JP7291151B2 - ピリドン化合物およびそれを有効成分とする農園芸用殺菌剤 - Google Patents
ピリドン化合物およびそれを有効成分とする農園芸用殺菌剤 Download PDFInfo
- Publication number
- JP7291151B2 JP7291151B2 JP2020551160A JP2020551160A JP7291151B2 JP 7291151 B2 JP7291151 B2 JP 7291151B2 JP 2020551160 A JP2020551160 A JP 2020551160A JP 2020551160 A JP2020551160 A JP 2020551160A JP 7291151 B2 JP7291151 B2 JP 7291151B2
- Authority
- JP
- Japan
- Prior art keywords
- group
- substituent
- optionally substituted
- formula
- solvents
- Prior art date
- Legal status (The legal status is an assumption and is not a legal conclusion. Google has not performed a legal analysis and makes no representation as to the accuracy of the status listed.)
- Active
Links
Classifications
-
- A—HUMAN NECESSITIES
- A01—AGRICULTURE; FORESTRY; ANIMAL HUSBANDRY; HUNTING; TRAPPING; FISHING
- A01N—PRESERVATION OF BODIES OF HUMANS OR ANIMALS OR PLANTS OR PARTS THEREOF; BIOCIDES, e.g. AS DISINFECTANTS, AS PESTICIDES OR AS HERBICIDES; PEST REPELLANTS OR ATTRACTANTS; PLANT GROWTH REGULATORS
- A01N43/00—Biocides, pest repellants or attractants, or plant growth regulators containing heterocyclic compounds
- A01N43/72—Biocides, pest repellants or attractants, or plant growth regulators containing heterocyclic compounds having rings with nitrogen atoms and oxygen or sulfur atoms as ring hetero atoms
- A01N43/74—Biocides, pest repellants or attractants, or plant growth regulators containing heterocyclic compounds having rings with nitrogen atoms and oxygen or sulfur atoms as ring hetero atoms five-membered rings with one nitrogen atom and either one oxygen atom or one sulfur atom in positions 1,3
- A01N43/78—1,3-Thiazoles; Hydrogenated 1,3-thiazoles
-
- C—CHEMISTRY; METALLURGY
- C07—ORGANIC CHEMISTRY
- C07D—HETEROCYCLIC COMPOUNDS
- C07D417/00—Heterocyclic compounds containing two or more hetero rings, at least one ring having nitrogen and sulfur atoms as the only ring hetero atoms, not provided for by group C07D415/00
- C07D417/02—Heterocyclic compounds containing two or more hetero rings, at least one ring having nitrogen and sulfur atoms as the only ring hetero atoms, not provided for by group C07D415/00 containing two hetero rings
- C07D417/04—Heterocyclic compounds containing two or more hetero rings, at least one ring having nitrogen and sulfur atoms as the only ring hetero atoms, not provided for by group C07D415/00 containing two hetero rings directly linked by a ring-member-to-ring-member bond
Landscapes
- Chemical & Material Sciences (AREA)
- Organic Chemistry (AREA)
- Life Sciences & Earth Sciences (AREA)
- Agronomy & Crop Science (AREA)
- Pest Control & Pesticides (AREA)
- Plant Pathology (AREA)
- Health & Medical Sciences (AREA)
- Engineering & Computer Science (AREA)
- Dentistry (AREA)
- General Health & Medical Sciences (AREA)
- Wood Science & Technology (AREA)
- Zoology (AREA)
- Environmental Sciences (AREA)
- Plural Heterocyclic Compounds (AREA)
- Agricultural Chemicals And Associated Chemicals (AREA)
Description
本発明は、ピリドン化合物および該化合物を有効成分とする農薬に関するものである。
安定的な農業生産を確保する上で、農園芸作物の病害を防除することは重要な役割を果たす。そのため、様々な殺菌剤が使用されているが、長年にわたる殺菌剤の使用は薬剤耐性菌の出現を招くために、薬剤感受性菌のみならず薬剤耐性菌に対しても有効な新規殺菌剤が切望されている。
ところで、1,3,5,6-置換-2-ピリドン化合物に関して、例えば、GABAアルファー2/3リガンドとして、3位にアリール基またはヘテロアリール基を有する1,3,5,6-置換-2-ピリドン化合物が開示されている(例えば、国際公開第98/55480号参照)。また、細菌性感染症の治療薬として、3位にカルボキシル基を有する1,3,5,6-置換-2-ピリドン化合物が開示されている(例えば、欧州特許第0308020明細書参照)。
しかしながら、国際公開第98/55480号および欧州特許第0308020明細書に記載されている化合物の用途は、いずれも医薬に関するものであり、本発明に係る農園芸用殺菌剤が属する技術分野とは相違する。
本発明の課題は、農園芸用殺菌剤として有効である新規な化合物を提供することである。
本発明者らは、前記課題を解決すべく、1,3,5,6-置換-2-ピリドン化合物群について鋭意検討を行った結果、当該2-ピリドン骨格中の5位に関して、チアゾールやチアジアゾールのような硫黄原子および窒素原子を有する5員の複素環基を有し、かつ当該2-ピリドン骨格中の6位に関して、オルト位に置換基を有するアリール基を導入した新規な化合物群が、植物病害に対して優れた防除活性を発揮することを見出し、本発明を完成するに至った。
すなわち、本発明は、以下の通りである。
[1] 式(1)
[式中、R1は、
水酸基、
シアノ基、
置換基Aで適宜置換されてもよいC1~C6のアルキル基、
C1~C6のハロアルキル基、
置換基Aで適宜置換されてもよいC3~C8のシクロアルキル基、
置換基Aで適宜置換されてもよいC2~C6のアルケニル基、
C2~C6のハロアルケニル基、
置換基Aで適宜置換されてもよいC2~C6のアルキニル基、
C2~C6のハロアルキニル基、
置換基Aで適宜置換されてもよいC1~C6のアルコキシ基、
C1~C6のハロアルコキシ基、
置換基Aで適宜置換されてもよいC3~C8のシクロアルコキシ基、
置換基Aで適宜置換されてもよいC2~C6のアルケニルオキシ基、
C2~C6のハロアルケニルオキシ基、
置換基Aで適宜置換されてもよいC3~C6のアルキニルオキシ基、
C3~C6のハロアルキニルオキシ基、
またはRaRbN-(ここで、RaおよびRbは、それぞれ独立していて、水素原子、置換基Bで適宜置換されてもよいC1~C6のアルキル基、C1~C6のハロアルキル基、またはC3~C8のシクロアルキル基を表すか、あるいはRaおよびRbは、結合する窒素原子と一緒になって、アジリジニル基、アゼチジニル基、ピロリジニル基、ピペリジニル基、ホモピペリジニル基、またはアゾカニル基を形成するものを表す。)を表し; R2は、
水素原子、
ニトロ基、
ハロゲン原子、
置換基Aで適宜置換されてもよいC1~C6のアルキル基、
C1~C6のハロアルキル基、
置換基Aで適宜置換されてもよいC3~C8のシクロアルキル基、
置換基Aで適宜置換されてもよいC2~C6のアルケニル基、
C2~C6のハロアルケニル基、
置換基Aで適宜置換されてもよいC2~C6のアルキニル基、
C2~C6のハロアルキニル基、
置換基Aで適宜置換されてもよいC1~C6のアルコキシ基、
C1~C6のハロアルコキシ基、
置換基Aで適宜置換されてもよいC3~C8のシクロアルコキシ基、
置換基Aで適宜置換されてもよいC2~C6のアルケニルオキシ基、
C2~C6のハロアルケニルオキシ基、
置換基Aで適宜置換されてもよいC3~C6のアルキニルオキシ基、
C3~C6のハロアルキニルオキシ基、
Rc-L-(ここで、Rcは、C1~C6のアルキル基、またはC1~C6のハロアルキル基を表し、Lは、S、SO、またはSO2を表す。)、
またはRx1C(=O)-(ここで、Rx1は、水素原子、置換基Bで適宜置換されてもよいC1~C6のアルキル基、C1~C6のハロアルキル基、C3~C8のシクロアルキル基、C1~C6のアルコキシ基、C1~C6のハロアルコキシ基、C3~C8のシクロアルコキシ基、またはRaRbN-(ここで、RaおよびRbは前記と同義である。)を表す。)を表し;
Hetは、
硫黄原子および窒素原子を含む5員の複素環基を表し、
該硫黄原子および窒素原子を含む5員の複素環基は、R3が適宜0~2置換し(ただし、2置換のR3がある場合、R3はそれぞれ独立した置換基を表す。)、
R3は、
水酸基、
シアノ基、
ニトロ基、
ハロゲン原子、
置換基Cで適宜置換されてもよいC1~C6のアルキル基、
C1~C6のハロアルキル基、
置換基Cで適宜置換されてもよいC3~C8のシクロアルキル基、
置換基Cで適宜置換されてもよいC2~C6のアルケニル基、
C2~C6ハロアルケニル基、
置換基Cで適宜置換されてもよいC2~C6のアルキニル基、
C2~C6のハロアルキニル基、
置換基Cで適宜置換されてもよいC1~C6のアルコキシ基、
C1~C6のハロアルコキシ基、
置換基Cで適宜置換されてもよいC3~C8のシクロアルコキシ基、
置換基Cで適宜置換されてもよいC2~C6のアルケニルオキシ基、
C2~C6のハロアルケニルオキシ基、
置換基Cで適宜置換されてもよいC3~C6のアルキニルオキシ基、
C3~C6のハロアルキニルオキシ基、
RaRbN-(ここで、RaおよびRbは、前記と同義である。)、
Rc-L-(ここで、RcおよびLは、前記と同義である。)、
Rx1C(=O)-(ここで、Rx1は、前記と同義である。)、
Rx1C(=O)O-(ここで、Rx1は、前記と同義である。)、
またはRx2C(=O)N(Rx3)-(ここで、Rx2は、水素原子、置換基Bで適宜置換されてもよいC1~C6のアルキル基、C1~C6のハロアルキル基、C3~C8のシクロアルキル基、C1~C6のアルコキシ基、C1~C6のハロアルコキシ基、C3~C8のシクロアルコキシ基、またはRaRbN-(ここで、RaおよびRbは、前記と同義である。)を表し、Rx3は、水素原子、置換基Bで適宜置換されてもよいC1~C6のアルキル基、C1~C6のハロアルキル基、またはC3~C8のシクロアルキル基を表す。)を表し;
R4は、
水酸基、
シアノ基、
ニトロ基、
ハロゲン原子、
置換基Cで適宜置換されてもよいC1~C6のアルキル基、
C1~C6のハロアルキル基、
置換基Cで適宜置換されてもよいC3~C8のシクロアルキル基、
置換基Cで適宜置換されてもよいC2~C6のアルケニル基、
C2~C6ハロアルケニル基、
置換基Cで適宜置換されてもよいC2~C6のアルキニル基、
C2~C6のハロアルキニル基、
置換基Cで適宜置換されてもよいC1~C6のアルコキシ基、
C1~C6のハロアルコキシ基、
置換基Cで適宜置換されてもよいC3~C8のシクロアルコキシ基、
置換基Cで適宜置換されてもよいC2~C6のアルケニルオキシ基、
C2~C6のハロアルケニルオキシ基、
置換基Cで適宜置換されてもよいC3~C6のアルキニルオキシ基、
C3~C6のハロアルキニルオキシ基、
RaRbN-(ここで、RaおよびRbは、前記と同義である。)、
Rc-L-(ここで、RcおよびLは、前記と同義である。)、
Rx1C(=O)-(ここで、Rx1は、前記と同義である。)、
Rx1C(=O)O-(ここで、Rx1は、前記と同義である。)、
またはRx2C(=O)N(Rx3)-(ここで、Rx2およびRx3は、前記と同義である。)を表し;
R5は、前記に記載のR4と同義であり;
nは、0~4の整数を表し;
Xは、酸素原子、または硫黄原子を表し;
破線部を含む結合は、二重結合、または単結合を表し;
そして、置換基Aは、水酸基、シアノ基、C3~C8のシクロアルキル基、C1~C6のアルコキシ基、C1~C6のハロアルコキシ基、C3~C8のシクロアルコキシ基、RaRbN-(ここで、RaおよびRbは、前記と同義である。)、およびRc-L-(ここで、RcおよびLは、前記と同義である。)からなる群から選択される少なくとも1種であり;
置換基Bは、シアノ基、C1~C6のアルコキシ基、C1~C6のハロアルコキシ基、およびC3~C8のシクロアルコキシ基からなる群から選択される少なくとも1種であり;
置換基Cは、水酸基、シアノ基、C3~C8のシクロアルキル基、C1~C6のアルコキシ基、C1~C6のハロアルコキシ基、C3~C8のシクロアルコキシ基、C2~C6のアルコキシアルコキシ基、RaRbN-(ここで、RaおよびRbは、前記と同義である。)、Rc-L-(ここで、RcおよびLは、前記と同義である。)、Rx1C(=O)-(ここで、Rx1は、前記と同義である。)、および1~2個の酸素原子を含む3~6員環の基からなる群から選択される少なくとも1種である。]で表される化合物またはその塩。
[2]
Hetは、
チアゾリル基、イソチアゾリル基、チアジアゾリル基、またはチアトリアゾリル基を表し、
該チアゾリル基、該イソチアゾリル基、該チアジアゾリル基、または該チアトリアゾリル基は、R3が適宜0~2置換する(ただし、2置換のR3がある場合、R3はそれぞれ独立した置換基を表す。)、
[1]に記載の化合物またはその塩。
[3]
R1は、
置換基Aで適宜置換されてもよいC1~C6のアルキル基、
またはC1~C6のハロアルキル基を表し;
R2は、
水素原子、
ハロゲン原子、
置換基Aで適宜置換されてもよいC1~C6のアルキル基、
C1~C6のハロアルキル基、
置換基Aで適宜置換されてもよいC2~C6のアルキニル基、
または置換基Aで適宜置換されてもよいC1~C6のアルコキシ基を表し;
Hetは、
チアゾリル基、またはチアジアゾリル基を表し、
該チアゾリル基、または該チアジアゾリル基は、R3が適宜0~2置換し(ただし、2置換のR3がある場合、R3はそれぞれ独立した置換基を表す。)、
R3は、
シアノ基、
ニトロ基、
ハロゲン原子、
置換基Cで適宜置換されてもよいC1~C6のアルキル基、
C1~C6のハロアルキル基、
置換基Cで適宜置換されてもよいC3~C8のシクロアルキル基、
置換基Cで適宜置換されてもよいC2~C6のアルケニル基、
置換基Cで適宜置換されてもよいC2~C6のアルキニル基、
置換基Cで適宜置換されてもよいC1~C6のアルコキシ基、
RaRbN-(ここで、RaおよびRbは、それぞれ独立していて、水素原子、置換基Bで適宜置換されてもよいC1~C6のアルキル基、C1~C6のハロアルキル基、またはC3~C8のシクロアルキル基を表すか、あるいはRaおよびRbは、結合する窒素原子と一緒になって、アジリジニル基、アゼチジニル基、ピロリジニル基、ピペリジニル基、ホモピペリジニル基、またはアゾカニル基を形成するものを表す。)、
またはRx2C(=O)N(Rx3)-(ここで、Rx2は、水素原子、置換基Bで適宜置換されてもよいC1~C6のアルキル基、C1~C6のハロアルキル基、C3~C8のシクロアルキル基、C1~C6のアルコキシ基、C1~C6のハロアルコキシ基、C3~C8のシクロアルコキシ基、またはRaRbN-(ここで、RaおよびRbは、前記と同義である。)を表し、Rx3は、水素原子、置換基Bで適宜置換されてもよいC1~C6のアルキル基、C1~C6のハロアルキル基、またはC3~C8のシクロアルキル基を表す。)を表し;
R4は、
シアノ基、
ハロゲン原子、
置換基Cで適宜置換されてもよいC1~C6のアルキル基、
C1~C6のハロアルキル基、
置換基Cで適宜置換されてもよいC1~C6のアルコキシ基、
またはC1~C6のハロアルコキシ基を表し;
R5は、
水酸基、
シアノ基、
ハロゲン原子、
置換基Cで適宜置換されてもよいC1~C6のアルキル基、
C1~C6のハロアルキル基、
置換基Cで適宜置換されてもよいC2~C6のアルケニル基、
置換基Cで適宜置換されてもよいC2~C6のアルキニル基、
置換基Cで適宜置換されてもよいC1~C6のアルコキシ基、
C1~C6のハロアルコキシ基、
またはRc-L-(ここで、Rcは、C1~C6のアルキル基、またはC1~C6のハロアルキル基を表し、Lは、S、SO、またはSO2を表す。)を表す、
[2]に記載の化合物またはその塩。
[4]
R1は、
置換基Aで適宜置換されてもよいC1~C6のアルキル基を表し;
R2は、
水素原子、
ハロゲン原子、
または置換基Aで適宜置換されてもよいC1~C6のアルキル基を表し;
R3は、
ハロゲン原子、
置換基Cで適宜置換されてもよいC1~C6のアルキル基、
C1~C6のハロアルキル基、
またはRaRbN-(ここで、RaおよびRbは、それぞれ独立していて、水素原子、置換基Bで適宜置換されてもよいC1~C6のアルキル基、C1~C6のハロアルキル基、またはC3~C8のシクロアルキル基を表すか、あるいはRaおよびRbは、結合する窒素原子と一緒になって、アジリジニル基、アゼチジニル基、ピロリジニル基、ピペリジニル基、ホモピペリジニル基、またはアゾカニル基を形成するものを表す。)を表し;
R4は、
ハロゲン原子、
または置換基Cで適宜置換されてもよいC1~C6のアルキル基を表し;
R5は、
シアノ基、
ハロゲン原子、
または置換基Cで適宜置換されてもよいC1~C6のアルコキシ基を表す、
[3]に記載の化合物またはその塩。
[5]
R1は、
C1~C6のアルキル基を表し;
R2は、
ハロゲン原子を表し;
Hetは、
チアゾリル基、またはチアジアゾリル基を表し、
該チアゾリル基、または該チアジアゾリル基は、R3が適宜置換し、
R3は、
ハロゲン原子、
C1~C6のアルキル基、
C1~C6のハロアルキル基、
またはRaRbN-(ここで、RaおよびRbは、それぞれ独立していて、水素原子、置換基Bで適宜置換されてもよいC1~C6のアルキル基、C1~C6のハロアルキル基、またはC3~C8のシクロアルキル基を表すか、あるいはRaおよびRbは、結合する窒素原子と一緒になって、アジリジニル基、アゼチジニル基、ピロリジニル基、ピペリジニル基、ホモピペリジニル基、またはアゾカニル基を形成するものを表す。)を表し;
R4は、
ハロゲン原子を表し;
R5は、
ハロゲン原子を表し;
nは、0~2の整数を表し;
Xは、酸素原子を表し;
破線部を含む結合は、二重結合を表す、
[4]に記載の化合物またはその塩。
[6] [1]に記載の化合物またはその塩を有効成分として含有する農園芸用有害生物防除剤。
[7] [1]に記載の化合物またはその塩を有効成分として含有する農園芸用殺菌剤。
[8] [6]に記載の農園芸用有害生物防除剤を、植物、植物の種子、または植物を栽培する土壌に施用することを含む、植物病害を防除する方法。
[9] [7]に記載の農園芸用殺菌剤を、植物、植物の種子、または植物を栽培する土壌に施用することを含む、植物病害を防除する方法。
[式中、R1は、
水酸基、
シアノ基、
置換基Aで適宜置換されてもよいC1~C6のアルキル基、
C1~C6のハロアルキル基、
置換基Aで適宜置換されてもよいC3~C8のシクロアルキル基、
置換基Aで適宜置換されてもよいC2~C6のアルケニル基、
C2~C6のハロアルケニル基、
置換基Aで適宜置換されてもよいC2~C6のアルキニル基、
C2~C6のハロアルキニル基、
置換基Aで適宜置換されてもよいC1~C6のアルコキシ基、
C1~C6のハロアルコキシ基、
置換基Aで適宜置換されてもよいC3~C8のシクロアルコキシ基、
置換基Aで適宜置換されてもよいC2~C6のアルケニルオキシ基、
C2~C6のハロアルケニルオキシ基、
置換基Aで適宜置換されてもよいC3~C6のアルキニルオキシ基、
C3~C6のハロアルキニルオキシ基、
またはRaRbN-(ここで、RaおよびRbは、それぞれ独立していて、水素原子、置換基Bで適宜置換されてもよいC1~C6のアルキル基、C1~C6のハロアルキル基、またはC3~C8のシクロアルキル基を表すか、あるいはRaおよびRbは、結合する窒素原子と一緒になって、アジリジニル基、アゼチジニル基、ピロリジニル基、ピペリジニル基、ホモピペリジニル基、またはアゾカニル基を形成するものを表す。)を表し; R2は、
水素原子、
ニトロ基、
ハロゲン原子、
置換基Aで適宜置換されてもよいC1~C6のアルキル基、
C1~C6のハロアルキル基、
置換基Aで適宜置換されてもよいC3~C8のシクロアルキル基、
置換基Aで適宜置換されてもよいC2~C6のアルケニル基、
C2~C6のハロアルケニル基、
置換基Aで適宜置換されてもよいC2~C6のアルキニル基、
C2~C6のハロアルキニル基、
置換基Aで適宜置換されてもよいC1~C6のアルコキシ基、
C1~C6のハロアルコキシ基、
置換基Aで適宜置換されてもよいC3~C8のシクロアルコキシ基、
置換基Aで適宜置換されてもよいC2~C6のアルケニルオキシ基、
C2~C6のハロアルケニルオキシ基、
置換基Aで適宜置換されてもよいC3~C6のアルキニルオキシ基、
C3~C6のハロアルキニルオキシ基、
Rc-L-(ここで、Rcは、C1~C6のアルキル基、またはC1~C6のハロアルキル基を表し、Lは、S、SO、またはSO2を表す。)、
またはRx1C(=O)-(ここで、Rx1は、水素原子、置換基Bで適宜置換されてもよいC1~C6のアルキル基、C1~C6のハロアルキル基、C3~C8のシクロアルキル基、C1~C6のアルコキシ基、C1~C6のハロアルコキシ基、C3~C8のシクロアルコキシ基、またはRaRbN-(ここで、RaおよびRbは前記と同義である。)を表す。)を表し;
Hetは、
硫黄原子および窒素原子を含む5員の複素環基を表し、
該硫黄原子および窒素原子を含む5員の複素環基は、R3が適宜0~2置換し(ただし、2置換のR3がある場合、R3はそれぞれ独立した置換基を表す。)、
R3は、
水酸基、
シアノ基、
ニトロ基、
ハロゲン原子、
置換基Cで適宜置換されてもよいC1~C6のアルキル基、
C1~C6のハロアルキル基、
置換基Cで適宜置換されてもよいC3~C8のシクロアルキル基、
置換基Cで適宜置換されてもよいC2~C6のアルケニル基、
C2~C6ハロアルケニル基、
置換基Cで適宜置換されてもよいC2~C6のアルキニル基、
C2~C6のハロアルキニル基、
置換基Cで適宜置換されてもよいC1~C6のアルコキシ基、
C1~C6のハロアルコキシ基、
置換基Cで適宜置換されてもよいC3~C8のシクロアルコキシ基、
置換基Cで適宜置換されてもよいC2~C6のアルケニルオキシ基、
C2~C6のハロアルケニルオキシ基、
置換基Cで適宜置換されてもよいC3~C6のアルキニルオキシ基、
C3~C6のハロアルキニルオキシ基、
RaRbN-(ここで、RaおよびRbは、前記と同義である。)、
Rc-L-(ここで、RcおよびLは、前記と同義である。)、
Rx1C(=O)-(ここで、Rx1は、前記と同義である。)、
Rx1C(=O)O-(ここで、Rx1は、前記と同義である。)、
またはRx2C(=O)N(Rx3)-(ここで、Rx2は、水素原子、置換基Bで適宜置換されてもよいC1~C6のアルキル基、C1~C6のハロアルキル基、C3~C8のシクロアルキル基、C1~C6のアルコキシ基、C1~C6のハロアルコキシ基、C3~C8のシクロアルコキシ基、またはRaRbN-(ここで、RaおよびRbは、前記と同義である。)を表し、Rx3は、水素原子、置換基Bで適宜置換されてもよいC1~C6のアルキル基、C1~C6のハロアルキル基、またはC3~C8のシクロアルキル基を表す。)を表し;
R4は、
水酸基、
シアノ基、
ニトロ基、
ハロゲン原子、
置換基Cで適宜置換されてもよいC1~C6のアルキル基、
C1~C6のハロアルキル基、
置換基Cで適宜置換されてもよいC3~C8のシクロアルキル基、
置換基Cで適宜置換されてもよいC2~C6のアルケニル基、
C2~C6ハロアルケニル基、
置換基Cで適宜置換されてもよいC2~C6のアルキニル基、
C2~C6のハロアルキニル基、
置換基Cで適宜置換されてもよいC1~C6のアルコキシ基、
C1~C6のハロアルコキシ基、
置換基Cで適宜置換されてもよいC3~C8のシクロアルコキシ基、
置換基Cで適宜置換されてもよいC2~C6のアルケニルオキシ基、
C2~C6のハロアルケニルオキシ基、
置換基Cで適宜置換されてもよいC3~C6のアルキニルオキシ基、
C3~C6のハロアルキニルオキシ基、
RaRbN-(ここで、RaおよびRbは、前記と同義である。)、
Rc-L-(ここで、RcおよびLは、前記と同義である。)、
Rx1C(=O)-(ここで、Rx1は、前記と同義である。)、
Rx1C(=O)O-(ここで、Rx1は、前記と同義である。)、
またはRx2C(=O)N(Rx3)-(ここで、Rx2およびRx3は、前記と同義である。)を表し;
R5は、前記に記載のR4と同義であり;
nは、0~4の整数を表し;
Xは、酸素原子、または硫黄原子を表し;
破線部を含む結合は、二重結合、または単結合を表し;
そして、置換基Aは、水酸基、シアノ基、C3~C8のシクロアルキル基、C1~C6のアルコキシ基、C1~C6のハロアルコキシ基、C3~C8のシクロアルコキシ基、RaRbN-(ここで、RaおよびRbは、前記と同義である。)、およびRc-L-(ここで、RcおよびLは、前記と同義である。)からなる群から選択される少なくとも1種であり;
置換基Bは、シアノ基、C1~C6のアルコキシ基、C1~C6のハロアルコキシ基、およびC3~C8のシクロアルコキシ基からなる群から選択される少なくとも1種であり;
置換基Cは、水酸基、シアノ基、C3~C8のシクロアルキル基、C1~C6のアルコキシ基、C1~C6のハロアルコキシ基、C3~C8のシクロアルコキシ基、C2~C6のアルコキシアルコキシ基、RaRbN-(ここで、RaおよびRbは、前記と同義である。)、Rc-L-(ここで、RcおよびLは、前記と同義である。)、Rx1C(=O)-(ここで、Rx1は、前記と同義である。)、および1~2個の酸素原子を含む3~6員環の基からなる群から選択される少なくとも1種である。]で表される化合物またはその塩。
[2]
Hetは、
チアゾリル基、イソチアゾリル基、チアジアゾリル基、またはチアトリアゾリル基を表し、
該チアゾリル基、該イソチアゾリル基、該チアジアゾリル基、または該チアトリアゾリル基は、R3が適宜0~2置換する(ただし、2置換のR3がある場合、R3はそれぞれ独立した置換基を表す。)、
[1]に記載の化合物またはその塩。
[3]
R1は、
置換基Aで適宜置換されてもよいC1~C6のアルキル基、
またはC1~C6のハロアルキル基を表し;
R2は、
水素原子、
ハロゲン原子、
置換基Aで適宜置換されてもよいC1~C6のアルキル基、
C1~C6のハロアルキル基、
置換基Aで適宜置換されてもよいC2~C6のアルキニル基、
または置換基Aで適宜置換されてもよいC1~C6のアルコキシ基を表し;
Hetは、
チアゾリル基、またはチアジアゾリル基を表し、
該チアゾリル基、または該チアジアゾリル基は、R3が適宜0~2置換し(ただし、2置換のR3がある場合、R3はそれぞれ独立した置換基を表す。)、
R3は、
シアノ基、
ニトロ基、
ハロゲン原子、
置換基Cで適宜置換されてもよいC1~C6のアルキル基、
C1~C6のハロアルキル基、
置換基Cで適宜置換されてもよいC3~C8のシクロアルキル基、
置換基Cで適宜置換されてもよいC2~C6のアルケニル基、
置換基Cで適宜置換されてもよいC2~C6のアルキニル基、
置換基Cで適宜置換されてもよいC1~C6のアルコキシ基、
RaRbN-(ここで、RaおよびRbは、それぞれ独立していて、水素原子、置換基Bで適宜置換されてもよいC1~C6のアルキル基、C1~C6のハロアルキル基、またはC3~C8のシクロアルキル基を表すか、あるいはRaおよびRbは、結合する窒素原子と一緒になって、アジリジニル基、アゼチジニル基、ピロリジニル基、ピペリジニル基、ホモピペリジニル基、またはアゾカニル基を形成するものを表す。)、
またはRx2C(=O)N(Rx3)-(ここで、Rx2は、水素原子、置換基Bで適宜置換されてもよいC1~C6のアルキル基、C1~C6のハロアルキル基、C3~C8のシクロアルキル基、C1~C6のアルコキシ基、C1~C6のハロアルコキシ基、C3~C8のシクロアルコキシ基、またはRaRbN-(ここで、RaおよびRbは、前記と同義である。)を表し、Rx3は、水素原子、置換基Bで適宜置換されてもよいC1~C6のアルキル基、C1~C6のハロアルキル基、またはC3~C8のシクロアルキル基を表す。)を表し;
R4は、
シアノ基、
ハロゲン原子、
置換基Cで適宜置換されてもよいC1~C6のアルキル基、
C1~C6のハロアルキル基、
置換基Cで適宜置換されてもよいC1~C6のアルコキシ基、
またはC1~C6のハロアルコキシ基を表し;
R5は、
水酸基、
シアノ基、
ハロゲン原子、
置換基Cで適宜置換されてもよいC1~C6のアルキル基、
C1~C6のハロアルキル基、
置換基Cで適宜置換されてもよいC2~C6のアルケニル基、
置換基Cで適宜置換されてもよいC2~C6のアルキニル基、
置換基Cで適宜置換されてもよいC1~C6のアルコキシ基、
C1~C6のハロアルコキシ基、
またはRc-L-(ここで、Rcは、C1~C6のアルキル基、またはC1~C6のハロアルキル基を表し、Lは、S、SO、またはSO2を表す。)を表す、
[2]に記載の化合物またはその塩。
[4]
R1は、
置換基Aで適宜置換されてもよいC1~C6のアルキル基を表し;
R2は、
水素原子、
ハロゲン原子、
または置換基Aで適宜置換されてもよいC1~C6のアルキル基を表し;
R3は、
ハロゲン原子、
置換基Cで適宜置換されてもよいC1~C6のアルキル基、
C1~C6のハロアルキル基、
またはRaRbN-(ここで、RaおよびRbは、それぞれ独立していて、水素原子、置換基Bで適宜置換されてもよいC1~C6のアルキル基、C1~C6のハロアルキル基、またはC3~C8のシクロアルキル基を表すか、あるいはRaおよびRbは、結合する窒素原子と一緒になって、アジリジニル基、アゼチジニル基、ピロリジニル基、ピペリジニル基、ホモピペリジニル基、またはアゾカニル基を形成するものを表す。)を表し;
R4は、
ハロゲン原子、
または置換基Cで適宜置換されてもよいC1~C6のアルキル基を表し;
R5は、
シアノ基、
ハロゲン原子、
または置換基Cで適宜置換されてもよいC1~C6のアルコキシ基を表す、
[3]に記載の化合物またはその塩。
[5]
R1は、
C1~C6のアルキル基を表し;
R2は、
ハロゲン原子を表し;
Hetは、
チアゾリル基、またはチアジアゾリル基を表し、
該チアゾリル基、または該チアジアゾリル基は、R3が適宜置換し、
R3は、
ハロゲン原子、
C1~C6のアルキル基、
C1~C6のハロアルキル基、
またはRaRbN-(ここで、RaおよびRbは、それぞれ独立していて、水素原子、置換基Bで適宜置換されてもよいC1~C6のアルキル基、C1~C6のハロアルキル基、またはC3~C8のシクロアルキル基を表すか、あるいはRaおよびRbは、結合する窒素原子と一緒になって、アジリジニル基、アゼチジニル基、ピロリジニル基、ピペリジニル基、ホモピペリジニル基、またはアゾカニル基を形成するものを表す。)を表し;
R4は、
ハロゲン原子を表し;
R5は、
ハロゲン原子を表し;
nは、0~2の整数を表し;
Xは、酸素原子を表し;
破線部を含む結合は、二重結合を表す、
[4]に記載の化合物またはその塩。
[6] [1]に記載の化合物またはその塩を有効成分として含有する農園芸用有害生物防除剤。
[7] [1]に記載の化合物またはその塩を有効成分として含有する農園芸用殺菌剤。
[8] [6]に記載の農園芸用有害生物防除剤を、植物、植物の種子、または植物を栽培する土壌に施用することを含む、植物病害を防除する方法。
[9] [7]に記載の農園芸用殺菌剤を、植物、植物の種子、または植物を栽培する土壌に施用することを含む、植物病害を防除する方法。
本発明によれば、農園芸用殺菌剤として有効である新規な化合物を提供することができる。
以下、本発明を実施するための形態について詳細に説明する。
なお、特許請求の範囲および明細書中において用いられる各用語は、特に断らない限り、当該技術分野において一般的に用いられる定義によるものとする。
本明細書において、使用する略号を以下に説明する。
DMF:N,N-ジメチルホルムアミド、THF:テトラヒドロフラン、Me:メチル基、Et:エチル基、Pr:プロピル基、Bu:ブチル基、Ac:アセチル基、Ph:フェニル基、i:イソ、sec:セカンダリ、t:ターシャリ、=:二重結合、≡:三重結合を表す。表のカラム中、Pr、Buに関しては、接頭辞がない場合は、ノルマルを意味する。
以下に、本明細書中に使用される用語の定義を説明する。
Cx~Cyとの記載は、x個からy個の炭素原子を有することを表す。ここで、x及びyは整数を表し、また、xとyとの間に存在する全ての整数も個別に開示されているものと理解される。例えば、C1~C6は、1、2、3、4、5、または6個の炭素原子を、C2~C6は、2、3、4、5、または6個の炭素原子を、C3~C8は、3、4、5、6、7、または8個の炭素原子を、C3~C6は、3、4、5、または6個の炭素原子を、C1~C3は、1、2、または3個の炭素原子をそれぞれ有することを意味する。
用語「適宜置換されてもよい」とは、置換または無置換であることを意味する。この用語を用いる際、置換基の数が明示されていないときは、置換基の数は1であることを表す。一方で、例えば、「適宜0~3置換されてもよい」と置換基の数が指定されている場合、0と3との間に存在する全ての整数も個別に開示されているものと理解される。即ち、置換基が、なし、1、2、または3個の置換基数であることを意味する。同様に、「適宜0~2置換されてもよい」では、なし、1、または2個の置換基数を、それぞれ有することを意味する。
C1~C6のアルキル基とは、直鎖状または分岐状でよく、メチル基、エチル基、プロピル基、イソプロピル基、ブチル基、イソブチル基、sec-ブチル基、t-ブチル基、ペンチル基、イソペンチル基、2-メチルブチル基、ネオペンチル基、1-エチルプロピル基、ヘキシル基、4-メチルペンチル基、3-メチルペンチル基、2-メチルペンチル基、1-メチルペンチル基、3,3-ジメチルブチル基、2,2-ジメチルブチル基、1,1-ジメチルブチル基、1,2-ジメチルブチル基、1,3-ジメチルブチル基、2,3-ジメチルブチル基、2-エチルブチル基、1-イソプロピルプロピル基、1,1,2-トリメチルプロピル基、1,2,2-トリメチルプロピル基等が挙げられる。
ハロゲン原子とは、フッ素原子、塩素原子、臭素原子、ヨウ素原子等が挙げられる。
C1~C6のハロアルキル基とは、前記のC1~C6のアルキル基における水素原子が1個または2個以上のハロゲン原子によって任意に置換されたものを表す。2個以上のハロゲン原子で置換される場合、それらのハロゲン原子は同一または異なっていてよく、その置換数は置換基として存在することができる限り特に制限はない。C1~C6のハロアルキル基の具体例として、モノフルオロメチル基、ジフルオロメチル基、トリフルオロメチル基、モノクロロメチル基、モノブロモメチル基、モノヨードメチル基、クロロジフルオロメチル基、ブロモジフルオロメチル基、1-フルオロエチル基、2-フルオロエチル基、1,1-ジフルオロエチル基、2,2-ジフルオロエチル基、2,2,2-トリフルオロエチル基、1,1,2,2-テトラフルオロエチル基、ペンタフルオロエチル基、2,2,2-トリクロロエチル基、3,3-ジフルオロプロピル基、3,3,3-トリフルオロプロピル基、ヘプタフルオロプロピル基、ヘプタフルオロイソプロピル基、2,2,2-トリフルオロ-1-(トリフルオロメチル)エチル基、ノナフルオロブチル基、ノナフルオロ-sec-ブチル基、3,3,4,4,5,5,5-ヘプタフルオロペンチル基、ウンデカフルオロペンチル基、トリデカフルオロヘキシル基等が挙げられる。
C3~C8のシクロアルキル基とは、シクロプロピル基、シクロブチル基、シクロペンチル基、シクロヘキシル基、シクロヘプチル基、シクロオクチル基等が挙げられる。
C2~C6のアルケニル基とは、1個または2個以上の二重結合を有し、直鎖状または分岐状である不飽和炭化水素基のものを表す。また、幾何異性体がある場合、E体またはZ体のどちらか一方のみ、あるいはE体とZ体との任意の割合の混合物であり、指定される炭素数の範囲であれば、特に限定されることはない。C2~C6のアルケニル基の具体例として、ビニル基、1-プロペニル基、アリル基、1-ブテニル基、2-ブテニル基、3-ブテニル基、1-ペンテニル基、2-ペンテニル基、3-ペンテニル基、4-ペンテニル基、3-メチル-2-ブテニル基、1-ヘキセニル基、2-ヘキセニル基、3-ヘキセニル基、4-ヘキセニル基、5-ヘキセニル基、4-メチル-3-ペンテニル基、3-メチル-2-ペンテニル基等が挙げられる。
C2~C6のハロアルケニル基とは、前記のC2~C6のアルケニル基における水素原子が1個または2個以上のハロゲン原子によって任意に置換されたものを表す。2個以上のハロゲン原子で置換される場合、それらのハロゲン原子は同一または異なっていてよく、その置換数は置換基として存在することができる限り特に制限はない。C2~C6のハロアルケニル基の具体例として、2-フルオロビニル基、2,2-ジフルオロビニル基、2,2-ジクロロビニル基、3-フルオロアリル基、3,3-ジフルオロアリル基、3,3-ジクロロアリル基、4,4-ジフルオロ-3-ブテニル基、5,5-ジフルオロ-4-ペンテニル基、6,6-ジフルオロ-5-ヘキセニル基等が挙げられる。
C2~C6のアルキニル基とは、1個または2個以上の三重結合を有し、直鎖状または分岐状である不飽和炭化水素基のものを表す。C2~C6のアルキニル基の具体例として、エチニル基、1-プロピニル基、プロパルギル基、1-ブチニル基、2-ブチニル基、3-ブチニル基、1-ペンチニル基、2-ペンチニル基、3-ペンチニル基、4-ペンチニル基、1,1-ジメチル-2-プロピニル基、1-ヘキシニル基、2-ヘキシニル基、3-ヘキシニル基、4-ヘキシニル基、5-ヘキシニル基等が挙げられる。
C2~C6のハロアルキニル基とは、前記のC2~C6のアルキニル基における水素原子が1個または2個以上のハロゲン原子によって任意に置換されたものを表す。2個以上のハロゲン原子で置換される場合、それらのハロゲン原子は同一または異なっていてよく、その置換数は置換基として存在することができる限り特に制限はない。C2~C6のハロアルキニル基の具体例として、2-フルオロエチニル基、2-クロロエチニル基、2-ブロモエチニル基、2-ヨードエチニル基、3,3-ジフルオロ-1-プロピニル基、3-クロロ-3,3-ジフルオロ-1-プロピニル基、3-ブロモ-3,3-ジフルオロ-1-プロピニル基、3,3,3-トリフルオロ-1-プロピニル基、4,4-ジフルオロ-1-ブチニル基、4,4-ジフルオロ-2-ブチニル基、4-クロロ-4,4-ジフルオロ-1-ブチニル基、4-クロロ-4,4-ジフルオロ-2-ブチニル基、4-ブロモ-4,4-ジフルオロ-1-ブチニル基、4-ブロモ-4,4-ジフルオロ-2-ブチニル基、4,4,4-トリフルオロ-1-ブチニル基、4,4,4-トリフルオロ-2-ブチニル基、5,5-ジフルオロ-3-ペンチニル基、5-クロロ-5,5-ジフルオロ-3-ペンチニル基、5-ブロモ-5,5-ジフルオロ-3-ペンチニル基、5,5,5-トリフルオロ-3-ペンチニル基、6,6-ジフルオロ-4-ヘキシニル基、6-クロロ-6,6-ジフルオロ-4-ヘキシニル基、6-ブロモ-6,6-ジフルオロ-4-ヘキシニル基、6,6,6-トリフルオロ-4-ヘキシニル基等が挙げられる。
C1~C6のアルコキシ基とは、前記のC1~C6のアルキル基が酸素原子を介して結合したものを表す。C1~C6のアルコキシ基として、具体的には、メトキシ基、エトキシ基、プロピルオキシ基、イソプロピルオキシ基、ブトキシ基、イソブトキシ基、sec-ブトキシ基、t-ブトキシ基、ペンチルオキシ基、イソペンチルオキシ基、1-メチルブトキシ基、2-メチルブトキシ基、ネオペンチルオキシ基、1-エチルプロピルオキシ基、1,2-ジメチルプロピルオキシ基、ヘキシルオキシ基、1-メチルペンチルオキシ基、2-メチルペンチルオキシ基、3-メチルペンチルオキシ基、4-メチルペンチルオキシ基、1,1-ジメチルブトキシ基、2,2-ジメチルブトキシ基、3,3-ジメチルブトキシ基、1,2-ジメチルブトキシ基、1,3-ジメチルブトキシ基、2,3-ジメチルブトキシ基、2-エチルブトキシ基、1-イソプロピルプロピルオキシ基、1,1,2-トリメチルプロピルオキシ基、1,2,2-トリメチルプロピルオキシ基等が挙げられる。
C1~C6のハロアルコキシ基とは、前記のC1~C6のアルコキシ基における水素原子が1個または2個以上のハロゲン原子によって任意に置換されたものを表す。2個以上のハロゲン原子で置換される場合、それらのハロゲン原子は同一または異なっていてよく、その置換数は置換基として存在することができる限り特に制限はない。C1~C6のハロアルコキシ基の具体例として、ジフルオロメトキシ基、トリフルオロメトキシ基、クロロジフルオロメトキシ基、ブロモジフルオロメトキシ基、2-フルオロエトキシ基、2,2-ジフルオロエトキシ基、2,2,2-トリフルオロエトキシ基、1,1,2,2-テトラフルオロエトキシ基、ペンタフルオロエトキシ基、2,2,2-トリクロロエトキシ基、3,3-ジフルオロプロピルオキシ基、3,3,3-トリフルオロプロピルオキシ基、ヘプタフルオロプロピルオキシ基、ヘプタフルオロイソプロピルオキシ基、2,2,2-トリフルオロ-1-(トリフルオロメチル)-エトキシ基、ノナフルオロブトキシ基、ノナフルオロ-sec-ブトキシ基、3,3,4,4,5,5,5-ヘプタフルオロペンチルオキシ基、ウンデカフルオロペンチルオキシ基、トリデカフルオロヘキシルオキシ基等が挙げられる。
C3~C8のシクロアルコキシ基とは、前記のC3~C8のシクロアルキル基が酸素原子を介して結合したものを表す。C3~C8のシクロアルコキシ基の具体例として、シクロプロピルオキシ基、シクロブトキシ基、シクロペンチルオキシ基、シクロヘキシルオキシ基、シクロヘプチルオキシ基、シクロオクチルオキシ基等が挙げられる。
C2~C6のアルケニルオキシ基とは、前記のC2~C6のアルケニル基が酸素原子を介して結合したものを表す。また、幾何異性体がある場合、E体またはZ体のどちらか一方のみ、あるいはE体とZ体との任意の割合の混合物であり、指定される炭素数の範囲であれば、特に制限されることはない。C2~C6のアルケニルオキシ基の具体例として、ビニルオキシ基、1-プロペニルオキシ基、アリルオキシ基、1-ブテニルオキシ基、2-ブテニルオキシ基、3-ブテニルオキシ基、1-ペンテニルオキシ基、2-ペンテニルオキシ基、3-ペンテニルオキシ基、4-ペンテニルオキシ基、3-メチル-2-ブテニルオキシ基、1-ヘキセニルオキシ基、2-ヘキセニルオキシ基、3-ヘキセニルオキシ基、4-ヘキセニルオキシ基、5-ヘキセニルオキシ基、4-メチル-3-ペンテニルオキシ基、3-メチル-2-ペンテニルオキシ基等が挙げられる。
C2~C6のハロアルケニルオキシ基とは、前記のC2~C6のアルケニルオキシ基における水素原子が1個または2個以上のハロゲン原子によって任意に置換されたものを表す。2個以上のハロゲン原子で置換される場合、それらのハロゲン原子は同一または異なっていてよく、その置換数は置換基として存在することができる限り特に制限はない。C2~C6のハロアルケニルオキシ基の具体例として、2-フルオロビニルオキシ基、2,2-ジフルオロビニルオキシ基、2,2-ジクロロビニルオキシ基、3-フルオロアリルオキシ基、3,3-ジフルオロアリルオキシ基、3,3-ジクロロアリルオキシ基、4,4-ジフルオロ-3-ブテニルオキシ基、5,5-ジフルオロ-4-ペンテニルオキシ基、6,6-ジフルオロ-5-ヘキセニルオキシ基等が挙げられる。
C3~C6のアルキニルオキシ基とは、前記のC2~C6のアルキニル基のうち、C3~C6のアルキニル基が酸素原子を介して結合したのものを表す。C3~C6のアルキニルオキシ基の具体例として、プロパルギルオキシ基、2-ブチニルオキシ基、3-ブチニルオキシ基、2-ペンチニルオキシ基、3-ペンチニルオキシ基、4-ペンチニルオキシ基、1,1-ジメチル-2-プロピニルオキシ基、2-ヘキシニルオキシ基、3-ヘキシニルオキシ基、4-ヘキシニルオキシ基、5-ヘキシニルオキシ基等が挙げられる。
C3~C6のハロアルキニルオキシ基とは、前記のC3~C6のアルキニルオキシ基における水素原子が1個または2個以上のハロゲン原子によって任意に置換されたものを表す。2個以上のハロゲン原子で置換される場合、それらのハロゲン原子は同一または異なっていてよく、その置換数は置換基として存在することができる限り特に制限はない。C3~C6のハロアルキニルオキシ基の具体例として、1,1-ジフルオロ-2-プロピニルオキシ基、4,4-ジフルオロ-2-ブチニルオキシ基、4-クロロ-4,4-ジフルオロ-2-ブチニルオキシ基、4-ブロモ-4,4-ジフルオロ-2-ブチニルオキシ基、4,4,4-トリフルオロ-2-ブチニルオキシ基、5,5-ジフルオロ-3-ペンチニルオキシ基、5-クロロ-5,5-ジフルオロ-3-ペンチニルオキシ基、5-ブロモ-5,5-ジフルオロ-3-ペンチニルオキシ基、5,5,5-トリフルオロ-3-ペンチニルオキシ基、6,6-ジフルオロ-4-ヘキシニルオキシ基、6-クロロ-6,6-ジフルオロ-4-ヘキシニルオキシ基、6-ブロモ-6,6-ジフルオロ-4-ヘキシニルオキシ基、6,6,6-トリフルオロ-4-ヘキシニルオキシ基等が挙げられる。
C2~C6のアルコキシアルコキシ基とは、前記のC1~C6のアルコキシ基のうちC1~C5のアルコキシ基における水素原子が、1個または2個以上のC1~C5アルコキシ基で任意に置換されたものを表す。炭素数の総和が指定される炭素数の範囲であれば、特に限定されることはない。C2~C6のアルコキシアルコキシ基の具体例として、メトキシメトキシ基、エトキシメトキシ基、プロピルオキシメトキシ基、イソプロピルオキシメトキシ基、メトキシエトキシ基、エトキシエトキシ基、プロピルオキシエトキシ基、イソプロピルオキシエトキシ基、メトキシプロピルオキシ基、エトキシプロピルオキシ基、プロピルオキシプロピルオキシ基、イソプロピルオキシプロピルオキシ基等が挙げられる。
1~2個の酸素原子を含む3~6員環の基の具体例として、1,2-エポキシエタニル基、オキセタニル基、オキソラニル基、オキサニル基、1,3-ジオキソラニル基、1,3-ジオキサニル基、1,4-ジオキサニル基等が挙げられる。
以下、式(1)について説明する。
式(1)におけるR1は、水酸基、シアノ基、置換基Aで適宜置換されてもよいC1~C6のアルキル基、C1~C6のハロアルキル基、置換基Aで適宜置換されてもよいC3~C8のシクロアルキル基、置換基Aで適宜置換されてもよいC2~C6のアルケニル基、C2~C6のハロアルケニル基、置換基Aで適宜置換されてもよいC2~C6のアルキニル基、C2~C6のハロアルキニル基、置換基Aで適宜置換されてもよいC1~C6のアルコキシ基、C1~C6のハロアルコキシ基、置換基Aで適宜置換されてもよいC3~C8のシクロアルコキシ基、置換基Aで適宜置換されてもよいC2~C6のアルケニルオキシ基、C2~C6のハロアルケニルオキシ基、置換基Aで適宜置換されてもよいC3~C6のアルキニルオキシ基、C3~C6のハロアルキニルオキシ基、またはRaRbN-(ここで、RaおよびRbは、それぞれ独立していて、水素原子、置換基Bで適宜置換されてもよいC1~C6のアルキル基、C1~C6のハロアルキル基、またはC3~C8のシクロアルキル基を表すか、あるいはRaおよびRbは、結合する窒素原子と一緒になって、アジリジニル基、アゼチジニル基、ピロリジニル基、ピペリジニル基、ホモピペリジニル基、またはアゾカニル基を形成するものを表す。)を表す。
中でもR1は、置換基Aで適宜置換されてもよいC1~C6のアルキル基、またはC1~C6のハロアルキル基が好ましく、
特に、置換基Aで適宜置換されてもよいC1~C6のアルキル基が好ましい。
式(1)のR1には、水酸基、およびシアノ基が含まれる。
式(1)のR1における「置換基Aで適宜置換されてもよいC1~C6のアルキル基」のC1~C6のアルキル基は、前記の定義と同義であり、好ましくは、メチル基、エチル基、プロピル基、イソプロピル基、ブチル基、またはイソブチル基であり、さらに好ましくは、メチル基、エチル基、またはプロピル基であり、特に好ましくは、エチル基である。置換基Aを有する場合、C1~C6のアルキル基における水素原子が、置換基Aによって任意に置換される。
式(1)のR1における「C1~C6のハロアルキル基」は、前記の定義と同義であり、好ましくは、2-フルオロエチル基、2,2-ジフルオロエチル基、2,2,2-トリフルオロエチル基、3,3-ジフルオロプロピル基、または3,3,3-トリフルオロプロピル基であり、さらに好ましくは、2-フルオロエチル基、2,2-ジフルオロエチル基、または2,2,2-トリフルオロエチル基である。
式(1)のR1における「置換基Aで適宜置換されてもよいC3~C8のシクロアルキル基」のC3~C8のシクロアルキル基は、前記の定義と同義であり、好ましくは、シクロプロピル基、シクロブチル基、シクロペンチル基、またはシクロヘキシル基であり、さらに好ましくは、シクロプロピル基、またはシクロブチル基である。置換基Aを有する場合、C3~C8のシクロアルキル基における水素原子が、置換基Aによって任意に置換される。
式(1)のR1における「置換基Aで適宜置換されてもよいC2~C6のアルケニル基」のC2~C6のアルケニル基は、前記の定義と同義であり、好ましくは、ビニル基、1-プロペニル基、またはアリル基であり、さらに好ましくは、ビニル基、またはアリル基である。置換基Aを有する場合、C2~C6のアルケニル基における水素原子が、置換基Aによって任意に置換される。
式(1)のR1における「C2~C6のハロアルケニル基」は、前記の定義と同義であり、好ましくは、2-フルオロビニル基、2,2-ジフルオロビニル基、3-フルオロアリル基、または3,3-ジフルオロアリル基であり、さらに好ましくは、2-フルオロビニル基、または2,2-ジフルオロビニル基である。
式(1)のR1における「置換基Aで適宜置換されてもよいC2~C6のアルキニル基」のC2~C6のアルキニル基は、前記の定義と同義であり、好ましくは、プロパルギル基、2-ブチニル基、または3-ブチニル基であり、さらに好ましくは、プロパルギル基である。置換基Aを有する場合、C2~C6のアルキニル基における水素原子が、置換基Aによって任意に置換される。
式(1)のR1における「C2~C6のハロアルキニル基」は、前記の定義と同義であり、好ましくは、4,4-ジフルオロ-2-ブチニル基、4-クロロ-4,4-ジフルオロ-2-ブチニル基、4-ブロモ-4,4-ジフルオロ-2-ブチニル基、または4,4,4-トリフルオロ-2-ブチニル基であり、さらに好ましくは、4,4-ジフルオロ-2-ブチニル基、または4,4,4-トリフルオロ-2-ブチニル基である。
式(1)のR1における「置換基Aで適宜置換されてもよいC1~C6のアルコキシ基」のC1~C6のアルコキシ基は、前記の定義と同義であり、好ましくは、メトキシ基、エトキシ基、プロピルオキシ基、イソプロピルオキシ基、ブトキシ基、またはイソブトキシ基であり、さらに好ましくは、メトキシ基、またはエトキシ基である。置換基Aを有する場合、C1~C6のアルコキシ基における水素原子が、置換基Aによって任意に置換される。
式(1)のR1における「C1~C6のハロアルコキシ基」は、前記の定義と同義であり、好ましくは、ジフルオロメトキシ基、トリフルオロメトキシ基、2,2-ジフルオロエトキシ基、2,2,2-トリフルオロエトキシ基、3,3-ジフルオロプロピルオキシ基、または3,3,3-トリフルオロプロピルオキシ基であり、さらに好ましくは、ジフルオロメトキシ基、トリフルオロメトキシ基、2,2-ジフルオロエトキシ基、または2,2,2-トリフルオロエトキシ基である。
式(1)のR1における「置換基Aで適宜置換されてもよいC3~C8のシクロアルコキシ基」のC3~C8のシクロアルコキシ基は、前記の定義と同義であり、好ましくは、シクロプロピルオキシ基、シクロブトキシ基、シクロペンチルオキシ基、またはシクロヘキシルオキシ基であり、さらに好ましくは、シクロプロピルオキシ基、またはシクロブトキシ基である。置換基Aを有する場合、C3~C8のシクロアルコキシ基における水素原子が、置換基Aによって任意に置換される。
式(1)のR1における「置換基Aで適宜置換されてもよいC2~C6のアルケニルオキシ基」のC2~C6のアルケニルオキシ基は、前記の定義と同義であり、好ましくは、ビニルオキシ基、1-プロペニルオキシ基、またはアリルオキシ基であり、さらに好ましくは、アリルオキシ基である。置換基Aを有する場合、C2~C6のアルケニルオキシ基における水素原子が、置換基Aによって任意に置換される。
式(1)のR1における「C2~C6のハロアルケニルオキシ基」とは、前記の定義と同義であり、好ましくは、2-フルオロビニルオキシ基、2,2-ジフルオロビニルオキシ基、3-フルオロアリルオキシ基、または3,3-ジフルオロアリルオキシ基であり、さらに好ましくは、2-フルオロビニルオキシ基、または2,2-ジフルオロビニルオキシ基である。
式(1)のR1における「置換基Aで適宜置換されてもよいC3~C6のアルキニルオキシ基」のC3~C6のアルキニルオキシ基は、前記の定義と同義であり、好ましくは、プロパルギルオキシ基、2-ブチニルオキシ基、または3-ブチニルオキシ基であり、さらに好ましくは、プロパルギルオキシ基である。置換基Aを有する場合、C3~C6のアルキニルオキシ基における水素原子が、置換基Aによって任意に置換される。
式(1)のR1における「C3~C6のハロアルキニルオキシ基」とは、前記の定義と同義であり、好ましくは、4,4-ジフルオロ-2-ブチニルオキシ基、4-クロロ-4,4-ジフルオロ-2-ブチニルオキシ基、4-ブロモ-4,4-ジフルオロ-2-ブチニルオキシ基、または4,4,4-トリフルオロ-2-ブチニルオキシ基であり、さらに好ましくは、4,4-ジフルオロ-2-ブチニルオキシ基、または4,4,4-トリフルオロ-2-ブチニルオキシ基である。
式(1)のR1における「RaRbN-」(ここで、RaおよびRbは、それぞれ独立していて、水素原子、置換基Bで適宜置換されてもよいC1~C6のアルキル基、C1~C6のハロアルキル基、またはC3~C8のシクロアルキル基を表すか、あるいはRaおよびRbは、結合する窒素原子と一緒になって、アジリジニル基、アゼチジニル基、ピロリジニル基、ピペリジニル基、ホモピペリジニル基、またはアゾカニル基を形成するものを表す。)の各用語は、前記の定義と同義である。なお、「置換基Bで適宜置換されてもよいC1~C6のアルキル基」に関しては、置換基Bを有する場合、C1~C6のアルキル基における水素原子が、置換基Bによって任意に置換される。RaおよびRbとして、好ましくは、水素原子、置換基Bで適宜置換されてもよいC1~C6のアルキル基、C1~C6のハロアルキル基、C3~C8のシクロアルキル基、ピロリジニル基、またはピペリジニル基であり、さらに好ましくは、水素原子、または置換基Bで適宜置換されてもよいC1~C6のアルキル基である。「RaRbN-」として、好ましくは、アミノ基、メチルアミノ基、エチルアミノ基、(メトキシメチル)アミノ基、(2-メトキシエチル)アミノ基、(シアノメチル)アミノ基、(2-シアノエチル)アミノ基、ジメチルアミノ基、エチルメチルアミノ基、ジエチルアミノ基、(メトキシメチル)メチルアミノ基、(2-メトキシエチル)メチルアミノ基、(シアノメチル)メチルアミノ基、(2-シアノエチル)メチルアミノ基、2,2-ジフルオロエチルアミノ基、2,2,2-トリフルオロエチルアミノ基、シクロプロピルアミノ基、(シクロプロピル)メチルアミノ基、ピロリジニル基、またはピペリジニル基であり、さらに好ましくは、アミノ基、メチルアミノ基、ジメチルアミノ基、エチルメチルアミノ基、またはジエチルアミノ基である。
式(1)中のR2は、水素原子、ニトロ基、ハロゲン原子、置換基Aで適宜置換されてもよいC1~C6のアルキル基、C1~C6のハロアルキル基、置換基Aで適宜置換されてもよいC3~C8のシクロアルキル基、置換基Aで適宜置換されてもよいC2~C6のアルケニル基、C2~C6のハロアルケニル基、置換基Aで適宜置換されてもよいC2~C6のアルキニル基、C2~C6のハロアルキニル基、置換基Aで適宜置換されてもよいC1~C6のアルコキシ基、C1~C6のハロアルコキシ基、置換基Aで適宜置換されてもよいC3~C8のシクロアルコキシ基、置換基Aで適宜置換されてもよいC2~C6のアルケニルオキシ基、C2~C6のハロアルケニルオキシ基、置換基Aで適宜置換されてもよいC3~C6のアルキニルオキシ基、C3~C6のハロアルキニルオキシ基、Rc-L-(ここで、Rcは、C1~C6のアルキル基、またはC1~C6のハロアルキル基を表し、Lは、S、SO、またはSO2を表す。)、またはRx1C(=O)-(ここで、Rx1は、水素原子、置換基Bで適宜置換されてもよいC1~C6のアルキル基、C1~C6のハロアルキル基、C3~C8のシクロアルキル基、C1~C6のアルコキシ基、C1~C6のハロアルコキシ基、C3~C8のシクロアルコキシ基、またはRaRbN-(ここで、RaおよびRbは前記と同義である。)を表す。)を表す。
中でも、R2は、水素原子、ハロゲン原子、置換基Aで適宜置換されてもよいC1~C6のアルキル基、C1~C6のハロアルキル基、置換基Aで適宜置換されてもよいC2~C6のアルキニル基、または置換基Aで適宜置換されてもよいC1~C6のアルコキシ基が好ましく、
特に、水素原子、ハロゲン原子、または置換基Aで適宜置換されてもよいC1~C6のアルキル基が好ましい。
特に、水素原子、ハロゲン原子、または置換基Aで適宜置換されてもよいC1~C6のアルキル基が好ましい。
式(1)のR2には、水素原子、およびニトロ基が含まれる。
式(1)のR2におけるハロゲン原子は、前記の定義と同義であり、好ましくはフッ素原子、塩素原子、臭素原子、またはヨウ素原子であり、さらに好ましくは、塩素原子、または臭素原子である。
式(1)のR2における「置換基Aで適宜置換されてもよいC1~C6のアルキル基」のC1~C6のアルキル基は、前記の定義と同義であり、好ましくは、メチル基、エチル基、プロピル基、イソプロピル基、ブチル基、またはイソブチル基であり、さらに好ましくは、メチル基、またはエチル基である。置換基Aを有する場合、C1~C6のアルキル基における水素原子が、置換基Aによって任意に置換される。
式(1)のR2における「C1~C6のハロアルキル基」は、前記の定義と同義であり、好ましくは、ジフルオロメチル基、トリフルオロメチル基、2,2-ジフルオロエチル基、2,2,2-トリフルオロエチル基、3,3-ジフルオロプロピル基、または3,3,3-トリフルオロプロピル基であり、さらに好ましくは、ジフルオロメチル基、トリフルオロメチル基、2,2-ジフルオロエチル基、または2,2,2-トリフルオロエチル基である。
式(1)のR2における「置換基Aで適宜置換されてもよいC3~C8のシクロアルキル基」のC3~C8のシクロアルキル基は、前記の定義と同義であり、好ましくは、シクロプロピル基、シクロブチル基、シクロペンチル基、またはシクロヘキシル基であり、さらに好ましくは、シクロプロピル基、またはシクロブチル基である。置換基Aを有する場合、C3~C8のシクロアルキル基における水素原子が、置換基Aによって任意に置換される。
式(1)のR2における「置換基Aで適宜置換されてもよいC2~C6のアルケニル基」のC2~C6のアルケニル基は、前記の定義と同義であり、好ましくは、ビニル基、1-プロペニル基、アリル基、1-ブテニル基、2-ブテニル基、または3-ブテニル基であり、さらに好ましくは、ビニル基、1-プロペニル基、またはアリル基である。置換基Aを有する場合、C2~C6のアルケニル基における水素原子が、置換基Aによって任意に置換される。
式(1)のR2における「C2~C6のハロアルケニル基」は、前記の定義と同義であり、好ましくは、2-フルオロビニル基、2,2-ジフルオロビニル基、2,2-ジクロロビニル基、3-フルオロアリル基、3,3-ジフルオロアリル基、または3,3-ジクロロアリル基であり、さらに好ましくは、2-フルオロビニル基、または2,2-ジフルオロビニル基である。
式(1)のR2における「置換基Aで適宜置換されてもよいC2~C6のアルキニル基」のC2~C6のアルキニル基は、前記の定義と同義であり、好ましくは、エチニル基、1-プロピニル基、プロパルギル基、1-ブチニル基、2-ブチニル基、または3-ブチニル基であり、さらに好ましくは、エチニル基、1-プロピニル基、またはプロパルギル基である。置換基Aを有する場合、C2~C6のアルキニル基における水素原子が、置換基Aによって任意に置換される。
式(1)のR2における「C2~C6のハロアルキニル基」は、前記の定義と同義であり、好ましくは、3,3-ジフルオロ-1-プロピニル基、3,3,3-トリフルオロ-1-プロピニル基、4,4-ジフルオロ-1-ブチニル基、4,4-ジフルオロ-2-ブチニル基、4,4,4-トリフルオロ-1-ブチニル基、または4,4,4-トリフルオロ-2-ブチニル基であり、さらに好ましくは、3,3-ジフルオロ-1-プロピニル基、または3,3,3-トリフルオロ-1-プロピニル基である。
式(1)のR2における「置換基Aで適宜置換されてもよいC1~C6のアルコキシ基」のC1~C6のアルコキシ基は、前記の定義と同義であり、好ましくは、メトキシ基、エトキシ基、プロピルオキシ基、イソプロピルオキシ基、ブトキシ基、またはイソブトキシ基であり、さらに好ましくは、メトキシ基、エトキシ基、プロピルオキシ基、またはイソプロピルオキシ基である。置換基Aを有する場合、C1~C6のアルコキシ基における水素原子が、置換基Aによって任意に置換される。
式(1)のR2における「C1~C6のハロアルコキシ基」は、前記の定義と同義であり、好ましくは、ジフルオロメトキシ基、トリフルオロメトキシ基、2,2-ジフルオロエトキシ基、2,2,2-トリフルオロエトキシ基、3,3-ジフルオロプロピルオキシ基、または3,3,3-トリフルオロプロピルオキシ基であり、さらに好ましくは、ジフルオロメトキシ基、トリフルオロメトキシ基、2,2-ジフルオロエトキシ基、または2,2,2-トリフルオロエトキシ基である。
式(1)のR2における「置換基Aで適宜置換されてもよいC3~C8のシクロアルコキシ基」のC3~C8のシクロアルコキシ基は、前記の定義と同義であり、好ましくは、シクロプロピルオキシ基、シクロブトキシ基、シクロペンチルオキシ基、またはシクロヘキシルオキシ基であり、さらに好ましくは、シクロプロピルオキシ基、またはシクロブトキシ基である。置換基Aを有する場合、C3~C8のシクロアルコキシ基における水素原子が、置換基Aによって任意に置換される。
式(1)のR2における「置換基Aで適宜置換されてもよいC2~C6のアルケニルオキシ基」のC2~C6のアルケニルオキシ基は、前記の定義と同義であり、好ましくは、ビニルオキシ基、1-プロペニルオキシ基、アリルオキシ基、1-ブテニルオキシ基、2-ブテニルオキシ基、または3-ブテニルオキシ基であり、さらに好ましくは、ビニルオキシ基、1-プロペニルオキシ基、またはアリルオキシ基である。置換基Aを有する場合、C2~C6のアルケニルオキシ基における水素原子が、置換基Aによって任意に置換される。
式(1)のR2における「C2~C6のハロアルケニルオキシ基」は、前記の定義と同義であり、好ましくは、2-フルオロビニルオキシ基、2,2-ジフルオロビニルオキシ基、2,2-ジクロロビニルオキシ基、3-フルオロアリルオキシ基、3,3-ジフルオロアリルオキシ基、または3,3-ジクロロアリルオキシ基であり、さらに好ましくは、2-フルオロビニルオキシ基、または2,2-ジフルオロビニルオキシ基である。
式(1)のR2における「置換基Aで適宜置換されてもよいC3~C6のアルキニルオキシ基」のC3~C6のアルキニルオキシ基は、前記の定義と同義であり、好ましくは、プロパルギルオキシ基、2-ブチニルオキシ基、または3-ブチニルオキシ基であり、さらに好ましくは、プロパルギルオキシ基である。置換基Aを有する場合、C3~C6のアルキニルオキシ基における水素原子が、置換基Aによって任意に置換される。
式(1)のR2における「C3~C6のハロアルキニルオキシ基」は、前記の定義と同義であり、好ましくは、4,4-ジフルオロ-2-ブチニルオキシ基、4-クロロ-4,4-ジフルオロ-2-ブチニルオキシ基、4-ブロモ-4,4-ジフルオロ-2-ブチニルオキシ基、または4,4,4-トリフルオロ-2-ブチニルオキシ基であり、さらに好ましくは、4,4-ジフルオロ-2-ブチニルオキシ基、または4,4,4-トリフルオロ-2-ブチニルオキシ基である。
式(1)のR2における「Rc-L-」(ここで、Rcは、C1~C6のアルキル基、またはC1~C6のハロアルキル基を表し、Lは、S、SO、またはSO2を表す。)の各用語は、前記と同義である。「Rc-L-」として、好ましくは、メチルチオ基、メタンスルフィニル基、メタンスルホニル基、トリフルオロメチルチオ基、トリフルオロメタンスルフィニル基、またはトリフルオロメタンスルホニル基であり、さらに好ましくは、メチルチオ基、メタンスルフィニル基、またはメタンスルホニル基である。
