cyclopropyl-8-[(4-ethynylphenyl)methoxy]- 7-(6-fluoro-5-methyl-2-trityl-indazol-4-yl)-2-[(2S)-2-methoxypropoxy]quinazolin-4-yl]- 2,5-diazabicyclo[2.2.1]heptane-2-carboxylate (1.00 g, 1.02mmol, 1.00 eq), (2S,4R)-1- [(2S)-2-azido-3-methyl-butanoyl]-4-hydroxy-N-[( lR)-2-hydroxy- 1 -(4-pyrimidin-2- ylphenyl)ethyl]pyrrolidine-2-carboxamide (550 mg, 1.21mmol, 1.18 eq), cuprous iodide (98 mg, 0.51mmol, 0.50 eq) and sodium ascorbate (203 mg, 1.02mmol, 1.00 eq) in tert- butanol (12 mL), water (12 mL) and tetrahydro furan (12 mL) was degassed and purged
with nitrogen for 3 times, and then the mixture was stirred at 50 °C for 12 h under nitrogen. LCMS showed the desired compound was detected. The reaction mixture was diluted with dichloromethane (20 mL) and added 2% disodium ethylenediamine tetraacetate solution (20 mL), extracted with dichloromethane (15 mL x 3). The combined organic layers were washed with brine (20 mL x 3), dried over anhydrous sodium sulfate, filtered and the filtrate was concentrated under reduced pressure to give a residue. The residue was purified by prep-TLC (dichloromethane/methanol = 10/1, Rf= 0.48) to afford tert-butyl (lS,4S)-5-(6-cyclopropyl-7-(6-fluoro-5-methyl-2-trityl-2H-indazol-4-yl)-8-((4- (l-((S)-l-((2S,4R)-4-hydroxy-2-(((R)-2-hydroxy-l-(4-(pyrimidin-2- yl)phenyl)ethyl)carbamoyl)pyrro lidin- 1 -yl)-3 -methyl- 1 -oxobutan-2-yl)- 1H- 1 ,2,3-triazol-4- yl)benzyl)oxy)-2-((S)-2-methoxypropoxy)quinazolin-4-yl)-2,5- diazabicyclo[2.2.1]heptane-2-carboxylate (920 mg, 0.64 mmol, 63% yield) as a white solid. LCMS: MS (ESI) m/z: 1429.0 [M+l]+.
[0645] Step 2: (2S,4R)-l-((S)-2-(4-(4-((((R)-4-((lS,4S)-2,5- diazabicyclo[2.2.1]heptan-2-yl)-6-cyclopropyl-7-(6-fluoro-5-methyl-lH-indazol-4-yl)-2- ((S)-2-methoxypropoxy)quinazolin-8-yl)oxy)methyl)phenyl)- 1 H- 1 ,2,3 -triazol- 1 -yl)-3 - methylbutanoyl)-4-hydroxy-N-((R)-2-hydroxy- 1 -(4-(pyrimidin-2- yl)phenyl)ethyl)pyrrolidine-2-carboxamide
[0646] To a solution of tert-butyl (lS,4S)-5-[6-cyclopropyl-7-(6-fluoro-5-methyl-2- trityl-indazol-4-yl)-8-[[4-[l-[(lS)-l-[(2S,4R)-4-hydroxy-2-[[(lR)-2-hydroxy-l-(4- pyrimidin-2-ylphenyl)ethyl]carbamoyl]pyrrolidine-l-carbonyl]-2-methyl-propyl]triazol-4- yl]phenyl]methoxy]-2-[(2S)-2-methoxypropoxy]quinazolin-4-yl]-2,5- diazabicyclo[2.2.1]heptane-2-carboxylate (920 mg, 0.64mmol, 1.00 eq) in dichloromethane (4 mL) was added trifluoroacetic acid (6.14 g, 53.85 mmol, 4.0 mL, 83.62 eq). The mixture was stirred at 25 °C for 0.5 h. LCMS showed the desired
compound was detected. The mixture was concentrated under reduced pressure distillation to get the product. The residue was purified by prep-HPLC (column: YMC- Actus Triart C18 150*30mm*7um;mobile phase: [water(FA)-ACN];gradient:23%-53% B over 10 min) to afford (2S,4R)-l-((S)-2-(4-(4-((((R)-4-((lS,4S)-2,5-
[0648] Step 1: tert-butyl (lS,4S)-5-(6-cyclopropyl-7-(6-fluoro-5-methyl-2-trityl-2H- indazol-4-yl)-8-((4-(l-((S)-l-((2S,4R)-4-hydroxy-2-(((R)-2-hydroxy-l-(4-(pyrazin-2- yl)phenyl)ethyl)carbamoyl)pyrro lidin- 1 -yl)-3 -methyl- 1 -oxobutan-2-yl)- 1H- 1 ,2,3-triazol-4- yl)benzyl)oxy)-2-((S)-2-methoxypropoxy)quinazolin-4-yl)-2,5- diazabicyclo[2.2.1]heptane-2-carboxylate
[0649] To a solution of tert-butyl (lS,4S)-5-(6-cyclopropyl-8-((4-ethynylbenzyl)oxy)-7- (6-fluoro-5-methyl-2-trityl-2H-indazol-4-yl)-2-((S)-2-methoxypropoxy)quinazolin-4-yl)- 2,5-diazabicyclo[2.2.1]heptane-2-carboxylate (950 mg, 0.9 mmol, 1 eq) and (2S,4R)-1- ((S)-2-azido-3-methylbutanoyl)-4-hydroxy-N-((R)-2-hydroxy-l-(4-(pyrazin-2- yl)phenyl)ethyl)pyrrolidine-2-carboxamide (441 mg, 0.9 mmol, 1 eq) in tetrahydrofuran (4 mL), water (4 mL) and tertiary butanol (4 mL) was added cuprous iodide (185 mg, 0.9 mmol, 1 eq) and sodium ascorbate (289 mg, 1.46 mmol, 1.5 eq). The mixture was stirred at 50 °C for 12 h. LCMS showed the starting material was consumed completely and one main peak with desired mass was detected. The reaction mixture was diluted with dichloromethane (50 mL) and added 2% aqueous disodium ethylenediamine tetraacetate (50 mL), extracted with dichloromethane (30 mL x 3). The combined organic layers were washed with brine (20 mL x 3), dried over anhydrous sodium sulfate, filtered and the
filtrate was concentrated under reduced pressure to give a residue. The residue was purified by prep-TLC (silicon dioxide, dichloromethane/methanol = 10/1) to offer the desired compound (1.0 g, 0.7 mmol, 72 % yield) as a yellow solid. LCMS (ESI, m/z): 1429.0 [M+l]+
[0650] Step 2: (2S,4R)-l-((S)-2-(4-(4-((((R)-4-((lS,4S)-2,5-diazabicyclo[2.2.1]heptan- 2-yl)-6-cyclopropyl-7-(6-fluoro-5-methyl-lH-indazol-4-yl)-2-((S)-2- methoxypropoxy)quinazolin-8-yl)oxy)methyl)phenyl)- 1 H- 1 ,2,3-triazol- l-yl)-3- methylbutanoyl)-4-hydroxy-N-((R)-2-hydroxy- 1 -(4-(pyrazin-2- yl)phenyl)ethyl)pyrrolidine-2-carboxamide
[0651] To a solution of tert-butyl (lS,4S)-5-(6-cyclopropyl-7-(6-fluoro-5-methyl-2- trityl-2H-indazol-4-yl)-8-((4-( 1 -((S)- 1 -((2S,4R)-4-hydroxy-2-(((R)-2-hydroxy- 1 -(4- (pyrazin-2-yl)phenyl)ethyl)carbamoyl)pyrro lidin- 1 -yl)-3-methyl- 1 -oxobutan-2-yl)- 1 H- l,2,3-triazol-4-yl)benzyl)oxy)-2-((S)-2-methoxypropoxy)quinazolin-4-yl)-2,5- diazabicyclo[2.2.1]heptane-2-carboxylate (1 g, 0.7 mmol, 1 eq) in dichloromethane (10 mL) was added trifluoroacetic acid (5 mL). The mixture was stirred at 20 °C for 0.5 h. LCMS showed the starting material was consumed completely and one main peak with desired mass was detected. The reaction mixture was quenched by adding saturated sodium bicarbonate solution (50 mL) at 25 °C, and then diluted with water (100 mL) and extracted with dichloromethane (50 mL x 3). The combined organic layers were washed with brine (50 mL x 3), dried over anhydrous sodium sulfate, filtered and concentrated under reduced pressure to give a residue. The residue was purified by prep-HPLC (column: YMC-Actus Triart C 18 150*30mm*7um;mobile phase: [water(LA)- ACN];gradient:23%-53% B over 10 min) to offer the desired compound (225 mg, 0.2 mmol, 39% yield, 98.40% purity, the second eluted fraction with desired mass) as a white solid. LCMS (ESI, m/z): 1086.6 [
: 13.20 -
12.99 (m, 1H), 9.23 (d, J= 1.6 Hz, 1H), 8.74 - 8.68 (m, 1H), 8.64 (s, 1H), 8.60 (d, J= 2.4 Hz, 1H), 8.51 (d, .J 8.0 Hz, 1H), 8.19 (s, 1H), 8.08 (d, .7 8.0 Hz, 2H), 7.68 - 7.61 (m, 2H), 7.48 - 7.38 (m, 5H), 6.79 (d, J= 8.0 Hz, 2H), 5.38 - 5.25 (m, 2H), 5.16 (d, J= 4.0 Hz, 1H), 5.11 - 5.05 (m, 1H), 4.92 - 4.83 (m, 2H), 4.78 - 4.70 (m, 1H), 4.46 (t, J= 8.0 Hz, 1H), 4.33 - 4.26 (m, 4H), 3.90 (s, 1H), 3.80 (dd, J= 7.6, 8.8 Hz, 2H), 3.72 - 3.55 (m, 5H), 3.23 - 3.16 (m, 3H), 3.08 (cl, .7 ~ 8.0 Hz, 2H), 1.99 (d, .7 2.4 Hz, 3H), 1.84 - 1.72 (m, 2H), 1.41 - 1.31 (m, 1H), 1.26 - 1.20 (m, 1H), 1.12 (d, J= 6.4 Hz, 3H), 1.08 (d, .7 6.0 Hz, 3H), 0.79 - 0.49 (m, 8H).
[0652] Example 91: (2S,4R)-l-((S)-2-(4-(4-((((R)-4-((lS,4S)-2,5- diazabicyclo[2.2.1]heptan-2-yl)-6-cyclopropyl-7-(6-fluoro-5-methyl-lH-indazol-4-yl)-2- ((tetrahydro-2H-pyran-4-yl)oxy)quinazolin-8-yl)oxy)methyl)phenyl)- 1H- 1 ,2,3-triazol- 1 - yl)-3-methylbutanoyl)-4-hydroxy-N-((R)-2-hydroxy-l-(4-(pyrazin-2- yl)phenyl)ethyl)pyrrolidine-2-carboxamide
[0653] Step 1: tertbutyl (lS,4S)-5-(6-cyclopropyl-7-(6-fluoro-5-methyl-2-trityl-2H- indazol-4-yl)-8-((4-(l-((S)-l-((2S,4R)-4-hydroxy-2-(((R)-2-hydroxy-l-(4-(pyrazin-2- yl)phenyl)ethyl)carbamoyl) pyrro lidin- 1 -yl)-3-methyl- 1 -oxobutan-2-yl)- 1 H- 1 ,2,3-triazol-
4-yl)benzyl)oxy)-2-((tetrahydro-2H-pyran-4-yl)oxy)quinazolin-4-yl)-2,5- diazabicyclo[2.2.1]heptane-2-carboxylate
[0654] A mixture of tert-butyl (lS,4S)-5-(6-cyclopropyl-8-((4-ethynylbenzyl)oxy)-7-(6- fluoro-5-methyl-2-trityl-2H-indazol-4-yl)-2-((tetrahydro-2H-pyran-4-yl)oxy)quinazolin-4- yl)-2,5-diazabicyclo[2.2.1]heptane-2-carboxylate (900 mg, 0.91 mmol, 1 eq), (2S,4R)-1- ((S)-2-azido-3-methylbutanoyl)-4-hydroxy-N-((R)-2-hydroxy-l-(4-(pyrazin-2- yl)phenyl)ethyl)pyrrolidine-2-carboxamide (413 mg, 0.91 mmol, 1 eq), cuprous iodide (174 mg, 0.91 mmol, 1 eq) and sodium ascorbate (271 mg, 1.37 mmol, 1.5 eq) in tertiary butanol (9 mL), tetrahydrofuran (9 mL) and water (9 mL) was degassed and purged with nitrogen for 3 times, and then the mixture was stirred at 50 °C for 4 h under nitrogen. LCMS showed the starting material was consumed completely and one main peak with desired mass was detected. The reaction mixture was diluted with dichloromethane (50 mL) and added 2% aqueous disodium ethylenediamine tetraacetate (50 mL), extracted with dichloromethane (30 mL x 3). The combined organic layers were washed with brine (20 mL x 3), dried over anhydrous sodium sulfate, filtered and the filtrate was concentrated under reduced pressure to give a residue. The residue was purified by prep- Thin layer chromatography (dichloromethane/methanol = 10/1) to afford the desired compound (1 g, 0.69 mmol, 76% yield) as a yellow solid. LCMS (ESI, m/z): 1440.6 [M+l]+.
