WO2018108064A1 - 作为第四代egfr激酶抑制剂的螺环芳基磷氧化合物 - Google Patents
作为第四代egfr激酶抑制剂的螺环芳基磷氧化合物 Download PDFInfo
- Publication number
- WO2018108064A1 WO2018108064A1 PCT/CN2017/115577 CN2017115577W WO2018108064A1 WO 2018108064 A1 WO2018108064 A1 WO 2018108064A1 CN 2017115577 W CN2017115577 W CN 2017115577W WO 2018108064 A1 WO2018108064 A1 WO 2018108064A1
- Authority
- WO
- WIPO (PCT)
- Prior art keywords
- group
- compound
- pharmaceutically acceptable
- acceptable salt
- compound according
- Prior art date
- Legal status (The legal status is an assumption and is not a legal conclusion. Google has not performed a legal analysis and makes no representation as to the accuracy of the status listed.)
- Ceased
Links
- 0 CC(CC(C1CC1)(C1*C1)C1C(*N(C)C)C1)N* Chemical compound CC(CC(C1CC1)(C1*C1)C1C(*N(C)C)C1)N* 0.000 description 4
- KGOGKPBJKVBZKE-UHFFFAOYSA-N CC(C)(C)OC(N1CCC(CC2)(CN2c(cc2)c(C)cc2[N+]([O-])=O)CC1)=O Chemical compound CC(C)(C)OC(N1CCC(CC2)(CN2c(cc2)c(C)cc2[N+]([O-])=O)CC1)=O KGOGKPBJKVBZKE-UHFFFAOYSA-N 0.000 description 1
- LKVIBXPSNJHICN-UHFFFAOYSA-N CN(CC1)CCC1(CC1)CCN1c(c(C#N)cc(N)c1)c1Cl Chemical compound CN(CC1)CCC1(CC1)CCN1c(c(C#N)cc(N)c1)c1Cl LKVIBXPSNJHICN-UHFFFAOYSA-N 0.000 description 1
- CUMTUBVTKOYYOU-UHFFFAOYSA-N Nc(c(F)c1)ccc1I Chemical compound Nc(c(F)c1)ccc1I CUMTUBVTKOYYOU-UHFFFAOYSA-N 0.000 description 1
Classifications
-
- A—HUMAN NECESSITIES
- A61—MEDICAL OR VETERINARY SCIENCE; HYGIENE
- A61K—PREPARATIONS FOR MEDICAL, DENTAL OR TOILETRY PURPOSES
- A61K31/00—Medicinal preparations containing organic active ingredients
- A61K31/66—Phosphorus compounds
-
- A—HUMAN NECESSITIES
- A61—MEDICAL OR VETERINARY SCIENCE; HYGIENE
- A61P—SPECIFIC THERAPEUTIC ACTIVITY OF CHEMICAL COMPOUNDS OR MEDICINAL PREPARATIONS
- A61P35/00—Antineoplastic agents
-
- C—CHEMISTRY; METALLURGY
- C07—ORGANIC CHEMISTRY
- C07D—HETEROCYCLIC COMPOUNDS
- C07D221/00—Heterocyclic compounds containing six-membered rings having one nitrogen atom as the only ring hetero atom, not provided for by groups C07D211/00 - C07D219/00
- C07D221/02—Heterocyclic compounds containing six-membered rings having one nitrogen atom as the only ring hetero atom, not provided for by groups C07D211/00 - C07D219/00 condensed with carbocyclic rings or ring systems
- C07D221/20—Spiro-condensed ring systems
-
- C—CHEMISTRY; METALLURGY
- C07—ORGANIC CHEMISTRY
- C07D—HETEROCYCLIC COMPOUNDS
- C07D471/00—Heterocyclic compounds containing nitrogen atoms as the only ring hetero atoms in the condensed system, at least one ring being a six-membered ring with one nitrogen atom, not provided for by groups C07D451/00 - C07D463/00
- C07D471/02—Heterocyclic compounds containing nitrogen atoms as the only ring hetero atoms in the condensed system, at least one ring being a six-membered ring with one nitrogen atom, not provided for by groups C07D451/00 - C07D463/00 in which the condensed system contains two hetero rings
- C07D471/04—Ortho-condensed systems
-
- C—CHEMISTRY; METALLURGY
- C07—ORGANIC CHEMISTRY
- C07D—HETEROCYCLIC COMPOUNDS
- C07D471/00—Heterocyclic compounds containing nitrogen atoms as the only ring hetero atoms in the condensed system, at least one ring being a six-membered ring with one nitrogen atom, not provided for by groups C07D451/00 - C07D463/00
- C07D471/02—Heterocyclic compounds containing nitrogen atoms as the only ring hetero atoms in the condensed system, at least one ring being a six-membered ring with one nitrogen atom, not provided for by groups C07D451/00 - C07D463/00 in which the condensed system contains two hetero rings
- C07D471/10—Spiro-condensed systems
-
- C—CHEMISTRY; METALLURGY
- C07—ORGANIC CHEMISTRY
- C07D—HETEROCYCLIC COMPOUNDS
- C07D487/00—Heterocyclic compounds containing nitrogen atoms as the only ring hetero atoms in the condensed system, not provided for by groups C07D451/00 - C07D477/00
- C07D487/02—Heterocyclic compounds containing nitrogen atoms as the only ring hetero atoms in the condensed system, not provided for by groups C07D451/00 - C07D477/00 in which the condensed system contains two hetero rings
- C07D487/10—Spiro-condensed systems
-
- C—CHEMISTRY; METALLURGY
- C07—ORGANIC CHEMISTRY
- C07F—ACYCLIC, CARBOCYCLIC OR HETEROCYCLIC COMPOUNDS CONTAINING ELEMENTS OTHER THAN CARBON, HYDROGEN, HALOGEN, OXYGEN, NITROGEN, SULFUR, SELENIUM OR TELLURIUM
- C07F9/00—Compounds containing elements of Groups 5 or 15 of the Periodic Table
- C07F9/02—Phosphorus compounds
- C07F9/28—Phosphorus compounds with one or more P—C bonds
- C07F9/50—Organo-phosphines
- C07F9/53—Organo-phosphine oxides; Organo-phosphine thioxides
Definitions
- R 5 is selected from the group consisting of H, halogen, CN, C 1-3 alkyl, C 1-3 heteroalkyl, C 1-3 alkenyl, C 1-3 heteroalkenyl, C 3-6 cycloalkyl, 3 ⁇ a 6-membered heterocycloalkyl group, a phenyl group and a 5- to 6-membered heteroaryl group, said C 1-3 alkyl group, a C 1-3 heteroalkyl group, a C 1-3 alkenyl group, a C 1-3 heteroalkenyl group, C 3-6 cycloalkyl, 3-6-membered heterocycloalkyl, phenyl and 5- to 6-membered heteroaryl are optionally substituted by 1, 2 or 3 R;
- a cycloalkyl group includes any stable cyclic or polycyclic hydrocarbon group, any carbon atom which is saturated, may be monosubstituted or polysubstituted, and may be monovalent, divalent or multivalent.
- Examples of such cycloalkyl groups include, but are not limited to, cyclopropyl, norbornyl, [2.2.2]bicyclooctane, [4.4.0]bicyclononane, and the like.
- aryl groups when used in conjunction with other terms (e.g., aryloxy, arylthio, aralkyl), include aryl and heteroaryl rings as defined above.
- aralkyl is intended to include those radicals to which an aryl group is attached to an alkyl group (eg, benzyl, phenethyl, pyridylmethyl, and the like), including wherein the carbon atom (eg, methylene) has been, for example, oxygen.
- alkyl groups substituted by an atom such as phenoxymethyl, 2-pyridyloxymethyl 3-(1-naphthyloxy)propyl and the like.
- leaving group refers to a functional group or atom which may be substituted by another functional group or atom by a substitution reaction (for example, an affinity substitution reaction).
- substituent groups include triflate; chlorine, bromine, iodine; sulfonate groups such as mesylate, tosylate, p-bromobenzenesulfonate, p-toluenesulfonic acid Esters and the like; acyloxy groups such as acetoxy, trifluoroacetoxy and the like.
- protecting group includes, but is not limited to, "amino protecting group", “hydroxy protecting group” or “thiol protecting group”.
- amino protecting group means suitable A protecting group that is used to prevent side reactions at the amino nitrogen position.
- Representative amino protecting groups include, but are not limited to, formyl; acyl, such as alkanoyl (e.g., acetyl, trichloroacetyl or trifluoroacetyl); alkoxycarbonyl, e.g., tert-butoxycarbonyl (Boc) Arylmethoxycarbonyl, such as benzyloxycarbonyl (Cbz) and 9-fluorenylmethoxycarbonyl (Fmoc); arylmethyl, such as benzyl (Bn), trityl (Tr), 1, 1-di -(4'-methoxyphenyl)methyl; silyl groups such as trimethylsilyl (TMS) and tert-but
- hydroxy protecting group refers to a protecting group suitable for use in preventing hydroxy side reactions.
- Representative hydroxy protecting groups include, but are not limited to, alkyl groups such as methyl, ethyl and t-butyl groups; acyl groups such as alkanoyl groups (e.g., acetyl); arylmethyl groups such as benzyl (Bn), Oxybenzyl (PMB), 9-fluorenylmethyl (Fm) and diphenylmethyl (diphenylmethyl, DPM); silyl groups such as trimethylsilyl (TMS) and tert-butyl Dimethylsilyl (TBS) and the like.
- alkyl groups such as methyl, ethyl and t-butyl groups
- acyl groups such as alkanoyl groups (e.g., acetyl)
- arylmethyl groups such as benzyl (Bn), Oxybenzyl (PMB), 9-fluoreny
- IC50 data was measured by Model 205in Activity Base (IDBS).
- the compounds of the present invention showed potent anti-tumor activity in a subcutaneously implanted Ba/F3 (exon19del/T790m/C797S)-derived xenograft (CDX) BALB/c nude mouse resistance model.
Landscapes
- Chemical & Material Sciences (AREA)
- Organic Chemistry (AREA)
- Health & Medical Sciences (AREA)
- Life Sciences & Earth Sciences (AREA)
- General Health & Medical Sciences (AREA)
- Pharmacology & Pharmacy (AREA)
- Animal Behavior & Ethology (AREA)
- Medicinal Chemistry (AREA)
- Public Health (AREA)
- Veterinary Medicine (AREA)
- Epidemiology (AREA)
- Biochemistry (AREA)
- Molecular Biology (AREA)
- Chemical Kinetics & Catalysis (AREA)
- General Chemical & Material Sciences (AREA)
- Nuclear Medicine, Radiotherapy & Molecular Imaging (AREA)
- Pharmaceuticals Containing Other Organic And Inorganic Compounds (AREA)
Abstract
一类第四代(T790M/C797S突变)EGFR激酶抑制剂的螺环芳基磷氧化合物,具体为式(Ⅰ)所示化合物及其药学上可接受的盐,用于治疗癌症。
Description
相关申请的交叉引用
本申请主张2016年12月13日提交的中国专利申请CN201611142656.2的优先权,其内容在此并入本申请。
本发明涉及作为第四代(T790M/C797S突变)EGFR激酶抑制剂的新型螺环芳基磷氧化合物,具体公开了式(I)所示化合物及其药学上可接受的盐。
进十年来,分子靶向治疗在具有驱动基因的晚期非小细胞肺癌(non-small-cell lung cancer,NSCLC)患者中取得了显著的疗效,其中最具有代表性的是针对表皮生长因子受体(epidermal growth factor receptor,EGFR)的靶向治疗。EGFR是HER/ErbB家族的重要成员,它广泛分布于人体各类组织的细胞膜上,其结构分为饱外区,跨膜区,以及胞内区,当EGFR受体收到相应配体的作用后,克诱导受体形成同型或者是异型的二聚体,从而引起饱外结构发生构象变化,从而激活胞内区域的酪氨酸激酶,使其残基磷酸化,进一步激活下游的信号通路,如MARK通路以及PI3K通路等,最终导致肿瘤发生一系列生物学行为,譬如肿瘤的发展,增殖,侵袭以及转移等。