式(1)のR2における「Rx1C(=O)-」(ここで、Rx1は、水素原子、置換基Bで適宜置換されてもよいC1~C6のアルキル基、C1~C6のハロアルキル基、C3~C8のシクロアルキル基、C1~C6のアルコキシ基、C1~C6のハロアルコキシ基、C3~C8のシクロアルコキシ基、またはRaRbN-(ここで、RaおよびRbは前記と同義である。)を表す。)の各用語は、前記の定義と同義である。なお、「置換基Bで適宜置換されてもよいC1~C6のアルキル基」に関しては、置換基Bを有する場合、C1~C6のアルキル基における水素原子が、置換基Bによって任意に置換される。Rx1として、好ましくは、水素原子、置換基Bで適宜置換されてもよいC1~C6のアルキル基、C1~C6のハロアルキル基、またはC1~C6のアルコキシ基であり、さらに好ましくは、水素原子、置換基Bで適宜置換されてもよいC1~C6のアルキル基、またはC1~C6のアルコキシ基である。「Rx1C(=O)-」として、ホルミル基、アセチル基、メトキシアセチル基、シアノアセチル基、プロピオニル基、ジフルオロアセチル基、トリフルオロアセチル基、シクロプロパンカルボニル基、メトキシカルボニル基、エトキシカルボニル基、2,2-ジフルオロエトキシカルボニル基、2,2,2-トリフルオロエトキシカルボニル基、3,3,3-トリフルオロプロピルオキシカルボニル基、シクロプロピルオキシカルボニル基、アミノカルボニル基、メチルアミノカルボニル基、エチルアミノカルボニル基、(メトキシメチル)アミノカルボニル基、(2-メトキシエチル)アミノカルボニル基、(シアノメチル)アミノカルボニル基、(2-シアノエチル)アミノカルボニル基、ジメチルアミノカルボニル基、エチルメチルアミノカルボニル基、ジエチルアミノカルボニル基、(メトキシメチル)メチルアミノカルボニル基、(2-メトキシエチル)メチルアミノカルボニル基、(シアノメチル)メチルアミノカルボニル基、(2-シアノエチル)メチルアミノカルボニル基、2,2-ジフルオロエチルアミノカルボニル基、2,2,2-トリフルオロエチルアミノカルボニル基、シクロプロピルアミノカルボニル基、(シクロプロピル)メチルアミノカルボニル基、ピロリジニルカルボニル基、およびピペリジニルカルボニル基等が挙げられる。「Rx1C(=O)-」として好ましくは、ホルミル基、アセチル基、メトキシアセチル基、シアノアセチル基、プロピオニル基、ジフルオロアセチル基、トリフルオロアセチル基、メトキシカルボニル基、またはエトキシカルボニル基であり、さらに好ましくは、ホルミル基、アセチル基、メトキシアセチル基、シアノアセチル基、メトキシカルボニル基、またはエトキシカルボニル基である。
式(1)中、Hetは、硫黄原子および窒素原子を含む5員の複素環基を表す。
該硫黄原子および窒素原子を含む5員の複素環基は、R3が適宜0~2置換する。(ただし、2置換のR3がある場合、R3はそれぞれ独立した置換基を表す。)
硫黄原子および窒素原子を含む5員の複素環基の具体例としては、チアゾリル基、イソチアゾリル基、チアジアゾリル基、またはチアトリアゾリル基が挙げられる。
中でも、Hetは、チアゾリル基、またはチアジアゾリル基が好ましい。
該チアゾリル基、または該チアジアゾリル基は、R3が適宜0~2置換する。(ただし、2置換のR3がある場合、R3はそれぞれ独立した置換基を表す。)
R3は、水酸基、シアノ基、ニトロ基、ハロゲン原子、置換基Cで適宜置換されてもよいC1~C6のアルキル基、C1~C6のハロアルキル基、置換基Cで適宜置換されてもよいC3~C8のシクロアルキル基、置換基Cで適宜置換されてもよいC2~C6のアルケニル基、C2~C6ハロアルケニル基、置換基Cで適宜置換されてもよいC2~C6のアルキニル基、C2~C6のハロアルキニル基、置換基Cで適宜置換されてもよいC1~C6のアルコキシ基、C1~C6のハロアルコキシ基、置換基Cで適宜置換されてもよいC3~C8のシクロアルコキシ基、置換基Cで適宜置換されてもよいC2~C6のアルケニルオキシ基、C2~C6のハロアルケニルオキシ基、置換基Cで適宜置換されてもよいC3~C6のアルキニルオキシ基、C3~C6のハロアルキニルオキシ基、RaRbN-(ここで、RaおよびRbは、前記と同義である。)、Rc-L-(ここで、RcおよびLは、前記と同義である。)、Rx1C(=O)-(ここで、Rx1は、前記と同義である。)、Rx1C(=O)O-(ここで、Rx1は、前記と同義である。)、またはRx2C(=O)N(Rx3)-(ここで、Rx2は、水素原子、置換基Bで適宜置換されてもよいC1~C6のアルキル基、C1~C6のハロアルキル基、C3~C8のシクロアルキル基、C1~C6のアルコキシ基、C1~C6のハロアルコキシ基、C3~C8のシクロアルコキシ基、またはRaRbN-(ここで、RaおよびRbは、前記と同義である。)を表し、Rx3は、水素原子、置換基Bで適宜置換されてもよいC1~C6のアルキル基、C1~C6のハロアルキル基、またはC3~C8のシクロアルキル基を表す。)を表す。
中でも、R3は、シアノ基、ニトロ基、ハロゲン原子、置換基Cで適宜置換されてもよいC1~C6のアルキル基、C1~C6のハロアルキル基、置換基Cで適宜置換されてもよいC3~C8のシクロアルキル基、置換基Cで適宜置換されてもよいC2~C6のアルケニル基、置換基Cで適宜置換されてもよいC2~C6のアルキニル基、置換基Cで適宜置換されてもよいC1~C6のアルコキシ基、RaRbN-(ここで、RaおよびRbは、それぞれ独立していて、水素原子、置換基Bで適宜置換されてもよいC1~C6のアルキル基、C1~C6のハロアルキル基、またはC3~C8のシクロアルキル基を表すか、あるいはRaおよびRbは、結合する窒素原子と一緒になって、アジリジニル基、アゼチジニル基、ピロリジニル基、ピペリジニル基、ホモピペリジニル基、またはアゾカニル基を形成するものを表す。)、またはRx2C(=O)N(Rx3)-(ここで、Rx2は、水素原子、置換基Bで適宜置換されてもよいC1~C6のアルキル基、C1~C6のハロアルキル基、C3~C8のシクロアルキル基、C1~C6のアルコキシ基、C1~C6のハロアルコキシ基、C3~C8のシクロアルコキシ基、またはRaRbN-(ここで、RaおよびRbは、前記と同義である。)を表し、Rx3は、水素原子、置換基Bで適宜置換されてもよいC1~C6のアルキル基、C1~C6のハロアルキル基、またはC3~C8のシクロアルキル基を表す。)が好ましく、
特に、ハロゲン原子、置換基Cで適宜置換されてもよいC1~C6のアルキル基、C1~C6のハロアルキル基、またはRaRbN-(ここで、RaおよびRbは、それぞれ独立していて、水素原子、置換基Bで適宜置換されてもよいC1~C6のアルキル基、C1~C6のハロアルキル基、またはC3~C8のシクロアルキル基を表すか、あるいはRaおよびRbは、結合する窒素原子と一緒になって、アジリジニル基、アゼチジニル基、ピロリジニル基、ピペリジニル基、ホモピペリジニル基、またはアゾカニル基を形成するものを表す。)が好ましい。
式(1)のR3には、水酸基、シアノ基、およびニトロ基が含まれる。
式(1)のR3におけるハロゲン原子は、前記の定義と同義であり、好ましくはフッ素原子、塩素原子、臭素原子、またはヨウ素原子であり、特に好ましくは、塩素原子、または臭素原子である。
式(1)のR3における「置換基Cで適宜置換されてもよいC1~C6のアルキル基」のC1~C6のアルキル基は、前記の定義と同義であり、好ましくは、メチル基、エチル基、プロピル基、イソプロピル基、ブチル基、またはイソブチル基であり、さらに好ましくは、メチル基、エチル基、またはプロピル基であり、特に好ましくは、メチル基、またはエチル基である。置換基Cを有する場合、C1~C6のアルキル基における水素原子が、置換基Cによって任意に置換される。
式(1)のR3における「C1~C6のハロアルキル基」は、前記の定義と同義であり、好ましくは、モノフルオロメチル基、モノクロロメチル基、モノブロモメチル基、ジフルオロメチル基、トリフルオロメチル基、2,2-ジフルオロエチル基、2,2,2-トリフルオロエチル基、3,3-ジフルオロプロピル基、または3,3,3-トリフルオロプロピル基であり、さらに好ましくは、モノブロモメチル基、ジフルオロメチル基、トリフルオロメチル基、2,2-ジフルオロエチル基、または2,2,2-トリフルオロエチル基である。
式(1)のR3における「置換基Cで適宜置換されてもよいC3~C8のシクロアルキル基」のC3~C8のシクロアルキル基は、前記の定義と同義であり、好ましくは、シクロプロピル基、シクロブチル基、シクロペンチル基、またはシクロヘキシル基であり、さらに好ましくは、シクロプロピル基、またはシクロブチル基である。置換基Cを有する場合、C3~C8のシクロアルキル基における水素原子が、置換基Cによって任意に置換される。
式(1)のR3における「置換基Cで適宜置換されてもよいC2~C6のアルケニル基」のC2~C6のアルケニル基は、前記の定義と同義であり、好ましくは、ビニル基、1-プロペニル基、アリル基、1-ブテニル基、2-ブテニル基、または3-ブテニル基であり、さらに好ましくは、ビニル基、1-プロペニル基、またはアリル基である。置換基Cを有する場合、C2~C6のアルケニル基における水素原子が、置換基Cによって任意に置換される。
式(1)のR3における「C2~C6のハロアルケニル基」は、前記の定義と同義であり、好ましくは、2-フルオロビニル基、2,2-ジフルオロビニル基、2,2-ジクロロビニル基、3-フルオロアリル基、3,3-ジフルオロアリル基、または3,3-ジクロロアリル基であり、さらに好ましくは、2-フルオロビニル基、または2,2-ジフルオロビニル基である。
式(1)のR3における「置換基Cで適宜置換されてもよいC2~C6のアルキニル基」のC2~C6のアルキニル基は、前記の定義と同義であり、好ましくは、エチニル基、1-プロピニル基、プロパルギル基、1-ブチニル基、2-ブチニル基、または3-ブチニル基であり、さらに好ましくは、エチニル基、1-プロピニル基、またはプロパルギル基である。置換基Cを有する場合、C2~C6のアルキニル基における水素原子が、置換基Cによって任意に置換される。
式(1)のR3における「C2~C6のハロアルキニル基」は、前記の定義と同義であり、好ましくは、3,3-ジフルオロ-1-プロピニル基、3,3,3-トリフルオロ-1-プロピニル基、4,4-ジフルオロ-1-ブチニル基、4,4-ジフルオロ-2-ブチニル基、4,4,4-トリフルオロ-1-ブチニル基、または4,4,4-トリフルオロ-2-ブチニル基であり、さらに好ましくは、3,3-ジフルオロ-1-プロピニル基、または3,3,3-トリフルオロ-1-プロピニル基である。
式(1)のR3における「置換基Cで適宜置換されてもよいC1~C6のアルコキシ基」のC1~C6のアルコキシ基は、前記の定義と同義であり、好ましくは、メトキシ基、エトキシ基、プロピルオキシ基、イソプロピルオキシ基、ブトキシ基、またはイソブトキシ基であり、さらに好ましくは、メトキシ基、エトキシ基、プロピルオキシ基、またはイソプロピルオキシ基である。置換基Cを有する場合、C1~C6のアルコキシ基における水素原子が、置換基Cによって任意に置換される。
式(1)のR3における「C1~C6のハロアルコキシ基」は、前記の定義と同義であり、好ましくは、ジフルオロメトキシ基、トリフルオロメトキシ基、2,2-ジフルオロエトキシ基、2,2,2-トリフルオロエトキシ基、3,3-ジフルオロプロピルオキシ基、または3,3,3-トリフルオロプロピルオキシ基であり、さらに好ましくは、ジフルオロメトキシ基、トリフルオロメトキシ基、2,2-ジフルオロエトキシ基、または2,2,2-トリフルオロエトキシ基である。
式(1)のR3における「置換基Cで適宜置換されてもよいC3~C8のシクロアルコキシ基」のC3~C8のシクロアルコキシ基は、前記の定義と同義であり、好ましくは、シクロプロピルオキシ基、シクロブトキシ基、シクロペンチルオキシ基、またはシクロヘキシルオキシ基であり、さらに好ましくは、シクロプロピルオキシ基、またはシクロブトキシ基である。置換基Cを有する場合、C3~C8のシクロアルコキシ基における水素原子が、置換基Cによって任意に置換される。
式(1)のR3における「置換基Cで適宜置換されてもよいC2~C6のアルケニルオキシ基」のC2~C6のアルケニルオキシ基は、前記の定義と同義であり、好ましくは、ビニルオキシ基、1-プロペニルオキシ基、アリルオキシ基、1-ブテニルオキシ基、2-ブテニルオキシ基、または3-ブテニルオキシ基であり、さらに好ましくは、ビニルオキシ基、1-プロペニルオキシ基、またはアリルオキシ基である。置換基Cを有する場合、C2~C6のアルケニルオキシ基における水素原子が、置換基Cによって任意に置換される。
式(1)のR3における「C2~C6のハロアルケニルオキシ基」は、前記の定義と同義であり、好ましくは、2-フルオロビニルオキシ基、2,2-ジフルオロビニルオキシ基、2,2-ジクロロビニルオキシ基、3-フルオロアリルオキシ基、3,3-ジフルオロアリルオキシ基、または3,3-ジクロロアリルオキシ基であり、さらに好ましくは、2-フルオロビニルオキシ基、または2,2-ジフルオロビニルオキシ基である。
式(1)のR3における「置換基Cで適宜置換されてもよいC3~C6のアルキニルオキシ基」のC3~C6のアルキニルオキシ基は、前記の定義と同義であり、好ましくは、プロパルギルオキシ基、2-ブチニルオキシ基、または3-ブチニルオキシ基であり、さらに好ましくは、プロパルギルオキシ基である。置換基Cを有する場合、C3~C6のアルキニルオキシ基における水素原子が、置換基Cによって任意に置換される。
式(1)のR3における「C3~C6のハロアルキニルオキシ基」は、前記の定義と同義であり、好ましくは、4,4-ジフルオロ-2-ブチニルオキシ基、4-クロロ-4,4-ジフルオロ-2-ブチニルオキシ基、4-ブロモ-4,4-ジフルオロ-2-ブチニルオキシ基、または4,4,4-トリフルオロ-2-ブチニルオキシ基であり、さらに好ましくは、4,4-ジフルオロ-2-ブチニルオキシ基、または4,4,4-トリフルオロ-2-ブチニルオキシ基である。
式(1)のR3における「RaRbN-」のRaおよびRbは、前記と同義である。RaおよびRbとして、好ましくは、水素原子、置換基Bで適宜置換されてもよいC1~C6のアルキル基、C1~C6のハロアルキル基、C3~C8のシクロアルキル基、ピロリジニル基、またはピペリジニル基であり、さらに好ましくは、水素原子、または置換基Bで適宜置換されてもよいC1~C6のアルキル基である。「RaRbN-」として好ましくは、アミノ基、メチルアミノ基、エチルアミノ基、(メトキシメチル)アミノ基、(2-メトキシエチル)アミノ基、(シアノメチル)アミノ基、(2-シアノエチル)アミノ基、ジメチルアミノ基、エチルメチルアミノ基、ジエチルアミノ基、(メトキシメチル)メチルアミノ基、(2-メトキシエチル)メチルアミノ基、(シアノメチル)メチルアミノ基、(2-シアノエチル)メチルアミノ基、2,2-ジフルオロエチルアミノ基、2,2,2-トリフルオロエチルアミノ基、シクロプロピルアミノ基、(シクロプロピル)メチルアミノ基、ピロリジニル基、またはピペリジニル基であり、さらに好ましくは、アミノ基、メチルアミノ基、ジメチルアミノ基、エチルメチルアミノ基、またはジエチルアミノ基であり、特に好ましくは、アミノ基である。
式(1)のR3における「Rc-L-」のRcおよびLは、前記と同義である。「Rc-L-」として、好ましくは、メチルチオ基、メタンスルフィニル基、メタンスルホニル基、トリフルオロメチルチオ基、トリフルオロメタンスルフィニル基、またはトリフルオロメタンスルホニル基であり、さらに好ましくは、メチルチオ基、メタンスルフィニル基、またはメタンスルホニル基である。
式(1)のR3における「Rx1C(=O)-」のRx1は、前記の定義と同義である。Rx1として、好ましくは、水素原子、置換基Bで適宜置換されてもよいC1~C6のアルキル基、C1~C6のハロアルキル基、またはC1~C6のアルコキシ基であり、さらに好ましくは、水素原子、置換基Bで適宜置換されてもよいC1~C6のアルキル基、またはC1~C6のアルコキシ基である。「Rx1C(=O)-」として、好ましくは、ホルミル基、アセチル基、メトキシアセチル基、シアノアセチル基、プロピオニル基、ジフルオロアセチル基、トリフルオロアセチル基、シクロプロパンカルボニル基、メトキシカルボニル基、エトキシカルボニル基、2,2-ジフルオロエトキシカルボニル基、2,2,2-トリフルオロエトキシカルボニル基、3,3,3-トリフルオロプロピルオキシカルボニル基、シクロプロピルオキシカルボニル基、アミノカルボニル基、メチルアミノカルボニル基、エチルアミノカルボニル基、(メトキシメチル)アミノカルボニル基、(2-メトキシエチル)アミノカルボニル基、(シアノメチル)アミノカルボニル基、(2-シアノエチル)アミノカルボニル基、ジメチルアミノカルボニル基、エチルメチルアミノカルボニル基、ジエチルアミノカルボニル基、(メトキシメチル)メチルアミノカルボニル基、(2-メトキシエチル)メチルアミノカルボニル基、(シアノメチル)メチルアミノカルボニル基、(2-シアノエチル)メチルアミノカルボニル基、2,2-ジフルオロエチルアミノカルボニル基、2,2,2-トリフルオロエチルアミノカルボニル基、シクロプロピルアミノカルボニル基、(シクロプロピル)メチルアミノカルボニル基、ピロリジニルカルボニル基、またはピペリジニルカルボニル基であり、さらに好ましくは、ホルミル基、アセチル基、メトキシアセチル基、シアノアセチル基、プロピオニル基、ジフルオロアセチル基、トリフルオロアセチル基、メトキシカルボニル基、エトキシカルボニル基である。
式(1)のR3における「Rx1C(=O)O-」のRx1は、前記の定義と同義である。「Rx1C(=O)O-」として、好ましくは、ホルミルオキシ基、アセチルオキシ基、メトキシアセチルオキシ基、シアノアセチルオキシ基、プロピオニルオキシ基、ジフルオロアセチルオキシ基、トリフルオロアセチルオキシ基、シクロプロパンカルボニルオキシ基、メトキシカルボニルオキシ基、エトキシカルボニルオキシ基、2,2-ジフルオロエトキシカルボニルオキシ基、2,2,2-トリフルオロエトキシカルボニルオキシ基、3,3,3-トリフルオロプロピルオキシカルボニルオキシ基、シクロプロピルオキシカルボニルオキシ基、アミノカルボニルオキシ基、メチルアミノカルボニルオキシ基、エチルアミノカルボニルオキシ基、(メトキシメチル)アミノカルボニルオキシ基、(2-メトキシエチル)アミノカルボニルオキシ基、(シアノメチル)アミノカルボニルオキシ基、(2-シアノエチル)アミノカルボニルオキシ基、ジメチルアミノカルボニルオキシ基、エチルメチルアミノカルボニルオキシ基、ジエチルアミノカルボニルオキシ基、(メトキシメチル)メチルアミノカルボニルオキシ基、(2-メトキシエチル)メチルアミノカルボニルオキシ基、(シアノメチル)メチルアミノカルボニルオキシ基、(2-シアノエチル)メチルアミノカルボニルオキシ基、2,2-ジフルオロエチルアミノカルボニルオキシ基、2,2,2-トリフルオロエチルアミノカルボニルオキシ基、シクロプロピルアミノカルボニルオキシ基、(シクロプロピル)メチルアミノカルボニルオキシ基、ピロリジニルカルボニルオキシ基、またはピペリジニルカルボニルオキシ基であり、さらに好ましくは、ホルミルオキシ基、アセチルオキシ基、またはトリフルオロアセチルオキシ基である。
式(1)のR3における「Rx2C(=O)N(Rx3)-」(ここで、Rx2は、水素原子、置換基Bで適宜置換されてもよいC1~C6のアルキル基、C1~C6のハロアルキル基、C3~C8のシクロアルキル基、C1~C6のアルコキシ基、C1~C6のハロアルコキシ基、C3~C8のシクロアルコキシ基、またはRaRbN-(ここで、RaおよびRbは、前記と同義である。)を表し、Rx3は、水素原子、置換基Bで適宜置換されてもよいC1~C6のアルキル基、C1~C6のハロアルキル基、またはC3~C8のシクロアルキル基を表す。)の各用語は、前記の定義と同義である。なお、「置換基Bで適宜置換されてもよいC1~C6のアルキル基」に関しては、置換基Bを有する場合、C1~C6のアルキル基における水素原子が、置換基Bによって任意に置換される。Rx2として、好ましくは、水素原子、置換基Bで適宜置換されてもよいC1~C6のアルキル基、C1~C6のハロアルキル基、C1~C6のアルコキシ基、またはRaRbN-(ここで、RaおよびRbは、前記と同義である。)であり、さらに好ましくは、置換基Bで適宜置換されてもよいC1~C6のアルキル基である。Rx3として、好ましくは、水素原子、置換基Bで適宜置換されてもよいC1~C6のアルキル基、またはC1~C6のハロアルキル基であり、さらに好ましくは、水素原子である。Rx2の具体例として、好ましくは、水素原子、メチル基、メトキシメチル基、シアノメチル基、エチル基、ジフルオロメチル基、トリフルオロメチル基、シクロプロピル基、メトキシ基、エトキシ基、2,2-ジフルオロエトキシ基、2,2,2-トリフルオロエトキシ基、シクロプロピルオキシ基、アミノ基、メチルアミノ基、エチルアミノ基、(メトキシメチル)アミノ基、(2-メトキシエチル)アミノ基、(シアノメチル)アミノ基、(2-シアノエチル)アミノ基、ジメチルアミノ基、エチルメチルアミノ基、ジエチルアミノ基、(メトキシメチル)メチルアミノ基、(2-メトキシエチル)メチルアミノ基、(シアノメチル)メチルアミノ基、(2-シアノエチル)メチルアミノ基、2,2-ジフルオロエチルアミノ基、2,2,2-トリフルオロエチルアミノ基、シクロプロピルアミノ基、(シクロプロピル)メチルアミノ基、ピロリジニル基、またはピペリジニル基であり、さらに好ましくは、水素原子、メチル基、メトキシメチル基、シアノメチル基、ジフルオロメチル基、トリフルオロメチル基、メトキシ基、エトキシ基、アミノ基、ジメチルアミノ基、エチルメチルアミノ基、またはジエチルアミノ基である。また、Rx3の具体例として、好ましくは、水素原子、メチル基、メトキシメチル基、エトキシメチル基、シアノメチル基、エチル基、2-メトキシエチル基、2-エトキシエチル基、2-シアノエチル基、プロピル基、2,2-ジフルオロエチル基、2,2,2-トリフルオロエチル基、またはシクロプロピル基であり、さらに好ましくは、水素原子、メチル基、メトキシメチル基、シアノメチル基、エチル基、2-メトキシエチル基、2,2-ジフルオロエチル基、または2,2,2-トリフルオロエチル基である。また、「Rx2C(=O)N(Rx3)-」として好ましくは、アセチルアミド基、2,2,2,-トリフルオロアセチルアミド基、メチルカルバメート基、またはエチルカルバメート基であり、さらに好ましくは、アセチルアミド基である。
以下、式(1)におけるHetについて詳細に説明する。
Hetが、チアゾリル基、イソチアゾリル基、チアジアゾリル基、またはチアトリアゾリル基のとき、Hetは、式(a-1)
または式(a-2)
で表される部分構造(ここで、R3は前記と同義であり、G1、G2、およびG3は、それぞれ独立していて、炭素原子または窒素原子を表し、該G1、該G2および該G3の少なくとも一つは窒素原子を表し、maは0~2の整数を表す。)を表す。
または式(a-2)
で表される部分構造(ここで、R3は前記と同義であり、G1、G2、およびG3は、それぞれ独立していて、炭素原子または窒素原子を表し、該G1、該G2および該G3の少なくとも一つは窒素原子を表し、maは0~2の整数を表す。)を表す。
式(a-1)、および式(a-2)のmaが2の場合、2つのR3は、それぞれ独立した置換基を表し、同一または異なっていてよく、任意に選択することができる。
式(1)におけるR4は、水酸基、シアノ基、ニトロ基、ハロゲン原子、置換基Cで適宜置換されてもよいC1~C6のアルキル基、C1~C6のハロアルキル基、置換基Cで適宜置換されてもよいC3~C8のシクロアルキル基、置換基Cで適宜置換されてもよいC2~C6のアルケニル基、C2~C6ハロアルケニル基、置換基Cで適宜置換されてもよいC2~C6のアルキニル基、C2~C6のハロアルキニル基、置換基Cで適宜置換されてもよいC1~C6のアルコキシ基、C1~C6のハロアルコキシ基、置換基Cで適宜置換されてもよいC3~C8のシクロアルコキシ基、置換基Cで適宜置換されてもよいC2~C6のアルケニルオキシ基、C2~C6のハロアルケニルオキシ基、置換基Cで適宜置換されてもよいC3~C6のアルキニルオキシ基、C3~C6のハロアルキニルオキシ基、RaRbN-(ここで、RaおよびRbは、前記と同義である。)、Rc-L-(ここで、RcおよびLは、前記と同義である。)、Rx1C(=O)-(ここで、Rx1は、前記と同義である。)、Rx1C(=O)O-(ここで、Rx1は、前記と同義である。)、またはRx2C(=O)N(Rx3)-(ここで、Rx2およびRx3は、前記と同義である。)を表す。
中でも、R4は、シアノ基、ハロゲン原子、置換基Cで適宜置換されてもよいC1~C6のアルキル基、C1~C6のハロアルキル基、置換基Cで適宜置換されてもよいC1~C6のアルコキシ基、またはC1~C6のハロアルコキシ基が好ましく、
特に、R4は、ハロゲン原子、または置換基Cで適宜置換されてもよいC1~C6のアルキル基が好ましい。
特に、R4は、ハロゲン原子、または置換基Cで適宜置換されてもよいC1~C6のアルキル基が好ましい。
式(1)のR4には、水酸基、シアノ基、およびニトロ基が含まれる。
式(1)のR4におけるハロゲン原子は、前記の定義と同義であり、好ましくはフッ素原子、塩素原子、臭素原子、またはヨウ素原子であり、さらに好ましくは、フッ素原子、塩素原子、または臭素原子であり、特に好ましくは、フッ素原子である。
式(1)のR4における「置換基Cで適宜置換されてもよいC1~C6のアルキル基」のC1~C6のアルキル基は、前記の定義と同義であり、好ましくは、メチル基、エチル基、プロピル基、またはイソプロピル基であり、さらに好ましくは、メチル基、エチル基、またはプロピル基である。置換基Cを有する場合、C1~C6のアルキル基における水素原子が、置換基Cによって任意に置換される。
式(1)のR4における「C1~C6のハロアルキル基」は、前記の定義と同義であり、好ましくは、ジフルオロメチル基、トリフルオロメチル基、2,2-ジフルオロエチル基、2,2,2-トリフルオロエチル基、3,3-ジフルオロプロピル基、または3,3,3-トリフルオロプロピル基であり、さらに好ましくは、ジフルオロメチル基、またはトリフルオロメチル基である。
式(1)のR4における「置換基Cで適宜置換されてもよいC3~C8のシクロアルキル基」のC3~C8のシクロアルキル基は、前記の定義と同義であり、好ましくは、シクロプロピル基、シクロブチル基、シクロペンチル基、またはシクロヘキシル基であり、さらに好ましくは、シクロプロピル基、またはシクロブチル基である。置換基Cを有する場合、C3~C8のシクロアルキル基における水素原子が、置換基Cによって任意に置換される。
式(1)のR4における「置換基Cで適宜置換されてもよいC2~C6のアルケニル基」のC2~C6のアルケニル基は、前記の定義と同義であり、好ましくは、ビニル基、1-プロペニル基、アリル基、1-ブテニル基、2-ブテニル基、または3-ブテニル基であり、さらに好ましくは、ビニル基である。置換基Cを有する場合、C2~C6のアルケニル基における水素原子が、置換基Cによって任意に置換される。
式(1)のR4における「C2~C6のハロアルケニル基」は、前記の定義と同義であり、好ましくは、2-フルオロビニル基、2,2-ジフルオロビニル基、2,2-ジクロロビニル基、3-フルオロアリル基、3,3-ジフルオロアリル基、または3,3-ジクロロアリル基であり、さらに好ましくは、2-フルオロビニル基、または2,2-ジフルオロビニル基である。
式(1)のR4における「置換基Cで適宜置換されてもよいC2~C6のアルキニル基」のC2~C6のアルキニル基は、前記の定義と同義であり、好ましくは、エチニル基、1-プロピニル基、またはプロパルギル基であり、さらに好ましくは、エチニル基である。置換基Cを有する場合、C2~C6のアルキニル基における水素原子が、置換基Cによって任意に置換される。
式(1)のR4における「C2~C6のハロアルキニル基」は、前記の定義と同義であり、好ましくは、3,3-ジフルオロ-1-プロピニル基、3,3,3-トリフルオロ-1-プロピニル基、4,4-ジフルオロ-1-ブチニル基、4,4-ジフルオロ-2-ブチニル基、4,4,4-トリフルオロ-1-ブチニル基、または4,4,4-トリフルオロ-2-ブチニル基であり、さらに好ましくは、3,3-ジフルオロ-1-プロピニル基、または3,3,3-トリフルオロ-1-プロピニル基である。
式(1)のR4における「置換基Cで適宜置換されてもよいC1~C6のアルコキシ基」のC1~C6のアルコキシ基は、前記の定義と同義であり、好ましくは、メトキシ基、エトキシ基、プロピルオキシ基、またはイソプロピルオキシ基であり、さらに好ましくは、メトキシ基、またはエトキシ基である。置換基Cを有する場合、C1~C6のアルコキシ基における水素原子が、置換基Cによって任意に置換される。
式(1)のR4における「C1~C6のハロアルコキシ基」は、前記の定義と同義であり、好ましくは、ジフルオロメトキシ基、トリフルオロメトキシ基、2,2-ジフルオロエトキシ基、2,2,2-トリフルオロエトキシ基、3,3-ジフルオロプロピルオキシ基、または3,3,3-トリフルオロプロピルオキシ基であり、さらに好ましくは、ジフルオロメトキシ基、またはトリフルオロメトキシ基である。
式(1)のR4における「置換基Cで適宜置換されてもよいC3~C8のシクロアルコキシ基」のC3~C8のシクロアルコキシ基は、前記の定義と同義であり、好ましくは、シクロプロピルオキシ基、シクロブトキシ基、シクロペンチルオキシ基、またはシクロヘキシルオキシ基であり、さらに好ましくは、シクロプロピルオキシ基、またはシクロブトキシ基である。置換基Cを有する場合、C3~C8のシクロアルコキシ基における水素原子が、置換基Cによって任意に置換される。
式(1)のR4における「置換基Cで適宜置換されてもよいC2~C6のアルケニルオキシ基」のC2~C6のアルケニルオキシ基は、前記の定義と同義であり、好ましくは、ビニルオキシ基、1-プロペニルオキシ基、またはアリルオキシ基であり、さらに好ましくは、アリルオキシ基である。置換基Cを有する場合、C2~C6のアルケニルオキシ基における水素原子が、置換基Cによって任意に置換される。
式(1)のR4における「C2~C6のハロアルケニルオキシ基」は、前記の定義と同義であり、好ましくは、2-フルオロビニルオキシ基、2,2-ジフルオロビニルオキシ基、2,2-ジクロロビニルオキシ基、3-フルオロアリルオキシ基、3,3-ジフルオロアリルオキシ基、または3,3-ジクロロアリルオキシ基であり、さらに好ましくは、2-フルオロビニルオキシ基、または2,2-ジフルオロビニルオキシ基である。
式(1)のR4における「置換基Cで適宜置換されてもよいC3~C6のアルキニルオキシ基」のC3~C6のアルキニルオキシ基は、前記の定義と同義であり、好ましくは、プロパルギルオキシ基、2-ブチニルオキシ基、または3-ブチニルオキシ基であり、さらに好ましくは、プロパルギルオキシ基である。置換基Cを有する場合、C3~C6のアルキニルオキシ基における水素原子が、置換基Cによって任意に置換される。
式(1)のR4における「C3~C6のハロアルキニルオキシ基」は、前記の定義と同義であり、好ましくは、4,4-ジフルオロ-2-ブチニルオキシ基、4-クロロ-4,4-ジフルオロ-2-ブチニルオキシ基、4-ブロモ-4,4-ジフルオロ-2-ブチニルオキシ基、または4,4,4-トリフルオロ-2-ブチニルオキシ基であり、さらに好ましくは、4,4-ジフルオロ-2-ブチニルオキシ基、または4,4,4-トリフルオロ-2-ブチニルオキシ基である。
式(1)のR4における「RaRbN-」のRaおよびRbは、前記と同義である。「RaRbN-」として好ましくは、アミノ基、メチルアミノ基、エチルアミノ基、(メトキシメチル)アミノ基、(2-メトキシエチル)アミノ基、(シアノメチル)アミノ基、(2-シアノエチル)アミノ基、ジメチルアミノ基、エチルメチルアミノ基、ジエチルアミノ基、(メトキシメチル)メチルアミノ基、(2-メトキシエチル)メチルアミノ基、(シアノメチル)メチルアミノ基、(2-シアノエチル)メチルアミノ基、2,2-ジフルオロエチルアミノ基、2,2,2-トリフルオロエチルアミノ基、シクロプロピルアミノ基、(シクロプロピル)メチルアミノ基、ピロリジニル基、またはピペリジニル基であり、さらに好ましくは、アミノ基、ジメチルアミノ基、エチルメチルアミノ基、またはジエチルアミノ基である。
式(1)のR4における「Rc-L-」のRcおよびLは、前記と同義である。「Rc-L-」として、好ましくは、メチルチオ基、メタンスルフィニル基、メタンスルホニル基、トリフルオロメチルチオ基、トリフルオロメタンスルフィニル基、またはトリフルオロメタンスルホニル基であり、さらに好ましくは、メチルチオ基、メタンスルフィニル基、またはメタンスルホニル基である。
式(1)のR4における「Rx1C(=O)-」のRx1は、前記の定義と同義である。「Rx1C(=O)-」として、好ましくは、アセチル基、メトキシアセチル基、シアノアセチル基、プロピオニル基、ジフルオロアセチル基、トリフルオロアセチル基、シクロプロパンカルボニル基、メトキシカルボニル基、エトキシカルボニル基、2,2-ジフルオロエトキシカルボニル基、2,2,2-トリフルオロエトキシカルボニル基、3,3,3-トリフルオロプロピルオキシカルボニル基、シクロプロピルオキシカルボニル基、アミノカルボニル基、メチルアミノカルボニル基、エチルアミノカルボニル基、(メトキシメチル)アミノカルボニル基、(2-メトキシエチル)アミノカルボニル基、(シアノメチル)アミノカルボニル基、(2-シアノエチル)アミノカルボニル基、ジメチルアミノカルボニル基、エチルメチルアミノカルボニル基、ジエチルアミノカルボニル基、(メトキシメチル)メチルアミノカルボニル基、(2-メトキシエチル)メチルアミノカルボニル基、(シアノメチル)メチルアミノカルボニル基、(2-シアノエチル)メチルアミノカルボニル基、2,2-ジフルオロエチルアミノカルボニル基、2,2,2-トリフルオロエチルアミノカルボニル基、シクロプロピルアミノカルボニル基、(シクロプロピル)メチルアミノカルボニル基、ピロリジニルカルボニル基、またはピペリジニルカルボニル基であり、さらに好ましくは、アセチル基、メトキシアセチル基、シアノアセチル基、ジフルオロアセチル基、トリフルオロアセチル基、メトキシカルボニル基、エトキシカルボニル基、アミノカルボニル基、ジメチルアミノカルボニル基、エチルメチルアミノカルボニル基、またはジエチルアミノカルボニル基である。
式(1)のR4における「Rx1C(=O)O-」のRx1は、前記の定義と同義である。「Rx1C(=O)O-」として、好ましくは、アセチルオキシ基、メトキシアセチルオキシ基、シアノアセチルオキシ基、プロピオニルオキシ基、ジフルオロアセチルオキシ基、トリフルオロアセチルオキシ基、シクロプロパンカルボニルオキシ基、メトキシカルボニルオキシ基、エトキシカルボニルオキシ基、2,2-ジフルオロエトキシカルボニルオキシ基、2,2,2-トリフルオロエトキシカルボニルオキシ基、3,3,3-トリフルオロプロピルオキシカルボニルオキシ基、シクロプロピルオキシカルボニルオキシ基、アミノカルボニルオキシ基、メチルアミノカルボニルオキシ基、エチルアミノカルボニルオキシ基、(メトキシメチル)アミノカルボニルオキシ基、(2-メトキシエチル)アミノカルボニルオキシ基、(シアノメチル)アミノカルボニルオキシ基、(2-シアノエチル)アミノカルボニルオキシ基、ジメチルアミノカルボニルオキシ基、エチルメチルアミノカルボニルオキシ基、ジエチルアミノカルボニルオキシ基、(メトキシメチル)メチルアミノカルボニルオキシ基、(2-メトキシエチル)メチルアミノカルボニルオキシ基、(シアノメチル)メチルアミノカルボニルオキシ基、(2-シアノエチル)メチルアミノカルボニルオキシ基、2,2-ジフルオロエチルアミノカルボニルオキシ基、2,2,2-トリフルオロエチルアミノカルボニルオキシ基、シクロプロピルアミノカルボニルオキシ基、(シクロプロピル)メチルアミノカルボニルオキシ基、ピロリジニルカルボニルオキシ基、またはピペリジニルカルボニルオキシ基であり、さらに好ましくは、アセチルオキシ基、メトキシアセチルオキシ基、シアノアセチルオキシ基、ジフルオロアセチルオキシ基、トリフルオロアセチルオキシ基、メトキシカルボニルオキシ基、エトキシカルボニルオキシ基、アミノカルボニルオキシ基、ジメチルアミノカルボニルオキシ基、エチルメチルアミノカルボニルオキシ基、またはジエチルアミノカルボニルオキシ基である。
式(1)のR4における「Rx2C(=O)N(Rx3)-」(ここで、Rx2は、水素原子、置換基Bで適宜置換されてもよいC1~C6のアルキル基、C1~C6のハロアルキル基、C3~C8のシクロアルキル基、C1~C6のアルコキシ基、C1~C6のハロアルコキシ基、C3~C8のシクロアルコキシ基、またはRaRbN-(ここで、RaおよびRbは、前記と同義である。)を表し、Rx3は、水素原子、置換基Bで適宜置換されてもよいC1~C6のアルキル基、C1~C6のハロアルキル基、またはC3~C8のシクロアルキル基を表す。)の各用語は、前記の定義と同義である。なお、「置換基Bで適宜置換されてもよいC1~C6のアルキル基」に関しては、置換基Bを有する場合、C1~C6のアルキル基における水素原子が、置換基Bによって任意に置換される。Rx2として、好ましくは、水素原子、メチル基、メトキシメチル基、シアノメチル基、エチル基、ジフルオロメチル基、トリフルオロメチル基、シクロプロピル基、メトキシ基、エトキシ基、2,2-ジフルオロエトキシ基、2,2,2-トリフルオロエトキシ基、シクロプロピルオキシ基、アミノ基、メチルアミノ基、エチルアミノ基、(メトキシメチル)アミノ基、(2-メトキシエチル)アミノ基、(シアノメチル)アミノ基、(2-シアノエチル)アミノ基、ジメチルアミノ基、エチルメチルアミノ基、ジエチルアミノ基、(メトキシメチル)メチルアミノ基、(2-メトキシエチル)メチルアミノ基、(シアノメチル)メチルアミノ基、(2-シアノエチル)メチルアミノ基、2,2-ジフルオロエチルアミノ基、2,2,2-トリフルオロエチルアミノ基、シクロプロピルアミノ基、(シクロプロピル)メチルアミノ基、ピロリジニル基、またはピペリジニル基であり、さらに好ましくは、水素原子、メチル基、メトキシメチル基、シアノメチル基、ジフルオロメチル基、トリフルオロメチル基、メトキシ基、エトキシ基、アミノ基、ジメチルアミノ基、エチルメチルアミノ基、またはジエチルアミノ基である。また、Rx3として、好ましくは、水素原子、メチル基、メトキシメチル基、エトキシメチル基、シアノメチル基、エチル基、2-メトキシエチル基、2-エトキシエチル基、2-シアノエチル基、プロピル基、2,2-ジフルオロエチル基、2,2,2-トリフルオロエチル基、またはシクロプロピル基であり、さらに好ましくは、水素原子、メチル基、メトキシメチル基、シアノメチル基、エチル基、2-メトキシエチル基、2,2-ジフルオロエチル基、または2,2,2-トリフルオロエチル基である。
式(1)におけるR5は、前記に記載のR4と同義である。すなわち、水酸基、シアノ基、ニトロ基、ハロゲン原子、置換基Cで適宜置換されてもよいC1~C6のアルキル基、C1~C6のハロアルキル基、置換基Cで適宜置換されてもよいC3~C8のシクロアルキル基、置換基Cで適宜置換されてもよいC2~C6のアルケニル基、C2~C6ハロアルケニル基、置換基Cで適宜置換されてもよいC2~C6のアルキニル基、C2~C6のハロアルキニル基、置換基Cで適宜置換されてもよいC1~C6のアルコキシ基、C1~C6のハロアルコキシ基、置換基Cで適宜置換されてもよいC3~C8のシクロアルコキシ基、置換基Cで適宜置換されてもよいC2~C6のアルケニルオキシ基、C2~C6のハロアルケニルオキシ基、置換基Cで適宜置換されてもよいC3~C6のアルキニルオキシ基、C3~C6のハロアルキニルオキシ基、RaRbN-(ここで、RaおよびRbは、前記と同義である。)、Rc-L-(ここで、RcおよびLは、前記と同義である。)、Rx1C(=O)-(ここで、Rx1は、前記と同義である。)、Rx1C(=O)O-(ここで、Rx1は、前記と同義である。)、またはRx2C(=O)N(Rx3)-(ここで、Rx2およびRx3は、前記と同義である。)を表す。
中でも、R5は、水酸基、シアノ基、ハロゲン原子、置換基Cで適宜置換されてもよいC1~C6のアルキル基、C1~C6のハロアルキル基、置換基Cで適宜置換されてもよいC2~C6のアルケニル基、置換基Cで適宜置換されてもよいC2~C6のアルキニル基、置換基Cで適宜置換されてもよいC1~C6のアルコキシ基、C1~C6のハロアルコキシ基、またはRc-L-(ここで、Rcは、C1~C6のアルキル基、またはC1~C6のハロアルキル基を表し、Lは、S、SO、またはSO2を表す。)が好ましく、
特に、シアノ基、ハロゲン原子、または置換基Cで適宜置換されてもよいC1~C6のアルコキシ基が好ましい。
特に、シアノ基、ハロゲン原子、または置換基Cで適宜置換されてもよいC1~C6のアルコキシ基が好ましい。
式(1)のR5には、水酸基、シアノ基、およびニトロ基が含まれる。
式(1)のR5におけるハロゲン原子は、前記の定義と同義であり、好ましくはフッ素原子、塩素原子、臭素原子、またはヨウ素原子であり、さらに好ましくは、フッ素原子、または塩素原子であり、特に好ましくは、フッ素原子である。
式(1)のR5における「置換基Cで適宜置換されてもよいC1~C6のアルキル基」のC1~C6のアルキル基は、前記の定義と同義であり、好ましくは、メチル基、エチル基、プロピル基、イソプロピル基、ブチル基、またはイソブチル基であり、さらに好ましくは、メチル基、またはエチル基である。置換基Cを有する場合、C1~C6のアルキル基における水素原子が、置換基Cによって任意に置換される。
式(1)のR5における「C1~C6のハロアルキル基」は、前記の定義と同義であり、好ましくは、ジフルオロメチル基、トリフルオロメチル基、2,2-ジフルオロエチル基、2,2,2-トリフルオロエチル基、3,3-ジフルオロプロピル基、または3,3,3-トリフルオロプロピル基であり、さらに好ましくは、ジフルオロメチル基、トリフルオロメチル基、2,2-ジフルオロエチル基、または2,2,2-トリフルオロエチル基である。
式(1)のR5における「置換基Cで適宜置換されてもよいC3~C8のシクロアルキル基」のC3~C8のシクロアルキル基は、前記の定義と同義であり、好ましくは、シクロプロピル基、シクロブチル基、シクロペンチル基、またはシクロヘキシル基であり、さらに好ましくは、シクロプロピル基、またはシクロブチル基である。置換基Cを有する場合、C3~C8のシクロアルキル基における水素原子が、置換基Cによって任意に置換される。
式(1)のR5における「置換基Cで適宜置換されてもよいC2~C6のアルケニル基」のC2~C6のアルケニル基は、前記の定義と同義であり、好ましくは、ビニル基、1-プロペニル基、アリル基、1-ブテニル基、2-ブテニル基、または3-ブテニル基であり、さらに好ましくは、ビニル基、1-プロペニル基、またはアリル基である。置換基Cを有する場合、C2~C6のアルケニル基における水素原子が、置換基Cによって任意に置換される。
式(1)のR5における「C2~C6のハロアルケニル基」は、前記の定義と同義であり、好ましくは、2-フルオロビニル基、2,2-ジフルオロビニル基、2,2-ジクロロビニル基、3-フルオロアリル基、3,3-ジフルオロアリル基、または3,3-ジクロロアリル基であり、さらに好ましくは、2-フルオロビニル基、または2,2-ジフルオロビニル基である。
式(1)のR5における「置換基Cで適宜置換されてもよいC2~C6のアルキニル基」のC2~C6のアルキニル基は、前記の定義と同義であり、好ましくは、エチニル基、1-プロピニル基、プロパルギル基、1-ブチニル基、2-ブチニル基、または3-ブチニル基であり、さらに好ましくは、エチニル基、1-プロピニル基、またはプロパルギル基である。置換基Cを有する場合、C2~C6のアルキニル基における水素原子が、置換基Cによって任意に置換される。
式(1)のR5における「置換基Cで適宜置換されてもよいC2~C6のアルキニル基」のC2~C6のアルキニル基は、前記の定義と同義であり、好ましくは、エチニル基、1-プロピニル基、プロパルギル基、1-ブチニル基、2-ブチニル基、または3-ブチニル基であり、さらに好ましくは、エチニル基、1-プロピニル基、またはプロパルギル基である。置換基Cを有する場合、C2~C6のアルキニル基における水素原子が、置換基Cによって任意に置換される。
式(1)のR5における「C2~C6のハロアルキニル基」は、前記の定義と同義であり、好ましくは、3,3-ジフルオロ-1-プロピニル基、3,3,3-トリフルオロ-1-プロピニル基、4,4-ジフルオロ-1-ブチニル基、4,4-ジフルオロ-2-ブチニル基、4,4,4-トリフルオロ-1-ブチニル基、または4,4,4-トリフルオロ-2-ブチニル基であり、さらに好ましくは、3,3-ジフルオロ-1-プロピニル基、または3,3,3-トリフルオロ-1-プロピニル基である。
式(1)のR5における「置換基Cで適宜置換されてもよいC1~C6のアルコキシ基」のC1~C6のアルコキシ基は、前記の定義と同義であり、好ましくは、メトキシ基、エトキシ基、プロピルオキシ基、イソプロピルオキシ基、ブトキシ基、またはイソブトキシ基であり、さらに好ましくは、メトキシ基、エトキシ基、プロピルオキシ基、またはイソプロピルオキシ基である。置換基Cを有する場合、C1~C6のアルコキシ基における水素原子が、置換基Cによって任意に置換される。置換基Cとして好ましくは、シアノ基、C3~C8のシクロアルキル基、C1~C6のアルコキシ基、C1~C6のハロアルコキシ基、C2~C6のアルコキシアルコキシ基、Rc-L-(ここで、RcおよびLは、前記と同義である。)であり、さらに好ましくは、シアノ基、C1~C6のアルコキシ基、またはRc-L-(ここで、RcおよびLは、前記と同義である。)である。置換基Cで置換されたC1~C6のアルコキシ基として好ましくは、シアノメトキシ基、シアノエトキシ基、メトキシメトキシ基、メトキシエトキシ基、エトキシメトキシ基、またはエトキシエトキシ基であり、さらに好ましくは、シアノメトキシ基、メトキシメトキシ基、またはメトキシエトキシ基である。
式(1)のR5における「C1~C6のハロアルコキシ基」は、前記の定義と同義であり、好ましくは、ジフルオロメトキシ基、トリフルオロメトキシ基、2,2-ジフルオロエトキシ基、2,2,2-トリフルオロエトキシ基、3,3-ジフルオロプロピルオキシ基、または3,3,3-トリフルオロプロピルオキシ基であり、さらに好ましくは、ジフルオロメトキシ基、トリフルオロメトキシ基、2,2-ジフルオロエトキシ基、または2,2,2-トリフルオロエトキシ基である。
式(1)のR5における「置換基Cで適宜置換されてもよいC3~C8のシクロアルコキシ基」のC3~C8のシクロアルコキシ基は、前記の定義と同義であり、好ましくは、シクロプロピルオキシ基、シクロブトキシ基、シクロペンチルオキシ基、またはシクロヘキシルオキシ基であり、さらに好ましくは、シクロプロピルオキシ基、またはシクロブトキシ基である。置換基Cを有する場合、C3~C8のシクロアルコキシ基における水素原子が、置換基Cによって任意に置換される。
式(1)のR5における「置換基Cで適宜置換されてもよいC2~C6のアルケニルオキシ基」のC2~C6のアルケニルオキシ基は、前記の定義と同義であり、好ましくは、ビニルオキシ基、1-プロペニルオキシ基、アリルオキシ基、1-ブテニルオキシ基、2-ブテニルオキシ基、または3-ブテニルオキシ基であり、さらに好ましくは、ビニルオキシ基、1-プロペニルオキシ基、またはアリルオキシ基であり、特に好ましくは、アリルオキシ基である。置換基Cを有する場合、C2~C6のアルケニルオキシ基における水素原子が、置換基Cによって任意に置換される。
式(1)のR5における「C2~C6のハロアルケニルオキシ基」は、前記の定義と同義であり、好ましくは、2-フルオロビニルオキシ基、2,2-ジフルオロビニルオキシ基、2,2-ジクロロビニルオキシ基、3-フルオロアリルオキシ基、3,3-ジフルオロアリルオキシ基、または3,3-ジクロロアリルオキシ基であり、さらに好ましくは、2-フルオロビニルオキシ基、または2,2-ジフルオロビニルオキシ基である。
式(1)のR5における「置換基Cで適宜置換されてもよいC3~C6のアルキニルオキシ基」のC3~C6のアルキニルオキシ基は、前記の定義と同義であり、好ましくは、プロパルギルオキシ基、2-ブチニルオキシ基、または3-ブチニルオキシ基であり、さらに好ましくは、プロパルギルオキシ基、または2-ブチニルオキシ基であり、特に好ましくは、プロパルギルオキシ基である。置換基Cを有する場合、C3~C6のアルキニルオキシ基における水素原子が、置換基Cによって任意に置換される。
式(1)のR5における「C3~C6のハロアルキニルオキシ基」は、前記の定義と同義であり、好ましくは、4,4-ジフルオロ-2-ブチニルオキシ基、4-クロロ-4,4-ジフルオロ-2-ブチニルオキシ基、4-ブロモ-4,4-ジフルオロ-2-ブチニルオキシ基、または4,4,4-トリフルオロ-2-ブチニルオキシ基であり、さらに好ましくは、4,4-ジフルオロ-2-ブチニルオキシ基、または4,4,4-トリフルオロ-2-ブチニルオキシ基である。
式(1)のR5における「RaRbN-」のRaおよびRbは、前記と同義である。RaおよびRbとして、好ましくは、水素原子、置換基Bで適宜置換されてもよいC1~C6のアルキル基、C1~C6のハロアルキル基、C3~C8のシクロアルキル基、ピロリジニル基、またはピペリジニル基であり、さらに好ましくは、水素原子、置換基Bで適宜置換されてもよいC1~C6のアルキル基、ピロリジニル基、またはピぺリジニル基である。「RaRbN-」として好ましくは、アミノ基、メチルアミノ基、エチルアミノ基、(メトキシメチル)アミノ基、(2-メトキシエチル)アミノ基、(シアノメチル)アミノ基、(2-シアノエチル)アミノ基、ジメチルアミノ基、エチルメチルアミノ基、ジエチルアミノ基、(メトキシメチル)メチルアミノ基、(2-メトキシエチル)メチルアミノ基、(シアノメチル)メチルアミノ基、(2-シアノエチル)メチルアミノ基、2,2-ジフルオロエチルアミノ基、2,2,2-トリフルオロエチルアミノ基、シクロプロピルアミノ基、(シクロプロピル)メチルアミノ基、ピロリジニル基、またはピペリジニル基であり、さらに好ましくは、アミノ基、メチルアミノ基、ジメチルアミノ基、エチルメチルアミノ基、ジエチルアミノ基、ピロリジニル基、またはピぺリジニル基である。
式(1)のR5における「Rc-L-」のRcおよびLは、前記と同義である。Rcとして、好ましくは、C1~C6のアルキル基である。Lとして、好ましくは、Sである。「Rc-L-」として、好ましくは、メチルチオ基、メタンスルフィニル基、メタンスルホニル基、トリフルオロメチルチオ基、トリフルオロメタンスルフィニル基、またはトリフルオロメタンスルホニル基であり、さらに好ましくは、メチルチオ基、メタンスルフィニル基、またはメタンスルホニル基である。
式(1)のR5における「Rx1C(=O)-」のRx1は、前記の定義と同義である。「Rx1C(=O)-」として、好ましくは、アセチル基、メトキシアセチル基、シアノアセチル基、プロピオニル基、ジフルオロアセチル基、トリフルオロアセチル基、シクロプロパンカルボニル基、メトキシカルボニル基、エトキシカルボニル基、2,2-ジフルオロエトキシカルボニル基、2,2,2-トリフルオロエトキシカルボニル基、3,3,3-トリフルオロプロピルオキシカルボニル基、シクロプロピルオキシカルボニル基、アミノカルボニル基、メチルアミノカルボニル基、エチルアミノカルボニル基、(メトキシメチル)アミノカルボニル基、(2-メトキシエチル)アミノカルボニル基、(シアノメチル)アミノカルボニル基、(2-シアノエチル)アミノカルボニル基、ジメチルアミノカルボニル基、エチルメチルアミノカルボニル基、ジエチルアミノカルボニル基、(メトキシメチル)メチルアミノカルボニル基、(2-メトキシエチル)メチルアミノカルボニル基、(シアノメチル)メチルアミノカルボニル基、(2-シアノエチル)メチルアミノカルボニル基、2,2-ジフルオロエチルアミノカルボニル基、2,2,2-トリフルオロエチルアミノカルボニル基、シクロプロピルアミノカルボニル基、(シクロプロピル)メチルアミノカルボニル基、ピロリジニルカルボニル基、またはピペリジニルカルボニル基であり、さらに好ましくは、アセチル基、メトキシアセチル基、シアノアセチル基、ジフルオロアセチル基、トリフルオロアセチル基、メトキシカルボニル基、エトキシカルボニル基、アミノカルボニル基、ジメチルアミノカルボニル基、エチルメチルアミノカルボニル基、またはジエチルアミノカルボニル基である。
式(1)のR5における「Rx1C(=O)O-」のRx1は、前記の定義と同義である。Rx1として、好ましくは、置換基Bで適宜置換されてもよいC1~C6のアルキル基、C1~C6のハロアルキル基、C3~C8のシクロアルキル基、C1~C6のアルコキシ基、C1~C6のハロアルコキシ基、C3~C8のシクロアルコキシ基、またはRaRbN-(ここで、RaおよびRbは前記と同義である。)であり、さらに好ましくは、置換基Bで適宜置換されてもよいC1~C6のアルキル基、C1~C6のハロアルキル基、C1~C6のアルコキシ基、またはRaRbN-(ここで、RaおよびRbは前記と同義である。)である。「Rx1C(=O)O-」として、好ましくは、アセチルオキシ基、メトキシアセチルオキシ基、シアノアセチルオキシ基、プロピオニルオキシ基、ジフルオロアセチルオキシ基、トリフルオロアセチルオキシ基、シクロプロパンカルボニルオキシ基、メトキシカルボニルオキシ基、エトキシカルボニルオキシ基、2,2-ジフルオロエトキシカルボニルオキシ基、2,2,2-トリフルオロエトキシカルボニルオキシ基、3,3,3-トリフルオロプロピルオキシカルボニルオキシ基、シクロプロピルオキシカルボニルオキシ基、アミノカルボニルオキシ基、メチルアミノカルボニルオキシ基、エチルアミノカルボニルオキシ基、(メトキシメチル)アミノカルボニルオキシ基、(2-メトキシエチル)アミノカルボニルオキシ基、(シアノメチル)アミノカルボニルオキシ基、(2-シアノエチル)アミノカルボニルオキシ基、ジメチルアミノカルボニルオキシ基、エチルメチルアミノカルボニルオキシ基、ジエチルアミノカルボニルオキシ基、(メトキシメチル)メチルアミノカルボニルオキシ基、(2-メトキシエチル)メチルアミノカルボニルオキシ基、(シアノメチル)メチルアミノカルボニルオキシ基、(2-シアノエチル)メチルアミノカルボニルオキシ基、2,2-ジフルオロエチルアミノカルボニルオキシ基、2,2,2-トリフルオロエチルアミノカルボニルオキシ基、シクロプロピルアミノカルボニルオキシ基、(シクロプロピル)メチルアミノカルボニルオキシ基、ピロリジニルカルボニルオキシ基、またはピペリジニルカルボニルオキシ基であり、さらに好ましくは、アセチルオキシ基、メトキシアセチルオキシ基、シアノアセチルオキシ基、ジフルオロアセチルオキシ基、トリフルオロアセチルオキシ基、メトキシカルボニルオキシ基、エトキシカルボニルオキシ基、アミノカルボニルオキシ基、ジメチルアミノカルボニルオキシ基、エチルメチルアミノカルボニルオキシ基、またはジエチルアミノカルボニルオキシ基である。
式(1)のR5における「Rx2C(=O)N(Rx3)-」(ここで、Rx2は、水素原子、置換基Bで適宜置換されてもよいC1~C6のアルキル基、C1~C6のハロアルキル基、C3~C8のシクロアルキル基、C1~C6のアルコキシ基、C1~C6のハロアルコキシ基、C3~C8のシクロアルコキシ基、またはRaRbN-(ここで、RaおよびRbは、前記と同義である。)を表し、Rx3は、水素原子、置換基Bで適宜置換されてもよいC1~C6のアルキル基、C1~C6のハロアルキル基、またはC3~C8のシクロアルキル基を表す。)の各用語は、前記の定義と同義である。なお、「置換基Bで適宜置換されてもよいC1~C6のアルキル基」に関しては、置換基Bを有する場合、C1~C6のアルキル基における水素原子が、置換基Bによって任意に置換される。Rx2として、好ましくは、水素原子、メチル基、メトキシメチル基、シアノメチル基、エチル基、ジフルオロメチル基、トリフルオロメチル基、シクロプロピル基、メトキシ基、エトキシ基、2,2-ジフルオロエトキシ基、2,2,2-トリフルオロエトキシ基、シクロプロピルオキシ基、アミノ基、メチルアミノ基、エチルアミノ基、(メトキシメチル)アミノ基、(2-メトキシエチル)アミノ基、(シアノメチル)アミノ基、(2-シアノエチル)アミノ基、ジメチルアミノ基、エチルメチルアミノ基、ジエチルアミノ基、(メトキシメチル)メチルアミノ基、(2-メトキシエチル)メチルアミノ基、(シアノメチル)メチルアミノ基、(2-シアノエチル)メチルアミノ基、2,2-ジフルオロエチルアミノ基、2,2,2-トリフルオロエチルアミノ基、シクロプロピルアミノ基、(シクロプロピル)メチルアミノ基、ピロリジニル基、またはピペリジニル基であり、さらに好ましくは、水素原子、メチル基、メトキシメチル基、シアノメチル基、ジフルオロメチル基、トリフルオロメチル基、メトキシ基、エトキシ基、アミノ基、ジメチルアミノ基、エチルメチルアミノ基、またはジエチルアミノ基である。また、Rx3として、好ましくは、水素原子、メチル基、メトキシメチル基、エトキシメチル基、シアノメチル基、エチル基、2-メトキシエチル基、2-エトキシエチル基、2-シアノエチル基、プロピル基、2,2-ジフルオロエチル基、2,2,2-トリフルオロエチル基、またはシクロプロピル基であり、さらに好ましくは、水素原子、メチル基、メトキシメチル基、シアノメチル基、エチル基、2-メトキシエチル基、2,2-ジフルオロエチル基、または2,2,2-トリフルオロエチル基である。
以下、式(1)中、R4およびR5を有するフェニル基について詳細に説明する。
式(Y)のnは、0~4の整数を表す。
式(Y)のnが2以上の場合、2以上のR5は、それぞれ独立した置換基を表し、同一または異なっていてよく、任意に選択することができる。
本明細書においてフェニル基のオルト位とは、式(Y)に示されるように、置換基R4があるフェニル基の位置を意味する。
置換基R4がオルト位に位置したフェニル基は、本発明の特徴をなしている。
式(Y)の好ましい置換基の組み合わせは、2-R4-フェニル基、2-R4-6-R5-フェニル基、2-R4-4-R5-フェニル基、2-R4-4-R5-6-R5-フェニル基、2-R4-3-R5-フェニル基、または2-R4-3-R5-4-R5-6-R5-フェニル基であり、さらに好ましい置換基の組み合わせは、2-R4-フェニル基、2-R4-6-R5-フェニル基、2-R4-4-R5-フェニル基、2-R4-4-R5-6-R5-フェニル基である。ここで例えば、「2-R4-6-R5-フェニル基」は、2位に置換基R4、6位に置換基R5を有する二置換フェニル基を意味し、以下の記載も同様である。
式(1)のXは、酸素原子、または硫黄原子を表す。好ましいXは、酸素原子である。
式(1)における破線部を含む結合は、二重結合または単結合を表す。
式(1b)におけるR2が水素原子以外の置換基の場合、R体もしくはS体のどちらか一方のみ、またはR体とS体との任意の割合の混合物である。
式(1)の「置換基A」は、水酸基、シアノ基、C3~C8のシクロアルキル基、C1~C6のアルコキシ基、C1~C6のハロアルコキシ基、C3~C8のシクロアルコキシ基、RaRbN-(ここで、RaおよびRbは、前記と同義である。)、およびRc-L-(ここで、RcおよびLは、前記と同義である。)からなる群から選択される少なくとも1種を表す。
中でも置換基Aは、シアノ基、C1~C6のアルコキシ基、またはRc-L-(ここで、RcおよびLは、前記と同義である。)が好ましく、
特に、シアノ基、またはC1~C6のアルコキシ基が好ましい。
特に、シアノ基、またはC1~C6のアルコキシ基が好ましい。
置換基Aの好ましい具体例に関しては、水酸基;シアノ基;
C3~C8のシクロアルキル基として、シクロプロピル基、シクロブチル基、シクロペンチル基、およびシクロヘキシル基;
C1~C6のアルコキシ基として、メトキシ基、エトキシ基、プロピルオキシ基、およびイソプロピルオキシ基;
C1~C6のハロアルコキシ基として、ジフルオロメトキシ基、トリフルオロメトキシ基、2,2-ジフルオロエトキシ基、2,2,2-トリフルオロエトキシ基、3,3-ジフルオロプロピルオキシ基、および3,3,3-トリフルオロプロピルオキシ基;
C3~C8のシクロアルコキシ基として、シクロプロピルオキシ基、シクロブトキシ基、シクロペンチルオキシ基、およびシクロヘキシルオキシ基;
RaRbN-(ここで、RaおよびRbは、前記と同義である。)として、アミノ基、メチルアミノ基、エチルアミノ基、(メトキシメチル)アミノ基、(2-メトキシエチル)アミノ基、(シアノメチル)アミノ基、(2-シアノエチル)アミノ基、ジメチルアミノ基、エチルメチルアミノ基、ジエチルアミノ基、(メトキシメチル)メチルアミノ基、(2-メトキシエチル)メチルアミノ基、(シアノメチル)メチルアミノ基、(2-シアノエチル)メチルアミノ基、2,2-ジフルオロエチルアミノ基、2,2,2-トリフルオロエチルアミノ基、シクロプロピルアミノ基、(シクロプロピル)メチルアミノ基、ピロリジニル基、およびピペリジニル基;
ならびにRc-L-(ここで、RcおよびLは、前記と同義である。)として、メチルチオ基、メタンスルフィニル基、メタンスルホニル基、トリフルオロメチルチオ基、トリフルオロメタンスルフィニル基、およびトリフルオロメタンスルホニル基である。
C3~C8のシクロアルキル基として、シクロプロピル基、シクロブチル基、シクロペンチル基、およびシクロヘキシル基;
C1~C6のアルコキシ基として、メトキシ基、エトキシ基、プロピルオキシ基、およびイソプロピルオキシ基;
C1~C6のハロアルコキシ基として、ジフルオロメトキシ基、トリフルオロメトキシ基、2,2-ジフルオロエトキシ基、2,2,2-トリフルオロエトキシ基、3,3-ジフルオロプロピルオキシ基、および3,3,3-トリフルオロプロピルオキシ基;
C3~C8のシクロアルコキシ基として、シクロプロピルオキシ基、シクロブトキシ基、シクロペンチルオキシ基、およびシクロヘキシルオキシ基;
RaRbN-(ここで、RaおよびRbは、前記と同義である。)として、アミノ基、メチルアミノ基、エチルアミノ基、(メトキシメチル)アミノ基、(2-メトキシエチル)アミノ基、(シアノメチル)アミノ基、(2-シアノエチル)アミノ基、ジメチルアミノ基、エチルメチルアミノ基、ジエチルアミノ基、(メトキシメチル)メチルアミノ基、(2-メトキシエチル)メチルアミノ基、(シアノメチル)メチルアミノ基、(2-シアノエチル)メチルアミノ基、2,2-ジフルオロエチルアミノ基、2,2,2-トリフルオロエチルアミノ基、シクロプロピルアミノ基、(シクロプロピル)メチルアミノ基、ピロリジニル基、およびピペリジニル基;
ならびにRc-L-(ここで、RcおよびLは、前記と同義である。)として、メチルチオ基、メタンスルフィニル基、メタンスルホニル基、トリフルオロメチルチオ基、トリフルオロメタンスルフィニル基、およびトリフルオロメタンスルホニル基である。
置換基Aのさらに好ましい具体例に関しては、水酸基;シアノ基;
C3~C8のシクロアルキル基として、シクロプロピル基、およびシクロブチル基、
C1~C6のアルコキシ基として、メトキシ基、およびエトキシ基、
C1~C6のハロアルコキシ基として、ジフルオロメトキシ基、トリフルオロメトキシ基、2,2-ジフルオロエトキシ基、および2,2,2-トリフルオロエトキシ基、
C3~C8のシクロアルコキシ基として、シクロプロピルオキシ基、およびシクロブトキシ基、
RaRbN-(ここで、RaおよびRbは、前記と同義である。)として、ジメチルアミノ基、エチルメチルアミノ基、およびジエチルアミノ基、
ならびにRc-L-(ここで、RcおよびLは、前記と同義である。)として、メチルチオ基、メタンスルフィニル基、およびメタンスルホニル基である。
C3~C8のシクロアルキル基として、シクロプロピル基、およびシクロブチル基、
C1~C6のアルコキシ基として、メトキシ基、およびエトキシ基、
C1~C6のハロアルコキシ基として、ジフルオロメトキシ基、トリフルオロメトキシ基、2,2-ジフルオロエトキシ基、および2,2,2-トリフルオロエトキシ基、
C3~C8のシクロアルコキシ基として、シクロプロピルオキシ基、およびシクロブトキシ基、
RaRbN-(ここで、RaおよびRbは、前記と同義である。)として、ジメチルアミノ基、エチルメチルアミノ基、およびジエチルアミノ基、
ならびにRc-L-(ここで、RcおよびLは、前記と同義である。)として、メチルチオ基、メタンスルフィニル基、およびメタンスルホニル基である。
式(1)の「置換基B」は、シアノ基、C1~C6のアルコキシ基、C1~C6のハロアルコキシ基、およびC3~C8のシクロアルコキシ基からなる群から選択される少なくとも1種を表す。
中でも置換基Bは、シアノ基、またはC1~C6のアルコキシ基が好ましい。
置換基Bの好ましい具体例に関しては、シアノ基;
C1~C6のアルコキシ基として、メトキシ基、エトキシ基、プロピルオキシ基、およびイソプロピルオキシ基;
C1~C6のハロアルコキシ基として、ジフルオロメトキシ基、トリフルオロメトキシ基、2,2-ジフルオロエトキシ基、2,2,2-トリフルオロエトキシ基、3,3-ジフルオロプロピルオキシ基、および3,3,3-トリフルオロプロピルオキシ基;
ならびにC3~C8のシクロアルコキシ基として、シクロプロピルオキシ基、シクロブトキシ基、シクロペンチルオキシ基、およびシクロヘキシルオキシ基である。
C1~C6のアルコキシ基として、メトキシ基、エトキシ基、プロピルオキシ基、およびイソプロピルオキシ基;
C1~C6のハロアルコキシ基として、ジフルオロメトキシ基、トリフルオロメトキシ基、2,2-ジフルオロエトキシ基、2,2,2-トリフルオロエトキシ基、3,3-ジフルオロプロピルオキシ基、および3,3,3-トリフルオロプロピルオキシ基;
ならびにC3~C8のシクロアルコキシ基として、シクロプロピルオキシ基、シクロブトキシ基、シクロペンチルオキシ基、およびシクロヘキシルオキシ基である。
置換基Bのさらに好ましい具体例に関しては、シアノ基;
C1~C6のアルコキシ基として、メトキシ基、およびエトキシ基;
C1~C6のハロアルコキシ基として、ジフルオロメトキシ基、トリフルオロメトキシ基、2,2-ジフルオロエトキシ基、および2,2,2-トリフルオロエトキシ基;
ならびにC3~C8のシクロアルコキシ基として、シクロプロピルオキシ基、およびシクロブトキシ基が挙げられる。
C1~C6のアルコキシ基として、メトキシ基、およびエトキシ基;
C1~C6のハロアルコキシ基として、ジフルオロメトキシ基、トリフルオロメトキシ基、2,2-ジフルオロエトキシ基、および2,2,2-トリフルオロエトキシ基;
ならびにC3~C8のシクロアルコキシ基として、シクロプロピルオキシ基、およびシクロブトキシ基が挙げられる。
式(1)の「置換基C」とは、水酸基、シアノ基、C3~C8のシクロアルキル基、C1~C6のアルコキシ基、C1~C6のハロアルコキシ基、C3~C8のシクロアルコキシ基、C2~C6のアルコキシアルコキシ基、RaRbN-(ここで、RaおよびRbは、前記と同義である。)、Rc-L-(ここで、RcおよびLは、前記と同義である。)、Rx1C(=O)-(ここで、Rx1は、前記と同義である。)、および1~2個の酸素原子を含む3~6員環の基からなる群から選択される少なくとも1種を表し、
中でも置換基Cは、シアノ基、C3~C8のシクロアルキル基、C1~C6のアルコキシ基、C1~C6のハロアルコキシ基、C2~C6のアルコキシアルコキシ基、Rc-L-(ここで、RcおよびLは、前記と同義である。)、Rx1C(=O)-(ここで、Rx1は、前記と同義である。)、または1~2個の酸素原子を含む3~6員環の基が好ましく、
特に、シアノ基、C1~C6のアルコキシ基、またはRc-L-(ここで、RcおよびLは、前記と同義である。)が好ましい。
中でも置換基Cは、シアノ基、C3~C8のシクロアルキル基、C1~C6のアルコキシ基、C1~C6のハロアルコキシ基、C2~C6のアルコキシアルコキシ基、Rc-L-(ここで、RcおよびLは、前記と同義である。)、Rx1C(=O)-(ここで、Rx1は、前記と同義である。)、または1~2個の酸素原子を含む3~6員環の基が好ましく、
特に、シアノ基、C1~C6のアルコキシ基、またはRc-L-(ここで、RcおよびLは、前記と同義である。)が好ましい。
置換基Cの好ましい具体例に関しては、水酸基;シアノ基;
C3~C8のシクロアルキル基として、シクロプロピル基、シクロブチル基、シクロペンチル基、およびシクロヘキシル基;
C1~C6のアルコキシ基として、メトキシ基、エトキシ基、プロピルオキシ基、イソプロピルオキシ基、ブトキシ基、イソブトキシ基、およびt-ブトキシ基;
C1~C6のハロアルコキシ基として、ジフルオロメトキシ基、トリフルオロメトキシ基、2,2-ジフルオロエトキシ基、2,2,2-トリフルオロエトキシ基、3,3-ジフルオロプロピルオキシ基、および3,3,3-トリフルオロプロピルオキシ基;
C3~C8のシクロアルコキシ基として、シクロプロピルオキシ基、シクロブトキシ基、シクロペンチルオキシ基、およびシクロヘキシルオキシ基;
C2~C6のアルコキシアルコキシ基として、メトキシメトキシ基、エトキシメトキシ基、メトキシエトキシ基、エトキシエトキシ基、およびメトキシプロピルオキシ基;
RaRbN-(ここで、RaおよびRbは、前記と同義である。)として、アミノ基、メチルアミノ基、エチルアミノ基、(メトキシメチル)アミノ基、(2-メトキシエチル)アミノ基、(シアノメチル)アミノ基、(2-シアノエチル)アミノ基、ジメチルアミノ基、エチルメチルアミノ基、ジエチルアミノ基、(メトキシメチル)メチルアミノ基、(2-メトキシエチル)メチルアミノ基、(シアノメチル)メチルアミノ基、(2-シアノエチル)メチルアミノ基、2,2-ジフルオロエチルアミノ基、2,2,2-トリフルオロエチルアミノ基、シクロプロピルアミノ基、(シクロプロピル)メチルアミノ基、ピロリジニル基、およびピペリジニル基;