[0655] Step 2: (2S,4R)-l-((S)-2-(4-(4-((((R)-4-((lS,4S)-2,5-diazabicyclo[2.2.1]heptan- 2-yl)-6-cyclopropyl-7-(6-fluoro-5-methyl-lH-indazol-4-yl)-2-((tetrahydro-2H-pyran-4- yl)oxy)quinazolin-8-yl)oxy)methyl)phenyl)- 1 H- 1 ,2,3-triazol- 1 -yl)-3-methylbutanoyl)-4- hydroxy-N-((R)-2-hydroxy-l-(4-(pyrazin-2-yl)phenyl)ethyl)pyrrolidine-2-carboxamide
[0656] To a solution of tert-butyl (lS,4S)-5-(6-cyclopropyl-7-(6-fluoro-5-methyl-2- trityl-2H-indazol-4-yl)-8-((4-( 1 -((S)- 1 -((2S,4R)-4-hydroxy-2-(((R)-2-hydroxy- 1 -(4- (pyrazin-2-yl)phenyl)ethyl)carbamoyl) pyrro lidin- 1 -yl)-3 -methyl- 1 -oxobutan-2-yl)- 1 H- l,2,3-triazol-4-yl)benzyl)oxy)-2-((tetrahydro-2H-pyran-4-yl)oxy)quinazolin-4-yl)-2,5- diazabicyclo[2.2.1]heptane-2-carboxylate (1 g, 0.69 mmol, 1 eq) in dichloromethane (10 mL) was added trifluoroacetic acid (4 mL). The mixture was stirred at 20 °C for 0.5 h. LCMS showed the starting material was consumed completely and one main peak with desired mass was detected. The reaction mixture was quenched by addition saturated sodium carbonate solution (30 mL) at 0 °C, and then diluted with water (10 mL) and extracted with dichloromethane (50 mL x 3). The combined organic layers were washed with brine (20 mL x 3), dried over anhydrous sodium sulfate, filtered and concentrated under reduced pressure to give a residue. The residue was purified prep-HPLC (column: YMC-Actus Triart C18 150*30mm*7um;mobile phase: [water(FA)-ACN];gradient:23%- 53% B over 10 min) to offer the title compound (339.14 mg, 0.31 mmol, 44% yield, formate[l], the second eluted fraction with desired mass) as an off-white solid. LCMS (ESI, m/z): 1098.6 [M+l]+. 'HNMR (400MHz, DMSO-d6 ) 3: 13.31 - 12.95 (m, 1H), 9.24 (d, J= 1.2 Hz, 1H), 8.73 - 8.69 (m, 1H), 8.65 (s, 1H), 8.62 - 8.57 (m, 1H), 8.51 (d, J= 7.8 Hz, 1H), 8.22 (s, 1H), 8.13 - 8.04 (m, 2H), 7.71 - 7.64 (m, 2H), 7.51 - 7.38 (m, 5H), 6.78 (d, J= 8.4 Hz, 2H), 5.36 - 5.25 (m, 2H), 5.23 - 5.17 (m, 1H), 5.11 (s, 1H), 4.92 - 4.85 (m, 1H), 4.72 (d, J= 11.2 Hz, 1H), 4.47 (t, J= 8.0 Hz, 1H), 4.32 (s, 2H), 4.08 - 4.00 (m, 1H), 3.93 - 3.81 (m, 4H), 3.81 - 3.77 (m, 1H), 3.71 - 3.59 (m, 4H), 3.42-3.39 (m, 1H), 3.39-3.37 (m, 1H), 3.36-3.34 (m, 1H), 3.28 (d, J = 9. 2 Hz, 2H), 3.15 (d, J = 8.8 Hz, 1H), 2.12-1.97 (m, 7H), 1.88 - 1.75 (m, 2H), 1.73 - 1.62 (m, 2H), 1.42 - 1.32 (m, 1H), 1.08 (d, J = 6.4 Hz, 3H), 0.72 (d, J= 6.4 Hz, 3H), 0.69 - 0.52 (m, 4H).
[0657] Example 92: (2S,4R)-l-((S)-2-(4-(4-((((R)-4-((lS,4S)-2,5- diazabicyclo[2.2.1]heptan-2-yl)-6-cyclopropyl-7-(6-fluoro-5-methyl-lH-indazol-4-yl)-2-
((tetrahydro-2H-pyran-4-yl)oxy)quinazolin-8-yl)oxy)methyl)phenyl)- 1H- 1 ,2,3-triazol- 1 - yl)-3 -methylbutanoyl)-4-hydroxy-N-((R)-2-hydroxy- 1 -(4-(pyrimidin-2- yl)phenyl)ethyl)pyrrolidine-2-carboxamide
[0658] Step 1: tert-butyl (lS,4S)-5-(6-cyclopropyl-7-(6-fluoro-5-methyl-2-trityl-2H- indazol-4-yl)-8-((4-(l-((S)-l-((2S,4R)-4-hydroxy-2-(((R)-2-hydroxy-l-(4-(pyrimidin-2- yl)phenyl)ethyl)carbamoyl)pyrro lidin- 1 -yl)-3 -methyl- 1 -oxobutan-2-yl)- 1H- 1 ,2,3-triazol-4- yl)benzyl)oxy)-2-((tetrahydro-2H-pyran-4-yl)oxy)quinazolin-4-yl)-2,5- diazabicyclo[2.2.1]heptane-2-carboxylate
[0659] A mixture of tert-butyl (lS,4S)-5-(6-cyclopropyl-8-((4-ethynylbenzyl)oxy)-7-(6- fluoro-5-methyl-2-trityl-2H-indazol-4-yl)-2-((tetrahydro-2H-pyran-4-yl)oxy)quinazolin-4- yl)-2,5-diazabicyclo[2.2.1]heptane-2-carboxylate (1 g, 1.01 mmol, 1.00 eq), (2S,4R)-1-
((S)-2-azido-3-methylbutanoyl)-4-hydroxy-N-((R)-2-hydroxy-l-(4-(pyrimidin-2- yl)phenyl)ethyl)pyrrolidine-2-carboxamide (505 mg, 1.11 mmol, 1.10 eq), sodium ascorbate (301 mg, 1.52 mmol, 1.50 eq) and cuprous iodide (96 mg, 0.51 mmol, 0.50 eq) in tertiary butanol (10 mL), tetrahydrofuran (10 mL) and water (10 mL) was degassed and purged with nitrogen for 3 times, and then the mixture was stirred at 50 °C for 6 h under nitrogen. The reaction mixture was diluted with dichloromethane (50 mL) and added 2% aqueous disodium ethylenediamine tetraacetate (50 mL), extracted with di chloromethane (30 mL x 3). The combined organic layers were washed with brine (20 mL x 3), dried over anhydrous sodium sulfate, filtered and the filtrate was concentrated under reduced pressure to give a residue. The residue was purified by prep-TLC (dichloromethane/methanol = 10/1) to afford tert-butyl (lS,4S)-5-(6-cyclopropyl-7-(6- fluoro-5-methyl-2-trityl-2H-indazol-4-yl)-8-((4-(l-((S)-l-((2S,4R)-4-hydroxy-2-(((R)-2- hydroxy- 1 -(4-(pyrimidin-2-yl)phenyl)ethyl)carbamoyl)pyrrolidin- 1 -yl)-3 -methyl- 1 - oxobutan-2-yl)- 1 H- 1 ,2,3-triazol-4-yl)benzyl)oxy)-2-((tetrahydro-2H-pyran-4- yl)oxy)quinazolin-4-yl)-2,5-diazabicyclo[2.2.1]heptane-2-carboxylate (1.3 g, 0.90 mmol, 89% yield) as a yellow solid. LCMS (ESI, m/z): 1441.0 [M+l]+.
[0660] Step 2: (2S,4R)-l-((S)-2-(4-(4-((((R)-4-((lS,4S)-2,5-diazabicyclo[2.2.1]heptan- 2-yl)-6-cyclopropyl-7-(6-fluoro-5-methyl-lH-indazol-4-yl)-2-((tetrahydro-2H-pyran-4- yl)oxy)quinazolin-8-yl)oxy)methyl)phenyl)- 1 H- 1 ,2,3-triazol- 1 -yl)-3-methylbutanoyl)-4- hydroxy-N-((R)-2-hydroxy-l-(4-(pyrimidin-2-yl)phenyl)ethyl)pyrrolidine-2-carboxamide
[0661] To a solution of tert-butyl (lS,4S)-5-(6-cyclopropyl-7-(6-fluoro-5-methyl-2- trityl-2H-indazol-4-yl)-8-((4-( 1 -((S)- 1 -((2S,4R)-4-hydroxy-2-(((R)-2-hydroxy- 1 -(4- (pyrimidin-2-yl)phenyl)ethyl)carbamoyl)pyrrolidin- 1 -yl)-3 -methyl- 1 -oxobutan-2-yl)- 1H- l,2,3-triazol-4-yl)benzyl)oxy)-2-((tetrahydro-2H-pyran-4-yl)oxy)quinazolin-4-yl)-2,5- diazabicyclo[2.2.1]heptane-2-carboxylate (1.3 g, 0.90 mmol, 1.00 eq) in dichloromethane
(10 mL) was added trifluoroacetic acid (15.35 g, 134.62 mmol, 10 mL, 149.19 eq). The mixture was stirred at 25 °C for 0.5 h. The reaction mixture was concentrated under reduced pressure to remove solvent. The residue was purified by prep-HPLC (column: YMC-Actus Triart C18 150*30mm*7um;mobile phase: [water(FA)-ACN];gradient:20%-
[0663] Step 1: tert-butyl (lS,4S)-5-(6-cyclopropyl-7-(6-fluoro-5-methyl-2-trityl-2H- indazol-4-yl)-8-((4-(l-((S)-l-((2S,4R)-2-(((R)-l-(4-(3-fluoropyridin-2-yl)phenyl)-2- hydroxyethyl)carbamoyl)-4-hydroxypyrrolidin- 1 -yl)-3-methyl- 1 -oxobutan-2-yl)- 1H- 1 ,2,3- triazol-4-yl)benzyl)oxy)-2-((tetrahydro-2H-pyran-4-yl)oxy)quinazolin-4-yl)-2,5- diazabicyclo[2.2.1]heptane-2-carboxylate
[0664] A mixture of tert-butyl (lS,4S)-5-(6-cyclopropyl-8-((4-ethynylbenzyl)oxy)-7-(6- fluoro-5-methyl-2-trityl-2H-indazol-4-yl)-2-((S)-2-methoxypropoxy)quinazolin-4-yl)-2,5- diazabicyclo[2.2.1]heptane-2-carboxylate (1.0 g, 1.01 mmol, 1.00 eq), (2S,4R)-l-((S)-2- azido-3-methylbutanoyl)-N-((R)-l-(4-(3-fluoropyridin-2-yl)phenyl)-2-hydroxyethyl)-4- hydroxypyrrolidine-2-carboxamide(524 mg, 1.11 mmol, 1.10 eq), cuprous iodide (96 mg, 0.50 mmol, 0.50 eq) and sodium ascorbate (301 mg, 1.52 mmol, 1.50 eq) in tertiary butanol (6 mL), tetrahydrofuran (6 mL) and water (6 mL) was degassed and purged with nitrogen for 3 times, and then the mixture was stirred at 50 °C for 5 h under nitrogen. The reaction mixture was diluted with dichloromethane (50 mL) and added 2% disodium ethylenediamine tetraacetate solution (50 mL), extracted with dichloromethane (60 mL x 3). The combined organic layers were washed with brine (80 mL x 2), dried over anhydrous sodium sulfate, filtered and the filtrate was concentrated under reduced pressure to give a residue. The residue was purified by column chromatography by prep-
TLC (dichloromethane/methanol = 10/1) to afford tert-butyl (lS,4S)-5-(6-cyclopropyl-7- (6-fluoro-5-methyl-2-trityl-2H-indazol-4-yl)-8-((4-(l-((S)-l-((2S,4R)-2-(((R)-l-(4-(3- fluoropyridin-2-yl)phenyl)-2-hydroxyethyl)carbamoyl)-4-hydroxypyrrolidin-l-yl)-3- methyl- 1 -oxobutan-2-yl)- 1H- 1 ,2,3-triazol-4-yl)benzyl)oxy)-2-((tetrahydro-2H-pyran-4- yl)oxy)quinazolin-4-yl)-2,5-diazabicyclo[2.2.1]heptane-2-carboxylate (1.0 g, 0.68 mmol, 67% yield) as a light yellow solid. LCMS (ESI, m/z): 1458.9 [M+l]+.
