WO2021178778A1 - Compositions and methods for inhibiting expression of transthyretin (ttr) - Google Patents
Compositions and methods for inhibiting expression of transthyretin (ttr) Download PDFInfo
- Publication number
- WO2021178778A1 WO2021178778A1 PCT/US2021/021049 US2021021049W WO2021178778A1 WO 2021178778 A1 WO2021178778 A1 WO 2021178778A1 US 2021021049 W US2021021049 W US 2021021049W WO 2021178778 A1 WO2021178778 A1 WO 2021178778A1
- Authority
- WO
- WIPO (PCT)
- Prior art keywords
- rnai agent
- ttr
- fixed dose
- double stranded
- phosphate
- Prior art date
- Legal status (The legal status is an assumption and is not a legal conclusion. Google has not performed a legal analysis and makes no representation as to the accuracy of the status listed.)
- Ceased
Links
Classifications
-
- C—CHEMISTRY; METALLURGY
- C12—BIOCHEMISTRY; BEER; SPIRITS; WINE; VINEGAR; MICROBIOLOGY; ENZYMOLOGY; MUTATION OR GENETIC ENGINEERING
- C12N—MICROORGANISMS OR ENZYMES; COMPOSITIONS THEREOF; PROPAGATING, PRESERVING, OR MAINTAINING MICROORGANISMS; MUTATION OR GENETIC ENGINEERING; CULTURE MEDIA
- C12N15/00—Mutation or genetic engineering; DNA or RNA concerning genetic engineering, vectors, e.g. plasmids, or their isolation, preparation or purification; Use of hosts therefor
- C12N15/09—Recombinant DNA-technology
- C12N15/11—DNA or RNA fragments; Modified forms thereof; Non-coding nucleic acids having a biological activity
- C12N15/113—Non-coding nucleic acids modulating the expression of genes, e.g. antisense oligonucleotides; Antisense DNA or RNA; Triplex- forming oligonucleotides; Catalytic nucleic acids, e.g. ribozymes; Nucleic acids used in co-suppression or gene silencing
-
- A—HUMAN NECESSITIES
- A61—MEDICAL OR VETERINARY SCIENCE; HYGIENE
- A61K—PREPARATIONS FOR MEDICAL, DENTAL OR TOILETRY PURPOSES
- A61K31/00—Medicinal preparations containing organic active ingredients
- A61K31/70—Carbohydrates; Sugars; Derivatives thereof
- A61K31/7088—Compounds having three or more nucleosides or nucleotides
- A61K31/713—Double-stranded nucleic acids or oligonucleotides
-
- A—HUMAN NECESSITIES
- A61—MEDICAL OR VETERINARY SCIENCE; HYGIENE
- A61P—SPECIFIC THERAPEUTIC ACTIVITY OF CHEMICAL COMPOUNDS OR MEDICINAL PREPARATIONS
- A61P25/00—Drugs for disorders of the nervous system
-
- A—HUMAN NECESSITIES
- A61—MEDICAL OR VETERINARY SCIENCE; HYGIENE
- A61P—SPECIFIC THERAPEUTIC ACTIVITY OF CHEMICAL COMPOUNDS OR MEDICINAL PREPARATIONS
- A61P9/00—Drugs for disorders of the cardiovascular system
-
- C—CHEMISTRY; METALLURGY
- C12—BIOCHEMISTRY; BEER; SPIRITS; WINE; VINEGAR; MICROBIOLOGY; ENZYMOLOGY; MUTATION OR GENETIC ENGINEERING
- C12N—MICROORGANISMS OR ENZYMES; COMPOSITIONS THEREOF; PROPAGATING, PRESERVING, OR MAINTAINING MICROORGANISMS; MUTATION OR GENETIC ENGINEERING; CULTURE MEDIA
- C12N2310/00—Structure or type of the nucleic acid
- C12N2310/10—Type of nucleic acid
- C12N2310/14—Type of nucleic acid interfering nucleic acids [NA]
-
- C—CHEMISTRY; METALLURGY
- C12—BIOCHEMISTRY; BEER; SPIRITS; WINE; VINEGAR; MICROBIOLOGY; ENZYMOLOGY; MUTATION OR GENETIC ENGINEERING
- C12N—MICROORGANISMS OR ENZYMES; COMPOSITIONS THEREOF; PROPAGATING, PRESERVING, OR MAINTAINING MICROORGANISMS; MUTATION OR GENETIC ENGINEERING; CULTURE MEDIA
- C12N2310/00—Structure or type of the nucleic acid
- C12N2310/30—Chemical structure
- C12N2310/31—Chemical structure of the backbone
- C12N2310/315—Phosphorothioates
-
- C—CHEMISTRY; METALLURGY
- C12—BIOCHEMISTRY; BEER; SPIRITS; WINE; VINEGAR; MICROBIOLOGY; ENZYMOLOGY; MUTATION OR GENETIC ENGINEERING
- C12N—MICROORGANISMS OR ENZYMES; COMPOSITIONS THEREOF; PROPAGATING, PRESERVING, OR MAINTAINING MICROORGANISMS; MUTATION OR GENETIC ENGINEERING; CULTURE MEDIA
- C12N2310/00—Structure or type of the nucleic acid
- C12N2310/30—Chemical structure
- C12N2310/32—Chemical structure of the sugar
-
- C—CHEMISTRY; METALLURGY
- C12—BIOCHEMISTRY; BEER; SPIRITS; WINE; VINEGAR; MICROBIOLOGY; ENZYMOLOGY; MUTATION OR GENETIC ENGINEERING
- C12N—MICROORGANISMS OR ENZYMES; COMPOSITIONS THEREOF; PROPAGATING, PRESERVING, OR MAINTAINING MICROORGANISMS; MUTATION OR GENETIC ENGINEERING; CULTURE MEDIA
- C12N2310/00—Structure or type of the nucleic acid
- C12N2310/30—Chemical structure
- C12N2310/32—Chemical structure of the sugar
- C12N2310/321—2'-O-R Modification
-
- C—CHEMISTRY; METALLURGY
- C12—BIOCHEMISTRY; BEER; SPIRITS; WINE; VINEGAR; MICROBIOLOGY; ENZYMOLOGY; MUTATION OR GENETIC ENGINEERING
- C12N—MICROORGANISMS OR ENZYMES; COMPOSITIONS THEREOF; PROPAGATING, PRESERVING, OR MAINTAINING MICROORGANISMS; MUTATION OR GENETIC ENGINEERING; CULTURE MEDIA
- C12N2310/00—Structure or type of the nucleic acid
- C12N2310/30—Chemical structure
- C12N2310/32—Chemical structure of the sugar
- C12N2310/322—2'-R Modification
-
- C—CHEMISTRY; METALLURGY
- C12—BIOCHEMISTRY; BEER; SPIRITS; WINE; VINEGAR; MICROBIOLOGY; ENZYMOLOGY; MUTATION OR GENETIC ENGINEERING
- C12N—MICROORGANISMS OR ENZYMES; COMPOSITIONS THEREOF; PROPAGATING, PRESERVING, OR MAINTAINING MICROORGANISMS; MUTATION OR GENETIC ENGINEERING; CULTURE MEDIA
- C12N2310/00—Structure or type of the nucleic acid
- C12N2310/30—Chemical structure
- C12N2310/34—Spatial arrangement of the modifications
- C12N2310/344—Position-specific modifications, e.g. on every purine, at the 3'-end
-
- C—CHEMISTRY; METALLURGY
- C12—BIOCHEMISTRY; BEER; SPIRITS; WINE; VINEGAR; MICROBIOLOGY; ENZYMOLOGY; MUTATION OR GENETIC ENGINEERING
- C12N—MICROORGANISMS OR ENZYMES; COMPOSITIONS THEREOF; PROPAGATING, PRESERVING, OR MAINTAINING MICROORGANISMS; MUTATION OR GENETIC ENGINEERING; CULTURE MEDIA
- C12N2310/00—Structure or type of the nucleic acid
- C12N2310/30—Chemical structure
- C12N2310/35—Nature of the modification
- C12N2310/351—Conjugate
-
- C—CHEMISTRY; METALLURGY
- C12—BIOCHEMISTRY; BEER; SPIRITS; WINE; VINEGAR; MICROBIOLOGY; ENZYMOLOGY; MUTATION OR GENETIC ENGINEERING
- C12N—MICROORGANISMS OR ENZYMES; COMPOSITIONS THEREOF; PROPAGATING, PRESERVING, OR MAINTAINING MICROORGANISMS; MUTATION OR GENETIC ENGINEERING; CULTURE MEDIA
- C12N2310/00—Structure or type of the nucleic acid
- C12N2310/30—Chemical structure
- C12N2310/35—Nature of the modification
- C12N2310/352—Nature of the modification linked to the nucleic acid via a carbon atom
- C12N2310/3521—Methyl
-
- C—CHEMISTRY; METALLURGY
- C12—BIOCHEMISTRY; BEER; SPIRITS; WINE; VINEGAR; MICROBIOLOGY; ENZYMOLOGY; MUTATION OR GENETIC ENGINEERING
- C12N—MICROORGANISMS OR ENZYMES; COMPOSITIONS THEREOF; PROPAGATING, PRESERVING, OR MAINTAINING MICROORGANISMS; MUTATION OR GENETIC ENGINEERING; CULTURE MEDIA
- C12N2310/00—Structure or type of the nucleic acid
- C12N2310/30—Chemical structure
- C12N2310/35—Nature of the modification
- C12N2310/353—Nature of the modification linked to the nucleic acid via an atom other than carbon
- C12N2310/3533—Halogen
Definitions
- Transthyretin (also known as prealbumin) is found in serum and cerebrospinal fluid (CSF). TTR transports retinol-binding protein (RBP) and thyroxine (T4) and also acts as a carrier of retinol (vitamin A) through its association with RBP in the blood and the CSF. Transthyretin is named for its transport of thyroxine and retinol. TTR also functions as a protease and can cleave proteins including apoA-I (the major HDL apolipoprotein), amyloid b-peptide, and neuropeptide Y. See Liz, M.A. etal (2010) IUBMB Life, 62(6):429-435.
- apoA-I the major HDL apolipoprotein
- amyloid b-peptide amyloid b-peptide
- neuropeptide Y neuropeptide Y. See Liz, M.A. etal (2010) IUBMB Life, 62(6):
- TTR is a tetramer of four identical 127-amino acid subunits (monomers) that are rich in beta sheet structure. Each monomer has two 4-stranded beta sheets and the shape of a prolate ellipsoid. Antiparallel beta-sheet interactions link monomers into dimers. A short loop from each monomer forms the main dimer-dimer interaction. These two pairs of loops separate the opposed, convex beta-sheets of the dimers to form an internal channel.
- the liver is the major site of TTR expression.
- Other significant sites of expression include the choroid plexus, retina (particularly the retinal pigment epithelium) and pancreas.
- Transthyretin is one of at least 27 distinct types of proteins that is a precursor protein in the formation of amyloid fibrils. See Guan, J. et al. (Nov. 4, 2011) Current perspectives on cardiac amyloidosis, Am J Physiol Heart Circ Physiol, doi: 10.1152/ajpheart.00815.2011. Extracellular deposition of amyloid fibrils in organs and tissues is the hallmark of amyloidosis. Amyloid fibrils are composed of misfolded protein aggregates, which may result from either excess production of or specific mutations in precursor proteins.
- the amyloidogenic potential of TTR may be related to its extensive beta sheet structure; X-ray crystallographic studies indicate that certain amyloidogenic mutations destabilize the tetrameric structure of the protein. See, e.g., Saraiva M.J.M. (2002) Expert Reviews in Molecular Medicine, 4(12): 1-11.
- Amyloidosis is a general term for the group of amyloid diseases that are characterized by amyloid deposits. Amyloid diseases are classified based on their precursor protein; for example, the name starts with “A” for amyloid and is followed by an abbreviation of the precursor protein, e.g., ATTR for amloidogenic transthyretin. Ibid. There are numerous TTR-associated diseases, most of which are amyloid diseases. Normal- sequence TTR is associated with cardiac amyloidosis in people who are elderly and is termed senile systemic amyloidosis (SSA) (also called senile cardiac amyloidosis (SCA) or cardiac amyloidosis).
- SSA systemic amyloidosis
- SCA senile cardiac amyloidosis
- TTR amyloidosis manifests in various forms.
- FAP familial amyloidotic polyneuropathy
- FAC familial amyloidotic cardiomyopathy
- a third major type of TTR amyloidosis is leptomeningeal amyloidosis, also known as leptomeningeal or meningocerebrovascular amyloidosis, central nervous system (CNS) amyloidosis, or amyloidosis VII form.
- TTR may also cause amyloidotic vitreous opacities, carpal tunnel syndrome, and euthyroid hyperthyroxinemia, which is a non-amyloidotic disease thought to be secondary to an increased association of thyroxine with TTR due to a mutant TTR molecule with increased affinity for thyroxine.
- amyloidotic vitreous opacities e.g., carpal tunnel syndrome, and euthyroid hyperthyroxinemia, which is a non-amyloidotic disease thought to be secondary to an increased association of thyroxine with TTR due to a mutant TTR molecule with increased affinity for thyroxine.
- TTR alleles may be either inherited or acquired through somatic mutations. Guan, J. et al. (Nov. 4, 2011) Current perspectives on cardiac amyloidosis, Am J Physiol Heart Circ Physiol, doi:10.1152/ajpheart.00815.2011. Transthyretin associated ATTR is the most frequent form of hereditary systemic amyloidosis. Lobato, L. (2003) J. Nephrol., 16:438-442. TTR mutations accelerate the process of TTR amyloid formation and are the most important risk factor for the development of ATTR. More than 85 amyloidogenic TTR variants are known to cause systemic familial amyloidosis. TTR mutations usually give rise to systemic amyloid deposition, with particular involvement of the peripheral nervous system, although some mutations are associated with cardiomyopathy or vitreous opacities. Ibid.
- the V30M mutation is the most prevalent TTR mutation. See, e.g., Lobato, L. (2003) J Nephrol, 16:438-442.
- the V 1221 mutation is carried by 3.9% of the African American population and is the most common cause of FAC. Jacobson, D.R. et al. (1997) N. Engl. J. Med. 336 (7): 466-73. It is estimated that SSA affects more than 25% of the population over age 80. Westermark, P. et al. (1990) Proc. Natl. Acad. Sci. U.S.A. 87 (7): 2843-5.
- the present invention provides compositions and methods for inhibiting expression of TTR and methods of treating or preventing a transthyretin- (TTR-) associated disease in a human subject using double stranded RNAi agents, targeting the TTR gene.
- TTR- transthyretin-
- the invention provides a double stranded RNAi agent comprising a sense strand and an antisense strand, wherein: each the sense strand and the antisense strand are independently up to 30 nucleotides in length; the sense strand comprises the modified nucleotide sequence 5’- usgsggauUfuCfAfUfguaaccaaga-3’ (SEQ ID NO: 6); and the antisense strand comprises the modified nucleotide sequence 5’- usCfsuugGf(Tgn)uAfcaugAfaAfucccasusc-3’ (SEQ ID NO: 7), wherein a, c, g, andu are 2'-0-methyIadenosine-3’ -phosphate, 2'-0-methyIcytidine-3’- phosphate, 2'-0-methyIguanosine-3’ -phosphate, and 2'-0-methyIuridine-3’ -phosphate, respectively;
- Af, Cf, Gf, and Uf are 2 ’-fluoroadenosine-3’ -phosphate, 2 ’-fluorocytidine-3’ -phosphate, 2’- fluoroguanosine-3’ -phosphate, and 2’-fluorouridine-3’-phosphate, respectively;
- Tgn is thymidine-glycol nucleic acid (GNA) S-Isomer; and s is a phosphorothioate linker.
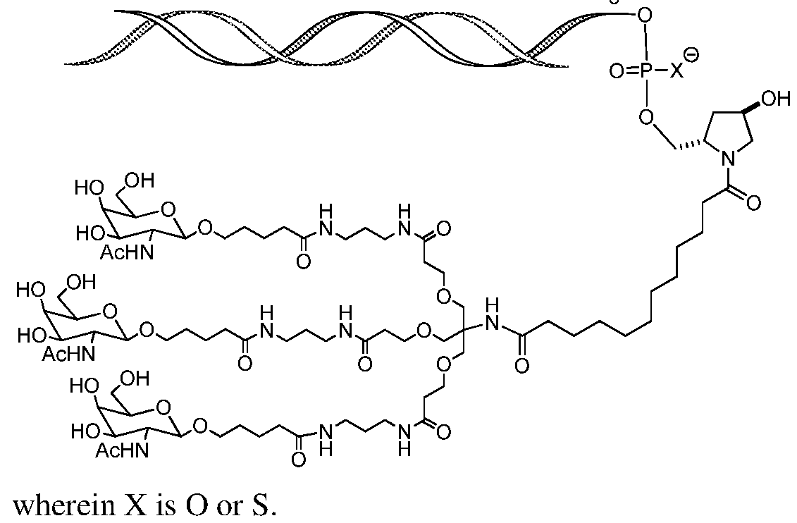
- the sense strand of the double stranded RNAi agent is conjugated to at least one ligand.
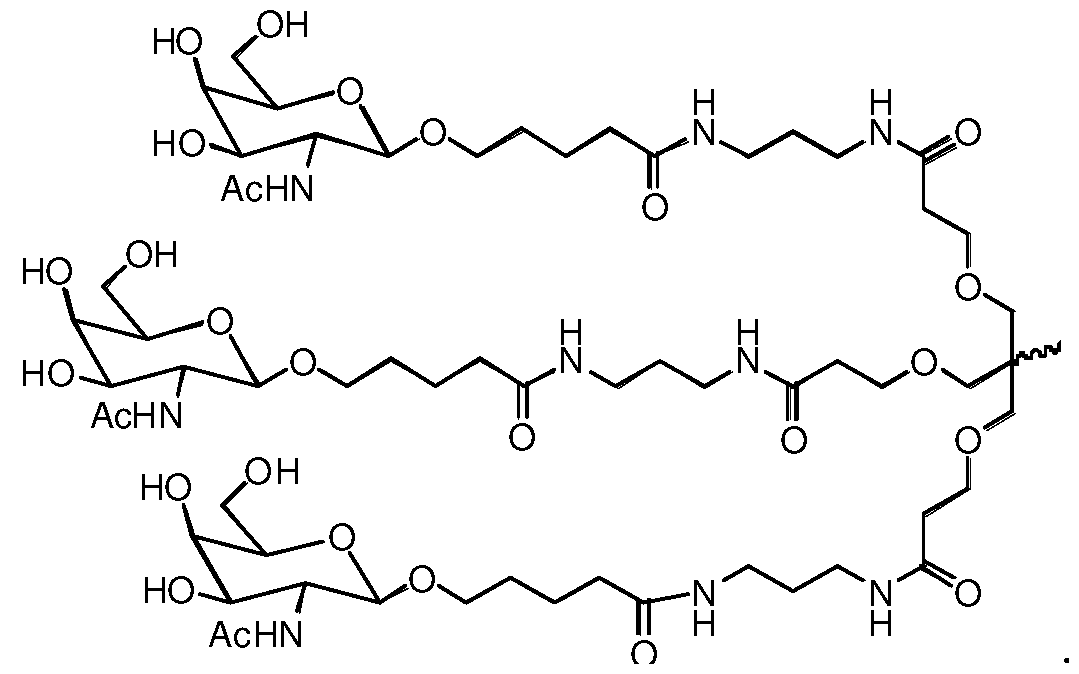
- the ligand is one or more GalNAc derivatives attached through a bivalent or tri valent branched linker.
- the ligand is
- the ligand is attached to the 3 end of the sense strand.
- the double stranded RNAi agent is conjugated to the ligand as shown in the following schematic:
- the sense strand is 21 nucleotides in length and the antisense strand is 23 nucleotides in length.
- the invention provides a use of a double stranded RNAi agent in a method of treating a human subject suffering from a TTR-associated disease, comprising administration of a fixed dose of about 25 mg to about 1000 mg of a double stranded RNAi agent, wherein: each the sense strand and the antisense strand are independently up to 30 nucleotides in length; the sense strand comprises the modified nucleotide sequence 5’- usgsggauUfuCfAfUfguaaccaaga-3’ (SEQ ID NO: 6); and the antisense strand comprises the modified nucleotide sequence 5’- usCfsuugGf(Tgn)uAfcaugAfaAfucccasusc-3’ (SEQ ID NO: 7), wherein a, c, g, andu are 2'-0-methyladenosine-3’ -phosphate, 2'-0-methylcytidine-3’- phosphate, 2'-0-methylguanosine
- Af, Cf, Gf, and Uf are 2 ’-fluoroadenosine-3’ -phosphate, 2 ’-fluorocytidine-3’ -phosphate, 2’- fluoroguanosine-3’ -phosphate, and 2’-fluorouridine-3’-phosphate, respectively;
- Tgn is thymidine-glycol nucleic acid (GNA) S-Isomer; and s is a phosphorothioate linker.
- the invention also provides a use of a double stranded RNAi agent in a method of inhibiting expression of TTR in a human subject who does not meet diagnostic criteria of a TTR-associated disease, comprising administration of a fixed dose of about 25 mg to about 1000 mg of a double stranded RNAi agent, wherein: each the sense strand and the antisense strand are independently up to 30 nucleotides in length; the sense strand comprises the modified nucleotide sequence 5’- usgsggauUfuCfAfUfguaaccaaga-3’ (SEQ ID NO: 6); and the antisense strand comprises the modified nucleotide sequence 5’- usCfsuugGf(Tgn)uAfcaugAfaAfucccasusc-3’ (SEQ ID NO: 7), wherein a, c, g, andu are 2'-0-methyladenosine-3’ -phosphate, 2'-0-methylcytidine-3’-
- Af, Cf, Gf, and Uf are 2 ’-fluoroadenosine-3 ’-phosphate, 2 ’-fluorocytidine-3 ’-phosphate, 2’- fluoroguanosine-3’ -phosphate, and 2’-fluorouridine-3’-phosphate, respectively;
- Tgn is thymidine-glycol nucleic acid (GNA) S-Isomer; and s is a phosphorothioate linker.
- the sense strand of the double stranded RNAi agent is conjugated to at least one ligand.
- the ligand is one or more GalNAc derivatives attached through a bivalent or tri valent branched linker.
- the ligand is In certain embodiments, the ligand is attached to the 3 end of the sense strand.