Rc-L-(ここで、RcおよびLは、前記と同義である。)として、メチルチオ基、メタンスルフィニル基、メタンスルホニル基、トリフルオロメチルチオ基、トリフルオロメタンスルフィニル基、およびトリフルオロメタンスルホニル基;
Rx1C(=O)-(ここで、Rx1は、前記と同義である。)として、ホルミル基、アセチル基、メトキシアセチル基、シアノアセチル基、プロピオニル基、ジフルオロアセチル基、トリフルオロアセチル基、シクロプロパンカルボニル基、メトキシカルボニル基、エトキシカルボニル基、2,2-ジフルオロエトキシカルボニル基、2,2,2-トリフルオロエトキシカルボニル基、3,3,3-トリフルオロプロピルオキシカルボニル基、シクロプロピルオキシカルボニル基、アミノカルボニル基、メチルアミノカルボニル基、エチルアミノカルボニル基、(メトキシメチル)アミノカルボニル基、(2-メトキシエチル)アミノカルボニル基、(シアノメチル)アミノカルボニル基、(2-シアノエチル)アミノカルボニル基、ジメチルアミノカルボニル基、エチルメチルアミノカルボニル基、ジエチルアミノカルボニル基、(メトキシメチル)メチルアミノカルボニル基、(2-メトキシエチル)メチルアミノカルボニル基、(シアノメチル)メチルアミノカルボニル基、(2-シアノエチル)メチルアミノカルボニル基、2,2-ジフルオロエチルアミノカルボニル基、2,2,2-トリフルオロエチルアミノカルボニル基、シクロプロピルアミノカルボニル基、(シクロプロピル)メチルアミノカルボニル基、ピロリジニルカルボニル基、およびピペリジニルカルボニル基;
ならびに1~2個の酸素原子を含む3~6員環の基として、オキソラニル基、オキサニル基、1,3-ジオキソラニル基、および1,3-ジオキサニル基である。
C3~C8のシクロアルキル基として、シクロプロピル基、シクロブチル基、シクロペンチル基、およびシクロヘキシル基;
C1~C6のアルコキシ基として、メトキシ基、エトキシ基、プロピルオキシ基、イソプロピルオキシ基、ブトキシ基、イソブトキシ基、およびt-ブトキシ基;
C1~C6のハロアルコキシ基として、ジフルオロメトキシ基、トリフルオロメトキシ基、2,2-ジフルオロエトキシ基、2,2,2-トリフルオロエトキシ基、3,3-ジフルオロプロピルオキシ基、および3,3,3-トリフルオロプロピルオキシ基;
C3~C8のシクロアルコキシ基として、シクロプロピルオキシ基、シクロブトキシ基、シクロペンチルオキシ基、およびシクロヘキシルオキシ基;
C2~C6のアルコキシアルコキシ基として、メトキシメトキシ基、エトキシメトキシ基、メトキシエトキシ基、エトキシエトキシ基、およびメトキシプロピルオキシ基;
RaRbN-(ここで、RaおよびRbは、前記と同義である。)として、アミノ基、メチルアミノ基、エチルアミノ基、(メトキシメチル)アミノ基、(2-メトキシエチル)アミノ基、(シアノメチル)アミノ基、(2-シアノエチル)アミノ基、ジメチルアミノ基、エチルメチルアミノ基、ジエチルアミノ基、(メトキシメチル)メチルアミノ基、(2-メトキシエチル)メチルアミノ基、(シアノメチル)メチルアミノ基、(2-シアノエチル)メチルアミノ基、2,2-ジフルオロエチルアミノ基、2,2,2-トリフルオロエチルアミノ基、シクロプロピルアミノ基、(シクロプロピル)メチルアミノ基、ピロリジニル基、およびピペリジニル基;
Rc-L-(ここで、RcおよびLは、前記と同義である。)として、メチルチオ基、メタンスルフィニル基、メタンスルホニル基、トリフルオロメチルチオ基、トリフルオロメタンスルフィニル基、およびトリフルオロメタンスルホニル基;
Rx1C(=O)-(ここで、Rx1は、前記と同義である。)として、ホルミル基、アセチル基、メトキシアセチル基、シアノアセチル基、プロピオニル基、ジフルオロアセチル基、トリフルオロアセチル基、シクロプロパンカルボニル基、メトキシカルボニル基、エトキシカルボニル基、2,2-ジフルオロエトキシカルボニル基、2,2,2-トリフルオロエトキシカルボニル基、3,3,3-トリフルオロプロピルオキシカルボニル基、シクロプロピルオキシカルボニル基、アミノカルボニル基、メチルアミノカルボニル基、エチルアミノカルボニル基、(メトキシメチル)アミノカルボニル基、(2-メトキシエチル)アミノカルボニル基、(シアノメチル)アミノカルボニル基、(2-シアノエチル)アミノカルボニル基、ジメチルアミノカルボニル基、エチルメチルアミノカルボニル基、ジエチルアミノカルボニル基、(メトキシメチル)メチルアミノカルボニル基、(2-メトキシエチル)メチルアミノカルボニル基、(シアノメチル)メチルアミノカルボニル基、(2-シアノエチル)メチルアミノカルボニル基、2,2-ジフルオロエチルアミノカルボニル基、2,2,2-トリフルオロエチルアミノカルボニル基、シクロプロピルアミノカルボニル基、(シクロプロピル)メチルアミノカルボニル基、ピロリジニルカルボニル基、およびピペリジニルカルボニル基;
ならびに1~2個の酸素原子を含む3~6員環の基として、オキソラニル基、オキサニル基、1,3-ジオキソラニル基、および1,3-ジオキサニル基である。
置換基Cのさらに好ましい具体例に関しては、水酸基;シアノ基;
C3~C8のシクロアルキル基として、シクロプロピル基、およびシクロブチル基;
C1~C6のアルコキシ基として、メトキシ基、およびエトキシ基;
C1~C6のハロアルコキシ基として、ジフルオロメトキシ基、トリフルオロメトキシ基、2,2-ジフルオロエトキシ基、および2,2,2-トリフルオロエトキシ基;
C3~C8のシクロアルコキシ基として、シクロプロピルオキシ基、およびシクロブトキシ基;
C2~C6のアルコキシアルコキシ基として、メトキシメトキシ基、エトキシメトキシ基、メトキシエトキシ基、およびエトキシエトキシ基;
RaRbN-(ここで、RaおよびRbは、前記と同義である。)として、ジメチルアミノ基、エチルメチルアミノ基、およびジエチルアミノ基;
Rc-L-(ここで、RcおよびLは、前記と同義である。)として、メチルチオ基、メタンスルフィニル基、およびメタンスルホニル基;
Rx1C(=O)-(ここで、Rx1は、前記と同義である。)として、ホルミル基、アセチル基、メトキシアセチル基、シアノアセチル基、ジフルオロアセチル基、トリフルオロアセチル基、メトキシカルボニル基、エトキシカルボニル基、アミノカルボニル基、ジメチルアミノカルボニル基、エチルメチルアミノカルボニル基、およびジエチルアミノカルボニル基;
ならびに1~2個の酸素原子を含む3~6員環の基として、1,3-ジオキソラニル基、および1,3-ジオキサニル基である。
C3~C8のシクロアルキル基として、シクロプロピル基、およびシクロブチル基;
C1~C6のアルコキシ基として、メトキシ基、およびエトキシ基;
C1~C6のハロアルコキシ基として、ジフルオロメトキシ基、トリフルオロメトキシ基、2,2-ジフルオロエトキシ基、および2,2,2-トリフルオロエトキシ基;
C3~C8のシクロアルコキシ基として、シクロプロピルオキシ基、およびシクロブトキシ基;
C2~C6のアルコキシアルコキシ基として、メトキシメトキシ基、エトキシメトキシ基、メトキシエトキシ基、およびエトキシエトキシ基;
RaRbN-(ここで、RaおよびRbは、前記と同義である。)として、ジメチルアミノ基、エチルメチルアミノ基、およびジエチルアミノ基;
Rc-L-(ここで、RcおよびLは、前記と同義である。)として、メチルチオ基、メタンスルフィニル基、およびメタンスルホニル基;
Rx1C(=O)-(ここで、Rx1は、前記と同義である。)として、ホルミル基、アセチル基、メトキシアセチル基、シアノアセチル基、ジフルオロアセチル基、トリフルオロアセチル基、メトキシカルボニル基、エトキシカルボニル基、アミノカルボニル基、ジメチルアミノカルボニル基、エチルメチルアミノカルボニル基、およびジエチルアミノカルボニル基;
ならびに1~2個の酸素原子を含む3~6員環の基として、1,3-ジオキソラニル基、および1,3-ジオキサニル基である。
式(1)で表される化合物は、1個または2個の軸不斉を有することがある。この際の異性体比は、単独または任意の割合の混合比であり、特に限定されることはない。
式(1)で表される化合物は、不斉原子を含むことがある。この際の異性体比は、単独または任意の割合の混合比であり、特に限定されることはない。
式(1)で表される化合物は、幾何異性体を含むことがある。この際の異性体比は、単独または任意の割合の混合比であり、特に限定されることはない。
式(1)で表される化合物は、塩を形成できることがある。塩酸、硫酸、酢酸、フマル酸、マレイン酸のような酸塩や、ナトリウム、カリウム、カルシウムのような金属塩等が例示されるが、農園芸用殺菌剤として使用できる限り、特に限定されることはない。
以上説明したR1、R2、Het、R3、R4、R5、X、n、破線部を含む結合、置換基A、置換基B、および置換基Cにおける好ましい範囲を任意に組み合わせて得られる全ての化合物の範囲も本発明の式(1)の範囲として記載されているものとする。
次に、本発明の具体的な化合物は、表1に示す構造式P-1~P-28(ここで、表1中のXは酸素原子、または硫黄原子であり、破線部を含む結合は、二重結合または単結合を表す。)と、表2に示すY(ここで、Yは、R4およびR5を有するフェニル基を表す。)の構造式(Y-1~Y-216)と、表3に示すHet(ここで、Hetは前記と同義である。)(Het-1~Het-260)との組み合わせによって表される。これらの化合物は例示のためのものであって、本発明はこれらに限定されるものではない。
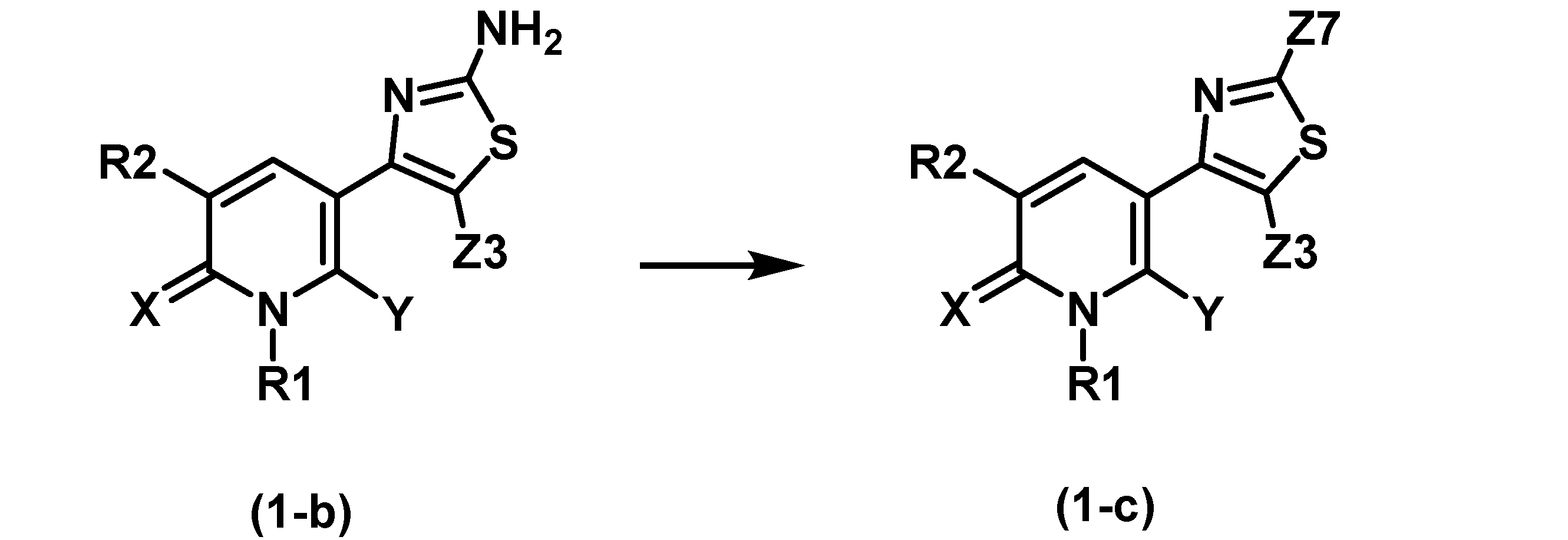
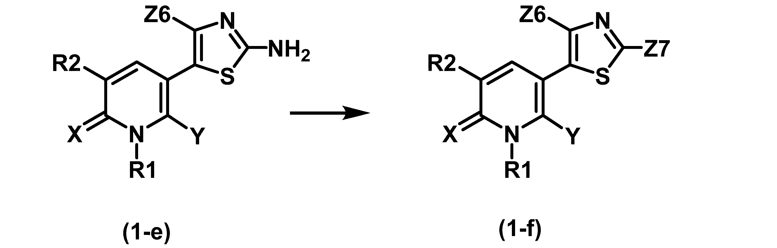
以下に、本発明の式(1)で表される化合物の製造方法を示す。本発明化合物の製造方法は、製造方法A~製造方法ALに限定されるものではない。
[製造方法A]
式中、Yは、
(ここで、R4、R5およびnは前記と同義である。)を表し、Z1はHet(ここで、Hetは前記と同義である。)、またはC1~C6のアルキル基を表し、R6は水素原子またはC1~C6のアルキル基を表し、R2、XおよびYは、前記と同義である。
式中、Yは、
(ここで、R4、R5およびnは前記と同義である。)を表し、Z1はHet(ここで、Hetは前記と同義である。)、またはC1~C6のアルキル基を表し、R6は水素原子またはC1~C6のアルキル基を表し、R2、XおよびYは、前記と同義である。
製造方法Aは、本発明化合物の製造中間体である式(5)で表される化合物の製造方法であって、式(3)で表される化合物と式(4)で表される化合物とを、塩基存在下、溶媒中で反応させることを含む製造方法である。
本反応に使用する式(3)で表される化合物中、Z1がC1~C6のアルキル基で表される化合物は、市販品として入手したり、参考例や公知の方法を利用して製造することができる。
本反応に使用する式(3)で表される化合物中、Z1がHetで表される化合物は、市販品として入手したり、公知の方法を利用して製造することができる。また、グリーンケミストリー(Green Chemistry)、第41巻、580-585頁や、ザ ジャーナル オブ オルガニック ケミストリー(The Journal of Organic Chemistry)、第65巻、20号、6458-6461頁(2000).や、米国特許第5922718号等を参照にしても合成することができる。
本反応に使用する式(4)で表される化合物は、市販品として入手または公知の方法で製造することができる。
本反応に使用する式(4)で表される化合物の量は、式(3)で表される化合物に対して1当量以上あれば、目的とする反応が進行する限りにおいて特に制限されることはないが、通常、1当量以上3当量以下である。
本反応に使用する塩基は、炭酸ナトリウム、炭酸カリウム、炭酸セシウム、リン酸三カリウムのような無機塩基類やナトリウムメトキシド、ナトリウムエトキシド、ナトリウム t-ブトキシド、カリウム t-ブトキシド等の金属アルコキシド類等である。
本反応に使用する塩基の量は、目的とする反応が進行する限りにおいて特に限定されることはないが、通常、式(3)で表される化合物に対して0.01当量以上3当量以下である。
本反応に使用する溶媒は、ジエチルエーテル、ジイソプロピルエーテル、メチル-t-ブチルエーテル、ジメトキシエタン、テトラヒドロフラン、ジオキサン等のエーテル系溶媒、ベンゼン、トルエン、キシレン、メシチレン、クロロベンゼン、ジクロロベンゼン等のベンゼン系溶媒、酢酸エチル、酢酸イソプロピル、酢酸ブチル等のエステル系溶媒、アセトニトリル等のニトリル系溶媒、N-メチルピロリドン、N,N-ジメチルホルムアミド、N,N-ジメチルアセトアミド等のアミド系溶媒、1,3-ジメチル-2-イミダゾリジノン等のウレア系溶媒、ジクロロメタン、ジクロロエタン、クロロホルム、四塩化炭素等のハロゲン系溶媒、ジメチルスルホキシド、スルホラン等の硫黄系溶媒、アセトン、メチルエチルケトン、メチルイソブチルケトン等のケトン系溶媒等が挙げられる。これらの溶媒は、単独または2種類以上を任意の割合で混合して使用することができる。
本反応に使用する溶媒量は、目的とする反応が進行する限りにおいて特に限定されることはないが、通常、式(3)で表される化合物に対して3重量倍以上200重量倍以下である。
本反応を行う際の温度は、目的とする反応が進行する限りにおいて特に限定されることはないが、通常、-50℃以上150℃以下または溶媒の沸点以下である。
反応の後処理としては、反応混合物に対して、水または適当な水溶液を加えることにより、分液操作を行うことが可能である。水溶液を使用する場合は、塩酸、硫酸、塩化アンモニウム等を溶解した酸性水溶液、水酸化カリウム、水酸化ナトリウム、炭酸ナトリウム、炭酸カリウム、炭酸水素ナトリウム、炭酸水素カリウム等を溶解したアルカリ水溶液、チオ硫酸ナトリウム、亜硫酸ナトリウム等の硫黄原子を含む塩を溶解した水溶液や食塩水等を任意に使用することができる。分液操作の際に、必要に応じて、トルエン、キシレン、ベンゼン、クロロベンゼン、ジクロロベンゼン等のベンゼン系溶媒、酢酸エチル、酢酸イソプロピル、酢酸ブチル等のエステル系溶媒、ジエチルエーテル、ジイソプロピルエーテル、メチル-t-ブチルエーテル等のエーテル系溶媒、ジクロロメタン、ジクロロエタン、クロロホルム、四塩化炭素等のハロゲン系溶媒、ヘキサン、ヘプタン、シクロヘキサン、メチルシクロヘキサン等の炭化水素系溶媒等の、水と相溶することのない溶媒を追加することが可能である。また、これらの溶媒は、単独で使用することも、2種類以上で任意の割合で混合することも可能である。分液の回数は特に制限されることがなく、目的とする純度や収量に応じて実施することができる。
前記で得られた式(5)で表される化合物を含む反応混合物は、硫酸ナトリウムや硫酸マグネシウム等の乾燥剤で水分を除去することができるが、必須ではない。
前記で得られた式(5)で表される化合物を含む反応混合物は、化合物が分解しない限りにおいて、減圧下で溶媒留去することが可能である。
溶媒留去後に得られた式(5)で表される化合物を含む反応混合物は、適当な溶媒により、洗浄、再沈殿、再結晶、カラムクロマトグラフィー等にて精製することができる。目的とする純度に応じて適宜設定すればよい。
製造方法Bは、式(5)で表される化合物のうち、式(5b)で表される製造中間体を得る方法であって、式(5a)で表される化合物を、酸性条件または塩基性条件下、溶媒中で反応させることを含む製造方法である。
まず、酸性条件の反応について説明する。
本反応に使用する酸は、塩酸、臭化水素酸、リン酸等の無機酸類や、酢酸、メタンスルホン酸、p-トルエンスルホン酸、トリフルオロ酢酸等の有機酸類が例示される。目的とする反応が進行する限り特に制限されることはない。
本反応に使用する酸の量は、触媒量でもよく、目的とする反応が進行する限りにおいて特に制限されることはないが、通常、式(5a)で表される化合物に対して0.01当量以上である。また、液体状の酸に関しては溶媒として使用することも可能である。
本反応に使用する溶媒は、目的とする反応が進行する限りにおいて特に限定されることはないが、水溶媒、酢酸、メタンスルホン酸等の酸性系溶媒、ジエチルエーテル、ジイソプロピルエーテル、メチル-t-ブチルエーテル、ジメトキシエタン、テトラヒドロフラン、ジオキサン等のエーテル系溶媒、メタノール、エタノール、イソプロパノール等のアルコール系溶媒、ベンゼン、トルエン、キシレン、メシチレン、クロロベンゼン、ジクロロベンゼン等のベンゼン系溶媒、酢酸エチル、酢酸イソプロピル、酢酸ブチル等のエステル系溶媒、アセトニトリル等のニトリル系溶媒、N-メチルピロリドン、N,N-ジメチルホルムアミド、N,N-ジメチルアセトアミド等のアミド系溶媒、1,3-ジメチル-2-イミダゾリジノン等のウレア系溶媒、ジクロロメタン、ジクロロエタン、クロロホルム、四塩化炭素等のハロゲン系溶媒等が挙げられる。これらの溶媒は、単独または2種類以上を任意の割合で混合して使用することができる。
本反応に使用する溶媒量は、目的とする反応が進行する限りにおいて特に限定されることはないが、通常、式(5a)で表される化合物に対して3重量倍以上200重量倍以下である。
本反応を行う際の温度は、目的とする反応が進行する限りにおいて特に限定されることはないが、通常、0℃以上180℃以下または溶媒の沸点以下である。
次に、塩基性条件の反応について説明する。
本反応に使用する塩基は、水酸化リチウム、水酸化ナトリウム、水酸化カリウム等の無機塩基類が例示されるが、目的とする反応が進行する限りにおいて特に限定されることはない。
本反応に使用する塩基の量は、式(5a)で表される化合物に対して1当量以上あれば、目的とする反応が進行する限りにおいて特に限定されることはないが、通常、1当量以上30当量以下である。
本反応に使用する溶媒は、目的とする反応が進行する限りにおいて特に限定されることはないが、水溶媒、ジエチルエーテル、ジイソプロピルエーテル、メチル-t-ブチルエーテル、ジメトキシエタン、テトラヒドロフラン、ジオキサン等のエーテル系溶媒、メタノール、エタノール、イソプロパノール等のアルコール系溶媒、ベンゼン、トルエン、キシレン、メシチレン、クロロベンゼン、ジクロロベンゼン等のベンゼン系溶媒、酢酸エチル、酢酸イソプロピル、酢酸ブチル等のエステル系溶媒、アセトニトリル等のニトリル系溶媒、N-メチルピロリドン、N,N-ジメチルホルムアミド、N,N-ジメチルアセトアミド等のアミド系溶媒、1,3-ジメチル-2-イミダゾリジノン等のウレア系溶媒、ジクロロメタン、ジクロロエタン、クロロホルム、四塩化炭素等のハロゲン系溶媒等が挙げられる。これらの溶媒は、単独または2種類以上を任意の割合で混合して使用することができる。
本反応に使用する溶媒量は、目的とする反応が進行する限りにおいて特に限定されることはないが、通常、式(5a)で表される化合物に対して3重量倍以上200重量倍以下である。
本反応を行う際の温度は、目的とする反応が進行する限りにおいて特に限定されることはないが、通常、-20℃以上180℃以下または溶媒の沸点以下である。
反応の後処理は、酸性条件での反応と塩基性条件の反応は共通の方法で行える。反応混合物に対して、水、もしくは適当な水溶液を加えることにより、分液操作を行うことが可能である。水溶液を使用する場合は、塩酸、硫酸、塩化アンモニウム等を溶解した酸性水溶液、水酸化カリウム、水酸化ナトリウム、炭酸ナトリウム、炭酸カリウム、炭酸水素ナトリウム、炭酸水素カリウム等を溶解したアルカリ水溶液、チオ硫酸ナトリウム、亜硫酸ナトリウム等の硫黄原子を含む塩を溶解した水溶液や食塩水等を任意に使用することができる。分液操作の際に、必要に応じて、トルエン、キシレン、ベンゼン、クロロベンゼン、ジクロロベンゼン等のベンゼン系溶媒、酢酸エチル、酢酸イソプロピル、酢酸ブチル等のエステル系溶媒、ジエチルエーテル、ジイソプロピルエーテル、メチル-t-ブチルエーテル等のエーテル系溶媒、ジクロロメタン、ジクロロエタン、クロロホルム、四塩化炭素等のハロゲン系溶媒、ヘキサン、ヘプタン、シクロヘキサン、メチルシクロヘキサン等の炭化水素系溶媒等の、水と相溶することのない溶媒を追加することが可能である。また、これらの溶媒は、単独で使用することも、2種類以上で任意の割合で混合することも可能である。分液の回数は特に制限されることがなく、目的とする純度や収量に応じて実施することができる。
前記で得られた式(5b)で表される化合物を含む反応混合物は、硫酸ナトリウムや硫酸マグネシウム等の乾燥剤で水分を除去することができるが、必須ではない。
前記で得られた式(5b)で表される化合物を含む反応混合物は、化合物が分解しない限りにおいて、減圧下で溶媒留去することが可能である。
溶媒留去後に得られた式(5b)で表される化合物を含む反応混合物は、適当な溶媒により、洗浄、再沈殿、再結晶、カラムクロマトグラフィー等にて精製することができる。目的とする純度に応じて適宜設定すればよい。
式(5b’)で表される化合物は、式(5b)で表される化合物と同様に取り扱うことが可能であり、例えば、製造方法Cに適応することができる。また、式(5b’)で表される化合物は不斉炭素を含むが、その異性体混合比は、単独でも任意の割合の混合物でもよい。さらに、式(5b)で表される化合物と式(5b’)で表される化合物との混合物でもよく、その異性体混合比は、単独でも任意の割合の混合物でもよい。
[製造方法C]
式中、R7は、水素原子、水酸基、シアノ基、置換基Aで適宜置換されてもよいC1~C6のアルキル基、C1~C6のハロアルキル基、置換基Aで適宜置換されてもよいC3~C8のシクロアルキル基、置換基Aで適宜置換されてもよいC2~C6のアルケニル基、C2~C6のハロアルケニル基、置換基Aで適宜置換されてもよいC2~C6のアルキニル基、C2~C6のハロアルキニル基、置換基Aで適宜置換されてもよいC1~C6のアルコキシ基、C1~C6のハロアルコキシ基、置換基Aで適宜置換されてもよいC3~C8のシクロアルコキシ基、置換基Aで適宜置換されてもよいC2~C6のアルケニルオキシ基、C2~C6のハロアルケニルオキシ基、置換基Aで適宜置換されてもよいC3~C6のアルキニルオキシ基、C3~C6のハロアルキニルオキシ基、またはRaRbN-(ここで、RaおよびRbは、前記と同義である。)を表し、R2、R6、X、YおよびZ1は、前記と同義である。
式中、R7は、水素原子、水酸基、シアノ基、置換基Aで適宜置換されてもよいC1~C6のアルキル基、C1~C6のハロアルキル基、置換基Aで適宜置換されてもよいC3~C8のシクロアルキル基、置換基Aで適宜置換されてもよいC2~C6のアルケニル基、C2~C6のハロアルケニル基、置換基Aで適宜置換されてもよいC2~C6のアルキニル基、C2~C6のハロアルキニル基、置換基Aで適宜置換されてもよいC1~C6のアルコキシ基、C1~C6のハロアルコキシ基、置換基Aで適宜置換されてもよいC3~C8のシクロアルコキシ基、置換基Aで適宜置換されてもよいC2~C6のアルケニルオキシ基、C2~C6のハロアルケニルオキシ基、置換基Aで適宜置換されてもよいC3~C6のアルキニルオキシ基、C3~C6のハロアルキニルオキシ基、またはRaRbN-(ここで、RaおよびRbは、前記と同義である。)を表し、R2、R6、X、YおよびZ1は、前記と同義である。
製造方法Cは、本発明化合物の製造中間体である式(6)で表される化合物を得る方法であって、式(5)で表される化合物とR7NH2とを、酸存在下で反応させることを含む製造方法である。
本反応に使用するR7NH2は、市販品として入手または公知の方法で製造することができる。R7NH2は、塩酸、酢酸のような酸性化合物との塩を形成したものでもよく、目的とする反応が進行する限りにおいて特に限定されることはない。
本反応に使用するR7NH2の量は、式(5)で表される化合物に対して1当量以上あればよく、目的とする反応が進行する限りにおいて特に限定されることはないが、通常、1当量以上200当量以下である。
本反応に使用する酸として、塩酸、硫酸等の無機酸類や、酢酸、メタンスルホン酸、p-トルエンスルホン酸等の有機酸類が例示され、目的とする反応が進行する限りにおいて特に限定することはないが、好ましくは、酢酸である。また、R7NH2と酸性化合物との塩を使用する際には、酸の使用は必須ではない。
本反応に使用する酸の量は、R7NH2に対して1当量以上あればよく、目的とする反応が進行する限りにおいて特に限定されることはないが、通常、1当量以上200当量以下である。また、使用する酸が液体である場合には、溶媒として使用することも可能である。
本反応には溶媒を使用することができるが、必ずしも必須ではない。
本反応に使用する溶媒は、目的とする反応が進行する限りにおいて特に限定されることはないが、酢酸、メタンスルホン酸等の酸性系溶媒、ジエチルエーテル、ジイソプロピルエーテル、メチル-t-ブチルエーテル、ジメトキシエタン、テトラヒドロフラン、ジオキサン等のエーテル系溶媒、メタノール、エタノール、イソプロパノール等のアルコール系溶媒、ベンゼン、トルエン、キシレン、メシチレン、クロロベンゼン、ジクロロベンゼン等のベンゼン系溶媒、酢酸エチル、酢酸イソプロピル、酢酸ブチル等のエステル系溶媒、アセトニトリル等のニトリル系溶媒、N-メチルピロリドン、N,N-ジメチルホルムアミド、N,N-ジメチルアセトアミド等のアミド系溶媒、1,3-ジメチル-2-イミダゾリジノン等のウレア系溶媒、ジクロロメタン、ジクロロエタン、クロロホルム、四塩化炭素等のハロゲン系溶媒等が挙げられる。これらの溶媒は、単独または2種類以上を任意の割合で混合して使用することができる。溶媒として、好ましくは、酸性系溶媒が挙げられ、さらに好ましくは、酢酸が挙げられる。
本反応に使用する溶媒量は、目的とする反応が進行する限りにおいて特に限定されることはないが、通常、式(5)で表される化合物に対して3重量倍以上200重量倍以下である。
本反応を行う際の温度は、目的とする反応が進行する限りにおいて特に限定されることはないが、通常、50℃以上180℃以下または溶媒の沸点以下である。
反応の後処理としては、反応混合物に対して、水または適当な水溶液を加えることにより、分液操作を行うことが可能である。水溶液を使用する場合は、塩酸、硫酸、塩化アンモニウム等を溶解した酸性水溶液、水酸化カリウム、水酸化ナトリウム、炭酸ナトリウム、炭酸カリウム、炭酸水素ナトリウム、炭酸水素カリウム等を溶解したアルカリ水溶液、チオ硫酸ナトリウム、亜硫酸ナトリウム等の硫黄原子を含む塩を溶解した水溶液や食塩水等を任意に使用することができる。分液操作の際に、必要に応じて、トルエン、キシレン、ベンゼン、クロロベンゼン、ジクロロベンゼン等のベンゼン系溶媒、酢酸エチル、酢酸イソプロピル、酢酸ブチル等のエステル系溶媒、ジエチルエーテル、ジイソプロピルエーテル、メチル-t-ブチルエーテル等のエーテル系溶媒、ジクロロメタン、ジクロロエタン、クロロホルム、四塩化炭素等のハロゲン系溶媒、ヘキサン、ヘプタン、シクロヘキサン、メチルシクロヘキサン等の炭化水素系溶媒等の、水と相溶することのない溶媒を追加することが可能である。また、これらの溶媒は、単独で使用することも、2種類以上で任意の割合で混合することも可能である。分液の回数は特に制限されることがなく、目的とする純度や収量に応じて実施することができる。
前記で得られた式(6)で表される化合物を含む反応混合物は、硫酸ナトリウムや硫酸マグネシウム等の乾燥剤で水分を除去することができるが、必須ではない。
前記で得られた式(6)で表される化合物を含む反応混合物は、化合物が分解しない限りにおいて、減圧下で溶媒留去することが可能である。
溶媒留去後に得られた式(6)で表される化合物を含む反応混合物は、適当な溶媒により、洗浄、再沈殿、再結晶、カラムクロマトグラフィー等にて精製することができる。目的とする純度に応じて適宜設定すればよい。
製造方法Dは、本発明化合物の製造中間体である式(6b)で表される化合物を得る方法であって、式(6a)で表される化合物とR1-Lvとを、塩基存在下、溶媒中で反応させることを含む製造方法である。
本発明の原料である式(6a)で表される化合物は、製造方法Cやジャーナル オブ ヘテロサイクリック ケミストリー(Journal of Heterocyclic Chemistry)、20巻、65-67項(1983)等の非特許文献を参照に合成することができる。
本反応に使用するR1‐Lvは、市販品として入手または公知の方法で製造することができる。
本反応に使用する塩基として、水酸化ナトリウム、水酸化カリウム、炭酸ナトリウム、炭酸カリウム、炭酸セシウム、水素化ナトリウム等の無機塩基類が例示されるが、目的とする反応が進行する限りにおいて特に限定されることはない。
本反応に使用する塩基の量は、式(6a)で表される化合物に対して1当量以上あればよく、目的とする反応が進行する限りにおいて特に制限されることはないが、通常、1当量以上10当量以下である。
本反応に使用する溶媒は、目的とする反応が進行する限りにおいて特に限定されることはないが、ジエチルエーテル、ジイソプロピルエーテル、メチル-t-ブチルエーテル、ジメトキシエタン、テトラヒドロフラン、ジオキサン等のエーテル系溶媒、メタノール、エタノール、イソプロパノール等のアルコール系溶媒、ベンゼン、トルエン、キシレン、メシチレン、クロロベンゼン、ジクロロベンゼン等のベンゼン系溶媒、酢酸エチル、酢酸イソプロピル、酢酸ブチル等のエステル系溶媒、アセトニトリル等のニトリル系溶媒、N-メチルピロリドン、N,N-ジメチルホルムアミド、N,N-ジメチルアセトアミド等のアミド系溶媒、1,3-ジメチル-2-イミダゾリジノン等のウレア系溶媒、ジクロロメタン、ジクロロエタン、クロロホルム、四塩化炭素等のハロゲン系溶媒、ジメチルスルホキシド、スルホラン等の硫黄系溶媒、アセトン、メチルエチルケトン、メチルイソブチルケトン等のケトン系溶媒等が挙げられる。これらの溶媒は、単独または2種類以上を任意の割合で混合して使用することができる。
本反応に使用する溶媒量は、目的とする反応が進行する限りにおいて特に限定されることはないが、通常、式(6a)で表される化合物に対して3重量倍以上200重量倍以下である。
本反応を行う際の温度は、目的とする反応が進行する限りにおいて特に限定されることはないが、通常、0℃以上150℃以下または溶媒の沸点以下である。
反応の後処理としては、反応混合物に対して、水または適当な水溶液を加えることにより、分液操作を行うことが可能である。水溶液を使用する場合は、塩酸、硫酸、塩化アンモニウム等を溶解した酸性水溶液、水酸化カリウム、水酸化ナトリウム、炭酸ナトリウム、炭酸カリウム、炭酸水素ナトリウム、炭酸水素カリウム等を溶解したアルカリ水溶液、チオ硫酸ナトリウム、亜硫酸ナトリウム等の硫黄原子を含む塩を溶解した水溶液や食塩水等を任意に使用することができる。分液操作の際に、必要に応じて、トルエン、キシレン、ベンゼン、クロロベンゼン、ジクロロベンゼン等のベンゼン系溶媒、酢酸エチル、酢酸イソプロピル、酢酸ブチル等のエステル系溶媒、ジエチルエーテル、ジイソプロピルエーテル、メチル-t-ブチルエーテル等のエーテル系溶媒、ジクロロメタン、ジクロロエタン、クロロホルム、四塩化炭素等のハロゲン系溶媒、ヘキサン、ヘプタン、シクロヘキサン、メチルシクロヘキサン等の炭化水素系溶媒等の、水と相溶することのない溶媒を追加することが可能である。また、これらの溶媒は、単独で使用することも、2種類以上で任意の割合で混合することも可能である。分液の回数は特に制限されることがなく、目的とする純度や収量に応じて実施することができる。
前記で得られた式(6b)で表される化合物を含む反応混合物は、硫酸ナトリウムや硫酸マグネシウム等の乾燥剤で水分を除去することができるが、必須ではない。
前記で得られた式(6b)で表される化合物を含む反応混合物は、化合物が分解しない限りにおいて、減圧下で溶媒留去することが可能である。
溶媒留去後に得られた式(6b)で表される化合物を含む反応混合物は、適当な溶媒により、洗浄、再沈殿、再結晶、カラムクロマトグラフィー等にて精製することができる。目的とする純度に応じて適宜設定すればよい。
製造方法Eは、式(6b)で表される化合物のうち、式(6b-2)で表される化合物を得る方法であって、式(6b-1)で表される化合物と硫黄化剤(SR)とを、溶媒中で反応させることを含む製造方法である。
本反応に使用する硫黄化剤としては、ローソン試薬(2,4-ビス(4-メトキシフェニル)-1,3-ジチア-2,4-ジホスフェタン-2,4-ジスルフィド)等が挙げられる。
本反応に使用する硫黄化剤の量は、式(6b-1)で表される化合物に対して0.5当量以上あればよく、目的とする反応が進行する限りにおいて特に限定されることはないが、通常、1当量以上10当量以下である。
本反応に使用する溶媒は、目的とする反応が進行する限りにおいて特に限定されることはないが、ジエチルエーテル、ジイソプロピルエーテル、メチル-t-ブチルエーテル、ジメトキシエタン、テトラヒドロフラン、ジオキサン等のエーテル系溶媒、ベンゼン、トルエン、キシレン、メシチレン、クロロベンゼン、ジクロロベンゼン等のベンゼン系溶媒等が挙げられる。これらの溶媒は、単独または2種類以上を任意の割合で混合して使用することができる。
本反応に使用する溶媒量は、目的とする反応が進行する限りにおいて特に限定されることはないが、通常、式(6b-1)で表される化合物に対して3重量倍以上200重量倍以下である。
本反応を行う際の温度は、目的とする反応が進行する限りにおいて特に限定されることはないが、通常、50℃以上180℃以下または溶媒の沸点以下である。
反応の後処理としては、反応混合物に対して、水、もしくは適当な水溶液を加えることにより、分液操作を行うことが可能である。水溶液を使用する場合は、塩酸、硫酸、塩化アンモニウム等を溶解した酸性水溶液、水酸化カリウム、水酸化ナトリウム、炭酸ナトリウム、炭酸カリウム、炭酸水素ナトリウム、炭酸水素カリウム等を溶解したアルカリ水溶液、チオ硫酸ナトリウム、亜硫酸ナトリウム等の硫黄原子を含む塩を溶解した水溶液や食塩水等を任意に使用することができる。分液操作の際に、必要に応じて、トルエン、キシレン、ベンゼン、クロロベンゼン、ジクロロベンゼン等のベンゼン系溶媒、酢酸エチル、酢酸イソプロピル、酢酸ブチル等のエステル系溶媒、ジエチルエーテル、ジイソプロピルエーテル、メチル-t-ブチルエーテル等のエーテル系溶媒、ジクロロメタン、ジクロロエタン、クロロホルム、四塩化炭素等のハロゲン系溶媒、ヘキサン、ヘプタン、シクロヘキサン、メチルシクロヘキサン等の炭化水素系溶媒等の、水と相溶することのない溶媒を追加することが可能である。また、これらの溶媒は、単独で使用することも、2種類以上で任意の割合で混合することも可能である。分液の回数は特に制限されることがなく、目的とする純度や収量に応じて実施することができる。また、本反応においては、分液操作は必須ではない。
前記で得られた式(6b-2)で表される化合物を含む反応混合物は、硫酸ナトリウムや硫酸マグネシウム等の乾燥剤で水分を除去することができるが、必須ではない。
前記で得られた式(6b-2)で表される化合物を含む反応混合物は、化合物が分解しない限りにおいて、減圧下で溶媒留去することが可能である。
溶媒留去後に得られた式(6b-2)で表される化合物を含む反応混合物は、適当な溶媒により、洗浄、再沈殿、再結晶、カラムクロマトグラフィー等にて精製することができる。目的とする純度に応じて適宜設定すればよい。
[製造方法F]
式中、R2aは、置換基Aで適宜置換されてもよいC1~C6のアルキル基、C1~C6のハロアルキル基、置換基Aで適宜置換されてもよいC3~C8のシクロアルキル基、置換基Aで適宜置換されてもよいC2~C6のアルケニル基、C2~C6のハロアルケニル基、置換基Aで適宜置換されてもよいC2~C6のアルキニル基、C2~C6のハロアルキニル基、またはRx1C(=O)-(ここで、Rx1は、前記と同義である。)を表し、R1、X、Y、Z1およびLvは、前記と同義である。
式中、R2aは、置換基Aで適宜置換されてもよいC1~C6のアルキル基、C1~C6のハロアルキル基、置換基Aで適宜置換されてもよいC3~C8のシクロアルキル基、置換基Aで適宜置換されてもよいC2~C6のアルケニル基、C2~C6のハロアルケニル基、置換基Aで適宜置換されてもよいC2~C6のアルキニル基、C2~C6のハロアルキニル基、またはRx1C(=O)-(ここで、Rx1は、前記と同義である。)を表し、R1、X、Y、Z1およびLvは、前記と同義である。
製造方法Fは、式(6b)で表される化合物のうち、R2aが、置換基Aで適宜置換されてもよいC1~C6のアルキル基、C1~C6のハロアルキル基、置換基Aで適宜置換されてもよいC3~C8のシクロアルキル基、置換基Aで適宜置換されてもよいC2~C6のアルケニル基、C2~C6のハロアルケニル基、置換基Aで適宜置換されてもよいC2~C6のアルキニル基、C2~C6のハロアルキニル基、またはRx1C(=O)-(ここで、Rx1は、前記と同義である。)である、式(6b-4)で表される化合物を得る方法であって、式(6b-3)で表される化合物とR2a-Lvとを、塩基存在下、溶媒中で反応させることを含む製造方法である。
本反応に使用するR2a-Lvは、市販品として入手または公知の方法で製造することができる。
本反応に使用するR2a-Lvの量は、式(6b-3)で表される化合物に対して1当量以上あればよく、目的とする反応が進行する限りにおいて特に制限されることはないが、通常、1当量以上1.8当量以下である。
本反応に使用する塩基として、水素化ナトリウム等の金属ヒドリド類、メチルリチウム、ブチルリチウム、sec-ブチルリチウム、t-ブチルリチウム、ヘキシルリチウム等の有機リチウム類や、リチウムジイソプロピルアミド、ヘキサメチルジシラザンリチウム、ヘキサメチルジシラザンナトリウム、ヘキサメチルジシラザンカリウム等の金属アミド類が例示される。
本反応に使用する塩基の量は、式(6b-3)で表される化合物に対して1当量以上あればよく、目的とする反応が進行する限りにおいて特に制限されることはないが、通常、1当量以上10当量以下である。
本反応に使用する溶媒は、目的とする反応が進行する限りにおいて特に限定されることはないが、ジエチルエーテル、ジイソプロピルエーテル、メチル-t-ブチルエーテル、ジメトキシエタン、テトラヒドロフラン、ジオキサン等のエーテル系溶媒、ベンゼン、トルエン、キシレン、メシチレン、クロロベンゼン、ジクロロベンゼン等のベンゼン系溶媒、ヘキサン、ヘプタン、シクロヘキサン、メチルシクロヘキサン等の炭化水素系溶媒等が挙げられる。これらの溶媒は、単独または2種類以上を任意の割合で混合して使用することができる。
本反応に使用する溶媒量は、目的とする反応が進行する限りにおいて特に限定されることはないが、通常、式(6b-3)で表される化合物に対して3重量倍以上200重量倍以下である。
本反応を行う際の温度は、目的とする反応が進行する限りにおいて特に限定されることはないが、通常、-80℃以上100℃以下または溶媒の沸点以下である。
反応の後処理としては、反応混合物に対して、水または適当な水溶液を加えることにより、分液操作を行うことが可能である。水溶液を使用する場合は、塩酸、硫酸、塩化アンモニウム等を溶解した酸性水溶液、水酸化カリウム、水酸化ナトリウム、炭酸ナトリウム、炭酸カリウム、炭酸水素ナトリウム、炭酸水素カリウム等を溶解したアルカリ水溶液、チオ硫酸ナトリウム、亜硫酸ナトリウム等の硫黄原子を含む塩を溶解した水溶液や食塩水等を任意に使用することができる。分液操作の際に、必要に応じて、トルエン、キシレン、ベンゼン、クロロベンゼン、ジクロロベンゼン等のベンゼン系溶媒、酢酸エチル、酢酸イソプロピル、酢酸ブチル等のエステル系溶媒、ジエチルエーテル、ジイソプロピルエーテル、メチル-t-ブチルエーテル等のエーテル系溶媒、ジクロロメタン、ジクロロエタン、クロロホルム等のハロゲン系溶媒、ヘキサン、ヘプタン、シクロヘキサン、メチルシクロヘキサン等の炭化水素系溶媒等の、水と相溶することのない溶媒を追加することが可能である。また、これらの溶媒は、単独で使用することも、2種類以上で任意の割合で混合することも可能である。分液の回数は特に制限されることがなく、目的とする純度や収量に応じて実施することができる。
前記で得られた式(6b-4)で表される化合物を含む反応混合物は、硫酸ナトリウムや硫酸マグネシウム等の乾燥剤で水分を除去することができるが、必須ではない。
前記で得られた式(6b-4)で表される化合物を含む反応混合物は、化合物が分解しない限りにおいて、減圧下で溶媒留去することが可能である。
溶媒留去後に得られた式(6b-4)で表される化合物を含む反応混合物は、適当な溶媒により、洗浄、再沈殿、再結晶、カラムクロマトグラフィー等にて精製することができる。目的とする純度に応じて適宜設定すればよい。
製造方法Gは、本発明化合物の製造中間体である式(7)で表される化合物を得る方法であって、式(6b)で表される化合物と酸化剤(Ox)とを、溶媒中で反応させることを含む製造方法である。
本反応に使用する酸化剤としては、二酸化マンガン等の金属酸化物類、2,3-ジクロロ-5,6-ジシアノ-p-ベンゾキノン等のベンゾキノン類、アゾビスイソブチロニトリル、過酸化ベンゾイル等のラジカル開始剤とN-クロロスクシンイミド、N-ブロモスクシンイミド、N-ヨードスクシンイミド、1,3-ジクロロ-5,5-ジメチルヒダントイン、1,3-ジブロモ-5,5-ジメチルヒダントイン、1,3-ジヨード-5,5-ジメチルヒダントイン等のハロゲン化剤とを組み合わせたもの等を使用することができる。
以下、酸化剤が金属酸化物類である方法について説明する。
本反応に使用する酸化剤の量は、式(6b)に表される化合物に対して1当量以上あれば、目的とする反応が進行する限りにおいて特に限定されることはないが、通常、1当量以上200当量以下である。
本反応に使用する溶媒は、目的とする反応が進行する限りにおいて特に限定されることはないが、ベンゼン、トルエン、キシレン、メシチレン、クロロベンゼン、ジクロロベンゼン等のベンゼン系溶媒、ジクロロメタン、ジクロロエタン、クロロホルム、四塩化炭素等のハロゲン系溶媒等が挙げられる。これらの溶媒は、単独または2種類以上を任意の割合で混合して使用することができる。
本反応に使用する溶媒量は、目的とする反応が進行する限りにおいて特に限定されることはないが、通常、式(6b)で表される化合物に対して3重量倍以上200重量倍以下である。
本反応を行う際の温度は、目的とする反応が進行する限りにおいて特に限定されることはないが、通常、0℃以上150℃以下または溶媒の沸点以下である。
反応の後処理としては、溶解していない金属類を濾過することにより除去することが可能である。さらに、反応混合物に対して、水または適当な水溶液を加えることにより、分液操作を行うことが可能である。水溶液を使用する場合は、塩酸、硫酸、塩化アンモニウム等を溶解した酸性水溶液、水酸化カリウム、水酸化ナトリウム、炭酸ナトリウム、炭酸カリウム、炭酸水素ナトリウム、炭酸水素カリウム等を溶解したアルカリ水溶液、チオ硫酸ナトリウム、亜硫酸ナトリウム等の硫黄原子を含む塩を溶解した水溶液や食塩水等を任意に使用することができる。分液操作の際に、必要に応じて、トルエン、キシレン、ベンゼン、クロロベンゼン、ジクロロベンゼン等のベンゼン系溶媒、酢酸エチル、酢酸イソプロピル、酢酸ブチル等のエステル系溶媒、ジエチルエーテル、ジイソプロピルエーテル、メチル-t-ブチルエーテル等のエーテル系溶媒、ジクロロメタン、ジクロロエタン、クロロホルム、四塩化炭素等のハロゲン系溶媒、ヘキサン、ヘプタン、シクロヘキサン、メチルシクロヘキサン等の炭化水素系溶媒等の、水と相溶することのない溶媒を追加することが可能である。また、これらの溶媒は、単独で使用することも、2種類以上で任意の割合で混合することも可能である。分液の回数は特に制限されることがなく、目的とする純度や収量に応じて実施することができる。また、本反応において、分液操作は必須ではない。
前記で得られた式(7)で表される化合物を含む反応混合物は、硫酸ナトリウムや硫酸マグネシウム等の乾燥剤で水分を除去することができるが、必須ではない。
前記で得られた式(7)で表される化合物を含む反応混合物は、化合物が分解しない限りにおいて、減圧下で溶媒留去することが可能である。
溶媒留去後に得られた式(7)で表される化合物を含む反応混合物は、適当な溶媒により、洗浄、再沈殿、再結晶、カラムクロマトグラフィー等にて精製することができる。目的とする純度に応じて適宜設定すればよい。
以下、酸化剤がベンゾキノン類である方法について説明する。
本反応に使用する酸化剤の量は、式(6b)で表される化合物に対して1当量以上あれば、目的とする反応が進行する限りにおいて特に限定されることはないが、通常、1当量以上20当量以下である。
本反応に使用する溶媒は、目的とする反応が進行する限りにおいて特に限定されることはないが、ベンゼン、トルエン、キシレン、メシチレン、クロロベンゼン、ジクロロベンゼン等のベンゼン系溶媒、ジクロロメタン、ジクロロエタン、クロロホルム、四塩化炭素等のハロゲン系溶媒等が挙げられる。これらの溶媒は、単独または2種類以上を任意の割合で混合して使用することができる。
本反応に使用する溶媒量は、目的とする反応が進行する限りにおいて特に限定されることはないが、通常、式(6b)で表される化合物に対して3重量倍以上200重量倍以下である。
本反応を行う際の温度は、目的とする反応が進行する限りにおいて特に限定されることはないが、通常、0℃以上150℃以下または溶媒の沸点以下である。
反応の後処理としては、反応混合物に対して、水または適当な水溶液を加えることにより、分液操作を行うことが可能である。水溶液を使用する場合は、塩酸、硫酸、塩化アンモニウム等を溶解した酸性水溶液、水酸化カリウム、水酸化ナトリウム、炭酸ナトリウム、炭酸カリウム、炭酸水素ナトリウム、炭酸水素カリウム等を溶解したアルカリ水溶液、チオ硫酸ナトリウム、亜硫酸ナトリウム等の硫黄原子を含む塩を溶解した水溶液や食塩水等を任意に使用することができる。分液操作の際に、必要に応じて、トルエン、キシレン、ベンゼン、クロロベンゼン、ジクロロベンゼン等のベンゼン系溶媒、酢酸エチル、酢酸イソプロピル、酢酸ブチル等のエステル系溶媒、ジエチルエーテル、ジイソプロピルエーテル、メチル-t-ブチルエーテル等のエーテル系溶媒、ジクロロメタン、ジクロロエタン、クロロホルム、四塩化炭素等のハロゲン系溶媒、ヘキサン、ヘプタン、シクロヘキサン、メチルシクロヘキサン等の炭化水素系溶媒等の、水と相溶することのない溶媒を追加することが可能である。また、これらの溶媒は、単独で使用することも、2種類以上で任意の割合で混合することも可能である。分液の回数は特に制限されることがなく、目的とする純度や収量に応じて実施することができる。また、本反応において、分液操作は必須ではない。
前記で得られた式(7)で表される化合物を含む反応混合物は、硫酸ナトリウムや硫酸マグネシウム等の乾燥剤で水分を除去することができるが、必須ではない。
前記で得られた式(7)で表される化合物を含む反応混合物は、化合物が分解しない限りにおいて、減圧下で溶媒留去することが可能である。
溶媒留去後に得られた式(7)で表される化合物を含む反応混合物は、適当な溶媒により、洗浄、再沈殿、再結晶、カラムクロマトグラフィー等にて精製することができる。目的とする純度に応じて適宜設定すればよい。
以下、酸化剤がラジカル開始剤とハロゲン化剤との組み合わせである方法について説明する。
本反応に使用するラジカル開始剤とハロゲン化剤の量は、それぞれ、式(6b)で表される化合物に対して0.01当量以上と1.0当量以上あれば、目的とする反応が進行する限りにおいて特に限定されることはない。通常、ラジカル開始剤が0.01当量以上1当量以下であり、ハロゲン化剤が1当量以上3当量以下である。
本反応に使用する溶媒は、目的とする反応が進行する限りにおいて特に限定されることはないが、クロロベンゼン、ジクロロベンゼン等のハロゲン化ベンゼン系溶媒、酢酸エチル、酢酸イソプロピル、酢酸ブチル等のエステル系溶媒、ジクロロメタン、ジクロロエタン、クロロホルム、四塩化炭素等のハロゲン系溶媒、ヘキサン、ヘプタン、シクロヘキサン、メチルシクロヘキサン等の炭化水素系溶媒等が挙げられる。これらの溶媒は、単独または2種類以上を任意の割合で混合して使用することができる。
本反応に使用する溶媒量は、目的とする反応が進行する限りにおいて特に限定されることはないが、通常、式(6b)で表される化合物に対して3重量倍以上200重量倍以下である。
本反応を行う際の温度は、目的とする反応が進行する限りにおいて特に限定されることはないが、通常、20℃以上150℃以下または溶媒の沸点以下である。
反応の後処理としては、反応混合物に対して、水または適当な水溶液を加えることにより、分液操作を行うことが可能である。水溶液を使用する場合は、塩酸、硫酸、塩化アンモニウム等を溶解した酸性水溶液、水酸化カリウム、水酸化ナトリウム、炭酸ナトリウム、炭酸カリウム、炭酸水素ナトリウム、炭酸水素カリウム等を溶解したアルカリ水溶液、チオ硫酸ナトリウム、亜硫酸ナトリウム等の硫黄原子を含む塩を溶解した水溶液や食塩水等を任意に使用することができる。分液操作の際に、必要に応じて、トルエン、キシレン、ベンゼン、クロロベンゼン、ジクロロベンゼン等のベンゼン系溶媒、酢酸エチル、酢酸イソプロピル、酢酸ブチル等のエステル系溶媒、ジエチルエーテル、ジイソプロピルエーテル、メチル-t-ブチルエーテル等のエーテル系溶媒、ジクロロメタン、ジクロロエタン、クロロホルム等のハロゲン系溶媒、ヘキサン、ヘプタン、シクロヘキサン、メチルシクロヘキサン等の炭化水素系溶媒等の、水と相溶することのない溶媒を追加することが可能である。また、これらの溶媒は、単独で使用することも、2種類以上で任意の割合で混合することも可能である。分液の回数は特に制限されることがなく、目的とする純度や収量に応じて実施することができる。
前記で得られた式(7)で表される化合物を含む反応混合物は、硫酸ナトリウムや硫酸マグネシウム等の乾燥剤で水分を除去することができるが、必須ではない。
前記で得られた式(7)で表される化合物を含む反応混合物は、化合物が分解しない限りにおいて、減圧下で溶媒留去することが可能である。
溶媒留去後に得られた式(7)で表される化合物を含む反応混合物は、適当な溶媒により、洗浄、再沈殿、再結晶、カラムクロマトグラフィー等にて精製することができる。目的とする純度に応じて適宜設定すればよい。
製造方法Hは、R2bがハロゲン原子を表す、式(7b)で表される化合物を得る方法であって、式(7a)で表される化合物とハロゲン化剤(HalR)とを、溶媒中で反応させることを含む製造方法である。
本反応に使用するハロゲン化剤としては、セレクトフルオル(N-フルオロ-N’-クロロメチル-トリエチレンジアミン ビス(テトラフルオロボラート))、N-クロロスクシンイミド、N-ブロモスクシンイミド、N-ヨードスクシンイミド、1,3-ジクロロ-5,5-ジメチルヒダントイン、1,3-ジブロモ-5,5-ジメチルヒダントイン、1,3-ジヨード-5,5-ジメチルヒダントイン、臭素、ヨウ素等が挙げられる。
本反応に使用するハロゲン化剤の量は、式(7a)で表される化合物に対して1当量以上あれば、目的とする反応が進行する限りにおいて特に制限されることはないが、通常、1当量以上10当量以下である。ただし、ヒダントインを含むハロゲン化剤の量は、0.5当量以上あれば、目的とする反応が進行する限りにおいて特に制限されることはなく、通常、1当量以上5当量以下である。
本反応に使用するハロゲン化剤がヨウ素化剤である場合、塩酸、硫酸等の無機酸類や、酢酸、トリフルオロ酢酸、メタンスルホン酸、トリフルオロメタンスルホン酸等の有機酸のような酸を加えることができる。
本反応に使用するハロゲン化剤がヨウ素化剤である場合に使用する酸の量は、式(7a)で表される化合物に対して0.01当量以上あれば、目的とする反応が進行する限りにおいて特に制限されることはないが、通常、0.1当量以上3当量以下である。
本反応に使用する溶媒は、目的とする反応が進行する限りにおいて特に限定されることはないが、硫酸、酢酸、トリフルオロ酢酸、メタンスルホン酸、トリフルオロメタンスルホン酸等の酸性系溶媒、ジエチルエーテル、ジイソプロピルエーテル、メチル-t-ブチルエーテル、ジメトキシエタン、テトラヒドロフラン、ジオキサン等のエーテル系溶媒、メタノール、エタノール、イソプロパノール等のアルコール系溶媒、ベンゼン、トルエン、キシレン、メシチレン、クロロベンゼン、ジクロロベンゼン等のベンゼン系溶媒、酢酸エチル、酢酸イソプロピル、酢酸ブチル等のエステル系溶媒、アセトニトリル等のニトリル系溶媒、N-メチルピロリドン、N,N-ジメチルホルムアミド、N,N-ジメチルアセトアミド等のアミド系溶媒、1,3-ジメチル-2-イミダゾリジノン等のウレア系溶媒、ジクロロメタン、ジクロロエタン、クロロホルム、四塩化炭素等のハロゲン系溶媒等が挙げられる。これらの溶媒は、単独または2種類以上を任意の割合で混合して使用することができる。
本反応に使用する溶媒量は、目的とする反応が進行する限りにおいて特に限定されることはないが、通常、式(7a)で表される化合物に対して3重量倍以上200重量倍以下である。
本反応を行う際の温度は、目的とする反応が進行する限りにおいて特に限定されることはないが、通常、0℃以上150℃以下または溶媒の沸点以下である。
反応の後処理としては、反応混合物に対して、水または適当な水溶液を加えることにより、分液操作を行うことが可能である。水溶液を使用する場合は、塩酸、硫酸、塩化アンモニウム等を溶解した酸性水溶液、水酸化カリウム、水酸化ナトリウム、炭酸ナトリウム、炭酸カリウム、炭酸水素ナトリウム、炭酸水素カリウム等を溶解したアルカリ水溶液、チオ硫酸ナトリウム、亜硫酸ナトリウム等の硫黄原子を含む塩を溶解した水溶液や食塩水等を任意に使用することができる。分液操作の際に、必要に応じて、トルエン、キシレン、ベンゼン、クロロベンゼン、ジクロロベンゼン等のベンゼン系溶媒、酢酸エチル、酢酸イソプロピル、酢酸ブチル等のエステル系溶媒、ジエチルエーテル、ジイソプロピルエーテル、メチル-t-ブチルエーテル等のエーテル系溶媒、ジクロロメタン、ジクロロエタン、クロロホルム、四塩化炭素等のハロゲン系溶媒、ヘキサン、ヘプタン、シクロヘキサン、メチルシクロヘキサン等の炭化水素系溶媒等の、水と相溶することのない溶媒を追加することが可能である。また、これらの溶媒は、単独で使用することも、2種類以上で任意の割合で混合することも可能である。分液の回数は特に制限されることがなく、目的とする純度や収量に応じて実施することができる。
前記で得られた式(7b)で表される化合物を含む反応混合物は、硫酸ナトリウムや硫酸マグネシウム等の乾燥剤で水分を除去することができるが、必須ではない。
前記で得られた式(7b)で表される化合物を含む反応混合物は、化合物が分解しない限りにおいて、減圧下で溶媒留去することが可能である。
溶媒留去後に得られた式(7b)で表される化合物を含む反応混合物は、適当な溶媒により、洗浄、再沈殿、再結晶、カラムクロマトグラフィー等にて精製することができる。目的とする純度に応じて適宜設定すればよい。
製造方法Iは、Z2がハロゲン原子である、式(7d)で表される化合物を得る方法であって、式(7c)で表される化合物を、ラジカル開始剤とハロゲン化剤(HalR)を用いる反応に付すことを含む製造方法である。
式(7d)中、好ましいZ2は、塩素原子、臭素原子、またはヨウ素原子である。
本反応に使用するラジカル開始剤は、アゾビスイソブチロニトリル、過酸化ベンゾイル等が挙げられる。
本反応に使用するラジカル開始剤の量は、目的とする反応が進行する限りにおいて特に限定されることはないが、通常、式(7c)で表される化合物に対して0.01当量以上1.0当量以下である。
本反応に使用するハロゲン化剤は、N-クロロスクシンイミド、N-ブロモスクシンイミド、N-ヨードスクシンイミド、1,3-ジクロロ-5,5-ジメチルヒダントイン、1,3-ジブロモ-5,5-ジメチルヒダントイン、1,3-ジヨード-5,5-ジメチルヒダントイン等が挙げられる。
本反応に使用するハロゲン化剤の量は、式(7c)で表される化合物に対して2当量以上あれば、目的とする反応が進行する限りにおいて特に限定されることはないが、通常、2当量以上2.8当量以下である。
本反応に使用する溶媒は、目的とする反応が進行する限りにおいて特に限定されることはないが、クロロベンゼン、ジクロロベンゼン等のハロゲン化ベンゼン系溶媒、酢酸エチル、酢酸イソプロピル、酢酸ブチル等のエステル系溶媒、ジクロロメタン、ジクロロエタン、クロロホルム、四塩化炭素等のハロゲン系溶媒、ヘキサン、ヘプタン、シクロヘキサン、メチルシクロヘキサン等の炭化水素系溶媒等が挙げられる。これらの溶媒は、単独または2種類以上を任意の割合で混合して使用することができる。
本反応に使用する溶媒量は、目的とする反応が進行する限りにおいて特に限定されることはないが、通常、式(7c)で表される化合物に対して3重量倍以上200重量倍以下である。
本反応を行う際の温度は、目的とする反応が進行する限りにおいて特に限定されることはないが、通常、20℃以上150℃以下または溶媒の沸点以下である。
反応の後処理としては、反応混合物に対して、水または適当な水溶液を加えることにより、分液操作を行うことが可能である。水溶液を使用する場合は、塩酸、硫酸、塩化アンモニウム等を溶解した酸性水溶液、水酸化カリウム、水酸化ナトリウム、炭酸ナトリウム、炭酸カリウム、炭酸水素ナトリウム、炭酸水素カリウム等を溶解したアルカリ水溶液、チオ硫酸ナトリウム、亜硫酸ナトリウム等の硫黄原子を含む塩を溶解した水溶液や食塩水等を任意に使用することができる。分液操作の際に、必要に応じて、トルエン、キシレン、ベンゼン、クロロベンゼン、ジクロロベンゼン等のベンゼン系溶媒、酢酸エチル、酢酸イソプロピル、酢酸ブチル等のエステル系溶媒、ジエチルエーテル、ジイソプロピルエーテル、メチル-t-ブチルエーテル等のエーテル系溶媒、ジクロロメタン、ジクロロエタン、クロロホルム等のハロゲン系溶媒、ヘキサン、ヘプタン、シクロヘキサン、メチルシクロヘキサン等の炭化水素系溶媒等の、水と相溶することのない溶媒を追加することが可能である。また、これらの溶媒は、単独で使用することも、2種類以上で任意の割合で混合することも可能である。分液の回数は特に制限されることがなく、目的とする純度や収量に応じて実施することができる。
前記で得られた式(7d)で表される化合物を含む反応混合物は、硫酸ナトリウムや硫酸マグネシウム等の乾燥剤で水分を除去することができるが、必須ではない。
前記で得られた式(7d)で表される化合物を含む反応混合物は、化合物が分解しない限りにおいて、減圧下で溶媒留去することが可能である。
溶媒留去後に得られた式(7d)で表される化合物を含む反応混合物は、適当な溶媒により、洗浄、再沈殿、再結晶、カラムクロマトグラフィー等にて精製することができる。目的とする純度に応じて適宜設定すればよい。
製造方法Jは、本発明化合物の製造中間体である式(7e)で表される化合物を得る方法であって、水存在下、式(7d)で表される化合物を加水分解することを含む製造方法である。
式(7d)中、好ましいZ2は、塩素原子、臭素原子、またはヨウ素原子である。
本反応には、水が必須である。また、本反応を円滑に進行させるために、硝酸銀を使用することができる。
本反応に使用する水の量は、式(7d)で表される化合物に対して1当量以上あれば、目的とする反応が進行する限りにおいて限定されることはない。また、水は溶媒として使用することができる。
本反応に使用する硝酸銀の量は、式(7d)で表される化合物に対して2当量以上あれば、目的とする反応が進行する限りにおいて限定されることはなく、通常、2当量以上10当量以下である。
本反応に使用する溶媒は、目的とする反応が進行する限りにおいて特に限定されることはないが、水溶媒、ジエチルエーテル、ジイソプロピルエーテル、メチル-t-ブチルエーテル、ジメトキシエタン、テトラヒドロフラン、ジオキサン等のエーテル系溶媒、アセトニトリル等のニトリル系溶媒等が挙げられる。これらの溶媒は、単独または2種類以上を任意の割合で混合して使用することができる。
本反応に使用する溶媒量は、目的とする反応が進行する限りにおいて特に限定されることはないが、通常、式(7d)で表される化合物に対して3重量倍以上200重量倍以下である。
本反応を行う際の温度は、目的とする反応が進行する限りにおいて特に限定されることはないが、通常、-10℃以上100℃以下または溶媒の沸点以下である。
反応の後処理としては、溶解していない金属類を濾過することにより除去することが可能である。さらに、反応混合物に対して、水または適当な水溶液を加えることにより、分液操作を行うことが可能である。水溶液を使用する場合は、塩酸、硫酸、塩化アンモニウム等を溶解した酸性水溶液、水酸化カリウム、水酸化ナトリウム、炭酸ナトリウム、炭酸カリウム、炭酸水素ナトリウム、炭酸水素カリウム等を溶解したアルカリ水溶液、チオ硫酸ナトリウム、亜硫酸ナトリウム等の硫黄原子を含む塩を溶解した水溶液や食塩水等を任意に使用することができる。分液操作の際に、必要に応じて、トルエン、キシレン、ベンゼン、クロロベンゼン、ジクロロベンゼン等のベンゼン系溶媒、酢酸エチル、酢酸イソプロピル、酢酸ブチル等のエステル系溶媒、ジエチルエーテル、ジイソプロピルエーテル、メチル-t-ブチルエーテル等のエーテル系溶媒、ジクロロメタン、ジクロロエタン、クロロホルム、四塩化炭素等のハロゲン系溶媒、ヘキサン、ヘプタン、シクロヘキサン、メチルシクロヘキサン等の炭化水素系溶媒等の、水と相溶することのない溶媒を追加することが可能である。また、これらの溶媒は、単独で使用することも、2種類以上で任意の割合で混合することも可能である。分液の回数は特に制限されることがなく、目的とする純度や収量に応じて実施することができる。
前記で得られた式(7e)で表される化合物を含む反応混合物は、硫酸ナトリウムや硫酸マグネシウム等の乾燥剤で水分を除去することができるが、必須ではない。
前記で得られた式(7e)で表される化合物を含む反応混合物は、化合物が分解しない限りにおいて、減圧下で溶媒留去することが可能である。
溶媒留去後に得られた式(7e)で表される化合物を含む反応混合物は、適当な溶媒により、洗浄、再沈殿、再結晶、カラムクロマトグラフィー等にて精製することができる。目的とする純度に応じて適宜設定すればよい。
[製造方法K]
式中、Z3は水素原子、シアノ基、ハロゲン原子、置換基Cで適宜置換されてもよいC1~C6のアルキル基、C1~C6のハロアルキル基、置換基Cで適宜置換されてもよいC3~C8のシクロアルキル基、置換基Cで適宜置換されてもよいC2~C6のアルケニル基、C2~C6ハロアルケニル基、置換基Cで適宜置換されてもよいC2~C6のアルキニル基、C2~C6のハロアルキニル基、置換基Cで適宜置換されてもよいC1~C6のアルコキシ基、C1~C6のハロアルコキシ基、置換基Cで適宜置換されてもよいC3~C8のシクロアルコキシ基、置換基Cで適宜置換されてもよいC2~C6のアルケニルオキシ基、C2~C6のハロアルケニルオキシ基、置換基Cで適宜置換されてもよいC3~C6のアルキニルオキシ基、C3~C6のハロアルキニルオキシ基、またはRc-L-(ここで、RcおよびLは、前記と同義である。)を表し、R1、R2、XおよびYは前記と同義である。
式中、Z3は水素原子、シアノ基、ハロゲン原子、置換基Cで適宜置換されてもよいC1~C6のアルキル基、C1~C6のハロアルキル基、置換基Cで適宜置換されてもよいC3~C8のシクロアルキル基、置換基Cで適宜置換されてもよいC2~C6のアルケニル基、C2~C6ハロアルケニル基、置換基Cで適宜置換されてもよいC2~C6のアルキニル基、C2~C6のハロアルキニル基、置換基Cで適宜置換されてもよいC1~C6のアルコキシ基、C1~C6のハロアルコキシ基、置換基Cで適宜置換されてもよいC3~C8のシクロアルコキシ基、置換基Cで適宜置換されてもよいC2~C6のアルケニルオキシ基、C2~C6のハロアルケニルオキシ基、置換基Cで適宜置換されてもよいC3~C6のアルキニルオキシ基、C3~C6のハロアルキニルオキシ基、またはRc-L-(ここで、RcおよびLは、前記と同義である。)を表し、R1、R2、XおよびYは前記と同義である。
製造方法Kは、Z3が水素原子、シアノ基、ハロゲン原子、置換基Cで適宜置換されてもよいC1~C6のアルキル基、C1~C6のハロアルキル基、置換基Cで適宜置換されてもよいC3~C8のシクロアルキル基、置換基Cで適宜置換されてもよいC2~C6のアルケニル基、C2~C6ハロアルケニル基、置換基Cで適宜置換されてもよいC2~C6のアルキニル基、C2~C6のハロアルキニル基、置換基Cで適宜置換されてもよいC1~C6のアルコキシ基、C1~C6のハロアルコキシ基、置換基Cで適宜置換されてもよいC3~C8のシクロアルコキシ基、置換基Cで適宜置換されてもよいC2~C6のアルケニルオキシ基、C2~C6のハロアルケニルオキシ基、置換基Cで適宜置換されてもよいC3~C6のアルキニルオキシ基、C3~C6のハロアルキニルオキシ基、またはRc-L-(ここで、RcおよびLは、前記と同義である。)である式(7f)で表される化合物を得る方法であって、式(7e)で表される化合物と有機金属試薬とを、溶媒中で反応させることを含む製造方法である。
本反応に使用する有機金属試薬としては、有機マグネシウムハロゲン化物(Z3-CH2-Mg-Hal:ここで、Halはハロゲン原子を表し、Z3は前記と同義である。)、有機リチウム試薬(Z3-CH2-Li:ここで、Z3は前記と同義である。)、有機マグネシウムハロゲン化物-亜鉛(II)アート錯体試薬([(Z3-CH2)3-Zn]-[Mg-Hal]+[Mg-(Hal)2]2:ここで、Z3およびHalは前記と同義である。)等が挙げられる。これらの有機金属試薬は、市販品として入手または公知の方法で製造することができる。
本反応に使用する有機金属試薬の量は、式(7e)で表される式に対して、1当量以上あればよく、目的とする反応が進行する限りにおいて特に制限されることはないが、通常、1当量以上10当量以下である。
反応に使用する溶媒は、目的とする反応が進行する限りにおいて特に限定されることはないが、ジエチルエーテル、ジイソプロピルエーテル、メチル-t-ブチルエーテル、ジメトキシエタン、テトラヒドロフラン、ジオキサン等のエーテル系溶媒、ヘキサン、ヘプタン、シクロヘキサン、メチルシクロヘキサン等の炭化水素系溶媒等が挙げられる。これらの溶媒は、単独または2種類以上を任意の割合で混合して使用することができる。
本反応に使用する溶媒量は、目的とする反応が進行する限りにおいて特に限定されることはないが、通常、式(7e)で表される化合物に対して3重量倍以上200重量倍以下である。
本反応を行う際の温度は、目的とする反応が進行する限りにおいて特に限定されることはないが、通常、-80℃以上100℃以下または溶媒の沸点以下である。
反応の後処理としては、反応混合物に対して、水または適当な水溶液を加えることにより、分液操作を行うことが可能である。水溶液を使用する場合は、塩酸、硫酸、塩化アンモニウム等を溶解した酸性水溶液、水酸化カリウム、水酸化ナトリウム、炭酸ナトリウム、炭酸カリウム、炭酸水素ナトリウム、炭酸水素カリウム等を溶解したアルカリ水溶液、チオ硫酸ナトリウム、亜硫酸ナトリウム等の硫黄原子を含む塩を溶解した水溶液や食塩水等を任意に使用することができる。分液操作の際に、必要に応じて、トルエン、キシレン、ベンゼン、クロロベンゼン、ジクロロベンゼン等のベンゼン系溶媒、酢酸エチル、酢酸イソプロピル、酢酸ブチル等のエステル系溶媒、ジエチルエーテル、ジイソプロピルエーテル、メチル-t-ブチルエーテル等のエーテル系溶媒、ジクロロメタン、ジクロロエタン、クロロホルム等のハロゲン系溶媒、ヘキサン、ヘプタン、シクロヘキサン、メチルシクロヘキサン等の炭化水素系溶媒等の水と相溶することのない溶媒を追加することが可能である。また、これらの溶媒は、単独で使用することも、2種類以上で任意の割合で混合することも可能である。分液の回数は特に制限されることがなく、目的とする純度や収量に応じて実施することができる。
前記で得られた式(7f)で表される化合物を含む反応混合物は、硫酸ナトリウムや硫酸マグネシウム等の乾燥剤で水分を除去することができるが、必須ではない。
前記で得られた式(7f)で表される化合物を含む反応混合物は、化合物が分解しない限りにおいて、減圧下で溶媒留去することが可能である。
溶媒留去後に得られた式(7f)で表される化合物を含む反応混合物は、適当な溶媒により、洗浄、再沈殿、再結晶、カラムクロマトグラフィー等にて精製することができる。目的とする純度に応じて適宜設定すればよい。
製造方法Lは、式(7g)で表される化合物を得る方法であって、式(7f)で表される化合物と酸化剤(Ox’)とを、溶媒中で反応させることを含む製造方法である。
本製造方法は、デス・マーチン酸化(Dess-Martin oxidation)、スワーン酸化(Swern oxidation)、パリック・デーリング酸化(Parikh-Doering oxidation)等のような当業者が通常使用する酸化方法で実施することができる。また、該酸化反応は、目的とする反応が進行する限りにおいて特に制限されることはない。ここでは、ジメチルスルホキシド、ピリジン-三酸化硫黄コンプレックスおよび塩基を溶媒中で使用するパリック・デーリング酸化の方法を説明する。
