WO2019034380A1 - Uv curable acrylate compositions for nanocrystal mixture - Google Patents
Uv curable acrylate compositions for nanocrystal mixture Download PDFInfo
- Publication number
- WO2019034380A1 WO2019034380A1 PCT/EP2018/070046 EP2018070046W WO2019034380A1 WO 2019034380 A1 WO2019034380 A1 WO 2019034380A1 EP 2018070046 W EP2018070046 W EP 2018070046W WO 2019034380 A1 WO2019034380 A1 WO 2019034380A1
- Authority
- WO
- WIPO (PCT)
- Prior art keywords
- methacrylate
- composition according
- nanocrystal composition
- group
- present
- Prior art date
- Legal status (The legal status is an assumption and is not a legal conclusion. Google has not performed a legal analysis and makes no representation as to the accuracy of the status listed.)
- Ceased
Links
- GCAFPLMEUOENQN-UHFFFAOYSA-N CC(CC1)C2C1C1CC2CC1 Chemical compound CC(CC1)C2C1C1CC2CC1 GCAFPLMEUOENQN-UHFFFAOYSA-N 0.000 description 1
Classifications
-
- C—CHEMISTRY; METALLURGY
- C09—DYES; PAINTS; POLISHES; NATURAL RESINS; ADHESIVES; COMPOSITIONS NOT OTHERWISE PROVIDED FOR; APPLICATIONS OF MATERIALS NOT OTHERWISE PROVIDED FOR
- C09K—MATERIALS FOR MISCELLANEOUS APPLICATIONS, NOT PROVIDED FOR ELSEWHERE
- C09K11/00—Luminescent, e.g. electroluminescent, chemiluminescent materials
- C09K11/02—Use of particular materials as binders, particle coatings or suspension media therefor
-
- C—CHEMISTRY; METALLURGY
- C08—ORGANIC MACROMOLECULAR COMPOUNDS; THEIR PREPARATION OR CHEMICAL WORKING-UP; COMPOSITIONS BASED THEREON
- C08K—Use of inorganic or non-macromolecular organic substances as compounding ingredients
- C08K9/00—Use of pretreated ingredients
- C08K9/02—Ingredients treated with inorganic substances
-
- C—CHEMISTRY; METALLURGY
- C08—ORGANIC MACROMOLECULAR COMPOUNDS; THEIR PREPARATION OR CHEMICAL WORKING-UP; COMPOSITIONS BASED THEREON
- C08K—Use of inorganic or non-macromolecular organic substances as compounding ingredients
- C08K9/00—Use of pretreated ingredients
- C08K9/04—Ingredients treated with organic substances
-
- C—CHEMISTRY; METALLURGY
- C09—DYES; PAINTS; POLISHES; NATURAL RESINS; ADHESIVES; COMPOSITIONS NOT OTHERWISE PROVIDED FOR; APPLICATIONS OF MATERIALS NOT OTHERWISE PROVIDED FOR
- C09J—ADHESIVES; NON-MECHANICAL ASPECTS OF ADHESIVE PROCESSES IN GENERAL; ADHESIVE PROCESSES NOT PROVIDED FOR ELSEWHERE; USE OF MATERIALS AS ADHESIVES
- C09J175/00—Adhesives based on polyureas or polyurethanes; Adhesives based on derivatives of such polymers
- C09J175/04—Polyurethanes
- C09J175/14—Polyurethanes having carbon-to-carbon unsaturated bonds
- C09J175/16—Polyurethanes having carbon-to-carbon unsaturated bonds having terminal carbon-to-carbon unsaturated bonds
-
- C—CHEMISTRY; METALLURGY
- C09—DYES; PAINTS; POLISHES; NATURAL RESINS; ADHESIVES; COMPOSITIONS NOT OTHERWISE PROVIDED FOR; APPLICATIONS OF MATERIALS NOT OTHERWISE PROVIDED FOR
- C09K—MATERIALS FOR MISCELLANEOUS APPLICATIONS, NOT PROVIDED FOR ELSEWHERE
- C09K11/00—Luminescent, e.g. electroluminescent, chemiluminescent materials
- C09K11/08—Luminescent, e.g. electroluminescent, chemiluminescent materials containing inorganic luminescent materials
- C09K11/88—Luminescent, e.g. electroluminescent, chemiluminescent materials containing inorganic luminescent materials containing selenium, tellurium or unspecified chalcogen elements
- C09K11/881—Chalcogenides
- C09K11/883—Chalcogenides with zinc or cadmium
-
- C—CHEMISTRY; METALLURGY
- C08—ORGANIC MACROMOLECULAR COMPOUNDS; THEIR PREPARATION OR CHEMICAL WORKING-UP; COMPOSITIONS BASED THEREON
- C08K—Use of inorganic or non-macromolecular organic substances as compounding ingredients
- C08K3/00—Use of inorganic substances as compounding ingredients
- C08K3/30—Sulfur-, selenium- or tellurium-containing compounds
- C08K2003/3009—Sulfides
- C08K2003/3036—Sulfides of zinc
-
- C—CHEMISTRY; METALLURGY
- C08—ORGANIC MACROMOLECULAR COMPOUNDS; THEIR PREPARATION OR CHEMICAL WORKING-UP; COMPOSITIONS BASED THEREON
- C08K—Use of inorganic or non-macromolecular organic substances as compounding ingredients
- C08K3/00—Use of inorganic substances as compounding ingredients
- C08K3/10—Metal compounds
-
- C—CHEMISTRY; METALLURGY
- C08—ORGANIC MACROMOLECULAR COMPOUNDS; THEIR PREPARATION OR CHEMICAL WORKING-UP; COMPOSITIONS BASED THEREON
- C08K—Use of inorganic or non-macromolecular organic substances as compounding ingredients
- C08K3/00—Use of inorganic substances as compounding ingredients
- C08K3/32—Phosphorus-containing compounds
Definitions
- UV curable acrylate compositions for nanocrystal mixture UV curable acrylate compositions for nanocrystal mixture
- the present invention relates to a nanocrystal composition
- a nanocrystal composition comprising nanocrystals in a polymeric matrix.
- Compositions of the present invention provide good optical properties, good thermal and photothermal stability to the nanocrystals and is ready-to-use compositions with good storage shelf life capable of being coated at the film coater.
- NC Semiconductor nanocrystals
- QD quantum dots
- the nanocrystal (NC) composites are used in a broad range of applications including displays, lighting, security inks, bio-labelling and solar concentrators. In all the cases, the NC composites are exposed to a certain light flux and temperature. Due to the fact that nanocrystals have narrow light emission peaks, they can significantly enhance the colour quality and enlarge the colour gamut of LCD displays.
- the preferred method for NC application in LCD displays is to apply a NC film in the LED backlight of the display.
- green and red NCs are incorporated in a polymer material and coated into a film.
- This NC film is applied to a blue LED backlight.
- the green and red NCs convert a portion of the blue light into green and red light and the combination of the blue, green and red colours gives the white light needed for the backlight. It is important to tune the proportion of blue, green and red lights to meet individual displays' design criteria. Different display manufacturers have different requirements for the colour point, colour gamut and brightness of the NC backlight. Many factors can affect the optical properties of the NC backlight, such as NC film thickness, green and red NC emission peak wavelength and peak width, green and red NC loading, presence of scattering particles, etc. Furthermore, the exposure of the NC composites to photons and temperature under the presence of air and moisture causes decrease of the optical properties of the composite.
- NCs are synthesized in solution and can be further embedded in polymer matrices that act as a carrier and first protective layer. Physical mixing of NC solutions with a polymer solution or a crosslinking formulation is a common approach used in the art to obtain NC-polymer composite materials.
- NCs embedded in acrylate- or epoxy-based matrices tend to degrade under operation conditions. Therefore, an additional barrier film is needed to prevent the permeability of oxygen and moisture inside the adhesive, which increases the cost and thickness of the final product.
- thiols have been used, as a part of the adhesive matrix for quantum dot (nanocrystal) composites.
- Thiols have been found to be beneficial for their thermal stability broadening the range of matrix chemistries with a good NC dispersion.
- degradation caused by photons cannot be prevented completely in combination with state of the art polymer matrices.
- NCs are not often stable when dispersed in adhesive compositions. Interactions between the polymeric matrix and NC can cause optical properties or dispersion state of NC to change and deteriorate. As a result, it is often necessary to mix NC with adhesive right before coating. Since NCs are typically sensitive to oxygen and moisture in the ambient, NC/polymeric matrix mixing just before coating necessitates complicated and expensive mixing, metering and inerting equipment, which are not desirable by film coaters.
- the present invention relates to a nanocrystal composition
- a nanocrystal composition comprising a) a plurality of nanocrystals comprising a core comprising a metal or a semiconductive compound or a mixture thereof and at least one ligand, wherein said core is surrounded by at least one ligand, and b) a polymeric matrix, wherein said polymeric matrix is formed by polymerisation of one or more chemically functionalised methacrylate oligomer and one or more methacrylate monomer, and wherein said nanocrystals are embedded into said polymeric matrix.
- the present invention also relates to a cured nanocrystal composition according to the present invention.
- the present invention encompasses a film comprising a nanocrystal composition according to the present invention, wherein said film comprises a first barrier film and a second barrier film, wherein said nanocrystal composite is between the first and second barrier film.
- the present invention also encompasses a product comprising a nanocrystal composition according to the present invention, wherein said product is selected from the group consisting of a display device, a light emitting device, a photovoltaic cell, a photodetector, an energy converter device, a laser, a sensor, a thermoelectric device, a security ink, lighting device and in catalytic or biomedical applications.
- a display device a light emitting device, a photovoltaic cell, a photodetector, an energy converter device, a laser, a sensor, a thermoelectric device, a security ink, lighting device and in catalytic or biomedical applications.
- the nanocrystal composition according to the present invention can be used as a source of photoluminescence or electroluminescence.
- (meth) refers to both acrylates and methacrylates.
- (meth)acrylate refers to either acrylate or methacrylate.
- compositions with good NC compatibility and coatability are needed.
- a successful adhesive composition needs to have suitable rheological and curing properties to enable high speed roll to roll film coating process.
- the composition needs to exhibit strong adhesion with the substrate barrier film used for the NC coating.
- composition needs to be compatible with the NCs used to provide good optical properties and good reliability of the final NC film.
- the present invention provides a nanocrystal composition
- a nanocrystal composition comprising a plurality of nanocrystals comprising a core comprising a metal or a semiconductive compound or a mixture thereof and at least one ligand, wherein said core is surrounded by at least one ligand, and a polymeric matrix, wherein said polymeric matrix is formed by polymerisation of one or more chemically functionalised methacrylate oligomer and one or more methacrylate monomer, and wherein said nanocrystals are embedded into said polymeric matrix.
- nanocrystal composite according to the present invention provides increased photothermal and thermal stability for the nanocrystals in order to enable a long storage time and enable ready-to-use NC composition.
- nanocrystal composite according to the present invention provides good initial optical properties and good reliability.
- a NC composite according to the present invention comprises a plurality of NCs comprising a core comprising a metal or a semiconductive compound or a mixture thereof.
- the core of the NCs according to the present invention has a structure including the core alone or the core and one or more shell(s) surrounding the core.
- Each shell may have a structure comprising one or more layers, meaning that each shell may have monolayer or multilayer structure.
- Each layer may have a single composition or an alloy or concentration gradient.
- the size of the core of the NCs according to the present invention is less than 100 nm, more preferably less than 50, more preferably less than 10, however, preferably the core is larger than 1 nm.
- the particle size is measured by using transmission electron microscopy (TEM).
- TEM transmission electron microscopy
- the shape of the NC can be chosen from a broad range of geometries.
- the shape of the core of the NCs according to the present invention is spherical, rectangular, rod or triangle shape.