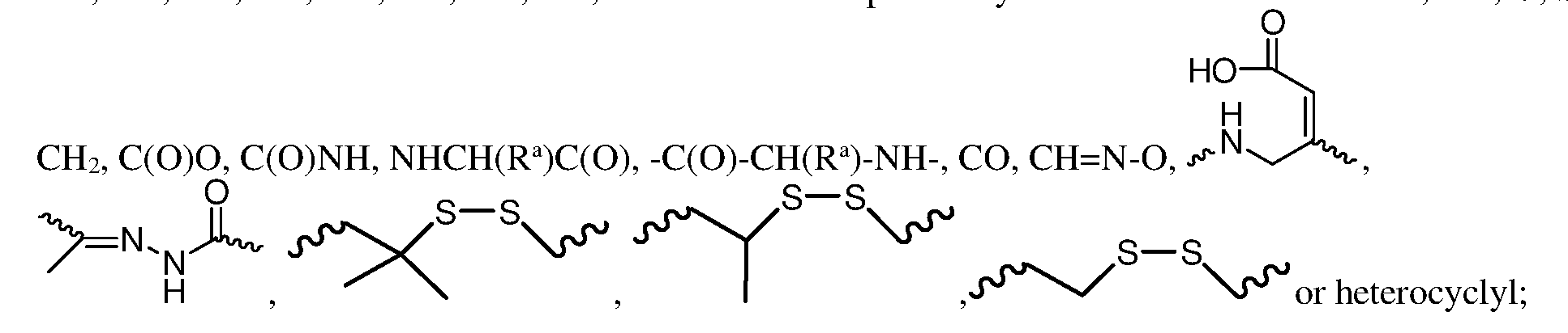
- the double stranded RNAi agent is conjugated to the ligand as shown in the following schematic wherein X is O or S.
- the sense strand is 21 nucleotides in length and the antisense strand is 23 nucleotides in length.
- the uses of the invention comprise improving at least one indicia of neurological impairement, quality of life, nerve damage, cardiovascular health.
- the indicia assessed is a neurological impairment, for example, using a Neuropathy Impairment (NIS) score or a modified NIS (mNIS+7) score.
- NIS Neuropathy Impairment
- mNIS+7 modified NIS
- the indicia is a quality of life indicia assessed, for example, using a SF-36® health survey score, a Norfolk Quality of Life -Diabetic Neuropathy (Norfolk QOL-DN) score, a NIS-W score, a Rasch-built Overall Disability Scale (R-ODS) score, a composite autonomic symptom score (COMPASS-31), a median body mass index (mBMI) score, a 6-minute walk test (6MWT) score, and a 10-meter walk test score.
- SF-36® health survey score a Norfolk Quality of Life -Diabetic Neuropathy (Norfolk QOL-DN) score, a NIS-W score, a Rasch-built Overall Disability Scale (R-ODS) score, a composite autonomic symptom score (COMPASS-31), a median body mass index (mBMI) score, a 6-minute walk test (6MWT) score, and a 10-meter walk test score.
- the indicia is nerve damage assessed, for example, a change in the level of one or more proteins selected from the group neurofilament light chain (NfL), RSP03, CCDC80, EDA2R, NT-proBNP, and N- CDase, such as a human blood sample, or serum or plasma derived therefrom.
- the indicia of nerve damage is a change from baseline in the level of neurofilament light chain (NfL) protein level.
- the indicia of cardiovascular impairment is cardiovascular hospitalization, using Kansas City Cardiomyopathy Questionnaire Overall Summary (KCCQ-OS) with an increased score indicative of better health status, change from baseline in mean left lventricular (LV) wall thickness by echocardiographic assessment, change from baseline in global longitudinal strain by echocardiographic assessment, and change from baseline in N-terminal prohormone B-type Natriuretic Peptide (NTproBNP).
- KCCQ-OS Kansas City Cardiomyopathy Questionnaire Overall Summary
- NproBNP N-terminal prohormone B-type Natriuretic Peptide
- the human subject carries a TTR gene mutation that is associated with the development of a TTR-associated disease, e.g., senile systemic amyloidosis (SSA), systemic familial amyloidosis, familial amyloidotic polyneuropathy (FAP), familial amyloidotic cardiomyopathy (FAC), leptomeningeal/Central Nervous System (CNS) amyloidosis, and hyperthyroxinemia.
- SSA senile systemic amyloidosis
- FAP familial amyloidotic polyneuropathy
- FAC familial amyloidotic cardiomyopathy
- CNS central Nervous System
- the human subject has a transthyretin-mediated amyloidosis (ATTR amyloidosis) and the use of the double stranded RNAi agent reduces an amyloid TTR deposit in the human subject.
- the ATTR amyloidosis is hereditary ATTR (h-ATTR) amyloidosis.
- the ATTR amyloidosis is non-heriditary ATTR (wt ATTR) amyloidosis.
- the double stranded RNAi agent is administered to the human subject by subcutaneously or intravenously.
- the subcutaneous administration is self administration.
- the self-administration is via a pre -filled syringe or auto- injector device.
- the use further comprises assessing the level of TTR mRNA expression or TTR protein expression in a sample derived from the human subject, such as a human blood sample, or serum or plasma derived therefrom.
- the double stranded RNAi agent is administered to the human subject once every month, once every other month, once every three months, once every four months, once every five months, or once every six months.
- the fixed dose of the double stranded RNAi agent is administered to the human subject once about every three months. In certain embodiments, the fixed dose of the double stranded RNAi agent is administered to the human subject once about every six months.
- the double stranded RNAi agent is chronically administered to the human subject.
- the double stranded RNAi agent is administered to the human subject about once per quarter to about once per year. In certain embodiments, the double stranded RNAi agent is administered to the human subject about once per quarter, about once every six months, or about once per year.
- the double stranded RNAi agent is administered to the human subject at a fixed dose of about 25 mg to about 300 mg. In certain embodiments, the double stranded RNAi agent is administered to the human subject at a fixed dose of about 25 mg to about 200 mg. In certain embodiments, the double stranded RNAi agent is administered to the human subject at a fixed dose of about 75 mg to about 200 mg. In certain embodiments, the double stranded RNAi agent is administered to the human subject at a fixed dose of about 25 mg. In certain embodiments, the double stranded RNAi agent is administered to the human subject at a fixed dose of about 50 mg.
- the double stranded RNAi agent is administered to the human subject at a fixed dose of about 75 mg. In certain embodiments, the double stranded RNAi agent is administered to the human subject at a fixed dose of about 100 mg. In certain embodiments, the double stranded RNAi agent is administered to the human subject at a fixed dose of about 200 mg. In certain embodiments, the double stranded RNAi agent is administered to the human subject at a fixed dose of about 25 mg to about 300 mg; about 25 mg to about 200 mg; about 75 mg to about 200 mg; about 25 mg; about 50 mg; about 75 mg; about 100 mg; about 200mg; or about 300 mg once per quarter, i.e., about once every three months.
- the double stranded RNAi agent is administered to the human subject at a fixed dose of about 400 mg to about 600 mg. In certain embodiments, the double stranded RNAi agent is administered to the human subject at a fixed dose of about 400 mg or about 600 mg about once every six months to about once per year. In certain embodiments, the double stranded RNAi agent is administered to the human subject at a fixed dose of about 400 mg or about 600 mg about once every six months or about once per year.
- the double stranded RNAi agent is administered to the human subject at a fixed dose of about 700 mg to about 1000 mg or about 700 mg to about 900 mg. In certain embodiments, the double stranded RNAi agent is administered to the human subject at a fixed dose of about 700 mg, about 800 mg, about 900mg, or about 1000 mg about once per year.
- the use further comprises administering to the human subject an additional therapeutic agent, e.g., a TTR tetramer stabilizer or a non-steroidal anti-inflammatory agent.
- an additional therapeutic agent e.g., a TTR tetramer stabilizer or a non-steroidal anti-inflammatory agent.
- kits for performing any of the methods of the invention may include the double stranded RNAi agent; and a label comprising instructions for use.
- the present invention provides methods of inhibiting expression of TTR, including inhibiting TTR expression in a human subject who does not meet diagnostic criteria of a TTR-associated disease and methods of treating a human subject with a Transthyretin- (TTR-) associated disease using double stranded RNAi agents, targeting the TTR gene wherein the sense strand comprises the modified nucleotide sequence 5’-usgsggauUfuCfAfUfguaaccaaga-3’ (SEQ ID NO: 6); and the antisense strand comprises the modified nucleotide sequence 5’-usCfsuugGf(Tgn)uAfcaugAfaAfucccasusc-3’ (SEQ ID NO: 7.
- compositions containing iRNA agents to selectively inhibit the expression of a TTR gene, as well as compositions, uses, and methods for treating subjects having diseases and disorders that would benefit from inhibition or reduction of the expression of a TTR gene.
- an element means one element or more than one element, e.g., a plurality of elements.
- the term “at least” , “no less than”, or “or more” prior to a number or series of numbers is understood to include the number adjacent to the term “at least”, and all subsequent numbers or integers that could logically be included, as clear from context.
- the number of nucleotides in a nucleic acid molecule must be an integer.
- “at least 18 nucleotides of a 21 nucleotide nucleic acid molecule” means that 18, 19, 20, or 21 nucleotides have the indicated property.
- nucleotide overhang As used herein, “no more than” or “less than” is understood as the value adjacent to the phrase and logical lower values or integers, as logical from context, to zero. For example, a duplex with an overhang of “no more than 2 nucleotides” has a 2, 1, or 0 nucleotide overhang. When “no more than” is present before a series of numbers or a range, it is understood that “no more than” can modify each of the numbers in the series or range.
- methods of detection can include determination that the amount of analyte present is below the level of detection of the method.
- TTR transthyretin
- RBP retinol binding protein
- T4 thyroxine
- retinol retinol binding protein
- TTR functions as a transporter of retinol binding protein (RBP), thyroxine (T4) and retinol, and it also acts as a protease.
- RBP retinol binding protein
- T4 thyroxine
- TTR retinol
- TTR amyloid fibrils that aggregate into extracellular deposits, causing amyloidosis.
- TTR mRNA transcript The sequence of a human TTR mRNA transcript can be found at National Center for Biotechnology Information (NCBI) RefSeq accession number NM_000371 (e.g., SEQ ID NOs:l and 5).
- the sequence of mouse TTR mRNA can be found at RefSeq accession number NM_013697.2, and the sequence of rat TTR mRNA can be found at RefSeq accession number NM_012681.1. Additional examples of TTR mRNA sequences are readily available using publicly available databases, e.g., GenBank, UniProt, and OMIM.
- TTR-associated disease is intended to include any disease associated with the TTR gene or protein. Such a disease may be caused, for example, by excess production of the TTR protein, by TTR gene mutations, by abnormal cleavage of the TTR protein, instability of TTR tetramers, by abnormal interactions between TTR and other proteins or other endogenous or exogenous substances.
- a “TTR-associated disease” includes any type of transthyretin-mediated amyloidosis (ATTR amyloidosis) wherein TTR plays a role in the formation of abnormal extracellular aggregates or amyloid deposits, e.g., either herititary ATTR (h-ATTR) amyloidosis or non-heriditary ATTR (ATTR) amyloidosis.
- h-ATTR herititary ATTR
- ATTR non-heriditary ATTR
- TTR-associated diseases include senile systemic amyloidosis (SSA), systemic familial amyloidosis, familial amyloidotic polyneuropathy (FAP), familial amyloidotic cardiomyopathy (FAC), leptomeningeal/Central Nervous System (CNS) amyloidosis, amyloidotic vitreous opacities, carpal tunnel syndrome, and hyperthyroxinemia.
- SSA systemic amyloidosis
- FAP familial amyloidotic polyneuropathy
- FAC familial amyloidotic cardiomyopathy
- CNS leptomeningeal/Central Nervous System
- TTR amyloidosis Symptoms of TTR amyloidosis include sensory neuropathy (e.g., paresthesia, hypesthesia in distal limbs), autonomic neuropathy (e.g., gastrointestinal dysfunction, such as gastric ulcer, or orthostatic hypotension), motor neuropathy, seizures, dementia, myelopathy, polyneuropathy, carpal tunnel syndrome, autonomic insufficiency, cardiomyopathy, vitreous opacities, renal insufficiency, nephropathy, substantially reduced mBMI (modified Body Mass Index), cranial nerve dysfunction, and corneal lattice dystrophy.
- sensory neuropathy e.g., paresthesia, hypesthesia in distal limbs
- autonomic neuropathy e.g., gastrointestinal dysfunction, such as gastric ulcer, or orthostatic hypotension
- motor neuropathy e.g., seizures, dementia, myelopathy, polyneuropathy, carpal tunnel syndrome, autonomic insufficiency, cardiomyopathy, vitreous
- strand comprising a sequence refers to an oligonucleotide comprising a chain of nucleotides that is described by the sequence referred to using the standard nucleotide nomenclature.
- RNAi agent refers to an agent that contains RNA as that term is defined herein, and which mediates the targeted cleavage of an RNA transcript via an RNA-induced silencing complex (RISC) pathway.
- RISC RNA-induced silencing complex
- iRNA directs the sequence-specific degradation of mRNA through a process known as RNA interference (RNAi).
- RNAi RNA interference
- the iRNA modulates, e.g., inhibits, the expression of a TTR gene in a cell, e.g., a cell within a subject, such as a mammalian subject.
- an “iRNA” for use in the compositions, uses, and methods of the invention is a double stranded RNA and is referred to herein as a “double stranded RNAi agent,” “double stranded RNA (dsRNA) molecule,” “dsRNA agent,” or “dsRNA”.
- dsRNA refers to a complex of ribonucleic acid molecules, having a duplex structure comprising two anti-parallel and substantially complementary nucleic acid strands, referred to as having “sense” and “antisense” orientations with respect to a target RNA, i.e., a TTR gene.
- RNA interference RNA interference
- modified nucleotide refers to a nucleotide having, independently, a modified sugar moiety, a modified internucleotide linkage, or a modified nucleobase.
- modified nucleotide encompasses substitutions, additions or removal of, e.g., a functional group or atom, to internucleoside linkages, sugar moieties, or nucleobases.
- the modifications suitable for use in the agents of the invention include all types of modifications disclosed herein or known in the art. Any such modifications, as used in a siRNA type molecule, are encompassed by “RNAi agent” for the purposes of this specification and claims.
- the duplex region may be of any length that permits specific degradation of a desired target RNA through a RISC pathway, and may range from about 21 to 36 base pairs in length, e.g., about 21- 30 base pairs in length, for example, about 21-30, 21-29, 21-28, 21-27, 21-26, 21-25, 21-24, 21-23, or 21-22 base pairs in length.
- an RNAi agent of the invention is a dsRNA agent, each strand of which comprises 21-23 nucleotides that interacts with a TTR mRNA sequence to direct the cleavage of the target mRNA.
- Dicer Type III endonuclease known as Dicer (Sharp et al. (2001) Genes Dev. 15:485).
- Dicer a ribonuclease-III-like enzyme, processes the dsRNA into 19-23 base pair short interfering RNAs with characteristic two base 3’ overhangs (Bernstein, et al., (2001) Nature 409:363).
- an RNAi agent of the invention is a dsRNA of 24- 30 nucleotides that interacts with a TTR mRNA sequence to direct the cleavage of the target RNA.
- nucleotide overhang refers to at least one unpaired nucleotide that protrudes from the duplex structure of an iRNA, e.g., a dsRNA.
- a dsRNA can comprise an overhang of at least one nucleotide; alternatively, the overhang can comprise at least two nucleotides, at least three nucleotides, at least four nucleotides, at least five nucleotides or more.
- a nucleotide overhang can comprise or consist of a nucleotide/nucleoside analog, including a deoxynucleotide/nucleoside.
- the overhang(s) can be on the sense strand, the antisense strand or any combination thereof.
- the nucleotide(s) of an overhang can be present on the 5'-end, 3'-end or both ends of either an antisense or sense strand of a dsRNA.
- at least one strand comprises a 3’ overhang of at least 1 nucleotide.
- At least one strand comprises a 3’ overhang of at least 2 nucleotides, e.g., 2, 3, 4, 5, 6, 7, 8, or 9 nucleotides.
- at least one strand of the RNAi agent comprises a 5’ overhang of at least 1 nucleotide.
- at least one strand comprises a 5’ overhang of at least 2 nucleotides, e.g., 2, 3, 4, 5, 6, 7, 8, or 9 nucleotides.
- both the 3’ and the 5’ end of one strand of the RNAi agent comprise an overhang of at least 1 nucleotide.
- the antisense strand of a dsRNA has a 1-9 nucleotide, e.g., 0-3, 1-3, 2-4, 2- 5, 4-9, 5-9, e.g., a 1, 2, 3, 4, 5, 6, 7, 8, or 9 nucleotide, overhang at the 3’-end or the 5’-end.
- the sense strand of a dsRNA has a 1-9 nucleotide, e.g., a 1, 2, 3, 4, 5, 6, 7, 8, or 9 nucleotide, overhang at the 3 ’-end or the 5 ’-end.
- one or more of the nucleotides in the overhang is replaced with a nucleoside thiophosphate.
- RNAi agents of the invention include RNAi agents with nucleotide overhangs at one end (i.e., agents with one overhang and one blunt end) or with nucleotide overhangs at both ends.
- antisense strand or "guide strand” refers to the strand of an iRNA, e.g., a dsRNA, which includes a region that is substantially complementary to a target sequence, e.g., a TTR mRNA.
- region of complementarity refers to the region on the antisense strand that is substantially complementary to a sequence, for example a target sequence, e.g., a TTR nucleotide sequence, as defined herein.
- a target sequence e.g., a TTR nucleotide sequence
- the mismatches can be in the internal or terminal regions of the molecule.
- the most tolerated mismatches are in the terminal regions, e.g., within 5, 4, 3, 2, or 1 nucleotides of the 5’ - or 3 ’-terminus of the iRNA.
- a double stranded RNAi agent of the invention includea a nucleotide mismatch in the antisense strand.
- a double stranded RNAi agent of the invention includes a nucleotide mismatch in the sense strand.
- the nucleotide mismatch is, for example, within 5, 4, 3, 2, or 1 nucleotides from the 3’-terminus of the iRNA.
- the nucleotide mismatch is, for example, in the 3 ’-terminal nucleotide of the iRNA.
- sense strand refers to the strand of an iRNA that includes a region that is substantially complementary to a region of the antisense strand as that term is defined herein.
- cleavage region refers to a region that is located immediately adjacent to the cleavage site.
- the cleavage site is the site on the target at which cleavage occurs.
- the cleavage region comprises three bases on either end of, and immediately adjacent to, the cleavage site.
- the cleavage region comprises two bases on either end of, and immediately adjacent to, the cleavage site.
- the cleavage site specifically occurs at the site bound by nucleotides 10 and 11 of the antisense strand, and the cleavage region comprises nucleotides 11, 12 and 13.
- the term “complementary,” when used to describe a first nucleotide sequence in relation to a second nucleotide sequence, refers to the ability of an oligonucleotide or polynucleotide comprising the first nucleotide sequence to hybridize and form a duplex structure under certain conditions with an oligonucleotide or polynucleotide comprising the second nucleotide sequence, as will be understood by the skilled person.
- Such conditions can be, for example, “stringent conditions”, where stringent conditions can include: 400 mM NaCl, 40 mM PIPES pH 6.4, 1 mM EDTA, 50 oC or 70 oC for 12-16 hours followed by washing (see, e.g., “Molecular Cloning: A Laboratory Manual, Sambrook, et al. (1989) Cold Spring Harbor Laboratory Press). Other conditions, such as physiologically relevant conditions as can be encountered inside an organism, can apply. The skilled person will be able to determine the set of conditions most appropriate for a test of complementarity of two sequences in accordance with the ultimate application of the hybridized nucleotides.
- Complementary sequences within an iRNA include base-pairing of the oligonucleotide or polynucleotide comprising a first nucleotide sequence to an oligonucleotide or polynucleotide comprising a second nucleotide sequence over the entire length of one or both nucleotide sequences.
- Such sequences can be referred to as “fully complementary” with respect to each other herein.
- first sequence is referred to as “substantially complementary” with respect to a second sequence herein
- the two sequences can be fully complementary, or they can form one or more, but generally not more than 5, 4, 3 or 2 mismatched base pairs upon hybridization for a duplex up to 30 base pairs, while retaining the ability to hybridize under the conditions most relevant to their ultimate application, e.g., inhibition of gene expression, in vitro or in vivo.
- two oligonucleotides are designed to form, upon hybridization, one or more single stranded overhangs, such overhangs shall not be regarded as mismatches with regard to the determination of complementarity.
- a dsRNA comprising one oligonucleotide 21 nucleotides in length and another oligonucleotide 23 nucleotides in length, wherein the longer oligonucleotide comprises a sequence of 21 nucleotides that is fully complementary to the shorter oligonucleotide, can yet be referred to as “fully complementary” for the purposes described herein.
- “Complementary” sequences can also include, or be formed entirely from, non- Watson-Crick base pairs or base pairs formed from non-natural and modified nucleotides, in so far as the above requirements with respect to their ability to hybridize are fulfilled.
- non-Watson-Crick base pairs include, but are not limited to, G:U Wobble or Hoogstein base pairing.
- complementary can be used with respect to the base matching between the sense strand and the antisense strand of a dsRNA, or between two oligonucleotides or polynucleotides, such as the antisense strand of an iRNA agent and a target sequence, as will be understood from the context of their use.
- a polynucleotide that is “substantially complementary to at least part of’ a messenger RNA (mRNA) refers to a polynucleotide that is substantially complementary to a contiguous portion of the mRNA of interest (e.g., an mRNA encoding a TTR gene).
- mRNA messenger RNA
- a polynucleotide is complementary to at least a part of a TTR mRNA if the sequence is substantially complementary to a non-interrupted portion of an mRNA encoding a TTR gene.
- the antisense polynucleotides disclosed herein are fully complementary to the target TTR sequence. In other embodiments, the antisense polynucleotides disclosed herein are fully complementary to SEQ ID NO: 8 (5’- UGGGAUUUCAUGUAACCAAGA - 3’). In one embodiment, the antisense polynucleotide sequence is 5’-
- a “reference level” is understood as a predetermined level to which a level obtained from an assay, e.g., a biomarker level, e.g., a protein biomarker level, is compared.
- a reference level can be a control level determined for a healthy population, e.g., a population that does not have a disease or condition associated with a changed level of the biomarker and does not have a predisposition, e.g., genetic predisposition, to a disease or condition associated with a changed level of the biomarker.
- the population should be matched for certain criteria, e.g., age, sex.
