WO2018106646A1 - Aminotriazoles for the treatment of demyelinating diseases - Google Patents
Aminotriazoles for the treatment of demyelinating diseases Download PDFInfo
- Publication number
- WO2018106646A1 WO2018106646A1 PCT/US2017/064632 US2017064632W WO2018106646A1 WO 2018106646 A1 WO2018106646 A1 WO 2018106646A1 US 2017064632 W US2017064632 W US 2017064632W WO 2018106646 A1 WO2018106646 A1 WO 2018106646A1
- Authority
- WO
- WIPO (PCT)
- Prior art keywords
- 4alkyl
- oci
- alkyl
- 4haloalkyl
- group
- Prior art date
- Legal status (The legal status is an assumption and is not a legal conclusion. Google has not performed a legal analysis and makes no representation as to the accuracy of the status listed.)
- Ceased
Links
- 0 *N(C1)c2cc(Nc(nc3)n[n]3S)ccc2C11CC*CC1 Chemical compound *N(C1)c2cc(Nc(nc3)n[n]3S)ccc2C11CC*CC1 0.000 description 15
- FMYGOIGFCGIUJI-UHFFFAOYSA-N Cc(ncc(C1COCC1)c1)c1N Chemical compound Cc(ncc(C1COCC1)c1)c1N FMYGOIGFCGIUJI-UHFFFAOYSA-N 0.000 description 2
- VBNSKUVJAWKUJW-UHFFFAOYSA-N Cc(ncc(O)c1)c1Nc(nc1)n[n]1-c1ccccc1 Chemical compound Cc(ncc(O)c1)c1Nc(nc1)n[n]1-c1ccccc1 VBNSKUVJAWKUJW-UHFFFAOYSA-N 0.000 description 2
- NMIODKBQFLGAOE-UHFFFAOYSA-N CC(C)N(CC12CCOCC1)c(cc1)c2cc1[N+]([O-])=O Chemical compound CC(C)N(CC12CCOCC1)c(cc1)c2cc1[N+]([O-])=O NMIODKBQFLGAOE-UHFFFAOYSA-N 0.000 description 1
- KAUMXIFOBGXMIF-UHFFFAOYSA-N CN(C1)CC2C1COC2 Chemical compound CN(C1)CC2C1COC2 KAUMXIFOBGXMIF-UHFFFAOYSA-N 0.000 description 1
- DJWADWHQRSSHFD-UHFFFAOYSA-N COc(ccc(Nc(nc1)n[n]1-c1ccccc1)c1)c1C(N)=O Chemical compound COc(ccc(Nc(nc1)n[n]1-c1ccccc1)c1)c1C(N)=O DJWADWHQRSSHFD-UHFFFAOYSA-N 0.000 description 1
- PMNMAKBXPOIUNH-UHFFFAOYSA-N Cc(c(Br)c1)ncc1O Chemical compound Cc(c(Br)c1)ncc1O PMNMAKBXPOIUNH-UHFFFAOYSA-N 0.000 description 1
- QOFKSLZRSBOHEP-UHFFFAOYSA-N Cc(ncc(-c1c[o]cc1)c1)c1[N+]([O-])=O Chemical compound Cc(ncc(-c1c[o]cc1)c1)c1[N+]([O-])=O QOFKSLZRSBOHEP-UHFFFAOYSA-N 0.000 description 1
- FZZLWWNOYMHSIS-UHFFFAOYSA-N Cc(ncc(Br)c1)c1[N+]([O-])=O Chemical compound Cc(ncc(Br)c1)c1[N+]([O-])=O FZZLWWNOYMHSIS-UHFFFAOYSA-N 0.000 description 1
- ZTKQQVFGYQKVPE-UHFFFAOYSA-N Cc(ncc(OCCC1CCOCC1)c1)c1Nc(nc1)n[n]1-c1ccccc1 Chemical compound Cc(ncc(OCCC1CCOCC1)c1)c1Nc(nc1)n[n]1-c1ccccc1 ZTKQQVFGYQKVPE-UHFFFAOYSA-N 0.000 description 1
- RGBNJKUAIZODGM-NSHDSACASA-N Cc(ncc([C@@H]1COCC1)c1C2=CC=C2)c1N Chemical compound Cc(ncc([C@@H]1COCC1)c1C2=CC=C2)c1N RGBNJKUAIZODGM-NSHDSACASA-N 0.000 description 1
- KHVVUEYNPMCAME-IVDGFRAVSA-N Cc(ncc([C@H]1COCC1)c1)c1/N=C1\C=CC1 Chemical compound Cc(ncc([C@H]1COCC1)c1)c1/N=C1\C=CC1 KHVVUEYNPMCAME-IVDGFRAVSA-N 0.000 description 1
- GVRGJNJYAUIXTM-UHFFFAOYSA-N Cc1c(C)c(N(C2)CC2N2CCOCC2)cc(Nc(nc2)n[n]2-c2cc(F)cc(F)c2)c1 Chemical compound Cc1c(C)c(N(C2)CC2N2CCOCC2)cc(Nc(nc2)n[n]2-c2cc(F)cc(F)c2)c1 GVRGJNJYAUIXTM-UHFFFAOYSA-N 0.000 description 1
- BILGSGQNVJSJOP-UHFFFAOYSA-N Cc1cc(N)cc(N(C2)CC2N2CCOCC2)c1C Chemical compound Cc1cc(N)cc(N(C2)CC2N2CCOCC2)c1C BILGSGQNVJSJOP-UHFFFAOYSA-N 0.000 description 1
- UXUMULZDZALMFF-UHFFFAOYSA-N Cc1cc(Nc(nc2)n[n]2-c(cc(cc2)F)c2F)c(C)c(O)c1 Chemical compound Cc1cc(Nc(nc2)n[n]2-c(cc(cc2)F)c2F)c(C)c(O)c1 UXUMULZDZALMFF-UHFFFAOYSA-N 0.000 description 1
- NAVNPRRHQCSNFD-UHFFFAOYSA-N Cc1cc(Nc(nc2)n[n]2-c2cc(F)cc(F)c2)c(C)c(C#N)c1 Chemical compound Cc1cc(Nc(nc2)n[n]2-c2cc(F)cc(F)c2)c(C)c(C#N)c1 NAVNPRRHQCSNFD-UHFFFAOYSA-N 0.000 description 1
- GYMUWSOKLQAGAC-UHFFFAOYSA-N Fc1cc(F)cc(-[n](cn2)nc2Br)c1 Chemical compound Fc1cc(F)cc(-[n](cn2)nc2Br)c1 GYMUWSOKLQAGAC-UHFFFAOYSA-N 0.000 description 1
- ZRYOMWOBUALYGW-UHFFFAOYSA-N Nc(nc1)n[n]1-c(cc1)cc(F)c1F Chemical compound Nc(nc1)n[n]1-c(cc1)cc(F)c1F ZRYOMWOBUALYGW-UHFFFAOYSA-N 0.000 description 1
- UPZZNNQSHZBTAQ-UHFFFAOYSA-N Nc(nc1)n[n]1-c1ccccc1 Chemical compound Nc(nc1)n[n]1-c1ccccc1 UPZZNNQSHZBTAQ-UHFFFAOYSA-N 0.000 description 1
- RMGYQBHKEWWTOY-UHFFFAOYSA-N OB(c(cc1)cc(F)c1F)O Chemical compound OB(c(cc1)cc(F)c1F)O RMGYQBHKEWWTOY-UHFFFAOYSA-N 0.000 description 1
- CYEFKCRAAGLNHW-UHFFFAOYSA-N OB(c1c[o]cc1)O Chemical compound OB(c1c[o]cc1)O CYEFKCRAAGLNHW-UHFFFAOYSA-N 0.000 description 1
- XZXZZACRGBBWTQ-UHFFFAOYSA-N OCCC1CCOCC1 Chemical compound OCCC1CCOCC1 XZXZZACRGBBWTQ-UHFFFAOYSA-N 0.000 description 1
- IQXBSWFIQCMYPG-UHFFFAOYSA-N [O-][N+](c(cc1)cc2c1NCC21CCOCC1)=O Chemical compound [O-][N+](c(cc1)cc2c1NCC21CCOCC1)=O IQXBSWFIQCMYPG-UHFFFAOYSA-N 0.000 description 1
Classifications
-
- C—CHEMISTRY; METALLURGY
- C07—ORGANIC CHEMISTRY
- C07D—HETEROCYCLIC COMPOUNDS
- C07D249/00—Heterocyclic compounds containing five-membered rings having three nitrogen atoms as the only ring hetero atoms
- C07D249/02—Heterocyclic compounds containing five-membered rings having three nitrogen atoms as the only ring hetero atoms not condensed with other rings
- C07D249/08—1,2,4-Triazoles; Hydrogenated 1,2,4-triazoles
- C07D249/10—1,2,4-Triazoles; Hydrogenated 1,2,4-triazoles with hetero atoms or with carbon atoms having three bonds to hetero atoms with at the most one bond to halogen, e.g. ester or nitrile radicals, directly attached to ring carbon atoms