EGFR络氨酸激酶抑制剂(tyrosine kinase inhibitor,TKI)作为一种小分子的EGFR抑制剂,他们通过内源性配体竞争结合EGFR,抑制酪氨酸激酶的活化,从而阻断EGFR信号通路,最终产生抑制肿瘤细胞的增殖,转移并促进肿瘤细胞发生凋亡等一系列生物学效应。EGFR激酶区活化突变是EGFR-TKI的最重要的疗效预测因子,EGFR突变主要发生在18-21号外显子,其中19号外显子缺失和21号外显子的L858R点的突变是最常见的EGFR突变亚型,占所有突变类型的90%,是EGFR基因突变的敏感突变。在肺腺癌患者中,高加索人群的EGFR突变的比例大约为10%,而在亚裔肺癌患者中克高达50%,总体是以亚裔,非吸烟的女性肺腺癌患者居多。
虽然前几代EGFR-TKIs发展迅速,但是随着药物的开发耐药问题也随之而来,大部分耐药是在ATP受体部分发生的T790M二次突变。最近开发的第三代系列不可逆抑制剂对T790M的抑制活性都非常好,但是也不可避免的发生了C797S的获得性突变。AZD9291是第3代EGFR-TKI靶向药,针对T790M突变导致的耐药有极好的响应率。2015年11月FDA批准上市,目前在中国尚属临床阶段,而在2015年5月,Thress KS首次在Nature上在线发表文章,指出获得性EGFR C797S突变是导致明星药物AZD9291耐药的机制之一。研究提出了AZD9291耐药时会出现三种分子亚型:1)获得性C797S突变以及仍然存在EGFR敏感突变和T790M突变;2)继续存在T790M突变以及EGFR敏感突变,无获得性C797S突变;3)仍然存在EGFR敏感突变,但是T790M突变消失以及无获得性C797S突变。其中最主要的耐药原因是EGFR发生了第三次突变即C797S,约占40%,针对C797S突变,我们急需开发新型的,更加安全有效的EGFR-TKI。
本发明化合物主要是针对性的解决第三代抑制剂所出现的耐药问题,即EGFR发生的第三次突变C797S问题。
发明内容
本发明提供式(I)所示化合物或其药学上可接受的盐,
其中,
R1选自H和甲基;
R2选自卤素、CN、C1-5烷基、C1-5杂烷基、C1-5烯基、C1-5杂烯基、C1-5炔基、C1-5杂炔基、C3~6环烷基、3~6元杂环烷基、苯基和5~6元杂芳基,所述C1-5烷基、C1-5杂烷基、C1-5烯基、C1-5杂烯基、C1-5炔基、C1-5杂炔基、C3~6环烷基、3~6元杂环烷基、苯基和5~6元杂芳基任选被1、2或3个R取代;
或者,R1与R2连接形成一个5~6元环,所述5~6元环任选被1、2或3个R取代;
R3和R4分别独立地选自H和卤素;
R5选自H、卤素、CN、C1-3烷基、C1-3杂烷基、C1-3烯基、C1-3杂烯基、C3~6环烷基、3~6元杂环烷基、苯基和5~6元杂芳基,所述C1-3烷基、C1-3杂烷基、C1-3烯基、C1-3杂烯基、C3~6环烷基、3~6元杂环烷基、苯基和5~6元杂芳基任选被1、2或3个R取代;
R6选自H、C1-3烷基和C1-3杂烷基,所述C1-3烷基和C1-3杂烷基任选被1、2或3个R取代;
m、n、m’、n’分别独立地选自1和2;
R7和R8分别独立地选自H、CN、卤素、C1-3烷基、C1-3杂烷基、环丙基、苯基和5~6元杂芳基,所述C1-3烷基、C1-3杂烷基、环丙基、苯基和5~6元杂芳基任选被1、2或3个R取代;
M选自C1-3烷基;
或者,M与M连接形成一个4~8元环,所述4~8元环任选被1、2或3个R取代;
R选自卤素、OH、CN、NH2、C1-3烷基和C1-3杂烷基,所述C1-3烷基和C1-3杂烷基任选被1、2或3个R’取代;
R’选自F、Cl、Br、I、CN、OH、NH2、CH3、CH3CH2、CF3、CHF2和CH2F;
“C1-5杂烷基”、“C1-5杂烯基”、“C1-5杂炔基”、“3~6元杂环烷基”、“5~6元杂芳基”、“C1-3杂烷基”、“C1-3杂烯基”所述之“杂”表示杂原子或杂原子团,分别独立地选自-O-、-S-、=O、=S、-O-N=、-C(=O)O-、-C(=O)-、-C(=S)-、-S(=O)-、-S(=O)2-、-C(=O)NH-、-NH-、-C(=NH)-、-S(=O)2NH-、-S(=O)NH-和-NHC(=O)NH-;以上任何一种情况下,杂原子或杂原子团的数目分别独立地选自1、2或3。
在本发明的一些方案中,上述R选自F、Cl、Br、I、OH、CN、NH2、CH3、CH3CH2、CF3、CHF2、CH2F、NH2CH2、(NH2)2CH、CH3O、CH3CH2O、CH3OCH2、CH3NH和(CH3)2N。
在本发明的一些方案中,上述R1选自H和甲基。
在本发明的一些方案中,上述R2选自卤素、CN、C1-3烷基、C1-3杂烷基、C1-3烯基、C1-3炔基、C3~6环烷基和苯基,所述C1-3烷基、C1-3杂烷基、C1-3烯基、C1-3炔基、C3~6环烷基和苯基任选被1、2或3个R取代的。
在本发明的一些方案中,上述R2选自F、Cl、Br、CN、CH3、CH3CH2、CH3CH2CH2、(CH3)2CH2、CH3O、CH3CH2O、CH3OCH2、CH3NH、NH2CH2、(NH2)2CH、(CH3)2N、CH2=CH、CH2=CHCH2、CH3CH2=CH、CH2=C(CH3)、所述CH3、CH3CH2、CH3CH2CH2、(CH3)2CH2、CH3O、CH3CH2O、CH3OCH2、CH3NH、NH2CH2、(NH2)2CH、(CH3)2N、CH2=CH、CH2=CHCH2、CH3CH2=CH、CH2=C(CH3)、任选被1、2或3个R取代的。
在本发明的一些方案中,上述R3和R4分别独立地选自H和Cl。
在本发明的一些方案中,上述R5选自H、卤素、CN、C1-3烷基、C1-3烯基和5~6元杂芳基,所述C1-3烷基、C1-3烯基和5~6元杂芳基任选被1、2或3个R取代。
在本发明的一些方案中,上述R6选自H和C1-3烷基,所述C1-3烷基任选被1、2或3个R取代。
在本发明的一些方案中,上述R7和R8分别独立地选自H、CN、卤素、CH3、CH3CH2、CH3O、异丙基、环丙基、苯基和吡咯基,所述CH3、CH3CH2、CH3O、异丙基、环丙基、苯基和吡咯基任选被1、2或3个R取代;
在本发明的一些方案中,上述M均为CH3或者均为CH3CH2。
在本发明的一些方案中,上述R选自F、Cl、Br、I、OH、CN、NH2、CH3、CH3CH2、CF3、CHF2、CH2F、NH2CH2、(NH2)2CH、CH3O、CH3CH2O、CH3OCH2、CH3NH和(CH3)2N,其他变量如上述所定义。
在本发明的一些方案中,上述R1选自H和甲基,其他变量如上述所定义。
在本发明的一些方案中,上述R2选自卤素、CN、C1-3烷基、C1-3杂烷基、C1-3烯基、C1-3炔基、C3~6环烷基和苯基,所述C1-3烷基、C1-3杂烷基、C1-3烯基、C1-3炔基、C3~6环烷基和苯基任选被1、2或3个R取代的,其他变量如上述所定义。
在本发明的一些方案中,上述R2选自F、Cl、Br、CN、CH3、CH3CH2、CH3CH2CH2、(CH3)2CH2、CH3O、CH3CH2O、CH3OCH2、CH3NH、NH2CH2、(NH2)2CH、(CH3)2N、CH2=CH、CH2=CHCH2、CH3CH2=CH、CH2=C(CH3)、所述CH3、CH3CH2、CH3CH2CH2、(CH3)2CH2、CH3O、CH3CH2O、CH3OCH2、CH3NH、NH2CH2、(NH2)2CH、(CH3)2N、CH2=CH、CH2=CHCH2、CH3CH2=CH、CH2=C(CH3)、任选被1、2或3个R取代的,其他变量如上述所定义。
在本发明的一些方案中,上述R3和R4分别独立地选自H和Cl,其他变量如上述所定义。
在本发明的一些方案中,上述R5选自H、卤素、CN、C1-3烷基、C1-3烯基和5~6元杂芳基,所述C1-3烷基、C1-3烯基和5~6元杂芳基任选被1、2或3个R取代,其他变量如上述所定义。
在本发明的一些方案中,上述R6选自H和C1-3烷基,所述C1-3烷基任选被1、2或3个R取代,其他变量如上述所定义。
在本发明的一些方案中,上述R7和R8分别独立地选自H、CN、卤素、CH3、CH3CH2、CH3O、异丙基、环丙基、苯基和吡咯基,所述CH3、CH3CH2、CH3O、异丙基、环丙基、苯基和吡咯基任选被1、2或3个R取代,其他变量如上述所定义。
在本发明的一些方案中,上述M均为CH3或者均为CH3CH2,其他变量如上述所定义。
在本发明的一些方案中,上述化合物或其药学上可接受的盐,选自
其中,R1、R2、R3、R4、R5、R6、R7、R8、M如上述所定义。
本发明还提供化合物或其药学上可接受的盐,选自:
本发明还提供一种药物组合物,其含有治疗有效量的根据权利要求1~22任意一项所述的化合物或其药学上可接受的盐和药学上可接受的载体。
本发明还提供上述的化合物或其药学上可接受的盐或上述的药物组合物在制备治疗癌症药物中的应
用。
本发明还有一些方案是由上述各变量任意组合而来。
技术效果
本发明涉及一系列新型的螺环芳基磷氧化合物,着重对左侧苯环不同位点和嘧啶5位结构上进行修饰,而且针对各种的螺环结构做了不同的修饰,使目标化合物的EGFR Ba/F3(Δ19del/T790M/C797S)三突变细胞活性和EGFR Ba/F3(Δ19del/T790M/C797S)三突变细胞模型磷酸化活性得到较大程度的提高,并且在小鼠的Ba/F3(Δ19del/T 790M/C797S)三突变体内药效模型中对肿瘤的抑制有着不错的效果。
通过对化合物左侧苯环不同取代基进行的修饰,主要是不同卤素的取代,大大提高了化合物EGFR Ba/F3(Δ19del/T790M/C797S)三突变细胞活性和EGFR Ba/F3(Δ19del/T790M/C797S)三突变磷酸化活性。当左侧苯环的2-位进行取代时,不管是细胞活性还是磷酸化活性都有较大的丢失,而当去掉取代基时有着较好的活性;左侧苯环的3-位进行取代时活性保持不错,当取代基为甲基等,活性保持较好但是从体内药效来看有着较大的毒性,而当甲基替换为卤素时(氯或者溴),活性保持较好而且从体内药效模型来看毒性也有较大程度的降低。6-螺-6环和6-螺-4环从体内药效结果来看后者活性较好,而且毒性相对较低。
从体外体内药效结果来看,本发明化合物在EGFR T790M/C797S异常突变引起的疾病上有着较好的疗效。
定义和说明
除非另有说明,本文所用的下列术语和短语旨在具有下列含义。一个特定的术语或短语在没有特别定义的情况下不应该被认为是不确定的或不清楚的,而应该按照普通的含义去理解。当本文中出现商品名时,意在指代其对应的商品或其活性成分。这里所采用的术语“药学上可接受的”,是针对那些化合物、材料、组合物和/或剂型而言,它们在可靠的医学判断的范围之内,适用于与人类和动物的组织接触使用,而没有过多的毒性、刺激性、过敏性反应或其它问题或并发症,与合理的利益/风险比相称。
术语“药学上可接受的盐”是指本发明化合物的盐,由本发明发现的具有特定取代基的化合物与相对无毒的酸或碱制备。当本发明的化合物中含有相对酸性的功能团时,可以通过在纯的溶液或合适的惰性溶剂中用足够量的碱与这类化合物的中性形式接触的方式获得碱加成盐。药学上可接受的碱加成盐包括钠、钾、钙、铵、有机氨或镁盐或类似的盐。当本发明的化合物中含有相对碱性的官能团时,可以通过在纯的溶液或合适的惰性溶剂中用足够量的酸与这类化合物的中性形式接触的方式获得酸加成盐。药学上可接受的酸加成盐的实例包括无机酸盐,所述无机酸包括例如盐酸、氢溴酸、硝酸、碳酸,碳酸氢根,磷酸、磷酸一氢根、磷酸二氢根、硫酸、硫酸氢根、氢碘酸、亚磷酸等;以及有机酸盐,所述有机酸包括如乙酸、丙酸、异丁酸、马来酸、丙二酸、苯甲酸、琥珀酸、辛二酸、反丁烯二酸、乳酸、扁桃酸、邻苯二甲酸、苯磺酸、对甲苯磺酸、柠檬酸、酒石酸和甲磺酸等类似的酸;还包括氨基酸(如精氨酸等)的盐,以及如葡糖醛酸等有机酸的盐(参见Berge et al.,"Pharmaceutical Salts",Journal of Pharmaceutical Science 66:1-19(1977))。本发明的某些特定的化合物含有碱性和酸性的官能团,从而可以被转换成任一碱或酸加成盐。
优选地,以常规方式使盐与碱或酸接触,再分离母体化合物,由此再生化合物的中性形式。化合物的母体形式与其各种盐的形式的不同之处在于某些物理性质,例如在极性溶剂中的溶解度不同。
本文所用的“药学上可接受的盐”属于本发明化合物的衍生物,其中,通过与酸成盐或与碱成盐的方式
修饰所述母体化合物。药学上可接受的盐的实例包括但不限于:碱基比如胺的无机酸或有机酸盐、酸根比如羧酸的碱金属或有机盐等等。药学上可接受的盐包括常规的无毒性的盐或母体化合物的季铵盐,例如无毒的无机酸或有机酸所形成的盐。常规的无毒性的盐包括但不限于那些衍生自无机酸和有机酸的盐,所述的无机酸或有机酸选自2-乙酰氧基苯甲酸、2-羟基乙磺酸、乙酸、抗坏血酸、苯磺酸、苯甲酸、碳酸氢根、碳酸、柠檬酸、依地酸、乙烷二磺酸、乙烷磺酸、富马酸、葡庚糖、葡糖酸、谷氨酸、乙醇酸、氢溴酸、盐酸、氢碘酸盐、羟基、羟萘、羟乙磺酸、乳酸、乳糖、十二烷基磺酸、马来酸、苹果酸、扁桃酸、甲烷磺酸、硝酸、草酸、双羟萘酸、泛酸、苯乙酸、磷酸、多聚半乳糖醛、丙酸、水杨酸、硬脂酸、亚乙酸、琥珀酸、氨基磺酸、对氨基苯磺酸、硫酸、单宁、酒石酸和对甲苯磺酸。
本发明的药学上可接受的盐可由含有酸根或碱基的母体化合物通过常规化学方法合成。一般情况下,这样的盐的制备方法是:在水或有机溶剂或两者的混合物中,经由游离酸或碱形式的这些化合物与化学计量的适当的碱或酸反应来制备。一般地,优选醚、乙酸乙酯、乙醇、异丙醇或乙腈等非水介质。
除了盐的形式,本发明所提供的化合物还存在前药形式。本文所描述的化合物的前药容易地在生理条件下发生化学变化从而转化成本发明的化合物。此外,前体药物可以在体内环境中通过化学或生化方法被转换到本发明的化合物。
本发明的某些化合物可以以非溶剂化形式或者溶剂化形式存在,包括水合物形式。一般而言,溶剂化形式与非溶剂化的形式相当,都包含在本发明的范围之内。
本发明的某些化合物可以具有不对称碳原子(光学中心)或双键。外消旋体、非对映异构体、几何异构体和单个的异构体都包括在本发明的范围之内。
除非另有说明,用楔形键和虚线键表示一个立体中心的绝对构型,用表示一个立体中心的相对构型。当本文所述化合物含有烯属双键或其它几何不对称中心,除非另有规定,它们包括E、Z几何异构体。同样地,所有的互变异构形式均包括在本发明的范围之内。
本发明的化合物可以存在特定的几何或立体异构体形式。本发明设想所有的这类化合物,包括顺式和反式异构体、(-)-和(+)-对对映体、(R)-和(S)-对映体、非对映异构体、(D)-异构体、(L)-异构体,及其外消旋混合物和其他混合物,例如对映异构体或非对映体富集的混合物,所有这些混合物都属于本发明的范围之内。烷基等取代基中可存在另外的不对称碳原子。所有这些异构体以及它们的混合物,均包括在本发明的范围之内。
可以通过的手性合成或手性试剂或者其他常规技术制备光学活性的(R)-和(S)-异构体以及D和L异构体。如果想得到本发明某化合物的一种对映体,可以通过不对称合成或者具有手性助剂的衍生作用来制备,其中将所得非对映体混合物分离,并且辅助基团裂开以提供纯的所需对映异构体。或者,当分子中含有碱性官能团(如氨基)或酸性官能团(如羧基)时,与适当的光学活性的酸或碱形成非对映异构体的盐,然后通过本领域所公知的常规方法进行非对映异构体拆分,然后回收得到纯的对映体。此外,对映异构体和非对映异构体的分离通常是通过使用色谱法完成的,所述色谱法采用手性固定相,并任选地与化学衍生法相结合(例如由胺生成氨基甲酸盐)。
本发明的化合物可以在一个或多个构成该化合物的原子上包含非天然比例的原子同位素。例如,可用放射性同位素标记化合物,比如氚(3H),碘-125(125I)或C-14(14C)。本发明的化合物的所有同位素组
成的变换,无论放射性与否,都包括在本发明的范围之内。
术语“药学上可接受的载体”是指能够递送本发明有效量活性物质、不干扰活性物质的生物活性并且对宿主或者患者无毒副作用的任何制剂或载体介质代表性的载体包括水、油、蔬菜和矿物质、膏基、洗剂基质、软膏基质等。这些基质包括悬浮剂、增粘剂、透皮促进剂等。它们的制剂为化妆品领域或局部药物领域的技术人员所周知。关于载体的其他信息,可以参考Remington:The Science and Practice of Pharmacy,21st Ed.,Lippincott,Williams&Wilkins(2005),该文献的内容通过引用的方式并入本文。
针对药物或药理学活性剂而言,术语“有效量”或“治疗有效量”是指无毒的但能达到预期效果的药物或药剂的足够用量。对于本发明中的口服剂型,组合物中一种活性物质的“有效量”是指与该组合物中另一种活性物质联用时为了达到预期效果所需要的用量。有效量的确定因人而异,取决于受体的年龄和一般情况,也取决于具体的活性物质,个案中合适的有效量可以由本领域技术人员根据常规试验确定。
术语“活性成分”、“治疗剂”,“活性物质”或“活性剂”是指一种化学实体,它可以有效地治疗目标紊乱、疾病或病症。
“任选”或“任选地”指的是随后描述的事件或状况可能但不是必需出现的,并且该描述包括其中所述事件或状况发生的情况以及所述事件或状况不发生的情况。
术语“被取代的”是指特定原子上的任意一个或多个氢原子被取代基取代,可以包括重氢和氢的变体,只要特定原子的价态是正常的并且取代后的化合物是稳定的。当取代基为酮基(即=O)时,意味着两个氢原子被取代。酮取代不会发生在芳香基上。术语“任选被取代的”是指可以被取代,也可以不被取代,除非另有规定,取代基的种类和数目在化学上可以实现的基础上可以是任意的。
当任何变量(例如R)在化合物的组成或结构中出现一次以上时,其在每一种情况下的定义都是独立的。因此,例如,如果一个基团被0-2个R所取代,则所述基团可以任选地至多被两个R所取代,并且每种情况下的R都有独立的选项。此外,取代基和/或其变体的组合只有在这样的组合会产生稳定的化合物的情况下才是被允许的。
当一个连接基团的数量为0时,比如-(CRR)0-,表示该连接基团为单键。
当其中一个变量选自单键时,表示其连接的两个基团直接相连,比如A-L-Z中L代表单键时表示该结构实际上是A-Z。
当一个取代基为空缺时,表示该取代基是不存在的,比如A-X中X为空缺时表示该结构实际上是A。当一个取代基的键可以交叉连接到一个环上的两个原子时,这种取代基可以与这个环上的任意原子相键合。当所列举的取代基中没有指明其通过哪一个原子连接到化学结构通式中包括但未具体提及的化合物时,这种取代基可以通过其任何原子相键合。取代基和/或其变体的组合只有在这样的组合会产生稳定的化合物的情况下才是被允许的。例如,结构单元表示其可在环己基或者环己二烯上的任意一个位置发生取代。
除非另有规定,术语“杂”表示杂原子或杂原子团(即含有杂原子的原子团),包括碳(C)和氢(H)以外的原子以及含有这些杂原子的原子团,例如包括氧(O)、氮(N)、硫(S)、硅(Si)、锗(Ge)、铝(Al)、硼(B)、-O-、-S-、=O、=S、-C(=O)O-、-C(=O)-、-C(=S)-、-S(=O)、-S(=O)2-,以及任选被取代的-C(=O)N(H)-、-N(H)-、-C(=NH)-、-S(=O)2N(H)-或-S(=O)N(H)-。
除非另有规定,“环”表示被取代或未被取代的环烷基、杂环烷基、环烯基、杂环烯基、环炔基、杂环炔基、芳基或杂芳基。所谓的环包括单环、联环、螺环、并环或桥环。环上原子的数目通常被定义为环的元数,例如,“5~7元环”是指环绕排列5~7个原子。除非另有规定,该环任选地包含1~3个杂原子。因此,“5~7元环”包括例如苯基、吡啶和哌啶基;另一方面,术语“5~7元杂环烷基环”包括吡啶基和哌啶基,但不包括苯基。术语“环”还包括含有至少一个环的环系,其中的每一个“环”均独立地符合上述定义。
除非另有规定,术语“杂环”或“杂环基”意指稳定的含杂原子或杂原子团的单环、双环或三环,它们可以是饱和的、部分不饱和的或不饱和的(芳族的),它们包含碳原子和1、2、3或4个独立地选自N、O和S的环杂原子,其中上述任意杂环可以稠合到一个苯环上形成双环。氮和硫杂原子可任选被氧化(即NO和S(O)p,p是1或2)。氮原子可以是被取代的或未取代的(即N或NR,其中R是H或本文已经定义过的其他取代基)。该杂环可以附着到任何杂原子或碳原子的侧基上从而形成稳定的结构。如果产生的化合物是稳定的,本文所述的杂环可以发生碳位或氮位上的取代。杂环中的氮原子任选地被季铵化。一个优选方案是,当杂环中S及O原子的总数超过1时,这些杂原子彼此不相邻。另一个优选方案是,杂环中S及O原子的总数不超过1。如本文所用,术语“芳族杂环基团”或“杂芳基”意指稳定的5、6、7元单环或双环或7、8、9或10元双环杂环基的芳香环,它包含碳原子和1、2、3或4个独立地选自N、O和S的环杂原子。氮原子可以是被取代的或未取代的(即N或NR,其中R是H或本文已经定义过的其他取代基)。氮和硫杂原子可任选被氧化(即NO和S(O)p,p是1或2)。值得注意的是,芳香杂环上S和O原子的总数不超过1。桥环也包含在杂环的定义中。当一个或多个原子(即C、O、N或S)连接两个不相邻的碳原子或氮原子时形成桥环。优选的桥环包括但不限于:一个碳原子、两个碳原子、一个氮原子、两个氮原子和一个碳-氮基。值得注意的是,一个桥总是将单环转换成三环。桥环中,环上的取代基也可以出现在桥上。