- the core of the NCs comprises a metal or semiconductive compound or a mixture thereof, is composed of elements selected from combination of one or more different groups of the periodic table.
- the metal or semiconductive compound is combination of one or more elements selected from the group IV; one or more elements selected from the groups II and VI; one or more elements selected from the groups III and V; one or more elements selected from the groups IV and VI; one or more elements selected from the groups I and III and VI or a combination thereof.
- the metal or semiconductive compound is selected from the group consisting of Si, Ge, SiC, and SiGe, CdS, CdSe, CdTe, ZnS, ZnSe ZnTe, ZnO, HgS, HgSe, HgTe, MgS, MgSe, GaN, GaP, GaSb, AIN, AIP, AIAs, AISb 3 , lnN 3 , InP, InAs, SnS, SnSe, SnTe, PbS, PbSe, PbTe, MnlnP, CulnP, CulnS 2 , CulnSe 2 , CuGaS 2 , CuGaSe 2 , AglnS 2 , AglnSe 2 , AgGaS 2 and AgGaSe 2 and mixtures thereof. Even more preferably the metal or semiconductive compound is selected from group consisting of CdSe, InP and mixtures thereof.
- NCs according to the present invention have a particle diameter (e.g. largest particle diameter, including core and shell) ranging from 1 nm to 100 nm, preferably from 1 nm to 50 nm and more preferably from 1 nm to 15 nm.
- the particle size is measured by using transmission electron microscopy (TEM).
- the core of the NCs according to the present invention has a structure comprising a core and at least one monolayer or multilayer shell.
- the core of the NCs according to the present invention has a structure comprising a core and at least two monolayer and/or multilayer shells.
- the shell comprises also a metal or semiconductor material, and therefore, all material listed above to be suitable for use as a core is also suitable for use as a shell material.
- the shell comprises ZnS, ZnSe or CdS.
- the NCs may be further encapsulated in inorganic oxide shells, such as silica or alumina to protect NCs from air and moisture.
- inorganic oxide shells such as silica or alumina
- the core (including the shell layer(s) if present) of the NCs is surrounded by at least one ligand.
- the whole surface of the NCs is covered by ligands. It is believed by the theory that when the whole surface of the NC is covered by ligands the optical performance of the NC is better.
- Suitable ligands for use in the present invention are alkyl phosphines, alkyl phosphine oxides, amines, thiols, polythiols, carboxylic acids and similar compounds and mixtures thereof.
- alkyl phosphines for use in the present invention as a ligand are tri-n- octylphosphine, trishydroxylpropylphosphine, tributylphosphine, tri(dodecyl)phosphine, dibutyl-phosphite, tributyl phosphite, trioctadecyl phosphite, trilauryl phosphite , tris(tridecyl) phosphite, triisodecyl phosphite, bis(2-ethylhexyl)phosphate, tris(tridecyl) phosphate and mixtures thereof.
- Example of suitable alkyl phosphine oxides for use in the present invention as a ligand is tri-n- octylphosphine oxide.
- Suitable amines for use in the present invention as a ligand are oleylamine, hexadecylamine, octadecylamine, bis(2-ethylhexyl)amine, dioctylamine, trioctylamine, octylamine, dodecylamine/laurylamine, didodecylamine, tridodecylamine, dioctadecylamine, trioctadecylamine, poly(propylene glycol) bis(2-amino propyl ether) and mixtures thereof.
- Suitable thiol for use in the present invention as a ligand is 1-dodecanethiol.
- polythiols for use in the present invention as a ligand are pentaerythritol tetrakis (3-mercaptobutylate), pentaerythritol tetrakis(3-mercaptopropionate), trimethylolpropane tri(3-mercaptopropionate), tris[2-(3-mercaptopropionyloxy) ethyl]isocyanurate, dipenta- erythritol hexakis(3-mercaptopropionate), ethoxilatedtri- methylolpropan tri-3-mercapto-propionate and mixtures thereof.
- Thiols can also be used in the present invention in their deprotonated form.
- carboxylic acids and phosphonic acids for use in the present invention as a ligand are oleic acid, phenylphosphonic acid, hexylphosphonic acid, tetradecylphosphonic acid, octylphosphonic acid, octadecylphosphonic acid, propylenediphosphonic acid, phenylphosphonic acid, aminohexylphosphonic acid and mixtures thereof.
- Carboxylic acids and phosphonic acids can also be used in the present invention in their deprotonated form.
- Suitable ligands for use in the present invention are dioctyl ether, diphenyl ether, methyl myristate, octyl octanoate, hexyl octanoate, pyridine and mixtures thereof.
- Suitable and selected ligands stabilize the NCs in a solution.
- NCs suitable for use in the present invention are prepared by using known processes from the literature or acquired commercially. Suitable NCs can be prepared in several ways of mixing all reactants together.
- the NCs according to the present invention can be produced from the various core materials alone or combined with various shell materials and various different kind of ligands.
- Suitable commercially available NC for use in the present invention include, but not limited to CdSeS/ZnS from Sigma Aldrich.
- a NC composite according to the present invention comprises the NCs from 0.01 to 10% by weight of the total weight of the NC composite, preferably from 0.05 to 7.5%, more preferably from 0.1 to 5%.
- NC composites according to the present invention can also be prepared with higher NC quantity, however, if the quantity is >10% the optical properties of the NCs will be negatively affected due to interactions between them. On the other hand if the quantity is ⁇ 0.01 %, the formed films would exhibit very low brightness.
- NCs are embedded into the polymeric matrix.
- a polymeric matrix according to the present invention is formed by polymerisation of one or more chemically functionalised methacrylate oligomer and one or more methacrylate monomer.
- the polymeric matrix is formed by polymerisation of one or more chemically functionalised methacrylate oligomer, one or more methacrylate monomer and one or more acrylate monomer having one acrylate group.
- the polymeric matrix is formed by polymerisation of one or more chemically functionalised methacrylate oligomer, one or more methacrylate monomer and one or more acrylate monomer having two or more acrylate groups, wherein the quantity of said acrylate monomer having two or more acrylate groups is less than 15% by weight based on the total weight of the polymeric matrix.
- the polymeric matrix is formed by polymerisation of one or more chemically functionalised methacrylate oligomer, one or more methacrylate monomer, one or more acrylate monomer having one acrylate group and one or more acrylate monomer having two or more acrylate groups, wherein the quantity of said acrylate monomer having two or more acrylate groups is less than 15% by weight based on the total weight of the polymeric matrix.
- the chemically functionalised methacrylate oligomer according to the present invention improves the mechanical properties of the composition.
- Suitable chemically functionalised methacrylate oligomer is selected from the group consisting of ethoxylated (2-200) bisphenol methacrylate, bisphenol A epoxy methacrylate oligomer, aliphatic polyester based urethane dimethacrylate oligomer, aromatic polyester based urethane dimethacrylate oligomer, aliphatic polyether urethane methacrylate oligomer, aromatic polyether urethane methacrylate oligomer and mixtures thereof.
- chemically functionalised methacrylate oligomer is selected from the group consisting of bisphenol A epoxy methacrylate oligomer, aliphatic polyester based urethane dimethacrylate oligomer, ethoxylated (2-200) bisphenol methacrylate and mixtures thereof.
- chemically functionalised methacrylate oligomers are used because they provide good adhesion and reliability performance for the composition according to the present invention.
- Suitable commercially available chemically functionalised methacrylate oligomer for use in the present invention include, but not limited to CN 154, CN159 NS from Arkema, CN1963 from Arkema, SR480 from Arkema, epoxy methacrylate 97-053 from Rahn USA and KEMA-100 and KEMA-104 from Kayaku Chemical.
- the polymeric matrix according to the present invention comprises from 25 to 80% by weight of the total weight of the polymeric matrix of chemically functionalised methacrylate oligomer, preferably from 30 to 75% and more preferably from 35 to 75%.
- a polymeric matrix according to the present invention is formed by polymerisation of one or more methacrylate monomer.
- the methacrylate monomer acts as a diluent, and therefore, controls the viscosity of the composition.
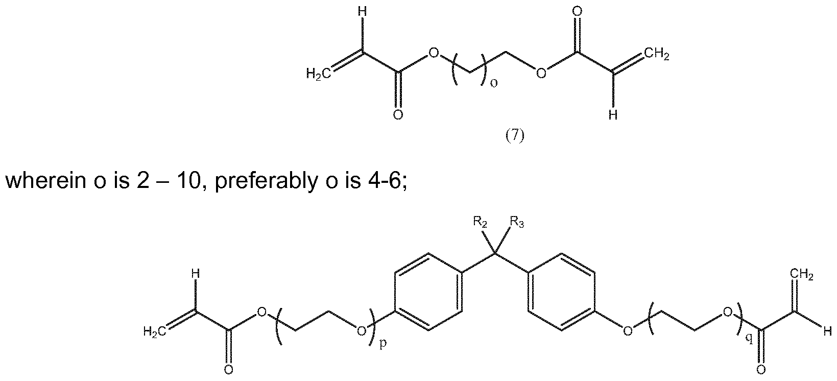
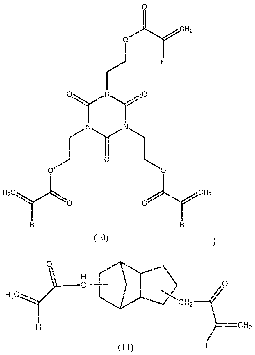
- Suitable methacrylate monomer for use in the present invention is selected from the group consisting of
- o is 0 - 18, preferably o is 2 - 18;
- n is 2 - 18, preferably n is 6-17;
- Ri is selected from the group consisting of - CH3, -CH2CH3, -C(CH3)3, -OH;
- TMPTMA trimethylolpropane trimethacrylate
- I BOMA isobornyl methacrylate
- THFMA tetrahydrofurfuryl methacrylate
- HPMA hydroxypropyl methacrylate
- TEGDMA triethylene glycol dimethacrylate
- DEGDMA diethylene glycol dimethacrylate
- CHMA cyclohexyl methacrylate
- CHMA glycerol dimethacrylate
- bisphenol A dimethacrylate bisphenol F dimethacrylate
- one or more methacrylate monomer is selected from the group consisting of isobornyl methacrylate (I BOMA), laurylmethacrylate, trimethylolpropane trimethacrylate (TMPTMA), tricyclodecane dimethanol dimethacrylate and mixtures thereof.
- Suitable commercially available methacrylate monomer for use in the present invention include, but not limited to SR423A from Arkema, SR248 from Arkema, SR313A from Arkema and SR262 from Arkema, LMA, TDMA, CHMA, and I BXMA from San Esters Corporation, NK Ester NPG, NK Ester I B, NK Ester DCP from Nippon Kayaku, etc.
- the polymeric matrix according to the present invention comprises from 20 to 75% by weight of the total weight of the polymeric matrix of methacrylate monomer, preferably from 25 to 70%, more preferably from 25 to 65%.
- a nanocrystal composition according to the present invention may further comprise an acrylate monomer having one acrylate group and/or an acrylate monomer having two or more acrylate groups.
- Suitable acrylate monomer having one or more acrylate groups for use in the present invention is selected from the group consisting of
- said acrylate monomer is selected from the group consisting of ethoxylated bisphenol A diacrylate having three ethoxy groups, ethoxylated bisphenol A diacrylate having two ethoxy groups, 1 ,6-hexanediol diacrylate, trimethylolpropane trimethacrylate, ethoxylated trimethylolpropane triacrylate having three ethoxy groups, bisphenol A based oligomers, isobornyl acrylate, lauryl acrylate, tridecyl acrylate and mixtures thereof.
- preferred acrylate monomers having two or more acrylate groups are preferred because they provide ideal curing speed, transparency and good optical properties. In addition, they provide stability for QDs, especially the ethoxylated bisphenol A diacrylate having two ethoxy groups.