[0665] Step 2: (2S,4R)-l-((S)-2-(4-(4-((((R)-4-((lS,4S)-2,5-diazabicyclo[2.2.1]heptan- 2-yl)-6-cyclopropyl-7-(6-fluoro-5-methyl-lH-indazol-4-yl)-2-((tetrahydro-2H-pyran-4- yl)oxy)quinazolin-8-yl)oxy)methyl)phenyl)-lH-l,2,3-triazol-l-yl)-3-methylbutanoyl)-N- ((R)-l-(4-(3-fluoropyridin-2-yl)phenyl)-2-hydroxyethyl)-4-hydroxypyrrolidine-2- carboxamide
[0666] To a solution of tert-butyl (lS,4S)-5-(6-cyclopropyl-7-(6-fluoro-5-methyl-2- trityl-2H-indazol-4-yl)-8-((4-(l-((S)-l-((2S,4R)-2-(((R)-l-(4-(3-fluoropyridin-2- yl)phenyl)-2-hydroxyethyl)carbamoyl)-4-hydroxypyrrolidin-l-yl)-3-methyl-l-oxobutan-2- yl)- 1 H- 1 ,2,3-triazol-4-yl)benzyl)oxy)-2-((tetrahydro-2H-pyran-4-yl)oxy)quinazolin-4-yl)- 2,5-diazabicyclo[2.2.1]heptane-2-carboxylate (1.0 g, 0.68 mmol, 1.00 eq) in dichloromethane (10 mL) was added trifluoroacetic acid (15.35 g, 134.62 mmol, 10 mL, 196.00 eq). The mixture was stirred at 25 °C for 0.5 h. The reaction mixture was concentrated under reduced pressure to remove solvent. The residue was purified by prep- HPLC (column: YMC-Actus Triart C18 150*30mm*7um;mobile phase: [water(FA)- ACN];gradient:23%-53% B over 10 min) to afford (2S,4R)-l-((S)-2-(4-(4-((((R)-4- ((lS,4S)-2,5-diazabicyclo[2.2.1]heptan-2-yl)-6-cyclopropyl-7-(6-fluoro-5-methyl-lH- indazol-4-yl)-2-((tetrahydro-2H-pyran-4-yl)oxy)quinazolin-8-yl)oxy)methyl)phenyl)-lH- 1 ,2,3-triazol- 1 -yl)-3-methylbutanoyl)-N-((R)- 1 -(4-(3-fluoropyridin-2-yl)phenyl)-2- hydroxyethyl)-4-hydroxypyrrolidine-2-carboxamide (301.9 mg, 0.27 mmol, 48.69% yield,
97.69% purity, formate[2], the second eluted fraction with desired mass) as a white solid. LCMS (ESI, m/z): 1115.4 [M]+. 1H NMR (400 MHz, DMSO-d6) d: 13.19 - 13.09 (m, 1H), 8.66 (s, 1H), 8.55 (br d, J= 4.4 Hz, 1H), 8.50 (br d, J= 8.0 Hz, 1H), 8.19 (d, J= 2.0 Hz, 2H), 7.89 - 7.82 (m, 3H), 7.69 (d, J= 8.0 Hz, 2H), 7.48 - 7.41 (m, 6H), 6.79 (d, J= 8.4 Hz, 2H), 5.36 - 5.27 (m, 2H), 5.25 - 5.16 (m, 2H), 5.12 (br s, 1H), 4.89 (br d, J= 7.2 Hz, 1H), 4.73 (br d, J= 11.2 Hz, 1H), 4.48 (t, J= 8.0 Hz, 1H), 4.37 - 4.30 (m, 2H), 4.12 (br s, 1H), 3.93 - 3.78 (m, 5H), 3.73 - 3.59 (m, 4H), 3.41 (br s, 1H), 3.20 (br d, J= 9.2 Hz, 2H), 2.14 - 2.04 (m, 5H), 2.01 (d, 2.0 Hz, 3H), 1.88 - 1.78 (m, 2H), 1.72 - 1.65 (m, 2H), 1.41 -
1.35 (m, 1H), 1.09 (br d, J= 6.4 Hz, 3H), 0.73 (br d, J= 6.4 Hz, 3H), 0.70 - 0.54 (m, 5H). [0667] Example 94: (2S,4R)-l-((S)-2-(4-(4-((((R)-4-((lS,4S)-2,5- diazabicyclo[2.2.1]heptan-2-yl)-6-cyclopropyl-7-(6-fluoro-5-methyl-lH-indazol-4-yl)-2- ((S)-2-methoxypropoxy)quinazolin-8-yl)oxy)methyl)phenyl)- 1 H- 1 ,2,3 -triazol- 1 -yl)-3 - methylbutanoyl)-N-((R)- 1 -(4-(3 -fluoropyridin-4-yl)phenyl)-2-hydroxyethyl)-4- hydroxypyrrolidine-2-carboxamide
[0668] Step 1: tert-butyl (lS,4S)-5-(6-cyclopropyl-7-(6-fluoro-5-methyl-2-trityl-2H- indazol-4-yl)-8-((4-(l-((S)-l-((2S,4R)-2-(((R)-l-(4-(3-fluoropyridin-4-yl)phenyl)-2- hydroxyethyl)carbamoyl)-4-hydroxypyrrolidin- 1 -yl)-3-methyl- 1 -oxobutan-2-yl)- 1H- 1 ,2,3- triazol-4-yl)benzyl)oxy)-2-((S)-2-methoxypropoxy)quinazolin-4-yl)-2,5- diazabicyclo[2.2.1]heptane-2-carboxylate
[0669] The mixture of tert-butyl (lS,4S)-5-(6-cyclopropyl-8-((4-ethynylbenzyl)oxy)-7- (6-fluoro-5-methyl-2-trityl-2H-indazol-4-yl)-2-((S)-2-methoxypropoxy)quinazolin-4-yl)- 2,5 -diazabicyclo [2.2.1]heptane-2-carboxylate (400 mg, 0.41 mmol, 1 eq), (2S,4R)-1-((S)- 2-azido-3-methylbutanoyl)-N-((R)-l-(4-(3-fluoropyridin-4-yl)phenyl)-2-hydroxyethyl)-4- hydroxypyrrolidine -2-carboxamide (232 mg, 0.49 mmol, 1.2 eq), cuprous iodide (40 mg, 0.21 mmol, 0.5 eq) and sodium ascorbate (122 mg, 0.61 mmol, 1.5 eq) in tertiary butanol (5 mL), tetrahydrofuran (5 mL) and water (5 mL) was degassed and purged with nitrogen for 3 times, and then the mixture was stirred at 50 °C for 12 h under nitrogen. LCMS showed the starting material was consumed completely and one main peak with desired mass was detected. The reaction mixture was diluted with dichloromethane (50 mL) and added 2% disodium ethylenediamine tetraacetate solution (50 mL), extracted with dichloromethane (30 mL x 3). The combined organic layers were washed with brine (20 mL x 3), dried over anhydrous sodium sulfate, filtered and the filtrate was concentrated under reduced pressure to give a residue. The residue was purified by prep-TLC (dichloromethane/methanol = 10/1) to afford tert-butyl (lS,4S)-5-(6-cyclopropyl-7-(6- fluoro-5-methyl-2-trityl-2H-indazol-4-yl)-8-((4-( 1 -((S)- 1 -((2S,4R)-2-(((R)- 1 -(4-(3- fluoropyridin-4-yl)phenyl)-2-hydroxyethyl)carbamoyl)-4-hydroxypyrrolidin-l-yl)-3- methyl- 1 -oxobutan-2-yl)- 1 H- 1 ,2,3-triazol-4-yl)benzyl)oxy)-2-((S)-2- methoxypropoxy)quinazolin-4-yl)-2,5-diazabicyclo[2.2. l]heptane-2-carboxylate (408 mg, 0.27 mmol, 66% yield, 97% purity) as a white solid. LCMS (ESI, m/z): 1445.6 [M]+.
[0670] Step 2: (2S,4R)-l-((S)-2-(4-(4-((((R)-4-((lS,4S)-2,5-diazabicyclo[2.2.1]heptan- 2-yl)-6-cyclopropyl-7-(6-fluoro-5-methyl-lH-indazol-4-yl)-2-((S)-2- methoxypropoxy)quinazolin-8-yl)oxy)methyl)phenyl)- 1 H- 1 ,2,3-triazol- 1 -y l)-3 - methylbutanoyl)-N-((R)- 1 -(4-(3 -fluoropyridin-4-yl)phenyl)-2-hydroxyethyl)-4- hydroxypyrrolidine-2-carboxamide
[0671] To a solution of tert-butyl (lS,4S)-5-(6-cyclopropyl-7-(6-fluoro-5-methyl-2- trityl-2H-indazol-4-yl)-8-((4-(l-((S)-l-((2S,4R)-2-(((R)-l-(4-(3-fluoropyridin-4- yl)phenyl)-2-hydroxyethyl)carbamoyl)-4-hydroxypyrrolidin-l-yl)-3-methyl-l-oxobutan-2- yl)-lH-l,2,3-triazol-4-yl)benzyl)oxy)-2-((S)-2-methoxypropoxy)quinazolin-4-yl)-2,5- diazabicyclo[2.2.1]heptane-2-carboxylate (358 mg, 0.25 mmol, 1 eq) in dichloromethane (5 mL) was added trifluoroacetic acid (2 mL). The mixture was stirred at 20 °C for 0.5 h. LCMS showed the starting material was consumed completely and one main peak with desired mass was detected. The reaction mixture concentrated under reduced pressure to give a residue. The residue was purified prep-HPLC (column: Phenomenex luna C18 150*25mm* 10um;mobile phase: [water(FA)-ACN] gradient: 15%-45% B over 10 min) to afford the title compound (103.14 mg, 0.090 mmol, 66% yield, formate[l], the second eluted fraction with desired mass) as a white solid. LCMS (ESI, m/z): 1103.7 [M+l]+. 1H NMR (400MHz, DMSO-d6) 3: 13.23 - 12.97 (m, 1H), 8.68 - 8.62 (m, 2H), 8.54 - 8.47 (m, 2H), 8.20 (s, 1H), 7.68 - 7.60 (m, 5H), 7.48 - 7.39 (m, 5H), 6.79 (d, J= 8.4 Hz, 2H), 5.37 - 5.27 (m, 2H), 5.24 - 5.02 (m, 2H), 5.02 - 4.82 (m, 2H), 4.75 (d, J= 11.6 Hz, 1H), 4.46 (t, J = 8.0 Hz, 1H), 4.36 - 4.22 (m, 4H), 3.96 (s, 1H), 3.86 - 3.75 (m, 2H), 3.73 - 3.59 (m, 4H), 3.29 (s, 3H), 3.23 (d, J= 10.8 Hz, 2H), 3.11 (d, J= 10.8 Hz, 1H), 2.12 - 2.04 (m, 1H), 2.02
- 1.96 (m, 4H), 1.85 - 1.75 (m, 2H), 1.41 - 1.32 (m, 1H), 1.13 (d, J= 6.4 Hz, 3H), 1.10 - 1.04 (m, 3H), 0.72 (d, J= 6.4 Hz, 3H), 0.69 - 0.51 (m, 4H).
[0672] Example 95: (2S,4R)-l-((S)-2-(4-(4-((((R)-4-((lS,4S)-2,5- diazabicyclo[2.2.1]heptan-2-yl)-6-cyclopropyl-7-(6-fluoro-5-methyl-lH-indazol-4-yl)-2- ((tetrahydro-2H-pyran-4-yl)oxy)quinazolin-8-yl)oxy)methyl)phenyl)- 1H- 1 ,2,3-triazol- 1 - yl)-3-methylbutanoyl)-4-hydroxy-N-((R)-2-hydroxy-l-(4-(4-methylpyrimidin-5- yl)phenyl)ethyl)pyrrolidine-2-carboxamide
[0673] Step 1: tert-butyl (lS,4S)-5-(6-cyclopropyl-7-(6-fluoro-5-methyl-2-trityl-2H- indazol-4-yl)-8-((4-( 1 -((S)- 1 -((2S,4R)-4-hydroxy-2-(((R)-2-hydroxy- 1 -(4-(4- methylpyrimidin-5-yl)phenyl)ethyl)carbamoyl)pyrrolidin-l-yl)-3-methyl-l-oxobutan-2- yl)- 1 H- 1 ,2,3-triazol-4-yl)benzyl)oxy)-2-((tetrahydro-2H-pyran-4-yl)oxy)quinazolin-4-yl)- 2,5-diazabicyclo[2.2.1]heptane-2-carboxylate
[0674] A mixture of tert-butyl (lS,4S)-5-(6-cyclopropyl-8-((4-ethynylbenzyl)oxy)-7-(6- fluoro-5-methyl-2-trityl-2H-indazol-4-yl)-2-((tetrahydro-2H-pyran-4-yl)oxy)quinazolin-4- yl)-2,5-diazabicyclo[2.2.1]heptane-2-carboxylate (100 mg, 0.10 mmol, 1.00 eq), (2S,4R)- l-((S)-2-azido-3-methylbutanoyl)-4-hydroxy-N-((R)-2-hydroxy-l-(4-(4-methylpyrimidin- 5-yl)phenyl)ethyl)pyrrolidine-2-carboxamide (52 mg, 0.11 mmol, 1.10 eq) , sodium ascorbate (30 mg, 0.15 mmol, 1.5 eq) and cuprous iodide (10 mg, 0.05 mmol, 0.5 eq) in
tetrahydrofuran (2 mL) , tertiary butanol (2 mL) and water (2 mL) was degassed and purged with nitrogen for 3 times, and then the mixture was stirred at 50 °C for 5 h under nitrogen. The reaction mixture was diluted with dichloromethane (20 mL) and added 2% aqueous disodium ethylenediamine tetraacetate (20 mL), extracted with dichloromethane (15 mL x 3). The combined organic layers were washed with brine (20 mL x 3), dried over anhydrous sodium sulfate, filtered and the filtrate was concentrated under reduced pressure to give a residue. The residue was purified by prep-TLC (dichloromethane/methanol = 10/1) to afford tert-butyl (lS,4S)-5-(6-cyclopropyl-7-(6- fluoro-5-methyl-2-trityl-2H-indazol-4-yl)-8-((4-(l-((S)-l-((2S,4R)-4-hydroxy-2-(((R)-2- hydroxy- 1 -(4-(4-methylpyrimidin-5-yl)phenyl)ethyl)carbamoyl)pyrrolidin- 1 -yl)-3-methyl- 1 -oxobutan-2-yl)- 1 H- 1 ,2,3-triazol-4-yl)benzyl)oxy)-2-((tetrahydro-2H-pyran-4- yl)oxy)quinazolin-4-yl)-2,5-diazabicyclo[2.2.1]heptane-2-carboxylate (120 mg, 0.08 mmol, 81% yield) as a yellow solid. LCMS (ESI, m/z): 1455.0 [M+l]+.
