WO2018190323A1 - ピリドン化合物と有害生物防除剤を含有する有害生物防除組成物および有害生物の防除方法 - Google Patents
ピリドン化合物と有害生物防除剤を含有する有害生物防除組成物および有害生物の防除方法 Download PDFInfo
- Publication number
- WO2018190323A1 WO2018190323A1 PCT/JP2018/015006 JP2018015006W WO2018190323A1 WO 2018190323 A1 WO2018190323 A1 WO 2018190323A1 JP 2018015006 W JP2018015006 W JP 2018015006W WO 2018190323 A1 WO2018190323 A1 WO 2018190323A1
- Authority
- WO
- WIPO (PCT)
- Prior art keywords
- group
- formula
- compound represented
- substituent
- optionally substituted
- Prior art date
- Legal status (The legal status is an assumption and is not a legal conclusion. Google has not performed a legal analysis and makes no representation as to the accuracy of the status listed.)
- Ceased
Links
- 0 CC([*@](C=C(C)C1C(*)*1)S(c1ccc(C)cc1)(=O)=O)=O Chemical compound CC([*@](C=C(C)C1C(*)*1)S(c1ccc(C)cc1)(=O)=O)=O 0.000 description 14
- HLBQMMLZTXRJNR-UXBLZVDNSA-N CC(C(c(ccc(Cl)c1)c1Cl)OC)NC(/C(/C(C(F)F)N)=C/N)=O Chemical compound CC(C(c(ccc(Cl)c1)c1Cl)OC)NC(/C(/C(C(F)F)N)=C/N)=O HLBQMMLZTXRJNR-UXBLZVDNSA-N 0.000 description 1
- YUNVVNZNBRMPPV-XZODOTSLSA-N CC(CC(C)(C)c1ccc2)c1c2NC(/C(/C(C(F)F)=N)=C/N)=O Chemical compound CC(CC(C)(C)c1ccc2)c1c2NC(/C(/C(C(F)F)=N)=C/N)=O YUNVVNZNBRMPPV-XZODOTSLSA-N 0.000 description 1
- YHVMBGBNWJAAHM-UHFFFAOYSA-N CCN(C(C=C1)=O)C(c(c(F)cc(F)c2)c2F)=C1c(cc(cc1)F)c1Cl Chemical compound CCN(C(C=C1)=O)C(c(c(F)cc(F)c2)c2F)=C1c(cc(cc1)F)c1Cl YHVMBGBNWJAAHM-UHFFFAOYSA-N 0.000 description 1
- YFXKDOOJLPZCNE-UHFFFAOYSA-N CCOC(CC(C(c(c(F)ccc1)c1F)=O)c(cc(cc1)OC)c1Cl)=O Chemical compound CCOC(CC(C(c(c(F)ccc1)c1F)=O)c(cc(cc1)OC)c1Cl)=O YFXKDOOJLPZCNE-UHFFFAOYSA-N 0.000 description 1
- BLOVQSRSBFDUSP-UHFFFAOYSA-N CCOC(CCC(C(c(c(F)cc(F)c1)c1F)=O)c1cc(OC)cc(OC)c1)=O Chemical compound CCOC(CCC(C(c(c(F)cc(F)c1)c1F)=O)c1cc(OC)cc(OC)c1)=O BLOVQSRSBFDUSP-UHFFFAOYSA-N 0.000 description 1
- NCINMXKNYNUFSU-UHFFFAOYSA-N COc(cc1CC(c(c(F)ccc2)c2F)=O)ccc1Cl Chemical compound COc(cc1CC(c(c(F)ccc2)c2F)=O)ccc1Cl NCINMXKNYNUFSU-UHFFFAOYSA-N 0.000 description 1
- ASPXWVQTXYYNRQ-UHFFFAOYSA-N COc1cc(C(CCC(O)=O)C(c(c(F)cc(F)c2)c2F)=O)cc(OC)c1 Chemical compound COc1cc(C(CCC(O)=O)C(c(c(F)cc(F)c2)c2F)=O)cc(OC)c1 ASPXWVQTXYYNRQ-UHFFFAOYSA-N 0.000 description 1
- CGLPZZRYLSBALN-UHFFFAOYSA-N CS(Oc1c(C(C2)ON=C2c2c[s]c(C3CCN(CC([n]4nc(C(F)F)cc4C(F)F)=O)CC3)n2)c(Cl)ccc1)(=O)=O Chemical compound CS(Oc1c(C(C2)ON=C2c2c[s]c(C3CCN(CC([n]4nc(C(F)F)cc4C(F)F)=O)CC3)n2)c(Cl)ccc1)(=O)=O CGLPZZRYLSBALN-UHFFFAOYSA-N 0.000 description 1
- PWWPULQZEAPTTB-UHFFFAOYSA-N Cc1ccc(C(OCc(cc2)ccc2Oc2ccccc2)=O)c(N)n1 Chemical compound Cc1ccc(C(OCc(cc2)ccc2Oc2ccccc2)=O)c(N)n1 PWWPULQZEAPTTB-UHFFFAOYSA-N 0.000 description 1
- CGRCPZUQMBYVPZ-UHFFFAOYSA-N Cc1ccc(COc(nc2N)ncc2F)cc1 Chemical compound Cc1ccc(COc(nc2N)ncc2F)cc1 CGRCPZUQMBYVPZ-UHFFFAOYSA-N 0.000 description 1
- FHCHILZCHKRAFU-DKUCWRBGSA-N Cc1cccc(NC(NN)=O)c1COC(/C=C\Nc(cc1)ccc1Cl)=N Chemical compound Cc1cccc(NC(NN)=O)c1COC(/C=C\Nc(cc1)ccc1Cl)=N FHCHILZCHKRAFU-DKUCWRBGSA-N 0.000 description 1
- ZYXYTGQFPZEUFX-UHFFFAOYSA-N FC(c1ccc(COc2ncncc2C2OCCCO2)cc1)(F)F Chemical compound FC(c1ccc(COc2ncncc2C2OCCCO2)cc1)(F)F ZYXYTGQFPZEUFX-UHFFFAOYSA-N 0.000 description 1
- PZJOFGMTPGDZOA-NYAPKIOYSA-N N=C(/C=N\Nc(c(F)ccc1)c1F)NC(c1ccccc1C(F)(F)F)=O Chemical compound N=C(/C=N\Nc(c(F)ccc1)c1F)NC(c1ccccc1C(F)(F)F)=O PZJOFGMTPGDZOA-NYAPKIOYSA-N 0.000 description 1
- DHQKLWKZSFCKTA-YBFXNURJSA-N O=C(C(F)(F)F)/N=C1/N(Cc(cn2)ccc2Cl)C=CC=C1 Chemical compound O=C(C(F)(F)F)/N=C1/N(Cc(cn2)ccc2Cl)C=CC=C1 DHQKLWKZSFCKTA-YBFXNURJSA-N 0.000 description 1
- ITDWFEGQAQOEHL-UHFFFAOYSA-N OCN(C(c(c(F)cc(F)c1)c1F)=C(C=C1Br)c(cc(cc2)F)c2Cl)C1=O Chemical compound OCN(C(c(c(F)cc(F)c1)c1F)=C(C=C1Br)c(cc(cc2)F)c2Cl)C1=O ITDWFEGQAQOEHL-UHFFFAOYSA-N 0.000 description 1
- UGEJCSCYEMGALG-UHFFFAOYSA-N [CH2-]c(cn1)ccc1Cl Chemical compound [CH2-]c(cn1)ccc1Cl UGEJCSCYEMGALG-UHFFFAOYSA-N 0.000 description 1
Classifications
-
- A—HUMAN NECESSITIES
- A01—AGRICULTURE; FORESTRY; ANIMAL HUSBANDRY; HUNTING; TRAPPING; FISHING
- A01N—PRESERVATION OF BODIES OF HUMANS OR ANIMALS OR PLANTS OR PARTS THEREOF; BIOCIDES, e.g. AS DISINFECTANTS, AS PESTICIDES OR AS HERBICIDES; PEST REPELLANTS OR ATTRACTANTS; PLANT GROWTH REGULATORS
- A01N37/00—Biocides, pest repellants or attractants, or plant growth regulators containing organic compounds containing a carbon atom having three bonds to hetero atoms with at the most two bonds to halogen, e.g. carboxylic acids
- A01N37/44—Biocides, pest repellants or attractants, or plant growth regulators containing organic compounds containing a carbon atom having three bonds to hetero atoms with at the most two bonds to halogen, e.g. carboxylic acids containing at least one carboxylic group or a thio analogue, or a derivative thereof, and a nitrogen atom attached to the same carbon skeleton by a single or double bond, this nitrogen atom not being a member of a derivative or of a thio analogue of a carboxylic group, e.g. amino-carboxylic acids
- A01N37/46—N-acyl derivatives
-
- A—HUMAN NECESSITIES
- A01—AGRICULTURE; FORESTRY; ANIMAL HUSBANDRY; HUNTING; TRAPPING; FISHING
- A01N—PRESERVATION OF BODIES OF HUMANS OR ANIMALS OR PLANTS OR PARTS THEREOF; BIOCIDES, e.g. AS DISINFECTANTS, AS PESTICIDES OR AS HERBICIDES; PEST REPELLANTS OR ATTRACTANTS; PLANT GROWTH REGULATORS
- A01N43/00—Biocides, pest repellants or attractants, or plant growth regulators containing heterocyclic compounds
- A01N43/34—Biocides, pest repellants or attractants, or plant growth regulators containing heterocyclic compounds having rings with one nitrogen atom as the only ring hetero atom
- A01N43/40—Biocides, pest repellants or attractants, or plant growth regulators containing heterocyclic compounds having rings with one nitrogen atom as the only ring hetero atom six-membered rings
-
- A—HUMAN NECESSITIES
- A01—AGRICULTURE; FORESTRY; ANIMAL HUSBANDRY; HUNTING; TRAPPING; FISHING
- A01N—PRESERVATION OF BODIES OF HUMANS OR ANIMALS OR PLANTS OR PARTS THEREOF; BIOCIDES, e.g. AS DISINFECTANTS, AS PESTICIDES OR AS HERBICIDES; PEST REPELLANTS OR ATTRACTANTS; PLANT GROWTH REGULATORS
- A01N51/00—Biocides, pest repellants or attractants, or plant growth regulators containing organic compounds having the sequences of atoms O—N—S, X—O—S, N—N—S, O—N—N or O-halogen, regardless of the number of bonds each atom has and with no atom of these sequences forming part of a heterocyclic ring
Definitions
- the present invention relates to a pest control composition containing a pyridone compound and one or more pest control agents as active ingredients.
- 1,3,5,6-substituted-2-pyridone compounds for example, 1,3,5,6-substituted-2 having an aryl group or heteroaryl group at the 3-position as a GABA alpha-2 / 3 ligand.
- -Pyridone compounds have been disclosed (see eg WO 98/55480).
- 1,3,5,6-substituted-2-pyridone compounds having a carboxyl group at the 3-position have been disclosed as therapeutic agents for bacterial infections (see, for example, European Patent No. 0308020).
- the uses of the compounds described in WO 98/55480 and EP 0308020 are all related to medicines and are different from the technical field to which the pest control composition according to the present invention belongs. To do.
- An object of the present invention is to provide a pest control composition having a useful control effect including a combination of a novel pyridone compound or a salt thereof and a pest control agent, and a method for using the composition.
- a pest control composition comprising, as an active ingredient, a compound group in which an aryl group or heteroaryl group having a substituent at the ortho position is introduced with respect to the 6-position in the 2-pyridone skeleton and one or more pesticides as active ingredients
- the present inventors have found that it exhibits excellent pest control activity and has completed the present invention. That is, the present invention is as follows.
- R1 is a hydroxyl group, A cyano group, A C1-C6 alkyl group optionally substituted with substituent A, A C1-C6 haloalkyl group, A C3-C8 cycloalkyl group optionally substituted with the substituent A, A C2-C6 alkenyl group optionally substituted with the substituent A, A C2-C6 haloalkenyl group, A C2-C6 alkynyl group optionally substituted with substituent A, A C2-C6 haloalkynyl group, A C1-C6 alkoxy group optionally substituted with the substituent A, A C1-C6 haloalkoxy group, A C3-C8 cycloalkoxy group optionally substituted with the substituent A, A C2-C6 alkenyloxy group optionally substituted with the substituent A, A C2-C6 haloalkenyloxy group, A C3-C6 alkynyloxy group
- R20C ( ⁇ O) O— (wherein R20 has the same meaning as above), A 3- to 6-membered group containing 1 to 2 oxygen atoms, R23-L2- (wherein, R23 represents a C1 alkyl group ⁇ C6 or C1 ⁇ C6 haloalkyl group,, L2 represents S, SO, or SO 2.), R21R22N- (wherein R21 and R22 are as defined above), Or R24C ( ⁇ O) N (R25) — (wherein R24 is a hydrogen atom, a C1-C6 alkyl group, a C1-C6 haloalkyl group, a C3-C8 cycloalkyl group, a C1-C6 alkoxy group, C1-C6 haloalkoxy group, C3-C8 cycloalkoxy group, or R21R22N— (wherein R21 and R22 have the same meanings as described above), and R25 is optional
- Substituent B1 is At least one selected from the group consisting of a cyano group, a C1-C6 alkoxy group, a C1-C6 haloalkoxy group, and a C3-C8 cycloalkoxy group
- Substituent C is Hydroxyl group, cyano group, C3-C8 cycloalkyl group, C1-C6 alkoxy group, C1-C6 haloalkoxy group, C3-C8 cycloalkoxy group, R31R32N- (wherein R31 and R32 are the same as R21 And R22), and R30-L3- (wherein R30 has the same meaning as R14 and L3 has the same meaning as L1), and at least one selected from the group consisting of Seeds
- Substituent D is At least one selected from the group consisting of a halogen atom, a C1-C6 alkyl group, a C1-C
- R1 is a cyano group, A C1-C6 alkyl group optionally substituted with substituent A, A C1-C6 haloalkyl group, A C3-C8 cycloalkyl group optionally substituted with the substituent A, A C2-C6 alkenyl group optionally substituted with the substituent A, A C2-C6 haloalkenyl group, A C2-C6 alkynyl group optionally substituted with substituent A, Or R10R11N— (wherein R10 and R11 are each independently a hydrogen atom or a C1-C6 alkyl group); R2 is a halogen atom, Hydroxyl group, A cyano group, A C1-C6 alkyl group optionally substituted with the substituent B, A C1-C6 haloalkyl group, A C1-C6 alkoxy group optionally substituted with the substituent B, A C1-C6 haloalkoxy group, A C3-C8
- R1 represents a C1-C6 alkyl group or a C1-C6 haloalkyl group optionally substituted with the substituent A
- R2 represents a halogen atom, a C1-C6 alkyl group optionally substituted with the substituent B, or a C1-C6 alkoxy group optionally substituted with the substituent B
- R3 represents a hydrogen atom, a halogen atom, or a C1-C6 alkyl group optionally substituted with a substituent C.
- a pest control composition comprising one or more components selected from pest control agents as active ingredients.
- Triphenyltin chloride [b-23.9] Triphenyltin hydroxide, [b-23.10] Oxolinic acid, [b-23.11] Hymezazol, [b-23.12] octylinone, [b-23.13] fosetyl, [b-23.14] phosphorous acid, [b-23.15 ] Sodium phosphate of phosphorous acid, [b-23.16] Ammonium salt of phosphorous acid (ammonium phosphate), [b-23.17] Potassium phosphate of phosphorous acid, [b -23.18] teclophthalam, [b-23.19] triazoxide, [b-23.20] flusulfamide, [b-23.21] dicromedine zine), [b-23.22] silthiofam, [b-23.23] diflumetrim, [b-23.24] metasulfocarb, [b-23.25
- a compound represented by [B-23.52] Formula (s17) [Wherein m1 represents an integer of 0 to 3, A5 and A6 are each independently a halogen atom or a C1-C6 alkyl group, A7 and A8 are each independently a halogen atom or a C1-C6 alkoxy group, When m1 is 2 or more, two or more A7s each represent an independent substituent and may be the same or different.
- a compound represented by [B-23.53] Formula (s18) [Wherein, A9 and A10 each independently represent a hydrogen atom or a halogen atom, A11 represents a halogen atom, A12 represents a halogen atom or a C1-C6 alkyl group, A13 represents a halogen atom, a cyano group, a C1-C6 alkyl group, or a C1-C6 alkoxy group.
- a compound represented by [B-23.54] Formula (s19) [Wherein m2 represents an integer of 0 to 6, A14 and A15 are each independently a halogen atom, a cyano group, or a C1-C6 alkyl group, A16 represents a hydrogen atom, a halogen atom, or a C1-C6 alkoxy group, A17 represents a halogen atom or a C1-C6 alkoxy group, When m2 is 2 or more, two or more A17s each represent an independent substituent and may be the same or different.
- a compound represented by [B-23.55] [Wherein, A18 and A19 each independently represent a halogen atom, a cyano group, or a C1-C6 alkyl group, A20, A21 and A22 are each independently a hydrogen atom, a halogen atom or a C1-C6 alkoxy group.
- a compound represented by [B-23.56] Formula (s21) [Wherein, A23 and A24 each independently represent a hydrogen atom, a halogen atom, a C1-C6 alkyl group, or a C3-C8 cycloalkyl group, X represents an oxygen atom or a sulfur atom.
- a compound represented by [B-23.57] Formula (s22) [Wherein m3 represents an integer of 0 to 5; A25 represents a halogen atom, a C1-C6 alkyl group, a C1-C6 haloalkyl group, a C1-C6 alkoxy group, a C1-C6 haloalkoxy group, or a C3-C8 cycloalkyl group, When m3 is 2 or more, two or more A25s each represent an independent substituent and may be the same or different.
- a compound represented by [B-23.58] [Wherein A26 represents a hydrogen atom or a halogen atom, V1 and V2 are each independently an oxygen atom or a sulfur atom.
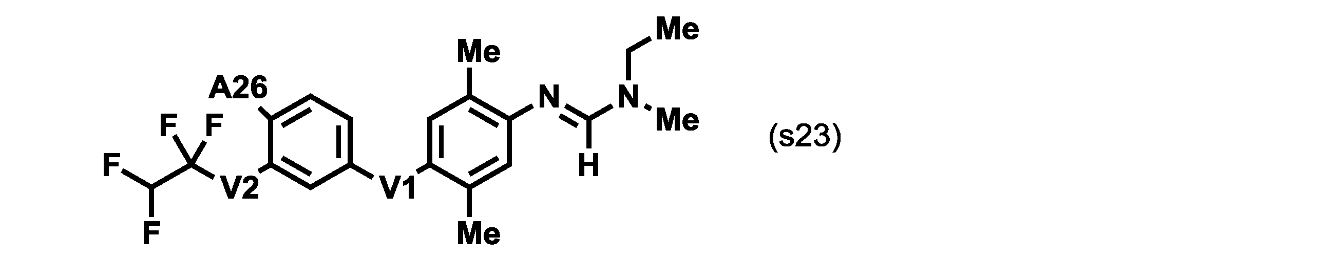
- a compound represented by [B-23.59] Formula (s24) or Formula (s25) [Wherein m4 represents an integer of 0 to 5, A27 represents a C1-C6 alkyl group, A28 represents a halogen atom, a cyano group, a C1-C6 alkyl group, or a C1-C6 haloalkyl group, When m4 is 2 or more, two or more A28s each represent an independent substituent, and may be the same or different, A29 represents a C1-C6 alkyl group, a C2-C6 alkenyl group, or a C3-C6 alkynyl group.
- a compound represented by [B-23.64] Formula (s31) or Formula (s32) [In the formula, A46 represents a hydrogen atom or a halogen atom; A47 represents a C1-C6 alkyl group, A48 represents a halogen atom.
- a compound represented by [B-23.65] Formula (s33) [Wherein, A49, A50 and A51 each independently represent a hydrogen atom or a halogen atom.
- AChE Carbamate acetylcholinesterase
- Bayer 22408 (O, O-diety l O-naphthalimido phosphorothioate), [c-28.117] Bayer 32394 (tris (1-dodecyl-3-methyl-2-phenylbenzimidazolium) hexanoferrate), [C-28.118] Formula (s34) A compound represented by [C-28.119] Formula (s35) A compound represented by [C-28.120] Formula (s36) A compound represented by [C-28.121] Formula (s37) A compound represented by [C-28.122] Formula (s38) A compound represented by [C-28.123] Formula (s39) A compound represented by [C-28.124] Formula (s40) A compound represented by [C-28.125] Formula (s41) [Wherein m6 represents an integer of 0 to 2.
- Formula (s48) [Wherein, A57 represents a hydrogen atom, a fluorine atom, or a chlorine atom, A58 is 1 type of partial structure selected from the group consisting of A compound represented by [C-28.133]
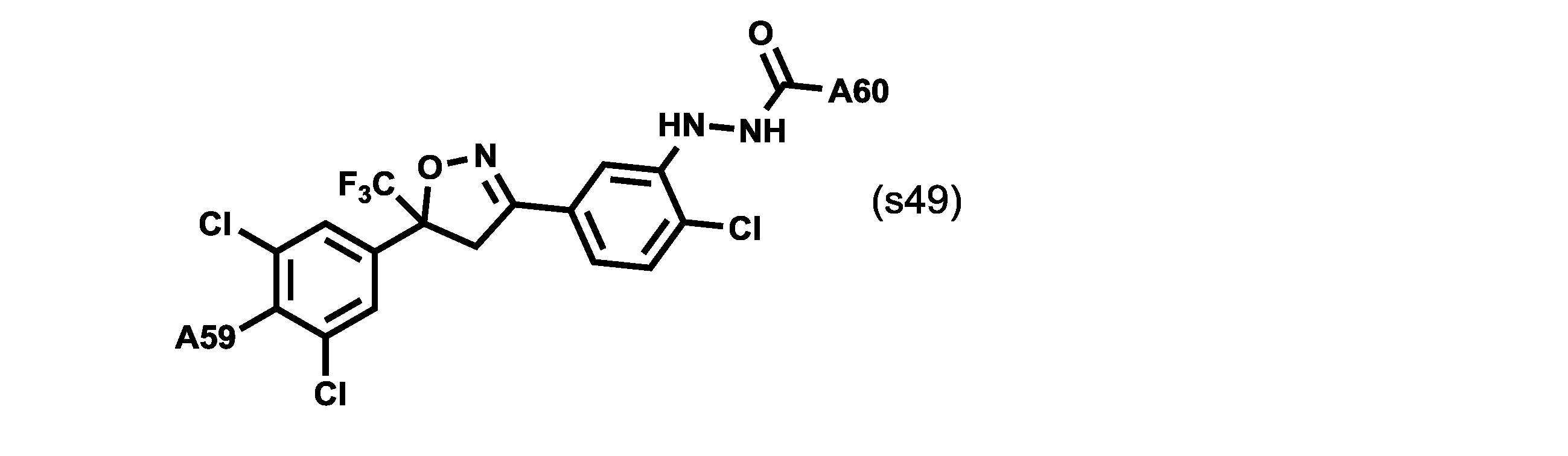
- Formula (s49) [Wherein, A59 represents a hydrogen atom, a fluorine atom, or a chlorine atom, A60 is Represents a partial structure selected from the group consisting of A compound represented by [C-28.134]
- Formula (s50) [Wherein m10 represents an integer of 0 to 2, A61 represents a trifluoromethyl group, a trifluoromethylthio group, a trifluoromethylsulfinyl group, or a trifluoromethylsulfonyl group, A62 represents a hydrogen atom or a trifluoromethyl group, V6 represents a nitrogen atom or a carbon atom, V7 represents an oxygen atom or an N-methyl
- a compound represented by [C-28.135] [Wherein A63 represents a hydrogen atom or a fluorine atom, The amide group is bonded to the 4-position or 5-position, A64 is Represents a partial structure selected from the group consisting of A compound represented by [C-28.136]
- Formula (s52) [Wherein A65 represents a hydrogen atom, a C1-C6 alkyl group, or a C1-C6 haloalkyl group, A66 represents a hydrogen atom, a halogen atom, or a C1-C6 alkyl group, A67 and A68 each independently represent a hydrogen atom, a C1-C6 alkyl group, a C2-C12 alkoxyalkyl group, or a C3-C8 cycloalkyl group, each of which may be substituted with a cyano group, A69 represents a hydrogen atom, a cyano group, a C1-C6 fluoroalkyl group,
- a compound represented by [C-28.137] Formula (s53) or Formula (s54) [In the formula, A70 represents a methyl group, an ethyl group, an isopropyl group, a 2,2,2-trifluoroethyl group, or a phenyl group; A71 is Represents a partial structure selected from the group consisting of A72 is Represents a partial structure selected from the group consisting of V8 represents an oxygen atom, a sulfur atom, -CH 2 -Or -CH 2 CH 2 -Represents.
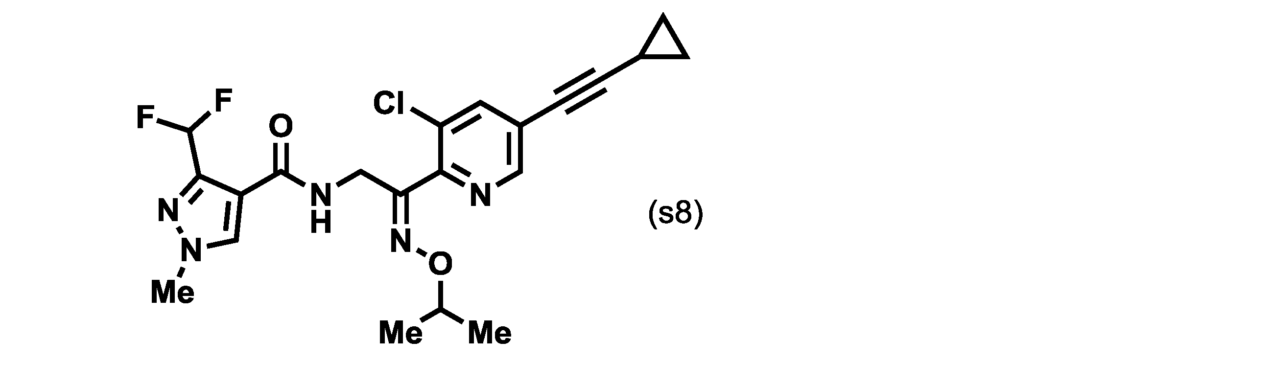
- a compound represented by [C-28.138] Formula (s55) [Wherein m11 represents an integer of 0 to 1, A73 represents a chlorine atom, a bromine atom, a methyl group, or a trifluoromethyl group, A74 represents a hydrogen atom, a chlorine atom, a bromine atom, a cyano group, or a trifluoromethyl group, A75 represents a hydrogen atom, a chlorine atom or a bromine atom; A76 and A77 are each independently a C1-C6 alkyl group or a C3-C8 cycloalkyl group; A78 represents a chlorine atom, a bromine atom, a cyano group, a nitro group, a difluoromethyl group, or a trifluoromethyl group.
- a compound represented by [C-28.139] [Wherein, A79, A80, A81 and A82 are each independently a hydrogen atom, a halogen atom, a C1-C6 alkyl group, a C1-C6 haloalkyl group, a C1-C6 alkoxy group, or a C3-C8 Represents a cycloalkoxy group.
- a compound represented by [C-28.140] [Wherein m12 represents an integer of 0 to 2, A83 represents a hydrogen atom or a fluorine atom, A84 is Represents a partial structure selected from the group consisting of A compound represented by [C-28.141]
- Formula (s58) [Wherein, m13, m14, m15 and m16 are each independently an integer of 0 to 5, A85, A86, A87 and A88 are each independently a C1-C6 alkyl group, a C1-C6 haloalkyl group, a C1-C6 alkoxy group, a C1-C6 haloalkoxy group, or a C3-C8 cyclo Represents an alkoxy group, V9 represents an aryl group, V10 represents a pyridyl group.
- a compound represented by [C-28.142] [A89 represents a difluoromethoxy group; A90 represents a halogen atom, a C1-C6 alkyl group, or a C1-C6 haloalkyl group, A91 represents a C1-C6 haloalkyl group, A92 and A93 each independently represent a hydrogen atom, a C1-C6 alkyl group, a C2-C7 acyl group, a C3-C8 alkylsulfonylethyl group, or a C2-C7 alkyloxycarbonyl group, A94 and A95 are each independently a hydrogen atom, a C1-C6 alkyl group, or a C1-C6 haloalkyl group. ] The compound represented by this.
- Group b b-1: Phenylamide fungicide [B-1.1]: Benalaxyl, [b-1.2] Benalaxyl M or Kiraraxyl, [b-1.4] metalaxyl, [b-1.5 Metalaxyl M or mephenoxam (metalaxyl-M or mefenoxam), [b-1.6] oxadixyl, b-2: Mitotic fission and cell division inhibitor [B-2.1] benomyl, [b-2.2] carbendazim, [b-2.4] thiabendazole, [b-2.6] thiophanate-methyl , [B-2.7] Dietofencarb, [b-2.9] ethaboxam, [b-2.10] pencyclon, [b-2.11] fluopicolide, b-3: Succinate de
- c-5 Nicotinic acetylcholine receptor (nAChR) competitive modulator [C-5.1] acetamiprid, [c-5.2] clothianidin, [c-5.3] dinotefuran, [c-5.4] imidacloprid, [c -5.5] Nitenpyram, [c-5.6] thiacloprid, [c-5.7] thiamethoxam, [c-5.10] sulfoxafluor, [c-5 .11] flupyradifurone, [c-5.12] triflumezopyrim, c-6: Nicotinic acetylcholine receptor (nAChR) allosteric modulator [C-6.1] spinosad, [c-6.2] spinetoram, c-7: Glutamate-gated chloride channel (GluCl) allosteric modulator [C-7.1] Abamectin, [c-7.2] Emamectin benzoate, [c-7.3] Le
- [6] A method for controlling pests by applying the pest control composition according to [1].
- [7] A method for controlling pests by simultaneously applying a composition containing the compound according to [1] as an active ingredient and a composition containing a pest control agent as an active ingredient.
- [9] A method for controlling pests, wherein the compound of formula (I) or a salt thereof according to [1] and a pest control agent are applied to a plant individual, seed, soil, seedling box, or cell tray in need thereof A method comprising applying an amount.
- a pest control composition useful for controlling pests containing a novel active ingredient, and a method for using the composition.
- Cx-Cy has x to y carbon atoms.
- optionally substituted means substituted or unsubstituted. When this term is used, the number of substituents is 1 when the number of substituents is not specified.
- the C1-C6 alkyl group may be linear or branched, and is methyl, ethyl, propyl, isopropyl, butyl, isobutyl, sec-butyl, t-butyl, pentyl, isopentyl.
- the halogen atom is a fluorine atom, a chlorine atom, a bromine atom, an iodine atom or the like.
- the C1-C6 haloalkyl group represents a group in which the hydrogen in the C1-C6 alkyl group is optionally substituted with one or more halogen atoms.
- the halogen atoms may be the same or different, and the number of substitutions is not particularly limited as long as it can be present as a substituent.
- C1-C6 haloalkyl group examples include a monofluoromethyl group, a difluoromethyl group, a trifluoromethyl group, a monochloromethyl group, a monobromomethyl group, a monoiodomethyl group, a chlorodifluoromethyl group, a bromodifluoromethyl group, 1 -Fluoroethyl group, 2-fluoroethyl group, 1,1-difluoroethyl group, 2,2-difluoroethyl group, 2,2,2-trifluoroethyl group, 1,1,2,2-tetrafluoroethyl group , Pentafluoroethyl group, 2,2,2-trichloroethyl group, 3,3-difluoropropyl group, 3,3,3-trifluoropropyl group, heptafluoropropyl group, heptafluoroisopropyl group, 2,2,2
- the C1-C6 fluoroalkyl group represents a group in which hydrogen in the C1-C6 alkyl group is optionally substituted with one or more fluorine atoms.
- Specific examples of the C1-C6 fluoroalkyl group include monofluoromethyl group, difluoromethyl group, trifluoromethyl group, 1-fluoroethyl group, 2-fluoroethyl group, 1,1-difluoroethyl group, 2,2- Difluoroethyl group, 2,2,2-trifluoroethyl group, 1,1,2,2-tetrafluoroethyl group, pentafluoroethyl group, 3,3-difluoropropyl group, 3,3,3-trifluoropropyl Group, heptafluoropropyl group, heptafluoroisopropyl group, 2,2,2-trifluoro-1- (trifluoromethyl) ethyl group, nonafluorobut
- the C3-C8 cycloalkyl group includes a cyclopropyl group, a cyclobutyl group, a cyclopentyl group, a cyclohexyl group, a cycloheptyl group, a cyclooctyl group, and the like.
- the C2-C6 alkenyl group represents an unsaturated hydrocarbon group which has one or more double bonds and is linear or branched.
- C2 to C6 alkenyl groups include vinyl, 1-propenyl, allyl, 1-butenyl, 2-butenyl, 3-butenyl, 1-pentenyl, 2-pentenyl, and 3-pentenyl.
- the C2-C6 haloalkenyl group represents a group in which the hydrogen atom in the C2-C6 alkenyl group is optionally substituted with one or more halogen atoms.
- the halogen atoms may be the same or different, and the number of substitutions is not particularly limited as long as it can be present as a substituent.
- C2-C6 haloalkenyl group examples include 2-fluorovinyl group, 2,2-difluorovinyl group, 2,2-dichlorovinyl group, 3-fluoroallyl group, 3,3-difluoroallyl group, 3, Examples include 3-dichloroallyl group, 4,4-difluoro-3-butenyl group, 5,5-difluoro-4-pentenyl group, 6,6-difluoro-5-hexenyl group and the like.
- the C2-C6 alkynyl group represents an unsaturated hydrocarbon group having one or more triple bonds and being linear or branched. Specific examples of the C2-C6 alkynyl group include ethynyl group, 1-propynyl group, propargyl group, 1-butynyl group, 2-butynyl group, 3-butynyl group, 1-pentynyl group, 2-pentynyl group, and 3-pentynyl.
- the C2-C6 haloalkynyl group represents a group in which the hydrogen atom in the C2-C6 alkynyl group is optionally substituted with one or more halogen atoms.
- the halogen atoms may be the same or different, and the number of substitutions is not particularly limited as long as it can be present as a substituent.
- C2-C6 haloalkynyl group examples include 2-fluoroethynyl group, 2-chloroethynyl group, 2-bromoethynyl group, 2-iodoethynyl group, 3,3-difluoro-1-propynyl group, 3-chloro -3,3-difluoro-1-propynyl group, 3-bromo-3,3-difluoro-1-propynyl group, 3,3,3-trifluoro-1-propynyl group, 4,4-difluoro-1-butynyl Group, 4,4-difluoro-2-butynyl group, 4-chloro-4,4-difluoro-1-butynyl group, 4-chloro-4,4-difluoro-2-butynyl group, 4-bromo-4,4 -Difluoro-1-butynyl group, 4-bromo-4,4-Di
- the C1-C6 alkoxy group represents a group in which the C1-C6 alkyl group is bonded via an oxygen atom.
- Specific examples of the C1-C6 alkoxy group include a methoxy group, an ethoxy group, a propyloxy group, an isopropyloxy group, a butoxy group, an isobutoxy group, a sec-butoxy group, a t-butoxy group, a pentyloxy group, and an isopentyloxy group.
- the C1-C6 haloalkoxy group represents a group in which the hydrogen atom in the C1-C6 alkoxy group is optionally substituted with one or more halogen atoms.
- the halogen atoms may be the same or different, and the number of substitutions is not particularly limited as long as it can be present as a substituent.
- C1-C6 haloalkoxy group examples include difluoromethoxy group, trifluoromethoxy group, chlorodifluoromethoxy group, bromodifluoromethoxy group, 2-fluoroethoxy group, 2,2-difluoroethoxy group, 2,2,2 -Trifluoroethoxy group, 1,1,2,2-tetrafluoroethoxy group, pentafluoroethoxy group, 2,2,2-trichloroethoxy group, 3,3-difluoropropyloxy group, 3,3,3-tri Fluoropropyloxy group, heptafluoropropyloxy group, heptafluoroisopropyloxy group, 2,2,2-trifluoro-1- (trifluoromethyl) -ethoxy group, nonafluorobutoxy group, nonafluoro-sec-butoxy group, 3 , 3,4,4,5,5,5-heptafluoropentyloxy group Undecafluoro pent
- the C3-C8 cycloalkoxy group represents a group in which the C3-C8 cycloalkyl group is bonded via an oxygen atom.
- Specific examples of the C3-C8 cycloalkoxy group include a cyclopropyloxy group, a cyclobutoxy group, a cyclopentyloxy group, a cyclohexyloxy group, a cycloheptyloxy group, and a cyclooctyloxy group.
- the C2-C6 alkenyloxy group is a group in which the C2-C6 alkenyl group is bonded through an oxygen atom.
- E-form and Z-form or a mixture of E-form and Z-form in an arbitrary ratio, is not particularly limited as long as it is within the specified carbon number range. None happen.
- C2-C6 alkenyloxy group examples include vinyloxy group, 1-propenyloxy group, allyloxy group, 1-butenyloxy group, 2-butenyloxy group, 3-butenyloxy group, 1-pentenyloxy group, 2-pentenyloxy group 3-pentenyloxy group, 4-pentenyloxy group, 3-methyl-2-butenyloxy group, 1-hexenyloxy group, 2-hexenyloxy group, 3-hexenyloxy group, 4-hexenyloxy group, 5-hexenyloxy group Group, 4-methyl-3-pentenyloxy group, 3-methyl-2-pentenyloxy group and the like.
- the C2-C6 haloalkenyloxy group represents a group in which the hydrogen atom in the C2-C6 alkenyloxy group is optionally substituted with one or more halogen atoms. When substituted with two or more halogen atoms, the halogen atoms may be the same or different, and the number of substitutions is not particularly limited as long as it can be present as a substituent.
- Specific examples of the C2-C6 haloalkenyloxy group include 2-fluorovinyloxy group, 2,2-difluorovinyloxy group, 2,2-dichlorovinyloxy group, 3-fluoroallyloxy group, 3,3-difluoro.
- the C3-C6 alkynyloxy group represents a group in which the C3-C6 alkynyl group is bonded via an oxygen atom among the C2-C6 alkynyl groups.
- Specific examples of the C3-C6 alkynyloxy group include propargyloxy group, 2-butynyloxy group, 3-butynyloxy group, 2-pentynyloxy group, 3-pentynyloxy group, 4-pentynyloxy group, 1,1 -Dimethyl-2-propynyloxy group, 2-hexynyloxy group, 3-hexynyloxy group, 4-hexynyloxy group, 5-hexynyloxy group and the like.
- the C3-C6 haloalkynyloxy group represents a group in which the hydrogen atom in the C3-C6 alkynyloxy group is optionally substituted with one or more halogen atoms.
- the halogen atoms may be the same or different, and the number of substitutions is not particularly limited as long as it can be present as a substituent.
- C3-C6 haloalkynyloxy group examples include 1,1-difluoro-2-propynyloxy group, 4,4-difluoro-2-butynyloxy group, 4-chloro-4,4-difluoro-2-butynyloxy group 4-bromo-4,4-difluoro-2-butynyloxy group, 4,4,4-trifluoro-2-butynyloxy group, 5,5-difluoro-3-pentynyloxy group, 5-chloro-5,5 -Difluoro-3-pentynyloxy group, 5-bromo-5,5-difluoro-3-pentynyloxy group, 5,5,5-trifluoro-3-pentynyloxy group, 6,6-difluoro-4 -Hexynyloxy group, 6-chloro-6,6-difluoro-4-hexynyloxy group, 6-bromo-6
- the C2-C6 alkoxyalkoxy group is a group in which the hydrogen atom in the C1-C5 alkoxy group in the C1-C6 alkoxy group is optionally substituted with one or more C1-C5 alkoxy groups Represents. There is no particular limitation as long as the total number of carbon atoms is within the specified carbon number range.
- C2-C6 alkoxyalkoxy groups include methoxymethoxy, ethoxymethoxy, propyloxymethoxy, isopropyloxymethoxy, methoxyethoxy, ethoxyethoxy, propyloxyethoxy, isopropyloxyethoxy, methoxypropyl Examples thereof include an oxy group, an ethoxypropyloxy group, a propyloxypropyloxy group, and an isopropyloxypropyloxy group.
- the C2-C12 alkoxyalkyl group represents a group in which the C1-C6 alkoxy group is bonded to the C1-C6 alkyl group. There is no particular limitation as long as the total number of carbon atoms is within the specified carbon number range. Specific examples of the C2-C12 alkoxyalkyl group include a methoxymethyl group, an ethoxymethyl group, a 2-methoxyethyl group, and a 2-ethoxyethyl group.
- the C2-C7 alkyloxycarbonyl group represents a carbonyl group bonded to the C1-C6 alkoxy group.
- Specific examples of the C2-C7 alkyloxycarbonyl group include a methoxycarbonyl group, an ethoxycarbonyl group, a propyloxycarbonyl group, an isopropyloxycarbonyl group, a 1-butyloxycarbonyl group, a 2-butyloxycarbonyl group, and a 1-pentyloxycarbonyl group. Group, 1-ethylpropyloxycarbonyl group, 1-hexylcarbonyl group and the like.
- the C1-C6 alkylthio group is a group in which a sulfur atom is bonded to the C1-C6 alkyl group.
- Specific examples of the C1-C6 alkylthio group include methylthio group, ethylthio group, propylthio group, isopropylthio group, butylthio group, isobutylthio group, sec-butylthio group, t-butylthio group, pentylthio group, isopentylthio group, 2 -Methylbutylthio group, neopentylthio group, 1-ethylpropylthio group, hexylthio group, 4-methylpentylthio group, 3-methylpentylthio group, 2-methylpentylthio group, 1-methylpentylthio group, 3 , 3-dimethylbutylthio group, 2,2-dimethylbutylthio group, 1,1-
- the C2-C7 acyl group represents a carbonyl group bonded to the C1-C6 alkyl group.
- Specific examples of the C2 to C7 acyl group include acetyl group, propanoyl group, 1-butanoyl group, 2-methylpropanoyl group, 1-pentanoyl group, 2-methylbutanoyl group, 1-hexanoyl group, 2-methylpenta Examples include noyl group and 2-ethylbutanoyl group.
- the C3-C8 alkylsulfonylethyl group represents a group in which the C1-C6 alkyl group is bonded to the sulfur atom of the sulfonylethyl group. There is no particular limitation as long as the total number of carbon atoms is within the specified carbon number range.
- Examples of the C3-C8 alkylsulfonylethyl group include 2-methylsulfonylethyl group, 2-ethylsulfonylethyl group, 2- (1-propylsulfonyl) ethyl group, 2- (2-propylsulfonyl) ethyl group, 1-methyl- 2-methylsulfonylethyl group, 1-ethyl-2-methylsulfonylethyl group, 2-methyl-2-methylsulfonylethyl group, 2-ethyl-2-ethylsulfonylethyl group, 1-methyl-2-methyl-2-methyl A sulfonylethyl group etc. are mentioned.
- the aryl group represents a C6 to C14 1 to 3 aromatic ring.
- Specific examples of the aryl group include a phenyl group, a naphthyl group, and an anthracenyl group.
- 3- to 6-membered ring group containing 1 to 2 oxygen atoms include 1,2-epoxyethanyl group, oxetanyl group, oxolanyl group, oxanyl group, 1,3-dioxolanyl group, 1,3- Examples thereof include a dioxanyl group and a 1,4-dioxanyl group.
- the pest control composition of the present invention (hereinafter sometimes simply referred to as the composition of the present invention) is a pyridone compound represented by the following formula (1) or a salt thereof (hereinafter simply represented by the formula (1)).
- R1 in the formula (1) is a hydroxyl group, a cyano group, a C1-C6 alkyl group optionally substituted with a substituent A, a C1-C6 haloalkyl group, or a C3-C8 optionally substituted with a substituent A.
- a hydrogen atom or an alkyl group C1 ⁇ C6,) represents a.
- R1 is a cyano group, a C1-C6 alkyl group optionally substituted with the substituent A, a C1-C6 haloalkyl group, a C3-C8 cycloalkyl group optionally substituted with the substituent A, a substituted group.
- a C1-C6 alkyl group or a C1-C6 haloalkyl group which may be optionally substituted with the substituent A is preferable.
- the “substituent A” in the formula (1) is a hydroxyl group, a cyano group, a C3 to C8 cycloalkyl group, a C1 to C6 alkoxy group, a C1 to C6 haloalkoxy group, a C3 to C8 cycloalkoxy group, R12R13N.
- R12 and R13 are each independently a hydrogen atom, a C1-C6 alkyl group, a C1-C6 haloalkyl group, or a C3-C8 cycloalkyl group, or R12 and R13 are , Together with the nitrogen atom to which it is attached, represents an aziridinyl group, an azetidinyl group, a pyrrolidinyl group, a piperidinyl group, a homopiperidinyl group, or an azocanyl group), and R14-L1- (where R14 is represents a C1 alkyl group ⁇ C6 or C1 ⁇ C6 haloalkyl group,, L1 is, S, SO, or SO 2 Represents at least one selected from the group consisting of:
- the substituent A is preferably a cyano group, a C1-C6 alkoxy group, or R14-L1- (wherein R14 and L1 are as defined above), In particular, a cyano group or a C1-C6 alkoxy group is preferable.
- substituent A examples include a hydroxyl group; a cyano group; As a C3-C8 cycloalkyl group, a cyclopropyl group, a cyclobutyl group, a cyclopentyl group, and a cyclohexyl group; A methoxy group, an ethoxy group, a propyloxy group, and an isopropyloxy group as the C1-C6 alkoxy group; C1-C6 haloalkoxy groups include difluoromethoxy, trifluoromethoxy, 2,2-difluoroethoxy, 2,2,2-trifluoroethoxy, 3,3-difluoropropyloxy, and 3,3 , 3-trifluoropropyloxy group; As a C3-C8 cycloalkoxy group, a cyclopropyloxy group, a cyclobutoxy group, a cyclopentyloxy group, and a cyclo
- substituent A a hydroxyl group; a cyano group; A cyclopropyl group and a cyclobutyl group as the C3-C8 cycloalkyl group; A methoxy group and an ethoxy group as the C1-C6 alkoxy group; A difluoromethoxy group, a trifluoromethoxy group, a 2,2-difluoroethoxy group, and a 2,2,2-trifluoroethoxy group as the C1-C6 haloalkoxy group; A cyclopropyloxy group and a cyclobutoxy group as a C3-C8 cycloalkoxy group; R12R13N- (wherein R12 and R13 have the same meanings as described above), dimethylamino group, ethylmethylamino group, and diethylamino group; And R14-L1- (wherein R14 and L1 are as defined above) include a methylthio
- R1 in the formula (1) includes a hydroxyl group and a cyano group.
- the C1-C6 alkyl group of the “C1-C6 alkyl group optionally substituted with the substituent A” in R1 of the formula (1) has the same definition as above, preferably a methyl group, an ethyl group , A propyl group, an isopropyl group, a butyl group, or an isobutyl group, and more preferably a methyl group or an ethyl group.
- the hydrogen atom in the C1-C6 alkyl group is optionally substituted by the substituent A.
- the “C1-C6 haloalkyl group” in R1 of the formula (1) has the same definition as described above, preferably a 2-fluoroethyl group, a 2,2-difluoroethyl group, a 2,2,2-trifluoro group.
- the C3-C8 cycloalkyl group in the “C3-C8 cycloalkyl group optionally substituted with the substituent A” in R1 of the formula (1) has the same definition as above, preferably a cyclopropyl group , A cyclobutyl group, a cyclopentyl group, or a cyclohexyl group, and more preferably a cyclopropyl group or a cyclobutyl group.
- the hydrogen atom in the C3-C8 cycloalkyl group is optionally substituted by the substituent A.
- the C2-C6 alkenyl group of the “C2-C6 alkenyl group optionally substituted with the substituent A” in R1 of the formula (1) has the same definition as above, preferably a vinyl group, 1- It is a propenyl group or an allyl group, more preferably a vinyl group or an allyl group.
- the hydrogen atom in the C2-C6 alkenyl group is optionally substituted by the substituent A.
- the “C2-C6 haloalkenyl group” in R1 of the formula (1) has the same definition as above, preferably a 2-fluorovinyl group, a 2,2-difluorovinyl group, a 3-fluoroallyl group, or A 3,3-difluoroallyl group, more preferably a 2-fluorovinyl group or a 2,2-difluorovinyl group.
- the C2-C6 alkynyl group of the “C2-C6 alkynyl group optionally substituted with the substituent A” in R1 of the formula (1) has the same meaning as defined above, preferably a propargyl group, 2- It is a butynyl group or a 3-butynyl group, more preferably a propargyl group.
- the hydrogen atom in the C2-C6 alkynyl group is optionally substituted by the substituent A.
- the “C2-C6 haloalkynyl group” in R1 of the formula (1) has the same definition as above, and is preferably a 4,4-difluoro-2-butynyl group, 4-chloro-4,4-difluoro- 2-butynyl group, 4-bromo-4,4-difluoro-2-butynyl group or 4,4,4-trifluoro-2-butynyl group, more preferably 4,4-difluoro-2-butynyl Or a 4,4,4-trifluoro-2-butynyl group.
- the C1-C6 alkoxy group of the “C1-C6 alkoxy group optionally substituted with the substituent A” in R1 of the formula (1) has the same definition as above, preferably a methoxy group, an ethoxy group , A propyloxy group, an isopropyloxy group, a butoxy group, or an isobutoxy group, and more preferably a methoxy group or an ethoxy group.
- the hydrogen atom in the C1-C6 alkoxy group is optionally substituted by the substituent A.
- the “C1-C6 haloalkoxy group” in R1 of the formula (1) has the same definition as above, preferably a difluoromethoxy group, a trifluoromethoxy group, a 2,2-difluoroethoxy group, 2,2, 2-trifluoroethoxy group, 3,3-difluoropropyloxy group, or 3,3,3-trifluoropropyloxy group, more preferably difluoromethoxy group, trifluoromethoxy group, 2,2-difluoroethoxy group Or a 2,2,2-trifluoroethoxy group.
- the C3-C8 cycloalkoxy group in the “C3-C8 cycloalkoxy group optionally substituted with the substituent A” in R1 of the formula (1) has the same definition as described above, preferably cyclopropyloxy Group, a cyclobutoxy group, a cyclopentyloxy group, or a cyclohexyloxy group, and more preferably a cyclopropyloxy group or a cyclobutoxy group.
- the hydrogen atom in the C3-C8 cycloalkoxy group is optionally substituted with the substituent A.
- the C2-C6 alkenyloxy group of “C2-C6 alkenyloxy group optionally substituted with substituent A” in R1 of formula (1) has the same definition as above, preferably a vinyloxy group, It is a 1-propenyloxy group or an allyloxy group, and more preferably a vinyloxy group.
- the hydrogen atom in the C2-C6 alkenyloxy group is optionally substituted by the substituent A.
- the “C2-C6 haloalkenyloxy group” in R1 of the formula (1) has the same definition as above, preferably 2-fluorovinyloxy group, 2,2-difluorovinyloxy group, 3-fluoro An allyloxy group or a 3,3-difluoroallyloxy group, more preferably a 2-fluorovinyloxy group or a 2,2-difluorovinyloxy group.
- the C3-C6 alkynyloxy group of “C3-C6 alkynyloxy group optionally substituted with substituent A” in R1 of formula (1) has the same definition as above, preferably a propargyloxy group , 2-butynyloxy group, or 3-butynyloxy group, and more preferably a propargyloxy group.
- the hydrogen atom in the C3-C6 alkynyloxy group is optionally substituted by the substituent A.
- the “C3-C6 haloalkynyloxy group” in R1 of the formula (1) has the same definition as described above, and is preferably a 4,4-difluoro-2-butynyloxy group, 4-chloro-4,4- A difluoro-2-butynyloxy group, a 4-bromo-4,4-difluoro-2-butynyloxy group, or a 4,4,4-trifluoro-2-butynyloxy group, more preferably 4,4-difluoro-2 -Butynyloxy group or 4,4,4-trifluoro-2-butynyloxy group.
- R10R11N— The C1-C6 alkyl group of “R10R11N—” in R1 of the formula (1) (wherein R10 and R11 are each independently a hydrogen atom or a C1-C6 alkyl group) Synonymous with definition.
- R10R11N— is preferably an amino group, a dimethylamino group, an ethylmethylamino group, and a diethylamino group, more preferably an amino group and a dimethylamino group.
- R2 is a halogen atom, a hydroxyl group, a cyano group, a nitro group, a C1-C6 alkyl group that may be optionally substituted with a substituent B, a C1-C6 haloalkyl group, and a C3-optionally substituted C3- A C8 cycloalkyl group, a C2-C6 alkenyl group optionally substituted with substituent B, a C2-C6 haloalkenyl group, a C2-C6 alkynyl group optionally substituted with substituent B, C2- C6 haloalkynyl group, C1-C6 alkoxy group optionally substituted with substituent B, C1-C6 haloalkoxy group, C3-C8 cycloalkoxy group optionally substituted with substituent B, substituted C2-C6 alkenyloxy group optionally substituted with group B, C2-C6 haloalkenyloxy group, C3-
- R24C ( ⁇ O) N (R25) (wherein R24 is a hydrogen atom, a C1-C6 alkyl group, a C1-C6 haloalkyl group, a C3-C8 cycloalkyl group, a C1-C6 alkoxy group) , A C1-C6 haloalkoxy group, a C3-C8 cycloalkoxy group, or R21R22N— (wherein R21 and R22 have the same meanings as described above), and R25 is a hydrogen atom or a substituent B1. Place Which may be C1 ⁇ C6 alkyl group, a cycloalkyl group of haloalkyl group having C1 ⁇ C6 or C3 ⁇ C8,. ).
- R2 is a halogen atom, a hydroxyl group, a cyano group, a C1-C6 alkyl group optionally substituted with a substituent B, a C1-C6 haloalkyl group, or a C1-C6 optionally substituted with a substituent B.
- Substituent B in formula (1) is a hydroxyl group, a cyano group, a C3-C8 cycloalkyl group, a C1-C6 alkoxy group, a C1-C6 haloalkoxy group, a C3-C8 cycloalkoxy group, a C2 To C6 alkoxyalkoxy groups, R21R22N- (wherein R21 and R22 are as defined above), R23-L2- (wherein R23 and L2 are as defined above), R26R27R28Si- ( Here, R26, R27, and R28 are each independently a C1-C6 alkyl group.), R26R27R28Si— (CH 2 ) s—O— (wherein s is an integer of 1 to 3) R26, R27, and R28 are as defined above, R20C ( ⁇ O) — (wherein R20 is as defined above for R20), and ⁇ Represents at least one member selected from the group consist
- the substituent B is a cyano group, a C3-C8 cycloalkyl group, a C1-C6 alkoxy group, a C2-C6 alkoxyalkoxy group, R23-L2- (wherein R23 and L2 are as defined above).
- R26R27R28Si— wherein R26, R27, and R28 are as defined above
- R26R27R28Si— CH 2 ) s—O—
- s, R26, R27, and R28 are R20C ( ⁇ O) —
- R20 is as defined above
- a 3- to 6-membered ring group containing 1 to 2 oxygen atoms is preferred, In particular, a cyano group or a C1-C6 alkoxy group is preferable.
- Preferred specific examples of the substituent B include a hydroxyl group; a cyano group; As a C3-C8 cycloalkyl group, a cyclopropyl group, a cyclobutyl group, a cyclopentyl group, and a cyclohexyl group; A C1-C6 alkoxy group as a methoxy group, an ethoxy group, a propyloxy group, an isopropyloxy group, a butoxy group, and an isobutoxy group; C1-C6 haloalkoxy groups include difluoromethoxy, trifluoromethoxy, 2,2-difluoroethoxy, 2,2,2-trifluoroethoxy, 3,3-difluoropropyloxy, and 3,3 , 3-trifluoropropyloxy group; As a C3-C8 cycloalkoxy group, a cyclopropyloxy group, a cyclobutoxy group, a
- substituent B a hydroxyl group; a cyano group; A cyclopropyl group and a cyclobutyl group as the C3-C8 cycloalkyl group; A methoxy group and an ethoxy group as the C1-C6 alkoxy group; A difluoromethoxy group, a trifluoromethoxy group, a 2,2-difluoroethoxy group, and a 2,2,2-trifluoroethoxy group as the C1-C6 haloalkoxy group; A cyclopropyloxy group and a cyclobutoxy group as a C3-C8 cycloalkoxy group; A methoxymethoxy group, an ethoxymethoxy group, a methoxyethoxy group, and an ethoxyethoxy group as the C2-C6 alkoxyalkoxy group; R21R22N— (wherein R21 and R22 have the same meanings as described above),
- Examples of the 3- to 6-membered ring group containing 1 to 2 oxygen atoms include a 1,3-dioxolanyl group and a 1,3-dioxanyl group.
- the “substituent B1” in the formula (1) is at least one selected from the group consisting of a cyano group, a C1-C6 alkoxy group, a C1-C6 haloalkoxy group, and a C3-C8 cycloalkoxy group.
- the substituent B1 is preferably a cyano group or a C1-C6 alkoxy group.
- substituent B1 examples include a cyano group;
- a C1-C6 alkoxy group as a methoxy group, an ethoxy group, a propyloxy group, an isopropyloxy group, a butoxy group, and an isobutoxy group;
- C1-C6 haloalkoxy groups include difluoromethoxy, trifluoromethoxy, 2,2-difluoroethoxy, 2,2,2-trifluoroethoxy, 3,3-difluoropropyloxy, and 3,3 , 3-trifluoropropyloxy group;
- examples of the C3-C8 cycloalkoxy group include a cyclopropyloxy group, a cyclobutoxy group, a cyclopentyloxy group, and a cyclohexyloxy group.
- substituent B1 a cyano group; A methoxy group and an ethoxy group as the C1-C6 alkoxy group; A difluoromethoxy group, a trifluoromethoxy group, a 2,2-difluoroethoxy group, and a 2,2,2-trifluoroethoxy group as the C1-C6 haloalkoxy group; As the C3-C8 cycloalkoxy group, a cyclopropyloxy group and a cyclobutoxy group can be mentioned.
- the halogen atom in R2 of the formula (1) has the same definition as described above, and is preferably a fluorine atom, a chlorine atom, a bromine atom, or an iodine atom.
- R2 in the formula (1) includes a hydroxyl group, a cyano group, and a nitro group.
- the C1-C6 alkyl group in the “C1-C6 alkyl group optionally substituted with the substituent B” in R2 of the formula (1) has the same definition as above, preferably a methyl group, an ethyl group , A propyl group, an isopropyl group, a butyl group, or an isobutyl group, and more preferably a methyl group, an ethyl group, a propyl group, or an isopropyl group.
- the hydrogen atom in the C1-C6 alkyl group is optionally substituted by the substituent B.
- the “C1-C6 haloalkyl group” in R2 of the formula (1) has the same definition as above, and is preferably a difluoromethyl group, a trifluoromethyl group, a 2,2-difluoroethyl group, 2,2,2 A trifluoroethyl group, a 3,3-difluoropropyl group, or a 3,3,3-trifluoropropyl group, more preferably a difluoromethyl group, a trifluoromethyl group, a 2,2-difluoroethyl group, or 2,2,2-trifluoroethyl group.
- the C3-C8 cycloalkyl group in the “C3-C8 cycloalkyl group optionally substituted with the substituent B” in R2 of the formula (1) is as defined above, and preferably a cyclopropyl group , A cyclobutyl group, a cyclopentyl group, or a cyclohexyl group, and more preferably a cyclopropyl group or a cyclobutyl group.
- the hydrogen atom in the C3-C8 cycloalkyl group is optionally substituted by the substituent B.
- the C2-C6 alkenyl group of “C2-C6 alkenyl group optionally substituted with substituent B” in R2 of formula (1) has the same definition as above, preferably a vinyl group, 1- A propenyl group, an allyl group, a 1-butenyl group, a 2-butenyl group, or a 3-butenyl group, more preferably a vinyl group, a 1-propenyl group, or an allyl group.
- the hydrogen atom in the C2-C6 alkenyl group is optionally substituted by the substituent B.
- the “C2-C6 haloalkenyl group” in R2 of the formula (1) has the same definition as above, preferably a 2-fluorovinyl group, a 2,2-difluorovinyl group, a 2,2-dichlorovinyl group. , 3-fluoroallyl group, 3,3-difluoroallyl group, or 3,3-dichloroallyl group, more preferably 2-fluorovinyl group or 2,2-difluorovinyl group.
- the C2-C6 alkynyl group of the “C2-C6 alkynyl group optionally substituted with the substituent B” in R2 of the formula (1) has the same definition as above, preferably an ethynyl group, 1- A propynyl group, a propargyl group, a 1-butynyl group, a 2-butynyl group, or a 3-butynyl group, and more preferably an ethynyl group, a 1-propynyl group, or a propargyl group.
- the hydrogen atom in the C2-C6 alkynyl group is optionally substituted by the substituent B.
- the “C2-C6 haloalkynyl group” in R2 of the formula (1) has the same definition as above, preferably 3,3-difluoro-1-propynyl group, 3,3,3-trifluoro-1 -Propynyl group, 4,4-difluoro-1-butynyl group, 4,4-difluoro-2-butynyl group, 4,4,4-trifluoro-1-butynyl group, or 4,4,4-trifluoro- A 2-butynyl group, more preferably a 3,3-difluoro-1-propynyl group, or a 3,3,3-trifluoro-1-propynyl group.
- the C1-C6 alkoxy group of the “C1-C6 alkoxy group optionally substituted with the substituent B” in R2 of the formula (1) is as defined above, preferably a methoxy group, an ethoxy group Propyloxy group, isopropyloxy group, butoxy group, isobutoxy group or pentyloxy group, more preferably methoxy group, ethoxy group, propyloxy group, isopropyloxy group, butoxy group or pentyloxy group.
- the hydrogen atom in the C1-C6 alkoxy group is optionally substituted by the substituent B.
- the “C1-C6 haloalkoxy group” in R2 of the formula (1) has the same definition as above, and is preferably a difluoromethoxy group, a trifluoromethoxy group, a 2,2-difluoroethoxy group, 2,2, 2-trifluoroethoxy group, 3,3-difluoropropyloxy group, or 3,3,3-trifluoropropyloxy group, more preferably difluoromethoxy group, trifluoromethoxy group, 2,2-difluoroethoxy group Or a 2,2,2-trifluoroethoxy group.
- the C3-C8 cycloalkoxy group of the “C3-C8 cycloalkoxy group optionally substituted with the substituent B” in R2 of the formula (1) has the same definition as described above, preferably cyclopropyloxy Group, a cyclobutoxy group, a cyclopentyloxy group, or a cyclohexyloxy group, and more preferably a cyclopropyloxy group or a cyclobutoxy group.
- the hydrogen atom in the C3-C8 cycloalkoxy group is optionally substituted by the substituent B.
- the C2-C6 alkenyloxy group of the “C2-C6 alkenyloxy group optionally substituted with the substituent B” in R2 of the formula (1) has the same definition as above, preferably a vinyloxy group, A 1-propenyloxy group, an allyloxy group, a 1-butenyloxy group, a 2-butenyloxy group, or a 3-butenyloxy group, and more preferably a vinyloxy group, a 1-propenyloxy group, or an allyloxy group.
- the hydrogen atom in the C2-C6 alkenyloxy group is optionally substituted by the substituent B.
- the “C2-C6 haloalkenyloxy group” in R2 of the formula (1) has the same definition as above, and preferably a 2-fluorovinyloxy group, a 2,2-difluorovinyloxy group, a 2,2- A dichlorovinyloxy group, a 3-fluoroallyloxy group, a 3,3-difluoroallyloxy group, or a 3,3-dichloroallyloxy group, more preferably a 2-fluorovinyloxy group or 2,2-difluoro It is a vinyloxy group.
- the C3-C6 alkynyloxy group of “C3-C6 alkynyloxy group optionally substituted with substituent B” in R2 of formula (1) is as defined above, preferably a propargyloxy group , 2-butynyloxy group, or 3-butynyloxy group, and more preferably a propargyloxy group.
- the hydrogen atom in the C3-C6 alkynyloxy group is optionally substituted by the substituent B.
- the “C3-C6 haloalkynyloxy group” in R2 of the formula (1) has the same definition as above, and is preferably a 4,4-difluoro-2-butynyloxy group, a 4-chloro-4,4-difluoro group.
- R20C ( ⁇ O) — in R2 of the formula (1) (wherein R20 is a C1-C6 alkyl group, a C1-C6 haloalkyl group, a C3-C8 cycloalkyl group, a C1-C6 alkoxy group) , A C1-C6 haloalkoxy group, a C3-C8 cycloalkoxy group, or R21R22N— (wherein R21 and R22 are each independently a hydrogen atom or a C1-C6 group optionally substituted with a substituent B1).
- R20C ( ⁇ O) — is preferably an acetyl group, a propionyl group, a difluoroacetyl group, a trifluoroacetyl group, a cyclopropanecarbonyl group, a methoxycarbonyl group, an ethoxycarbonyl group, a 2,2-difluoroethoxycarbonyl group, 2,2,2-trifluoroethoxycarbonyl group, cyclopropyloxycarbonyl group, aminocarbonyl group, dimethylaminocarbonyl group, ethylmethylaminocarbonyl group, diethylaminocarbonyl group, pyrrolidinylcarbonyl group, and piperidinylcarbonyl group More preferably, acetyl group, difluoroacetyl group, trifluoroacetyl group, methoxycarbonyl group, ethoxycarbonyl group, aminocarbonyl group, dimethylaminocarbonyl
- R20 of “R20C ( ⁇ O) O—” in R2 of the formula (1) has the same meaning as described above.
- “R20C ( ⁇ O) O—” is preferably an acetyloxy group, a propionyloxy group, a difluoroacetyloxy group, a trifluoroacetyloxy group, a cyclopropanecarbonyloxy group, a methoxycarbonyloxy group, an ethoxycarbonyloxy group, 2 , 2-difluoroethoxycarbonyloxy group, 2,2,2-trifluoroethoxycarbonyloxy group, cyclopropyloxycarbonyloxy group, aminocarbonyloxy group, dimethylaminocarbonyloxy group, ethylmethylaminocarbonyloxy group, diethylaminocarbonyloxy group Group, pyrrolidinylcarbonyloxy group, and piperidinylcarbonyloxy group, more preferably acetyloxy group,
- Shi group methoxycarbonyloxy group, ethoxycarbonyloxy group, aminocarbonyl group, dimethylaminocarbonyl group, ethylmethylamino carbonyloxy groups, and diethylamino carbonyl group.
- the “3- to 6-membered ring group containing 1 to 2 oxygen atoms” in R2 of the formula (1) has the same definition as above, and preferably an oxolanyl group, an oxanyl group, a 1,3-dioxolanyl group Or a 1,3-dioxanyl group, and more preferably a 1,3-dioxolanyl group or a 1,3-dioxanyl group.
- R23-L2 - in R2 of formula (1) (wherein, R23 represents a C1 alkyl group ⁇ C6 or C1 ⁇ C6 haloalkyl group,, L2 represents S, SO, or SO 2. )
- R23-L2- is preferably a methylthio group, a methanesulfinyl group, a methanesulfonyl group, a trifluoromethylthio group, a trifluoromethanesulfinyl group, a trifluoromethanesulfonyl group, a (chloromethyl) thio group, or a (chloromethane) sulfinyl group.
- chloromethane sulfonyl group, more preferably, methylthio group, methanesulfinyl group, methanesulfonyl group, (chloromethyl) thio group, (chloromethane) sulfinyl group, and (chloromethane) sulfonyl group. It is done.
- R21 and R22 of “R21R22N-” in R2 of the formula (1) have the same meanings as described above.
- “R21R22N—” preferably includes an amino group, a dimethylamino group, an ethylmethylamino group, a diethylamino group, a pyrrolidinyl group, and a piperidinyl group, and more preferably a dimethylamino group, an ethylmethylamino group, and a diethylamino group. Is mentioned.
- R24C ( ⁇ O) N (R25) — in R2 of the formula (1) (wherein R24 is a hydrogen atom, a C1-C6 alkyl group, a C1-C6 haloalkyl group, a C3-C8 cycloalkyl group) , C1-C6 alkoxy group, C1-C6 haloalkoxy group, C3-C8 cycloalkoxy group, or R21R22N- (wherein R21 and R22 are as defined above), and R25 represents hydrogen.
- R24 is preferably a hydrogen atom, methyl group, ethyl group, difluoromethyl group, trifluoromethyl group, cyclopropyl group, methoxy group, ethoxy group, 2,2-difluoroethoxy, 2,2,2-trifluoroethoxy.
- Group cyclopropyloxy group, amino group, dimethylamino group, ethylmethylamino group, diethylamino group, pyrrolidinyl group, and piperidinyl group, and more preferably a hydrogen atom, a methyl group, a difluoromethyl group, a trifluoromethyl group.
- R25 is preferably a hydrogen atom, methyl group, ethyl group, propyl group, methoxymethyl group, ethoxymethyl group, methoxyethyl group, ethoxyethyl group, cyanomethyl group, 2-cyanoethyl group, 2,2-difluoroethyl.
- Group, 2,2,2-trifluoroethyl group, and cyclopropyl group more preferably hydrogen atom, methyl group, ethyl group, methoxymethyl group, ethoxymethyl group, methoxyethyl group, ethoxyethyl group, A cyanomethyl group, a 2,2-difluoroethyl group, and a 2,2,2-trifluoroethyl group can be mentioned.
- N in the formula (1) is an integer of 0 to 5.
- n 2 or more
- two or more R2s each represent an independent substituent, may be the same or different, and can be arbitrarily selected.
- R3 in formula (1) may be optionally substituted with a hydrogen atom, a halogen atom, a nitro group, a C1-C6 alkyl group optionally substituted with a substituent C, a C1-C6 haloalkyl group, or a substituent C.
- R3 is a hydrogen atom, a halogen atom, a C1-C6 alkyl group that may be optionally substituted with a substituent C, a C3-C8 cycloalkyl group that may be optionally substituted with a substituent C, or a substituent C as appropriate.
- a hydrogen atom, a halogen atom, or a C1-C6 alkyl group optionally substituted with a substituent C is preferable.
- the “substituent C” in formula (1) is a hydroxyl group, a cyano group, a C3-C8 cycloalkyl group, a C1-C6 alkoxy group, a C1-C6 haloalkoxy group, a C3-C8 cycloalkoxy group, R31R32N. -(Wherein R31 and R32 are as defined above for R21 and R22), and R30-L3- (wherein R30 is as defined above for R14, and L3 is as defined above for L1).
- the substituent C is preferably a cyano group, a C1-C6 alkoxy group, or R30-L3- (wherein R30 and L3 are as defined above), In particular, a cyano group or a C1-C6 alkoxy group is preferable.
- substituent C examples include a hydroxyl group; a cyano group; As a C3-C8 cycloalkyl group, a cyclopropyl group, a cyclobutyl group, a cyclopentyl group, and a cyclohexyl group; A C1-C6 alkoxy group as a methoxy group, an ethoxy group, a propyloxy group, an isopropyloxy group, a butoxy group, and an isobutoxy group; C1-C6 haloalkoxy groups include difluoromethoxy, trifluoromethoxy, 2,2-difluoroethoxy, 2,2,2-trifluoroethoxy, 3,3-difluoropropyloxy, and 3,3 , 3-trifluoropropyloxy group; As a C3-C8 cycloalkoxy group, a cyclopropyloxy group, a cyclobutoxy group, a
- substituent C a hydroxyl group; a cyano group; A cyclopropyl group and a cyclobutyl group as the C3-C8 cycloalkyl group; A methoxy group and an ethoxy group as the C1-C6 alkoxy group; A difluoromethoxy group, a trifluoromethoxy group, a 2,2-difluoroethoxy group, and a 2,2,2-trifluoroethoxy group as the C1-C6 haloalkoxy group; A cyclopropyloxy group and a cyclobutoxy group as a C3-C8 cycloalkoxy group; R31R32N— (wherein R31 and R32 have the same meanings as described above), a dimethylamino group, an ethylmethylamino group, and a diethylamino group; And R30-L3- (wherein R30 and L3 are as defined above) include
- R3 in the formula (1) includes a hydrogen atom and a nitro group.
- the “halogen atom” in R3 of the formula (1) has the same definition as described above, and is preferably a fluorine atom, a chlorine atom, a bromine atom, or an iodine atom.
- the C1-C6 alkyl group in the “C1-C6 alkyl group optionally substituted with substituent C” in R3 of the formula (1) has the same definition as described above, preferably a methyl group, an ethyl group , A propyl group, an isopropyl group, a butyl group, or an isobutyl group, and more preferably a methyl group, an ethyl group, or a propyl group.
- the hydrogen atom in the C1-C6 alkyl group is optionally substituted by the substituent C.
- the “C1-C6 haloalkyl group” in R3 of the formula (1) has the same meaning as defined above, and is preferably a difluoromethyl group, a trifluoromethyl group, a 2,2-difluoroethyl group, 2,2,2 A trifluoroethyl group, a 3,3-difluoropropyl group, or a 3,3,3-trifluoropropyl group, more preferably a difluoromethyl group, a trifluoromethyl group, a 2,2-difluoroethyl group, or 2,2,2-trifluoroethyl group.
- the C3-C8 cycloalkyl group in the “C3-C8 cycloalkyl group optionally substituted with the substituent C” in R3 of the formula (1) has the same definition as above, preferably a cyclopropyl group , A cyclobutyl group, a cyclopentyl group, or a cyclohexyl group, and more preferably a cyclopropyl group or a cyclobutyl group.
- the hydrogen atom in the C3-C8 cycloalkyl group is optionally substituted by the substituent C.
- the C1-C6 alkoxy group of the “C1-C6 alkoxy group optionally substituted with the substituent C” in R3 of the formula (1) has the same definition as above, preferably a methoxy group, an ethoxy group , A propyloxy group, an isopropyloxy group, a butoxy group, or an isobutoxy group, and more preferably a methoxy group, an ethoxy group, a propyloxy group, or an isopropyloxy group.
- the hydrogen atom in the C1-C6 alkoxy group is optionally substituted with the substituent C.
- the “C1-C6 haloalkoxy group” in R3 of the formula (1) has the same definition as above, preferably a difluoromethoxy group, a trifluoromethoxy group, a 2,2-difluoroethoxy group, 2,2, 2-trifluoroethoxy group, 3,3-difluoropropyloxy group, or 3,3,3-trifluoropropyloxy group, more preferably difluoromethoxy group, trifluoromethoxy group, 2,2-difluoroethoxy group Or a 2,2,2-trifluoroethoxy group.
- the C2-C6 alkenyl group of “C2-C6 alkenyl group optionally substituted with substituent C” in R3 of formula (1) is as defined above, preferably a vinyl group, 1- A propenyl group, an allyl group, a 1-butenyl group, a 2-butenyl group, or a 3-butenyl group, more preferably a vinyl group, a 1-propenyl group, or an allyl group.
- the hydrogen atom in the C2-C6 alkenyl group is optionally substituted by the substituent C.
- the “C2-C6 haloalkenyl group” in R3 of the formula (1) has the same definition as above, preferably a 2-fluorovinyl group, a 2,2-difluorovinyl group, a 2,2-dichlorovinyl group. , 3-fluoroallyl group, 3,3-difluoroallyl group, or 3,3-dichloroallyl group, more preferably 2-fluorovinyl group or 2,2-difluorovinyl group.
- the C2-C6 alkynyl group of the “C2-C6 alkynyl group optionally substituted with the substituent C” in R3 of the formula (1) has the same definition as defined above, preferably an ethynyl group, 1- A propynyl group, a propargyl group, a 1-butynyl group, a 2-butynyl group, or a 3-butynyl group, and more preferably an ethynyl group, a 1-propynyl group, or a propargyl group.
- the hydrogen atom in the C2-C6 alkynyl group is optionally substituted by the substituent C.
- the “C2-C6 haloalkynyl group” in R3 of the formula (1) has the same definition as described above, and is preferably a 3,3-difluoro-1-propynyl group, 3,3,3-trifluoro-1 -Propynyl group, 4,4-difluoro-1-butynyl group, 4,4-difluoro-2-butynyl group, 4,4,4-trifluoro-1-butynyl group, or 4,4,4-trifluoro- A 2-butynyl group, more preferably a 3,3-difluoro-1-propynyl group, or a 3,3,3-trifluoro-1-propynyl group.
- R30-L3- in R3 of the formula (1), R30 has the same meaning as R23, and L3 has the same meaning as L2.
- R30-L3- preferably includes a methylthio group, a methanesulfinyl group, a methanesulfonyl group, a trifluoromethylthio group, a trifluoromethanesulfinyl group, and a trifluoromethanesulfonyl group, and more preferably a methylthio group, a methanesulfinyl group. Groups, and methanesulfonyl groups.
- R31R32N— in R3 of the formula (1) has the same meaning as R21 and R22, and is preferably an amino group, a dimethylamino group, an ethylmethylamino group, a diethylamino group, a pyrrolidinyl group, or A piperidinyl group, more preferably a dimethylamino group, an ethylmethylamino group, or a diethylamino group.
- R33C ( ⁇ O) — (wherein R33 represents a C1-C6 alkyl group, a C1-C6 haloalkyl group, or a C3-C8 cycloalkyl group) in R3 of the formula (1).
- Terminology is as defined above.
- “R33C ( ⁇ O) —” preferably includes an acetyl group, a propionyl group, a difluoroacetyl group, a trifluoroacetyl group, and a cyclopropanecarbonyl group, and more preferably an acetyl group, a difluoroacetyl group, and a triphenyl group.
- a fluoroacetyl group is mentioned.
- X in the formula (1) represents an oxygen atom or a sulfur atom.
- Preferred X is an oxygen atom.
- Y in Formula (1) represents a phenyl group, a pyridyl group, a pyridazinyl group, a pyrimidinyl group, a pyrazinyl group, a triazinyl group, a tetrazinyl group, a thienyl group, a thiazolyl group, an isothiazolyl group, or a thiadiazolyl group.
- the substituent D is substituted at the ortho position, and the substituent D1 is independently independently substituted with 0 to 4 appropriately.
- the substituent D is substituted at the ortho position, and the substituent D1 is independently independently selected from 0 to 3 Replace.
- the substituent D is substituted at the ortho position, and the substituent D1 is independently independently substituted with 0-2.
- “Substituent D” in formula (1) is selected from the group consisting of a halogen atom, a C1-C6 alkyl group, a C1-C6 haloalkyl group, a C1-C6 alkoxy group, and a C1-C6 haloalkoxy group Represents at least one kind.
- the substituent D is preferably a halogen atom or a C1-C6 alkyl group, In particular, a halogen atom is preferable.
- substituent D As a preferable specific example of the substituent D, As a halogen atom, a fluorine atom, a chlorine atom, a bromine atom, and an iodine atom; A methyl group, an ethyl group, and a propyl group as the C1-C6 alkyl group; A difluoromethyl group, a trifluoromethyl group, a 2,2-difluoroethyl group, and a 2,2,2-trifluoroethyl group as the C1-C6 haloalkyl group; A C1-C6 alkoxy group as a methoxy group, an ethoxy group, a propyloxy group, an isopropyloxy group, a butoxy group, an isobutoxy group, and a t-butoxy group; And C1-C6 haloalkoxy groups include a difluoromethoxy group, a trifluoromethoxy group, a 2,2-d
- examples of the C1-C6 haloalkoxy group include a difluoromethoxy group, a trifluoromethoxy group, a 2,2-difluoroethoxy group, and a 2,2,2-trifluoroethoxy group.
- the “substituent D1” in formula (1) is a hydroxyl group, a halogen atom, a C1-C6 alkyl group, a C1-C6 haloalkyl group, a C3-C8 cycloalkyl group, a C1-C6 alkoxy group, a C1-C6 And at least one selected from the group consisting of C3-C8 cycloalkoxy groups.
- the substituent D1 is preferably a hydroxyl group, a halogen atom, a C1-C6 alkyl group, a C1-C6 alkoxy group, or a C1-C6 haloalkyl group, More preferably, a halogen atom, a C1-C6 alkyl group, a C1-C6 alkoxy group, or a C1-C6 haloalkoxy group is preferable.
- substituent D1 a hydroxyl group;
- a halogen atom a fluorine atom, a chlorine atom, a bromine atom, and an iodine atom;
- a methyl group, an ethyl group, and a propyl group as the C1-C6 alkyl group;
- a C3-C8 cycloalkyl group a cyclopropyl group, a cyclobutyl group, a cyclopentyl group, and a cyclohexyl group;
- a C1-C6 alkoxy group as a methoxy group, an ethoxy group, a propyloxy group, an isopropyloxy group,
- substituent D1 a hydroxyl group; A halogen atom, a fluorine atom, a chlorine atom, and a bromine atom; A methyl group and an ethyl group as the C1-C6 alkyl group; A difluoromethyl group and a trifluoromethyl group as a C1-C6 haloalkyl group; A cyclopropyl group and a cyclobutyl group as the C3-C8 cycloalkyl group; A methoxy group, an ethoxy group, a propyloxy group, and an isopropyloxy group as the C1-C6 alkoxy group; A difluoromethoxy group, a trifluoromethoxy group, a 2,2-difluoroethoxy group, and a 2,2,2-trifluoroethoxy group as the C1-C6 haloalkoxy group; As the C3-C8 cycloalkoxy
- Y is a phenyl group
- Y is represented by the formula (a) (Wherein D and D1 are as defined above, and ma represents an integer of 0 to 4).
- ma represents an integer of 0 to 4.
- 2 or more D1s each represent an independent substituent, may be the same or different, and can be arbitrarily selected.
- the ortho position means the position of the phenyl group having the substituent D as shown in the formula (a).
- the phenyl group in which the substituent D is located in the ortho position is a feature of the present invention.
- a preferred combination of the formula (a) is a 2-D-6-D1-phenyl group, a 2-D-4-D1-phenyl group, or a 2-D-4-D1-6-D1-phenyl group.
- 2-D-6-D1-phenyl group means a disubstituted phenyl group having a substituent D at the 2-position and a substituent D1 at the 6-position, and the following description is also the same.
- Y is a group represented by the formula (b) (Wherein D and D1 are as defined above, and mb represents an integer of 0 to 3).
- G1, G2, G3 and G4 in the formula (b) are each independently a carbon atom or a nitrogen atom. However, at least one of G1, G2, G3 and G4 is a nitrogen atom. Preferred G1, G2, G3 and G4 are any one of G1, G2, G3 and G4 being a nitrogen atom. That is, it is a pyridyl group.
- mb represents an integer of 0 to 3. When mb in the formula (b) is 2 or more, 2 or more D1s each represent an independent substituent, may be the same or different, and can be arbitrarily selected.
- the ortho position means a 6-membered ring having a substituent D as shown in the formula (b).
- Means the position of Specific examples of the partial structure of the formula (b) are shown below.
- a pyridyl group, pyridazinyl group, pyrimidinyl group, pyrazinyl group, triazinyl group, or tetrazinyl group in which the substituent D is located in the ortho position is a feature of the present invention.
- Preferred combinations of formula (b) are 3-D-2-pyridyl group, 3-D-5-D1-2-pyridyl group, 2-D-3-pyridyl group, 2-D-4-D1-3- Pyridyl group, 2-D-6-D1-3-pyridyl group, 2-D-4-D1-6-D1-3-pyridyl group, 4-D-3-pyridyl group, 4-D-2-D1- 3-pyridyl group, 4-D-6-D1-3-pyridyl group, 4-D-2-D1-6-D1-3-pyridyl group, 3-D-4-pyridyl group, or 3-D-5 -D1-4-pyridyl group.
- Y is a group represented by the formula (c-1) Formula (c-2) Or the formula (c-3) (Wherein D and D1 are as defined above, and mc represents an integer of 0 to 2).
- G5 and G6 in formula (c-1), formula (c-2) and formula (c-3) are each independently a carbon atom or a nitrogen atom.
- mc represents an integer of 0 to 2.
- D1 in 2 represents an independent substituent, and may be the same or different and arbitrarily selected can do.
- the ortho position is represented by the formula (c-1), the formula (c-2), and the formula (c-3).
- the thienyl group, thiazolyl group, isothiazolyl group, or thiadiazolyl group in which the substituent D is located in the ortho position is a feature of the present invention.
- the bond including the broken line in Equation (1) is This represents the location represented by.
- the bond including the broken line part in Formula (1) represents a double bond or a single bond.
- R3 in the formula (1b) is a substituent other than hydrogen, only one of the R-form and S-form, or a mixture of the R-form and the S-form in an arbitrary ratio.
- the compound represented by formula (1) may have one or two axial asymmetry.
- the isomer ratio is a single or an arbitrary mixing ratio, and is not particularly limited.
- the compound represented by Formula (1) may contain an asymmetric atom.
- the isomer ratio is a single or an arbitrary mixing ratio, and is not particularly limited.
- the compound represented by Formula (1) may contain geometric isomers.
- the isomer ratio is a single or an arbitrary mixing ratio, and is not particularly limited.
- the compound represented by the formula (1) may be able to form a salt.
- a salt examples thereof include acid salts such as hydrochloric acid, sulfuric acid, acetic acid, fumaric acid and maleic acid, and metal salts such as sodium, potassium and calcium, but are not particularly limited as long as they can be used as agricultural chemicals.
- specific compounds of the pyridone compound represented by the formula (I) according to the present invention include the structural formula shown in Table 1, (R2) n shown in Table 2, and X which is an oxygen atom or a sulfur atom. It is represented by the combination. These compounds are for illustrative purposes, and the present invention is not limited thereto.
- the description “2-F—” in Table 2 means that a fluorine atom is bonded to the 2-position of the phenyl group to which (R2) n is bonded, and “2-F-3”
- the description “—HO—” means that a fluorine atom is bonded to the 2-position and a hydroxyl group is bonded to the 3-position.
- the description of “2,3-di-F” means that the 2-position and 3 This means that a fluorine atom is bonded to the position, and other descriptions are the same.
- R4 is a hydrogen atom, a hydroxyl group, a cyano group, a C1-C6 alkyl group that may be optionally substituted with a substituent A, a C1-C6 haloalkyl group, or a C3-optionally substituted C3- A C8 cycloalkyl group, a C2-C6 alkenyl group optionally substituted with substituent A, a C2-C6 haloalkenyl group, a C2-C6 alkynyl group optionally substituted with substituent A, C2- C6 haloalkynyl group, C1-C6 alkoxy group optionally substituted with substituent A, C1-C6 haloalkoxy group, C3-C8 cycloalkoxy group optionally substituted with substituent A, substituted A C2-C6 alkenyloxy group optionally substituted with the group A, a C2-C6 haloalkenyloxy group, a C3-C8
- Production method A is a method for obtaining a compound represented by the formula (1b-a) containing the compound of the present invention and a production intermediate of the compound of the present invention, wherein the compound represented by formula (3) and R4NH 2 , A production method comprising reacting in the presence of an acid.
- R4NH 2 used in this reaction can be produced by obtaining or known manner as a commercially available product.
- R4NH 2 are hydrochloric, may be those forming a salt with an acidic compound such as acetic acid, it is not particularly limited as long as the reaction proceeds to the desired.
- R4NH 2 used in this reaction may if 1 equivalent or more relative to the compound represented by formula (3), but are not particularly limited as long as the reaction proceeds to the desired, preferably, 1 Equivalent to 200 equivalents.
- Examples of the acid used in this reaction include inorganic acids such as hydrochloric acid and sulfuric acid, and organic acids such as acetic acid, methanesulfonic acid, and p-toluenesulfonic acid, and are particularly limited as long as the target reaction proceeds. Although not preferred, acetic acid is preferred. Further, when using salts with R4NH 2 and the acidic compound, the use of acid is not essential.
- the amount of the acid used in this reaction may if 1 equivalent or more relative to the R4NH 2, is not limited in particular as long as the reaction proceeds to the desired, preferably, one or more equivalents 200 equivalent or less is there.
- the acid to be used is a liquid, it can also be used as a solvent.
- a solvent can be used for this reaction, it is not necessarily essential.
- the solvent used in this reaction is not particularly limited as long as the target reaction proceeds, but acidic solvents such as acetic acid and methanesulfonic acid, diethyl ether, diisopropyl ether, methyl-t-butyl ether, dimethoxy Ether solvents such as ethane, tetrahydrofuran, dioxane, alcohol solvents such as methanol, ethanol, isopropanol, benzene solvents such as benzene, toluene, xylene, mesitylene, chlorobenzene, dichlorobenzene, ethyl acetate, isopropyl acetate, butyl acetate, etc.
- Ester solvents such as acetonitrile, amide solvents such as N-methylpyrrolidone, N, N-dimethylformamide, N, N-dimethylacetamide, urea systems such as 1,3-dimethyl-2-imidazolidinone solvent Dichloromethane, dichloroethane, chloroform, and halogen solvents such as carbon tetrachloride. These solvents can be used alone or in admixture of two or more.
- the solvent is preferably an acidic solvent, more preferably acetic acid.
- the amount of the solvent used in this reaction is not particularly limited as long as the target reaction proceeds, but it is usually 3 to 200 times by weight with respect to the compound represented by formula (3). is there.
- the temperature at which this reaction is carried out is not particularly limited as long as the target reaction proceeds, but is usually 50 ° C. or higher and 180 ° C. or lower or the boiling point of the solvent or lower.
- an aqueous solution an acidic aqueous solution in which hydrochloric acid, sulfuric acid or the like is dissolved, an alkaline aqueous solution in which potassium hydroxide, sodium hydroxide, sodium carbonate, potassium carbonate, sodium hydrogen carbonate, potassium hydrogen carbonate or the like is dissolved, or an arbitrary aqueous solution is used.
- benzene solvents such as toluene, xylene, benzene, chlorobenzene and dichlorobenzene
- ester solvents such as ethyl acetate, isopropyl acetate and butyl acetate, diethyl ether, diisopropyl ether, methyl Solvents that are not compatible with water, such as ether solvents such as t-butyl ether, halogen solvents such as dichloromethane, dichloroethane, chloroform, and carbon tetrachloride, and hydrocarbon solvents such as hexane, heptane, cyclohexane, and methylcyclohexane. It is possible to add. Moreover, these solvents can be used alone, or two or more kinds can be mixed in an arbitrary ratio. The number of times of liquid separation is not particularly limited, and can be carried out according to the target purity and yield.
- the reaction mixture containing the compound represented by the formula (1b-a) obtained above can remove moisture with a desiccant such as sodium sulfate or magnesium sulfate, but is not essential.
- the reaction mixture containing the compound represented by the formula (1b-a) obtained above can be distilled off under reduced pressure as long as the compound is not decomposed.
- the reaction mixture containing the compound represented by the formula (1b-a) obtained after distilling off the solvent can be purified by washing, reprecipitation, recrystallization, column chromatography or the like with an appropriate solvent. What is necessary is just to set suitably according to the target purity.
- the compound represented by formula (2) which can be produced when R4 represents a hydrogen atom in the compound represented by formula (1b-a), It can be a useful production intermediate for obtaining the compound represented by 1b).
- a specific example of the production intermediate represented by the formula (2) is represented by a combination of the structural formula shown in Table 3, (R2) n shown in Table 2, and X which is an oxygen atom or a sulfur atom. These compounds are for illustrative purposes, and the present invention is not limited thereto.
- Lv represents a methanesulfonyl group, a trifluoromethanesulfonyl group, a p-toluenesulfonyl group, a leaving group such as a halogen atom, and R1, R2, R3, X, Y, and n are as defined above.
- Production method B is a method for obtaining a compound represented by formula (1b), which comprises reacting the production intermediate represented by formula (2) with R1Lv in a solvent in the presence of a base. It is a manufacturing method.
- R1Lv used in this reaction can be obtained as a commercial product or can be produced by a known method.
- the amount of R1Lv used in this reaction may be 1 equivalent or more with respect to the compound represented by formula (2), and is not particularly limited as long as the target reaction proceeds. 1 equivalent or more and 10 equivalents or less.
- Examples of the base used in this reaction include inorganic bases such as sodium hydroxide, potassium hydroxide, sodium carbonate, potassium carbonate, cesium carbonate, and sodium hydride, but are particularly limited as long as the intended reaction proceeds. It will never be done.
- the amount of the base used in this reaction may be 1 equivalent or more with respect to the compound represented by formula (2), and is not particularly limited as long as the target reaction proceeds. 1 equivalent or more and 10 equivalents or less.
- the solvent used in this reaction is not particularly limited as long as the desired reaction proceeds, but ether solvents such as diethyl ether, diisopropyl ether, methyl-t-butyl ether, dimethoxyethane, tetrahydrofuran, dioxane, Alcohol solvents such as methanol, ethanol and isopropanol, benzene solvents such as benzene, toluene, xylene, mesitylene, chlorobenzene and dichlorobenzene, ester solvents such as ethyl acetate, isopropyl acetate and butyl acetate, nitrile solvents such as acetonitrile, Amide solvents such as N-methylpyrrolidone, N, N-dimethylformamide, N, N-dimethylacetamide, urea solvents such as 1,3-dimethyl-2-imidazolidinone, dichloromethane, dichloroethane, Ch
- the amount of the solvent used in this reaction is not particularly limited as long as the target reaction proceeds, but it is usually 3 to 200 times by weight with respect to the compound represented by formula (2). is there.
- the temperature at which this reaction is carried out is not particularly limited as long as the intended reaction proceeds, but is usually 0 ° C. or higher and 150 ° C. or lower or the boiling point of the solvent or lower.
- an aqueous solution an acidic aqueous solution in which hydrochloric acid, sulfuric acid or the like is dissolved, an alkaline aqueous solution in which potassium hydroxide, sodium hydroxide, sodium carbonate, potassium carbonate, sodium hydrogen carbonate, potassium hydrogen carbonate or the like is dissolved, sodium thiosulfate, sulfurous acid
- An aqueous solution or a salt solution in which a salt containing sulfur such as sodium is dissolved can be arbitrarily used.
- benzene solvents such as toluene, xylene, benzene, chlorobenzene and dichlorobenzene
- ester solvents such as ethyl acetate, isopropyl acetate and butyl acetate, diethyl ether, diisopropyl ether, methyl
- Solvents that are not compatible with water such as ether solvents such as t-butyl ether, halogen solvents such as dichloromethane, dichloroethane, chloroform, and carbon tetrachloride, and hydrocarbon solvents such as hexane, heptane, cyclohexane, and methylcyclohexane. It is possible to add.
- these solvents can be used alone, or two or more kinds can be mixed in an arbitrary ratio.
- the number of times of liquid separation is not particularly limited, and can be carried out according to the target purity and yield.
- the reaction mixture containing the compound represented by the formula (1b) obtained above can remove moisture with a desiccant such as sodium sulfate or magnesium sulfate, but is not essential.
- the reaction mixture containing the compound represented by the formula (1b) obtained above can be distilled off under reduced pressure as long as the compound is not decomposed.
- the reaction mixture containing the compound represented by the formula (1b) obtained after distilling off the solvent can be purified by washing, reprecipitation, recrystallization, column chromatography or the like with an appropriate solvent. What is necessary is just to set suitably according to the target purity.
- SR represents a sulfurizing agent
- R1, R2, R3, Y, and n are as defined above.
- Production method C is a production method for obtaining a compound represented by formula (1b-c) among the compounds represented by formula (1b), wherein the compound represented by formula (1b-b) is sulfurated. It is a manufacturing method including making an agent (SR) react in a solvent.
- SR agent
- sulfurizing agent examples include Lawesson's reagent (2,4-bis (4-methoxyphenyl) -1,3-dithia-2,4-diphosphetan-2,4-disulfide).
- the amount of the sulfurizing agent used in this reaction may be 0.5 equivalent or more with respect to the compound represented by the formula (1b-b), and is not particularly limited as long as the target reaction proceeds. However, it is preferably 1 equivalent or more and 10 equivalents or less.
- the solvent used in this reaction is not particularly limited as long as the desired reaction proceeds, but ether solvents such as diethyl ether, diisopropyl ether, methyl-t-butyl ether, dimethoxyethane, tetrahydrofuran, dioxane, Examples thereof include benzene-based solvents such as benzene, toluene, xylene, mesitylene, chlorobenzene and dichlorobenzene. These solvents can be used alone or in admixture of two or more.
- the amount of the solvent used in this reaction is not particularly limited as long as the target reaction proceeds, but it is usually 3 to 200 times by weight with respect to the compound represented by the formula (1b-b). It is as follows.
- the temperature at which this reaction is carried out is not particularly limited as long as the target reaction proceeds, but is usually 50 ° C. or higher and 180 ° C. or lower or the boiling point of the solvent or lower.
- an aqueous solution an acidic aqueous solution in which hydrochloric acid, sulfuric acid or the like is dissolved, an alkaline aqueous solution in which potassium hydroxide, sodium hydroxide, sodium carbonate, potassium carbonate, sodium hydrogen carbonate, potassium hydrogen carbonate or the like is dissolved, or an arbitrary aqueous solution is used.
- benzene solvents such as toluene, xylene, benzene, chlorobenzene and dichlorobenzene
- ester solvents such as ethyl acetate, isopropyl acetate and butyl acetate, diethyl ether, diisopropyl ether, methyl
- Solvents that are not compatible with water such as ether solvents such as t-butyl ether, halogen solvents such as dichloromethane, dichloroethane, chloroform, and carbon tetrachloride, and hydrocarbon solvents such as hexane, heptane, cyclohexane, and methylcyclohexane.
- liquid separation operation is not essential.
- the reaction mixture containing the compound represented by the formula (1b-c) obtained above can remove moisture with a desiccant such as sodium sulfate or magnesium sulfate, but it is not essential.
- the reaction mixture containing the compound represented by the formula (1b-c) obtained above can be distilled off under reduced pressure as long as the compound is not decomposed.
- the reaction mixture containing the compound represented by the formula (1b-c) obtained after the solvent is distilled off can be purified by washing, reprecipitation, recrystallization, column chromatography or the like with an appropriate solvent. What is necessary is just to set suitably according to the target purity.
- R3a is a C1-C6 alkyl group optionally substituted with a substituent C, a C1-C6 haloalkyl group, a C3-C8 cycloalkyl group optionally substituted with a substituent C, a substituent C2-C6 alkenyl group optionally substituted with C, C2-C6 haloalkenyl group, C2-C6 alkynyl group optionally substituted with substituent C, or C2-C6 haloalkynyl group , Lv, R1, R2, X, Y, and n are as defined above.
- R3a is optionally substituted with a C1-C6 alkyl group, a C1-C6 haloalkyl group, or a substituent C, which may be optionally substituted with a substituent C.
- R3aLv used in this reaction can be obtained as a commercial product or can be produced by a known method.
- the amount of R3aLv used in this reaction may be 1 equivalent or more with respect to the compound represented by formula (1b-d), and is not particularly limited as long as the target reaction proceeds, but is preferably Is 1 equivalent or more and 1.8 equivalent or less.
- Bases used in this reaction include metal hydrides such as sodium hydride, organic lithiums such as methyl lithium, butyl lithium, sec-butyl lithium, t-butyl lithium, hexyl lithium, lithium diisopropylamide, hexamethyldisilazane
- metal hydrides such as sodium hydride
- organic lithiums such as methyl lithium, butyl lithium, sec-butyl lithium, t-butyl lithium, hexyl lithium, lithium diisopropylamide, hexamethyldisilazane
- metal amides such as lithium, sodium hexamethyldisilazane, and potassium hexamethyldisilazane.
- the amount of the base used in this reaction may be 1 equivalent or more with respect to the compound represented by the formula (1b-d), and is not particularly limited as long as the target reaction proceeds, but preferably Is 1 equivalent or more and 10 equivalents or less.
- the solvent used in this reaction is not particularly limited as long as the desired reaction proceeds, but ether solvents such as diethyl ether, diisopropyl ether, methyl-t-butyl ether, dimethoxyethane, tetrahydrofuran, dioxane, Examples thereof include benzene-based solvents such as benzene, toluene, xylene, mesitylene, chlorobenzene and dichlorobenzene. These solvents can be used alone or in admixture of two or more.
- the amount of the solvent used in this reaction is not particularly limited as long as the target reaction proceeds, but it is usually 3 to 200 times by weight with respect to the compound represented by the formula (1b-d). It is as follows.
- the temperature at which this reaction is carried out is not particularly limited as long as the intended reaction proceeds, but is usually from ⁇ 80 ° C. to 100 ° C. or the boiling point of the solvent.
- an aqueous solution an acidic aqueous solution in which hydrochloric acid, sulfuric acid or the like is dissolved, an alkaline aqueous solution in which potassium hydroxide, sodium hydroxide, sodium carbonate, potassium carbonate, sodium hydrogen carbonate, potassium hydrogen carbonate or the like is dissolved, sodium thiosulfate, sulfurous acid
- An aqueous solution or a salt solution in which a salt containing sulfur such as sodium is dissolved can be arbitrarily used.
- benzene solvents such as toluene, xylene, benzene, chlorobenzene and dichlorobenzene
- ester solvents such as ethyl acetate, isopropyl acetate and butyl acetate, diethyl ether, diisopropyl ether, methyl
- a solvent that is not compatible with water such as an ether solvent such as t-butyl ether, a halogen solvent such as dichloromethane, dichloroethane, or chloroform, or a hydrocarbon solvent such as hexane, heptane, cyclohexane, or methylcyclohexane.
- these solvents can be used alone, or two or more kinds can be mixed in an arbitrary ratio.
- the number of times of liquid separation is not particularly limited, and can be carried out according to the target purity and yield.
- the reaction mixture containing the compound represented by the formula (1b-e) obtained above can remove moisture with a desiccant such as sodium sulfate or magnesium sulfate, but is not essential.
- the reaction mixture containing the compound represented by the formula (1b-e) obtained above can be distilled off under reduced pressure as long as the compound is not decomposed.
- the reaction mixture containing the compound represented by the formula (1b-e) obtained after distilling off the solvent can be purified by washing, reprecipitation, recrystallization, column chromatography or the like with an appropriate solvent. What is necessary is just to set suitably according to the target purity.
- Ox represents an oxidizing agent
- R1, R2, R3, X, Y, and n are as defined above.
- Production method E is a method for obtaining a compound represented by formula (1a), which comprises reacting a compound represented by formula (1b) with an oxidizing agent (Ox) in a solvent. is there.
- oxidizing agent used in this reaction examples include metal oxides such as manganese dioxide, benzoquinones such as 2,3-dichloro-5,6-dicyano-p-benzoquinone, azobisisobutyronitrile, and benzoyl peroxide.
- the oxidizing agent is a metal oxide.
- the amount of the oxidizing agent used in this reaction is not particularly limited as long as the target reaction proceeds as long as it is 1 equivalent or more with respect to the compound represented by the formula (1b). Equivalent to 200 equivalents.
- the solvent used in this reaction is not particularly limited as long as the intended reaction proceeds, but benzene solvents such as benzene, toluene, xylene, mesitylene, chlorobenzene, dichlorobenzene, dichloromethane, dichloroethane, chloroform, And halogen-based solvents such as carbon tetrachloride. These solvents can be used alone or in admixture of two or more.
- the amount of solvent used in this reaction is not particularly limited as long as the target reaction proceeds, but it is usually 3 to 200 times by weight with respect to the compound represented by formula (1b). is there.
- the temperature at which this reaction is carried out is not particularly limited as long as the intended reaction proceeds, but is usually 0 ° C. or higher and 150 ° C. or lower or the boiling point of the solvent or lower.
- an aqueous solution an acidic aqueous solution in which hydrochloric acid, sulfuric acid or the like is dissolved, an alkaline aqueous solution in which potassium hydroxide, sodium hydroxide, sodium carbonate, potassium carbonate, sodium hydrogen carbonate, potassium hydrogen carbonate or the like is dissolved, or an arbitrary aqueous solution is used.
- benzene solvents such as toluene, xylene, benzene, chlorobenzene and dichlorobenzene
- ester solvents such as ethyl acetate, isopropyl acetate and butyl acetate, diethyl ether, diisopropyl ether, methyl
- Solvents that are not compatible with water such as ether solvents such as t-butyl ether, halogen solvents such as dichloromethane, dichloroethane, chloroform, and carbon tetrachloride, and hydrocarbon solvents such as hexane, heptane, cyclohexane, and methylcyclohexane.
- liquid separation operation is not essential.
- the reaction mixture containing the compound represented by the formula (1a) obtained above can remove moisture with a desiccant such as sodium sulfate or magnesium sulfate, but is not essential.
- the reaction mixture containing the compound represented by the formula (1a) obtained above can be distilled off under reduced pressure as long as the compound is not decomposed.
- the reaction mixture containing the compound represented by the formula (1a) obtained after distilling off the solvent can be purified by washing, reprecipitation, recrystallization, column chromatography or the like with an appropriate solvent. What is necessary is just to set suitably according to the target purity.
- the oxidizing agent is a benzoquinone.
- the amount of the oxidizing agent used in this reaction is not particularly limited as long as the target reaction proceeds as long as it is 1 equivalent or more with respect to the compound represented by the formula (1b). Equivalent to 20 equivalents.
- the solvent used in this reaction is not particularly limited as long as the intended reaction proceeds, but benzene solvents such as benzene, toluene, xylene, mesitylene, chlorobenzene, dichlorobenzene, dichloromethane, dichloroethane, chloroform, And halogen-based solvents such as carbon tetrachloride. These solvents can be used alone or in admixture of two or more.
- the amount of solvent used in this reaction is not particularly limited as long as the target reaction proceeds, but it is usually 3 to 200 times by weight with respect to the compound represented by formula (1b). is there.
- the temperature at which this reaction is carried out is not particularly limited as long as the intended reaction proceeds, but is usually 0 ° C. or higher and 150 ° C. or lower or the boiling point of the solvent or lower.
- an aqueous solution an acidic aqueous solution in which hydrochloric acid, sulfuric acid or the like is dissolved, an alkaline aqueous solution in which potassium hydroxide, sodium hydroxide, sodium carbonate, potassium carbonate, sodium hydrogen carbonate, potassium hydrogen carbonate or the like is dissolved, or an arbitrary aqueous solution is used.
- benzene solvents such as toluene, xylene, benzene, chlorobenzene and dichlorobenzene
- ester solvents such as ethyl acetate, isopropyl acetate and butyl acetate, diethyl ether, diisopropyl ether, methyl
- Solvents that are not compatible with water such as ether solvents such as t-butyl ether, halogen solvents such as dichloromethane, dichloroethane, chloroform, and carbon tetrachloride, and hydrocarbon solvents such as hexane, heptane, cyclohexane, and methylcyclohexane.
- liquid separation operation is not essential.
- the reaction mixture containing the compound represented by the formula (1a) obtained above can remove moisture with a desiccant such as sodium sulfate or magnesium sulfate, but is not essential.
- the reaction mixture containing the compound represented by the formula (1a) obtained above can be distilled off under reduced pressure as long as the compound is not decomposed.
- the reaction mixture containing the compound represented by the formula (1a) obtained after distilling off the solvent can be purified by washing, reprecipitation, recrystallization, column chromatography or the like with an appropriate solvent. What is necessary is just to set suitably according to the target purity.
- the oxidizing agent is a combination of a radical initiator and a halogenating agent. If the amount of the radical initiator and the halogenating agent used in this reaction is 0.01 equivalent or more and 1.0 equivalent or more with respect to the compound represented by the formula (1b), the target reaction proceeds. As long as it does, it will not specifically limit.
- the radical initiator is 0.01 equivalent to 1 equivalent and the halogenating agent is 1 equivalent to 3 equivalent.
- the solvent used in this reaction is not particularly limited as long as the target reaction proceeds, but halogenated benzene solvents such as chlorobenzene and dichlorobenzene, and ester solvents such as ethyl acetate, isopropyl acetate and butyl acetate.
- halogenated benzene solvents such as chlorobenzene and dichlorobenzene
- ester solvents such as ethyl acetate, isopropyl acetate and butyl acetate.
- the solvent include halogen solvents such as dichloromethane, dichloroethane, chloroform, and carbon tetrachloride, and hydrocarbon solvents such as hexane, heptane, cyclohexane, and methylcyclohexane. These solvents can be used alone or in admixture of two or more.
- the amount of solvent used in this reaction is not particularly limited as long as the target reaction proceeds, but it is usually 3 to 200 times by weight with respect to the compound represented by formula (1b). is there.
- the temperature at which this reaction is carried out is not particularly limited as long as the target reaction proceeds, but is usually 20 ° C. or higher and 150 ° C. or lower or the boiling point of the solvent or lower.
- an aqueous solution an acidic aqueous solution in which hydrochloric acid, sulfuric acid or the like is dissolved, an alkaline aqueous solution in which potassium hydroxide, sodium hydroxide, sodium carbonate, potassium carbonate, sodium hydrogen carbonate, potassium hydrogen carbonate or the like is dissolved, sodium thiosulfate, sulfurous acid
- An aqueous solution or a salt solution in which a salt containing sulfur such as sodium is dissolved can be arbitrarily used.
- benzene solvents such as toluene, xylene, benzene, chlorobenzene and dichlorobenzene
- ester solvents such as ethyl acetate, isopropyl acetate and butyl acetate, diethyl ether, diisopropyl ether, methyl
- a solvent that is not compatible with water such as an ether solvent such as t-butyl ether, a halogen solvent such as dichloromethane, dichloroethane, or chloroform, or a hydrocarbon solvent such as hexane, heptane, cyclohexane, or methylcyclohexane.
- these solvents can be used alone, or two or more kinds can be mixed in an arbitrary ratio.
- the number of times of liquid separation is not particularly limited, and can be carried out according to the target purity and yield.
- the reaction mixture containing the compound represented by the formula (1a) obtained above can remove moisture with a desiccant such as sodium sulfate or magnesium sulfate, but is not essential.
- the reaction mixture containing the compound represented by the formula (1a) obtained above can be distilled off under reduced pressure as long as the compound is not decomposed.
- the reaction mixture containing the compound represented by the formula (1a) obtained after distilling off the solvent can be purified by washing, reprecipitation, recrystallization, column chromatography or the like with an appropriate solvent. What is necessary is just to set suitably according to the target purity.
- R3b represents a halogen atom
- HalR represents a halogenating agent
- R1, R2, X, Y, and n are as defined above.
- Production method F is a production method for obtaining a compound represented by formula (1a-b) in which R3b represents a halogen atom among the compounds represented by formula (1a), which is represented by formula (1a-a). And a halogenating agent (HalR) in a solvent.
- selectfluoro N-fluoro-N′-triethylenediamine bis (tetrafluoroborate)
- N-chlorosuccinimide N-bromosuccinimide
- N-iodosuccinimide 1 1,3-Dichloro-5,5-dimethylhydantoin, 1,3-dibromo-5,5-dimethylhydantoin, 1,3-diiodo-5,5-dimethylhydantoin, bromine, iodine and the like.
- the amount of the halogenating agent used in this reaction is not particularly limited as long as the target reaction proceeds as long as it is 1 equivalent or more with respect to the compound represented by the formula (1a-a). Preferably, it is 1 equivalent or more and 10 equivalents or less. However, the amount of the halogenating agent containing hydantoin is not particularly limited as long as the target reaction proceeds as long as it is 0.5 equivalent or more, and preferably 1 equivalent or more and 5 equivalents or less.
- the halogenating agent used in this reaction is an iodinating agent
- an acid such as an inorganic acid such as hydrochloric acid or sulfuric acid, or an organic acid such as acetic acid, trifluoroacetic acid, methanesulfonic acid, or trifluoromethanesulfonic acid.
- the amount of acid used is 0.01 equivalent or more with respect to the compound represented by formula (1a-a), although it does not restrict
- the solvent used in this reaction is not particularly limited as long as the target reaction proceeds, but acidic solvents such as sulfuric acid, acetic acid, trifluoroacetic acid, methanesulfonic acid and trifluoromethanesulfonic acid, diethyl ether , Ether solvents such as diisopropyl ether, methyl-t-butyl ether, dimethoxyethane, tetrahydrofuran and dioxane, alcohol solvents such as methanol, ethanol and isopropanol, benzene solvents such as benzene, toluene, xylene, mesitylene, chlorobenzene and dichlorobenzene Ester solvents such as ethyl acetate, isopropyl acetate, butyl acetate, nitrile solvents such as acetonitrile, amide solvents such as N-methylpyrrolidone, N, N-dimethylformamide, N, N
- the amount of the solvent used in this reaction is not particularly limited as long as the target reaction proceeds, but it is usually 3 to 200 times by weight with respect to the compound represented by the formula (1a-a). It is as follows.
- the temperature at which this reaction is carried out is not particularly limited as long as the intended reaction proceeds, but is usually 0 ° C. or higher and 150 ° C. or lower or the boiling point of the solvent or lower.
- an aqueous solution an acidic aqueous solution in which hydrochloric acid, sulfuric acid or the like is dissolved, an alkaline aqueous solution in which potassium hydroxide, sodium hydroxide, sodium carbonate, potassium carbonate, sodium hydrogen carbonate, potassium hydrogen carbonate or the like is dissolved, sodium thiosulfate, sulfurous acid
- An aqueous solution or a salt solution in which a salt containing sulfur such as sodium is dissolved can be arbitrarily used.
- benzene solvents such as toluene, xylene, benzene, chlorobenzene and dichlorobenzene
- ester solvents such as ethyl acetate, isopropyl acetate and butyl acetate, diethyl ether, diisopropyl ether, methyl
- Solvents that are not compatible with water such as ether solvents such as t-butyl ether, halogen solvents such as dichloromethane, dichloroethane, chloroform, and carbon tetrachloride, and hydrocarbon solvents such as hexane, heptane, cyclohexane, and methylcyclohexane. It is possible to add.
- these solvents can be used alone, or two or more kinds can be mixed in an arbitrary ratio.
- the number of times of liquid separation is not particularly limited, and can be carried out according to the target purity and yield.
- the reaction mixture containing the compound represented by the formula (1a-b) obtained above can remove moisture with a desiccant such as sodium sulfate or magnesium sulfate, but is not essential.
- the reaction mixture containing the compound represented by the formula (1a-b) obtained above can be distilled off under reduced pressure as long as the compound is not decomposed.
- the reaction mixture containing the compound represented by the formula (1a-b) obtained after evaporation of the solvent can be purified by washing, reprecipitation, recrystallization, column chromatography or the like with an appropriate solvent. What is necessary is just to set suitably according to the target purity.
- R3c is a C1-C6 alkyl group optionally substituted with a substituent C, a C1-C6 haloalkyl group, a C3-C8 cycloalkyl group optionally substituted with a substituent C, a substituent C
- J represents an oxygen atom or a sulfur atom
- Q represents a hydrogen atom or a metal
- R1, R2, R3b, X, Y, and n have the same meanings as described above.
- R3c is optionally substituted with a C1-C6 alkyl group, a C1-C6 haloalkyl group, or a substituent C, which may be optionally substituted with a substituent C.
- C3-C8 cycloalkyl group C2-C6 alkenyl group optionally substituted with substituent C, C2-C6 haloalkenyl group, C2-C6 optionally substituted with substituent C Or a haloalkynyl group of C2 to C6, wherein J is an oxygen atom or a sulfur atom, and is a method of synthesizing a compound represented by the formula (1a-b) A compound obtained by a coupling reaction in which R3c-JQ is reacted in the presence of a transition metal.
- R 3b is a chlorine atom, a bromine atom, or an iodine atom.
- R3c-JQ used in this reaction is obtained as a commercial product or can be produced by a known method.
- Preferred Q is a hydrogen atom or an alkali metal such as sodium or potassium.
- the amount of R3c-JQ used in this reaction is not particularly limited as long as the target reaction proceeds as long as it is 1 equivalent or more with respect to the compound represented by the formula (1a-b).
- Q is a hydrogen atom, it can also be used as a solvent.
- the transition metal used in this reaction may have a ligand, such as palladium acetate, [1,1′-bis (diphenylphosphino) ferrocene] palladium dichloride, tris (dibenzylideneacetone) dipalladium, tetrakis ( Palladiums such as triphenylphosphine) palladium and bis (triphenylphosphine) palladium dichloride.
- a ligand such as palladium acetate, [1,1′-bis (diphenylphosphino) ferrocene] palladium dichloride, tris (dibenzylideneacetone) dipalladium, tetrakis ( Palladiums such as triphenylphosphine) palladium and bis (triphenylphosphine) palladium dichloride.
- the amount of the transition metal used in this reaction is 0.001 equivalent or more and 1 equivalent or less with respect to the compound represented by the formula (1a-b), but is particularly limited as long as the target reaction proceeds. None happen.
- triphenylphosphine 1,1′-bis (diphenylphosphino) ferrocene, 2-dicyclohexylphosphino-2′4′6′-triisopropylbiphenyl, 2-di-t -A phosphine ligand such as butylphosphino-2'4'6'-triisopropylbiphenyl can be added.
- the amount of the phosphine ligand used in this reaction is 0.001 equivalent or more and 1 equivalent or less with respect to the compound represented by the formula (1a-b), but is particularly limited as long as the target reaction proceeds. It will never be done.
- the base used in this reaction is an inorganic base such as sodium carbonate, potassium carbonate or cesium carbonate, or an organic base such as triethylamine, tributylamine or diisopropylethylamine.
- the amount of the base used in this reaction is not particularly limited as long as the target reaction proceeds as long as it is 1 equivalent or more with respect to the compound represented by the formula (1a-b). 1 equivalent or more and 50 equivalents or less.
- the solvent used in this reaction is not particularly limited as long as the target reaction proceeds, but R3c-JH (wherein R3c has the same meaning as described above and J is an oxygen atom).
- the amount of the solvent used in this reaction is not particularly limited as long as the target reaction proceeds, but it is usually 3 to 200 times by weight with respect to the compound represented by the formula (1a-b). It is as follows.
- the temperature at which this reaction is carried out is not particularly limited as long as the target reaction proceeds, but is usually 30 ° C. or higher and 200 ° C. or lower or the boiling point of the solvent or lower.
- an aqueous solution an acidic aqueous solution in which hydrochloric acid, sulfuric acid or the like is dissolved, an alkaline aqueous solution in which potassium hydroxide, sodium hydroxide, sodium carbonate, potassium carbonate, sodium hydrogen carbonate, potassium hydrogen carbonate or the like is dissolved, or an arbitrary aqueous solution is used.
- benzene solvents such as toluene, xylene, benzene, chlorobenzene and dichlorobenzene
- ester solvents such as ethyl acetate, isopropyl acetate and butyl acetate, diethyl ether, diisopropyl ether, methyl
- Solvents that are not compatible with water such as ether solvents such as t-butyl ether, halogen solvents such as dichloromethane, dichloroethane, chloroform, and carbon tetrachloride, and hydrocarbon solvents such as hexane, heptane, cyclohexane, and methylcyclohexane.
- these solvents can be used alone, or two or more kinds can be mixed in an arbitrary ratio.
- the number of times of liquid separation is not particularly limited, and can be carried out according to the target purity and yield. Further, it is possible to remove insoluble matters by performing a filtration operation, but this is not essential.
- the reaction mixture containing the compound represented by the formula (1a-c) obtained above can be distilled off under reduced pressure as long as the compound is not decomposed.
- the reaction mixture containing the compound represented by the formula (1a-c) obtained after distilling off the solvent can be purified by washing, reprecipitation, recrystallization, column chromatography or the like with an appropriate solvent. What is necessary is just to set suitably according to the target purity.
- R3d is a C1-C6 alkyl group optionally substituted with a substituent C, a C1-C6 haloalkyl group, a C3-C8 cycloalkyl group optionally substituted with a substituent C, a substituent C Represents an optionally substituted C2-C6 alkenyl group or C2-C6 haloalkenyl group, R3d-B represents an organic boronic acid, and R1, R2, R3b, X, Y and n are as defined above. It is.
- R3d in the compound represented by the formula (1a) is optionally substituted with a C1-C6 alkyl group, a C1-C6 haloalkyl group, or a substituent C, which may be optionally substituted with a substituent C.
- a compound represented by the formula (1a-d) which may be a C3-C8 cycloalkyl group, a C2-C6 alkenyl group optionally substituted with a substituent C, or a C2-C6 haloalkenyl group.
- a method of synthesis comprising obtaining a compound of formula (1a-b) and an organoboronic acid (R3d-B) by a Suzuki-Miyaura coupling in the presence of a transition metal and a base Is the method.
- R 3b is a chlorine atom, a bromine atom, or an iodine atom.
- R3d-B used in this reaction represents an organic boronic acid such as an organic boronic acid or an organic boronic acid ester, and can be obtained as a commercial product or produced by a known method.
- the amount of R3d-B used in this reaction is not particularly limited as long as the target reaction proceeds as long as it is 1 equivalent or more with respect to the compound represented by the formula (1a-b). Preferably, it is 1 equivalent or more and 10 equivalents or less.
- the transition metals used in this reaction are palladium, nickel, ruthenium, etc., and may have a ligand.
- Palladium is mentioned.
- the amount of the transition metal used in this reaction is 0.001 equivalent or more and 1 equivalent or less with respect to the compound represented by the formula (1a-b), but is particularly limited as long as the target reaction proceeds. None happen.
- phosphine ligands such as triphenylphosphine and tricyclohexylphosphine can be added.
- the amount of the phosphine ligand used in this reaction is 0.001 equivalent or more and 1 equivalent or less with respect to the compound represented by the formula (1a-b), but is particularly limited as long as the target reaction proceeds. It will never be done.
- the base used in this reaction includes inorganic bases such as sodium carbonate, potassium carbonate, cesium carbonate, and tripotassium phosphate, and metal alkoxides such as sodium methoxide, sodium ethoxide, and potassium t-butoxide.
- inorganic bases such as sodium carbonate, potassium carbonate, cesium carbonate, and tripotassium phosphate
- metal alkoxides such as sodium methoxide, sodium ethoxide, and potassium t-butoxide.
- the amount of the base used in this reaction is not particularly limited as long as the target reaction proceeds as long as it is 1 equivalent or more with respect to the compound represented by the formula (1a-b). 1 equivalent or more and 50 equivalents or less.
- the solvent used in this reaction is not particularly limited as long as the target reaction proceeds, but an ether such as an aqueous solvent, diethyl ether, diisopropyl ether, methyl-t-butyl ether, dimethoxyethane, tetrahydrofuran, dioxane, etc.
- benzene solvents such as benzene, toluene, xylene, mesitylene, chlorobenzene and dichlorobenzene. These solvents can be used alone or in admixture of two or more.
- the amount of the solvent used in this reaction is not particularly limited as long as the target reaction proceeds, but it is usually 3 to 200 times by weight with respect to the compound represented by the formula (1a-b). It is as follows.
- the temperature at which this reaction is carried out is not particularly limited as long as the target reaction proceeds, but is usually 30 ° C. or higher and 200 ° C. or lower or the boiling point of the solvent or lower.
- an aqueous solution an acidic aqueous solution in which hydrochloric acid, sulfuric acid or the like is dissolved, an alkaline aqueous solution in which potassium hydroxide, sodium hydroxide, sodium carbonate, potassium carbonate, sodium hydrogen carbonate, potassium hydrogen carbonate or the like is dissolved, or an arbitrary aqueous solution is used.
- benzene solvents such as toluene, xylene, benzene, chlorobenzene and dichlorobenzene
- ester solvents such as ethyl acetate, isopropyl acetate and butyl acetate, diethyl ether, diisopropyl ether, methyl
- Solvents that are not compatible with water such as ether solvents such as t-butyl ether, halogen solvents such as dichloromethane, dichloroethane, chloroform, and carbon tetrachloride, and hydrocarbon solvents such as hexane, heptane, cyclohexane, and methylcyclohexane.
- these solvents can be used alone, or two or more kinds can be mixed in an arbitrary ratio.
- the number of times of liquid separation is not particularly limited, and can be carried out according to the target purity and yield. Further, it is possible to remove insoluble matters by performing a filtration operation, but this is not essential.
- reaction mixture containing the compound represented by the formula (1a-d) obtained above can be distilled off under reduced pressure as long as the compound is not decomposed.
- reaction mixture containing the compound represented by formula (1a-d) obtained after evaporation of the solvent can be purified by washing, reprecipitation, recrystallization, column chromatography or the like with an appropriate solvent. What is necessary is just to set suitably according to the target purity.
- R3e represents a C2-C6 alkynyl group or a C2-C6 haloalkynyl group optionally substituted with a substituent C
- R1, R2, R3b, X, Y and n are as defined above.
- R3e is a C2-C6 alkynyl group or a C2-C6 haloalkynyl group optionally substituted with a substituent C (1a-)
- R 3b is a chlorine atom, a bromine atom, or an iodine atom.
- the terminal alkyne compound used in this reaction can be obtained as a commercial product or produced by a known method. Trimethylsilylacetylene can also be used as the terminal alkyne compound. In this case, it is necessary to perform desilylation after introducing a trimethylsilylethynyl group into the compound represented by the formula (1a-b).
- For the desilylation Journal of the American Chemical Society, Vol. 131, No. 2, pp. 634-643 (2009), Journal of the American Chemical Society. And Journal of Organometallic Chemistry (Vol. 696, No. 25, pages 4039-4045 (2011)), Journal of Organometallic Chemistry (Journal of Organometallic Chemistry). It can carry out with reference to nonpatent literatures, such as.
- the amount of the terminal alkyne compound used in this reaction is not particularly limited as long as the target reaction proceeds as long as it is 1 equivalent or more with respect to the compound represented by the formula (1a-b). Preferably, it is 1 equivalent or more and 10 equivalents or less.
- the transition metal used in this reaction may have a ligand, such as palladium acetate, [1,1′-bis (diphenylphosphino) ferrocene] palladium dichloride, tris (dibenzylideneacetone) dipalladium, tetrakis ( Palladiums such as triphenylphosphine) palladium and bis (triphenylphosphine) palladium dichloride.
- a ligand such as palladium acetate, [1,1′-bis (diphenylphosphino) ferrocene] palladium dichloride, tris (dibenzylideneacetone) dipalladium, tetrakis ( Palladiums such as triphenylphosphine) palladium and bis (triphenylphosphine) palladium dichloride.
- coppers such as copper chloride, copper bromide and copper iodide are also used at the same time.
- the amount of the transition metal used in this reaction may be 0.001 equivalent or more with respect to the compound represented by the formula (1a-b) for palladium and the like, respectively, and the target reaction proceeds. There is no particular limitation as long as it does. A preferable amount is 0.001 equivalent or more and 1 equivalent or less for both.
- Examples of the base used in this reaction include organic amines such as triethylamine, tributylamine, isopropylamine, diethylamine, diisopropylamine and diisopropylethylamine, and inorganic bases such as sodium carbonate, potassium carbonate and cesium carbonate.
- organic amines such as triethylamine, tributylamine, isopropylamine, diethylamine, diisopropylamine and diisopropylethylamine
- inorganic bases such as sodium carbonate, potassium carbonate and cesium carbonate.
- the amount of the base used in this reaction is not particularly limited as long as the target reaction proceeds as long as it is 1 equivalent or more with respect to the compound represented by the formula (1a-b). 1 equivalent or more and 50 equivalents or less.
- the organic base when it is liquid, it can be used as a solvent.
- a phosphine ligand such as tri-t-butylphosphine or 2-dicyclohexylphosphino-2'4'6'-triisopropylbiphenyl can be added to allow the reaction to proceed efficiently, but it is not essential. .
- the amount of the phosphine ligand used in this reaction is 0.001 equivalent or more and 1 equivalent or less with respect to the compound represented by the formula (1a-b), but is particularly limited as long as the target reaction proceeds. It will never be done.
- the solvent used in this reaction is not particularly limited as long as the desired reaction proceeds, but ether solvents such as diethyl ether, diisopropyl ether, methyl-t-butyl ether, dimethoxyethane, tetrahydrofuran, dioxane, Benzene solvents such as benzene, toluene, xylene, mesitylene, chlorobenzene, dichlorobenzene, ester solvents such as ethyl acetate, isopropyl acetate, butyl acetate, nitrile solvents such as acetonitrile, N-methylpyrrolidone, N, N-dimethylformamide Amide solvents such as N, N-dimethylacetamide, urea solvents such as 1,3-dimethyl-2-imidazolidinone, halogen solvents such as dichloromethane, dichloroethane, chloroform, carbon tetrachloride, tri
- the amount of the solvent used in this reaction is not particularly limited as long as the target reaction proceeds, but it is usually 3 to 200 times by weight with respect to the compound represented by the formula (1a-b). It is as follows.
- the temperature at which this reaction is carried out is not particularly limited as long as the intended reaction proceeds, but is usually 0 ° C. or higher and 150 ° C. or lower or the boiling point of the solvent or lower.
- an aqueous solution an acidic aqueous solution in which hydrochloric acid, sulfuric acid or the like is dissolved, an alkaline aqueous solution in which potassium hydroxide, sodium hydroxide, sodium carbonate, potassium carbonate, sodium hydrogen carbonate, potassium hydrogen carbonate or the like is dissolved, or an arbitrary aqueous solution is used.
- benzene solvents such as toluene, xylene, benzene, chlorobenzene and dichlorobenzene
- ester solvents such as ethyl acetate, isopropyl acetate and butyl acetate, diethyl ether, diisopropyl ether, methyl
- Solvents that are not compatible with water such as ether solvents such as t-butyl ether, halogen solvents such as dichloromethane, dichloroethane, chloroform, and carbon tetrachloride, and hydrocarbon solvents such as hexane, heptane, cyclohexane, and methylcyclohexane.