本反応に使用するジメチルスルホキシドの量は、式(7f)で表される化合物に対して1当量以上あれば、目的とする反応が進行する限りにおいて特に制限されることはなく、溶媒としても使用することもできる。
本反応に使用するピリジン-三酸化硫黄コンプレックスの量は、式(7f)で表される化合物に対して1当量以上あれば、目的とする反応が進行する限りにおいて特に制限されることはなく、通常、1当量以上20当量以下である。
本反応に使用する塩基は、トリエチルアミン、トリブチルアミン、ジイソプロピルエチルアミン等の有機アミン類等が挙げられる。
本反応に使用する塩基の量は、式(7f)で表される化合物に対して1当量以上あれば、目的とする反応が進行する限りにおいて特に制限されることはなく、通常、1当量以上50当量以下である。
本反応に使用する溶媒は、目的とする反応が進行する限りにおいて特に限定されることはないが、ジクロロメタン、ジクロロエタン、クロロホルム、四塩化炭素等のハロゲン系溶媒、ジメチルスルホキシド等の硫黄系溶媒等が挙げられる。これらの溶媒は、単独または2種類以上を任意の割合で混合して使用することができる。
本反応に使用する溶媒量は、目的とする反応が進行する限りにおいて特に限定されることはないが、通常、式(7f)で表される化合物に対して3重量倍以上200重量倍以下である。
本反応を行う際の温度は、目的とする反応が進行する限りにおいて特に限定されることはないが、通常、-10℃以上150℃以下または溶媒の沸点以下である。
反応の後処理としては、反応混合物に対して、水または適当な水溶液を加えることにより、分液操作を行うことが可能である。水溶液を使用する場合は、塩酸、硫酸、塩化アンモニウム等を溶解した酸性水溶液、水酸化カリウム、水酸化ナトリウム、炭酸ナトリウム、炭酸カリウム、炭酸水素ナトリウム、炭酸水素カリウム等を溶解したアルカリ水溶液、チオ硫酸ナトリウム、亜硫酸ナトリウム等の硫黄原子を含む塩を溶解した水溶液や食塩水等を任意に使用することができる。分液操作の際に、必要に応じて、トルエン、キシレン、ベンゼン、クロロベンゼン、ジクロロベンゼン等のベンゼン系溶媒、酢酸エチル、酢酸イソプロピル、酢酸ブチル等のエステル系溶媒、ジエチルエーテル、ジイソプロピルエーテル、メチル-t-ブチルエーテル等のエーテル系溶媒、ジクロロメタン、ジクロロエタン、クロロホルム等のハロゲン系溶媒、ヘキサン、ヘプタン、シクロヘキサン、メチルシクロヘキサン等の炭化水素系溶媒等の水と相溶することのない溶媒を追加することが可能である。また、これらの溶媒は、単独で使用することも、2種類以上で任意の割合で混合することも可能である。分液の回数は特に制限されることがなく、目的とする純度や収量に応じて実施することができる。
前記で得られた式(7g)で表される化合物を含む反応混合物は、硫酸ナトリウムや硫酸マグネシウム等の乾燥剤で水分を除去することができるが、必須ではない。
前記で得られた式(7g)で表される化合物を含む反応混合物は、化合物が分解しない限りにおいて、減圧下で溶媒留去することが可能である。
溶媒留去後に得られた式(7g)で表される化合物を含む反応混合物は、適当な溶媒により、洗浄、再沈殿、再結晶、カラムクロマトグラフィー等にて精製することができる。目的とする純度に応じて適宜設定すればよい。
製造方法Mは、式(7h)で表される化合物を得る方法であって、式(7g)で表される化合物とNH2NH-Z4(ここで、Z4は前記と同義である。)を、酸存在下、溶媒中で反応させることを含む製造方法である。
本反応に使用するNH2NH-Z4は、市販品として入手または公知の方法で製造できる。NH2NH-Z4は、塩酸、硫酸のような酸性化合物との塩を形成したものでもよく、また、予め公知の方法により脱塩してからNH2NH-Z4を使用することも可能である。
本反応に使用するNH2NH-Z4の量は、式(7g)で表される化合物に対して1当量以上あれば、目的とする反応が進行する限りにおいて特に限定されることはないが、通常、1当量以上20当量以下である。
本反応に使用する酸は、酢酸、メタンスルホン酸、p-トルエンスルホン酸、トリフルオロ酢酸等の有機酸類等が挙げられる。
本反応に使用する酸の量は、触媒量でもよく、目的とする反応が進行する限りにおいて特に制限されることはないが、通常、式(7g)で表される化合物に対して0.1当量以上である。また、液体状の酸に関しては溶媒として使用することも可能である。
本反応に使用する溶媒は、目的とする反応が進行する限りにおいて特に限定されることはないが、ジエチルエーテル、ジイソプロピルエーテル、メチル-t-ブチルエーテル、ジメトキシエタン、テトラヒドロフラン、ジオキサン等のエーテル系溶媒、メタノール、エタノール、イソプロパノール等のアルコール系溶媒、ベンゼン、トルエン、キシレン、メシチレン、クロロベンゼン、ジクロロベンゼン等のベンゼン系溶媒、酢酸エチル、酢酸イソプロピル、酢酸ブチル等のエステル系溶媒、アセトニトリル等のニトリル系溶媒、N-メチルピロリドン、N,N-ジメチルホルムアミド、N,N-ジメチルアセトアミド等のアミド系溶媒、1,3-ジメチル-2-イミダゾリジノン等のウレア系溶媒、ジクロロメタン、ジクロロエタン、クロロホルム、四塩化炭素等のハロゲン系溶媒等が挙げられる。これらの溶媒は、単独または2種類以上を任意の割合で混合して使用することができる。
本反応に使用する溶媒量は、目的とする反応が進行する限りにおいて特に限定されることはないが、通常、式(7g)で表される化合物に対して3重量倍以上200重量倍以下である。
本反応を行う際の温度は、目的とする反応が進行する限りにおいて特に限定されることはないが、通常、0℃以上180℃以下または溶媒の沸点以下である。
反応の後処理としては、反応混合物に対して、水または適当な水溶液を加えることにより、分液操作を行うことが可能である。水溶液を使用する場合は、塩酸、硫酸、塩化アンモニウム等を溶解した酸性水溶液、水酸化カリウム、水酸化ナトリウム、炭酸ナトリウム、炭酸カリウム、炭酸水素ナトリウム、炭酸水素カリウム等を溶解したアルカリ水溶液、チオ硫酸ナトリウム、亜硫酸ナトリウム等の硫黄原子を含む塩を溶解した水溶液や食塩水等を任意に使用することができる。分液操作の際に、必要に応じて、トルエン、キシレン、ベンゼン、クロロベンゼン、ジクロロベンゼン等のベンゼン系溶媒、酢酸エチル、酢酸イソプロピル、酢酸ブチル等のエステル系溶媒、ジエチルエーテル、ジイソプロピルエーテル、メチル-t-ブチルエーテル等のエーテル系溶媒、ジクロロメタン、ジクロロエタン、クロロホルム、四塩化炭素等のハロゲン系溶媒、ヘキサン、ヘプタン、シクロヘキサン、メチルシクロヘキサン等の炭化水素系溶媒等の水と相溶することのない溶媒を追加することが可能である。また、これらの溶媒は、単独で使用することも、2種類以上で任意の割合で混合することも可能である。分液の回数は特に制限されることがなく、目的とする純度や収量に応じて実施することができる。
前記で得られた式(7h)で表される化合物を含む反応混合物は、硫酸ナトリウムや硫酸マグネシウム等の乾燥剤で水分を除去することができるが、必須ではない。
前記で得られた式(7h)で表される化合物を含む反応混合物は、化合物が分解しない限りにおいて、減圧下で溶媒留去することが可能である。
溶媒留去後に得られた式(7h)で表される化合物を含む反応混合物は、適当な溶媒により、洗浄、再沈殿、再結晶、カラムクロマトグラフィー等にて精製することができる。目的とする純度に応じて適宜設定すればよい。
製造方法Nは、式(1)で表される本発明化合物のうち、式(1-a)で表される化合物を得る方法であって、式(7h)で表される化合物と塩化チオニルを溶媒中で反応させることを含む製造方法である。
本反応に使用する塩化チオニルの量は、式(7h)で表される化合物に対して2当量以上あれば、目的とする反応が進行する限りにおいて特に限定されることはないが、通常、2当量以上20当量以下である。また、塩化チオニルは、溶媒として使用することもできる。
本反応に使用する溶媒は、目的とする反応が進行する限りにおいて特に限定されることはないが、ジエチルエーテル、ジイソプロピルエーテル、メチル-t-ブチルエーテル、ジメトキシエタン、テトラヒドロフラン、ジオキサン等のエーテル系溶媒、メタノール、エタノール、イソプロパノール等のアルコール系溶媒、ベンゼン、トルエン、キシレン、メシチレン、クロロベンゼン、ジクロロベンゼン等のベンゼン系溶媒、酢酸エチル、酢酸イソプロピル、酢酸ブチル等のエステル系溶媒、アセトニトリル等のニトリル系溶媒、N-メチルピロリドン、N,N-ジメチルホルムアミド、N,N-ジメチルアセトアミド等のアミド系溶媒、1,3-ジメチル-2-イミダゾリジノン等のウレア系溶媒、ジクロロメタン、ジクロロエタン、クロロホルム、四塩化炭素等のハロゲン系溶媒等が挙げられる。これらの溶媒は、単独または2種類以上を任意の割合で混合して使用することができる。
本反応に使用する溶媒量は、目的とする反応が進行する限りにおいて特に限定されることはないが、通常、式(7h)で表される化合物に対して3重量倍以上200重量倍以下である。
本反応を行う際の温度は、目的とする反応が進行する限りにおいて特に限定されることはないが、通常、0℃以上180℃以下または溶媒の沸点以下である。
反応の後処理としては、反応混合物に対して、水または適当な水溶液を加えることにより、分液操作を行うことが可能である。水溶液を使用する場合は、塩酸、硫酸、塩化アンモニウム等を溶解した酸性水溶液、水酸化カリウム、水酸化ナトリウム、炭酸ナトリウム、炭酸カリウム、炭酸水素ナトリウム、炭酸水素カリウム等を溶解したアルカリ水溶液、チオ硫酸ナトリウム、亜硫酸ナトリウム等の硫黄原子を含む塩を溶解した水溶液や食塩水等を任意に使用することができる。分液操作の際に、必要に応じて、トルエン、キシレン、ベンゼン、クロロベンゼン、ジクロロベンゼン等のベンゼン系溶媒、酢酸エチル、酢酸イソプロピル、酢酸ブチル等のエステル系溶媒、ジエチルエーテル、ジイソプロピルエーテル、メチル-t-ブチルエーテル等のエーテル系溶媒、ジクロロメタン、ジクロロエタン、クロロホルム、四塩化炭素等のハロゲン系溶媒、ヘキサン、ヘプタン、シクロヘキサン、メチルシクロヘキサン等の炭化水素系溶媒等の水と相溶することのない溶媒を追加することが可能である。また、これらの溶媒は、単独で使用することも、2種類以上で任意の割合で混合することも可能である。分液の回数は特に制限されることがなく、目的とする純度や収量に応じて実施することができる。
前記で得られた式(1-a)で表される化合物を含む反応混合物は、硫酸ナトリウムや硫酸マグネシウム等の乾燥剤で水分を除去することができるが、必須ではない。
前記で得られた式(1-a)で表される化合物を含む反応混合物は、化合物が分解しない限りにおいて、減圧下で溶媒留去することが可能である。
溶媒留去後に得られた式(1-a)で表される化合物を含む反応混合物は、適当な溶媒により、洗浄、再沈殿、再結晶、カラムクロマトグラフィー等にて精製することができる。目的とする純度に応じて適宜設定すればよい。
製造方法Oは、Z5がハロゲン原子を表す、式(7i)で表される化合物を得る方法であって、式(7g)で表される化合物とハロゲン化剤(HalR)とを、酸存在下、溶媒中で反応させることを含む製造方法である。
本反応に使用するハロゲン化剤としては、セレクトフルオル(N-フルオロ-N’-クロロメチル-トリエチレンジアミン ビス(テトラフルオロボラート))、N-クロロスクシンイミド、N-ブロモスクシンイミド、N-ヨードスクシンイミド、1,3-ジクロロ-5,5-ジメチルヒダントイン、1,3-ジブロモ-5,5-ジメチルヒダントイン、1,3-ジヨード-5,5-ジメチルヒダントイン、臭素、ヨウ素等が挙げられる。
本反応に使用するハロゲン化剤の量は、式(7g)で表される化合物に対して1当量以上あれば、目的とする反応が進行する限りにおいて特に制限されることはないが、通常、1当量以上10当量以下である。ただし、ヒダントインを含むハロゲン化剤の量は、0.5当量以上あれば、目的とする反応が進行する限りにおいて特に制限されることはなく、通常、1当量以上5当量以下である。
本反応に使用する酸は、塩酸、硫酸等の無機酸類や、酢酸、トリフルオロ酢酸、メタンスルホン酸、トリフルオロメタンスルホン酸等の有機酸のような酸等が挙げられる。
本反応に使用する酸の量は、触媒量でもよく、目的とする反応が進行する限りにおいて特に制限されることはないが、通常、式(7g)で表される化合物に対して0.1当量以上である。また、液体状の酸に関しては溶媒として使用することも可能である。
本反応に使用する溶媒は、目的とする反応が進行する限りにおいて特に限定されることはないが、硫酸、酢酸、トリフルオロ酢酸、メタンスルホン酸、トリフルオロメタンスルホン酸等の酸性系溶媒、ジエチルエーテル、ジイソプロピルエーテル、メチル-t-ブチルエーテル、ジメトキシエタン、テトラヒドロフラン、ジオキサン等のエーテル系溶媒、メタノール、エタノール、イソプロパノール等のアルコール系溶媒、ベンゼン、トルエン、キシレン、メシチレン、クロロベンゼン、ジクロロベンゼン等のベンゼン系溶媒、酢酸エチル、酢酸イソプロピル、酢酸ブチル等のエステル系溶媒、アセトニトリル等のニトリル系溶媒、N-メチルピロリドン、N,N-ジメチルホルムアミド、N,N-ジメチルアセトアミド等のアミド系溶媒、1,3-ジメチル-2-イミダゾリジノン等のウレア系溶媒、ジクロロメタン、ジクロロエタン、クロロホルム、四塩化炭素等のハロゲン系溶媒等が挙げられる。これらの溶媒は、単独または2種類以上を任意の割合で混合して使用することができる。
本反応に使用する溶媒量は、目的とする反応が進行する限りにおいて特に限定されることはないが、通常、式(7g)で表される化合物に対して3重量倍以上200重量倍以下である。
本反応を行う際の温度は、目的とする反応が進行する限りにおいて特に限定されることはないが、通常、0℃以上150℃以下または溶媒の沸点以下である。
反応の後処理としては、反応混合物に対して、水または適当な水溶液を加えることにより、分液操作を行うことが可能である。水溶液を使用する場合は、塩酸、硫酸、塩化アンモニウム等を溶解した酸性水溶液、水酸化カリウム、水酸化ナトリウム、炭酸ナトリウム、炭酸カリウム、炭酸水素ナトリウム、炭酸水素カリウム等を溶解したアルカリ水溶液、チオ硫酸ナトリウム、亜硫酸ナトリウム等の硫黄原子を含む塩を溶解した水溶液や食塩水等を任意に使用することができる。分液操作の際に、必要に応じて、トルエン、キシレン、ベンゼン、クロロベンゼン、ジクロロベンゼン等のベンゼン系溶媒、酢酸エチル、酢酸イソプロピル、酢酸ブチル等のエステル系溶媒、ジエチルエーテル、ジイソプロピルエーテル、メチル-t-ブチルエーテル等のエーテル系溶媒、ジクロロメタン、ジクロロエタン、クロロホルム、四塩化炭素等のハロゲン系溶媒、ヘキサン、ヘプタン、シクロヘキサン、メチルシクロヘキサン等の炭化水素系溶媒等の、水と相溶することのない溶媒を追加することが可能である。また、これらの溶媒は、単独で使用することも、2種類以上で任意の割合で混合することも可能である。分液の回数は特に制限されることがなく、目的とする純度や収量に応じて実施することができる。
前記で得られた式(7i)で表される化合物を含む反応混合物は、硫酸ナトリウムや硫酸マグネシウム等の乾燥剤で水分を除去することができるが、必須ではない。
前記で得られた式(7i)で表される化合物を含む反応混合物は、化合物が分解しない限りにおいて、減圧下で溶媒留去することが可能である。
溶媒留去後に得られた式(7i)で表される化合物を含む反応混合物は、適当な溶媒により、洗浄、再沈殿、再結晶、カラムクロマトグラフィー等にて精製することができる。目的とする純度に応じて適宜設定すればよい。
製造方法Pは、式(1)で表される本発明化合物のうち、式(1-b)で表される化合物を得る方法であって、式(7i)で表される化合物とチオウレアとを、溶媒中で反応させることを含む製造方法である。
本反応に使用するチオウレアの量は、式(7i)で表される化合物に対して1当量以上あれば、目的とする反応が進行する限りにおいて特に制限されることはないが、通常、1当量以上10当量以下である。
本反応に使用するチオウレアの量は、式(7i)で表される化合物に対して1当量以上あれば、目的とする反応が進行する限りにおいて特に制限されることはないが、通常、1当量以上10当量以下である。
本反応は、酸存在下で行うことが出来る。
本反応に使用する酸は、塩酸、硫酸等の無機酸類や、酢酸、トリフルオロ酢酸、メタンスルホン酸、トリフルオロメタンスルホン酸等の有機酸のような酸等が挙げられる。
本反応に使用する酸の量は、触媒量でもよく、目的とする反応が進行する限りにおいて特に制限されることはないが、通常、式(7i)で表される化合物に対して0.1当量以上である。また、液体状の酸に関しては溶媒として使用することも可能である。
本反応に使用する溶媒は、目的とする反応が進行する限りにおいて特に限定されることはないが、硫酸、酢酸、トリフルオロ酢酸、メタンスルホン酸、トリフルオロメタンスルホン酸等の酸性系溶媒、ジエチルエーテル、ジイソプロピルエーテル、メチル-t-ブチルエーテル、ジメトキシエタン、テトラヒドロフラン、ジオキサン等のエーテル系溶媒、メタノール、エタノール、イソプロパノール等のアルコール系溶媒、ベンゼン、トルエン、キシレン、メシチレン、クロロベンゼン、ジクロロベンゼン等のベンゼン系溶媒、酢酸エチル、酢酸イソプロピル、酢酸ブチル等のエステル系溶媒、アセトニトリル等のニトリル系溶媒、N-メチルピロリドン、N,N-ジメチルホルムアミド、N,N-ジメチルアセトアミド等のアミド系溶媒、1,3-ジメチル-2-イミダゾリジノン等のウレア系溶媒、ジクロロメタン、ジクロロエタン、クロロホルム、四塩化炭素等のハロゲン系溶媒等が挙げられる。これらの溶媒は、単独または2種類以上を任意の割合で混合して使用することができる。
本反応に使用する溶媒量は、目的とする反応が進行する限りにおいて特に限定されることはないが、通常、式(7i)で表される化合物に対して3重量倍以上200重量倍以下である。
本反応を行う際の温度は、目的とする反応が進行する限りにおいて特に限定されることはないが、通常、0℃以上150℃以下または溶媒の沸点以下である。
反応の後処理としては、反応混合物に対して、水または適当な水溶液を加えることにより、分液操作を行うことが可能である。水溶液を使用する場合は、塩酸、硫酸、塩化アンモニウム等を溶解した酸性水溶液、水酸化カリウム、水酸化ナトリウム、炭酸ナトリウム、炭酸カリウム、炭酸水素ナトリウム、炭酸水素カリウム等を溶解したアルカリ水溶液、チオ硫酸ナトリウム、亜硫酸ナトリウム等の硫黄原子を含む塩を溶解した水溶液や食塩水等を任意に使用することができる。分液操作の際に、必要に応じて、トルエン、キシレン、ベンゼン、クロロベンゼン、ジクロロベンゼン等のベンゼン系溶媒、酢酸エチル、酢酸イソプロピル、酢酸ブチル等のエステル系溶媒、ジエチルエーテル、ジイソプロピルエーテル、メチル-t-ブチルエーテル等のエーテル系溶媒、ジクロロメタン、ジクロロエタン、クロロホルム、四塩化炭素等のハロゲン系溶媒、ヘキサン、ヘプタン、シクロヘキサン、メチルシクロヘキサン等の炭化水素系溶媒等の、水と相溶することのない溶媒を追加することが可能である。また、これらの溶媒は、単独で使用することも、2種類以上で任意の割合で混合することも可能である。分液の回数は特に制限されることがなく、目的とする純度や収量に応じて実施することができる。
前記で得られた式(1-b)で表される化合物を含む反応混合物は、硫酸ナトリウムや硫酸マグネシウム等の乾燥剤で水分を除去することができるが、必須ではない。
前記で得られた式(1-b)で表される化合物を含む反応混合物は、化合物が分解しない限りにおいて、減圧下で溶媒留去することが可能である。
溶媒留去後に得られた式(1-b)で表される化合物を含む反応混合物は、適当な溶媒により、洗浄、再沈殿、再結晶、カラムクロマトグラフィー等にて精製することができる。目的とする純度に応じて適宜設定すればよい。
製造方法Qは、式(1)で表される本発明化合物のうち、式(1-c)で表される化合物を得る方法であって、式(1-b)で表される化合物と亜硝酸ナトリウムまたは亜硝酸エステル類とを酸存在下、溶媒中で反応させることを含む製造方法である。
まず、式(1-c)で表される化合物中、Z7が水素原子である化合物の製造方法について説明する。
本反応は酸存在下、亜硝酸ナトリウムとホスフィン酸との組み合わせで行うことが出来る。
本反応に使用する亜硝酸ナトリウムの量は、式(1-b)で表される化合物に対して1当量以上あれば、目的とする反応が進行する限りにおいて特に制限されることはないが、通常、1当量以上10当量以下である。
まず、式(1-c)で表される化合物中、Z7が水素原子である化合物の製造方法について説明する。
本反応は酸存在下、亜硝酸ナトリウムとホスフィン酸との組み合わせで行うことが出来る。
本反応に使用する亜硝酸ナトリウムの量は、式(1-b)で表される化合物に対して1当量以上あれば、目的とする反応が進行する限りにおいて特に制限されることはないが、通常、1当量以上10当量以下である。
本反応に使用するホスフィン酸の量は、式(1-b)で表される化合物に対して1当量以上あれば、目的とする反応が進行する限りにおいて特に制限されることはないが、通常、1当量以上20当量以下である。
本反応に使用する酸は、塩酸、硫酸等の無機酸類や、酢酸、トリフルオロ酢酸、メタンスルホン酸、トリフルオロメタンスルホン酸等の有機酸のような酸等が挙げられる。
本反応に使用する酸は、塩酸、硫酸等の無機酸類や、酢酸、トリフルオロ酢酸、メタンスルホン酸、トリフルオロメタンスルホン酸等の有機酸のような酸等が挙げられる。
本反応に使用する酸の量は、触媒量でもよく、目的とする反応が進行する限りにおいて特に制限されることはないが、通常、式(1-b)で表される化合物に対して1当量以上である。また、液体状の酸に関しては溶媒として使用することも可能である。
本反応に使用する溶媒は、目的とする反応が進行する限りにおいて特に限定されることはないが、硫酸、酢酸、トリフルオロ酢酸、メタンスルホン酸、トリフルオロメタンスルホン酸等の酸性系溶媒、ジエチルエーテル、ジイソプロピルエーテル、メチル-t-ブチルエーテル、ジメトキシエタン、テトラヒドロフラン、ジオキサン等のエーテル系溶媒、メタノール、エタノール、イソプロパノール等のアルコール系溶媒、ベンゼン、トルエン、キシレン、メシチレン、クロロベンゼン、ジクロロベンゼン等のベンゼン系溶媒、酢酸エチル、酢酸イソプロピル、酢酸ブチル等のエステル系溶媒、アセトニトリル等のニトリル系溶媒、N-メチルピロリドン、N,N-ジメチルホルムアミド、N,N-ジメチルアセトアミド等のアミド系溶媒、1,3-ジメチル-2-イミダゾリジノン等のウレア系溶媒、ジクロロメタン、ジクロロエタン、クロロホルム、四塩化炭素等のハロゲン系溶媒等が挙げられる。これらの溶媒は、単独または2種類以上を任意の割合で混合して使用することができる。
本反応に使用する溶媒量は、目的とする反応が進行する限りにおいて特に限定されることはないが、通常、式(1-b)で表される化合物に対して3重量倍以上200重量倍以下である。
本反応を行う際の温度は、目的とする反応が進行する限りにおいて特に限定されることはないが、通常、0℃以上150℃以下または溶媒の沸点以下である。
反応の後処理としては、反応混合物に対して、水または適当な水溶液を加えることにより、分液操作を行うことが可能である。水溶液を使用する場合は、塩酸、硫酸、塩化アンモニウム等を溶解した酸性水溶液、水酸化カリウム、水酸化ナトリウム、炭酸ナトリウム、炭酸カリウム、炭酸水素ナトリウム、炭酸水素カリウム等を溶解したアルカリ水溶液、チオ硫酸ナトリウム、亜硫酸ナトリウム等の硫黄原子を含む塩を溶解した水溶液や食塩水等を任意に使用することができる。分液操作の際に、必要に応じて、トルエン、キシレン、ベンゼン、クロロベンゼン、ジクロロベンゼン等のベンゼン系溶媒、酢酸エチル、酢酸イソプロピル、酢酸ブチル等のエステル系溶媒、ジエチルエーテル、ジイソプロピルエーテル、メチル-t-ブチルエーテル等のエーテル系溶媒、ジクロロメタン、ジクロロエタン、クロロホルム、四塩化炭素等のハロゲン系溶媒、ヘキサン、ヘプタン、シクロヘキサン、メチルシクロヘキサン等の炭化水素系溶媒等の、水と相溶することのない溶媒を追加することが可能である。また、これらの溶媒は、単独で使用することも、2種類以上で任意の割合で混合することも可能である。分液の回数は特に制限されることがなく、目的とする純度や収量に応じて実施することができる。
前記で得られた式(1-c)で表される化合物を含む反応混合物は、硫酸ナトリウムや硫酸マグネシウム等の乾燥剤で水分を除去することができるが、必須ではない。
前記で得られた式(1-c)で表される化合物を含む反応混合物は、化合物が分解しない限りにおいて、減圧下で溶媒留去することが可能である。
溶媒留去後に得られた式(1-c)で表される化合物を含む反応混合物は、適当な溶媒により、洗浄、再沈殿、再結晶、カラムクロマトグラフィー等にて精製することができる。目的とする純度に応じて適宜設定すればよい。
次に、式(1-c)で表される化合物中、Z7が水素原子である化合物について、亜硝酸エステル類を使用する製造方法について説明する。
本反応に使用する亜硝酸エステル類は、目的とする反応が進行する限りにおいて特に限定されることはないが、亜硝酸メチル、亜硝酸エチル、亜硝酸イソアミル、亜硝酸イソブチル、亜硝酸イソプロピル、亜硝酸t-ブチル、亜硝酸n-プロピルおよび亜硝酸n-ブチル等が挙げられる。
本反応に使用する亜硝酸エステル類の量は、式(1-b)で表される化合物に対して1当量以上あれば、目的とする反応が進行する限りにおいて特に制限されることはないが、通常、1当量以上20当量以下である。
本反応に使用する溶媒は、目的とする反応が進行する限りにおいて特に限定されることはないが、硫酸、酢酸、トリフルオロ酢酸、メタンスルホン酸、トリフルオロメタンスルホン酸等の酸性系溶媒、ジエチルエーテル、ジイソプロピルエーテル、メチル-t-ブチルエーテル、ジメトキシエタン、テトラヒドロフラン、ジオキサン等のエーテル系溶媒、メタノール、エタノール、イソプロパノール等のアルコール系溶媒、ベンゼン、トルエン、キシレン、メシチレン、クロロベンゼン、ジクロロベンゼン等のベンゼン系溶媒、酢酸エチル、酢酸イソプロピル、酢酸ブチル等のエステル系溶媒、アセトニトリル等のニトリル系溶媒、N-メチルピロリドン、N,N-ジメチルホルムアミド、N,N-ジメチルアセトアミド等のアミド系溶媒、1,3-ジメチル-2-イミダゾリジノン等のウレア系溶媒、ジクロロメタン、ジクロロエタン、クロロホルム、四塩化炭素等のハロゲン系溶媒等が挙げられる。これらの溶媒は、単独または2種類以上を任意の割合で混合して使用することができる。
本反応に使用する溶媒量は、目的とする反応が進行する限りにおいて特に限定されることはないが、通常、式(1-b)で表される化合物に対して3重量倍以上200重量倍以下である。
本反応を行う際の温度は、目的とする反応が進行する限りにおいて特に限定されることはないが、通常、0℃以上150℃以下または溶媒の沸点以下である。
反応の後処理としては、反応混合物に対して、水または適当な水溶液を加えることにより、分液操作を行うことが可能である。水溶液を使用する場合は、塩酸、硫酸、塩化アンモニウム等を溶解した酸性水溶液、水酸化カリウム、水酸化ナトリウム、炭酸ナトリウム、炭酸カリウム、炭酸水素ナトリウム、炭酸水素カリウム等を溶解したアルカリ水溶液、チオ硫酸ナトリウム、亜硫酸ナトリウム等の硫黄原子を含む塩を溶解した水溶液や食塩水等を任意に使用することができる。分液操作の際に、必要に応じて、トルエン、キシレン、ベンゼン、クロロベンゼン、ジクロロベンゼン等のベンゼン系溶媒、酢酸エチル、酢酸イソプロピル、酢酸ブチル等のエステル系溶媒、ジエチルエーテル、ジイソプロピルエーテル、メチル-t-ブチルエーテル等のエーテル系溶媒、ジクロロメタン、ジクロロエタン、クロロホルム、四塩化炭素等のハロゲン系溶媒、ヘキサン、ヘプタン、シクロヘキサン、メチルシクロヘキサン等の炭化水素系溶媒等の、水と相溶することのない溶媒を追加することが可能である。また、これらの溶媒は、単独で使用することも、2種類以上で任意の割合で混合することも可能である。分液の回数は特に制限されることがなく、目的とする純度や収量に応じて実施することができる。
前記で得られた式(1-c)で表される化合物を含む反応混合物は、硫酸ナトリウムや硫酸マグネシウム等の乾燥剤で水分を除去することができるが、必須ではない。
前記で得られた式(1-c)で表される化合物を含む反応混合物は、化合物が分解しない限りにおいて、減圧下で溶媒留去することが可能である。
溶媒留去後に得られた式(1-c)で表される化合物を含む反応混合物は、適当な溶媒により、洗浄、再沈殿、再結晶、カラムクロマトグラフィー等にて精製することができる。目的とする純度に応じて適宜設定すればよい。
さらに、式(1-c)で表される化合物中、Z7がシアノ基、またはハロゲン原子である化合物の製造方法について説明する。
本反応は酸存在下、亜硝酸ナトリウムと銅試薬、または無機塩との組み合わせで行うことが出来る。
本反応に使用する亜硝酸ナトリウムの量は、式(1-b)で表される化合物に対して1当量以上あれば、目的とする反応が進行する限りにおいて特に制限されることはないが、通常、1当量以上10当量以下である。
本反応は酸存在下、亜硝酸ナトリウムと銅試薬、または無機塩との組み合わせで行うことが出来る。
本反応に使用する亜硝酸ナトリウムの量は、式(1-b)で表される化合物に対して1当量以上あれば、目的とする反応が進行する限りにおいて特に制限されることはないが、通常、1当量以上10当量以下である。
本反応に使用する銅試薬は、Z7がハロゲン原子の場合、塩化銅、臭化銅、およびヨウ化銅等のハロゲン原子を含む銅試薬類、Z7がシアノ基の場合、シアン化銅等のシアノ基を含む銅試薬類が挙げられる。
本反応に使用する銅試薬の量は、式(1-b)で表される化合物に対して1当量以上あれば、目的とする反応が進行する限りにおいて特に制限されることはないが、通常、1当量以上20当量以下である。
本反応に使用する無機塩は、Z7がハロゲン原子の場合、塩化ナトリウム、臭化ナトリウム、ヨウ化ナトリウム、塩化カリウム、臭化カリウム、およびヨウ化カリウム等のハロゲン原子を含む無機塩類、Z7がシアノ基の場合、シアン化ナトリウムまたはシアン化カリウム等のシアノ基を含む無機塩類が挙げられる。
本反応に使用する無機塩は、Z7がハロゲン原子の場合、塩化ナトリウム、臭化ナトリウム、ヨウ化ナトリウム、塩化カリウム、臭化カリウム、およびヨウ化カリウム等のハロゲン原子を含む無機塩類、Z7がシアノ基の場合、シアン化ナトリウムまたはシアン化カリウム等のシアノ基を含む無機塩類が挙げられる。
本反応に使用する無機塩の量は、式(1-b)で表される化合物に対して1当量以上あれば、目的とする反応が進行する限りにおいて特に制限されることはないが、通常、1当量以上20当量以下である。
本反応に使用する酸は、塩酸、硫酸等の無機酸類や、酢酸、トリフルオロ酢酸、メタンスルホン酸、トリフルオロメタンスルホン酸等の有機酸のような酸等が挙げられる。
本反応に使用する酸の量は、触媒量でもよく、目的とする反応が進行する限りにおいて特に制限されることはないが、通常、式(1-b)で表される化合物に対して1当量以上である。また、液体状の酸に関しては溶媒として使用することも可能である。
本反応に使用する溶媒は、目的とする反応が進行する限りにおいて特に限定されることはないが、硫酸、酢酸、トリフルオロ酢酸、メタンスルホン酸、トリフルオロメタンスルホン酸等の酸性系溶媒、ジエチルエーテル、ジイソプロピルエーテル、メチル-t-ブチルエーテル、ジメトキシエタン、テトラヒドロフラン、ジオキサン等のエーテル系溶媒、メタノール、エタノール、イソプロパノール等のアルコール系溶媒、ベンゼン、トルエン、キシレン、メシチレン、クロロベンゼン、ジクロロベンゼン等のベンゼン系溶媒、酢酸エチル、酢酸イソプロピル、酢酸ブチル等のエステル系溶媒、アセトニトリル等のニトリル系溶媒、N-メチルピロリドン、N,N-ジメチルホルムアミド、N,N-ジメチルアセトアミド等のアミド系溶媒、1,3-ジメチル-2-イミダゾリジノン等のウレア系溶媒、ジクロロメタン、ジクロロエタン、クロロホルム、四塩化炭素等のハロゲン系溶媒等が挙げられる。これらの溶媒は、単独または2種類以上を任意の割合で混合して使用することができる。
本反応に使用する溶媒量は、目的とする反応が進行する限りにおいて特に限定されることはないが、通常、式(1-b)で表される化合物に対して3重量倍以上200重量倍以下である。
本反応を行う際の温度は、目的とする反応が進行する限りにおいて特に限定されることはないが、通常、0℃以上150℃以下または溶媒の沸点以下である。
反応の後処理としては、反応混合物に対して、水または適当な水溶液を加えることにより、分液操作を行うことが可能である。水溶液を使用する場合は、塩酸、硫酸、塩化アンモニウム等を溶解した酸性水溶液、水酸化カリウム、水酸化ナトリウム、炭酸ナトリウム、炭酸カリウム、炭酸水素ナトリウム、炭酸水素カリウム等を溶解したアルカリ水溶液、チオ硫酸ナトリウム、亜硫酸ナトリウム等の硫黄原子を含む塩を溶解した水溶液や食塩水等を任意に使用することができる。分液操作の際に、必要に応じて、トルエン、キシレン、ベンゼン、クロロベンゼン、ジクロロベンゼン等のベンゼン系溶媒、酢酸エチル、酢酸イソプロピル、酢酸ブチル等のエステル系溶媒、ジエチルエーテル、ジイソプロピルエーテル、メチル-t-ブチルエーテル等のエーテル系溶媒、ジクロロメタン、ジクロロエタン、クロロホルム、四塩化炭素等のハロゲン系溶媒、ヘキサン、ヘプタン、シクロヘキサン、メチルシクロヘキサン等の炭化水素系溶媒等の、水と相溶することのない溶媒を追加することが可能である。また、これらの溶媒は、単独で使用することも、2種類以上で任意の割合で混合することも可能である。分液の回数は特に制限されることがなく、目的とする純度や収量に応じて実施することができる。
前記で得られた式(1-c)で表される化合物を含む反応混合物は、硫酸ナトリウムや硫酸マグネシウム等の乾燥剤で水分を除去することができるが、必須ではない。
前記で得られた式(1-c)で表される化合物を含む反応混合物は、化合物が分解しない限りにおいて、減圧下で溶媒留去することが可能である。
溶媒留去後に得られた式(1-c)で表される化合物を含む反応混合物は、適当な溶媒により、洗浄、再沈殿、再結晶、カラムクロマトグラフィー等にて精製することができる。目的とする純度に応じて適宜設定すればよい。
[製造方法R]
式中、Z6は、置換基Cで適宜置換されてもよいC1~C6のアルキル基、C1~C6のハロアルキル基、置換基Cで適宜置換されてもよいC3~C8のシクロアルキル基、置換基Cで適宜置換されてもよいC2~C6のアルケニル基、C2~C6ハロアルケニル基、置換基Cで適宜置換されてもよいC2~C6のアルキニル基、またはC2~C6のハロアルキニル基であり、R1、R2、XおよびYは前記と同義である。
式中、Z6は、置換基Cで適宜置換されてもよいC1~C6のアルキル基、C1~C6のハロアルキル基、置換基Cで適宜置換されてもよいC3~C8のシクロアルキル基、置換基Cで適宜置換されてもよいC2~C6のアルケニル基、C2~C6ハロアルケニル基、置換基Cで適宜置換されてもよいC2~C6のアルキニル基、またはC2~C6のハロアルキニル基であり、R1、R2、XおよびYは前記と同義である。
製造方法Rは、Z6が置換基Cで適宜置換されてもよいC1~C6のアルキル基、C1~C6のハロアルキル基、置換基Cで適宜置換されてもよいC3~C8のシクロアルキル基、置換基Cで適宜置換されてもよいC2~C6のアルケニル基、C2~C6ハロアルケニル基、置換基Cで適宜置換されてもよいC2~C6のアルキニル基、またはC2~C6のハロアルキニル基である式(7k)で表される化合物を得る方法であって、式(7j)で表される化合物と有機金属試薬とを、溶媒中で反応させることを含む製造方法である。
本反応に使用する式(7j)で表される化合物は、参考例を参照にして入手することができる。
本反応に使用する有機金属試薬としては、有機マグネシウムハロゲン化物(Z6-Mg-Hal:ここで、Halはハロゲン原子を表し、Z6は前記と同義である。)、有機リチウム試薬(Z6-Li:ここで、Z6は前記と同義である。)、有機マグネシウムハロゲン化物-亜鉛(II)アート錯体試薬([(Z6)3-Zn]-[Mg-Hal]+[Mg‐(Hal)2]2:ここで、Z6およびHalは前記と同義である。)等が挙げられる。これらの有機金属試薬は、市販品として入手または公知の方法で製造することができる。
本反応に使用する有機金属試薬の量は、式(7j)で表される式に対して、1当量以上あればよく、目的とする反応が進行する限りにおいて特に制限されることはないが、通常、1当量以上10当量以下である。
反応に使用する溶媒は、目的とする反応が進行する限りにおいて特に限定されることはないが、ジエチルエーテル、ジイソプロピルエーテル、メチル-t-ブチルエーテル、ジメトキシエタン、テトラヒドロフラン、ジオキサン等のエーテル系溶媒、ヘキサン、ヘプタン、シクロヘキサン、メチルシクロヘキサン等の炭化水素系溶媒等が挙げられる。これらの溶媒は、単独または2種類以上を任意の割合で混合して使用することができる。
本反応に使用する溶媒量は、目的とする反応が進行する限りにおいて特に限定されることはないが、通常、式(7j)で表される化合物に対して3重量倍以上200重量倍以下である。
本反応を行う際の温度は、目的とする反応が進行する限りにおいて特に限定されることはないが、通常、-80℃以上100℃以下または溶媒の沸点以下である。
反応の後処理としては、反応混合物に対して、水または適当な水溶液を加えることにより、分液操作を行うことが可能である。水溶液を使用する場合は、塩酸、硫酸、塩化アンモニウム等を溶解した酸性水溶液、水酸化カリウム、水酸化ナトリウム、炭酸ナトリウム、炭酸カリウム、炭酸水素ナトリウム、炭酸水素カリウム等を溶解したアルカリ水溶液、チオ硫酸ナトリウム、亜硫酸ナトリウム等の硫黄原子を含む塩を溶解した水溶液や食塩水等を任意に使用することができる。分液操作の際に、必要に応じて、トルエン、キシレン、ベンゼン、クロロベンゼン、ジクロロベンゼン等のベンゼン系溶媒、酢酸エチル、酢酸イソプロピル、酢酸ブチル等のエステル系溶媒、ジエチルエーテル、ジイソプロピルエーテル、メチル-t-ブチルエーテル等のエーテル系溶媒、ジクロロメタン、ジクロロエタン、クロロホルム等のハロゲン系溶媒、ヘキサン、ヘプタン、シクロヘキサン、メチルシクロヘキサン等の炭化水素系溶媒等の水と相溶することのない溶媒を追加することが可能である。また、これらの溶媒は、単独で使用することも、2種類以上で任意の割合で混合することも可能である。分液の回数は特に制限されることがなく、目的とする純度や収量に応じて実施することができる。
前記で得られた式(7k)で表される化合物を含む反応混合物は、硫酸ナトリウムや硫酸マグネシウム等の乾燥剤で水分を除去することができるが、必須ではない。
前記で得られた式(7k)で表される化合物を含む反応混合物は、化合物が分解しない限りにおいて、減圧下で溶媒留去することが可能である。
溶媒留去後に得られた式(7k)で表される化合物を含む反応混合物は、適当な溶媒により、洗浄、再沈殿、再結晶、カラムクロマトグラフィー等にて精製することができる。目的とする純度に応じて適宜設定すればよい。
製造方法Sは、式(7L)で表される化合物を得る方法であって、式(7k)で表される化合物と酸化剤(Ox’’)とを、溶媒中で反応させることを含む製造方法である。
本製造方法は、デス・マーチン酸化(Dess-Martin oxidation)、スワーン酸化(Swern oxidation)、パリック・デーリング酸化(Parikh-Doering oxidation)等のような当業者が通常使用する酸化方法で実施することができる。また、該酸化反応は、目的とする反応が進行する限りにおいて特に制限されることはない。
製造方法Lにおける式(7f)で表される化合物を、式(7k)で表される化合物に代えて使用することにより、製造方法Lに準じて製造方法Sを実施することができる。
製造方法Lにおける式(7f)で表される化合物を、式(7k)で表される化合物に代えて使用することにより、製造方法Lに準じて製造方法Sを実施することができる。
製造方法Tは、式(7m)で表される化合物を得る方法であって、式(7L)で表される化合物とNH2NH-Z4(ここで、Z4は前記と同義である。)を、酸存在下、溶媒中で反応させることを含む製造方法である。
本反応に使用するNH2NH-Z4は、市販品として入手または公知の方法で製造できる。NH2NH-Z4は、塩酸、硫酸のような酸性化合物との塩を形成したものでもよく、また、予め公知の方法により脱塩してからNH2NH-Z4を使用することも可能である。
本反応に使用するNH2NH-Z4の量は、式(7L)で表される化合物に対して1当量以上あれば、目的とする反応が進行する限りにおいて特に限定されることはないが、通常、1当量以上20当量以下である。
本反応に使用する酸は、酢酸、メタンスルホン酸、p-トルエンスルホン酸、トリフルオロ酢酸等の有機酸類等が挙げられる。
製造方法Mにおける式(7g)で表される化合物を、式(7L)で表される化合物に代えて使用することにより、製造方法Mに準じて製造方法Tを実施することができる。
製造方法Uは、式(1)で表される本発明化合物のうち、式(1-d)で表される化合物を得る方法であって、式(7m)で表される化合物と塩化チオニルを溶媒中で反応させることを含む製造方法である。
本反応に使用する塩化チオニルの量は、式(7m)で表される化合物に対して2当量以上あれば、目的とする反応が進行する限りにおいて特に限定されることはないが、通常、2当量以上20当量以下である。また、塩化チオニルは、溶媒として使用することもできる。
製造方法Nにおける式(7h)で表される化合物を、式(7m)で表される化合物に代えて使用することにより、製造方法Nに準じて製造方法Uを実施することができる。
製造方法Vは、Z5がハロゲン原子を表す、式(7n)で表される化合物を得る方法であって、式(7L)で表される化合物とハロゲン化剤(HalR)とを、酸存在下、溶媒中で反応させることを含む製造方法である。
本反応に使用するハロゲン化剤としては、セレクトフルオル(N-フルオロ-N’-クロロメチル-トリエチレンジアミン ビス(テトラフルオロボラート))、N-クロロスクシンイミド、N-ブロモスクシンイミド、N-ヨードスクシンイミド、1,3-ジクロロ-5,5-ジメチルヒダントイン、1,3-ジブロモ-5,5-ジメチルヒダントイン、1,3-ジヨード-5,5-ジメチルヒダントイン、臭素、ヨウ素等が挙げられる。
製造方法Oにおける式(7g)で表される化合物を、式(7L)で表される化合物に代えて使用することにより、製造方法Oに準じて製造方法Vを実施することができる。
製造方法Wは、式(1)で表される本発明化合物のうち、式(1-e)で表される化合物を得る方法であって、式(7n)で表される化合物とチオウレアとを、溶媒中で反応させることを含む製造方法である。
製造方法Pにおける式(7i)で表される化合物を、式(7n)で表される化合物に代えて使用することにより、製造方法Pに準じて製造方法Wを実施することができる。
製造方法Xは、式(1)で表される本発明化合物のうち、式(1-f)で表される化合物を得る方法であって、式(1-e)で表される化合物と亜硝酸ナトリウムまたは亜硝酸エステル類とを酸存在下、溶媒中で反応させることを含む製造方法である。
製造方法Qにおける式(1-b)で表される化合物を、式(1-e)で表される化合物に代えて使用することにより、製造方法Qに準じて製造方法Xを実施することができる。
[製造方法Y]
式中、Jは酸素原子または硫黄原子を表し、Jが酸素原子の場合、R2cは置換基Aで適宜置換されてもよいC1~C6のアルキル基、C1~C6のハロアルキル基、置換基Aで適宜置換されてもよいC3~C8のシクロアルキル基、置換基Aで適宜置換されてもよいC2~C6のアルケニル基、C2~C6のハロアルケニル基、置換基Aで適宜置換されてもよいC3~C6のアルキニル基、またはC3~C6のハロアルキニル基を表し、Jが硫黄原子の場合、R2cはC1~C6のアルキル基またはC1~C6のハロアルキル基を表し、Qは水素原子または金属を表し、R1、Het、R2b、XおよびYは前記と同義である。
式中、Jは酸素原子または硫黄原子を表し、Jが酸素原子の場合、R2cは置換基Aで適宜置換されてもよいC1~C6のアルキル基、C1~C6のハロアルキル基、置換基Aで適宜置換されてもよいC3~C8のシクロアルキル基、置換基Aで適宜置換されてもよいC2~C6のアルケニル基、C2~C6のハロアルケニル基、置換基Aで適宜置換されてもよいC3~C6のアルキニル基、またはC3~C6のハロアルキニル基を表し、Jが硫黄原子の場合、R2cはC1~C6のアルキル基またはC1~C6のハロアルキル基を表し、Qは水素原子または金属を表し、R1、Het、R2b、XおよびYは前記と同義である。
製造方法Yは、式(1a)で表される化合物のうち、Jは酸素原子または硫黄原子を表し、Jが酸素原子の場合、R2cが置換基Aで適宜置換されてもよいC1~C6のアルキル基、C1~C6のハロアルキル基、置換基Aで適宜置換されてもよいC3~C8のシクロアルキル基、置換基Aで適宜置換されてもよいC2~C6のアルケニル基、C2~C6のハロアルケニル基、置換基Aで適宜置換されてもよいC3~C6のアルキニル基、またはC3~C6のハロアルキニル基を表し、Jが硫黄原子の場合、R2cはC1~C6のアルキル基またはC1~C6のハロアルキル基を表す式(1-h)で表される化合物の合成法であって、式(1-g)で表される化合物とR2c-J-Qとを、遷移金属類および塩基の存在下、溶媒中で反応させるカップリング反応によって得ることを含む製造方法である。
式(1-g)で表される化合物中、好ましいR2bは、塩素原子、臭素原子、またはヨウ素原子である。
本反応に使用するR2c-J-Qは、市販品として入手または公知の方法で製造できる。好ましいQは、水素原子、または、ナトリウム、カリウム等のアルカリ金属類である。
本反応に使用するR2c-J-Qの量は、式(1-g)で表される化合物に対して1当量以上あれば、目的とする反応が進行する限りにおいて特に限定されることはない。Qが水素原子のときは、溶媒としても使用可能である。
本反応に使用する遷移金属類は、配位子を有してよく、酢酸パラジウム、[1,1’-ビス(ジフェニルホスフィノ)フェロセン]パラジウムジクロリド、トリス(ジベンジリデンアセトン)ジパラジウム、テトラキス(トリフェニルホスフィン)パラジウム、ビス(トリフェニルホスフィン)パラジウムジクロリド等のパラジウム類等である。
本反応に使用する遷移金属類の量は、式(1-g)で表される化合物に対して0.001当量以上1当量以下であるが、目的とする反応が進行する限りにおいて特に限定されることはない。
本反応を効率的に進行させるために、トリフェニルホスフィン、1,1’-ビス(ジフェニルホスフィノ)フェロセン、2-ジシクロヘキシルホスフィノ-2’4’6’-トリイソプロピルビフェニル、2-ジ-t-ブチルホスフィノ-2’4’6’-トリイソプロピルビフェニル等のホスフィン配位子を添加することができる。
本反応に使用するホスフィン配位子の量は、式(1-g)で表される化合物に対して0.001当量以上1当量以下であるが、目的とする反応が進行する限りにおいて特に限定されることはない。
本反応に使用する塩基は、炭酸ナトリウム、炭酸カリウム、炭酸セシウムのような無機塩基類やトリエチルアミン、トリブチルアミン、ジイソプロピルエチルアミン等の有機塩基類等である。
本反応に使用する塩基の量は、式(1-g)で表される化合物に対して1当量以上あれば、目的とする反応が進行する限りにおいて特に限定されることはないが、好ましくは、1当量以上50当量以下である。
本反応に使用する溶媒は、目的とする反応が進行する限りにおいて特に限定されることはないが、R2c-J-H(式中、R2cは前記と同義であり、Jは酸素原子である。)で表されるアルコール溶媒、ジエチルエーテル、ジイソプロピルエーテル、メチル-t-ブチルエーテル、ジメトキシエタン、テトラヒドロフラン、ジオキサン等のエーテル系溶媒、ベンゼン、トルエン、キシレン、メシチレン、クロロベンゼン、ジクロロベンゼン等のベンゼン系溶媒等が挙げられる。これらの溶媒は、単独または2種類以上を任意の割合で混合して使用することができる。
本反応に使用する溶媒量は、目的とする反応が進行する限りにおいて特に限定されることはないが、通常、式(1-g)で表される化合物に対して3重量倍以上200重量倍以下である。
本反応を行う際の温度は、目的とする反応が進行する限りにおいて特に限定されることはないが、通常、30℃以上200℃以下または溶媒の沸点以下である。
反応の後処理としては、反応混合物に対して、水または適当な水溶液を加えることにより、分液操作を行うことが可能である。水溶液を使用する場合は、塩酸、硫酸、塩化アンモニウム等を溶解した酸性水溶液、水酸化カリウム、水酸化ナトリウム、炭酸ナトリウム、炭酸カリウム、炭酸水素ナトリウム、炭酸水素カリウム等を溶解したアルカリ水溶液や食塩水等を任意に使用することができる。分液操作の際に、必要に応じて、トルエン、キシレン、ベンゼン、クロロベンゼン、ジクロロベンゼン等のベンゼン系溶媒、酢酸エチル、酢酸イソプロピル、酢酸ブチル等のエステル系溶媒、ジエチルエーテル、ジイソプロピルエーテル、メチル-t-ブチルエーテル等のエーテル系溶媒、ジクロロメタン、ジクロロエタン、クロロホルム、四塩化炭素等のハロゲン系溶媒、ヘキサン、ヘプタン、シクロヘキサン、メチルシクロヘキサン等の炭化水素系溶媒等の水と相溶することのない溶媒を追加することが可能である。また、これらの溶媒は、単独で使用することも、2種類以上で任意の割合で混合することも可能である。分液の回数は特に制限されることがなく、目的とする純度や収量に応じて実施することができる。また、濾過操作を行うことにより、不溶物を除去することも可能であるが必須ではない。
前記で得られた式(1-h)で表される化合物を含む反応混合物は、硫酸ナトリウムや硫酸マグネシウム等の乾燥剤で水分を除去することができるが、必須ではない。
前記で得られた式(1-h)で表される化合物を含む反応混合物は、化合物が分解しない限りにおいて、減圧下で溶媒留去することが可能である。
溶媒留去後に得られた式(1-h)で表される化合物を含む反応混合物は、適当な溶媒により、洗浄、再沈殿、再結晶、カラムクロマトグラフィー等にて精製することができる。目的とする純度に応じて適宜設定すればよい。
[製造方法Z]
式中、R2dは置換基Aで適宜置換されてもよいC1~C6のアルキル基、C1~C6のハロアルキル基、置換基Aで適宜置換されてもよいC3~C8のシクロアルキル基、置換基Aで適宜置換されてもよいC2~C6のアルケニル基、またはC2~C6のハロアルケニル基を表し、R2d-Bは有機ボロン酸類を表し、R1、Het、R2b、XおよびYは前記と同義である。
式中、R2dは置換基Aで適宜置換されてもよいC1~C6のアルキル基、C1~C6のハロアルキル基、置換基Aで適宜置換されてもよいC3~C8のシクロアルキル基、置換基Aで適宜置換されてもよいC2~C6のアルケニル基、またはC2~C6のハロアルケニル基を表し、R2d-Bは有機ボロン酸類を表し、R1、Het、R2b、XおよびYは前記と同義である。
製造方法Zは、式(1a)で表される化合物のうち、R2dが置換基Aで適宜置換されてもよいC1~C6のアルキル基、C1~C6のハロアルキル基、置換基Aで適宜置換されてもよいC3~C8のシクロアルキル基、置換基Aで適宜置換されてもよいC2~C6のアルケニル基、またはC2~C6のハロアルケニル基である式(1-i)で表される化合物の合成方法であって、式(1-g)で表される化合物と有機ボロン酸類(R2d-B)とを、遷移金属類および塩基の存在下、溶媒中で反応させる鈴木-宮浦カップリングによって得ることを含む製造方法である。
式(1-g)中、好ましいR2bは、塩素原子、臭素原子、またはヨウ素原子である。
本反応に使用するR2d-Bは、有機ボロン酸や有機ボロン酸エステル等の有機ボロン酸類を表し、市販品として入手または公知の方法で製造できる。
本反応に使用するR2d-Bの量は、式(1-g)で表される化合物に対して、1当量以上あれば、目的とする反応が進行する限りにおいて特に限定されることはないが、好ましくは、1当量以上10当量以下である。
本反応に使用する遷移金属類は、パラジウム、ニッケル、ルテニウム等であり、配位子を有してよい。好ましくは、酢酸パラジウム、[1,1’-ビス(ジフェニルホスフィノ)フェロセン]パラジウムジクロリド、トリス(ジベンジリデンアセトン)ジパラジウム、テトラキス(トリフェニルホスフィン)パラジウム、ビス(トリフェニルホスフィン)パラジウムジクロリド等のパラジウム類が挙げられる。
本反応に使用する遷移金属類の量は、式(1-g)で表される化合物に対して0.001当量以上1当量以下であるが、目的とする反応が進行する限りにおいて特に限定されることはない。
本反応を効率的に進行させるために、トリフェニルホスフィン、トリシクロヘキシルホスフィン等のホスフィン配位子を添加することができる。
本反応に使用するホスフィン配位子の量は、式(1-g)で表される化合物に対して0.001当量以上1当量以下であるが、目的とする反応が進行する限りにおいて特に限定されることはない。
本反応に使用する塩基は、炭酸ナトリウム、炭酸カリウム、炭酸セシウム、リン酸三カリウムのような無機塩基類やナトリウムメトキシド、ナトリウムエトキシド、カリウム t-ブトキシド等の金属アルコキシド類等である。
本反応に使用する塩基の量は、式(1-g)で表される化合物に対して1当量以上あれば、目的とする反応が進行する限りにおいて特に限定されることはないが、好ましくは、1当量以上50当量以下である。
本反応に使用する溶媒は、目的とする反応が進行する限りにおいて特に限定されることはないが、水溶媒、ジエチルエーテル、ジイソプロピルエーテル、メチル-t-ブチルエーテル、ジメトキシエタン、テトラヒドロフラン、ジオキサン等のエーテル系溶媒、ベンゼン、トルエン、キシレン、メシチレン、クロロベンゼン、ジクロロベンゼン等のベンゼン系溶媒等が挙げられる。これらの溶媒は、単独または2種類以上を任意の割合で混合して使用することができる。
本反応に使用する溶媒量は、目的とする反応が進行する限りにおいて特に限定されることはないが、通常、式(1-g)で表される化合物に対して3重量倍以上200重量倍以下である。
本反応を行う際の温度は、目的とする反応が進行する限りにおいて特に限定されることはないが、通常、30℃以上200℃以下または溶媒の沸点以下である。
反応の後処理としては、反応混合物に対して、水または適当な水溶液を加えることにより、分液操作を行うことが可能である。水溶液を使用する場合は、塩酸、硫酸、塩化アンモニウム等を溶解した酸性水溶液、水酸化カリウム、水酸化ナトリウム、炭酸ナトリウム、炭酸カリウム、炭酸水素ナトリウム、炭酸水素カリウム等を溶解したアルカリ水溶液や食塩水等を任意に使用することができる。分液操作の際に、必要に応じて、トルエン、キシレン、ベンゼン、クロロベンゼン、ジクロロベンゼン等のベンゼン系溶媒、酢酸エチル、酢酸イソプロピル、酢酸ブチル等のエステル系溶媒、ジエチルエーテル、ジイソプロピルエーテル、メチル-t-ブチルエーテル等のエーテル系溶媒、ジクロロメタン、ジクロロエタン、クロロホルム、四塩化炭素等のハロゲン系溶媒、ヘキサン、ヘプタン、シクロヘキサン、メチルシクロヘキサン等の炭化水素系溶媒等の水と相溶することのない溶媒を追加することが可能である。また、これらの溶媒は、単独で使用することも、2種類以上で任意の割合で混合することも可能である。分液の回数は特に制限されることがなく、目的とする純度や収量に応じて実施することができる。また、濾過操作を行うことにより、不溶物を除去することも可能であるが必須ではない。
前記で得られた式(1-i)で表される化合物を含む反応混合物は、硫酸ナトリウムや硫酸マグネシウム等の乾燥剤で水分を除去することができるが、必須ではない。
前記で得られた式(1-i)で表される化合物を含む反応混合物は、化合物が分解しない限りにおいて、減圧下で溶媒留去することが可能である。
溶媒留去後に得られた式(1-i)で表される化合物を含む反応混合物は、適当な溶媒により、洗浄、再沈殿、再結晶、カラムクロマトグラフィー等にて精製することができる。目的とする純度に応じて適宜設定すればよい。
製造方法AAは、式(1a)で表される化合物のうち、R2eが置換基Aで適宜置換されてもよいC2~C6のアルキニル基、またはC2~C6のハロアルキニル基である式(1-j)で表される化合物の合成方法であって、式(1-g)で表される化合物と末端アルキン化合物とを、遷移金属類および塩基の存在下、溶媒中で反応させる薗頭カップリングによって得ることを含む製造方法である。
式(1-j)中、好ましいR2bは、塩素原子、臭素原子、またはヨウ素原子である。
本反応に使用する末端アルキン化合物は、市販品として入手または公知の方法で製造することができる。また、末端アルキン化合物として、トリメチルシリルアセチレンも使用することができる。この場合は、式(1a-b)で表される化合物にトリメチルシリルエチニル基を導入後、脱シリル化を行う必要がある。脱シリル化については、ジャーナル オブ ザ アメリカン ケミカル ソサエティー(Journal of the American Chemical Society)、第131巻、2号、634-643頁(2009).およびジャーナル オブ オルガノメタリック ケミストリー(Journal of Organometallic Chemistry)、696巻、25号、4039-4045頁(2011).等の非特許文献を参考にして行うことができる。
本反応に使用する末端アルキン化合物の量は、式(1-g)で表される化合物に対して1当量以上あれば、目的とする反応が進行する限りにおいて特に限定されることはないが、好ましくは、1当量以上10当量以下である。
本反応に使用する遷移金属類は、配位子を有してよく、酢酸パラジウム、[1,1’-ビス(ジフェニルホスフィノ)フェロセン]パラジウムジクロリド、トリス(ジベンジリデンアセトン)ジパラジウム、テトラキス(トリフェニルホスフィン)パラジウム、ビス(トリフェニルホスフィン)パラジウムジクロリド等のパラジウム類等である。また、塩化銅、臭化銅、ヨウ化銅等の銅類も同時に使用する。
本反応に使用する遷移金属類の量は、パラジウム類等および銅類が、それぞれ式(1a-b)で表される化合物に対して0.001当量以上あればよく、目的とする反応が進行する限りにおいて特に制限されることはない。好ましい量は、双方ともに0.001当量以上1当量以下である。
本反応に使用する塩基は、トリエチルアミン、トリブチルアミン、イソプロピルアミン、ジエチルアミン、ジイソプロピルアミン、ジイソプロピルエチルアミン等の有機アミン類や、炭酸ナトリウム、炭酸カリウム、炭酸セシウム等の無機塩基類等が挙げられる。
本反応に使用する塩基の量は、式(1-g)で表される化合物に対して1当量以上あれば、目的とする反応が進行する限りにおいて特に限定されることはないが、好ましくは、1当量以上50当量以下である。また、有機塩基で液体状のものに関しては、溶媒として使用することができる。
本反応を効率的に進行させるために、トリt-ブチルホスフィン、2-ジシクロヘキシルホスフィノ-2’4’6’-トリイソプロピルビフェニル等のホスフィン配位子を添加することができるが、必須ではない。
本反応に使用するホスフィン配位子の量は、式(1-g)で表される化合物に対して0.001当量以上1当量以下であるが、目的とする反応が進行する限りにおいて特に限定されることはない。
本反応に使用する溶媒は、目的とする反応が進行する限りにおいて特に限定されることはないが、ジエチルエーテル、ジイソプロピルエーテル、メチル-t-ブチルエーテル、ジメトキシエタン、テトラヒドロフラン、ジオキサン等のエーテル系溶媒、ベンゼン、トルエン、キシレン、メシチレン、クロロベンゼン、ジクロロベンゼン等のベンゼン系溶媒、酢酸エチル、酢酸イソプロピル、酢酸ブチル等のエステル系溶媒、アセトニトリル等のニトリル系溶媒、N-メチルピロリドン、N,N-ジメチルホルムアミド、N,N-ジメチルアセトアミド等のアミド系溶媒、1,3-ジメチル-2-イミダゾリジノン等のウレア系溶媒、ジクロロメタン、ジクロロエタン、クロロホルム、四塩化炭素等のハロゲン系溶媒、トリエチルアミン、トリブチルアミン、イソプロピルアミン、ジエチルアミン、ジイソプロピルアミン、ジイソプロピルエチルアミン等の有機アミン溶媒等が挙げられる。これらの溶媒は、単独または2種類以上を任意の割合で混合して使用することができる。
本反応に使用する溶媒量は、目的とする反応が進行する限りにおいて特に限定されることはないが、通常、式(1-g)で表される化合物に対して3重量倍以上200重量倍以下である。
本反応を行う際の温度は、目的とする反応が進行する限りにおいて特に限定されることはないが、通常、0℃以上150℃以下または溶媒の沸点以下である。
反応の後処理としては、反応混合物に対して、水または適当な水溶液を加えることにより、分液操作を行うことが可能である。水溶液を使用する場合は、塩酸、硫酸等を溶解した酸性水溶液、水酸化カリウム、水酸化ナトリウム、炭酸ナトリウム、炭酸カリウム、炭酸水素ナトリウム、炭酸水素カリウム等を溶解したアルカリ水溶液や食塩水等を任意に使用することができる。分液操作の際に、必要に応じて、トルエン、キシレン、ベンゼン、クロロベンゼン、ジクロロベンゼン等のベンゼン系溶媒、酢酸エチル、酢酸イソプロピル、酢酸ブチル等のエステル系溶媒、ジエチルエーテル、ジイソプロピルエーテル、メチル-t-ブチルエーテル等のエーテル系溶媒、ジクロロメタン、ジクロロエタン、クロロホルム、四塩化炭素等のハロゲン系溶媒、ヘキサン、ヘプタン、シクロヘキサン、メチルシクロヘキサン等の炭化水素系溶媒等の水と相溶することのない溶媒を追加することが可能である。また、これらの溶媒は単独で使用することも、2種類以上で任意の割合で混合することも可能である。分液の回数は特に制限されることがなく、目的とする純度や収量に応じて実施することができる。また、濾過操作を行うことにより、不溶物を除去することも可能であるが必須ではない。
前記で得られた式(1-j)で表される化合物を含む反応混合物は、硫酸ナトリウムや硫酸マグネシウム等の乾燥剤で水分を除去することができるが、必須ではない。
前記で得られた式(1-j)で表される化合物を含む反応混合物は、化合物が分解しない限りにおいて、減圧下で溶媒留去することが可能である。
溶媒留去後に得られた式(1-j)で表される化合物を含む反応混合物は、適当な溶媒により、洗浄、再沈殿、再結晶、カラムクロマトグラフィー等にて精製することができる。目的とする純度に応じて適宜設定すればよい。
[製造方法AB]
式中、RyaはC1~C6のアルコキシ基を表し、Het1は、硫黄原子および窒素原子を含む5員の複素環基を表し、該硫黄原子および窒素原子を含む5員の複素環基は、R3が適宜置換し、R1、R2、X、Yおよび破線部は前記と同義である。
式中、RyaはC1~C6のアルコキシ基を表し、Het1は、硫黄原子および窒素原子を含む5員の複素環基を表し、該硫黄原子および窒素原子を含む5員の複素環基は、R3が適宜置換し、R1、R2、X、Yおよび破線部は前記と同義である。
製造方法ABは、式(1)で表される化合物のうち、水酸基を有する式(1-L)で表される化合物の合成方法であって、RyaがC1~C6のアルコキシ基である式(1-k)で表される化合物と酸とを、溶媒中で反応させることによって得ることを含む製造方法である。
本反応に使用する酸として、三塩化ホウ素、三臭化ホウ素等のハロゲン化ホウ素類等がある。
本反応に使用する酸の量は、式(1-k)で表される化合物に対して1当量以上あればよく、目的とする反応が進行する限りにおいて特に制限されることはないが、好ましくは、1当量以上10当量以下である。
本反応に使用する溶媒は、目的とする反応が進行する限りにおいて特に限定されることはないが、ベンゼン、トルエン、キシレン、メシチレン、クロロベンゼン、ジクロロベンゼン等のベンゼン系溶媒、アセトニトリル等のニトリル系溶媒、ジクロロメタン、ジクロロエタン、クロロホルム、四塩化炭素等のハロゲン系溶媒、ヘキサン、ヘプタン、シクロヘキサン、メチルシクロヘキサン等の炭化水素系溶媒等が挙げられる。これらの溶媒は、単独または2種類以上を任意の割合で混合して使用することができる。
本反応に使用する溶媒量は、目的とする反応が進行する限りにおいて特に限定されることはないが、通常、式(1-k)で表される化合物に対して3重量倍以上200重量倍以下である。
本反応を行う際の温度は、目的とする反応が進行する限りにおいて特に限定されることはないが、通常、-80℃以上100℃以下または溶媒の沸点以下である。
反応の後処理としては、反応混合物に対して、水または適当な水溶液を加えることにより、分液操作を行うことが可能である。水溶液を使用する場合は、塩酸、硫酸、塩化アンモニウム等を溶解した酸性水溶液、水酸化カリウム、水酸化ナトリウム、炭酸ナトリウム、炭酸カリウム、炭酸水素ナトリウム、炭酸水素カリウム等を溶解したアルカリ水溶液や食塩水等を任意に使用することができる。分液操作の際に、必要に応じて、トルエン、キシレン、ベンゼン、クロロベンゼン、ジクロロベンゼン等のベンゼン系溶媒、酢酸エチル、酢酸イソプロピル、酢酸ブチル等のエステル系溶媒、ジエチルエーテル、ジイソプロピルエーテル、メチル-t-ブチルエーテル等のエーテル系溶媒、ジクロロメタン、ジクロロエタン、クロロホルム、四塩化炭素等のハロゲン系溶媒、ヘキサン、ヘプタン、シクロヘキサン、メチルシクロヘキサン等の炭化水素系溶媒等の水と相溶することのない溶媒を追加することが可能である。また、これらの溶媒は、単独で使用することも、2種類以上で任意の割合で混合することも可能である。分液の回数は特に制限されることがなく、目的とする純度や収量に応じて実施することができる。
前記で得られた式(1-L)で表される化合物を含む反応混合物は、硫酸ナトリウムや硫酸マグネシウム等の乾燥剤で水分を除去することができるが、必須ではない。
前記で得られた式(1-L)で表される化合物を含む反応混合物は、化合物が分解しない限りにおいて、減圧下で溶媒留去することが可能である。
溶媒留去後に得られた式(1-L)で表される化合物を含む反応混合物は、適当な溶媒により、洗浄、再沈殿、再結晶、カラムクロマトグラフィー等にて精製することができる。目的とする純度に応じて適宜設定すればよい。
[製造方法AC]
式中、Rybは、置換基Cで適宜置換されてもよいC1~C6のアルキル基、C1~C6のハロアルキル基、置換基Cで適宜置換されてもよいC3~C8のシクロアルキル基、置換基Cで適宜置換されてもよいC2~C6のアルケニル基、C2~C6のハロアルケニル基、置換基Cで適宜置換されてもよいC3~C6のアルキニル基、C3~C6のハロアルキニル基、またはRx1C(=O)-(Rx1は、前記と同義である。)を表し、Lv、R1、R2、Het1、X、Yおよび破線部は前記と同義である。
式中、Rybは、置換基Cで適宜置換されてもよいC1~C6のアルキル基、C1~C6のハロアルキル基、置換基Cで適宜置換されてもよいC3~C8のシクロアルキル基、置換基Cで適宜置換されてもよいC2~C6のアルケニル基、C2~C6のハロアルケニル基、置換基Cで適宜置換されてもよいC3~C6のアルキニル基、C3~C6のハロアルキニル基、またはRx1C(=O)-(Rx1は、前記と同義である。)を表し、Lv、R1、R2、Het1、X、Yおよび破線部は前記と同義である。
製造方法ACは、式(1)で表される化合物のうち、Ryb-O-が置換基Cで適宜置換されてもよいC1~C6のアルコキシ基、C1~C6のハロアルコキシ基、置換基Cで適宜置換されてもよいC3~C8のシクロアルコキシ基、置換基Cで適宜置換されてもよいC2~C6のアルケニルオキシ基、C2~C6のハロアルケニルオキシ基、置換基Cで適宜置換されてもよいC3~C6のアルキニルオキシ基、C3~C6のハロアルキニルオキシ基、またはRx1C(=O)O-(Rx1は、前記と同義である。)を表す式(1-m)で表される化合物の合成方法であって、式(1-L)で表される化合物とRyb-Lvとを、塩基存在下、溶媒中で反応させることを含む製造方法である。
本反応に使用するRyb-Lvは、市販品として入手または公知の方法で製造することができる。
本反応に使用するRyb-Lvの量は、式(1-L)で表される化合物に対して1当量以上あればよく、目的とする反応が進行する限りにおいて特に制限されることはないが、好ましくは、1当量以上10当量以下である。
本反応に使用する塩基として、炭酸ナトリウム、炭酸カリウム、炭酸セシウム、水素化ナトリウム等の無機塩基類や、トリエチルアミン、トリブチルアミン、ジイソプロピルエチルアミン、ピリジン、4-ジメチルアミノピリジン、コリジン、ルチジン等の有機塩基類が例示されるが、目的とする反応が進行する限りにおいて特に限定されることはない。
本反応に使用する塩基の量は、式(1-L)で表される化合物に対して1当量以上あればよく、目的とする反応が進行する限りにおいて特に制限されることはないが、好ましくは、1当量以上10当量以下である。