- 1 ,6-hexanediol diacrylate has a low viscosity and can be used as reactive diluent.
- acrylate monomers having two or more acrylate groups suitable for use in the present invention are SR 349, SR 348 and SR 238 from Sartomer and HDDA from Allnex.
- the nanocrystal composition according to the present invention comprises an acrylate monomer having two or more acrylate groups
- the quantity is less than 15% by weight based on the total weight of the polymeric matrix (but more than 0.1 %), preferably less than 10%.
- the quantity can be from 0.1 to 25% by weight based on the total weight of the polymeric matrix.
- a nanocrystal composite according to the present invention comprises a polymer matrix from 90 to 99.99% by weight of the total weight of the composite, preferably from 92.5 to 99.95%, more preferably from 95 to 99.9%. If the polymeric matrix quantity is lower than 90% and the quantity of NCs is more than 10%, the optical properties of the nanocrystals will be negatively affected due to interactions between them.
- a nanocrystal composition according to the present invention may further comprise a photoinitiator.
- Suitable photoinitiator for use in the present invention is selected from the group consisting of 1 ,5,7-triazabicyclo[4.4.0]dec-5-enehydrogen tetraphenyl borate (TBD- HBPh 4 ), 2- methyl-4-(methylthio)-2-morpholinopropiophenone, 2-(9-oxoxanthen-2-yl)propionic acid-1 ,5,7 triazabicyclo[4.4.0]dec-5-ene, 2-hydroxy-2-methyl-1 -phenylpropanone, 1 -hydroxycyclohexyl- phenyl ketone, 2,4,6-trimethylbenzoyl-diphenyl phosphine oxide (TPO), ethyl(2,4,6- trimethybenzoyl)-phenyl phosphinate (TPO-L), bis(2,4,6-trimethylbenzoyl)
- photoinitiator is selected from the group consisting of 2,4,6-trimethylbenzoyl- diphenyl phosphine oxide, 2-hydroxy-2-methylpropiophenone, 1-hydroxycyclohexyl-1 -phenyl methanone and mixtures thereof.
- Suitable commercially available photoinitiator for use in the present invention include, but not limited to Omnirad TPO (2,4,6-trimethylbenzoyl-diphenyl phosphine oxide) from IGM, Omnirad 1 173 (2-hydroxy-2-methylpropiophenone) from IGM and Omnirad 184 (1-hydroxycyclohexyl-
- a nanocrystal composition according to the present invention comprises a photoinitator, when present from 0.01 to 6% by weight of the total weight of the composite, preferably from 0.01 to 3%, more preferably from 0.01 to 2%.
- the nanocrystal composition comprises at least two photoinitiators, wherein first photoinitiator is irradiated with short wavelength UV- light and second photoinitiator is irradiated with long wavelength UV-light.
- first photoinitiator is irradiated with short wavelength UV- light
- second photoinitiator is irradiated with long wavelength UV-light.
- compositions having two or more photoinitiators are useful in two-step coating and lamination process. These compositions and two-step coating and lamination process have been exemplified in example 5.
- a nanocrystal composition according to the present invention may further comprise scattering particles. The scattering particles are physically mixed in to the composition to scatter light. The scattering particles do not react with the resins of the polymeric matrix. Scattering particles increase the effective light path in a NC film, which gives for chance for NC to be activated by blue light. This helps to reduce the NC loading needed to get to a certain white point.
- Suitable scattering particles are selected from the group consisting of T1O2, ZnS, Zr02, AI2O3, MgO, CaO, Ta20s, silica, silicone and mixtures thereof.
- Suitable commercially available scattering particle for use in the present invention include, but not limited to Sachtolith HDS ZnS powder from Sachtleben.
- a nanocrystal composition according to the present invention comprises a scattering particles from 0.01 to 3% by weight of the total weight of the composite, preferably from 0.05 to 2.5%, more preferably from 0.01 to 2%.
- a nanocrystal composition according to the present invention may further comprise a rheology modifier.
- Suitable rheology modifier do not react with the resins of the polymeric matrix, but change the rheology.
- Suitable rheology modifier are selected from the group consisting of modified urea, polyurethane, polyamine, polyacrylates and mixtures thereof.
- Suitable commercially available rheology modifier for use in the present invention include, but not limited to BYK-410 and BYK-7410ET from Altana.
- a nanocrystal composition according to the present invention comprises a rheology modifier when present from 0.01 to 2% by weight of the total weight of the composite, preferably from 0.1 to 1.5%, more preferably from 0.2 to 1 %.
- a nanocrystal composition according to the present invention may further comprise a dispersant. Suitable dispersant do not react with the resins of the polymeric matrix, but change the settling behavior of the scattering particles.
- Suitable dispersant is selected from the group consisting of acid esters and polyurethanes and mixtures thereof.
- Suitable commercially available dispersant for use in the present invention include, but not limited to BYK-1 10 and BYK-180 from Altana.
- a nanocrystal composition according to the present invention comprises a dispersant when present from 0.01 to 2% by weight of the total weight of the composite, preferably from 0.1 to 1 .5%, more preferably from 0.2 to 1 %.
- a nanocrystal composition according to the present invention has preferably a viscosity from 100 cps to 5500cps, wherein viscosity is measured on a Brookfield DVII+ Pro Viscometer at constant shear rate with cone and plate spindles CP51 and CP52, or low viscosity cup spindles SP18 and SP21 at 25 °C.
- the NC composites according to the present invention can be prepared in several ways of mixing all ingredients together.
- all raw materials except NCs and scattering particles, if present, are mixed together and mixture is mixed until the photoinitiator is dissolved in to the resin. Subsequently the NCs and scattering particles, if present, are mixed to the composition. In some embodiments mixing of the all raw material is done under nitrogen.
- the present invention also relates to a cured nanocrystal composition.
- the NC composition according to the present invention is solid after the cure at room temperature.
- the NC composition according to the present invention is UC curable and can be cured by using ordinary UV lamps.
- the UV cure intensity of the NC composite according to the present invention is from 0.1 to 3 J/cm 2 , preferably from 0.5 to 1 J/cm 2 .
- An UV cure time of the nanocrystal composite according to the present invention is from 0.5 second to 500 seconds, preferably from 1 second to 120 seconds, more preferably from 1 second to 60 seconds.
- the present invention also relates to a film comprising a nanocrystal composite according to the present invention, wherein said film comprises a first barrier film and a second barrier film, wherein said nanocrystal composite is between the first and second barrier film.
- First and second barrier films can be formed of any useful film material that can protect the NCs from environmental conditions, such as oxygen and moisture.
- Suitable barrier films include for example polymers, glass or dielectric materials.
- Suitable barrier layer materials for use in the present invention include, but are not limited to, polymers such as polyethylene terephthalate (PET); oxides such as silicon oxide (S1O2, S12O3), titanium oxide (T1O2) or aluminium oxide (AI2O3); and mixtures thereof.
- each barrier layer of the NC film includes at least two layers of different materials or compositions, such that the multi-layered barrier eliminates or reduces pinhole defect alignment in the barrier layer, providing an effective barrier to oxygen and moisture penetration into the NC material.
- the NC film can include any suitable material or combination of materials and any suitable number of barrier layers on either or both sides of the NC composite material. The materials, thickness, and number of barrier layers will depend on the particular application, and will be chosen to maximize barrier protection and brightness of the NC while minimizing thickness of the NC film.
- first and second barrier layers are a laminate film, such as a dual laminate film, where the thickness of first and second barrier layer is sufficiently thick to eliminate wrinkling in roll-to-roll or laminate manufacturing processes.
- first and second barrier films are polyester films (e.g., PET) having an oxide layer.
- the present invention also relates to a product comprising a nanocrystal composite according to the present invention, wherein said product is selected from the group consisting of a display device, a light emitting device, a photovoltaic cell, a photodetector, an energy converter device, a laser, a sensor, a thermoelectric device, a security ink, lighting device and in catalytic or biomedical applications.
- a display device a light emitting device, a photovoltaic cell, a photodetector, an energy converter device, a laser, a sensor, a thermoelectric device, a security ink, lighting device and in catalytic or biomedical applications.
- the present invention also relates to use of nanocrystal composite according to the present invention as a source of photoluminescence or electroluminescence.
- NC film was cut into 2.5"X3.5" rectangles or 3.2" squares and its optical properties were measured by a Photo Research PR655 spectroradiometer or Ocean Optics Torus Toroidal Grating Spectrometer.
- the quantum dot films were illuminated by a blue LED backlight and the emitted light from the nanocrystal film was measured by PR655 or Torus. Luminance and color coordinates were obtained this way.
- the NC film was also punched into 19mm diameter discs and measured by a Hamamatsu C9920 quantum yield system. Absolute quantum yield (QY) and emission wavelength and relative intensity of the green and red NC can be measured by C9920.
- comparative example 1 .1 has much lower white point and Y luminance, which is an indication of quenching of the nanocrystal.
- the quantum yield measured by Hamamatsu also shows comparative example 1 .1 to have much lower QY than the other examples.
- the formulation of comparative example 1 .1 is clearly not compatible with Nanosys Gen 2.5 NC and not suitable for NC mixture application.
- NC films prepared with fresh NC mixture showed high white point, Y luminance and QY, which indicates good initial compatibility of Nanosys Gen 2.5 NC.
- the adhesive formulations exemplified in table 5 below were prepared by weighing and then mixing all raw materials by Speedmixer until the photoinitiator is dissolved in the resin formulation. Low viscosity clear UV curable liquid adhesives are obtained. Subsequently NC was added. After NC formulations are prepared, NC films were coated and measured.
- NC-adhesive mixtures were also stored in tightly closed containers in a refrigerator at 0-5°C.
- the NC mixtures were periodically removed from the refrigerator, remixed and then re-coated into NC film.
- NC films prepared after different storage time were compared to those of freshly made films to determine the storage stability of the NC in different adhesives.
- the white point results measured by PR655 are listed in table 6.
- NC films prepared with fresh NC mixture with comparative examples 2.1 and 2.2 showed high white point and Y luminance which indicates good initial compatibility of Nanosys Gen 2.5 NC.
- the white point and Y luminance change significantly from those of the fresh NC mixture.
- these formulations are also not suitable for ready-to-use NC mixture application, as the optical properties are not stable during NC mixture storage.
- Table 7 exemplify compositions according to the present invention. All raw materials were mixed by Speedmixer until the photoinitiator was dissolved in the resin formulation. Low viscosity clear UV curable liquid adhesives were obtained.
- NC mixtures with the adhesive formulation above were prepared with 3.8% by weight of Green Gen 2.5 NC in I BOA (1.23g) and 2.7% by weight of Red Gen 2.5 NC in I BOA (0.88g) from Nanosys Inc., along with 1 %wt of Sachtolith HDS ZnS powder (0.32g), in the same way as the comparative examples.
- NC films were coated with the NC mixture after different time of storage and the PR655 measurement results are listed in table 8.
- NC adhesive mixture formulations need low viscosity during the coating process. However, lower viscosity can cause inorganic particles to settle quickly in the formulation causing white point and luminance non-uniformity in the final film product.
- the NCs and scattering particles which are used to enhance white point and film brightness are largely inorganic particles capable of settling in low viscosity matrices. Upon settling to the bottom of the container, the mixture needs to be re-agitated and mixed before a coating process. It is highly desirable to be able to suspend the inorganic particles in the formulation during storage. To achieve such an effect, suitable rheology modifiers may be added to the adhesive formulation to increase thixotropy and facilitate inorganic particle suspension storage.
- BYK 410 or BYK 7410 ET additive was added to the adhesive formulation to increase thixotropy and prevent scattering particle settling.
- most scattering particles settle to the bottom of the container within 1 to 2 days.