杂环化合物的实例包括但不限于:吖啶基、吖辛因基、苯并咪唑基、苯并呋喃基、苯并巯基呋喃基、苯并巯基苯基、苯并恶唑基、苯并恶唑啉基、苯并噻唑基、苯并三唑基、苯并四唑基、苯并异恶唑基、苯并异噻唑基、苯并咪唑啉基、咔唑基、4aH-咔唑基、咔啉基、苯并二氢吡喃基、色烯、噌啉基十氢喹啉基、2H,6H-1,5,2-二噻嗪基、二氢呋喃并[2,3-b]四氢呋喃基、呋喃基、呋咱基、咪唑烷基、咪唑啉基、咪唑基、1H-吲唑基、吲哚烯基、二氢吲哚基、中氮茚基、吲哚基、3H-吲哚基、异苯并呋喃基、异吲哚基、异二氢吲哚基、异喹啉基、异噻唑基、异恶唑基、亚甲二氧基苯基、吗啉基、萘啶基,八氢异喹啉基、恶二唑基、1,2,3-恶二唑基、1,2,4-恶二唑基、1,2,5-恶二唑基、1,3,4-恶二唑基、恶唑烷基、恶唑基、羟吲哚基、嘧啶基、菲啶基、菲咯啉基、吩嗪、吩噻嗪、苯并黄嘌呤基、酚恶嗪基、酞嗪基、哌嗪基、哌啶基、哌啶酮基、4-哌啶酮基、胡椒基、蝶啶基、嘌呤基、吡喃基、吡嗪基、吡唑烷基、吡唑啉基、吡唑基、哒嗪基、吡啶并恶唑、吡啶并咪唑、吡啶并噻唑、吡啶基、吡咯烷基、吡咯啉基、2H-吡咯基、吡咯基、喹唑啉基、喹啉基、4H-喹嗪基、喹喔啉基、奎宁环基、四氢呋喃基、四氢异喹啉基、四氢喹啉基、四唑基,6H-1,2,5-噻二嗪基、1,2,3-噻二唑基、1,2,4-噻二唑基、1,2,5-噻二唑基、1,3,4-噻二唑基、噻蒽基、噻唑基、异噻唑基噻吩基、噻吩并恶唑基、噻吩并噻唑基、噻吩并咪唑基、噻吩基、三嗪基、1,2,3-三唑基、1,2,4-三唑基、1,2,5-三唑基、1,3,4-三唑基和呫吨基。还包括稠环和螺环化合物。
除非另有规定,术语“烃基”或者其下位概念(比如烷基、烯基、炔基、芳基等等)本身或者作为另一
取代基的一部分表示直链的、支链的或环状的烃原子团或其组合,可以是完全饱和的(如烷基)、单元或多元不饱和的(如烯基、炔基、芳基),可以是单取代或多取代的,可以是一价(如甲基)、二价(如亚甲基)或者多价(如次甲基),可以包括二价或多价原子团,具有指定数量的碳原子(如C1-C12表示1至12个碳,C1-12选自C1、C2、C3、C4、C5、C6、C7、C8、C9、C10、C11和C12;C3-12选自C3、C4、C5、C6、C7、C8、C9、C10、C11和C12。)。“烃基”包括但不限于脂肪烃基和芳香烃基,所述脂肪烃基包括链状和环状,具体包括但不限于烷基、烯基、炔基,所述芳香烃基包括但不限于6-12元的芳香烃基,例如苯、萘等。在一些实施例中,术语“烃基”表示直链的或支链的原子团或它们的组合,可以是完全饱和的、单元或多元不饱和的,可以包括二价和多价原子团。饱和烃原子团的实例包括但不限于甲基、乙基、正丙基、异丙基、正丁基、叔丁基、异丁基、仲丁基、异丁基、环己基、(环己基)甲基、环丙基甲基,以及正戊基、正己基、正庚基、正辛基等原子团的同系物或异构体。不饱和烃基具有一个或多个双键或三键,其实例包括但不限于乙烯基、2-丙烯基、丁烯基、巴豆基、2-异戊烯基、2-(丁二烯基)、2,4-戊二烯基、3-(1,4-戊二烯基)、乙炔基、1-和3-丙炔基,3-丁炔基,以及更高级的同系物和异构体。
除非另有规定,术语“杂烃基”或者其下位概念(比如杂烷基、杂烯基、杂炔基、杂芳基等等)本身或者与另一术语联合表示稳定的直链的、支链的或环状的烃原子团或其组合,有一定数目的碳原子和至少一个杂原子组成。在一些实施例中,术语“杂烷基”本身或者与另一术语联合表示稳定的直链的、支链的烃原子团或其组合物,有一定数目的碳原子和至少一个杂原子组成。在一个典型实施例中,杂原子选自B、O、N和S,其中氮和硫原子任选地被氧化,氮杂原子任选地被季铵化。杂原子或杂原子团可以位于杂烃基的任何内部位置,包括该烃基附着于分子其余部分的位置,但术语“烷氧基”、“烷氨基”和“烷硫基”(或硫代烷氧基)属于惯用表达,是指分别通过一个氧原子、氨基或硫原子连接到分子的其余部分的那些烷基基团。实例包括但不限于-CH2-CH2-O-CH3、-CH2-CH2-NH-CH3、-CH2-CH2-N(CH3)-CH3、-CH2-S-CH2-CH3、-CH2-CH2、-S(O)-CH3、-CH2-CH2-S(O)2-CH3、-CH=CH-O-CH3、-CH2-CH=N-OCH3和–CH=CH-N(CH3)-CH3。至多两个杂原子可以是连续的,例如-CH2-NH-OCH3。
除非另有规定,术语“环烃基”、“杂环烃基”或者其下位概念(比如芳基、杂芳基、环烷基、杂环烷基、环烯基、杂环烯基、环炔基、杂环炔基等等)本身或与其他术语联合分别表示环化的“烃基”、“杂烃基”。此外,就杂烃基或杂环烃基(比如杂烷基、杂环烷基)而言,杂原子可以占据该杂环附着于分子其余部分的位置。环烃基的实例包括但不限于环戊基、环己基、1-环己烯基、3-环己烯基、环庚基等。杂环基的非限制性实例包括1-(1,2,5,6-四氢吡啶基)、1-哌啶基、2-哌啶基,3-哌啶基、4-吗啉基、3-吗啉基、四氢呋喃-2-基、四氢呋喃吲哚-3-基、四氢噻吩-2-基、四氢噻吩-3-基,1-哌嗪基和2-哌嗪基。
除非另有规定,术语“烷基”用于表示直链或支链的饱和烃基,可以是单取代(如-CH2F)或多取代的(如-CF3),可以是一价(如甲基)、二价(如亚甲基)或者多价(如次甲基)。烷基的例子包括甲基(Me),乙基(Et),丙基(如,n-丙基和异丙基),丁基(如,n-丁基,异丁基,s-丁基,t-丁基),戊基(如,n-戊基,异戊基,新戊基)等。
除非另有规定,“烯基”指在链的任何位点上具有一个或多个碳碳双键的烷基,可以是单取代或多取代的,可以是一价、二价或者多价。烯基的例子包括乙烯基,丙烯基,丁烯基,戊烯基,己烯基,丁间二烯基,戊间二烯基,己间二烯基等。
除非另有规定,“炔基”指在链的任何位点上具有一个或多个碳碳三键的烷基,可以是单取代或多取代的,可以是一价、二价或者多价。炔基的例子包括乙炔基,丙炔基,丁炔基,戊炔基等。
除非另有规定,环烷基包括任何稳定的环状或多环烃基,任何碳原子都是饱和的,可以是单取代或多取代的,可以是一价、二价或者多价。这些环烷基的实例包括,但不限于,环丙基、降冰片烷基、[2.2.2]二环辛烷、[4.4.0]二环癸烷等。
除非另有规定,环烯基包括任何稳定的环状或多环烃基,该烃基在环的任何位点含有一个或多个不饱和的碳-碳双键,可以是单取代或多取代的,可以是一价、二价或者多价。这些环烯基的实例包括,但不限于,环戊烯基、环己烯基等。
除非另有规定,环炔基包括任何稳定的环状或多环烃基,该烃基在环的任何位点含有一个或多个碳-碳三键,可以是单取代或多取代的,可以是一价、二价或者多价。
除非另有规定,术语“卤代素”或“卤素”本身或作为另一取代基的一部分表示氟、氯、溴或碘原子。此外,术语“卤代烷基”意在包括单卤代烷基和多卤代烷基。例如,术语“卤代(C1-C4)烷基”意在包括但不仅限于三氟甲基、2,2,2-三氟乙基、4-氯丁基和3-溴丙基等等。除非另有规定,卤代烷基的实例包括但不仅限于:三氟甲基、三氯甲基、五氟乙基,和五氯乙基。
“烷氧基”代表通过氧桥连接的具有特定数目碳原子的上述烷基,除非另有规定,C1-6烷氧基包括C1、C2、C3、C4、C5和C6的烷氧基。烷氧基的例子包括但不限于:甲氧基、乙氧基、正丙氧基、异丙氧基、正丁氧基、仲丁氧基、叔丁氧基、正戊氧基和S-戊氧基。
除非另有规定,术语“芳基”表示多不饱和的芳族烃取代基,可以是单取代或多取代的,可以是一价、二价或者多价,它可以是单环或多环(比如1至3个环;其中至少一个环是芳族的),它们稠合在一起或共价连接。术语“杂芳基”是指含有一至四个杂原子的芳基(或环)。在一个示范性实例中,杂原子选自B、N、O和S,其中氮和硫原子任选地被氧化,氮原子任选地被季铵化。杂芳基可通过杂原子连接到分子的其余部分。芳基或杂芳基的非限制性实施例包括苯基、1-萘基、2-萘基、4-联苯基、1-吡咯基、2-吡咯基、3-吡咯基、3-吡唑基、2-咪唑基、4-咪唑基、吡嗪基、2-恶唑基、4-恶唑基、2-苯基-4-恶唑基、5-恶唑基、3-异恶唑基、4-异恶唑基、5-异恶唑基、2-噻唑基、4-噻唑基、5-噻唑基、2-呋喃基、3-呋喃基、2-噻吩基、3-噻吩基、2-吡啶基、3-吡啶基、4-吡啶基、2-嘧啶基、4-嘧啶基、5-苯并噻唑基、嘌呤基、2-苯并咪唑基、5-吲哚基、1-异喹啉基、5-异喹啉基、2-喹喔啉基、5-喹喔啉基、3-喹啉基和6-喹啉基。上述任意一个芳基和杂芳基环系的取代基选自下文所述的可接受的取代基。
除非另有规定,芳基在与其他术语联合使用时(例如芳氧基、芳硫基、芳烷基)包括如上定义的芳基和杂芳基环。因此,术语“芳烷基”意在包括芳基附着于烷基的那些原子团(例如苄基、苯乙基、吡啶基甲基等),包括其中碳原子(如亚甲基)已经被例如氧原子代替的那些烷基,例如苯氧基甲基、2-吡啶氧甲基3-(1-萘氧基)丙基等。
术语“离去基团”是指可以被另一种官能团或原子通过取代反应(例如亲和取代反应)所取代的官能团或原子。例如,代表性的离去基团包括三氟甲磺酸酯;氯、溴、碘;磺酸酯基,如甲磺酸酯、甲苯磺酸酯、对溴苯磺酸酯、对甲苯磺酸酯等;酰氧基,如乙酰氧基、三氟乙酰氧基等等。
术语“保护基”包括但不限于“氨基保护基”、“羟基保护基”或“巯基保护基”。术语“氨基保护基”是指适
合用于阻止氨基氮位上副反应的保护基团。代表性的氨基保护基包括但不限于:甲酰基;酰基,例如链烷酰基(如乙酰基、三氯乙酰基或三氟乙酰基);烷氧基羰基,如叔丁氧基羰基(Boc);芳基甲氧羰基,如苄氧羰基(Cbz)和9-芴甲氧羰基(Fmoc);芳基甲基,如苄基(Bn)、三苯甲基(Tr)、1,1-二-(4'-甲氧基苯基)甲基;甲硅烷基,如三甲基甲硅烷基(TMS)和叔丁基二甲基甲硅烷基(TBS)等等。术语“羟基保护基”是指适合用于阻止羟基副反应的保护基。代表性羟基保护基包括但不限于:烷基,如甲基、乙基和叔丁基;酰基,例如链烷酰基(如乙酰基);芳基甲基,如苄基(Bn),对甲氧基苄基(PMB)、9-芴基甲基(Fm)和二苯基甲基(二苯甲基,DPM);甲硅烷基,如三甲基甲硅烷基(TMS)和叔丁基二甲基甲硅烷基(TBS)等等。
本发明的化合物可以通过本领域技术人员所熟知的多种合成方法来制备,包括下面列举的具体实施方式、其与其他化学合成方法的结合所形成的实施方式以及本领域技术上人员所熟知的等同替换方式,优选的实施方式包括但不限于本发明的实施例。
本发明所使用的溶剂可经市售获得。本发明采用下述缩略词:aq代表水;HATU代表O-(7-氮杂苯并三唑-1-基)-N,N,N',N'-四甲基脲六氟磷酸盐;EDC代表N-(3-二甲基氨基丙基)-N'-乙基碳二亚胺盐酸盐;m-CPBA代表3-氯过氧苯甲酸;eq代表当量、等量;CDI代表羰基二咪唑;DCM代表二氯甲烷;PE代表石油醚;DIAD代表偶氮二羧酸二异丙酯;DMF代表N,N-二甲基甲酰胺;DMSO代表二甲亚砜;EtOAc代表乙酸乙酯;EtOH代表乙醇;MeOH代表甲醇;CBz代表苄氧羰基,是一种胺保护基团;BOC代表叔丁基羰基是一种胺保护基团;HOAc代表乙酸;NaCNBH3代表氰基硼氢化钠;r.t.代表室温;O/N代表过夜;THF代表四氢呋喃;Boc2O代表二-叔丁基二碳酸酯;TFA代表三氟乙酸;DIPEA代表二异丙基乙基胺;SOCl2代表氯化亚砜;CS2代表二硫化碳;TsOH代表对甲苯磺酸;NFSI代表N-氟-N-(苯磺酰基)苯磺酰胺;NCS代表1-氯吡咯烷-2,5-二酮;n-Bu4NF代表氟化四丁基铵;iPrOH代表2-丙醇;mp代表熔点;LDA代表二异丙基胺基锂。
下面通过实施例对本发明进行详细描述,但并不意味着对本发明任何不利限制。本文已经详细地描述了本发明,其中也公开了其具体实施例方式,对本领域的技术人员而言,在不脱离本发明精神和范围的情况下针对本发明具体实施方式进行各种变化和改进将是显而易见的。
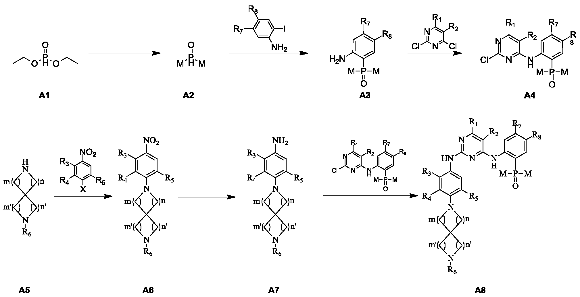
本发明化合物可参照如下反应流程制备得到:
实施例1
化合物1A:
将3-苄基-3,9-二氮杂螺[5.5]十一烷(10.0g,40.9毫摩尔,1.00当量)溶于四氢呋喃(100毫升)和水(50毫升)中,依次加入福尔马林(3.21g,409毫摩尔,30.5毫升,37%纯度),甲酸(18.84克,409.20毫摩尔,15.44毫升),加料完毕后反应液升温至100℃并搅拌3个小时。LC-MS监测反应完成后,将反应液冷却至室温并加入氢氧化钠水溶液(5摩尔)调节反应液的pH到10,然后用二氯甲烷(50毫升)萃取3次。合并有机相用饱和食盐水(100毫升)洗涤,无水硫酸钠干燥,过滤后将滤液浓缩得到化合物1A(8.50克,32.89毫摩尔,80.39%收率)。1H NMR(400MHz,CHLOROFORM-d)δ=7.34-7.30(m,4H),7.28-7.23(m,1H),3.51(s,2H),2.43-2.33(m,7H),2.43-2.32(m,1H),2.28(s,3H),1.58-1.47(m,8H).
化合物1B:
在氮气保护下,向化合物1A(8.00g,30.9毫摩尔)的乙醇(120毫升)溶液中加入醋酸(12毫升),氢氧化钯(4.35g,31毫摩尔,1.00当量)。反应液用氢气置换3次,然后在50℃和氢气(50Psi)下搅拌反应22个小时。LC-MS监测原料消失,反应液冷却并过滤,滤饼用甲醇(10毫升)洗涤3次,滤液旋干得到残渣。将残渣重新溶于二氯甲烷(30毫升)中并滴加氢氧化钠水溶液(5摩尔)调节pH至11。将混合物
分液,水相用二氯甲烷(20毫升)萃取3次,有机相合并,用饱和食盐水(60毫升)洗,无水硫酸钠干燥,浓缩得到化合物1B(4.50克,19.7毫摩尔,63.6%收率)。1H NMR(400MHz,CHLOROFORM-d)δ=2.81-2.73(m,2H),2.41-2.22(m,9H),1.58-1.36(m,8H)。
化合物1C:
室温下向1-氟-2甲基-4硝基苯(500毫克,3.22毫摩尔)和化合物1B(542毫克,3.22毫摩尔)的氮甲基吡咯烷酮溶液(5毫升)中加入N,N-二异丙基乙二胺(1.25g,9.67毫摩尔,1.69毫升),然后反应升温至100℃并搅拌反应4个小时。LC-MS监测反应完成,反应液冷却至室温并加入水(12毫升)搅拌,反应液用二氯甲烷(10毫升)萃取3次,有机相合并用无水硫酸钠干燥并过过滤浓缩得到固体残渣。残渣通过柱层析纯化(洗脱剂:石油醚/乙酸乙酯=5/1至二氯甲烷/甲醇=5/1)得到化合物1C(430毫克,1.42毫摩尔,44%收率)。1H NMR(400MHz,CHLOROFORM-d)δ=8.02(d,J=9.3Hz,2H),6.98(d,J=8.7Hz,1H),3.04-2.90(m,4H),2.48-2.39(m,4H),2.36-2.33(m,3H),2.32(s,3H),1.73-1.58(m,8H)。
化合物1D:
在氮气保护下向化合物1C(370毫克,1.22毫摩尔)的甲醇(5毫升)溶液中加入湿钯碳(60毫克,1.22毫摩尔,5%)。反应瓶用氢气置换3次,然后在氢气(15Psi)的条件下室温搅拌反应4个小时。TLC监测反应完成后,反应液过滤,滤液浓缩得到化合物1D(310毫克,1.13毫摩尔,92.9%收率)。1H NMR(400MHz,METHANOL-d4)δ=6.88(d,J=8.3Hz,1H),6.60(d,J=2.6Hz,1H),6.54(dd,J=2.6,8.3Hz,1H),2.78-2.71(m,4H),2.47(brs,4H),2.29(s,3H),2.19(s,3H),1.62(brs,8H)。
化合物1:
室温下向2,5-二氯-N-(2-二甲基磷酰基苯基)嘧啶-4-胺(116毫克,366微摩尔)和化合物1D(100毫克,365微摩尔)的氮甲基吡咯烷酮溶液(2毫升)中滴加甲烷磺酸(105毫克,1.10毫摩尔,78.1微升),滴加完毕,反应液升温至95℃并搅拌10个小时。LC-MS监测反应完成,反应液冷却用乙酸乙酯稀释,然后加入饱和碳酸氢钠水溶液调节反应液的pH到9,水相用乙酸乙酯萃取2次。合并有机相用饱和食盐水洗,加入无水硫酸钠干燥,过滤并旋干有机相得到残渣。残渣通过高效液相色谱柱制备(甲酸)制备分离得到化合物1(96.6毫克,175微摩尔)。1H NMR(400MHz,DMSO-d6)δ=11.12(s,1H),9.22(s,1H),8.60(brs,1H),8.33(brs,2H),8.15(s,1H),7.59(dd,J=7.7,13.9Hz,1H),7.49(brt,J=7.8Hz,1H),7.41(d,J=2.3Hz,1H),7.39-7.32(m,1H),7.18(brt,J=7.1Hz,1H),6.96(d,J=8.7Hz,1H),2.80-2.63(m,8H),2.42(s,3H),2.18(s,3H),1.80(s,3H),1.79-1.75(m,3H),1.59(brs,8H)。
实施例2
化合物2A:
将2-氯-1-氟-4-硝基苯(500毫克,2.85毫摩尔,1.00当量)和化合物1B(479毫克,2.85毫摩尔,1.00当量)加入DMSO(6毫升)中,再向溶液中加入碳酸钾(787毫克,5.70毫摩尔,2当量)。反应液在100℃下反应2小时。LC-MS和TLC显示反应完成。向反应液中加入到乙酸乙酯稀释(20毫升),并用水洗(18毫升)三次,收集有机相并用无水硫酸钠干燥。浓缩得到粗产物,粗产物用二氯甲烷比甲醇=10比1过柱提纯,得到所需化合物2A(760毫克,收率67.4%)。1H NMR(400MHz,CHLOROFORM-d)δ=8.24(d,J=2.5Hz,1H),8.08(dd,J=2.8,9.0Hz,1H),7.03(d,J=9.0Hz,1H),3.21-3.11(m,4H),2.42(brs,4H),2.31(s,3H),1.71-1.66(m,4H),1.63(t,J=5.6Hz,4H).LC-MS(ESI)(0-60AB):m/z:323.7[M+1]。
化合物2B:
将化合物2A(100毫克,309微摩尔,1当量)溶入甲醇(2毫升)中,将氯化铵(165毫克,3.09毫摩尔,108微升,10当量)溶入水(1毫升)中,两者混合,在20-30℃下向混合液中加入还原铁粉(172毫克,3.09毫摩尔,10当量)。反应液在80℃下反应1小时。LC-MS及TLC显示反应完成。将混合物过滤除掉其中Fe粉,浓缩后所得残余物用二氯甲烷(20毫升)稀释,并用水洗(5毫升),水相用乙酸乙酯萃取。合并有机相,浓缩得到粗产物。化合物2B(62毫克,211微摩尔)未经提纯直接用于下一步反应。LC-MS(ESI)(5-95CD):m/z:294[M+1]。
化合物2:
将化合物2B(62毫克,211微摩尔,1.00当量)和2,5-二氯-N-(2-二甲基磷酰基苯基)嘧啶-4-胺(66.7毫克,211微摩尔,1.00当量)溶入NMP(2毫升)中,再向其中加入甲烷磺酸(60.8毫克,633微摩尔,45.1微升,3当量)。将反应混合物加热至100℃并搅拌1小时。LC-MS和TLC显示有产物生成。向反应液中加入到乙酸乙酯稀释(20毫升),并用饱和碳酸氢钠溶液洗(9毫升),收集有机相并用无水硫酸钠干燥。浓缩得到粗产物。浓缩后得到粗产物在碱性条件下机分,得到化合物2(64.3毫克,收率52.6%)。1H NMR(400MHz,DMSO-d6)δ=11.15(s,1H),9.43(s,1H),8.57(brs,1H),8.20(s,1H),7.80(d,J=2.0Hz,1H),7.65-7.52(m,2H),7.45(dd,J=2.3,8.7Hz,1H),7.20(brt,J=7.5Hz,1H),7.09(d,J=8.8Hz,1H),2.91-2.80(m,4H),2.28(brs,4H),2.15(s,3H),1.79(d,J=13.4Hz,6H),1.61-1.43(m,8H).LCMS(ESI)(5-95CD):m/z:573.2[M+1]。
实施例3
向化合物5(80毫克,129微摩尔,1当量),2-异丙烯基硼酸频哪醇酯(26.1毫克,155微摩尔,1.2当量)和DME(2毫升)的混合物中加入四(三苯基磷)钯(29.9毫克,25.9微摩尔,0.2当量),碳酸钠(27.4毫克,258.9微摩尔,2当量)和水(500微升),氮气保护下100℃加热搅拌3小时。TLC显示反应完成,向反应体系加入乙酸乙酯(20毫升)稀释,用饱和氯化铵水溶液洗(5毫升)一次。有机相干燥浓缩,粗品用制备薄层层析板纯化得到化合物3(45.0毫克,75.6微摩尔,58.4%收率,97.3%纯度)。1H NMR(400MHz,METHANOL-d4)δ=8.44(dd,J=3.9,7.8Hz,1H),8.07(s,1H),7.62(dd,J=6.6,13.9Hz,1H),7.54(t,J=8.1Hz,1H),7.42(dd,J=2.7,8.8Hz,1H),7.29-7.25(m,1H),7.24(d,J=2.7Hz,1H),6.99(d,J=8.6Hz,1H),5.06(s,1H),4.97(s,1H),3.13(brs,4H),3.00-2.92(m,4H),2.79(s,3H),2.19(s,3H),1.88(s,3H),1.85(s,3H),1.81(brs,4H),1.71(brs,4H).LCMS(ESI)(0-60AB):m/z:579.1[M+1]。
实施例4
化合物4A:
将化合物1B(1.00g,5.94毫摩尔,1.00当量)和3-溴-4-氟硝基苯(1.31g,5.94毫摩尔,1.00当量)的DMSO(15.0毫升)溶液中加入碳酸钾(1.64g,11.9毫摩尔,2当量),90℃加热搅拌4小时。TLC显示反应完成,将反应液用乙酸乙酯(100毫升)稀释并用水洗(20毫升),有机相干燥浓缩,粗品用柱层析法纯化得到化合物4A(1.80g,4.89毫摩尔,82.3%收率)。1H NMR(400MHz,CHLOROFORM-d)δ=8.45(d,J=2.7Hz,1H),8.15(dd,J=2.7,8.8Hz,1H),7.05(d,J=9.0Hz,1H),3.19-3.12(m,4H),2.44(brt,J=5.3Hz,4H),2.33(s,3H),1.70(brd,J=5.6Hz,4H),1.67-1.63(m,4H).LCMS(ESI)(0-60AB):m/z:368.0[M+1].