[0675] Step 2: (2S,4R)-l-((S)-2-(4-(4-((((R)-4-((lS,4S)-2,5-diazabicyclo[2.2.1]heptan- 2-yl)-6-cyclopropyl-7-(6-fluoro-5-methyl-lH-indazol-4-yl)-2-((tetrahydro-2H-pyran-4- yl)oxy)quinazolin-8-yl)oxy)methyl)phenyl)- 1 H- 1 ,2,3-triazol- 1 -yl)-3-methylbutanoyl)-4- hydroxy-N-((R)-2-hydroxy-l-(4-(4-methylpyrimidin-5-yl)phenyl)ethyl)pyrrolidine-2- carboxamide
[0676] To a solution of tert-butyl (lS,4S)-5-[6-cyclopropyl-7-(6-fluoro-5-methyl-2- trityl-indazol-4-yl)-8-[[4-[l-[(lS)-l-[(2S,4R)-4-hydroxy-2-[[(lR)-2-hydroxy-l-[4-(4- methylpyrimidin-5-yl)phenyl] ethyl]carbamoyl]pyrrolidine- 1 -carbonyl] -2-methyl- propyl]triazol-4-yl]phenyl]methoxy]-2-tetrahydropyran-4-yloxy-quinazolin-4-yl]-2,5- diazabicyclo[2.2.1]heptane-2-carboxylate (120 mg, 0.08 mmol, 1.00 eq) in dichloromethane (2 mL) was added trifluoroacetic acid (3.07 g, 26.92 mmol, 2 mL, 326.39 eq). The mixture was stirred at 25 °C for 0.5 h. The reaction mixture was concentrated
under reduced pressure to remove solvent. The residue was purified by prep-HPLC (column: YMC-Actus Triart C 18 150*30mm*7um;mobile phase: [water(FA)- ACN];gradient:20%-50% B over 10 min) to afford (2S,4R)-l-((S)-2-(4-(4-((((R)-4- ((lS,4S)-2,5-diazabicyclo[2.2.1]heptan-2-yl)-6-cyclopropyl-7-(6-fluoro-5-methyl-lH-
[0678] Step 1: tert-butyl (lS,4S)-5-(6-cyclopropyl-7-(6-fluoro-5-methyl-2-trityl-2H- indazol-4-yl)-8-((4-(l-((S)-l-((2S,4R)-4-hydroxy-2-(((R)-2-hydroxy-l-(4-(3- methylpyrazin-2-yl)phenyl)ethyl)carbamoyl)pyrrolidin- 1 -yl)-3-methyl- 1 -oxobutan-2-yl)- lH-l,2,3-triazol-4-yl)benzyl)oxy)-2-((tetrahydro-2H-pyran-4-yl)oxy)quinazolin-4-yl)-2,5- diazabicyclo[2.2.1]heptane-2-carboxylate
[0679] A mixture of (2S,4R)- l-((S)-2-azido-3-methylbutanoyl)-4-hydroxy-N-((R)-2- hydroxy-l-(4-(3-methylpyrazin-2-yl)phenyl)ethyl)pyrrolidine-2-carboxamide (189 mg, 0.4 mmol, 1 eq), tert-butyl (lS,4S)-5-(6-cyclopropyl-8-((4-ethynylbenzyl)oxy)-7-(6-fluoro-5- methyl-2-trityl-2H-indazol-4-yl)-2-((tetrahydro-2H-pyran-4-yl)oxy)quinazolin-4-yl)-2,5- diazabicyclo[2.2.1]heptane-2-carboxylate (400 mg, 0.4 mmol, 1 eq), cuprous iodide (38 mg, 0.2 mmol, 0.5 eq) and sodium ascorbate (120 mg, 0.6 mmol, 1.5 eq) in tetrahydrofuran (4 mL), tertiary butanol (4 mL) and water (4 mL) was degassed and purged with nitrogen for 3 times, and then the mixture was stirred at 50 °C for 12 h under nitrogen. LCMS showed the starting material was consumed completely and one main peak with desired mass was detected. The reaction mixture was diluted with dichloromethane (50 mL) and added 2% aqueous disodium ethylenediamine tetraacetate (50 mL), extracted with dichloromethane (30 mL x 3). The combined organic layers were washed with brine (20 mL x 3), dried over anhydrous sodium sulfate, filtered and the filtrate was concentrated under reduced pressure to give a residue. The residue was
purified by prep- thin layer chromatography (dichloromethane/methanol = 10/1) to offer the compound (495 mg, 0.34 mmol, 84% yield) as a yellow solid. LCMS (ESI, m/z): 1455.9 [M+l]+.
[0680] Step 2: (2S.4R)-l-((S)-2-(4-(4-((((R)-4-((lS.4S)-2.5-diazabicvclor2.2.11heptan-
2-yl)-6-cyclopropyl-7-(6-fluoro-5-methyl-lH-indazol-4-yl)-2-((tetrahydro-2H-pyran-4- yl)oxy)quinazolin-8-yl)oxy)methyl)phenyl)- 1 H- 1 ,2,3-triazol- 1 -yl)-3-methylbutanoyl)-4- hydroxy-N-((R)-2-hydroxy-l-(4-(3-methylpyrazin-2-yl)phenyl)ethyl)pyrrolidine-2- carboxamide
[0681] To a solution of tert-butyl (lS,4S)-5-(6-cyclopropyl-7-(6-fluoro-5-methyl-2- trityl-2H-indazol-4-yl)-8-((4-(l-((S)-l-((2S,4R)-4-hydroxy-2-(((R)-2-hydroxy-l-(4-(3- methylpyrazin-2-yl)phenyl)ethyl)carbamoyl)pyrrolidin- 1 -yl)-3-methyl- 1 -oxobutan-2-yl)- lH-l,2,3-triazol-4-yl)benzyl)oxy)-2-((tetrahydro-2H-pyran-4-yl)oxy)quinazolin-4-yl)-2,5- diazabicyclo[2.2.1]heptane-2-carboxylate (495 mg, 0.34 mmol, 1 eq) in dichloromethane (10 mL) was added trifluoroacetic acid (3 mL). The mixture was stirred at 20 °C for 1 h. LCMS showed the starting material was consumed completely and one main peak with desired mass was detected. The reaction mixture was concentrated under reduced pressure to remove solvent. The residue was purified by prep-HPLC (column: Phenomenex luna C18 150*40mm* 15um; mobile phase: [water(formic acid)- acetonitrile] gradient: 12%- 42% B over 15 min) to offer the compound (101 mg, 0.09 mmol, 26.7% yield, 99.31% purity, the second eluted fraction with desired mass) as a white solid. LCMS (ESI, m/z): 1112.7 [M+l]+.
NMR (400 MHz, DMSO-d6) 3: 13.12 (dd, J= 1.6, 3.6 Hz, 1H), 8.66 (s, 1H), 8.57 - 8.49 (m, 3H), 8.21 (s, 1H), 7.71 - 7.65 (m, 2H), 7.60 (d, J= 8.0 Hz, 2H), 7.48 (s, 1H), 7.44 - 7.38 (m, 4H), 6.78 (d, J= 7.2 Hz, 2H), 5.38 - 5.25 (m, 2H), 5.24 - 5.14 (m, 2H), 5.08 (s, 1H), 4.90 (d, J= 7.2 Hz, 2H), 4.71 (d, J= 11.6 Hz, 1H), 4.50 - 4.43 (m, 1H), 4.35 - 4.26 (m, 2H), 3.92 (s, 1H), 3.89 - 3.77 (m, 5H), 3.73 - 3.57 (m, 5H), 3.21 (d, J
= 10.6 Hz, 2H), 3.12 - 3.05 (m, 2H), 2.58 (s, 3H), 2.07 (dd, J= 3.2, 7.2 Hz, 2H), 1.99 (s, 3H), 1.82 - 1.75 (m, 2H), 1.71 - 1.64 (m, 2H), 1.40 - 1.32 (m, 1H), 1.24 (d, J= 2.5 Hz, 1H), 1.09 (d, J= 6.4 Hz, 3H), 0.72 (d, J= 6.0 Hz, 3H), 0.69 - 0.51 (m, 5H).
[0682] Example 97: (2S,4R)-l-((S)-2-(4-(4-((((R)-4-((lS,4S)-2,5- diazabicyclo[2.2. l]heptan-2-yl)-6-cyclopropyl-7-(6-fluoro-5-methyl- lH-indazol-4-yl)-2-
((S)-2-methoxypropoxy)quinazolin-8-yl)oxy)methyl)phenyl)- 1 H- 1 ,2,3 -triazol- 1 -yl)-3 - methylbutanoyl)-4-hydroxy-N-((R)-2-hydroxy-l-(4-(4-methylpyrimidin-5- yl)phenyl)ethyl)pyrrolidine-2-carboxamide
[0683] Step 1: tert-butyl (lS,4S)-5-(6-cyclopropyl-7-(6-fluoro-5-methyl-2-trityl-2H- indazol-4-yl)-8-((4-( 1 -((S)- 1 -((2S,4R)-4-hydroxy-2-(((R)-2-hydroxy- 1 -(4-(4- methylpyrimidin-5-yl)phenyl)ethyl)carbamoyl)pyrrolidin-l-yl)-3-methyl-l-oxobutan-2- yl)- 1 H- 1 ,2,3-triazol-4-yl)benzyl)oxy)-2-((S)-2-methoxypropoxy)quinazolin-4-yl)-2,5- diazabicyclo[2.2.1]heptane-2-carboxylate
Boc i
[0684] A mixture of tert-butyl (lS,4S)-5-(6-cyclopropyl-8-((4-ethynylbenzyl)oxy)-7-(6- fluoro-5-methyl-2-trityl-2H-indazol-4-yl)-2-((S)-2-methoxypropoxy)quinazolin-4-yl)-2,5- diazabicyclo[2.2.1]heptane-2-carboxylate (100 mg, 0.10 mmol, 1.00 eq), ((2S,4R)-1-((S)- 2-azido-3-methylbutanoyl)-4-hydroxy-N-((R)-2-hydroxy-l-(4-(4-methylpyrimidin-5- yl)phenyl)ethyl)pyrrolidine-2-carboxamide (53 mg, 0.11 mmol, 1.10 eq) , sodium ascorbate (30.47 mg, 0.15 mmol, 1.50 eq) and cuprous iodide (9.77 mg, 0.05 mmol, 0.50 eq) in tetrahydro furan (2 mL) , tertiary butanol (2 mL) and water (2 mL) was degassed and purged with nitrogen for 3 times, and then the mixture was stirred at 50 °C for 5 h under nitrogen. The reaction mixture was diluted with dichloromethane (20 mL) and added 2% disodium ethylenediamine tetraacetate solution (20 mL), extracted with dichloromethane (15 mL x 3). The combined organic layers were washed with brine (20 mL x 3), dried over anhydrous sodium sulfate, filtered and the filtrate was concentrated under reduced pressure to give a residue. The residue was purified by prep-TLC (dichloromethane/methanol = 10/1) to afford tert-butyl (lS,4S)-5-(6-cyclopropyl-7-(6- fluoro-5-methyl-2-trityl-2H-indazol-4-yl)-8-((4-(l-((S)-l-((2S,4R)-4-hydroxy-2-(((R)-2- hydroxy- 1 -(4-(4-methylpyrimidin-5-yl)phenyl)ethyl)carbamoyl)pyrrolidin- 1 -yl)-3-methyl-
1-oxobutan-2-yl)-lH-l,2,3-triazol-4-yl)benzyl)oxy)-2-((S)-2-methoxypropoxy)quinazolin- 4-yl)-2,5-diazabicyclo[2.2.1]heptane-2-carboxylate (90 mg, 0.06 mmol, 60.83% yield) as a yellow solid. LCMS (ESI, m/z): 1442.9 [M+l]+
[0685] Step 2: (2S,4R)-l-((S)-2-(4-(4-((((R)-4-((lS,4S)-2,5-diazabicyclo[2.2.1]heptan-
2-yl)-6-cyclopropyl-7-(6-fluoro-5-methyl-lH-indazol-4-yl)-2-((S)-2- methoxypropoxy)quinazolin-8-yl)oxy)methyl)phenyl)- 1 H- 1 ,2,3-triazol- 1 -y l)-3 - methylbutanoyl)-4-hydroxy-N-((R)-2-hydroxy-l-(4-(4-methylpyrimidin-5- yl)phenyl)ethyl)pyrrolidine-2-carboxamide
[0686] To a solution of tert-butyl (lS,4S)-5-(6-cyclopropyl-7-(6-fluoro-5-methyl-2- trityl-2H-indazol-4-yl)-8-((4-( 1 -((S)- 1 -((2S,4R)-4-hydroxy-2-(((R)-2-hydroxy- 1 -(4-(4- methylpyrimidin-5-yl)phenyl)ethyl)carbamoyl)pyrrolidin-l-yl)-3-methyl-l-oxobutan-2- yl)-lH-l,2,3-triazol-4-yl)benzyl)oxy)-2-((S)-2-methoxypropoxy)quinazolin-4-yl)-2,5- diazabicyclo[2.2.1]heptane-2-carboxylate (90 mg, 0.06 mmol, 1.00 eq) in dichloromethane (2 mL) was added trifluoroacetic acid (3.07 g, 26.92 mmol, 2 mL, 431.59 eq). The mixture was stirred at 25 °C for 0.5 h. The reaction mixture was concentrated under reduced pressure to remove solvent. The residue was purified by prep-HPLC (column: YMC-Actus Triart C18 150*30mm*7um;mobile phase: [water(FA)-ACN];gradient:20%- 50% B over 10 min) to afford (2S,4R)-l-((S)-2-(4-(4-((((R)-4-((lS,4S)-2,5- diazabicyclo[2.2.1]heptan-2-yl)-6-cyclopropyl-7-(6-fluoro-5-methyl-lH-indazol-4-yl)-2- ((S)-2-methoxypropoxy)quinazolin-8-yl)oxy)methyl)phenyl)- 1 H- 1 ,2,3 -triazol- 1 -yl)-3 - methylbutanoyl)-4-hydroxy-N-((R)-2-hydroxy-l-(4-(4-methylpyrimidin-5- yl)phenyl)ethyl)pyrrolidine-2-carboxamide (11.59 mg, 0.01 mmol, 38.63% yield, 100% purity, the second eluted fraction with desired mass) as a white solid. LCMS (ESI, m/z): 1100.8 [M]+.
NMR (400 MHz, DMSO- d6) 3: 13.17 - 13.07 (m, 1H), 9.04 (s, 1H), 8.66 (s, 1H), 8.59 (s, 1H), 8.51 (br d, .7 7.6 Hz, 1H), 7.68 (br d, J = 8.4 Hz, 2H), 7.50 (s, 1H), 7.47 7.41 (m, 5H), 7.39 (s, 1H), 6.85 - 6.78 (m, 2H), 5.37 - 5.32 (m, 1H), 5.21 - 5.13 (m, 3H), 4.99 - 4.85 (m, 3H), 4.47 (br t, J= 8.0 Hz, 1H), 4.43 - 4.37 (m, 1H), 4.31 (br d, J = 4.0 Hz, 4H), 3.98 (br d, J = 10.4 Hz, 1H), 3.86 - 3.77 (m, 1H), 3.76 - 3.68 (m, 2H), 3.68 - 3.56 (m, 3H), 3.30 (br s, 4H), 2.48 (s, 4H), 2.18 (br cl,
~ 10.4 Hz, 1H), 2.13 - 2.06 (m, 1H), 1.99 (br d, J = 2.0 Hz, 3H), 1.96 - 1.91 (m, 1H), 1.85 - 1.78 (m, 1H), 1.43 - 1.33 (m, 1H), 1.28 - 1.22 (m, 1H), 1.14 (d, J = 6.4 Hz, 3H), 1.09 (br d, ./~ 6.0 Hz, 3H), 0.73 (br d, J = 6.4 Hz, 3H), 0.70 - 0.52 (m, 4H).