- these solvents can be used alone, or two or more of them can be mixed in an arbitrary ratio.
- the number of times of liquid separation is not particularly limited, and can be carried out according to the target purity and yield. Further, it is possible to remove insoluble matters by performing a filtration operation, but this is not essential.
- the reaction mixture containing the compound represented by the formula (1a-e) obtained above can be distilled off under reduced pressure as long as the compound is not decomposed.
- the reaction mixture containing the compound represented by the formula (1a-e) obtained after the solvent is distilled off can be purified with an appropriate solvent by washing, reprecipitation, recrystallization, column chromatography or the like. What is necessary is just to set suitably according to the target purity.
- R2a represents a C1 to C6 alkoxy group
- nb represents an integer of 0 to 4 (provided that when nb is 2 or more, each of R2 and 2 represents an independent substituent)
- R1 , R2, R3, X, Y and the broken line part have the same meanings as described above.
- Production method J is a method for synthesizing a compound represented by formula (1-b) having a hydroxyl group among the compounds represented by formula (1), wherein R2a is a C1-C6 alkoxy group ( This is a production method comprising obtaining the compound represented by 1-a) by reacting with an acid.
- the acid used for this reaction includes boron halides such as boron trichloride and boron tribromide.
- the amount of acid used in this reaction may be 1 equivalent or more with respect to the compound represented by the formula (1-a), and is not particularly limited as long as the target reaction proceeds, but preferably Is 1 equivalent or more and 10 equivalents or less.
- the solvent used in this reaction is not particularly limited as long as the target reaction proceeds, but benzene solvents such as benzene, toluene, xylene, mesitylene, chlorobenzene, dichlorobenzene, and nitrile solvents such as acetonitrile. And halogen solvents such as dichloromethane, dichloroethane, chloroform and carbon tetrachloride, and hydrocarbon solvents such as hexane, heptane, cyclohexane and methylcyclohexane. These solvents can be used alone or in admixture of two or more.
- the amount of the solvent used in this reaction is not particularly limited as long as the target reaction proceeds, but it is usually 3 to 200 times by weight with respect to the compound represented by the formula (1-a). It is as follows.
- the temperature at which this reaction is carried out is not particularly limited as long as the intended reaction proceeds, but is usually from ⁇ 80 ° C. to 100 ° C. or the boiling point of the solvent.
- an aqueous solution an acidic aqueous solution in which hydrochloric acid, sulfuric acid or the like is dissolved, an alkaline aqueous solution in which potassium hydroxide, sodium hydroxide, sodium carbonate, potassium carbonate, sodium hydrogen carbonate, potassium hydrogen carbonate or the like is dissolved, or an arbitrary aqueous solution is used.
- benzene solvents such as toluene, xylene, benzene, chlorobenzene and dichlorobenzene
- ester solvents such as ethyl acetate, isopropyl acetate and butyl acetate, diethyl ether, diisopropyl ether, methyl Solvents that are not compatible with water, such as ether solvents such as t-butyl ether, halogen solvents such as dichloromethane, dichloroethane, chloroform, and carbon tetrachloride, and hydrocarbon solvents such as hexane, heptane, cyclohexane, and methylcyclohexane. It is possible to add. Moreover, these solvents can be used alone, or two or more kinds can be mixed in an arbitrary ratio. The number of times of liquid separation is not particularly limited, and can be carried out according to the target purity and yield.
- the reaction mixture containing the compound represented by the formula (1-b) obtained above can remove moisture with a desiccant such as sodium sulfate or magnesium sulfate, but is not essential.
- a desiccant such as sodium sulfate or magnesium sulfate
- the reaction mixture containing the compound represented by the formula (1-b) obtained above can be distilled off under reduced pressure as long as the compound is not decomposed.
- the reaction mixture containing the compound represented by the formula (1-b) obtained after distilling off the solvent can be purified by washing, reprecipitation, recrystallization, column chromatography or the like with an appropriate solvent. What is necessary is just to set suitably according to the target purity.
- R2b—O— is a C1-C6 alkoxy group optionally substituted with the substituent B, a C1-C6 haloalkoxy group, a C3-C8 cycloalkoxy optionally substituted with the substituent B.
- R2b—O— may be optionally substituted with a substituent B, a C1-C6 alkoxy group, a C1-C6 haloalkoxy group, a substituent C3-C8 cycloalkoxy group optionally substituted with B, C2-C6 alkenyloxy group optionally substituted with substituent B, C2-C6 haloalkenyloxy group, optionally substituted with substituent B
- a process for synthesizing a compound represented by formula (1-b) comprising reacting a compound represented by formula (1-b) with R2b-Lv in a solvent in the presence of a base.
- R2b-Lv used in this reaction can be obtained as a commercial product or can be produced by a known method.
- R2b-Lv used in this reaction may be 1 equivalent or more with respect to the compound represented by formula (1-b), and is not particularly limited as long as the target reaction proceeds, but preferably Is 1 equivalent or more and 10 equivalents or less.
- Bases used in this reaction include inorganic bases such as sodium carbonate, potassium carbonate, cesium carbonate, sodium hydride, and organic bases such as triethylamine, tributylamine, diisopropylethylamine, pyridine, 4-dimethylaminopyridine, collidine, and lutidine.
- inorganic bases such as sodium carbonate, potassium carbonate, cesium carbonate, sodium hydride
- organic bases such as triethylamine, tributylamine, diisopropylethylamine, pyridine, 4-dimethylaminopyridine, collidine, and lutidine.
- organic bases such as triethylamine, tributylamine, diisopropylethylamine, pyridine, 4-dimethylaminopyridine, collidine, and lutidine.
- the base used in this reaction may be 1 equivalent or more with respect to the compound represented by formula (1-b), and is not particularly limited as long as the target reaction proceeds. 1 equivalent or more and 10 equivalents or less.
- the solvent used in this reaction is not particularly limited as long as the desired reaction proceeds, but ether solvents such as diethyl ether, diisopropyl ether, methyl-t-butyl ether, dimethoxyethane, tetrahydrofuran, dioxane, Alcohol solvents such as methanol, ethanol and isopropanol, benzene solvents such as benzene, toluene, xylene, mesitylene, chlorobenzene and dichlorobenzene, ester solvents such as ethyl acetate, isopropyl acetate and butyl acetate, nitrile solvents such as acetonitrile, Amide solvents such as N-methylpyrrolidone, N, N-dimethylformamide, N, N-dimethylacetamide, urea solvents such as 1,3-dimethyl-2-imidazolidinone, dichloromethane, dichloroethane, Ch
- the amount of the solvent used in this reaction is not particularly limited as long as the target reaction proceeds, but it is usually 3 to 200 times by weight with respect to the compound represented by the formula (1-b). It is as follows.
- the temperature at which this reaction is carried out is not particularly limited as long as the intended reaction proceeds, but is usually ⁇ 20 ° C. or higher and 150 ° C. or lower or the boiling point of the solvent or lower.
- an aqueous solution an acidic aqueous solution in which hydrochloric acid, sulfuric acid or the like is dissolved, an alkaline aqueous solution in which potassium hydroxide, sodium hydroxide, sodium carbonate, potassium carbonate, sodium hydrogen carbonate, potassium hydrogen carbonate or the like is dissolved, sodium thiosulfate, sulfurous acid
- An aqueous solution or a salt solution in which a salt containing sulfur such as sodium is dissolved can be arbitrarily used.
- benzene solvents such as toluene, xylene, benzene, chlorobenzene and dichlorobenzene
- ester solvents such as ethyl acetate, isopropyl acetate and butyl acetate, diethyl ether, diisopropyl ether, methyl
- Solvents that are not compatible with water such as ether solvents such as t-butyl ether, halogen solvents such as dichloromethane, dichloroethane, chloroform, and carbon tetrachloride, and hydrocarbon solvents such as hexane, heptane, cyclohexane, and methylcyclohexane. It is possible to add.
- these solvents can be used alone, or two or more kinds can be mixed in an arbitrary ratio.
- the number of times of liquid separation is not particularly limited, and can be carried out according to the target purity and yield.
- the reaction mixture containing the compound represented by the formula (1-c) obtained above can remove moisture with a desiccant such as sodium sulfate or magnesium sulfate, but it is not essential.
- the reaction mixture containing the compound represented by the formula (1-c) obtained above can be distilled off under reduced pressure as long as the compound is not decomposed.
- the reaction mixture containing the compound represented by the formula (1-c) obtained after distilling off the solvent can be purified by washing, reprecipitation, recrystallization, column chromatography or the like with an appropriate solvent. What is necessary is just to set suitably according to the target purity.
- R2c represents a halogen atom
- R2d is a C1-C6 alkyl group optionally substituted with the substituent B, a C1-C6 haloalkyl group, a C3-C8 optionally substituted with the substituent B
- R2d-B represents an organic boronic acid, R1, R2, R3, nb, X, Y, and the broken line are as defined above.
- R2d is optionally substituted with a C1-C6 alkyl group, a C1-C6 haloalkyl group, or a substituent B which may be optionally substituted with a substituent B.
- R2d is optionally substituted with a C1-C6 alkyl group, a C1-C6 haloalkyl group, or a substituent B which may be optionally substituted with a substituent B.
- the compound represented by the formula (1-e) which may be a C3-C8 cycloalkyl group, a C2-C6 alkenyl group optionally substituted with the substituent B, or a C2-C6 haloalkenyl group.
- a synthesis method comprising obtaining by a Suzuki-Miyaura coupling in which a compound represented by the formula (1-d) and an organic boronic acid (R2d-B) are reacted.
- R2c is preferably a chlorine atom, a bromine atom, or an iodine atom.
- production method H By using the compound represented by formula (1a-b) and R3d-B in production method H instead of the compound represented by formula (1-d) and R2d-B, respectively, production method H
- the production method L can be carried out according to the above.
- R2e represents a C2-C6 alkynyl group or a C2-C6 haloalkynyl group which may be optionally substituted with the substituent B, and R1, R2, R2c, R3, nb, X, Y and the broken line part It is synonymous with the above.
- R2e is a C2-C6 alkynyl group or a C2-C6 haloalkynyl group which may be optionally substituted with a substituent B
- a method for synthesizing the compound represented by f which comprises obtaining the compound represented by the formula (1-d) by Sonogashira coupling with a terminal alkyne compound.
- R2c is a chlorine atom, a bromine atom, or an iodine atom.
- the production method M can be carried out according to the production method I. .
- Da represents a halogen atom
- D1a represents a halogen atom
- D1b represents a C1-C6 alkoxy group, a C1-C6 haloalkoxy group, or a C3-C8 cycloalkoxy group
- E represents a halogen atom.
- R 1, R 2, R 3, n, X, Q, and a broken line part are as defined above.
- D1b is a C1-C6 alkoxy group, a C1-C6 haloalkoxy group, or a C3-C8 cycloalkoxy group
- E is a halogen atom.
- D1b-Q used in this reaction can be obtained as a commercial product or can be produced by a known method.
- Preferred Q is a hydrogen atom or an alkali metal such as sodium or potassium.
- the amount of D1b-Q used in this reaction is not particularly limited as long as the target reaction proceeds as long as it is 1 equivalent or more with respect to the compound represented by the formula (1-g). Preferably, it is 1 equivalent or more and 30 equivalent or less. Moreover, when Q represents a hydrogen atom, it can be used as a solvent.
- the base used in this reaction is preferably an inorganic base such as sodium carbonate, potassium carbonate, cesium carbonate or sodium hydride. Further, when Q is an alkali metal, the use of a base is not essential.
- the amount of the base used in this reaction is not particularly limited as long as the target reaction proceeds as long as it is 1 equivalent or more with respect to the compound represented by the formula (1-g). 1 equivalent or more and 30 equivalent or less.
- the solvent used in this reaction is not particularly limited as long as the target reaction proceeds, but alcohol solvents represented by D1b-H, diethyl ether, diisopropyl ether, methyl-t-butyl ether, dimethoxy Ether solvents such as ethane, tetrahydrofuran and dioxane, benzene solvents such as benzene, toluene, xylene, mesitylene, chlorobenzene and dichlorobenzene, ester solvents such as ethyl acetate, isopropyl acetate and butyl acetate, nitrile solvents such as acetonitrile, Amide solvents such as N-methylpyrrolidone, N, N-dimethylformamide, N, N-dimethylacetamide, urea solvents such as 1,3-dimethyl-2-imidazolidinone, dichloromethane, dichloroethane, chloroform, carbon te
- the amount of the solvent used in this reaction is not particularly limited as long as the target reaction proceeds, but it is usually 3 to 200 times by weight with respect to the compound represented by the formula (1-g). It is as follows.
- the temperature at which this reaction is carried out is not particularly limited as long as the intended reaction proceeds, but is usually 0 ° C. or higher and 150 ° C. or lower or the boiling point of the solvent or lower.
- an aqueous solution an acidic aqueous solution in which hydrochloric acid, sulfuric acid or the like is dissolved, an alkaline aqueous solution in which potassium hydroxide, sodium hydroxide, sodium carbonate, potassium carbonate, sodium hydrogen carbonate, potassium hydrogen carbonate or the like is dissolved, or an arbitrary aqueous solution is used.
- benzene solvents such as toluene, xylene, benzene, chlorobenzene and dichlorobenzene
- ester solvents such as ethyl acetate, isopropyl acetate and butyl acetate, diethyl ether, diisopropyl ether, methyl Solvents that are not compatible with water, such as ether solvents such as t-butyl ether, halogen solvents such as dichloromethane, dichloroethane, chloroform, and carbon tetrachloride, and hydrocarbon solvents such as hexane, heptane, cyclohexane, and methylcyclohexane. It is possible to add. Moreover, these solvents can be used alone, or two or more kinds can be mixed in an arbitrary ratio. The number of times of liquid separation is not particularly limited, and can be carried out according to the target purity and yield.
- the reaction mixture containing the compound represented by the formula (1-h) obtained above can remove moisture with a desiccant such as sodium sulfate or magnesium sulfate, but it is not essential.
- the reaction mixture containing the compound represented by the formula (1-h) obtained above can be distilled off under reduced pressure as long as the compound is not decomposed.
- the reaction mixture containing the compound represented by the formula (1-h) obtained after distilling off the solvent can be purified by washing, reprecipitation, recrystallization, column chromatography or the like with an appropriate solvent. What is necessary is just to set suitably according to the target purity.
- R2e represents a C1-C6 alkoxy group that may be optionally substituted with the substituent B
- R2f represents a C1-C6 alkoxy group that may be optionally substituted with the substituent B
- R2g represents a halogen atom.
- HalR, R1, R3, X, Y and the broken line part are as defined above.
- R2e is a C1-C6 alkoxy group which may be appropriately substituted with the substituent B
- R2f may be appropriately substituted with the substituent B.
- selectfluoro N-fluoro-N′-triethylenediamine bis (tetrafluoroborate)
- N-chlorosuccinimide N-bromosuccinimide
- N-iodosuccinimide 1 1,3-Dichloro-5,5-dimethylhydantoin, 1,3-dibromo-5,5-dimethylhydantoin, 1,3-diiodo-5,5-dimethylhydantoin, bromine, iodine and the like.
- the amount of the halogenating agent used in this reaction is not particularly limited as long as the target reaction proceeds as long as it is 1 equivalent or more with respect to the compound represented by the formula (1-i). Preferably, it is 1 equivalent or more and 10 equivalents or less. However, the amount of the halogenating agent containing hydantoin is not particularly limited as long as the target reaction proceeds as long as it is 0.5 equivalent or more, and preferably 1 equivalent or more and 5 equivalents or less.
- the halogenating agent used in this reaction is an iodinating agent
- an acid such as an inorganic acid such as hydrochloric acid or sulfuric acid, or an organic acid such as acetic acid, trifluoroacetic acid, methanesulfonic acid, or trifluoromethanesulfonic acid.
- the halogenating agent used in this reaction is an iodinating agent
- the amount of acid used is 0.01 equivalent or more with respect to the compound represented by formula (1-i), and the target reaction
- it is 0.1 equivalent or more and 3 equivalent or less.
- the solvent used in this reaction is not particularly limited as long as the target reaction proceeds, but acidic solvents such as sulfuric acid, acetic acid, trifluoroacetic acid, methanesulfonic acid and trifluoromethanesulfonic acid, diethyl ether , Ether solvents such as diisopropyl ether, methyl-t-butyl ether, dimethoxyethane, tetrahydrofuran and dioxane, alcohol solvents such as methanol, ethanol and isopropanol, benzene solvents such as benzene, toluene, xylene, mesitylene, chlorobenzene and dichlorobenzene Ester solvents such as ethyl acetate, isopropyl acetate, butyl acetate, nitrile solvents such as acetonitrile, amide solvents such as N-methylpyrrolidone, N, N-dimethylformamide, N, N
- the amount of the solvent used in this reaction is not particularly limited as long as the target reaction proceeds, but usually 3 to 200 times by weight with respect to the compound represented by the formula (1-i). It is as follows.
- the temperature at which this reaction is carried out is not particularly limited as long as the intended reaction proceeds, but is usually 0 ° C. or higher and 150 ° C. or lower or the boiling point of the solvent or lower.
- an aqueous solution an acidic aqueous solution in which hydrochloric acid, sulfuric acid or the like is dissolved, an alkaline aqueous solution in which potassium hydroxide, sodium hydroxide, sodium carbonate, potassium carbonate, sodium hydrogen carbonate, potassium hydrogen carbonate or the like is dissolved, sodium thiosulfate, sulfurous acid
- An aqueous solution or a salt solution in which a salt containing sulfur such as sodium is dissolved can be arbitrarily used.
- benzene solvents such as toluene, xylene, benzene, chlorobenzene and dichlorobenzene
- ester solvents such as ethyl acetate, isopropyl acetate and butyl acetate, diethyl ether, diisopropyl ether, methyl
- Solvents that are not compatible with water such as ether solvents such as t-butyl ether, halogen solvents such as dichloromethane, dichloroethane, chloroform, and carbon tetrachloride, and hydrocarbon solvents such as hexane, heptane, cyclohexane, and methylcyclohexane. It is possible to add.
- these solvents can be used alone, or two or more kinds can be mixed in an arbitrary ratio.
- the number of times of liquid separation is not particularly limited, and can be carried out according to the target purity and yield.
- the reaction mixture containing the compound represented by the formula (1-j) obtained above can remove moisture with a desiccant such as sodium sulfate or magnesium sulfate, but is not essential.
- the reaction mixture containing the compound represented by the formula (1-j) obtained above can be distilled off under reduced pressure as long as the compound is not decomposed.
- the reaction mixture containing the compound represented by the formula (1-j) obtained after distilling off the solvent can be purified by washing, reprecipitation, recrystallization, column chromatography or the like with an appropriate solvent. What is necessary is just to set suitably according to the target purity.
- La represents S
- Lb represents SO or SO 2
- Ox ′ represents an oxidizing agent
- Production method P during the compound represented by formula (1) a process for the preparation of a compound represented by R1, Lb contained in R2 and R3 is SO or SO 2 wherein (Lb), the formula ( In 1), it is a production method comprising reacting a compound represented by the formula (La) in which La contained in R1, R2 or R3 is S with an oxidizing agent (Ox ′) in a solvent.
- oxidizing agent used in this reaction examples include peroxides such as hydrogen peroxide and meta-chloroperbenzoic acid.
- transition metals such as sodium tungstate can be added.
- the amount of the oxidizing agent used in this reaction is usually 1.0 equivalent or more and 1.2 equivalent or less with respect to the compound represented by the formula (La) when producing SO, and produces SO 2 . When doing, it is usually 2 equivalents or more and 10 equivalents or less. Moreover, when adding transition metals, it is 0.001 equivalent or more and 1 equivalent or less normally.
- the solvent used in this reaction is not particularly limited as long as the target reaction proceeds, but an aqueous solvent, an acidic solvent such as acetic acid, benzene, toluene, xylene, mesitylene, chlorobenzene, dichlorobenzene, etc.
- an acidic solvent such as acetic acid, benzene, toluene, xylene, mesitylene, chlorobenzene, dichlorobenzene, etc.
- examples thereof include benzene solvents, nitrile solvents such as acetonitrile, and halogen solvents such as dichloromethane, dichloroethane, chloroform, and carbon tetrachloride. These solvents can be used alone or in admixture of two or more.
- the amount of the solvent used in this reaction is not particularly limited as long as the target reaction proceeds, but it is usually 3 times the weight of the compound represented by the formula (1) having the formula (La). More than 200 weight times.
- the temperature at which this reaction is carried out is not particularly limited as long as the intended reaction proceeds, but is usually ⁇ 10 ° C. or higher and 120 ° C. or lower or the boiling point of the solvent or lower.
- an aqueous solution an acidic aqueous solution in which hydrochloric acid, sulfuric acid or the like is dissolved, an alkaline aqueous solution in which potassium hydroxide, sodium hydroxide, sodium carbonate, potassium carbonate, sodium hydrogen carbonate, potassium hydrogen carbonate or the like is dissolved, sodium thiosulfate, sulfurous acid
- An aqueous solution or a salt solution in which a salt containing sulfur such as sodium is dissolved can be arbitrarily used.
- benzene solvents such as toluene, xylene, benzene, chlorobenzene and dichlorobenzene
- ester solvents such as ethyl acetate, isopropyl acetate and butyl acetate, diethyl ether, diisopropyl ether, methyl
- Solvents that are not compatible with water such as ether solvents such as t-butyl ether, halogen solvents such as dichloromethane, dichloroethane, chloroform, and carbon tetrachloride, and hydrocarbon solvents such as hexane, heptane, cyclohexane, and methylcyclohexane. It is possible to add.
- these solvents can be used alone, or two or more kinds can be mixed in an arbitrary ratio.
- the number of times of liquid separation is not particularly limited, and can be carried out according to the target purity and yield.
- the reaction mixture containing the compound represented by the formula (Lb) obtained above can remove moisture with a desiccant such as sodium sulfate or magnesium sulfate, but is not essential.
- the reaction mixture containing the compound represented by the formula (Lb) obtained above can be distilled off under reduced pressure as long as the compound is not decomposed.
- the reaction mixture containing the compound represented by the formula (Lb) obtained after distilling off the solvent can be purified by washing, reprecipitation, recrystallization, column chromatography or the like with an appropriate solvent. What is necessary is just to set suitably according to the target purity.
- R2, R3, R5, n, X and Y have the same meanings as described above.
- Production method Q is a production method of a production intermediate represented by formula (3), in which a compound represented by formula (4) and a compound represented by formula (5) are mixed in a solvent in the presence of a base. It is a manufacturing method including making it react with.
- the compound represented by the formula (4) used in this reaction is, for example, Green Chemistry, Vol. 41, pages 580-585, The Journal of Organic Chemistry, No. 65, No. 20, pages 6458-6461 (2000). Etc. can be synthesized by reference.
- the compound represented by Formula (5) used for this reaction can be obtained as a commercial product or can be produced by a known method.
- the amount of the compound represented by the formula (5) used in this reaction is particularly limited as long as the target reaction proceeds as long as it is 1 equivalent or more with respect to the compound represented by the formula (4). However, it is preferably 1 equivalent or more and 3 equivalents or less.
- the base used in this reaction includes inorganic bases such as sodium carbonate, potassium carbonate, cesium carbonate, and tripotassium phosphate, and metal alkoxides such as sodium methoxide, sodium ethoxide, and potassium t-butoxide.
- inorganic bases such as sodium carbonate, potassium carbonate, cesium carbonate, and tripotassium phosphate
- metal alkoxides such as sodium methoxide, sodium ethoxide, and potassium t-butoxide.
- the base used in this reaction can be carried out in a catalytic amount, and is not particularly limited as long as the target reaction proceeds, but preferably the compound represented by formula (4) is used. On the other hand, it is 0.01 equivalent or more and 3 equivalent or less.
- Solvents used in this reaction are ether solvents such as diethyl ether, diisopropyl ether, methyl-t-butyl ether, dimethoxyethane, tetrahydrofuran and dioxane, benzene solvents such as benzene, toluene, xylene, mesitylene, chlorobenzene and dichlorobenzene, Ester solvents such as ethyl acetate, isopropyl acetate, butyl acetate, nitrile solvents such as acetonitrile, amide solvents such as N-methylpyrrolidone, N, N-dimethylformamide, N, N-dimethylacetamide, 1,3-dimethyl -2-Urea solvents such as imidazolidinone, halogen solvents such as dichloromethane, dichloroethane, chloroform, carbon tetrachloride, sulfur solvents such as dimethyl sulfox
- the amount of solvent used in this reaction is not particularly limited as long as the target reaction proceeds, but it is usually 3 to 200 times by weight with respect to the compound represented by formula (4). is there.
- the temperature at which this reaction is carried out is not particularly limited as long as the intended reaction proceeds, but is usually ⁇ 50 ° C. or higher and 150 ° C. or lower or the boiling point of the solvent or lower.
- an aqueous solution an acidic aqueous solution in which hydrochloric acid, sulfuric acid or the like is dissolved, an alkaline aqueous solution in which potassium hydroxide, sodium hydroxide, sodium carbonate, potassium carbonate, sodium hydrogen carbonate, potassium hydrogen carbonate or the like is dissolved, or an arbitrary aqueous solution is used.
- benzene solvents such as toluene, xylene, benzene, chlorobenzene and dichlorobenzene
- ester solvents such as ethyl acetate, isopropyl acetate and butyl acetate, diethyl ether, diisopropyl ether, methyl Solvents that are not compatible with water, such as ether solvents such as t-butyl ether, halogen solvents such as dichloromethane, dichloroethane, chloroform, and carbon tetrachloride, and hydrocarbon solvents such as hexane, heptane, cyclohexane, and methylcyclohexane. It is possible to add. Moreover, these solvents can be used alone, or two or more kinds can be mixed in an arbitrary ratio. The number of times of liquid separation is not particularly limited, and can be carried out according to the target purity and yield.
- the reaction mixture containing the compound represented by the formula (3) obtained above can remove moisture with a desiccant such as sodium sulfate or magnesium sulfate, but is not essential.
- the reaction mixture containing the compound represented by the formula (3) obtained above can be distilled off under reduced pressure as long as the compound is not decomposed.
- the reaction mixture containing the compound represented by the formula (3) obtained after distilling off the solvent can be purified by washing, reprecipitation, recrystallization, column chromatography or the like with an appropriate solvent. What is necessary is just to set suitably according to the target purity.
- R5a represents a C1 to C6 alkyl group
- R2, R3, n, X, and Y are as defined above.
- Production method R is a production method of a production intermediate represented by formula (3b) among the compounds represented by formula (3), wherein the compound represented by formula (3a) is subjected to acidic conditions or a base. It is a manufacturing method including making it react in a solvent on sexual conditions.
- the reaction under acidic conditions will be described.
- the acid used in this reaction include inorganic acids such as hydrochloric acid, hydrobromic acid, and phosphoric acid, and organic acids such as acetic acid, methanesulfonic acid, p-toluenesulfonic acid, and trifluoroacetic acid.
- inorganic acids such as hydrochloric acid, hydrobromic acid, and phosphoric acid
- organic acids such as acetic acid, methanesulfonic acid, p-toluenesulfonic acid, and trifluoroacetic acid.
- the amount of the acid used in this reaction may be a catalytic amount, and is not particularly limited as long as the target reaction proceeds.
- the amount of the acid is 0. 0 with respect to the compound represented by the formula (3a). 01 equivalents or more.
- liquid acids can be used as solvents.
- the solvent used in this reaction is not particularly limited as long as the target reaction proceeds, but is not limited to an aqueous solvent, an acidic solvent such as acetic acid or methanesulfonic acid, diethyl ether, diisopropyl ether, methyl-t- Ether solvents such as butyl ether, dimethoxyethane, tetrahydrofuran and dioxane, alcohol solvents such as methanol, ethanol and isopropanol, benzene solvents such as benzene, toluene, xylene, mesitylene, chlorobenzene and dichlorobenzene, ethyl acetate, isopropyl acetate and acetic acid Ester solvents such as butyl, nitrile solvents such as acetonitrile, amide solvents such as N-methylpyrrolidone, N, N-dimethylformamide, N, N-dimethylacetamide, 1,3-d
- the amount of the solvent used in this reaction is not particularly limited as long as the target reaction proceeds, but it is usually 3 to 200 times by weight with respect to the compound represented by formula (3a). is there.
- the temperature at which this reaction is carried out is not particularly limited as long as the target reaction proceeds, but is usually 0 ° C. or higher and 180 ° C. or lower or the boiling point of the solvent or lower.
- Examples of the base used in this reaction include inorganic bases such as lithium hydroxide, sodium hydroxide, and potassium hydroxide, but are not particularly limited as long as the target reaction proceeds.
- the base used in this reaction is not particularly limited as long as the target reaction proceeds as long as it is 1 equivalent or more with respect to the compound represented by formula (3a), but preferably 1 equivalent or more. 30 equivalents or less,
- the solvent used in this reaction is not particularly limited as long as the target reaction proceeds, but an ether such as an aqueous solvent, diethyl ether, diisopropyl ether, methyl-t-butyl ether, dimethoxyethane, tetrahydrofuran, dioxane, etc.
- an ether such as an aqueous solvent, diethyl ether, diisopropyl ether, methyl-t-butyl ether, dimethoxyethane, tetrahydrofuran, dioxane, etc.
- Solvents alcohol solvents such as methanol, ethanol and isopropanol, benzene solvents such as benzene, toluene, xylene, mesitylene, chlorobenzene and dichlorobenzene, ester solvents such as ethyl acetate, isopropyl acetate and butyl acetate, nitriles such as acetonitrile Solvents, amide solvents such as N-methylpyrrolidone, N, N-dimethylformamide, N, N-dimethylacetamide, urea solvents such as 1,3-dimethyl-2-imidazolidinone, dichloromethane, dichloroethane Down, chloroform, and halogen solvents such as carbon tetrachloride. These solvents can be used alone or in admixture of two or more.
- the amount of the solvent used in this reaction is not particularly limited as long as the target reaction proceeds, but it is usually 3 to 200 times by weight with respect to the compound represented by formula (3a). is there.
- the temperature at which this reaction is carried out is not particularly limited as long as the intended reaction proceeds, but is usually ⁇ 20 ° C. or higher and 180 ° C. or lower or the boiling point of the solvent or lower.
- reaction under acidic conditions and the reaction under basic conditions can be performed by a common method.
- a liquid separation operation can be performed by adding water or an appropriate aqueous solution to the reaction mixture.
- an aqueous solution an acidic aqueous solution in which hydrochloric acid, sulfuric acid, etc. are dissolved, an alkaline aqueous solution in which potassium hydroxide, sodium hydroxide, sodium carbonate, potassium carbonate, sodium bicarbonate, potassium bicarbonate, etc. are dissolved, saline, etc. are optional.
- benzene solvents such as toluene, xylene, benzene, chlorobenzene and dichlorobenzene
- ester solvents such as ethyl acetate, isopropyl acetate and butyl acetate, diethyl ether, diisopropyl ether, methyl Solvents that are not compatible with water, such as ether solvents such as t-butyl ether, halogen solvents such as dichloromethane, dichloroethane, chloroform, and carbon tetrachloride, and hydrocarbon solvents such as hexane, heptane, cyclohexane, and methylcyclohexane. It is possible to add. Moreover, these solvents can be used alone, or two or more kinds can be mixed in an arbitrary ratio. The number of times of liquid separation is not particularly limited, and can be carried out according to the target purity and yield.
- the reaction mixture containing the compound represented by the formula (3b) obtained above can remove moisture with a desiccant such as sodium sulfate or magnesium sulfate, but is not essential.
- the reaction mixture containing the compound represented by the formula (3b) obtained above can be distilled off under reduced pressure as long as the compound is not decomposed.
- the reaction mixture containing the compound represented by formula (3b) obtained after distilling off the solvent can be purified by washing, reprecipitation, recrystallization, column chromatography, etc. with an appropriate solvent. What is necessary is just to set suitably according to the target purity.
- the compound represented by the formula (3b) is represented by the formula (3b ′) (Wherein R2, R3, n, X and Y are as defined above.)
- the compound represented by the formula (3b ′) can be handled in the same manner as the compound represented by the formula (3b), and the production method A can be applied. Further, the compound represented by the formula (3b ′) contains an asymmetric carbon, but the isomer mixing ratio may be single or a mixture of any ratio. Further, it may be a mixture of the compound represented by the formula (3b) and the compound represented by the formula (3b ′), and the isomer mixing ratio may be a single compound or a mixture of any ratio.
- the compound represented by the formula (1) can be produced by arbitrarily combining the production methods A to R shown above. Alternatively, the compound represented by the formula (1) can also be produced by arbitrarily combining known methods and production methods A to R.
- the pest control agent in the present invention means fungicides, insecticides, herbicides, microbial materials and the like used in agricultural and horticultural settings.
- a bactericidal agent means the chemical
- An insecticide means a drug used to control pests that cause damage to plants, and includes acaricides and nematicides.
- the herbicide means a drug used to wither unnecessary plants (weeds).
- the microbial material means a material characterized in that the active ingredient is a specific microorganism such as Bacillus or a protein produced by the active ingredient, or has a property of promoting activation of the specific microorganism.
- the present invention is a pest control composition containing, as an active ingredient, one or more components selected from a novel pyridone compound represented by the formula (1) or a salt thereof and a known pest control agent.
- known pest control agents in active ingredients known literature can be referred to for their biological activity, production method or pest control method using the component.
- fungicide Specific components contained in the fungicide are exemplified in the following group b, and include salts, isomers and N-oxides thereof.
- known disinfectants are not limited to these.
- b-2 Mitotic fission and cell division inhibitor [b-2.1] benomyl, [b-2.2] carbendazim, [b- 2.3] fuberidazole, [b-2.4] thiabendazole, [b-2.5] thiophanate, [b-2.6] thiophanate-methyl, [b- 2.7] Dietofencarb, [b-2,8] zoxamide, [b-2.9] ethaboxam, [b-2.10] pencycuron, [b-2.
- fluopico examples include fluorpicolide, [b-2.12] phenacryl, etc., and preferred components include [b-2.1] benomyl, [b-2.2] carbendazim, [B-2.4] thiabendazole, [b-2.6] thiophanate-methyl, [b-2.7] dietofencarb, [b-2.9] ethaboxam, [B-2.10] Pencyclone and [b-2.11] fluopicolide, [b-2.1] benomyl, [b- .6] thiophanate-methyl, [b-2.7] dietofencarb, [b-2.9] ethaboxam, [b-2.10] pencycuron, and [b- 2.11] It is fluopicolide.
- SDHI agent succinate dehydrogenase inhibitor
- succinate dehydrogenase inhibitors [b-3.1] benodanil, [b-3.2] benzovindiflupyr, [b-3.3] bixafen (bixafen) ), [B-3.4] boscalid, [b-3.5] carboxin, [b-3.6] fenfuram, [b-3.7] fluopyram [B-3.8] flutolanil, [b-3.9] fluxapyroxad, [b-3.10] furamethpyr, [b-3.11] isofetamide ), [B-3.12] isopyrazam (isop) razam), [b-3.13] mepronil, [b-3.14] oxycarboxin, [b-3.15] pentiopyrad, [b-3.16] penflufen ( penflufen), [b-3.17] pydiflumethofen, [
- b-4 Quinone external inhibitor (QoI agent) As quinone external inhibitors (QoI agents), [b-4.1] azoxystrobin, [b-4.2] cumoxystrobin, [b-4.3] dimoxist Robin (dimoxystrobin), [b-4.4] enoxastrobin, [b-4.5] famoxadone, [b-4.6] fenamidone, [b-4.7] Phenaminestrobin, [b-4.8] fluphenoxystrobin, [b-4.9] fluoxastrobin, [b-4.10] cresoxime-me hyl), [b-4.11] mandestrobin, [b-4.12] methinostrobin, [b-4.13] oryastrobine, [b-4.14] Picoxystrobin, [b-4.15] Pyraclostrobin, [b-4.16] Pyramethostrobin, [b-4.17] Pyraoxystrobin [B-4.18] Pyribencarb, [b-4.
- Mandestrobin [b-4.12] Metminostrobin, [b-4.13] Oryastrobine, [b-4.14] Picoxystrobin ( icoxystrobin), a [b-4.15] pyraclostrobin (pyraclostrobin), [b-4.18] pyribencarb (pyribencarb), and [b-4.20] trifloxystrobin (trifloxystrobin).
- quinone internal inhibitor examples include [b-5.1] cyazofamid, [b-5.2] amisulbrom, and the like, and [b-5.1] cyazofamid is preferable. (Cyazofamid).
- Oxidative phosphorylation uncoupling inhibitor As oxidative phosphorylation uncoupling inhibitors, [b-6.1] binapacryl, [b-6.2] meptyldinocap, [b-6.1] b-6.3] Dinocap, [b-6.4] fluazinam and the like, and a preferred component is [b-6.4] fluazinam.
- b-7 Quinone external stigmaterin binding subsite inhibitor
- QoSI agent quinone external stigmaterin binding subsite inhibitor
- Examples of the quinone external stigmateline binding subsite inhibitor (QoSI agent) include [b-7.1] ametoctradin.
- b-8 Amino acid biosynthesis inhibitors As amino acid biosynthesis inhibitors, [b-8.1] cyprodinil, [b-8.2] mepanipyrim, [b-8.3] pyrimethanil The preferred components are [b-8.1] cyprodinil, and [b-8.2] mepanipyrim.
- b-9 Protein biosynthesis inhibitor [b-9.1] Streptomycin, [b-9.2] Blasticidin-S, [b-9. 3] kasugamycin, [b-9.4] oxytetracycline, and the like. [B-9.1] streptomycin, [b-9.3] kasugamycin ), And [b-9.4] oxytetracycline, and a more preferred component is [b-9.1] streptomycin.
- b-10 Signaling inhibitor As a signal transduction inhibitor, [b-10.1] fenpiclonil, [b-10.2] fludioxonil, [b-10.3] quinoxyfen, [B-10.4] proquinazid, [b-10.5] clozolinate, [b-10.6] dimethachlone, [b-10.7] iprodione, [b -10.8] procymidone, [b-10.9] vinclozolin and the like.
- Preferred components include [b-10.2] fludioxonil, [b- 10.3] quinoxyfen, [b-10.7] iprodione, and [b-10.8] procymidone.
- b-11 Lipid and cell membrane biosynthesis inhibitors As lipid and cell membrane biosynthesis inhibitors, [b-11.1] edifenphos, [b-11.2] iprobenfos, [b-11. Pyrazophos, [b-11.4] isoprothiolane, [b-11.5] biphenyl, [b-11.6] chloroneb, [b-11.7] dichlorane (Dicloran), [b-11. 8] quintozene, [b-11.
- DI agent Demethylation inhibitor
- DI agents include [b-12.1] azaconazole, [b-12.2] bittertanol, [b-12.3] bromuconazole, [ b-12.4] cyproconazole, [b-12.5] difenoconazole, [b-12.6] diniconazole, [b-12.7] diniconazole-M ), [B-12.8] epoxiconazole, [b-12.9] etaconazole, [b-12.10] fenarimol, [b-12.11.
- Fenbuconazole [b-12.12] fluquinconazole, [b-12.13] quinconazole, [b-12.14] flusilazole, [b-12 .15] flutriafol, [b-12.16] hexaconazole, [b-12.17] imazaril, [b-12.18] imibenconazole, [B-12.19] ipconazole, [b-12.20] metconazole, [b-12.21] microbutanil [B-12.22] nuarimol, [b-12.23] oxpoconazole, [b-12.24] oxpoconazole fumarate, [b- 12.25] pefurazoate, [b-12.26] penconazole, [b-12.27] prochloraz, [b-12.28] propiconazole, [b- 12.29] Prothioconazole, [b-12.30] Pyrifenox, [b-12.31] Pyrioxazole
- Preferred components are [b-12.4] cyproconazole, [b-12.5] difenoconazole, [b-12.8] epoxiconazole, [b-12. 10] fenarimol, [b-12.11] fenbuconazole, [b-12.12] fluquinconazole, [b-12.14] flusilazole, [b- 12.15] flutriafol, [b-12.16] hexaconazole, [b-12.18] imibenconazole, [b- 2.19] ipconazole, [b-12.20] metconazole, [b-12.21] microbutanil, [b-12.23] oxpoconazole, [b -12.24] oxpoconazole fumarate, [b-12.26] penconazole, [b-12.27] prochloraz, [b-12.28] propico Propazoleazole, [b-12.29] prothioconazole, [b
- b-13 Amine fungicide [b-13.1] aldimorph, [b-13.2] dodemorph, [b-13.3] fenpropimorph as amine fungicides ), [B-13.4] tridemorph, [b-13.5] fenpropidin, [b-13.6] piperalin, [b-13.7] spiroxamine.
- the preferred components include [b-13.3] fenpropimorph, [b-13.4] tridemorph, [b-13.5] fenpropidin, And [b-13.7] Spiroxamine, and a more preferred component is [b-13.7] spiroxamine.
- b-14 3-keto reductase inhibitor in C4 demethylation of sterol biosynthesis
- b-15 Squalene epoxidase inhibitor of sterol biosynthesis As a squalene epoxidase inhibitor of sterol biosynthesis, [b-15.1] pyributicalb, [b-15.2] naphthifine, [b ⁇ 15.3] terbinafine and the like.
- b-16 Cell wall biosynthesis inhibitor As cell wall biosynthesis inhibitors, [b-16.1] polyoxins (polyoxins), [b-16.2] dimethomorph, [b-16.3] furmorph ( flumorph, [b-16.4] pyrimorph, [b-16.5] benchavaricarb, [b-16.6] benchacarbab-isopropyl, [b -16.7] iprovaricarb, [b-16.8] mandipropamide, [b-17.9] varifenate, and the like. [B-16.2] ] Dimethomorph, [b-16.6] Benchavaricarb-isopropyl, [b-16.7] Iprovalicalb, and [b-16.8] Mandipropamide.
- b-17 Melanin biosynthesis inhibitor [b-17.1] Phthalide or fthalide, [b-17.2] Pyroquilone, [b-17.3] Tricyclazole as melanin biosynthesis inhibitors (Tricycazole), [b-17.4] carpropamide, [b-17.5] diclocymet, [b-17.6] phenoxanil, [b-17.7] tolprocarb (tolprocarb) ) And the like.
- b-18 Host Plant Resistance Inducing Agent
- [b-18.1] acibenzolar-S-methyl, [b-18.2] probenazole, [b -18.3] thiazinyl, [b-18.4] isothianil, [b-18.5] laminarin, etc. and preferred components include [b-18.1] acibenzoral. S-methyl, [b-18.2] probenazole, [b-18.3] thiadinil, and [b-18.4] isothianil.
- b-19 dithiocarbamate fungicide [b-19.1] mancozeb or manzeb, [b-19.2] maneb, [b-19.3] as a dithiocarbamate fungicide ] Metyram, [b-19.4] propineb, [b-19.5] thiuram, [b-19.6] zineb, [b-19.7] ziram (Ziram), [b-19.8] ferbam and the like.
- Preferred components are [b-19.1] mancozeb or manzeb or manzeb, [b-19.3] methylram. ), [B-19.4] propineb, and [b-19.5]
- a Ulam (thiram) further preferred component is a [b-19.1] mancozeb or mancozeb (mancozeb or manzeb).
- b-20 phthalimide fungicide [b-20.1] captan, [b-20.2] captafol, [b-20.3] holpet as a phthalimide fungicide ), [B-20.4] fluorophorpet, etc., and preferred components are [b-20.1] captan and [b-20.3] holpet. A more preferred component is [b-20.1] captan.
- b-21 Guanidine fungicide [b-21.1] guazatine, [b-21.2] iminoctadin, [b-21.3] iminotadine albecyl salt as guanidine fungicides And (b-21.4) iminoctadine triacetate and the like.
- Preferred components include [b-21.3] iminoctadine albesylate and [b- 21.4] iminoctaine triacetate.
- b-22 Multi-acting point contact active fungicide [b-22.1] Copper oxychloride, [b-22.2] Cupric hydroxide as multi-acting point contact active fungicide (Copper (II) hydrochloride), [b-22.3] basic copper sulfate, [b-22.4] organocopper compound, [b-22.5] dodecylbenzenesulfone Bisethylenediamine copper complex salt [II] (Dodecylbenzensulfonic acid bisethylenediamine copper [II] salt, DBEDC), [b-22.6] sulfur, [b-22.7] fluorimide de), [b-22.8] chlorothalonil, [b-22.9] dichlorofluanid, [b-22.10] tolylfluanid, [b-22.11] Anilazine, [b-22.12] dithianon, [b-22.13] chinomethionate or quinomethionate, [b-22.14] extract from cotyledons of scallop seed
- the preferred components are [b-22.1] basic copper chloride, [b-22.2] cupric hydroxide (copper (II) hydroxide), [b-22.3. ]basic Copper hydrate sulfide, [b-22.6] sulfur, [b-22.7] fluorimide, [b-22.8] chlorothalonil, and [b-2. 12] dithianon, and more preferred components are [b-22.7] fluoroimide, and [b-22.8] chlorothalonil.
- bactericides include [b-23.1] dichlorobenazox, [b-23.2] fenpicoxamide, [b-23.3. ] Dipymetitrone, [b-23.4] Bupirimate, [b-23.5] Dimethilimol, [b-23.6] Ethirimol, [b-23.7] Acetic acid Triphenyltin (fentin acetate), [b-23.8] triphenyltin chloride (fentin chloride), [b-23.9] triphenyltin hydroxide (f-23) (Oxo linic acid), [b-23.11] himexazole, [b-23.12] octylinone, [b-23.13] fosetyl, [b-23.14] phosphorous acid (Phosphorous acid), [b-23.15] sodium phosphite, [b-23.16] ammonium phosphite, [b-23.17]
- Formula (s20) [Wherein, A18 and A19 each independently represent a halogen atom, a cyano group, or a C1-C6 alkyl group, A20, A21 and A22 are each independently a hydrogen atom, a halogen atom or a C1-C6 alkoxy group. ] (See International Publication No. 07/066601),
- Formula (s24) or Formula (s25) [Wherein m4 represents an integer of 0 to 5, A27 represents a C1-C6 alkyl group, A28 represents a halogen atom, a cyano group, a C1-C6 alkyl group, or a C1-C6 haloalkyl group, When m4 is 2 or more, two or more A28s each represent an independent substituent, and may be the same or different, A29 represents a C1-C6 alkyl group, a C2-C6 alkenyl group, or a C3-C6 alkynyl group. ] (See International Publication No. 13/037717),
- Formula (s26) or Formula (s27) [Wherein m5 represents an integer of 0 to 5, A30 represents a C1-C6 alkyl group, A31 represents a halogen atom, a cyano group, a C1-C6 alkyl group, or a C1-C6 haloalkyl group, When m5 is 2 or more, two or more A31s each represent an independent substituent, and may be the same or different, A32 represents a C1-C6 alkyl group, a C2-C6 alkenyl group, or a C3-C6 alkynyl group. ] (See International Publication No. 13/037717),
- b-23 other fungicides, preferred components include [b-23.1] dichlorobenazox, [b-23.2] fenpicoxamide, [b-23. .3] Dipymethitrone, [b-23.7] Triphenyltin acetate, [b-23.8] Triphenyltin chloride, [b-23.9] Trihydroxide Phenyl tin, [b-23.10] oxolinic acid, [b-23.11] hymexazole, [b-23.13] fosetyl, [b-23.
- Each term of the compound represented by the formula (s16) is as defined above.
- A3 in formula (s16) is preferably a hydrogen atom, a fluorine atom, or a chlorine atom, and more preferably a hydrogen atom.
- A4 is preferably a methyl group, an ethyl group, or an n-propyl group, and more preferably a methyl group or an ethyl group.
- A5 in the formula (s17) is preferably a chlorine atom or a bromine atom, and more preferably a chlorine atom.
- A6 is preferably a methyl group, a chlorine atom, or a bromine atom, and more preferably a methyl group.
- the (A7) m1-phenyl group is preferably a 3-fluorophenyl group, a 4-chlorophenyl group, a 4-fluorophenyl group, or a 3,5-difluorophenyl group, more preferably a 3-fluorophenyl group. is there.
- A8 is preferably a hydrogen atom, a fluorine atom, a chlorine atom or a methoxy group, more preferably a methoxy group.
- A9 in the formula (s18) is preferably a hydrogen atom, a fluorine atom, a chlorine atom, or a bromine atom, and more preferably a chlorine atom.
- A10 is preferably a hydrogen atom, a fluorine atom, or a chlorine atom, and more preferably a hydrogen atom.
- A11 is preferably a fluorine atom or a chlorine atom, and more preferably a fluorine atom.
- A12 is preferably a fluorine atom, a chlorine atom, or a bromine atom, and more preferably a bromine atom.
- A13 is preferably a fluorine atom or a methoxy group, and more preferably a fluorine atom.
- A14 in the formula (s19) is preferably a methyl group, a chlorine atom, a bromine atom, or a cyano group, and more preferably a chlorine atom.
- A15 is preferably a methyl group, a chlorine atom, a bromine atom, or a cyano group, and more preferably a methyl group.
- A16 is preferably a hydrogen atom, a fluorine atom, or a methoxy group, and more preferably a hydrogen atom.
- the (A17) m2-phenyl group is preferably a phenyl group, a 4-fluorophenyl group, or a 4-chlorophenyl group, and more preferably a phenyl group.
- the terms in formula (s20) have the same definitions as above.
- A18 in the formula (s20) is preferably a methyl group, a chlorine atom, a bromine atom, or a cyano group, and more preferably a chlorine atom.
- A19 is preferably a methyl group, a chlorine atom, a bromine atom, or a cyano group, and more preferably a methyl group.
- A20 and A21 are preferably a hydrogen atom, a fluorine atom, a chlorine atom, or a methoxy group, and more preferably a chlorine atom.
- A22 is preferably a hydrogen atom, a fluorine atom, or a chlorine atom, and more preferably a fluorine atom.
- the terms in formula (s21) have the same definitions as above.
- A23 in the formula (s21) is preferably an ethyl group, an isopropyl group, or a cyclopropyl group, and more preferably an isopropyl group.
- A24 is preferably a hydrogen atom, a methyl group, a fluorine atom, or a chlorine atom, and more preferably a chlorine atom.
- X is preferably an oxygen atom.
- the terms in formula (s22) have the same definitions as above.
- the (A25) m3-phenyl group of the formula (s22) is preferably a 4-chlorophenyl group, a 2,4-dichlorophenyl group, or a 4-chloro-2-fluorophenyl group, and more preferably a 4-chlorophenyl group.
- the terms in formula (s23) have the same definitions as above.
- A26 in formula (s23) is preferably a hydrogen atom, a fluorine atom, or a chlorine atom, and more preferably a hydrogen atom.
- V1 is preferably an oxygen atom.
- V2 is preferably a sulfur atom.
- A27 in formula (s24) and formula (s25) is preferably a methyl group, an ethyl group, or an isopropyl group, and more preferably a methyl group.
- the (A28) m4-phenyl group is preferably a phenyl group, a 3-fluorophenyl group, or a 2-methylphenyl group, and more preferably a phenyl group.
- A29 is preferably an n-butyl group, a t-butyl group, a 1-butynyl group or a 1-butenyl group, more preferably a t-butyl group or a 1-butynyl group.
- formula (s26) or formula (s27) have the same definitions as above.
- A30 in the formulas (s26) and (s27) is preferably a methyl group, an ethyl group, or an isopropyl group, and more preferably a methyl group.
- the (A31) m5-phenyl group is preferably a phenyl group, a 3-fluorophenyl group, or a 2-methylphenyl group, and more preferably a phenyl group.
- A32 is preferably an n-butyl group, a t-butyl group, a 1-butynyl group or a 1-butenyl group, more preferably a t-butyl group or a 1-butynyl group.
- A33 in the formula (s28) is preferably a hydrogen atom, a fluorine atom, or a chlorine atom, and more preferably a fluorine atom.
- A34 is preferably a hydrogen atom, a fluorine atom, or a chlorine atom, and more preferably a chlorine atom.
- A35 is preferably a fluorine atom, a chlorine atom, or a bromine atom, and more preferably a fluorine atom.
- A36 is preferably a hydrogen atom or a fluorine atom, and more preferably a fluorine atom.
- A37 is preferably a hydrogen atom or an acetyl group, and more preferably a hydrogen atom.
- Each term in the above [b-23.62] formula (s29) has the same definition as above.
- A38 in the formula (s29) is preferably a methyl group, an ethyl group, a trifluoromethyl group, or a 1,1,1-trifluoroethyl group, more preferably a 1,1,1-trifluoroethyl group.
- A39 is preferably a hydrogen atom, a fluorine atom, or a chlorine atom, and more preferably a fluorine atom.
- A40 is preferably a hydrogen atom, a fluorine atom, or a chlorine atom, and more preferably a fluorine atom.
- Each term of the above [b-23.63] formula (s30) has the same definition as above.
- A41 in the formula (s30) is preferably a hydroxyl group (—SH), a methylthio group, or a thiocyanate group (—SCN), and more preferably a hydroxyl group (—SH).
- A42 is preferably a hydrogen atom, a fluorine atom, or a chlorine atom, and more preferably a fluorine atom.
- A43 is preferably a hydrogen atom, a fluorine atom, or a chlorine atom, and more preferably a fluorine atom.
- A44 is preferably a hydrogen atom, a fluorine atom, or a chlorine atom, and more preferably a chlorine atom.
- A45 is preferably a hydrogen atom, a fluorine atom, or a chlorine atom, and more preferably a hydrogen atom.
- Each term in formula (s31) or formula (s32) has the same definition as above.
- A46 in formula (s31) is preferably a hydrogen atom, a fluorine atom, or a chlorine atom, and more preferably a chlorine atom.
- A47 is preferably a methyl group, an ethyl group, or an isopropyl group, and more preferably a methyl group.
- A46 in the formula (s32) is preferably a hydrogen atom, a fluorine atom, or a chlorine atom, and more preferably a chlorine atom.
- A48 is preferably a fluorine atom, a chlorine atom or a bromine atom, and more preferably a chlorine atom.
- Each term in formula (s33) has the same definition as above, and A49 in formula (s33) is preferably a hydrogen atom, a fluorine atom, or a chlorine atom, more preferably fluorine. Is an atom.
- A50 is preferably a hydrogen atom, a fluorine atom, or a chlorine atom, and more preferably a fluorine atom.
- A51 is preferably a hydrogen atom, a fluorine atom, or a chlorine atom, and more preferably a fluorine atom.
- insecticide Specific components contained in the insecticide are exemplified in the following group c and include salts, isomers and N-oxides thereof. However, known insecticides are not limited to these.
- Group c c-1: Carbamate-type acetylcholinesterase (AChE) inhibitor [c-1.1] Phosphocarb, [c-1.2] alanycarb, [c] -1.3] butocarboxim, [c-1.4] butoxycarboxim, [c-1.5] thiodicarb, [c-1.6] thiofanox ), [C-1.7] aldicarb, [c-1.8] bendiocarb, [c-1.9] benfurcarb, [c-1.10] carbaryl ryl), [c-1.11] carbofuran, [c-1.12] carbosulfan, [c-1.13] etiofencarb, [c-1.14] fenocarb ( fenobucarb), [c-1.15] formatenate, [c-1.16] furathiocarb, [c-1.17] isoprocarb, [c-1.18] metiocarb [C-1.19] mesomy
- c-2 Organophosphorus acetylcholinesterase (AChE) inhibitors As organophosphorus acetylcholinesterase (AChE) inhibitors, [c-2.1] acephate, [c-2.2] azamethiphos, [C-2.3] Azinphos-methyl, [c-2.4] Azinphos-ethyl, [c-2.5] Ethephon, [c-2.6] [Cadusafos], [c-2.7] Chlorethoxyphos, [c-2.8] Chlorfenvinphos, [c-2.9] Chlormephos, [c- 2.10] Black Rupyrifos, [c-2.11] chloropyrifos-methyl, [c-2.12] coumafos, [c-2.13] cyanophos, [c-2.
- c-3 GABAergic chloride ion channel blocker
- GABAergic chloride ion channel blockers [c-3.1] chlordane, [c-3.2] endosulfan, [c-3.3] Lindane, [c-3.4] Dienochlor, [c-3.5] Ethiprole, [c-3.6] Fipronil, [c-3.7] aceto A preferred component is [c-3.5] etiprole and [c-3.6] fipronil.
- c-4 Sodium channel modulator [c-4.1] Acrinathrin, [c-4.2] Allethrin [(1R) -isomer] (allethrin [(1R) -isomer]), [C-4.3] bifenthrin, [c-4.4] bioarethrin, [c-4.5] bioarethrin S-cyclopentenyl isomer, [c- 4.6] Bioresmethrin, [c-4.7] Cycloprothrin, [c-4.8] Cyfluthrin, [c-4.
- a more preferred component is [c-4.2] arethrin [(1R) -isomer] (allethrin [(1R) -isomer]), [c-4.3] bifenthrin, [c -4.7] cycloprothrin, [c-4.8] cyfluthrin, [c-4.12] lambda-cyhalothrin, [c-4.13] cypermethrin ( cypermethrin), [c-4.19] deltamethrin, [c-4.22] etofenprox, [c-4.24] fenvalerate, [c-4.29] imiprotorin.
- c-5 Nicotinic Acetylcholine Receptor (nAChR) Competitive Modulator [c-5.1] Acetamiprid, [c-5.2] Clothianidin (nicotinic acetylcholine receptor (nAChR) competitive modulator) ), [C-5.3] dinotefuran, [c-5.4] imidacloprid, [c-5.5] nitenpyram, [c-5.6] thiacloprid, [C-5.7] thiamethoxam, [c-5.8] nicotine, [c-5.9] nicotine sulfate, [c-5.10] Examples thereof include sulfoxaflor, [c-5.11] flupyradifurone, [c-5.12] triflumezopyrim, and a preferable component is [c-5.1] acetamipride (idetamipride).
- c-6 Nicotinic acetylcholine receptor (nAChR) allosteric modulator As nicotinic acetylcholine receptor (nAChR) allosteric modulators, [c-6.1] spinosad, [c-6.2] spinetoram, etc. A preferred component is [c-6.1] spinosad.
- c-7 glutamatergic chloride channel (GluCl) allosteric modulator [c-7.1] abamectin, [c-7.2] emamectin benzoic acid as a glutamatergic chloride channel (GluCl) allosteric modulator Salts (emectin benzoate), [c-7.3] lepimectin, [c-7.4] milbemectin, and the like. [C-7.2] emamectin benzoate ( emcectin benzoate), [c-7.3] lepimectin, and [c-7.4] milbemectin.
- c-8 juvenile hormone analogues [c-8.1] hydroprene, [c-8.2] kinoprene, [c-8.3] methoprene ), [C-8.4] phenoxycarb, [c-8.5] pyriproxyfen, and the like. [C-8.3] methoprene, [c-8.5] c-8.4] phenoxycarb and [c-8.5] pyriproxyfen, more preferred components are [c-8.3] methoprene, and [c- 8.5] Pyriproxyfen It is.
- c-9 Non-specific (multi-site) inhibitors
- non-specific (multi-site) inhibitors [c-9.1] methyl bromide, [c-9.2] chloropicrin [C-9.3] cryolite, [c-9.4] sulfuryl fluoride, [c-9.5] borax, [c-9.6] boron Boric acid, [c-9.7] disodium octaborate, [c-9.8] sodium metaborate [c-9.9] tartar emetic), [c-9.10] dazomet, [c-9.11] metam (m etam), [c-9.12] carbam sodium and the like, and a preferred component is [c-9.10] dazomet.
- String sound organ TRPV channel modulator examples include [c-10.1] pymetrozine, [c-10.2] pyrifluquinazone, and the like.
- c-11 Tick Growth Inhibitors As tick growth inhibitors, [c-11. 1] clofentezine, [c-11.2] diflovidazin, [c-11.3] hexithiazox (C-11.4) etoxazole, etc., and preferred components include [c-11.1] clofentezine, [c-11.3] hexythiazox, And [c-11.4] etoxazole, and a more preferred component is [c-11.4] etoxazole.
- c-12 Mitochondrial ATP synthase inhibitor As mitochondrial ATP synthase inhibitors, [c-12. 1] diafenthiuron, [c-12. 2] azocyclotin, [c-12. 3] Cyhexatin, [c-12.4] fenbutatin oxide, “c-12.5” propargite, “c-12.6” tetradiphon, etc.
- the preferred components are [c-12. 1] diafenthiuron, [c-12.2] azocyclotin, [c-12.4] fenbutatin oxide. e), and a "c-12.5" propargite (propargite), further preferred component is [c-12.1] diafenthiuron (diafenthiuron).
- c-13 Oxidative Phosphorylation Uncoupler that Perturbs Proton Gradient [c-13.1] Chlorfenapyl, [c-13.2] DNOC as oxidative phosphorylation uncouplers that disrupt proton gradient (Dinitro-ortho-cresol), [c-13.3] binapacryl, [c-13.4] sulfuramide, and the like, [c-13.1] chlorfenapyl. ).
- c-14 Nicotinic Acetylcholine Receptor (nAChR) Channel Blocker As nicotinic acetylcholine receptor (nAChR) channel blockers, [c-14.1] bensultap, [c-14.2] cartap hydrochloride (cartap) hydrochloride), [c-14.3] thiocyclam, [c-14.4] monosultap, and the like.
- Preferred components include [c-14.2] cartap hydrochloride, [C-14.3] thiocyclam, and [c-14.4] monosultap, and a more preferred component is [c-14.2] cartap hydrochloride ( artap hydrochloride), and a [c-14.3] thiocyclam (thiocyclam).
- Chitin biosynthesis inhibitor type 0 includes [c-15.1] bistrifluron, [c-15.2] chlorfluazuron, [c-15.3] diflubenzuron, [C-15.4] flucycloxuron, [c-15.5] flufenoxuron, [c-15.6] hexaflumuron, [c-15.7] Lufenuron, [c-15.8] novaluron, [c-15.9] noviflumuron, [c-15.10] teflubenzuron, [c-15.11] Examples of the preferred component include [c-15.2] chlorfluazuron, [c-15.3] diflubenzuron, [c-15.5] flufenoxuron.
- c-16 Chitin biosynthesis inhibitor type 1
- Examples of the chitin biosynthesis inhibitor type 1 include [c-16.1] buprofezin.
- fly insect insect molting inhibitor examples include [c-17.1] cyromazine.
- c-18 molting hormone (ecdysone) receptor agonist
- ecdysone molting hormone (ecdysone) receptor agonist
- Octopamine receptor agonist [c-19.1] Amitraz and the like can be mentioned as an octopamine receptor agonist.
- c-20 Mitochondrial electron transport system complex III inhibitor As a mitochondrial electron transport system complex III inhibitor, [c-20.1] hydramethylnon, [c-20.2] acequinocyl, [C-20.3] fluacrylpyrim, [c-20.4] bifenazate, and the like. Preferred components include [c-20.2] acequinocyl, and [c-20. 4] Bifenazate.
- Mitochondrial electron transport complex I inhibitor include [c-21.1] phenazaquin, [c-21.2] fenpyroximate, [c-21.3] pyridaben, [C-21.4] pyrimidifen, [c-21.5] tebufenpyrad, [c-21.6] tolfenpyrad, [c-21.7] rotenone, etc. And preferred components include [c-21.2] fenpyroximate, [c-21.4] pyrimidifen, [c-21.6] tolfenpyrad , And [c-21.7] rotenone (rotenone).
- c-22 Voltage-dependent sodium channel blocker
- Examples of the voltage-dependent sodium channel blocker include [c-22.1] indoxacarb, [c-22.2] metaflumizone and the like.
- c-23 Acetyl CoA carboxylase inhibitor [c-23.1] Spirodiclofen, [c-23.2] Spiromesifen, [c-23.3] As acetyl CoA carboxylase inhibitors Spirotetramat and the like, and preferred components are [c-23.1] spirodiclofen and [c-23.3] spirotetramat.
- c-24 Mitochondrial electron transport system complex IV inhibitor As mitochondrial electron transport system complex IV inhibitors, [c-24.1] aluminum phosphide, [c-24.2] calcium phosphide ( calcium phosphate, [c-24.3] phosphine, [c-24.4] zinc phosphide, [c-24.5] calcium cyanide, [c -24.6] sodium cyanide, [c-24.7] potassium cyanide, and the like.
- c-25 Mitochondrial electron transport system complex II inhibitor [c-25.1] Cyenopyrafen, [c-25.2] Cyflumethofen, [c-25.1] Mitochondrial electron transport system complex II inhibitor -25.3] piflubumide and the like, and a preferred component is [c-25.1] cienopyrafen.
- c-26 Ryanodine receptor modulator As ryanodine receptor modulators, [c-26.1] chlorantraniliprole, [c-26.2] cyantraniliprole, [c-26. 3] Flubenamide, etc. are mentioned.
- Target site unspecified string sound organ modulator examples include [c-27.1] flonicamid.
- c-28 Other insecticides
- Other insecticides include [c-28.1] azadirachtin, [c-28.2] benzoximate, [c-28.3] phenisobromo. Phenisobromolate, [c-28.4] quinomethionate, [c-28.5] dicofol, [c-28.6] pyridalyl, [c-28.7] bromopropiate Bromopropyrate, [c-28.8] triazamate, [c-28.9] dicyclanil, [c-28.1] dinobuton, [c-28.1] dinocup ( din ocap), [c-28.12] hydrogen cyanide, [c-28.13] methyl iodide, [c-28.14] caranjin, [c-28.15] Mercury chloride, [c-28.16] methyl isothiocyanate, [c-28.17] pentachlorophenol, [c-28.
- A65 represents a hydrogen atom, a C1-C6 alkyl group, or a C1-C6 haloalkyl group
- A66 represents a hydrogen atom, a halogen atom, or a C1-C6 alkyl group
- A67 and A68 each independently represent a hydrogen atom, a C1-C6 alkyl group, a C2-C12 alkoxyalkyl group, or a C3-C8 cycloalkyl group, each of which may be substituted with a cyano group
- A69 represents a hydrogen atom, a cyano group, a C1-C6 fluoroalkyl group, a C1-C6 alkyl group, or a C3-C8 cycloalkyl group each optionally substituted by a cyano group.
- A69 represents a hydrogen atom, a cyano group, a C1-C6 fluoroalkyl group, a C1-C6 alky
- C-28 As other insecticides, preferred components include [c-28.5] dicofol, [c-28.6] pyridalyl, [c-28.7] bromopropylate. (Bromopropylate), [c-28.64] flometoquin, [c-28.65] cyclaniliprol, [c-28.66] tetraniliprole, [c-28.
- A65 in the formula (s52) is preferably a hydrogen atom, a methyl group, an ethyl group, a propyl group, an isopropyl group, a butyl group, a trifluoromethyl group, a 2,2,2-trifluoroethyl group, or 3,3,3.
- a trifluoropropyl group more preferably a hydrogen atom, a methyl group or an ethyl group.
- A66 is preferably a hydrogen atom, a fluorine atom, a chlorine atom, a bromine atom, a methyl group, an ethyl group, a propyl group, or an isopropyl group, and more preferably a hydrogen atom, a chlorine atom, a bromine atom, a methyl group, Or it is an ethyl group.
- A67 and A68 are preferably a hydrogen atom, a methyl group, an ethyl group, a propyl group, a methoxymethyl group, an ethoxymethyl group, a 2-methoxyethyl group, a cyclopropyl group, a cyclobutyl group, or a cyclopentyl group, and more preferably Is a hydrogen atom, a methyl group, an ethyl group, a methoxymethyl group, a cyclopropyl group, or a cyclobutyl group.
- A67 and A68 are substituted with a cyano group
- a hydrogen atom in a C1-C6 alkyl group, a C2-C12 alkoxyalkyl group, or a C3-C8 cycloalkyl group is optionally substituted with a cyano group.
- A69 is preferably a hydrogen atom, trifluoromethyl group, 2,2,2-trifluoroethyl group, methyl group, ethyl group, propyl group, isopropyl group, butyl group, cyclopropyl group, cyclobutyl group, or cyclopentyl.
- a hydrogen atom More preferably a hydrogen atom, a methyl group, an ethyl group, a cyclopropyl group, or a cyclobutyl group.
- A69 is substituted with a cyano group
- the hydrogen atom in the C1-C6 fluoroalkyl group, C1-C6 alkyl group, or C3-C8 cycloalkyl group is optionally substituted with a cyano group.
- the terms in the above [c-28.138] formula (s55) have the same definitions as above.
- M11 in the formula (s55) is preferably 0,
- A73 is preferably a methyl group
- A74 and A75 are preferably chlorine atoms
- A76 and A77 are preferably methyl, ethyl, propyl, isopropyl Group, butyl group, cyclopropyl group, cyclobutyl group, or cyclopentyl group, more preferably methyl group, ethyl group, isopropyl group, or cyclopropyl group, particularly preferably ethyl group, and preferably as A78.
- Each term of the above [c-28.139] formula (s56) has the same definition as above.
- A79, A80, A81 and A82 in the formula (s56) are preferably a hydrogen atom, a fluorine atom, a chlorine atom, a bromine atom, a methyl group, an ethyl group, a propyl group, an isopropyl group, a trifluoromethyl group, 2,2,2 -Trifluoroethyl group, 3,3,3-trifluoropropyl group, methoxy group, ethoxy group, propyloxy group, isopropyloxy group, cyclopropyloxy group, or cyclobutoxy group, more preferably a methyl group, An ethyl group, a propyl group, a methoxy group, an ethoxy group, or a propyloxy group.
- M13, m14, m15 and m16 in the formula (s58) are preferably 0 to 4, and more preferably 0 to 2.
- A85, A86, A87 and A88 are preferably methyl, ethyl, propyl, difluoromethyl, trifluoromethyl, 2,2-difluoroethyl, 2,2,2-trifluoroethyl, 3,3,3-trifluoropropyl group, methoxy group, ethoxy group, propyloxy group, isopropyloxy group, butoxy group, trifluoromethoxy group, 2,2,2-trifluoroethoxy group, 3,3,3- A trifluoropropyloxy group, a cyclopropyloxy group, a cyclobutoxy group, or a cyclopentyloxy group, and more preferably an ethyl group, a propyl group, a trifluoromethyl, 2,2-difluoroethyl, 2,2,2-triflu
- V9 is preferably a phenyl group or a naphthyl group, and more preferably a phenyl group.
- A90 in the formula (s59) is preferably a chlorine atom, bromine atom, iodine atom, methyl group, ethyl group, propyl group, difluoromethyl group, trifluoromethyl group, or 1,1,2,2,2-pentafluoro.
- An ethyl group more preferably a bromine atom, an iodine atom, a methyl group, an ethyl group, or a trifluoromethyl group, and particularly preferably a bromine atom.
- A91 is preferably a trifluoromethyl group, 1,1,2,2,2-pentafluoroethyl group, 1,1,2,2,2,3,3,3-octafluoropropyl group, 1, 1,1,2,3,3,3-heptafluoroisopropyl group or 1,1,1,2,3,3,4,4,4-nonafluoroisobutyl group, more preferably 1,1 , 1,2,3,3,3-heptafluoroisopropyl group, or 1,1,1,2,3,3,4,4,4-nonafluoroisobutyl group, particularly preferably 1,1, 1,2,3,3,3-heptafluoroisopropyl group.
- A92 and A93 are preferably a hydrogen atom, methyl group, ethyl group, propyl group, acetyl group, propanoyl group, 1-butanoyl group, 2-methylsulfonylethyl group, 2-ethylsulfonylethyl group, 2- (1 -Propylsulfonyl) ethyl group, methoxycarbonyl group, ethoxycarbonyl group, or propyloxycarbonyl group, more preferably hydrogen atom, methyl group, ethyl group, acetyl group, propanoyl group, 2-methylsulfonylethyl group, 2 -Ethylsulfonylethyl group, methoxycarbonyl group or ethoxycarbonyl group, particularly preferably a hydrogen atom.
- A94 and A95 are preferably a hydrogen atom, methyl group, ethyl group, propyl group, isopropyl group, trifluoromethyl group, 2,2,2-trifluoroethyl group, or 3,3,3-trifluoropropyl. More preferably a hydrogen atom, a methyl group or an ethyl group, and particularly preferably A94 is a methyl group and A95 is an ethyl group.
- the pest control agent according to the present invention can be obtained as a commercial product, or can be produced according to a method described in known literatures in which each component is described.
- the pest control agent is not particularly limited as long as it exhibits a pest control effect when combined with the compound of the present invention, but preferred are a bactericide and an insecticide.
- Preferred bactericides include b-1: phenylamide fungicide, b-2: mitotic and cell division inhibitor, b-3: succinate dehydrogenase inhibitor (SDHI agent), b-4: quinone External inhibitor (QoI agent), b-5: quinone internal inhibitor (QiI killer), b-6: oxidative phosphorylation uncoupling inhibitor, b-7: quinone external stigmaterin binding subsite inhibitor (QOSI agent) ), B-8: amino acid biosynthesis inhibitor, b-9: protein biosynthesis inhibitor, b-10: signal transduction inhibitor, b-11: lipid and cell membrane biosynthesis inhibitor, b-12: demethylation Inhibitor (DMI agent), b-13: amine fungicide, b-14: 3-ketoreductase inhibitor in C4-demethylation of sterol biosynthesis
- Preferred insecticides include c-1: carbamate acetylcholinesterase (AChE) inhibition Agent, c-2: organophosphorus acetylcholinesterase (AChE) inhibitor, c-3: GABAergic chloride channel blocker, c-4: sodium channel modulator, c-5: nicotinic acetylcholine receptor (nAChR) competition Modulator, c-6: nicotinic acetylcholine receptor (nAChR) allosteric modulator -, C-7: glutamatergic chloride channel (GluCl) allosteric modulator, c-8: juvenile hormone analog, c-9: non-specific (multi-site) inhibitor, c-10: chordal organ TRPV channel Modulator, c-11: mite growth inhibitor, c-12: mitochondrial ATP synthase inhibitor, c-13: oxidative phosphorylation uncoupler that disturbs proton gradient, c-14: nicotinic ace
- b-1 phenylamide fungicides
- b-2 mitotic and mitotic inhibitors
- b-3 succinate dehydrogenase inhibitors (SDHI agents) )
- B-4 quinone external inhibitor
- b-5 quinone internal inhibitor
- QiI killing agent oxidative phosphorylation uncoupling inhibitor
- b-7 quinone external stigmaterin binding Subsite inhibitor
- b-8 amino acid biosynthesis inhibitor
- b-9 protein biosynthesis inhibitor
- b-10 signal transduction inhibitor
- b-11 lipid and cell membrane biosynthesis inhibitor
- b-12 Demethylation inhibitor (DMI agent)
- b-13 amine fungicide
- b-14 3-ketoreductase inhibitor in C4 demethylation of sterol biosynthesis
- b-15 sterol Biosynthetic squalene Xidase inhibitor
- b-16 cell wall biosynthesis inhibitor
- the pest control composition of the present invention can be produced according to a conventional method relating to the production of general agricultural chemicals. That is, the pesticidal composition is a composition containing both active ingredients by mixing two or more kinds of active ingredients of the compound of the present invention and the pesticidal agent with carriers and adjuvants as necessary. Can be manufactured. In addition, after first producing a composition containing either the compound of the present invention or a pest control agent, the other active ingredient or a composition containing the active ingredient is added thereto, and both active ingredients are contained. A composition may be produced.
- the compound of the present invention and the pesticidal agent may be used as they are, but it is usually used by mixing with a carrier, and if necessary, a surfactant, Add auxiliary agents such as binders, disintegrants, stabilizers, pH adjusters, antibacterial antifungal agents (preservatives), thickeners, antifoaming agents, wetting agents, fixing agents, coloring agents, etc.
- auxiliary agents such as binders, disintegrants, stabilizers, pH adjusters, antibacterial antifungal agents (preservatives), thickeners, antifoaming agents, wetting agents, fixing agents, coloring agents, etc.
- it can be formulated into dosage forms such as wettable powders, flowable powders, granular wettable powders, OD drugs, powders, liquids, emulsions, granules, and packs.
- the form is not particularly limited as long as the effect is exhibited.
- the pesticidal composition of the present invention may be an embodiment in which the compound of the
- the carrier used in the composition of the present invention means a synthetic or natural inorganic compound formulated to help the active ingredient reach the site to be treated and to facilitate the storage, transport and handling of the active ingredient compound. Or it means an organic substance, and any solid, liquid or gas can be used as long as it is usually used for agricultural chemicals.
- the carrier is not particularly limited as long as the effect is exhibited.
- solid carrier examples include inorganic substances such as bentonite, montmorillonite, diatomaceous earth, white clay, talc, and clay, plant organic substances such as wood flour and sawdust, and urea. be able to.
- liquid carriers examples include aromatic hydrocarbons such as xylene and toluene, aliphatic hydrocarbons such as naphthenes, n-paraffins, and liquid paraffin, acetone, methyl ethyl ketone, and the like. Ketones, dioxane, ethers such as diethylene glycol dimethyl ether, alcohols such as ethanol and ethylene glycol, carbonates such as ethylene carbonate, aprotic solvents such as dimethylformamide, water, and the like.
- the gas carrier examples include nitrogen and carbon dioxide.
- adjuvants can also be used to enhance the efficacy of the compounds in the compositions of the present invention.
- the use form can be used alone or in combination depending on the purpose in consideration of the dosage form of the preparation, the treatment method, and the like.
- adjuvants include surfactants, binders, disintegrants, stabilizers, pH adjusters, antibacterial and antifungal agents, thickeners, antifoaming agents, antifreeze agents, and the like.
- a surfactant that is usually used for the purpose of emulsifying, dispersing, spreading or / and wetting the agricultural chemical preparation can be used.
- the surfactant include sorbitan fatty acid ester, polyoxyethylene fatty acid ester, polyoxyethylene alkyl ether, polyoxyethylene alkylphenyl ether, polyoxyethylene polyoxypropylene block polymer, alkyl polyoxyethylene polyoxypropylene block polymer ether
- Nonionic surfactants such as polyoxyethylene alkylamines, polyoxyethylene fatty acid amides, polyoxyethylene bisphenyl ethers, polyoxyalkylene adducts of higher alcohols, polyoxyethylene ethers, ester type silicones, fluorosurfactants Agent; Alkyl sulfate, polyoxyethylene alkyl ether sulfate, polyoxyethylene benzyl phenyl ether sulfate, polyoxyethylene styryl
- binder examples include sodium alginate, polyvinyl alcohol, gum arabic, sodium carboxymethyl cellulose, bentonite and the like.
- disintegrant examples include carboxymethylcellulose CMC sodium and croscarmellose sodium.
- stabilizer examples include hindered phenol-based antioxidants, benzotriazole-based and hindered amine-based ultraviolet absorbers, and the like.
- Examples of the pH adjuster include phosphoric acid, acetic acid, sodium hydroxide and the like.
- antibacterial / antifungal agent examples include industrial bactericides such as sodium benzoate, potassium sorbate, parahydroxybenzoate ester, 1,2-benzisothiazolin-3-one, and antibacterial / antifungal agents. .
- thickener examples include xanthan gum, guar gum, sodium carboxymethylcellulose, gum arabic, polyvinyl alcohol, montmorillonite and the like.
- antifoaming agents examples include silicone compounds.
- antifreezing agent examples include propylene glycol and ethylene glycol.
- the adjuvants described above are examples, and the adjuvants used in the composition of the present invention are not particularly limited as long as the effects are exhibited.
- the content of the compound of the present invention in the composition of the present invention is not particularly limited as long as the effect is exhibited, but is usually in the range of 0.01 to 99% by weight, preferably It is in the range of 0.1 to 90%, more preferably in the range of 1 to 80%.
- the content of the pest control agent according to the present invention in the composition of the present invention is not particularly limited as long as the effect is exerted, but is usually 0.01 to 99% by weight.
- the range is preferably 0.1 to 90%, and more preferably 1 to 80%.
- the total content of the compound of the present invention and the pest control agent in the composition of the present invention is not particularly limited as long as the effect is exhibited, but is usually in the range of 0.01 to 99% by weight. Preferably, it is in the range of 0.1 to 90%, and more preferably in the range of 1 to 80%.
- the mixing ratio of the compound of the present invention and the pesticidal agent in the composition of the present invention is not particularly limited as long as the effect is exerted.
- the ratio is 0.001 to 1000, preferably 0.01 to 100.
- composition of the present invention can be used for pest control in fields, paddy fields, tea gardens, orchards, pastures, lawns, forests, gardens, roadside trees, and the like.
- foliage spraying treatment to plant individuals for example, foliage spraying treatment to plant individuals, seedling box treatment, cell tray treatment, soil surface dispersion treatment, soil mixing after soil surface dispersion treatment, soil Infusion into soil, soil mixing after infusion treatment in soil, soil irrigation treatment, soil mixing after soil irrigation treatment, spraying treatment on plant seeds, smearing treatment on plant seeds, immersion treatment in plant seeds Or the dressing process etc. to a plant seed are mentioned.
- application methods utilized by those skilled in the art can be used.
- a method for controlling pests in the present invention a method for applying the pest control composition of the present invention, a composition containing the compound of the present invention as an active ingredient, and a composition containing a pest control agent as an active ingredient Or a composition containing the compound of the present invention as an active ingredient, or a composition containing a pest control agent as an active ingredient, and then applying the other composition.
- the method of applying etc. are mentioned.
- a method of applying the pest control composition of the present invention a method of applying a pest control composition manufactured to contain two or more kinds of active ingredients of the compound of the present invention and a pest control agent, or the present
- the composition containing the compound of the present invention and the pest control agent is mixed with the composition containing the compound of the present invention as an active ingredient and the composition containing the pest control agent as an active ingredient before use.
- the method of preparing and using is mentioned.
- the time (period) until the other composition is applied after any one of the composition containing the compound of the present invention as an active ingredient or the composition containing a pest control agent as the active ingredient is applied.
- it is not particularly limited as long as the effect is exhibited, for example, it is 1 minute to 2 weeks after applying any one of the compositions, and preferably any one of the compositions is applied. After 5 minutes to 1 week, more preferably 10 minutes to 3 days after applying any one of the compositions.
- the application amount and dilution rate of the composition of the present invention are appropriately selected according to the target crop, the target pest, the degree of occurrence of the pest, the dosage form of the composition of the present invention, the application method, various environmental conditions, and the like. Can be determined.
- the application amount is not particularly limited as long as the effect is exhibited, but it is usually 1 to 10,000 g per hectare in terms of the amount of active ingredient, preferably 10 to 5000 g per hectare.
- the application amount is not particularly limited as long as the effect is exhibited, but usually 0.001 per 1 kg of seed in terms of the amount of active ingredient. -100 g, preferably 0.01-50 g.
- the dilution factor is particularly limited as long as the effect is exhibited. However, it is usually 5 to 50000 times, preferably 10 to 10000 times.
- the plant means those that live without photosynthesis and exercise, for example, grains such as rice, wheat, barley, corn, grapes, apples, pears, peaches, sweet potatoes, oysters, citrus.
- Fruit trees such as soybeans, green beans, green peas, fruits such as strawberries, watermelons, potatoes, sweet potatoes, taros, konjacs, etc., cabbage, lettuce, tomatoes, cucumbers, eggplant, sugar beet, spinach, pumpkins, Examples include, but are not limited to, vegetables such as peppers, rapes such as oilseed rape, cotton, sunflower, tulip, chrysanthemum, sugarcane, tobacco, turf, and the like.
- seed means a nutrient stored for germination of a young plant and used for agricultural reproduction, for example, corn, soybean, cotton, rice, sugar beet, wheat, barley, sunflower, tomato, Seeds such as cucumber, eggplant, spinach, sweet pea, pumpkin, sugar cane, tobacco, pepper and rape; seed pods such as taro, potato, sweet potato and konjac; seed balls such as edible lily, bulbs such as tulips and raccoons; or genes Is a plant produced by artificially manipulating, for example, soybean, corn, cotton, etc. imparted with herbicide resistance that does not naturally exist in nature; rice adapted to cold regions, Tobacco, etc .; transformed with maize, cotton, potato, etc., which have the ability to produce insecticides Child like although not limited thereto.
- pests mean organisms that adversely affect the growth of plants such as pathogens such as bacteria, fungi and viruses, pests and weeds.
- Pathogenic bacteria infect plants and cause plant diseases. Pests infest and infest plants. Weeds compete with plants in terms of photosynthesis and nutrient absorption by proliferating at or near the plant's growing location. For these reasons, pests are harmful to plants because they cause poor plant growth, wither and die, and decrease in yield.
- the composition and control method of the present invention are effective against these pests.
- specific pathogenic bacteria and pests to be controlled by the present invention are exemplified.
- pathogens examples include rice blast fungus (Magnaporthe grisea), blight fungus (Thanatephorus cucumeris), brown sclerotia fungus (Ceratobasidium setariae), brown bacterium Bacterial rot fungus (Waitea citrus fungus), cucumeris, sclerotium hydrophilum, red sclerotia (Wairea circinata), staphylococcal fungus (Entyloma dactylidis), bacilli (Magneportorcium cerevisiae) Disease-causing bacteria (Cochliobolus Miyabeanus), Leaf blight fungus (Sphaerulina oryzina), Leaf seedling fungus (Gibberella fujikuroi), Seedling fungus (Pythium spp., Fusarium spp., Trichoderma spp., Rhizopus spp.
- Tritici Tritici
- rust fungus Pierinia graminis, Pucciria recondita, Puccinia recondita, Puccinaor fungus
- Pyrenophora teres Fusarium mold fungus (Gibberella zeae), Fusarium culmorum, Fusarium avenaceum, Monographella phnephalis fungus (Typhila incarnathia) Stilago nuda), Tuna scab (Tilletia caries), Tilletia controversa (Pseudocercosporella phytotrophic) Phaeosphaeria nodorum), Fusarium spp., Pythium spp., Rhizoctonia spp., Septoria spp., Pyrenophorra spp.
- Um graminicola ergot fungus (Claviceps purpurea), spot fungus (Cochliobolus sativus), black clause fungus (Pseudomonas syringae pv syringae); Corn fungus (Gibberella zeae, etc.), Seedling fungus (Fusarium avenaceum, Penicillium spp, Phythium spp.), Rhizoctonia sph.
- Ustilago maydis, Anthracnose fungus (Colletotrichum graminicola), Northern spotted fungus (Cochliobolus caribonum), Brown rot fungus (Acidovorax avenae suburb), Staphylococcus aureus .
- Mi pv zeae wilt bacterium fungus (Erwinia stewartii); Grape downy mildew (Plasmopara viticola), rust fungus (Physopella ampelopsidis), powdery mildew (Uncinula necator), black mold fungus (Elsinoe ampelina), late rot fungus (Glomerulumuleum, mullet) ), Vine split fungus (Phoropsis viticola), soot spot fungus (Zygophiala jamaicensis), gray mold fungus (Bottrytis cinerea), diatomote moss aid, trix), crown gall tumefaciens (Agrobacterium vitis); Apple powdery mildew (Podosphaera leukotricha), black rot (Venturia inaequalis), spot leaf rot (Alternaria mali), red rot (Gymnosporangium
- Erwinia sp. Erwinia sp.
- Agrobacterium tumefaciens Rust radish blight fungus (Erwinia chrysanthemi pv. Chrysanthemispiring), Pseudomonasy symptom Pesticides of pear (Phytophthoraca bacterium, Phytophthora syringae), bacterial wilt (Erwinia sp.); Peach black rot fungus (Cladosporium carpophilum), homoposis spoilage fungus (Phomopsis sp.), Plague fungus (Phytophthora sp.
- Agrobacterium tumefaciens Sugar beetle fungus (Glomerella cingulata), larvae fungus (Monilinia kusanoi), Aspergillus fungus (ingi) aingacterial syrup (Agrobacterium tumefaciens); Oyster anthracnose fungus (Glomerella singulata), deciduous fungus (Cercospora kaki; Mycosphaerella nawae), powdery mildew (Phyllactinia kakikora), root cancer fungus (Agrobacteria) Citrus black spot fungus (Diaporthe citrus), green mold fungus (Penicillium digitatum), green mold fungus (Penicillium italicum), scab fungus (Elsinophatophanthocorii) Pseudomonas syringae pv.
- Botrytis cinerea such as tomato, cucumber, beans, strawberry, potato, cabbage, eggplant, lettuce
- Sclerotinia sclerotiorum such as tomato, cucumber, beans, strawberry, potato, rapeseed, cabbage, eggplant, lettuce, etc .
- Seedling blight fungi (Rhizoctonia spp., Phythium spp., Phytophthora spp., Phytophthora spp., Sclerotrin, etc.) Ralstonia solanacerum, a solanaceous plant; Downy mildew of cucurbits (Pseudoperonospora cubensis), powdery mildew (Sphaerotheca fuliginea), anthracnose fungus (Colletotrichum orbiculare), vine blight (Didymella bryoniae), Fusarium fungus (Fusarium oxysporum), Phytophthora (Phytophthora parasitica, Phytophthora melonis , Phytophthora nicotianae, Phytophthora drechsleri, Phytophthora capsici, etc.), Xanthomonas campestris pv.
- Brassicaceae black spot fungus (Alternaria brassicae, etc.), white spot fungus (Cercosporella brassicae), root rot fungus (Phoma lingam), root-knot fungus (Plasmodiophora brassicae), black mold fungus (Panthophora brassicae), mildew fungus (Panthophora brassicae) pv. campestris), black spot bacteria (Pseudomonas syringae pv. maculacola), soft rot fungus (Erwinia carotovora subsp.
- Carotovora spot bacterial pathogen (Pseudomonas syringae pv. Syringae), Rot (Erwinia rhapontici), a scale-Rot (Burkholderia gladioli), yellows fungus (Phytoplasma asteris ); Soft rot of garlic (Erwinia carotovora subsp. Carotovora), spring rot (Pseudomonas marginalis pv.
- Soybean purpura fungus (Cercospora kikuchii), black rot fungus (Elsinoe glycines), black spot fungus (Diaporthe phasororum), rhizobonia hormonal fungus (Rhizotonia soloni), Phygopsora pachyrhizi, Anthracnose fungus (Colletotrichum truncatum, etc.), leaf-burning fungus (Xhanthomonas campestris pv.
- Kidney anthracnose fungus (Colletotrichum lindemuthianum), bacterial wilt fungus (Ralstonia solanacearum), bacterial wilt fungus (Pseudomonas syringae pv.
- Groundnut black fungus Mycosphaerella berkeleyi
- brown spot fungus Mycosphaerella arachidis
- bacterial wilt (Ralstonia solanaceram)
- Pea powdery mildew fungus (Erysiphe pisi), downy mildew fungus (Peronospora pisi), vine blight fungus (Pseudomonas syringae pv.
- Pisi vine rot fungus
- Xhanthomonas campestris pestis Broad bean fungus (Peronospora viciae), Phytophthora nicotianae; Potato summer blight fungus (Alternaria solani), black rot fungus (Thanatephorus cucumeris), blight fungus (Phytophthora infestans), silver rot fungus (Helminosporum solani), dry rot fungus (Fusarium sorghum) Spongospora subterranea, bacterial wilt (Ralstonia solanacearum), black rot (Erwinia carotovora subsp.
- Atroseptica rot fungus (Streptomyces scabipes, rot fungi .. A subsp carotovora), viscous Rot (Crostridium spp), Wakusa Fungus (Clavibacter michiganensis subsp.sepedonicus); Streptomyces ipomoeae; Sugar beet blight fungus (Cercospora beticola), downy mildew fungus (Peronospora schachtii), black root fungus (Aphanomyces cochioides), snake eye blight fungus (Phomabecto sect) (Agrobacter fungus) , Pseudomonas syringae pv.
- Carotovora Ralstonia solanacearum, tobacco mosaic virus (Tobaco mosaic virus); Coffee rust (Hemileia vastatrix); Banana black sigatoga disease (Mycosphaerella fijiensis), Panama disease (Fusarium oxysporum f. Cotton Fusarium oxysporum, Milulaia areola; Sunflower sclerotia (Sclerotinia sclerotiorum), Xanthomonas campestris pv. Malvacearum, cavernous fungus Erwinia carotovora subsp. carotovora), Pseudomonas syringae pv.
- Myriosclerotinia borealis Fairy Ri Grayed Fungus (Marasmius Oreades etc.), (such as Pythium aphanidermatum) Pythium fungus, Pyricularia oryzae (Pyricularia grisea), and the like.
- pests examples include, but are not limited to, Adoxophyes honmai, Adoxophies orana faciata, Apples burapipicanus, and Argops reptile. fuscocuppreanus, papaver (Grapholita molesta), chacha maki (Christoneura magnanima), bean thrips (Leguminivora glycinivolores), mulberry papaver (Olethia maki) Nkui (Argyresthia conjugella), Nashihosoga (Spulerrina astaurota), beans Hime Saya insect moth (Matsumuraeses phaseoli), Tobihamaki (Pandemis heparana), Nashichibiga (Bucculatrix pyrivorella), Momohamoguriga (Lyonetia clerkella), peach fruit moth (Carposina niponensis), Gin Mont leafminer ( Lyonetia punifoliella malinella), Chalothosiga (Caloptilia theivora), Golden
- Coleoptera insects such as Onychiurus folsomi, Siberian whitebill (Onychiurus sibiricus), Bourletiella hortensis, etc., Cockroach (Periplaneta americana), Cockroach (Periplaneta americana), German cockroach (Blattella germanica), cockroach (Peliplaneta Americana), etc.
- Termite insects such as the termites (Coptothermes formosanus), the Yamato termites (Reticulitermes speratus), the Taiwan termites (Odontotermes formosanus), Cat fleas (Ctenocephalidae felis), Dog fleas (Ctenocephalides canis), Chicken fleas (Echidnophaga gallinacea), Human fleas (Pulex irritans), Ceopus vulgaris (Xenopsylla, etc.) Dipteran insects such as chicken lice (Mecananthus stramineus), bovine lice (Bovicola bovis), Bovine lice (Haematopinus eurysternus), swine lice (Haematopinus suis), bovine white lice (Linognathus vitili), mosquito lice lice (Solenopotes capillus), sheep d Dust mites such as cyclamen dust mites (Phytonemus pallidus), chano mite mites (Polyphago
- Rice spider mites (Oligonychus shinkajii), citrus red spider mite (Pananychus citri), red spider mite (Pananychus ulmi), tick mite (Tananychus urticae), Tetranichus kanzawai Tea Roh Naga rust mite (Acaphylla theavagrans), Tulip rust mite (Aceria tulipae), tomato rust mite (Aculops lycopersici), mandarin orange rust mite (Aculops pelekassi), apple rust mite (Aculus Lampendali), false pear rust mite (Eriophyes chibaensis), citrus last mite (Phyllocoptruta oleivora ) Coniferous mites such as Robin tick (Rhizoglyphus robini), Kenagakonadani mite (Tyrophagus putrescentiae), Spinach mites (Tyrophagus similis), Leopard mites, such
- Ticks such as Rocky Mountain Forest Tick (Dermenteror andrsononi), West Coast Tick (Demercentor occidentalis), American Dog Tick (Dermentertor variabilis), Tick Tick (Dermenteror spp.), Crawfish ticks (Cheeletiella yasguri), crayfish ticks (Cheeletiella blackei), etc., Acne mites such as Inodemite mites (Demodex canis), Caterpillar mites (Demodex cati), Cucumber mites such as ovine cucumber mites (Psoroptes ovis), Mite mites such as Sarcoptes scabiei, catfish mite mite (Notoderes cati), chick mite mite (Knemidopoptes spp.), Crustaceans such as Armadillium vulgare, Pomacea caliculata, Achatina falica, slugs (Meghiatum
- Worms such as Cestoda Ascaris, Toxocara, Toxacaris, Parascaris, Ascaridia, Heterakis, Oxyuris, Capillaria, Capillaria Caterpillars (Trichinella), roundworms (Strongylus, Tridontophorus), hairy nematodes (Trichonema), swine nematodes (Stephanurus), intestinal nodules (Desophagostomum), large intestinal nematodes (Chabertia), moths astragalus (A) , Uncinaria, Necator, Bunostom), Trichostromylus, Coober ciliate nematode (Coo) eria, nematoderus, torsion stomach nematode (Haemonchus), octer dark gastroworm (Ostertagia), lungworm (Dictyocaurus, Metastrungylus), dirofilariae (polyrofilaria) Parafilaria
- [Formulation Example 1 Flowable Agent] Compound of the present invention (10 parts by mass), pest control agent (10 parts by mass), sodium salt of formaldehyde condensate of naphthalenesulfonic acid (5 parts by mass), polyoxyethylene arylphenyl ether (1 part by mass), propylene glycol (5 Part by mass), a silicon-based antifoaming agent (0.1 part by mass), xanthan gum (0.2 part by mass), and ion-exchanged water (68.7 parts by mass) to form a slurry, and a diameter of 1 with Dinomil KDL.
- a flowable agent is obtained by wet grinding using 0.0 mm glass beads.
- Compound of the present invention (10 parts by mass), pest control agent (10 parts by mass), white carbon (10 parts by mass), polyvinyl alcohol (2 parts by mass), dioctylsulfosuccinic acid sodium salt (0.5 parts by mass), alkylbenzenesulfone Acid sodium salt (5 parts by mass), calcined diatomaceous earth (10 parts by mass) and kaolinite clay (52.5 parts by mass) are sufficiently mixed and pulverized with an air mill to obtain a wettable powder.
- Step 2 Synthesis of 5- (2-chloro-5-methoxyphenyl) -6- (2,6-difluorophenyl) -1-ethyl-3,4-dihydropyridin-2 (1H) -one (Compound No. 52)
- the obtained organic layer was washed successively with aqueous sodium thiosulfate solution and saturated brine, and dried over sodium sulfate. After the solvent was distilled off under reduced pressure, the obtained residue was purified by silica gel column chromatography. The title compound was obtained as 109 mg off-white solid.
- the resulting white solid was the title compound, 2.24 g. Further, the filtrate produced when the precipitate was washed was evaporated under reduced pressure, and the resulting residue was purified by silica gel column chromatography. The white solid obtained from the filtrate was also the title compound, 0.46 g. 1 H-NMR (CDCl 3 ) ⁇ : 7.28-7.26 (1H, m), 7.18 (1H, br s), 6.86-6.83 (1H, m), 6.74- 6.72 (1H, m), 6.61-6.59 (2H, br m), 2.85-2.74 (4H, br m).
- Step 2 Synthesis of 5- (2-chloro-5-fluorophenyl) -1-ethyl-6- (2,4,6-trifluorophenyl) -3,4-dihydropyridin-2 (1H) -one (compound Number 320)
- Step 2 Synthesis of 5- (3,5-dimethoxyphenyl) -1-methyl-6- (2,4,6-trifluorophenyl) -3,4-dihydropyridin-2 (1H) -one
- Step 1 Synthesis of 2- (2-chloro-5-methoxyphenyl) -1- (2,6-difluorophenyl) ethanone
- Step 2 Synthesis of ethyl 4- (2-chloro-5-methoxyphenyl) -5- (2,6-difluorophenyl) -5-oxopentanoate
- Step 3 Synthesis of 4- (2-chloro-5-methoxyphenyl) -5- (2,6-difluorophenyl) -5-oxopentanoic acid
- Step 1 Synthesis of N ′-(2-chloro-5-fluorobenzylidene) -4-methylbenzenesulfonyl hydrazide
- Step 2 Synthesis of 2- (2-chloro-5-fluorophenyl) -1- (2,4,6-trifluorophenyl) ethanone
- Step 3 Synthesis of ethyl 4- (2-chloro-5-fluorophenyl) -5-oxo-5- (2,4,6-trifluorophenyl) pentanoate
- Step 4 Synthesis of 4- (2-chloro-5-fluorophenyl) -5-oxo-5- (2,4,6-trifluorophenyl) pentanoic acid
- Step 1 Synthesis of N ′-(3,5-dimethoxybenzylidene) -4-methylbenzenesulfonyl hydrazide
- Step 2 Synthesis of 2- (3,5-dimethoxyphenyl) -1- (2,4,6-trifluorophenyl) ethanone
- Step 3 Synthesis of ethyl 4- (3,5-dimethoxyphenyl) -5-oxo-5- (2,4,6-trifluorophenyl) pentanoate
- Step 4 Synthesis of 4- (3,5-dimethoxyphenyl) -5-oxo-5- (2,4,6-trifluorophenyl) pentanoic acid
- Structure B represents the following:
- Structure C represents:
- Structure D represents:
- the microtiter plate was cultured in a closed container at 18 ° C. in the dark, and the growth degree of the bacteria in the drug-treated group and the drug-untreated group was measured after 0 to 7 days.
- Tables 6, 7, 8, and 9 show antibacterial test results obtained by combining the compounds of the present invention and pest control agents.
- “H” indicates that the growth inhibition rate is greater than 75%
- M indicates that the growth inhibition rate is 50% or more and 75% or less
- “L” indicates that the growth inhibition rate is less than 50%.
- “ND” indicates that the growth inhibition rate cannot be calculated.
- “no treatment” in the number column in the table indicates that the compound of the present invention or the pest control agent is not contained.