- C07D249/14—Nitrogen atoms
-
- A—HUMAN NECESSITIES
- A61—MEDICAL OR VETERINARY SCIENCE; HYGIENE
- A61K—PREPARATIONS FOR MEDICAL, DENTAL OR TOILETRY PURPOSES
- A61K45/00—Medicinal preparations containing active ingredients not provided for in groups A61K31/00 - A61K41/00
- A61K45/06—Mixtures of active ingredients without chemical characterisation, e.g. antiphlogistics and cardiaca
-
- A—HUMAN NECESSITIES
- A61—MEDICAL OR VETERINARY SCIENCE; HYGIENE
- A61P—SPECIFIC THERAPEUTIC ACTIVITY OF CHEMICAL COMPOUNDS OR MEDICINAL PREPARATIONS
- A61P25/00—Drugs for disorders of the nervous system
- A61P25/28—Drugs for disorders of the nervous system for treating neurodegenerative disorders of the central nervous system, e.g. nootropic agents, cognition enhancers, drugs for treating Alzheimer's disease or other forms of dementia
-
- C—CHEMISTRY; METALLURGY
- C07—ORGANIC CHEMISTRY
- C07D—HETEROCYCLIC COMPOUNDS
- C07D401/00—Heterocyclic compounds containing two or more hetero rings, having nitrogen atoms as the only ring hetero atoms, at least one ring being a six-membered ring with only one nitrogen atom
- C07D401/02—Heterocyclic compounds containing two or more hetero rings, having nitrogen atoms as the only ring hetero atoms, at least one ring being a six-membered ring with only one nitrogen atom containing two hetero rings
- C07D401/04—Heterocyclic compounds containing two or more hetero rings, having nitrogen atoms as the only ring hetero atoms, at least one ring being a six-membered ring with only one nitrogen atom containing two hetero rings directly linked by a ring-member-to-ring-member bond
-
- C—CHEMISTRY; METALLURGY
- C07—ORGANIC CHEMISTRY
- C07D—HETEROCYCLIC COMPOUNDS
- C07D401/00—Heterocyclic compounds containing two or more hetero rings, having nitrogen atoms as the only ring hetero atoms, at least one ring being a six-membered ring with only one nitrogen atom
- C07D401/02—Heterocyclic compounds containing two or more hetero rings, having nitrogen atoms as the only ring hetero atoms, at least one ring being a six-membered ring with only one nitrogen atom containing two hetero rings
- C07D401/10—Heterocyclic compounds containing two or more hetero rings, having nitrogen atoms as the only ring hetero atoms, at least one ring being a six-membered ring with only one nitrogen atom containing two hetero rings linked by a carbon chain containing aromatic rings
-
- C—CHEMISTRY; METALLURGY
- C07—ORGANIC CHEMISTRY
- C07D—HETEROCYCLIC COMPOUNDS
- C07D401/00—Heterocyclic compounds containing two or more hetero rings, having nitrogen atoms as the only ring hetero atoms, at least one ring being a six-membered ring with only one nitrogen atom
- C07D401/02—Heterocyclic compounds containing two or more hetero rings, having nitrogen atoms as the only ring hetero atoms, at least one ring being a six-membered ring with only one nitrogen atom containing two hetero rings
- C07D401/12—Heterocyclic compounds containing two or more hetero rings, having nitrogen atoms as the only ring hetero atoms, at least one ring being a six-membered ring with only one nitrogen atom containing two hetero rings linked by a chain containing hetero atoms as chain links
-
- C—CHEMISTRY; METALLURGY
- C07—ORGANIC CHEMISTRY
- C07D—HETEROCYCLIC COMPOUNDS
- C07D401/00—Heterocyclic compounds containing two or more hetero rings, having nitrogen atoms as the only ring hetero atoms, at least one ring being a six-membered ring with only one nitrogen atom
- C07D401/14—Heterocyclic compounds containing two or more hetero rings, having nitrogen atoms as the only ring hetero atoms, at least one ring being a six-membered ring with only one nitrogen atom containing three or more hetero rings
-
- C—CHEMISTRY; METALLURGY
- C07—ORGANIC CHEMISTRY
- C07D—HETEROCYCLIC COMPOUNDS
- C07D403/00—Heterocyclic compounds containing two or more hetero rings, having nitrogen atoms as the only ring hetero atoms, not provided for by group C07D401/00
- C07D403/14—Heterocyclic compounds containing two or more hetero rings, having nitrogen atoms as the only ring hetero atoms, not provided for by group C07D401/00 containing three or more hetero rings
-
- C—CHEMISTRY; METALLURGY
- C07—ORGANIC CHEMISTRY
- C07D—HETEROCYCLIC COMPOUNDS
- C07D405/00—Heterocyclic compounds containing both one or more hetero rings having oxygen atoms as the only ring hetero atoms, and one or more rings having nitrogen as the only ring hetero atom
- C07D405/02—Heterocyclic compounds containing both one or more hetero rings having oxygen atoms as the only ring hetero atoms, and one or more rings having nitrogen as the only ring hetero atom containing two hetero rings
- C07D405/12—Heterocyclic compounds containing both one or more hetero rings having oxygen atoms as the only ring hetero atoms, and one or more rings having nitrogen as the only ring hetero atom containing two hetero rings linked by a chain containing hetero atoms as chain links
-
- C—CHEMISTRY; METALLURGY
- C07—ORGANIC CHEMISTRY
- C07D—HETEROCYCLIC COMPOUNDS
