WO2018191719A1 - Lipid delivery of therapeutic agents to adipose tissue - Google Patents
Lipid delivery of therapeutic agents to adipose tissue Download PDFInfo
- Publication number
- WO2018191719A1 WO2018191719A1 PCT/US2018/027655 US2018027655W WO2018191719A1 WO 2018191719 A1 WO2018191719 A1 WO 2018191719A1 US 2018027655 W US2018027655 W US 2018027655W WO 2018191719 A1 WO2018191719 A1 WO 2018191719A1
- Authority
- WO
- WIPO (PCT)
- Prior art keywords
- alkyl
- independently
- occurrence
- lipid
- carbon
- Prior art date
- Legal status (The legal status is an assumption and is not a legal conclusion. Google has not performed a legal analysis and makes no representation as to the accuracy of the status listed.)
- Ceased
Links
- 0 CC*C(C)*CC(C1)C2*CC1C2 Chemical compound CC*C(C)*CC(C1)C2*CC1C2 0.000 description 11
- HGNVEXMJZVUWJO-UHFFFAOYSA-N CCCC(C)(CC)N Chemical compound CCCC(C)(CC)N HGNVEXMJZVUWJO-UHFFFAOYSA-N 0.000 description 1
- VSFJOMFYABROHQ-UHFFFAOYSA-N CN(C)CCC(OC)=O Chemical compound CN(C)CCC(OC)=O VSFJOMFYABROHQ-UHFFFAOYSA-N 0.000 description 1
- ZJEZSISCHHJCIO-UHFFFAOYSA-N CN(C)CCCC(OC)=O Chemical compound CN(C)CCCC(OC)=O ZJEZSISCHHJCIO-UHFFFAOYSA-N 0.000 description 1
- NRCALIKWCKOXMQ-UHFFFAOYSA-N CN(C)CCCCC(OC)=O Chemical compound CN(C)CCCCC(OC)=O NRCALIKWCKOXMQ-UHFFFAOYSA-N 0.000 description 1
Classifications
-
- A—HUMAN NECESSITIES
- A61—MEDICAL OR VETERINARY SCIENCE; HYGIENE
- A61K—PREPARATIONS FOR MEDICAL, DENTAL OR TOILETRY PURPOSES
- A61K31/00—Medicinal preparations containing organic active ingredients
- A61K31/185—Acids; Anhydrides, halides or salts thereof, e.g. sulfur acids, imidic, hydrazonic or hydroximic acids
- A61K31/19—Carboxylic acids, e.g. valproic acid
- A61K31/20—Carboxylic acids, e.g. valproic acid having a carboxyl group bound to a chain of seven or more carbon atoms, e.g. stearic, palmitic, arachidic acids
-
- A—HUMAN NECESSITIES
- A61—MEDICAL OR VETERINARY SCIENCE; HYGIENE
- A61K—PREPARATIONS FOR MEDICAL, DENTAL OR TOILETRY PURPOSES
- A61K31/00—Medicinal preparations containing organic active ingredients
- A61K31/21—Esters, e.g. nitroglycerine, selenocyanates
-
- A—HUMAN NECESSITIES
- A61—MEDICAL OR VETERINARY SCIENCE; HYGIENE
- A61P—SPECIFIC THERAPEUTIC ACTIVITY OF CHEMICAL COMPOUNDS OR MEDICINAL PREPARATIONS
- A61P3/00—Drugs for disorders of the metabolism
- A61P3/08—Drugs for disorders of the metabolism for glucose homeostasis
Definitions
- Embodiments of the present invention generally relate to treating diseases mediated by protein expression in adipose tissue by delivery of therapeutic agents, such as nucleic acids (e.g., oligonucleotides, messenger RNA) to the adipose tissue via intraperitoneal administration.
- therapeutic agents such as nucleic acids (e.g., oligonucleotides, messenger RNA) to the adipose tissue via intraperitoneal administration.
- nucleic acid based therapeutics have enormous potential but there remains a need for more effective delivery of nucleic acids to appropriate sites within an organism in order to realize this potential.
- nucleic acid therapeutics are not stabile enough in circulation to provide a therapeutically effective concentration or accumulation in organs after systemic administration other than the liver.
- free RNA is susceptible to nuclease digestion in plasma and possesses a limited ability to access intracellular compartments where relevant translational machinery resides. Therefore, nucleic acid-based therapies have been unable to effectively treat tissues of the body. Encapsulation in lipid nanoparticles have been shown effective in overcoming some limitations, but systemic administration generally leads to significant accumulation in only a few tissues of the body, e.g., liver. Thus, delivery to other tissues after systemic administration remains a significant challenge.
- Adipose tissue is a highly active endocrine organ which produces and secretes proteins and adipokines involved in metabolic processes. Obesity, along with a variety of other metabolic disturbances, such as type II diabetes, is at least partly mediated by protein expression in adipocytes.
- the first line treatment of obesity includes life-style changes and physical exercise, however this approach is often insufficient to normalize body weight and prevent life-threatening complications. Accordingly, alternative approaches are urgently needed.
- a method of delivery of therapeutic agents to adipose tissue Preferably, such a delivery method would therapeutically target adipose tissue and have a desirable biological effect on the same.
- a method for administration should be well-tolerated and provide an adequate therapeutic index, such that patient treatment at an effective dose of the nucleic acid is not associated with unacceptable toxicity and/or risk to the patient.
- embodiments of the present invention provide a method for treating a disease mediated by protein expression in adipose tissue of a subject in need thereof, the method comprising:
- compositions comprising a lipid nanoparticle, the lipid nanoparticle comprising a therapeutic agent, or a pharmaceutically acceptable salt or prodrug thereof,
- lipid nanoparticle encapsulated within or associated with the lipid nanoparticle, thereby delivering the therapeutic agent to adipose tissue of the subject and altering protein expression in the adipose tissue.
- the invention provides a method for delivering a therapeutic agent to adipose tissue of a subject in need thereof, the method comprising:
- compositions comprising a therapeutically effective amount of a lipid nanoparticle, the lipid nanoparticle comprising a therapeutic agent, or a pharmaceutically acceptable salt or prodrug thereof, encapsulated within or associated with the lipid nanoparticle; and intraperitoneally administering the composition to the subject, thereby delivering the therapeutic agent to the adipose tissue of the subject.
- the presently disclosed methods can be used for treatment of various diseases or conditions, such as those caused by protein expression in adipose tissue.
- the present invention provides methods for treatment of obesity, type II diabetes, insulin resistance, atherosclerosis or lipid disorders.
- Fig. 1 shows a comparison of mRNA and luciferase distribution in mice for intravenous and intraperitoneal administration.
- Fig. 2A illustrates tissue distribution of mRNA and luciferase following intravenous administration of an LNP comprising DLin-MC3-DMA.
- Fig. 2B shows tissue distribution of mRNA and luciferase following intravenous administration of an LNP comprising Compound 1-6.
- Fig. 2C depicts tissue distribution of mRNA and luciferase following intraperitoneal administration of an LNP comprising DLin-MC3-DMA.
- Fig. 2D illustrates tissue distribution of mRNA and luciferase following intraperitoneal administration of an LNP comprising Compound 1-6.
- Fig. 2E provides a legend identifying the tissue samples for panels shown in each Fig. 2A-D. DETAILED DESCRIPTION
- Embodiments of the present invention are based, in part, upon the discovery that intraperitoneally administering a therapeutically effective amount of a composition comprising lipid nanoparticles (LNPs) encapsulating or associated with a therapeutic agent (e.g., mRNA) unexpectedly provides advantages previously unknown in the art.
- a therapeutic agent e.g., mRNA
- Applicant has unexpectedly discovered that intraperitoneal administration of LNPs encapsulating or associated with a therapeutic agent results in preferential localization of the therapeutic agent in adipose tissue relative to other tissues.
- the therapeutic agent remains active within the adipose tissue (e.g., induces protein expression in adipose tissue).
- Altering protein expression in adipose tissue can influence overall metabolism, whole-body energy and adipose conversion and activation. Accordingly, the presently disclosed methods are effective for treatment of various diseases associated with protein expression in adipose tissue, such as obesity, type II diabetes, insulin resistance, atherosclerosis or lipid disorders.
- the invention provides a method for treating a disease mediated by protein expression in adipose tissue of a subject in need thereof, the method comprising:
- a composition comprising a lipid nanoparticle, the lipid nanoparticle comprising a therapeutic agent, or a pharmaceutically acceptable salt or prodrugthereof, encapsulated within or associated with the lipid nanoparticle, thereby delivering the therapeutic agent to adipose tissue of the subject and altering protein expression in the adipose tissue.
- a method for delivering a therapeutic agent to adipose tissue of a subject in need thereof comprises:
- composition comprising a therapeutically effective amount of a lipid nanoparticle, the lipid nanoparticle comprising a therapeutic agent, or a pharmaceutically acceptable salt or prodrugthereof, encapsulated within or associated with the lipid nanoparticle;
- compositions intraperitoneally administering the composition to the subject, thereby delivering the therapeutic agent to the adipose tissue of the subject.
- White adipose tissue stores energy in the form of triacylglycerol.
- Brown adipose tissue (BAT) has been identified to be an important factor in regulation of energy balance, thereby limiting or controlling weight gain.
- the conversion of white adipose tissue to brown adipose tissue mediates anti-obesity effects such as resistance to weight gain and improvements in systemic metabolism, including improved glucose tolerance, increased insulin sensitivity and enhanced uptake and metabolism of lipids from the bloodstream.
- brown adipocytes (BAT cells) surround blood vessels and have been implicated in the protection against development of atherosclerosis.
- therapeutically targeting protein expression in adipose tissue has applications, both directly in obesity and beyond, to a variety of metabolic disturbances, including type II diabetes, insulin resistance, atherosclerosis and lipid disorders.
- the presently disclosed methods induce conversion of white adipose tissue to brown adipose tissue. In other embodiments, the disclosed methods induce activation of brown adipose tissue. In some embodiments of the foregoing, the adipose tissue comprises white adipocytes or brown adipocytes.
- the present invention provides a method for administering a composition comprising lipid nanoparticles for and in vivo delivery of mRNA and/or other oligonucleotides to adipose tissue.
- the methods are useful for mediating expression of protein encoded by mRNA. In other embodiments, the methods are useful for affecting upregulation of endogenous protein expression in adipose tissue by delivering miRNA inhibitors targeting one specific miRNA or a group of miRNA regulating one target mRNA or several mRNA. In other embodiments, this method is useful for down-regulating ⁇ e.g., silencing) the protein levels and/or mRNA levels of target genes. In some other embodiments, the methods are also useful for delivery of mRNA and plasmids for expression of transgenes.
- the methods are useful for inducing a pharmacological effect resulting from expression of a protein, e.g., conversion of white adipose tissue to brown adipose tissue, or activation of brown adipose tissue.
- the therapeutic agent may be a non-nucleic acid based agent, such as a small molecule or peptide-based drug.
- the small molecule or peptide based drug may include drugs used for treating a variety of metabolic disturbances, including obesity, type II diabetes, insulin resistance, atherosclerosis and lipid disorders.
- therapeutic agents include, but are not limited to acarbose, miglitol, metformin (e.g., metformin-alogliptin, metformin-canagliflozin, metformin-dapagliflozin (Xigduo XR), metformin-empagliflozin (Synjardy), metformin-glipizide, metformin-glyburide (Glucovance), metformin-linagliptin (Jentadueto), metformin-pioglitazone (Actoplus), metformin-repaglinide (PrandiMet), metformin-rosiglitazone (Avandamet), metformin-saxagliptin (Kombiglyze XR), metformin-sitagliptin (Janumet)), bromocriptine (Parlodel), alogliptin (Nesina), alogliptin (N
- Glucovance chlorpropamide
- Tolinase tolazamide
- Tolbutamide Orinase, Tol-Tab
- rosiglitazone Avandia
- rosiglitazone-glimepiride Avandaryl
- rosiglitizone-metformin Amaryl M
- pioglitazone Actos
- statins e.g., Fluvastatin, Atorvastatin, Lovastatin, Pravastatin, Simvastatin, Rosuvastatin, Pitavastatin
- fibrates Gemfibrozil, Fenofibrate, niacin, ezetimibe, cholestyramine, colestipol, or colesevelam.
- embodiments of methods of the present invention are particularly useful for the delivery of nucleic acids to adipose tissue, including, e.g., mRNA, antisense oligonucleotide, plasmid DNA, microRNA (miRNA), miRNA inhibitors (antagomirs/antimirs), messenger-RNA-interfering complementary RNA (micRNA), DNA, multivalent RNA, dicer substrate RNA, complementary DNA (cDNA), etc. Therefore, the methods of the present invention may be used to induce expression of a desired protein both in vitro and in vivo by contacting adipose tissue with a lipid nanoparticle.
- the method of the present invention may be used to decrease the expression of target genes and/or proteins both in vitro and in vivo by contacting adipose tissue with a lipid nanoparticle.
- the methods of the present invention may also be used for co-delivery of different nucleic acids ⁇ e.g., mRNA and plasmid DNA) separately or in combination, such as may be useful to provide an effect requiring colocalization of different nucleic acids ⁇ e.g., mRNA encoding for a suitable gene modifying enzyme and DNA segment(s) for incorporation into the host genome).
- Nucleic acids for use with embodiments of this invention may be prepared according to any available technique.
- the primary methodology of preparation is, but not limited to, enzymatic synthesis (also termed in vitro transcription) which currently represents the most efficient method to produce long sequence-specific mRNA.
- In vitro transcription describes a process of template- directed synthesis of RNA molecules from an engineered DNA template comprised of an upstream bacteriophage promoter sequence ⁇ e.g. including but not limited to that from the T7, T3 and SP6 coliphage) linked to a downstream sequence encoding the gene of interest.
- Template DNA can be prepared for in vitro transcription from a number of sources with appropriate techniques which are well known in the art including, but not limited to, plasmid DNA and polymerase chain reaction amplification ⁇ see Linpinsel, J.L and Conn, G.L., General protocols for preparation of plasmid DNA template and Bowman, J.C., Azizi, B., Lenz, T.K., Ray, P., and Williams, L.D. in RNA in vitro transcription and RNA purification by denaturing PAGE in Recombinant and in vitro RNA syntheses Methods v. 941 Conn G.L. (ed), New York, N.Y. Humana Press, 2012).
- RNA polymerase adenosine, guanosine, uridine and cytidine ribonucleoside triphosphates (rNTPs) under conditions that support polymerase activity while minimizing potential degradation of the resultant mRNA transcripts.
- rNTPs ribonucleoside triphosphates
- In vitro transcription can be performed using a variety of commercially available kits including, but not limited to RiboMax Large Scale RNA Production System (Promega), MegaScript Transcription kits (Life Technologies) as well as with commercially available reagents including RNA polymerases and rNTPs.
- the methodology for in vitro transcription of mRNA is well known in the art. (see, e.g., Losick, R., 1972, In vitro transcription, Ann Rev Biochem v.41 409-46;
- the desired in vitro transcribed mRNA is then purified from the undesired components of the transcription or associated reactions (including
- RNA transcripts unincorporated rNTPs, protein enzyme, salts, short RNA oligos, etc.).
- Techniques for the isolation of the mRNA transcripts are well known in the art.
- Well known procedures include phenol/chloroform extraction or precipitation with either alcohol ⁇ e.g., ethanol, isopropanol) in the presence of monovalent cations or lithium chloride.
- Additional, non-limiting examples of purification procedures which can be used include size exclusion chromatography (Lukavsky, P.J.
- RNA in vitro transcription and RNA purification by denaturing PAGE in Recombinant and in vitro RNA syntheses Methods v. 941 Conn G.L. (ed), New York, N.Y. Humana Press, 2012 ). Purification can be performed using a variety of commercially available kits including, but not limited to SV Total Isolation System (Promega) and In Vitro
- RNA impurities associated with undesired polymerase activity which may need to be removed from the full-length mRNA preparation.
- RNA impurities include short RNAs that result from abortive transcription initiation as well as double-stranded RNA (dsRNA) generated by RNA-dependent RNA polymerase activity, RNA-primed transcription from RNA templates and self- complementary 3' extension. It has been demonstrated that these contaminants with dsRNA structures can lead to undesired immunostimulatory activity through interaction with various innate immune sensors in eukaryotic cells that function to recognize specific nucleic acid structures and induce potent immune responses.
- dsRNA double-stranded RNA
- HPLC purification eliminates immune activation and improves translation of nucleoside- modified, protein-encoding mRNA, Nucl Acid Res, v.
- Endogenous eukaryotic mRNA typically contain a cap structure on the 5'- end of a mature molecule which plays an important role in mediating binding of the mRNA Cap Binding Protein (CBP), which is in turn responsible for enhancing mRNA stability in the cell and efficiency of mRNA translation. Therefore, highest levels of protein expression are achieved with capped mRNA transcripts.
- CBP mRNA Cap Binding Protein
- the 5 '-cap contains a 5 '-5 '-triphosphate linkage between the 5 '-most nucleotide and guanine nucleotide.
- the conjugated guanine nucleotide is methylated at the N7 position.
- modifications include methylation of the ultimate and penultimate most 5 '-nucleotides on the 2'-hydroxyl group.
- 5 '-capping of synthetic mRNA can be performed co- transcriptionally with chemical cap analogs ⁇ i.e., capping during in vitro transcription).
- the Anti -Reverse Cap Analog (ARC A) cap contains a 5 '-5 '-triphosphate guanine-guanine linkage where one guanine contains an N7 methyl group as well as a 3'-0-methyl group.
- ARC A Anti -Reverse Cap Analog
- the synthetic cap analog is not identical to the 5 '-cap structure of an authentic cellular mRNA, potentially reducing translatability and cellular stability.
- synthetic mRNA molecules may also be enzymatically capped post-transcriptionally. These may generate a more authentic 5 '-cap structure that more closely mimics, either structurally or functionally, the endogenous 5 '-cap which have enhanced binding of cap binding proteins, increased half-life, reduced susceptibility to 5' endonucleases and/or reduced 5' decapping.
- poly-A tail On the 3 '-terminus, a long chain of adenine nucleotides (poly-A tail) is normally added to mRNA molecules during RNA processing. Immediately after transcription, the 3' end of the transcript is cleaved to free a 3' hydroxyl to which poly- A polymerase adds a chain of adenine nucleotides to the RNA in a process called polyadenylation.
- the poly-A tail has been extensively shown to enhance both translational efficiency and stability of mRNA (see Bernstein, P. and Ross, J., 1989, Poly (A), poly (A) binding protein and the regulation of mRNA stability, Trends Bio Sci v. 14 373-377; Guhaniyogi, J.
- Poly (A) tailing of in vitro transcribed mRNA can be achieved using various approaches including, but not limited to, cloning of a poly (T) tract into the DNA template or by post-transcriptional addition using Poly (A) polymerase.
- the first case allows in vitro transcription of mRNA with poly (A) tails of defined length, depending on the size of the poly (T) tract, but requires additional manipulation of the template.
- poly (A) tail to in vitro transcribed mRNA using poly (A) polymerase which catalyzes the incorporation of adenine residues onto the 3 'termini of RNA, requiring no additional manipulation of the DNA template, but results in mRNA with poly(A) tails of heterogeneous length.
- 5'- capping and 3 '-poly (A) tailing can be performed using a variety of commercially available kits including, but not limited to Poly (A) Polymerase Tailing kit (EpiCenter), mMESSAGE mMACHINE T7 Ultra kit and Poly (A) Tailing kit (Life Technologies) as well as with commercially available reagents, various ARCA caps, Poly (A)
- modified nucleosides into in vitro transcribed mRNA can be used to prevent recognition and activation of RNA sensors, thus mitigating this undesired immunostimulatory activity and enhancing translation capacity (see e.g., Kariko, K. And Weissman, D.
- modified nucleosides and nucleotides used in the synthesis of modified RNAs can be prepared monitored and utilized using general methods and procedures known in the art.
- nucleoside modifications are available that may be incorporated alone or in combination with other modified nucleosides to some extent into the in vitro transcribed mRNA (see, e.g., US Pub. No.2012/0251618). In vitro synthesis of nucleoside-modified mRNA have been reported to have reduced ability to activate immune sensors with a concomitant enhanced translational capacity.
- mRNA which can be modified to provide benefit in terms of translatability and stability
- 5' and 3' untranslated regions include the 5' and 3' untranslated regions (UTR). Optimization of the UTRs (favorable 5' and 3' UTRs can be obtained from cellular or viral RNAs), either both or independently, have been shown to increase mRNA stability and translational efficiency of in vitro transcribed mRNA (see e.g. Pardi, N.,
- oligonucleotides In addition to mRNA, other nucleic acid payloads may be used for this invention.
- methods of preparation include but are not limited to chemical synthesis and enzymatic, chemical cleavage of a longer precursor, in vitro transcription as described above, etc. Methods of synthesizing DNA and RNA nucleotides are widely used and well known in the art (see, e.g., Gait, M. J. (ed.) Oligonucleotide synthesis: a practical approach, Oxford [Oxfordshire], Washington, D.C.: IRL Press, 1984; and Herdewijn, P. (ed.) Oligonucleotide synthesis: methods and applications, Methods in Molecular Biology, v. 288 (Clifton, N.J.) Totowa, N.J.:
- plasmid DNA preparation for use with this invention commonly utilizes but is not limited to expansion and isolation of the plasmid DNA in vitro in a liquid culture of bacteria containing the plasmid of interest.
- a gene in the plasmid of interest that encodes resistance to a particular antibiotic penicillin, kanamycin, etc.
- Methods of isolating plasmid DNA are widely used and well known in the art ⁇ see, e.g., Heilig, J., Elbing, K. L. and Brent, R (2001) Large-Scale Preparation of Plasmid DNA. Current Protocols in Molecular Biology.
- Plasmid isolation can be performed using a variety of commercially available kits including, but not limited to Plasmid Plus (Qiagen), GenJET plasmid MaxiPrep (Thermo) and Pure Yield MaxiPrep (Promega) kits as well as with commercially available reagents.
- a test sample e.g. a sample of cells in culture expressing the desired protein
- a test mammal e.g. a mammal such as a human or an animal model such as a rodent (e.g. mouse) or a non-human primate (e.g., monkey) model
- a nucleic acid e.g. nucleic acid in combination with a lipid of the present invention.
- expression of the desired protein in the test sample or test animal is compared to expression of the desired protein in a control sample (e.g.
- a sample of cells in culture expressing the desired protein or a control mammal (e.g., a mammal such as a human or an animal model such as a rodent (e.g. mouse) or non-human primate (e.g. monkey) model) that is not contacted with or administered the nucleic acid.
- a control mammal e.g., a mammal such as a human or an animal model such as a rodent (e.g. mouse) or non-human primate (e.g. monkey) model
- the expression of a desired protein in a control sample or a control mammal may be assigned a value of 1.0.
- inducing expression of a desired protein is achieved when the ratio of desired protein expression in the test sample or the test mammal to the level of desired protein expression in the control sample or the control mammal is greater than 1, for example, about 1.1, 1.5, 2.0. 5.0 or 10.0.
- inducing expression of a desired protein is achieved when any measurable level of the desired protein in the test sample or the test mammal is detected.
- ⁇ assays to determine the level of protein expression in a sample, for example dot blots, northern blots, in situ hybridization, ELISA, immunoprecipitation, enzyme function, and phenotypic assays, or assays based on reporter proteins that can produce fluorescence or luminescence under appropriate conditions.
- the phrase "inhibiting expression of a target gene” refers to the ability of a nucleic acid to silence, reduce, or inhibit the expression of a target gene.
- test sample e.g., a sample of cells in culture expressing the target gene
- test mammal e.g., a mammal such as a human or an animal model such as a rodent (e.g., mouse) or a non-human primate (e.g., monkey) model
- a nucleic acid that silences, reduces, or inhibits expression of the target gene.
- Expression of the target gene in the test sample or test animal is compared to expression of the target gene in a control sample (e.g., a sample of cells in culture expressing the target gene) or a control mammal (e.g., a mammal such as a human or an animal model such as a rodent (e.g., mouse) or non-human primate (e.g., monkey) model) that is not contacted with or administered the nucleic acid.
- a control sample e.g., a sample of cells in culture expressing the target gene
- a control mammal e.g., a mammal such as a human or an animal model such as a rodent (e.g., mouse) or non-human primate (e.g., monkey) model
- the expression of the target gene in a control sample or a control mammal may be assigned a value of 100%.
- silencing, inhibition, or reduction of expression of a target gene is achieved when the level of target gene expression in the test sample or the test mammal relative to the level of target gene expression in the control sample or the control mammal is about 95%, 90%, 85%, 80%, 75%, 70%, 65%, 60%, 55%, 50%, 45%, 40%, 35%, 30%, 25%, 20%, 15%, 10%, 5%, or 0%.
- the nucleic acids are capable of silencing, reducing, or inhibiting the expression of a target gene by at least about 5%, 10%, 15%, 20%, 25%, 30%, 35%, 40%, 45%, 50%, 55%, 60%, 65%, 70%, 75%, 80%, 85%, 90%, 95%, or 100% in a test sample or a test mammal relative to the level of target gene expression in a control sample or a control mammal not contacted with or administered the nucleic acid.
- Suitable assays for determining the level of target gene expression include, without limitation, examination of protein or mRNA levels using techniques known to those of skill in the art, such as, e.g., dot blots, northern blots, in situ hybridization, ELISA, immunoprecipitation, enzyme function, as well as phenotypic assays known to those of skill in the art.
- the subject is a mammal. In some more specific embodiments, the subject is a human.
- an “effective amount” or “therapeutically effective amount” of an active agent or therapeutic agent such as a therapeutic nucleic acid is an amount sufficient to produce the desired effect, e.g. an increase or inhibition of expression of a target sequence in comparison to the normal expression level detected in the absence of the nucleic acid.
- An increase in expression of a target sequence is achieved when any measurable level is detected in the case of an expression product that is not present in the absence of the nucleic acid.
- an in increase in expression is achieved when the fold increase in value obtained with a nucleic acid such as mRNA relative to control is about 1.05, 1.1, 1.2, 1.3, 1.4, 1.5, 1.75, 2, 2.5, 3, 4, 5, 6, 7, 8, 9, 10, 15, 20, 25, 30, 40, 50, 75, 100, 250, 500, 750, 1000, 5000, 10000 or greater.
- Inhibition of expression of a target gene or target sequence is achieved when the value obtained with a nucleic acid such as antisense oligonucleotide relative to the control is about 95%, 90%, 85%, 80%, 75%, 70%, 65%, 60%, 55%, 50%, 45%, 40%, 35%, 30%, 25%, 20%), 15%), 10%), 5%), or 0%.
- Suitable assays for measuring expression of a target gene or target sequence include, e.g., examination of protein or RNA levels using techniques known to those of skill in the art such as dot blots, northern blots, in situ hybridization, ELISA, immunoprecipitation, enzyme function, fluorescence or luminescence of suitable reporter proteins, as well as phenotypic assays known to those of skill in the art.
- nucleic acid refers to a polymer containing at least two deoxyribonucleotides or ribonucleotides in either single- or double-stranded form and includes DNA, RNA, and hybrids thereof.
- DNA may be in the form of antisense molecules, plasmid DNA, cDNA, PCR products, or vectors.
- RNA may be in the form of small hairpin RNA (shRNA), messenger RNA (mRNA), antisense RNA, miRNA, micRNA, multivalent RNA, dicer substrate RNA or viral RNA (vRNA), and combinations thereof.
- Nucleic acids include nucleic acids containing known nucleotide analogs or modified backbone residues or linkages, which are synthetic, naturally occurring, and non-naturally occurring, and which have similar binding properties as the reference nucleic acid. Examples of such analogs include, without limitation, phosphorothioates, phosphoramidates, methyl phosphonates, chiral-methyl
- nucleic acids Unless specifically limited, the term encompasses nucleic acids containing known analogues of natural nucleotides that have similar binding properties as the reference nucleic acid. Unless otherwise indicated, a particular nucleic acid sequence also implicitly encompasses conservatively modified variants thereof (e.g., degenerate codon substitutions), alleles, orthologs, single nucleotide polymorphisms, and complementary sequences as well as the sequence explicitly indicated.
- degenerate codon substitutions may be achieved by generating sequences in which the third position of one or more selected (or all) codons is substituted with mixed-base and/or deoxyinosine residues (Batzer et al., Nucleic Acid Res., 19:5081 (1991); Ohtsuka et al., J. Biol.
- Nucleotides contain a sugar deoxyribose (DNA) or ribose (RNA), a base, and a phosphate group. Nucleotides are linked together through the phosphate groups.
- Bases include purines and pyrimidines, which further include natural compounds adenine, thymine, guanine, cytosine, uracil, inosine, and natural analogs, and synthetic derivatives of purines and pyrimidines, which include, but are not limited to, modifications which place new reactive groups such as, but not limited to, amines, alcohols, thiols, carboxylates, and alkylhalides.
- gene refers to a nucleic acid (e.g., DNA or RNA) sequence that comprises partial length or entire length coding sequences necessary for the production of a polypeptide or precursor polypeptide.
- Gene product refers to a product of a gene such as an RNA transcript or a polypeptide.
- lipid refers to a group of organic compounds that include, but are not limited to, esters of fatty acids and are generally characterized by being poorly soluble in water, but soluble in many organic solvents. They are usually divided into at least three classes: (1) “simple lipids,” which include fats and oils as well as waxes; (2) “compound lipids,” which include phospholipids and glycolipids; and (3) “derived lipids” such as steroids.
- a “steroid” is a compound comprising the following carbon skeleton:
- Non-limiting examples of steroids include cholesterol, and the like.
- a "cationic lipid” refers to a lipid capable of being positively charged.
- Exemplary cationic lipids include one or more amine group(s) which bear the positive charge.
- Preferred cationic lipids are ionizable such that they can exist in a positively charged or neutral form depending on pH. The ionization of the cationic lipid affects the surface charge of the lipid nanoparticle under different pH conditions. This charge state can influence plasma protein absorption, blood clearance and tissue distribution (Semple, S.C., et al., Adv.
- polymer conjugated lipid refers to a molecule comprising both a lipid portion and a polymer portion.
- An example of a polymer conjugated lipid is a pegylated lipid.
- pegylated lipid refers to a molecule comprising both a lipid portion and a polyethylene glycol portion. Pegylated lipids are known in the art and include l-(monomethoxy-polyethyleneglycol)-2,3-dimyristoylglycerol
- neutral lipid refers to any of a number of lipid species that exist either in an uncharged or neutral zwitterionic form at a selected pH.
- lipids include, but are not limited to, phosphotidylcholines such as l,2-Distearoyl-s «-glycero-3-phosphocholine (DSPC), l,2-Dipalmitoyl-5 «-glycero-3- phosphocholine (DPPC), l,2-Dimyristoyl-s «-glycero-3-phosphocholine (DMPC), 1- Palmitoyl-2-oleoyl-s «-glycero-3-phosphocholine (POPC), l,2-dioleoyl-sn-glycero-3- phosphocholine (DOPC), phophatidylethanolamines such as l,2-Dioleoyl-s «-glycero-3- phosphoethanolamine (DOPE), sphin
- charged lipid refers to any of a number of lipid species that exist in either a positively charged or negatively charged form independent of the pH within a useful physiological range e.g. pH ⁇ 3 to pH ⁇ 9.
- Charged lipids may be synthetic or naturally derived. Examples of charged lipids include phosphatidylserines, phosphatidic acids, phosphatidylglycerols, phosphatidylinositols, sterol hemi succinates, dialkyl trimethylammonium-propanes, (e.g. DOTAP, DOTMA), dialkyl dimethylaminopropanes, ethyl phosphocholines, dimethylaminoethane carbamoyl sterols (e.g. DC-Choi).
- lipid nanoparticle refers to particles having at least one dimension on the order of nanometers (e.g., 1-1,000 nm) which include one or more of the compounds of Formula I, II, III, or other specified cationic lipids.
- lipid nanoparticles are included in a formulation that can be used to deliver an active agent or therapeutic agent, such as a nucleic acid (e.g., mRNA) to a target site of interest (e.g., cell, tissue, organ, tumor, and the like).
- an active agent or therapeutic agent such as a nucleic acid (e.g., mRNA)
- a target site of interest e.g., cell, tissue, organ, tumor, and the like.
- the lipid nanoparticles of the invention comprise a nucleic acid.
- Such lipid nanoparticles typically comprise a compound of Formula I, II, III or other specified cationic lipid and one or more excipient selected from neutral lipids, charged lipids, steroids and polymer conjugated lipids.
- the active agent or therapeutic agent such as a nucleic acid, may be encapsulated in the lipid portion of the lipid nanoparticle or an aqueous space enveloped by some or all of the lipid portion of the lipid nanoparticle, thereby protecting it from enzymatic degradation or other undesirable effects induced by the mechanisms of the host organism or cells e.g. an adverse immune response.
- the lipid nanoparticles have a mean diameter of from about 30 nm to about 150 nm, from about 40 nm to about 150 nm, from about 50 nm to about 150 nm, from about 60 nm to about 130 nm, from about 70 nm to about 110 nm, from about 70 nm to about 100 nm, from about 80 nm to about 100 nm, from about 90 nm to about 100 nm, from about 70 to about 90 nm, from about 80 nm to about 90 nm, from about 70 nm to about 80 nm, or about 30 nm, 35 nm, 40 nm, 45 nm, 50 nm, 55 nm, 60 nm, 65 nm, 70 nm, 75 nm, 80 nm, 85 nm, 90 nm, 95 nm, 100 nm, 105 nm, 110 nm, 115 nm, 120 n
- nucleic acids when present in the lipid nanoparticles, are resistant in aqueous solution to degradation with a nuclease.
- Lipids and lipid nanoparticles comprising nucleic acids and their method of preparation are disclosed in, e.g., U.S. Patent Nos. 8,569,256, 5,965,542 and U.S. Patent Publication Nos.
- lipid encapsulated refers to a lipid nanoparticle that provides an active agent or therapeutic agent, such as a nucleic acid (e.g., mRNA), with full encapsulation, partial encapsulation, or both.
- an active agent or therapeutic agent such as a nucleic acid (e.g., mRNA)
- nucleic acid e.g., mRNA
- lipid nanoparticle (e.g., mRNA) is fully encapsulated in the lipid nanoparticle.
- aqueous solution refers to a composition comprising water.
- “Serum-stable” in relation to nucleic acid-lipid nanoparticles means that the nucleotide is not significantly degraded after exposure to a serum or nuclease assay that would significantly degrade free DNA or RNA. Suitable assays include, for example, a standard serum assay, a DNAse assay, or an RNAse assay.
- Systemic delivery refers to delivery of a therapeutic product that can result in a broad exposure of an active agent within an organism.
- Systemic delivery means that a useful, preferably therapeutic, amount of an agent is exposed to most parts of the body.
- Systemic delivery of lipid nanoparticles can be by any means known in the art including, for example, intravenous, intraarterial, subcutaneous, and intraperitoneal delivery. In some embodiments, systemic delivery of lipid nanoparticles is by intravenous delivery.
- Local delivery refers to delivery of an active agent directly to a target site within an organism.
- an agent can be locally delivered by direct injection into a disease site such as a tumor, other target site such as a site of inflammation, or a target organ such as the liver, heart, pancreas, kidney, and the like.
- Local delivery can also include topical applications or localized injection techniques such as intramuscular, subcutaneous or intradermal injection. Local delivery does not preclude a systemic pharmacological effect.
- Adipose tissue refers to loose connective tissue comprising adipocytes.
- Adipose tissue includes two types: white adipose tissue (WAT; which stores energy) and brown adipose tissue (BAT; which generates body heat).
- WAT white adipose tissue
- BAT brown adipose tissue
- brown adipose tissue includes beige adipose tissue.
- Adipose tissue can be found beneath the skin and around internal organs to provide a protective padding.
- Adipose tissue can also include a stromal vascular fraction of cells including preadipocytes, fibroblasts, vascular endothelial cells and a variety of immune cells such as adipose tissue macrophages.
- amino acid refers to naturally-occurring and non-naturally occurring amino acids.
- An amino acid lipid can be made from a genetically encoded amino acid, a naturally occurring non-genetically encoded amino acid, or a synthetic amino acid.
- amino acids include Ala, Arg, Asn, Asp, Cys, Gin, Glu, Gly, His, He, Leu, Lys, Met, Phe, Pro, Ser, Thr, Trp, Tyr, and Val.
- amino acids also include azetidine, 2-aminooctadecanoic acid, 2-aminoadipic acid, 3-aminoadipic acid, 2,3- diaminopropionic acid, 2-aminobutyric acid, 4-aminobutyric acid, 2,3-diaminobutyric acid, 2,4-diaminobutyric acid, 2-aminoisobutyric acid, 4-aminoisobutyric acid, 2- aminopimelic acid, 2,2'-diaminopimelic acid, 6-aminohexanoic acid, 6-aminocaproic acid, 2-aminoheptanoic acid, desmosine, ornithine, citrulline, N-methylisoleucine, norleucine, tert-leucine, phenylglycine, t-butylglycine, N-methylglycine, sacrosine, N- ethylglycine, cyclohexylglycine
- Alkyl refers to a straight or branched hydrocarbon chain radical consisting solely of carbon and hydrogen atoms, which is saturated or unsaturated (i.e., contains one or more double (alkenyl) and/or triple bonds (alkynyl)), having, for example, from one to twenty-four carbon atoms (Ci-C 2 4 alkyl), four to twenty carbon atoms (C 4 -C 2 o alkyl), six to sixteen carbon atoms (C 6 -Ci 6 alkyl), six to nine carbon atoms (C 6 -C9 alkyl), one to fifteen carbon atoms (C 1 -C 15 alkyl),one to twelve carbon atoms (C 1 -C 12 alkyl), one to eight carbon atoms (C 1 -C 8 alkyl) or one to six carbon atoms (C 1 -C 6 alkyl) and which is attached to the rest of the molecule by a single bond, e.g., methyl, ethyl
- Alkylene or “alkylene chain” refers to a straight or branched divalent hydrocarbon chain linking the rest of the molecule to a radical group, consisting solely of carbon and hydrogen, which is saturated or unsaturated (i.e., contains one or more double (alkenylene) and/or triple bonds (alkynylene)), and having, for example, from one to twenty-four carbon atoms (Ci-C 2 4 alkylene), one to fifteen carbon atoms (C 1 -C 15 alkylene),one to twelve carbon atoms (C 1 -C 12 alkylene), one to eight carbon atoms (Ci- C 8 alkylene), one to six carbon atoms (C 1 -C 6 alkylene), two to four carbon atoms (C 2 -C 4 alkylene), one to two carbon atoms (Ci-C 2 alkylene), e.g., methylene, ethylene, propylene, «-butylene, ethenylene, propenylene,
- the alkylene chain is attached to the rest of the molecule through a single or double bond and to the radical group through a single or double bond.
- the points of attachment of the alkylene chain to the rest of the molecule and to the radical group can be through one carbon or any two carbons within the chain.
- an alkylene chain may be optionally substituted.
- alkenyl refers to an alkyl, as defined above, containing at least one double bond between adjacent carbon atoms. Alkenyls include both cis and trans isomers. Representative straight chain and branched alkenyls include, but are not limited to, ethylenyl, propylenyl, 1-butenyl, 2-butenyl, isobutylenyl, 1 -pentenyl, 2- pentenyl, 3 -methyl- 1-butenyl, 2-methyl-2-butenyl, 2,3-dimethyl-2-butenyl, and the like.
- Alkoxy refers to an alkyl, cycloalkyl, alkenyl, or alkynyl group covalently bonded to an oxygen atom.
- Alkylamino refers to the group -NRR, where R and R' are each either hydrogen or alkyl, and at least one of R and R is alkyl. Alkylamino includes groups such as piped dino wherein R and R form a ring. The term “alkylaminoalkyl” refers to - alkyl- RR.
- alkynyl includes any alkyl or alkenyl, as defined above, which additionally contains at least one triple bond between adjacent carbons.
- Representative straight chain and branched alkynyls include, without limitation, acetylenyl, propynyl, 1-butynyl, 2-butynyl, 1-pentynyl, 2-pentynyl, 3 -methyl- 1 butynyl, and the like.
- acyl refers to any alkyl, alkenyl, or alkynyl wherein the carbon at the point of attachment is substituted with an oxo group, as defined below.
- Aryl refers to any stable monocyclic, bicyclic, or poly cyclic carbon ring system of from 4 to 12 atoms in each ring, wherein at least one ring is aromatic. Some examples of an aryl include phenyl, naphthyl, tetrahydro-naphthyl, indanyl, and biphenyl. Where an aryl substituent is bicyclic and one ring is non-aromatic, it is understood that attachment is to the aromatic ring. An aryl may be substituted or unsubstituted.
- Cyano refers to a functional group of the formula -CN.
- Cycloalkyl or “carbocyclic ring” refers to a stable non-aromatic monocyclic or polycyclic hydrocarbon radical consisting solely of carbon and hydrogen atoms, which may include fused or bridged ring systems, having from three to fifteen carbon atoms, preferably having from three to ten carbon atoms, and which is saturated or unsaturated and attached to the rest of the molecule by a single bond.
- Monocyclic radicals include, for example, cyclopropyl, cyclobutyl, cyclopentyl, cyclohexyl, cycloheptyl, and cyclooctyl.
- Polycyclic radicals include, for example, adamantyl, norbornyl, decalinyl, 7,7-dimethyl-bicyclo[2.2.1]heptanyl, and the like. Unless otherwise stated specifically in the specification, a cycloalkyl group may be optionally substituted.
- Cycloalkylene is a divalent cycloalkyl group. Unless otherwise stated specifically in the specification, a cycloalkylene group may be optionally substituted.
- diacylglycerol or “DAG” includes a compound having 2 fatty acyl chains, both of which have independently between 2 and 30 carbons bonded to the 1- and 2-position of glycerol by ester linkages.
- the acyl groups can be saturated or have varying degrees of unsaturation. Suitable acyl groups include, but are not limited to, lauroyl (C12), myristoyl (C14), palmitoyl (C16), stearoyl (C18), and icosoyl (C20).
- the fatty acid acyl chains of one compound are the same, i.e., both myristoyl ⁇ i.e., dimyristoyl), both stearoyl ⁇ i.e., distearoyl), etc.
- heterocycle refers to an aromatic or nonaromatic ring system of from five to twenty -two atoms, wherein from 1 to 4 of the ring atoms are heteroatoms selected from oxygen, nitrogen, and sulfur.
- a heterocycle may be a heteroaryl or a dihydro or tetrathydro version thereof.
- Heterocycles include, but are not limited to, pyrrolidine, tetryhydrofuran, thiolane, azetidine, oxetane, thietane, diazetidine, dioxetane, dithietane, piperidine,
- Heteroaryl refers to any stable monocyclic, bicyclic, or poly cyclic carbon ring system of from 4 to 12 atoms in each ring, wherein at least one ring is aromatic and contains from 1 to 4 heteroatoms selected from oxygen, nitrogen and sulfur.
- a heteroaryl examples include acridinyl, quinoxalinyl, pyrazolyl, indolyl, benzotriazolyl, furanyl, thienyl, benzothienyl, benzofuranyl, quinolinyl, isoquinolinyl, oxazolyl, isoxazolyl, pyrazinyl, pyridazinyl, pyridinyl, pyrimidinyl, pyrrolyl, and tetrahydroquinolinyl.
- a heteroaryl includes the N-oxide derivative of a nitrogen-containing heteroaryl.
- alkylamine and “dialkylamine” refer to— NH(alkyl) and — N(alkyl) 2 radicals respectively.
- alkylphosphate refers to— O— P(Q')(Q")-0— R, wherein Q' and Q" are each independently O, S, N(R) 2 , optionally substituted alkyl or alkoxy; and R is optionally substituted alkyl, co-aminoalkyl or ro-(substituted)aminoalkyl.
- alkylphosphorothioate refers to an alkylphosphate wherein at least one of Q' or Q" is S.
- alkylphosphonate refers to an alkylphosphate wherein at least one of Q' or Q" is alkyl.
- Hydrox alkyl refers to an -O-alkyl radical.
- alkylheterocycle refers to an alkyl where at least one methylene has been replaced by a heterocycle.
- co-aminoalkyl refers to -alkyl-NH 2 radical.
- co- (substituted)aminoalkyl refers to an ⁇ -aminoalkyl wherein at least one of the H on N has been replaced with alkyl.
- co-phosphoalkyl refers to -alkyl-0— P(Q')(Q")-0— R, wherein Q' and Q" are each independently O or S and R optionally substituted alkyl.
- co-thiophosphoalkyl refers to co-phosphoalkyl wherein at least one of Q' or Q" is S.
- R ' is, at each occurrence, independently H, C 1 -C 15 alkyl or cycloalkyl, and x is 0, 1 or 2.
- the substituent is a C 1 -C 12 alkyl group.
- the substituent is a cycloalkyl group. In other embodiments, the substituent is a halo group, such as fluoro. In other embodiments, the substituent is an oxo group. In other embodiments, the substituent is a hydroxyl group. In other embodiments, the substituent is an alkoxy group (-OR ). In other embodiments, the substituent is a carboxyl group. In other embodiments, the substituent is an amine group(- R R ).
- Optional or “optionally substituted” means that the subsequently described event of circumstances may or may not occur, and that the description includes instances where said event or circumstance occurs and instances in which it does not.
- optionally substituted alkyl means that the alkyl radical may or may not be substituted and that the description includes both substituted alkyl radicals and alkyl radicals having no substitution.
- Prodrug is meant to indicate a compound, such as a therapeutic agent, that may be converted under physiological conditions or by solvolysis to a biologically active compound of the invention.
- prodrug refers to a metabolic precursor of a compound of the invention that is pharmaceutically acceptable.
- a prodrug may be inactive when administered to a subject in need thereof, but is converted in vivo to an active compound of the invention.
- Prodrugs are typically rapidly transformed in vivo to yield the parent compound of the invention, for example, by hydrolysis in blood.
- the prodrug compound often offers advantages of solubility, tissue compatibility or delayed release in a mammalian organism (see, Bundgard, H., Design of Prodrugs (1985), pp.
- prodrugs are provided in Higuchi, T., et al., A.C.S. Symposium Series, Vol. 14, and in Bioreversible Carriers in Drug Design, Ed. Edward B. Roche, American Pharmaceutical Association and Pergamon Press, 1987.
- prodrug is also meant to include any covalently bonded carriers, which release the active compound of the invention in vivo when such prodrug is administered to a mammalian subject.
- Prodrugs ⁇ e.g., a prodrug of a therapeutic agent) may be prepared by modifying functional groups present in the compound of the invention in such a way that the modifications are cleaved, either in routine
- Prodrugs include compounds wherein a hydroxy, amino or mercapto group is bonded to any group such that, when the prodrug is administered to a mammalian subject, cleaves to form a free hydroxy, free amino or free mercapto group, respectively.
- Examples of prodrugs include, but are not limited to, acetate, formate and benzoate derivatives of alcohol or amide derivatives of amine functional groups in the therapeutic agents of the invention and the like.
- the invention disclosed herein is also meant to encompass administration of all pharmaceutically acceptable lipid nanoparticles and components thereof ⁇ e.g., cationic lipid, therapeutic agent, etc.) being isotopically-labelled by having one or more atoms replaced by an atom having a different atomic mass or mass number.
- isotopes that can be incorporated into the disclosed compounds include isotopes of hydrogen, carbon, nitrogen, oxygen, phosphorous, fluorine, chlorine, and iodine, such as 2 H, 3 H, U C, 13 C, 14 C, 13 N, 15 N, 15 0, 17 0, 18 0, 31 P, 32 P, 35 S, 18 F, 36 C1, 123 I, and 125 I, respectively.
- These radiolabeled L Ps could be useful to help determine or measure the effectiveness of the administration of compounds to adipose tissue, by characterizing, for example, the site or mode of action, or binding affinity to
- LNPs for example, those incorporating a radioactive isotope
- the radioactive isotopes tritium, i.e., 3 H, and carbon-14, that is, C, are particularly useful for this purpose in view of their ease of incorporation and ready means of detection.
- substitution with heavier isotopes such as deuterium, that is, 2 H, may afford certain therapeutic advantages resulting from greater metabolic stability, for example, increased in vivo half-life or reduced dosage requirements, and hence may be preferred in some circumstances.
- Isotopically-labeled compounds of Formula I, II or III can generally be prepared by conventional techniques known to those skilled in the art or by processes analogous to those described in the Preparations and Examples as set out below using an appropriate isotopically-labeled reagent in place of the non-labeled reagent previously employed.
- Solid compound and “stable structure” are meant to indicate a compound that is sufficiently robust to survive isolation to a useful degree of purity from a reaction mixture, and formulation into an efficacious therapeutic agent.
- “Mammal” includes humans and both domestic animals such as laboratory animals and household pets ⁇ e.g., cats, dogs, swine, cattle, sheep, goats, horses, rabbits), and non-domestic animals such as wildlife and the like.
- “Pharmaceutically acceptable carrier, diluent or excipient” includes without limitation any adjuvant, carrier, excipient, glidant, sweetening agent, diluent, preservative, dye/colorant, flavor enhancer, surfactant, wetting agent, dispersing agent, suspending agent, stabilizer, isotonic agent, solvent, or emulsifier which has been approved by the United States Food and Drug Administration as being acceptable for use in humans or domestic animals.
- “Pharmaceutically acceptable salt” includes both acid and base addition salts.
- “Pharmaceutically acceptable acid addition salt” refers to those salts which retain the biological effectiveness and properties of the free bases, which are not biologically or otherwise undesirable, and which are formed with inorganic acids such as, but are not limited to, hydrochloric acid, hydrobromic acid, sulfuric acid, nitric acid, phosphoric acid and the like, and organic acids such as, but not limited to, acetic acid, 2,2-dichloroacetic acid, adipic acid, alginic acid, ascorbic acid, aspartic acid, benzenesulfonic acid, benzoic acid, 4-acetamidobenzoic acid, camphoric acid, camphor- 10-sulfonic acid, capric acid, caproic acid, caprylic acid, carbonic acid, cinnamic acid, citric acid, cyclamic acid, dodecylsulfuric acid, ethane- 1,2-disulfonic acid, ethanesulfonic acid, 2-hydroxyethanesulfonic
- “Pharmaceutically acceptable base addition salt” refers to those salts which retain the biological effectiveness and properties of the free acids, which are not biologically or otherwise undesirable. These salts are prepared from addition of an inorganic base or an organic base to the free acid. Salts derived from inorganic bases include, but are not limited to, the sodium, potassium, lithium, ammonium, calcium, magnesium, iron, zinc, copper, manganese, aluminum salts and the like. Preferred inorganic salts are the ammonium, sodium, potassium, calcium, and magnesium salts.
- Salts derived from organic bases include, but are not limited to, salts of primary, secondary, and tertiary amines, substituted amines including naturally occurring substituted amines, cyclic amines and basic ion exchange resins, such as ammonia, isopropylamine, trimethylamine, diethylamine, triethylamine, tripropylamine, diethanolamine, ethanolamine, deanol, 2-dimethylaminoethanol,
- 2-diethylaminoethanol dicyclohexylamine, lysine, arginine, histidine, caffeine, procaine, hydrabamine, choline, betaine, benethamine, benzathine, ethylenediamine, glucosamine, methylglucamine, theobromine, tri ethanolamine, tromethamine, purines, piperazine, piperidine, N-ethylpiperidine, polyamine resins and the like.
- Particularly preferred organic bases are isopropylamine, diethylamine, ethanolamine,
- a "pharmaceutical composition” refers to a formulation of an L P of the invention and a medium generally accepted in the art for the delivery of the biologically active compound to mammals, e.g., humans. Such a medium includes all
- Treating refers to the treatment of the disease or condition of interest in a mammal, preferably a human, having the disease or condition of interest, and includes:
- disease and “condition” may be used interchangeably or may be different in that the particular malady or condition may not have a known causative agent (so that etiology has not yet been worked out) and it is therefore not yet recognized as a disease but only as an undesirable condition or syndrome, wherein a more or less specific set of symptoms have been identified by clinicians.
- the disease is a metabolic disturbance, for example, obesity, type II diabetes, insulin resistance, atherosclerosis, or lipid disorders.
- the present invention provides a use of a therapeutically effective amount of a composition for intraperitoneally administration, the composition comprising a lipid nanoparticle and a therapeutic agent, or a pharmaceutically acceptable salt or prodrug thereof, encapsulated within or associated with the lipid nanoparticle, in the manufacture of a medicament for treating a disease mediated by protein expression in adipose tissue of a subject in need thereof, wherein the administering delivers the therapeutic agent to adipose tissue of the subject and alters protein expression in the adipose tissue.
- the lipid nanoparticle and therapeutic agent can be prepared according to any of the
- Certain embodiments provide a method for treating a disease mediated by protein expression in adipose tissue of a subject in need thereof, the method comprising:
- compositions comprising a lipid nanoparticle, the lipid nanoparticle comprising a therapeutic agent, or a pharmaceutically acceptable salt or prodrug thereof,
- lipid nanoparticle encapsulated within or associated with the lipid nanoparticle, thereby delivering the therapeutic agent to adipose tissue of the subject and altering protein expression in the adipose tissue.
- the present invention provides a method for delivering a therapeutic agent to adipose tissue of a subject in need thereof, the method comprising:
- composition comprising a therapeutically effective amount of a lipid nanoparticle, the lipid nanoparticle comprising a therapeutic agent, or a pharmaceutically acceptable salt or prodrug thereof, encapsulated within or associated with the lipid nanoparticle;
- lipid nanoparticle components can be chosen to effectuate desirable physical characteristics.
- Some common components of lipid nanoparticles include, but are not limited to cationic lipids, neutral lipids, steroids, and polymer conjugated lipids.
- the L Ps disclosed herein comprise a cationic lipid.
- the cationic lipid can be any of a number of lipid species which carry a net positive charge at a selected pH, such as physiological pH.
- lipids include, but are not limited to, N,N-dioleyl-N,N-dimethylammonium chloride (DODAC); N-(2,3- dioleyloxy)propyl)-N,N,N-trimethylammonium chloride (DOTMA); N,N-distearyl- ⁇ , ⁇ -dimethylammonium bromide (DDAB); N-(2,3dioleoyloxy)propyl)-N,N,N- trimethylammonium chloride (DOTAP); 3-(N— (N',N'dimethylaminoethane)- carbamoyl)cholesterol (DC-Choi), N-(l-(2,3-dioleoyloxy)propyl)N-2- (
- cationic lipids are available which can be used in the present invention. These include, for example, LIPOFECTIN® (commercially available cationic liposomes comprising DOTMA and l,2-dioleoyl-sn-3phosphoethanolamine (DOPE), from GIBCO/BRL, Grand Island, N.
- LIPOFECTIN® commercially available cationic liposomes comprising DOTMA and l,2-dioleoyl-sn-3phosphoethanolamine (DOPE)
- DOPE dioleoyl-sn-3phosphoethanolamine
- LIPOFECTAMINE® commercially available cationic liposomes comprising N- (l-(2,3dioleyloxy)propyl)-N-(2-(sperminecarboxamido)ethyl)-N,N-dimethylammonium trifluoroacetate (DOSPA) and (DOPE), from GIBCO/BRL); and TRANSFECTAM® (commercially available cationic lipids comprising dioctadecylamidoglycyl
- DOGS carboxyspermine
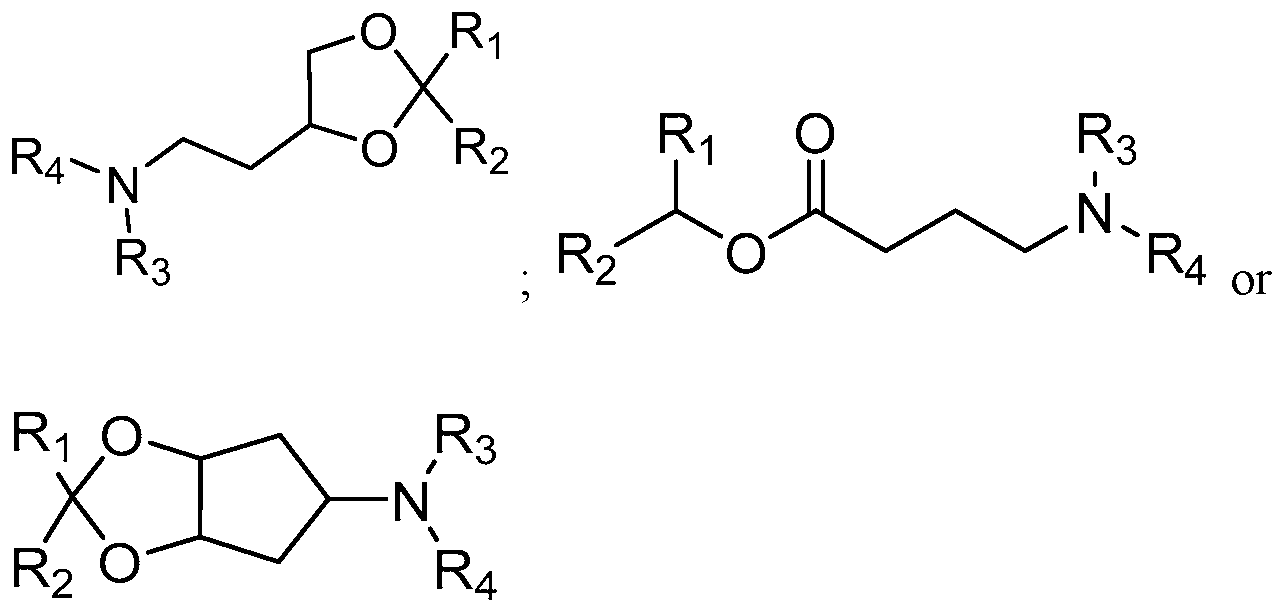
- the cationic lipid is an amino lipid.