Landscapes
- Life Sciences & Earth Sciences (AREA)
- Agronomy & Crop Science (AREA)
- Pest Control & Pesticides (AREA)
- Plant Pathology (AREA)
- Health & Medical Sciences (AREA)
- Engineering & Computer Science (AREA)
- Dentistry (AREA)
- General Health & Medical Sciences (AREA)
- Wood Science & Technology (AREA)
- Zoology (AREA)
- Environmental Sciences (AREA)
- Agricultural Chemicals And Associated Chemicals (AREA)
Abstract
新規なピリドン化合物またはその塩と有害生物防除剤との組み合わせを含む有用な防除効果を奏する有害生物防除組成物、およびその使用方法を提供すること。 下記式(1)で表される化合物またはその塩と、有害生物防除剤から選択される1種以上の有害生物防除活性を有する成分を有効成分として含有する有害生物防除組成物が提供される。 式中、R1は置換されてもよいC1~C6のアルキル基、C1~C6のハロアルキル基等を表し、R2はハロゲン原子、置換されてもよいC1~C6のアルキル基、置換されてもよいC1~C6のアルコキシ基等を表し、R3は水素原子、ハロゲン原子、置換されてもよいC1~C6のアルキル基等を表し、nは0~5の整数を表し、Xは酸素原子または硫黄原子を表し、Yはオルト位に置換基を有するフェニル基、ピリジル基等を表し、破線部を含む結合は二重結合または単結合を表す。
Description
本発明は、ピリドン化合物と1種以上の有害生物防除剤を有効成分として含有する有害生物防除組成物に関する。
農園芸場面において、従来から、害虫、病原菌、雑草等の有害生物を防除するため、それぞれの有害生物の防除に適した農薬を使用することが一般的に行われている。
さらに、種々の有害生物を同時に防除すること等を目的として、複数の有効成分を含有する混合組成物を使用することが行われている。
さらに、種々の有害生物を同時に防除すること等を目的として、複数の有効成分を含有する混合組成物を使用することが行われている。
一方、長年にわたる薬剤の使用により、薬剤に対する耐性を獲得した抵抗性害虫や耐性菌が出現し、従来の薬剤による防除が困難となる場面が増えてきているため、新規有害生物防除剤が絶えず必要とされている。また、抵抗性害虫や耐性菌の発生リスクを低減する目的で、異なる作用機作を有する有効成分を組合せた混合剤を使用することが行われている。
ところで、1,3,5,6-置換-2-ピリドン化合物に関して、例えば、GABAアルファー2/3リガンドとして、3位にアリール基またはヘテロアリール基を有する1,3,5,6-置換-2-ピリドン化合物が開示されている(例えば、国際公開第98/55480号参照)。また、細菌性感染症の治療薬として、3位にカルボキシル基を有する1,3,5,6-置換-2-ピリドン化合物が開示されている(例えば、欧州特許第0308020明細書参照)。しかしながら、国際公開第98/55480号および欧州特許第0308020明細書に記載されている化合物の用途は、いずれも医薬に関するものであり、本発明に係る有害生物防除組成物が属する技術分野とは相違する。
しかしながら、前述した複数の有効成分を含有する混合組成物において、単剤で使用した場合に比べ有害生物に対する効果が低下する場合があるため、新規の有効成分を含有し、かつ有害生物に対し十分な防除効果を奏する混合組成物が切望されている。
本発明の課題は、新規なピリドン化合物またはその塩と有害生物防除剤との組み合わせを含む有用な防除効果を奏する有害生物防除組成物、およびその使用方法を提供することにある。
本発明の課題は、新規なピリドン化合物またはその塩と有害生物防除剤との組み合わせを含む有用な防除効果を奏する有害生物防除組成物、およびその使用方法を提供することにある。
本発明者らは、前記課題を解決すべく、1,3,5,6-置換-2-ピリドン化合物群および1,5,6-置換-2-ピリドン化合物群について鋭意検討を行った結果、当該2-ピリドン骨格中の6位に関して、オルト位に置換基を有するアリール基またはヘテロアリール基を導入した化合物群と1種以上の有害生物防除剤を有効成分として含有する有害生物防除組成物が、優れた有害生物防除活性を発揮することを見出し、本発明を完成するに至った。
即ち、本発明は、以下のとおりである。
即ち、本発明は、以下のとおりである。
[1]
式(1)
[式中、R1は、水酸基、
シアノ基、
置換基Aで適宜置換されてもよいC1~C6のアルキル基、
C1~C6のハロアルキル基、
置換基Aで適宜置換されてもよいC3~C8のシクロアルキル基、
置換基Aで適宜置換されてもよいC2~C6のアルケニル基、
C2~C6のハロアルケニル基、
置換基Aで適宜置換されてもよいC2~C6のアルキニル基、
C2~C6のハロアルキニル基、
置換基Aで適宜置換されてもよいC1~C6のアルコキシ基、
C1~C6のハロアルコキシ基、
置換基Aで適宜置換されてもよいC3~C8のシクロアルコキシ基、
置換基Aで適宜置換されてもよいC2~C6のアルケニルオキシ基、
C2~C6のハロアルケニルオキシ基、
置換基Aで適宜置換されてもよいC3~C6のアルキニルオキシ基、
C3~C6のハロアルキニルオキシ基、
またはR10R11N-(ここで、R10およびR11は、それぞれ独立していて、水素原子、またはC1~C6のアルキル基を表す。)を表し;
R2は、ハロゲン原子、
水酸基、
シアノ基、
ニトロ基、
置換基Bで適宜置換されてもよいC1~C6のアルキル基、
C1~C6のハロアルキル基、
置換基Bで適宜置換されてもよいC3~C8のシクロアルキル基、
置換基Bで適宜置換されてもよいC2~C6のアルケニル基、
C2~C6のハロアルケニル基、
置換基Bで適宜置換されてもよいC2~C6のアルキニル基、
C2~C6のハロアルキニル基、
置換基Bで適宜置換されてもよいC1~C6のアルコキシ基、
C1~C6のハロアルコキシ基、
置換基Bで適宜置換されてもよいC3~C8のシクロアルコキシ基、
置換基Bで適宜置換されてもよいC2~C6のアルケニルオキシ基、
C2~C6のハロアルケニルオキシ基、
置換基Bで適宜置換されてもよいC3~C6のアルキニルオキシ基、
C3~C6のハロアルキニルオキシ基、
R20C(=O)-(ここで、R20は、C1~C6のアルキル基、C1~C6のハロアルキル基、C3~C8のシクロアルキル基、C1~C6のアルコキシ基、C1~C6のハロアルコキシ基、C3~C8のシクロアルコキシ基、またはR21R22N-(ここで、R21およびR22は、それぞれ独立していて、水素原子、置換基B1で適宜置換されてもよいC1~C6のアルキル基、C1~C6のハロアルキル基、またはC3~C8のシクロアルキル基を表すか、あるいはR21およびR22は、結合する窒素原子と一緒になって、アジリジニル基、アゼチジニル基、ピロリジニル基、ピペリジニル基、ホモピペリジニル基、またはアゾカニル基を形成するものを表す。)を表す。)、
R20C(=O)O-(ここで、R20は、前記と同義である。)、
1~2個の酸素原子を含む3~6員環の基、
R23-L2-(ここで、R23は、C1~C6のアルキル基、またはC1~C6のハロアルキル基を表し、L2は、S、SO、またはSO2を表す。)、
R21R22N-(ここで、R21およびR22は、前記と同義である。)、
またはR24C(=O)N(R25)-(ここで、R24は、水素原子、C1~C6のアルキル基、C1~C6のハロアルキル基、C3~C8のシクロアルキル基、C1~C6のアルコキシ基、C1~C6のハロアルコキシ基、C3~C8のシクロアルコキシ基、またはR21R22N-(ここで、R21およびR22は、前記と同義である。)を表し、R25は、水素原子、置換基B1で適宜置換されてもよいC1~C6のアルキル基、C1~C6のハロアルキル基、またはC3~C8のシクロアルキル基を表す。)を表し;
R3は、水素原子、
ハロゲン原子、
ニトロ基、
置換基Cで適宜置換されてもよいC1~C6のアルキル基、
C1~C6のハロアルキル基、
置換基Cで適宜置換されてもよいC3~C8のシクロアルキル基、
置換基Cで適宜置換されてもよいC1~C6のアルコキシ基、
C1~C6のハロアルコキシ基、
置換基Cで適宜置換されてもよいC2~C6のアルケニル基、
C2~C6のハロアルケニル基、
置換基Cで適宜置換されてもよいC2~C6のアルキニル基、
C2~C6のハロアルキニル基、
R30-L3-(ここで、R30は、前記のR23と同義であり、L3は、前記のL2と同義である。)、
R31R32N-(ここで、R31およびR32は、前記のR21およびR22と同義である。)、
またはR33C(=O)-(ここで、R33は、C1~C6のアルキル基、C1~C6のハロアルキル基、またはC3~C8のシクロアルキル基を表す。)を表し;
nは、0~5の整数(ただし、nが2以上のとき、2以上のR2は、それぞれ独立した置換基を表す。)を表し;
Xは、酸素原子、または硫黄原子を表し;
Yは、フェニル基、ピリジル基、ピリダジニル基、ピリミジニル基、ピラジニル基、トリアジニル基、テトラジニル基、チエニル基、チアゾリル基、イソチアゾリル基、またはチアジアゾリル基を表し、
該フェニル基は、置換基Dがオルト位に置換し、さらに置換基D1が、それぞれ独立して適宜0~4置換し、
該ピリジル基、該ピラジニル基、該ピリミジニル基、該ピリダジニル基、該トリアジニル基、または該テトラジニル基は、置換基Dがオルト位に置換し、さらに置換基D1が、それぞれ独立して適宜0~3置換し、
該チエニル基、該チアゾリル基、該イソチアゾリル基、または該チアジアゾリル基は、置換基Dがオルト位に置換し、さらに置換基D1が、それぞれ独立して適宜0~2置換し;
破線部を含む結合は、二重結合、または単結合を表し、
そして、置換基Aは、
水酸基、シアノ基、C3~C8のシクロアルキル基、C1~C6のアルコキシ基、C1~C6のハロアルコキシ基、C3~C8のシクロアルコキシ基、R12R13N-(ここで、R12およびR13は、それぞれ独立していて、水素原子、C1~C6のアルキル基、C1~C6のハロアルキル基、またはC3~C8のシクロアルキル基を表すか、あるいはR12およびR13は、結合する窒素原子と一緒になって、アジリジニル基、アゼチジニル基、ピロリジニル基、ピペリジニル基、ホモピペリジニル基、またはアゾカニル基を形成するものを表す。)、およびR14-L1-(ここで、R14は、C1~C6のアルキル基、またはC1~C6のハロアルキル基を表し、L1は、S、SO、またはSO2を表す。)からなる群から選択される少なくとも1種であり;
置換基Bは、
水酸基、シアノ基、C3~C8のシクロアルキル基、C1~C6のアルコキシ基、C1~C6のハロアルコキシ基、C3~C8のシクロアルコキシ基、C2~C6のアルコキシアルコキシ基、R21R22N-(ここで、R21およびR22は、前記と同義である。)、R23-L2-(ここで、R23およびL2は、前記と同義である。)、R26R27R28Si-(ここで、R26、R27およびR28は、それぞれ独立していてC1~C6のアルキル基を表す。)、R26R27R28Si-(CH2)s-O-(ここで、sは、1~3の整数を表し、R26、R27およびR28は、前記と同義である。)、R20C(=O)-(ここで、R20は、前記と同義である。)、および1~2個の酸素原子を含む3~6員環の基からなる群から選択される少なくとも1種であり;
置換基B1は、
シアノ基、C1~C6のアルコキシ基、C1~C6のハロアルコキシ基、およびC3~C8のシクロアルコキシ基からなる群から選択される少なくとも1種であり;
置換基Cは、
水酸基、シアノ基、C3~C8のシクロアルキル基、C1~C6のアルコキシ基、C1~C6のハロアルコキシ基、C3~C8のシクロアルコキシ基、R31R32N-(ここで、R31およびR32は、前記のR21およびR22と同義である。)、およびR30-L3-(ここで、R30は、前記のR14と同義であり、L3は、前記のL1と同義である。)からなる群から選択される少なくとも1種であり;
置換基Dは、
ハロゲン原子、C1~C6のアルキル基、C1~C6のハロアルキル基、C1~C6のアルコキシ基、およびC1~C6のハロアルコキシ基からなる群から選択される少なくとも1種であり;
置換基D1は、
水酸基、ハロゲン原子、C1~C6のアルキル基、C1~C6のハロアルキル基、C3~C8のシクロアルキル基、C1~C6のアルコキシ基、C1~C6のハロアルコキシ基、およびC3~C8のシクロアルコキシ基からなる群から選択される少なくとも1種である。]で表される化合物またはその塩と、
有害生物防除剤から選ばれる1種以上の成分を有効成分として含有する有害生物防除組成物。
式(1)
[式中、R1は、水酸基、
シアノ基、
置換基Aで適宜置換されてもよいC1~C6のアルキル基、
C1~C6のハロアルキル基、
置換基Aで適宜置換されてもよいC3~C8のシクロアルキル基、
置換基Aで適宜置換されてもよいC2~C6のアルケニル基、
C2~C6のハロアルケニル基、
置換基Aで適宜置換されてもよいC2~C6のアルキニル基、
C2~C6のハロアルキニル基、
置換基Aで適宜置換されてもよいC1~C6のアルコキシ基、
C1~C6のハロアルコキシ基、
置換基Aで適宜置換されてもよいC3~C8のシクロアルコキシ基、
置換基Aで適宜置換されてもよいC2~C6のアルケニルオキシ基、
C2~C6のハロアルケニルオキシ基、
置換基Aで適宜置換されてもよいC3~C6のアルキニルオキシ基、
C3~C6のハロアルキニルオキシ基、
またはR10R11N-(ここで、R10およびR11は、それぞれ独立していて、水素原子、またはC1~C6のアルキル基を表す。)を表し;
R2は、ハロゲン原子、
水酸基、
シアノ基、
ニトロ基、
置換基Bで適宜置換されてもよいC1~C6のアルキル基、
C1~C6のハロアルキル基、
置換基Bで適宜置換されてもよいC3~C8のシクロアルキル基、
置換基Bで適宜置換されてもよいC2~C6のアルケニル基、
C2~C6のハロアルケニル基、
置換基Bで適宜置換されてもよいC2~C6のアルキニル基、
C2~C6のハロアルキニル基、
置換基Bで適宜置換されてもよいC1~C6のアルコキシ基、
C1~C6のハロアルコキシ基、
置換基Bで適宜置換されてもよいC3~C8のシクロアルコキシ基、
置換基Bで適宜置換されてもよいC2~C6のアルケニルオキシ基、
C2~C6のハロアルケニルオキシ基、
置換基Bで適宜置換されてもよいC3~C6のアルキニルオキシ基、
C3~C6のハロアルキニルオキシ基、
R20C(=O)-(ここで、R20は、C1~C6のアルキル基、C1~C6のハロアルキル基、C3~C8のシクロアルキル基、C1~C6のアルコキシ基、C1~C6のハロアルコキシ基、C3~C8のシクロアルコキシ基、またはR21R22N-(ここで、R21およびR22は、それぞれ独立していて、水素原子、置換基B1で適宜置換されてもよいC1~C6のアルキル基、C1~C6のハロアルキル基、またはC3~C8のシクロアルキル基を表すか、あるいはR21およびR22は、結合する窒素原子と一緒になって、アジリジニル基、アゼチジニル基、ピロリジニル基、ピペリジニル基、ホモピペリジニル基、またはアゾカニル基を形成するものを表す。)を表す。)、
R20C(=O)O-(ここで、R20は、前記と同義である。)、
1~2個の酸素原子を含む3~6員環の基、
R23-L2-(ここで、R23は、C1~C6のアルキル基、またはC1~C6のハロアルキル基を表し、L2は、S、SO、またはSO2を表す。)、
R21R22N-(ここで、R21およびR22は、前記と同義である。)、
またはR24C(=O)N(R25)-(ここで、R24は、水素原子、C1~C6のアルキル基、C1~C6のハロアルキル基、C3~C8のシクロアルキル基、C1~C6のアルコキシ基、C1~C6のハロアルコキシ基、C3~C8のシクロアルコキシ基、またはR21R22N-(ここで、R21およびR22は、前記と同義である。)を表し、R25は、水素原子、置換基B1で適宜置換されてもよいC1~C6のアルキル基、C1~C6のハロアルキル基、またはC3~C8のシクロアルキル基を表す。)を表し;
R3は、水素原子、
ハロゲン原子、
ニトロ基、
置換基Cで適宜置換されてもよいC1~C6のアルキル基、
C1~C6のハロアルキル基、
置換基Cで適宜置換されてもよいC3~C8のシクロアルキル基、
置換基Cで適宜置換されてもよいC1~C6のアルコキシ基、
C1~C6のハロアルコキシ基、
置換基Cで適宜置換されてもよいC2~C6のアルケニル基、
C2~C6のハロアルケニル基、
置換基Cで適宜置換されてもよいC2~C6のアルキニル基、
C2~C6のハロアルキニル基、
R30-L3-(ここで、R30は、前記のR23と同義であり、L3は、前記のL2と同義である。)、
R31R32N-(ここで、R31およびR32は、前記のR21およびR22と同義である。)、
またはR33C(=O)-(ここで、R33は、C1~C6のアルキル基、C1~C6のハロアルキル基、またはC3~C8のシクロアルキル基を表す。)を表し;
nは、0~5の整数(ただし、nが2以上のとき、2以上のR2は、それぞれ独立した置換基を表す。)を表し;
Xは、酸素原子、または硫黄原子を表し;
Yは、フェニル基、ピリジル基、ピリダジニル基、ピリミジニル基、ピラジニル基、トリアジニル基、テトラジニル基、チエニル基、チアゾリル基、イソチアゾリル基、またはチアジアゾリル基を表し、
該フェニル基は、置換基Dがオルト位に置換し、さらに置換基D1が、それぞれ独立して適宜0~4置換し、
該ピリジル基、該ピラジニル基、該ピリミジニル基、該ピリダジニル基、該トリアジニル基、または該テトラジニル基は、置換基Dがオルト位に置換し、さらに置換基D1が、それぞれ独立して適宜0~3置換し、
該チエニル基、該チアゾリル基、該イソチアゾリル基、または該チアジアゾリル基は、置換基Dがオルト位に置換し、さらに置換基D1が、それぞれ独立して適宜0~2置換し;
破線部を含む結合は、二重結合、または単結合を表し、
そして、置換基Aは、
水酸基、シアノ基、C3~C8のシクロアルキル基、C1~C6のアルコキシ基、C1~C6のハロアルコキシ基、C3~C8のシクロアルコキシ基、R12R13N-(ここで、R12およびR13は、それぞれ独立していて、水素原子、C1~C6のアルキル基、C1~C6のハロアルキル基、またはC3~C8のシクロアルキル基を表すか、あるいはR12およびR13は、結合する窒素原子と一緒になって、アジリジニル基、アゼチジニル基、ピロリジニル基、ピペリジニル基、ホモピペリジニル基、またはアゾカニル基を形成するものを表す。)、およびR14-L1-(ここで、R14は、C1~C6のアルキル基、またはC1~C6のハロアルキル基を表し、L1は、S、SO、またはSO2を表す。)からなる群から選択される少なくとも1種であり;
置換基Bは、
水酸基、シアノ基、C3~C8のシクロアルキル基、C1~C6のアルコキシ基、C1~C6のハロアルコキシ基、C3~C8のシクロアルコキシ基、C2~C6のアルコキシアルコキシ基、R21R22N-(ここで、R21およびR22は、前記と同義である。)、R23-L2-(ここで、R23およびL2は、前記と同義である。)、R26R27R28Si-(ここで、R26、R27およびR28は、それぞれ独立していてC1~C6のアルキル基を表す。)、R26R27R28Si-(CH2)s-O-(ここで、sは、1~3の整数を表し、R26、R27およびR28は、前記と同義である。)、R20C(=O)-(ここで、R20は、前記と同義である。)、および1~2個の酸素原子を含む3~6員環の基からなる群から選択される少なくとも1種であり;
置換基B1は、
シアノ基、C1~C6のアルコキシ基、C1~C6のハロアルコキシ基、およびC3~C8のシクロアルコキシ基からなる群から選択される少なくとも1種であり;
置換基Cは、
水酸基、シアノ基、C3~C8のシクロアルキル基、C1~C6のアルコキシ基、C1~C6のハロアルコキシ基、C3~C8のシクロアルコキシ基、R31R32N-(ここで、R31およびR32は、前記のR21およびR22と同義である。)、およびR30-L3-(ここで、R30は、前記のR14と同義であり、L3は、前記のL1と同義である。)からなる群から選択される少なくとも1種であり;
置換基Dは、
ハロゲン原子、C1~C6のアルキル基、C1~C6のハロアルキル基、C1~C6のアルコキシ基、およびC1~C6のハロアルコキシ基からなる群から選択される少なくとも1種であり;
置換基D1は、
水酸基、ハロゲン原子、C1~C6のアルキル基、C1~C6のハロアルキル基、C3~C8のシクロアルキル基、C1~C6のアルコキシ基、C1~C6のハロアルコキシ基、およびC3~C8のシクロアルコキシ基からなる群から選択される少なくとも1種である。]で表される化合物またはその塩と、
有害生物防除剤から選ばれる1種以上の成分を有効成分として含有する有害生物防除組成物。
[2]
R1は、シアノ基、
置換基Aで適宜置換されてもよいC1~C6のアルキル基、
C1~C6のハロアルキル基、
置換基Aで適宜置換されてもよいC3~C8のシクロアルキル基、
置換基Aで適宜置換されてもよいC2~C6のアルケニル基、
C2~C6のハロアルケニル基、
置換基Aで適宜置換されてもよいC2~C6のアルキニル基、
またはR10R11N-(ここで、R10およびR11は、それぞれ独立していて、水素原子、またはC1~C6のアルキル基を表す。)を表し;
R2は、ハロゲン原子、
水酸基、
シアノ基、
置換基Bで適宜置換されてもよいC1~C6のアルキル基、
C1~C6のハロアルキル基、
置換基Bで適宜置換されてもよいC1~C6のアルコキシ基、
C1~C6のハロアルコキシ基、
置換基Bで適宜置換されてもよいC3~C8のシクロアルコキシ基、
置換基Bで適宜置換されてもよいC2~C6のアルケニルオキシ基、
置換基Bで適宜置換されてもよいC3~C6のアルキニルオキシ基、
R20C(=O)O-(ここで、R20は、C1~C6のアルキル基、C1~C6のハロアルキル基、C3~C8のシクロアルキル基、C1~C6のアルコキシ基、C1~C6のハロアルコキシ基、C3~C8のシクロアルコキシ基、またはR21R22N-(ここで、R21およびR22は、それぞれ独立していて、水素原子、置換基B1で適宜置換されてもよいC1~C6のアルキル基、C1~C6のハロアルキル基、またはC3~C8のシクロアルキル基を表すか、あるいはR21およびR22は、結合する窒素原子と一緒になって、アジリジニル基、アゼチジニル基、ピロリジニル基、ピペリジニル基、ホモピペリジニル基、またはアゾカニル基を形成するものを表す。)、
またはR23-L2-(ここで、R23は、C1~C6のアルキル基、またはC1~C6のハロアルキル基を表し、L2は、S、SO、またはSO2を表す。)を表し;
R3は、水素原子、
ハロゲン原子、
置換基Cで適宜置換されてもよいC1~C6のアルキル基、
置換基Cで適宜置換されてもよいC3~C8のシクロアルキル基、
置換基Cで適宜置換されてもよいC1~C6のアルコキシ基、
置換基Cで適宜置換されてもよいC2~C6のアルキニル基、
またはR30-L3-(ここで、R30は、前記のR23と同義であり、L3は、前記のL2と同義である。)を表し;
Yは、フェニル基、またはピリジル基を表し、
該フェニル基は、置換基Dがオルト位に置換し、さらに置換基D1が、それぞれ独立して適宜0~4置換し、
該ピリジル基は、置換基Dがオルト位に置換し、さらに置換基D1が、それぞれ独立して適宜0~3置換する、
[1]に記載の化合物またはその塩と、
有害生物防除剤から選ばれる1種以上の成分を有効成分として含有する有害生物防除組成物。
R1は、シアノ基、
置換基Aで適宜置換されてもよいC1~C6のアルキル基、
C1~C6のハロアルキル基、
置換基Aで適宜置換されてもよいC3~C8のシクロアルキル基、
置換基Aで適宜置換されてもよいC2~C6のアルケニル基、
C2~C6のハロアルケニル基、
置換基Aで適宜置換されてもよいC2~C6のアルキニル基、
またはR10R11N-(ここで、R10およびR11は、それぞれ独立していて、水素原子、またはC1~C6のアルキル基を表す。)を表し;
R2は、ハロゲン原子、
水酸基、
シアノ基、
置換基Bで適宜置換されてもよいC1~C6のアルキル基、
C1~C6のハロアルキル基、
置換基Bで適宜置換されてもよいC1~C6のアルコキシ基、
C1~C6のハロアルコキシ基、
置換基Bで適宜置換されてもよいC3~C8のシクロアルコキシ基、
置換基Bで適宜置換されてもよいC2~C6のアルケニルオキシ基、
置換基Bで適宜置換されてもよいC3~C6のアルキニルオキシ基、
R20C(=O)O-(ここで、R20は、C1~C6のアルキル基、C1~C6のハロアルキル基、C3~C8のシクロアルキル基、C1~C6のアルコキシ基、C1~C6のハロアルコキシ基、C3~C8のシクロアルコキシ基、またはR21R22N-(ここで、R21およびR22は、それぞれ独立していて、水素原子、置換基B1で適宜置換されてもよいC1~C6のアルキル基、C1~C6のハロアルキル基、またはC3~C8のシクロアルキル基を表すか、あるいはR21およびR22は、結合する窒素原子と一緒になって、アジリジニル基、アゼチジニル基、ピロリジニル基、ピペリジニル基、ホモピペリジニル基、またはアゾカニル基を形成するものを表す。)、
またはR23-L2-(ここで、R23は、C1~C6のアルキル基、またはC1~C6のハロアルキル基を表し、L2は、S、SO、またはSO2を表す。)を表し;
R3は、水素原子、
ハロゲン原子、
置換基Cで適宜置換されてもよいC1~C6のアルキル基、
置換基Cで適宜置換されてもよいC3~C8のシクロアルキル基、
置換基Cで適宜置換されてもよいC1~C6のアルコキシ基、
置換基Cで適宜置換されてもよいC2~C6のアルキニル基、
またはR30-L3-(ここで、R30は、前記のR23と同義であり、L3は、前記のL2と同義である。)を表し;
Yは、フェニル基、またはピリジル基を表し、
該フェニル基は、置換基Dがオルト位に置換し、さらに置換基D1が、それぞれ独立して適宜0~4置換し、
該ピリジル基は、置換基Dがオルト位に置換し、さらに置換基D1が、それぞれ独立して適宜0~3置換する、
[1]に記載の化合物またはその塩と、
有害生物防除剤から選ばれる1種以上の成分を有効成分として含有する有害生物防除組成物。
[3]
R1は、置換基Aで適宜置換されてもよいC1~C6のアルキル基、またはC1~C6のハロアルキル基を表し;
R2は、ハロゲン原子、置換基Bで適宜置換されてもよいC1~C6のアルキル基、または置換基Bで適宜置換されてもよいC1~C6のアルコキシ基を表し;
R3は、水素原子、ハロゲン原子、または置換基Cで適宜置換されてもよいC1~C6のアルキル基を表す、
[2]に記載の化合物またはその塩と、
有害生物防除剤から選ばれる1種以上の成分を有効成分として含有する有害生物防除組成物。
R1は、置換基Aで適宜置換されてもよいC1~C6のアルキル基、またはC1~C6のハロアルキル基を表し;
R2は、ハロゲン原子、置換基Bで適宜置換されてもよいC1~C6のアルキル基、または置換基Bで適宜置換されてもよいC1~C6のアルコキシ基を表し;
R3は、水素原子、ハロゲン原子、または置換基Cで適宜置換されてもよいC1~C6のアルキル基を表す、
[2]に記載の化合物またはその塩と、
有害生物防除剤から選ばれる1種以上の成分を有効成分として含有する有害生物防除組成物。
[4]
有害生物防除剤が下記の殺菌剤(群b)および殺虫剤(群c)から選択される、[1]に記載の有害生物防除組成物。
群b:
b-1:フェニルアミド系殺菌剤
[b-1.1]:ベナラキシル(benalaxyl)、[b-1.2]ベナラキシルMまたはキララキシル(benalaxyl-Mまたはkiralaxyl)、[b-1.3]フララキシル(furalaxyl)、[b-1.4]メタラキシル(metalaxyl)、[b-1.5]メタラキシルMまたはメフェノキサム(metalaxyl-Mまたはmefenoxam)、[b-1.6]オキサジキシル(oxadixyl)、[b-1.7]オフラセ(ofurace)、
b-2:有糸核分裂および細胞分裂阻害剤
[b-2.1]ベノミル(benomyl)、[b-2.2]カルベンダジム(carbendazim)、[b-2.3]フベリダゾール(fuberidazole)、[b-2.4]チアベンダゾール(thiabendazole)、[b-2.5]チオファネート(thiophanate)、[b-2.6]チオファネートメチル(thiophanate-methyl)、[b-2.7]ジエトフェンカルブ(diethofencarb)、[b-2,8]ゾキサミド(zoxamide)、[b-2.9]エタボキサム(ethaboxam)、[b-2.10]ペンシクロン(pencycuron)、[b-2.11]フルオピコリド(fluopicolide)、[b-2.12]フェナマクリル(phenamacril)、
b-3:コハク酸脱水素酵素阻害剤(SDHI剤)
[b-3.1]ベノダニル(benodanil)、[b-3.2]ベンゾビンジフルピル(benzovindiflupyr)、[b-3.3]ビキサフェン(bixafen)、[b-3.4]ボスカリド(boscalid)、[b-3.5]カルボキシン(carboxin)、[b-3.6]フェンフラム(fenfuram)、[b-3.7]フルオピラム(fluopyram)、[b-3.8]フルトラニル(flutolanil)、[b-3.9]フルキサピロキサド(fluxapyroxad)、[b-3.10]フラメトピル(furametpyr)、[b-3.11]イソフェタミド(isofetamid)、[b-3.12]イソピラザム(isopyrazam)、[b-3.13]メプロニル(mepronil)、[b-3.14]オキシカルボキシン(oxycarboxin)、[b-3.15]ペンチオピラド(penthiopyrad)、[b-3.16]ペンフルフェン(penflufen)、[b-3.17]ピジフルメトフェン(pydiflumetofen)、[b-3.18]セダキサン(sedaxane)、[b-3.19]チフルザミド(thifluzamide)、[b-3.20]ピラジフルミド(pyraziflumid)、
b-4:キノン外部阻害剤(QoI剤)
[b-4.1]アゾキシストロビン(azoxystrobin)、[b-4.2]クモキシストロビン(coumoxystrobin)、[b-4.3]ジモキシストロビン(dimoxystrobin)、[b-4.4]エノキサストロビン(enoxastrobin)、[b-4.5]ファモキサドン(famoxadone)、[b-4.6]フェンアミドン(fenamidone)、[b-4.7]フェナミンストロビン(fenaminstrobin)、[b-4.8]フルフェノキシストロビン(flufenoxystrobin)、[b-4.9]フルオキサストロビン(fluoxastrobin)、[b-4.10]クレソキシムメチル(kresoxim-methyl)、[b-4.11]マンデストロビン(mandestrobin)、[b-4.12]メトミノストロビン(metominostrobin)、[b-4.13]オリサストロビン(orysastrobin)、[b-4.14]ピコキシストロビン(picoxystrobin)、[b-4.15]ピラクロストロビン(pyraclostrobin)、[b-4.16]ピラメトストロビン(pyrametostrobin)、[b-4.17]ピラオキシストロビン(pyraoxystrobin)、[b-4.18]ピリベンカルブ(pyribencarb)、[b-4.19]トリクロピリカルブ(triclopyricarb)、[b-4.20]トリフロキシストロビン(trifloxystrobin)、
b-5:キノン内部阻害剤(QiI剤)
[b-5.1]シアゾファミド(cyazofamid)、[b-5.2]アミスルブロム(amisulbrom)、
b-6:酸化的リン酸化脱共役阻害剤
[b-6.1]ビナパクリル(binapacryl)、[b-6.2]メプチルジノカップ(meptyldinocap)、[b-6.3]ジノカップ(dinocap)、[b-6.4]フルアジナム(fluazinam)、
b-7:キノン外部スチグマテリン結合サブサイト阻害剤(QoSI剤)
[b-7.1]アメトクトラジン(ametoctradin)、
b-8:アミノ酸生合成阻害剤
[b-8.1]シプロジニル(cyprodinil)、[b-8.2]メパニピリム(mepanipyrim)、[b-8.3]ピリメタニル(pyrimethanil)、
b-9:タンパク質生合成阻害剤
[b-9.1]ストレプトマイシン(streptomycin)、[b-9.2]ブラストサイジンS(blasticidin-S)、[b-9.3]カスガマイシン(kasugamycin)、[b-9.4]オキシテトラサイクリン(oxytetracycline)、
b-10:シグナル伝達阻害剤
[b-10.1]フェンピクロニル(fenpiclonil)、[b-10.2]フルジオキソニル(fludioxonil)、[b-10.3]キノキシフェン(quinoxyfen)、[b-10.4]プロキナジド(proquinazid)、[b-10.5]クロゾリネート(chlozolinate)、[b-10.6]ジメタクロン(dimethachlone)、[b-10.7]イプロジオン(iprodione)、[b-10.8]プロシミドン(procymidone)、[b-10.9]ビンクロゾリン(vinclozolin)、
b-11:脂質および細胞膜生合成阻害剤
[b-11.1]エジフェンホス(edifenphos)、[b-11.2]イプロベンホス(iprobenfos)、[b-11.3]ピラゾホス(pyrazophos)、[b-11.4]イソプロチオラン(isoprothiolane)、[b-11.5]ビフェニル(biphenyl)、[b-11.6]クロロネブ(chloroneb)、[b-11.7]ジクロラン(dicloran)、[b-11.8]キントゼン(quintozene)、[b-11.9]テクナゼン(tecnazene)、[b-11.10]トルクロホスメチル(tolclofos-methyl)、[b-11.11]エトリジアゾール(echlomezol or etridiazole)、[b-11.12]ヨードカルブ(iodocarb)、[b-11.13]プロパモカルブ(propamocarb)、[b-11.14]プロチオカルブ(prothiocarb)、
b-12:脱メチル化阻害剤(DMI剤)
[b-12.1]アザコナゾール(azaconazole)、[b-12.2]ビテルタノール(bitertanol)、[b-12.3]ブロムコナゾール(bromuconazole)、[b-12.4]シプロコナゾール(cyproconazole)、[b-12.5]ジフェノコナゾール(difenoconazole)、[b-12.6]ジニコナゾール(diniconazole)、[b-12.7]ジニコナゾールM(diniconazole-M)、[b-12.8]エポキシコナゾール(epoxiconazole)、[b-12.9]エタコナゾール(etaconazole)、[b-12.10]フェナリモル(fenarimol)、[b-12.11]フェンブコナゾール(fenbuconazole)、[b-12.12]フルキンコナゾール(fluquinconazole)、[b-12.13]キンコナゾール(quinconazole)、[b-12.14]フルシラゾール(flusilazole)、[b-12.15]フルトリアホール(flutriafol)、[b-12.16]ヘキサコナゾール(hexaconazole)、[b-12.17]イマザリル(imazalil)、[b-12.18]イミベンコナゾール(imibenconazole)、[b-12.19]イプコナゾール(ipconazole)、[b-12.20]メトコナゾール(metconazole)、[b-12.21]ミクロブタニル(myclobutanil)、[b-12.22]ヌアリモール(nuarimol)、[b-12.23]オキスポコナゾール(oxpoconazole)、[b-12.24]オキスポコナゾールフマル酸塩(oxpoconazole fumarate)、[b-12.25]ペフラゾエート(pefurazoate)、[b-12.26]ペンコナゾール(penconazole)、[b-12.27]プロクロラズ(prochloraz)、[b-12.28]プロピコナゾール(propiconazole)、[b-12.29]プロチオコナゾール(prothioconazole)、[b-12.30]ピリフェノックス(pyrifenox)、[b-12.31]ピリソキサゾール(pyrisoxazole)、[b-12.32]シメコナゾール(simeconazole)、[b-12.33]テブコナゾール(tebuconazole)、[b-12.34]テトラコナゾール(tetraconazole)、[b-12.35]トリアジメホン(triadimefon)、[b-12.36]トリアジメノール(triadimenol)、[b-12.37]トリフルミゾール(triflumizole)、[b-12.38]トリホリン(triforine)、[b-12.39]トリチコナゾール(triticonazole)[b-12.40]メフェントリフルコナゾール(mefentrifluconazole)、[b-12.41]イプフェントリフルコナゾール(ipfentrifluconazole)、
b-13:アミン系殺菌剤
[b-13.1]アルジモルフ(aldimorph)、[b-13.2]ドデモルフ(dodemorph)、[b-13.3]フェンプロピモルフ(fenpropimorph)、[b-13.4]トリデモルフ(tridemorph)、[b-13.5]フェンプロピジン(fenpropidin)、[b-13.6]ピペラリン(piperalin)、[b-13.7]スピロキサミン(spiroxamine)、
b-14:ステロール生合成のC4位脱メチル化における3-ケト還元酵素阻害剤
[b-14.1]フェンヘキサミド(fenhexamid)、[b-14.2] フェンピラザミン(fenpyrazamine)、
b-15:ステロール生合成のスクアレンエポキシダーゼ阻害剤
[b-15.1]ピリブチカルブ(pyributicarb)、[b-15.2]ナフチフィン(naftifine)、[b-15.3]テルビナフィン(terbinafine)、
b-16:細胞壁生合成阻害剤
[b-16.1]ポリオキシン類(polyoxins)、[b-16.2]ジメトモルフ(dimethomorph)、[b-16.3]フルモルフ(flumorph)、[b-16.4]ピリモルフ(pyrimorph)、[b-16.5]ベンチアバリカルブ(benthiavalicarb)、[b-16.6]ベンチアバリカルブイソプロピル(benthivalicarb-isopropyl)、[b-16.7]イプロバリカルブ(iprovalicarb)、[b-16.8]マンジプロパミド(mandipropamid)、[b-17.9]バリフェナレート(valifenalate)、
b-17:メラニン生合成阻害剤
[b-17.1]フサライド(phthalide or fthalide)、[b-17.2]ピロキロン(pyroquilone)、[b-17.3]トリシクラゾール(tricyclazole)、[b-17.4]カルプロパミド(carpropamid)、[b-17.5]ジクロシメット(diclocymet)、[b-17.6]フェノキサニル(fenoxanil)、[b-17.7]トルプロカルブ(tolprocarb)、
b-18:宿主植物抵抗性誘導剤
[b-18.1]アシベンゾラルSメチル(acibenzolar-S-methyl)、[b-18.2]プロベナゾール(probenazole)、[b-18.3]チアジニル(tiadinil)、[b-18.4]イソチアニル(isotianil)、[b-18.5]ラミナリン(laminarin)、
b-19:ジチオカーバメート系殺菌剤
[b-19.1]マンコゼブまたはマンゼブ(mancozeb or manzeb)、[b-19.2]マンネブ(maneb)、[b-19.3]メチラム(metiram)、[b-19.4]プロピネブ(propineb)、[b-19.5]チウラム(thiram)、[b-19.6]ジネブ(zineb)、[b-19.7]ジラム(ziram)、[b-19.8]フェルバム(ferbam)、
b-20:フタルイミド系殺菌剤
[b-20.1]キャプタン(captan)、[b-20.2]キャプタホール(captafol)、[b-20.3]ホルペット(folpet)、[b-20.4]フルオロホルペット(fluorofolpet)、
b-21:グアニジン系殺菌剤
[b-21.1]グアザチン(guazatine)、[b-21.2]イミノクタジン(iminoctadine)、[b-21.3]イミノクタジンアルベシル酸塩(iminoctadine albesilate)、[b-21.4]イミノクタジン三酢酸塩(iminoctadine triacetate)、
b-22:多作用点接触活性型殺菌剤
[b-22.1]塩基性塩化銅(copper oxychloride)、[b-22.2]水酸化第二銅(copper(II) hydroxide)、[b-22.3]塩基性硫酸銅(copper hydroxide sulfate)、[b-22.4]有機銅化合物(organocopper compound)、[b-22.5]ドデシルベンゼンスルホン酸ビスエチレンジアミン銅錯塩[II](Dodecylbenzenesulphonic acid bisethylenediamine copper [II] salt、DBEDC)、[b-22.6]硫黄(sulphur)、[b-22.7]フルオルイミド(fluoroimide)、[b-22.8]クロロタロニル(chlorothalonil)、[b-22.9]ジクロフルアニド(dichlofluanid)、[b-22.10]トリルフルアニド(tolylfluanid)、[b-22.11]アニラジン(anilazine)、[b-22.12]ジチアノン(dithianon)、[b-22.13]キノメチオナート(chinomethionat or quinomethionate)、[b-22.14]ハウチワマメ苗木の子葉からの抽出物(BLAD)、
b-23:その他の殺菌剤
[b-23.1]ジクロベンチアゾクス(dichlobentiazox)、[b-23.2]フェンピコキサミド(fenpicoxamid)、[b-23.3]ジピメチトロン(dipymetitrone)、[b-23.4]ブピリメート(bupirimate)、[b-23.5]ジメチリモール(dimethirimol)、[b-23.6]エチリモール(ethirimol)、[b-23.7]酢酸トリフェニルスズ(fentin acetate)、[b-23.8]塩化トリフェニルスズ(fentin chloride)、[b-23.9]水酸化トリフェニルスズ(fentin hydroxide)、[b-23.10]オキソリニック酸(oxolinic acid)、[b-23.11]ヒメキサゾール(hymexazol)、[b-23.12]オクチリノン(octhilinone)、[b-23.13]ホセチル(fosetyl)、[b-23.14]亜リン酸(phosphorous acid)、[b-23.15]亜リン酸のナトリウム塩(sodium phosphite)、[b-23.16]亜リン酸のアンモニウム塩(ammonium phosphite)、[b-23.17]亜リン酸のカリウム塩(potassium phosphite)、[b-23.18]テクロフタラム(tecloftalam)、[b-23.19]トリアゾキシド(triazoxide)、[b-23.20]フルスルファミド(flusulfamide)、[b-23.21]ジクロメジン(diclomezine)、[b-23.22]シルチオファム(silthiofam)、[b-23.23]ジフルメトリム(diflumetorim)、[b-23.24]メタスルホカルブ(methasulfocarb)、[b-23.25]シフルフェナミド(cyflufenamid)、[b-23.26]メトラフェノン(metrafenone)、[b-23.27]ピリオフェノン(pyriofenone)、[b-23.28]ドジン(dodine)、[b-23.29]フルチアニル(flutianil)、[b-23.30]フェリムゾン(ferimzone)、[b-23.31]オキサチアピプロリン(oxathiapiprolin)、[b-23.32]テブフロキン(tebufloquin)、[b-23.33]ピカルブトラゾクス(picarbutrazox)、[b-23.34]バリダマイシン類(validamycins)、[b-23.35]シモキサニル(cymoxanil)、
[b-23.36]式(s1)
で表される化合物、
[b-23.37]式(s2)
で表される化合物、
[b-23.38]式(s3)
で表される化合物、
[b-23.39]式(s4)
で表される化合物、
[b-23.40]式(s5)
で表される化合物(gougerotin)、
[b-23.41]式(s6)
で表される化合物(ningnanmycin)、
[b-23.42]式(s7)
で表される化合物、
[b-23.43]式(s8)
で表される化合物、
[b-23.44]式(s9)
で表される化合物、
[b-23.45]式(s10)
で表される化合物、
[b-23.46]式(s11)
で表される化合物、
[b-23.47]式(s12)
で表される化合物、
[b-23.48]式(s13)
で表される化合物、
[b-23.49]式(s14)
で表される化合物、
[b-23.50]式(s15)
で表される化合物、
[b-23.51]式(s16)
[式中、A3は、水素原子、ハロゲン原子、C1~C6のアルキル基、C1~C6のハロアルキル基、またはシアノ基を表し、
A4は、水素原子、C1~C6のアルキル基、C1~C6のハロアルキル基、またはC3~C8のシクロアルキル基を表す。]で表される化合物、
[b-23.52]式(s17)
[式中、m1は、0~3の整数を表し、
A5およびA6は、それぞれ独立していて、ハロゲン原子、またはC1~C6のアルキル基を表し、
A7およびA8は、それぞれ独立していて、ハロゲン原子、またはC1~C6のアルコキシ基を表し、
m1が2以上の場合、2以上のA7は、それぞれ独立した置換基を表し、同一または異なっていてよい。]で表される化合物、
[b-23.53]式(s18)
[式中、A9およびA10は、それぞれ独立していて、水素原子、またはハロゲン原子を表し、
A11は、ハロゲン原子を表し、
A12は、ハロゲン原子、またはC1~C6のアルキル基を表し、
A13は、ハロゲン原子、シアノ基、C1~C6のアルキル基、またはC1~C6のアルコキシ基を表す。]で表される化合物、
[b-23.54]式(s19)
[式中、m2は、0~6の整数を表し、
A14およびA15は、それぞれ独立していて、ハロゲン原子、シアノ基、またはC1~C6のアルキル基を表し、
A16は、水素原子、ハロゲン原子、またはC1~C6のアルコキシ基を表し、
A17は、ハロゲン原子、またはC1~C6のアルコキシ基を表し、
m2が2以上の場合、2以上のA17は、それぞれ独立した置換基を表し、同一または異なっていてよい。]で表される化合物、
[b-23.55]式(s20)
[式中、A18およびA19は、それぞれ独立していて、ハロゲン原子、シアノ基、またはC1~C6のアルキル基を表し、
A20、A21およびA22は、それぞれ独立していて、水素原子、ハロゲン原子、またはC1~C6のアルコキシ基を表す。]で表される化合物、
[b-23.56]式(s21)
[式中、A23およびA24は、それぞれ独立していて、水素原子、ハロゲン原子、C1~C6のアルキル基、またはC3~C8のシクロアルキル基を表し、
Xは、酸素原子または硫黄原子を表す。]で表される化合物、
[b-23.57]式(s22)
[式中、m3は、0~5の整数を表し、
A25は、ハロゲン原子、C1~C6のアルキル基、C1~C6のハロアルキル基、C1~C6のアルコキシ基、C1~C6のハロアルコキシ基、またはC3~C8のシクロアルキル基を表し、
m3が2以上の場合、2以上のA25は、それぞれ独立した置換基を表し、同一または異なっていてよい。]で表される化合物、
[b-23.58]式(s23)
[式中、A26は、水素原子、またはハロゲン原子を表し、
V1およびV2は、それぞれ独立していて、酸素原子、または硫黄原子を表す。]で表される化合物、
[b-23.59]式(s24)または式(s25)
[式中、m4は、0~5の整数を表し、
A27は、C1~C6のアルキル基を表し、
A28は、ハロゲン原子、シアノ基、C1~C6のアルキル基、またはC1~C6のハロアルキル基を表し、
m4が2以上の場合、2以上のA28は、それぞれ独立した置換基を表し、同一または異なっていてよく、
A29は、C1~C6のアルキル基、C2~C6のアルケニル基、またはC3~C6のアルキニル基を表す。]で表される化合物、
[b-23.60]式(s26)または式(s27)
[式中、m5は、0~5の整数を表し、
A30は、C1~C6のアルキル基を表し、
A31は、ハロゲン原子、シアノ基、C1~C6のアルキル基、またはC1~C6のハロアルキル基を表し、
m5が2以上の場合、2以上のA31は、それぞれ独立した置換基を表し、同一または異なっていてよく、
A32は、C1~C6のアルキル基、C2~C6のアルケニル基、またはC3~C6のアルキニル基を表す。]で表される化合物、
[b-23.61]式(s28)
[式中、A33、A34、A35およびA36は、それぞれ独立していて、水素原子、またはハロゲン原子を表し、
A37は、水素原子、アセチル基、またはベンゾイル基を表す。]で表される化合物、
[b-23.62]式(s29)
[式中、A38は、C1~C6のアルキル基、またはC1~C6のハロアルキル基を表し、
A39およびA40は、それぞれ独立していて、水素原子、またはハロゲン原子を表す。]で表される化合物、
[b-23.63]式(s30)
[式中、A41は、水素原子、水硫基(-SH)、チオシアン酸基(-SCN)、またはC1~C6のアルキルチオ基を表し、
A42、A43、A44およびA45は、それぞれ独立していて、水素原子、またはハロゲン原子を表す。]で表される化合物、
[b-23.64]式(s31)または式(s32)
[式中、A46は、水素原子、またはハロゲン原子を表し、
A47は、C1~C6のアルキル基を表し、
A48は、ハロゲン原子を表す。]で表される化合物、
[b-23.65]式(s33)
[式中、A49、A50およびA51は、それぞれ独立していて、水素原子、またはハロゲン原子を表す。]で表される化合物で表される化合物、
群c:
c-1:カーバメート系アセチルコリンエステラーゼ(AChE)阻害剤
[c-1.1]ホスホカルブ(phosphocarb)、[c-1.2]アラニカルブ(alanycarb)、[c-1.3]ブトカルボキシム(butocarboxim)、[c-1.4]ブトキシカルボキシム(butoxycarboxim)、[c-1.5]チオジカルブ(thiodicarb)、[c-1.6]チオファノックス(thiofanox)、[c-1.7]アルジカルブ(aldicarb)、[c-1.8]ベンジオカルブ(bendiocarb)、[c-1.9]ベンフラカルブ(benfuracarb)、[c-1.10]カルバリル(carbaryl)、[c-1.11]カルボフラン(carbofuran)、[c-1.12]カルボスルファン(carbosulfan)、[c-1.13]エチオフェンカルブ(ethiofencarb)、[c-1.14]フェノブカルブ(fenobucarb)、[c-1.15]ホルメタネート(formetanate)、[c-1.16]フラチオカルブ(furathiocarb)、[c-1.17]イソプロカルブ(isoprocarb)、[c-1.18]メチオカルブ(methiocarb)、[c-1.19]メソミル(methomyl)、[c-1.20]オキサミル(oxamyl)、[c-1.21]ピリミカルブ(pirimicarb)、[c-1.22]プロポキスル(propoxur)、[c-1.23]トリメタカルブ(trimethacarb)、[c-1.24]XMC(3,5-xylyl methylcarbamate)、[c-1.25]アリキシカルブ(allyxycarb)、[c-1.26]アルドキシカルブ(aldoxycarb)、[c-1.27]ブフェンカルブ(bufencarb)、[c-1.28]ブタカルブ(butacarb)、[c-1.29]カーバノレート(carbanolate)、[c-1.30]メトルカルブ(metolcarb)、[c-1.31]キシルイルカルブ(xylylcarb)、[c-1.32]フェノチオカルブ(fenothiocarb)、[c-1.33]キシリルカルブ(xylylcarb)、[c-1.34]ベンダイオカルブ(bendiocarb)、
c-2:有機リン系アセチルコリンエステラーゼ(AChE)阻害剤
[c-2.1]アセフェート(acephate)、[c-2.2]アザメチホス(azamethiphos)、[c-2.3]アジンホス-メチル(azinphos-methyl)、[c-2.4]アジンホス-エチル(azinphos-ethyl)、[c-2.5]エセフォン(ethephon)、[c-2.6]カズサホス(cadusafos)、[c-2.7]クロルエトキシホス(chlorethoxyfos)、[c-2.8]クロルフェンビンホス(chlorfenvinphos)、[c-2.9]クロルメホス(chlormephos)、[c-2.10]クロルピリホス(chlorpyrifos)、[c-2.11]クロルピリホス-メチル(chlorpyrifos-methyl)、[c-2.12]クマホス(coumaphos)、[c-2.13]シアノホス(cyanophos)、[c-2.14]デメトン-S-メチル(demeton-S-methyl)、[c-2.15]ダイアジノン(diazinon)、[c-2.16]ジクロフェンチオン(dichlofenthion)、[c-2.17]ジクロルボス(dichlorvos)、[c-2.18]ジクロトホス(dicrotophos)、[c-2.19]ジメトエート(dimethoate)、[c-2.20]ジメチルビンホス(dimethylvinphos)、[c-2.21]ジスルホトン(disulfoton)、[c-2.22]O-エチル O-4-ニトロフェニル フェニルホスホノチオアート(O-ethyl O-4-nitrophenyl phenylphosphonothioate)、[c-2.23]エチオン(ethion)、[c-2.24]エトプロホス(ethoprophos)、[c-2.25]ファムフール(famphur)、[c-2.26]フェナミホス(fenamiphos)、[c-2.27]フェニトロチオン(fenitrothion)、[c-2.28]フェンチオン(fenthion)、[c-2.29]ホスチアゼート(fosthiazate)、[c-2.30]ヘプテノホス(heptenophos)、[c-2.31]イソフェンホス-メチル(isofenphos-methyl)、[c-2.32]イソカルボホス(Isocarbophos)、[c-2.33]イソキサチオン(isoxathion)、[c-2.34]マラチオン(malathion)、[c-2.35]メカルバム(mecarbam)、[c-2.36]メタミドホス(methamidophos)、[c-2.37]メチダチオン(methidathion)、[c-2.38]メビンホス(mevinphos)、[c-2.39]モノクロトホス(monocrotophos)、[c-2.40]ナレッド(naled)、[c-2.41]オメトエート(omethoate)、[c-2.42]オキシデメトン-メチル(oxydemeton-methyl)、[c-2.43]パラチオン(parathions)、[c-2.44]パラチオン-メチル(parathion-methyl)、[c-2.45]フェントエート(phenthoate)、[c-2.46]ホレート(phorate)、[c-2.47]ホサロン(phosalone)、[c-2.48]ホスメット(phosmet)、[c-2.49]ホスファミドン(phosphamidon)、[c-2.50]ホキシム(phoxim)、[c-2.51]ピリミホス-メチル(pirimiphos-methyl)、[c-2.52]プロフェノホス(profenofos)、[c-2.53]プロペタンホス(propetamphos)、[c-2.54]プロチオホス(prothiofos)、[c-2.55]ピラクロホス(pyraclofos)、[c-2.56]ピリダフェンチオン(pyridaphenthion)、[c-2.57]キナルホス(quinalphos)、[c-2.58]スルホテップ(sulfotep)、[c-2.59]テブピリムホス(tebupirimfos)、[c-2.60]テメホス(temephos)、[c-2.61]テルブホス(terbufos)、[c-2.62]チオメトン(thiometon)、[c-2.63]トリアゾホス(triazophos)、[c-2.64]トリクロルホン(trichlorfon)、[c-2.65]バミドチオン(vamidothion)、[c-2.66]クロルチオン(chlorothion)、[c-2.67]ブロムフェンビンホス(bromfenvinfos)、[c-2.68]ブロモホス(bromophos)、[c-2.69]ブロモホス-エチル(bromophos-ethyl)、[c-2.70]ブタチオホス(butathiofos)、[c-2.71]カルボフェノチオン(carbophenothion)、[c-2.72]クロルホキシム(chlorphoxim)、[c-2.73]スルプロホス(sulprofos)、[c-2.74]ジアミダホス(diamidafos)、[c-2.75]テトラクロルビンホス(tetrachlorvinphos)、[c-2.76]プロパホス(propaphos)、[c-2.77]メスルフェンホス(mesulfenfos)、[c-2.78]ジオキサベンゾホス(dioxabenzofos)、[c-2.79]エトリムホス(etrimfos)、[c-2.80]オキシデプロホス(oxydeprofos)、[c-2.81]ホルモチオン(formothion)、[c-2.82]フェンスルホチオン(fensulfothion)、[c-2.83]イサゾホス(isazofos)、[c-2.84]イミシアホス(imicyafos)、[c-2.85]イサミドホス(isamidofos)、[c-2.86]チオナジン(thionazin)、[c-2.87]ホスチエタン(fosthietan)、
c-3:GABA作動性塩素イオンチャネルブロッカー
[c-3.1]クロルデン(chlordane)、[c-3.2]エンドスルファン(endosulfan)、[c-3.3]リンデン(lindane)、[c-3.4]ジエノクロル(dienochlor)、[c-3.5]エチプロール(ethiprole)、[c-3.6]フィプロニル(fipronil)、[c-3.7]アセトプロール(acetoprole)、
c-4:ナトリウムチャネルモジュレーター
[c-4.1]アクリナトリン(acrinathrin)、[c-4.2]アレスリン[(1R)-アイソマー](allethrin[(1R)-isomer])、[c-4.3]ビフェントリン(bifenthrin)、[c-4.4]ビオアレスリン(bioallethrin)、[c-4.5]ビオアレスリン S-シクロペンテニル アイソマー(bioallethrin S-cyclopentenyl isomer)、[c-4.6]ビオレスメトリン(bioresmethrin)、[c-4.7]シクロプロトリン(cycloprothrin)、[c-4.8]シフルトリン(cyfluthrin)、[c-4.9]ベータ-シフルトリン(beta-cyfluthrin)、[c-4.10]シハロトリン(cyhalothrin)、[c-4.11]ガンマ-シハロトリン(gamma-cyhalothrin)、[c-4.12]ラムダ-シハロトリン(lambda-cyhalothrin)、[c-4.13]シペルメトリン(cypermethrin)、[c-4.14]アルファ-シペルメトリン(alpha-cypermethrin)、[c-4.15]ベータ-シペルメトリン(beta-cypermethrin)、[c-4.16]セタ-シペルメトリン(theta-cypermethrin)、[c-4.17]ゼダ-シペルメトリン(zeta-cypermethrin)、[c-4.18]シフェノトリン[(1R)-トランス-アイソマー](cyphenothrin[(1R)-trans-isomer])、[c-4.19]デルタメトリン(deltamethrin)、[c-4.20]エンペントリン[(EZ)-(1R)-アイソマー](empenthrin[(EZ)-(1R)-isomer])、[c-4.21]エスフェンバレレート(esfenvalerate)、[c-4.22]エトフェンプロックス(ethofenprox)、[c-4.23]フェンプロパトリン(fenpropathrin)、[c-4.24]フェンバレレート(fenvalerate)、[c-4.25]フルシトリネート(flucythrinate)、[c-4.26]フルメトリン(flumethrin)、[c-4.27]タウ-フルバリネート(tau-fluvalinate)、[c-4.28]ハルフェンプロックス(halfenprox)、[c-4.29]イミプロトリン(imiprothrin)、[c-4.30]メトトリン(methothrin)、[c-4.31]メトフルトリン(metofluthrin)、[c-4.32]イプシロン-メトフルトリン(epsilon-metofluthrin)、[c-4.33]モンフルオロトリン(momfluorothrin)、[c-4.34]イプシロン-モンフルオロトリン(epsilon-momfluorothrin)、[c-4.35]ペルメトリン(permethrin)、[c-4.36]フェノトリン[(1R)-トランス-アイソマー](phenothrin[(1R)-trans-isomer])、[c-4.37]プラレトリン(prallethrin)、[c-4.38]レスメトリン(resmethrin)、[c-4.39]カデトリン(kadethrin)、[c-4.40]シラフルオフェン(silafluofen)、[c-4.41]テフルトリン(tefluthrin)、[c-4.42]テトラメトリン(tetramethrin)、[c-4.43]テトラメトリン[(1R)-アイソマー](tetramethrin[(1R)-isomer])、[c-4.44]トラロメトリン(tralomethrin)、[c-4.45]トランスフルトリン(transfluthrin)、[c-4.46]ZXI8901(3-(4-bromophenoxy)phenyl]- cyanomethyl 4-(difluoromethoxy)-α- (1-methylethyl)benzeneacetate)、[c-4.47]バイオペルメトリン(biopermethrin)、[c-4.48]フラメトリン(furamethrin)、[c-4.49]プロフルトリン(profluthrin)、[c-4.50]フルブロシトリネート(flubrocythrinate)、[c-4.51]ジメフルトリン(dimefluthrin)、[c-4.52]DDT(dichloro-diphenyl-trichloroethane)、[c-4.53]メトキシクロル(methoxychlor)、[c-4.54]フェノトリン(phenothrin)、[c-4.55]フルバリネート(fluvalinate)、
c-5:ニコチン性アセチルコリン受容体(nAChR)競合的モジュレーター
[c-5.1]アセタミプリド(acetamiprid)、[c-5.2]クロチアニジン(clothianidin)、[c-5.3]ジノテフラン(dinotefuran)、[c-5.4]イミダクロプリド(imidacloprid)、[c-5.5]ニテンピラム(nitenpyram)、[c-5.6]チアクロプリド(thiacloprid)、[c-5.7]チアメトキサム(thiamethoxam)、[c-5.8]ニコチン(nicotine)、[c-5.9]硫酸ニコチン(nicotine sulfate)、[c-5.10]スルホキサフロル(sulfoxaflor)、[c-5.11]フルピラジフロン(flupyradifurone)、[c-5.12]トリフルメゾピリム(triflumezopyrim)、
c-6:ニコチン性アセチルコリン受容体(nAChR)アロステリックモジュレーター
[c-6.1]スピノサド(spinosad)、[c-6.2]スピネトラム(spinetoram)、
c-7:グルタミン酸作動性塩素イオンチャネル(GluCl)アロステリックモジュレーター
[c-7.1]アバメクチン(abamectin)、[c-7.2]エマメクチン安息香酸塩(emamectin benzoate)、[c-7.3]レピメクチン(lepimectin)、[c-7.4]ミルベメクチン(milbemectin)、
c-8:幼若ホルモン類似剤
[c-8.1]ヒドロプレン(hydroprene)、[c-8.2]キノプレン(kinoprene)、[c-8.3]メトプレン(methoprene)、[c-8.4]フェノキシカルブ(fenoxycarb)、[c-8.5]ピリプロキシフェン(pyriproxyfen)、
c-9:非特異的(マルチサイト)阻害剤
[c-9.1]臭化メチル(methyl bromide)、[c-9.2]クロルピクリン(chloropicrin)、[c-9.3]クリオライト(cryolite)、[c-9.4]フッ化スルフリル(sulfuryl fluoride)、[c-9.5]ホウ砂(borax)、[c-9.6]ホウ酸(boric acid)、[c-9.7]オクタホウ酸ニナトリウム塩(disodium octaborate)、[c-9.8]メタホウ酸ナトリウム塩(sodium metaborate)[c-9.9]吐酒石(tartar emetic)、[c-9.10]ダゾメット(dazomet)、[c-9.11]メタム(metam)、[c-9.12]カーバムナトリウム塩(metham sodium)、
c-10:弦音器官TRPVチャネルモジュレーター
[c-10.1]ピメトロジン(pymetrozine)、[c-10.2]ピリフルキナゾン(pyrifluquinazon)、
c-11:ダニ類成長阻害剤
[c-11.1]クロフェンテジン(clofentezine)、[c-11.2]ジフロビダジン(diflovidazin)、[c-11.3]ヘキシチアゾクス(hexythiazox)、[c-11.4]エトキサゾール(etoxazole)、
c-12:ミトコンドリアATP合成酵素阻害剤
[c-12.1]ジアフェンチウロン(diafenthiuron)、[c-12.2]アゾシクロチン(azocyclotin)、[c-12.3]シヘキサチン(cyhexatin)、[c-12.4]フェンブタチンオキシド(fenbutatin oxide)、「c-12.5」プロパルギット(propargite)、「c-12.6」テトラジホン(tetradifon)、
c-13:プロトン勾配を撹乱する酸化的リン酸化脱共役剤
[c-13.1]クロルフェナピル(chlorfenapyl)、[c-13.2]DNOC(dinitro-ortho-cresol)、[c-13.3]ビナパクリル(binapacryl)、[c-13.4]スルフルラミド(sulfluramid)、
c-14:ニコチン性アセチルコリン受容体(nAChR)チャネルブロッカー
[c-14.1]ベンスルタップ(bensultap)、[c-14.2]カルタップ塩酸塩(cartap hydrochloride)、[c-14.3]チオシクラム(thiocyclam)、[c-14.4]モノスルタップ(monosultap)、
c-15:キチン生合成阻害剤タイプ0
[c-15.1]ビストリフルロン(bistrifluron)、[c-15.2]クロルフルアズロン(chlorfluazuron)、[c-15.3]ジフルベンズロン(diflubenzuron)、[c-15.4]フルシクロクスロン(flucycloxuron)、[c-15.5]フルフェノクスロン(flufenoxuron)、[c-15.6]ヘキサフルムロン(hexaflumuron)、[c-15.7]ルフェヌロン(lufenuron)、[c-15.8]ノバルロン(novaluron)、[c-15.9]ノビフルムロン(noviflumuron)、[c-15.10]テフルベンズロン(teflubenzuron)、[c-15.11]トリフルムロン(triflumuron)、
c-16:キチン生合成阻害剤タイプ1
[c-16.1]ブプロフェジン(buprofezin)、
c-17:ハエ目昆虫脱皮阻害剤
[c-17.1]シロマジン(cyromazine)、
c-18:脱皮ホルモン(エクダイソン)受容体アゴニスト
[c-18.1]クロマフェノジド(chromafenozide)、[c-18.2]ハロフェノジド(halofenozide)、[c-18.3]メトキシフェノジド(methoxyfenozide)、[c-18.4]テブフェノジド(tebufenozide)、
c-19:オクトパミン受容体アゴニスト
[c-19.1]アミトラズ(amitraz)、
c-20:ミトコンドリア電子伝達系複合体III阻害剤
[c-20.1]ヒドラメチルノン(hydramethylnon)、[c-20.2]アセキノシル(acequinocyl)、[c-20.3]フルアクリピリム(fluacrypyrim)、[c-20.4]ビフェナゼート(bifenazate)、
c-21:ミトコンドリア電子伝達系複合体I阻害剤(METI)
[c-21.1]フェナザキン(fenazaquin)、[c-21.2]フェンピロキシメート(fenpyroximate)、[c-21.3]ピリダベン(pyridaben)、[c-21.4]ピリミジフェン(pylimidifen)、[c-21.5]テブフェンピラド(tebufenpyrad)、[c-21.6]トルフェンピラド(tolfenpyrad)、[c-21.7]ロテノン(rotenone)、
c-22:電位依存性ナトリウムチャネルブロッカー
[c-22.1]インドキサカルブ(indoxacarb)、[c-22.2]メタフルミゾン(metaflumizone)、
c-23:アセチルCoAカルボキシラーゼ阻害剤
[c-23.1]スピロジクロフェン(spirodiclofen)、[c-23.2]スピロメシフェン(spiromesifen)、[c-23.3]スピロテトラマト(spirotetramat)、
c-24:ミトコンドリア電子伝達系複合体IV阻害剤
[c-24.1]リン化アルミニウム(aluminum phosphide)、[c-24.2]リン化カルシウム(calcium phosphide)、[c-24.3]リン化水素(phosphine)、[c-24.4]リン化亜鉛(zinc phosphide)、[c-24.5]シアン化カルシウム(calcium cyanide)、[c-24.6]シアン化ナトリウム(potassium cyanide)、[c-24.7]シアン化カリウム(sodium cyanide)、
c-25:ミトコンドリア電子伝達系複合体II阻害剤
[c-25.1]シエノピラフェン(cyenopyrafen)、[c-25.2]シフルメトフェン(cyflumetofen)、[c-25.3]ピフルブミド(pyflubumide)、
c-26:リアノジン受容体モジュレーター
[c-26.1]クロラントラニリプロール(chlorantraniliprole)、[c-26.2]シアントラニリプロール(cyantraniliprole)、[c-26.3]フルベンジアミド(flubendiamide)、
c-27:標的部位未特定の弦音器官モジュレーター
[c-27.1]フロニカミド(flonicamid)、
c-28:その他の剤
[c-28.1]アザジラクチン(azadirachtin)、[c-28.2]ベンゾキシメート(benzoximate)、[c-28.3]フェニソブロモレート(phenisobromolate)、[c-28.4]キノメチオナート(chinomethionat)、[c-28.5]ジコホル(dicofol)、[c-28.6]ピリダリル(pyridalyl)、[c-28.7]ブロモプロピレート(bromopropylate)、[c-28.8]トリアザメート(triazamate)、[c-28.9]ジシクラニル(dicyclanil)、[c-28.10]ジノブトン(dinobuton)、[c-28.11]ジノカップ(dinocap)、[c-28.12]シアン化水素(hydrogen cyanide)、[c-28.13]ヨウ化メチル(methyl iodide)、[c-28.14]カランジン(karanjin)、[c-28.15]塩化水銀(mercury chloride)、[c-28.16]メチルイソチオシアネート(methyl isothiocyanate)、[c-28.17]ペンタクロロフェノール(pentachlorophenol)、[c-28.18]ホスフィン(phosphine)、[c-28.19]ピペロニル ブトキシド(piperonyl butoxide)、[c-28.20]ポリナクチン複合体(polynactins)、[c-28.21]サバディラ(sabadilla)、[c-28.22]スルコフロン塩(スルコフロン-ナトリウム(sulcofuron-sodium))、[c-28.23]トリブホス(tribufos)、[c-28.24]アルドリン(aldrin)、[c-28.25]アミジチオオン(amidithion)、[c-28.26]アミドチオエート(amidothioate)、[c-28.27]アミノカルブ(aminocarb)、[c-28.28]アミトン(amiton)、[c-28.29]アラマイト(aramite)、[c-28.30]アチダチオン(athidathion)、[c-28.31]アゾトエート(azothoate)、[c-28.32]ポリスルフィドバリウム(barium polysulphide)、[c-28.33]ベンクロチアズ(benclothiaz)、[c-28.34]5-(1,3-ベンゾジオキソール-5-イル)-3-ヘキシルシクロヘキサ-2-エノン(5-(1,3-benzodioxole-5-yl)-3-hexylcyclohexa-2-enone)、[c-28.35]1,1-ビス(4-クロロフェニル)-2-エトキシエタノール(1,1-bis(4-chlorophenyl)-2-ethoxyethanol)、[c-28.36]ブトネート(butonate)、[c-28.37]ブトピロノキシル(butopyronoxyl)、[c-28.38]2-(2-ブトキシエトキシ)エチル チオシアナート(2-(2-butoxyethoxy)ethyl thiocyanate)、[c-28.39]カンフェクロル(camphechlor)、[c-28.40]クロルベンシド(chlorbenside)、[c-28.41]クロルデコン(chlordecone)、[c-28.42]クロルジメホルム(chlordimeform)、[c-28.43]クロルフェネトール(chlorfenethol)、[c-28.44]クロルフェンソン(chlorfenson)、[c-28.45]フルアズロン(fluazuron)、[c-28.46]メタアルデヒド(metaldehyde)、[c-28.47]ビアラホス(bialaphos)、[c-28.48]塩酸レバミゾール(levamisol)、[c-28.49]アミドフルメト(amidoflumet)、[c-28.50]ピラフルプロール(pyrafluprole)、[c-28.51]ピリプロール(pyriprole)、[c-28.52]トラロピリル(tralopyril)、[c-28.53]フルピラゾフォス(flupyrazofos)、[c-28.54]ジオフェノラン(diofenolan)、[c-28.55]クロルベンジレート(chlorobenzilate)、[c-28.56]フルフェンジン(flufenzine)、[c-28.57]ベンゾメート(benzomate)、[c-28.58]フルフェネリム(flufenerim)、[c-28.59]アルベンダゾール(albendazole)、[c-28.60]オキシベンダゾール(oxibendazole)、[c-28.61]フェンベンダゾール(fenbendazole)、[c-28.62]メタム・ナトリウム(metam-sodium)、[c-28.63]1,3-ジクロロプロペン(1,3-dichloropropene)、[c-28.64]フロメトキン(flometoquin)、[c-28.65]シクラニリプロール(cyclaniliprole)、[c-28.66]テトラニリプロール(tetraniliprole)、[c-28.67]ブロフラニリド(broflanilide)、[c-28.68]ジクロロメゾチアズ(dicloromezotiaz)、[c-28.69]エチレンジブロマイド(ethylene dibromide)、[c-28.70]アクリロニトリル(acrylonitrile)、[c-28.71]ビス(2-クロロエチル)エーテル(bis(2-chloroethyl)ether)、[c-28.72]1-ブロモ-2-クロロエタン(1-bromo-2-chloroethane)、[c-28.73]3-ブロモ-1-クロロプロパ-1-エン(3-bromo-1-chloroprop-1-ene)、[c-28.74]ブロモシクレン(bromocyclen)、[c-28.75]二硫化炭素(carbon disulfide)、[c-28.76]四塩化炭素(tetrachloromethane)、[c-28.77]ネマデクチン(nemadectin)、[c-28.78]シミアゾール(cymiazole)[c-28.79]カルシウム ポリスルフィド(calcium polysulfide)、[c-28.80]サイトカイニン(cytokinin)、[c-28.81]2-(オクチルチオ)エタノール、[c-28.82]オレイン酸カリウム(potassium oleate)、[c-28.83]オレイン酸ナトリウム(sodium oleate)、[c-28.84]マシン油(machine oil)、[c-28.85]タール油(tar oil)、[c-28.86]アナバシン(anabasine)、[c-28.87]酒石酸モランテル(morantel tartrate)、[c-28.88]除虫菊(ピレトリン(pyrethrum))、[c-28.89]ナタネ油(rape seed oil)、[c-28.90]ダイズレチシン(soybean lecithin)、[c-28.91]デンプン(starch)、[c-28.92]ヒドロキシプロピルデンプン(hydroxypropylstarch)、[c-28.93]脂肪酸グリセリド(decanoyloctanoylglycerol)、[c-28.94]プロピレングリコールモノ脂肪酸エステル(propylene glycol fatty acid ester)、[c-28.95]ケイソウ土(diatomite)、[c-28.96]アフォキソラネル(afoxolaner)、[c-28.97]フルアザインドリジン(fluazaindolizine)、[c-28.98]アフィドピロペン(afidopyropen)、[c-28.99]シハロジアミド(cyhalodiamide)、[c-28.100]チオキサザフェン(tioxazafen)、[c-28.101]フルヘキサフォン(fluhexafon)、[c-28.102]フルララネル(fluralaner)、[c-28.103]フルキサメタミド(fluxametamide)、[c-28.104]テトラクロラントラニリプロール(tetrachlorantraniliprole)、[c-28.105]サロラネル(sarolaner)、[c-28.106]ロチラネル(lotilaner)、[c-28.107]シクロキサプリド(cycloxaprid)、[c-28.108]フルエンスルホン(fluensulfone)、[c-28.109]TPIC(tripropyl isocyanurate)、[c-28.110]D-D(1,3-Dichloropropene)、[c-28.111]ペルオキソカルボナート(peroxocarbonate)、[c-28.112]MB-599(verbutin)、[c-28.113]ビス(2,3,3,3-テトラクロロプロピル)エーテル(bis(2,3,3,3-tetrachloropropyl) ether)、[c-28.114]DCIP(bis(2-chloro-1-methylethyl)ether)、[c-28.115]ENT-8184(N-(2-Ethylhexyl)bicyclo[2.2.1]hept-5-ene-2,3-dicarboximide)、[c-28.116]Bayer 22408(O,O-diethyl O-naphthalimido phosphorothioate)、[c-28.117]Bayer 32394(tris(1-dodecyl-3-methyl-2-phenylbenzimidazolium)hexacyanoferrate)、
[c-28.118]式(s34)
で表される化合物、
[c-28.119]式(s35)
で表される化合物、
[c-28.120]式(s36)
で表される化合物、
[c-28.121]式(s37)
で表される化合物、
[c-28.122]式(s38)
で表される化合物、
[c-28.123]式(s39)
で表される化合物、
[c-28.124]式(s40)
で表される化合物、
[c-28.125]式(s41)
[式中、m6は、0~2の整数を表す。]で表される化合物、
[c-28.126]式(s42)
[式中、m7は、0~2の整数を表す。]で表される化合物、
[c-28.127]式(s43)
[式中、m8は、0~2の整数を表す。]で表される化合物、
[c-28.128]式(s44)
[式中、A52は、水素原子、またはフッ素原子を表す。]で表される化合物、
[c-28.129]式(s45)
[式中、m9は、0~2の整数を表し、
A53は、フッ素原子、または塩素原子を表す。]で表される化合物、
[c-28.130]式(s46)
[式中、V3は、窒素原子、炭素原子、またはC-Fを表し、
V4およびV5は、それぞれ独立していて、窒素原子、または炭素原子を表す。]で表される化合物、
[c-28.131]式(s47)
[式中、A54は、水素原子、メチル基、メトキシ基、またはエトキシ基を表し、
A55は、塩素原子、またはメチル基を表し、
A56は、メチル基、またはエチル基を表す。]で表される化合物、
[c-28.132]式(s48)
[式中、A57は、水素原子、フッ素原子、または塩素原子を表し、
A58は、
からなる群から選択される1種の部分構造を表す。]で表される化合物、
[c-28.133]式(s49)
[式中、A59は、水素原子、フッ素原子、または塩素原子を表し、
A60は、
からなる群から選択される部分構造を表す。]で表される化合物、
[c-28.134]式(s50)
[式中、m10は、0~2の整数を表し、
A61は、トリフルオロメチル基、トリフルオロメチルチオ基、トリフルオロメチルスルフィニル基、またはトリフルオロメチルスルホニル基を表し、
A62は、水素原子、またはトリフルオロメチル基を表し、
V6は、窒素原子、または炭素原子を表し、
V7は、酸素原子、またはN-メチル基を表す。]で表される化合物、
[c-28.135]式(s51)
[式中、A63は、水素原子、またはフッ素原子を表し、
アミド基は4位、または5位に結合し、
A64は、
からなる群から選択される部分構造を表す。]で表される化合物、
[c-28.136]式(s52)
[式中、A65は、水素原子、C1~C6のアルキル基、またはC1~C6のハロアルキル基を表し、
A66は、水素原子、ハロゲン原子、またはC1~C6のアルキル基を表し、
A67およびA68は、それぞれ独立していて、水素原子、それぞれシアノ基で置換されてもよいC1~C6のアルキル基、C2~C12のアルコキシアルキル基、またはC3~C8のシクロアルキル基を表し、
A69は、水素原子、シアノ基、それぞれシアノ基で置換されてもよいC1~C6のフルオロアルキル基、C1~C6のアルキル基、またはC3~C8のシクロアルキル基を表す。]で表される化合物、
[c-28.137]式(s53)または式(s54)
[式中、A70は、メチル基、エチル基、イソプロピル基、2,2,2-トリフルオロエチル基、またはフェニル基を表し、
A71は、
からなる群から選択される部分構造を表し、
A72は、
からなる群から選択される部分構造を表し、
V8は、酸素原子、硫黄原子、-CH2-、または-CH2CH2-を表す。]で表される化合物、
[c-28.138]式(s55)
[式中、m11は、0~1の整数を表し、
A73は、塩素原子、臭素原子、メチル基、またはトリフルオロメチル基を表し、
A74は、水素原子、塩素原子、臭素原子、シアノ基、またはトリフルオロメチル基表し、
A75は、水素原子、塩素原子または臭素原子を表し、
A76およびA77は、それぞれ独立していて、C1~C6のアルキル基、またはC3~C8のシクロアルキル基を表し、
A78は、塩素原子、臭素原子、シアノ基、ニトロ基、ジフルオロメチル基、またはトリフルオロメチル基を表す。]で表される化合物、
[c-28.139]式(s56)
[式中、A79、A80、A81およびA82は、それぞれ独立していて、水素原子、ハロゲン原子、C1~C6のアルキル基、C1~C6のハロアルキル基、C1~C6のアルコキシ基、またはC3~C8のシクロアルコキシ基を表す。]で表される化合物、
[c-28.140]式(s57)
[式中、m12は、0~2の整数を表し、
A83は、水素原子、またはフッ素原子を表し、
A84は、
からなる群から選択される部分構造を表す。]で表される化合物、
[c-28.141]式(s58)
[式中、m13、m14、m15およびm16は、それぞれ独立していて、0~5の整数を表し、
A85、A86、A87およびA88は、それぞれ独立していて、C1~C6のアルキル基、C1~C6のハロアルキル基、C1~C6のアルコキシ基、C1~C6のハロアルコキシ基、またはC3~C8のシクロアルコキシ基を表し、
V9は、アリール基を表し、
V10は、ピリジル基を表す。]で表される化合物、
[c-28.142]式(s59)
[A89は、ジフルオロメトキシ基を表し、
A90は、ハロゲン原子、C1~C6のアルキル基、またはC1~C6のハロアルキル基を表し、
A91は、C1~C6のハロアルキル基を表し、
A92およびA93は、それぞれ独立していて、水素原子、C1~C6のアルキル基、C2~C7のアシル基、C3~C8のアルキルスルホニルエチル基、またはC2~C7のアルキルオキシカルボニル基を表し、
A94およびA95は、それぞれ独立していて、水素原子、C1~C6のアルキル基、またはC1~C6のハロアルキル基を表す。]で表される化合物。
有害生物防除剤が下記の殺菌剤(群b)および殺虫剤(群c)から選択される、[1]に記載の有害生物防除組成物。
群b:
b-1:フェニルアミド系殺菌剤
[b-1.1]:ベナラキシル(benalaxyl)、[b-1.2]ベナラキシルMまたはキララキシル(benalaxyl-Mまたはkiralaxyl)、[b-1.3]フララキシル(furalaxyl)、[b-1.4]メタラキシル(metalaxyl)、[b-1.5]メタラキシルMまたはメフェノキサム(metalaxyl-Mまたはmefenoxam)、[b-1.6]オキサジキシル(oxadixyl)、[b-1.7]オフラセ(ofurace)、
b-2:有糸核分裂および細胞分裂阻害剤
[b-2.1]ベノミル(benomyl)、[b-2.2]カルベンダジム(carbendazim)、[b-2.3]フベリダゾール(fuberidazole)、[b-2.4]チアベンダゾール(thiabendazole)、[b-2.5]チオファネート(thiophanate)、[b-2.6]チオファネートメチル(thiophanate-methyl)、[b-2.7]ジエトフェンカルブ(diethofencarb)、[b-2,8]ゾキサミド(zoxamide)、[b-2.9]エタボキサム(ethaboxam)、[b-2.10]ペンシクロン(pencycuron)、[b-2.11]フルオピコリド(fluopicolide)、[b-2.12]フェナマクリル(phenamacril)、
b-3:コハク酸脱水素酵素阻害剤(SDHI剤)
[b-3.1]ベノダニル(benodanil)、[b-3.2]ベンゾビンジフルピル(benzovindiflupyr)、[b-3.3]ビキサフェン(bixafen)、[b-3.4]ボスカリド(boscalid)、[b-3.5]カルボキシン(carboxin)、[b-3.6]フェンフラム(fenfuram)、[b-3.7]フルオピラム(fluopyram)、[b-3.8]フルトラニル(flutolanil)、[b-3.9]フルキサピロキサド(fluxapyroxad)、[b-3.10]フラメトピル(furametpyr)、[b-3.11]イソフェタミド(isofetamid)、[b-3.12]イソピラザム(isopyrazam)、[b-3.13]メプロニル(mepronil)、[b-3.14]オキシカルボキシン(oxycarboxin)、[b-3.15]ペンチオピラド(penthiopyrad)、[b-3.16]ペンフルフェン(penflufen)、[b-3.17]ピジフルメトフェン(pydiflumetofen)、[b-3.18]セダキサン(sedaxane)、[b-3.19]チフルザミド(thifluzamide)、[b-3.20]ピラジフルミド(pyraziflumid)、
b-4:キノン外部阻害剤(QoI剤)
[b-4.1]アゾキシストロビン(azoxystrobin)、[b-4.2]クモキシストロビン(coumoxystrobin)、[b-4.3]ジモキシストロビン(dimoxystrobin)、[b-4.4]エノキサストロビン(enoxastrobin)、[b-4.5]ファモキサドン(famoxadone)、[b-4.6]フェンアミドン(fenamidone)、[b-4.7]フェナミンストロビン(fenaminstrobin)、[b-4.8]フルフェノキシストロビン(flufenoxystrobin)、[b-4.9]フルオキサストロビン(fluoxastrobin)、[b-4.10]クレソキシムメチル(kresoxim-methyl)、[b-4.11]マンデストロビン(mandestrobin)、[b-4.12]メトミノストロビン(metominostrobin)、[b-4.13]オリサストロビン(orysastrobin)、[b-4.14]ピコキシストロビン(picoxystrobin)、[b-4.15]ピラクロストロビン(pyraclostrobin)、[b-4.16]ピラメトストロビン(pyrametostrobin)、[b-4.17]ピラオキシストロビン(pyraoxystrobin)、[b-4.18]ピリベンカルブ(pyribencarb)、[b-4.19]トリクロピリカルブ(triclopyricarb)、[b-4.20]トリフロキシストロビン(trifloxystrobin)、
b-5:キノン内部阻害剤(QiI剤)
[b-5.1]シアゾファミド(cyazofamid)、[b-5.2]アミスルブロム(amisulbrom)、
b-6:酸化的リン酸化脱共役阻害剤
[b-6.1]ビナパクリル(binapacryl)、[b-6.2]メプチルジノカップ(meptyldinocap)、[b-6.3]ジノカップ(dinocap)、[b-6.4]フルアジナム(fluazinam)、
b-7:キノン外部スチグマテリン結合サブサイト阻害剤(QoSI剤)
[b-7.1]アメトクトラジン(ametoctradin)、
b-8:アミノ酸生合成阻害剤
[b-8.1]シプロジニル(cyprodinil)、[b-8.2]メパニピリム(mepanipyrim)、[b-8.3]ピリメタニル(pyrimethanil)、
b-9:タンパク質生合成阻害剤
[b-9.1]ストレプトマイシン(streptomycin)、[b-9.2]ブラストサイジンS(blasticidin-S)、[b-9.3]カスガマイシン(kasugamycin)、[b-9.4]オキシテトラサイクリン(oxytetracycline)、
b-10:シグナル伝達阻害剤
[b-10.1]フェンピクロニル(fenpiclonil)、[b-10.2]フルジオキソニル(fludioxonil)、[b-10.3]キノキシフェン(quinoxyfen)、[b-10.4]プロキナジド(proquinazid)、[b-10.5]クロゾリネート(chlozolinate)、[b-10.6]ジメタクロン(dimethachlone)、[b-10.7]イプロジオン(iprodione)、[b-10.8]プロシミドン(procymidone)、[b-10.9]ビンクロゾリン(vinclozolin)、
b-11:脂質および細胞膜生合成阻害剤
[b-11.1]エジフェンホス(edifenphos)、[b-11.2]イプロベンホス(iprobenfos)、[b-11.3]ピラゾホス(pyrazophos)、[b-11.4]イソプロチオラン(isoprothiolane)、[b-11.5]ビフェニル(biphenyl)、[b-11.6]クロロネブ(chloroneb)、[b-11.7]ジクロラン(dicloran)、[b-11.8]キントゼン(quintozene)、[b-11.9]テクナゼン(tecnazene)、[b-11.10]トルクロホスメチル(tolclofos-methyl)、[b-11.11]エトリジアゾール(echlomezol or etridiazole)、[b-11.12]ヨードカルブ(iodocarb)、[b-11.13]プロパモカルブ(propamocarb)、[b-11.14]プロチオカルブ(prothiocarb)、
b-12:脱メチル化阻害剤(DMI剤)
[b-12.1]アザコナゾール(azaconazole)、[b-12.2]ビテルタノール(bitertanol)、[b-12.3]ブロムコナゾール(bromuconazole)、[b-12.4]シプロコナゾール(cyproconazole)、[b-12.5]ジフェノコナゾール(difenoconazole)、[b-12.6]ジニコナゾール(diniconazole)、[b-12.7]ジニコナゾールM(diniconazole-M)、[b-12.8]エポキシコナゾール(epoxiconazole)、[b-12.9]エタコナゾール(etaconazole)、[b-12.10]フェナリモル(fenarimol)、[b-12.11]フェンブコナゾール(fenbuconazole)、[b-12.12]フルキンコナゾール(fluquinconazole)、[b-12.13]キンコナゾール(quinconazole)、[b-12.14]フルシラゾール(flusilazole)、[b-12.15]フルトリアホール(flutriafol)、[b-12.16]ヘキサコナゾール(hexaconazole)、[b-12.17]イマザリル(imazalil)、[b-12.18]イミベンコナゾール(imibenconazole)、[b-12.19]イプコナゾール(ipconazole)、[b-12.20]メトコナゾール(metconazole)、[b-12.21]ミクロブタニル(myclobutanil)、[b-12.22]ヌアリモール(nuarimol)、[b-12.23]オキスポコナゾール(oxpoconazole)、[b-12.24]オキスポコナゾールフマル酸塩(oxpoconazole fumarate)、[b-12.25]ペフラゾエート(pefurazoate)、[b-12.26]ペンコナゾール(penconazole)、[b-12.27]プロクロラズ(prochloraz)、[b-12.28]プロピコナゾール(propiconazole)、[b-12.29]プロチオコナゾール(prothioconazole)、[b-12.30]ピリフェノックス(pyrifenox)、[b-12.31]ピリソキサゾール(pyrisoxazole)、[b-12.32]シメコナゾール(simeconazole)、[b-12.33]テブコナゾール(tebuconazole)、[b-12.34]テトラコナゾール(tetraconazole)、[b-12.35]トリアジメホン(triadimefon)、[b-12.36]トリアジメノール(triadimenol)、[b-12.37]トリフルミゾール(triflumizole)、[b-12.38]トリホリン(triforine)、[b-12.39]トリチコナゾール(triticonazole)[b-12.40]メフェントリフルコナゾール(mefentrifluconazole)、[b-12.41]イプフェントリフルコナゾール(ipfentrifluconazole)、
b-13:アミン系殺菌剤
[b-13.1]アルジモルフ(aldimorph)、[b-13.2]ドデモルフ(dodemorph)、[b-13.3]フェンプロピモルフ(fenpropimorph)、[b-13.4]トリデモルフ(tridemorph)、[b-13.5]フェンプロピジン(fenpropidin)、[b-13.6]ピペラリン(piperalin)、[b-13.7]スピロキサミン(spiroxamine)、
b-14:ステロール生合成のC4位脱メチル化における3-ケト還元酵素阻害剤
[b-14.1]フェンヘキサミド(fenhexamid)、[b-14.2] フェンピラザミン(fenpyrazamine)、
b-15:ステロール生合成のスクアレンエポキシダーゼ阻害剤
[b-15.1]ピリブチカルブ(pyributicarb)、[b-15.2]ナフチフィン(naftifine)、[b-15.3]テルビナフィン(terbinafine)、
b-16:細胞壁生合成阻害剤
[b-16.1]ポリオキシン類(polyoxins)、[b-16.2]ジメトモルフ(dimethomorph)、[b-16.3]フルモルフ(flumorph)、[b-16.4]ピリモルフ(pyrimorph)、[b-16.5]ベンチアバリカルブ(benthiavalicarb)、[b-16.6]ベンチアバリカルブイソプロピル(benthivalicarb-isopropyl)、[b-16.7]イプロバリカルブ(iprovalicarb)、[b-16.8]マンジプロパミド(mandipropamid)、[b-17.9]バリフェナレート(valifenalate)、
b-17:メラニン生合成阻害剤
[b-17.1]フサライド(phthalide or fthalide)、[b-17.2]ピロキロン(pyroquilone)、[b-17.3]トリシクラゾール(tricyclazole)、[b-17.4]カルプロパミド(carpropamid)、[b-17.5]ジクロシメット(diclocymet)、[b-17.6]フェノキサニル(fenoxanil)、[b-17.7]トルプロカルブ(tolprocarb)、
b-18:宿主植物抵抗性誘導剤
[b-18.1]アシベンゾラルSメチル(acibenzolar-S-methyl)、[b-18.2]プロベナゾール(probenazole)、[b-18.3]チアジニル(tiadinil)、[b-18.4]イソチアニル(isotianil)、[b-18.5]ラミナリン(laminarin)、
b-19:ジチオカーバメート系殺菌剤
[b-19.1]マンコゼブまたはマンゼブ(mancozeb or manzeb)、[b-19.2]マンネブ(maneb)、[b-19.3]メチラム(metiram)、[b-19.4]プロピネブ(propineb)、[b-19.5]チウラム(thiram)、[b-19.6]ジネブ(zineb)、[b-19.7]ジラム(ziram)、[b-19.8]フェルバム(ferbam)、
b-20:フタルイミド系殺菌剤
[b-20.1]キャプタン(captan)、[b-20.2]キャプタホール(captafol)、[b-20.3]ホルペット(folpet)、[b-20.4]フルオロホルペット(fluorofolpet)、
b-21:グアニジン系殺菌剤
[b-21.1]グアザチン(guazatine)、[b-21.2]イミノクタジン(iminoctadine)、[b-21.3]イミノクタジンアルベシル酸塩(iminoctadine albesilate)、[b-21.4]イミノクタジン三酢酸塩(iminoctadine triacetate)、
b-22:多作用点接触活性型殺菌剤
[b-22.1]塩基性塩化銅(copper oxychloride)、[b-22.2]水酸化第二銅(copper(II) hydroxide)、[b-22.3]塩基性硫酸銅(copper hydroxide sulfate)、[b-22.4]有機銅化合物(organocopper compound)、[b-22.5]ドデシルベンゼンスルホン酸ビスエチレンジアミン銅錯塩[II](Dodecylbenzenesulphonic acid bisethylenediamine copper [II] salt、DBEDC)、[b-22.6]硫黄(sulphur)、[b-22.7]フルオルイミド(fluoroimide)、[b-22.8]クロロタロニル(chlorothalonil)、[b-22.9]ジクロフルアニド(dichlofluanid)、[b-22.10]トリルフルアニド(tolylfluanid)、[b-22.11]アニラジン(anilazine)、[b-22.12]ジチアノン(dithianon)、[b-22.13]キノメチオナート(chinomethionat or quinomethionate)、[b-22.14]ハウチワマメ苗木の子葉からの抽出物(BLAD)、
b-23:その他の殺菌剤
[b-23.1]ジクロベンチアゾクス(dichlobentiazox)、[b-23.2]フェンピコキサミド(fenpicoxamid)、[b-23.3]ジピメチトロン(dipymetitrone)、[b-23.4]ブピリメート(bupirimate)、[b-23.5]ジメチリモール(dimethirimol)、[b-23.6]エチリモール(ethirimol)、[b-23.7]酢酸トリフェニルスズ(fentin acetate)、[b-23.8]塩化トリフェニルスズ(fentin chloride)、[b-23.9]水酸化トリフェニルスズ(fentin hydroxide)、[b-23.10]オキソリニック酸(oxolinic acid)、[b-23.11]ヒメキサゾール(hymexazol)、[b-23.12]オクチリノン(octhilinone)、[b-23.13]ホセチル(fosetyl)、[b-23.14]亜リン酸(phosphorous acid)、[b-23.15]亜リン酸のナトリウム塩(sodium phosphite)、[b-23.16]亜リン酸のアンモニウム塩(ammonium phosphite)、[b-23.17]亜リン酸のカリウム塩(potassium phosphite)、[b-23.18]テクロフタラム(tecloftalam)、[b-23.19]トリアゾキシド(triazoxide)、[b-23.20]フルスルファミド(flusulfamide)、[b-23.21]ジクロメジン(diclomezine)、[b-23.22]シルチオファム(silthiofam)、[b-23.23]ジフルメトリム(diflumetorim)、[b-23.24]メタスルホカルブ(methasulfocarb)、[b-23.25]シフルフェナミド(cyflufenamid)、[b-23.26]メトラフェノン(metrafenone)、[b-23.27]ピリオフェノン(pyriofenone)、[b-23.28]ドジン(dodine)、[b-23.29]フルチアニル(flutianil)、[b-23.30]フェリムゾン(ferimzone)、[b-23.31]オキサチアピプロリン(oxathiapiprolin)、[b-23.32]テブフロキン(tebufloquin)、[b-23.33]ピカルブトラゾクス(picarbutrazox)、[b-23.34]バリダマイシン類(validamycins)、[b-23.35]シモキサニル(cymoxanil)、
[b-23.36]式(s1)
で表される化合物、
[b-23.37]式(s2)
で表される化合物、
[b-23.38]式(s3)
で表される化合物、
[b-23.39]式(s4)
で表される化合物、
[b-23.40]式(s5)
で表される化合物(gougerotin)、
[b-23.41]式(s6)
で表される化合物(ningnanmycin)、
[b-23.42]式(s7)
で表される化合物、
[b-23.43]式(s8)
で表される化合物、
[b-23.44]式(s9)
で表される化合物、
[b-23.45]式(s10)
で表される化合物、
[b-23.46]式(s11)
で表される化合物、
[b-23.47]式(s12)
で表される化合物、
[b-23.48]式(s13)
で表される化合物、
[b-23.49]式(s14)
で表される化合物、
[b-23.50]式(s15)
で表される化合物、
[b-23.51]式(s16)
[式中、A3は、水素原子、ハロゲン原子、C1~C6のアルキル基、C1~C6のハロアルキル基、またはシアノ基を表し、
A4は、水素原子、C1~C6のアルキル基、C1~C6のハロアルキル基、またはC3~C8のシクロアルキル基を表す。]で表される化合物、
[b-23.52]式(s17)
[式中、m1は、0~3の整数を表し、
A5およびA6は、それぞれ独立していて、ハロゲン原子、またはC1~C6のアルキル基を表し、
A7およびA8は、それぞれ独立していて、ハロゲン原子、またはC1~C6のアルコキシ基を表し、
m1が2以上の場合、2以上のA7は、それぞれ独立した置換基を表し、同一または異なっていてよい。]で表される化合物、
[b-23.53]式(s18)
[式中、A9およびA10は、それぞれ独立していて、水素原子、またはハロゲン原子を表し、
A11は、ハロゲン原子を表し、
A12は、ハロゲン原子、またはC1~C6のアルキル基を表し、
A13は、ハロゲン原子、シアノ基、C1~C6のアルキル基、またはC1~C6のアルコキシ基を表す。]で表される化合物、
[b-23.54]式(s19)
[式中、m2は、0~6の整数を表し、
A14およびA15は、それぞれ独立していて、ハロゲン原子、シアノ基、またはC1~C6のアルキル基を表し、
A16は、水素原子、ハロゲン原子、またはC1~C6のアルコキシ基を表し、
A17は、ハロゲン原子、またはC1~C6のアルコキシ基を表し、
m2が2以上の場合、2以上のA17は、それぞれ独立した置換基を表し、同一または異なっていてよい。]で表される化合物、
[b-23.55]式(s20)
[式中、A18およびA19は、それぞれ独立していて、ハロゲン原子、シアノ基、またはC1~C6のアルキル基を表し、
A20、A21およびA22は、それぞれ独立していて、水素原子、ハロゲン原子、またはC1~C6のアルコキシ基を表す。]で表される化合物、
[b-23.56]式(s21)
[式中、A23およびA24は、それぞれ独立していて、水素原子、ハロゲン原子、C1~C6のアルキル基、またはC3~C8のシクロアルキル基を表し、
Xは、酸素原子または硫黄原子を表す。]で表される化合物、
[b-23.57]式(s22)
[式中、m3は、0~5の整数を表し、
A25は、ハロゲン原子、C1~C6のアルキル基、C1~C6のハロアルキル基、C1~C6のアルコキシ基、C1~C6のハロアルコキシ基、またはC3~C8のシクロアルキル基を表し、
m3が2以上の場合、2以上のA25は、それぞれ独立した置換基を表し、同一または異なっていてよい。]で表される化合物、
[b-23.58]式(s23)
[式中、A26は、水素原子、またはハロゲン原子を表し、
V1およびV2は、それぞれ独立していて、酸素原子、または硫黄原子を表す。]で表される化合物、
[b-23.59]式(s24)または式(s25)
[式中、m4は、0~5の整数を表し、
A27は、C1~C6のアルキル基を表し、
A28は、ハロゲン原子、シアノ基、C1~C6のアルキル基、またはC1~C6のハロアルキル基を表し、
m4が2以上の場合、2以上のA28は、それぞれ独立した置換基を表し、同一または異なっていてよく、
A29は、C1~C6のアルキル基、C2~C6のアルケニル基、またはC3~C6のアルキニル基を表す。]で表される化合物、
[b-23.60]式(s26)または式(s27)
[式中、m5は、0~5の整数を表し、
A30は、C1~C6のアルキル基を表し、
A31は、ハロゲン原子、シアノ基、C1~C6のアルキル基、またはC1~C6のハロアルキル基を表し、
m5が2以上の場合、2以上のA31は、それぞれ独立した置換基を表し、同一または異なっていてよく、
A32は、C1~C6のアルキル基、C2~C6のアルケニル基、またはC3~C6のアルキニル基を表す。]で表される化合物、
[b-23.61]式(s28)
[式中、A33、A34、A35およびA36は、それぞれ独立していて、水素原子、またはハロゲン原子を表し、
A37は、水素原子、アセチル基、またはベンゾイル基を表す。]で表される化合物、
[b-23.62]式(s29)
[式中、A38は、C1~C6のアルキル基、またはC1~C6のハロアルキル基を表し、
A39およびA40は、それぞれ独立していて、水素原子、またはハロゲン原子を表す。]で表される化合物、
[b-23.63]式(s30)
[式中、A41は、水素原子、水硫基(-SH)、チオシアン酸基(-SCN)、またはC1~C6のアルキルチオ基を表し、
A42、A43、A44およびA45は、それぞれ独立していて、水素原子、またはハロゲン原子を表す。]で表される化合物、
[b-23.64]式(s31)または式(s32)
[式中、A46は、水素原子、またはハロゲン原子を表し、
A47は、C1~C6のアルキル基を表し、
A48は、ハロゲン原子を表す。]で表される化合物、
[b-23.65]式(s33)
[式中、A49、A50およびA51は、それぞれ独立していて、水素原子、またはハロゲン原子を表す。]で表される化合物で表される化合物、
群c:
c-1:カーバメート系アセチルコリンエステラーゼ(AChE)阻害剤
[c-1.1]ホスホカルブ(phosphocarb)、[c-1.2]アラニカルブ(alanycarb)、[c-1.3]ブトカルボキシム(butocarboxim)、[c-1.4]ブトキシカルボキシム(butoxycarboxim)、[c-1.5]チオジカルブ(thiodicarb)、[c-1.6]チオファノックス(thiofanox)、[c-1.7]アルジカルブ(aldicarb)、[c-1.8]ベンジオカルブ(bendiocarb)、[c-1.9]ベンフラカルブ(benfuracarb)、[c-1.10]カルバリル(carbaryl)、[c-1.11]カルボフラン(carbofuran)、[c-1.12]カルボスルファン(carbosulfan)、[c-1.13]エチオフェンカルブ(ethiofencarb)、[c-1.14]フェノブカルブ(fenobucarb)、[c-1.15]ホルメタネート(formetanate)、[c-1.16]フラチオカルブ(furathiocarb)、[c-1.17]イソプロカルブ(isoprocarb)、[c-1.18]メチオカルブ(methiocarb)、[c-1.19]メソミル(methomyl)、[c-1.20]オキサミル(oxamyl)、[c-1.21]ピリミカルブ(pirimicarb)、[c-1.22]プロポキスル(propoxur)、[c-1.23]トリメタカルブ(trimethacarb)、[c-1.24]XMC(3,5-xylyl methylcarbamate)、[c-1.25]アリキシカルブ(allyxycarb)、[c-1.26]アルドキシカルブ(aldoxycarb)、[c-1.27]ブフェンカルブ(bufencarb)、[c-1.28]ブタカルブ(butacarb)、[c-1.29]カーバノレート(carbanolate)、[c-1.30]メトルカルブ(metolcarb)、[c-1.31]キシルイルカルブ(xylylcarb)、[c-1.32]フェノチオカルブ(fenothiocarb)、[c-1.33]キシリルカルブ(xylylcarb)、[c-1.34]ベンダイオカルブ(bendiocarb)、
c-2:有機リン系アセチルコリンエステラーゼ(AChE)阻害剤
[c-2.1]アセフェート(acephate)、[c-2.2]アザメチホス(azamethiphos)、[c-2.3]アジンホス-メチル(azinphos-methyl)、[c-2.4]アジンホス-エチル(azinphos-ethyl)、[c-2.5]エセフォン(ethephon)、[c-2.6]カズサホス(cadusafos)、[c-2.7]クロルエトキシホス(chlorethoxyfos)、[c-2.8]クロルフェンビンホス(chlorfenvinphos)、[c-2.9]クロルメホス(chlormephos)、[c-2.10]クロルピリホス(chlorpyrifos)、[c-2.11]クロルピリホス-メチル(chlorpyrifos-methyl)、[c-2.12]クマホス(coumaphos)、[c-2.13]シアノホス(cyanophos)、[c-2.14]デメトン-S-メチル(demeton-S-methyl)、[c-2.15]ダイアジノン(diazinon)、[c-2.16]ジクロフェンチオン(dichlofenthion)、[c-2.17]ジクロルボス(dichlorvos)、[c-2.18]ジクロトホス(dicrotophos)、[c-2.19]ジメトエート(dimethoate)、[c-2.20]ジメチルビンホス(dimethylvinphos)、[c-2.21]ジスルホトン(disulfoton)、[c-2.22]O-エチル O-4-ニトロフェニル フェニルホスホノチオアート(O-ethyl O-4-nitrophenyl phenylphosphonothioate)、[c-2.23]エチオン(ethion)、[c-2.24]エトプロホス(ethoprophos)、[c-2.25]ファムフール(famphur)、[c-2.26]フェナミホス(fenamiphos)、[c-2.27]フェニトロチオン(fenitrothion)、[c-2.28]フェンチオン(fenthion)、[c-2.29]ホスチアゼート(fosthiazate)、[c-2.30]ヘプテノホス(heptenophos)、[c-2.31]イソフェンホス-メチル(isofenphos-methyl)、[c-2.32]イソカルボホス(Isocarbophos)、[c-2.33]イソキサチオン(isoxathion)、[c-2.34]マラチオン(malathion)、[c-2.35]メカルバム(mecarbam)、[c-2.36]メタミドホス(methamidophos)、[c-2.37]メチダチオン(methidathion)、[c-2.38]メビンホス(mevinphos)、[c-2.39]モノクロトホス(monocrotophos)、[c-2.40]ナレッド(naled)、[c-2.41]オメトエート(omethoate)、[c-2.42]オキシデメトン-メチル(oxydemeton-methyl)、[c-2.43]パラチオン(parathions)、[c-2.44]パラチオン-メチル(parathion-methyl)、[c-2.45]フェントエート(phenthoate)、[c-2.46]ホレート(phorate)、[c-2.47]ホサロン(phosalone)、[c-2.48]ホスメット(phosmet)、[c-2.49]ホスファミドン(phosphamidon)、[c-2.50]ホキシム(phoxim)、[c-2.51]ピリミホス-メチル(pirimiphos-methyl)、[c-2.52]プロフェノホス(profenofos)、[c-2.53]プロペタンホス(propetamphos)、[c-2.54]プロチオホス(prothiofos)、[c-2.55]ピラクロホス(pyraclofos)、[c-2.56]ピリダフェンチオン(pyridaphenthion)、[c-2.57]キナルホス(quinalphos)、[c-2.58]スルホテップ(sulfotep)、[c-2.59]テブピリムホス(tebupirimfos)、[c-2.60]テメホス(temephos)、[c-2.61]テルブホス(terbufos)、[c-2.62]チオメトン(thiometon)、[c-2.63]トリアゾホス(triazophos)、[c-2.64]トリクロルホン(trichlorfon)、[c-2.65]バミドチオン(vamidothion)、[c-2.66]クロルチオン(chlorothion)、[c-2.67]ブロムフェンビンホス(bromfenvinfos)、[c-2.68]ブロモホス(bromophos)、[c-2.69]ブロモホス-エチル(bromophos-ethyl)、[c-2.70]ブタチオホス(butathiofos)、[c-2.71]カルボフェノチオン(carbophenothion)、[c-2.72]クロルホキシム(chlorphoxim)、[c-2.73]スルプロホス(sulprofos)、[c-2.74]ジアミダホス(diamidafos)、[c-2.75]テトラクロルビンホス(tetrachlorvinphos)、[c-2.76]プロパホス(propaphos)、[c-2.77]メスルフェンホス(mesulfenfos)、[c-2.78]ジオキサベンゾホス(dioxabenzofos)、[c-2.79]エトリムホス(etrimfos)、[c-2.80]オキシデプロホス(oxydeprofos)、[c-2.81]ホルモチオン(formothion)、[c-2.82]フェンスルホチオン(fensulfothion)、[c-2.83]イサゾホス(isazofos)、[c-2.84]イミシアホス(imicyafos)、[c-2.85]イサミドホス(isamidofos)、[c-2.86]チオナジン(thionazin)、[c-2.87]ホスチエタン(fosthietan)、
c-3:GABA作動性塩素イオンチャネルブロッカー
[c-3.1]クロルデン(chlordane)、[c-3.2]エンドスルファン(endosulfan)、[c-3.3]リンデン(lindane)、[c-3.4]ジエノクロル(dienochlor)、[c-3.5]エチプロール(ethiprole)、[c-3.6]フィプロニル(fipronil)、[c-3.7]アセトプロール(acetoprole)、
c-4:ナトリウムチャネルモジュレーター
[c-4.1]アクリナトリン(acrinathrin)、[c-4.2]アレスリン[(1R)-アイソマー](allethrin[(1R)-isomer])、[c-4.3]ビフェントリン(bifenthrin)、[c-4.4]ビオアレスリン(bioallethrin)、[c-4.5]ビオアレスリン S-シクロペンテニル アイソマー(bioallethrin S-cyclopentenyl isomer)、[c-4.6]ビオレスメトリン(bioresmethrin)、[c-4.7]シクロプロトリン(cycloprothrin)、[c-4.8]シフルトリン(cyfluthrin)、[c-4.9]ベータ-シフルトリン(beta-cyfluthrin)、[c-4.10]シハロトリン(cyhalothrin)、[c-4.11]ガンマ-シハロトリン(gamma-cyhalothrin)、[c-4.12]ラムダ-シハロトリン(lambda-cyhalothrin)、[c-4.13]シペルメトリン(cypermethrin)、[c-4.14]アルファ-シペルメトリン(alpha-cypermethrin)、[c-4.15]ベータ-シペルメトリン(beta-cypermethrin)、[c-4.16]セタ-シペルメトリン(theta-cypermethrin)、[c-4.17]ゼダ-シペルメトリン(zeta-cypermethrin)、[c-4.18]シフェノトリン[(1R)-トランス-アイソマー](cyphenothrin[(1R)-trans-isomer])、[c-4.19]デルタメトリン(deltamethrin)、[c-4.20]エンペントリン[(EZ)-(1R)-アイソマー](empenthrin[(EZ)-(1R)-isomer])、[c-4.21]エスフェンバレレート(esfenvalerate)、[c-4.22]エトフェンプロックス(ethofenprox)、[c-4.23]フェンプロパトリン(fenpropathrin)、[c-4.24]フェンバレレート(fenvalerate)、[c-4.25]フルシトリネート(flucythrinate)、[c-4.26]フルメトリン(flumethrin)、[c-4.27]タウ-フルバリネート(tau-fluvalinate)、[c-4.28]ハルフェンプロックス(halfenprox)、[c-4.29]イミプロトリン(imiprothrin)、[c-4.30]メトトリン(methothrin)、[c-4.31]メトフルトリン(metofluthrin)、[c-4.32]イプシロン-メトフルトリン(epsilon-metofluthrin)、[c-4.33]モンフルオロトリン(momfluorothrin)、[c-4.34]イプシロン-モンフルオロトリン(epsilon-momfluorothrin)、[c-4.35]ペルメトリン(permethrin)、[c-4.36]フェノトリン[(1R)-トランス-アイソマー](phenothrin[(1R)-trans-isomer])、[c-4.37]プラレトリン(prallethrin)、[c-4.38]レスメトリン(resmethrin)、[c-4.39]カデトリン(kadethrin)、[c-4.40]シラフルオフェン(silafluofen)、[c-4.41]テフルトリン(tefluthrin)、[c-4.42]テトラメトリン(tetramethrin)、[c-4.43]テトラメトリン[(1R)-アイソマー](tetramethrin[(1R)-isomer])、[c-4.44]トラロメトリン(tralomethrin)、[c-4.45]トランスフルトリン(transfluthrin)、[c-4.46]ZXI8901(3-(4-bromophenoxy)phenyl]- cyanomethyl 4-(difluoromethoxy)-α- (1-methylethyl)benzeneacetate)、[c-4.47]バイオペルメトリン(biopermethrin)、[c-4.48]フラメトリン(furamethrin)、[c-4.49]プロフルトリン(profluthrin)、[c-4.50]フルブロシトリネート(flubrocythrinate)、[c-4.51]ジメフルトリン(dimefluthrin)、[c-4.52]DDT(dichloro-diphenyl-trichloroethane)、[c-4.53]メトキシクロル(methoxychlor)、[c-4.54]フェノトリン(phenothrin)、[c-4.55]フルバリネート(fluvalinate)、
c-5:ニコチン性アセチルコリン受容体(nAChR)競合的モジュレーター
[c-5.1]アセタミプリド(acetamiprid)、[c-5.2]クロチアニジン(clothianidin)、[c-5.3]ジノテフラン(dinotefuran)、[c-5.4]イミダクロプリド(imidacloprid)、[c-5.5]ニテンピラム(nitenpyram)、[c-5.6]チアクロプリド(thiacloprid)、[c-5.7]チアメトキサム(thiamethoxam)、[c-5.8]ニコチン(nicotine)、[c-5.9]硫酸ニコチン(nicotine sulfate)、[c-5.10]スルホキサフロル(sulfoxaflor)、[c-5.11]フルピラジフロン(flupyradifurone)、[c-5.12]トリフルメゾピリム(triflumezopyrim)、
c-6:ニコチン性アセチルコリン受容体(nAChR)アロステリックモジュレーター
[c-6.1]スピノサド(spinosad)、[c-6.2]スピネトラム(spinetoram)、
c-7:グルタミン酸作動性塩素イオンチャネル(GluCl)アロステリックモジュレーター
[c-7.1]アバメクチン(abamectin)、[c-7.2]エマメクチン安息香酸塩(emamectin benzoate)、[c-7.3]レピメクチン(lepimectin)、[c-7.4]ミルベメクチン(milbemectin)、
c-8:幼若ホルモン類似剤
[c-8.1]ヒドロプレン(hydroprene)、[c-8.2]キノプレン(kinoprene)、[c-8.3]メトプレン(methoprene)、[c-8.4]フェノキシカルブ(fenoxycarb)、[c-8.5]ピリプロキシフェン(pyriproxyfen)、
c-9:非特異的(マルチサイト)阻害剤
[c-9.1]臭化メチル(methyl bromide)、[c-9.2]クロルピクリン(chloropicrin)、[c-9.3]クリオライト(cryolite)、[c-9.4]フッ化スルフリル(sulfuryl fluoride)、[c-9.5]ホウ砂(borax)、[c-9.6]ホウ酸(boric acid)、[c-9.7]オクタホウ酸ニナトリウム塩(disodium octaborate)、[c-9.8]メタホウ酸ナトリウム塩(sodium metaborate)[c-9.9]吐酒石(tartar emetic)、[c-9.10]ダゾメット(dazomet)、[c-9.11]メタム(metam)、[c-9.12]カーバムナトリウム塩(metham sodium)、
c-10:弦音器官TRPVチャネルモジュレーター
[c-10.1]ピメトロジン(pymetrozine)、[c-10.2]ピリフルキナゾン(pyrifluquinazon)、
c-11:ダニ類成長阻害剤
[c-11.1]クロフェンテジン(clofentezine)、[c-11.2]ジフロビダジン(diflovidazin)、[c-11.3]ヘキシチアゾクス(hexythiazox)、[c-11.4]エトキサゾール(etoxazole)、
c-12:ミトコンドリアATP合成酵素阻害剤
[c-12.1]ジアフェンチウロン(diafenthiuron)、[c-12.2]アゾシクロチン(azocyclotin)、[c-12.3]シヘキサチン(cyhexatin)、[c-12.4]フェンブタチンオキシド(fenbutatin oxide)、「c-12.5」プロパルギット(propargite)、「c-12.6」テトラジホン(tetradifon)、
c-13:プロトン勾配を撹乱する酸化的リン酸化脱共役剤
[c-13.1]クロルフェナピル(chlorfenapyl)、[c-13.2]DNOC(dinitro-ortho-cresol)、[c-13.3]ビナパクリル(binapacryl)、[c-13.4]スルフルラミド(sulfluramid)、
c-14:ニコチン性アセチルコリン受容体(nAChR)チャネルブロッカー
[c-14.1]ベンスルタップ(bensultap)、[c-14.2]カルタップ塩酸塩(cartap hydrochloride)、[c-14.3]チオシクラム(thiocyclam)、[c-14.4]モノスルタップ(monosultap)、
c-15:キチン生合成阻害剤タイプ0
[c-15.1]ビストリフルロン(bistrifluron)、[c-15.2]クロルフルアズロン(chlorfluazuron)、[c-15.3]ジフルベンズロン(diflubenzuron)、[c-15.4]フルシクロクスロン(flucycloxuron)、[c-15.5]フルフェノクスロン(flufenoxuron)、[c-15.6]ヘキサフルムロン(hexaflumuron)、[c-15.7]ルフェヌロン(lufenuron)、[c-15.8]ノバルロン(novaluron)、[c-15.9]ノビフルムロン(noviflumuron)、[c-15.10]テフルベンズロン(teflubenzuron)、[c-15.11]トリフルムロン(triflumuron)、
c-16:キチン生合成阻害剤タイプ1
[c-16.1]ブプロフェジン(buprofezin)、
c-17:ハエ目昆虫脱皮阻害剤
[c-17.1]シロマジン(cyromazine)、
c-18:脱皮ホルモン(エクダイソン)受容体アゴニスト
[c-18.1]クロマフェノジド(chromafenozide)、[c-18.2]ハロフェノジド(halofenozide)、[c-18.3]メトキシフェノジド(methoxyfenozide)、[c-18.4]テブフェノジド(tebufenozide)、
c-19:オクトパミン受容体アゴニスト
[c-19.1]アミトラズ(amitraz)、
c-20:ミトコンドリア電子伝達系複合体III阻害剤
[c-20.1]ヒドラメチルノン(hydramethylnon)、[c-20.2]アセキノシル(acequinocyl)、[c-20.3]フルアクリピリム(fluacrypyrim)、[c-20.4]ビフェナゼート(bifenazate)、
c-21:ミトコンドリア電子伝達系複合体I阻害剤(METI)
[c-21.1]フェナザキン(fenazaquin)、[c-21.2]フェンピロキシメート(fenpyroximate)、[c-21.3]ピリダベン(pyridaben)、[c-21.4]ピリミジフェン(pylimidifen)、[c-21.5]テブフェンピラド(tebufenpyrad)、[c-21.6]トルフェンピラド(tolfenpyrad)、[c-21.7]ロテノン(rotenone)、
c-22:電位依存性ナトリウムチャネルブロッカー
[c-22.1]インドキサカルブ(indoxacarb)、[c-22.2]メタフルミゾン(metaflumizone)、
c-23:アセチルCoAカルボキシラーゼ阻害剤
[c-23.1]スピロジクロフェン(spirodiclofen)、[c-23.2]スピロメシフェン(spiromesifen)、[c-23.3]スピロテトラマト(spirotetramat)、
c-24:ミトコンドリア電子伝達系複合体IV阻害剤
[c-24.1]リン化アルミニウム(aluminum phosphide)、[c-24.2]リン化カルシウム(calcium phosphide)、[c-24.3]リン化水素(phosphine)、[c-24.4]リン化亜鉛(zinc phosphide)、[c-24.5]シアン化カルシウム(calcium cyanide)、[c-24.6]シアン化ナトリウム(potassium cyanide)、[c-24.7]シアン化カリウム(sodium cyanide)、
c-25:ミトコンドリア電子伝達系複合体II阻害剤
[c-25.1]シエノピラフェン(cyenopyrafen)、[c-25.2]シフルメトフェン(cyflumetofen)、[c-25.3]ピフルブミド(pyflubumide)、
c-26:リアノジン受容体モジュレーター
[c-26.1]クロラントラニリプロール(chlorantraniliprole)、[c-26.2]シアントラニリプロール(cyantraniliprole)、[c-26.3]フルベンジアミド(flubendiamide)、
c-27:標的部位未特定の弦音器官モジュレーター
[c-27.1]フロニカミド(flonicamid)、
c-28:その他の剤
[c-28.1]アザジラクチン(azadirachtin)、[c-28.2]ベンゾキシメート(benzoximate)、[c-28.3]フェニソブロモレート(phenisobromolate)、[c-28.4]キノメチオナート(chinomethionat)、[c-28.5]ジコホル(dicofol)、[c-28.6]ピリダリル(pyridalyl)、[c-28.7]ブロモプロピレート(bromopropylate)、[c-28.8]トリアザメート(triazamate)、[c-28.9]ジシクラニル(dicyclanil)、[c-28.10]ジノブトン(dinobuton)、[c-28.11]ジノカップ(dinocap)、[c-28.12]シアン化水素(hydrogen cyanide)、[c-28.13]ヨウ化メチル(methyl iodide)、[c-28.14]カランジン(karanjin)、[c-28.15]塩化水銀(mercury chloride)、[c-28.16]メチルイソチオシアネート(methyl isothiocyanate)、[c-28.17]ペンタクロロフェノール(pentachlorophenol)、[c-28.18]ホスフィン(phosphine)、[c-28.19]ピペロニル ブトキシド(piperonyl butoxide)、[c-28.20]ポリナクチン複合体(polynactins)、[c-28.21]サバディラ(sabadilla)、[c-28.22]スルコフロン塩(スルコフロン-ナトリウム(sulcofuron-sodium))、[c-28.23]トリブホス(tribufos)、[c-28.24]アルドリン(aldrin)、[c-28.25]アミジチオオン(amidithion)、[c-28.26]アミドチオエート(amidothioate)、[c-28.27]アミノカルブ(aminocarb)、[c-28.28]アミトン(amiton)、[c-28.29]アラマイト(aramite)、[c-28.30]アチダチオン(athidathion)、[c-28.31]アゾトエート(azothoate)、[c-28.32]ポリスルフィドバリウム(barium polysulphide)、[c-28.33]ベンクロチアズ(benclothiaz)、[c-28.34]5-(1,3-ベンゾジオキソール-5-イル)-3-ヘキシルシクロヘキサ-2-エノン(5-(1,3-benzodioxole-5-yl)-3-hexylcyclohexa-2-enone)、[c-28.35]1,1-ビス(4-クロロフェニル)-2-エトキシエタノール(1,1-bis(4-chlorophenyl)-2-ethoxyethanol)、[c-28.36]ブトネート(butonate)、[c-28.37]ブトピロノキシル(butopyronoxyl)、[c-28.38]2-(2-ブトキシエトキシ)エチル チオシアナート(2-(2-butoxyethoxy)ethyl thiocyanate)、[c-28.39]カンフェクロル(camphechlor)、[c-28.40]クロルベンシド(chlorbenside)、[c-28.41]クロルデコン(chlordecone)、[c-28.42]クロルジメホルム(chlordimeform)、[c-28.43]クロルフェネトール(chlorfenethol)、[c-28.44]クロルフェンソン(chlorfenson)、[c-28.45]フルアズロン(fluazuron)、[c-28.46]メタアルデヒド(metaldehyde)、[c-28.47]ビアラホス(bialaphos)、[c-28.48]塩酸レバミゾール(levamisol)、[c-28.49]アミドフルメト(amidoflumet)、[c-28.50]ピラフルプロール(pyrafluprole)、[c-28.51]ピリプロール(pyriprole)、[c-28.52]トラロピリル(tralopyril)、[c-28.53]フルピラゾフォス(flupyrazofos)、[c-28.54]ジオフェノラン(diofenolan)、[c-28.55]クロルベンジレート(chlorobenzilate)、[c-28.56]フルフェンジン(flufenzine)、[c-28.57]ベンゾメート(benzomate)、[c-28.58]フルフェネリム(flufenerim)、[c-28.59]アルベンダゾール(albendazole)、[c-28.60]オキシベンダゾール(oxibendazole)、[c-28.61]フェンベンダゾール(fenbendazole)、[c-28.62]メタム・ナトリウム(metam-sodium)、[c-28.63]1,3-ジクロロプロペン(1,3-dichloropropene)、[c-28.64]フロメトキン(flometoquin)、[c-28.65]シクラニリプロール(cyclaniliprole)、[c-28.66]テトラニリプロール(tetraniliprole)、[c-28.67]ブロフラニリド(broflanilide)、[c-28.68]ジクロロメゾチアズ(dicloromezotiaz)、[c-28.69]エチレンジブロマイド(ethylene dibromide)、[c-28.70]アクリロニトリル(acrylonitrile)、[c-28.71]ビス(2-クロロエチル)エーテル(bis(2-chloroethyl)ether)、[c-28.72]1-ブロモ-2-クロロエタン(1-bromo-2-chloroethane)、[c-28.73]3-ブロモ-1-クロロプロパ-1-エン(3-bromo-1-chloroprop-1-ene)、[c-28.74]ブロモシクレン(bromocyclen)、[c-28.75]二硫化炭素(carbon disulfide)、[c-28.76]四塩化炭素(tetrachloromethane)、[c-28.77]ネマデクチン(nemadectin)、[c-28.78]シミアゾール(cymiazole)[c-28.79]カルシウム ポリスルフィド(calcium polysulfide)、[c-28.80]サイトカイニン(cytokinin)、[c-28.81]2-(オクチルチオ)エタノール、[c-28.82]オレイン酸カリウム(potassium oleate)、[c-28.83]オレイン酸ナトリウム(sodium oleate)、[c-28.84]マシン油(machine oil)、[c-28.85]タール油(tar oil)、[c-28.86]アナバシン(anabasine)、[c-28.87]酒石酸モランテル(morantel tartrate)、[c-28.88]除虫菊(ピレトリン(pyrethrum))、[c-28.89]ナタネ油(rape seed oil)、[c-28.90]ダイズレチシン(soybean lecithin)、[c-28.91]デンプン(starch)、[c-28.92]ヒドロキシプロピルデンプン(hydroxypropylstarch)、[c-28.93]脂肪酸グリセリド(decanoyloctanoylglycerol)、[c-28.94]プロピレングリコールモノ脂肪酸エステル(propylene glycol fatty acid ester)、[c-28.95]ケイソウ土(diatomite)、[c-28.96]アフォキソラネル(afoxolaner)、[c-28.97]フルアザインドリジン(fluazaindolizine)、[c-28.98]アフィドピロペン(afidopyropen)、[c-28.99]シハロジアミド(cyhalodiamide)、[c-28.100]チオキサザフェン(tioxazafen)、[c-28.101]フルヘキサフォン(fluhexafon)、[c-28.102]フルララネル(fluralaner)、[c-28.103]フルキサメタミド(fluxametamide)、[c-28.104]テトラクロラントラニリプロール(tetrachlorantraniliprole)、[c-28.105]サロラネル(sarolaner)、[c-28.106]ロチラネル(lotilaner)、[c-28.107]シクロキサプリド(cycloxaprid)、[c-28.108]フルエンスルホン(fluensulfone)、[c-28.109]TPIC(tripropyl isocyanurate)、[c-28.110]D-D(1,3-Dichloropropene)、[c-28.111]ペルオキソカルボナート(peroxocarbonate)、[c-28.112]MB-599(verbutin)、[c-28.113]ビス(2,3,3,3-テトラクロロプロピル)エーテル(bis(2,3,3,3-tetrachloropropyl) ether)、[c-28.114]DCIP(bis(2-chloro-1-methylethyl)ether)、[c-28.115]ENT-8184(N-(2-Ethylhexyl)bicyclo[2.2.1]hept-5-ene-2,3-dicarboximide)、[c-28.116]Bayer 22408(O,O-diethyl O-naphthalimido phosphorothioate)、[c-28.117]Bayer 32394(tris(1-dodecyl-3-methyl-2-phenylbenzimidazolium)hexacyanoferrate)、
[c-28.118]式(s34)
で表される化合物、
[c-28.119]式(s35)
で表される化合物、
[c-28.120]式(s36)
で表される化合物、
[c-28.121]式(s37)
で表される化合物、
[c-28.122]式(s38)
で表される化合物、
[c-28.123]式(s39)
で表される化合物、
[c-28.124]式(s40)
で表される化合物、
[c-28.125]式(s41)
[式中、m6は、0~2の整数を表す。]で表される化合物、
[c-28.126]式(s42)
[式中、m7は、0~2の整数を表す。]で表される化合物、
[c-28.127]式(s43)
[式中、m8は、0~2の整数を表す。]で表される化合物、
[c-28.128]式(s44)
[式中、A52は、水素原子、またはフッ素原子を表す。]で表される化合物、
[c-28.129]式(s45)
[式中、m9は、0~2の整数を表し、
A53は、フッ素原子、または塩素原子を表す。]で表される化合物、
[c-28.130]式(s46)
[式中、V3は、窒素原子、炭素原子、またはC-Fを表し、
V4およびV5は、それぞれ独立していて、窒素原子、または炭素原子を表す。]で表される化合物、
[c-28.131]式(s47)
[式中、A54は、水素原子、メチル基、メトキシ基、またはエトキシ基を表し、
A55は、塩素原子、またはメチル基を表し、
A56は、メチル基、またはエチル基を表す。]で表される化合物、
[c-28.132]式(s48)
[式中、A57は、水素原子、フッ素原子、または塩素原子を表し、
A58は、
からなる群から選択される1種の部分構造を表す。]で表される化合物、
[c-28.133]式(s49)
[式中、A59は、水素原子、フッ素原子、または塩素原子を表し、
A60は、
からなる群から選択される部分構造を表す。]で表される化合物、
[c-28.134]式(s50)
[式中、m10は、0~2の整数を表し、
A61は、トリフルオロメチル基、トリフルオロメチルチオ基、トリフルオロメチルスルフィニル基、またはトリフルオロメチルスルホニル基を表し、
A62は、水素原子、またはトリフルオロメチル基を表し、
V6は、窒素原子、または炭素原子を表し、
V7は、酸素原子、またはN-メチル基を表す。]で表される化合物、
[c-28.135]式(s51)
[式中、A63は、水素原子、またはフッ素原子を表し、
アミド基は4位、または5位に結合し、
A64は、
からなる群から選択される部分構造を表す。]で表される化合物、
[c-28.136]式(s52)
[式中、A65は、水素原子、C1~C6のアルキル基、またはC1~C6のハロアルキル基を表し、
A66は、水素原子、ハロゲン原子、またはC1~C6のアルキル基を表し、
A67およびA68は、それぞれ独立していて、水素原子、それぞれシアノ基で置換されてもよいC1~C6のアルキル基、C2~C12のアルコキシアルキル基、またはC3~C8のシクロアルキル基を表し、
A69は、水素原子、シアノ基、それぞれシアノ基で置換されてもよいC1~C6のフルオロアルキル基、C1~C6のアルキル基、またはC3~C8のシクロアルキル基を表す。]で表される化合物、
[c-28.137]式(s53)または式(s54)