- the reference level of the biomarker is a level from the same subject at an earlier time, e.g., before the development of symptomatic disease or before the start of treatment.
- samples are obtained from the subject at clinically relevant intervals, e.g., at intervals sufficiently separated in time that a change in the biomarker could be observed, e.g., at least a three month interval, at least a six month interval, or at least a nine month interval.
- a change in the biomarker could be observed, e.g., at least a three month interval, at least a six month interval, or at least a nine month interval.
- a “change as compared to a reference level” and the like is understood as a statistically or clinically significant change in the biomarker level, e.g., the change in the protein biomarker level, as compared to the reference level, is greater than the typical standard deviation of the assay method. Moreover, the change should be clinically relevant.
- the change as compared to a reference level can be determined as a percent change.
- a reference level is 100 pg/ml for biomarker X
- the level of biomarker X in the subject is 150 pg/ml
- the level of biomarker X in the subject is 300 pg/ml
- the level is increased by 300%.
- the level of biomarker X in the subject is 50 pg/ml
- the level is decreased by 50%.
- the change as compared to a reference level is increased by at least 50%.
- the change as compared to a reference level is increased by at least 100%, at least 200%, or at least 300%. In certain embodiments, the change as compared to a reference sample is decreased by at least 25%. In certain embodiments, the change as compared to a reference sample is decreased by at least 50%.
- biological fluids include blood, serum, serosal fluids, plasma, cerebrospinal fluid, ocular fluids, lymph, urine, saliva, and the like.
- Tissue samples may include samples from tissues, organs, or localized regions.
- samples may be derived from particular organs, parts of organs, or fluids or cells within those organs.
- samples may be liver tissue or be derived from the liver.
- a “biological sample from a subject” can refer to blood or blood derived serum or plasma from the subject.
- the fluid is substantially free of cells, e.g., is free of cells.
- a “clinically relevant difference” is understood as at least greater difference than typical interobserver variation for the assessment, wherein the observer may be a trained health care professional, a caregiver, or the patient, performing the same assessment on the same individual at around the same time, e.g., within a week, such as within consecutive days. It is understood that certain patient observations are subjective and should be nearly identical when performed by different observers within a short time frame, e.g., body weight, heart rate.
- chronically administered is understood as administration for an indefinite interval, e.g., for the remainder of the life of the subject, until liver transplant.
- a “therapeutic agent that stabilizes TTR” or “that stabilizes a TTR tetramer” is an agent that reduces or prevents the dissociation of the subunits of a TTR tetramer, e.g., into monomers.
- the agent reduces the formation of TTR amyloid plaques, e.g., by reducing the level of TTR monomers or proteolytic fragments of TTR monomers that form TTR amyloid plaques.
- agents include, but are not limited to, tafamidis, diflunisal, and AGIO.
- administering a therapeutic agent is understood as providing a therapeutic agent to a subject.
- the therapeutic agent is provided at an appropriate dosage and by a route of administration for the agent as provided, for example, by the label of the therapeutic agent.
- the present invention provides double stranded RNAi agents and their use in methods for treating a TTR-associated disease in a human subject, such as a transthyretin-mediated amyloidosis (ATTR amyloidosis), e.g., hereditary ATTR (h-ATTR) amyloidosis or non-heriditary ATTR (wt ATTR) amyloidosis; or for inhibiting expression of TTR in a subject that does not yet meet the diagnostic criteria of a TTR-associated disease, but who is at risk for developing a TTR-associated disease, e.g., a subject with a TTR mutation associated with TTR amyloidosis, a subject with some indicia of TTR amyloidosis who does not yet meet the diagnostic criteria of TTR amyloidosis, a subject with altered biomarker levels associated with TTR amyloidosis.
- the methods include administering to the subject a therapeutically effective amount of an RNAi agent of
- the present invention provides methods of treating a human subject suffering from a TTR-associated disease or at risk for developing a TTR-associated disease.
- the methods include administering to the human subject a fixed dose of about 25 mg to about 1000 mg of a double stranded RNAi agent wherein the sense strand comprises the modified nucleotide sequence 5’- usgsggauUfuCfAfUfguaaccaaga-3’ (SEQ ID NO: 6); and the antisense strand comprises the modified nucleotide sequence 5’-usCfsuugGf(Tgn)uAfcaugAfaAfucccasusc-3’ (SEQ ID NO: 7), wherein a, c, g, andu are 2'-0-methyladenosine-3’ -phosphate, 2'-0-methylcytidine-3’- phosphate, 2'-0-methylguanosine-3’ -phosphate, and 2'-0-methyluridine-3’ -phosphate, respectively;
- Af, Cf, Gf, and Uf are 2 ’-fluoroadenosine-3’ -phosphate, 2 ’-fluorocytidine-3’ -phosphate, 2’- fluoroguanosine-3’ -phosphate, and 2’-fluorouridine-3’-phosphate, respectively;
- Tgn is thymidine-glycol nucleic acid (GNA) S-Isomer; and s is a phosphorothioate linker.
- the present invention provides methods of improving at least one indicia of neurological impairement or quality of life in a human subject suffering from a TTR-associated disease or at risk for developing a TTR-associated disease.
- the methods include administering to the human subject a fixed dose of about 25 mg to about 1000 mg of a double stranded RNAi agent wherein the sense strand comprises the modified nucleotide sequence 5’-usgsggauUfuCfAfUfguaaccaaga-3’ (SEQ ID NO: 6); and the antisense strand comprises the modified nucleotide sequence 5’- usCfsuugGf(Tgn)uAfcaugAfaAfucccasusc-3’ (SEQ ID NO: 7).
- the present invention provides methods of reducing, slowing, or arresting a Neuropathy Impairment Score (NIS) or a modified NIS (mNIS+7) in a human subject suffering from a TTR-associated disease or at risk for developing a TTR-associated disease.
- NIS Neuropathy Impairment Score
- mNIS+7 modified NIS
- the methods include administering to the human subject a fixed dose of about 25 mg to about 1000 mg of a double stranded RNAi agent wherein the sense strand comprises the modified nucleotide sequence 5’- usgsggauUfuCfAfUfguaaccaaga-3’ (SEQ ID NO: 6); and the antisense strand comprises the modified nucleotide sequence 5’-usCfsuugGf(Tgn)uAfcaugAfaAfucccasusc-3’ (SEQ ID NO: 7).
- the present invention provides methods of increasing a 6-minute walk test (6MWT) in a human subject suffering from a TTR-associated disease or at risk for developing a TTR- associated disease.
- the methods include administering to the human subject a fixed dose of about 25 mg to about 1000 mg of a double stranded RNAi agent wherein the sense strand comprises the modified nucleotide sequence 5’-usgsggauUfuCfAfUfguaaccaaga-3’ (SEQ ID NO: 6); and the antisense strand comprises the modified nucleotide sequence 5’-usCfsuugGf(Tgn)uAfcaugAfaAfucccasusc-3’ (SEQ ID NO: 7).
- the double stranded RNAi agent is administered to the human subject about once per quarter to about once per year. In certain embodiments, the double stranded RNAi agent is administered to the human subject about once per quarter, about once every six months, or about once per year.
- the double stranded RNAi agent is administered to the human subject at a fixed dose of about 25 mg to about 300 mg. In certain embodiments, the double stranded RNAi agent is administered to the human subject at a fixed dose of about 25 mg to about 200 mg. In certain embodiments, the double stranded RNAi agent is administered to the human subject at a fixed dose of about 75 mg to about 200 mg. In certain embodiments, the double stranded RNAi agent is administered to the human subject at a fixed dose of about 25 mg. In certain embodiments, the double stranded RNAi agent is administered to the human subject at a fixed dose of about 50 mg.
- the double stranded RNAi agent is administered to the human subject at a fixed dose of about 75 mg. In certain embodiments, the double stranded RNAi agent is administered to the human subject at a fixed dose of about 100 mg. In certain embodiments, the double stranded RNAi agent is administered to the human subject at a fixed dose of about 200 mg. In certain embodiments, the double stranded RNAi agent is administered to the human subject at a fixed dose of about 25 mg to about 300 mg; about 25 mg to about 200 mg; about 50 mg to about 300 mg; about 25 mg; about 50 mg; about 100 mg; about 200mg; or about 300 mg once per quarter, i.e., about once every three months.
- the double stranded RNAi agent is administered to the human subject at a fixed dose of about 400 mg to about 600 mg. In certain embodiments, the double stranded RNAi agent is administered to the human subject at a fixed dose of about 400 mg or about 600 mg about once every six months to about once per year. In certain embodiments, the double stranded RNAi agent is administered to the human subject at a fixed dose of about 400 mg or about 600 mg about once every six months or about once per year.
- the double stranded RNAi agent is administered to the human subject at a fixed dose of about 700 mg to about 1000 mg or about 700 mg to about 900 mg. In certain embodiments, the double stranded RNAi agent is administered to the human subject at a fixed dose of about 700 mg, about 800 mg, about 900mg, or about 1000 mg about once per year.
- the subject is a human being treated or assessed for a disease, disorder or condition that would benefit from reduction in TTR gene expression; a human at risk for a disease, disorder or condition that would benefit from reduction in TTR gene expression, e.g., a human who does not meet the diagnostic criteria of a TTR-associated disease, but who demonstrates at least one sign or symptom of a TTR-associated disease or has at least one risk factor of developing a TTR associated disease; a human having a disease, disorder or condition that would benefit from reduction in TTR gene expression; or human being treated for a disease, disorder or condition that would benefit from reduction in TTR gene expression, as described herein.
- the human subject is suffering from a TTR-associated disease.
- the subject is a subject at risk for developing a TTR-associated disease, e.g., a subject with a TTR gene mutation that is associated with the development of a TTR associated disease, a subject with a family history of TTR-associated disease, or a subject who has signs or symptoms suggesting the development of TTR associated disease without meeting the diagnostic criteria for a TTR-associated disease.
- TTR-associated disease includes any disease caused by or associated with the formation of amyloid deposits in which the fibril precurosors consist of variant or wild-type TTR protein. Mutant and wild-type TTR give rise to various forms of amyloid deposition (amyloidosis). Amyloidosis involves the formation and aggregation of misfolded proteins, resulting in extracellular deposits that impair organ function.
- Climical syndromes associated with TTR aggregation include, for example, senile systemic amyloidosis (SSA); systemic familial amyloidosis; familial amyloidotic polyneuropathy (FAP); familial amyloidotic cardiomyopathy (FAC); and leptomeningeal amyloidosis, also known as leptomeningeal or meningocerebrovascular amyloidosis, central nervous system (CNS) amyloidosis, or amyloidosis VII form.
- SSA systemic amyloidosis
- FAP familial amyloidotic polyneuropathy
- FAC familial amyloidotic cardiomyopathy
- leptomeningeal amyloidosis also known as leptomeningeal or meningocerebrovascular amyloidosis, central nervous system (CNS) amyloidosis, or amyloidosis VII form.
- the RNAi agents of the invention are administered to subjects suffering from FAC with a mixed phenotype, i.e., a subject having both cardiac and neurological impairements. In yet another embodiment, the RNAi agents of the invention are administered to subjects suffering from FAP with a mixed phenotype, i.e., a subject having both neurological and cardiac impairements. In one embodiment, the RNAi agents of the invention are administered to subjects suffering from FAP that has been treated with an orthotopic liver transplantation (OLT).
- OHT orthotopic liver transplantation
- RNAi agents of the invention are administered to subjects suffering from senile systemic amyloidosis (SSA).
- RNAi agents of the invention are administered to subjects suffering from familial amyloidotic cardiomyopathy (FAC) and senile systemic amyloidosis (SSA).
- FAC familial amyloidotic cardiomyopathy
- SSA senile systemic amyloidosis
- FAC familial amyloidotic cardiomyopathy
- SSA senile systemic amyloidosis
- SSA senile systemic amyloidosis
- SCA senile cardiac amyloidosis
- SSA often is accompanied by microscopic deposits in many other organs.
- TTR mutations accelerate the process of TTR amyloid formation and are the most important risk factor for the development of clinically significant TTR amyloidosis (also called ATTR (amyloidosis-transthyretin type)). More than 85 amyloidogenic TTR variants are known to cause systemic familial amyloidosis.
- RNAi agents of the invention are administered to subjects suffering from transthyretin (TTR) -related familial amyloidotic polyneuropathy (FAP). Such subjects may suffer from ocular manifestations, such as vitreous opacity and glaucoma. It is known to one of skill in the art that amyloidogenic transthyretin (ATTR) synthesized by retinal pigment epithelium (RPE) plays important roles in the progression of ocular amyloidosis.
- TTR transthyretin
- FAP familial amyloidotic polyneuropathy
- TTR-associated disease is hyperthyroxinemia, also known as “dystransthyretinemic hyperthyroxinemia” or “dysprealbuminemic hyperthyroxinemia”.
- hyperthyroxinemia may be secondary to an increased association of thyroxine with TTR due to a mutant TTR molecule with increased affinity for thyroxine. See, e.g., Moses et al. (1982) J. Clin.
- RNAi agents of the invention may be administered to a subject using any mode of administration known in the art, including, but not limited to subcutaneous, intravenous, and intramuscular injection, and any combinations thereof.
- the agents are administered to the subject subcutaneously.
- a subject is administered a single dose of an RNAi agent via subcutaneous injection, e.g., abdominal, thigh, or upper arm injection.
- a subject is administered a split dose of an RNAi agent via subcutaneous injection.
- the split dose of the RNAi agent is administered to the subject via subcutaneous injection at two different anatomical locations on the subject.
- the subject may be subcutaneously injected subcutaneously at a dose of 25 mg to 1000 mg.
- the subcutaneous administration is self-administration via, e.g., a pre-filled syringe or auto-injector syringe.
- a dose of the RNAi agent for subcutaneous administration is contained in a volume of less than or equal to one ml of, e.g., a pharmaceutically acceptable carrier.
- the RNAi agent is in a non-pyrogenic formulation.
- the RNAi agent is administered to a subject in an amount effective to inhibit TTR expression in a cell within the subject.
- the amount effective to inhibit TTR expression in a cell within a subject may be assessed using methods discussed below, including methods that involve assessment of the inhibition of TTR mRNA, TTR protein, or related variables, such as amyloid deposits.
- the RNAi agent is administered to a subject in a therapeutically effective amount.
- “Therapeutically effective amount,” as used herein, is intended to include the amount of an RNAi agent that, when administered to a patient for treating a TTR associated disease, is sufficient to effect treatment of the disease (e.g., by diminishing, maintaining, or slowing the progression of the existing disease as compared to an appropriate control; or diminishing, maintaining, or slowing one or more symptoms of disease as compared to an appropriate control).
- the “therapeutically effective amount” may vary depending on the RNAi agent, how the agent is administered, the disease and its severity and the history, age, weight, family history, genetic makeup, stage of pathological processes mediated by TTR expression, the types of preceding or concomitant treatments, if any, and other individual characteristics of the patient to be treated. Diagnostic criteria for TTR amyloidosis, polyneuropathies, and cardiomyopathies are discussed further below.
- “Therapeutically effective amount,” as used herein, is intended to include the amount of an RNAi agent that, when administered to a subject who does not yet meet the diagnositic criteria of a TTR-associated disease, e.g., a subject who has not been diagnosed with hTTR amyloidosis polyneuropathy; a subject who does not meet the diagnostic criteria of Stage 1 FAP, but who may be predisposed to the disease, e.g., a subject with a TTR mutation associated with TTR amyloidosis, a subject suffering from one or more of orthostatic hypotension, heart failure, cardiac arrhythmia, left ventricular wall thickness, interventricular septal wall thickness, cardiac posterior wall thickness diarrhea, constipation, erectile dysfunction, glaucoma, intravitreal deposition, scalloped pupils; carpal tunnel syndrome, lumbar spinal stenosis, and bicep tendon rupture; a subject with an elevated neurofilament light chain (NfL) level as compared to a reference sample,
- Symptoms that may be ameliorated include sensory neuropathy (e.g., paresthesia, hypesthesia in distal limbs), autonomic neuropathy (e.g., gastrointestinal dysfunction, such as gastric ulcer, or orthostatic hypotension), motor neuropathy, seizures, dementia, myelopathy, polyneuropathy, carpal tunnel syndrome, autonomic insufficiency, cardiomyopathy, vitreous opacities, renal insufficiency, nephropathy, substantially reduced mBMI (modified Body Mass Index), cranial nerve dysfunction, corneal lattice dystrophy, left lventricular (LV) wall thickening by echocardiographic assessment, increased global longitudinal strain by echocardiographic assessment, increased N-terminal prohormone B-type Natriuretic Peptide (NTproBNP), and hospitalization due to cardiac event.
- sensory neuropathy e.g., paresthesia, hypesthesia in distal limbs
- autonomic neuropathy e.g., gastrointestinal dysfunction, such as gastric ulcer, or orthostatic hypotension
- Diminishing the disease includes slowing the course of the disease or reducing the severity of later-developing disease.
- the dose may vary depending on the RNAi agent, how the agent is administered, the degree of risk of disease, and the history, age, weight, family history, genetic makeup, the types of preceding or concomitant treatments, if any, and other individual characteristics of the patient to be treated.
- a “therapeuticahy-effective amount” also includes an amount of an RNAi agent that produces some desired local or systemic effect at a reasonable benefit/risk ratio applicable to any treatment.
- RNAi agents employed in the methods of the present invention may be administered in a sufficient amount to produce a reasonable benefit/risk ratio applicable to such treatment.
- the phrase “therapeutically effective amount” also includes an amount that provides a benefit in the treatment, prevention, or management of pathological processes or symptom(s) of pathological processes mediated by TTR expression.
- Symptoms of TTR amyloidosis include sensory neuropathy (e.g.
- autonomic neuropathy e.g., gastrointestinal dysfunction, such as gastric ulcer, or orthostatic hypotension
- motor neuropathy seizures, dementia, myelopathy, polyneuropathy, carpal tunnel syndrome, autonomic insufficiency, cardiomyopathy, vitreous opacities, renal insufficiency, nephropathy, substantially reduced mBMI (modified Body Mass Index), cranial nerve dysfunction, corneal lattice dystrophy, left lventricular (LV) wall thickening by echocardiographic assessment, increased global longitudinal strain by echocardiographic assessment, increased N-terminal prohormone B-type Natriuretic Peptide (NTproBNP), and hospitalization due to cardiac event.
- mBMI modified Body Mass Index
- treatment of the subject with a dsRNA agent of the invention slows the progression of neuropathy.
- treatment of the subject with a dsRNA agent of the invention slows the progression of neuropathy and cardiomyopathy.
- the method of the invention improve cardiac structure and function, including, for example, the methods reduce the mean left ventricular wall thickness and longitudinal strain, and reduce the expression level of the cardiac stress biomarker, N-terminal pro b-type natriuretic peptide (NT-proBNP).
- NT-proBNP N-terminal pro b-type natriuretic peptide
- RNAi agent of the invention is also useful in methodsfor improving at least one indicia of neurological impairment or quality of life in a subject suffering from or at risk of developing a TTR-associated disease.
- the methods of the invention improve at least indicia of neurological impairment in the subject.
- “Improving at least one indicia of neurological impairment” in the subject refers to the ability of the methods of the invention to slow, reduce, or arrest neurological impairment, or improve any symptom associated with neurological impairment.
- Any suitable measure of neurological impairment can be used to determine whether a subject has reduced, slowed, or arrested, neurological impairment, or an improvement of a symptom associated with neurological impairment.
- One suitable measure is a Neuropathy Impairment Score (NIS).
- NIS refers to a scoring system that measures weakness, sensation, and reflexes, especially with respect to peripheral neuropathy.
- the NIS score evaluates a standard group of muscles for weakness (1 is 25% weak, 2 is 50% weak, 3 is 75% weak, 3.25 is movement against gravity, 3.5 is movement with gravity eliminated, 3.75 is muscle flicker without movement, and 4 is paralyzed), a standard group of muscle stretch reflexes (0 is normal, 1 is decreased, 2 is absent) , and touch-pressure, vibration, joint position and motion, and pinprick (all graded on index finger and big toe: 0 is normal, 1 is decreased, 2 is absent). Evaluations are corrected for age, gender, and physical fitness.
- the methods of the invention reduce a NIS by at least 5 points at 18 months from the start of dosing. In other embodiments, the methods of the invention result in a stabilization of NIS at 18 months from the start of treatment with an RNAi agent provided herein. In other embodiments, the methods slow an increasing NIS score as compared to an appropriate control group showing the natural history of the disease, e.g., a placebo control group as provided, for example in Adams et al., N Engl J Med 2018;379:11-21. It is understood that the rate of disease progression is dependent upon a number of factors including, but not limited to, the severity of disease in the subject at the initiation of treatment, the duration of treatment, prior treatments, and the specific TTR mutation present, if any.
- mNIS+7 refers to a clinical exam-based assessment of neurologic impairment (NIS) combined with electrophysiologic measures of small and large nerve fiber function (NCS and QST), and measurement of autonomic function (postural blood pressure).
- NIS+7 score is a modification of the NIS+7 score (which represents NIS plus seven tests).
- NIS+7 analyzes weakness and muscle stretch reflexes. Five of the seven tests include attributes of nerve conduction.
- the mNTS+7 score modifies NIS+7 to take into account the use of Smart Somatotopic Quantitative Sensation Testing, new autonomic assessments, and the use of compound muscle action potential of amplitudes of the ulnar, peroneal, and tibial nerves, and sensory nerve action potentials of the ulnar and sural nerves (Suanprasert, N. et al, (2014) J. Neurol. Sci., 344(1-2): pgs. 121-128).
- the methods of the invention reduce a mNTS+7 by at least 5 points at 18 months from the start of dosing. In other embodiments, the methods of the invention result in a stabilization of mNTS+7 at 18 months from the start of treatment with an RNAi agent provided herein.
- the methods slow an increasing mNTS+7 score as compared to an appropriate control group showing the natural history of the disease, e.g., a placebo control group as provided, for example in Adams et al., N Engl J Med 2018;379:11-21. It is understood that the rate of disease progression is dependent upon a number of factors including, but not limited to, the severity of disease in the subject at the initiation of treatment, the duration of treatment, prior treatments, and the specific TTR mutation present, if any.
- the methods of the invention improve at least one indicia of quality of life in the subject.
- “Improving at least one indicia of quality of life” in the subject refers to the ability of the methods of the invention to slow or arrest quality of life worsening or improve quality of life. Any suitable measure of quality of life can be used to determine whether a subject has slowed or arrested quality of life worsening, or improved quality of life.