- C07D405/00—Heterocyclic compounds containing both one or more hetero rings having oxygen atoms as the only ring hetero atoms, and one or more rings having nitrogen as the only ring hetero atom
- C07D405/14—Heterocyclic compounds containing both one or more hetero rings having oxygen atoms as the only ring hetero atoms, and one or more rings having nitrogen as the only ring hetero atom containing three or more hetero rings
-
- C—CHEMISTRY; METALLURGY
- C07—ORGANIC CHEMISTRY
- C07D—HETEROCYCLIC COMPOUNDS
- C07D413/00—Heterocyclic compounds containing two or more hetero rings, at least one ring having nitrogen and oxygen atoms as the only ring hetero atoms
- C07D413/02—Heterocyclic compounds containing two or more hetero rings, at least one ring having nitrogen and oxygen atoms as the only ring hetero atoms containing two hetero rings
- C07D413/12—Heterocyclic compounds containing two or more hetero rings, at least one ring having nitrogen and oxygen atoms as the only ring hetero atoms containing two hetero rings linked by a chain containing hetero atoms as chain links
-
- C—CHEMISTRY; METALLURGY
- C07—ORGANIC CHEMISTRY
- C07D—HETEROCYCLIC COMPOUNDS
- C07D413/00—Heterocyclic compounds containing two or more hetero rings, at least one ring having nitrogen and oxygen atoms as the only ring hetero atoms
- C07D413/14—Heterocyclic compounds containing two or more hetero rings, at least one ring having nitrogen and oxygen atoms as the only ring hetero atoms containing three or more hetero rings
-
- C—CHEMISTRY; METALLURGY
- C07—ORGANIC CHEMISTRY
- C07D—HETEROCYCLIC COMPOUNDS
- C07D471/00—Heterocyclic compounds containing nitrogen atoms as the only ring hetero atoms in the condensed system, at least one ring being a six-membered ring with one nitrogen atom, not provided for by groups C07D451/00 - C07D463/00
- C07D471/02—Heterocyclic compounds containing nitrogen atoms as the only ring hetero atoms in the condensed system, at least one ring being a six-membered ring with one nitrogen atom, not provided for by groups C07D451/00 - C07D463/00 in which the condensed system contains two hetero rings
- C07D471/08—Bridged systems
-
- C—CHEMISTRY; METALLURGY
- C07—ORGANIC CHEMISTRY
- C07D—HETEROCYCLIC COMPOUNDS
- C07D491/00—Heterocyclic compounds containing in the condensed ring system both one or more rings having oxygen atoms as the only ring hetero atoms and one or more rings having nitrogen atoms as the only ring hetero atoms, not provided for by groups C07D451/00 - C07D459/00, C07D463/00, C07D477/00 or C07D489/00
- C07D491/02—Heterocyclic compounds containing in the condensed ring system both one or more rings having oxygen atoms as the only ring hetero atoms and one or more rings having nitrogen atoms as the only ring hetero atoms, not provided for by groups C07D451/00 - C07D459/00, C07D463/00, C07D477/00 or C07D489/00 in which the condensed system contains two hetero rings
- C07D491/10—Spiro-condensed systems
Definitions
- MS Multiple sclerosis
- Activation and CNS infiltration of the peripheral immune system is typical in early stages of the disease, but can become less prevalent as disease progresses.
- a hallmark of MS is loss of myelin, accompanied by the death of associated oligodendrocytes (see, Merrill, J.E. et al., Neuropathology and Applied Neurobiology, 25, 435-458, 1999).
- Myelin which is produced by oligodendrocytes, ensheathes axons and dramatically increases conduction velocity of neural impulses while providing trophic support to the neuron.
- Myelin is thought to regenerate early in disease, as oligodendroycte progenitor cells (OPCs) proliferate and generate new myelinating oligodendrocytes in response to demyelination events.
- OPCs oligodendroycte progenitor cells
- Leukodystrophies are degenerative white matter diseases characterized by dysmyelination or demyelination. Multiple genetic or metabolic disorders can lead to progressive white matter damage in pediatric or adult populations resulting in severe motor or cognitive deficits, mental retardation or death.
- a compound that can delay myelin damage or promote repair of demyelinated axons could significantly alter the course of leukodystrophies and improve their outcome.
- Such a compound could be also useful in combination with other therapies that can correct the disease-specific defect, metabolic, genetic or other, responsible for initiating or maintaining the disease in order to accelerate repair, restore function or prevent further damage.
- Periventricular leukomalacia is a condition characterized by toxic death of OPCs in the
- the present invention provides compounds or a pharmaceutically acceptable salt thereof and the methods, compositions and kits disclosed herein for treating or lessening the severity of, in a subject, a disease or disorder selected from a demyelinating disease, central pontine myelinolysis, a nerve injury disease or disorder, a leukoencephalopathy or a leukodystrophy.
- a disease or disorder selected from a demyelinating disease, central pontine myelinolysis, a nerve injury disease or disorder, a leukoencephalopathy or a leukodystrophy.