- Suitable amino lipids useful in the invention include those described in PCT Pub. No. WO
- Representative amino lipids include, but are not limited to, l,2-dilinoleyoxy-3-
- Ri and R 2 are either the same or different and independently optionally substituted Cio-C 24 alkyl, optionally substituted C 10 -C24 alkenyl, optionally substituted C10-C24 alkynyl, or optionally substituted C10-C24 acyl;
- R 3 and R4 are either the same or different and independently optionally substituted C 1 -C 6 alkyl, optionally substituted C 2 -C 6 alkenyl, or optionally substituted C 2 -C 6 alkynyl or R 3 and R4 may join to form an optionally substituted heterocyclic ring of 4 to 6 carbon atoms and 1 or 2 heteroatoms chosen from nitrogen and oxygen;
- R 5 is either absent or present and when present is hydrogen or C 1 -C 6 alkyl; m, n, and p are either the same or different and independently either 0 or 1 with the proviso that m, n, and p are not simultaneously 0; q is 0, 1, 2, 3, or 4; and
- Ri and R 2 are each linoleyl, and the amino lipid is a dilinoleyl amino lipid. In one embodiment, the amino lipid is a dilinoleyl amino lipid.
- cationic lipids include those having the following structure:
- Ri and R 2 are independently selected from the group consisting of H, and C1-C3 alkyls;
- R 3 and R4 are independently selected from the group consisting of alkyl groups having from about 10 to about 20 carbon atoms, wherein at least one of R 3 and R4 comprises at least two sites of unsaturation.
- R 3 and R4 may be, for example, dodecadienyl, tetradecadienyl, hexadecadienyl, linoleyl, and icosadienyl.
- R 3 and R are both linoleyl.
- R 3 and R4 may comprise at least three sites of unsaturation (e.g., R3 and R4 may be, for example, dodecatrienyl, tetradectrienyl, hexadecatrienyl, linolenyl, and icosatrienyl).
- the LNPs comprise lipids having the following structure:
- Ri and R2 are independently selected and are H or C1-C3 alkyls.
- R3 and R4 are independently selected and are alkyl groups having from about 10 to about 20 carbon atoms, wherein at least one of R4 and R4 comprises at least two sites of unsaturation.
- R 3 and R4 are both the same, for example, in some embodiments R3 and R4 are both linoleyl (i.e. CI 8), etc.
- R3 and R4 are different, for example, in some embodiments R3 is tetradectrienyl (C14) and R4 is linoleyl (CI 8).
- the cationic lipids of the present invention are symmetrical, i.e., R3 and R4 are the same.
- both R3 and R4 comprise at least two sites of unsaturation.
- R 3 and R4 are independently selected from dodecadienyl, tetradecadienyl, hexadecadienyl, linoleyl, and icosadienyl.
- R 3 and R4 are both linoleyl.
- R4 and R4 comprise at least three sites of unsaturation and are
- the cationic lipid has the formula:
- n 2 to 20;
- R 1 is independently, for each occurrence, a non-hydrogen, substituted or unsubstituted side chain of an amino acid
- R 2 and R N are independently, for each occurrence, hydrogen, an organic group consisting of carbon, oxygen, nitrogen, sulfur, and hydrogen atoms, or any combination of the foregoing, and having from 1 to 20 carbon atoms, C ( i- 5) alkyl,
- Z is NH, O, S,— CH2S— ,— CH2S(0)— , or an organic linker consisting of 1-40 atoms selected from hydrogen, carbon, oxygen, nitrogen, and sulfur atoms (preferably, Z is NH or O);
- R x and R y are, independently, (i) a lipophilic tail derived from a lipid (which can be naturally-occurring or synthetic), phospholipid, glycolipid,
- the tail optionally includes a steroid; (ii) an amino acid terminal group selected from hydrogen, hydroxyl, amino, and an organic protecting group; or (iii) a substituted or unsubstituted
- R x and R y are lipophilic tails as defined above and the other is an amino acid terminal group, or both R x and R y are lipophilic tails;
- R x and R y are interrupted by one or more biodegradable
- R 11 is a C 2 -C 8 alkyl or alkenyl and each occurrence of R 5 is, independently, H or alkyl; and each occurrence of R 3 and R 4 are, independently H, halogen, OH, alkyl, alkoxy,— NHfe, alkylamino, or dialkylamino; or R 3 and R 4 , together with the carbon atom to which they are directly attached, form a cycloalkyl group (in one preferred embodiment, each occurrence ofR 3 and R 4 are, independently H or C 1 -C 4 alkyl)); and R x and R y each, independently, optionally have one or more carbon-carbon double bonds.
- the cationic lipid is one of the following:
- Ri and R 2 are independently alkyl, alkenyl or alkynyl, and each can be optionally substituted;
- R 3 and R4 are independently a Ci-Ce alkyl, or R 3 and R4 can be taken together to form an optionally substituted heterocyclic ring.
- a representative useful dilinoleyl amino lipid has the formula:
- n 0, 1, 2, 3, or 4.
- the cationic lipid is a DLin-K-DMA. In one embodiment, the cationic lipid is DLin-KC2-DMA (DLin-K-DMA above, wherein 2).
- the cationic lipid is DLin-MC3-DMA.
- the cationic lipid has the following structure:
- Ri and R 2 are each independently for each occurrence optionally substituted C10-C30 alkyl, optionally substituted C10-C30 alkenyl, optionally substituted C1.0-C30 alkynyl or optionally substituted C10-C30 acyl;
- Cio alkenyl optionally substituted C 2 -C 10 alkynyl, alkylhetrocycle, alkylphosphate, alkylphosphorothioate, alkylphosphorodithioate, alkylphosphonate, alkylamine, hydroxyalkyl, ⁇ -aminoalkyl, ro-(substituted)aminoalkyl, ⁇ -phosphoalkyl, ⁇ - thiophosphoalkyl, optionally substituted polyethylene glycol (PEG, mw 100-40K), optionally substituted mPEG (mw 120-40K), heteroaryl, or heterocycle, or linker- ligand, for example in some embodiments R3 is ( ⁇ 3 ⁇ 4)2 ⁇ (0 ⁇ 2) ⁇ -, wherein n is 1, 2, 3 or 4;
- E is O, S, N(Q), C(0), OC(O), C(0)0, N(Q)C(0), C(0)N(Q),
- Q is H, alkyl, ⁇ -aminoalkyl, ro-(substituted)aminoalkyl, ⁇ -phosphoalkyl or ⁇ -thiophosphoalkyl.
- the cationic lipid has the following structure:
- Q is H, alkyl, ⁇ -amninoalkyl, ro-(substituted)amninoalky, ⁇ - phosphoalkyl or ⁇ -thiophosphoalkyl;
- Ri and R2 and R x are each independently for each occurrence H, optionally substituted C 1 -C 10 alkyl, optionally substituted C 10 -C 30 alkyl, optionally substituted C 10 -C 30 alkenyl, optionally substituted C 10 -C 30 alkynyl, optionally substituted C10-C30 acyl, or linker-ligand, provided that at least one of Ri, R2 and R x is not H;
- R3 is H, optionally substituted C1-C10 alkyl, optionally substituted C 2 -C 10 alkenyl, optionally substituted C 2 -C 10 alkynyl, alkylhetrocycle, alkylphosphate, alkylphosphorothioate, alkylphosphorodithioate, alkylphosphonate, alkylamine, hydroxyalkyl, ⁇ -aminoalkyl, ro-(substituted)aminoalkyl, ⁇ -phosphoalkyl, ⁇ - thiophosphoalkyl, optionally substituted polyethylene glycol (PEG, mw 100-40K), optionally substituted mPEG (mw 120-40K), heteroaryl, or heterocycle, or linker- ligand; and
- n 0, 1, 2, or 3.
- the canonic lipid has one of the following structures:
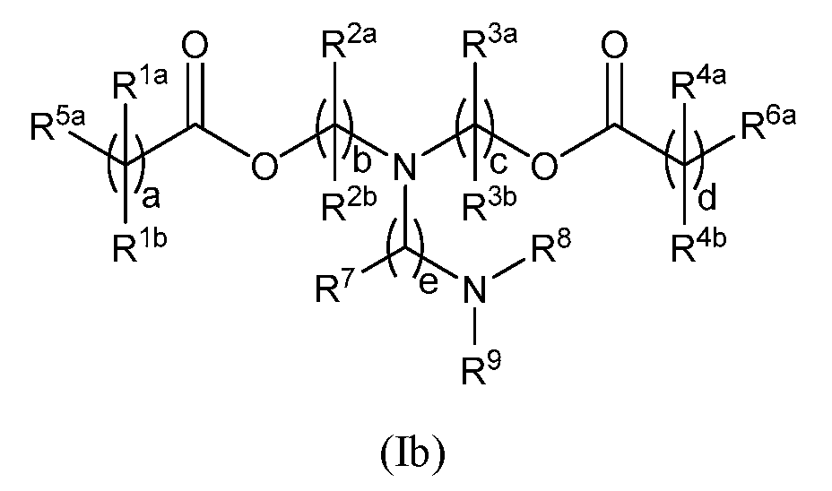
- the cationic lipid has the structure of Formula I:
- R a is H or C 1 -C 12 alkyl
- R la and R lb are, at each occurrence, independently either (a) H or C 1 -C 12 alkyl, or (b) R la is H or C 1 -C 12 alkyl, and R lb together with the carbon atom to which it is bound is taken together with an adjacent R lb and the carbon atom to which it is bound to form a carbon-carbon double bond;
- R 2a and R 2b are, at each occurrence, independently either (a) H or C 1 -C 12 alkyl, or (b) R 2a is H or C 1 -C 12 alkyl, and R 2b together with the carbon atom to which it is bound is taken together with an adjacent R 2b and the carbon atom to which it is bound to form a carbon-carbon double bond;
- R 3a and R 3b are, at each occurrence, independently either (a) H or C 1 -C 12 alkyl, or (b) R 3a is H or C 1 -C 12 alkyl, and R 3b together with the carbon atom to which it is bound is taken together with an adjacent R 3b and the carbon atom to which it is bound to form a carbon-carbon double bond;
- R 4a and R 4b are, at each occurrence, independently either (a) H or C 1 -C 12 alkyl, or (b) R 4a is H or C 1 -C 12 alkyl, and R 4b together with the carbon atom to which it is bound is taken together with an adjacent R 4b and the carbon atom to which it is bound to form a carbon-carbon double bond; R 5 and R 6 are each independently methyl or cycloalkyl;
- R 7 is, at each occurrence, independently H or C 1 -C 12 alkyl;
- R 8 and R 9 are each independently unsubstituted C 1 -C 12 alkyl; or R 8 and R 9 , together with the nitrogen atom to which they are attached, form a 5, 6 or 7- membered heterocyclic ring comprising one nitrogen atom;
- a and d are each independently an integer from 0 to 24; b and c are each independently an integer from 1 to 24; e is 1 or 2; and
- x 0, 1 or 2.
- L 1 and L 2 are independently -
- R la and R lb are not isopropyl when a is 6 or n-butyl when a is 8.
- R la and R lb are not isopropyl when a is 6 or n-butyl when a is 8.
- R 8 and R 9 are each independently unsubstituted C 1 -C 12 alkyl; or R 8 and R 9 , together with the nitrogen atom to which they are attached, form a 5, 6 or 7-membered heterocyclic ring comprising one nitrogen atom;
- R a and R b are, at each occurrence, independently H or a substituent.
- R a and R b are, at each occurrence, independently H, Ci- Ci 2 alkyl or cycloalkyl, for example H or C 1 -C 12 alkyl.
- the lipid compounds of Formula I have the following structure (la):
- the lipid compounds of Formula I have the following structure (lb):
- the lipid compounds of Formula I have the following structure (Ic):
- a, b, c and d are each independently an integer from 2 to 12 or an integer from 4 to 12. In other embodiments, a, b, c and d are each independently an integer from 8 to 12 or 5 to 9. In some certain embodiments, a is 0. In some embodiments, a is 1. In other embodiments, a is 2. In more embodiments, a is 3. In yet other embodiments, a is 4. In some embodiments, a is 5. In other embodiments, a is 6. In more embodiments, a is 7. In yet other embodiments, a is 8. In some embodiments, a is 9. In other embodiments, a is 10. In more embodiments, a is 11. In yet other embodiments, a is 12. In some embodiments, a is 13. In other embodiments, a is 14. In more embodiments, a is 15. In yet other embodiments, a is 16.
- b is 1. In other embodiments, b is 2. In more embodiments, b is 3. In yet other embodiments, b is 4. In some embodiments, b is 5. In other embodiments, b is 6. In more embodiments, b is 7. In yet other embodiments, b is 8. In some embodiments, b is 9. In other embodiments, b is 10. In more embodiments, b is 11. In yet other embodiments, b is 12. In some embodiments, b is 13. In other embodiments, b is 14. In more embodiments, b is 15. In yet other embodiments, b is 16.
- c is 1. In other embodiments, c is 2. In more embodiments, c is 3. In yet other embodiments, c is 4. In some embodiments, c is 5. In other embodiments, c is 6. In more embodiments, c is 7. In yet other embodiments, c is 8. In some embodiments, c is 9. In other embodiments, c is 10. In more embodiments, c is 11. In yet other embodiments, c is 12. In some embodiments, c is 13. In other embodiments, c is 14. In more embodiments, c is 15. In yet other embodiments, c is 16. In some certain other embodiments of Formula I, d is 0. In some embodiments, d is 1. In other embodiments, d is 2.
- d is 3. In yet other embodiments, d is 4. In some embodiments, d is 5. In other embodiments, d is 6. In more embodiments, d is 7. In yet other embodiments, d is 8. In some embodiments, d is 9. In other embodiments, d is 10. In more embodiments, d is 11. In yet other embodiments, d is 12. In some embodiments, d is 13. In other embodiments, d is 14. In more embodiments, d is 15. In yet other embodiments, d is 16.
- a and d are the same. In some other embodiments, b and c are the same. In some other specific embodiments, a and d are the same and b and c are the same.
- a and b and the sum of c and d in Formula I are factors which may be varied to obtain a lipid of formula I having the desired properties.
- a and b are chosen such that their sum is an integer ranging from 14 to 24.
- c and d are chosen such that their sum is an integer ranging from 14 to 24.
- the sum of a and b and the sum of c and d are the same.
- the sum of a and b and the sum of c and d are both the same integer which may range from 14 to 24.
- a. b, c and d are selected such the sum of a and b and the sum of c and d is 12 or greater.
- e is 1. In other embodiments, e is 2.
- the substituents at R la , R 2a , R 3a and R 4a of Formula I are not particularly limited. In certain embodiments R la , R 2a , R 3a and R 4a are H at each occurrence. In certain other embodiments at least one of R la , R 2a , R 3a and R 4a is C 1 -C 12 alkyl. In certain other embodiments at least one of R la , R 2a , R 3a and R 4a is C 1 -C 8 alkyl. In certain other embodiments at least one of R la , R 2a , R 3a and R 4a is C 1 -C 6 alkyl.
- the C 1 -C 8 alkyl is methyl, ethyl, n-propyl, iso-propyl, n-butyl, iso-butyl, tert-butyl, n-hexyl or n-octyl.
- R la , R lb , R 4a and R 4b are C 1 -C 12 alkyl at each occurrence.
- R ib R 2b R 3b and R 4b is H or R lb , R 2b , R 3b and R 4b are H at each occurrence.
- R together with the carbon atom to which it is bound is taken together with an adjacent R lb and the carbon atom to which it is bound to form a carbon-carbon double bond.
- R 4b together with the carbon atom to which it is bound is taken together with an adjacent R 4b and the carbon atom to which it is bound to form a carbon-carbon double bond.
- R 5 and R 6 of Formula I are not particularly limited in the foregoing embodiments. In certain embodiments one or both of R 5 or R 6 is methyl.
- R 5 or R 6 is cycloalkyl for example cyclohexyl.
- the cycloalkyl may be substituted or not substituted.
- the cycloalkyl is substituted with C 1 -C 12 alkyl, for example tert-butyl.
- R 7 are not particularly limited in the foregoing embodiments of Formula I. In certain embodiments at least one R 7 is H. In some other embodiments, R 7 is H at each occurrence. In certain other embodiments R 7 is C 1 -C 12 alkyl.
- one of R 8 or R 9 is methyl. In other embodiments, both R 8 and R 9 are methyl.
- R 8 and R 9 together with the nitrogen atom to which they are attached, form a 5, 6 or 7-membered heterocyclic ring.
- R 8 and R 9 together with the nitrogen atom to which they are attached, form a 5-membered heterocyclic ring, for example a pyrrolidinyl ring.
- the lipid of Formula I has one of the structures set forth in Table 1 below. TABLE 1: REPRESENTATIVE LIPIDS OF FORMULA I
- the lipid of Formula I is compound 1-5. In some embodiments the lipid of Formula I is compound 1-6.
- the cationic lipid has a structure of Formula II:
- G 3 is C 1 -C 6 alkylene;
- R a is H or C 1 -C 12 alkyl
- R la and R lb are, at each occurrence, independently either: (a) H or C 1 -C 12 alkyl; or (b) R la is H or C 1 -C 12 alkyl, and R lb together with the carbon atom to which it is bound is taken together with an adjacent R lb and the carbon atom to which it is bound to form a carbon-carbon double bond;
- R 2a and R 2b are, at each occurrence, independently either: (a) H or C 1 -C 12 alkyli or (b)R ⁇ is H or C 1 -C 12 alkyl, and R 2b together with the carbon atom to which it is bound is taken together with an adjacent R 2b and the carbon atom to which it is bound to form a carbon-carbon double bond;
- R 3a and R 3b are, at each occurrence, independently either (a): H or C 1 -C 12 alkyl; or (b) R 3a is H or C 1 -C 12 alkyl, and R 3b together with the carbon atom to which it is bound is taken together with an adjacent R 3b and the carbon atom to which it is bound to form a carbon-carbon double bond;
- R 4a and R 4b are, at each occurrence, independently either: (a) H or C 1 -C 12 alkyl; or (b) R 4a is H or C 1 -C 12 alkyl, and R 4b together with the carbon atom to which it is bound is taken together with an adjacent R 4b and the carbon atom to which it is bound to form a carbon-carbon double bond;
- R 5 and R 6 are each independently H or methyl
- R 7 is C4-C20 alkyl
- R 8 and R 9 are each independently C 1 -C 12 alkyl; or R 8 and R 9 , together with the nitrogen atom to which they are attached, form a 5, 6 or 7-membered heterocyclic ring;
- a, b, c and d are each independently an integer from 1 to 24; and x is 0, 1 or 2.
- the lipid compound has one of the following structures (II A) or (IIB):
- the lipid compound has structure (IIA). In other embodiments, the lipid compound has structure (IIB).
- one of L 1 or L 2 is a direct bond.
- a "direct bond” means the group (e.g., L 1 or L 2 ) is absent.
- each of L 1 and L 2 is a direct bond.
- R la is H or C 1 -C 12 alkyl
- R lb together with the carbon atom to which it is bound is taken together with an adjacent R lb and the carbon atom to which it is bound to form a carbon-carbon double bond.
- R 4a is H or C 1 -C 12 alkyl
- R 4b together with the carbon atom to which it is bound is taken together with an adjacent R 4b and the carbon atom to which it is bound to form a carbon-carbon double bond.
- R 2a is H or C 1 -C 12 alkyl
- R 2b together with the carbon atom to which it is bound is taken together with an adjacent R 2b and the carbon atom to which it is bound to form a carbon-carbon double bond.
- R 3a is H or C 1 -C 12 alkyl
- R 3b together with the carbon atom to which it is bound is taken together with an adjacent R and the carbon atom to which it is bound to form a carbon-carbon double bond.
- the lipid compound has one of the following structures (IIC) or (IID):
- e, f, g and h are each independently an integer from 1 to 12.
- the lipid compound has structure
- the lipid compound has structure (IID).
- structures (IIC) or (IID) are each independently an integer from 4 to 10.
- a, b, c and d are each independently an integer from 2 to 12 or an integer from 4 to 12.
- a, b, c and d are each independently an integer from 8 to 12 or 5 to 9. In some certain embodiments, a is 0. In some embodiments, a is 1. In other embodiments, a is 2. In more embodiments, a is 3. In yet other embodiments, a is 4. In some embodiments, a is 5. In other embodiments, a is 6. In more embodiments, a is 7. In yet other embodiments, a is 8. In some embodiments, a is 9. In other embodiments, a is 10. In more embodiments, a is 11. In yet other embodiments, a is 12. In some embodiments, a is 13. In other embodiments, a is 14. In more embodiments, a is 15. In yet other embodiments, a is 16.
- b is 1. In other embodiments, b is 2. In more embodiments, b is 3. In yet other embodiments, b is 4. In some
- b is 5. In other embodiments, b is 6. In more embodiments, b is 7. In yet other embodiments, b is 8. In some embodiments, b is 9. In other embodiments, b is 10. In more embodiments, b is 11. In yet other embodiments, b is 12. In some embodiments, b is 13. In other embodiments, b is 14. In more embodiments, b is 15. In yet other embodiments, b is 16.
- c is 1. In other embodiments, c is
- c is 3. In yet other embodiments, c is 4. In some
- c is 5. In other embodiments, c is 6. In more embodiments, c is 7. In yet other embodiments, c is 8. In some embodiments, c is 9. In other embodiments, c is 10. In more embodiments, c is 11. In yet other embodiments, c is 12. In some embodiments, c is 13. In other embodiments, c is 14. In more embodiments, c is 15. In yet other embodiments, c is 16.
- d is 0. In some embodiments, d is 1. In other embodiments, d is 2. In more embodiments, d is 3. In yet other embodiments, d is 4. In some embodiments, d is 5. In other embodiments, d is 6. In more embodiments, d is 7. In yet other embodiments, d is 8. In some embodiments, d is 9. In other embodiments, d is 10. In more embodiments, d is 11. In yet other embodiments, d is 12. In some embodiments, d is 13. In other embodiments, d is 14. In more embodiments, d is 15. In yet other embodiments, d is 16.
- e is 1. In other embodiments, e is 2. In more embodiments, e is 3. In yet other embodiments, e is 4. In some
- e is 5. In other embodiments, e is 6. In more embodiments, e is 7. In yet other embodiments, e is 8. In some embodiments, e is 9. In other embodiments, e is 10. In more embodiments, e is 11. In yet other embodiments, e is 12.
- f is 1. In other embodiments, f is 2. In more embodiments, f is 3. In yet other embodiments, f is 4. In some embodiments, f is 5. In other embodiments, f is 6. In more embodiments, f is 7. In yet other embodiments, f is 8. In some embodiments, f is 9. In other embodiments, f is 10. In more embodiments, f is 11. In yet other embodiments, f is 12.
- g is 1. In other embodiments, g is 2. In more embodiments, g is 3. In yet other embodiments, g is 4. In some
- g is 5. In other embodiments, g is 6. In more embodiments, g is 7. In yet other embodiments, g is 8. In some embodiments, g is 9. In other embodiments, g is 10. In more embodiments, g is 11. In yet other embodiments, g is 12.
- h is 1. In other embodiments, e is 2. In more embodiments, h is 3. In yet other embodiments, h is 4. In some
- e is 5. In other embodiments, h is 6. In more embodiments, h is 7. In yet other embodiments, h is 8. In some embodiments, h is 9. In other embodiments, h is 10. In more embodiments, h is 11. In yet other embodiments, h is 12.
- a and d are the same. In some other embodiments, b and c are the same. In some other specific embodiments and a and d are the same and b and c are the same.
- the sum of a and b and the sum of c and d of Formula II are factors which may be varied to obtain a lipid having the desired properties.
- a and b are chosen such that their sum is an integer ranging from 14 to 24.
- c and d are chosen such that their sum is an integer ranging from 14 to 24.
- the sum of a and b and the sum of c and d are the same.
- the sum of a and b and the sum of c and d are both the same integer which may range from 14 to 24.
- a. b, c and d are selected such that the sum of a and b and the sum of c and d is 12 or greater.
- R la , R 2a , R 3a and R 4a of Formula II are not particularly limited.
- at least one of R la , R 2a , R 3a and R 4a is H.
- R la , R 2a , R 3a and R 4a are H at each occurrence.
- at least one of R la , R 2a , R 3a and R 4a is C 1 -C 12 alkyl.
- at least one of R la , R 2a , R 3a and R 4a is C 1 -C 8 alkyl.
- at least one of R la , R 2a , R 3a and R 4a is C 1 -C 6 alkyl.
- the C 1 -C 8 alkyl is methyl, ethyl, n-propyl, iso-propyl, n-butyl, iso-butyl, tert-butyl, n-hexyl or n-octyl.
- R la , R lb , R 4a and R 4b are C 1 -C 12 alkyl at each occurrence.
- R 4b is H or R lb , R 2b , R 3b and R 4b are H at each occurrence.
- R lb together with the carbon atom to which it is bound is taken together with an adjacent R lb and the carbon atom to which it is bound to form a carbon-carbon double bond.
- R 4b together with the carbon atom to which it is bound is taken together with an adjacent R 4b and the carbon atom to which it is bound to form a carbon-carbon double bond.
- R 5 and R 6 of Formula II are not particularly limited in the foregoing embodiments.
- one of R 5 or R 6 is methyl.
- each of R 5 or R 6 is methyl.
- R a is H or C 1 -C 12 alkyl
- R b is C1-C15 alkyl
- x is 0, 1 or 2.
- R b is branched C1-C16 alkyl.
- R b has one of the following structures:
- one of R or R 9 is methyl. In other embodiments, both R 8 and R 9 are methyl.
- R 8 and R 9 together with the nitrogen atom to which they are attached, form a 5, 6 or 7-membered heterocyclic ring.
- R 8 and R 9 together with the nitrogen atom to which they are attached, form a 5-membered heterocyclic ring, for example a pyrrolidinyl ring.
- R 8 and R 9 together with the nitrogen atom to which they are attached, form a 6-membered heterocyclic ring, for example a piperazinyl ring.
- G 3 is C 2 -C4 alkylene, for example C 3 alkylene.
- the lipid compound has one of the structures set forth in Table 2 below
- the lipid of Formula II is compound II-9. In some embodiments the lipid of Formula II is compound 11-10. In some embodiments the lipid of Formula II is compound 11-11. In some embodiments the lipid of Formula II is compound 11-12. In some embodiments the lipid of Formula II is compound 11-14. In some embodiments the lipid of Formula II is compound 11-15.
- the cationic lipid has a structure of Formula
- G 1 and G 2 are each independently unsubstituted C 1 -C 12 alkylene or Ci-
- G 3 is C 1 -C 24 alkylene, C 1 -C 24 alkenylene, C 3 -C 8 cycloalkylene, C 3 -C 8 cycloalkenylene;
- R a is H or C 1 -C 12 alkyl
- R* and R 2 are each independently C6-C24 alkyl or C6-C24 alkenyl
- R 4 is C 1 -C 12 alkyl
- R 5 is H or C 1 -C 6 alkyl
- x 0, 1 or 2.
- the lipid has one of the following structures (IIIA) or (IIIB):
- A is a 3 to 8-membered cycloalkyl or cycloalkylene ring
- R 6 is, at each occurrence, independently H, OH or C 1 -C 24 alkyl; n is an integer ranging from 1 to 15.
- the lipid has structure (IIIA), and in other embodiments, the lipid has structure ( ⁇ ).
- the lipid has one of the following structures (IIIC or (HID):
- y and z are each independently integers ranging from 1 to 12.
- L 1 and L 2 are each
- the lipid has one of the following structures (HIE) or (IIIF):
- the lipid has one of the followin structures (IIIG), (IIIH), (IIII), or (III J):
- n is an integer ranging from 2 to 12, for example from 2 to 8 or from 2 to 4.
- n is 3, 4, 5 or 6.
- n is 3.
- n is 4.
- n is 5.
- n is 6.
- y and z are each independently an integer ranging from 2 to 10.
- y and z are each independently an integer ranging from 2 to 10.
- y and z are each independently an integer ranging from 4 to 9 or from 4 to 6.
- R 6 is H. In other of the foregoing embodiments, R 6 is C 1 -C24 alkyl. In other embodiments, R 6 is OH.
- G 3 is unsubstituted. In other embodiments, G3 is substituted. In various different embodiments, G 3 is linear C 1 -C24 alkylene or linear C 1 -C 24 alkenylene.
- R 1 or R 2 is C6-C24 alkenyl.
- R 1 and R 2 each, independently have the following structure:
- R 7a and R 7b are, at each occurrence, independently H or C 1 -C 12 alkyl; and a is an integer from 2 to 12,
- R 7a , R ⁇ and a are each selected such that R 1 and R 2 each independently comprise from 6 to 20 carbon atoms.
- a is an integer ranging from 5 to 9 or from 8 to 12.
- at least one occurrence of R 7a is H.
- R 7a is H at each occurrence.
- at least one occurrence of R 7b is C 1 -C 8 alkyl.
- C 1 -C 8 alkyl is methyl, ethyl, n-propyl, iso- propyl, n-butyl, iso-butyl, tert-butyl, n-hexyl or n-octyl.
- R 1 or R 2 has one of the followin structures:
- R 4 is methyl or ethyl.
- the cationic lipid of Formula III has one of the structures set forth in Table 3 below.
- the lipid of Formula III is compound III-3. In some embodiments the lipid of Formula III is compound 111-25. In some embodiments the lipid of Formula III is compound 111-45.
- the cationic lipid has a structure of formula (IV):
- X is CR a ;
- Z is alkyl, cycloalkyl or a monovalent moiety comprising at least one polar functional group when n is 1; or Z is alkylene, cycloalkylene or a polyvalent moiety comprising at least one polar functional group when n is greater than 1;
- R a is, at each occurrence, independently H, C 1 -C 12 alkyl, C 1 -C 12 hydroxylalkyl, C 1 -C 12 aminoalkyl, C 1 -C 12 alkylaminylalkyl, C 1 -C 12 alkoxyalkyl, C 1 -C 12 alkoxycarbonyl, C 1 -C 12 alkylcarbonyloxy, C 1 -C 12 alkylcarbonyloxyalkyl or C 1 -C 12 alkylcarbonyl;
- R is, at each occurrence, independently either: (a) H or C 1 -C 12 alkyl; or (b) R together with the carbon atom to which it is bound is taken together with an adjacent R and the carbon atom to which it is bound to form a carbon-carbon double bond;
- R 1 and R 2 have, at each occurrence, the following structure, respectively:
- a 1 and a 2 are, at each occurrence, independently an integer from 3 to 12; b 1 and b 2 are, at each occurrence, independently 0 or 1;
- c 1 and c 2 are, at each occurrence, independently an integer from 5 to 10; d 1 and d 2 are, at each occurrence, independently an integer from 5 to 10; y is, at each occurrence, independently an integer from 0 to 2; and n is an integer from 1 to 6,
- alkylcarbonyloxyalkyl and alkylcarbonyl is optionally substituted with one or more substituent.
- G 1 and G 2 are each independently
- X is CH.
- the sum of a ⁇ ⁇ + c 1 or the sum of a 2 + b 2 + c 2 is an integer from 12 to 26.
- a 1 and a 2 are independently an integer from 3 to 10.
- a 1 and a 2 are independently an integer from 3 to 10.
- b 1 and b 2 are 0. In different embodiments, b 1 and b 2 are 1.
- c 1 , c 2 , d 1 and d 2 are independently an integer from 6 to 8.
- c 1 and c 2 are, at each occurrence, independently an integer from 6 to 10
- d 1 and d 2 are, at each occurrence, independently an integer from 6 to 10.
- c 1 and c 2 are, at each occurrence, independently an integer from 5 to 9, and d 1 and d 2 are, at each occurrence,
- Z is alkyl, cycloalkyl or a monovalent moiety comprising at least one polar functional group when n is 1. In other embodiments, Z is alkyl.
- R is, at each occurrence, independently either: (a) H or methyl; or (b) R together with the carbon atom to which it is bound is taken together with an adjacent R and the carbon atom to which it is bound to form a carbon-carbon double bond.
- each R is H.
- at least one R together with the carbon atom to which it is bound is taken together with an adjacent R and the carbon atom to which it is bound to form a carbon-carbon double bond.
- R 1 and R 2 independently have one of the following structures:
- the compound has one of the following structures:
- the cationic lipid is a compound having the structure of formula (V):
- X is CR a ;
- Z is alkyl, cycloalkyl or a monovalent moiety comprising at least one polar functional group when n is 1; or Z is alkylene, cycloalkylene or a polyvalent moiety comprising at least one polar functional group when n is greater than 1;
- R a is, at each occurrence, independently H, C 1 -C 12 alkyl, C 1 -C 12 hydroxylalkyl, C 1 -C 12 aminoalkyl, C 1 -C 12 alkylaminylalkyl, C 1 -C 12 alkoxyalkyl, C 1 -C 12 alkoxycarbonyl, C 1 -C 12 alkylcarbonyloxy, C 1 -C 12 alkylcarbonyloxyalkyl or C 1 -C 12 alkylcarbonyl;
- R is, at each occurrence, independently either: (a) H or C 1 -C 12 alkyl; or (b) R together with the carbon atom to which it is bound is taken together with an adjacent R and the carbon atom to which it is bound to form a carbon-carbon double bond;
- R 1 and R 2 have, at each occurrence, the following structure, respectively:
- R' is, at each occurrence, independently H or C 1 -C 12 alkyl; a 1 and a 2 are, at each occurrence, independently an integer from 3 to 12; b 1 and b 2 are, at each occurrence, independently 0 or 1;
- c 1 and c 2 are, at each occurrence, independently an integer from 2 to 12; d 1 and d 2 are, at each occurrence, independently an integer from 2 to 12; y is, at each occurrence, independently an integer from 0 to 2; and n is an integer from 1 to 6,
- G 1 and G 2 are each alkyl, alkylene, hydroxylalkyl, aminoalkyl, alkylaminylalkyl, alkoxyalkyl, alkoxycarbonyl, alkylcarbonyloxy, alkylcarbonyloxyalkyl and alkylcarbonyl is optionally substituted with one or more substituent.
- G 1 and G 2 are each alkyl, alkylene, hydroxylalkyl, aminoalkyl, alkylaminylalkyl, alkoxyalkyl, alkoxycarbonyl, alkylcarbonyloxy, alkylcarbonyloxyalkyl and alkylcarbonyl is optionally substituted with one or more substituent.
- G 1 and G 2 are each alkyl, alkylene, hydroxylalkyl, aminoalkyl, alkylaminylalkyl, alkoxyalkyl, alkoxycarbonyl, alkylcarbonyloxy, alkylcarbonyloxyalkyl and alkylcarbon
- X is CH.
- the sum of a ⁇ +d 1 is an integer from 20 to 30, and the sum of a 2 +c 2 +d 2 is an integer from 18 to 30.
- the sum of a ⁇ +d 1 is an integer from 20 to 30, and the sum of a 2 +c 2 +d 2 is an integer from 20 to 30.
- a , a , c 1 , c 2 , d 1 and d 2 are selected such that the sum of a ⁇ +d 1 is an integer from 18 to 28, and the sum of a 2 +c 2 +d 2 is an integer from 18 to 28,
- a 1 and a 2 are independently an integer from 3 to 10, for example an integer from 4 to 9.
- b 1 and b 2 are 0. In different embodiments b 1 and b 2 are 1.
- c 1 , c 2 , d 1 and d 2 are independently an integer from 6 to 8.
- Z is alkyl or a monovalent moiety comprising at least one polar functional group when n is 1; or Z is alkylene or a polyvalent moiety comprising at least one polar functional group when n is greater than 1.
- Z is alkyl, cycloalkyl or a monovalent moiety comprising at least one polar functional group when n is 1. In other embodiments, Z is alkyl.
- R is, at each occurrence, independently either: (a) H or methyl; or (b) R together with the carbon atom to which it is bound is taken together with an adjacent R and the carbon atom to which it is bound to form a carbon-carbon double bond.
- each R is H.
- at least one R together with the carbon atom to which it is bound is taken together with an adjacent R and the carbon atom to which it is bound to form a carbon-carbon double bond.
- each R' is H.
- the sum of a ⁇ +d 1 is an integer from 20 to 25, and the sum of a 2 +c 2 +d 2 is an integer from 20 to 25.
- R 1 and R 2 independently have one of the following structures:
- the compound has one of the following structures:
- n is 1. In other of the foregoing embodiments of formula (IV) or (V), n is greater than 1.
- Z is a mono- or polyvalent moiety comprising at least one polar functional group. In some embodiments, Z is a monovalent moiety comprising at least one polar functional group. In other embodiments, Z is a polyvalent moiety comprising at least one polar functional group.
- the polar functional group is a hydroxyl, alkoxy, ester, cyano, amide, amino, alkylaminyl, heterocyclyl or heteroaryl functional group.
- Z is hydroxyl, hydroxylalkyl, alkoxyalkyl, amino, aminoalkyl, alkylaminyl,
- alkylaminylalkyl heterocyclyl or heterocyclylalkyl.
- Z has the following structure:
- R 5 and R 6 are independently H or C 1 -C 6 alkyl
- R 7 and R 8 are independently H or C 1 -C 6 alkyl or R 7 and R 8 , together with the nitrogen atom to which they are attached, join to form a 3-7 membered heterocyclic ring;
- x is an integer from 0 to 6.
- Z has the following structure:
- R 5 and R 6 are independently H or C 1 -C 6 alkyl
- R 7 and R 8 are independently H or C 1 -C 6 alkyl or R 7 and R 8 , together with the nitrogen atom to which they are attached, join to form a 3-7 membered heterocyclic ring;
- x is an integer from 0 to 6.
- Z has the following structure:
- R 5 and R 6 are independently H or C 1 -C 6 alkyl
- R 7 and R 8 are independently H or C 1 -C 6 alkyl or R 7 and R 8 , together with the nitrogen atom to which they are attached, join to form a 3-7 membered heterocyclic ring;
- x is an integer from 0 to 6.
- Z is hydroxylalkyl, cyanoalkyl or an alkyl substituted with one or more ester or amide groups.
- Z has one of the following structures:
- Z-L has one of the following structures:
- Z-L has one of the following structures:
- X is CH and Z-L has one of the following structures:
- the compound has one of the structures set forth in Table 1 below.
- the compounds have the following structure of
- R is, at each occurrence, independently H or OH
- R 1 and R 2 are each independently branched, saturated or unsaturated Ci 2
- R 3 and R 4 are each independently H or straight or branched, saturated or unsaturated C 1 -C 6 alkyl; R 5 is straight or branched, saturated or unsaturated C 1 -C 6 alkyl; and n is an integer from 2 to 6.
- R 1 and R 2 are each independently branched, saturated or unsaturated C12-C30 alkyl, C12-C20 alkyl, or C 15 - C20 alkyl. In some specific embodiments, R 1 and R 2 are each saturated. In certain embodiments, at least one of R 1 and R 2 is unsaturated.
- R 1 and R 2 have the following structure:
- the compound has the following structure (VIA):
- R 6 and R 7 are, at each occurrence, independently H or straight or branched, saturated or unsaturated C1-C14 alkyl;
- a and b are each independently an integer ranging from 1 to 15, provided that R 6 and a, and R 7 and b, are each independently selected such that R 1 and R 2 , respectively, are each independently branched, saturated or unsaturated C12-C36 alkyl.
- the compound has the following structure (VIB):
- R 8 , R 9 , R 10 and R 11 are each independently straight or branched, saturated or unsaturated C4-C12 alkyl, provided that R 8 and R 9 , and R 10 and R 11 , are each independently selected such that R 1 and R 2 , respectively, are each independently branched, saturated or unsaturated Ci 2 -C 36 alkyl.
- R 8 , R 9 , R 10 and R 11 are each independently straight or branched, saturated or unsaturated C 6 -Cio alkyl.
- at least one of R 8 , R 9 , R 10 and R 11 is unsaturated.
- each of R 8 , R 9 , R 10 and R 11 is saturated.
- the compound has structure (IA), and in other embodiments, the compound has structure (VIB).
- G 1 is -OH, and in some embodiments G 1 is - R 3 R 4 .
- G 1 is -NH 2 , - HCH 3 or -N(CH 3 ) 2 .
- G 1 is
- n is an integer ranging from 2 to 6, for example, in some embodiments n is 2, 3, 4, 5 or 6. In some embodiments, n is 2. In some embodiments, n is 3. In some embodiments, n is 4.
- R , R , R , R and R is unsubstituted.
- R , R , R , R 4 and R 5 are each unsubstituted.
- R 3 is substituted.
- R 4 is substituted.
- R5 is substituted.
- each of R 3 and R 4 are substituted.
- a substituent on R 3 , R 4 or R 5 is hydroxyl.
- R 3 and R 4 are each substituted with hydroxyl.
- At least one R is
- each R is H.
- the compound has one of the structures set forth in Table 5 below.
- the compounds have the following structure of
- G 1 and G 2 are each independently C 2 -C 12 alkylene or C 2 -C 12 alkenylene;
- G 3 is C 1 -C 24 alkylene, C2-C24 alkenylene, C 3 -C 8 cycloalkylene or C 3 -C 8 cycloalkenylene;
- R a , R b , R d and R e are each independently H or C 1 -C 12 alkyl or C 2 -C 12 alkenyl;
- R c and R f are each independently C 1 -C 12 alkyl or C 2 -C 12 alkenyl
- R 1 and R 2 are each independently branched C6-C 24 alkyl or branched C 6 -
- R 4 is C 1 -C 12 alkyl
- R 5 is H or Ci-Cs alkyl or C 2 -C 8 alkenyl
- R 6 is H, aryl or aralkyl
- x 0, 1 or 2
- each alkyl, alkenyl, alkylene, alkenylene, cycloalkylene, cycloalkenylene, aryl and aralkyl is independently substituted or unsubstituted.
- G 3 is unsubstituted.
- G 3 is C 2 -C 12 alkylene, for example, in some embodiments G 3 is C3-C7 alkylene or in other embodiments G is C3-C12 alkylene. In some embodiments, G 3 is C 2 or C 3 alkylene.
- the compound has the following structure (VIIA):
- y and z are each independently integers ranging from 2 to 12, for example an integer from 2 to 6, for example 4.
- the compound has one of the following structures (VIIB), ( VIIC), (VIID) or ( VIE) :
- the compound has structure (VIIB), in other embodiments, the compound has structure (VIIC) and in still other embodiments the compound has the structure (VIID). In other embodiments, the compound has structure (VIIE). In some different embodiments of the foregoing, the compound has one of the following structures (VIIF), (VUG), (VIIH) or (VIIJ)
- y and z are each independently integers ranging from 2 to 12, for example an integer from 2 to 6, for example 4.
- y and z are each independently an integer ranging from 2 to 10, 2 to 8, from 4 to 10 or from 4 to 7.
- y is 4, 5, 6, 7, 8, 9, 10, 11 or 12.
- z is 4, 5, 6, 7, 8, 9, 10, 11 or 12.
- y and z are the same, while in other embodiments y and z are different.
- R 1 or R 2 is branched C6-C24 alkyl.
- R 1 and R 2 each, independently have the following structure:
- R 7a and R 7b are, at each occurrence, independently H or C 1 -C 12 alkyl; and a is an integer from 2 to 12,
- R 7a , R ⁇ and a are each selected such that R 1 and R 2 each independently comprise from 6 to 20 carbon atoms.
- a is an integer ranging from 5 to 9 or from 8 to 12.
- at least one occurrence of R 7a is H.
- R 7a is H at each occurrence.
- at least one occurrence of R 7b is C 1 -C 8 alkyl.
- C 1 -C 8 alkyl is methyl, ethyl, n-propyl, iso- propyl, n-butyl, iso-butyl, tert-butyl, n-hexyl or n-octyl.
- R 1 or R 2 has one of the following structures:
- R b , R c , R e and R f are each independently C3-C12 alkyl.
- R b , R c , R e and R f are n-hexyl and in other embodiments R b , R c , R e and R f are n-octyl.
- R 4 is ethyl, propyl, n-butyl, n-hexyl, n- octyl or n-nonyl.
- R 5 is H, methyl, ethyl, propyl, n-butyl, n- hexyl or n-octyl.
- R 4 and/or R 5 is optionally substituted with a substituent, for example hydroxyl.
- R 6 is benzyl and in other embodiments R 6 is H.
- R 4 , R 5 and R 6 are independently optionally substituted with one or more substituents selected from the group consisting of
- R g is, at each occurrence independently H or C 1 -C 6 alkyl
- R h is at each occurrence independently C 1 -C 6 alkyl
- R 1 is, at each occurrence independently C 1 -C 6 alkylene.
- R has one of the following structures:
- the compound has one of the structures set forth in Table 6 below.
- the compounds have the following structure of Formula (VIII):
- G 1 and G 2 are each independently C 1 -C 12 alkylene or C2-C12 alkenylene;
- G 3 is C 1 -C 24 alkylene, C2-C24 alkenylene, C 3 -C 8 cycloalkylene, C 3 -C 8 cycloalkenylene;
- R a , R b , R d and R e are each independently H or C 1 -C 12 alkyl or C2-C12 alkenyl;
- R c and R f are each independently C 1 -C 12 alkyl or C2-C12 alkenyl
- R 1 and R 2 are each independently branched C 6 -C 2 4 alkyl or branched C 6 - C24 alkenyl;
- R 4 is H, C 1 -C 12 alkyl or C 2 -Ci 2 alkenyl
- R 5 is C2-C12 alkyl or C2-C12 alkenyl when R 4 is H; or R 5 is C 1 -C 12 alkyl or C2-C12 alkenyl when R 4 is C 1 -C 12 alkyl or C 2 -Ci 2 alkenyl; and
- x 0, 1 or 2
- each alkyl, alkenyl, alkylene, alkenylene, cycloalkylene and cycloalkenylene is independently substituted or unsubstituted.
- G 3 is unsubstituted.
- G 3 is C 1 -C 12 alkylene, for example, G 3 is C3-C5 alkylene or G 3 is C3-C12 alkylene.
- the compound has the following structure (VIIIA):
- the compound has one of the following structures (VIIIB) or (VIIIC):
- the compound has structure (VIIIB), in other embodiments, the compound has structure (VIIIC).
- the compound has one of the following structures
- y and z are each independently integers ranging from 1 to 12.
- y and z are each independently an integer ranging from 2 to 12, for example from 2 to 10, from 2 to 8, from 4 to 7 or from 4 to 10.
- y is 4, 5, 6, 7, 8, 9, 10, 11 or 12.
- z is 4, 5, 6, 7, 8, 9, 10, 11 or 12.
- y and z are the same, while in other embodiments y and z are different.
- R 1 or R 2 is branched C 6 -C 24 alkyl.
- R 1 and R 2 each, independently have the following structure:
- R a and R are, at each occurrence, independently H or C 1 -C 12 alkyl; and a is an integer from 2 to 12,
- R 7a , R ⁇ and a are each selected such that R 1 and R 2 each independently comprise from 6 to 20 carbon atoms.
- a is an integer ranging from 5 to 9 or from 8 to 12.
- At least one occurrence of R 7a is H.
- R 7a is H at each occurrence.
- at least one occurrence of R 7b is C 1 -C 8 alkyl.
- C 1 -C 8 alkyl is methyl, ethyl, n-propyl, iso- propyl, n-butyl, iso-butyl, tert-butyl, n-hexyl or n-octyl.
- R 1 or R 2 has one of the following structures:
- R 4 is H, methyl, ethyl, propyl or octyl.
- R 5 is methyl, ethyl, propyl, heptyl or octyl, for example n-heptyl or n-octyl.
- R g is, at each occurrence independently H or C 1 -C 6 alkyl
- R h is at each occurrence independently C 1 -C 6 alkyl
- R 1 is, at each occurrence independently C 1 -C 6 alkylene.
- R has one of the following structures:
- the compound has one of the structures set forth in Table 7 below.
- the lipid nanoparticle comprises a neutral lipid.
- Exemplary neutral lipids include, for example, distearoylphosphatidylcholine (DSPC), dioleoylphosphatidylcholine (DOPC), dipalmitoylphosphatidylcholine (DPPC), dioleoyl-phosphatidylethanolamine (DOPE), palmitoyloleoylphosphatidylcholine (POPC), palmitoyloleoyl-phosphatidylethanolamine (POPE) and dioleoyl- phosphatidylethanolamine 4-(N-maleimidomethyl)-cyclohexane- 1 carboxylate (DOPE- mal), dipalmitoyl phosphatidyl ethanolamine (DPPE), dimyristoylphosphoethanolamine (DMPE), distearoyl-phosphatidylethanolamine (DSPE), 16-O-monom ethyl PE, 16-0- dimethyl PE, 18-1 -trans PE, l-stearioyl-2-oleo
- the neutral lipid is selected from DSPC, DPPC, DMPC, DOPC, POPC, DOPE and SM. In some embodiments, the neutral lipid is DSPC. In various embodiments, the molar ratio of the cationic lipid to the neutral lipid ranges from about 2: 1 to about 8: 1.
- the lipid nanoparticle further comprises a steroid or steroid analogue.
- the steroid or steroid analogue is cholesterol.
- the molar ratio of the cationic lipid to cholesterol ranges from about 5 : 1 to 1 : 1.
- the lipid nanoparticle comprises a polymer conjugated lipid, for example a pegylated lipid.
- the lipid nanoparticle includes a pegylated diacylglycerol (PEG-DAG) such as
- PEG-DMG l-(monomethoxy-polyethyleneglycol)-2,3-dimyristoylglycerol
- PEG-PE pegylated phosphatidylethanoloamine
- PEG succinate diacylglycerol PEGS-DAG
- PEG-S-DMG PEG succinate diacylglycerol
- PEG-S-DMG PEG succinate diacylglycerol
- PEG-S-DMG a pegylated ceramide
- PEG- cer PEG dialkoxypropylcarbamate
- the pegylated lipid has the following structure
- R 12 and R 13 are each independently a straight or branched, saturated or unsaturated alkyl chain containing from 10 to 30 carbon atoms, wherein the alkyl chain is optionally interrupted by one or more ester bonds;
- w has a mean value ranging from 30 to 60.
- R 12 and R 13 are each independently straight, saturated alkyl chains containing from 12 to 16 carbon atoms.
- the average w ranges from 45 to 55. In other embodiments, the average w ranges from 42 to 55. In some specific embodiments, w is about 49.
- the pegylated lipid has the following structure
- the therapeutic agent comprises a nucleic acid.
- the nucleic acid is selected from antisense and messenger RNA.
- the lipid nanoparticles of the present invention may be administered alone or may be formulated as pharmaceutical compositions.
- Pharmaceutical compositions of the present invention comprise a lipid nanoparticle according to any of the foregoing embodiments and one or more pharmaceutically acceptable carrier, diluent or excipient.
- the lipid nanoparticle is present in an amount which is effective to deliver the therapeutic agent, e.g., for treating a particular disease or condition of interest.
- the disease or condition of interest is a disease mediated by to protein expression in adipose tissue or adipocytes.
- the disease or condition is related indirectly to protein expression in adipose tissue or adipocytes.
- Diseases and conditions include metabolic disturbances, for example, obesity, type II diabetes, insulin resistance, atherosclerosis and lipid disorders. Appropriate
- concentrations and dosages can be readily determined by one skilled in the art.
- Intraperitoneal administration of the compositions of the invention can be carried out via any of the accepted modes of administration of agents for serving similar utilities.
- the pharmaceutical compositions of the invention may be formulated into preparations in solid, semi-solid, liquid or gaseous forms, such as tablets, capsules, powders, granules, ointments, solutions, suspensions, suppositories, injections, inhalants, gels, microspheres, and aerosols.
- Pharmaceutical compositions according to certain embodiments of the methods described herein are formulated into injections. In certain embodiments, administering the composition comprises intraperitoneal injection.
- compositions of the invention are formulated so as to allow the active ingredients contained therein to be bioavailable upon intraperitoneal administration of the composition to a patient.
- Compositions that will be administered to a subject or patient take the form of one or more dosage units, for example, as measured by mg/kg denoting mg of the composition and kg of the subject. Actual methods of preparing such dosage forms are known, or will be apparent, to those skilled in this art; for example, see Remington: The Science and Practice of Pharmacy, 20th Edition (Philadelphia College of Pharmacy and Science, 2000).
- the composition to be administered will, in any event, contain a therapeutically effective amount of a composition comprising a lipid nanoparticle and a therapeutic agent, or a
- a pharmaceutical composition of the invention may be in the form of a solid or liquid.
- the carrier(s) may be liquid, with the compositions being, for example, an oral syrup or injectable liquid.
- the pharmaceutical composition may be in the form of a liquid, for example, an elixir, syrup, solution, emulsion or suspension.
- the liquid may be for oral administration or for delivery by injection, as two examples.
- a surfactant, preservative, wetting agent, dispersing agent, suspending agent, buffer, stabilizer and isotonic agent may be included.
- the liquid pharmaceutical compositions of the invention may include one or more of the following adjuvants: sterile diluents such as water for injection, saline solution, preferably physiological saline, Ringer's solution, isotonic sodium chloride, fixed oils such as synthetic mono or diglycerides which may serve as the solvent or suspending medium, polyethylene glycols, glycerin, propylene glycol or other solvents; antibacterial agents such as benzyl alcohol or methyl paraben; antioxidants such as ascorbic acid or sodium bisulfite; chelating agents such as ethylenediaminetetraacetic acid; buffers such as acetates, citrates or phosphates and agents for the adjustment of tonicity such as sodium chloride or dextrose; agents to act as cryoprotectants such as sucrose or trehalose.
- An intraperitoneal preparation can be enclosed in ampoules, disposable syringes or multiple dose vials made of
- a liquid pharmaceutical composition of the invention intended for intraperitoneal administration should contain an amount of a lipid nanoparticle of the invention such that a suitable dosage will be obtained.
- the pharmaceutical composition of the invention in solid or liquid form may include an agent that binds to the compound of the invention and thereby assists in the delivery of the compound.
- Suitable agents that may act in this capacity include a monoclonal or polyclonal antibody, or a protein.
- compositions of the invention may be prepared by methodology well known in the pharmaceutical art.
- a pharmaceutical composition intended to be administered by injection can be prepared by combining the lipid nanoparticles of the invention with sterile, distilled water or other carrier so as to form a solution.
- a surfactant may be added to facilitate the formation of a
- Surfactants are compounds that non-covalently interact with the compound of the invention so as to facilitate dissolution or
- compositions of the invention are administered or delivered in a therapeutically effective amount, which will vary depending upon a variety of factors including the activity of the specific therapeutic agent employed; the metabolic stability and length of action of the therapeutic agent; the age, body weight, general health, sex, and diet of the patient; the mode and time of administration; the rate of excretion; the drug combination; the severity of the particular disorder or condition; and the subject undergoing therapy.
- Compositions of the invention may also be administered simultaneously with, prior to, or after administration of one or more other therapeutic agents.
- Such combination therapy includes administration of a single pharmaceutical dosage formulation of a composition of the invention and one or more additional active agents, as well as administration of the composition of the invention and each active agent in its own separate pharmaceutical dosage formulation.
- a composition of the invention and the other active agent can be administered to the patient together in a single intraperitoneal dosage composition such as an injection, or each agent administered in separate intraperitoneal dosage formulations.
- the compounds of the invention and one or more additional active agents can be administered at essentially the same time, i.e., concurrently, or at separately staggered times, i.e., sequentially; combination therapy is understood to include all these regimens.
- Suitable protecting groups include hydroxy, amino, mercapto and carboxylic acid.
- Suitable protecting groups for hydroxy include trialkylsilyl or diarylalkylsilyl (for example, t-butyldimethylsilyl, t-butyldiphenylsilyl or trimethylsilyl), tetrahydropyranyl, benzyl, and the like.
- Suitable protecting groups for amino, amidino and guanidino include t-butoxycarbonyl, benzyloxycarbonyl, and the like.
- Suitable protecting groups for mercapto include -C(0)-R" (where R" is alkyl, aryl or arylalkyl), /?-methoxybenzyl, trityl and the like.
- Suitable protecting groups for carboxylic acid include alkyl, aryl or arylalkyl esters.
- Protecting groups may be added or removed in accordance with standard techniques, which are known to one skilled in the art and as described herein. The use of protecting groups is described in detail in Green, T.W. and P.G.M. Wutz, Protective Groups in Organic Synthesis (1999), 3rd Ed., Wiley.
- the protecting group may also be a polymer resin such as a Wang resin, Rink resin or a 2-chlorotrityl-chloride resin.
- lipids which exist in free base or acid form can be converted to their pharmaceutically acceptable salts by treatment with the appropriate inorganic or organic base or acid by methods known to one skilled in the art. Salts of the lipids can be converted to their free base or acid form by standard techniques.
- General Reaction Scheme 1 provides an exemplary method ("Method A") for preparation of Lipids of Formula III.
- G 1 , G 3 , R 1 and R 3 in General Reaction Scheme A are as defined herein for Formula III, and Gl ' refers to a one-carbon shorter homologue of Gl .
- Compounds of structure A-1 are purchased or prepared according to methods known in the art. Reaction of A-1 with diol A-2 under appropriate condensation conditions (e.g., DCC) yields ester/alcohol A-3, which can then be oxidized (e.g., PCC) to aldehyde A-4. Reaction of A-4 with amine A-5 under reductive amination conditions yields a lipid of Formula III.