- the SF-36® health survey provides a self-reporting, multi-item scale measuring eight health parameters: physical functioning, role limitations due to physical health problems, bodily pain, general health, vitality (energy and fatigue), social functioning, role limitations due to emotional problems, and mental health (psychological distress and psychological well-being).
- Each scale is directly transformed into a 0-100 scale on the assumption that each question carries equal weight. The lower the score the more disability. The higher the score the less disability i.e., a score of zero is equivalent to maximum disability and a score of 100 is equivalent to no disability.
- the survey also provides a physical component summary and a mental component summary.
- the methods of the invention provide to the subject an improvement versus baseline in at least one of the SF- 36 physical health related parameters (physical health, role -physical, bodily pain or general health) or in at least one of the SF-36 mental health related parameters (vitality, social functioning, role-emotional or mental health).
- Such an improvement can take the form of an increase of, for example at least 2 or at least 3 points, on the scale for any one or more parameters at 9 months from the start of the dosing.
- the methods of the invention arrest a decreasing SF-36 parameter score at 9 months from the start of dosing for any one or more parameters, e.g., the methods result in no clinically significant change of the SF-36 e.g., within the variation observed for individuals performing an SF-36 assessment.
- the methods of the invention slow the rate at which a SF-36 score decreases at 9 months from the start of dosing, e.g., the rate of decrease of an SF-36 score in a subject treated with an RNAi agent of the invention as compared to the rate of decrease of an SF-36 score as compared to an appropriate control group showing the natural history of the disease, e.g., a placebo control group as provided, for example in Adams et al., N Engl J Med 2018;379:11-21. It is understood that the rate of disease progression is dependent upon a number of factors including, but not limited to, the severity of disease in the subject at the initiation of treatment, the duration of treatment, prior treatments, and the specific TTR mutation present, if any.
- the Norfolk QOF-DN is a validated comprehensive questionnaire designed to capture the entire spectrum of DN related to large fiber, small fiber, and autonomic neuropathy not captured in existing instruments.
- the methods of the invention improve a subject’s Norfolk QOL-DN score from baseline, e.g., a change of about -2.5, -3.0, -3.5, -4.0, -4.5, or -5.0 at 9 months from the start of treatment with an RNAi agent provided herein.
- the methods arrest an increasing Norfolk QOL-DN score, e.g., the methods result in no clinically significant change of theNorfolk QOL- DN score, e.g., within the variation observed between individuals performing a QOL-DN assessment.
- the methods of the invention slow the rate at which an QOL-DN score increases, e.g., the rate of increase of a QOL-DN score in a subject treated with an RNAi agent of the invention as compared to the rate of increase of a QOL-DN score as compared to an appropriate control group showing the natural history of the disease, e.g., a placebo control group as provided, for example in Adams et al., N Engl J Med 2018;379:11-21. It is understood that the rate of disease progression is dependent upon a number of factors including, but not limited to, the severity of disease in the subject at the initiation of treatment, the duration of treatment, prior treatments, and the specific TTR mutation present, if any.
- a suitable measurement of quality of life is motor strength as assessed by, for example, a NIS-W score.
- a NIS-W score is a composite score that summates the weakness of head, trunk, and limb muscles.
- muscle power is assessed as normal (0) or complete paralysis (4) with intermediate grades; 1 representing a muscle that is deemed 25% weak by clinical strength testing, 2 as 50% weak, 3 as 75% weak, 3.25 as movement against gravity, 3.50 as movement with gravity eliminated, and 3.75 as muscle flicker.
- the methods of the invention provide to the subject an improvement versus baseline in an NIS-W score
- Such an improvement can take the form of a decrease of at least 5, 6, 7, 8,
- the methods arrest a decrease NIS-W score, e.g., the methods result in no clinically significant increase of the NIS-W score, or a slowing in the rate of increase of NIS-W score as compared to an appropriate control group showing the natural history of the disease, e.g., a placebo control group as provided, for example in Adams et al., N Engl J Med 2018;379:11-21. It is understood that the rate of disease progression is dependent upon a number of factors including, but not limited to, the severity of disease in the subject at the initiation of treatment, the duration of treatment, prior treatments, and the specific TTR mutation present, if any.
- R- ODS Rasch-built Overall Disability Scale
- the methods of the invention provide to the subject an improvement versus baseline in an R-ODS score.
- Such an improvement can take the form of an increase of at least 2, for example at least 2, 3, 4, or 5 points of the subject’s R-ODS score at 18 months from the start of treatment with an RNAi agent provided herein.
- the methods arrest a decreasing R-ODS score, e.g., the methods result in no clinically significant decrease of the R-ODS score at 18 months from the start of treatment with an RNAi agent provided herein.
- the methods of the invention slow the rate at which a R-ODS score decreases at 18 months from the start of treatment with an RNAi agent provided herein, e.g., the rate of decrease of a R-ODS score in a subject treated with an RNAi agent of the invention as compared to the rate of decrease of a R-ODS score as compared to an appropriate control group showing the natural history of the disease, e.g., a placebo control group as provided, for example in Adams et al., N Engl J Med 2018;379:11-21. It is understood that the rate of disease progression is dependent upon a number of factors including, but not limited to, the severity of disease in the subject at the initiation of treatment, the duration of treatment, prior treatments, and the specific TTR mutation present, if any.
- the composite autonomic symptom score (COMPASS-31), a patient questionnaire that assesses symptoms of dysautonomia autonomic which provides a symptom score from 0 to 100, is another suitable indicia of quality of life.
- the methods of the invention provide to the subject an improvement versus baseline in a COMPASS-31 score.
- Such an improvement can take the form of an increase of at least 5, for example at least 5, 6, 7, 8, 9, or 10, points of the subject’s COMPASS-31 score at 18 months from the start of treatment with an RNAi agent provided herein.
- the methods arrest a decreasing COMPASS-31 score, e.g., the methods result in no clinically relevant change of the COMPASS-31 score at 18 months from the start of treatment with an RNAi agent provided herein.
- the methods of the invention slow the rate at which a COMPASS-31 score decreases, e.g., the rate of decrease of a COMPASS-31 score at 18 months from the start of treatment with an RNAi agent provided herein in a subject treated with an RNAi agent of the invention as compared to the rate of decrease of a COMPASS-31 score as compared to an appropriate control group showing the natural history of the disease, e.g., a placebo control group as provided, for example in Adams et al., N Engl J Med 2018;379:11-21. It is understood that the rate of disease progression is dependent upon a number of factors including, but not limited to, the severity of disease in the subject at the initiation of treatment, the duration of treatment, prior treatments, and the specific
- Other quality of life indicia may include nutritional status (e.g., as assessed by change in median body mass index (mBMI).
- the methods of the invention provide to the subject an improvement versus baseline in mBMI.
- Such an improvement can take the form of a mBMI score increase of at least 2, 3, 4, 5, or more at 18 months from the start of treatment with an RNAi agent provided herein.
- the methods arrest a decreasing mBMI index score, e.g., the methods result in no clinically significant change of the mBMI score at 18 months from the start of treatment with an RNAi agent provided herein.
- the methods of the invention slow the rate at which mBMI score decreases, e.g., the rate of decrease of a mBMI score at 18 months from the start of treatment with an RNAi agent provided herein in a subject treated with an RNAi agent of the invention as compared to the rate of decrease of a mBMI score in a subject as compared to an appropriate control group showing the natural history of the disease, e.g., a placebo control group as provided, for example in Adams et al., N Engl J Med 2018;379:11-21.
- the rate of disease progression is dependent upon a number of factors including, but not limited to, the severity of disease in the subject at the initiation of treatment, the duration of treatment, prior treatments, and the specific TTR mutation present, if any.
- Another quality of life indicia includes assessment of exercise capacity.
- One suitable measure of exercise capacity is a 6-minute walk test (6MWT), which measures how far the subject can walk in 6 minutes, i.e., the 6-minute walk distance (6MWD).
- the methods of the invention provide to the subject an increase from baseline in the 6MWD by at least 10 meters, e.g., at least 10, 15, 20, or about 30 meters at 18 months from the start of treatment with an RNAi agent provided herein.
- the methods of the invention provide to the subject an increase from baseline in the 10- meter walk test by at least 0.025 meters/second, e.g., at least 0.025, 0.03, 0.04, 0.05, 0.06, 0.07, 0.08, 0.09, 1.0, 1.5, 2.0, 2.5, 3.0, 3.5, 4.0. 4.5, or about 5.0 meters/second at 18 months from the start of treatment with an RNAi agent provided herein.
- a change in a plasma biomarker level is an indicia of a decrease in ongoing nerve damage or progression of polyneuropathy in ATTR amyloidosis.
- a decrease in the level of neurofilament light chain (NfL) at 9 months as compared to an NfL level at the start of treatment can be an indicia of a decrease in ongoing nerve damage or progression of polyneuropathy in ATTR amyloidosis.
- NfL neurofilament light chain
- a decrease in the level of other proteins, especially RSP03, CCDC80, EDA2R, and NT-proBNP, either alone or in combination with a decrease in NfL level at 9 months from the start of treatment as compared to its corresponding level at the start of treatment can be an indicia of a decrease in ongoing nerve damage or progression of polyneuropathy in ATTR amyloidosis.
- an increase in the level of N-CDase, either alone or in combination with the other markers listed above, at 9 months from the start of treatment as compared to an its corresponding level at the start of treatment can be an indicia of a decrease in ongoing nerve damage or progression of polyneuropathy in ATTR amyloidosis.
- biomarkers that can act as indicia of a decrease in nerve damage or polyneuropathy in ATTR amyloidosis, such as at 9 months from the initiation of treatment with an RNAi agent provided herein, are provided in Table 1.
- a decrease in ongoing nerve damage or progression of polyneuropathy in ATTR amyloidosis is correlated with a decrease in the proteins having a positive beta coefficient.
- a decrease in ongoing nerve damage or progression of polyneuropathy in ATTR amyloidosis is correlated with an increase in proteins having a negative beta coefficient. It is understood that the change in the biomarker level is a statistically significant change, i.e., a change larger than the inherent variability of the assay.
- the methods of the invention provide an improvement in cardiovascular indicia, e.g., increase in Kansas City Cardiomyopathy Questionnaire Overall Summary (KCCQ-OS), decreased left lventricular (LV) wall thickening by echocardiographic assessment as compared to baseline, decreased global longitudinal strain by echocardiographic assessment as compared to baseline, decreased N-terminal prohormone B-type Natriuretic Peptide (NTproBNP) as compared to baseline, and decrease in hospitalization due to cardiac event.
- KCCQ-OS Kansas City Cardiomyopathy Questionnaire Overall Summary
- LV left lventricular
- NproBNP N-terminal prohormone B-type Natriuretic Peptide
- the methods of the present invention may also improve the prognosis of the subject being treated.
- the methods of the invention may provide to the subject a reduction in probability of a clinical worsening event during the treatment period, or an increased longevity, or decreased hospitalization as compared to an appropriate control group showing the natural history of the disease, e.g., a placebo control group as provided, for example in Adams et al., N Engl J Med 2018;379:11-21.
- a reduction in the probability of a clinical worsening event during the treatment can include a decrease in all-cause mortality or rates of cardiovascular-related hospitalization as assessed, e.g., according to the Finkelstein-Schoenfeld method, as compared to an appropriate control group, as provided, for example, in Maurer et al., N Engl J Med 2018:379:11-21. It is understood that the rate of disease progression is dependent upon a number of factors including, but not limited to, the severity of disease in the subject at the initiation of treatment, the duration of treatment, prior treatments, and the specific TTR mutation present, if any.
- RNAi agent that is administered to a subject may be tailored to balance the risks and benefits of a particular dose, for example, to achieve a desired level of inhibition of TTR gene expression (as assessed, e.g., based on TTR mRNA expression, TTR protein expression, or a reduction in an amyloid deposit, as defined above) or a desired therapeutic effect, while at the same time avoiding undesirable side effects.
- an iRNA agent of the invention is administered to a subject as a “fixed dose” (e.g., a dose in mg) means that one dose of an iRNA agent is used for all subjects regardless of any specific subject-related factors, such as weight.
- the RNAi agent is administered as a fixed dose of about 25 mg to about 1000 mg, e.g., about 25 mg, about 50 mg, about 100 mg, about 200 mg, about 300 mg, about 400 mg, about 500 mg, about 600 mg, about 700 mg, about 800 mg, about 900 mg, or about 1000 mg.
- the double stranded RNAi agent is administered to the human subject about once per quarter to about once per year. In certain embodiments, the double stranded RNAi agent is administered to the human subject about once per quarter, about once every six months, or about once per year.
- the double stranded RNAi agent is administered to the human subject at a fixed dose of about 25 mg to about 300 mg. In certain embodiments, the double stranded RNAi agent is administered to the human subject at a fixed dose of about 25 mg to about 200 mg. In certain embodiments, the double stranded RNAi agent is administered to the human subject at a fixed dose of about 75 mg to about 200 mg. In certain embodiments, the double stranded RNAi agent is administered to the human subject at a fixed dose of about 25 mg. In certain embodiments, the double stranded RNAi agent is administered to the human subject at a fixed dose of about 50 mg.
- the double stranded RNAi agent is administered to the human subject at a fixed dose of about 75 mg. In certain embodiments, the double stranded RNAi agent is administered to the human subject at a fixed dose of about 100 mg. In certain embodiments, the double stranded RNAi agent is administered to the human subject at a fixed dose of about 200 mg. In certain embodiments, the double stranded RNAi agent is administered to the human subject at a fixed dose of about 25 mg to about 300 mg; about 25 mg to about 200 mg; about 75 mg to about 200 mg; about 25 mg; about 50 mg; about 100 mg; about 200mg; or about 300 mg once per quarter, i.e., about once every three months.
- the double stranded RNAi agent is administered to the human subject at a fixed dose of about 400 mg to about 600 mg. In certain embodiments, the double stranded RNAi agent is administered to the human subject at a fixed dose of about 400 mg or about 600 mg about once every six months to about once per year. In certain embodiments, the double stranded RNAi agent is administered to the human subject at a fixed dose of about 400 mg or about 600 mg about once every six months or about once per year.
- the double stranded RNAi agent is administered to the human subject at a fixed dose of about 700 mg to about 1000 mg or about 700 mg to about 900 mg. In certain embodiments, the double stranded RNAi agent is administered to the human subject at a fixed dose of about 700 mg, about 800 mg, about 900mg, or about 1000 mg about once per year.
- the administration is subcutaneous administration, e.g., self administration via, e.g., a pre -filled syringe or auto-injector syringe.
- a dose of the RNAi agent for subcutaneous administration is contained in a volume of less than or equal to one ml of, e.g., a pharmaceutically acceptable carrier.
- any of these schedules may optionally be repeated for one or more iterations.
- the number of iterations may depend on the achievement of a desired effect, e.g., the suppression of a TTR gene, retinol binding protein level, vitamin A level, or the achievement of a therapeutic effect, e.g., reducing an amyloid deposit or reducing a symptom of a TTR-associated disease.
- the iRNA agent is administered chronically, for an indefinite period of time, e.g., throughout the life of the patient.
- the RNAi agent is administered with other therapeutic agents or other therapeutic regimens.
- other agents or other therapeutic regimens suitable for treating a TTR-associated disease may include a liver transplant, a heart transplant, implantation of a pacemaker, an agent which can reduce monomer TTR levels in the body; Tafamidis (Vyndaqel® or Vyndamax®) or AGIO, which kinetically stabilizes the TTR tetramer preventing tetramer dissociation required for TTR amyloidogenesis; nonsteroidal anti-inflammatory drugs (NSAIDS), e.g., diflunisal, and diuretics, which may be employed, for example, to reduce edema in TTR amyloidosis with cardiac involvement.
- NSAIDS nonsteroidal anti-inflammatory drugs
- a subject is administered an initial dose and one or more maintenance doses of an RNAi agent.
- the maintenance dose or doses can be the same or lower than the initial dose, e.g., one-half of the initial dose.
- the patient can be monitored for changes in his/her condition.
- TTR expression of a TTR gene as assessed by serum or plasma TTR levels is inhibited by at least 85%, in some embodiments at least 90%. It is understood that inhibition of TTR expression using the iRNA agents provided herein would inhibit expression of TTR in the liver and not substantially in other tissues, e.g., TTR expression in the eye.
- inhibiting is used interchangeably with “reducing,” “silencing,” “downregulating”, “suppressing”, and other similar terms, and includes any level of inhibition. In some embodiments, inhibiting includes a statistically significant or clinically significant inhibition.
- the phrase “inhibiting expression of a TTR” is intended to refer to inhibition of expression of any TTR gene including variants or mutants of a TTR gene.
- the TTR gene may be a wild-type TTR gene, a mutant TTR gene (such as a mutant TTR gene giving rise to amyloid deposition). Inhibition may be assessed by a decrease in an absolute or relative level of one or more variables that are associated with TTR expression compared with a control level.
- the control level may be any type of control level that is utilized in the art, e.g., a pre-dose baseline level, or a level determined from a similar subject, cell, or sample that is untreated or treated with a control (such as, e.g., buffer only control or inactive agent control).
- inhibition of TTR expression is typically assessed by determining a TTR level in an appropriate sample (e.g., historical control sample, level determined in a normal sample or clinical trial) or before treatment of the subject with an iRNA agent, such as those provided herein or in PCT publications W02010048228, W02013075035, and W02017023660, or other agent, e.g., antisense oligonucleotide agent, dicer substrate agent, that inhibits the expression of TTR, see, e.g., WO2011139917 and WO2015085158; and after treatment with an iRNA agent provided herein. It is understood that the iRNA agents provided herein are durable but slow acting.
- the level of knockdown is determined after sufficient time to reach nadir, e.g., at least 3 weeks after first dose of the iRNA agent in a human subject, or when steady state of TTR knockdown has been achieved, e.g., after multiple doses with an iRNA agent provided herein.
- Inhibition of the expression of a TTR gene may be manifested by a reduction of the amount of mRNA expressed by a first cell or group of cells (such cells may be present, for example, in a sample derived from a subject) in which a TTR gene is transcribed and which has or have been treated (e.g., by contacting the cell or cells with an RNAi agent of the invention, or by administering an RNAi agent of the invention to a subject in which the cells are or were present) such that the expression of a TTR gene is inhibited, as compared to a second cell or group of cells substantially identical to the first cell or group of cells but which has not or have not been so treated (control cell(s)).
- the percent inhibition is assessed by expressing the level of mRNA in treated cells as a percentage of the level of mRNA in control cells, using the following formula:
- a similar calculation may be performed on serum TTR protein concentrations, e.g., in a blood sample obtained froma subject, to determine percent inhibition of expression. If no TTR is detected in the serum or plasma sample after treatment, the amount of TTR present is considered to be the at the lower limit of detection of the assay used.
- the percent inhibition is determined using a validated and clinically acceptable method.
- TTR gene silencing may be determined in any cell expressing TTR, either constitutively or by genomic engineering, and by any assay known in the art.
- the liver is the major site of TTR gene expression. Other significant sites of expression include the retina and choroid plexus.
- Suitable iRNAs for use in the methods of the present invention include double stranded ribonucleic acid (dsRNA) molecules for inhibiting the expression of a TTR gene in a cell, such as a cell within a subject, e.g., a mammal, such as a human having a TTR-associated disease.
- the dsRNA includes an antisense strand having a region of complementarity which is complementary to at least a part of an mRNA formed in the expression of a TTR gene.
- the region of complementarity is about 21- 30 nucleotides or less in length (e.g., about 30, 29, 28, 27, 26, 25, 24, 23, 22, or 21 nucleotides in length).
- the iRNA Upon contact with a cell expressing the TTR gene, the iRNA selectively inhibits the expression of the TTR gene (e.g., a human, a non-human primate, or a non-primate mammal TTR gene) by at least about 70% as assayed by, for example, real time PCR using the method provided in Example 4 of W02013075035 when Hep3B cells are transfected with 10 nM of the iRNA agent using the method provided therein.
- the TTR gene e.g., a human, a non-human primate, or a non-primate mammal TTR gene
- a dsRNA includes two RNA strands that are complementary and hybridize to form a duplex structure under conditions in which the dsRNA will be used.
- One strand of a dsRNA (the antisense strand) includes a region of complementarity that is substantially complementary, and generally fully complementary, to a target sequence.
- the target sequence can be derived from the sequence of an mRNA formed during the expression of a TTR gene.
- the other strand includes a region that is complementary to the antisense strand, such that the two strands hybridize and form a duplex structure when combined under suitable conditions.
- the complementary sequences of a dsRNA can also be contained as self complementary regions of a single nucleic acid molecule, as opposed to being on separate oligonucleotides .
- the duplex structure is 21 to 30 base pairs in length.
- the region of complementarity to the target sequence is 22 and 30 nucleotides in length.
- a dsRNA can be synthesized by standard methods known in the art as further discussed below.
- iRNA compounds of the invention may be prepared using a two-step procedure. First, the individual strands of the double stranded RNA molecule are prepared separately. Then, the component strands are annealed. The individual strands of the siRNA compound can be prepared using solution- phase or solid-phase organic synthesis or both. Organic synthesis offers the advantage that the oligonucleotide strands comprising unnatural or modified nucleotides can be easily prepared. Single- stranded oligonucleotides of the invention can be prepared using solution-phase or solid-phase organic synthesis or both.
- the iRNA agents for use in the methods of the invention include defined chemical modifications in the sense and antisense strand.
- the nucleotides can include modifications including, but not limited to, sugar modifications, backbone modifications, and base modifications.
- Modifications include, for example, end modifications, e.g., 5’- end modifications (phosphorylation, conjugation, inverted linkages) or 3 ’-end modifications (conjugation, DNA nucleotides, inverted linkages, etc.) ⁇ , base modifications, e.g., replacement with stabilizing bases, destabilizing bases, or bases that base pair with an expanded repertoire of partners, removal of bases (abasic nucleotides), or conjugated bases; sugar modifications (e.g., at the 2’ -position or 4’ -position) or replacement of the sugar; or backbone modifications, including modification or replacement of the phosphodiester linkages.
- RNAs having modified backbones include, among others, those that do not have a phosphorus atom in the backbone.
- modified RNAs that do not have a phosphorus atom in their internucleoside backbone can also be considered to be oligonucleosides.
- a modified iRNA has a phosphorus atom in its internucleoside backbone.