[0687] Example 98: (2S,4R)-l-((S)-2-(4-(4-((((R)-4-((lS,4S)-2,5- diazabicyclo[2.2.1]heptan-2-yl)-6-cyclopropyl-7-(6-fluoro-5-methyl-lH-indazol-4-yl)-2- ((S)-2-methoxypropoxy)quinazolin-8-yl)oxy)methyl)phenyl)- 1 H- 1 ,2,3 -triazol- 1 -yl)-3 - methylbutanoyl)-4-hydroxy-N-((R)-2-hydroxy- 1 -(4-(3 -methylpyrazin-2- yl)phenyl)ethyl)pyrrolidine-2-carboxamide
[0688] Step 1: tert-butyl (lS,4S)-5-(6-cyclopropyl-7-(6-fluoro-5-methyl-2-trityl-2H- indazol-4-yl)-8-((4-(l-((S)-l-((2S,4R)-4-hydroxy-2-(((R)-2-hydroxy-l-(4-(3- methylpyrazin-2-yl)phenyl)ethyl)carbamoyl)pyrrolidin- 1 -yl)-3-methyl- 1 -oxobutan-2-yl)- lH-l,2,3-triazol-4-yl)benzyl)oxy)-2-((S)-2-methoxypropoxy)quinazolin-4-yl)-2,5- diazabicyclo[2.2.1]heptane-2-carboxylate
[0689] A mixture of tert-butyl (lS,4S)-5-(6-cyclopropyl-8-((4-ethynylbenzyl)oxy)-7-(6- fluoro-5-methyl-2-trityl-2H-indazol-4-yl)-2-((S)-2-methoxypropoxy)quinazolin-4-yl)-2,5-
diazabicyclo[2.2.1]heptane-2-carboxylate (400 mg, 0.4 mmol, 1 eq), (2S,4R)-l-((S)-2- azido-3-methylbutanoyl)-4-hydroxy-N-((R)-2-hydroxy-l-(4-(3-methylpyrazin-2- yl)phenyl)ethyl)pyrrolidine-2-carboxamide (211 mg, 0.45 mmol, 1.1 eq), cuprous iodide (39 mg, 0.2 mmol, 0.5 eq) and sodium ascorbate (81.26 mg, 0.4 mmol, 1 eq) in tetrahydrofuran (5 mL), water (5 mL) and tertiary butanol (5 mL) was degassed and purged with nitrogen for 3 times, and then the mixture was stirred at 50 °C for 12 h under nitrogen. LCMS showed the starting material was consumed completely and one main peak with desired mass was detected. The reaction mixture was diluted with dichloromethane (50 mL) and added 2% disodium ethylenediamine tetraacetate solution (50 mL), extracted with dichloromethane (30 mL x 3). The combined organic layers were washed with brine (20 mL x 3), dried over anhydrous sodium sulfate, filtered and the filtrate was concentrated under reduced pressure to give a residue. The residue was purified by prep-TLC (silicon dioxide, dichloromethane/methanol=10/l) to offer the desired compound (544 mg, 0.37 mmol, 88% yield, 96% purity) as a white solid. LCMS (ESI, m/z): 1443.9 [M+l]+.
[0690] Step 2: (2S,4R)-l-((S)-2-(4-(4-((((R)-4-((lS,4S)-2,5-diazabicyclo[2.2.1]heptan- 2-yl)-6-cyclopropyl-7-(6-fluoro-5-methyl-lH-indazol-4-yl)-2-((S)-2- methoxypropoxy)quinazolin-8-yl)oxy)methyl)phenyl)- 1 H- 1 ,2,3-triazol- 1 -y l)-3 - methylbutanoyl)-4-hydroxy-N-((R)-2-hydroxy- 1 -(4-(3 -methylpyrazin-2- yl)phenyl)ethyl)pyrrolidine-2-carboxamide
[0691] To a solution of tert-butyl (lS,4S)-5-(6-cyclopropyl-7-(6-fluoro-5-methyl-2- trityl-2H-indazol-4-yl)-8-((4-(l-((S)-l-((2S,4R)-4-hydroxy-2-(((R)-2-hydroxy-l-(4-(3- methylpyrazin-2-yl)phenyl)ethyl)carbamoyl)pyrrolidin- 1 -yl)-3-methyl- 1 -oxobutan-2-yl)- lH-l,2,3-triazol-4-yl)benzyl)oxy)-2-((S)-2-methoxypropoxy)quinazolin-4-yl)-2,5- diazabicyclo[2.2.1]heptane-2-carboxylate (544 mg, 0.38 mmol, 1 eq) in dichloromethane
(5 mL) was added trifluoroacetic acid (1 mL). The mixture was stirred at 20 °C for 0.5 h. LCMS showed the starting material was consumed completely and one main peak with desired mass was detected. The reaction mixture was concentrated under reduced pressure to remove the solvent. The residue was purified by prep-HPLC (column: Phenomenex Luna C18 150*25mm*10um;mobile phase: [water(formic acid)- acetonitrile];gradient: 15%-45% B over 10 min) to offer the desired compound (81.32 mg, 0.07 mmol, 19.60% yield, 100% purity, formate[l], the second eluted fraction with desired mass) as a white solid. LCMS (ESI, m/z): 1100.7 [M+l]+. 1H NMR (400MHz, DMSO- d6) 3: 13.21 - 13.02 (m, 1H), 8.67 - 8.62 (m, 1H), 8.58 - 8.49 (m, 3H), 8.22 (s, 1H), 7.65 (d, J= 8.0 Hz, 2H), 7.59 (d, J= 8.0 Hz, 2H), 7.48 (s, 1H), 7.44 - 7.39 (m, 4H), 6.79 (d, J=
8.0 Hz, 2H), 5.40 - 5.27 (m, 2H), 5.22 - 5.13 (m, 1H), 5.09 (s, 1H), 4.95 - 4.85 (m, 2H), 4.78 - 4.70 (m, 1H), 4.46 (t, J = 8.4 Hz, 1H), 4.36 - 4.20 (m, 5H), 3.90 (s, 1H), 3.83 - 3.77 (m, 2H), 3.74 - 3.61 (m, 5H), 3.29 (s, 3H), 2.58 (s, 3H), 1.99 (d, J= 2.0 Hz, 3H), 1.95 (s, 1H), 1.80 (s, 1H), 1.42 - 1.24 (m, 2H), 1.13 (d, J= 6.4 Hz, 3H), 1.08 (d, J = 6.4 I Iz, 3H), 1.05 (s, 1H), 0.75 - 0.56 (m, 8H).
[0693] Degradation of KRas G12D and Inhibition of KRas G12D-mediated Phosphorylation of ERK1/2 by Exemplary Compounds of Formula (I)
[0694] This Example illustrates how the compounds presented herein can be screened for degradation KRAS G12D.
[0695] AsPC-1 cells (ATCC CRL-1682) expressing G12D are grown in RPMI-1640 medium supplemented with 10% fetal bovine serum, and Penicillin/Streptomycin. Cells are plated in 6-well tissue culture plates at a density of 1 million cells/well and allowed to attach for overnight. Diluted compounds are then added in a final concentration of 0.2% DMSO. After 24 hour treatment, the medium is removed, and the plate washed three times with ice-cold PBS. 50 pl of the RIPA cell lysis buffer (ThermoFisher 89901) supplemented with protease inhibitor (Roche 4693116001) and Phosphatase Cocktail A and B inhibitor (Bimake B 15002; Bimake Houston TX) is added to each well, the adherent cells are scratched off, and transferred into pre-cold centrifuge tubes. After vigorous vortex, the tubes are incubated on ice for 30 minutes, centrifuged 14,000 rpm for 10 min at 4°C, and the supernatant are transferred into fresh tubes kept on ice. The protein concentration of the supernatant is determined with bicinchoninic acid method (BCA) (ThermoFisher 23227). Samples are prepared to the final concentration of 30ug in 20ul using NuPAGE LDS Sample Buffer (Invitrogen NP0007), NuPAGE Sample Reducing Agent (Invitrogen NP0009), and RIPA cell lysis buffer, and boiled at 95 °C for 15 minutes in water bath.
[0696] The levels of KRAS protein and phosphorylated ERK1/2 are determined by Western blotting. 20 pL of protein sample mixture was loaded into each well of 1.5mm 4- 12% Bis-Tris gel (Invitrogen NP0335), and run at 80V in stacking gel and 120 V in separating gel for about 2 h in MOPS running buffer (Invitrogen NP0001). The gel is transferred to the membrane (20V, 7 min) with Invitrogen iBlot2, and blocked with Li-Cor blocking buffer (LI-COR 927-60001; Li-Cor Biotechnology, Lincoln NE) for at least 1 h
at room temperature. Primary antibodies diluted in the blocking buffer were added and incubated at 4 °C overnight. As the primary antibodies, KRAS (Proteintech 12063-1-AP), G12D Mutant Specific KRAS (Cell Signaling Technology 14429S), ERK1/2 (Cell Signaling Technology 4695S), Phospho-ERKl/2 (Cell Signaling Technology 4370S), and GAPDH (Millipore MAB374) are used. The membrane is washed 4 times with TBST (0.1% Tween20®; ThermoFisher 28360) for 5 minutes at room temperature, then incubated with Li-Cor anti-rabbit-800 (LI-COR 926-68070) and anti-mouse-680 (LI- COR-926-32211) diluted in Li-Cor blocking buffer with the ratio of 1 : 15,000 to visualize the primary antibodies for 1 hour at room temperature. Then membrane is washed 4 times with TBST (0.1% Tween20®) 5 minutes. The signal intensities of bands are quantified by Li-Cor Odyssey CLX.
[0697] The KRas and phosphor-ERKl/2 signals are normalized to the GAPDH signal for each lane and percent of DMSO values are calculated to determine the degradation of KRas and the inhibition of ERK1/2 phosphorylation upon the compound treatment.
ASPC-1 HiBit assay to determine G12D degradation
[0698] Compounds presented herein induce degradation of the KRas G12D (KRasG12D) upon treatment of engineered cancer cell line.
[0699] The degradation of the KRasG12D in cellular environment was measured using engineered homozygous KRasG12D AsPC-1 cell line in which KRas G12D was fused to luminescent HiBiT peptide at the N-terminal. The small (1.3 kDa) HiBiT peptide complements with high affinity to a larger (18 kDa) subunit evolved from NanoLuc (termed LgBiT). The resulting complex (i.e., reconstituted luciferase enzyme) generates bright luminescence that translates to high sensitivity (1 amol), broad dynamic range (four orders of magnitude), and rapid kinetics for real time quantitation.
[0700] To generate HiBit KRasG12D knock-in cell line, sgRNA (SEQ. ID NO: 1) and ssODN (SEQ. ID NO: 2) were designed and synthesized at GenScript.
[0701] RNP complex was generated by mixing of 100 pmol of Cas9 protein to PCR tubes containing 300 pmol sgRNA incubating the resultant complex at room temperature for 20 min. 2 pg ssODN was added to RNP complex slowly and RNP-ssODN complex was incubated at room temperature for 10 min. RNP-ssODN complex was mixed with 100 ml of AsPC-1 cells (IxlO6 cells total) and electroporated using Nucleofactor (Program CM- 150). Cells were then incubated at ambient temperature for 5 min and transferred to a six- well plate containing 2 ml growth medium.
[0702] To select pools with the highest luminescence signal, 104 cells of parental AsPC- 1 and transfected pools were plated in solid white 384-well tissue culture plates. 24 hours after seeding, HiBiT was detected using the Nano-Gio HiBiT Lytic Detection System (Promega) following manufacturer’s instructions. Briefly, 500 pl of Nano-Gio HiBiT Lytic Detection Reagent was added directly to the cells and mixed by inversion before recording luminescence on an Envision (Perkin-Elmer) with 0.5 s integration time.
[0703] Single clones were isolated from stable pool by limited dilution method and presence of HiBiT knock-in was verified by TA cloning and subsequent sequencing. Additionally, western blotting analysis was conducted to confirm selection of single clones with high luminescence signal.
[0704] For DCsos measurements, AsPC-1 HiBiT single clone cells were grown in RPMI 1640 medium (Invitrogen 22400-089) supplemented with 10% fetal bovine serum. Cells were seeded in 384-well tissue culture plates at a density of 7,000 cells/well and allowed to attach for 24 hours.
[0705] Test compounds were distributed directly into assay plate with the adjustment for DMSO concentration using Tecan HP D300e. For most of the experiments, the final concentration of compounds started from 10 pM, 3 -fold dilution dose response and 10 doses. In those cases where compound hook effect was observed at 10 pM or compound potency is left shifted, the top dose was adjusted to 2.5 mM. DMSO final concentration is 1 %. Each concentration of exemplary compound was tested as singleton. The negative control wells were cells with DMSO only, and the positive control wells were cells with 10 mM inhibitor.
[0706] Following 24-hour incubation with the compounds plate and Nano-Gio® HiBiT Lytic reagents were equilibrated to room temperature. 20 pL of HiBiT Lytic reagent were added to each well. The assay plate was incubated on digital microplate shaker (350 rpm) for 20 min followed by centrifugation at 500 g for 1 min. Luminescence was recorded using Envision (Perkin-Elmer) using aperture 384-L1 with 0.1 s integration time.
[0707] HiBiT signal was used to calculate the % degradation at given compound concentration using the following formula:
% Degradation = (1- (Sample HiBiT signal - Ave Min signal) / (Ave Max signal - Ave Min signal))* 100%
[0708] For DC50 calculation, the data with the hook effect was removed first and DC50S was reported using a 4-parameter fit of dose response curve using GraphPad in those cases
where maximum % degradation is > 50% and Minimal % degradation is < 50%. The decrease in DC50 reflects that the exemplary compound led to a higher level of degradation of KRasG12D than another exemplary compound at specific timepoint of treatment of cancer cell line. [0709] For percent degradation measurements, AsPC-1 HiBiT single clone cells were grown in RPMI 1640 medium (Invitrogen 22400-089) supplemented with 10% fetal bovine serum. Cells were seeded in 384-well tissue culture plates at a density of 7,000 cells/well and allowed to attach for 24 hours.