- no noticeable particle settling was observed in example 3.1 and 3.2 for 8 weeks. This is a strong indication that rheology modifiers such as BYK 410 and BYK 7410 ET are effective in suspending scattering particles in our adhesive formulations.
- Table 1 1 above shows optical properties of NC films prepared with and without rheology modifier.
- Example 3.1 and 3.2 showed high Y luminance, white point and quantum yield. This indicates the rheology modifiers used are compatible with the NC and do not cause adverse interactions with NC.
- Typical NC adhesive mixture formulations have relatively low viscosity to coat films at high speed.
- the low viscosity matrix can cause suspended inorganic particles to flocculate in solution leading to soft and/or hard settling or floating depending on the density of the particles.
- the quantum dots themselves as well as a scattering agent must be evenly dispersed before coating or re-agitated before use. It is preferred the inorganic particles remain suspended in the formulation during storage without agitation before coating to avoid adventitious exposure of the NCs.
- suitable dispersing (wetting) agents can be added to the adhesive formulation to facilitate good suspension lifetime.
- Disperbyk 1 10 or Disperbyk 180 additive was added to the adhesive formulation to prevent NC or scattering particle settling.
- Disperbyk 180 Dispersing agent 0.50
- NC film needs to be laminated between two barrier films to prevent degradation of NC by oxygen and moisture. It is highly desirable to be able to coat and laminate NC film at high speed. Typically, wet lamination process is used for NC film in which uncured NC/adhesive mixture is laminated between two barrier films and the adhesive is then UV cured. Because the adhesive is not cured at the lamination stage, precise gap control is needed and the coating and lamination speed is limited. It is desirable to coat and cure the NC/adhesive onto the first barrier layer and then laminate the second barrier layer. In this process flow, the thickness of the adhesive layer can be easily controlled using high speed methods such as slot die coating, curtain coating, knife coating, etc. However, after curing the NC/adhesive, it will be difficult to laminate the second barrier film and still obtain good adhesion.
- wet lamination process is used for NC film in which uncured NC/adhesive mixture is laminated between two barrier films and the adhesive is then UV cured. Because the adhesive is not cured at the lamination stage,
- Example 5.3 and Example 5.4 By tailoring the photoinitiator combinations in Example 5.3 and Example 5.4, it is possible to achieve excellent film quality and adhesion with the two step curing process. It is important to do the first step curing with a longer wavelength UV light source and the second curing after lamination with a shorter wavelength UV light source.
Landscapes
- Chemical & Material Sciences (AREA)
- Organic Chemistry (AREA)
- Health & Medical Sciences (AREA)
- Chemical Kinetics & Catalysis (AREA)
- Medicinal Chemistry (AREA)
- Polymers & Plastics (AREA)
- Engineering & Computer Science (AREA)
- Materials Engineering (AREA)
- Inorganic Chemistry (AREA)
- Polymerisation Methods In General (AREA)
Abstract
The present invention relates to a nanocrystal composition comprising a plurality of nanocrystals comprising a core comprising a metal or a semiconductive compound or a mixture thereof and at least one ligand, wherein said core is surrounded by at least one ligand, and a polymeric matrix, wherein said polymeric matrix is formed by polymerisation of one or more chemically functionalised methacrylate oligomer and one or more methacrylate monomer, wherein said nanocrystals are embedded into said polymeric matrix.
Description
UV curable acrylate compositions for nanocrystal mixture
Technical field of the invention
The present invention relates to a nanocrystal composition comprising nanocrystals in a polymeric matrix. Compositions of the present invention provide good optical properties, good thermal and photothermal stability to the nanocrystals and is ready-to-use compositions with good storage shelf life capable of being coated at the film coater.
Background of the invention
Semiconductor nanocrystals (NC) (or quantum dots (QD)) can be used as light down- converters, i.e., shorter wavelength light is converted to longer wavelength light. The nanocrystal (NC) composites are used in a broad range of applications including displays, lighting, security inks, bio-labelling and solar concentrators. In all the cases, the NC composites are exposed to a certain light flux and temperature. Due to the fact that nanocrystals have narrow light emission peaks, they can significantly enhance the colour quality and enlarge the colour gamut of LCD displays.
The preferred method for NC application in LCD displays is to apply a NC film in the LED backlight of the display. In this configuration, green and red NCs are incorporated in a polymer material and coated into a film. This NC film is applied to a blue LED backlight. The green and red NCs convert a portion of the blue light into green and red light and the combination of the blue, green and red colours gives the white light needed for the backlight. It is important to tune the proportion of blue, green and red lights to meet individual displays' design criteria. Different display manufacturers have different requirements for the colour point, colour gamut and brightness of the NC backlight. Many factors can affect the optical properties of the NC backlight, such as NC film thickness, green and red NC emission peak wavelength and peak width, green and red NC loading, presence of scattering particles, etc. Furthermore, the exposure of the NC composites to photons and temperature under the presence of air and moisture causes decrease of the optical properties of the composite.
NCs are synthesized in solution and can be further embedded in polymer matrices that act as a carrier and first protective layer. Physical mixing of NC solutions with a polymer solution or a crosslinking formulation is a common approach used in the art to obtain NC-polymer composite materials.
The most common matrices for NC composites used in down-conversion are based on acrylate l
or epoxy resins. Rapid curing speed initiated by UV irradiation and/or elevated temperatures makes them easy to process for large scale film manufacturing. NCs embedded in acrylate- or epoxy-based matrices tend to degrade under operation conditions. Therefore, an additional barrier film is needed to prevent the permeability of oxygen and moisture inside the adhesive, which increases the cost and thickness of the final product.
To overcome the problems related to the thermal and photon degradation of the NCs, two approaches have been used and reported. In the first approach, an epoxy-amine resin containing NCs are placed between barrier layers. In the second approach, the NCs are embedded in an acrylic polymerizable formulation and subsequently, the NC composite is further encapsulated inside a glass tube. The process requires a sophisticated manufacturing line under oxygen and/or moisture free environment. Furthermore, such fragile products require a modification of the product architecture and manufacturing process.
In a further approach, thiols have been used, as a part of the adhesive matrix for quantum dot (nanocrystal) composites. Thiols have been found to be beneficial for their thermal stability broadening the range of matrix chemistries with a good NC dispersion. However, degradation caused by photons cannot be prevented completely in combination with state of the art polymer matrices.
Furthermore, the NCs are not often stable when dispersed in adhesive compositions. Interactions between the polymeric matrix and NC can cause optical properties or dispersion state of NC to change and deteriorate. As a result, it is often necessary to mix NC with adhesive right before coating. Since NCs are typically sensitive to oxygen and moisture in the ambient, NC/polymeric matrix mixing just before coating necessitates complicated and expensive mixing, metering and inerting equipment, which are not desirable by film coaters.
Therefore, there is still a need for a ready-to-use NC compositions, having NCs and polymeric matrix compatible during extended periods, and which provide good optical quality, improved thermal and photothermal stability to the nanocrystals, and are capable being coated at the film coater.
Summary of the invention
The present invention relates to a nanocrystal composition comprising a) a plurality of nanocrystals comprising a core comprising a metal or a semiconductive compound or a mixture thereof and at least one ligand, wherein said core is surrounded by at least one ligand, and b) a polymeric matrix, wherein said polymeric matrix is formed by polymerisation of one or more chemically functionalised methacrylate oligomer and one or more methacrylate monomer, and wherein said nanocrystals are embedded into said polymeric matrix.
The present invention also relates to a cured nanocrystal composition according to the present invention.
The present invention encompasses a film comprising a nanocrystal composition according to the present invention, wherein said film comprises a first barrier film and a second barrier film, wherein said nanocrystal composite is between the first and second barrier film.
The present invention also encompasses a product comprising a nanocrystal composition according to the present invention, wherein said product is selected from the group consisting of a display device, a light emitting device, a photovoltaic cell, a photodetector, an energy converter device, a laser, a sensor, a thermoelectric device, a security ink, lighting device and in catalytic or biomedical applications.
The nanocrystal composition according to the present invention can be used as a source of photoluminescence or electroluminescence.
Detailed description of the invention
In the following passages the present invention is described in more detail. Each aspect so described may be combined with any other aspect or aspects unless clearly indicated to the contrary. In particular, any feature indicated as being preferred or advantageous may be combined with any other feature or features indicated as being preferred or advantageous.
In the context of the present invention, the terms used are to be construed in accordance with the following definitions, unless a context dictates otherwise.
As used herein, the singular forms "a", "an" and "the" include both singular and plural referents unless the context clearly dictates otherwise.
The terms "comprising", "comprises" and "comprised of" as used herein are synonymous with "including", "includes" or "containing", "contains", and are inclusive or open-ended and do not exclude additional, non-recited members, elements or method steps.
The recitation of numerical end points includes all numbers and fractions subsumed within the respective ranges, as well as the recited end points.
When an amount, a concentration or other values or parameters is/are expressed in form of a range, a preferable range, or a preferable upper limit value and a preferable lower limit value, it should be understood as that any ranges obtained by combining any upper limit or preferable value with any lower limit or preferable value are specifically disclosed, without considering whether the obtained ranges are clearly mentioned in the context.
All references cited in the present specification are hereby incorporated by reference in their entirety.
Unless otherwise defined, all terms used in the disclosing invention, including technical and scientific terms, have the meaning as commonly understood by one of the ordinary skill in the art to which this invention belongs to. By means of further guidance, term definitions are included to better appreciate the teaching of the present invention.
As used herein, the use of the term "(meth)" followed by another term such as acrylate refers to both acrylates and methacrylates. For example, the term "(meth)acrylate" refers to either acrylate or methacrylate.
In order to develop a ready-to-use NC composition, adhesive compositions with good NC compatibility and coatability are needed. A successful adhesive composition needs to have suitable rheological and curing properties to enable high speed roll to roll film coating process. In addition, the composition needs to exhibit strong adhesion with the substrate barrier film used for the NC coating. Most importantly, composition needs to be compatible with the NCs used to provide good optical properties and good reliability of the final NC film.
The present invention provides a nanocrystal composition comprising a plurality of nanocrystals comprising a core comprising a metal or a semiconductive compound or a mixture thereof and at least one ligand, wherein said core is surrounded by at least one ligand, and a polymeric matrix, wherein said polymeric matrix is formed by polymerisation of one or more chemically functionalised methacrylate oligomer and one or more methacrylate monomer, and wherein said nanocrystals are embedded into said polymeric matrix.
The nanocrystal composite according to the present invention provides increased photothermal and thermal stability for the nanocrystals in order to enable a long storage time and enable ready-to-use NC composition. In addition, nanocrystal composite according to the present invention provides good initial optical properties and good reliability.
All features of the present invention will be discussed in details.
A NC composite according to the present invention comprises a plurality of NCs comprising a core comprising a metal or a semiconductive compound or a mixture thereof.
The core of the NCs according to the present invention has a structure including the core alone or the core and one or more shell(s) surrounding the core. Each shell may have a structure comprising one or more layers, meaning that each shell may have monolayer or multilayer structure. Each layer may have a single composition or an alloy or concentration gradient.
Preferably, the size of the core of the NCs according to the present invention is less than 100 nm, more preferably less than 50, more preferably less than 10, however, preferably the core is larger than 1 nm. The particle size is measured by using transmission electron microscopy (TEM).
The shape of the NC can be chosen from a broad range of geometries. Preferably the shape of the core of the NCs according to the present invention is spherical, rectangular, rod or triangle shape.
The core of the NCs comprises a metal or semiconductive compound or a mixture thereof, is composed of elements selected from combination of one or more different groups of the periodic table.
Preferably the metal or semiconductive compound is combination of one or more elements selected from the group IV; one or more elements selected from the groups II and VI; one or more elements selected from the groups III and V; one or more elements selected from the groups IV and VI; one or more elements selected from the groups I and III and VI or a combination thereof.