- Modified RNA backbones include, for example, phosphorothioates, chiral phosphorothioates, phosphorodithioates, phosphotriesters, aminoalkylphosphotriesters, methyl and other alkyl phosphonates including 3'-alkylene phosphonates and chiral phosphonates, phosphinates, phosphoramidates including 3'-amino phosphoramidate and aminoalkylphosphoramidates, thionophosphoramidates, thionoalkylphosphonates, thionoalkylphosphotriesters, and boranophosphates having normal 3'-5' linkages, 2'-5'-linked analogs of these, and those having inverted polarity wherein the adjacent pairs of nucleoside units are linked 3'-5' to 5'-3' or 2'-5' to 5'-2'.
- Various salts, mixed salts and free acid forms are also included.
- Modified RNA backbones that do not include a phosphorus atom therein have backbones that are formed by short chain alkyl or cycloalkyl internucleoside linkages, mixed heteroatoms and alkyl or cycloalkyl internucleoside linkages, or one or more short chain heteroatomic or heterocyclic internucleoside linkages.
- morpholino linkages formed in part from the sugar portion of a nucleoside
- siloxane backbones sulfide, sulfoxide and sulfone backbones
- formacetyl and thioformacetyl backbones methylene formacetyl and thioformacetyl backbones
- alkene containing backbones sulfamate backbones
- sulfonate and sulfonamide backbones amide backbones; and others having mixed N, O, S and CH 2 component parts.
- RNA mimetics are contemplated for use in iRNAs, in which both the sugar and the internucleoside linkage, i.e., the backbone, of the nucleotide units are replaced with novel groups.
- the base units are maintained for hybridization with an appropriate nucleic acid target compound.
- an RNA mimetic that has been shown to have excellent hybridization properties, is referred to as a peptide nucleic acid (PNA).
- PNA peptide nucleic acid
- the sugar backbone of an RNA is replaced with an amide containing backbone, in particular an aminoethylglycine backbone.
- the nucleobases are retained and are bound directly or indirectly to aza nitrogen atoms of the amide portion of the backbone.
- RNAs with phosphorothioate backbones and oligonucleosides with heteroatom backbones and in particular — CH 2 -NH— CH 2 -, — CH 2 - N(CH 3 ) - O--CH2-- [known as a methylene (methylimino) or MMI backbone], — CH 2 -O— N(CH 3 ) ⁇ CH 2 — , --CH 2 - N(CH 3 )- N(CK 3 )- CH 2 — and — N(CH 3 )— CH 2 — CH 2 — of the above -referenced U.S. Patent No.
- RNAs featured herein have morpholino backbone structures of the above -referenced U.S. Patent No. 5,034,506.
- the native phosphodiester backbone can be represented as 0-P(0)(0H)- OCH2-.
- Modified RNAs can also contain one or more substituted sugar moieties.
- the iRNAs, e.g., dsRNAs, featured herein can include one of the following at the 2'-position: OH; F; 0-, S-, or N-alkyl; 0-, S-, or N-alkenyl; 0-, S- or N-alkynyl; or O-alkyl-O-alkyl, wherein the alkyl, alkenyl and alkynyl can be substituted or unsubstituted C 1 to C 10 alkyl or C2 to C 10 alkenyl and alkynyl.
- Exemplary suitable modifications include 0[(CH 2 ) n O] m CH 3 , 0(CH 2 ). n 0CH 3 , 0(CH 2 ) n NH 2 , 0(CH 2 ) n CH 3 , 0(CH 2 ) n 0NH 2 , and 0(CH 2 ) n 0N[(CH 2 ) n CH 3 )] 2 , where n and m are from 1 to about 10.
- dsRNAs include one of the following at the 2' position: Ci to C 10 lower alkyl, substituted lower alkyl, alkaryl, aralkyl, O-alkaryl or O-aralkyl, SH, SCH 3 , OCN, Cl, Br, CN, CF 3 , OCF 3 , SOCH 3 , S0 2 CH 3 , ON0 2 , N0 2 , N 3 , NH 2 , heterocycloalkyl, heterocycloalkaryl, aminoalkylamino, polyalkylamino, substituted silyl, an RNA cleaving group, a reporter group, an intercalator, a group for improving the pharmacokinetic properties of an iRNA, or a group for improving the pharmacodynamic properties of an iRNA, and other substituents having similar properties.
- the modification includes a 2'-methoxyethoxy (2'-0— CH 2 CH 2 OCH 3 , also known as 2'-0-(2-methoxyethyl) or 2'-MOE) (Martin et al., Helv. Chim. Acta, 1995, 78:486-504) i.e., an alkoxy-alkoxy group.
- 2'-dimethylaminooxyethoxy i.e., a 0(CH 2 ) 2 0N(CH 3 ) 2 group, also known as 2'-DMAOE, as described in examples herein below
- 2'-dimethylaminoethoxyethoxy also known in the art as 2'-0- dimethylaminoethoxyethyl or 2'-DMAEOE
- 2'-0— CH 2 — O— CH 2 — N(CH 3 ) 2 2'-dimethylaminooxyethoxy
- modifications include 2'-methoxy (2'-OCH 3 ), 2'-aminopropoxy (2'-OCH 2 CH 2 CH 2 NH 2 ) and 2'-fluoro (2'-F). Similar modifications can also be made at other positions on the RNA of an iRNA, particularly the 3' position of the sugar on the 3' terminal nucleotide or in 2'-5' linked dsRNAs and the 5' position of 5' terminal nucleotide. iRNAs can also have sugar mimetics such as cyclobutyl moieties in place of the pentofuranosyl sugar.
- RNA of an iRNA of the invention can also include nucleobase (often referred to in the art simply as “base”) modifications or substitutions.
- nucleobases include the purine bases adenine (A) and guanine (G), and the pyrimidine bases thymine (T), cytosine (C) and uracil (U).
- Modified nucleobases include other synthetic and natural nucleobases such as deoxythymidine (dT), 5-methylcytosine (5-me-C), 5 -hydroxymethyl cytosine, xanthine, hypoxanthine, 2-aminoadenine, 6-methyl and other alkyl derivatives of adenine and guanine, 2-propyl and other alkyl derivatives of adenine and guanine, 2-thiouracil, 2-thiothymine and 2-thiocytosine, 5-halouracil and cytosine, 5-propynyl uracil and cytosine, 6-azo uracil, cytosine and thymine, 5-uracil (pseudouracil), 4- thiouracil, 8-halo, 8-amino, 8-thiol, 8-thioalkyl, 8-hydroxyl anal other 8-substituted adenines and guanines, 5-halo, particularly 5-brom
- nucleobases are particularly useful for increasing the binding affinity of the oligomeric compounds featured in the invention.
- These include 5-substituted pyrimidines, 6-azapyrimidines and N-2, N-6 and 0-6 substituted purines, including 2-aminopropyladenine, 5-propynyluracil and 5-propynylcytosine.
- 5-methylcytosine substitutions have been shown to increase nucleic acid duplex stability by 0.6-1.2°C (Sanghvi, Y. S., Crooke, S. T. and Lebleu, B., Eds., dsRNA Research and Applications, CRC Press, Boca Raton, 1993, pp. 276-278) and are exemplary base substitutions, even more particularly when combined with 2'-0-methoxyethyl sugar modifications.
- RNAi agent of the disclosure can also be modified to include one or more bicyclic sugar moities.
- a “bicyclic sugar” is a furanosyl ring modified by a ring formed by the bridging of two carbons, whether adjacent or non-adjacent atoms.
- a “bicyclic nucleoside” (“BNA”) is a nucleoside having a sugar moiety comprising a ring formed by bridging comprising a bridge connecting two carbons, whether adjacent or non-adjacent, two carbon atoms of the sugar ring, thereby forming a bicyclic ring system.
- an agent of the disclosure may include one or more locked nucleic acids (LNA).
- LNA locked nucleic acids
- a locked nucleic acid is a nucleotide having a modified ribose moiety in which the ribose moiety comprises an extra bridge connecting the 2' and 4' carbons.
- an LNA is a nucleotide comprising a bicyclic sugar moiety comprising a 4'-CH2-0-2' bridge. This structure effectively "locks" the ribose in the 3'-endo structural conformation.
- bicyclic nucleosides for use in the polynucleotides of the disclosure include without limitation nucleosides comprising a bridge between the 4' and the 2' ribosyl ring atoms.
- the antisense polynucleotide agents of the disclosure include one or more bicyclic nucleosides comprising a 4' to 2' bridge.
- a locked nucleoside can be represented by the structure (omitting stereochemistry), wherein B is a nucleobase or modified nucleobase and L is the linking group that joins the 2’- carbon to the 4’ -carbon of the ribose ring.
- 4' to 2' bridged bicyclic nucleosides examples include but are not limited to 4'- (CH2)— 0-2' (LNA); 4'-(CH2)— S-2'; 4'-(CH2)2— 0-2' (ENA); 4'-CH(CH3)— 0-2' (also referred to as “constrained ethyl” or “cEt”) and 4'-CH(CH20CH3) — 0-2' (and analogs thereof; see, e.g., U.S. Pat.
- bicyclic nucleosides can be prepared having one or more stereochemical sugar configurations including for example ⁇ -L-ribofuranose and b-D-ribofuranose (see WO 99/14226).
- RNAi agent of the disclosure can also be modified to include one or more constrained ethyl nucleotides.
- a "constrained ethyl nucleotide” or “cEt” is a locked nucleic acid comprising a bicyclic sugar moiety comprising a 4’-CH(CH3)-0-2’ bridge (i.e., L in the preceding structure).
- a constrained ethyl nucleotide is in the S conformation referred to herein as “S-cEt.”
- An iRNA of the invention may also include one or more “conformationally restricted nucleotides” (“CRN”).
- CRN are nucleotide analogs with a linker connecting the C2’and C4’ carbons of ribose or the C3 and -C5' carbons of ribose .
- CRN lock the ribose ring into a stable conformation and increase the hybridization affinity to rnRNA.
- the linker is of sufficient length to place the oxygen in an optimal position for stability and affinity resulting in less ribose ring puckering.
- nucleotides of an iRNA of the invention may also include a hydroxymethyl substituted nucleotide.
- a “hydroxymethyl substituted nucleotide” is an acyclic 2’-3’-seco-nucleotide, also referred to as an “unlocked nucleic acid” (“UNA”) modification.
- RNA molecules can include N- (acetylaminocaproyl)-4-hydroxyprolinol (Hyp-C6-NHAc), N-(caproyl-4-hydroxyprolinol (Hyp-C6), N- (acetyl-4-hydroxyprolinol (Hyp-NHAc), thymidine-2’-0-deoxythymidine (ether), N-(aminocaproyl)-4- hydroxyprolinol (Hyp-C6-amino), 2-docosanoyl-uridine-3’- phosphate, inverted base dT(idT) and others. Disclosure of this modification can be found in WO 2011/005861.
- nucleotides of an iRNA of the invention include a 5’ phosphate or 5’ phosphate mimic, e.g., a 5’-terminal phosphate or phosphate mimic on the antisense strand of an RNAi agent.
- Suitable phosphate mimics are disclosed in, for example US Patent Publication No. 2012/0157511, the entire contents of which are incorporated herein by reference.
- RNA of an iRNA of the invention involves chemically linking to the RNA one or more ligands, moieties or conjugates that enhance the activity, cellular distribution or cellular uptake of the iRNA.
- moieties include but are not limited to lipid moieties such as a cholesterol moiety (Letsinger et al., Proc. Natl. Acid. Sci. USA, 1989, 86: 6553-6556), cholic acid (Manoharan et al., Biorg. Med. Chem. Let., 1994, 4:1053-1060), a thioether, e.g., beryl-S-tritylthiol (Manoharan et aI., Ahh. N.Y.
- Acids Res., 1990, 18:3777-3783 a polyamine or a polyethylene glycol chain (Manoharan et al., Nucleosides & Nucleotides, 1995, 14:969-973), or adamantane acetic acid (Manoharan et al., Tetrahedron Lett., 1995, 36:3651-3654), a palmityl moiety (Mishra et al., Biochim. Biophys. Acta, 1995, 1264:229-237), or an octadecylamine or hexylamino-carbonyloxycholesterol moiety (Crooke et al., J. Pharmacol. Exp. Ther., 1996, 277:923-937).
- a ligand alters the distribution, targeting or lifetime of an iRNA agent into which it is incorporated.
- a ligand provides an enhanced affinity for a selected target, e.g., molecule, cell or cell type, compartment, e.g., a cellular or organ compartment, tissue, organ or region of the body, as, e.g., compared to a species absent such a ligand.
- exemplary ligands will not take part in duplex pairing in a duplexed nucleic acid.
- Ligands can also include targeting groups, e.g., a cell or tissue targeting agent, e.g., a lectin, glycoprotein, lipid or protein, e.g., an antibody, that binds to a specified cell type such as a kidney cell.
- a cell or tissue targeting agent e.g., a lectin, glycoprotein, lipid or protein, e.g., an antibody, that binds to a specified cell type such as a kidney cell.
- a targeting group can be a thyrotropin, melanotropin, lectin, glycoprotein, surfactant protein A, Mucin carbohydrate, multivalent lactose, monovalent galactose, N-acetyl-galactosamine, N-acetyl- gulucoseamine multivalent mannose, multivalent fucose, glycosylated polyaminoacids, multivalent galactose, transferrin, bisphosphonate, poly glutamate, polyaspartate, a lipid, cholesterol, a steroid, bile acid, folate, vitamin B12, vitamin A, biotin, or an RGD peptide or RGD peptide mimetic.
- ligands include monovalent or multivalent galactose.
- ligands include cholesterol.
- Ligand-conjugated oligonucleotides of the invention may be synthesized by the use of an oligonucleotide that bears a pendant reactive functionality, such as that derived from the attachment of a linking molecule onto the oligonucleotide (described below).
- This reactive oligonucleotide may be reacted directly with commercially available ligands, ligands that are synthesized bearing any of a variety of protecting groups, or ligands that have a linking moiety attached thereto.
- the oligonucleotides used in the conjugates of the present invention may be conveniently and routinely made through the well-known technique of solid-phase synthesis. Any other means for such synthesis known in the art may additionally or alternatively be employed. It is also known to use similar techniques to prepare other oligonucleotides, such as the phosphorothioates and alkylated derivatives.
- an iRNA oligonucleotide further comprises a carbohydrate.
- the carbohydrate conjugated iRNA are advantageous for the in vivo delivery of nucleic acids, as well as compositions suitable for in vivo therapeutic use, as described herein.
- “carbohydrate” refers to a compound which is either a carbohydrate per se made up of one or more monosaccharide units having at least 6 carbon atoms (which can be linear, branched or cyclic) with an oxygen, nitrogen or sulfur atom bonded to each carbon atom; or a compound having as a part thereof a carbohydrate moiety made up of one or more monosaccharide units each having at least six carbon atoms (which can be linear, branched or cyclic), with an oxygen, nitrogen or sulfur atom bonded to each carbon atom.
- Representative carbohydrates include the sugars (mono-, di-, tri- and oligosaccharides containing from about 4, 5, 6, 7, 8, or 9 monosaccharide units), and polysaccharides such as starches, glycogen, cellulose and polysaccharide gums.
- Specific monosaccharides include C5 and above (e.g., C5, C6, C7, or C8) sugars; di- and trisaccharides include sugars having two or three monosaccharide units (e.g., C5, C6, C7, or C8).
- a carbohydrate conjugate for use in the compositions and methods of the invention is a monosaccharide. In another embodiment, a carbohydrate conjugate for use in the compositions and methods of the invention is selected from the group consisting of:
- the monosaccharide is an N-acetylgalactosamine, such as Formula II.
- Another representative carbohydrate conjugate for use in the embodiments described herein includes, but is not limited to,
- the GalNAc or GalNAc derivative is attached to an iRNA agent of the invention via a monovalent linker. In some embodiments, the GalNAc or GalNAc derivative is attached to an iRNA agent of the invention via a bivalent linker. In yet other embodiments of the invention, the GalNAc or GalNAc derivative is attached to an iRNA agent of the invention via a trivalent linker.
- the double stranded RNAi agents of the invention comprise one GalNAc or GalNAc derivative attached to the iRNA agent.
- the double stranded RNAi agents of the invention comprise a plurality ( e.g ., 2, 3, 4, 5, or 6) GalNAc or GalNAc derivatives, each independently attached to a plurality of nucleotides of the double stranded RNAi agent through a plurality of monovalent linkers.
- each unpaired nucleotide within the hairpin loop may independently comprise a GalNAc or GalNAc derivative attached via a monovalent linker.
- the hairpin loop may also be formed by an extended overhang in one strand of the duplex.
- the carbohydrate conjugate further comprises one or more additional ligands as described above, such as, but not limited to, a PK modulator or a cell permeation peptide.
- Additional carbohydrate conjugates suitable for use in the present invention include those described in PCT Publication Nos. WO 2014/179620 and WO 2014/179627, the entire contents of each of which are incorporated herein by reference.
- the conjugate or ligand described herein can be attached to an iRNA oligonucleotide with various linkers that can be cleavable or non-cleavable.
- linker or “linking group” means an organic moiety that connects two parts of a compound, e.g., covalently attaches two parts of a compound.
- Linkers typically comprise a direct bond or an atom such as oxygen or sulfur, a unit such as NR8, C(O), C(0)NH, SO, SO2, SO2NH or a chain of atoms, such as, but not limited to, substituted or unsubstituted alkyl, substituted or unsubstituted alkenyl, substituted or unsubstituted alkynyl, arylalkyl, arylalkenyl, arylalkynyl, heteroarylalkyl, heteroarylalkenyl, heteroarylalkynyl, heterocyclylalkyl, heterocyclylalkenyl, heterocyclylalkynyl, aryl, heteroaryl, heterocyclyl, cycloalkyl, cycloalkenyl, alkylarylalky
- a cleavable linking group is one which is sufficiently stable outside the cell, but which upon entry into a target cell is cleaved to release the two parts the linker is holding together.
- the cleavable linking group is cleaved at least about 10 times, 20, times, 30 times, 40 times, 50 times, 60 times, 70 times, 80 times, 90 times or more, or at least about 100 times faster in a target cell or under a first reference condition (which can, e.g., be selected to mimic or represent intracellular conditions) than in the blood of a subject, or under a second reference condition (which can, e.g., be selected to mimic or represent conditions found in the blood or serum).
- a first reference condition which can, e.g., be selected to mimic or represent intracellular conditions
- a second reference condition which can, e.g., be selected to mimic or represent conditions found in the blood or serum.
- Cleavable linking groups are susceptible to cleavage agents, e.g., pH, redox potential or the presence of degradative molecules. Generally, cleavage agents are more prevalent or found at higher levels or activities inside cells than in serum or blood. Examples of such degradative agents include: redox agents which are selected for particular substrates or which have no substrate specificity, including, e.g., oxidative or reductive enzymes or reductive agents such as mercaptans, present in cells, that can degrade a redox cleavable linking group by reduction; esterases; endosomes or agents that can create an acidic environment, e.g., those that result in a pH of five or lower; enzymes that can hydrolyze or degrade an acid cleavable linking group by acting as a general acid, peptidases (which can be substrate specific), and phosphatases.
- redox agents which are selected for particular substrates or which have no substrate specificity, including, e.g.,
- a cleavable linkage group such as a disulfide bond can be susceptible to pH.
- the pH of human serum is 7.4, while the average intracellular pH is slightly lower, ranging from about 7.1-7.3.
- Endosomes have a more acidic pH, in the range of 5.5-6.0, and lysosomes have an even more acidic pH at around 5.0.
- Some linkers will have a cleavable linking group that is cleaved at a selected pH, thereby releasing a cationic lipid from the ligand inside the cell, or into the desired compartment of the cell.
- a linker can include a cleavable linking group that is cleavable by a particular enzyme.
- the type of cleavable linking group incorporated into a linker can depend on the cell to be targeted.
- a liver-targeting ligand can be linked to a cationic lipid through a linker that includes an ester group.
- Liver cells are rich in esterases, and therefore the linker will be cleaved more efficiently in liver cells than in cell types that are not esterase-rich.
- Other cell-types rich in esterases include cells of the lung, renal cortex, and testis.
- Linkers that contain peptide bonds can be used when targeting cell types rich in peptidases, such as liver cells and synoviocytes.
- the suitability of a candidate cleavable linking group can be evaluated by testing the ability of a degradative agent (or condition) to cleave the candidate linking group. It will also be desirable to also test the candidate cleavable linking group for the ability to resist cleavage in the blood or when in contact with other non-target tissue.
- a degradative agent or condition
- the candidate cleavable linking group for the ability to resist cleavage in the blood or when in contact with other non-target tissue.
- the evaluations can be carried out in cell free systems, in cells, in cell culture, in organ or tissue culture, or in whole animals.
- useful candidate compounds are cleaved at least about 2, 4, 10, 20, 30, 40, 50, 60, 70, 80, 90, or about 100 times faster in the cell (or under in vitro conditions selected to mimic intracellular conditions) as compared to blood or serum (or under in vitro conditions selected to mimic extracellular conditions).
- a cleavable linking group is a redox cleavable linking group that is cleaved upon reduction or oxidation.
- An example of reductively cleavable linking group is a disulphide linking group (-S-S-).
- a candidate cleavable linking group is a suitable “reductively cleavable linking group,” or for example is suitable for use with a particular iRNA moiety and particular targeting agent one can look to methods described herein.
- a candidate can be evaluated by incubation with dithiothreitol (DTT), or other reducing agent using reagents know in the art, which mimic the rate of cleavage which would be observed in a cell, e.g., a target cell.
- the candidates can also be evaluated under conditions which are selected to mimic blood or serum conditions.
- candidate compounds are cleaved by at most about 10% in the blood.
- useful candidate compounds are degraded at least about 2, 4, 10, 20, 30, 40, 50, 60, 70, 80, 90, or about 100 times faster in the cell (or under in vitro conditions selected to mimic intracellular conditions) as compared to blood (or under in vitro conditions selected to mimic extracellular conditions).
- the rate of cleavage of candidate compounds can be determined using standard enzyme kinetics assays under conditions chosen to mimic intracellular media and compared to conditions chosen to mimic extracellular media.
- a cleavable linker comprises a phosphate -based cleavable linking group.
- a phosphate -based cleavable linking group is cleaved by agents that degrade or hydrolyze the phosphate group.
- An example of an agent that cleaves phosphate groups in cells are enzymes such as phosphatases in cells.