- DCC condensation conditions
- PCC oxidized
- Method B provides a method for preparation of exemplary compounds of structure (I) or (II) (i.e., compound "B-8"), wherein R, R 1 , a 1 , a 2 and Z are as defined herein, and PG is an alcohol protecting group such as tetrahydropyran.
- Compounds of structure B-1 are purchased or prepared according to methods known in the art. Reaction of B-1 with ethyl formate B-2 under Grignard conditions yields alcohol B-3, which can then be coupled with acid B-4 under standard conditions to yield B-5. Removal of the protecting group followed by coupling with acid B-6 yields B-7.
- Method C provides an alternative method for preparation of exemplary compounds of structure (I) or (II) (i.e., compound "C-9"), wherein R, R 1 , a 1 , a 2 and Z are as defined herein and PG is an alcohol protecting group such as tetrahydropyran.
- Compounds of structure C-l are purchased or prepared according to methods known in the art. The hydroxyl group of Compound C-l is protected using methods known in the art (e.g. pyridinium p-toluenesulfonate, dihydropyran) to yield I.
- Reaction of C-2 with ethyl formate C-3 under Grignard conditions e.g.
- Method D provides another alternative method for preparation of exemplary compounds of structure (I) or (II) (i.e., compound "D-6"), wherein R, R 1 , a 1 , a 2 and Z are as defined herein.
- Compounds of structure D-l are purchased or prepared according to methods known in the art.
- Compound D-l is used to form D-2 under appropriate conditions (e.g. diethyl acetone dicarboxylate, EtONa).
- Alcohol D-3 is then coupled to D-2 using standard conditions (e.g. DMAP, EDC HCl) to yield D-4.
- the carbonyl of D-4 is reduced (e.g. with NaBH 4 ) followed by coupling with acid D-5 (e.g. with DMAP, EDC HCl) to yield the desired product D-6.
- Method E provides an exemplary method for preparation of compounds of structure (VI).
- G 1 and n in General reaction Scheme 5 are as defined herein for Formula (VI), and R 1 ' refers to a one-carbon shorter homologue of R 1 .
- Compounds of structure E-1 are purchased or prepared according to methods known in the art. Reaction of E-1 under appropriate oxidation conditions (e.g., TEMPO) yields aldehyde E-2, which can then undergo a reductive amination with E-3 using an appropriate reagent (e.g., sodium triacetoxyborohydride) to yield a compound of structure of Formula (VI).
- an appropriate reagent e.g., sodium triacetoxyborohydride
- Method F provides an exemplary method for preparation of compounds of Formula (VII).
- R 1 , R 2 , R 4 , R 5 , R 6 , y and z in General Reaction Scheme 6 are as defined herein for Formula (VII).
- R', X, m and n refer to variables selected such that F-5, F-6, F-8, and F-10 are compounds having a structure of Formula (VII).
- R' is R 1 or R 2
- X is Br
- m is y or z
- n is an integer ranging from 0 to 23.
- Compounds of structure F-1 are purchased or prepared according to methods known in the art.
- Amine/acid F-1 is protected with alcohol F-2 (e.g., benzyl alcohol) using suitable conditions and reagents (e.g., p-TSA) to obtain ester/amine F-3.
- Ester/amine F-3 is coupled with ester F-4 (e.g., using DIPEA) to afford benzyl ester F-5.
- Compound F-5 is optionally deprotected using appropriate conditions (e.g., Pd/C, H 2 ) to obtain acid F-6.
- the acid F-6 can be reacted with amine F-7 (e.g., using oxalyl chloride/DMF) to obtain amide F-8, or alternatively, reacted with alcohol F-9 (e.g., using DCC/DMAP) to yield ester F-10.
- amine F-7 e.g., using oxalyl chloride/DMF
- alcohol F-9 e.g., using DCC/DMAP
- Method G provides an exemplary method for preparation of compounds of Formula (VII).
- R 1 , R 2 , R 4 , R 5 , y and z in General reaction Scheme 7 are as defined herein for Formula (VII).
- R', X, m and n refer to variables selected such that G-6 is a compound having a structure of Formula (VII).
- R' is R 1 or R 2
- X is Br
- m is y or z
- n is an integer ranging from 0 to 23.
- Compounds of structure G-1 are purchased or prepared according to methods known in the art.
- Reaction of protected amine/acid G-1 with amine G-2 is carried out under appropriate coupling conditions (e.g., NHS, DCC) to yield amide G-3.
- appropriate coupling conditions e.g., NHS, DCC
- acidic conditions e.g., TFA
- amine G-4 is coupled with ester G-5 under suitable conditions (e.g., DIPEA) to yield G-6, a compound of Formula (VII).
- Method H provides an exemplary method for preparation of compounds of Formula (VII).
- R 1 , R 4 , R 5 , R e , R f , y and z in General reaction Scheme 8 are as defined herein for Formula (VII).
- R', X, m and n refer to variables selected such that H-7 is a compound having a structure of Formula (VII).
- R' is R 1 or R 2
- X is Br
- m is y or z
- n is an integer ranging from 0 to 23.
- compounds of structure H-1, H-2, H-4 and H-5 are purchased or prepared according to methods known in the art.
- amide H-6 is prepared by coupling acid H-4 with amine H-5 under suitable conditions (e.g., oxalyl chloride/DMF). H-3 and H-6 are combined under basic conditions (e.g., DIPEA) to afford H-7, a compound of Formula (VII).
- suitable conditions e.g., oxalyl chloride/DMF
- H-3 and H-6 are combined under basic conditions (e.g., DIPEA) to afford H-7, a compound of Formula (VII).
- General Reaction Scheme 9 (“Method I") provides an exemplary method for preparation of compounds of Formula (VIII).
- R 1 , R 2 , R 4 , R 5 , y and z in General Reaction Scheme 1 are as defined herein for Formula VIII.
- R', X, m and n refer to variables selected such that BF is a compound having a structure (VIII).
- R' is R 1 or R 2
- X is Br
- m is y or z
- n is an integer ranging from 0 to 23.
- Method J provides an exemplary method for preparation of compounds of Formula (VIII).
- R 1 , R 2 , R 5 , y and z in General Reaction Scheme 10 are as defined herein for Formula (VIII).
- R', X, m and n refer to variables selected such that J-6 is a compound having a structure of Formula (VIII).
- R' is R 1 or R 2
- X is Br
- m is y or z
- n is an integer ranging from 0 to 23.
- Compounds of structure J-l are purchased or prepared according to methods known in the art. Reaction of J-l with methanol to afford ester J-2 is carried out under appropriate conditions (e.g., acetyl chloride).
- Ester J-2 can be prepared by adding diamine J-3 using, for example, methanol and heat.
- the resulting amide J-4 can be coupled to J-5 using basic conditions (e.g., DIPEA) to afford J-6, a compound of Formula (VIII).
- Method K provides an exemplary method for preparation of compounds of Formula (VIII).
- R 1 , R 2 , R 4 , R 5 , y and z in General Reaction Scheme 11 are as defined herein for Formula (VIII).
- R', X, m and n refer to variables selected such that K-8 is a compound having a structure (VIII).
- R' is R 1 or R 2
- X is Br
- m is y or z
- n is an integer ranging from 0 to 23.
- Compounds of structure K-1 are purchased or prepared according to methods known in the art.
- Reaction of K-1 alcohol/amine K-2 proceeds under appropriate conditions (e.g., KC0 3 , Ce 2 C0 3 and Nal) to yield di-ester/alcohol K-3.
- Mesylate K-4 is obtained (e.g., using MsCl, triethylamine and DMAP) and coupled with amine K-5 (e.g., using heat) to afford di-ester K-6.
- the final coupling between K-6 and acid chloride K-7 proceeds using basic coupling conditions (e.g., triethylamine, DMAP) to afford K-8, a compound of Formula (VIII).
- Method L provides an exemplary method for preparation of compounds of Formula (VIII).
- R 1 , R 2 , R 4 , R 5 , y and z in General Reaction Scheme 12 are as defined herein.
- R', X, m and n refer to variables selected such that L-8 is a compound having a structure of Formula (VIII).
- R' is R 1 or R 2
- X is Br
- m is y or z
- n is an integer ranging from 0 to 23.
- Compounds of structure L-1 are purchased or prepared according to methods known in the art.
- Reaction of mesylate L-1 is coupled to amine L-2 (e.g., using heat to 75 °C) to yield protected amine L-3, which is reacted with acid chloride L-4 (e.g., using triethylamine/DMAP) to afford amide L-5.
- the protecting group is removed under acidic conditions (e.g., TFA) and amine L-6 is then coupled with L-7 under basic conditions (e.g., DIPEA) to afford L-8, a compound of Formula (VIII).
- Lipid nanoparticles, cationic lipids and polymer conjugated lipids were prepared and tested according to the general procedures described in PCT Pub. Nos. WO 2015/199952 and WO 2017/004143, the full disclosures of which are incorporated herein by reference, or were prepared as described herein. Briefly, cationic lipid, DSPC, cholesterol and PEG-lipid were solubilized in ethanol at a molar ratio of about 50: 10:38.5: 1.5 or about 47.5: 10:40.8: 1.7. Lipid nanoparticles (L P) were prepared at a total lipid to mRNA weight ratio of approximately 10: 1 to 30: 1.
- the mRNA was diluted to 0.2 mg/mL in 10 to 50 mM citrate buffer, pH 4. Syringe pumps were used to mix the ethanolic lipid solution with the mRNA aqueous solution at a ratio of about 1 :5 to 1 :3 (vol/vol) with total flow rates above 15 mL/min. The ethanol was then removed and the external buffer replaced with PBS by dialysis. Finally, the lipid nanoparticles were filtered through a 0.2 ⁇ pore sterile filter. Lipid nanoparticle particle size was approximately 55-95 nm diameter, and in some instances
- a comparison of administration methods was performed as follows. A dose of 1.0 mg/kg of lipid nanoparticle/FLuc mRNA was administered either intravenously or intraperitoneally. Lipid nanoparticles were formulated according to Example 1, using Dlin-MC3-DMA or Compound 1-6 as a cationic lipid.
- the FLuc mRNA (L-6107) from Trilink Biotechnologies will express a luciferase protein, originally isolated from the firefly, photinus pyralis. FLuc is commonly used in mammalian cell culture to measure both gene expression and cell viability. It emits bioluminescence in the presence of the substrate, luciferin. This capped and polyadenylated mRNA is fully substituted with 5-methylcytidine and pseudouridine.
- Protein expression in tissue was assessed from animals at 4, 24, and 48 hours post administration or from tissue harvested at a specific time point ⁇ e.g., 4 hours) post-administration. Protein expression in tissue was characterized using IVIS live imaging. As Fig. 1 and 2 indicate, both formulations show significant expression of luciferase in adipose tissue. Fig. 2 shows accumulation and expression in mostly liver and spleen tissue for intravenous treatment. In contrast, the intraperitoneal
- luciferase in adipose tissue unexpectedly shows significant accumulation of mRNA and luciferase expression in adipose tissue ⁇ e.g., fat pads).
- the expression of luciferase in adipose tissue is significant because: (1) intraperitoneal administration of the LNP localizes the therapeutic agent at a location other than the liver and spleen ⁇ e.g., in the adipose tissue) and (2) the therapeutic agent remains viable in the adipose tissue.
- mRNA viability was evidenced by the expression of the luciferase detected in the harvested samples.
- Figs. 2A-D provide a heat map of fluorescent intensity (i.e., more intense shading indicates greater expression).
- Fig. 2E is a legend showing the types of tissue samples in each panel of Figs. 2A-D.
- lipid nanoparticles were formulated according to Example 1, using the following cationic lipids: 1-5, II-9, or 111-45 as a cationic lipid.
- the CleanCap FLuc mRNA (L-7202) from Trilink Biotechnologies will express a luciferase protein, originally isolated from the firefly, photinus pyralis. FLuc is commonly used in mammalian cell culture to measure both gene expression and cell viability. It emits bioluminescence in the presence of the substrate, luciferin. This capped and polyadenylated mRNA is fully substituted with 5-methoxyuridine.
- Protein expression in tissue was assessed from animals at 4 or 16 hours post administration by harvesting fat pads pertaining to different regions
- Compound 1-5 was prepared according to method B as follows:
- the purified product (7.4 g) was dissolved in methylene chloride (50 mL) and treated with pyridinum chlorochr ornate (5.2 g) for two hours. Diethyl ether (200 mL) as added and the supernatant filtered through a silica gel bed. The solvent was removed from the filtrate and resultant oil passed down a silica gel (50 g) column using a ethyl acetate/hexane (0-5%) gradient. 6-(2'-hexyldecanoyloxy)dodecanal (5.4 g) was recovered as an oil.
- Compound 1-6 was prepared according to method B as follows: A solution of nonan-l,9-diol (12.6 g) in methylene chloride (80 mL) was treated with 2- hexyldecanoic acid (10.0 g), DCC (8.7 g) and DMAP (5.7 g). The solution was stirred for two hours. The reaction mixture was filtered and the solvent removed. The residue was dissolved in warmed hexane (250 mL) and allowed to crystallize. The solution was filtered and the solvent removed. The residue was dissolved in methylene chloride and washed with dilute hydrochloric acid. The organic fraction was dried over anhydrous magnesium sulfate, filtered and the solvent removed.
- Compound II-9 was prepared according to method D as follows:
- reaction mixture was diluted with hexanes-EtOAc (9: 1) and quenched by adding 0.1 N NaOH (20 mL).
- the organic phase was separated, washed with sat NaHC0 3 , brine, dried over sodium sulfate, decanted and concentrated to give the desired product II-9b as a slightly yellow cloudy oil (1.07 g, 1.398 mmol).
- the crude product was dissolved in methylene chloride (150 mL) and treated with pyridinium chlorochromate (6 g) for one hour. Diethyl ether (450 mL) was added and the supernatant filtered through a silica gel bed. The solvent was removed from the filtrate and resultant oil dissolved in hexane. The suspension was filtered through a silica gel bed and the solvent removed, yielding 4-(2'- hexyldecanoyloxy)butan-l-al (1 lg) was obtained as a colorless oil.
- the crude material was added to 5% sodium hydroxide in a 1 : 10 water/methanol solution (150 mL) and heated at 45°C for one hour. The solution was cooled, diluted with water and extracted with hexane. The organic fractions were dried over anhydrous magnesium sulfate, filtered and the solvent removed. The residue was passed down a silica gel (200 g) column using 0-4% methanol/dichloromethane to afford the desired product (15 g). l,19-Di(tetrahydropyranyloxy)nonadecan-10-one.
- the purified product was dissolved in hexane and washed with sodium hydrogen carbonate solution. The solvent was removed from the organic fraction and the residue dissolved in ⁇ 5 mL hexane. The solution was passed through a silica gel plug, and dried under a nitrogen stream, yielding 1.20 g of the desired product.
- the purified product was dissolved in hexane and washed with sodium hydrogen carbonate solution. The solvent was removed from the organic fraction and the residue dissolved in ⁇ 2 mL hexane. The solution was passed through a silica gel plug, and dried under a nitrogen stream, yielding 1.75 g of compound VI-4.
- the mixture was filtered through a pad of silica gel, and washed with a hexane/ethyl acetate gradient (1 :0 to 49: 1) until all unreacted 2-hexyldecyl 6-bromohexanoate was removed. Then the pad was washed with a mixture of hexane/ethyl acetate/triethylamine (400 mL, 4: 1 :0.1) and concentrated to yield the crude product as yellow oil (870 mg). The crude product was purified by flash column chromatography on silica gel (230-400 mesh silica gel, 40 g, gradient from 4 to 5% methanol in dichloromethane). The desired product was afforded as slightly yellow oil (704, 0.8 mmol, 25%).
- Compound VII-6 was prepared according to method F to yield 84 mg of colorless oil.
- Compound VII-7 was prepared according to method G as follows: Synthesis of fert-Butyl (4-(dibutylamino)-4-oxobutyl)carbamate. To a solution of 4-((tert-butoxycarbonyl)amino)butyric acid (1.0 eq, 2 mmol, 406 mg), N- hydroxysuccinimide (1.0 eq, 2 mmol, 230 mg) and DMAP (20 mg) in 20 mL of dichloromethane was added ⁇ , ⁇ '-Dicyclohexylcarbodiimide (DCC, 1.2 eq, 2.4 mmol, 494 mg) and the mixture stirred at room temperature for 1 hour. The reaction mixture was filtered.
- DCC ⁇ , ⁇ '-Dicyclohexylcarbodiimide
- the extract was concentrated (0.8 g oil/solid) and the crude product was purified by flash column chromatography on silica gel (gradient from 10 to 35% ethyl acetate in hexane). The desired product was afforded as colorless oil (630 mg, 2 mmol, 100%).
- the mixture was diluted with dichloromethane and saturated sodium bicarbonate was slowly added with stirring. Two phases were separated and the aqueous phase was extracted with dichloromethane (4 ⁇ ). Anhydrous sodium carbonate and brine were added to the aqueous phase. The aqueous phase was extracted further with dichloromethane (2 x). The combined extracts were dried over anhydrous sodium carbonate and sodium sulfate, filtered and concentrated. The resultant residue was taken up in dichloromethane (4 mL), filtered through a pad of silica gel and washed with a mixture of chloroform/ethanol/water/ammonium hydroxide (40:24: 1.5: 1).
- the crude was taken up in a mixture of hexane/ethyl acetate/triethylamine (20 mL, -85: 15: 1), filtered through a pad of silica gel, and washed with a mixture of hexane/ethyl acetate/triethylamine (100 mL, 4: 1 :0.1). The filtrate was concentrated and the crude product was afforded as yellow oil/solid, 400 mg. The crude product was purified again by flash dry column chromatography on silica gel (gradient from 0 to 4% methanol in chloroform, 0 to 4%) to afford the desired product as slightly yellow oil (213 mg, 0.27 mmol, 44%).
- Compound VII-8 was prepared according to method G (in a similar manner to compound VII-7) to yield 207 mg (0.25 mmol, 40%) of slightly yellow oil.
- Compound VII- 10 was prepared according to method H as follows:
- the residual liquid/solid (yellow) was dissolved in 20 mL of dichloromethane and added to a solution of dioctylamine (1.1 eq, 16.5 mmol, 3.98 g, 4.98 mL), triethylamine (90 mmol, 9.09 g, 12.5 mL) and DMAP (10 mg) in dichloromethane (20 mL) at room temperature.
- the resulting mixture was concentrated after stirring for 2.5 hours.
- the concentrated yellow oil/solid was taken up in a mixture of hexane and ethyl acetate (-75:25) and 1M hydrochloric acid was added. The mixture was filtered and two layers were separated.
- the aqueous layer was extracted with dichloromethane (x 3) and the combined extracts were dried over anhydrous sodium sulfate and concentrated to afford the crude product as yellow oil.
- the crude oil was purified by flash dry column chromatography on silica gel (gradient from 1 :0 to 4: 1, hexane/ethyl acetate). The desired was afforded as slightly yellow oil (5.09 g, 12.2 mmol, 81%).
- Compound VII-12 was prepared as follows:
- Compound VIII-3 was prepared according to method I as follows:
- the reaction mixture was concentrated, and the residue was taken up in a mixture of hexane/ethyl acetate (ca 5: 1, 100 mL), washed with water, brine, dried over sodium sulfate, filtered and concentrated.
- the crude product was afforded as slightly yellow oil (-0.6 g).
- the crude product was diluted in hexane (10 mL) and filtered through a pad of silica gel. The pad was washed with a mixture of hexane/ethyl acetate/triethylamine (200 mL, 4: 1 :0.1). Concentration of the filtrate afforded the crude product as slightly yellow oil.
- the crude product was purified by flash column chromatography on silica gel (40 g of silica gel; gradient from 0 to 6% methanol in chloroform) to afford the desired product as colorless oil (216 mg, 0.24 mmol, 34 %).
- Compound VIII-4 was prepared according to method J as follows:
- the reaction mixture was concentrated and the residue was taken up in a mixture of hexane/ethyl acetate (-5: 1, 100 mL), washed with water, brine, dried over sodium sulfate, filtered and concentrated.
- the crude product was afforded as slightly yellow oil (-1.2 g).
- the crude product was diluted in hexane (10 mL) filtered through a pad of silica gel and washed with a mixture of hexane/ethyl acetate (1 :0 to 49: 1) until all unreacted 2-hexyldecyl 6-bromohexanoate was removed.
- Compound VIII-5 was prepared according to method K as follows: Synthesis of bis(2-Hexyldecyl) 8,8'-((4-hvdroxybutyl)azanediyl)dioctanoate. To a solution of 2-hexyldecyl 8-bromooctanoate (2 eq, 3.09 g, 6.9 mmol) in 30 mL of anhydrous tetrahydrofuran, were added 4-amino-l-butanol (1 eq, 3.45 mmol, 308 mg, 318 ⁇ .), potassium carbonate (2 eq, 6.9 mmol, 954 mg), cesium carbonate (0.3 eq, 1.04 mmol, 337 mg) and sodium iodide (10 mg).
- the mixture was heated to 64°C using an oil bath in a pressure round-bottom flask under argon atmosphere for 6 days.
- the resultant crude product was dissolved in hexane (50 mL) and loaded on a short column of silica gel (1 cm height x 6.5 cm width).
- the column was eluted with hexane (50 mL, fraction 1), a mixture of ethyl acetate/hexane (0 to 3% ethyl acetate).
- the unreacted 2- hexyldecyl 8-bromooctanoate (1.27 g, 2.84 mmol, 41%, colorless oil) was recovered.
- the column was eluted with a mixture of hexane/ethyl acetate/triethylamine (-4: 1 :0.1) to afford the crude product as slightly yellow oil (1.2 g).
- the crude product was further purified by flash dry column chromatography on silica gel (gradient from 0 to 4.2% methanol in chloroform) to afford the desired product (1.28 g, 1.56 mmol, 45%).
Landscapes
- Health & Medical Sciences (AREA)
- Pharmacology & Pharmacy (AREA)
- Veterinary Medicine (AREA)
- Public Health (AREA)
- General Health & Medical Sciences (AREA)
- Chemical & Material Sciences (AREA)
- Animal Behavior & Ethology (AREA)
- Life Sciences & Earth Sciences (AREA)
- Medicinal Chemistry (AREA)
- Diabetes (AREA)
- Emergency Medicine (AREA)
- Epidemiology (AREA)
- Bioinformatics & Cheminformatics (AREA)
- Organic Chemistry (AREA)
- Nuclear Medicine, Radiotherapy & Molecular Imaging (AREA)
- General Chemical & Material Sciences (AREA)
- Chemical Kinetics & Catalysis (AREA)
- Obesity (AREA)
- Hematology (AREA)
- Engineering & Computer Science (AREA)
- Endocrinology (AREA)
- Pharmaceuticals Containing Other Organic And Inorganic Compounds (AREA)
- Medicines That Contain Protein Lipid Enzymes And Other Medicines (AREA)
Abstract
A method of treating a disease mediated by protein expression in adipose tissue by intraperitoneally administering a composition comprising a lipid nanoparticle encapsulating or associated with a therapeutic agent (e.g., a nucleic acid), thereby delivering the therapeutic agent to adipose tissue of the subject and altering protein expression in the adipose tissue is provided herein. A method for delivering a therapeutic agent to adipose tissue of a subject in need thereof is also provided.
Description
LIPID DELIVERY OF THERAPEUTIC AGENTS TO ADIPOSE TISSUE
BACKGROUND
Technical Field
Embodiments of the present invention generally relate to treating diseases mediated by protein expression in adipose tissue by delivery of therapeutic agents, such as nucleic acids (e.g., oligonucleotides, messenger RNA) to the adipose tissue via intraperitoneal administration.
Description of the Related Art
There are many challenges associated with the delivery of nucleic acids to affect a desired response in a biological system. Nucleic acid based therapeutics have enormous potential but there remains a need for more effective delivery of nucleic acids to appropriate sites within an organism in order to realize this potential.
Typically, nucleic acid therapeutics are not stabile enough in circulation to provide a therapeutically effective concentration or accumulation in organs after systemic administration other than the liver. Specifically, free RNA is susceptible to nuclease digestion in plasma and possesses a limited ability to access intracellular compartments where relevant translational machinery resides. Therefore, nucleic acid-based therapies have been unable to effectively treat tissues of the body. Encapsulation in lipid nanoparticles have been shown effective in overcoming some limitations, but systemic administration generally leads to significant accumulation in only a few tissues of the body, e.g., liver. Thus, delivery to other tissues after systemic administration remains a significant challenge.
Adipose tissue is a highly active endocrine organ which produces and secretes proteins and adipokines involved in metabolic processes. Obesity, along with a variety of other metabolic disturbances, such as type II diabetes, is at least partly mediated by protein expression in adipocytes. Generally, the first line treatment of obesity includes life-style changes and physical exercise, however this approach is often
insufficient to normalize body weight and prevent life-threatening complications. Accordingly, alternative approaches are urgently needed.
The need to target adipose tissue with nucleic acid-based therapies exists, but remains largely unmet due in part to the limitations associated with effectively delivering oligonucleotide therapeutics to adipose tissue. At present, no known effective method of administering a therapeutic nucleic acid to adipose tissue exists.
Therefore, there remains a need for a method of delivery of therapeutic agents to adipose tissue. Preferably, such a delivery method would therapeutically target adipose tissue and have a desirable biological effect on the same. In addition, a method for administration should be well-tolerated and provide an adequate therapeutic index, such that patient treatment at an effective dose of the nucleic acid is not associated with unacceptable toxicity and/or risk to the patient. Embodiments of the present invention provides these and related advantages. BRIEF SUMMARY
In brief, embodiments of the present invention provide a method for treating a disease mediated by protein expression in adipose tissue of a subject in need thereof, the method comprising:
intraperitoneally administering a therapeutically effective amount of a composition comprising a lipid nanoparticle, the lipid nanoparticle comprising a therapeutic agent, or a pharmaceutically acceptable salt or prodrug thereof,
encapsulated within or associated with the lipid nanoparticle, thereby delivering the therapeutic agent to adipose tissue of the subject and altering protein expression in the adipose tissue.
In other embodiments, the invention provides a method for delivering a therapeutic agent to adipose tissue of a subject in need thereof, the method comprising:
providing a composition comprising a therapeutically effective amount of a lipid nanoparticle, the lipid nanoparticle comprising a therapeutic agent, or a pharmaceutically acceptable salt or prodrug thereof, encapsulated within or associated with the lipid nanoparticle; and
intraperitoneally administering the composition to the subject, thereby delivering the therapeutic agent to the adipose tissue of the subject.
The presently disclosed methods can be used for treatment of various diseases or conditions, such as those caused by protein expression in adipose tissue. In certain embodiments, the present invention provides methods for treatment of obesity, type II diabetes, insulin resistance, atherosclerosis or lipid disorders. These and other aspects of the invention will be apparent upon reference to the following detailed description.
BRIEF DESCRIPTION OF THE DRAWINGS
In the figures, identical reference numbers identify similar elements.
The sizes and relative positions of elements in the figures are not necessarily drawn to scale and some of these elements are enlarged and positioned to improve figure legibility. Further, the particular shapes of the elements as drawn are not intended to convey any information regarding the actual shape of the particular elements, and have been solely selected for ease of recognition in the figures.
Fig. 1 shows a comparison of mRNA and luciferase distribution in mice for intravenous and intraperitoneal administration.
Fig. 2A illustrates tissue distribution of mRNA and luciferase following intravenous administration of an LNP comprising DLin-MC3-DMA.
Fig. 2B shows tissue distribution of mRNA and luciferase following intravenous administration of an LNP comprising Compound 1-6.
Fig. 2C depicts tissue distribution of mRNA and luciferase following intraperitoneal administration of an LNP comprising DLin-MC3-DMA.
Fig. 2D illustrates tissue distribution of mRNA and luciferase following intraperitoneal administration of an LNP comprising Compound 1-6.
Fig. 2E provides a legend identifying the tissue samples for panels shown in each Fig. 2A-D.
DETAILED DESCRIPTION
In the following description, certain specific details are set forth in order to provide a thorough understanding of various embodiments of the invention.
However, one skilled in the art will understand that the invention may be practiced without these details.
Embodiments of the present invention are based, in part, upon the discovery that intraperitoneally administering a therapeutically effective amount of a composition comprising lipid nanoparticles (LNPs) encapsulating or associated with a therapeutic agent (e.g., mRNA) unexpectedly provides advantages previously unknown in the art. Specifically, Applicant has unexpectedly discovered that intraperitoneal administration of LNPs encapsulating or associated with a therapeutic agent results in preferential localization of the therapeutic agent in adipose tissue relative to other tissues. In addition, the therapeutic agent remains active within the adipose tissue (e.g., induces protein expression in adipose tissue). Altering protein expression in adipose tissue can influence overall metabolism, whole-body energy and adipose conversion and activation. Accordingly, the presently disclosed methods are effective for treatment of various diseases associated with protein expression in adipose tissue, such as obesity, type II diabetes, insulin resistance, atherosclerosis or lipid disorders.
Accordingly, in one particular embodiment, the invention provides a method for treating a disease mediated by protein expression in adipose tissue of a subject in need thereof, the method comprising:
intraperitoneally administering a therapeutically effective amount of a composition comprising a lipid nanoparticle, the lipid nanoparticle comprising a therapeutic agent, or a pharmaceutically acceptable salt or prodrugthereof, encapsulated within or associated with the lipid nanoparticle, thereby delivering the therapeutic agent to adipose tissue of the subject and altering protein expression in the adipose tissue.
In another embodiment, a method for delivering a therapeutic agent to adipose tissue of a subject in need thereof comprises:
providing a composition comprising a therapeutically effective amount of a lipid nanoparticle, the lipid nanoparticle comprising a therapeutic agent, or a
pharmaceutically acceptable salt or prodrugthereof, encapsulated within or associated with the lipid nanoparticle; and
intraperitoneally administering the composition to the subject, thereby delivering the therapeutic agent to the adipose tissue of the subject.
Two different types of adipose tissues can be found in humans. White adipose tissue (WAT) stores energy in the form of triacylglycerol. Brown adipose tissue (BAT) has been identified to be an important factor in regulation of energy balance, thereby limiting or controlling weight gain. The conversion of white adipose tissue to brown adipose tissue mediates anti-obesity effects such as resistance to weight gain and improvements in systemic metabolism, including improved glucose tolerance, increased insulin sensitivity and enhanced uptake and metabolism of lipids from the bloodstream. Additionally, brown adipocytes (BAT cells) surround blood vessels and have been implicated in the protection against development of atherosclerosis. Thus, therapeutically targeting protein expression in adipose tissue (e.g., to induce conversion of white adipose tissue to brown adipose tissue or to activate brown adipose tissue) has applications, both directly in obesity and beyond, to a variety of metabolic disturbances, including type II diabetes, insulin resistance, atherosclerosis and lipid disorders.
In certain embodiments, the presently disclosed methods induce conversion of white adipose tissue to brown adipose tissue. In other embodiments, the disclosed methods induce activation of brown adipose tissue. In some embodiments of the foregoing, the adipose tissue comprises white adipocytes or brown adipocytes.
In some particular embodiments, the present invention provides a method for administering a composition comprising lipid nanoparticles for and in vivo delivery of mRNA and/or other oligonucleotides to adipose tissue. In some
embodiments, the methods are useful for mediating expression of protein encoded by mRNA. In other embodiments, the methods are useful for affecting upregulation of endogenous protein expression in adipose tissue by delivering miRNA inhibitors targeting one specific miRNA or a group of miRNA regulating one target mRNA or several mRNA. In other embodiments, this method is useful for down-regulating {e.g., silencing) the protein levels and/or mRNA levels of target genes. In some other embodiments, the methods are also useful for delivery of mRNA and plasmids for
expression of transgenes. In yet other embodiments, the methods are useful for inducing a pharmacological effect resulting from expression of a protein, e.g., conversion of white adipose tissue to brown adipose tissue, or activation of brown adipose tissue.
In some embodiments the therapeutic agent may be a non-nucleic acid based agent, such as a small molecule or peptide-based drug. The small molecule or peptide based drug may include drugs used for treating a variety of metabolic disturbances, including obesity, type II diabetes, insulin resistance, atherosclerosis and lipid disorders. For example, therapeutic agents include, but are not limited to acarbose, miglitol, metformin (e.g., metformin-alogliptin, metformin-canagliflozin, metformin-dapagliflozin (Xigduo XR), metformin-empagliflozin (Synjardy), metformin-glipizide, metformin-glyburide (Glucovance), metformin-linagliptin (Jentadueto), metformin-pioglitazone (Actoplus), metformin-repaglinide (PrandiMet), metformin-rosiglitazone (Avandamet), metformin-saxagliptin (Kombiglyze XR), metformin-sitagliptin (Janumet)), bromocriptine (Parlodel), alogliptin (Nesina), alogliptin-metformin (Kazano), alogliptin-pioglitazone (Oseni), linagliptin (Tradjenta), linagliptin-empagliflozin (Glyxambi), linagliptin-metformin (Jentadueto), saxagliptin (Onglyza), saxagliptin-metformin (Kombiglyze XR), sitagliptin (Januvia), sitagliptin- metformin (Janumet and Janumet XR), sitagliptin and simvastatin (Juvisync)
»albiglutide (Tanzeum), dulaglutide (Trulicity), exenatide (Byetta), exenatide extended- release (Bydureon), liraglutide (Victoza), nateglinide (Starlix), repaglinide (Prandin), repaglinide-metformin (Prandimet), dapagliflozin (Farxiga), dapagliflozin-metformin (Xigduo XR), canagliflozin (Invokana), canagliflozin-metformin (Invokamet), empagliflozin (Jardiance), empagliflozin-linagliptin (Glyxambi), empagliflozin- metformin (Synjardy) glimepiride (Amaryl), glimepiride-pioglitazone (Duetact), glimeperide-rosiglitazone (Avandaryl), glipizide (Glucotrol), glipizide-metformin (Metaglip), glyburide (DiaBeta, Glynase, Micronase), glyburide-metformin
(Glucovance), chlorpropamide (Diabinese), tolazamide (Tolinase), tolbutamide (Orinase, Tol-Tab) rosiglitazone (Avandia), rosiglitazone-glimepiride (Avandaryl), rosiglitizone-metformin (Amaryl M), pioglitazone (Actos), pioglitazone-alogliptin
(Oseni), pioglitazone-glimepiride (Duetact), or pioglitazone-metformin (Actoplus Met,
Actoplus Met XR), metformin, Glucophage, Fortamet, Glucophage XR, Glumetza, Humulin R, Riomet, Novolin R, insulin, statins (e.g., Fluvastatin, Atorvastatin, Lovastatin, Pravastatin, Simvastatin, Rosuvastatin, Pitavastatin), fibrates, Gemfibrozil, Fenofibrate, niacin, ezetimibe, cholestyramine, colestipol, or colesevelam.
As described herein, embodiments of methods of the present invention are particularly useful for the delivery of nucleic acids to adipose tissue, including, e.g., mRNA, antisense oligonucleotide, plasmid DNA, microRNA (miRNA), miRNA inhibitors (antagomirs/antimirs), messenger-RNA-interfering complementary RNA (micRNA), DNA, multivalent RNA, dicer substrate RNA, complementary DNA (cDNA), etc. Therefore, the methods of the present invention may be used to induce expression of a desired protein both in vitro and in vivo by contacting adipose tissue with a lipid nanoparticle. Alternatively, the method of the present invention may be used to decrease the expression of target genes and/or proteins both in vitro and in vivo by contacting adipose tissue with a lipid nanoparticle. The methods of the present invention may also be used for co-delivery of different nucleic acids {e.g., mRNA and plasmid DNA) separately or in combination, such as may be useful to provide an effect requiring colocalization of different nucleic acids {e.g., mRNA encoding for a suitable gene modifying enzyme and DNA segment(s) for incorporation into the host genome).
Nucleic acids for use with embodiments of this invention may be prepared according to any available technique. For mRNA, the primary methodology of preparation is, but not limited to, enzymatic synthesis (also termed in vitro transcription) which currently represents the most efficient method to produce long sequence-specific mRNA. In vitro transcription describes a process of template- directed synthesis of RNA molecules from an engineered DNA template comprised of an upstream bacteriophage promoter sequence {e.g. including but not limited to that from the T7, T3 and SP6 coliphage) linked to a downstream sequence encoding the gene of interest. Template DNA can be prepared for in vitro transcription from a number of sources with appropriate techniques which are well known in the art including, but not limited to, plasmid DNA and polymerase chain reaction amplification {see Linpinsel, J.L and Conn, G.L., General protocols for preparation of plasmid DNA template and Bowman, J.C., Azizi, B., Lenz, T.K., Ray, P., and Williams, L.D. in RNA
in vitro transcription and RNA purification by denaturing PAGE in Recombinant and in vitro RNA syntheses Methods v. 941 Conn G.L. (ed), New York, N.Y. Humana Press, 2012).
Transcription of the RNA occurs in vitro using the linearized DNA template in the presence of the corresponding RNA polymerase and adenosine, guanosine, uridine and cytidine ribonucleoside triphosphates (rNTPs) under conditions that support polymerase activity while minimizing potential degradation of the resultant mRNA transcripts. In vitro transcription can be performed using a variety of commercially available kits including, but not limited to RiboMax Large Scale RNA Production System (Promega), MegaScript Transcription kits (Life Technologies) as well as with commercially available reagents including RNA polymerases and rNTPs. The methodology for in vitro transcription of mRNA is well known in the art. (see, e.g., Losick, R., 1972, In vitro transcription, Ann Rev Biochem v.41 409-46;
Kamakaka, R. T. and Kraus, W. L. 2001. In Vitro Transcription. Current Protocols in Cell Biology. 2: 11.6: 11.6.1-11.6.17; Beckert, B. And Masquida, B.,(2010) Synthesis of RNA by In Vitro Transcription in RNA in Methods in Molecular Biology v. 703 (Neilson, H. Ed), New York, N.Y. Humana Press, 2010; Brunelle, J.L. and Green, R., 2013, Chapter Five - In vitro transcription from plasmid or PCR-amplified DNA, Methods in Enzymology v. 530, 101-114; all of which are incorporated herein by reference).
The desired in vitro transcribed mRNA is then purified from the undesired components of the transcription or associated reactions (including
unincorporated rNTPs, protein enzyme, salts, short RNA oligos, etc.). Techniques for the isolation of the mRNA transcripts are well known in the art. Well known procedures include phenol/chloroform extraction or precipitation with either alcohol {e.g., ethanol, isopropanol) in the presence of monovalent cations or lithium chloride. Additional, non-limiting examples of purification procedures which can be used include size exclusion chromatography (Lukavsky, P.J. and Puglisi, J.D., 2004, Large-scale preparation and purification of polyacrylamide-free RNA oligonucleotides, RNA v.10, 889-893), silica-based affinity chromatography and polyacrylamide gel electrophoresis (Bowman, J.C., Azizi, B., Lenz, T.K., Ray, P., and Williams, L.D. in RNA in vitro
transcription and RNA purification by denaturing PAGE in Recombinant and in vitro RNA syntheses Methods v. 941 Conn G.L. (ed), New York, N.Y. Humana Press, 2012 ). Purification can be performed using a variety of commercially available kits including, but not limited to SV Total Isolation System (Promega) and In Vitro
Transcription Cleanup and Concentration Kit (Norgen Biotek).
Furthermore, while reverse transcription can yield large quantities of mRNA, the products can contain a number of aberrant RNA impurities associated with undesired polymerase activity which may need to be removed from the full-length mRNA preparation. These include short RNAs that result from abortive transcription initiation as well as double-stranded RNA (dsRNA) generated by RNA-dependent RNA polymerase activity, RNA-primed transcription from RNA templates and self- complementary 3' extension. It has been demonstrated that these contaminants with dsRNA structures can lead to undesired immunostimulatory activity through interaction with various innate immune sensors in eukaryotic cells that function to recognize specific nucleic acid structures and induce potent immune responses. This in turn, can dramatically reduce mRNA translation since protein synthesis is reduced during the innate cellular immune response. Therefore, additional techniques to remove these dsRNA contaminants have been developed and are known in the art including but not limited to scaleable HPLC purification {see e.g., Kariko, K., Muramatsu, H., Ludwig, J. And Weissman, D., 2011, Generating the optimal mRNA for therapy: HPLC purification eliminates immune activation and improves translation of nucleoside- modified, protein-encoding mRNA, Nucl Acid Res, v. 39 el42; Weissman, D., Pardi, N., Muramatsu, H., and Kariko, K., HPLC Purification of in vitro transcribed long RNA in Synthetic Messenger RNA and Cell Metabolism Modulation in Methods in
Molecular Biology v.969 (Rabinovich, P.H. Ed), 2013). HPLC purified mRNA has been reported to be translated at much greater levels, particularly in primary cells and in vivo.
A significant variety of modifications have been described in the art which are used to alter specific properties of in vitro transcribed mRNA, and improve its utility. These include, but are not limited to modifications to the 5' and 3' termini of the mRNA. Endogenous eukaryotic mRNA typically contain a cap structure on the 5'-
end of a mature molecule which plays an important role in mediating binding of the mRNA Cap Binding Protein (CBP), which is in turn responsible for enhancing mRNA stability in the cell and efficiency of mRNA translation. Therefore, highest levels of protein expression are achieved with capped mRNA transcripts. The 5 '-cap contains a 5 '-5 '-triphosphate linkage between the 5 '-most nucleotide and guanine nucleotide. The conjugated guanine nucleotide is methylated at the N7 position. Additional
modifications include methylation of the ultimate and penultimate most 5 '-nucleotides on the 2'-hydroxyl group.
Multiple distinct cap structures can be used to generate the 5 '-cap of in vitro transcribed synthetic mRNA. 5 '-capping of synthetic mRNA can be performed co- transcriptionally with chemical cap analogs {i.e., capping during in vitro transcription). For example, the Anti -Reverse Cap Analog (ARC A) cap contains a 5 '-5 '-triphosphate guanine-guanine linkage where one guanine contains an N7 methyl group as well as a 3'-0-methyl group. However, up to 20% of transcripts remain uncapped during this co- transcriptional process and the synthetic cap analog is not identical to the 5 '-cap structure of an authentic cellular mRNA, potentially reducing translatability and cellular stability. Alternatively, synthetic mRNA molecules may also be enzymatically capped post-transcriptionally. These may generate a more authentic 5 '-cap structure that more closely mimics, either structurally or functionally, the endogenous 5 '-cap which have enhanced binding of cap binding proteins, increased half-life, reduced susceptibility to 5' endonucleases and/or reduced 5' decapping. Numerous synthetic 5 '-cap analogs have been developed and are known in the art to enhance mRNA stability and translatability {see e.g., Grudzien-Nogalska, E., Kowalska, J., Su, W., Kuhn, A.N., Slepenkov, S.V., Darynkiewicz, E., Sahin, U., Jemielity, J., and Rhoads, R.E., Synthetic mRNAs with superior translation and stability properties in Synthetic Messenger RNA and Cell
Metabolism Modulation in Methods in Molecular Biology v.969 (Rabinovich, P.H. Ed), 2013).
On the 3 '-terminus, a long chain of adenine nucleotides (poly-A tail) is normally added to mRNA molecules during RNA processing. Immediately after transcription, the 3' end of the transcript is cleaved to free a 3' hydroxyl to which poly- A polymerase adds a chain of adenine nucleotides to the RNA in a process called
polyadenylation. The poly-A tail has been extensively shown to enhance both translational efficiency and stability of mRNA (see Bernstein, P. and Ross, J., 1989, Poly (A), poly (A) binding protein and the regulation of mRNA stability, Trends Bio Sci v. 14 373-377; Guhaniyogi, J. And Brewer, G., 2001, Regulation of mRNA stability in mammalian cells, Gene, v. 265, 11-23; Dreyfus, M. And Regnier, P., 2002, The poly (A) tail of mRNAs: Bodyguard in eukaryotes, scavenger in bacteria, Cell, v. I l l, 611- 613).
Poly (A) tailing of in vitro transcribed mRNA can be achieved using various approaches including, but not limited to, cloning of a poly (T) tract into the DNA template or by post-transcriptional addition using Poly (A) polymerase. The first case allows in vitro transcription of mRNA with poly (A) tails of defined length, depending on the size of the poly (T) tract, but requires additional manipulation of the template. The latter case involves the enzymatic addition of a poly (A) tail to in vitro transcribed mRNA using poly (A) polymerase which catalyzes the incorporation of adenine residues onto the 3 'termini of RNA, requiring no additional manipulation of the DNA template, but results in mRNA with poly(A) tails of heterogeneous length. 5'- capping and 3 '-poly (A) tailing can be performed using a variety of commercially available kits including, but not limited to Poly (A) Polymerase Tailing kit (EpiCenter), mMESSAGE mMACHINE T7 Ultra kit and Poly (A) Tailing kit (Life Technologies) as well as with commercially available reagents, various ARCA caps, Poly (A)
polymerase, etc.
In addition to 5' cap and 3' poly adenylation, other modifications of the in vitro transcripts have been reported to provide benefits as related to efficiency of translation and stability. It is well known in the art that pathogenic DNA and RNA can be recognized by a variety of sensors within eukaryotes and trigger potent innate immune responses. The ability to discriminate between pathogenic and self DNA and RNA has been shown to be based, at least in part, on structure and nucleoside modifications since most nucleic acids from natural sources contain modified nucleosides. In contrast, in vitro synthesized RNA lacks these modifications, thus rendering it immunostimulatory which in turn can inhibit effective mRNA translation as outlined above. The introduction of modified nucleosides into in vitro transcribed
mRNA can be used to prevent recognition and activation of RNA sensors, thus mitigating this undesired immunostimulatory activity and enhancing translation capacity (see e.g., Kariko, K. And Weissman, D. 2007, Naturally occurring nucleoside modifications suppress the immunostimulatory activity of RNA: implication for therapeutic RNA development, Curr Opin Drug Discov Devel, v.10 523-532; Pardi, N., Muramatsu, H., Weissman, D., Kariko, K., In vitro transcription of long RNA containing modified nucleosides in Synthetic Messenger RNA and Cell Metabolism Modulation in Methods in Molecular Biology v.969 (Rabinovich, P.H. Ed), 2013); Kariko, K., Muramatsu, H., Welsh, F.A., Ludwig, J., Kato, H., Akira, S., Weissman, D., 2008, Incorporation of Pseudouridine Into mRNA Yields Superior Nonimmunogenic Vector With Increased Translational Capacity and Biological Stability, Mol Ther v.16, 1833-1840. The modified nucleosides and nucleotides used in the synthesis of modified RNAs can be prepared monitored and utilized using general methods and procedures known in the art. A large variety of nucleoside modifications are available that may be incorporated alone or in combination with other modified nucleosides to some extent into the in vitro transcribed mRNA (see, e.g., US Pub. No.2012/0251618). In vitro synthesis of nucleoside-modified mRNA have been reported to have reduced ability to activate immune sensors with a concomitant enhanced translational capacity.
Other components of mRNA which can be modified to provide benefit in terms of translatability and stability include the 5' and 3' untranslated regions (UTR). Optimization of the UTRs (favorable 5' and 3' UTRs can be obtained from cellular or viral RNAs), either both or independently, have been shown to increase mRNA stability and translational efficiency of in vitro transcribed mRNA (see e.g. Pardi, N.,
Muramatsu, H., Weissman, D., Kariko, K., In vitro transcription of long RNA containing modified nucleosides in Synthetic Messenger RNA and Cell Metabolism Modulation in Methods in Molecular Biology v.969 (Rabinovich, P.H. Ed), 2013).
In addition to mRNA, other nucleic acid payloads may be used for this invention. For oligonucleotides, methods of preparation include but are not limited to chemical synthesis and enzymatic, chemical cleavage of a longer precursor, in vitro transcription as described above, etc. Methods of synthesizing DNA and RNA nucleotides are widely used and well known in the art (see, e.g., Gait, M. J. (ed.)
Oligonucleotide synthesis: a practical approach, Oxford [Oxfordshire], Washington, D.C.: IRL Press, 1984; and Herdewijn, P. (ed.) Oligonucleotide synthesis: methods and applications, Methods in Molecular Biology, v. 288 (Clifton, N.J.) Totowa, N.J.:
Humana Press, 2005; both of which are incorporated herein by reference).
For plasmid DNA, preparation for use with this invention commonly utilizes but is not limited to expansion and isolation of the plasmid DNA in vitro in a liquid culture of bacteria containing the plasmid of interest. The presence of a gene in the plasmid of interest that encodes resistance to a particular antibiotic (penicillin, kanamycin, etc.) allows those bacteria containing the plasmid of interest to selectively grow in antibiotic-containing cultures. Methods of isolating plasmid DNA are widely used and well known in the art {see, e.g., Heilig, J., Elbing, K. L. and Brent, R (2001) Large-Scale Preparation of Plasmid DNA. Current Protocols in Molecular Biology. 41 :11: 1.7: 1.7.1-1.7.16; Rozkov, A., Larsson, B., Gillstrom, S., Bjornestedt, R. and Schmidt, S. R. (2008), Large-scale production of endotoxin-free plasmids for transient expression in mammalian cell culture. Biotechnol. Bioeng., 99: 557-566; and
US6197553B1 ). Plasmid isolation can be performed using a variety of commercially available kits including, but not limited to Plasmid Plus (Qiagen), GenJET plasmid MaxiPrep (Thermo) and Pure Yield MaxiPrep (Promega) kits as well as with commercially available reagents.
As used herein, the following terms have the meanings ascribed to them unless specified otherwise.
Unless the context requires otherwise, throughout the present specification and claims, the word "comprise" and variations thereof, such as,
"comprises" and "comprising" are to be construed in an open and inclusive sense, that is, as "including, but not limited to".
Reference throughout this specification to "one embodiment" or "an embodiment" means that a particular feature, structure or characteristic described in connection with the embodiment is included in at least one embodiment of the present invention. Thus, the appearances of the phrases "in one embodiment" or "in an embodiment" in various places throughout this specification are not necessarily all
referring to the same embodiment. Furthermore, the particular features, structures, or characteristics may be combined in any suitable manner in one or more embodiments.
Unless defined otherwise, all technical and scientific terms used herein have the same meaning as is commonly understood by one of skill in the art to which this invention belongs. As used in the specification and claims, the singular form "a", "an" and "the" include plural references unless the context clearly dictates otherwise.
The phrase "induce expression of a desired protein" refers to the ability of a nucleic acid to increase expression of the desired protein. To examine the extent of protein expression, a test sample (e.g. a sample of cells in culture expressing the desired protein) or a test mammal (e.g. a mammal such as a human or an animal model such as a rodent (e.g. mouse) or a non-human primate (e.g., monkey) model) is contacted with a nucleic acid (e.g. nucleic acid in combination with a lipid of the present invention). Expression of the desired protein in the test sample or test animal is compared to expression of the desired protein in a control sample (e.g. a sample of cells in culture expressing the desired protein) or a control mammal (e.g., a mammal such as a human or an animal model such as a rodent (e.g. mouse) or non-human primate (e.g. monkey) model) that is not contacted with or administered the nucleic acid. When the desired protein is present in a control sample or a control mammal, the expression of a desired protein in a control sample or a control mammal may be assigned a value of 1.0. In particular embodiments, inducing expression of a desired protein is achieved when the ratio of desired protein expression in the test sample or the test mammal to the level of desired protein expression in the control sample or the control mammal is greater than 1, for example, about 1.1, 1.5, 2.0. 5.0 or 10.0. When a desired protein is not present in a control sample or a control mammal, inducing expression of a desired protein is achieved when any measurable level of the desired protein in the test sample or the test mammal is detected. One of ordinary skill in the art will understand appropriate assays to determine the level of protein expression in a sample, for example dot blots, northern blots, in situ hybridization, ELISA, immunoprecipitation, enzyme function, and phenotypic assays, or assays based on reporter proteins that can produce fluorescence or luminescence under appropriate conditions.
The phrase "inhibiting expression of a target gene" refers to the ability of a nucleic acid to silence, reduce, or inhibit the expression of a target gene. To examine the extent of gene silencing, a test sample (e.g., a sample of cells in culture expressing the target gene) or a test mammal (e.g., a mammal such as a human or an animal model such as a rodent (e.g., mouse) or a non-human primate (e.g., monkey) model) is contacted with a nucleic acid that silences, reduces, or inhibits expression of the target gene. Expression of the target gene in the test sample or test animal is compared to expression of the target gene in a control sample (e.g., a sample of cells in culture expressing the target gene) or a control mammal (e.g., a mammal such as a human or an animal model such as a rodent (e.g., mouse) or non-human primate (e.g., monkey) model) that is not contacted with or administered the nucleic acid. The expression of the target gene in a control sample or a control mammal may be assigned a value of 100%. In particular embodiments, silencing, inhibition, or reduction of expression of a target gene is achieved when the level of target gene expression in the test sample or the test mammal relative to the level of target gene expression in the control sample or the control mammal is about 95%, 90%, 85%, 80%, 75%, 70%, 65%, 60%, 55%, 50%, 45%, 40%, 35%, 30%, 25%, 20%, 15%, 10%, 5%, or 0%. In other words, the nucleic acids are capable of silencing, reducing, or inhibiting the expression of a target gene by at least about 5%, 10%, 15%, 20%, 25%, 30%, 35%, 40%, 45%, 50%, 55%, 60%, 65%, 70%, 75%, 80%, 85%, 90%, 95%, or 100% in a test sample or a test mammal relative to the level of target gene expression in a control sample or a control mammal not contacted with or administered the nucleic acid. Suitable assays for determining the level of target gene expression include, without limitation, examination of protein or mRNA levels using techniques known to those of skill in the art, such as, e.g., dot blots, northern blots, in situ hybridization, ELISA, immunoprecipitation, enzyme function, as well as phenotypic assays known to those of skill in the art. In some embodiments, the subject is a mammal. In some more specific embodiments, the subject is a human.
An "effective amount" or "therapeutically effective amount" of an active agent or therapeutic agent such as a therapeutic nucleic acid is an amount sufficient to produce the desired effect, e.g. an increase or inhibition of expression of a target sequence in comparison to the normal expression level detected in the absence of the
nucleic acid. An increase in expression of a target sequence is achieved when any measurable level is detected in the case of an expression product that is not present in the absence of the nucleic acid. In the case where the expression product is present at some level prior to contact with the nucleic acid, an in increase in expression is achieved when the fold increase in value obtained with a nucleic acid such as mRNA relative to control is about 1.05, 1.1, 1.2, 1.3, 1.4, 1.5, 1.75, 2, 2.5, 3, 4, 5, 6, 7, 8, 9, 10, 15, 20, 25, 30, 40, 50, 75, 100, 250, 500, 750, 1000, 5000, 10000 or greater. Inhibition of expression of a target gene or target sequence is achieved when the value obtained with a nucleic acid such as antisense oligonucleotide relative to the control is about 95%, 90%, 85%, 80%, 75%, 70%, 65%, 60%, 55%, 50%, 45%, 40%, 35%, 30%, 25%, 20%), 15%), 10%), 5%), or 0%. Suitable assays for measuring expression of a target gene or target sequence include, e.g., examination of protein or RNA levels using techniques known to those of skill in the art such as dot blots, northern blots, in situ hybridization, ELISA, immunoprecipitation, enzyme function, fluorescence or luminescence of suitable reporter proteins, as well as phenotypic assays known to those of skill in the art.
The term "nucleic acid" as used herein refers to a polymer containing at least two deoxyribonucleotides or ribonucleotides in either single- or double-stranded form and includes DNA, RNA, and hybrids thereof. DNA may be in the form of antisense molecules, plasmid DNA, cDNA, PCR products, or vectors. RNA may be in the form of small hairpin RNA (shRNA), messenger RNA (mRNA), antisense RNA, miRNA, micRNA, multivalent RNA, dicer substrate RNA or viral RNA (vRNA), and combinations thereof. Nucleic acids include nucleic acids containing known nucleotide analogs or modified backbone residues or linkages, which are synthetic, naturally occurring, and non-naturally occurring, and which have similar binding properties as the reference nucleic acid. Examples of such analogs include, without limitation, phosphorothioates, phosphoramidates, methyl phosphonates, chiral-methyl
phosphonates, 2'-0-methyl ribonucleotides, and peptide-nucleic acids (PNAs). Unless specifically limited, the term encompasses nucleic acids containing known analogues of natural nucleotides that have similar binding properties as the reference nucleic acid. Unless otherwise indicated, a particular nucleic acid sequence also implicitly
encompasses conservatively modified variants thereof (e.g., degenerate codon substitutions), alleles, orthologs, single nucleotide polymorphisms, and complementary sequences as well as the sequence explicitly indicated. Specifically, degenerate codon substitutions may be achieved by generating sequences in which the third position of one or more selected (or all) codons is substituted with mixed-base and/or deoxyinosine residues (Batzer et al., Nucleic Acid Res., 19:5081 (1991); Ohtsuka et al., J. Biol.
Chem., 260:2605-2608 (1985); Rossolini et al., Mol. Cell. Probes, 8:91-98 (1994)). "Nucleotides" contain a sugar deoxyribose (DNA) or ribose (RNA), a base, and a phosphate group. Nucleotides are linked together through the phosphate groups.
"Bases" include purines and pyrimidines, which further include natural compounds adenine, thymine, guanine, cytosine, uracil, inosine, and natural analogs, and synthetic derivatives of purines and pyrimidines, which include, but are not limited to, modifications which place new reactive groups such as, but not limited to, amines, alcohols, thiols, carboxylates, and alkylhalides.
