WO2018182341A1 - 피롤로벤조디아제핀 이량체 전구체 및 이의 리간드-링커 접합체 화합물 - Google Patents
피롤로벤조디아제핀 이량체 전구체 및 이의 리간드-링커 접합체 화합물 Download PDFInfo
- Publication number
- WO2018182341A1 WO2018182341A1 PCT/KR2018/003744 KR2018003744W WO2018182341A1 WO 2018182341 A1 WO2018182341 A1 WO 2018182341A1 KR 2018003744 W KR2018003744 W KR 2018003744W WO 2018182341 A1 WO2018182341 A1 WO 2018182341A1
- Authority
- WO
- WIPO (PCT)
- Prior art keywords
- substituted
- compound
- unsubstituted
- alkyl
- mmol
- Prior art date
- Legal status (The legal status is an assumption and is not a legal conclusion. Google has not performed a legal analysis and makes no representation as to the accuracy of the status listed.)
- Ceased
Links
- JOPYSTAJNAJYKT-VNEOENNNSA-N C[C@@H]([C@@H](CO)OC[C@@H]1O)C1O Chemical compound C[C@@H]([C@@H](CO)OC[C@@H]1O)C1O JOPYSTAJNAJYKT-VNEOENNNSA-N 0.000 description 1
- MPCAJMNYNOGXPB-KCDKBNATSA-N OC[C@H]([C@@H]([C@@H]1O)O)OC[C@@H]1O Chemical compound OC[C@H]([C@@H]([C@@H]1O)O)OC[C@@H]1O MPCAJMNYNOGXPB-KCDKBNATSA-N 0.000 description 1
Images
Classifications
-
- A—HUMAN NECESSITIES
- A61—MEDICAL OR VETERINARY SCIENCE; HYGIENE
- A61K—PREPARATIONS FOR MEDICAL, DENTAL OR TOILETRY PURPOSES
- A61K47/00—Medicinal preparations characterised by the non-active ingredients used, e.g. carriers or inert additives; Targeting or modifying agents chemically bound to the active ingredient
- A61K47/50—Medicinal preparations characterised by the non-active ingredients used, e.g. carriers or inert additives; Targeting or modifying agents chemically bound to the active ingredient the non-active ingredient being chemically bound to the active ingredient, e.g. polymer-drug conjugates
- A61K47/51—Medicinal preparations characterised by the non-active ingredients used, e.g. carriers or inert additives; Targeting or modifying agents chemically bound to the active ingredient the non-active ingredient being chemically bound to the active ingredient, e.g. polymer-drug conjugates the non-active ingredient being a modifying agent
- A61K47/68—Medicinal preparations characterised by the non-active ingredients used, e.g. carriers or inert additives; Targeting or modifying agents chemically bound to the active ingredient the non-active ingredient being chemically bound to the active ingredient, e.g. polymer-drug conjugates the non-active ingredient being a modifying agent the modifying agent being an antibody, an immunoglobulin or a fragment thereof, e.g. an Fc-fragment
- A61K47/6889—Conjugates wherein the antibody being the modifying agent and wherein the linker, binder or spacer confers particular properties to the conjugates, e.g. peptidic enzyme-labile linkers or acid-labile linkers, providing for an acid-labile immuno conjugate wherein the drug may be released from its antibody conjugated part in an acidic, e.g. tumoural or environment
-
- A—HUMAN NECESSITIES
- A61—MEDICAL OR VETERINARY SCIENCE; HYGIENE
- A61K—PREPARATIONS FOR MEDICAL, DENTAL OR TOILETRY PURPOSES
- A61K31/00—Medicinal preparations containing organic active ingredients
- A61K31/33—Heterocyclic compounds
- A61K31/395—Heterocyclic compounds having nitrogen as a ring hetero atom, e.g. guanethidine or rifamycins
- A61K31/55—Heterocyclic compounds having nitrogen as a ring hetero atom, e.g. guanethidine or rifamycins having seven-membered rings, e.g. azelastine, pentylenetetrazole
- A61K31/551—Heterocyclic compounds having nitrogen as a ring hetero atom, e.g. guanethidine or rifamycins having seven-membered rings, e.g. azelastine, pentylenetetrazole having two nitrogen atoms, e.g. dilazep
- A61K31/5513—1,4-Benzodiazepines, e.g. diazepam or clozapine
- A61K31/5517—1,4-Benzodiazepines, e.g. diazepam or clozapine condensed with five-membered rings having nitrogen as a ring hetero atom, e.g. imidazobenzodiazepines, triazolam
-
- A—HUMAN NECESSITIES
- A61—MEDICAL OR VETERINARY SCIENCE; HYGIENE
- A61K—PREPARATIONS FOR MEDICAL, DENTAL OR TOILETRY PURPOSES
- A61K47/00—Medicinal preparations characterised by the non-active ingredients used, e.g. carriers or inert additives; Targeting or modifying agents chemically bound to the active ingredient
- A61K47/50—Medicinal preparations characterised by the non-active ingredients used, e.g. carriers or inert additives; Targeting or modifying agents chemically bound to the active ingredient the non-active ingredient being chemically bound to the active ingredient, e.g. polymer-drug conjugates
- A61K47/51—Medicinal preparations characterised by the non-active ingredients used, e.g. carriers or inert additives; Targeting or modifying agents chemically bound to the active ingredient the non-active ingredient being chemically bound to the active ingredient, e.g. polymer-drug conjugates the non-active ingredient being a modifying agent
- A61K47/68—Medicinal preparations characterised by the non-active ingredients used, e.g. carriers or inert additives; Targeting or modifying agents chemically bound to the active ingredient the non-active ingredient being chemically bound to the active ingredient, e.g. polymer-drug conjugates the non-active ingredient being a modifying agent the modifying agent being an antibody, an immunoglobulin or a fragment thereof, e.g. an Fc-fragment
- A61K47/6801—Drug-antibody or immunoglobulin conjugates defined by the pharmacologically or therapeutically active agent
- A61K47/6803—Drugs conjugated to an antibody or immunoglobulin, e.g. cisplatin-antibody conjugates
- A61K47/68035—Drugs conjugated to an antibody or immunoglobulin, e.g. cisplatin-antibody conjugates the drug being a pyrrolobenzodiazepine
-
- A—HUMAN NECESSITIES
- A61—MEDICAL OR VETERINARY SCIENCE; HYGIENE
- A61K—PREPARATIONS FOR MEDICAL, DENTAL OR TOILETRY PURPOSES
- A61K47/00—Medicinal preparations characterised by the non-active ingredients used, e.g. carriers or inert additives; Targeting or modifying agents chemically bound to the active ingredient
- A61K47/50—Medicinal preparations characterised by the non-active ingredients used, e.g. carriers or inert additives; Targeting or modifying agents chemically bound to the active ingredient the non-active ingredient being chemically bound to the active ingredient, e.g. polymer-drug conjugates
- A61K47/51—Medicinal preparations characterised by the non-active ingredients used, e.g. carriers or inert additives; Targeting or modifying agents chemically bound to the active ingredient the non-active ingredient being chemically bound to the active ingredient, e.g. polymer-drug conjugates the non-active ingredient being a modifying agent
- A61K47/68—Medicinal preparations characterised by the non-active ingredients used, e.g. carriers or inert additives; Targeting or modifying agents chemically bound to the active ingredient the non-active ingredient being chemically bound to the active ingredient, e.g. polymer-drug conjugates the non-active ingredient being a modifying agent the modifying agent being an antibody, an immunoglobulin or a fragment thereof, e.g. an Fc-fragment
- A61K47/6835—Medicinal preparations characterised by the non-active ingredients used, e.g. carriers or inert additives; Targeting or modifying agents chemically bound to the active ingredient the non-active ingredient being chemically bound to the active ingredient, e.g. polymer-drug conjugates the non-active ingredient being a modifying agent the modifying agent being an antibody, an immunoglobulin or a fragment thereof, e.g. an Fc-fragment the modifying agent being an antibody or an immunoglobulin bearing at least one antigen-binding site
-
- C—CHEMISTRY; METALLURGY
- C07—ORGANIC CHEMISTRY
- C07D—HETEROCYCLIC COMPOUNDS
- C07D487/00—Heterocyclic compounds containing nitrogen atoms as the only ring hetero atoms in the condensed system, not provided for by groups C07D451/00 - C07D477/00
- C07D487/02—Heterocyclic compounds containing nitrogen atoms as the only ring hetero atoms in the condensed system, not provided for by groups C07D451/00 - C07D477/00 in which the condensed system contains two hetero rings
- C07D487/04—Ortho-condensed systems
Definitions
- the present invention relates to pyrrolobenzodiazepine dimer precursors and their ligand-linker conjugate compounds, compositions containing them, and in particular for their therapeutic use as anticancer agents.
- Pyrrolobenzodiazepine is known as a natural substance with antibiotic or anti-tumor activity, produced by various actinomycetes. Pyrrolobenzodiazepine is a sequence selective DNA alkylated anticancer agent that covalently binds to cellular DNA. Pyrrolobenzodiazepine, a DNA-crosslinking agent, is known to exhibit significantly stronger anticancer activity than systemic chemotherapeutic agents and can prevent the division of cancer cells without destroying DNA helix.
- Pyrrolobenzodiazepine has the following general structure:
- the pyrrolobenzodiazepines differ in the number, type and position of substituents on the aromatic rings A and pyrrolo C rings, and the saturation of the C rings.
- Some pyrrolobenzodiazepine dimers are undergoing Phase I clinical trials with SGN-CD123A from Seattle Genetics for acute myelocytic leukemia (AML) as a dPBD conjugate for acute myeloid leukemia (AML) disease.
- AML acute myelocytic leukemia
- Koltan Pharmaceuticals and Genentech / Roche are known to develop antibody-drug conjugates using pyrrolobenzodiazepine as a cytotoxic drug.
- Spirogen has developed a technology for treating acute myeloid leukemia based on pyrrolobenzodiazepine.
- published patents (medyok limited, patent document 1) on pyrrolobenzodiazepine and conjugates thereof, published patents (medyzeb limited, patent document 2) on asymmetric pyrrolobenzodiazepine dimers for the treatment of proliferative diseases, blood Registered patent (medium shock, patent document 3) regarding rolobenzodiazepine, registered patent (medium shock, patent document 4) regarding pyrrolobenzodiazepine for the treatment of proliferative disease, and open patent (mediponate limited, Patent document 5) and the registered patent (spirogen limited, patent document 6) regarding a pyrrolobenzodiazepine exist.
- the anti-tumor activity is enhanced by modifying the pyrrolobenzodiazepine compound structure, or the anti-cancer activity can be enhanced by administering the pyrrolobenzodiazepine compound having such a modified structure in the form of an antibody-drug conjugate. It only starts.
- the antibody-drug conjugate having a form linked to carbamate with respect to the form of pyrrolobenzodiazepine dimer, and a cytosol having low cytotoxicity by making the pyrrolobenzodiazepine compound in monomer form into a precursor form There are papers on which it appears that there are research papers on the preparation and activity of N10- (4-nitrobenzyl) carbamate-protected pyrrolobenzodiazepine precursors (Non-Patent Documents 7, Non-Patent Documents 8 and 9). Reference).
- ADCs antibody-drug conjugates
- antibody-drug conjugates consist of "antibody-linker-small molecule drugs (toxins)".
- the linker is not only a functional role that connects the antibody and the drug, but also reaches the target cell stably during the body circulation, and then the drug enters the cell and dissociates between the antibodies and the drug (eg, the result of hydrolysis by enzymes). By dropping the drug well to target cancer cells should be effective. That is, the linker plays a very important role in terms of safety, such as the efficacy of the antibody-drug conjugate and systemic toxicity, depending on the stability of the linker (Discovery Medicine 2010, 10 (53): 329-39).
- the inventors of the present invention have developed a linker comprising an effective self-immolative group which is more stable in plasma, stable even in the body circulation, and which drug can be easily released in cancer cells to exhibit efficacy.
- Patent has been secured (Korean Patent No. 1,628,872, etc.).
- Patent Document 1 Korean Patent Publication No. 2013-0040835 (published April 24, 2013)
- Patent Document 2 Korean Patent Publication No. 2011-0075542 (Published June 30, 2011)
- Patent Document 3 Korean Registered Patent No. 1,700,460 (January 20, 2017 registration)
- Patent Document 4 Korean Registered Patent No. 1,687,054 (registered Dec. 9, 2016)
- Patent Document 5 Korean Patent Publication No. 2015-0016245 (published Feb. 11, 2015)
- Patent Document 6 Korean Patent No. 1,059,183 (August 18, 2011)
- Patent Document 7 PCT / US2016 / 063564
- Patent Document 8 PCT / US2016 / 063595
- Patent Document 9 Korean Patent Publication No. 2014-0035393 (published March 21, 2014)
- Patent Document 10 WO 2017/160569 (Published Sept. 21, 2017)
- Patent Document 11 US Patent 8,697,688 (April 15, 2014 registration)
- Patent Document 12 US Patent 9,713,647 (July 25, 2017 registration)
- Patent Document 13 United States Patent Publication 2015-0283258 (2015.10. 8. publication)
- Non-Patent Document 1 Kemp Gary C et al., Synthesis and in vitro evaluation of SG3227, a pyrrolobenzodiazepine dimer antibody-drug conjugate payload based on sibiromycin, Bioorganic & Medicinal Chemistry Letters Vol. 27 No. 5, 1154-1158 (2017)
- Non-Patent Document 2 Julia Mantaj et al., From Anthramycin to Pyrrolobenzodiazepine (PBD) -Containing Antibody-Drug Conjugates (ADCs), Angewandte Chemie International Edition Vol. 56 No. 2, 462-488 (2017)
- Non-Patent Document 3 Giddens Anna C. et al., Analogues of DNA minor groove cross-linking agents incorporating aminoCBI, an amino derivative of the duocarmycins: Synthesis, cytotoxicity, and potential as payloads for antibody-drug conjugates, Bioorganic & Medicinal Chemistry Vol. 24 No. 22, 6075-6081 (2016)
- Non-Patent Document 4 Hartley, JA, The development of pyrrolobenzodiazepines as antitumour agents, EXPERT OPIN INV DRUG, 20 (6) 733-744 (2011)
- Non-Patent Document 5 Kamal Ahmed et al., Synthesis, anticancer activity and mitochondrial mediated apoptosis inducing ability of 2,5-diaryloxadiazole-pyrrolobenzodiazepine conjugates, Bioorganic & Medicinal Chemistry Vol. 18 No. 18, 6666-6677 (2010)
- Non-Patent Document 6 Guichard S.M et al., Influence of P-glycoprotein expression on in vitro cytotoxicity and in vivo antitumour activity of the novel pyrrolobenzodiazepine dimer SJG-136, European Journal of Cancer Vol. 41 No. 12, 1811-1818 (2005)
- Non-Patent Document 7 Zhang, Donglu et al, Linker Immolation Determines Cell Killing Activity of Disulfide-Linked Pyrrolobenzodiazepine Antibody-Drug Conjugates, ACS Medicinal Chemistry Letters, 7 (11), 988-993 (2016)
- Non-Patent Document 8 Masterson, Luke A. et al., Synthesis and biological evaluation of novel pyrrolo [2,1-c] [1,4] benzodiazepine prodrugs for use in antibody directed enzyme prodrug therapy, Bioorganic & Medicinal Chemistry Letters , 16 (2), 252-256 (2006)
- Non-Patent Document 9 Sangnou, M. J. et al., Design and synthesis of novel pyrrolobenzodiazepine (PBD) prodrugs for ADEPT and GDEPT, Bioorganic & Medicinal Chemistry Letters, 10 (18), 2083-2086 (2000)
- Non-Patent Document 10 Nature Rev. Cancer 2005, 5 (5), pp. 405-12; Nature Chemical Biology, 2010, 17, pp. 498-506; Lane KT, Bees LS, Structural Biology of Protein of Farnesyltransferase and Geranylgeranyltransferase Type I, Journal of Lipid Research, 47, pp. 681-699 (2006); Patrick J. Kasey, Miguel C. Seabra; Protein Prenyltransferases, The Journal of Biological Chemistry, Vol. 271, No. 10, Issue of March 8, pp. 5289-5292 (1996)
- Non-Patent Document 11 Benjamin P. Duckworth et al, Chem Bio Chem 2007, 8, 98; Uyen T. T. Nguyen et al, Chem Bio Chem 2007, 8, 408; Guillermo R. Labadie et al, J. Org. Chem. 2007, 72 (24), 9291; James W. Wollack et al, Chem BioChem 2009, 10, 2934
- Non-Patent Document 13 Berge, et al., J. Pharm. Sci., 66, 1-19 (1977)
- a pyrrolobenzodiazepine dimer precursor of a novel structure that can increase the blood stability of the pyrrolobenzodiazepine having a low blood stability after administration.
- the pyrrolobenzodiazepine dimer precursor is further stabilized in the plasma and stable in the body circulation, by incorporating a linker technology comprising a self-immolative group which can be easily released in cancer cells to maximize the efficacy.
- the present invention aims to provide a drug precursor-linker-ligand system that can stably reach target cells to effectively exert its effect while significantly lowering toxicity.
- the present invention relates to pyrrolobenzodiazepine dimer prodrugs, pharmaceutically acceptable salts or solvates thereof.
- R, and R ' are each independently H, OH, N 3, CN, NO 2, SH, NH 2, ONH 2, NHNH 2, halo, substituted or unsubstituted C 1- 8 alkyl, substituted or unsubstituted C 3- 8 cycloalkyl, substituted or unsubstituted C 1-8 alkoxy, substituted or unsubstituted C 1-8 alkylthio, substituted or unsubstituted C 3- 20 heteroaryl, substituted or unsubstituted and 1- or di -C 8 alkylamino, - C 20 aryl or 5- mono-
- C 1-8 alkyl, C 3-8 cycloalkyl, C 1-8 alkoxy, C 1-8 alkylthio, C 3-20 heteroaryl, C 5-20 aryl is substituted, H, OH, N 3, CN, NO 2, SH, NH 2, ONH 2, NNH 2, halo, C 1-6 alkyl, C 1- 6 alkoxy, C 6- 12 aryl is optionally substituted with substituents selected from the group consisting of,
- a pyrrolobenzodiazepine dimer precursor is provided.
- it is necessary to be converted into a valid drug by an additional reaction upon exposure to blood, thereby preventing the possibility of side effects that may occur during unexpected decomposition of the linker, Toxicity to normal cells is reduced, and the drug is more stable than conventional PBD drugs in that the drug is more stable.
- the antibody-drug conjugate prepared by the conventional method in the production of the antibody-drug conjugate has a high impurity content and exposed imine groups may be attacked by nucleophiles, resulting in the formation of a drug having an unwanted structure.
- the antibody-drug conjugate prepared by the method according to the present invention has an advantage of high purity and easy separation, and physical properties have been improved as compared with conventional PBD or PBD dimer.