- phosphate -based linking groups are -O- P(0)(0Rk)-0-, -0-P(S)(0Rk)-0-, -0-P(S)(SRk)-0-, -S-P(0)(0Rk)-0-, -0-P(0)(0Rk)-S-, -S- P(0)(0Rk)-S-, -0-P(S)(0Rk)-S-, -S-P(S)(0Rk)-0-, -0-P(0)(Rk)-0-, -0-P(S)(Rk)-0-, -S-P(0)(Rk)-0-, -S-P(0)(Rk)(Rk)-0-, -S-P(0)(Rk)-S-, -0-P(S)( Rk)-S, wherein Rk at each occurrence can be, independently, C1-C20 alkyl, C1-C20 haloalkyl, C6-C10 aryl,
- Exemplary embodiments include - 0-P(0)(0H)-0-, -0-P(S)(0H)-0-, -0-P(S)(SH)-0-, -S-P(0)(0H)-0-, -0-P(0)(0H)-S-, -S-P(0)(0H)- S-, -0-P(S)(0H)-S-, -S-P(S)(0H)-0-, -0-P(0)(H)-0-, -0-P(S)(H)-0-, -S-P(0)(H)-0, -S-P(S)(H)-0, -S-P(S)(H)-0-, - S-P(0)(H)-S-, and -0-P(S)(H)-S-.
- a phosphate-based linking group is -O- P(0)(0H)-0-.
- a cleavable linker comprises an acid cleavable linking group.
- An acid cleavable linking group is a linking group that is cleaved under acidic conditions.
- acid cleavable linking groups are cleaved in an acidic environment with a pH of about 6.5 or lower ( e.g ., about 6.0, 5.75, 5.5, 5.25, 5.0, or lower), or by agents such as enzymes that can act as a general acid.
- specific low pH organelles such as endosomes and lysosomes can provide a cleaving environment for acid cleavable linking groups.
- acid cleavable linking groups include but are not limited to hydrazones, esters, and esters of amino acids.
- An exemplary embodiment is when the carbon attached to the oxygen of the ester (the alkoxy group) is an aryl group, substituted alkyl group, or tertiary alkyl group such as dimethyl pentyl or t-butyl.
- a cleavable linker comprises an ester-based cleavable linking group.
- ester-based cleavable linking group is cleaved by enzymes such as esterases and amidases in cells.
- ester-based cleavable linking groups include but are not limited to esters of alkylene, alkenylene and alkynylene groups.
- Ester cleavable linking groups have the general formula -C(0)0-, or -OC(O)-. These candidates can be evaluated using methods analogous to those described above.
- a cleavable linker comprises a peptide-based cleavable linking group.
- a peptide-based cleavable linking group is cleaved by enzymes such as peptidases and proteases in cells.
- Peptide-based cleavable linking groups are peptide bonds formed between amino acids to yield oligopeptides (e.g., dipeptides, tripeptides etc.) and polypeptides.
- Peptide -based cleavable groups do not include the amide group (-C(O)NH-).
- the amide group can be formed between any alkylene, alkenylene or alkynelene.
- a peptide bond is a special type of amide bond formed between amino acids to yield peptides and proteins.
- the peptide based cleavage group is generally limited to the peptide bond (i.e., the amide bond) formed between amino acids yielding peptides and proteins and does not include the entire amide functional group.
- Peptide -based cleavable linking groups have the general formula - NHCHRAC(0)NHCHRBC(0)-, where RA and RB are the R groups of the two adjacent amino acids. These candidates can be evaluated using methods analogous to those described above.
- an iRNA of the invention is conjugated to a carbohydrate through a linker.
- Non-limiting examples of iRNA carbohydrate conjugates with linkers of the compositions and methods of the invention include, but are not limited to,
- a ligand is one or more “GalNAc” (N-acetylgalactosamine) derivatives attached through a bivalent or trivalent branched linker.
- a dsRNA of the invention is conjugated to a bivalent or trivalent branched linker selected from the group of structures shown in any of formula (XXXII) - (XXXV):
- q2A, q2B, q3A, q3B, q4A, q4B, q5A, q5B and q5C represent independently for each occurrence q2A, q2B, q3A, q3B, q4A, q4B, q5A, q5B and q5C represent independently for each occurrence 0-20 and wherein the repeating unit can be the same or different;
- P 2A , P 2B , P 3A , P 3B , P 44 , P 413 , P 5A , P 5B , P 5C , T 2A , T 2B , T 3A , T 3B , T 4A , T 4B , T 4A , T 5B , T 5C are each independently for each occurrence absent, CO, NH, O, S, OC(O), NHC(O), C3 ⁇ 4, CFbNH or CH2O;
- R 2A , R 2B , R 3A , R 3B , R 4A , R 4B , R 5a , R 5b , R 5C are each independently for each occurrence absent, NH, O, S, and L 5C represent the ligand; i.e.
- a monosaccharide such as GalNAc
- disaccharide such as GalNAc
- trisaccharide such as tetrasaccharide
- oligosaccharide such as oligosaccharide
- R a is H or amino acid side chain.
- Triplevalent conjugating GalNAc derivatives are particularly useful for use with RNAi agents for inhibiting the expression of a target gene, such as those of formula (XXXVI): wherein L 5A , L 5B and L 5c represent a monosaccharide, such as GalNAc derivative.
- suitable bivalent and trivalent branched linker groups conjugating GalNAc derivatives include, but are not limited to, the structures recited above as formulas II, VII, XI, X, and XIII.
- RNA conjugates include, but are not limited to, U.S. Pat. Nos. 4,828,979; 4,948,882; 5,218,105; 5,525,465; 5,541,313; 5,545,730; 5,552,538; 5,578,717, 5,580,731; 5,591,584; 5,109,124; 5,118,802; 5,138,045; 5,414,077; 5,486,603; 5,512,439; 5,578,718; 5,608,046; 4,587,044; 4,605,735; 4,667,025; 4,762,779; 4,789,737; 4,824,941; 4,835,263; 4,876,335; 4,904,582; 4,958,013; 5,082,830; 5,112,963; 5,214,136; 5,082,830; 5,112,963; 5,214,136; 5,245,022; 5,254,469; 5,258,506; 5,26
- the present invention also includes iRNA compounds that are chimeric compounds.
- an iRNA of the invention to a cell e.g., a cell within a human subject (e.g., a subject in need thereof, such as a subject having a disease, disorder or condition associated with contact activation pathway gene expression) can be achieved in a number of different ways.
- delivery may be performed by contacting a cell with an iRNA of the invention either in vitro or in vivo.
- In vivo delivery may also be performed directly by administering a composition comprising an iRNA, e.g., a dsRNA, to a subject. Delivery may be performed, for example, by intravenous administration or subcutaneous administration.
- the iRNA agent is delivered by subcutaneous administration.
- the iRNA agent is administered by self-administration using a pre-filled syringe or auto-injector device.
- any method of delivering a nucleic acid molecule can be adapted for use with an iRNA of the invention (see e.g., Akhtar S. and Julian RL. (1992) Trends Cell. Biol. 2(5): 139-144 and WO9402595, which are incorporated herein by reference in their entireties).
- factors to consider in order to deliver an iRNA molecule include, for example, biological stability of the delivered molecule, prevention of non-specific effects, and accumulation of the delivered molecule in the target tissue.
- the present invention also includes pharmaceutical compositions and formulations which include the iRNAs described herein for use in the methods of the invention.
- pharmaceutical compositions containing an iRNA, as described herein, and a pharmaceutically acceptable carrier are useful for treating a disease or disorder associated with the expression or activity of a TTR gene.
- Such pharmaceutical compositions are formulated based on the mode of delivery.
- the pharmaceutical compositions of the invention may be administered in dosages sufficient to inhibit expression of a TTR gene.
- the iRNA agents of the invention e.g., a dsRNA agent, is formualted for subcutaneous administration in a pharmaceutically acceptable carrier
- a single dose of the pharmaceutical compositions can be long lasting, such that subsequent doses are administered at 1 month intervals, at not more than 1, 2, 3, or 4 month intervals, or at quarterly (about every three months) intervals.
- a single dose of the pharmaceutical compositions of the invention is administered once per month.
- a single dose of the pharmaceutical compositions of the invention is administered once every other month.
- a single dose of the pharmaceutical compositions of the invention is administered quarterly, i.e., about once every three months.
- a single dose of the pharmaceutical compositions of the invention is administered once every four months.
- a single dose of the pharmaceutical compositions of the invention is administered once every five months.
- a single dose of the pharmaceutical compositions of the invention is administered once every six months.
- a single dose of the pharmaceutical compositions of the invention is administered once every twelve months.
- kits for performing any of the methods of the invention include one or more double stranded RNAi agent(s) and a label providing instructions for use of the double-stranded agent(s) for use in any of the methods if the invention.
- the kits may optionally further comprise means for contacting the cell with the RNAi agent (e.g., an injection device or an infusion pump), or means for measuring the inhibition of TTR (e.g., means for measuring the inhibition of TTR mRNA or TTR protein).
- Such means for measuring the inhibition of TTR may comprise a means for obtaining a sample from a subject, such as, e.g., a plasma sample.
- the kits of the invention may optionally further comprise means for administering the RNAi agent(s) to a subject or means for determining the therapeutically effective or prophylactically effective amount.
- the RNAi agent may be provided in any convenient form, such as a solution in sterile water or other appropriate solution, e.g., PBS, normal saline, 5 mM phosphate buffer, for resuspension and injection.
- the RNAi agent may be provided as a 300 mg, 200 mg, 100 mg, or 50 mg vial with water or other appropriate solution in sterile water for injection.
- the RNAi agent is provided in a kit for self administration comprising a pre -filled syringe or autoinjector containing 300mg, 200 mg, 100 mg, or 50 mg of the RNAi agent in an appropriate volume of excipient for administration, optionally further including instructions for use.
- the RNAi agent may be provided in multiple vials or devices for administration of the dose by multiple injections to be given at about the same time, e.g, within one week, within one day, within one hour.
- TTR amyloidosis is a complex, multifactorial disease.
- An expanding list of criteria have been used to monitor the progression of TTR-FAP: neuropathy impairment score (NIS), NIS + 7, and modified NIS (mNIS) + 7 and mNIS + 7 Ionis
- NIS neuropathy impairment score
- mNIS modified NIS
- TTR- FAP meeting the diagnostic criteria of TTR- FAP is understood as meeting FAP stage 1 criteria, with or without the presence of a mutation associated with hereditary TTR-FAP.
- Progression of indicators of neuropathy is considered an increase of at least two points in modified neuropathy impairment score (mNIS) + 7.
- FAP Familial Amyloid Polyneuropathy
- FAP Stage 1 Walking without assistance, mild neuropathy (sensory, autonomic, and motor) in lower limbs.
- FAP Stage 2 Walking with assistance, moderate impairment in lower limbs, trunk, and upper limbs.
- FAP Stage 3 wheelchair or bed-ridden, severe neuropathy.
- a subject with no neuropathy is considered to be FAP Stage 0.
- NIS-W Neuropathy Impairment Score
- NIS-R NIS of reflexes
- NIS-S sensation
- Mayo Clinic record scores are transformed to NIS point scores (i.e., Mayo Clinic scores of 1 or 2 are given an NIS point score of 1 and Mayo Clinic scores of 3 or 4 are given an NIS score of 2).
- the NIS has been described in previous publications (Dyck et al. 2005 and Dyck et al., Neurol. 1997;49:229-39).
- NIS + 7 has been used as the primary or co-primary outcome measure in the trials of diabetic sensorimotor polyneuropathy, TTR FAP, and other generalized sensorimotor polyneuropathies (N. Suanprasert et al. J Neurol Sci 344 (2014) 121-128). NIS + 7 adequately assesses graded severities of muscle weakness and muscle stretch reflex abnormality with only minimal ceiling effects for reflexes.
- NIS + 7 5 of the 7 tests are attributes of nerve conduction — expressed either as normal deviates (Z scores) or points.
- the attributes included in NIS + 7 were chosen because their abnormality sensitively detects diabetic sensorimotor polyneuropathy (Dyck et al. Muscle Nerve 2003;27(2):202-10).
- the attributes included are the peroneal nerve compound muscle action potential (CMAP) amplitude, motor nerve conduction velocity (MNCV), and motor nerve distal latency (MNDL), tibial MNDL and sural sensory nerve action potential (SNAP) amplitudes.
- CMAP peroneal nerve compound muscle action potential
- MNCV motor nerve conduction velocity
- MNDL motor nerve distal latency
- SNAP sural sensory nerve action potential
- NIS + 7 Assessment of weakness and reflex abnormality, assessment of sensation loss, autonomic dysfunction, and neurophysiologic test abnormalities are not adequately assessed by NIS + 7 for use in trials of TTR FAP.
- sensation loss is not optimally assessed: 1) body distribution of sensation loss is not adequately taken into account, 2) large as compared to small fiber sensory loss is over emphasized and 3) improved methods of testing and comparison to reference values are preferred over clinical assessments.
- autonomic dysfunction is not adequately assessed by the use of only heart rate deep breathing (HRdb). The attributes of nerve conduction used to assess NIS + 7 are not ideal for the study of TTR FAP.
- Modified neuropathy impairment score +7 (mNIS+7), and updated version of NIS + 7, is a composite score measuring motor strength, reflexes, sensation, nerve conduction, and autonomic function.
- Two versions of this composite measure were adapted from the NIS+7 to better reflect hATTR amyloidosis with polyneuropathy and have been used as primary outcomes in inotersen and patisiran clinical trials. Key differences between these two versions, and the other neuropathy scoring systems, are summarized in the table below (from Adams et al., BMC Neurology, volume 17, Article number:
- TTR amyloidosis cardiomyopathy (ATTR-CM) and assessment of disease burden
- hATTR amyloidosis and cardiomyopathy typically experience progressive symptoms of heart failure (HF) and cardiac arrhythmias, with death typically occurring 2.5 to 5 years after diagnosis.
- HF heart failure
- cardiac arrhythmias Cardiac infiltration of the extracellular matrix by TTR amyloid fibrils leads to a progressive increase of ventricular wall thickness and a marked increase in chamber stiffness, resulting in impaired diastolic function.
- Systolic function is also impaired, typically reflected by abnormal longitudinal strain despite a normal ejection fraction, which is preserved until late stages of the disease.
- NT-proBNP brain natriuretic peptide
- Echocardiography is routinely used to assess cardiac structure and function; parameters pre specified in the statistical analysis plan include mean left ventricular (LV) wall thickness, LV mass, longitudinal strain, and ejection fraction. Cardiac output, left atrial size, LV end-diastolic volume (LVEDV), and LV end-systolic volume (LVESV). Echocardiograms are routinely used for cardiac imaging. Myocardial strain can be assessed with speckle tracking using vendor-independent software (TOMTEC, Munich, Germany).
- NT-proBNP and troponin I levels are routinely performed in clinical laboratories using commercially available diagnostic tests, e.g., using chemiluminescence assays (Roche Diagnostic Cobas, Indianapolis, IN, USA for NT-proBNP; Siemens Centaur XP, Camberley, Surrey, UK for troponin I).
- clinical practice routinely includes measurement of creatinine levels and estimated glomerular filtration rate (eGFR) based on creatinine levels, e.g., using the Modification of Diet in Renal Disease study formula.
- eGFR estimated glomerular filtration rate
- the specific method of assessment or classification of cardiac function may be any clinically acceptable standard to demonstrate sufficiently decreased cardiac function such that the standard of care includes a medical intervention, e.g., administration of a pharmacological agent, surgery.
- Serum Biomarkers as an Indicia of Nerve Damage and TTR Amyloidosis Progression
- TTR amyloidosis is rare, and the signs and symptoms above can be present in a number of other diseases, clinically validated, non-invasive plasma biomarkers may facilitate earlier diagnosis and aid monitoring of disease progression.
- plasma levels of >1000 proteins were measured in patients with hATTR amyloidosis with polyneuropathy who received either placebo or patisiran in the phase 3 APOLLO study (NCT01960348) and in a cohort of healthy individuals.
- patisiran a lipid formulated RNAi agent that inhibits the hepatic expression of TTR
- NfL Neurofilament light chain
- Plasma NfL levels in healthy controls were four-fold lower than in patients with TTR amyloidosis with polyneuropathy (16.3 [SD 12.0] pg/mL vs 69.4 [SD 42.1] pg/mL, p ⁇ 10 16 ).
- Levels of NfL at 18 months increased with placebo (99.5 [SD 60.1] pg/mL) and decreased with patisiran treatment (48.8 [SD 29.9] pg/mL).
- NfL reduction with patisiran treatment correlated with improvement in mNIS+7 suggests it may serve as a biomarker of nerve damage and polyneuropathy in TTR amyloidosis. This biomarker may enable earlier diagnosis of polyneuropathy in patients with hATTR amyloidosis and facilitate monitoring of disease progression.
- biomarkers are listed in the table below which were observed to change in response to treatment with patisiran.
- a subject has an increase in the level of a protein having a positive beta coefficient relative to a reference level indicative of progression of ATTR amyloidosis
- a subject has a decrease in the level of a protein having a negative beta coefficient relative to a reference level indicative of progression of ATTR amyloidosis.
- Changes in the level of one or more of these markers can be indicia of improvement, stabilization, or decrease in ongoing nerve damage and progression of polyneuropathy in ATTR amyloidosis.
- RNAi agents for use in the methods of the invention are provided in Table 3 below.
- Table 2 below, provides the abbreviations of the nucleotide monomers and ligands used in nucleic acid sequence representation. It will be understood that these monomers, when present in an oligonucleotide, are mutually linked by 5'-3'-phosphodiester bonds unless otherwise indicated.
- TTR Example 1 TTR Protein Knockdown by RNAi agents in the V30M Transgenic Mouse
- the V30M mutation is a common amyloidogenic mutation in human TTR.
- Transgenic mice lacking mouse TTR and expressing human TTR with a V30M mutation were used in the study.
- Blood samples were obtained on days 0 (pre-dose), 3, 7, 10, 14, 21, 35, and 49.
- Serum was prepared and human TTR levels were determined using ELISA assay (see, e.g., Coelho, et al. (2013) N Engl J Med 369:819). Relative TTR levels as compared to Day 0 are shown in Figure 1.
- the sequence of the iRNA agents in Table 2 is fully cross-reactive with cynomolgus monkey TTR.
- Example 3 Administration of a Single Dose of AD-87404 to Healthy Human Subjects
- AD-87404 Sense: 5’- usgsggauUfuCfAfUfguaaccaaga - 3’ (SEQ ID NO: 6), wherein an L96 ligand is conjugated to the 3’ end of the sense strand);
- Plasma samples are collected and the level of TTR protein in the samples from the subjects in the placebo group and the subjects in all of the treatment groups is determined using an ELISA assay (see, e.g., Coelho, et al. (2013) N Engl J Med 369:819) at pre-determined intervals, e.g., days 1, 2, 3, 8, 15, 22, 29, 43, 57, 90, and then, for active treatment group subjects, every twenty-eighth day until the level of TTR recovers to 80% of the pre -treatment level (up through, approximately one year post-dose). Level and duration of knockdown are determined. Subjects in both AD-87404 groups and the control group are also monitored for adverse events.
- Exemplary adverse events monitored in the study include, but are not limited to, injection site erythema, injection site pain, pruritus, cough, nausea, fatigue, and abdominal painand clinically significant changes in physical exams, ECG, vital signs, or clinical laboratory parameters, e.g., renal function, hematologic parameters, and liver function (e.g., alanine aminotransferase (ALT), aspartate aminotransferase (AST)).