The term "gene" refers to a nucleic acid (e.g., DNA or RNA) sequence that comprises partial length or entire length coding sequences necessary for the production of a polypeptide or precursor polypeptide.
"Gene product," as used herein, refers to a product of a gene such as an RNA transcript or a polypeptide.
The term "lipid" refers to a group of organic compounds that include, but are not limited to, esters of fatty acids and are generally characterized by being poorly soluble in water, but soluble in many organic solvents. They are usually divided into at least three classes: (1) "simple lipids," which include fats and oils as well as waxes; (2) "compound lipids," which include phospholipids and glycolipids; and (3) "derived lipids" such as steroids.
A "steroid" is a compound comprising the following carbon skeleton:
Non-limiting examples of steroids include cholesterol, and the like.
A "cationic lipid" refers to a lipid capable of being positively charged. Exemplary cationic lipids include one or more amine group(s) which bear the positive charge. Preferred cationic lipids are ionizable such that they can exist in a positively charged or neutral form depending on pH. The ionization of the cationic lipid affects the surface charge of the lipid nanoparticle under different pH conditions. This charge state can influence plasma protein absorption, blood clearance and tissue distribution (Semple, S.C., et al., Adv. Drug Deliv Rev 32:3-17 (1998)) as well as the ability to form endosomolytic non-bilayer structures (Hafez, I.M., et al., Gene Ther 8: 1188-1196 (2001)) critical to the intracellular delivery of nucleic acids.
The term "polymer conjugated lipid" refers to a molecule comprising both a lipid portion and a polymer portion. An example of a polymer conjugated lipid is a pegylated lipid. The term "pegylated lipid" refers to a molecule comprising both a lipid portion and a polyethylene glycol portion. Pegylated lipids are known in the art and include l-(monomethoxy-polyethyleneglycol)-2,3-dimyristoylglycerol
(PEG-DMG) and the like.
The term "neutral lipid" refers to any of a number of lipid species that exist either in an uncharged or neutral zwitterionic form at a selected pH. At physiological pH, such lipids include, but are not limited to, phosphotidylcholines such as l,2-Distearoyl-s«-glycero-3-phosphocholine (DSPC), l,2-Dipalmitoyl-5«-glycero-3- phosphocholine (DPPC), l,2-Dimyristoyl-s«-glycero-3-phosphocholine (DMPC), 1- Palmitoyl-2-oleoyl-s«-glycero-3-phosphocholine (POPC), l,2-dioleoyl-sn-glycero-3- phosphocholine (DOPC), phophatidylethanolamines such as l,2-Dioleoyl-s«-glycero-3- phosphoethanolamine (DOPE), sphingomyelins (SM), ceramides, steroids such as sterols and their derivatives. Neutral lipids may be synthetic or naturally derived.
The term "charged lipid" refers to any of a number of lipid species that exist in either a positively charged or negatively charged form independent of the pH within a useful physiological range e.g. pH ~3 to pH ~9. Charged lipids may be synthetic or naturally derived. Examples of charged lipids include phosphatidylserines, phosphatidic acids, phosphatidylglycerols, phosphatidylinositols, sterol hemi succinates, dialkyl trimethylammonium-propanes, (e.g. DOTAP, DOTMA), dialkyl
dimethylaminopropanes, ethyl phosphocholines, dimethylaminoethane carbamoyl sterols (e.g. DC-Choi).
The term "lipid nanoparticle" refers to particles having at least one dimension on the order of nanometers (e.g., 1-1,000 nm) which include one or more of the compounds of Formula I, II, III, or other specified cationic lipids. In some embodiments, lipid nanoparticles are included in a formulation that can be used to deliver an active agent or therapeutic agent, such as a nucleic acid (e.g., mRNA) to a target site of interest (e.g., cell, tissue, organ, tumor, and the like). In some
embodiments, the lipid nanoparticles of the invention comprise a nucleic acid. Such lipid nanoparticles typically comprise a compound of Formula I, II, III or other specified cationic lipid and one or more excipient selected from neutral lipids, charged lipids, steroids and polymer conjugated lipids. In some embodiments, the active agent or therapeutic agent, such as a nucleic acid, may be encapsulated in the lipid portion of the lipid nanoparticle or an aqueous space enveloped by some or all of the lipid portion of the lipid nanoparticle, thereby protecting it from enzymatic degradation or other undesirable effects induced by the mechanisms of the host organism or cells e.g. an adverse immune response.
In various embodiments, the lipid nanoparticles have a mean diameter of from about 30 nm to about 150 nm, from about 40 nm to about 150 nm, from about 50 nm to about 150 nm, from about 60 nm to about 130 nm, from about 70 nm to about 110 nm, from about 70 nm to about 100 nm, from about 80 nm to about 100 nm, from about 90 nm to about 100 nm, from about 70 to about 90 nm, from about 80 nm to about 90 nm, from about 70 nm to about 80 nm, or about 30 nm, 35 nm, 40 nm, 45 nm, 50 nm, 55 nm, 60 nm, 65 nm, 70 nm, 75 nm, 80 nm, 85 nm, 90 nm, 95 nm, 100 nm, 105 nm, 110 nm, 115 nm, 120 nm, 125 nm, 130 nm, 135 nm, 140 nm, 145 nm, or 150 nm, and are substantially non-toxic. In certain embodiments, nucleic acids, when present in the lipid nanoparticles, are resistant in aqueous solution to degradation with a nuclease. Lipids and lipid nanoparticles comprising nucleic acids and their method of preparation are disclosed in, e.g., U.S. Patent Nos. 8,569,256, 5,965,542 and U.S. Patent Publication Nos. 2016/0199485, 2016/0009637, 2015/0273068, 2015/0265708, 2015/0203446, 2015/0005363, 2014/0308304, 2014/0200257, 2013/086373, 2013/0338210,
2013/0323269, 2013/0245107, 2013/0195920, 2013/0123338, 2013/0022649,
2013/0017223, 2012/0295832, 2012/0183581, 2012/0172411, 2012/0027803,
2012/0058188, 2011/0311583, 2011/0311582, 2011/0262527, 2011/0216622,
2011/0117125, 2011/0091525, 2011/0076335, 2011/0060032, 2010/0130588,
2007/0042031, 2006/0240093, 2006/0083780, 2006/0008910, 2005/0175682,
2005/017054, 2005/0118253, 2005/0064595, 2004/0142025, 2007/0042031,
1999/009076 and PCT Pub. Nos. WO 99/39741, WO 2015/199952, WO 2014/008334, WO 2013/086373, WO 2013/086322, WO 2013/016058, WO 2013/086373,
WO2011/141705, and WO 2001/07548, the full disclosures of which are herein incorporated by reference in their entirety for all purposes.
Other exemplary lipids and lipid nanoparticles and their manufacture are described in the art, for example in U.S. Patent Application Publication No. U.S.
2012/0276209, Semple et al., 2010, Nat Biotechnol., 28(2): 172-176; Akinc et al., 2010, Mol Ther., 18(7): 1357-1364; Basha et al., 2011, Mol Ther, 19(12): 2186-2200; Leung et al., 2012, J Phys Chem C Nanomater Interfaces, 116(34): 18440-18450; Lee et al.,
2012, Int J Cancer., 131(5): E781-90; Belliveau et al., 2012, Mol Ther nucleic Acids, 1 : e37; Jayaraman et al., 2012, Angew Chem Int Ed Engl., 51(34): 8529-8533; Mui et al.,
2013, Mol Ther Nucleic Acids. 2, el39; Maier et al., 2013, Mol Ther., 21(8): 1570- 1578; and Tarn et al., 2013, Nanomedicine, 9(5): 665-74, each of which are
incorporated by reference in their entirety.
As used herein, "lipid encapsulated" refers to a lipid nanoparticle that provides an active agent or therapeutic agent, such as a nucleic acid (e.g., mRNA), with full encapsulation, partial encapsulation, or both. In an embodiment, the nucleic acid
(e.g., mRNA) is fully encapsulated in the lipid nanoparticle.
As used herein, the term "aqueous solution" refers to a composition comprising water.
"Serum-stable" in relation to nucleic acid-lipid nanoparticles means that the nucleotide is not significantly degraded after exposure to a serum or nuclease assay that would significantly degrade free DNA or RNA. Suitable assays include, for example, a standard serum assay, a DNAse assay, or an RNAse assay.
"Systemic delivery," as used herein, refers to delivery of a therapeutic product that can result in a broad exposure of an active agent within an organism.
Some techniques of administration can lead to the systemic delivery of certain agents, but not others. Systemic delivery means that a useful, preferably therapeutic, amount of an agent is exposed to most parts of the body. Systemic delivery of lipid nanoparticles can be by any means known in the art including, for example, intravenous, intraarterial, subcutaneous, and intraperitoneal delivery. In some embodiments, systemic delivery of lipid nanoparticles is by intravenous delivery.
"Local delivery," as used herein, refers to delivery of an active agent directly to a target site within an organism. For example, an agent can be locally delivered by direct injection into a disease site such as a tumor, other target site such as a site of inflammation, or a target organ such as the liver, heart, pancreas, kidney, and the like. Local delivery can also include topical applications or localized injection techniques such as intramuscular, subcutaneous or intradermal injection. Local delivery does not preclude a systemic pharmacological effect.
"Adipose tissue" refers to loose connective tissue comprising adipocytes. Adipose tissue includes two types: white adipose tissue (WAT; which stores energy) and brown adipose tissue (BAT; which generates body heat). As used herein, brown adipose tissue includes beige adipose tissue. Adipose tissue can be found beneath the skin and around internal organs to provide a protective padding. Adipose tissue can also include a stromal vascular fraction of cells including preadipocytes, fibroblasts, vascular endothelial cells and a variety of immune cells such as adipose tissue macrophages.
"Amino acid" refers to naturally-occurring and non-naturally occurring amino acids. An amino acid lipid can be made from a genetically encoded amino acid, a naturally occurring non-genetically encoded amino acid, or a synthetic amino acid. Examples of amino acids include Ala, Arg, Asn, Asp, Cys, Gin, Glu, Gly, His, He, Leu, Lys, Met, Phe, Pro, Ser, Thr, Trp, Tyr, and Val. Examples of amino acids also include azetidine, 2-aminooctadecanoic acid, 2-aminoadipic acid, 3-aminoadipic acid, 2,3- diaminopropionic acid, 2-aminobutyric acid, 4-aminobutyric acid, 2,3-diaminobutyric acid, 2,4-diaminobutyric acid, 2-aminoisobutyric acid, 4-aminoisobutyric acid, 2-
aminopimelic acid, 2,2'-diaminopimelic acid, 6-aminohexanoic acid, 6-aminocaproic acid, 2-aminoheptanoic acid, desmosine, ornithine, citrulline, N-methylisoleucine, norleucine, tert-leucine, phenylglycine, t-butylglycine, N-methylglycine, sacrosine, N- ethylglycine, cyclohexylglycine, 4-oxo-cyclohexylglycine, N-ethylasparagine, cyclohexylalanine, t-butylalanine, naphthylalanine, pyridylalanine, 3-chloroalanine, 3- benzothienylalanine, 4-halophenylalanine, 4-chlorophenylalanine, 2- fluorophenylalanine, 3-fluorophenylalanine, 4-fluorophenylalanine, penicillamine, 2- thienylalanine, methionine, methionine sulfoxide, homoarginine, norarginine, nor- norarginine, N-acetyllysine, 4-aminophenylalanine, N-methylvaline, homocysteine, homoserine, hydroxylysine, allo-hydroxylysine, 3-hydroxyproline, 4-hydroxyproline, isodesmosine, allo-isoleucine, 6-N-methyllysine, norvaline, 0-allyl-serine, 0-allyl- threonine, alpha-aminohexanoic acid, alpha-aminovaleric acid, pyroglutamic acid, and derivatives thereof. "Amino acid" includes alpha- and beta- amino acids. Examples of amino acid residues can be found in Fasman, CRC Practical Handbook of Biochemistry and Molecular Biology, CRC Press, Inc. (1989).
"Alkyl" refers to a straight or branched hydrocarbon chain radical consisting solely of carbon and hydrogen atoms, which is saturated or unsaturated (i.e., contains one or more double (alkenyl) and/or triple bonds (alkynyl)), having, for example, from one to twenty-four carbon atoms (Ci-C24 alkyl), four to twenty carbon atoms (C4-C2o alkyl), six to sixteen carbon atoms (C6-Ci6 alkyl), six to nine carbon atoms (C6-C9 alkyl), one to fifteen carbon atoms (C1-C15 alkyl),one to twelve carbon atoms (C1-C12 alkyl), one to eight carbon atoms (C1-C8 alkyl) or one to six carbon atoms (C1-C6 alkyl) and which is attached to the rest of the molecule by a single bond, e.g., methyl, ethyl, n propyl, 1 methylethyl (iso propyl), n butyl, n pentyl, 1, 1- dimethylethyl (t butyl), 3-methylhexyl, 2-methylhexyl, ethenyl, prop-l-enyl, but-l-enyl, pent-l-enyl, penta-l,4-dienyl, ethynyl, propynyl, butynyl, pentynyl, hexynyl, and the like. Unless stated otherwise specifically in the specification, an alkyl group is optionally substituted.
"Alkylene" or "alkylene chain" refers to a straight or branched divalent hydrocarbon chain linking the rest of the molecule to a radical group, consisting solely of carbon and hydrogen, which is saturated or unsaturated (i.e., contains one or more
double (alkenylene) and/or triple bonds (alkynylene)), and having, for example, from one to twenty-four carbon atoms (Ci-C24 alkylene), one to fifteen carbon atoms (C1-C15 alkylene),one to twelve carbon atoms (C1-C12 alkylene), one to eight carbon atoms (Ci- C8 alkylene), one to six carbon atoms (C1-C6 alkylene), two to four carbon atoms (C2-C4 alkylene), one to two carbon atoms (Ci-C2 alkylene), e.g., methylene, ethylene, propylene, «-butylene, ethenylene, propenylene, «-butenylene, propynylene,
«-butynylene, and the like. The alkylene chain is attached to the rest of the molecule through a single or double bond and to the radical group through a single or double bond. The points of attachment of the alkylene chain to the rest of the molecule and to the radical group can be through one carbon or any two carbons within the chain.
Unless stated otherwise specifically in the specification, an alkylene chain may be optionally substituted.
The term "alkenyl" refers to an alkyl, as defined above, containing at least one double bond between adjacent carbon atoms. Alkenyls include both cis and trans isomers. Representative straight chain and branched alkenyls include, but are not limited to, ethylenyl, propylenyl, 1-butenyl, 2-butenyl, isobutylenyl, 1 -pentenyl, 2- pentenyl, 3 -methyl- 1-butenyl, 2-methyl-2-butenyl, 2,3-dimethyl-2-butenyl, and the like.
"Alkoxy" refers to an alkyl, cycloalkyl, alkenyl, or alkynyl group covalently bonded to an oxygen atom.
"Alkanoyloxy" refers to -0-C(=0)-alkyl groups.
" Alkylamino" refers to the group -NRR, where R and R' are each either hydrogen or alkyl, and at least one of R and R is alkyl. Alkylamino includes groups such as piped dino wherein R and R form a ring. The term "alkylaminoalkyl" refers to - alkyl- RR.
The term "alkynyl" includes any alkyl or alkenyl, as defined above, which additionally contains at least one triple bond between adjacent carbons.
Representative straight chain and branched alkynyls include, without limitation, acetylenyl, propynyl, 1-butynyl, 2-butynyl, 1-pentynyl, 2-pentynyl, 3 -methyl- 1 butynyl, and the like.
The terms "acyl," "carbonyl," and "alkanoyl" refer to any alkyl, alkenyl, or alkynyl wherein the carbon at the point of attachment is substituted with an oxo
group, as defined below. The following are non-limiting examples of acyl, carbonyl or alkanoyl groups: -C(=0)alkyl, -C(=0)alkenyl, and -C(=0)alkynyl.
"Aryl" refers to any stable monocyclic, bicyclic, or poly cyclic carbon ring system of from 4 to 12 atoms in each ring, wherein at least one ring is aromatic. Some examples of an aryl include phenyl, naphthyl, tetrahydro-naphthyl, indanyl, and biphenyl. Where an aryl substituent is bicyclic and one ring is non-aromatic, it is understood that attachment is to the aromatic ring. An aryl may be substituted or unsubstituted.
"Carboxyl" refers to a functional group of the formula -C(=0)OH.
"Cyano" refers to a functional group of the formula -CN.
"Cycloalkyl" or "carbocyclic ring" refers to a stable non-aromatic monocyclic or polycyclic hydrocarbon radical consisting solely of carbon and hydrogen atoms, which may include fused or bridged ring systems, having from three to fifteen carbon atoms, preferably having from three to ten carbon atoms, and which is saturated or unsaturated and attached to the rest of the molecule by a single bond. Monocyclic radicals include, for example, cyclopropyl, cyclobutyl, cyclopentyl, cyclohexyl, cycloheptyl, and cyclooctyl. Polycyclic radicals include, for example, adamantyl, norbornyl, decalinyl, 7,7-dimethyl-bicyclo[2.2.1]heptanyl, and the like. Unless otherwise stated specifically in the specification, a cycloalkyl group may be optionally substituted.
"Cycloalkylene" is a divalent cycloalkyl group. Unless otherwise stated specifically in the specification, a cycloalkylene group may be optionally substituted.
The term "diacylglycerol" or "DAG" includes a compound having 2 fatty acyl chains, both of which have independently between 2 and 30 carbons bonded to the 1- and 2-position of glycerol by ester linkages. The acyl groups can be saturated or have varying degrees of unsaturation. Suitable acyl groups include, but are not limited to, lauroyl (C12), myristoyl (C14), palmitoyl (C16), stearoyl (C18), and icosoyl (C20). In preferred embodiments, the fatty acid acyl chains of one compound are the same, i.e., both myristoyl {i.e., dimyristoyl), both stearoyl {i.e., distearoyl), etc.
The term "heterocycle" or "heterocyclyl" refers to an aromatic or nonaromatic ring system of from five to twenty -two atoms, wherein from 1 to 4 of the
ring atoms are heteroatoms selected from oxygen, nitrogen, and sulfur. Thus, a heterocycle may be a heteroaryl or a dihydro or tetrathydro version thereof.
Heterocycles include, but are not limited to, pyrrolidine, tetryhydrofuran, thiolane, azetidine, oxetane, thietane, diazetidine, dioxetane, dithietane, piperidine,
tetrahydrofuran, pyran, tetrahydropyran, thiacyclohexane, tetrahydrothiophene, pyridine, pyrimidine and the like.
"Heteroaryl" refers to any stable monocyclic, bicyclic, or poly cyclic carbon ring system of from 4 to 12 atoms in each ring, wherein at least one ring is aromatic and contains from 1 to 4 heteroatoms selected from oxygen, nitrogen and sulfur. Some examples of a heteroaryl include acridinyl, quinoxalinyl, pyrazolyl, indolyl, benzotriazolyl, furanyl, thienyl, benzothienyl, benzofuranyl, quinolinyl, isoquinolinyl, oxazolyl, isoxazolyl, pyrazinyl, pyridazinyl, pyridinyl, pyrimidinyl, pyrrolyl, and tetrahydroquinolinyl. A heteroaryl includes the N-oxide derivative of a nitrogen-containing heteroaryl.
The terms "alkylamine" and "dialkylamine" refer to— NH(alkyl) and — N(alkyl)2 radicals respectively.
The term "alkylphosphate" refers to— O— P(Q')(Q")-0— R, wherein Q' and Q" are each independently O, S, N(R)2, optionally substituted alkyl or alkoxy; and R is optionally substituted alkyl, co-aminoalkyl or ro-(substituted)aminoalkyl.
The term "alkylphosphorothioate" refers to an alkylphosphate wherein at least one of Q' or Q" is S.
The term "alkylphosphonate" refers to an alkylphosphate wherein at least one of Q' or Q" is alkyl.
"Hydroxy alkyl" refers to an -O-alkyl radical.
The term "alkylheterocycle" refers to an alkyl where at least one methylene has been replaced by a heterocycle.
The term "co-aminoalkyl" refers to -alkyl-NH2 radical. And the term "co- (substituted)aminoalkyl refers to an ω-aminoalkyl wherein at least one of the H on N has been replaced with alkyl.
The term "co-phosphoalkyl" refers to -alkyl-0— P(Q')(Q")-0— R, wherein Q' and Q" are each independently O or S and R optionally substituted alkyl.
The term "co-thiophosphoalkyl" refers to co-phosphoalkyl wherein at least one of Q' or Q" is S.
The term "substituted" used herein means any of the above groups (e.g. alkyl, alkylene, cycloalkyl or cycloalkylene) wherein at least one hydrogen atom is replaced by a bond to a non-hydrogen atom such as, but not limited to: a halogen atom such as F, CI, Br, or I; oxo groups (=0); hydroxyl groups (-OH); C1-C12 alkyl groups; cycloalkyl groups; -(C=0)OR ; -
0(C=0)R ; -C(=0)R ; -OR ; -S(0)xR ; -S-SR ; -C(=0)SR ;
-SC(=0)R ; - R R ; - R'C(=0)R ; -C(=0) R'R'; - R C(=0) R R ; -OC(=0) R'R'; - R'C(=0)0R ; - R'S(0)X R'R ; -NR'S(0)XR ; and -S(0)x R R , wherein: R' is, at each occurrence, independently H, C1-C15 alkyl or cycloalkyl, and x is 0, 1 or 2. In some embodiments the substituent is a C1-C12 alkyl group. In other embodiments, the substituent is a cycloalkyl group. In other embodiments, the substituent is a halo group, such as fluoro. In other embodiments, the substituent is an oxo group. In other embodiments, the substituent is a hydroxyl group. In other embodiments, the substituent is an alkoxy group (-OR ). In other embodiments, the substituent is a carboxyl group. In other embodiments, the substituent is an amine group(- R R ).
"Optional" or "optionally" (e.g., optionally substituted) means that the subsequently described event of circumstances may or may not occur, and that the description includes instances where said event or circumstance occurs and instances in which it does not. For example, "optionally substituted alkyl" means that the alkyl radical may or may not be substituted and that the description includes both substituted alkyl radicals and alkyl radicals having no substitution.
"Prodrug" is meant to indicate a compound, such as a therapeutic agent, that may be converted under physiological conditions or by solvolysis to a biologically active compound of the invention. Thus, the term "prodrug" refers to a metabolic precursor of a compound of the invention that is pharmaceutically acceptable. A prodrug may be inactive when administered to a subject in need thereof, but is converted in vivo to an active compound of the invention. Prodrugs are typically rapidly transformed in vivo to yield the parent compound of the invention, for example, by hydrolysis in blood. The prodrug compound often offers advantages of solubility,
tissue compatibility or delayed release in a mammalian organism (see, Bundgard, H., Design of Prodrugs (1985), pp. 7-9, 21-24 (Elsevier, Amsterdam)). A discussion of prodrugs is provided in Higuchi, T., et al., A.C.S. Symposium Series, Vol. 14, and in Bioreversible Carriers in Drug Design, Ed. Edward B. Roche, American Pharmaceutical Association and Pergamon Press, 1987.
The term "prodrug" is also meant to include any covalently bonded carriers, which release the active compound of the invention in vivo when such prodrug is administered to a mammalian subject. Prodrugs {e.g., a prodrug of a therapeutic agent) may be prepared by modifying functional groups present in the compound of the invention in such a way that the modifications are cleaved, either in routine
manipulation or in vivo, to the parent compound of the invention. Prodrugs include compounds wherein a hydroxy, amino or mercapto group is bonded to any group such that, when the prodrug is administered to a mammalian subject, cleaves to form a free hydroxy, free amino or free mercapto group, respectively. Examples of prodrugs include, but are not limited to, acetate, formate and benzoate derivatives of alcohol or amide derivatives of amine functional groups in the therapeutic agents of the invention and the like.
The invention disclosed herein is also meant to encompass administration of all pharmaceutically acceptable lipid nanoparticles and components thereof {e.g., cationic lipid, therapeutic agent, etc.) being isotopically-labelled by having one or more atoms replaced by an atom having a different atomic mass or mass number. Examples of isotopes that can be incorporated into the disclosed compounds include isotopes of hydrogen, carbon, nitrogen, oxygen, phosphorous, fluorine, chlorine, and iodine, such as 2H, 3H, UC, 13C, 14C, 13N, 15N, 150, 170, 180, 31P, 32P, 35S, 18F, 36C1, 123I, and 125I, respectively. These radiolabeled L Ps could be useful to help determine or measure the effectiveness of the administration of compounds to adipose tissue, by characterizing, for example, the site or mode of action, or binding affinity to
pharmacologically important site of action. Certain isotopically-labelled LNPs, for example, those incorporating a radioactive isotope, are useful in drug and/or substrate tissue distribution studies. The radioactive isotopes tritium, i.e., 3H, and carbon-14, that
is, C, are particularly useful for this purpose in view of their ease of incorporation and ready means of detection.
Substitution with heavier isotopes such as deuterium, that is, 2H, may afford certain therapeutic advantages resulting from greater metabolic stability, for example, increased in vivo half-life or reduced dosage requirements, and hence may be preferred in some circumstances.
Substitution with positron emitting isotopes, such as UC, 18F, 150 and 13N, can be useful in Positron Emission Topography (PET) studies for examining substrate receptor occupancy. Isotopically-labeled compounds of Formula I, II or III can generally be prepared by conventional techniques known to those skilled in the art or by processes analogous to those described in the Preparations and Examples as set out below using an appropriate isotopically-labeled reagent in place of the non-labeled reagent previously employed.
"Stable compound" and "stable structure" are meant to indicate a compound that is sufficiently robust to survive isolation to a useful degree of purity from a reaction mixture, and formulation into an efficacious therapeutic agent.
"Mammal" includes humans and both domestic animals such as laboratory animals and household pets {e.g., cats, dogs, swine, cattle, sheep, goats, horses, rabbits), and non-domestic animals such as wildlife and the like.
"Pharmaceutically acceptable carrier, diluent or excipient" includes without limitation any adjuvant, carrier, excipient, glidant, sweetening agent, diluent, preservative, dye/colorant, flavor enhancer, surfactant, wetting agent, dispersing agent, suspending agent, stabilizer, isotonic agent, solvent, or emulsifier which has been approved by the United States Food and Drug Administration as being acceptable for use in humans or domestic animals.
"Pharmaceutically acceptable salt" includes both acid and base addition salts.
"Pharmaceutically acceptable acid addition salt" refers to those salts which retain the biological effectiveness and properties of the free bases, which are not biologically or otherwise undesirable, and which are formed with inorganic acids such as, but are not limited to, hydrochloric acid, hydrobromic acid, sulfuric acid, nitric acid,
phosphoric acid and the like, and organic acids such as, but not limited to, acetic acid, 2,2-dichloroacetic acid, adipic acid, alginic acid, ascorbic acid, aspartic acid, benzenesulfonic acid, benzoic acid, 4-acetamidobenzoic acid, camphoric acid, camphor- 10-sulfonic acid, capric acid, caproic acid, caprylic acid, carbonic acid, cinnamic acid, citric acid, cyclamic acid, dodecylsulfuric acid, ethane- 1,2-disulfonic acid, ethanesulfonic acid, 2-hydroxyethanesulfonic acid, formic acid, fumaric acid, galactaric acid, gentisic acid, glucoheptonic acid, gluconic acid, glucuronic acid, glutamic acid, glutaric acid, 2-oxo-glutaric acid, glycerophosphoric acid, glycolic acid, hippuric acid, isobutyric acid, lactic acid, lactobionic acid, lauric acid, maleic acid, malic acid, malonic acid, mandelic acid, methanesulfonic acid, mucic acid, naphthalene-l,5-disulfonic acid, naphthalene-2-sulfonic acid, l-hydroxy-2-naphthoic acid, nicotinic acid, oleic acid, orotic acid, oxalic acid, palmitic acid, pamoic acid, propionic acid, pyroglutamic acid, pyruvic acid, salicylic acid, 4-aminosalicylic acid, sebacic acid, stearic acid, succinic acid, tartaric acid, thiocyanic acid, ^-toluenesulfonic acid, trifluoroacetic acid, undecylenic acid, and the like.
"Pharmaceutically acceptable base addition salt" refers to those salts which retain the biological effectiveness and properties of the free acids, which are not biologically or otherwise undesirable. These salts are prepared from addition of an inorganic base or an organic base to the free acid. Salts derived from inorganic bases include, but are not limited to, the sodium, potassium, lithium, ammonium, calcium, magnesium, iron, zinc, copper, manganese, aluminum salts and the like. Preferred inorganic salts are the ammonium, sodium, potassium, calcium, and magnesium salts. Salts derived from organic bases include, but are not limited to, salts of primary, secondary, and tertiary amines, substituted amines including naturally occurring substituted amines, cyclic amines and basic ion exchange resins, such as ammonia, isopropylamine, trimethylamine, diethylamine, triethylamine, tripropylamine, diethanolamine, ethanolamine, deanol, 2-dimethylaminoethanol,
2-diethylaminoethanol, dicyclohexylamine, lysine, arginine, histidine, caffeine, procaine, hydrabamine, choline, betaine, benethamine, benzathine, ethylenediamine, glucosamine, methylglucamine, theobromine, tri ethanolamine, tromethamine, purines, piperazine, piperidine, N-ethylpiperidine, polyamine resins and the like. Particularly
preferred organic bases are isopropylamine, diethylamine, ethanolamine,
trimethylamine, dicyclohexylamine, choline and caffeine.
A "pharmaceutical composition" refers to a formulation of an L P of the invention and a medium generally accepted in the art for the delivery of the biologically active compound to mammals, e.g., humans. Such a medium includes all
pharmaceutically acceptable carriers, diluents or excipients therefor.
"Treating" or "treatment" refers to the treatment of the disease or condition of interest in a mammal, preferably a human, having the disease or condition of interest, and includes:
(i) preventing the disease or condition from occurring in a mammal, in particular, when such mammal is predisposed to the condition but has not yet been diagnosed as having it;
(ii) inhibiting the disease or condition, i.e., arresting its development;
(iii) relieving the disease or condition, i.e., causing regression of the disease or condition; or
(iv) relieving the symptoms resulting from the disease or condition, i.e., relieving pain without addressing the underlying disease or condition. As used herein, the terms "disease" and "condition" may be used interchangeably or may be different in that the particular malady or condition may not have a known causative agent (so that etiology has not yet been worked out) and it is therefore not yet recognized as a disease but only as an undesirable condition or syndrome, wherein a more or less specific set of symptoms have been identified by clinicians.
In some embodiments, the disease is a metabolic disturbance, for example, obesity, type II diabetes, insulin resistance, atherosclerosis, or lipid disorders.
In some embodiments, the present invention provides a use of a therapeutically effective amount of a composition for intraperitoneally administration, the composition comprising a lipid nanoparticle and a therapeutic agent, or a pharmaceutically acceptable salt or prodrug thereof, encapsulated within or associated with the lipid nanoparticle, in the manufacture of a medicament for treating a disease mediated by protein expression in adipose tissue of a subject in need thereof, wherein the administering delivers the therapeutic agent to adipose tissue of the subject and
alters protein expression in the adipose tissue. In these specific embodiments, the lipid nanoparticle and therapeutic agent can be prepared according to any of the
embodiments disclosed herein.
Lipid Nanoparticles
Certain embodiments provide a method for treating a disease mediated by protein expression in adipose tissue of a subject in need thereof, the method comprising:
intraperitoneally administering a therapeutically effective amount of a composition comprising a lipid nanoparticle, the lipid nanoparticle comprising a therapeutic agent, or a pharmaceutically acceptable salt or prodrug thereof,
encapsulated within or associated with the lipid nanoparticle, thereby delivering the therapeutic agent to adipose tissue of the subject and altering protein expression in the adipose tissue.
In some other embodiments, the present invention provides a method for delivering a therapeutic agent to adipose tissue of a subject in need thereof, the method comprising:
providing a composition comprising a therapeutically effective amount of a lipid nanoparticle, the lipid nanoparticle comprising a therapeutic agent, or a pharmaceutically acceptable salt or prodrug thereof, encapsulated within or associated with the lipid nanoparticle; and
intraperitoneally administering the composition to the subject, thereby delivering the therapeutic agent to the adipose tissue of the subject. Generally, lipid nanoparticle components can be chosen to effectuate desirable physical characteristics. Some common components of lipid nanoparticles include, but are not limited to cationic lipids, neutral lipids, steroids, and polymer conjugated lipids.
In some embodiments, the L Ps disclosed herein comprise a cationic lipid. The cationic lipid can be any of a number of lipid species which carry a net positive charge at a selected pH, such as physiological pH. Such lipids include, but are not limited to, N,N-dioleyl-N,N-dimethylammonium chloride (DODAC); N-(2,3- dioleyloxy)propyl)-N,N,N-trimethylammonium chloride (DOTMA); N,N-distearyl-
Ν,Ν-dimethylammonium bromide (DDAB); N-(2,3dioleoyloxy)propyl)-N,N,N- trimethylammonium chloride (DOTAP); 3-(N— (N',N'dimethylaminoethane)- carbamoyl)cholesterol (DC-Choi), N-(l-(2,3-dioleoyloxy)propyl)N-2- (sperminecarboxamido)ethyl)-N,N-dimethylammonium trifluoracetate (DOSPA), dioctadecylamidoglycyl carboxy spermine (DOGS), l,2-dioleoyl-3-dimethylammonium propane (DODAP), N,N-dimethyl-2,3-dioleoyloxy)propylamine (DODMA), and N- (l,2dimyristyloxyprop-3-yl)-N,N-dimethyl-N-hydroxy ethyl ammonium bromide (DMRIE).
Additionally, a number of commercial preparations of cationic lipids are available which can be used in the present invention. These include, for example, LIPOFECTIN® (commercially available cationic liposomes comprising DOTMA and l,2-dioleoyl-sn-3phosphoethanolamine (DOPE), from GIBCO/BRL, Grand Island, N. Y.); LIPOFECTAMINE® (commercially available cationic liposomes comprising N- (l-(2,3dioleyloxy)propyl)-N-(2-(sperminecarboxamido)ethyl)-N,N-dimethylammonium trifluoroacetate (DOSPA) and (DOPE), from GIBCO/BRL); and TRANSFECTAM® (commercially available cationic lipids comprising dioctadecylamidoglycyl
carboxyspermine (DOGS) in ethanol from Promega Corp., Madison, Wis.). The following lipids are cationic and have a positive charge at below physiological pH: DODAP, DODMA, DMDMA, l,2-dilinoleyloxy-N,N-dimethylaminopropane
(DLinDMA), 1 ,2-dilinolenyloxy-N,N-dimethylaminopropane (DLenDMA).
In one embodiment, the cationic lipid is an amino lipid. Suitable amino lipids useful in the invention include those described in PCT Pub. No. WO
2012/016184, incorporated herein by reference in its entirety. Representative amino lipids include, but are not limited to, l,2-dilinoleyoxy-3-
(dimethylamino)acetoxypropane (DLin-DAC), l,2-dilinoleyoxy-3morpholinopropane (DLin-MA), l,2-dilinoleoyl-3-dimethylaminopropane (DLinDAP), l,2-dilinoleylthio-3- dimethylaminopropane (DLin-S-DMA), l-linoleoyl-2-linoleyloxy- 3dimethylaminopropane (DLin-2-DMAP), l,2-dilinoleyloxy-3-trimethylaminopropane chloride salt (DLin-TMA.Cl), l,2-dilinoleoyl-3-trimethylaminopropane chloride salt (DLin-TAP.Cl), l,2-dilinoleyloxy-3-(N-methylpiperazino)propane (DLin-MPZ), 3- (N,Ndilinoleylamino)-l,2-propanediol (DLinAP), 3-(N,N-dioleylamino)-l,2-
propanediol (DOAP), l,2-dilinoleyloxo-3-(2-N,N-dimethylamino)ethoxypropane (DLin-EG-DMA), and 2,2-dilinoleyl-4-dimethylaminomethyl-[l,3]-dioxolane (DLin-K- DMA).
In some embodiments the cationic lipid has the following formula:
wherein Ri and R2 are either the same or different and independently optionally substituted Cio-C24 alkyl, optionally substituted C10-C24 alkenyl, optionally substituted C10-C24 alkynyl, or optionally substituted C10-C24 acyl;
R3 and R4 are either the same or different and independently optionally substituted C1-C6 alkyl, optionally substituted C2-C6 alkenyl, or optionally substituted C2-C6 alkynyl or R3 and R4 may join to form an optionally substituted heterocyclic ring of 4 to 6 carbon atoms and 1 or 2 heteroatoms chosen from nitrogen and oxygen;
R5 is either absent or present and when present is hydrogen or C1-C6 alkyl; m, n, and p are either the same or different and independently either 0 or 1 with the proviso that m, n, and p are not simultaneously 0; q is 0, 1, 2, 3, or 4; and
Y and Z are either the same or different and independently O, S, or NH. In one embodiment, Ri and R2 are each linoleyl, and the amino lipid is a dilinoleyl amino lipid. In one embodiment, the amino lipid is a dilinoleyl amino lipid.
or a pharmaceutically acceptable salt, tautomer, prodrug or stereoisomer thereof, wherein:
Ri and R2 are independently selected from the group consisting of H, and C1-C3 alkyls;
R3 and R4 are independently selected from the group consisting of alkyl groups having from about 10 to about 20 carbon atoms, wherein at least one of R3 and
R4 comprises at least two sites of unsaturation. (e.g., R3 and R4 may be, for example, dodecadienyl, tetradecadienyl, hexadecadienyl, linoleyl, and icosadienyl. In a preferred embodiment, R3 and R are both linoleyl. R3 and R4 may comprise at least three sites of unsaturation (e.g., R3 and R4 may be, for example, dodecatrienyl, tetradectrienyl, hexadecatrienyl, linolenyl, and icosatrienyl).
or a pharmaceutically acceptable salt, tautomer, prodrug or stereoisomer thereof, wherein:
Ri and R2 are independently selected and are H or C1-C3 alkyls. R3 and R4 are independently selected and are alkyl groups having from about 10 to about 20 carbon atoms, wherein at least one of R4 and R4 comprises at least two sites of unsaturation. In one embodiment, R3 and R4 are both the same, for example, in some embodiments R3 and R4 are both linoleyl (i.e. CI 8), etc. In another embodiment, R3 and R4 are different, for example, in some embodiments R3 is tetradectrienyl (C14) and R4 is linoleyl (CI 8). In a preferred embodiment, the cationic lipids of the present invention are symmetrical, i.e., R3 and R4 are the same. In another preferred embodiment, both R3 and R4 comprise at least two sites of unsaturation. In some embodiments, R3 and R4 are independently selected from dodecadienyl, tetradecadienyl, hexadecadienyl, linoleyl, and icosadienyl. In a preferred embodiment, R3 and R4 are both linoleyl. In some embodiments, R4 and R4 comprise at least three sites of unsaturation and are
independently selected from, e.g., dodecatrienyl, tetradectrienyl, hexadecatrienyl, linolenyl, and icosatrienyl.
or a pharmaceutically acceptable salt, tautomer, prodrug or stereoisomer thereof, wherein:
Xaa is a D- or L-amino acid residue having the formula -NR^CR^2- C(C=0)-, or a peptide or a peptide of amino acid residues having the formula—
wherein n is 2 to 20;
R1 is independently, for each occurrence, a non-hydrogen, substituted or unsubstituted side chain of an amino acid;
R2 and RN are independently, for each occurrence, hydrogen, an organic group consisting of carbon, oxygen, nitrogen, sulfur, and hydrogen atoms, or any combination of the foregoing, and having from 1 to 20 carbon atoms, C(i-5)alkyl,
Z is NH, O, S,— CH2S— ,— CH2S(0)— , or an organic linker consisting of 1-40 atoms selected from hydrogen, carbon, oxygen, nitrogen, and sulfur atoms (preferably, Z is NH or O);
Rxand Ry are, independently, (i) a lipophilic tail derived from a lipid (which can be naturally-occurring or synthetic), phospholipid, glycolipid,
triacylglycerol, glycerophospholipid, sphingolipid, ceramide, sphingomyelin, cerebroside, or ganglioside, wherein the tail optionally includes a steroid; (ii) an amino acid terminal group selected from hydrogen, hydroxyl, amino, and an organic protecting group; or (iii) a substituted or unsubstituted
one of Rxand Ry is a lipophilic tail as defined above and the other is an amino acid terminal group, or both Rx and Ry are lipophilic tails;
at least one of Rxand Ry is interrupted by one or more biodegradable
wherein R11 is a C2-C8 alkyl or alkenyl and each occurrence of R5 is, independently, H or alkyl; and each occurrence of R3 and R4 are, independently H, halogen, OH, alkyl, alkoxy,— NHfe, alkylamino, or dialkylamino; or R3 and R4, together with the carbon atom to which they are directly attached, form a cycloalkyl group (in one preferred embodiment, each occurrence ofR3 and R4 are, independently H or C1-C4 alkyl)); and Rx and Ry each, independently, optionally have one or more carbon-carbon double bonds.
In some embodiments, the cationic lipid is one of the following:
or a pharmaceutically acceptable salt, tautomer, prodrug or stereoisomer thereof, wherein:
Ri and R2 are independently alkyl, alkenyl or alkynyl, and each can be optionally substituted;
R3 and R4 are independently a Ci-Ce alkyl, or R3 and R4 can be taken together to form an optionally substituted heterocyclic ring.
wherein n is 0, 1, 2, 3, or 4.
In one embodiment, the cationic lipid is a DLin-K-DMA. In one embodiment, the cationic lipid is DLin-KC2-DMA (DLin-K-DMA above, wherein 2).
In one embodiment, the cationic lipid is DLin-MC3-DMA.
or a pharmaceutically acceptable salt, tautomer, prodrug or stereoisomer thereof, wherein:
Ri and R2 are each independently for each occurrence optionally substituted C10-C30 alkyl, optionally substituted C10-C30 alkenyl, optionally substituted C1.0-C30 alkynyl or optionally substituted C10-C30 acyl;
H, optionally substituted C10-C 10 alkyl, optionally substituted C2-
Cio alkenyl, optionally substituted C2-C10 alkynyl, alkylhetrocycle, alkylphosphate, alkylphosphorothioate, alkylphosphorodithioate, alkylphosphonate, alkylamine, hydroxyalkyl, ω-aminoalkyl, ro-(substituted)aminoalkyl, ω-phosphoalkyl, ω- thiophosphoalkyl, optionally substituted polyethylene glycol (PEG, mw 100-40K), optionally substituted mPEG (mw 120-40K), heteroaryl, or heterocycle, or linker- ligand, for example in some embodiments R3 is (Ο¾)2Ν(0Η2)η-, wherein n is 1, 2, 3 or 4;
E is O, S, N(Q), C(0), OC(O), C(0)0, N(Q)C(0), C(0)N(Q),
(Q)N(CO)0, 0(CO)N(Q), S(O), NS(0)2N(Q), S(0)2, N(Q)S(0)2, SS, 0=N, aryl, heteroaryl, cyclic or heterocycle, for example -C(0)0, wherein - is a point of connection to R3; and
Q is H, alkyl, ω-aminoalkyl, ro-(substituted)aminoalkyl, ω-phosphoalkyl or ω-thiophosphoalkyl.
or a pharmaceutically acceptable salt, tautomer, prodrug or stereoisomer thereof, wherein:
E is O, S, N(Q), C(0), N(Q)C(0), C(0)N(Q), (Q)N(CO)0, 0(CO)N(Q), S(0), NS(0)2N(Q), S(0)2, N(Q)S(0)2, SS, 0=N, aryl, heteroaryl, cyclic or heterocycle;
Q is H, alkyl, ω-amninoalkyl, ro-(substituted)amninoalky, ω- phosphoalkyl or ω-thiophosphoalkyl;
Ri and R2 and Rx are each independently for each occurrence H, optionally substituted C1-C10 alkyl, optionally substituted C10-C30 alkyl, optionally substituted C10-C30 alkenyl, optionally substituted C10-C30 alkynyl, optionally substituted C10-C30 acyl, or linker-ligand, provided that at least one of Ri, R2 and Rxis not H;
R3 is H, optionally substituted C1-C10 alkyl, optionally substituted C2-C10 alkenyl, optionally substituted C2-C10 alkynyl, alkylhetrocycle, alkylphosphate, alkylphosphorothioate, alkylphosphorodithioate, alkylphosphonate, alkylamine, hydroxyalkyl, ω-aminoalkyl, ro-(substituted)aminoalkyl, ω-phosphoalkyl, ω- thiophosphoalkyl, optionally substituted polyethylene glycol (PEG, mw 100-40K), optionally substituted mPEG (mw 120-40K), heteroaryl, or heterocycle, or linker- ligand; and
n is 0, 1, 2, or 3.
In certain embodiments, the canonic lipid has one of the following structures:
In one embodiment, the cationic lipid has the structure of Formula I:
or a pharmaceutically acceptable salt, tautomer, prodrug or stereoisomer thereof, wherein:
Ra is H or C1-C12 alkyl;
Rla and Rlb are, at each occurrence, independently either (a) H or C1-C12 alkyl, or (b) Rla is H or C1-C12 alkyl, and Rlb together with the carbon atom to which it is bound is taken together with an adjacent Rlb and the carbon atom to which it is bound to form a carbon-carbon double bond;
R2a and R2b are, at each occurrence, independently either (a) H or C1-C12 alkyl, or (b) R2a is H or C1-C12 alkyl, and R2b together with the carbon atom to which it is bound is taken together with an adjacent R2b and the carbon atom to which it is bound to form a carbon-carbon double bond;
R3a and R3b are, at each occurrence, independently either (a) H or C1-C12 alkyl, or (b) R3a is H or C1-C12 alkyl, and R3b together with the carbon atom to which it is bound is taken together with an adjacent R3b and the carbon atom to which it is bound to form a carbon-carbon double bond;
R4a and R4b are, at each occurrence, independently either (a) H or C1-C12 alkyl, or (b) R4a is H or C1-C12 alkyl, and R4b together with the carbon atom to which it is bound is taken together with an adjacent R4b and the carbon atom to which it is bound to form a carbon-carbon double bond;
R5 and R6 are each independently methyl or cycloalkyl;
R7 is, at each occurrence, independently H or C1-C12 alkyl; R8 and R9 are each independently unsubstituted C1-C12 alkyl; or R8 and R9, together with the nitrogen atom to which they are attached, form a 5, 6 or 7- membered heterocyclic ring comprising one nitrogen atom;
a and d are each independently an integer from 0 to 24; b and c are each independently an integer from 1 to 24; e is 1 or 2; and
x is 0, 1 or 2.
In some embodiments of Formula I, L1 and L2 are independently -
0(C=0)- or -(C=0)0-. In certain embodiments of Formula I, at least one of Rla, R2a, R3a or R4a is C1-C12 alkyl, or at least one of L1 or L2 is -O(C=O)- or -(C=0)0-. In other embodiments, Rla and Rlb are not isopropyl when a is 6 or n-butyl when a is 8.
In still further embodiments of Formula I, at least one of Rla, R2a, R3a or R4a is C1-C12 alkyl, or at least one of L1 or L2 is -0(C=0)- or -(C=0)O; and
Rla and Rlb are not isopropyl when a is 6 or n-butyl when a is 8.
In other embodiments of Formula I, R8 and R9 are each independently unsubstituted C1-C12 alkyl; or R8 and R9, together with the nitrogen atom to which they are attached, form a 5, 6 or 7-membered heterocyclic ring comprising one nitrogen atom;
In certain embodiments of Formula I, any one of L1 or L2 may be -0(C=0)- or a carbon-carbon double bond. L1 and L2 may each be -O(C=O)- or may each be a carbon-carbon double bond.
In some embodiments of Formula I, one of L1 or L2 is -O(C=O)- In other embodiments, both L1 and L2 are -0(C=0)-.
In some embodiments of Formula I, one of L1 or L2 is -O(C=O)-. in other embodiments, both L1 and L2 are -(C=0)0-
In some other embodiments of Formula I, one of L1 or L2 is a carbon- carbon double bond. In other embodiments, both L1 and L2 are a carbon-carbon double bond.
In still other embodiments of Formula I, one of l or l^ is -O(C=O)- and the other of L1 or L2 is -(C=0)0- In more embodiments, one of L1 or L2 is -0(C=0)- and the other of L1 or L2 is a carbon-carbon double bond. In yet more embodiments, one of L1 or L2 is -(C=0)0- and the other of L1 or L2 is a carbon-carbon double bond.
It is understood that "carbon-carbon" double bond, as used throughout the specification, refers to one of the followin structures:
wherein Ra and Rb are, at each occurrence, independently H or a substituent. For example, in some embodiments Ra and Rb are, at each occurrence, independently H, Ci- Ci2 alkyl or cycloalkyl, for example H or C1-C12 alkyl.
In other embodiments, the lipid compounds of Formula I have the following structure (la):
In other embodiments, the lipid compounds of Formula I have the following structure (lb):
In certain embodiments of the lipid compound of Formula I, a, b, c and d are each independently an integer from 2 to 12 or an integer from 4 to 12. In other embodiments, a, b, c and d are each independently an integer from 8 to 12 or 5 to 9. In some certain embodiments, a is 0. In some embodiments, a is 1. In other embodiments, a is 2. In more embodiments, a is 3. In yet other embodiments, a is 4. In some embodiments, a is 5. In other embodiments, a is 6. In more embodiments, a is 7. In yet other embodiments, a is 8. In some embodiments, a is 9. In other embodiments, a is 10. In more embodiments, a is 11. In yet other embodiments, a is 12. In some embodiments, a is 13. In other embodiments, a is 14. In more embodiments, a is 15. In yet other embodiments, a is 16.
In some other embodiments of Formula I, b is 1. In other embodiments, b is 2. In more embodiments, b is 3. In yet other embodiments, b is 4. In some embodiments, b is 5. In other embodiments, b is 6. In more embodiments, b is 7. In yet other embodiments, b is 8. In some embodiments, b is 9. In other embodiments, b is 10. In more embodiments, b is 11. In yet other embodiments, b is 12. In some embodiments, b is 13. In other embodiments, b is 14. In more embodiments, b is 15. In yet other embodiments, b is 16.
In some more embodiments of Formula I, c is 1. In other embodiments, c is 2. In more embodiments, c is 3. In yet other embodiments, c is 4. In some embodiments, c is 5. In other embodiments, c is 6. In more embodiments, c is 7. In yet other embodiments, c is 8. In some embodiments, c is 9. In other embodiments, c is 10. In more embodiments, c is 11. In yet other embodiments, c is 12. In some embodiments, c is 13. In other embodiments, c is 14. In more embodiments, c is 15. In yet other embodiments, c is 16.
In some certain other embodiments of Formula I, d is 0. In some embodiments, d is 1. In other embodiments, d is 2. In more embodiments, d is 3. In yet other embodiments, d is 4. In some embodiments, d is 5. In other embodiments, d is 6. In more embodiments, d is 7. In yet other embodiments, d is 8. In some embodiments, d is 9. In other embodiments, d is 10. In more embodiments, d is 11. In yet other embodiments, d is 12. In some embodiments, d is 13. In other embodiments, d is 14. In more embodiments, d is 15. In yet other embodiments, d is 16.
In some other various embodiments of Formula I, a and d are the same. In some other embodiments, b and c are the same. In some other specific embodiments, a and d are the same and b and c are the same.
The sum of a and b and the sum of c and d in Formula I are factors which may be varied to obtain a lipid of formula I having the desired properties. In one embodiment, a and b are chosen such that their sum is an integer ranging from 14 to 24. In other embodiments, c and d are chosen such that their sum is an integer ranging from 14 to 24. In further embodiment, the sum of a and b and the sum of c and d are the same. For example, in some embodiments the sum of a and b and the sum of c and d are both the same integer which may range from 14 to 24. In still more embodiments, a. b, c and d are selected such the sum of a and b and the sum of c and d is 12 or greater.
In some embodiments of Formula I, e is 1. In other embodiments, e is 2. The substituents at Rla, R2a, R3a and R4a of Formula I are not particularly limited. In certain embodiments Rla, R2a, R3a and R4a are H at each occurrence. In certain other embodiments at least one of Rla, R2a, R3a and R4a is C1-C12 alkyl. In certain other embodiments at least one of Rla, R2a, R3a and R4a is C1-C8 alkyl. In certain other embodiments at least one of Rla, R2a, R3a and R4a is C1-C6 alkyl. In some of the foregoing embodiments, the C1-C8 alkyl is methyl, ethyl, n-propyl, iso-propyl, n-butyl, iso-butyl, tert-butyl, n-hexyl or n-octyl.
In certain embodiments of Formula I, Rla, Rlb, R4a and R4b are C1-C12 alkyl at each occurrence.
In further embodiments of Formula I, at least one of Rib R2b R3b and R4b is H or Rlb, R2b, R3b and R4b are H at each occurrence.
In certain embodiments of Formula I, R together with the carbon atom to which it is bound is taken together with an adjacent Rlb and the carbon atom to which it is bound to form a carbon-carbon double bond. In other embodiments of the foregoing R4b together with the carbon atom to which it is bound is taken together with an adjacent R4b and the carbon atom to which it is bound to form a carbon-carbon double bond.
The substituents at R5 and R6 of Formula I are not particularly limited in the foregoing embodiments. In certain embodiments one or both of R5 or R6 is methyl.
In certain other embodiments one or both of R5 or R6 is cycloalkyl for example cyclohexyl. In these embodiments the cycloalkyl may be substituted or not substituted.
In certain other embodiments the cycloalkyl is substituted with C1-C12 alkyl, for example tert-butyl.
The substituents at R7 are not particularly limited in the foregoing embodiments of Formula I. In certain embodiments at least one R7 is H. In some other embodiments, R7 is H at each occurrence. In certain other embodiments R7 is C1-C12 alkyl.
In certain other of the foregoing embodiments of Formula I, one of R8 or R9 is methyl. In other embodiments, both R8 and R9 are methyl.
In some different embodiments of Formula I, R8 and R9, together with the nitrogen atom to which they are attached, form a 5, 6 or 7-membered heterocyclic ring. In some embodiments of the foregoing, R8 and R9, together with the nitrogen atom to which they are attached, form a 5-membered heterocyclic ring, for example a pyrrolidinyl ring.
In various different embodiments, the lipid of Formula I has one of the structures set forth in Table 1 below.
TABLE 1: REPRESENTATIVE LIPIDS OF FORMULA I
In some embodiments the lipid of Formula I is compound 1-5. In some embodiments the lipid of Formula I is compound 1-6.
In some embodiments, the cationic lipid has a structure of Formula II:
or a pharmaceutically acceptable salt, tautomer, prodrug or stereoisomer thereof, wherein:
direct bond;
G2 is -C(=0)-, -(C=0)0-, -C(=0)S-, -C(=0)NRa- or a direct bond; G3 is C1-C6 alkylene;
Ra is H or C1-C12 alkyl;
Rla and Rlb are, at each occurrence, independently either: (a) H or C1-C12 alkyl; or (b) Rla is H or C1-C12 alkyl, and Rlb together with the carbon atom to which it is bound is taken together with an adjacent Rlb and the carbon atom to which it is bound to form a carbon-carbon double bond;
R2a and R2b are, at each occurrence, independently either: (a) H or C1-C12 alkyli or (b)R^ is H or C1-C12 alkyl, and R2b together with the carbon atom to which it is bound is taken together with an adjacent R2b and the carbon atom to which it is bound to form a carbon-carbon double bond;
R3a and R3b are, at each occurrence, independently either (a): H or C1-C12 alkyl; or (b) R3a is H or C1-C12 alkyl, and R3b together with the carbon atom to which it
is bound is taken together with an adjacent R3b and the carbon atom to which it is bound to form a carbon-carbon double bond;
R4a and R4b are, at each occurrence, independently either: (a) H or C1-C12 alkyl; or (b) R4a is H or C1-C12 alkyl, and R4b together with the carbon atom to which it is bound is taken together with an adjacent R4b and the carbon atom to which it is bound to form a carbon-carbon double bond;
R5 and R6 are each independently H or methyl;
R7 is C4-C20 alkyl;
R8 and R9 are each independently C1-C12 alkyl; or R8 and R9, together with the nitrogen atom to which they are attached, form a 5, 6 or 7-membered heterocyclic ring;
a, b, c and d are each independently an integer from 1 to 24; and x is 0, 1 or 2.
In some embodiments of Formula II, L1 and L2 are each independently -O(C=O)-, -(C=0)0- or a direct bond. In other embodiments, G1 and G2 are each independently -(C=0)- or a direct bond. In some different embodiments, L1 and L2 are each independently -O(C=O)-, -(C=0)0- or a direct bond; and G1 and G2 are each independently -(C=0)- or a direct bond.
In some different embodiments of Formula II, L1 and L2 are each independently -C(=0)-, -0-, -S(0)x-, -S-S-, -C(=0)S-, -SC(=0)-, -NRa-, -NRaC(=0)-,
-C(=0)NRa-, -NRaC(=0)NRa, -OC(=0)NRa-, -NRaC(=0)0-, -NRaS(0)xNRa-, -NRaS (0)x- or -S(0)xNRa-.
In other of the foregoing embodiments of Formula II, the lipid compound has one of the following structures (II A) or (IIB):
In some embodiments of Formula II, the lipid compound has structure (IIA). In other embodiments, the lipid compound has structure (IIB).
In any of the foregoing embodiments of Formula II, one of L1 or L2 is -O(C=O)-. For example, in some embodiments each of L1 and L2 are -O(C=O)-.