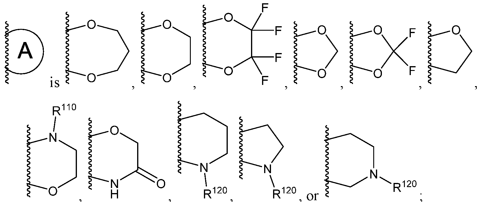
- A is selected from the group consisting of (i), (ii), (iii), (iv), (v), and (vi)
- X 1 is N or CR 1 ;
- X 2 is N or CR 2 ;
- X 3 is N or CR 3 ;
- X 4 is N or CR 4 ;
- X 5 is N or CR 5 ;
- a 1 is N or CH
- a 2 is -CH2-, -0-, or -N(R 110 )-;
- Y 1 is -CH2-, -0-, or -N(R 120 )-;
- Y 2 is -CH2-, -0-, or -N(R 110 )-;
- R 100 is hydrogen, Ci-4alkyl, -Ci-6alkylene-OCi-4alkyl, or -Ci-6alkylene- OH;
- R 110 is hydrogen, Ci- 4 alkyl, or C(0)Ci- 4 alkyl
- R 120 is R 6 , hydrogen, Ci- 4 alkyl, C(0)Ci- 4 alkyl, -Ci-6alkylene-OCi-4alkyl, or -Ci- 6 alkylene-OH;
- R 1 and R 5 are each independently selected from the group consisting of hydrogen, Ci-4alkyl, Ci-4haloalkyl, halogen, -OCi-4alkyl, and -OCi-4haloalkyl;
- R 2 is selected from the group consisting of -L 1 - ⁇ , hydrogen, Ci-4alkyl, Ci-4haloalkyl, halogen, cyano, nitro, hydroxyl, -OCi-4alkyl, -OCi-4haloalkyl, -OC3- ealkenyl, -C(0)Ci- 4 alkyl, COOH, -C(0)OCi- 4 alkyl, - R 20 R 20 , -NR 20 (Ci-4haloalkyl), - R 20 C(O)(Ci-4alkyl), - R 20 C(O)(Ci-4haloalkyl), -NR 20 C(O)OCi-4alkyl, - C(O) R 20 R 20 , -C(O) R 20 (Ci-4haloalkyl), -L 2 -Ci- 6 alkylene-R 21 , -L 2 -Ci- 6haloalkylene-R 21 , -L 2
- R 3 is selected from the group consisting of -L 3 -G B , hydrogen, Ci-4alkyl, Ci-4haloalkyl, halogen, cyano, hydroxyl, -OCi-4alkyl, -OCi-4haloalkyl, -C(0)Ci- 4 alkyl, -C(0)OCi-4alkyl, - R 40 R 40 , and -C(O) R 40 R 40 ;
- R 4 is selected from the group consisting of hydrogen, Ci-4alkyl, Ci- 4haloalkyl, halogen, -OCi-4alkyl, -OCi-4haloalkyl, and G c ;
- L 1 is a bond, -0-, - R 10 -, -NR 10 -Ci-4alkylene- -0-Ci- 4 alkylene-, -Ci- 4 alkylene-, -C(0) R 10 -, -NR 10 C(O)-, or -C(O)-;
- L 2 is a bond, -0-, - H-, -N(Ci-4alkyl)-, - HC(O)-, or -N(Ci- 4 alkyl)C(0)-;
- L 3 is a bond, -0-, -NR 30 -, -NR 30 -Ci-4alkylene- -0-Ci- 4 alkylene-, -Ci- 4 alkylene-, -C(0)NR 30 -, -NR 30 C(O), or -C(O)-;
- R 10 is independently selected from the group consisting of hydrogen, Ci-4alkyl, C(0)Ci-4alkyl, oxetanyl, cyclopropyl, and cyclobutyl;
- R 30 is independently selected from the group consisting of hydrogen, Ci-4alkyl, C(0)Ci-4alkyl, oxetanyl, cyclopropyl, and cyclobutyl;
- R 20 and R 40 are each independently hydrogen or Ci- 4alkyl
- R 21 is -OCi- 4 alkyl, OH, CN, -NH 2 , -NH(Ci- 4 alkyl), -N(Ci-4alkyl)(Ci- 4 alkyl), -C(0)NH 2 , -C(0)NH(Ci- 4 alkyl), -C(0)N(Ci-4alkyl)(Ci-4alkyl), - NHC(0)OCi- 4 alkyl, -N(Ci-4alkyl)C(0)OCi-4alkyl, -NHC(0)Ci- 4 alkyl, -N(Ci- 4 alkyl)C(0)Ci-4alkyl, -NHS(0) 2 Ci- 4 alkyl, -N(Ci-4alkyl)S(0) 2 Ci-4alkyl, or -C(0)Ci- 4alkyl;
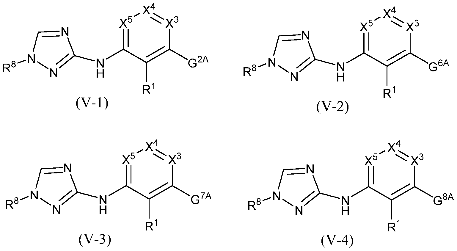
- G A is selected from the group consisting of -G ⁇ R 7 , G 2A , G 3A , G 4A , G 5A , G 6A , G 7A , and G 8A ;
- G 6 is selected from the group consisting of -G ⁇ R 7 , G 213 , G 3B , G 4B , G 5B , G 6B , and G 7B ;
- G c is selected from the group consisting of G 6C and G 8C ;
- G 1 is a 4- to 8-membered monocyclic heterocycle containing 1-2 heteroatoms independently selected from oxygen, nitrogen, and sulfur, the monocyclic heterocycle optionally containing one double bond and/or a Ci-3alkylene bridge between two non-adjacent ring atoms, G 1 being optionally substituted with 1-4 substituents independently selected from the group consisting of Ci-4alkyl, Ci-
- R 6 is (a) a 4- to 12-membered heterocycle containing 1-4 heteroatoms independently selected from oxygen, nitrogen, and sulfur, the heterocycle being attached at a ring carbon ring atom of R 6 and optionally substituted with 1-4 substituents independently selected from the group consisting of Ci-4alkyl, Ci- 4haloalkyl, -CH2S(0)2phenyl, halogen, hydroxyl, oxo, -OCi-4alkyl, -Ci- 6 alkylene- OCi-4alkyl, and -Ci- 6 alkylene-OH; or (b) a C3-scycloalkyl optionally substituted with 1-4 substituents independently selected from the group consisting of Ci-4alkyl, Ci- 4 haloalkyl, halogen, hydroxyl, -C(0)OCi- 4 alkyl, -C
- R 7 is (a) a 4- to 12-membered heterocycle containing 1-4 heteroatoms independently selected from oxygen, nitrogen, and sulfur, the heterocycle being optionally substituted with 1-4 substituents independently selected from the group consisting of Ci-4alkyl, Ci-4haloalkyl, -CH2S(0)2phenyl, halogen, hydroxyl, oxo, - OCi-4alkyl, -Ci-6alkylene-OCi-4alkyl, and -Ci- 6 alkylene-OH; (b) a C3-scycloalkyl optionally substituted with 1-4 substituents independently selected from the group consisting of Ci-4alkyl, Ci-4haloalkyl, halogen, hydroxyl, -C(0)OCi-4alkyl, -C(0)OH, oxo, -OCi-4alkyl, -Ci-6alkylene-OCi-4alkyl, and -Ci- 6 alkylene-OH; (c) phen