More preferably the metal or semiconductive compound is selected from the group consisting of Si, Ge, SiC, and SiGe, CdS, CdSe, CdTe, ZnS, ZnSe ZnTe, ZnO, HgS, HgSe, HgTe, MgS, MgSe, GaN, GaP, GaSb, AIN, AIP, AIAs, AISb3, lnN3, InP, InAs, SnS, SnSe, SnTe, PbS, PbSe, PbTe, MnlnP, CulnP, CulnS2, CulnSe2, CuGaS2, CuGaSe2, AglnS2, AglnSe2, AgGaS2 and AgGaSe2 and mixtures thereof. Even more preferably the metal or semiconductive compound is selected from group consisting of CdSe, InP and mixtures thereof.
Above mentioned preferred metal or semiconductive compounds provide better optical properties.
Preferably, NCs according to the present invention have a particle diameter (e.g. largest particle diameter, including core and shell) ranging from 1 nm to 100 nm, preferably from 1 nm to 50 nm and more preferably from 1 nm to 15 nm. The particle size is measured by using transmission electron microscopy (TEM).
In one embodiment, the core of the NCs according to the present invention has a structure comprising a core and at least one monolayer or multilayer shell.
Yet, in another embodiment, the core of the NCs according to the present invention has a structure comprising a core and at least two monolayer and/or multilayer shells.
The shell comprises also a metal or semiconductor material, and therefore, all material listed above to be suitable for use as a core is also suitable for use as a shell material. In one preferred embodiment the shell comprises ZnS, ZnSe or CdS.
In one embodiment according to the present invention, the NCs may be further encapsulated in inorganic oxide shells, such as silica or alumina to protect NCs from air and moisture.
The core (including the shell layer(s) if present) of the NCs is surrounded by at least one ligand. Preferably, the whole surface of the NCs is covered by ligands. It is believed by the theory that
when the whole surface of the NC is covered by ligands the optical performance of the NC is better.
Suitable ligands for use in the present invention are alkyl phosphines, alkyl phosphine oxides, amines, thiols, polythiols, carboxylic acids and similar compounds and mixtures thereof.
Examples of suitable alkyl phosphines for use in the present invention as a ligand are tri-n- octylphosphine, trishydroxylpropylphosphine, tributylphosphine, tri(dodecyl)phosphine, dibutyl-phosphite, tributyl phosphite, trioctadecyl phosphite, trilauryl phosphite , tris(tridecyl) phosphite, triisodecyl phosphite, bis(2-ethylhexyl)phosphate, tris(tridecyl) phosphate and mixtures thereof.
Example of suitable alkyl phosphine oxides for use in the present invention as a ligand is tri-n- octylphosphine oxide.
Examples of suitable amines for use in the present invention as a ligand are oleylamine, hexadecylamine, octadecylamine, bis(2-ethylhexyl)amine, dioctylamine, trioctylamine, octylamine, dodecylamine/laurylamine, didodecylamine, tridodecylamine, dioctadecylamine, trioctadecylamine, poly(propylene glycol) bis(2-amino propyl ether) and mixtures thereof.
Examples of suitable thiol for use in the present invention as a ligand is 1-dodecanethiol.
Examples of suitable polythiols for use in the present invention as a ligand are pentaerythritol tetrakis (3-mercaptobutylate), pentaerythritol tetrakis(3-mercaptopropionate), trimethylolpropane tri(3-mercaptopropionate), tris[2-(3-mercaptopropionyloxy) ethyl]isocyanurate, dipenta- erythritol hexakis(3-mercaptopropionate), ethoxilatedtri- methylolpropan tri-3-mercapto-propionate and mixtures thereof.
Thiols can also be used in the present invention in their deprotonated form.
Examples of suitable carboxylic acids and phosphonic acids for use in the present invention as a ligand are oleic acid, phenylphosphonic acid, hexylphosphonic acid, tetradecylphosphonic acid, octylphosphonic acid, octadecylphosphonic acid, propylenediphosphonic acid, phenylphosphonic acid, aminohexylphosphonic acid and mixtures thereof.
Carboxylic acids and phosphonic acids can also be used in the present invention in their deprotonated form.
Examples of other suitable ligands for use in the present invention are dioctyl ether, diphenyl ether, methyl myristate, octyl octanoate, hexyl octanoate, pyridine and mixtures thereof.
Suitable and selected ligands stabilize the NCs in a solution.
The NCs suitable for use in the present invention are prepared by using known processes from the literature or acquired commercially. Suitable NCs can be prepared in several ways of
mixing all reactants together. The NCs according to the present invention can be produced from the various core materials alone or combined with various shell materials and various different kind of ligands.
Suitable commercially available NC for use in the present invention include, but not limited to CdSeS/ZnS from Sigma Aldrich.
A NC composite according to the present invention comprises the NCs from 0.01 to 10% by weight of the total weight of the NC composite, preferably from 0.05 to 7.5%, more preferably from 0.1 to 5%.
NC composites according to the present invention can also be prepared with higher NC quantity, however, if the quantity is >10% the optical properties of the NCs will be negatively affected due to interactions between them. On the other hand if the quantity is <0.01 %, the formed films would exhibit very low brightness.
According to the present invention NCs are embedded into the polymeric matrix.
A polymeric matrix according to the present invention is formed by polymerisation of one or more chemically functionalised methacrylate oligomer and one or more methacrylate monomer.
In some embodiments according to the present invention the polymeric matrix is formed by polymerisation of one or more chemically functionalised methacrylate oligomer, one or more methacrylate monomer and one or more acrylate monomer having one acrylate group.
In some embodiments according to the present invention the polymeric matrix is formed by polymerisation of one or more chemically functionalised methacrylate oligomer, one or more methacrylate monomer and one or more acrylate monomer having two or more acrylate groups, wherein the quantity of said acrylate monomer having two or more acrylate groups is less than 15% by weight based on the total weight of the polymeric matrix.
In some embodiments according to the present invention the polymeric matrix is formed by polymerisation of one or more chemically functionalised methacrylate oligomer, one or more methacrylate monomer, one or more acrylate monomer having one acrylate group and one or more acrylate monomer having two or more acrylate groups, wherein the quantity of said acrylate monomer having two or more acrylate groups is less than 15% by weight based on the total weight of the polymeric matrix.
The chemically functionalised methacrylate oligomer according to the present invention improves the mechanical properties of the composition.
By the term "chemically functionalised" is meant herein functional groups attached to methacrylate oligomer such as epoxy and urethane groups.
Suitable chemically functionalised methacrylate oligomer is selected from the group consisting of ethoxylated (2-200) bisphenol methacrylate, bisphenol A epoxy methacrylate oligomer, aliphatic polyester based urethane dimethacrylate oligomer, aromatic polyester based urethane dimethacrylate oligomer, aliphatic polyether urethane methacrylate oligomer, aromatic polyether urethane methacrylate oligomer and mixtures thereof.
Preferably chemically functionalised methacrylate oligomer is selected from the group consisting of bisphenol A epoxy methacrylate oligomer, aliphatic polyester based urethane dimethacrylate oligomer, ethoxylated (2-200) bisphenol methacrylate and mixtures thereof. Above listed chemically functionalised methacrylate oligomers are used because they provide good adhesion and reliability performance for the composition according to the present invention.
Suitable commercially available chemically functionalised methacrylate oligomer for use in the present invention include, but not limited to CN 154, CN159 NS from Arkema, CN1963 from Arkema, SR480 from Arkema, epoxy methacrylate 97-053 from Rahn USA and KEMA-100 and KEMA-104 from Kayaku Chemical.
The polymeric matrix according to the present invention comprises from 25 to 80% by weight of the total weight of the polymeric matrix of chemically functionalised methacrylate oligomer, preferably from 30 to 75% and more preferably from 35 to 75%.
A polymeric matrix according to the present invention is formed by polymerisation of one or more methacrylate monomer. The methacrylate monomer acts as a diluent, and therefore, controls the viscosity of the composition.
Suitable methacrylate monomer for use in the present invention is selected from the group consisting of
wherein o is 0 - 18, preferably o is 2 - 18;
(3) wherein X is CH2, or phenylene (C6H4);
(6)
wherein Ri is selected from the group consisting of - CH3, -CH2CH3, -C(CH3)3, -OH;
trimethylolpropane trimethacrylate (TMPTMA); isobornyl methacrylate (I BOMA); tetrahydrofurfuryl methacrylate (THFMA); hydroxypropyl methacrylate (HPMA); triethylene glycol dimethacrylate (TEGDMA); diethylene glycol dimethacrylate (DEGDMA); acid functional methacrylate; acid functional adamantyl methacrylate; tert-butyl methacrylate (TBMA); cyclohexyl methacrylate (CHMA); glycerol dimethacrylate; bisphenol A dimethacrylate; bisphenol F dimethacrylate; 2-phenoxyethyl methacrylate and mixtures thereof.
Preferably one or more methacrylate monomer is selected from the group consisting of isobornyl methacrylate (I BOMA), laurylmethacrylate, trimethylolpropane trimethacrylate (TMPTMA), tricyclodecane dimethanol dimethacrylate and mixtures thereof.
Suitable commercially available methacrylate monomer for use in the present invention include, but not limited to SR423A from Arkema, SR248 from Arkema, SR313A from Arkema and SR262 from Arkema, LMA, TDMA, CHMA, and I BXMA from San Esters Corporation, NK Ester NPG, NK Ester I B, NK Ester DCP from Nippon Kayaku, etc.
The polymeric matrix according to the present invention comprises from 20 to 75% by weight of the total weight of the polymeric matrix of methacrylate monomer, preferably from 25 to 70%, more preferably from 25 to 65%.
A nanocrystal composition according to the present invention may further comprise an acrylate monomer having one acrylate group and/or an acrylate monomer having two or more acrylate groups.
Suitable acrylate monomer having one or more acrylate groups for use in the present invention is selected from the group consisting of
(8)
wherein p is 0 - 10, q is 0 - 10, F¾ and R3 are same or different and are independently selected
wherein r is 0 - 10, s is 0 - 10, t is 0 - 10;
isobornyl acrylate, lauryl acrylate, tridecyl acrylate, stearyl acrylate and mixtures thereof.
Preferably said acrylate monomer is selected from the group consisting of ethoxylated bisphenol A diacrylate having three ethoxy groups, ethoxylated bisphenol A diacrylate having two ethoxy groups, 1 ,6-hexanediol diacrylate, trimethylolpropane trimethacrylate, ethoxylated trimethylolpropane triacrylate having three ethoxy groups, bisphenol A based oligomers, isobornyl acrylate, lauryl acrylate, tridecyl acrylate and mixtures thereof.
Above mentioned preferred acrylate monomers having two or more acrylate groups are preferred because they provide ideal curing speed, transparency and good optical properties. In addition, they provide stability for QDs, especially the ethoxylated bisphenol A diacrylate having two ethoxy groups. On the other hand, 1 ,6-hexanediol diacrylate has a low viscosity and can be used as reactive diluent.
Commercially available acrylate monomers having two or more acrylate groups suitable for use in the present invention are SR 349, SR 348 and SR 238 from Sartomer and HDDA from Allnex.
When the nanocrystal composition according to the present invention comprises an acrylate monomer having two or more acrylate groups, the quantity is less than 15% by weight based on the total weight of the polymeric matrix (but more than 0.1 %), preferably less than 10%.
When the nanocrystal composition according to the present invention comprises an acrylate monomer having one acrylate group, the quantity can be from 0.1 to 25% by weight based on the total weight of the polymeric matrix.
A nanocrystal composite according to the present invention comprises a polymer matrix from 90 to 99.99% by weight of the total weight of the composite, preferably from 92.5 to 99.95%, more preferably from 95 to 99.9%. If the polymeric matrix quantity is lower than 90% and the quantity of NCs is more than 10%, the optical properties of the nanocrystals will be negatively affected due to interactions between them.