In some different embodiments of Formula II, one of L1 or L2 is -(C=0)0-. For example, in some embodiments each of L1 and L2 is -(C=0)0-.
In different embodiments of Formula II, one of L1 or L2 is a direct bond. As used herein, a "direct bond" means the group (e.g., L1 or L2) is absent. For example, in some embodiments each of L1 and L2 is a direct bond.
In other different embodiments of Formula II, for at least one occurrence of Rla and Rlb, Rla is H or C1-C12 alkyl, and Rlb together with the carbon atom to which it is bound is taken together with an adjacent Rlb and the carbon atom to which it is bound to form a carbon-carbon double bond.
In still other different embodiments of Formula II, for at least one occurrence of R4a and R4b, R4a is H or C1-C12 alkyl, and R4b together with the carbon atom to which it is bound is taken together with an adjacent R4b and the carbon atom to which it is bound to form a carbon-carbon double bond.
In more embodiments of Formula II, for at least one occurrence of R2a and R2b, R2a is H or C1-C12 alkyl, and R2b together with the carbon atom to which it is bound is taken together with an adjacent R2b and the carbon atom to which it is bound to form a carbon-carbon double bond.
In other different embodiments of Formula II, for at least one occurrence of R3a and R3b, R3a is H or C1-C12 alkyl, and R3b together with the carbon atom to which
it is bound is taken together with an adjacent R and the carbon atom to which it is bound to form a carbon-carbon double bond.
In various other embodiments of Formula II, the lipid compound has one of the following structures (IIC) or (IID):
wherein e, f, g and h are each independently an integer from 1 to 12.
In some embodiments of Formula II, the lipid compound has structure
(IIC). In other embodiments, the lipid compound has structure (IID).
In various embodiments of structures (IIC) or (IID), e, f, g and h are each independently an integer from 4 to 10.
In certain embodiments of Formula II, a, b, c and d are each independently an integer from 2 to 12 or an integer from 4 to 12. In other
embodiments, a, b, c and d are each independently an integer from 8 to 12 or 5 to 9. In some certain embodiments, a is 0. In some embodiments, a is 1. In other embodiments, a is 2. In more embodiments, a is 3. In yet other embodiments, a is 4. In some embodiments, a is 5. In other embodiments, a is 6. In more embodiments, a is 7. In yet other embodiments, a is 8. In some embodiments, a is 9. In other embodiments, a is 10. In more embodiments, a is 11. In yet other embodiments, a is 12. In some
embodiments, a is 13. In other embodiments, a is 14. In more embodiments, a is 15. In yet other embodiments, a is 16.
In some embodiments of Formula II, b is 1. In other embodiments, b is 2. In more embodiments, b is 3. In yet other embodiments, b is 4. In some
embodiments, b is 5. In other embodiments, b is 6. In more embodiments, b is 7. In yet other embodiments, b is 8. In some embodiments, b is 9. In other embodiments, b is 10. In more embodiments, b is 11. In yet other embodiments, b is 12. In some embodiments, b is 13. In other embodiments, b is 14. In more embodiments, b is 15. In yet other embodiments, b is 16.
In some embodiments of Formula II, c is 1. In other embodiments, c is
2. In more embodiments, c is 3. In yet other embodiments, c is 4. In some
embodiments, c is 5. In other embodiments, c is 6. In more embodiments, c is 7. In yet other embodiments, c is 8. In some embodiments, c is 9. In other embodiments, c is 10. In more embodiments, c is 11. In yet other embodiments, c is 12. In some embodiments, c is 13. In other embodiments, c is 14. In more embodiments, c is 15. In yet other embodiments, c is 16.
In some certain embodiments of Formula II, d is 0. In some embodiments, d is 1. In other embodiments, d is 2. In more embodiments, d is 3. In yet other embodiments, d is 4. In some embodiments, d is 5. In other embodiments, d is 6. In more embodiments, d is 7. In yet other embodiments, d is 8. In some embodiments, d is 9. In other embodiments, d is 10. In more embodiments, d is 11. In yet other embodiments, d is 12. In some embodiments, d is 13. In other embodiments, d is 14. In more embodiments, d is 15. In yet other embodiments, d is 16.
In some embodiments of Formula II, e is 1. In other embodiments, e is 2. In more embodiments, e is 3. In yet other embodiments, e is 4. In some
embodiments, e is 5. In other embodiments, e is 6. In more embodiments, e is 7. In yet other embodiments, e is 8. In some embodiments, e is 9. In other embodiments, e is 10. In more embodiments, e is 11. In yet other embodiments, e is 12.
In some embodiments of Formula II, f is 1. In other embodiments, f is 2. In more embodiments, f is 3. In yet other embodiments, f is 4. In some embodiments, f is 5. In other embodiments, f is 6. In more embodiments, f is 7. In yet other
embodiments, f is 8. In some embodiments, f is 9. In other embodiments, f is 10. In more embodiments, f is 11. In yet other embodiments, f is 12.
In some embodiments of Formula II, g is 1. In other embodiments, g is 2. In more embodiments, g is 3. In yet other embodiments, g is 4. In some
embodiments, g is 5. In other embodiments, g is 6. In more embodiments, g is 7. In yet other embodiments, g is 8. In some embodiments, g is 9. In other embodiments, g is 10. In more embodiments, g is 11. In yet other embodiments, g is 12.
In some embodiments of Formula II, h is 1. In other embodiments, e is 2. In more embodiments, h is 3. In yet other embodiments, h is 4. In some
embodiments, e is 5. In other embodiments, h is 6. In more embodiments, h is 7. In yet other embodiments, h is 8. In some embodiments, h is 9. In other embodiments, h is 10. In more embodiments, h is 11. In yet other embodiments, h is 12.
In some other various embodiments of Formula II, a and d are the same. In some other embodiments, b and c are the same. In some other specific embodiments and a and d are the same and b and c are the same.
The sum of a and b and the sum of c and d of Formula II are factors which may be varied to obtain a lipid having the desired properties. In one
embodiment, a and b are chosen such that their sum is an integer ranging from 14 to 24. In other embodiments, c and d are chosen such that their sum is an integer ranging from 14 to 24. In further embodiment, the sum of a and b and the sum of c and d are the same. For example, in some embodiments the sum of a and b and the sum of c and d are both the same integer which may range from 14 to 24. In still more embodiments, a. b, c and d are selected such that the sum of a and b and the sum of c and d is 12 or greater.
The substituents at Rla, R2a, R3a and R4a of Formula II are not particularly limited. In some embodiments, at least one of Rla, R2a, R3a and R4a is H. In certain embodiments Rla, R2a, R3a and R4a are H at each occurrence. In certain other embodiments at least one of Rla, R2a, R3a and R4a is C1-C12 alkyl. In certain other embodiments at least one of Rla, R2a, R3a and R4a is C1-C8 alkyl. In certain other embodiments at least one of Rla, R2a, R3a and R4a is C1-C6 alkyl. In some of the
foregoing embodiments, the C1-C8 alkyl is methyl, ethyl, n-propyl, iso-propyl, n-butyl, iso-butyl, tert-butyl, n-hexyl or n-octyl.
In certain embodiments of Formula II, Rla, Rlb, R4a and R4b are C1-C12 alkyl at each occurrence.
In further embodiments of Formula II, at least one of Rlb, R2b, R3b and
R4b is H or Rlb, R2b, R3b and R4b are H at each occurrence.
In certain embodiments of Formula II, Rlb together with the carbon atom to which it is bound is taken together with an adjacent Rlb and the carbon atom to which it is bound to form a carbon-carbon double bond. In other embodiments of the foregoing R4b together with the carbon atom to which it is bound is taken together with an adjacent R4b and the carbon atom to which it is bound to form a carbon-carbon double bond.
The substituents at R5 and R6 of Formula II are not particularly limited in the foregoing embodiments. In certain embodiments one of R5 or R6 is methyl. In other embodiments each of R5 or R6 is methyl.
The substituents at R7 of Formula II are not particularly limited in the foregoing embodiments. In certain embodiments R7 is C6-Ci6 alkyl. In some other embodiments, R7 is C6-C9 alkyl. In some of these embodiments, R7 is substituted with -(C=0)ORb, -0(C=0)Rb, -C(=0)Rb, -ORb, -S(0)xRb, -S-SRb, -C(=0)SRb, -SC(=0)Rb, -NRaRb, -NRaC(=0)Rb, -C(=0)NRaRb, -NRaC(=0)NRaRb,
-OC(=0)NRaRb, -NRaC(=0)ORb, -NRaS(0)xNRaRb, -NRaS(0)xRb or -S(0)xNRaRb, wherein: Ra is H or C1-C12 alkyl; Rb is C1-C15 alkyl; and x is 0, 1 or 2. For example, in some embodiments R7 is substituted with -(C=0)ORb or -0(C=0)Rb.
In various of the foregoing embodiments of Formula II, Rb is branched C1-C16 alkyl. For example, in some embodiments Rb has one of the following structures:
In certain other of the foregoing embodiments of Formula II, one of R or R9 is methyl. In other embodiments, both R8 and R9 are methyl.
In some different embodiments of Formula II, R8 and R9, together with the nitrogen atom to which they are attached, form a 5, 6 or 7-membered heterocyclic ring. In some embodiments of the foregoing, R8 and R9, together with the nitrogen atom to which they are attached, form a 5-membered heterocyclic ring, for example a pyrrolidinyl ring. In some different embodiments of the foregoing, R8 and R9, together with the nitrogen atom to which they are attached, form a 6-membered heterocyclic ring, for example a piperazinyl ring.
In still other embodiments of the foregoing lipids of Formula II, G3 is C2-C4 alkylene, for example C3 alkylene. In various different embodiments, the lipid compound has one of the structures set forth in Table 2 below
TABLE 2: REPRESENTATIVE LIPIDS OF FORMULA II
In some embodiments the lipid of Formula II is compound II-9. In some embodiments the lipid of Formula II is compound 11-10. In some embodiments the lipid of Formula II is compound 11-11. In some embodiments the lipid of Formula II is compound 11-12. In some embodiments the lipid of Formula II is compound 11-14. In some embodiments the lipid of Formula II is compound 11-15.
In some other embodiments, the cationic lipid has a structure of Formula
or a pharmaceutically acceptable salt, prodrug or stereoisomer thereof, wherein:
G1 and G2 are each independently unsubstituted C1-C12 alkylene or Ci-
C12 alkenylene;
G3 is C1-C24 alkylene, C1-C24 alkenylene, C3-C8 cycloalkylene, C3-C8 cycloalkenylene;
Ra is H or C1-C12 alkyl;
R* and R2 are each independently C6-C24 alkyl or C6-C24 alkenyl;
R3 is H, OR5, CN, -C(=0)OR4, -OC(=0)R4 or - R5C(=0)R4;
R4 is C1-C12 alkyl;
R5 is H or C1-C6 alkyl; and
x is 0, 1 or 2.
In some of the foregoing embodiments of Formula III, the lipid has one of the following structures (IIIA) or (IIIB):
wherein:
A is a 3 to 8-membered cycloalkyl or cycloalkylene ring;
R6 is, at each occurrence, independently H, OH or C1-C24 alkyl;
n is an integer ranging from 1 to 15.
In some of the foregoing embodiments of Formula III, the lipid has structure (IIIA), and in other embodiments, the lipid has structure (ΙΠΒ).
In other embodiments of Formula III, the lipid has one of the following structures (IIIC or (HID):
wherein y and z are each independently integers ranging from 1 to 12.
In any of the foregoing embodiments of Formula III, one of L1 or L2 is -O(C=O)-. For example, in some embodiments each of L1 and L2 are -O(C=O)-. In some different embodiments of any of the foregoing, L1 and L2 are each
independently -(C=0)0- or -O(C=O)-. For example, in some embodiments each of L1 and L2 is -(C=0)0-.
In some different embodiments of Formula III, the lipid has one of the following structures (HIE) or (IIIF):
In some of the foregoing embodiments of Formula III, the lipid has one of the followin structures (IIIG), (IIIH), (IIII), or (III J):
In some of the foregoing embodiments of Formula III, n is an integer ranging from 2 to 12, for example from 2 to 8 or from 2 to 4. For example, in some embodiments, n is 3, 4, 5 or 6. In some embodiments, n is 3. In some embodiments, n is 4. In some embodiments, n is 5. In some embodiments, n is 6.
In some other of the foregoing embodiments of Formula III, y and z are each independently an integer ranging from 2 to 10. For example, in some
embodiments, y and z are each independently an integer ranging from 4 to 9 or from 4 to 6.
In some of the foregoing embodiments of Formula III, R6 is H. In other of the foregoing embodiments, R6 is C1-C24 alkyl. In other embodiments, R6 is OH.
In some embodiments of Formula III, G3 is unsubstituted. In other embodiments, G3 is substituted. In various different embodiments, G3 is linear C1-C24 alkylene or linear C1-C24 alkenylene.
In some other foregoing embodiments of Formula III, R1 or R2, or both, is C6-C24 alkenyl. For example, in some embodiments, R1 and R2 each, independently have the following structure:
wherein:
R7a and R7b are, at each occurrence, independently H or C1-C12 alkyl; and a is an integer from 2 to 12,
wherein R7a, R^ and a are each selected such that R1 and R2 each independently comprise from 6 to 20 carbon atoms. For example, in some embodiments a is an integer ranging from 5 to 9 or from 8 to 12.
In some of the foregoing embodiments of Formula III, at least one occurrence of R7a is H. For example, in some embodiments, R7a is H at each occurrence. In other different embodiments of the foregoing, at least one occurrence of R7b is C1-C8 alkyl. For example, in some embodiments, C1-C8 alkyl is methyl, ethyl, n-propyl, iso- propyl, n-butyl, iso-butyl, tert-butyl, n-hexyl or n-octyl.
In different embodiments of Formula III, R1 or R2, or both, has one of the followin structures:
In some of the foregoing embodiments of Formula III, R is OH, CN, -C(=0)OR4, -OC(=0)R4 or -NHC(=0)R4. In some embodiments, R4 is methyl or ethyl.
In various different embodiments, the cationic lipid of Formula III has one of the structures set forth in Table 3 below.
TABLE 3: REPRESENTATIVE COMPOUNDS OF FORMULA III
In some embodiments the lipid of Formula III is compound III-3. In some embodiments the lipid of Formula III is compound 111-25. In some embodiments the lipid of Formula III is compound 111-45.
In one embodiment, the cationic lipid has a structure of formula (IV):
harmaceutically acceptable salt, prodrug or stereoisomer thereof, wherein:
one of G1 or G2 is, at each occurrence, -O(C=O)-, -(C=0)0-, -C(=0)-, -0-, -S(0) , -S-S-, -C(=0)S-, SC(=0)-, -N(Ra)C(=0)-, -C(=0)N(Ra)- , -N(Ra)C(=0)N(Ra)-, -OC(=0)N(Ra)- or -N(Ra)C(=0)0-, and the other of G1 or G2 is, at each occurrence, -O(C=O)-, -(C=0)0-, -C(=0)-, -0-, -S(0) , -S-S-, -C(=0)S- , -SC(=0)-, -N(Ra)C(=0)-, -C(=0)N(Ra)-, -N(Ra)C(=0)N(Ra)-, -OC(=0)N(Ra)- or -N(Ra)C(=0)0- or a direct bond;
L is, at each occurrence, ~0(C=0)-, wherein ~ represents a covalent bond to X;
X is CRa;
Z is alkyl, cycloalkyl or a monovalent moiety comprising at least one polar functional group when n is 1; or Z is alkylene, cycloalkylene or a polyvalent moiety comprising at least one polar functional group when n is greater than 1;
Ra is, at each occurrence, independently H, C1-C12 alkyl, C1-C12 hydroxylalkyl, C1-C12 aminoalkyl, C1-C12 alkylaminylalkyl, C1-C12 alkoxyalkyl, C1-C12 alkoxycarbonyl, C1-C12 alkylcarbonyloxy, C1-C12 alkylcarbonyloxyalkyl or C1-C12 alkylcarbonyl;
R is, at each occurrence, independently either: (a) H or C1-C12 alkyl; or (b) R together with the carbon atom to which it is bound is taken together with an adjacent R and the carbon atom to which it is bound to form a carbon-carbon double bond;
R1 and R2 have, at each occurrence, the following structure, respectively:
a1 and a2 are, at each occurrence, independently an integer from 3 to 12; b1 and b2 are, at each occurrence, independently 0 or 1;
c1 and c2 are, at each occurrence, independently an integer from 5 to 10; d1 and d2 are, at each occurrence, independently an integer from 5 to 10;
y is, at each occurrence, independently an integer from 0 to 2; and n is an integer from 1 to 6,
wherein each alkyl, alkylene, hydroxylalkyl, aminoalkyl, alkylaminylalkyl, alkoxyalkyl, alkoxycarbonyl, alkylcarbonyloxy,
alkylcarbonyloxyalkyl and alkylcarbonyl is optionally substituted with one or more substituent.
In some embodiments of structure (IV), G1 and G2 are each independently
-O(C=O)- or -(C=0)0-.
In other embodiments of structure (IV), X is CH.
In different embodiments of structure (IV), the sum of a^ ^ + c1 or the sum of a2 + b2 + c2 is an integer from 12 to 26.
In still other embodiments of structure (IV), a1 and a2 are independently an integer from 3 to 10. For example, in some embodiments a1 and a2 are
independently an integer from 4 to 9.
In various embodiments of structure (IV), b1 and b2 are 0. In different embodiments, b1 and b2 are 1.
In more embodiments of structure (IV), c1, c2, d1 and d2 are independently an integer from 6 to 8.
In other embodiments of structure (IV), c1 and c2 are, at each occurrence, independently an integer from 6 to 10, and d1 and d2 are, at each occurrence, independently an integer from 6 to 10.
In other embodiments of structure (IV), c1 and c2 are, at each occurrence, independently an integer from 5 to 9, and d1 and d2 are, at each occurrence,
independently an integer from 5 to 9.
In more embodiments of structure (IV), Z is alkyl, cycloalkyl or a monovalent moiety comprising at least one polar functional group when n is 1. In other embodiments, Z is alkyl.
In various embodiments of the foregoing formula (IV), R is, at each occurrence, independently either: (a) H or methyl; or (b) R together with the carbon atom to which it is bound is taken together with an adjacent R and the carbon atom to
which it is bound to form a carbon-carbon double bond. In certain embodiments, each R is H. In other embodiments at least one R together with the carbon atom to which it is bound is taken together with an adjacent R and the carbon atom to which it is bound to form a carbon-carbon double bond.
In other embodiments of the compound of structure (IV), R1 and R2 independently have one of the following structures:
In certain embodiments of structure (IV), the compound has one of the following structures:
In still different embodiments the cationic lipid is a compound having the structure of formula (V):
or a pharmaceutically acceptable salt, prodrug or stereoisomer thereof, wherein:
one of G1 or G2 is, at each occurrence, -O(C=O)-, -(C=0)0-, -C(=0)-,
-0-, -S(0) , -S-S-, -C(=0)S-, SC(=0)-, -N(Ra)C(=0)-, -C(=0)N(Ra)- , -N(Ra)C(=0)N(Ra)-, -OC(=0)N(Ra)- or -N(Ra)C(=0)0-, and the other of G1 or G2 is, at each occurrence, -O(C=O)-, -(C=0)0-, -C(=0)-, -0-, -S(0)y-, -S-S-, -C(=0)S-
, -SC(=0)-, -N(Ra)C(=0)-, -C(=0)N(Ra)-, -N(Ra)C(=0)N(Ra)-, -OC(=0)N(Ra)- or
-N(Ra)C(=0)0- or a direct bond;
L is, at each occurrence, ~O(C=O)-, wherein ~ represents a covalent bond to X;
X is CRa;
Z is alkyl, cycloalkyl or a monovalent moiety comprising at least one polar functional group when n is 1; or Z is alkylene, cycloalkylene or a polyvalent moiety comprising at least one polar functional group when n is greater than 1;
Ra is, at each occurrence, independently H, C1-C12 alkyl, C1-C12 hydroxylalkyl, C1-C12 aminoalkyl, C1-C12 alkylaminylalkyl, C1-C12 alkoxyalkyl, C1-C12 alkoxycarbonyl, C1-C12 alkylcarbonyloxy, C1-C12 alkylcarbonyloxyalkyl or C1-C12 alkylcarbonyl;
R is, at each occurrence, independently either: (a) H or C1-C12 alkyl; or (b) R together with the carbon atom to which it is bound is taken together with an adjacent R and the carbon atom to which it is bound to form a carbon-carbon double bond;
R1 and R2 have, at each occurrence, the following structure, respectively:
R' is, at each occurrence, independently H or C1-C12 alkyl; a1 and a2 are, at each occurrence, independently an integer from 3 to 12; b1 and b2 are, at each occurrence, independently 0 or 1;
c1 and c2 are, at each occurrence, independently an integer from 2 to 12; d1 and d2 are, at each occurrence, independently an integer from 2 to 12; y is, at each occurrence, independently an integer from 0 to 2; and n is an integer from 1 to 6,
1 2 1 2 1 2 1 1 1 wherein a , a , c , c , d and d are selected such that the sum of a^+d1 is an integer from 18 to 30, and the sum of a2+c2+d2 is an integer from 18 to 30, and wherein each alkyl, alkylene, hydroxylalkyl, aminoalkyl, alkylaminylalkyl, alkoxyalkyl, alkoxycarbonyl, alkylcarbonyloxy, alkylcarbonyloxyalkyl and alkylcarbonyl is optionally substituted with one or more substituent.
In certain embodiments of structure (V), G1 and G2 are each
independently
-O(C=O)- or -(C=0)0-.
In other embodiments of structure (V), X is CH.
In some embodiments of structure (V), the sum of a^^+d1 is an integer from 20 to 30, and the sum of a2+c2+d2 is an integer from 18 to 30. In other
embodiments, the sum of a^^+d1 is an integer from 20 to 30, and the sum of a2+c2+d2 is an integer from 20 to 30. In more embodiments of structure (V), the sum of a1 + b1 +
1 2 2 2 1 2 c or the sum of a + b + c is an integer from 12 to 26. In other embodiments, a , a , c1, c2, d1 and d2 are selected such that the sum of a^^+d1 is an integer from 18 to 28, and the sum of a2+c2+d2 is an integer from 18 to 28,
In still other embodiments of structure (V), a1 and a2 are independently an integer from 3 to 10, for example an integer from 4 to 9.
In yet other embodiments of structure (V), b1 and b2 are 0. In different embodiments b1 and b2 are 1.
In certain other embodiments of structure (V), c1, c2, d1 and d2 are independently an integer from 6 to 8.
In different other embodiments of structure (V), Z is alkyl or a monovalent moiety comprising at least one polar functional group when n is 1; or Z is alkylene or a polyvalent moiety comprising at least one polar functional group when n is greater than 1.
In more embodiments of structure (V), Z is alkyl, cycloalkyl or a monovalent moiety comprising at least one polar functional group when n is 1. In other embodiments, Z is alkyl.
In other different embodiments of structure (V), R is, at each occurrence, independently either: (a) H or methyl; or (b) R together with the carbon atom to which it is bound is taken together with an adjacent R and the carbon atom to which it is bound to form a carbon-carbon double bond. For example in some embodiments each R is H. In other embodiments at least one R together with the carbon atom to which it is bound is taken together with an adjacent R and the carbon atom to which it is bound to form a carbon-carbon double bond.
In more embodiments, each R' is H.
In certain embodiments of structure (V), the sum of a^^+d1 is an integer from 20 to 25, and the sum of a2+c2+d2 is an integer from 20 to 25.
In other embodiments of structure (V), R1 and R2 independently have one of the following structures:
In more embodiments of structure (V), the compound has one of the following structures:
In any of the foregoing embodiments of formula (IV) or (V), n is 1. In other of the foregoing embodiments of formula (IV) or (V), n is greater than 1.
In more of any of the foregoing embodiments of formula (IV) or (V), Z is a mono- or polyvalent moiety comprising at least one polar functional group. In some embodiments, Z is a monovalent moiety comprising at least one polar functional group. In other embodiments, Z is a polyvalent moiety comprising at least one polar functional group.
In more of any of the foregoing embodiments of formula (IV) or (V), the polar functional group is a hydroxyl, alkoxy, ester, cyano, amide, amino, alkylaminyl, heterocyclyl or heteroaryl functional group.
In any of the foregoing embodiments of formula (IV) or (V), Z is hydroxyl, hydroxylalkyl, alkoxyalkyl, amino, aminoalkyl, alkylaminyl,
alkylaminylalkyl, heterocyclyl or heterocyclylalkyl.
wherein:
R5 and R6 are independently H or C1-C6 alkyl;
R7 and R8 are independently H or C1-C6 alkyl or R7 and R8, together with the nitrogen atom to which they are attached, join to form a 3-7 membered heterocyclic ring; and
x is an integer from 0 to 6.
wherein:
R5 and R6 are independently H or C1-C6 alkyl;
R7 and R8 are independently H or C1-C6 alkyl or R7 and R8, together with the nitrogen atom to which they are attached, join to form a 3-7 membered heterocyclic ring; and
x is an integer from 0 to 6.
wherein:
R5 and R6 are independently H or C1-C6 alkyl;
R7 and R8 are independently H or C1-C6 alkyl or R7 and R8, together with the nitrogen atom to which they are attached, join to form a 3-7 membered heterocyclic ring; and
x is an integer from 0 to 6.
In some other embodiments of formula (IV) or (V), Z is hydroxylalkyl, cyanoalkyl or an alkyl substituted with one or more ester or amide groups.
For example, in any of the foregoing embodiments of formula (IV) or (V), Z has one of the following structures:
In other embodiments of formula (IV) or (V), Z-L has one of the following structures:
In various different embodiments, the compound has one of the structures set forth in Table 1 below.
In one embodiment, the compounds have the following structure of
Formula (VI):
or a pharmaceutically acceptable salt, tautomer, prodrug or stereoisomer thereof, wherein:
G1 is -OH, -NR3R4, -(C=0)NR5 or -NR3(C=0)R5;
G2 is -CH2- or -(C=0)-;
R is, at each occurrence, independently H or OH;
R1 and R2 are each independently branched, saturated or unsaturated Ci2
C36 alkyl;
R3 and R4 are each independently H or straight or branched, saturated or unsaturated C1-C6 alkyl;
R5 is straight or branched, saturated or unsaturated C1-C6 alkyl; and n is an integer from 2 to 6.
In some embodiments of Formula (VI), R1 and R2 are each independently branched, saturated or unsaturated C12-C30 alkyl, C12-C20 alkyl, or C15- C20 alkyl. In some specific embodiments, R1 and R2 are each saturated. In certain embodiments, at least one of R1 and R2 is unsaturated.
In some of the foregoing embodiments of Formula (VI), the compound has the following structure (VIA):
wherein:
R6 and R7 are, at each occurrence, independently H or straight or branched, saturated or unsaturated C1-C14 alkyl;
a and b are each independently an integer ranging from 1 to 15, provided that R6 and a, and R7 and b, are each independently selected such that R1 and R2, respectively, are each independently branched, saturated or unsaturated C12-C36 alkyl.
In some of the foregoing embodiments of Formula (VI), the compound has the following structure (VIB):
wherein:
R8, R9, R10 and R11 are each independently straight or branched, saturated or unsaturated C4-C12 alkyl, provided that R8 and R9, and R10 and R11, are each
independently selected such that R1 and R2, respectively, are each independently branched, saturated or unsaturated Ci2-C36 alkyl. In some embodiments of (IB), R8, R9, R10 and R11 are each independently straight or branched, saturated or unsaturated C6-Cio alkyl. In certain embodiments of (IB), at least one of R8, R9, R10 and R11 is unsaturated. In other certain specific embodiments of (IB), each of R8, R9, R10 and R11 is saturated.
In some of the foregoing embodiments of Formula (VI), the compound has structure (IA), and in other embodiments, the compound has structure (VIB).
In some of the foregoing embodiments of Formula (VI), G1 is -OH, and in some embodiments G1 is - R3R4. For example, in some embodiments, G1 is -NH2, - HCH3 or -N(CH3)2. In certain embodiments, G1 is -(C=0) R5. In certain other embodiments, G1 is - R3(C=0)R5. For example, in some embodiments G1 is
- H(C=0)CH3 or - H(C=0)CH2CH2CH3.
In some of the foregoing embodiments of Formula (VI), G2 is -CH2- In some different embodiments, G2 is -(C=0)-.
In some of the foregoing embodiments of Formula (VI), n is an integer ranging from 2 to 6, for example, in some embodiments n is 2, 3, 4, 5 or 6. In some embodiments, n is 2. In some embodiments, n is 3. In some embodiments, n is 4.
In certain of the foregoing embodiments of Formula (VI), at least one of
1 2 3 4 5 1 2 3
R , R , R , R and R is unsubstituted. For example, in some embodiments, R , R , R , R4 and R5 are each unsubstituted. In some embodiments, R3 is substituted. In other embodiments R4 is substituted. In still more embodiments, R5 is substituted. In certain specific embodiments, each of R3 and R4 are substituted. In some embodiments, a substituent on R3, R4 or R5 is hydroxyl. In certain embodiments, R3 and R4 are each substituted with hydroxyl.
In some of the foregoing embodiments of Formula (VI), at least one R is
OH. In other embodiments, each R is H.
In various different embodiments of Formula (VI), the compound has one of the structures set forth in Table 5 below.
In one embodiment, the compounds have the following structure of
or a pharmaceutically acceptable salt, tautomer, prodrug or stereoisomer thereof, wherein:
G1 and G2 are each independently C2-C12 alkylene or C2-C12 alkenylene;
G3 is C1-C24 alkylene, C2-C24 alkenylene, C3-C8 cycloalkylene or C3-C8 cycloalkenylene;
Ra, Rb, Rd and Re are each independently H or C1-C12 alkyl or C2-C12 alkenyl;
Rc and Rf are each independently C1-C12 alkyl or C2-C12 alkenyl;
R1 and R2 are each independently branched C6-C24 alkyl or branched C6-
C24 alkenyl;
R3 is -C(=0)N(R4)R5 or -C(=0)OR6;
R4 is C1-C12 alkyl;
R5 is H or Ci-Cs alkyl or C2-C8 alkenyl;
R6 is H, aryl or aralkyl; and
x is 0, 1 or 2, and
wherein each alkyl, alkenyl, alkylene, alkenylene, cycloalkylene, cycloalkenylene, aryl and aralkyl is independently substituted or unsubstituted.
In certain embodiments of Formula (VII), G3 is unsubstituted. In more specific embodiments G3 is C2-C12 alkylene, for example, in some embodiments G3 is
C3-C7 alkylene or in other embodiments G is C3-C12 alkylene. In some embodiments, G3 is C2 or C3 alkylene.
In some of the foregoing embodiments of Formula (VII), the compound has the following structure (VIIA):
wherein y and z are each independently integers ranging from 2 to 12, for example an integer from 2 to 6, for example 4.
In some of the foregoing embodiments, L1 is -0(C=0)R1, -(C=0)OR1 or -C(=0)NRbRc, and L2 is -0(C=0)R2, -(C=0)OR2 or -C(=0)NReRf. For example, in some embodiments L1 and L2 are -(C=0)OR1 and -(C=0)OR2, respectively. In other embodiments L1 is -(C=0)OR1 and L2 is -C(=0)NReRf. In other embodiments L1 is -C(=0)NRbRc and L2 is -C(=0)NReRf.
In other embodiments of the foregoing, the compound has one of the following structures (VIIB), ( VIIC), (VIID) or ( VIE) :
In some of the foregoing embodiments of Formula (VII), the compound has structure (VIIB), in other embodiments, the compound has structure (VIIC) and in still other embodiments the compound has the structure (VIID). In other embodiments, the compound has structure (VIIE).
In some different embodiments of the foregoing, the compound has one of the following structures (VIIF), (VUG), (VIIH) or (VIIJ)
wherein y and z are each independently integers ranging from 2 to 12, for example an integer from 2 to 6, for example 4.
In some of the foregoing embodiments of Formula (VII), y and z are each independently an integer ranging from 2 to 10, 2 to 8, from 4 to 10 or from 4 to 7. For example, in some embodiments, y is 4, 5, 6, 7, 8, 9, 10, 11 or 12. In some embodiments, z is 4, 5, 6, 7, 8, 9, 10, 11 or 12. In some embodiments, y and z are the same, while in other embodiments y and z are different.
In some of the foregoing embodiments of Formula (VII), R1 or R2, or both is branched C6-C24 alkyl. For example, in some embodiments, R1 and R2 each, independently have the following structure:
wherein:
R7a and R7b are, at each occurrence, independently H or C1-C12 alkyl; and a is an integer from 2 to 12,
wherein R7a, R^ and a are each selected such that R1 and R2 each independently comprise from 6 to 20 carbon atoms. For example, in some embodiments a is an integer ranging from 5 to 9 or from 8 to 12.
In some of the foregoing embodiments of Formula (VII), at least one occurrence of R7a is H. For example, in some embodiments, R7a is H at each occurrence. In other different embodiments of the foregoing, at least one occurrence of R7b is C1-C8 alkyl. For example, in some embodiments, C1-C8 alkyl is methyl, ethyl, n-propyl, iso- propyl, n-butyl, iso-butyl, tert-butyl, n-hexyl or n-octyl.
In different embodiments of Formula (VII), R1 or R2, or both, has one of the following structures:
In some of the foregoing embodiments of Formula (VII), Rb, Rc, Re and Rf are each independently C3-C12 alkyl. For example, in some embodiments Rb, Rc, Re and Rf are n-hexyl and in other embodiments Rb, Rc, Re and Rf are n-octyl.
In some of the foregoing embodiments of Formula (VII), R3 is - C(=0)N(R4)R5. In more specific embodiments, R4 is ethyl, propyl, n-butyl, n-hexyl, n- octyl or n-nonyl. In certain embodiments, R5 is H, methyl, ethyl, propyl, n-butyl, n- hexyl or n-octyl. In some of these embodiments, R4 and/or R5 is optionally substituted with a substituent, for example hydroxyl.
In some embodiments of Formula (VII), R3 is -C(=0)OR6. In certain embodiments, R6 is benzyl and in other embodiments R6 is H.
In some of the foregoing embodiments of Formula (VII), R4, R5 and R6 are independently optionally substituted with one or more substituents selected from the group consisting of
-ORg, -NRgC(=0)Rh, -C(=0)NRgRh, -C(=0)Rh, -OC(=0)Rh, -C(=0)ORh and -OR^H, wherein:
Rg is, at each occurrence independently H or C1-C6 alkyl;
Rh is at each occurrence independently C1-C6 alkyl; and
R1 is, at each occurrence independently C1-C6 alkylene.
In certain specific embodiments of Formula (VII), R has one of the following structures:
In various different embodiments of Formula (VII), the compound has one of the structures set forth in Table 6 below.
TABLE 6: REPRESENTATIVE COMPOUNDS OF FORMULA (VII)
In one embodiment, the compounds have the following structure of Formula (VIII):
or a pharmaceutically acceptable salt, tautomer, prodrug or stereoisomer thereof, wherein:
G1 and G2 are each independently C1-C12 alkylene or C2-C12 alkenylene; G3 is C1-C24 alkylene, C2-C24 alkenylene, C3-C8 cycloalkylene, C3-C8 cycloalkenylene;
Ra, Rb, Rd and Re are each independently H or C1-C12 alkyl or C2-C12 alkenyl;
Rc and Rf are each independently C1-C12 alkyl or C2-C12 alkenyl;
R1 and R2 are each independently branched C6-C24 alkyl or branched C6- C24 alkenyl;
R3 is - R4C(=0)R5;
R4 is H, C1-C12 alkyl or C2-Ci2 alkenyl;
R5 is C2-C12 alkyl or C2-C12 alkenyl when R4 is H; or R5 is C1-C12 alkyl or C2-C12 alkenyl when R4 is C1-C12 alkyl or C2-Ci2 alkenyl; and
x is 0, 1 or 2, and
wherein each alkyl, alkenyl, alkylene, alkenylene, cycloalkylene and cycloalkenylene is independently substituted or unsubstituted.
In certain embodiments of Formula (VIII), G3 is unsubstituted. In more specific embodiments G3 is C1-C12 alkylene, for example, G3 is C3-C5 alkylene or G3 is C3-C12 alkylene.
In some of the foregoing embodiments of Formula (VIII), the compound has the following structure (VIIIA):
wherein y and z are each independently integers ranging from 1 to 12.
In some of the foregoing embodiments of Formula (VIII), L1 and L2 are each independently -0(C=0)R1 or -(C=0)OR1.
In other embodiments of the foregoing, the compound has one of the following structures (VIIIB) or (VIIIC):
In some of the foregoing embodiments of Formula (VIII), the compound has structure (VIIIB), in other embodiments, the compound has structure (VIIIC).
In some embodiments, the compound has one of the following structures
(VIIID) or (VIIIE):
wherein y and z are each independently integers ranging from 1 to 12.
In some of the foregoing embodiments of Formula (VIII), y and z are each independently an integer ranging from 2 to 12, for example from 2 to 10, from 2 to 8, from 4 to 7 or from 4 to 10. For example, in some embodiments, y is 4, 5, 6, 7, 8, 9, 10, 11 or 12. In some embodiments, z is 4, 5, 6, 7, 8, 9, 10, 11 or 12. In some embodiments of Formula (VIII), y and z are the same, while in other embodiments y and z are different.
In some of the foregoing embodiments of Formula (VIII), R1 or R2, or both is branched C6-C24 alkyl. For example, in some embodiments, R1 and R2 each, independently have the following structure:
wherein:
R a and R are, at each occurrence, independently H or C1-C12 alkyl; and a is an integer from 2 to 12,
wherein R7a, R^ and a are each selected such that R1 and R2 each independently comprise from 6 to 20 carbon atoms. For example, in some embodiments a is an integer ranging from 5 to 9 or from 8 to 12.
In some of the foregoing embodiments of Formula (VIII), at least one occurrence of R7a is H. For example, in some embodiments, R7a is H at each occurrence. In other different embodiments of the foregoing, at least one occurrence of R7b is C1-C8 alkyl. For example, in some embodiments, C1-C8 alkyl is methyl, ethyl, n-propyl, iso- propyl, n-butyl, iso-butyl, tert-butyl, n-hexyl or n-octyl.
In different embodiments of Formula (VIII), R1 or R2, or both, has one of the following structures:
In some of the foregoing embodiments, R4 is H, methyl, ethyl, propyl or octyl. In some embodiments, R5 is methyl, ethyl, propyl, heptyl or octyl, for example n-heptyl or n-octyl.
In certain related embodiments of Formula (VIII), R4 and R5 are independently optionally substituted with one or more substituents selected from the group consisting of -ORg, - RgC(=0)Rh, -C(=0) RgRh, -C(=0)Rh, -OC(=0)Rh, - C(=0)ORh and -ORhOH, wherein:
Rg is, at each occurrence independently H or C1-C6 alkyl;
Rh is at each occurrence independently C1-C6 alkyl; and
R1 is, at each occurrence independently C1-C6 alkylene.
In certain specific embodiments, R has one of the following structures:
In various different embodiments of Formula (VIII), the compound has one of the structures set forth in Table 7 below.
TABLE 7: REPRESENTATIVE COMPOUNDS OF FORMULA (VIII)
In some embodiments the lipid nanoparticle comprises a neutral lipid.
Exemplary neutral lipids include, for example, distearoylphosphatidylcholine (DSPC), dioleoylphosphatidylcholine (DOPC), dipalmitoylphosphatidylcholine (DPPC), dioleoyl-phosphatidylethanolamine (DOPE), palmitoyloleoylphosphatidylcholine (POPC), palmitoyloleoyl-phosphatidylethanolamine (POPE) and dioleoyl- phosphatidylethanolamine 4-(N-maleimidomethyl)-cyclohexane- 1 carboxylate (DOPE- mal), dipalmitoyl phosphatidyl ethanolamine (DPPE), dimyristoylphosphoethanolamine (DMPE), distearoyl-phosphatidylethanolamine (DSPE), 16-O-monom ethyl PE, 16-0- dimethyl PE, 18-1 -trans PE, l-stearioyl-2-oleoylphosphatidyethanol amine (SOPE), and l,2-dielaidoyl-sn-glycero-3-phophoethanolamine (transDOPE). In one embodiment, the neutral lipid is l,2-distearoyl-sn-glycero-3phosphocholine (DSPC). In some
embodiments, the neutral lipid is selected from DSPC, DPPC, DMPC, DOPC, POPC, DOPE and SM. In some embodiments, the neutral lipid is DSPC. In various
embodiments, the molar ratio of the cationic lipid to the neutral lipid ranges from about 2: 1 to about 8: 1.
In various embodiments, the lipid nanoparticle further comprises a steroid or steroid analogue. In certain embodiments, the steroid or steroid analogue is cholesterol. In some of these embodiments, the molar ratio of the cationic lipid to cholesterol ranges from about 5 : 1 to 1 : 1.
In various embodiments, the lipid nanoparticle comprises a polymer conjugated lipid, for example a pegylated lipid. In some embodiments, the lipid nanoparticle includes a pegylated diacylglycerol (PEG-DAG) such as
l-(monomethoxy-polyethyleneglycol)-2,3-dimyristoylglycerol (PEG-DMG), a pegylated phosphatidylethanoloamine (PEG-PE), a PEG succinate diacylglycerol (PEGS-DAG) such as 4-0-(2',3'-di(tetradecanoyloxy)propyl-l-0-(co- methoxy(polyethoxy)ethyl)butanedioate (PEG-S-DMG), a pegylated ceramide (PEG- cer), or a PEG dialkoxypropylcarbamate such as Q-methoxy(polyethoxy)ethyl-N-(2,3- di(tetradecanoxy)propyl)carbamate or 2,3-di(tetradecanoxy)propyl-N-(co- methoxy(polyethoxy)ethyl)carbamate. In various embodiments, the molar ratio of the cationic lipid to the pegylated lipid ranges from about 100: 1 to about 20: 1.
In some embodiments, the pegylated lipid has the following structure
(IX):
or a pharmaceutically acceptable salt, tautomer or stereoisomer thereof, wherein:
R12 and R13 are each independently a straight or branched, saturated or unsaturated alkyl chain containing from 10 to 30 carbon atoms, wherein the alkyl chain is optionally interrupted by one or more ester bonds; and
w has a mean value ranging from 30 to 60.
In some embodiments, R12 and R13 are each independently straight, saturated alkyl chains containing from 12 to 16 carbon atoms. In some embodiments,
the average w ranges from 45 to 55. In other embodiments, the average w ranges from 42 to 55. In some specific embodiments, w is about 49.
In some embodiments, the pegylated lipid has the following structure
(IXa):
wherein the average w is about 49.
In some embodiments of the foregoing composition, the therapeutic agent comprises a nucleic acid. For example, in some embodiments, the nucleic acid is selected from antisense and messenger RNA.
For the purposes of administration (i.e., intraperitoneal administration), the lipid nanoparticles of the present invention may be administered alone or may be formulated as pharmaceutical compositions. Pharmaceutical compositions of the present invention comprise a lipid nanoparticle according to any of the foregoing embodiments and one or more pharmaceutically acceptable carrier, diluent or excipient. The lipid nanoparticle is present in an amount which is effective to deliver the therapeutic agent, e.g., for treating a particular disease or condition of interest. In some embodiments, the disease or condition of interest is a disease mediated by to protein expression in adipose tissue or adipocytes. In some embodiments, the disease or condition is related indirectly to protein expression in adipose tissue or adipocytes. Diseases and conditions include metabolic disturbances, for example, obesity, type II diabetes, insulin resistance, atherosclerosis and lipid disorders. Appropriate
concentrations and dosages can be readily determined by one skilled in the art.
Intraperitoneal administration of the compositions of the invention can be carried out via any of the accepted modes of administration of agents for serving similar utilities. The pharmaceutical compositions of the invention may be formulated into preparations in solid, semi-solid, liquid or gaseous forms, such as tablets, capsules, powders, granules, ointments, solutions, suspensions, suppositories, injections,
inhalants, gels, microspheres, and aerosols. Pharmaceutical compositions according to certain embodiments of the methods described herein are formulated into injections. In certain embodiments, administering the composition comprises intraperitoneal injection.
Pharmaceutical compositions of the invention are formulated so as to allow the active ingredients contained therein to be bioavailable upon intraperitoneal administration of the composition to a patient. Compositions that will be administered to a subject or patient take the form of one or more dosage units, for example, as measured by mg/kg denoting mg of the composition and kg of the subject. Actual methods of preparing such dosage forms are known, or will be apparent, to those skilled in this art; for example, see Remington: The Science and Practice of Pharmacy, 20th Edition (Philadelphia College of Pharmacy and Science, 2000). The composition to be administered will, in any event, contain a therapeutically effective amount of a composition comprising a lipid nanoparticle and a therapeutic agent, or a
pharmaceutically acceptable salt or prodrug thereof, encapsulated within or associated with the lipid nanoparticle for treatment of a disease or condition of interest in accordance with the teachings of this invention.
A pharmaceutical composition of the invention may be in the form of a solid or liquid. The carrier(s) may be liquid, with the compositions being, for example, an oral syrup or injectable liquid.
The pharmaceutical composition may be in the form of a liquid, for example, an elixir, syrup, solution, emulsion or suspension. The liquid may be for oral administration or for delivery by injection, as two examples. In a composition intended to be administered by injection, one or more of a surfactant, preservative, wetting agent, dispersing agent, suspending agent, buffer, stabilizer and isotonic agent may be included.
The liquid pharmaceutical compositions of the invention, whether they be solutions, suspensions or other like form, may include one or more of the following adjuvants: sterile diluents such as water for injection, saline solution, preferably physiological saline, Ringer's solution, isotonic sodium chloride, fixed oils such as synthetic mono or diglycerides which may serve as the solvent or suspending medium,
polyethylene glycols, glycerin, propylene glycol or other solvents; antibacterial agents such as benzyl alcohol or methyl paraben; antioxidants such as ascorbic acid or sodium bisulfite; chelating agents such as ethylenediaminetetraacetic acid; buffers such as acetates, citrates or phosphates and agents for the adjustment of tonicity such as sodium chloride or dextrose; agents to act as cryoprotectants such as sucrose or trehalose. An intraperitoneal preparation can be enclosed in ampoules, disposable syringes or multiple dose vials made of glass or plastic. Physiological saline is a preferred adjuvant. An injectable pharmaceutical composition is preferably sterile.
A liquid pharmaceutical composition of the invention intended for intraperitoneal administration should contain an amount of a lipid nanoparticle of the invention such that a suitable dosage will be obtained.
The pharmaceutical composition of the invention in solid or liquid form may include an agent that binds to the compound of the invention and thereby assists in the delivery of the compound. Suitable agents that may act in this capacity include a monoclonal or polyclonal antibody, or a protein.
The pharmaceutical compositions of the invention may be prepared by methodology well known in the pharmaceutical art. For example, a pharmaceutical composition intended to be administered by injection can be prepared by combining the lipid nanoparticles of the invention with sterile, distilled water or other carrier so as to form a solution. A surfactant may be added to facilitate the formation of a
homogeneous solution or suspension. Surfactants are compounds that non-covalently interact with the compound of the invention so as to facilitate dissolution or
homogeneous suspension of the compound in the aqueous delivery system.
The compositions of the invention, or their pharmaceutically acceptable salts or prodrugs, are administered or delivered in a therapeutically effective amount, which will vary depending upon a variety of factors including the activity of the specific therapeutic agent employed; the metabolic stability and length of action of the therapeutic agent; the age, body weight, general health, sex, and diet of the patient; the mode and time of administration; the rate of excretion; the drug combination; the severity of the particular disorder or condition; and the subject undergoing therapy.
Compositions of the invention may also be administered simultaneously with, prior to, or after administration of one or more other therapeutic agents. Such combination therapy includes administration of a single pharmaceutical dosage formulation of a composition of the invention and one or more additional active agents, as well as administration of the composition of the invention and each active agent in its own separate pharmaceutical dosage formulation. For example, a composition of the invention and the other active agent can be administered to the patient together in a single intraperitoneal dosage composition such as an injection, or each agent administered in separate intraperitoneal dosage formulations. Where separate dosage formulations are used, the compounds of the invention and one or more additional active agents can be administered at essentially the same time, i.e., concurrently, or at separately staggered times, i.e., sequentially; combination therapy is understood to include all these regimens.
Preparation methods for the above lipids, lipid nanoparticles and compositions are described herein below and/or known in the art, for example, in PCT Pub. No. WO 2015/199952; WO 2017/117528; and WO 2017/004143 and U.S. Pub. No. 2017/0119904, each of which are incorporated herein by reference in their entirety.
It will be appreciated by those skilled in the art that in the process described herein the functional groups of intermediate compounds may need to be protected by suitable protecting groups. Such functional groups include hydroxy, amino, mercapto and carboxylic acid. Suitable protecting groups for hydroxy include trialkylsilyl or diarylalkylsilyl (for example, t-butyldimethylsilyl, t-butyldiphenylsilyl or trimethylsilyl), tetrahydropyranyl, benzyl, and the like. Suitable protecting groups for amino, amidino and guanidino include t-butoxycarbonyl, benzyloxycarbonyl, and the like. Suitable protecting groups for mercapto include -C(0)-R" (where R" is alkyl, aryl or arylalkyl), /?-methoxybenzyl, trityl and the like. Suitable protecting groups for carboxylic acid include alkyl, aryl or arylalkyl esters. Protecting groups may be added or removed in accordance with standard techniques, which are known to one skilled in the art and as described herein. The use of protecting groups is described in detail in Green, T.W. and P.G.M. Wutz, Protective Groups in Organic Synthesis (1999), 3rd Ed.,
Wiley. As one of skill in the art would appreciate, the protecting group may also be a polymer resin such as a Wang resin, Rink resin or a 2-chlorotrityl-chloride resin.
Furthermore, all lipids which exist in free base or acid form can be converted to their pharmaceutically acceptable salts by treatment with the appropriate inorganic or organic base or acid by methods known to one skilled in the art. Salts of the lipids can be converted to their free base or acid form by standard techniques.
The following General Reaction scheme illustrates a method for making compounds of Formula III.
GENERAL REACTION SCHEME 1
General Reaction Scheme 1 provides an exemplary method ("Method A") for preparation of Lipids of Formula III. G1, G3, R1 and R3 in General Reaction Scheme A are as defined herein for Formula III, and Gl ' refers to a one-carbon shorter homologue of Gl . Compounds of structure A-1 are purchased or prepared according to methods known in the art. Reaction of A-1 with diol A-2 under appropriate condensation conditions (e.g., DCC) yields ester/alcohol A-3, which can then be oxidized (e.g., PCC) to aldehyde A-4. Reaction of A-4 with amine A-5 under reductive amination conditions yields a lipid of Formula III.
General Reaction Schemes 2-4 provide exemplary methods for preparation of compounds of formula (IV) or (V).
GENERAL REACTION SCHEME 2
General Reaction Scheme 1 ("Method B") provides a method for preparation of exemplary compounds of structure (I) or (II) (i.e., compound "B-8"), wherein R, R1, a1, a2 and Z are as defined herein, and PG is an alcohol protecting group such as tetrahydropyran. Compounds of structure B-1 are purchased or prepared according to methods known in the art. Reaction of B-1 with ethyl formate B-2 under Grignard conditions yields alcohol B-3, which can then be coupled with acid B-4 under standard conditions to yield B-5. Removal of the protecting group followed by coupling with acid B-6 yields B-7.
GENERAL REACTION SCHEME 3
General Reaction Scheme 3 ("Method C") provides an alternative method for preparation of exemplary compounds of structure (I) or (II) (i.e., compound "C-9"), wherein R, R1, a1, a2 and Z are as defined herein and PG is an alcohol protecting group such as tetrahydropyran. Compounds of structure C-l are purchased or prepared according to methods known in the art. The hydroxyl group of Compound C-l is protected using methods known in the art (e.g. pyridinium p-toluenesulfonate, dihydropyran) to yield I. Reaction of C-2 with ethyl formate C-3 under Grignard conditions (e.g. with Mg, I2) yields alcohol C-4. The hydroxyl group of compound C-4 can be oxidized (e.g. with pyridinium chlorochromate) and the protecting groups removed (e.g. with pyridinium p-toluenesulfonate) to yield compound C-5. The free hydroxyl groups of C-5 are then coupled with acid C-6 under standard ester coupling conditions to yield C-7. The carbonyl of C-7 is then reduced using methods known in the art (e.g. NaBH4) followed by coupling with acid C-8 (e.g. with DMAP, EDC C1) to yield the desired product C-9. GENERAL REACTION SCHEME 4
General Reaction Scheme 4 ("Method D") provides another alternative method for preparation of exemplary compounds of structure (I) or (II) (i.e., compound "D-6"), wherein R, R1, a1, a2 and Z are as defined herein. Compounds of structure D-l are purchased or prepared according to methods known in the art. Compound D-l is used to form D-2 under appropriate conditions (e.g. diethyl acetone dicarboxylate, EtONa). Alcohol D-3 is then coupled to D-2 using standard conditions (e.g. DMAP,
EDC HCl) to yield D-4. The carbonyl of D-4 is reduced (e.g. with NaBH4) followed by coupling with acid D-5 (e.g. with DMAP, EDC HCl) to yield the desired product D-6.
GENERAL REACTION SCHEME 5
General Reaction Scheme 5 ("Method E") provides an exemplary method for preparation of compounds of structure (VI). G1 and n in General reaction Scheme 5 are as defined herein for Formula (VI), and R1' refers to a one-carbon shorter homologue of R1. Compounds of structure E-1 are purchased or prepared according to methods known in the art. Reaction of E-1 under appropriate oxidation conditions (e.g., TEMPO) yields aldehyde E-2, which can then undergo a reductive amination with E-3 using an appropriate reagent (e.g., sodium triacetoxyborohydride) to yield a compound of structure of Formula (VI).
GENERAL REACTION SCHEME 6
General Reaction Scheme 6 ("Method F") provides an exemplary method for preparation of compounds of Formula (VII). R1, R2, R4, R5, R6, y and z in General Reaction Scheme 6 are as defined herein for Formula (VII). R', X, m and n refer to variables selected such that F-5, F-6, F-8, and F-10 are compounds having a structure of Formula (VII). For example, R' is R1 or R2, X is Br, m is y or z, and n is an integer ranging from 0 to 23. Compounds of structure F-1 are purchased or prepared according to methods known in the art. Amine/acid F-1 is protected with alcohol F-2 (e.g., benzyl alcohol) using suitable conditions and reagents (e.g., p-TSA) to obtain ester/amine F-3. Ester/amine F-3 is coupled with ester F-4 (e.g., using DIPEA) to afford benzyl ester F-5. Compound F-5 is optionally deprotected using appropriate conditions (e.g., Pd/C, H2) to obtain acid F-6. The acid F-6 can be reacted with amine F-7 (e.g., using oxalyl chloride/DMF) to obtain amide F-8, or alternatively, reacted with alcohol F-9 (e.g., using DCC/DMAP) to yield ester F-10. Each of F-5, F-6, F-8, and F- 10 are compounds of Formula (VII).
GENERAL REACTION SCHEME 7
General Reaction Scheme 7 ("Method G") provides an exemplary method for preparation of compounds of Formula (VII). R1, R2, R4, R5, y and z in General reaction Scheme 7 are as defined herein for Formula (VII). R', X, m and n refer to variables selected such that G-6 is a compound having a structure of Formula (VII). For example, R' is R1 or R2, X is Br, m is y or z, and n is an integer ranging from 0 to 23. Compounds of structure G-1 are purchased or prepared according to methods known in the art. Reaction of protected amine/acid G-1 with amine G-2 is carried out under appropriate coupling conditions (e.g., NHS, DCC) to yield amide G-3. Following a deprotection step using acidic conditions (e.g., TFA), amine G-4 is coupled with ester G-5 under suitable conditions (e.g., DIPEA) to yield G-6, a compound of Formula (VII).
GENERAL REACTION SCHEME 8
General Reaction Scheme 8 ("Method H") provides an exemplary method for preparation of compounds of Formula (VII). R1, R4, R5, Re, Rf, y and z in General reaction Scheme 8 are as defined herein for Formula (VII). R', X, m and n refer to variables selected such that H-7 is a compound having a structure of Formula (VII). For example, R' is R1 or R2, X is Br, m is y or z, and n is an integer ranging from 0 to 23. compounds of structure H-1, H-2, H-4 and H-5 are purchased or prepared according to methods known in the art. Reaction of amine/acid H-1 with alcohol H-2 is carried out under appropriate coupling conditions (e.g., p-TSA) to yield amine/ester H- 3. In parallel, amide H-6 is prepared by coupling acid H-4 with amine H-5 under suitable conditions (e.g., oxalyl chloride/DMF). H-3 and H-6 are combined under basic conditions (e.g., DIPEA) to afford H-7, a compound of Formula (VII).
GENERAL REACTION SCHEME 9
General Reaction Scheme 9 ("Method I") provides an exemplary method for preparation of compounds of Formula (VIII). R1, R2, R4, R5, y and z in General Reaction Scheme 1 are as defined herein for Formula VIII. R', X, m and n refer to variables selected such that BF is a compound having a structure (VIII). For example, R' is R1 or R2, X is Br, m is y or z, and n is an integer ranging from 0 to 23.