- G 2A and G 2B are each independently a 4- to 8-membered monocyclic heterocycle containing 1 nitrogen atom and optionally 1-2 additional heteroatoms independently selected from oxygen, nitrogen, and sulfur, G 2A and G 23 optionally containing one double bond and/or a Ci-3alkylene bridge between two non-adjacent ring atoms, wherein G 2A and G 2B are attached to L 1 or L 3 , respectively, through a ring nitrogen of G 2A or G 2B , and are independently optionally substituted with 1-4 substituents independently selected from the group consisting of Ci-4alkyl, Ci- 4haloalkyl, halogen, hydroxyl, oxo, cyano, -OCi-4alkyl, -C(0)Ci-4alkyl, -C(0)OCi- 4 alkyl, -Ci-6alkylene-OCi-4alkyl, and -Ci- 6 alkylene-OH;
- G 3A and G 3B are each independently a 4- to 8-membered monocyclic heterocycle containing 1-3 heteroatoms independently selected from oxygen, nitrogen, and sulfur, G 3A and G 3B optionally containing one double bond and/or a Ci- 3 alkylene bridge between two non-adjacent ring atoms, wherein G 3A and G 3B are attached to L 1 or L 3 , respectively, at a ring carbon ring atom of G 3A or G 3B , and are independently optionally substituted with 1-4 substituents independently selected from the group consisting of Ci-4alkyl, Ci-4haloalkyl, halogen, hydroxyl, oxo, cyano, -OCi- 4 alkyl, -C(0)Ci- 4 alkyl, -C(0)OCi- 4 alkyl, -Ci-6alkylene-OCi-4alkyl, and -Ci- 6 alkylene-OH;
- G 4A and G 4B are each independently a 7- to 12-membered spiro heterocycle comprising a first ring and a second ring, the first ring being a 4- to 8- membered monocyclic heterocycle containing 1-2 heteroatoms independently selected from nitrogen and oxygen and being attached to L l or L 3 , respectively, the second ring being a C3-scycloalkyl or a 4- to 8-membered monocyclic heterocycle containing 1-2 oxygen atoms wherein two atoms of the second ring are attached to one carbon of the first ring to form a spirocycle;
- G 5A and G 5B are each independently a 7- to 12-membered fused bicyclic heterocycle containing 1-3 heteroatoms independently selected from oxygen, nitrogen, and sulfur; wherein G 4A , G 4B , G 5A and G 5B are independently optionally substituted with 1-4 substituents independently selected from the group consisting of Ci-4alkyl, Ci-4haloalkyl, halogen, hydroxyl, -OCi-4alkyl, and oxo;
- G 6A , G 6B , and G 6C are each independently a C3-scycloalkyl optionally substituted with 1-4 substituents independently selected from the group consisting of Ci- 4 alkyl, Ci- 4 haloalkyl, halogen, hydroxyl, oxo, - HC(0)(Ci- 4 alkyl), -N(Ci- 4alkyl)C(0)(Ci- 4 alkyl), -C(0)OCi- 4 alkyl, -C(0)OH, -OCi- 4 alkyl, -Ci-ealkylene- OCi-4alkyl, and -Ci- 6 alkylene-OH;
- G 7A and G 7B are each independently a 5- or 6-membered monocyclic heteroaryl containing 1-3 heteroatoms independently selected from nitrogen, oxygen, and sulfur, G 7A and G 7B being optionally substituted with 1-3 substituents
- G and G are each independently phenyl optionally substituted with 1-4 substituents independently selected from the group consisting of Ci-4alkyl, Ci- 4haloalkyl, halogen, hydroxyl, -OCi-4alkyl, and cyano;
- R 8 is phenyl or a 6-membered heteroaryl containing 1-3 nitrogen atoms, R 8 being optionally substituted with 1-3 substituents independently selected from the group consisting of halogen, hydroxyl, cyano, -S(0)2Ci-4alkyl, -S(0)Ci-4alkyl, -SCi- 4alkyl, Ci-4alkyl, Ci-4haloalkyl, -C 3 - 6 alkenyl, -OCi-4alkyl, -OCi-4haloalkyl, -Ci- 4alkylene-OCi- 4 alkyl, -Ci-4alkylene-N(Ci-4alkyl)(Ci-4alkyl), - H(Ci-4alkylene-OCi- 4 alkyl), - H(Ci- 4 alkylene-OH), -N(Ci-4alkyl)(Ci-4alkylene-OCi-4alkyl), -N(Ci- 4 alkyl),
- L 4 is -0-, - R 9 -, - R 9 -Ci- 4 alkylene-, or -0-Ci- 4 alkylene-;
- R 9 is independently hydrogen or Ci-4alkyl
- G 10 is phenyl or a 5- or 6-membered monocyclic heteroaryl containing 1-3 heteroatoms independently selected from nitrogen, oxygen, and sulfur, G 10 being optionally substituted with 1-4 substituents independently selected from the group consisting of Ci-4alkyl, Ci-4haloalkyl, halogen, hydroxyl, -OCi-4alkyl, and cyano;
- R 2 and R 3 are not simultaneously -I ⁇ -G ⁇ R 7 ;
- R 3 is -L 3 -G 1 -R 7 , -L 3 -G 3B , -L 3 -G 4B , or-L 3 -G 5B , when X 1 , X 2 , X 4 , and X 5 are N or CH;
- R 2 is not -OCi-4alkyl, morpholino or -NH-Ci-4alkylene-morpholino when X 3 is N or CH, X 1 , X 4 and X 5 are CH, and R 8 is phenyl or 4-cyanophenyl;
- R 2 , R 3 , and R 4 are not simultaneously -OCi-4alkyl when R 8 is phenyl or 4- cyanophenyl;
- R 2 is not cyano when R 3 is an imidazolyl optionally substituted with one or two Ci-4alkyl.
- the present invention provides compounds of formula ( ⁇ ) ⁇
- compositions comprising a pharmaceutically acceptable carrier and therapeutically effective amounts of a compound of formula ( ⁇ ), or a pharmaceutically acceptable salt thereof.