本反応に使用する溶媒は、目的とする反応が進行する限りにおいて特に限定されることはないが、ジエチルエーテル、ジイソプロピルエーテル、メチル-t-ブチルエーテル、ジメトキシエタン、テトラヒドロフラン、ジオキサン等のエーテル系溶媒、メタノール、エタノール、イソプロパノール等のアルコール系溶媒、ベンゼン、トルエン、キシレン、メシチレン、クロロベンゼン、ジクロロベンゼン等のベンゼン系溶媒、酢酸エチル、酢酸イソプロピル、酢酸ブチル等のエステル系溶媒、アセトニトリル等のニトリル系溶媒、N-メチルピロリドン、N,N-ジメチルホルムアミド、N,N-ジメチルアセトアミド等のアミド系溶媒、1,3-ジメチル-2-イミダゾリジノン等のウレア系溶媒、ジクロロメタン、ジクロロエタン、クロロホルム、四塩化炭素等のハロゲン系溶媒、ジメチルスルホキシド、スルホラン等の硫黄系溶媒、アセトン、メチルエチルケトン、メチルイソブチルケトン等のケトン系溶媒等が挙げられる。これらの溶媒は、単独または2種類以上を任意の割合で混合して使用することができる。
本反応に使用する溶媒量は、目的とする反応が進行する限りにおいて特に限定されることはないが、通常、式(1-L)で表される化合物に対して3重量倍以上200重量倍以下である。
本反応を行う際の温度は、目的とする反応が進行する限りにおいて特に限定されることはないが、通常、-20℃以上150℃以下または溶媒の沸点以下である。
反応の後処理としては、反応混合物に対して、水または適当な水溶液を加えることにより、分液操作を行うことが可能である。水溶液を使用する場合は、塩酸、硫酸、塩化アンモニウム等を溶解した酸性水溶液、水酸化カリウム、水酸化ナトリウム、炭酸ナトリウム、炭酸カリウム、炭酸水素ナトリウム、炭酸水素カリウム等を溶解したアルカリ水溶液、チオ硫酸ナトリウム、亜硫酸ナトリウム等の硫黄原子を含む塩を溶解した水溶液や食塩水等を任意に使用することができる。分液操作の際に、必要に応じて、トルエン、キシレン、ベンゼン、クロロベンゼン、ジクロロベンゼン等のベンゼン系溶媒、酢酸エチル、酢酸イソプロピル、酢酸ブチル等のエステル系溶媒、ジエチルエーテル、ジイソプロピルエーテル、メチル-t-ブチルエーテル等のエーテル系溶媒、ジクロロメタン、ジクロロエタン、クロロホルム、四塩化炭素等のハロゲン系溶媒、ヘキサン、ヘプタン、シクロヘキサン、メチルシクロヘキサン等の炭化水素系溶媒等の水と相溶することのない溶媒を追加することが可能である。また、これらの溶媒は、単独で使用することも、2種類以上で任意の割合で混合することも可能である。分液の回数は特に制限されることがなく、目的とする純度や収量に応じて実施することができる。
前記で得られた式(1-m)で表される化合物を含む反応混合物は、硫酸ナトリウムや硫酸マグネシウム等の乾燥剤で水分を除去することができるが、必須ではない。
前記で得られた式(1-m)で表される化合物を含む反応混合物は、化合物が分解しない限りにおいて、減圧下で溶媒留去することが可能である。
溶媒留去後に得られた式(1-m)で表される化合物を含む反応混合物は、適当な溶媒により、洗浄、再沈殿、再結晶、カラムクロマトグラフィー等にて精製することができる。目的とする純度に応じて適宜設定すればよい。
[製造方法AD]
式中、Rycはハロゲン原子を表し、Rydは置換基Cで適宜置換されてもよいC1~C6のアルキル基、C1~C6のハロアルキル基、置換基Cで適宜置換されてもよいC3~C8のシクロアルキル基、置換基Cで適宜置換されてもよいC2~C6のアルケニル基、またはC2~C6のハロアルケニル基を表し、、Ryd-Bは有機ボロン酸類を表し、R1、R2、Het1、X、Yおよび破線部は前記と同義である。
式中、Rycはハロゲン原子を表し、Rydは置換基Cで適宜置換されてもよいC1~C6のアルキル基、C1~C6のハロアルキル基、置換基Cで適宜置換されてもよいC3~C8のシクロアルキル基、置換基Cで適宜置換されてもよいC2~C6のアルケニル基、またはC2~C6のハロアルケニル基を表し、、Ryd-Bは有機ボロン酸類を表し、R1、R2、Het1、X、Yおよび破線部は前記と同義である。
製造方法ADは、式(1)で表される化合物のうち、Rydが置換基Cで適宜置換されてもよいC1~C6のアルキル基、C1~C6のハロアルキル基、置換基Cで適宜置換されてもよいC3~C8のシクロアルキル基、置換基Cで適宜置換されてもよいC2~C6のアルケニル基、またはC2~C6のハロアルケニル基である式(1-o)で表される化合物の合成方法であって、式(1-n)で表される化合物と有機ボロン酸類(Ryd-B)とを、遷移金属類および塩基の存在下、溶媒中で反応させる鈴木-宮浦カップリングによって得ることを含む製造方法である。
式(1-n)で表される化合物中、好ましいRycは、塩素原子、臭素原子、またはヨウ素原子である。
本反応に使用するRyd-Bは、有機ボロン酸や有機ボロン酸エステル等の有機ボロン酸類を表し、市販品として入手または公知の方法で製造できる。
製造方法Zにおける式(1-g)で表される化合物とR2d-Bとを、それぞれ式(1-n)で表される化合物とRyd-Bとに代えて使用することにより、製造方法Zに準じて製造方法ADを実施することができる。
製造方法AEは、式(1)で表される化合物のうち、Ryeが置換基Cで適宜置換されてもよいC2~C6のアルキニル基、またはC2~C6のハロアルキニル基である式(1-p)で表される化合物の合成方法であって、式(1-n)で表される化合物と末端アルキン化合物とを、遷移金属類および塩基の存在下、溶媒中で反応させる薗頭カップリングによって得ることを含む製造方法である。
式(1-n)で表される化合物中、好ましいRycは、塩素原子、臭素原子、またはヨウ素原子である。
製造方法AAにおける式(1-g)で表される化合物を式(1-n)で表される化合物に代えて使用することにより、製造方法AAに準じて製造方法AEを実施することができる。
[製造方法AF]
式中、Ryfはハロゲン原子を表し、Het2は、硫黄原子および窒素原子を含む5員の複素環基を表し、該硫黄原子および窒素原子を含む5員の複素環基は、R3が適宜置換し、HalR、R1、R2、X、Yおよび破線部は前記と同義である。
式中、Ryfはハロゲン原子を表し、Het2は、硫黄原子および窒素原子を含む5員の複素環基を表し、該硫黄原子および窒素原子を含む5員の複素環基は、R3が適宜置換し、HalR、R1、R2、X、Yおよび破線部は前記と同義である。
製造方法AFは、式(1)で表される化合物のうち、Ryfがハロゲン原子である式(1-r)で表される化合物を得る製造方法であって、Het2の置換基に少なくとも1つ以上の水素原子を有する式(1-q)で表される化合物とハロゲン化剤(HalR)とを、溶媒中で反応させることを含む製造方法である。
本反応に使用するハロゲン化剤としては、セレクトロフルオル(N-フルオロ-N’-トリエチレンジアミン ビス(テトラフルオロボラート))、N-クロロスクシンイミド、N-ブロモスクシンイミド、N-ヨードスクシンイミド、1,3-ジクロロ-5,5-ジメチルヒダントイン、1,3-ジブロモ-5,5-ジメチルヒダントイン、1,3-ジヨード-5,5-ジメチルヒダントイン、臭素、ヨウ素等が挙げられる。
本反応に使用するハロゲン化剤の量は、式(1-q)で表される化合物に対して1当量以上あれば、目的とする反応が進行する限りにおいて特に制限されることはないが、好ましくは、1当量以上10当量以下である。ただし、ヒダントインを含むハロゲン化剤の量は、0.5当量以上あれば、目的とする反応が進行する限りにおいて特に制限されることはなく、好ましくは1当量以上5当量以下である。
本反応に使用するハロゲン化剤がヨウ素化剤である場合、塩酸、硫酸等の無機酸類や、酢酸、トリフルオロ酢酸、メタンスルホン酸、トリフルオロメタンスルホン酸等の有機酸のような酸を加えることができる。
本反応に使用するハロゲン化剤がヨウ素化剤である場合に使用する酸の量は、式(1-q)で表される化合物に対して0.01当量以上あれば、目的とする反応が進行する限りにおいて特に制限されることはないが、好ましくは、0.1当量以上3当量以下である。
本反応に使用する溶媒は、目的とする反応が進行する限りにおいて特に限定されることはないが、硫酸、酢酸、トリフルオロ酢酸、メタンスルホン酸、トリフルオロメタンスルホン酸等の酸性系溶媒、ジエチルエーテル、ジイソプロピルエーテル、メチル-t-ブチルエーテル、ジメトキシエタン、テトラヒドロフラン、ジオキサン等のエーテル系溶媒、メタノール、エタノール、イソプロパノール等のアルコール系溶媒、ベンゼン、トルエン、キシレン、メシチレン、クロロベンゼン、ジクロロベンゼン等のベンゼン系溶媒、酢酸エチル、酢酸イソプロピル、酢酸ブチル等のエステル系溶媒、アセトニトリル等のニトリル系溶媒、N-メチルピロリドン、N,N-ジメチルホルムアミド、N,N-ジメチルアセトアミド等のアミド系溶媒、1,3-ジメチル-2-イミダゾリジノン等のウレア系溶媒、ジクロロメタン、ジクロロエタン、クロロホルム、四塩化炭素等のハロゲン系溶媒等が挙げられる。これらの溶媒は、単独または2種類以上を任意の割合で混合して使用することができる。
本反応に使用する溶媒量は、目的とする反応が進行する限りにおいて特に限定されることはないが、通常、式(1-q)で表される化合物に対して3重量倍以上200重量倍以下である。
本反応を行う際の温度は、目的とする反応が進行する限りにおいて特に限定されることはないが、通常、0℃以上150℃以下または溶媒の沸点以下である。
反応の後処理としては、反応混合物に対して、水または適当な水溶液を加えることにより、分液操作を行うことが可能である。水溶液を使用する場合は、塩酸、硫酸、塩化アンモニウム等を溶解した酸性水溶液、水酸化カリウム、水酸化ナトリウム、炭酸ナトリウム、炭酸カリウム、炭酸水素ナトリウム、炭酸水素カリウム等を溶解したアルカリ水溶液、チオ硫酸ナトリウム、亜硫酸ナトリウム等の硫黄原子を含む塩を溶解した水溶液や食塩水等を任意に使用することができる。分液操作の際に、必要に応じて、トルエン、キシレン、ベンゼン、クロロベンゼン、ジクロロベンゼン等のベンゼン系溶媒、酢酸エチル、酢酸イソプロピル、酢酸ブチル等のエステル系溶媒、ジエチルエーテル、ジイソプロピルエーテル、メチル-t-ブチルエーテル等のエーテル系溶媒、ジクロロメタン、ジクロロエタン、クロロホルム、四塩化炭素等のハロゲン系溶媒、ヘキサン、ヘプタン、シクロヘキサン、メチルシクロヘキサン等の炭化水素系溶媒等の水と相溶することのない溶媒を追加することが可能である。また、これらの溶媒は、単独で使用することも、2種類以上で任意の割合で混合することも可能である。分液の回数は特に制限されることがなく、目的とする純度や収量に応じて実施することができる。
前記で得られた式(1-r)で表される化合物を含む反応混合物は、硫酸ナトリウムや硫酸マグネシウム等の乾燥剤で水分を除去することができるが、必須ではない。
前記で得られた式(1-r)で表される化合物を含む反応混合物は、化合物が分解しない限りにおいて、減圧下で溶媒留去することが可能である。
溶媒留去後に得られた式(1-r)で表される化合物を含む反応混合物は、適当な溶媒により、洗浄、再沈殿、再結晶、カラムクロマトグラフィー等にて精製することができる。目的とする純度に応じて適宜設定すればよい。
[製造方法AG]
式中、R5cはハロゲン原子を表し、R5aはシアノ基、置換基Cで適宜置換されてもよいC1~C6のアルコキシ基、C1~C6のハロアルコキシ基、置換基Cで適宜置換されてもよいC3~C8のシクロアルコキシ基、置換基Cで適宜置換されてもよいC2~C6のアルケニルオキシ基、C2~C6のハロアルケニルオキシ基、置換基Cで適宜置換されてもよいC3~C6のアルキニルオキシ基、C3~C6のハロアルキニルオキシ基、RaRbN-(ここで、RaおよびRbは、前記と同義である。)、またはRc-L-(ここで、RcおよびLは、前記と同義である。)を表し、R1、R2、R4、Het、Q、Xおよび破線部は前記と同義である。
式中、R5cはハロゲン原子を表し、R5aはシアノ基、置換基Cで適宜置換されてもよいC1~C6のアルコキシ基、C1~C6のハロアルコキシ基、置換基Cで適宜置換されてもよいC3~C8のシクロアルコキシ基、置換基Cで適宜置換されてもよいC2~C6のアルケニルオキシ基、C2~C6のハロアルケニルオキシ基、置換基Cで適宜置換されてもよいC3~C6のアルキニルオキシ基、C3~C6のハロアルキニルオキシ基、RaRbN-(ここで、RaおよびRbは、前記と同義である。)、またはRc-L-(ここで、RcおよびLは、前記と同義である。)を表し、R1、R2、R4、Het、Q、Xおよび破線部は前記と同義である。
製造方法AGは、式(1)で表される化合物のうち、R5aがシアノ基、置換基Cで適宜置換されてもよいC1~C6のアルコキシ基、C1~C6のハロアルコキシ基、置換基Cで適宜置換されてもよいC3~C8のシクロアルコキシ基、置換基Cで適宜置換されてもよいC2~C6のアルケニルオキシ基、C2~C6のハロアルケニルオキシ基、置換基Cで適宜置換されてもよいC3~C6のアルキニルオキシ基、C3~C6のハロアルキニルオキシ基、RaRbN-(ここで、RaおよびRbは、前記と同義である。)、またはRc-L-(ここで、RcおよびLは、前記と同義である。)である式(1-t)で表される化合物の合成方法であって、式(1-s)で表される化合物とR5a-Qとを、場合により塩基の存在下、溶媒中で反応させることを含む製造方法である。
本反応で使用されるR5a-Qは、市販品として入手することができる。好ましいQは、水素原子、またはナトリウム、カリウム等のアルカリ金属類である。
本反応で使用されるR5a-Qの量は、式(1-s)で表される化合物に対して1当量以上あれば、目的とする反応が進行する限りにおいて特に限定されることはないが、好ましくは、1当量以上30当量以下である。また、Qが水素原子を表すときは、溶媒として使用することができる。
場合により本反応に使用する塩基は、炭酸ナトリウム、炭酸カリウム、炭酸セシウム、水素化ナトリウム等の無機塩基類が好ましい。また、Qがアルカリ金属類のときは、塩基の使用は、必須ではない。
場合により本反応に使用する塩基の量は、式(1-s)で表される化合物に対して1当量以上あれば、目的とする反応が進行する限りにおいて特に限定されることはないが、好ましくは、1当量以上30当量以下である。
本反応に使用する溶媒は、目的とする反応が進行する限りにおいて特に限定されることはないが、R5a-Hで表されるアルコール系溶媒、ジエチルエーテル、ジイソプロピルエーテル、メチル-t-ブチルエーテル、ジメトキシエタン、テトラヒドロフラン、ジオキサン等のエーテル系溶媒、ベンゼン、トルエン、キシレン、メシチレン、クロロベンゼン、ジクロロベンゼン等のベンゼン系溶媒、酢酸エチル、酢酸イソプロピル、酢酸ブチル等のエステル系溶媒、アセトニトリル等のニトリル系溶媒、N-メチルピロリドン、N,N-ジメチルホルムアミド、N,N-ジメチルアセトアミド等のアミド系溶媒、1,3-ジメチル-2-イミダゾリジノン等のウレア系溶媒、ジクロロメタン、ジクロロエタン、クロロホルム、四塩化炭素等のハロゲン系溶媒、ジメチルスルホキシド、スルホラン等の硫黄系溶媒、アセトン、メチルエチルケトン、メチルイソブチルケトン等のケトン系溶媒等が挙げられる。これらの溶媒は、単独または2種類以上を任意の割合で混合して使用することができる。
本反応に使用する溶媒量は、目的とする反応が進行する限りにおいて特に限定されることはないが、通常、式(1-s)で表される化合物に対して3重量倍以上200重量倍以下である。
本反応を行う際の温度は、目的とする反応が進行する限りにおいて特に限定されることはないが、通常、0℃以上150℃以下または溶媒の沸点以下である。
反応の後処理としては、反応混合物に対して、水または適当な水溶液を加えることにより、分液操作を行うことが可能である。水溶液を使用する場合は、塩酸、硫酸等を溶解した酸性水溶液、水酸化カリウム、水酸化ナトリウム、炭酸ナトリウム、炭酸カリウム、炭酸水素ナトリウム、炭酸水素カリウム等を溶解したアルカリ水溶液や食塩水等を任意に使用することができる。分液操作の際に、必要に応じて、トルエン、キシレン、ベンゼン、クロロベンゼン、ジクロロベンゼン等のベンゼン系溶媒、酢酸エチル、酢酸イソプロピル、酢酸ブチル等のエステル系溶媒、ジエチルエーテル、ジイソプロピルエーテル、メチル-t-ブチルエーテル等のエーテル系溶媒、ジクロロメタン、ジクロロエタン、クロロホルム、四塩化炭素等のハロゲン系溶媒、ヘキサン、ヘプタン、シクロヘキサン、メチルシクロヘキサン等の炭化水素系溶媒等の水と相溶することのない溶媒を追加することが可能である。また、これらの溶媒は、単独で使用することも、2種類以上で任意の割合で混合することも可能である。分液の回数は特に制限されることがなく、目的とする純度や収量に応じて実施することができる。
前記で得られた式(1-t)で表される化合物を含む反応混合物は、硫酸ナトリウムや硫酸マグネシウム等の乾燥剤で水分を除去することができるが、必須ではない。
前記で得られた式(1-t)で表される化合物を含む反応混合物は、化合物が分解しない限りにおいて、減圧下で溶媒留去することが可能である。
溶媒留去後に得られた式(1-t)で表される化合物を含む反応混合物は、適当な溶媒により、洗浄、再沈殿、再結晶、カラムクロマトグラフィー等にて精製することができる。目的とする純度に応じて適宜設定すればよい。
製造方法AHは、式(1)で表される化合物のうち、水酸基を有する式(1-v)で表される化合物の合成方法であって、R5aaがC1~C6のアルコキシ基である式(1-u)で表される化合物と酸とを、溶媒中で反応させることによって得ることを含む製造方法である。
製造方法ABにおける式(1-k)で表される化合物を式(1-u)で表される化合物に代えて使用することにより、製造方法ABに準じて製造方法AHを実施することができる。
[製造方法AI]
式中、R5bは置換基Cで適宜置換されてもよいC1~C6のアルキル基、C1~C6のハロアルキル基、置換基Cで適宜置換されてもよいC3~C8のシクロアルキル基、置換基Cで適宜置換されてもよいC2~C6のアルケニル基、C2~C6のハロアルケニル基、置換基Cで適宜置換されてもよいC3~C6のアルキニル基、C3~C6のハロアルキニル基、またはRx1C(=O)-(Rx1は、前記と同義である。)を表し、Lv、R1、R2、R4、Het、Xおよび破線部は前記と同義である。
式中、R5bは置換基Cで適宜置換されてもよいC1~C6のアルキル基、C1~C6のハロアルキル基、置換基Cで適宜置換されてもよいC3~C8のシクロアルキル基、置換基Cで適宜置換されてもよいC2~C6のアルケニル基、C2~C6のハロアルケニル基、置換基Cで適宜置換されてもよいC3~C6のアルキニル基、C3~C6のハロアルキニル基、またはRx1C(=O)-(Rx1は、前記と同義である。)を表し、Lv、R1、R2、R4、Het、Xおよび破線部は前記と同義である。
製造方法AIは、式(1)で表される化合物のうち、R5b-O-が置換基Cで適宜置換されてもよいC1~C6のアルコキシ基、C1~C6のハロアルコキシ基、置換基Cで適宜置換されてもよいC3~C8のシクロアルコキシ基、置換基Cで適宜置換されてもよいC2~C6のアルケニルオキシ基、C2~C6のハロアルケニルオキシ基、置換基Cで適宜置換されてもよいC3~C6のアルキニルオキシ基、C3~C6のハロアルキニルオキシ基、またはRx1C(=O)O-(Rx1は、前記と同義である。)を表す式(1-w)で表される化合物の合成方法であって、式(1-v)で表される化合物とR5b-Lvとを、塩基存在下、溶媒中で反応させることを含む製造方法である。
本反応に使用するR5b-Lvは、市販品として入手または公知の方法で製造することができる。
製造方法ACにおける式(1-L)で表される化合物を式(1-v)で表される化合物に代えて使用することにより、製造方法ACに準じて製造方法AIを実施することができる。
[製造方法AJ]
式中、R5dは置換基Cで適宜置換されてもよいC1~C6のアルキル基、C1~C6のハロアルキル基、置換基Cで適宜置換されてもよいC3~C8のシクロアルキル基、置換基Cで適宜置換されてもよいC2~C6のアルケニル基、またはC2~C6のハロアルケニル基を表し、R5d-Bは有機ボロン酸類を表し、R1、R2、R4、R5c、X、Hetおよび破線部は前記と同義である。
式中、R5dは置換基Cで適宜置換されてもよいC1~C6のアルキル基、C1~C6のハロアルキル基、置換基Cで適宜置換されてもよいC3~C8のシクロアルキル基、置換基Cで適宜置換されてもよいC2~C6のアルケニル基、またはC2~C6のハロアルケニル基を表し、R5d-Bは有機ボロン酸類を表し、R1、R2、R4、R5c、X、Hetおよび破線部は前記と同義である。
製造方法AJは、式(1)で表される化合物のうち、R5dが置換基Cで適宜置換されてもよいC1~C6のアルキル基、C1~C6のハロアルキル基、置換基Cで適宜置換されてもよいC3~C8のシクロアルキル基、置換基Cで適宜置換されてもよいC2~C6のアルケニル基、またはC2~C6のハロアルケニル基である式(1-x)で表される化合物の合成方法であって、式(1-s)で表される化合物と有機ボロン酸類(R5d-B)とを、遷移金属類および塩基の存在下、溶媒中で反応させる鈴木-宮浦カップリングによって得ることを含む製造方法である。
式(1-s)で表される化合物中、好ましいR5cは、塩素原子、臭素原子、またはヨウ素原子である。
製造方法ADにおける式(1-n)で表される化合物を式(1-x)で表される化合物に代えて使用することにより、製造方法ADに準じて製造方法AJを実施することができる。
製造方法AKは、式(1)で表される化合物のうち、R5eが置換基Cで適宜置換されてもよいC2~C6のアルキニル基、またはC2~C6のハロアルキニル基である式(1-y)で表される化合物の合成方法であって、式(1-s)で表される化合物と末端アルキン化合物とを、遷移金属類および塩基の存在下、溶媒中で反応させる薗頭カップリングによって得ることを含む製造方法である。
式(1-s)で表される化合物中、好ましいR5cは、塩素原子、臭素原子、またはヨウ素原子である。
製造方法AEにおける式(1-n)で表される化合物を式(1-s)で表される化合物に代えて使用することにより、製造方法AEに準じて製造方法AKを実施することができる。
製造方法ALは、式(1)で表される化合物中、R2、R3、R4、R5、置換基Aおよび置換基Cに含まれるLbがSOまたはSO2である式(Lb)で表される化合物の製造方法であって、式(1)で表される化合物中、R2、R3、R4、R5、置換基Aおよび置換基Cに含まれるLaがSである式(La)で表される化合物と酸化剤(Ox’’’)とを、溶媒中で反応させることを含む製造方法である。
本反応に使用する酸化剤は、過酸化水素水、メタ-クロロ過安息香酸等の過酸化物類等が挙げられる。また、タングステン酸ナトリウムのような遷移金属類を添加することもできる。
本反応に使用する酸化剤の量は、SOを製造する際には式(La)で表される化合物に対して、通常、1.0当量以上1.2当量以下であり、SO2を製造する際には、通常、2当量以上10当量以下である。また、遷移金属類を添加する際には、通常、0.001当量以上1当量以下である。
本反応に使用する溶媒は、目的とする反応が進行する限りにおいて特に限定されることはないが、水溶媒、酢酸等の酸性系溶媒、ベンゼン、トルエン、キシレン、メシチレン、クロロベンゼン、ジクロロベンゼン等のベンゼン系溶媒、アセトニトリル等のニトリル系溶媒、ジクロロメタン、ジクロロエタン、クロロホルム、四塩化炭素等のハロゲン系溶媒等が挙げられる。これらの溶媒は、単独または2種類以上を任意の割合で混合して使用することができる。
本反応に使用する溶媒量は、目的とする反応が進行する限りにおいて特に限定されることはないが、通常、式(La)で表される化合物に対して3重量倍以上200重量倍以下である。
本反応を行う際の温度は、目的とする反応が進行する限りにおいて特に限定されることはないが、通常、-10℃以上120℃以下または溶媒の沸点以下である。
反応の後処理としては、反応混合物に対して、水または適当な水溶液を加えることにより、分液操作を行うことが可能である。水溶液を使用する場合は、塩酸、硫酸、塩化アンモニウム等を溶解した酸性水溶液、水酸化カリウム、水酸化ナトリウム、炭酸ナトリウム、炭酸カリウム、炭酸水素ナトリウム、炭酸水素カリウム等を溶解したアルカリ水溶液、チオ硫酸ナトリウム、亜硫酸ナトリウム等の硫黄原子を含む塩を溶解した水溶液や食塩水等を任意に使用することができる。分液操作の際に、必要に応じて、トルエン、キシレン、ベンゼン、クロロベンゼン、ジクロロベンゼン等のベンゼン系溶媒、酢酸エチル、酢酸イソプロピル、酢酸ブチル等のエステル系溶媒、ジエチルエーテル、ジイソプロピルエーテル、メチル-t-ブチルエーテル等のエーテル系溶媒、ジクロロメタン、ジクロロエタン、クロロホルム、四塩化炭素等のハロゲン系溶媒、ヘキサン、ヘプタン、シクロヘキサン、メチルシクロヘキサン等の炭化水素系溶媒等の水と相溶することのない溶媒を追加することが可能である。また、これらの溶媒は、単独で使用することも、2種類以上で任意の割合で混合することも可能である。分液の回数は特に制限されることがなく、目的とする純度や収量に応じて実施することができる。
前記で得られた式(Lb)で表される化合物を含む反応混合物は、硫酸ナトリウムや硫酸マグネシウム等の乾燥剤で水分を除去することができるが、必須ではない。
前記で得られた式(Lb)で表される化合物を含む反応混合物は、化合物が分解しない限りにおいて、減圧下で溶媒留去することが可能である。
溶媒留去後に得られた式(Lb)で表される化合物を含む反応混合物は、適当な溶媒により、洗浄、再沈殿、再結晶、カラムクロマトグラフィー等にて精製することができる。目的とする純度に応じて適宜設定すればよい。
以上に示した、製造方法A~製造方法ALを任意に組み合わせて、式(1)で表される化合物を製造することができる。もしくは、公知の方法と製造方法A~製造方法ALを任意に組み合わせても、式(1)で表される化合物を製造することができる。
本発明化合物は、植物に対して有害な生物を防除できるために、農薬として使用することができる。具体的には、殺菌剤、殺虫剤、除草剤、植物成長調整剤等が挙げられる。好ましくは、殺菌剤である。
本発明化合物は、植物病害の防除のために、畑地、水田、茶園、果樹園、牧草地、芝生、森林、庭園、街路樹等で農園芸用殺菌剤として使用することができる。
本発明でいう植物病害とは、農作物、花き、花木、樹木等の植物に萎ちょう、立枯れ、黄化、萎縮、徒長等の全身的な異常な病的症状、または斑点、葉枯れ、モザイク、葉巻、枝枯れ、根腐れ、根こぶ、こぶ等の部分的な病的症状が惹起されることである。即ち、植物が病気になることである。植物病害を引き起こす病原体として、主に、菌類、細菌、スピロプラズマ、ファイトプラズマ、ウイルス、ウイロイド、寄生性高等植物、線虫等が挙げられる。本発明化合物は菌類に有効であるが、これに限定されるものではない。
菌類によって引き起こされる病害は、主に菌類病である。菌類病を引き起こす菌類(病原体)として、ネコブカビ菌類、卵菌類、接合菌類、子のう菌類、担子菌類および不完全菌類等が挙げられる。例えば、ネコブカビ菌類として、根こぶ病菌、ジャカイモ粉状そうか病菌、テンサイそう根病菌、卵菌類として疫病菌、べと病菌、Pythium属菌、Aphanomyces属菌、接合菌類としてRhizopus属菌、子のう菌類としてモモ縮葉病菌、トウモロコシごま葉枯病菌、イネいもち病菌、うどんこ病菌、炭そ病菌、赤かび病菌、ばか苗病菌、菌核病菌、担子菌類としてさび病菌類、黒穂病菌類、紫紋羽病菌、もち病菌、紋枯病菌、不完全菌類として灰色かび病菌、Alternaria属菌、Fusarium属菌、Penicillium属菌、Rhizoctonia属菌、白絹病菌等が挙げられる。
本発明化合物は、各種の植物病害に対して有効である。以下に、病害名およびその病原菌名の具体例を示す。
イネのいもち病(Magnaporthe grisea)、紋枯病(Thanatephorus cucumeris)、褐色菌核病(Ceratobasidium setariae)、褐色小粒菌核病(Waitea circinata)、褐色紋枯病(Thanatephorus cucumeris)、球状菌核病(Sclerotium hydrophilum)、赤色菌核病(Wairea circinata)、黒しゅ病(Entyloma dactylidis)、小球菌核病(Magnaporthe salvinii)、灰色菌核病(Ceratobasidium cornigerum)、ごま葉枯病(Cochliobolus miyabeanus)、条葉枯病(Sphaerulina oryzina)、ばか苗病(Gibberella fujikuroi)、苗立枯病(Pythium spp.、Fusarium spp.、Trichoderma spp.、Rhizopus spp.、Rhizoctonia solani、Mucor sp.、Phoma sp.)、苗腐病(Pythium spp.、Achlya spp.、Dictyuchus spp.)、稲こうじ病(Claviceps virens)、墨黒穂病(Tilletia barclayana)、褐色米(Curvularia spp.、Alternaria spp.)、黄化萎縮病(Sclerophthora macrospora)、白葉枯病(Xanthomonas oryzae pv. oryzae)、褐条病(Acidovorax avenae subsp. avenae)、内頴褐変病(Erwinia ananas)、苗立枯細菌病(Burkholderia plantarii)、もみ枯細菌病(Burkholderia glumae)、葉鞘褐変病(Pseudomonas fuscovaginae)、かさ枯病(Pseudomonas syringae pv.oryzae)、株腐病(Erwinia chrysanthemi)、黄萎病(Phytoplasma oryzae)、縞葉枯病(Rice stripe tenuivirus)、萎縮病(Rice dwarf reovirus);
ムギ類のうどんこ病(Blumeria graminis f.sp.hordei; f.sp.tritici)、さび病(Puccinia striiformis、 Puccinia graminis、Puccinia recondita、Puccinia hordei)、斑葉病(Pyrenophora graminea)、網斑病(Pyrenophora teres)、赤かび病(Gibberella zeae、Fusarium culmorum、Fusarium avenaceum、Monographella nivalis)、雪腐病(Typhula incarnata、Typhula ishikariensis、Monographella nivalis)、裸黒穂病(Ustilago nuda)、なまぐさ黒穂病(Tilletia caries、Tilletia controversa)、眼紋病(Pseudocercosporella herpotrichoides)、株腐病(Ceratobasidium gramineum)、雲形病(Rhynchosporium secalis)、葉枯病(Septoria tritici)、ふ枯病(Phaeosphaeria nodorum)、苗立枯病(Fusarium spp.、Pythium spp.、Rhizoctonia spp.、Septoria spp.、Pyrenophora spp.)、立枯病(Gaeumannomyces graminis)、炭疽病(Colletotrichum graminicola)、麦角病(Claviceps purpurea)、斑点病(Cochliobolus sativus)、黒節病(Pseudomonas syringae pv. syringae);
トウモロコシの赤かび病(Gibberella zeae等)、苗立枯病(Fusarium avenaceum、Penicillium spp.、Pythium spp.、Rhizoctonia spp.)、さび病(Puccinia sorghi)、ごま葉枯病(Cochliobolus heterostrophus)、黒穂病(Ustilago maydis)、炭疽病(Colletotrichum graminicola)、北方斑点病(Cochliobolus carbonum)、褐条病(Acidovorax avenae subsp. avenae)、条斑細菌病(Burkholderia andropogonis)、倒伏細菌病(Erwinia chrysanthemi pv. zeae)、萎ちょう細菌病(Erwinia stewartii);ブドウのべと病(Plasmopara viticola)、さび病(Physopella ampelopsidis)、うどんこ病(Uncinula necator)、黒とう病(Elsinoe ampelina)、晩腐病(Glomerella cingulata、Colletotrichum acutatum)、黒腐病(Guignardia bidwellii)、つる割病(Phomopsis viticola)、すす点病(Zygophiala jamaicensis)、灰色かび病(Botrytis cinerea)、芽枯病(Diaporthe medusaea)、紫紋羽病(Helicobasidium mompa)、白紋羽病(Rosellinia necatrix)、根頭がんしゅ病(Agrobacterium vitis);リンゴのうどんこ病(Podosphaera leucotricha)、黒星病(Venturia inaequalis)、斑点落葉病(Alternaria mali)、赤星病(Gymnosporangium yamadae)、モニリア病(Monilinia mali)、腐らん病(Valsa ceratosperma)、輪紋病(Botryosphaeria berengeriana)、炭疽病(Colletotrichum acutatum、Glomerella cingulata)、すす点病(Zygophiala jamaicensis)、すす斑病(Gloeodes pomigena)、黒点病(Mycosphaerella pomi)、紫紋羽病(Helicobasidium mompa)、白紋羽病(Rosellinia necatrix)、胴枯病(Phomopsis mali、Diaporthe tanakae)、褐斑病(Diplocarpon mali)、リンゴの火傷病(Erwinia amylovora)、根頭がんしゅ病(Agrobacterium tumefaciens)、毛根病(Agrobacterium rhizogenes);
ナシの黒斑病(Alternaria kikuchiana)、黒星病(Venturia nashicola)、赤星病(Gymnosporangium asiaticum)、輪紋病(Botryosphaeria berengeriana f.sp. piricola)、胴枯病(Phomopsis fukushii)、枝枯細菌病(Erwinia sp.)、根頭がんしゅ病(Agrobacterium tumefaciens)、さび色胴枯病(Erwinia chrysanthemi pv. chrysanthemi)、花腐細菌病(Pseudomonas syringae pv. syringae);セイヨウナシの疫病(Phytophthora cactorum、Phytophthora syringae)、枝枯細菌病(Erwinia sp.);モモの黒星病(Cladosporium carpophilum)、ホモプシス腐敗病(Phomopsis sp.)、疫病(Phytophthora sp.)、炭疽病(Colletotrichum gloeosporioides)、縮葉病(Taphrina deformans)、穿孔細菌病(Xhanthomonas campestris pv. pruni)、根頭がんしゅ病(Agrobacterium tumefaciens);オウトウの炭疽病(Glomerella cingulata)、幼果菌核病(Monilinia kusanoi)、灰星病(Monilinia fructicola)、根頭がんしゅ病(Agrobacterium tumefaciens)、樹脂細菌病(Pseudomonas syringae pv. syringae);カキの炭疽病(Glomerella cingulata)、落葉病(Cercospora kaki; Mycosphaerella nawae)、うどんこ病(Phyllactinia kakikora)、根頭がんしゅ病(Agrobacterium tumefaciens);カンキツの黒点病(Diaporthe citri)、緑かび病(Penicillium digitatum)、青かび病(Penicillium italicum)、そうか病(Elsinoe fawcettii)、褐色腐敗病(Phytophthora citrophthora)、かいよう病(Xhanthomonas campestris pv. citri)、褐斑細菌病(Pseudomonas syringae pv. syringae)、グリーニング病(Liberibactor asiaticus)、根頭がんしゅ病(Agrobacterium tumefaciens);
トマト、キュウリ、豆類、イチゴ、ジャガイモ、キャベツ、ナス、レタス等の灰色かび病(Botrytis cinerea);トマト、キュウリ、豆類、イチゴ、ジャガイモ、ナタネ、キャベツ、ナス、レタス等の菌核病(Sclerotinia sclerotiorum);トマト、キュウリ、豆類、ダイコン、スイカ、ナス、ナタネ、ピーマン、ホウレンソウ、テンサイ等各種野菜の苗立枯病(Rhizoctonia spp.、Pythium spp.、Fusarium spp.、Phythophthora spp.、Sclerotinia sclerotiorum等);ナス科植物の青枯病(Ralstonia solanacearum);ウリ類のべと病(Pseudoperonospora cubensis)、うどんこ病(Sphaerotheca fuliginea)、炭疽病(Colletotrichum orbiculare)、つる枯病(Didymella bryoniae)、つる割病(Fusarium oxysporum)、疫病(Phytophthora parasitica、Phytophthora melonis、Phytophthora nicotianae、Phytophthora drechsleri、Phytophthora capsici等)、褐斑細菌病(Xhanthomonas campestris pv.cucurbitae)、軟腐病(Erwinia carotovora subsp. carotovora)、斑点細菌病(Pseudomonas syringae pv. lachrymans)、縁枯細菌病(Pseudomonas marginalis pv. marginalis)、がんしゅ病(Streptomyces sp.)、毛根病(Agrobacterium rhizogenes)、キュウリモザイクウィルス(Cucumber mosaic virus);
トマトの輪紋病(Alternaria solani)、葉かび病(Fulvia fulva)、疫病(Phytophthora infestans)、萎凋病(Fusarium oxysporum)、根腐病(Pythium myriotylum、Pythium dissotocum)、炭疽病(Colletotrichum gloeosporioides)、かいよう病(Clavibacter michiganensis)、茎えそ細菌病(Pseudomonas corrugata)、黒斑細菌病(Pseudomonas viridiflava)、軟腐病(Erwinia carotovora subsp. carotovora)、葉こぶ病(Crynebacterium sp.)、萎黄病(Phytoplasma asteris)、黄化萎縮病(Tobacco leaf curl subgroup III geminivirus);ナスのうどんこ病(Sphaerotheca fuliginea等)、すすかび病(Mycovellosiella nattrassii)、疫病(Phytophthora infestans)、褐色腐敗病(Phytophthora capsici)、褐斑細菌病(Pseudomonas cichorii)、茎えそ細菌病(Pseudomonas corrugata)、茎腐細菌病(Erwinia chrysanthemi)、軟腐病(Erwinia carotovora subsp. carotovora)、斑点細菌病(Pseudomonas sp.);ナタネの黒斑病(Alternaria brassicae)、黒腐病(Xhanthomonas campestris pv. campestris)、黒斑細菌病(Pseudomonas syringae pv. maculicola)、軟腐病(Erwinia carotovora);アブラナ科野菜の黒斑病(Alternaria brassicae等)、白斑病(Cercosporella brassicae)、根朽病(Phoma lingam)、根こぶ病(Plasmodiophora brassicae)、べと病(Peronospora parasitica)、黒腐病(Xhanthomonas campestris pv. campestris)、黒斑細菌病(Pseudomonas syringae pv. maculicola)、軟腐病(Erwinia carotovora subsp. carotovora);
キャベツの株腐病(Thanatephorus cucumeris)、萎黄病(Fusarium oxysporum)、黒すす病(Alternaria brassisicola);ハクサイの尻腐病(Rhizoctonia solani)、黄化病(Verticillium dahliae);ネギのさび病(Puccinia allii)、黒斑病(Alternaria porri)、白絹病(Sclerotium rolfsii)、白色疫病(Phytophthora porri)、黒腐菌核病(Sclerotium cepivorum);タマネギのかいよう病(Curtobacterium flaccumfaciens)、軟腐病(Erwinia carotovora subsp. carotovora)、斑点細菌病(Pseudomonas syringae pv. syringae)、腐敗病(Erwinia rhapontici)、鱗片腐敗病(Burkholderia gladioli)、萎黄病(Phytoplasma asteris);ニンニクの軟腐病(Erwinia carotovora subsp. carotovora)、春腐病(Pseudomonas marginalis pv.marginalis);ダイズの紫斑病(Cercospora kikuchii)、黒とう病(Elsinoe glycines)、黒点病(Diaporthe phaseolorum)、リゾクトニア根腐病(Rhizoctonia solani)、茎疫病(Phytophthora sojae)、べと病(Peronospora manshurica)、さび病(Phakopsora pachyrhizi)、炭疽病(Colletotrichum truncatum等)、葉焼病(Xhanthomonas campestris pv. glycines)、斑点細菌病(Pseudomonas syringae pv. glycinea);インゲンの炭疽病(Colletotrichum lindemuthianum)、青枯病(Ralstonia solanacearum)、かさ枯病(Pseudomonas syringae pv. phaseolicola)、褐斑細菌病(Pseudomonas viridiflava)、葉焼病(Xhanthomonas campestris pv. phaseoli);
ラッカセイの黒渋病(Mycosphaerella berkeleyi)、褐斑病(Mycosphaerella arachidis)、青枯病(Ralstonia solanacearum);エンドウのうどんこ病(Erysiphe pisi)、べと病(Peronospora pisi)、つる枯細菌病(Pseudomonas syringae pv.pisi)、つる腐細菌病(Xhanthomonas campestris pv.pisi);ソラマメのべと病(Peronospora viciae)、疫病(Phytophthora nicotianae);ジャガイモの夏疫病(Alternaria solani)、黒あざ病(Thanatephorus cucumeris)、疫病(Phytophthora infestans)、銀か病(Helminthosporium solani)、乾腐病(Fusarium oxysporum、Fusarium solani)、粉状そうか病(Spongospora subterranea)、青枯病(Ralstonia solanacearum)、黒あし病(Erwinia carotovora subsp. atroseptica)、そうか病(Streptomyces scabies、Streptomyces acidiscabies)、軟腐病(Erwinia carotovora subsp. carotovora)、粘性腐敗病(Crostridium spp.)、輪腐病(Clavibacter michiganensis subsp.sepedonicus);サツマイモの立枯病(Streptomyces ipomoeae);テンサイの褐斑病(Cercospora beticola)、べと病(Peronospora schachtii)、黒根病(Aphanomyces cochioides)、蛇の目病(Phoma betae)、根頭がんしゅ病(Agrobacterium tumefaciens)、そうか病(Streptomyces scabies)、斑点細菌病(Pseudomonas syringae pv. aptata);
ニンジンの黒葉枯病(Alternaria dauci)、こぶ病(Rhizobacter dauci)、根頭がんしゅ病(Agrobacterium tumefaciens)、ストレプトミセスそうか病(Streptomyces spp.)、軟腐病(Erwinia carotovora subsp. carotovora);イチゴのうどんこ病(Sphaerotheca aphanis var. aphanis)、疫病(Phytophthora nicotianae等)、炭疽病(Glomerella cingulata等)、果実腐敗病(Pythium ultimum)、青枯病(Ralstonia solanacearum)、角斑細菌病(Xhanthomonas campestris)、芽枯細菌病(Pseudomonas marginalis pv. marginalis);チャの網もち病(Exobasidium reticulatum)、白星病(Elsinoe leucospila)、炭疽病(Colletotrichum theae-sinensis)、輪斑病(Pestalotiopsis longiseta)、赤焼病(Pseudomonas syringae pv.theae)、かいよう病(Xhanthomonas campestris pv. theicola)、てんぐ巣病(Pseudomonas sp.);タバコの赤星病(Alternaria alternata)、うどんこ病(Erysiphe cichoracearum)、炭疽病(Colletotrichum gloeosporioides)、疫病(Phytophthora nicotianae)、野火病(Pseudomonas syringae pv.tabaci)、黄がさ細菌病(Pseudomonas syringae pv.mellea)、空洞病(Erwinia carotovora subsp. carotovora)、立枯病(Ralstonia solanacearum)、タバコモザイクウィルス(Tobacco mosaic virus);
コーヒーのさび病(Hemileia vastatrix);バナナの黒シガトガ病(Mycosphaerella fijiensis)、パナマ病(Fusarium oxysporum f.sp cubense);ワタの立枯病(Fusarium oxysporum)、白かび病(Ramularia areola);ヒマワリの菌核病(Sclerotinia sclerotiorum)、角点病(Xhanthomonas campestris pv.malvacearum)、空洞病(Erwinia carotovora subsp. carotovora)、斑点細菌病(Pseudomonas syringae pv.helianthi);バラの黒星病(Diplocarpon rosae)、うどんこ病(Sphaerotheca pannosa等)、疫病(Phytophthora megasperma)、べと病(Peronospora sparsa)、根頭がんしゅ病(Agrobacterium tumefaciens);キクの褐斑病(Septoria obesa)、白さび病(Puccinia horiana)、疫病(Phytophthora cactorum)、斑点細菌病(Pseudomonas cichorii)、軟腐病(Erwinia carotovora subsp. carotovora)、根頭がんしゅ病(Agrobacterium tumefaciens)、毛根病(Agrobacterium rhizogenes)、緑化病(Phytoplasma aurantifolia);芝のブラウンパッチ病(Rhizoctonia solani)、ダラースポット病(Sclerotinia homoeocarpa)、カーブラリア葉枯病(Curvularia sp.)、さび病(Puccinia zoysiae)、ヘルミントスポリウム葉枯病(Cochliobolus sp.)、雲形病(Rhynchosporium secalis)、立枯病(Gaeumannomyces graminis)、炭疽病(Colletotrichum sp.)、雪腐褐色小粒菌核病(Typhula incarnata)、雪腐黒色小粒菌核病(Typhula ishikariensis)、雪腐大粒菌核病(Myriosclerotinia borealis)、フェアリーリング病(Marasmius oreades等)、ピシウム病(Pythium aphanidermatum等)、いもち病(Pyricularia grisea)等が挙げられる。
ムギ類のうどんこ病(Blumeria graminis f.sp.hordei; f.sp.tritici)、さび病(Puccinia striiformis、 Puccinia graminis、Puccinia recondita、Puccinia hordei)、斑葉病(Pyrenophora graminea)、網斑病(Pyrenophora teres)、赤かび病(Gibberella zeae、Fusarium culmorum、Fusarium avenaceum、Monographella nivalis)、雪腐病(Typhula incarnata、Typhula ishikariensis、Monographella nivalis)、裸黒穂病(Ustilago nuda)、なまぐさ黒穂病(Tilletia caries、Tilletia controversa)、眼紋病(Pseudocercosporella herpotrichoides)、株腐病(Ceratobasidium gramineum)、雲形病(Rhynchosporium secalis)、葉枯病(Septoria tritici)、ふ枯病(Phaeosphaeria nodorum)、苗立枯病(Fusarium spp.、Pythium spp.、Rhizoctonia spp.、Septoria spp.、Pyrenophora spp.)、立枯病(Gaeumannomyces graminis)、炭疽病(Colletotrichum graminicola)、麦角病(Claviceps purpurea)、斑点病(Cochliobolus sativus)、黒節病(Pseudomonas syringae pv. syringae);
トウモロコシの赤かび病(Gibberella zeae等)、苗立枯病(Fusarium avenaceum、Penicillium spp.、Pythium spp.、Rhizoctonia spp.)、さび病(Puccinia sorghi)、ごま葉枯病(Cochliobolus heterostrophus)、黒穂病(Ustilago maydis)、炭疽病(Colletotrichum graminicola)、北方斑点病(Cochliobolus carbonum)、褐条病(Acidovorax avenae subsp. avenae)、条斑細菌病(Burkholderia andropogonis)、倒伏細菌病(Erwinia chrysanthemi pv. zeae)、萎ちょう細菌病(Erwinia stewartii);ブドウのべと病(Plasmopara viticola)、さび病(Physopella ampelopsidis)、うどんこ病(Uncinula necator)、黒とう病(Elsinoe ampelina)、晩腐病(Glomerella cingulata、Colletotrichum acutatum)、黒腐病(Guignardia bidwellii)、つる割病(Phomopsis viticola)、すす点病(Zygophiala jamaicensis)、灰色かび病(Botrytis cinerea)、芽枯病(Diaporthe medusaea)、紫紋羽病(Helicobasidium mompa)、白紋羽病(Rosellinia necatrix)、根頭がんしゅ病(Agrobacterium vitis);リンゴのうどんこ病(Podosphaera leucotricha)、黒星病(Venturia inaequalis)、斑点落葉病(Alternaria mali)、赤星病(Gymnosporangium yamadae)、モニリア病(Monilinia mali)、腐らん病(Valsa ceratosperma)、輪紋病(Botryosphaeria berengeriana)、炭疽病(Colletotrichum acutatum、Glomerella cingulata)、すす点病(Zygophiala jamaicensis)、すす斑病(Gloeodes pomigena)、黒点病(Mycosphaerella pomi)、紫紋羽病(Helicobasidium mompa)、白紋羽病(Rosellinia necatrix)、胴枯病(Phomopsis mali、Diaporthe tanakae)、褐斑病(Diplocarpon mali)、リンゴの火傷病(Erwinia amylovora)、根頭がんしゅ病(Agrobacterium tumefaciens)、毛根病(Agrobacterium rhizogenes);
ナシの黒斑病(Alternaria kikuchiana)、黒星病(Venturia nashicola)、赤星病(Gymnosporangium asiaticum)、輪紋病(Botryosphaeria berengeriana f.sp. piricola)、胴枯病(Phomopsis fukushii)、枝枯細菌病(Erwinia sp.)、根頭がんしゅ病(Agrobacterium tumefaciens)、さび色胴枯病(Erwinia chrysanthemi pv. chrysanthemi)、花腐細菌病(Pseudomonas syringae pv. syringae);セイヨウナシの疫病(Phytophthora cactorum、Phytophthora syringae)、枝枯細菌病(Erwinia sp.);モモの黒星病(Cladosporium carpophilum)、ホモプシス腐敗病(Phomopsis sp.)、疫病(Phytophthora sp.)、炭疽病(Colletotrichum gloeosporioides)、縮葉病(Taphrina deformans)、穿孔細菌病(Xhanthomonas campestris pv. pruni)、根頭がんしゅ病(Agrobacterium tumefaciens);オウトウの炭疽病(Glomerella cingulata)、幼果菌核病(Monilinia kusanoi)、灰星病(Monilinia fructicola)、根頭がんしゅ病(Agrobacterium tumefaciens)、樹脂細菌病(Pseudomonas syringae pv. syringae);カキの炭疽病(Glomerella cingulata)、落葉病(Cercospora kaki; Mycosphaerella nawae)、うどんこ病(Phyllactinia kakikora)、根頭がんしゅ病(Agrobacterium tumefaciens);カンキツの黒点病(Diaporthe citri)、緑かび病(Penicillium digitatum)、青かび病(Penicillium italicum)、そうか病(Elsinoe fawcettii)、褐色腐敗病(Phytophthora citrophthora)、かいよう病(Xhanthomonas campestris pv. citri)、褐斑細菌病(Pseudomonas syringae pv. syringae)、グリーニング病(Liberibactor asiaticus)、根頭がんしゅ病(Agrobacterium tumefaciens);
トマト、キュウリ、豆類、イチゴ、ジャガイモ、キャベツ、ナス、レタス等の灰色かび病(Botrytis cinerea);トマト、キュウリ、豆類、イチゴ、ジャガイモ、ナタネ、キャベツ、ナス、レタス等の菌核病(Sclerotinia sclerotiorum);トマト、キュウリ、豆類、ダイコン、スイカ、ナス、ナタネ、ピーマン、ホウレンソウ、テンサイ等各種野菜の苗立枯病(Rhizoctonia spp.、Pythium spp.、Fusarium spp.、Phythophthora spp.、Sclerotinia sclerotiorum等);ナス科植物の青枯病(Ralstonia solanacearum);ウリ類のべと病(Pseudoperonospora cubensis)、うどんこ病(Sphaerotheca fuliginea)、炭疽病(Colletotrichum orbiculare)、つる枯病(Didymella bryoniae)、つる割病(Fusarium oxysporum)、疫病(Phytophthora parasitica、Phytophthora melonis、Phytophthora nicotianae、Phytophthora drechsleri、Phytophthora capsici等)、褐斑細菌病(Xhanthomonas campestris pv.cucurbitae)、軟腐病(Erwinia carotovora subsp. carotovora)、斑点細菌病(Pseudomonas syringae pv. lachrymans)、縁枯細菌病(Pseudomonas marginalis pv. marginalis)、がんしゅ病(Streptomyces sp.)、毛根病(Agrobacterium rhizogenes)、キュウリモザイクウィルス(Cucumber mosaic virus);
トマトの輪紋病(Alternaria solani)、葉かび病(Fulvia fulva)、疫病(Phytophthora infestans)、萎凋病(Fusarium oxysporum)、根腐病(Pythium myriotylum、Pythium dissotocum)、炭疽病(Colletotrichum gloeosporioides)、かいよう病(Clavibacter michiganensis)、茎えそ細菌病(Pseudomonas corrugata)、黒斑細菌病(Pseudomonas viridiflava)、軟腐病(Erwinia carotovora subsp. carotovora)、葉こぶ病(Crynebacterium sp.)、萎黄病(Phytoplasma asteris)、黄化萎縮病(Tobacco leaf curl subgroup III geminivirus);ナスのうどんこ病(Sphaerotheca fuliginea等)、すすかび病(Mycovellosiella nattrassii)、疫病(Phytophthora infestans)、褐色腐敗病(Phytophthora capsici)、褐斑細菌病(Pseudomonas cichorii)、茎えそ細菌病(Pseudomonas corrugata)、茎腐細菌病(Erwinia chrysanthemi)、軟腐病(Erwinia carotovora subsp. carotovora)、斑点細菌病(Pseudomonas sp.);ナタネの黒斑病(Alternaria brassicae)、黒腐病(Xhanthomonas campestris pv. campestris)、黒斑細菌病(Pseudomonas syringae pv. maculicola)、軟腐病(Erwinia carotovora);アブラナ科野菜の黒斑病(Alternaria brassicae等)、白斑病(Cercosporella brassicae)、根朽病(Phoma lingam)、根こぶ病(Plasmodiophora brassicae)、べと病(Peronospora parasitica)、黒腐病(Xhanthomonas campestris pv. campestris)、黒斑細菌病(Pseudomonas syringae pv. maculicola)、軟腐病(Erwinia carotovora subsp. carotovora);
キャベツの株腐病(Thanatephorus cucumeris)、萎黄病(Fusarium oxysporum)、黒すす病(Alternaria brassisicola);ハクサイの尻腐病(Rhizoctonia solani)、黄化病(Verticillium dahliae);ネギのさび病(Puccinia allii)、黒斑病(Alternaria porri)、白絹病(Sclerotium rolfsii)、白色疫病(Phytophthora porri)、黒腐菌核病(Sclerotium cepivorum);タマネギのかいよう病(Curtobacterium flaccumfaciens)、軟腐病(Erwinia carotovora subsp. carotovora)、斑点細菌病(Pseudomonas syringae pv. syringae)、腐敗病(Erwinia rhapontici)、鱗片腐敗病(Burkholderia gladioli)、萎黄病(Phytoplasma asteris);ニンニクの軟腐病(Erwinia carotovora subsp. carotovora)、春腐病(Pseudomonas marginalis pv.marginalis);ダイズの紫斑病(Cercospora kikuchii)、黒とう病(Elsinoe glycines)、黒点病(Diaporthe phaseolorum)、リゾクトニア根腐病(Rhizoctonia solani)、茎疫病(Phytophthora sojae)、べと病(Peronospora manshurica)、さび病(Phakopsora pachyrhizi)、炭疽病(Colletotrichum truncatum等)、葉焼病(Xhanthomonas campestris pv. glycines)、斑点細菌病(Pseudomonas syringae pv. glycinea);インゲンの炭疽病(Colletotrichum lindemuthianum)、青枯病(Ralstonia solanacearum)、かさ枯病(Pseudomonas syringae pv. phaseolicola)、褐斑細菌病(Pseudomonas viridiflava)、葉焼病(Xhanthomonas campestris pv. phaseoli);
ラッカセイの黒渋病(Mycosphaerella berkeleyi)、褐斑病(Mycosphaerella arachidis)、青枯病(Ralstonia solanacearum);エンドウのうどんこ病(Erysiphe pisi)、べと病(Peronospora pisi)、つる枯細菌病(Pseudomonas syringae pv.pisi)、つる腐細菌病(Xhanthomonas campestris pv.pisi);ソラマメのべと病(Peronospora viciae)、疫病(Phytophthora nicotianae);ジャガイモの夏疫病(Alternaria solani)、黒あざ病(Thanatephorus cucumeris)、疫病(Phytophthora infestans)、銀か病(Helminthosporium solani)、乾腐病(Fusarium oxysporum、Fusarium solani)、粉状そうか病(Spongospora subterranea)、青枯病(Ralstonia solanacearum)、黒あし病(Erwinia carotovora subsp. atroseptica)、そうか病(Streptomyces scabies、Streptomyces acidiscabies)、軟腐病(Erwinia carotovora subsp. carotovora)、粘性腐敗病(Crostridium spp.)、輪腐病(Clavibacter michiganensis subsp.sepedonicus);サツマイモの立枯病(Streptomyces ipomoeae);テンサイの褐斑病(Cercospora beticola)、べと病(Peronospora schachtii)、黒根病(Aphanomyces cochioides)、蛇の目病(Phoma betae)、根頭がんしゅ病(Agrobacterium tumefaciens)、そうか病(Streptomyces scabies)、斑点細菌病(Pseudomonas syringae pv. aptata);
ニンジンの黒葉枯病(Alternaria dauci)、こぶ病(Rhizobacter dauci)、根頭がんしゅ病(Agrobacterium tumefaciens)、ストレプトミセスそうか病(Streptomyces spp.)、軟腐病(Erwinia carotovora subsp. carotovora);イチゴのうどんこ病(Sphaerotheca aphanis var. aphanis)、疫病(Phytophthora nicotianae等)、炭疽病(Glomerella cingulata等)、果実腐敗病(Pythium ultimum)、青枯病(Ralstonia solanacearum)、角斑細菌病(Xhanthomonas campestris)、芽枯細菌病(Pseudomonas marginalis pv. marginalis);チャの網もち病(Exobasidium reticulatum)、白星病(Elsinoe leucospila)、炭疽病(Colletotrichum theae-sinensis)、輪斑病(Pestalotiopsis longiseta)、赤焼病(Pseudomonas syringae pv.theae)、かいよう病(Xhanthomonas campestris pv. theicola)、てんぐ巣病(Pseudomonas sp.);タバコの赤星病(Alternaria alternata)、うどんこ病(Erysiphe cichoracearum)、炭疽病(Colletotrichum gloeosporioides)、疫病(Phytophthora nicotianae)、野火病(Pseudomonas syringae pv.tabaci)、黄がさ細菌病(Pseudomonas syringae pv.mellea)、空洞病(Erwinia carotovora subsp. carotovora)、立枯病(Ralstonia solanacearum)、タバコモザイクウィルス(Tobacco mosaic virus);