- ALT alanine aminotransferase
- AST aspartate aminotransferase
Landscapes
- Health & Medical Sciences (AREA)
- Life Sciences & Earth Sciences (AREA)
- Engineering & Computer Science (AREA)
- Genetics & Genomics (AREA)
- Chemical & Material Sciences (AREA)
- Biomedical Technology (AREA)
- Organic Chemistry (AREA)
- Bioinformatics & Cheminformatics (AREA)
- Molecular Biology (AREA)
- General Health & Medical Sciences (AREA)
- Zoology (AREA)
- Wood Science & Technology (AREA)
- General Engineering & Computer Science (AREA)
- Biotechnology (AREA)
- Biochemistry (AREA)
- Pharmacology & Pharmacy (AREA)
- Veterinary Medicine (AREA)
- Public Health (AREA)
- Medicinal Chemistry (AREA)
- Animal Behavior & Ethology (AREA)
- Plant Pathology (AREA)
- Microbiology (AREA)
- Physics & Mathematics (AREA)
- Biophysics (AREA)
- General Chemical & Material Sciences (AREA)
- Chemical Kinetics & Catalysis (AREA)
- Nuclear Medicine, Radiotherapy & Molecular Imaging (AREA)
- Heart & Thoracic Surgery (AREA)
- Cardiology (AREA)
- Neurology (AREA)
- Neurosurgery (AREA)
- Epidemiology (AREA)
- Pharmaceuticals Containing Other Organic And Inorganic Compounds (AREA)
- Saccharide Compounds (AREA)
- Heterocyclic Carbon Compounds Containing A Hetero Ring Having Oxygen Or Sulfur (AREA)
- Medicinal Preparation (AREA)
- Medicines That Contain Protein Lipid Enzymes And Other Medicines (AREA)
Abstract
Description
Claims
Priority Applications (7)
| Application Number | Priority Date | Filing Date | Title |
|---|---|---|---|
| CN202180030650.9A CN115461460A (en) | 2020-03-06 | 2021-03-05 | Compositions and methods for inhibiting the expression of transthyretin (TTR) |
| IL296106A IL296106A (en) | 2020-03-06 | 2021-03-05 | Compositions and methods for inhibiting expression of transthyretin (ttr) |
| JP2022553196A JP7802676B2 (en) | 2020-03-06 | 2021-03-05 | Compositions and methods for inhibiting transthyretin (TTR) expression |
| AU2021232029A AU2021232029A1 (en) | 2020-03-06 | 2021-03-05 | Compositions and methods for inhibiting expression of transthyretin (TTR) |
| CA3174473A CA3174473A1 (en) | 2020-03-06 | 2021-03-05 | Compositions and methods for inhibiting expression of transthyretin (ttr) |
| EP21714746.1A EP4114949A1 (en) | 2020-03-06 | 2021-03-05 | Compositions and methods for inhibiting expression of transthyretin (ttr) |
| KR1020227034708A KR20220152270A (en) | 2020-03-06 | 2021-03-05 | Compositions and methods for inhibiting the expression of transthyretin (TTR) |
Applications Claiming Priority (2)
| Application Number | Priority Date | Filing Date | Title |
|---|---|---|---|
| US202062985950P | 2020-03-06 | 2020-03-06 | |
| US62/985,950 | 2020-03-06 |
Publications (1)
| Publication Number | Publication Date |
|---|---|
| WO2021178778A1 true WO2021178778A1 (en) | 2021-09-10 |
Family
ID=75252841
Family Applications (1)
| Application Number | Title | Priority Date | Filing Date |
|---|---|---|---|
| PCT/US2021/021049 Ceased WO2021178778A1 (en) | 2020-03-06 | 2021-03-05 | Compositions and methods for inhibiting expression of transthyretin (ttr) |
Country Status (8)
| Country | Link |
|---|---|
| EP (1) | EP4114949A1 (en) |
| JP (1) | JP7802676B2 (en) |
| KR (1) | KR20220152270A (en) |
| CN (1) | CN115461460A (en) |
| AU (1) | AU2021232029A1 (en) |
| CA (1) | CA3174473A1 (en) |
| IL (1) | IL296106A (en) |
| WO (1) | WO2021178778A1 (en) |
Cited By (5)
| Publication number | Priority date | Publication date | Assignee | Title |
|---|---|---|---|---|
| US11806360B2 (en) | 2017-09-19 | 2023-11-07 | Alnylam Pharmaceuticals, Inc. | Compositions and methods for treating transthyretin (TTR) mediated amyloidosis |
| US11959081B2 (en) | 2021-08-03 | 2024-04-16 | Alnylam Pharmaceuticals, Inc. | Transthyretin (TTR) iRNA compositions and methods of use thereof |
| WO2024130142A3 (en) * | 2022-12-16 | 2024-07-18 | Amgen Inc. | Rnai constructs for inhibiting ttr expression and methods of use thereof |
| US12049628B2 (en) | 2015-07-31 | 2024-07-30 | Alnylam Pharmaceuticals, Inc. | Transthyretin (TTR) iRNA compositions and methods of use thereof for treating or preventing TTR-associated diseases |
| US12227744B2 (en) | 2008-10-20 | 2025-02-18 | Alnylam Pharmaceuticals, Inc. | Compositions and methods for inhibiting expression of transthyretin |
Families Citing this family (2)
| Publication number | Priority date | Publication date | Assignee | Title |
|---|---|---|---|---|
| WO2025077916A1 (en) * | 2023-10-13 | 2025-04-17 | 北京安龙生物医药有限公司 | Transthyretin-targeting oligonucleotide and use thereof |
| WO2025098117A1 (en) * | 2023-11-06 | 2025-05-15 | 成都倍特药业股份有限公司 | Rnai reagent and composition for inhibiting expression of transthyretin (ttr), and use |
Citations (84)
| Publication number | Priority date | Publication date | Assignee | Title |
|---|---|---|---|---|
| US4587044A (en) | 1983-09-01 | 1986-05-06 | The Johns Hopkins University | Linkage of proteins to nucleic acids |
| US4605735A (en) | 1983-02-14 | 1986-08-12 | Wakunaga Seiyaku Kabushiki Kaisha | Oligonucleotide derivatives |
| US4667025A (en) | 1982-08-09 | 1987-05-19 | Wakunaga Seiyaku Kabushiki Kaisha | Oligonucleotide derivatives |
| US4762779A (en) | 1985-06-13 | 1988-08-09 | Amgen Inc. | Compositions and methods for functionalizing nucleic acids |
| US4824941A (en) | 1983-03-10 | 1989-04-25 | Julian Gordon | Specific antibody to the native form of 2'5'-oligonucleotides, the method of preparation and the use as reagents in immunoassays or for binding 2'5'-oligonucleotides in biological systems |
| US4828979A (en) | 1984-11-08 | 1989-05-09 | Life Technologies, Inc. | Nucleotide analogs for nucleic acid labeling and detection |
| US4835263A (en) | 1983-01-27 | 1989-05-30 | Centre National De La Recherche Scientifique | Novel compounds containing an oligonucleotide sequence bonded to an intercalating agent, a process for their synthesis and their use |
| US4876335A (en) | 1986-06-30 | 1989-10-24 | Wakunaga Seiyaku Kabushiki Kaisha | Poly-labelled oligonucleotide derivative |
| US4904582A (en) | 1987-06-11 | 1990-02-27 | Synthetic Genetics | Novel amphiphilic nucleic acid conjugates |
| US4948882A (en) | 1983-02-22 | 1990-08-14 | Syngene, Inc. | Single-stranded labelled oligonucleotides, reactive monomers and methods of synthesis |
| US4958013A (en) | 1989-06-06 | 1990-09-18 | Northwestern University | Cholesteryl modified oligonucleotides |
| US5034506A (en) | 1985-03-15 | 1991-07-23 | Anti-Gene Development Group | Uncharged morpholino-based polymers having achiral intersubunit linkages |
| US5082830A (en) | 1988-02-26 | 1992-01-21 | Enzo Biochem, Inc. | End labeled nucleotide probe |
| US5109124A (en) | 1988-06-01 | 1992-04-28 | Biogen, Inc. | Nucleic acid probe linked to a label having a terminal cysteine |
| US5112963A (en) | 1987-11-12 | 1992-05-12 | Max-Planck-Gesellschaft Zur Foerderung Der Wissenschaften E.V. | Modified oligonucleotides |
| US5118802A (en) | 1983-12-20 | 1992-06-02 | California Institute Of Technology | DNA-reporter conjugates linked via the 2' or 5'-primary amino group of the 5'-terminal nucleoside |
| US5138045A (en) | 1990-07-27 | 1992-08-11 | Isis Pharmaceuticals | Polyamine conjugated oligonucleotides |
| US5214136A (en) | 1990-02-20 | 1993-05-25 | Gilead Sciences, Inc. | Anthraquinone-derivatives oligonucleotides |
| US5218105A (en) | 1990-07-27 | 1993-06-08 | Isis Pharmaceuticals | Polyamine conjugated oligonucleotides |
| US5245022A (en) | 1990-08-03 | 1993-09-14 | Sterling Drug, Inc. | Exonuclease resistant terminally substituted oligonucleotides |
| US5254469A (en) | 1989-09-12 | 1993-10-19 | Eastman Kodak Company | Oligonucleotide-enzyme conjugate that can be used as a probe in hybridization assays and polymerase chain reaction procedures |
| US5258506A (en) | 1984-10-16 | 1993-11-02 | Chiron Corporation | Photolabile reagents for incorporation into oligonucleotide chains |
| US5262536A (en) | 1988-09-15 | 1993-11-16 | E. I. Du Pont De Nemours And Company | Reagents for the preparation of 5'-tagged oligonucleotides |
| US5272250A (en) | 1992-07-10 | 1993-12-21 | Spielvogel Bernard F | Boronated phosphoramidate compounds |
| WO1994002595A1 (en) | 1992-07-17 | 1994-02-03 | Ribozyme Pharmaceuticals, Inc. | Method and reagent for treatment of animal diseases |
| US5292873A (en) | 1989-11-29 | 1994-03-08 | The Research Foundation Of State University Of New York | Nucleic acids labeled with naphthoquinone probe |
| US5317098A (en) | 1986-03-17 | 1994-05-31 | Hiroaki Shizuya | Non-radioisotope tagging of fragments |
| US5371241A (en) | 1991-07-19 | 1994-12-06 | Pharmacia P-L Biochemicals Inc. | Fluorescein labelled phosphoramidites |
| US5391723A (en) | 1989-05-31 | 1995-02-21 | Neorx Corporation | Oligonucleotide conjugates |
| US5414077A (en) | 1990-02-20 | 1995-05-09 | Gilead Sciences | Non-nucleoside linkers for convenient attachment of labels to oligonucleotides using standard synthetic methods |
| US5451463A (en) | 1989-08-28 | 1995-09-19 | Clontech Laboratories, Inc. | Non-nucleoside 1,3-diol reagents for labeling synthetic oligonucleotides |
| US5486603A (en) | 1990-01-08 | 1996-01-23 | Gilead Sciences, Inc. | Oligonucleotide having enhanced binding affinity |
| US5489677A (en) | 1990-07-27 | 1996-02-06 | Isis Pharmaceuticals, Inc. | Oligonucleoside linkages containing adjacent oxygen and nitrogen atoms |
| US5510475A (en) | 1990-11-08 | 1996-04-23 | Hybridon, Inc. | Oligonucleotide multiple reporter precursors |
| US5512439A (en) | 1988-11-21 | 1996-04-30 | Dynal As | Oligonucleotide-linked magnetic particles and uses thereof |
| US5512667A (en) | 1990-08-28 | 1996-04-30 | Reed; Michael W. | Trifunctional intermediates for preparing 3'-tailed oligonucleotides |
| US5514785A (en) | 1990-05-11 | 1996-05-07 | Becton Dickinson And Company | Solid supports for nucleic acid hybridization assays |
| US5525465A (en) | 1987-10-28 | 1996-06-11 | Howard Florey Institute Of Experimental Physiology And Medicine | Oligonucleotide-polyamide conjugates and methods of production and applications of the same |
| US5545730A (en) | 1984-10-16 | 1996-08-13 | Chiron Corporation | Multifunctional nucleic acid monomer |
| US5565552A (en) | 1992-01-21 | 1996-10-15 | Pharmacyclics, Inc. | Method of expanded porphyrin-oligonucleotide conjugate synthesis |
| US5574142A (en) | 1992-12-15 | 1996-11-12 | Microprobe Corporation | Peptide linkers for improved oligonucleotide delivery |
| US5578718A (en) | 1990-01-11 | 1996-11-26 | Isis Pharmaceuticals, Inc. | Thiol-derivatized nucleosides |
| US5580731A (en) | 1994-08-25 | 1996-12-03 | Chiron Corporation | N-4 modified pyrimidine deoxynucleotides and oligonucleotide probes synthesized therewith |
| US5585481A (en) | 1987-09-21 | 1996-12-17 | Gen-Probe Incorporated | Linking reagents for nucleotide probes |
| US5587371A (en) | 1992-01-21 | 1996-12-24 | Pharmacyclics, Inc. | Texaphyrin-oligonucleotide conjugates |
| US5595726A (en) | 1992-01-21 | 1997-01-21 | Pharmacyclics, Inc. | Chromophore probe for detection of nucleic acid |
| US5597696A (en) | 1994-07-18 | 1997-01-28 | Becton Dickinson And Company | Covalent cyanine dye oligonucleotide conjugates |
| US5599923A (en) | 1989-03-06 | 1997-02-04 | Board Of Regents, University Of Tx | Texaphyrin metal complexes having improved functionalization |
| US5602240A (en) | 1990-07-27 | 1997-02-11 | Ciba Geigy Ag. | Backbone modified oligonucleotide analogs |
| US5608046A (en) | 1990-07-27 | 1997-03-04 | Isis Pharmaceuticals, Inc. | Conjugated 4'-desmethyl nucleoside analog compounds |
| US5688941A (en) | 1990-07-27 | 1997-11-18 | Isis Pharmaceuticals, Inc. | Methods of making conjugated 4' desmethyl nucleoside analog compounds |
| WO1999014226A2 (en) | 1997-09-12 | 1999-03-25 | Exiqon A/S | Bi- and tri-cyclic nucleoside, nucleotide and oligonucleotide analogues |
| US6268490B1 (en) | 1997-03-07 | 2001-07-31 | Takeshi Imanishi | Bicyclonucleoside and oligonucleotide analogues |
| US6294664B1 (en) | 1993-07-29 | 2001-09-25 | Isis Pharmaceuticals, Inc. | Synthesis of oligonucleotides |
| US6320017B1 (en) | 1997-12-23 | 2001-11-20 | Inex Pharmaceuticals Corp. | Polyamide oligomers |
| US6525191B1 (en) | 1999-05-11 | 2003-02-25 | Kanda S. Ramasamy | Conformationally constrained L-nucleosides |
| US6576752B1 (en) | 1997-02-14 | 2003-06-10 | Isis Pharmaceuticals, Inc. | Aminooxy functionalized oligomers |
| US6670461B1 (en) | 1997-09-12 | 2003-12-30 | Exiqon A/S | Oligonucleotide analogues |
| US6770748B2 (en) | 1997-03-07 | 2004-08-03 | Takeshi Imanishi | Bicyclonucleoside and oligonucleotide analogue |
| US6783931B1 (en) | 1990-01-11 | 2004-08-31 | Isis Pharmaceuticals, Inc. | Amine-derivatized nucleosides and oligonucleosides |
| US20040171570A1 (en) | 2002-11-05 | 2004-09-02 | Charles Allerson | Polycyclic sugar surrogate-containing oligomeric compounds and compositions for use in gene modulation |
| US6998484B2 (en) | 2000-10-04 | 2006-02-14 | Santaris Pharma A/S | Synthesis of purine locked nucleic acid analogues |
| US7037646B1 (en) | 1990-01-11 | 2006-05-02 | Isis Pharmaceuticals, Inc. | Amine-derivatized nucleosides and oligonucleosides |
| US7053207B2 (en) | 1999-05-04 | 2006-05-30 | Exiqon A/S | L-ribo-LNA analogues |
| US7084125B2 (en) | 1999-03-18 | 2006-08-01 | Exiqon A/S | Xylo-LNA analogues |
| US20080039618A1 (en) | 2002-11-05 | 2008-02-14 | Charles Allerson | Polycyclic sugar surrogate-containing oligomeric compounds and compositions for use in gene modulation |
| US7399845B2 (en) | 2006-01-27 | 2008-07-15 | Isis Pharmaceuticals, Inc. | 6-modified bicyclic nucleic acid analogs |
| US7427672B2 (en) | 2003-08-28 | 2008-09-23 | Takeshi Imanishi | Artificial nucleic acids of n-o bond crosslinkage type |
| US7569686B1 (en) | 2006-01-27 | 2009-08-04 | Isis Pharmaceuticals, Inc. | Compounds and methods for synthesis of bicyclic nucleic acid analogs |
| WO2010048228A2 (en) | 2008-10-20 | 2010-04-29 | Alnylam Pharmaceuticals, Inc. | Compositions and methods for inhibiting expression of transthyretin |
| WO2011005861A1 (en) | 2009-07-07 | 2011-01-13 | Alnylam Pharmaceuticals, Inc. | Oligonucleotide end caps |
| US8030467B2 (en) | 2006-05-11 | 2011-10-04 | Isis Pharmaceuticals, Inc. | 5′-modified bicyclic nucleic acid analogs |
| WO2011139917A1 (en) | 2010-04-29 | 2011-11-10 | Isis Pharmaceuticals, Inc. | Modulation of transthyretin expression |
| US8106022B2 (en) | 2007-12-04 | 2012-01-31 | Alnylam Pharmaceuticals, Inc. | Carbohydrate conjugates as delivery agents for oligonucleotides |
| US20120157511A1 (en) | 2009-07-07 | 2012-06-21 | Alnylam Pharmaceuticals, Inc. | 5' phosphate mimics |
| US8278283B2 (en) | 2007-07-05 | 2012-10-02 | Isis Pharmaceuticals, Inc. | 6-disubstituted or unsaturated bicyclic nucleic acid analogs |
| US8278426B2 (en) | 2007-06-08 | 2012-10-02 | Isis Pharmaceuticals, Inc. | Carbocyclic bicyclic nucleic acid analogs |
| US8278425B2 (en) | 2007-05-30 | 2012-10-02 | Isis Pharmaceuticals, Inc. | N-substituted-aminomethylene bridged bicyclic nucleic acid analogs |
| WO2013075035A1 (en) | 2011-11-18 | 2013-05-23 | Alnylam Pharmaceuticals | Rnai agents, compositions and methods of use thereof for treating transthyretin (ttr) associated diseases |
| WO2014179620A1 (en) | 2013-05-01 | 2014-11-06 | Isis Pharmaceuticals, Inc. | Conjugated antisense compounds and their use |
| WO2015085158A1 (en) | 2013-12-06 | 2015-06-11 | Dicerna Pharmaceuticals, Inc. | Methods and compositions for the specific inhibition of transthyretin (ttr) by double-stranded rna |
| WO2016028649A1 (en) * | 2014-08-20 | 2016-02-25 | Alnylam Pharmaceuticals, Inc. | Modified double-stranded rna agents |
| WO2017023660A1 (en) | 2015-07-31 | 2017-02-09 | Alnylam Pharmaceuticals, Inc. | TRANSTHYRETIN (TTR) iRNA COMPOSITIONS AND METHODS OF USE THEREOF FOR TREATING OR PREVENTING TTR-ASSOCIATED DISEASES |
| WO2018112320A1 (en) | 2016-12-16 | 2018-06-21 | Alnylam Pharmaceuticals, Inc. | Methods for treating or preventing ttr-associated diseases using transthyretin (ttr) irna compositions |
-
2021
- 2021-03-05 KR KR1020227034708A patent/KR20220152270A/en active Pending
- 2021-03-05 EP EP21714746.1A patent/EP4114949A1/en active Pending
- 2021-03-05 JP JP2022553196A patent/JP7802676B2/en active Active
- 2021-03-05 WO PCT/US2021/021049 patent/WO2021178778A1/en not_active Ceased
- 2021-03-05 CN CN202180030650.9A patent/CN115461460A/en active Pending
- 2021-03-05 IL IL296106A patent/IL296106A/en unknown
- 2021-03-05 AU AU2021232029A patent/AU2021232029A1/en active Pending
- 2021-03-05 CA CA3174473A patent/CA3174473A1/en active Pending
Patent Citations (99)
| Publication number | Priority date | Publication date | Assignee | Title |
|---|---|---|---|---|
| US4667025A (en) | 1982-08-09 | 1987-05-19 | Wakunaga Seiyaku Kabushiki Kaisha | Oligonucleotide derivatives |
| US4789737A (en) | 1982-08-09 | 1988-12-06 | Wakunaga Seiyaku Kabushiki Kaisha | Oligonucleotide derivatives and production thereof |
| US4835263A (en) | 1983-01-27 | 1989-05-30 | Centre National De La Recherche Scientifique | Novel compounds containing an oligonucleotide sequence bonded to an intercalating agent, a process for their synthesis and their use |
| US4605735A (en) | 1983-02-14 | 1986-08-12 | Wakunaga Seiyaku Kabushiki Kaisha | Oligonucleotide derivatives |
| US5541313A (en) | 1983-02-22 | 1996-07-30 | Molecular Biosystems, Inc. | Single-stranded labelled oligonucleotides of preselected sequence |
| US4948882A (en) | 1983-02-22 | 1990-08-14 | Syngene, Inc. | Single-stranded labelled oligonucleotides, reactive monomers and methods of synthesis |
| US4824941A (en) | 1983-03-10 | 1989-04-25 | Julian Gordon | Specific antibody to the native form of 2'5'-oligonucleotides, the method of preparation and the use as reagents in immunoassays or for binding 2'5'-oligonucleotides in biological systems |
| US4587044A (en) | 1983-09-01 | 1986-05-06 | The Johns Hopkins University | Linkage of proteins to nucleic acids |
| US5118802A (en) | 1983-12-20 | 1992-06-02 | California Institute Of Technology | DNA-reporter conjugates linked via the 2' or 5'-primary amino group of the 5'-terminal nucleoside |
| US5258506A (en) | 1984-10-16 | 1993-11-02 | Chiron Corporation | Photolabile reagents for incorporation into oligonucleotide chains |
| US5578717A (en) | 1984-10-16 | 1996-11-26 | Chiron Corporation | Nucleotides for introducing selectably cleavable and/or abasic sites into oligonucleotides |
| US5552538A (en) | 1984-10-16 | 1996-09-03 | Chiron Corporation | Oligonucleotides with cleavable sites |
| US5545730A (en) | 1984-10-16 | 1996-08-13 | Chiron Corporation | Multifunctional nucleic acid monomer |
| US4828979A (en) | 1984-11-08 | 1989-05-09 | Life Technologies, Inc. | Nucleotide analogs for nucleic acid labeling and detection |
| US5034506A (en) | 1985-03-15 | 1991-07-23 | Anti-Gene Development Group | Uncharged morpholino-based polymers having achiral intersubunit linkages |
| US4762779A (en) | 1985-06-13 | 1988-08-09 | Amgen Inc. | Compositions and methods for functionalizing nucleic acids |