[0710] Following 24-hour incubation with the compounds, plate and Nano-Gio® HiBiT Lytic reagents were equilibrated to room temperature. 20 pL of HiBiT Lytic reagent were added to each well. The assay plate was incubated on digital microplate shaker (350 rpm) for 20 min followed by centrifugation at 500 g for 1 min. Luminescence is recorded using Envision (Perkin-Elmer) using aperture 384-L1 with 0.1 s integration time.
[0711] HiBiT signal was used to calculate the % degradation at 1 mM compound concentration using the following formula:
% Degradation = (1- (Sample HiBiT signal - Ave Min signal) / (Ave Max signal - Ave Min signal))* 100%
[0712] Degradation of KRas G12C
[0713] The following method can be used to screen the compounds herein against Kras G12C
[0714] MIA PaCa-2 cells (ATCC CRL-1420) expressing G12C are grown in DMEM medium supplemented with 10% fetal bovine serum, 2.5% horse serum, lOug/ml blasticidin (InvivoGen ant-bl-1) and Penicillin/Streptomycin. Cells are plated in 6-well tissue culture plates at a density of 1 million cells/well and allowed to attach for overnight. Diluted compounds are then added in a final concentration of 0.2% DMSO. After 24-hour treatment, the medium was removed, and the plate is washed three times with ice-cold PBS. 50 ul of the RIPA cell lysis buffer (ThermoFisher 89901) supplemented with protease inhibitor (Roche 4693116001) and Phosphatase Cocktail A and B inhibitor (Bimake B 15002; Bimake Houston TX) is added to each well, the adherent cells are scratched off, and transferred into pre-cold centrifuge tubes. After vigorous vortex, the tubes are incubated on ice for 30 minutes, centrifuged 14,000 rpm for 10 min at 4°C, and the supernatant are transferred into fresh tubes kept on ice. The protein concentration of the supernatant is determined with bicinchoninic acid method (BCA) (ThermoFisher 23227). Samples are prepared to the final concentration of 30 ug in 20ul using NuPAGE LDS Sample Buffer (Invitrogen NP0007), NuPAGE Sample Reducing Agent (Invitrogen NP0009), and RIPA cell lysis buffer, and boiled at 95 °C for 15 minutes in water bath.
[0715] The levels of KRas protein was determined by Western blotting. 20 pL of protein sample mixture is loaded into each well of 1.5mm 4-12% Bis-Tris gel (Invitrogen NP0335), and run at 80V in stacking gel and 120 V in separating gel for about 2 h in MOPS running buffer (Invitrogen NP0001). The gel is transferred to the membrane (20V, 7 min) with Invitrogen iBlot2, and blocked with Li-Cor blocking buffer (LI-COR 927- 60001; Li-Cor Biotechnology, Lincoln NE) for at least 1 h at room temperature. Primary antibodies diluted in the blocking buffer are added and incubated at 4 °C overnight. As the primary antibodies, KRAS (Proteintech 12063- 1-AP), and GAPDH (Millipore MAB374) is used. The membrane is washed 4 times with TBST (0.1% Tween20®; ThermoFisher 28360) for 5 minutes at room temperature, then incubated with Li-Cor anti-rabbit-800 (LI-
COR 926-68070) and anti-mouse-680 (LI-COR-926-32211) diluted in Li-Cor blocking buffer with the ratio of 1 : 15,000 to visualize the primary antibodies for 1 hour at room temperature. Then membrane is washed 4 times with TBST (0.1% Tween20®) 5 minutes. The signal intensities of bands are quantified by Li-Cor Odyssey CLX.
[0716] The KRas signals are normalized to the GAPDH signal for each lane and percent of DMSO values are calculated to determine the degradation of KRas upon the compound treatment.
[0717] Degradation of KRAS wild type (WT) by Exemplary Compounds of Formula (I)
[0718] This Example illustrates that embodiments of the present application can be screen for degradation of KRAS WT.
[0719] HT-29 cells (ATCC HTB-38) expressing WT KRAS are grown in McCoy’s 5a medium modified (ATCC cat # 30-2007) supplemented with 10% fetal bovine serum, and Penicillin/Streptomycin. Cell are plated in 6-well tissue culture plates at a density of 1 million cells/well and allowed to attach for overnight. Diluted compounds are then added in a final concentration of 0.2% DMSO. After 24 hour treatment, the medium is removed, and the plate is washed three times with ice-cold PBS. 50ul of the RIPA cell lysis buffer (ThermoFisher 89901) supplemented with protease inhibitor (Roche 4693116001) and Phosphatase Cocktail A and B inhibitor (Bimake Bl 5002; Bimake Houston TX) was added to each well, the adherent cells are scratched off, and transferred into pre-cold centrifuge tubes. After vigorous vortex, the tubes are incubated on ice for 30 minutes, centrifuged 14,000 rpm for 10 min at 4°C, and the supernatant is transferred into fresh tubes kept on ice. The protein concentration of the supernatant is determined with bicinchoninic acid method (BCA) (ThermoFisher 23227). Samples are prepared to the final concentration of 30 micrograms in 20ul using NuPAGE LDS Sample Buffer (Invitrogen NP0007), NuPAGE Sample Reducing Agent (Invitrogen NP0009), and RIPA cell lysis buffer, and boiled at 95 °C for 15 minutes in water bath.
[0720] The levels of KRAS protein can be determined by Western blotting. 20 pL of protein sample mixture is loaded into each well of 1.5mm 4-12% Bis-Tris gel (Invitrogen NP0335), and run at 80V in stacking gel and 120 V in separating gel for about 2 h in MOPS running buffer (Invitrogen NP0001). The gel is transferred to the membrane (20V, 7 min) with Invitrogen iBlot2, and blocked with Li-Cor blocking buffer (LI-COR 927- 60001; Li-Cor Biotechnology, Lincoln NE) for at least 1 h at room temperature. Primary
antibodies diluted in the blocking buffer are added and incubated at 4 °C overnight. As the primary antibodies, KRAS (Proteintech 12063-1-AP), and GAPDH (Millipore MAB374) are used. The membrane is washed 4 times with TBST (0.1% Tween20®; ThermoFisher 28360) for 5 minutes at room temperature, then incubated with Li-Cor anti-rabbit-800 (LI- COR 926-68070) and anti-mouse-680 (LI-COR-926-32211) diluted in Li-Cor blocking buffer with the ratio of 1 : 15,000 to visualize the primary antibodies for 1 hour at room temperature. Then membrane is washed 4 times with TBST (0.1% Tween20®) 5 minutes. The signal intensities of bands were quantified by Li-Cor Odyssey CLX.
[0721] The KRAS signals are normalized to the GAPDH signal for each lane and percent of DMSO values were calculated to determine the degradation of KRAS upon the compound treatment.
[0722] Although the foregoing embodiments have been described in some detail by way of illustration and Example for purposes of clarity of understanding, one of skill in the art will appreciate that certain changes and modifications may be practiced within the scope of the appended claims. In addition, each reference provided herein is incorporated by reference in its entirety to the same extent as if each reference was individually incorporated by reference. Where a conflict exists between the instant application and a reference provided herein, the instant application shall dominate.
Claims
WHAT IS CLAIMED IS:
1. A compound of formula (I) :
wherein t is an integer from 0 to 4; each V is independently selected from methyl, cyanomethyl, or any two V combine to form a bridge or spirocycle structure, optionally comprising a heteroatom in the bridge or spirocycle selected from S, SO2, O or N, and wherein the bridge or spirocycle structure is optionally substituted with oxo (=0);
Ar is selected from 6- to 10-membered aryl, 5-10 membered heteroaryl; wherein the 5-10 membered heteroaryl ring contains 1 to 4 heteroatoms independently selected from O, N and S; and wherein Ar is optionally substituted with 1 to 5 substituents independently selected from the group consisting of OH, oxo (=0), halo, CN, NR'R", CM alkyl, CF3, CM haloalkyl, C1-4 alkoxy, C3-4 cycloalkyl, C2-4 alkynyl; wherein R' and R" are independently selected from alkyl and hydrogen;
R1 is Ci-Ce alkyl, 4-10 membered heterocyclyl, 3-10 membered cycloalkyl, 6-10 membered aryl or 5-10 membered heteroaryl, wherein said Ci-Ce alkyl, heterocyclyl, cycloalkyl, aryl and heteroaryl are optionally substituted with OH, halo, CN, CF3, C1-4 alkyl, CM alkoxy, C3-4 cycloalkyl, C3-4 cycloalkoxy, and C1-3 alkyl-OH;
X is C-H, C-halo, C-C1-3 alkyl, C-CF3, C-C1-3 haloalkyl, C- C3-4 cycloalkyl, C- cyano, or N;
Y is O, NR2, S, or absent, wherein R2 is H or C1-4 alkyl;
Y' is C1-3 alkyl or absent;
Z is O, NRZ, S, or absent; wherein Rz is hydrogen or methyl;
Z’ is null, substituted or unsubstituted alkylene, substituted or unsubstituted heterocyclylalkylene, substituted or unsubstituted heterocyclyloxyalkylene, substituted or unsubstituted alkoxalkylene, substituted or unsubstituted heteroalkylene, substituted or unsubstituted arylalkylene, substituted or unsubstituted aryloxyalkylene, substituted or unsubstituted heteroarylalkylene, substituted or unsubstituted heteroaryloxyalkylene, substituted or unsubstituted cycloalkylalkylene, or a substituted or unsubstituted cycloalkyloxyalkylene;
L is: bond, NH, S, O, C(O), C(O)O, OC(O), NHC(O), C(O)NH, NHC(O)NH, NHC(NH)NH, C(S), substituted or unsubstituted alkylene, substituted or unsubstituted heteroalkylene, substituted or unsubstituted cycloalkylene, substituted or unsubstituted spirocycloalkylene, substituted or unsubstituted heterocycloalkylene, substituted or unsubstituted spiroheterocycloalkylene, substituted or unsubstituted arylene, substituted or unsubstituted heteroarylene or combinations thereof; and
UBM comprises a ubiquitin binding moiety structure of Formula (la):
wherein W is aryl, heteroaryl, or -NH-;
Rb is C1-C4 alkyl;
G and G' are independently H, methyl, ethyl, isopropyl, or hydroxymethyl; or G and G' combine to form a cyclopropyl; m is an integer from 0 to 5; each RT is independently halogen, C1-C4 alkyl, C1-C4 alkoxy, cyano, OH, NH2, cyclopropyl, or cyclobutyl; each of T1, T2, T3, T4, or T5 is independently N, CH, or CRT; wherein 0 to 3 ofT1, T2, T3, T4, or T5 are N.
2. The compound of claim 1, wherein W is isoxazolyl, oxazolyl, thiazolyl, isothiazolyl, thiophenyl, pyrrolyl, imidazolyl, furanyl, triazolyl, furazanyl, thiadiazolyl, dioxazolyl, dithiazolyl, pyridyl, or phenyl.
3. The compound of claim 1 or 2, wherein W is isoxazolyl or triazolyl.
4. The compound of any one of claims 1 to 3, wherein Rb is n-propyl, i-propyl, n-butyl, i-butyl, sec-butyl, or tert-butyl.
6. The compound of claim 1, wherein Formula (la) is (Ic 1 ) or (Ic2):
wherein G is H, methyl, or hydroxymethyl.
8. The compound of claim 1, wherein Formula (la) is (lai):
wherein G is H, methyl, or hydroxymethyl.
9. The compound of claim 1, wherein Formula (la) is (Ia2):
wherein G is H, methyl, or hydroxymethyl.
10. The compound of claim 1, wherein Formula (la) is (Ia3):
wherein G is H, methyl, or hydroxymethyl.
11. The compound of claim 1, wherein Formula (la) is (Ia4):
and, wherein G is H, methyl, or hydroxymethyl.
12. The compound of claim 1, wherein Formula (la) is (Ia5):
and, wherein G is H, methyl, or hydroxymethyl.
13. The compound of claim 1, wherein Formula (la) is (Ia6):
wherein G is H, methyl, or hydroxymethyl.
14. The compound of claim 1, wherein Formula (la) is (Ia7):
and, wherein G is H, methyl, or hydroxymethyl.
15. The compound of claim 1, wherein Formula (la) is (Ia8):
wherein G is H, methyl, or hydroxymethyl.
16. The compound of claim 1, wherein Formula (la) is (Ia9):
wherein G is H, methyl, or hydroxymethyl.
17. The compound of claim 1, wherein Formula (la) is (laid):
wherein G is H, methyl, or hydroxymethyl.
18. The compound of claim 1, wherein Formula (la) is (lai 1):
wherein G is H, methyl, or hydroxymethyl.