コーヒーのさび病(Hemileia vastatrix);バナナの黒シガトガ病(Mycosphaerella fijiensis)、パナマ病(Fusarium oxysporum f.sp cubense);ワタの立枯病(Fusarium oxysporum)、白かび病(Ramularia areola);ヒマワリの菌核病(Sclerotinia sclerotiorum)、角点病(Xhanthomonas campestris pv.malvacearum)、空洞病(Erwinia carotovora subsp. carotovora)、斑点細菌病(Pseudomonas syringae pv.helianthi);バラの黒星病(Diplocarpon rosae)、うどんこ病(Sphaerotheca pannosa等)、疫病(Phytophthora megasperma)、べと病(Peronospora sparsa)、根頭がんしゅ病(Agrobacterium tumefaciens);キクの褐斑病(Septoria obesa)、白さび病(Puccinia horiana)、疫病(Phytophthora cactorum)、斑点細菌病(Pseudomonas cichorii)、軟腐病(Erwinia carotovora subsp. carotovora)、根頭がんしゅ病(Agrobacterium tumefaciens)、毛根病(Agrobacterium rhizogenes)、緑化病(Phytoplasma aurantifolia);芝のブラウンパッチ病(Rhizoctonia solani)、ダラースポット病(Sclerotinia homoeocarpa)、カーブラリア葉枯病(Curvularia sp.)、さび病(Puccinia zoysiae)、ヘルミントスポリウム葉枯病(Cochliobolus sp.)、雲形病(Rhynchosporium secalis)、立枯病(Gaeumannomyces graminis)、炭疽病(Colletotrichum sp.)、雪腐褐色小粒菌核病(Typhula incarnata)、雪腐黒色小粒菌核病(Typhula ishikariensis)、雪腐大粒菌核病(Myriosclerotinia borealis)、フェアリーリング病(Marasmius oreades等)、ピシウム病(Pythium aphanidermatum等)、いもち病(Pyricularia grisea)等が挙げられる。
本発明化合物は、本化合物単体で使用してもよいが、好ましくは、固体担体、液体担体、気体担体、界面活性剤、固着剤、分散剤、安定剤等と混合し、粉剤、水和剤、顆粒水和剤、水溶剤、顆粒水溶剤、粒剤、乳剤、液剤、マイクロエマルション剤、水性懸濁製剤、水性乳濁製剤、サスポエマルション製剤等の組成物として使用することができる。効果が発揮される限りにおいて、それらの組成物に限定されることはない。
以下に具体的な製剤化例を示すが、これらに限定されるものではない。
[製剤例1 フロアブル剤]
本発明化合物(10質量部)、ナフタレンスルホン酸のホルムアルデヒド縮合物ナトリウム塩(5質量部)、ポリオキシエチレンアリールフェニルエーテル(1質量部)、プロピレングリコール(5質量部)、シリコン系消泡剤(0.1質量部)、キサンタンガム(0.2質量部)、イオン交換水(78.7質量部)を混合してスラリーとなし、さらにダイノミルKDLで直径1.0mmのガラスビーズを用いて湿式粉砕しフロアブル剤を得る。
本発明化合物(10質量部)、ナフタレンスルホン酸のホルムアルデヒド縮合物ナトリウム塩(5質量部)、ポリオキシエチレンアリールフェニルエーテル(1質量部)、プロピレングリコール(5質量部)、シリコン系消泡剤(0.1質量部)、キサンタンガム(0.2質量部)、イオン交換水(78.7質量部)を混合してスラリーとなし、さらにダイノミルKDLで直径1.0mmのガラスビーズを用いて湿式粉砕しフロアブル剤を得る。
[製剤例2 乳剤]
本発明化合物(5質量部)をキシレン(40質量部)とシクロヘキサン(35質量部)の混合溶液に溶解し、この溶液にTween20(20質量部)を添加混合し、乳剤を得る。
本発明化合物(5質量部)をキシレン(40質量部)とシクロヘキサン(35質量部)の混合溶液に溶解し、この溶液にTween20(20質量部)を添加混合し、乳剤を得る。
[製剤例3 水和剤]
本発明化合物(10質量部)、ホワイトカーボン(10質量部)、ポリビニルアルコール(2質量部)、ジオクチルスルホコハク酸ナトリウム塩(0.5質量部)、アルキルベンゼンスルホン酸ナトリウム塩(5質量部)、焼成珪藻土(10質量部)およびカオリナイトクレー(62.5質量部)を充分に混合し、エアーミルで粉砕し、水和剤を得る。
本発明化合物(10質量部)、ホワイトカーボン(10質量部)、ポリビニルアルコール(2質量部)、ジオクチルスルホコハク酸ナトリウム塩(0.5質量部)、アルキルベンゼンスルホン酸ナトリウム塩(5質量部)、焼成珪藻土(10質量部)およびカオリナイトクレー(62.5質量部)を充分に混合し、エアーミルで粉砕し、水和剤を得る。
以下、本発明の組成物(農園芸用有害生物防除剤、農園芸用殺菌剤)の施用について説明する。
本発明化合物を含有する組成物の施用方法としては、植物体もしくは種子と接触させる方法、または、栽培土壌に含有させて、植物の根もしくは地下茎に接触させる方法が挙げられる。具体例として、組成物の植物個体への茎葉散布処理、注入処理、苗箱処理、セルトレー処理、植物種子への吹き付け処理、植物種子への塗沫処理、植物種子への浸漬処理、植物種子への粉衣処理、土壌表面への散布処理、土壌表面への散布処理後の土壌混和、土壌中への注入処理、土壌中での注入処理後の土壌混和、土壌潅注処理、土壌潅注処理後の土壌混和等が挙げられる。通常、当業者が利用するようないかなる施用方法を用いても十分な効力を発揮する。
本発明でいう「植物」とは、光合成をして運動せずに生活するものをいう。具体例として、稲、小麦、大麦、トウモロコシ、コーヒー、バナナ、ブドウ、リンゴ、ナシ、モモ、オウトウ、カキ、カンキツ、大豆、インゲン、ワタ、イチゴ、ジャガイモ、キャベツ、レタス、トマト、キュウリ、ナス、スイカ、テンサイ、ホウレンソウ、サヤエンドウ、カボチャ、サトウキビ、タバコ、ピーマン、サツマイモ、サトイモ、コンニャク、綿、ヒマワリ、バラ、チューリップ、キク、芝等およびそれらのF1品種等が挙げられる。また、遺伝子等を人工的に操作することにより生み出され、元来自然界に存在するものではない遺伝子組み換え作物も含み、例えば、除草剤耐性を付与した大豆、トウモロコシ、綿等、寒冷地適応したイネ、タバコ等、殺虫物質生産能を付与したトウモロコシ、綿等の農園芸作物等が挙げられる。さらに、マツ、トネリコ、イチョウ、カエデ、カシ、ポプラ、ケヤキ等の樹木等が挙げられる。また、本発明でいう「植物体」とは、前記の植物個体を構成する全ての部位を総称するものであり、例えば、茎、葉、根、種子、花、果実等が挙げられる。
本発明でいう「種子」とは、幼植物が発芽するための栄養分を蓄え、農業上繁殖に用いられるものをいう。具体例として、トウモロコシ、大豆、綿、稲、テンサイ、小麦、大麦、ヒマワリ、トマト、キュウリ、ナス、ホウレンソウ、サヤエンドウ、カボチャ、サトウキビ、タバコ、ピーマン、セイヨウアブラナ等の種子、それらのF1品種等の種子、サトイモ、ジャガイモ、サツマイモ、コンニャク等の種芋、食用ゆり、チューリップ等の球根、ラッキョウ等の種球、および遺伝子組み換え作物の種子ならびに塊茎等が挙げられる。
本発明化合物を含有する組成物の施用量および施用濃度は、対象作物、対象病害、病害の発生程度、化合物の剤型、施用方法および各種環境条件等によって変動するが、散布または潅注する場合には、有効成分量としてヘクタール当たり0.1~10,000gが適当であり、好ましくは、ヘクタール当り10~1,000gである。また、種子処理の場合の使用量は、有効成分量として種子1kg当たり0.0001~1000gであり、好ましくは、0.001~100gである。本発明化合物を含有する組成物を植物個体への茎葉散布処理、土壌表面への散布処理、土壌中への注入処理または土壌潅注処理として使用する場合は、適当な担体に適当な濃度で希釈した後、処理を行ってもよい。本発明化合物を含有する組成物を植物種子に接触させる場合は、適当な濃度に希釈した後、植物種子に浸漬、粉衣、吹き付けまたは塗沫処理して用いてもよい。浸漬、粉衣、吹き付けまたは塗沫処理する場合の組成物使用量は、通常、有効成分量として、乾燥植物種子重量の0.05~50%程度であり、好ましくは、0.1~30%が適当であるが、組成物の形態や処理対象となる植物種子の種類により適宜設定すればよく、これら範囲に限定されるものではない。
本発明化合物を含有する組成物は、必要に応じて他の農薬、例えば、殺菌剤、殺虫剤、殺ダニ剤、殺線虫剤、除草剤、生物農薬および植物成長調節剤等の農薬、核酸を有効成分とする病害防除剤(国際公開第2014/062775号)、土壌改良剤または肥効物質と混合して使用することができる。本発明化合物と他の農薬を混合して使用する方法としては、本発明化合物と他の農薬とを一つの剤型に製剤化して使用する方法、それぞれが別々の剤型に製剤化された両者を使用前に混合して使用する方法、それぞれが別々の剤型に製剤化された両者を同時に使用する方法、または、それぞれが別々の剤型に製剤化された両者について、いずれか一方を使用した後に他方を使用する方法が挙げられる。
本発明化合物と混合して使用することができる殺菌剤に含まれる具体的な成分は、以下の群bで例示され、これらの塩、異性体およびN-オキシド体を含む。ただし、公知の殺菌剤はこれらに限定されるものではない。
群b:
b-1:フェニルアミド系殺菌剤
フェニルアミド系殺菌剤として、[b-1.1]:ベナラキシル(benalaxyl)、[b-1.2]ベナラキシルMまたはキララキシル(benalaxyl-Mまたはkiralaxyl)、[b-1.3]フララキシル(furalaxyl)、[b-1.4]メタラキシル(metalaxyl)、[b-1.5]メタラキシルMまたはメフェノキサム(metalaxyl-Mまたはmefenoxam)、[b-1.6]オキサジキシル(oxadixyl)、[b-1.7]オフラセ(ofurace)等が挙げられる。
b-1:フェニルアミド系殺菌剤
フェニルアミド系殺菌剤として、[b-1.1]:ベナラキシル(benalaxyl)、[b-1.2]ベナラキシルMまたはキララキシル(benalaxyl-Mまたはkiralaxyl)、[b-1.3]フララキシル(furalaxyl)、[b-1.4]メタラキシル(metalaxyl)、[b-1.5]メタラキシルMまたはメフェノキサム(metalaxyl-Mまたはmefenoxam)、[b-1.6]オキサジキシル(oxadixyl)、[b-1.7]オフラセ(ofurace)等が挙げられる。
b-2:有糸核分裂および細胞分裂阻害剤
有糸核分裂および細胞分裂阻害剤として、[b-2.1]ベノミル(benomyl)、[b-2.2]カルベンダジム(carbendazim)、[b-2.3]フベリダゾール(fuberidazole)、[b-2.4]チアベンダゾール(thiabendazole)、[b-2.5]チオファネート(thiophanate)、[b-2.6]チオファネートメチル(thiophanate-methyl)、[b-2.7]ジエトフェンカルブ(diethofencarb)、[b-2.8]ゾキサミド(zoxamide)、[b-2.9]エタボキサム(ethaboxam)、[b-2.10]ペンシクロン(pencycuron)、[b-2.11]フルオピコリド(fluopicolide)、[b-2.12]フェナマクリル(phenamacril)等が挙げられる。
有糸核分裂および細胞分裂阻害剤として、[b-2.1]ベノミル(benomyl)、[b-2.2]カルベンダジム(carbendazim)、[b-2.3]フベリダゾール(fuberidazole)、[b-2.4]チアベンダゾール(thiabendazole)、[b-2.5]チオファネート(thiophanate)、[b-2.6]チオファネートメチル(thiophanate-methyl)、[b-2.7]ジエトフェンカルブ(diethofencarb)、[b-2.8]ゾキサミド(zoxamide)、[b-2.9]エタボキサム(ethaboxam)、[b-2.10]ペンシクロン(pencycuron)、[b-2.11]フルオピコリド(fluopicolide)、[b-2.12]フェナマクリル(phenamacril)等が挙げられる。
b-3:コハク酸脱水素酵素阻害剤(SDHI剤)
コハク酸脱水素酵素阻害剤(SDHI剤)として、[b-3.1]ベノダニル(benodanil)、[b-3.2]ベンゾビンジフルピル(benzovindiflupyr)、[b-3.3]ビキサフェン(bixafen)、[b-3.4]ボスカリド(boscalid)、[b-3.5]カルボキシン(carboxin)、[b-3.6]フェンフラム(fenfuram)、[b-3.7]フルオピラム(fluopyram)、[b-3.8]フルトラニル(flutolanil)、[b-3.9]フルキサピロキサド(fluxapyroxad)、[b-3.10]フラメトピル(furametpyr)、[b-3.11]イソフェタミド(isofetamid)、[b-3.12]イソピラザム(isopyrazam)、[b-3.13]メプロニル(mepronil)、[b-3.14]オキシカルボキシン(oxycarboxin)、[b-3.15]ペンチオピラド(penthiopyrad)、[b-3.16]ペンフルフェン(penflufen)、[b-3.17]ピジフルメトフェン(pydiflumetofen)、[b-3.18]セダキサン(sedaxane)、[b-3.19]チフルザミド(thifluzamide)、[b-3.20]ピラジフルミド(pyraziflumid)等が挙げられる。
コハク酸脱水素酵素阻害剤(SDHI剤)として、[b-3.1]ベノダニル(benodanil)、[b-3.2]ベンゾビンジフルピル(benzovindiflupyr)、[b-3.3]ビキサフェン(bixafen)、[b-3.4]ボスカリド(boscalid)、[b-3.5]カルボキシン(carboxin)、[b-3.6]フェンフラム(fenfuram)、[b-3.7]フルオピラム(fluopyram)、[b-3.8]フルトラニル(flutolanil)、[b-3.9]フルキサピロキサド(fluxapyroxad)、[b-3.10]フラメトピル(furametpyr)、[b-3.11]イソフェタミド(isofetamid)、[b-3.12]イソピラザム(isopyrazam)、[b-3.13]メプロニル(mepronil)、[b-3.14]オキシカルボキシン(oxycarboxin)、[b-3.15]ペンチオピラド(penthiopyrad)、[b-3.16]ペンフルフェン(penflufen)、[b-3.17]ピジフルメトフェン(pydiflumetofen)、[b-3.18]セダキサン(sedaxane)、[b-3.19]チフルザミド(thifluzamide)、[b-3.20]ピラジフルミド(pyraziflumid)等が挙げられる。
b-4:キノン外部阻害剤(QoI剤)
キノン外部阻害剤(QoI剤)として、[b-4.1]アゾキシストロビン(azoxystrobin)、[b-4.2]クモキシストロビン(coumoxystrobin)、[b-4.3]ジモキシストロビン(dimoxystrobin)、[b-4.4]エノキサストロビン(enoxastrobin)、[b-4.5]ファモキサドン(famoxadone)、[b-4.6]フェンアミドン(fenamidone)、[b-4.7]フェナミンストロビン(fenaminstrobin)、[b-4.8]フルフェノキシストロビン(flufenoxystrobin)、[b-4.9]フルオキサストロビン(fluoxastrobin)、[b-4.10]クレソキシムメチル(kresoxim-methyl)、[b-4.11]マンデストロビン(mandestrobin)、[b-4.12]メトミノストロビン(metominostrobin)、[b-4.13]オリサストロビン(orysastrobin)、[b-4.14]ピコキシストロビン(picoxystrobin)、[b-4.15]ピラクロストロビン(pyraclostrobin)、[b-4.16]ピラメトストロビン(pyrametostrobin)、[b-4.17]ピラオキシストロビン(pyraoxystrobin)、[b-4.18]ピリベンカルブ(pyribencarb)、[b-4.19]トリクロピリカルブ(triclopyricarb)、[b-4.20]トリフロキシストロビン(trifloxystrobin)等が挙げられる。
キノン外部阻害剤(QoI剤)として、[b-4.1]アゾキシストロビン(azoxystrobin)、[b-4.2]クモキシストロビン(coumoxystrobin)、[b-4.3]ジモキシストロビン(dimoxystrobin)、[b-4.4]エノキサストロビン(enoxastrobin)、[b-4.5]ファモキサドン(famoxadone)、[b-4.6]フェンアミドン(fenamidone)、[b-4.7]フェナミンストロビン(fenaminstrobin)、[b-4.8]フルフェノキシストロビン(flufenoxystrobin)、[b-4.9]フルオキサストロビン(fluoxastrobin)、[b-4.10]クレソキシムメチル(kresoxim-methyl)、[b-4.11]マンデストロビン(mandestrobin)、[b-4.12]メトミノストロビン(metominostrobin)、[b-4.13]オリサストロビン(orysastrobin)、[b-4.14]ピコキシストロビン(picoxystrobin)、[b-4.15]ピラクロストロビン(pyraclostrobin)、[b-4.16]ピラメトストロビン(pyrametostrobin)、[b-4.17]ピラオキシストロビン(pyraoxystrobin)、[b-4.18]ピリベンカルブ(pyribencarb)、[b-4.19]トリクロピリカルブ(triclopyricarb)、[b-4.20]トリフロキシストロビン(trifloxystrobin)等が挙げられる。
b-5:キノン内部阻害剤(QiI剤)
キノン内部阻害剤(QiI剤)として、[b-5.1]シアゾファミド(cyazofamid)、[b-5.2]アミスルブロム(amisulbrom)等が挙げられる。
キノン内部阻害剤(QiI剤)として、[b-5.1]シアゾファミド(cyazofamid)、[b-5.2]アミスルブロム(amisulbrom)等が挙げられる。
b-6:酸化的リン酸化脱共役阻害剤
酸化的リン酸化脱共役阻害剤として、[b-6.1]ビナパクリル(binapacryl)、[b-6.2]メプチルジノカップ(meptyldinocap)、[b-6.3]ジノカップ(dinocap)、[b-6.4]フルアジナム(fluazinam)等が挙げられる。
酸化的リン酸化脱共役阻害剤として、[b-6.1]ビナパクリル(binapacryl)、[b-6.2]メプチルジノカップ(meptyldinocap)、[b-6.3]ジノカップ(dinocap)、[b-6.4]フルアジナム(fluazinam)等が挙げられる。
b-7:キノン外部スチグマテリン結合サブサイト阻害剤(QoSI剤)
キノン外部スチグマテリン結合サブサイト阻害剤(QoSI剤)として、[b-7.1]アメトクトラジン(ametoctradin)等が挙げられる。
キノン外部スチグマテリン結合サブサイト阻害剤(QoSI剤)として、[b-7.1]アメトクトラジン(ametoctradin)等が挙げられる。
b-8:アミノ酸生合成阻害剤
アミノ酸生合成阻害剤として、[b-8.1]シプロジニル(cyprodinil)、[b-8.2]メパニピリム(mepanipyrim)、[b-8.3]ピリメタニル(pyrimethanil)等が挙げられる。
アミノ酸生合成阻害剤として、[b-8.1]シプロジニル(cyprodinil)、[b-8.2]メパニピリム(mepanipyrim)、[b-8.3]ピリメタニル(pyrimethanil)等が挙げられる。
b-9:タンパク質生合成阻害剤
タンパク質生合成阻害剤として、[b-9.1]ストレプトマイシン(streptomycin)、[b-9.2]ブラストサイジンS(blasticidin-S)、[b-9.3]カスガマイシン(kasugamycin)、[b-9.4]オキシテトラサイクリン(oxytetracycline)等が挙げられる。
タンパク質生合成阻害剤として、[b-9.1]ストレプトマイシン(streptomycin)、[b-9.2]ブラストサイジンS(blasticidin-S)、[b-9.3]カスガマイシン(kasugamycin)、[b-9.4]オキシテトラサイクリン(oxytetracycline)等が挙げられる。
b-10:シグナル伝達阻害剤
シグナル伝達阻害剤として、[b-10.1]フェンピクロニル(fenpiclonil)、[b-10.2]フルジオキソニル(fludioxonil)、[b-10.3]キノキシフェン(quinoxyfen)、[b-10.4]プロキナジド(proquinazid)、[b-10.5]クロゾリネート(chlozolinate)、[b-10.6]ジメタクロン(dimethachlone)、[b-10.7]イプロジオン(iprodione)、[b-10.8]プロシミドン(procymidone)、[b-10.9]ビンクロゾリン(vinclozolin)等が挙げられる。
シグナル伝達阻害剤として、[b-10.1]フェンピクロニル(fenpiclonil)、[b-10.2]フルジオキソニル(fludioxonil)、[b-10.3]キノキシフェン(quinoxyfen)、[b-10.4]プロキナジド(proquinazid)、[b-10.5]クロゾリネート(chlozolinate)、[b-10.6]ジメタクロン(dimethachlone)、[b-10.7]イプロジオン(iprodione)、[b-10.8]プロシミドン(procymidone)、[b-10.9]ビンクロゾリン(vinclozolin)等が挙げられる。
b-11:脂質および細胞膜生合成阻害剤
脂質および細胞膜生合成阻害剤として、[b-11.1]エジフェンホス(edifenphos)、[b-11.2]イプロベンホス(iprobenfos)、[b-11.3]ピラゾホス(pyrazophos)、[b-11.4]イソプロチオラン(isoprothiolane)、[b-11.5]ビフェニル(biphenyl)、[b-11.6]クロロネブ(chloroneb)、[b-11.7]ジクロラン(dicloran)、[b-11.8]キントゼン(quintozene)、[b-11.9]テクナゼン(tecnazene)、[b-11.10]トルクロホスメチル(tolclofos-methyl)、[b-11.11]エトリジアゾール(echlomezol or etridiazole)、[b-11.12]ヨードカルブ(iodocarb)、[b-11.13]プロパモカルブ(propamocarb)、[b-11.14]プロチオカルブ(prothiocarb)等が挙げられる。
脂質および細胞膜生合成阻害剤として、[b-11.1]エジフェンホス(edifenphos)、[b-11.2]イプロベンホス(iprobenfos)、[b-11.3]ピラゾホス(pyrazophos)、[b-11.4]イソプロチオラン(isoprothiolane)、[b-11.5]ビフェニル(biphenyl)、[b-11.6]クロロネブ(chloroneb)、[b-11.7]ジクロラン(dicloran)、[b-11.8]キントゼン(quintozene)、[b-11.9]テクナゼン(tecnazene)、[b-11.10]トルクロホスメチル(tolclofos-methyl)、[b-11.11]エトリジアゾール(echlomezol or etridiazole)、[b-11.12]ヨードカルブ(iodocarb)、[b-11.13]プロパモカルブ(propamocarb)、[b-11.14]プロチオカルブ(prothiocarb)等が挙げられる。
b-12:脱メチル化阻害剤(DMI剤)
脱メチル化阻害剤(DMI剤)として、[b-12.1]アザコナゾール(azaconazole)、[b-12.2]ビテルタノール(bitertanol)、[b-12.3]ブロムコナゾール(bromuconazole)、[b-12.4]シプロコナゾール(cyproconazole)、[b-12.5]ジフェノコナゾール(difenoconazole)、[b-12.6]ジニコナゾール(diniconazole)、[b-12.7]ジニコナゾールM(diniconazole-M)、[b-12.8]エポキシコナゾール(epoxiconazole)、[b-12.9]エタコナゾール(etaconazole)、[b-12.10]フェナリモル(fenarimol)、[b-12.11]フェンブコナゾール(fenbuconazole)、[b-12.12]フルキンコナゾール(fluquinconazole)、[b-12.13]キンコナゾール(quinconazole)、[b-12.14]フルシラゾール(flusilazole)、[b-12.15]フルトリアホール(flutriafol)、[b-12.16]ヘキサコナゾール(hexaconazole)、[b-12.17]イマザリル(imazalil)、[b-12.18]イミベンコナゾール(imibenconazole)、[b-12.19]イプコナゾール(ipconazole)、[b-12.20]メトコナゾール(metconazole)、[b-12.21]ミクロブタニル(myclobutanil)、[b-12.22]ヌアリモール(nuarimol)、[b-12.23]オキスポコナゾール(oxpoconazole)、[b-12.24]オキスポコナゾールフマル酸塩(oxpoconazole fumarate)、[b-12.25]ペフラゾエート(pefurazoate)、[b-12.26]ペンコナゾール(penconazole)、[b-12.27]プロクロラズ(prochloraz)、[b-12.28]プロピコナゾール(propiconazole)、[b-12.29]プロチオコナゾール(prothioconazole)、[b-12.30]ピリフェノックス(pyrifenox)、[b-12.31]ピリソキサゾール(pyrisoxazole)、[b-12.32]シメコナゾール(simeconazole)、[b-12.33]テブコナゾール(tebuconazole)、[b-12.34]テトラコナゾール(tetraconazole)、[b-12.35]トリアジメホン(triadimefon)、[b-12.36]トリアジメノール(triadimenol)、[b-12.37]トリフルミゾール(triflumizole)、[b-12.38]トリホリン(triforine)、[b-12.39]トリチコナゾール(triticonazole)[b-12.40]メフェントリフルコナゾール(mefentrifluconazole)、[b-12.41]イプフェントリフルコナゾール(ipfentrifluconazole)等が挙げられる。
脱メチル化阻害剤(DMI剤)として、[b-12.1]アザコナゾール(azaconazole)、[b-12.2]ビテルタノール(bitertanol)、[b-12.3]ブロムコナゾール(bromuconazole)、[b-12.4]シプロコナゾール(cyproconazole)、[b-12.5]ジフェノコナゾール(difenoconazole)、[b-12.6]ジニコナゾール(diniconazole)、[b-12.7]ジニコナゾールM(diniconazole-M)、[b-12.8]エポキシコナゾール(epoxiconazole)、[b-12.9]エタコナゾール(etaconazole)、[b-12.10]フェナリモル(fenarimol)、[b-12.11]フェンブコナゾール(fenbuconazole)、[b-12.12]フルキンコナゾール(fluquinconazole)、[b-12.13]キンコナゾール(quinconazole)、[b-12.14]フルシラゾール(flusilazole)、[b-12.15]フルトリアホール(flutriafol)、[b-12.16]ヘキサコナゾール(hexaconazole)、[b-12.17]イマザリル(imazalil)、[b-12.18]イミベンコナゾール(imibenconazole)、[b-12.19]イプコナゾール(ipconazole)、[b-12.20]メトコナゾール(metconazole)、[b-12.21]ミクロブタニル(myclobutanil)、[b-12.22]ヌアリモール(nuarimol)、[b-12.23]オキスポコナゾール(oxpoconazole)、[b-12.24]オキスポコナゾールフマル酸塩(oxpoconazole fumarate)、[b-12.25]ペフラゾエート(pefurazoate)、[b-12.26]ペンコナゾール(penconazole)、[b-12.27]プロクロラズ(prochloraz)、[b-12.28]プロピコナゾール(propiconazole)、[b-12.29]プロチオコナゾール(prothioconazole)、[b-12.30]ピリフェノックス(pyrifenox)、[b-12.31]ピリソキサゾール(pyrisoxazole)、[b-12.32]シメコナゾール(simeconazole)、[b-12.33]テブコナゾール(tebuconazole)、[b-12.34]テトラコナゾール(tetraconazole)、[b-12.35]トリアジメホン(triadimefon)、[b-12.36]トリアジメノール(triadimenol)、[b-12.37]トリフルミゾール(triflumizole)、[b-12.38]トリホリン(triforine)、[b-12.39]トリチコナゾール(triticonazole)[b-12.40]メフェントリフルコナゾール(mefentrifluconazole)、[b-12.41]イプフェントリフルコナゾール(ipfentrifluconazole)等が挙げられる。
b-13:アミン系殺菌剤
アミン系殺菌剤として、[b-13.1]アルジモルフ(aldimorph)、[b-13.2]ドデモルフ(dodemorph)、[b-13.3]フェンプロピモルフ(fenpropimorph)、[b-13.4]トリデモルフ(tridemorph)、[b-13.5]フェンプロピジン(fenpropidin)、[b-13.6]ピペラリン(piperalin)、[b-13.7]スピロキサミン(spiroxamine)等が挙げられる。
アミン系殺菌剤として、[b-13.1]アルジモルフ(aldimorph)、[b-13.2]ドデモルフ(dodemorph)、[b-13.3]フェンプロピモルフ(fenpropimorph)、[b-13.4]トリデモルフ(tridemorph)、[b-13.5]フェンプロピジン(fenpropidin)、[b-13.6]ピペラリン(piperalin)、[b-13.7]スピロキサミン(spiroxamine)等が挙げられる。
b-14:ステロール生合成のC4位脱メチル化における3-ケト還元酵素阻害剤
ステロール生合成のC4位脱メチル化における3-ケト還元酵素阻害剤として、[b-14.1]フェンヘキサミド(fenhexamid)、[b-14.2]フェンピラザミン(fenpyrazamine)等が挙げられる。
ステロール生合成のC4位脱メチル化における3-ケト還元酵素阻害剤として、[b-14.1]フェンヘキサミド(fenhexamid)、[b-14.2]フェンピラザミン(fenpyrazamine)等が挙げられる。
b-15:ステロール生合成のスクアレンエポキシダーゼ阻害剤
ステロール生合成のスクアレンエポキシダーゼ阻害剤として、[b-15.1]ピリブチカルブ(pyributicarb)、[b-15.2]ナフチフィン(naftifine)、[b-15.3]テルビナフィン(terbinafine)等が挙げられる。
ステロール生合成のスクアレンエポキシダーゼ阻害剤として、[b-15.1]ピリブチカルブ(pyributicarb)、[b-15.2]ナフチフィン(naftifine)、[b-15.3]テルビナフィン(terbinafine)等が挙げられる。
b-16:細胞壁生合成阻害剤
細胞壁生合成阻害剤として、[b-16.1]ポリオキシン類(polyoxins)、[b-16.2]ジメトモルフ(dimethomorph)、[b-16.3]フルモルフ(flumorph)、[b-16.4]ピリモルフ(pyrimorph)、[b-16.5]ベンチアバリカルブ(benthiavalicarb)、[b-16.6]ベンチアバリカルブイソプロピル(benthivalicarb-isopropyl)、[b-16.7]イプロバリカルブ(iprovalicarb)、[b-16.8]マンジプロパミド(mandipropamid)、[b-17.9]バリフェナレート(valifenalate)等が挙げられる。
細胞壁生合成阻害剤として、[b-16.1]ポリオキシン類(polyoxins)、[b-16.2]ジメトモルフ(dimethomorph)、[b-16.3]フルモルフ(flumorph)、[b-16.4]ピリモルフ(pyrimorph)、[b-16.5]ベンチアバリカルブ(benthiavalicarb)、[b-16.6]ベンチアバリカルブイソプロピル(benthivalicarb-isopropyl)、[b-16.7]イプロバリカルブ(iprovalicarb)、[b-16.8]マンジプロパミド(mandipropamid)、[b-17.9]バリフェナレート(valifenalate)等が挙げられる。
b-17:メラニン生合成阻害剤
メラニン生合成阻害剤として、[b-17.1]フサライド(phthalide or fthalide)、[b-17.2]ピロキロン(pyroquilone)、[b-17.3]トリシクラゾール(tricyclazole)、[b-17.4]カルプロパミド(carpropamid)、[b-17.5]ジクロシメット(diclocymet)、[b-17.6]フェノキサニル(fenoxanil)、[b-17.7]トルプロカルブ(tolprocarb)等が挙げられる。
メラニン生合成阻害剤として、[b-17.1]フサライド(phthalide or fthalide)、[b-17.2]ピロキロン(pyroquilone)、[b-17.3]トリシクラゾール(tricyclazole)、[b-17.4]カルプロパミド(carpropamid)、[b-17.5]ジクロシメット(diclocymet)、[b-17.6]フェノキサニル(fenoxanil)、[b-17.7]トルプロカルブ(tolprocarb)等が挙げられる。
b-18:宿主植物抵抗性誘導剤
宿主植物抵抗性誘導剤として、[b-18.1]アシベンゾラルSメチル(acibenzolar-S-methyl)、[b-18.2]プロベナゾール(probenazole)、[b-18.3]チアジニル(tiadinil)、[b-18.4]イソチアニル(isotianil)、[b-18.5]ラミナリン(laminarin)等が挙げられる。
宿主植物抵抗性誘導剤として、[b-18.1]アシベンゾラルSメチル(acibenzolar-S-methyl)、[b-18.2]プロベナゾール(probenazole)、[b-18.3]チアジニル(tiadinil)、[b-18.4]イソチアニル(isotianil)、[b-18.5]ラミナリン(laminarin)等が挙げられる。
b-19:ジチオカーバメート系殺菌剤
ジチオカーバメート系殺菌剤として、[b-19.1]マンコゼブまたはマンゼブ(mancozeb or manzeb)、[b-19.2]マンネブ(maneb)、[b-19.3]メチラム(metiram)、[b-19.4]プロピネブ(propineb)、[b-19.5]チウラム(thiram)、[b-19.6]ジネブ(zineb)、[b-19.7]ジラム(ziram)、[b-19.8]フェルバム(ferbam)等が挙げられる。
ジチオカーバメート系殺菌剤として、[b-19.1]マンコゼブまたはマンゼブ(mancozeb or manzeb)、[b-19.2]マンネブ(maneb)、[b-19.3]メチラム(metiram)、[b-19.4]プロピネブ(propineb)、[b-19.5]チウラム(thiram)、[b-19.6]ジネブ(zineb)、[b-19.7]ジラム(ziram)、[b-19.8]フェルバム(ferbam)等が挙げられる。
b-20:フタルイミド系殺菌剤
フタルイミド系殺菌剤として、[b-20.1]キャプタン(captan)、[b-20.2]キャプタホール(captafol)、[b-20.3]ホルペット(folpet)、[b-20.4]フルオロホルペット(fluorofolpet)等が挙げられる。
フタルイミド系殺菌剤として、[b-20.1]キャプタン(captan)、[b-20.2]キャプタホール(captafol)、[b-20.3]ホルペット(folpet)、[b-20.4]フルオロホルペット(fluorofolpet)等が挙げられる。
b-21:グアニジン系殺菌剤
グアニジン系殺菌剤として、[b-21.1]グアザチン(guazatine)、[b-21.2]イミノクタジン(iminoctadine)、[b-21.3]イミノクタジンアルベシル酸塩(iminoctadine albesilate)、[b-21.4]イミノクタジン三酢酸塩(iminoctadine triacetate)等が挙げられる。
グアニジン系殺菌剤として、[b-21.1]グアザチン(guazatine)、[b-21.2]イミノクタジン(iminoctadine)、[b-21.3]イミノクタジンアルベシル酸塩(iminoctadine albesilate)、[b-21.4]イミノクタジン三酢酸塩(iminoctadine triacetate)等が挙げられる。
b-22:多作用点接触活性型殺菌剤
多作用点接触活性型殺菌剤として、[b-22.1]塩基性塩化銅(copper oxychloride)、[b-22.2]水酸化第二銅(copper(II) hydroxide)、[b-22.3]塩基性硫酸銅(copper hydroxide sulfate)、[b-22.4]有機銅化合物(organocopper compound)、[b-22.5]ドデシルベンゼンスルホン酸ビスエチレンジアミン銅錯塩[II](Dodecylbenzenesulphonic acid bisethylenediamine copper [II] salt、DBEDC)、[b-22.6]硫黄(sulphur)、[b-22.7]フルオルイミド(fluoroimide)、[b-22.8]クロロタロニル(chlorothalonil)、[b-22.9]ジクロフルアニド(dichlofluanid)、[b-22.10]トリルフルアニド(tolylfluanid)、[b-22.11]アニラジン(anilazine)、[b-22.12]ジチアノン(dithianon)、[b-22.13]キノメチオナート(chinomethionat or quinomethionate)、[b-22.14]ハウチワマメ苗木の子葉からの抽出物(BLAD)等が挙げられる。
多作用点接触活性型殺菌剤として、[b-22.1]塩基性塩化銅(copper oxychloride)、[b-22.2]水酸化第二銅(copper(II) hydroxide)、[b-22.3]塩基性硫酸銅(copper hydroxide sulfate)、[b-22.4]有機銅化合物(organocopper compound)、[b-22.5]ドデシルベンゼンスルホン酸ビスエチレンジアミン銅錯塩[II](Dodecylbenzenesulphonic acid bisethylenediamine copper [II] salt、DBEDC)、[b-22.6]硫黄(sulphur)、[b-22.7]フルオルイミド(fluoroimide)、[b-22.8]クロロタロニル(chlorothalonil)、[b-22.9]ジクロフルアニド(dichlofluanid)、[b-22.10]トリルフルアニド(tolylfluanid)、[b-22.11]アニラジン(anilazine)、[b-22.12]ジチアノン(dithianon)、[b-22.13]キノメチオナート(chinomethionat or quinomethionate)、[b-22.14]ハウチワマメ苗木の子葉からの抽出物(BLAD)等が挙げられる。
b-23:その他の殺菌剤
その他の殺菌剤として、[b-23.1]ジクロベンチアゾクス(dichlobentiazox)、[b-23.2]フェンピコキサミド(fenpicoxamid)、[b-23.3]ジピメチトロン(dipymetitrone)、[b-23.4]ブピリメート(bupirimate)、[b-23.5]ジメチリモール(dimethirimol)、[b-23.6]エチリモール(ethirimol)、[b-23.7]酢酸トリフェニルスズ(fentin acetate)、[b-23.8]塩化トリフェニルスズ(fentin chloride)、[b-23.9]水酸化トリフェニルスズ(fentin hydroxide)、[b-23.10]オキソリニック酸(oxolinic acid)、[b-23.11]ヒメキサゾール(hymexazol)、[b-23.12]オクチリノン(octhilinone)、[b-23.13]ホセチル(fosetyl)、[b-23.14]亜リン酸(phosphorous acid)、[b-23.15]亜リン酸のナトリウム塩(sodium phosphite)、[b-23.16]亜リン酸のアンモニウム塩(ammonium phosphite)、[b-23.17]亜リン酸のカリウム塩(potassium phosphite)、[b-23.18]テクロフタラム(tecloftalam)、[b-23.19]トリアゾキシド(triazoxide)、[b-23.20]フルスルファミド(flusulfamide)、[b-23.21]ジクロメジン(diclomezine)、[b-23.22]シルチオファム(silthiofam)、[b-23.23]ジフルメトリム(diflumetorim)、[b-23.24]メタスルホカルブ(methasulfocarb)、[b-23.25]シフルフェナミド(cyflufenamid)、[b-23.26]メトラフェノン(metrafenone)、[b-23.27]ピリオフェノン(pyriofenone)、[b-23.28]ドジン(dodine)、[b-23.29]フルチアニル(flutianil)、[b-23.30]フェリムゾン(ferimzone)、[b-23.31]オキサチアピプロリン(oxathiapiprolin)、[b-23.32]テブフロキン(tebufloquin)、[b-23.33]ピカルブトラゾクス(picarbutrazox)、[b-23.34]バリダマイシン類(validamycins)、[b-23.35]シモキサニル(cymoxanil)、[b-23.36]キノフメリン(quinofumelin)、
その他の殺菌剤として、[b-23.1]ジクロベンチアゾクス(dichlobentiazox)、[b-23.2]フェンピコキサミド(fenpicoxamid)、[b-23.3]ジピメチトロン(dipymetitrone)、[b-23.4]ブピリメート(bupirimate)、[b-23.5]ジメチリモール(dimethirimol)、[b-23.6]エチリモール(ethirimol)、[b-23.7]酢酸トリフェニルスズ(fentin acetate)、[b-23.8]塩化トリフェニルスズ(fentin chloride)、[b-23.9]水酸化トリフェニルスズ(fentin hydroxide)、[b-23.10]オキソリニック酸(oxolinic acid)、[b-23.11]ヒメキサゾール(hymexazol)、[b-23.12]オクチリノン(octhilinone)、[b-23.13]ホセチル(fosetyl)、[b-23.14]亜リン酸(phosphorous acid)、[b-23.15]亜リン酸のナトリウム塩(sodium phosphite)、[b-23.16]亜リン酸のアンモニウム塩(ammonium phosphite)、[b-23.17]亜リン酸のカリウム塩(potassium phosphite)、[b-23.18]テクロフタラム(tecloftalam)、[b-23.19]トリアゾキシド(triazoxide)、[b-23.20]フルスルファミド(flusulfamide)、[b-23.21]ジクロメジン(diclomezine)、[b-23.22]シルチオファム(silthiofam)、[b-23.23]ジフルメトリム(diflumetorim)、[b-23.24]メタスルホカルブ(methasulfocarb)、[b-23.25]シフルフェナミド(cyflufenamid)、[b-23.26]メトラフェノン(metrafenone)、[b-23.27]ピリオフェノン(pyriofenone)、[b-23.28]ドジン(dodine)、[b-23.29]フルチアニル(flutianil)、[b-23.30]フェリムゾン(ferimzone)、[b-23.31]オキサチアピプロリン(oxathiapiprolin)、[b-23.32]テブフロキン(tebufloquin)、[b-23.33]ピカルブトラゾクス(picarbutrazox)、[b-23.34]バリダマイシン類(validamycins)、[b-23.35]シモキサニル(cymoxanil)、[b-23.36]キノフメリン(quinofumelin)、
[b-23.52]式(s16)
[式中、A3は、水素原子、ハロゲン原子、C1~C6のアルキル基、C1~C6のハロアルキル基、またはシアノ基を表し、A4は、水素原子、C1~C6のアルキル基、C1~C6のハロアルキル基、またはC3~C8のシクロアルキル基を表す。]で表される化合物(国際公開第14/095675号参照)、
[式中、A3は、水素原子、ハロゲン原子、C1~C6のアルキル基、C1~C6のハロアルキル基、またはシアノ基を表し、A4は、水素原子、C1~C6のアルキル基、C1~C6のハロアルキル基、またはC3~C8のシクロアルキル基を表す。]で表される化合物(国際公開第14/095675号参照)、
[b-23.53]式(s17)
[式中、m1は、0~3の整数を表し、A5およびA6は、それぞれ独立していて、ハロゲン原子、またはC1~C6のアルキル基を表し、A7およびA8は、それぞれ独立していて、ハロゲン原子、またはC1~C6のアルコキシ基を表し、m1が2以上の場合、2以上のA7は、それぞれ独立した置換基を表し、同一または異なっていてよい。]で表される化合物(国際公開第09/137538号、国際特許第09/137651号参照)、
[式中、m1は、0~3の整数を表し、A5およびA6は、それぞれ独立していて、ハロゲン原子、またはC1~C6のアルキル基を表し、A7およびA8は、それぞれ独立していて、ハロゲン原子、またはC1~C6のアルコキシ基を表し、m1が2以上の場合、2以上のA7は、それぞれ独立した置換基を表し、同一または異なっていてよい。]で表される化合物(国際公開第09/137538号、国際特許第09/137651号参照)、
[b-23.54]式(s18)
[式中、A9およびA10は、それぞれ独立していて、水素原子、またはハロゲン原子を表し、A11は、ハロゲン原子を表し、A12は、ハロゲン原子、またはC1~C6のアルキル基を表し、A13は、ハロゲン原子、シアノ基、C1~C6のアルキル基、またはC1~C6のアルコキシ基を表す。]で表される化合物(国際公開第12/031061号参照)、
[式中、A9およびA10は、それぞれ独立していて、水素原子、またはハロゲン原子を表し、A11は、ハロゲン原子を表し、A12は、ハロゲン原子、またはC1~C6のアルキル基を表し、A13は、ハロゲン原子、シアノ基、C1~C6のアルキル基、またはC1~C6のアルコキシ基を表す。]で表される化合物(国際公開第12/031061号参照)、
[b-23.55]式(s19)
[式中、m2は、0~6の整数を表し、A14およびA15は、それぞれ独立していて、ハロゲン原子、シアノ基、またはC1~C6のアルキル基を表し、A16は、水素原子、ハロゲン原子、またはC1~C6のアルコキシ基を表し、A17は、ハロゲン原子、またはC1~C6のアルコキシ基を表し、m2が2以上の場合、2以上のA17は、それぞれ独立した置換基を表し、同一または異なっていてよい。]で表される化合物(国際公開第05/121104号参照)、
[式中、m2は、0~6の整数を表し、A14およびA15は、それぞれ独立していて、ハロゲン原子、シアノ基、またはC1~C6のアルキル基を表し、A16は、水素原子、ハロゲン原子、またはC1~C6のアルコキシ基を表し、A17は、ハロゲン原子、またはC1~C6のアルコキシ基を表し、m2が2以上の場合、2以上のA17は、それぞれ独立した置換基を表し、同一または異なっていてよい。]で表される化合物(国際公開第05/121104号参照)、
[b-23.56]式(s20)
[式中、A18およびA19は、それぞれ独立していて、ハロゲン原子、シアノ基、またはC1~C6のアルキル基を表し、A20、A21およびA22は、それぞれ独立していて、水素原子、ハロゲン原子、またはC1~C6のアルコキシ基を表す。]で表される化合物(国際公開第07/066601号参照)、
[式中、A18およびA19は、それぞれ独立していて、ハロゲン原子、シアノ基、またはC1~C6のアルキル基を表し、A20、A21およびA22は、それぞれ独立していて、水素原子、ハロゲン原子、またはC1~C6のアルコキシ基を表す。]で表される化合物(国際公開第07/066601号参照)、
[b-23.57]式(s21)
[式中、A23およびA24は、それぞれ独立していて、水素原子、ハロゲン原子、C1~C6のアルキル基、またはC3~C8のシクロアルキル基を表し、Xは、酸素原子または硫黄原子を表す。]で表される化合物(国際公開第07/087906号、国際特許第09/016220号、国際特許第10/130767号参照)、
[式中、A23およびA24は、それぞれ独立していて、水素原子、ハロゲン原子、C1~C6のアルキル基、またはC3~C8のシクロアルキル基を表し、Xは、酸素原子または硫黄原子を表す。]で表される化合物(国際公開第07/087906号、国際特許第09/016220号、国際特許第10/130767号参照)、
[b-23.58]式(s22)
[式中、m3は、0~5の整数を表し、A25は、ハロゲン原子、C1~C6のアルキル基、C1~C6のハロアルキル基、C1~C6のアルコキシ基、C1~C6のハロアルコキシ基、またはC3~C8のシクロアルキル基を表し、m3が2以上の場合、2以上のA25は、それぞれ独立した置換基を表し、同一または異なっていてよい。]で表される化合物(国際公開第13/092224号参照)、
[式中、m3は、0~5の整数を表し、A25は、ハロゲン原子、C1~C6のアルキル基、C1~C6のハロアルキル基、C1~C6のアルコキシ基、C1~C6のハロアルコキシ基、またはC3~C8のシクロアルキル基を表し、m3が2以上の場合、2以上のA25は、それぞれ独立した置換基を表し、同一または異なっていてよい。]で表される化合物(国際公開第13/092224号参照)、
[b-23.59]式(s23)
[式中、A26は、水素原子、またはハロゲン原子を表し、V1およびV2は、それぞれ独立していて、酸素原子、または硫黄原子を表す。]で表される化合物(国際公開第12/025450号参照)、
[式中、A26は、水素原子、またはハロゲン原子を表し、V1およびV2は、それぞれ独立していて、酸素原子、または硫黄原子を表す。]で表される化合物(国際公開第12/025450号参照)、
[b-23.60]式(s24)または式(s25)
[式中、m4は、0~5の整数を表し、A27は、C1~C6のアルキル基を表し、A28は、ハロゲン原子、シアノ基、C1~C6のアルキル基、またはC1~C6のハロアルキル基を表し、m4が2以上の場合、2以上のA28は、それぞれ独立した置換基を表し、同一または異なっていてよく、A29は、C1~C6のアルキル基、C2~C6のアルケニル基、またはC3~C6のアルキニル基を表す。]で表される化合物(国際公開第13/037717号参照)、
[式中、m4は、0~5の整数を表し、A27は、C1~C6のアルキル基を表し、A28は、ハロゲン原子、シアノ基、C1~C6のアルキル基、またはC1~C6のハロアルキル基を表し、m4が2以上の場合、2以上のA28は、それぞれ独立した置換基を表し、同一または異なっていてよく、A29は、C1~C6のアルキル基、C2~C6のアルケニル基、またはC3~C6のアルキニル基を表す。]で表される化合物(国際公開第13/037717号参照)、
[b-23.61]式(s26)または式(s27)
[式中、m5は、0~5の整数を表し、A30は、C1~C6のアルキル基を表し、A31は、ハロゲン原子、シアノ基、C1~C6のアルキル基、またはC1~C6のハロアルキル基を表し、m5が2以上の場合、2以上のA31は、それぞれ独立した置換基を表し、同一または異なっていてよく、A32は、C1~C6のアルキル基、C2~C6のアルケニル基、またはC3~C6のアルキニル基を表す。]で表される化合物(国際公開第13/037717号参照)、
[式中、m5は、0~5の整数を表し、A30は、C1~C6のアルキル基を表し、A31は、ハロゲン原子、シアノ基、C1~C6のアルキル基、またはC1~C6のハロアルキル基を表し、m5が2以上の場合、2以上のA31は、それぞれ独立した置換基を表し、同一または異なっていてよく、A32は、C1~C6のアルキル基、C2~C6のアルケニル基、またはC3~C6のアルキニル基を表す。]で表される化合物(国際公開第13/037717号参照)、
[b-23.62]式(s28)
[式中、A33、A34、A35およびA36は、それぞれ独立していて、水素原子、またはハロゲン原子を表し、A37は、水素原子、アセチル基、またはベンゾイル基を表す。]で表される化合物(国際公開第06/031631号、国際特許第10/069882号参照)、
[式中、A33、A34、A35およびA36は、それぞれ独立していて、水素原子、またはハロゲン原子を表し、A37は、水素原子、アセチル基、またはベンゾイル基を表す。]で表される化合物(国際公開第06/031631号、国際特許第10/069882号参照)、
[b-23.63]式(s29)
[式中、A38は、C1~C6のアルキル基、またはC1~C6のハロアルキル基を表し、A39およびA40は、それぞれ独立していて、水素原子、またはハロゲン原子を表す。]で表される化合物(国際公開第14/043376号参照)、
[式中、A38は、C1~C6のアルキル基、またはC1~C6のハロアルキル基を表し、A39およびA40は、それぞれ独立していて、水素原子、またはハロゲン原子を表す。]で表される化合物(国際公開第14/043376号参照)、
[b-23.64]式(s30)
[式中、A41は、水素原子、水硫基(-SH)、チオシアン酸基(-SCN)、またはC1~C6のアルキルチオ基を表し、A42、A43、A44およびA45は、それぞれ独立していて、水素原子、またはハロゲン原子を表す。]で表される化合物(国際公開第09/077443号参照)、
[式中、A41は、水素原子、水硫基(-SH)、チオシアン酸基(-SCN)、またはC1~C6のアルキルチオ基を表し、A42、A43、A44およびA45は、それぞれ独立していて、水素原子、またはハロゲン原子を表す。]で表される化合物(国際公開第09/077443号参照)、
[b-23.65]式(s31)または式(s32)
[式中、A46は、水素原子、またはハロゲン原子を表し、A47は、C1~C6のアルキル基を表し、A48は、ハロゲン原子を表す。]で表される化合物(国際公開第11/070771号参照)、
[式中、A46は、水素原子、またはハロゲン原子を表し、A47は、C1~C6のアルキル基を表し、A48は、ハロゲン原子を表す。]で表される化合物(国際公開第11/070771号参照)、
[b-23.66]式(s33)
[式中、A49、A50およびA51は、それぞれ独立していて、水素原子、またはハロゲン原子を表す。]で表される化合物(国際公開第11/081174号参照)等が挙げられる。
[式中、A49、A50およびA51は、それぞれ独立していて、水素原子、またはハロゲン原子を表す。]で表される化合物(国際公開第11/081174号参照)等が挙げられる。
本発明化合物と混合して使用することができる殺虫剤に含まれる具体的な成分は、以下の群cで例示され、これらの塩、異性体およびN-オキシド体を含む。ただし、公知の殺虫剤はこれらに限定されるものではない。
群c:
c-1:カーバメート系アセチルコリンエステラーゼ(AChE)阻害剤
カーバメート系アセチルコリンエステラーゼ(AChE)阻害剤として、[c-1.1]ホスホカルブ(phosphocarb)、[c-1.2]アラニカルブ(alanycarb)、[c-1.3]ブトカルボキシム(butocarboxim)、[c-1.4]ブトキシカルボキシム(butoxycarboxim)、[c-1.5]チオジカルブ(thiodicarb)、[c-1.6]チオファノックス(thiofanox)、[c-1.7]アルジカルブ(aldicarb)、[c-1.8]ベンジオカルブ(bendiocarb)、[c-1.9]ベンフラカルブ(benfuracarb)、[c-1.10]カルバリル(carbaryl)、[c-1.11]カルボフラン(carbofuran)、[c-1.12]カルボスルファン(carbosulfan)、[c-1.13]エチオフェンカルブ(ethiofencarb)、[c-1.14]フェノブカルブ(fenobucarb)、[c-1.15]ホルメタネート(formetanate)、[c-1.16]フラチオカルブ(furathiocarb)、[c-1.17]イソプロカルブ(isoprocarb)、[c-1.18]メチオカルブ(methiocarb)、[c-1.19]メソミル(methomyl)、[c-1.20]オキサミル(oxamyl)、[c-1.21]ピリミカルブ(pirimicarb)、[c-1.22]プロポキスル(propoxur)、[c-1.23]トリメタカルブ(trimethacarb)、[c-1.24]XMC(3,5-xylyl methylcarbamate)、[c-1.25]アリキシカルブ(allyxycarb)、[c-1.26]アルドキシカルブ(aldoxycarb)、[c-1.27]ブフェンカルブ(bufencarb)、[c-1.28]ブタカルブ(butacarb)、[c-1.29]カーバノレート(carbanolate)、[c-1.30]メトルカルブ(metolcarb)、[c-1.31]キシルイルカルブ(xylylcarb)、[c-1.32]フェノチオカルブ(fenothiocarb)、[c-1.33]キシリルカルブ(xylylcarb)、[c-1.34]ベンダイオカルブ(bendiocarb)等が挙げられる。
c-1:カーバメート系アセチルコリンエステラーゼ(AChE)阻害剤
カーバメート系アセチルコリンエステラーゼ(AChE)阻害剤として、[c-1.1]ホスホカルブ(phosphocarb)、[c-1.2]アラニカルブ(alanycarb)、[c-1.3]ブトカルボキシム(butocarboxim)、[c-1.4]ブトキシカルボキシム(butoxycarboxim)、[c-1.5]チオジカルブ(thiodicarb)、[c-1.6]チオファノックス(thiofanox)、[c-1.7]アルジカルブ(aldicarb)、[c-1.8]ベンジオカルブ(bendiocarb)、[c-1.9]ベンフラカルブ(benfuracarb)、[c-1.10]カルバリル(carbaryl)、[c-1.11]カルボフラン(carbofuran)、[c-1.12]カルボスルファン(carbosulfan)、[c-1.13]エチオフェンカルブ(ethiofencarb)、[c-1.14]フェノブカルブ(fenobucarb)、[c-1.15]ホルメタネート(formetanate)、[c-1.16]フラチオカルブ(furathiocarb)、[c-1.17]イソプロカルブ(isoprocarb)、[c-1.18]メチオカルブ(methiocarb)、[c-1.19]メソミル(methomyl)、[c-1.20]オキサミル(oxamyl)、[c-1.21]ピリミカルブ(pirimicarb)、[c-1.22]プロポキスル(propoxur)、[c-1.23]トリメタカルブ(trimethacarb)、[c-1.24]XMC(3,5-xylyl methylcarbamate)、[c-1.25]アリキシカルブ(allyxycarb)、[c-1.26]アルドキシカルブ(aldoxycarb)、[c-1.27]ブフェンカルブ(bufencarb)、[c-1.28]ブタカルブ(butacarb)、[c-1.29]カーバノレート(carbanolate)、[c-1.30]メトルカルブ(metolcarb)、[c-1.31]キシルイルカルブ(xylylcarb)、[c-1.32]フェノチオカルブ(fenothiocarb)、[c-1.33]キシリルカルブ(xylylcarb)、[c-1.34]ベンダイオカルブ(bendiocarb)等が挙げられる。
c-2:有機リン系アセチルコリンエステラーゼ(AChE)阻害剤
有機リン系アセチルコリンエステラーゼ(AChE)阻害剤として、[c-2.1]アセフェート(acephate)、[c-2.2]アザメチホス(azamethiphos)、[c-2.3]アジンホス-メチル(azinphos-methyl)、[c-2.4]アジンホス-エチル(azinphos-ethyl)、[c-2.5]エセフォン(ethephon)、[c-2.6]カズサホス(cadusafos)、[c-2.7]クロルエトキシホス(chlorethoxyfos)、[c-2.8]クロルフェンビンホス(chlorfenvinphos)、[c-2.9]クロルメホス(chlormephos)、[c-2.10]クロルピリホス(chlorpyrifos)、[c-2.11]クロルピリホス-メチル(chlorpyrifos-methyl)、[c-2.12]クマホス(coumaphos)、[c-2.13]シアノホス(cyanophos)、[c-2.14]デメトン-S-メチル(demeton-S-methyl)、[c-2.15]ダイアジノン(diazinon)、[c-2.16]ジクロフェンチオン(dichlofenthion)、[c-2.17]ジクロルボス(dichlorvos)、[c-2.18]ジクロトホス(dicrotophos)、[c-2.19]ジメトエート(dimethoate)、[c-2.20]ジメチルビンホス(dimethylvinphos)、[c-2.21]ジスルホトン(disulfoton)、[c-2.22]O-エチル O-4-ニトロフェニル フェニルホスホノチオアート(O-ethyl O-4-nitrophenyl phenylphosphonothioate)、[c-2.23]エチオン(ethion)、[c-2.24]エトプロホス(ethoprophos)、[c-2.25]ファムフール(famphur)、[c-2.26]フェナミホス(fenamiphos)、[c-2.27]フェニトロチオン(fenitrothion)、[c-2.28]フェンチオン(fenthion)、[c-2.29]ホスチアゼート(fosthiazate)、[c-2.30]ヘプテノホス(heptenophos)、[c-2.31]イソフェンホス-メチル(isofenphos-methyl)、[c-2.32]イソカルボホス(Isocarbophos)、[c-2.33]イソキサチオン(isoxathion)、[c-2.34]マラチオン(malathion)、[c-2.35]メカルバム(mecarbam)、[c-2.36]メタミドホス(methamidophos)、[c-2.37]メチダチオン(methidathion)、[c-2.38]メビンホス(mevinphos)、[c-2.39]モノクロトホス(monocrotophos)、[c-2.40]ナレッド(naled)、[c-2.41]オメトエート(omethoate)、[c-2.42]オキシデメトン-メチル(oxydemeton-methyl)、[c-2.43]パラチオン(parathions)、[c-2.44]パラチオン-メチル(parathion-methyl)、[c-2.45]フェントエート(phenthoate)、[c-2.46]ホレート(phorate)、[c-2.47]ホサロン(phosalone)、[c-2.48]ホスメット(phosmet)、[c-2.49]ホスファミドン(phosphamidon)、[c-2.50]ホキシム(phoxim)、[c-2.51]ピリミホス-メチル(pirimiphos-methyl)、[c-2.52]プロフェノホス(profenofos)、[c-2.53]プロペタンホス(propetamphos)、[c-2.54]プロチオホス(prothiofos)、[c-2.55]ピラクロホス(pyraclofos)、[c-2.56]ピリダフェンチオン(pyridaphenthion)、[c-2.57]キナルホス(quinalphos)、[c-2.58]スルホテップ(sulfotep)、[c-2.59]テブピリムホス(tebupirimfos)、[c-2.60]テメホス(temephos)、[c-2.61]テルブホス(terbufos)、[c-2.62]チオメトン(thiometon)、[c-2.63]トリアゾホス(triazophos)、[c-2.64]トリクロルホン(trichlorfon)、[c-2.65]バミドチオン(vamidothion)、[c-2.66]クロルチオン(chlorothion)、[c-2.67]ブロムフェンビンホス(bromfenvinfos)、[c-2.68]ブロモホス(bromophos)、[c-2.69]ブロモホス-エチル(bromophos-ethyl)、[c-2.70]ブタチオホス(butathiofos)、[c-2.71]カルボフェノチオン(carbophenothion)、[c-2.72]クロルホキシム(chlorphoxim)、[c-2.73]スルプロホス(sulprofos)、[c-2.74]ジアミダホス(diamidafos)、[c-2.75]テトラクロルビンホス(tetrachlorvinphos)、[c-2.76]プロパホス(propaphos)、[c-2.77]メスルフェンホス(mesulfenfos)、[c-2.78]ジオキサベンゾホス(dioxabenzofos)、[c-2.79]エトリムホス(etrimfos)、[c-2.80]オキシデプロホス(oxydeprofos)、[c-2.81]ホルモチオン(formothion)、[c-2.82]フェンスルホチオン(fensulfothion)、[c-2.83]イサゾホス(isazofos)、[c-2.84]イミシアホス(imicyafos)、[c-2.85]イサミドホス(isamidofos)、[c-2.86]チオナジン(thionazin)、[c-2.87]ホスチエタン(fosthietan)等が挙げられる。