化合物4B:
向化合物4A(200毫克,543微摩尔,1.00当量)、2-异丙烯基硼酸频哪醇酯(109毫克,652微摩尔,1.2当量)和DME(4毫升)的混合物中加入四(三苯基膦)钯(126毫克,109微摩尔,0.20当量),碳酸钠(115毫克,1.09毫摩尔,2当量)和水(1.00毫升),氮气保护下100℃加热搅拌12小时。TLC显示反应完成,向反应体系加入乙酸乙酯(20毫升)稀释,水洗(5毫升)一次,水相用乙酸乙酯萃取(5毫升)两次。有机相干燥浓缩,粗品用薄层层析法纯化得到化合物4B(150毫克,455微摩尔,83.8%收率)。1H NMR(400MHz,CHLOROFORM-d)δ=8.07(dd,J=2.8,8.9Hz,1H),8.00(d,J=2.7Hz,1H),6.93(d,J=9.0Hz,1H),5.22-5.17(m,2H),3.20-3.13(m,4H),2.42(brs,4H),2.31(s,3H),2.13(s,3H),1.66-1.57(m,8H).LCMS(ESI)(0-60AB):m/z:330.1[M+1].
化合物4C:
将钯/炭(20.00毫克)加入到化合物4B(150毫克,455微摩尔,1.00当量)的甲醇(3.00毫升)溶液中,将反应瓶与氢气球相通并置换氢气三次,常压下20~30℃搅拌1小时。TLC显示反应完成,将反应液过滤,滤液蒸发浓缩得到化合物4C(120毫克,粗品)。1H NMR(400MHz,CHLOROFORM-d)δ=6.99(d,J=8.6Hz,1H),6.60(d,J=2.7Hz,1H),6.50(dd,J=2.9,8.3Hz,1H),3.57-3.41(m,3H),2.72(brd,J=4.6Hz,4H),2.40(brs,4H),2.30(s,3H),1.60(brs,8H),1.18(s,3H),1.16(s,3H).LC-MS(ESI)(0-60AB):m/z:302.1[M+1]。
化合物4:
向2,5-二氯-N-(2-二甲基磷酰基苯基)-4-氨基嘧啶(100毫克,316微摩尔,1.00当量)和化合物4C(95.4毫克,316微摩尔,1.00当量)的异丙醇(3毫升)溶液中加入甲烷磺酸(91.2毫克,949微摩尔,67.6微升,3.00当量),100℃加热搅拌1小时。TLC显示反应完成,向反应体系加入乙酸乙酯(20毫升)稀释,用饱和碳酸氢钠水溶液洗(5毫升)一次,水相用乙酸乙酯萃取(5毫升)两次。有机相干燥浓缩,粗品用制备高效液相色谱法纯化得到化合物4(43.2毫克,68.6微摩尔,21.7%收率,99.6%纯度,三氟乙酸盐)。1H NMR(400MHz,DMSO-d6)δ=11.16(s,1H),9.21(s,1H),8.64(brs,1H),8.31(s,2H),8.16(s,1H),7.64-7.55(m,2H),7.50(t,J=7.8Hz,1H),7.31(d,J=2.3Hz,1H),7.21-7.14(m,1H),7.09(d,J=8.5Hz,1H),3.40(td,J=6.8,13.7Hz,1H),2.72(brs,4H),2.54-2.52(m,4H),2.31(s,3H),1.81(s,3H),1.77(s,3H),1.57(brs,8H),1.12(d,J=6.8Hz,6H).LCMS(ESI)(0-60AB):m/z:581.2[M+1].
实施例5
化合物5A:
本化合物根据化合物1A的方法制备,将1-氟-2甲基-4硝基替换为2-溴-1-氟-4-硝基苯,得到化合物5A(530毫克,1.44毫摩尔,63.4%收率)。1H NMR(400MHz,CHLOROFORM-d)δ=8.43(d,J=2.6Hz,1H),8.13(dd,J=2.6,8.9Hz,1H),7.03(d,J=8.9Hz,1H),3.18-3.10(m,4H),2.49-2.39(m,4H),2.32(s,3H),1.73-1.60(m,8H)。
化合物5B:
本化合物根据化合物2B的方法制备,将化合物2A替换为化合物5A,得到化合物5B(390毫克,粗品)。1H NMR(300MHz,METHANOL-d4)δ=6.98(brs,1H),6.83-6.58(m,1H),3.31(brs,5H),2.87(brs,8H),2.15-1.42(m,8H)。
化合物5:
本化合物根据化合物2的方法制备,将化合物2B替换为化合物5B得到化合物5(430毫克,694微摩尔,55.9%收率,99.7%纯度)。1H NMR(400MHz,DMSO-d6)δ=11.18(s,1H),9.43(s,1H),8.58(brs,1H),8.31(s,1H),8.20(s,1H),7.97-7.92(m,1H),7.64-7.51(m,3H),7.19(brt,J=7.0Hz,1H),7.10(d,J=8.7Hz,1H),2.88-2.82(m,4H),2.50-2.46(m,4H),2.29(s,3H),1.82-1.79(m,3H),1.77(s,3H),1.56(brs,8H)。
实施例6
化合物6A:
向化合物5B(70毫克,207微摩尔,1.00当量),4-吡啶硼酸(28毫克,228微摩尔,1.1当量)和二氧六环(2毫升)的混合物中加入四(三苯基膦)钯(23.9毫克,20.7微摩尔,0.1当量),碳酸钾(57.2毫克,414
微摩尔,2当量)和水(1毫升),将反应体系在氮气保护下100℃加热搅拌3小时。TLC显示反应完成,向反应体系加入乙酸乙酯(20毫升)稀释并用水洗(5毫升)一次,水相用乙酸乙酯萃取(5毫升)两次。有机相干燥浓缩,粗品用薄层层析法纯化得到化合物6A(25毫克,74.3微摩尔,35.9%收率)。LC-MS(ESI)(0-60AB):m/z:337.2[M+1].
化合物6:
根据化合物1的方法制备,将化合物1D替换为化合物6A,得到化合物6(9.40毫克,14.2微摩尔,19.1%收率,甲酸盐)。1H NMR(400MHz,METHANOL-d4)δ=8.52(d,J=6.1Hz,2H),8.48(brs,1H),8.35(brs,1H),8.10(s,1H),7.66(d,J=6.1Hz,2H),7.60(d,J=2.4Hz,1H),7.59-7.54(m,1H),7.49(dd,J=2.6,8.7Hz,1H),7.29-7.22(m,1H),7.16-7.08(m,2H),3.26-3.10(m,4H),2.86-2.77(m,7H),1.87(d,J=13.4Hz,6H),1.81-1.63(m,4H),1.54(brs,4H).LCMS(ESI)(0-60AB):m/z:616.1[M+1]。
实施例7
化合物7A:
向5-三氟甲基-2,4-二氯嘧啶(1476毫克,2.2毫摩尔,1.2当量)的1,2-二氯乙烷(10毫升)和叔丁醇(10毫升)的混合溶液中加入溴化锌(1.24g,5.49毫摩尔,3当量),25℃下反应0.5小时。将反应液冷却到0℃,然后向反应液中滴加入3-甲基-4-(9-甲基-3,9-二氮杂螺[5.5]十一烷-3-基)苯胺(500毫克1.83毫摩尔,1当量),25℃下反应3小时。LC-MS显示原料有剩余,继续反应16小时至反应完成。反应液用碳酸氢钠饱和溶液处理(20毫升),用二氯甲烷(20毫升)萃取两次,有机相用饱和食盐水(20毫升)洗涤一次后浓缩,经制备薄层色谱板分离(二氯甲烷/甲醇=10/1)得到化合物7A(250毫克,30.1%收率)。1H NMR(400MHz,CHLOROFORM-d)δ8.54(s,1H),7.38(brd,J=7.7Hz,1H),7.34-7.28(m,2H),
7.04(d,J=8.5Hz,1H),2.90-2.78(m,4H),2.60(brs,4H),2.43(s,3H),2.31(s,3H),1.73(brd,J=5.3Hz,4H),1.68-1.64(m,1H),1.66(brd,J=5.4Hz,1H),1.68-1.63(m,1H),1.44(s,1H),1.27(brd,J=4.6Hz,1H),0.93-0.80(m,2H)。
化合物7:
向化合物7A(100毫克,220微摩尔,1.00当量)和2-二甲基氧化膦苯胺(44.7毫克,264微摩尔,1.2当量)的N,N-二甲基乙酰胺(3毫升)溶液中加入甲烷磺酸(63.5毫克,661微摩尔,47.1微升,3当量),反应液在130℃下搅拌下16小时。LC-MS显示产物,在反应液加入碳酸氢钠饱和溶液(5毫升),过滤,滤饼用二氯甲烷(20毫升)溶解,无水硫酸钠干燥后浓缩,经制备薄层色谱板纯化(二氯甲烷/甲醇=15/1)后得到化合物7(10.9毫克,7.73%收率)。1H NMR(400MHz,CHLOROFORM-d)δ10.39(s,1H),8.40-8.33(m,2H),7.44(brt,J=7.6Hz,1H),7.36-7.28(m,3H),7.20-7.13(m,1H),7.06(brs,1H),6.99-6.91(m,1H),2.88-2.76(m,4H),2.44(brs,4H),2.32(s,3H),2.24(s,3H),1.84(s,3H),1.80(s,3H),1.71(brs,11H),1.67-1.62(m,8H),1.43(s,1H),1.26(s,4H),1.08-0.80(m,2H),0.08(s,1H).LC-MS(ESI)(5-95AB):m/z:587.3[M+1]。
实施例8
化合物8A:
在60℃下,将化合物12(200毫克,335微摩尔),碘化亚铜(12.8毫克,66.9微摩尔),四(三苯基膦)钯(77.4毫克,66.9微摩尔),三苯基膦(35.1毫克,134微摩尔)溶于DNF(3.00毫升)中,向该混合物中加入三甲基硅基乙炔(165毫克,1.67毫摩尔),三乙胺(169毫克,1.68毫摩尔),搅拌16小时。LC-MS显示反应完成,将反应液过滤浓缩,粗品用制备高效液相色谱法(三氟乙酸)分离纯化,得到化合物8A(62毫克,
产率30.1%,黄色油状物)。LC-MS(ESI)(0-60AB):m/z:615.3[M+1].
化合物8:
在25℃下,将化合物8A(60毫克,97.6微摩尔)溶于甲醇(2.00毫升)中,向该混合物中加入无水碳酸钾(26.9毫克,195微摩尔),搅拌15分钟。TLC显示反应完成,向混合物中加入水(5毫升),用二氯甲烷(15毫升)萃取三次,合并有机相并浓缩,粗品用制备高效液相色谱法(三氟乙酸)分离纯化,得到化合物8(5.27毫克,产率8.26%)。1H NMR(400MHz,CD3OD)δ8.25(s,1H),8.11(brs,1H),7.78(brdd,J=12.80,7.20Hz,1H),7.70(brt,J=7.20Hz,1H),7.62-7.93(m,1H),7.35-7.60(m,3H),5.99(d,J=6.00Hz,1H),4.19(s,1H),3.63(brs,4H),3.48(brd,J=12.80Hz,2H),3.18-3.30(m,2H),2.94(s,3H),2.48(s,3H),1.99-2.32(m,5H),1.90(s,3H),1.75-1.88(m,6H).LCMS(ESI)(0-60AB):m/z:543.2[M+1].
实施例9:
在25℃下将化合物12(100毫克,167微摩尔,1当量),锌粉(5.47毫克,83.7微摩尔,0.5当量),双亚苄基丙酮钯(30.7毫克,33.5微摩尔,0.2当量),1,1'-双(二苯基膦)二茂铁(18.6毫克,33.5微摩尔,0.2当量)和Zn(CN)2(39.3毫克,334微摩尔,21.2微升,2当量)溶解于DMF(5毫升)中,混合物在氮气保护下在120℃加热搅拌12小时。TLC显示反应完成,向混合物中加入水(5毫升),用二氯甲烷(15毫升)萃取三次,合并有机相并浓缩,粗品用制备高效液相色谱法(三氟乙酸)分离纯化,得到化合物9(4.90毫克,9.01微摩尔,5.39%收率)。1H NMR(400MHz,CD3OD)δ8.27(s,1H),8.06(brs,1H),7.57(brdd,J=12.80,7.20Hz,1H),7.62-7.93(m,5H),7.84(s,1H),2.71(t,J=6Hz,4H),2.5(m,4H),2.29(s,3H),2.74(s,3H),2.71(s,3H),1.57(m,8H).LC-MS(ESI)(0-60AB):m/z:544.2[M+1].