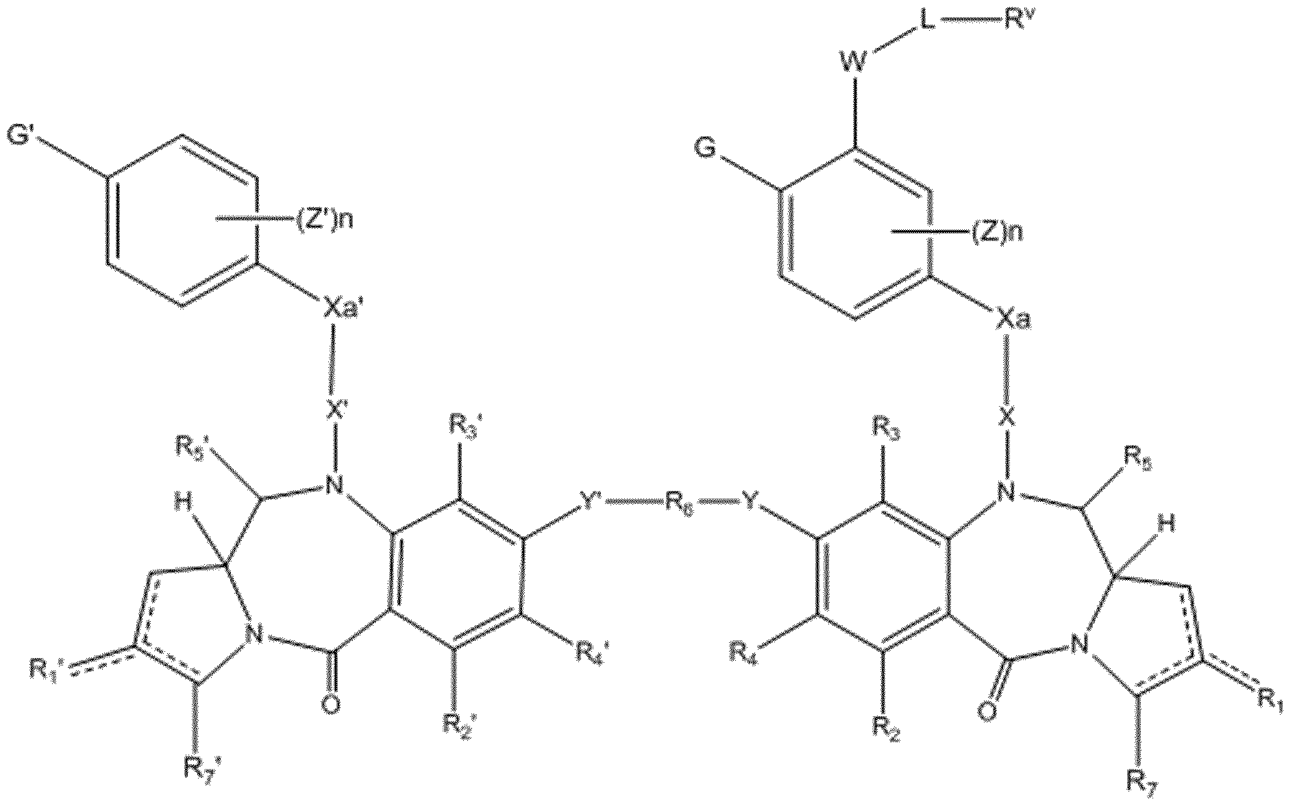
- the pyrrolobenzodiazepine dimer precursor has the structure of formula (Ia) or (Ia '),
- Dashed lines indicate any presence of a double bond between C1 and C2, or C2 and C3,
- R m ' is selected from the group consisting of R m , CO 2 R m , COR m , CHO, CO 2 H, and halo,
- R m is a substituted or unsubstituted C 1- 12 alkyl, substituted or unsubstituted C 2- 12 alkenyl, substituted or unsubstituted C 2- 12 alkynyl, substituted or unsubstituted C 5- 20 aryl, substituted or unsubstituted C 5- 20 heteroaryl, substituted or unsubstituted C 3- 6 cycloalkyl, substituted or unsubstituted 3 to 7-membered heterocyclyl, substituted or unsubstituted 3 to 7-membered Heterocycloalkyl, and substituted or unsubstituted 5 to 7-membered heteroaryl;
- C 1- 12 alkyl, C 1- 12 alkoxy, C 2- 12 alkenyl, C 2- 12 alkynyl, C 5- 20 aryl, C 5- 20 heteroaryl, C 3- 6 cycloalkyl, 3 to 7 membered heterocyclyl, 3 to 7 membered-heterocycloalkyl, or 5 to 7 each of the hydrogen atoms of the member heteroaryl are each independently a C 1- 12 alkyl, C 2- 12 alkenyl, C 2- 12 alkynyl, from 5- C 20 aryl, C 5- 20 heteroaryl, C 3- 6 cycloalkyl, 3 to 7-membered heterocyclyl, 3 to 7-membered heterocycloalkyl, and 5 to 7 membered heteroaryl group, consisting of Substituted with any one or more selected;
- R 2, R 3 and R 5 are each independently H, R m , OH, OR m , SH, SR m , NH 2 , NHR m , NR m R m ' , NO 2 , Me 3 Sn And halo,
- R m and R m ′ are as defined above;
- R 4 is H, R m, OH, OR m, SH, SR m, NH 2, NHR m, NR m R m ', NO 2, Me 3 Sn, halo, substituted or unsubstituted C 1- 6 alkyl, substituted or unsubstituted C 1- 6 alkoxy, substituted or unsubstituted C 2- 6 alkenyl, substituted or unsubstituted C 2- 6-alkynyl, substituted or unsubstituted C 3- 6 cycloalkyl, substituted or unsubstituted hwandoen 3 to 7 membered heterocycloalkyl, substituted or unsubstituted 5- C 12 aryl, substituted or unsubstituted 5 to 7 membered heteroaryl, -CN, -NO 2, -NCO, -OR n, - OC (O) R n , -OC (O) NR n R n ' , -OS (O
- C 1- 6 alkyl, C 1- 6 alkoxy, C 2- 6 alkenyl, C 2- 6 alkynyl, C 3-6 cycloalkyl, 3 to 7-membered heterocycloalkyl, 5- C 12 aryl, 5 to 7 membered each hydrogen atom of the heteroaryl are each independently a C 1 - 6 alkyl, C 1- 6 alkoxy, C 2 - 6 alkenyl, C 2- 6 alkynyl , C 3- C 6 cycloalkyl, 3 to 7-membered heterocycloalkyl, C 5 - 10 aryl, 5- to 7-membered heteroaryl group, -OR p, -OC
- R n, R o, R p, and R q is independently H, C 1 - 7 alkyl, C 2 - 7 alkenylene, C 2- 7 alkynyl, C 3- 13 cycloalkyl, 3 to 7-membered heterocycloalkyl, C 6 - 10, selected from aryl, and a 5- to 7-membered group consisting of heteroaryl, and;
- X and X ' are each independently -C (O) O *, -S (O) O *, -C (O) *, -C (O) NR *, -S (O) 2 NR *, -P Any one selected from the group consisting of (O) R'NR *, -S (O) NR *, and -PO 2 NR * is attached,
- R, and R ' are each independently H, OH, N 3, CN, NO 2, SH, NH 2, ONH 2, NHNH 2, halo, substituted or unsubstituted C 1- 8 alkyl, substituted or unsubstituted C 3- 8 cycloalkyl, substituted or unsubstituted C 1- 8 alkyl, substituted or unsubstituted C 1- 8 alkylthio, substituted or unsubstituted C 3- 20 heteroaryl, substituted or unsubstituted and 1- or di -C 8 alkylamino, - C 20 aryl or 5- mono-
- Y and Y ' are each independently selected from the group consisting of O, S, and N (H);
- R 6 is a substituted or unsubstituted saturated or unsaturated C 3-12 hydrocarbon chain
- chain thereof may be interrupted by one or more heteroatoms, NMe or substituted or unsubstituted aromatic rings,
- a chain or aromatic ring thereof has at least one position of hydrogen atom on its chain or aromatic ring, -NH, -NR m , -NHC (O) R m , -NHC (O) CH 2- [OCH 2 CH 2 ] n -R, or - May be unsubstituted or substituted with [CH 2 CH 2 O] n -R,
- R m and R are the same as defined above for R m and R,
- n is an integer from 1 to 12;
- R 7 is H, substituted or unsubstituted C 1 - 6 alkyl, substituted or unsubstituted C 2 - 6 alkenyl, substituted or unsubstituted C 2- 6 alkynyl, substituted or unsubstituted C 3- 6 cycloalkyl alkyl, substituted or unsubstituted 3 to 7-membered optionally substituted heterocycloalkyl, unsubstituted or unsubstituted C 6 - 10 aryl, substituted or unsubstituted 5 to 7 membered heteroaryl, -OR r, -OC (O) r r , -OC (O) NR r R r ' , -OS (O) R r , -OS (O) 2 R r , -SR r , -S (O) R r , -S (O) 2 R r , -S (O) NR r R r '
- C 1 - 6 alkyl, C 2 - 6 alkenyl, C 2- 6 alkynyl, C 3- 6 cycloalkyl, 3 to 7-membered heterocycloalkyl, C 6 - 10 aryl, 5 to 7-membered each hydrogen atom of the heteroaryl are each independently a C 1 - 6 alkyl, C 2 - 6 alkenyl, C 2- 6 alkynyl, C 3- 6 cycloalkyl, 3 to 7-membered heterocycloalkyl, C 6 - 10 aryl, 5-7 membered heteroaryl, -OR t, -OC (O) R t, -OC (O
- R r, R r ', R s, R s', R t, R t ', R u and R u' are each independently H, C 1- 7 alkyl, C 2-7 alkenyl, C 1-7 alkynyl, C 3- 13 is selected from cycloalkyl, 3 to 7-membered heterocycloalkyl, C 5-10 aryl, and 5- to 7-membered group consisting of-heteroaryl;
- R 1 , R 2 , R 3 , R 4 , R 6 , R 7 , and X are as defined above in Formula Ia,
- R 8 is H, halo, substituted or unsubstituted C 1- 6 alkyl, substituted or unsubstituted C 2- 6 alkenyl, substituted or unsubstituted C 2-6 alkynyl, substituted or unsubstituted C 3- 6 heteroalkyl, substituted or unsubstituted 3 to 7 membered heterocycloalkyl, substituted or unsubstituted C 5- 10 arylalkyl, substituted or unsubstituted 5 to 7 membered heteroaryl, -CN, -NO 2, - NCO, -OH, OR m , -OC (O) R m , -OC (O) NR m R m ', -OS (O) R m , -OS (O) 2 R m , -SR m , -S (O) R m , -S (O) 2 R m , -S (O) NR m R m '
- C 1- 6 alkyl, C 2- 6 alkenyl, C 2- 6 alkynyl, C 3- 6 heteroalkyl, 3 to 7-membered heterocycloalkyl, 5- C 10 aryl, or a 5- to 7-membered when a heteroaryl group optionally substituted C 1- 6 alkyl, C 2- 6 alkenyl, C 2- 6 alkynyl, C 3- 6 heteroalkyl, 3 to 7-membered heterocycloalkyl, 5- C 10 aryl, or 5 to 7 membered each hydrogen atom of the heteroaryl are each independently C 1-6 alkyl, C 2- 6 alkenyl, C 2- 6 alkynyl, C 3- 6 heteroalkyl, 3 to 7-membered heterocycloalkyl , 5- C 10 aryl, 5 to 7 membered heteroaryl, -OR m, -OC (O) R m, -OC (O) NR m R m ', -OS (O) R m,
- R m , R m ' , R n and R n ' are as defined in Formula Ia,
- Z a and Z b are each independently O, N, or S,
- R 12a, R 13a, and R 14a are each independently selected from H, substituted or unsubstituted C 1- 6 alkyl, substituted or unsubstituted C 2- 6 alkenyl, substituted or unsubstituted C 2- 6 alkynyl, substituted or unsubstituted C 3- 6 cycloalkyl, substituted or unsubstituted 3 to 7 membered heterocycloalkyl, substituted or unsubstituted 5- C 10 aryl, substituted or unsubstituted 5 to 7 membered heteroaryl, -C (O) R 15a , -C (O) OR 15a and -C (O) NR 15a R 15a ' , wherein R 15a and R 15a' are as defined in R m ,
- C 1- 6 alkyl, C 2- 6 alkenyl, C 2- 6 alkynyl, C 3- 6 cycloalkyl, 3 to 7-membered heterocycloalkyl, 5- C 10 aryl, 5 to 7 membered heteroaryl when the aryl is substituted each is hydrogen C 1- 6 alkyl, C 2- 6 alkenyl, C 2- 6 alkynyl, C 3- 6 cycloalkyl, 3 to 7-membered heterocyclyl, 3 to 7-membered heterocycloalkyl, 5- C 10 aryl, 5 to 7 membered heteroaryl, -OR o, -OC (O) R o, -OC (O) NR o R o ', -OS (O) R o, - OS (O) 2 R o , -SR o , -S (O) R o , -S (O) 2 R o , -S (O) NR o R o '
- R 13a and R 14a combine with the atoms to which they are attached to form a 3 to 7-membered heterocyclyl, or 3 to 7-membered heterocycloalkyl, or R 13a and R 14a to which they are attached Can be combined together to form a 3 to 7 membered heteroaryl,
- 3 to each of the hydrogen atoms present in the 7-membered heterocycloalkyl or 3 to 7-membered heteroaryl are each independently a C 1- 6 alkyl, C 2- 6 alkenyl, C 2- 6 alkynyl, C 3- 6 cycloalkyl, 3 to 7-membered heterocycloalkyl, 5- C 10 aryl, 5 to 7 membered heteroaryl, -OR o, -OC (o) R o, - OC (O) NR o R o ' , -OS (O) R o , -OS (O) 2 R o , -SR o , -S (O) R o , -S (O) 2 R o , -S (O) NR o R o ' , -S (O) 2 NR o R o ' , -OS (O) NR o R o R o , -OS (O) NR o
- R n, R n ', R o, R o', R p, and R p ' are each independently H, C 1- 7 alkyl, 2- C 7 alkenyl, C 2- 7 alkynyl, C 3- 13 cycloalkyl, 3 to 7-membered heterocycloalkyl, 5- C 10 aryl, and a 5- to 7-membered heteroaryl is selected from the group consisting of;
- R 1 ′ , R 2 ′ , R 3 ′ , R 4 ′ , R 5 ′ , R 7 ′, and R 8 ′ are R 1 , R 2 , R 3 , R 4, R 5 , It is as defined about R ⁇ 7> and R ⁇ 8> .
- the dashed line indicates the presence of a double bond between C2 and C3.
- R 1 is a substituted or unsubstituted C 1- 6 alkyl, substituted or unsubstituted C 2- 6 alkenyl, substituted or unsubstituted C 5-7 aryl, and substituted or unsubstituted C It is selected from the group consisting of 3-6 heteroaryl.
- R 2 , R 3 and R 5 are each independently H or OH.
- R 4 is C 1-6 alkoxy, more specifically methoxy, ethoxy or butoxy.
- X and X ' are each independently selected from the group consisting of -C (O) O *, -C (O) * and -C (O) NR *,
- R is each independently H, OH, N 3 , CN, NO 2 , SH, NH 2 , ONH 2 , NNH 2 , halo, substituted or unsubstituted C 1-8 alkyl or substituted or unsubstituted C 1- 8 alkoxy, in the case where C 1- 8 alkyl, C 1- 8 alkoxy which is substituted, H, OH, N 3, CN, NO 2, SH, NH 2, ONH 2, NNH is substituted by 2, or halo .
- R 6 is a substituted or unsubstituted saturated or unsaturated C 3-8 hydrocarbon chain
- Its chain may be interrupted by one or more heteroatoms or substituted or unsubstituted aromatic rings,
- heteroatom is O, S or N (H)
- aromatic ring is benzene, pyridine, imidazole or pyrazole,
- At least one position of a hydrogen atom on the chain or aromatic ring is -NHC (O) CH 2- [OCH 2 CH 2 ] n -R, or -[CH 2 CH 2 O] n -R can be substituted,
- n is an integer of 1-6.
- pyrrolobenzodiazepine dimer precursor pharmaceutically acceptable salt or solvate thereof selected from:
- R O and R ′ O are each an oxygen protecting group and may be the same as or different from each other.
- the present invention also provides a conjugate having the structure of formula IIa or a pharmaceutically acceptable salt or solvate thereof:
- Ligand is a ligand
- L is a linker
- D is a pyrrolobenzodiazepine dimer precursor as described above, wherein the linker is selected from the N10, N10 ', or N10 and N10' positions of D, or X, X 'or X and X' of D as described above.
- n is an integer from 1 to 20.
- the linker is bonded to D via the N10 and N10 'positions of D, or X and X' of D.
- n is an integer from 1 to 10.
- the present invention also provides a pyrrolobenzodiazepine dimer precursor-linker compound having the structure of Formula IIb or Formula IIb ', a pharmaceutically acceptable salt or solvate thereof:
- R 1 , R 2 , R 3 , R 4 , R 5 , R 6 , R 7 , X, Y, R 1 ', R 2 ', R 3 ', R 4 ', R 5 ', R 7 ' , X ', Y', R 8 , Z a , Z b , R 12a , R 13a , R 14a , R 8 ', Z a ', Z b ', R 12a ', R 13a ', and R 14a ' are Each as defined in claim 2 for compounds of formula (Ia) and formula (Ia '),
- each independently are Xa and Xa '(bond), or a substituted or unsubstituted C 1- 6 alkylene, and, if this is a C 1- 6 alkylene substituted with a hydrogen, C 1-8 alkyl or C 3 Substituted with -8 cycloalkyl,
- G and G ' are glucuronide groups, galactoside groups or derivatives thereof,
- Z is H, C 1- 8 alkyl, halo, NO 2, CN, , And-(CH 2 ) m -OCH 3 ,
- R 8, R 9 and R 10 is selected from each independently H, C 1- 8 alkyl, C 2- 6 alkenyl, and the group consisting of C 1- 6 alkoxy, m is 0 to 12,
- n is an integer of 1 to 3, when n is an integer of 2 or more, each Z may be the same or different from each other,
- W is -C (O)-, -C (O) NR ''-, -C (O) O-, -S (O) 2 NR ''-, -P (O) R '''NR'' -, -S (O) NR '' -, or -PO 2 NR '' -, and wherein R '' and R '''are each independently H, C 1- 8 alkyl, C 3- 8 cycloalkyl, 1- C 8 alkoxy, C 1- 8 alkyl thio, mono- or di -C 1-8 alkylamino, C 3-20 heteroaryl, or C 6-20 aryl,
- L is one or more units selected from the group consisting of a branching unit, a connection unit and a binding unit, or a combination of these units, wherein the connection unit is a combination of W, Connecting the W and the branching unit, the branching unit and the branching unit, or the branching unit and the coupling unit, wherein the branching unit connects the connection unit and the W, or the connection unit and another connection unit,
- Branching unit 100 C 2- alkenyl (wherein the carbon atom of the alkenyl group is one or more N, O and may be substituted with a hetero atom selected from the group consisting of S, alkenyl has one or more C 1- 20 may be further substituted with alkyl), hydrophilic amino acid, -C (O)-, -C (O) NR '''-, -C (O) O-,-(CH 2 ) s- NHC (O)-(CH 2 ) t -,-(CH 2 ) u -C (O) NH- (CH 2 ) v -,-(CH 2 ) s -NHC (O)-(CH 2 ) t- C (O)-,-(CH 2 ) u -C (O) NH- (CH 2 ) v -C (O)-,-S (O) 2 NR '''-, -P (O) R ''''NR'
- the connecting unit is-(CH 2 ) r (V (CH 2 ) p ) q- , where r is an integer from 0 to 10, p is an integer from 0 to 12, q is an integer from 1 to 20 and , V is a single bond, -O-, or S-,
- L 1 is a single bond or a C 2- 30 alkenyl Al
- R 11 is H or C 1-10 alkyl
- L 2 is a C 2- 30 alkenyl group, and;
- R v is -NH 2, N 3, substituted or unsubstituted C 1- 12 alkyl, C 1- 12 alkynylene, C 1- 3 alkoxy, substituted or unsubstituted C 3- 20 heteroaryl, C 3-20 ring Heterocyclyl or substituted or unsubstituted C 5-20 aryl,
- Xa and Xa ' are each independently a bond or C 1-3 alkyl.