A nanocrystal composition according to the present invention may further comprise a photoinitiator. Suitable photoinitiator for use in the present invention is selected from the group consisting of 1 ,5,7-triazabicyclo[4.4.0]dec-5-enehydrogen tetraphenyl borate (TBD- HBPh4), 2- methyl-4-(methylthio)-2-morpholinopropiophenone, 2-(9-oxoxanthen-2-yl)propionic acid-1 ,5,7 triazabicyclo[4.4.0]dec-5-ene, 2-hydroxy-2-methyl-1 -phenylpropanone, 1 -hydroxycyclohexyl- phenyl ketone, 2,4,6-trimethylbenzoyl-diphenyl phosphine oxide (TPO), ethyl(2,4,6- trimethybenzoyl)-phenyl phosphinate (TPO-L), bis(2,4,6-trimethylbenzoyl)phenyl phosphine oxide and mixtures thereof.
Preferably photoinitiator is selected from the group consisting of 2,4,6-trimethylbenzoyl- diphenyl phosphine oxide, 2-hydroxy-2-methylpropiophenone, 1-hydroxycyclohexyl-1 -phenyl methanone and mixtures thereof.
Suitable commercially available photoinitiator for use in the present invention include, but not limited to Omnirad TPO (2,4,6-trimethylbenzoyl-diphenyl phosphine oxide) from IGM, Omnirad 1 173 (2-hydroxy-2-methylpropiophenone) from IGM and Omnirad 184 (1-hydroxycyclohexyl-
1 - phenyl methanone) from IGM.
A nanocrystal composition according to the present invention comprises a photoinitator, when present from 0.01 to 6% by weight of the total weight of the composite, preferably from 0.01 to 3%, more preferably from 0.01 to 2%.
In one embodiment according to the present invention the nanocrystal composition comprises at least two photoinitiators, wherein first photoinitiator is irradiated with short wavelength UV- light and second photoinitiator is irradiated with long wavelength UV-light. In this embodiment,
2- hydroxy-2-methyl-1 -phenylpropanone monomer or oligomer, 1-hydroxycyclohexyl-phenyl ketone, 2-hydroxy-1-(4-(4-(2-hydroxy-2-methylpropionyl)benzyl)phenyl)-2-methylpropan-1- one, 1 -[4-(2-hydroxyethoxyl)-phenyl]-2-hydroxy-methylpropanone, 2,2-dimethoxy-2- phenylacetophenone and mixtures thereof, and second photoinitiator is selected from the group consisting of 2,4,6-trimethylbenzoyl-diphenyl phosphine oxide, ethyl(2,4,6- trimethylbenzoyl)-phenyl phosphinate, bis(2,4,6-trimethylbenzoyl)-phenylphosphine oxide and mixtures thereof.
Compositions having two or more photoinitiators are useful in two-step coating and lamination process. These compositions and two-step coating and lamination process have been exemplified in example 5.
A nanocrystal composition according to the present invention may further comprise scattering particles. The scattering particles are physically mixed in to the composition to scatter light. The scattering particles do not react with the resins of the polymeric matrix. Scattering particles increase the effective light path in a NC film, which gives for chance for NC to be activated by blue light. This helps to reduce the NC loading needed to get to a certain white point.
Suitable scattering particles are selected from the group consisting of T1O2, ZnS, Zr02, AI2O3, MgO, CaO, Ta20s, silica, silicone and mixtures thereof.
Suitable commercially available scattering particle for use in the present invention include, but not limited to Sachtolith HDS ZnS powder from Sachtleben.
A nanocrystal composition according to the present invention comprises a scattering particles from 0.01 to 3% by weight of the total weight of the composite, preferably from 0.05 to 2.5%, more preferably from 0.01 to 2%.
A nanocrystal composition according to the present invention may further comprise a rheology modifier. Suitable rheology modifier do not react with the resins of the polymeric matrix, but change the rheology.
Suitable rheology modifier are selected from the group consisting of modified urea, polyurethane, polyamine, polyacrylates and mixtures thereof.
Suitable commercially available rheology modifier for use in the present invention include, but not limited to BYK-410 and BYK-7410ET from Altana.
A nanocrystal composition according to the present invention comprises a rheology modifier when present from 0.01 to 2% by weight of the total weight of the composite, preferably from 0.1 to 1.5%, more preferably from 0.2 to 1 %.
A nanocrystal composition according to the present invention may further comprise a dispersant. Suitable dispersant do not react with the resins of the polymeric matrix, but change the settling behavior of the scattering particles.
Suitable dispersant is selected from the group consisting of acid esters and polyurethanes and mixtures thereof.
Suitable commercially available dispersant for use in the present invention include, but not limited to BYK-1 10 and BYK-180 from Altana.
A nanocrystal composition according to the present invention comprises a dispersant when present from 0.01 to 2% by weight of the total weight of the composite, preferably from 0.1 to 1 .5%, more preferably from 0.2 to 1 %.
A nanocrystal composition according to the present invention has preferably a viscosity from 100 cps to 5500cps, wherein viscosity is measured on a Brookfield DVII+ Pro Viscometer at constant shear rate with cone and plate spindles CP51 and CP52, or low viscosity cup spindles SP18 and SP21 at 25 °C.
The NC composites according to the present invention can be prepared in several ways of mixing all ingredients together.
In a preferred embodiment all raw materials except NCs and scattering particles, if present, are mixed together and mixture is mixed until the photoinitiator is dissolved in to the resin. Subsequently the NCs and scattering particles, if present, are mixed to the composition. In some embodiments mixing of the all raw material is done under nitrogen.
The present invention also relates to a cured nanocrystal composition. The NC composition according to the present invention is solid after the cure at room temperature. The NC composition according to the present invention is UC curable and can be cured by using ordinary UV lamps.
In some embodiments, the UV cure intensity of the NC composite according to the present invention is from 0.1 to 3 J/cm2, preferably from 0.5 to 1 J/cm2.
An UV cure time of the nanocrystal composite according to the present invention is from 0.5 second to 500 seconds, preferably from 1 second to 120 seconds, more preferably from 1 second to 60 seconds.
The present invention also relates to a film comprising a nanocrystal composite according to the present invention, wherein said film comprises a first barrier film and a second barrier film, wherein said nanocrystal composite is between the first and second barrier film.
First and second barrier films can be formed of any useful film material that can protect the NCs from environmental conditions, such as oxygen and moisture. Suitable barrier films include for example polymers, glass or dielectric materials. Suitable barrier layer materials for use in the present invention include, but are not limited to, polymers such as polyethylene terephthalate (PET); oxides such as silicon oxide (S1O2, S12O3), titanium oxide (T1O2) or aluminium oxide (AI2O3); and mixtures thereof.
In various embodiments each barrier layer of the NC film includes at least two layers of different materials or compositions, such that the multi-layered barrier eliminates or reduces pinhole defect alignment in the barrier layer, providing an effective barrier to oxygen and moisture penetration into the NC material. The NC film can include any suitable material or combination of materials and any suitable number of barrier layers on either or both sides of the NC composite material. The materials, thickness, and number of barrier layers will depend on the particular application, and will be chosen to maximize barrier protection and brightness of the NC while minimizing thickness of the NC film.
In various embodiments first and second barrier layers are a laminate film, such as a dual laminate film, where the thickness of first and second barrier layer is sufficiently thick to eliminate wrinkling in roll-to-roll or laminate manufacturing processes. In one preferred
embodiment the first and second barrier films are polyester films (e.g., PET) having an oxide layer.
The present invention also relates to a product comprising a nanocrystal composite according to the present invention, wherein said product is selected from the group consisting of a display device, a light emitting device, a photovoltaic cell, a photodetector, an energy converter device, a laser, a sensor, a thermoelectric device, a security ink, lighting device and in catalytic or biomedical applications.
The present invention also relates to use of nanocrystal composite according to the present invention as a source of photoluminescence or electroluminescence.
Examples
Example 1:
Effect of a photoinitiator
All raw materials were mixed by Speedmixer until the photoinitiator was dissolved in the resin formulation. Low viscosity clear UV curable liquid adhesives were obtained. The liquid adhesive was subsequently degassed and then transferred into a nitrogen glovebox. 3.8% by weight of Green Gen 2.5 NC in I BOA (1 .23 g) and 2.7% by weight of Red Gen 2.5 NC in I BOA (0.88g) from Nanosys Inc., along with 1 %wt of Sachtolith HDS ZnS powder (0.1 g), were dispersed into the above adhesive in the glovebox. This nanocrystal adhesive formulation was laminated between two barrier films from iComponent, and cured by 0.5J/cm2 UVA dosage by a 365nm UV LED lamp in the glovebox. The NC adhesive layer thickness of the final film was about 100 microns. Compositions of the example 1 are exemplified in table 1.
Table 1
ETHOXYLATED (10)
BISPHENOL A DIMETHACRYLATE 12.90 12.90 12.90 12.90
SR423A
Isobornyl methacrylate 8.40 8.40 8.40 8.40
Irgacure 754
0.30
Photoinitiator
Omnirad TPO
0.30
Photoinitiator
Omnirad 1 173 0.30
Photoinitiator
Irgacure 184 Photoinitiator 0.30
Green Gen 2.5 QD in IBOA
1.23 1 .23 1.23 1 .23 NC concentrate in acrylate
Red Gen 2.5 QD in IBOA
0.88 0.88 0.88 0.88 NC concentrate in acrylate
1 %wt of Sachtolith HDS ZnS
0.32 0.32 0.32 0.32 powder
Sum 32.43 32.43 32.43 32.43
Subsequently the resultant NC film was cut into 2.5"X3.5" rectangles or 3.2" squares and its optical properties were measured by a Photo Research PR655 spectroradiometer or Ocean Optics Torus Toroidal Grating Spectrometer. The quantum dot films were illuminated by a blue LED backlight and the emitted light from the nanocrystal film was measured by PR655 or Torus. Luminance and color coordinates were obtained this way.
The NC film was also punched into 19mm diameter discs and measured by a Hamamatsu C9920 quantum yield system. Absolute quantum yield (QY) and emission wavelength and relative intensity of the green and red NC can be measured by C9920.
To study the stability of the NC dispersion in adhesive, the NC-adhesive mixtures were stored in tightly closed containers in a refrigerator at 0-5°C. The NC mixtures were periodically removed from the refrigerator, remixed and then re-coated into NC film. The properties of the NC films prepared after different storage time were compared to those of freshly made films to determine the storage stability of the NC in different adhesives. The results are exemplified in table 2.
Table 2
The white point and luminance results in table 2 clearly show that comparative example 1 .1 has much lower white point and Y luminance, which is an indication of quenching of the nanocrystal. The quantum yield measured by Hamamatsu also shows comparative example 1 .1 to have much lower QY than the other examples. The formulation of comparative example 1 .1 is clearly not compatible with Nanosys Gen 2.5 NC and not suitable for NC mixture application.
In comparison, when the photoinitiator was changed in comparative example 1 .1 to prepare examples 1.1 to 1.3, NC films prepared with fresh NC mixture showed high white point, Y luminance and QY, which indicates good initial compatibility of Nanosys Gen 2.5 NC.
These examples clearly indicate a strong photoinitiator type effect in adhesive design. The white point and luminance also show a strong dependence on the photoinitiator % loading. In the examples given below in table 3, the photoinitiator-type is fixed using a phosphine oxide and the loading is incrementally increased from 0.5% up to 2%.