实施例10
化合物10A:
将化合物2,4-二氯-5,6-二甲基(200毫克,1.13毫摩尔,1当量)和2-二甲基磷酰基苯胺(191毫克,1.13毫摩尔,1当量)溶解于N-甲基吡咯烷酮(2毫升)中,之后添加DIEA(584毫克,4.52毫摩尔,789微升,4当量)在氮气氛围下。将混合液在135℃搅拌8小时,TLC显示原料被消耗完毕。将反应混合液使用乙酸乙酯稀释,之后使用饱和食盐水(40毫升)洗涤三次。将有机相用无水硫酸钠干燥之后旋干。将获得的残留物使用制备薄层色谱板(二氯甲烷:甲醇=10:1)分离得到化合物10A(120毫克,387微摩尔,34.3%收率)。1H NMR(400MHz,CD3OD)δ8.65(m,1H),7.55(m,1H),7.32(m,1H),7.11(m,1H),7.84(s,1H),2.71(t,J=6Hz,4H),2.5(m,4H),2.29(s,3H),2.74(s,3H),1.80(s,3H),1.83(s,3H).LC-MS(ESI)(0-60AB):m/z:544.2[M+1]。
化合物10:
根据化合物2的方法制备,将2,5-二氯-N-(2-二甲基磷酰基苯基)嘧啶-4-胺替换为2-氯-N-(2-(二甲基磷酰基)苯基)-5,6-二甲基嘧啶-4-胺得到化合物10(430毫克,694微摩尔,55.9%收率,99.7%纯度)。1H NMR(400MHz,DMSO-d6)δ=8.39(m,1H),7.59(m,1H),7.47(m,1H),7.33(s,1H),7.24(m,2H),6.97(s,1H),3.38(m,8H),2.88(s,3H),2.85(m,4H),2.37(s,3H),2.22(s,3H),2.17(s,3H),1.82(m,8H)。LC-MS(ESI)(5-95CD):m/z:547.3[M+1]。
实施例11
化合物11A:
根据化合物10A的方法制备,将2,4-二氯-5,6-二甲基嘧啶替换为2,4-二氯-5-甲氧基嘧啶得到化合物
11A(430毫克,694微摩尔,55.9%收率,99.7%纯度)。1H NMR(400MHz,CHLOROFORM-d)δ=11.22(brs,1H),8.92-8.61(m,1H),7.68(s,1H),7.50(brd,J=1.1Hz,1H),7.20-7.15(m,1H),7.08-7.01(m,1H),3.91(s,3H),1.78(s,3H),1.75(s,3H)。LC-MS(ESI)(0-60AB):m/z:311.9[M+1]。
化合物11:
根据化合物2的方法制备,将2,5-二氯-N-(2-二甲基磷酰基苯基)嘧啶-4-胺替换为化合物11A得到化合物11。1H NMR(400MHz,CHLOROFORM-d)δ=10.79(s,1H),8.75(dd,J=4.5,8.6Hz,1H),7.68-7.61(m,1H),7.39(brt,J=8.1Hz,1H),7.30(d,J=2.6Hz,1H),7.27-7.22(m,1H),7.16(brd,J=7.6Hz,1H),6.98(brt,J=7.2Hz,1H),6.92(d,J=8.4Hz,1H),6.63-6.54(m,1H),3.86-3.82(m,3H),2.78-2.71(m,4H),2.31(brs,4H),2.22(s,3H),1.79-1.76(m,4H),1.75-1.72(m,4H),1.65-1.56(m,11H)。LC-MS(ESI)(0-60AB):m/z:549.3[M+1]。
实施例12
根据化合物2的方法制备,将2,5-二氯-N-(2-二甲基磷酰基苯基)嘧啶-4-胺替换为5-溴-2-氯-N-(2-(二甲基磷酰基)苯基)嘧啶-4-胺得到化合物12(5.00g,13.9毫摩尔,63.2%收率)。
实施例13
化合物13A:
根据化合物10A的方法制备,将2,4-二氯-5,6-二甲基嘧啶替换为2,4-二氯-5-甲基嘧啶得到化合物13A
(260毫克,产率13.0%)。1H NMR(400MHz,CDCl3)δ=10.96(brs,1H),8.76(dd,J=8.80,4.80Hz,1H),8.01(d,J=1.2,1H),7.58(m,1H),7.23-7.27(m,1H),7.11-7.15(m,1H),2.25(s,3H),1.85(s,3H),1.81(s,3H).LC-MS(ESI)(0-60AB):m/z:296.0[M+1]。
化合物13:
根据化合物2的方法制备,将2,5-二氯-N-(2-二甲基磷酰基苯基)嘧啶-4-胺替换为化合物13A得到化合物13(116毫克,产率25.6%)。1H NMR(400MHz,CD3Cl)δ10.40(s,1H),8.75(dd,J=8.80,4.80Hz,1H),7.90(S,1H),7.43(td,J=8.00Hz,1H),7.31-7.36(m,2H),7.23(dd,J=14.40,7.60Hz,1H),7.02-7.07(m,1H),6.98(d,J=7.20,1H),6.86(s,1H),2.82(m,4H),2.40(brs,4H),2.29(s,3H),2.27(s,3H),2.18(s,3H),1.83(s,3H),1.80(s,3H),1.62(m,8H).LC-MS(ESI)(0-60AB):m/z:533.2[M+1]。
实施例14
化合物14A:
根据化合物10A的方法制备,将2,4-二氯-5,6-二甲基嘧啶替换为2,4-二氯-5-乙基嘧啶得到化合物14A(120毫克,产率25.0%)。1H NMR(400MHz,CDCl3)δ10.95(brs,1H),8.76(dd,J=8.40,4.80Hz,1H),8.04(s,1H),7.58(t,J=8.00Hz,1H),7.22-7.30(m,1H),7.22-7.31(m,1H),7.10-7.15(m,1H),2.63-2.71(m,2H),2.01(s,1H),1.85(s,3H),1.82(s,3H),1.60-1.75(m,2H),1.24-1.39(m,4H).LC-MS(ESI)(0-60AB):m/z:310.0[M+1]。
化合物14:
根据化合物10A的方法制备,将2,4-二氯-5,6-二甲基嘧啶替换为化合物14A得到化合物14(35.2毫克,产率15.5%)。1H NMR(400MHz,CD3OD)δ8.26(dd,J=8.00,4.00Hz,1H),7.66-7.82(m,3H),7.59(d,J=2.00Hz,1H),7.49(brdd,J=8.80,2.40Hz,2H),3.77(brd,J=16.00Hz,4H),3.49(brd,J=12.00Hz,2H),3.27(brs,2H),2.95(s,3H),2.64-2.77(m,5H),2.55(s,3H),2.03-2.44(m,5H),1.91(s,3H),1.87(s,3H),1.29-1.38(m,3H).LC-MS(ESI)(0-60AB):m/z:547.1[M+1]。
实施例15
化合物15A:
根据化合物4A的方法制备,将3-甲基-3,9-二氮杂螺[5.5]十一烷替换为叔丁基-2,8-二氮杂螺[4.5]癸烷-8-羧酸乙酯得到化合物15A(80毫克,9.42%收率)。1H NMR(400MHz,CHLOROFORM-d)δ:8.01(d,J=2.4Hz,1H),7.98(s,1H),6.66(d,J=2.4Hz,1H),3.60(m,2H),3.48(m,4H),2.45(s,3H),1.62(m,8H),1.48(s,9H).
化合物15B:
在20℃氮气保护下,将化合物15A(120毫克,332微摩尔,1当量),三氟乙酸(500毫克,4.39毫摩尔,325微升,13当量)溶于二氯甲烷(2毫升)中并搅拌1小时。TLC监测反应完成。反应液干燥浓缩得到化合物15B(120毫克,粗品)。1H NMR(400MHz,CHLOROFORM-d)δ:7.92(d,J=2.4Hz,1H),7.91(s,1H),6.62(d,J=2.4Hz,1H),3.53(m,2H),3.28(m,6H),2.35(s,3H),1.92(m,8H).
化合物15C:
在30℃氮气保护下,将化合物15B(120毫克,319微摩尔),多聚甲醛(43.2毫克,479微摩尔,1.5当量)和碳酸钾(88.4毫克,639微摩尔,2当量)溶于甲醇(2毫升)中,分批加入氰基硼氢化钠并搅拌16小时。TLC监测反应完成,反应液在真空下浓缩。将水加入浓缩物中,并用二氯甲烷萃取三次,合并有机相并真空干燥然后浓缩的粗产品。粗产品用柱层析纯化得到化合物15C(60.0毫克,218微摩尔,68.2%收率)。1H NMR(400MHz,CHLOROFORM-d)δ:7.92(d,J=2.4Hz,1H),7.89(s,1H),6.56(d,J=2.4Hz,1H),3.50(m,2H),3.39(m,4H),2.37(s,3H),2.23(s,3H),1.60(m,8H).
化合物15D:
根据化合物1D的方法制备,将化合物1C替换为15C得到化合物15D(70.0毫克,269毫摩尔,60.1%收率)。1H NMR(400MHz,CHLOROFORM-d)δ:6.74(d,J=2.4Hz,1H),6.67(s,1H),6.42(d,J=2.4Hz,1H),3.01(m,2H),2.31(m,4H),2.20(s,3H),2.16(s,3H),1.63(m,8H).
化合物15:
本化合物根据化合物1E的方法制备,将化合物1E替换为15D得到化合物15(25.8毫克,47.8毫摩尔,23.1%收率)。1H NMR(400MHz,CHLOROFORM-d)δ:10.91(s,1H),8.65(d,J=2.4Hz,1H),8.51(s,1H),8.06(s,1H),7.45(m,1H),3.01(m,2H),2.31(m,4H),2.20(s,3H),2.16(s,3H),1.63(m,8H).
实施例16
化合物16A:
根据化合物4A的方法制备,将3-甲基-3,9-二氮杂螺[5.5]十一烷替换为叔丁基2,7-二氮杂螺[3.5]壬烷-2-羧酸乙酯得到化合物16A(120毫克,332微摩尔,75.1%收率)。1H NMR(400MHz,CHLOROFORM-d)δ=8.09-8.01(m,2H),6.99(d,J=8.4Hz,1H),3.73(s,4H),2.98-2.91(m,4H),2.37(s,3H),1.98-1.91(m,4H),1.48(s,9H)。
化合物16B:
根据化合物15B的方法制备,将化合物15A替换为16A得到化合物16B(120毫克,粗品)。1H NMR(400MHz,METHANOL-d4)δ=8.10-8.01(m,2H),7.14(d,J=8.8Hz,1H),3.94(s,4H),3.02-2.94(m,4H),2.39(s,3H),2.10-2.04(m,4H)。
化合物16C:
根据化合物15C的方法制备,将化合物15B替换为化合物16B,得到化合物16C(60.0毫克,218微摩尔,68.2%收率)。1H NMR(400MHz,CHLOROFORM-d)δ=7.99-7.92(m,2H),6.89(d,J=8.8Hz,1H),3.09(s,4H),2.89-2.79(m,4H),2.35(s,3H),2.27(s,3H),1.93-1.83(m,4H)。
化合物16D:
根据化合物1D的方法制备,将化合物1C替换为化合物16C,得到化合物16D(50毫克,粗品)。1HNMR(400MHz,CHLOROFORM-d)δ=6.82(d,J=8.4Hz,1H),6.55(d,J=2.8Hz,1H),6.49(dd,J=8.4Hz,1H),3.11(s,4H),2.72-2.65(m,4H),2.38(s,3H),2.22(s,3H),1.88-1.85(m,4H)。
化合物16:
根据化合物1的方法制备,将化合物1D替换为化合物16D得到化合物16(11.0毫克,19.3微摩尔,9.45%收率)。1H NMR(400MHz,METHANOL-d4)δ=8.49-8.38(m,3H),8.06(s,1H),7.63(ddd,J=1.2,7.8,14.1Hz,1H),7.54(t,J=7.8Hz,1H),7.35(d,J=2.4Hz,1H),7.31-7.23(m,2H),6.93(d,J=8.5Hz,1H),4.03(brs,4H),2.97(s,3H),2.85-2.75(m,4H),2.23(s,3H),2.04(brt,J=5.2Hz,4H),1.88(s,3H),1.85(s,3H)。LC-MS(ESI)(5-95AB):m/z:525.1[M+1]。
实施例17
在100℃下,将化合物12(150毫克,251微摩尔),2-异丙烯基-4,4,5,5-四甲基-1,3,2-二氧硼戊烷(63.3毫克,377微摩尔),碳酸钠(53.2毫克,502微摩尔)溶于DME(3毫升)和水(0.5毫升)中,向该混合物中加入四(三苯基膦)钯(29毫克,25.1微摩尔),搅拌12小时。LC-MS显示反应完成,向混合物中加入水
(10毫升),用二氯甲烷(40毫升)萃取三次,合并有机相浓缩后,用制备高效液相色谱法(甲酸)分离纯化,得到化合物17(70毫克,产率45.9%)。1H NMR(400MHz,DMSO)δ10.36(s,1H),9.02(s,1H),8.55(brd,J=4.40Hz,1H),8.32(s,2H),7.91(s,1H),7.38-7.55(m,4H),7.11(t,J=7.40Hz,1H),6.94(d,J=8.80Hz,1H),5.23(s,1H),5.08(s,1H),2.72-2.75(m,4H),2.34-2.38(m,4H),2.22(s,3H),2.16(s,3H),2.04(s,3H),1.76(s,3H),1.72(s,3H),1.49-1.59(m,8H).LCMS(ESI)(0-60AB):m/z:599.3[M+1]。
实施例18
根据化合物1的方法制备,将化合物1D替换为3-氯-4-(9-甲基-3,9-二氮杂螺[5.5]十一烷-3-基)苯胺得到化合物18(29.0毫克,46.4微摩尔,16.7%收率,98.8%纯度)。1H NMR(400MHz,CHLOROFORM-d)δppm1.72(brs,4H)1.83(d,J=13.18Hz,9H)1.83(brs,1H)2.65(s,3H)2.84-3.12(m,8H)6.96(d,J=8.66Hz,1H)7.14(td,J=7.47,1.38Hz,1H)7.23(dd,J=8.66,2.38Hz,1H)7.30(td,J=6.96,1.25Hz,1H)7.36(brs,1H)7.54(t,J=7.91Hz,1H)7.75(d,J=2.51Hz,1H)8.17(s,1H)8.46(dd,J=8.34,4.33Hz,1H)8.52-8.57(m,1H)10.62-10.72(m,1H)10.67(s,1H)。
实施例19
根据化合物2的方法制备,将化合物2B替换为化合物5B得到化合物19(64.5毫克,97.1微摩尔,29.9%收率,99.8%纯度)。1H NMR(400MHz,CHLOROFORM-d)δppm 1.73-1.77(m,4H)1.82-1.85(m,7H)1.88(s,3H)2.62(s,3H)2.89-2.99(m,8H)6.97-7.02(m,2H)7.13-7.19(m,1H)7.30-7.36(m,2H)7.54-7.60(m,1H)7.90(d,J=2.51Hz,1H)8.21(s,1H)8.48(dd,J=8.09,4.20Hz,1H)8.57(s,1H)10.70(s,1H)。
实施例20
化合物20A:
根据化合物4A的方法制备,将1-氟-2甲基-4硝基替换为1-氯-5-氟-4-甲基-2-硝基苯,得到化合物20A(200毫克,粗品)。1H NMR(400MHz,CHLOROFORM-d)δ=7.85(s,1H),7.02(s,1H),2.99-2.94(m,4H),2.42(brs,4H),2.32(d,J=4.1Hz,6H),1.65(brs,8H).LC-MS(ESI)(5-95CD):m/z:338.1[M+1]。
化合物20B:
根据化合物2B的方法制备,将化合物2A替换为化合物20A,得到化合物20B(110毫克,粗品)。1H NMR(400MHz,CHLOROFORM-d)δ=6.95(s,1H),6.64(s,1H),2.78-2.74(m,4H),2.65(brd,J=4.9Hz,4H),2.20(s,3H),1.92(brs,3H),1.71-1.66(m,8H).LC-MS(ESI)(5-95CD):m/z:308.1[M+1]。
化合物20:
本化合物根据化合物2的方法制备,将2B替换为化合物20B得到化合物20(430毫克,694微摩尔,55.9%收率,99.7%纯度)。1H NMR(400MHz,DMSO-d6)δ=8.72(s,1H),8.43(brdd,J=4.2,8.1Hz,1H),8.29(s,2H),8.10(s,1H),7.53(ddd,J=1.4,7.7,14.1Hz,1H),7.35(s,1H),7.22(brt,J=7.6Hz,1H),7.14(s,1H),7.11-7.04(m,1H),2.85-2.76(m,4H),2.44(brs,4H),2.26(s,3H),2.20(s,3H),1.79(s,3H),1.75(s,3H),1.62-1.51(m,8H)。LC-MS(ESI)(5-95CD):m/z:587.3[M+1]。
实施例21
将化合物12(30.0毫克,53.7微摩尔),溶于甲醇(3毫升)中,向该混合物中加入湿钯碳(30毫克,10%),氢气保护下置换三次,继续在50℃下氢气保护下(15psi)搅拌1小时。LC-MS显示反应完成,过滤,有机相浓缩,得到化合物21(21.5毫克,产率66.3%)。1H NMR(400MHz,CD3OD)δ8.40(dd,J=8.00,4.65Hz,1H),7.83(s,1H),7.46(dd,J=14.40,8.00Hz,1H),7.37(brt,J=8.00Hz,1H),7.19(d,J=2.40Hz,1H),7.04-7.15(m,2H),6.85(d,J=8.40Hz,1H),2.93-3.00(m,1H),2.67-2.77(m,4H),2.37(brs,4H),2.19(s,3H),2.11(s,3H),1.76(s,3H),1.72(s,3H),1.54(m,8H),1.21(brs,3H),1.19(s,3H).LCMS(ESI)(0-60AB):m/z:561.3[M+1]。
实施例22
化合物22A:
在常温氮气保护下,将5-溴-2-氯-N-(2-二甲基磷酰基苯基)嘧啶-4-胺(200毫克,527微摩尔,1当量),环丙基硼酸(54.3毫克,632微摩尔,1.20当量),三环己基膦(29.6毫克,105微摩尔,340微升,0.20当量),醋酸钯(11.8,毫克,52.7微摩尔,0.1当量)和磷酸钾(279毫克,1.32毫摩尔,2.5当量)溶于甲苯和水中,升温至110℃并搅拌16小时。LC-MS监测反应完成。反应液过滤,滤液在真空下干燥。将浓缩物溶解于水(5毫升)中,乙酸乙酯萃取三次,合并有机相,饱和食盐水洗涤两次,无水硫酸钠干燥,过滤,滤液真空干燥。剩余物柱层析纯化得到化合物22A(150毫克,466微摩尔,88.6%收率)。1H NMR(400MHz,CHLOROFORM-d)δ=10.99(brs,1H),8.72(dd,J=8.4Hz,1H),7.97(s,1H),7.60(dt,J=8.0Hz,1H),7.34-7.28(m,1H),7.18-7.12(m,1H),1.85(s,3H),1.82(s,3H),1.45-1.38(m,1H),1.16-1.09(m,2H),0.68-0.63(m,2H)。
化合物22:
根据化合物2的方法制备,将化合物2B替换为化合物22A,得到化合物22(20.9毫克,35.7微摩尔,7.66%收率,95.5%纯度)。1H NMR(400MHz,DMSO-d6)δ=10.74(s,1H),8.74(dd,J=8.4Hz,1H),8.51(s,1H),7.84(s,1H),7.56-7.42(m,3H),7.39(dd,J=8.0Hz,1H),7.12(brt,J=8.0Hz,1H),6.97(d,J=8.0Hz,1H),2.80-2.75(m,4H),2.36-2.33(m,4H),2.22-2.18(m,6H),1.82-1.79(m,3H),1.78-1.75(m,3H),1.72-1.66(m,1H),1.60-1.56(m,4H),1.56-1.52(m,4H),0.97-0.91(m,2H),0.61-0.55(m,2H)。
实施例23
向化合物12(60.0毫克,100微摩尔,1当量)和苯硼酸频那酯(30.7毫克,151微摩尔,1.5当量)的乙二醇二甲醚(3毫升)和水(600微升)混合溶液中加入四(三苯基膦)钯(17.4毫克,15.1微摩尔,0.15当量)和碳酸钠(21.3毫克,201微摩尔,2当量),反应液在100℃下氮气氛围中搅拌3小时。LC-MS显示部分原料和产物,继续反应3小时。反应结束后过滤,滤液浓缩后用二氯甲烷(10毫升)溶解,用硫酸钠干燥后浓缩,经制备薄层硅胶板纯化后得到化合物23(7.30毫克,12.2%收率收率)。1H NMR(400MHz,CHLOROFORM-d)δ9.65(s,1H),8.40(dd,J=4.5,8.8Hz,1H),8.04(s,1H),7.53(s,1H),7.53-7.44(m,4H),7.44-7.39(m,1H),7.38-7.33(m,2H),7.24(brd,J=7.4Hz,1H),7.14-7.06(m,1H),6.97(d,J=8.9Hz,1H),6.85(s,1H),2.84-2.79(m,4H),2.44(brd,J=0.8Hz,4H),2.32(s,3H),2.27-2.23(m,3H),1.69(s,3H),1.66(s,3H),1.63(brd,J=5.6Hz,8H),0.97(d,J=6.7Hz,1H),0.93-0.78(m,5H)。LC-MS(ESI)(5-95AB):m/z:595.2[M+1]。
实施例24
化合物24A:
本化合物根据化合物4A的方法制备,将1-氟-2甲基-4硝基替换为2-氟-5-硝基苄腈,得到化合物24A(400毫克,1.27毫摩尔,42.3%收率)。1H NMR(400MHz,CHLOROFORM-d)δ=8.42(d,J=2.8Hz,1H),8.24(dd,J=2.8,9.3Hz,1H),6.95(d,J=9.3Hz,1H),3.56-3.47(m,4H),2.46(brs,4H),2.33(s,3H),1.75-1.69(m,4H),1.66(t,J=5.6Hz,4H).LC-MS(ESI)(5-95AB):m/z:315.1[M+1]。
化合物24B:
根据化合物2B的方法制备,将化合物2A替换为化合物24A,得到化合物24B(270毫克,粗品)。1H NMR(400MHz,DMSO-d6)δ=7.04-6.94(m,1H),6.86-6.77(m,2H),5.32-5.13(m,2H),3.28-2.99(m,4H),2.88(brs,4H),2.71(s,3H),1.90-1.42(m,8H).LC-MS(ESI)(0-60AB):m/z:285.0[M+1]。
化合物24:
根据化合物2的方法制备,将化合物2B替换为化合物24B得到化合物24(65.4毫克,107微摩尔,33.9%收率)。1H NMR(400MHz,DMSO-d6)δ=11.20-11.13(m,1H),9.55(s,1H),8.57-8.47(m,1H),8.25(s,1H),8.22(s,1H),8.05-8.00(m,1H),7.74-7.68(m,1H),7.65-7.55(m,2H),7.23-7.16(m,1H),7.16-7.11(m,1H),3.06-2.99(m,4H),2.55-2.52(m,4H),2.32(s,3H),1.82-1.79(m,3H),1.77(s,3H),1.64-1.58(m,4H),1.58-1.52(m,4H)。LC-MS(ESI)(0-60AB):m/z:564.1[M+1]。
实施例25
根据化合物2的方法制备,将化合物2B替换为化合物24B得到化合物25(45.4毫克,65.2微摩尔,37.1%收率,94.0%纯度)。1H NMR(400MHz,DMSO-d6)δ=10.86(brs,1H),9.54(brs,1H),8.38(brs,1H),8.30(brs,2H),8.00(brs,1H),7.75-7.67(m,1H),7.65-7.53(m,2H),7.26-7.16(m,1H),7.16-7.06(m,1H),3.02(brs,4H),2.60-2.54(m,4H),2.31(brs,3H),1.78(brd,J=13.4Hz,6H),1.68-1.48(m,8H).LC-MS(ESI)(0-60AB):m/z:609.9[M+1]。
实施例26
化合物26A:
根据化合物4A的方法制备,将1-氟-2甲基-4硝基替换为1,3-二氯-2-氟-5-硝基苯,得到化合物26A(120毫克,335微摩尔,23.4%收率)。1H NMR(400MHz,CHLOROFORM-d)δppm 1.57-1.61(m,4H)1.68(brt,J=5.62Hz,4H)2.41(s,3H)2.58(brs,4H)3.17-3.21(m,4H)8.07(s,2H).