- Z is H, , And-(CH 2 ) m -OCH 3 ,
- W is -C (O)-, -C (O) NR '''-or -C (O) O-, wherein R''' is H or C 1-8 alkyl ,
- L is one or more units selected from the group consisting of a branching unit, a connection unit and a binding unit, or a combination of these units, wherein the connection unit is a combination of W, Connecting the W and the branching unit, the branching unit and the branching unit, or the branching unit and the coupling unit, wherein the branching unit connects the connection unit and the W, or the connection unit and another connection unit,
- Branching units C 2- 8 alkenyl (wherein the carbon atom of the alkenyl group is one or more N, O and may be substituted with a hetero atom selected from the group consisting of S, alkenyl has one or more C 1- 6 may be further substituted with alkyl), or a hydrophilic amino acid, -C (O)-, -C (O) NR '''-, -C (O) O-,-(CH 2 ) s -NHC (O)-(CH 2 ) t -,-(CH 2 ) u -C (O) NH- (CH 2 ) v -,-(CH 2 ) s -NHC (O)-(CH 2 ) t -C (O) -, or - (CH 2) u -C ( O) NH- (CH 2) v -C (O) - , and (wherein, R ''' is H, C 1- 8 alkyl, C 3- 8
- the connecting unit is-(CH 2 ) r (V (CH 2 ) p ) q- , where r is an integer from 0 to 10, p is an integer from 0 to 12, q is an integer from 1 to 20 and , V is a single bond, or -O-,
- L 1 is a single bond or a C 2- 8 alkenyl Al
- R 11 is H or C 1- 6 alkyl
- L 2 is C 2- 8 alkenyl
- the connecting unit is-(CH 2 ) r (V (CH 2 ) p ) q- ,
- r is an integer from 0 to 8
- p is an integer from 1 to 12
- q is an integer from 1 to 10
- V is a single bond or -O-.
- G and G ' may each independently be a ⁇ -glucuronide group, galactoside group or derivative thereof.
- pyrrolobenzodiazepine dimer precursor-linker compound of Formula IIc a pharmaceutically acceptable salt or solvate thereof:
- Dashed lines indicate any presence of a double bond between C1 and C2, or C2 and C3,
- R 1 is methyl, ethyl, methylene, methoxy and substituted or doedoe selected from the group consisting of unsubstituted phenyl, when phenyl is substituted with H, OH, halo, C 1- 6 alkyl, C 1- 6 alkoxy and C 6 - is substituted with substituents selected from the group consisting of 12-aryl,
- n 1 to 10
- n is an integer from 1 to 10.
- R 1 is methyl, methylene; And substituted with H, OH, halo, C 1- 6 substituents selected from the group consisting of alkyl and C 1- 6 alkoxy or may be an unsubstituted phenyl.
- m may be an integer of 2 to 8, specifically an integer of 3 to 7, more specifically an integer of 4 to 6.
- n may be an integer of 2 to 8, specifically an integer of 3 to 7, more specifically an integer of 4 to 6.
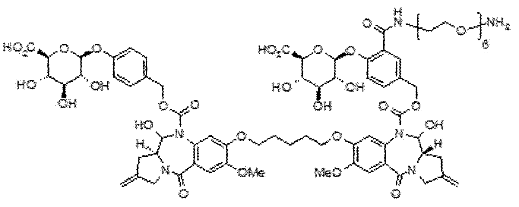
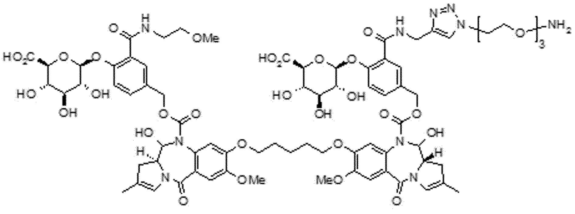
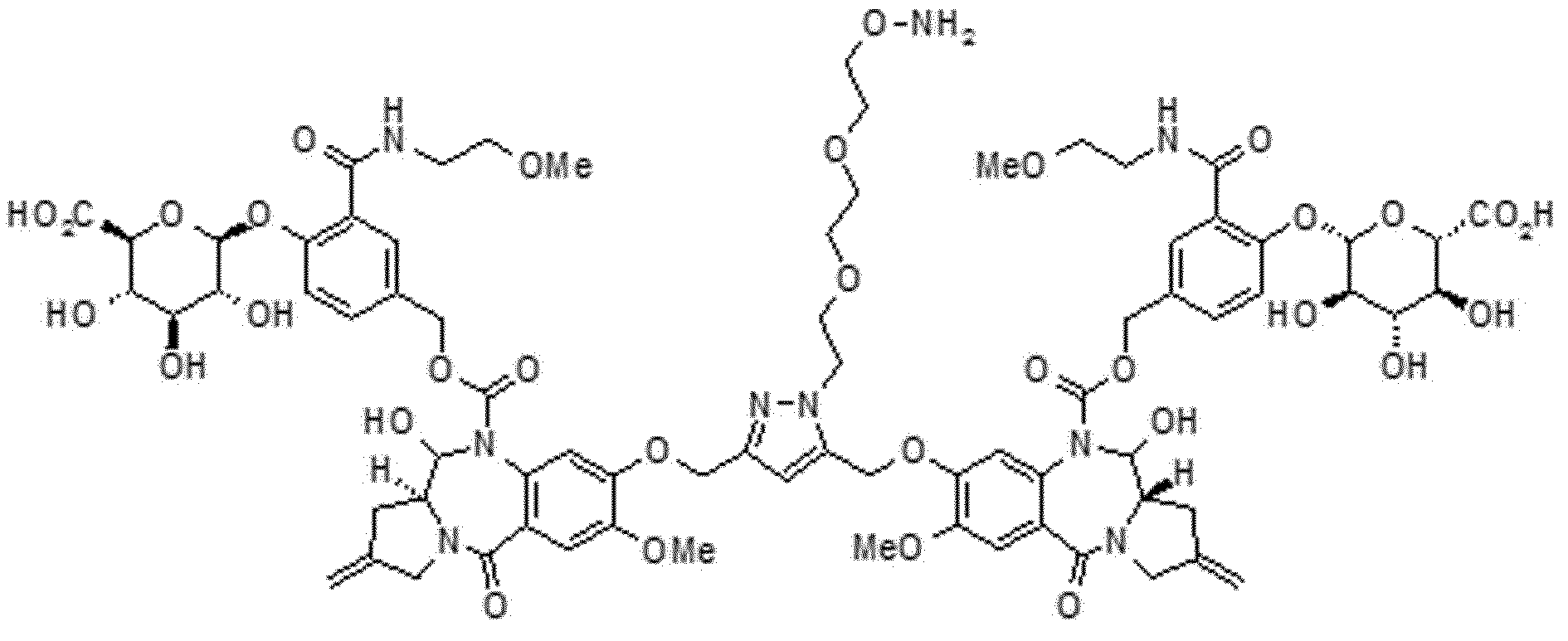
- the present invention also provides a pyrrolobenzodiazepine dimer precursor-linker compound, a pharmaceutically acceptable salt or solvate thereof, having the following chemical structure.
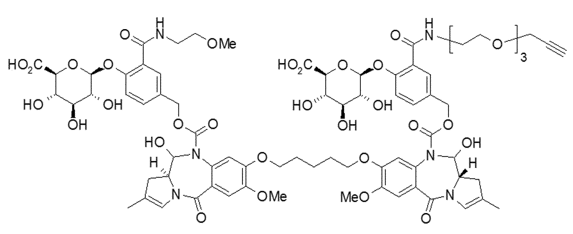
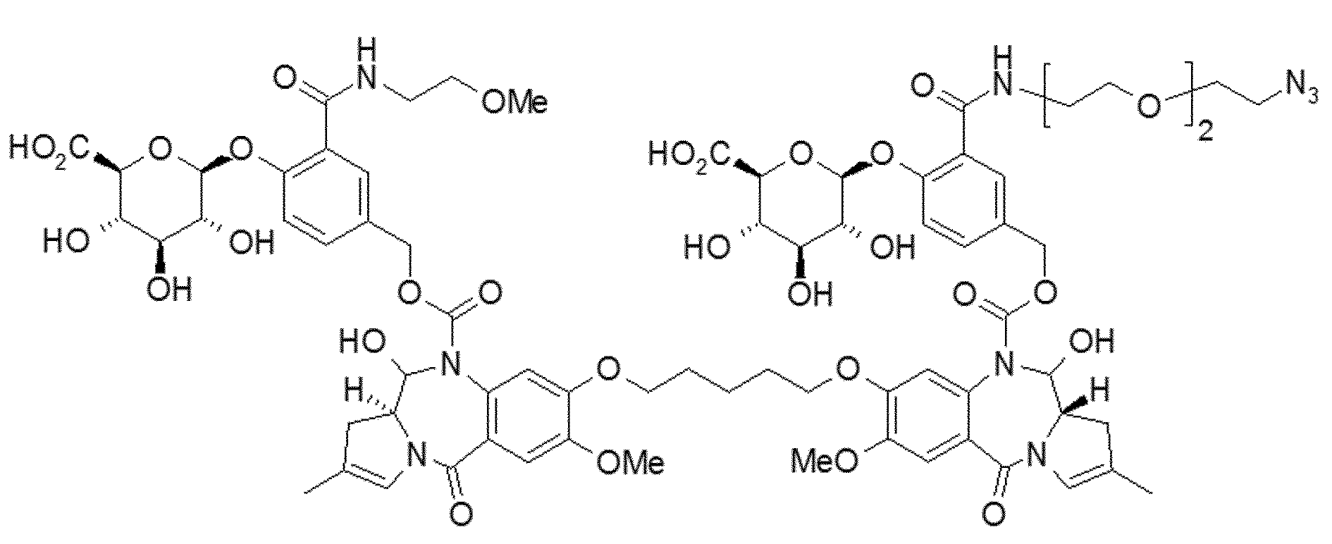
- a pyrrolobenzodiazepine dimer precursor-linker compound having the following chemical structure.
- the following pyrrolobenzodiazepine dimer precursor-linker compounds are illustrative, and one of ordinary skill in the art can make and use various pyrrolobenzodiazepine dimer-linker compounds within the scope described above:
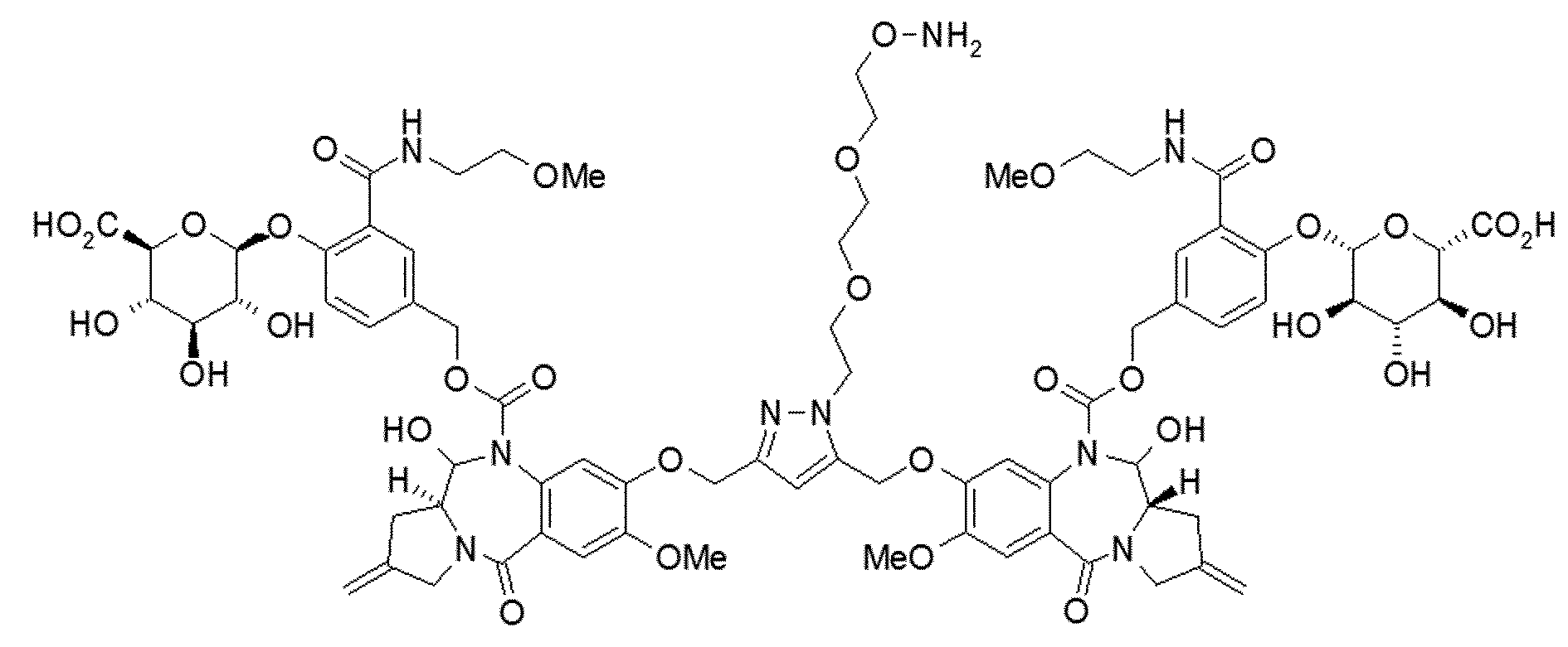
- the present invention also provides a pyrrolobenzodiazepine dimer precursor-linker-ligand conjugate having the structure of Formula IIIa or IIIb, a pharmaceutically acceptable salt or solvate thereof:
- R 1 , R 2 , R 3 , R 4 , R 5 , R 6 , R 7 , X, Y, R 1 ', R 2 ', R 3 ', R 4 ', R 5 ', R 7 ' , X ', Y', R 8 , Z a , Z b , R 12a , R 13a , R 14a , R 8 ', Z a ', Z b ', R 12a ', R 13a ', and R 14a ' are Each as defined in claim 2 for compounds of formula (Ia) and formula (Ia '),
- Xa, G, Z, W, L, Xa ', G', Z ' are the same as defined for the compound of formula IIb in claim 11, respectively;
- Ligand is an antigen binding moiety.
- Ligand is a protein
- the protein is an oligopeptide, polypeptide, antibody, fragment of an antigenic polypeptide, or a phosphor.
- the protein has one or more amino acid motifs that can be recognized by isoprenoid transferases. That is, the C-terminus (fragment, analog or derivative thereof) of a protein can be bound to an amino acid motif that can be recognized by an isoprenoid transferase.
- the protein and the amino acid motif may further comprise a spacer unit consisting of an amino acid, oligopeptide or polypeptide.
- the protein is covalently linked to the linker via an amino acid motif.
- the amino acid motif may be covalently bonded to the C-terminus of the protein, or covalently bonded to at least one spacer unit covalently to the C-terminus of the protein.
- a protein may be directly covalently linked to an amino acid motif or covalently linked to a spacer unit to be linked to an amino acid motif.
- the amino acid spacer unit is composed of 1 to 20 amino acids, of which a glycine unit is preferable.
- the C-terminus of the protein is that of the light or heavy chain of the antibody.
- the protein is a monoclonal antibody.
- the isoprenoid transferase comprises a farnesyl protein transferase (FTase) or a geranylgeranyl transferase (GGTase), which are the C-terminal cysteines of the target protein of the farnesyl or geranyl-geranyl residues, respectively. Involves transition to (s). GGTase can be classified into GGTase I and GGTase II. FTase and GGTase I can recognize CAAX motifs.
- FTase and GGTase I can recognize CAAX motifs.
- the amino acid motif is CYYX, XXCC, XCXC or CXX, wherein C is cysteine, Y is an aliphatic amino acid, and X is an amino acid that determines the substrate specificity of the isoprenoid transferase.
- the protein having the amino acid motif is A-HC- (G) Z CVIM, A-HC- (G) zCVLL, A-LC- (G) Z CVIM and A-LC- (G ) Z CVLL, wherein A represents an antibody, HC represents a heavy chain, LC represents a light chain, G represents a glycine unit and z is an integer from 0 to 20.
- Isoprenoid transferases can recognize substrates as well as isosubstrates.
- Iso substrates refer to substrate analogs with modifications to the substrate.
- Isoprenoid transferases alkylate specific amino acid motifs (eg, CAAX motifs) at the C-terminus of the protein (see Benjamin P. Duckworth et al, ChemBioChem 2007, 8, 98; Uyen TT Nguyen et al, ChemBioChem 2007, 8, 408; Guillermo R. Labadie et al, J. Org.Chem. 2007, 72 (24), 9291; James W. Wollack et al, Chem BioChem 2009, 10, 2934).
- Functionalized proteins can be produced using isoprenoid transferases and iso substrates via alkylation in the C-terminal cysteine (s).
- cysteine residues of the C-terminal CAAX motif can be reacted with iso substrates using isoprenoid transferases.
- AAX can then be removed by proteases.
- the obtained cysteine can then be methylated at the carboxy terminus by enzyme (Iran M. Bell, J. Med. Chem. 2004, 47 (8), 1869).