19. The compound of any one of claims 8 to 18, wherein W is isoxazolyl or triazolyl, and Rb is i-propyl.
20. The compound of any one of claims 8 to 18, wherein W is -NH- and Rb is i-propyl or t-butyl.
21. The compound of any one of claims 1 to 18, wherein Ar is selected from: , wherein G1 and G2 are independently selected from S, O, CH, -
=CR21 , wherein R20 and R21 is hydrogen, halogen, alkyl or haloalkyl and at least one of R20 and R21 is halogen, -CH=N-, -C-halogen,-C-OH, N, NH, NMe or -CE, wherein E is CN; wherein either G1 or G2 forms a double bond with carbon of the -CR10 moiety; wherein R7, R8, and R9 are independently selected from halogen, hydrogen, hydroxyl, alkoxy, alkyl, cycloalkyl, amino, and A'-alkylamino; and R10 is hydrogen, hydroxyl, alkoxy, amino, A'-alkylamino, C-amide (-CONRR’), N-amides (- NHCOR), urea (-NHCONHR), ether (-OR), or sulfonamide (-NHSO2R or -SO2NHR)3; or wherein G1 and G2 are independently selected from S, O, CH, -CH=CH-, -CH=N-, N, NH, NMe or -CE, where E is CN, halogen, OH, OMe, alkyl- or aryl sulfonamide, alkyl- or aryl sulfone, acyl, formyl, amide, ester, carboxylic acid, or CF3; wherein either G1 or G2 forms
a double bond with carbon of the -CR10 moiety; wherein R7, R8, and R9, are independently selected from halogen, hydrogen, hydroxyl, alkoxy, alkyl, cycloalkyl, amino, and N- alkylamino; and R10 is hydrogen, hydroxyl, alkoxy, amino, A-alkylamino, C-amide (- CONRR’), N-amides (-NHCOR), urea (-NHCONHR), ether (-OR), or sulfonamide (- NHSO2R or -SO2NHR)3; or
wherein Z1, Z2, Z3, and Z4 are independently selected from N, NH, N-alkyl, N-cycloalkyl, N-heterocyclyl, CH, C-(Ci-C4)-alkyl, C-halo,
C-alkynyl, C=O, C=S, point of attachment:
, S, or null; Z5 is CH, C-halo, or point of attachment:
; wherein null can only occur once; and wherein R11, R12, and R13, are independently selected from halogen, hydrogen, hydroxyl, alkoxy, alkyl, cycloalkyl, amino, and A-alkylamino.
26. The compound of claim 21, wherein (A2) is:
wherein Rc is selected from hydrogen, alkyl, cycloalkyl, and heterocyclyl.
28. The compound of claim 21, wherein (A2) is:
wherein Rc is selected from hydrogen, alkyl, cycloalkyl, and heterocyclyl.
31. The compound of claim 30, wherein (A2) is: f claim 1, wherein Ar is:
wherein R11, R12, and R13, are independently selected from halogen, hydrogen, hydroxyl, alkoxy, alkyl, cycloalkyl, amino, and A-alkylamino; and,
wherein R14 is hydrogen, halogen, halo-C1-3haloalkyl, C1-3alkoxy, Ci- 3haloalkoxy, cyclopropyl, C1-3alkylthio, or CF3.
33. The compound of claim 32, wherein (A4) is: f claim 1, wherein (A4) is:
wherein R11, R12, and R13, are independently selected from halogen, hydrogen, hydroxyl, alkoxy, alkyl, cycloalkyl, amino, and A-alkylamino; and, wherein R14 is hydrogen, halogen, halo-C1-3haloalkyl, C1-3alkoxy, Ci- 3haloalkoxy, cyclopropyl, C1-3alkylthio, or CF3.
R14 is H, halo, halo-C1-3haloalkyl, C1-3alkoxy, C1-3haloalkoxy, cyclopropyl, C1-3alkylthio, or CF3;
R15 is H, halo, halo-C1-3haloalkyl, C1-3alkoxy, C1-3haloalkoxy, cyclopropyl, C1-3alkylthio, or CF3; or
R14 and R15, together with the atoms to which they are each bonded, form 5 to 6 membered heteroaryl or 6 membered aryl, wherein the 5 to 6 membered heteroaryl and 6 membered aryl is optionally substituted
with 1 to 4 substituents selected from the group consisting of halo, C1-3 alkyl, C1-3 alkoxy;
R16 is H, halo, halo-C1-3haloalkyl, C1-3alkoxy, C1-3haloalkoxy, cyclopropyl, C1-3alkylthio, or CF3;
R17 is H or CH3; wherein each C1-3 alkyl is independently optionally substituted with 1 to 5 halogens; and, each C1-3 alkoxy is independently optionally substituted with 1 to 3 halogens.
38. The compound of any one of claims 1 to 37, wherein two V form a bridge: -CH2- or-CH2-CH2-
40. The compound of any one of claims 1 to 39, wherein linker -L- is:
wherein any number of carbon or oxygen atoms of L are optionally exchanged with a heteroatom selected from NRL, S, or SO2 atoms, where RL is hydrogen or methyl; and i, j, m, n, 0, p, q are integers independently selected from 0, 1, 2, 3, 4, 5, 6, 7, 8, 9 and 10; and wherein each carbon atom of L is optionally substituted with oxo (=0), OH, halo, NR3R4, C1-4 alkyl, C1-4 haloalkyl, C1-4 alkoxy, or C3-4 cycloalkyl; wherein each L is attached to Z’ and ubiquitin binding moiety (UBM) in either orientation.
41. The compound of any one of claims 1 to 39, wherein linker -L- is:
wherein each A and B are independently selected from absent, a 3- to 10-membered cycloalkylene, 4- to 10-membered heterocycloalkylene, 5- to 10-membered heteroarylene and 6- to 10-membered arylene, wherein any number of carbon or oxygen atoms of L are optionally exchanged with a heteroatom selected from NRL, S or SO2 atoms, where RL is hydrogen or methyl; r, s, u, v are integers independently selected from 0, 1, 2, 3, 4, 5, 6, 7, 8, 9 and 10; wherein each carbon atom of L is optionally substituted with oxo (=0), OH, halo, NR3R4, C1-4 alkyl, C1-4 haloalkyl, C1-4 alkoxy, C3-4 cycloalkyl; wherein each L is attached to Z’ and ubiquitin binding moiety (UBM) in either orientation; and when A and B are a 3- to 10-membered cycloalkyl or 4- to 10-membered heterocycloalkyl, they are incorporated at any two independent ring atoms, or at the same ring atom; wherein R3 is H or alkyl; R4 is H or alkyl.
-L- is a structure according to formula (LO):
wherein each k is independently 0 or 1 ; and, each g is independently 1 or 2.
45. The compound of any one of claims 1 to 44, wherein Z’ is C1-C3 alkylene.
47. The composition of any one of claims 1 to 46, wherein the ubiquitin binding moiety structure of Formula (la) is:
48. The compound of any one of claims 1 to 35, wherein R1 is:
substituted with OH, halo, CN, CF3, C1-4 alkyl, C1-4 alkoxy, and C1-3 alkyl-OH.
Example 9 Example 10
Example 17 Example 18
Example 25 Example 26
Example 33 Example 34
Example 69 Example 70
Example 77 Example 78
Example 84a Example 84b
Example 90
Example 97 Example 98
Example 111 Example 112 or a pharmaceutically acceptable salt thereof.
50. A pharmaceutical composition comprising a pharmaceutically effective amount of a conjugate of any one of claims 1 to 49, or a pharmaceutically acceptable salt thereof, and a pharmaceutically acceptable excipient.
51. The pharmaceutical composition of claim 50 further comprising an additional therapeutic agent.
52. A method of treating a subject having cancer, the cancer characterized by the presence of a KRAS G12D mutation, the method comprising
administering to the subject a therapeutically effective amount of a conjugate of any one of claims 1 to 49, or a pharmaceutically acceptable salt thereof, or a pharmaceutical composition thereof.
53. The method of claim 52, wherein the cancer is Cardiac: sarcoma (angiosarcoma, fibrosarcoma, rhabdomyosarcoma, liposarcoma), myxoma, rhabdomyoma, fibroma, lipoma and teratoma; Lung: bronchogenic carcinoma (squamous cell, undifferentiated small cell, undifferentiated large cell, adenocarcinoma), alveolar (bronchiolar) carcinoma, bronchial adenoma, sarcoma, lymphoma, chondromatous hamartoma, mesothelioma; Gastrointestinal: esophagus (squamous cell carcinoma, adenocarcinoma, leiomyosarcoma, lymphoma), stomach (carcinoma, lymphoma, leiomyosarcoma), pancreas (ductal adenocarcinoma, insulinoma, glucagonoma, gastrinoma, carcinoid tumors, vipoma), small bowel (adenocarcinoma, lymphoma, carcinoid tumors, Kaposi's sarcoma, leiomyoma, hemangioma, lipoma, neurofibroma, fibroma), large bowel (adenocarcinoma, tubular adenoma, villous adenoma, hamartoma, leiomyoma); Genitourinary tract: kidney (adenocarcinoma, Wilm's tumor (nephroblastoma), lymphoma, leukemia), bladder and urethra (squamous cell carcinoma, transitional cell carcinoma, adenocarcinoma), prostate (adenocarcinoma, sarcoma), testis (seminoma, teratoma, embryonal carcinoma, teratocarcinoma, choriocarcinoma, sarcoma, interstitial cell carcinoma, fibroma, fibroadenoma, adenomatoid tumors, lipoma); Liver: hepatoma (hepatocellular carcinoma), cholangiocarcinoma, hepatoblastoma, angiosarcoma, hepatocellular adenoma, hemangioma; Biliary tract: gall bladder carcinoma, ampullary carcinoma, cholangiocarcinoma; Bone: osteogenic sarcoma (osteosarcoma), fibrosarcoma, malignant fibrous histiocytoma, chondrosarcoma, Ewing's sarcoma, malignant lymphoma (reticulum cell sarcoma), multiple myeloma, malignant giant cell tumor chordoma, osteochronfroma (osteocartilaginous exostoses), benign chondroma, chondroblastoma, chondromyxofibroma, osteoid osteoma and giant cell tumors; Nervous system: skull (osteoma, hemangioma, granuloma, xanthoma, osteitis deformans), meninges (meningioma, meningiosarcoma, gliomatosis), brain (astrocytoma, medulloblastoma, glioma, ependymoma, germinoma (pinealoma), glioblastoma multiform, oligodendroglioma, schwannoma, retinoblastoma, congenital tumors), spinal cord neurofibroma, meningioma, glioma, sarcoma); Gynecological: uterus (endometrial 'carcinoma (serous cystadenocarcinoma, mucinous cystadenocarcinoma, unclassified carcinoma), granulosa-thecal cell tumors, Sertoli-Leydig cell tumors, dysgerminoma,
malignant teratoma), vulva (squamous cell carcinoma, intraepithelial carcinoma, adenocarcinoma, fibrosarcoma, melanoma), vagina (clear cell carcinoma, squamous cell carcinoma, botryoid sarcoma (embryonal rhabdomyosarcoma), fallopian tubes (carcinoma); Hematologic: blood (myeloid leukemia (acute and chronic), acute lymphoblastic leukemia, chronic lymphocytic leukemia, myeloproliferative diseases, multiple myeloma, myelodysplastic syndrome), Hodgkin's disease, non-Hodgkin's lymphoma (malignant lymphoma); Skin: malignant melanoma, basal cell carcinoma, squamous cell carcinoma, Kaposi's sarcoma, moles dysplastic nevi, lipoma, angioma, dermatofibroma, keloids, psoriasis; or Adrenal glands: neuroblastoma.
54. The method of claim 52, wherein the cancer is non-small cell lung cancer, small cell lung cancer, colorectal cancer, rectal cancer, or pancreatic cancer.
55. Use of a conjugate of any one of claims 1 to 49, or a pharmaceutically acceptable salt thereof, or a a pharmaceutical composition thereof, in the manufacture of a medicament for the treatment of cancer in a subject, the cancer characterized by the presence of a KRAS G12D mutation.
56. The use of claim 55, wherein the cancer is Cardiac: sarcoma (angiosarcoma, fibrosarcoma, rhabdomyosarcoma, liposarcoma), myxoma, rhabdomyoma, fibroma, lipoma and teratoma; Lung: bronchogenic carcinoma (squamous cell, undifferentiated small cell, undifferentiated large cell, adenocarcinoma), alveolar (bronchiolar) carcinoma, bronchial adenoma, sarcoma, lymphoma, chondromatous hamartoma, mesothelioma; Gastrointestinal: esophagus (squamous cell carcinoma, adenocarcinoma, leiomyosarcoma, lymphoma), stomach (carcinoma, lymphoma, leiomyosarcoma), pancreas (ductal adenocarcinoma, insulinoma, glucagonoma, gastrinoma, carcinoid tumors, vipoma), small bowel (adenocarcinoma, lymphoma, carcinoid tumors, Kaposi's sarcoma, leiomyoma, hemangioma, lipoma, neurofibroma, fibroma), large bowel (adenocarcinoma, tubular adenoma, villous adenoma, hamartoma, leiomyoma); Genitourinary tract: kidney (adenocarcinoma, Wilm's tumor (nephroblastoma), lymphoma, leukemia), bladder and urethra (squamous cell carcinoma, transitional cell carcinoma, adenocarcinoma), prostate (adenocarcinoma, sarcoma), testis (seminoma, teratoma, embryonal carcinoma, teratocarcinoma, choriocarcinoma, sarcoma, interstitial cell carcinoma, fibroma, fibroadenoma, adenomatoid tumors, lipoma); Liver: hepatoma (hepatocellular carcinoma), cholangiocarcinoma, hepatoblastoma, angiosarcoma, hepatocellular adenoma, hemangioma; Biliary tract: gall bladder
carcinoma, ampullary carcinoma, cholangiocarcinoma; Bone: osteogenic sarcoma (osteosarcoma), fibrosarcoma, malignant fibrous histiocytoma, chondrosarcoma, Ewing's sarcoma, malignant lymphoma (reticulum cell sarcoma), multiple myeloma, malignant giant cell tumor chordoma, osteochronfroma (osteocartilaginous exostoses), benign chondroma, chondroblastoma, chondromyxofibroma, osteoid osteoma and giant cell tumors; Nervous system: skull (osteoma, hemangioma, granuloma, xanthoma, osteitis deformans), meninges (meningioma, meningiosarcoma, gliomatosis), brain (astrocytoma, medulloblastoma, glioma, ependymoma, germinoma (pinealoma), glioblastoma multiform, oligodendroglioma, schwannoma, retinoblastoma, congenital tumors), spinal cord neurofibroma, meningioma, glioma, sarcoma); Gynecological: uterus (endometrial 'carcinoma (serous cystadenocarcinoma, mucinous cystadenocarcinoma, unclassified carcinoma), granulosa-thecal cell tumors, Sertoli-Leydig cell tumors, dysgerminoma, malignant teratoma), vulva (squamous cell carcinoma, intraepithelial carcinoma, adenocarcinoma, fibrosarcoma, melanoma), vagina (clear cell carcinoma, squamous cell carcinoma, botryoid sarcoma (embryonal rhabdomyosarcoma), fallopian tubes (carcinoma); Hematologic: blood (myeloid leukemia (acute and chronic), acute lymphoblastic leukemia, chronic lymphocytic leukemia, myeloproliferative diseases, multiple myeloma, myelodysplastic syndrome), Hodgkin's disease, non-Hodgkin's lymphoma (malignant lymphoma); Skin: malignant melanoma, basal cell carcinoma, squamous cell carcinoma, Kaposi's sarcoma, moles dysplastic nevi, lipoma, angioma, dermatofibroma, keloids, psoriasis; or Adrenal glands: neuroblastoma.