- the invention provides compounds of formula ( ⁇ ), or a pharmaceutically acceptable salt thereof, which promote remyelination of
- the invention provides compounds of formula ( ⁇ ), or a pharmaceutically acceptable salt thereof, which differentiate endogenous
- the invention provides methods of treating multiple sclerosis by administering to a patient in need thereof a therapeutically effective amount of a compound or composition of formula ( ⁇ ), or a pharmaceutically acceptable salt thereof.
- the present invention provides a method of treating, preventing or ameliorating one or more symptoms of a subject with multiple sclerosis or another neurological disease.
- the invention provides the use of a compound of formula ( ⁇ ), or a pharmaceutically acceptable salt thereof, for the manufacture of a
- the invention provides compounds of formula ( ⁇ ), or a pharmaceutically acceptable salt thereof, for use in treating multiple sclerosis, promoting remyelination of demyelinated axons, or differentiating endogenous oligodendrocyte precursor cells.
- the invention provides compounds of formula ( ⁇ ), or a pharmaceutically acceptable salt thereof for treating or lessening the severity of, in a subject, a disease or disorder selected from a demyelinating disease, central pontine myelinolysis, a nerve injury disease or disorder, a leukoencephalopathy or a
- the invention provides compounds of formula ( ⁇ ), or a pharmaceutically acceptable salt thereof
- the invention provides compounds of formula ( ⁇ ), or a pharmaceutically acceptable salt thereof can be employed in combination therapies, that is, the compounds and pharmaceutically acceptable compositions can be administered concurrently with, prior to, or subsequent to, one or more other desired therapeutics or medical procedures.
- kits comprising compounds of formula
- compounds of the invention can optionally be substituted with one or more substituents, such as are illustrated generally above, or as exemplified by particular classes, subclasses, and species of the invention.
- the variables in formula I encompass specific groups, such as, for example, alkyl and cycloalkyl.
- combinations of substituents envisioned by this invention are those combinations that result in the formation of stable or chemically feasible compounds.
- stable refers to compounds that are not substantially altered when subjected to conditions to allow for their production, detection, and preferably their recovery, purification, and use for one or more of the purposes disclosed herein.
- a stable compound or chemically feasible compound is one that is not substantially altered when kept at a temperature of 40°C or less, in the absence of moisture or other chemically reactive conditions, for at least a week.
- a ring substituent such as a heterocycloalkyl
- substituents envisioned by this invention are those combinations that result in the formation of stable or chemically feasible compounds.
- alkyl as used herein, means a straight or branched chain saturated hydrocarbon.
- alkyl include, but are not limited to, methyl, ethyl, n-propyl, isopropyl, n-butyl, sec-butyl, isobutyl, tert-butyl, n-pentyl, isopentyl, neopentyl, n-hexyl, 3-methylhexyl, 2,2-dimethylpentyl, 2,3-dimethylpentyl, n-heptyl, n-octyl, n-nonyl, and n-decyl.
- alkylene as used herein, means a divalent group derived from a straight or branched chain saturated hydrocarbon.
- alkylene examples include, but are not limited to, -CH2-, -CH2CH2-, -CH2CH2CH2-, - CH 2 CH(CH 3 )CH 2 -, and -CH 2 CH(CH 3 )CH(CH 3 )CH 2 -.
- alkoxy means an alkyl group, as defined herein, appended to the parent molecular moiety through an oxygen atom.
- Representative examples of alkoxy include, but are not limited to, methoxy, ethoxy, propoxy, isopropoxy, butoxy, isobutoxy, tert-butoxy, pentyloxy, and hexyloxy.
- aryl means phenyl or a bicyclic aryl.
- the bicyclic aryl is naphthyl, dihydronaphthalenyl, tetrahydronaphthalenyl, indanyl, or indenyl.
- the phenyl and bicyclic aryls are attached to the parent molecular moiety through any carbon atom contained within the phenyl or bicyclic aryl.
- halogen means a chlorine, bromine, iodine, or fluorine atom.
- haloalkyl means an alkyl, as defined herein, in which one, two, three, four, five, six, or seven hydrogen atoms are replaced by halogen.
- representative examples of haloalkyl include, but are not limited to, 2-fluoroethyl, difluoromethyl, trifluoromethyl, 2,2,2-trifluoroethyl, 2,2,2- trifluoro-l,l-dimethylethyl, and the like.
- haloalkoxy means an alkoxy group, as defined herein, in which one, two, three, four, five, or six hydrogen atoms are replaced by halogen.
- Representative examples of haloalkoxy include, but are not limited to, trifluoromethoxy, difluoromethoxy, 2,2,2-trifluoroethoxy, 2,2-difluoroethoxy, 2- fluoroethoxy, and pentafluoroethoxy.
- heteroaryl means an aromatic heterocycle, i.e., an aromatic ring that contains at least one heteroatom.
- a heteroaryl may contain from 5 to 12 ring atoms.
- a heteroaryl may be a 5- to 6-membered monocyclic heteroaryl or an 8- to 12-membered bicyclic heteroaryl.
- a 5-membered monocyclic heteroaryl ring contains two double bonds, and one, two, three, or four heteroatoms as ring atoms.
- 5-membered monocyclic heteroaryls include, but are not limited to, furanyl, imidazolyl, isoxazolyl, isothiazolyl, oxadiazolyl, oxazolyl, pyrazolyl, pyrrolyl, tetrazolyl, thiadiazolyl, thiazolyl, thienyl, and triazolyl.
- a 6- membered heteroaryl ring contains three double bonds, and one, two, three or four heteroatoms as ring atoms.
- 6-membered monocyclic heteroaryls include, but are not limited to, pyridinyl, pyridazinyl, pyrimidinyl, pyrazinyl, and triazinyl.
- the bicyclic heteroaryl is an 8- to 12-membered ring system having a monocyclic heteroaryl fused to an aromatic, saturated, or partially saturated carbocyclic ring, or fused to a second monocyclic heteroaryl ring.
- bicyclic heteroaryl include, but are not limited to, benzofuranyl, benzoxadiazolyl, 1,3-benzothiazolyl, benzimidazolyl, benzothienyl, indolyl, indazolyl, isoquinolinyl, naphthyridinyl, oxazolopyridine, quinolinyl, thienopyridinyl, 5,6,7,8-tetrahydroquinolinyl, and 6,7-dihydro-5H-cyclopenta[b]pyridinyl.
- the heteroaryl groups are connected to the parent molecular moiety through any substitutable carbon atom or any substitutable nitrogen atom contained within the groups.