- Proteins of the present invention can be prepared using any molecular or cellular biology well known in the art. For example, transient transfection may be used. Genetic sequences encoding specific amino acid motifs that can be recognized by isoprenoid transferases are known phrases using standard PCR techniques to express a protein (fragment or analog thereof) having a specific amino acid motif at its C-terminus. Can be inserted into the mid vector. As such, proteins having one or more amino acid motifs that can be recognized by isoprenoid transferases can be expressed.
- the protein is a monoclonal antibody
- at least one light chain of the monoclonal antibody, at least one heavy chain of the monoclonal antibody, or both has an amino acid site having an amino acid motif that can be recognized by an isoprenoid transferase It may include, and those skilled in the art can immediately select a protein (eg target cells of the subject) to selectively bind the target of interest.
- it may comprise a fragment of an antibody or antigen that specifically binds to a target of interest.
- the amino acid motif is CYYX, XXCC, XCXC or CXX (wherein C is cysteine, Y is aliphatic amino acid and X is amino acid that determines the substrate specificity of isoprenoid transferase), More preferably, the amino acid motif is CYYX.
- the present invention also provides a pharmaceutical composition for preventing or treating a proliferative disease, comprising the pyrrolobenzodiazepine dimer precursor-linker-ligand conjugate, pharmaceutically acceptable salts or solvates thereof described above.
- the present invention also relates to pyrrolobenzodiazepine dimer precursor-linker-ligand conjugates, pharmaceutically acceptable salts or solvates thereof; And it provides a pharmaceutical composition for the prevention or treatment of proliferative disease, comprising a pharmaceutically acceptable excipient.
- the present invention also relates to pyrrolobenzodiazepine dimer precursor-linker-ligand conjugates, pharmaceutically acceptable salts or solvates thereof; One or more therapeutic co-agents; And it provides a pharmaceutical composition for the prevention or treatment of proliferative disease, comprising a pharmaceutically acceptable excipient.
- the therapeutic co-agent is an agent that exhibits a prophylactic, ameliorating or therapeutic effect on a proliferative disease, or an agent that can reduce the onset of side effects that occur when administering a proliferative disease treatment, or enhances immunity.
- Agents which may be effective, and the like, but are not limited thereto, and have a therapeutically useful effect when applied in the form of a combination with pyrrolobenzodiazepines, and / or further improve the stability of pyrrolobenzodiazepines, and / or This means that any agent that can reduce the side effects that may occur when benzodiazepines are administered and / or enhance the immunity to maximize the therapeutic effect may be applied in any combination.
- the proliferative disease refers to a cell proliferation related disease in which undesirably excessive or abnormal cells, such as neoplasia or hyperplastic growth, are undesirably controlled in vitro or in vivo.
- Proliferative diseases can be selected from the group consisting of neoplasms, tumors, cancers, leukemias, psoriasis, bone diseases, fibrotic disorders, and atherosclerosis. Examples of neoplasms and tumors include histiocytoma, glioma, astrocytoma, osteoma and the like.
- the cancer is lung cancer, small cell lung cancer, gastrointestinal cancer, colon cancer, bowel cancer, breast cancer, ovarian cancer, prostate cancer, testicular cancer, liver cancer, kidney cancer, bladder cancer, pancreatic cancer, brain cancer, sarcoma, osteosarcoma, Kaposi's sarcoma And melanoma may be selected from the group, but if the pyrolobenzodiazepine is a carcinoma that can exhibit a therapeutic effect is applicable to all.
- the invention also has a proliferative disease, comprising administering to a subject an effective amount of a pyrrolobenzodiazepine dimer precursor-linker-ligand conjugate, a pharmaceutically acceptable salt or solvate thereof, for treating a proliferative disease.
- a proliferative disease comprising administering to a subject an effective amount of a pyrrolobenzodiazepine dimer precursor-linker-ligand conjugate, a pharmaceutically acceptable salt or solvate thereof, for treating a proliferative disease.
- a method of treating cancer comprising administering the pharmaceutical composition to a patient.
- the present invention is suitable for use in providing a PBD compound at a target position in a subject.
- the conjugate according to the invention releases an active PBD compound which has no linker moiety, and there is nothing that can affect the reactivity of the PBD compound.
- conjugates refers to cell binders that are covalently bound to one or more molecules of a cytotoxic compound.
- a “cell binding agent” is a molecule having affinity for a biological target, and may be, for example, a ligand, a protein, an antibody, specifically a monoclonal antibody, a protein or antibody fragment, peptide, oligonucleotide, oligosaccharide, The binder serves to induce the biologically active compound to the biological target.
- the conjugate can be designed to target tumor cells via cell surface antigens.
- the antigen may be a cell surface antigen that is overexpressed or expressed in an abnormal cell type.
- the target antigen may be one expressed only on proliferative cells (eg tumor cells). Target antigens can usually be selected based on different expressions between proliferative and normal tissues.
- the ligand is bound to the linker.
- an “antibody” herein is an immunoglobulin molecule capable of specifically binding to a target such as carbohydrates, polynucleotides, lipids, polypeptides, and the like through at least one antigen recognition site located in the variable region of an immunoglobulin molecule.
- antibody refers to an intact polyclonal or monoclonal antibody, as well as any antigen binding portion of an intact antibody that possesses the ability to specifically bind a given antigen (eg, "Antigen-binding fragment") or a single chain thereof, a fusion protein comprising an antibody, and any other modified arrangement of an immunoglobulin molecule comprising an antigen recognition site, such as, but not limited to, Fab; Fab '; F (ab ') 2 Fd fragments; Fv fragments; Single domain antibody (dAb) fragments; Isolated complementarity determining regions (CDRs); Encompasses single chain (scFv) and single domain antibodies (e.g., shark and camel antibodies), maxibody, minibody, intrabody, diabody, tribody, tetrabody, v-NAR and bis-scFv ( See, eg, Hollinger and Hudson, 2005, Nature Biotechnology 23 (9): 1126-1136).
- Antibodies include any class of antibody, such as IgG, IgA or IgM (or a subclass thereof), and the antibody need not be in any particular class.
- immunoglobulins can be assigned to different classes. There are five main classes of immunoglobulins: IgA, IgD, IgE, IgG and IgM, some of which are additionally in subclasses (isotypes) such as IgG1, IgG2, IgG3, IgG4, IgA1 and IgA2. Can be classified.
- the heavy chain (HC) constant domains corresponding to the different classes of immunoglobulins are called alpha, delta, epsilon, gamma and mu, respectively.
- Subunit structures and three-dimensional coordination of different classes of immunoglobulins are well known.
- Antibodies of the invention can be prepared using techniques well known in the art, such as recombinant techniques, phage display techniques, synthetic techniques, or combinations of these techniques, or other techniques that are readily known in the art.
- an “isolated antibody” refers to an antibody that is substantially free of other antibodies with different antigen specificity and may be substantially free of other cellular materials and / or chemicals.
- biological target refers to an antigen located on the surface of a tumor, cancer cell, or extracellular matrix.
- linker refers to a compound that covalently binds a cytotoxic compound to a ligand.
- the linker disclosed in PCT / US2016 / 063564 and PCT / US2016 / 063595 can be used.
- a “therapeutic agent” herein is an agent that exerts cytotoxic, cytostatic and / or immunomodulatory effects on proliferative diseases, such as cancer cells or activated immune cells.
- therapeutic agents include cytotoxic agents, chemotherapeutic agents, cytostatic agents and immunomodulators.
- chemotherapeutic agent is a chemical compound useful for the treatment of cancer.
- a “subject” is intended to include humans and non-human animals, especially mammals.
- subjects include human subjects, such as the concept comprising a human patient or a normal subject having a disorder described herein, more specifically cancer.
- “Non-human animals” are useful for all vertebrates, eg, non-mammals (eg, chickens, amphibians, reptiles) and mammals, eg, non-human primates, livestock, and / or agriculture. Animals (eg, sheep, dogs, cats, cattle, pigs, etc.) and rodents (eg, mice, rats, hamsters, guinea pigs, etc.).
- the subject is a human patient.
- treatment refers to both therapeutic treatment and prophylactic or prophylactic measures.
- Subjects in need of treatment include those already with the disease and subjects susceptible to the disease or subjects to which the disease is to be prevented.
- the term when used with respect to a subject in need of a disease or treatment, the term includes, compared to untreated subjects, slowing or slowing disease progression, preventing symptoms, reducing disease and / or symptom severity, or reducing disease duration. It is not limited to one.
- administering refers to providing and / or contacting and / or delivering a compound or compounds by any suitable route to achieve the desired effect.
- Administration may be oral, sublingual, parenteral (eg, intravenous, subcutaneous, intradermal, intramuscular, intraarticular, intraarterial, intravitreal, intrasternal, intrathecal, intralesional or intracranial injection), transdermal, topical, Buccal, rectal, vaginal, nasal, ophthalmic, inhalation and administration via implants may include, but is not limited to.
- unsubstituted or substituted refers to a parent group which may be unsubstituted or substituted
- substituted refers to a parent group having one or more substituents
- substituted refers to a mosquito refers to a chemical moiety covalently bonded to a parent group or fused to a parent group.
- Halo refers to fluorine, chlorine, bromine, iodine and the like.
- alkyl is a monovalent moiety obtained by removing a hydrogen atom from a carbon atom of an aliphatic or cycloaliphatic, saturated or unsaturated (unsaturated, fully unsaturated) hydrocarbon compound
- saturated alkyl examples are methyl, ethyl, propyl, butyl
- saturated linear alkyl examples include pentyl, hexyl, heptyl and the like, and examples of saturated branched alkyl such as methyl, ethyl, n-propyl, n-butyl, n-pentyl (amyl), n-hexyl and n-heptyl Isopropyl, isobutyl, sec-butyl, tert-butyl, isopentyl, neopentyl and the like.
- alkoxy means -OR [where R is an alkyl group], for example methoxy, ethoxy, n-propoxy, isopropoxy, n-butoxy, sec-butoxy, isobutoxy, tert-butoxy etc. are mentioned.
- aryl means a monovalent moiety obtained by removing a hydrogen atom from an aromatic ring atom of an aromatic compound having a ring atom.
- alkenyl is an alkyl having at least one carbon-carbon double bond.
- alkynyl is an alkyl group having at least one carbon-carbon triple bond, and examples of the unsaturated alkynyl group include ethynyl and 2-propynyl.
- aryl relates to a monovalent moiety obtained by removing a hydrogen atom from an aromatic ring atom of an aromatic compound.
- C 5- 7 aryl as a moiety having from 5 to 7 ring atoms, and 1 is obtained by removing a hydrogen atom from an aromatic ring atom of an aromatic compound means a moiety
- C 5 - 10 aryl means that the moiety has 5 to 10 ring atoms, and is a monovalent moiety obtained by removing a hydrogen atom from an aromatic ring atom of an aromatic compound.
- C 5-7 , C 5-10, etc. refers to the range of the number of ring atoms or the number of ring atoms, whether they are carbon atoms or hetero atoms.
- C 5- 6 aryl relates to an aryl group having 5 or 6 ring atoms.
- the ring atoms may all be carbon atoms as in the "carboaryl group".
- Examples of carboaryl groups include, but are not limited to, those derived from benzene, naphthalene, azulene, anthracene, phenanthrene, naphthacene and pyrene.
- aryl groups including fused rings wherein at least one is an aromatic ring include, but are not limited to, groups derived from indane, indene, isoindene, tetralin, acenaphthene, fluorene, penalene, acefenanthrene and aceanthrene It is not limited.
- the ring atom may comprise one or more hetero atoms as in a "heteroaryl group".
- heteroaryl is an aryl containing one or more hetero atoms, for example pyridine, pyrimidine, benzothiophene, furyl, dioxalanyl, pyrrolyl, oxazolyl, pyridyl, pyridazinyl, pyrimidy More specifically, benzofuran, isobenzofuran, indole, isoindole, indolizine, indolin, isoindolin, purine (adenine or guanine), benzimidazole, indazole, benzoxazole, benzisoxazole, C 9 , chrome, isochromen, chromman, isochrome, benzo with two fused rings derived from benzodioxol, benzofuran, benzotriazole, benzothiofuran, benzothiazole, benzothiadiazole Two fused rings derived from dioxane, quinoline
- cycloalkyl is an alkyl group which is a cyclyl group and relates to a monovalent portion obtained by removing a hydrogen atom from an alicyclic ring atom of a cyclic hydrocarbon compound.
- cycloalkyl groups include, but are not limited to, those derived from:
- Saturated monocyclic hydrocarbon compounds cyclopropane, cyclobutane, cyclopentane, cyclohexane, cycloheptane, methylcyclopropane, dimethylcyclopropane, methylcyclobutane, dimethylcyclobutane, methylcyclopentane, dimethylcyclopentane and methylcyclohexane;
- Unsaturated monocyclic hydrocarbon compounds cyclopropene, cyclobutene, cyclopentene, cyclohexene, methylcyclopropene, dimethylcyclopropene, methylcyclobutene, dimethylcyclobutene, methylcyclopentene, dimethylcyclopentene and methylcyclohexene;
- Saturated heterocyclic hydrocarbon compounds norcaran, norpinan, norbornane.
- heterocyclyl relates to a monovalent moiety obtained by removing a hydrogen atom from a ring atom of a heterocyclic compound.
- Prefixes eg, C 1-12 , C 3-8, etc.
- C 3- 6 heterocyclyl relates heterocyclyl groups having from 3 to 6 ring atoms.
- monocyclic heterocyclyl groups include, but are not limited to, those derived from:
- N 1 aziridine, azetidine, pyrrolidine, pyrroline, 2H- or 3H-pyrrole, piperidine, dihydropyridine, tetrahydropyridine, azepine;
- N 2 imidazolidine, pyrazolidine, imidazoline, pyrazoline, piperazine;
- O 1 oxirane, oxetane, oxolane, oxol, oxane, dihydropyran, pyran, oxepin;
- O 2 dioxolane, dioxane and dioxepane
- N 1 O 1 tetrahydrooxazole, dihydrooxazole, tetrahydroisoxazole, dihydroisoxazole, morpholine, tetrahydrooxazine, dihydrooxazine, oxazine
- N 1 S 1 thiazolin, thiazolidine, thiomorpholine;
- N 1 O 1 S 1 Oxathiazine.
- a "prodrug” refers to pyrrolobenzodia by the action of an enzyme, gastric acid under in vivo physiological conditions (e.g., enzymatic oxidation, reduction and / or hydrolysis). It refers to a compound that can be converted directly or indirectly to zepin drugs.
- an acid addition salt formed by a pharmaceutically acceptable free acid may be used, and an organic acid or an inorganic acid may be used as the free acid.
- the organic acid is not limited thereto, but citric acid, acetic acid, lactic acid, tartaric acid, maleic acid, fumaric acid, formic acid, propionic acid, oxalic acid, trifluoroacetic acid, benzoic acid, gluconic acid, metasulfonic acid, glycolic acid, succinic acid, 4-toluenesulfonic acid, Glutamic acid and aspartic acid.
- the inorganic acid also includes, but is not limited to, hydrochloric acid, bromic acid, sulfuric acid and phosphoric acid.
- the salt may be formed with a suitable cation.
- suitable inorganic cations include alkali metal ions such as Na + and K +, alkaline earth cations such as Ca 2 + and Mg 2 +, and other cations such as Al + 3, but is not limited to this.
- suitable organic cations include, but are not limited to, ammonium ions (ie, NH 4 + ) and substituted ammonium ions (eg, NH 3 R + , NH 2 R 2 + , NHR 3 + , NR 4 + ).
- substituted ammonium ions examples include those derived from: ethylamine, diethylamine, dicyclohexylamine, triethylamine, butylamine, ethylenediamine, ethanolamine, diethanolamine, piperazine, benzylamine , Phenylbenzylamine, choline, meglumine and tromethamine, as well as amino acids such as lysine and arginine.
- An example of a typical quaternary ammonium ion is N (CH 3 ) 4 + .
- a compound When a compound has functional groups which may be a cation or cations, or may form a salt (e.g., -NH 2 may be that one -NH 3 +), suitable anion.
- suitable inorganic anions include, but are not limited to, those derived from the following inorganic acids: hydrochloric acid, hydrobromic acid, hydroiodic acid, sulfuric acid, sulfurous acid, nitric acid, nitrous acid, phosphoric acid and phosphorous acid, and the like.
- Suitable organic anions include, but are not limited to, those derived from the following organic acids: 2-aceticoxybenzoic acid, acetic acid, ascorbic acid, aspartic acid, benzoic acid, camphorsulfonic acid, cinnamic acid, citric acid, edetic acid, ethane Disulfonic acid, ethanesulfonic acid, fumaric acid, glutenic acid, gluconic acid, glutamic acid, glycolic acid, hydroxymaleic acid, hydroxynaphthalene carboxylic acid, isethionic acid, lactic acid, lactobionic acid, lauric acid, maleic acid, Malic acid, methanesulfonic acid, slime acid, oleic acid, oxalic acid, palmitic acid, palmic acid, pantothenic acid, phenylacetic acid, phenylsulfonic acid, propionic acid, pyruvic acid, salicylic acid, stearic acid, succinic acid,
- solvate refers to a molecular complex between a compound according to the invention and a solvent molecule
- examples of solvates are water, isopropanol, ethanol, methanol, dimethylsulfoxide (dimethylsulfoxide), ethyl acetate, acetic acid, ethanolamine, or a compound according to the present invention in combination with a solvent thereof, but is not limited thereto.
- solvates may conveniently be referred to as hydrates such as monohydrate, dihydrate, trihydrate and the like.
- the pharmaceutical composition of the present invention may include a pharmaceutically acceptable carrier.
- Pharmaceutically acceptable carriers can include macromolecules that are typically slowly metabolized, such as proteins, polysaccharides, polylactic acid, polyglycolic acid, polymeric amino acids, amino acid copolymers, lipid aggregates, and the like. Acceptable carriers may be appropriately selected and used by those skilled in the art.
- composition comprising a pharmaceutically acceptable carrier may be in various oral or parenteral formulations.
- diluents or excipients such as fillers, extenders, binders, wetting agents, disintegrating agents, and surfactants are usually used.
- Solid preparations for oral administration include tablets, pills, powders, granules, capsules and the like, and such solid preparations contain at least one excipient such as starch, calcium carbonate, sucrose or lactose, gelatin, etc. Mix is prepared. In addition to simple excipients, lubricants such as magnesium stearate, talc and the like can also be used.
- Liquid preparations for oral administration include suspensions, liquid solutions, emulsions, and syrups, and various excipients such as wetting agents, sweeteners, fragrances, and preservatives, in addition to commonly used simple diluents such as water and liquid paraffin, may be included. have.
- Formulations for parenteral administration include sterile aqueous solutions, non-aqueous solvents, suspensions, emulsions, lyophilized preparations, suppositories.
- non-aqueous solvent and the suspension solvent propylene glycol, polyethylene glycol, vegetable oil such as olive oil, injectable ester such as ethyl oleate, and the like can be used.
- base of the suppository witepsol, macrogol, tween 61, cacao butter, laurin butter, glycerogelatin and the like can be used.