Compounds of structure I-l are purchased or prepared according to methods known in the art. Reaction of I-l with alcohol 1-2 under appropriate conditions (e.g., KOH/heat) yields ester 1-3, which can then be coupled to amine 1-4 to produce protected amine 1-5. The protected amine 1-5 can be coupled with the acid chloride 1-6 using basic reagents (e.g., triethylamine/DMAP) to yield 1-7 and deprotected using acid (e.g., TFA) to produce the de-protected amine 1-8. The final coupling between 1-8 and 1-9 can proceed under basic conditions (e.g., DIPEA) to afford I- 10, a compound of Formula (VII).
GENERAL REACTION SCHEME 10
General Reaction Scheme 10 ("Method J") provides an exemplary method for preparation of compounds of Formula (VIII). R1, R2, R5, y and z in General Reaction Scheme 10 are as defined herein for Formula (VIII). R', X, m and n refer to variables selected such that J-6 is a compound having a structure of Formula (VIII). For example, R' is R1 or R2, X is Br, m is y or z, and n is an integer ranging from 0 to 23. Compounds of structure J-l are purchased or prepared according to methods known in the art. Reaction of J-l with methanol to afford ester J-2 is carried out under appropriate conditions (e.g., acetyl chloride). Ester J-2 can be prepared by adding diamine J-3 using, for example, methanol and heat. The resulting amide J-4 can be coupled to J-5 using basic conditions (e.g., DIPEA) to afford J-6, a compound of Formula (VIII).
GENERAL REACTION SCHEME 11
General Reaction Scheme 11 ("Method K") provides an exemplary method for preparation of compounds of Formula (VIII). R1, R2, R4, R5, y and z in General Reaction Scheme 11 are as defined herein for Formula (VIII). R', X, m and n refer to variables selected such that K-8 is a compound having a structure (VIII). For example, R' is R1 or R2, X is Br, m is y or z, and n is an integer ranging from 0 to 23. Compounds of structure K-1 are purchased or prepared according to methods known in the art. Reaction of K-1 alcohol/amine K-2 proceeds under appropriate conditions (e.g., KC03, Ce2C03 and Nal) to yield di-ester/alcohol K-3. Mesylate K-4 is obtained (e.g., using MsCl, triethylamine and DMAP) and coupled with amine K-5 (e.g., using heat) to afford di-ester K-6. The final coupling between K-6 and acid chloride K-7 proceeds using basic coupling conditions (e.g., triethylamine, DMAP) to afford K-8, a compound of Formula (VIII).
GENERAL REACTION SCHEME 12
General Reaction Scheme 12 ("Method L") provides an exemplary method for preparation of compounds of Formula (VIII). R1, R2, R4, R5, y and z in General Reaction Scheme 12 are as defined herein. R', X, m and n refer to variables selected such that L-8 is a compound having a structure of Formula (VIII). For example, R' is R1 or R2, X is Br, m is y or z, and n is an integer ranging from 0 to 23. Compounds of structure L-1 are purchased or prepared according to methods known in the art. Reaction of mesylate L-1 is coupled to amine L-2 (e.g., using heat to 75 °C) to yield protected amine L-3, which is reacted with acid chloride L-4 (e.g., using triethylamine/DMAP) to afford amide L-5. The protecting group is removed under
acidic conditions (e.g., TFA) and amine L-6 is then coupled with L-7 under basic conditions (e.g., DIPEA) to afford L-8, a compound of Formula (VIII).
It should be noted that various alternative strategies for preparation of compounds of structure (I) or (II) are available to those of ordinary skill in the art. For example, other compounds of structure (I) or (II) wherein G1 and G2 are other than ester can be prepared according to analogous methods using the appropriate starting material. Further, the General Reaction Schemes above depict preparation of a compound of structure (I) or (II), wherein R1 and R2 as well as a1 and a2 are the same; however, this is not a required aspect of the invention and modifications to the above reaction scheme are possible to yield compounds wherein R1 and R2 as well as a1 and a2 are different (i.e. resulting in an asymmetric compound). The use of protecting groups as needed and other modification to the above General Reaction Schemes will be readily apparent to one of ordinary skill in the art.
The following examples are provided for purpose of illustration and not limitation.
EXAMPLES EXAMPLE 1
PREPARATION OF LIPID NANOP ARTICLE COMPOSITIONS
Lipid nanoparticles, cationic lipids and polymer conjugated lipids (PEG- lipid) were prepared and tested according to the general procedures described in PCT Pub. Nos. WO 2015/199952 and WO 2017/004143, the full disclosures of which are incorporated herein by reference, or were prepared as described herein. Briefly, cationic lipid, DSPC, cholesterol and PEG-lipid were solubilized in ethanol at a molar ratio of about 50: 10:38.5: 1.5 or about 47.5: 10:40.8: 1.7. Lipid nanoparticles (L P) were prepared at a total lipid to mRNA weight ratio of approximately 10: 1 to 30: 1. The mRNA was diluted to 0.2 mg/mL in 10 to 50 mM citrate buffer, pH 4. Syringe pumps were used to mix the ethanolic lipid solution with the mRNA aqueous solution at a ratio of about 1 :5 to 1 :3 (vol/vol) with total flow rates above 15 mL/min. The ethanol was then removed and the external buffer replaced with PBS by dialysis. Finally, the lipid nanoparticles were filtered through a 0.2 μπι pore sterile filter. Lipid nanoparticle
particle size was approximately 55-95 nm diameter, and in some instances
approximately 70-90 nm diameter as determined by quasi-elastic light scattering using a Malvern Zetasizer Nano ZS (Malvern, UK).
EXAMPLE 2
TISSUE EXPRESSION FOLLOWING IN VIVO
ADMINISTRATION OF L P/MRNA
Evaluation studies of in vivo tissue expression was performed in 6-8 week old female C57BL/6 mice (Charles River) or 8-10 week old CD-I (Harlan) mice (Charles River) according to guidelines established by an institutional animal care committee (ACC) and the Canadian Council on Animal Care (CCAC).
A comparison of administration methods was performed as follows. A dose of 1.0 mg/kg of lipid nanoparticle/FLuc mRNA was administered either intravenously or intraperitoneally. Lipid nanoparticles were formulated according to Example 1, using Dlin-MC3-DMA or Compound 1-6 as a cationic lipid.
The FLuc mRNA (L-6107) from Trilink Biotechnologies will express a luciferase protein, originally isolated from the firefly, photinus pyralis. FLuc is commonly used in mammalian cell culture to measure both gene expression and cell viability. It emits bioluminescence in the presence of the substrate, luciferin. This capped and polyadenylated mRNA is fully substituted with 5-methylcytidine and pseudouridine.
Protein expression in tissue was assessed from animals at 4, 24, and 48 hours post administration or from tissue harvested at a specific time point {e.g., 4 hours) post-administration. Protein expression in tissue was characterized using IVIS live imaging. As Fig. 1 and 2 indicate, both formulations show significant expression of luciferase in adipose tissue. Fig. 2 shows accumulation and expression in mostly liver and spleen tissue for intravenous treatment. In contrast, the intraperitoneal
administration unexpectedly shows significant accumulation of mRNA and luciferase expression in adipose tissue {e.g., fat pads). The expression of luciferase in adipose tissue is significant because: (1) intraperitoneal administration of the LNP localizes the therapeutic agent at a location other than the liver and spleen {e.g., in the adipose tissue)
and (2) the therapeutic agent remains viable in the adipose tissue. mRNA viability was evidenced by the expression of the luciferase detected in the harvested samples.
Figs. 2A-D provide a heat map of fluorescent intensity (i.e., more intense shading indicates greater expression). Fig. 2E is a legend showing the types of tissue samples in each panel of Figs. 2A-D.
EXAMPLE 3
EVALUATION OF FAT SPECIFIC LUC EXPRESSION FOLLOWING IN VIVO ADMINISTRATION
OF L P/MRNA
Evaluation studies of in vivo tissue expression was performed in 8-10 week old CD-I (Harlan) mice (Charles River) according to guidelines established by an institutional animal care committee (ACC) and the Canadian Council on Animal Care (CCAC).
A comparison of administration methods was performed as follows. A dose of 1.0 or 3.0 mg/kg of lipid nanoparticle/FLuc mRNA was administered intraperitoneally. Lipid nanoparticles were formulated according to Example 1, using the following cationic lipids: 1-5, II-9, or 111-45 as a cationic lipid.
The CleanCap FLuc mRNA (L-7202) from Trilink Biotechnologies will express a luciferase protein, originally isolated from the firefly, photinus pyralis. FLuc is commonly used in mammalian cell culture to measure both gene expression and cell viability. It emits bioluminescence in the presence of the substrate, luciferin. This capped and polyadenylated mRNA is fully substituted with 5-methoxyuridine.
Protein expression in tissue was assessed from animals at 4 or 16 hours post administration by harvesting fat pads pertaining to different regions
(retroperitoneal, posterior subcutaneous and gonadal). Protein expression in different fat pads was assessed by ex-vivo measurement of luciferase enzymatic activity using the SteadyGlo Luciferase Assay reagent from Promega. These formulations show significant expression of luciferase in all adipose tissue. Quantitation of luciferase expression is provided in Table 5 below.
TABLE 5: LUCIFERASE EXPRESSION IN VARIOUS FAT PADS
EXAMPLE 4
SYNTHESIS OF COMPOUND 1-5
Compound 1-5 was prepared according to method B as follows:
A solution of hexan-l,6-diol (10 g) in methylene chloride (40 mL) and tetrahydrofuran (20 mL) was treated with 2-hexyldecanoyl chloride (10 g) and triethylamine (10 mL). The solution was stirred for an hour and the solvent removed. The reaction mixture was suspended in hexane, filtered and the filtrate washed with water. The solvent was removed and the residue passed down a silica gel (50 g) column using hexane, followed by methylene chloride, as the eluent, yielding 6-(2'- hexyldecanoyloxy)hexan-l-ol as an oil (7.4 g).
The purified product (7.4 g) was dissolved in methylene chloride (50 mL) and treated with pyridinum chlorochr ornate (5.2 g) for two hours. Diethyl ether (200 mL) as added and the supernatant filtered through a silica gel bed. The solvent was removed from the filtrate and resultant oil passed down a silica gel (50 g) column using a ethyl acetate/hexane (0-5%) gradient. 6-(2'-hexyldecanoyloxy)dodecanal (5.4 g) was recovered as an oil.
A solution of the product (4.9 g), acetic acid (0.33 g) and 2-N,N- dimethylaminoethylamine (0.40 g) in methylene chloride (20 mL) was treated with sodium triacetoxyborohydride (2.1 g) for two hours. The solution was washed with aqueous sodium hydroxide. The organic phase was dried over anhydrous magnesium sulfate, filtered and the solvent removed. The residue was passed down a silica gel (50 g) column using a methanol/methylene chloride (0-8%) gradient to yield the desired product (1.4 g) as a colorless oil.
EXAMPLE 5
SYNTHESIS OF COMPOUND 1-6
Compound 1-6 was prepared according to method B as follows:
Compound 1-6 was prepared according to method B as follows: A solution of nonan-l,9-diol (12.6 g) in methylene chloride (80 mL) was treated with 2- hexyldecanoic acid (10.0 g), DCC (8.7 g) and DMAP (5.7 g). The solution was stirred for two hours. The reaction mixture was filtered and the solvent removed. The residue was dissolved in warmed hexane (250 mL) and allowed to crystallize. The solution was filtered and the solvent removed. The residue was dissolved in methylene chloride and washed with dilute hydrochloric acid. The organic fraction was dried over anhydrous magnesium sulfate, filtered and the solvent removed. The residue was passed down a silica gel column (75 g) using 0-12% ethyl acetate/hexane as the eluent, yielding 9-(2'- hexyldecanoyloxy)nonan-l-ol (9.5 g) as an oil.
The product was dissolved in methylene chloride (60 mL) and treated with pyridinum chlorochromate (6.4 g) for two hours. Diethyl ether (200 mL) was added and the supernatant filtered through a silica gel bed. The solvent was removed from the filtrate and resultant oil passed down a silica gel (75 g) column using a ethyl acetate/hexane (0-12%) gradient, yielding 9-(2'-ethylhexanoyloxy)nonanal (6.1 g) as an oil.
A solution of the crude product (6.1 g), acetic acid (0.34 g) and 2-N,N- dimethylaminoethylamine (0.46 g) in methylene chloride (20 mL) was treated with sodium triacetoxyborohydride (2.9 g) for two hours. The solution was diluted with methylene chloride washed with aqueous sodium hydroxide, followed by water. The organic phase was dried over anhydrous magnesium sulfate, filtered and the solvent removed. The residue was passed down a silica gel (75 g) column using a
methanol/methylene chloride (0-8%) gradient, followed by a second column (20 g) using a methylene chloride/acetic acid/methanol gradient. The purified fractions were dissolved in methylene chloride, washed with dilute aqueous sodium hydroxide solution, dried over anhydrous magnesium sulfate, filtered and the solvent removed, to yield the desired product (1.6g) as colorless oil.
EXAMPLE 6
SYNTHESIS OF COMPOUND II-9
Compound II-9 was prepared according to method D as follows:
Step 1
3 -dimethylamine-1 -propylamine (1 eq. 1.3 mmol, 133 mg, 163 uL; MW102.18, d 0.812) and the ketone II-9a (1 eq, 0.885 g, 1.3 mmol) were mixed in DCE (8 mL) and then treated with sodium triacetoxyborohydride (1.4 eq, 1.82 mmol, 386 mg; MW 211.94) and AcOH Q eq., 1.3 mmol, 78mg, 74 μί, MW 60.05, d 1.06). The mixture was stirred at RT under an Ar atmosphere for 2 days. The reaction mixture was diluted with hexanes-EtOAc (9: 1) and quenched by adding 0.1 N NaOH (20 mL). The organic phase was separated, washed with sat NaHC03, brine, dried over sodium
sulfate, decanted and concentrated to give the desired product II-9b as a slightly yellow cloudy oil (1.07 g, 1.398 mmol).
Step 2
A solution of nonanoyl chloride (1.3 eq, 1.27 mmol, 225 mg) in benzene (10 mL) was added via syringe to a solution of the compound 9b from step 1(0.75 g, 0.98 mmol) and triethylamine (5 eq, 4.90 mmol, 0.68 mL) and DMAP (20 mg) in benzene (10 mL) at RT in 10 min. After addition, the mixture was stirred at RT overnight. Methanol (5.5 mL) was added to remove excess acyl chloride. After 3 h, the mixture was filtered through a pad of silica gel (1.2 cm). Concentration gave a colorless oil (0.70 g).
The crude product (0.70 g) was purified by flash dry column chromatography on silica gel (0 to 4% MeOH in chloroform). This yielded 457 mg of colorless oil, 0.50 mmol, 51%. 1H MR (400 MHz, CDC13) δ: 4.54-4.36 (very br., estimated 0.3H, due to slow isomerization about amide bond), 3.977, 3.973 (two sets of doublets, 5.8 Hz, 4H), 3.63 (quintet-like, 6.8 Hz, 0.7H), 3.14-3.09 (m, 2H), 2.33-2.25 (m, 8H), 2.23, 2.22 (two sets of singlet, 6H), 1.76-1.56 (m, 10H), 1.49-1.39 (m, 4H), 1.37-1.11 (62H), 0.92-0.86 (m, 15H).
EXAMPLE 7
SYNTHESIS OF 6-(2'-HEXYLDECANOYLOXY)HEXAN-1-AL A solution of hexan-l,6-diol (27.6 g) in methylene chloride (475 mL) was treated with 2-hexyldecanoic acid (19.8 g), DCC (18.2 g) and DMAP (11.3 g). The solution was stirred for three days. The reaction mixture was filtered and hexane (500 mL) added to the filtrate. The mixture was stirred and the precipitates allowed to settle out. The supernatant was decanted and washed with dilute hydrochloric acid. The organic phase was dried over anhydrous magnesium sulfate, filtered and the solvent removed, yielding 30g of crude product.
The crude product dissolved in methylene chloride (200 mL) and treated with pyridinium chlorochr ornate (15 g) for two hours. Diethyl ether (600 mL) was added and the supernatant filtered through a silica gel bed. The solvent was removed
from the filtrate and resultant oil dissolved in hexane. The suspension was filtered through a silica gel plug and the solvent removed. The residue was passed down a silica gel column (80g) using hexane, followed by methylene chloride, as the eluent. 6-(2'- hexyldecanoyloxy)hexan-l-al (24g) was obtained as a colorless oil. EXAMPLE 8
SYNTHESIS OF 4-(2'-HEXYLDECANOYLOXY)BUTAN-1-AL A solution of butan-l,4-diol (12.5 g) in methylene chloride (200 mL) was treated with 2-hexyldecanoic acid (9.2 g), DCC (8.8 g) and DMAP (4.9 g). The solution was stirred overnight. The reaction mixture was filtered and the solvent removed. The residue was dissolved in methylene chloride and washed with dilute hydrochloric acid. The organic phase was dried over anhydrous magnesium sulfate, filtered through a silica gel bed, and the solvent removed.
The crude product was dissolved in methylene chloride (150 mL) and treated with pyridinium chlorochromate (6 g) for one hour. Diethyl ether (450 mL) was added and the supernatant filtered through a silica gel bed. The solvent was removed from the filtrate and resultant oil dissolved in hexane. The suspension was filtered through a silica gel bed and the solvent removed, yielding 4-(2'- hexyldecanoyloxy)butan-l-al (1 lg) was obtained as a colorless oil.
EXAMPLE 9
SYNTHESIS OF COMPOUND III- 1
A solution of 6-(2'-hexyldecanoyloxy)hexan-l-al (3.0 g), acetic acid (0.21 g) and ethanolamine (0.14 g) in methylene chloride (50 mL) was treated with sodium triacetoxyborohydride (1.4 g) overnight. The solution was washed with dilute aqueous sodium hydroxide solution. The organic phase was dried over anhydrous magnesium sulfate, filtered and the solvent removed. The residue was passed down a silica gel column using a methanol/methylene chloride (0-8/100-92%) gradient, yielding compound III-l as colorless oil (0.63 g).
EXAMPLE 10
SYNTHESIS OF COMPOUND III-2
A solution of 6-(2'-hexyldecanoyloxy)hexan-l-al (3.0 g), acetic acid (0.33 g) and 3-aminopropan-l-ol (0.17 g) in methylene chloride (20 mL) was treated with sodium triacetoxyborohydride (1.3 g) for one hour. The solution was washed with dilute aqueous sodium hydroxide solution. The organic phase was dried over anhydrous magnesium sulfate, filtered and the solvent removed. The residue was passed down a silica gel column using a methanol/methylene chloride (0-8/100-92%) gradient, yielding compound III-2 as colorless oil (1.1 g). EXAMPLE 11
SYNTHESIS OF COMPOUND III-3
A solution of 6-(2'-hexyldecanoyloxy)hexan-l-al (2.4 g), acetic acid (0.33 g) and 4-aminobutan-l-ol (0.23 g) in methylene chloride (20 mL) was treated with sodium triacetoxyborohydride (1.3 g) for two hours. The solution was washed with aqueous sodium bicarbonate solution. The organic phase was dried over anhydrous magnesium sulfate, filtered and the solvent removed. The residue was passed down a silica gel column using a methanol/methylene chloride (0-8/100-92%) gradient, yielding compound III-3 as colorless oil (0.4 g).
EXAMPLE 12
SYNTHESIS OF COMPOUND III-4
A solution of 4-(2'-hexyldecanoyloxy)butan-l-al (2.4 g), acetic acid (0.30 g) and 4-aminobutan-l-ol (0.22 g) in methylene chloride (20 mL) was treated with sodium triacetoxyborohydride (1.3 g) for two hours. The solution was washed with dilute aqueous sodium hydroxide solution. The organic phase was dried over anhydrous magnesium sulfate, filtered and the solvent removed. The residue was passed down a silica gel column using a methanol/methylene chloride (0-8/100-92%)) gradient.
Partially purified fractions were passed down a second column using an acetic acid/methanol/methylene chloride (2-0/0-10/98-90%)) gradient. Pure fractions were
washed with aqueous sodium bicarbonate solution, yielding compound III-4 as colorless oil (0.9 g)
EXAMPLE 13
SYNTHESIS OF COMPOUND III-5
A solution of 4-(2'-hexyldecanoyloxy)butan-l-al (2.4 g), acetic acid
(0.31 g) and 3-aminopropan-l-ol (0.17 g) in methylene chloride (20 mL) was treated with sodium triacetoxyborohydride (1.4 g) for one hour. The solution was washed with aqueous sodium bicarbonate solution. The organic phase was dried over anhydrous magnesium sulfate, filtered and the solvent removed. The residue was passed down a silica gel column using a methanol/methylene chloride (0-8/100-92%) gradient.
Partially purified fractions were passed down a second column using an acetic acid/methanol/methylene chloride (2-0/0-8/98-92%) gradient. Pure fractions were washed with aqueous sodium bicarbonate solution, yielding compound III-5 as a colorless oil (0.57 g). EXAMPLE 14
SYNTHESIS OF COMPOUND III-6
A solution of 4-(2'-hexyldecanoyloxy)butan-l-al (2.4 g), acetic acid (0.30 g) and ethanolamine (0.14 g) in methylene chloride (20 mL) was treated with sodium triacetoxyborohydride (1.3 g) for two hours. The solution was washed with aqueous sodium hydrogen carbonate solution. The organic phase was dried over anhydrous magnesium sulfate, filtered and the solvent removed. The residue was passed down a silica gel column using a methanol/methylene chloride (0-10/100-90%)) gradient. Partially purified fractions were passed down a second column using an acetic acid/methanol/methylene chloride (2-0/0-9/98-92%)) gradient. Pure fractions were washed with aqueous sodium bicarbonate solution, yielding compound III-6 as colorless oil (0.2 g).
EXAMPLE 15
SYNTHESIS OF COMPOUND III-7
A solution of 6-(2'-hexyldecanoyloxy)hexan-l-al (2.4 g), acetic acid (0.14 g) and 5-aminopentan-l-ol (0.24 g) in methylene chloride (20 mL) was treated with sodium triacetoxyborohydride (1.3 g) for two hours. The solution was washed with aqueous sodium hydrogen carbonate solution. The organic phase was dried over anhydrous magnesium sulfate, filtered and the solvent removed. The residue was passed down a silica gel column using a methanol/methylene chloride (0-8/100-92%) gradient, yielding compound III-7 as colorless oil (0.5 g). EXAMPLE 16
SYNTHESIS OF COMPOUND III-8
A solution of 6-(2'-hexyldecanoyloxy)hexan-l-al (2.4 g), acetic acid (0.17 g) and 6-aminohexan-l-ol (0.26 g) in methylene chloride (20 mL) was treated with sodium triacetoxyborohydride (1.3 g) for two hours. The solution was washed with aqueous sodium hydrogen carbonate solution. The organic phase was dried over anhydrous magnesium sulfate, filtered and the solvent removed. The residue was passed down a silica gel column using a methanol/methylene chloride (0-8/100-92%) gradient, yielding compound III-8 as colorless oil (0.5 g).
EXAMPLE 17
SYNTHESIS OF COMPOUND III-9
A solution of 6-(2'-hexyldecanoyloxy)hexan-l-al (2.4 g) and trans-2- aminocyclohexanol hydrochloride (0.35 g) in methylene chloride (10
mL)/tetrahydrofuran (10 mL) was treated with sodium triacetoxyborohydride (1.3 g) for 1.5 hours. The solution was washed with aqueous sodium hydrogen carbonate solution. The organic phase was dried over anhydrous magnesium sulfate, filtered and the solvent removed. The residue was passed down a silica gel column using a
methanol/methylene chloride (0-8/100-92%)) gradient, yielding compound III-9 as colorless oil (0.6 g).
EXAMPLE 18
SYNTHESIS OF COMPOUND III- 10
To a solution of 2-aminoethanol (106 mg, 1.75 mmol) in anhydrous THF (15 mL), 2-octyldodecyl 6-bromohexanoate (2 eq, 1.66 g, 3.5 mmol), potassium carbonate (2 eq, 3.5 mmol, 477 mg,) and cesium carbonate (0.3 eq, 0.525 mmol, 171 mg,) were added and was heated at 63 °C (oil bath) for 16 h. Trace of
tetrabutylammonium iodide was added to the mixture and the mixture was heated to reflux for another 4 days. The solvent was evaporated under reduced pressure and the residue was taken in a mixture of hexanes and ethyl acetate (ca 9: 1) and washed with water and brine. The organic layer was separated and dried over anhydrous sodium sulfate, filtered and evaporated under reduced to obtain an oil (1.6 g). The residue (1.6 g) was purified by column chromatography on silica gel (MeOH in chloroform, 0 to 4%). This gave compound III- 10 as colorless oil (700 mg, 0.82 mmol, 47%).
EXAMPLE 19
SYNTHESIS OF COMPOUND III- 11
To a solution of 2-aminoethanol (116 mg, 1.9 mmol, 115 μΕ) in 15 mL of anhydrous THF, 2-hexyldecyl 6-bromohexanoate (1.9 eq, 1.52 g, 3.62 mmol), potassium carbonate (1.9 eq, 3.62 mmol, 500 mg), cesium carbonate (0.3 eq, 0.57 mmol, 186 mg,) and sodium iodide (10 mg) were added and was heated to reflux for 6 days under argon. The solvent was evaporated under reduced pressure and the residue was taken up in hexanes and washed with water and brine. The organic layer was separated, dried over anhydrous sodium sulfate, filtered and evaporated under reduced pressure to obtain colorless oil. The crude product was purified by flash column chromatography on silica gel (MeOH in chloroform, 0 to 4%) to yield compound III- 11 as colorless oil (936 mg, 1.27 mmol, 70%).
EXAMPLE 20
SYNTHESIS OF COMPOUND III- 12
Compound III- 12 was prepared in a manner analogous to the procedure for Compound III- 11 to yield 538 mg of colorless oil, 0.86 mmol, 57%.
EXAMPLE 21
SYNTHESIS OF COMPOUND III- 13
To a solution of 2-aminoethanol (171 mg, 2.81 mmol, 169 μΐ.) in anhydrous THF (30 mL), 2-octyldodecyl 4-bromobutyrate (1.9 eq, 2.386 g, 5.33 mmol), potassium carbonate (1.9 eq, 5.33 mmol, 736 mg), cesium carbonate (0.3 eq, 0.84 mmol, 275 mg) and sodium iodide (10 mg) were added and was heated to reflux for 16 h under argon. TLC (Hexane/Ethyl acetate = 9: 1, CHCl3/MeOH = 19: 1) showed that significant amount of 2-octyl-l-dodecanol was produced. The mixture was cooled and filtered. The filtrate was concentrated and the residue was dissolved in 2-octyl-l- dodecanol (2.1 g). A few beads of 4 A molecular sieves and N,N-diisopropylethylamine ( 1.9 eq, 5.33 mmol, 683 mg, 0.92 mL) was added. The mixture was sealed and heated at 62 °C for another 4 days. The reaction mixture was cooled. Hexane was added. The hexane solution was decanted and concentrated to dryness. The residue was purified by by column chromatography on silica gel (MeOH in chloroform, 0 to 4%) to yield compound III- 13 as colorless oil (282 mg, 0.35 mmol, 13%).
EXAMPLE 22
SYNTHESIS OF COMPOUND III- 14
To a solution of heptadecan-9-yl 6-bromohexanoate (2 eq, 1.13 g, 2.61 mmol) in anhydrous THF (15 mL), was added 2-aminoethanol (1 eq, 1.31 mmol, 79.7 mg), potassium carbonate (2 eq, 2.61 mmol, 361 mg,), cesium carbonate (0.3 eq, 0.39 mmol, 128 mg) and sodium iodide (6 mg). The mixture was heated to reflux for 7 days under Ar. The solvent was evaporated under reduced pressure and the residue was taken in hexanes/ethyl acetate (ca 10%) and washed with water and brine. The organic layer was separated and dried over anhydrous sodium sulfate, filtered and evaporated under reduced to obtain an oil (1 g). The residue (1 g) was purified by gravity column chromatography on silica gel (MeOH in DCM, 0 to 4%). This gave compound III- 14 as colorless oil (757 mg 0.99 mmol, 76%).
EXAMPLE 23
SYNTHESIS OF COMPOUND III- 15
To a solution of 2-hexyldecyl 5-bromopentanoate (2 eq, 1.22 g, 3 mmol) in 15 ml of anhydrous THF (opened for 2 month), was added 4-amino-l-butanol (1 eq, 1.5 mmol, 0.134 mg, 139 μΐ.), potassium carbonate (2 eq, 3 mmol, 415 mg), cesium carbonate (0.3 eq, 0.45 mmol, 146 mg) and sodium iodide (6 mg). The mixture was heated to reflux for 6 days under argon.
EXAMPLE 24
SYNTHESIS OF COMPOUND 111-45
A solution of 9-(2'-butyloctanoyloxy)nonan-l-al (2.6 g), acetic acid (0.17 g) and 3- aminopropan-l-ol (0.21 g) in methylene chloride (50 mL) was treated with sodium triacetoxyborohydride (1.34 g) overnight. The solution was washed with aqueous sodium hydrogen carbonate solution. The organic phase was dried over anhydrous magnesium sulfate, filtered and the solvent removed. The residue was passed down a silica gel column using a using an acetic acid/methanol/methylene chloride (2-0/0-8/98- 96%) gradient. Pure fractions were washed with aqueous sodium bicarbonate solution, yielding compound 111-45 as a colorless oil (1.1 g).
EXAMPLE 25
SYNTHESIS OF 10-{[4'-(DIMETHYLAMINO)BUTANOYL]OXY}-19-[(2-
HEXYLDECANOYL)OXY]NONADECYL 2-HEXYLDECANOATE (COMPOUND IV- 1)
10-{[4'-(dimethylamino)butanoyl]oxy}-19-[(2-hexyldecanoyl)oxy]nonadecyl 2- hexyldecanoate. A solution of 10-[4'-(dimethylamino)butanoyl]oxynonadecan-l,19- diol (0.30 g), 2-hexyldecanoic acid (1.1 g), N-(3-dimethylaminopropyl)-N- ethylcarbodiimide hydrochloride (0.42 g) and 4-dimethylaminopyridine (0.27 g) in dichloromethane (20 mL) was stirred at room temperature overnight. The solution was
washed with diluted hydrochloric acid, dried over anhydrous magnesium sulfate, filtered and the solvent removed. The residue was passed down a silica gel (20 g) column with 0-8% methanol/dichloromethane. The desired product was afforded (0.42 g). EXAMPLE 26
SYNTHESIS OF 1,25- DI-(2'-HEXYLDECYL)13-{[4- (DIMETHYLAMINO)BUTANOYL]OXY}PENTACOSANEDIOATE (COMPOUND IV-2)
13-oxo-pentacosane-l,25-dioic acid. Sodium ethoxide (1.56 g) was dissolved in absolute ethanol (30 mL). Diethyl acetone dicarboxylate (4.5 g) was added and the solution heated to reflux. Ethyl 11-bromododecanoate (6.8 g) was slowly added and the solution refluxed for an hour. Sodium ethoxide (1.53 g) was added, followed by ethyl 11-bromododecanoate (18 g). The solution was refluxed overnight. The reaction mixture was cooled, diluted with water, acidified with dilute hydrochloric acid, and extracted with methylene chloride. The organic fraction was washed with water and the solvent removed. The crude product was passed down a silica gel column (80 g) using methanol/methylene chloride to recover unreacted starting materials. The residue containing the product was treated with acetic acid (10 mL) and concentrated hydrochloric acid (20 mL), and then refluxed overnight. The solution was cooled, diluted with water and filtered. The collected precipitate was recrystallized from acetone, affording the desired product as a white powder (2.9 g). l,25-di-(2'-hexyldecyl) 13-oxo-pentacosanedioate. A solution of 13-oxo-pentacosane- 1,25-dioic acid (0.91 g), 4-dimethylaminopyridine (1.1 g), N-(3-dimethylaminopropyl)- N-ethylcarbodiimide hydrochloride (1.0 g) and 2-hexyldecan-l-ol (2.4 g) in
dichloromethane (40 mL) was stirred at room temperature overnight. The solution was
washed with diluted hydrochloric acid, dried over anhydrous magnesium sulfate, filtered and the solvent removed. The residue was passed down a silica gel (20 g) column using 0-4% ethyl acetate/hexane, affording the desired product (1 g). l,25-di-(2'-hexyldecyl) 13-hydroxy-pentacosanedioate. A solution of l,25-di-(2'- hexyldecyl) 13-oxo-pentacosanedioate (1 g) in tetrahydrofuran (10 mL) and methanol (10 mL) was treated with sodium borohydride (0.18 g). The reaction was stirred for 30 minutes and then diluted with water, acidified and extracted with dichloromethane. The organic fraction was dried over anhydrous magnesium sulfate, filtered, and the solvent removed to afford the crude product (0.95 g). The crude product was used in the next synthetic step without further purification.
1,25- di-(2'-hexyldecyl)13-{[4-(dimethylamino)butanoyl]oxy}pentacosanedioate (Compound IV-2). A solution of crude 1,25- di-(2' -hexyldecyl) 13-hydroxy- pentacosanedioate (0.95 g), 4-dimethylaminopyridine (0.42 g), N-(3- dimethylaminopropyl)-N-ethylcarbodiimide hydrochloride (0.34 g) and N,N- dimethylaminobutyric acid hydrochloride (0.59 g) in dichloromethane (15 mL) was stirred at room temperature for one hour. The solution was washed with diluted hydrochloric acid followed by aqueous sodium bicarbonate. The organic phase was dried over anhydrous magnesium sulfate, filtered, and the solvent removed. The residue was passed down a silica gel (20 g) column using 0-6% methanol/dichloromethane to afford the desired product (0.81 g).
EXAMPLE 27
SYNTHESIS OF 10-{[5-(DIMETHYLAMINO)PENTANOYL]OXY}-19-[(2- HEXYLDECANOYL)OXY]NONADECYL 2-HEXYLDECANOATE (COMPOUND IV-3)
9-Tetrahydropyranyloxynonan-l-yl bromide. A solution of 9-bromononan-l-ol (25.6 g) and dihydropyran (10.5 g) in dichloromethane (100 mL) was treated with pyridine p- toluenesulfonate (2.8 g) overnight. The solution was diluted with water and extracted with dichloromethane. The organic fractions were dried over anhydrous magnesium sulfate, filtered, and the solvent removed to afford the desired crude product (35 g). The crude product was used in the next synthetic step without further purification. l,19-Di(tetrahydropyranyloxy)nonadecan-10-ol. A solution of 9- tetrahydropyranyloxynonan-l-yl bromide (35 g) in diethyl ether (150 mL) was treated with magnesium (3.0 g). A crystal of iodine was added to initiate the reaction. The solution was refluxed for 4 days, then cooled to room temperature. Ethyl formate (4 mL) was slowly added and the solution refluxed for 2 hours. The solution was allowed to cool, then washed with dilute aqueous sulfuric acid. The organic phase was washed with water, dried over anhydrous magnesium sulfate, filtered, and the solvent removed to yield 25 g of crude product. The crude material was added to 5% sodium hydroxide in a 1 : 10 water/methanol solution (150 mL) and heated at 45°C for one hour. The solution was cooled, diluted with water and extracted with hexane. The organic fractions were dried over anhydrous magnesium sulfate, filtered and the solvent removed. The residue was passed down a silica gel (200 g) column using 0-4% methanol/dichloromethane to afford the desired product (15 g). l,19-Di(tetrahydropyranyloxy)nonadecan-10-one. A solution of 1,19- di(tetrahydropyranyloxy)nonadecan-10-ol (7.2 g) in dichloromethane (40 mL) was treated with pyridinium chlorochromate (4 g) and stirred overnight. Diethyl ether (200
mL) was added and the solution filtered through a silica gel bed. The solvent was removed and the residue dissolved in hexane, then filtered through a silica gel bed. The solvent was removed and the residue passed down a silica gel (75 g) column using 0- 3% methanol/dichloromethane to afford the desired product (3 g). 1,19-Dihydroxynonadecan-lO-one. A solution of 1, 19- di(tetrahydropyranyloxy)nonadecan-10-one (3 g) in methanol (100 mL)/water (10 mL) was treated with pyridinium p-toluenesulfonate (1 g) overnight. The solution was filtered to afford the desired product (0.8 g). Dilution of the filtrate with water, followed by extraction using dichloromethane afforded additional desired product (1.0 g). l,19-Di(2'hexyldecanoyloxy)nonadecan-10-one. A solution of 1, 19- dihydroxynonadecan-10-one (0.87 g), 2-hexyldecanoic acid (2.48 g), 4- dimethylaminopyridine (1.0 g) and N-(3-dimethylaminopropyl)-N-ethylcarbodiimide hydrochloride (1.68 g) in dichloromethane (40 mL) was stirred for three days. The solution was diluted with dichloromethane and washed with dilute hydrochloric acid. The organic fraction was dried over anhydrous magnesium sulfate, filtered, and the solvent removed. The residue was passed down a silica gel (50 g) column using dichloromethane to afford the desired product (2.8 g). l,19-Di(2'hexyldecanoyloxy)nonadecan-10-ol. A solution of 1, 19- di(2'hexyldecanoyloxy)nonadecan-10-one (1.06 g) in dichloromethane (10 mL) was treated with sodium borohydride (0.15 g). Methanol was added dropwise until the materials dissolved. The solution was stirred for 30 minutes and then partitioned between water and dichloromethane. The organic phase was dried over anhydrous magnesium sulfate, filtered and the solvent removed. The residue was passed down a silica gel (20 g) column using 0-12% ethyl acetate/hexane gradient to afford the desired product (0.40 g).
10- {[5-(dimethylamino)pentanoyl] oxy}- 19- [(2-hexyldecanoyl)oxy] nonadecyl 2- hexyldecanoate (Compound IV-3). A solution of l,19-di(2'hexyldecanoyloxy)nonan-
ΙΟ-ol (0.40 g), 5-N,N-dimethylaminopentanoic acid (0.22 g), 4-dimethylaminopyridine (0.18 g) and N-(3-dimethylaminopropyl)-N-ethylcarbodiimide hydrochloride (0.18 g) in dichloromethane (20 mL) was stirred overnight. The solution was diluted with dichloromethane and washed with water. The organic fraction was dried over anhydrous magnesium sulfate, filtered and the solvent removed. The residue was passed down a silica gel (20 g) column using 0-3% methanol/dichloromethane to afford the desired product (0.24 g).
EXAMPLE 28
SYNTHESIS OF 2-HEXYLDECANAL
A solution of 2-hexyldecanol (12.8g) in dichloromethane (30 mL) was treated with potassium bromide solution (0.96 g in 3.8 mL water) and (2,2,6,6- tetramethylpiperidin-l-yl)oyl oroxidanyl (TEMPO, 80mg). The solution was cooled in an ice/salt mixture for 15 minutes. A solution of concentrated sodium hypochlorite (40 mL of 11-15% sodium hypochlorite with 15 mL of saturated aqueous sodium bicarbonate) was slowly added dropwise to the reaction mixture. The reaction was stirred for 15 minutes and then extracted between hexane and water. The crude product was passed down a silica gel column using hexane as the eluent.
EXAMPLE 29
SYNTHESIS OF COMPOUND VI- 1
A solution of 2-hexyldecanal (4.3 g) in dichloromethane (20 mL) was treated with 4-hydroxybutylamine (0.41 g), acetic acid (0.58 g) and sodium
triacetoxyborohydride (2.10 g). The reaction was stirred overnight and then washed with aqueous sodium bicarbonate solution. The organic phase was dried over anhydrous magnesium sulfate, filtered and the solvent removed in vacuo. The residue was passed down a silica gel column using initially 2% acetic acid/dichloromethane, followed by a 2-8% methanol/dichloromethane gradient. The purified product was dissolved in hexane and washed with sodium hydrogen carbonate solution. The solvent was removed and the residue dissolved in ~5 mL hexane. The solution was passed
through a silica gel plug, and dried under a nitrogen stream, yielding 0.74 g of the desired product.
EXAMPLE 30
SYNTHESIS OF COMPOUND VI-2
A solution of 2-hexyldecanal (4.3 g) in dichloromethane (20 mL) was treated with 2-N,N-dimethylaminoethylamine (0.40 g), acetic acid (0.59 g) and sodium triacetoxyborohydnde (2.10 g). The reaction was stirred for two hours and then washed with aqueous sodium bicarbonate solution. The organic phase was dried over anhydrous magnesium sulfate, filtered and dried in vacuo. The residue was passed down a silica gel column using initially 2% acetic acid/dichloromethane, followed by a 2-8% methanol/dichloromethane gradient. The purified product was dissolved in hexane and washed with sodium hydrogen carbonate solution. The solvent was removed from the organic fraction and the residue dissolved in ~5 mL hexane. The solution was passed through a silica gel plug, and dried under a nitrogen stream, yielding 1.20 g of the desired product.
EXAMPLE 31
SYNTHESIS OF COMPOUND VI-3
A solution of 2-hexyldecanal (4.0 g) in dichloromethane (20 mL) was treated with 3-N,N-dimethylaminopropylamine (0.43 g), acetic acid (0.58 g) and sodium triacetoxyborohydride (2.05 g). The reaction was stirred overnight and then washed with aqueous sodium bicarbonate solution. The organic phase was dried over anhydrous magnesium sulfate, filtered and dried in vacuo. The residue was passed down a silica gel column using initially 2% acetic acid/dichloromethane, followed by a 2-8% methanol/dichloromethane gradient. The purified product was dissolved in hexane and washed with sodium hydrogen carbonate solution. The solvent was removed from the organic fraction and the residue dissolved in ~5 mL hexane. The solution was passed through a silica gel plug, and dried under a nitrogen stream, yielding 0.74 g of the desired product.
EXAMPLE 32
SYNTHESIS OF COMPOUND VI-4
A solution of 2-hexyldecanal (3.1 g) in dichloromethane (20 mL) was treated with 4-N,N-dimethylaminobutylamine (0.50 g), acetic acid (0.57 g) and sodium triacetoxyborohydnde (2.7 g). The reaction was stirred overnight and then washed with aqueous sodium bicarbonate solution. The organic phase was dried over anhydrous magnesium sulfate, filtered and dried in vacuo. The residue was passed down a silica gel column using initially 2% acetic acid/dichloromethane, followed by a 1-2% methanol/dichloromethane gradient. The purified product was dissolved in hexane and washed with sodium hydrogen carbonate solution. The solvent was removed from the organic fraction and the residue dissolved in ~2 mL hexane. The solution was passed through a silica gel plug, and dried under a nitrogen stream, yielding 1.75 g of compound VI-4.
EXAMPLE 33
SYNTHESIS OF 2-HEXYLDECANOYLAMIDE
A solution of 2-hexyldecanoic acid (26 g) in benzene (30 mL) was treated with oxalyl chloride (15 mL). The reaction was stirred until gas evolution ceased, after which the solvent was removed on a rotovap and the residue dried under vacuum for 4 hours. The crude 2-hexyldecanoyl chloride was dissolved in
dichloromethane (100 mL) and added slowly to a stirred solution of concentrated ammonium hydroxide (150 mL). The reaction mixture was allowed to stand for two hours and the aqueous supernatant decanted off. The organic phase was washed twice with water in the same manner, then filtered. The collected precipitate was dried, yielding crude 2-hexyldecanoylamide (22 g) as a white powder. EXAMPLE 34
SYNTHESIS OF 2-HEXYLDECANYLAMINE
A suspension of 2-hexyldecanoylamide (8.2 g) in dry tetrahydrofuran (40 mL) was treated with lithium aluminium hydride (1.1 g, added slowly). The reaction was stirred for two hours and then excess methanol was slowly added.
Dichloromethane (150 mL) was added, followed by water (2 mL). The reaction mixture was filtered and the solvent removed from the filtrate, yielding crude 2- hexyldecanylamine (4.7 g).
EXAMPLE 35
SYNTHESIS OF N-(2 ' -HEXYLDECANYL)-2-HEXYLDEC ANOYL AMIDE
A solution of 2-hexyldecanylamine (4.7 g) in dichloromethane (100 mL) was treated with 2-hexyldecanoyl chloride (5.5 g, dissolved in 50 mL dichloromethane), followed by triethylamine (4 mL). The reaction was stirred for an hour and then washed with dilute hydrochloric acid. The organic phase was dried over anhydrous magnesium sulfate, filtered, and the solvent removed. The residue (-10 g) was combined with the crude products from a second reaction (~7g) and passed down a silica gel (100 g) using a 0 -10% methanol/dichloromethane gradient, yielding N-(2'-hexyldecanyl)-2- hexyldecanoylamide (14.4 g).
EXAMPLE 36
SYNTHESIS OF DI-(2-HEXYLDECANYL)AMINE
A solution of N-(2'-hexyldecanyl)-2-hexyldecanoylamide (14.4 g) in dry tetrahydrofuran (100 mL) was treated with lithium aluminum hydride (2 g) and refluxed overnight. Excess methanol was slowly added to destroy excess reducing agent.
Dichloromethane (200 mL) was added, followed by water (2 mL). The mixture was then filtered and the solvent removed. The residue was suspended in hexane, filtered, and the solvent removed. The residue was passed down a silica gel (100 g) column using 2% acetic acid/dichloromethane, followed by a 2 - 16%
methanol/dichloromethane gradient. Purified fractions were washed between hexane and aqueous sodium bicarbonate solution. Removal of the solvent yielded di-(2- hexyldecanyl)amine as a colorless oil (9.5 g).
EXAMPLE 37
SYNTHESIS OF
A solution of di-(2-hexyldecanyl)amine (1.4 g) in dichloromethane (20 mL) was treated with triethylamine (1 mL) and a solution of 5-bromopentanoyl chloride (2 g) in dichloromethane (20 mL). The reaction was stirred for an hour and then washed with dilute aqueous hydrochloric acid. The organic phase was dried over anhydrous magnesium sulfate, filtered and the solvent removed. The residue was dissolved in a 2M solution of dimethylamine in tetrahydrofuran (30 mL) and stirred overnight. Most of the solvent was removed and the residue partitioned between hexane and dilute aqueous hydrochloric acid. The organic phase was washed with water, dried over anhydrous magnesium sulfate, filtered and the solvent removed. The residue was passed down a silica gel column using 2% acetic acid/dichloromethane, followed by a 2 - 12% methanol/dichloromethane gradient, yielding the target compound (0.95 g) as a colorless oil.
EXAMPLE 38
SYNTHESIS OF COMPOUND VI-5
A solution of
(0.3 g) in tetrahydrofuran (20 mL) was treated with lithium aluminum hydride (0.2 g, added slowly). The reaction was stirred overnight. Excess methanol was then slowly added, followed by dichloromethane (100 mL). The suspension was filtered and the solvent removed. The residue was suspended in dichloromethane, filtered again, and the solvent removed. The crude product was passed down a silica gel column using 2% acetic
acid/dichloromethane followed by a 2 - 16% methanol/dichloromethane gradient. The purified fractions were partitioned between hexane and aqueous sodium bicarbonate solution. The solvent was removed, yielding compound 5 (0.11 g) as a colorless oil.
EXAMPLE 39
SYNTHESIS OF COMPOUND VI- 13
A solution of 2-hexyldecanal (3.0 g) in dichloromethane (30 mL) was treated with 3-aminopropan-l,2-diol (0.36 g) and sodium tnacetoxyborohydride (2.6 g) The reaction was stirred for three days and then washed with aqueous sodium bicarbonate solution. The organic phase was dried over anhydrous magnesium sulfate, filtered and dried in vacuo. The residue was passed down a silica gel column using initially 2% acetic acid/dichloromethane, followed by a 2-6%
methanol/dichloromethane gradient. The purified product was dissolved in hexane and washed with sodium hydrogen carbonate solution. The solvent was removed from the organic fraction and the residue dissolved in ~5 mL hexane. The solution was passed through a silica gel plug, and dried under a nitrogen stream, yielding compound VI- 13 (1.75g) as a colorless oil.
EXAMPLE 40
SYNTHESIS OF
A solution of di-(2-hexyldecanyl)amine (1.5 g) in dichloromethane (10 mL) was treated with triethylamine (20 drops) and a solution of 6-bromohexanoyl
chloride (1 g) in dichloromethane (10 mL). The reaction was stirred for thirty minutes and then the solvent was removed on a rotovap. The residue was dissolved in dichloromethane, filtered through a silica gel bed and the solvent removed. The residue was dissolved in a 2M solution of dimethylamine in tetrahydrofuran (30 mL) and stirred overnight. Most of the solvent was removed and the residue partitioned between
dichloromethane and aqueous sodium bicarbonate solution. The organic phase was washed with water, dried over anhydrous magnesium sulfate, filtered and the solvent removed. The residue was passed down a silica gel column using a 0 - 8%
methanol/dichloromethane gradient, yielding the target compound (0.26 g) as a colorless oil.
EXAMPLE 41
SYNTHESIS OF
A solution of di-(2-hexyldecanyl)amine (1.25 g) in dichloromethane (20 mL) was treated with triethylamine (5 mL) and 5-bromopentanoyl chloride (1 g). The reaction was stirred for 10 minutes, filtered and the solvent removed. The residue was dissolved in dichloromethane and washed with dilute aqueous hydrochloric acid. The organic phase was dried over anhydrous magnesium sulfate, filtered and the solvent removed. The residue was treated with a solution of diethanolamine (4.9g) in tetrahydrofuran (20 mL) and heated to 45 C overnight. The reaction mixture was washed twice with water, and the solvent removed. The residue was passed down a silica gel column using a 0 - 12% methanol/dichloromethane gradient, yielding the target compound (0.32 g) as a colorless oil.
EXAMPLE 42
SYNTHESIS OF COMPOUND VI- 14
A solution of
(0.52 g) in tetrahydrofuran (10 mL) was treated with lithium aluminum hydride (0.50 g, added slowly). The reaction was stirred overnight. Excess methanol was then slowly added,
followed by dichloromethane (100 mL) and water (1 mL). The suspension was filtered and the solvent removed. The residue was suspended in dichloromethane, filtered again, and the solvent removed. The crude product was passed down a silica gel column using a 1 - 12% methanol/dichloromethane gradient yielding compound 14 (0.12 g) as a colorless oil.
EXAMPLE 43
SYNTHESIS OF COMPOUND VI- 15
(0.67 g) in tetrahydrofuran (20 mL) was treated with lithium aluminum hydride (0.35 g, added slowly). The reaction was stirred for two hours. Excess methanol was then slowly added, followed by dichloromethane (100 mL) and water (2 mL). The suspension was filtered and the solvent removed. The crude product was passed down a silica gel column using a 0 - 12% methanol/dichloromethane gradient yielding compound VI- 15 (0.30 g) as a colorless oil.
EXAMPLE 44
A solution of di-(2-hexyldecanyl)amine (1.25 g) in dichloromethane (20 mL) was treated with triethylamine (5 mL) and 5-bromopentanoyl chloride (1 g). The reaction was stirred for 10 minutes, filtered and the solvent removed. The residue was dissolved in dichloromethane and washed with dilute aqueous hydrochloric acid. The organic phase was dried over anhydrous magnesium sulfate, filtered and the solvent removed. The residue was treated with isopropylamine (20 mL) and stirred overnight.
The solvent was removed and the residue washed between hexane and aqueous sodium bicarbonate solution. The solvent was removed and residue passed down a silica gel column using a 0 - 8% methanol/dichloromethane gradient, yielding the target compound (0.67 g) as a colorless oil. EXAMPLE 45
SYNTHESIS OF COMPOUND VI- 16
A solution of
(0.22 g) in tetrahydrofuran (10 mL) was treated with lithium aluminum hydride (0.25 g, added slowly). The reaction was stirred overnight. Excess methanol was then slowly added, followed by dichloromethane (50 mL) and water (1 mL). The suspension was filtered and the solvent removed. The residue was suspended in dichloromethane, filtered again, and the solvent removed, yielding 0.24g of crude product. This was combined with the products from a second reaction for a total of 0.42g. The crude product was passed down a silica gel column using a 0 - 12%
methanol/dichloromethane gradient. The purified fractions were partitioned between hexane and aqueous sodium bicarbonate solution. The solvent was removed, yielding compound VI-16 (0.24 g) as a colorless oil.
EXAMPLE 46
SYNTHESIS OF COMPOUND VI- 17
A solution of di-(2-hexyldecanyl)amine (1.1 g) in hexane (20 mL) was treated with 3-bromopropionoyl chloride (0.8g) and triethylamine (2 mL), and stirred for two hours. The solution was washed with water and the solvent removed. The residue was dissolved in a 2M solution of dimethylamine in tetrahydrofuran (15 ml) and stirred overnight. The solvent was removed and the residue passed down a silica gel column using an acetic acid/methanol/dichloromethane (2-0%; 0-16%>; 98-84%>)
gradient. The purified product was dissolved in tetrahydrofuran (20 mL) and treated with lithium aluminum hydride (0.6 g) overnight. Excess methanol was slowly added, followed by dichloromethane (50 mL) and water (1 mL). The suspension was filtered and the solvent removed. The residue was passed down a silica gel column using an acetic acid/methanol/dichloromethane (2-0%; 0-16%; 98-84%) gradient, yielding compound 17 (0.27 g) as a colorless oil.
EXAMPLE 47
SYNTHESIS OF COMPOUND VII- 1
A mixture of 5-aminovaleric acid (1 eq. 2.5 g, 21.3 mmol), benzyl alcohol (3 eq, 64 mmol, 6.92 g, 6.63 mL), toluene (60 mL) and p-toluenesulfonic acid monohydrate (1.1 eq, 23.4 mmol, 4.45 g) was heated to reflux for 16 hours under Dean- Stark conditions. The reaction mixture was cooled to room temperature and filtered. The white solid was washed with toluene (40 mL) to afford the desired product as white solid is 6.06 g (16 mmol, 75%, sulfonic acid salt).
Compound VII-1: A mixture of 2-hexyldecyl 6-bromohexanoate (1.6 eq, 6.31 mmol, 2.646 g), benzyl 5-aminopentanoate (1.5 g, 3.94 mmol), N,N-diisopropylethylamine (3.5 eq, 13.8 mmol, 1.78 g, 2.40 mL) and anhydrous acetonitrile (20 mL) was heated at 82 °C in an oil bath for 3 days in a sealed pressure flask. The reaction mixture was
concentrated and the residue was taken up in a hexane (40 mL). The mixture was filtered through a pad of silica gel, and washed with a hexane/ethyl acetate gradient (1 :0 to 49: 1) until all unreacted 2-hexyldecyl 6-bromohexanoate was removed. Then the pad was washed with a mixture of hexane/ethyl acetate/triethylamine (400 mL, 4: 1 :0.1) and concentrated to yield the crude product as yellow oil (870 mg). The crude product was purified by flash column chromatography on silica gel (230-400 mesh silica gel, 40 g, gradient from 4 to 5% methanol in dichloromethane). The desired product was afforded as slightly yellow oil (704, 0.8 mmol, 25%).
1H MR (400 MHz, CDC13) δ: 7.39-7.30 (m, 5H), 5.12 (s, 2H), 3.97 (d, 5.8 Hz, 4H), 2.41-2.33 (m, 8H), 2.30 (t, 7.5 Hz, 4H), 1.68-1.59 (m, 8H), 1.49-1.38 (m, 6H), 1.39-1.17 (m, 52H), 0.89 (t-like, 6.8 Hz, 12H).
EXAMPLE 48
SYNTHESIS OF COMPOUND VII-2
A solution of compound VII-1 (640 mg, 0.72 mmol) containing 10% Pd/C (0.026 eq, 0.019 mmol, 20 mg) in ethanol/ethyl acetate (1 : 10 mL) was stirred under hydrogen for 16 hours. The reaction mixture was diluted with a mixture of hexane/ethyl acetate (98:2) and filtered through a pad of Celite. The filtrate was concentrated (>500 mg, slightly yellow oil). The resultant residue was purified by flash
column chromatography on silica gel (gradient from 1% to 12.5% methanol in chloroform) to afford the desired product as colorless oil (403 mg, 0.51 mmol, 70%).
1H MR (400 MHz, CDC13) δ: 3.97 (d, 5.8 Hz, 4H), 2.83-2.71 (m, 6H), 2.34-2.26 (m, 6H), 1.75-1.56 (m, 12H), 1.39-1.19 (m, 52H), 0.89 (t-like, 6.7 Hz, 12H).
EXAMPLE 49
SYNTHESIS OF COMPOUND VII-3
To a solution of compound VII-2 (403 mg, 0.51 mmol) in dichloromethane (5 mL) and DMF (8 mg) was added via syringe oxalyl chloride (5 eq, 2.54 mmol, 322 mg, 221 μΕ) at room temperature under argon atmosphere. The mixture was stirred at room temperature for 2 hours. The mixture was concentrated and the resulting residue was taken up in dichloromethane (5 mL) and concentrated to dryness again. The residual yellow oil was dissolved in 8 mL of dichloromethane and half of it (4 mL) added via syringe to a solution of octylamine (0.5 mmol, 65 mg, 83 μΕ) and triethylamine (250 μΕ) and 4-dimethylaminopyridine (DMAP, 10 mg) in
dichloromethane (5 mL) at room temperature. After addition, the mixture was stirred at room temperature overnight. The mixture was concentrated and the residue was taken up in a mixture of hexane/ethyl acetate/triethylamine. The mixture was filtered through a pad of silica gel and the pad was washed with a mixture of hexane/ethyl
acetate/triethylamine (100 mL 70:30: 1). The filtrate and washing was combined and concentrated to yield yellow oil (210 mg). The crude product (210 mg) was purified by
flash dry column chromatography on silica gel (gradient from 0 to 5% methanol in chloroform) to afford the desired product as colorless oil (178 mg, 0.20 mmol, 78%).