57. The use of claim 55, wherein the cancer is non-small cell lung cancer, small cell lung cancer, colorectal cancer, rectal cancer, or pancreatic cancer.
Applications Claiming Priority (12)
| Application Number | Priority Date | Filing Date | Title |
|---|---|---|---|
| US202263399628P | 2022-08-19 | 2022-08-19 | |
| US63/399,628 | 2022-08-19 | ||
| US202263378596P | 2022-10-06 | 2022-10-06 | |
| US63/378,596 | 2022-10-06 | ||
| US202263380027P | 2022-10-18 | 2022-10-18 | |
| US63/380,027 | 2022-10-18 | ||
| US202263385360P | 2022-11-29 | 2022-11-29 | |
| US63/385,360 | 2022-11-29 | ||
| US202263387349P | 2022-12-14 | 2022-12-14 | |
| US63/387,349 | 2022-12-14 | ||
| US202363481640P | 2023-01-26 | 2023-01-26 | |
| US63/481,640 | 2023-01-26 |
Publications (1)
| Publication Number | Publication Date |
|---|---|
| WO2024040080A1 true WO2024040080A1 (en) | 2024-02-22 |
Family
ID=89942365
Family Applications (1)
| Application Number | Title | Priority Date | Filing Date |
|---|---|---|---|
| PCT/US2023/072251 Ceased WO2024040080A1 (en) | 2022-08-19 | 2023-08-15 | Kras inhibitor conjugates |
Country Status (1)
| Country | Link |
|---|---|
| WO (1) | WO2024040080A1 (en) |
Cited By (16)
| Publication number | Priority date | Publication date | Assignee | Title |
|---|---|---|---|---|
| WO2024188281A1 (en) * | 2023-03-13 | 2024-09-19 | 南京明德新药研发有限公司 | Compound having quinazoline structure and use thereof |
| WO2024206858A1 (en) | 2023-03-30 | 2024-10-03 | Revolution Medicines, Inc. | Compositions for inducing ras gtp hydrolysis and uses thereof |
| WO2024229406A1 (en) | 2023-05-04 | 2024-11-07 | Revolution Medicines, Inc. | Combination therapy for a ras related disease or disorder |
| WO2025034702A1 (en) | 2023-08-07 | 2025-02-13 | Revolution Medicines, Inc. | Rmc-6291 for use in the treatment of ras protein-related disease or disorder |
| WO2025080946A2 (en) | 2023-10-12 | 2025-04-17 | Revolution Medicines, Inc. | Ras inhibitors |
| WO2025168124A1 (en) * | 2024-02-08 | 2025-08-14 | 杭州多域生物技术有限公司 | Quinazoline compound, and pharmaceutical composition thereof and use thereof |
| WO2025171296A1 (en) | 2024-02-09 | 2025-08-14 | Revolution Medicines, Inc. | Ras inhibitors |
| US12448400B2 (en) | 2023-09-08 | 2025-10-21 | Gilead Sciences, Inc. | KRAS G12D modulating compounds |
| WO2025240847A1 (en) | 2024-05-17 | 2025-11-20 | Revolution Medicines, Inc. | Ras inhibitors |
| WO2025255438A1 (en) | 2024-06-07 | 2025-12-11 | Revolution Medicines, Inc. | Methods of treating a ras protein-related disease or disorder |
| WO2025265060A1 (en) | 2024-06-21 | 2025-12-26 | Revolution Medicines, Inc. | Therapeutic compositions and methods for managing treatment-related effects |
| WO2026006747A1 (en) | 2024-06-28 | 2026-01-02 | Revolution Medicines, Inc. | Ras inhibitors |
| WO2026015801A1 (en) | 2024-07-12 | 2026-01-15 | Revolution Medicines, Inc. | Methods of treating a ras related disease or disorder |
| WO2026015825A1 (en) | 2024-07-12 | 2026-01-15 | Revolution Medicines, Inc. | Use of ras inhibitor for treating pancreatic cancer |
| WO2026015790A1 (en) | 2024-07-12 | 2026-01-15 | Revolution Medicines, Inc. | Methods of treating a ras related disease or disorder |
| WO2026015796A1 (en) | 2024-07-12 | 2026-01-15 | Revolution Medicines, Inc. | Methods of treating a ras related disease or disorder |
Citations (5)
| Publication number | Priority date | Publication date | Assignee | Title |
|---|---|---|---|---|
| WO2016149668A1 (en) * | 2015-03-18 | 2016-09-22 | Arvinas, Inc. | Compounds and methods for the enhanced degradation of targeted proteins |
| US10730862B2 (en) * | 2012-01-12 | 2020-08-04 | Yale University | Compounds and methods for the enhanced degradation of targeted proteins and other polypeptides by an E3 ubiquitin ligase |
| WO2021207172A1 (en) * | 2020-04-06 | 2021-10-14 | Arvinas Operations, Inc. | Compounds and methods for targeted degradation of kras |
| WO2022105857A1 (en) * | 2020-11-20 | 2022-05-27 | Jacobio Pharmaceuticals Co., Ltd. | Kras g12d inhibitors |
| WO2022266206A1 (en) * | 2021-06-16 | 2022-12-22 | Erasca, Inc. | Kras inhibitor conjugates |
-
2023
- 2023-08-15 WO PCT/US2023/072251 patent/WO2024040080A1/en not_active Ceased
Patent Citations (5)
| Publication number | Priority date | Publication date | Assignee | Title |
|---|---|---|---|---|
| US10730862B2 (en) * | 2012-01-12 | 2020-08-04 | Yale University | Compounds and methods for the enhanced degradation of targeted proteins and other polypeptides by an E3 ubiquitin ligase |
| WO2016149668A1 (en) * | 2015-03-18 | 2016-09-22 | Arvinas, Inc. | Compounds and methods for the enhanced degradation of targeted proteins |
| WO2021207172A1 (en) * | 2020-04-06 | 2021-10-14 | Arvinas Operations, Inc. | Compounds and methods for targeted degradation of kras |
| WO2022105857A1 (en) * | 2020-11-20 | 2022-05-27 | Jacobio Pharmaceuticals Co., Ltd. | Kras g12d inhibitors |
| WO2022266206A1 (en) * | 2021-06-16 | 2022-12-22 | Erasca, Inc. | Kras inhibitor conjugates |
Non-Patent Citations (1)
| Title |
|---|
| SWIATNICKI MATTHEW, ENGEL LAURIE, SHRESTHA RIVA, ALVES JULIANO, GOUELI SAID A., ZEGZOUTI HICHAM: "Profiling oncogenic KRAS mutant drugs with a cell-based Lumit p-ERK immunoassay", SLAS DISCOVERY: ADVANCING LIFE SCIENCES R&D, MARY ANN LIEBERT, vol. 27, no. 4, 1 June 2022 (2022-06-01), pages 249 - 257, XP093140664, ISSN: 2472-5552, DOI: 10.1016/j.slasd.2022.03.001 * |
Cited By (16)
| Publication number | Priority date | Publication date | Assignee | Title |
|---|---|---|---|---|
| WO2024188281A1 (en) * | 2023-03-13 | 2024-09-19 | 南京明德新药研发有限公司 | Compound having quinazoline structure and use thereof |
| WO2024206858A1 (en) | 2023-03-30 | 2024-10-03 | Revolution Medicines, Inc. | Compositions for inducing ras gtp hydrolysis and uses thereof |
| WO2024229406A1 (en) | 2023-05-04 | 2024-11-07 | Revolution Medicines, Inc. | Combination therapy for a ras related disease or disorder |
| WO2025034702A1 (en) | 2023-08-07 | 2025-02-13 | Revolution Medicines, Inc. | Rmc-6291 for use in the treatment of ras protein-related disease or disorder |
| US12448400B2 (en) | 2023-09-08 | 2025-10-21 | Gilead Sciences, Inc. | KRAS G12D modulating compounds |
| WO2025080946A2 (en) | 2023-10-12 | 2025-04-17 | Revolution Medicines, Inc. | Ras inhibitors |
| WO2025168124A1 (en) * | 2024-02-08 | 2025-08-14 | 杭州多域生物技术有限公司 | Quinazoline compound, and pharmaceutical composition thereof and use thereof |
| WO2025171296A1 (en) | 2024-02-09 | 2025-08-14 | Revolution Medicines, Inc. | Ras inhibitors |
| WO2025240847A1 (en) | 2024-05-17 | 2025-11-20 | Revolution Medicines, Inc. | Ras inhibitors |
| WO2025255438A1 (en) | 2024-06-07 | 2025-12-11 | Revolution Medicines, Inc. | Methods of treating a ras protein-related disease or disorder |
| WO2025265060A1 (en) | 2024-06-21 | 2025-12-26 | Revolution Medicines, Inc. | Therapeutic compositions and methods for managing treatment-related effects |
| WO2026006747A1 (en) | 2024-06-28 | 2026-01-02 | Revolution Medicines, Inc. | Ras inhibitors |
| WO2026015801A1 (en) | 2024-07-12 | 2026-01-15 | Revolution Medicines, Inc. | Methods of treating a ras related disease or disorder |
| WO2026015825A1 (en) | 2024-07-12 | 2026-01-15 | Revolution Medicines, Inc. | Use of ras inhibitor for treating pancreatic cancer |
| WO2026015790A1 (en) | 2024-07-12 | 2026-01-15 | Revolution Medicines, Inc. | Methods of treating a ras related disease or disorder |
| WO2026015796A1 (en) | 2024-07-12 | 2026-01-15 | Revolution Medicines, Inc. | Methods of treating a ras related disease or disorder |
Similar Documents
| Publication | Publication Date | Title |
|---|---|---|
| US20240293558A1 (en) | Kras inhibitor conjugates | |
| WO2024040080A1 (en) | Kras inhibitor conjugates | |
| US11845761B2 (en) | Tricyclic pyridones and pyrimidones | |
| WO2022266069A1 (en) | Tricyclic kras g12d inhibitors | |
| WO2022271658A1 (en) | Tricyclic kras inhibitors | |
| WO2023018699A1 (en) | Selective kras inhibitors | |
| CA3221390A1 (en) | Sulfur-containing heteroaromatic tricyclic kras inhibitors | |
| WO2022221386A1 (en) | Selective kras inhibitors | |
| WO2022265974A1 (en) | Aminoheterocycle-substituted tricyclic kras inhibitors | |
| EP2900657B1 (en) | Cyclic ether pyrazol-4-yl-heterocyclyl-carboxamide compounds and methods of use | |
| EP3218376B1 (en) | Bromodomain inhibitors and uses thereof | |
| AU2014256633B2 (en) | Fused heterocyclic compounds as protein kinase inhibitors | |
| WO2021173923A1 (en) | Pyrrolidine-fused heterocycles | |
| IL301524A (en) | Pyridones and tricyclic pyrimidones | |
| WO2022266167A1 (en) | Amide and urea-containing tricyclic kras inhibitors | |
| JP2023519891A (en) | Processes, Compositions, and Crystalline Forms of Substituted Pyridinone-Pyridinyl Compounds | |
| WO2023183755A1 (en) | Tricyclic pyrimidones | |
| JP2025514185A (en) | Tricyclic pyridones and pyrimidones | |
| WO2024173842A1 (en) | Kras inhibitors | |
| WO2016057924A1 (en) | Pyrrolidine amide compounds as histone demethylase inhibitors | |
| EP4114830A1 (en) | Heterobifunctional molecules as tead inhibitors | |
| WO2023212549A1 (en) | Tricyclic pyridones and pyrimidones | |
| WO2024091511A1 (en) | Heterocyclic tead inhibitors | |
| CN118076612A (en) | Sulfur-containing heteroaromatic tricyclic KRAS inhibitors |
Legal Events
| Date | Code | Title | Description |
|---|---|---|---|
| 121 | Ep: the epo has been informed by wipo that ep was designated in this application |
Ref document number: 23855623 Country of ref document: EP Kind code of ref document: A1 |
|
| NENP | Non-entry into the national phase |
Ref country code: DE |
|
| 122 | Ep: pct application non-entry in european phase |
Ref document number: 23855623 Country of ref document: EP Kind code of ref document: A1 |

























































































































































































































































































































































































































































































































































































































