| US5317098A (en) | 1986-03-17 | 1994-05-31 | Hiroaki Shizuya | Non-radioisotope tagging of fragments |
| US4876335A (en) | 1986-06-30 | 1989-10-24 | Wakunaga Seiyaku Kabushiki Kaisha | Poly-labelled oligonucleotide derivative |
| US4904582A (en) | 1987-06-11 | 1990-02-27 | Synthetic Genetics | Novel amphiphilic nucleic acid conjugates |
| US5585481A (en) | 1987-09-21 | 1996-12-17 | Gen-Probe Incorporated | Linking reagents for nucleotide probes |
| US5525465A (en) | 1987-10-28 | 1996-06-11 | Howard Florey Institute Of Experimental Physiology And Medicine | Oligonucleotide-polyamide conjugates and methods of production and applications of the same |
| US5112963A (en) | 1987-11-12 | 1992-05-12 | Max-Planck-Gesellschaft Zur Foerderung Der Wissenschaften E.V. | Modified oligonucleotides |
| US5082830A (en) | 1988-02-26 | 1992-01-21 | Enzo Biochem, Inc. | End labeled nucleotide probe |
| US5109124A (en) | 1988-06-01 | 1992-04-28 | Biogen, Inc. | Nucleic acid probe linked to a label having a terminal cysteine |
| US5262536A (en) | 1988-09-15 | 1993-11-16 | E. I. Du Pont De Nemours And Company | Reagents for the preparation of 5'-tagged oligonucleotides |
| US5512439A (en) | 1988-11-21 | 1996-04-30 | Dynal As | Oligonucleotide-linked magnetic particles and uses thereof |
| US5599923A (en) | 1989-03-06 | 1997-02-04 | Board Of Regents, University Of Tx | Texaphyrin metal complexes having improved functionalization |
| US5391723A (en) | 1989-05-31 | 1995-02-21 | Neorx Corporation | Oligonucleotide conjugates |
| US5416203A (en) | 1989-06-06 | 1995-05-16 | Northwestern University | Steroid modified oligonucleotides |
| US4958013A (en) | 1989-06-06 | 1990-09-18 | Northwestern University | Cholesteryl modified oligonucleotides |
| US5451463A (en) | 1989-08-28 | 1995-09-19 | Clontech Laboratories, Inc. | Non-nucleoside 1,3-diol reagents for labeling synthetic oligonucleotides |
| US5254469A (en) | 1989-09-12 | 1993-10-19 | Eastman Kodak Company | Oligonucleotide-enzyme conjugate that can be used as a probe in hybridization assays and polymerase chain reaction procedures |
| US5292873A (en) | 1989-11-29 | 1994-03-08 | The Research Foundation Of State University Of New York | Nucleic acids labeled with naphthoquinone probe |
| US5486603A (en) | 1990-01-08 | 1996-01-23 | Gilead Sciences, Inc. | Oligonucleotide having enhanced binding affinity |
| US6783931B1 (en) | 1990-01-11 | 2004-08-31 | Isis Pharmaceuticals, Inc. | Amine-derivatized nucleosides and oligonucleosides |
| US5578718A (en) | 1990-01-11 | 1996-11-26 | Isis Pharmaceuticals, Inc. | Thiol-derivatized nucleosides |
| US7037646B1 (en) | 1990-01-11 | 2006-05-02 | Isis Pharmaceuticals, Inc. | Amine-derivatized nucleosides and oligonucleosides |
| US6900297B1 (en) | 1990-01-11 | 2005-05-31 | Isis Pharmaceuticals, Inc. | Amine-derivatized nucleosides and oligonucleosides |
| US5414077A (en) | 1990-02-20 | 1995-05-09 | Gilead Sciences | Non-nucleoside linkers for convenient attachment of labels to oligonucleotides using standard synthetic methods |
| US5214136A (en) | 1990-02-20 | 1993-05-25 | Gilead Sciences, Inc. | Anthraquinone-derivatives oligonucleotides |
| US5514785A (en) | 1990-05-11 | 1996-05-07 | Becton Dickinson And Company | Solid supports for nucleic acid hybridization assays |
| US5218105A (en) | 1990-07-27 | 1993-06-08 | Isis Pharmaceuticals | Polyamine conjugated oligonucleotides |
| US5688941A (en) | 1990-07-27 | 1997-11-18 | Isis Pharmaceuticals, Inc. | Methods of making conjugated 4' desmethyl nucleoside analog compounds |
| US5608046A (en) | 1990-07-27 | 1997-03-04 | Isis Pharmaceuticals, Inc. | Conjugated 4'-desmethyl nucleoside analog compounds |
| US5138045A (en) | 1990-07-27 | 1992-08-11 | Isis Pharmaceuticals | Polyamine conjugated oligonucleotides |
| US5489677A (en) | 1990-07-27 | 1996-02-06 | Isis Pharmaceuticals, Inc. | Oligonucleoside linkages containing adjacent oxygen and nitrogen atoms |
| US5602240A (en) | 1990-07-27 | 1997-02-11 | Ciba Geigy Ag. | Backbone modified oligonucleotide analogs |
| US5567810A (en) | 1990-08-03 | 1996-10-22 | Sterling Drug, Inc. | Nuclease resistant compounds |
| US5245022A (en) | 1990-08-03 | 1993-09-14 | Sterling Drug, Inc. | Exonuclease resistant terminally substituted oligonucleotides |
| US5512667A (en) | 1990-08-28 | 1996-04-30 | Reed; Michael W. | Trifunctional intermediates for preparing 3'-tailed oligonucleotides |
| US5510475A (en) | 1990-11-08 | 1996-04-23 | Hybridon, Inc. | Oligonucleotide multiple reporter precursors |
| US5371241A (en) | 1991-07-19 | 1994-12-06 | Pharmacia P-L Biochemicals Inc. | Fluorescein labelled phosphoramidites |
| US5587371A (en) | 1992-01-21 | 1996-12-24 | Pharmacyclics, Inc. | Texaphyrin-oligonucleotide conjugates |
| US5595726A (en) | 1992-01-21 | 1997-01-21 | Pharmacyclics, Inc. | Chromophore probe for detection of nucleic acid |
| US5565552A (en) | 1992-01-21 | 1996-10-15 | Pharmacyclics, Inc. | Method of expanded porphyrin-oligonucleotide conjugate synthesis |
| US5272250A (en) | 1992-07-10 | 1993-12-21 | Spielvogel Bernard F | Boronated phosphoramidate compounds |
| WO1994002595A1 (en) | 1992-07-17 | 1994-02-03 | Ribozyme Pharmaceuticals, Inc. | Method and reagent for treatment of animal diseases |
| US5574142A (en) | 1992-12-15 | 1996-11-12 | Microprobe Corporation | Peptide linkers for improved oligonucleotide delivery |
| US6294664B1 (en) | 1993-07-29 | 2001-09-25 | Isis Pharmaceuticals, Inc. | Synthesis of oligonucleotides |
| US5599928A (en) | 1994-02-15 | 1997-02-04 | Pharmacyclics, Inc. | Texaphyrin compounds having improved functionalization |
| US5597696A (en) | 1994-07-18 | 1997-01-28 | Becton Dickinson And Company | Covalent cyanine dye oligonucleotide conjugates |
| US5580731A (en) | 1994-08-25 | 1996-12-03 | Chiron Corporation | N-4 modified pyrimidine deoxynucleotides and oligonucleotide probes synthesized therewith |
| US5591584A (en) | 1994-08-25 | 1997-01-07 | Chiron Corporation | N-4 modified pyrimidine deoxynucleotides and oligonucleotide probes synthesized therewith |
| US6576752B1 (en) | 1997-02-14 | 2003-06-10 | Isis Pharmaceuticals, Inc. | Aminooxy functionalized oligomers |
| US6770748B2 (en) | 1997-03-07 | 2004-08-03 | Takeshi Imanishi | Bicyclonucleoside and oligonucleotide analogue |
| US6268490B1 (en) | 1997-03-07 | 2001-07-31 | Takeshi Imanishi | Bicyclonucleoside and oligonucleotide analogues |
| US6670461B1 (en) | 1997-09-12 | 2003-12-30 | Exiqon A/S | Oligonucleotide analogues |
| US6794499B2 (en) | 1997-09-12 | 2004-09-21 | Exiqon A/S | Oligonucleotide analogues |
| US7034133B2 (en) | 1997-09-12 | 2006-04-25 | Exiqon A/S | Oligonucleotide analogues |
| WO1999014226A2 (en) | 1997-09-12 | 1999-03-25 | Exiqon A/S | Bi- and tri-cyclic nucleoside, nucleotide and oligonucleotide analogues |
| US6320017B1 (en) | 1997-12-23 | 2001-11-20 | Inex Pharmaceuticals Corp. | Polyamide oligomers |
| US7084125B2 (en) | 1999-03-18 | 2006-08-01 | Exiqon A/S | Xylo-LNA analogues |
| US7053207B2 (en) | 1999-05-04 | 2006-05-30 | Exiqon A/S | L-ribo-LNA analogues |
| US6525191B1 (en) | 1999-05-11 | 2003-02-25 | Kanda S. Ramasamy | Conformationally constrained L-nucleosides |
| US6998484B2 (en) | 2000-10-04 | 2006-02-14 | Santaris Pharma A/S | Synthesis of purine locked nucleic acid analogues |
| US20080039618A1 (en) | 2002-11-05 | 2008-02-14 | Charles Allerson | Polycyclic sugar surrogate-containing oligomeric compounds and compositions for use in gene modulation |
| US20040171570A1 (en) | 2002-11-05 | 2004-09-02 | Charles Allerson | Polycyclic sugar surrogate-containing oligomeric compounds and compositions for use in gene modulation |
| US7427672B2 (en) | 2003-08-28 | 2008-09-23 | Takeshi Imanishi | Artificial nucleic acids of n-o bond crosslinkage type |
| US7399845B2 (en) | 2006-01-27 | 2008-07-15 | Isis Pharmaceuticals, Inc. | 6-modified bicyclic nucleic acid analogs |
| US20090012281A1 (en) | 2006-01-27 | 2009-01-08 | Isis Pharmaceuticals, Inc. | 6-modified bicyclic nucleic acid analogs |
| US7569686B1 (en) | 2006-01-27 | 2009-08-04 | Isis Pharmaceuticals, Inc. | Compounds and methods for synthesis of bicyclic nucleic acid analogs |
| US7741457B2 (en) | 2006-01-27 | 2010-06-22 | Isis Pharmaceuticals, Inc. | 6-modified bicyclic nucleic acid analogs |
| US8022193B2 (en) | 2006-01-27 | 2011-09-20 | Isis Pharmaceuticals, Inc. | 6-modified bicyclic nucleic acid analogs |
| US8030467B2 (en) | 2006-05-11 | 2011-10-04 | Isis Pharmaceuticals, Inc. | 5′-modified bicyclic nucleic acid analogs |
| US8278425B2 (en) | 2007-05-30 | 2012-10-02 | Isis Pharmaceuticals, Inc. | N-substituted-aminomethylene bridged bicyclic nucleic acid analogs |
| US8278426B2 (en) | 2007-06-08 | 2012-10-02 | Isis Pharmaceuticals, Inc. | Carbocyclic bicyclic nucleic acid analogs |
| US8278283B2 (en) | 2007-07-05 | 2012-10-02 | Isis Pharmaceuticals, Inc. | 6-disubstituted or unsaturated bicyclic nucleic acid analogs |
| US8106022B2 (en) | 2007-12-04 | 2012-01-31 | Alnylam Pharmaceuticals, Inc. | Carbohydrate conjugates as delivery agents for oligonucleotides |
| WO2010048228A2 (en) | 2008-10-20 | 2010-04-29 | Alnylam Pharmaceuticals, Inc. | Compositions and methods for inhibiting expression of transthyretin |
| US20120157511A1 (en) | 2009-07-07 | 2012-06-21 | Alnylam Pharmaceuticals, Inc. | 5' phosphate mimics |
| WO2011005861A1 (en) | 2009-07-07 | 2011-01-13 | Alnylam Pharmaceuticals, Inc. | Oligonucleotide end caps |
| WO2011139917A1 (en) | 2010-04-29 | 2011-11-10 | Isis Pharmaceuticals, Inc. | Modulation of transthyretin expression |
| WO2013075035A1 (en) | 2011-11-18 | 2013-05-23 | Alnylam Pharmaceuticals | Rnai agents, compositions and methods of use thereof for treating transthyretin (ttr) associated diseases |
| WO2014179620A1 (en) | 2013-05-01 | 2014-11-06 | Isis Pharmaceuticals, Inc. | Conjugated antisense compounds and their use |
| WO2014179627A2 (en) | 2013-05-01 | 2014-11-06 | Isis Pharmaceuticals, Inc. | Compositions and methods for modulating hbv and ttr expression |
| WO2015085158A1 (en) | 2013-12-06 | 2015-06-11 | Dicerna Pharmaceuticals, Inc. | Methods and compositions for the specific inhibition of transthyretin (ttr) by double-stranded rna |
| WO2016028649A1 (en) * | 2014-08-20 | 2016-02-25 | Alnylam Pharmaceuticals, Inc. | Modified double-stranded rna agents |
| WO2017023660A1 (en) | 2015-07-31 | 2017-02-09 | Alnylam Pharmaceuticals, Inc. | TRANSTHYRETIN (TTR) iRNA COMPOSITIONS AND METHODS OF USE THEREOF FOR TREATING OR PREVENTING TTR-ASSOCIATED DISEASES |
| WO2018112320A1 (en) | 2016-12-16 | 2018-06-21 | Alnylam Pharmaceuticals, Inc. | Methods for treating or preventing ttr-associated diseases using transthyretin (ttr) irna compositions |
Non-Patent Citations (48)
| Title |
|---|
| ADAMS ET AL., BMC NEUROLOGY, vol. 17, 2017 |
| AKHTAR S.JULIAN RL., TRENDS CELL. BIOL., vol. 2, no. 5, 1992, pages 139 - 144 |
| ANDO ET AL., ORPHANET J RARE DIS., vol. 8, 2013, pages 31 |
| ARNT V KRISTEN ET AL: "Patisiran, an RNAi therapeutic for the treatment of hereditary transthyretin-mediated amyloidosis", NEURODEGENERATIVE DISEASE MANAGEMENT, vol. 9, no. 1, 1 February 2019 (2019-02-01), pages 5 - 23, XP055739596, ISSN: 1758-2024, DOI: 10.2217/nmt-2018-0033 * |
| BERNSTEIN ET AL., NATURE, vol. 409, 2001, pages 363 |
| BLAKE, C.C. ET AL., J MOL BIOL, vol. 88, 1974, pages 1 - 12 |
| CHATTOPADHYAYA ET AL., J. ORG. CHEM., vol. 74, 2009, pages 118 - 134 |
| COELHO ET AL., N ENGL J MED, vol. 369, 2013, pages 819 |
| CROOKE ET AL., J. PHARMACOL. EXP. THER., vol. 277, 1996, pages 923 - 937 |
| DICKSON, P.W. ET AL., J. BIOL. CHEM., vol. 260, no. 13, 1985, pages 8214 - 8219 |
| DYCK ET AL., MUSCLE NERVE, vol. 27, no. 2, 2003, pages 202 - 10 |
| DYCK ET AL., NEUROL., vol. 49, 1997, pages 229 - 39 |
| DYCK ET AL.: "Peripheral neuropathy", 2005, ELSEVIER, article "Quantitating overall neuropathic symptoms, impairments, and outcomes", pages: 1031 - 52 |
| DYCK PJ, MUSCLE NERVE, vol. 11, no. 1, January 1988 (1988-01-01), pages 21 - 32 |
| DYCK, PJ ET AL., NEUROLOGY, vol. 49, no. 1, 1997, pages 229 - 239 |
| ELBASHIR ET AL., GENES DEV., vol. 15, 2001, pages 188 |
| ELMEN, J. ET AL., NUCLEIC ACIDS RESEARCH, vol. 33, no. 1, 2005, pages 439 - 447 |
| GRUNWELLER, A. ET AL., NUCLEIC ACIDS RESEARCH, vol. 31, no. 12, 2003, pages 3185 - 3193 |
| GUAN, J. ET AL.: "Current perspectives on cardiac amyloidosis", AM J PHYSIOL HEART CIRC PHYSIOL, 4 November 2011 (2011-11-04) |
| JACOBSON, D.R. ET AL., N. ENGL. J. MED., vol. 336, no. 7, 1997, pages 466 - 73 |
| KABANOV ET AL., FEBS LETT., vol. 259, 1990, pages 327 - 330 |
| KAWAJI, T. ET AL., OPHTHALMOLOGY, vol. 117, 2010, pages 552 - 555 |
| LETSINGER ET AL., PROC. NATL. ACID. SCI. USA, vol. 86, 1989, pages 6553 - 6556 |
| LIZ, M.A. ET AL., IUBMB LIFE, vol. 62, no. 6, 2010, pages 429 - 435 |
| LOBATO, L., J NEPHROL, vol. 16, 2003, pages 438 - 442 |
| LOBATO, L., J. NEPHROL., vol. 16, 2003, pages 438 - 442 |
| MANOHARAN ET AL., ANN. N. Y. ACAD. SCI., vol. 660, 1992, pages 306 - 309 |
| MANOHARAN ET AL., BIORG. MED. CHEM. LET., vol. 3, 1993, pages 2765 - 2770 |
| MANOHARAN ET AL., BIORG. MED. CHEM. LET., vol. 4, 1994, pages 1053 - 1060 |
| MANOHARAN ET AL., NUCLEOSIDES & NUCLEOTIDES, vol. 14, 1995, pages 969 - 973 |
| MANOHARAN ET AL., TETRAHEDRON LETT., vol. 36, 1995, pages 3651 - 3654 |
| MARK K. SCHLEGEL ET AL: "Chirality Dependent Potency Enhancement and Structural Impact of Glycol Nucleic Acid Modification on siRNA", JOURNAL OF THE AMERICAN CHEMICAL SOCIETY, vol. 139, no. 25, 19 June 2017 (2017-06-19), US, pages 8537 - 8546, XP055602525, ISSN: 0002-7863, DOI: 10.1021/jacs.7b02694 * |
| MARTIN ET AL., HELV. CHIM. ACTA, vol. 78, 1995, pages 486 - 504 |
| MAURER ET AL., N ENGL J MED, vol. 379, 2018, pages 11 - 21 |
| MISHRA ET AL., BIOCHIM. BIOPHYS. ACTA, vol. 1264, 1995, pages 229 - 237 |
| MOOK, OR. ET AL., MOL CANE THER, vol. 6, no. 3, 2007, pages 833 - 843 |
| MOSES ET AL., J. CLIN. INVEST., vol. 86, 1982, pages 2025 - 2033 |
| N. SUANPRASERT ET AL., J NEUROL SCI, vol. 344, 2014, pages 121 - 128 |
| NYKANEN ET AL., CELL, vol. 107, 2001, pages 309 |
| OBERHAUSER ET AL., NUCL. ACIDS RES., vol. 20, 1992, pages 533 - 538 |
| SAISON-BEHMOARAS ET AL., EMBO J, vol. 10, 1991, pages 1111 - 1118 |
| SARAIVA M.J.M., EXPERT REVIEWS IN MOLECULAR MEDICINE, vol. 4, no. 12, 2002, pages 1 - 11 |
| SHEA ET AL., NUCL. ACIDS RES., vol. 18, 1990, pages 3777 - 3783 |
| SUANPRASERT, N. ET AL., J. NEUROL. SCI., vol. 344, no. 1-2, 2014, pages 121 - 128 |
| SUTHERLAND JESSICA E. ET AL: "Nonclinical Safety Profile of Revusiran, a 1st-Generation GalNAc-siRNA Conjugate for Treatment of Hereditary Transthyretin-Mediated Amyloidosis", NUCLEIC ACID THERAPEUTICS, vol. 30, no. 1, 1 February 2020 (2020-02-01), US, pages 33 - 49, XP055801695, ISSN: 2159-3337, Retrieved from the Internet <URL:https://www.liebertpub.com/doi/pdfplus/10.1089/nat.2019.0796> DOI: 10.1089/nat.2019.0796 * |
| SVINARCHUK ET AL., BIOCHIMIE, vol. 75, 1993, pages 49 - 54 |
| WESTERMARK, P. ET AL., PROC. NATL. ACAD. SCI. U.S.A., vol. 87, no. 7, 1990, pages 2843 - 5 |
| WITTELES ET AL., JACC: HEART FAILURE, vol. 7, 2019, pages 709 - 716 |
Cited By (5)
| Publication number | Priority date | Publication date | Assignee | Title |
|---|---|---|---|---|
| US12227744B2 (en) | 2008-10-20 | 2025-02-18 | Alnylam Pharmaceuticals, Inc. | Compositions and methods for inhibiting expression of transthyretin |
| US12049628B2 (en) | 2015-07-31 | 2024-07-30 | Alnylam Pharmaceuticals, Inc. | Transthyretin (TTR) iRNA compositions and methods of use thereof for treating or preventing TTR-associated diseases |
| US11806360B2 (en) | 2017-09-19 | 2023-11-07 | Alnylam Pharmaceuticals, Inc. | Compositions and methods for treating transthyretin (TTR) mediated amyloidosis |
| US11959081B2 (en) | 2021-08-03 | 2024-04-16 | Alnylam Pharmaceuticals, Inc. | Transthyretin (TTR) iRNA compositions and methods of use thereof |
| WO2024130142A3 (en) * | 2022-12-16 | 2024-07-18 | Amgen Inc. | Rnai constructs for inhibiting ttr expression and methods of use thereof |
Also Published As
| Publication number | Publication date |
|---|---|
| JP2023516748A (en) | 2023-04-20 |
| AU2021232029A1 (en) | 2022-10-06 |
| JP7802676B2 (en) | 2026-01-20 |
| IL296106A (en) | 2022-11-01 |
| EP4114949A1 (en) | 2023-01-11 |
| CN115461460A (en) | 2022-12-09 |
| KR20220152270A (en) | 2022-11-15 |
| CA3174473A1 (en) | 2021-09-10 |
Similar Documents
| Publication | Publication Date | Title |
|---|---|---|
| JP7802676B2 (en) | Compositions and methods for inhibiting transthyretin (TTR) expression | |
| US20240075052A1 (en) | Compositions and methods for treating transthyretin (ttr) mediated amyloidosis | |
| US20260028631A1 (en) | KETOHEXOKINASE (KHK) iRNA COMPOSITIONS AND METHODS OF USE THEREOF | |
| ES2928500T3 (en) | Patisiran for use in the treatment of transthyretin-mediated amyloidosis | |
| WO2021096763A1 (en) | Methods and compositions for treating an angiotensinogen- (agt-) associated disorder | |
| US11959081B2 (en) | Transthyretin (TTR) iRNA compositions and methods of use thereof | |
| US20230405040A1 (en) | METHODS FOR TREATING ATHEROSCLEROTIC CARDIOVASCULAR DISEASE WITH LPA-TARGETED RNAi CONSTRUCTS | |
| US20240218369A1 (en) | Compositions and methods for treating transthyretin (ttr) mediated amyloidosis | |
| AU2021232014A1 (en) | Ketohexokinase (KHK) IRNA compositions and methods of use thereof | |
| US20240309375A1 (en) | Compositions and methods for treating or preventing stargardt's disease and/or retinal binding protein 4 (rbp4)-associated disorders | |
| KR20220116520A (en) | Patatin-like phospholipase domain containing 3 (PNPLA3) iRNA compositions and methods of use thereof | |
| US20130028889A1 (en) | Dosing regimens for treating and preventing ocular disorders using c-raf antisense | |
| IL323871A (en) | Oligonucleotide delivery formulations | |
| EA050185B1 (en) | TREATMENT OF ATHEROSCLEROTIC CARDIOVASCULAR DISEASE USING RNAi CONSTRUCTS TARGETING LPA |
Legal Events
| Date | Code | Title | Description |
|---|---|---|---|
| 121 | Ep: the epo has been informed by wipo that ep was designated in this application |
Ref document number: 21714746 Country of ref document: EP Kind code of ref document: A1 |
|
| ENP | Entry into the national phase |
Ref document number: 3174473 Country of ref document: CA |
|
| ENP | Entry into the national phase |
Ref document number: 2022553196 Country of ref document: JP Kind code of ref document: A |
|
| ENP | Entry into the national phase |
Ref document number: 20227034708 Country of ref document: KR Kind code of ref document: A |
|
| ENP | Entry into the national phase |
Ref document number: 2021232029 Country of ref document: AU Date of ref document: 20210305 Kind code of ref document: A |
|
| ENP | Entry into the national phase |
Ref document number: 2021714746 Country of ref document: EP Effective date: 20221006 |
|
| NENP | Non-entry into the national phase |
Ref country code: DE |


