H MR (400 MHz, CDC13) δ: 5.55 (broad, t-like, 1H), 3.97 (d, 5.8 Hz,
4H), 3.25-3.21 (m, 2H), 2.44-2.34 (m, 6H), 2.31 (t, 7.5 Hz, 4H), 2.18 (t,7.5 Hz, 2H), 1.68-1.58 (m, 8H), 1.53-1.38 (m, 8H), 1.32-1.19 (62H), 0.91-0.87 (m, 15H).
EXAMPLE 50
SYNTHESIS OF COMPOUND VII-6
Compound VII-6 was prepared according to method F to yield 84 mg of colorless oil.
1H MR (400 MHz, CDC13) δ: 3.97 (d, 5.8 Hz, 4H), 3.77 (t-like, 4.9 Hz,
2H), 3.73-3.61 (br. 1H), 3.53, 3.45 (sets of triplet-like, 4.8 Hz, 5.5 Hz, ratio 1.5/0.5, 2H), 3.34, 3.29 (two sets of triplet-like, 7.7 Hz, 7.7 Hz, ratio 0.5/1.5, 2H), 3.09-3.83 (br, 2H), 2.57-2.34 (br., 6H), 2.32 (t, 7.4 Hz, 4H), 1.95-1.51 (br, 12H), 1.51-1.38 (br, 4H), 1.38-1.08 (64H), 0.91-0.86 (m, 15H).
EXAMPLE 51
SYNTHESIS COMPOUND VII-7
Compound VII-7 was prepared according to method G as follows: Synthesis of fert-Butyl (4-(dibutylamino)-4-oxobutyl)carbamate. To a solution of 4-((tert-butoxycarbonyl)amino)butyric acid (1.0 eq, 2 mmol, 406 mg), N- hydroxysuccinimide (1.0 eq, 2 mmol, 230 mg) and DMAP (20 mg) in 20 mL of dichloromethane was added Ν,Ν'-Dicyclohexylcarbodiimide (DCC, 1.2 eq, 2.4 mmol, 494 mg) and the mixture stirred at room temperature for 1 hour. The reaction mixture was filtered. To the filtrate was added dibutylamine (1.5 eq, 3 mmol, 387 mg, 504 μΐ.). After 8 hours of stirring at room temperature, the mixture was filtered and diluted with dichloromethane and washed with dilute ammonium chloride solution (pH 6-7) and saturated aqueous sodium bicarbonate. The organic layer was dried over sodium sulfate overnight at room temperature.
The extract was concentrated (0.8 g oil/solid) and the crude product was purified by flash column chromatography on silica gel (gradient from 10 to 35% ethyl acetate in hexane). The desired product was afforded as colorless oil (630 mg, 2 mmol, 100%).
Synthesis of 4-Amino-N,N-dibutylbutanamide. In a round-bottomed flask equipped with a stir bar and a rubber septum under an argon atmosphere was placed crude tert-butyl (4-(dibutylamino)-4-oxobutyl) carbamate (630 mg, 2 mmol) in dichloromethane (10 mL). Trifluoroacetic acid (TFA, 40 mmol, 3 mL, 4.56 g) was added at room temperature during stirring. The reaction mixture was stirred at room temperature for 16 hours.
The mixture was diluted with dichloromethane and saturated sodium bicarbonate was slowly added with stirring. Two phases were separated and the aqueous phase was extracted with dichloromethane (4 χ). Anhydrous sodium carbonate and brine were added to the aqueous phase. The aqueous phase was extracted further with dichloromethane (2 x). The combined extracts were dried over anhydrous sodium carbonate and sodium sulfate, filtered and concentrated. The resultant residue was taken up in dichloromethane (4 mL), filtered through a pad of silica gel and washed with a mixture of chloroform/ethanol/water/ammonium hydroxide (40:24: 1.5: 1). The filtrate and washings were combined and concentrated to dryness (517 mg, 2.4 mmol) to yield brownish oil/solid. The residue was taken up in acetonitrile (15 mL) and filtered
through cotton, washed with acetonitrile (5 mL χ 3). The filtrate was concentrated to dryness (467 mg, 2.17 mmol). The product was used in the following synthetic step without further purification.
Synthesis of Compound VII-7. A solution of 2-butyloctyl 6- bromohexanoate (1.85 eq, 450 mg, 1.24 mmol), 4-amino-N,N-dibutylbutanamide (143 mg, 0.67 mmol), N,N-diisopropylethylamine (2.5 mmol, 323 mg, 0.435 mL) and anhydrous acetonitrile (15 mL) was heated at 75 °C in an oil bath for 16 hours in a sealed pressure flask. The reaction mixture was cooled and concentrated to yield brown oil/solid. The crude was taken up in a mixture of hexane/ethyl acetate/triethylamine (20 mL, -85: 15: 1), filtered through a pad of silica gel, and washed with a mixture of hexane/ethyl acetate/triethylamine (100 mL, 4: 1 :0.1). The filtrate was concentrated and the crude product was afforded as yellow oil/solid, 400 mg. The crude product was purified again by flash dry column chromatography on silica gel (gradient from 0 to 4% methanol in chloroform, 0 to 4%) to afford the desired product as slightly yellow oil (213 mg, 0.27 mmol, 44%).
1H MR (400 MHz, CDC13) δ: 3.97 (d, 5.8 Hz, 4H), 3.31 (t-like, 7.6 Hz, 2H), 3.22 (t-like, 7.8 Hz, 2H), 2.45-2.36 (m, 6H), 2.30 (t, 7.5 Hz, 6H), 1.76 (quintet, 7.2 Hz, 2H), 1.63 (quintet-like, 7.6 Hz, 6H), 1.56-1.47 (m, 4H), 1.47-1.36 (m, 4H), 1.36- 1.20 (40H), 0.96 (t, 7.2 Hz, 3H), 0.93 (t, 7.2 Hz, 3H), 0.93-0.87 (m, 12H). EXAMPLE 52
SYNTHESIS OF COMPOUND VII-8
Compound VII-8 was prepared according to method G (in a similar manner to compound VII-7) to yield 207 mg (0.25 mmol, 40%) of slightly yellow oil.
1H MR (400 MHz, CDC13) δ: 3.97 (d, 5.8 Hz, 4H), 3.31 (t-like, 7.6 Hz, 2H), 3.22 (t-like, 7.8 Hz, 2H), 2.43 (t-like, 7.1 Hz, 2H), 2.37 (t-like, 7.5 Hz, 4H), 2.31 (t, 7.4 Hz, 2H), 2.30 (t, 7.5 Hz, 4H), 1.76 (quintet, 7.3 Hz, 2H), 1.66-1.57 (m, 6H), 1.56- 1.46 (m, 4H), 1.45-1.36 (m, 4H), 1.36-1.20 (48H), 0.96 (t, 7.3 Hz, 3H), 0.93 (t, 7.2 Hz, 3H), 0.93-0.87 (m, 12H).
EXAMPLE 53
SYNTHESIS OF COMPOUND VII- 10
Compound VII- 10 was prepared according to method H as follows:
Synthesis of 2-Butyloctyl 6-aminohexanoate. A solution of 2-butyl-l- octanol (1.25 eq, 4.65 g, 25 mmol), 6-aminocaproic acid (2.62 g, 20 mmol), and p- toluenesulfonic acid monohydrate (1.1 eq, 22 mmol, 4.18 g) in toluene (70 mL) was heated to reflux for 16 hours under Dean-Stark conditions. The reaction mixture was allowed to cool. To reaction mixture was added saturated aqueous sodium bicarbonate solution until the pH of the aqueous layer was above 9. The two layers were separated and the organic layer was washed with brine and dried over anhydrous sodium sulfate.
Concentration of the filtered organic layer yielded cloudy oil. The crude product was taken up in a mixture of hexane/ethyl acetate (100 mL, 19: 1) and filtered through a silica gel pad. The pad was washed with the mixture of hexane/ethyl acetate (200 mL) followed by washing with hexane/ethyl acetate/triethylamine (200 mL, -80:20: 1). Finally the pad was washed with a mixture of
dichloromethane/methanol/ammonium hydroxide (400 mL, 95:5:0.13). The final washing was concentrated to dryness and the desired product was afforded as colorless
oil (7.19 g) which contained about 1.2 g of p-TSA and was used without further purification.
Synthesis of 6-Bromo-N,N-dioctylhexanamide. To a solution of 6- bromohexanoic acid (2.93 g, 15 mmol) in dichloromethane (25 mL) and DMF (0.1 mL) was added oxalyl chloride (3 eq, 45 mmol, 5.7 g, 3.93 mL) at room temperature under argon atmosphere. The resulting mixture was stirred at room temperature overnight. The mixture was concentrated under reduced pressure for about 2 hours. The residual liquid/solid (yellow) was dissolved in 20 mL of dichloromethane and added to a solution of dioctylamine (1.1 eq, 16.5 mmol, 3.98 g, 4.98 mL), triethylamine (90 mmol, 9.09 g, 12.5 mL) and DMAP (10 mg) in dichloromethane (20 mL) at room temperature. The resulting mixture was concentrated after stirring for 2.5 hours. The concentrated yellow oil/solid was taken up in a mixture of hexane and ethyl acetate (-75:25) and 1M hydrochloric acid was added. The mixture was filtered and two layers were separated. The aqueous layer was extracted with dichloromethane (x 3) and the combined extracts were dried over anhydrous sodium sulfate and concentrated to afford the crude product as yellow oil. The crude oil was purified by flash dry column chromatography on silica gel (gradient from 1 :0 to 4: 1, hexane/ethyl acetate). The desired was afforded as slightly yellow oil (5.09 g, 12.2 mmol, 81%).
Synthesis of Compound VII- 10. To 2-butyloctyl 6-aminohexanoate (0.76 mmol, 228 mg) was added 6-bromo-N,N-dioctylhexanamide (1.89 eq, 1.44 mmol, 603 mg), followed by anhydrous acetonitrile (15 mL) and N,N-diisopropylethylamine (3.2 eq, 2.4 mmol, 310 mg, 0.417 mL). The mixture was heated at 80 °C using a hot oil bath for 16 hours in a sealed pressure flask. The mixture was allowed to cool and
concentrated. The resultant residue was purified by flash column chromatography on silica gel (40 g silica gel, gradient from 0 to 5% methanol in chloroform) to afford the desired product as colorless oil (198 mg, 0.20 mmol, 28%).
EXAMPLE 54
SYNTHESIS OF COMPOUND VII- 12
Compound VII-12 was prepared as follows:
Synthesis of 54-A. A mixture of 5-aminovaleric acid (1 eq. 2.9 g, 24.8 mmol), benzyl alcohol (2.3 eq, 58 mmol, 6.26 g, 6 mL), toluene (70 mL) and p-toluenesulfonic acid monohydrate (1.1 eq, 23.4 mmol, 4.45 g) was heated to reflux for 20 hours under Dean- Stark conditions. The mixture was cooled to RT. The solid was collected by filtration
and was washed with toluene (20 mL x 2) and diethyl ether (20 mL). The desired product (as t-TsOH salt) was obtained as a white solid (7.503 g, 19.8 mmol, 80%).
Synthesis of 54-C. A mixture of 54-A (1 eq, 5.59 mmol, 2.5 g), 54-B (salt form, 1.4 eq., 3 g, 7.9 mmol, MW 379.47), N,N-diisopropylethylamine (3.5 equiv., 27.67 mmol, 3.58 g, 4.82 mL) and anhydrous acetonitrile (20 mL) was heated for 16h in a sealed pressure flask (oil bath 83 C). The crude product was purified by column chromatography on silica gel (hexane-EtOAc-Et3N, from 95:5:0 to 75:25: 1). This gave the desired product 54-C as a yellow oil, 912 mg, 0.97 mmol, 35%).
Synthesis of 54-D. To a solution of 54-C (912 mg, 0.97 mmol) in EtOH-EtOAc (1 : 10 mL) was added 10% Pd/C (25 mg), and the mixture was stirred under hydrogen for 16h. The reaction mixture was filtered through a pad of Celite© and washed with ethyl acetate (100 mL). The filtrate was concentrated to give the crude product as a slightly yellow oil (902 mg). The crude product was purified by column chromatography on silica gel (0 to 10% methanol in chloroform). This gave the desired product 54-D as a pale wax (492 mg, 0.58 mmol, 60%).
Synthesis of VII-12. To a solution of 54-D (492 mg, 0.58 mmol) in DCM (5 mL) and DMF (8 mg) was added oxalyl chloride (3.2 mmol, 406 mg) at RT under Ar. This mixture was stirred at RT overnight and concentrated. The residue was taken up in DCM (5 mL) and concentrated again to remove any oxalyl chloride. The residual oil (viscous yellow oil) was dissolved in 10 mL of DCM was added via syringe to a solution of 54-E (1.9 mmol, 356 mg) and triethylamine (750 uL) and DMAP (5 mg) in DCM (10 mL) at -15 C in 5 min. After addition, the mixture was allowed to
rise to RT slowly and stirred overnight. After purification by column chromatography (0 to 5% methanol in chloroform), the desired compound VII-12 was obtained as a colorless oil (100 mg).
1HNMR (400 MHz, CDC13) δ: 4.08 (t-like, 7.1 Hz, 1H), 3.97 (d, 5.8 Hz, 4H), 3.54-3.44 (m, 4H), 3.23-3.17 (m, 2H), 2.44-2.33 (m, 8H), 2.30 (t, 7.5 Hz, 4H), 1.71-1.55 (m, 12H), 1.52-1.36 (m, 6H), 1.36-1.08 (70H), 0.92-0.86 (m, 15H).
EXAMPLE 55
SYNTHESIS OF COMPOUND VIII-3
Synthesis of fert-Butyl (3-(methylamino)propyl)carbamate. A mixture of potassium hydroxide powder (20 mol%, 168 mg, 3 mmol), di(lH-imidazol-l-yl)methanone (2.43 g, 15 mmol,), and tert-butyl alcohol (15 mmol, 1.112 g) in dry toluene (76 mL) was heated at 60 °C (oil bath) with stirring for 3 hours under argon atmosphere. Then N- methyl-l,3-diaminopropane (15 mmol, 1.322 g, 1.566 mL) was added dropwise. The resulting mixture was heated at 60 °C for another 3 hours. After allowing the reaction mixture to cool to room temperature, water was added to the mixture. Two layers were separated and the organic layer was washed with brine, dried over sodium sulfate and concentrated to dryness, affording slightly yellow oil (0.966 g). The aqueous phase was extracted with dichloromethane (3 χ 30 mL). The combined organic extracts were dried over sodium sulfate, filtered, and concentrated to afford slightly yellow oil (0.941 g).
The two fractions were combined to afford 1.9 g of desired product (10 mmol, 67%). The product was used in the next synthetic step without further purification.
Synthesis of fert-Butyl (3-(N-methyloctanamido)propyl)carbamate. A solution of octanoyl chloride (1.3 eq, 2.08 mmol, 338 mg, 355 μΐ.) in dichloromethane (10 mL) was added via syringe to a solution of compound tert-butyl (3-
(methylamino)propyl)carbamate (1.6 mmol, 301 mg) and triethylamine (5 eq, 8 mmol, 810 mg, 1.11 mL) and DMAP (10 mg) in dichloromethane (15 mL) at room
temperature over 5 minutes. The resulting mixture was stirred overnight at room temperature, followed by the addition of methanol (1 mL). The reaction mixture was left to stir for 1 hour. After stirring, the mixture was filtered through a pad of silica gel (3 cm width and 2 cm height) and washed with dichloromethane. The filtrate was diluted with dichloromethane and washed with water. The organic phase was separated and dried over sodium sulfate, filtered and concentrated to afford the desired product as yellow oil (460 mg, 1.46 mmol, 91%). The product was used in the next synthetic step without further purifi cati on .
Synthesis of N-(3-aminopropyl)-N-methyloctanamide. In a round-bottomed flask equipped with a stir bar and a rubber septum under an argon atmosphere was placed crude tert-butyl (3-(N-methyloctanamido)propyl)carbamate (1.46 mmol, 460 mg) in dichloromethane (10 mL). Trifluoroacetic acid (2.9 mL) was added at room
temperature. The reaction mixture was stirred at room temperature for 3.5 hours, followed by the addition of 1.5 M hydrochloric acid (100 mL). The aqueous layer was extracted with dichloromethane (2 χ). The combined organic extracts were washed with 2 M hydrochloric acid (50 mL). The combined acid fractions were pooled and basified with concentrated aqueous sodium hydroxide (50% NaOH), and extracted with dichloromethane (3 χ). The combined organic layers were dried over sodium sulfate, filtered and concentrated. The desired product was afforded as colorless oil (160 mg, 0.75 mmol). The product was used in the next synthetic step without further purification.
Synthesis of Compound VIII-3. To N-(3-aminopropyl)-N-methyloctanamide (0.75 mmol, 160 mg) was added 2-hexyldecyl 6-bromohexanoate (1.9 eq, 1.43 mmol, 598 mg), followed by anhydrous acetonitrile (15 mL) and N,N-diisopropylethylamine (3 eq, 2.25 mmol, 290 mg, 0.391 mL). The mixture was heated to 80 °C using an oil bath for 2 days in a sealed pressure flask. The reaction mixture was concentrated, and the residue was taken up in a mixture of hexane/ethyl acetate (ca 5: 1, 100 mL), washed with water, brine, dried over sodium sulfate, filtered and concentrated. The crude product was afforded as slightly yellow oil (-0.6 g). The crude product was diluted in hexane (10 mL) and filtered through a pad of silica gel. The pad was washed with a mixture of hexane/ethyl acetate/triethylamine (200 mL, 4: 1 :0.1). Concentration of the filtrate afforded the crude product as slightly yellow oil. The crude product was purified by flash column chromatography on silica gel (40 g of silica gel; gradient from 0 to 6% methanol in chloroform) to afford the desired product as colorless oil (216 mg, 0.24 mmol, 34 %).
1H MR (400 MHz, CDC13) δ: 3.97 (dd, 5.8 Hz, 1.2 Hz, 4H), 3.37 (t- like, 7.5 Hz, 1H), 3.30 (t-like, 7.5 Hz, 1H), 2.98 (s, 1.5H), 2.91 (s, 1.5H), 2.41-2.35 (m, 6H), 2.34-2.26 (m, 6H), 1.71-1.58 (m, 10H), 1.48-1.38 (m, 4H), 1.37-1.18 (m, 60H), 0.92-0.86 (m, 15H).
EXAMPLE 56
SYNTHESIS OF COMPOUND VIII-4
Synthesis of Methyl Octanoate. To an ice-salt-cooled solution of octanoic acid (50 mmol, 7.21 g) in 200 mL of methanol was added slowly acetyl chloride (10 mL) under argon atmosphere. The resulting solution was stirred for 20 minutes before removing the cooling bath. The solution was stirred overnight at room temperature. Solvent was removed under reduced pressure at 32 °C (two layers). To the residue was added saturated aqueous sodium bicarbonate (100 mL) and hexanes (200 mL). The hexane extract was washed with brine (70 mL), dried over sodium sulfate, filtered and concentrated to afford colorless oil. The oil was dried on high vacuum line overnight (6.439 g, 40.7 mmol, 93%). Synthesis of N-(4-aminobutyl)octanamide. To a solution of 1,4-butanediamine (5 eq, 100 mmol, 8.8 g) in 50 mL of methanol at reflux was slowly (over 15 minutes) added methyl octanoate (20 mmol, 3.16 g) in methanol (20 mL). The reaction mixture was maintained under reflux for 48 hours. The solvent was then evaporated under reduced pressure and the residue was taken up in a mixture of water (70 mL) and ethyl acetate
(100 mL). The phases were separated and the aqueous layer was extracted with ethyl acetate (2 χ). The combined organic extracts were washed with water, brine, dried over sodium sulfate and filtered. Concentration afforded a mixture of oil and white solid. The crude residue was dissolved in a mixture of dichloromethane and methanol. The solution was filtered through a pad of silica gel (1.5 cm height x 6.5 cm width) and washed with a mixture of 5% methanol in dichloromethane until thin layer
chromatography analysis showed all di-acylated product was removed. The pad was then washed a mixture of chloroform/ethanol/water/ammonia (30/25/3/2, 225 mL). The filtrate containing the desired product was concentrated to dryness (white solid, 2.52 g, 11.8 mmol, 59%).
Synthesis of Compound VIII-4. To a suspension of 2-hexyldecyl 6-bromohexanoate (1.9 eq, 1.00 g, 2.38 mmol) in anhydrous acetonitrile (15 mL) was added N-(4- aminobutyl)octanamide (1.25 mmol, 269 mg) and N,N-diisopropylethylamine (2 eq, 2.5 mmol, 323 mg, 0.435 mL). The mixture was heated to 80 °C using an oil bath for 32 hours in a sealed pressure flask. The reaction mixture was concentrated and the residue was taken up in a mixture of hexane/ethyl acetate (-5: 1, 100 mL), washed with water, brine, dried over sodium sulfate, filtered and concentrated. The crude product was afforded as slightly yellow oil (-1.2 g). The crude product was diluted in hexane (10 mL) filtered through a pad of silica gel and washed with a mixture of hexane/ethyl acetate (1 :0 to 49: 1) until all unreacted 2-hexyldecyl 6-bromohexanoate was removed. Then the pad was washed with a mixture of hexane/ethyl acetate/triethylamine (200 mL, 4: 1 :0.1) and concentrated to afford brownish oil (-650 mg). The crude product (650 mg) was purified by flash column chromatography on silica gel (230-400 mesh silica gel, 40 g, gradient from 0 to 6% methanol in chloroform). The desired product was obtained as colorless oil (438 mg, 0.49 mmol, 41%).
1H MR (400 MHz, CDC13) δ: 5.95 (t-like, not well resolved, 5.3 Hz, 1H, H), 3.98 (d, 5.8 Hz, 4H), 3.25 (q-like, 6.3 Hz, 2H), 2.42-2.35 (m, 6H), 2.31 (t, 7.5 Hz, 4H), 2.15 (t-like, 7.7 Hz, 2H), 1.68-1.58 (m, 8H), 1.54-1.38 (m, 8H), 1.36-1.18 (m, 60H), 0.92-0.86 (m, 15H).
EXAMPLE 57
Compound VIII-5 was prepared according to method K as follows: Synthesis of bis(2-Hexyldecyl) 8,8'-((4-hvdroxybutyl)azanediyl)dioctanoate. To a solution of 2-hexyldecyl 8-bromooctanoate (2 eq, 3.09 g, 6.9 mmol) in 30 mL of
anhydrous tetrahydrofuran, were added 4-amino-l-butanol (1 eq, 3.45 mmol, 308 mg, 318 μΐ.), potassium carbonate (2 eq, 6.9 mmol, 954 mg), cesium carbonate (0.3 eq, 1.04 mmol, 337 mg) and sodium iodide (10 mg). The mixture was heated to 64°C using an oil bath in a pressure round-bottom flask under argon atmosphere for 6 days. The resultant crude product was dissolved in hexane (50 mL) and loaded on a short column of silica gel (1 cm height x 6.5 cm width). The column was eluted with hexane (50 mL, fraction 1), a mixture of ethyl acetate/hexane (0 to 3% ethyl acetate). The unreacted 2- hexyldecyl 8-bromooctanoate (1.27 g, 2.84 mmol, 41%, colorless oil) was recovered. The column was eluted with a mixture of hexane/ethyl acetate/triethylamine (-4: 1 :0.1) to afford the crude product as slightly yellow oil (1.2 g). The crude product was further purified by flash dry column chromatography on silica gel (gradient from 0 to 4.2% methanol in chloroform) to afford the desired product (1.28 g, 1.56 mmol, 45%).
1H MR (400 MHz, CDC13) δ: 6.64-6.45 (br. s, 1H), 3.97 (d, 5.8 Hz, 4H), 3.62-3.51 (br. 2H), 3.07-2.34 (br. 6H), 2.30 (t, 7.5 Hz, 4H), 1.71-1.40 (m, 14H), 1.39-1.19 (m, 60H), 0.89 (t-like, 6.8 Hz, 12H).
Synthesis of bis(2-Hexyldecyl) 8.8'-((4-
((methylsulfonyl)oxy)butyl)azanediyl)dioctanoate. To a cooled (-15 °C) solution of bis(2-hexyldecyl) 8,8'-((4-hydroxybutyl)azanediyl)dioctanoate (542 mg, 0.66 mmol) in dichloromethane (15 mL) was added triethylamine (0.23 mL, 2.5 eq) and 4- dimethylaminopyridine (10 mg, 0.1 eq), followed by methanesulfonyl chloride (1.2 e., 0.79 mmol, 91 mg, 62 μL) in one portion. Upon completion of addition, the mixture was stirred at -15 °C for 30 minutes and at room temperature for 2 hours. The reaction mixture was then poured into a solution of saturated aqueous sodium bicarbonate. Two layers were separated and the aqueous layer was extracted with dichloromethane. The combined organic layers (100 mL) were washed with brine and dried over sodium sulfate. Triethylamine (2 mL) was added to the extracts, followed by filtration through a pad of silica gel (0.3 cm). The pad was washed with a mixture of
dichloromethane/methanol/triethylamine (200 mL, -85 : 15: 1) followed by concentration to afford slightly yellow solid (-600 mg). The resultant solid was taken up in a mixture of hexane/ethyl acetate/triethylamine (80:20: 1) and filtered to remove solids. The
filtrate was concentrated and the desired product was afforded as yellow oil (501 mg, 0.55 mmol, 84%).
Synthesis of bis(2-Hexyldecyl) 8,8'-((4-(methylamino)butyl)azanediyl)dioctanoate. The bis(2-hexyldecyl) 8,8'-((4-((methylsulfonyl)oxy)butyl)azanediyl)dioctanoate (501 mg, 0.55 mmol) was dissolved in a tetrahydrofuran solution of methylamine (2 M, 10 mL, 20 mmol). The resultant solution was stirred at 60-80 °C in a sealed pressure tube for 6 days. The mixture was concentrated under reduced pressure. The resultant residue was taken up in a mixture of dichloromethane and methanol (-85: 15) and filtered through a pad of silica gel (0.5 cm) and concentrated to afford yellow oil (480 mg). The crude product was used in the next synthetic step without further purification.
Synthesis of Compound VIII-5. Acetyl chloride (1 mmol, 40 mg, 71 μΐ.) in
dichloromethane (10 mL) was added to a solution of bis(2-hexyldecyl) 8,8'-((4- ((methylsulfonyl)oxy)butyl)azanediyl) dioctanoate (480 mg, ca 0.55 mmol) and triethylamine (350 μΐ.) and DMAP (10 mg) in dichloromethane (10 mL) at room temperature over 10 minutes. After addition, the resulting mixture was stirred at room temperature overnight. The solvent was removed under reduced pressure and the residue was taken up in hexane and filtered through a pad of Celite. The filtrate was concentrated and the resultant residue (600 mg, yellow oil) was taken up hexane and filtered through a pad of silica gel. The pad was washed with -0-3% ethyl acetate in hexane (discarded) followed by a mixture of hexane/ethyl acetate/triethylamine (100 mL, -4: 1 :0.1). The filtrate was concentrated to afford slightly yellow oil (170 mg). The crude oil (170 mg) was purified by flash dry column chromatography on silica gel (gradient from 1 to 4% methanol in chloroform) to afford the desired product as colorless oil (46 mg).
1H MR (400 MHz, CDC13) δ: 3.97 (d, 5.8 Hz, 4H), 3.37 (t-like, 7.5 Hz,
1H), 3.27 (t-like, 7.5 Hz, 1H), 2.98 (s, 1.5H), 2.92 (s, 1.5H), 2.42-2.33 (m, 6H), 2.30 (t, 7.5 Hz, 4H), 2.10, 2.08 (two sets of singlet, 1 : 1, 3H), 1.68-1.57 (m, 8H), 1.45-1.36 (m, 6H), 1.35-1.21 (m, 60H), 0.89 (t-like, 6.8 Hz, 12H).
EXAMPLE 58
SYNTHESIS OF COMPOUND VIII-6
A mixture of 2-butyloctyl 8-bromooctanoate (1.6 eq, 783 mg, 2.0 mmol), N-(4-aminobutyl)octanamide (1.25 mmol, 269 mg), N,N-diisopropylethylamine (2 eq, 2.5 mmol, 323 mg) and anhydrous acetonitrile (15 mL) was heated to 85 °C using an oil bath for 16 hours in a sealed pressure flask. Following heating, the solvent was removed under reduced pressure. The resulting residue was taken up in a mixture of hexane/ethyl acetate (-49: 1, 150 mL), washed with dilute aqueous ammonium chloride (pH 6-7), brine, dried over sodium sulfate, filtered and concentrated to afford brown viscous oil. The crude product was purified by column chromatography on silica gel (gradient from 0% to 5% methanol in chloroform) to afford the desired product as colorless oil (320 mg, 0.38 mmol, 38%).
1H MR (400 MHz, CDC13) 6: 6.11-6.03 (br. 1H, H), 3.98 (d, 5.8 Hz, 4H), 3.25 (q-like, 6.3 Hz, 2H), 2.43-2.34 (m, 6H), 2.31 (t, 7.5 Hz, 4H), 2.14 (t-like, 7.6 Hz, 2H), 1.67-1.57 (m, 8H), 1.56-1.46 (m, 4H), 1.46-1.36 (m, 4H), 1.36-1.20 (m, 52H), 0.92-0.86 (m, 15H).
EXAMPLE 59
SYNTHESIS OF COMPOUND VIII-7
Compound VIII-7 was prepared according to method I to yield 235 mg of colorless oil (0.30 mmol, 30% for the last step).
1H NMR (400 MHz, CDC13) δ: 5.95 (t-like, not well resolved, 5.3 Hz, 1H, NH), 3.98 (d, 5.8 Hz, 4H), 3.25 (q-like, 6.3 Hz, 2H), 2.42-2.35 (m, 6H), 2.31 (t, 7.5 Hz, 4H), 2.15 (t-like, 7.7 Hz, 2H), 1.68-1.58 (m, 8H), 1.54-1.38 (m, 8H), 1.36-1.18 (m, 44H), 0.92-0.86 (m, 15H).
EXAMPLE 60
Synthesis of tert-Butyl (3-((2-hydroxyethyl)amino)propyl)carbamate. 3 -{{tert- butoxycarbonyl)amino)propyl methanesulfonate (1.02 g, 4 mmol) was dissolved in anhydrous acetonitrile (10 mL) and 2-aminoethanol (5 eq, 20.5 mmol, 1.25 g, 1.24 mL) was added thereto. The mixture was heated at 75 °C for 18 hours. After heating, the reaction mixture was concentrated and the resulting residue was taken up in ethyl acetate (30 mL, two layers). Water was added to the mixture and the organic layer was separated. The aqueous layer was extracted with ethyl acetate (3 χ 30 mL). The organic layer was dried over anhydrous sodium sulfate filtered, and concentrated to afford the crude product as slightly yellow oil (0.96 g). The crude product was purified by silica gel column chromatography (chloroform/methanol/concentrated ammonia, gradient from 90: 10:0.5 to 80:20:3) to afford the desired product as oil (649 mg, 2.98 mmol, 74%).
Synthesis of tert-butyl (3-(N-(2-hydroxyethyl)octanamido)propyl)carbamate. A solution of octanoyl chloride (1.3 eq, 2.57 mmol, 419 mg, 439 μL) in dichloromethane (10 mL) was added via syringe to a solution of compound tert-butyl (3-((2- hydroxyethyl)amino)propyl)carbamate (1.98 mmol, 433 mg) and triethylamine (5 eq, 9.9 mmol, 1.00 g, 1.38 mL) and DMAP (5 mg) in dichloromethane (10 mL) at 10-20 °C over 5 minutes. The resulting mixture was allowed to warm and stirred overnight at room temperature followed by the addition of methanol (1 mL). Water was added and the layers were separated. The aqueous phase was extracted with dichloromethane (30 mL x 1), dried over sodium sulfate, filtered and concentrated to yield oil/solid (0.764 g).
To a solution of the crude mixture (0.764 g) in ethanol (10 mL) was added potassium hydroxide (100 mg, -1.5 mmol, in 1.5 mL of water). The resulting mixture was stirred at room temperature for 2.5 hours followed by concentration under reduced pressure. The resulting residue was diluted in ethyl acetate and to the mixture anhydrous sodium sulfate and anhydrous potassium carbonate was added. The mixture was filtered and concentrated to afford the desired product as clear colorless oil (650 mg, 1.88 mmol, 95%).
Synthesis of N-(3-aminopropyl)-N-(2 -hydroxy ethyOoctanamide. A solution of crude tert-butyl (3-(N-(2-hydroxyethyl)octanamido)propyl) carbamate (650 mg, 1.88 mmol) in dichloromethane (10 mL). Trifluoroacetic acid (40 mmol, 3 mL, 4.56 g) was added at room temperature under argon atmosphere. The reaction mixture was stirred at room temperature for 16 hours. The mixture was diluted with dichloromethane followed by the addition of water (40 mL), saturated aqueous sodium chloride (40 mL) and saturated aqueous sodium bicarbonate (40 mL). Solid sodium bicarbonate was slowly added with stirring until the pH of the mixture reached 9. Two phases were separated and the aqueous phase was extracted with dichloromethane (3 x). Only small amount of the desired product was found in extracts, so the aqueous phase was concentrated under reduced pressure. The residue was taken up in isopropanol and filtered. The isopropanol filtrate was concentrated and a white solid was obtained (5.1 g). The resultant residue was taken up in a mixture of dichloromethane, methanol and triethylamine (-85: 1 : 1) and filtered through a pad of silica. The filtrate was concentrated to afford the desired product as oil/solid (190 mg). The crude product was used in the next synthetic step without further purification.
Synthesis of Compound VIII-10 and Compound VIII-15. A solution of 2-hexyldecyl 6- bromohexanoate (1.0 g, 2.4 mmol), N-(3-aminopropyl)-N-(2-hydroxyethyl)octanamide (190 mg), N,N-diisopropylethylamine (2.6 mmol, 338 mg, 0.456 mL) and anhydrous acetonitrile (15 mL) was heated to 80 °C using an oil bath for 16 hours in a sealed pressure flask. The reaction mixture was concentrated and the resultant residue was taken up in a mixture of hexane/ethyl acetate (-19: 1, 200 mL). The mixture was washed with water, dried over sodium sulfate, filtered and concentrated to afford brown oil. The crude product was purified by flash dry column chromatography on silica gel (gradient from 0 to 4% methanol in chloroform, 0 to 4%). A product was obtained as slightly yellow oil (37 mg) and tentatively assigned as Compound VIII-15 based on 1H MR analysis.
1H MR (400 MHz, CDC13) δ: 4.23-4.13 (m, 2H), 3.976, 3.973 (two sets of doublets, 5.8 Hz, 4H), 3.59-3.53 (m, 2H), 3.37-3.29 (m, 2H), 2.41-2.28 (m, 12H), 2.07, 2.05 (two sets of singlet, 3H), 1.71-1.58 (m, 10H), 1.49-1.38 (m, 4H), 1.37-1.10 (58H), 0.92-0.86 (m, 15H).
EXAMPLE 61
SYNTHESIS OF COMPOUND VIII- 12
Compound VIII-12 was prepared according to method L to yield 34 mg of colorless oil.
1H MR (400 MHz, CDC13) δ: 3.976, 3.974 (two sets of doublets, 5.8
Hz, 4H), 3.33-3.27 (m, 2H), 3.26-3.19 (m, 2H), 2.42-2.35 (m, 6H), 2.31 (t, 7.5 Hz, 2H), 2.30 (t, 7.5 Hz, 2H), 2.09, 2.08 (two sets of singlet, 3H), 1.71-1.59 (m, 8H), 1.59-1.49 (m, 2H), 1.48-1.39 (m, 4H), 1.37-1.19 (m, 62H), 0.92-0.86 (m, 15H).
EXAMPLE 62
SYNTHESIS OF COMPOUND VIII- 14
Compound VIII- 14 was prepared according to method I (in a similar manner to Compound VIII-3) to yield 241 mg of colorless oil (0.31 mmol, 41%).
1H MR (400 MHz, CDC13) δ: 3.97 (dd, 5.8 Hz, 1.1 Hz, 4H), 3.36 (t- like, 7.5 Hz, IH), 3.30 (t-like, 7.5 Hz, IH), 2.98, 2.91 (two sets of singlet, 3H), 2.41- 2.35 (m, 6H), 2.34-2.26 (m, 6H), 1.71-1.58 (m, 10H), 1.48-1.38 (m, 4H), 1.37-1.18 (m, 44H), 0.92-0.86 (m, 15H).
EXAMPLE 63
3-((tert-Butoxycarbonyl)amino)propyl methanesulfonate (1.05 g, 4.1 mmol) and 3-amino-l-propanol (5 eq, 20.5 mmol, 1.54 g, 1.57 mL) were dissolved in acetonitrile (10 mL). The mixture was then stirred at 65 °C overnight.
After water (10-20 mL) was added to the mixture, the organic layer was separated and the aqueous layer was extracted with ethyl acetate (3 χ 30 mL). The organic extract was dried over sodium sulfate, filtered, and concentrated to afford colorless oil (0.75 g). The crude product was purified by silica gel column
chromatography (chloroform/methanol/concentrated ammonia, gradient from 90: 10:0.5 to 80:20:3). Fractions containing the product were combined and concentrated. The resultant residue was dissolved in ethanol and filtered through cotton. The filtrate was concentrated to to afford the desired product (591 mg, 2.54 mmol, 64%).
Synthesis of tert-butyl (3-(N-(3-hydroxypropyl)octanamido)propyl)carbamate. A solution of octanoyl chloride (1 eq, 1.6 mmol, 260 mg, 273 μΕ) in dichloromethane (10 mL) was added via syringe to a solution of tert-butyl (3-((3- hydroxypropyl)amino)propyl)carbamate (1.6 mmol, 371 mg) and triethylamine (5 eq, 8
mmol, 808 mg, 1.11 mL) and DMAP (5 mg) in dichloromethane (10 mL) at 5 °C in over 5 minutes. The mixture was allowed to warm to room temperature and stirred for 3.5 hours, followed by the addition of methanol (1 mL). After an additional 1 hour of stirring, water was added and two layers were separated. The aqueous phase was extracted with dichloromethane (30 mL x 1). The extract was dried over sodium sulfate and concentrated to afford the desired product as colorless oil (0.59 g, 1.64 mmol, 100%).
Synthesis of N-(3-aminopropyl)-N-(3-hydroxypropyl)octanamide. In a round-bottomed flask equipped with a stir bar and a rubber septum under an argon atmosphere was placed tert-butyl (3-(N-(3-hydroxypropyl)octanamido)propyl)carbamate (1.6 mmol, 590 mg) in dichloromethane (10 mL). Trifluoroacetic acid (3 mL) was added to the mixture and the reaction mixture was stirred at room temperature for 3.5 hours. After stirring, the reaction mixture was concentrated to remove solvent.
The resultant residue was dissolved in dichloromethane and concentrated again to afford colorless oil (1.1 g). The oil was dissolved in dichloromethane and filtered through sodium bicarbonate powder. The filtrate was concentrated to afford an oil (1.1 g). The crude product was used in the next synthetic step without further purification.
Synthesis of Compound VIII- 16. A mixture of 2-hexyldecyl 6-bromohexanoate (2.59 mmol, 1.09 g), N-(3-aminopropyl)-N-(3-hydroxypropyl)octanamide (1.1 g), N,N- diisopropylethylamine (2.8 mmol, 361 mmg, 0.487 mL), potassium carbonate (2.8 mmol, 386 mg) and anhydrous acetonitrile (15 mL) was heated to 83 °C using an oil bath for 16 hours in a sealed pressure flask. The reaction mixture was concentrated and the residue was taken up in a mixture of hexane/ethyl acetate (-75:25) with 0.5% triethylamine (20 mL). The mixture was filtered through a pad of silica and the pad was washed with a mixture of hexane/ethyl acetate/triethylamine (100 mL, 4: 1 :0.1). The filtrate was concentrated and the residue was purified again by flash dry column chromatography on silica gel (gradient from 0 to 4% methanol in chloroform) to afford the desired product as a slightly yellow oil (240 mg, 0.26 mmol, 20%).
The various embodiments described above can be combined to provide further embodiments. All of the U.S. patents, U.S. patent application publications, U.S. patent applications, foreign patents, foreign patent applications and non-patent publications referred to in this specification and/or listed in the Application Data Sheet, if any, including U.S. Provisional Patent Application No. 62/485,278, filed April 13, 2017, U.S. Provisional Patent Application No. 62/485,736, filed April 14, 2017, U.S. Provisional Patent Application No. 62/491,664, filed April 28, 2017, U.S. Provisional Patent Application No. 62/491,659, filed April 28, 2017, U.S. Provisional Patent Application No. 62/546,227, filed August 16, 2017, and U.S. Provisional Patent Application No. 62/595,497, filed December 6, 2017, are incorporated herein by reference, in their entirety. Aspects of the embodiments can be modified, if necessary to employ concepts of the various patents, applications and publications to provide yet further embodiments. These and other changes can be made to the embodiments in light of the above-detailed description. In general, in the following claims, the terms used should not be construed to limit the claims to the specific embodiments disclosed in the specification and the claims, but should be construed to include all possible embodiments along with the full scope of equivalents to which such claims are entitled. Accordingly, the claims are not limited by the disclosure.
Claims
1. A method for treating a disease mediated by protein expression in adipose tissue of a subject in need thereof, the method comprising:
intraperitoneally administering a therapeutically effective amount of a composition comprising a lipid nanoparticle, the lipid nanoparticle comprising a therapeutic agent, or a pharmaceutically acceptable salt or prodrug thereof,
encapsulated within or associated with the lipid nanoparticle, thereby delivering the therapeutic agent to adipose tissue of the subject and altering protein expression in the adipose tissue.
2. A method for delivering a therapeutic agent to adipose tissue of a subject in need thereof, the method comprising:
providing a composition comprising a therapeutically effective amount of a lipid nanoparticle, the lipid nanoparticle comprising a therapeutic agent, or a pharmaceutically acceptable salt or prodrug thereof, encapsulated within or associated with the lipid nanoparticle; and
intraperitoneally administering the composition to the subject, thereby delivering the therapeutic agent to the adipose tissue of the subject.
3. The method of any one of claims 1-2, wherein the administering comprises an intraperitoneal injection.
4. The method of any one of claims 1-3, wherein the delivering induces conversion of white adipose tissue to brown adipose tissue.
5. The method of any one of claims 1-3, wherein the delivering induces activation of brown adipose tissue.
6. The method of any one of claims 1-5, wherein the therapeutic agent comprises a nucleic acid.
7. The method of claim 6, wherein the nucleic acid is selected from antisense and messenger RNA.
8. The method of any one of claims 1-7, wherein the adipose tissue comprises white adipocytes or brown adipocytes.
9. The method of any one of claims 1-8, wherein the lipid nanoparticle comprises a cationic lipid.
10. The method of claim 9, wherein the cationic lipid has a structure of Formula I:
or a pharmaceutically acceptable salt, tautomer, prodrug or stereoisomer thereof, wherein:
Ra is H or C1-C12 alkyl;
Rla and Rlb are, at each occurrence, independently either (a) H or C1-C12 alkyl, or (b) Rla is H or C1-C12 alkyl, and Rlb together with the carbon atom to which it is bound is taken together with an adjacent Rlb and the carbon atom to which it is bound to form a carbon-carbon double bond:
R a and R are, at each occurrence, independently either (a) H or C1-C12 alkyl, or (b) R2a is H or C1-C12 alkyl, and R2b together with the carbon atom to which it is bound is taken together with an adjacent R2b and the carbon atom to which it is bound to form a carbon-carbon double bond;
R3a and R3b are, at each occurrence, independently either (a) H or C1-C12 alkyl, or (b) R3a is H or C1-C12 alkyl, and R3b together with the carbon atom to which it is bound is taken together with an adjacent R3b and the carbon atom to which it is bound to form a carbon-carbon double bond;
R4a and R4b are, at each occurrence, independently either (a) H or C1-C12 alkyl, or (b) R4a is H or C1-C12 alkyl, and R4b together with the carbon atom to which it is bound is taken together with an adjacent R4b and the carbon atom to which it is bound to form a carbon-carbon double bond;
R5 and R6 are each independently methyl or cycloalkyl;
R7 is, at each occurrence, independently H or C1-C12 alkyl;
R8 and R9 are each independently unsubstituted C1-C12 alkyl; or R8 and R9, together with the nitrogen atom to which they are attached, form a 5, 6 or 7- membered heterocyclic ring comprising one nitrogen atom;
a and d are each independently an integer from 0 to 24; b and c are each independently an integer from 1 to 24; e is 1 or 2; and
x is 0, 1 or 2.
11. The method of claim 9, wherein the cationic lipid has a structure of Formula II:
or a pharmaceutically acceptable salt, tautomer, prodrug or stereoisomer thereof, wherein:
direct bond;
G2 is -C(=0)-, -(C=0)0-, -C(=0)S-, -C(=0)NRa- or a direct bond; G3 is C1-C6 alkylene;
Ra is H or C1-C12 alkyl;
Rla and Rlb are, at each occurrence, independently either: (a) H or C1-C12 alkyl; or (b) Rla is H or C1-C12 alkyl, and Rlb together with the carbon atom to which it is bound is taken together with an adjacent Rlb and the carbon atom to which it is bound to form a carbon-carbon double bond;
R2a and R2b are, at each occurrence, independently either: (a) H or C1-C12 alkyl; or (b) R2a is H or C1-C12 alkyl, and R2b together with the carbon atom to which it is bound is taken together with an adjacent R2b and the carbon atom to which it is bound to form a carbon-carbon double bond;
R a and R are, at each occurrence, independently either (a): H or C1-C12 alkyl; or (b) R3a is H or C1-C12 alkyl, and R3b together with the carbon atom to which it is bound is taken together with an adjacent R3b and the carbon atom to which it is bound to form a carbon-carbon double bond;
R4a and R4b are, at each occurrence, independently either: (a) H or C1-C12 alkyl; or (b) R4a is H or C1-C12 alkyl, and R4b together with the carbon atom to which it is bound is taken together with an adjacent R4b and the carbon atom to which it is bound to form a carbon-carbon double bond;
R5 and R6 are each independently H or methyl;
R7 is C4-C20 alkyl;
R8 and R9 are each independently C1-C12 alkyl; or R8 and R9, together with the nitrogen atom to which they are attached, form a 5, 6 or 7-membered heterocyclic ring;
a, b, c and d are each independently an integer from 1 to 24; and x is 0, 1 or 2.
12. The method of claim 9, wherein the cationic lipid has a structure of Formula III:
or a pharmaceutically acceptable salt, prodrug or stereoisomer thereof, wherein:
G1 and G2 are each independently unsubstituted C1-C12 alkylene or Ci-
C12 alkenylene;
G3 is C1-C24 alkylene, C1-C24 alkenylene, C3-C8 cycloalkylene, C3-C8 cycloalkenylene;
Ra is H or C1-C12 alkyl;
R1 and R2 are each independently C6-C24 alkyl or C6-C24 alkenyl;
R3 is H, OR5, CN, -C(=0)OR4, -OC(=0)R4 or - R5C(=0)R4;
R4 is C1-C12 alkyl;
R5 is H or C1-C6 alkyl; and
x is 0, 1 or 2.
13. The method of claim 9, wherein the cationic lipid has the following structure (IV):
or a pharmaceutically acceptable salt, prodrug or stereoisomer thereof, wherein:
one of G1 or G2 is, at each occurrence, -O(C=O)-, -(C=0)0-, -C(=0)-, -0-, -S(0) , -S-S-, -C(=0)S-, SC(=0)-, -N(Ra)C(=0)-, -C(=0)N(Ra)- , -N(Ra)C(=0)N(Ra)-, -OC(=0)N(Ra)- or -N(Ra)C(=0)0-, and the other of G1 or G2 is, at each occurrence, -O(C=O)-, -(C=0)0-, -C(=0)-, -0-, -S(0) , -S-S-, -C(=0)S- , -SC(=0)-, -N(Ra)C(=0)-, -C(=0)N(Ra)-, -N(Ra)C(=0)N(Ra)-, -OC(=0)N(Ra)- or -N(Ra)C(=0)0- or a direct bond;
L is, at each occurrence, ~0(C=0)-, wherein ~ represents a covalent bond to X;
X is CRa;
Z is alkyl, cycloalkyl or a monovalent moiety comprising at least one polar functional group when n is 1; or Z is alkylene, cycloalkylene or a polyvalent moiety comprising at least one polar functional group when n is greater than 1;
Ra is, at each occurrence, independently H, C1-C12 alkyl, C1-C12 hydroxylalkyl, C1-C12 aminoalkyl, C1-C12 alkylaminylalkyl, C1-C12 alkoxyalkyl, C1-C12
alkoxycarbonyl, C1-C12 alkylcarbonyloxy, C1-C12 alkylcarbonyloxyalkyl or C1-C12 alkylcarbonyl;
R is, at each occurrence, independently either: (a) H or C1-C12 alkyl; or (b) R together with the carbon atom to which it is bound is taken together with an adjacent R and the carbon atom to which it is bound to form a carbon-carbon double bond;
R1 and R2 have, at each occurrence, the following structure, respectively:
a1 and a2 are, at each occurrence, independently an integer from 3 to 12; b1 and b2 are, at each occurrence, independently 0 or 1;
c1 and c2 are, at each occurrence, independently an integer from 5 to 10; d1 and d2 are, at each occurrence, independently an integer from 5 to 10; y is, at each occurrence, independently an integer from 0 to 2; and n is an integer from 1 to 6,
wherein each alkyl, alkylene, hydroxylalkyl, aminoalkyl, alkylaminylalkyl, alkoxyalkyl, alkoxycarbonyl, alkylcarbonyloxy,
alkylcarbonyloxyalkyl and alkylcarbonyl is optionally substituted with one or more substituen .
14. The method of claim 9, wherein the cationic lipid has the following structure (V):
or a pharmaceutically acceptable salt, prodrug or stereoisomer thereof, wherein:
one of G1 or G2 is, at each occurrence, -O(C=O)-, -(C=0)0-, -C(=0)-, -0-, -S(0) , -S-S-, -C(=0)S-, SC(=0)-, -N(Ra)C(=0)-, -C(=0)N(Ra)- , -N(Ra)C(=0)N(Ra)-, -OC(=0)N(Ra)- or -N(Ra)C(=0)0-, and the other of G1 or G2 is, at each occurrence, -O(C=O)-, -(C=0)0-, -C(=0)-, -0-, -S(0) , -S-S-, -C(=0)S- , -SC(=0)-, -N(Ra)C(=0)-, -C(=0)N(Ra)-, -N(Ra)C(=0)N(Ra)-, -OC(=0)N(Ra)- or -N(Ra)C(=0)0- or a direct bond;
L is, at each occurrence, ~0(C=0)-, wherein ~ represents a covalent bond to X;
X is CRa;
Z is alkyl, cycloalkyl or a monovalent moiety comprising at least one polar functional group when n is 1; or Z is alkylene, cycloalkylene or a polyvalent moiety comprising at least one polar functional group when n is greater than 1;
Ra is, at each occurrence, independently H, C1-C12 alkyl, C1-C12 hydroxylalkyl, C1-C12 aminoalkyl, C1-C12 alkylaminylalkyl, C1-C12 alkoxyalkyl, C1-C12 alkoxycarbonyl, C1-C12 alkylcarbonyloxy, C1-C12 alkylcarbonyloxyalkyl or C1-C12 alkylcarbonyl;
R is, at each occurrence, independently either: (a) H or C1-C12 alkyl; or (b) R together with the carbon atom to which it is bound is taken together with an adjacent R and the carbon atom to which it is bound to form a carbon-carbon double bond;
R1 and R2 have, at each occurrence, the following structure, respectively:
R' is, at each occurrence, independently H or C1-C12 alkyl; a1 and a2 are, at each occurrence, independently an integer from 3 to 12; b1 and b2 are, at each occurrence, independently 0 or 1;
c1 and c2 are, at each occurrence, independently an integer from 2 to 12; d1 and d2 are, at each occurrence, independently an integer from 2 to 12; y is, at each occurrence, independently an integer from 0 to 2; and n is an integer from 1 to 6,
1 2 1 2 1 2 1 1 1 wherein a , a , c , c , d and d are selected such that the sum of a^+d1 is an integer from 18 to 30, and the sum of a2+c2+d2 is an integer from 18 to 30, and wherein each alkyl, alkylene, hydroxylalkyl, aminoalkyl, alkylaminylalkyl, alkoxyalkyl, alkoxycarbonyl, alkylcarbonyloxy, alkylcarbonyloxyalkyl and alkylcarbonyl is optionally substituted with one or more substituent.
15. The method of claim 9, wherein the cationic lipid has the following structure of Formula (VI
or a pharmaceutically acceptable salt, tautomer, prodrug or stereoisomer thereof, wherein:
G1 is -OH, - R3R4, -(C=0) R5 or - R3(C=0)R5;
G2 is -CH2- or -(C=0)-;
R is, at each occurrence, independently H or OH;
R1 and R2 are each independently branched, saturated or unsaturated C12-
C36 alkyl;
R3 and R4 are each independently H or straight or branched, saturated or unsaturated C1-C6 alkyl;
R5 is straight or branched, saturated or unsaturated C1-C6 alkyl; and n is an integer from 2 to 6.
16. The method of claim 9, wherein the cationic lipid has the following structure of Formula (VI
or a pharmaceutically acceptable salt, prodrug or stereoisomer thereof, wherein:
G1 and G2 are each independently C2-Ci2 alkylene or C2-C12 alkenylene;
G3 is Ci-C24 alkylene, C2-C24 alkenylene, C3-C8 cycloalkylene or C3-C8 cycloalkenylene;
Ra, Rb, Rd and Re are each independently H or C1-C12 alkyl or C1-C12 alkenyl;
Rc and Rf are each independently C1-C12 alkyl or C2-Ci2 alkenyl;
R1 and R2 are each independently branched C6-C24 alkyl or branched C6-
C24 alkenyl;
R3 is -C(=0)N(R4)R5 or -C(=0)OR6;
R4 is C1-C12 alkyl;
R5 is H, Ci-Ce alkyl or C2-C8 alkenyl;
R6 is H, aryl or aralkyl; and
x is 0, 1 or 2, and
wherein each alkyl, alkenyl, alkylene, alkenylene, cycloalkylene, cycloalkenylene, aryl and aralkyl is independently substituted or unsubstituted.
17. The method of claim 9, wherein the cationic lipid has the following structure of Formula (VIII):
or a pharmaceutically acceptable salt, prodrug or stereoisomer thereof, wherein:
G1 and G2 are each independently C1-C12 alkylene or C2-Ci2 alkenylene;
G3 is Ci-C24 alkylene, C2-C24 alkenylene, C3-C8 cycloalkylene, C3-C8 cycloalkenylene;
Ra, Rb, Rd and Re are each independently H or C1-C12 alkyl or C2-Ci2 alkenyl;
Rc and Rf are each independently C1-C12 alkyl or C2-Ci2 alkenyl;
R1 and R2 are each independently branched C6-C24 alkyl or branched C6-
C24 alkenyl;
R3 is -NR4C(=0)R5;
R4 is H, C1-C12 alkyl or C2-Ci2 alkenyl;
R5 is C2-C12 alkyl or C2-C12 alkenyl when R4 is H; or R5 is C1-C12 alkyl or C2-C12 alkenyl when R4 is C1-C12 alkyl or C2-Ci2 alkenyl; and
x is 0, 1 or 2, and
wherein each alkyl, alkenyl, alkylene, alkenylene, cycloalkylene and cycloalkenylene is independently substituted or unsubstituted.
18. The method of claim 9, wherein the cationic lipid is a cationic lipid selected from any one of tables 1, 2, 3, 4, 5, 6 or 7.
19. The method of claim 9, wherein the cationic lipid has one of the following structures:
or a pharmaceutically acceptable salt, tautomer, prodrug or stereoisomer thereof, wherein:
Ri and R2 are each independently for each occurrence optionally substituted C10-C30 alkyl, optionally substituted Ci0-C30 alkenyl, optionally substituted C10-C30 alkynyl or optionally substituted C10-C30 acyl;
R3 IS H, optionally substituted C10-C10 alkyl, optionally substituted C2- Cio alkenyl, optionally substituted C2-C 10 alkynyl, alkylhetrocycle, alkylphosphate, alkylphosphorothioate, alkylphosphorodithioate, alkylphosphonate, alkylamine, hydroxyalkyl, ω-aminoalkyl, ro-(substituted)aminoalkyl, co-phosphoalkyl, co- thiophosphoalkyl, optionally substituted polyethylene glycol (PEG, mw 100-40K), optionally substituted mPEG (mw 120-40K), heteroaryl, or heterocycle, or linker- ligand; and
E is O, S, N(Q), C(O), N(Q)C(0), C(0)N(Q), (Q)N(CO)0, 0(CO)N(Q), S(O), NS(0)2N(Q), S(0)2, N(Q)S(0)2, SS, 0=N, aryl, heteroaryl, cyclic or heterocycle; and
Q is H, alkyl, co-aminoalkyl, ro-(substituted)aminoalkyl, co-phosphoalkyl or co-thiophosphoalkyl.