有機リン系アセチルコリンエステラーゼ(AChE)阻害剤として、[c-2.1]アセフェート(acephate)、[c-2.2]アザメチホス(azamethiphos)、[c-2.3]アジンホス-メチル(azinphos-methyl)、[c-2.4]アジンホス-エチル(azinphos-ethyl)、[c-2.5]エセフォン(ethephon)、[c-2.6]カズサホス(cadusafos)、[c-2.7]クロルエトキシホス(chlorethoxyfos)、[c-2.8]クロルフェンビンホス(chlorfenvinphos)、[c-2.9]クロルメホス(chlormephos)、[c-2.10]クロルピリホス(chlorpyrifos)、[c-2.11]クロルピリホス-メチル(chlorpyrifos-methyl)、[c-2.12]クマホス(coumaphos)、[c-2.13]シアノホス(cyanophos)、[c-2.14]デメトン-S-メチル(demeton-S-methyl)、[c-2.15]ダイアジノン(diazinon)、[c-2.16]ジクロフェンチオン(dichlofenthion)、[c-2.17]ジクロルボス(dichlorvos)、[c-2.18]ジクロトホス(dicrotophos)、[c-2.19]ジメトエート(dimethoate)、[c-2.20]ジメチルビンホス(dimethylvinphos)、[c-2.21]ジスルホトン(disulfoton)、[c-2.22]O-エチル O-4-ニトロフェニル フェニルホスホノチオアート(O-ethyl O-4-nitrophenyl phenylphosphonothioate)、[c-2.23]エチオン(ethion)、[c-2.24]エトプロホス(ethoprophos)、[c-2.25]ファムフール(famphur)、[c-2.26]フェナミホス(fenamiphos)、[c-2.27]フェニトロチオン(fenitrothion)、[c-2.28]フェンチオン(fenthion)、[c-2.29]ホスチアゼート(fosthiazate)、[c-2.30]ヘプテノホス(heptenophos)、[c-2.31]イソフェンホス-メチル(isofenphos-methyl)、[c-2.32]イソカルボホス(Isocarbophos)、[c-2.33]イソキサチオン(isoxathion)、[c-2.34]マラチオン(malathion)、[c-2.35]メカルバム(mecarbam)、[c-2.36]メタミドホス(methamidophos)、[c-2.37]メチダチオン(methidathion)、[c-2.38]メビンホス(mevinphos)、[c-2.39]モノクロトホス(monocrotophos)、[c-2.40]ナレッド(naled)、[c-2.41]オメトエート(omethoate)、[c-2.42]オキシデメトン-メチル(oxydemeton-methyl)、[c-2.43]パラチオン(parathions)、[c-2.44]パラチオン-メチル(parathion-methyl)、[c-2.45]フェントエート(phenthoate)、[c-2.46]ホレート(phorate)、[c-2.47]ホサロン(phosalone)、[c-2.48]ホスメット(phosmet)、[c-2.49]ホスファミドン(phosphamidon)、[c-2.50]ホキシム(phoxim)、[c-2.51]ピリミホス-メチル(pirimiphos-methyl)、[c-2.52]プロフェノホス(profenofos)、[c-2.53]プロペタンホス(propetamphos)、[c-2.54]プロチオホス(prothiofos)、[c-2.55]ピラクロホス(pyraclofos)、[c-2.56]ピリダフェンチオン(pyridaphenthion)、[c-2.57]キナルホス(quinalphos)、[c-2.58]スルホテップ(sulfotep)、[c-2.59]テブピリムホス(tebupirimfos)、[c-2.60]テメホス(temephos)、[c-2.61]テルブホス(terbufos)、[c-2.62]チオメトン(thiometon)、[c-2.63]トリアゾホス(triazophos)、[c-2.64]トリクロルホン(trichlorfon)、[c-2.65]バミドチオン(vamidothion)、[c-2.66]クロルチオン(chlorothion)、[c-2.67]ブロムフェンビンホス(bromfenvinfos)、[c-2.68]ブロモホス(bromophos)、[c-2.69]ブロモホス-エチル(bromophos-ethyl)、[c-2.70]ブタチオホス(butathiofos)、[c-2.71]カルボフェノチオン(carbophenothion)、[c-2.72]クロルホキシム(chlorphoxim)、[c-2.73]スルプロホス(sulprofos)、[c-2.74]ジアミダホス(diamidafos)、[c-2.75]テトラクロルビンホス(tetrachlorvinphos)、[c-2.76]プロパホス(propaphos)、[c-2.77]メスルフェンホス(mesulfenfos)、[c-2.78]ジオキサベンゾホス(dioxabenzofos)、[c-2.79]エトリムホス(etrimfos)、[c-2.80]オキシデプロホス(oxydeprofos)、[c-2.81]ホルモチオン(formothion)、[c-2.82]フェンスルホチオン(fensulfothion)、[c-2.83]イサゾホス(isazofos)、[c-2.84]イミシアホス(imicyafos)、[c-2.85]イサミドホス(isamidofos)、[c-2.86]チオナジン(thionazin)、[c-2.87]ホスチエタン(fosthietan)等が挙げられる。
c-3:GABA作動性塩素イオンチャネルブロッカー
GABA作動性塩素イオンチャネルブロッカーとして、[c-3.1]クロルデン(chlordane)、[c-3.2]エンドスルファン(endosulfan)、[c-3.3]リンデン(lindane)、[c-3.4]ジエノクロル(dienochlor)、[c-3.5]エチプロール(ethiprole)、[c-3.6]フィプロニル(fipronil)、[c-3.7]アセトプロール(acetoprole)等が挙げられる。
GABA作動性塩素イオンチャネルブロッカーとして、[c-3.1]クロルデン(chlordane)、[c-3.2]エンドスルファン(endosulfan)、[c-3.3]リンデン(lindane)、[c-3.4]ジエノクロル(dienochlor)、[c-3.5]エチプロール(ethiprole)、[c-3.6]フィプロニル(fipronil)、[c-3.7]アセトプロール(acetoprole)等が挙げられる。
c-4:ナトリウムチャネルモジュレーター
ナトリウムチャネルモジュレーターとして、[c-4.1]アクリナトリン(acrinathrin)、[c-4.2]アレスリン[(1R)-アイソマー](allethrin[(1R)-isomer])、[c-4.3]ビフェントリン(bifenthrin)、[c-4.4]ビオアレスリン(bioallethrin)、[c-4.5]ビオアレスリン S-シクロペンテニル アイソマー(bioallethrin S-cyclopentenyl isomer)、[c-4.6]ビオレスメトリン(bioresmethrin)、[c-4.7]シクロプロトリン(cycloprothrin)、[c-4.8]シフルトリン(cyfluthrin)、[c-4.9]ベータ-シフルトリン(beta-cyfluthrin)、[c-4.10]シハロトリン(cyhalothrin)、[c-4.11]ガンマ-シハロトリン(gamma-cyhalothrin)、[c-4.12]ラムダ-シハロトリン(lambda-cyhalothrin)、[c-4.13]シペルメトリン(cypermethrin)、[c-4.14]アルファ-シペルメトリン(alpha-cypermethrin)、[c-4.15]ベータ-シペルメトリン(beta-cypermethrin)、[c-4.16]セタ-シペルメトリン(theta-cypermethrin)、[c-4.17]ゼダ-シペルメトリン(zeta-cypermethrin)、[c-4.18]シフェノトリン[(1R)-トランス-アイソマー](cyphenothrin[(1R)-trans-isomer])、[c-4.19]デルタメトリン(deltamethrin)、[c-4.20]エンペントリン[(EZ)-(1R)-アイソマー](empenthrin[(EZ)-(1R)-isomer])、[c-4.21]エスフェンバレレート(esfenvalerate)、[c-4.22]エトフェンプロックス(ethofenprox)、[c-4.23]フェンプロパトリン(fenpropathrin)、[c-4.24]フェンバレレート(fenvalerate)、[c-4.25]フルシトリネート(flucythrinate)、[c-4.26]フルメトリン(flumethrin)、[c-4.27]タウ-フルバリネート(tau-fluvalinate)、[c-4.28]ハルフェンプロックス(halfenprox)、[c-4.29]イミプロトリン(imiprothrin)、[c-4.30]メトトリン(methothrin)、[c-4.31]メトフルトリン(metofluthrin)、[c-4.32]イプシロン-メトフルトリン(epsilon-metofluthrin)、[c-4.33]モンフルオロトリン(momfluorothrin)、[c-4.34]イプシロン-モンフルオロトリン(epsilon-momfluorothrin)、[c-4.35]ペルメトリン(permethrin)、[c-4.36]フェノトリン[(1R)-トランス-アイソマー](phenothrin[(1R)-trans-isomer])、[c-4.37]プラレトリン(prallethrin)、[c-4.38]レスメトリン(resmethrin)、[c-4.39]カデトリン(kadethrin)、[c-4.40]シラフルオフェン(silafluofen)、[c-4.41]テフルトリン(tefluthrin)、[c-4.42]テトラメトリン(tetramethrin)、[c-4.43]テトラメトリン[(1R)-アイソマー](tetramethrin[(1R)-isomer])、[c-4.44]トラロメトリン(tralomethrin)、[c-4.45]トランスフルトリン(transfluthrin)、[c-4.46]ZXI8901(3-(4-bromophenoxy)phenyl]-cyanomethyl4-(difluoromethoxy)-α-(1-methylethyl)benzeneacetate)、[c-4.47]バイオペルメトリン(biopermethrin)、[c-4.48]フラメトリン(furamethrin)、[c-4.49]プロフルトリン(profluthrin)、[c-4.50]フルブロシトリネート(flubrocythrinate)、[c-4.51]ジメフルトリン(dimefluthrin)、[c-4.52]DDT(dichloro-diphenyl-trichloroethane)、[c-4.53]メトキシクロル(methoxychlor)、[c-4.54]フェノトリン(phenothrin)、[c-4.55]フルバリネート(fluvalinate)等が挙げられる。
ナトリウムチャネルモジュレーターとして、[c-4.1]アクリナトリン(acrinathrin)、[c-4.2]アレスリン[(1R)-アイソマー](allethrin[(1R)-isomer])、[c-4.3]ビフェントリン(bifenthrin)、[c-4.4]ビオアレスリン(bioallethrin)、[c-4.5]ビオアレスリン S-シクロペンテニル アイソマー(bioallethrin S-cyclopentenyl isomer)、[c-4.6]ビオレスメトリン(bioresmethrin)、[c-4.7]シクロプロトリン(cycloprothrin)、[c-4.8]シフルトリン(cyfluthrin)、[c-4.9]ベータ-シフルトリン(beta-cyfluthrin)、[c-4.10]シハロトリン(cyhalothrin)、[c-4.11]ガンマ-シハロトリン(gamma-cyhalothrin)、[c-4.12]ラムダ-シハロトリン(lambda-cyhalothrin)、[c-4.13]シペルメトリン(cypermethrin)、[c-4.14]アルファ-シペルメトリン(alpha-cypermethrin)、[c-4.15]ベータ-シペルメトリン(beta-cypermethrin)、[c-4.16]セタ-シペルメトリン(theta-cypermethrin)、[c-4.17]ゼダ-シペルメトリン(zeta-cypermethrin)、[c-4.18]シフェノトリン[(1R)-トランス-アイソマー](cyphenothrin[(1R)-trans-isomer])、[c-4.19]デルタメトリン(deltamethrin)、[c-4.20]エンペントリン[(EZ)-(1R)-アイソマー](empenthrin[(EZ)-(1R)-isomer])、[c-4.21]エスフェンバレレート(esfenvalerate)、[c-4.22]エトフェンプロックス(ethofenprox)、[c-4.23]フェンプロパトリン(fenpropathrin)、[c-4.24]フェンバレレート(fenvalerate)、[c-4.25]フルシトリネート(flucythrinate)、[c-4.26]フルメトリン(flumethrin)、[c-4.27]タウ-フルバリネート(tau-fluvalinate)、[c-4.28]ハルフェンプロックス(halfenprox)、[c-4.29]イミプロトリン(imiprothrin)、[c-4.30]メトトリン(methothrin)、[c-4.31]メトフルトリン(metofluthrin)、[c-4.32]イプシロン-メトフルトリン(epsilon-metofluthrin)、[c-4.33]モンフルオロトリン(momfluorothrin)、[c-4.34]イプシロン-モンフルオロトリン(epsilon-momfluorothrin)、[c-4.35]ペルメトリン(permethrin)、[c-4.36]フェノトリン[(1R)-トランス-アイソマー](phenothrin[(1R)-trans-isomer])、[c-4.37]プラレトリン(prallethrin)、[c-4.38]レスメトリン(resmethrin)、[c-4.39]カデトリン(kadethrin)、[c-4.40]シラフルオフェン(silafluofen)、[c-4.41]テフルトリン(tefluthrin)、[c-4.42]テトラメトリン(tetramethrin)、[c-4.43]テトラメトリン[(1R)-アイソマー](tetramethrin[(1R)-isomer])、[c-4.44]トラロメトリン(tralomethrin)、[c-4.45]トランスフルトリン(transfluthrin)、[c-4.46]ZXI8901(3-(4-bromophenoxy)phenyl]-cyanomethyl4-(difluoromethoxy)-α-(1-methylethyl)benzeneacetate)、[c-4.47]バイオペルメトリン(biopermethrin)、[c-4.48]フラメトリン(furamethrin)、[c-4.49]プロフルトリン(profluthrin)、[c-4.50]フルブロシトリネート(flubrocythrinate)、[c-4.51]ジメフルトリン(dimefluthrin)、[c-4.52]DDT(dichloro-diphenyl-trichloroethane)、[c-4.53]メトキシクロル(methoxychlor)、[c-4.54]フェノトリン(phenothrin)、[c-4.55]フルバリネート(fluvalinate)等が挙げられる。
c-5:ニコチン性アセチルコリン受容体(nAChR)競合的モジュレーター
ニコチン性アセチルコリン受容体(nAChR)競合的モジュレーターとして、[c-5.1]アセタミプリド(acetamiprid)、[c-5.2]クロチアニジン(clothianidin)、[c-5.3]ジノテフラン(dinotefuran)、[c-5.4]イミダクロプリド(imidacloprid)、[c-5.5]ニテンピラム(nitenpyram)、[c-5.6]チアクロプリド(thiacloprid)、[c-5.7]チアメトキサム(thiamethoxam)、[c-5.8]ニコチン(nicotine)、[c-5.9]硫酸ニコチン(nicotine sulfate)、[c-5.10]スルホキサフロル(sulfoxaflor)、[c-5.11]フルピラジフロン(flupyradifurone)、[c-5.12]トリフルメゾピリム(triflumezopyrim)等が挙げられる。
ニコチン性アセチルコリン受容体(nAChR)競合的モジュレーターとして、[c-5.1]アセタミプリド(acetamiprid)、[c-5.2]クロチアニジン(clothianidin)、[c-5.3]ジノテフラン(dinotefuran)、[c-5.4]イミダクロプリド(imidacloprid)、[c-5.5]ニテンピラム(nitenpyram)、[c-5.6]チアクロプリド(thiacloprid)、[c-5.7]チアメトキサム(thiamethoxam)、[c-5.8]ニコチン(nicotine)、[c-5.9]硫酸ニコチン(nicotine sulfate)、[c-5.10]スルホキサフロル(sulfoxaflor)、[c-5.11]フルピラジフロン(flupyradifurone)、[c-5.12]トリフルメゾピリム(triflumezopyrim)等が挙げられる。
c-6:ニコチン性アセチルコリン受容体(nAChR)アロステリックモジュレーター
ニコチン性アセチルコリン受容体(nAChR)アロステリックモジュレーターとして、[c-6.1]スピノサド(spinosad)、[c-6.2]スピネトラム(spinetoram)等が挙げられる。
ニコチン性アセチルコリン受容体(nAChR)アロステリックモジュレーターとして、[c-6.1]スピノサド(spinosad)、[c-6.2]スピネトラム(spinetoram)等が挙げられる。
c-7:グルタミン酸作動性塩素イオンチャネル(GluCl)アロステリックモジュレーター
グルタミン酸作動性塩素イオンチャネル(GluCl)アロステリックモジュレーターとして、[c-7.1]アバメクチン(abamectin)、[c-7.2]エマメクチン安息香酸塩(emamectin benzoate)、[c-7.3]レピメクチン(lepimectin)、[c-7.4]ミルベメクチン(milbemectin)等が挙げられる。
グルタミン酸作動性塩素イオンチャネル(GluCl)アロステリックモジュレーターとして、[c-7.1]アバメクチン(abamectin)、[c-7.2]エマメクチン安息香酸塩(emamectin benzoate)、[c-7.3]レピメクチン(lepimectin)、[c-7.4]ミルベメクチン(milbemectin)等が挙げられる。
c-8:幼若ホルモン類似剤
幼若ホルモン類似剤として、[c-8.1]ヒドロプレン(hydroprene)、[c-8.2]キノプレン(kinoprene)、[c-8.3]メトプレン(methoprene)、[c-8.4]フェノキシカルブ(fenoxycarb)、[c-8.5]ピリプロキシフェン(pyriproxyfen)等が挙げられる。
幼若ホルモン類似剤として、[c-8.1]ヒドロプレン(hydroprene)、[c-8.2]キノプレン(kinoprene)、[c-8.3]メトプレン(methoprene)、[c-8.4]フェノキシカルブ(fenoxycarb)、[c-8.5]ピリプロキシフェン(pyriproxyfen)等が挙げられる。
c-9:非特異的(マルチサイト)阻害剤
非特異的(マルチサイト)阻害剤として、[c-9.1]臭化メチル(methyl bromide)、[c-9.2]クロルピクリン(chloropicrin)、[c-9.3]クリオライト(cryolite)、[c-9.4]フッ化スルフリル(sulfuryl fluoride)、[c-9.5]ホウ砂(borax)、[c-9.6]ホウ酸(boric acid)、[c-9.7]オクタホウ酸ニナトリウム塩(disodium octaborate)、[c-9.8]メタホウ酸ナトリウム塩(sodium metaborate)、[c-9.9]吐酒石(tartar emetic)、[c-9.10]ダゾメット(dazomet)、[c-9.11]メタム(metam)、[c-9.12]カーバムナトリウム塩(metham sodium)等が挙げられる。
非特異的(マルチサイト)阻害剤として、[c-9.1]臭化メチル(methyl bromide)、[c-9.2]クロルピクリン(chloropicrin)、[c-9.3]クリオライト(cryolite)、[c-9.4]フッ化スルフリル(sulfuryl fluoride)、[c-9.5]ホウ砂(borax)、[c-9.6]ホウ酸(boric acid)、[c-9.7]オクタホウ酸ニナトリウム塩(disodium octaborate)、[c-9.8]メタホウ酸ナトリウム塩(sodium metaborate)、[c-9.9]吐酒石(tartar emetic)、[c-9.10]ダゾメット(dazomet)、[c-9.11]メタム(metam)、[c-9.12]カーバムナトリウム塩(metham sodium)等が挙げられる。
c-10:弦音器官TRPVチャネルモジュレーター
弦音器官TRPVチャネルモジュレーターとして、[c-10.1]ピメトロジン(pymetrozine)、[c-10.2]ピリフルキナゾン(pyrifluquinazon)等が挙げられる。
弦音器官TRPVチャネルモジュレーターとして、[c-10.1]ピメトロジン(pymetrozine)、[c-10.2]ピリフルキナゾン(pyrifluquinazon)等が挙げられる。
c-11:ダニ類成長阻害剤
ダニ類成長阻害剤として、[c-11.1]クロフェンテジン(clofentezine)、[c-11.2]ジフロビダジン(diflovidazin)、[c-11.3]ヘキシチアゾクス(hexythiazox)、[c-11.4]エトキサゾール(etoxazole)等が挙げられる。
ダニ類成長阻害剤として、[c-11.1]クロフェンテジン(clofentezine)、[c-11.2]ジフロビダジン(diflovidazin)、[c-11.3]ヘキシチアゾクス(hexythiazox)、[c-11.4]エトキサゾール(etoxazole)等が挙げられる。
c-12:ミトコンドリアATP合成酵素阻害剤
ミトコンドリアATP合成酵素阻害剤として、[c-12.1]ジアフェンチウロン(diafenthiuron)、[c-12.2]アゾシクロチン(azocyclotin)、[c-12.3]シヘキサチン(cyhexatin)、[c-12.4]フェンブタチンオキシド(fenbutatin oxide)、[c-12.5]プロパルギット(propargite)、[c-12.6]テトラジホン(tetradifon)等が挙げられる。
ミトコンドリアATP合成酵素阻害剤として、[c-12.1]ジアフェンチウロン(diafenthiuron)、[c-12.2]アゾシクロチン(azocyclotin)、[c-12.3]シヘキサチン(cyhexatin)、[c-12.4]フェンブタチンオキシド(fenbutatin oxide)、[c-12.5]プロパルギット(propargite)、[c-12.6]テトラジホン(tetradifon)等が挙げられる。
c-13:プロトン勾配を撹乱する酸化的リン酸化脱共役剤
プロトン勾配を撹乱する酸化的リン酸化脱共役剤として、[c-13.1]クロルフェナピル(chlorfenapyl)、[c-13.2]DNOC(dinitro-ortho-cresol)、[c-13.3]ビナパクリル(binapacryl)、[c-13.4]スルフルラミド(sulfluramid)等が挙げられる。
プロトン勾配を撹乱する酸化的リン酸化脱共役剤として、[c-13.1]クロルフェナピル(chlorfenapyl)、[c-13.2]DNOC(dinitro-ortho-cresol)、[c-13.3]ビナパクリル(binapacryl)、[c-13.4]スルフルラミド(sulfluramid)等が挙げられる。
c-14:ニコチン性アセチルコリン受容体(nAChR)チャネルブロッカー
ニコチン性アセチルコリン受容体(nAChR)チャネルブロッカーとして、[c-14.1]ベンスルタップ(bensultap)、[c-14.2]カルタップ塩酸塩(cartap hydrochloride)、[c-14.3]チオシクラム(thiocyclam)、[c-14.4]モノスルタップ(monosultap)等が挙げられる。
ニコチン性アセチルコリン受容体(nAChR)チャネルブロッカーとして、[c-14.1]ベンスルタップ(bensultap)、[c-14.2]カルタップ塩酸塩(cartap hydrochloride)、[c-14.3]チオシクラム(thiocyclam)、[c-14.4]モノスルタップ(monosultap)等が挙げられる。
c-15:キチン生合成阻害剤タイプ0
キチン生合成阻害剤タイプ0として、[c-15.1]ビストリフルロン(bistrifluron)、[c-15.2]クロルフルアズロン(chlorfluazuron)、[c-15.3]ジフルベンズロン(diflubenzuron)、[c-15.4]フルシクロクスロン(flucycloxuron)、[c-15.5]フルフェノクスロン(flufenoxuron)、[c-15.6]ヘキサフルムロン(hexaflumuron)、[c-15.7]ルフェヌロン(lufenuron)、[c-15.8]ノバルロン(novaluron)、[c-15.9]ノビフルムロン(noviflumuron)、[c-15.10]テフルベンズロン(teflubenzuron)、[c-15.11]トリフルムロン(triflumuron)等が挙げられる。
キチン生合成阻害剤タイプ0として、[c-15.1]ビストリフルロン(bistrifluron)、[c-15.2]クロルフルアズロン(chlorfluazuron)、[c-15.3]ジフルベンズロン(diflubenzuron)、[c-15.4]フルシクロクスロン(flucycloxuron)、[c-15.5]フルフェノクスロン(flufenoxuron)、[c-15.6]ヘキサフルムロン(hexaflumuron)、[c-15.7]ルフェヌロン(lufenuron)、[c-15.8]ノバルロン(novaluron)、[c-15.9]ノビフルムロン(noviflumuron)、[c-15.10]テフルベンズロン(teflubenzuron)、[c-15.11]トリフルムロン(triflumuron)等が挙げられる。
c-16:キチン生合成阻害剤タイプ1
キチン生合成阻害剤タイプ1として、[c-16.1]ブプロフェジン(buprofezin)等が挙げられる。
キチン生合成阻害剤タイプ1として、[c-16.1]ブプロフェジン(buprofezin)等が挙げられる。
c-17:ハエ目昆虫脱皮阻害剤
ハエ目昆虫脱皮阻害剤として、[c-17.1]シロマジン(cyromazine)等が挙げられる。
ハエ目昆虫脱皮阻害剤として、[c-17.1]シロマジン(cyromazine)等が挙げられる。
c-18:脱皮ホルモン(エクダイソン)受容体アゴニスト
脱皮ホルモン(エクダイソン)受容体アゴニストとして、[c-18.1]クロマフェノジド(chromafenozide)、[c-18.2]ハロフェノジド(halofenozide)、[c-18.3]メトキシフェノジド(methoxyfenozide)、[c-18.4]テブフェノジド(tebufenozide)等が挙げられる。
脱皮ホルモン(エクダイソン)受容体アゴニストとして、[c-18.1]クロマフェノジド(chromafenozide)、[c-18.2]ハロフェノジド(halofenozide)、[c-18.3]メトキシフェノジド(methoxyfenozide)、[c-18.4]テブフェノジド(tebufenozide)等が挙げられる。
c-19:オクトパミン受容体アゴニスト
オクトパミン受容体アゴニストとして、[c-19.1]アミトラズ(amitraz)等が挙げられる。
オクトパミン受容体アゴニストとして、[c-19.1]アミトラズ(amitraz)等が挙げられる。
c-20:ミトコンドリア電子伝達系複合体III阻害剤
ミトコンドリア電子伝達系複合体III阻害剤として、[c-20.1]ヒドラメチルノン(hydramethylnon)、[c-20.2]アセキノシル(acequinocyl)、[c-20.3]フルアクリピリム(fluacrypyrim)、[c-20.4]ビフェナゼート(bifenazate)等が挙げられる。
ミトコンドリア電子伝達系複合体III阻害剤として、[c-20.1]ヒドラメチルノン(hydramethylnon)、[c-20.2]アセキノシル(acequinocyl)、[c-20.3]フルアクリピリム(fluacrypyrim)、[c-20.4]ビフェナゼート(bifenazate)等が挙げられる。
c-21:ミトコンドリア電子伝達系複合体I阻害剤(METI)
ミトコンドリア電子伝達系複合体I阻害剤(METI)として、[c-21.1]フェナザキン(fenazaquin)、[c-21.2]フェンピロキシメート(fenpyroximate)、[c-21.3]ピリダベン(pyridaben)、[c-21.4]ピリミジフェン(pylimidifen)、[c-21.5]テブフェンピラド(tebufenpyrad)、[c-21.6]トルフェンピラド(tolfenpyrad)、[c-21.7]ロテノン(rotenone)等が挙げられる。
ミトコンドリア電子伝達系複合体I阻害剤(METI)として、[c-21.1]フェナザキン(fenazaquin)、[c-21.2]フェンピロキシメート(fenpyroximate)、[c-21.3]ピリダベン(pyridaben)、[c-21.4]ピリミジフェン(pylimidifen)、[c-21.5]テブフェンピラド(tebufenpyrad)、[c-21.6]トルフェンピラド(tolfenpyrad)、[c-21.7]ロテノン(rotenone)等が挙げられる。
c-22:電位依存性ナトリウムチャネルブロッカー
電位依存性ナトリウムチャネルブロッカーとして、[c-22.1]インドキサカルブ(indoxacarb)、[c-22.2]メタフルミゾン(metaflumizone)等が挙げられる。
電位依存性ナトリウムチャネルブロッカーとして、[c-22.1]インドキサカルブ(indoxacarb)、[c-22.2]メタフルミゾン(metaflumizone)等が挙げられる。
c-23:アセチルCoAカルボキシラーゼ阻害剤
アセチルCoAカルボキシラーゼ阻害剤として、[c-23.1]スピロジクロフェン(spirodiclofen)、[c-23.2]スピロメシフェン(spiromesifen)、[c-23.3]スピロテトラマト(spirotetramat)等が挙げられる。
アセチルCoAカルボキシラーゼ阻害剤として、[c-23.1]スピロジクロフェン(spirodiclofen)、[c-23.2]スピロメシフェン(spiromesifen)、[c-23.3]スピロテトラマト(spirotetramat)等が挙げられる。
c-24:ミトコンドリア電子伝達系複合体IV阻害剤
ミトコンドリア電子伝達系複合体IV阻害剤として、[c-24.1]リン化アルミニウム(aluminum phosphide)、[c-24.2]リン化カルシウム(calcium phosphide)、[c-24.3]リン化水素(phosphine)、[c-24.4]リン化亜鉛(zinc phosphide)、[c-24.5]シアン化カルシウム(calcium cyanide)、[c-24.6]シアン化ナトリウム(sodium cyanide)、[c-24.7]シアン化カリウム(potassium cyanide)等が挙げられる。
ミトコンドリア電子伝達系複合体IV阻害剤として、[c-24.1]リン化アルミニウム(aluminum phosphide)、[c-24.2]リン化カルシウム(calcium phosphide)、[c-24.3]リン化水素(phosphine)、[c-24.4]リン化亜鉛(zinc phosphide)、[c-24.5]シアン化カルシウム(calcium cyanide)、[c-24.6]シアン化ナトリウム(sodium cyanide)、[c-24.7]シアン化カリウム(potassium cyanide)等が挙げられる。
c-25:ミトコンドリア電子伝達系複合体II阻害剤
ミトコンドリア電子伝達系複合体II阻害剤として、[c-25.1]シエノピラフェン(cyenopyrafen)、[c-25.2]シフルメトフェン(cyflumetofen)、[c-25.3]ピフルブミド(pyflubumide)等が挙げられる。
ミトコンドリア電子伝達系複合体II阻害剤として、[c-25.1]シエノピラフェン(cyenopyrafen)、[c-25.2]シフルメトフェン(cyflumetofen)、[c-25.3]ピフルブミド(pyflubumide)等が挙げられる。
c-26:リアノジン受容体モジュレーター
リアノジン受容体モジュレーターとして、[c-26.1]クロラントラニリプロール(chlorantraniliprole)、[c-26.2]シアントラニリプロール(cyantraniliprole)、[c-26.3]フルベンジアミド(flubendiamide)等が挙げられる。
リアノジン受容体モジュレーターとして、[c-26.1]クロラントラニリプロール(chlorantraniliprole)、[c-26.2]シアントラニリプロール(cyantraniliprole)、[c-26.3]フルベンジアミド(flubendiamide)等が挙げられる。
c-27:標的部位未特定の弦音器官モジュレーター
標的部位未特定の弦音器官モジュレーターとして、[c-27.1]フロニカミド(flonicamid)等が挙げられる。
標的部位未特定の弦音器官モジュレーターとして、[c-27.1]フロニカミド(flonicamid)等が挙げられる。
c-28:その他の殺虫剤
その他の殺虫剤として、[c-28.1]アザジラクチン(azadirachtin)、[c-28.2]ベンゾキシメート(benzoximate)、[c-28.3]フェニソブロモレート(phenisobromolate)、[c-28.4]キノメチオナート(chinomethionat)、[c-28.5]ジコホル(dicofol)、[c-28.6]ピリダリル(pyridalyl)、[c-28.7]ブロモプロピレート(bromopropylate)、[c-28.8]トリアザメート(triazamate)、[c-28.9]ジシクラニル(dicyclanil)、[c-28.10]ジノブトン(dinobuton)、[c-28.11]ジノカップ(dinocap)、[c-28.12]シアン化水素(hydrogen cyanide)、[c-28.13]ヨウ化メチル(methyliodide)、[c-28.14]カランジン(karanjin)、[c-28.15]塩化水銀(mercury chloride)、[c-28.16]メチルイソチオシアネート(methyl isothiocyanate)、[c-28.17]ペンタクロロフェノール(pentachlorophenol)、[c-28.18]ホスフィン(phosphine)、[c-28.19]ピペロニル ブトキシド(piperonylbutoxide)、[c-28.20]ポリナクチン複合体(polynactins)、[c-28.21]サバディラ(sabadilla)、[c-28.22]スルコフロン塩(スルコフロン-ナトリウム(sulcofuron-sodium))、[c-28.23]トリブホス(tribufos)、[c-28.24]アルドリン(aldrin)、[c-28.25]アミジチオオン(amidithion)、[c-28.26]アミドチオエート(amidothioate)、[c-28.27]アミノカルブ(aminocarb)、[c-28.28]アミトン(amiton)、[c-28.29]アラマイト(aramite)、[c-28.30]アチダチオン(athidathion)、[c-28.31]アゾトエート(azothoate)、[c-28.32]ポリスルフィドバリウム(barium polysulphide)、[c-28.33]ベンクロチアズ(benclothiaz)、[c-28.34]5-(1,3-ベンゾジオキソール-5-イル)-3-ヘキシルシクロヘキサ-2-エノン(5-(1,3-benzodioxol-5-yl)-3-hexylcyclohexa-2-enone)、[c-28.35]1,1-ビス(4-クロロフェニル)-2-エトキシエタノール(1,1-bis(4-chlorophenyl)-2-ethoxyethanol)、[c-28.36]ブトネート(butonate)、[c-28.37]ブトピロノキシル(butopyronoxyl)、[c-28.38]2-(2-ブトキシエトキシ)エチル チオシアナート(2-(2-butoxyethoxy)ethyl thiocyanate)、[c-28.39]カンフェクロル(camphechlor)、[c-28.40]クロルベンシド(chlorbenside)、[c-28.41]クロルデコン(chlordecone)、[c-28.42]クロルジメホルム(chlordimeform)、[c-28.43]クロルフェネトール(chlorfenethol)、[c-28.44]クロルフェンソン(chlorfenson)、[c-28.45]フルアズロン(fluazuron)、[c-28.46]メタアルデヒド(metaldehyde)、[c-28.47]ビアラホス(bialaphos)、[c-28.48]塩酸レバミゾール(levamisol)、[c-28.49]アミドフルメト(amidoflumet)、[c-28.50]ピラフルプロール(pyrafluprole)、[c-28.51]ピリプロール(pyriprole)、[c-28.52]トラロピリル(tralopyril)、[c-28.53]フルピラゾフォス(flupyrazofos)、[c-28.54]ジオフェノラン(diofenolan)、[c-28.55]クロルベンジレート(chlorobenzilate)、[c-28.56]フルフェンジン(flufenzine)、[c-28.57]ベンゾメート(benzomate)、[c-28.58]フルフェネリム(flufenerim)、[c-28.59]アルベンダゾール(albendazole)、[c-28.60]オキシベンダゾール(oxibendazole)、[c-28.61]フェンベンダゾール(fenbendazole)、[c-28.62]メタム・ナトリウム(metam-sodium)、[c-28.63]1,3-ジクロロプロペン(1,3-dichloropropene)、[c-28.64]フロメトキン(flometoquin)、[c-28.65]シクラニリプロール(cyclaniliprole)、[c-28.66]テトラニリプロール(tetraniliprole)、[c-28.67]ブロフラニリド(broflanilide)、[c-28.68]ジクロロメゾチアズ(dicloromezotiaz)、[c-28.69]エチレンジブロマイド(ethylene dibromide)、[c-28.70]アクリロニトリル(acrylonitrile)、[c-28.71]ビス(2-クロロエチル)エーテル(bis(2-chloroethyl)ether)、[c-28.72]1-ブロモ-2-クロロエタン(1-bromo-2-chloroethane)、[c-28.73]3-ブロモ-1-クロロプロパ-1-エン(3-bromo-1-chloroprop-1-ene)、[c-28.74]ブロモシクレン(bromocyclen)、[c-28.75]二硫化炭素(carbon disulfide)、[c-28.76]四塩化炭素(tetrachloromethane)、[c-28.77]ネマデクチン(nemadectin)、[c-28.78]シミアゾール(cymiazole)、[c-28.79]カルシウム ポリスルフィド(calcium polysulfide)、[c-28.80]サイトカイニン(cytokinin)、[c-28.81]2-(オクチルチオ)エタノール(2-(octylthio)ethanol)、[c-28.82]オレイン酸カリウム(potassium oleate)、[c-28.83]オレイン酸ナトリウム(sodium oleate)、[c-28.84]マシン油(machine oil)、[c-28.85]タール油(tar oil)、[c-28.86]アナバシン(anabasine)、[c-28.87]酒石酸モランテル(morantel tartrate)、[c-28.88]除虫菊(pyrethrum)、[c-28.89]ナタネ油(rape seed oil)、[c-28.90]ダイズレチシン(soybean lecithin)、[c-28.91]デンプン(starch)、[c-28.92]ヒドロキシプロピルデンプン(hydroxypropylstarch)、[c-28.93]脂肪酸グリセリド(decanoyloctanoylglycerol)、[c-28.94]プロピレングリコールモノ脂肪酸エステル(propylene glycol fatty acid ester)、[c-28.95]ケイソウ土(diatomite)、[c-28.96]アフォキソラネル(afoxolaner)、[c-28.97]フルアザインドリジン(fluazaindolizine)、[c-28.98]アフィドピロペン(afidopyropen)、[c-28.99]シハロジアミド(cyhalodiamide)、[c-28.100]チオキサザフェン(tioxazafen)、[c-28.101]フルヘキサフォン(fluhexafon)、[c-28.102]フルララネル(fluralaner)、[c-28.103]フルキサメタミド(fluxametamide)、[c-28.104]テトラクロラントラニリプロール(tetrachlorantraniliprole)、[c-28.105]サロラネル(sarolaner)、[c-28.106]ロチラネル(lotilaner)、[c-28.107]シクロキサプリド(cycloxaprid)、[c-28.108]フルエンスルホン(fluensulfone)、[c-28.109]TPIC(tripropyl isocyanurate)、[c-28.110]D-D(1,3-Dichloropropene)、[c-28.111]ペルオキソカルボナート(peroxocarbonate)、[c-28.112]MB-599(verbutin)、[c-28.113]ビス(2,3,3,3-テトラクロロプロピル)エーテル(bis(2,3,3,3-tetrachloropropyl)ether)、[c-28.114]DCIP(bis(2-chloro-1-methylethyl)ether)、[c-28.115]ENT-8184(N-(2-Ethylhexyl)bicyclo[2.2.1]hept-5-ene-2,3-dicarboximide)、[c-28.116]Bayer 22408(O,O-diethyl O-naphthalimidophosphorothioate)、[c-28.117]Bayer 32394(tris(1-dodecyl-3-methyl-2-phenylbenzimidazolium)hexacyanoferrate)、
その他の殺虫剤として、[c-28.1]アザジラクチン(azadirachtin)、[c-28.2]ベンゾキシメート(benzoximate)、[c-28.3]フェニソブロモレート(phenisobromolate)、[c-28.4]キノメチオナート(chinomethionat)、[c-28.5]ジコホル(dicofol)、[c-28.6]ピリダリル(pyridalyl)、[c-28.7]ブロモプロピレート(bromopropylate)、[c-28.8]トリアザメート(triazamate)、[c-28.9]ジシクラニル(dicyclanil)、[c-28.10]ジノブトン(dinobuton)、[c-28.11]ジノカップ(dinocap)、[c-28.12]シアン化水素(hydrogen cyanide)、[c-28.13]ヨウ化メチル(methyliodide)、[c-28.14]カランジン(karanjin)、[c-28.15]塩化水銀(mercury chloride)、[c-28.16]メチルイソチオシアネート(methyl isothiocyanate)、[c-28.17]ペンタクロロフェノール(pentachlorophenol)、[c-28.18]ホスフィン(phosphine)、[c-28.19]ピペロニル ブトキシド(piperonylbutoxide)、[c-28.20]ポリナクチン複合体(polynactins)、[c-28.21]サバディラ(sabadilla)、[c-28.22]スルコフロン塩(スルコフロン-ナトリウム(sulcofuron-sodium))、[c-28.23]トリブホス(tribufos)、[c-28.24]アルドリン(aldrin)、[c-28.25]アミジチオオン(amidithion)、[c-28.26]アミドチオエート(amidothioate)、[c-28.27]アミノカルブ(aminocarb)、[c-28.28]アミトン(amiton)、[c-28.29]アラマイト(aramite)、[c-28.30]アチダチオン(athidathion)、[c-28.31]アゾトエート(azothoate)、[c-28.32]ポリスルフィドバリウム(barium polysulphide)、[c-28.33]ベンクロチアズ(benclothiaz)、[c-28.34]5-(1,3-ベンゾジオキソール-5-イル)-3-ヘキシルシクロヘキサ-2-エノン(5-(1,3-benzodioxol-5-yl)-3-hexylcyclohexa-2-enone)、[c-28.35]1,1-ビス(4-クロロフェニル)-2-エトキシエタノール(1,1-bis(4-chlorophenyl)-2-ethoxyethanol)、[c-28.36]ブトネート(butonate)、[c-28.37]ブトピロノキシル(butopyronoxyl)、[c-28.38]2-(2-ブトキシエトキシ)エチル チオシアナート(2-(2-butoxyethoxy)ethyl thiocyanate)、[c-28.39]カンフェクロル(camphechlor)、[c-28.40]クロルベンシド(chlorbenside)、[c-28.41]クロルデコン(chlordecone)、[c-28.42]クロルジメホルム(chlordimeform)、[c-28.43]クロルフェネトール(chlorfenethol)、[c-28.44]クロルフェンソン(chlorfenson)、[c-28.45]フルアズロン(fluazuron)、[c-28.46]メタアルデヒド(metaldehyde)、[c-28.47]ビアラホス(bialaphos)、[c-28.48]塩酸レバミゾール(levamisol)、[c-28.49]アミドフルメト(amidoflumet)、[c-28.50]ピラフルプロール(pyrafluprole)、[c-28.51]ピリプロール(pyriprole)、[c-28.52]トラロピリル(tralopyril)、[c-28.53]フルピラゾフォス(flupyrazofos)、[c-28.54]ジオフェノラン(diofenolan)、[c-28.55]クロルベンジレート(chlorobenzilate)、[c-28.56]フルフェンジン(flufenzine)、[c-28.57]ベンゾメート(benzomate)、[c-28.58]フルフェネリム(flufenerim)、[c-28.59]アルベンダゾール(albendazole)、[c-28.60]オキシベンダゾール(oxibendazole)、[c-28.61]フェンベンダゾール(fenbendazole)、[c-28.62]メタム・ナトリウム(metam-sodium)、[c-28.63]1,3-ジクロロプロペン(1,3-dichloropropene)、[c-28.64]フロメトキン(flometoquin)、[c-28.65]シクラニリプロール(cyclaniliprole)、[c-28.66]テトラニリプロール(tetraniliprole)、[c-28.67]ブロフラニリド(broflanilide)、[c-28.68]ジクロロメゾチアズ(dicloromezotiaz)、[c-28.69]エチレンジブロマイド(ethylene dibromide)、[c-28.70]アクリロニトリル(acrylonitrile)、[c-28.71]ビス(2-クロロエチル)エーテル(bis(2-chloroethyl)ether)、[c-28.72]1-ブロモ-2-クロロエタン(1-bromo-2-chloroethane)、[c-28.73]3-ブロモ-1-クロロプロパ-1-エン(3-bromo-1-chloroprop-1-ene)、[c-28.74]ブロモシクレン(bromocyclen)、[c-28.75]二硫化炭素(carbon disulfide)、[c-28.76]四塩化炭素(tetrachloromethane)、[c-28.77]ネマデクチン(nemadectin)、[c-28.78]シミアゾール(cymiazole)、[c-28.79]カルシウム ポリスルフィド(calcium polysulfide)、[c-28.80]サイトカイニン(cytokinin)、[c-28.81]2-(オクチルチオ)エタノール(2-(octylthio)ethanol)、[c-28.82]オレイン酸カリウム(potassium oleate)、[c-28.83]オレイン酸ナトリウム(sodium oleate)、[c-28.84]マシン油(machine oil)、[c-28.85]タール油(tar oil)、[c-28.86]アナバシン(anabasine)、[c-28.87]酒石酸モランテル(morantel tartrate)、[c-28.88]除虫菊(pyrethrum)、[c-28.89]ナタネ油(rape seed oil)、[c-28.90]ダイズレチシン(soybean lecithin)、[c-28.91]デンプン(starch)、[c-28.92]ヒドロキシプロピルデンプン(hydroxypropylstarch)、[c-28.93]脂肪酸グリセリド(decanoyloctanoylglycerol)、[c-28.94]プロピレングリコールモノ脂肪酸エステル(propylene glycol fatty acid ester)、[c-28.95]ケイソウ土(diatomite)、[c-28.96]アフォキソラネル(afoxolaner)、[c-28.97]フルアザインドリジン(fluazaindolizine)、[c-28.98]アフィドピロペン(afidopyropen)、[c-28.99]シハロジアミド(cyhalodiamide)、[c-28.100]チオキサザフェン(tioxazafen)、[c-28.101]フルヘキサフォン(fluhexafon)、[c-28.102]フルララネル(fluralaner)、[c-28.103]フルキサメタミド(fluxametamide)、[c-28.104]テトラクロラントラニリプロール(tetrachlorantraniliprole)、[c-28.105]サロラネル(sarolaner)、[c-28.106]ロチラネル(lotilaner)、[c-28.107]シクロキサプリド(cycloxaprid)、[c-28.108]フルエンスルホン(fluensulfone)、[c-28.109]TPIC(tripropyl isocyanurate)、[c-28.110]D-D(1,3-Dichloropropene)、[c-28.111]ペルオキソカルボナート(peroxocarbonate)、[c-28.112]MB-599(verbutin)、[c-28.113]ビス(2,3,3,3-テトラクロロプロピル)エーテル(bis(2,3,3,3-tetrachloropropyl)ether)、[c-28.114]DCIP(bis(2-chloro-1-methylethyl)ether)、[c-28.115]ENT-8184(N-(2-Ethylhexyl)bicyclo[2.2.1]hept-5-ene-2,3-dicarboximide)、[c-28.116]Bayer 22408(O,O-diethyl O-naphthalimidophosphorothioate)、[c-28.117]Bayer 32394(tris(1-dodecyl-3-methyl-2-phenylbenzimidazolium)hexacyanoferrate)、
[c-28.130]式(s46)
[式中、V3は、窒素原子、炭素原子、またはC-Fを表し、V4およびV5は、それぞれ独立していて、窒素原子、または炭素原子を表す。]で表される化合物(国際公開第11/134964号、国際公開第14/005982号参照)、
[式中、V3は、窒素原子、炭素原子、またはC-Fを表し、V4およびV5は、それぞれ独立していて、窒素原子、または炭素原子を表す。]で表される化合物(国際公開第11/134964号、国際公開第14/005982号参照)、
[c-28.131]式(s47)
[式中、A54は、水素原子、メチル基、メトキシ基、またはエトキシ基を表し、A55は、塩素原子、またはメチル基を表し、A56は、メチル基、またはエチル基を表す。]で表される化合物(国際公開第09/049851号参照)、
[式中、A54は、水素原子、メチル基、メトキシ基、またはエトキシ基を表し、A55は、塩素原子、またはメチル基を表し、A56は、メチル基、またはエチル基を表す。]で表される化合物(国際公開第09/049851号参照)、
[c-28.132]式(s48)
[式中、A57は、水素原子、フッ素原子、または塩素原子を表し、A58は、
からなる群から選択される1種の部分構造を表す。]で表される化合物(国際公開第11/067272号参照)、
[式中、A57は、水素原子、フッ素原子、または塩素原子を表し、A58は、
からなる群から選択される1種の部分構造を表す。]で表される化合物(国際公開第11/067272号参照)、
[c-28.133]式(s49)
[式中、A59は、水素原子、フッ素原子、または塩素原子を表し、A60は、
からなる群から選択される部分構造を表す。]で表される化合物(国際公開第10/090344号参照)、
[式中、A59は、水素原子、フッ素原子、または塩素原子を表し、A60は、
からなる群から選択される部分構造を表す。]で表される化合物(国際公開第10/090344号参照)、
[c-28.134]式(s50)
[式中、m10は、0~2の整数を表し、A61は、トリフルオロメチル基、トリフルオロメチルチオ基、トリフルオロメチルスルフィニル基、またはトリフルオロメチルスルホニル基を表し、A62は、水素原子、またはトリフルオロメチル基を表し、V6は、窒素原子、または炭素原子を表し、V7は、酸素原子、またはN-メチル基を表す。]で表される化合物(国際公開第14/104407号参照)、
[式中、m10は、0~2の整数を表し、A61は、トリフルオロメチル基、トリフルオロメチルチオ基、トリフルオロメチルスルフィニル基、またはトリフルオロメチルスルホニル基を表し、A62は、水素原子、またはトリフルオロメチル基を表し、V6は、窒素原子、または炭素原子を表し、V7は、酸素原子、またはN-メチル基を表す。]で表される化合物(国際公開第14/104407号参照)、
[c-28.135]式(s51)
[式中、A63は、水素原子、またはフッ素原子を表し、アミド基は4位、または5位に結合し、A64は、
からなる群から選択される部分構造を表す。]で表される化合物(国際公開第15/038503号、国際特許第16/144351号、国際特許第16/144678号参照)、
[式中、A63は、水素原子、またはフッ素原子を表し、アミド基は4位、または5位に結合し、A64は、
からなる群から選択される部分構造を表す。]で表される化合物(国際公開第15/038503号、国際特許第16/144351号、国際特許第16/144678号参照)、
[c-28.136]式(s52)
[式中、A65は、水素原子、C1~C6のアルキル基、またはC1~C6のハロアルキル基を表し、A66は、水素原子、ハロゲン原子、またはC1~C6のアルキル基を表し、A67およびA68は、それぞれ独立していて、水素原子、シアノ基で適宜置換されてもよいC1~C6のアルキル基、メトキシ基で適宜置換されてもよいアルキル基、エトキシ基で適宜置換されてもよいアルキル基、またはC3~C8のシクロアルキル基を表し、
A69は、水素原子、シアノ基、シアノ基で適宜置換されてもよいC1~C6のハロアルキル基、C1~C6のアルキル基、またはC3~C8のシクロアルキル基を表す。]で表される化合物(国際公開第12/143317号、国際特許第16/016369号参照)、
[式中、A65は、水素原子、C1~C6のアルキル基、またはC1~C6のハロアルキル基を表し、A66は、水素原子、ハロゲン原子、またはC1~C6のアルキル基を表し、A67およびA68は、それぞれ独立していて、水素原子、シアノ基で適宜置換されてもよいC1~C6のアルキル基、メトキシ基で適宜置換されてもよいアルキル基、エトキシ基で適宜置換されてもよいアルキル基、またはC3~C8のシクロアルキル基を表し、
A69は、水素原子、シアノ基、シアノ基で適宜置換されてもよいC1~C6のハロアルキル基、C1~C6のアルキル基、またはC3~C8のシクロアルキル基を表す。]で表される化合物(国際公開第12/143317号、国際特許第16/016369号参照)、
[c-28.137]式(s53)または式(s54)
[式中、A70は、メチル基、エチル基、イソプロピル基、2,2,2-トリフルオロエチル基、またはフェニル基を表し、A71は、
からなる群から選択される部分構造を表し、A72は、
からなる群から選択される部分構造を表し、V8は、酸素原子、硫黄原子、-CH2-、または-CH2CH2-を表す。]で表される化合物(国際公開第14/167084号、国際特許第16/055431号参照)、
[式中、A70は、メチル基、エチル基、イソプロピル基、2,2,2-トリフルオロエチル基、またはフェニル基を表し、A71は、
からなる群から選択される部分構造を表し、A72は、
からなる群から選択される部分構造を表し、V8は、酸素原子、硫黄原子、-CH2-、または-CH2CH2-を表す。]で表される化合物(国際公開第14/167084号、国際特許第16/055431号参照)、
[c-28.138]式(s55)
[式中、m11は、0~1の整数を表し、A73は、塩素原子、臭素原子、メチル基、またはトリフルオロメチル基を表し、A74は、水素原子、塩素原子、臭素原子、シアノ基、またはトリフルオロメチル基表し、A75は、水素原子、塩素原子または臭素原子を表し、A76およびA77は、それぞれ独立していて、C1~C6のアルキル基、またはC3~C8のシクロアルキル基を表し、A78は、塩素原子、臭素原子、シアノ基、ニトロ基、ジフルオロメチル基、またはトリフルオロメチル基を表す。]で表される化合物(国際公開第13/024009号参照)、
[式中、m11は、0~1の整数を表し、A73は、塩素原子、臭素原子、メチル基、またはトリフルオロメチル基を表し、A74は、水素原子、塩素原子、臭素原子、シアノ基、またはトリフルオロメチル基表し、A75は、水素原子、塩素原子または臭素原子を表し、A76およびA77は、それぞれ独立していて、C1~C6のアルキル基、またはC3~C8のシクロアルキル基を表し、A78は、塩素原子、臭素原子、シアノ基、ニトロ基、ジフルオロメチル基、またはトリフルオロメチル基を表す。]で表される化合物(国際公開第13/024009号参照)、
[c-28.139]式(s56)
[式中、A79、A80、A81およびA82は、それぞれ独立していて、水素原子、ハロゲン原子、C1~C6のアルキル基、C1~C6のハロアルキル基、C1~C6のアルコキシ基、またはC3~C8のシクロアルコキシ基を表す。]で表される化合物(国際公開第12/027521号参照)、
[式中、A79、A80、A81およびA82は、それぞれ独立していて、水素原子、ハロゲン原子、C1~C6のアルキル基、C1~C6のハロアルキル基、C1~C6のアルコキシ基、またはC3~C8のシクロアルコキシ基を表す。]で表される化合物(国際公開第12/027521号参照)、
[c-28.140]式(s57)
[式中、m12は、0~2の整数を表し、A83は、水素原子、またはフッ素原子を表し、A84は、
からなる群から選択される部分構造を表す。]で表される化合物(国際公開第13/162715号参照)、
[式中、m12は、0~2の整数を表し、A83は、水素原子、またはフッ素原子を表し、A84は、
からなる群から選択される部分構造を表す。]で表される化合物(国際公開第13/162715号参照)、
[c-28.141]アシノナピル(acynonapyr)、
[c-28.142]式(s59)
[A90は、ハロゲン原子、C1~C6のアルキル基、またはC1~C6のハロアルキル基を表し、A91は、C1~C6のハロアルキル基を表し、A92およびA93は、それぞれ独立していて、水素原子、C1~C6のアルキル基、アセチル基、プロピオニル基、メタンスルホニルエチル基、メトキシカルボニル基、またはエトキシカルボニル基を表し、A94およびA95は、それぞれ独立していて、水素原子、C1~C6のアルキル基、またはC1~C6のハロアルキル基を表す。]で表される化合物(国際公開第12/164698号参照)等が挙げられる。
[A90は、ハロゲン原子、C1~C6のアルキル基、またはC1~C6のハロアルキル基を表し、A91は、C1~C6のハロアルキル基を表し、A92およびA93は、それぞれ独立していて、水素原子、C1~C6のアルキル基、アセチル基、プロピオニル基、メタンスルホニルエチル基、メトキシカルボニル基、またはエトキシカルボニル基を表し、A94およびA95は、それぞれ独立していて、水素原子、C1~C6のアルキル基、またはC1~C6のハロアルキル基を表す。]で表される化合物(国際公開第12/164698号参照)等が挙げられる。
本発明化合物と有害生物防除剤の混合比は、効果が発揮される限りにおいて特に制限されるものではないが、通常、本発明化合物に対して有害生物防除剤が、重量比で0.001~1000の比率であり、好ましくは、0.01~100の比率である。
以下に、合成例、参考例、および試験例を挙げて、本発明を更に詳細に示すが、本発明はこれらに限定されるものではない。
参考例9で合成したエチル 2-(1-(5-ブロモ-2-(2,6-ジフルオロフェニル)-1-エチル-6-オキソ-1,6-ジヒドロピリジン-3-イル)プロピリデン)ヒドラジン-1-カルボキシレート 604mgを含むジクロロエタン溶液 10mlに塩化チオニル 0.44mlを室温下で加えて、同温下で3.5時間撹拌した。反応混合物に飽和炭酸水素ナトリウム水溶液と酢酸エチルを加えて分液した。得られた有機層を飽和食塩水で洗浄し、硫酸ナトリウムで乾燥した。減圧下で溶媒留去した後に、得られた残渣をシリカゲルカラムクロマトグラフィーにて精製した。表題の化合物が110mgの褐色固体として得られた。
参考例10で合成した3-ブロモ-5-(2-ブロモプロパノイル)-6-(2,6-ジフルオロフェニル)-1-エチルピリジン-2(1H)-オン 217mgとチオウレア 73.1mgを含む酢酸溶液 3mlを60℃で1時間撹拌した。さらに反応混合物を100℃に昇温して、同温下で3時間撹拌した。室温まで冷却した後に、反応混合物に飽和炭酸水素ナトリウム水溶液と酢酸エチルを加えて分液した。得られた有機層を硫酸ナトリウムで乾燥した。減圧下で溶媒留去し、表題の化合物を含む275mgの黄色固体を得た。
5-(2-アミノ-5-メチルチアゾール-4-イル)-3-ブロモ-6-(2,6-ジフルオロフェニル)-1-エチルピリジン-2(1H)-オン 235mgを含むTHF溶液 10mlに、亜硝酸tert-ブチル 97.5μlを滴下し、50℃で1.5時間撹拌した。室温まで冷却した後に、反応混合物に水と酢酸エチルを加えて分液した。得られた有機層を硫酸ナトリウムで乾燥した。減圧下で溶媒留去した後に、得られた残渣をシリカゲルカラムクロマトグラフィーにて精製した。表題の化合物が74mgの黄褐色固体として得られた。
参考例13で合成したエチル 2-(2-(5-ブロモ-2-(2,6-ジフルオロフェニル)-1-エチル-6-オキソ-1,6-ジヒドロピリジン-3-イル)エチリデン)ヒドラジン-1-カルボキシレート 315mgを含むジクロロエタン溶液 10mlに塩化チオニル 0.15mlを室温下で加えて、同温下で2時間撹拌した。反応混合物に飽和炭酸水素ナトリウム水溶液と酢酸エチルを加えて分液した。得られた有機層を飽和食塩水で洗浄し、硫酸ナトリウムで乾燥した。減圧下で溶媒留去した後に、得られた残渣をシリカゲルカラムクロマトグラフィーにて精製した。表題の化合物が185mgの白色固体として得られた。
参考例16で合成した3-ブロモ-5-(1-ブロモ-2-オキソプロピル)-6-(2,6-ジフルオロフェニル)-1-エチルピリジン-2(1H)-オン 118mgとチオウレア 30mgを含む酢酸溶液 2mlを60℃で1.5時間撹拌した。室温まで冷却した後に、反応混合物に飽和炭酸水素ナトリウム水溶液と酢酸エチルを加えて分液した。得られた有機層を硫酸ナトリウムで乾燥した。減圧下で溶媒留去し、表題の化合物を含む108mgの黄色油状物を得た。
5-(2-アミノ-4-メチルチアゾール-5-イル)-3-ブロモ-6-(2,6-ジフルオロフェニル)-1-エチルピリジン-2(1H)-オン 108mgを含むTHF溶液 10mlに、亜硝酸tert-ブチル 46.6μlを滴下し、50℃で1.5時間撹拌した。室温まで冷却した後に、反応混合物に飽和塩化アンモニウム水溶液と酢酸エチルを加えて分液した。得られた有機層を硫酸ナトリウムで乾燥した。減圧下で溶媒留去した後に、得られた残渣をシリカゲルカラムクロマトグラフィーにて精製した。表題の化合物が39mgの黄褐色油状物として得られた。
ステップ1:1-(2,6-ジフルオロフェニル)-N-フェニルプロパン-1-イミンの合成
アニリン 11.74gとトリエチルアミン 17.01gを含む塩化メチレン溶液 100mlに、四塩化チタン23.91gを含む塩化メチレン溶液 50mlを氷冷下で滴下した。該反応液に1-(2,6-ジフルオロフェニル)プロパン-1-オン 14.30gを含む塩化メチレン溶液 30mlを滴下した後に、氷冷から室温まで昇温して終夜撹拌した。得られた反応混合物に1規定塩酸を加えて分液し、硫酸ナトリウムで乾燥した。減圧下で溶媒留去した後に、表題の化合物を含む21.10gの濃緑色油状物質が得られた。これ以上精製することなく、次の反応に使用した。
アニリン 11.74gとトリエチルアミン 17.01gを含む塩化メチレン溶液 100mlに、四塩化チタン23.91gを含む塩化メチレン溶液 50mlを氷冷下で滴下した。該反応液に1-(2,6-ジフルオロフェニル)プロパン-1-オン 14.30gを含む塩化メチレン溶液 30mlを滴下した後に、氷冷から室温まで昇温して終夜撹拌した。得られた反応混合物に1規定塩酸を加えて分液し、硫酸ナトリウムで乾燥した。減圧下で溶媒留去した後に、表題の化合物を含む21.10gの濃緑色油状物質が得られた。これ以上精製することなく、次の反応に使用した。
ステップ2:6-(2,6-ジフルオロフェニル)-5-メチル-3,4-ジヒドロピリジン-2(1H)-オンの合成
ステップ1で得られた1-(2,6-ジフルオロフェニル)-N-フェニルプロパン-1-イミン 21.10gと塩化アルミニウム 12.33gを含むジオキサン溶液200mlにアクリルアミド モノマー 6.57gを加えて、90℃で3時間撹拌した。該反応混合物を半分程度の量まで減圧下で溶媒留去した後に、1規定塩酸と酢酸エチルを加えて分液した。得られた有機層を飽和食塩水で洗浄し、硫酸ナトリウムで乾燥した。減圧下で溶媒留去した後に、得られた残渣をシリカゲルカラムクロマトグラフィーにて精製した。得られた固体をイソプロピルエーテルで洗浄し、表題の化合物が11.65gの白色固体として得られた。
ステップ1で得られた1-(2,6-ジフルオロフェニル)-N-フェニルプロパン-1-イミン 21.10gと塩化アルミニウム 12.33gを含むジオキサン溶液200mlにアクリルアミド モノマー 6.57gを加えて、90℃で3時間撹拌した。該反応混合物を半分程度の量まで減圧下で溶媒留去した後に、1規定塩酸と酢酸エチルを加えて分液した。得られた有機層を飽和食塩水で洗浄し、硫酸ナトリウムで乾燥した。減圧下で溶媒留去した後に、得られた残渣をシリカゲルカラムクロマトグラフィーにて精製した。得られた固体をイソプロピルエーテルで洗浄し、表題の化合物が11.65gの白色固体として得られた。
1H-NMR (CDCl3) δ: 7.36-7.34 (1H, m), 6.97-6.94 (2H, m), 6.52 (1H, br s), 2.61-2.59 (2H, m), 2.48-2.47 (2H, m), 1.63 (3H, s).