化合物26B:
根据化合物2B的方法制备,将化合物2A替换为化合物26A,得到化合物26B(103毫克,粗品)。1H NMR(400MHz,DMSO-d6)δppm 1.48(brs,8H)2.19(s,3H)2.20-2.21(m,1H)2.32-2.35(m,4H)2.94-2.99(m,4H)6.54(s,2H)。
化合物26:
根据化合物2的方法制备,将化合物2A替换为化合物27B得到化合物26(15.7毫克,24.7微摩尔,16.3%收率,96.1%纯度)。1H NMR(400MHz,DMSO-d6)δppm 1.54(brd,J=5.01Hz,8H)1.77(s,3H)1.81(s,3H)2.28(s,3H)2.44-2.49(m,4H)3.02-3.07(m,4H)7.21(t,J=7.03Hz,1H)7.54-7.66(m,2H)7.74(s,2H)8.24-8.32(m,3H)8.49(brs,1H)9.67(s,1H)11.17(brs,1H)。
实施例27
根据化合物2的方法制备,将化合物2A替换为3-氟-4-(9-甲基-3,9-二氮杂螺[5.5]十一烷-3-基)苯胺得到化合物27(53.9毫克,89.1微摩尔,24.7%收率,99.7%纯度)。1H NMR(400MHz,DMSO-d6)δ=11.13(s,1H),11.17-11.09(m,1H),9.45(s,1H),8.55(brs,1H),8.28(s,2H),8.20(s,1H),7.66-7.57(m,2H),7.56-7.50(m,1H),7.28-7.17(m,2H),7.00-6.92(m,1H),2.94-2.87(m,4H),2.63-2.56(m,4H),2.36(s,3H),1.80(s,3H),1.77(s,3H),1.62-1.52(m,8H).LC-MS(ESI)(0-60AB):m/z:557.1[M+1]。
实施例28
化合物28A:
将物质1,4-二氯-2-氟苯(1.00g,6.06毫摩尔,1.00当量)溶解于浓硫酸(2.97g,30.3毫摩尔,1.62毫升,5当量)中,将温度冷却到0℃,之后逐滴添加浓硝酸(587毫克,6.06毫摩尔,419微升,65%纯度,1.00当量),之后将溶液在25℃搅拌3h。TLC显示原料消耗完毕且有一个新点产生。将混合液倒入冰水混合物
中(70毫升),乙酸乙酯(40毫升)萃取两次。将获得的有机相分别使用饱和碳酸氢钠水溶液(30毫升)和饱和食盐水(30毫升)洗两次,将获得的有机相使用无水硫酸钠干燥并浓缩。所得的残渣使用柱层析纯化(石油醚)纯化得化合物28A(450毫克,2.14毫摩尔,35.4%收率)。1H NMR(400MHz,CHLOROFORM-d)δ=8.10(d,J=6.9Hz,1H),7.42(d,J=8.2Hz,1H).
化合物28B:
根据化合物4A的方法制备,将1-氟-2甲基-4硝基替换为1,4-二氯-2-氟-5-硝基苯,得到化合物28B(320毫克,893微摩尔,62.5%收率)。1H NMR(400MHz,CHLOROFORM-d)δ=8.08(s,1H),7.08-7.02(m,1H),3.20-3.12(m,4H),2.41(brs,4H),2.31(s,3H),1.72-1.66(m,4H),1.62(t,J=5.6Hz,4H).
化合物28C:
根据化合物2B的方法制备,将化合物2A替换为化合物28B,得到化合物28C(100毫克,粗品)。1HNMR(400MHz,CHLOROFORM-d)δ=7.01(s,1H),6.84(s,1H),2.92-2.82(m,5H),2.41(brs,4H),2.31(s,4H),1.68-1.64(m,4H),1.62(brt,J=5.5Hz,4H)。
化合物28:
根据化合物2的方法制备,将化合物2B替换为化合物28C得到化合物28(15.3毫克,22.7微摩尔,7.44%
收率,97.1%纯度)。1H NMR(400MHz,METHANOL-d4)δ=8.47(brs,1H),8.27(dd,J=4.4,8.2Hz,1H),8.07(s,1H),7.93(s,1H),7.61-7.51(m,1H),7.48(t,J=7.9Hz,1H),7.23-7.17(m,2H),3.29(td,J=1.7,3.3Hz,3H),3.25-3.12(m,3H),3.01-2.93(m,4H),2.84(s,3H),1.84(s,3H),1.81(s,3H),1.74(brs,4H).
实施例29
根据化合物2的方法制备,将化合物2A替换为3-氟-4-(9-甲基-3,9-二氮杂螺[5.5]十一烷-3-基)苯胺得到化合物29(44.7毫克,68.8微摩尔,24.8%收率,99.6%纯度)。1H NMR(400MHz,DMSO-d6)δ=10.83(s,1H),9.44(s,1H),8.44-8.36(m,1H),8.27(s,1H),8.24(s,1H),7.61(s,2H),7.56-7.50(m,1H),7.27-7.18(m,2H),6.98-6.90(m,1H),2.93-2.86(m,4H),2.53(d,J=2.0Hz,4H),2.30(s,3H),1.80(s,3H),1.76(s,3H),1.62-1.48(m,8H).LCMS(ESI)(0-60AB):m/z:603.0[M+1]。
实施例30
化合物30A:
60℃下向化合物24A(60.0毫克,191微摩尔,1.00当量)的乙腈(2.00毫升)溶液中加入N-氯丁二酰亚胺(28.0毫克,210微摩尔,1.1当量),升温至80℃搅拌1小时。TLC显示反应完成,将反应液浓缩,用制备薄层层析法纯化得到化合物30A(45毫克,129微摩尔,67.6%收率)。1H NMR(400MHz,CHLOROFORM-d)δ=8.38-8.35(m,1H),8.34-8.32(m,1H),3.54-3.46(m,4H),2.53-2.42(m,4H),2.34(s,3H),1.75-1.64(m,8H)。LC-MS(ESI)(0-60AB):m/z:349.0[M+1]。
化合物30B:
根据化合物2B的方法制备,将化合物2A替换为化合物30A,得到化合物30B(20.0毫克,62.7微摩尔,48.6%收率)。LC-MS(ESI)(5-95CD):m/z:319.2[M+1].
化合物30:
根据化合物2的方法制备,将化合物2B替换为化合物30B得到化合物30(5.70毫克,8.85微摩尔,14.1%收率,98.6%纯度)。1H NMR(400MHz,METHANOL-d4)δ=8.27(s,1H),8.12-8.05(m,1H),7.77(s,2H),7.73(s,1H),7.71-7.65(m,1H),7.50-7.43(m,1H),3.47-3.38(m,2H),3.32-3.28(m,4H),3.28-3.18(m,2H),2.92(s,3H),2.13-2.05(m,2H),1.91(s,5H),1.88(s,3H),1.79-1.65(m,4H).LC-MS(ESI)(0-60AB):m/z:598.0[M+1]。
实施例31
根据化合物26的方法制备,将(2-((2,5-二氯嘧啶-4-基)氨基)苯基)二甲基氧化膦替换为(2-((5-溴-2-氯嘧啶-4-基)氨基)苯基)二甲基氧化膦得到化合物31(1毫克,1.52微摩尔,2.49%收率,99%纯度)为白色固体。1H NMR(400MHz,METHANOL-d4)δ=8.54(s,1H),8.28(m,2H),7.66(m,2H),7.65(s,1H),7.35(m,1H),3.16(m,8H),1.76(s,3H),1.88(s,3H),1.85(s,3H),1.71(m,8H).LC-MS(ESI)(0-60AB):m/z:651.0[M+1]。
实施例32
化合物32A:
根据化合物4A的方法制备,将化合物1B替换为3-苄基-9-(4-硝基-2-(三氟甲基)苯基)-3,9-二氮杂螺[5.5]十一烷得到化合物32A(2.40克,5.54毫摩尔,57.92%收率)。1H NMR(400MHz,CHLOROFORM-d)δ=8.50(d,J=2.7Hz,1H),8.28(dd,J=2.7,9.0Hz,1H),7.36-7.30(m,4H),7.29-7.25(m,1H),7.22(d,J=9.0Hz,1H),7.24-7.19(m,1H),7.24-7.19(m,1H),3.53(s,2H),3.17-3.08(m,4H),2.44(brt,J=5.4Hz,4H),1.69-1.51(m,8H)。
化合物32B:
将化合物32A(2.40克,5.54毫摩尔,1.00当量)加入到二氯甲烷(20毫升)中,加入碘甲烷(1.18克,8.31毫摩尔,517微升,1.50当量)并反应过夜。反应完毕以后加入石油醚(40毫升)稀释并过滤,滤饼收集并干燥得到化合物32B(3.00克,5.21毫摩尔,94.1%收率)。1H NMR(400MHz,DMSO-d6)δ=8.43-8.36(m,2H),7.61-7.50(m,6H),4.64(s,2H),3.54-3.37(m,2H),3.31-3.29(m,1H),3.24(brd,J=12.7Hz,2H),3.14(td,J=5.5,10.7Hz,4H),2.94(s,3H),2.58-2.52(m,2H),2.02-1.89(m,2H),1.88-1.74(m,4H),1.68(brs,2H)。
化合物32C
将化合物32B(3.00克,6.69毫摩尔,1.00当量)溶解到NMP(30毫升)中,再加入湿氢氧化钯(0.5
克,20%含量)和乙酸(1.21克,20.07毫摩尔,1.15毫升,3.00当量)。混合物升温至80度50ps的氢气压力下反应18个小时。反应完毕后冷却至室温,加入氢氧化钠调pH到11,时有固体析出,过滤得固体,收集固体并干燥得到化合物32C(1.5克,粗品)。
化合物32
根据化合物2的方法制备,将化合物2A替换为化合物32B得到化合物32(89.9毫克,144微摩尔,45.4%收率,96.9%纯度)。1H NMR(400MHz,METHANOL-d4)δ=8.23(s,1H),8.12(brs,1H),7.77-7.57(m,4H),7.54-7.39(m,2H),4.96(s,20H),3.40(brd,J=12.5Hz,2H),3.21(brt,J=12.3Hz,2H),3.03-2.93(m,4H),2.90(s,3H),2.10(brd,J=14.7Hz,2H),1.89(s,3H),1.86(s,3H),1.78-1.68(m,2H),1.68-1.61(m,2H).LC-MS(ESI)(5-95AB):m/z:607.1[M+1]。
实施例33
根据化合物2的方法制备,将化合物2B替换为化合物32C到化合物33(85.9毫克,122微摩尔,44.8%收率,97.6%纯度)。1H NMR(400MHz,METHANOL-d4)δ=8.29(s,1H),8.02(brs,1H),7.74-7.66(m,2H),7.63-7.48(m,3H),7.46-7.39(m,1H),4.91(s,21H),3.52-3.44(m,1H),3.44-3.37(m,2H),3.20(brt,J=12.3Hz,2H),2.97-2.91(m,4H),2.90(s,3H),2.09(brd,J=14.4Hz,2H),1.88(s,3H),1.85(s,3H),1.78-1.62(m,4H).LC-MS(ESI)(5-95AB):m/z:651.0[M+1]。
实施例34
化合物34A:
根据化合物1C的方法制备,将化合物1B替换为叔丁基-6-(2-甲基-4-硝基-苯基)-2,6-二氮杂螺[3.3]庚烷-2-羧酸酯,得到化合物34A(1.1克)。1H NMR(400MHz,CDCl3):7.97(dd,J=8.8Hz,J=2.4Hz,1H),7.91(d,J=2.4Hz,1H),6.30(d,J=8.8Hz,1H),4.25(s,4H),4.12(s,4H),2.30(s,3H),1.45(s,9H).LCMS(ESI)(5-95AB):m/z:334.1[M+1].
化合物34B:
根据化合物2B的方法制备,将化合物2A替换为化合物34A,得到化合物34B(1.15g,粗品)。LC-MS(ESI)(5-95AB):m/z:304.1[M+1].
化合物34C:
将化合物34B(1.2克,1当量)和2,5-二氯-N-(2-二甲基磷基苯基)嘧啶-4-胺(1.25克,1当量)的四氢呋喃(5毫升)溶液中氮气保护下加入叔丁醇钠(570毫克,1.5当量)和[(2-二叔丁基膦基-2′,4′,6′-三异丙基-1,1′-联苯基)-2-(2′-氨基-1,1′-联苯基)]钯(II)甲磺酸酯(31.4毫克,0.01当量),然后将反应液升到95℃搅拌12小时。反应液浓缩后经硅胶柱层析纯化(展开剂为二氯甲烷:甲醇=50:1)得到化合物34C(780毫克)。1H NMR(400MHz,CDCl3):10.87(s,1H),8.63(dd,J=8.4Hz,J=4.0Hz,1H),8.05(s,1H),7.46–7.40(m,1H),7.28–7.21(m,2H),7.12–7.08(m,1H),6.86(s,1H),6.45(d,J=8.4Hz,1H),4.10(s,4H),3.97(s,4H),2.19(s,3H),1.85(s,3H),1.81(s,3H),1.45(s,9H).LC-MS(ESI)(5-95AB):m/z:583.1[M+1].
化合物34:
化合物34C(440毫克,1当量)的二氯甲烷(20毫升)溶液中0℃加入三氟甲基磺酸三甲基硅酯(503毫克,3当量),反应液0℃搅拌1小时。TLC检测反应完成,加入水(0.1毫升),减压浓缩反应液,再加入水(5毫升)和饱和碳酸钠溶液(2毫升),有固体析出,过滤,干燥,经高效液相色谱法(中性)制备得到化合物34(16毫克,纯度100%)。1H NMR(400MHz,CD3OD):8.44(dd,J=8.8Hz,J=4.0Hz,1H),8.01(s,1H),7.62–7.57(m,1H),7.52–7.48(m,1H),7.26–7.24(m,1H),7.20–7.16(m,2H),6.48(d,J=8.8Hz,1H),3.95(s,4H),3.92(s,4H),2.14(s,3H),1.86(s,3H),1.83(s,3H).LCMS(ESI)(0-60AB):m/z:483.2[M+1].
实施例35
将化合物34C(60毫克,1当量)的二氯甲烷(3毫升)溶液中加入37%甲醛水溶液(50.4毫克,3当量),25℃搅拌1小时,再加入氰基硼氢化钠(39.0毫克,5当量),25℃搅拌11小时。减压浓缩反应液,经高效液相色谱法(中性)制备得到化合物35(3毫克,纯度84.9%)。1H NMR(400MHz,CD3OD):8.44(dd,J=8.0Hz,J=4.0Hz,1H),8.01(s,1H),7.60–7.57(m,1H),7.52–7.48(m,1H),7.25–7.23(m,1H),7.20–7.16(m,2H),6.48–6.46(m,1H),3.90(s,4H),3.47(s,4H),2.36(s,3H),2.13(s,3H),1.86(s,3H),1.83(s,3H).LC-MS(ESI)(0-60AB):m/z:497.2[M+1].
实施例36
根据化合物35的方法制备,将37%甲醛水溶液替换为40%乙醛水溶液得到化合物36(15.2毫克,纯度100%)。1H NMR(400MHz,CD3OD):8.44(dd,J=8.0Hz,J=4.0Hz,1H),8.01(s,1H),7.62–7.58(m,1H),7.52–7.48(m,1H),7.26–7.23(m,1H),7.20–7.16(m,2H),6.47(d,J=9.6Hz,1H),3.91(s,4H),3.42(s,4H),2.54(q,J=7.2Hz,2H),2.13(s,3H),1.86(s,3H),1.83(s,3H),1.00(t,J=7.2Hz,3H).LC-MS(ESI)(0-60AB):m/z:511.2[M+1].
实施例37
按照化合物36的方法制备,将37%甲醛水溶液替换为丙酮得到化合物37(15.0毫克,纯度100%)。1H NMR(400MHz,CD3OD):8.44(dd,J=8.4Hz,J=4.0Hz,1H),8.01(s,1H),7.62–7.58(m,1H),7.52–7.47(m,1H),7.26–7.23(m,1H),7.20–7.16(m,2H),6.47(d,J=8.4Hz,1H),3.90(s,4H),3.49(s,4H),2.51–2.48(m,1H),2.13(s,3H),1.86(s,3H),1.83(s,3H),1.00(d,J=6.4Hz,6H).LC-MS(ESI)(0-60AB):m/z:525.1[M+1]。
实施例38
化合物38A:
根据化合物4A的方法制备,将化合物1B替换为叔丁基-2,8-二氮杂螺[4.5]癸烷-8-羧酸乙酯得到化合物
38A(370毫克,44.9%收率)。1H NMR 400MHz,CHLOROFORM-d)δ=8.21-8.18(m,1H),8.02-7.97(m,1H),6.69-6.65(m,1H),3.78-3.72(m,2H),3.50(s,2H),3.49-3.37(m,4H),1.92-1.87(m,2H),1.63-1.58(m,4H),1.47(s,9H).LCMS(ESI)(5-95AB):m/z:396.1[M+1].