[式中、A70は、メチル基、エチル基、イソプロピル基、2,2,2-トリフルオロエチル基、またはフェニル基を表し、
A71は、
からなる群から選択される部分構造を表し、
A72は、
からなる群から選択される部分構造を表し、
V8は、酸素原子、硫黄原子、-CH2-、または-CH2CH2-を表す。]で表される化合物、
[c-28.138]式(s55)
[式中、m11は、0~1の整数を表し、
A73は、塩素原子、臭素原子、メチル基、またはトリフルオロメチル基を表し、
A74は、水素原子、塩素原子、臭素原子、シアノ基、またはトリフルオロメチル基表し、
A75は、水素原子、塩素原子または臭素原子を表し、
A76およびA77は、それぞれ独立していて、C1~C6のアルキル基、またはC3~C8のシクロアルキル基を表し、
A78は、塩素原子、臭素原子、シアノ基、ニトロ基、ジフルオロメチル基、またはトリフルオロメチル基を表す。]で表される化合物、
[c-28.139]式(s56)
[式中、A79、A80、A81およびA82は、それぞれ独立していて、水素原子、ハロゲン原子、C1~C6のアルキル基、C1~C6のハロアルキル基、C1~C6のアルコキシ基、またはC3~C8のシクロアルコキシ基を表す。]で表される化合物、
[c-28.140]式(s57)
[式中、m12は、0~2の整数を表し、
A83は、水素原子、またはフッ素原子を表し、
A84は、
からなる群から選択される部分構造を表す。]で表される化合物、
[c-28.141]式(s58)
[式中、m13、m14、m15およびm16は、それぞれ独立していて、0~5の整数を表し、
A85、A86、A87およびA88は、それぞれ独立していて、C1~C6のアルキル基、C1~C6のハロアルキル基、C1~C6のアルコキシ基、C1~C6のハロアルコキシ基、またはC3~C8のシクロアルコキシ基を表し、
V9は、アリール基を表し、
V10は、ピリジル基を表す。]で表される化合物、
[c-28.142]式(s59)
[A89は、ジフルオロメトキシ基を表し、
A90は、ハロゲン原子、C1~C6のアルキル基、またはC1~C6のハロアルキル基を表し、
A91は、C1~C6のハロアルキル基を表し、
A92およびA93は、それぞれ独立していて、水素原子、C1~C6のアルキル基、C2~C7のアシル基、C3~C8のアルキルスルホニルエチル基、またはC2~C7のアルキルオキシカルボニル基を表し、
A94およびA95は、それぞれ独立していて、水素原子、C1~C6のアルキル基、またはC1~C6のハロアルキル基を表す。]で表される化合物。
[5]
殺菌剤(群b)および殺虫剤(群c)が以下に示される群である、[4]に記載の有害生物防除組成物。
群b:
b-1:フェニルアミド系殺菌剤
[b-1.1]:ベナラキシル(benalaxyl)、[b-1.2]ベナラキシルMまたはキララキシル(benalaxyl-Mまたはkiralaxyl)、[b-1.4]メタラキシル(metalaxyl)、[b-1.5]メタラキシルMまたはメフェノキサム(metalaxyl-Mまたはmefenoxam)、[b-1.6]オキサジキシル(oxadixyl)、
b-2:有糸核分裂および細胞分裂阻害剤
[b-2.1]ベノミル(benomyl)、[b-2.2]カルベンダジム(carbendazim)、[b-2.4]チアベンダゾール(thiabendazole)、[b-2.6]チオファネートメチル(thiophanate-methyl)、[b-2.7]ジエトフェンカルブ(diethofencarb)、[b-2.9]エタボキサム(ethaboxam)、[b-2.10]ペンシクロン(pencycuron)、[b-2.11]フルオピコリド(fluopicolide)、
b-3:コハク酸脱水素酵素阻害剤(SDHI剤)
[b-3.2]ベンゾビンジフルピル(benzovindiflupyr)、[b-3.3]ビキサフェン(bixafen)、[b-3.4]ボスカリド(boscalid)、[b-3.5]カルボキシン(carboxin)、[b-3.7]フルオピラム(fluopyram)、[b-3.9]フルキサピロキサド(fluxapyroxad)、[b-3.11]イソフェタミド(isofetamid)、[b-3.12]イソピラザム(isopyrazam)、[b-3.15]ペンチオピラド(penthiopyrad)、[b-3.16]ペンフルフェン(penflufen)、[b-3.17]ピジフルメトフェン(pydiflumetofen)、[b-3.18]セダキサン(sedaxane)、[b-3.19]チフルザミド(thifluzamide)、[b-3.20]ピラジフルミド(pyraziflumid)、
b-4:キノン外部阻害剤(QoI剤)
[b-4.1]アゾキシストロビン(azoxystrobin)、[b-4.3]ジモキシストロビン(dimoxystrobin)、[b-4.5]ファモキサドン(famoxadone)、[b-4.9]フルオキサストロビン(fluoxastrobin)、[b-4.10]クレソキシムメチル(kresoxim-methyl)、[b-4.11]マンデストロビン(mandestrobin)、[b-4.12]メトミノストロビン(metominostrobin)、[b-4.13]オリサストロビン(orysastrobin)、[b-4.14]ピコキシストロビン(picoxystrobin)、[b-4.15]ピラクロストロビン(pyraclostrobin)、[b-4.18]ピリベンカルブ(pyribencarb)、[b-4.20]トリフロキシストロビン(trifloxystrobin)、
b-5:キノン内部阻害剤(QiI殺剤)
[b-5.1]シアゾファミド(cyazofamid)、
b-6:酸化的リン酸化脱共役阻害剤
[b-6.4]フルアジナム(fluazinam)、
b-7:キノン外部スチグマテリン結合サブサイト阻害剤(QoSI剤)
[b-7.1]アメトクトラジン(ametoctradin)、
b-8:アミノ酸生合成阻害剤
[b-8.1]シプロジニル(cyprodinil)、[b-8.2]メパニピリム(mepanipyrim)、[b-8.3]ピリメタニル(pyrimethanil)、
b-9:タンパク質生合成阻害剤
[b-9.1]ストレプトマイシン(streptomycin)、[b-9.3]カスガマイシン(kasugamycin)、[b-9.4]オキシテトラサイクリン(oxytetracycline)、
b-10:シグナル伝達阻害剤
[b-10.2]フルジオキソニル(fludioxonil)、[b-10.3]キノキシフェン(quinoxyfen)、[b-10.7]イプロジオン(iprodione)、[b-10.8]プロシミドン(procymidone)、
b-11:脂質および細胞膜生合成阻害剤
[b-11.2]イプロベンホス(iprobenfos)、[b-11.4]イソプロチオラン(isoprothiolane)、[b-11.10]トルクロホスメチル(tolclofos-methyl)、[b-11.13]プロパモカルブ(propamocarb)、
b-12:脱メチル化阻害剤(DMI剤)
[b-12.4]シプロコナゾール(cyproconazole)、[b-12.5]ジフェノコナゾール(difenoconazole)、[b-12.8]エポキシコナゾール(epoxiconazole)、[b-12.10]フェナリモル(fenarimol)、[b-12.11]フェンブコナゾール(fenbuconazole)、[b-12.12]フルキンコナゾール(fluquinconazole)、[b-12.14]フルシラゾール(flusilazole)、[b-12.15]フルトリアホール(flutriafol)、[b-12.16]ヘキサコナゾール(hexaconazole)、[b-12.18]イミベンコナゾール(imibenconazole)、[b-12.19]イプコナゾール(ipconazole)、[b-12.20]メトコナゾール(metconazole)、[b-12.21]ミクロブタニル(myclobutanil)、[b-12.23]オキスポコナゾール(oxpoconazole)、[b-12.24]オキスポコナゾールフマル酸塩(oxpoconazole fumarate)、[b-12.26]ペンコナゾール(penconazole)、[b-12.27]プロクロラズ(prochloraz)、[b-12.28]プロピコナゾール(propiconazole)、[b-12.29]プロチオコナゾール(prothioconazole)、[b-12.32]シメコナゾール(simeconazole)、[b-12.33]テブコナゾール(tebuconazole)、[b-12.34]テトラコナゾール(tetraconazole)、[b-12.35]トリアジメホン(triadimefon)、[b-12.36]トリアジメノール(triadimenol)、[b-12.37]トリフルミゾール(triflumizole)、[b-12.39]トリチコナゾール(triticonazole)[b-12.40]メフェントリフルコナゾール(mefentrifluconazole)、[b-12.41]イプフェントリフルコナゾール(ipfentrifluconazole)、
b-13:アミン系殺菌剤
[b-13.3]フェンプロピモルフ(fenpropimorph)、[b-13.4]トリデモルフ(tridemorph)、[b-13.5]フェンプロピジン(fenpropidin)、[b-13.7]スピロキサミン(spiroxamine)、
b-14:ステロール生合成のC4位脱メチル化における3-ケト還元酵素阻害剤
[b-14.1]フェンヘキサミド(fenhexamid)、[b-14.2]フェンピラザミン(fenpyrazamine)、
b-16:細胞壁生合成阻害剤
[b-16.2]ジメトモルフ(dimethomorph)、[b-16.6]ベンチアバリカルブイソプロピル(benthivalicarb-isopropyl)、[b-16.7]イプロバリカルブ(iprovalicarb)、[b-16.8]マンジプロパミド(mandipropamid)、
b-17:メラニン生合成阻害剤
[b-17.1]フサライド(phthalide or fthalide)、[b-17.2]ピロキロン(pyroquilone)、[b-17.3]トリシクラゾール(tricyclazole)、[b-17.4]カルプロパミド(carpropamid)、[b-17.5]ジクロシメット(diclocymet)、[b-17.6]フェノキサニル(fenoxanil)、[b-17.7]トルプロカルブ(tolprocarb)、
b-18:宿主植物抵抗性誘導剤
[b-18.1]アシベンゾラルSメチル(acibenzolar-S-methyl)、[b-18.2]プロベナゾール(probenazole)、[b-18.3]チアジニル(tiadinil)、[b-18.4]イソチアニル(isotianil)、
b-19:ジチオカーバメート系殺菌剤
[b-19.1]マンコゼブまたはマンゼブ(mancozeb or manzeb)、[b-19.3]メチラム(metiram)、[b-19.4]プロピネブ(propineb)、[b-19.5]チウラム(thiram)、
b-20:フタルイミド系殺菌剤
[b-20.1]キャプタン(captan)、[b-20.3]ホルペット(folpet)、
b-21:グアニジン系殺菌剤
[b-21.3]イミノクタジンアルベシル酸塩(iminoctadine albesilate)、[b-21.4]イミノクタジン三酢酸塩(iminoctadine triacetate)、
b-22:多作用点接触活性型殺菌剤
[b-22.1]塩基性塩化銅(copper oxychloride)、[b-22.2]水酸化第二銅(copper(II) hydroxide)、[b-22.3]塩基性硫酸銅(copper hydroxide sulfate)、[b-22.6]硫黄(sulphur)、[b-22.7]フルオルイミド(fluoroimide)、[b-22.8]クロロタロニル(chlorothalonil)、[b-22.12]ジチアノン(dithianon)、
b-23:その他の殺菌剤
[b-23.1]ジクロベンチアゾクス(dichlobentiazox)、[b-23.2]フェンピコキサミド(fenpicoxamid)、[b-23.3]ジピメチトロン(dipymetitrone)、[b-23.7]酢酸トリフェニルスズ(fentin acetate)、[b-23.8]塩化トリフェニルスズ(fentin chloride)、[b-23.9]水酸化トリフェニルスズ(fentin hydroxide)、[b-23.10]オキソリニック酸(oxolinic acid)、[b-23.11]ヒメキサゾール(hymexazol)、[b-23.13]ホセチル(fosetyl)、[b-23.14]亜リン酸(phosphorous acid)、[b-23.20]フルスルファミド(flusulfamide)、[b-23.22]シルチオファム(silthiofam)、[b-23.25]シフルフェナミド(cyflufenamid)、[b-23.26]メトラフェノン(metrafenone)、[b-23.27]ピリオフェノン(pyriofenone)、[b-23.29]フルチアニル(flutianil)、[b-23.30]フェリムゾン(ferimzone)、[b-23.31]オキサチアピプロリン(oxathiapiprolin)、[b-23.32]テブフロキン(tebufloquin)、[b-23.33]ピカルブトラゾクス(picarbutrazox)、[b-23.34]バリダマイシン類(validamycins)、[b-23.35]シモキサニル(cymoxanil)、[b-23.36]式(s1)で表される化合物、[b-23.36]式(s1)で表される化合物、[b-23.37]式(s2)で表される化合物、[b-23.38]式(s3)で表される化合物、[b-23.39]式(s4)で表される化合物、[b-23.40]式(s5)で表される化合物、[b-23.41]式(s6)で表される化合物、[b-23.42]式(s7)で表される化合物、[b-23.43]式(s8)で表される化合物、[b-23.44]式(s9)で表される化合物、[b-23.45]式(s10)で表される化合物、[b-23.46]式(s11)で表される化合物、[b-23.47]式(s12)で表される化合物、[b-23.48]式(s13)で表される化合物、[b-23.49]式(s14)で表される化合物、[b-23.50]式(s15)で表される化合物、[b-23.51]式(s16)で表される化合物、[b-23.52]式(s17)で表される化合物、[b-23.53]式(s18)で表される化合物、[b-23.54]式(s19)で表される化合物、[b-23.55]式(s20)で表される化合物、[b-23.56]式(s21)で表される化合物、[b-23.57]式(s22)で表される化合物、[b-23.58]式(s23)で表される化合物、[b-23.59]式(s24)または式(s25)で表される化合物、[b-23.60]式(s26)または式(s27)で表される化合物、[b-23.61]式(s28)で表される化合物、[b-23.62]式(s29)で表される化合物、[b-23.63]式(s30)で表される化合物、[b-23.64]式(s31)または式(s32)で表される化合物、[b-23.65]式(s33)で表される化合物、
群c:
c-1:カーバメート系アセチルコリンエステラーゼ(AChE)阻害剤
[c-1.5]チオジカルブ(thiodicarb)、[c-1.9]ベンフラカルブ(benfuracarb)、[c-1.10]カルバリル(carbaryl)、[c-1.11]カルボフラン(carbofuran)、[c-1.12]カルボスルファン(carbosulfan)、[c-1.14]フェノブカルブ(fenobucarb)、[c-1.15]ホルメタネート(formetanate)、[c-1.17]イソプロカルブ(isoprocarb)、[c-1.18]メチオカルブ(methiocarb)、[c-1.19]メソミル(methomyl)、[c-1.20]オキサミル(oxamyl)、[c-1.21]ピリミカルブ(pirimicarb)、
c-2:有機リン系アセチルコリンエステラーゼ(AChE)阻害剤
[c-2.1]アセフェート(acephate)、[c-2.6]カズサホス(cadusafos)、[c-2.10]クロルピリホス(chlorpyrifos)、[c-2.11]クロルピリホス-メチル(chlorpyrifos-methyl)、[c-2.15]ダイアジノン(diazinon)、[c-2.17]ジクロルボス(dichlorvos)、[c-2.18]ジクロトホス(dicrotophos)、[c-2.19]ジメトエート(dimethoate)、[c-2.23]エチオン(ethion)、[c-2.24]エトプロホス(ethoprophos)、[c-2.26]フェナミホス(fenamiphos)、[c-2.27]フェニトロチオン(fenitrothion)、[c-2.28]フェンチオン(fenthion)、[c-2.29]ホスチアゼート(fosthiazate)、[c-2.33]イソキサチオン(isoxathion)、[c-2.34]マラチオン(malathion)、[c-2.36]メタミドホス(methamidophos)、[c-2.37]メチダチオン(methidathion)、[c-2.39]モノクロトホス(monocrotophos)、[c-2.41]オメトエート(omethoate)、[c-2.44]パラチオン-メチル(parathion-methyl)、[c-2.45]フェントエート(phenthoate)、[c-2.46]ホレート(phorate)、[c-2.48]ホスメット(phosmet)、[c-2.50]ホキシム(phoxim)、[c-2.52]プロフェノホス(profenofos)、[c-2.54]プロチオホス(prothiofos)、[c-2.57]キナルホス(quinalphos)、[c-2.59]テブピリムホス(tebupirimfos)、[c-2.61]テルブホス(terbufos)、[c-2.63]トリアゾホス(triazophos)、[c-2.64]トリクロルホン(trichlorfon)、[c-2.84]イミシアホス(imicyafos)、
c-3:GABA作動性塩素イオンチャネルブロッカー
[c-3.5]エチプロール(ethiprole)、[c-3.6]フィプロニル(fipronil)、
c-4:ナトリウムチャネルモジュレーター
[c-4.1]アクリナトリン(acrinathrin)、[c-4.2]アレスリン[(1R)-アイソマー](allethrin[(1R)-isomer])、[c-4.3]ビフェントリン(bifenthrin)、[c-4.7]シクロプロトリン(cycloprothrin)、[c-4.8]シフルトリン(cyfluthrin)、[c-4.9]ベータ-シフルトリン(beta-cyfluthrin)、[c-4.10]シハロトリン(cyhalothrin)、[c-4.11]ガンマ-シハロトリン(gamma-cyhalothrin)、[c-4.12]ラムダ-シハロトリン(lambda-cyhalothrin)、[c-4.13]シペルメトリン(cypermethrin)、[c-4.14]アルファ-シペルメトリン(alpha-cypermethrin)、[c-4.15]ベータ-シペルメトリン(beta-cypermethrin)、[c-4.16]セタ-シペルメトリン(theta-cypermethrin)、[c-4.17]ゼダ-シペルメトリン(zeta-cypermethrin)、[c-4.19]デルタメトリン(deltamethrin)、[c-4.21]エスフェンバレレート(esfenvalerate)、[c-4.22]エトフェンプロックス(ethofenprox)、[c-4.23]フェンプロパトリン(fenpropathrin)、[c-4.24]フェンバレレート(fenvalerate)、[c-4.27]タウ-フルバリネート(tau-fluvalinate)、[c-4.29]イミプロトリン(imiprothrin)、[c-4.35]ペルメトリン(permethrin)、[c-4.37]プラレトリン(prallethrin)、[c-4.38]レスメトリン(resmethrin)、[c-4.40]シラフルオフェン(silafluofen)、[c-4.41]テフルトリン(tefluthrin)、[c-4.42]テトラメトリン(tetramethrin)、[c-4.54]フェノトリン(phenothrin)、
c-5:ニコチン性アセチルコリン受容体(nAChR)競合的モジュレーター
[c-5.1]アセタミプリド(acetamiprid)、[c-5.2]クロチアニジン(clothianidin)、[c-5.3]ジノテフラン(dinotefuran)、[c-5.4]イミダクロプリド(imidacloprid)、[c-5.5]ニテンピラム(nitenpyram)、[c-5.6]チアクロプリド(thiacloprid)、[c-5.7]チアメトキサム(thiamethoxam)、[c-5.10]スルホキサフロル(sulfoxaflor)、[c-5.11]フルピラジフロン(flupyradifurone)、[c-5.12]トリフルメゾピリム(triflumezopyrim)、
c-6:ニコチン性アセチルコリン受容体(nAChR)アロステリックモジュレーター
[c-6.1]スピノサド(spinosad)、[c-6.2]スピネトラム(spinetoram)、
c-7:グルタミン酸作動性塩素イオンチャネル(GluCl) アロステリックモジュレーター
[c-7.1]アバメクチン(abamectin)、[c-7.2]エマメクチン安息香酸塩(emamectin benzoate)、[c-7.3]レピメクチン(lepimectin)、[c-7.4]ミルベメクチン(milbemectin)、
c-8:幼若ホルモン類似剤
[c-8.3]メトプレン(methoprene)、[c-8.4]フェノキシカルブ(fenoxycarb)、[c-8.5]ピリプロキシフェン(pyriproxyfen)、
c-9:非特異的(マルチサイト)阻害剤
[c-9.10]ダゾメット(dazomet)、
c-10:弦音器官TRPVチャネルモジュレーター
[c-10.1]ピメトロジン(pymetrozine)、[c-10.2]ピリフルキナゾン(pyrifluquinazon)、
c-11:ダニ類成長阻害剤
[c-11.1]クロフェンテジン(clofentezine)、[c-11.3]ヘキシチアゾクス(hexythiazox)、[c-11.4]エトキサゾール(etoxazole)、
c-12:ミトコンドリアATP合成酵素阻害剤
[c-12.1]ジアフェンチウロン(diafenthiuron)、[c-12.2]アゾシクロチン(azocyclotin)、[c-12.4]フェンブタチンオキシド(fenbutatin oxide)、「c-12.5」プロパルギット(propargite)、
c-13:プロトン勾配を撹乱する酸化的リン酸化脱共役剤
[c-13.1]クロルフェナピル(chlorfenapyl)、
c-14:ニコチン性アセチルコリン受容体(nAChR)チャネルブロッカー
[c-14.2]カルタップ塩酸塩(cartap hydrochloride)、[c-14.3]チオシクラム(thiocyclam)、[c-14.4]モノスルタップ(monosultap)、
c-15:キチン生合成阻害剤タイプ0
[c-15.2]クロルフルアズロン(chlorfluazuron)、[c-15.3]ジフルベンズロン(diflubenzuron)、[c-15.5]フルフェノクスロン(flufenoxuron)、[c-15.6]ヘキサフルムロン(hexaflumuron)、[c-15.7]ルフェヌロン(lufenuron)、[c-15.8]ノバルロン(novaluron)、[c-15.10]テフルベンズロン(teflubenzuron)、[c-15.11]トリフルムロン(triflumuron)、
c-16:キチン生合成阻害剤タイプ1
[c-16.1]ブプロフェジン(buprofezin)、
c-17:ハエ目昆虫脱皮阻害剤
[c-17.1]シロマジン(cyromazine)、
c-18:脱皮ホルモン(エクダイソン)受容体アゴニスト
[c-18.1]クロマフェノジド(chromafenozide)、[c-18.2]ハロフェノジド(halofenozide)、[c-18.3]メトキシフェノジド(methoxyfenozide)、[c-18.4]テブフェノジド(tebufenozide)、
c-19:オクトパミン受容体アゴニスト
[c-19.1]アミトラズ(amitraz)、
c-20:ミトコンドリア電子伝達系複合体III阻害剤
[c-20.2]アセキノシル(acequinocyl)、[c-20.4]ビフェナゼート(bifenazate)、
c-21:ミトコンドリア電子伝達系複合体I阻害剤(METI)
[c-21.2]フェンピロキシメート(fenpyroximate)、[c-21.4]ピリミジフェン(pylimidifen)、[c-21.6]トルフェンピラド(tolfenpyrad)、[c-21.7]ロテノン(rotenone)、
c-22:電位依存性ナトリウムチャネルブロッカー
[c-22.1]インドキサカルブ(indoxacarb)、[c-22.2]メタフルミゾン(metaflumizone)、
c-23:アセチルCoAカルボキシラーゼ阻害剤
[c-23.1]スピロジクロフェン(spirodiclofen)、[c-23.2]スピロメシフェン(spiromesifen)、[c-23.3]スピロテトラマト(spirotetramat)、
c-25:ミトコンドリア電子伝達系複合体II阻害剤
[c-25.1]シエノピラフェン(cyenopyrafen)、[c-25.2]シフルメトフェン(cyflumetofen)、[c-25.3]ピフルブミド(pyflubumide)、
c-26:リアノジン受容体モジュレーター
[c-26.1]クロラントラニリプロール(chlorantraniliprole)、[c-26.2]シアントラニリプロール(cyantraniliprole)、[c-26.3]フルベンジアミド(flubendiamide)、
c-27:標的部位未特定の弦音器官モジュレーター
[c-27.1]フロニカミド(flonicamid)、
c-28:その他の殺虫剤
[c-28.5]ジコホル(dicofol)、[c-28.6]ピリダリル(pyridalyl)、[c-28.7]ブロモプロピレート(bromopropylate)、[c-28.64]フロメトキン(flometoquin)、[c-28.65]シクラニリプロール(cyclaniliprole)、[c-28.66]テトラニリプロール(tetraniliprole)、[c-28.67]ブロフラニリド(broflanilide)、[c-28.68]ジクロロメゾチアズ(dicloromezotiaz)、[c-28.93]脂肪酸グリセリド(decanoyloctanoylglycerol)、[c-28.96]アフォキソラネル(afoxolaner)、[c-28.97]フルアザインドリジン(fluazaindolizine)、[c-28.99]シハロジアミド(cyhalodiamide)、[c-28.100]チオキサザフェン(tioxazafen)、[c-28.101]フルヘキサフォン(fluhexafon)、[c-28.102]フルララネル(fluralaner)、[c-28.103]フルキサメタミド(fluxametamide)、[c-28.108]フルエンスルホン(fluensulfone)、[c-28.118]式(s34)で表される化合物、[c-28.119]式(s35)で表される化合物、[c-28.120]式(s36)で表される化合物、[c-28.125]式(s41)で表される化合物、[c-28.129]式(s45)で表される化合物、[c-28.134]式(s50)で表される化合物、[c-28.138]式(s55)で表される化合物、[c-28.142]式(s59)で表される化合物。
殺菌剤(群b)および殺虫剤(群c)が以下に示される群である、[4]に記載の有害生物防除組成物。
群b:
b-1:フェニルアミド系殺菌剤
[b-1.1]:ベナラキシル(benalaxyl)、[b-1.2]ベナラキシルMまたはキララキシル(benalaxyl-Mまたはkiralaxyl)、[b-1.4]メタラキシル(metalaxyl)、[b-1.5]メタラキシルMまたはメフェノキサム(metalaxyl-Mまたはmefenoxam)、[b-1.6]オキサジキシル(oxadixyl)、
b-2:有糸核分裂および細胞分裂阻害剤
[b-2.1]ベノミル(benomyl)、[b-2.2]カルベンダジム(carbendazim)、[b-2.4]チアベンダゾール(thiabendazole)、[b-2.6]チオファネートメチル(thiophanate-methyl)、[b-2.7]ジエトフェンカルブ(diethofencarb)、[b-2.9]エタボキサム(ethaboxam)、[b-2.10]ペンシクロン(pencycuron)、[b-2.11]フルオピコリド(fluopicolide)、
b-3:コハク酸脱水素酵素阻害剤(SDHI剤)
[b-3.2]ベンゾビンジフルピル(benzovindiflupyr)、[b-3.3]ビキサフェン(bixafen)、[b-3.4]ボスカリド(boscalid)、[b-3.5]カルボキシン(carboxin)、[b-3.7]フルオピラム(fluopyram)、[b-3.9]フルキサピロキサド(fluxapyroxad)、[b-3.11]イソフェタミド(isofetamid)、[b-3.12]イソピラザム(isopyrazam)、[b-3.15]ペンチオピラド(penthiopyrad)、[b-3.16]ペンフルフェン(penflufen)、[b-3.17]ピジフルメトフェン(pydiflumetofen)、[b-3.18]セダキサン(sedaxane)、[b-3.19]チフルザミド(thifluzamide)、[b-3.20]ピラジフルミド(pyraziflumid)、
b-4:キノン外部阻害剤(QoI剤)
[b-4.1]アゾキシストロビン(azoxystrobin)、[b-4.3]ジモキシストロビン(dimoxystrobin)、[b-4.5]ファモキサドン(famoxadone)、[b-4.9]フルオキサストロビン(fluoxastrobin)、[b-4.10]クレソキシムメチル(kresoxim-methyl)、[b-4.11]マンデストロビン(mandestrobin)、[b-4.12]メトミノストロビン(metominostrobin)、[b-4.13]オリサストロビン(orysastrobin)、[b-4.14]ピコキシストロビン(picoxystrobin)、[b-4.15]ピラクロストロビン(pyraclostrobin)、[b-4.18]ピリベンカルブ(pyribencarb)、[b-4.20]トリフロキシストロビン(trifloxystrobin)、
b-5:キノン内部阻害剤(QiI殺剤)
[b-5.1]シアゾファミド(cyazofamid)、
b-6:酸化的リン酸化脱共役阻害剤
[b-6.4]フルアジナム(fluazinam)、
b-7:キノン外部スチグマテリン結合サブサイト阻害剤(QoSI剤)
[b-7.1]アメトクトラジン(ametoctradin)、
b-8:アミノ酸生合成阻害剤
[b-8.1]シプロジニル(cyprodinil)、[b-8.2]メパニピリム(mepanipyrim)、[b-8.3]ピリメタニル(pyrimethanil)、
b-9:タンパク質生合成阻害剤
[b-9.1]ストレプトマイシン(streptomycin)、[b-9.3]カスガマイシン(kasugamycin)、[b-9.4]オキシテトラサイクリン(oxytetracycline)、
b-10:シグナル伝達阻害剤
[b-10.2]フルジオキソニル(fludioxonil)、[b-10.3]キノキシフェン(quinoxyfen)、[b-10.7]イプロジオン(iprodione)、[b-10.8]プロシミドン(procymidone)、
b-11:脂質および細胞膜生合成阻害剤
[b-11.2]イプロベンホス(iprobenfos)、[b-11.4]イソプロチオラン(isoprothiolane)、[b-11.10]トルクロホスメチル(tolclofos-methyl)、[b-11.13]プロパモカルブ(propamocarb)、
b-12:脱メチル化阻害剤(DMI剤)
[b-12.4]シプロコナゾール(cyproconazole)、[b-12.5]ジフェノコナゾール(difenoconazole)、[b-12.8]エポキシコナゾール(epoxiconazole)、[b-12.10]フェナリモル(fenarimol)、[b-12.11]フェンブコナゾール(fenbuconazole)、[b-12.12]フルキンコナゾール(fluquinconazole)、[b-12.14]フルシラゾール(flusilazole)、[b-12.15]フルトリアホール(flutriafol)、[b-12.16]ヘキサコナゾール(hexaconazole)、[b-12.18]イミベンコナゾール(imibenconazole)、[b-12.19]イプコナゾール(ipconazole)、[b-12.20]メトコナゾール(metconazole)、[b-12.21]ミクロブタニル(myclobutanil)、[b-12.23]オキスポコナゾール(oxpoconazole)、[b-12.24]オキスポコナゾールフマル酸塩(oxpoconazole fumarate)、[b-12.26]ペンコナゾール(penconazole)、[b-12.27]プロクロラズ(prochloraz)、[b-12.28]プロピコナゾール(propiconazole)、[b-12.29]プロチオコナゾール(prothioconazole)、[b-12.32]シメコナゾール(simeconazole)、[b-12.33]テブコナゾール(tebuconazole)、[b-12.34]テトラコナゾール(tetraconazole)、[b-12.35]トリアジメホン(triadimefon)、[b-12.36]トリアジメノール(triadimenol)、[b-12.37]トリフルミゾール(triflumizole)、[b-12.39]トリチコナゾール(triticonazole)[b-12.40]メフェントリフルコナゾール(mefentrifluconazole)、[b-12.41]イプフェントリフルコナゾール(ipfentrifluconazole)、
b-13:アミン系殺菌剤
[b-13.3]フェンプロピモルフ(fenpropimorph)、[b-13.4]トリデモルフ(tridemorph)、[b-13.5]フェンプロピジン(fenpropidin)、[b-13.7]スピロキサミン(spiroxamine)、
b-14:ステロール生合成のC4位脱メチル化における3-ケト還元酵素阻害剤
[b-14.1]フェンヘキサミド(fenhexamid)、[b-14.2]フェンピラザミン(fenpyrazamine)、
b-16:細胞壁生合成阻害剤
[b-16.2]ジメトモルフ(dimethomorph)、[b-16.6]ベンチアバリカルブイソプロピル(benthivalicarb-isopropyl)、[b-16.7]イプロバリカルブ(iprovalicarb)、[b-16.8]マンジプロパミド(mandipropamid)、
b-17:メラニン生合成阻害剤
[b-17.1]フサライド(phthalide or fthalide)、[b-17.2]ピロキロン(pyroquilone)、[b-17.3]トリシクラゾール(tricyclazole)、[b-17.4]カルプロパミド(carpropamid)、[b-17.5]ジクロシメット(diclocymet)、[b-17.6]フェノキサニル(fenoxanil)、[b-17.7]トルプロカルブ(tolprocarb)、
b-18:宿主植物抵抗性誘導剤
[b-18.1]アシベンゾラルSメチル(acibenzolar-S-methyl)、[b-18.2]プロベナゾール(probenazole)、[b-18.3]チアジニル(tiadinil)、[b-18.4]イソチアニル(isotianil)、
b-19:ジチオカーバメート系殺菌剤
[b-19.1]マンコゼブまたはマンゼブ(mancozeb or manzeb)、[b-19.3]メチラム(metiram)、[b-19.4]プロピネブ(propineb)、[b-19.5]チウラム(thiram)、
b-20:フタルイミド系殺菌剤
[b-20.1]キャプタン(captan)、[b-20.3]ホルペット(folpet)、
b-21:グアニジン系殺菌剤
[b-21.3]イミノクタジンアルベシル酸塩(iminoctadine albesilate)、[b-21.4]イミノクタジン三酢酸塩(iminoctadine triacetate)、
b-22:多作用点接触活性型殺菌剤
[b-22.1]塩基性塩化銅(copper oxychloride)、[b-22.2]水酸化第二銅(copper(II) hydroxide)、[b-22.3]塩基性硫酸銅(copper hydroxide sulfate)、[b-22.6]硫黄(sulphur)、[b-22.7]フルオルイミド(fluoroimide)、[b-22.8]クロロタロニル(chlorothalonil)、[b-22.12]ジチアノン(dithianon)、
b-23:その他の殺菌剤
[b-23.1]ジクロベンチアゾクス(dichlobentiazox)、[b-23.2]フェンピコキサミド(fenpicoxamid)、[b-23.3]ジピメチトロン(dipymetitrone)、[b-23.7]酢酸トリフェニルスズ(fentin acetate)、[b-23.8]塩化トリフェニルスズ(fentin chloride)、[b-23.9]水酸化トリフェニルスズ(fentin hydroxide)、[b-23.10]オキソリニック酸(oxolinic acid)、[b-23.11]ヒメキサゾール(hymexazol)、[b-23.13]ホセチル(fosetyl)、[b-23.14]亜リン酸(phosphorous acid)、[b-23.20]フルスルファミド(flusulfamide)、[b-23.22]シルチオファム(silthiofam)、[b-23.25]シフルフェナミド(cyflufenamid)、[b-23.26]メトラフェノン(metrafenone)、[b-23.27]ピリオフェノン(pyriofenone)、[b-23.29]フルチアニル(flutianil)、[b-23.30]フェリムゾン(ferimzone)、[b-23.31]オキサチアピプロリン(oxathiapiprolin)、[b-23.32]テブフロキン(tebufloquin)、[b-23.33]ピカルブトラゾクス(picarbutrazox)、[b-23.34]バリダマイシン類(validamycins)、[b-23.35]シモキサニル(cymoxanil)、[b-23.36]式(s1)で表される化合物、[b-23.36]式(s1)で表される化合物、[b-23.37]式(s2)で表される化合物、[b-23.38]式(s3)で表される化合物、[b-23.39]式(s4)で表される化合物、[b-23.40]式(s5)で表される化合物、[b-23.41]式(s6)で表される化合物、[b-23.42]式(s7)で表される化合物、[b-23.43]式(s8)で表される化合物、[b-23.44]式(s9)で表される化合物、[b-23.45]式(s10)で表される化合物、[b-23.46]式(s11)で表される化合物、[b-23.47]式(s12)で表される化合物、[b-23.48]式(s13)で表される化合物、[b-23.49]式(s14)で表される化合物、[b-23.50]式(s15)で表される化合物、[b-23.51]式(s16)で表される化合物、[b-23.52]式(s17)で表される化合物、[b-23.53]式(s18)で表される化合物、[b-23.54]式(s19)で表される化合物、[b-23.55]式(s20)で表される化合物、[b-23.56]式(s21)で表される化合物、[b-23.57]式(s22)で表される化合物、[b-23.58]式(s23)で表される化合物、[b-23.59]式(s24)または式(s25)で表される化合物、[b-23.60]式(s26)または式(s27)で表される化合物、[b-23.61]式(s28)で表される化合物、[b-23.62]式(s29)で表される化合物、[b-23.63]式(s30)で表される化合物、[b-23.64]式(s31)または式(s32)で表される化合物、[b-23.65]式(s33)で表される化合物、
群c:
c-1:カーバメート系アセチルコリンエステラーゼ(AChE)阻害剤
[c-1.5]チオジカルブ(thiodicarb)、[c-1.9]ベンフラカルブ(benfuracarb)、[c-1.10]カルバリル(carbaryl)、[c-1.11]カルボフラン(carbofuran)、[c-1.12]カルボスルファン(carbosulfan)、[c-1.14]フェノブカルブ(fenobucarb)、[c-1.15]ホルメタネート(formetanate)、[c-1.17]イソプロカルブ(isoprocarb)、[c-1.18]メチオカルブ(methiocarb)、[c-1.19]メソミル(methomyl)、[c-1.20]オキサミル(oxamyl)、[c-1.21]ピリミカルブ(pirimicarb)、
c-2:有機リン系アセチルコリンエステラーゼ(AChE)阻害剤
[c-2.1]アセフェート(acephate)、[c-2.6]カズサホス(cadusafos)、[c-2.10]クロルピリホス(chlorpyrifos)、[c-2.11]クロルピリホス-メチル(chlorpyrifos-methyl)、[c-2.15]ダイアジノン(diazinon)、[c-2.17]ジクロルボス(dichlorvos)、[c-2.18]ジクロトホス(dicrotophos)、[c-2.19]ジメトエート(dimethoate)、[c-2.23]エチオン(ethion)、[c-2.24]エトプロホス(ethoprophos)、[c-2.26]フェナミホス(fenamiphos)、[c-2.27]フェニトロチオン(fenitrothion)、[c-2.28]フェンチオン(fenthion)、[c-2.29]ホスチアゼート(fosthiazate)、[c-2.33]イソキサチオン(isoxathion)、[c-2.34]マラチオン(malathion)、[c-2.36]メタミドホス(methamidophos)、[c-2.37]メチダチオン(methidathion)、[c-2.39]モノクロトホス(monocrotophos)、[c-2.41]オメトエート(omethoate)、[c-2.44]パラチオン-メチル(parathion-methyl)、[c-2.45]フェントエート(phenthoate)、[c-2.46]ホレート(phorate)、[c-2.48]ホスメット(phosmet)、[c-2.50]ホキシム(phoxim)、[c-2.52]プロフェノホス(profenofos)、[c-2.54]プロチオホス(prothiofos)、[c-2.57]キナルホス(quinalphos)、[c-2.59]テブピリムホス(tebupirimfos)、[c-2.61]テルブホス(terbufos)、[c-2.63]トリアゾホス(triazophos)、[c-2.64]トリクロルホン(trichlorfon)、[c-2.84]イミシアホス(imicyafos)、
c-3:GABA作動性塩素イオンチャネルブロッカー
[c-3.5]エチプロール(ethiprole)、[c-3.6]フィプロニル(fipronil)、
c-4:ナトリウムチャネルモジュレーター
[c-4.1]アクリナトリン(acrinathrin)、[c-4.2]アレスリン[(1R)-アイソマー](allethrin[(1R)-isomer])、[c-4.3]ビフェントリン(bifenthrin)、[c-4.7]シクロプロトリン(cycloprothrin)、[c-4.8]シフルトリン(cyfluthrin)、[c-4.9]ベータ-シフルトリン(beta-cyfluthrin)、[c-4.10]シハロトリン(cyhalothrin)、[c-4.11]ガンマ-シハロトリン(gamma-cyhalothrin)、[c-4.12]ラムダ-シハロトリン(lambda-cyhalothrin)、[c-4.13]シペルメトリン(cypermethrin)、[c-4.14]アルファ-シペルメトリン(alpha-cypermethrin)、[c-4.15]ベータ-シペルメトリン(beta-cypermethrin)、[c-4.16]セタ-シペルメトリン(theta-cypermethrin)、[c-4.17]ゼダ-シペルメトリン(zeta-cypermethrin)、[c-4.19]デルタメトリン(deltamethrin)、[c-4.21]エスフェンバレレート(esfenvalerate)、[c-4.22]エトフェンプロックス(ethofenprox)、[c-4.23]フェンプロパトリン(fenpropathrin)、[c-4.24]フェンバレレート(fenvalerate)、[c-4.27]タウ-フルバリネート(tau-fluvalinate)、[c-4.29]イミプロトリン(imiprothrin)、[c-4.35]ペルメトリン(permethrin)、[c-4.37]プラレトリン(prallethrin)、[c-4.38]レスメトリン(resmethrin)、[c-4.40]シラフルオフェン(silafluofen)、[c-4.41]テフルトリン(tefluthrin)、[c-4.42]テトラメトリン(tetramethrin)、[c-4.54]フェノトリン(phenothrin)、
c-5:ニコチン性アセチルコリン受容体(nAChR)競合的モジュレーター
[c-5.1]アセタミプリド(acetamiprid)、[c-5.2]クロチアニジン(clothianidin)、[c-5.3]ジノテフラン(dinotefuran)、[c-5.4]イミダクロプリド(imidacloprid)、[c-5.5]ニテンピラム(nitenpyram)、[c-5.6]チアクロプリド(thiacloprid)、[c-5.7]チアメトキサム(thiamethoxam)、[c-5.10]スルホキサフロル(sulfoxaflor)、[c-5.11]フルピラジフロン(flupyradifurone)、[c-5.12]トリフルメゾピリム(triflumezopyrim)、
c-6:ニコチン性アセチルコリン受容体(nAChR)アロステリックモジュレーター
[c-6.1]スピノサド(spinosad)、[c-6.2]スピネトラム(spinetoram)、
c-7:グルタミン酸作動性塩素イオンチャネル(GluCl) アロステリックモジュレーター
[c-7.1]アバメクチン(abamectin)、[c-7.2]エマメクチン安息香酸塩(emamectin benzoate)、[c-7.3]レピメクチン(lepimectin)、[c-7.4]ミルベメクチン(milbemectin)、
c-8:幼若ホルモン類似剤
[c-8.3]メトプレン(methoprene)、[c-8.4]フェノキシカルブ(fenoxycarb)、[c-8.5]ピリプロキシフェン(pyriproxyfen)、
c-9:非特異的(マルチサイト)阻害剤
[c-9.10]ダゾメット(dazomet)、
c-10:弦音器官TRPVチャネルモジュレーター
[c-10.1]ピメトロジン(pymetrozine)、[c-10.2]ピリフルキナゾン(pyrifluquinazon)、
c-11:ダニ類成長阻害剤
[c-11.1]クロフェンテジン(clofentezine)、[c-11.3]ヘキシチアゾクス(hexythiazox)、[c-11.4]エトキサゾール(etoxazole)、
c-12:ミトコンドリアATP合成酵素阻害剤
[c-12.1]ジアフェンチウロン(diafenthiuron)、[c-12.2]アゾシクロチン(azocyclotin)、[c-12.4]フェンブタチンオキシド(fenbutatin oxide)、「c-12.5」プロパルギット(propargite)、
c-13:プロトン勾配を撹乱する酸化的リン酸化脱共役剤
[c-13.1]クロルフェナピル(chlorfenapyl)、
c-14:ニコチン性アセチルコリン受容体(nAChR)チャネルブロッカー
[c-14.2]カルタップ塩酸塩(cartap hydrochloride)、[c-14.3]チオシクラム(thiocyclam)、[c-14.4]モノスルタップ(monosultap)、
c-15:キチン生合成阻害剤タイプ0
[c-15.2]クロルフルアズロン(chlorfluazuron)、[c-15.3]ジフルベンズロン(diflubenzuron)、[c-15.5]フルフェノクスロン(flufenoxuron)、[c-15.6]ヘキサフルムロン(hexaflumuron)、[c-15.7]ルフェヌロン(lufenuron)、[c-15.8]ノバルロン(novaluron)、[c-15.10]テフルベンズロン(teflubenzuron)、[c-15.11]トリフルムロン(triflumuron)、
c-16:キチン生合成阻害剤タイプ1
[c-16.1]ブプロフェジン(buprofezin)、
c-17:ハエ目昆虫脱皮阻害剤
[c-17.1]シロマジン(cyromazine)、
c-18:脱皮ホルモン(エクダイソン)受容体アゴニスト
[c-18.1]クロマフェノジド(chromafenozide)、[c-18.2]ハロフェノジド(halofenozide)、[c-18.3]メトキシフェノジド(methoxyfenozide)、[c-18.4]テブフェノジド(tebufenozide)、
c-19:オクトパミン受容体アゴニスト
[c-19.1]アミトラズ(amitraz)、
c-20:ミトコンドリア電子伝達系複合体III阻害剤
[c-20.2]アセキノシル(acequinocyl)、[c-20.4]ビフェナゼート(bifenazate)、
c-21:ミトコンドリア電子伝達系複合体I阻害剤(METI)
[c-21.2]フェンピロキシメート(fenpyroximate)、[c-21.4]ピリミジフェン(pylimidifen)、[c-21.6]トルフェンピラド(tolfenpyrad)、[c-21.7]ロテノン(rotenone)、
c-22:電位依存性ナトリウムチャネルブロッカー
[c-22.1]インドキサカルブ(indoxacarb)、[c-22.2]メタフルミゾン(metaflumizone)、
c-23:アセチルCoAカルボキシラーゼ阻害剤
[c-23.1]スピロジクロフェン(spirodiclofen)、[c-23.2]スピロメシフェン(spiromesifen)、[c-23.3]スピロテトラマト(spirotetramat)、
c-25:ミトコンドリア電子伝達系複合体II阻害剤
[c-25.1]シエノピラフェン(cyenopyrafen)、[c-25.2]シフルメトフェン(cyflumetofen)、[c-25.3]ピフルブミド(pyflubumide)、
c-26:リアノジン受容体モジュレーター
[c-26.1]クロラントラニリプロール(chlorantraniliprole)、[c-26.2]シアントラニリプロール(cyantraniliprole)、[c-26.3]フルベンジアミド(flubendiamide)、
c-27:標的部位未特定の弦音器官モジュレーター
[c-27.1]フロニカミド(flonicamid)、
c-28:その他の殺虫剤
[c-28.5]ジコホル(dicofol)、[c-28.6]ピリダリル(pyridalyl)、[c-28.7]ブロモプロピレート(bromopropylate)、[c-28.64]フロメトキン(flometoquin)、[c-28.65]シクラニリプロール(cyclaniliprole)、[c-28.66]テトラニリプロール(tetraniliprole)、[c-28.67]ブロフラニリド(broflanilide)、[c-28.68]ジクロロメゾチアズ(dicloromezotiaz)、[c-28.93]脂肪酸グリセリド(decanoyloctanoylglycerol)、[c-28.96]アフォキソラネル(afoxolaner)、[c-28.97]フルアザインドリジン(fluazaindolizine)、[c-28.99]シハロジアミド(cyhalodiamide)、[c-28.100]チオキサザフェン(tioxazafen)、[c-28.101]フルヘキサフォン(fluhexafon)、[c-28.102]フルララネル(fluralaner)、[c-28.103]フルキサメタミド(fluxametamide)、[c-28.108]フルエンスルホン(fluensulfone)、[c-28.118]式(s34)で表される化合物、[c-28.119]式(s35)で表される化合物、[c-28.120]式(s36)で表される化合物、[c-28.125]式(s41)で表される化合物、[c-28.129]式(s45)で表される化合物、[c-28.134]式(s50)で表される化合物、[c-28.138]式(s55)で表される化合物、[c-28.142]式(s59)で表される化合物。
[6]
[1]に記載の有害生物防除組成物を施用して有害生物を防除する方法。
[1]に記載の有害生物防除組成物を施用して有害生物を防除する方法。
[7]
[1]に記載の化合物を有効成分として含有する組成物と、有害生物防除剤を有効成分として含有する組成物とを同時に施用して有害生物を防除する方法。
[1]に記載の化合物を有効成分として含有する組成物と、有害生物防除剤を有効成分として含有する組成物とを同時に施用して有害生物を防除する方法。
[8]
[1]に記載の化合物を有効成分として含有する組成物、または有害生物防除剤を有効成分として含有する組成物のいずれか一方を施用した後に、もう一方の組成物を施用して有害生物を防除する方法。
[1]に記載の化合物を有効成分として含有する組成物、または有害生物防除剤を有効成分として含有する組成物のいずれか一方を施用した後に、もう一方の組成物を施用して有害生物を防除する方法。
[9]
有害生物を防除する方法であって、それを必要とする植物個体、種子、土壌、苗箱、またはセルトレーに[1]に記載の式(I)の化合物またはその塩および有害生物防除剤の有効量を施用することを含む方法。
有害生物を防除する方法であって、それを必要とする植物個体、種子、土壌、苗箱、またはセルトレーに[1]に記載の式(I)の化合物またはその塩および有害生物防除剤の有効量を施用することを含む方法。
[10]
有害生物防除剤としての[1]に記載の式(I)の化合物またはその塩および有害生物防除剤の使用。
有害生物防除剤としての[1]に記載の式(I)の化合物またはその塩および有害生物防除剤の使用。
本発明によれば、新規の有効成分を含有する有害生物を防除するのに有用な有害生物防除組成物、およびその使用方法を提供することができる。
以下、本発明を実施するための形態について説明する。
なお、特許請求の範囲および明細書中において用いられる各用語は、特に断らない限り、当該技術分野において一般的に用いられる定義によるものとする。
本明細書において、使用する略号を以下に説明する。
DMF:N,N-ジメチルホルムアミド、THF:テトラヒドロフラン、Me:メチル基、Et:エチル基、Pr:プロピル基、Bu:ブチル基、Pentyl:ペンチル基、Hexyl:ヘキシル基、Ac:アセチル基、Ph:フェニル基、Py:ピリジル基、i:イソ、sec:セカンダリ、t:ターシャリ、c:シクロ、=:二重結合、≡:三重結合を表す。表のカラム中、単独の“-”は無置換を意味し、Pr、Bu、Pentyl、Hexylに関しては、接頭辞がない場合は、ノルマルを意味する。
なお、特許請求の範囲および明細書中において用いられる各用語は、特に断らない限り、当該技術分野において一般的に用いられる定義によるものとする。
本明細書において、使用する略号を以下に説明する。
DMF:N,N-ジメチルホルムアミド、THF:テトラヒドロフラン、Me:メチル基、Et:エチル基、Pr:プロピル基、Bu:ブチル基、Pentyl:ペンチル基、Hexyl:ヘキシル基、Ac:アセチル基、Ph:フェニル基、Py:ピリジル基、i:イソ、sec:セカンダリ、t:ターシャリ、c:シクロ、=:二重結合、≡:三重結合を表す。表のカラム中、単独の“-”は無置換を意味し、Pr、Bu、Pentyl、Hexylに関しては、接頭辞がない場合は、ノルマルを意味する。
以下に、本明細書中に使用される用語の定義を説明する。
Cx~Cyとの記載は、x個からy個の炭素原子を有することを表す。
用語「適宜置換されてもよい」とは、置換または無置換であることを意味する。この用語を用いる際、置換基の数が明示されていないときは、置換基の数は1であることを表す。
C1~C6のアルキル基とは、直鎖状または分岐状でよく、メチル基、エチル基、プロピル基、イソプロピル基、ブチル基、イソブチル基、sec-ブチル基、t-ブチル基、ペンチル基、イソペンチル基、2-メチルブチル基、ネオペンチル基、1-エチルプロピル基、ヘキシル基、4-メチルペンチル基、3-メチルペンチル基、2-メチルペンチル基、1-メチルペンチル基、3,3-ジメチルブチル基、2,2-ジメチルブチル基、1,1-ジメチルブチル基、1,2-ジメチルブチル基、1,3-ジメチルブチル基、2,3-ジメチルブチル基、または2-エチルブチル基等である。
Cx~Cyとの記載は、x個からy個の炭素原子を有することを表す。
用語「適宜置換されてもよい」とは、置換または無置換であることを意味する。この用語を用いる際、置換基の数が明示されていないときは、置換基の数は1であることを表す。
C1~C6のアルキル基とは、直鎖状または分岐状でよく、メチル基、エチル基、プロピル基、イソプロピル基、ブチル基、イソブチル基、sec-ブチル基、t-ブチル基、ペンチル基、イソペンチル基、2-メチルブチル基、ネオペンチル基、1-エチルプロピル基、ヘキシル基、4-メチルペンチル基、3-メチルペンチル基、2-メチルペンチル基、1-メチルペンチル基、3,3-ジメチルブチル基、2,2-ジメチルブチル基、1,1-ジメチルブチル基、1,2-ジメチルブチル基、1,3-ジメチルブチル基、2,3-ジメチルブチル基、または2-エチルブチル基等である。
ハロゲン原子とは、フッ素原子、塩素原子、臭素原子、またはヨウ素原子等である。
C1~C6のハロアルキル基とは、前記のC1~C6のアルキル基における水素が1個または2個以上のハロゲン原子によって任意に置換されたものを表す。2個以上のハロゲン原子で置換される場合、それらのハロゲン原子は同一または異なっていてよく、その置換数は置換基として存在することができる限り特に制限はない。C1~C6のハロアルキル基の具体例として、モノフルオロメチル基、ジフルオロメチル基、トリフルオロメチル基、モノクロロメチル基、モノブロモメチル基、モノヨードメチル基、クロロジフルオロメチル基、ブロモジフルオロメチル基、1-フルオロエチル基、2-フルオロエチル基、1,1-ジフルオロエチル基、2,2-ジフルオロエチル基、2,2,2-トリフルオロエチル基、1,1,2,2-テトラフルオロエチル基、ペンタフルオロエチル基、2,2,2-トリクロロエチル基、3,3-ジフルオロプロピル基、3,3,3-トリフルオロプロピル基、ヘプタフルオロプロピル基、ヘプタフルオロイソプロピル基、2,2,2-トリフルオロ-1-(トリフルオロメチル)エチル基、ノナフルオロブチル基、ノナフルオロ-sec-ブチル基、3,3,4,4,5,5,5-ヘプタフルオロペンチル基、ウンデカフルオロペンチル基、トリデカフルオロヘキシル基等が挙げられる。
C1~C6のフルオロアルキル基とは、前記のC1~C6のアルキル基における水素が1個または2個以上のフッ素原子によって任意に置換されたものを表す。C1~C6のフルオロアルキル基の具体例として、モノフルオロメチル基、ジフルオロメチル基、トリフルオロメチル基、1-フルオロエチル基、2-フルオロエチル基、1,1-ジフルオロエチル基、2,2-ジフルオロエチル基、2,2,2-トリフルオロエチル基、1,1,2,2-テトラフルオロエチル基、ペンタフルオロエチル基、3,3-ジフルオロプロピル基、3,3,3-トリフルオロプロピル基、ヘプタフルオロプロピル基、ヘプタフルオロイソプロピル基、2,2,2-トリフルオロ-1-(トリフルオロメチル)エチル基、ノナフルオロブチル基、ノナフルオロ-sec-ブチル基、3,3,4,4,5,5,5-ヘプタフルオロペンチル基、ウンデカフルオロペンチル基、トリデカフルオロヘキシル基等が挙げられる。
C3~C8のシクロアルキル基とは、シクロプロピル基、シクロブチル基、シクロペンチル基、シクロヘキシル基、シクロヘプチル基、またはシクロオクチル基等である。
C2~C6のアルケニル基とは、1個もしくは2個以上の二重結合を有し、直鎖状または分岐状である不飽和炭化水素基のものを表す。また、幾何異性体がある場合、E体またはZ体のどちらか一方のみ、あるいはE体とZ体との任意の割合の混合物であり、指定される炭素数の範囲であれば、特に限定されることはない。C2~C6のアルケニル基の具体例として、ビニル基、1-プロペニル基、アリル基、1-ブテニル基、2-ブテニル基、3-ブテニル基、1-ペンテニル基、2-ペンテニル基、3-ペンテニル基、4-ペンテニル基、3-メチル-2-ブテニル基、1-ヘキセニル基、2-ヘキセニル基、3-ヘキセニル基、4-ヘキセニル基、5-ヘキセニル基、4-メチル-3-ペンテニル基、3-メチル-2-ペンテニル基等が挙げられる。
C2~C6のハロアルケニル基とは、前記のC2~C6のアルケニル基における水素原子が1個または2個以上のハロゲン原子によって任意に置換されたものを表す。2個以上のハロゲン原子で置換される場合、それらのハロゲン原子は同一または異なっていてよく、その置換数は置換基として存在することができる限り特に制限はない。C2~C6のハロアルケニル基の具体例として、2-フルオロビニル基、2,2-ジフルオロビニル基、2,2-ジクロロビニル基、3-フルオロアリル基、3,3-ジフルオロアリル基、3,3-ジクロロアリル基、4,4-ジフルオロ-3-ブテニル基、5,5-ジフルオロ-4-ペンテニル基、6,6-ジフルオロ-5-ヘキセニル基等が挙げられる。
C2~C6のアルキニル基とは、1個もしくは2個以上の三重結合を有し、直鎖状または分岐状である不飽和炭化水素基のものを表す。C2~C6のアルキニル基の具体例として、エチニル基、1-プロピニル基、プロパルギル基、1-ブチニル基、2-ブチニル基、3-ブチニル基、1-ペンチニル基、2-ペンチニル基、3-ペンチニル基、4-ペンチニル基、1,1-ジメチル-2-プロピニル基、1-ヘキシニル基、2-ヘキシニル基、3-ヘキシニル基、4-ヘキシニル基、5-ヘキシニル基等が挙げられる。
C2~C6のハロアルキニル基とは、前記のC2~C6のアルキニル基における水素原子が1個または2個以上のハロゲン原子によって任意に置換されたものを表す。2個以上のハロゲン原子で置換される場合、それらのハロゲン原子は同一または異なっていてよく、その置換数は置換基として存在することができる限り特に制限はない。C2~C6のハロアルキニル基の具体例として、2-フルオロエチニル基、2-クロロエチニル基、2-ブロモエチニル基、2-ヨードエチニル基、3,3-ジフルオロ-1-プロピニル基、3-クロロ-3,3-ジフルオロ-1-プロピニル基、3-ブロモ-3,3-ジフルオロ-1-プロピニル基、3,3,3-トリフルオロ-1-プロピニル基、4,4-ジフルオロ-1-ブチニル基、4,4-ジフルオロ-2-ブチニル基、4-クロロ-4,4-ジフルオロ-1-ブチニル基、4-クロロ-4,4-ジフルオロ-2-ブチニル基、4-ブロモ-4,4-ジフルオロ-1-ブチニル基、4-ブロモ-4,4-ジフルオロ-2-ブチニル基、4,4,4-トリフルオロ-1-ブチニル基、4,4,4-トリフルオロ-2-ブチニル基、5,5-ジフルオロ-3-ペンチニル基、5-クロロ-5,5-ジフルオロ-3-ペンチニル基、5-ブロモ-5,5-ジフルオロ-3-ペンチニル基、5,5,5-トリフルオロ-3-ペンチニル基、6,6-ジフルオロ-4-ヘキシニル基、6-クロロ-6,6-ジフルオロ-4-ヘキシニル基、6-ブロモ-6,6-ジフルオロ-4-ヘキシニル基、6,6,6-トリフルオロ-4-ヘキシニル基等が挙げられる。
C1~C6のアルコキシ基とは、前記のC1~C6のアルキル基が酸素原子を介して結合したものを表す。C1~C6のアルコキシ基として、具体的には、メトキシ基、エトキシ基、プロピルオキシ基、イソプロピルオキシ基、ブトキシ基、イソブトキシ基、sec-ブトキシ基、t-ブトキシ基、ペンチルオキシ基、イソペンチルオキシ基、2-メチルブトキシ基、ネオペンチルオキシ基、1-エチルプロピルオキシ基、ヘキシルオキシ基、4-メチルペンチルオキシ基、3-メチルペンチルオキシ基、2-メチルペンチルオキシ基、1-メチルペンチルオキシ基、3,3-ジメチルブトキシ基、2,2-ジメチルブトキシ基、1,1-ジメチルブトキシ基、1,2-ジメチルブトキシ基、1,3-ジメチルブトキシ基、2,3-ジメチルブトキシ基、および2-エチルブトキシ基等が挙げられる。
C1~C6のハロアルコキシ基とは、前記のC1~C6のアルコキシ基における水素原子が1個または2個以上のハロゲン原子によって任意に置換されたものを表す。2個以上のハロゲン原子で置換される場合、それらのハロゲン原子は同一または異なっていてよく、その置換数は置換基として存在することができる限り特に制限はない。C1~C6のハロアルコキシ基の具体例として、ジフルオロメトキシ基、トリフルオロメトキシ基、クロロジフルオロメトキシ基、ブロモジフルオロメトキシ基、2-フルオロエトキシ基、2,2-ジフルオロエトキシ基、2,2,2-トリフルオロエトキシ基、1,1,2,2-テトラフルオロエトキシ基、ペンタフルオロエトキシ基、2,2,2-トリクロロエトキシ基、3,3-ジフルオロプロピルオキシ基、3,3,3-トリフルオロプロピルオキシ基、ヘプタフルオロプロピルオキシ基、ヘプタフルオロイソプロピルオキシ基、2,2,2-トリフルオロ-1-(トリフルオロメチル)-エトキシ基、ノナフルオロブトキシ基、ノナフルオロ-sec-ブトキシ基、3,3,4,4,5,5,5-ヘプタフルオロペンチルオキシ基、ウンデカフルオロペンチルオキシ基、トリデカフルオロヘキシルオキシ基等が挙げられる。
C3~C8のシクロアルコキシ基とは、前記のC3~C8のシクロアルキル基が酸素原子を介して結合したものを表す。C3~C8のシクロアルコキシ基として、具体的には、シクロプロピルオキシ基、シクロブトキシ基、シクロペンチルオキシ基、シクロヘキシルオキシ基、シクロヘプチルオキシ基、およびシクロオクチルオキシ基等が挙げられる。
C2~C6のアルケニルオキシ基とは、前記のC2~C6のアルケニル基が酸素原子を介して結合したものを表す。また、幾何異性体がある場合、E体またはZ体のどちらか一方のみ、あるいはE体とZ体との任意の割合の混合物であり、指定される炭素数の範囲であれば、特に制限されることはない。C2~C6のアルケニルオキシ基の具体例として、ビニルオキシ基、1-プロペニルオキシ基、アリルオキシ基、1-ブテニルオキシ基、2-ブテニルオキシ基、3-ブテニルオキシ基、1-ペンテニルオキシ基、2-ペンテニルオキシ基、3-ペンテニルオキシ基、4-ペンテニルオキシ基、3-メチル-2-ブテニルオキシ基、1-ヘキセニルオキシ基、2-ヘキセニルオキシ基、3-ヘキセニルオキシ基、4-ヘキセニルオキシ基、5-ヘキセニルオキシ基、4-メチル-3-ペンテニルオキシ基、3-メチル-2-ペンテニルオキシ基等が挙げられる。
C2~C6のハロアルケニルオキシ基とは、前記のC2~C6のアルケニルオキシ基における水素原子が1個または2個以上のハロゲン原子によって任意に置換されたものを表す。2個以上のハロゲン原子で置換される場合、それらのハロゲン原子は同一または異なっていてよく、その置換数は置換基として存在することができる限り特に制限はない。C2~C6のハロアルケニルオキシ基の具体例として、2-フルオロビニルオキシ基、2,2-ジフルオロビニルオキシ基、2,2-ジクロロビニルオキシ基、3-フルオロアリルオキシ基、3,3-ジフルオロアリルオキシ基、3,3-ジクロロアリルオキシ基、4,4-ジフルオロ-3-ブテニルオキシ基、5,5-ジフルオロ-4-ペンテニルオキシ基、6,6-ジフルオロ-5-ヘキセニルオキシ基等が挙げられる。
C3~C6のアルキニルオキシ基とは、前記のC2~C6のアルキニル基のうち、C3~C6のアルキニル基が酸素原子を介して結合したものを表す。C3~C6のアルキニルオキシ基の具体例として、プロパルギルオキシ基、2-ブチニルオキシ基、3-ブチニルオキシ基、2-ペンチニルオキシ基、3-ペンチニルオキシ基、4-ペンチニルオキシ基、1,1-ジメチル-2-プロピニルオキシ基、、2-ヘキシニルオキシ基、3-ヘキシニルオキシ基、4-ヘキシニルオキシ基、5-ヘキシニルオキシ基等が挙げられる。
C3~C6のハロアルキニルオキシ基とは、前記のC3~C6のアルキニルオキシ基における水素原子が1個または2個以上のハロゲン原子によって任意に置換されたものを表す。2個以上のハロゲン原子で置換される場合、それらのハロゲン原子は同一または異なっていてよく、その置換数は置換基として存在することができる限り特に制限はない。C3~C6のハロアルキニルオキシ基の具体例として、1,1-ジフルオロ-2-プロピニルオキシ基、4,4-ジフルオロ-2-ブチニルオキシ基、4-クロロ-4,4-ジフルオロ-2-ブチニルオキシ基、4-ブロモ-4,4-ジフルオロ-2-ブチニルオキシ基、4,4,4-トリフルオロ-2-ブチニルオキシ基、5,5-ジフルオロ-3-ペンチニルオキシ基、5-クロロ-5,5-ジフルオロ-3-ペンチニルオキシ基、5-ブロモ-5,5-ジフルオロ-3-ペンチニルオキシ基、5,5,5-トリフルオロ-3-ペンチニルオキシ基、6,6-ジフルオロ-4-ヘキシニルオキシ基、6-クロロ-6,6-ジフルオロ-4-ヘキシニルオキシ基、6-ブロモ-6,6-ジフルオロ-4-ヘキシニルオキシ基、6,6,6-トリフルオロ-4-ヘキシニルオキシ基等が挙げられる。
C2~C6のアルコキシアルコキシ基とは、前記のC1~C6のアルコキシ基のうちC1~C5のアルコシキ基における水素原子が、1個または2個以上のC1~C5アルコキシ基で任意に置換されたものを表す。炭素数の総和が指定される炭素数の範囲であれば、特に限定されることはない。C2~C6のアルコキシアルコキシ基の具体例として、メトキシメトキシ基、エトキシメトキシ基、プロピルオキシメトキシ基、イソプロピルオキシメトキシ基、メトキシエトキシ基、エトキシエトキシ基、プロピルオキシエトキシ基、イソプロピルオキシエトキシ基、メトキシプロピルオキシ基、エトキシプロピルオキシ基、プロピルオキシプロピルオキシ基、イソプロピルオキシプロピルオキシ基等が挙げられる。
C2~C12のアルコキシアルキル基とは、前記のC1~C6のアルキル基に、前記のC1~C6のアルコキシ基が結合したものを表す。炭素数の総和が指定される炭素数の範囲であれば、特に限定されることはない。C2~C12のアルコキシアルキル基の具体例として、メトキシメチル基、エトキシメチル基、2-メトキシエチル基、2-エトキシエチル基等が挙げられる。
C2~C7のアルキルオキシカルボニル基とは、カルボニル基に前記のC1~C6のアルコキシ基が結合したものを表す。C2~C7のアルキルオキシカルボニル基の具体例として、メトキシカルボニル基、エトキシカルボニル基、プロピルオキシカルボニル基、イソプロピルオキシカルボニル基、1-ブチルオキシカルボニル基、2-ブチルオキシカルボニル基、1-ペンチルオキシカルボニル基、1-エチルプロピルオキシカルボニル基、1-ヘキシルカルボニル基等が挙げられる。
C1~C6のアルキルチオ基とは、前記のC1~C6のアルキル基に硫黄原子が結合したものを表す。C1~C6のアルキルチオ基の具体例として、メチルチオ基、エチルチオ基、プロピルチオ基、イソプロピルチオ基、ブチルチオ基、イソブチルチオ基、sec-ブチルチオ基、t-ブチルチオ基、ペンチルチオ基、イソペンチルチオ基、2-メチルブチルチオ基、ネオペンチルチオ基、1-エチルプロピルチオ基、ヘキシルチオ基、4-メチルペンチルチオ基、3-メチルペンチルチオ基、2-メチルペンチルチオ基、1-メチルペンチルチオ基、3,3-ジメチルブチルチオ基、2,2-ジメチルブチルチオ基、1,1-ジメチルブチルチオ基、1,2-ジメチルブチルチオ基、1,3-ジメチルブチルチオ基、2,3-ジメチルブチルチオ基、2-エチルブチルチオ基等が挙げられる。
C2~C7のアシル基とは、カルボニル基に前記のC1~C6アルキル基が結合したものを表す。C2~C7のアシル基の具体例として、アセチル基、プロパノイル基、1-ブタノイル基、2-メチルプロパノイル基、1-ペンタノイル基、2-メチルブタノイル基、1-ヘキサノイル基、2-メチルペンタノイル基、2-エチルブタノイル基等が挙げられる。
C3~C8のアルキルスルホニルエチル基とは、スルホニルエチル基の硫黄原子上に前記のC1~C6アルキル基が結合したものを表す。炭素数の総和が指定される炭素数の範囲であれば、特に限定されることはない。C3~C8のアルキルスルホニルエチル基として、2-メチルスルホニルエチル基、2-エチルスルホニルエチル基、2-(1-プロピルスルホニル)エチル基、2-(2-プロピルスルホニル)エチル基、1-メチル-2-メチルスルホニルエチル基、1-エチル-2-メチルスルホニルエチル基、2-メチル-2-メチルスルホニルエチル基、2-エチル-2-エチルスルホニルエチル基、1-メチル-2-メチル-2メチルスルホニルエチル基等が挙げられる。
アリール基とは、C6~C14の1~3環性の芳香族の環を表す。アリール基の具体例として、フェニル基、ナフチル基、アントラセニル基等が挙げられる。
1~2個の酸素原子を含む3~6員環の基の具体例として、1,2-エポキシエタニル基、オキセタニル基、オキソラニル基、オキサニル基、1,3-ジオキソラニル基、1,3-ジオキサニル基、1,4-ジオキサニル基等が挙げられる。
本発明の有害生物防除組成物(以下、単に本発明の組成物ということがある)は、下記式(1)で表されるピリドン化合物またはその塩(以下、単に式(1)で表される化合物、本発明化合物と呼ぶことがある)と1種以上の有害生物防除剤を組み合わせることを特徴とする。
以下、式(1)について説明する。
式(1)のR1は、水酸基、シアノ基、置換基Aで適宜置換されてもよいC1~C6のアルキル基、C1~C6のハロアルキル基、置換基Aで適宜置換されてもよいC3~C8のシクロアルキル基、置換基Aで適宜置換されてもよいC2~C6のアルケニル基、C2~C6のハロアルケニル基、置換基Aで適宜置換されてもよいC2~C6のアルキニル基、C2~C6のハロアルキニル基、置換基Aで適宜置換されてもよいC1~C6のアルコキシ基、C1~C6のハロアルコキシ基、置換基Aで適宜置換されてもよいC3~C8のシクロアルコキシ基、置換基Aで適宜置換されてもよいC2~C6のアルケニルオキシ基、C2~C6のハロアルケニルオキシ基、置換基Aで適宜置換されてもよいC3~C6のアルキニルオキシ基、C3~C6のハロアルキニルオキシ基、またはR10R11N-(ここで、R10およびR11は、それぞれ独立していて、水素原子、またはC1~C6のアルキル基を表す。)を表す。
式(1)のR1は、水酸基、シアノ基、置換基Aで適宜置換されてもよいC1~C6のアルキル基、C1~C6のハロアルキル基、置換基Aで適宜置換されてもよいC3~C8のシクロアルキル基、置換基Aで適宜置換されてもよいC2~C6のアルケニル基、C2~C6のハロアルケニル基、置換基Aで適宜置換されてもよいC2~C6のアルキニル基、C2~C6のハロアルキニル基、置換基Aで適宜置換されてもよいC1~C6のアルコキシ基、C1~C6のハロアルコキシ基、置換基Aで適宜置換されてもよいC3~C8のシクロアルコキシ基、置換基Aで適宜置換されてもよいC2~C6のアルケニルオキシ基、C2~C6のハロアルケニルオキシ基、置換基Aで適宜置換されてもよいC3~C6のアルキニルオキシ基、C3~C6のハロアルキニルオキシ基、またはR10R11N-(ここで、R10およびR11は、それぞれ独立していて、水素原子、またはC1~C6のアルキル基を表す。)を表す。
中でもR1は、シアノ基、置換基Aで適宜置換されてもよいC1~C6のアルキル基、C1~C6のハロアルキル基、置換基Aで適宜置換されてもよいC3~C8のシクロアルキル基、置換基Aで適宜置換されてもよいC2~C6のアルケニル基、C2~C6のハロアルケニル基、置換基Aで適宜置換されてもよいC2~C6のアルキニル基、またはR10R11N-(ここで、R10およびR11は、前記と同義である。)が好ましく、
特に、置換基Aで適宜置換されてもよいC1~C6のアルキル基、またはC1~C6のハロアルキル基が好ましい。
特に、置換基Aで適宜置換されてもよいC1~C6のアルキル基、またはC1~C6のハロアルキル基が好ましい。
式(1)の「置換基A」とは、水酸基、シアノ基、C3~C8のシクロアルキル基、C1~C6のアルコキシ基、C1~C6のハロアルコキシ基、C3~C8のシクロアルコキシ基、R12R13N-(ここで、R12およびR13は、それぞれ独立していて、水素原子、C1~C6のアルキル基、C1~C6のハロアルキル基、またはC3~C8のシクロアルキル基を表すか、あるいはR12およびR13は、結合する窒素原子と一緒になって、アジリジニル基、アゼチジニル基、ピロリジニル基、ピペリジニル基、ホモピペリジニル基、またはアゾカニル基を形成するものを表す。)、およびR14-L1-(ここで、R14は、C1~C6のアルキル基、またはC1~C6のハロアルキル基を表し、L1は、S、SO、またはSO2を表す。)からなる群から選択される少なくとも1種を表す。
中でも置換基Aは、シアノ基、C1~C6のアルコキシ基、またはR14-L1-(ここで、R14およびL1は、前記と同義である。)が好ましく、
特に、シアノ基、またはC1~C6のアルコキシ基が好ましい。
特に、シアノ基、またはC1~C6のアルコキシ基が好ましい。
置換基Aの好ましい具体例として、水酸基;シアノ基;
C3~C8のシクロアルキル基として、シクロプロピル基、シクロブチル基、シクロペンチル基、およびシクロヘキシル基;
C1~C6のアルコキシ基として、メトキシ基、エトキシ基、プロピルオキシ基、およびイソプロピルオキシ基;
C1~C6のハロアルコキシ基として、ジフルオロメトキシ基、トリフルオロメトキシ基、2,2-ジフルオロエトキシ基、2,2,2-トリフルオロエトキシ基、3,3-ジフルオロプロピルオキシ基、および3,3,3-トリフルオロプロピルオキシ基;
C3~C8のシクロアルコキシ基として、シクロプロピルオキシ基、シクロブトキシ基、シクロペンチルオキシ基、およびシクロヘキシルオキシ基;
R12R13N-(ここで、R12およびR13は、前記と同義である。)として、アミノ基、ジメチルアミノ基、エチルメチルアミノ基、およびジエチルアミノ基;
ならびにR14-L1-(ここで、R14およびL1は、前記と同義である。)として、メチルチオ基、メタンスルフィニル基、メタンスルホニル基、トリフルオロメチルチオ基、トリフルオロメタンスルフィニル基、およびトリフルオロメタンスルホニル基が挙げられる。
C3~C8のシクロアルキル基として、シクロプロピル基、シクロブチル基、シクロペンチル基、およびシクロヘキシル基;
C1~C6のアルコキシ基として、メトキシ基、エトキシ基、プロピルオキシ基、およびイソプロピルオキシ基;
C1~C6のハロアルコキシ基として、ジフルオロメトキシ基、トリフルオロメトキシ基、2,2-ジフルオロエトキシ基、2,2,2-トリフルオロエトキシ基、3,3-ジフルオロプロピルオキシ基、および3,3,3-トリフルオロプロピルオキシ基;
C3~C8のシクロアルコキシ基として、シクロプロピルオキシ基、シクロブトキシ基、シクロペンチルオキシ基、およびシクロヘキシルオキシ基;
R12R13N-(ここで、R12およびR13は、前記と同義である。)として、アミノ基、ジメチルアミノ基、エチルメチルアミノ基、およびジエチルアミノ基;
ならびにR14-L1-(ここで、R14およびL1は、前記と同義である。)として、メチルチオ基、メタンスルフィニル基、メタンスルホニル基、トリフルオロメチルチオ基、トリフルオロメタンスルフィニル基、およびトリフルオロメタンスルホニル基が挙げられる。
置換基Aのさらに好ましい具体例として、水酸基;シアノ基;
C3~C8のシクロアルキル基として、シクロプロピル基、およびシクロブチル基;
C1~C6のアルコキシ基として、メトキシ基、およびエトキシ基;
C1~C6のハロアルコキシ基として、ジフルオロメトキシ基、トリフルオロメトキシ基、2,2-ジフルオロエトキシ基、および2,2,2-トリフルオロエトキシ基;
C3~C8のシクロアルコキシ基として、シクロプロピルオキシ基、およびシクロブトキシ基;
R12R13N-(ここで、R12およびR13は、前記と同義である。)として、ジメチルアミノ基、エチルメチルアミノ基、およびジエチルアミノ基;
ならびにR14-L1-(ここで、R14およびL1は、前記と同義である。)として、メチルチオ基、メタンスルフィニル基、およびメタンスルホニル基が挙げられる。
C3~C8のシクロアルキル基として、シクロプロピル基、およびシクロブチル基;
C1~C6のアルコキシ基として、メトキシ基、およびエトキシ基;
C1~C6のハロアルコキシ基として、ジフルオロメトキシ基、トリフルオロメトキシ基、2,2-ジフルオロエトキシ基、および2,2,2-トリフルオロエトキシ基;
C3~C8のシクロアルコキシ基として、シクロプロピルオキシ基、およびシクロブトキシ基;
R12R13N-(ここで、R12およびR13は、前記と同義である。)として、ジメチルアミノ基、エチルメチルアミノ基、およびジエチルアミノ基;
ならびにR14-L1-(ここで、R14およびL1は、前記と同義である。)として、メチルチオ基、メタンスルフィニル基、およびメタンスルホニル基が挙げられる。
式(1)のR1には、水酸基、およびシアノ基が含まれる。
式(1)のR1における「置換基Aで適宜置換されてもよいC1~C6のアルキル基」のC1~C6のアルキル基は、前記の定義と同義であり、好ましくは、メチル基、エチル基、プロピル基、イソプロピル基、ブチル基、またはイソブチル基であり、さらに好ましくは、メチル基、またはエチル基である。置換基Aを有する場合、C1~C6のアルキル基における水素原子が、置換基Aによって任意に置換される。
式(1)のR1における「置換基Aで適宜置換されてもよいC1~C6のアルキル基」のC1~C6のアルキル基は、前記の定義と同義であり、好ましくは、メチル基、エチル基、プロピル基、イソプロピル基、ブチル基、またはイソブチル基であり、さらに好ましくは、メチル基、またはエチル基である。置換基Aを有する場合、C1~C6のアルキル基における水素原子が、置換基Aによって任意に置換される。
式(1)のR1における「C1~C6のハロアルキル基」は、前記の定義と同義であり、好ましくは、2-フルオロエチル基、2,2-ジフルオロエチル基、2,2,2-トリフルオロエチル基、3,3-ジフルオロプロピル基、または3,3,3-トリフルオロプロピル基であり、さらに好ましくは、2-フルオロエチル基、2,2-ジフルオロエチル基、または2,2,2-トリフルオロエチル基である。
式(1)のR1における「置換基Aで適宜置換されてもよいC3~C8のシクロアルキル基」のC3~C8のシクロアルキル基は、前記の定義と同義であり、好ましくは、シクロプロピル基、シクロブチル基、シクロペンチル基、またはシクロヘキシル基であり、さらに好ましくは、シクロプロピル基、またはシクロブチル基である。置換基Aを有する場合、C3~C8のシクロアルキル基における水素原子が、置換基Aによって任意に置換される。
式(1)のR1における「置換基Aで適宜置換されてもよいC2~C6のアルケニル基」のC2~C6のアルケニル基は、前記の定義と同義であり、好ましくは、ビニル基、1-プロペニル基、またはアリル基であり、さらに好ましくは、ビニル基、またはアリル基である。置換基Aを有する場合、C2~C6のアルケニル基における水素原子が、置換基Aによって任意に置換される。
式(1)のR1における「C2~C6のハロアルケニル基」は、前記の定義と同義であり、好ましくは、2-フルオロビニル基、2,2-ジフルオロビニル基、3-フルオロアリル基、または3,3-ジフルオロアリル基であり、さらに好ましくは、2-フルオロビニル基、または2,2-ジフルオロビニル基である。
式(1)のR1における「置換基Aで適宜置換されてもよいC2~C6のアルキニル基」のC2~C6のアルキニル基は、前記の定義と同義であり、好ましくは、プロパルギル基、2-ブチニル基、または3-ブチニル基であり、さらに好ましくは、プロパルギル基である。置換基Aを有する場合、C2~C6のアルキニル基における水素原子が、置換基Aによって任意に置換される。
式(1)のR1における「C2~C6のハロアルキニル基」は、前記の定義と同義であり、好ましくは、4,4-ジフルオロ-2-ブチニル基、4-クロロ-4,4-ジフルオロ-2-ブチニル基、4-ブロモ-4,4-ジフルオロ-2-ブチニル基、または4,4,4-トリフルオロ-2-ブチニル基であり、さらに好ましくは、4,4-ジフルオロ-2-ブチニル基、または4,4,4-トリフルオロ-2-ブチニル基である。
式(1)のR1における「置換基Aで適宜置換されてもよいC1~C6のアルコキシ基」のC1~C6のアルコキシ基は、前記の定義と同義であり、好ましくは、メトキシ基、エトキシ基、プロピルオキシ基、イソプロピルオキシ基、ブトキシ基、またはイソブトキシ基であり、さらに好ましくは、メトキシ基、またはエトキシ基である。置換基Aを有する場合、C1~C6のアルコキシ基における水素原子が、置換基Aによって任意に置換される。
式(1)のR1における「C1~C6のハロアルコキシ基」は、前記の定義と同義であり、好ましくは、ジフルオロメトキシ基、トリフルオロメトキシ基、2,2-ジフルオロエトキシ基、2,2,2-トリフルオロエトキシ基、3,3-ジフルオロプロピルオキシ基、または3,3,3-トリフルオロプロピルオキシ基であり、さらに好ましくは、ジフルオロメトキシ基、トリフルオロメトキシ基、2,2-ジフルオロエトキシ基、または2,2,2-トリフルオロエトキシ基である。
式(1)のR1における「置換基Aで適宜置換されてもよいC3~C8のシクロアルコキシ基」のC3~C8のシクロアルコキシ基は、前記の定義と同義であり、好ましくは、シクロプロピルオキシ基、シクロブトキシ基、シクロペンチルオキシ基、またはシクロヘキシルオキシ基であり、さらに好ましくは、シクロプロピルオキシ基、またはシクロブトキシ基である。置換基Aを有する場合、C3~C8のシクロアルコキシ基における水素原子が、置換基Aによって任意に置換される。
式(1)のR1における「置換基Aで適宜置換されてもよいC2~C6のアルケニルオキシ基」のC2~C6のアルケニルオキシ基は、前記の定義と同義であり、好ましくは、ビニルオキシ基、1-プロペニルオキシ基、またはアリルオキシ基であり、さらに好ましくは、ビニルオキシ基である。置換基Aを有する場合、C2~C6のアルケニルオキシ基における水素原子が、置換基Aによって任意に置換される。
式(1)のR1における「C2~C6のハロアルケニルオキシ基」とは、前記の定義と同義であり、好ましくは、2-フルオロビニルオキシ基、2,2-ジフルオロビニルオキシ基、3-フルオロアリルオキシ基、または3,3-ジフルオロアリルオキシ基であり、さらに好ましくは、2-フルオロビニルオキシ基、または2,2-ジフルオロビニルオキシ基である。
式(1)のR1における「置換基Aで適宜置換されてもよいC3~C6のアルキニルオキシ基」のC3~C6のアルキニルオキシ基は、前記の定義と同義であり、好ましくは、プロパルギルオキシ基、2-ブチニルオキシ基、または3-ブチニルオキシ基であり、さらに好ましくは、プロパルギルオキシ基である。置換基Aを有する場合、C3~C6のアルキニルオキシ基における水素原子が、置換基Aによって任意に置換される。
式(1)のR1における「C3~C6のハロアルキニルオキシ基」とは、前記の定義と同義であり、好ましくは、4,4-ジフルオロ-2-ブチニルオキシ基、4-クロロ-4,4-ジフルオロ-2-ブチニルオキシ基、4-ブロモ-4,4-ジフルオロ-2-ブチニルオキシ基、または4,4,4-トリフルオロ-2-ブチニルオキシ基であり、さらに好ましくは、4,4-ジフルオロ-2-ブチニルオキシ基、または4,4,4-トリフルオロ-2-ブチニルオキシ基である。
式(1)のR1における「R10R11N-」(ここで、R10およびR11は、それぞれ独立していて、水素原子またはC1~C6のアルキル基を表す。)のC1~C6のアルキル基は、前記の定義と同義である。「R10R11N-」として、好ましくは、アミノ基、ジメチルアミノ基、エチルメチルアミノ基、およびジエチルアミノ基が挙げられ、さらに好ましくは、アミノ基、およびジメチルアミノ基が挙げられる。
R2は、ハロゲン原子、水酸基、シアノ基、ニトロ基、置換基Bで適宜置換されてもよいC1~C6のアルキル基、C1~C6のハロアルキル基、置換基Bで適宜置換されてもよいC3~C8のシクロアルキル基、置換基Bで適宜置換されてもよいC2~C6のアルケニル基、C2~C6のハロアルケニル基、置換基Bで適宜置換されてもよいC2~C6のアルキニル基、C2~C6のハロアルキニル基、置換基Bで適宜置換されてもよいC1~C6のアルコキシ基、C1~C6のハロアルコキシ基、置換基Bで適宜置換されてもよいC3~C8のシクロアルコキシ基、置換基Bで適宜置換されてもよいC2~C6のアルケニルオキシ基、C2~C6のハロアルケニルオキシ基、置換基Bで適宜置換されてもよいC3~C6のアルキニルオキシ基、C3~C6のハロアルキニルオキシ基、R20C(=O)-(ここで、R20は、C1~C6のアルキル基、C1~C6のハロアルキル基、C3~C8のシクロアルキル基、C1~C6のアルコキシ基、C1~C6のハロアルコキシ基、C3~C8のシクロアルコキシ基、またはR21R22N-(ここで、R21およびR22は、それぞれ独立していて、水素原子、置換基B1で適宜置換されてもよいC1~C6のアルキル基、C1~C6のハロアルキル基、またはC3~C8のシクロアルキル基を表すか、あるいはR21およびR22は、結合する窒素原子と一緒になって、アジリジニル基、アゼチジニル基、ピロリジニル基、ピペリジニル基、ホモピペリジニル基、またはアゾカニル基を形成するものを表す。)を表す。)、R20C(=O)O-(ここで、R20は、前記と同義である。)、1~2個の酸素原子を含む3~6員環の基、R23-L2-(ここで、R23は、C1~C6のアルキル基、またはC1~C6のハロアルキル基を表し、L2は、S、SO、またはSO2を表す。)、R21R22N-(ここで、R21およびR22は、前記と同義である。)、またはR24C(=O)N(R25)-(ここで、R24は、水素原子、C1~C6のアルキル基、C1~C6のハロアルキル基、C3~C8のシクロアルキル基、C1~C6のアルコキシ基、C1~C6のハロアルコキシ基、C3~C8のシクロアルコキシ基、またはR21R22N-(ここで、R21およびR22は、前記と同義である。)を表し、R25は、水素原子、置換基B1で適宜置換されてもよいC1~C6のアルキル基、C1~C6のハロアルキル基、またはC3~C8のシクロアルキル基を表す。)を表す。
中でもR2は、ハロゲン原子、水酸基、シアノ基、置換基Bで適宜置換されてもよいC1~C6のアルキル基、C1~C6のハロアルキル基、置換基Bで適宜置換されてもよいC1~C6のアルコキシ基、C1~C6のハロアルコキシ基、置換基Bで適宜置換されてもよいC3~C8のシクロアルコキシ基、置換基Bで適宜置換されてもよいC2~C6のアルケニルオキシ基、置換基Bで適宜置換されてもよいC3~C6のアルキニルオキシ基、R20C(=O)O-(ここで、R20は、前記と同義である。)、またはR23-L2-(ここで、R23およびL2は、前記と同義である。)が好ましく、
特に、ハロゲン原子、置換基Bで適宜置換されてもよいC1~C6のアルキル基、または置換基Bで適宜置換されてもよいC1~C6のアルコキシ基が好ましい。
特に、ハロゲン原子、置換基Bで適宜置換されてもよいC1~C6のアルキル基、または置換基Bで適宜置換されてもよいC1~C6のアルコキシ基が好ましい。
式(1)の「置換基B」とは、水酸基、シアノ基、C3~C8のシクロアルキル基、C1~C6のアルコキシ基、C1~C6のハロアルコキシ基、C3~C8のシクロアルコキシ基、C2~C6のアルコキシアルコキシ基、R21R22N-(ここで、R21およびR22は、前記と同義である。)、R23-L2-(ここで、R23およびL2は、前記と同義である。)、R26R27R28Si-(ここで、R26、R27、およびR28は、それぞれ独立していて、C1~C6のアルキル基を表す。)、R26R27R28Si-(CH2)s-O-(ここで、sは、1~3の整数を表し、R26、R27、およびR28は、前記と同義である。)、R20C(=O)-(ここで、R20は、前記のR20と同義である。)、および1~2個の酸素原子を含む3~6員環の基からなる群から選択される少なくとも1種を表す。
中でも置換基Bは、シアノ基、C3~C8のシクロアルキル基、C1~C6のアルコキシ基、C2~C6のアルコキシアルコキシ基、R23-L2-(ここで、R23およびL2は、前記と同義である。)、R26R27R28Si-(ここで、R26、R27、およびR28は、前記と同義である。)、R26R27R28Si-(CH2)s-O-(ここで、s、R26、R27、およびR28は、前記と同義である。)、R20C(=O)-(ここで、R20は、前記と同義である。)、または1~2個の酸素原子を含む3~6員環の基が好ましく、
特に、シアノ基、またはC1~C6のアルコキシ基が好ましい。
特に、シアノ基、またはC1~C6のアルコキシ基が好ましい。
置換基Bの好ましい具体例として、水酸基;シアノ基;
C3~C8のシクロアルキル基として、シクロプロピル基、シクロブチル基、シクロペンチル基、およびシクロヘキシル基;
C1~C6のアルコキシ基として、メトキシ基、エトキシ基、プロピルオキシ基、イソプロピルオキシ基、ブトキシ基、およびイソブトキシ基;
C1~C6のハロアルコキシ基として、ジフルオロメトキシ基、トリフルオロメトキシ基、2,2-ジフルオロエトキシ基、2,2,2-トリフルオロエトキシ基、3,3-ジフルオロプロピルオキシ基、および3,3,3-トリフルオロプロピルオキシ基;
C3~C8のシクロアルコキシ基として、シクロプロピルオキシ基、シクロブトキシ基、シクロペンチルオキシ基、およびシクロヘキシルオキシ基;
C2~C6のアルコキシアルコキシ基として、メトキシメトキシ基、エトキシメトキシ基、メトキシエトキシ基、エトキシエトキシ基、およびメトキシプロピルオキシ基;
R21R22N-(ここで、R21およびR22は、前記のと同義である。)として、アミノ基、ジメチルアミノ基、エチルメチルアミノ基、ジエチルアミノ基、ピロリジニル基、およびピペリジニル基;
R23-L2-(ここで、R23およびL2は、前記と同義である。)として、メチルチオ基、メタンスルフィニル基、メタンスルホニル基、トリフルオロメチルチオ基、トリフルオロメタンスルフィニル基、およびトリフルオロメタンスルホニル基;
R26R27R28Si-(ここで、R26、R27、およびR28は、前記と同義である。)として、トリメチルシリル基、およびトリエチルシリル基;
R26R27R28Si-(CH2)s-O-(ここで、s、R26、R27、およびR28は、前記と同義である。)として、2-(トリメチルシリル)エトキシ基、および2-(トリエチルシリル)エトキシ基;
R20C(=O)-(ここで、R20は、前記と同義である。)として、アセチル基、プロピオニル基、ジフルオロアセチル基、トリフルオロアセチル基、シクロプロパンカルボニル基、メトキシカルボニル基、エトキシカルボニル基、2,2-ジフルオロエトキシカルボニル基、3,3,3-トリフルオロプロピルオキシカルボニル基、シクロプロピルオキシカルボニル基、アミノカルボニル基、ジメチルアミノカルボニル基、エチルメチルアミノカルボニル基、ジエチルアミノカルボニル基、ピロリジニルカルボニル基、およびピペリジニルカルボニル基;
ならびに1~2個の酸素原子を含む3~6員環の基として、オキソラニル基、オキサニル基、1,3-ジオキソラニル基、および1,3-ジオキサニル基が挙げられる。
C3~C8のシクロアルキル基として、シクロプロピル基、シクロブチル基、シクロペンチル基、およびシクロヘキシル基;
C1~C6のアルコキシ基として、メトキシ基、エトキシ基、プロピルオキシ基、イソプロピルオキシ基、ブトキシ基、およびイソブトキシ基;
C1~C6のハロアルコキシ基として、ジフルオロメトキシ基、トリフルオロメトキシ基、2,2-ジフルオロエトキシ基、2,2,2-トリフルオロエトキシ基、3,3-ジフルオロプロピルオキシ基、および3,3,3-トリフルオロプロピルオキシ基;
C3~C8のシクロアルコキシ基として、シクロプロピルオキシ基、シクロブトキシ基、シクロペンチルオキシ基、およびシクロヘキシルオキシ基;
C2~C6のアルコキシアルコキシ基として、メトキシメトキシ基、エトキシメトキシ基、メトキシエトキシ基、エトキシエトキシ基、およびメトキシプロピルオキシ基;
R21R22N-(ここで、R21およびR22は、前記のと同義である。)として、アミノ基、ジメチルアミノ基、エチルメチルアミノ基、ジエチルアミノ基、ピロリジニル基、およびピペリジニル基;
R23-L2-(ここで、R23およびL2は、前記と同義である。)として、メチルチオ基、メタンスルフィニル基、メタンスルホニル基、トリフルオロメチルチオ基、トリフルオロメタンスルフィニル基、およびトリフルオロメタンスルホニル基;
R26R27R28Si-(ここで、R26、R27、およびR28は、前記と同義である。)として、トリメチルシリル基、およびトリエチルシリル基;
R26R27R28Si-(CH2)s-O-(ここで、s、R26、R27、およびR28は、前記と同義である。)として、2-(トリメチルシリル)エトキシ基、および2-(トリエチルシリル)エトキシ基;
R20C(=O)-(ここで、R20は、前記と同義である。)として、アセチル基、プロピオニル基、ジフルオロアセチル基、トリフルオロアセチル基、シクロプロパンカルボニル基、メトキシカルボニル基、エトキシカルボニル基、2,2-ジフルオロエトキシカルボニル基、3,3,3-トリフルオロプロピルオキシカルボニル基、シクロプロピルオキシカルボニル基、アミノカルボニル基、ジメチルアミノカルボニル基、エチルメチルアミノカルボニル基、ジエチルアミノカルボニル基、ピロリジニルカルボニル基、およびピペリジニルカルボニル基;
ならびに1~2個の酸素原子を含む3~6員環の基として、オキソラニル基、オキサニル基、1,3-ジオキソラニル基、および1,3-ジオキサニル基が挙げられる。
置換基Bのさらに好ましい具体例として、水酸基;シアノ基;
C3~C8のシクロアルキル基として、シクロプロピル基、およびシクロブチル基;
C1~C6のアルコキシ基として、メトキシ基、およびエトキシ基;
C1~C6のハロアルコキシ基として、ジフルオロメトキシ基、トリフルオロメトキシ基、2,2-ジフルオロエトキシ基、および2,2,2-トリフルオロエトキシ基;
C3~C8のシクロアルコキシ基として、シクロプロピルオキシ基、およびシクロブトキシ基;
C2~C6のアルコキシアルコキシ基として、メトキシメトキシ基、エトキシメトキシ基、メトキシエトキシ基、およびエトキシエトキシ基;
R21R22N-(ここで、R21およびR22は、前記と同義である。)として、ジメチルアミノ基、エチルメチルアミノ基、およびジエチルアミノ基;
R23-L2-(ここで、R23およびL2は、前記と同義である。)として、メチルチオ基、メタンスルフィニル基、およびメタンスルホニル基;
R26R27R28Si-(ここで、R26、R27、およびR28は、前記と同義である。)として、トリメチルシリル基;
R26R27R28Si-(CH2)s-O-(ここで、s、R26、R27、およびR28は、前記と同義である。)として、2-(トリメチルシリル)エトキシ基;
R20C(=O)-(ここで、R20は、前記と同義である。)として、アセチル基、ジフルオロアセチル基、トリフルオロアセチル基、メトキシカルボニル基、エトキシカルボニル基、アミノカルボニル基、ジメチルアミノカルボニル基、エチルメチルアミノカルボニル基、およびジエチルアミノカルボニル基;
ならびに1~2個の酸素原子を含む3~6員環の基として、1,3-ジオキソラニル基、および1,3-ジオキサニル基が挙げられる。
C3~C8のシクロアルキル基として、シクロプロピル基、およびシクロブチル基;
C1~C6のアルコキシ基として、メトキシ基、およびエトキシ基;
C1~C6のハロアルコキシ基として、ジフルオロメトキシ基、トリフルオロメトキシ基、2,2-ジフルオロエトキシ基、および2,2,2-トリフルオロエトキシ基;
C3~C8のシクロアルコキシ基として、シクロプロピルオキシ基、およびシクロブトキシ基;
C2~C6のアルコキシアルコキシ基として、メトキシメトキシ基、エトキシメトキシ基、メトキシエトキシ基、およびエトキシエトキシ基;
R21R22N-(ここで、R21およびR22は、前記と同義である。)として、ジメチルアミノ基、エチルメチルアミノ基、およびジエチルアミノ基;
R23-L2-(ここで、R23およびL2は、前記と同義である。)として、メチルチオ基、メタンスルフィニル基、およびメタンスルホニル基;
R26R27R28Si-(ここで、R26、R27、およびR28は、前記と同義である。)として、トリメチルシリル基;
R26R27R28Si-(CH2)s-O-(ここで、s、R26、R27、およびR28は、前記と同義である。)として、2-(トリメチルシリル)エトキシ基;
R20C(=O)-(ここで、R20は、前記と同義である。)として、アセチル基、ジフルオロアセチル基、トリフルオロアセチル基、メトキシカルボニル基、エトキシカルボニル基、アミノカルボニル基、ジメチルアミノカルボニル基、エチルメチルアミノカルボニル基、およびジエチルアミノカルボニル基;
ならびに1~2個の酸素原子を含む3~6員環の基として、1,3-ジオキソラニル基、および1,3-ジオキサニル基が挙げられる。
式(1)の「置換基B1」とは、シアノ基、C1~C6のアルコキシ基、C1~C6のハロアルコキシ基、およびC3~C8のシクロアルコキシ基からなる群から選択される少なくとも1種を表す。中でも置換基B1は、シアノ基、またはC1~C6のアルコキシ基が好ましい。
置換基B1の好ましい具体例として、シアノ基;
C1~C6のアルコキシ基として、メトキシ基、エトキシ基、プロピルオキシ基、イソプロピルオキシ基、ブトキシ基、およびイソブトキシ基;
C1~C6のハロアルコキシ基として、ジフルオロメトキシ基、トリフルオロメトキシ基、2,2-ジフルオロエトキシ基、2,2,2-トリフルオロエトキシ基、3,3-ジフルオロプロピルオキシ基、および3,3,3-トリフルオロプロピルオキシ基;
ならびにC3~C8のシクロアルコキシ基として、シクロプロピルオキシ基、シクロブトキシ基、シクロペンチルオキシ基、およびシクロヘキシルオキシ基が挙げられる。
C1~C6のアルコキシ基として、メトキシ基、エトキシ基、プロピルオキシ基、イソプロピルオキシ基、ブトキシ基、およびイソブトキシ基;
C1~C6のハロアルコキシ基として、ジフルオロメトキシ基、トリフルオロメトキシ基、2,2-ジフルオロエトキシ基、2,2,2-トリフルオロエトキシ基、3,3-ジフルオロプロピルオキシ基、および3,3,3-トリフルオロプロピルオキシ基;
ならびにC3~C8のシクロアルコキシ基として、シクロプロピルオキシ基、シクロブトキシ基、シクロペンチルオキシ基、およびシクロヘキシルオキシ基が挙げられる。
置換基B1のさらに好ましい具体例として、シアノ基;
C1~C6のアルコキシ基として、メトキシ基、およびエトキシ基;
C1~C6のハロアルコキシ基として、ジフルオロメトキシ基、トリフルオロメトキシ基、2,2-ジフルオロエトキシ基、および2,2,2-トリフルオロエトキシ基;
ならびにC3~C8のシクロアルコキシ基として、シクロプロピルオキシ基、およびシクロブトキシ基が挙げられる。
C1~C6のアルコキシ基として、メトキシ基、およびエトキシ基;
C1~C6のハロアルコキシ基として、ジフルオロメトキシ基、トリフルオロメトキシ基、2,2-ジフルオロエトキシ基、および2,2,2-トリフルオロエトキシ基;
ならびにC3~C8のシクロアルコキシ基として、シクロプロピルオキシ基、およびシクロブトキシ基が挙げられる。
式(1)のR2におけるハロゲン原子は、前記の定義と同義であり、好ましくはフッ素原子、塩素原子、臭素原子、またはヨウ素原子である。
式(1)のR2には、水酸基、シアノ基、およびニトロ基が含まれる。
式(1)のR2には、水酸基、シアノ基、およびニトロ基が含まれる。
式(1)のR2における「置換基Bで適宜置換されてもよいC1~C6のアルキル基」のC1~C6のアルキル基は、前記の定義と同義であり、好ましくは、メチル基、エチル基、プロピル基、イソプロピル基、ブチル基、またはイソブチル基であり、さらに好ましくは、メチル基、エチル基、プロピル基、またはイソプロピル基である。置換基Bを有する場合、C1~C6のアルキル基における水素原子が、置換基Bによって任意に置換される。
式(1)のR2における「C1~C6のハロアルキル基」は、前記の定義と同義であり、好ましくは、ジフルオロメチル基、トリフルオロメチル基、2,2-ジフルオロエチル基、2,2,2-トリフルオロエチル基、3,3-ジフルオロプロピル基、または3,3,3-トリフルオロプロピル基であり、さらに好ましくは、ジフルオロメチル基、トリフルオロメチル基、2,2-ジフルオロエチル基、または2,2,2-トリフルオロエチル基である。
式(1)のR2における「置換基Bで適宜置換されてもよいC3~C8のシクロアルキル基」のC3~C8のシクロアルキル基は、前記の定義と同義であり、好ましくは、シクロプロピル基、シクロブチル基、シクロペンチル基、またはシクロヘキシル基であり、さらに好ましくは、シクロプロピル基、またはシクロブチル基である。置換基Bを有する場合、C3~C8のシクロアルキル基における水素原子が、置換基Bによって任意に置換される。
式(1)のR2における「置換基Bで適宜置換されてもよいC2~C6のアルケニル基」のC2~C6のアルケニル基は、前記の定義と同義であり、好ましくは、ビニル基、1-プロペニル基、アリル基、1-ブテニル基、2-ブテニル基、または3-ブテニル基であり、さらに好ましくは、ビニル基、1-プロペニル基、またはアリル基である。置換基Bを有する場合、C2~C6のアルケニル基における水素原子が、置換基Bによって任意に置換される。
式(1)のR2における「C2~C6のハロアルケニル基」は、前記の定義と同義であり、好ましくは、2-フルオロビニル基、2,2-ジフルオロビニル基、2,2-ジクロロビニル基、3-フルオロアリル基、3,3-ジフルオロアリル基、または3,3-ジクロロアリル基であり、さらに好ましくは、2-フルオロビニル基、または2,2-ジフルオロビニル基である。
式(1)のR2における「置換基Bで適宜置換されてもよいC2~C6のアルキニル基」のC2~C6のアルキニル基は、前記の定義と同義であり、好ましくは、エチニル基、1-プロピニル基、プロパルギル基、1-ブチニル基、2-ブチニル基、または3-ブチニル基であり、さらに好ましくは、エチニル基、1-プロピニル基、またはプロパルギル基である。置換基Bを有する場合、C2~C6のアルキニル基における水素原子が、置換基Bによって任意に置換される。
式(1)のR2における「C2~C6のハロアルキニル基」は、前記の定義と同義であり、好ましくは、3,3-ジフルオロ-1-プロピニル基、3,3,3-トリフルオロ-1-プロピニル基、4,4-ジフルオロ-1-ブチニル基、4,4-ジフルオロ-2-ブチニル基、4,4,4-トリフルオロ-1-ブチニル基、または4,4,4-トリフルオロ-2-ブチニル基であり、さらに好ましくは、3,3-ジフルオロ-1-プロピニル基、または3,3,3-トリフルオロ-1-プロピニル基である。
式(1)のR2における「置換基Bで適宜置換されてもよいC1~C6のアルコキシ基」のC1~C6のアルコキシ基は、前記の定義と同義であり、好ましくは、メトキシ基、エトキシ基、プロピルオキシ基、イソプロピルオキシ基、ブトキシ基、イソブトキシ基、またはペンチルオキシ基であり、さらに好ましくは、メトキシ基、エトキシ基、プロピルオキシ基、イソプロピルオキシ基、ブトキシ基、またはペンチルオキシ基である。置換基Bを有する場合、C1~C6のアルコキシ基における水素原子が、置換基Bによって任意に置換される。
式(1)のR2における「C1~C6のハロアルコキシ基」は、前記の定義と同義であり、好ましくは、ジフルオロメトキシ基、トリフルオロメトキシ基、2,2-ジフルオロエトキシ基、2,2,2-トリフルオロエトキシ基、3,3-ジフルオロプロピルオキシ基、または3,3,3-トリフルオロプロピルオキシ基であり、さらに好ましくは、ジフルオロメトキシ基、トリフルオロメトキシ基、2,2-ジフルオロエトキシ基、または2,2,2-トリフルオロエトキシ基である。
式(1)のR2における「置換基Bで適宜置換されてもよいC3~C8のシクロアルコキシ基」のC3~C8のシクロアルコキシ基は、前記の定義と同義であり、好ましくは、シクロプロピルオキシ基、シクロブトキシ基、シクロペンチルオキシ基、またはシクロヘキシルオキシ基であり、さらに好ましくは、シクロプロピルオキシ基、またはシクロブトキシ基である。置換基Bを有する場合、C3~C8のシクロアルコキシ基における水素原子が、置換基Bによって任意に置換される。
式(1)のR2における「置換基Bで適宜置換されてもよいC2~C6のアルケニルオキシ基」のC2~C6のアルケニルオキシ基は、前記の定義と同義であり、好ましくは、ビニルオキシ基、1-プロペニルオキシ基、アリルオキシ基、1-ブテニルオキシ基、2-ブテニルオキシ基、または3-ブテニルオキシ基であり、さらに好ましくは、ビニルオキシ基、1-プロペニルオキシ基、またはアリルオキシ基である。置換基Bを有する場合、C2~C6のアルケニルオキシ基における水素原子が、置換基Bによって任意に置換される。
式(1)のR2における「C2~C6のハロアルケニルオキシ基」は、前記の定義と同義であり、好ましくは、2-フルオロビニルオキシ基、2,2-ジフルオロビニルオキシ基、2,2-ジクロロビニルオキシ基、3-フルオロアリルオキシ基、3,3-ジフルオロアリルオキシ基、または3,3-ジクロロアリルオキシ基であり、さらに好ましくは、2-フルオロビニルオキシ基、または2,2-ジフルオロビニルオキシ基である。
式(1)のR2における「置換基Bで適宜置換されてもよいC3~C6のアルキニルオキシ基」のC3~C6のアルキニルオキシ基は、前記の定義と同義であり、好ましくは、プロパルギルオキシ基、2-ブチニルオキシ基、または3-ブチニルオキシ基であり、さらに好ましくは、プロパルギルオキシ基である。置換基Bを有する場合、C3~C6のアルキニルオキシ基における水素原子が、置換基Bによって任意に置換される。
式(1)のR2における「C3~C6のハロアルキニルオキシ基」は、前記の定義と同義であり、好ましくは、4,4-ジフルオロ-2-ブチニルオキシ基、4-クロロ-4,4-ジフルオロ-2-ブチニルオキシ基、4-ブロモ-4,4-ジフルオロ-2-ブチニルオキシ基、または4,4,4-トリフルオロ-2-ブチニルオキシ基であり、さらに好ましくは、4,4-ジフルオロ-2-ブチニルオキシ基、または4,4,4-トリフルオロ-2-ブチニルオキシ基である。
式(1)のR2における「R20C(=O)-」(ここで、R20は、C1~C6のアルキル基、C1~C6のハロアルキル基、C3~C8のシクロアルキル基、C1~C6のアルコキシ基、C1~C6のハロアルコキシ基、C3~C8のシクロアルコキシ基、またはR21R22N-(ここで、R21およびR22は、それぞれ独立していて、水素原子、置換基B1で適宜置換されてもよいC1~C6のアルキル基、C1~C6のハロアルキル基、またはC3~C8のシクロアルキル基を表すか、あるいはR21およびR22は、結合する窒素原子と一緒になって、アジリジニル基、アゼチジニル基、ピロリジニル基、ピペリジニル基、ホモピペリジニル基、またはアゾカニル基を形成するものを表す。)を表す。)の各用語は、前記の定義と同義である。「R20C(=O)-」として、好ましくは、アセチル基、プロピオニル基、ジフルオロアセチル基、トリフルオロアセチル基、シクロプロパンカルボニル基、メトキシカルボニル基、エトキシカルボニル基、2,2-ジフルオロエトキシカルボニル基、2,2,2-トリフルオロエトキシカルボニル基、シクロプロピルオキシカルボニル基、アミノカルボニル基、ジメチルアミノカルボニル基、エチルメチルアミノカルボニル基、ジエチルアミノカルボニル基、ピロリジニルカルボニル基、およびピペリジニルカルボニル基が挙げられ、さらに好ましくは、アセチル基、ジフルオロアセチル基、トリフルオロアセチル基、メトキシカルボニル基、エトキシカルボニル基、アミノカルボニル基、ジメチルアミノカルボニル基、エチルメチルアミノカルボニル基、およびジエチルアミノカルボニル基が挙げられる。
式(1)のR2における「R20C(=O)O-」のR20は、前記と同義である。「R20C(=O)O-」として、好ましくは、アセチルオキシ基、プロピオニルオキシ基、ジフルオロアセチルオキシ基、トリフルオロアセチルオキシ基、シクロプロパンカルボニルオキシ基、メトキシカルボニルオキシ基、エトキシカルボニルオキシ基、2,2-ジフルオロエトキシカルボニルオキシ基、2,2,2-トリフルオロエトキシカルボニルオキシ基、シクロプロピルオキシカルボニルオキシ基、アミノカルボニルオキシ基、ジメチルアミノカルボニルオキシ基、エチルメチルアミノカルボニルオキシ基、ジエチルアミノカルボニルオキシ基、ピロリジニルカルボニルオキシ基、およびピペリジニルカルボニルオキシ基が挙げられ、より好ましくは、アセチルオキシ基、ジフルオロアセチルオキシ基、トリフルオロアセチルオキシ基、メトキシカルボニルオキシ基、エトキシカルボニルオキシ基、アミノカルボニルオキシ基、ジメチルアミノカルボニルオキシ基、エチルメチルアミノカルボニルオキシ基、およびジエチルアミノカルボニルオキシ基が挙げられる。
式(1)のR2における「1~2個の酸素原子を含む3~6員環の基」は、前記の定義と同義であり、好ましくは、オキソラニル基、オキサニル基、1,3-ジオキソラニル基、または1,3-ジオキサニル基であり、さらに好ましくは、1,3-ジオキソラニル基、または1,3-ジオキサニル基である。
式(1)のR2における「R23-L2-」(ここで、R23は、C1~C6のアルキル基、またはC1~C6のハロアルキル基を表し、L2は、S、SO、またはSO2を表す。)の各用語は、前記の定義と同義である。「R23-L2-」として、好ましくは、メチルチオ基、メタンスルフィニル基、メタンスルホニル基、トリフルオロメチルチオ基、トリフルオロメタンスルフィニル基、トリフルオロメタンスルホニル基、(クロロメチル)チオ基、(クロロメタン)スルフィニル基、および(クロロメタン)スルホニル基が挙げられ、さらに好ましくは、メチルチオ基、メタンスルフィニル基、メタンスルホニル基、(クロロメチル)チオ基、(クロロメタン)スルフィニル基、および(クロロメタン)スルホニル基が挙げられる。
式(1)のR2における「R21R22N-」のR21およびR22は、前記と同義である。「R21R22N-」として、好ましくは、アミノ基、ジメチルアミノ基、エチルメチルアミノ基、ジエチルアミノ基、ピロリジニル基、およびピペリジニル基が挙げられ、さらに好ましくは、ジメチルアミノ基、エチルメチルアミノ基、およびジエチルアミノ基が挙げられる。
式(1)のR2における「R24C(=O)N(R25)-」(ここで、R24は、水素原子、C1~C6のアルキル基、C1~C6のハロアルキル基、C3~C8のシクロアルキル基、C1~C6のアルコキシ基、C1~C6のハロアルコキシ基、C3~C8のシクロアルコキシ基、またはR21R22N-(ここで、R21およびR22は、前記と同義である。)を表し、R25は、水素原子、置換基B1で適宜置換されてもよいC1~C6のアルキル基、C1~C6のハロアルキル基、またはC3~C8のシクロアルキル基を表す。)の各用語は、前記の定義と同義である。R24として、好ましくは、水素原子、メチル基、エチル基、ジフルオロメチル基、トリフルオロメチル基、シクロプロピル基、メトキシ基、エトキシ基、2,2-ジフルオロエトキシ、2,2,2-トリフルオロエトキシ基、シクロプロピルオキシ基、アミノ基、ジメチルアミノ基、エチルメチルアミノ基、ジエチルアミノ基、ピロリジニル基、およびピペリジニル基が挙げられ、さらに好ましくは、水素原子、メチル基、ジフルオロメチル基、トリフルオロメチル基、メトキシ基、エトキシ基、アミノ基、ジメチルアミノ基、エチルメチルアミノ基、およびジエチルアミノ基が挙げられる。また、R25として、好ましくは、水素原子、メチル基、エチル基、プロピル基、メトキシメチル基、エトキシメチル基、メトキシエチル基、エトキシエチル基、シアノメチル基、2-シアノエチル基、2,2-ジフルオロエチル基、2,2,2-トリフルオロエチル基、およびシクロプロピル基が挙げられ、さらに好ましくは、水素原子、メチル基、エチル基、メトキシメチル基、エトキシメチル基、メトキシエチル基、エトキシエチル基、シアノメチル基、2,2-ジフルオロエチル基、および2,2,2-トリフルオロエチル基が挙げられる。
式(1)のnは、0~5の整数である。ただし、nが2以上のとき、2以上のR2は、それぞれ独立した置換基を表し、同一または異なっていてよく、任意に選択することができる。
式(1)のR3は、水素原子、ハロゲン原子、ニトロ基、置換基Cで適宜置換されてもよいC1~C6のアルキル基、C1~C6のハロアルキル基、置換基Cで適宜置換されてもよいC3~C8のシクロアルキル基、置換基Cで適宜置換されてもよいC1~C6のアルコキシ基、C1~C6のハロアルコキシ基、置換基Cで適宜置換されてもよいC2~C6のアルケニル基、C2~C6のハロアルケニル基、置換基Cで適宜置換されてもよいC2~C6のアルキニル基、C2~C6のハロアルキニル基、R30-L3-(ここで、R30は、前記のR23と同義であり、L3は、前記のL2と同義である。)、R31R32N-(ここで、R31およびR32は、前記のR21およびR22と同義である。)、またはR33C(=O)-(ここで、R33は、C1~C6のアルキル基、C1~C6のハロアルキル基、またはC3~C8のシクロアルキル基を表す。)を表す。
中でもR3は、水素原子、ハロゲン原子、置換基Cで適宜置換されてもよいC1~C6のアルキル基、置換基Cで適宜置換されてもよいC3~C8のシクロアルキル基、置換基Cで適宜置換されてもよいC1~C6のアルコキシ基、置換基Cで適宜置換されてもよいC2~C6のアルキニル基、またはR30-L3-(ここで、R30およびL3は、前記と同義である。)が好ましく、
特に、水素原子、ハロゲン原子、または置換基Cで適宜置換されてもよいC1~C6のアルキル基が好ましい。
特に、水素原子、ハロゲン原子、または置換基Cで適宜置換されてもよいC1~C6のアルキル基が好ましい。
式(1)の「置換基C」とは、水酸基、シアノ基、C3~C8のシクロアルキル基、C1~C6のアルコキシ基、C1~C6のハロアルコキシ基、C3~C8のシクロアルコキシ基、R31R32N-(ここで、R31およびR32は、前記のR21およびR22と同義である。)、およびR30-L3-(ここで、R30は、前記のR14と同義であり、L3は、前記のL1と同義である。)からなる群から選択される少なくとも1種を表す。中でも置換基Cは、シアノ基、C1~C6のアルコキシ基、またはR30-L3-(ここで、R30およびL3は、前記と同義である。)が好ましく、
特に、シアノ基、またはC1~C6のアルコキシ基が好ましい。
特に、シアノ基、またはC1~C6のアルコキシ基が好ましい。
置換基Cの好ましい具体例として、水酸基;シアノ基;
C3~C8のシクロアルキル基として、シクロプロピル基、シクロブチル基、シクロペンチル基、およびシクロヘキシル基;
C1~C6のアルコキシ基として、メトキシ基、エトキシ基、プロピルオキシ基、イソプロピルオキシ基、ブトキシ基、およびイソブトキシ基;
C1~C6のハロアルコキシ基として、ジフルオロメトキシ基、トリフルオロメトキシ基、2,2-ジフルオロエトキシ基、2,2,2-トリフルオロエトキシ基、3,3-ジフルオロプロピルオキシ基、および3,3,3-トリフルオロプロピルオキシ基;
C3~C8のシクロアルコキシ基として、シクロプロピルオキシ基、シクロブトキシ基、シクロペンチルオキシ基、およびシクロヘキシルオキシ基;
R31R32N-(ここで、R31およびR32は、前記のR21およびR22と同義である。)として、アミノ基、ジメチルアミノ基、エチルメチルアミノ基、ジエチルアミノ基、ピロリジニル基、およびピペリジニル基;
ならびにR30-L3-(ここで、R30は、前記のR14と同義であり、L3は、前記のL1と同義である。)として、メチルチオ基、メタンスルフィニル基、メタンスルホニル基、トリフルオロメチルチオ基、トリフルオロメタンスルフィニル基、およびトリフルオロメタンスルホニル基が挙げられる。
C3~C8のシクロアルキル基として、シクロプロピル基、シクロブチル基、シクロペンチル基、およびシクロヘキシル基;
C1~C6のアルコキシ基として、メトキシ基、エトキシ基、プロピルオキシ基、イソプロピルオキシ基、ブトキシ基、およびイソブトキシ基;
C1~C6のハロアルコキシ基として、ジフルオロメトキシ基、トリフルオロメトキシ基、2,2-ジフルオロエトキシ基、2,2,2-トリフルオロエトキシ基、3,3-ジフルオロプロピルオキシ基、および3,3,3-トリフルオロプロピルオキシ基;
C3~C8のシクロアルコキシ基として、シクロプロピルオキシ基、シクロブトキシ基、シクロペンチルオキシ基、およびシクロヘキシルオキシ基;
R31R32N-(ここで、R31およびR32は、前記のR21およびR22と同義である。)として、アミノ基、ジメチルアミノ基、エチルメチルアミノ基、ジエチルアミノ基、ピロリジニル基、およびピペリジニル基;
ならびにR30-L3-(ここで、R30は、前記のR14と同義であり、L3は、前記のL1と同義である。)として、メチルチオ基、メタンスルフィニル基、メタンスルホニル基、トリフルオロメチルチオ基、トリフルオロメタンスルフィニル基、およびトリフルオロメタンスルホニル基が挙げられる。
置換基Cのさらに好ましい具体例として、水酸基;シアノ基;
C3~C8のシクロアルキル基として、シクロプロピル基、およびシクロブチル基;
C1~C6のアルコキシ基として、メトキシ基、およびエトキシ基;
C1~C6のハロアルコキシ基として、ジフルオロメトキシ基、トリフルオロメトキシ基、2,2-ジフルオロエトキシ基、および2,2,2-トリフルオロエトキシ基;
C3~C8のシクロアルコキシ基として、シクロプロピルオキシ基、およびシクロブトキシ基;
R31R32N-(ここで、R31およびR32は、前記と同義である。)として、ジメチルアミノ基、エチルメチルアミノ基、およびジエチルアミノ基;
ならびにR30-L3-(ここで、R30およびL3は、前記と同義である。)として、メチルチオ基、メタンスルフィニル基、およびメタンスルホニル基が挙げられる。
C3~C8のシクロアルキル基として、シクロプロピル基、およびシクロブチル基;
C1~C6のアルコキシ基として、メトキシ基、およびエトキシ基;
C1~C6のハロアルコキシ基として、ジフルオロメトキシ基、トリフルオロメトキシ基、2,2-ジフルオロエトキシ基、および2,2,2-トリフルオロエトキシ基;
C3~C8のシクロアルコキシ基として、シクロプロピルオキシ基、およびシクロブトキシ基;
R31R32N-(ここで、R31およびR32は、前記と同義である。)として、ジメチルアミノ基、エチルメチルアミノ基、およびジエチルアミノ基;
ならびにR30-L3-(ここで、R30およびL3は、前記と同義である。)として、メチルチオ基、メタンスルフィニル基、およびメタンスルホニル基が挙げられる。
式(1)のR3には、水素原子、およびニトロ基が含まれる。
式(1)のR3における「ハロゲン原子」は、前記の定義と同義であり、好ましくはフッ素原子、塩素原子、臭素原子、またはヨウ素原子である。
式(1)のR3における「ハロゲン原子」は、前記の定義と同義であり、好ましくはフッ素原子、塩素原子、臭素原子、またはヨウ素原子である。
式(1)のR3における「置換基Cで適宜置換されてもよいC1~C6のアルキル基」のC1~C6のアルキル基は、前記の定義と同義であり、好ましくは、メチル基、エチル基、プロピル基、イソプロピル基、ブチル基、またはイソブチル基であり、さらに好ましくは、メチル基、エチル基、またはプロピル基である。置換基Cを有する場合、C1~C6のアルキル基における水素原子が、置換基Cによって任意に置換される。
式(1)のR3における「C1~C6のハロアルキル基」は、前記の定義と同義であり、好ましくは、ジフルオロメチル基、トリフルオロメチル基、2,2-ジフルオロエチル基、2,2,2-トリフルオロエチル基、3,3-ジフルオロプロピル基、または3,3,3-トリフルオロプロピル基であり、さらに好ましくは、ジフルオロメチル基、トリフルオロメチル基、2,2-ジフルオロエチル基、または2,2,2-トリフルオロエチル基である。
式(1)のR3における「置換基Cで適宜置換されてもよいC3~C8のシクロアルキル基」のC3~C8のシクロアルキル基は、前記の定義と同義であり、好ましくは、シクロプロピル基、シクロブチル基、シクロペンチル基、またはシクロヘキシル基であり、さらに好ましくは、シクロプロピル基、またはシクロブチル基である。置換基Cを有する場合、C3~C8のシクロアルキル基における水素原子が、置換基Cによって任意に置換される。
式(1)のR3における「置換基Cで適宜置換されてもよいC1~C6のアルコキシ基」のC1~C6のアルコキシ基は、前記の定義と同義であり、好ましくは、メトキシ基、エトキシ基、プロピルオキシ基、イソプロピルオキシ基、ブトキシ基、またはイソブトキシ基であり、さらに好ましくは、メトキシ基、エトキシ基、プロピルオキシ基、またはイソプロピルオキシ基である。置換基Cを有する場合、C1~C6のアルコキシ基における水素原子が、置換基Cによって任意に置換される。
式(1)のR3における「C1~C6のハロアルコキシ基」は、前記の定義と同義であり、好ましくは、ジフルオロメトキシ基、トリフルオロメトキシ基、2,2-ジフルオロエトキシ基、2,2,2-トリフルオロエトキシ基、3,3-ジフルオロプロピルオキシ基、または3,3,3-トリフルオロプロピルオキシ基であり、さらに好ましくは、ジフルオロメトキシ基、トリフルオロメトキシ基、2,2-ジフルオロエトキシ基、または2,2,2-トリフルオロエトキシ基である。
式(1)のR3における「置換基Cで適宜置換されてもよいC2~C6のアルケニル基」のC2~C6のアルケニル基は、前記の定義と同義であり、好ましくは、ビニル基、1-プロペニル基、アリル基、1-ブテニル基、2-ブテニル基、または3-ブテニル基であり、さらに好ましくは、ビニル基、1-プロペニル基、またはアリル基である。置換基Cを有する場合、C2~C6のアルケニル基における水素原子が、置換基Cによって任意に置換される。
式(1)のR3における「C2~C6のハロアルケニル基」は、前記の定義と同義であり、好ましくは、2-フルオロビニル基、2,2-ジフルオロビニル基、2,2-ジクロロビニル基、3-フルオロアリル基、3,3-ジフルオロアリル基、または3,3-ジクロロアリル基であり、さらに好ましくは、2-フルオロビニル基、または2,2-ジフルオロビニル基である。
式(1)のR3における「置換基Cで適宜置換されてもよいC2~C6のアルキニル基」のC2~C6のアルキニル基は、前記の定義と同義であり、好ましくは、エチニル基、1-プロピニル基、プロパルギル基、1-ブチニル基、2-ブチニル基、または3-ブチニル基であり、さらに好ましくは、エチニル基、1-プロピニル基、またはプロパルギル基である。置換基Cを有する場合、C2~C6のアルキニル基における水素原子が、置換基Cによって任意に置換される。
式(1)のR3における「C2~C6のハロアルキニル基」は、前記の定義と同義であり、好ましくは、3,3-ジフルオロ-1-プロピニル基、3,3,3-トリフルオロ-1-プロピニル基、4,4-ジフルオロ-1-ブチニル基、4,4-ジフルオロ-2-ブチニル基、4,4,4-トリフルオロ-1-ブチニル基、または4,4,4-トリフルオロ-2-ブチニル基であり、さらに好ましくは、3,3-ジフルオロ-1-プロピニル基、または3,3,3-トリフルオロ-1-プロピニル基である。
式(1)のR3における「R30-L3-」は、R30が前記のR23と同義であり、L3が前記のL2と同義である。「R30-L3-」として、好ましくは、メチルチオ基、メタンスルフィニル基、メタンスルホニル基、トリフルオロメチルチオ基、トリフルオロメタンスルフィニル基、およびトリフルオロメタンスルホニル基が挙げられ、さらに好ましくは、メチルチオ基、メタンスルフィニル基、およびメタンスルホニル基が挙げられる。
式(1)のR3における「R31R32N-」は、R31およびR32が、前記のR21およびR22と同義であり、好ましくは、アミノ基、ジメチルアミノ基、エチルメチルアミノ基、ジエチルアミノ基、ピロリジニル基、またはピペリジニル基であり、さらに好ましくは、ジメチルアミノ基、エチルメチルアミノ基、またはジエチルアミノ基である。
式(1)のR3における「R33C(=O)-」(ここで、R33は、C1~C6のアルキル基、C1~C6のハロアルキル基、またはC3~C8のシクロアルキル基を表す。)の各用語は、前記の定義と同義である。「R33C(=O)-」として、好ましくは、アセチル基、プロピオニル基、ジフルオロアセチル基、トリフルオロアセチル基、およびシクロプロパンカルボニル基が挙げられ、さらに好ましくは、アセチル基、ジフルオロアセチル基、およびトリフルオロアセチル基が挙げられる。
式(1)のXは、酸素原子、または硫黄原子を表す。好ましいXは、酸素原子である。
式(1)のYは、フェニル基、ピリジル基、ピリダジニル基、ピリミジニル基、ピラジニル基、トリアジニル基、テトラジニル基、チエニル基、チアゾリル基、イソチアゾリル基、またはチアジアゾリル基を表す。
該フェニル基は、置換基Dがオルト位に置換し、さらに置換基D1が、それぞれ独立して適宜0~4置換する。
該ピリジル基、該ピリダジニル基、該ピリミジニル基、該ピラジニル基、該トリアジニル基、または該テトラジニル基は、置換基Dがオルト位に置換し、さらに置換基D1が、それぞれ独立して適宜0~3置換する。
該チエニル基、該チアゾリル基、該イソチアゾリル基、または該チアジアゾリル基は、置換基Dがオルト位に置換し、さらに置換基D1が、それぞれ独立して適宜0~2置換する。
該フェニル基は、置換基Dがオルト位に置換し、さらに置換基D1が、それぞれ独立して適宜0~4置換する。
該ピリジル基、該ピリダジニル基、該ピリミジニル基、該ピラジニル基、該トリアジニル基、または該テトラジニル基は、置換基Dがオルト位に置換し、さらに置換基D1が、それぞれ独立して適宜0~3置換する。
該チエニル基、該チアゾリル基、該イソチアゾリル基、または該チアジアゾリル基は、置換基Dがオルト位に置換し、さらに置換基D1が、それぞれ独立して適宜0~2置換する。
式(1)の「置換基D」とは、ハロゲン原子、C1~C6のアルキル基、C1~C6のハロアルキル基、C1~C6のアルコキシ基、およびC1~C6のハロアルコキシ基からなる群から選択される少なくとも1種を表す。
中でも置換基Dは、ハロゲン原子、またはC1~C6のアルキル基が好ましく、
特に、ハロゲン原子が好ましい。
中でも置換基Dは、ハロゲン原子、またはC1~C6のアルキル基が好ましく、
特に、ハロゲン原子が好ましい。
置換基Dの好ましい具体例として、
ハロゲン原子として、フッ素原子、塩素原子、臭素原子、およびヨウ素原子;
C1~C6のアルキル基として、メチル基、エチル基、およびプロピル基;
C1~C6のハロアルキル基として、ジフルオロメチル基、トリフルオロメチル基、2,2-ジフルオロエチル基、および2,2,2-トリフルオロエチル基;
C1~C6のアルコキシ基として、メトキシ基、エトキシ基、プロピルオキシ基、イソプロピルオキシ基、ブトキシ基、イソブトキシ基、およびt-ブトキシ基;
ならびにC1~C6のハロアルコキシ基として、ジフルオロメトキシ基、トリフルオロメトキシ基、2,2-ジフルオロエトキシ基、2,2,2-トリフルオロエトキシ基、3,3-ジフルオロプロピルオキシ基、および3,3,3-トリフルオロプロピルオキシ基が挙げられる。
ハロゲン原子として、フッ素原子、塩素原子、臭素原子、およびヨウ素原子;
C1~C6のアルキル基として、メチル基、エチル基、およびプロピル基;
C1~C6のハロアルキル基として、ジフルオロメチル基、トリフルオロメチル基、2,2-ジフルオロエチル基、および2,2,2-トリフルオロエチル基;
C1~C6のアルコキシ基として、メトキシ基、エトキシ基、プロピルオキシ基、イソプロピルオキシ基、ブトキシ基、イソブトキシ基、およびt-ブトキシ基;
ならびにC1~C6のハロアルコキシ基として、ジフルオロメトキシ基、トリフルオロメトキシ基、2,2-ジフルオロエトキシ基、2,2,2-トリフルオロエトキシ基、3,3-ジフルオロプロピルオキシ基、および3,3,3-トリフルオロプロピルオキシ基が挙げられる。
置換基Dのさらに好ましい具体例として、
ハロゲン原子として、フッ素原子、塩素原子、および臭素原子;
C1~C6のアルキル基として、メチル基、およびエチル基;
C1~C6のアルコキシ基として、メトキシ基、エトキシ基、プロピルオキシ基、およびイソプロピルオキシ基;
ならびにC1~C6のハロアルコキシ基として、ジフルオロメトキシ基、トリフルオロメトキシ基、2,2-ジフルオロエトキシ基、および2,2,2-トリフルオロエトキシ基が挙げられる。
ハロゲン原子として、フッ素原子、塩素原子、および臭素原子;
C1~C6のアルキル基として、メチル基、およびエチル基;
C1~C6のアルコキシ基として、メトキシ基、エトキシ基、プロピルオキシ基、およびイソプロピルオキシ基;
ならびにC1~C6のハロアルコキシ基として、ジフルオロメトキシ基、トリフルオロメトキシ基、2,2-ジフルオロエトキシ基、および2,2,2-トリフルオロエトキシ基が挙げられる。
式(1)の「置換基D1」とは、水酸基、ハロゲン原子、C1~C6のアルキル基、C1~C6のハロアルキル基、C3~C8のシクロアルキル基、C1~C6のアルコキシ基、C1~C6のハロアルコキシ基、およびC3~C8のシクロアルコキシ基からなる群から選択される少なくとも1種を表す。
中でも置換基D1は、水酸基、ハロゲン原子、C1~C6のアルキル基、C1~C6のアルコキシ基、またはC1~C6のハロアルキル基が好ましく、
さらに好ましくは、ハロゲン原子、C1~C6のアルキル基、C1~C6のアルコキシ基、またはC1~C6のハロアルコキシ基が好ましい。
中でも置換基D1は、水酸基、ハロゲン原子、C1~C6のアルキル基、C1~C6のアルコキシ基、またはC1~C6のハロアルキル基が好ましく、
さらに好ましくは、ハロゲン原子、C1~C6のアルキル基、C1~C6のアルコキシ基、またはC1~C6のハロアルコキシ基が好ましい。
置換基D1の好ましい具体例として、水酸基;
ハロゲン原子として、フッ素原子、塩素原子、臭素原子、およびヨウ素原子;
C1~C6のアルキル基として、メチル基、エチル基、およびプロピル基;
C1~C6のハロアルキル基として、ジフルオロメチル基、トリフルオロメチル基、2,2-ジフルオロエチル基、および2,2,2-トリフルオロエチル基;
C3~C8のシクロアルキル基として、シクロプロピル基、シクロブチル基、シクロペンチル基、およびシクロヘキシル基;
C1~C6のアルコキシ基として、メトキシ基、エトキシ基、プロピルオキシ基、イソプロピルオキシ基、ブトキシ基、イソブトキシ基、およびt-ブトキシ基;
C1~C6のハロアルコキシ基として、ジフルオロメトキシ基、トリフルオロメトキシ基、2,2-ジフルオロエトキシ基、2,2,2-トリフルオロエトキシ基、3,3-ジフルオロプロピルオキシ基、および3,3,3-トリフルオロプロピルオキシ基;
ならびにC3~C8のシクロアルコキシ基として、シクロプロピルオキシ基、シクロブトキシ基、シクロペンチルオキシ基、およびシクロヘキシルオキシ基が挙げられる。
ハロゲン原子として、フッ素原子、塩素原子、臭素原子、およびヨウ素原子;
C1~C6のアルキル基として、メチル基、エチル基、およびプロピル基;
C1~C6のハロアルキル基として、ジフルオロメチル基、トリフルオロメチル基、2,2-ジフルオロエチル基、および2,2,2-トリフルオロエチル基;
C3~C8のシクロアルキル基として、シクロプロピル基、シクロブチル基、シクロペンチル基、およびシクロヘキシル基;
C1~C6のアルコキシ基として、メトキシ基、エトキシ基、プロピルオキシ基、イソプロピルオキシ基、ブトキシ基、イソブトキシ基、およびt-ブトキシ基;
C1~C6のハロアルコキシ基として、ジフルオロメトキシ基、トリフルオロメトキシ基、2,2-ジフルオロエトキシ基、2,2,2-トリフルオロエトキシ基、3,3-ジフルオロプロピルオキシ基、および3,3,3-トリフルオロプロピルオキシ基;
ならびにC3~C8のシクロアルコキシ基として、シクロプロピルオキシ基、シクロブトキシ基、シクロペンチルオキシ基、およびシクロヘキシルオキシ基が挙げられる。
置換基D1のさらに好ましい具体例として、水酸基;
ハロゲン原子として、フッ素原子、塩素原子、および臭素原子;
C1~C6のアルキル基として、メチル基、およびエチル基;
C1~C6のハロアルキル基として、ジフルオロメチル基、およびトリフルオロメチル基;
C3~C8のシクロアルキル基として、シクロプロピル基、およびシクロブチル基;
C1~C6のアルコキシ基として、メトキシ基、エトキシ基、プロピルオキシ基、およびイソプロピルオキシ基;
C1~C6のハロアルコキシ基として、ジフルオロメトキシ基、トリフルオロメトキシ基、2,2-ジフルオロエトキシ基、および2,2,2-トリフルオロエトキシ基;
ならびにC3~C8のシクロアルコキシ基として、シクロプロピルオキシ基、およびシクロブトキシ基が挙げられる。
ハロゲン原子として、フッ素原子、塩素原子、および臭素原子;
C1~C6のアルキル基として、メチル基、およびエチル基;
C1~C6のハロアルキル基として、ジフルオロメチル基、およびトリフルオロメチル基;
C3~C8のシクロアルキル基として、シクロプロピル基、およびシクロブチル基;
C1~C6のアルコキシ基として、メトキシ基、エトキシ基、プロピルオキシ基、およびイソプロピルオキシ基;
C1~C6のハロアルコキシ基として、ジフルオロメトキシ基、トリフルオロメトキシ基、2,2-ジフルオロエトキシ基、および2,2,2-トリフルオロエトキシ基;
ならびにC3~C8のシクロアルコキシ基として、シクロプロピルオキシ基、およびシクロブトキシ基が挙げられる。
式(a)のmaは、0~4の整数を表す。
式(a)のmaが2以上の場合、2以上のD1は、それぞれ独立した置換基を表し、同一または異なっていてよく、任意に選択することができる。
本明細書においてYがフェニル基の場合、オルト位とは、式(a)に示されるように、置換基Dがあるフェニル基の位置を意味する。
置換基Dがオルト位に位置したフェニル基は、本発明の特徴をなしている。
式(a)のmaが2以上の場合、2以上のD1は、それぞれ独立した置換基を表し、同一または異なっていてよく、任意に選択することができる。
本明細書においてYがフェニル基の場合、オルト位とは、式(a)に示されるように、置換基Dがあるフェニル基の位置を意味する。
置換基Dがオルト位に位置したフェニル基は、本発明の特徴をなしている。
式(a)の好ましい組み合わせは、2-D-6-D1-フェニル基、2-D-4-D1-フェニル基、または2-D-4-D1-6-D1-フェニル基である。ここで、例えば、「2-D-6-D1-フェニル基」は、2位に置換基D、6位に置換基D1を有する二置換フェニル基を意味し、以下の記載も同様である。
B) Yが、ピリジル基、ピリダジニル基、ピリミジニル基、ピラジニル基、トリアジニル基、またはテトラジニル基のとき、Yは、式(b)
で表される部分構造(ここで、DおよびD1は前記と同義であり、mbは0~3の整数を表す。)を表す。
で表される部分構造(ここで、DおよびD1は前記と同義であり、mbは0~3の整数を表す。)を表す。
式(b)のG1、G2、G3およびG4は、それぞれ独立していて、炭素原子または窒素原子を表す。ただし、G1、G2、G3およびG4のうち、少なくとも一つは窒素原子である。好ましいG1、G2、G3およびG4は、G1、G2、G3およびG4のうち、いずれか一つが窒素原子である。すなわち、ピリジル基である。
式(b)のmbは、0~3の整数を表す。
式(b)のmbが2以上の場合、2以上のD1は、それぞれ独立した置換基を表し、同一、または異なっていてよく、任意に選択することができる。
式(b)のmbは、0~3の整数を表す。
式(b)のmbが2以上の場合、2以上のD1は、それぞれ独立した置換基を表し、同一、または異なっていてよく、任意に選択することができる。
本明細書においてYがピリジル基、ピリダジニル基、ピリミジニル基、ピラジニル基、トリアジニル基、またはテトラジニル基の場合、オルト位とは、式(b)に示されるように、置換基Dがある6員環の位置を意味する。
式(b)の部分構造の具体例を以下に示す。
式(b)の部分構造の具体例を以下に示す。
置換基Dがオルト位に位置したピリジル基、ピリダジニル基、ピリミジニル基、ピラジニル基、トリアジニル基、またはテトラジニル基は、本発明の特徴をなしている。
式(b)の好ましい組み合わせは、3-D-2-ピリジル基、3-D-5-D1-2-ピリジル基、2-D-3-ピリジル基、2-D-4-D1-3-ピリジル基、2-D-6-D1-3-ピリジル基、2-D-4-D1-6-D1-3-ピリジル基、4-D-3-ピリジル基、4-D-2-D1-3-ピリジル基、4-D-6-D1-3-ピリジル基、4-D-2-D1-6-D1-3-ピリジル基、3-D-4-ピリジル基、または3-D-5-D1-4-ピリジル基である。
C) Yが、チエニル基、チアゾリル基、イソチアゾリル基、またはチアジアゾリル基のとき、Yは、式(c-1)
式(c-2)
または、式(c-3)
で表される部分構造(ここで、DおよびD1は前記と同義であり、mcは0~2の整数を表す。)を表す。
式(c-2)
または、式(c-3)
で表される部分構造(ここで、DおよびD1は前記と同義であり、mcは0~2の整数を表す。)を表す。
式(c-1)、式(c-2)および式(c-3)におけるG5とG6は、それぞれ独立していて、炭素原子または窒素原子を表す。
式(c-1)、式(c-2)および式(c-3)のmcは、0~2の整数を表す。
式(c-1)、式(c-2)および式(c-3)のmcが2の場合、2のD1は、それぞれ独立した置換基を表し、同一または異なっていてよく、任意に選択することができる。
式(c-1)、式(c-2)および式(c-3)のmcは、0~2の整数を表す。
式(c-1)、式(c-2)および式(c-3)のmcが2の場合、2のD1は、それぞれ独立した置換基を表し、同一または異なっていてよく、任意に選択することができる。
本明細書においてYがチエニル基、チアゾリル基、イソチアゾリル基、またはチアジアゾリル基の場合、オルト位とは、式(c-1)、式(c-2)および式(c-3)に示されるように、置換基Dがある5員環の位置を意味する。
式(c-1)の部分構造の具体例を以下に示す。
式(c-1)の部分構造の具体例を以下に示す。
置換基Dがオルト位に位置したチエニル基、チアゾリル基、イソチアゾリル基、またはチアジアゾリル基は、本発明の特徴をなしている。
(式中、R1、R2、R3、X、Yおよびnは、式(1)と同義である。)で表される化合物、またはその塩を表す。
(式中、R1、R2、R3、X、Yおよびnは、式(1)と同義である。)で表される化合物、またはその塩を表す。
式(1b)におけるR3が水素以外の置換基の場合、R体もしくはS体のどちらか一方のみ、またはR体とS体との任意の割合の混合物である。
式(1)で表される化合物は、1個または2個の軸不斉を有することがある。この際の異性体比は、単独または任意の割合の混合比であり、特に限定されることはない。
式(1)で表される化合物は、不斉原子を含むことがある。この際の異性体比は、単独または任意の割合の混合比であり、特に限定されることはない。
式(1)で表される化合物は、幾何異性体を含むことがある。この際の異性体比は、単独または任意の割合の混合比であり、特に限定されることはない。
式(1)で表される化合物は、不斉原子を含むことがある。この際の異性体比は、単独または任意の割合の混合比であり、特に限定されることはない。