- the pharmaceutical composition is selected from the group consisting of injections, tablets, pills, powders, granules, capsules, suspensions, liquid solutions, emulsions, syrups, sterile aqueous solutions, non-aqueous solutions, suspensions, emulsions, lyophilized preparations and suppositories. It can have any one formulation.
- the active ingredient may be in the form of an acceptable aqueous solution for parenteral administration with pyrogen-free and suitable pH, isotonicity and stability.
- suitable solutions using, for example, isotonic vehicles, such as aqueous sodium chloride solution, Ringer's solution, lactate Ringer's solution, and the like, and can be included as necessary as preservatives, stabilizers, buffers, antioxidants or other additives.
- Solid forms suitable for injection can also be prepared as emulsions or in the form of polypeptides encapsulated in liposomes.
- the phrase “effective amount” or “therapeutically effective amount” refers to the amount necessary (relative to dosage and administration period and means) to achieve the desired therapeutic result.
- An effective amount is at least the minimum amount of active agent necessary to confer a therapeutic benefit to a subject and is below the toxic amount.
- the dosage can be administered in the range of about 100 ng to about 100 mg / kg per patient, more typically in the range of about 1 ⁇ g / kg to about 10 mg / kg.
- the active compound is a salt, ester, amide, prodrug, or the like, the dosage is calculated based on the parent compound, so the actual weight used is increased proportionally.
- the pyrrolobenzodiazepine compound according to the present invention may be formulated to include, but is not limited to, 0.1 mg to 3000 mg, 1 mg to 2000 mg, 10 mg to 1000 mg of active ingredient per dosage form.
- the active ingredient may be administered to obtain a peak plasma concentration of the active compound of about 0.05 ⁇ M to 100 ⁇ M, 1 ⁇ M to 50 ⁇ M, 5 ⁇ M to 30 ⁇ M.
- a peak plasma concentration of the active compound of about 0.05 ⁇ M to 100 ⁇ M, 1 ⁇ M to 50 ⁇ M, 5 ⁇ M to 30 ⁇ M.
- a peak plasma concentration of the active compound of about 0.05 ⁇ M to 100 ⁇ M, 1 ⁇ M to 50 ⁇ M, 5 ⁇ M to 30 ⁇ M.
- the concentration of the active compound in the pharmaceutical composition can be determined by the rate of absorption, inactivation and excretion of the drug and other factors known to those skilled in the art. Dosage may vary depending on the severity of the condition / disease. In addition, the dosage and dosing regimen for a particular patient may be adjusted according to the occupational supervisor's professional judgment, taking into account the degree, necessity, age, responsiveness to the drug, etc. of the patient's symptoms / diseases. The scope is merely one example and is not intended to limit the embodiments of the claimed compositions thereto.
- the active ingredient may also be administered once, or several smaller doses may be administered.
- the precursor compounds, or precursor-linker compounds, precursor-linker-ligand conjugate compounds according to the invention can be used to treat proliferative diseases, in particular cancer diseases.
- proliferative disease refers to unwanted or uncontrolled cell proliferation of undesirable excessive or abnormal cells, such as neoplasia or hyperplasia, in vitro or in vivo.
- Proliferative diseases include, for example, neoplasia, tumors, cancer, leukemia, psoriasis, bone diseases, fibrotic disorders, atherosclerosis, and the like, and may include, but are not limited to, benign, premalignant or malignant cell proliferation. .
- the cancer may be lung cancer, small cell lung cancer, gastrointestinal cancer, colon cancer, bowel cancer, breast cancer, ovarian cancer, prostate cancer, testicular cancer, liver cancer, kidney cancer, bladder cancer, pancreatic cancer, brain cancer, sarcoma, osteosarcoma, Kaposi's sarcoma or melanoma It is not limited.
- the pyrrolobenzodiazepine precursor, pyrrolobenzodiazepine precursor-linker compound, and pyrrolobenzodiazepine-linker-ligand conjugate according to the invention can be synthesized according to the following procedure.
- Pyrrolobenzodiazepine precursor-linker compounds, and pyrrolobenzodiazepine precursor-linker-ligand conjugates according to the present invention can be prepared using the knowledge of those skilled in the art using the techniques provided herein.
- the pyrrolobenzodiazepine dimer precursor (prodrug), pyrrolobenzodiazepine dimer precursor (prodrug) -linker, or pyrrolobenzodiazepine dimer precursor (prodrug) -linker-ligand conjugate according to the present invention the stability of the compound itself and in the plasma It is excellent in stability and has an advantage in terms of toxic expression, and is industrially useful in that it is possible to target a proliferative disease such as cancer, specific treatment, maximization of drug efficacy and minimization of side effects.
- Oxalyl chloride (3.1 mL, 36.2 mmol) was dissolved in dichloromethane (40 mL) and then dimethyl sulfoxide (4.7 mL, 66.4 mmol) was added at -78 ° C under nitrogen atmosphere. After 10 minutes, compound 1 (10 g, 30.2 mmol, Compound 1 J. Org. Chem., 2003, 68, was prepared by a method described in the 3923-3931) to a solution in dichloromethane (140 mL) Slowly added, the reaction solution was stirred for 1 hour, triethylamine (16.7 mL, 120.6 mmol) was added thereto, and the reaction temperature was slowly raised to 0 ° C. for 2 hours.
- reaction solution was diluted with dichloromethane (200 mL) and the organic layer was washed with saturated aqueous ammonium chloride solution (200 mL) and brine (200 mL) and dried over anhydrous sodium sulfate. After filtration, concentration and purification by column chromatography gave compound 2 (9.5 g, 95%).
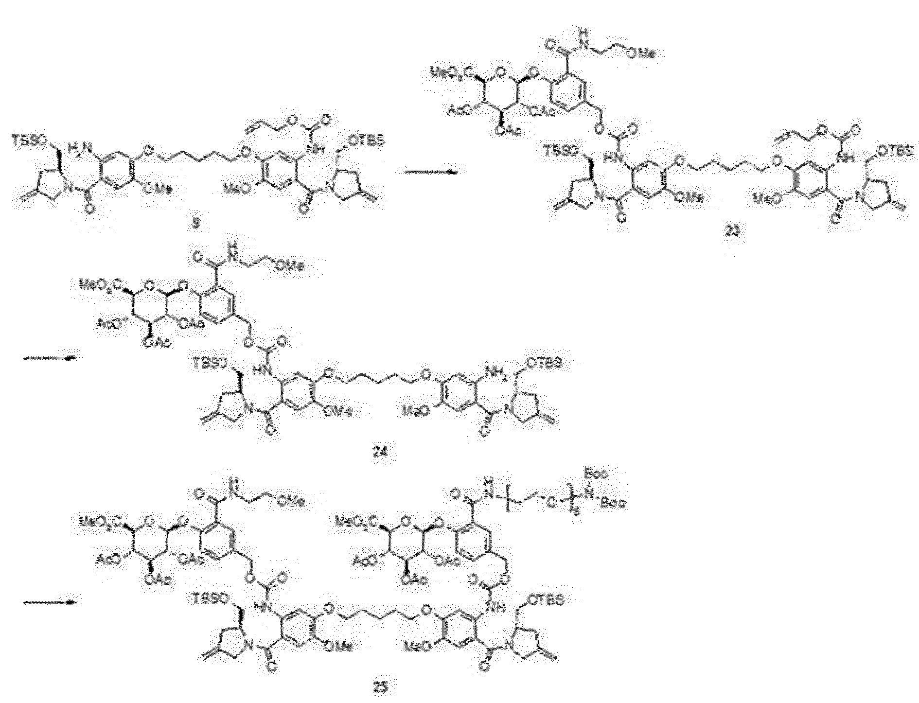
- reaction solution was concentrated, diluted with dichloromethane (100 mL), washed with brine (50 mL), and dried over anhydrous sodium sulfate. Filtration and concentration under reduced pressure and purification by column chromatography yielded compound 23 (2.5 g, 72%).
- reaction solution was concentrated, diluted with dichloromethane (50 mL), washed with brine (30 mL), and dried over anhydrous sodium sulfate. Filtration and concentration under reduced pressure and purification by column chromatography yielded compound 25 (800 mg, 40%).
- Compound 32 was prepared in a similar manner to the synthesis of Compound 22 from Compound 19 and Compound 31 (Compound 31 was prepared by the method described in PCT / US2016 / 063564).
- EI-MS m / z: [M + H] + 731.5.
- reaction solution was concentrated, diluted with dichloromethane (30 mL), washed with brine (20 mL), and dried over anhydrous sodium sulfate. Filtration and concentration under reduced pressure, followed by purification by column chromatography Compound 56 (1.15 mg, 54%) was obtained.
- reaction solution was concentrated, diluted with dichloromethane (50 mL), washed with brine (30 mL) and dried over anhydrous sodium sulfate. Filtration and concentration under reduced pressure, followed by purification by column chromatography Compound 58 (650 mg, 64%) was obtained.
- Compound 85 was prepared by a method analogous to the synthesis of compound 28 from compound 9, compound 84 (compound 84 was prepared by the method described in WO2011 / 130598 A1), and compound 32.
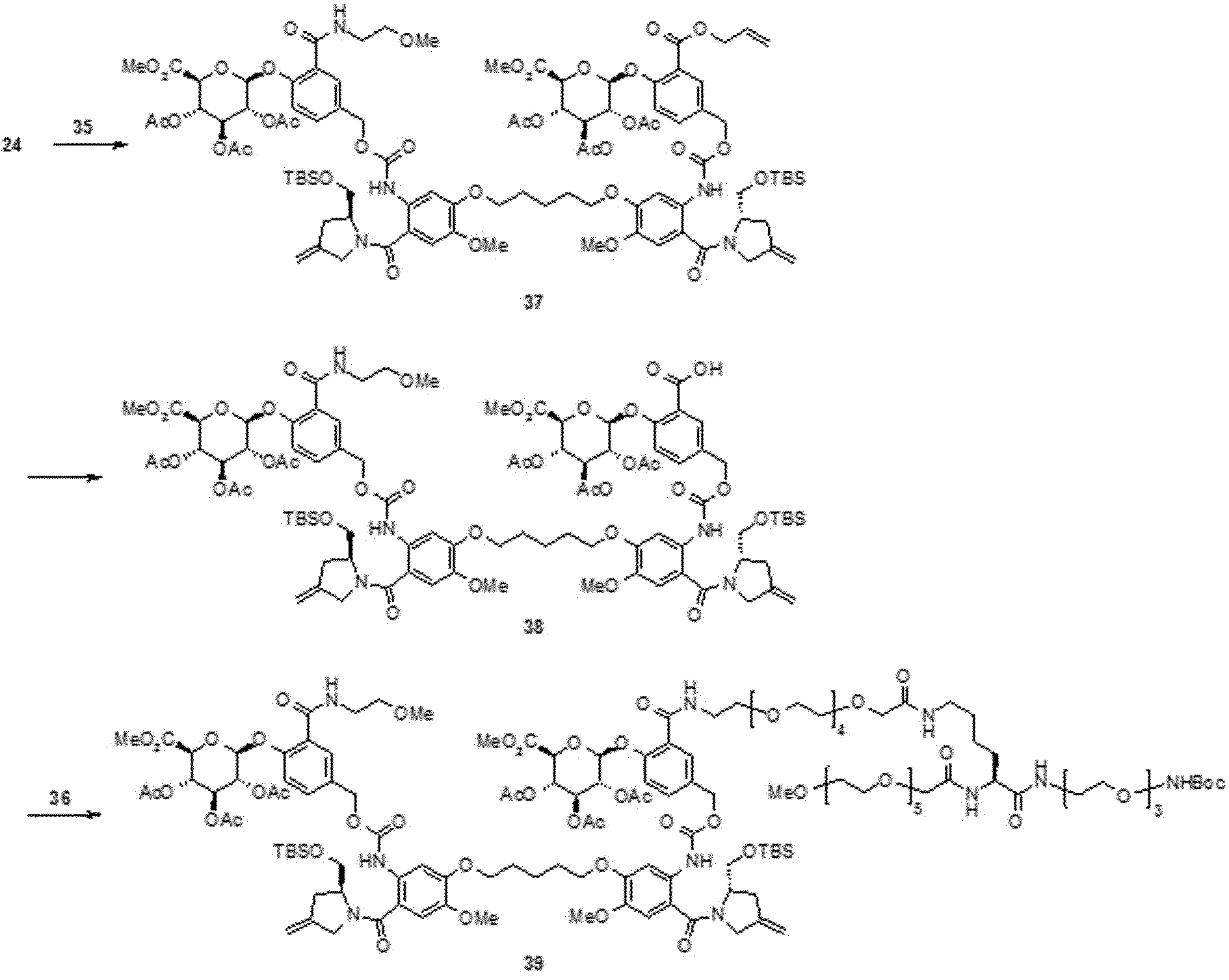
- reaction solution was concentrated, diluted with dichloromethane (30 mL), washed with brine (20 mL) and dried over anhydrous sodium sulfate. Filtration and concentration under reduced pressure and purification by column chromatography gave compound 95 (130 mg, 43%).
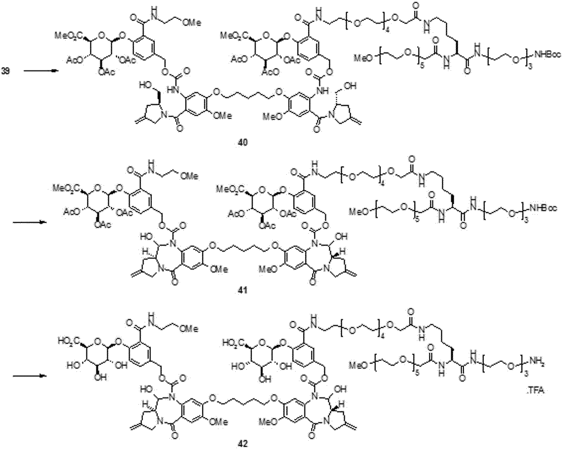
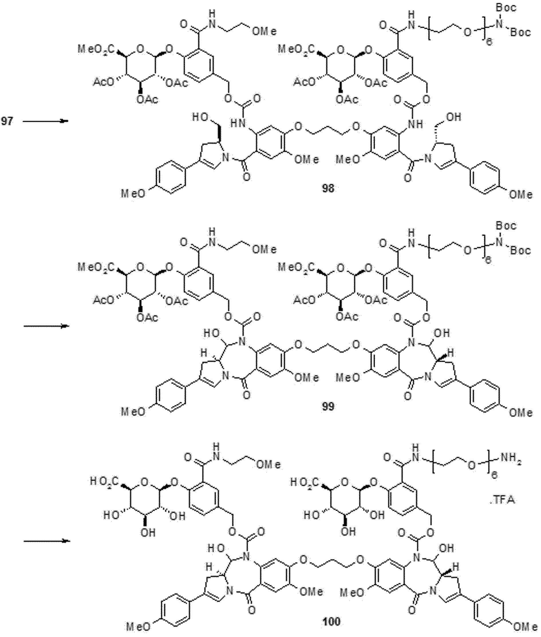
- reaction solution was concentrated, diluted with dichloromethane (50 mL), washed with brine (30 mL), and dried over anhydrous sodium sulfate. Filtration and concentration under reduced pressure were followed by purification by column chromatography to give compound 97 (168 mg, 41%).
- 1,3-Diaminopropane (0.93 mL, 11.1 mmol) was dissolved in dichloromethane (30 mL) and di- t -butyl dicarbonate (0.84 mL, 3.7 mmol) was added at 0 ° C. under nitrogen atmosphere. After stirring for 3 hours at room temperature, brine (50 mL) was added to the reaction solution, extracted with ethyl acetate (2 x 100 mL), and dried over anhydrous sodium sulfate. After filtration the reaction solution was concentrated under reduced pressure and purified by column chromatography to give compound 101 (658 mg, based on 100% Boc 2 O).
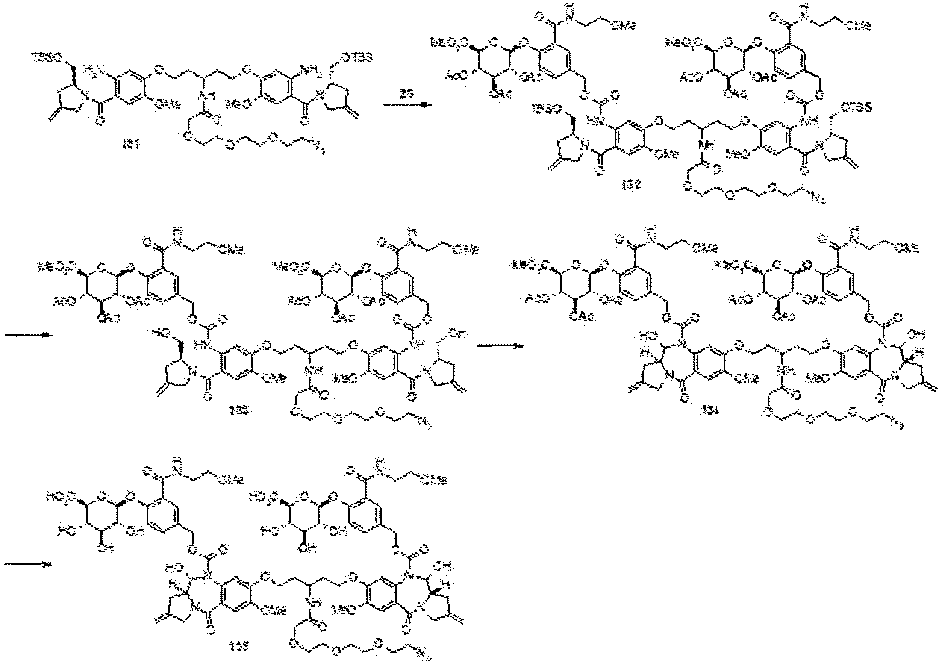
- reaction solution was diluted with ethyl acetate (30 mL), washed with brine (20 mL) and dried over anhydrous sodium sulfate. Filtration and concentration under reduced pressure, followed by purification by column chromatography Compound 132 (1.0 g, 83%) was obtained.
- Compound 136 was prepared by a method analogous to the synthesis of compound 134 from compound 126 and compound 118. EI-MS m / z: [M + H] + 2032.98, 1/2 [M + H] + 1017.03.
- Compound 138 was prepared by a method similar to the synthesis of compound 137 from compound 126 and compound 124. EI-MS m / z: [M + H] + 1647.60, 1/2 [M + H] + 824.31.
- reaction solution was concentrated and diluted with ethyl acetate (100 mL), then saturated aqueous sodium hydrogen carbonate solution (100 mL) was added to the reaction solution, and extracted with ethyl acetate (3 x 100 mL). The combined organic layers were washed with brine (2 ⁇ 100 mL) and dried over anhydrous sodium sulfate. Filtration, concentration and purification by column chromatography Compound 140 (1.53 g, 72%) was obtained.