- cycloalkyl as used herein, means a monocyclic all-carbon ring containing zero heteroatoms as ring atoms, and zero double bonds.
- examples of cycloalkyls include, but are not limited to, cyclopropyl, cyclobutyl, cyclopentyl, cyclohexyl, cycloheptyl, and cyclooctyl.
- the cycloalkyl groups described herein can be appended to the parent molecular moiety through any substitutable carbon atom.
- cycloalkenyl as used herein, means a monocyclic non-aromatic all-carbon 5- to 6-membered ring containing zero heteroatoms as ring atoms and one double bond.
- examples of cycloalkenyl include cyclopentenyl and cyclohexenyl.
- the cycloalkenyl groups described herein can be appended to the parent molecular moiety through any substitutable carbon atom.
- heterocycle refer generally to ring systems containing at least one heteroatom as a ring atom where the heteroatom is selected from oxygen, nitrogen, and sulfur. In some embodiments, a nitrogen or sulfur atom of the heterocycle is optionally substituted with oxo.
- Heterocycles may be a monocyclic heterocycle, a fused bicyclic heterocycle, or a spiro heterocycle.
- the monocyclic heterocycle is generally a 4, 5, 6, 7, or 8-membered non-aromatic ring containing at least one heteroatom selected from O, N, or S.
- the 4-membered ring contains one heteroatom and optionally one double bond.
- the 5-membered ring contains zero or one double bond and one, two or three heteroatoms.
- the 6, 7, or 8-membered ring contains zero, one, or two double bonds, and one, two, or three heteroatoms.
- monocyclic heterocycle include, but are not limited to, azetidinyl, azepanyl, diazepanyl, 1,3-dioxanyl, 1,4-dioxanyl, 1,3-dioxolanyl , 4,5- dihydroisoxazol-5-yl, 3,4-dihydropyranyl, 1,3-dithiolanyl, 1,3-dithianyl, imidazolinyl, imidazolidinyl, isothiazolinyl, isothiazolidinyl, isoxazolinyl, isoxazolidinyl, morpholinyl, oxadiazolinyl, oxadiazolidinyl, oxazolinyl, oxazolidinyl, oxetanyl, piperazinyl, piperidinyl, pyranyl, pyrazolinyl, pyrazolidinyl, o
- the fused bicyclic heterocycle is a 7-12-membered ring system having a monocyclic heterocycle fused to a phenyl, to a saturated or partially saturated carbocyclic ring, or to another monocyclic heterocyclic ring, or to a monocyclic heteroaryl ring.
- fused bicyclic heterocycle include, but are not limited to, l,3-benzodioxol-4-yl, 1,3-benzodithiolyl, 3-azabicyclo[3.1.0]hexanyl, hexahydro-lH-furo[3,4-c]pyrrolyl, 2,3-dihydro-l,4- benzodioxinyl, 2,3-dihydro-l-benzofuranyl, 2,3-dihydro-l-benzothienyl, 2,3-dihydro- lH-indolyl, 5,6,7,8-tetrahydroimidazo[l,2-a]pyrazinyl, and 1,2,3,4- tetrahydroquinolinyl.
- Spiro heterocycle means a 4, 5-, 6-, 7-, or 8-membered monocyclic heterocycle ring wherein two of the substituents on the same carbon atom form a second ring having 3, 4, 5, 6, 7, or 8- members.
- Examples of a spiro heterocycle include, but are not limited to, l,4-dioxa-8-azaspiro[4.5]decanyl, 2-oxa-7- azaspiro[3.5]nonanyl, 2-oxa-6-azaspiro[3.3]heptanyl, and 8-azaspiro[4.5]decane.
- the monocyclic heterocycle groups of the present invention may contain an alkylene bridge of 1, 2, or 3 carbon atoms, linking two non-adjacent atoms of the group.
- bridged heterocycle examples include, but are not limited to, 2,5- diazabicyclo[2.2.1]heptanyl, 2-azabicyclo[2.2.1]heptanyl, 2-azabicyclo[2.2.2]octanyl, and oxabicyclo[2.2.1]heptanyl.
- the monocyclic, fused bicyclic, and spiro heterocycle groups are connected to the parent molecular moiety through any substitutable carbon atom or any substitutable nitrogen atom contained within the group.
- oxo refers to an oxygen atom bonded to the parent molecular moiety.
- An oxo may be attached to a carbon atom or a sulfur atom by a double bond.
- an oxo may be attached to a nitrogen atom by a single bond, i.e., an N-oxide.
- C C3alkyl
- C3alkyl is an alkyl group with three carbon atoms (i.e., n-propyl, isopropyl).
- the members of the group that follows may have any number of carbon atoms falling within the recited range.
- a “Ci-4alkyl,” for example, is an alkyl group having from 1 to 4 carbon atoms, however arranged (i.e., straight chain or branched).
- structures depicted herein are also meant to include all isomeric (e.g., enantiomeric, diastereomeric, and geometric (or conformational)) forms of the structure; for example, the R and S configurations for each asymmetric center, (Z) and (E) double bond isomers, and (Z) and (E) conformational isomers. Therefore, single stereochemical isomers as well as enantiomeric, diastereomeric, and geometric (or conformational) mixtures of the present compounds are within the scope of the invention. Unless otherwise stated, all tautomeric forms of the compounds of the invention are within the scope of the invention. Thus, included within the scope of the invention are tautomers of compounds of formula I.
- the structures also include zwitterioinc forms of the compounds or salts of formula I where appropriate.
- compounds of formula (I) may be represented by formula (II), wherein X 2 is CR 2 , R 2 is -L l -G A , G A is selected from the group consisting of -G ⁇ R 7 , G 3A , G 4A , and G 5A , and X 3 is as defined in formula (I), or X 3 is CR 3 , R 3 is -L 3 -G B , G 6 is selected from the group consisting of -G ⁇ R 7 , G 3B , G 4B , and G 5B , and X 2 is as defined in formula (I); provided that G A and G B are not
- the compounds of formula (II) may have formula (IIA) or (IIB), wherein X ⁇ X 5 , L 1 , L 3 , G A , G B , and R 8 are as defined in formula (II).
- one of G 4 and G 6 is -G 1 - R 7 .
- G A is -G ⁇ R 7 ; X 3 is N or CR 3 ; and R 3 is L 3 -G 2B .
- G A is -G ⁇ R 7 ; X 3 is N or CR 3 ; and R 3 is L 3 -G 3B .
- G A is -G ⁇ R 7 ; X 3 is N or CR 3 ; and R 3 is L 3 -G 4B .