式(1)で表される化合物は、幾何異性体を含むことがある。この際の異性体比は、単独または任意の割合の混合比であり、特に限定されることはない。
式(1)で表される化合物は、塩を形成できることがある。塩酸、硫酸、酢酸、フマル酸、マレイン酸のような酸塩や、ナトリウム、カリウム、カルシウムのような金属塩等が例示されるが、農薬として使用できる限り、特に限定されることはない。
次に、本発明に係る式(I)で表されるピリドン化合物の具体的な化合物は、表1に示す構造式と、表2に示す(R2)nと、酸素原子または硫黄原子であるXとの組み合わせによって表される。これらの化合物は例示のためのものであって、本発明はこれらに限定されるものではない。
以下、例えば、表2中の「2-F-」との記載は、(R2)nが結合するフェニル基の2位にフッ素原子が結合していることを意味し、「2-F-3-HO-」との記載は、2位にフッ素原子が結合し、3位に水酸基が結合していることを意味し、「2,3-di-F」との記載は、2位と3位にフッ素原子が結合していることを意味し、他の記載も同様である。
次に、式(1)で表されるピリドン化合物の製造方法について説明する。
[製造方法A]
[製造方法A]
式中、R4は、水素原子、水酸基、シアノ基、置換基Aで適宜置換されてもよいC1~C6のアルキル基、C1~C6のハロアルキル基、置換基Aで適宜置換されてもよいC3~C8のシクロアルキル基、置換基Aで適宜置換されてもよいC2~C6のアルケニル基、C2~C6のハロアルケニル基、置換基Aで適宜置換されてもよいC2~C6のアルキニル基、C2~C6のハロアルキニル基、置換基Aで適宜置換されてもよいC1~C6のアルコキシ基、C1~C6のハロアルコキシ基、置換基Aで適宜置換されてもよいC3~C8のシクロアルコキシ基、置換基Aで適宜置換されてもよいC2~C6のアルケニルオキシ基、C2~C6のハロアルケニルオキシ基、置換基Aで適宜置換されてもよいC3~C6のアルキニルオキシ基、C3~C6のハロアルキニルオキシ基、またはR10R11N-(ここで、R10およびR11は、それぞれ独立していて、水素原子、またはC1~C6のアルキル基を表す。)を表し、R5は、水素原子、またはC1~C6のアルキル基を表し、n、R2、R3、XおよびYは、前記と同義である。
製造方法Aは、本発明化合物および本発明化合物の製造中間体を含む式(1b-a)で表される化合物を得る方法であって、式(3)で表される化合物とR4NH2とを、酸存在下で反応させることを含む製造方法である。
本反応に使用するR4NH2は、市販品として入手または公知の方法で製造することができる。R4NH2は、塩酸、酢酸のような酸性化合物との塩を形成したものでもよく、目的とする反応が進行する限りにおいて特に限定されることはない。
本反応に使用するR4NH2は、式(3)で表される化合物に対して1当量以上あればよく、目的とする反応が進行する限りにおいて特に限定されることはないが、好ましくは、1当量以上200当量以下である。
本反応に使用する酸として、塩酸、硫酸等の無機酸類や、酢酸、メタンスルホン酸、p-トルエンスルホン酸等の有機酸類が例示され、目的とする反応が進行する限りにおいて特に限定することはないが、好ましくは、酢酸である。また、R4NH2と酸性化合物との塩を使用する際には、酸の使用は必須ではない。
本反応に使用する酸の量は、R4NH2に対して1当量以上あればよく、目的とする反応が進行する限りにおいて特に限定されることはないが、好ましくは、1当量以上200当量以下である。また、使用する酸が液体である場合には、溶媒として使用することも可能である。
本反応には溶媒を使用することができるが、必ずしも必須ではない。
本反応に使用する溶媒は、目的とする反応が進行する限りにおいて特に限定されることはないが、酢酸、メタンスルホン酸等の酸性系溶媒、ジエチルエーテル、ジイソプロピルエーテル、メチル-t-ブチルエーテル、ジメトキシエタン、テトラヒドロフラン、ジオキサン等のエーテル系溶媒、メタノール、エタノール、イソプロパノール等のアルコール系溶媒、ベンゼン、トルエン、キシレン、メシチレン、クロロベンゼン、ジクロロベンゼン等のベンゼン系溶媒、酢酸エチル、酢酸イソプロピル、酢酸ブチル等のエステル系溶媒、アセトニトリル等のニトリル系溶媒、N-メチルピロリドン、N,N-ジメチルホルムアミド、N,N-ジメチルアセトアミド等のアミド系溶媒、1,3-ジメチル-2-イミダゾリジノン等のウレア系溶媒、ジクロロメタン、ジクロロエタン、クロロホルム、四塩化炭素等のハロゲン系溶媒等が挙げられる。これらの溶媒は、単独または2種類以上を任意の割合で混合して使用することができる。溶媒として、好ましくは、酸性系溶媒が挙げられ、さらに好ましくは、酢酸が挙げられる。
本反応に使用する溶媒は、目的とする反応が進行する限りにおいて特に限定されることはないが、酢酸、メタンスルホン酸等の酸性系溶媒、ジエチルエーテル、ジイソプロピルエーテル、メチル-t-ブチルエーテル、ジメトキシエタン、テトラヒドロフラン、ジオキサン等のエーテル系溶媒、メタノール、エタノール、イソプロパノール等のアルコール系溶媒、ベンゼン、トルエン、キシレン、メシチレン、クロロベンゼン、ジクロロベンゼン等のベンゼン系溶媒、酢酸エチル、酢酸イソプロピル、酢酸ブチル等のエステル系溶媒、アセトニトリル等のニトリル系溶媒、N-メチルピロリドン、N,N-ジメチルホルムアミド、N,N-ジメチルアセトアミド等のアミド系溶媒、1,3-ジメチル-2-イミダゾリジノン等のウレア系溶媒、ジクロロメタン、ジクロロエタン、クロロホルム、四塩化炭素等のハロゲン系溶媒等が挙げられる。これらの溶媒は、単独または2種類以上を任意の割合で混合して使用することができる。溶媒として、好ましくは、酸性系溶媒が挙げられ、さらに好ましくは、酢酸が挙げられる。
本反応に使用する溶媒量は、目的とする反応が進行する限りにおいて特に限定されることはないが、通常、式(3)で表される化合物に対して3重量倍以上200重量倍以下である。
本反応を行う際の温度は、目的とする反応が進行する限りにおいて特に限定されることはないが、通常、50℃以上180℃以下または溶媒の沸点以下である。
反応の後処理としては、反応混合物に対して、水または適当な水溶液を加えることにより、分液操作を行うことが可能である。水溶液を使用する場合は、塩酸、硫酸等を溶解した酸性水溶液、水酸化カリウム、水酸化ナトリウム、炭酸ナトリウム、炭酸カリウム、炭酸水素ナトリウム、炭酸水素カリウム等を溶解したアルカリ水溶液や食塩水等を任意に使用することができる。分液操作の際に、必要に応じて、トルエン、キシレン、ベンゼン、クロロベンゼン、ジクロロベンゼン等のベンゼン系溶媒、酢酸エチル、酢酸イソプロピル、酢酸ブチル等のエステル系溶媒、ジエチルエーテル、ジイソプロピルエーテル、メチル-t-ブチルエーテル等のエーテル系溶媒、ジクロロメタン、ジクロロエタン、クロロホルム、四塩化炭素等のハロゲン系溶媒、ヘキサン、ヘプタン、シクロヘキサン、メチルシクロヘキサン等の炭化水素系溶媒等の水と相溶することのない溶媒を追加することが可能である。また、これらの溶媒は、単独で使用することも、2種類以上で任意の割合で混合することも可能である。分液の回数は特に制限されることがなく、目的とする純度や収量に応じて実施することができる。
前記で得られた式(1b-a)で表される化合物を含む反応混合物は、硫酸ナトリウムや硫酸マグネシウム等の乾燥剤で水分を除去することができるが、必須ではない。
前記で得られた式(1b-a)で表される化合物を含む反応混合物は、化合物が分解しない限りにおいて、減圧下で溶媒留去することが可能である。
溶媒留去後に得られた式(1b-a)で表される化合物を含む反応混合物は、適当な溶媒により、洗浄、再沈殿、再結晶、カラムクロマトグラフィー等にて精製することができる。目的とする純度に応じて適宜設定すればよい。
溶媒留去後に得られた式(1b-a)で表される化合物を含む反応混合物は、適当な溶媒により、洗浄、再沈殿、再結晶、カラムクロマトグラフィー等にて精製することができる。目的とする純度に応じて適宜設定すればよい。
製造方法Aによると、式(1b-a)で表される化合物においてR4が水素原子を表すときに製造することができる式(2)で表される化合物は、本発明化合物のうち、式(1b)で表される化合物を得る有用な製造中間体となりうる。
式(2)で表される製造中間体の具体例は、表3に示す構造式と、表2に示す(R2)nと、酸素原子または硫黄原子であるXとの組み合わせによって表される。これらの化合物は、例示のためのものであって、本発明はこれらに限定されるものではない。
この式(2)で表される化合物を製造中間体として利用し、本発明の式(1b)を得る方法を説明する。
式中、Lvはメタンスルホニル基、トリフルオロメタンスルホニル基、p-トルエンスルホニル基、ハロゲン原子等の脱離基を表し、R1、R2、R3、X、Yおよびnは、前記と同義である。
製造方法Bは、式(1b)で表される化合物を得る方法であって、式(2)で表される製造中間体とR1Lvとを、塩基の存在下、溶媒中で反応させることを含む製造方法である。
本反応に使用するR1Lvは、市販品として入手または公知の方法で製造することができる。
本反応に使用するR1Lvの量は、式(2)で表される化合物に対して1当量以上あればよく、目的とする反応が進行する限りにおいて特に制限されることはないが、好ましくは、1当量以上10当量以下である。
本反応に使用する塩基として、水酸化ナトリウム、水酸化カリウム、炭酸ナトリウム、炭酸カリウム、炭酸セシウム、水素化ナトリウム等の無機塩基類が例示されるが、目的とする反応が進行する限りにおいて特に限定されることはない。
本反応に使用する塩基の量は、式(2)で表される化合物に対して1当量以上あればよく、目的とする反応が進行する限りにおいて特に制限されることはないが、好ましくは、1当量以上10当量以下である。
本反応に使用する溶媒は、目的とする反応が進行する限りにおいて特に限定されることはないが、ジエチルエーテル、ジイソプロピルエーテル、メチル-t-ブチルエーテル、ジメトキシエタン、テトラヒドロフラン、ジオキサン等のエーテル系溶媒、メタノール、エタノール、イソプロパノール等のアルコール系溶媒、ベンゼン、トルエン、キシレン、メシチレン、クロロベンゼン、ジクロロベンゼン等のベンゼン系溶媒、酢酸エチル、酢酸イソプロピル、酢酸ブチル等のエステル系溶媒、アセトニトリル等のニトリル系溶媒、N-メチルピロリドン、N,N-ジメチルホルムアミド、N,N-ジメチルアセトアミド等のアミド系溶媒、1,3-ジメチル-2-イミダゾリジノン等のウレア系溶媒、ジクロロメタン、ジクロロエタン、クロロホルム、四塩化炭素等のハロゲン系溶媒、ジメチルスルホキシド、スルホラン等の硫黄系溶媒、アセトン、メチルエチルケトン、メチルイソブチルケトン等のケトン系溶媒等が挙げられる。これらの溶媒は、単独または2種類以上を任意の割合で混合して使用することができる。
本反応に使用する溶媒量は、目的とする反応が進行する限りにおいて特に限定されることはないが、通常、式(2)で表される化合物に対して3重量倍以上200重量倍以下である。
本反応を行う際の温度は、目的とする反応が進行する限りにおいて特に限定されることはないが、通常、0℃以上150℃以下または溶媒の沸点以下である。
反応の後処理としては、反応混合物に対して、水または適当な水溶液を加えることにより、分液操作を行うことが可能である。水溶液を使用する場合は、塩酸、硫酸等を溶解した酸性水溶液、水酸化カリウム、水酸化ナトリウム、炭酸ナトリウム、炭酸カリウム、炭酸水素ナトリウム、炭酸水素カリウム等を溶解したアルカリ水溶液、チオ硫酸ナトリウム、亜硫酸ナトリウム等の硫黄を含む塩を溶解した水溶液や食塩水等を任意に使用することができる。分液操作の際に、必要に応じて、トルエン、キシレン、ベンゼン、クロロベンゼン、ジクロロベンゼン等のベンゼン系溶媒、酢酸エチル、酢酸イソプロピル、酢酸ブチル等のエステル系溶媒、ジエチルエーテル、ジイソプロピルエーテル、メチル-t-ブチルエーテル等のエーテル系溶媒、ジクロロメタン、ジクロロエタン、クロロホルム、四塩化炭素等のハロゲン系溶媒、ヘキサン、ヘプタン、シクロヘキサン、メチルシクロヘキサン等の炭化水素系溶媒等の水と相溶することのない溶媒を追加することが可能である。また、これらの溶媒は、単独で使用することも、2種類以上で任意の割合で混合することも可能である。分液の回数は特に制限されることがなく、目的とする純度や収量に応じて実施することができる。
前記で得られた式(1b)で表される化合物を含む反応混合物は、硫酸ナトリウムや硫酸マグネシウム等の乾燥剤で水分を除去することができるが、必須ではない。
前記で得られた式(1b)で表される化合物を含む反応混合物は、化合物が分解しない限りにおいて、減圧下で溶媒留去することが可能である。
溶媒留去後に得られた式(1b)で表される化合物を含む反応混合物は、適当な溶媒により、洗浄、再沈殿、再結晶、カラムクロマトグラフィー等にて精製することができる。目的とする純度に応じて適宜設定すればよい。
溶媒留去後に得られた式(1b)で表される化合物を含む反応混合物は、適当な溶媒により、洗浄、再沈殿、再結晶、カラムクロマトグラフィー等にて精製することができる。目的とする純度に応じて適宜設定すればよい。
式中、SRは硫黄化剤を表し、R1、R2、R3、Yおよびnは前記と同義である。
製造方法Cは、式(1b)で表される化合物のうち、式(1b-c)で表される化合物を得る製造方法であって、式(1b-b)で表される化合物と硫黄化剤(SR)とを、溶媒中で反応させることを含む製造方法である。
本反応に使用する硫黄化剤としては、ローソン試薬(2,4-ビス(4-メトキシフェニル)-1,3-ジチア-2,4-ジホスフェタン-2,4-ジスルフィド)等が挙げられる。
本反応に使用する硫黄化剤の量は、式(1b-b)で表される化合物に対して0.5当量以上あればよく、目的とする反応が進行する限りにおいて特に限定されることはないが、好ましくは、1当量以上10当量以下である。
本反応に使用する溶媒は、目的とする反応が進行する限りにおいて特に限定されることはないが、ジエチルエーテル、ジイソプロピルエーテル、メチル-t-ブチルエーテル、ジメトキシエタン、テトラヒドロフラン、ジオキサン等のエーテル系溶媒、ベンゼン、トルエン、キシレン、メシチレン、クロロベンゼン、ジクロロベンゼン等のベンゼン系溶媒等が挙げられる。これらの溶媒は、単独または2種類以上を任意の割合で混合して使用することができる。
本反応に使用する溶媒量は、目的とする反応が進行する限りにおいて特に限定されることはないが、通常、式(1b-b)で表される化合物に対して3重量倍以上200重量倍以下である。
本反応を行う際の温度は、目的とする反応が進行する限りにおいて特に限定されることはないが、通常、50℃以上180℃以下または溶媒の沸点以下である。
反応の後処理としては、反応混合物に対して、水、もしくは適当な水溶液を加えることにより、分液操作を行うことが可能である。水溶液を使用する場合は、塩酸、硫酸等を溶解した酸性水溶液、水酸化カリウム、水酸化ナトリウム、炭酸ナトリウム、炭酸カリウム、炭酸水素ナトリウム、炭酸水素カリウム等を溶解したアルカリ水溶液や食塩水等を任意に使用することができる。分液操作の際に、必要に応じて、トルエン、キシレン、ベンゼン、クロロベンゼン、ジクロロベンゼン等のベンゼン系溶媒、酢酸エチル、酢酸イソプロピル、酢酸ブチル等のエステル系溶媒、ジエチルエーテル、ジイソプロピルエーテル、メチル-t-ブチルエーテル等のエーテル系溶媒、ジクロロメタン、ジクロロエタン、クロロホルム、四塩化炭素等のハロゲン系溶媒、ヘキサン、ヘプタン、シクロヘキサン、メチルシクロヘキサン等の炭化水素系溶媒等の水と相溶することのない溶媒を追加することが可能である。また、これらの溶媒は、単独で使用することも、2種類以上で任意の割合で混合することも可能である。分液の回数は特に制限されることがなく、目的とする純度や収量に応じて実施することができる。また、本反応においては、分液操作は必須ではない。
前記で得られた式(1b-c)で表される化合物を含む反応混合物は、硫酸ナトリウムや硫酸マグネシウム等の乾燥剤で水分を除去することができるが、必須ではない。
前記で得られた式(1b-c)で表される化合物を含む反応混合物は、化合物が分解しない限りにおいて、減圧下で溶媒留去することが可能である。
溶媒留去後に得られた式(1b-c)で表される化合物を含む反応混合物は、適当な溶媒により、洗浄、再沈殿、再結晶、カラムクロマトグラフィー等にて精製することができる。目的とする純度に応じて適宜設定すればよい。
溶媒留去後に得られた式(1b-c)で表される化合物を含む反応混合物は、適当な溶媒により、洗浄、再沈殿、再結晶、カラムクロマトグラフィー等にて精製することができる。目的とする純度に応じて適宜設定すればよい。
式中、R3aは、置換基Cで適宜置換されてもよいC1~C6のアルキル基、C1~C6のハロアルキル基、置換基Cで適宜置換されてもよいC3~C8のシクロアルキル基、置換基Cで適宜置換されてもよいC2~C6のアルケニル基、C2~C6のハロアルケニル基、置換基Cで適宜置換されてもよいC2~C6のアルキニル基、またはC2~C6のハロアルキニル基を表し、Lv、R1、R2、X、Yおよびnは前記と同義である。
製造方法Dは、式(1b)で表される化合物のうち、R3aが置換基Cで適宜置換されてもよいC1~C6のアルキル基、C1~C6のハロアルキル基、置換基Cで適宜置換されてもよいC3~C8のシクロアルキル基、置換基Cで適宜置換されてもよいC2~C6のアルケニル基、C2~C6のハロアルケニル基、置換基Cで適宜置換されてもよいC2~C6のアルキニル基、またはC2~C6のハロアルキニル基である式(1b-e)で表される化合物の合成方法であって、式(1b-d)で表される化合物とR3aLvとを、塩基の存在下、溶媒中で反応させることを含む製造方法である。
本反応に使用するR3aLvは、市販品として入手または公知の方法で製造することができる。
本反応に使用するR3aLvの量は、式(1b-d)で表される化合物に対して1当量以上あればよく、目的とする反応が進行する限りにおいて特に制限されることはないが、好ましくは、1当量以上1.8当量以下である。
本反応に使用するR3aLvの量は、式(1b-d)で表される化合物に対して1当量以上あればよく、目的とする反応が進行する限りにおいて特に制限されることはないが、好ましくは、1当量以上1.8当量以下である。
本反応に使用する塩基として、水素化ナトリウム等の金属ヒドリド類、メチルリチウム、ブチルリチウム、sec-ブチルリチウム、t-ブチルリチウム、ヘキシルリチウム等の有機リチウム類や、リチウムジイソプロピルアミド、ヘキサメチルジシラザンリチウム、ヘキサメチルジシラザンナトリウム、ヘキサメチルジシラザンカリウム等の金属アミド類が例示される。
本反応に使用する塩基の量は、式(1b-d)で表される化合物に対して1当量以上あればよく、目的とする反応が進行する限りにおいて特に制限されることはないが、好ましくは、1当量以上10当量以下である。
本反応に使用する溶媒は、目的とする反応が進行する限りにおいて特に限定されることはないが、ジエチルエーテル、ジイソプロピルエーテル、メチル-t-ブチルエーテル、ジメトキシエタン、テトラヒドロフラン、ジオキサン等のエーテル系溶媒、ベンゼン、トルエン、キシレン、メシチレン、クロロベンゼン、ジクロロベンゼン等のベンゼン系溶媒等が挙げられる。これらの溶媒は、単独または2種類以上を任意の割合で混合して使用することができる。
本反応に使用する溶媒量は、目的とする反応が進行する限りにおいて特に限定されることはないが、通常、式(1b-d)で表される化合物に対して3重量倍以上200重量倍以下である。
本反応を行う際の温度は、目的とする反応が進行する限りにおいて特に限定されることはないが、通常、-80℃以上100℃以下または溶媒の沸点以下である。
反応の後処理としては、反応混合物に対して、水または適当な水溶液を加えることにより、分液操作を行うことが可能である。水溶液を使用する場合は、塩酸、硫酸等を溶解した酸性水溶液、水酸化カリウム、水酸化ナトリウム、炭酸ナトリウム、炭酸カリウム、炭酸水素ナトリウム、炭酸水素カリウム等を溶解したアルカリ水溶液、チオ硫酸ナトリウム、亜硫酸ナトリウム等の硫黄を含む塩を溶解した水溶液や食塩水等を任意に使用することができる。分液操作の際に、必要に応じて、トルエン、キシレン、ベンゼン、クロロベンゼン、ジクロロベンゼン等のベンゼン系溶媒、酢酸エチル、酢酸イソプロピル、酢酸ブチル等のエステル系溶媒、ジエチルエーテル、ジイソプロピルエーテル、メチル-t-ブチルエーテル等のエーテル系溶媒、ジクロロメタン、ジクロロエタン、クロロホルム等のハロゲン系溶媒、ヘキサン、ヘプタン、シクロヘキサン、メチルシクロヘキサン等の炭化水素系溶媒等の水と相溶することのない溶媒を追加することが可能である。また、これらの溶媒は、単独で使用することも、2種類以上で任意の割合で混合することも可能である。分液の回数は特に制限されることがなく、目的とする純度や収量に応じて実施することができる。
前記で得られた式(1b-e)で表される化合物を含む反応混合物は、硫酸ナトリウムや硫酸マグネシウム等の乾燥剤で水分を除去することができるが、必須ではない。
前記で得られた式(1b-e)で表される化合物を含む反応混合物は、化合物が分解しない限りにおいて、減圧下で溶媒留去することが可能である。
溶媒留去後に得られた式(1b-e)で表される化合物を含む反応混合物は、適当な溶媒により、洗浄、再沈殿、再結晶、カラムクロマトグラフィー等にて精製することができる。目的とする純度に応じて適宜設定すればよい。
溶媒留去後に得られた式(1b-e)で表される化合物を含む反応混合物は、適当な溶媒により、洗浄、再沈殿、再結晶、カラムクロマトグラフィー等にて精製することができる。目的とする純度に応じて適宜設定すればよい。
式中、Oxは酸化剤を表し、R1、R2、R3、X、Yおよびnは、前記と同義である。
製造方法Eは、式(1a)で表される化合物を得る方法であって、式(1b)で表される化合物と酸化剤(Ox)とを、溶媒中で反応させることを含む製造方法である。
本反応に使用する酸化剤としては、二酸化マンガン等の金属酸化物類、2,3-ジクロロ-5,6-ジシアノ-p-ベンゾキノン等のベンゾキノン類、アゾビスイソブチロニトリル、過酸化ベンゾイル等のラジカル開始剤とN-クロロスクシンイミド、N-ブロモスクシンイミド、N-ヨードスクシンイミド、1,3-ジクロロ-5,5-ジメチルヒダントイン、1,3-ジブロモ-5,5-ジメチルヒダントイン、1,3-ジヨード-5,5-ジメチルヒダントイン等のハロゲン化剤とを組み合わせたもの等を使用することができる。
以下、酸化剤が金属酸化物類である方法について説明する。
本反応に使用する酸化剤の量は、式(1b)に表される化合物に対して1当量以上あれば、目的とする反応が進行する限りにおいて特に限定されることはないが、通常、1当量以上200当量以下である。
本反応に使用する酸化剤の量は、式(1b)に表される化合物に対して1当量以上あれば、目的とする反応が進行する限りにおいて特に限定されることはないが、通常、1当量以上200当量以下である。
本反応に使用する溶媒は、目的とする反応が進行する限りにおいて特に限定されることはないが、ベンゼン、トルエン、キシレン、メシチレン、クロロベンゼン、ジクロロベンゼン等のベンゼン系溶媒、ジクロロメタン、ジクロロエタン、クロロホルム、四塩化炭素等のハロゲン系溶媒等が挙げられる。これらの溶媒は、単独または2種類以上を任意の割合で混合して使用することができる。
本反応に使用する溶媒量は、目的とする反応が進行する限りにおいて特に限定されることはないが、通常、式(1b)で表される化合物に対して3重量倍以上200重量倍以下である。
本反応を行う際の温度は、目的とする反応が進行する限りにおいて特に限定されることはないが、通常、0℃以上150℃以下または溶媒の沸点以下である。
反応の後処理としては、溶解していない金属類を濾過することにより除去することが可能である。さらに、反応混合物に対して、水または適当な水溶液を加えることにより、分液操作を行うことが可能である。水溶液を使用する場合は、塩酸、硫酸等を溶解した酸性水溶液、水酸化カリウム、水酸化ナトリウム、炭酸ナトリウム、炭酸カリウム、炭酸水素ナトリウム、炭酸水素カリウム等を溶解したアルカリ水溶液や食塩水等を任意に使用することができる。分液操作の際に、必要に応じて、トルエン、キシレン、ベンゼン、クロロベンゼン、ジクロロベンゼン等のベンゼン系溶媒、酢酸エチル、酢酸イソプロピル、酢酸ブチル等のエステル系溶媒、ジエチルエーテル、ジイソプロピルエーテル、メチル-t-ブチルエーテル等のエーテル系溶媒、ジクロロメタン、ジクロロエタン、クロロホルム、四塩化炭素等のハロゲン系溶媒、ヘキサン、ヘプタン、シクロヘキサン、メチルシクロヘキサン等の炭化水素系溶媒等の水と相溶することのない溶媒を追加することが可能である。また、これらの溶媒は、単独で使用することも、2種類以上で任意の割合で混合することも可能である。分液の回数は特に制限されることがなく、目的とする純度や収量に応じて実施することができる。また、本反応において、分液操作は必須ではない。
前記で得られた式(1a)で表される化合物を含む反応混合物は、硫酸ナトリウムや硫酸マグネシウム等の乾燥剤で水分を除去することができるが、必須ではない。
前記で得られた式(1a)で表される化合物を含む反応混合物は、化合物が分解しない限りにおいて、減圧下で溶媒留去することが可能である。
溶媒留去後に得られた式(1a)で表される化合物を含む反応混合物は、適当な溶媒により、洗浄、再沈殿、再結晶、カラムクロマトグラフィー等にて精製することができる。目的とする純度に応じて適宜設定すればよい。
溶媒留去後に得られた式(1a)で表される化合物を含む反応混合物は、適当な溶媒により、洗浄、再沈殿、再結晶、カラムクロマトグラフィー等にて精製することができる。目的とする純度に応じて適宜設定すればよい。
以下、酸化剤がベンゾキノン類である方法について説明する。
本反応に使用する酸化剤の量は、式(1b)で表される化合物に対して1当量以上あれば、目的とする反応が進行する限りにおいて特に限定されることはないが、通常、1当量以上20当量以下である。
本反応に使用する酸化剤の量は、式(1b)で表される化合物に対して1当量以上あれば、目的とする反応が進行する限りにおいて特に限定されることはないが、通常、1当量以上20当量以下である。
本反応に使用する溶媒は、目的とする反応が進行する限りにおいて特に限定されることはないが、ベンゼン、トルエン、キシレン、メシチレン、クロロベンゼン、ジクロロベンゼン等のベンゼン系溶媒、ジクロロメタン、ジクロロエタン、クロロホルム、四塩化炭素等のハロゲン系溶媒等が挙げられる。これらの溶媒は、単独または2種類以上を任意の割合で混合して使用することができる。
本反応に使用する溶媒量は、目的とする反応が進行する限りにおいて特に限定されることはないが、通常、式(1b)で表される化合物に対して3重量倍以上200重量倍以下である。
本反応を行う際の温度は、目的とする反応が進行する限りにおいて特に限定されることはないが、通常、0℃以上150℃以下または溶媒の沸点以下である。
反応の後処理としては、反応混合物に対して、水または適当な水溶液を加えることにより、分液操作を行うことが可能である。水溶液を使用する場合は、塩酸、硫酸等を溶解した酸性水溶液、水酸化カリウム、水酸化ナトリウム、炭酸ナトリウム、炭酸カリウム、炭酸水素ナトリウム、炭酸水素カリウム等を溶解したアルカリ水溶液や食塩水等を任意に使用することができる。分液操作の際に、必要に応じて、トルエン、キシレン、ベンゼン、クロロベンゼン、ジクロロベンゼン等のベンゼン系溶媒、酢酸エチル、酢酸イソプロピル、酢酸ブチル等のエステル系溶媒、ジエチルエーテル、ジイソプロピルエーテル、メチル-t-ブチルエーテル等のエーテル系溶媒、ジクロロメタン、ジクロロエタン、クロロホルム、四塩化炭素等のハロゲン系溶媒、ヘキサン、ヘプタン、シクロヘキサン、メチルシクロヘキサン等の炭化水素系溶媒等の水と相溶することのない溶媒を追加することが可能である。また、これらの溶媒は、単独で使用することも、2種類以上で任意の割合で混合することも可能である。分液の回数は特に制限されることがなく、目的とする純度や収量に応じて実施することができる。また、本反応において、分液操作は必須ではない。
前記で得られた式(1a)で表される化合物を含む反応混合物は、硫酸ナトリウムや硫酸マグネシウム等の乾燥剤で水分を除去することができるが、必須ではない。
前記で得られた式(1a)で表される化合物を含む反応混合物は、化合物が分解しない限りにおいて、減圧下で溶媒留去することが可能である。
溶媒留去後に得られた式(1a)で表される化合物を含む反応混合物は、適当な溶媒により、洗浄、再沈殿、再結晶、カラムクロマトグラフィー等にて精製することができる。目的とする純度に応じて適宜設定すればよい。
溶媒留去後に得られた式(1a)で表される化合物を含む反応混合物は、適当な溶媒により、洗浄、再沈殿、再結晶、カラムクロマトグラフィー等にて精製することができる。目的とする純度に応じて適宜設定すればよい。
以下、酸化剤がラジカル開始剤とハロゲン化剤との組み合わせである方法について説明する。
本反応に使用するラジカル開始剤とハロゲン化剤の量は、それぞれ、式(1b)で表される化合物に対して0.01当量以上と1.0当量以上あれば、目的とする反応が進行する限りにおいて特に限定されることはない。好ましくは、ラジカル開始剤が0.01当量以上1当量以下であり、ハロゲン化剤が1当量以上3当量以下である。
本反応に使用するラジカル開始剤とハロゲン化剤の量は、それぞれ、式(1b)で表される化合物に対して0.01当量以上と1.0当量以上あれば、目的とする反応が進行する限りにおいて特に限定されることはない。好ましくは、ラジカル開始剤が0.01当量以上1当量以下であり、ハロゲン化剤が1当量以上3当量以下である。
本反応に使用する溶媒は、目的とする反応が進行する限りにおいて特に限定されることはないが、クロロベンゼン、ジクロロベンゼン等のハロゲン化ベンゼン系溶媒、酢酸エチル、酢酸イソプロピル、酢酸ブチル等のエステル系溶媒、ジクロロメタン、ジクロロエタン、クロロホルム、四塩化炭素等のハロゲン系溶媒、ヘキサン、ヘプタン、シクロヘキサン、メチルシクロヘキサン等の炭化水素系溶媒等が挙げられる。これらの溶媒は、単独または2種類以上を任意の割合で混合して使用することができる。
本反応に使用する溶媒量は、目的とする反応が進行する限りにおいて特に限定されることはないが、通常、式(1b)で表される化合物に対して3重量倍以上200重量倍以下である。
本反応を行う際の温度は、目的とする反応が進行する限りにおいて特に限定されることはないが、通常、20℃以上150℃以下または溶媒の沸点以下である。
反応の後処理としては、反応混合物に対して、水または適当な水溶液を加えることにより、分液操作を行うことが可能である。水溶液を使用する場合は、塩酸、硫酸等を溶解した酸性水溶液、水酸化カリウム、水酸化ナトリウム、炭酸ナトリウム、炭酸カリウム、炭酸水素ナトリウム、炭酸水素カリウム等を溶解したアルカリ水溶液、チオ硫酸ナトリウム、亜硫酸ナトリウム等の硫黄を含む塩を溶解した水溶液や食塩水等を任意に使用することができる。分液操作の際に、必要に応じて、トルエン、キシレン、ベンゼン、クロロベンゼン、ジクロロベンゼン等のベンゼン系溶媒、酢酸エチル、酢酸イソプロピル、酢酸ブチル等のエステル系溶媒、ジエチルエーテル、ジイソプロピルエーテル、メチル-t-ブチルエーテル等のエーテル系溶媒、ジクロロメタン、ジクロロエタン、クロロホルム等のハロゲン系溶媒、ヘキサン、ヘプタン、シクロヘキサン、メチルシクロヘキサン等の炭化水素系溶媒等の水と相溶することのない溶媒を追加することが可能である。また、これらの溶媒は、単独で使用することも、2種類以上で任意の割合で混合することも可能である。分液の回数は特に制限されることがなく、目的とする純度や収量に応じて実施することができる。
前記で得られた式(1a)で表される化合物を含む反応混合物は、硫酸ナトリウムや硫酸マグネシウム等の乾燥剤で水分を除去することができるが、必須ではない。
前記で得られた式(1a)で表される化合物を含む反応混合物は、化合物が分解しない限りにおいて、減圧下で溶媒留去することが可能である。
溶媒留去後に得られた式(1a)で表される化合物を含む反応混合物は、適当な溶媒により、洗浄、再沈殿、再結晶、カラムクロマトグラフィー等にて精製することができる。目的とする純度に応じて適宜設定すればよい。
溶媒留去後に得られた式(1a)で表される化合物を含む反応混合物は、適当な溶媒により、洗浄、再沈殿、再結晶、カラムクロマトグラフィー等にて精製することができる。目的とする純度に応じて適宜設定すればよい。
式中、R3bはハロゲン原子を表し、HalRはハロゲン化剤を表し、R1、R2、X、Yおよびnは前記と同義である。
製造方法Fは、式(1a)で表される化合物のうち、R3bがハロゲン原子を表す式(1a-b)で表される化合物を得る製造方法であって、式(1a-a)で表される化合物とハロゲン化剤(HalR)とを、溶媒中で反応させることを含む製造方法である。
本反応に使用するハロゲン化剤としては、セレクトロフルオル(N-フルオロ-N’-トリエチレンジアミン ビス(テトラフルオロボラート))、N-クロロスクシンイミド、N-ブロモスクシンイミド、N-ヨードスクシンイミド、1,3-ジクロロ-5,5-ジメチルヒダントイン、1,3-ジブロモ-5,5-ジメチルヒダントイン、1,3-ジヨード-5,5-ジメチルヒダントイン、臭素、ヨウ素等が挙げられる。
本反応に使用するハロゲン化剤の量は、式(1a-a)で表される化合物に対して1当量以上あれば、目的とする反応が進行する限りにおいて特に制限されることはないが、好ましくは、1当量以上10当量以下である。ただし、ヒダントインを含むハロゲン化剤の量は、0.5当量以上あれば、目的とする反応が進行する限りにおいて特に制限されることはなく、好ましくは、1当量以上5当量以下である。
本反応に使用するハロゲン化剤がヨウ素化剤である場合、塩酸、硫酸等の無機酸類や、酢酸、トリフルオロ酢酸、メタンスルホン酸、トリフルオロメタンスルホン酸等の有機酸のような酸を加えることができる。
本反応に使用するハロゲン化剤がヨウ素化剤である場合に使用する酸の量は、式(1a-a)で表される化合物に対して0.01当量以上あれば、目的とする反応が進行する限りにおいて特に制限されることはないが、好ましくは、0.1当量以上3当量以下である。
本反応に使用するハロゲン化剤がヨウ素化剤である場合に使用する酸の量は、式(1a-a)で表される化合物に対して0.01当量以上あれば、目的とする反応が進行する限りにおいて特に制限されることはないが、好ましくは、0.1当量以上3当量以下である。
本反応に使用する溶媒は、目的とする反応が進行する限りにおいて特に限定されることはないが、硫酸、酢酸、トリフルオロ酢酸、メタンスルホン酸、トリフルオロメタンスルホン酸等の酸性系溶媒、ジエチルエーテル、ジイソプロピルエーテル、メチル-t-ブチルエーテル、ジメトキシエタン、テトラヒドロフラン、ジオキサン等のエーテル系溶媒、メタノール、エタノール、イソプロパノール等のアルコール系溶媒、ベンゼン、トルエン、キシレン、メシチレン、クロロベンゼン、ジクロロベンゼン等のベンゼン系溶媒、酢酸エチル、酢酸イソプロピル、酢酸ブチル等のエステル系溶媒、アセトニトリル等のニトリル系溶媒、N-メチルピロリドン、N,N-ジメチルホルムアミド、N,N-ジメチルアセトアミド等のアミド系溶媒、1,3-ジメチル-2-イミダゾリジノン等のウレア系溶媒、ジクロロメタン、ジクロロエタン、クロロホルム、四塩化炭素等のハロゲン系溶媒等が挙げられる。これらの溶媒は、単独または2種類以上を任意の割合で混合して使用することができる。
本反応に使用する溶媒量は、目的とする反応が進行する限りにおいて特に限定されることはないが、通常、式(1a-a)で表される化合物に対して3重量倍以上200重量倍以下である。
本反応を行う際の温度は、目的とする反応が進行する限りにおいて特に限定されることはないが、通常、0℃以上150℃以下または溶媒の沸点以下である。
反応の後処理としては、反応混合物に対して、水または適当な水溶液を加えることにより、分液操作を行うことが可能である。水溶液を使用する場合は、塩酸、硫酸等を溶解した酸性水溶液、水酸化カリウム、水酸化ナトリウム、炭酸ナトリウム、炭酸カリウム、炭酸水素ナトリウム、炭酸水素カリウム等を溶解したアルカリ水溶液、チオ硫酸ナトリウム、亜硫酸ナトリウム等の硫黄を含む塩を溶解した水溶液や食塩水等を任意に使用することができる。分液操作の際に、必要に応じて、トルエン、キシレン、ベンゼン、クロロベンゼン、ジクロロベンゼン等のベンゼン系溶媒、酢酸エチル、酢酸イソプロピル、酢酸ブチル等のエステル系溶媒、ジエチルエーテル、ジイソプロピルエーテル、メチル-t-ブチルエーテル等のエーテル系溶媒、ジクロロメタン、ジクロロエタン、クロロホルム、四塩化炭素等のハロゲン系溶媒、ヘキサン、ヘプタン、シクロヘキサン、メチルシクロヘキサン等の炭化水素系溶媒等の水と相溶することのない溶媒を追加することが可能である。また、これらの溶媒は、単独で使用することも、2種類以上で任意の割合で混合することも可能である。分液の回数は特に制限されることがなく、目的とする純度や収量に応じて実施することができる。
前記で得られた式(1a-b)で表される化合物を含む反応混合物は、硫酸ナトリウムや硫酸マグネシウム等の乾燥剤で水分を除去することができるが、必須ではない。
前記で得られた式(1a-b)で表される化合物を含む反応混合物は、化合物が分解しない限りにおいて、減圧下で溶媒留去することが可能である。
溶媒留去後に得られた式(1a-b)で表される化合物を含む反応混合物は、適当な溶媒により、洗浄、再沈殿、再結晶、カラムクロマトグラフィー等にて精製することができる。目的とする純度に応じて適宜設定すればよい。
溶媒留去後に得られた式(1a-b)で表される化合物を含む反応混合物は、適当な溶媒により、洗浄、再沈殿、再結晶、カラムクロマトグラフィー等にて精製することができる。目的とする純度に応じて適宜設定すればよい。
式中、R3cは置換基Cで適宜置換されてもよいC1~C6のアルキル基、C1~C6のハロアルキル基、置換基Cで適宜置換されてもよいC3~C8のシクロアルキル基、置換基Cで適宜置換されてもよいC2~C6のアルケニル基、C2~C6のハロアルケニル基、置換基Cで適宜置換されてもよいC2~C6のアルキニル基、またはC2~C6のハロアルキニル基を表し、Jは酸素原子または硫黄原子を表し、Qは水素原子または金属を表し、R1、R2、R3b、X、Yおよびnは前記と同義である。
製造方法Gは、式(1a)で表される化合物のうち、R3cが、置換基Cで適宜置換されてもよいC1~C6のアルキル基、C1~C6のハロアルキル基、置換基Cで適宜置換されてもよいC3~C8のシクロアルキル基、置換基Cで適宜置換されてもよいC2~C6のアルケニル基、C2~C6のハロアルケニル基、置換基Cで適宜置換されてもよいC2~C6のアルキニル基、またはC2~C6のハロアルキニル基を表し、Jが酸素原子または硫黄原子を表す式(1a-c)で表される化合物の合成法であって、式(1a-b)で表される化合物とR3c-J-Qとを、遷移金属類の存在下に反応させるカップリング反応によって得ることを含む製造方法である。
式(1a-b)で表される化合物中、好ましいR3bは、塩素原子、臭素原子、またはヨウ素原子である。
本反応に使用するR3c-J-Qは、市販品として入手または公知の方法で製造できる。好ましいQは、水素原子、または、ナトリウム、カリウム等のアルカリ金属類である。
本反応に使用するR3c-J-Qの量は、式(1a-b)で表される化合物に対して1当量以上あれば、目的とする反応が進行する限りにおいて特に限定されることはない。Qが水素原子のときは、溶媒としても使用可能である。
本反応に使用するR3c-J-Qの量は、式(1a-b)で表される化合物に対して1当量以上あれば、目的とする反応が進行する限りにおいて特に限定されることはない。Qが水素原子のときは、溶媒としても使用可能である。
本反応に使用する遷移金属類は、配位子を有してよく、酢酸パラジウム、[1,1’-ビス(ジフェニルホスフィノ)フェロセン]パラジウムジクロリド、トリス(ジベンジリデンアセトン)ジパラジウム、テトラキス(トリフェニルホスフィン)パラジウム、ビス(トリフェニルホスフィン)パラジウムジクロリド等のパラジウム類等である。
本反応に使用する遷移金属類の量は、式(1a-b)で表される化合物に対して0.001当量以上1当量以下であるが、目的とする反応が進行する限りにおいて特に限定されることはない。
本反応を効率的に進行させるために、トリフェニルホスフィン、1,1’-ビス(ジフェニルホスフィノ)フェロセン、2-ジシクロヘキシルホスフィノ-2’4’6’-トリイソプロピルビフェニル、2-ジ-t-ブチルホスフィノ-2’4’6’-トリイソプロピルビフェニル等のホスフィン配位子を添加することができる。
本反応に使用するホスフィン配位子の量は、式(1a-b)で表される化合物に対して0.001当量以上1当量以下であるが、目的とする反応が進行する限りにおいて特に限定されることはない。
本反応に使用する塩基は、炭酸ナトリウム、炭酸カリウム、炭酸セシウムのような無機塩基類やトリエチルアミン、トリブチルアミン、ジイソプロピルエチルアミン等の有機塩基類等である。
本反応に使用する塩基の量は、式(1a-b)で表される化合物に対して1当量以上あれば、目的とする反応が進行する限りにおいて特に限定されることはないが、好ましくは、1当量以上50当量以下である。
本反応に使用する溶媒は、目的とする反応が進行する限りにおいて特に限定されることはないが、R3c-J-H(式中、R3cは前記と同義であり、Jは酸素原子である)で表されるアルコール溶媒、ジエチルエーテル、ジイソプロピルエーテル、メチル-t-ブチルエーテル、ジメトキシエタン、テトラヒドロフラン、ジオキサン等のエーテル系溶媒、ベンゼン、トルエン、キシレン、メシチレン、クロロベンゼン、ジクロロベンゼン等のベンゼン系溶媒等が挙げられる。これらの溶媒は、単独または2種類以上を任意の割合で混合して使用することができる。
本反応に使用する溶媒量は、目的とする反応が進行する限りにおいて特に限定されることはないが、通常、式(1a-b)で表される化合物に対して3重量倍以上200重量倍以下である。
本反応を行う際の温度は、目的とする反応が進行する限りにおいて特に限定されることはないが、通常、30℃以上200℃以下または溶媒の沸点以下である。
反応の後処理としては、反応混合物に対して、水または適当な水溶液を加えることにより、分液操作を行うことが可能である。水溶液を使用する場合は、塩酸、硫酸等を溶解した酸性水溶液、水酸化カリウム、水酸化ナトリウム、炭酸ナトリウム、炭酸カリウム、炭酸水素ナトリウム、炭酸水素カリウム等を溶解したアルカリ水溶液や食塩水等を任意に使用することができる。分液操作の際に、必要に応じて、トルエン、キシレン、ベンゼン、クロロベンゼン、ジクロロベンゼン等のベンゼン系溶媒、酢酸エチル、酢酸イソプロピル、酢酸ブチル等のエステル系溶媒、ジエチルエーテル、ジイソプロピルエーテル、メチル-t-ブチルエーテル等のエーテル系溶媒、ジクロロメタン、ジクロロエタン、クロロホルム、四塩化炭素等のハロゲン系溶媒、ヘキサン、ヘプタン、シクロヘキサン、メチルシクロヘキサン等の炭化水素系溶媒等の水と相溶することのない溶媒を追加することが可能である。また、これらの溶媒は、単独で使用することも、2種類以上で任意の割合で混合することも可能である。分液の回数は特に制限されることがなく、目的とする純度や収量に応じて実施することができる。また、濾過操作を行うことにより、不溶物を除去することも可能であるが必須ではない。
前記で得られた式(1a-c)で表される化合物を含む反応混合物は、化合物が分解しない限りにおいて、減圧下で溶媒留去することが可能である。
溶媒留去後に得られた式(1a-c)で表される化合物を含む反応混合物は、適当な溶媒により、洗浄、再沈殿、再結晶、カラムクロマトグラフィー等にて精製することができる。目的とする純度に応じて適宜設定すればよい。
溶媒留去後に得られた式(1a-c)で表される化合物を含む反応混合物は、適当な溶媒により、洗浄、再沈殿、再結晶、カラムクロマトグラフィー等にて精製することができる。目的とする純度に応じて適宜設定すればよい。
式中、R3dは置換基Cで適宜置換されてもよいC1~C6のアルキル基、C1~C6のハロアルキル基、置換基Cで適宜置換されてもよいC3~C8のシクロアルキル基、置換基Cで適宜置換されてもよいC2~C6のアルケニル基、またはC2~C6のハロアルケニル基を表し、R3d-Bは有機ボロン酸類を表し、R1、R2、R3b、X、Yおよびnは前記と同義である。
製造方法Hは、式(1a)で表される化合物のうち、R3dが置換基Cで適宜置換されてもよいC1~C6のアルキル基、C1~C6のハロアルキル基、置換基Cで適宜置換されてもよいC3~C8のシクロアルキル基、置換基Cで適宜置換されてもよいC2~C6のアルケニル基、またはC2~C6のハロアルケニル基である式(1a-d)で表される化合物の合成方法であって、式(1a-b)で表される化合物と有機ボロン酸類(R3d-B)とを遷移金属類および塩基の存在下で反応させる鈴木-宮浦カップリングによって得ることを含む製造方法である。
式(1a-b)中、好ましいR3bは、塩素原子、臭素原子、またはヨウ素原子である。
本反応に使用するR3d-Bは、有機ボロン酸や有機ボロン酸エステル等の有機ボロン酸類を表し、市販品として入手または公知の方法で製造できる。
本反応に使用するR3d-Bの量は、式(1a-b)で表される化合物に対して、1当量以上あれば、目的とする反応が進行する限りにおいて特に限定されることはないが、好ましくは、1当量以上10当量以下である。
本反応に使用するR3d-Bの量は、式(1a-b)で表される化合物に対して、1当量以上あれば、目的とする反応が進行する限りにおいて特に限定されることはないが、好ましくは、1当量以上10当量以下である。
本反応に使用する遷移金属類は、パラジウム、ニッケル、ルテニウム等であり、配位子を有してよい。好ましくは、酢酸パラジウム、[1,1’-ビス(ジフェニルホスフィノ)フェロセン]パラジウムジクロリド、トリス(ジベンジリデンアセトン)ジパラジウム、テトラキス(トリフェニルホスフィン)パラジウム、ビス(トリフェニルホスフィン)パラジウムジクロリド等のパラジウム類が挙げられる。
本反応に使用する遷移金属類の量は、式(1a-b)で表される化合物に対して0.001当量以上1当量以下であるが、目的とする反応が進行する限りにおいて特に限定されることはない。
本反応を効率的に進行させるために、トリフェニルホスフィン、トリシクロヘキシルホスフィン等のホスフィン配位子を添加することができる。
本反応に使用するホスフィン配位子の量は、式(1a-b)で表される化合物に対して0.001当量以上1当量以下であるが、目的とする反応が進行する限りにおいて特に限定されることはない。
本反応に使用するホスフィン配位子の量は、式(1a-b)で表される化合物に対して0.001当量以上1当量以下であるが、目的とする反応が進行する限りにおいて特に限定されることはない。
本反応に使用する塩基は、炭酸ナトリウム、炭酸カリウム、炭酸セシウム、リン酸三カリウムのような無機塩基類やナトリウムメトキシド、ナトリウムエトキシド、カリウム t-ブトキシド等の金属アルコキシド類等である。
本反応に使用する塩基の量は、式(1a-b)で表される化合物に対して1当量以上あれば、目的とする反応が進行する限りにおいて特に限定されることはないが、好ましくは、1当量以上50当量以下である。
本反応に使用する溶媒は、目的とする反応が進行する限りにおいて特に限定されることはないが、水溶媒、ジエチルエーテル、ジイソプロピルエーテル、メチル-t-ブチルエーテル、ジメトキシエタン、テトラヒドロフラン、ジオキサン等のエーテル系溶媒、ベンゼン、トルエン、キシレン、メシチレン、クロロベンゼン、ジクロロベンゼン等のベンゼン系溶媒等が挙げられる。これらの溶媒は、単独または2種類以上を任意の割合で混合して使用することができる。
本反応に使用する溶媒量は、目的とする反応が進行する限りにおいて特に限定されることはないが、通常、式(1a-b)で表される化合物に対して3重量倍以上200重量倍以下である。
本反応を行う際の温度は、目的とする反応が進行する限りにおいて特に限定されることはないが、通常、30℃以上200℃以下または溶媒の沸点以下である。
反応の後処理としては、反応混合物に対して、水または適当な水溶液を加えることにより、分液操作を行うことが可能である。水溶液を使用する場合は、塩酸、硫酸等を溶解した酸性水溶液、水酸化カリウム、水酸化ナトリウム、炭酸ナトリウム、炭酸カリウム、炭酸水素ナトリウム、炭酸水素カリウム等を溶解したアルカリ水溶液や食塩水等を任意に使用することができる。分液操作の際に、必要に応じて、トルエン、キシレン、ベンゼン、クロロベンゼン、ジクロロベンゼン等のベンゼン系溶媒、酢酸エチル、酢酸イソプロピル、酢酸ブチル等のエステル系溶媒、ジエチルエーテル、ジイソプロピルエーテル、メチル-t-ブチルエーテル等のエーテル系溶媒、ジクロロメタン、ジクロロエタン、クロロホルム、四塩化炭素等のハロゲン系溶媒、ヘキサン、ヘプタン、シクロヘキサン、メチルシクロヘキサン等の炭化水素系溶媒等の水と相溶することのない溶媒を追加することが可能である。また、これらの溶媒は、単独で使用することも、2種類以上で任意の割合で混合することも可能である。分液の回数は特に制限されることがなく、目的とする純度や収量に応じて実施することができる。また、濾過操作を行うことにより、不溶物を除去することも可能であるが必須ではない。
前記で得られた式(1a-d)で表される化合物を含む反応混合物は、化合物が分解しない限りにおいて、減圧下で溶媒留去することが可能である。
溶媒留去後に得られた式(1a-d)で表される化合物を含む反応混合物は、適当な溶媒により、洗浄、再沈殿、再結晶、カラムクロマトグラフィー等にて精製することができる。目的とする純度に応じて適宜設定すればよい。
式中、R3eは置換基Cで適宜置換されてもよいC2~C6のアルキニル基、またはC2~C6のハロアルキニル基を表し、R1、R2、R3b、X、Yおよびnは前記と同義である。
製造方法Iは、式(1a)で表される化合物のうち、R3eが置換基Cで適宜置換されてもよいC2~C6のアルキニル基、またはC2~C6のハロアルキニル基である式(1a-e)で表される化合物の合成方法であって、(1a-b)で表される化合物と末端アルキン化合物とを遷移金属類および塩基の存在下で反応させる園頭カップリングによって得ることを含む製造方法である。
式(1a-b)中、好ましいR3bは、塩素原子、臭素原子、またはヨウ素原子である。
本反応に使用する末端アルキン化合物は、市販品として入手または公知の方法で製造することができる。また、末端アルキン化合物として、トリメチルシリルアセチレンも使用することができる。この場合は、式(1a-b)で表される化合物にトリメチルシリルエチニル基を導入後、脱シリル化を行う必要がある。脱シリル化については、ジャーナル オブ ザ アメリカン ケミカル ソサエティー(Journal of the American Chemical Society)、第131巻、2号、634-643頁(2009).およびジャーナル オブ オルガノメタリック ケミストリー(Journal of Organometallic Chemistry)、696巻、25号、4039-4045頁(2011).等の非特許文献を参考にして行うことができる。
本反応に使用する末端アルキン化合物の量は、式(1a-b)で表される化合物に対して1当量以上あれば、目的とする反応が進行する限りにおいて特に限定されることはないが、好ましくは、1当量以上10当量以下である。
本反応に使用する遷移金属類は、配位子を有してよく、酢酸パラジウム、[1,1’-ビス(ジフェニルホスフィノ)フェロセン]パラジウムジクロリド、トリス(ジベンジリデンアセトン)ジパラジウム、テトラキス(トリフェニルホスフィン)パラジウム、ビス(トリフェニルホスフィン)パラジウムジクロリド等のパラジウム類等である。また、塩化銅、臭化銅、ヨウ化銅等の銅類も同時に使用する。
本反応に使用する遷移金属類の量は、パラジウム類等および銅類が、それぞれ式(1a-b)で表される化合物に対して0.001当量以上あればよく、目的とする反応が進行する限りにおいて特に制限されることはない。好ましい量は、双方ともに0.001当量以上1当量以下である。
本反応に使用する塩基は、トリエチルアミン、トリブチルアミン、イソプロピルアミン、ジエチルアミン、ジイソプロピルアミン、ジイソプロピルエチルアミン等の有機アミン類や、炭酸ナトリウム、炭酸カリウム、炭酸セシウム等の無機塩基類等が挙げられる。
本反応に使用する塩基の量は、式(1a-b)で表される化合物に対して1当量以上あれば、目的とする反応が進行する限りにおいて特に限定されることはないが、好ましくは、1当量以上50当量以下である。また、有機塩基で液体状のものに関しては、溶媒として使用することができる。
本反応を効率的に進行させるために、トリt-ブチルホスフィン、2-ジシクロヘキシルホスフィノ-2’4’6’-トリイソプロピルビフェニル等のホスフィン配位子を添加することができるが、必須ではない。
本反応に使用するホスフィン配位子の量は、式(1a-b)で表される化合物に対して0.001当量以上1当量以下であるが、目的とする反応が進行する限りにおいて特に限定されることはない。
本反応に使用する溶媒は、目的とする反応が進行する限りにおいて特に限定されることはないが、ジエチルエーテル、ジイソプロピルエーテル、メチル-t-ブチルエーテル、ジメトキシエタン、テトラヒドロフラン、ジオキサン等のエーテル系溶媒、ベンゼン、トルエン、キシレン、メシチレン、クロロベンゼン、ジクロロベンゼン等のベンゼン系溶媒、酢酸エチル、酢酸イソプロピル、酢酸ブチル等のエステル系溶媒、アセトニトリル等のニトリル系溶媒、N-メチルピロリドン、N,N-ジメチルホルムアミド、N,N-ジメチルアセトアミド等のアミド系溶媒、1,3-ジメチル-2-イミダゾリジノン等のウレア系溶媒、ジクロロメタン、ジクロロエタン、クロロホルム、四塩化炭素等のハロゲン系溶媒、トリエチルアミン、トリブチルアミン、イソプロピルアミン、ジエチルアミン、ジイソプロピルアミン、ジイソプロピルエチルアミン等の有機アミン溶媒等が挙げられる。これらの溶媒は、単独または2種類以上を任意の割合で混合して使用することができる。
本反応に使用する溶媒量は、目的とする反応が進行する限りにおいて特に限定されることはないが、通常、式(1a-b)で表される化合物に対して3重量倍以上200重量倍以下である。
本反応を行う際の温度は、目的とする反応が進行する限りにおいて特に限定されることはないが、通常、0℃以上150℃以下または溶媒の沸点以下である。
反応の後処理としては、反応混合物に対して、水または適当な水溶液を加えることにより、分液操作を行うことが可能である。水溶液を使用する場合は、塩酸、硫酸等を溶解した酸性水溶液、水酸化カリウム、水酸化ナトリウム、炭酸ナトリウム、炭酸カリウム、炭酸水素ナトリウム、炭酸水素カリウム等を溶解したアルカリ水溶液や食塩水等を任意に使用することができる。分液操作の際に、必要に応じて、トルエン、キシレン、ベンゼン、クロロベンゼン、ジクロロベンゼン等のベンゼン系溶媒、酢酸エチル、酢酸イソプロピル、酢酸ブチル等のエステル系溶媒、ジエチルエーテル、ジイソプロピルエーテル、メチル-t-ブチルエーテル等のエーテル系溶媒、ジクロロメタン、ジクロロエタン、クロロホルム、四塩化炭素等のハロゲン系溶媒、ヘキサン、ヘプタン、シクロヘキサン、メチルシクロヘキサン等の炭化水素系溶媒等の水と相溶することのない溶媒を追加することが可能である。また、これらの溶媒は単独で使用することも、2種類以上で任意の割合で混合することも可能である。分液の回数は特に制限されることがなく、目的とする純度や収量に応じて実施することができる。また、濾過操作を行うことにより、不溶物を除去することも可能であるが必須ではない。
前記で得られた式(1a-e)で表される化合物を含む反応混合物は、化合物が分解しない限りにおいて、減圧下で溶媒留去することが可能である。
溶媒留去後に得られた式(1a-e)で表される化合物を含む反応混合物は、適当な溶媒により、洗浄、再沈殿、再結晶、カラムクロマトグラフィー等にて精製することができる。目的とする純度に応じて適宜設定すればよい。
溶媒留去後に得られた式(1a-e)で表される化合物を含む反応混合物は、適当な溶媒により、洗浄、再沈殿、再結晶、カラムクロマトグラフィー等にて精製することができる。目的とする純度に応じて適宜設定すればよい。
式中、R2aはC1~C6のアルコキシ基を表し、nbは0~4の整数(ただし、nbが2以上のときは、2以上のR2はそれぞれ独立した置換基を表す。)を表し、R1、R2、R3、X、Yおよび破線部は前記と同義である。
製造方法Jは、式(1)で表される化合物のうち、水酸基を有する式(1-b)で表される化合物の合成方法であって、R2aがC1~C6のアルコキシ基である式(1-a)で表される化合物と酸とを反応させることによって得ることを含む製造方法である。
本反応に使用する酸として、三塩化ホウ素、三臭化ホウ素等のハロゲン化ホウ素類等がある。
本反応に使用する酸の量は、式(1-a)で表される化合物に対して1当量以上あればよく、目的とする反応が進行する限りにおいて特に制限されることはないが、好ましくは、1当量以上10当量以下である。
本反応に使用する溶媒は、目的とする反応が進行する限りにおいて特に限定されることはないが、ベンゼン、トルエン、キシレン、メシチレン、クロロベンゼン、ジクロロベンゼン等のベンゼン系溶媒、アセトニトリル等のニトリル系溶媒、ジクロロメタン、ジクロロエタン、クロロホルム、四塩化炭素等のハロゲン系溶媒、ヘキサン、ヘプタン、シクロヘキサン、メチルシクロヘキサン等の炭化水素系溶媒等が挙げられる。これらの溶媒は、単独または2種類以上を任意の割合で混合して使用することができる。
本反応に使用する溶媒量は、目的とする反応が進行する限りにおいて特に限定されることはないが、通常、式(1-a)で表される化合物に対して3重量倍以上200重量倍以下である。
本反応を行う際の温度は、目的とする反応が進行する限りにおいて特に限定されることはないが、通常、-80℃以上100℃以下または溶媒の沸点以下である。
反応の後処理としては、反応混合物に対して、水または適当な水溶液を加えることにより、分液操作を行うことが可能である。水溶液を使用する場合は、塩酸、硫酸等を溶解した酸性水溶液、水酸化カリウム、水酸化ナトリウム、炭酸ナトリウム、炭酸カリウム、炭酸水素ナトリウム、炭酸水素カリウム等を溶解したアルカリ水溶液や食塩水等を任意に使用することができる。分液操作の際に、必要に応じて、トルエン、キシレン、ベンゼン、クロロベンゼン、ジクロロベンゼン等のベンゼン系溶媒、酢酸エチル、酢酸イソプロピル、酢酸ブチル等のエステル系溶媒、ジエチルエーテル、ジイソプロピルエーテル、メチル-t-ブチルエーテル等のエーテル系溶媒、ジクロロメタン、ジクロロエタン、クロロホルム、四塩化炭素等のハロゲン系溶媒、ヘキサン、ヘプタン、シクロヘキサン、メチルシクロヘキサン等の炭化水素系溶媒等の水と相溶することのない溶媒を追加することが可能である。また、これらの溶媒は、単独で使用することも、2種類以上で任意の割合で混合することも可能である。分液の回数は特に制限されることがなく、目的とする純度や収量に応じて実施することができる。
前記で得られた式(1-b)で表される化合物を含む反応混合物は、硫酸ナトリウムや硫酸マグネシウム等の乾燥剤で水分を除去することができるが、必須ではない。
前記で得られた式(1-b)で表される化合物を含む反応混合物は、化合物が分解しない限りにおいて、減圧下で溶媒留去することが可能である。
溶媒留去後に得られた式(1-b)で表される化合物を含む反応混合物は、適当な溶媒により、洗浄、再沈殿、再結晶、カラムクロマトグラフィー等にて精製することができる。目的とする純度に応じて適宜設定すればよい。
溶媒留去後に得られた式(1-b)で表される化合物を含む反応混合物は、適当な溶媒により、洗浄、再沈殿、再結晶、カラムクロマトグラフィー等にて精製することができる。目的とする純度に応じて適宜設定すればよい。
式中、R2b-O-は、置換基Bで適宜置換されてもよいC1~C6のアルコキシ基、C1~C6のハロアルコキシ基、置換基Bで適宜置換されてもよいC3~C8のシクロアルコキシ基、置換基Bで適宜置換されてもよいC2~C6のアルケニルオキシ基、C2~C6のハロアルケニルオキシ基、置換基Bで適宜置換されてもよいC3~C6のアルキニルオキシ基、C3~C6のハロアルキニルオキシ基、またはR20C(=O)O-基を表し、Lv、R1、R2、R3、R20、X、Y、nbおよび破線部は前記と同義である。
製造方法Kは、式(1)で表される化合物のうち、R2b-O-が、置換基Bで適宜置換されてもよいC1~C6のアルコキシ基、C1~C6のハロアルコキシ基、置換基Bで適宜置換されてもよいC3~C8のシクロアルコキシ基、置換基Bで適宜置換されてもよいC2~C6のアルケニルオキシ基、C2~C6のハロアルケニルオキシ基、置換基Bで適宜置換されてもよいC3~C6のアルキニルオキシ基、C3~C6のハロアルキニルオキシ基、またはR20C(=O)O-基(R20は、前記と同義である。)を表す式(1-c)で表される化合物の合成方法であって、式(1-b)で表される化合物とR2b-Lvとを、塩基存在下、溶媒中で反応させることを含む製造方法である。
本反応に使用するR2b-Lvは、市販品として入手または公知の方法で製造することができる。
本反応に使用するR2b-Lvは、式(1-b)で表される化合物に対して1当量以上あればよく、目的とする反応が進行する限りにおいて特に制限されることはないが、好ましくは、1当量以上10当量以下である。
本反応に使用するR2b-Lvは、式(1-b)で表される化合物に対して1当量以上あればよく、目的とする反応が進行する限りにおいて特に制限されることはないが、好ましくは、1当量以上10当量以下である。
本反応に使用する塩基として、炭酸ナトリウム、炭酸カリウム、炭酸セシウム、水素化ナトリウム等の無機塩基類や、トリエチルアミン、トリブチルアミン、ジイソプロピルエチルアミン、ピリジン、4-ジメチルアミノピリジン、コリジン、ルチジン等の有機塩基類が例示されるが、目的とする反応が進行する限りにおいて特に限定されることはない。
本反応に使用する塩基は、式(1-b)で表される化合物に対して1当量以上あればよく、目的とする反応が進行する限りにおいて特に制限されることはないが、好ましくは、1当量以上10当量以下である。
本反応に使用する溶媒は、目的とする反応が進行する限りにおいて特に限定されることはないが、ジエチルエーテル、ジイソプロピルエーテル、メチル-t-ブチルエーテル、ジメトキシエタン、テトラヒドロフラン、ジオキサン等のエーテル系溶媒、メタノール、エタノール、イソプロパノール等のアルコール系溶媒、ベンゼン、トルエン、キシレン、メシチレン、クロロベンゼン、ジクロロベンゼン等のベンゼン系溶媒、酢酸エチル、酢酸イソプロピル、酢酸ブチル等のエステル系溶媒、アセトニトリル等のニトリル系溶媒、N-メチルピロリドン、N,N-ジメチルホルムアミド、N,N-ジメチルアセトアミド等のアミド系溶媒、1,3-ジメチル-2-イミダゾリジノン等のウレア系溶媒、ジクロロメタン、ジクロロエタン、クロロホルム、四塩化炭素等のハロゲン系溶媒、ジメチルスルホキシド、スルホラン等の硫黄系溶媒、アセトン、メチルエチルケトン、メチルイソブチルケトン等のケトン系溶媒等が挙げられる。これらの溶媒は、単独または2種類以上を任意の割合で混合して使用することができる。
本反応に使用する溶媒量は、目的とする反応が進行する限りにおいて特に限定されることはないが、通常、式(1-b)で表される化合物に対して3重量倍以上200重量倍以下である。
本反応を行う際の温度は、目的とする反応が進行する限りにおいて特に限定されることはないが、通常、-20℃以上150℃以下または溶媒の沸点以下である。
反応の後処理としては、反応混合物に対して、水または適当な水溶液を加えることにより、分液操作を行うことが可能である。水溶液を使用する場合は、塩酸、硫酸等を溶解した酸性水溶液、水酸化カリウム、水酸化ナトリウム、炭酸ナトリウム、炭酸カリウム、炭酸水素ナトリウム、炭酸水素カリウム等を溶解したアルカリ水溶液、チオ硫酸ナトリウム、亜硫酸ナトリウム等の硫黄を含む塩を溶解した水溶液や食塩水等を任意に使用することができる。分液操作の際に、必要に応じて、トルエン、キシレン、ベンゼン、クロロベンゼン、ジクロロベンゼン等のベンゼン系溶媒、酢酸エチル、酢酸イソプロピル、酢酸ブチル等のエステル系溶媒、ジエチルエーテル、ジイソプロピルエーテル、メチル-t-ブチルエーテル等のエーテル系溶媒、ジクロロメタン、ジクロロエタン、クロロホルム、四塩化炭素等のハロゲン系溶媒、ヘキサン、ヘプタン、シクロヘキサン、メチルシクロヘキサン等の炭化水素系溶媒等の水と相溶することのない溶媒を追加することが可能である。また、これらの溶媒は、単独で使用することも、2種類以上で任意の割合で混合することも可能である。分液の回数は特に制限されることがなく、目的とする純度や収量に応じて実施することができる。
前記で得られた式(1-c)で表される化合物を含む反応混合物は、硫酸ナトリウムや硫酸マグネシウム等の乾燥剤で水分を除去することができるが、必須ではない。
前記で得られた式(1-c)で表される化合物を含む反応混合物は、化合物が分解しない限りにおいて、減圧下で溶媒留去することが可能である。
溶媒留去後に得られた式(1-c)で表される化合物を含む反応混合物は、適当な溶媒により、洗浄、再沈殿、再結晶、カラムクロマトグラフィー等にて精製することができる。目的とする純度に応じて適宜設定すればよい。
溶媒留去後に得られた式(1-c)で表される化合物を含む反応混合物は、適当な溶媒により、洗浄、再沈殿、再結晶、カラムクロマトグラフィー等にて精製することができる。目的とする純度に応じて適宜設定すればよい。
式中、R2cはハロゲン原子を表し、R2dは置換基Bで適宜置換されてもよいC1~C6のアルキル基、C1~C6のハロアルキル基、置換基Bで適宜置換されてもよいC3~C8のシクロアルキル基、置換基Bで適宜置換されてもよいC2~C6のアルケニル基、またはC2~C6のハロアルケニル基を表し、R2d-Bは有機ボロン酸類を表し、R1、R2、R3、nb、X、Yおよび破線部は前記と同義である。
製造方法Lは、式(1)で表される化合物のうち、R2dが置換基Bで適宜置換されてもよいC1~C6のアルキル基、C1~C6のハロアルキル基、置換基Bで適宜置換されてもよいC3~C8のシクロアルキル基、置換基Bで適宜置換されてもよいC2~C6のアルケニル基、またはC2~C6のハロアルケニル基である式(1-e)で表される化合物の合成方法であって、式(1-d)で表される化合物と有機ボロン酸類(R2d-B)とを反応させる鈴木-宮浦カップリングによって得ることを含む製造方法である。
式(1-d)中、好ましいR2cは、塩素原子、臭素原子、またはヨウ素原子である。
製造方法Hにおける式(1a-b)で表される化合物とR3d-Bとを、それぞれ式(1-d)で表される化合物とR2d-Bとに代えて使用することにより、製造方法Hに準じて製造方法Lを実施することができる。
式中、R2eは置換基Bで適宜置換されてもよいC2~C6のアルキニル基、またはC2~C6のハロアルキニル基を表し、R1、R2、R2c、R3、nb、X、Yおよび破線部は前記と同義である。
製造方法Mは、式(1)で表される化合物のうち、R2eが置換基Bで適宜置換されてもよいC2~C6のアルキニル基、またはC2~C6のハロアルキニル基である式(1-f)で表される化合物の合成方法であって、式(1-d)で表される化合物と末端アルキン化合物とを反応させる園頭カップリングによって得ることを含む製造方法である。
式(1-d)で表される化合物中、好ましいR2cは、塩素原子、臭素原子、またはヨウ素原子である。
製造方法Iにおける式(1a-b)で表される化合物を式(1-d)で表される化合物に代えて使用することにより、製造方法Iに準じて製造方法Mを実施することができる。
式中、Daはハロゲン原子を表し、D1aはハロゲン原子を表し、D1bはC1~C6のアルコキシ基、C1~C6のハロアルコキシ基、またはC3~C8のシクロアルコキシ基を表し、Eはハロゲンで置換された炭素原子または窒素原子を表し、R1、R2、R3、n、X、Qおよび破線部は前記と同義である。
製造方法Nは、式(1)で表される化合物のうち、D1bがC1~C6のアルコキシ基、C1~C6のハロアルコキシ基、またはC3~C8のシクロアルコキシ基であり、Eがハロゲン原子で置換された炭素原子または窒素原子である式(1-h)で表される化合物の合成方法であって、式(1-g)で表される化合物とD1b-Qとを、溶媒中で反応させることを含む製造方法である。
本反応で使用されるD1b-Qは、市販品として入手または公知の方法で製造することができる。好ましいQは、水素原子、またはナトリウム、カリウム等のアルカリ金属類である。
本反応で使用されるD1b-Qの量は、式(1-g)で表される化合物に対して1当量以上あれば、目的とする反応が進行する限りにおいて特に限定されることはないが、好ましくは、1当量以上30当量以下である。また、Qが水素原子を表すときは、溶媒として使用することができる。
本反応に使用する塩基は、炭酸ナトリウム、炭酸カリウム、炭酸セシウム、水素化ナトリウム等の無機塩基類が好ましい。また、Qがアルカリ金属類のときは、塩基の使用は、必須ではない。
本反応に使用する塩基の量は、式(1-g)で表される化合物に対して1当量以上あれば、目的とする反応が進行する限りにおいて特に限定されることはないが、好ましくは、1当量以上30当量以下である。
本反応に使用する溶媒は、目的とする反応が進行する限りにおいて特に限定されることはないが、D1b-Hで表されるアルコール系溶媒、ジエチルエーテル、ジイソプロピルエーテル、メチル-t-ブチルエーテル、ジメトキシエタン、テトラヒドロフラン、ジオキサン等のエーテル系溶媒、ベンゼン、トルエン、キシレン、メシチレン、クロロベンゼン、ジクロロベンゼン等のベンゼン系溶媒、酢酸エチル、酢酸イソプロピル、酢酸ブチル等のエステル系溶媒、アセトニトリル等のニトリル系溶媒、N-メチルピロリドン、N,N-ジメチルホルムアミド、N,N-ジメチルアセトアミド等のアミド系溶媒、1,3-ジメチル-2-イミダゾリジノン等のウレア系溶媒、ジクロロメタン、ジクロロエタン、クロロホルム、四塩化炭素等のハロゲン系溶媒、ジメチルスルホキシド、スルホラン等の硫黄系溶媒、アセトン、メチルエチルケトン、メチルイソブチルケトン等のケトン系溶媒等が挙げられる。これらの溶媒は、単独または2種類以上を任意の割合で混合して使用することができる。
本反応に使用する溶媒量は、目的とする反応が進行する限りにおいて特に限定されることはないが、通常、式(1-g)で表される化合物に対して3重量倍以上200重量倍以下である。
本反応を行う際の温度は、目的とする反応が進行する限りにおいて特に限定されることはないが、通常、0℃以上150℃以下または溶媒の沸点以下である。
反応の後処理としては、反応混合物に対して、水または適当な水溶液を加えることにより、分液操作を行うことが可能である。水溶液を使用する場合は、塩酸、硫酸等を溶解した酸性水溶液、水酸化カリウム、水酸化ナトリウム、炭酸ナトリウム、炭酸カリウム、炭酸水素ナトリウム、炭酸水素カリウム等を溶解したアルカリ水溶液や食塩水等を任意に使用することができる。分液操作の際に、必要に応じて、トルエン、キシレン、ベンゼン、クロロベンゼン、ジクロロベンゼン等のベンゼン系溶媒、酢酸エチル、酢酸イソプロピル、酢酸ブチル等のエステル系溶媒、ジエチルエーテル、ジイソプロピルエーテル、メチル-t-ブチルエーテル等のエーテル系溶媒、ジクロロメタン、ジクロロエタン、クロロホルム、四塩化炭素等のハロゲン系溶媒、ヘキサン、ヘプタン、シクロヘキサン、メチルシクロヘキサン等の炭化水素系溶媒等の水と相溶することのない溶媒を追加することが可能である。また、これらの溶媒は、単独で使用することも、2種類以上で任意の割合で混合することも可能である。分液の回数は特に制限されることがなく、目的とする純度や収量に応じて実施することができる。
前記で得られた式(1-h)で表される化合物を含む反応混合物は、硫酸ナトリウムや硫酸マグネシウム等の乾燥剤で水分を除去することができるが、必須ではない。
前記で得られた式(1-h)で表される化合物を含む反応混合物は、化合物が分解しない限りにおいて、減圧下で溶媒留去することが可能である。
溶媒留去後に得られた式(1-h)で表される化合物を含む反応混合物は、適当な溶媒により、洗浄、再沈殿、再結晶、カラムクロマトグラフィー等にて精製することができる。目的とする純度に応じて適宜設定すればよい。
溶媒留去後に得られた式(1-h)で表される化合物を含む反応混合物は、適当な溶媒により、洗浄、再沈殿、再結晶、カラムクロマトグラフィー等にて精製することができる。目的とする純度に応じて適宜設定すればよい。
式中、R2eは置換基Bで適宜置換されてもよいC1~C6のアルコキシ基を表し、R2fは置換基Bで適宜置換されてもよいC1~C6のアルコキシ基を表し、R2gはハロゲン原子を表し、HalR、R1、R3、X、Yおよび破線部は前記と同義である。
製造方法Oは、式(1)で表される化合物のうち、R2eが置換基Bで適宜置換されてもよいC1~C6のアルコキシ基であり、R2fが置換基Bで適宜置換されてもよいC1~C6のアルコキシ基であり、R2gがハロゲン原子である式(1-j)で表される化合物を得る製造方法であって、式(1-i)で表される化合物とハロゲン化剤(HalR)とを、溶媒中で反応させることを含む製造方法である。
本反応に使用するハロゲン化剤としては、セレクトロフルオル(N-フルオロ-N’-トリエチレンジアミン ビス(テトラフルオロボラート))、N-クロロスクシンイミド、N-ブロモスクシンイミド、N-ヨードスクシンイミド、1,3-ジクロロ-5,5-ジメチルヒダントイン、1,3-ジブロモ-5,5-ジメチルヒダントイン、1,3-ジヨード-5,5-ジメチルヒダントイン、臭素、ヨウ素等が挙げられる。
本反応に使用するハロゲン化剤の量は、式(1-i)で表される化合物に対して1当量以上あれば、目的とする反応が進行する限りにおいて特に制限されることはないが、好ましくは、1当量以上10当量以下である。ただし、ヒダントインを含むハロゲン化剤の量は、0.5当量以上あれば、目的とする反応が進行する限りにおいて特に制限されることはなく、好ましくは1当量以上5当量以下である。
本反応に使用するハロゲン化剤がヨウ素化剤である場合、塩酸、硫酸等の無機酸類や、酢酸、トリフルオロ酢酸、メタンスルホン酸、トリフルオロメタンスルホン酸等の有機酸のような酸を加えることができる。
本反応に使用するハロゲン化剤がヨウ素化剤である場合に使用する酸の量は、式(1-i)で表される化合物に対して0.01当量以上あれば、目的とする反応が進行する限りにおいて特に制限されることはないが、好ましくは、0.1当量以上3当量以下である。
本反応に使用するハロゲン化剤がヨウ素化剤である場合に使用する酸の量は、式(1-i)で表される化合物に対して0.01当量以上あれば、目的とする反応が進行する限りにおいて特に制限されることはないが、好ましくは、0.1当量以上3当量以下である。
本反応に使用する溶媒は、目的とする反応が進行する限りにおいて特に限定されることはないが、硫酸、酢酸、トリフルオロ酢酸、メタンスルホン酸、トリフルオロメタンスルホン酸等の酸性系溶媒、ジエチルエーテル、ジイソプロピルエーテル、メチル-t-ブチルエーテル、ジメトキシエタン、テトラヒドロフラン、ジオキサン等のエーテル系溶媒、メタノール、エタノール、イソプロパノール等のアルコール系溶媒、ベンゼン、トルエン、キシレン、メシチレン、クロロベンゼン、ジクロロベンゼン等のベンゼン系溶媒、酢酸エチル、酢酸イソプロピル、酢酸ブチル等のエステル系溶媒、アセトニトリル等のニトリル系溶媒、N-メチルピロリドン、N,N-ジメチルホルムアミド、N,N-ジメチルアセトアミド等のアミド系溶媒、1,3-ジメチル-2-イミダゾリジノン等のウレア系溶媒、ジクロロメタン、ジクロロエタン、クロロホルム、四塩化炭素等のハロゲン系溶媒等が挙げられる。これらの溶媒は、単独または2種類以上を任意の割合で混合して使用することができる。
本反応に使用する溶媒量は、目的とする反応が進行する限りにおいて特に限定されることはないが、通常、式(1-i)で表される化合物に対して3重量倍以上200重量倍以下である。
本反応を行う際の温度は、目的とする反応が進行する限りにおいて特に限定されることはないが、通常、0℃以上150℃以下または溶媒の沸点以下である。
反応の後処理としては、反応混合物に対して、水または適当な水溶液を加えることにより、分液操作を行うことが可能である。水溶液を使用する場合は、塩酸、硫酸等を溶解した酸性水溶液、水酸化カリウム、水酸化ナトリウム、炭酸ナトリウム、炭酸カリウム、炭酸水素ナトリウム、炭酸水素カリウム等を溶解したアルカリ水溶液、チオ硫酸ナトリウム、亜硫酸ナトリウム等の硫黄を含む塩を溶解した水溶液や食塩水等を任意に使用することができる。分液操作の際に、必要に応じて、トルエン、キシレン、ベンゼン、クロロベンゼン、ジクロロベンゼン等のベンゼン系溶媒、酢酸エチル、酢酸イソプロピル、酢酸ブチル等のエステル系溶媒、ジエチルエーテル、ジイソプロピルエーテル、メチル-t-ブチルエーテル等のエーテル系溶媒、ジクロロメタン、ジクロロエタン、クロロホルム、四塩化炭素等のハロゲン系溶媒、ヘキサン、ヘプタン、シクロヘキサン、メチルシクロヘキサン等の炭化水素系溶媒等の水と相溶することのない溶媒を追加することが可能である。また、これらの溶媒は、単独で使用することも、2種類以上で任意の割合で混合することも可能である。分液の回数は特に制限されることがなく、目的とする純度や収量に応じて実施することができる。
前記で得られた式(1-j)で表される化合物を含む反応混合物は、硫酸ナトリウムや硫酸マグネシウム等の乾燥剤で水分を除去することができるが、必須ではない。
前記で得られた式(1-j)で表される化合物を含む反応混合物は、化合物が分解しない限りにおいて、減圧下で溶媒留去することが可能である。
溶媒留去後に得られた式(1-j)で表される化合物を含む反応混合物は、適当な溶媒により、洗浄、再沈殿、再結晶、カラムクロマトグラフィー等にて精製することができる。目的とする純度に応じて適宜設定すればよい。
溶媒留去後に得られた式(1-j)で表される化合物を含む反応混合物は、適当な溶媒により、洗浄、再沈殿、再結晶、カラムクロマトグラフィー等にて精製することができる。目的とする純度に応じて適宜設定すればよい。
式中、LaはSを表し、LbはSOまたはSO2を表し、Ox’は酸化剤を表す。
製造方法Pは、式(1)で表される化合物中、R1、R2およびR3に含まれるLbがSOまたはSO2である式(Lb)で表される化合物の製造方法であって、式(1)中、R1、R2またはR3に含まれるLaがSである式(La)で表される化合物と酸化剤(Ox’)とを、溶媒中で反応させることを含む製造方法である。
本反応に使用する酸化剤は、過酸化水素水、メタ-クロロ過安息酸等の過酸化物類等が挙げられる。また、タングステン酸ナトリウムのような遷移金属類を添加することもできる。
本反応に使用する酸化剤の量は、SOを製造する際には式(La)で表される化合物に対して、通常、1.0当量以上1.2当量以下であり、SO2を製造する際には、通常、2当量以上10当量以下である。また、遷移金属類を添加する際には、通常、0.001当量以上1当量以下である。
本反応に使用する溶媒は、目的とする反応が進行する限りにおいて特に限定されることはないが、水溶媒、酢酸等の酸性系溶媒、ベンゼン、トルエン、キシレン、メシチレン、クロロベンゼン、ジクロロベンゼン等のベンゼン系溶媒、アセトニトリル等のニトリル系溶媒、ジクロロメタン、ジクロロエタン、クロロホルム、四塩化炭素等のハロゲン系溶媒等が挙げられる。これらの溶媒は、単独または2種類以上を任意の割合で混合して使用することができる。
本反応に使用する溶媒量は、目的とする反応が進行する限りにおいて特に限定されることはないが、通常、式(La)を有する式(1)で表される化合物に対して3重量倍以上200重量倍以下である。
本反応を行う際の温度は、目的とする反応が進行する限りにおいて特に限定されることはないが、通常、-10℃以上120℃以下または溶媒の沸点以下である。
反応の後処理としては、反応混合物に対して、水または適当な水溶液を加えることにより、分液操作を行うことが可能である。水溶液を使用する場合は、塩酸、硫酸等を溶解した酸性水溶液、水酸化カリウム、水酸化ナトリウム、炭酸ナトリウム、炭酸カリウム、炭酸水素ナトリウム、炭酸水素カリウム等を溶解したアルカリ水溶液、チオ硫酸ナトリウム、亜硫酸ナトリウム等の硫黄を含む塩を溶解した水溶液や食塩水等を任意に使用することができる。分液操作の際に、必要に応じて、トルエン、キシレン、ベンゼン、クロロベンゼン、ジクロロベンゼン等のベンゼン系溶媒、酢酸エチル、酢酸イソプロピル、酢酸ブチル等のエステル系溶媒、ジエチルエーテル、ジイソプロピルエーテル、メチル-t-ブチルエーテル等のエーテル系溶媒、ジクロロメタン、ジクロロエタン、クロロホルム、四塩化炭素等のハロゲン系溶媒、ヘキサン、ヘプタン、シクロヘキサン、メチルシクロヘキサン等の炭化水素系溶媒等の水と相溶することのない溶媒を追加することが可能である。また、これらの溶媒は、単独で使用することも、2種類以上で任意の割合で混合することも可能である。分液の回数は特に制限されることがなく、目的とする純度や収量に応じて実施することができる。
前記で得られた式(Lb)で表される化合物を含む反応混合物は、硫酸ナトリウムや硫酸マグネシウム等の乾燥剤で水分を除去することができるが、必須ではない。
前記で得られた式(Lb)で表される化合物を含む反応混合物は、化合物が分解しない限りにおいて、減圧下で溶媒留去することが可能である。
溶媒留去後に得られた式(Lb)で表される化合物を含む反応混合物は、適当な溶媒により、洗浄、再沈殿、再結晶、カラムクロマトグラフィー等にて精製することができる。目的とする純度に応じて適宜設定すればよい。
溶媒留去後に得られた式(Lb)で表される化合物を含む反応混合物は、適当な溶媒により、洗浄、再沈殿、再結晶、カラムクロマトグラフィー等にて精製することができる。目的とする純度に応じて適宜設定すればよい。
式中、R2、R3、R5、n、XおよびYは、前記と同義である。
製造方法Qは、式(3)で表される製造中間体の製造方法であって、式(4)で表される化合物と式(5)で表される化合物とを、塩基存在下溶媒中で反応させることを含む製造方法である。
本反応に使用する式(4)で表される化合物は、例えば、グリーン ケミストリー(Green Chemistry)、第41巻、580-585頁や、ザ ジャーナル オブ オルガニック ケミストリー(The Journal of Organic Chemistry)、第65巻、20号、6458-6461頁(2000).等を参照に合成することができる。
本反応に使用する式(5)で表される化合物は、市販品として入手または公知の方法で製造することができる。
本反応に使用する式(5)で表される化合物の量は、式(4)で表される化合物に対して1当量以上あれば、目的とする反応が進行する限りにおいて特に制限されることはないが、好ましくは1当量以上3当量以下である。
本反応に使用する式(5)で表される化合物の量は、式(4)で表される化合物に対して1当量以上あれば、目的とする反応が進行する限りにおいて特に制限されることはないが、好ましくは1当量以上3当量以下である。
本反応に使用する塩基は、炭酸ナトリウム、炭酸カリウム、炭酸セシウム、リン酸三カリウムのような無機塩基類やナトリウムメトキシド、ナトリウムエトキシド、カリウム t-ブトキシド等の金属アルコキシド類等である。
本反応に使用する塩基は、触媒量で実施することが可能であり、目的とする反応が進行する限りにおいて特に限定されることはないが、好ましくは、式(4)で表される化合物に対して0.01当量以上3当量以下である。
本反応に使用する溶媒は、ジエチルエーテル、ジイソプロピルエーテル、メチル-t-ブチルエーテル、ジメトキシエタン、テトラヒドロフラン、ジオキサン等のエーテル系溶媒、ベンゼン、トルエン、キシレン、メシチレン、クロロベンゼン、ジクロロベンゼン等のベンゼン系溶媒、酢酸エチル、酢酸イソプロピル、酢酸ブチル等のエステル系溶媒、アセトニトリル等のニトリル系溶媒、N-メチルピロリドン、N,N-ジメチルホルムアミド、N,N-ジメチルアセトアミド等のアミド系溶媒、1,3-ジメチル-2-イミダゾリジノン等のウレア系溶媒、ジクロロメタン、ジクロロエタン、クロロホルム、四塩化炭素等のハロゲン系溶媒、ジメチルスルホキシド、スルホラン等の硫黄系溶媒、アセトン、メチルエチルケトン、メチルイソブチルケトン等のケトン系溶媒等が挙げられる。これらの溶媒は、単独または2種類以上を任意の割合で混合して使用することができる。
本反応に使用する溶媒量は、目的とする反応が進行する限りにおいて特に限定されることはないが、通常、式(4)で表される化合物に対して3重量倍以上200重量倍以下である。
本反応を行う際の温度は、目的とする反応が進行する限りにおいて特に限定されることはないが、通常、-50℃以上150℃以下または溶媒の沸点以下である。
反応の後処理としては、反応混合物に対して、水または適当な水溶液を加えることにより、分液操作を行うことが可能である。水溶液を使用する場合は、塩酸、硫酸等を溶解した酸性水溶液、水酸化カリウム、水酸化ナトリウム、炭酸ナトリウム、炭酸カリウム、炭酸水素ナトリウム、炭酸水素カリウム等を溶解したアルカリ水溶液や食塩水等を任意に使用することができる。分液操作の際に、必要に応じて、トルエン、キシレン、ベンゼン、クロロベンゼン、ジクロロベンゼン等のベンゼン系溶媒、酢酸エチル、酢酸イソプロピル、酢酸ブチル等のエステル系溶媒、ジエチルエーテル、ジイソプロピルエーテル、メチル-t-ブチルエーテル等のエーテル系溶媒、ジクロロメタン、ジクロロエタン、クロロホルム、四塩化炭素等のハロゲン系溶媒、ヘキサン、ヘプタン、シクロヘキサン、メチルシクロヘキサン等の炭化水素系溶媒等の水と相溶することのない溶媒を追加することが可能である。また、これらの溶媒は、単独で使用することも、2種類以上で任意の割合で混合することも可能である。分液の回数は特に制限されることがなく、目的とする純度や収量に応じて実施することができる。
前記で得られた式(3)で表される化合物を含む反応混合物は、硫酸ナトリウムや硫酸マグネシウム等の乾燥剤で水分を除去することができるが、必須ではない。
前記で得られた式(3)で表される化合物を含む反応混合物は、化合物が分解しない限りにおいて、減圧下で溶媒留去することが可能である。
溶媒留去後に得られた式(3)で表される化合物を含む反応混合物は、適当な溶媒により、洗浄、再沈殿、再結晶、カラムクロマトグラフィー等にて精製することができる。目的とする純度に応じて適宜設定すればよい。
溶媒留去後に得られた式(3)で表される化合物を含む反応混合物は、適当な溶媒により、洗浄、再沈殿、再結晶、カラムクロマトグラフィー等にて精製することができる。目的とする純度に応じて適宜設定すればよい。
式中、R5aはC1~C6のアルキル基を表し、R2、R3、n、XおよびYは前記と同義である。
製造方法Rは、式(3)で表される化合物のうち、式(3b)で表される製造中間体の製造方法であって、式(3a)で表される化合物を、酸性条件または塩基性条件下、溶媒中で反応させることを含む製造方法である。
まず、酸性条件の反応について説明する。
本反応に使用する酸は、塩酸、臭化水素酸、リン酸等の無機酸類や、酢酸、メタンスルホン酸、p-トルエンスルホン酸、トリフルオロ酢酸等の有機酸類が例示される。目的とする反応が進行する限り特に制限されることはない。
本反応に使用する酸は、塩酸、臭化水素酸、リン酸等の無機酸類や、酢酸、メタンスルホン酸、p-トルエンスルホン酸、トリフルオロ酢酸等の有機酸類が例示される。目的とする反応が進行する限り特に制限されることはない。
本反応に使用する酸の量は、触媒量でもよく、目的とする反応が進行する限りにおいて特に制限されることはないが、好ましくは、式(3a)で表される化合物に対して0.01当量以上である。また、液体状の酸に関しては溶媒として使用することも可能である。
本反応に使用する溶媒は、目的とする反応が進行する限りにおいて特に限定されることはないが、水溶媒、酢酸、メタンスルホン酸等の酸性系溶媒、ジエチルエーテル、ジイソプロピルエーテル、メチル-t-ブチルエーテル、ジメトキシエタン、テトラヒドロフラン、ジオキサン等のエーテル系溶媒、メタノール、エタノール、イソプロパノール等のアルコール系溶媒、ベンゼン、トルエン、キシレン、メシチレン、クロロベンゼン、ジクロロベンゼン等のベンゼン系溶媒、酢酸エチル、酢酸イソプロピル、酢酸ブチル等のエステル系溶媒、アセトニトリル等のニトリル系溶媒、N-メチルピロリドン、N,N-ジメチルホルムアミド、N,N-ジメチルアセトアミド等のアミド系溶媒、1,3-ジメチル-2-イミダゾリジノン等のウレア系溶媒、ジクロロメタン、ジクロロエタン、クロロホルム、四塩化炭素等のハロゲン系溶媒等が挙げられる。これらの溶媒は、単独または2種類以上を任意の割合で混合して使用することができる。
本反応に使用する溶媒量は、目的とする反応が進行する限りにおいて特に限定されることはないが、通常、式(3a)で表される化合物に対して3重量倍以上200重量倍以下である。
本反応を行う際の温度は、目的とする反応が進行する限りにおいて特に限定されることはないが、通常、0℃以上180℃以下または溶媒の沸点以下である。
次に、塩基性条件の反応について説明する。
本反応に使用する塩基は、水酸化リチウム、水酸化ナトリウム、水酸化カリウム等の無機塩基類が例示されるが、目的とする反応が進行する限りにおいて特に限定されることはない。
本反応に使用する塩基は、水酸化リチウム、水酸化ナトリウム、水酸化カリウム等の無機塩基類が例示されるが、目的とする反応が進行する限りにおいて特に限定されることはない。
本反応に使用する塩基は、式(3a)で表される化合物に対して1当量以上あれば、目的とする反応が進行する限りにおいて特に限定されることはないが、好ましくは、1当量以上30当量以下である、
本反応に使用する溶媒は、目的とする反応が進行する限りにおいて特に限定されることはないが、水溶媒、ジエチルエーテル、ジイソプロピルエーテル、メチル-t-ブチルエーテル、ジメトキシエタン、テトラヒドロフラン、ジオキサン等のエーテル系溶媒、メタノール、エタノール、イソプロパノール等のアルコール系溶媒、ベンゼン、トルエン、キシレン、メシチレン、クロロベンゼン、ジクロロベンゼン等のベンゼン系溶媒、酢酸エチル、酢酸イソプロピル、酢酸ブチル等のエステル系溶媒、アセトニトリル等のニトリル系溶媒、N-メチルピロリドン、N,N-ジメチルホルムアミド、N,N-ジメチルアセトアミド等のアミド系溶媒、1,3-ジメチル-2-イミダゾリジノン等のウレア系溶媒、ジクロロメタン、ジクロロエタン、クロロホルム、四塩化炭素等のハロゲン系溶媒等が挙げられる。これらの溶媒は、単独または2種類以上を任意の割合で混合して使用することができる。
本反応に使用する溶媒量は、目的とする反応が進行する限りにおいて特に限定されることはないが、通常、式(3a)で表される化合物に対して3重量倍以上200重量倍以下である。
本反応を行う際の温度は、目的とする反応が進行する限りにおいて特に限定されることはないが、通常、-20℃以上180℃以下または溶媒の沸点以下である。
反応の後処理は、酸性条件での反応と塩基性条件の反応は共通の方法で行える。反応混合物に対して、水、もしくは適当な水溶液を加えることにより、分液操作を行うことが可能である。水溶液を使用する場合は、塩酸、硫酸等を溶解した酸性水溶液、水酸化カリウム、水酸化ナトリウム、炭酸ナトリウム、炭酸カリウム、炭酸水素ナトリウム、炭酸水素カリウム等を溶解したアルカリ水溶液、食塩水等を任意に使用することができる。分液操作の際に、必要に応じて、トルエン、キシレン、ベンゼン、クロロベンゼン、ジクロロベンゼン等のベンゼン系溶媒、酢酸エチル、酢酸イソプロピル、酢酸ブチル等のエステル系溶媒、ジエチルエーテル、ジイソプロピルエーテル、メチル-t-ブチルエーテル等のエーテル系溶媒、ジクロロメタン、ジクロロエタン、クロロホルム、四塩化炭素等のハロゲン系溶媒、ヘキサン、ヘプタン、シクロヘキサン、メチルシクロヘキサン等の炭化水素系溶媒等の水と相溶することのない溶媒を追加することが可能である。また、これらの溶媒は、単独で使用することも、2種類以上で任意の割合で混合することも可能である。分液の回数は特に制限されることがなく、目的とする純度や収量に応じて実施することができる。
前記で得られた式(3b)で表される化合物を含む反応混合物は、硫酸ナトリウムや硫酸マグネシウム等の乾燥剤で水分を除去することができるが、必須ではない。
前記で得られた式(3b)で表される化合物を含む反応混合物は、化合物が分解しない限りにおいて、減圧下で溶媒留去することが可能である。
溶媒留去後に得られた式(3b)で表される化合物を含む反応混合物は、適当な溶媒により、洗浄、再沈殿、再結晶、カラムクロマトグラフィー等にて精製することができる。目的とする純度に応じて適宜設定すればよい。
溶媒留去後に得られた式(3b)で表される化合物を含む反応混合物は、適当な溶媒により、洗浄、再沈殿、再結晶、カラムクロマトグラフィー等にて精製することができる。目的とする純度に応じて適宜設定すればよい。
で表される異性体も含む。式(3b’)で表される化合物は、式(3b)で表される化合物と同様に取り扱うことが可能であり、製造方法Aを適応することができる。また、式(3b’)で表される化合物は不斉炭素を含むが、その異性体混合比は、単独でも任意の割合の混合物でもよい。さらに、式(3b)で表される化合物と式(3b’)で表される化合物との混合物でもよく、その異性体混合比は、単独でも任意の割合の混合物でもよい。
以上に示した、製造方法A~製造方法Rを任意に組み合わせて、式(1)で表される化合物を製造することができる。もしくは、公知の方法と製造方法A~製造方法Rとを任意に組み合わせても、式(1)で表される化合物を製造することができる。
次に、有害生物防除剤に包含される成分について説明する。
本発明における有害生物防除剤とは、農園芸場面で用いられる、殺菌剤、殺虫剤、除草剤、微生物資材等を意味する。殺菌剤とは、細菌類、真菌類、ウイルス等の病原体によって引き起こされる植物病害を防除するために用いられる薬剤を意味する。殺虫剤とは、植物に被害を引き起こす害虫を駆除するために用いられる薬剤を意味し、殺ダニ剤および殺線虫剤を含む。除草剤とは、不要な植物(雑草)を枯らすために用いられる薬剤を意味する。微生物資材とは、その有効成分が、例えばバチルス属菌のような特定の微生物もしくはその生産するタンパク質であること、または特定の微生物の活性化を促す性質を有することを特徴とする資材を意味する。
本発明は、新規な式(1)で表されるピリドン化合物またはその塩と公知の有害生物防除剤から選ばれる1種以上の成分を有効成分として含有する有害生物防除組成物である。
また、有効成分における公知の有害生物防除剤に関しては、その生物活性、製造方法またはその成分を用いた有害生物の防除方法は、公知の文献を参照にできる。
本発明における有害生物防除剤とは、農園芸場面で用いられる、殺菌剤、殺虫剤、除草剤、微生物資材等を意味する。殺菌剤とは、細菌類、真菌類、ウイルス等の病原体によって引き起こされる植物病害を防除するために用いられる薬剤を意味する。殺虫剤とは、植物に被害を引き起こす害虫を駆除するために用いられる薬剤を意味し、殺ダニ剤および殺線虫剤を含む。除草剤とは、不要な植物(雑草)を枯らすために用いられる薬剤を意味する。微生物資材とは、その有効成分が、例えばバチルス属菌のような特定の微生物もしくはその生産するタンパク質であること、または特定の微生物の活性化を促す性質を有することを特徴とする資材を意味する。
本発明は、新規な式(1)で表されるピリドン化合物またはその塩と公知の有害生物防除剤から選ばれる1種以上の成分を有効成分として含有する有害生物防除組成物である。
また、有効成分における公知の有害生物防除剤に関しては、その生物活性、製造方法またはその成分を用いた有害生物の防除方法は、公知の文献を参照にできる。
殺菌剤に含まれる具体的な成分は以下の群bで例示され、これらの塩、異性体およびN-オキシド体を含む。ただし、公知の殺菌剤はこれらに限定されるものではない。
群b:
b-1:フェニルアミド系殺菌剤
フェニルアミド系殺菌剤として、[b-1.1]:ベナラキシル(benalaxyl)、[b-1.2]ベナラキシルMまたはキララキシル(benalaxyl-Mまたはkiralaxyl)、[b-1.3]フララキシル(furalaxyl)、[b-1.4]メタラキシル(metalaxyl)、[b-1.5]メタラキシルMまたはメフェノキサム(metalaxyl-Mまたはmefenoxam)、[b-1.6]オキサジキシル(oxadixyl)、[b-1.7]オフラセ(ofurace)等が挙げられ、好ましい成分は、[b-1.1]:ベナラキシル(benalaxyl)、[b-1.2]ベナラキシルMまたはキララキシル(benalaxyl-Mまたはkiralaxyl)、[b-1.4]メタラキシル(metalaxyl)、[b-1.5]メタラキシルMまたはメフェノキサム(metalaxyl-Mまたはmefenoxam)、および[b-1.6]オキサジキシル(oxadixyl)であり、さらに好ましい成分は、[b-1.4]メタラキシル(metalaxyl)、[b-1.5]メタラキシルMまたはメフェノキサム(metalaxyl-Mまたはmefenoxam)、および[b-1.6]オキサジキシル(oxadixyl)である。
b-1:フェニルアミド系殺菌剤
フェニルアミド系殺菌剤として、[b-1.1]:ベナラキシル(benalaxyl)、[b-1.2]ベナラキシルMまたはキララキシル(benalaxyl-Mまたはkiralaxyl)、[b-1.3]フララキシル(furalaxyl)、[b-1.4]メタラキシル(metalaxyl)、[b-1.5]メタラキシルMまたはメフェノキサム(metalaxyl-Mまたはmefenoxam)、[b-1.6]オキサジキシル(oxadixyl)、[b-1.7]オフラセ(ofurace)等が挙げられ、好ましい成分は、[b-1.1]:ベナラキシル(benalaxyl)、[b-1.2]ベナラキシルMまたはキララキシル(benalaxyl-Mまたはkiralaxyl)、[b-1.4]メタラキシル(metalaxyl)、[b-1.5]メタラキシルMまたはメフェノキサム(metalaxyl-Mまたはmefenoxam)、および[b-1.6]オキサジキシル(oxadixyl)であり、さらに好ましい成分は、[b-1.4]メタラキシル(metalaxyl)、[b-1.5]メタラキシルMまたはメフェノキサム(metalaxyl-Mまたはmefenoxam)、および[b-1.6]オキサジキシル(oxadixyl)である。
b-2:有糸核分裂および細胞分裂阻害剤
有糸核分裂および細胞分裂阻害剤として、[b-2.1]ベノミル(benomyl)、[b-2.2]カルベンダジム(carbendazim)、[b-2.3]フベリダゾール(fuberidazole)、[b-2.4]チアベンダゾール(thiabendazole)、[b-2.5]チオファネート(thiophanate)、[b-2.6]チオファネートメチル(thiophanate-methyl)、[b-2.7]ジエトフェンカルブ(diethofencarb)、[b-2,8]ゾキサミド(zoxamide)、[b-2.9]エタボキサム(ethaboxam)、[b-2.10]ペンシクロン(pencycuron)、[b-2.11]フルオピコリド(fluopicolide)、[b-2.12]フェナマクリル(phenamacril)等が挙げられ、好ましい成分は、[b-2.1]ベノミル(benomyl)、[b-2.2]カルベンダジム(carbendazim)、[b-2.4]チアベンダゾール(thiabendazole)、[b-2.6]チオファネートメチル(thiophanate-methyl)、[b-2.7]ジエトフェンカルブ(diethofencarb)、[b-2.9]エタボキサム(ethaboxam)、[b-2.10]ペンシクロン(pencycuron)、および[b-2.11]フルオピコリド(fluopicolide)であり、さらに好ましい成分は、[b-2.1]ベノミル(benomyl)、[b-2.6]チオファネートメチル(thiophanate-methyl)、[b-2.7]ジエトフェンカルブ(diethofencarb)、[b-2.9]エタボキサム(ethaboxam)、[b-2.10]ペンシクロン(pencycuron)、および[b-2.11]フルオピコリド(fluopicolide)である。
有糸核分裂および細胞分裂阻害剤として、[b-2.1]ベノミル(benomyl)、[b-2.2]カルベンダジム(carbendazim)、[b-2.3]フベリダゾール(fuberidazole)、[b-2.4]チアベンダゾール(thiabendazole)、[b-2.5]チオファネート(thiophanate)、[b-2.6]チオファネートメチル(thiophanate-methyl)、[b-2.7]ジエトフェンカルブ(diethofencarb)、[b-2,8]ゾキサミド(zoxamide)、[b-2.9]エタボキサム(ethaboxam)、[b-2.10]ペンシクロン(pencycuron)、[b-2.11]フルオピコリド(fluopicolide)、[b-2.12]フェナマクリル(phenamacril)等が挙げられ、好ましい成分は、[b-2.1]ベノミル(benomyl)、[b-2.2]カルベンダジム(carbendazim)、[b-2.4]チアベンダゾール(thiabendazole)、[b-2.6]チオファネートメチル(thiophanate-methyl)、[b-2.7]ジエトフェンカルブ(diethofencarb)、[b-2.9]エタボキサム(ethaboxam)、[b-2.10]ペンシクロン(pencycuron)、および[b-2.11]フルオピコリド(fluopicolide)であり、さらに好ましい成分は、[b-2.1]ベノミル(benomyl)、[b-2.6]チオファネートメチル(thiophanate-methyl)、[b-2.7]ジエトフェンカルブ(diethofencarb)、[b-2.9]エタボキサム(ethaboxam)、[b-2.10]ペンシクロン(pencycuron)、および[b-2.11]フルオピコリド(fluopicolide)である。
b-3:コハク酸脱水素酵素阻害剤(SDHI剤)
コハク酸脱水素酵素阻害剤(SDHI剤)として、[b-3.1]ベノダニル(benodanil)、[b-3.2]ベンゾビンジフルピル(benzovindiflupyr)、[b-3.3]ビキサフェン(bixafen)、[b-3.4]ボスカリド(boscalid)、[b-3.5]カルボキシン(carboxin)、[b-3.6]フェンフラム(fenfuram)、[b-3.7]フルオピラム(fluopyram)、[b-3.8]フルトラニル(flutolanil)、[b-3.9]フルキサピロキサド(fluxapyroxad)、[b-3.10]フラメトピル(furametpyr)、[b-3.11]イソフェタミド(isofetamid)、[b-3.12]イソピラザム(isopyrazam)、[b-3.13]メプロニル(mepronil)、[b-3.14]オキシカルボキシン(oxycarboxin)、[b-3.15]ペンチオピラド(penthiopyrad)、[b-3.16]ペンフルフェン(penflufen)、[b-3.17]ピジフルメトフェン(pydiflumetofen)、[b-3.18]セダキサン(sedaxane)、[b-3.19]チフルザミド(thifluzamide)、[b-3.20]ピラジフルミド(pyraziflumid)等が挙げられ、好ましい成分は、[b-3.2]ベンゾビンジフルピル(benzovindiflupyr)、[b-3.3]ビキサフェン(bixafen)、[b-3.4]ボスカリド(boscalid)、[b-3.5]カルボキシン(carboxin)、[b-3.7]フルオピラム(fluopyram)、[b-3.9]フルキサピロキサド(fluxapyroxad)、[b-3.11]イソフェタミド(isofetamid)、[b-3.12]イソピラザム(isopyrazam)、[b-3.15]ペンチオピラド(penthiopyrad)、[b-3.16]ペンフルフェン(penflufen)、[b-3.17]ピジフルメトフェン(pydiflumetofen)、[b-3.18]セダキサン(sedaxane)、[b-3.19]チフルザミド(thifluzamide)、および[b-3.20]ピラジフルミド(pyraziflumid)であり、さらに好ましい成分は、[b-3.2]ベンゾビンジフルピル(benzovindiflupyr)、[b-3.3]ビキサフェン(bixafen)、[b-3.4]ボスカリド(boscalid)、[b-3.5]カルボキシン(carboxin)、[b-3.7]フルオピラム(fluopyram)、[b-3.9]フルキサピロキサド(fluxapyroxad)、[b-3.11]イソフェタミド(isofetamid)、[b-3.12]イソピラザム(isopyrazam)、[b-3.15]ペンチオピラド(penthiopyrad)、[b-3.16]ペンフルフェン(penflufen)、[b-3.17]ピジフルメトフェン(pydiflumetofen)、[b-3.19]チフルザミド(thifluzamide)、および[b-3.20]ピラジフルミド(pyraziflumid)である。
コハク酸脱水素酵素阻害剤(SDHI剤)として、[b-3.1]ベノダニル(benodanil)、[b-3.2]ベンゾビンジフルピル(benzovindiflupyr)、[b-3.3]ビキサフェン(bixafen)、[b-3.4]ボスカリド(boscalid)、[b-3.5]カルボキシン(carboxin)、[b-3.6]フェンフラム(fenfuram)、[b-3.7]フルオピラム(fluopyram)、[b-3.8]フルトラニル(flutolanil)、[b-3.9]フルキサピロキサド(fluxapyroxad)、[b-3.10]フラメトピル(furametpyr)、[b-3.11]イソフェタミド(isofetamid)、[b-3.12]イソピラザム(isopyrazam)、[b-3.13]メプロニル(mepronil)、[b-3.14]オキシカルボキシン(oxycarboxin)、[b-3.15]ペンチオピラド(penthiopyrad)、[b-3.16]ペンフルフェン(penflufen)、[b-3.17]ピジフルメトフェン(pydiflumetofen)、[b-3.18]セダキサン(sedaxane)、[b-3.19]チフルザミド(thifluzamide)、[b-3.20]ピラジフルミド(pyraziflumid)等が挙げられ、好ましい成分は、[b-3.2]ベンゾビンジフルピル(benzovindiflupyr)、[b-3.3]ビキサフェン(bixafen)、[b-3.4]ボスカリド(boscalid)、[b-3.5]カルボキシン(carboxin)、[b-3.7]フルオピラム(fluopyram)、[b-3.9]フルキサピロキサド(fluxapyroxad)、[b-3.11]イソフェタミド(isofetamid)、[b-3.12]イソピラザム(isopyrazam)、[b-3.15]ペンチオピラド(penthiopyrad)、[b-3.16]ペンフルフェン(penflufen)、[b-3.17]ピジフルメトフェン(pydiflumetofen)、[b-3.18]セダキサン(sedaxane)、[b-3.19]チフルザミド(thifluzamide)、および[b-3.20]ピラジフルミド(pyraziflumid)であり、さらに好ましい成分は、[b-3.2]ベンゾビンジフルピル(benzovindiflupyr)、[b-3.3]ビキサフェン(bixafen)、[b-3.4]ボスカリド(boscalid)、[b-3.5]カルボキシン(carboxin)、[b-3.7]フルオピラム(fluopyram)、[b-3.9]フルキサピロキサド(fluxapyroxad)、[b-3.11]イソフェタミド(isofetamid)、[b-3.12]イソピラザム(isopyrazam)、[b-3.15]ペンチオピラド(penthiopyrad)、[b-3.16]ペンフルフェン(penflufen)、[b-3.17]ピジフルメトフェン(pydiflumetofen)、[b-3.19]チフルザミド(thifluzamide)、および[b-3.20]ピラジフルミド(pyraziflumid)である。
b-4:キノン外部阻害剤(QoI剤)
キノン外部阻害剤(QoI剤)として、[b-4.1]アゾキシストロビン(azoxystrobin)、[b-4.2]クモキシストロビン(coumoxystrobin)、[b-4.3]ジモキシストロビン(dimoxystrobin)、[b-4.4]エノキサストロビン(enoxastrobin)、[b-4.5]ファモキサドン(famoxadone)、[b-4.6]フェンアミドン(fenamidone)、[b-4.7]フェナミンストロビン(fenaminstrobin)、[b-4.8]フルフェノキシストロビン(flufenoxystrobin)、[b-4.9]フルオキサストロビン(fluoxastrobin)、[b-4.10]クレソキシムメチル(kresoxim-methyl)、[b-4.11]マンデストロビン(mandestrobin)、[b-4.12]メトミノストロビン(metominostrobin)、[b-4.13]オリサストロビン(orysastrobin)、[b-4.14]ピコキシストロビン(picoxystrobin)、[b-4.15]ピラクロストロビン(pyraclostrobin)、[b-4.16]ピラメトストロビン(pyrametostrobin)、[b-4.17]ピラオキシストロビン(pyraoxystrobin)、[b-4.18]ピリベンカルブ(pyribencarb)、[b-4.19]トリクロピリカルブ(triclopyricarb)、[b-4.20]トリフロキシストロビン(trifloxystrobin)等が挙げられ、好ましい成分は、[b-4.1]アゾキシストロビン(azoxystrobin)、[b-4.3]ジモキシストロビン(dimoxystrobin)、[b-4.5]ファモキサドン(famoxadone)、[b-4.9]フルオキサストロビン(fluoxastrobin)、[b-4.10]クレソキシムメチル(kresoxim-methyl)、[b-4.11]マンデストロビン(mandestrobin)、[b-4.12]メトミノストロビン(metominostrobin)、[b-4.13]オリサストロビン(orysastrobin)、[b-4.14]ピコキシストロビン(picoxystrobin)、[b-4.15]ピラクロストロビン(pyraclostrobin)、[b-4.18]ピリベンカルブ(pyribencarb)、および[b-4.20]トリフロキシストロビン(trifloxystrobin)であり、さらに好ましい成分は、[b-4.1]アゾキシストロビン(azoxystrobin)、[b-4.5]ファモキサドン(famoxadone)、[b-4.9]フルオキサストロビン(fluoxastrobin)、[b-4.10]クレソキシムメチル(kresoxim-methyl)、[b-4.11]マンデストロビン(mandestrobin)、[b-4.12]メトミノストロビン(metominostrobin)、[b-4.13]オリサストロビン(orysastrobin)、[b-4.14]ピコキシストロビン(picoxystrobin)、[b-4.15]ピラクロストロビン(pyraclostrobin)、[b-4.18]ピリベンカルブ(pyribencarb)、および[b-4.20]トリフロキシストロビン(trifloxystrobin)である。
キノン外部阻害剤(QoI剤)として、[b-4.1]アゾキシストロビン(azoxystrobin)、[b-4.2]クモキシストロビン(coumoxystrobin)、[b-4.3]ジモキシストロビン(dimoxystrobin)、[b-4.4]エノキサストロビン(enoxastrobin)、[b-4.5]ファモキサドン(famoxadone)、[b-4.6]フェンアミドン(fenamidone)、[b-4.7]フェナミンストロビン(fenaminstrobin)、[b-4.8]フルフェノキシストロビン(flufenoxystrobin)、[b-4.9]フルオキサストロビン(fluoxastrobin)、[b-4.10]クレソキシムメチル(kresoxim-methyl)、[b-4.11]マンデストロビン(mandestrobin)、[b-4.12]メトミノストロビン(metominostrobin)、[b-4.13]オリサストロビン(orysastrobin)、[b-4.14]ピコキシストロビン(picoxystrobin)、[b-4.15]ピラクロストロビン(pyraclostrobin)、[b-4.16]ピラメトストロビン(pyrametostrobin)、[b-4.17]ピラオキシストロビン(pyraoxystrobin)、[b-4.18]ピリベンカルブ(pyribencarb)、[b-4.19]トリクロピリカルブ(triclopyricarb)、[b-4.20]トリフロキシストロビン(trifloxystrobin)等が挙げられ、好ましい成分は、[b-4.1]アゾキシストロビン(azoxystrobin)、[b-4.3]ジモキシストロビン(dimoxystrobin)、[b-4.5]ファモキサドン(famoxadone)、[b-4.9]フルオキサストロビン(fluoxastrobin)、[b-4.10]クレソキシムメチル(kresoxim-methyl)、[b-4.11]マンデストロビン(mandestrobin)、[b-4.12]メトミノストロビン(metominostrobin)、[b-4.13]オリサストロビン(orysastrobin)、[b-4.14]ピコキシストロビン(picoxystrobin)、[b-4.15]ピラクロストロビン(pyraclostrobin)、[b-4.18]ピリベンカルブ(pyribencarb)、および[b-4.20]トリフロキシストロビン(trifloxystrobin)であり、さらに好ましい成分は、[b-4.1]アゾキシストロビン(azoxystrobin)、[b-4.5]ファモキサドン(famoxadone)、[b-4.9]フルオキサストロビン(fluoxastrobin)、[b-4.10]クレソキシムメチル(kresoxim-methyl)、[b-4.11]マンデストロビン(mandestrobin)、[b-4.12]メトミノストロビン(metominostrobin)、[b-4.13]オリサストロビン(orysastrobin)、[b-4.14]ピコキシストロビン(picoxystrobin)、[b-4.15]ピラクロストロビン(pyraclostrobin)、[b-4.18]ピリベンカルブ(pyribencarb)、および[b-4.20]トリフロキシストロビン(trifloxystrobin)である。
b-5:キノン内部阻害剤(QiI剤)
キノン内部阻害剤(QiI剤)として、[b-5.1]シアゾファミド(cyazofamid)、[b-5.2]アミスルブロム(amisulbrom)等が挙げられ、好ましい成分は、[b-5.1]シアゾファミド(cyazofamid)である。
キノン内部阻害剤(QiI剤)として、[b-5.1]シアゾファミド(cyazofamid)、[b-5.2]アミスルブロム(amisulbrom)等が挙げられ、好ましい成分は、[b-5.1]シアゾファミド(cyazofamid)である。
b-6:酸化的リン酸化脱共役阻害剤
酸化的リン酸化脱共役阻害剤として、[b-6.1]ビナパクリル(binapacryl)、[b-6.2]メプチルジノカップ(meptyldinocap)、[b-6.3]ジノカップ(dinocap)、[b-6.4]フルアジナム(fluazinam)等が挙げられ、好ましい成分は、[b-6.4]フルアジナム(fluazinam)である。
酸化的リン酸化脱共役阻害剤として、[b-6.1]ビナパクリル(binapacryl)、[b-6.2]メプチルジノカップ(meptyldinocap)、[b-6.3]ジノカップ(dinocap)、[b-6.4]フルアジナム(fluazinam)等が挙げられ、好ましい成分は、[b-6.4]フルアジナム(fluazinam)である。
b-7:キノン外部スチグマテリン結合サブサイト阻害剤(QoSI剤)
キノン外部スチグマテリン結合サブサイト阻害剤(QoSI剤)として、[b-7.1]アメトクトラジン(ametoctradin)等が挙げられる。
キノン外部スチグマテリン結合サブサイト阻害剤(QoSI剤)として、[b-7.1]アメトクトラジン(ametoctradin)等が挙げられる。
b-8:アミノ酸生合成阻害剤
アミノ酸生合成阻害剤として、[b-8.1]シプロジニル(cyprodinil)、[b-8.2]メパニピリム(mepanipyrim)、[b-8.3]ピリメタニル(pyrimethanil)等が挙げられ、好ましい成分は、[b-8.1]シプロジニル(cyprodinil)、および[b-8.2]メパニピリム(mepanipyrim)である。
アミノ酸生合成阻害剤として、[b-8.1]シプロジニル(cyprodinil)、[b-8.2]メパニピリム(mepanipyrim)、[b-8.3]ピリメタニル(pyrimethanil)等が挙げられ、好ましい成分は、[b-8.1]シプロジニル(cyprodinil)、および[b-8.2]メパニピリム(mepanipyrim)である。
b-9:タンパク質生合成阻害剤
タンパク質生合成阻害剤として、[b-9.1]ストレプトマイシン(streptomycin)、[b-9.2]ブラストサイジンS(blasticidin-S)、[b-9.3]カスガマイシン(kasugamycin)、[b-9.4]オキシテトラサイクリン(oxytetracycline)等が挙げられ、好ましい成分は、[b-9.1]ストレプトマイシン(streptomycin)、[b-9.3]カスガマイシン(kasugamycin)、および[b-9.4]オキシテトラサイクリン(oxytetracycline)であり、さらに好ましい成分は、[b-9.1]ストレプトマイシン(streptomycin)である。
タンパク質生合成阻害剤として、[b-9.1]ストレプトマイシン(streptomycin)、[b-9.2]ブラストサイジンS(blasticidin-S)、[b-9.3]カスガマイシン(kasugamycin)、[b-9.4]オキシテトラサイクリン(oxytetracycline)等が挙げられ、好ましい成分は、[b-9.1]ストレプトマイシン(streptomycin)、[b-9.3]カスガマイシン(kasugamycin)、および[b-9.4]オキシテトラサイクリン(oxytetracycline)であり、さらに好ましい成分は、[b-9.1]ストレプトマイシン(streptomycin)である。
b-10:シグナル伝達阻害剤
シグナル伝達阻害剤として、[b-10.1]フェンピクロニル(fenpiclonil)、[b-10.2]フルジオキソニル(fludioxonil)、[b-10.3]キノキシフェン(quinoxyfen)、[b-10.4]プロキナジド(proquinazid)、[b-10.5]クロゾリネート(chlozolinate)、[b-10.6]ジメタクロン(dimethachlone)、[b-10.7]イプロジオン(iprodione)、[b-10.8]プロシミドン(procymidone)、[b-10.9]ビンクロゾリン(vinclozolin)等が挙げられ、好ましい成分は、[b-10.2]フルジオキソニル(fludioxonil)、[b-10.3]キノキシフェン(quinoxyfen)、[b-10.7]イプロジオン(iprodione)、および[b-10.8]プロシミドン(procymidone)である。
シグナル伝達阻害剤として、[b-10.1]フェンピクロニル(fenpiclonil)、[b-10.2]フルジオキソニル(fludioxonil)、[b-10.3]キノキシフェン(quinoxyfen)、[b-10.4]プロキナジド(proquinazid)、[b-10.5]クロゾリネート(chlozolinate)、[b-10.6]ジメタクロン(dimethachlone)、[b-10.7]イプロジオン(iprodione)、[b-10.8]プロシミドン(procymidone)、[b-10.9]ビンクロゾリン(vinclozolin)等が挙げられ、好ましい成分は、[b-10.2]フルジオキソニル(fludioxonil)、[b-10.3]キノキシフェン(quinoxyfen)、[b-10.7]イプロジオン(iprodione)、および[b-10.8]プロシミドン(procymidone)である。
b-11:脂質および細胞膜生合成阻害剤
脂質および細胞膜生合成阻害剤として、[b-11.1]エジフェンホス(edifenphos)、[b-11.2]イプロベンホス(iprobenfos)、[b-11.3]ピラゾホス(pyrazophos)、[b-11.4]イソプロチオラン(isoprothiolane)、[b-11.5]ビフェニル(biphenyl)、[b-11.6]クロロネブ(chloroneb)、[b-11.7]ジクロラン(dicloran)、[b-11.8]キントゼン(quintozene)、[b-11.9]テクナゼン(tecnazene)、[b-11.10]トルクロホスメチル(tolclofos-methyl)、[b-11.11]エトリジアゾール(echlomezol or etridiazole)、[b-11.12]ヨードカルブ(iodocarb)、[b-11.13]プロパモカルブ(propamocarb)、[b-11.14]プロチオカルブ(prothiocarb)等が挙げられ、好ましい成分は、[b-11.2]イプロベンホス(iprobenfos)、[b-11.4]イソプロチオラン(isoprothiolane)、[b-11.10]トルクロホスメチル(tolclofos-methyl)、および[b-11.13]プロパモカルブ(propamocarb)であり、さらに好ましい成分は、[b-11.2]イプロベンホス(iprobenfos)、[b-11.4]イソプロチオラン(isoprothiolane)、および[b-11.10]トルクロホスメチル(tolclofos-methyl)である。
脂質および細胞膜生合成阻害剤として、[b-11.1]エジフェンホス(edifenphos)、[b-11.2]イプロベンホス(iprobenfos)、[b-11.3]ピラゾホス(pyrazophos)、[b-11.4]イソプロチオラン(isoprothiolane)、[b-11.5]ビフェニル(biphenyl)、[b-11.6]クロロネブ(chloroneb)、[b-11.7]ジクロラン(dicloran)、[b-11.8]キントゼン(quintozene)、[b-11.9]テクナゼン(tecnazene)、[b-11.10]トルクロホスメチル(tolclofos-methyl)、[b-11.11]エトリジアゾール(echlomezol or etridiazole)、[b-11.12]ヨードカルブ(iodocarb)、[b-11.13]プロパモカルブ(propamocarb)、[b-11.14]プロチオカルブ(prothiocarb)等が挙げられ、好ましい成分は、[b-11.2]イプロベンホス(iprobenfos)、[b-11.4]イソプロチオラン(isoprothiolane)、[b-11.10]トルクロホスメチル(tolclofos-methyl)、および[b-11.13]プロパモカルブ(propamocarb)であり、さらに好ましい成分は、[b-11.2]イプロベンホス(iprobenfos)、[b-11.4]イソプロチオラン(isoprothiolane)、および[b-11.10]トルクロホスメチル(tolclofos-methyl)である。
b-12:脱メチル化阻害剤(DMI剤)
脱メチル化阻害剤(DMI剤)として、[b-12.1]アザコナゾール(azaconazole)、[b-12.2]ビテルタノール(bitertanol)、[b-12.3]ブロムコナゾール(bromuconazole)、[b-12.4]シプロコナゾール(cyproconazole)、[b-12.5]ジフェノコナゾール(difenoconazole)、[b-12.6]ジニコナゾール(diniconazole)、[b-12.7]ジニコナゾールM(diniconazole-M)、[b-12.8]エポキシコナゾール(epoxiconazole)、[b-12.9]エタコナゾール(etaconazole)、[b-12.10]フェナリモル(fenarimol)、[b-12.11]フェンブコナゾール(fenbuconazole)、[b-12.12]フルキンコナゾール(fluquinconazole)、[b-12.13]キンコナゾール(quinconazole)、[b-12.14]フルシラゾール(flusilazole)、[b-12.15]フルトリアホール(flutriafol)、[b-12.16]ヘキサコナゾール(hexaconazole)、[b-12.17]イマザリル(imazalil)、[b-12.18]イミベンコナゾール(imibenconazole)、[b-12.19]イプコナゾール(ipconazole)、[b-12.20]メトコナゾール(metconazole)、[b-12.21]ミクロブタニル(myclobutanil)、[b-12.22]ヌアリモール(nuarimol)、[b-12.23]オキスポコナゾール(oxpoconazole)、[b-12.24]オキスポコナゾールフマル酸塩(oxpoconazole fumarate)、[b-12.25]ペフラゾエート(pefurazoate)、[b-12.26]ペンコナゾール(penconazole)、[b-12.27]プロクロラズ(prochloraz)、[b-12.28]プロピコナゾール(propiconazole)、[b-12.29]プロチオコナゾール(prothioconazole)、[b-12.30]ピリフェノックス(pyrifenox)、[b-12.31]ピリソキサゾール(pyrisoxazole)、[b-12.32]シメコナゾール(simeconazole)、[b-12.33]テブコナゾール(tebuconazole)、[b-12.34]テトラコナゾール(tetraconazole)、[b-12.35]トリアジメホン(triadimefon)、[b-12.36]トリアジメノール(triadimenol)、[b-12.37]トリフルミゾール(triflumizole)、[b-12.38]トリホリン(triforine)、[b-12.39]トリチコナゾール(triticonazole)[b-12.40]メフェントリフルコナゾール(mefentrifluconazole)、[b-12.41]イプフェントリフルコナゾール(ipfentrifluconazole)等が挙げられ、好ましい成分は、[b-12.4]シプロコナゾール(cyproconazole)、[b-12.5]ジフェノコナゾール(difenoconazole)、[b-12.8]エポキシコナゾール(epoxiconazole)、[b-12.10]フェナリモル(fenarimol)、[b-12.11]フェンブコナゾール(fenbuconazole)、[b-12.12]フルキンコナゾール(fluquinconazole)、[b-12.14]フルシラゾール(flusilazole)、[b-12.15]フルトリアホール(flutriafol)、[b-12.16]ヘキサコナゾール(hexaconazole)、[b-12.18]イミベンコナゾール(imibenconazole)、[b-12.19]イプコナゾール(ipconazole)、[b-12.20]メトコナゾール(metconazole)、[b-12.21]ミクロブタニル(myclobutanil)、[b-12.23]オキスポコナゾール(oxpoconazole)、[b-12.24]オキスポコナゾールフマル酸塩(oxpoconazole fumarate)、[b-12.26]ペンコナゾール(penconazole)、[b-12.27]プロクロラズ(prochloraz)、[b-12.28]プロピコナゾール(propiconazole)、[b-12.29]プロチオコナゾール(prothioconazole)、[b-12.32]シメコナゾール(simeconazole)、[b-12.33]テブコナゾール(tebuconazole)、[b-12.34]テトラコナゾール(tetraconazole)、[b-12.35]トリアジメホン(triadimefon)、[b-12.36]トリアジメノール(triadimenol)、[b-12.37]トリフルミゾール(triflumizole)、[b-12.39]トリチコナゾール(triticonazole)[b-12.40]メフェントリフルコナゾール(mefentrifluconazole)、および[b-12.41]イプフェントリフルコナゾール(ipfentrifluconazole)であり、さらに好ましい成分は、[b-12.4]シプロコナゾール(cyproconazole)、[b-12.5]ジフェノコナゾール(difenoconazole)、[b-12.8]エポキシコナゾール(epoxiconazole)、[b-12.10]フェナリモル(fenarimol)、[b-12.11]フェンブコナゾール(fenbuconazole)、[b-12.15]フルトリアホール(flutriafol)、[b-12.16]ヘキサコナゾール(hexaconazole)、[b-12.18]イミベンコナゾール(imibenconazole)、[b-12.20]メトコナゾール(metconazole)、[b-12.21]ミクロブタニル(myclobutanil)、[b-12.23]オキスポコナゾール(oxpoconazole)、[b-12.27]プロクロラズ(prochloraz)、[b-12.28]プロピコナゾール(propiconazole)、[b-12.29]プロチオコナゾール(prothioconazole)、[b-12.32]シメコナゾール(simeconazole)、[b-12.33]テブコナゾール(tebuconazole)、[b-12.34]テトラコナゾール(tetraconazole)、[b-12.35]トリアジメホン(triadimefon)、および[b-12.37]トリフルミゾール(triflumizole)である。
脱メチル化阻害剤(DMI剤)として、[b-12.1]アザコナゾール(azaconazole)、[b-12.2]ビテルタノール(bitertanol)、[b-12.3]ブロムコナゾール(bromuconazole)、[b-12.4]シプロコナゾール(cyproconazole)、[b-12.5]ジフェノコナゾール(difenoconazole)、[b-12.6]ジニコナゾール(diniconazole)、[b-12.7]ジニコナゾールM(diniconazole-M)、[b-12.8]エポキシコナゾール(epoxiconazole)、[b-12.9]エタコナゾール(etaconazole)、[b-12.10]フェナリモル(fenarimol)、[b-12.11]フェンブコナゾール(fenbuconazole)、[b-12.12]フルキンコナゾール(fluquinconazole)、[b-12.13]キンコナゾール(quinconazole)、[b-12.14]フルシラゾール(flusilazole)、[b-12.15]フルトリアホール(flutriafol)、[b-12.16]ヘキサコナゾール(hexaconazole)、[b-12.17]イマザリル(imazalil)、[b-12.18]イミベンコナゾール(imibenconazole)、[b-12.19]イプコナゾール(ipconazole)、[b-12.20]メトコナゾール(metconazole)、[b-12.21]ミクロブタニル(myclobutanil)、[b-12.22]ヌアリモール(nuarimol)、[b-12.23]オキスポコナゾール(oxpoconazole)、[b-12.24]オキスポコナゾールフマル酸塩(oxpoconazole fumarate)、[b-12.25]ペフラゾエート(pefurazoate)、[b-12.26]ペンコナゾール(penconazole)、[b-12.27]プロクロラズ(prochloraz)、[b-12.28]プロピコナゾール(propiconazole)、[b-12.29]プロチオコナゾール(prothioconazole)、[b-12.30]ピリフェノックス(pyrifenox)、[b-12.31]ピリソキサゾール(pyrisoxazole)、[b-12.32]シメコナゾール(simeconazole)、[b-12.33]テブコナゾール(tebuconazole)、[b-12.34]テトラコナゾール(tetraconazole)、[b-12.35]トリアジメホン(triadimefon)、[b-12.36]トリアジメノール(triadimenol)、[b-12.37]トリフルミゾール(triflumizole)、[b-12.38]トリホリン(triforine)、[b-12.39]トリチコナゾール(triticonazole)[b-12.40]メフェントリフルコナゾール(mefentrifluconazole)、[b-12.41]イプフェントリフルコナゾール(ipfentrifluconazole)等が挙げられ、好ましい成分は、[b-12.4]シプロコナゾール(cyproconazole)、[b-12.5]ジフェノコナゾール(difenoconazole)、[b-12.8]エポキシコナゾール(epoxiconazole)、[b-12.10]フェナリモル(fenarimol)、[b-12.11]フェンブコナゾール(fenbuconazole)、[b-12.12]フルキンコナゾール(fluquinconazole)、[b-12.14]フルシラゾール(flusilazole)、[b-12.15]フルトリアホール(flutriafol)、[b-12.16]ヘキサコナゾール(hexaconazole)、[b-12.18]イミベンコナゾール(imibenconazole)、[b-12.19]イプコナゾール(ipconazole)、[b-12.20]メトコナゾール(metconazole)、[b-12.21]ミクロブタニル(myclobutanil)、[b-12.23]オキスポコナゾール(oxpoconazole)、[b-12.24]オキスポコナゾールフマル酸塩(oxpoconazole fumarate)、[b-12.26]ペンコナゾール(penconazole)、[b-12.27]プロクロラズ(prochloraz)、[b-12.28]プロピコナゾール(propiconazole)、[b-12.29]プロチオコナゾール(prothioconazole)、[b-12.32]シメコナゾール(simeconazole)、[b-12.33]テブコナゾール(tebuconazole)、[b-12.34]テトラコナゾール(tetraconazole)、[b-12.35]トリアジメホン(triadimefon)、[b-12.36]トリアジメノール(triadimenol)、[b-12.37]トリフルミゾール(triflumizole)、[b-12.39]トリチコナゾール(triticonazole)[b-12.40]メフェントリフルコナゾール(mefentrifluconazole)、および[b-12.41]イプフェントリフルコナゾール(ipfentrifluconazole)であり、さらに好ましい成分は、[b-12.4]シプロコナゾール(cyproconazole)、[b-12.5]ジフェノコナゾール(difenoconazole)、[b-12.8]エポキシコナゾール(epoxiconazole)、[b-12.10]フェナリモル(fenarimol)、[b-12.11]フェンブコナゾール(fenbuconazole)、[b-12.15]フルトリアホール(flutriafol)、[b-12.16]ヘキサコナゾール(hexaconazole)、[b-12.18]イミベンコナゾール(imibenconazole)、[b-12.20]メトコナゾール(metconazole)、[b-12.21]ミクロブタニル(myclobutanil)、[b-12.23]オキスポコナゾール(oxpoconazole)、[b-12.27]プロクロラズ(prochloraz)、[b-12.28]プロピコナゾール(propiconazole)、[b-12.29]プロチオコナゾール(prothioconazole)、[b-12.32]シメコナゾール(simeconazole)、[b-12.33]テブコナゾール(tebuconazole)、[b-12.34]テトラコナゾール(tetraconazole)、[b-12.35]トリアジメホン(triadimefon)、および[b-12.37]トリフルミゾール(triflumizole)である。
b-13:アミン系殺菌剤
アミン系殺菌剤として、[b-13.1]アルジモルフ(aldimorph)、[b-13.2]ドデモルフ(dodemorph)、[b-13.3]フェンプロピモルフ(fenpropimorph)、[b-13.4]トリデモルフ(tridemorph)、[b-13.5]フェンプロピジン(fenpropidin)、[b-13.6]ピペラリン(piperalin)、[b-13.7]スピロキサミン(spiroxamine)等が挙げられ、好ましい成分は、[b-13.3]フェンプロピモルフ(fenpropimorph)、[b-13.4]トリデモルフ(tridemorph)、[b-13.5]フェンプロピジン(fenpropidin)、および[b-13.7]スピロキサミン(spiroxamine)であり、さらに好ましい成分は、[b-13.7]スピロキサミン(spiroxamine)である。
アミン系殺菌剤として、[b-13.1]アルジモルフ(aldimorph)、[b-13.2]ドデモルフ(dodemorph)、[b-13.3]フェンプロピモルフ(fenpropimorph)、[b-13.4]トリデモルフ(tridemorph)、[b-13.5]フェンプロピジン(fenpropidin)、[b-13.6]ピペラリン(piperalin)、[b-13.7]スピロキサミン(spiroxamine)等が挙げられ、好ましい成分は、[b-13.3]フェンプロピモルフ(fenpropimorph)、[b-13.4]トリデモルフ(tridemorph)、[b-13.5]フェンプロピジン(fenpropidin)、および[b-13.7]スピロキサミン(spiroxamine)であり、さらに好ましい成分は、[b-13.7]スピロキサミン(spiroxamine)である。
b-14:ステロール生合成のC4位脱メチル化における3-ケト還元酵素阻害剤
ステロール生合成のC4位脱メチル化における3-ケト還元酵素阻害剤として、[b-14.1]フェンヘキサミド(fenhexamid)、[b-14.2]フェンピラザミン(fenpyrazamine)等が挙げられ、好ましい成分は、[b-14.1]フェンヘキサミド(fenhexamid)である。
ステロール生合成のC4位脱メチル化における3-ケト還元酵素阻害剤として、[b-14.1]フェンヘキサミド(fenhexamid)、[b-14.2]フェンピラザミン(fenpyrazamine)等が挙げられ、好ましい成分は、[b-14.1]フェンヘキサミド(fenhexamid)である。
b-15:ステロール生合成のスクアレンエポキシダーゼ阻害剤
ステロール生合成のスクアレンエポキシダーゼ阻害剤として、[b-15.1]ピリブチカルブ(pyributicarb)、[b-15.2]ナフチフィン(naftifine)、[b-15.3]テルビナフィン(terbinafine)等が挙げられる。
ステロール生合成のスクアレンエポキシダーゼ阻害剤として、[b-15.1]ピリブチカルブ(pyributicarb)、[b-15.2]ナフチフィン(naftifine)、[b-15.3]テルビナフィン(terbinafine)等が挙げられる。
b-16:細胞壁生合成阻害剤
細胞壁生合成阻害剤として、[b-16.1]ポリオキシン類(polyoxins)、[b-16.2]ジメトモルフ(dimethomorph)、[b-16.3]フルモルフ(flumorph)、[b-16.4]ピリモルフ(pyrimorph)、[b-16.5]ベンチアバリカルブ(benthiavalicarb)、[b-16.6]ベンチアバリカルブイソプロピル(benthivalicarb-isopropyl)、[b-16.7]イプロバリカルブ(iprovalicarb)、[b-16.8]マンジプロパミド(mandipropamid)、[b-17.9]バリフェナレート(valifenalate)等が挙げられ、好ましい成分は、[b-16.2]ジメトモルフ(dimethomorph)、[b-16.6]ベンチアバリカルブイソプロピル(benthivalicarb-isopropyl)、[b-16.7]イプロバリカルブ(iprovalicarb)、および[b-16.8]マンジプロパミド(mandipropamid)である。
細胞壁生合成阻害剤として、[b-16.1]ポリオキシン類(polyoxins)、[b-16.2]ジメトモルフ(dimethomorph)、[b-16.3]フルモルフ(flumorph)、[b-16.4]ピリモルフ(pyrimorph)、[b-16.5]ベンチアバリカルブ(benthiavalicarb)、[b-16.6]ベンチアバリカルブイソプロピル(benthivalicarb-isopropyl)、[b-16.7]イプロバリカルブ(iprovalicarb)、[b-16.8]マンジプロパミド(mandipropamid)、[b-17.9]バリフェナレート(valifenalate)等が挙げられ、好ましい成分は、[b-16.2]ジメトモルフ(dimethomorph)、[b-16.6]ベンチアバリカルブイソプロピル(benthivalicarb-isopropyl)、[b-16.7]イプロバリカルブ(iprovalicarb)、および[b-16.8]マンジプロパミド(mandipropamid)である。
b-17:メラニン生合成阻害剤
メラニン生合成阻害剤として、[b-17.1]フサライド(phthalide or fthalide)、[b-17.2]ピロキロン(pyroquilone)、[b-17.3]トリシクラゾール(tricyclazole)、[b-17.4]カルプロパミド(carpropamid)、[b-17.5]ジクロシメット(diclocymet)、[b-17.6]フェノキサニル(fenoxanil)、[b-17.7]トルプロカルブ(tolprocarb)等が挙げられる。
メラニン生合成阻害剤として、[b-17.1]フサライド(phthalide or fthalide)、[b-17.2]ピロキロン(pyroquilone)、[b-17.3]トリシクラゾール(tricyclazole)、[b-17.4]カルプロパミド(carpropamid)、[b-17.5]ジクロシメット(diclocymet)、[b-17.6]フェノキサニル(fenoxanil)、[b-17.7]トルプロカルブ(tolprocarb)等が挙げられる。
b-18:宿主植物抵抗性誘導剤
宿主植物抵抗性誘導剤として、[b-18.1]アシベンゾラルSメチル(acibenzolar-S-methyl)、[b-18.2]プロベナゾール(probenazole)、[b-18.3]チアジニル(tiadinil)、[b-18.4]イソチアニル(isotianil)、[b-18.5]ラミナリン(laminarin)等が挙げられ、好ましい成分は、[b-18.1]アシベンゾラルSメチル(acibenzolar-S-methyl)、[b-18.2]プロベナゾール(probenazole)、[b-18.3]チアジニル(tiadinil)、および[b-18.4]イソチアニル(isotianil)である。
宿主植物抵抗性誘導剤として、[b-18.1]アシベンゾラルSメチル(acibenzolar-S-methyl)、[b-18.2]プロベナゾール(probenazole)、[b-18.3]チアジニル(tiadinil)、[b-18.4]イソチアニル(isotianil)、[b-18.5]ラミナリン(laminarin)等が挙げられ、好ましい成分は、[b-18.1]アシベンゾラルSメチル(acibenzolar-S-methyl)、[b-18.2]プロベナゾール(probenazole)、[b-18.3]チアジニル(tiadinil)、および[b-18.4]イソチアニル(isotianil)である。