- reaction solution was concentrated and diluted with dichloromethane (50 mL), washed with brine (2 x 20 mL) and dried over anhydrous sodium sulfate. Filtration and concentration under reduced pressure, followed by purification by column chromatography Compound 143 (340 mg, 71%) was obtained.
- reaction solution was concentrated, diluted with dichloromethane (100 mL), washed with brine (2 x 50 mL), and dried over anhydrous sodium sulfate. Filtration and concentration under reduced pressure, followed by purification by column chromatography Compound 145 (250 mg, 43%) was obtained.
- reaction solution was concentrated, diluted with dichloromethane (100 mL), washed with brine (2 x 50 mL), and dried over anhydrous sodium sulfate. Filtration and concentration under reduced pressure, followed by purification by column chromatography Compound 147 (170 mg, 42%) was obtained.
- Oxalyl chloride (2.1 mL, 14.1 mmol) was dissolved in dichloromethane (20 mL) and then dimethyl sulfoxide (1.5 mL, 21.1 mmol) was added at ⁇ 78 ° C. under nitrogen atmosphere. After 1 h, a solution of compound 158 (2.7 g, 6.9 mmol) in dichloromethane (50 mL) was added slowly. The reaction solution was stirred for 2 hours and then triethylamine (3.4 mL, 42.3 mmol) was diluted in dichloromethane (30 mL) and added slowly. The reaction temperature was slowly raised to 0 ° C. for 2 hours.
- reaction solution was diluted with dichloromethane (100 mL) and the organic layer was washed with saturated aqueous ammonium chloride solution (200 mL) and brine (200 mL) and dried over anhydrous sodium sulfate. After filtration, concentration and purification by column chromatography gave compound 159 (2.7 g, 96%).
Landscapes
- Health & Medical Sciences (AREA)
- Bioinformatics & Cheminformatics (AREA)
- Engineering & Computer Science (AREA)
- Chemical & Material Sciences (AREA)
- Animal Behavior & Ethology (AREA)
- Life Sciences & Earth Sciences (AREA)
- Epidemiology (AREA)
- General Health & Medical Sciences (AREA)
- Public Health (AREA)
- Veterinary Medicine (AREA)
- Pharmacology & Pharmacy (AREA)
- Medicinal Chemistry (AREA)
- Immunology (AREA)
- Organic Chemistry (AREA)
- Pharmaceuticals Containing Other Organic And Inorganic Compounds (AREA)
Abstract
Description
Claims (28)
- 피롤로벤조디아제핀 이량체 전구체(pyrrolobenzodiazepine dimer prodrug), 이의 약학적으로 허용되는 염 또는 용매화물이고,여기에서, 피롤로벤조디아제핀 이량체의 N10 및 N'10 위치에 각각 독립적으로 -C(O)O*, -S(O)O*, -C(O)*, -C(O)NR*, -S(O)2NR*, -P(O)R'NR*, -S(O)NR*, 및 -PO2NR*기로 이루어진 그룹으로부터 선택되는 어느 하나가 부착되며,여기에서 *은 링커가 부착되는 부분이고,여기에서, R, 및 R'은 각각 독립적으로 H, OH, N3, CN, NO2, SH, NH2, ONH2, NHNH2, 할로, 치환되거나 비치환된 C1- 8알킬, 치환되거나 비치환된 C3- 8사이클로알킬, 치환되거나 비치환된 C1- 8알콕시, 치환되거나 비치환된 C1- 8알킬티오, 치환되거나 비치환된 C3-20헤테로아릴, 치환되거나 비치환된 C5-20아릴 또는 모노- 또는 다이-C1-8알킬아미노이고,여기에서 C1-8알킬, C3-8사이클로알킬, C1-8알콕시, C1-8알킬티오, C3-20헤테로아릴, C5-20아릴이 치환되는 경우, H, OH, N3, CN, NO2, SH, NH2, ONH2, NNH2, 할로, C1-6알킬, C1-6알콕시 및 C6-12아릴로 이루어진 그룹으로부터 선택되는 치환기로 치환되는,피롤로벤조디아제핀 이량체 전구체(pyrrolobenzodiazepine dimer prodrug), 이의 약학적으로 허용되는 염 또는 용매화물.
- 제1항에 있어서,피롤로벤조디아제핀 이량체 전구체는 하기 화학식 Ia 또는 Ia'의 구조를 갖는 것을 특징으로 하는,피롤로벤조디아제핀 이량체 전구체, 이의 약학적으로 허용되는 염 또는 용매화물:[화학식 Ia]상기 식에서,점선은 C1 및 C2, 또는 C2 및 C3 사이의 이중결합의 임의의 존재를 나타내고,R1은 H, OH, =O, =CH2, CN, Rm, ORm, =CH-Rm' =C(Rm')2, O-SO2-Rm, CO2Rm, CORm, 할로 및 디할로(dihalo)로 이루어진 그룹으로부터 선택되고,여기에서, Rm '는 Rm, CO2Rm, CORm, CHO, CO2H, 및 할로로 이루어진 그룹으로부터 선택되며,여기에서, Rm은 치환되거나 비치환된 C1-12알킬, 치환되거나 비치환된 C2-12알케닐, 치환되거나 비치환된 C2-12알키닐, 치환되거나 비치환된 C5-20아릴, 치환되거나 비치환된 C5-20헤테로아릴, 치환되거나 비치환된 C3-6사이클로알킬, 치환되거나 비치환된 3 내지 7-원 헤테로사이클릴, 치환되거나 비치환된 3 내지 7-원 헤테로사이클로알킬, 및 치환되거나 비치환된 5 내지 7-원 헤테로아릴로 이루어진 그룹으로부터 선택되고,여기에서 C1-12알킬, C2-12알케닐, C2-12알키닐, C5-20아릴, C5-20헤테로아릴, C3-6사이클로알킬, 3 내지 7-원 헤테로사이클릴, 3 내지 7-원 헤테로사이클로알킬, 또는 5 내지 7-원 헤테로아릴이 치환되는 경우,C1-12알킬, C1-12알콕시, C2-12알케닐, C2-12알키닐, C5-20아릴, C5-20헤테로아릴, C3-6사이클로알킬, 3 내지 7-원 헤테로사이클릴, 3 내지 7-원 헤테로사이클로알킬, 또는 5 내지 7-원 헤테로아릴의 각 수소원자는 각각 독립적으로 C1-12알킬, C2-12알케닐, C2-12알키닐, C5-20아릴, C5-20헤테로아릴, C3-6사이클로알킬, 3 내지 7-원 헤테로사이클릴, 3 내지 7-원 헤테로사이클로알킬, 및 5 내지 7-원 헤테로아릴로 이루어진 그룹으로부터 선택되는 어느 하나 이상으로 치환되고;R2, R3 및 R5는 각각 독립적으로 H, Rm, OH, ORm, SH, SRm, NH2, NHRm, NRmRm', NO2, Me3Sn 및 할로로 이루어진 그룹으로부터 선택되며,여기에서 Rm 및 Rm '은 상기에서 정의한 바와 같고;R4는 H, Rm, OH, ORm, SH, SRm, NH2, NHRm, NRmRm', NO2, Me3Sn, 할로, 치환되거나 비치환된 C1-6알킬, 치환되거나 비치환된 C1-6알콕시, 치환되거나 비치환된 C2-6알케닐, 치환되거나 비치환된 C2-6알키닐, 치환되거나 비치환된 C3-6사이클로알킬, 치환되거나 비치환된 3 내지 7-원 헤테로사이클로알킬, 치환되거나 비치환된 C5-12아릴, 치환되거나 비치환된 5 내지 7-원 헤테로아릴, -CN, -NCO, -ORn, -OC(O)Rn, -OC(O)NRnRn', -OS(O)Rn, -OS(O)2Rn, -SRn, -S(O)Rn, -S(O)2Rn, -S(O)NRnRn ', -S(O)2NRnRn', -OS(O)NRnRn ', -OS(O)2NRnRn ', -NRnRn ', -NRnC(O)Ro, -NRnC(O)ORo, -NRnC(O)NRoRo', -NRnS(O)Ro, -NRnS(O)2Ro, -NRnS(O)NRoRo ', -NRnS(O)2NRoRo ', -C(O)Rn, -C(O)ORn 및 -C(O)NRnRn'로 이루어진 그룹으로부터 선택되고,여기에서 C1-6알킬, C1-6알콕시, C2-6알케닐, C2-6알키닐, C3-6사이클로알킬, 3 내지 7-원 헤테로사이클로알킬, C5-12아릴, 5 내지 7-원 헤테로아릴이 치환되는 경우, C1-6알킬, C1-6알콕시, C2-6알케닐, C2-6알키닐, C3-6사이클로알킬, 3 내지 7-원 헤테로사이클로알킬, C5-12아릴, 5 내지 7-원 헤테로아릴의 각 수소원자는 각각 독립적으로C1-6알킬, C1-6알콕시, C2-6알케닐, C2-6알키닐, C3-C6사이클로알킬, 3 내지 7-원 헤테로사이클로알킬, C5-10아릴, 5 내지 7-원 헤테로아릴, -ORp, -OC(O)Rp, -OC(O)NRpRp ', -OS(O)Rp, -OS(O)2Rp, -SRp, -S(O)Rp, -S(O)2Rp, -S(O)NRpRp ', -S(O)2NRpRp ', -OS(O)NRpRp', -OS(O)2NRpRp ', -NRpRp ', -NRpC(O)Rq, -NRpC(O)ORq, -NRpC(O)NRqRq ', -NRpS(O)Rq, -NRpS(O)2Rq, -NRpS(O)NRqRq ', -NRpS(O)2NRqRq ', -C(O)Rp, -C(O)ORp 또는 -C(O)NRpRp로 치환될 수 있으며,여기에서, Rn, Ro, Rp, 및 Rq는 각각 독립적으로 H, C1-7알킬, C2-7알케닐, C2-7알키닐, C3-13사이클로알킬, 3 내지 7-원 헤테로사이클로알킬, C6-10아릴, 및 5 내지 7-원 헤테로아릴로 이루어진 그룹으로부터 선택되고;X 및 X'은 각각 독립적으로 -C(O)O*, -S(O)O*, -C(O)*, -C(O)NR*, -S(O)2NR*, -P(O)R'NR*, -S(O)NR*, 및 -PO2NR*기로 이루어진 그룹으로부터 선택되는 어느 하나가 부착되며,여기에서 *은 링커가 부착되는 부분이고,여기에서, R, 및 R'은 각각 독립적으로 H, OH, N3, CN, NO2, SH, NH2, ONH2, NHNH2, 할로, 치환되거나 비치환된 C1-8알킬, 치환되거나 비치환된 C3-8사이클로알킬, 치환되거나 비치환된 C1-8알콕시, 치환되거나 비치환된 C1-8알킬티오, 치환되거나 비치환된 C3-20헤테로아릴, 치환되거나 비치환된 C5-20아릴 또는 모노- 또는 다이-C1-8알킬아미노이고,여기에서 C1-8알킬, C3-8사이클로알킬, C1-8알콕시, C1-8알킬티오, C3-20헤테로아릴, C5-20아릴이 치환되는 경우, H, OH, N3, CN, NO2, SH, NH2, ONH2, NNH2, 할로, C1-6알킬, C1-6알콕시 및 C5-12아릴로 이루어진 그룹으로부터 선택되는 치환기로 치환되며;Y 및 Y'은 각각 독립적으로 O, S, 및 N(H)로 이루어진 그룹으로부터 선택되며;R6은 치환되거나 비치환된 포화 또는 불포화 C3-12탄화수소 쇄이고,여기에서 이의 쇄(chain)는 하나 이상의 헤테로원자, NMe 또는 치환되거나 비치환된 방향족 고리에 의해 차단(interrupt)될 수 있고,여기에서 이의 쇄(chain) 또는 방향족 고리는 이의 쇄 또는 방향족 고리 상의 수소원자 중 어느 하나 이상의 위치가 -NH, -NRm, -NHC(O)Rm, -NHC(O)CH2-[OCH2CH2]n-R, 또는 -[CH2CH2O]n-R로 치환되거나 비치환될 수 있고,여기에서 Rm 및 R은 각각 상기 Rm 및 R의 정의와 같으며,여기에서 n은 1 내지 12의 정수이고;R7은 H, 치환되거나 비치환된 C1-6알킬, 치환되거나 비치환된 C2-6알케닐, 치환되거나 비치환된 C2-6알키닐, 치환되거나 비치환된 C3-6사이클로알킬, 치환되거나 비치환된 3 내지 7-원 헤테로사이클로알킬, 치환되거나 비치환된 C6-10아릴, 치환되거나 비치환된 5 내지 7-원 헤테로아릴, -ORr, -OC(O)Rr, -OC(O)NRrRr ', -OS(O)Rr, -OS(O)2Rr, -SRr, -S(O)Rr, -S(O)2Rr, -S(O)NRrRr ', -S(O)2NRrRr ', -OS(O)NRrRr ', -OS(O)2NRrRr', -NRrRr ', -NRrC(O)Rs, -NRrC(O)ORs, -NRrC(O)NRsRs ', -NRrS(O)Rs, -NRrS(O)2Rs, -NRrS(O)NRsRs', -NRrS(O)2NRsRs, -C(O)Rr, -C(O)ORs 또는 -C(O)NRrRr'이고,여기에서 C1-6알킬, C2-6알케닐, C2-6알키닐, C3-6사이클로알킬, 3 내지 7-원 헤테로사이클로알킬, C6-10아릴, 5 내지 7-원 헤테로아릴이 치환되는 경우, C1-6알킬, C2-6알케닐, C2-6알키닐, C3-6사이클로알킬, 3 내지 7-원 헤테로사이클로알킬, C6-10아릴, 5 내지 7-원 헤테로아릴의 각 수소원자는 각각 독립적으로 C1-6알킬, C2-6알케닐, C2-6알키닐, C3-6사이클로알킬, 3 내지 7-원 헤테로사이클로알킬, C6-10아릴, 5 내지 7-원 헤테로아릴, -ORt, -OC(O)Rt, -OC(O)NRtRt ', -OS(O)Rt, -OS(O)2Rt, -SRt, -S(O)Rt, -S(O)2Rt, -S(O)NRtRt ', -S(O)2NRtRt ', -OS(O)NRtRt ', -OS(O)2NRtRt ', -NRtRt ', -NRtC(O)Ru, -NRtC(O)ORu, -NRtC(O)NRuRu ', -NRtS(O)Ru, -NRtS(O)2Ru, -NRtS(O)NRuRu ', -NRtS(O)2NRuRu', -C(O)Rt, -C(O)ORt 또는 -C(O)NRtRt'로 치환되며,여기에서, Rr, Rr ', Rs, Rs ', Rt, Rt ', Ru 및 Ru '은 각각 독립적으로 H, C1- 7알킬, C2-7알케닐, C2- 7알키닐, C3- 13사이클로알킬, 3 내지 7-원 헤테로사이클로알킬, C5-10아릴, 및 5 내지 7-원 헤테로아릴로 이루어진 그룹으로부터 선택되고;[화학식 Ia']상기 식에서,R1, R2, R3, R4, R6, R7, 및 X는 상기 화학식 Ia에서의 정의와 같고,R8은 H, 할로, 치환되거나 비치환된 C1- 6알킬, 치환되거나 비치환된 C2- 6알케닐, 치환되거나 비치환된 C2- 6알키닐, 치환되거나 비치환된 C3- 6헤테로알킬, 치환되거나 비치환된 3 내지 7-원 헤테로사이클로알킬, 치환되거나 비치환된 C5-10아릴, 치환되거나 비치환된 5 내지 7-원 헤테로아릴, -CN, -NO2, -NCO, -OH, ORm, -OC(O)Rm, -OC(O)NRmRm', -OS(O)Rm, -OS(O)2Rm, -SRm, -S(O)Rm, -S(O)2Rm, -S(O)NRmRm ', -S(O)2NRmRm', -OS(O)NRmRm ', -OS(O)2NRmRm ', -NRmRm ', -NRmC(O)Rm, -NRmC(O)ORn, -NRmC(O)NRnRn', -NRmS(O)Rn, -NRmS(O)2Rn, -NRmS(O)NRnRn ', -NRmS(O)2NRnRn ', -C(O)Rm, -C(O)ORm 및 -C(O)NRmRm'로 이루어진 그룹으로부터 선택되며,여기에서 C1-6알킬, C2-6알케닐, C2-6알키닐, C3-6헤테로알킬, 3 내지 7-원 헤테로사이클로알킬, C5-10아릴, 또는 5 내지 7-원 헤테로아릴이 치환되는 경우, C1-6알킬, C2-6알케닐, C2-6알키닐, C3-6헤테로알킬, 3 내지 7-원 헤테로사이클로알킬, C5-10아릴, 또는 5 내지 7-원 헤테로아릴의 각 수소원자는 각각 독립적으로 C1-6알킬, C2-6알케닐, C2-6알키닐, C3-6헤테로알킬, 3 내지 7-원 헤테로사이클로알킬, C5-10아릴, 5 내지 7-원 헤테로아릴, -ORm, -OC(O)Rm, -OC(O)NRmRm ', -OS(O)Rm, -OS(O)2Rm, -SRm, -S(O)Rm, -S(O)2Rm, -S(O)NRmRm ', -S(O)2NRmRm ', -OS(O)NRmRm ', -OS(O)2NRmRm ', -NRmRm ', -NRmC(O)Rn, -NRmC(O)ORn, -NRmC(O)NRnRn ', -NRmS(O)Rn, -NRmS(O)2Rn, -NRmS(O)NRnRn ', -NRmS(O)2NRnRn', -C(O)Rm, -C(O)ORm 또는-C(O)NRmRm'로 치환되고,Rm, Rm ', Rn 및 Rn '은 상기 화학식 Ia에서의 정의와 같으며,Za 및 Zb는 각각 독립적으로 O, N, 또는 S이고,R12a, R13a, 및 R14a는 각각 독립적으로 H, 치환되거나 비치환된 C1-6알킬, 치환되거나 비치환된 C2-6알케닐, 치환되거나 비치환된 C2-6알키닐, 치환되거나 비치환된 C3-6사이클로알킬, 치환되거나 비치환된 3 내지 7-원 헤테로사이클로알킬, 치환되거나 비치환된 C5-10아릴, 치환되거나 비치환된 5 내지 7-원 헤테로아릴, -C(O)R15a, -C(O)OR15a 및 -C(O)NR15aR15a'이고, 여기에서 R15a 및 R15a'은 Rm의 정의와 같고,여기에서 C1-6알킬, C2-6알케닐, C2-6알키닐, C3-6사이클로알킬, 3 내지 7-원 헤테로사이클로알킬, C5-10아릴, 5 내지 7-원 헤테로아릴이 치환되는 경우 각 수소원자는 C1-6알킬, C2-6알케닐, C2-6알키닐, C3-6사이클로알킬, 3 내지 7-원 헤테로사이클릴, 3 내지 7-원 헤테로사이클로알킬, C5-10아릴, 5 내지 7-원 헤테로아릴, -ORo, -OC(O)Ro, -OC(O)NRoRo ', -OS(O)Ro, -OS(O)2Ro, -SRo, -S(O)Ro, -S(O)2Ro, -S(O)NRoRo ', -S(O)2NRoRo', -OS(O)NRoRo ', -OS(O)2NRoRo ', -NRoRo ', -NRoC(O)Rp, -NRoC(O)ORp, -NRoC(O)NRpRp', -NRoS(O)Rp, -NRoS(O)2Rp, -NRoS(O)NRpRp ', -NRoS(O)2NRpRp ', -C(O)Ro, -C(O)ORo 또는 -C(O)NRoRo'로 치환되고;여기에서, R13a 및 R14a는 이들이 부착된 원자와 함께 결합하여 3 내지 7-원 헤테로사이클릴, 또는 3 내지 7-원 헤테로사이클로알킬을 형성하거나, 또는 R13a 및 R14a는 이들이 부착되는 원자와 함께 결합하여 3 내지 7-원 헤테로아릴을 형성할 수 있고,여기에서 3 내지 7-원 헤테로사이클릴, 3 내지 7-원 헤테로사이클로알킬 또는 3 내지 7-원 헤테로아릴에 존재하는 각 수소원자는 각각 독립적으로 C1-6알킬, C2-6알케닐, C2-6알키닐, C3-6사이클로알킬, 3 내지 7-원 헤테로사이클로알킬, C5-10아릴, 5 내지 7-원 헤테로아릴, -ORo, -OC(O)Ro, -OC(O)NRoRo ', -OS(O)Ro, -OS(O)2Ro, -SRo, -S(O)Ro, -S(O)2Ro, -S(O)NRoRo ', -S(O)2NRoRo ', -OS(O)NRoRo ', -OS(O)2NRoRo ', -NRoRo ', -NRoC(O)Rp, -NRoC(O)ORp, -NRoC(O)NRpRp ', -NRoS(O)Rp, -NRoS(O)2Rp, -NRoS(O)NRpRp ', -NRoS(O)2NRpRp', -C(O)Ro, -C(O)ORo 또는 -C(O)NRoRo'로 치환되고;여기에서, Rn, Rn ', Ro, Ro ', Rp, 및 Rp '은 각각 독립적으로 H, C1- 7알킬, C2- 7알케닐, C2- 7알키닐, C3- 13사이클로알킬, 3 내지 7-원 헤테로사이클로알킬, C5- 10아릴, 및 5 내지 7-원 헤테로아릴로 이루어진 그룹으로부터 선택되며;R1', R2', R3', R4', R5', R7' 및 R8'은 각각 R1, R2, R3, R4, R5, R7 및 R8에 대해서 정의한 바와 같다.