Table 3
Epoxy methacrylate 20.80 20.80 20.80 20.80
SR248
Neopentyl glycol
dimethacrylate 6.50 6.50 6.50 6.50
TPO-L
Phosphine oxide 0.25 0.50 0.75 1 .00
3.8% by weight Green Gen
1 .90 1 .90 1 .90 1 .90
2.5 NC in IBOA
2.7% by weight of Red Gen
1 .35 1 .35 1 .35 1 .35
2.5 NC in IBOA
1 %wt of Sachtolith HDS ZnS
0.5 0.5 0.5 0.5
powder
TOTAL 50.00 50.00 50.00 50.00
Table 4
Example Example Example Example
1.4 1.5 1.6 1.7
X (cd/m2) 9027 8693 91 12 9064
Y (cd/m2) 8133 7940 7750 7484
Z (cd/m2) 22699 20270 20717 22090
CIEx 0.2330 0.2368 0.2425 0.2346
CIEy 0.2102 0.2109 0.2062 0.1937
Absolute QY 79.5 78.4 77.6 73.2
From the data in table 4, the luminance (Y), white point (CIEX and CIEy), and quantum yield (QY) all drop with increasing of the photoinitiator loading. The mechanism is unknown, but the higher photoinitiator concentration would be expected to increase free-radical concentration upon UV / LED exposure in the adhesive which may also adversely quench the quantum dot.
Example 2
Effect of Resin Composition
The adhesive formulations exemplified in table 5 below were prepared by weighing and then mixing all raw materials by Speedmixer until the photoinitiator is dissolved in the resin
formulation. Low viscosity clear UV curable liquid adhesives are obtained. Subsequently NC was added. After NC formulations are prepared, NC films were coated and measured.
Table 5
To study the stability of the NC dispersion in adhesive, the NC-adhesive mixtures were also stored in tightly closed containers in a refrigerator at 0-5°C. The NC mixtures were periodically removed from the refrigerator, remixed and then re-coated into NC film. The properties of the
NC films prepared after different storage time were compared to those of freshly made films to determine the storage stability of the NC in different adhesives.
The white point results measured by PR655 are listed in table 6.
Table 6
NC films prepared with fresh NC mixture with comparative examples 2.1 and 2.2 showed high white point and Y luminance which indicates good initial compatibility of Nanosys Gen 2.5 NC. However, when the NC mixture was stored, the white point and Y luminance change significantly from those of the fresh NC mixture. As a result, these formulations are also not suitable for ready-to-use NC mixture application, as the optical properties are not stable during NC mixture storage.
Table 7 exemplify compositions according to the present invention. All raw materials were mixed by Speedmixer until the photoinitiator was dissolved in the resin formulation. Low viscosity clear UV curable liquid adhesives were obtained.
NC mixtures with the adhesive formulation above were prepared with 3.8% by weight of Green Gen 2.5 NC in I BOA (1.23g) and 2.7% by weight of Red Gen 2.5 NC in I BOA (0.88g) from Nanosys Inc., along with 1 %wt of Sachtolith HDS ZnS powder (0.32g), in the same way as the comparative examples.
NC films were coated with the NC mixture after different time of storage and the PR655 measurement results are listed in table 8.
Table 7
Epoxy methacrylate Tg 68C 3.60 15.00 15.00 20.85
CN1963
Urethane methacrylate Tg 78C 4.80
SR480
ETHOXYLATED (10) BISPHENOL
A DIMETHACRYLATE 12.90
SR423A
Isobornyl methacrylate 8.40 12.00 6.00 18.50
SR248
Neopentyl glycol dimethacrylate 6.40
SR313A
Lauryl methacrylate 6.00
HDDA
Hexanediol diacryylate 3.00 3.00
Irgacure TPO
Type I PI 0.30 0.30 0.30 0.50
3.8% by weight Green Gen 2.5 NC 1.24 1.24 1 .24 1 .90 in I BOA
2.7% by weight of Red Gen 2.5 NC 0.88 0.88 0.88 1 .35 in I BOA
1 %wt of Sachtolith HDS ZnS 0.33 0.33 0.33 0.50 powder
Sum 32.45 32.75 32.75 50.00
Table 8
4.83E+03 4.68E+03 4.97E+03 4.78E+03
(candelas/m2)
X 0.2588 0.2662 0.2494 0.2489
y 0.2184 0.2147 0.2185 0.2166
Table 9
Example Example Example Example
2.5 2.5 26 26
Age Fresh 4 weeks Fresh 4 weeks
X Red
2.33E+03 2.24E+03 2.34E+03 2.37E+03
(candelas/m2)
Y Green
2.04E+03 1.97E+03 2.15E+03 2.17E+03
(candelas/m2)
Z Blue
4.76E+03 4.53E+03 4.28E+03 4.44E+03
(candelas/m2)
X 0.2554 0.2563 0.2668 0.2635
y 0.2237 0.2253 0.2452 0.2418
All of the examples in tables 8 and 9 show high white point and Y luminance when freshly prepared, indicating good compatibility with Nanosys Gen 2.5 NC. In addition, the luminance and white point were maintained after storage for extended periods of time. This shows that the NCs are stable over time when dispersed in these adhesive formulations. These adhesive formulations are therefore good candidates for ready-to-coat NC mixtures.
Comparing Examples 2.3 to 2.6 with comparative examples 2.1 and 2.2, it is clear that the adhesive resin composition has a strong effect on NC stability in the adhesive matrix during extended storage time. In order to achieve good initial optical properties and good storage stability, multifunctional acrylate resins can only be incorporated at very low concentration (10% or lower).
Example 3
Optional Rheology Modifier
Typical NC adhesive mixture formulations need low viscosity during the coating process. However, lower viscosity can cause inorganic particles to settle quickly in the formulation causing white point and luminance non-uniformity in the final film product. The NCs and
scattering particles which are used to enhance white point and film brightness are largely inorganic particles capable of settling in low viscosity matrices. Upon settling to the bottom of the container, the mixture needs to be re-agitated and mixed before a coating process. It is highly desirable to be able to suspend the inorganic particles in the formulation during storage. To achieve such an effect, suitable rheology modifiers may be added to the adhesive formulation to increase thixotropy and facilitate inorganic particle suspension storage.
Table 10
In the example exemplified in table 10, BYK 410 or BYK 7410 ET additive was added to the adhesive formulation to increase thixotropy and prevent scattering particle settling. In the absence of any rheology modifier in Example 2.4, most scattering particles settle to the bottom of the container within 1 to 2 days. In contrast, no noticeable particle settling was observed in example 3.1 and 3.2 for 8 weeks. This is a strong indication that rheology modifiers such as BYK 410 and BYK 7410 ET are effective in suspending scattering particles in our adhesive formulations.
The effect of rheology modifier on NC optical properties was also studied by adding NC into the formulations above and prepare NC films following the same procedure as before.
Table 1 1
Example Example Example
Formulation
2.4 3.1 3.2
X Red
2.37E+03 2.32E+03 2.34E+03
(candelas/m2)
Y Green
2.07E+03 2.18E+03 2.03E+03
(candelas/m2)
Z Blue
4.94E+03 4.49E+03 5.27E+03
(candelas/m2)
X 0.2531 0.2583 0.2427
y 0.2203 0.2429 0.2102
QY by
0.90 0.91 0.90
Hamamatsu
Table 1 1 above shows optical properties of NC films prepared with and without rheology modifier. Example 3.1 and 3.2 showed high Y luminance, white point and quantum yield. This indicates the rheology modifiers used are compatible with the NC and do not cause adverse interactions with NC.
Example 4
Optional Dispersant
Typical NC adhesive mixture formulations have relatively low viscosity to coat films at high speed. The low viscosity matrix can cause suspended inorganic particles to flocculate in solution leading to soft and/or hard settling or floating depending on the density of the particles. In a typical NC adhesive formulation, the quantum dots themselves as well as a scattering agent must be evenly dispersed before coating or re-agitated before use. It is preferred the inorganic particles remain suspended in the formulation during storage without agitation before coating to avoid adventitious exposure of the NCs. To achieve such an effect, suitable dispersing (wetting) agents can be added to the adhesive formulation to facilitate good suspension lifetime.
In the examples exemplified in table 12, Disperbyk 1 10 or Disperbyk 180 additive was added to the adhesive formulation to prevent NC or scattering particle settling.
Table 12
formulation
from example
2.6 24.375 24.375 24.375
Scattering 0.125 0.125 0.125
Ti-Pure R706 particle
Disperbyk 1 10 Dispersing agent 0.50
Disperbyk 180 Dispersing agent 0.50
Sum 25.00 25.00 25.00
Table 13
The results in the table 13 indicate that the luminance and white point for fresh samples are similar indicating no adverse effect of the dispersing agent. In the absence of any settling agent in comparative example 4.1 , most scattering particles settle to the bottom of the container within 1 week at room temperature. In contrast, no noticeable particle settling was observed in example 4.1 and 4.2 after 1 week. This is a strong indication that dispersing agents such as BYK 1 10 and 180 are compatible with NCs and effective in suspending inorganic particles in selected adhesive formulations.
Example 5
Dual PI for two step coating process
NC film needs to be laminated between two barrier films to prevent degradation of NC by oxygen and moisture. It is highly desirable to be able to coat and laminate NC film at high speed. Typically, wet lamination process is used for NC film in which uncured NC/adhesive
mixture is laminated between two barrier films and the adhesive is then UV cured. Because the adhesive is not cured at the lamination stage, precise gap control is needed and the coating and lamination speed is limited. It is desirable to coat and cure the NC/adhesive onto the first barrier layer and then laminate the second barrier layer. In this process flow, the thickness of the adhesive layer can be easily controlled using high speed methods such as slot die coating, curtain coating, knife coating, etc. However, after curing the NC/adhesive, it will be difficult to laminate the second barrier film and still obtain good adhesion.
To enable such two-step coating and lamination process. Adhesive formulations with dual cure process were developed. Formulations are exemplified in table 14, examples 5.3 and 5.4 are according to the present invention and were compared to comparative examples 5.1 and 5.2.
Table 14
Irgacure TPO
Photoinitiator 0.038 0.150 0.038 0.038
Sachtolith HDS
ZnS scattering particle 0.500 0.500 0.150 0.150
Sum 15.75 15.75 15.75 15.75
The formulations exemplified in table 13 above were coated onto barrier film with an 8mil gap drawdown bar with an automated film coater and then cured by a 395nm UV LED lamp. After curing, the second barrier film was laminated onto the adhesive by a pressure laminator at 3- 5 psi pressure. The laminated film was then cured again by a 365nm LED lamp or mercury vapor UV lamp. Subsequently, the film quality and adhesion were evaluated. The results at different curing conditions are summarized in table 15.
Table 15
By tailoring the photoinitiator combinations in Example 5.3 and Example 5.4, it is possible to achieve excellent film quality and adhesion with the two step curing process. It is important to do the first step curing with a longer wavelength UV light source and the second curing after lamination with a shorter wavelength UV light source.
Claims
1 . A nanocrystal composition comprising a) a plurality of nanocrystals comprising a core comprising a metal or a semiconductive compound or a mixture thereof and at least one ligand, wherein said core is surrounded by at least one ligand, and
b) a polymeric matrix, wherein said polymeric matrix is formed by polymerisation of one or more chemically functionalised methacrylate oligomer and
one or more methacrylate monomer,
and wherein said nanocrystals are embedded into said polymeric matrix.
2. A nanocrystal composition according to claim 1 , wherein said core comprising a metal or semiconductive compound or a mixture thereof is composed of elements selected from combination of one or more different groups of the periodic table, preferably said metal or semiconductive compound is combination of one or more elements selected from the group IV; one or more elements selected from the groups II and VI; one or more elements selected from the groups III and V; one or more elements selected from the groups IV and VI; one or more elements selected from the groups I and III and VI or a combination thereof, more preferably said metal or semiconductive compound is selected from the group consisting of Si, Ge, SiC, and SiGe, CdS, CdSe, CdTe, ZnS, ZnSe ZnTe, ZnO, HgS, HgSe, HgTe, MgS, MgSe, GaN, GaP, GaSb, AIN, AIP, AIAs, AISb3, lnN3, InP, InAs, SnS, SnSe, SnTe, PbS, PbSe, PbTe, MnlnP, CulnP, CulnS2, CulnSe2, CuGaS2, CuGaSe2, AglnS2, AglnSe2, AgGaS2 and AgGaSe2, and even more preferably said metal or semiconductive compound is seleted from group consisting of CdSe, InP and mixtures thereof.