b-19:ジチオカーバメート系殺菌剤
ジチオカーバメート系殺菌剤として、[b-19.1]マンコゼブまたはマンゼブ(mancozeb or manzeb)、[b-19.2]マンネブ(maneb)、[b-19.3]メチラム(metiram)、[b-19.4]プロピネブ(propineb)、[b-19.5]チウラム(thiram)、[b-19.6]ジネブ(zineb)、[b-19.7]ジラム(ziram)、[b-19.8]フェルバム(ferbam)等が挙げられ、好ましい成分は、[b-19.1]マンコゼブまたはマンゼブ(mancozeb or manzeb)、[b-19.3]メチラム(metiram)、[b-19.4]プロピネブ(propineb)、および[b-19.5]チウラム(thiram)であり、さらに好ましい成分は、[b-19.1]マンコゼブまたはマンゼブ(mancozeb or manzeb)である。
ジチオカーバメート系殺菌剤として、[b-19.1]マンコゼブまたはマンゼブ(mancozeb or manzeb)、[b-19.2]マンネブ(maneb)、[b-19.3]メチラム(metiram)、[b-19.4]プロピネブ(propineb)、[b-19.5]チウラム(thiram)、[b-19.6]ジネブ(zineb)、[b-19.7]ジラム(ziram)、[b-19.8]フェルバム(ferbam)等が挙げられ、好ましい成分は、[b-19.1]マンコゼブまたはマンゼブ(mancozeb or manzeb)、[b-19.3]メチラム(metiram)、[b-19.4]プロピネブ(propineb)、および[b-19.5]チウラム(thiram)であり、さらに好ましい成分は、[b-19.1]マンコゼブまたはマンゼブ(mancozeb or manzeb)である。
b-20:フタルイミド系殺菌剤
フタルイミド系殺菌剤として、[b-20.1]キャプタン(captan)、[b-20.2]キャプタホール(captafol)、[b-20.3]ホルペット(folpet)、[b-20.4]フルオロホルペット(fluorofolpet)等が挙げられ、好ましい成分は、[b-20.1]キャプタン(captan)、および[b-20.3]ホルペット(folpet)であり、さらに好ましい成分は、[b-20.1]キャプタン(captan)である。
フタルイミド系殺菌剤として、[b-20.1]キャプタン(captan)、[b-20.2]キャプタホール(captafol)、[b-20.3]ホルペット(folpet)、[b-20.4]フルオロホルペット(fluorofolpet)等が挙げられ、好ましい成分は、[b-20.1]キャプタン(captan)、および[b-20.3]ホルペット(folpet)であり、さらに好ましい成分は、[b-20.1]キャプタン(captan)である。
b-21:グアニジン系殺菌剤
グアニジン系殺菌剤として、[b-21.1]グアザチン(guazatine)、[b-21.2]イミノクタジン(iminoctadine)、[b-21.3]イミノクタジンアルベシル酸塩(iminoctadine albesilate)、[b-21.4]イミノクタジン三酢酸塩(iminoctadine triacetate)等が挙げられ、好ましい成分は、[b-21.3]イミノクタジンアルベシル酸塩(iminoctadine albesilate)、および[b-21.4]イミノクタジン三酢酸塩(iminoctadine triacetate)である。
グアニジン系殺菌剤として、[b-21.1]グアザチン(guazatine)、[b-21.2]イミノクタジン(iminoctadine)、[b-21.3]イミノクタジンアルベシル酸塩(iminoctadine albesilate)、[b-21.4]イミノクタジン三酢酸塩(iminoctadine triacetate)等が挙げられ、好ましい成分は、[b-21.3]イミノクタジンアルベシル酸塩(iminoctadine albesilate)、および[b-21.4]イミノクタジン三酢酸塩(iminoctadine triacetate)である。
b-22:多作用点接触活性型殺菌剤
多作用点接触活性型殺菌剤として、[b-22.1]塩基性塩化銅(copper oxychloride)、[b-22.2]水酸化第二銅(copper(II) hydroxide)、[b-22.3]塩基性硫酸銅(copper hydroxide sulfate)、[b-22.4]有機銅化合物(organocopper compound)、[b-22.5]ドデシルベンゼンスルホン酸ビスエチレンジアミン銅錯塩[II](Dodecylbenzenesulphonic acid bisethylenediamine copper [II] salt、DBEDC)、[b-22.6]硫黄(sulphur)、[b-22.7]フルオルイミド(fluoroimide)、[b-22.8]クロロタロニル(chlorothalonil)、[b-22.9]ジクロフルアニド(dichlofluanid)、[b-22.10]トリルフルアニド(tolylfluanid)、[b-22.11]アニラジン(anilazine)、[b-22.12]ジチアノン(dithianon)、[b-22.13]キノメチオナート(chinomethionat or quinomethionate)、[b-22.14]ハウチワマメ苗木の子葉からの抽出物(BLAD)等が挙げられ、好ましい成分は、[b-22.1]塩基性塩化銅(copper oxychloride)、[b-22.2]水酸化第二銅(copper(II) hydroxide)、[b-22.3]塩基性硫酸銅(copper hydroxide sulfate)、[b-22.6]硫黄(sulphur)、[b-22.7]フルオルイミド(fluoroimide)、[b-22.8]クロロタロニル(chlorothalonil)、および[b-22.12]ジチアノン(dithianon)であり、さらに好ましい成分は、[b-22.7]フルオルイミド(fluoroimide)、および[b-22.8]クロロタロニル(chlorothalonil)である。
多作用点接触活性型殺菌剤として、[b-22.1]塩基性塩化銅(copper oxychloride)、[b-22.2]水酸化第二銅(copper(II) hydroxide)、[b-22.3]塩基性硫酸銅(copper hydroxide sulfate)、[b-22.4]有機銅化合物(organocopper compound)、[b-22.5]ドデシルベンゼンスルホン酸ビスエチレンジアミン銅錯塩[II](Dodecylbenzenesulphonic acid bisethylenediamine copper [II] salt、DBEDC)、[b-22.6]硫黄(sulphur)、[b-22.7]フルオルイミド(fluoroimide)、[b-22.8]クロロタロニル(chlorothalonil)、[b-22.9]ジクロフルアニド(dichlofluanid)、[b-22.10]トリルフルアニド(tolylfluanid)、[b-22.11]アニラジン(anilazine)、[b-22.12]ジチアノン(dithianon)、[b-22.13]キノメチオナート(chinomethionat or quinomethionate)、[b-22.14]ハウチワマメ苗木の子葉からの抽出物(BLAD)等が挙げられ、好ましい成分は、[b-22.1]塩基性塩化銅(copper oxychloride)、[b-22.2]水酸化第二銅(copper(II) hydroxide)、[b-22.3]塩基性硫酸銅(copper hydroxide sulfate)、[b-22.6]硫黄(sulphur)、[b-22.7]フルオルイミド(fluoroimide)、[b-22.8]クロロタロニル(chlorothalonil)、および[b-22.12]ジチアノン(dithianon)であり、さらに好ましい成分は、[b-22.7]フルオルイミド(fluoroimide)、および[b-22.8]クロロタロニル(chlorothalonil)である。
b-23:その他の殺菌剤
その他の殺菌剤として、[b-23.1]ジクロベンチアゾクス(dichlobentiazox)、[b-23.2]フェンピコキサミド(fenpicoxamid)、[b-23.3]ジピメチトロン(dipymetitrone)、[b-23.4]ブピリメート(bupirimate)、[b-23.5]ジメチリモール(dimethirimol)、[b-23.6]エチリモール(ethirimol)、[b-23.7]酢酸トリフェニルスズ(fentin acetate)、[b-23.8]塩化トリフェニルスズ(fentin chloride)、[b-23.9]水酸化トリフェニルスズ(fentin hydroxide)、[b-23.10]オキソリニック酸(oxolinic acid)、[b-23.11]ヒメキサゾール(hymexazol)、[b-23.12]オクチリノン(octhilinone)、[b-23.13]ホセチル(fosetyl)、[b-23.14]亜リン酸(phosphorous acid)、[b-23.15]亜リン酸のナトリウム塩(sodium phosphite)、[b-23.16]亜リン酸のアンモニウム塩(ammonium phosphite)、[b-23.17]亜リン酸のカリウム塩(potassium phosphite)、[b-23.18]テクロフタラム(tecloftalam)、[b-23.19]トリアゾキシド(triazoxide)、[b-23.20]フルスルファミド(flusulfamide)、[b-23.21]ジクロメジン(diclomezine)、[b-23.22]シルチオファム(silthiofam)、[b-23.23]ジフルメトリム(diflumetorim)、[b-23.24]メタスルホカルブ(methasulfocarb)、[b-23.25]シフルフェナミド(cyflufenamid)、[b-23.26]メトラフェノン(metrafenone)、[b-23.27]ピリオフェノン(pyriofenone)、[b-23.28]ドジン(dodine)、[b-23.29]フルチアニル(flutianil)、[b-23.30]フェリムゾン(ferimzone)、[b-23.31]オキサチアピプロリン(oxathiapiprolin)、[b-23.32]テブフロキン(tebufloquin)、[b-23.33]ピカルブトラゾクス(picarbutrazox)、[b-23.34]バリダマイシン類(validamycins)、[b-23.35]シモキサニル(cymoxanil)、
その他の殺菌剤として、[b-23.1]ジクロベンチアゾクス(dichlobentiazox)、[b-23.2]フェンピコキサミド(fenpicoxamid)、[b-23.3]ジピメチトロン(dipymetitrone)、[b-23.4]ブピリメート(bupirimate)、[b-23.5]ジメチリモール(dimethirimol)、[b-23.6]エチリモール(ethirimol)、[b-23.7]酢酸トリフェニルスズ(fentin acetate)、[b-23.8]塩化トリフェニルスズ(fentin chloride)、[b-23.9]水酸化トリフェニルスズ(fentin hydroxide)、[b-23.10]オキソリニック酸(oxolinic acid)、[b-23.11]ヒメキサゾール(hymexazol)、[b-23.12]オクチリノン(octhilinone)、[b-23.13]ホセチル(fosetyl)、[b-23.14]亜リン酸(phosphorous acid)、[b-23.15]亜リン酸のナトリウム塩(sodium phosphite)、[b-23.16]亜リン酸のアンモニウム塩(ammonium phosphite)、[b-23.17]亜リン酸のカリウム塩(potassium phosphite)、[b-23.18]テクロフタラム(tecloftalam)、[b-23.19]トリアゾキシド(triazoxide)、[b-23.20]フルスルファミド(flusulfamide)、[b-23.21]ジクロメジン(diclomezine)、[b-23.22]シルチオファム(silthiofam)、[b-23.23]ジフルメトリム(diflumetorim)、[b-23.24]メタスルホカルブ(methasulfocarb)、[b-23.25]シフルフェナミド(cyflufenamid)、[b-23.26]メトラフェノン(metrafenone)、[b-23.27]ピリオフェノン(pyriofenone)、[b-23.28]ドジン(dodine)、[b-23.29]フルチアニル(flutianil)、[b-23.30]フェリムゾン(ferimzone)、[b-23.31]オキサチアピプロリン(oxathiapiprolin)、[b-23.32]テブフロキン(tebufloquin)、[b-23.33]ピカルブトラゾクス(picarbutrazox)、[b-23.34]バリダマイシン類(validamycins)、[b-23.35]シモキサニル(cymoxanil)、
[b-23.51]式(s16)
[式中、A3は、水素原子、ハロゲン原子、C1~C6のアルキル基、C1~C6のハロアルキル基、またはシアノ基を表し、
A4は、水素原子、C1~C6のアルキル基、C1~C6のハロアルキル基、またはC3~C8のシクロアルキル基を表す。]で表される化合物(国際公開第14/095675号参照)、
[式中、A3は、水素原子、ハロゲン原子、C1~C6のアルキル基、C1~C6のハロアルキル基、またはシアノ基を表し、
A4は、水素原子、C1~C6のアルキル基、C1~C6のハロアルキル基、またはC3~C8のシクロアルキル基を表す。]で表される化合物(国際公開第14/095675号参照)、
[b-23.52]式(s17)
[式中、m1は、0~3の整数を表し、
A5およびA6は、それぞれ独立していて、ハロゲン原子、またはC1~C6のアルキル基を表し、
A7およびA8は、それぞれ独立していて、ハロゲン原子、またはC1~C6のアルコキシ基を表し、
m1が2以上の場合、2以上のA7は、それぞれ独立した置換基を表し、同一または異なっていてよい。]で表される化合物(国際公開第09/137538号、国際特許第09/137651号参照)、
[式中、m1は、0~3の整数を表し、
A5およびA6は、それぞれ独立していて、ハロゲン原子、またはC1~C6のアルキル基を表し、
A7およびA8は、それぞれ独立していて、ハロゲン原子、またはC1~C6のアルコキシ基を表し、
m1が2以上の場合、2以上のA7は、それぞれ独立した置換基を表し、同一または異なっていてよい。]で表される化合物(国際公開第09/137538号、国際特許第09/137651号参照)、
[b-23.53]式(s18)
[式中、A9およびA10は、それぞれ独立していて、水素原子、またはハロゲン原子を表し、
A11は、ハロゲン原子を表し、
A12は、ハロゲン原子、またはC1~C6のアルキル基を表し、
A13は、ハロゲン原子、シアノ基、C1~C6のアルキル基、またはC1~C6のアルコキシ基を表す。]で表される化合物(国際公開第12/031061号参照)、
[式中、A9およびA10は、それぞれ独立していて、水素原子、またはハロゲン原子を表し、
A11は、ハロゲン原子を表し、
A12は、ハロゲン原子、またはC1~C6のアルキル基を表し、
A13は、ハロゲン原子、シアノ基、C1~C6のアルキル基、またはC1~C6のアルコキシ基を表す。]で表される化合物(国際公開第12/031061号参照)、
[b-23.54]式(s19)
[式中、m2は、0~6の整数を表し、
A14およびA15は、それぞれ独立していて、ハロゲン原子、シアノ基、またはC1~C6のアルキル基を表し、
A16は、水素原子、ハロゲン原子、またはC1~C6のアルコキシ基を表し、
A17は、ハロゲン原子、またはC1~C6のアルコキシ基を表し、
m2が2以上の場合、2以上のA17は、それぞれ独立した置換基を表し、同一または異なっていてよい。]で表される化合物(国際公開第05/121104号参照)、
[式中、m2は、0~6の整数を表し、
A14およびA15は、それぞれ独立していて、ハロゲン原子、シアノ基、またはC1~C6のアルキル基を表し、
A16は、水素原子、ハロゲン原子、またはC1~C6のアルコキシ基を表し、
A17は、ハロゲン原子、またはC1~C6のアルコキシ基を表し、
m2が2以上の場合、2以上のA17は、それぞれ独立した置換基を表し、同一または異なっていてよい。]で表される化合物(国際公開第05/121104号参照)、
[b-23.55]式(s20)
[式中、A18およびA19は、それぞれ独立していて、ハロゲン原子、シアノ基、またはC1~C6のアルキル基を表し、
A20、A21およびA22は、それぞれ独立していて、水素原子、ハロゲン原子、またはC1~C6のアルコキシ基を表す。]で表される化合物(国際公開第07/066601号参照)、
[式中、A18およびA19は、それぞれ独立していて、ハロゲン原子、シアノ基、またはC1~C6のアルキル基を表し、
A20、A21およびA22は、それぞれ独立していて、水素原子、ハロゲン原子、またはC1~C6のアルコキシ基を表す。]で表される化合物(国際公開第07/066601号参照)、
[b-23.56]式(s21)
[式中、A23およびA24は、それぞれ独立していて、水素原子、ハロゲン原子、C1~C6のアルキル基、またはC3~C8のシクロアルキル基を表し、
Xは、酸素原子または硫黄原子を表す。]で表される化合物(国際公開第07/087906号、国際特許第09/016220号、国際特許第10/130767号参照)、
[式中、A23およびA24は、それぞれ独立していて、水素原子、ハロゲン原子、C1~C6のアルキル基、またはC3~C8のシクロアルキル基を表し、
Xは、酸素原子または硫黄原子を表す。]で表される化合物(国際公開第07/087906号、国際特許第09/016220号、国際特許第10/130767号参照)、
[b-23.57]式(s22)
[式中、m3は、0~5の整数を表し、
A25は、ハロゲン原子、C1~C6のアルキル基、C1~C6のハロアルキル基、C1~C6のアルコキシ基、C1~C6のハロアルコキシ基、またはC3~C8のシクロアルキル基を表し、
m3が2以上の場合、2以上のA25は、それぞれ独立した置換基を表し、同一または異なっていてよい。]で表される化合物(国際公開第13/092224号参照)、
[式中、m3は、0~5の整数を表し、
A25は、ハロゲン原子、C1~C6のアルキル基、C1~C6のハロアルキル基、C1~C6のアルコキシ基、C1~C6のハロアルコキシ基、またはC3~C8のシクロアルキル基を表し、
m3が2以上の場合、2以上のA25は、それぞれ独立した置換基を表し、同一または異なっていてよい。]で表される化合物(国際公開第13/092224号参照)、
[b-23.58]式(s23)
[式中、A26は、水素原子、またはハロゲン原子を表し、
V1およびV2は、それぞれ独立していて、酸素原子、または硫黄原子を表す。]で表される化合物(国際公開第12/025450号参照)、
[式中、A26は、水素原子、またはハロゲン原子を表し、
V1およびV2は、それぞれ独立していて、酸素原子、または硫黄原子を表す。]で表される化合物(国際公開第12/025450号参照)、
[b-23.59]式(s24)または式(s25)
[式中、m4は、0~5の整数を表し、
A27は、C1~C6のアルキル基を表し、
A28は、ハロゲン原子、シアノ基、C1~C6のアルキル基、またはC1~C6のハロアルキル基を表し、
m4が2以上の場合、2以上のA28は、それぞれ独立した置換基を表し、同一または異なっていてよく、
A29は、C1~C6のアルキル基、C2~C6のアルケニル基、またはC3~C6のアルキニル基を表す。]で表される化合物(国際公開第13/037717号参照)、
[式中、m4は、0~5の整数を表し、
A27は、C1~C6のアルキル基を表し、
A28は、ハロゲン原子、シアノ基、C1~C6のアルキル基、またはC1~C6のハロアルキル基を表し、
m4が2以上の場合、2以上のA28は、それぞれ独立した置換基を表し、同一または異なっていてよく、
A29は、C1~C6のアルキル基、C2~C6のアルケニル基、またはC3~C6のアルキニル基を表す。]で表される化合物(国際公開第13/037717号参照)、
[b-23.60]式(s26)または式(s27)
[式中、m5は、0~5の整数を表し、
A30は、C1~C6のアルキル基を表し、
A31は、ハロゲン原子、シアノ基、C1~C6のアルキル基、またはC1~C6のハロアルキル基を表し、
m5が2以上の場合、2以上のA31は、それぞれ独立した置換基を表し、同一または異なっていてよく、
A32は、C1~C6のアルキル基、C2~C6のアルケニル基、またはC3~C6のアルキニル基を表す。]で表される化合物(国際公開第13/037717号参照)、
[式中、m5は、0~5の整数を表し、
A30は、C1~C6のアルキル基を表し、
A31は、ハロゲン原子、シアノ基、C1~C6のアルキル基、またはC1~C6のハロアルキル基を表し、
m5が2以上の場合、2以上のA31は、それぞれ独立した置換基を表し、同一または異なっていてよく、
A32は、C1~C6のアルキル基、C2~C6のアルケニル基、またはC3~C6のアルキニル基を表す。]で表される化合物(国際公開第13/037717号参照)、
[b-23.61]式(s28)
[式中、A33、A34、A35およびA36は、それぞれ独立していて、水素原子、またはハロゲン原子を表し、
A37は、水素原子、アセチル基、またはベンゾイル基を表す。]で表される化合物(国際公開第06/031631号、国際特許第10/069882号参照)、
[式中、A33、A34、A35およびA36は、それぞれ独立していて、水素原子、またはハロゲン原子を表し、
A37は、水素原子、アセチル基、またはベンゾイル基を表す。]で表される化合物(国際公開第06/031631号、国際特許第10/069882号参照)、
[b-23.62]式(s29)
[式中、A38は、C1~C6のアルキル基、またはC1~C6のハロアルキル基を表し、
A39およびA40は、それぞれ独立していて、水素原子、またはハロゲン原子を表す。]で表される化合物(国際公開第14/043376号参照)、
[式中、A38は、C1~C6のアルキル基、またはC1~C6のハロアルキル基を表し、
A39およびA40は、それぞれ独立していて、水素原子、またはハロゲン原子を表す。]で表される化合物(国際公開第14/043376号参照)、
[b-23.63]式(s30)
[式中、A41は、水素原子、水硫基(-SH)、チオシアン酸基(-SCN)、またはC1~C6のアルキルチオ基を表し、
A42、A43、A44およびA45は、それぞれ独立していて、水素原子、またはハロゲン原子を表す。]で表される化合物(国際公開第09/077443号参照)、
[式中、A41は、水素原子、水硫基(-SH)、チオシアン酸基(-SCN)、またはC1~C6のアルキルチオ基を表し、
A42、A43、A44およびA45は、それぞれ独立していて、水素原子、またはハロゲン原子を表す。]で表される化合物(国際公開第09/077443号参照)、
[b-23.64]式(s31)または式(s32)
[式中、A46は、水素原子、またはハロゲン原子を表し、
A47は、C1~C6のアルキル基を表し、
A48は、ハロゲン原子を表す。]で表される化合物(国際公開第11/070771号参照)、
[式中、A46は、水素原子、またはハロゲン原子を表し、
A47は、C1~C6のアルキル基を表し、
A48は、ハロゲン原子を表す。]で表される化合物(国際公開第11/070771号参照)、
[b-23.65]式(s33)
[式中、A49、A50およびA51は、それぞれ独立していて、水素原子、またはハロゲン原子を表す。]で表される化合物(国際公開第11/081174号参照)等が挙げられる。
[式中、A49、A50およびA51は、それぞれ独立していて、水素原子、またはハロゲン原子を表す。]で表される化合物(国際公開第11/081174号参照)等が挙げられる。
前記のb-23:その他の殺菌剤として、好ましい成分は、[b-23.1]ジクロベンチアゾクス(dichlobentiazox)、[b-23.2]フェンピコキサミド(fenpicoxamid)、[b-23.3]ジピメチトロン(dipymetitrone)、[b-23.7]酢酸トリフェニルスズ(fentin acetate)、[b-23.8]塩化トリフェニルスズ(fentin chloride)、[b-23.9]水酸化トリフェニルスズ(fentin hydroxide)、[b-23.10]オキソリニック酸(oxolinic acid)、[b-23.11]ヒメキサゾール(hymexazol)、[b-23.13]ホセチル(fosetyl)、[b-23.14]亜リン酸(phosphorous acid)、[b-23.20]フルスルファミド(flusulfamide)、[b-23.22]シルチオファム(silthiofam)、[b-23.25]シフルフェナミド(cyflufenamid)、[b-23.26]メトラフェノン(metrafenone)、[b-23.27]ピリオフェノン(pyriofenone)、[b-23.29]フルチアニル(flutianil)、[b-23.30]フェリムゾン(ferimzone)、[b-23.31]オキサチアピプロリン(oxathiapiprolin)、[b-23.32]テブフロキン(tebufloquin)、[b-23.33]ピカルブトラゾクス(picarbutrazox)、[b-23.34]バリダマイシン類(validamycins)、[b-23.35]シモキサニル(cymoxanil)、[b-23.36]式(s1)で表される化合物、[b-23.36]式(s1)で表される化合物、[b-23.37]式(s2)で表される化合物、[b-23.38]式(s3)で表される化合物、[b-23.39]式(s4)で表される化合物、[b-23.40]式(s5)で表される化合物、[b-23.41]式(s6)で表される化合物、[b-23.42]式(s7)で表される化合物、[b-23.43]式(s8)で表される化合物、[b-23.44]式(s9)で表される化合物、[b-23.45]式(s10)で表される化合物、[b-23.46]式(s11)で表される化合物、[b-23.47]式(s12)で表される化合物、[b-23.48]式(s13)で表される化合物、[b-23.49]式(s14)で表される化合物、[b-23.50]式(s15)で表される化合物、[b-23.51]式(s16)で表される化合物、[b-23.52]式(s17)で表される化合物、[b-23.53]式(s18)で表される化合物、[b-23.54]式(s19)で表される化合物、[b-23.55]式(s20)で表される化合物、[b-23.56]式(s21)で表される化合物、[b-23.57]式(s22)で表される化合物、[b-23.58]式(s23)で表される化合物、[b-23.59]式(s24)または式(s25)で表される化合物、[b-23.60]式(s26)または式(s27)で表される化合物、[b-23.61]式(s28)で表される化合物、[b-23.62]式(s29)で表される化合物、[b-23.63]式(s30)で表される化合物、[b-23.64]式(s31)または式(s32)で表される化合物、および[b-23.65]式(s33)で表される化合物であり、さらに好ましい成分は、[b-23.11]ヒメキサゾール(hymexazol)、[b-23.13]ホセチル(fosetyl)、[b-23.20]フルスルファミド(flusulfamide)、[b-23.25]シフルフェナミド(cyflufenamid)、[b-23.26]メトラフェノン(metrafenone)、[b-23.29]フルチアニル(flutianil)、[b-23.30]フェリムゾン(ferimzone)、[b-23.31]オキサチアピプロリン(oxathiapiprolin)、[b-23.32]テブフロキン(tebufloquin)、[b-23.33]ピカルブトラゾクス(picarbutrazox)、[b-23.35]シモキサニル(cymoxanil)、[b-23.38]式(s3)で表される化合物、[b-23.52]式(s17)で表される化合物、[b-23.53]式(s18)で表される化合物、[b-23.54]式(s19)で表される化合物、[b-23.55]式(s20)で表される化合物、[b-23.61]式(s28)で表される化合物、および[b-23.65]式(s33)で表される化合物である。
前記[b-23.51]式(s16)で表される化合物の各用語は、前記の定義と同義である。式(s16)のA3として好ましくは、水素原子、フッ素原子、または塩素原子であり、さらに好ましくは水素原子である。また、A4として好ましくは、メチル基、エチル基、またはn-プロピル基であり、さらに好ましくは、メチル基、またはエチル基である。
前記[b-23.52]式(s17)で表される化合物の各用語は前記の定義と同義である。式(s17)のA5として好ましくは、塩素原子、または臭素原子であり、さらに好ましくは塩素原子である。また、A6として好ましくはメチル基、塩素原子、または臭素原子であり、さらに好ましくはメチル基である。また、(A7)m1-フェニル基において好ましくは、3-フルオロフェニル基、4-クロロフェニル基、4-フルオロフェニル基、または3,5-ジフルオロフェニル基であり、さらに好ましくは3-フルオロフェニル基である。また、A8として好ましくは水素原子、フッ素原子、塩素原子、またはメトキシ基であり、さらに好ましくはメトキシ基である。
前記[b-23.53]式(s18)の各用語は前記の定義と同義である。式(s18)のA9として好ましくは、水素原子、フッ素原子、塩素原子、または臭素原子であり、さらに好ましくは塩素原子である。また、A10として好ましくは、水素原子、フッ素原子、または塩素原子であり、さらに好ましくは水素原子である。また、A11として好ましくは、フッ素原子、塩素原子であり、さらに好ましくはフッ素原子である。また、A12として好ましくは、フッ素原子、塩素原子、または臭素原子であり、さらに好ましくは臭素原子である。また、A13として好ましくは、フッ素原子、またはメトキシ基であり、さらに好ましくはフッ素原子である。
前記[b-23.54]式(s19)の各用語は前記の定義と同義である。式(s19)のA14として好ましくは、メチル基、塩素原子、臭素原子、またはシアノ基であり、さらに好ましくは塩素原子である。また、A15として好ましくは、メチル基、塩素原子、臭素原子、またはシアノ基であり、さらに好ましくはメチル基である。また、A16として好ましくは水素原子、フッ素原子、またはメトキシ基であり、さらに好ましくは水素原子である。また、(A17)m2-フェニル基において好ましくは、フェニル基、4-フルオロフェニル基、4-クロロフェニル基であり、さらに好ましくはフェニル基である。
前記[b-23.55]式(s20)の各用語は前記の定義と同義である。式(s20)のA18として好ましくは、メチル基、塩素原子、臭素原子、またはシアノ基であり、さらに好ましくは塩素原子である。また、A19として好ましくは、メチル基、塩素原子、臭素原子、またはシアノ基であり、さらに好ましくはメチル基である。また、A20およびA21として好ましくは水素原子、フッ素原子、塩素原子、またはメトキシ基であり、さらに好ましくは塩素原子である。また、A22において好ましくは、水素原子、フッ素原子、または塩素原子であり、さらに好ましくはフッ素原子である。
前記[b-23.56]式(s21)の各用語は前記の定義と同義である。式(s21)のA23として好ましくは、エチル基、イソプロピル基、またはシクロプロピル基であり、さらに好ましくはイソプロピル基である。また、A24として好ましくは、水素原子、メチル基、フッ素原子、または塩素原子であり、さらに好ましくは塩素原子である。また、Xとして好ましくは酸素原子である。
前記[b-23.57]式(s22)の各用語は前記の定義と同義である。式(s22)の(A25)m3-フェニル基において好ましくは、4-クロロフェニル基、2,4-ジクロロフェニル基、または4-クロロー2-フルオロフェニル基であり、さらに好ましくは4-クロロフェニル基である。
前記[b-23.58]式(s23)の各用語は前記の定義と同義である。式(s23)のA26において好ましくは、水素原子、フッ素原子、または塩素原子であり、さらに好ましくは水素原子である。また、V1として好ましくは酸素原子である。また、V2として好ましくは硫黄原子である。
前記[b-23.59]式(s24)または式(s25)の各用語は前記の定義と同義である。式(s24)および式(s25)のA27として好ましくは、メチル基、エチル基、またはイソプロピル基であり、さらに好ましくはメチル基である。また、(A28)m4-フェニル基において好ましくは、フェニル基、3-フルオロフェニル基、または2-メチルフェニル基であり、さらに好ましくはフェニル基である。また、A29として好ましくは、n-ブチル基、t-ブチル基、1-ブチニル基、または1-ブテニル基であり、さらに好ましくはt-ブチル基、1-ブチニル基である。
前記[b-23.60]式(s26)または式(s27)の各用語は前記の定義と同義である。式(s26)および式(s27)のA30として好ましくは、メチル基、エチル基、またはイソプロピル基であり、さらに好ましくはメチル基である。また、(A31)m5-フェニル基において好ましくは、フェニル基、3-フルオロフェニル基、または2-メチルフェニル基であり、さらに好ましくはフェニル基である。また、A32として好ましくは、n-ブチル基、t-ブチル基、1-ブチニル基、または1-ブテニル基であり、さらに好ましくはt-ブチル基、1-ブチニル基である。
前記[b-23.61]式(s28)の各用語は前記の定義と同義である。式(s28)のA33として好ましくは水素原子、フッ素原子、または塩素原子であり、さらに好ましくはフッ素原子である。また、A34として好ましくは水素原子、フッ素原子、または塩素原子であり、さらに好ましくは塩素原子である。また、A35として好ましくはフッ素原子、塩素原子、または臭素原子であり、さらに好ましくはフッ素原子である。また、A36として好ましくは水素原子、またはフッ素原子であり、さらに好ましくはフッ素原子である。また、A37として好ましくは水素原子、またはアセチル基であり、さらに好ましくは水素原子である。
前記[b-23.62]式(s29)の各用語は前記の定義と同義である。式(s29)のA38として好ましくは、メチル基、エチル基、トリフルオロメチル基、または1,1,1-トリフルオロエチル基であり、さらに好ましくは1,1,1-トリフルオロエチル基である。また、A39として好ましくは、水素原子、フッ素原子、または塩素原子であり、さらに好ましくはフッ素原子である。また、A40として好ましくは、水素原子、フッ素原子、または塩素原子であり、さらに好ましくはフッ素原子である。
前記[b-23.63]式(s30)の各用語は前記の定義と同義である。式(s30)のA41として好ましくは、水硫基(-SH)、メチルチオ基、またはチオシアン酸基(-SCN)であり、さらに好ましくは水硫基(-SH)である。また、A42として好ましくは、水素原子、フッ素原子、または塩素原子であり、さらに好ましくはフッ素原子である。また、A43として好ましくは、水素原子、フッ素原子、または塩素原子であり、さらに好ましくはフッ素原子である。また、A44として好ましくは、水素原子、フッ素原子、または塩素原子であり、さらに好ましくは塩素原子である。また、A45として好ましくは、水素原子、フッ素原子、または塩素原子であり、さらに好ましくは水素原子である。
前記[b-23.64]式(s31)または式(s32)の各用語は前記の定義と同義である。式(s31)のA46として好ましくは、水素原子、フッ素原子、または塩素原子であり、さらに好ましくは塩素原子である。また、A47として好ましくは、メチル基、エチル基、またはイソプロピル基であり、さらに好ましくはメチル基である。また、式(s32)のA46として好ましくは水素原子、フッ素原子、または塩素原子であり、さらに好ましくは塩素原子である。また、A48として好ましくは、フッ素原子、塩素原子、または臭素原子であり、さらに好ましくは塩素原子である。
前記[b-23.65]式(s33)の各用語は前記の定義と同義であり、式(s33)のA49として好ましくは、水素原子、フッ素原子、または塩素原子であり、さらに好ましくはフッ素原子である。また、A50として好ましくは、水素原子、フッ素原子、または塩素原子であり、さらに好ましくはフッ素原子である。また、A51として好ましくは、水素原子、フッ素原子、または塩素原子であり、さらに好ましくはフッ素原子である。
前記[b-23.52]式(s17)で表される化合物の各用語は前記の定義と同義である。式(s17)のA5として好ましくは、塩素原子、または臭素原子であり、さらに好ましくは塩素原子である。また、A6として好ましくはメチル基、塩素原子、または臭素原子であり、さらに好ましくはメチル基である。また、(A7)m1-フェニル基において好ましくは、3-フルオロフェニル基、4-クロロフェニル基、4-フルオロフェニル基、または3,5-ジフルオロフェニル基であり、さらに好ましくは3-フルオロフェニル基である。また、A8として好ましくは水素原子、フッ素原子、塩素原子、またはメトキシ基であり、さらに好ましくはメトキシ基である。
前記[b-23.53]式(s18)の各用語は前記の定義と同義である。式(s18)のA9として好ましくは、水素原子、フッ素原子、塩素原子、または臭素原子であり、さらに好ましくは塩素原子である。また、A10として好ましくは、水素原子、フッ素原子、または塩素原子であり、さらに好ましくは水素原子である。また、A11として好ましくは、フッ素原子、塩素原子であり、さらに好ましくはフッ素原子である。また、A12として好ましくは、フッ素原子、塩素原子、または臭素原子であり、さらに好ましくは臭素原子である。また、A13として好ましくは、フッ素原子、またはメトキシ基であり、さらに好ましくはフッ素原子である。
前記[b-23.54]式(s19)の各用語は前記の定義と同義である。式(s19)のA14として好ましくは、メチル基、塩素原子、臭素原子、またはシアノ基であり、さらに好ましくは塩素原子である。また、A15として好ましくは、メチル基、塩素原子、臭素原子、またはシアノ基であり、さらに好ましくはメチル基である。また、A16として好ましくは水素原子、フッ素原子、またはメトキシ基であり、さらに好ましくは水素原子である。また、(A17)m2-フェニル基において好ましくは、フェニル基、4-フルオロフェニル基、4-クロロフェニル基であり、さらに好ましくはフェニル基である。
前記[b-23.55]式(s20)の各用語は前記の定義と同義である。式(s20)のA18として好ましくは、メチル基、塩素原子、臭素原子、またはシアノ基であり、さらに好ましくは塩素原子である。また、A19として好ましくは、メチル基、塩素原子、臭素原子、またはシアノ基であり、さらに好ましくはメチル基である。また、A20およびA21として好ましくは水素原子、フッ素原子、塩素原子、またはメトキシ基であり、さらに好ましくは塩素原子である。また、A22において好ましくは、水素原子、フッ素原子、または塩素原子であり、さらに好ましくはフッ素原子である。
前記[b-23.56]式(s21)の各用語は前記の定義と同義である。式(s21)のA23として好ましくは、エチル基、イソプロピル基、またはシクロプロピル基であり、さらに好ましくはイソプロピル基である。また、A24として好ましくは、水素原子、メチル基、フッ素原子、または塩素原子であり、さらに好ましくは塩素原子である。また、Xとして好ましくは酸素原子である。
前記[b-23.57]式(s22)の各用語は前記の定義と同義である。式(s22)の(A25)m3-フェニル基において好ましくは、4-クロロフェニル基、2,4-ジクロロフェニル基、または4-クロロー2-フルオロフェニル基であり、さらに好ましくは4-クロロフェニル基である。
前記[b-23.58]式(s23)の各用語は前記の定義と同義である。式(s23)のA26において好ましくは、水素原子、フッ素原子、または塩素原子であり、さらに好ましくは水素原子である。また、V1として好ましくは酸素原子である。また、V2として好ましくは硫黄原子である。
前記[b-23.59]式(s24)または式(s25)の各用語は前記の定義と同義である。式(s24)および式(s25)のA27として好ましくは、メチル基、エチル基、またはイソプロピル基であり、さらに好ましくはメチル基である。また、(A28)m4-フェニル基において好ましくは、フェニル基、3-フルオロフェニル基、または2-メチルフェニル基であり、さらに好ましくはフェニル基である。また、A29として好ましくは、n-ブチル基、t-ブチル基、1-ブチニル基、または1-ブテニル基であり、さらに好ましくはt-ブチル基、1-ブチニル基である。
前記[b-23.60]式(s26)または式(s27)の各用語は前記の定義と同義である。式(s26)および式(s27)のA30として好ましくは、メチル基、エチル基、またはイソプロピル基であり、さらに好ましくはメチル基である。また、(A31)m5-フェニル基において好ましくは、フェニル基、3-フルオロフェニル基、または2-メチルフェニル基であり、さらに好ましくはフェニル基である。また、A32として好ましくは、n-ブチル基、t-ブチル基、1-ブチニル基、または1-ブテニル基であり、さらに好ましくはt-ブチル基、1-ブチニル基である。
前記[b-23.61]式(s28)の各用語は前記の定義と同義である。式(s28)のA33として好ましくは水素原子、フッ素原子、または塩素原子であり、さらに好ましくはフッ素原子である。また、A34として好ましくは水素原子、フッ素原子、または塩素原子であり、さらに好ましくは塩素原子である。また、A35として好ましくはフッ素原子、塩素原子、または臭素原子であり、さらに好ましくはフッ素原子である。また、A36として好ましくは水素原子、またはフッ素原子であり、さらに好ましくはフッ素原子である。また、A37として好ましくは水素原子、またはアセチル基であり、さらに好ましくは水素原子である。
前記[b-23.62]式(s29)の各用語は前記の定義と同義である。式(s29)のA38として好ましくは、メチル基、エチル基、トリフルオロメチル基、または1,1,1-トリフルオロエチル基であり、さらに好ましくは1,1,1-トリフルオロエチル基である。また、A39として好ましくは、水素原子、フッ素原子、または塩素原子であり、さらに好ましくはフッ素原子である。また、A40として好ましくは、水素原子、フッ素原子、または塩素原子であり、さらに好ましくはフッ素原子である。
前記[b-23.63]式(s30)の各用語は前記の定義と同義である。式(s30)のA41として好ましくは、水硫基(-SH)、メチルチオ基、またはチオシアン酸基(-SCN)であり、さらに好ましくは水硫基(-SH)である。また、A42として好ましくは、水素原子、フッ素原子、または塩素原子であり、さらに好ましくはフッ素原子である。また、A43として好ましくは、水素原子、フッ素原子、または塩素原子であり、さらに好ましくはフッ素原子である。また、A44として好ましくは、水素原子、フッ素原子、または塩素原子であり、さらに好ましくは塩素原子である。また、A45として好ましくは、水素原子、フッ素原子、または塩素原子であり、さらに好ましくは水素原子である。
前記[b-23.64]式(s31)または式(s32)の各用語は前記の定義と同義である。式(s31)のA46として好ましくは、水素原子、フッ素原子、または塩素原子であり、さらに好ましくは塩素原子である。また、A47として好ましくは、メチル基、エチル基、またはイソプロピル基であり、さらに好ましくはメチル基である。また、式(s32)のA46として好ましくは水素原子、フッ素原子、または塩素原子であり、さらに好ましくは塩素原子である。また、A48として好ましくは、フッ素原子、塩素原子、または臭素原子であり、さらに好ましくは塩素原子である。
前記[b-23.65]式(s33)の各用語は前記の定義と同義であり、式(s33)のA49として好ましくは、水素原子、フッ素原子、または塩素原子であり、さらに好ましくはフッ素原子である。また、A50として好ましくは、水素原子、フッ素原子、または塩素原子であり、さらに好ましくはフッ素原子である。また、A51として好ましくは、水素原子、フッ素原子、または塩素原子であり、さらに好ましくはフッ素原子である。
殺虫剤に含まれる具体的な成分は以下の群cで例示され、これらの塩、異性体およびN-オキシド体を含む。ただし、公知の殺虫剤はこれらに限定されるものではない。
群c:
c-1:カーバメート系アセチルコリンエステラーゼ(AChE)阻害剤
カーバメート系アセチルコリンエステラーゼ(AChE)阻害剤として、[c-1.1]ホスホカルブ(phosphocarb)、[c-1.2]アラニカルブ(alanycarb)、[c-1.3]ブトカルボキシム(butocarboxim)、[c-1.4]ブトキシカルボキシム(butoxycarboxim)、[c-1.5]チオジカルブ(thiodicarb)、[c-1.6]チオファノックス(thiofanox)、[c-1.7]アルジカルブ(aldicarb)、[c-1.8]ベンジオカルブ(bendiocarb)、[c-1.9]ベンフラカルブ(benfuracarb)、[c-1.10]カルバリル(carbaryl)、[c-1.11]カルボフラン(carbofuran)、[c-1.12]カルボスルファン(carbosulfan)、[c-1.13]エチオフェンカルブ(ethiofencarb)、[c-1.14]フェノブカルブ(fenobucarb)、[c-1.15]ホルメタネート(formetanate)、[c-1.16]フラチオカルブ(furathiocarb)、[c-1.17]イソプロカルブ(isoprocarb)、[c-1.18]メチオカルブ(methiocarb)、[c-1.19]メソミル(methomyl)、[c-1.20]オキサミル(oxamyl)、[c-1.21]ピリミカルブ(pirimicarb)、[c-1.22]プロポキスル(propoxur)、[c-1.23]トリメタカルブ(trimethacarb)、[c-1.24]XMC(3,5-xylyl methylcarbamate)、[c-1.25]アリキシカルブ(allyxycarb)、[c-1.26]アルドキシカルブ(aldoxycarb)、[c-1.27]ブフェンカルブ(bufencarb)、[c-1.28]ブタカルブ(butacarb)、[c-1.29]カーバノレート(carbanolate)、[c-1.30]メトルカルブ(metolcarb)、[c-1.31]キシルイルカルブ(xylylcarb)、[c-1.32]フェノチオカルブ(fenothiocarb)、[c-1.33]キシリルカルブ(xylylcarb)、[c-1.34]ベンダイオカルブ(bendiocarb)等が挙げられ、好ましい成分は、[c-1.5]チオジカルブ(thiodicarb)、[c-1.9]ベンフラカルブ(benfuracarb)、[c-1.10]カルバリル(carbaryl)、[c-1.11]カルボフラン(carbofuran)、[c-1.12]カルボスルファン(carbosulfan)、[c-1.14]フェノブカルブ(fenobucarb)、[c-1.15]ホルメタネート(formetanate)、[c-1.17]イソプロカルブ(isoprocarb)、[c-1.18]メチオカルブ(methiocarb)、[c-1.19]メソミル(methomyl)、[c-1.20]オキサミル(oxamyl)、および[c-1.21]ピリミカルブ(pirimicarb)であり、さらに好ましい成分は、[c-1.5]チオジカルブ(thiodicarb)、[c-1.9]ベンフラカルブ(benfuracarb)、[c-1.11]カルボフラン(carbofuran)、および[c-1.12]カルボスルファン(carbosulfan)である。
c-1:カーバメート系アセチルコリンエステラーゼ(AChE)阻害剤
カーバメート系アセチルコリンエステラーゼ(AChE)阻害剤として、[c-1.1]ホスホカルブ(phosphocarb)、[c-1.2]アラニカルブ(alanycarb)、[c-1.3]ブトカルボキシム(butocarboxim)、[c-1.4]ブトキシカルボキシム(butoxycarboxim)、[c-1.5]チオジカルブ(thiodicarb)、[c-1.6]チオファノックス(thiofanox)、[c-1.7]アルジカルブ(aldicarb)、[c-1.8]ベンジオカルブ(bendiocarb)、[c-1.9]ベンフラカルブ(benfuracarb)、[c-1.10]カルバリル(carbaryl)、[c-1.11]カルボフラン(carbofuran)、[c-1.12]カルボスルファン(carbosulfan)、[c-1.13]エチオフェンカルブ(ethiofencarb)、[c-1.14]フェノブカルブ(fenobucarb)、[c-1.15]ホルメタネート(formetanate)、[c-1.16]フラチオカルブ(furathiocarb)、[c-1.17]イソプロカルブ(isoprocarb)、[c-1.18]メチオカルブ(methiocarb)、[c-1.19]メソミル(methomyl)、[c-1.20]オキサミル(oxamyl)、[c-1.21]ピリミカルブ(pirimicarb)、[c-1.22]プロポキスル(propoxur)、[c-1.23]トリメタカルブ(trimethacarb)、[c-1.24]XMC(3,5-xylyl methylcarbamate)、[c-1.25]アリキシカルブ(allyxycarb)、[c-1.26]アルドキシカルブ(aldoxycarb)、[c-1.27]ブフェンカルブ(bufencarb)、[c-1.28]ブタカルブ(butacarb)、[c-1.29]カーバノレート(carbanolate)、[c-1.30]メトルカルブ(metolcarb)、[c-1.31]キシルイルカルブ(xylylcarb)、[c-1.32]フェノチオカルブ(fenothiocarb)、[c-1.33]キシリルカルブ(xylylcarb)、[c-1.34]ベンダイオカルブ(bendiocarb)等が挙げられ、好ましい成分は、[c-1.5]チオジカルブ(thiodicarb)、[c-1.9]ベンフラカルブ(benfuracarb)、[c-1.10]カルバリル(carbaryl)、[c-1.11]カルボフラン(carbofuran)、[c-1.12]カルボスルファン(carbosulfan)、[c-1.14]フェノブカルブ(fenobucarb)、[c-1.15]ホルメタネート(formetanate)、[c-1.17]イソプロカルブ(isoprocarb)、[c-1.18]メチオカルブ(methiocarb)、[c-1.19]メソミル(methomyl)、[c-1.20]オキサミル(oxamyl)、および[c-1.21]ピリミカルブ(pirimicarb)であり、さらに好ましい成分は、[c-1.5]チオジカルブ(thiodicarb)、[c-1.9]ベンフラカルブ(benfuracarb)、[c-1.11]カルボフラン(carbofuran)、および[c-1.12]カルボスルファン(carbosulfan)である。
c-2:有機リン系アセチルコリンエステラーゼ(AChE)阻害剤
有機リン系アセチルコリンエステラーゼ(AChE)阻害剤として、[c-2.1]アセフェート(acephate)、[c-2.2]アザメチホス(azamethiphos)、[c-2.3]アジンホス-メチル(azinphos-methyl)、[c-2.4]アジンホス-エチル(azinphos-ethyl)、[c-2.5]エセフォン(ethephon)、[c-2.6]カズサホス(cadusafos)、[c-2.7]クロルエトキシホス(chlorethoxyfos)、[c-2.8]クロルフェンビンホス(chlorfenvinphos)、[c-2.9]クロルメホス(chlormephos)、[c-2.10]クロルピリホス(chlorpyrifos)、[c-2.11]クロルピリホス-メチル(chlorpyrifos-methyl)、[c-2.12]クマホス(coumaphos)、[c-2.13]シアノホス(cyanophos)、[c-2.14]デメトン-S-メチル(demeton-S-methyl)、[c-2.15]ダイアジノン(diazinon)、[c-2.16]ジクロフェンチオン(dichlofenthion)、[c-2.17]ジクロルボス(dichlorvos)、[c-2.18]ジクロトホス(dicrotophos)、[c-2.19]ジメトエート(dimethoate)、[c-2.20]ジメチルビンホス(dimethylvinphos)、[c-2.21]ジスルホトン(disulfoton)、[c-2.22]O-エチル O-4-ニトロフェニル フェニルホスホノチオアート(O-ethyl O-4-nitrophenyl phenylphosphonothioate)、[c-2.23]エチオン(ethion)、[c-2.24]エトプロホス(ethoprophos)、[c-2.25]ファムフール(famphur)、[c-2.26]フェナミホス(fenamiphos)、[c-2.27]フェニトロチオン(fenitrothion)、[c-2.28]フェンチオン(fenthion)、[c-2.29]ホスチアゼート(fosthiazate)、[c-2.30]ヘプテノホス(heptenophos)、[c-2.31]イソフェンホス-メチル(isofenphos-methyl)、[c-2.32]イソカルボホス(Isocarbophos)、[c-2.33]イソキサチオン(isoxathion)、[c-2.34]マラチオン(malathion)、[c-2.35]メカルバム(mecarbam)、[c-2.36]メタミドホス(methamidophos)、[c-2.37]メチダチオン(methidathion)、[c-2.38]メビンホス(mevinphos)、[c-2.39]モノクロトホス(monocrotophos)、[c-2.40]ナレッド(naled)、[c-2.41]オメトエート(omethoate)、[c-2.42]オキシデメトン-メチル(oxydemeton-methyl)、[c-2.43]パラチオン(parathions)、[c-2.44]パラチオン-メチル(parathion-methyl)、[c-2.45]フェントエート(phenthoate)、[c-2.46]ホレート(phorate)、[c-2.47]ホサロン(phosalone)、[c-2.48]ホスメット(phosmet)、[c-2.49]ホスファミドン(phosphamidon)、[c-2.50]ホキシム(phoxim)、[c-2.51]ピリミホス-メチル(pirimiphos-methyl)、[c-2.52]プロフェノホス(profenofos)、[c-2.53]プロペタンホス(propetamphos)、[c-2.54]プロチオホス(prothiofos)、[c-2.55]ピラクロホス(pyraclofos)、[c-2.56]ピリダフェンチオン(pyridaphenthion)、[c-2.57]キナルホス(quinalphos)、[c-2.58]スルホテップ(sulfotep)、[c-2.59]テブピリムホス(tebupirimfos)、[c-2.60]テメホス(temephos)、[c-2.61]テルブホス(terbufos)、[c-2.62]チオメトン(thiometon)、[c-2.63]トリアゾホス(triazophos)、[c-2.64]トリクロルホン(trichlorfon)、[c-2.65]バミドチオン(vamidothion)、[c-2.66]クロルチオン(chlorothion)、[c-2.67]ブロムフェンビンホス(bromfenvinfos)、[c-2.68]ブロモホス(bromophos)、[c-2.69]ブロモホス-エチル(bromophos-ethyl)、[c-2.70]ブタチオホス(butathiofos)、[c-2.71]カルボフェノチオン(carbophenothion)、[c-2.72]クロルホキシム(chlorphoxim)、[c-2.73]スルプロホス(sulprofos)、[c-2.74]ジアミダホス(diamidafos)、[c-2.75]テトラクロルビンホス(tetrachlorvinphos)、[c-2.76]プロパホス(propaphos)、[c-2.77]メスルフェンホス(mesulfenfos)、[c-2.78]ジオキサベンゾホス(dioxabenzofos)、[c-2.79]エトリムホス(etrimfos)、[c-2.80]オキシデプロホス(oxydeprofos)、[c-2.81]ホルモチオン(formothion)、[c-2.82]フェンスルホチオン(fensulfothion)、[c-2.83]イサゾホス(isazofos)、[c-2.84]イミシアホス(imicyafos)、[c-2.85]イサミドホス(isamidofos)、[c-2.86]チオナジン(thionazin)、[c-2.87]ホスチエタン(fosthietan)等が挙げられ、好ましい成分は、[c-2.1]アセフェート(acephate)、[c-2.6]カズサホス(cadusafos)、[c-2.10]クロルピリホス(chlorpyrifos)、[c-2.11]クロルピリホス-メチル(chlorpyrifos-methyl)、[c-2.15]ダイアジノン(diazinon)、[c-2.17]ジクロルボス(dichlorvos)、[c-2.18]ジクロトホス(dicrotophos)、[c-2.19]ジメトエート(dimethoate)、[c-2.23]エチオン(ethion)、[c-2.24]エトプロホス(ethoprophos)、[c-2.26]フェナミホス(fenamiphos)、[c-2.27]フェニトロチオン(fenitrothion)、[c-2.28]フェンチオン(fenthion)、[c-2.29]ホスチアゼート(fosthiazate)、[c-2.33]イソキサチオン(isoxathion)、[c-2.34]マラチオン(malathion)、[c-2.36]メタミドホス(methamidophos)、[c-2.37]メチダチオン(methidathion)、[c-2.39]モノクロトホス(monocrotophos)、[c-2.41]オメトエート(omethoate)、[c-2.44]パラチオン-メチル(parathion-methyl)、[c-2.45]フェントエート(phenthoate)、[c-2.46]ホレート(phorate)、[c-2.48]ホスメット(phosmet)、[c-2.50]ホキシム(phoxim)、[c-2.52]プロフェノホス(profenofos)、[c-2.54]プロチオホス(prothiofos)、[c-2.57]キナルホス(quinalphos)、[c-2.59]テブピリムホス(tebupirimfos)、[c-2.61]テルブホス(terbufos)、[c-2.63]トリアゾホス(triazophos)、[c-2.64]トリクロルホン(trichlorfon)、および[c-2.84]イミシアホス(imicyafos)であり、さらに好ましい成分は、[c-2.1]アセフェート(acephate)、[c-2.15]ダイアジノン(diazinon)、[c-2.19]ジメトエート(dimethoate)、[c-2.27]フェニトロチオン(fenitrothion)、[c-2.28]フェンチオン(fenthion)、[c-2.33]イソキサチオン(isoxathion)、[c-2.37]メチダチオン(methidathion)、[c-2.41]オメトエート(omethoate)、[c-2.50]ホキシム(phoxim)、[c-2.57]キナルホス(quinalphos)、[c-2.63]トリアゾホス(triazophos)、[c-2.64]トリクロルホン(trichlorfon)、および[c-2.84]イミシアホス(imicyafos)である。
有機リン系アセチルコリンエステラーゼ(AChE)阻害剤として、[c-2.1]アセフェート(acephate)、[c-2.2]アザメチホス(azamethiphos)、[c-2.3]アジンホス-メチル(azinphos-methyl)、[c-2.4]アジンホス-エチル(azinphos-ethyl)、[c-2.5]エセフォン(ethephon)、[c-2.6]カズサホス(cadusafos)、[c-2.7]クロルエトキシホス(chlorethoxyfos)、[c-2.8]クロルフェンビンホス(chlorfenvinphos)、[c-2.9]クロルメホス(chlormephos)、[c-2.10]クロルピリホス(chlorpyrifos)、[c-2.11]クロルピリホス-メチル(chlorpyrifos-methyl)、[c-2.12]クマホス(coumaphos)、[c-2.13]シアノホス(cyanophos)、[c-2.14]デメトン-S-メチル(demeton-S-methyl)、[c-2.15]ダイアジノン(diazinon)、[c-2.16]ジクロフェンチオン(dichlofenthion)、[c-2.17]ジクロルボス(dichlorvos)、[c-2.18]ジクロトホス(dicrotophos)、[c-2.19]ジメトエート(dimethoate)、[c-2.20]ジメチルビンホス(dimethylvinphos)、[c-2.21]ジスルホトン(disulfoton)、[c-2.22]O-エチル O-4-ニトロフェニル フェニルホスホノチオアート(O-ethyl O-4-nitrophenyl phenylphosphonothioate)、[c-2.23]エチオン(ethion)、[c-2.24]エトプロホス(ethoprophos)、[c-2.25]ファムフール(famphur)、[c-2.26]フェナミホス(fenamiphos)、[c-2.27]フェニトロチオン(fenitrothion)、[c-2.28]フェンチオン(fenthion)、[c-2.29]ホスチアゼート(fosthiazate)、[c-2.30]ヘプテノホス(heptenophos)、[c-2.31]イソフェンホス-メチル(isofenphos-methyl)、[c-2.32]イソカルボホス(Isocarbophos)、[c-2.33]イソキサチオン(isoxathion)、[c-2.34]マラチオン(malathion)、[c-2.35]メカルバム(mecarbam)、[c-2.36]メタミドホス(methamidophos)、[c-2.37]メチダチオン(methidathion)、[c-2.38]メビンホス(mevinphos)、[c-2.39]モノクロトホス(monocrotophos)、[c-2.40]ナレッド(naled)、[c-2.41]オメトエート(omethoate)、[c-2.42]オキシデメトン-メチル(oxydemeton-methyl)、[c-2.43]パラチオン(parathions)、[c-2.44]パラチオン-メチル(parathion-methyl)、[c-2.45]フェントエート(phenthoate)、[c-2.46]ホレート(phorate)、[c-2.47]ホサロン(phosalone)、[c-2.48]ホスメット(phosmet)、[c-2.49]ホスファミドン(phosphamidon)、[c-2.50]ホキシム(phoxim)、[c-2.51]ピリミホス-メチル(pirimiphos-methyl)、[c-2.52]プロフェノホス(profenofos)、[c-2.53]プロペタンホス(propetamphos)、[c-2.54]プロチオホス(prothiofos)、[c-2.55]ピラクロホス(pyraclofos)、[c-2.56]ピリダフェンチオン(pyridaphenthion)、[c-2.57]キナルホス(quinalphos)、[c-2.58]スルホテップ(sulfotep)、[c-2.59]テブピリムホス(tebupirimfos)、[c-2.60]テメホス(temephos)、[c-2.61]テルブホス(terbufos)、[c-2.62]チオメトン(thiometon)、[c-2.63]トリアゾホス(triazophos)、[c-2.64]トリクロルホン(trichlorfon)、[c-2.65]バミドチオン(vamidothion)、[c-2.66]クロルチオン(chlorothion)、[c-2.67]ブロムフェンビンホス(bromfenvinfos)、[c-2.68]ブロモホス(bromophos)、[c-2.69]ブロモホス-エチル(bromophos-ethyl)、[c-2.70]ブタチオホス(butathiofos)、[c-2.71]カルボフェノチオン(carbophenothion)、[c-2.72]クロルホキシム(chlorphoxim)、[c-2.73]スルプロホス(sulprofos)、[c-2.74]ジアミダホス(diamidafos)、[c-2.75]テトラクロルビンホス(tetrachlorvinphos)、[c-2.76]プロパホス(propaphos)、[c-2.77]メスルフェンホス(mesulfenfos)、[c-2.78]ジオキサベンゾホス(dioxabenzofos)、[c-2.79]エトリムホス(etrimfos)、[c-2.80]オキシデプロホス(oxydeprofos)、[c-2.81]ホルモチオン(formothion)、[c-2.82]フェンスルホチオン(fensulfothion)、[c-2.83]イサゾホス(isazofos)、[c-2.84]イミシアホス(imicyafos)、[c-2.85]イサミドホス(isamidofos)、[c-2.86]チオナジン(thionazin)、[c-2.87]ホスチエタン(fosthietan)等が挙げられ、好ましい成分は、[c-2.1]アセフェート(acephate)、[c-2.6]カズサホス(cadusafos)、[c-2.10]クロルピリホス(chlorpyrifos)、[c-2.11]クロルピリホス-メチル(chlorpyrifos-methyl)、[c-2.15]ダイアジノン(diazinon)、[c-2.17]ジクロルボス(dichlorvos)、[c-2.18]ジクロトホス(dicrotophos)、[c-2.19]ジメトエート(dimethoate)、[c-2.23]エチオン(ethion)、[c-2.24]エトプロホス(ethoprophos)、[c-2.26]フェナミホス(fenamiphos)、[c-2.27]フェニトロチオン(fenitrothion)、[c-2.28]フェンチオン(fenthion)、[c-2.29]ホスチアゼート(fosthiazate)、[c-2.33]イソキサチオン(isoxathion)、[c-2.34]マラチオン(malathion)、[c-2.36]メタミドホス(methamidophos)、[c-2.37]メチダチオン(methidathion)、[c-2.39]モノクロトホス(monocrotophos)、[c-2.41]オメトエート(omethoate)、[c-2.44]パラチオン-メチル(parathion-methyl)、[c-2.45]フェントエート(phenthoate)、[c-2.46]ホレート(phorate)、[c-2.48]ホスメット(phosmet)、[c-2.50]ホキシム(phoxim)、[c-2.52]プロフェノホス(profenofos)、[c-2.54]プロチオホス(prothiofos)、[c-2.57]キナルホス(quinalphos)、[c-2.59]テブピリムホス(tebupirimfos)、[c-2.61]テルブホス(terbufos)、[c-2.63]トリアゾホス(triazophos)、[c-2.64]トリクロルホン(trichlorfon)、および[c-2.84]イミシアホス(imicyafos)であり、さらに好ましい成分は、[c-2.1]アセフェート(acephate)、[c-2.15]ダイアジノン(diazinon)、[c-2.19]ジメトエート(dimethoate)、[c-2.27]フェニトロチオン(fenitrothion)、[c-2.28]フェンチオン(fenthion)、[c-2.33]イソキサチオン(isoxathion)、[c-2.37]メチダチオン(methidathion)、[c-2.41]オメトエート(omethoate)、[c-2.50]ホキシム(phoxim)、[c-2.57]キナルホス(quinalphos)、[c-2.63]トリアゾホス(triazophos)、[c-2.64]トリクロルホン(trichlorfon)、および[c-2.84]イミシアホス(imicyafos)である。
c-3:GABA作動性塩素イオンチャネルブロッカー
GABA作動性塩素イオンチャネルブロッカーとして、[c-3.1]クロルデン(chlordane)、[c-3.2]エンドスルファン(endosulfan)、[c-3.3]リンデン(lindane)、[c-3.4]ジエノクロル(dienochlor)、[c-3.5]エチプロール(ethiprole)、[c-3.6]フィプロニル(fipronil)、[c-3.7]アセトプロール(acetoprole)等が挙げられ、好ましい成分は、[c-3.5]エチプロール(ethiprole)、および[c-3.6]フィプロニル(fipronil)である。
GABA作動性塩素イオンチャネルブロッカーとして、[c-3.1]クロルデン(chlordane)、[c-3.2]エンドスルファン(endosulfan)、[c-3.3]リンデン(lindane)、[c-3.4]ジエノクロル(dienochlor)、[c-3.5]エチプロール(ethiprole)、[c-3.6]フィプロニル(fipronil)、[c-3.7]アセトプロール(acetoprole)等が挙げられ、好ましい成分は、[c-3.5]エチプロール(ethiprole)、および[c-3.6]フィプロニル(fipronil)である。
c-4:ナトリウムチャネルモジュレーター
ナトリウムチャネルモジュレーターとして、[c-4.1]アクリナトリン(acrinathrin)、[c-4.2]アレスリン[(1R)-アイソマー](allethrin[(1R)-isomer])、[c-4.3]ビフェントリン(bifenthrin)、[c-4.4]ビオアレスリン(bioallethrin)、[c-4.5]ビオアレスリン S-シクロペンテニル アイソマー(bioallethrin S-cyclopentenyl isomer)、[c-4.6]ビオレスメトリン(bioresmethrin)、[c-4.7]シクロプロトリン(cycloprothrin)、[c-4.8]シフルトリン(cyfluthrin)、[c-4.9]ベータ-シフルトリン(beta-cyfluthrin)、[c-4.10]シハロトリン(cyhalothrin)、[c-4.11]ガンマ-シハロトリン(gamma-cyhalothrin)、[c-4.12]ラムダ-シハロトリン(lambda-cyhalothrin)、[c-4.13]シペルメトリン(cypermethrin)、[c-4.14]アルファ-シペルメトリン(alpha-cypermethrin)、[c-4.15]ベータ-シペルメトリン(beta-cypermethrin)、[c-4.16]セタ-シペルメトリン(theta-cypermethrin)、[c-4.17]ゼダ-シペルメトリン(zeta-cypermethrin)、[c-4.18]シフェノトリン[(1R)-トランス-アイソマー](cyphenothrin[(1R)-trans-isomer])、[c-4.19]デルタメトリン(deltamethrin)、[c-4.20]エンペントリン[(EZ)-(1R)-アイソマー](empenthrin[(EZ)-(1R)-isomer])、[c-4.21]エスフェンバレレート(esfenvalerate)、[c-4.22]エトフェンプロックス(ethofenprox)、[c-4.23]フェンプロパトリン(fenpropathrin)、[c-4.24]フェンバレレート(fenvalerate)、[c-4.25]フルシトリネート(flucythrinate)、[c-4.26]フルメトリン(flumethrin)、[c-4.27]タウ-フルバリネート(tau-fluvalinate)、[c-4.28]ハルフェンプロックス(halfenprox)、[c-4.29]イミプロトリン(imiprothrin)、[c-4.30]メトトリン(methothrin)、[c-4.31]メトフルトリン(metofluthrin)、[c-4.32]イプシロン-メトフルトリン(epsilon-metofluthrin)、[c-4.33]モンフルオロトリン(momfluorothrin)、[c-4.34]イプシロン-モンフルオロトリン(epsilon-momfluorothrin)、[c-4.35]ペルメトリン(permethrin)、[c-4.36]フェノトリン[(1R)-トランス-アイソマー](phenothrin[(1R)-trans-isomer])、[c-4.37]プラレトリン(prallethrin)、[c-4.38]レスメトリン(resmethrin)、[c-4.39]カデトリン(kadethrin)、[c-4.40]シラフルオフェン(silafluofen)、[c-4.41]テフルトリン(tefluthrin)、[c-4.42]テトラメトリン(tetramethrin)、[c-4.43]テトラメトリン[(1R)-アイソマー](tetramethrin[(1R)-isomer])、[c-4.44]トラロメトリン(tralomethrin)、[c-4.45]トランスフルトリン(transfluthrin)、[c-4.46]ZXI8901(3-(4-bromophenoxy)phenyl]- cyanomethyl 4-(difluoromethoxy)-α- (1-methylethyl)benzeneacetate)、[c-4.47]バイオペルメトリン(biopermethrin)、[c-4.48]フラメトリン(furamethrin)、[c-4.49]プロフルトリン(profluthrin)、[c-4.50]フルブロシトリネート(flubrocythrinate)、[c-4.51]ジメフルトリン(dimefluthrin)、[c-4.52]DDT(dichloro-diphenyl-trichloroethane)、[c-4.53]メトキシクロル(methoxychlor)、[c-4.54]フェノトリン(phenothrin)、[c-4.55]フルバリネート(fluvalinate)等が挙げられ、好ましい成分は、[c-4.1]アクリナトリン(acrinathrin)、[c-4.2]アレスリン[(1R)-アイソマー](allethrin[(1R)-isomer])、[c-4.3]ビフェントリン(bifenthrin)、[c-4.7]シクロプロトリン(cycloprothrin)、[c-4.8]シフルトリン(cyfluthrin)、[c-4.9]ベータ-シフルトリン(beta-cyfluthrin)、[c-4.10]シハロトリン(cyhalothrin)、[c-4.11]ガンマ-シハロトリン(gamma-cyhalothrin)、[c-4.12]ラムダ-シハロトリン(lambda-cyhalothrin)、[c-4.13]シペルメトリン(cypermethrin)、[c-4.14]アルファ-シペルメトリン(alpha-cypermethrin)、[c-4.15]ベータ-シペルメトリン(beta-cypermethrin)、[c-4.16]セタ-シペルメトリン(theta-cypermethrin)、[c-4.17]ゼダ-シペルメトリン(zeta-cypermethrin)、[c-4.19]デルタメトリン(deltamethrin)、[c-4.21]エスフェンバレレート(esfenvalerate)、[c-4.22]エトフェンプロックス(ethofenprox)、[c-4.23]フェンプロパトリン(fenpropathrin)、[c-4.24]フェンバレレート(fenvalerate)、[c-4.27]タウ-フルバリネート(tau-fluvalinate)、[c-4.29]イミプロトリン(imiprothrin)、[c-4.35]ペルメトリン(permethrin)、[c-4.37]プラレトリン(prallethrin)、[c-4.38]レスメトリン(resmethrin)、[c-4.40]シラフルオフェン(silafluofen)、[c-4.41]テフルトリン(tefluthrin)、[c-4.42]テトラメトリン(tetramethrin)、[c-4.54]フェノトリン(phenothrin)、および[c-4.55]フルバリネート(fluvalinate)であり、さらに好ましい成分は、[c-4.2]アレスリン[(1R)-アイソマー](allethrin[(1R)-isomer])、[c-4.3]ビフェントリン(bifenthrin)、[c-4.7]シクロプロトリン(cycloprothrin)、[c-4.8]シフルトリン(cyfluthrin)、[c-4.12]ラムダ-シハロトリン(lambda-cyhalothrin)、[c-4.13]シペルメトリン(cypermethrin)、[c-4.19]デルタメトリン(deltamethrin)、[c-4.22]エトフェンプロックス(ethofenprox)、[c-4.24]フェンバレレート(fenvalerate)、[c-4.29]イミプロトリン(imiprothrin)、[c-4.35]ペルメトリン(permethrin)、[c-4.37]プラレトリン(prallethrin)、[c-4.38]レスメトリン(resmethrin)、[c-4.40]シラフルオフェン(silafluofen)、[c-4.42]テトラメトリン(tetramethrin)、[c-4.54]フェノトリン(phenothrin)、および[c-4.55]フルバリネート(fluvalinate)である。
ナトリウムチャネルモジュレーターとして、[c-4.1]アクリナトリン(acrinathrin)、[c-4.2]アレスリン[(1R)-アイソマー](allethrin[(1R)-isomer])、[c-4.3]ビフェントリン(bifenthrin)、[c-4.4]ビオアレスリン(bioallethrin)、[c-4.5]ビオアレスリン S-シクロペンテニル アイソマー(bioallethrin S-cyclopentenyl isomer)、[c-4.6]ビオレスメトリン(bioresmethrin)、[c-4.7]シクロプロトリン(cycloprothrin)、[c-4.8]シフルトリン(cyfluthrin)、[c-4.9]ベータ-シフルトリン(beta-cyfluthrin)、[c-4.10]シハロトリン(cyhalothrin)、[c-4.11]ガンマ-シハロトリン(gamma-cyhalothrin)、[c-4.12]ラムダ-シハロトリン(lambda-cyhalothrin)、[c-4.13]シペルメトリン(cypermethrin)、[c-4.14]アルファ-シペルメトリン(alpha-cypermethrin)、[c-4.15]ベータ-シペルメトリン(beta-cypermethrin)、[c-4.16]セタ-シペルメトリン(theta-cypermethrin)、[c-4.17]ゼダ-シペルメトリン(zeta-cypermethrin)、[c-4.18]シフェノトリン[(1R)-トランス-アイソマー](cyphenothrin[(1R)-trans-isomer])、[c-4.19]デルタメトリン(deltamethrin)、[c-4.20]エンペントリン[(EZ)-(1R)-アイソマー](empenthrin[(EZ)-(1R)-isomer])、[c-4.21]エスフェンバレレート(esfenvalerate)、[c-4.22]エトフェンプロックス(ethofenprox)、[c-4.23]フェンプロパトリン(fenpropathrin)、[c-4.24]フェンバレレート(fenvalerate)、[c-4.25]フルシトリネート(flucythrinate)、[c-4.26]フルメトリン(flumethrin)、[c-4.27]タウ-フルバリネート(tau-fluvalinate)、[c-4.28]ハルフェンプロックス(halfenprox)、[c-4.29]イミプロトリン(imiprothrin)、[c-4.30]メトトリン(methothrin)、[c-4.31]メトフルトリン(metofluthrin)、[c-4.32]イプシロン-メトフルトリン(epsilon-metofluthrin)、[c-4.33]モンフルオロトリン(momfluorothrin)、[c-4.34]イプシロン-モンフルオロトリン(epsilon-momfluorothrin)、[c-4.35]ペルメトリン(permethrin)、[c-4.36]フェノトリン[(1R)-トランス-アイソマー](phenothrin[(1R)-trans-isomer])、[c-4.37]プラレトリン(prallethrin)、[c-4.38]レスメトリン(resmethrin)、[c-4.39]カデトリン(kadethrin)、[c-4.40]シラフルオフェン(silafluofen)、[c-4.41]テフルトリン(tefluthrin)、[c-4.42]テトラメトリン(tetramethrin)、[c-4.43]テトラメトリン[(1R)-アイソマー](tetramethrin[(1R)-isomer])、[c-4.44]トラロメトリン(tralomethrin)、[c-4.45]トランスフルトリン(transfluthrin)、[c-4.46]ZXI8901(3-(4-bromophenoxy)phenyl]- cyanomethyl 4-(difluoromethoxy)-α- (1-methylethyl)benzeneacetate)、[c-4.47]バイオペルメトリン(biopermethrin)、[c-4.48]フラメトリン(furamethrin)、[c-4.49]プロフルトリン(profluthrin)、[c-4.50]フルブロシトリネート(flubrocythrinate)、[c-4.51]ジメフルトリン(dimefluthrin)、[c-4.52]DDT(dichloro-diphenyl-trichloroethane)、[c-4.53]メトキシクロル(methoxychlor)、[c-4.54]フェノトリン(phenothrin)、[c-4.55]フルバリネート(fluvalinate)等が挙げられ、好ましい成分は、[c-4.1]アクリナトリン(acrinathrin)、[c-4.2]アレスリン[(1R)-アイソマー](allethrin[(1R)-isomer])、[c-4.3]ビフェントリン(bifenthrin)、[c-4.7]シクロプロトリン(cycloprothrin)、[c-4.8]シフルトリン(cyfluthrin)、[c-4.9]ベータ-シフルトリン(beta-cyfluthrin)、[c-4.10]シハロトリン(cyhalothrin)、[c-4.11]ガンマ-シハロトリン(gamma-cyhalothrin)、[c-4.12]ラムダ-シハロトリン(lambda-cyhalothrin)、[c-4.13]シペルメトリン(cypermethrin)、[c-4.14]アルファ-シペルメトリン(alpha-cypermethrin)、[c-4.15]ベータ-シペルメトリン(beta-cypermethrin)、[c-4.16]セタ-シペルメトリン(theta-cypermethrin)、[c-4.17]ゼダ-シペルメトリン(zeta-cypermethrin)、[c-4.19]デルタメトリン(deltamethrin)、[c-4.21]エスフェンバレレート(esfenvalerate)、[c-4.22]エトフェンプロックス(ethofenprox)、[c-4.23]フェンプロパトリン(fenpropathrin)、[c-4.24]フェンバレレート(fenvalerate)、[c-4.27]タウ-フルバリネート(tau-fluvalinate)、[c-4.29]イミプロトリン(imiprothrin)、[c-4.35]ペルメトリン(permethrin)、[c-4.37]プラレトリン(prallethrin)、[c-4.38]レスメトリン(resmethrin)、[c-4.40]シラフルオフェン(silafluofen)、[c-4.41]テフルトリン(tefluthrin)、[c-4.42]テトラメトリン(tetramethrin)、[c-4.54]フェノトリン(phenothrin)、および[c-4.55]フルバリネート(fluvalinate)であり、さらに好ましい成分は、[c-4.2]アレスリン[(1R)-アイソマー](allethrin[(1R)-isomer])、[c-4.3]ビフェントリン(bifenthrin)、[c-4.7]シクロプロトリン(cycloprothrin)、[c-4.8]シフルトリン(cyfluthrin)、[c-4.12]ラムダ-シハロトリン(lambda-cyhalothrin)、[c-4.13]シペルメトリン(cypermethrin)、[c-4.19]デルタメトリン(deltamethrin)、[c-4.22]エトフェンプロックス(ethofenprox)、[c-4.24]フェンバレレート(fenvalerate)、[c-4.29]イミプロトリン(imiprothrin)、[c-4.35]ペルメトリン(permethrin)、[c-4.37]プラレトリン(prallethrin)、[c-4.38]レスメトリン(resmethrin)、[c-4.40]シラフルオフェン(silafluofen)、[c-4.42]テトラメトリン(tetramethrin)、[c-4.54]フェノトリン(phenothrin)、および[c-4.55]フルバリネート(fluvalinate)である。
c-5:ニコチン性アセチルコリン受容体(nAChR)競合的モジュレーター
ニコチン性アセチルコリン受容体(nAChR)競合的モジュレーターとして、[c-5.1]アセタミプリド(acetamiprid)、[c-5.2]クロチアニジン(clothianidin)、[c-5.3]ジノテフラン(dinotefuran)、[c-5.4]イミダクロプリド(imidacloprid)、[c-5.5]ニテンピラム(nitenpyram)、[c-5.6]チアクロプリド(thiacloprid)、[c-5.7]チアメトキサム(thiamethoxam)、[c-5.8]ニコチン(nicotine)、[c-5.9]硫酸ニコチン(nicotine sulfate)、[c-5.10]スルホキサフロル(sulfoxaflor)、[c-5.11]フルピラジフロン(flupyradifurone)、[c-5.12]トリフルメゾピリム(triflumezopyrim)等が挙げられ、好ましい成分は、[c-5.1]アセタミプリド(acetamiprid)、[c-5.2]クロチアニジン(clothianidin)、[c-5.3]ジノテフラン(dinotefuran)、[c-5.4]イミダクロプリド(imidacloprid)、[c-5.5]ニテンピラム(nitenpyram)、[c-5.6]チアクロプリド(thiacloprid)、[c-5.7]チアメトキサム(thiamethoxam)、[c-5.10]スルホキサフロル(sulfoxaflor)、[c-5.11]フルピラジフロン(flupyradifurone)、および[c-5.12]トリフルメゾピリム(triflumezopyrim)である。
ニコチン性アセチルコリン受容体(nAChR)競合的モジュレーターとして、[c-5.1]アセタミプリド(acetamiprid)、[c-5.2]クロチアニジン(clothianidin)、[c-5.3]ジノテフラン(dinotefuran)、[c-5.4]イミダクロプリド(imidacloprid)、[c-5.5]ニテンピラム(nitenpyram)、[c-5.6]チアクロプリド(thiacloprid)、[c-5.7]チアメトキサム(thiamethoxam)、[c-5.8]ニコチン(nicotine)、[c-5.9]硫酸ニコチン(nicotine sulfate)、[c-5.10]スルホキサフロル(sulfoxaflor)、[c-5.11]フルピラジフロン(flupyradifurone)、[c-5.12]トリフルメゾピリム(triflumezopyrim)等が挙げられ、好ましい成分は、[c-5.1]アセタミプリド(acetamiprid)、[c-5.2]クロチアニジン(clothianidin)、[c-5.3]ジノテフラン(dinotefuran)、[c-5.4]イミダクロプリド(imidacloprid)、[c-5.5]ニテンピラム(nitenpyram)、[c-5.6]チアクロプリド(thiacloprid)、[c-5.7]チアメトキサム(thiamethoxam)、[c-5.10]スルホキサフロル(sulfoxaflor)、[c-5.11]フルピラジフロン(flupyradifurone)、および[c-5.12]トリフルメゾピリム(triflumezopyrim)である。
c-6:ニコチン性アセチルコリン受容体(nAChR)アロステリックモジュレーター
ニコチン性アセチルコリン受容体(nAChR)アロステリックモジュレーターとして、[c-6.1]スピノサド(spinosad)、[c-6.2]スピネトラム(spinetoram)等が挙げられ、好ましい成分は、[c-6.1]スピノサド(spinosad)である。
ニコチン性アセチルコリン受容体(nAChR)アロステリックモジュレーターとして、[c-6.1]スピノサド(spinosad)、[c-6.2]スピネトラム(spinetoram)等が挙げられ、好ましい成分は、[c-6.1]スピノサド(spinosad)である。
c-7:グルタミン酸作動性塩素イオンチャネル(GluCl) アロステリックモジュレーター
グルタミン酸作動性塩素イオンチャネル(GluCl)アロステリックモジュレーターとして、[c-7.1]アバメクチン(abamectin)、[c-7.2]エマメクチン安息香酸塩(emamectin benzoate)、[c-7.3]レピメクチン(lepimectin)、[c-7.4]ミルベメクチン(milbemectin)等が挙げられ、好ましい成分は、[c-7.2]エマメクチン安息香酸塩(emamectin benzoate)、[c-7.3]レピメクチン(lepimectin)、および[c-7.4]ミルベメクチン(milbemectin)である。
グルタミン酸作動性塩素イオンチャネル(GluCl)アロステリックモジュレーターとして、[c-7.1]アバメクチン(abamectin)、[c-7.2]エマメクチン安息香酸塩(emamectin benzoate)、[c-7.3]レピメクチン(lepimectin)、[c-7.4]ミルベメクチン(milbemectin)等が挙げられ、好ましい成分は、[c-7.2]エマメクチン安息香酸塩(emamectin benzoate)、[c-7.3]レピメクチン(lepimectin)、および[c-7.4]ミルベメクチン(milbemectin)である。
c-8:幼若ホルモン類似剤
幼若ホルモン類似剤として、[c-8.1]ヒドロプレン(hydroprene)、[c-8.2]キノプレン(kinoprene)、[c-8.3]メトプレン(methoprene)、[c-8.4]フェノキシカルブ(fenoxycarb)、[c-8.5]ピリプロキシフェン(pyriproxyfen)等が挙げられ、好ましい成分は、[c-8.3]メトプレン(methoprene)、[c-8.4]フェノキシカルブ(fenoxycarb)、および[c-8.5]ピリプロキシフェン(pyriproxyfen)であり、さらに好ましい成分は、[c-8.3]メトプレン(methoprene)、および[c-8.5]ピリプロキシフェン(pyriproxyfen)である。
幼若ホルモン類似剤として、[c-8.1]ヒドロプレン(hydroprene)、[c-8.2]キノプレン(kinoprene)、[c-8.3]メトプレン(methoprene)、[c-8.4]フェノキシカルブ(fenoxycarb)、[c-8.5]ピリプロキシフェン(pyriproxyfen)等が挙げられ、好ましい成分は、[c-8.3]メトプレン(methoprene)、[c-8.4]フェノキシカルブ(fenoxycarb)、および[c-8.5]ピリプロキシフェン(pyriproxyfen)であり、さらに好ましい成分は、[c-8.3]メトプレン(methoprene)、および[c-8.5]ピリプロキシフェン(pyriproxyfen)である。
c-9:非特異的(マルチサイト)阻害剤
非特異的(マルチサイト)阻害剤として、[c-9.1]臭化メチル(methyl bromide)、[c-9.2]クロルピクリン(chloropicrin)、[c-9.3]クリオライト(cryolite)、[c-9.4]フッ化スルフリル(sulfuryl fluoride)、[c-9.5]ホウ砂(borax)、[c-9.6]ホウ酸(boric acid)、[c-9.7]オクタホウ酸ニナトリウム塩(disodium octaborate)、[c-9.8]メタホウ酸ナトリウム塩(sodium metaborate)[c-9.9]吐酒石(tartar emetic)、[c-9.10]ダゾメット(dazomet)、[c-9.11]メタム(metam)、[c-9.12]カーバムナトリウム塩(metham sodium)等が挙げられ、好ましい成分は、[c-9.10]ダゾメット(dazomet)である。
非特異的(マルチサイト)阻害剤として、[c-9.1]臭化メチル(methyl bromide)、[c-9.2]クロルピクリン(chloropicrin)、[c-9.3]クリオライト(cryolite)、[c-9.4]フッ化スルフリル(sulfuryl fluoride)、[c-9.5]ホウ砂(borax)、[c-9.6]ホウ酸(boric acid)、[c-9.7]オクタホウ酸ニナトリウム塩(disodium octaborate)、[c-9.8]メタホウ酸ナトリウム塩(sodium metaborate)[c-9.9]吐酒石(tartar emetic)、[c-9.10]ダゾメット(dazomet)、[c-9.11]メタム(metam)、[c-9.12]カーバムナトリウム塩(metham sodium)等が挙げられ、好ましい成分は、[c-9.10]ダゾメット(dazomet)である。
c-10:弦音器官TRPVチャネルモジュレーター
弦音器官TRPVチャネルモジュレーターとして、[c-10.1]ピメトロジン(pymetrozine)、[c-10.2]ピリフルキナゾン(pyrifluquinazon)等が挙げられる。
弦音器官TRPVチャネルモジュレーターとして、[c-10.1]ピメトロジン(pymetrozine)、[c-10.2]ピリフルキナゾン(pyrifluquinazon)等が挙げられる。
c-11:ダニ類成長阻害剤
ダニ類成長阻害剤として、[c-11.1]クロフェンテジン(clofentezine)、[c-11.2]ジフロビダジン(diflovidazin)、[c-11.3]ヘキシチアゾクス(hexythiazox)、[c-11.4]エトキサゾール(etoxazole)等が挙げられ、好ましい成分は、[c-11.1]クロフェンテジン(clofentezine)、[c-11.3]ヘキシチアゾクス(hexythiazox)、および[c-11.4]エトキサゾール(etoxazole)であり、さらに好ましい成分は、[c-11.4]エトキサゾール(etoxazole)である。
ダニ類成長阻害剤として、[c-11.1]クロフェンテジン(clofentezine)、[c-11.2]ジフロビダジン(diflovidazin)、[c-11.3]ヘキシチアゾクス(hexythiazox)、[c-11.4]エトキサゾール(etoxazole)等が挙げられ、好ましい成分は、[c-11.1]クロフェンテジン(clofentezine)、[c-11.3]ヘキシチアゾクス(hexythiazox)、および[c-11.4]エトキサゾール(etoxazole)であり、さらに好ましい成分は、[c-11.4]エトキサゾール(etoxazole)である。
c-12:ミトコンドリアATP合成酵素阻害剤
ミトコンドリアATP合成酵素阻害剤として、[c-12.1]ジアフェンチウロン(diafenthiuron)、[c-12.2]アゾシクロチン(azocyclotin)、[c-12.3]シヘキサチン(cyhexatin)、[c-12.4]フェンブタチンオキシド(fenbutatin oxide)、「c-12.5」プロパルギット(propargite)、「c-12.6」テトラジホン(tetradifon)等が挙げられ、好ましい成分は、[c-12.1]ジアフェンチウロン(diafenthiuron)、[c-12.2]アゾシクロチン(azocyclotin)、[c-12.4]フェンブタチンオキシド(fenbutatin oxide)、および「c-12.5」プロパルギット(propargite)であり、さらに好ましい成分は、[c-12.1]ジアフェンチウロン(diafenthiuron)である。
ミトコンドリアATP合成酵素阻害剤として、[c-12.1]ジアフェンチウロン(diafenthiuron)、[c-12.2]アゾシクロチン(azocyclotin)、[c-12.3]シヘキサチン(cyhexatin)、[c-12.4]フェンブタチンオキシド(fenbutatin oxide)、「c-12.5」プロパルギット(propargite)、「c-12.6」テトラジホン(tetradifon)等が挙げられ、好ましい成分は、[c-12.1]ジアフェンチウロン(diafenthiuron)、[c-12.2]アゾシクロチン(azocyclotin)、[c-12.4]フェンブタチンオキシド(fenbutatin oxide)、および「c-12.5」プロパルギット(propargite)であり、さらに好ましい成分は、[c-12.1]ジアフェンチウロン(diafenthiuron)である。
c-13:プロトン勾配を撹乱する酸化的リン酸化脱共役剤
プロトン勾配を撹乱する酸化的リン酸化脱共役剤として、[c-13.1]クロルフェナピル(chlorfenapyl)、[c-13.2]DNOC(dinitro-ortho-cresol)、[c-13.3]ビナパクリル(binapacryl)、[c-13.4]スルフルラミド(sulfluramid)等が挙げられ、好ましい成分は、[c-13.1]クロルフェナピル(chlorfenapyl)である。
プロトン勾配を撹乱する酸化的リン酸化脱共役剤として、[c-13.1]クロルフェナピル(chlorfenapyl)、[c-13.2]DNOC(dinitro-ortho-cresol)、[c-13.3]ビナパクリル(binapacryl)、[c-13.4]スルフルラミド(sulfluramid)等が挙げられ、好ましい成分は、[c-13.1]クロルフェナピル(chlorfenapyl)である。
c-14:ニコチン性アセチルコリン受容体(nAChR)チャネルブロッカー
ニコチン性アセチルコリン受容体(nAChR)チャネルブロッカーとして、[c-14.1]ベンスルタップ(bensultap)、[c-14.2]カルタップ塩酸塩(cartap hydrochloride)、[c-14.3]チオシクラム(thiocyclam)、[c-14.4]モノスルタップ(monosultap)等が挙げられ、好ましい成分は、[c-14.2]カルタップ塩酸塩(cartap hydrochloride)、[c-14.3]チオシクラム(thiocyclam)、および[c-14.4]モノスルタップ(monosultap)であり、さらに好ましい成分は、[c-14.2]カルタップ塩酸塩(cartap hydrochloride)、および[c-14.3]チオシクラム(thiocyclam)である。
ニコチン性アセチルコリン受容体(nAChR)チャネルブロッカーとして、[c-14.1]ベンスルタップ(bensultap)、[c-14.2]カルタップ塩酸塩(cartap hydrochloride)、[c-14.3]チオシクラム(thiocyclam)、[c-14.4]モノスルタップ(monosultap)等が挙げられ、好ましい成分は、[c-14.2]カルタップ塩酸塩(cartap hydrochloride)、[c-14.3]チオシクラム(thiocyclam)、および[c-14.4]モノスルタップ(monosultap)であり、さらに好ましい成分は、[c-14.2]カルタップ塩酸塩(cartap hydrochloride)、および[c-14.3]チオシクラム(thiocyclam)である。
c-15:キチン生合成阻害剤タイプ0
キチン生合成阻害剤タイプ0として、[c-15.1]ビストリフルロン(bistrifluron)、[c-15.2]クロルフルアズロン(chlorfluazuron)、[c-15.3]ジフルベンズロン(diflubenzuron)、[c-15.4]フルシクロクスロン(flucycloxuron)、[c-15.5]フルフェノクスロン(flufenoxuron)、[c-15.6]ヘキサフルムロン(hexaflumuron)、[c-15.7]ルフェヌロン(lufenuron)、[c-15.8]ノバルロン(novaluron)、[c-15.9]ノビフルムロン(noviflumuron)、[c-15.10]テフルベンズロン(teflubenzuron)、[c-15.11]トリフルムロン(triflumuron)等が挙げられ、好ましい成分は、[c-15.2]クロルフルアズロン(chlorfluazuron)、[c-15.3]ジフルベンズロン(diflubenzuron)、[c-15.5]フルフェノクスロン(flufenoxuron)、[c-15.6]ヘキサフルムロン(hexaflumuron)、[c-15.7]ルフェヌロン(lufenuron)、[c-15.8]ノバルロン(novaluron)、[c-15.10]テフルベンズロン(teflubenzuron)、および[c-15.11]トリフルムロン(triflumuron)であり、さらに好ましい成分は、[c-15.3]ジフルベンズロン(diflubenzuron)、[c-15.7]ルフェヌロン(lufenuron)、[c-15.8]ノバルロン(novaluron)、および[c-15.10]テフルベンズロン(teflubenzuron)である。
キチン生合成阻害剤タイプ0として、[c-15.1]ビストリフルロン(bistrifluron)、[c-15.2]クロルフルアズロン(chlorfluazuron)、[c-15.3]ジフルベンズロン(diflubenzuron)、[c-15.4]フルシクロクスロン(flucycloxuron)、[c-15.5]フルフェノクスロン(flufenoxuron)、[c-15.6]ヘキサフルムロン(hexaflumuron)、[c-15.7]ルフェヌロン(lufenuron)、[c-15.8]ノバルロン(novaluron)、[c-15.9]ノビフルムロン(noviflumuron)、[c-15.10]テフルベンズロン(teflubenzuron)、[c-15.11]トリフルムロン(triflumuron)等が挙げられ、好ましい成分は、[c-15.2]クロルフルアズロン(chlorfluazuron)、[c-15.3]ジフルベンズロン(diflubenzuron)、[c-15.5]フルフェノクスロン(flufenoxuron)、[c-15.6]ヘキサフルムロン(hexaflumuron)、[c-15.7]ルフェヌロン(lufenuron)、[c-15.8]ノバルロン(novaluron)、[c-15.10]テフルベンズロン(teflubenzuron)、および[c-15.11]トリフルムロン(triflumuron)であり、さらに好ましい成分は、[c-15.3]ジフルベンズロン(diflubenzuron)、[c-15.7]ルフェヌロン(lufenuron)、[c-15.8]ノバルロン(novaluron)、および[c-15.10]テフルベンズロン(teflubenzuron)である。
c-16:キチン生合成阻害剤タイプ1
キチン生合成阻害剤タイプ1として、[c-16.1]ブプロフェジン(buprofezin)等が挙げられる。
キチン生合成阻害剤タイプ1として、[c-16.1]ブプロフェジン(buprofezin)等が挙げられる。
c-17:ハエ目昆虫脱皮阻害剤
ハエ目昆虫脱皮阻害剤として、[c-17.1]シロマジン(cyromazine)等が挙げられる。
ハエ目昆虫脱皮阻害剤として、[c-17.1]シロマジン(cyromazine)等が挙げられる。
c-18:脱皮ホルモン(エクダイソン)受容体アゴニスト
脱皮ホルモン(エクダイソン)受容体アゴニストとして、[c-18.1]クロマフェノジド(chromafenozide)、[c-18.2]ハロフェノジド(halofenozide)、[c-18.3]メトキシフェノジド(methoxyfenozide)、[c-18.4]テブフェノジド(tebufenozide)等が挙げられる。
脱皮ホルモン(エクダイソン)受容体アゴニストとして、[c-18.1]クロマフェノジド(chromafenozide)、[c-18.2]ハロフェノジド(halofenozide)、[c-18.3]メトキシフェノジド(methoxyfenozide)、[c-18.4]テブフェノジド(tebufenozide)等が挙げられる。
c-19:オクトパミン受容体アゴニスト
オクトパミン受容体アゴニストとして、[c-19.1]アミトラズ(amitraz)等が挙げられる。
オクトパミン受容体アゴニストとして、[c-19.1]アミトラズ(amitraz)等が挙げられる。
c-20:ミトコンドリア電子伝達系複合体III阻害剤
ミトコンドリア電子伝達系複合体III阻害剤として、[c-20.1]ヒドラメチルノン(hydramethylnon)、[c-20.2]アセキノシル(acequinocyl)、[c-20.3]フルアクリピリム(fluacrypyrim)、[c-20.4]ビフェナゼート(bifenazate)等が挙げられ、好ましい成分は、[c-20.2]アセキノシル(acequinocyl)、および[c-20.4]ビフェナゼート(bifenazate)である。
ミトコンドリア電子伝達系複合体III阻害剤として、[c-20.1]ヒドラメチルノン(hydramethylnon)、[c-20.2]アセキノシル(acequinocyl)、[c-20.3]フルアクリピリム(fluacrypyrim)、[c-20.4]ビフェナゼート(bifenazate)等が挙げられ、好ましい成分は、[c-20.2]アセキノシル(acequinocyl)、および[c-20.4]ビフェナゼート(bifenazate)である。
c-21:ミトコンドリア電子伝達系複合体I阻害剤(METI)
ミトコンドリア電子伝達系複合体I阻害剤(METI)として、[c-21.1]フェナザキン(fenazaquin)、[c-21.2]フェンピロキシメート(fenpyroximate)、[c-21.3]ピリダベン(pyridaben)、[c-21.4]ピリミジフェン(pylimidifen)、[c-21.5]テブフェンピラド(tebufenpyrad)、[c-21.6]トルフェンピラド(tolfenpyrad)、[c-21.7]ロテノン(rotenone)等が挙げられ、好ましい成分は、[c-21.2]フェンピロキシメート(fenpyroximate)、[c-21.4]ピリミジフェン(pylimidifen)、[c-21.6]トルフェンピラド(tolfenpyrad)、および[c-21.7]ロテノン(rotenone)である。
ミトコンドリア電子伝達系複合体I阻害剤(METI)として、[c-21.1]フェナザキン(fenazaquin)、[c-21.2]フェンピロキシメート(fenpyroximate)、[c-21.3]ピリダベン(pyridaben)、[c-21.4]ピリミジフェン(pylimidifen)、[c-21.5]テブフェンピラド(tebufenpyrad)、[c-21.6]トルフェンピラド(tolfenpyrad)、[c-21.7]ロテノン(rotenone)等が挙げられ、好ましい成分は、[c-21.2]フェンピロキシメート(fenpyroximate)、[c-21.4]ピリミジフェン(pylimidifen)、[c-21.6]トルフェンピラド(tolfenpyrad)、および[c-21.7]ロテノン(rotenone)である。
c-22:電位依存性ナトリウムチャネルブロッカー
電位依存性ナトリウムチャネルブロッカーとして、[c-22.1]インドキサカルブ(indoxacarb)、[c-22.2]メタフルミゾン(metaflumizone)等が挙げられる。
電位依存性ナトリウムチャネルブロッカーとして、[c-22.1]インドキサカルブ(indoxacarb)、[c-22.2]メタフルミゾン(metaflumizone)等が挙げられる。
c-23:アセチルCoAカルボキシラーゼ阻害剤
アセチルCoAカルボキシラーゼ阻害剤として、[c-23.1]スピロジクロフェン(spirodiclofen)、[c-23.2]スピロメシフェン(spiromesifen)、[c-23.3]スピロテトラマト(spirotetramat)等が挙げられ、好ましい成分は、[c-23.1]スピロジクロフェン(spirodiclofen)、および[c-23.3]スピロテトラマト(spirotetramat)である。
アセチルCoAカルボキシラーゼ阻害剤として、[c-23.1]スピロジクロフェン(spirodiclofen)、[c-23.2]スピロメシフェン(spiromesifen)、[c-23.3]スピロテトラマト(spirotetramat)等が挙げられ、好ましい成分は、[c-23.1]スピロジクロフェン(spirodiclofen)、および[c-23.3]スピロテトラマト(spirotetramat)である。
c-24:ミトコンドリア電子伝達系複合体IV阻害剤
ミトコンドリア電子伝達系複合体IV阻害剤として、[c-24.1]リン化アルミニウム(aluminum phosphide)、[c-24.2]リン化カルシウム(calcium phosphide)、[c-24.3]リン化水素(phosphine)、[c-24.4]リン化亜鉛(zinc phosphide)、[c-24.5]シアン化カルシウム(calcium cyanide)、[c-24.6]シアン化ナトリウム(potassium cyanide)、[c-24.7]シアン化カリウム(sodium cyanide)等が挙げられる。
ミトコンドリア電子伝達系複合体IV阻害剤として、[c-24.1]リン化アルミニウム(aluminum phosphide)、[c-24.2]リン化カルシウム(calcium phosphide)、[c-24.3]リン化水素(phosphine)、[c-24.4]リン化亜鉛(zinc phosphide)、[c-24.5]シアン化カルシウム(calcium cyanide)、[c-24.6]シアン化ナトリウム(potassium cyanide)、[c-24.7]シアン化カリウム(sodium cyanide)等が挙げられる。
c-25:ミトコンドリア電子伝達系複合体II阻害剤
ミトコンドリア電子伝達系複合体II阻害剤として、[c-25.1]シエノピラフェン(cyenopyrafen)、[c-25.2]シフルメトフェン(cyflumetofen)、[c-25.3]ピフルブミド(pyflubumide)等が挙げられ、好ましい成分は、[c-25.1]シエノピラフェン(cyenopyrafen)である。
ミトコンドリア電子伝達系複合体II阻害剤として、[c-25.1]シエノピラフェン(cyenopyrafen)、[c-25.2]シフルメトフェン(cyflumetofen)、[c-25.3]ピフルブミド(pyflubumide)等が挙げられ、好ましい成分は、[c-25.1]シエノピラフェン(cyenopyrafen)である。
c-26:リアノジン受容体モジュレーター
リアノジン受容体モジュレーターとして、[c-26.1]クロラントラニリプロール(chlorantraniliprole)、[c-26.2]シアントラニリプロール(cyantraniliprole)、[c-26.3]フルベンジアミド(flubendiamide)等が挙げられる。
リアノジン受容体モジュレーターとして、[c-26.1]クロラントラニリプロール(chlorantraniliprole)、[c-26.2]シアントラニリプロール(cyantraniliprole)、[c-26.3]フルベンジアミド(flubendiamide)等が挙げられる。
c-27:標的部位未特定の弦音器官モジュレーター
標的部位未特定の弦音器官モジュレーターとして、[c-27.1]フロニカミド(flonicamid)等が挙げられる。
標的部位未特定の弦音器官モジュレーターとして、[c-27.1]フロニカミド(flonicamid)等が挙げられる。
c-28:その他の殺虫剤
その他の殺虫剤として、[c-28.1]アザジラクチン(azadirachtin)、[c-28.2]ベンゾキシメート(benzoximate)、[c-28.3]フェニソブロモレート(phenisobromolate)、[c-28.4]キノメチオナート(chinomethionat)、[c-28.5]ジコホル(dicofol)、[c-28.6]ピリダリル(pyridalyl)、[c-28.7]ブロモプロピレート(bromopropylate)、[c-28.8]トリアザメート(triazamate)、[c-28.9]ジシクラニル(dicyclanil)、[c-28.10]ジノブトン(dinobuton)、[c-28.11]ジノカップ(dinocap)、[c-28.12]シアン化水素(hydrogen cyanide)、[c-28.13]ヨウ化メチル(methyl iodide)、[c-28.14]カランジン(karanjin)、[c-28.15]塩化水銀(mercury chloride)、[c-28.16]メチルイソチオシアネート(methyl isothiocyanate)、[c-28.17]ペンタクロロフェノール(pentachlorophenol)、[c-28.18]ホスフィン(phosphine)、[c-28.19]ピペロニル ブトキシド(piperonyl butoxide)、[c-28.20]ポリナクチン複合体(polynactins)、[c-28.21]サバディラ(sabadilla)、[c-28.22]スルコフロン塩(スルコフロン-ナトリウム(sulcofuron-sodium))、[c-28.23]トリブホス(tribufos)、[c-28.24]アルドリン(aldrin)、[c-28.25]アミジチオオン(amidithion)、[c-28.26]アミドチオエート(amidothioate)、[c-28.27]アミノカルブ(aminocarb)、[c-28.28]アミトン(amiton)、[c-28.29]アラマイト(aramite)、[c-28.30]アチダチオン(athidathion)、[c-28.31]アゾトエート(azothoate)、[c-28.32]ポリスルフィドバリウム(barium polysulphide)、[c-28.33]ベンクロチアズ(benclothiaz)、[c-28.34]5-(1,3-ベンゾジオキソール-5-イル)-3-ヘキシルシクロヘキサ-2-エノン(5-(1,3-benzodioxole-5-yl)-3-hexylcyclohexa-2-enone)、[c-28.35]1,1-ビス(4-クロロフェニル)-2-エトキシエタノール(1,1-bis(4-chlorophenyl)-2-ethoxyethanol)、[c-28.36]ブトネート(butonate)、[c-28.37]ブトピロノキシル(butopyronoxyl)、[c-28.38]2-(2-ブトキシエトキシ)エチル チオシアナート(2-(2-butoxyethoxy)ethyl thiocyanate)、[c-28.39]カンフェクロル(camphechlor)、[c-28.40]クロルベンシド(chlorbenside)、[c-28.41]クロルデコン(chlordecone)、[c-28.42]クロルジメホルム(chlordimeform)、[c-28.43]クロルフェネトール(chlorfenethol)、[c-28.44]クロルフェンソン(chlorfenson)、[c-28.45]フルアズロン(fluazuron)、[c-28.46]メタアルデヒド(metaldehyde)、[c-28.47]ビアラホス(bialaphos)、[c-28.48]塩酸レバミゾール(levamisol)、[c-28.49]アミドフルメト(amidoflumet)、[c-28.50]ピラフルプロール(pyrafluprole)、[c-28.51]ピリプロール(pyriprole)、[c-28.52]トラロピリル(tralopyril)、[c-28.53]フルピラゾフォス(flupyrazofos)、[c-28.54]ジオフェノラン(diofenolan)、[c-28.55]クロルベンジレート(chlorobenzilate)、[c-28.56]フルフェンジン(flufenzine)、[c-28.57]ベンゾメート(benzomate)、[c-28.58]フルフェネリム(flufenerim)、[c-28.59]アルベンダゾール(albendazole)、[c-28.60]オキシベンダゾール(oxibendazole)、[c-28.61]フェンベンダゾール(fenbendazole)、[c-28.62]メタム・ナトリウム(metam-sodium)、[c-28.63]1,3-ジクロロプロペン(1,3-dichloropropene)、[c-28.64]フロメトキン(flometoquin)、[c-28.65]シクラニリプロール(cyclaniliprole)、[c-28.66]テトラニリプロール(tetraniliprole)、[c-28.67]ブロフラニリド(broflanilide)、[c-28.68]ジクロロメゾチアズ(dicloromezotiaz)、[c-28.69]エチレンジブロマイド(ethylene dibromide)、[c-28.70]アクリロニトリル(acrylonitrile)、[c-28.71]ビス(2-クロロエチル)エーテル(bis(2-chloroethyl)ether)、[c-28.72]1-ブロモ-2-クロロエタン(1-bromo-2-chloroethane)、[c-28.73]3-ブロモ-1-クロロプロパ-1-エン(3-bromo-1-chloroprop-1-ene)、[c-28.74]ブロモシクレン(bromocyclen)、[c-28.75]二硫化炭素(carbon disulfide)、[c-28.76]四塩化炭素(tetrachloromethane)、[c-28.77]ネマデクチン(nemadectin)、[c-28.78]シミアゾール(cymiazole)[c-28.79]カルシウム ポリスルフィド(calcium polysulfide)、[c-28.80]サイトカイニン(cytokinin)、[c-28.81]2-(オクチルチオ)エタノール、[c-28.82]オレイン酸カリウム(potassium oleate)、[c-28.83]オレイン酸ナトリウム(sodium oleate)、[c-28.84]マシン油(machine oil)、[c-28.85]タール油(tar oil)、[c-28.86]アナバシン(anabasine)、[c-28.87]酒石酸モランテル(morantel tartrate)、[c-28.88]除虫菊(ピレトリン(pyrethrum))、[c-28.89]ナタネ油(rape seed oil)、[c-28.90]ダイズレチシン(soybean lecithin)、[c-28.91]デンプン(starch)、[c-28.92]ヒドロキシプロピルデンプン(hydroxypropylstarch)、[c-28.93]脂肪酸グリセリド(decanoyloctanoylglycerol)、[c-28.94]プロピレングリコールモノ脂肪酸エステル(propylene glycol fatty acid ester)、[c-28.95]ケイソウ土(diatomite)、[c-28.96]アフォキソラネル(afoxolaner)、[c-28.97]フルアザインドリジン(fluazaindolizine)、[c-28.98]アフィドピロペン(afidopyropen)、[c-28.99]シハロジアミド(cyhalodiamide)、[c-28.100]チオキサザフェン(tioxazafen)、[c-28.101]フルヘキサフォン(fluhexafon)、[c-28.102]フルララネル(fluralaner)、[c-28.103]フルキサメタミド(fluxametamide)、[c-28.104]テトラクロラントラニリプロール(tetrachlorantraniliprole)、[c-28.105]サロラネル(sarolaner)、[c-28.106]ロチラネル(lotilaner)、[c-28.107]シクロキサプリド(cycloxaprid)、[c-28.108]フルエンスルホン(fluensulfone)、[c-28.109]TPIC(tripropyl isocyanurate)、[c-28.110]D-D(1,3-Dichloropropene)、[c-28.111]ペルオキソカルボナート(peroxocarbonate)、[c-28.112]MB-599(verbutin)、[c-28.113]ビス(2,3,3,3-テトラクロロプロピル)エーテル(bis(2,3,3,3-tetrachloropropyl) ether)、[c-28.114]DCIP(bis(2-chloro-1-methylethyl)ether)、[c-28.115]ENT-8184(N-(2-Ethylhexyl)bicyclo[2.2.1]hept-5-ene-2,3-dicarboximide)、[c-28.116]Bayer 22408(O,O-diethyl O-naphthalimido phosphorothioate)、[c-28.117]Bayer 32394(tris(1-dodecyl-3-methyl-2-phenylbenzimidazolium)hexacyanoferrate)、
その他の殺虫剤として、[c-28.1]アザジラクチン(azadirachtin)、[c-28.2]ベンゾキシメート(benzoximate)、[c-28.3]フェニソブロモレート(phenisobromolate)、[c-28.4]キノメチオナート(chinomethionat)、[c-28.5]ジコホル(dicofol)、[c-28.6]ピリダリル(pyridalyl)、[c-28.7]ブロモプロピレート(bromopropylate)、[c-28.8]トリアザメート(triazamate)、[c-28.9]ジシクラニル(dicyclanil)、[c-28.10]ジノブトン(dinobuton)、[c-28.11]ジノカップ(dinocap)、[c-28.12]シアン化水素(hydrogen cyanide)、[c-28.13]ヨウ化メチル(methyl iodide)、[c-28.14]カランジン(karanjin)、[c-28.15]塩化水銀(mercury chloride)、[c-28.16]メチルイソチオシアネート(methyl isothiocyanate)、[c-28.17]ペンタクロロフェノール(pentachlorophenol)、[c-28.18]ホスフィン(phosphine)、[c-28.19]ピペロニル ブトキシド(piperonyl butoxide)、[c-28.20]ポリナクチン複合体(polynactins)、[c-28.21]サバディラ(sabadilla)、[c-28.22]スルコフロン塩(スルコフロン-ナトリウム(sulcofuron-sodium))、[c-28.23]トリブホス(tribufos)、[c-28.24]アルドリン(aldrin)、[c-28.25]アミジチオオン(amidithion)、[c-28.26]アミドチオエート(amidothioate)、[c-28.27]アミノカルブ(aminocarb)、[c-28.28]アミトン(amiton)、[c-28.29]アラマイト(aramite)、[c-28.30]アチダチオン(athidathion)、[c-28.31]アゾトエート(azothoate)、[c-28.32]ポリスルフィドバリウム(barium polysulphide)、[c-28.33]ベンクロチアズ(benclothiaz)、[c-28.34]5-(1,3-ベンゾジオキソール-5-イル)-3-ヘキシルシクロヘキサ-2-エノン(5-(1,3-benzodioxole-5-yl)-3-hexylcyclohexa-2-enone)、[c-28.35]1,1-ビス(4-クロロフェニル)-2-エトキシエタノール(1,1-bis(4-chlorophenyl)-2-ethoxyethanol)、[c-28.36]ブトネート(butonate)、[c-28.37]ブトピロノキシル(butopyronoxyl)、[c-28.38]2-(2-ブトキシエトキシ)エチル チオシアナート(2-(2-butoxyethoxy)ethyl thiocyanate)、[c-28.39]カンフェクロル(camphechlor)、[c-28.40]クロルベンシド(chlorbenside)、[c-28.41]クロルデコン(chlordecone)、[c-28.42]クロルジメホルム(chlordimeform)、[c-28.43]クロルフェネトール(chlorfenethol)、[c-28.44]クロルフェンソン(chlorfenson)、[c-28.45]フルアズロン(fluazuron)、[c-28.46]メタアルデヒド(metaldehyde)、[c-28.47]ビアラホス(bialaphos)、[c-28.48]塩酸レバミゾール(levamisol)、[c-28.49]アミドフルメト(amidoflumet)、[c-28.50]ピラフルプロール(pyrafluprole)、[c-28.51]ピリプロール(pyriprole)、[c-28.52]トラロピリル(tralopyril)、[c-28.53]フルピラゾフォス(flupyrazofos)、[c-28.54]ジオフェノラン(diofenolan)、[c-28.55]クロルベンジレート(chlorobenzilate)、[c-28.56]フルフェンジン(flufenzine)、[c-28.57]ベンゾメート(benzomate)、[c-28.58]フルフェネリム(flufenerim)、[c-28.59]アルベンダゾール(albendazole)、[c-28.60]オキシベンダゾール(oxibendazole)、[c-28.61]フェンベンダゾール(fenbendazole)、[c-28.62]メタム・ナトリウム(metam-sodium)、[c-28.63]1,3-ジクロロプロペン(1,3-dichloropropene)、[c-28.64]フロメトキン(flometoquin)、[c-28.65]シクラニリプロール(cyclaniliprole)、[c-28.66]テトラニリプロール(tetraniliprole)、[c-28.67]ブロフラニリド(broflanilide)、[c-28.68]ジクロロメゾチアズ(dicloromezotiaz)、[c-28.69]エチレンジブロマイド(ethylene dibromide)、[c-28.70]アクリロニトリル(acrylonitrile)、[c-28.71]ビス(2-クロロエチル)エーテル(bis(2-chloroethyl)ether)、[c-28.72]1-ブロモ-2-クロロエタン(1-bromo-2-chloroethane)、[c-28.73]3-ブロモ-1-クロロプロパ-1-エン(3-bromo-1-chloroprop-1-ene)、[c-28.74]ブロモシクレン(bromocyclen)、[c-28.75]二硫化炭素(carbon disulfide)、[c-28.76]四塩化炭素(tetrachloromethane)、[c-28.77]ネマデクチン(nemadectin)、[c-28.78]シミアゾール(cymiazole)[c-28.79]カルシウム ポリスルフィド(calcium polysulfide)、[c-28.80]サイトカイニン(cytokinin)、[c-28.81]2-(オクチルチオ)エタノール、[c-28.82]オレイン酸カリウム(potassium oleate)、[c-28.83]オレイン酸ナトリウム(sodium oleate)、[c-28.84]マシン油(machine oil)、[c-28.85]タール油(tar oil)、[c-28.86]アナバシン(anabasine)、[c-28.87]酒石酸モランテル(morantel tartrate)、[c-28.88]除虫菊(ピレトリン(pyrethrum))、[c-28.89]ナタネ油(rape seed oil)、[c-28.90]ダイズレチシン(soybean lecithin)、[c-28.91]デンプン(starch)、[c-28.92]ヒドロキシプロピルデンプン(hydroxypropylstarch)、[c-28.93]脂肪酸グリセリド(decanoyloctanoylglycerol)、[c-28.94]プロピレングリコールモノ脂肪酸エステル(propylene glycol fatty acid ester)、[c-28.95]ケイソウ土(diatomite)、[c-28.96]アフォキソラネル(afoxolaner)、[c-28.97]フルアザインドリジン(fluazaindolizine)、[c-28.98]アフィドピロペン(afidopyropen)、[c-28.99]シハロジアミド(cyhalodiamide)、[c-28.100]チオキサザフェン(tioxazafen)、[c-28.101]フルヘキサフォン(fluhexafon)、[c-28.102]フルララネル(fluralaner)、[c-28.103]フルキサメタミド(fluxametamide)、[c-28.104]テトラクロラントラニリプロール(tetrachlorantraniliprole)、[c-28.105]サロラネル(sarolaner)、[c-28.106]ロチラネル(lotilaner)、[c-28.107]シクロキサプリド(cycloxaprid)、[c-28.108]フルエンスルホン(fluensulfone)、[c-28.109]TPIC(tripropyl isocyanurate)、[c-28.110]D-D(1,3-Dichloropropene)、[c-28.111]ペルオキソカルボナート(peroxocarbonate)、[c-28.112]MB-599(verbutin)、[c-28.113]ビス(2,3,3,3-テトラクロロプロピル)エーテル(bis(2,3,3,3-tetrachloropropyl) ether)、[c-28.114]DCIP(bis(2-chloro-1-methylethyl)ether)、[c-28.115]ENT-8184(N-(2-Ethylhexyl)bicyclo[2.2.1]hept-5-ene-2,3-dicarboximide)、[c-28.116]Bayer 22408(O,O-diethyl O-naphthalimido phosphorothioate)、[c-28.117]Bayer 32394(tris(1-dodecyl-3-methyl-2-phenylbenzimidazolium)hexacyanoferrate)、
[c-28.130]式(s46)
[式中、V3は、窒素原子、炭素原子、またはC-Fを表し、
V4およびV5は、それぞれ独立していて、窒素原子、または炭素原子を表す。]で表される化合物(国際公開第11/134964号、国際公開第14/005982号参照)、
[式中、V3は、窒素原子、炭素原子、またはC-Fを表し、
V4およびV5は、それぞれ独立していて、窒素原子、または炭素原子を表す。]で表される化合物(国際公開第11/134964号、国際公開第14/005982号参照)、
[c-28.131]式(s47)
[式中、A54は、水素原子、メチル基、メトキシ基、またはエトキシ基を表し、
A55は、塩素原子、またはメチル基を表し、
A56は、メチル基、またはエチル基を表す。]で表される化合物(国際公開第09/049851号参照)、
[式中、A54は、水素原子、メチル基、メトキシ基、またはエトキシ基を表し、
A55は、塩素原子、またはメチル基を表し、
A56は、メチル基、またはエチル基を表す。]で表される化合物(国際公開第09/049851号参照)、
[c-28.132]式(s48)
[式中、A57は、水素原子、フッ素原子、または塩素原子を表し、
A58は、
からなる群から選択される1種の部分構造を表す。]で表される化合物(国際公開第11/067272号参照)、
[式中、A57は、水素原子、フッ素原子、または塩素原子を表し、
A58は、
からなる群から選択される1種の部分構造を表す。]で表される化合物(国際公開第11/067272号参照)、
[c-28.133]式(s49)
[式中、A59は、水素原子、フッ素原子、または塩素原子を表し、
A60は、
からなる群から選択される部分構造を表す。]で表される化合物(国際公開第10/090344号参照)、
[式中、A59は、水素原子、フッ素原子、または塩素原子を表し、
A60は、
からなる群から選択される部分構造を表す。]で表される化合物(国際公開第10/090344号参照)、
[c-28.134]式(s50)
[式中、m10は、0~2の整数を表し、
A61は、トリフルオロメチル基、トリフルオロメチルチオ基、トリフルオロメチルスルフィニル基、またはトリフルオロメチルスルホニル基を表し、
A62は、水素原子、またはトリフルオロメチル基を表し、
V6は、窒素原子、または炭素原子を表し、
V7は、酸素原子、またはN-メチル基を表す。]で表される化合物(国際公開第14/104407号参照)、
[式中、m10は、0~2の整数を表し、
A61は、トリフルオロメチル基、トリフルオロメチルチオ基、トリフルオロメチルスルフィニル基、またはトリフルオロメチルスルホニル基を表し、
A62は、水素原子、またはトリフルオロメチル基を表し、
V6は、窒素原子、または炭素原子を表し、
V7は、酸素原子、またはN-メチル基を表す。]で表される化合物(国際公開第14/104407号参照)、
[c-28.135]式(s51)
[式中、A63は、水素原子、またはフッ素原子を表し、
アミド基は4位、または5位に結合し、
A64は、
からなる群から選択される部分構造を表す。]で表される化合物(国際公開第15/038503号、国際特許第16/144351号、国際特許第16/144678号参照)、
[式中、A63は、水素原子、またはフッ素原子を表し、
アミド基は4位、または5位に結合し、
A64は、
からなる群から選択される部分構造を表す。]で表される化合物(国際公開第15/038503号、国際特許第16/144351号、国際特許第16/144678号参照)、
[c-28.136]式(s52)
[式中、A65は、水素原子、C1~C6のアルキル基、またはC1~C6のハロアルキル基を表し、
A66は、水素原子、ハロゲン原子、またはC1~C6のアルキル基を表し、
A67およびA68は、それぞれ独立していて、水素原子、それぞれシアノ基で置換されてもよいC1~C6のアルキル基、C2~C12のアルコキシアルキル基、またはC3~C8のシクロアルキル基を表し、
A69は、水素原子、シアノ基、それぞれシアノ基で置換されてもよいC1~C6のフルオロアルキル基、C1~C6のアルキル基、またはC3~C8のシクロアルキル基を表す。]で表される化合物(国際公開第12/143317号、国際特許第16/016369号参照)、
[式中、A65は、水素原子、C1~C6のアルキル基、またはC1~C6のハロアルキル基を表し、
A66は、水素原子、ハロゲン原子、またはC1~C6のアルキル基を表し、
A67およびA68は、それぞれ独立していて、水素原子、それぞれシアノ基で置換されてもよいC1~C6のアルキル基、C2~C12のアルコキシアルキル基、またはC3~C8のシクロアルキル基を表し、
A69は、水素原子、シアノ基、それぞれシアノ基で置換されてもよいC1~C6のフルオロアルキル基、C1~C6のアルキル基、またはC3~C8のシクロアルキル基を表す。]で表される化合物(国際公開第12/143317号、国際特許第16/016369号参照)、
[c-28.137]式(s53)または式(s54)
[式中、A70は、メチル基、エチル基、イソプロピル基、2,2,2-トリフルオロエチル基、またはフェニル基を表し、
A71は、
からなる群から選択される部分構造を表し、
A72は、
からなる群から選択される部分構造を表し、
V8は、酸素原子、硫黄原子、-CH2-、または-CH2CH2-を表す。]で表される化合物(国際公開第14/167084号、国際特許第16/055431号参照)、
[式中、A70は、メチル基、エチル基、イソプロピル基、2,2,2-トリフルオロエチル基、またはフェニル基を表し、
A71は、
からなる群から選択される部分構造を表し、
A72は、
からなる群から選択される部分構造を表し、
V8は、酸素原子、硫黄原子、-CH2-、または-CH2CH2-を表す。]で表される化合物(国際公開第14/167084号、国際特許第16/055431号参照)、
[c-28.138]式(s55)
[式中、m11は、0~1の整数を表し、
A73は、塩素原子、臭素原子、メチル基、またはトリフルオロメチル基を表し、
A74は、水素原子、塩素原子、臭素原子、シアノ基、またはトリフルオロメチル基表し、
A75は、水素原子、塩素原子または臭素原子を表し、
A76およびA77は、それぞれ独立していて、C1~C6のアルキル基、またはC3~C8のシクロアルキル基を表し、
A78は、塩素原子、臭素原子、シアノ基、ニトロ基、ジフルオロメチル基、またはトリフルオロメチル基を表す。]で表される化合物(国際公開第13/024009号参照)、
[式中、m11は、0~1の整数を表し、
A73は、塩素原子、臭素原子、メチル基、またはトリフルオロメチル基を表し、
A74は、水素原子、塩素原子、臭素原子、シアノ基、またはトリフルオロメチル基表し、
A75は、水素原子、塩素原子または臭素原子を表し、
A76およびA77は、それぞれ独立していて、C1~C6のアルキル基、またはC3~C8のシクロアルキル基を表し、
A78は、塩素原子、臭素原子、シアノ基、ニトロ基、ジフルオロメチル基、またはトリフルオロメチル基を表す。]で表される化合物(国際公開第13/024009号参照)、
[c-28.139]式(s56)
[式中、A79、A80、A81およびA82は、それぞれ独立していて、水素原子、ハロゲン原子、C1~C6のアルキル基、C1~C6のハロアルキル基、C1~C6のアルコキシ基、またはC3~C8のシクロアルコキシ基を表す。]で表される化合物(国際公開第12/027521号参照)、
[式中、A79、A80、A81およびA82は、それぞれ独立していて、水素原子、ハロゲン原子、C1~C6のアルキル基、C1~C6のハロアルキル基、C1~C6のアルコキシ基、またはC3~C8のシクロアルコキシ基を表す。]で表される化合物(国際公開第12/027521号参照)、
[c-28.140]式(s57)
[式中、m12は、0~2の整数を表し、
A83は、水素原子、またはフッ素原子を表し、
A84は、
からなる群から選択される部分構造を表す。]で表される化合物(国際公開第13/162715号参照)、
[式中、m12は、0~2の整数を表し、
A83は、水素原子、またはフッ素原子を表し、
A84は、
からなる群から選択される部分構造を表す。]で表される化合物(国際公開第13/162715号参照)、
[c-28.141]式(s58)
[式中、m13、m14、m15およびm16は、それぞれ独立していて、0~5の整数を表し、
A85、A86、A87およびA88は、それぞれ独立していて、C1~C6のアルキル基、C1~C6のハロアルキル基、C1~C6のアルコキシ基、C1~C6のハロアルコキシ基、またはC3~C8のシクロアルコキシ基を表し、
V9は、アリール基を表し、
V10は、ピリジル基を表す。]で表される化合物(国際公開第11/105506号参照)、
[式中、m13、m14、m15およびm16は、それぞれ独立していて、0~5の整数を表し、
A85、A86、A87およびA88は、それぞれ独立していて、C1~C6のアルキル基、C1~C6のハロアルキル基、C1~C6のアルコキシ基、C1~C6のハロアルコキシ基、またはC3~C8のシクロアルコキシ基を表し、
V9は、アリール基を表し、
V10は、ピリジル基を表す。]で表される化合物(国際公開第11/105506号参照)、
[c-28.142]式(s59)
[A89は、ジフルオロメトキシ基を表し、
A90は、ハロゲン原子、C1~C6のアルキル基、またはC1~C6のハロアルキル基を表し、
A91は、C1~C6のハロアルキル基を表し、
A92およびA93は、それぞれ独立していて、水素原子、C1~C6のアルキル基、C2~C7のアシル基、C3~C8のアルキルスルホニルエチル基、またはC2~C7のアルキルオキシカルボニル基を表し、
A94およびA95は、それぞれ独立していて、水素原子、C1~C6のアルキル基、またはC1~C6のハロアルキル基を表す。]で表される化合物(国際公開第12/164698号参照)等が挙げられる。
[A89は、ジフルオロメトキシ基を表し、
A90は、ハロゲン原子、C1~C6のアルキル基、またはC1~C6のハロアルキル基を表し、
A91は、C1~C6のハロアルキル基を表し、
A92およびA93は、それぞれ独立していて、水素原子、C1~C6のアルキル基、C2~C7のアシル基、C3~C8のアルキルスルホニルエチル基、またはC2~C7のアルキルオキシカルボニル基を表し、
A94およびA95は、それぞれ独立していて、水素原子、C1~C6のアルキル基、またはC1~C6のハロアルキル基を表す。]で表される化合物(国際公開第12/164698号参照)等が挙げられる。
前記のc-28:その他の殺虫剤として、好ましい成分は、[c-28.5]ジコホル(dicofol)、[c-28.6]ピリダリル(pyridalyl)、[c-28.7]ブロモプロピレート(bromopropylate)、[c-28.64]フロメトキン(flometoquin)、[c-28.65]シクラニリプロール(cyclaniliprole)、[c-28.66]テトラニリプロール(tetraniliprole)、[c-28.67]ブロフラニリド(broflanilide)、[c-28.68]ジクロロメゾチアズ(dicloromezotiaz)、[c-28.93]脂肪酸グリセリド(decanoyloctanoylglycerol)、[c-28.96]アフォキソラネル(afoxolaner)、[c-28.97]フルアザインドリジン(fluazaindolizine)、[c-28.99]シハロジアミド(cyhalodiamide)、[c-28.100]チオキサザフェン(tioxazafen)、[c-28.101]フルヘキサフォン(fluhexafon)、[c-28.102]フルララネル(fluralaner)、[c-28.103]フルキサメタミド(fluxametamide)、[c-28.108]フルエンスルホン(fluensulfone)、[c-28.118]式(s34)で表される化合物、[c-28.119]式(s35)で表される化合物、[c-28.120]式(s36)で表される化合物、[c-28.125]式(s41)で表される化合物、[c-28.129]式(s45)で表される化合物、[c-28.134]式(s50)で表される化合物、[c-28.138]式(s55)で表される化合物、および[c-28.142]式(s59)で表される化合物であり、さらに好ましい成分は、[c-28.65]シクラニリプロール(cyclaniliprole)、[c-28.66]テトラニリプロール(tetraniliprole)、[c-28.67]ブロフラニリド(broflanilide)、[c-28.68]ジクロロメゾチアズ(dicloromezotiaz)、[c-28.96]アフォキソラネル(afoxolaner)、[c-28.97]フルアザインドリジン(fluazaindolizine)、[c-28.100]チオキサザフェン(tioxazafen)、[c-28.101]フルヘキサフォン(fluhexafon)、[c-28.102]フルララネル(fluralaner)、[c-28.103]フルキサメタミド(fluxametamide)、[c-28.108]フルエンスルホン(fluensulfone)、[c-28.118]式(s34)で表される化合物、[c-28.119]式(s35)で表される化合物、[c-28.120]式(s36)で表される化合物、[c-28.125]式(s41)で表される化合物、[c-28.129]式(s45)で表される化合物、[c-28.134]式(s50)で表される化合物、[c-28.138]式(s55)で表される化合物、および[c-28.142]式(s59)で表される化合物である。