化合物38B:
根据化合物16B的方法制备,将化合物16A替换为38A得到化合物38B(200毫克,粗品)。1H NMR(400MHz,CHLOROFORM-d)δ=8.23-8.21(m,1H),8.05-8.01(m,1H),6.74-6.68(m,1H),3.82-3.76(m,2H),3.60-3.48(m,2H),3.28-3.07(m,4H),2.03-1.93(m,4H),1.90-1.87(m,2H).LC-MS(ESI)(0-60AB):m/z:296.1[M+1]。
化合物38C:
根据化合物16C的方法制备,将化合物16B替换为化合物38B得到化合物38C(220毫克,710微摩尔,77.8%收率)。1H NMR(400MHz,CHLOROFORM-d)δ=8.11(d,J=2.8Hz,1H),7.95-7.88(m,1H),6.63-6.55(m,1H),3.66(t,J=7.0Hz,2H),3.40(s,2H),2.53-2.28(m,4H),2.26(s,3H),1.83-1.74(m,2H),1.63(brt,J=5.5Hz,4H).LC-MS(ESI)(0-60AB):m/z:310.1[M+1].
化合物38D:
根据化合物1D的方法制备,将化合物1C替换为38C,得到化合物38D(50毫克,粗品)。1H NMR(400MHz,DMSO-d6)δ=6.86(brd,J=8.8Hz,1H),6.62(d,J=2.3Hz,1H),6.47(brd,J=7.8Hz,1H),5.00(brs,2H),3.20-3.06(m,2H),3.06-2.83(m,4H),2.74(brd,J=10.5Hz,3H),2.53(d,J=2.0Hz,2H),1.91-1.62(m,6H).LC-MS(ESI)(5-95CD):m/z:280.3[M+1].
化合物38:
根据化合物1的方法制备,将化合物1D替换为化合物38D得到化合物38(45.2毫克,75.7微摩尔,42.4%收率)的盐酸盐。1H NMR(400MHz,DMSO-d6)δ=11.77(brd,J=9.5Hz,1H),10.61(brs,1H),10.21(brs,1H),8.43(brs,1H),8.34(s,1H),7.71-7.61(m,2H),7.53(brt,J=7.7Hz,1H),7.37-7.23(m,2H),7.03(dd,J=8.7,14.7Hz,1H),3.46-3.37(m,2H),3.33(brd,J=11.5Hz,2H),3.29(s,1H),3.14(s,1H),3.11-2.93(m,2H),2.72(dd,J=4.8,11.0Hz,3H),2.53(d,J=1.8Hz,2H),2.00-1.84(m,4H),1.82(s,3H),1.79(s,3H).LC-MS(ESI)(0-60AB):m/z:559.1[M+1].
实施例39
化合物39A:
将物质1-氯-2,3-二氟-苯(1.00克,6.73毫摩尔,1.00当量)溶解于浓硫酸(3.30克,33.7毫摩尔,1.79毫升,5.00当量)中,将混合液冷却到0℃,之后逐滴添加硝酸(652毫克,6.73毫摩尔,65%纯度,1.00当量),将混合液在0℃反应2h。将混合液倒入冰水(70毫升)中,用乙酸乙酯(40毫升)萃取两次。将合并后的有机相分别使用饱和碳酸氢钠水溶液(30毫升)洗涤两次,饱和食盐水(30毫升)洗涤两次,然后用无水干燥,并在真空中浓缩。将获得的残留物纯化使用柱层析色谱(石油醚)分离得到化合物39A(550毫克,2.84毫摩尔,42.2%收率)。1H NMR(400MHz,CHLOROFORM-d)δ=7.89-7.80(m,1H),7.34-7.26(m,1H)。
化合物39B:
根据化合物4A的方法制备,将3-溴-4-氟硝基苯替换为化合物39A,得到化合物39B(350毫克,732umol,47.3%收率,71.5%纯度)。1H NMR(300MHz,CHLOROFORM-d)δ=8.00(s,1H),7.82(dd,J=1.9,9.2Hz,1H),3.28-3.21(m,4H),2.41-2.34(m,4H),2.28(s,3H),1.61(td,J=5.6,13.8Hz,8H)。
化合物39C:
根据化合物2B的方法制备,将化合物1B替换为化合物39B,得到标题化合物39C(210毫克,673umol,91.9%收率)。1H NMR(400MHz,CHLOROFORM-d)δ=6.78(t,J=8.8Hz,1H),6.49(dd,J=1.9,8.7Hz,1H),2.97-2.81(m,4H),2.46(brs,4H),2.34(s,3H),1.69-1.59(m,8H)。
化合物39
根据化合物2的方法制备,将化合物2B替换为化合物39D得到化合物39(41.1毫克,64.7umol,20.1%收率,98.9%纯度)。1H NMR(400MHz,METHANOL-d4)δ=8.21(s,1H),8.08(brdd,J=3.8,7.9Hz,1H),7.65(dd,J=7.4,13.8Hz,1H),7.53-7.46(m,1H),7.45-7.33(m,3H),3.39(brd,J=5.3Hz,4H),3.27(t,J=1.6Hz,2H),3.19(brt,J=12.5Hz,2H),2.87(s,3H),2.15-2.00(m,4H),1.86(s,3H),1.82(s,3H),1.82-1.66(m,4H)。
实施例40
化合物40A:
根据化合物4A的方法制备,将3-溴-4-氟硝基苯替换为2-氯-1-氟-4-硝基苯,得到化合物40A(660毫克,粗品)。1H NMR(400MHz,CHLOROFORM-d)8.14(d,J=2.5Hz,1H),8.01(dd,J=2.5,9.2Hz,1H),6.35(d,J=9.2Hz,1H),4.06(s,4H),1.86-1.78(m,4H),1.61(s,4H),1.52-1.44(m,9H).LC-MS(ESI)(5-95CD):m/z:326.0[M-55]。
化合物40B:
根据化合物16B的方法制备,将化合物16A替换为化合物40A得到化合物40B(1.3克,粗品)。1H NMR(400MHz,CHLOROFORM-d)δ=8.44(brs,1H),8.16(d,J=2.5Hz,1H),8.04(dd,J=2.6,9.1Hz,1H),6.40(d,J=9.2Hz,1H),4.14(s,4H),3.31(brs,4H),2.81(s,3H),2.24-2.16(m,4H).LCMS(ESI)(5-95CD):m/z:282.0[M+1].
化合物40C:
根据化合物16C的方法制备,将化合物16B替换为化合物40B,得到化合物化合物40C(620毫克,2.10毫摩尔,45.5%收率)。1H NMR(400MHz,DMSO-d6)δ=8.61(brs,1H),8.12(s,1H),6.38(d,J=9.2Hz,1H),3.55(s,4H),2.17-2.13(m,4H),1.80(s,3H),1.78-1.76(m,4H).LCMS(ESI)(5-95CD):m/z:296.0[M+1].
化合物40D:
根据化合物2B的方法制备,将化合物2A替换为化合物40C,得到化合物40D(480毫克,粗品)。1H NMR(400MHz,DMSO-d6)δ=11.12(s,1H),9.09(s,1H),8.61(brs,1H),8.24(s,1H),8.12(s,1H),7.58(dd,J=7.2,13.8Hz,1H),7.46(brt,J=7.8Hz,1H),7.28-7.21(m,2H),7.16(brt,J=7.4Hz,1H),6.38(d,J=8.9Hz,1H),3.57(s,8H),2.31(s,3H),2.10(s,3H),1.78(brd,J=13.4Hz,10H).LCMS(ESI)(5-95CD):m/z:266.0[M+1].
化合物40:
根据化合物2的方法制备,将化合物2B替换为化合物40D得到化合物40(41毫克,74.7微摩尔,19.8%收率,99.4%纯度)。1H NMR(400MHz,DMSO-d6)δ=11.16(s,1H),9.28(s,1H),8.57(brs,1H),8.22(s,2H),8.17(s,1H),7.67-7.49(m,3H),7.35(dd,J=2.2,8.6Hz,1H),7.18(t,J=7.4Hz,1H),6.55(d,J=8.9Hz,1H),3.67(s,4H),2.43-2.29(m,4H),2.20(s,3H),1.82-1.74(m,10H).LCMS(ESI)(5-95CD):m/z:545.1[M+1].
实施例41
根据化合物15的方法制备,将(2-((2,5-二氯-嘧啶-4-基)氨基)苯基)二甲基氧化膦替换为(2-((5-溴-2-氯嘧啶-4-基)氨基)苯基)二甲基氧化膦得到化合物41(35.8毫克,52.4微摩尔,29.3%收率,93.8%纯度)为黄色固体的盐酸盐。1H NMR(400MHz,DMSO-d6)δ=11.53-11.37(m,1H),10.65-10.48(m,1H),10.29-10.11(m,1H),8.39(s,1H),8.36-8.24(m,1H),7.70-7.60(m,2H),7.58-7.49(m,1H),7.36-7.24(m,2H),7.06-6.95(m,1H),3.44-3.36(m,2H),3.36-3.29(m,2H),3.28(s,1H),3.13(s,1H),3.11-2.93(m,2H),2.73(dd,J=4.8,11.0Hz,3H),2.53(d,J=1.8Hz,2H),1.98-1.84(m,4H),1.81(s,3H),1.77(s,3H).LC-MS(ESI)(0-60AB):m/z:604.9[M+1].
试验例1:细胞抗增殖实验
实验材料:
RPMI1640,DMEM,胎牛血清,L-谷氨酰胺,IL3,均购自Life Technology(USA)。
双抗(青霉素/链霉素溶液)和杀稻瘟菌素购自Merck(Germany)
Cell Titer-Glo luminescent cell viability reagents购自Promega(USA)。
Ba/F3,A431 cell line和NCI-H1975 cell line均购自European Collection of Cell Cultures(ECACC)。
Ba/F3 EGFRΔ19del/T790M/C797S和Ba/F3 EGFRΔ19del/T790M细胞由WuXi自己构建。
A431培养基:88%DMEM+10%胎牛血清+1%L-谷氨酰胺+1%双抗
H1975培养基:88%DMEM+10%胎牛血清+1%L-谷氨酰胺+1%双抗
Ba/F3培养基:87.9%DMEM+10%胎牛血清+1%L-谷氨酰胺+1%双抗+0.1%IL3
Ba/F3Δ19del/T790M&Δ19del/T790M/C797S培养基:87.9%DMEM+10%胎牛血清+1%L-谷氨酰胺+1%双抗+0.1%杀稻瘟菌素
读板仪器:Envision(PerkinElmer)。
实验方法:
对于Ba/F3,Ba/F3Δ19del/T790M和Ba/F3Δ19del/T790M/C797S三种悬浮细胞
使用Echo将待测化合物做3倍梯度稀释,获得浓度从10uM到0.508nM 10个剂量浓度,将化合物转移到384孔板中,每孔125nL化合物。调整细胞密度,每孔种2000个Ba/F3,Ba/F3Δ19del/T790M或者Ba/F3Δ19del/T790M/C797S细胞,50ul体积。在CO2培养箱中37℃培养箱中培养3天。3天后,加入25ul检测试剂。室温孵育10分钟,Envision读板。
A431和NCI-H1975两种贴壁细胞:
384孔板,每孔种2500个A431 cells和1000个NCI-H1975 cells细胞,50ul体积。在CO2培养箱中37℃过夜培养。使用Echo进行化合物梯度稀释和转移,将待测化合物做3倍梯度稀释,获得浓度从10uM到0.508nM 10个剂量浓度,每孔加入125nL化合物。细胞继续在CO2培养箱中培养3天。3天后,加入25ul检测试剂。室温孵育10分钟,Envision读板。
数据分析:
通过下列公式将读数转化成抑制率(%)(Max-Sample)/(Max-Min)*100%。4参数曲线拟合(Model 205in Activity Base,IDBS)测得IC50数据。
试验结果:
本发明化合物的EGFR Ba/F3(Δ19del/T790M)的细胞活性抑制IC50,H1975(T790M/L858R)细胞活性抑制IC50,EGFR Ba/F3(Δ19del/T 790M/C797S)细胞活性抑制IC50,Ba/F3 parent细胞活性抑制IC50,A431(EGFR WT)细胞活性抑制IC50数据在一下表1中展示。IC50在1-100nm之间的化合物用+++来标识,IC50在101-1000nm之间的化合物用++来标识,IC50大于1000nm之间的化合物用+来标识。
结论:
从表1种我们可以看出,本发明大部分化合物在对EGFR Ba/F3(Δ19del/T 790M/C797S)三突变的细胞有着很不错的抑制效果,抗增殖活性都在100nm以下。EGFR Ba/F3(Δ19del/T790M)为EGFR双突变的细胞模型,是第三代EGFR TKIs的主要作用对象,主要是针对为ATP受体部分发生的T790M的二次突变而发生耐性作用的,通过测试,从表1中我们发现本发明的大部分化合物对EGFR Ba/F3(Δ19del/T790M)的双突变有着较好的细胞抗增殖作用,说明本发明化合物对EGFR Ba/F3三突变和双突变有着双重抑制作用。Ba/F3 parent和A431(EGFR WT)的细胞抗增殖活性测试是针对正常细胞的一个测试,主要是化合物的确定化合物对正常细胞的选择性效果,当对Ba/F3 parent和A431(EGFR WT)的细胞抑制作用较好时,化合物可能对正常细胞有着较大的毒性作用而影响化合物的选择性。从表1中可以看出,本发明化合物在三突变和双突变中有着非常好的抑制作用的时候对正常细胞也有一定的抑制作用,说明本发明化合物在细胞
的选择性上有一定的提升。
试验例2:细胞EGFR磷酸化抑制实验
实验材料:
RPMI1640,DMEM,胎牛血清,L-谷氨酰胺,EGF均购自Life Technology(USA)。
双抗(青霉素/链霉素溶液)和杀稻瘟菌素购自Merck
BSA溶液购自SIGMA
Phospho-EGFR(Tyr1068)Cellular Assay Kit购自Cis-Bio International。
Ba/F3 EGFRΔ19del/T790M/C797S细胞由WuXi自己构建。
Ba/F3Δ19del/T790M/C797S培养基:87.9%DMEM+10%胎牛血清+1%L-谷氨酰胺+1%双抗+0.1%杀稻瘟菌素
读板仪器:Envision(PerkinElmer)。
实验方法:
将受试化合物及参考化合物用100%DMSO分别稀释至10mM或者1mM,然后按照设计用Echo做梯度稀释,每孔150nL,三倍稀释,十点剂量的反应曲线,化合物终浓度为100uM或者10uM。将悬浮细胞1000rp离心5分钟,Hanks平衡盐溶液悬浮,按照10uL/120K/孔(细胞密度为1.2e7)加入含有化合物的384孔板中,1200rpm离心30s,37℃孵育30分钟。每孔加入5ul用0.1%BSA Hanks平衡盐溶液稀释好的EGF,EGF终浓度为1uM。1200rpm离心30s,37℃孵育20分钟。每孔加入5uL 4X的含有封闭液的裂解缓冲液,1200rpm离心30s,37℃孵育30分钟。每孔加入5ul 0.25X Eu和D2的混合液,1200rpm离心30s,避光膜封板子,室温(22-26℃孵育4h-24h,酶标仪读取信号665nm/620nm荧光信号。
实验结果:本发明化合物的pEGFR Ba/F3(Δ19del/T 790M/C797S)细胞活性抑制IC50数据在一下表1中展示。IC50在1-100nm之间的化合物用+++来标识,IC50在101-1000nm之间的化合物用++来标识,IC50大于1000nm之间的化合物用+来标识。
结论:
由于EGFR的自磷酸化即二聚化后可以激活它位于细胞内的激酶通路,而许多肿瘤在EGFR中存在高表达或异常表达,其在恶性肿瘤的演进中起着非常重要的作用。pEGFR Ba/F3(Δ19del/T 790M/C797S)细胞活性抑制能最直观的表现化合物对Ba/F3(Δ19del/T 790M/C797S)三突变细胞模型的磷酸化抑制作用,从而针对性的对化合物进行体外筛选。从表1中可以看出,本专利化合物都对Ba/F3(Δ19del/T 790M/C797S)细胞的磷酸化活性有着非常好的抑制作用。
表1
试验例3:体内药效研究
实验方法:
在皮下植入Ba/F3(exon19del/T790m/C797S)来源的异种移植(CDX)BALB/c裸小鼠上进行体内药效实验。BALB/c裸鼠,雌性,6-8周,体重约18-22克,将小鼠饲养在SPF级的环境中,每个笼位单独送排风(5只小鼠每笼)。所有的笼子,铺垫和水在使用前进行消毒。所有的动物都可以自由获取标准认证的商业实验室饮食。共有54只购于北京维通利华的小鼠用于研究。每只小鼠在右胁腹皮下植入细胞(5×10*5+Matrigel胶),用于肿瘤的生长。当平均肿瘤体积达到约80-120立方毫米时开始实验。将试验化合物每日口服给药(每种化合物均按35毫克/公斤给药,连续给药14天,数据列于表2)。肿瘤体积一周两次用二维卡尺测量,体积以立方毫米计量,通过以下公式计算:V=V=0.5axb2,其中a和b分别是肿瘤的长径和短径。抗肿瘤药效是通过用化合物处理过的动物的平均肿瘤增加体积除以未处理过动物的平均肿瘤增加体积来确定。
实验结果:见表2。
结论:
本发明的化合物在在皮下植入Ba/F3(exon19del/T790m/C797S)来源的异种移植(CDX)BALB/c裸小鼠耐药模型上显示了较强的抗肿瘤活性。
表2
Claims (24)
- 式(I)所示化合物或其药学上可接受的盐,其中,R1选自H和甲基;R2选自卤素、CN、C1-5烷基、C1-5杂烷基、C1-5烯基、C1-5杂烯基、C1-5炔基、C1-5杂炔基、C3~6环烷基、3~6元杂环烷基、苯基和5~6元杂芳基,所述C1-5烷基、C1-5杂烷基、C1-5烯基、C1-5杂烯基、C1-5炔基、C1-5杂炔基、C3~6环烷基、3~6元杂环烷基、苯基和5~6元杂芳基任选被1、2或3个R取代;或者,R1与R2连接形成一个5~6元环,所述5~6元环任选被1、2或3个R取代;R3和R4分别独立地选自H和卤素;R5选自H、卤素、CN、C1-3烷基、C1-3杂烷基、C1-3烯基、C1-3杂烯基、C3~6环烷基、3~6元杂环烷基、苯基和5~6元杂芳基,所述C1-3烷基、C1-3杂烷基、C1-3烯基、C1-3杂烯基、C3~6环烷基、3~6元杂环烷基、苯基和5~6元杂芳基任选被1、2或3个R取代;R6选自H、C1-3烷基和C1-3杂烷基,所述C1-3烷基和C1-3杂烷基任选被1、2或3个R取代;m、n、m’、n’分别独立地选自1和2;R7和R8分别独立地选自H、CN、卤素、C1-3烷基、C1-3杂烷基、环丙基、苯基和5~6元杂芳基,所述C1-3烷基、C1-3杂烷基、环丙基、苯基和5~6元杂芳基任选被1、2或3个R取代;M选自C1-3烷基;或者,M与M连接形成一个4~8元环,所述4~8元环任选被1、2或3个R取代;R选自卤素、OH、CN、NH2、C1-3烷基和C1-3杂烷基,所述C1-3烷基和C1-3杂烷基任选被1、2或3个R’取代;R’选自F、Cl、Br、I、CN、OH、NH2、CH3、CH3CH2、CF3、CHF2和CH2F;“C1-5杂烷基”、“C1-5杂烯基”、“C1-5杂炔基”、“3~6元杂环烷基”、“5~6元杂芳基”、“C1-3杂烷基”、“C1-3杂烯基”所述之“杂”表示杂原子或杂原子团,分别独立地选自-O-、-S-、=O、=S、-O-N=、-C(=O)O-、-C(=O)-、-C(=S)-、-S(=O)-、-S(=O)2-、-C(=O)NH-、-NH-、-C(=NH)-、-S(=O)2NH-、-S(=O)NH-和-NHC(=O)NH-;以上任何一种情况下,杂原子或杂原子团的数目分别独立地选自1、2或3。
- 根据权利要求1所述的化合物或其药学上可接受的盐,其中,R选自F、Cl、Br、I、OH、CN、NH2、 CH3、CH3CH2、CF3、CHF2、CH2F、NH2CH2、(NH2)2CH、CH3O、CH3CH2O、CH3OCH2、CH3NH和(CH3)2N。
- 根据权利要求1或2所述的化合物或其药学上可接受的盐,其中,R1选自H和甲基。
- 根据权利要求1或2所述的化合物或其药学上可接受的盐,其中,R2选自卤素、CN、C1-3烷基、C1-3杂烷基、C1-3烯基、C1-3炔基、C3~6环烷基和苯基,所述C1-3烷基、C1-3杂烷基、C1-3烯基、C1-3炔基、C3~6环烷基和苯基任选被1、2或3个R取代的。
- 根据权利要求1或2所述的化合物或其药学上可接受的盐,其中,R3和R4分别独立地选自H和Cl。
- 根据权利要求1或2所述的化合物或其药学上可接受的盐,其中,R5选自H、卤素、CN、C1-3烷基、C1-3烯基和5~6元杂芳基,所述C1-3烷基、C1-3烯基和5~6元杂芳基任选被1、2或3个R取代。
- 根据权利要求1或2所述的化合物或其药学上可接受的盐,其中,R6选自H和C1-3烷基,所述C1-3烷基任选被1、2或3个R取代。
- 根据权利要求1或2所述的化合物或其药学上可接受的盐,其中,R7和R8分别独立地选自H、CN、卤素、CH3、CH3CH2、CH3O、异丙基、环丙基、苯基和吡咯基,所述CH3、CH3CH2、CH3O、异丙基、环丙基、苯基和吡咯基任选被1、2或3个R取代。
- 根据权利要求1或2所述的化合物或其药学上可接受的盐,其中,M均为CH3或者均为CH3CH2。
- 一种药物组合物,其含有治疗有效量的根据权利要求1~22任意一项所述的化合物或其药学上可接受的盐和药学上可接受的载体。
- 根据权利要求1~22任意一项所述的化合物或其药学上可接受的盐或根据权利要求23所述的药物组合 物在制备治疗癌症药物中的应用。
Applications Claiming Priority (2)
| Application Number | Priority Date | Filing Date | Title |
|---|---|---|---|
| CN201611142656 | 2016-12-13 | ||
| CN201611142656.2 | 2016-12-13 |
Publications (1)