3. A nanocrystal composition according to claim 1 or 2, wherein said core comprises a core and at least one monolayer or multilayer shell or wherein said core comprises a core and at least two monolayer and/or multilayer shells.
4. A nanocrystal composition according to claim 1 or 2, wherein said one or more chemically functionalised methacrylate oligomer is selected from ethoxylated (2-200) bisphenol methacrylate, bisphenol A epoxy methacrylate oligomer, aliphatic polyester
based urethane dimethacrylate oligomer, aromatic polyester based urethane dimethacrylate oligomer, aliphatic polyether urethane methacrylate oligomer, aromatic polyether urethane methacrylate oligomer and mixtures thereof.
A nanocrystal composition according to any of claims 1 to 4, wherein said methacrylate monomer is selected from the group consisting of
(1)
(3) wherein X is Chb, or phenylene (CeHU);
(6)
wherein Ri is selected from the group consisting of - CH3, -CH2CH3, -C(CH3)3, -OH; trimethylolpropane trimethacrylate (TMPTMA); isobornyl methacrylate (IBOMA); tetrahydrofurfuryl methacrylate (THFMA); hydroxypropyl methacrylate (HPMA); triethylene glycol dimethacrylate (TEGDMA); diethylene glycol dimethacrylate (DEGDMA); acid functional methacrylate; acid functional adamantyl methacrylate; tert- butyl methacrylate (TBMA); cyclohexyl methacrylate (CHMA); glycerol dimethacrylate; bisphenol A dimethacrylate; bisphenol F dimethacrylate; 2-phenoxyethyl methacrylate and mixtures thereof.
6. A nanocrystal composition according to any of claims 1 to 5 comprising nanocrystals from 0.01 to 10 % by weight of the total weight of the composite, preferably from 0.05 to 7.5%, more preferably from 0.1 to 5%.
7. A nanocrystal composition according to any of claims 1 to 6 comprising a polymer matrix from 90 to 99.99% by weight of the total weight of the composite, preferably from 92.5 to 99.95%, more preferably from 95 to 99.9%.
8. A nanocrystal composition according to any of claims 1 to 7 further comprising one or more acrylate monomer having one acrylate group and/or one or more acrylate monomer having two or more acrylate groups, wherein quantity of said acrylate monomer having two or more acrylate groups less than 15% by weight based on the total weight of the polymeric matrix.
9. A nanocrystal composition according to any of claims 1 to 8 further comprising a photoinitiator selected from group consisting of 1 ,5,7-triazabicyclo[4.4.0]dec-5-ene ■ hydrogen tetraphenyl borate (TBD-HBPh4), 2-methyl-4-(methylthio)-2- morpholinopropiophenone, 2-(9-oxoxanthen-2-yl)propionic acid-1 ,5,7 triazabicyclo[4.4.0]dec-5-ene, 2-hydroxy-2-methyl-1 -phenylpropanone, 1 - hydroxycyclohexyl-phenyl ketone, 2,4,6-trimethylbenzoyl-diphenyl phosphine oxide
(TPO), ethyl(2,4,6-trimethybenzoyl)-phenyl phosphinate (TPO-L), Bis(2,4,6- trimethylbenzoyl)phenyl phosphine oxide and mixtures thereof.
10. A nanocrystal composition according to claim 9, wherein said composition comprises at least two photoinitiators, wherein first photoinitiator is selected from the group consisting of 2-hydroxy-2-methyl-1-phenylpropanone monomer or oligomer, 1- hydroxycyclohexyl-phenyl ketone, 2-hydroxy-1 -(4-(4-(2-hydroxy-2- methylpropionyl)benzyl)phenyl)-2-methylpropan-1 -one, 1 -[4-(2-hydroxyethoxyl)- phenyl]-2-hydroxy-methylpropanone, 2,2-dimethoxy-2-phenylacetophenone, and mixtures thereof, and second photoinitiator is selected from the group consisting of 2,4,6-trimethylbenzoyl-diphenyl phosphine oxide, ethyl(2,4,6-trimethylbenzoyl)-phenyl phosphinate, bis(2,4,6-trimethylbenzoyl)-phenylphosphine oxide, and mixtures thereof.
1 1. A nanocrystal composition according to any of claims 1 to 10 comprises a photoinitator from 0.01 to 6% by weight of the total weight of the composite, preferably from 0.01 to 3%, more preferably from 0.01 to 2%.
12. A nanocrystal composition according to any of claims 1 to 1 1 further comprising scattering particles selected from the group consisting of ΤΊΟ2, ZnS, Zr02, AI2O3, MgO, CaO, Ta2<D5, silica, silicone and mixtures thereof.
13. A nanocrystal composition according to any of claims 1 to 12 comprises a scattering particles from 0.01 to 3% by weight of the total weight of the composite, preferably from 0.05 to 2.5%, more preferably from 0.01 to 2%.
14. A cured nanocrystal composition according to any of claims 1 to 13.
15. A film comprising a nanocrystal composition according to any of claims 1 to 14, wherein said film comprises a first barrier film and a second barrier film, wherein said nanocrystal composite is between the first and second barrier film.
16. A product comprising a nanocrystal composition according to any of claims 1 to 14 or a film according to claim 15, wherein said product is selected from the group consisting of a display device, a light emitting device, a photovoltaic cell, a photodetector, an
energy converter device, a laser, a sensor, a thermoelectric device, a security ink, lighting device and in catalytic or biomedical applications.
17. Use of nanocrystal composition according to any of claims 1 to 13 as a source of photoluminescence or electroluminescence.
Applications Claiming Priority (2)
| Application Number | Priority Date | Filing Date | Title |
|---|---|---|---|
| US201762546235P | 2017-08-16 | 2017-08-16 | |
| US62/546,235 | 2017-08-16 |
Publications (1)
| Publication Number | Publication Date |
|---|---|
| WO2019034380A1 true WO2019034380A1 (en) | 2019-02-21 |
Family
ID=63047332
Family Applications (1)
| Application Number | Title | Priority Date | Filing Date |
|---|---|---|---|
| PCT/EP2018/070046 Ceased WO2019034380A1 (en) | 2017-08-16 | 2018-07-24 | Uv curable acrylate compositions for nanocrystal mixture |
Country Status (2)
| Country | Link |
|---|---|
| TW (1) | TW201910484A (en) |
| WO (1) | WO2019034380A1 (en) |
Cited By (2)
| Publication number | Priority date | Publication date | Assignee | Title |
|---|---|---|---|---|
| CN113088026A (en) * | 2021-04-06 | 2021-07-09 | 温州大学 | Ag-CsPbX3PMMA nanocomposite material and preparation method and application thereof |
| US20230052397A1 (en) * | 2019-12-12 | 2023-02-16 | Merck Patent Gmbh | Composition |
Families Citing this family (2)
| Publication number | Priority date | Publication date | Assignee | Title |
|---|---|---|---|---|
| EP4225858B1 (en) * | 2020-10-12 | 2025-12-03 | Samsung Electronics Co., Ltd | Composition |
| CN116507684A (en) * | 2020-10-12 | 2023-07-28 | 默克专利股份有限公司 | combination |
Citations (2)
| Publication number | Priority date | Publication date | Assignee | Title |
|---|---|---|---|---|
| US20150098212A1 (en) * | 2013-10-08 | 2015-04-09 | Samsung Electronic Co., Ltd. | Nanocrystal polymer composites and production methods thereof |
| WO2017053725A1 (en) * | 2015-09-24 | 2017-03-30 | 3M Innovative Properties Company | Matrix for quantum dot articles |
-
2018
- 2018-07-09 TW TW107123735A patent/TW201910484A/en unknown
- 2018-07-24 WO PCT/EP2018/070046 patent/WO2019034380A1/en not_active Ceased
Patent Citations (2)
| Publication number | Priority date | Publication date | Assignee | Title |
|---|---|---|---|---|
| US20150098212A1 (en) * | 2013-10-08 | 2015-04-09 | Samsung Electronic Co., Ltd. | Nanocrystal polymer composites and production methods thereof |
| WO2017053725A1 (en) * | 2015-09-24 | 2017-03-30 | 3M Innovative Properties Company | Matrix for quantum dot articles |
Non-Patent Citations (1)
| Title |
|---|
| NA LÜ ET AL: "Preparation and characterization of UV-curable ZnO/polymer nanocomposite films", POLYMER INTERNATIONAL, vol. 56, no. 1, 1 January 2006 (2006-01-01), GB, pages 138 - 143, XP055507113, ISSN: 0959-8103, DOI: 10.1002/pi.2126 * |
Cited By (2)
| Publication number | Priority date | Publication date | Assignee | Title |
|---|---|---|---|---|
| US20230052397A1 (en) * | 2019-12-12 | 2023-02-16 | Merck Patent Gmbh | Composition |
| CN113088026A (en) * | 2021-04-06 | 2021-07-09 | 温州大学 | Ag-CsPbX3PMMA nanocomposite material and preparation method and application thereof |
Also Published As
| Publication number | Publication date |
|---|---|
| TW201910484A (en) | 2019-03-16 |
Similar Documents
| Publication | Publication Date | Title |
|---|---|---|
| US12091597B2 (en) | Method for preparing quantum dot film, quantum dot film prepared thereby, and wavelength conversion sheet and display comprising same | |
| JP7274260B2 (en) | Polymer composites and films containing reactive additives with thiol groups for improved quantum dot dispersion and barrier properties | |
| KR102102560B1 (en) | Quantum Dot Film and Wavelength Converting sheet for Display comprising Quantum Dot complex | |
| EP2880124B1 (en) | Highly stable qds-composites for solid state lighting and the method of making them through initiator-free polymerization | |
| EP3417031B1 (en) | Polythiourethane matrix containing nanocrystals | |
| WO2019034380A1 (en) | Uv curable acrylate compositions for nanocrystal mixture | |
| WO2017140489A1 (en) | Nanocrystal epoxy thiol (meth)acrylate composite material and nanocrystal epoxy thiol (methacrylate) composite film | |
| CN108026443B (en) | Additive stabilized composite nanoparticles | |
| KR101336831B1 (en) | Composition comprising quantum dot and device using the same | |
| EP3208291A1 (en) | Nanocrystal epoxy thiol composite material and nanocrystal epoxy thiol composite film | |
| CN108026444B (en) | Additive-stabilized composite nanoparticles | |
| US10919770B2 (en) | Homogeneous anaerobically stable quantum dot concentrates | |
| WO2019034335A1 (en) | Polythiourethane (meth) acrylate matrix containing nanocrystals | |
| TWI736583B (en) | Polymer composite containing quantum dots | |
| JP2023036307A (en) | Light-emitting nanoparticle composite, ink composition, optical conversion layer, and color filter | |
| KR102920517B1 (en) | Quantum dot dispersion, quantum dot ink composition, cured film, color filter and display device comprising the same | |
| KR102770715B1 (en) | Light Conversion Ink Composition, Color Filter and Display Device |
Legal Events
| Date | Code | Title | Description |
|---|---|---|---|
| 121 | Ep: the epo has been informed by wipo that ep was designated in this application |
Ref document number: 18746877 Country of ref document: EP Kind code of ref document: A1 |
|
| NENP | Non-entry into the national phase |
Ref country code: DE |
|
| 122 | Ep: pct application non-entry in european phase |
Ref document number: 18746877 Country of ref document: EP Kind code of ref document: A1 |