前記[c-28.136]式(s52)の各用語は前記の定義と同義である。式(s52)のA65として好ましくは、水素原子、メチル基、エチル基、プロピル基、イソプロピル基、ブチル基、トリフルオロメチル基、2,2,2-トリフルオロエチル基、または3,3,3-トリフルオロプロピル基であり、さらに好ましくは、水素原子、メチル基、またはエチル基である。また、A66として好ましくは、水素原子、フッ素原子、塩素原子、臭素原子、メチル基、エチル基、プロピル基、またはイソプロピル基であり、さらに好ましくは、水素原子、塩素原子、臭素原子、メチル基、またはエチル基である。また、A67およびA68として好ましくは、水素原子、メチル基、エチル基、プロピル基、メトキシメチル基、エトキシメチル基、2-メトキシエチル基、シクロプロピル基、シクロブチル基、またはシクロペンチル基であり、さらに好ましくは、水素原子、メチル基、エチル基、メトキシメチル基、シクロプロピル基、またはシクロブチル基である。A67およびA68がシアノ基で置換される場合、C1~C6のアルキル基、C2~C12のアルコキシアルキル基、またはC3~C8のシクロアルキル基における水素原子が、シアノ基によって任意に置換される。また、A69として好ましくは、水素原子、トリフルオロメチル基、2,2,2-トリフルオロエチル基、メチル基、エチル基、プロピル基、イソプロピル基、ブチル基、シクロプロピル基、シクロブチル基、またはシクロペンチル基であり、さらに好ましくは、水素原子、メチル基、エチル基、シクロプロピル基、またはシクロブチル基である。A69がシアノ基で置換される場合、C1~C6のフルオロアルキル基、C1~C6のアルキル基、またはC3~C8のシクロアルキル基における水素原子が、シアノ基によって任意に置換される。
前記[c-28.138]式(s55)の各用語は前記の定義と同義である。式(s55)のm11として好ましくは0であり、A73として好ましくはメチル基であり、A74およびA75として好ましくは塩素原子であり、A76およびA77として好ましくは、メチル基、エチル基、プロピル基、イソプロピル基、ブチル基、シクロプロピル基、シクロブチル基、またはシクロペンチル基であり、さらに好ましくは、メチル基、エチル基、イソプロピル基、またはシクロプロピル基であり、特に好ましくは、エチル基であり、A78として好ましくはトリフルオロメチル基である。
前記[c-28.139]式(s56)の各用語は前記の定義と同義である。式(s56)のA79、A80、A81およびA82として好ましくは、水素原子、フッ素原子、塩素原子、臭素原子、メチル基、エチル基、プロピル基、イソプロピル基、トリフルオロメチル基、2,2,2-トリフルオロエチル基、3,3,3-トリフルオロプロピル基、メトキシ基、エトキシ基、プロピルオキシ基、イソプロピルオキシ基、シクロプロピルオキシ基、またはシクロブトキシ基であり、さらに好ましくは、メチル基、エチル基、プロピル基、メトキシ基、エトキシ基、またはプロピルオキシ基である。
前記[c-28.141]式(s58)の各用語は前記の定義と同義である。式(s58)のm13、m14、m15およびm16として好ましくは、0~4であり、さらに好ましくは、0~2である。また、A85、A86、A87およびA88として好ましくは、メチル基、エチル基、プロピル基、ジフルオロメチル基、トリフルオロメチル基、2,2-ジフルオロエチル基、2,2,2-トリフルオロエチル基、3,3,3-トリフルオロプロピル基、メトキシ基、エトキシ基、プロピルオキシ基、イソプロピルオキシ基、ブトキシ基、トリフルオロメトキシ基、2,2,2-トリフルオロエトキシ基、3,3,3-トリフルオロプロピルオキシ基、シクロプロピルオキシ基、シクロブトキシ基、またはシクロペンチルオキシ基であり、さらに好ましくは、エチル基、プロピル基、トリフルオロメチル基、メトキシ基、エトキシ基、またはプロピルオキシ基である。また、V9として好ましくは、フェニル基、またはナフチル基であり、さらに好ましくは、フェニル基である。
前記[c-28.142]式(s59)の各用語は前記の定義と同義である。式(s59)のA90として好ましくは、塩素原子、臭素原子、ヨウ素原子、メチル基、エチル基、プロピル基、ジフルオロメチル基、トリフルオロメチル基、または1,1,2,2,2-ペンタフルオロエチル基であり、さらに好ましくは、臭素原子、ヨウ素原子、メチル基、エチル基、またはトリフルオロメチル基であり、特に好ましくは、臭素原子である。また、A91として好ましくは、トリフルオロメチル基、1,1,2,2,2-ペンタフルオロエチル基、1,1,2,2,2,3,3,3-オクタフルオロプロピル基、1,1,1,2,3,3,3-ヘプタフルオロイソプロピル基、または1,1,1,2,3,3,4,4,4-ノナフルオロイソブチル基であり、さらに好ましくは、1,1,1,2,3,3,3-ヘプタフルオロイソプロピル基、または1,1,1,2,3,3,4,4,4-ノナフルオロイソブチル基であり、特に好ましくは、1,1,1,2,3,3,3-ヘプタフルオロイソプロピル基である。また、A92およびA93として好ましくは、水素原子、メチル基、エチル基、プロピル基、アセチル基、プロパノイル基、1-ブタノイル基、2-メチルスルホニルエチル基、2-エチルスルホニルエチル基、2-(1-プロピルスルホニル)エチル基、メトキシカルボニル基、エトキシカルボニル基、またはプロピルオキシカルボニル基であり、さらに好ましくは、水素原子、メチル基、エチル基、アセチル基、プロパノイル基、2-メチルスルホニルエチル基、2-エチルスルホニルエチル基、メトキシカルボニル基、またはエトキシカルボニル基であり、特に好ましくは、水素原子である。また、A94およびA95として好ましくは、水素原子、メチル基、エチル基、プロピル基、イソプロピル基、トリフルオロメチル基、2,2,2-トリフルオロエチル基、または3,3,3-トリフルオロプロピル基であり、さらに好ましくは、水素原子、メチル基、またはエチル基であり、特に好ましくは、A94がメチル基であり、A95がエチル基である。
前記[c-28.138]式(s55)の各用語は前記の定義と同義である。式(s55)のm11として好ましくは0であり、A73として好ましくはメチル基であり、A74およびA75として好ましくは塩素原子であり、A76およびA77として好ましくは、メチル基、エチル基、プロピル基、イソプロピル基、ブチル基、シクロプロピル基、シクロブチル基、またはシクロペンチル基であり、さらに好ましくは、メチル基、エチル基、イソプロピル基、またはシクロプロピル基であり、特に好ましくは、エチル基であり、A78として好ましくはトリフルオロメチル基である。
前記[c-28.139]式(s56)の各用語は前記の定義と同義である。式(s56)のA79、A80、A81およびA82として好ましくは、水素原子、フッ素原子、塩素原子、臭素原子、メチル基、エチル基、プロピル基、イソプロピル基、トリフルオロメチル基、2,2,2-トリフルオロエチル基、3,3,3-トリフルオロプロピル基、メトキシ基、エトキシ基、プロピルオキシ基、イソプロピルオキシ基、シクロプロピルオキシ基、またはシクロブトキシ基であり、さらに好ましくは、メチル基、エチル基、プロピル基、メトキシ基、エトキシ基、またはプロピルオキシ基である。
前記[c-28.141]式(s58)の各用語は前記の定義と同義である。式(s58)のm13、m14、m15およびm16として好ましくは、0~4であり、さらに好ましくは、0~2である。また、A85、A86、A87およびA88として好ましくは、メチル基、エチル基、プロピル基、ジフルオロメチル基、トリフルオロメチル基、2,2-ジフルオロエチル基、2,2,2-トリフルオロエチル基、3,3,3-トリフルオロプロピル基、メトキシ基、エトキシ基、プロピルオキシ基、イソプロピルオキシ基、ブトキシ基、トリフルオロメトキシ基、2,2,2-トリフルオロエトキシ基、3,3,3-トリフルオロプロピルオキシ基、シクロプロピルオキシ基、シクロブトキシ基、またはシクロペンチルオキシ基であり、さらに好ましくは、エチル基、プロピル基、トリフルオロメチル基、メトキシ基、エトキシ基、またはプロピルオキシ基である。また、V9として好ましくは、フェニル基、またはナフチル基であり、さらに好ましくは、フェニル基である。
前記[c-28.142]式(s59)の各用語は前記の定義と同義である。式(s59)のA90として好ましくは、塩素原子、臭素原子、ヨウ素原子、メチル基、エチル基、プロピル基、ジフルオロメチル基、トリフルオロメチル基、または1,1,2,2,2-ペンタフルオロエチル基であり、さらに好ましくは、臭素原子、ヨウ素原子、メチル基、エチル基、またはトリフルオロメチル基であり、特に好ましくは、臭素原子である。また、A91として好ましくは、トリフルオロメチル基、1,1,2,2,2-ペンタフルオロエチル基、1,1,2,2,2,3,3,3-オクタフルオロプロピル基、1,1,1,2,3,3,3-ヘプタフルオロイソプロピル基、または1,1,1,2,3,3,4,4,4-ノナフルオロイソブチル基であり、さらに好ましくは、1,1,1,2,3,3,3-ヘプタフルオロイソプロピル基、または1,1,1,2,3,3,4,4,4-ノナフルオロイソブチル基であり、特に好ましくは、1,1,1,2,3,3,3-ヘプタフルオロイソプロピル基である。また、A92およびA93として好ましくは、水素原子、メチル基、エチル基、プロピル基、アセチル基、プロパノイル基、1-ブタノイル基、2-メチルスルホニルエチル基、2-エチルスルホニルエチル基、2-(1-プロピルスルホニル)エチル基、メトキシカルボニル基、エトキシカルボニル基、またはプロピルオキシカルボニル基であり、さらに好ましくは、水素原子、メチル基、エチル基、アセチル基、プロパノイル基、2-メチルスルホニルエチル基、2-エチルスルホニルエチル基、メトキシカルボニル基、またはエトキシカルボニル基であり、特に好ましくは、水素原子である。また、A94およびA95として好ましくは、水素原子、メチル基、エチル基、プロピル基、イソプロピル基、トリフルオロメチル基、2,2,2-トリフルオロエチル基、または3,3,3-トリフルオロプロピル基であり、さらに好ましくは、水素原子、メチル基、またはエチル基であり、特に好ましくは、A94がメチル基であり、A95がエチル基である。
以上のとおり、本発明に係る有害生物防除剤は、市販品として入手したり、それぞれの成分が記載されている公知の文献に記載の方法に準じて製造したりすることができる。
有害生物防除剤は、本発明化合物と組み合わせた場合に有害生物防除効果を発揮する限りにおいて特に制限されることはないが、好ましいものは殺菌剤および殺虫剤である。好ましい殺菌剤としては、b-1:フェニルアミド系殺菌剤、b-2:有糸核分裂および細胞分裂阻害剤、b-3:コハク酸脱水素酵素阻害剤(SDHI剤)、b-4:キノン外部阻害剤(QoI剤)、b-5:キノン内部阻害剤(QiI殺剤)、b-6:酸化的リン酸化脱共役阻害剤、b-7:キノン外部スチグマテリン結合サブサイト阻害剤(QoSI剤)、b-8:アミノ酸生合成阻害剤、b-9:タンパク質生合成阻害剤、b-10:シグナル伝達阻害剤、b-11:脂質および細胞膜生合成阻害剤、b-12:脱メチル化阻害剤(DMI剤)、b-13:アミン系殺菌剤、b-14:ステロール生合成のC4位脱メチル化における3-ケト還元酵素阻害剤、b-15:ステロール生合成のスクアレンエポキシダーゼ阻害剤、b-16:細胞壁生合成阻害剤、b-17:メラニン生合成阻害剤、b-18:宿主植物抵抗性誘導剤、b-19:ジチオカーバメート系殺菌剤、b-20:フタルイミド系殺菌剤、b-21:グアニジン系殺菌剤、b-22:多作用点接触活性型殺菌剤、およびb-23:その他の殺菌剤が挙げられ、好ましい殺虫剤としては、c-1:カーバメート系アセチルコリンエステラーゼ(AChE)阻害剤、c-2:有機リン系アセチルコリンエステラーゼ(AChE)阻害剤、c-3:GABA作動性塩素イオンチャネルブロッカー、c-4:ナトリウムチャネルモジュレーター、c-5:ニコチン性アセチルコリン受容体(nAChR)競合的モジュレーター、c-6:ニコチン性アセチルコリン受容体(nAChR)アロステリックモジュレーター、c-7:グルタミン酸作動性塩素イオンチャネル(GluCl) アロステリックモジュレーター、c-8:幼若ホルモン類似剤、c-9:非特異的(マルチサイト)阻害剤、c-10:弦音器官TRPVチャネルモジュレーター、c-11:ダニ類成長阻害剤、c-12:ミトコンドリアATP合成酵素阻害剤、c-13:プロトン勾配を撹乱する酸化的リン酸化脱共役剤、c-14:ニコチン性アセチルコリン受容体(nAChR)チャネルブロッカー、c-15:キチン生合成阻害剤タイプ0、c-16:キチン生合成阻害剤タイプ1、c-17:ハエ目昆虫脱皮阻害剤、c-18:脱皮ホルモン(エクダイソン)受容体アゴニスト、c-19:オクトパミン受容体アゴニスト、c-20:ミトコンドリア電子伝達系複合体III阻害剤、c-21:ミトコンドリア電子伝達系複合体I阻害剤(METI)、c-22:電位依存性ナトリウムチャネルブロッカー、c-23:アセチルCoAカルボキシラーゼ阻害剤、c-24:ミトコンドリア電子伝達系複合体IV阻害剤、c-25:ミトコンドリア電子伝達系複合体II阻害剤、c-26:リアノジン受容体モジュレーター、c-27:標的部位未特定の弦音器官モジュレーター、およびc-28:その他の殺虫剤が挙げらる。これらの殺虫剤および殺菌剤でさらに好ましいものは、b-1:フェニルアミド系殺菌剤、b-2:有糸核分裂および細胞分裂阻害剤、b-3:コハク酸脱水素酵素阻害剤(SDHI剤)、b-4:キノン外部阻害剤(QoI剤)、b-5:キノン内部阻害剤(QiI殺剤)、b-6:酸化的リン酸化脱共役阻害剤、b-7:キノン外部スチグマテリン結合サブサイト阻害剤(QoSI剤)、b-8:アミノ酸生合成阻害剤、b-9:タンパク質生合成阻害剤、b-10:シグナル伝達阻害剤、b-11:脂質および細胞膜生合成阻害剤、b-12:脱メチル化阻害剤(DMI剤)、b-13:アミン系殺菌剤、b-14:ステロール生合成のC4位脱メチル化における3-ケト還元酵素阻害剤、b-15:ステロール生合成のスクアレンエポキシダーゼ阻害剤、b-16:細胞壁生合成阻害剤、b-17:メラニン生合成阻害剤、b-18:宿主植物抵抗性誘導剤、b-19:ジチオカーバメート系殺菌剤、b-20:フタルイミド系殺菌剤、b-21:グアニジン系殺菌剤、b-22:多作用点接触活性型殺菌剤、およびb-23:その他の殺菌剤であり、特に好ましいものは、b-3:コハク酸脱水素酵素阻害剤(SDHI剤)、b-4:キノン外部阻害剤(QoI剤)、およびb-12:脱メチル化阻害剤(DMI剤)である。
次に、本発明の有害生物防除組成物について説明する。
本発明の有害生物防除組成物は、一般的な農薬の製造に関する常法に従って、製造することができる。すなわち、当該有害生物防除組成物は、本発明化合物および有害生物防除剤の2種類以上の有効成分と、必要に応じた担体および補助剤等を混合して、双方の有効成分を含有する組成物を製造することができる。また、本発明化合物および有害生物防除剤のどちらか一方を含有する組成物を先に製造した後、それにもう一方の有効成分またはその有効成分を含有する組成物を加え、双方の有効成分を含有する組成物を製造してもよい。
本発明の有害生物防除組成物は、一般的な農薬の製造に関する常法に従って、製造することができる。すなわち、当該有害生物防除組成物は、本発明化合物および有害生物防除剤の2種類以上の有効成分と、必要に応じた担体および補助剤等を混合して、双方の有効成分を含有する組成物を製造することができる。また、本発明化合物および有害生物防除剤のどちらか一方を含有する組成物を先に製造した後、それにもう一方の有効成分またはその有効成分を含有する組成物を加え、双方の有効成分を含有する組成物を製造してもよい。
本発明の有害生物防除組成物においては、本発明化合物および有害生物防除剤のみを、そのまま使用してもかまわないが、通常、担体と混合して用いられ、必要に応じて、界面活性剤、結合剤、崩壊剤、安定剤、pH調整剤、抗菌防黴剤(防腐剤)、増粘剤、消泡剤、湿潤剤、固着剤、着色剤等の補助剤を添加して、常法に従って、適時、水和剤、フロアブル剤、顆粒水和剤、OD剤、粉剤、液剤、乳剤、粒剤、パック剤等の剤型に製剤化することができる。その形態は効果が発揮される限りにおいて、特に限定されることはない。
なお、本発明の有害生物防除組成物は、本発明化合物と有害生物防除剤とを一つの剤型に製剤化された態様であってもよいし、あるいは、それぞれが別々の剤型に製剤化された両者のセットの態様であってもよい。
なお、本発明の有害生物防除組成物は、本発明化合物と有害生物防除剤とを一つの剤型に製剤化された態様であってもよいし、あるいは、それぞれが別々の剤型に製剤化された両者のセットの態様であってもよい。
本発明の組成物に使用される担体とは、処理すべき部位への有効成分の到達を助け、また有効成分化合物の貯蔵、輸送、取扱いを容易にするために配合される合成もしくは天然の無機または有機物質を意味し、通常農薬に使用されるものであるならば固体、液体または気体のいずれでも使用することができる。その担体は、効果が発揮される限りにおいて、特に限定されるものではない。
本発明の組成物に使用することができる固体担体としては、例えば、ベントナイト、モンモリロナイト、珪藻土、白土、タルク、クレー等の無機物質、木粉、鋸屑等の植物性有機物質、または尿素等を挙げることができる。
本発明の組成物に使用することができる液体担体としては、例えば、キシレン、トルエン等の芳香族炭化水素類、ナフテン類、n-パラフィン、流動パラフィン等の脂肪族炭化水素類、アセトン、メチルエチルケトン等のケトン類、ジオキサン、ジエチレングリコールジメチルエーテル等のエーテル類、エタノール、エチレングリコール等のアルコール類、エチレンカーボネート等のカーボネート類、ジメチルホルムアミド等の非プロトン性溶媒、水等を挙げることができる。
本発明の組成物に使用することができる気体担体としては、例えば、窒素、炭酸ガス等を挙げることができる。
本発明の組成物に使用することができる気体担体としては、例えば、窒素、炭酸ガス等を挙げることができる。
さらに、本発明の組成物中の化合物の効力を増強するために、補助剤を使用することもできる。その使用形態は、製剤の剤型や処理方法等を考慮し、目的に応じて、単独または組み合わせ使用することができる。補助剤の例として、界面活性剤、結合剤、崩壊剤、安定剤、pH調整剤、防菌防黴剤、増粘剤、消泡剤、凍結防止剤等を挙げることができる。
本発明の組成物に使用することができる界面活性剤としては、通常、農薬製剤を乳化、分散、拡展または/および湿潤する等の目的で使用される界面活性剤が使用できる。該界面活性剤の例として、ソルビタン脂肪酸エステル、ポリオキシエチレン脂肪酸エステル、ポリオキシエチレンアルキルエーテル、ポリオキシエチレンアルキルフェニルエーテル、ポリオキシエチレンポリオキシプロピレンブロックポリマー、アルキルポリオキシエチレンポリオキシプロピレンブロックポリマーエーテル、ポリオキシエチレンアルキルアミン、ポリオキシエチレン脂肪酸アミド、ポリオキシエチレンビスフェニルエーテル、高級アルコールのポリオキシアルキレン付加物、ポリオキシエチレンエーテル、エステル型シリコーン、フッ素系界面活性剤等の非イオン性界面活性剤;
アルキルサルフェート、ポリオキシエチレンアルキルエーテルサルフェート、ポリオキシエチレンベンジルフェニルエーテルサルフェート、ポリオキシエチレンスチリルフェニルエーテルサルフェート、パラフィンスルホネート、アルカンスルホネート、AOS、ジアルキルスルホサクシネート、アルキルベンゼンスルホネート、リグニンスルホネート、ポリオキシエチレンアルキルフェニルエーテルスルホネート、脂肪酸塩、N-メチル-脂肪酸サルコシネート、ポリオキシエチレンアルキルエーテルホスフェート、ポリオキシエチレンフェニルエーテルホスフェート、ポリオキシエチレンポリオキシプロピレンブロックポリマーホスフェート、ホスファチジルコリン、ホスファチジルエタノールイミン、アルキルホスフェート、トリポリ燐酸ナトリウム等のアニオン性界面活性剤;
アルキルトリメチルアンモニウムクロライド、アルキルジメチルベンザルコニウムクロライド、ベンゼトニウムクロライド等のカチオン性界面活性剤;
ジアルキルジアミノエチルベンタイン、アルキルジメチルベンジルベンタイン等の両性界面活性剤等が挙げられる。
アルキルサルフェート、ポリオキシエチレンアルキルエーテルサルフェート、ポリオキシエチレンベンジルフェニルエーテルサルフェート、ポリオキシエチレンスチリルフェニルエーテルサルフェート、パラフィンスルホネート、アルカンスルホネート、AOS、ジアルキルスルホサクシネート、アルキルベンゼンスルホネート、リグニンスルホネート、ポリオキシエチレンアルキルフェニルエーテルスルホネート、脂肪酸塩、N-メチル-脂肪酸サルコシネート、ポリオキシエチレンアルキルエーテルホスフェート、ポリオキシエチレンフェニルエーテルホスフェート、ポリオキシエチレンポリオキシプロピレンブロックポリマーホスフェート、ホスファチジルコリン、ホスファチジルエタノールイミン、アルキルホスフェート、トリポリ燐酸ナトリウム等のアニオン性界面活性剤;
アルキルトリメチルアンモニウムクロライド、アルキルジメチルベンザルコニウムクロライド、ベンゼトニウムクロライド等のカチオン性界面活性剤;
ジアルキルジアミノエチルベンタイン、アルキルジメチルベンジルベンタイン等の両性界面活性剤等が挙げられる。
結合剤としては、例えば、アルギン酸ナトリウム、ポリビニルアルコール、アラビアゴム、カルボキシメチルセルロースナトリウム、ベントナイト等が挙げられる。
崩壊剤としては、例えば、カルボキシメチルセルロースCMCナトリウム、クロスカルメロースナトリウム等が挙げられる。
安定剤としては、例えば、ヒンダードフェノール系の酸化防止剤、またはベンゾトリアゾール系、ヒンダードアミン系の紫外線吸収剤等が挙げられる。
pH調整剤としては、例えば、リン酸、酢酸、水酸化ナトリウム等が挙げられる。
防菌防黴剤としては、例えば、安息香酸ナトリウム、ソルビン酸カリウム、パラヒドロキシ安息香酸エステル、1,2-ベンゾイソチアゾリン-3-オン等の工業用殺菌剤、防菌防黴剤等が挙げられる。
増粘剤としては、例えば、キサンタンガム、グアーガム、カルボキシメチルセルロースナトリウム、アラビアゴム、ポリビニルアルコール、モンモリロナイト等が挙げられる。
消泡剤としては、例えば、シリコーン系化合物等が挙げられる。
凍結防止剤としては、例えば、プロピレングリコール、エチレングリコール等が挙げられる。
以上記載した補助剤は例であって、本発明の組成物に使用される補助剤は効果が発揮される限りにおいて、特に限定されるものではない。
本発明の組成物における本発明化合物の含有量は、効果が発揮される限りにおいて特に制限されるものではないが、通常、重量比で、0.01~99%の範囲であり、好ましくは、0.1~90%の範囲であり、さらに好ましくは、1~80%の範囲である。
また、本発明の組成物における本発明に係る有害生物防除剤の含有量は、効果が発揮される限りにおいて特に制限されるものではないが、通常、重量比で、0.01~99%の範囲であり、好ましくは、0.1~90%の範囲であり、さらに好ましくは、1~80%の範囲である。
本発明の組成物における本発明化合物と有害生物防除剤の含有量の合計は、効果が発揮される限りにおいて特に制限されるものではないが、通常、重量比で0.01~99%の範囲であり、好ましくは、0.1~90%の範囲であり、さらに好ましくは、1~80%の範囲である。
また、本発明の組成物における本発明に係る有害生物防除剤の含有量は、効果が発揮される限りにおいて特に制限されるものではないが、通常、重量比で、0.01~99%の範囲であり、好ましくは、0.1~90%の範囲であり、さらに好ましくは、1~80%の範囲である。
本発明の組成物における本発明化合物と有害生物防除剤の含有量の合計は、効果が発揮される限りにおいて特に制限されるものではないが、通常、重量比で0.01~99%の範囲であり、好ましくは、0.1~90%の範囲であり、さらに好ましくは、1~80%の範囲である。
本発明の組成物における本発明化合物と有害生物防除剤の混合比は、効果が発揮される限りにおいて特に制限されるものではないが、通常、本発明化合物に対して有害生物防除剤が、重量比で0.001~1000の比率であり、好ましくは、0.01~100の比率である。
次に、本発明の有害生物防除組成物を用いた有害生物防除方法について説明する。
本発明の組成物は、畑地、水田、茶園、果樹園、牧草地、芝生、森林、庭園、街路樹等で、有害生物防除のために使用することができる。
本発明の組成物の農業場面における施用方法としては、例えば、植物個体への茎葉散布処理、苗箱処理、セルトレー処理、土壌表面への散布処理、土壌表面への散布処理後の土壌混和、土壌中への注入処理、土壌中での注入処理後の土壌混和、土壌潅注処理、土壌潅注処理後の土壌混和、植物種子への吹き付け処理、植物種子への塗沫処理、植物種子への浸漬処理または植物種子への粉衣処理等が挙げられる。通常、当業者が利用する施用方法を用いることができる。
本発明における有害生物を防除する方法としては、本発明の有害生物防除組成物を施用する方法、本発明化合物を有効成分として含有する組成物、および有害生物防除剤を有効成分として含有する組成物を同時に施用する方法、または、本発明化合物を有効成分として含有する組成物、もしくは有害生物防除剤を有効成分として含有する組成物のいずれか一方の組成物を施用した後に、他方の組成物を施用する方法等が挙げられる。
本発明の有害生物防除組成物を施用する方法としては、本発明化合物および有害生物防除剤の2種類以上の有効成分を含有するように製造された有害生物防除組成物を施用する方法、または本発明化合物を有効成分として含有する組成物および有害生物防除剤を有効成分として含有する組成物を、使用者が使用前に混合することで、本発明化合物および有害生物防除剤を含有する組成物を調製して使用する方法等が挙げられる。
本発明化合物を有効成分として含有する組成物または有害生物防除剤を有効成分として含有する組成物のいずれか一方の組成物を施用した後に、他方の組成物を施用するまでの時間(期間)は、効果が発揮される限りにおいて特に制限されるものではないが、例えば、いずれか一方の組成物を施用した後、1分間~2週間であり、好ましくは、いずれか一方の組成物を施用した後、5分間~1週間であり、さらに好ましくは、いずれか一方の組成物を施用した後、10分間~3日である。
本発明の組成物の施用量および希釈倍率は、対象の作物、対象の有害生物、有害生物の発生程度、本発明の組成物の剤型、施用方法および各種環境条件等に応じて、適宜選択して決定することができる。
本発明の組成物を散布する場合、その施用量は、効果が発揮される限りにおいて特に制限されるものではないが、通常、有効成分量換算で、1ヘクタール当たり1~10000gであり、好ましくは、1ヘクタール当り10~5000gである。
また、本発明の組成物を種子消毒剤として使用する場合、その施用量は、効果が発揮される限りにおいて特に制限されるものではないが、通常、有効成分量換算で種子1kg当たり0.001~100gであり、好ましくは、0.01~50gである。
また、本発明の組成物の水和剤、顆粒水和剤、液剤、OD剤、フロアブル剤または乳剤を水で希釈して散布する場合、その希釈倍率は、効果が発揮される限りにおいて特に制限されるものではないが、通常、5~50000倍であり、好ましくは、10~10000倍である。
また、本発明の組成物を種子消毒剤として使用する場合、その施用量は、効果が発揮される限りにおいて特に制限されるものではないが、通常、有効成分量換算で種子1kg当たり0.001~100gであり、好ましくは、0.01~50gである。
また、本発明の組成物の水和剤、顆粒水和剤、液剤、OD剤、フロアブル剤または乳剤を水で希釈して散布する場合、その希釈倍率は、効果が発揮される限りにおいて特に制限されるものではないが、通常、5~50000倍であり、好ましくは、10~10000倍である。
本明細書において植物とは、光合成をして運動せずに生活するものを意味し、例えば、稲、小麦、大麦、トウモロコシ等の穀物類、ブドウ、リンゴ、ナシ、モモ、オウトウ、カキ、カンキツ等の果樹類、大豆、インゲン、サヤエンドウ等の豆類、イチゴ、スイカ等の果物類、ジャガイモ、サツマイモ、サトイモ、コンニャク等の芋類、キャベツ、レタス、トマト、キュウリ、ナス、テンサイ、ホウレンソウ、カボチャ、ピーマン等の野菜類、セイヨウアブラナ、綿、ヒマワリ、チューリップ、キク等の花卉類またはサトウキビ、タバコ、芝等が挙げられるが、これらに限定されるものではない。
本明細書において種子とは、幼植物が発芽するための栄養分を蓄え農業上繁殖に用いられるものを意味し、例えば、トウモロコシ、大豆、綿、稲、サトウダイコン、小麦、大麦、ヒマワリ、トマト、キュウリ、ナス、ホウレンソウ、サヤエンドウ、カボチャ、サトウキビ、タバコ、ピーマンおよびセイヨウアブラナ等の種子;サトイモ、ジャガイモ、サツマイモ、コンニャク等の種芋;食用ゆり、チューリップ等の球根やラッキョウ等の種球等;または遺伝子等を人工的に操作することにより生み出された植物であり、該植物は、例えば、自然界に元来存在するものではない除草剤耐性を付与した大豆、トウモロコシ、綿等;寒冷地適応したイネ、タバコ等;殺虫物質生産能を付与したトウモロコシ、綿、バレイショ等の形質転換を受けた種子等が挙げられるが、これらに限定されるものではない。
本明細書において有害生物とは、細菌類、真菌類、ウイルス等の病原菌、害虫、雑草等の植物の生育に悪影響を与える生物を意味する。病原菌は、植物に感染して植物病害を引き起こす。害虫は植物に寄生、加害する。雑草は、植物の生育場所またはその近傍に繁茂することで、光合成および栄養吸収の点で植物と競合する。これらの理由から、有害生物は植物の生育不良や枯死、収量の低下等の原因となるため、植物に有害である。本発明の組成物および防除方法は、これらの有害生物に対して有効である。
以下に、本発明が防除対象とする具体的な病原菌および害虫を例示する。
以下に、本発明が防除対象とする具体的な病原菌および害虫を例示する。
病原菌としては、例えば、イネのいもち病菌(Magnaporthe grisea)、紋枯病菌(Thanatephorus cucumeris)、褐色菌核病菌(Ceratobasidium setariae)、褐色小粒菌核病菌(Waitea circinata)、褐色紋枯病菌(Thanatephorus cucumeris)、球状菌核病菌(Sclerotium hydrophilum)、赤色菌核病菌(Wairea circinata)、黒しゅ病菌(Entyloma dactylidis)、小球菌核病菌(Magnaporthe salvinii)、灰色菌核病菌(Ceratobasidium cornigerum)、ごま葉枯病菌(Cochliobolus miyabeanus)、条葉枯病菌(Sphaerulina oryzina)、ばか苗病菌(Gibberella fujikuroi)、苗立枯病菌(Pythium spp.、Fusarium spp.、Trichoderma spp.、Rhizopus spp.、Rhizoctonia solani、Mucor sp.)、苗腐病菌(Pythium spp.、Achlya spp.、Dictyuchus spp.)、稲こうじ病菌(Claviceps virens)、墨黒穂病菌(Tilletia barclayana)、褐色米病原菌(Curvularia spp.、Alternaria spp.)、黄化萎縮病菌(Sclerophthora macrospora)、白葉枯病菌(Xanthomonas oryzae pv. oryzae)、褐条病菌(Acidovorax avenae subsp. avenae)、内頴褐変病菌(Erwinia ananas)、苗立枯細菌病菌(Burkholderia plantarii)、もみ枯細菌病菌(Burkholderia glumae)、葉鞘褐変病菌(Pseudomonas fuscovaginae)、かさ枯病菌(Pseudomonas syringae pv.oryzae)、株腐病菌(Erwinia chrysanthemi)、黄萎病菌(Phytoplasma oryzae)、縞葉枯病菌(Rice stripe tenuivirus)、萎縮病菌(Rice dwarf reovirus);
ムギ類のうどんこ病菌(Blumeria graminis f.sp.hordei; f.sp.tritici)、さび病菌(Puccinia striiformis、 Puccinia graminis、Puccinia recondita、Puccinia hordei)、斑葉病菌(Pyrenophora graminea)、網斑病菌(Pyrenophora teres)、赤かび病菌(Gibberella zeae、Fusarium culmorum、Fusarium avenaceum、Monographella nivalis)、雪腐病菌(Typhula incarnata、Typhula ishikariensis、Monographella nivalis)、裸黒穂病菌(Ustilago nuda)、なまぐさ黒穂病菌(Tilletia caries、Tilletia controversa)、眼紋病菌(Pseudocercosporella herpotrichoides)、株腐病菌(Ceratobasidium gramineum)、雲形病菌(Rhynchosporium secalis)、葉枯病菌(Septoria tritici)、ふ枯病菌(Phaeosphaeria nodorum)、苗立枯病菌(Fusarium spp.、Pythium spp.、Rhizoctonia spp.、Septoria spp.、Pyrenophora spp.)、立枯病菌(Gaeumannomyces graminis)、炭疽病菌(Colletotrichum graminicola)、麦角病菌(Claviceps purpurea)、斑点病菌(Cochliobolus sativus)、黒節病菌(Pseudomonas syringae pv. syringae);
トウモロコシの赤かび病菌(Gibberella zeae等)、苗立枯病菌(Fusarium avenaceum、 Penicillium spp、 Pythium spp.、Rhizoctonia spp.)、さび病菌(Puccinia sorghi)、ごま葉枯病菌(Cochliobolus heterostrophus)、黒穂病菌(Ustilago maydis)、炭疽病菌(Colletotrichum graminicola)、北方斑点病菌(Cochliobolus carbonum)、褐条病菌(Acidovorax avenae subsp. avenae)、条斑細菌病菌(Burkholderia andropogonis)、倒伏細菌病菌(Erwinia chrysanthemi pv. zeae)、萎ちょう細菌病菌(Erwinia stewartii);
ブドウのべと病菌(Plasmopara viticola)、さび病菌(Physopella ampelopsidis)、うどんこ病菌(Uncinula necator)、黒とう病菌(Elsinoe ampelina)、晩腐病菌(Glomerella cingulata、 Colletotrichum acutatum)、黒腐病菌(Guignardia bidwellii)、つる割病菌(Phomopsis viticola)、すす点病菌(Zygophiala jamaicensis)、灰色かび病菌(Botrytis cinerea)、芽枯病菌(Diaporthe medusaea)、紫紋羽病菌(Helicobasidium mompa)、白紋羽病菌(Rosellinia necatrix)、根頭がんしゅ病菌(Agrobacterium vitis);
リンゴのうどんこ病菌(Podosphaera leucotricha)、黒星病菌(Venturia inaequalis)、斑点落葉病菌(Alternaria mali)、赤星病菌(Gymnosporangium yamadae)、モニリア病菌(Monilinia mali)、腐らん病菌(Valsa ceratosperma)、輪紋病菌(Botryosphaeria berengeriana)、炭疽病菌(Colletotrichum acutatum、Glomerella cingulata)、すす点病菌(Zygophiala jamaicensis)、すす斑病菌(Gloeodes pomigena)、黒点病菌(Mycosphaerella pomi)、紫紋羽病菌(Helicobasidium mompa)、白紋羽病菌(Rosellinia necatrix)、胴枯病菌(Phomopsis mali、Diaporthe tanakae)、褐斑病菌(Diplocarpon mali)、リンゴの火傷病菌(Erwinia amylovora)、根頭がんしゅ病菌(Agrobacterium tumefaciens)、毛根病菌(Agrobacterium rhizogenes);
ナシの黒斑病菌(Alternaria kikuchiana)、黒星病菌(Venturia nashicola)、赤星病菌(Gymnosporangium asiaticum)、輪紋病菌(Botryosphaeria berengeriana f.sp. piricola)、胴枯病菌(Phomopsis fukushii)、枝枯細菌病菌(Erwinia sp.)、根頭がんしゅ病菌(Agrobacterium tumefaciens)、さび色胴枯病菌(Erwinia chrysanthemi pv. chrysanthemi)、花腐細菌病菌(Pseudomonas syringae pv. syringae);
セイヨウナシの疫病菌(Phytophthora cactorum、 Phytophthora syringae)、枝枯細菌病菌(Erwinia sp.);
モモの黒星病菌(Cladosporium carpophilum)、ホモプシス腐敗病菌(Phomopsis sp.)、疫病菌(Phytophthora sp.)、炭疽病菌(Colletotrichum gloeosporioides)、縮葉病菌(Taphrina deformans)、穿孔細菌病菌(Xhanthomonas campestris pv. pruni)、根頭がんしゅ病菌(Agrobacterium tumefaciens);
オウトウの炭疽病菌(Glomerella cingulata)、幼果菌核病菌(Monilinia kusanoi)、灰星病菌(Monilinia fructicola)、根頭がんしゅ病菌(Agrobacterium tumefaciens)、樹脂細菌病菌(Pseudomonas syringae pv. syringae);
カキの炭疽病菌(Glomerella cingulata)、落葉病菌(Cercospora kaki; Mycosphaerella nawae)、うどんこ病菌(Phyllactinia kakikora)、根頭がんしゅ病菌(Agrobacterium tumefaciens);
カンキツの黒点病菌(Diaporthe citri)、緑かび病菌(Penicillium digitatum)、青かび病菌(Penicillium italicum)、そうか病菌(Elsinoe fawcettii)、褐色腐敗病菌(Phytophthora citrophthora)、かいよう病菌(Xhanthomonas campestris pv. citri)、褐斑細菌病菌(Pseudomonas syringae pv. syringae)、グリーニング病菌(Liberibactor asiaticus)、根頭がんしゅ病菌(Agrobacterium tumefaciens);
トマト、キュウリ、豆類、イチゴ、ジャガイモ、キャベツ、ナス、レタス等の灰色かび病菌(Botrytis cinerea);
トマト、キュウリ、豆類、イチゴ、ジャガイモ、ナタネ、キャベツ、ナス、レタス等の菌核病菌(Sclerotinia sclerotiorum);
トマト、キュウリ、豆類、ダイコン、スイカ、ナス、ナタネ、ピーマン、ホウレンソウ、テンサイ等各種野菜の苗立枯病菌(Rhizoctonia spp.、Pythium spp.、Fusarium spp.、Phythophthora spp.、Sclerotinia sclerotiorum等);
ナス科植物の青枯病菌(Ralstonia solanacearum);
ウリ類のべと病菌(Pseudoperonospora cubensis)、うどんこ病菌(Sphaerotheca fuliginea)、炭疽病菌(Colletotrichum orbiculare)、つる枯病菌(Didymella bryoniae)、つる割病菌(Fusarium oxysporum)、疫病菌(Phytophthora parasitica、Phytophthora melonis、Phytophthora nicotianae、Phytophthora drechsleri、Phytophthora capsici等)、褐斑細菌病菌(Xhanthomonas campestris pv.cucurbitae)、軟腐病菌(Erwinia carotovora subsp. carotovora)、斑点細菌病菌(Pseudomonas syringae pv. lachrymans)、縁枯細菌病菌(Pseudomonas marginalis pv. marginalis)、がんしゅ病菌(Streptomyces sp.)、毛根病菌(Agrobacterium rhizogenes)、キュウリモザイクウィルス(Cucumber mosaic virus);
トマトの輪紋病菌(Alternaria solani)、葉かび病菌(Fulvia fulva)、疫病菌(Phytophthora infestans)、萎凋病菌(Fusarium oxysporum)、根腐病菌(Pythium myriotylum、Pythium dissotocum)、炭疽病菌(Colletotrichum gloeosporioides)、かいよう病菌(Clavibacter michiganensis)、茎えそ細菌病菌(Pseudomonas corrugata)、黒斑細菌病菌(Pseudomonas viridiflava)、軟腐病菌(Erwinia carotovora subsp. carotovora)、葉こぶ病菌(Crynebacterium sp.)、萎黄病菌(Phytoplasma asteris)、黄化萎縮病菌(Tabaco leaf curl subgroup III geminivirus);
ナスのうどんこ病菌(Sphaerotheca fuliginea等)、すすかび病菌(Mycovellosiella nattrassii)、疫病菌(Phytophthora infestans)、褐色腐敗病菌(Phytophthora capsici)、褐斑細菌病菌(Pseudomonas cichorii)、茎えそ細菌病菌(Pseudomonas corrugata)、茎腐細菌病菌(Erwinia chrysanthemi)、軟腐病菌(Erwinia carotovora subsp. carotovora)、斑点細菌病菌(Pseudomonas sp.);
ナタネの黒斑病菌(Alternaria brassicae)、黒腐病菌(Xhanthomonas campestris pv. campestris)、黒斑細菌病菌(Pseudomonas syringae pv. maculicola)、軟腐病菌(Erwinia carotovora);
アブラナ科野菜の黒斑病菌(Alternaria brassicae等)、白斑病菌(Cercosporella brassicae)、根朽病菌(Phoma lingam)、根こぶ病菌(Plasmodiophora brassicae)、べと病菌(Peronospora parasitica)、黒腐病菌(Xhanthomonas campestris pv. campestris)、黒斑細菌病菌(Pseudomonas syringae pv. maculicola)、軟腐病菌(Erwinia carotovora subsp. carotovora);
キャベツの株腐病菌(Thanatephorus cucumeris)、萎黄病菌(Fusarium oxysporum)、黒すす病菌(Alternaria brassisicola);
ハクサイの尻腐病菌(Rhizoctonia solani)、黄化病菌(Verticillium dahliae);
ネギのさび病菌(Puccinia allii)、黒斑病菌(Alternaria porri)、白絹病菌(Sclerotium rolfsii)、白色疫病菌(Phytophthora porri)、黒腐菌核病菌(Sclerotium cepivorum);
タマネギのかいよう病菌(Curtobacterium flaccumfaciens)、軟腐病菌(Erwinia carotovora subsp. carotovora)、斑点細菌病菌(Pseudomonas syringae pv. syringae)、腐敗病菌(Erwinia rhapontici)、鱗片腐敗病菌(Burkholderia gladioli)、萎黄病菌(Phytoplasma asteris);
ニンニクの軟腐病菌(Erwinia carotovora subsp. carotovora)、春腐病菌(Pseudomonas marginalis pv.marginalis);
ダイズの紫斑病菌(Cercospora kikuchii)、黒とう病菌(Elsinoe glycines)、黒点病菌(Diaporthe phaseolorum)、リゾクトニア根腐病菌(Rhizoctonia solani)、茎疫病菌(Phytophthora sojae)、べと病菌(Peronospora manshurica)、さび病菌(Phakopsora pachyrhizi)、炭疽病菌(Colletotrichum truncatum等)、葉焼病菌(Xhanthomonas campestris pv. glycines)、斑点細菌病菌(Pseudomonas syringae pv. glycinea);
インゲンの炭疽病菌(Colletotrichum lindemuthianum)、青枯病菌(Ralstonia solanacearum)、かさ枯病菌(Pseudomonas syringae pv. phaseolicola)、褐斑細菌病菌(Pseudomonas viridiflava)、葉焼病菌(Xhanthomonas campestris pv. phaseoli);
ラッカセイの黒渋病菌(Mycosphaerella berkeleyi)、褐斑病菌(Mycosphaerella arachidis)、青枯病菌(Ralstonia solanacearum);
エンドウのうどんこ病菌(Erysiphe pisi)、べと病菌(Peronospora pisi)、つる枯細菌病菌(Pseudomonas syringae pv.pisi)、つる腐細菌病菌(Xhanthomonas campestris pv. pisi;
ソラマメのべと病菌(Peronospora viciae)、疫病菌(Phytophthora nicotianae);
ジャガイモの夏疫病菌(Alternaria solani)、黒あざ病菌(Thanatephorus cucumeris)、疫病菌(Phytophthora infestans)、銀か病菌(Helminthosporium solani)、乾腐病菌(Fusarium oxysporum、Fusarium solani)、粉状そうか病菌(Spongospora subterranea)、青枯病菌(Ralstonia solanacearum)、黒あし病菌(Erwinia carotovora subsp. atroseptica)、そうか病菌(Streptomyces scabies、Streptomyces acidiscabies)、軟腐病菌(Erwinia carotovora subsp. carotovora)、粘性腐敗病菌(Crostridium spp.)、輪腐病菌(Clavibacter michiganensis subsp.sepedonicus);
サツマイモの立枯病菌(Streptomyces ipomoeae);
テンサイの褐斑病菌(Cercospora beticola)、べと病菌(Peronospora schachtii)、黒根病菌(Aphanomyces cochioides)、蛇の目病菌(Phoma betae)、根頭がんしゅ病菌(Agrobacterium tumefaciens)、そうか病菌(Streptomyces scabies)、斑点細菌病菌(Pseudomonas syringae pv. aptata);
ニンジンの黒葉枯病菌(Alternaria dauci)、こぶ病菌(Rhizobacter dauci)、根頭がんしゅ病菌(Agrobacterium tumefaciens)、ストレプトミセスそうか病菌(Streptomyces spp.)、軟腐病菌(Erwinia carotovora subsp. carotovora);
イチゴのうどんこ病菌(Sphaerotheca aphanis var. aphanis)、疫病菌(Phytophthora nicotianae等)、炭疽病菌(Glomerella cingulata等)、果実腐敗病菌(Pythium ultimum)、青枯病菌(Ralstonia solanacearum)、角斑細菌病菌(Xhanthomonas campestris)、芽枯細菌病菌(Pseudomonas marginalis pv. marginalis);
チャの網もち病菌(Exobasidium reticulatum)、白星病菌(Elsinoe leucospila)、炭疽病菌(Colletotrichum theae-sinensis)、輪斑病菌(Pestalotiopsis longiseta)、赤焼病菌(Pseudomonas syringae pv.theae)、かいよう病菌(Xhanthomonas campestris pv. theicola)、てんぐ巣病菌(Pseudomonas sp.);
タバコの赤星病菌(Alternaria alternata)、うどんこ病菌(Erysiphe cichoracearum)、炭疽病菌(Colletotrichum gloeosporioides)、疫病菌(Phytophthora nicotianae)、野火病菌(Pseudomonas syringae pv.tabaci)、黄がさ細菌病菌(Pseudomonas syringae pv.mellea)、空洞病菌(Erwinia carotovora subsp. carotovora)、立枯病菌(Ralstonia solanacearum)、タバコモザイクウィルス(Tobaco mosaic virus);
コーヒーのさび病菌(Hemileia vastatrix);
バナナの黒シガトガ病菌(Mycosphaerella fijiensis)、パナマ病菌(Fusarium oxysporum f.sp cubense);
ワタの立枯病菌(Fusarium oxysporum)、白かび病菌(Ramularia areola);
ヒマワリの菌核病菌(Sclerotinia sclerotiorum)、角点病菌(Xhanthomonas campestris pv.malvacearum)、空洞病菌Erwinia carotovora subsp. carotovora)、斑点細菌病菌(Pseudomonas syringae pv.helianthi);
バラの黒星病菌(Diplocarpon rosae)、うどんこ病菌(Sphaerotheca pannosa等)、疫病菌(Phytophthora megasperma)、べと病菌(Peronospora sparsa)、根頭がんしゅ病菌(Agrobacterium tumefaciens);
キクの褐斑病菌(Septoria obesa)、白さび病菌(Puccinia horiana)、疫病菌(Phytophthora cactorum)、斑点細菌病菌(Pseudomonas cichorii)、軟腐病菌(Erwinia carotovora subsp. carotovora)、根頭がんしゅ病菌(Agrobacterium tumefaciens)、毛根病菌(Agrobacterium rhizogenes)、緑化病菌(Phytoplasma aurantifolia);
芝のブラウンパッチ病菌(Rhizoctonia solani)、ダラースポット病菌(Sclerotinia homoeocarpa)、カーブラリア葉枯病菌(Curvularia sp.)、さび病菌 (Puccinia zoysiae)、ヘルミントスポリウム葉枯病菌(Cochliobolus sp.)、雲形病菌(Rhynchosporium secalis)、立枯病菌(Gaeumannomyces graminis)、炭疽病菌(Colletotrichum sp.)、雪腐褐色小粒菌核病菌(Typhula incarnata)、雪腐黒色小粒菌核病菌(Typhula ishikariensis)、雪腐大粒菌核病菌(Myriosclerotinia borealis)、フェアリーリング病菌(Marasmius oreades等)、ピシウム病菌(Pythium aphanidermatum等)、いもち病菌(Pyricularia grisea)等が挙げられる。
ムギ類のうどんこ病菌(Blumeria graminis f.sp.hordei; f.sp.tritici)、さび病菌(Puccinia striiformis、 Puccinia graminis、Puccinia recondita、Puccinia hordei)、斑葉病菌(Pyrenophora graminea)、網斑病菌(Pyrenophora teres)、赤かび病菌(Gibberella zeae、Fusarium culmorum、Fusarium avenaceum、Monographella nivalis)、雪腐病菌(Typhula incarnata、Typhula ishikariensis、Monographella nivalis)、裸黒穂病菌(Ustilago nuda)、なまぐさ黒穂病菌(Tilletia caries、Tilletia controversa)、眼紋病菌(Pseudocercosporella herpotrichoides)、株腐病菌(Ceratobasidium gramineum)、雲形病菌(Rhynchosporium secalis)、葉枯病菌(Septoria tritici)、ふ枯病菌(Phaeosphaeria nodorum)、苗立枯病菌(Fusarium spp.、Pythium spp.、Rhizoctonia spp.、Septoria spp.、Pyrenophora spp.)、立枯病菌(Gaeumannomyces graminis)、炭疽病菌(Colletotrichum graminicola)、麦角病菌(Claviceps purpurea)、斑点病菌(Cochliobolus sativus)、黒節病菌(Pseudomonas syringae pv. syringae);
トウモロコシの赤かび病菌(Gibberella zeae等)、苗立枯病菌(Fusarium avenaceum、 Penicillium spp、 Pythium spp.、Rhizoctonia spp.)、さび病菌(Puccinia sorghi)、ごま葉枯病菌(Cochliobolus heterostrophus)、黒穂病菌(Ustilago maydis)、炭疽病菌(Colletotrichum graminicola)、北方斑点病菌(Cochliobolus carbonum)、褐条病菌(Acidovorax avenae subsp. avenae)、条斑細菌病菌(Burkholderia andropogonis)、倒伏細菌病菌(Erwinia chrysanthemi pv. zeae)、萎ちょう細菌病菌(Erwinia stewartii);
ブドウのべと病菌(Plasmopara viticola)、さび病菌(Physopella ampelopsidis)、うどんこ病菌(Uncinula necator)、黒とう病菌(Elsinoe ampelina)、晩腐病菌(Glomerella cingulata、 Colletotrichum acutatum)、黒腐病菌(Guignardia bidwellii)、つる割病菌(Phomopsis viticola)、すす点病菌(Zygophiala jamaicensis)、灰色かび病菌(Botrytis cinerea)、芽枯病菌(Diaporthe medusaea)、紫紋羽病菌(Helicobasidium mompa)、白紋羽病菌(Rosellinia necatrix)、根頭がんしゅ病菌(Agrobacterium vitis);
リンゴのうどんこ病菌(Podosphaera leucotricha)、黒星病菌(Venturia inaequalis)、斑点落葉病菌(Alternaria mali)、赤星病菌(Gymnosporangium yamadae)、モニリア病菌(Monilinia mali)、腐らん病菌(Valsa ceratosperma)、輪紋病菌(Botryosphaeria berengeriana)、炭疽病菌(Colletotrichum acutatum、Glomerella cingulata)、すす点病菌(Zygophiala jamaicensis)、すす斑病菌(Gloeodes pomigena)、黒点病菌(Mycosphaerella pomi)、紫紋羽病菌(Helicobasidium mompa)、白紋羽病菌(Rosellinia necatrix)、胴枯病菌(Phomopsis mali、Diaporthe tanakae)、褐斑病菌(Diplocarpon mali)、リンゴの火傷病菌(Erwinia amylovora)、根頭がんしゅ病菌(Agrobacterium tumefaciens)、毛根病菌(Agrobacterium rhizogenes);
ナシの黒斑病菌(Alternaria kikuchiana)、黒星病菌(Venturia nashicola)、赤星病菌(Gymnosporangium asiaticum)、輪紋病菌(Botryosphaeria berengeriana f.sp. piricola)、胴枯病菌(Phomopsis fukushii)、枝枯細菌病菌(Erwinia sp.)、根頭がんしゅ病菌(Agrobacterium tumefaciens)、さび色胴枯病菌(Erwinia chrysanthemi pv. chrysanthemi)、花腐細菌病菌(Pseudomonas syringae pv. syringae);
セイヨウナシの疫病菌(Phytophthora cactorum、 Phytophthora syringae)、枝枯細菌病菌(Erwinia sp.);
モモの黒星病菌(Cladosporium carpophilum)、ホモプシス腐敗病菌(Phomopsis sp.)、疫病菌(Phytophthora sp.)、炭疽病菌(Colletotrichum gloeosporioides)、縮葉病菌(Taphrina deformans)、穿孔細菌病菌(Xhanthomonas campestris pv. pruni)、根頭がんしゅ病菌(Agrobacterium tumefaciens);
オウトウの炭疽病菌(Glomerella cingulata)、幼果菌核病菌(Monilinia kusanoi)、灰星病菌(Monilinia fructicola)、根頭がんしゅ病菌(Agrobacterium tumefaciens)、樹脂細菌病菌(Pseudomonas syringae pv. syringae);
カキの炭疽病菌(Glomerella cingulata)、落葉病菌(Cercospora kaki; Mycosphaerella nawae)、うどんこ病菌(Phyllactinia kakikora)、根頭がんしゅ病菌(Agrobacterium tumefaciens);
カンキツの黒点病菌(Diaporthe citri)、緑かび病菌(Penicillium digitatum)、青かび病菌(Penicillium italicum)、そうか病菌(Elsinoe fawcettii)、褐色腐敗病菌(Phytophthora citrophthora)、かいよう病菌(Xhanthomonas campestris pv. citri)、褐斑細菌病菌(Pseudomonas syringae pv. syringae)、グリーニング病菌(Liberibactor asiaticus)、根頭がんしゅ病菌(Agrobacterium tumefaciens);
トマト、キュウリ、豆類、イチゴ、ジャガイモ、キャベツ、ナス、レタス等の灰色かび病菌(Botrytis cinerea);
トマト、キュウリ、豆類、イチゴ、ジャガイモ、ナタネ、キャベツ、ナス、レタス等の菌核病菌(Sclerotinia sclerotiorum);
トマト、キュウリ、豆類、ダイコン、スイカ、ナス、ナタネ、ピーマン、ホウレンソウ、テンサイ等各種野菜の苗立枯病菌(Rhizoctonia spp.、Pythium spp.、Fusarium spp.、Phythophthora spp.、Sclerotinia sclerotiorum等);
ナス科植物の青枯病菌(Ralstonia solanacearum);
ウリ類のべと病菌(Pseudoperonospora cubensis)、うどんこ病菌(Sphaerotheca fuliginea)、炭疽病菌(Colletotrichum orbiculare)、つる枯病菌(Didymella bryoniae)、つる割病菌(Fusarium oxysporum)、疫病菌(Phytophthora parasitica、Phytophthora melonis、Phytophthora nicotianae、Phytophthora drechsleri、Phytophthora capsici等)、褐斑細菌病菌(Xhanthomonas campestris pv.cucurbitae)、軟腐病菌(Erwinia carotovora subsp. carotovora)、斑点細菌病菌(Pseudomonas syringae pv. lachrymans)、縁枯細菌病菌(Pseudomonas marginalis pv. marginalis)、がんしゅ病菌(Streptomyces sp.)、毛根病菌(Agrobacterium rhizogenes)、キュウリモザイクウィルス(Cucumber mosaic virus);
トマトの輪紋病菌(Alternaria solani)、葉かび病菌(Fulvia fulva)、疫病菌(Phytophthora infestans)、萎凋病菌(Fusarium oxysporum)、根腐病菌(Pythium myriotylum、Pythium dissotocum)、炭疽病菌(Colletotrichum gloeosporioides)、かいよう病菌(Clavibacter michiganensis)、茎えそ細菌病菌(Pseudomonas corrugata)、黒斑細菌病菌(Pseudomonas viridiflava)、軟腐病菌(Erwinia carotovora subsp. carotovora)、葉こぶ病菌(Crynebacterium sp.)、萎黄病菌(Phytoplasma asteris)、黄化萎縮病菌(Tabaco leaf curl subgroup III geminivirus);
ナスのうどんこ病菌(Sphaerotheca fuliginea等)、すすかび病菌(Mycovellosiella nattrassii)、疫病菌(Phytophthora infestans)、褐色腐敗病菌(Phytophthora capsici)、褐斑細菌病菌(Pseudomonas cichorii)、茎えそ細菌病菌(Pseudomonas corrugata)、茎腐細菌病菌(Erwinia chrysanthemi)、軟腐病菌(Erwinia carotovora subsp. carotovora)、斑点細菌病菌(Pseudomonas sp.);
ナタネの黒斑病菌(Alternaria brassicae)、黒腐病菌(Xhanthomonas campestris pv. campestris)、黒斑細菌病菌(Pseudomonas syringae pv. maculicola)、軟腐病菌(Erwinia carotovora);
アブラナ科野菜の黒斑病菌(Alternaria brassicae等)、白斑病菌(Cercosporella brassicae)、根朽病菌(Phoma lingam)、根こぶ病菌(Plasmodiophora brassicae)、べと病菌(Peronospora parasitica)、黒腐病菌(Xhanthomonas campestris pv. campestris)、黒斑細菌病菌(Pseudomonas syringae pv. maculicola)、軟腐病菌(Erwinia carotovora subsp. carotovora);
キャベツの株腐病菌(Thanatephorus cucumeris)、萎黄病菌(Fusarium oxysporum)、黒すす病菌(Alternaria brassisicola);
ハクサイの尻腐病菌(Rhizoctonia solani)、黄化病菌(Verticillium dahliae);
ネギのさび病菌(Puccinia allii)、黒斑病菌(Alternaria porri)、白絹病菌(Sclerotium rolfsii)、白色疫病菌(Phytophthora porri)、黒腐菌核病菌(Sclerotium cepivorum);
タマネギのかいよう病菌(Curtobacterium flaccumfaciens)、軟腐病菌(Erwinia carotovora subsp. carotovora)、斑点細菌病菌(Pseudomonas syringae pv. syringae)、腐敗病菌(Erwinia rhapontici)、鱗片腐敗病菌(Burkholderia gladioli)、萎黄病菌(Phytoplasma asteris);
ニンニクの軟腐病菌(Erwinia carotovora subsp. carotovora)、春腐病菌(Pseudomonas marginalis pv.marginalis);
ダイズの紫斑病菌(Cercospora kikuchii)、黒とう病菌(Elsinoe glycines)、黒点病菌(Diaporthe phaseolorum)、リゾクトニア根腐病菌(Rhizoctonia solani)、茎疫病菌(Phytophthora sojae)、べと病菌(Peronospora manshurica)、さび病菌(Phakopsora pachyrhizi)、炭疽病菌(Colletotrichum truncatum等)、葉焼病菌(Xhanthomonas campestris pv. glycines)、斑点細菌病菌(Pseudomonas syringae pv. glycinea);
インゲンの炭疽病菌(Colletotrichum lindemuthianum)、青枯病菌(Ralstonia solanacearum)、かさ枯病菌(Pseudomonas syringae pv. phaseolicola)、褐斑細菌病菌(Pseudomonas viridiflava)、葉焼病菌(Xhanthomonas campestris pv. phaseoli);
ラッカセイの黒渋病菌(Mycosphaerella berkeleyi)、褐斑病菌(Mycosphaerella arachidis)、青枯病菌(Ralstonia solanacearum);
エンドウのうどんこ病菌(Erysiphe pisi)、べと病菌(Peronospora pisi)、つる枯細菌病菌(Pseudomonas syringae pv.pisi)、つる腐細菌病菌(Xhanthomonas campestris pv. pisi;
ソラマメのべと病菌(Peronospora viciae)、疫病菌(Phytophthora nicotianae);
ジャガイモの夏疫病菌(Alternaria solani)、黒あざ病菌(Thanatephorus cucumeris)、疫病菌(Phytophthora infestans)、銀か病菌(Helminthosporium solani)、乾腐病菌(Fusarium oxysporum、Fusarium solani)、粉状そうか病菌(Spongospora subterranea)、青枯病菌(Ralstonia solanacearum)、黒あし病菌(Erwinia carotovora subsp. atroseptica)、そうか病菌(Streptomyces scabies、Streptomyces acidiscabies)、軟腐病菌(Erwinia carotovora subsp. carotovora)、粘性腐敗病菌(Crostridium spp.)、輪腐病菌(Clavibacter michiganensis subsp.sepedonicus);
サツマイモの立枯病菌(Streptomyces ipomoeae);
テンサイの褐斑病菌(Cercospora beticola)、べと病菌(Peronospora schachtii)、黒根病菌(Aphanomyces cochioides)、蛇の目病菌(Phoma betae)、根頭がんしゅ病菌(Agrobacterium tumefaciens)、そうか病菌(Streptomyces scabies)、斑点細菌病菌(Pseudomonas syringae pv. aptata);
ニンジンの黒葉枯病菌(Alternaria dauci)、こぶ病菌(Rhizobacter dauci)、根頭がんしゅ病菌(Agrobacterium tumefaciens)、ストレプトミセスそうか病菌(Streptomyces spp.)、軟腐病菌(Erwinia carotovora subsp. carotovora);
イチゴのうどんこ病菌(Sphaerotheca aphanis var. aphanis)、疫病菌(Phytophthora nicotianae等)、炭疽病菌(Glomerella cingulata等)、果実腐敗病菌(Pythium ultimum)、青枯病菌(Ralstonia solanacearum)、角斑細菌病菌(Xhanthomonas campestris)、芽枯細菌病菌(Pseudomonas marginalis pv. marginalis);
チャの網もち病菌(Exobasidium reticulatum)、白星病菌(Elsinoe leucospila)、炭疽病菌(Colletotrichum theae-sinensis)、輪斑病菌(Pestalotiopsis longiseta)、赤焼病菌(Pseudomonas syringae pv.theae)、かいよう病菌(Xhanthomonas campestris pv. theicola)、てんぐ巣病菌(Pseudomonas sp.);
タバコの赤星病菌(Alternaria alternata)、うどんこ病菌(Erysiphe cichoracearum)、炭疽病菌(Colletotrichum gloeosporioides)、疫病菌(Phytophthora nicotianae)、野火病菌(Pseudomonas syringae pv.tabaci)、黄がさ細菌病菌(Pseudomonas syringae pv.mellea)、空洞病菌(Erwinia carotovora subsp. carotovora)、立枯病菌(Ralstonia solanacearum)、タバコモザイクウィルス(Tobaco mosaic virus);
コーヒーのさび病菌(Hemileia vastatrix);
バナナの黒シガトガ病菌(Mycosphaerella fijiensis)、パナマ病菌(Fusarium oxysporum f.sp cubense);
ワタの立枯病菌(Fusarium oxysporum)、白かび病菌(Ramularia areola);
ヒマワリの菌核病菌(Sclerotinia sclerotiorum)、角点病菌(Xhanthomonas campestris pv.malvacearum)、空洞病菌Erwinia carotovora subsp. carotovora)、斑点細菌病菌(Pseudomonas syringae pv.helianthi);
バラの黒星病菌(Diplocarpon rosae)、うどんこ病菌(Sphaerotheca pannosa等)、疫病菌(Phytophthora megasperma)、べと病菌(Peronospora sparsa)、根頭がんしゅ病菌(Agrobacterium tumefaciens);
キクの褐斑病菌(Septoria obesa)、白さび病菌(Puccinia horiana)、疫病菌(Phytophthora cactorum)、斑点細菌病菌(Pseudomonas cichorii)、軟腐病菌(Erwinia carotovora subsp. carotovora)、根頭がんしゅ病菌(Agrobacterium tumefaciens)、毛根病菌(Agrobacterium rhizogenes)、緑化病菌(Phytoplasma aurantifolia);
芝のブラウンパッチ病菌(Rhizoctonia solani)、ダラースポット病菌(Sclerotinia homoeocarpa)、カーブラリア葉枯病菌(Curvularia sp.)、さび病菌 (Puccinia zoysiae)、ヘルミントスポリウム葉枯病菌(Cochliobolus sp.)、雲形病菌(Rhynchosporium secalis)、立枯病菌(Gaeumannomyces graminis)、炭疽病菌(Colletotrichum sp.)、雪腐褐色小粒菌核病菌(Typhula incarnata)、雪腐黒色小粒菌核病菌(Typhula ishikariensis)、雪腐大粒菌核病菌(Myriosclerotinia borealis)、フェアリーリング病菌(Marasmius oreades等)、ピシウム病菌(Pythium aphanidermatum等)、いもち病菌(Pyricularia grisea)等が挙げられる。
また、害虫としては、例えば、チャノコカクモンハマキ(Adoxophyes honmai)、リンゴコカクモンハマキ(Adoxophyes orana faciata)、リンゴモンハマキ(Archips breviplicanus)、リンゴコシンクイガ(Grapholita inopinata)、ミダレカクモンハマキ(Archips fuscocupreanus)、ナシヒメシンクイ(Grapholita molesta)、チャハマキ(Choristoneura magnanima)、マメシンクイガ(Leguminivora glycinivorella)、クワヒメハマキ(Olethreutes mori)、リンゴハマキホソガ(Caloptilia zachrysa)、リンゴヒメシンクイ(Argyresthia conjugella)、ナシホソガ(Spulerrina astaurota)、マメヒメサヤムシガ(Matsumuraeses phaseoli)、トビハマキ(Pandemis heparana)、ナシチビガ(Bucculatrix pyrivorella)、モモハモグリガ(Lyonetia clerkella)、モモシンクイガ(Carposina niponensis)、ギンモンハモグリガ(Lyonetia prunifoliella malinella)、チャノホソガ(Caloptilia theivora)、キンモンホソガ(Phyllonorycter ringoniella)、ミカンハモグリガ(Phyllocnistis citrella)、ネギコガ(Acrolepiopsis sapporensis)、ヤマノイモコガ(Acrolepiopsis suzukiella)、コナガ(Plutella xylostella)、カキノヘタムシガ(Stathmopoda masinissa)、イモキバガ(Helcystogramma triannulella)、ワタアカミムシ(Pectinophora gossypiella)、モモシンクイガ(Carposina sasakii)、ニカメイガ(Chilo suppressalis)、コブノメイガ(Cnaphalocrocis medinalis)、チャマダラメイガ(Ephestia elutella)、モモノゴマダラノメイガ(Conogethes punctiferalis)、ワタヘリクロノメイガ(Diaphania indica)、シロイチモジマダラメイガ(Etiella zinckenella)、クワノメイガ(Glyphodes pyloalis)、イッテンオオメイガ(Scirpophaga incertulas)、ハイマダラノメイガ(Hellula undalis)、アワノメイガ(Ostrinia furnacalis)、アズキノメイガ(Ostrinia scapulalis)、シバツトガ(Parapediasia teterrella)、イチモンジセセリ(Parnara guttata)、オオモンシロチョウ(Pieris brassicae)、モンシロチョウ(Pieris rapae crucivora)、アゲハチョウ(Papilio xuthus)、ヨモギエダシャク(Ascotis selenaria)、ソイビーンルーパー(Pseudoplusia includens)、チャドクガ(Euproctis pseudoconspersa)、マイマイガ(Lymantria dispar)、ヒメシロモンドクガ(Orgyia thyellina)、アメリカシロヒトリ(Hyphantria cunea)、クワゴマダラヒトリ(Lemyra imparilis)、アケビコノハ(Adris tyrannus)、ナカジロシタバ(Aedia leucomelas)、タマナヤガ(Agrotis ipsilon)、カブラヤガ(Agrotis segetum)、タマナギンウワバ(Autographa nigrisigna)、ミツモンキンウワバ(Ctenoplusia agnata)、コドリンガ(Cydla pomonella)、オオタバコガ(Helicoverpa armigera)、タバコガ(Helicoverpa assulta)、コットンボールワーム(Helicoverpa zea)、タバコバッドワーム(Heliothis virescens)、ヨーロピアンコーンボーラー(Ostrinia nubilalis)、ヨトウガ(Mamestra brassicae)、アワヨトウ(Mythimna separata)、イネヨトウ(Sesamia inferens)、フタオビコヤガ(Naranga aenescens)、サザンアーミーワーム(Spodoptera eridania)、シロイチモジヨトウ(Spodoptera exigua)、フォールアーミーワーム(Spodoptera frugiperda)、コットンリーフワーム(Spodoptera littoralis)、ハスモンヨトウ(Spodoptera litura)、スジキリヨトウ(Spodoptera depravata)、イラクサギンウワバ(Trichoplusia ni)、グレープベリーモス(Endopiza viteana)、トマトホーンワーム(Manduca quinquemaculata)、タバコホーンワーム(Manduca sexta)等のチョウ目昆虫、
フタテンヒメヨコバイ(Arboridia apicalis)、ミドリナガヨコバイ(Balclutha saltuella)、フタテンオオヨコバイ(Epiacanthus stramineus)、ポテトリーフホッパー(Empoasca fabae)、カキノヒメヨコバイ(Empoasca nipponica)、チャノミドリヒメヨコバイ(Empoasca onukii)、マメノミドリヒメヨコバイ(Empoasca sakaii)、ヒメフタテンヨコバイ(Macrosteles striifrons)、ツマグロヨコバイ(Nephotettix cinctinceps)、コットンフリーホッパー(Psuedatomoscelis seriatus)、ヒメトビウンカ(Laodelphax striatella)、トビイロウンカ(Nilaparvata lugens)、セジロウンカ(Sogatella furcifera)、ミカンキジラミ(Diaphorina citri)、ナシキジラミ(Psylla pyrisuga)、ミカントゲコナジラミ(Aleurocanthus spiniferus)、シルバーリーフコナジラミ(Bemisia argentifolii)、タバココナジラミ(Bemisia tabaci)、ミカンコナジラミ(Dialeurodes citri)、オンシツコナジラミ(Trialeurodes vaporariorum)、ブドウコナジラミ(Aleurolobus taonabae)、ブドウネアブラムシ(Viteus vitifolii)、ニセダイコンアブラムシ(Lipaphis erysimi)、ワタアブラムシ(Aphis gossypii)、ユキヤナギアブラムシ(Aphis spiraecola)、モモアカアブラムシ(Myzus persicae)、コミカンアブラムシ(Toxoptera aurantii)、オオワラジカイガラムシ(Drosicha corpulenta)、イセリアカイガラムシ(Icerya purchasi)、ナスコナカイガラムシ(Phenacoccus solani)、ミカンワタカイガラムシ(Pulvinaria aurantii)、ミカンコナカイガラムシ(Planococcus citri)、ミカンマルカイガラムシ(Pseudaonidia duplex)、フジコナカイガラムシ(Planococcus kuraunhiae)、クワコナカイガラムシ(Pseudococcus comstocki)、ナシマルカイガラムシ(Comstockaspis perniciosa)、ツノロウムシ(Ceroplastes ceriferus)、ルビーロウムシ(Ceroplastes rubens)、アカマルカイガラムシ(Aonidiella aurantii)、ティースケール(Fiorinia theae)、チャノマルカイガラムシ(Pseudaonidia paeoniae)、クワシロカイガラムシ(Pseudaulacaspis pentagona)、ウメシロカイガラムシ(Pseudaulacaspis prunicola)、マサキナガカイガラムシ(Unaspis euonymi)、ヤノネカイガラムシ(Unaspis yanonensis)、トコジラミ(Cimex lectularius)、ブチヒゲカメムシ(Dolycoris baccarum)、ナガメ(Eurydema rugosum)、トゲシラホシカメムシ(Eysarcoris aeneus)、オオトゲシラホシカメムシ(Eysarcoris lewisi)、シラホシカメムシ(Eysarcoris ventralis)、ツヤアオカメムシ(Glaucias subpunctatus)、クサギカメムシ(Halyomorpha halys)、アオクサカメムシ(Nezara antennata)、ミナミアオカメムシ(Nezara viridula)、イチモンジカメムシ(Piezodorus hybneri)、チャバネアオカメムシ(Plautia crossota)、イネクロカメムシ(Scotinophora lurida)、ホソハリカメムシ(Cletus punctiger)、クモヘリカメムシ(Leptocorisa chinensis)、ホソヘリカメムシ(Riptortus clavatus)、アカヒメヘリカメムシ(Rhopalus msculatus)、カンシャコバネナガカメムシ(Cavelerius saccharivorus)、コバネヒョウタンナガカメムシ(Togo hemipterus)、アカホシカメムシ(Dysdercus cingulatus)、ツツジグンバイ(Stephanitis pyrioides)、クロトビカスミカメ(Halticus insularis)、ターニッシュドプラントバグ(Lygus lineolaris)、ナガムギカスミカメ(Stenodema sibiricum)、アカスジカスミカメ(Stenotus rubrovittatus)、イネホソミドリカスミカメ(Trigonotylus caelestialium)等のカメムシ目昆虫、
ドウガネブイブイ(Anomala cuprea)、ヒメコガネ(Anomala rufocuprea)、コアオハナムグリ(Gametis jucunda)、ナガチャコガネ(Heptophylla picea)、マメコガネ(Popillia japonica)、コロラドポテトビートル(Lepinotarsa decemlineata)、メキシカンビートビートル(Epilachna varivestis)、マルクビクシコメツキ(Melanotus fortnumi)、カンシャクシコメツキ(Melanotus tamsuyensis)、タバコシバンムシ(Lasioderma serricorne)、ヒラタキクイムシ(Lyctusbrunneus)、マツノキクイムシ(Tomicus piniperda)、ナガシンクイムシ(Rhizopertha dominica)、ヒメヒラタケシキスイ(Epuraea domina)、インゲンテントウ(Epilachna varivestis)、ニジュウヤホシテントウ(Epilachna vigintioctopunctata)、チャイロコメノゴミムシダマシ(Tenebrio molitor)、コクヌストモドキ(Tribolium castaneum)、ゴマダラカミキリ(Anoplophora malasiaca)、マツノマダラカミキリ(Monochamus alternatus)、キボシカミキリ(Psacothea hilaris)、ブドウトラカミキリ(Xylotrechus pyrrhoderus)、アズキゾウムシ(Callosobruchus chinensis)、ウリハムシ(Aulacophora femoralis)、イネドロオイムシ(Oulema oryzae)、テンサイトビハムシ(Chaetocnema concinna)、サザンコーンルートワーム(Diabrotica undecimpunctata)、ウエスタンコーンルートワーム(Diabrotica virgifera)、ノーザンコーンルートワーム(Diabrotica barberi)、キスジノミハムシ(Phyllotreta striolata)、ナスナガスネトビハムシ(Psylliodes angusticollis)、モモチョッキリゾウムシ(Rhynchites heros)、アリモドキゾウムシ(Cylas formicarius)、ワタミゾウムシ(Anthonomus grandis)、イネゾウムシ(Echinocnemus squameus)、イモゾウムシ(Euscepes postfasciatus)、アルファルファタコゾウムシ(Hypera postica)、イネミズゾウムシ(Lissorhoptrus oryzophilus)、キンケクチブトゾウムシ(Otiorhynchus sulcatus)、グラナリーウィービル(Sitophilus granarius)、コクゾウムシ(Sitophilus zeamais)、シバオサゾウムシ(Sphenophorus venatus vestitus)、アオバアリガタハネカクシ(Paederus fuscipes)等のコウチュウ目昆虫、
ヒラズハナアザミウマ(Frankliniella intonsa)、キイロハナアザミウマ(Thrips flavus)、ミカンキイロアザミウマ(Frankliniella occidentalis)、クロトンアザミウマ(Heliothrips haemorrhoidalis)、チャノキイロアザミウマ(Scirtothrips dorsalis)、ミナミキイロアザミウマ(Thrips palmi)、ネギアザミウマ(Thrips tabaci)、カキクダアザミウマ(Ponticulothrips diospyrosi)等のアザミウマ目昆虫、
ダイズサヤタマバエ(Asphondylia yushimai)、ムギアカタマバエ(Sitodiplosis mosellana)、ウリミバエ(Bactrocera cucurbitae)、ミカンコミバエ(Bactrocera dorsalis)、チチュウカイミバエ(Ceratitis capitata)、イネヒメハモグリバエ(Hydrellia griseola)、オウトウショウジョウバエ(Drosophila suzukii)、イネハモグリバエ(Agromyza oryzae)、ナモグリバエ(Chromatomyia horticola)、ナスハモグリバエ(Liriomyza bryoniae)、ネギハモグリバエ(Liriomyza chinensis)、トマトハモグリバエ(Liriomyza sativae)、マメハモグリバエ(Liriomyza trifolii)、タネバエ(Delia platura)、タマネギバエ(Delia antique)、テンサイモグリハナバエ(Pegomya cunicularia)、アップルマゴット(Rhagoletis pomonella)、ヘシアンフライ(Mayetiola destructor)、イエバエ(Musca domestica)、ノイエバエ(Musca hervei)、クロイエバエ(Musca bezzii)、サシバエ(Stomoxys calcitrans)、ノサシバエ(Haematobia irritans)、ヒツジシラミバエ(Melophagus ovinus)、ウシバエ(Hypoderma bovis)、キスジウシバエ(Hypoderma lineatum)、ヒツジバエ(Oestrus ovis)、ツェツェバエ(Glossina palpalis, Glossina morsitans)、キアシオオブユ(Prosimulium yezoensis)、ツメトゲブユ(Simulium iwatens)、ウシアブ(Tabanus trigonus)、オオチョウバエ(Telmatoscopus albipunctatus)、トクナガヌカカ(Leptoconops nipponensis)、ウシヌカカ(Culicoides oxystoma)、シナハマダラカ(Anopheles hyracanus sinesis)、ガンビエハマダラカ(Anopheles gambiae)、アラビアハマダラカ(Anopheles arabiensis)、アノフェレスフェネスタス(Anopheles funestus)、アノフェレスメラス(Anopheles melas)、コガタハマダラカ(Anopheles minimus)、アノフェレスディラス(Anopheles dirus)、ステフェンスハマダラカ(Anopheles stephensi)、アノフェレスアルビマナス(Anopheles albimanus)、アカイエカ(Culex pipiens pallens)、チカイエカ(Culex pipiens molestus)、ネッタイイエカ(Culex quinquefasciatus)、キュレックスレスタンス(Culex restuans)、キュレックスタルサリス(Culex tarsalis)、キュレックスモデスタス(Culex modestus)、コガタイエカ(Culex tritaeniorhynchus)、ネッタイシマカ(Aedes aegypti)、ヒトスジシマカ(Aedes albopicutus)、ヤマトヤブカ(Aedes japonicus)、キンイロヤブカ(Aedes vexans)等のハエ目昆虫、
クリハバチ(Apethymus kuri)、カブラハバチ(Athalia rosae)、チュウレンジハバチ(Arge pagana)、マツノキハバチ(Neodiprion sertifer)、クリタマバチ(Dryocosmus kuriphilus)、グンタイアリ(Eciton burchelli, Eciton schmitti)、クロオオアリ(Camponotus japonicus)、オオスズメバチ(Vespa mandarina)、ブルドックアント(Myrmecia spp.)、ファイヤーアント類(Solenopsis spp.)、ファラオアント(Monomorium pharaonis)等のハチ目昆虫、
エンマコオロギ(Teleogryllus emma)、ケラ(Gryllotalpa orientalis)、トノサマバッタ(Locusta migratoria)、コバネイナゴ(Oxya yezoensis)、サバクワタリバッタ(Schistocerca gregaria)等のバッタ目昆虫、
トゲナシシロトビムシ(Onychiurus folsomi)、シベリアシロトビムシ(Onychiurus sibiricus)、キボシマルトビムシ(Bourletiella hortensis)等のトビムシ目昆虫、
クロゴキブリ(Periplaneta fuliginosa)、ヤマトゴキブリ(Periplaneta japonica)、チャバネゴキブリ(Blattella germanica)、ワモンゴキブリ(Periplaneta Americana)等のゴキブリ目昆虫、
イエシロアリ(Coptotermes formosanus)、ヤマトシロアリ(Reticulitermes speratus)、タイワンシロアリ(Odontotermes formosanus)等のシロアリ目昆虫、
ネコノミ(Ctenocephalidae felis)、イヌノミ(Ctenocephalides canis)、ニワトリノミ(Echidnophaga gallinacea)、ヒトノミ(Pulex irritans)、ケオプスネズミノミ(Xenopsylla cheopis)等のノミ目昆虫、
ニワトリオオハジラミ(Menacanthus stramineus)、ウシハジラミ(Bovicola bovis)等のハジラミ目昆虫、
ウシジラミ(Haematopinus eurysternus)、ブタジラミ(Haematopinus suis)、ウシホソジラミ(Linognathus vituli)、ケブカウシジラミ(Solenopotes capillatus)、ヒツジジラミ(Damalinia ovis)等のシラミ目昆虫、
シクラメンホコリダニ(Phytonemus pallidus)、チャノホコリダニ(Polyphagotarsonemus latus)、スジブトホコリダニ(Tarsonemus bilobatus)等のホコリダニ類、
ハクサイダニ(Penthaleus erythrocephalus)、ムギダニ(Penthaleus major)等のハシリダニ類、
イネハダニ(Oligonychus shinkajii)、ミカンハダニ(Panonychus citri)、クワオオハダニ(Panonychus mori)、リンゴハダニ(Panonychus ulmi)、カンザワハダニ(Tetranychus kanzawai)、ナミハダニ(Tetranychus urticae)等のハダニ類、
チャノナガサビダニ(Acaphylla theavagrans)、チューリップサビダニ(Aceria tulipae)、トマトサビダニ(Aculops lycopersici)、ミカンサビダニ(Aculops pelekassi)、リンゴサビダニ(Aculus schlechtendali)、ニセナシサビダニ(Eriophyes chibaensis)、シトラスラストマイト(Phyllocoptruta oleivora)等のフシダニ類、
ロビンネダニ(Rhizoglyphus robini)、ケナガコナダニ(Tyrophagus putrescentiae)、ホウレンソウケナガコナダニ(Tyrophagus similis)等のコナダニ類、
ヤケヒョウヒダニ(Dermatophagoides pteronyssinus)、コナヒョウヒダニ(Dermatophagoides farinae)等のヒョウヒダニ類、
ミツバチヘギイタダニ(Varroa jacobsoni)等のハチダニ類、
オウシマダニ(Boophilus microplus)、クリイロコイタマダニ(Rhipicephalus sanguineus)、フタトゲチマダニ(Haemaphysalis longicornis)、キチマダニ(Haemaphysalis flava)、ツリガネチマダニ(Haemaphysalis campanulata)、ヤマトチマダニ(Haemaphysalis japonica)、オオトゲチマダニ(Haemaphysalis megaspinosa)、ヤマトマダニ(Ixodes ovatus)、シュルツェマダニ(Ixodes persulcatus)、タネガタマダニ(Ixodes nipponensis)、西部クロアシダニ(Ixodes pacifcus)、ヒツジダニ(Ixodes ricinus)、クロアシダニ(Ixodes scapularis)、ローン・スターマダニ(Amblyomma americanum)、メキシコ湾岸マダニ(Amblyomma maculatum)、オオマダニ(Amblyomma spp.)、アミメカクマダニ(Dermacentor recticulatus)、タイワンカクマダニ(Dermacentor taiwanesis)、ロッキー山脈森林マダニ(Dermacentor andersoni)、西海岸マダニ(Dermacentor occidentalis)、アメリカンドッグティック(Dermacentor variabilis)、アミメマダニ(Dermacentor spp.)等のマダニ類、
イヌツメダニ(Cheyletiella yasguri)、ネコツメダニ(Cheyletiella blakei)等のツメダニ類、
イヌニキビダニ(Demodex canis)、ネコニキビダニ(Demodex cati)等のニキビダニ類、
ヒツジキュウセンダニ(Psoroptes ovis)等のキュウセンダニ類、
センコウヒゼンダニ(Sarcoptes scabiei)、ネコショウセンコウヒゼンダニ(Notoedres cati)、ニワトリヒゼンダニ(Knemidocoptes spp.)等のヒゼンダニ類、
オカダンゴムシ(Armadillidium vulgare)等の甲殻類、
スクミリンゴガイ(Pomacea canaliculata)、アフリカマイマイ(Achatina fulica)、ナメクジ(Meghimatium bilineatum)、チャコウラナメクジ(Limax Valentiana)、ウスカワマイマイ(Acusta despecta sieboldiana)、ミスジマイマイ(Euhadra peliomphala)等の腹足類、
ミナミネグサレセンチュウ(Prathylenchus coffeae)、キタネグサレセンチュウ(Prathylenchus penetrans)、クルミネグサレセンチュウ(Prathylenchus vulnus)、ジャガイモシストセンチュウ(Globodera rostochiensis)、ダイズシストセンチュウ(Heterodera glycines)、キタネコブセンチュウ(Meloidogyne hapla)、サツマイモネコブセンチュウ(Meloidogyne incognita)、イネシンガレセンチュウ(Aphelenchoides besseyi)、マツノザイセンチュウ(Bursaphelenchus xylophilus)等の線虫類、
赤痢アメーバ等のアメーバ類(Rhizopoda)、リシュマニア、トリコモナス等の鞭毛虫類(Mastigophora)、マラリア原虫、トキソプラズマ等の胞子虫類(Sporozoea)、大腸バランチジウム等の繊毛虫類(Ciliophora)等の原虫類、
回虫、鉤虫等の線虫類(Nematoda)、大鉤頭虫等の鉤頭虫類(Acannthocephala)、ハリガネムシ等のハリガネムシ類(Nematomorpha)、肝吸虫等の吸虫類(Trematoda)、無鉤条虫等の条虫類(Cestoda)等の蠕虫類、
蛔虫(Ascaris)、犬蛔虫(Toxocara)、犬小蛔虫(Toxascaris)、馬蛔虫(Parascaris)、鶏蛔虫(Ascaridia)、鶏盲腸虫(Heterakis)、蟯虫(Oxyuris)、毛細線虫(Capillaria)、旋毛虫(Trichinella)、円虫(Strongylus、Triodontophorus)、毛線虫(Trichonema)、豚腎虫(Stephanurus)、腸結節虫(Desophagostomum)、大口腸線虫(Chabertia)、開嘴虫(Syngamus)、鉤虫(Ancylostoma、Uncinaria、Necator、Bunostomum)、毛様線虫(Trichostrongylus)、クーバー毛様線虫(Cooperia)、細類毛様線虫(Nematodirus)、捻転胃線虫(Haemonchus)、オクテルダーク胃虫(Ostertagia)、肺虫(Dictyocaulus、Metastrongylus)、犬糸条虫(Dirofilaria)、多乳頭糸条虫(Parafilaria)、馬糸条虫(Setaria)、オンコセルカ(Onchocerca)、胃虫(Habronema、Arduenna、Acuaria)等の線虫類、
裂頭条虫(Diphyllobothrium)、アノプロセハラ属(Anoplocephara)、モニイジア属(Moniezia)、犬条虫(Dipylidium)、無鉤条虫および有鉤条虫(Taenia)、嚢虫(Dithyridium)、レーリチナ属(Raillietina)、包虫(Echinococcus)等の条虫類、
住血吸虫(Schistosoma)、双口吸虫(Paramphistomum)、肝蛭(Fasciola)等の吸虫類等があげられる。
フタテンヒメヨコバイ(Arboridia apicalis)、ミドリナガヨコバイ(Balclutha saltuella)、フタテンオオヨコバイ(Epiacanthus stramineus)、ポテトリーフホッパー(Empoasca fabae)、カキノヒメヨコバイ(Empoasca nipponica)、チャノミドリヒメヨコバイ(Empoasca onukii)、マメノミドリヒメヨコバイ(Empoasca sakaii)、ヒメフタテンヨコバイ(Macrosteles striifrons)、ツマグロヨコバイ(Nephotettix cinctinceps)、コットンフリーホッパー(Psuedatomoscelis seriatus)、ヒメトビウンカ(Laodelphax striatella)、トビイロウンカ(Nilaparvata lugens)、セジロウンカ(Sogatella furcifera)、ミカンキジラミ(Diaphorina citri)、ナシキジラミ(Psylla pyrisuga)、ミカントゲコナジラミ(Aleurocanthus spiniferus)、シルバーリーフコナジラミ(Bemisia argentifolii)、タバココナジラミ(Bemisia tabaci)、ミカンコナジラミ(Dialeurodes citri)、オンシツコナジラミ(Trialeurodes vaporariorum)、ブドウコナジラミ(Aleurolobus taonabae)、ブドウネアブラムシ(Viteus vitifolii)、ニセダイコンアブラムシ(Lipaphis erysimi)、ワタアブラムシ(Aphis gossypii)、ユキヤナギアブラムシ(Aphis spiraecola)、モモアカアブラムシ(Myzus persicae)、コミカンアブラムシ(Toxoptera aurantii)、オオワラジカイガラムシ(Drosicha corpulenta)、イセリアカイガラムシ(Icerya purchasi)、ナスコナカイガラムシ(Phenacoccus solani)、ミカンワタカイガラムシ(Pulvinaria aurantii)、ミカンコナカイガラムシ(Planococcus citri)、ミカンマルカイガラムシ(Pseudaonidia duplex)、フジコナカイガラムシ(Planococcus kuraunhiae)、クワコナカイガラムシ(Pseudococcus comstocki)、ナシマルカイガラムシ(Comstockaspis perniciosa)、ツノロウムシ(Ceroplastes ceriferus)、ルビーロウムシ(Ceroplastes rubens)、アカマルカイガラムシ(Aonidiella aurantii)、ティースケール(Fiorinia theae)、チャノマルカイガラムシ(Pseudaonidia paeoniae)、クワシロカイガラムシ(Pseudaulacaspis pentagona)、ウメシロカイガラムシ(Pseudaulacaspis prunicola)、マサキナガカイガラムシ(Unaspis euonymi)、ヤノネカイガラムシ(Unaspis yanonensis)、トコジラミ(Cimex lectularius)、ブチヒゲカメムシ(Dolycoris baccarum)、ナガメ(Eurydema rugosum)、トゲシラホシカメムシ(Eysarcoris aeneus)、オオトゲシラホシカメムシ(Eysarcoris lewisi)、シラホシカメムシ(Eysarcoris ventralis)、ツヤアオカメムシ(Glaucias subpunctatus)、クサギカメムシ(Halyomorpha halys)、アオクサカメムシ(Nezara antennata)、ミナミアオカメムシ(Nezara viridula)、イチモンジカメムシ(Piezodorus hybneri)、チャバネアオカメムシ(Plautia crossota)、イネクロカメムシ(Scotinophora lurida)、ホソハリカメムシ(Cletus punctiger)、クモヘリカメムシ(Leptocorisa chinensis)、ホソヘリカメムシ(Riptortus clavatus)、アカヒメヘリカメムシ(Rhopalus msculatus)、カンシャコバネナガカメムシ(Cavelerius saccharivorus)、コバネヒョウタンナガカメムシ(Togo hemipterus)、アカホシカメムシ(Dysdercus cingulatus)、ツツジグンバイ(Stephanitis pyrioides)、クロトビカスミカメ(Halticus insularis)、ターニッシュドプラントバグ(Lygus lineolaris)、ナガムギカスミカメ(Stenodema sibiricum)、アカスジカスミカメ(Stenotus rubrovittatus)、イネホソミドリカスミカメ(Trigonotylus caelestialium)等のカメムシ目昆虫、
ドウガネブイブイ(Anomala cuprea)、ヒメコガネ(Anomala rufocuprea)、コアオハナムグリ(Gametis jucunda)、ナガチャコガネ(Heptophylla picea)、マメコガネ(Popillia japonica)、コロラドポテトビートル(Lepinotarsa decemlineata)、メキシカンビートビートル(Epilachna varivestis)、マルクビクシコメツキ(Melanotus fortnumi)、カンシャクシコメツキ(Melanotus tamsuyensis)、タバコシバンムシ(Lasioderma serricorne)、ヒラタキクイムシ(Lyctusbrunneus)、マツノキクイムシ(Tomicus piniperda)、ナガシンクイムシ(Rhizopertha dominica)、ヒメヒラタケシキスイ(Epuraea domina)、インゲンテントウ(Epilachna varivestis)、ニジュウヤホシテントウ(Epilachna vigintioctopunctata)、チャイロコメノゴミムシダマシ(Tenebrio molitor)、コクヌストモドキ(Tribolium castaneum)、ゴマダラカミキリ(Anoplophora malasiaca)、マツノマダラカミキリ(Monochamus alternatus)、キボシカミキリ(Psacothea hilaris)、ブドウトラカミキリ(Xylotrechus pyrrhoderus)、アズキゾウムシ(Callosobruchus chinensis)、ウリハムシ(Aulacophora femoralis)、イネドロオイムシ(Oulema oryzae)、テンサイトビハムシ(Chaetocnema concinna)、サザンコーンルートワーム(Diabrotica undecimpunctata)、ウエスタンコーンルートワーム(Diabrotica virgifera)、ノーザンコーンルートワーム(Diabrotica barberi)、キスジノミハムシ(Phyllotreta striolata)、ナスナガスネトビハムシ(Psylliodes angusticollis)、モモチョッキリゾウムシ(Rhynchites heros)、アリモドキゾウムシ(Cylas formicarius)、ワタミゾウムシ(Anthonomus grandis)、イネゾウムシ(Echinocnemus squameus)、イモゾウムシ(Euscepes postfasciatus)、アルファルファタコゾウムシ(Hypera postica)、イネミズゾウムシ(Lissorhoptrus oryzophilus)、キンケクチブトゾウムシ(Otiorhynchus sulcatus)、グラナリーウィービル(Sitophilus granarius)、コクゾウムシ(Sitophilus zeamais)、シバオサゾウムシ(Sphenophorus venatus vestitus)、アオバアリガタハネカクシ(Paederus fuscipes)等のコウチュウ目昆虫、
ヒラズハナアザミウマ(Frankliniella intonsa)、キイロハナアザミウマ(Thrips flavus)、ミカンキイロアザミウマ(Frankliniella occidentalis)、クロトンアザミウマ(Heliothrips haemorrhoidalis)、チャノキイロアザミウマ(Scirtothrips dorsalis)、ミナミキイロアザミウマ(Thrips palmi)、ネギアザミウマ(Thrips tabaci)、カキクダアザミウマ(Ponticulothrips diospyrosi)等のアザミウマ目昆虫、
ダイズサヤタマバエ(Asphondylia yushimai)、ムギアカタマバエ(Sitodiplosis mosellana)、ウリミバエ(Bactrocera cucurbitae)、ミカンコミバエ(Bactrocera dorsalis)、チチュウカイミバエ(Ceratitis capitata)、イネヒメハモグリバエ(Hydrellia griseola)、オウトウショウジョウバエ(Drosophila suzukii)、イネハモグリバエ(Agromyza oryzae)、ナモグリバエ(Chromatomyia horticola)、ナスハモグリバエ(Liriomyza bryoniae)、ネギハモグリバエ(Liriomyza chinensis)、トマトハモグリバエ(Liriomyza sativae)、マメハモグリバエ(Liriomyza trifolii)、タネバエ(Delia platura)、タマネギバエ(Delia antique)、テンサイモグリハナバエ(Pegomya cunicularia)、アップルマゴット(Rhagoletis pomonella)、ヘシアンフライ(Mayetiola destructor)、イエバエ(Musca domestica)、ノイエバエ(Musca hervei)、クロイエバエ(Musca bezzii)、サシバエ(Stomoxys calcitrans)、ノサシバエ(Haematobia irritans)、ヒツジシラミバエ(Melophagus ovinus)、ウシバエ(Hypoderma bovis)、キスジウシバエ(Hypoderma lineatum)、ヒツジバエ(Oestrus ovis)、ツェツェバエ(Glossina palpalis, Glossina morsitans)、キアシオオブユ(Prosimulium yezoensis)、ツメトゲブユ(Simulium iwatens)、ウシアブ(Tabanus trigonus)、オオチョウバエ(Telmatoscopus albipunctatus)、トクナガヌカカ(Leptoconops nipponensis)、ウシヌカカ(Culicoides oxystoma)、シナハマダラカ(Anopheles hyracanus sinesis)、ガンビエハマダラカ(Anopheles gambiae)、アラビアハマダラカ(Anopheles arabiensis)、アノフェレスフェネスタス(Anopheles funestus)、アノフェレスメラス(Anopheles melas)、コガタハマダラカ(Anopheles minimus)、アノフェレスディラス(Anopheles dirus)、ステフェンスハマダラカ(Anopheles stephensi)、アノフェレスアルビマナス(Anopheles albimanus)、アカイエカ(Culex pipiens pallens)、チカイエカ(Culex pipiens molestus)、ネッタイイエカ(Culex quinquefasciatus)、キュレックスレスタンス(Culex restuans)、キュレックスタルサリス(Culex tarsalis)、キュレックスモデスタス(Culex modestus)、コガタイエカ(Culex tritaeniorhynchus)、ネッタイシマカ(Aedes aegypti)、ヒトスジシマカ(Aedes albopicutus)、ヤマトヤブカ(Aedes japonicus)、キンイロヤブカ(Aedes vexans)等のハエ目昆虫、
クリハバチ(Apethymus kuri)、カブラハバチ(Athalia rosae)、チュウレンジハバチ(Arge pagana)、マツノキハバチ(Neodiprion sertifer)、クリタマバチ(Dryocosmus kuriphilus)、グンタイアリ(Eciton burchelli, Eciton schmitti)、クロオオアリ(Camponotus japonicus)、オオスズメバチ(Vespa mandarina)、ブルドックアント(Myrmecia spp.)、ファイヤーアント類(Solenopsis spp.)、ファラオアント(Monomorium pharaonis)等のハチ目昆虫、
エンマコオロギ(Teleogryllus emma)、ケラ(Gryllotalpa orientalis)、トノサマバッタ(Locusta migratoria)、コバネイナゴ(Oxya yezoensis)、サバクワタリバッタ(Schistocerca gregaria)等のバッタ目昆虫、
トゲナシシロトビムシ(Onychiurus folsomi)、シベリアシロトビムシ(Onychiurus sibiricus)、キボシマルトビムシ(Bourletiella hortensis)等のトビムシ目昆虫、
クロゴキブリ(Periplaneta fuliginosa)、ヤマトゴキブリ(Periplaneta japonica)、チャバネゴキブリ(Blattella germanica)、ワモンゴキブリ(Periplaneta Americana)等のゴキブリ目昆虫、
イエシロアリ(Coptotermes formosanus)、ヤマトシロアリ(Reticulitermes speratus)、タイワンシロアリ(Odontotermes formosanus)等のシロアリ目昆虫、
ネコノミ(Ctenocephalidae felis)、イヌノミ(Ctenocephalides canis)、ニワトリノミ(Echidnophaga gallinacea)、ヒトノミ(Pulex irritans)、ケオプスネズミノミ(Xenopsylla cheopis)等のノミ目昆虫、
ニワトリオオハジラミ(Menacanthus stramineus)、ウシハジラミ(Bovicola bovis)等のハジラミ目昆虫、
ウシジラミ(Haematopinus eurysternus)、ブタジラミ(Haematopinus suis)、ウシホソジラミ(Linognathus vituli)、ケブカウシジラミ(Solenopotes capillatus)、ヒツジジラミ(Damalinia ovis)等のシラミ目昆虫、
シクラメンホコリダニ(Phytonemus pallidus)、チャノホコリダニ(Polyphagotarsonemus latus)、スジブトホコリダニ(Tarsonemus bilobatus)等のホコリダニ類、
ハクサイダニ(Penthaleus erythrocephalus)、ムギダニ(Penthaleus major)等のハシリダニ類、
イネハダニ(Oligonychus shinkajii)、ミカンハダニ(Panonychus citri)、クワオオハダニ(Panonychus mori)、リンゴハダニ(Panonychus ulmi)、カンザワハダニ(Tetranychus kanzawai)、ナミハダニ(Tetranychus urticae)等のハダニ類、
チャノナガサビダニ(Acaphylla theavagrans)、チューリップサビダニ(Aceria tulipae)、トマトサビダニ(Aculops lycopersici)、ミカンサビダニ(Aculops pelekassi)、リンゴサビダニ(Aculus schlechtendali)、ニセナシサビダニ(Eriophyes chibaensis)、シトラスラストマイト(Phyllocoptruta oleivora)等のフシダニ類、
ロビンネダニ(Rhizoglyphus robini)、ケナガコナダニ(Tyrophagus putrescentiae)、ホウレンソウケナガコナダニ(Tyrophagus similis)等のコナダニ類、
ヤケヒョウヒダニ(Dermatophagoides pteronyssinus)、コナヒョウヒダニ(Dermatophagoides farinae)等のヒョウヒダニ類、
ミツバチヘギイタダニ(Varroa jacobsoni)等のハチダニ類、
オウシマダニ(Boophilus microplus)、クリイロコイタマダニ(Rhipicephalus sanguineus)、フタトゲチマダニ(Haemaphysalis longicornis)、キチマダニ(Haemaphysalis flava)、ツリガネチマダニ(Haemaphysalis campanulata)、ヤマトチマダニ(Haemaphysalis japonica)、オオトゲチマダニ(Haemaphysalis megaspinosa)、ヤマトマダニ(Ixodes ovatus)、シュルツェマダニ(Ixodes persulcatus)、タネガタマダニ(Ixodes nipponensis)、西部クロアシダニ(Ixodes pacifcus)、ヒツジダニ(Ixodes ricinus)、クロアシダニ(Ixodes scapularis)、ローン・スターマダニ(Amblyomma americanum)、メキシコ湾岸マダニ(Amblyomma maculatum)、オオマダニ(Amblyomma spp.)、アミメカクマダニ(Dermacentor recticulatus)、タイワンカクマダニ(Dermacentor taiwanesis)、ロッキー山脈森林マダニ(Dermacentor andersoni)、西海岸マダニ(Dermacentor occidentalis)、アメリカンドッグティック(Dermacentor variabilis)、アミメマダニ(Dermacentor spp.)等のマダニ類、
イヌツメダニ(Cheyletiella yasguri)、ネコツメダニ(Cheyletiella blakei)等のツメダニ類、
イヌニキビダニ(Demodex canis)、ネコニキビダニ(Demodex cati)等のニキビダニ類、
ヒツジキュウセンダニ(Psoroptes ovis)等のキュウセンダニ類、
センコウヒゼンダニ(Sarcoptes scabiei)、ネコショウセンコウヒゼンダニ(Notoedres cati)、ニワトリヒゼンダニ(Knemidocoptes spp.)等のヒゼンダニ類、
オカダンゴムシ(Armadillidium vulgare)等の甲殻類、
スクミリンゴガイ(Pomacea canaliculata)、アフリカマイマイ(Achatina fulica)、ナメクジ(Meghimatium bilineatum)、チャコウラナメクジ(Limax Valentiana)、ウスカワマイマイ(Acusta despecta sieboldiana)、ミスジマイマイ(Euhadra peliomphala)等の腹足類、
ミナミネグサレセンチュウ(Prathylenchus coffeae)、キタネグサレセンチュウ(Prathylenchus penetrans)、クルミネグサレセンチュウ(Prathylenchus vulnus)、ジャガイモシストセンチュウ(Globodera rostochiensis)、ダイズシストセンチュウ(Heterodera glycines)、キタネコブセンチュウ(Meloidogyne hapla)、サツマイモネコブセンチュウ(Meloidogyne incognita)、イネシンガレセンチュウ(Aphelenchoides besseyi)、マツノザイセンチュウ(Bursaphelenchus xylophilus)等の線虫類、
赤痢アメーバ等のアメーバ類(Rhizopoda)、リシュマニア、トリコモナス等の鞭毛虫類(Mastigophora)、マラリア原虫、トキソプラズマ等の胞子虫類(Sporozoea)、大腸バランチジウム等の繊毛虫類(Ciliophora)等の原虫類、
回虫、鉤虫等の線虫類(Nematoda)、大鉤頭虫等の鉤頭虫類(Acannthocephala)、ハリガネムシ等のハリガネムシ類(Nematomorpha)、肝吸虫等の吸虫類(Trematoda)、無鉤条虫等の条虫類(Cestoda)等の蠕虫類、
蛔虫(Ascaris)、犬蛔虫(Toxocara)、犬小蛔虫(Toxascaris)、馬蛔虫(Parascaris)、鶏蛔虫(Ascaridia)、鶏盲腸虫(Heterakis)、蟯虫(Oxyuris)、毛細線虫(Capillaria)、旋毛虫(Trichinella)、円虫(Strongylus、Triodontophorus)、毛線虫(Trichonema)、豚腎虫(Stephanurus)、腸結節虫(Desophagostomum)、大口腸線虫(Chabertia)、開嘴虫(Syngamus)、鉤虫(Ancylostoma、Uncinaria、Necator、Bunostomum)、毛様線虫(Trichostrongylus)、クーバー毛様線虫(Cooperia)、細類毛様線虫(Nematodirus)、捻転胃線虫(Haemonchus)、オクテルダーク胃虫(Ostertagia)、肺虫(Dictyocaulus、Metastrongylus)、犬糸条虫(Dirofilaria)、多乳頭糸条虫(Parafilaria)、馬糸条虫(Setaria)、オンコセルカ(Onchocerca)、胃虫(Habronema、Arduenna、Acuaria)等の線虫類、
裂頭条虫(Diphyllobothrium)、アノプロセハラ属(Anoplocephara)、モニイジア属(Moniezia)、犬条虫(Dipylidium)、無鉤条虫および有鉤条虫(Taenia)、嚢虫(Dithyridium)、レーリチナ属(Raillietina)、包虫(Echinococcus)等の条虫類、
住血吸虫(Schistosoma)、双口吸虫(Paramphistomum)、肝蛭(Fasciola)等の吸虫類等があげられる。
以下に具体的な製剤化例を示すが、これらに限定されるものではない。
[製剤例1 フロアブル剤]
本発明化合物(10質量部)、有害生物防除剤(10質量部)、ナフタレンスルホン酸のホルムアルデヒド縮合物ナトリウム塩(5質量部)、ポリオキシエチレンアリールフェニルエーテル(1質量部)、プロピレングリコール(5質量部)、シリコン系消泡剤(0.1質量部)、キサンタンガム(0.2質量部)、イオン交換水(68.7質量部)を混合してスラリーとなし、さらにダイノミルKDLで直径1.0mmのガラスビーズを用いて湿式粉砕しフロアブル剤を得る。
本発明化合物(10質量部)、有害生物防除剤(10質量部)、ナフタレンスルホン酸のホルムアルデヒド縮合物ナトリウム塩(5質量部)、ポリオキシエチレンアリールフェニルエーテル(1質量部)、プロピレングリコール(5質量部)、シリコン系消泡剤(0.1質量部)、キサンタンガム(0.2質量部)、イオン交換水(68.7質量部)を混合してスラリーとなし、さらにダイノミルKDLで直径1.0mmのガラスビーズを用いて湿式粉砕しフロアブル剤を得る。
[製剤例2 乳剤]
本発明化合物(5質量部)、有害生物防除剤(5質量部)をキシレン(35質量部)とシクロヘキサン(35質量部)の混合溶液に溶解し、この溶液にTween20(20質量部)を添加混合し、乳剤を得る。
本発明化合物(5質量部)、有害生物防除剤(5質量部)をキシレン(35質量部)とシクロヘキサン(35質量部)の混合溶液に溶解し、この溶液にTween20(20質量部)を添加混合し、乳剤を得る。
[製剤例3 水和剤]
本発明化合物(10質量部)、有害生物防除剤(10質量部)、ホワイトカーボン(10質量部)、ポリビニルアルコール(2質量部)、ジオクチルスルホコハク酸ナトリウム塩(0.5質量部)、アルキルベンゼンスルホン酸ナトリウム塩(5質量部)、焼成珪藻土(10質量部)およびカオリナイトクレー(52.5質量部)を充分に混合し、エアーミルで粉砕し、水和剤を得る。
本発明化合物(10質量部)、有害生物防除剤(10質量部)、ホワイトカーボン(10質量部)、ポリビニルアルコール(2質量部)、ジオクチルスルホコハク酸ナトリウム塩(0.5質量部)、アルキルベンゼンスルホン酸ナトリウム塩(5質量部)、焼成珪藻土(10質量部)およびカオリナイトクレー(52.5質量部)を充分に混合し、エアーミルで粉砕し、水和剤を得る。
以下に、合成例および試験例を挙げて、本発明をさらに具体的に説明する。ただし、本発明の内容は、これらの合成例および試験例にのみ限定されるものではない。
[合成例1]
ステップ1:5-(2-クロロ-5-メトキシフェニル)-6-(2,6-ジフルオロフェニル)-3,4-ジヒドロピリジン-2(1H)-オンの合成
ステップ1:5-(2-クロロ-5-メトキシフェニル)-6-(2,6-ジフルオロフェニル)-3,4-ジヒドロピリジン-2(1H)-オンの合成
4-(2-クロロ-5-メトキシフェニル)-5-(2,6-ジフルオロフェニル)-5-オキソペンタン酸 1.47gと酢酸アンモニウム 6.75gを含む酢酸溶液 10mlを、130℃にて14時間反応した。室温まで冷却した後に、反応混合物に酢酸エチルと水を加えて分液した。得られた有機層に水を加え、さらに発砲がおさまるまで炭酸カリウムを加えた後に分液した。次いで、有機層を飽和食塩水にて洗浄し、硫酸ナトリウムで乾燥した。減圧下で溶媒留去を行った後に、ジイソプロピルエーテルにより析出物を洗浄した。得られた紫色固体は表題の化合物であり、0.98gであった。
1H-NMR (CDCl3) δ: 7.25-7.21 (1H, m), 7.19 (1H, d, J = 8.8 Hz), 6.83-6.76 (3H, m), 6.65 (1H, dd, J = 8.8, 3.4 Hz), 6.53 (1H, d, J = 3.4 Hz), 3.61 (3H, s), 2.91-2.76 (4H, m).
1H-NMR (CDCl3) δ: 7.25-7.21 (1H, m), 7.19 (1H, d, J = 8.8 Hz), 6.83-6.76 (3H, m), 6.65 (1H, dd, J = 8.8, 3.4 Hz), 6.53 (1H, d, J = 3.4 Hz), 3.61 (3H, s), 2.91-2.76 (4H, m).
ステップ2:5-(2-クロロ-5-メトキシフェニル)-6-(2,6-ジフルオロフェニル)-1-エチル-3,4-ジヒドロピリジン-2(1H)-オンの合成(化合物番号52)
5-(2-クロロ-5-メトキシフェニル)-6-(2,6-ジフルオロフェニル)-3,4-ジヒドロピリジン-2(1H)-オン 0.50gを含むDMF溶液 5mlに、ヨウ化エチル 346μlと炭酸セシウム 1.41gを加えて、60℃で2時間撹拌した。室温まで冷却した後に、反応混合物に水と酢酸エチルを加えて分液した。得られた有機層をチオ硫酸ナトリウム水溶液および飽和食塩水で順次洗浄し、硫酸ナトリウムで乾燥した。減圧下で溶媒留去した後に、得られた残渣をシリカゲルカラムクロマトグラフィーにて精製した。表題の化合物は0.54gの白色固体として得られた。
[合成例2]
5-(2-クロロ-5-メトキシフェニル)-6-(2,6-ジフルオロフェニル)-1-エチルピリジン-2(1H)-オンの合成(化合物番号53)
5-(2-クロロ-5-メトキシフェニル)-6-(2,6-ジフルオロフェニル)-1-エチルピリジン-2(1H)-オンの合成(化合物番号53)
5-(2-クロロ-5-メトキシフェニル)-6-(2,6-ジフルオロフェニル)-1-エチル-3,4-ジヒドロピリジン-2(1H)-オン 520mgを含む四塩化炭素溶液 20mlに、N-ブロモスクシンイミド 258mgとアゾビスイソブチロニトリル 23mgを加えて、80℃で90分間撹拌した。室温まで冷却した後に、反応混合物に水を加えて、減圧下で四塩化炭素を留去した。これに酢酸エチルを加えて分液した後に、得られた有機層をチオ硫酸ナトリウム水溶液および飽和食塩水で順次洗浄し、硫酸ナトリウムで乾燥した。減圧下にて溶媒留去した後に、得られた残渣をシリカゲルカラムクロマトグラフィーにて精製した。表題の化合物が467mgの白色固体として得られた。
[合成例3]
3-クロロ-5-(2-クロロ-5-メトキシフェニル)-6-(2,6-ジフルオロフェニル)-1-エチルピリジン-2(1H)-オンの合成(化合物番号54)
3-クロロ-5-(2-クロロ-5-メトキシフェニル)-6-(2,6-ジフルオロフェニル)-1-エチルピリジン-2(1H)-オンの合成(化合物番号54)
5-(2-クロロ-5-メトキシフェニル)-6-(2,6-ジフルオロフェニル)-1-エチルピリジン-2(1H)-オン 110mgを含むDMF溶液 2mlにN-クロロスクシンイミド 43mgを加えて、70℃で1時間撹拌した。室温まで冷却した後に、反応混合物に酢酸エチルと水を加えて分液した。得られた有機層を飽和食塩水にて洗浄した後に、硫酸ナトリウムで乾燥した。減圧下にて溶媒留去した後に、得られた残渣をシリカゲルカラムクロマトグラフィーにて精製を行った。表題の化合物が114mgの白色固体として得られた。
[合成例4]
5-(2-クロロ-5-ヒドロキシフェニル)-6-(2,6-ジフルオロフェニル)-1-エチルピリジン-2(1H)-オンの合成(化合物番号234)
5-(2-クロロ-5-ヒドロキシフェニル)-6-(2,6-ジフルオロフェニル)-1-エチルピリジン-2(1H)-オンの合成(化合物番号234)
5-(2-クロロ-5-メトキシフェニル)-6-(2,6-ジフルオロフェニル)-1-エチルピリジン-2(1H)-オン 4.0gを含むジクロロメタン溶液 40mlを氷冷し、1.0mol/lの三臭化ホウ素のジクロロメタン溶液 23.4mlを滴下した。氷冷下で30分間撹拌した後に、反応混合物に水を加えて分液した。得られた有機層をチオ硫酸ナトリウム水溶液および飽和炭酸水素ナトリウム水溶液で順次洗浄し、硫酸ナトリウムで乾燥した。減圧下で溶媒留去した後に、得られた残渣をヘキサンで洗浄した。表題の化合物が3.9gの白色固体として得られた。
[合成例5]
5-(2-クロロ-5-(メトキシメトキシ)フェニル)-6-(2,6-ジフルオロフェニル)-1-エチルピリジン-2(1H)-オンの合成(化合物番号97)
5-(2-クロロ-5-(メトキシメトキシ)フェニル)-6-(2,6-ジフルオロフェニル)-1-エチルピリジン-2(1H)-オンの合成(化合物番号97)
水素化ナトリウム(約60重量%、流動パラフィンに分散した状態) 0.08gと5-(2-クロロ-5-ヒドロキシフェニル)-6-(2,6-ジフルオロフェニル)-1-エチルピリジン-2(1H)-オン 0.62gを含むTHF溶液に、クロロメチルメチルエーテル 0.08gを加えて、室温で3時間撹拌した。反応混合物に水および酢酸エチルを加えて分液した後に、得られた有機層を硫酸マグネシウムで乾燥した。減圧下にて溶媒留去した後に、得られた残渣をシリカゲルカラムクロマトグラフィーにて精製した。表題の化合物が0.46gの白色固体として得られた。
[合成例6]
3-クロロ-5-(2-クロロ-5-(メトキシメトキシ)フェニル)-6-(2,6-ジフルオロフェニル)-1-エチルピリジン-2(1H)-オンの合成(化合物番号127)
3-クロロ-5-(2-クロロ-5-(メトキシメトキシ)フェニル)-6-(2,6-ジフルオロフェニル)-1-エチルピリジン-2(1H)-オンの合成(化合物番号127)
5-(2-クロロ-5-(メトキシメトキシ)フェニル)-6-(2,6-ジフルオロフェニル)-1-エチルピリジン-2(1H)-オン 219mgとN-クロロスクシンイミド 79mgを含むDMF溶液 3mlを70℃にて1時間撹拌した。室温まで冷却した後に、反応混合物に飽和炭酸水素ナトリウム水溶液と酢酸エチルを加えて分液した。得られた有機層をチオ硫酸ナトリウム水溶液および飽和食塩水で順次洗浄して、硫酸ナトリウムで乾燥した。減圧下で溶媒留去した後に、得られた残渣をシリカゲルカラムクロマトグラフィーにて精製した。表題の化合物が203mgの黄色ガム状物質として得られた。
[合成例7]
5-(2-クロロ-5-メトキシフェニル)-1-(2,2-ジフルオロエチル)-6-(2,6-ジフルオロフェニル)-3,4-ジヒドロピリジン-2(1H)-オンの合成(化合物番号192)
5-(2-クロロ-5-メトキシフェニル)-1-(2,2-ジフルオロエチル)-6-(2,6-ジフルオロフェニル)-3,4-ジヒドロピリジン-2(1H)-オンの合成(化合物番号192)
5-(2-クロロ-5-メトキシフェニル)-6-(2,6-ジフルオロフェニル)-3,4-ジヒドロピリジン-2(1H)-オン 0.50g、p-トルエンスルホン酸2,2-ジフルオロエチル 0.68gと炭酸セシウム 1.40gを含むDMF溶液10mlを、80℃で4時間撹拌した。反応混合物に水と酢酸エチルを加えて分液した後に、得られた有機層を1規定の塩酸、飽和炭酸水素ナトリウム水溶液および飽和食塩水で順次洗浄して、硫酸ナトリウムで乾燥した。減圧下で溶媒留去した後に、得られた残渣をシリカゲルカラムクロマトグラフィーにて精製した。表題の化合物が0.48gの白色固体として得られた。
[合成例8]
5-(2-クロロ-5-メトキシフェニル)-1-(2,2-ジフルオロエチル)-6-(2,6-ジフルオロフェニル)ピリジン-2(1H)-オンの合成(化合物番号194)
5-(2-クロロ-5-メトキシフェニル)-1-(2,2-ジフルオロエチル)-6-(2,6-ジフルオロフェニル)ピリジン-2(1H)-オンの合成(化合物番号194)
5-(2-クロロ-5-メトキシフェニル)-1-(2,2-ジフルオロエチル)-6-(2,6-ジフルオロフェニル)-3,4-ジヒドロピリジン-2(1H)-オン 0.42gを含む四塩化炭素溶液 15mlに、N-ブロモスクシンイミド 190mgとアゾビスイソブチロニトリル 16mgを加えて、80℃で15分間撹拌した。室温まで冷却した後に、反応混合物に水を加えて、減圧下で四塩化炭素を留去した。これに酢酸エチルを加えて分液した後に、得られた有機層をチオ硫酸ナトリウム水溶液および飽和食塩水で順次洗浄し、硫酸ナトリウムで乾燥した。減圧下にて溶媒留去した後に、得られた残渣をシリカゲルカラムクロマトグラフィーにて精製した。表題の化合物が0.38gの白色固体として得られた。
[合成例9]
3-ブロモ-5-(2-クロロ-5-メトキシフェニル)-1-(2,2-ジフルオロエチル)-6-(2,6-ジフルオロフェニル)ピリジン-2(1H)-オンの合成(化合物番号198)
3-ブロモ-5-(2-クロロ-5-メトキシフェニル)-1-(2,2-ジフルオロエチル)-6-(2,6-ジフルオロフェニル)ピリジン-2(1H)-オンの合成(化合物番号198)
5-(2-クロロ-5-メトキシフェニル)-1-(2,2-ジフルオロエチル)-6-(2,6-ジフルオロフェニル)ピリジン-2(1H)-オン 125mgとN-ブロモスクシンイミド 65mgを含むDMF溶液 5mlを70℃で2時間撹拌した。これにN-ブロモスクシンイミド 27mgを追加して、さらに70℃で2時間撹拌した。室温まで冷却した後に、反応混合物に水と酢酸エチルを加えて分液した。得られた有機層をチオ硫酸ナトリウム水溶液と飽和食塩水で順次洗浄して、硫酸ナトリウムで乾燥した。減圧下で溶媒留去をした後に、得られた残渣をシリカゲルカラムクロマトグラフィーにて精製した。表題の化合物が109mgのオフホワイト固体として得られた。
[合成例10]
5-(2-クロロ-5-メトキシフェニル)-6-(2,6-ジフルオロフェニル)-1-エチル-3-メチル-3,4-ジヒドロピリジン-2(1H)-オンの合成
5-(2-クロロ-5-メトキシフェニル)-6-(2,6-ジフルオロフェニル)-1-エチル-3-メチル-3,4-ジヒドロピリジン-2(1H)-オンの合成
5-(2-クロロ-5-メトキシフェニル)-6-(2,6-ジフルオロフェニル)-1-エチル-3,4-ジヒドロピリジン-2(1H)-オン 500mgを含むTHF溶液 10mlを-78℃に冷却し、1.09mol/lのリチウムジイソプロピルアミドのTHF溶液 1.33mlを滴下して、同温で30分間撹拌した。次いで、これにヨウ化メチル 82μlを含むTHF溶液 2mlを滴下して-78℃で2時間撹拌した後に、室温まで昇温した。さらに室温で2時間撹拌した後に、反応混合物に飽和塩化アンモニウム水溶液と酢酸エチルを加えて分液した。得られた有機層を飽和食塩水で洗浄し、硫酸ナトリウムで乾燥した。減圧下で溶媒留去した後に、得られた残渣をシリカゲルカラムクロマトグラフィーにて精製した。表題の化合物が101mgの白色固体として得られた。また、得られた表題の化合物は立体異性混合物であった。
1H-NMR (CDCl3) δ: 7.24-7.17 (1H, m:mixture), 7.15-7.13 (1H, m:mixture), 6.87-6.71 (2H, m:mixture), 6.57-6.49 (2H, m:mixture), 3.70-3.14 (2H, m:mixture), 3.65 (3H, s:major), 3.58 (3H, s:minor), 2.98-2.70 (2H, m:mixture), 2.46-2.37 (1H, m:mixture), 1.35 (3H, d, J = 6.7 Hz:minor), 1.33 (3H, d, J = 7.0 Hz:major), 1.00-0.96 (3H, m).
立体異性混合物比:約57:43
1H-NMR (CDCl3) δ: 7.24-7.17 (1H, m:mixture), 7.15-7.13 (1H, m:mixture), 6.87-6.71 (2H, m:mixture), 6.57-6.49 (2H, m:mixture), 3.70-3.14 (2H, m:mixture), 3.65 (3H, s:major), 3.58 (3H, s:minor), 2.98-2.70 (2H, m:mixture), 2.46-2.37 (1H, m:mixture), 1.35 (3H, d, J = 6.7 Hz:minor), 1.33 (3H, d, J = 7.0 Hz:major), 1.00-0.96 (3H, m).
立体異性混合物比:約57:43
[合成例11]
5-(2-クロロ-5-メトキシフェニル)-6-(2,6-ジフルオロフェニル)-1-エチル-3-メチルピリジン-2(1H)-オンの合成(化合物番号329)
5-(2-クロロ-5-メトキシフェニル)-6-(2,6-ジフルオロフェニル)-1-エチル-3-メチルピリジン-2(1H)-オンの合成(化合物番号329)
5-(2-クロロ-5-メトキシフェニル)-6-(2,6-ジフルオロフェニル)-1-エチル-3-メチル-3,4-ジヒドロピリジン-2(1H)-オン 413mgと二酸化マンガン 5.48gを含むジクロロメタン溶液 10mlを加熱還流下で11時間撹拌した。さらに二酸化マンガン 1.83gを追加して、加熱還流下で3時間撹拌した。室温まで冷却した後に、反応混合物をセライト濾過した。濾液を減圧下で溶媒留去した後に、得られた残渣をシリカゲルカラムクロマトグラフィーにて精製した。表題の化合物が291mgの白色固体として得られた。
[合成例12]
ステップ1:5-(2-クロロ-5-フルオロフェニル)-6-(2,4,6-トリフルオロフェニル)-3,4-ジヒドロピリジン-2(1H)-オンの合成
ステップ1:5-(2-クロロ-5-フルオロフェニル)-6-(2,4,6-トリフルオロフェニル)-3,4-ジヒドロピリジン-2(1H)-オンの合成
4-(2-クロロ-5-フルオロフェニル)-5-オキソ-5-(2,4,6-トリフルオロフェニル)ペンタン酸 4.46gと酢酸アンモニウム 45.9gを含む酢酸溶液 25mlを130℃で2時間撹拌した。室温まで冷却した後に、反応混合物に酢酸エチルと水を加えて分液した。得られた有機層に水を加え、さらに発泡がおさまるまで炭酸カリウムを加えた後に分液した。次いで、有機層を飽和食塩水にて洗浄し、硫酸ナトリウムで乾燥した。減圧下で溶媒留去を行い、ジイソプロピルエーテルで析出物を洗浄した。得られた白色固体は表題の化合物であり、2.24gであった。また、析出物を洗浄した際に生じた濾液を、減圧下にて溶媒留去した後に、得られた残渣をシリカゲルカラムクロマトグラフィーにて精製した。濾液から得た白色固体も表題の化合物であり、0.46gであった。
1H-NMR (CDCl3) δ: 7.28-7.26 (1H, m), 7.18 (1H, br s), 6.86-6.83 (1H, m), 6.74-6.72 (1H, m), 6.61-6.59 (2H, br m), 2.85-2.74 (4H, br m).
1H-NMR (CDCl3) δ: 7.28-7.26 (1H, m), 7.18 (1H, br s), 6.86-6.83 (1H, m), 6.74-6.72 (1H, m), 6.61-6.59 (2H, br m), 2.85-2.74 (4H, br m).