6-(2,6-ジフルオロフェニル)-5-メチル-3,4-ジヒドロピリジン-2(1H)-オン 12.40g、炭酸セシウム 54.30gおよびヨウ化エチル 25.99gを含むDMF溶液 120mlを50℃で3.5時間撹拌した。次いで炭酸セシウム 27.15gおよびヨウ化エチル 13.01gを追加した後に、50℃で2時間、さらに60℃で1.5時間撹拌した。室温まで冷却後、該反応混合物を濾過することにより不溶物を除去した。濾液を減圧下にて溶媒留去した後に、酢酸エチルと水を加えて分液した。得られた有機層をチオ硫酸ナトリウム水溶液および飽和食塩水で順次洗浄し、硫酸ナトリウムで乾燥した。減圧下で溶媒留去した後に、得られた固体をイソプロピルエーテルで洗浄した。表題の化合物が11.98gの白色固体として得られた。
1H-NMR (CDCl3) δ: 7.38-7.35 (1H, m), 6.97-6.96 (2H, m), 3.33 (2H, q, J = 7.1 Hz), 2.60-2.58 (2H, m), 2.38-2.36 (2H, m), 1.59 (3H, s), 0.91 (3H, t, J = 7.1 Hz).
6-(2,6-ジフルオロフェニル)-1-エチル-5-メチル-3,4-ジヒドロピリジン-2(1H)-オン 11.98gと2,3-ジクロロ-5,6-ジシアノ-p-ベンゾキノン 21.65gを含むトルエン溶液 170mlを120℃で1.5時間撹拌した。室温まで冷却した後に、反応混合物を濾過することにより不溶物を除去した。濾液を減圧下で溶媒留去した後に、得られた残渣をシリカゲルカラムクロマトグラフィーにて精製した。得られた固体をイソプロピルエーテルで洗浄し、表題の化合物が9.34gの淡黄色固体として得られた。
1H-NMR (CDCl3) δ: 7.50-7.49 (1H, m), 7.27 (2H, d, J = 9.5 Hz), 7.09-7.06 (2H, m), 6.63 (1H, d, J = 9.5 Hz), 3.83 (2H, q, J = 7.1 Hz), 1.80 (3H, s), 1.10 (3H, t, J = 7.1 Hz).
6-(2,6-ジフルオロフェニル)-1-エチル-5-メチルピリジン-2(1H)-オン 11.36gとN-クロロスクシンイミド 6.69gを含むDMF溶液 110mlを70℃で50分間撹拌した。室温まで冷却した後に、反応混合物を減圧下で溶媒留去した。これに酢酸エチルと水を加えて分液した後に、得られた有機層をチオ硫酸ナトリウム水溶液および飽和食塩水で順次洗浄し、硫酸ナトリウムで乾燥した。減圧下で溶媒留去した後に、得られた固体をイソプロピルエーテルで洗浄した。表題の化合物が11.41gの白色固体として得られた。
1H-NMR (CDCl3) δ: 7.53-7.49 (1H, m), 7.50 (1H, s), 7.09-7.07 (2H, m), 3.88 (2H, q, J = 7.1 Hz), 1.81 (3H, s), 1.12 (3H, t, J = 7.1 Hz).
3-クロロ-6-(2,6-ジフルオロフェニル)-1-エチル-5-メチルピリジン-2(1H)-オン 12.65gを含むクロロベンゼン溶液 230mlに、N-ブロモスクシンイミド 16.67gとアゾビスイソブチロニトリル 366mgを加えて、110℃で50分間撹拌した。室温まで冷却した後に、反応混合物に水とジクロロメタンを加えて分液した。得られた有機層をチオ硫酸ナトリウム水溶液で洗浄し、硫酸ナトリウムで乾燥した。減圧下で溶媒留去した後に、得られた固体をイソプロピルエーテルで洗浄した。表題の化合物が16.88gの淡褐色固体として得られた。
1H-NMR (CDCl3) δ: 8.13 (1H, s), 7.65-7.63 (1H, m), 7.18 (2H, dd, J = 8.5, 6.8 Hz), 5.96 (1H, s), 3.82 (2H, q, J = 7.1 Hz), 1.13 (3H, t, J = 7.1 Hz).
3-クロロ-5-(ジブロモメチル)-6-(2,6-ジフルオロフェニル)-1-エチルピリジン-2(1H)-オン 18.95gを含むアセトニトリル 380mlに、硝酸銀 21.87gを含む水溶液 190mlを加えて室温で15分間撹拌した。得られた反応混合物を濾過することにより不溶物を除去した。濾液を減圧下にて溶媒留去した後に、水と酢酸エチルを加えて分液した。得られた有機層を1規定塩酸と飽和食塩水で洗浄し、硫酸ナトリウムで乾燥した。減圧下で溶媒留去した後に、得られた固体をイソプロピルエーテルで洗浄した。表題の化合物が11.37gの淡黄色固体として得られた。
1H-NMR (CDCl3) δ: 9.19 (1H, t, J = 1.0 Hz), 8.13 (1H, s), 7.67-7.63 (1H, m), 7.18-7.16 (2H, m), 3.94 (2H, q, J = 7.1 Hz), 1.19 (3H, t, J = 7.1 Hz).
1.25 (3H, t, J = 7.2 Hz).
1.25 (3H, t, J = 7.2 Hz).
参考例1から6を参考にして合成した5-ブロモ-2-(2,6-ジフルオロフェニル)-1-エチル-6-オキソ-1,6-ジヒドロピリジン-3-カルボアルデヒド 1.00gを含むTHF溶液 10mlに、2mol/lのエチルマグネシウムクロリドのTHF溶液1.73mlを0℃で滴下して30分間撹拌した。この反応溶液を室温まで昇温し、2時間撹拌した。反応混合物に飽和塩化アンモニウム水溶液と酢酸エチルを加えて分液した。得られた有機層を1規定塩酸水と飽和食塩水で順次洗浄して、硫酸ナトリウムで乾燥した。減圧下で溶媒留去をし、表題の化合物を含む黄色油状物を1.09g得た。これ以上精製することなく、次の反応に使用した。
参考例7で得られた3-ブロモ-6-(2,6-ジフルオロフェニル)-1-エチル-5-(1-ヒドロキシプロピル)ピリジン-2(1H)-オン 1.09gを含むジクロロメタン溶液 30mlにデス・マーチンペルヨージナン(1,1,1-トリアセトキシ-1,1-ジヒドロ-1,2-ベンゾヨードキソール-3-(1H)-オン) 1.23gを加えて室温で30分間撹拌した。反応混合物に酢酸エチルを加えてセライト濾過した。有機層を減圧下で溶媒留去した後に、得られた残渣をシリカゲルカラムクロマトグラフィーにて精製した。表題の化合物が653mgの白色固体として得られた。
1H-NMR (CDCl3) δ: 8.26 (1H, s), 7.53 (1H, tt, J = 8.4, 6.4 Hz), 7.09-7.03 (2H, m), 3.93 (2H, q, J = 7.1 Hz), 2.64 (2H, q, J = 7.1 Hz), 1.15 (3H, t, J = 7.1 Hz), 1.02 (3H, t, J = 7.1 Hz).
3-ブロモ-6-(2,6-ジフルオロフェニル)-1-エチル-5-プロピニルピリジン-2(1H)-オン 450mgとエチルカルバゼート 188mgとp-トルエンスルホン酸1水和物 104mgを含む酢酸溶液 3mlを65℃で6時間撹拌した。室温まで冷却した後に、反応混合物に飽和炭酸水素ナトリウム水溶液と酢酸エチルを加えて分液した。得られた有機層を飽和食塩水で洗浄して、硫酸ナトリウムで乾燥した。減圧下で溶媒留去をし、表題の化合物を含む黄色油状物 604mgを得た。これ以上精製することなく、次の反応に使用した。
3-ブロモ-6-(2,6-ジフルオロフェニル)-1-エチル-5-プロピニルピリジン-2(1H)-オン 200mgとN-ブロモスクシンイミド 105mgとp-トルエンスルホン酸1水和物 92.3mgをを含むアセトニトリル溶液 4mlを70℃で3時間撹拌した。室温まで冷却した後に、反応混合物に水と酢酸エチルを加えて分液した。得られた有機層を1%チオ硫酸ナトリウム水溶液と飽和食塩水にて順次洗浄して、硫酸ナトリウムで乾燥した。有機層を減圧下で溶媒留去した後に、得られた残渣をシリカゲルカラムクロマトグラフィーにて精製した。表題の化合物が217mgの透明油状物として得られた。
1H-NMR (CDCl3) δ: 8.24 (1H, s), 7.54 (1H, tt, J = 8.5, 6.4 Hz), 7.08-7.06 (2H, m), 4.87 (1H, q, J = 6.6 Hz), 3.98-3.91 (2H, m), 1.69 (3H, d, J = 6.6 Hz), 1.16 (3H, t, J = 7.2 Hz).
(メトキシメチル)トリフェニルホスホニウムクロリド 1.25gを含むTHF溶液 10mlにtert-ブトキシカリウム408mgを0℃で加えて、40分間撹拌した。得られた反応混合物に、参考例1から6を参考にして合成した5-ブロモ-2-(2,6-ジフルオロフェニル)-1-エチル-6-オキソ-1,6-ジヒドロピリジン-3-カルボアルデヒド 420mgを含むTHF溶液 4mlを0℃で加えた。反応混合物を室温まで昇温し、2時間撹拌した。反応混合物に飽和アンモニウム水溶液と酢酸エチルを加えて分液した。有機層を飽和食塩水にて洗浄し、硫酸ナトリウムで乾燥した。有機層を減圧下で溶媒留去した後に、得られた残渣をシリカゲルカラムクロマトグラフィーにて精製した。表題の化合物が400mgの透明油状物として得られた。
1H-NMR (CDCl3) δ: 8.62 (1H, s, major), 7.88 (1H, s, minor), 7.54-7.49 (1H, m, mixture), 7.09-7.06 (2H, m), 6.68 (1H, d, J = 12.7 Hz, major), 5.88 (1H, d, J = 7.1 Hz, minor), 4.99 (1H, d, J = 12.7 Hz, major), 4.32 (1H, d, J = 7.1 Hz, minor), 3.88 (2H, q, J = 7.2 Hz, mixture), 3.72 (3H, s, major), 3.46 (3H, s, minor), 1.13-1.11 (3H, m, mixture).
3-ブロモ-6-(2,6-ジフルオロフェニル)-1-エチル-5-(2-メトキシビニル)ピリジン-2(1H)-オン 360mgと4規定塩酸水 2mlを含むTHF溶液 4mlを70℃で4時間撹拌した。室温まで冷却した後に、水と酢酸エチルを加えて分液した。得られた有機層を飽和炭酸水素ナトリウム水溶液と飽和食塩水で順次洗浄して、硫酸ナトリウムで乾燥した。有機層を減圧下で溶媒留去した後に、得られた残渣をシリカゲルカラムクロマトグラフィーにて精製した。表題の化合物が251mgの透明油状物として得られた。
1H-NMR (CDCl3) δ: 9.51 (1H, s), 7.72 (1H, s), 7.56 (1H, tt, J = 8.4, 6.4 Hz), 7.13-7.08 (2H, m), 3.89 (2H, q, J = 7.2 Hz), 3.16 (2H, d, J = 1.7 Hz), 1.14 (3H, t, J = 7.2 Hz).
2-(5-ブロモ-2-(2,6-ジフルオロフェニル)-1-エチル-6-オキソ-1,6-ジヒドロピリジン-3-イル)アセトアルデヒド 251mgとエチルカルバゼート 145mgとp-トルエンスルホン酸1水和物 24mgを含む酢酸溶液 3mlを60℃で2時間撹拌した。室温まで冷却した後に、反応混合物に飽和炭酸水素ナトリウム水溶液と酢酸エチルを加えて分液した。得られた有機層を飽和食塩水で洗浄して、硫酸ナトリウムで乾燥した。減圧下で溶媒留去をし、表題の化合物を含む淡黄色油状物 315mgを得た。これ以上精製することなく、次の反応に使用した。
1H-NMR (CDCl3) δ: 7.77-7.75 (2H, m), 7.55 (1H, tt, J = 8.6, 6.4 Hz), 7.14-7.05 (2H, m), 6.96 (1H, br s), 4.25-4.21 (2H, m), 3.87 (2H, q, J = 7.0 Hz), 3.09-3.08 (2H, m), 1.28-1.26 (3H, m), 1.13 (3H, d, J = 7.0 Hz).
2-(5-ブロモ-2-(2,6-ジフルオロフェニル)-1-エチル-6-オキソ-1,6-ジヒドロピリジン-3-イル)アセトアルデヒド 795mgを含むTHF溶液 16mlに、3mol/lのメチルマグネシウムクロリドのTHF溶液0.81mlを0℃で滴下して20分間撹拌した。反応混合物に飽和塩化アンモニウム水溶液と酢酸エチルを加えて分液した。得られた有機層を飽和食塩水で洗浄して、硫酸ナトリウムで乾燥した。減圧下で溶媒留去をした後に、得られた残渣をシリカゲルカラムクロマトグラフィーにて精製した。表題の化合物が490mgの黄色油状物として得られた。
1H-NMR (CDCl3) δ: 7.83 (1H, s), 7.55-7.53 (1H, m), 7.10-7.07 (2H, m), 3.87-3.82 (2H, m), 2.20 (1H, d, J = 1.5 Hz), 1.92-1.85 (1H, m), 1.74-1.71 (1H, m), 1.51-1.50 (1H, m), 1.12 (3H, t, J = 7.1 Hz), 1.07 (3H, d, J = 6.1 Hz).
参考例14で得られた3-ブロモ-6-(2,6-ジフルオロフェニル)-1-エチル-5-(2-ヒドロキシプロピル)ピリジン-2(1H)-オン 490mgを含むジクロロメタン溶液 10mlにデス・マーチンペルヨージナン(1,1,1-トリアセトキシ-1,1-ジヒドロ-1,2-ベンゾヨードキソール-3-(1H)-オン) 554mgを加えて室温で2時間撹拌した。反応混合物をセライト濾過した後に、ジクロロメタンにて洗浄した。有機層を減圧下で溶媒留去した後に、得られた残渣をシリカゲルカラムクロマトグラフィーにて精製した。表題の化合物が320mgの透明油状物として得られた。
1H-NMR (CDCl3) δ: 7.71 (1H, s), 7.55 (1H, tt, J = 8.6, 6.4 Hz), 7.11-7.09 (2H, m), 3.88 (2H, q, J = 7.1 Hz), 3.17 (2H, s), 2.01 (3H, s), 1.13 (3H, t, J = 7.1 Hz).
3-ブロモ-6-(2,6-ジフルオロフェニル)-1-エチル-5-(2-ヒドロキシプロピル)ピリジン-2(1H)-オン 205mgとN-ブロモスクシンイミド 108mgとp-トルエンスルホン酸1水和物 94.6mgをを含むアセトニトリル溶液 4mlを60℃で2時間撹拌した。室温まで冷却した後に、反応混合物に飽和炭酸水素ナトリウム水溶液と酢酸エチルを加えて分液した。得られた有機層を1%チオ硫酸ナトリウム水溶液と飽和食塩水にて順次洗浄して、硫酸ナトリウムで乾燥した。有機層を減圧下で溶媒留去した後に、得られた残渣をシリカゲルカラムクロマトグラフィーにて精製した。表題の化合物が118mgの透明油状物として得られた。
1H-NMR (CDCl3) δ: 7.96 (1H, s), 7.63 (1H, tt, J = 8.4, 6.4 Hz), 7.19-7.16 (2H, m), 4.76 (1H, s), 3.87-3.83 (2H, m), 2.25 (3H, s), 1.14-1.12 (3H, m).
表4に、前記した実施例に準じて合成した化合物を示すが、本発明はこれらに限定されるものではない。
式(Y)のnは、0~4の整数を表す。
式(Y)のnが2以上の場合、2以上のR5は、それぞれ独立した置換基を表し、同一または異なっていてよく、任意に選択することができる。
表4中、YにおけるPhはフェニル基を表す。
例えば、表4中、Yの「2,6-di-F-Ph」との記載は、2位と6位にフッ素原子が結合しているフェニル基であることを意味し、他の記載も同様である。
次に、表4に記載の化合物に関して、表5にそれらの1H-NMRデータを示す。
次に、本発明化合物が植物病害に有効であることを具体的に示すが、これらの例に限定されるものではない。
また、表6~表9に本発明化合物と5位に他のヘテロ環を有する化合物との比較例を示す。比較対照化合物として、比較化合物C1、比較化合物C2、および比較化合物C3を以下に記載する。
比較化合物C1、比較化合物C2、および比較化合物C3は、本願明細書中の製造方法A~Hに記載の方法を参照するか、公知の方法と組み合わせることで合成することができる。
比較化合物C1、比較化合物C2、および比較化合物C3は、本願明細書中の製造方法A~Hに記載の方法を参照するか、公知の方法と組み合わせることで合成することができる。
以下に示した試験例の発病程度について、無発病の植物の発病程度を0、薬剤無処理区の植物の発病程度を3として、0.05ごとの発病程度の評価を行った。また、発病程度から以下の計算式に従って防除価を算出した。
<防除価>
防除価=100{1-(n/3)}
n=各薬剤処理区の発病程度
防除価=100{1-(n/3)}
n=各薬剤処理区の発病程度
[試験例A] イネいもち病
供試植物(イネ品種:幸風)の種子を播種後、第2葉が展開するまで栽培した。試験では、本発明化合物をジメチルスルホキシド-メタノール混合溶液(容積比:9/1)に溶解し、250ppmの濃度となるように井戸水で希釈して薬液を得た。得られた薬液を供試植物に散布した(2.5ml/ポット)。薬液が乾燥した後の植物に、1~2×105個/mlのイネいもち病菌(Magnaporthe grisea)の分生胞子懸濁液を噴霧接種した。接種後、室温が20~23℃の湿室に約24時間放置し、発病を促した。接種6~10日後の発病程度を調査し、薬液の効果を評価した。
供試植物(イネ品種:幸風)の種子を播種後、第2葉が展開するまで栽培した。試験では、本発明化合物をジメチルスルホキシド-メタノール混合溶液(容積比:9/1)に溶解し、250ppmの濃度となるように井戸水で希釈して薬液を得た。得られた薬液を供試植物に散布した(2.5ml/ポット)。薬液が乾燥した後の植物に、1~2×105個/mlのイネいもち病菌(Magnaporthe grisea)の分生胞子懸濁液を噴霧接種した。接種後、室温が20~23℃の湿室に約24時間放置し、発病を促した。接種6~10日後の発病程度を調査し、薬液の効果を評価した。
その結果、以下に示した化合物が50%より大きい防除価を示した。
化合物番号:3、4、5、6、8、9、10、12
化合物番号:3、4、5、6、8、9、10、12
薬液濃度を50ppmとする以外は前記と同様の方法で、本発明化合物3、4、5、6、8、9、10、および12と比較化合物C2およびC3との比較試験を行った結果を表6に示した。
その結果、ヘテロ環に硫黄原子および窒素原子を有する本発明化合物群が、比較化合物C2およびC3と比較して高い防除価を示した。
[試験例B] トマト灰色かび病
供試植物(トマト品種:大型福寿)の種子を播種後、本葉が3~5枚展開するまで栽培した。試験では、本発明化合物をジメチルスルホキシド-メタノール混合溶液(容積比:9/1)に溶解し、250ppmの濃度となるように井戸水で希釈して薬液を得た。得られた薬液を供試植物に散布した(2.5ml/ポット)。薬液が乾燥した後の植物に、4~8×105個/mlの灰色かび病菌(Botrytis cinerea)の分生胞子懸濁液を噴霧接種した。接種後、室温が20~23℃の湿室に約48時間放置し、発病を促した。接種2~3日後の発病程度を調査し、薬液の効果を評価した。
供試植物(トマト品種:大型福寿)の種子を播種後、本葉が3~5枚展開するまで栽培した。試験では、本発明化合物をジメチルスルホキシド-メタノール混合溶液(容積比:9/1)に溶解し、250ppmの濃度となるように井戸水で希釈して薬液を得た。得られた薬液を供試植物に散布した(2.5ml/ポット)。薬液が乾燥した後の植物に、4~8×105個/mlの灰色かび病菌(Botrytis cinerea)の分生胞子懸濁液を噴霧接種した。接種後、室温が20~23℃の湿室に約48時間放置し、発病を促した。接種2~3日後の発病程度を調査し、薬液の効果を評価した。
その結果、以下に示した化合物が50%より大きい防除価を示した。
化合物番号:1、2、3、4、5、6、8、9、10、12
化合物番号:1、2、3、4、5、6、8、9、10、12
薬液濃度を50ppmまたは250ppmとする以外は前記と同様の方法で、本発明化合物2、3、4、5、6、8、9、10、および12と比較化合物C1およびC2との比較試験を行った結果を表7に示した。
その結果、ヘテロ環に硫黄原子および窒素原子を有する本発明化合物群が、比較化合物C1およびC2と比較して高い防除価を示した。
[試験例C] キャベツ黒すす病
供試植物(キャベツ品種:四季穫)の種子を播種後、子葉が展開するまで栽培した。試験では、本発明化合物をジメチルスルホキシド-メタノール混合溶液(容積比:9/1)に溶解し、250ppmの濃度となるように井戸水で希釈して薬液を得た。得られた薬液を供試植物に散布した(2.5ml/ポット)。薬液が乾燥した後の植物に、4~8×105個/mlのキャベツ黒すす病菌(Alternaia brassicicola)の分生胞子懸濁液を噴霧接種した。接種後、室温が20~23℃の湿室に約48時間放置し、発病を促した。接種2~3日後の発病程度を調査し、薬液の効果を評価した。
供試植物(キャベツ品種:四季穫)の種子を播種後、子葉が展開するまで栽培した。試験では、本発明化合物をジメチルスルホキシド-メタノール混合溶液(容積比:9/1)に溶解し、250ppmの濃度となるように井戸水で希釈して薬液を得た。得られた薬液を供試植物に散布した(2.5ml/ポット)。薬液が乾燥した後の植物に、4~8×105個/mlのキャベツ黒すす病菌(Alternaia brassicicola)の分生胞子懸濁液を噴霧接種した。接種後、室温が20~23℃の湿室に約48時間放置し、発病を促した。接種2~3日後の発病程度を調査し、薬液の効果を評価した。
その結果、以下に示した化合物が50%より大きい防除価を示した。
化合物番号:1、2、3、4、5、6、7、8、9、10、11、12
化合物番号:1、2、3、4、5、6、7、8、9、10、11、12
[試験例D] オオムギうどんこ病
供試植物(オオムギ品種:赤神力)の種子を播種後、第1葉が展開するまで栽培した。試験では、本発明化合物をジメチルスルホキシド-メタノール混合溶液(容積比:9/1)に溶解し、250ppmの濃度となるように井戸水で希釈して薬液を得た。得られた薬液を供試植物に散布した(2.5ml/ポット)。薬液が乾燥した後の植物に、オオムギうどんこ病菌(Blumeria graminis f.sp.hordei)の分生胞子を叩き落して接種した。接種後、6~10日後の発病程度を調査し、その効果を評価した。
供試植物(オオムギ品種:赤神力)の種子を播種後、第1葉が展開するまで栽培した。試験では、本発明化合物をジメチルスルホキシド-メタノール混合溶液(容積比:9/1)に溶解し、250ppmの濃度となるように井戸水で希釈して薬液を得た。得られた薬液を供試植物に散布した(2.5ml/ポット)。薬液が乾燥した後の植物に、オオムギうどんこ病菌(Blumeria graminis f.sp.hordei)の分生胞子を叩き落して接種した。接種後、6~10日後の発病程度を調査し、その効果を評価した。
その結果、以下に示した化合物が50%より大きい防除価を示した。
化合物番号:4、6、8
化合物番号:4、6、8
薬液濃度を50ppmまたは250ppmとする以外は前記と同様の方法で、本発明化合物4、6、および8と比較化合物C1、C2およびC3との比較試験を行った結果を表8に示した。
その結果、ヘテロ環に硫黄原子および窒素原子を有する本発明化合物群が、比較化合物C1、C2およびC3と比較して高い防除価を示した。
[試験例E] コムギ赤さび病
供試植物(コムギ品種:農林61号)の種子を播種後、第1葉が展開するまで栽培した。試験では、本発明化合物をジメチルスルホキシド-メタノール混合溶液(容積比:9/1)に溶解し、250ppmの濃度となるように井戸水で希釈して薬液を得た。得られた薬液を供試植物に散布した(2.5ml/ポット)。薬液が乾燥した後の植物に、1~2×105個/mlのコムギ赤さび病菌(Puccinia recondita)の夏胞子懸濁液を噴霧接種した。接種後、室温が20~23℃の湿室に約24時間放置し、発病を促した。接種7~10日後の発病程度を調査し、薬液の効果を評価した。
供試植物(コムギ品種:農林61号)の種子を播種後、第1葉が展開するまで栽培した。試験では、本発明化合物をジメチルスルホキシド-メタノール混合溶液(容積比:9/1)に溶解し、250ppmの濃度となるように井戸水で希釈して薬液を得た。得られた薬液を供試植物に散布した(2.5ml/ポット)。薬液が乾燥した後の植物に、1~2×105個/mlのコムギ赤さび病菌(Puccinia recondita)の夏胞子懸濁液を噴霧接種した。接種後、室温が20~23℃の湿室に約24時間放置し、発病を促した。接種7~10日後の発病程度を調査し、薬液の効果を評価した。
その結果、以下に示した化合物が50%より大きい防除価を示した。
化合物番号:1、2、3、4、5、6、7、8、9、10、11、12
化合物番号:1、2、3、4、5、6、7、8、9、10、11、12
[試験例F] トマト疫病
供試植物(トマト品種:大型福寿)の種子を播種後、本葉が3~5枚展開するまで栽培した。試験では、本発明化合物をジメチルスルホキシド-メタノール混合溶液(容積比:9/1)に溶解し、250ppmの濃度となるように井戸水で希釈して薬液を得た。得られた薬液を供試植物に散布した(2.5ml/ポット)。薬液が乾燥した後の植物に、4~8×103個/mlのトマト疫病菌(Phytophthora infestans)の遊走子のう懸濁液を噴霧接種した。接種後、室温が20℃の湿室に約24時間放置し、発病を促した。接種5~10日後の発病程度を調査し、薬液の効果を評価した。
供試植物(トマト品種:大型福寿)の種子を播種後、本葉が3~5枚展開するまで栽培した。試験では、本発明化合物をジメチルスルホキシド-メタノール混合溶液(容積比:9/1)に溶解し、250ppmの濃度となるように井戸水で希釈して薬液を得た。得られた薬液を供試植物に散布した(2.5ml/ポット)。薬液が乾燥した後の植物に、4~8×103個/mlのトマト疫病菌(Phytophthora infestans)の遊走子のう懸濁液を噴霧接種した。接種後、室温が20℃の湿室に約24時間放置し、発病を促した。接種5~10日後の発病程度を調査し、薬液の効果を評価した。
[試験例G] ブドウべと病
供試植物(ブドウ品種:ネオマスカット)の種子を播種後、本葉が3~4枚展開するまで栽培した。試験では、本発明化合物をジメチルスルホキシド-メタノール混合溶液(容積比:9/1)に溶解し、250ppmの濃度となるように井戸水で希釈して薬液を得た。得られた薬液を供試植物に散布した(2.5ml/ポット)。薬液が乾燥した後の植物に、1~2×104個/mlのブドウべと病菌(Plasmopara viticola)の遊走子のう懸濁液を噴霧接種した。接種後、室温が20℃の湿室に約24時間放置し、発病を促した。接種7~10日後の発病程度を調査し、薬液の効果を評価した。
供試植物(ブドウ品種:ネオマスカット)の種子を播種後、本葉が3~4枚展開するまで栽培した。試験では、本発明化合物をジメチルスルホキシド-メタノール混合溶液(容積比:9/1)に溶解し、250ppmの濃度となるように井戸水で希釈して薬液を得た。得られた薬液を供試植物に散布した(2.5ml/ポット)。薬液が乾燥した後の植物に、1~2×104個/mlのブドウべと病菌(Plasmopara viticola)の遊走子のう懸濁液を噴霧接種した。接種後、室温が20℃の湿室に約24時間放置し、発病を促した。接種7~10日後の発病程度を調査し、薬液の効果を評価した。
[試験例H] キュウリ炭疽病
供試植物(キュウリ品種:相模半白)の種子を播種後、本葉が1枚展開するまで栽培した。試験では、本発明化合物をジメチルスルホキシド-メタノール混合溶液(容積比:9/1)に溶解し、250ppmの濃度となるように井戸水で希釈して薬液を得た。得られた薬液を供試植物に散布した(2.5ml/ポット)。薬液が乾燥した後の植物に、2~4×105個/mlのキュウリ炭疽病菌(Colletotrichum orbiculare)の分生胞子懸濁液を噴霧接種した。接種後、室温が20~23℃の湿室に約24時間放置し、発病を促した。接種6~10日後の発病程度を調査し、薬液の効果を評価した。
供試植物(キュウリ品種:相模半白)の種子を播種後、本葉が1枚展開するまで栽培した。試験では、本発明化合物をジメチルスルホキシド-メタノール混合溶液(容積比:9/1)に溶解し、250ppmの濃度となるように井戸水で希釈して薬液を得た。得られた薬液を供試植物に散布した(2.5ml/ポット)。薬液が乾燥した後の植物に、2~4×105個/mlのキュウリ炭疽病菌(Colletotrichum orbiculare)の分生胞子懸濁液を噴霧接種した。接種後、室温が20~23℃の湿室に約24時間放置し、発病を促した。接種6~10日後の発病程度を調査し、薬液の効果を評価した。
その結果、以下に示した化合物が50%より大きい防除価を示した。
化合物番号:2、3、4、5、6、8、9、10、12
化合物番号:2、3、4、5、6、8、9、10、12
薬液濃度を50ppmまたは250ppmとする以外は前記と同様の方法で、本発明化合物2、3、5、6、8、10、および12と比較化合物C1、C2およびC3との比較試験を行った結果を表9に示した。
その結果、ヘテロ環に硫黄原子および窒素原子を有する本発明化合物群が、比較化合物C1、C2およびC3と比較して高い防除価を示した。
表6~表9に記載の比較試験により、ヘテロ環に硫黄原子および窒素原子を有する本発明化合物群が、幅広い植物病害に対して高い防除効果を示すことが分かった。
本発明のピリドン化合物は新規な化合物であり、植物病害を防除することができるので、農薬、例えば、農園芸用有害生物防除剤、特に農園芸用殺菌剤としての利用価値がある。
本明細書に記載された全ての文献、特許出願、および技術規格は、個々の文献、特許出願、および技術規格が参照により取り込まれることが具体的かつ個々に記された場合と同程度に、本明細書に参照により取り込まれる。
Claims (8)
- 式(1)
[式中、R1は、
水酸基、
シアノ基、
置換基Aで適宜置換されてもよいC1~C6のアルキル基、
C1~C6のハロアルキル基、
置換基Aで適宜置換されてもよいC3~C8のシクロアルキル基、
置換基Aで適宜置換されてもよいC2~C6のアルケニル基、
C2~C6のハロアルケニル基、
置換基Aで適宜置換されてもよいC2~C6のアルキニル基、
C2~C6のハロアルキニル基、
置換基Aで適宜置換されてもよいC1~C6のアルコキシ基、
C1~C6のハロアルコキシ基、
置換基Aで適宜置換されてもよいC3~C8のシクロアルコキシ基、
置換基Aで適宜置換されてもよいC2~C6のアルケニルオキシ基、
C2~C6のハロアルケニルオキシ基、
置換基Aで適宜置換されてもよいC3~C6のアルキニルオキシ基、
C3~C6のハロアルキニルオキシ基、
またはRaRbN-(ここで、RaおよびRbは、それぞれ独立していて、水素原子、置換基Bで適宜置換されてもよいC1~C6のアルキル基、C1~C6のハロアルキル基、またはC3~C8のシクロアルキル基を表すか、あるいはRaおよびRbは、結合する窒素原子と一緒になって、アジリジニル基、アゼチジニル基、ピロリジニル基、ピペリジニル基、ホモピペリジニル基、またはアゾカニル基を形成するものを表す。)を表し; R2は、
水素原子、
ニトロ基、
ハロゲン原子、
置換基Aで適宜置換されてもよいC1~C6のアルキル基、
C1~C6のハロアルキル基、
置換基Aで適宜置換されてもよいC3~C8のシクロアルキル基、
置換基Aで適宜置換されてもよいC2~C6のアルケニル基、
C2~C6のハロアルケニル基、
置換基Aで適宜置換されてもよいC2~C6のアルキニル基、
C2~C6のハロアルキニル基、
置換基Aで適宜置換されてもよいC1~C6のアルコキシ基、
C1~C6のハロアルコキシ基、
置換基Aで適宜置換されてもよいC3~C8のシクロアルコキシ基、
置換基Aで適宜置換されてもよいC2~C6のアルケニルオキシ基、
C2~C6のハロアルケニルオキシ基、
置換基Aで適宜置換されてもよいC3~C6のアルキニルオキシ基、
C3~C6のハロアルキニルオキシ基、
Rc-L-(ここで、Rcは、C1~C6のアルキル基、またはC1~C6のハロアルキル基を表し、Lは、S、SO、またはSO2を表す。)、
またはRx1C(=O)-(ここで、Rx1は、水素原子、置換基Bで適宜置換されてもよいC1~C6のアルキル基、C1~C6のハロアルキル基、C3~C8のシクロアルキル基、C1~C6のアルコキシ基、C1~C6のハロアルコキシ基、C3~C8のシクロアルコキシ基、またはRaRbN-(ここで、RaおよびRbは前記と同義である。)を表す。)を表し;
Hetは、
硫黄原子および窒素原子を含む5員の複素環基を表し、
該硫黄原子および窒素原子を含む5員の複素環基は、R3が適宜0~2置換し(ただし、2置換のR3がある場合、R3はそれぞれ独立した置換基を表す。)、
R3は、
水酸基、
シアノ基、
ニトロ基、
ハロゲン原子、
置換基Cで適宜置換されてもよいC1~C6のアルキル基、
C1~C6のハロアルキル基、
置換基Cで適宜置換されてもよいC3~C8のシクロアルキル基、
置換基Cで適宜置換されてもよいC2~C6のアルケニル基、
C2~C6ハロアルケニル基、
置換基Cで適宜置換されてもよいC2~C6のアルキニル基、
C2~C6のハロアルキニル基、
置換基Cで適宜置換されてもよいC1~C6のアルコキシ基、
C1~C6のハロアルコキシ基、
置換基Cで適宜置換されてもよいC3~C8のシクロアルコキシ基、
置換基Cで適宜置換されてもよいC2~C6のアルケニルオキシ基、
C2~C6のハロアルケニルオキシ基、
置換基Cで適宜置換されてもよいC3~C6のアルキニルオキシ基、
C3~C6のハロアルキニルオキシ基、
RaRbN-(ここで、RaおよびRbは、前記と同義である。)、
Rc-L-(ここで、RcおよびLは、前記と同義である。)、
Rx1C(=O)-(ここで、Rx1は、前記と同義である。)、
Rx1C(=O)O-(ここで、Rx1は、前記と同義である。)、
またはRx2C(=O)N(Rx3)-(ここで、Rx2は、水素原子、置換基Bで適宜置換されてもよいC1~C6のアルキル基、C1~C6のハロアルキル基、C3~C8のシクロアルキル基、C1~C6のアルコキシ基、C1~C6のハロアルコキシ基、C3~C8のシクロアルコキシ基、またはRaRbN-(ここで、RaおよびRbは、前記と同義である。)を表し、Rx3は、水素原子、置換基Bで適宜置換されてもよいC1~C6のアルキル基、C1~C6のハロアルキル基、またはC3~C8のシクロアルキル基を表す。)を表し;
R4は、
水酸基、
シアノ基、
ニトロ基、
ハロゲン原子、
置換基Cで適宜置換されてもよいC1~C6のアルキル基、
C1~C6のハロアルキル基、
置換基Cで適宜置換されてもよいC3~C8のシクロアルキル基、
置換基Cで適宜置換されてもよいC2~C6のアルケニル基、
C2~C6ハロアルケニル基、
置換基Cで適宜置換されてもよいC2~C6のアルキニル基、
C2~C6のハロアルキニル基、
置換基Cで適宜置換されてもよいC1~C6のアルコキシ基、
C1~C6のハロアルコキシ基、
置換基Cで適宜置換されてもよいC3~C8のシクロアルコキシ基、
置換基Cで適宜置換されてもよいC2~C6のアルケニルオキシ基、
C2~C6のハロアルケニルオキシ基、
置換基Cで適宜置換されてもよいC3~C6のアルキニルオキシ基、
C3~C6のハロアルキニルオキシ基、
RaRbN-(ここで、RaおよびRbは、前記と同義である。)、
Rc-L-(ここで、RcおよびLは、前記と同義である。)、
Rx1C(=O)-(ここで、Rx1は、前記と同義である。)、
Rx1C(=O)O-(ここで、Rx1は、前記と同義である。)、
またはRx2C(=O)N(Rx3)-(ここで、Rx2およびRx3は、前記と同義である。)を表し;
R5は、前記に記載のR4と同義であり;
nは、0~4の整数を表し;
Xは、酸素原子、または硫黄原子を表し;
破線部を含む結合は、二重結合、または単結合を表し;
そして、置換基Aは、水酸基、シアノ基、C3~C8のシクロアルキル基、C1~C6のアルコキシ基、C1~C6のハロアルコキシ基、C3~C8のシクロアルコキシ基、RaRbN-(ここで、RaおよびRbは、前記と同義である。)、およびRc-L-(ここで、RcおよびLは、前記と同義である。)からなる群から選択される少なくとも1種であり;
置換基Bは、シアノ基、C1~C6のアルコキシ基、C1~C6のハロアルコキシ基、およびC3~C8のシクロアルコキシ基からなる群から選択される少なくとも1種であり;
置換基Cは、水酸基、シアノ基、C3~C8のシクロアルキル基、C1~C6のアルコキシ基、C1~C6のハロアルコキシ基、C3~C8のシクロアルコキシ基、C2~C6のアルコキシアルコキシ基、RaRbN-(ここで、RaおよびRbは、前記と同義である。)、Rc-L-(ここで、RcおよびLは、前記と同義である。)、Rx1C(=O)-(ここで、Rx1は、前記と同義である。)、および1~2個の酸素原子を含む3~6員環の基からなる群から選択される少なくとも1種である。]で表される化合物またはその塩。 - Hetは、
チアゾリル基、イソチアゾリル基、チアジアゾリル基、またはチアトリアゾリル基を表し、
該チアゾリル基、該イソチアゾリル基、該チアジアゾリル基、または該チアトリアゾリル基は、R3が適宜0~2置換する(ただし、2置換のR3がある場合、R3はそれぞれ独立した置換基を表す。)、
請求項1に記載の化合物またはその塩。 - R1は、
置換基Aで適宜置換されてもよいC1~C6のアルキル基、
またはC1~C6のハロアルキル基を表し;
R2は、
水素原子、
ハロゲン原子、
置換基Aで適宜置換されてもよいC1~C6のアルキル基、
C1~C6のハロアルキル基、
置換基Aで適宜置換されてもよいC2~C6のアルキニル基、
または置換基Aで適宜置換されてもよいC1~C6のアルコキシ基を表し;
Hetは、
チアゾリル基、またはチアジアゾリル基を表し、
該チアゾリル基、または該チアジアゾリル基は、R3が適宜0~2置換し(ただし、2置換のR3がある場合、R3はそれぞれ独立した置換基を表す。)、
R3は、
シアノ基、
ニトロ基、
ハロゲン原子、
置換基Cで適宜置換されてもよいC1~C6のアルキル基、
C1~C6のハロアルキル基、
置換基Cで適宜置換されてもよいC3~C8のシクロアルキル基、
置換基Cで適宜置換されてもよいC2~C6のアルケニル基、
置換基Cで適宜置換されてもよいC2~C6のアルキニル基、
置換基Cで適宜置換されてもよいC1~C6のアルコキシ基、
RaRbN-(ここで、RaおよびRbは、それぞれ独立していて、水素原子、置換基Bで適宜置換されてもよいC1~C6のアルキル基、C1~C6のハロアルキル基、またはC3~C8のシクロアルキル基を表すか、あるいはRaおよびRbは、結合する窒素原子と一緒になって、アジリジニル基、アゼチジニル基、ピロリジニル基、ピペリジニル基、ホモピペリジニル基、またはアゾカニル基を形成するものを表す。)、
またはRx2C(=O)N(Rx3)-(ここで、Rx2は、水素原子、置換基Bで適宜置換されてもよいC1~C6のアルキル基、C1~C6のハロアルキル基、C3~C8のシクロアルキル基、C1~C6のアルコキシ基、C1~C6のハロアルコキシ基、C3~C8のシクロアルコキシ基、またはRaRbN-(ここで、RaおよびRbは、前記と同義である。)を表し、Rx3は、水素原子、置換基Bで適宜置換されてもよいC1~C6のアルキル基、C1~C6のハロアルキル基、またはC3~C8のシクロアルキル基を表す。)を表し;
R4は、
シアノ基、
ハロゲン原子、
置換基Cで適宜置換されてもよいC1~C6のアルキル基、
C1~C6のハロアルキル基、
置換基Cで適宜置換されてもよいC1~C6のアルコキシ基、
またはC1~C6のハロアルコキシ基を表し;
R5は、
水酸基、
シアノ基、
ハロゲン原子、
置換基Cで適宜置換されてもよいC1~C6のアルキル基、
C1~C6のハロアルキル基、
置換基Cで適宜置換されてもよいC2~C6のアルケニル基、
置換基Cで適宜置換されてもよいC2~C6のアルキニル基、
置換基Cで適宜置換されてもよいC1~C6のアルコキシ基、
C1~C6のハロアルコキシ基、
またはRc-L-(ここで、Rcは、C1~C6のアルキル基、またはC1~C6のハロアルキル基を表し、Lは、S、SO、またはSO2を表す。)を表す、
請求項2に記載の化合物またはその塩。 - R1は、
置換基Aで適宜置換されてもよいC1~C6のアルキル基を表し;
R2は、
水素原子、
ハロゲン原子、
または置換基Aで適宜置換されてもよいC1~C6のアルキル基を表し;
R3は、
ハロゲン原子、
置換基Cで適宜置換されてもよいC1~C6のアルキル基、
C1~C6のハロアルキル基、
またはRaRbN-(ここで、RaおよびRbは、それぞれ独立していて、水素原子、置換基Bで適宜置換されてもよいC1~C6のアルキル基、C1~C6のハロアルキル基、またはC3~C8のシクロアルキル基を表すか、あるいはRaおよびRbは、結合する窒素原子と一緒になって、アジリジニル基、アゼチジニル基、ピロリジニル基、ピペリジニル基、ホモピペリジニル基、またはアゾカニル基を形成するものを表す。)を表し;
R4は、
ハロゲン原子、
または置換基Cで適宜置換されてもよいC1~C6のアルキル基を表し;
R5は、
シアノ基、
ハロゲン原子、
または置換基Cで適宜置換されてもよいC1~C6のアルコキシ基を表す、
請求項3に記載の化合物またはその塩。 - 請求項1に記載の化合物またはその塩を有効成分として含有する農園芸用有害生物防除剤。
- 請求項1に記載の化合物またはその塩を有効成分として含有する農園芸用殺菌剤。
- 請求項5に記載の農園芸用有害生物防除剤を、植物、植物の種子、または植物を栽培する土壌に施用することを含む、植物病害を防除する方法。
- 請求項6に記載の農園芸用殺菌剤を、植物、植物の種子、または植物を栽培する土壌に施用することを含む、植物病害を防除する方法。
Applications Claiming Priority (3)
| Application Number | Priority Date | Filing Date | Title |
|---|---|---|---|
| JP2018190614 | 2018-10-09 | ||
| JP2018190614 | 2018-10-09 | ||
| PCT/JP2019/039619 WO2020075704A1 (ja) | 2018-10-09 | 2019-10-08 | ピリドン化合物およびそれを有効成分とする農園芸用殺菌剤 |
Publications (2)
| Publication Number | Publication Date |
|---|---|
| JPWO2020075704A1 JPWO2020075704A1 (ja) | 2021-09-24 |
| JP7291151B2 true JP7291151B2 (ja) | 2023-06-14 |
Family
ID=70163738
Family Applications (1)
| Application Number | Title | Priority Date | Filing Date |
|---|---|---|---|
| JP2020551160A Active JP7291151B2 (ja) | 2018-10-09 | 2019-10-08 | ピリドン化合物およびそれを有効成分とする農園芸用殺菌剤 |
Country Status (2)
| Country | Link |
|---|---|
| JP (1) | JP7291151B2 (ja) |
| WO (1) | WO2020075704A1 (ja) |
Citations (3)
| Publication number | Priority date | Publication date | Assignee | Title |
|---|---|---|---|---|
| WO2017061525A1 (ja) | 2015-10-09 | 2017-04-13 | 三井化学アグロ株式会社 | ピリドン化合物およびそれを有効成分とする農園芸用殺菌剤 |
| WO2018139560A1 (ja) | 2017-01-26 | 2018-08-02 | 三井化学アグロ株式会社 | ピリドン化合物およびそれを有効成分とする農園芸用殺菌剤 |
| WO2018190352A1 (ja) | 2017-04-11 | 2018-10-18 | 三井化学アグロ株式会社 | ピリドン化合物およびそれを有効成分とする農園芸用殺菌剤 |
-
2019
- 2019-10-08 JP JP2020551160A patent/JP7291151B2/ja active Active
- 2019-10-08 WO PCT/JP2019/039619 patent/WO2020075704A1/ja not_active Ceased
Patent Citations (3)
| Publication number | Priority date | Publication date | Assignee | Title |
|---|---|---|---|---|
| WO2017061525A1 (ja) | 2015-10-09 | 2017-04-13 | 三井化学アグロ株式会社 | ピリドン化合物およびそれを有効成分とする農園芸用殺菌剤 |
| WO2018139560A1 (ja) | 2017-01-26 | 2018-08-02 | 三井化学アグロ株式会社 | ピリドン化合物およびそれを有効成分とする農園芸用殺菌剤 |
| WO2018190352A1 (ja) | 2017-04-11 | 2018-10-18 | 三井化学アグロ株式会社 | ピリドン化合物およびそれを有効成分とする農園芸用殺菌剤 |
Also Published As
| Publication number | Publication date |
|---|---|
| WO2020075704A1 (ja) | 2020-04-16 |
| JPWO2020075704A1 (ja) | 2021-09-24 |
Similar Documents
| Publication | Publication Date | Title |
|---|---|---|
| KR102498819B1 (ko) | 피리돈 화합물 및 그것을 유효성분으로 하는 농원예용 살균제 | |
| TWI760428B (zh) | 吡啶酮化合物及以吡啶酮化合物作為有效成分的農園藝用殺菌劑 | |
| JP7111731B2 (ja) | ピリドン化合物およびそれを有効成分とする農園芸用殺菌剤 | |
| JP7157738B2 (ja) | ピリドン化合物およびそれを有効成分とする農園芸用殺菌剤 | |
| JP7291143B2 (ja) | ピリドン化合物およびそれを有効成分とする農園芸用殺菌剤 | |
| JP7397800B2 (ja) | ピリドン化合物およびそれを有効成分とする農園芸用殺菌剤 | |
| JP7118961B2 (ja) | ピリドン化合物およびそれを有効成分とする農園芸用殺菌剤 | |
| JP7134946B2 (ja) | ピリドン化合物およびそれを有効成分とする農園芸用殺菌剤 | |
| JP7168556B2 (ja) | ピリドン化合物およびそれを有効成分とする農園芸用殺菌剤 | |
| JP7291151B2 (ja) | ピリドン化合物およびそれを有効成分とする農園芸用殺菌剤 | |
| JP7328222B2 (ja) | ピリドン化合物およびそれを有効成分とする農園芸用殺菌剤 | |
| JP7370998B2 (ja) | ピリドン化合物およびそれを有効成分とする農園芸用殺菌剤 | |
| JP7110190B2 (ja) | 含窒素複素環化合物ならびにそれを有効成分とする農園芸用殺菌剤 | |
| JP7153645B2 (ja) | ピリドン化合物およびそれを有効成分とする農園芸用殺菌剤 | |
| WO2018190349A1 (ja) | ピリドン化合物およびそれを有効成分とする農園芸用殺菌剤 |
Legal Events
| Date | Code | Title | Description |
|---|---|---|---|
| A621 | Written request for application examination |
Free format text: JAPANESE INTERMEDIATE CODE: A621 Effective date: 20220711 |
|
| TRDD | Decision of grant or rejection written | ||
| A01 | Written decision to grant a patent or to grant a registration (utility model) |
Free format text: JAPANESE INTERMEDIATE CODE: A01 Effective date: 20230530 |
|
| A61 | First payment of annual fees (during grant procedure) |
Free format text: JAPANESE INTERMEDIATE CODE: A61 Effective date: 20230602 |
|
| R150 | Certificate of patent or registration of utility model |
Ref document number: 7291151 Country of ref document: JP Free format text: JAPANESE INTERMEDIATE CODE: R150 |



































































































































