21. The method of any one of claims 1-20, wherein the lipid nanoparticle comprises a neutral lipid.
22. The method of claim 21, wherein the neutral lipid is distearoylphosphatidylcholine (DSPC), dioleoylphosphatidylcholine (DOPC), dipalmitoylphosphatidylcholine (DPPC), dioleoyl-phosphatidylethanolamine (DOPE), palmitoyloleoylphosphatidylcholine (POPC), palmitoyloleoyl- phosphatidylethanolamine (POPE) and dioleoyl-phosphatidylethanolamine 4-(N- maleimidomethyl)-cyclohexane-lcarboxylate (DOPE-mal), dipalmitoyl phosphatidyl ethanolamine (DPPE), dimyristoylphosphoethanolamine (DMPE), distearoyl- phosphatidylethanolamine (DSPE), 16-O-monomethyl PE, 16-O-dimethyl PE, 18-1- trans PE, l-stearioyl-2-oleoylphosphatidyethanol amine (SOPE) or 1,2-dielaidoyl-sn- glycero-3-phophoethanolamine (transDOPE).
23. The method of any one of claims 21-22, wherein the neutral lipid is DSPC, DPPC, DMPC, DOPC, POPC, DOPE or SM.
24. The method of any one of claims 1-23, wherein the lipid nanoparticle comprises a steroid.
25. The method of claim 24, wherein the steroid is cholesterol.
26. The method of any one of claims 1-25, wherein lipid nanoparticle comprises a polymer conjugated lipid.
27. The method of claim 26, wherein the polymer conjugated lipid is a pegylated lipid.
28. The method of any one of claims 26-27, wherein the pegylated lipid is PEG-DAG, PEG-PE, PEG-S-DAG, PEG-cer or a PEG
dialkyoxypropylcarbamate.
29. The method of any one of claims 26-28, wherein the pegylated lipid has the following structure (IX):
or a pharmaceutically acceptable salt, tautomer or stereoisomer thereof, wherein:
R12 and R13 are each independently a straight or branched, saturated or unsaturated alkyl chain containing from 10 to 30 carbon atoms, wherein the alkyl chain is optionally interrupted by one or more ester bonds; and
w has a mean value ranging from 30 to 60.
30. The method of claim 29, wherein R12 and R13 are each independently straight, saturated alkyl chains containing from 12 to 16 carbon atoms.
31. The method of any one of claims 29-30, wherein the average w ranges from 45 to 55.
32. The method of claim 31, wherein the average w is about 49.
33. The method of any one of claims 1-32, wherein the composition further comprises a pharmaceutically acceptable excipient.
34. The method of any one of claims 1-33, wherein the subject is a mammal.
35. The method of any one of claims 1-34, wherein the subject is a human.
36. The method of claim 1, wherein the disease is obesity.
37. The method of claim 1, wherein the disease is type II diabetes.
38. The method of claim 1, wherein the disease is insulin resistance.
39. The method of claim 1, wherein the disease is atherosclerosis.
40. The method of claim 1, wherein the disease is a lipid disorder.
Applications Claiming Priority (12)
| Application Number | Priority Date | Filing Date | Title |
|---|---|---|---|
| US201762485278P | 2017-04-13 | 2017-04-13 | |
| US62/485,278 | 2017-04-13 | ||
| US201762485736P | 2017-04-14 | 2017-04-14 | |
| US62/485,736 | 2017-04-14 | ||
| US201762491659P | 2017-04-28 | 2017-04-28 | |
| US201762491664P | 2017-04-28 | 2017-04-28 | |
| US62/491,664 | 2017-04-28 | ||
| US62/491,659 | 2017-04-28 | ||
| US201762546227P | 2017-08-16 | 2017-08-16 | |
| US62/546,227 | 2017-08-16 | ||
| US201762595497P | 2017-12-06 | 2017-12-06 | |
| US62/595,497 | 2017-12-06 |
Publications (1)
| Publication Number | Publication Date |
|---|---|
| WO2018191719A1 true WO2018191719A1 (en) | 2018-10-18 |
Family
ID=62116583
Family Applications (1)
| Application Number | Title | Priority Date | Filing Date |
|---|---|---|---|
| PCT/US2018/027655 Ceased WO2018191719A1 (en) | 2017-04-13 | 2018-04-13 | Lipid delivery of therapeutic agents to adipose tissue |
Country Status (1)
| Country | Link |
|---|---|
| WO (1) | WO2018191719A1 (en) |
Cited By (62)
| Publication number | Priority date | Publication date | Assignee | Title |
|---|---|---|---|---|
| WO2019036008A1 (en) * | 2017-08-16 | 2019-02-21 | Acuitas Therapeutics, Inc. | Lipids for use in lipid nanoparticle formulations |
| WO2019036000A1 (en) * | 2017-08-17 | 2019-02-21 | Acuitas Therapeutics, Inc. | Lipids for use in lipid nanoparticle formulations |
| US10723692B2 (en) | 2014-06-25 | 2020-07-28 | Acuitas Therapeutics, Inc. | Lipids and lipid nanoparticle formulations for delivery of nucleic acids |
| WO2021061815A1 (en) | 2019-09-23 | 2021-04-01 | Omega Therapeutics, Inc. | COMPOSITIONS AND METHODS FOR MODULATING HEPATOCYTE NUCLEAR FACTOR 4-ALPHA (HNF4α) GENE EXPRESSION |
| WO2021061707A1 (en) | 2019-09-23 | 2021-04-01 | Omega Therapeutics, Inc. | Compositions and methods for modulating apolipoprotein b (apob) gene expression |
| US11040112B2 (en) | 2015-10-28 | 2021-06-22 | Acuitas Therapeutics, Inc. | Lipids and lipid nanoparticle formulations for delivery of nucleic acids |
| US11066355B2 (en) | 2019-09-19 | 2021-07-20 | Modernatx, Inc. | Branched tail lipid compounds and compositions for intracellular delivery of therapeutic agents |
| WO2021183720A1 (en) | 2020-03-11 | 2021-09-16 | Omega Therapeutics, Inc. | Compositions and methods for modulating forkhead box p3 (foxp3) gene expression |
| US11168051B2 (en) | 2015-06-29 | 2021-11-09 | Acuitas Therapeutics, Inc. | Lipids and lipid nanoparticle formulations for delivery of nucleic acids |
| US11203569B2 (en) | 2017-03-15 | 2021-12-21 | Modernatx, Inc. | Crystal forms of amino lipids |
| US11220476B2 (en) | 2015-09-17 | 2022-01-11 | Modernatx, Inc. | Compounds and compositions for intracellular delivery of therapeutic agents |
| US20220009879A1 (en) * | 2020-07-09 | 2022-01-13 | Advansix Resins & Chemicals Llc | Branched amino acid surfactants |
| US20220010197A1 (en) * | 2020-07-13 | 2022-01-13 | Advansix Resins & Chemicals Llc | Branched amino acid surfactants for oil and gas production |
| WO2022015675A1 (en) * | 2020-07-13 | 2022-01-20 | Advansix Resins & Chemicals Llc | Branched amino acid surfactants for use in healthcare products |
| WO2022015606A1 (en) * | 2020-07-13 | 2022-01-20 | Advansix Resins & Chemicals Llc | Branched amino acid surfactants for cleaning products |
| US11357856B2 (en) | 2017-04-13 | 2022-06-14 | Acuitas Therapeutics, Inc. | Lipids for delivery of active agents |
| CN114805212A (en) * | 2022-02-22 | 2022-07-29 | 中国科学院基础医学与肿瘤研究所(筹) | Lipids and lipid compositions for delivery of therapeutic or prophylactic agents |
| CN114989182A (en) * | 2022-06-23 | 2022-09-02 | 尧唐(上海)生物科技有限公司 | Lipid compounds, compositions comprising the same and uses thereof |
| US11453639B2 (en) | 2019-01-11 | 2022-09-27 | Acuitas Therapeutics, Inc. | Lipids for lipid nanoparticle delivery of active agents |
| US11524932B2 (en) | 2017-08-17 | 2022-12-13 | Acuitas Therapeutics, Inc. | Lipids for use in lipid nanoparticle formulations |
| US11542225B2 (en) | 2017-08-17 | 2023-01-03 | Acuitas Therapeutics, Inc. | Lipids for use in lipid nanoparticle formulations |
| WO2023283359A2 (en) | 2021-07-07 | 2023-01-12 | Omega Therapeutics, Inc. | Compositions and methods for modulating secreted frizzled receptor protein 1 (sfrp1) gene expression |
| CN115710193A (en) * | 2021-08-23 | 2023-02-24 | 广州谷森制药有限公司 | Novel cationic lipid compounds |
| WO2023024512A1 (en) * | 2021-08-23 | 2023-03-02 | 广州谷森制药有限公司 | Novel cationic lipid compound |
| WO2023031394A1 (en) | 2021-09-03 | 2023-03-09 | CureVac SE | Novel lipid nanoparticles for delivery of nucleic acids |
| WO2023044343A1 (en) * | 2021-09-14 | 2023-03-23 | Renagade Therapeutics Management Inc. | Acyclic lipids and methods of use thereof |
| WO2023073228A1 (en) | 2021-10-29 | 2023-05-04 | CureVac SE | Improved circular rna for expressing therapeutic proteins |
| WO2023133946A1 (en) * | 2022-01-13 | 2023-07-20 | 杭州天龙药业有限公司 | Cationic lipid compound, composition containing same and use thereof |
| WO2023144330A1 (en) | 2022-01-28 | 2023-08-03 | CureVac SE | Nucleic acid encoded transcription factor inhibitors |
| WO2023179497A1 (en) * | 2022-03-21 | 2023-09-28 | 苏州科锐迈德生物医药科技有限公司 | Lipid compound, lipid carrier based on lipid compound, nucleic acid lipid nanoparticle composition and pharmaceutical formulation |
| US11773061B2 (en) | 2021-09-14 | 2023-10-03 | Renagade Therapeutics Management Inc. | Cyclic lipids and methods of use thereof |
| WO2023186167A1 (en) * | 2022-04-02 | 2023-10-05 | 科镁信(上海)生物医药科技有限公司 | Cationic lipid, liposome, lipid nanoparticle, and use |
| US11820728B2 (en) | 2017-04-28 | 2023-11-21 | Acuitas Therapeutics, Inc. | Carbonyl lipids and lipid nanoparticle formulations for delivery of nucleic acids |
| CN117126071A (en) * | 2022-08-12 | 2023-11-28 | 上海蓝鹊生物医药有限公司 | Nitrogen-containing chain compounds, methods for their preparation, compositions containing the same and applications |
| WO2023227608A1 (en) | 2022-05-25 | 2023-11-30 | Glaxosmithkline Biologicals Sa | Nucleic acid based vaccine encoding an escherichia coli fimh antigenic polypeptide |
| DE202023106198U1 (en) | 2022-10-28 | 2024-03-21 | CureVac SE | Nucleic acid-based vaccine |
| US11969506B2 (en) | 2017-03-15 | 2024-04-30 | Modernatx, Inc. | Lipid nanoparticle formulation |
| US11976019B2 (en) | 2020-07-16 | 2024-05-07 | Acuitas Therapeutics, Inc. | Cationic lipids for use in lipid nanoparticles |
| US20240174602A1 (en) * | 2020-07-09 | 2024-05-30 | Advansix Resins & Chemicals Llc | Branched amino acid surfactants |
| US12029795B2 (en) | 2020-04-09 | 2024-07-09 | Verve Therapeutics, Inc. | Base editing of PCSK9 and methods of using same for treatment of disease |
| US12077501B2 (en) | 2017-06-14 | 2024-09-03 | Modernatx, Inc. | Compounds and compositions for intracellular delivery of agents |
| WO2024184500A1 (en) | 2023-03-08 | 2024-09-12 | CureVac SE | Novel lipid nanoparticle formulations for delivery of nucleic acids |
| US12129223B2 (en) | 2021-12-16 | 2024-10-29 | Acuitas Therapeutics, Inc. | Lipids for use in lipid nanoparticle formulations |
| WO2024230934A1 (en) | 2023-05-11 | 2024-11-14 | CureVac SE | Therapeutic nucleic acid for the treatment of ophthalmic diseases |
| WO2024243438A2 (en) | 2023-05-23 | 2024-11-28 | Omega Therapeutics, Inc. | Compositions and methods for reducing cxcl9, cxcl10, and cxcl11 gene expression |
| WO2024259322A1 (en) * | 2023-06-16 | 2024-12-19 | Acuitas Therapeutics, Inc. | Lipids for use in lipid nanoparticles |
| US12263248B2 (en) | 2018-09-19 | 2025-04-01 | Modernatx, Inc. | Compounds and compositions for intracellular delivery of therapeutic agents |
| WO2025106806A1 (en) | 2023-11-17 | 2025-05-22 | Acuitas Therapeutics, Inc. | Pegylated lipids |
| US12324859B2 (en) | 2017-03-15 | 2025-06-10 | Modernatx, Inc. | Compounds and compositions for intracellular delivery of therapeutic agents |
| US12329857B2 (en) | 2018-09-21 | 2025-06-17 | Acuitas Therapeutics, Inc. | Systems and methods for manufacturing lipid nanoparticles and liposomes |
| WO2025128696A1 (en) | 2023-12-12 | 2025-06-19 | Acuitas Therapeutics, Inc. | Cationic lipid compounds for use in lipid nanoparticles |
| WO2025132122A1 (en) | 2023-12-13 | 2025-06-26 | Berlin Institute Of Health | Methods of delivering therapeutics using lipid nanoparticles |
| WO2025166325A1 (en) | 2024-02-02 | 2025-08-07 | Editas Medicine, Inc. | MODIFIED GUIDE RNAs |
| WO2025174858A1 (en) | 2024-02-15 | 2025-08-21 | Acuitas Therapeutics, Inc. | Cationic lipid compounds for use in lipid nanoparticles |
| US12396961B2 (en) | 2015-12-22 | 2025-08-26 | Modernatx, Inc. | Compounds and compositions for intracellular delivery of agents |
| WO2025184508A1 (en) | 2024-03-01 | 2025-09-04 | Acuitas Therapeutics, Inc. | Materials and methods for encapsulating therapeutics in lipid nanoparticles |
| WO2025213138A1 (en) | 2024-04-05 | 2025-10-09 | Editas Medicine, Inc. | Crispr/rna-guided nuclease related methods and compositions for treating primary open angle glaucoma |
| WO2025217264A1 (en) | 2024-04-10 | 2025-10-16 | Acuitas Therapeutics, Inc. | Cationic lipid compounds for use in lipid nanoparticles |
| US12458604B2 (en) | 2020-10-14 | 2025-11-04 | The Trustees Of The University Of Pennsylvania | Methods of lipid nanoparticle manufacture and compositions derived therefrom |
| WO2025240833A1 (en) | 2024-05-17 | 2025-11-20 | Acuitas Therapeutics, Inc. | Galnac lipid compounds for use in lipid nanoparticles |
| US12491261B2 (en) | 2016-10-26 | 2025-12-09 | Acuitas Therapeutics, Inc. | Lipid nanoparticle formulations |
| US12545636B2 (en) | 2022-10-24 | 2026-02-10 | Renagade Therapeutics Management Inc. | Acyclic lipids and methods of use thereof |
Citations (41)
| Publication number | Priority date | Publication date | Assignee | Title |
|---|---|---|---|---|
| WO1999039741A2 (en) | 1998-02-03 | 1999-08-12 | Inex Pharmaceuticals Corporation | Systemic delivery of serum stable plasmid lipid particles for cancer therapy |
| US5965542A (en) | 1997-03-18 | 1999-10-12 | Inex Pharmaceuticals Corp. | Use of temperature to control the size of cationic liposome/plasmid DNA complexes |
| WO2001007548A1 (en) | 1999-07-26 | 2001-02-01 | The Procter & Gamble Company | Cationic charge boosting systems |
| US6197553B1 (en) | 1994-07-15 | 2001-03-06 | Merck & Co., Inc. | Method for large scale plasmid purification |
| US20040142025A1 (en) | 2002-06-28 | 2004-07-22 | Protiva Biotherapeutics Ltd. | Liposomal apparatus and manufacturing methods |
| US20050017054A1 (en) | 2003-07-23 | 2005-01-27 | Tom Iverson | Flyback transformer wire attach method to printed circuit board |
| US20050064595A1 (en) | 2003-07-16 | 2005-03-24 | Protiva Biotherapeutics, Inc. | Lipid encapsulated interfering RNA |
| US20050118253A1 (en) | 1998-02-03 | 2005-06-02 | Protiva Biotherapeutics, Inc. | Systemic delivery of serum stable plasmid lipid particles for cancer therapy |
| US20050175682A1 (en) | 2003-09-15 | 2005-08-11 | Protiva Biotherapeutics, Inc. | Polyethyleneglycol-modified lipid compounds and uses thereof |
| US20060008910A1 (en) | 2004-06-07 | 2006-01-12 | Protiva Biotherapeuties, Inc. | Lipid encapsulated interfering RNA |
| US20060083780A1 (en) | 2004-06-07 | 2006-04-20 | Protiva Biotherapeutics, Inc. | Cationic lipids and methods of use |
| US20070042031A1 (en) | 2005-07-27 | 2007-02-22 | Protiva Biotherapeutics, Inc. | Systems and methods for manufacturing liposomes |
| US20100130588A1 (en) | 2008-04-15 | 2010-05-27 | Protiva Biotherapeutics, Inc. | Novel lipid formulations for nucleic acid delivery |
| US20110076335A1 (en) | 2009-07-01 | 2011-03-31 | Protiva Biotherapeutics, Inc. | Novel lipid formulations for delivery of therapeutic agents to solid tumors |
| US20110117125A1 (en) | 2008-01-02 | 2011-05-19 | Tekmira Pharmaceuticals Corporation | Compositions and methods for the delivery of nucleic acids |
| WO2011141705A1 (en) | 2010-05-12 | 2011-11-17 | Protiva Biotherapeutics, Inc. | Novel cationic lipids and methods of use thereof |
| US20110311582A1 (en) | 2008-11-10 | 2011-12-22 | Muthiah Manoharan | Novel lipids and compositions for the delivery of therapeutics |
| WO2012016184A2 (en) | 2010-07-30 | 2012-02-02 | Alnylam Pharmaceuticals, Inc. | Methods and compositions for delivery of active agents |
| US20120027803A1 (en) | 2010-06-03 | 2012-02-02 | Alnylam Pharmaceuticals, Inc. | Biodegradable lipids for the delivery of active agents |
| US20120172411A1 (en) | 2010-09-17 | 2012-07-05 | Protiva Biotherapeutics, Inc. | Novel trialkyl cationic lipids and methods of use thereof |
| US20120251618A1 (en) | 2011-03-31 | 2012-10-04 | modeRNA Therapeutics | Delivery and formulation of engineered nucleic acids |
| US20120276209A1 (en) | 2009-11-04 | 2012-11-01 | The University Of British Columbia | Nucleic acid-containing lipid particles and related methods |
| US20120295832A1 (en) | 2011-05-17 | 2012-11-22 | Arrowhead Research Corporation | Novel Lipids and Compositions for Intracellular Delivery of Biologically Active Compounds |
| US20130017223A1 (en) | 2009-12-18 | 2013-01-17 | The University Of British Columbia | Methods and compositions for delivery of nucleic acids |
| US20130022649A1 (en) | 2009-12-01 | 2013-01-24 | Protiva Biotherapeutics, Inc. | Snalp formulations containing antioxidants |
| WO2013016058A1 (en) | 2011-07-22 | 2013-01-31 | Merck Sharp & Dohme Corp. | Novel bis-nitrogen containing cationic lipids for oligonucleotide delivery |
| US20130086373A1 (en) | 2011-09-29 | 2013-04-04 | Apple Inc. | Customized content for electronic devices |
| WO2013086322A1 (en) | 2011-12-07 | 2013-06-13 | Alnylam Pharmaceuticals, Inc. | Branched alkyl and cycloalkyl terminated biodegradable lipids for the delivery of active agents |
| WO2013086373A1 (en) | 2011-12-07 | 2013-06-13 | Alnylam Pharmaceuticals, Inc. | Lipids for the delivery of active agents |
| US20130195920A1 (en) | 2011-12-07 | 2013-08-01 | Alnylam Pharmaceuticals, Inc. | Biodegradable lipids for the delivery of active agents |
| US20130245107A1 (en) | 2011-12-16 | 2013-09-19 | modeRNA Therapeutics | Dlin-mc3-dma lipid nanoparticle delivery of modified polynucleotides |
| US8569256B2 (en) | 2009-07-01 | 2013-10-29 | Protiva Biotherapeutics, Inc. | Cationic lipids and methods for the delivery of therapeutic agents |
| US20130338210A1 (en) | 2009-12-07 | 2013-12-19 | Alnylam Pharmaceuticals, Inc. | Compositions for nucleic acid delivery |
| WO2014008334A1 (en) | 2012-07-06 | 2014-01-09 | Alnylam Pharmaceuticals, Inc. | Stable non-aggregating nucleic acid lipid particle formulations |
| US20140200257A1 (en) | 2011-01-11 | 2014-07-17 | Alnylam Pharmaceuticals, Inc. | Pegylated lipids and their use for drug delivery |
| US20150203446A1 (en) | 2011-09-27 | 2015-07-23 | Takeda Pharmaceutical Company Limited | Di-aliphatic substituted pegylated lipids |
| WO2015123576A2 (en) * | 2014-02-17 | 2015-08-20 | The Brigham And Women's Hospital, Inc. | Targeted nanoparticle compositions and methods of their use to treat obesity |
| WO2015199952A1 (en) | 2014-06-25 | 2015-12-30 | Acuitas Therapeutics Inc. | Novel lipids and lipid nanoparticle formulations for delivery of nucleic acids |
| WO2017004143A1 (en) | 2015-06-29 | 2017-01-05 | Acuitas Therapeutics Inc. | Lipids and lipid nanoparticle formulations for delivery of nucleic acids |
| US20170119904A1 (en) | 2015-10-28 | 2017-05-04 | Acuitas Therapeutics, Inc. | Novel lipids and lipid nanoparticle formulations for delivery of nucleic acids |
| WO2017117528A1 (en) | 2015-12-30 | 2017-07-06 | Acuitas Therapeutics, Inc. | Lipids and lipid nanoparticle formulations for delivery of nucleic acids |
-
2018
- 2018-04-13 WO PCT/US2018/027655 patent/WO2018191719A1/en not_active Ceased
Patent Citations (58)
| Publication number | Priority date | Publication date | Assignee | Title |
|---|---|---|---|---|
| US6197553B1 (en) | 1994-07-15 | 2001-03-06 | Merck & Co., Inc. | Method for large scale plasmid purification |
| US5965542A (en) | 1997-03-18 | 1999-10-12 | Inex Pharmaceuticals Corp. | Use of temperature to control the size of cationic liposome/plasmid DNA complexes |
| US20050118253A1 (en) | 1998-02-03 | 2005-06-02 | Protiva Biotherapeutics, Inc. | Systemic delivery of serum stable plasmid lipid particles for cancer therapy |
| WO1999039741A2 (en) | 1998-02-03 | 1999-08-12 | Inex Pharmaceuticals Corporation | Systemic delivery of serum stable plasmid lipid particles for cancer therapy |
| WO2001007548A1 (en) | 1999-07-26 | 2001-02-01 | The Procter & Gamble Company | Cationic charge boosting systems |
| US20040142025A1 (en) | 2002-06-28 | 2004-07-22 | Protiva Biotherapeutics Ltd. | Liposomal apparatus and manufacturing methods |
| US20110216622A1 (en) | 2002-06-28 | 2011-09-08 | Protiva Biotherapeutics, Inc. | Liposomal apparatus and manufacturing method |
| US20050064595A1 (en) | 2003-07-16 | 2005-03-24 | Protiva Biotherapeutics, Inc. | Lipid encapsulated interfering RNA |
| US20060240093A1 (en) | 2003-07-16 | 2006-10-26 | Protiva Biotherapeutics, Inc. | Lipid encapsulated interfering rna |
| US20120058188A1 (en) | 2003-07-16 | 2012-03-08 | Protiva Biotherapeutics, Inc. | Lipid encapsulated interfering rna |
| US20050017054A1 (en) | 2003-07-23 | 2005-01-27 | Tom Iverson | Flyback transformer wire attach method to printed circuit board |
| US20050175682A1 (en) | 2003-09-15 | 2005-08-11 | Protiva Biotherapeutics, Inc. | Polyethyleneglycol-modified lipid compounds and uses thereof |
| US20110091525A1 (en) | 2003-09-15 | 2011-04-21 | Protiva Biotherapeutics, Inc. | Polyethyleneglycol-modified lipid compounds and uses thereof |
| US20110262527A1 (en) | 2004-06-07 | 2011-10-27 | Protiva Biotherapeutics, Inc. | Cationic lipids and methods of use |
| US20060008910A1 (en) | 2004-06-07 | 2006-01-12 | Protiva Biotherapeuties, Inc. | Lipid encapsulated interfering RNA |
| US20060083780A1 (en) | 2004-06-07 | 2006-04-20 | Protiva Biotherapeutics, Inc. | Cationic lipids and methods of use |
| US20110060032A1 (en) | 2004-06-07 | 2011-03-10 | Protiva Biotherapeutics, Inc. | Lipid encapsulating interfering rna |
| US20070042031A1 (en) | 2005-07-27 | 2007-02-22 | Protiva Biotherapeutics, Inc. | Systems and methods for manufacturing liposomes |
| US20110117125A1 (en) | 2008-01-02 | 2011-05-19 | Tekmira Pharmaceuticals Corporation | Compositions and methods for the delivery of nucleic acids |
| US20120183581A1 (en) | 2008-04-15 | 2012-07-19 | Protiva Biotherapeutics, Inc | Novel lipid formulations for nucleic acid delivery |
| US20100130588A1 (en) | 2008-04-15 | 2010-05-27 | Protiva Biotherapeutics, Inc. | Novel lipid formulations for nucleic acid delivery |
| US20160199485A1 (en) | 2008-11-10 | 2016-07-14 | Tekmira Pharmaceuticals Corporation | Novel lipids and compositions for the delivery of therapeutics |
| US20110311582A1 (en) | 2008-11-10 | 2011-12-22 | Muthiah Manoharan | Novel lipids and compositions for the delivery of therapeutics |
| US20110311583A1 (en) | 2008-11-10 | 2011-12-22 | Alnylam Pharmaceuticals, Inc. | Novel lipids and compositions for the delivery of therapeutics |
| US20150265708A1 (en) | 2008-11-10 | 2015-09-24 | Tekmira Pharmaceuticals Corporation | Novel lipids and compositions for the delivery of therapeutics |
| US8569256B2 (en) | 2009-07-01 | 2013-10-29 | Protiva Biotherapeutics, Inc. | Cationic lipids and methods for the delivery of therapeutic agents |
| US20110076335A1 (en) | 2009-07-01 | 2011-03-31 | Protiva Biotherapeutics, Inc. | Novel lipid formulations for delivery of therapeutic agents to solid tumors |
| US20120276209A1 (en) | 2009-11-04 | 2012-11-01 | The University Of British Columbia | Nucleic acid-containing lipid particles and related methods |
| US20130022649A1 (en) | 2009-12-01 | 2013-01-24 | Protiva Biotherapeutics, Inc. | Snalp formulations containing antioxidants |
| US20130338210A1 (en) | 2009-12-07 | 2013-12-19 | Alnylam Pharmaceuticals, Inc. | Compositions for nucleic acid delivery |
| US20130017223A1 (en) | 2009-12-18 | 2013-01-17 | The University Of British Columbia | Methods and compositions for delivery of nucleic acids |
| US20130123338A1 (en) | 2010-05-12 | 2013-05-16 | Protiva Biotherapeutics, Inc. | Novel cationic lipids and methods of use thereof |
| WO2011141705A1 (en) | 2010-05-12 | 2011-11-17 | Protiva Biotherapeutics, Inc. | Novel cationic lipids and methods of use thereof |
| US20160009637A1 (en) | 2010-06-03 | 2016-01-14 | Alnylam Pharmaceuticals, Inc. | Biodegradable lipids for the delivery of active agents |
| US20120027803A1 (en) | 2010-06-03 | 2012-02-02 | Alnylam Pharmaceuticals, Inc. | Biodegradable lipids for the delivery of active agents |
| WO2012016184A2 (en) | 2010-07-30 | 2012-02-02 | Alnylam Pharmaceuticals, Inc. | Methods and compositions for delivery of active agents |
| US20130323269A1 (en) | 2010-07-30 | 2013-12-05 | Muthiah Manoharan | Methods and compositions for delivery of active agents |
| US20120172411A1 (en) | 2010-09-17 | 2012-07-05 | Protiva Biotherapeutics, Inc. | Novel trialkyl cationic lipids and methods of use thereof |
| US20140200257A1 (en) | 2011-01-11 | 2014-07-17 | Alnylam Pharmaceuticals, Inc. | Pegylated lipids and their use for drug delivery |
| US20120251618A1 (en) | 2011-03-31 | 2012-10-04 | modeRNA Therapeutics | Delivery and formulation of engineered nucleic acids |
| US20120295832A1 (en) | 2011-05-17 | 2012-11-22 | Arrowhead Research Corporation | Novel Lipids and Compositions for Intracellular Delivery of Biologically Active Compounds |
| WO2013016058A1 (en) | 2011-07-22 | 2013-01-31 | Merck Sharp & Dohme Corp. | Novel bis-nitrogen containing cationic lipids for oligonucleotide delivery |
| US20150203446A1 (en) | 2011-09-27 | 2015-07-23 | Takeda Pharmaceutical Company Limited | Di-aliphatic substituted pegylated lipids |
| US20130086373A1 (en) | 2011-09-29 | 2013-04-04 | Apple Inc. | Customized content for electronic devices |
| US20130195920A1 (en) | 2011-12-07 | 2013-08-01 | Alnylam Pharmaceuticals, Inc. | Biodegradable lipids for the delivery of active agents |
| WO2013086373A1 (en) | 2011-12-07 | 2013-06-13 | Alnylam Pharmaceuticals, Inc. | Lipids for the delivery of active agents |
| US20150005363A1 (en) | 2011-12-07 | 2015-01-01 | Alnylam Pharmaceuticals, Inc. | Branched Alkyl And Cycloalkyl Terminated Biodegradable Lipids For The Delivery Of Active Agents |
| US20140308304A1 (en) | 2011-12-07 | 2014-10-16 | Alnylam Pharmaceuticals, Inc. | Lipids for the delivery of active agents |
| US20150273068A1 (en) | 2011-12-07 | 2015-10-01 | Alnylam Pharmaceuticals, Inc. | Biodegradable lipids for the delivery of active agents |
| WO2013086322A1 (en) | 2011-12-07 | 2013-06-13 | Alnylam Pharmaceuticals, Inc. | Branched alkyl and cycloalkyl terminated biodegradable lipids for the delivery of active agents |
| US20130245107A1 (en) | 2011-12-16 | 2013-09-19 | modeRNA Therapeutics | Dlin-mc3-dma lipid nanoparticle delivery of modified polynucleotides |
| WO2014008334A1 (en) | 2012-07-06 | 2014-01-09 | Alnylam Pharmaceuticals, Inc. | Stable non-aggregating nucleic acid lipid particle formulations |
| WO2015123576A2 (en) * | 2014-02-17 | 2015-08-20 | The Brigham And Women's Hospital, Inc. | Targeted nanoparticle compositions and methods of their use to treat obesity |
| US20150376115A1 (en) * | 2014-06-25 | 2015-12-31 | Acuitas Therapeutics Inc. | Novel lipids and lipid nanoparticle formulations for delivery of nucleic acids |
| WO2015199952A1 (en) | 2014-06-25 | 2015-12-30 | Acuitas Therapeutics Inc. | Novel lipids and lipid nanoparticle formulations for delivery of nucleic acids |
| WO2017004143A1 (en) | 2015-06-29 | 2017-01-05 | Acuitas Therapeutics Inc. | Lipids and lipid nanoparticle formulations for delivery of nucleic acids |
| US20170119904A1 (en) | 2015-10-28 | 2017-05-04 | Acuitas Therapeutics, Inc. | Novel lipids and lipid nanoparticle formulations for delivery of nucleic acids |
| WO2017117528A1 (en) | 2015-12-30 | 2017-07-06 | Acuitas Therapeutics, Inc. | Lipids and lipid nanoparticle formulations for delivery of nucleic acids |
Non-Patent Citations (41)
| Title |
|---|
| "Bioreversible Carriers in Drug Design", 1987, AMERICAN PHARMACEUTICAL ASSOCIATION AND PERGAMON PRESS |
| "Oligonucleotide synthesis: a practical approach", 1984, IRL PRESS |
| "Oligonucleotide synthesis: methods and applications, Methods in Molecular Biology", vol. 288, 2005, HUMANA PRESS |
| "Remington: The Science and Practice of Pharmacy", 2000, PHILADELPHIA COLLEGE OF PHARMACY AND SCIENCE |
| AKINC ET AL., MOL THER., vol. 18, no. 7, 2010, pages 1357 - 1364 |
| BASHA ET AL., MOL THER, vol. 19, no. 12, 2011, pages 2186 - 2200 |
| BATZER ET AL., NUCLEIC ACID RES., vol. 19, 1991, pages 5081 |
| BECKERT, B.: "Synthesis of RNA by In Vitro Transcription in RNA in Methods in Molecular Biology", vol. 703, 2010, HUMANA PRESS, article "And Masquida, B." |
| BELLIVEAU ET AL., MOL THER NUCLEIC ACIDS, vol. 1, 2012, pages e37 |
| BERNSTEIN, P.; ROSS, J.: "Poly (A), poly (A) binding protein and the regulation of mRNA stability", TRENDS BIO SCI, vol. 14, 1989, pages 373 - 377, XP023669459, DOI: doi:10.1016/0968-0004(89)90011-X |
| BOWMAN, J.C.; AZIZI, B.; LENZ, T.K.; RAY, P.; WILLIAMS, L.D.: "vitro RNA syntheses Methods", 2012, HUMANA PRESS, article "RNA in vitro transcription and RNA purification by denaturing PAGE in Recombinant" |
| BOWMAN, J.C.; AZIZI, B.; LENZ, T.K.; RAY, P.; WILLIAMS, L.D.: "vitro RNA syntheses Methods", vol. 941, 2012, HUMANA PRESS, article "RNA in vitro transcription and RNA purification by denaturing PAGE in Recombinant" |
| BRUNELLE, J.L.; GREEN, R.: "Methods in Enzymology", vol. 530, 2013, article "In vitro transcription from plasmid or PCR-amplified DNA", pages: 101 - 114 |
| BUNDGARD, H.: "Design of Prodrugs", 1985, ELSEVIER, pages: 7 - 9,21-24 |
| DREYFUS, M.; REGNIER, P.: "The poly (A) tail of mRNAs: Bodyguard in eukaryotes, scavenger in bacteria", CELL, vol. lll, 2002, pages 611 - 613 |
| FASMAN: "CRC Practical Handbook of Biochemistry and Molecular Biology", 1989, CRC PRESS, INC. |
| GREEN, T.W.; P.G.M. WUTZ: "Protective Groups in Organic Synthesis", 1999, WILEY |
| GRUDZIEN-NOGALSKA, E.; KOWALSKA, J.; SU, W.; KUHN, A.N.; SLEPENKOV, S.V.; DARYNKIEWICZ, E.; SAHIN, U.; JEMIELITY, J.; RHOADS, R.E.: "Methods in Molecular Biology", vol. 969, 2013, article "Synthetic mRNAs with superior translation and stability properties in Synthetic Messenger RNA and Cell Metabolism Modulation" |
| GUHANIYOGI, J.; BREWER, G.: "Regulation of mRNA stability in mammalian cells", GENE, vol. 265, 2001, pages 11 - 23, XP004230718, DOI: doi:10.1016/S0378-1119(01)00350-X |
| HAFEZ, I.M. ET AL., GENE THER, vol. 8, 2001, pages 1188 - 1196 |
| HEILIG, J.; ELBING, K. L.; BRENT, R: "Large-Scale Preparation of Plasmid DNA. Current Protocols", MOLECULAR BIOLOGY, vol. 41, no. 11, 2001, pages 1.7.1 - 1.7.16 |
| HIGUCHI, T. ET AL., A.C.S. SYMPOSIUM SERIES, vol. 14 |
| JAYARAMAN ET AL., ANGEW CHEM INT ED ENGL., vol. 51, no. 34, 2012, pages 8529 - 8533 |
| KAMAKAKA, R. T.; KRAUS, W. L.: "Vitro Transcription", CURRENT PROTOCOLS IN CELL BIOLOGY, vol. 2, no. 11.6, 2001, pages 11.6.1 - 11.6.17 |
| KARIKO, K.; MURAMATSU, H.; LUDWIG, J.; WEISSMAN, D.: "Generating the optimal mRNA for therapy: HPLC purification eliminates immune activation and improves translation of nucleoside-modified, protein-encoding mRNA", NUCL ACID RES, vol. 39, 2011, pages e142, XP002758752, DOI: doi:10.1093/nar/gkr695 |
| KARIKO, K.; MURAMATSU, H.; WELSH, F.A.; LUDWIG, J.; KATO, H.; AKIRA, S.; WEISSMAN, D.: "Incorporation of Pseudouridine Into mRNA Yields Superior Nonimmunogenic Vector With Increased Translational Capacity and Biological Stability", MOL THER, vol. 16, 2008, pages 1833 - 1840 |
| KARIKO, K.; WEISSMAN, D.: "Naturally occurring nucleoside modifications suppress the immunostimulatory activity of RNA: implication for therapeutic RNA development", CURR OPIN DRUG DISCOV DEVEL, vol. 10, 2007, pages 523 - 532, XP009154595 |
| LEE ET AL., INT J CANCER., vol. 131, no. 5, 2012, pages E781 - 90 |
| LEUNG ET AL., J PHYS CHEM C NANOMATER INTERFACES, vol. 116, no. 34, 2012, pages 18440 - 18450 |
| LOSICK, R., IN VITRO TRANSCRIPTION, ANN REV BIOCHEM, vol. 41, 1972, pages 409 - 46 |
| LUKAVSKY, P.J.; PUGLISI, J.D.: "Large-scale preparation and purification of polyacrylamide-free RNA oligonucleotides", RNA, vol. 10, 2004, pages 889 - 893 |
| MAIER ET AL., MOL THER., vol. 21, no. 8, 2013, pages 1570 - 1578 |
| MUI ET AL., MOL THER NUCLEIC ACIDS., vol. 2, 2013, pages e139 |
| OHTSUKA ET AL., J. BIOL. CHEM., vol. 260, 1985, pages 2605 - 2608 |
| PARDI, N.; MURAMATSU, H.; WEISSMAN, D.; KARIKO, K.: "Methods in Molecular Biology", vol. 969, 2013, article "In vitro transcription of long RNA containing modified nucleosides in Synthetic Messenger RNA and Cell Metabolism Modulation" |
| ROSSOLINI ET AL., MOL. CELL. PROBES, vol. 8, 1994, pages 91 - 98 |
| ROZKOV, A.; LARSSON, B.; GILLSTROM, S.; BJORNESTEDT, R.; SCHMIDT, S. R.: "Large-scale production of endotoxin-free plasmids for transient expression in mammalian cell culture", BIOTECHNOL. BIOENG., vol. 99, 2008, pages 557 - 566 |
| SEMPLE ET AL., NAT BIOTECHNOL., vol. 28, no. 2, 2010, pages 172 - 176 |
| SEMPLE, S.C. ET AL., ADV. DRUG DELIV REV, vol. 32, 1998, pages 3 - 17 |
| TAM ET AL., NANOMEDICINE, vol. 9, no. 5, 2013, pages 665 - 74 |
| WEISSMAN, D.; PARDI, N.; MURAMATSU, H.; KARIKO, K.: "Methods in Molecular Biology", vol. 969, 2013, article "HPLC Purification of in vitro transcribed long RNA in Synthetic Messenger RNA and Cell Metabolism Modulation" |
Cited By (85)
| Publication number | Priority date | Publication date | Assignee | Title |
|---|---|---|---|---|
| US10723692B2 (en) | 2014-06-25 | 2020-07-28 | Acuitas Therapeutics, Inc. | Lipids and lipid nanoparticle formulations for delivery of nucleic acids |
| US11634379B2 (en) | 2014-06-25 | 2023-04-25 | Acuitas Therapeutics, Inc. | Lipids and lipid nanoparticle formulations for delivery of nucleic acids |
| US11168051B2 (en) | 2015-06-29 | 2021-11-09 | Acuitas Therapeutics, Inc. | Lipids and lipid nanoparticle formulations for delivery of nucleic acids |
| US11220476B2 (en) | 2015-09-17 | 2022-01-11 | Modernatx, Inc. | Compounds and compositions for intracellular delivery of therapeutic agents |
| US12404232B2 (en) | 2015-09-17 | 2025-09-02 | Modernatx, Inc. | Compounds and compositions for intracellular delivery of therapeutic agents |
| US12151995B2 (en) | 2015-09-17 | 2024-11-26 | Modernatx, Inc. | Compounds and compositions for intracellular delivery of therapeutic agents |
| US11648324B2 (en) | 2015-10-28 | 2023-05-16 | Acuitas Therapeutics, Inc. | Lipids and lipid nanoparticle formulations for delivery of nucleic acids |
| US11712481B2 (en) | 2015-10-28 | 2023-08-01 | Acuitas Therapeutics, Inc. | Lipid nanoparticle formulations |
| US11040112B2 (en) | 2015-10-28 | 2021-06-22 | Acuitas Therapeutics, Inc. | Lipids and lipid nanoparticle formulations for delivery of nucleic acids |
| US12396961B2 (en) | 2015-12-22 | 2025-08-26 | Modernatx, Inc. | Compounds and compositions for intracellular delivery of agents |
| US12491261B2 (en) | 2016-10-26 | 2025-12-09 | Acuitas Therapeutics, Inc. | Lipid nanoparticle formulations |
| US11969506B2 (en) | 2017-03-15 | 2024-04-30 | Modernatx, Inc. | Lipid nanoparticle formulation |
| US11203569B2 (en) | 2017-03-15 | 2021-12-21 | Modernatx, Inc. | Crystal forms of amino lipids |
| US12324859B2 (en) | 2017-03-15 | 2025-06-10 | Modernatx, Inc. | Compounds and compositions for intracellular delivery of therapeutic agents |
| US11357856B2 (en) | 2017-04-13 | 2022-06-14 | Acuitas Therapeutics, Inc. | Lipids for delivery of active agents |
| US11820728B2 (en) | 2017-04-28 | 2023-11-21 | Acuitas Therapeutics, Inc. | Carbonyl lipids and lipid nanoparticle formulations for delivery of nucleic acids |
| US12077501B2 (en) | 2017-06-14 | 2024-09-03 | Modernatx, Inc. | Compounds and compositions for intracellular delivery of agents |
| WO2019036008A1 (en) * | 2017-08-16 | 2019-02-21 | Acuitas Therapeutics, Inc. | Lipids for use in lipid nanoparticle formulations |
| US20210128488A1 (en) * | 2017-08-16 | 2021-05-06 | Acuitas Therapeutics, Inc. | Lipids for use in lipid nanoparticle formulations |
| US11639329B2 (en) | 2017-08-16 | 2023-05-02 | Acuitas Therapeutics, Inc. | Lipids for use in lipid nanoparticle formulations |
| US12065396B2 (en) | 2017-08-17 | 2024-08-20 | Acuitas Therapeutics, Inc. | Lipids for use in lipid nanoparticle formulations |
| EP4501322A3 (en) * | 2017-08-17 | 2025-04-16 | Acuitas Therapeutics, Inc. | Lipids for use in lipid nanoparticle formulations |
| US11524932B2 (en) | 2017-08-17 | 2022-12-13 | Acuitas Therapeutics, Inc. | Lipids for use in lipid nanoparticle formulations |
| US11542225B2 (en) | 2017-08-17 | 2023-01-03 | Acuitas Therapeutics, Inc. | Lipids for use in lipid nanoparticle formulations |
| WO2019036000A1 (en) * | 2017-08-17 | 2019-02-21 | Acuitas Therapeutics, Inc. | Lipids for use in lipid nanoparticle formulations |
| US12263248B2 (en) | 2018-09-19 | 2025-04-01 | Modernatx, Inc. | Compounds and compositions for intracellular delivery of therapeutic agents |
| US12329857B2 (en) | 2018-09-21 | 2025-06-17 | Acuitas Therapeutics, Inc. | Systems and methods for manufacturing lipid nanoparticles and liposomes |
| US11453639B2 (en) | 2019-01-11 | 2022-09-27 | Acuitas Therapeutics, Inc. | Lipids for lipid nanoparticle delivery of active agents |
| US12151996B2 (en) | 2019-01-11 | 2024-11-26 | Acuitas Therapeutics, Inc. | Lipids for lipid nanoparticle delivery of active agents |
| US11597698B2 (en) | 2019-09-19 | 2023-03-07 | Modernatx, Inc. | Branched tail lipid compounds and compositions for intracellular delivery of therapeutic agents |
| US12312293B2 (en) | 2019-09-19 | 2025-05-27 | Modernatx, Inc. | Branched tail lipid compounds and compositions for intracellular delivery of therapeutic agents |
| US11066355B2 (en) | 2019-09-19 | 2021-07-20 | Modernatx, Inc. | Branched tail lipid compounds and compositions for intracellular delivery of therapeutic agents |
| WO2021061815A1 (en) | 2019-09-23 | 2021-04-01 | Omega Therapeutics, Inc. | COMPOSITIONS AND METHODS FOR MODULATING HEPATOCYTE NUCLEAR FACTOR 4-ALPHA (HNF4α) GENE EXPRESSION |
| WO2021061707A1 (en) | 2019-09-23 | 2021-04-01 | Omega Therapeutics, Inc. | Compositions and methods for modulating apolipoprotein b (apob) gene expression |
| WO2021183720A1 (en) | 2020-03-11 | 2021-09-16 | Omega Therapeutics, Inc. | Compositions and methods for modulating forkhead box p3 (foxp3) gene expression |
| US12115230B2 (en) | 2020-04-09 | 2024-10-15 | Verve Therapeutics, Inc. | Base editing of ANGPTL3 and methods of using same for treatment of disease |
| US12029795B2 (en) | 2020-04-09 | 2024-07-09 | Verve Therapeutics, Inc. | Base editing of PCSK9 and methods of using same for treatment of disease |
| US12351547B2 (en) * | 2020-07-09 | 2025-07-08 | Advansix Resins & Chemicals Llc | Branched amino acid surfactants |
| US20220009879A1 (en) * | 2020-07-09 | 2022-01-13 | Advansix Resins & Chemicals Llc | Branched amino acid surfactants |
| US20240174602A1 (en) * | 2020-07-09 | 2024-05-30 | Advansix Resins & Chemicals Llc | Branched amino acid surfactants |
| AU2021306999B2 (en) * | 2020-07-09 | 2024-02-08 | Advansix Resins & Chemicals Llc | Branched amino acid surfactants |
| US12071588B2 (en) * | 2020-07-13 | 2024-08-27 | Advansix Resins & Chemicals Llc | Branched amino acid surfactants for oil and gas production |
| WO2022015606A1 (en) * | 2020-07-13 | 2022-01-20 | Advansix Resins & Chemicals Llc | Branched amino acid surfactants for cleaning products |
| US11857515B2 (en) | 2020-07-13 | 2024-01-02 | Advansix Resins & Chemicals Llc | Branched amino acid surfactants for use in healthcare products |
| CN116113398A (en) * | 2020-07-13 | 2023-05-12 | 艾德凡斯化学公司 | Branched chain amino acid surfactant for health care products |
| US20220010197A1 (en) * | 2020-07-13 | 2022-01-13 | Advansix Resins & Chemicals Llc | Branched amino acid surfactants for oil and gas production |
| US12134748B2 (en) | 2020-07-13 | 2024-11-05 | Advansix Resins & Chemicals Llc | Branched amino acid surfactants for cleaning products |
| WO2022015675A1 (en) * | 2020-07-13 | 2022-01-20 | Advansix Resins & Chemicals Llc | Branched amino acid surfactants for use in healthcare products |
| US11976019B2 (en) | 2020-07-16 | 2024-05-07 | Acuitas Therapeutics, Inc. | Cationic lipids for use in lipid nanoparticles |
| US12410121B2 (en) | 2020-07-16 | 2025-09-09 | Acuitas Therapeutics, Inc. | Cationic lipids for use in lipid nanoparticles |
| US12458604B2 (en) | 2020-10-14 | 2025-11-04 | The Trustees Of The University Of Pennsylvania | Methods of lipid nanoparticle manufacture and compositions derived therefrom |
| WO2023283359A2 (en) | 2021-07-07 | 2023-01-12 | Omega Therapeutics, Inc. | Compositions and methods for modulating secreted frizzled receptor protein 1 (sfrp1) gene expression |
| WO2023024512A1 (en) * | 2021-08-23 | 2023-03-02 | 广州谷森制药有限公司 | Novel cationic lipid compound |
| CN115710193A (en) * | 2021-08-23 | 2023-02-24 | 广州谷森制药有限公司 | Novel cationic lipid compounds |
| WO2023024514A1 (en) * | 2021-08-23 | 2023-03-02 | 广州谷森制药有限公司 | New cationic lipid compound |
| WO2023031394A1 (en) | 2021-09-03 | 2023-03-09 | CureVac SE | Novel lipid nanoparticles for delivery of nucleic acids |
| WO2023044343A1 (en) * | 2021-09-14 | 2023-03-23 | Renagade Therapeutics Management Inc. | Acyclic lipids and methods of use thereof |
| US11773061B2 (en) | 2021-09-14 | 2023-10-03 | Renagade Therapeutics Management Inc. | Cyclic lipids and methods of use thereof |
| WO2023073228A1 (en) | 2021-10-29 | 2023-05-04 | CureVac SE | Improved circular rna for expressing therapeutic proteins |
| US12129223B2 (en) | 2021-12-16 | 2024-10-29 | Acuitas Therapeutics, Inc. | Lipids for use in lipid nanoparticle formulations |
| WO2023133946A1 (en) * | 2022-01-13 | 2023-07-20 | 杭州天龙药业有限公司 | Cationic lipid compound, composition containing same and use thereof |
| WO2023144330A1 (en) | 2022-01-28 | 2023-08-03 | CureVac SE | Nucleic acid encoded transcription factor inhibitors |
| CN114805212A (en) * | 2022-02-22 | 2022-07-29 | 中国科学院基础医学与肿瘤研究所(筹) | Lipids and lipid compositions for delivery of therapeutic or prophylactic agents |
| WO2023179497A1 (en) * | 2022-03-21 | 2023-09-28 | 苏州科锐迈德生物医药科技有限公司 | Lipid compound, lipid carrier based on lipid compound, nucleic acid lipid nanoparticle composition and pharmaceutical formulation |
| CN118974004A (en) * | 2022-04-02 | 2024-11-15 | 科镁信(上海)生物医药科技有限公司 | Cationic lipids, liposomes, lipid nanoparticles and uses |
| WO2023186167A1 (en) * | 2022-04-02 | 2023-10-05 | 科镁信(上海)生物医药科技有限公司 | Cationic lipid, liposome, lipid nanoparticle, and use |
| WO2023227608A1 (en) | 2022-05-25 | 2023-11-30 | Glaxosmithkline Biologicals Sa | Nucleic acid based vaccine encoding an escherichia coli fimh antigenic polypeptide |
| CN114989182A (en) * | 2022-06-23 | 2022-09-02 | 尧唐(上海)生物科技有限公司 | Lipid compounds, compositions comprising the same and uses thereof |
| CN117126071A (en) * | 2022-08-12 | 2023-11-28 | 上海蓝鹊生物医药有限公司 | Nitrogen-containing chain compounds, methods for their preparation, compositions containing the same and applications |
| US12545636B2 (en) | 2022-10-24 | 2026-02-10 | Renagade Therapeutics Management Inc. | Acyclic lipids and methods of use thereof |
| DE202023106198U1 (en) | 2022-10-28 | 2024-03-21 | CureVac SE | Nucleic acid-based vaccine |
| WO2024184500A1 (en) | 2023-03-08 | 2024-09-12 | CureVac SE | Novel lipid nanoparticle formulations for delivery of nucleic acids |
| WO2024230934A1 (en) | 2023-05-11 | 2024-11-14 | CureVac SE | Therapeutic nucleic acid for the treatment of ophthalmic diseases |
| WO2024243438A2 (en) | 2023-05-23 | 2024-11-28 | Omega Therapeutics, Inc. | Compositions and methods for reducing cxcl9, cxcl10, and cxcl11 gene expression |
| WO2024259322A1 (en) * | 2023-06-16 | 2024-12-19 | Acuitas Therapeutics, Inc. | Lipids for use in lipid nanoparticles |
| WO2025106806A1 (en) | 2023-11-17 | 2025-05-22 | Acuitas Therapeutics, Inc. | Pegylated lipids |
| WO2025128696A1 (en) | 2023-12-12 | 2025-06-19 | Acuitas Therapeutics, Inc. | Cationic lipid compounds for use in lipid nanoparticles |
| WO2025132122A1 (en) | 2023-12-13 | 2025-06-26 | Berlin Institute Of Health | Methods of delivering therapeutics using lipid nanoparticles |
| WO2025166325A1 (en) | 2024-02-02 | 2025-08-07 | Editas Medicine, Inc. | MODIFIED GUIDE RNAs |
| WO2025166323A2 (en) | 2024-02-02 | 2025-08-07 | Editas Medicine, Inc. | Crispr-related methods and compositions targeting lipoprotein (a) expression |
| WO2025174858A1 (en) | 2024-02-15 | 2025-08-21 | Acuitas Therapeutics, Inc. | Cationic lipid compounds for use in lipid nanoparticles |
| WO2025184508A1 (en) | 2024-03-01 | 2025-09-04 | Acuitas Therapeutics, Inc. | Materials and methods for encapsulating therapeutics in lipid nanoparticles |
| WO2025213138A1 (en) | 2024-04-05 | 2025-10-09 | Editas Medicine, Inc. | Crispr/rna-guided nuclease related methods and compositions for treating primary open angle glaucoma |
| WO2025217264A1 (en) | 2024-04-10 | 2025-10-16 | Acuitas Therapeutics, Inc. | Cationic lipid compounds for use in lipid nanoparticles |
| WO2025240833A1 (en) | 2024-05-17 | 2025-11-20 | Acuitas Therapeutics, Inc. | Galnac lipid compounds for use in lipid nanoparticles |
Similar Documents
| Publication | Publication Date | Title |
|---|---|---|
| WO2018191719A1 (en) | Lipid delivery of therapeutic agents to adipose tissue | |
| AU2022224779B2 (en) | Novel carbonyl lipids and lipid nanoparticle formulations for delivery of nucleic acids | |
| EP3532103B1 (en) | Lipid nanoparticle formulations | |
| US11712481B2 (en) | Lipid nanoparticle formulations | |
| ES2997124T3 (en) | Lipids for use in lipid nanoparticle formulations | |
| ES2984981T3 (en) | Lipids and lipid nanoparticle formulations for nucleic acid delivery | |
| AU2022200794A1 (en) | Novel lipids and lipid nanoparticle formulations for delivery of nucleic acids | |
| WO2019089828A1 (en) | Lamellar lipid nanoparticles | |
| EP4678164A2 (en) | Cationic lipids for use in lipid nanoparticles | |
| US20250092002A1 (en) | Fluorinated cationic lipids for use in lipid nanoparticles | |
| US20240270679A1 (en) | Lipids for use in lipid nanoparticle formulations | |
| EP4448482A2 (en) | Fluorinated cationic lipids for use in lipid nanoparticles | |
| US12491261B2 (en) | Lipid nanoparticle formulations | |
| US20240122854A1 (en) | Novel carbonyl lipids and lipid nanoparticle formulations for delivery of nucleic acids | |
| US20250025427A1 (en) | Mixed amide ester containing lipids for use in lipid nanoparticles | |
| HK40114262A (en) | Novel carbonyl lipids and lipid nanoparticle formulations for delivery of nucleic acids | |
| WO2025128696A1 (en) | Cationic lipid compounds for use in lipid nanoparticles | |
| WO2025240833A1 (en) | Galnac lipid compounds for use in lipid nanoparticles | |
| HK40115605A (en) | Lipids and lipid nanoparticle formulations for delivery of nucleic acids | |
| HK40045790A (en) | Novel lipids and lipid nanoparticle formulations for delivery of nucleic acids | |
| HK40025615A (en) | Novel carbonyl lipids and lipid nanoparticle formulations for delivery of nucleic acids | |
| HK40025615B (en) | Novel carbonyl lipids and lipid nanoparticle formulations for delivery of nucleic acids |
Legal Events
| Date | Code | Title | Description |
|---|---|---|---|
| 121 | Ep: the epo has been informed by wipo that ep was designated in this application |
Ref document number: 18722817 Country of ref document: EP Kind code of ref document: A1 |
|
| NENP | Non-entry into the national phase |
Ref country code: DE |
|
| 122 | Ep: pct application non-entry in european phase |
Ref document number: 18722817 Country of ref document: EP Kind code of ref document: A1 |





































































































































