ステップ2:5-(2-クロロ-5-フルオロフェニル)-1-エチル-6-(2,4,6-トリフルオロフェニル)-3,4-ジヒドロピリジン-2(1H)-オンの合成(化合物番号320)
5-(2-クロロ-5-フルオロフェニル)-6-(2,4,6-トリフルオロフェニル)-3,4-ジヒドロピリジン-2(1H)-オン 2.70g、炭酸セシウム 7.42gとヨウ化エチル 3.55gを含むDMF溶液 32mlを、55℃で2時間撹拌した。室温まで冷却した後に、反応混合物に酢酸エチルと水を加えて分液した。得られた有機層を飽和食塩水で洗浄し、硫酸ナトリウムで乾燥した。減圧下で溶媒留去した後に、得られた残渣をシリカゲルカラムクロマトグラフィーにて精製した。表題の化合物が2.47gの赤紫色ガム状物質として得られた。
[合成例13]
5-(2-クロロ-5-フルオロフェニル)-1-エチル-6-(2,4,6-トリフルオロフェニル)ピリジン-2(1H)-オンの合成(化合物番号321)
5-(2-クロロ-5-フルオロフェニル)-1-エチル-6-(2,4,6-トリフルオロフェニル)ピリジン-2(1H)-オンの合成(化合物番号321)
5-(2-クロロ-5-フルオロフェニル)-1-エチル-6-(2,4,6-トリフルオロフェニル)-3,4-ジヒドロピリジン-2(1H)-オン 0.21gと二酸化マンガン 1.42gを含むトルエン溶液 5mlを、90℃で5時間撹拌した。室温まで冷却した後に、反応混合物をセライト濾過した。濾液を減圧下で溶媒留去をした後に、得られた残渣をシリカゲルカラムクロマトグラフィーにて精製した。表題の化合物が0.14gの白色固体として得られた。
[合成例14]
3-ブロモ-5-(2-クロロ-5-フルオロフェニル)-1-エチル-6-(2,4,6-トリフルオロフェニル)ピリジン-2(1H)-オンの合成(化合物番号381)
3-ブロモ-5-(2-クロロ-5-フルオロフェニル)-1-エチル-6-(2,4,6-トリフルオロフェニル)ピリジン-2(1H)-オンの合成(化合物番号381)
5-(2-クロロ-5-フルオロフェニル)-1-エチル-6-(2,4,6-トリフルオロフェニル)ピリジン-2(1H)-オン 0.60gとN-ブロモスクシンイミド 0.33gを含むDMF溶液 30mlを75℃で2.5時間撹拌した。さらに、N-ブロモスクシンイミド 0.10gを追加して、75℃で1.5時間撹拌した。室温まで冷却した後に、反応混合物に水と酢酸エチルを加えて分液した。得られた有機層を飽和食塩水にて洗浄した後に、硫酸ナトリウムで乾燥した。減圧下で溶媒留去した後に、得られた残渣をシリカゲルカラムクロマトグラフィーにて精製した。表題の化合物が0.64gの白色固体として得られた。
[合成例15]
5-(2-クロロ-5-フルオロフェニル)-1-エチル-3-メチル-6-(2,4,6-トリフルオロフェニル)ピリジン-2(1H)-オンの合成(化合物番号461)
5-(2-クロロ-5-フルオロフェニル)-1-エチル-3-メチル-6-(2,4,6-トリフルオロフェニル)ピリジン-2(1H)-オンの合成(化合物番号461)
3-ブロモ-5-(2-クロロ-5-フルオロフェニル)-1-エチル-6-(2,4,6-トリフルオロフェニル)ピリジン-2(1H)-オン 250mg、メチルボロン酸49mg、酢酸パラジウム(II)6mg、リン酸三カリウム403mgとトリシクロヘキシルホスフィン 15mgを含むトルエン 8mlと水 0.8mlの混合溶液を、100℃で7時間撹拌した。室温まで冷却した後に、反応混合物に水と酢酸エチルを加えて分液した。得られた有機層を飽和食塩水で洗浄した後に、硫酸ナトリウムで乾燥した。減圧下で溶媒留去した後に、得られた残渣をシリカゲルカラムクロマトグラフィーにて精製した。表題の化合物が116mgの白色固体として得られた。
[合成例16]
3-ブロモ-5-(2-クロロ-5-フルオロフェニル)-6-(2,6-ジフルオロ-4-メトキシフェニル)-1-エチルピリジン-2(1H)-オンの合成(化合物番号476)
3-ブロモ-5-(2-クロロ-5-フルオロフェニル)-6-(2,6-ジフルオロ-4-メトキシフェニル)-1-エチルピリジン-2(1H)-オンの合成(化合物番号476)
3-ブロモ-5-(2-クロロ-5-フルオロフェニル)-1-エチル-6-(2,4,6-トリフルオロフェニル)ピリジン-2(1H)-オン 300mgのメタノール溶液 8mlに28重量%のナトリウムメトキシドのメタノール溶液 0.63mlを加えて、加熱還流下で13時間撹拌した。室温まで冷却した後に、反応混合物に飽和塩化アンモニウム水溶液と酢酸エチルを加えて分液した。得られた有機層を飽和食塩水で洗浄し、硫酸ナトリウムで乾燥した。減圧下で溶媒留去した後に、得られた残渣をシリカゲルカラムクロマトグラフィーにて精製した。表題の化合物が271mgの白色固体として得られた。
[合成例17]
ステップ1:5-(3,5-ジメトキシフェニル)-6-(2,4,6-トリフルオロフェニル)-3,4-ジヒドロピリジン-2(1H)-オンの合成
ステップ1:5-(3,5-ジメトキシフェニル)-6-(2,4,6-トリフルオロフェニル)-3,4-ジヒドロピリジン-2(1H)-オンの合成
参考例3で得られた未精製の4-(3,5-ジメトキシフェニル)-5-オキソ-5-(2,4,6-トリフルオロフェニル)ペンタン酸に、酢酸アンモニウム 14.18gと酢酸 15mlを加えて、120℃で10時間撹拌した。室温まで冷却した後に、反応混合物に水と酢酸エチルを加えて分液した。得られた有機層を飽和炭酸水素ナトリウム水溶液と飽和食塩水で順次洗浄して、硫酸ナトリウムで乾燥した。減圧下で溶媒留去した後に、得られた固体にイソプロピルエーテルを加えて洗浄した。表題の化合物が0.99gの褐色固体として得られた。
1H-NMR (CDCl3) δ: 6.68 (1H, s), 6.62 (2H, td, J = 8.7, 1.4 Hz), 6.26 (1H, t, J = 2.1 Hz), 6.16 (2H, d, J = 2.1 Hz), 3.65 (6H, s), 2.87-2.86 (2H, m), 2.73-2.71 (2H, m).
1H-NMR (CDCl3) δ: 6.68 (1H, s), 6.62 (2H, td, J = 8.7, 1.4 Hz), 6.26 (1H, t, J = 2.1 Hz), 6.16 (2H, d, J = 2.1 Hz), 3.65 (6H, s), 2.87-2.86 (2H, m), 2.73-2.71 (2H, m).
ステップ2:5-(3,5-ジメトキシフェニル)-1-メチル-6-(2,4,6-トリフルオロフェニル)-3,4-ジヒドロピリジン-2(1H)-オンの合成
5-(3,5-ジメトキシフェニル)-6-(2,4,6-トリフルオロフェニル)-3,4-ジヒドロピリジン-2(1H)-オン 343mg、ヨウ化メチル 176μlと炭酸セシウム 1.85gを含むDMF溶液 6mlを室温で3時間撹拌した。反応混合物に水と酢酸エチルを加えて分液した。得られた有機層を水、チオ硫酸ナトリウム水溶液と飽和食塩水で順次洗浄し、硫酸ナトリウムで乾燥した。減圧下で溶媒留去した後に、得られた残渣をシリカゲルカラムクロマトグラフィーにて精製した。表題の化合物が346mgの白色固体として得られた。
1H-NMR (CDCl3) δ: 6.62-6.60 (2H, m), 6.23 (1H, t, J = 2.1 Hz), 6.13 (2H, d, J = 2.1 Hz), 3.65 (6H, s), 2.87 (3H, s), 2.76-2.74 (4H, m).
1H-NMR (CDCl3) δ: 6.62-6.60 (2H, m), 6.23 (1H, t, J = 2.1 Hz), 6.13 (2H, d, J = 2.1 Hz), 3.65 (6H, s), 2.87 (3H, s), 2.76-2.74 (4H, m).
[合成例18]
5-(3,5-ジメトキシフェニル)-1-メチル-6-(2,4,6-トリフルオロフェニル)ピリジン-2(1H)-オンの合成(化合物番号134)
5-(3,5-ジメトキシフェニル)-1-メチル-6-(2,4,6-トリフルオロフェニル)ピリジン-2(1H)-オンの合成(化合物番号134)
5-(3,5-ジメトキシフェニル)-1-メチル-6-(2,4,6-トリフルオロフェニル)-3,4-ジヒドロピリジン-2(1H)-オン 320mgと二酸化マンガン 4.42gを含むジクロロメタン溶液 12mlを、加熱還流下で5時間撹拌した。室温まで冷却した後に、反応混合物をセライト濾過した。濾液を減圧下で溶媒留去した後に、得られた残渣をシリカゲルカラムクロマトグラフィーにて精製した。表題の化合物が263mgの白色固体として得られた。
[合成例19]
5-(2-クロロ-3,5-ジメトキシフェニル)-1-メチル-6-(2,4,6-トリフルオロフェニル)ピリジン-2(1H)-オンの合成(化合物番号136)
5-(2-クロロ-3,5-ジメトキシフェニル)-1-メチル-6-(2,4,6-トリフルオロフェニル)ピリジン-2(1H)-オンの合成(化合物番号136)
5-(3,5-ジメトキシフェニル)-1-メチル-6-(2,4,6-トリフルオロフェニル)ピリジン-2(1H)-オン 163mgとN-クロロスクシンイミド 64mgを含むDMF溶液 6mlを、80℃で5時間撹拌した。さらにN-クロロスクシンイミド 45mgを追加して、100℃で4時間撹拌した。室温まで冷却した後に、反応混合物に水と酢酸エチルを加えて分液した。得られた有機層をチオ硫酸ナトリウム水溶液と飽和食塩水で順次洗浄して、硫酸ナトリウムで乾燥した。減圧下で溶媒留去した後に、得られた残渣をシリカゲルカラムクロマトグラフィーにて精製した。表題の化合物が150mgの白色固体として得られた。
〈参考例1〉
ステップ1:2-(2-クロロ-5-メトキシフェニル)-1-(2,6-ジフルオロフェニル)エタノンの合成
ステップ1:2-(2-クロロ-5-メトキシフェニル)-1-(2,6-ジフルオロフェニル)エタノンの合成
2-(2-クロロ-5-メトキシフェニル)酢酸 2.05gを含むTHF溶液 30mlを-78℃に冷却した後に、1.9mol/LのヘキサメチルジシラザンナトリウムのTHF溶液 17.21mlを-50℃以下で滴下して、-78℃で40分間撹拌した。これに2,6-ジフルオロ安息香酸メチル 1.76gを含むTHF溶液 10mlを-78℃で滴下した後に、室温まで昇温して1.5時間撹拌した。反応混合物に飽和塩化アンモニウム水溶液を加えて撹拌した後に、酢酸エチルを加えて分液した。得られた有機層を飽和食塩水で洗浄して、硫酸ナトリウムで乾燥した。減圧下にて溶媒留去した後に、得られた残渣をシリカゲルカラムクロマトグラフィーにて精製することにより、表題の化合物を2.58gの黄色油状物質として得た。
1H-NMR (CDCl3) δ: 7.40-7.38 (1H, m), 7.28-7.27 (1H, m), 6.96-6.94 (2H, m), 6.83 (1H, d, J = 3.1 Hz), 6.78 (1H, dd, J = 8.9, 3.1 Hz), 4.27 (2H, s), 3.79 (3H, s).
1H-NMR (CDCl3) δ: 7.40-7.38 (1H, m), 7.28-7.27 (1H, m), 6.96-6.94 (2H, m), 6.83 (1H, d, J = 3.1 Hz), 6.78 (1H, dd, J = 8.9, 3.1 Hz), 4.27 (2H, s), 3.79 (3H, s).
ステップ2:4-(2-クロロ-5-メトキシフェニル)-5-(2,6-ジフルオロフェニル)-5-オキソペンタン酸エチルの合成
2-(2-クロロ-5-メトキシフェニル)-1-(2,6-ジフルオロフェニル)エタノン 1.30gを含むTHF溶液 15mlに、カリウム t-ブトキシド 98mgとアクリル酸エチル 525μlを加えて、氷冷下で終夜で撹拌した。反応混合物に1規定の塩酸と酢酸エチルを加えて分液した後に、得られた有機層を飽和食塩水にて洗浄し、硫酸ナトリウムで乾燥した。減圧下にて溶媒留去した後に、表題の化合物を1.69gの黄色油状物質として得た。これ以上精製することなく、次の反応に使用した。
1H-NMR (CDCl3) δ: 7.36-7.25 (1H, m), 7.19 (1H, d, J = 8.9 Hz), 6.83 (2H, t, J = 8.1 Hz), 6.74-6.71 (2H, m), 4.91 (1H, t, J = 7.2 Hz), 4.13 (2H, q, J = 7.1 Hz), 3.76 (3H, s), 2.57-2.53 (1H, m), 2.42-2.29 (2H, m), 2.16-2.07 (1H, m), 1.25 (3H, t, J = 7.1 Hz).
1H-NMR (CDCl3) δ: 7.36-7.25 (1H, m), 7.19 (1H, d, J = 8.9 Hz), 6.83 (2H, t, J = 8.1 Hz), 6.74-6.71 (2H, m), 4.91 (1H, t, J = 7.2 Hz), 4.13 (2H, q, J = 7.1 Hz), 3.76 (3H, s), 2.57-2.53 (1H, m), 2.42-2.29 (2H, m), 2.16-2.07 (1H, m), 1.25 (3H, t, J = 7.1 Hz).
ステップ3:4-(2-クロロ-5-メトキシフェニル)-5-(2,6-ジフルオロフェニル)-5-オキソペンタン酸の合成
4-(2-クロロ-5-メトキシフェニル)-5-(2,6-ジフルオロフェニル)-5-オキソペンタン酸エチル 1.69gを含むTHF 40mlと水 10mlとの混合溶液に、水酸化リチウム1水和物 0.74gを加えて、60℃で3時間撹拌した。室温まで冷却した後に、液量が半分程度になるまで反応混合物の溶媒を留去した。これに水とジエチルエーテルを加えて分液し、得られた水層に濃塩酸と酢酸エチルを加えて分液した。得られた有機層を飽和食塩水にて洗浄し、硫酸ナトリウムで乾燥した。次いで、減圧下にて溶媒留去した後に、表題の化合物を1.47gの黄色ガム状物質として得た。これ以上精製することなく、次の反応に使用した。
1H-NMR (CDCl3) δ: 7.28-7.27 (1H, m), 7.19 (1H, d, J = 8.6 Hz), 6.83 (2H, t, J = 8.3 Hz), 6.75-6.74 (1H, m), 6.71 (1H, dd, J = 8.6, 3.1 Hz), 4.92 (1H, t, J = 7.3 Hz), 3.75 (3H, s), 2.60-2.34 (3H, m), 2.15-2.12 (1H, m).
1H-NMR (CDCl3) δ: 7.28-7.27 (1H, m), 7.19 (1H, d, J = 8.6 Hz), 6.83 (2H, t, J = 8.3 Hz), 6.75-6.74 (1H, m), 6.71 (1H, dd, J = 8.6, 3.1 Hz), 4.92 (1H, t, J = 7.3 Hz), 3.75 (3H, s), 2.60-2.34 (3H, m), 2.15-2.12 (1H, m).
〈参考例2〉
ステップ1:N’-(2-クロロ-5-フルオロベンジリデン)-4-メチルベンゼンスルホニルヒドラジドの合成
ステップ1:N’-(2-クロロ-5-フルオロベンジリデン)-4-メチルベンゼンスルホニルヒドラジドの合成
2-クロロ-5-フルオロベンズアルデヒド 25.43gと4-メチルベンゼンスルホニルヒドラジド 29.87gを含むエタノール溶液 250mlを室温で4時間撹拌した。次いで、反応混合物を氷冷下で1時間撹拌した後に析出物を濾過し、表題の化合物を40.74gの白色固体として得た。
1H-NMR (CDCl3) δ: 8.27 (1H, s), 8.10 (1H, d, J = 1.8 Hz), 7.88 (2H, d, J = 8.2 Hz), 7.58 (1H, dd, J = 9.2, 3.1 Hz), 7.34 (2H, d, J = 8.2 Hz), 7.30-7.28 (1H, m), 7.02-6.99 (1H, m), 2.43 (3H, s).
1H-NMR (CDCl3) δ: 8.27 (1H, s), 8.10 (1H, d, J = 1.8 Hz), 7.88 (2H, d, J = 8.2 Hz), 7.58 (1H, dd, J = 9.2, 3.1 Hz), 7.34 (2H, d, J = 8.2 Hz), 7.30-7.28 (1H, m), 7.02-6.99 (1H, m), 2.43 (3H, s).
ステップ2:2-(2-クロロ-5-フルオロフェニル)-1-(2,4,6-トリフルオロフェニル)エタノンの合成
水酸化ナトリウム 4.0gを含む水溶液 600mlに、N’-(2-クロロ-5-フルオロベンジリデン)-4-メチルベンゼンスルホニルヒドラジド 32.7gと2,4,6-トリフルオロベンズアルデヒド 8.0gを加えて、80℃で1時間撹拌した。室温まで冷却した後に、反応混合物に酢酸エチルと塩化アンモニウム 15.0gを加えて撹拌し、分液した。得られた有機層を飽和食塩水で洗浄し、硫酸ナトリウムで乾燥した。減圧下で溶媒留去し、得られた残渣をシリカゲルカラムクロマトグラフィーにて精製した。表題の化合物が6.13gの淡黄色固体として得られた。
1H-NMR (CDCl3) δ: 7.36-7.34 (1H, m), 7.04-7.02 (1H, m), 6.98-6.96 (1H, m), 6.76-6.72 (2H, m) 4.26 (2H, s).
1H-NMR (CDCl3) δ: 7.36-7.34 (1H, m), 7.04-7.02 (1H, m), 6.98-6.96 (1H, m), 6.76-6.72 (2H, m) 4.26 (2H, s).
ステップ3:4-(2-クロロ-5-フルオロフェニル)-5-オキソ-5-(2,4,6-トリフルオロフェニル)ペンタン酸エチルの合成
2-(2-クロロ-5-フルオロフェニル)-1-(2,4,6-トリフルオロフェニル)エタノン 6.13gを含むTHF溶液 75mlを氷冷し、カリウム t-ブトキシド 0.45gとアクリル酸エチル 2.23gを加えて、室温で8時間撹拌した。反応混合物に10%の塩酸を加えた後に、水と酢酸エチルを加えて分液した。得られた有機層を飽和食塩水で洗浄した後に、硫酸ナトリウムで乾燥した。減圧下で溶媒留去して、得られた残渣をシリカゲルカラムクロマトグラフィーにて精製した。表題の化合物が4.97gの淡黄色油状物質として得られた。1H-NMR (CDCl3) δ: 7.30 (1H, dd, J = 8.9, 5.2 Hz), 7.01-6.98 (1H, m), 6.92-6.90 (1H, m), 6.66-6.60 (2H, m), 4.89 (1H, t, J = 7.2 Hz), 4.13 (2H, q, J = 7.2 Hz), 2.54-2.52 (1H, m), 2.35-2.31 (2H, m), 2.12-2.09 (1H, m), 1.25 (3H, t, J = 7.2 Hz).
ステップ4:4-(2-クロロ-5-フルオロフェニル)-5-オキソ-5-(2,4,6-トリフルオロフェニル)ペンタン酸の合成
4-(2-クロロ-5-フルオロフェニル)-5-オキソ-5-(2,4,6-トリフルオロフェニル)ペンタン酸エチル 4.97gを含むTHF溶液 100mlに、水 25mlと水酸化リチウム1水和物2.59gを加えて、60℃で2時間撹拌した。室温まで冷却した後に、反応混合物を減圧下で溶媒留去した。これに、水とジエチルエーテルを加えて分液を行った。次いで、得られた水層に濃塩酸を加えて酸性化した後に、酢酸エチルで抽出した。得られた有機層を飽和食塩水で洗浄し、硫酸ナトリウムで乾燥した。減圧下で溶媒留去を行い、表題の化合物が4.46gの無色透明ガム状物質として得られた。これ以上精製することなく、次の反応に使用した。
1H-NMR (CDCl3) δ: 7.32-7.29 (1H, m), 7.00-6.97 (1H, m), 6.94-6.89 (1H, m), 6.64-6.60 (2H, m), 4.89 (1H, t, J = 7.2 Hz), 2.58-2.06 (4H, m).
1H-NMR (CDCl3) δ: 7.32-7.29 (1H, m), 7.00-6.97 (1H, m), 6.94-6.89 (1H, m), 6.64-6.60 (2H, m), 4.89 (1H, t, J = 7.2 Hz), 2.58-2.06 (4H, m).
〈参考例3〉
ステップ1:N’-(3,5-ジメトキシベンジリデン)-4-メチルベンゼンスルホニルヒドラジドの合成
ステップ1:N’-(3,5-ジメトキシベンジリデン)-4-メチルベンゼンスルホニルヒドラジドの合成
3,5-ジメトキシベンズアルデヒド 10.0gと4-メチルベンゼンスルホニルヒドラジド 11.2gを含むエタノール溶液 100mlを室温で5時間撹拌した。得られた反応混合物を減圧下で溶媒留去した後に、表題の化合物が20.0gの黄色固体として得られた。
1H-NMR (CDCl3) δ: 8.13 (1H, s), 7.87 (2H, d, J = 7.8 Hz), 7.68 (1H, s), 7.30 (2H, d, J = 7.8 Hz), 6.72 (2H, d, J = 2.4 Hz), 6.46 (1H, t, J = 2.4 Hz), 3.79 (6H, s), 2.40 (3H, s).
1H-NMR (CDCl3) δ: 8.13 (1H, s), 7.87 (2H, d, J = 7.8 Hz), 7.68 (1H, s), 7.30 (2H, d, J = 7.8 Hz), 6.72 (2H, d, J = 2.4 Hz), 6.46 (1H, t, J = 2.4 Hz), 3.79 (6H, s), 2.40 (3H, s).
ステップ2:2-(3,5-ジメトキシフェニル)-1-(2,4,6-トリフルオロフェニル)エタノンの合成
N’-(3,5-ジメトキシベンジリデン)-4-メチルベンゼンスルホニルヒドラジド 6.68gを含む水溶液 100mlに、水酸化ナトリウム 0.80gを溶解した水溶液 20mlと 2,4,6-トリフルオロベンズアルデヒド 1.60gを加えて、80℃で90分間撹拌した。室温まで冷却した後に、反応混合物に酢酸エチルを加えて分液した。得られた有機層を飽和塩化アンモニウム水溶液と飽和食塩水で順次洗浄し、硫酸ナトリウムで乾燥した。減圧下で溶媒留去を行い、得られた残渣をシリカゲルカラムクロマトグラフィーにて精製した。表題の化合物が1.85gの黄色油状物質として得られた。
1H-NMR (CDCl3) δ: 6.68-6.66 (2H, m), 6.35 (3H, s),4.06 (2H,s), 3.75 (6H, s).
1H-NMR (CDCl3) δ: 6.68-6.66 (2H, m), 6.35 (3H, s),4.06 (2H,s), 3.75 (6H, s).
ステップ3:4-(3,5-ジメトキシフェニル)-5-オキソ-5-(2,4,6-トリフルオロフェニル)ペンタン酸エチルの合成
2-(3,5-ジメトキシフェニル)-1-(2,4,6-トリフルオロフェニル)エタノン 1.85gを含むTHF溶液 18mlに、カリウム t-ブトキシド 67mgとアクリル酸エチル 714μlを加えて、氷冷下で終夜撹拌した。反応混合物に飽和塩化アンモニウム水溶液と酢酸エチルを加えて分液した。得られた有機層を飽和食塩水で洗浄した後に、硫酸ナトリウムで乾燥した。減圧下で溶媒留去を行い、得られた残渣をシリカゲルカラムクロマトグラフィーにて精製した。表題の化合物が1.51gの褐色油状物質として得られた。
1H-NMR (CDCl3) δ: 6.61-6.57 (2H, m), 6.31-6.29 (3H, m), 4.19 (1H, t, J = 7.3 Hz), 4.13 (2H, q, J = 7.1 Hz), 3.73 (6H, s), 2.49-2.47 (1H, m), 2.30 (2H, t, J = 7.5 Hz), 2.09-2.07 (1H, m), 1.25 (3H, t, J = 7.1 Hz)
1H-NMR (CDCl3) δ: 6.61-6.57 (2H, m), 6.31-6.29 (3H, m), 4.19 (1H, t, J = 7.3 Hz), 4.13 (2H, q, J = 7.1 Hz), 3.73 (6H, s), 2.49-2.47 (1H, m), 2.30 (2H, t, J = 7.5 Hz), 2.09-2.07 (1H, m), 1.25 (3H, t, J = 7.1 Hz)
ステップ4:4-(3,5-ジメトキシフェニル)-5-オキソ-5-(2,4,6-トリフルオロフェニル)ペンタン酸の合成
4-(3,5-ジメトキシフェニル)-5-オキソ-5-(2,4,6-トリフルオロフェニル)ペンタン酸エチル 1.51gと濃塩酸3mlを含む酢酸溶液 15mlを60℃で3時間撹拌した。室温まで冷却した後に、反応混合物に水と酢酸エチルを加えて分液した。得られた有機層を水と飽和食塩水で順次洗浄して、硫酸ナトリウムで乾燥した。減圧下で溶媒留去し、表題の化合物が得られた。これ以上精製することなく、次工程の反応に使用した。
表4に、前記した実施例に準じて合成した化合物を示すが、本発明化合物はこれらに限定されるものではない。
構造Aは以下を表す。
構造Aは以下を表す。
構造Bは以下を表す。
構造Cは以下を表す。
構造Dは以下を表す。
次に、表4に記載の化合物について、表5にそれらの1H-NMRデータを示す。
[試験例1]コムギ葉枯病菌(Septoria tritici)に対する抗菌試験
ジメチルスルホキシドを用いて、本発明化合物および有害生物防除剤の1000ppm溶液を作成した。次に、96ウェルのマイクロタイタープレートに対し、有効成分の終濃度が、本発明化合物が10ppm、または有害生物防除剤が10ppm、またはそれらの組み合わせとなるように、作成した各種薬剤の1000ppmジメチルスルホキシド溶液とコムギ葉枯病菌(Septoria tritici)の胞子懸濁液(胞子密度1×105胞子/mL)を適量ずつ分注して良く混合した。マイクロタイタープレートは、暗所、18℃にて密閉容器中で培養し、0日後から7日後における薬剤処理区と薬剤無処理区の菌の増殖度を測定した。薬剤処理による菌の生育阻害率を、以下の計算式から算出した。
生育阻害率=(1-薬剤処理区の増殖度/薬剤無処理区の増殖度)×100
本発明化合物と有害生物防除剤を組み合わせた抗菌試験結果を、表6、表7、表8および表9に示す。表中、“H”は生育阻害率が75%より大きいこと表し、“M”は生育阻害率が50%以上75%以下であることを表し、“L”は生育阻害率が50%未満であることを表し、“ND”は生育阻害率が算出できないことを表す。また、表中の番号欄の“無処理”は、本発明化合物または有害生物防除剤を含有しないことを表す。
ジメチルスルホキシドを用いて、本発明化合物および有害生物防除剤の1000ppm溶液を作成した。次に、96ウェルのマイクロタイタープレートに対し、有効成分の終濃度が、本発明化合物が10ppm、または有害生物防除剤が10ppm、またはそれらの組み合わせとなるように、作成した各種薬剤の1000ppmジメチルスルホキシド溶液とコムギ葉枯病菌(Septoria tritici)の胞子懸濁液(胞子密度1×105胞子/mL)を適量ずつ分注して良く混合した。マイクロタイタープレートは、暗所、18℃にて密閉容器中で培養し、0日後から7日後における薬剤処理区と薬剤無処理区の菌の増殖度を測定した。薬剤処理による菌の生育阻害率を、以下の計算式から算出した。
生育阻害率=(1-薬剤処理区の増殖度/薬剤無処理区の増殖度)×100
本発明化合物と有害生物防除剤を組み合わせた抗菌試験結果を、表6、表7、表8および表9に示す。表中、“H”は生育阻害率が75%より大きいこと表し、“M”は生育阻害率が50%以上75%以下であることを表し、“L”は生育阻害率が50%未満であることを表し、“ND”は生育阻害率が算出できないことを表す。また、表中の番号欄の“無処理”は、本発明化合物または有害生物防除剤を含有しないことを表す。
[試験例2]ハスモンヨトウ(Spodoptera litura)に対する殺虫効果試験
有効成分の終濃度が、本発明化合物が0.1ppm、または有害生物防除剤が0.1ppm、またはそれらの組み合わせとなるように調製した20%アセトン水溶液(グラミンS(三井化学アグロ株式会社製)0.03%添加)にキャベツ葉片を30秒間浸漬し風乾後、ろ紙を敷いた7cmのポリエチレンカップに入れハスモンヨトウ2齢幼虫を5頭放虫し蓋をした。25℃恒温室にて静置し、6日後に生死虫数を調査した。
本発明化合物と有害生物防除剤を組み合わせた結果を、表10に示す。表中の数値は死虫率(%)を表す。また、表中の番号欄の“無処理”は、本発明化合物または有害生物防除剤を含有しないことを表す。
有効成分の終濃度が、本発明化合物が0.1ppm、または有害生物防除剤が0.1ppm、またはそれらの組み合わせとなるように調製した20%アセトン水溶液(グラミンS(三井化学アグロ株式会社製)0.03%添加)にキャベツ葉片を30秒間浸漬し風乾後、ろ紙を敷いた7cmのポリエチレンカップに入れハスモンヨトウ2齢幼虫を5頭放虫し蓋をした。25℃恒温室にて静置し、6日後に生死虫数を調査した。
本発明化合物と有害生物防除剤を組み合わせた結果を、表10に示す。表中の数値は死虫率(%)を表す。また、表中の番号欄の“無処理”は、本発明化合物または有害生物防除剤を含有しないことを表す。
[試験例3]ヒメトビウンカ(Laodelphax striatellus)に対する殺虫効果試験
有効成分の終濃度が、本発明化合物が10ppm、または有害生物防除剤が10ppm、またはそれらの組み合わせとなるように調製したアセトン溶液2.5mlをイネ幼苗に散布し風乾後、水を入れた直径3cm、高さ13cmのガラス管に入れヒメトビウンカ2齢幼虫を約10頭放虫し蓋をした。25℃恒温室にて放置し、6日後に生死虫数を調査した。
本発明化合物と有害生物防除剤を組み合わせた結果を、表11に示す。表中の数値は死虫率(%)を表す。また、表中の番号欄の“無処理”は、本発明化合物または有害生物防除剤を含有しないことを表す。
有効成分の終濃度が、本発明化合物が10ppm、または有害生物防除剤が10ppm、またはそれらの組み合わせとなるように調製したアセトン溶液2.5mlをイネ幼苗に散布し風乾後、水を入れた直径3cm、高さ13cmのガラス管に入れヒメトビウンカ2齢幼虫を約10頭放虫し蓋をした。25℃恒温室にて放置し、6日後に生死虫数を調査した。
本発明化合物と有害生物防除剤を組み合わせた結果を、表11に示す。表中の数値は死虫率(%)を表す。また、表中の番号欄の“無処理”は、本発明化合物または有害生物防除剤を含有しないことを表す。
本発明にかかる有害生物防除組成物は、優れた有害生物防除効果を示すことから、農薬としての利用価値がある。
Claims (10)
- 式(1)
[式中、R1は、水酸基、
シアノ基、
置換基Aで適宜置換されてもよいC1~C6のアルキル基、
C1~C6のハロアルキル基、
置換基Aで適宜置換されてもよいC3~C8のシクロアルキル基、
置換基Aで適宜置換されてもよいC2~C6のアルケニル基、
C2~C6のハロアルケニル基、
置換基Aで適宜置換されてもよいC2~C6のアルキニル基、
C2~C6のハロアルキニル基、
置換基Aで適宜置換されてもよいC1~C6のアルコキシ基、
C1~C6のハロアルコキシ基、
置換基Aで適宜置換されてもよいC3~C8のシクロアルコキシ基、
置換基Aで適宜置換されてもよいC2~C6のアルケニルオキシ基、
C2~C6のハロアルケニルオキシ基、
置換基Aで適宜置換されてもよいC3~C6のアルキニルオキシ基、
C3~C6のハロアルキニルオキシ基、
またはR10R11N-(ここで、R10およびR11は、それぞれ独立していて、水素原子、またはC1~C6のアルキル基を表す。)を表し;
R2は、ハロゲン原子、
水酸基、
シアノ基、
ニトロ基、
置換基Bで適宜置換されてもよいC1~C6のアルキル基、
C1~C6のハロアルキル基、
置換基Bで適宜置換されてもよいC3~C8のシクロアルキル基、
置換基Bで適宜置換されてもよいC2~C6のアルケニル基、
C2~C6のハロアルケニル基、
置換基Bで適宜置換されてもよいC2~C6のアルキニル基、
C2~C6のハロアルキニル基、
置換基Bで適宜置換されてもよいC1~C6のアルコキシ基、
C1~C6のハロアルコキシ基、
置換基Bで適宜置換されてもよいC3~C8のシクロアルコキシ基、
置換基Bで適宜置換されてもよいC2~C6のアルケニルオキシ基、
C2~C6のハロアルケニルオキシ基、
置換基Bで適宜置換されてもよいC3~C6のアルキニルオキシ基、
C3~C6のハロアルキニルオキシ基、
R20C(=O)-(ここで、R20は、C1~C6のアルキル基、C1~C6のハロアルキル基、C3~C8のシクロアルキル基、C1~C6のアルコキシ基、C1~C6のハロアルコキシ基、C3~C8のシクロアルコキシ基、またはR21R22N-(ここで、R21およびR22は、それぞれ独立していて、水素原子、置換基B1で適宜置換されてもよいC1~C6のアルキル基、C1~C6のハロアルキル基、またはC3~C8のシクロアルキル基を表すか、あるいはR21およびR22は、結合する窒素原子と一緒になって、アジリジニル基、アゼチジニル基、ピロリジニル基、ピペリジニル基、ホモピペリジニル基、またはアゾカニル基を形成するものを表す。)を表す。)、
R20C(=O)O-(ここで、R20は、前記と同義である。)、
1~2個の酸素原子を含む3~6員環の基、
R23-L2-(ここで、R23は、C1~C6のアルキル基、またはC1~C6のハロアルキル基を表し、L2は、S、SO、またはSO2を表す。)、
R21R22N-(ここで、R21およびR22は、前記と同義である。)、
またはR24C(=O)N(R25)-(ここで、R24は、水素原子、C1~C6のアルキル基、C1~C6のハロアルキル基、C3~C8のシクロアルキル基、C1~C6のアルコキシ基、C1~C6のハロアルコキシ基、C3~C8のシクロアルコキシ基、またはR21R22N-(ここで、R21およびR22は、前記と同義である。)を表し、R25は、水素原子、置換基B1で適宜置換されてもよいC1~C6のアルキル基、C1~C6のハロアルキル基、またはC3~C8のシクロアルキル基を表す。)を表し;
R3は、水素原子、
ハロゲン原子、
ニトロ基、
置換基Cで適宜置換されてもよいC1~C6のアルキル基、
C1~C6のハロアルキル基、
置換基Cで適宜置換されてもよいC3~C8のシクロアルキル基、
置換基Cで適宜置換されてもよいC1~C6のアルコキシ基、
C1~C6のハロアルコキシ基、
置換基Cで適宜置換されてもよいC2~C6のアルケニル基、
C2~C6のハロアルケニル基、
置換基Cで適宜置換されてもよいC2~C6のアルキニル基、
C2~C6のハロアルキニル基、
R30-L3-(ここで、R30は、前記のR23と同義であり、L3は、前記のL2と同義である。)、
R31R32N-(ここで、R31およびR32は、前記のR21およびR22と同義である。)、
またはR33C(=O)-(ここで、R33は、C1~C6のアルキル基、C1~C6のハロアルキル基、またはC3~C8のシクロアルキル基を表す。)を表し;
nは、0~5の整数(ただし、nが2以上のとき、2以上のR2は、それぞれ独立した置換基を表す。)を表し;
Xは、酸素原子、または硫黄原子を表し;
Yは、フェニル基、ピリジル基、ピリダジニル基、ピリミジニル基、ピラジニル基、トリアジニル基、テトラジニル基、チエニル基、チアゾリル基、イソチアゾリル基、またはチアジアゾリル基を表し、
該フェニル基は、置換基Dがオルト位に置換し、さらに置換基D1が、それぞれ独立して適宜0~4置換し、
該ピリジル基、該ピラジニル基、該ピリミジニル基、該ピリダジニル基、該トリアジニル基、または該テトラジニル基は、置換基Dがオルト位に置換し、さらに置換基D1が、それぞれ独立して適宜0~3置換し、
該チエニル基、該チアゾリル基、該イソチアゾリル基、または該チアジアゾリル基は、置換基Dがオルト位に置換し、さらに置換基D1が、それぞれ独立して適宜0~2置換し;
破線部を含む結合は、二重結合、または単結合を表し、
そして、置換基Aは、
水酸基、シアノ基、C3~C8のシクロアルキル基、C1~C6のアルコキシ基、C1~C6のハロアルコキシ基、C3~C8のシクロアルコキシ基、R12R13N-(ここで、R12およびR13は、それぞれ独立していて、水素原子、C1~C6のアルキル基、C1~C6のハロアルキル基、またはC3~C8のシクロアルキル基を表すか、あるいはR12およびR13は、結合する窒素原子と一緒になって、アジリジニル基、アゼチジニル基、ピロリジニル基、ピペリジニル基、ホモピペリジニル基、またはアゾカニル基を形成するものを表す。)、およびR14-L1-(ここで、R14は、C1~C6のアルキル基、またはC1~C6のハロアルキル基を表し、L1は、S、SO、またはSO2を表す。)からなる群から選択される少なくとも1種であり;
置換基Bは、
水酸基、シアノ基、C3~C8のシクロアルキル基、C1~C6のアルコキシ基、C1~C6のハロアルコキシ基、C3~C8のシクロアルコキシ基、C2~C6のアルコキシアルコキシ基、R21R22N-(ここで、R21およびR22は、前記と同義である。)、R23-L2-(ここで、R23およびL2は、前記と同義である。)、R26R27R28Si-(ここで、R26、R27およびR28は、それぞれ独立していてC1~C6のアルキル基を表す。)、R26R27R28Si-(CH2)s-O-(ここで、sは、1~3の整数を表し、R26、R27およびR28は、前記と同義である。)、R20C(=O)-(ここで、R20は、前記と同義である。)、および1~2個の酸素原子を含む3~6員環の基からなる群から選択される少なくとも1種であり;
置換基B1は、
シアノ基、C1~C6のアルコキシ基、C1~C6のハロアルコキシ基、およびC3~C8のシクロアルコキシ基からなる群から選択される少なくとも1種であり;
置換基Cは、
水酸基、シアノ基、C3~C8のシクロアルキル基、C1~C6のアルコキシ基、C1~C6のハロアルコキシ基、C3~C8のシクロアルコキシ基、R31R32N-(ここで、R31およびR32は、前記のR21およびR22と同義である。)、およびR30-L3-(ここで、R30は、前記のR14と同義であり、L3は、前記のL1と同義である。)からなる群から選択される少なくとも1種であり;
置換基Dは、
ハロゲン原子、C1~C6のアルキル基、C1~C6のハロアルキル基、C1~C6のアルコキシ基、およびC1~C6のハロアルコキシ基からなる群から選択される少なくとも1種であり;
置換基D1は、
水酸基、ハロゲン原子、C1~C6のアルキル基、C1~C6のハロアルキル基、C3~C8のシクロアルキル基、C1~C6のアルコキシ基、C1~C6のハロアルコキシ基、およびC3~C8のシクロアルコキシ基からなる群から選択される少なくとも1種である。]で表される化合物またはその塩と、
有害生物防除剤から選ばれる1種以上の成分を有効成分として含有する有害生物防除組成物。 - R1は、シアノ基、
置換基Aで適宜置換されてもよいC1~C6のアルキル基、
C1~C6のハロアルキル基、
置換基Aで適宜置換されてもよいC3~C8のシクロアルキル基、
置換基Aで適宜置換されてもよいC2~C6のアルケニル基、
C2~C6のハロアルケニル基、
置換基Aで適宜置換されてもよいC2~C6のアルキニル基、
またはR10R11N-(ここで、R10およびR11は、それぞれ独立していて、水素原子、またはC1~C6のアルキル基を表す。)を表し;
R2は、ハロゲン原子、
水酸基、
シアノ基、
置換基Bで適宜置換されてもよいC1~C6のアルキル基、
C1~C6のハロアルキル基、
置換基Bで適宜置換されてもよいC1~C6のアルコキシ基、
C1~C6のハロアルコキシ基、
置換基Bで適宜置換されてもよいC3~C8のシクロアルコキシ基、
置換基Bで適宜置換されてもよいC2~C6のアルケニルオキシ基、
置換基Bで適宜置換されてもよいC3~C6のアルキニルオキシ基、
R20C(=O)O-(ここで、R20は、C1~C6のアルキル基、C1~C6のハロアルキル基、C3~C8のシクロアルキル基、C1~C6のアルコキシ基、C1~C6のハロアルコキシ基、C3~C8のシクロアルコキシ基、またはR21R22N-(ここで、R21およびR22は、それぞれ独立していて、水素原子、置換基B1で適宜置換されてもよいC1~C6のアルキル基、C1~C6のハロアルキル基、またはC3~C8のシクロアルキル基を表すか、あるいはR21およびR22は、結合する窒素原子と一緒になって、アジリジニル基、アゼチジニル基、ピロリジニル基、ピペリジニル基、ホモピペリジニル基、またはアゾカニル基を形成するものを表す。)、
またはR23-L2-(ここで、R23は、C1~C6のアルキル基、またはC1~C6のハロアルキル基を表し、L2は、S、SO、またはSO2を表す。)を表し;
R3は、水素原子、
ハロゲン原子、
置換基Cで適宜置換されてもよいC1~C6のアルキル基、
置換基Cで適宜置換されてもよいC3~C8のシクロアルキル基、
置換基Cで適宜置換されてもよいC1~C6のアルコキシ基、
置換基Cで適宜置換されてもよいC2~C6のアルキニル基、
またはR30-L3-(ここで、R30は、前記のR23と同義であり、L3は、前記のL2と同義である。)を表し;
Yは、フェニル基、またはピリジル基を表し、
該フェニル基は、置換基Dがオルト位に置換し、さらに置換基D1が、それぞれ独立して適宜0~4置換し、
該ピリジル基は、置換基Dがオルト位に置換し、さらに置換基D1が、それぞれ独立して適宜0~3置換する、
請求項1に記載の化合物またはその塩と、
有害生物防除剤から選ばれる1種以上の成分を有効成分として含有する有害生物防除組成物。 - R1は、置換基Aで適宜置換されてもよいC1~C6のアルキル基、またはC1~C6のハロアルキル基を表し;
R2は、ハロゲン原子、置換基Bで適宜置換されてもよいC1~C6のアルキル基、または置換基Bで適宜置換されてもよいC1~C6のアルコキシ基を表し;
R3は、水素原子、ハロゲン原子、または置換基Cで適宜置換されてもよいC1~C6のアルキル基を表す、
請求項2に記載の化合物またはその塩と、
有害生物防除剤から選ばれる1種以上の成分を有効成分として含有する有害生物防除組成物。 - 有害生物防除剤が下記の殺菌剤(群b)および殺虫剤(群c)から選択される、請求項1に記載の有害生物防除組成物。
群b:
b-1:フェニルアミド系殺菌剤
[b-1.1]:ベナラキシル(benalaxyl)、[b-1.2]ベナラキシルMまたはキララキシル(benalaxyl-Mまたはkiralaxyl)、[b-1.3]フララキシル(furalaxyl)、[b-1.4]メタラキシル(metalaxyl)、[b-1.5]メタラキシルMまたはメフェノキサム(metalaxyl-Mまたはmefenoxam)、[b-1.6]オキサジキシル(oxadixyl)、[b-1.7]オフラセ(ofurace)、
b-2:有糸核分裂および細胞分裂阻害剤
[b-2.1]ベノミル(benomyl)、[b-2.2]カルベンダジム(carbendazim)、[b-2.3]フベリダゾール(fuberidazole)、[b-2.4]チアベンダゾール(thiabendazole)、[b-2.5]チオファネート(thiophanate)、[b-2.6]チオファネートメチル(thiophanate-methyl)、[b-2.7]ジエトフェンカルブ(diethofencarb)、[b-2,8]ゾキサミド(zoxamide)、[b-2.9]エタボキサム(ethaboxam)、[b-2.10]ペンシクロン(pencycuron)、[b-2.11]フルオピコリド(fluopicolide)、[b-2.12]フェナマクリル(phenamacril)、
b-3:コハク酸脱水素酵素阻害剤(SDHI剤)
[b-3.1]ベノダニル(benodanil)、[b-3.2]ベンゾビンジフルピル(benzovindiflupyr)、[b-3.3]ビキサフェン(bixafen)、[b-3.4]ボスカリド(boscalid)、[b-3.5]カルボキシン(carboxin)、[b-3.6]フェンフラム(fenfuram)、[b-3.7]フルオピラム(fluopyram)、[b-3.8]フルトラニル(flutolanil)、[b-3.9]フルキサピロキサド(fluxapyroxad)、[b-3.10]フラメトピル(furametpyr)、[b-3.11]イソフェタミド(isofetamid)、[b-3.12]イソピラザム(isopyrazam)、[b-3.13]メプロニル(mepronil)、[b-3.14]オキシカルボキシン(oxycarboxin)、[b-3.15]ペンチオピラド(penthiopyrad)、[b-3.16]ペンフルフェン(penflufen)、[b-3.17]ピジフルメトフェン(pydiflumetofen)、[b-3.18]セダキサン(sedaxane)、[b-3.19]チフルザミド(thifluzamide)、[b-3.20]ピラジフルミド(pyraziflumid)、
b-4:キノン外部阻害剤(QoI剤)
[b-4.1]アゾキシストロビン(azoxystrobin)、[b-4.2]クモキシストロビン(coumoxystrobin)、[b-4.3]ジモキシストロビン(dimoxystrobin)、[b-4.4]エノキサストロビン(enoxastrobin)、[b-4.5]ファモキサドン(famoxadone)、[b-4.6]フェンアミドン(fenamidone)、[b-4.7]フェナミンストロビン(fenaminstrobin)、[b-4.8]フルフェノキシストロビン(flufenoxystrobin)、[b-4.9]フルオキサストロビン(fluoxastrobin)、[b-4.10]クレソキシムメチル(kresoxim-methyl)、[b-4.11]マンデストロビン(mandestrobin)、[b-4.12]メトミノストロビン(metominostrobin)、[b-4.13]オリサストロビン(orysastrobin)、[b-4.14]ピコキシストロビン(picoxystrobin)、[b-4.15]ピラクロストロビン(pyraclostrobin)、[b-4.16]ピラメトストロビン(pyrametostrobin)、[b-4.17]ピラオキシストロビン(pyraoxystrobin)、[b-4.18]ピリベンカルブ(pyribencarb)、[b-4.19]トリクロピリカルブ(triclopyricarb)、[b-4.20]トリフロキシストロビン(trifloxystrobin)、
b-5:キノン内部阻害剤(QiI剤)
[b-5.1]シアゾファミド(cyazofamid)、[b-5.2]アミスルブロム(amisulbrom)、
b-6:酸化的リン酸化脱共役阻害剤
[b-6.1]ビナパクリル(binapacryl)、[b-6.2]メプチルジノカップ(meptyldinocap)、[b-6.3]ジノカップ(dinocap)、[b-6.4]フルアジナム(fluazinam)、
b-7:キノン外部スチグマテリン結合サブサイト阻害剤(QoSI剤)
[b-7.1]アメトクトラジン(ametoctradin)、
b-8:アミノ酸生合成阻害剤
[b-8.1]シプロジニル(cyprodinil)、[b-8.2]メパニピリム(mepanipyrim)、[b-8.3]ピリメタニル(pyrimethanil)、
b-9:タンパク質生合成阻害剤
[b-9.1]ストレプトマイシン(streptomycin)、[b-9.2]ブラストサイジンS(blasticidin-S)、[b-9.3]カスガマイシン(kasugamycin)、[b-9.4]オキシテトラサイクリン(oxytetracycline)、
b-10:シグナル伝達阻害剤
[b-10.1]フェンピクロニル(fenpiclonil)、[b-10.2]フルジオキソニル(fludioxonil)、[b-10.3]キノキシフェン(quinoxyfen)、[b-10.4]プロキナジド(proquinazid)、[b-10.5]クロゾリネート(chlozolinate)、[b-10.6]ジメタクロン(dimethachlone)、[b-10.7]イプロジオン(iprodione)、[b-10.8]プロシミドン(procymidone)、[b-10.9]ビンクロゾリン(vinclozolin)、
b-11:脂質および細胞膜生合成阻害剤
[b-11.1]エジフェンホス(edifenphos)、[b-11.2]イプロベンホス(iprobenfos)、[b-11.3]ピラゾホス(pyrazophos)、[b-11.4]イソプロチオラン(isoprothiolane)、[b-11.5]ビフェニル(biphenyl)、[b-11.6]クロロネブ(chloroneb)、[b-11.7]ジクロラン(dicloran)、[b-11.8]キントゼン(quintozene)、[b-11.9]テクナゼン(tecnazene)、[b-11.10]トルクロホスメチル(tolclofos-methyl)、[b-11.11]エトリジアゾール(echlomezol or etridiazole)、[b-11.12]ヨードカルブ(iodocarb)、[b-11.13]プロパモカルブ(propamocarb)、[b-11.14]プロチオカルブ(prothiocarb)、
b-12:脱メチル化阻害剤(DMI剤)
[b-12.1]アザコナゾール(azaconazole)、[b-12.2]ビテルタノール(bitertanol)、[b-12.3]ブロムコナゾール(bromuconazole)、[b-12.4]シプロコナゾール(cyproconazole)、[b-12.5]ジフェノコナゾール(difenoconazole)、[b-12.6]ジニコナゾール(diniconazole)、[b-12.7]ジニコナゾールM(diniconazole-M)、[b-12.8]エポキシコナゾール(epoxiconazole)、[b-12.9]エタコナゾール(etaconazole)、[b-12.10]フェナリモル(fenarimol)、[b-12.11]フェンブコナゾール(fenbuconazole)、[b-12.12]フルキンコナゾール(fluquinconazole)、[b-12.13]キンコナゾール(quinconazole)、[b-12.14]フルシラゾール(flusilazole)、[b-12.15]フルトリアホール(flutriafol)、[b-12.16]ヘキサコナゾール(hexaconazole)、[b-12.17]イマザリル(imazalil)、[b-12.18]イミベンコナゾール(imibenconazole)、[b-12.19]イプコナゾール(ipconazole)、[b-12.20]メトコナゾール(metconazole)、[b-12.21]ミクロブタニル(myclobutanil)、[b-12.22]ヌアリモール(nuarimol)、[b-12.23]オキスポコナゾール(oxpoconazole)、[b-12.24]オキスポコナゾールフマル酸塩(oxpoconazole fumarate)、[b-12.25]ペフラゾエート(pefurazoate)、[b-12.26]ペンコナゾール(penconazole)、[b-12.27]プロクロラズ(prochloraz)、[b-12.28]プロピコナゾール(propiconazole)、[b-12.29]プロチオコナゾール(prothioconazole)、[b-12.30]ピリフェノックス(pyrifenox)、[b-12.31]ピリソキサゾール(pyrisoxazole)、[b-12.32]シメコナゾール(simeconazole)、[b-12.33]テブコナゾール(tebuconazole)、[b-12.34]テトラコナゾール(tetraconazole)、[b-12.35]トリアジメホン(triadimefon)、[b-12.36]トリアジメノール(triadimenol)、[b-12.37]トリフルミゾール(triflumizole)、[b-12.38]トリホリン(triforine)、[b-12.39]トリチコナゾール(triticonazole)[b-12.40]メフェントリフルコナゾール(mefentrifluconazole)、[b-12.41]イプフェントリフルコナゾール(ipfentrifluconazole)、
b-13:アミン系殺菌剤
[b-13.1]アルジモルフ(aldimorph)、[b-13.2]ドデモルフ(dodemorph)、[b-13.3]フェンプロピモルフ(fenpropimorph)、[b-13.4]トリデモルフ(tridemorph)、[b-13.5]フェンプロピジン(fenpropidin)、[b-13.6]ピペラリン(piperalin)、[b-13.7]スピロキサミン(spiroxamine)、
b-14:ステロール生合成のC4位脱メチル化における3-ケト還元酵素阻害剤
[b-14.1]フェンヘキサミド(fenhexamid)、[b-14.2] フェンピラザミン(fenpyrazamine)、
b-15:ステロール生合成のスクアレンエポキシダーゼ阻害剤
[b-15.1]ピリブチカルブ(pyributicarb)、[b-15.2]ナフチフィン(naftifine)、[b-15.3]テルビナフィン(terbinafine)、
b-16:細胞壁生合成阻害剤
[b-16.1]ポリオキシン類(polyoxins)、[b-16.2]ジメトモルフ(dimethomorph)、[b-16.3]フルモルフ(flumorph)、[b-16.4]ピリモルフ(pyrimorph)、[b-16.5]ベンチアバリカルブ(benthiavalicarb)、[b-16.6]ベンチアバリカルブイソプロピル(benthivalicarb-isopropyl)、[b-16.7]イプロバリカルブ(iprovalicarb)、[b-16.8]マンジプロパミド(mandipropamid)、[b-17.9]バリフェナレート(valifenalate)、
b-17:メラニン生合成阻害剤
[b-17.1]フサライド(phthalide or fthalide)、[b-17.2]ピロキロン(pyroquilone)、[b-17.3]トリシクラゾール(tricyclazole)、[b-17.4]カルプロパミド(carpropamid)、[b-17.5]ジクロシメット(diclocymet)、[b-17.6]フェノキサニル(fenoxanil)、[b-17.7]トルプロカルブ(tolprocarb)、
b-18:宿主植物抵抗性誘導剤
[b-18.1]アシベンゾラルSメチル(acibenzolar-S-methyl)、[b-18.2]プロベナゾール(probenazole)、[b-18.3]チアジニル(tiadinil)、[b-18.4]イソチアニル(isotianil)、[b-18.5]ラミナリン(laminarin)、
b-19:ジチオカーバメート系殺菌剤
[b-19.1]マンコゼブまたはマンゼブ(mancozeb or manzeb)、[b-19.2]マンネブ(maneb)、[b-19.3]メチラム(metiram)、[b-19.4]プロピネブ(propineb)、[b-19.5]チウラム(thiram)、[b-19.6]ジネブ(zineb)、[b-19.7]ジラム(ziram)、[b-19.8]フェルバム(ferbam)、
b-20:フタルイミド系殺菌剤
[b-20.1]キャプタン(captan)、[b-20.2]キャプタホール(captafol)、[b-20.3]ホルペット(folpet)、[b-20.4]フルオロホルペット(fluorofolpet)、
b-21:グアニジン系殺菌剤
[b-21.1]グアザチン(guazatine)、[b-21.2]イミノクタジン(iminoctadine)、[b-21.3]イミノクタジンアルベシル酸塩(iminoctadine albesilate)、[b-21.4]イミノクタジン三酢酸塩(iminoctadine triacetate)、
b-22:多作用点接触活性型殺菌剤
[b-22.1]塩基性塩化銅(copper oxychloride)、[b-22.2]水酸化第二銅(copper(II) hydroxide)、[b-22.3]塩基性硫酸銅(copper hydroxide sulfate)、[b-22.4]有機銅化合物(organocopper compound)、[b-22.5]ドデシルベンゼンスルホン酸ビスエチレンジアミン銅錯塩[II](Dodecylbenzenesulphonic acid bisethylenediamine copper [II] salt、DBEDC)、[b-22.6]硫黄(sulphur)、[b-22.7]フルオルイミド(fluoroimide)、[b-22.8]クロロタロニル(chlorothalonil)、[b-22.9]ジクロフルアニド(dichlofluanid)、[b-22.10]トリルフルアニド(tolylfluanid)、[b-22.11]アニラジン(anilazine)、[b-22.12]ジチアノン(dithianon)、[b-22.13]キノメチオナート(chinomethionat or quinomethionate)、[b-22.14]ハウチワマメ苗木の子葉からの抽出物(BLAD)、
b-23:その他の殺菌剤
[b-23.1]ジクロベンチアゾクス(dichlobentiazox)、[b-23.2]フェンピコキサミド(fenpicoxamid)、[b-23.3]ジピメチトロン(dipymetitrone)、[b-23.4]ブピリメート(bupirimate)、[b-23.5]ジメチリモール(dimethirimol)、[b-23.6]エチリモール(ethirimol)、[b-23.7]酢酸トリフェニルスズ(fentin acetate)、[b-23.8]塩化トリフェニルスズ(fentin chloride)、[b-23.9]水酸化トリフェニルスズ(fentin hydroxide)、[b-23.10]オキソリニック酸(oxolinic acid)、[b-23.11]ヒメキサゾール(hymexazol)、[b-23.12]オクチリノン(octhilinone)、[b-23.13]ホセチル(fosetyl)、[b-23.14]亜リン酸(phosphorous acid)、[b-23.15]亜リン酸のナトリウム塩(sodium phosphite)、[b-23.16]亜リン酸のアンモニウム塩(ammonium phosphite)、[b-23.17]亜リン酸のカリウム塩(potassium phosphite)、[b-23.18]テクロフタラム(tecloftalam)、[b-23.19]トリアゾキシド(triazoxide)、[b-23.20]フルスルファミド(flusulfamide)、[b-23.21]ジクロメジン(diclomezine)、[b-23.22]シルチオファム(silthiofam)、[b-23.23]ジフルメトリム(diflumetorim)、[b-23.24]メタスルホカルブ(methasulfocarb)、[b-23.25]シフルフェナミド(cyflufenamid)、[b-23.26]メトラフェノン(metrafenone)、[b-23.27]ピリオフェノン(pyriofenone)、[b-23.28]ドジン(dodine)、[b-23.29]フルチアニル(flutianil)、[b-23.30]フェリムゾン(ferimzone)、[b-23.31]オキサチアピプロリン(oxathiapiprolin)、[b-23.32]テブフロキン(tebufloquin)、[b-23.33]ピカルブトラゾクス(picarbutrazox)、[b-23.34]バリダマイシン類(validamycins)、[b-23.35]シモキサニル(cymoxanil)、
[b-23.36]式(s1)
で表される化合物、
[b-23.37]式(s2)
で表される化合物、
[b-23.38]式(s3)
で表される化合物、
[b-23.39]式(s4)
で表される化合物、
[b-23.40]式(s5)
で表される化合物(gougerotin)、
[b-23.41]式(s6)
で表される化合物(ningnanmycin)、
[b-23.42]式(s7)
で表される化合物、
[b-23.43]式(s8)
で表される化合物、
[b-23.44]式(s9)
で表される化合物、
[b-23.45]式(s10)
で表される化合物、
[b-23.46]式(s11)
で表される化合物、
[b-23.47]式(s12)
で表される化合物、
[b-23.48]式(s13)
で表される化合物、
[b-23.49]式(s14)
で表される化合物、
[b-23.50]式(s15)
で表される化合物、
[b-23.51]式(s16)
[式中、A3は、水素原子、ハロゲン原子、C1~C6のアルキル基、C1~C6のハロアルキル基、またはシアノ基を表し、
A4は、水素原子、C1~C6のアルキル基、C1~C6のハロアルキル基、またはC3~C8のシクロアルキル基を表す。]で表される化合物、
[b-23.52]式(s17)
[式中、m1は、0~3の整数を表し、
A5およびA6は、それぞれ独立していて、ハロゲン原子、またはC1~C6のアルキル基を表し、
A7およびA8は、それぞれ独立していて、ハロゲン原子、またはC1~C6のアルコキシ基を表し、
m1が2以上の場合、2以上のA7は、それぞれ独立した置換基を表し、同一または異なっていてよい。]で表される化合物、
[b-23.53]式(s18)
[式中、A9およびA10は、それぞれ独立していて、水素原子、またはハロゲン原子を表し、
A11は、ハロゲン原子を表し、
A12は、ハロゲン原子、またはC1~C6のアルキル基を表し、
A13は、ハロゲン原子、シアノ基、C1~C6のアルキル基、またはC1~C6のアルコキシ基を表す。]で表される化合物、
[b-23.54]式(s19)
[式中、m2は、0~6の整数を表し、
A14およびA15は、それぞれ独立していて、ハロゲン原子、シアノ基、またはC1~C6のアルキル基を表し、
A16は、水素原子、ハロゲン原子、またはC1~C6のアルコキシ基を表し、
A17は、ハロゲン原子、またはC1~C6のアルコキシ基を表し、
m2が2以上の場合、2以上のA17は、それぞれ独立した置換基を表し、同一または異なっていてよい。]で表される化合物、
[b-23.55]式(s20)
[式中、A18およびA19は、それぞれ独立していて、ハロゲン原子、シアノ基、またはC1~C6のアルキル基を表し、
A20、A21およびA22は、それぞれ独立していて、水素原子、ハロゲン原子、またはC1~C6のアルコキシ基を表す。]で表される化合物、
[b-23.56]式(s21)
[式中、A23およびA24は、それぞれ独立していて、水素原子、ハロゲン原子、C1~C6のアルキル基、またはC3~C8のシクロアルキル基を表し、
Xは、酸素原子または硫黄原子を表す。]で表される化合物、
[b-23.57]式(s22)
[式中、m3は、0~5の整数を表し、
A25は、ハロゲン原子、C1~C6のアルキル基、C1~C6のハロアルキル基、C1~C6のアルコキシ基、C1~C6のハロアルコキシ基、またはC3~C8のシクロアルキル基を表し、
m3が2以上の場合、2以上のA25は、それぞれ独立した置換基を表し、同一または異なっていてよい。]で表される化合物、
[b-23.58]式(s23)
[式中、A26は、水素原子、またはハロゲン原子を表し、
V1およびV2は、それぞれ独立していて、酸素原子、または硫黄原子を表す。]で表される化合物、
[b-23.59]式(s24)または式(s25)
[式中、m4は、0~5の整数を表し、
A27は、C1~C6のアルキル基を表し、
A28は、ハロゲン原子、シアノ基、C1~C6のアルキル基、またはC1~C6のハロアルキル基を表し、
m4が2以上の場合、2以上のA28は、それぞれ独立した置換基を表し、同一または異なっていてよく、
A29は、C1~C6のアルキル基、C2~C6のアルケニル基、またはC3~C6のアルキニル基を表す。]で表される化合物、
[b-23.60]式(s26)または式(s27)
[式中、m5は、0~5の整数を表し、
A30は、C1~C6のアルキル基を表し、
A31は、ハロゲン原子、シアノ基、C1~C6のアルキル基、またはC1~C6のハロアルキル基を表し、
m5が2以上の場合、2以上のA31は、それぞれ独立した置換基を表し、同一または異なっていてよく、
A32は、C1~C6のアルキル基、C2~C6のアルケニル基、またはC3~C6のアルキニル基を表す。]で表される化合物、
[b-23.61]式(s28)
[式中、A33、A34、A35およびA36は、それぞれ独立していて、水素原子、またはハロゲン原子を表し、
A37は、水素原子、アセチル基、またはベンゾイル基を表す。]で表される化合物、
[b-23.62]式(s29)
[式中、A38は、C1~C6のアルキル基、またはC1~C6のハロアルキル基を表し、
A39およびA40は、それぞれ独立していて、水素原子、またはハロゲン原子を表す。]で表される化合物、
[b-23.63]式(s30)
[式中、A41は、水素原子、水硫基(-SH)、チオシアン酸基(-SCN)、またはC1~C6のアルキルチオ基を表し、
A42、A43、A44およびA45は、それぞれ独立していて、水素原子、またはハロゲン原子を表す。]で表される化合物、
[b-23.64]式(s31)または式(s32)
[式中、A46は、水素原子、またはハロゲン原子を表し、
A47は、C1~C6のアルキル基を表し、
A48は、ハロゲン原子を表す。]で表される化合物、
[b-23.65]式(s33)
[式中、A49、A50およびA51は、それぞれ独立していて、水素原子、またはハロゲン原子を表す。]で表される化合物で表される化合物、
群c:
c-1:カーバメート系アセチルコリンエステラーゼ(AChE)阻害剤
[c-1.1]ホスホカルブ(phosphocarb)、[c-1.2]アラニカルブ(alanycarb)、[c-1.3]ブトカルボキシム(butocarboxim)、[c-1.4]ブトキシカルボキシム(butoxycarboxim)、[c-1.5]チオジカルブ(thiodicarb)、[c-1.6]チオファノックス(thiofanox)、[c-1.7]アルジカルブ(aldicarb)、[c-1.8]ベンジオカルブ(bendiocarb)、[c-1.9]ベンフラカルブ(benfuracarb)、[c-1.10]カルバリル(carbaryl)、[c-1.11]カルボフラン(carbofuran)、[c-1.12]カルボスルファン(carbosulfan)、[c-1.13]エチオフェンカルブ(ethiofencarb)、[c-1.14]フェノブカルブ(fenobucarb)、[c-1.15]ホルメタネート(formetanate)、[c-1.16]フラチオカルブ(furathiocarb)、[c-1.17]イソプロカルブ(isoprocarb)、[c-1.18]メチオカルブ(methiocarb)、[c-1.19]メソミル(methomyl)、[c-1.20]オキサミル(oxamyl)、[c-1.21]ピリミカルブ(pirimicarb)、[c-1.22]プロポキスル(propoxur)、[c-1.23]トリメタカルブ(trimethacarb)、[c-1.24]XMC(3,5-xylyl methylcarbamate)、[c-1.25]アリキシカルブ(allyxycarb)、[c-1.26]アルドキシカルブ(aldoxycarb)、[c-1.27]ブフェンカルブ(bufencarb)、[c-1.28]ブタカルブ(butacarb)、[c-1.29]カーバノレート(carbanolate)、[c-1.30]メトルカルブ(metolcarb)、[c-1.31]キシルイルカルブ(xylylcarb)、[c-1.32]フェノチオカルブ(fenothiocarb)、[c-1.33]キシリルカルブ(xylylcarb)、[c-1.34]ベンダイオカルブ(bendiocarb)、
c-2:有機リン系アセチルコリンエステラーゼ(AChE)阻害剤
[c-2.1]アセフェート(acephate)、[c-2.2]アザメチホス(azamethiphos)、[c-2.3]アジンホス-メチル(azinphos-methyl)、[c-2.4]アジンホス-エチル(azinphos-ethyl)、[c-2.5]エセフォン(ethephon)、[c-2.6]カズサホス(cadusafos)、[c-2.7]クロルエトキシホス(chlorethoxyfos)、[c-2.8]クロルフェンビンホス(chlorfenvinphos)、[c-2.9]クロルメホス(chlormephos)、[c-2.10]クロルピリホス(chlorpyrifos)、[c-2.11]クロルピリホス-メチル(chlorpyrifos-methyl)、[c-2.12]クマホス(coumaphos)、[c-2.13]シアノホス(cyanophos)、[c-2.14]デメトン-S-メチル(demeton-S-methyl)、[c-2.15]ダイアジノン(diazinon)、[c-2.16]ジクロフェンチオン(dichlofenthion)、[c-2.17]ジクロルボス(dichlorvos)、[c-2.18]ジクロトホス(dicrotophos)、[c-2.19]ジメトエート(dimethoate)、[c-2.20]ジメチルビンホス(dimethylvinphos)、[c-2.21]ジスルホトン(disulfoton)、[c-2.22]O-エチル O-4-ニトロフェニル フェニルホスホノチオアート(O-ethyl O-4-nitrophenyl phenylphosphonothioate)、[c-2.23]エチオン(ethion)、[c-2.24]エトプロホス(ethoprophos)、[c-2.25]ファムフール(famphur)、[c-2.26]フェナミホス(fenamiphos)、[c-2.27]フェニトロチオン(fenitrothion)、[c-2.28]フェンチオン(fenthion)、[c-2.29]ホスチアゼート(fosthiazate)、[c-2.30]ヘプテノホス(heptenophos)、[c-2.31]イソフェンホス-メチル(isofenphos-methyl)、[c-2.32]イソカルボホス(Isocarbophos)、[c-2.33]イソキサチオン(isoxathion)、[c-2.34]マラチオン(malathion)、[c-2.35]メカルバム(mecarbam)、[c-2.36]メタミドホス(methamidophos)、[c-2.37]メチダチオン(methidathion)、[c-2.38]メビンホス(mevinphos)、[c-2.39]モノクロトホス(monocrotophos)、[c-2.40]ナレッド(naled)、[c-2.41]オメトエート(omethoate)、[c-2.42]オキシデメトン-メチル(oxydemeton-methyl)、[c-2.43]パラチオン(parathions)、[c-2.44]パラチオン-メチル(parathion-methyl)、[c-2.45]フェントエート(phenthoate)、[c-2.46]ホレート(phorate)、[c-2.47]ホサロン(phosalone)、[c-2.48]ホスメット(phosmet)、[c-2.49]ホスファミドン(phosphamidon)、[c-2.50]ホキシム(phoxim)、[c-2.51]ピリミホス-メチル(pirimiphos-methyl)、[c-2.52]プロフェノホス(profenofos)、[c-2.53]プロペタンホス(propetamphos)、[c-2.54]プロチオホス(prothiofos)、[c-2.55]ピラクロホス(pyraclofos)、[c-2.56]ピリダフェンチオン(pyridaphenthion)、[c-2.57]キナルホス(quinalphos)、[c-2.58]スルホテップ(sulfotep)、[c-2.59]テブピリムホス(tebupirimfos)、[c-2.60]テメホス(temephos)、[c-2.61]テルブホス(terbufos)、[c-2.62]チオメトン(thiometon)、[c-2.63]トリアゾホス(triazophos)、[c-2.64]トリクロルホン(trichlorfon)、[c-2.65]バミドチオン(vamidothion)、[c-2.66]クロルチオン(chlorothion)、[c-2.67]ブロムフェンビンホス(bromfenvinfos)、[c-2.68]ブロモホス(bromophos)、[c-2.69]ブロモホス-エチル(bromophos-ethyl)、[c-2.70]ブタチオホス(butathiofos)、[c-2.71]カルボフェノチオン(carbophenothion)、[c-2.72]クロルホキシム(chlorphoxim)、[c-2.73]スルプロホス(sulprofos)、[c-2.74]ジアミダホス(diamidafos)、[c-2.75]テトラクロルビンホス(tetrachlorvinphos)、[c-2.76]プロパホス(propaphos)、[c-2.77]メスルフェンホス(mesulfenfos)、[c-2.78]ジオキサベンゾホス(dioxabenzofos)、[c-2.79]エトリムホス(etrimfos)、[c-2.80]オキシデプロホス(oxydeprofos)、[c-2.81]ホルモチオン(formothion)、[c-2.82]フェンスルホチオン(fensulfothion)、[c-2.83]イサゾホス(isazofos)、[c-2.84]イミシアホス(imicyafos)、[c-2.85]イサミドホス(isamidofos)、[c-2.86]チオナジン(thionazin)、[c-2.87]ホスチエタン(fosthietan)、
c-3:GABA作動性塩素イオンチャネルブロッカー
[c-3.1]クロルデン(chlordane)、[c-3.2]エンドスルファン(endosulfan)、[c-3.3]リンデン(lindane)、[c-3.4]ジエノクロル(dienochlor)、[c-3.5]エチプロール(ethiprole)、[c-3.6]フィプロニル(fipronil)、[c-3.7]アセトプロール(acetoprole)、
c-4:ナトリウムチャネルモジュレーター
[c-4.1]アクリナトリン(acrinathrin)、[c-4.2]アレスリン[(1R)-アイソマー](allethrin[(1R)-isomer])、[c-4.3]ビフェントリン(bifenthrin)、[c-4.4]ビオアレスリン(bioallethrin)、[c-4.5]ビオアレスリン S-シクロペンテニル アイソマー(bioallethrin S-cyclopentenyl isomer)、[c-4.6]ビオレスメトリン(bioresmethrin)、[c-4.7]シクロプロトリン(cycloprothrin)、[c-4.8]シフルトリン(cyfluthrin)、[c-4.9]ベータ-シフルトリン(beta-cyfluthrin)、[c-4.10]シハロトリン(cyhalothrin)、[c-4.11]ガンマ-シハロトリン(gamma-cyhalothrin)、[c-4.12]ラムダ-シハロトリン(lambda-cyhalothrin)、[c-4.13]シペルメトリン(cypermethrin)、[c-4.14]アルファ-シペルメトリン(alpha-cypermethrin)、[c-4.15]ベータ-シペルメトリン(beta-cypermethrin)、[c-4.16]セタ-シペルメトリン(theta-cypermethrin)、[c-4.17]ゼダ-シペルメトリン(zeta-cypermethrin)、[c-4.18]シフェノトリン[(1R)-トランス-アイソマー](cyphenothrin[(1R)-trans-isomer])、[c-4.19]デルタメトリン(deltamethrin)、[c-4.20]エンペントリン[(EZ)-(1R)-アイソマー](empenthrin[(EZ)-(1R)-isomer])、[c-4.21]エスフェンバレレート(esfenvalerate)、[c-4.22]エトフェンプロックス(ethofenprox)、[c-4.23]フェンプロパトリン(fenpropathrin)、[c-4.24]フェンバレレート(fenvalerate)、[c-4.25]フルシトリネート(flucythrinate)、[c-4.26]フルメトリン(flumethrin)、[c-4.27]タウ-フルバリネート(tau-fluvalinate)、[c-4.28]ハルフェンプロックス(halfenprox)、[c-4.29]イミプロトリン(imiprothrin)、[c-4.30]メトトリン(methothrin)、[c-4.31]メトフルトリン(metofluthrin)、[c-4.32]イプシロン-メトフルトリン(epsilon-metofluthrin)、[c-4.33]モンフルオロトリン(momfluorothrin)、[c-4.34]イプシロン-モンフルオロトリン(epsilon-momfluorothrin)、[c-4.35]ペルメトリン(permethrin)、[c-4.36]フェノトリン[(1R)-トランス-アイソマー](phenothrin[(1R)-trans-isomer])、[c-4.37]プラレトリン(prallethrin)、[c-4.38]レスメトリン(resmethrin)、[c-4.39]カデトリン(kadethrin)、[c-4.40]シラフルオフェン(silafluofen)、[c-4.41]テフルトリン(tefluthrin)、[c-4.42]テトラメトリン(tetramethrin)、[c-4.43]テトラメトリン[(1R)-アイソマー](tetramethrin[(1R)-isomer])、[c-4.44]トラロメトリン(tralomethrin)、[c-4.45]トランスフルトリン(transfluthrin)、[c-4.46]ZXI8901(3-(4-bromophenoxy)phenyl]- cyanomethyl 4-(difluoromethoxy)-α- (1-methylethyl)benzeneacetate)、[c-4.47]バイオペルメトリン(biopermethrin)、[c-4.48]フラメトリン(furamethrin)、[c-4.49]プロフルトリン(profluthrin)、[c-4.50]フルブロシトリネート(flubrocythrinate)、[c-4.51]ジメフルトリン(dimefluthrin)、[c-4.52]DDT(dichloro-diphenyl-trichloroethane)、[c-4.53]メトキシクロル(methoxychlor)、[c-4.54]フェノトリン(phenothrin)、[c-4.55]フルバリネート(fluvalinate)、
c-5:ニコチン性アセチルコリン受容体(nAChR)競合的モジュレーター
[c-5.1]アセタミプリド(acetamiprid)、[c-5.2]クロチアニジン(clothianidin)、[c-5.3]ジノテフラン(dinotefuran)、[c-5.4]イミダクロプリド(imidacloprid)、[c-5.5]ニテンピラム(nitenpyram)、[c-5.6]チアクロプリド(thiacloprid)、[c-5.7]チアメトキサム(thiamethoxam)、[c-5.8]ニコチン(nicotine)、[c-5.9]硫酸ニコチン(nicotine sulfate)、[c-5.10]スルホキサフロル(sulfoxaflor)、[c-5.11]フルピラジフロン(flupyradifurone)、[c-5.12]トリフルメゾピリム(triflumezopyrim)、
c-6:ニコチン性アセチルコリン受容体(nAChR)アロステリックモジュレーター
[c-6.1]スピノサド(spinosad)、[c-6.2]スピネトラム(spinetoram)、
c-7:グルタミン酸作動性塩素イオンチャネル(GluCl)アロステリックモジュレーター
[c-7.1]アバメクチン(abamectin)、[c-7.2]エマメクチン安息香酸塩(emamectin benzoate)、[c-7.3]レピメクチン(lepimectin)、[c-7.4]ミルベメクチン(milbemectin)、
c-8:幼若ホルモン類似剤
[c-8.1]ヒドロプレン(hydroprene)、[c-8.2]キノプレン(kinoprene)、[c-8.3]メトプレン(methoprene)、[c-8.4]フェノキシカルブ(fenoxycarb)、[c-8.5]ピリプロキシフェン(pyriproxyfen)、
c-9:非特異的(マルチサイト)阻害剤
[c-9.1]臭化メチル(methyl bromide)、[c-9.2]クロルピクリン(chloropicrin)、[c-9.3]クリオライト(cryolite)、[c-9.4]フッ化スルフリル(sulfuryl fluoride)、[c-9.5]ホウ砂(borax)、[c-9.6]ホウ酸(boric acid)、[c-9.7]オクタホウ酸ニナトリウム塩(disodium octaborate)、[c-9.8]メタホウ酸ナトリウム塩(sodium metaborate)[c-9.9]吐酒石(tartar emetic)、[c-9.10]ダゾメット(dazomet)、[c-9.11]メタム(metam)、[c-9.12]カーバムナトリウム塩(metham sodium)、
c-10:弦音器官TRPVチャネルモジュレーター
[c-10.1]ピメトロジン(pymetrozine)、[c-10.2]ピリフルキナゾン(pyrifluquinazon)、
c-11:ダニ類成長阻害剤
[c-11.1]クロフェンテジン(clofentezine)、[c-11.2]ジフロビダジン(diflovidazin)、[c-11.3]ヘキシチアゾクス(hexythiazox)、[c-11.4]エトキサゾール(etoxazole)、
c-12:ミトコンドリアATP合成酵素阻害剤
[c-12.1]ジアフェンチウロン(diafenthiuron)、[c-12.2]アゾシクロチン(azocyclotin)、[c-12.3]シヘキサチン(cyhexatin)、[c-12.4]フェンブタチンオキシド(fenbutatin oxide)、「c-12.5」プロパルギット(propargite)、「c-12.6」テトラジホン(tetradifon)、
c-13:プロトン勾配を撹乱する酸化的リン酸化脱共役剤
[c-13.1]クロルフェナピル(chlorfenapyl)、[c-13.2]DNOC(dinitro-ortho-cresol)、[c-13.3]ビナパクリル(binapacryl)、[c-13.4]スルフルラミド(sulfluramid)、
c-14:ニコチン性アセチルコリン受容体(nAChR)チャネルブロッカー
[c-14.1]ベンスルタップ(bensultap)、[c-14.2]カルタップ塩酸塩(cartap hydrochloride)、[c-14.3]チオシクラム(thiocyclam)、[c-14.4]モノスルタップ(monosultap)、
c-15:キチン生合成阻害剤タイプ0
[c-15.1]ビストリフルロン(bistrifluron)、[c-15.2]クロルフルアズロン(chlorfluazuron)、[c-15.3]ジフルベンズロン(diflubenzuron)、[c-15.4]フルシクロクスロン(flucycloxuron)、[c-15.5]フルフェノクスロン(flufenoxuron)、[c-15.6]ヘキサフルムロン(hexaflumuron)、[c-15.7]ルフェヌロン(lufenuron)、[c-15.8]ノバルロン(novaluron)、[c-15.9]ノビフルムロン(noviflumuron)、[c-15.10]テフルベンズロン(teflubenzuron)、[c-15.11]トリフルムロン(triflumuron)、
c-16:キチン生合成阻害剤タイプ1
[c-16.1]ブプロフェジン(buprofezin)、
c-17:ハエ目昆虫脱皮阻害剤
[c-17.1]シロマジン(cyromazine)、
c-18:脱皮ホルモン(エクダイソン)受容体アゴニスト
[c-18.1]クロマフェノジド(chromafenozide)、[c-18.2]ハロフェノジド(halofenozide)、[c-18.3]メトキシフェノジド(methoxyfenozide)、[c-18.4]テブフェノジド(tebufenozide)、
c-19:オクトパミン受容体アゴニスト
[c-19.1]アミトラズ(amitraz)、
c-20:ミトコンドリア電子伝達系複合体III阻害剤
[c-20.1]ヒドラメチルノン(hydramethylnon)、[c-20.2]アセキノシル(acequinocyl)、[c-20.3]フルアクリピリム(fluacrypyrim)、[c-20.4]ビフェナゼート(bifenazate)、
c-21:ミトコンドリア電子伝達系複合体I阻害剤(METI)
[c-21.1]フェナザキン(fenazaquin)、[c-21.2]フェンピロキシメート(fenpyroximate)、[c-21.3]ピリダベン(pyridaben)、[c-21.4]ピリミジフェン(pylimidifen)、[c-21.5]テブフェンピラド(tebufenpyrad)、[c-21.6]トルフェンピラド(tolfenpyrad)、[c-21.7]ロテノン(rotenone)、
c-22:電位依存性ナトリウムチャネルブロッカー
[c-22.1]インドキサカルブ(indoxacarb)、[c-22.2]メタフルミゾン(metaflumizone)、
c-23:アセチルCoAカルボキシラーゼ阻害剤
[c-23.1]スピロジクロフェン(spirodiclofen)、[c-23.2]スピロメシフェン(spiromesifen)、[c-23.3]スピロテトラマト(spirotetramat)、
c-24:ミトコンドリア電子伝達系複合体IV阻害剤
[c-24.1]リン化アルミニウム(aluminum phosphide)、[c-24.2]リン化カルシウム(calcium phosphide)、[c-24.3]リン化水素(phosphine)、[c-24.4]リン化亜鉛(zinc phosphide)、[c-24.5]シアン化カルシウム(calcium cyanide)、[c-24.6]シアン化ナトリウム(potassium cyanide)、[c-24.7]シアン化カリウム(sodium cyanide)、
c-25:ミトコンドリア電子伝達系複合体II阻害剤
[c-25.1]シエノピラフェン(cyenopyrafen)、[c-25.2]シフルメトフェン(cyflumetofen)、[c-25.3]ピフルブミド(pyflubumide)、
c-26:リアノジン受容体モジュレーター
[c-26.1]クロラントラニリプロール(chlorantraniliprole)、[c-26.2]シアントラニリプロール(cyantraniliprole)、[c-26.3]フルベンジアミド(flubendiamide)、
c-27:標的部位未特定の弦音器官モジュレーター
[c-27.1]フロニカミド(flonicamid)、
c-28:その他の剤
[c-28.1]アザジラクチン(azadirachtin)、[c-28.2]ベンゾキシメート(benzoximate)、[c-28.3]フェニソブロモレート(phenisobromolate)、[c-28.4]キノメチオナート(chinomethionat)、[c-28.5]ジコホル(dicofol)、[c-28.6]ピリダリル(pyridalyl)、[c-28.7]ブロモプロピレート(bromopropylate)、[c-28.8]トリアザメート(triazamate)、[c-28.9]ジシクラニル(dicyclanil)、[c-28.10]ジノブトン(dinobuton)、[c-28.11]ジノカップ(dinocap)、[c-28.12]シアン化水素(hydrogen cyanide)、[c-28.13]ヨウ化メチル(methyl iodide)、[c-28.14]カランジン(karanjin)、[c-28.15]塩化水銀(mercury chloride)、[c-28.16]メチルイソチオシアネート(methyl isothiocyanate)、[c-28.17]ペンタクロロフェノール(pentachlorophenol)、[c-28.18]ホスフィン(phosphine)、[c-28.19]ピペロニル ブトキシド(piperonyl butoxide)、[c-28.20]ポリナクチン複合体(polynactins)、[c-28.21]サバディラ(sabadilla)、[c-28.22]スルコフロン塩(スルコフロン-ナトリウム(sulcofuron-sodium))、[c-28.23]トリブホス(tribufos)、[c-28.24]アルドリン(aldrin)、[c-28.25]アミジチオオン(amidithion)、[c-28.26]アミドチオエート(amidothioate)、[c-28.27]アミノカルブ(aminocarb)、[c-28.28]アミトン(amiton)、[c-28.29]アラマイト(aramite)、[c-28.30]アチダチオン(athidathion)、[c-28.31]アゾトエート(azothoate)、[c-28.32]ポリスルフィドバリウム(barium polysulphide)、[c-28.33]ベンクロチアズ(benclothiaz)、[c-28.34]5-(1,3-ベンゾジオキソール-5-イル)-3-ヘキシルシクロヘキサ-2-エノン(5-(1,3-benzodioxole-5-yl)-3-hexylcyclohexa-2-enone)、[c-28.35]1,1-ビス(4-クロロフェニル)-2-エトキシエタノール(1,1-bis(4-chlorophenyl)-2-ethoxyethanol)、[c-28.36]ブトネート(butonate)、[c-28.37]ブトピロノキシル(butopyronoxyl)、[c-28.38]2-(2-ブトキシエトキシ)エチル チオシアナート(2-(2-butoxyethoxy)ethyl thiocyanate)、[c-28.39]カンフェクロル(camphechlor)、[c-28.40]クロルベンシド(chlorbenside)、[c-28.41]クロルデコン(chlordecone)、[c-28.42]クロルジメホルム(chlordimeform)、[c-28.43]クロルフェネトール(chlorfenethol)、[c-28.44]クロルフェンソン(chlorfenson)、[c-28.45]フルアズロン(fluazuron)、[c-28.46]メタアルデヒド(metaldehyde)、[c-28.47]ビアラホス(bialaphos)、[c-28.48]塩酸レバミゾール(levamisol)、[c-28.49]アミドフルメト(amidoflumet)、[c-28.50]ピラフルプロール(pyrafluprole)、[c-28.51]ピリプロール(pyriprole)、[c-28.52]トラロピリル(tralopyril)、[c-28.53]フルピラゾフォス(flupyrazofos)、[c-28.54]ジオフェノラン(diofenolan)、[c-28.55]クロルベンジレート(chlorobenzilate)、[c-28.56]フルフェンジン(flufenzine)、[c-28.57]ベンゾメート(benzomate)、[c-28.58]フルフェネリム(flufenerim)、[c-28.59]アルベンダゾール(albendazole)、[c-28.60]オキシベンダゾール(oxibendazole)、[c-28.61]フェンベンダゾール(fenbendazole)、[c-28.62]メタム・ナトリウム(metam-sodium)、[c-28.63]1,3-ジクロロプロペン(1,3-dichloropropene)、[c-28.64]フロメトキン(flometoquin)、[c-28.65]シクラニリプロール(cyclaniliprole)、[c-28.66]テトラニリプロール(tetraniliprole)、[c-28.67]ブロフラニリド(broflanilide)、[c-28.68]ジクロロメゾチアズ(dicloromezotiaz)、[c-28.69]エチレンジブロマイド(ethylene dibromide)、[c-28.70]アクリロニトリル(acrylonitrile)、[c-28.71]ビス(2-クロロエチル)エーテル(bis(2-chloroethyl)ether)、[c-28.72]1-ブロモ-2-クロロエタン(1-bromo-2-chloroethane)、[c-28.73]3-ブロモ-1-クロロプロパ-1-エン(3-bromo-1-chloroprop-1-ene)、[c-28.74]ブロモシクレン(bromocyclen)、[c-28.75]二硫化炭素(carbon disulfide)、[c-28.76]四塩化炭素(tetrachloromethane)、[c-28.77]ネマデクチン(nemadectin)、[c-28.78]シミアゾール(cymiazole)[c-28.79]カルシウム ポリスルフィド(calcium polysulfide)、[c-28.80]サイトカイニン(cytokinin)、[c-28.81]2-(オクチルチオ)エタノール、[c-28.82]オレイン酸カリウム(potassium oleate)、[c-28.83]オレイン酸ナトリウム(sodium oleate)、[c-28.84]マシン油(machine oil)、[c-28.85]タール油(tar oil)、[c-28.86]アナバシン(anabasine)、[c-28.87]酒石酸モランテル(morantel tartrate)、[c-28.88]除虫菊(ピレトリン(pyrethrum))、[c-28.89]ナタネ油(rape seed oil)、[c-28.90]ダイズレチシン(soybean lecithin)、[c-28.91]デンプン(starch)、[c-28.92]ヒドロキシプロピルデンプン(hydroxypropylstarch)、[c-28.93]脂肪酸グリセリド(decanoyloctanoylglycerol)、[c-28.94]プロピレングリコールモノ脂肪酸エステル(propylene glycol fatty acid ester)、[c-28.95]ケイソウ土(diatomite)、[c-28.96]アフォキソラネル(afoxolaner)、[c-28.97]フルアザインドリジン(fluazaindolizine)、[c-28.98]アフィドピロペン(afidopyropen)、[c-28.99]シハロジアミド(cyhalodiamide)、[c-28.100]チオキサザフェン(tioxazafen)、[c-28.101]フルヘキサフォン(fluhexafon)、[c-28.102]フルララネル(fluralaner)、[c-28.103]フルキサメタミド(fluxametamide)、[c-28.104]テトラクロラントラニリプロール(tetrachlorantraniliprole)、[c-28.105]サロラネル(sarolaner)、[c-28.106]ロチラネル(lotilaner)、[c-28.107]シクロキサプリド(cycloxaprid)、[c-28.108]フルエンスルホン(fluensulfone)、[c-28.109]TPIC(tripropyl isocyanurate)、[c-28.110]D-D(1,3-Dichloropropene)、[c-28.111]ペルオキソカルボナート(peroxocarbonate)、[c-28.112]MB-599(verbutin)、[c-28.113]ビス(2,3,3,3-テトラクロロプロピル)エーテル(bis(2,3,3,3-tetrachloropropyl) ether)、[c-28.114]DCIP(bis(2-chloro-1-methylethyl)ether)、[c-28.115]ENT-8184(N-(2-Ethylhexyl)bicyclo[2.2.1]hept-5-ene-2,3-dicarboximide)、[c-28.116]Bayer 22408(O,O-diethyl O-naphthalimido phosphorothioate)、[c-28.117]Bayer 32394(tris(1-dodecyl-3-methyl-2-phenylbenzimidazolium)hexacyanoferrate)、
[c-28.118]式(s34)
で表される化合物、
[c-28.119]式(s35)
で表される化合物、
[c-28.120]式(s36)
で表される化合物、
[c-28.121]式(s37)
で表される化合物、
[c-28.122]式(s38)
で表される化合物、
[c-28.123]式(s39)
で表される化合物、
[c-28.124]式(s40)
で表される化合物、
[c-28.125]式(s41)
[式中、m6は、0~2の整数を表す。]で表される化合物、
[c-28.126]式(s42)
[式中、m7は、0~2の整数を表す。]で表される化合物、
[c-28.127]式(s43)
[式中、m8は、0~2の整数を表す。]で表される化合物、
[c-28.128]式(s44)
[式中、A52は、水素原子、またはフッ素原子を表す。]で表される化合物、
[c-28.129]式(s45)
[式中、m9は、0~2の整数を表し、
A53は、フッ素原子、または塩素原子を表す。]で表される化合物、
[c-28.130]式(s46)
[式中、V3は、窒素原子、炭素原子、またはC-Fを表し、
V4およびV5は、それぞれ独立していて、窒素原子、または炭素原子を表す。]で表される化合物、
[c-28.131]式(s47)
[式中、A54は、水素原子、メチル基、メトキシ基、またはエトキシ基を表し、
A55は、塩素原子、またはメチル基を表し、
A56は、メチル基、またはエチル基を表す。]で表される化合物、
[c-28.132]式(s48)
[式中、A57は、水素原子、フッ素原子、または塩素原子を表し、
A58は、
からなる群から選択される1種の部分構造を表す。]で表される化合物、
[c-28.133]式(s49)
[式中、A59は、水素原子、フッ素原子、または塩素原子を表し、
A60は、
からなる群から選択される部分構造を表す。]で表される化合物、
[c-28.134]式(s50)
[式中、m10は、0~2の整数を表し、
A61は、トリフルオロメチル基、トリフルオロメチルチオ基、トリフルオロメチルスルフィニル基、またはトリフルオロメチルスルホニル基を表し、
A62は、水素原子、またはトリフルオロメチル基を表し、
V6は、窒素原子、または炭素原子を表し、
V7は、酸素原子、またはN-メチル基を表す。]で表される化合物、
[c-28.135]式(s51)
[式中、A63は、水素原子、またはフッ素原子を表し、
アミド基は4位、または5位に結合し、
A64は、
からなる群から選択される部分構造を表す。]で表される化合物、
[c-28.136]式(s52)
[式中、A65は、水素原子、C1~C6のアルキル基、またはC1~C6のハロアルキル基を表し、
A66は、水素原子、ハロゲン原子、またはC1~C6のアルキル基を表し、
A67およびA68は、それぞれ独立していて、水素原子、それぞれシアノ基で置換されてもよいC1~C6のアルキル基、C2~C12のアルコキシアルキル基、またはC3~C8のシクロアルキル基を表し、
A69は、水素原子、シアノ基、それぞれシアノ基で置換されてもよいC1~C6のフルオロアルキル基、C1~C6のアルキル基、またはC3~C8のシクロアルキル基を表す。]で表される化合物、
[c-28.137]式(s53)または式(s54)
[式中、A70は、メチル基、エチル基、イソプロピル基、2,2,2-トリフルオロエチル基、またはフェニル基を表し、
A71は、
からなる群から選択される部分構造を表し、
A72は、
からなる群から選択される部分構造を表し、
V8は、酸素原子、硫黄原子、-CH2-、または-CH2CH2-を表す。]で表される化合物、
[c-28.138]式(s55)
[式中、m11は、0~1の整数を表し、
A73は、塩素原子、臭素原子、メチル基、またはトリフルオロメチル基を表し、
A74は、水素原子、塩素原子、臭素原子、シアノ基、またはトリフルオロメチル基表し、
A75は、水素原子、塩素原子または臭素原子を表し、
A76およびA77は、それぞれ独立していて、C1~C6のアルキル基、またはC3~C8のシクロアルキル基を表し、
A78は、塩素原子、臭素原子、シアノ基、ニトロ基、ジフルオロメチル基、またはトリフルオロメチル基を表す。]で表される化合物、
[c-28.139]式(s56)
[式中、A79、A80、A81およびA82は、それぞれ独立していて、水素原子、ハロゲン原子、C1~C6のアルキル基、C1~C6のハロアルキル基、C1~C6のアルコキシ基、またはC3~C8のシクロアルコキシ基を表す。]で表される化合物、
[c-28.140]式(s57)
[式中、m12は、0~2の整数を表し、
A83は、水素原子、またはフッ素原子を表し、
A84は、
からなる群から選択される部分構造を表す。]で表される化合物、
[c-28.141]式(s58)
[式中、m13、m14、m15およびm16は、それぞれ独立していて、0~5の整数を表し、
A85、A86、A87およびA88は、それぞれ独立していて、C1~C6のアルキル基、C1~C6のハロアルキル基、C1~C6のアルコキシ基、C1~C6のハロアルコキシ基、またはC3~C8のシクロアルコキシ基を表し、
V9は、アリール基を表し、
V10は、ピリジル基を表す。]で表される化合物、
[c-28.142]式(s59)
[A89は、ジフルオロメトキシ基を表し、
A90は、ハロゲン原子、C1~C6のアルキル基、またはC1~C6のハロアルキル基を表し、
A91は、C1~C6のハロアルキル基を表し、
A92およびA93は、それぞれ独立していて、水素原子、C1~C6のアルキル基、C2~C7のアシル基、C3~C8のアルキルスルホニルエチル基、またはC2~C7のアルキルオキシカルボニル基を表し、
A94およびA95は、それぞれ独立していて、水素原子、C1~C6のアルキル基、またはC1~C6のハロアルキル基を表す。]で表される化合物。 - 殺菌剤(群b)および殺虫剤(群c)が以下に示される群である、請求項4に記載の有害生物防除組成物。
群b:
b-1:フェニルアミド系殺菌剤
[b-1.1]:ベナラキシル(benalaxyl)、[b-1.2]ベナラキシルMまたはキララキシル(benalaxyl-Mまたはkiralaxyl)、[b-1.4]メタラキシル(metalaxyl)、[b-1.5]メタラキシルMまたはメフェノキサム(metalaxyl-Mまたはmefenoxam)、[b-1.6]オキサジキシル(oxadixyl)、
b-2:有糸核分裂および細胞分裂阻害剤
[b-2.1]ベノミル(benomyl)、[b-2.2]カルベンダジム(carbendazim)、[b-2.4]チアベンダゾール(thiabendazole)、[b-2.6]チオファネートメチル(thiophanate-methyl)、[b-2.7]ジエトフェンカルブ(diethofencarb)、[b-2.9]エタボキサム(ethaboxam)、[b-2.10]ペンシクロン(pencycuron)、[b-2.11]フルオピコリド(fluopicolide)、
b-3:コハク酸脱水素酵素阻害剤(SDHI剤)
[b-3.2]ベンゾビンジフルピル(benzovindiflupyr)、[b-3.3]ビキサフェン(bixafen)、[b-3.4]ボスカリド(boscalid)、[b-3.5]カルボキシン(carboxin)、[b-3.7]フルオピラム(fluopyram)、[b-3.9]フルキサピロキサド(fluxapyroxad)、[b-3.11]イソフェタミド(isofetamid)、[b-3.12]イソピラザム(isopyrazam)、[b-3.15]ペンチオピラド(penthiopyrad)、[b-3.16]ペンフルフェン(penflufen)、[b-3.17]ピジフルメトフェン(pydiflumetofen)、[b-3.18]セダキサン(sedaxane)、[b-3.19]チフルザミド(thifluzamide)、[b-3.20]ピラジフルミド(pyraziflumid)、
b-4:キノン外部阻害剤(QoI剤)
[b-4.1]アゾキシストロビン(azoxystrobin)、[b-4.3]ジモキシストロビン(dimoxystrobin)、[b-4.5]ファモキサドン(famoxadone)、[b-4.9]フルオキサストロビン(fluoxastrobin)、[b-4.10]クレソキシムメチル(kresoxim-methyl)、[b-4.11]マンデストロビン(mandestrobin)、[b-4.12]メトミノストロビン(metominostrobin)、[b-4.13]オリサストロビン(orysastrobin)、[b-4.14]ピコキシストロビン(picoxystrobin)、[b-4.15]ピラクロストロビン(pyraclostrobin)、[b-4.18]ピリベンカルブ(pyribencarb)、[b-4.20]トリフロキシストロビン(trifloxystrobin)、
b-5:キノン内部阻害剤(QiI殺剤)
[b-5.1]シアゾファミド(cyazofamid)、
b-6:酸化的リン酸化脱共役阻害剤
[b-6.4]フルアジナム(fluazinam)、
b-7:キノン外部スチグマテリン結合サブサイト阻害剤(QoSI剤)
[b-7.1]アメトクトラジン(ametoctradin)、
b-8:アミノ酸生合成阻害剤
[b-8.1]シプロジニル(cyprodinil)、[b-8.2]メパニピリム(mepanipyrim)、[b-8.3]ピリメタニル(pyrimethanil)、
b-9:タンパク質生合成阻害剤
[b-9.1]ストレプトマイシン(streptomycin)、[b-9.3]カスガマイシン(kasugamycin)、[b-9.4]オキシテトラサイクリン(oxytetracycline)、
b-10:シグナル伝達阻害剤
[b-10.2]フルジオキソニル(fludioxonil)、[b-10.3]キノキシフェン(quinoxyfen)、[b-10.7]イプロジオン(iprodione)、[b-10.8]プロシミドン(procymidone)、
b-11:脂質および細胞膜生合成阻害剤
[b-11.2]イプロベンホス(iprobenfos)、[b-11.4]イソプロチオラン(isoprothiolane)、[b-11.10]トルクロホスメチル(tolclofos-methyl)、[b-11.13]プロパモカルブ(propamocarb)、
b-12:脱メチル化阻害剤(DMI剤)
[b-12.4]シプロコナゾール(cyproconazole)、[b-12.5]ジフェノコナゾール(difenoconazole)、[b-12.8]エポキシコナゾール(epoxiconazole)、[b-12.10]フェナリモル(fenarimol)、[b-12.11]フェンブコナゾール(fenbuconazole)、[b-12.12]フルキンコナゾール(fluquinconazole)、[b-12.14]フルシラゾール(flusilazole)、[b-12.15]フルトリアホール(flutriafol)、[b-12.16]ヘキサコナゾール(hexaconazole)、[b-12.18]イミベンコナゾール(imibenconazole)、[b-12.19]イプコナゾール(ipconazole)、[b-12.20]メトコナゾール(metconazole)、[b-12.21]ミクロブタニル(myclobutanil)、[b-12.23]オキスポコナゾール(oxpoconazole)、[b-12.24]オキスポコナゾールフマル酸塩(oxpoconazole fumarate)、[b-12.26]ペンコナゾール(penconazole)、[b-12.27]プロクロラズ(prochloraz)、[b-12.28]プロピコナゾール(propiconazole)、[b-12.29]プロチオコナゾール(prothioconazole)、[b-12.32]シメコナゾール(simeconazole)、[b-12.33]テブコナゾール(tebuconazole)、[b-12.34]テトラコナゾール(tetraconazole)、[b-12.35]トリアジメホン(triadimefon)、[b-12.36]トリアジメノール(triadimenol)、[b-12.37]トリフルミゾール(triflumizole)、[b-12.39]トリチコナゾール(triticonazole)[b-12.40]メフェントリフルコナゾール(mefentrifluconazole)、[b-12.41]イプフェントリフルコナゾール(ipfentrifluconazole)、
b-13:アミン系殺菌剤
[b-13.3]フェンプロピモルフ(fenpropimorph)、[b-13.4]トリデモルフ(tridemorph)、[b-13.5]フェンプロピジン(fenpropidin)、[b-13.7]スピロキサミン(spiroxamine)、
b-14:ステロール生合成のC4位脱メチル化における3-ケト還元酵素阻害剤
[b-14.1]フェンヘキサミド(fenhexamid)、[b-14.2]フェンピラザミン(fenpyrazamine)、
b-16:細胞壁生合成阻害剤
[b-16.2]ジメトモルフ(dimethomorph)、[b-16.6]ベンチアバリカルブイソプロピル(benthivalicarb-isopropyl)、[b-16.7]イプロバリカルブ(iprovalicarb)、[b-16.8]マンジプロパミド(mandipropamid)、
b-17:メラニン生合成阻害剤
[b-17.1]フサライド(phthalide or fthalide)、[b-17.2]ピロキロン(pyroquilone)、[b-17.3]トリシクラゾール(tricyclazole)、[b-17.4]カルプロパミド(carpropamid)、[b-17.5]ジクロシメット(diclocymet)、[b-17.6]フェノキサニル(fenoxanil)、[b-17.7]トルプロカルブ(tolprocarb)、
b-18:宿主植物抵抗性誘導剤
[b-18.1]アシベンゾラルSメチル(acibenzolar-S-methyl)、[b-18.2]プロベナゾール(probenazole)、[b-18.3]チアジニル(tiadinil)、[b-18.4]イソチアニル(isotianil)、
b-19:ジチオカーバメート系殺菌剤
[b-19.1]マンコゼブまたはマンゼブ(mancozeb or manzeb)、[b-19.3]メチラム(metiram)、[b-19.4]プロピネブ(propineb)、[b-19.5]チウラム(thiram)、
b-20:フタルイミド系殺菌剤
[b-20.1]キャプタン(captan)、[b-20.3]ホルペット(folpet)、
b-21:グアニジン系殺菌剤
[b-21.3]イミノクタジンアルベシル酸塩(iminoctadine albesilate)、[b-21.4]イミノクタジン三酢酸塩(iminoctadine triacetate)、
b-22:多作用点接触活性型殺菌剤
[b-22.1]塩基性塩化銅(copper oxychloride)、[b-22.2]水酸化第二銅(copper(II) hydroxide)、[b-22.3]塩基性硫酸銅(copper hydroxide sulfate)、[b-22.6]硫黄(sulphur)、[b-22.7]フルオルイミド(fluoroimide)、[b-22.8]クロロタロニル(chlorothalonil)、[b-22.12]ジチアノン(dithianon)、
b-23:その他の殺菌剤
[b-23.1]ジクロベンチアゾクス(dichlobentiazox)、[b-23.2]フェンピコキサミド(fenpicoxamid)、[b-23.3]ジピメチトロン(dipymetitrone)、[b-23.7]酢酸トリフェニルスズ(fentin acetate)、[b-23.8]塩化トリフェニルスズ(fentin chloride)、[b-23.9]水酸化トリフェニルスズ(fentin hydroxide)、[b-23.10]オキソリニック酸(oxolinic acid)、[b-23.11]ヒメキサゾール(hymexazol)、[b-23.13]ホセチル(fosetyl)、[b-23.14]亜リン酸(phosphorous acid)、[b-23.20]フルスルファミド(flusulfamide)、[b-23.22]シルチオファム(silthiofam)、[b-23.25]シフルフェナミド(cyflufenamid)、[b-23.26]メトラフェノン(metrafenone)、[b-23.27]ピリオフェノン(pyriofenone)、[b-23.29]フルチアニル(flutianil)、[b-23.30]フェリムゾン(ferimzone)、[b-23.31]オキサチアピプロリン(oxathiapiprolin)、[b-23.32]テブフロキン(tebufloquin)、[b-23.33]ピカルブトラゾクス(picarbutrazox)、[b-23.34]バリダマイシン類(validamycins)、[b-23.35]シモキサニル(cymoxanil)、[b-23.36]式(s1)で表される化合物、[b-23.36]式(s1)で表される化合物、[b-23.37]式(s2)で表される化合物、[b-23.38]式(s3)で表される化合物、[b-23.39]式(s4)で表される化合物、[b-23.40]式(s5)で表される化合物、[b-23.41]式(s6)で表される化合物、[b-23.42]式(s7)で表される化合物、[b-23.43]式(s8)で表される化合物、[b-23.44]式(s9)で表される化合物、[b-23.45]式(s10)で表される化合物、[b-23.46]式(s11)で表される化合物、[b-23.47]式(s12)で表される化合物、[b-23.48]式(s13)で表される化合物、[b-23.49]式(s14)で表される化合物、[b-23.50]式(s15)で表される化合物、[b-23.51]式(s16)で表される化合物、[b-23.52]式(s17)で表される化合物、[b-23.53]式(s18)で表される化合物、[b-23.54]式(s19)で表される化合物、[b-23.55]式(s20)で表される化合物、[b-23.56]式(s21)で表される化合物、[b-23.57]式(s22)で表される化合物、[b-23.58]式(s23)で表される化合物、[b-23.59]式(s24)または式(s25)で表される化合物、[b-23.60]式(s26)または式(s27)で表される化合物、[b-23.61]式(s28)で表される化合物、[b-23.62]式(s29)で表される化合物、[b-23.63]式(s30)で表される化合物、[b-23.64]式(s31)または式(s32)で表される化合物、[b-23.65]式(s33)で表される化合物、
群c:
c-1:カーバメート系アセチルコリンエステラーゼ(AChE)阻害剤
[c-1.5]チオジカルブ(thiodicarb)、[c-1.9]ベンフラカルブ(benfuracarb)、[c-1.10]カルバリル(carbaryl)、[c-1.11]カルボフラン(carbofuran)、[c-1.12]カルボスルファン(carbosulfan)、[c-1.14]フェノブカルブ(fenobucarb)、[c-1.15]ホルメタネート(formetanate)、[c-1.17]イソプロカルブ(isoprocarb)、[c-1.18]メチオカルブ(methiocarb)、[c-1.19]メソミル(methomyl)、[c-1.20]オキサミル(oxamyl)、[c-1.21]ピリミカルブ(pirimicarb)、
c-2:有機リン系アセチルコリンエステラーゼ(AChE)阻害剤
[c-2.1]アセフェート(acephate)、[c-2.6]カズサホス(cadusafos)、[c-2.10]クロルピリホス(chlorpyrifos)、[c-2.11]クロルピリホス-メチル(chlorpyrifos-methyl)、[c-2.15]ダイアジノン(diazinon)、[c-2.17]ジクロルボス(dichlorvos)、[c-2.18]ジクロトホス(dicrotophos)、[c-2.19]ジメトエート(dimethoate)、[c-2.23]エチオン(ethion)、[c-2.24]エトプロホス(ethoprophos)、[c-2.26]フェナミホス(fenamiphos)、[c-2.27]フェニトロチオン(fenitrothion)、[c-2.28]フェンチオン(fenthion)、[c-2.29]ホスチアゼート(fosthiazate)、[c-2.33]イソキサチオン(isoxathion)、[c-2.34]マラチオン(malathion)、[c-2.36]メタミドホス(methamidophos)、[c-2.37]メチダチオン(methidathion)、[c-2.39]モノクロトホス(monocrotophos)、[c-2.41]オメトエート(omethoate)、[c-2.44]パラチオン-メチル(parathion-methyl)、[c-2.45]フェントエート(phenthoate)、[c-2.46]ホレート(phorate)、[c-2.48]ホスメット(phosmet)、[c-2.50]ホキシム(phoxim)、[c-2.52]プロフェノホス(profenofos)、[c-2.54]プロチオホス(prothiofos)、[c-2.57]キナルホス(quinalphos)、[c-2.59]テブピリムホス(tebupirimfos)、[c-2.61]テルブホス(terbufos)、[c-2.63]トリアゾホス(triazophos)、[c-2.64]トリクロルホン(trichlorfon)、[c-2.84]イミシアホス(imicyafos)、
c-3:GABA作動性塩素イオンチャネルブロッカー
[c-3.5]エチプロール(ethiprole)、[c-3.6]フィプロニル(fipronil)、
c-4:ナトリウムチャネルモジュレーター
[c-4.1]アクリナトリン(acrinathrin)、[c-4.2]アレスリン[(1R)-アイソマー](allethrin[(1R)-isomer])、[c-4.3]ビフェントリン(bifenthrin)、[c-4.7]シクロプロトリン(cycloprothrin)、[c-4.8]シフルトリン(cyfluthrin)、[c-4.9]ベータ-シフルトリン(beta-cyfluthrin)、[c-4.10]シハロトリン(cyhalothrin)、[c-4.11]ガンマ-シハロトリン(gamma-cyhalothrin)、[c-4.12]ラムダ-シハロトリン(lambda-cyhalothrin)、[c-4.13]シペルメトリン(cypermethrin)、[c-4.14]アルファ-シペルメトリン(alpha-cypermethrin)、[c-4.15]ベータ-シペルメトリン(beta-cypermethrin)、[c-4.16]セタ-シペルメトリン(theta-cypermethrin)、[c-4.17]ゼダ-シペルメトリン(zeta-cypermethrin)、[c-4.19]デルタメトリン(deltamethrin)、[c-4.21]エスフェンバレレート(esfenvalerate)、[c-4.22]エトフェンプロックス(ethofenprox)、[c-4.23]フェンプロパトリン(fenpropathrin)、[c-4.24]フェンバレレート(fenvalerate)、[c-4.27]タウ-フルバリネート(tau-fluvalinate)、[c-4.29]イミプロトリン(imiprothrin)、[c-4.35]ペルメトリン(permethrin)、[c-4.37]プラレトリン(prallethrin)、[c-4.38]レスメトリン(resmethrin)、[c-4.40]シラフルオフェン(silafluofen)、[c-4.41]テフルトリン(tefluthrin)、[c-4.42]テトラメトリン(tetramethrin)、[c-4.54]フェノトリン(phenothrin)、
c-5:ニコチン性アセチルコリン受容体(nAChR)競合的モジュレーター
[c-5.1]アセタミプリド(acetamiprid)、[c-5.2]クロチアニジン(clothianidin)、[c-5.3]ジノテフラン(dinotefuran)、[c-5.4]イミダクロプリド(imidacloprid)、[c-5.5]ニテンピラム(nitenpyram)、[c-5.6]チアクロプリド(thiacloprid)、[c-5.7]チアメトキサム(thiamethoxam)、[c-5.10]スルホキサフロル(sulfoxaflor)、[c-5.11]フルピラジフロン(flupyradifurone)、[c-5.12]トリフルメゾピリム(triflumezopyrim)、
c-6:ニコチン性アセチルコリン受容体(nAChR)アロステリックモジュレーター
[c-6.1]スピノサド(spinosad)、[c-6.2]スピネトラム(spinetoram)、
c-7:グルタミン酸作動性塩素イオンチャネル(GluCl) アロステリックモジュレーター
[c-7.1]アバメクチン(abamectin)、[c-7.2]エマメクチン安息香酸塩(emamectin benzoate)、[c-7.3]レピメクチン(lepimectin)、[c-7.4]ミルベメクチン(milbemectin)、
c-8:幼若ホルモン類似剤
[c-8.3]メトプレン(methoprene)、[c-8.4]フェノキシカルブ(fenoxycarb)、[c-8.5]ピリプロキシフェン(pyriproxyfen)、
c-9:非特異的(マルチサイト)阻害剤
[c-9.10]ダゾメット(dazomet)、
c-10:弦音器官TRPVチャネルモジュレーター
[c-10.1]ピメトロジン(pymetrozine)、[c-10.2]ピリフルキナゾン(pyrifluquinazon)、
c-11:ダニ類成長阻害剤
[c-11.1]クロフェンテジン(clofentezine)、[c-11.3]ヘキシチアゾクス(hexythiazox)、[c-11.4]エトキサゾール(etoxazole)、
c-12:ミトコンドリアATP合成酵素阻害剤
[c-12.1]ジアフェンチウロン(diafenthiuron)、[c-12.2]アゾシクロチン(azocyclotin)、[c-12.4]フェンブタチンオキシド(fenbutatin oxide)、「c-12.5」プロパルギット(propargite)、
c-13:プロトン勾配を撹乱する酸化的リン酸化脱共役剤
[c-13.1]クロルフェナピル(chlorfenapyl)、
c-14:ニコチン性アセチルコリン受容体(nAChR)チャネルブロッカー
[c-14.2]カルタップ塩酸塩(cartap hydrochloride)、[c-14.3]チオシクラム(thiocyclam)、[c-14.4]モノスルタップ(monosultap)、
c-15:キチン生合成阻害剤タイプ0
[c-15.2]クロルフルアズロン(chlorfluazuron)、[c-15.3]ジフルベンズロン(diflubenzuron)、[c-15.5]フルフェノクスロン(flufenoxuron)、[c-15.6]ヘキサフルムロン(hexaflumuron)、[c-15.7]ルフェヌロン(lufenuron)、[c-15.8]ノバルロン(novaluron)、[c-15.10]テフルベンズロン(teflubenzuron)、[c-15.11]トリフルムロン(triflumuron)、
c-16:キチン生合成阻害剤タイプ1
[c-16.1]ブプロフェジン(buprofezin)、
c-17:ハエ目昆虫脱皮阻害剤
[c-17.1]シロマジン(cyromazine)、
c-18:脱皮ホルモン(エクダイソン)受容体アゴニスト
[c-18.1]クロマフェノジド(chromafenozide)、[c-18.2]ハロフェノジド(halofenozide)、[c-18.3]メトキシフェノジド(methoxyfenozide)、[c-18.4]テブフェノジド(tebufenozide)、
c-19:オクトパミン受容体アゴニスト
[c-19.1]アミトラズ(amitraz)、
c-20:ミトコンドリア電子伝達系複合体III阻害剤
[c-20.2]アセキノシル(acequinocyl)、[c-20.4]ビフェナゼート(bifenazate)、
c-21:ミトコンドリア電子伝達系複合体I阻害剤(METI)
[c-21.2]フェンピロキシメート(fenpyroximate)、[c-21.4]ピリミジフェン(pylimidifen)、[c-21.6]トルフェンピラド(tolfenpyrad)、[c-21.7]ロテノン(rotenone)、
c-22:電位依存性ナトリウムチャネルブロッカー
[c-22.1]インドキサカルブ(indoxacarb)、[c-22.2]メタフルミゾン(metaflumizone)、
c-23:アセチルCoAカルボキシラーゼ阻害剤
[c-23.1]スピロジクロフェン(spirodiclofen)、[c-23.2]スピロメシフェン(spiromesifen)、[c-23.3]スピロテトラマト(spirotetramat)、
c-25:ミトコンドリア電子伝達系複合体II阻害剤
[c-25.1]シエノピラフェン(cyenopyrafen)、[c-25.2]シフルメトフェン(cyflumetofen)、[c-25.3]ピフルブミド(pyflubumide)、
c-26:リアノジン受容体モジュレーター
[c-26.1]クロラントラニリプロール(chlorantraniliprole)、[c-26.2]シアントラニリプロール(cyantraniliprole)、[c-26.3]フルベンジアミド(flubendiamide)、
c-27:標的部位未特定の弦音器官モジュレーター
[c-27.1]フロニカミド(flonicamid)、
c-28:その他の殺虫剤
[c-28.5]ジコホル(dicofol)、[c-28.6]ピリダリル(pyridalyl)、[c-28.7]ブロモプロピレート(bromopropylate)、[c-28.64]フロメトキン(flometoquin)、[c-28.65]シクラニリプロール(cyclaniliprole)、[c-28.66]テトラニリプロール(tetraniliprole)、[c-28.67]ブロフラニリド(broflanilide)、[c-28.68]ジクロロメゾチアズ(dicloromezotiaz)、[c-28.93]脂肪酸グリセリド(decanoyloctanoylglycerol)、[c-28.96]アフォキソラネル(afoxolaner)、[c-28.97]フルアザインドリジン(fluazaindolizine)、[c-28.99]シハロジアミド(cyhalodiamide)、[c-28.100]チオキサザフェン(tioxazafen)、[c-28.101]フルヘキサフォン(fluhexafon)、[c-28.102]フルララネル(fluralaner)、[c-28.103]フルキサメタミド(fluxametamide)、[c-28.108]フルエンスルホン(fluensulfone)、[c-28.118]式(s34)で表される化合物、[c-28.119]式(s35)で表される化合物、[c-28.120]式(s36)で表される化合物、[c-28.125]式(s41)で表される化合物、[c-28.129]式(s45)で表される化合物、[c-28.134]式(s50)で表される化合物、[c-28.138]式(s55)で表される化合物、[c-28.142]式(s59)で表される化合物。 - 請求項1に記載の有害生物防除組成物を施用して有害生物を防除する方法。
- 請求項1に記載の化合物を有効成分として含有する組成物と、有害生物防除剤を有効成分として含有する組成物とを同時に施用して有害生物を防除する方法。
- 請求項1に記載の化合物を有効成分として含有する組成物、または有害生物防除剤を有効成分として含有する組成物のいずれか一方を施用した後に、もう一方の組成物を施用して有害生物を防除する方法。
- 有害生物を防除する方法であって、それを必要とする植物個体、種子、土壌、苗箱、またはセルトレーに請求項1に記載の式(I)の化合物またはその塩および有害生物防除剤の有効量を施用することを含む方法。
- 有害生物防除剤としての請求項1に記載の式(I)の化合物またはその塩および有害生物防除剤の使用。
Priority Applications (1)
| Application Number | Priority Date | Filing Date | Title |
|---|---|---|---|
| JP2019512516A JP7071962B2 (ja) | 2017-04-10 | 2018-04-10 | ピリドン化合物と有害生物防除剤を含有する有害生物防除組成物および有害生物の防除方法 |
Applications Claiming Priority (2)
| Application Number | Priority Date | Filing Date | Title |
|---|---|---|---|
| JP2017-077857 | 2017-04-10 | ||
| JP2017077857 | 2017-04-10 |
Publications (1)
| Publication Number | Publication Date |
|---|---|
| WO2018190323A1 true WO2018190323A1 (ja) | 2018-10-18 |
Family
ID=63793224
Family Applications (1)
| Application Number | Title | Priority Date | Filing Date |
|---|---|---|---|
| PCT/JP2018/015006 Ceased WO2018190323A1 (ja) | 2017-04-10 | 2018-04-10 | ピリドン化合物と有害生物防除剤を含有する有害生物防除組成物および有害生物の防除方法 |
Country Status (2)
| Country | Link |
|---|---|
| JP (1) | JP7071962B2 (ja) |
| WO (1) | WO2018190323A1 (ja) |
Cited By (2)
| Publication number | Priority date | Publication date | Assignee | Title |
|---|---|---|---|---|
| KR20210143773A (ko) * | 2019-03-27 | 2021-11-29 | 신젠타 크롭 프로텍션 아게 | 결정 성장이 감소된 살진균제 제형 |
| CN114901073A (zh) * | 2019-07-22 | 2022-08-12 | 阿达马蒂斯有限公司 | 杀真菌组合、混合物和组合物及其用途 |
Citations (6)
| Publication number | Priority date | Publication date | Assignee | Title |
|---|---|---|---|---|
| JPH01128969A (ja) * | 1987-09-18 | 1989-05-22 | Merck & Co Inc | 5−(アリールおよびヘテロアリール)−6−(アリールおよびヘテロアリール)−1,2−ジヒドロ−2−オキソ−3−ピリジンカルボン酸およびその誘導体 |
| JP2005531520A (ja) * | 2002-03-28 | 2005-10-20 | メルク エンド カムパニー インコーポレーテッド | 置換2,3−ジフェニルピリジン類 |
| WO2010093595A1 (en) * | 2009-02-10 | 2010-08-19 | E. I. Du Pont De Nemours And Company | Fungicidal 2-pyridones |
| JP2014525452A (ja) * | 2011-08-29 | 2014-09-29 | ピーティーシー セラピューティクス, インコーポレイテッド | 抗菌化合物および使用方法 |
| WO2015200843A1 (en) * | 2014-06-27 | 2015-12-30 | Quanticel Pharmaceuticals, Inc. | Inhibitors of lysine specific demethylase-1 |
| WO2017061525A1 (ja) * | 2015-10-09 | 2017-04-13 | 三井化学アグロ株式会社 | ピリドン化合物およびそれを有効成分とする農園芸用殺菌剤 |
-
2018
- 2018-04-10 WO PCT/JP2018/015006 patent/WO2018190323A1/ja not_active Ceased
- 2018-04-10 JP JP2019512516A patent/JP7071962B2/ja active Active
Patent Citations (6)
| Publication number | Priority date | Publication date | Assignee | Title |
|---|---|---|---|---|
| JPH01128969A (ja) * | 1987-09-18 | 1989-05-22 | Merck & Co Inc | 5−(アリールおよびヘテロアリール)−6−(アリールおよびヘテロアリール)−1,2−ジヒドロ−2−オキソ−3−ピリジンカルボン酸およびその誘導体 |
| JP2005531520A (ja) * | 2002-03-28 | 2005-10-20 | メルク エンド カムパニー インコーポレーテッド | 置換2,3−ジフェニルピリジン類 |
| WO2010093595A1 (en) * | 2009-02-10 | 2010-08-19 | E. I. Du Pont De Nemours And Company | Fungicidal 2-pyridones |
| JP2014525452A (ja) * | 2011-08-29 | 2014-09-29 | ピーティーシー セラピューティクス, インコーポレイテッド | 抗菌化合物および使用方法 |
| WO2015200843A1 (en) * | 2014-06-27 | 2015-12-30 | Quanticel Pharmaceuticals, Inc. | Inhibitors of lysine specific demethylase-1 |
| WO2017061525A1 (ja) * | 2015-10-09 | 2017-04-13 | 三井化学アグロ株式会社 | ピリドン化合物およびそれを有効成分とする農園芸用殺菌剤 |
Cited By (4)
| Publication number | Priority date | Publication date | Assignee | Title |
|---|---|---|---|---|
| KR20210143773A (ko) * | 2019-03-27 | 2021-11-29 | 신젠타 크롭 프로텍션 아게 | 결정 성장이 감소된 살진균제 제형 |
| KR102803055B1 (ko) * | 2019-03-27 | 2025-04-30 | 신젠타 크롭 프로텍션 아게 | 결정 성장이 감소된 살진균제 제형 |
| CN114901073A (zh) * | 2019-07-22 | 2022-08-12 | 阿达马蒂斯有限公司 | 杀真菌组合、混合物和组合物及其用途 |
| JP2022541318A (ja) * | 2019-07-22 | 2022-09-22 | アダマ・マクテシム・リミテッド | 殺菌組合せ物、混合物および組成物、ならびにそれらの使用 |
Also Published As
| Publication number | Publication date |
|---|---|
| JPWO2018190323A1 (ja) | 2020-02-20 |
| JP7071962B2 (ja) | 2022-05-19 |
Similar Documents
| Publication | Publication Date | Title |
|---|---|---|
| US11884633B2 (en) | Arylazole compound and pest control agent | |
| CN112771034B (zh) | 杂芳基唑化合物及有害生物防除剂 | |
| CN106573894B (zh) | 二芳基咪唑化合物和有害生物防除剂 | |
| KR102498819B1 (ko) | 피리돈 화합물 및 그것을 유효성분으로 하는 농원예용 살균제 | |
| JP7037507B2 (ja) | ピリドン化合物およびそれを有効成分とする農園芸用殺菌剤 | |
| WO2018190326A1 (ja) | ピリドン化合物とキノリン系化合物を含有する有害生物防除組成物および有害生物の防除方法、ならびに新規キノリン系化合物 | |
| WO2018190323A1 (ja) | ピリドン化合物と有害生物防除剤を含有する有害生物防除組成物および有害生物の防除方法 | |
| WO2018190321A1 (ja) | ピリドン化合物を有効成分とする寄生性有害生物駆除剤およびその使用方法 | |
| JP7111731B2 (ja) | ピリドン化合物およびそれを有効成分とする農園芸用殺菌剤 | |
| CN118871441A (zh) | 吡唑化合物及以其作为有效成分的有害生物防除剂 | |
| JP7118961B2 (ja) | ピリドン化合物およびそれを有効成分とする農園芸用殺菌剤 | |
| JP7397800B2 (ja) | ピリドン化合物およびそれを有効成分とする農園芸用殺菌剤 | |
| JP7134946B2 (ja) | ピリドン化合物およびそれを有効成分とする農園芸用殺菌剤 | |
| JP7168556B2 (ja) | ピリドン化合物およびそれを有効成分とする農園芸用殺菌剤 | |
| JP7291151B2 (ja) | ピリドン化合物およびそれを有効成分とする農園芸用殺菌剤 | |
| JP7328222B2 (ja) | ピリドン化合物およびそれを有効成分とする農園芸用殺菌剤 | |
| JP7370998B2 (ja) | ピリドン化合物およびそれを有効成分とする農園芸用殺菌剤 | |
| KR20200013686A (ko) | 헤테로아릴피리미딘 화합물 및 유해 생물 방제제 | |
| WO2018190349A1 (ja) | ピリドン化合物およびそれを有効成分とする農園芸用殺菌剤 | |
| WO2024071216A1 (ja) | ピラゾール化合物およびそれを有効成分とする有害生物防除剤 |
Legal Events
| Date | Code | Title | Description |
|---|---|---|---|
| 121 | Ep: the epo has been informed by wipo that ep was designated in this application |
Ref document number: 18784245 Country of ref document: EP Kind code of ref document: A1 |
|
| ENP | Entry into the national phase |
Ref document number: 2019512516 Country of ref document: JP Kind code of ref document: A |
|
| NENP | Non-entry into the national phase |
Ref country code: DE |
|
| 122 | Ep: pct application non-entry in european phase |
Ref document number: 18784245 Country of ref document: EP Kind code of ref document: A1 |
























































































































































































































































































































































































