| Publication Number | Publication Date |
|---|---|
| WO2018108064A1 true WO2018108064A1 (zh) | 2018-06-21 |
Family
ID=62557908
Family Applications (1)
| Application Number | Title | Priority Date | Filing Date |
|---|---|---|---|
| PCT/CN2017/115577 Ceased WO2018108064A1 (zh) | 2016-12-13 | 2017-12-12 | 作为第四代egfr激酶抑制剂的螺环芳基磷氧化合物 |
Country Status (1)
| Country | Link |
|---|---|
| WO (1) | WO2018108064A1 (zh) |
Cited By (22)
| Publication number | Priority date | Publication date | Assignee | Title |
|---|---|---|---|---|
| CN110305161A (zh) * | 2018-03-20 | 2019-10-08 | 暨南大学 | 2-氨基嘧啶类化合物及其应用 |
| WO2020147838A1 (zh) * | 2019-01-18 | 2020-07-23 | 正大天晴药业集团股份有限公司 | 一种egfr抑制剂的盐、晶型及其制备方法 |
| WO2020147702A1 (en) * | 2019-01-17 | 2020-07-23 | Betta Pharmaceuticals Co., Ltd | Egfr inhibitors, compositions and methods thereof |
| WO2020188015A1 (en) | 2019-03-21 | 2020-09-24 | Onxeo | A dbait molecule in combination with kinase inhibitor for the treatment of cancer |
| WO2020245208A1 (en) | 2019-06-04 | 2020-12-10 | INSERM (Institut National de la Santé et de la Recherche Médicale) | Use of cd9 as a biomarker and as a biotarget in glomerulonephritis or glomerulosclerosis |
| WO2021018003A1 (zh) * | 2019-07-26 | 2021-02-04 | 贝达药业股份有限公司 | Egfr抑制剂、组合物及其制备方法 |
| WO2021018009A1 (zh) * | 2019-07-26 | 2021-02-04 | 贝达药业股份有限公司 | Egfr抑制剂、组合物及其制备方法 |
| CN112538072A (zh) * | 2019-09-21 | 2021-03-23 | 齐鲁制药有限公司 | 新型氨基嘧啶类egfr抑制剂 |
| WO2021057882A1 (zh) * | 2019-09-26 | 2021-04-01 | 贝达药业股份有限公司 | Egfr抑制剂、组合物及其制备方法 |
| WO2021073498A1 (zh) * | 2019-10-17 | 2021-04-22 | 贝达药业股份有限公司 | Egfr抑制剂、组合物及其制备方法 |
| WO2021089791A1 (en) | 2019-11-08 | 2021-05-14 | INSERM (Institut National de la Santé et de la Recherche Médicale) | Methods for the treatment of cancers that have acquired resistance to kinase inhibitors |
| CN112824420A (zh) * | 2019-11-21 | 2021-05-21 | 浙江同源康医药股份有限公司 | 用作egfr激酶抑制剂的化合物及其应用 |
| WO2021148581A1 (en) | 2020-01-22 | 2021-07-29 | Onxeo | Novel dbait molecule and its use |
| WO2021160087A1 (zh) | 2020-02-14 | 2021-08-19 | 贝达药业股份有限公司 | 喹啉基膦氧化合物及其组合物和用途 |
| CN113717156A (zh) * | 2020-05-25 | 2021-11-30 | 南京红云生物科技有限公司 | Egfr抑制剂、其制备方法及用途 |
| CN115515949A (zh) * | 2020-03-23 | 2022-12-23 | 齐鲁制药有限公司 | 新型氨基嘧啶类egfr抑制剂 |
| CN115667226A (zh) * | 2020-04-14 | 2023-01-31 | 齐鲁制药有限公司 | 作为egfr抑制剂的三环化合物 |
| CN115697996A (zh) * | 2020-06-08 | 2023-02-03 | 南京红云生物科技有限公司 | 烯基嘧啶类化合物、其制备方法与应用 |
| WO2023138576A1 (zh) * | 2022-01-18 | 2023-07-27 | 齐鲁制药有限公司 | 螺环芳基磷氧化物与抗egfr抗体的药物组合 |
| WO2023138574A1 (zh) * | 2022-01-18 | 2023-07-27 | 齐鲁制药有限公司 | 螺环芳基磷氧化物与抗vegf抗体的药物组合 |
| CN118852176A (zh) * | 2023-04-26 | 2024-10-29 | 中国药科大学 | 螺环类化合物及其药物组合物和应用 |
| TWI914360B (zh) | 2020-06-08 | 2026-02-11 | 大陸商泰州紅云製藥有限公司 | 烯基嘧啶類化合物、其製備方法與應用 |
Citations (3)
| Publication number | Priority date | Publication date | Assignee | Title |
|---|---|---|---|---|
| CN102105150A (zh) * | 2008-05-21 | 2011-06-22 | 阿里亚德医药股份有限公司 | 用作激酶抑制剂的磷衍生物 |
| CN103501612A (zh) * | 2011-05-04 | 2014-01-08 | 阿里亚德医药股份有限公司 | 抑制表皮生长因子受体导致的癌症中细胞增殖的化合物 |
| CN104130265A (zh) * | 2014-04-29 | 2014-11-05 | 苏州景泓生物技术有限公司 | 一种含有螺环或桥环的嘧啶类化合物 |
-
2017
- 2017-12-12 WO PCT/CN2017/115577 patent/WO2018108064A1/zh not_active Ceased
Patent Citations (3)
| Publication number | Priority date | Publication date | Assignee | Title |
|---|---|---|---|---|
| CN102105150A (zh) * | 2008-05-21 | 2011-06-22 | 阿里亚德医药股份有限公司 | 用作激酶抑制剂的磷衍生物 |
| CN103501612A (zh) * | 2011-05-04 | 2014-01-08 | 阿里亚德医药股份有限公司 | 抑制表皮生长因子受体导致的癌症中细胞增殖的化合物 |
| CN104130265A (zh) * | 2014-04-29 | 2014-11-05 | 苏州景泓生物技术有限公司 | 一种含有螺环或桥环的嘧啶类化合物 |
Cited By (39)
| Publication number | Priority date | Publication date | Assignee | Title |
|---|---|---|---|---|
| CN110305161A (zh) * | 2018-03-20 | 2019-10-08 | 暨南大学 | 2-氨基嘧啶类化合物及其应用 |
| WO2020147702A1 (en) * | 2019-01-17 | 2020-07-23 | Betta Pharmaceuticals Co., Ltd | Egfr inhibitors, compositions and methods thereof |
| WO2020147838A1 (zh) * | 2019-01-18 | 2020-07-23 | 正大天晴药业集团股份有限公司 | 一种egfr抑制剂的盐、晶型及其制备方法 |
| JP2022517396A (ja) * | 2019-01-18 | 2022-03-08 | チア タイ ティエンチン ファーマシューティカル グループ カンパニー リミテッド | Egfr阻害剤の塩、結晶形及びその製造方法 |
| WO2020188015A1 (en) | 2019-03-21 | 2020-09-24 | Onxeo | A dbait molecule in combination with kinase inhibitor for the treatment of cancer |
| WO2020245208A1 (en) | 2019-06-04 | 2020-12-10 | INSERM (Institut National de la Santé et de la Recherche Médicale) | Use of cd9 as a biomarker and as a biotarget in glomerulonephritis or glomerulosclerosis |
| CN114430740B (zh) * | 2019-07-26 | 2023-12-29 | 贝达药业股份有限公司 | Egfr抑制剂、组合物及其制备方法 |
| WO2021018009A1 (zh) * | 2019-07-26 | 2021-02-04 | 贝达药业股份有限公司 | Egfr抑制剂、组合物及其制备方法 |
| CN114430739A (zh) * | 2019-07-26 | 2022-05-03 | 贝达药业股份有限公司 | Egfr抑制剂、组合物及其制备方法 |
| CN114430740A (zh) * | 2019-07-26 | 2022-05-03 | 贝达药业股份有限公司 | Egfr抑制剂、组合物及其制备方法 |
| WO2021018003A1 (zh) * | 2019-07-26 | 2021-02-04 | 贝达药业股份有限公司 | Egfr抑制剂、组合物及其制备方法 |
| CN112538072A (zh) * | 2019-09-21 | 2021-03-23 | 齐鲁制药有限公司 | 新型氨基嘧啶类egfr抑制剂 |
| CN112538072B (zh) * | 2019-09-21 | 2024-02-06 | 齐鲁制药有限公司 | 氨基嘧啶类egfr抑制剂 |
| WO2021057882A1 (zh) * | 2019-09-26 | 2021-04-01 | 贝达药业股份有限公司 | Egfr抑制剂、组合物及其制备方法 |
| CN114502564A (zh) * | 2019-09-26 | 2022-05-13 | 贝达药业股份有限公司 | Egfr抑制剂、组合物及其制备方法 |
| WO2021073498A1 (zh) * | 2019-10-17 | 2021-04-22 | 贝达药业股份有限公司 | Egfr抑制剂、组合物及其制备方法 |
| CN114430741A (zh) * | 2019-10-17 | 2022-05-03 | 贝达药业股份有限公司 | Egfr抑制剂、组合物及其制备方法 |
| WO2021089791A1 (en) | 2019-11-08 | 2021-05-14 | INSERM (Institut National de la Santé et de la Recherche Médicale) | Methods for the treatment of cancers that have acquired resistance to kinase inhibitors |
| CN112824420B (zh) * | 2019-11-21 | 2022-04-26 | 浙江同源康医药股份有限公司 | 用作egfr激酶抑制剂的化合物及其应用 |
| CN112824420A (zh) * | 2019-11-21 | 2021-05-21 | 浙江同源康医药股份有限公司 | 用作egfr激酶抑制剂的化合物及其应用 |
| WO2021098883A1 (zh) * | 2019-11-21 | 2021-05-27 | 浙江同源康医药股份有限公司 | 用作egfr激酶抑制剂的化合物及其应用 |
| WO2021148581A1 (en) | 2020-01-22 | 2021-07-29 | Onxeo | Novel dbait molecule and its use |
| JP2023513333A (ja) * | 2020-02-14 | 2023-03-30 | 貝達薬業股▲ふん▼有限公司 | キノリニル基ホスフィンオキシド化合物、並びにその組成物及び使用 |
| CN114885607B (zh) * | 2020-02-14 | 2024-05-14 | 贝达药业股份有限公司 | 喹啉基膦氧化合物及其组合物和用途 |
| WO2021160087A1 (zh) | 2020-02-14 | 2021-08-19 | 贝达药业股份有限公司 | 喹啉基膦氧化合物及其组合物和用途 |
| CN114885607A (zh) * | 2020-02-14 | 2022-08-09 | 贝达药业股份有限公司 | 喹啉基膦氧化合物及其组合物和用途 |
| CN115515949A (zh) * | 2020-03-23 | 2022-12-23 | 齐鲁制药有限公司 | 新型氨基嘧啶类egfr抑制剂 |
| EP4129996A4 (en) * | 2020-03-23 | 2023-07-12 | Qilu Pharmaceutical Co., Ltd. | Novel aminopyrimidine egfr inhibitor |
| CN115667226A (zh) * | 2020-04-14 | 2023-01-31 | 齐鲁制药有限公司 | 作为egfr抑制剂的三环化合物 |
| CN113717156B (zh) * | 2020-05-25 | 2023-05-09 | 南京红云生物科技有限公司 | Egfr抑制剂、其制备方法及用途 |
| WO2021238827A1 (zh) * | 2020-05-25 | 2021-12-02 | 南京红云生物科技有限公司 | Egfr抑制剂、其制备方法及用途 |
| CN113717156A (zh) * | 2020-05-25 | 2021-11-30 | 南京红云生物科技有限公司 | Egfr抑制剂、其制备方法及用途 |
| CN115697996A (zh) * | 2020-06-08 | 2023-02-03 | 南京红云生物科技有限公司 | 烯基嘧啶类化合物、其制备方法与应用 |
| JP2023528170A (ja) * | 2020-06-08 | 2023-07-04 | 南京紅云生物科技有限公司 | アルケニルピリミジン系化合物、その調製方法及び使用 |
| CN115697996B (zh) * | 2020-06-08 | 2025-09-02 | 泰州红云制药有限公司 | 烯基嘧啶类化合物、其制备方法与应用 |
| TWI914360B (zh) | 2020-06-08 | 2026-02-11 | 大陸商泰州紅云製藥有限公司 | 烯基嘧啶類化合物、其製備方法與應用 |
| WO2023138576A1 (zh) * | 2022-01-18 | 2023-07-27 | 齐鲁制药有限公司 | 螺环芳基磷氧化物与抗egfr抗体的药物组合 |
| WO2023138574A1 (zh) * | 2022-01-18 | 2023-07-27 | 齐鲁制药有限公司 | 螺环芳基磷氧化物与抗vegf抗体的药物组合 |
| CN118852176A (zh) * | 2023-04-26 | 2024-10-29 | 中国药科大学 | 螺环类化合物及其药物组合物和应用 |
Similar Documents
| Publication | Publication Date | Title |
|---|---|---|
| WO2018108064A1 (zh) | 作为第四代egfr激酶抑制剂的螺环芳基磷氧化合物 | |
| AU2018304757B2 (en) | Aryl-phosphorus-oxygen compound as EGFR kinase inhibitor | |
| EP3719012B1 (en) | N-[4-[(2-amino-4-pyridinyl)oxy]-3-fluorophenyl]-3-(4-fluorophenyl)-1,2,3,4-tetrahydro-2,4-dioxo-5-pyrimidinecarboxamide derivatives as c-met/axl inhibitors for the treatment of tumors | |
| US10093656B2 (en) | Fused-ring or tricyclic aryl pyrimidine compound used as kinase inhibitor | |
| CA3182507A1 (en) | Inhibitors of kras g12c protein and uses thereof | |
| JP6600365B2 (ja) | Jak阻害剤 | |
| TW201706277A (zh) | Janus激酶抑制劑 | |
| WO2019085933A1 (zh) | 作为Wee1抑制剂的大环类化合物及其应用 | |
| AU2017284124B2 (en) | Benzotriazole-derived α and β unsaturated amide compound used as TGF-βR1 inhibitor | |
| WO2009062059A2 (en) | Isomeric purinones and 1h-imidazopyridinones as pkc-theta inhibitors | |
| AU2016284398B2 (en) | 1,4-disubstituted imidazole derivative | |
| JP7237010B2 (ja) | Hdac6選択的阻害剤およびその製造方法と使用 | |
| EP3686199B1 (en) | Fused ring derivative as a2a receptor inhibitor | |
| KR102547709B1 (ko) | 아제티딘 유도체 | |
| WO2019134662A1 (zh) | 作为csf-1r抑制剂的杂环化合物及其应用 | |
| JP2018513199A (ja) | イミダゾール系化合物 | |
| WO2018090973A1 (zh) | Fgfr4抑制剂及其制备方法和应用 | |
| RU2772274C2 (ru) | Селективные ингибиторы hdac6, способ их получения и их применение | |
| CN121021477A (zh) | 吡嗪甲酰胺类化合物及其药物组合物和应用 | |
| HK40000494B (zh) | 作为TGF-βR1抑制剂的苯并三氮唑衍生的α,β不饱和酰胺类化合物 | |
| HK40000494A (zh) | 作为TGF-βR1抑制剂的苯并三氮唑衍生的α,β不饱和酰胺类化合物 | |
| HK40038950A (zh) | 用於肿瘤治疗的作为c-met/axl抑制剂的n-[4-[(2-氨基-4-吡啶基)氧基]-3-氟苯基]-3-(4-氟苯基)-1,2,3,4-四氢-2,4-二氧代-5-嘧啶羧酰胺衍生物 | |
| HK40038950B (zh) | 用於肿瘤治疗的作为c-met/axl抑制剂的n-[4-[(2-氨基-4-吡啶基)氧基]-3-氟苯基]-3-(4-氟苯基)-1,2,3,4-四氢-2,4-二氧代-5-嘧啶羧酰胺衍生物 |
Legal Events
| Date | Code | Title | Description |
|---|---|---|---|
| 121 | Ep: the epo has been informed by wipo that ep was designated in this application |
Ref document number: 17880129 Country of ref document: EP Kind code of ref document: A1 |
|
| NENP | Non-entry into the national phase |
Ref country code: DE |
|
| 122 | Ep: pct application non-entry in european phase |
Ref document number: 17880129 Country of ref document: EP Kind code of ref document: A1 |







































































































































