- 제2항에 있어서,점선은 C2 및 C3 사이의 이중결합의 존재를 나타내는,피롤로벤조디아제핀 이량체 전구체, 이의 약학적으로 허용되는 염 또는 용매화물.
- 제2항에 있어서,R1은 치환되거나 비치환된 C1-6알킬, 치환되거나 비치환된 C2-6알케닐, 치환되거나 비치환된 C5-7아릴 및 치환되거나 비치환된 C3-6헤테로아릴로 이루어진 그룹으로부터 선택되는,피롤로벤조디아제핀 이량체 전구체, 이의 약학적으로 허용되는 염 또는 용매화물.
- 제2항에 있어서,R2, R3 및 R5는 각각 독립적으로 H 또는 OH인,피롤로벤조디아제핀 이량체 전구체, 이의 약학적으로 허용되는 염 또는 용매화물.
- 제2항에 있어서,R4는 C1-6알콕시인,피롤로벤조디아제핀 이량체 전구체, 이의 약학적으로 허용되는 염 또는 용매화물.
- 제2항에 있어서,R4는 메톡시, 에톡시 또는 부톡시인,피롤로벤조디아제핀 이량체 전구체, 이의 약학적으로 허용되는 염 또는 용매화물.
- 제1항에 있어서,X 및 X'은 각각 독립적으로 -C(O)O*, -C(O)* 및 -C(O)NR*로 이루어진 그룹으로부터 선택되고,여기서 R은 각각 독립적으로 H, OH, N3, CN, NO2, SH, NH2, ONH2, NNH2, 할로, 치환되거나 비치환된 C1-8알킬 또는 치환되거나 비치환된 C1-8알콕시이며, 여기에서 C1-8알킬 또는 C1-8알콕시가 치환되는 경우, H, OH, N3, CN, NO2, SH, NH2, ONH2, NNH2, 또는 할로로 치환되는,피롤로벤조디아제핀 이량체 전구체, 이의 약학적으로 허용되는 염 또는 용매화물.
- 제2항에 있어서,Y 및 Y'은 O인,피롤로벤조디아제핀 이량체 전구체, 이의 약학적으로 허용되는 염 또는 용매화물.
- 제2항에 있어서,R6는 치환되거나 비치환된 포화 또는 불포화 C3-8탄화수소 쇄이고,이의 쇄(chain)는 하나 이상의 헤테로원자 또는 치환되거나 비치환된 방향족 고리에 의해 차단(interrupt)될 수 있으며,여기에서 헤테로원자는 O, S 또는 N(H)이고, 방향족 고리는 벤젠, 피리딘, 이미다졸 또는 피라졸이며,여기에서 이의 쇄(chain) 또는 방향족 고리는, 이의 쇄 또는 방향족 고리 상의 수소원자 중 어느 하나 이상의 위치가 -NHC(O)CH2-[OCH2CH2]n-R, 또는 -[CH2CH2O]n-R로 치환될 수 있고,여기에서 R의 정의는 제2항의 R의 정의와 같으며,n은 1 내지 6의 정수인,피롤로벤조디아제핀 이량체 전구체, 이의 약학적으로 허용되는 염 또는 용매화물.
- 하기 화학식 IIa의 구조를 갖는 접합체 또는 이의 약학적으로 허용되는 염 또는 용매화물:[화학식 IIa]Ligand - (L - D)n상기 식에서,Ligand는 리간드이고,L은 링커이며,D는 제1항 내지 제10항 중 어느 한 항에 따른 피롤로벤조디아제핀 이량체 전구체이고,여기에서 링커는 제1항에 따른 D의 N10 위치, N10' 위치, 또는 N10 및 N10' 위치; 또는제2항 내지 제10항 중 어느 한 항에 따른 D의 X, X' 또는 X 및 X'을 통해,D와 결합되며,n은 1 내지 20의 정수이다.
- 제11항에 있어서,링커는,제1항에 따른 D의 N10 및 N10' 위치; 또는제2항 내지 제10항 중 어느 한 항에 따른 D의 X 및 X'을 통해,D와 결합되는, 접합체 또는 이의 약학적으로 허용되는 염 또는 용매화물.
- 제11항에 있어서,n은 1 내지 10의 정수인, 접합체 또는 이의 약학적으로 허용되는 염 또는 용매화물.
- 하기 화학식 IIb 또는 화학식 IIb'의 구조를 갖는 피롤로벤조디아제핀 이량체 전구체-링커 화합물, 이의 약학적으로 허용되는 염 또는 용매화물:[화학식 IIb][화학식 IIb']상기 식에서,점선, R1, R2, R3, R4, R5, R6, R7, X, Y, R1', R2', R3', R4', R5', R7', X', Y', R8, Za, Zb, R12a, R13a, R14a, R8', Za', Zb', R12a', R13a', 및 R14a'은 각각 제2항에서 화학식 Ia 및 화학식 Ia'의 화합물에 대해 정의한 바와 동일하고,Xa 및 Xa'은 각각 독립적으로 결합(bond), 또는 치환되거나 비치환된 C1-6알킬렌이며, 여기에서 C1-6알킬렌이 치환되는 경우, 수소, C1-8알킬 또는 C3-8사이클로알킬로 치환되고,G 및 G'은 글루쿠로나이드(glucuronide)기, 갈락토사이드기 또는 이의 유도체이고,R8, R9 및 R10은 각각 독립적으로 H, C1-8알킬, C2-6알케닐, 및 C1-6알콕시로 이루어진 그룹으로부터 선택되고, m은 0 내지 12이며,n은 1 내지 3의 정수이고, n이 2 이상의 정수인 경우 각각의 Z는 서로 동일하거나 상이할 수 있으며,W는 -C(O)-, -C(O)NR''-, -C(O)O-, -S(O)2NR''-, -P(O)R'''NR''-, -S(O)NR''-, 또는 -PO2NR''-이고, 상기 R'' 및 R'''은 각각 독립적으로 H, C1-8알킬, C3-8사이클로알킬, C1-8알콕시, C1-8알킬티오, 모노- 또는 다이-C1-8알킬아미노, C3-20헤테로아릴, 또는 C6-20아릴이며,L은 브랜칭 유닛(branching unit), 연결 유닛(connection unit) 및 결합 유닛(binding unit)으로 이루어진 그룹으로부터 선택되는 하나 이상의 유닛, 또는 이들 유닛의 조합이며,여기에서 연결 유닛은 W와 결합 유닛을, W와 브랜칭 유닛을, 브랜칭 유닛과 브랜칭 유닛을, 또는 브랜칭 유닛과 결합 유닛을 연결하고, 여기에서 브랜칭 유닛은 연결 유닛과 W를, 또는 연결 유닛과 또 다른 연결 유닛을 연결하며,브랜칭 유닛은 C2-100알케닐(여기서, 알케닐의 탄소 원자는 하나 또는 그 이상의 N, O 및 S로 이루어진 그룹으로부터 선택되는 헤테로원자로 치환될 수 있으며, 알케닐은 하나 또는 그 이상의 C1-20알킬로 더 치환될 수 있다), 친수성(hydrophilic) 아미노산, -C(O)-, -C(O)NR''''-, -C(O)O-, -(CH2)s-NHC(O)-(CH2)t-, -(CH2)u-C(O)NH-(CH2)v-, -(CH2)s-NHC(O)-(CH2)t-C(O)-, -(CH2)u-C(O)NH-(CH2)v-C(O)-, -S(O)2NR''''-, -P(O)R'''''NR''''-, -S(O)NR''''-, 또는 -PO2NR''''- (여기서, R'''' 및 R'''''는 각각 독립적으로 H, C1-8알킬, C3-8사이클로알킬, C1-8알콕시, C1-8알킬티오, 모노- 또는 다이-C1-8알킬아미노, C3-20헤테로아릴 또는 C5-20아릴이며, s, t, u 및 v는 각각 독립적으로 0 내지 10의 정수이고),연결 유닛은 -(CH2)r(V(CH2)p)q-이고, 여기에서, r은 0 내지 10의 정수이고, p는 0 내지 12의 정수이며, q는 1 내지 20의 정수이고, V는 단일결합, -O-, 또는 S-이며,Rv는 -NH2, N3, 치환되거나 비치환된 C1-12알킬, C1-12알키닐, C1-3알콕시, 치환되거나 비치환된 C3-20헤테로아릴, C3-20헤테로사이클릴 또는 치환되거나 비치환된 C5-20아릴이고,여기에서 C1-12알킬, C3-20헤테로아릴, C3-20헤테로사이클릴 또는 C5-20아릴이 치환되는 경우, C3-20헤테로아릴, C3-20헤테로사이클릴 또는 C5-20아릴에 존재하는 하나 이상의 수소원자는 각각 독립적으로 OH, =O, 할로, C1-6알킬, C1-6알콕시, C2-6알케닐옥시, 카르복시, C1-6알콕시카르보닐, C1-6알킬카르보닐, 포르밀, C3-8아릴, C5-12아릴옥시, C5-12아릴카르보닐, 또는 C3-6헤테로아릴로 치환된다.
- 제14항에 있어서,Xa 및 Xa'은 각각 독립적으로 결합(bond) 또는 C1-3알킬인,피롤로벤조디아제핀 이량체 전구체-링커 화합물, 이의 약학적으로 허용되는 염 또는 용매화물.
- 제14항에 있어서,W는 -C(O)-, -C(O)NR'''- 또는 -C(O)O-이고, 여기서 R'''은 H 또는 C1-8알킬이며,L은 브랜칭 유닛(branching unit), 연결 유닛(connection unit) 및 결합 유닛(binding unit)으로 이루어진 그룹으로부터 선택되는 하나 이상의 유닛, 또는 이들 유닛의 조합이며, 여기에서 연결 유닛은 W와 결합 유닛을, W와 브랜칭 유닛을, 브랜칭 유닛과 브랜칭 유닛을, 또는 브랜칭 유닛과 결합 유닛을 연결하고, 여기에서 브랜칭 유닛은 연결 유닛과 W를, 또는 연결 유닛과 또 다른 연결 유닛을 연결하며,브랜칭 유닛은 C2-8알케닐(여기서, 알케닐의 탄소 원자는 하나 또는 그 이상의 N, O 및 S로 이루어진 그룹으로부터 선택되는 헤테로원자로 치환될 수 있으며, 알케닐은 하나 또는 그 이상의 C1-6알킬로 더 치환될 수 있다), 친수성(hydrophilic) 아미노산, -C(O)-, -C(O)NR''''-, -C(O)O-, -(CH2)s-NHC(O)-(CH2)t-, -(CH2)u-C(O)NH-(CH2)v-, -(CH2)s-NHC(O)-(CH2)t-C(O)-, -(CH2)u-C(O)NH-(CH2)v-C(O)-,이고(여기서, R''''는 H, C1-8알킬, C3-8사이클로알킬, C1-8알콕시, C1-8알킬티오, 모노- 또는 다이-C1-8알킬아미노, C3-20헤테로아릴 또는 C5-20아릴이며, s, t, u 및 v는 각각 독립적으로 0 내지 5의 정수이고),연결 유닛은 -(CH2)r(V(CH2)p)q-이며, 여기에서, r은 0 내지 10의 정수이고, p는 0 내지 12의 정수이며, q는 1 내지 20의 정수이고, V는 단일결합, 또는 -O-이며,여기서, 연결 유닛은 -(CH2)r(V(CH2)p)q-이며,여기서, r은 0 내지 8의 정수이고, p는 1 내지 12의 정수이며, q는 1 내지 10의 정수이고, V는 단일결합 또는 -O-인,피롤로벤조디아제핀 이량체 전구체-링커 화합물, 이의 약학적으로 허용되는 염 또는 용매화물.
- 하기 화학식 IIIa 또는 IIIb의 구조를 갖는 피롤로벤조디아제핀 이량체 전구체-링커-리간드 접합체, 이의 약학적으로 허용되는 염 또는 용매화물:[화학식 IIIa][화학식 IIIb]상기 식에서,점선, R1, R2, R3, R4, R5, R6, R7, X, Y, R1', R2', R3', R4', R5', R7', X', Y', R8, Za, Zb, R12a, R13a, R14a, R8', Za', Zb', R12a', R13a', 및 R14a'은 각각 제2항에서 화학식 Ia 및 화학식 Ia'의 화합물에 대해 정의한 바와 동일하고,Xa, G, Z, W, L, Xa', G', Z'은 각각 제11항에서 화학식 IIb의 화합물에 대해 정의한 바와 동일하며;Ligand는 항원 결합 모이어티이다.
- 제19항에 있어서,Ligand는 단백질인,피롤로벤조디아제핀 이량체 전구체-링커-리간드 접합체, 이의 약학적으로 허용되는 염 또는 용매화물.
- 제20항에 있어서,상기 단백질은 이소프레노이드 트랜스퍼라아제에 의하여 인식될 수 있는 하나 이상의 아미노산 모티프를 갖는 것인,피롤로벤조디아제핀 이량체 전구체-링커-리간드 접합체, 이의 약학적으로 허용되는 염 또는 용매화물.
- 제21항에 있어서,상기 이소프레노이드 트랜스퍼라아제는 FTase(farnesyl protein transferase) 또는 GGTase(geranylgeranyl transferase)인,피롤로벤조디아제핀 이량체 전구체-링커-리간드 접합체, 이의 약학적으로 허용되는 염 또는 용매화물.
- 제21항에 있어서,상기 아미노산 모티프가 CYYX, XXCC, XCXC 또는 CXX이고,여기에서 C는 시스테인, Y는 지방족 아미노산, X는 이소프레노이드 트랜스퍼라아제의 기질 특이성을 결정하는 아미노산인,피롤로벤조디아제핀 이량체 전구체-링커-리간드 접합체, 이의 약학적으로 허용되는 염 또는 용매화물.
- 제19항 내지 제23항 중 어느 한 항의 피롤로벤조디아제핀 이량체 전구체-링커-리간드 접합체, 이의 약학적으로 허용되는 염 또는 용매화물을 포함하는,증식성 질환의 예방 또는 치료용 약학 조성물.
- 제24항에 있어서,상기 증식성 질환은 신생물, 종양, 암, 백혈병, 건선, 뼈 질환, 섬유증식성 장애, 및 죽상동맥경화증으로 이루어진 그룹으로부터 선택되는 것인, 증식성 질환의 예방 또는 치료용 약학 조성물.
- 제25항에 있어서,상기 암은 폐암, 소세포성 폐암, 위장관암, 대장암, 장암, 유방암, 난소암, 전립선암, 고환암, 간암, 신장암, 방광암, 췌장암, 뇌암, 육종, 골육종, 카포시 육종 및 흑색종으로 이루어진 그룹으로부터 선택되는 것인, 증식성 질환의 예방 또는 치료용 약학 조성물.
- 제19항 내지 제23항 중 어느 한 항의 피롤로벤조디아제핀 이량체 전구체-링커-리간드 접합체, 이의 약학적으로 허용되는 염 또는 용매화물; 및약학적으로 허용되는 부형제를 포함하는,증식성 질환의 예방 또는 치료용 약학 조성물.
- 제19항 내지 제23항 중 어느 한 항의 피롤로벤조디아제핀 이량체 전구체-링커-리간드 접합체, 이의 약학적으로 허용되는 염 또는 용매화물;1종 이상의 치료적 공동-작용제(therapeutic co-agent); 및약학적으로 허용되는 부형제를 포함하는,증식성 질환의 예방 또는 치료용 약학 조성물.
Priority Applications (12)
| Application Number | Priority Date | Filing Date | Title |
|---|---|---|---|
| US16/328,256 US11654197B2 (en) | 2017-03-29 | 2018-03-29 | Pyrrolobenzodiazepine dimer prodrug and ligand-linker conjugate compound of the same |
| AU2018246806A AU2018246806B2 (en) | 2017-03-29 | 2018-03-29 | Pyrrolobenzodiazepine dimer precursor and ligand-linker conjugate compound thereof |
| BR112019020136-0A BR112019020136B1 (pt) | 2017-03-29 | 2018-03-29 | Conjugado de profármaco de dímero de pirrolobenzodiazepina, composição farmacêutica compreendendo o mesmo e uso terapêutico do mesmo |
| IL269535A IL269535B2 (en) | 2017-03-29 | 2018-03-29 | Pyrrolobenzodiazepine dimer prodrug and ligand-linker conjugate compound of the same |
| CN201880003365.6A CN109790171B (zh) | 2017-03-29 | 2018-03-29 | 吡咯并苯并二氮杂二聚物前体及其配体-连接体缀合化合物 |
| CA3058360A CA3058360A1 (en) | 2017-03-29 | 2018-03-29 | Pyrrolobenzodiazepine dimer prodrug and ligand-linker conjugate compound of the same |
| EP18774896.7A EP3604311A4 (en) | 2017-03-29 | 2018-03-29 | PYRROLOBENZODIAZEPINE DIMERIC PRECURSOR AND ASSOCIATED LIGAND-BOND CONJUGATE COMPOUND |
| NZ757701A NZ757701B2 (en) | 2018-03-29 | Pyrrolobenzodiazepine dimer precursor and ligand-linker conjugate compound thereof | |
| JP2019515212A JP7664680B2 (ja) | 2017-03-29 | 2018-03-29 | ピロロベンゾジアゼピン二量体前駆体及びそのリガンド-リンカーコンジュゲート化合物 |
| MX2019011655A MX2019011655A (es) | 2017-03-29 | 2018-03-29 | Profarmaco de dimero de pirrolobenzodiazepina y compuesto conjugado ligando-conector de este. |
| US18/113,948 US12398124B2 (en) | 2017-03-29 | 2023-02-24 | Pyrrolobenzodiazepine dimer prodrug and ligand-linker conjugate compound of the same |
| JP2023081396A JP2023113699A (ja) | 2017-03-29 | 2023-05-17 | ピロロベンゾジアゼピン二量体前駆体及びそのリガンド-リンカーコンジュゲート化合物 |
Applications Claiming Priority (4)
| Application Number | Priority Date | Filing Date | Title |
|---|---|---|---|
| KR20170039841 | 2017-03-29 | ||
| KR10-2017-0039841 | 2017-03-29 | ||
| KR1020180036895A KR101938800B1 (ko) | 2017-03-29 | 2018-03-29 | 피롤로벤조디아제핀 이량체 전구체 및 이의 리간드-링커 접합체 화합물 |
| KR10-2018-0036895 | 2018-03-29 |
Related Child Applications (2)
| Application Number | Title | Priority Date | Filing Date |
|---|---|---|---|
| US16/328,256 A-371-Of-International US11654197B2 (en) | 2017-03-29 | 2018-03-29 | Pyrrolobenzodiazepine dimer prodrug and ligand-linker conjugate compound of the same |
| US18/113,948 Continuation US12398124B2 (en) | 2017-03-29 | 2023-02-24 | Pyrrolobenzodiazepine dimer prodrug and ligand-linker conjugate compound of the same |
Publications (1)
| Publication Number | Publication Date |
|---|---|
| WO2018182341A1 true WO2018182341A1 (ko) | 2018-10-04 |
Family
ID=63676618
Family Applications (1)
| Application Number | Title | Priority Date | Filing Date |
|---|---|---|---|
| PCT/KR2018/003744 Ceased WO2018182341A1 (ko) | 2017-03-29 | 2018-03-29 | 피롤로벤조디아제핀 이량체 전구체 및 이의 리간드-링커 접합체 화합물 |
Country Status (1)
| Country | Link |
|---|---|
| WO (1) | WO2018182341A1 (ko) |
Cited By (18)
| Publication number | Priority date | Publication date | Assignee | Title |
|---|---|---|---|---|
| CN109535035A (zh) * | 2019-01-08 | 2019-03-29 | 吉尔生化(上海)有限公司 | 一种n-苄氧羰基-3-氨基-丙氨酸叔丁酯的制备方法 |
| WO2019166615A1 (en) * | 2018-03-01 | 2019-09-06 | Medimmune Limited | Methods |
| CN112135638A (zh) * | 2019-03-06 | 2020-12-25 | 乐高化学生物科学股份有限公司 | 包含抗人dlk1抗体的抗体-药物偶联物及其用途 |
| CN113260621A (zh) * | 2019-01-03 | 2021-08-13 | 乐高化学生物科学股份有限公司 | 安全性得到提高的吡咯并苯并二氮杂二聚体化合物及其用途 |
| WO2022015656A1 (en) | 2020-07-13 | 2022-01-20 | Regeneron Pharmaceuticals, Inc. | Camptothecin analogs conjugated to a glutamine residue in a protein, and their use |
| JP2022516911A (ja) * | 2019-01-03 | 2022-03-03 | レゴケム バイオサイエンシズ, インク. | 安定性が向上したピロロベンゾジアゼピン二量体化合物及びその用途 |
| JP2022522547A (ja) * | 2019-03-06 | 2022-04-20 | レゴケム バイオサイエンシズ, インク. | ヒトdlk1に対する抗体を含む抗体薬物コンジュゲート及びその使用 |
| JP2022530482A (ja) * | 2019-05-02 | 2022-06-29 | レゴケム バイオサイエンシズ, インク. | トリス構造を有するリンカーを含むリガンド―薬物複合体 |
| WO2022187591A1 (en) | 2021-03-05 | 2022-09-09 | Go Therapeutics, Inc. | Anti-glyco-cd44 antibodies and their uses |
| US11524969B2 (en) | 2018-04-12 | 2022-12-13 | Medimmune Limited | Pyrrolobenzodiazepines and conjugates thereof as antitumour agents |
| WO2023014863A1 (en) | 2021-08-05 | 2023-02-09 | Go Therapeutics, Inc. | Anti-glyco-muc4 antibodies and their uses |
| WO2023166322A1 (en) | 2022-03-04 | 2023-09-07 | Iksuda Therapeutics Limited | Anti-canag antibody conjugate |
| US11827703B2 (en) | 2018-05-09 | 2023-11-28 | Legochem Biosciences, Inc. | Compositions and methods related to anti-CD19 antibody drug conjugates |
| WO2024005123A1 (ja) | 2022-06-30 | 2024-01-04 | 東レ株式会社 | 癌の治療及び/又は予防用医薬組成物 |
| US11975076B2 (en) | 2015-11-25 | 2024-05-07 | Legochem Biosciences, Inc. | Antibody-drug conjugates comprising branched linkers and methods related thereto |
| US12209099B2 (en) | 2019-03-15 | 2025-01-28 | Medimmune Limited | Azetidobenzodiazepine dimers and conjugates comprising them for use in the treatment of cancer |
| WO2025046218A1 (en) | 2023-08-30 | 2025-03-06 | Iksuda Therapeutics Limited | Co-administration of antibody-drug conjugate |
| US12398124B2 (en) | 2017-03-29 | 2025-08-26 | Ligachem Biosciences Inc. | Pyrrolobenzodiazepine dimer prodrug and ligand-linker conjugate compound of the same |
Citations (3)
| Publication number | Priority date | Publication date | Assignee | Title |
|---|---|---|---|---|
| WO2009016647A1 (en) * | 2007-08-01 | 2009-02-05 | Council Of Scientific & Industrial Research | Pyrrolo [2,1-c][1, 4] benzodiazepine-glycoside prodrugs useful as a selective anti tumor agent |
| KR20150137015A (ko) * | 2014-05-28 | 2015-12-08 | 주식회사 레고켐 바이오사이언스 | 자가-희생 기를 포함하는 화합물 |
| US20160256561A1 (en) * | 2013-10-11 | 2016-09-08 | Medimmune Limited | Pyrrolobenzodiazepine-antibody conjugates |
-
2018
- 2018-03-29 WO PCT/KR2018/003744 patent/WO2018182341A1/ko not_active Ceased
Patent Citations (3)
| Publication number | Priority date | Publication date | Assignee | Title |
|---|---|---|---|---|
| WO2009016647A1 (en) * | 2007-08-01 | 2009-02-05 | Council Of Scientific & Industrial Research | Pyrrolo [2,1-c][1, 4] benzodiazepine-glycoside prodrugs useful as a selective anti tumor agent |
| US20160256561A1 (en) * | 2013-10-11 | 2016-09-08 | Medimmune Limited | Pyrrolobenzodiazepine-antibody conjugates |
| KR20150137015A (ko) * | 2014-05-28 | 2015-12-08 | 주식회사 레고켐 바이오사이언스 | 자가-희생 기를 포함하는 화합물 |
Non-Patent Citations (2)
| Title |
|---|
| SAGNOU, M. J. ET AL.: "Design and Synthesis of Novel Pyrrolobenzodiazepine (PBD) Prodrugs for ADEPT and GDEPT", BIOORGANIC & MEDICINAL CHEMISTRY LETTERS, vol. 10, 2000, pages 2083 - 2086, XP002323711 * |
| VARVOUNIS, G.: "An Update on the Synthesis of Pyrrolo[1,4]benzodiazepines", MOLECULES, vol. 21, no. 2, 28 January 2016 (2016-01-28), pages 154, XP055558979 * |
Cited By (25)
| Publication number | Priority date | Publication date | Assignee | Title |
|---|---|---|---|---|
| US11975076B2 (en) | 2015-11-25 | 2024-05-07 | Legochem Biosciences, Inc. | Antibody-drug conjugates comprising branched linkers and methods related thereto |
| US12398124B2 (en) | 2017-03-29 | 2025-08-26 | Ligachem Biosciences Inc. | Pyrrolobenzodiazepine dimer prodrug and ligand-linker conjugate compound of the same |
| WO2019166615A1 (en) * | 2018-03-01 | 2019-09-06 | Medimmune Limited | Methods |
| US11352324B2 (en) | 2018-03-01 | 2022-06-07 | Medimmune Limited | Methods |
| US11524969B2 (en) | 2018-04-12 | 2022-12-13 | Medimmune Limited | Pyrrolobenzodiazepines and conjugates thereof as antitumour agents |
| US11827703B2 (en) | 2018-05-09 | 2023-11-28 | Legochem Biosciences, Inc. | Compositions and methods related to anti-CD19 antibody drug conjugates |
| CN113260621A (zh) * | 2019-01-03 | 2021-08-13 | 乐高化学生物科学股份有限公司 | 安全性得到提高的吡咯并苯并二氮杂二聚体化合物及其用途 |
| JP7542266B2 (ja) | 2019-01-03 | 2024-08-30 | リガケム バイオサイエンシズ, インク. | 安定性が向上したピロロベンゾジアゼピン二量体化合物及びその用途 |
| JP2022516911A (ja) * | 2019-01-03 | 2022-03-03 | レゴケム バイオサイエンシズ, インク. | 安定性が向上したピロロベンゾジアゼピン二量体化合物及びその用途 |
| EP3907226A4 (en) * | 2019-01-03 | 2022-09-07 | LegoChem Biosciences, Inc. | Pyrrolobenzodiazepine dimer compound with improved safety and use thereof |
| CN109535035A (zh) * | 2019-01-08 | 2019-03-29 | 吉尔生化(上海)有限公司 | 一种n-苄氧羰基-3-氨基-丙氨酸叔丁酯的制备方法 |
| JP2022522547A (ja) * | 2019-03-06 | 2022-04-20 | レゴケム バイオサイエンシズ, インク. | ヒトdlk1に対する抗体を含む抗体薬物コンジュゲート及びその使用 |
| EP3936150A4 (en) * | 2019-03-06 | 2023-03-29 | LegoChem Biosciences, Inc. | ANTIBODY-DRUG CONJUGATES COMPRISING ANTIBODY AGAINST HUMAN DLK1 AND USE THEREOF |
| CN112135638A (zh) * | 2019-03-06 | 2020-12-25 | 乐高化学生物科学股份有限公司 | 包含抗人dlk1抗体的抗体-药物偶联物及其用途 |
| JP2025076435A (ja) * | 2019-03-06 | 2025-05-15 | リガケム バイオサイエンシズ, インク. | ヒトdlk1に対する抗体を含む抗体薬物コンジュゲート及びその使用 |
| JP7664045B2 (ja) | 2019-03-06 | 2025-04-17 | リガケム バイオサイエンシズ, インク. | ヒトdlk1に対する抗体を含む抗体薬物コンジュゲート及びその使用 |
| US12209099B2 (en) | 2019-03-15 | 2025-01-28 | Medimmune Limited | Azetidobenzodiazepine dimers and conjugates comprising them for use in the treatment of cancer |
| JP2022530482A (ja) * | 2019-05-02 | 2022-06-29 | レゴケム バイオサイエンシズ, インク. | トリス構造を有するリンカーを含むリガンド―薬物複合体 |
| JP2024160336A (ja) * | 2019-05-02 | 2024-11-13 | リガケム バイオサイエンシズ, インク. | トリス構造を有するリンカーを含むリガンド―薬物複合体 |
| WO2022015656A1 (en) | 2020-07-13 | 2022-01-20 | Regeneron Pharmaceuticals, Inc. | Camptothecin analogs conjugated to a glutamine residue in a protein, and their use |
| WO2022187591A1 (en) | 2021-03-05 | 2022-09-09 | Go Therapeutics, Inc. | Anti-glyco-cd44 antibodies and their uses |
| WO2023014863A1 (en) | 2021-08-05 | 2023-02-09 | Go Therapeutics, Inc. | Anti-glyco-muc4 antibodies and their uses |
| WO2023166322A1 (en) | 2022-03-04 | 2023-09-07 | Iksuda Therapeutics Limited | Anti-canag antibody conjugate |
| WO2024005123A1 (ja) | 2022-06-30 | 2024-01-04 | 東レ株式会社 | 癌の治療及び/又は予防用医薬組成物 |
| WO2025046218A1 (en) | 2023-08-30 | 2025-03-06 | Iksuda Therapeutics Limited | Co-administration of antibody-drug conjugate |
Similar Documents
| Publication | Publication Date | Title |
|---|---|---|
| WO2018182341A1 (ko) | 피롤로벤조디아제핀 이량체 전구체 및 이의 리간드-링커 접합체 화합물 | |
| WO2021137646A1 (ko) | 피롤로벤조디아제핀 유도체 및 이의 리간드-링커 접합체 | |
| WO2021086069A1 (ko) | Ezh2 저해제 및 e3 리가제 바인더를 포함하는 화합물 및 이를 유효성분으로 함유하는 ezh2 관련 질환의 예방 또는 치료용 약학적 조성물 | |
| WO2021040356A1 (en) | C-nucleosides, c-nucleotides and their analogs, equivalents and prodrugs thereof for ectonucleotidase inhibition | |
| WO2020141923A9 (ko) | 안전성이 향상된 피롤로벤조디아제핀 이량체 화합물 및 이의 용도 | |
| WO2024063578A1 (ko) | 신규한 테트라헤테로사이클 화합물 | |
| WO2014107024A1 (ko) | 항체-링커-약물 결합체, 그의 제조방법 및 그를 포함하는 항암제 조성물 | |
| WO2017204445A2 (ko) | Alk 단백질의 분해를 유도하는 약학적 조성물 및 이를 유효성분으로 함유하는 암의 예방 또는 치료용 약학적 조성물 | |
| KR20180110649A (ko) | 피롤로벤조디아제핀 이량체 전구체 및 이의 리간드-링커 접합체 화합물 | |
| WO2019078522A1 (ko) | 세레브론 단백질의 분해 유도 화합물, 이의 제조방법 및 이를 유효성분으로 함유하는 암의 예방 또는 치료용 약학적 조성물 | |
| WO2017188694A1 (ko) | 질소를 포함하는 헤테로아릴 화합물 및 이의 용도 | |
| WO2020162725A1 (ko) | 표적 단백질 eed 분해 유도 데그라듀서, 이의 제조방법 및 이를 유효성분으로 함유하는 eed, ezh2, 또는 prc2 관련 질환의 예방 또는 치료용 약학적 조성물 | |
| WO2020180121A1 (ko) | 인간 dlk1에 대한 항체를 포함하는 항체 약물 접합체 및 이의 용도 | |
| WO2020149723A1 (ko) | 피롤로피리미딘 유도체 및 이를 유효성분으로 함유하는 단백질 키나아제 관련 질환의 예방 또는 치료용 약학적 조성물 | |
| WO2021086038A1 (ko) | 신규한 화합물 및 이를 포함하는 암 예방 또는 치료용 약학 조성물 | |
| WO2014046441A1 (ko) | 돌라스타틴 10 유도체, 그의 제조방법 및 그를 포함하는 항암제 조성물 | |
| WO2016032209A2 (ko) | 야누스인산화효소 억제제로서의 치환된 n-(피롤리딘-3-일)-7h-피롤로[2,3-d]피리미딘-4-아민 | |
| WO2022035303A1 (en) | Novel dioxoloisoquinolinone derivatives and use thereof | |
| WO2021162493A1 (ko) | 단백질 키나아제 분해 유도 화합물 및 이의 용도 | |
| WO2016006975A2 (en) | Novel imidazotriazinone or imidazopyrazinone derivatives, and use thereof | |
| WO2016006974A2 (en) | Novel triazolopyrimidinone or triazolopyridinone derivatives, and use thereof | |
| WO2018021826A1 (ko) | 신규한 피리미딘-2,4-디아민 유도체 및 이를 유효성분으로 함유하는 암의 예방 또는 치료용 약학적 조성물 | |
| WO2017034245A1 (ko) | 야누스 키나제 1 선택적 억제제 및 그 의약 용도 | |
| WO2021194228A1 (ko) | 암의 예방 또는 치료용 약학적 조성물 | |
| WO2020139044A1 (ko) | 신규한 화합물 및 이를 포함하는 항암 활성 증진용 약학 조성물 |
Legal Events
| Date | Code | Title | Description |
|---|---|---|---|
| 121 | Ep: the epo has been informed by wipo that ep was designated in this application |
Ref document number: 18774896 Country of ref document: EP Kind code of ref document: A1 |
|
| ENP | Entry into the national phase |
Ref document number: 2019515212 Country of ref document: JP Kind code of ref document: A |
|
| ENP | Entry into the national phase |
Ref document number: 3058360 Country of ref document: CA |
|
| NENP | Non-entry into the national phase |
Ref country code: DE |
|
| REG | Reference to national code |
Ref country code: BR Ref legal event code: B01A Ref document number: 112019020136 Country of ref document: BR |
|
| ENP | Entry into the national phase |
Ref document number: 2018246806 Country of ref document: AU Date of ref document: 20180329 Kind code of ref document: A |
|
| ENP | Entry into the national phase |
Ref document number: 2018774896 Country of ref document: EP Effective date: 20191029 |
|
| ENP | Entry into the national phase |
Ref document number: 112019020136 Country of ref document: BR Kind code of ref document: A2 Effective date: 20190926 |




























































































































