- G A is -G ⁇ R 7 ; X 3 is N or CR 3 ; and R 3 is L 3 -G 5B .
- G A is -G ⁇ R 7 ; X 3 is N or CR 3 ; and R 3 is L 3 -G 6B .
- G 4 is -G 1 - R 7 ; X 3 is N or CR 3 ; and R 3 is L 3 -G 7B .
- G A is - G ⁇ R 7 ;
- X 3 is N or CR 3 ; and
- R 3 is selected from the group consisting of hydrogen, Ci- 4alkyl, Ci-4haloalkyl, halogen, cyano, hydroxyl, -OCi-4alkyl, -OCi-4haloalkyl, - C(0)Ci-4alkyl, -C(0)OCi- 4 alkyl, - R 40 R 40 , and -C(O) R 40 R 40 .
- G B is -G ⁇ R 7 ; X 2 is N or CR 2 ; and R 2 is L 1 ⁇ . In some embodiments of formula (IIB), G B is -G ⁇ R 7 ; X 2 is N or CR 2 ; and R 2 is L 1 -G 3A . In some embodiments of formula (IIB), G B is -G ⁇ R 7 ; X 2 is N or CR 2 ; and R 2 is L 1 -G 4A . In some embodiments of formula (IIB), G 6 is -G ⁇ R 7 ; X 2 is N or CR 2 ; and R 2 is V-G 5A .
- G B is -G ⁇ R 7 ; X 2 is N or CR 2 ; and R 2 is I ⁇ -G ⁇ . In some embodiments of formula (IIB), G B is -G 1 - R 7 ; X 2 is N or CR 2 ; and R 2 is V-G 7A . In some embodiments of formula (IIB), G B is - G ⁇ R 7 ; X 2 is N or CR 2 ; and R 2 is L 1 -G 8A .
- G 8 is -G ⁇ R 7 ;
- X 2 is N or CR 2 ; and
- R 2 is selected from the group consisting of hydrogen, Ci-4alkyl, Ci-4haloalkyl, halogen, cyano, nitro, hydroxyl, -OCi-4alkyl, -OCi- 4 haloalkyl, -OCs-ealkenyl, -C(0)Ci- 4 alkyl, COOH, -C(0)OCi- 4 alkyl, - R 20 R 20 , - R 20 (Ci-4haloalkyl), - R 20 C(O)(Ci-4alkyl), - R 20 C(O)(Ci-4haloalkyl), - R 20 C(O)OCi-4alkyl, -C(O) R 20 R 20 , -C(O)NR 20 (Ci-4haloalkyl), -L 2 -Ci- 6 alkylene- R 21 ,
- G A is selected from the group consisting of G 3A , G 4A , and G 5A ; and/or G B is selected from the group consisting of G 3B , G 4B , and G 5B .
- G A is selected from the group consisting of G 3A , G 4A , and G 5A ;
- X 3 is N or CR 3 ; and
- R 3 is selected from the group consisting of hydrogen, Ci-4alkyl, Ci-4haloalkyl, halogen, cyano, hydroxyl, -OCi- 4 alkyl, -OCi- 4 haloalkyl, -C(0)Ci- 4 alkyl, -C(0)OCi- 4 alkyl, - R 40 R 40 , and -C(O) R 40 R 40 .
- G 6 is selected from the group consisting of G 3B , G 4B , and G 5B ;
- X 2 is N or CR 2 ; and
- R 2 is selected from the group consisting of hydrogen, Ci- 4 alkyl, Ci- 4 haloalkyl, halogen, cyano, nitro, hydroxyl, -OCi- 4 alkyl, -OCi- 4 haloalkyl, -OC 3 -6alkenyl, -C(0)Ci- 4 alkyl, COOH, -C(0)OCi- 4 alkyl, -NR 20 R 20 , - R 20 (Ci- 4 haloalkyl), - R 20 C(O)(Ci- 4 alkyl), - R 20 C(O)(Ci- 4 haloalkyl), - R 20 C(O)OCi- 4 alkyl, -C(O) R 20 R 20 , -C(O) R 20 (Ci-) R 20 (Ci
- formula (IIA) are compounds wherein X 1 , X 3 , X 4 , and X 5 are each independently N or CH; and G 4 is selected from the group consisting of -G ⁇ R 7 , G 3A , G 4A , and G 5A .
- G A is -G ⁇ R 7 .
- G A is G 3A .
- G A is G 4A .
- G A is G 5A .
- X 3 and X 5 are independently N or CH, and X 1 and X 4 are each CH.
- X 5 is N and X 1 , X 3 , and X 4 are each CH.
- X 3 is N and X 1 , X 4 , and X 5 are each CH.
- X 1 , X 3 , X 4 , and X 5 are each CH.
- X 1 , X 2 , X 4 , and X 5 are each independently N or CH; and G B is selected from the group consisting of -G ⁇ R 7 , G 3B , G 4B , and G 5B .
- G B is -G ⁇ R 7 .
- G B is G 3B .
- G B is G 4B .
- G 6 is G 5B .
- X 1 , X 3 , X 4 , and X 5 are each CH.
- formula (IIA) are compounds wherein X 1 and X 5 are each independently N or CH; X 3 is CR 3 ; R 3 is selected from the group consisting of -I ⁇ -G 6 , Ci-4alkyl, Ci-4haloalkyl, halogen, cyano, hydroxyl, -OCi-4alkyl, -OCi- 4 haloalkyl, -C(0)Ci- 4 alkyl, -C(0)OCi- 4 alkyl, - R 40 R 40 , and -C(O) R 40 R 40 ; and G A is selected from the group consisting of -G ⁇ R 7 , G 3A , G 4A , and G 5A .
- X 1 , X 4 , and X 5 are each independently N or CH;
- X 3 is CR 3 ;
- R 3 is selected from the group consisting of - L 3 -G B , Ci-4alkyl, Ci-4haloalkyl, halogen, cyano, hydroxyl, -OCi-4alkyl, -OCi- 4 haloalkyl, -C(0)Ci- 4 alkyl, -C(0)OCi- 4 alkyl, - R 40 R 40 , and -C(O) R 40 R 40 ;
- G A is selected from the group consisting of -G ⁇ R 7 , G 3A , G 4A , and G 5A .
- R 3 is selected from the group consisting of Ci-4alkyl, Ci-4haloalkyl, halogen, cyano, hydroxyl, -OCi-4alkyl, - OCi- 4 haloalkyl, -C(0)Ci- 4 alkyl, -C(0)OCi- 4 alkyl, - R 40 R 40 , and -C(O) R 40 R 40 .
- R 3 is G 3B , Ci-4alkyl, halogen, or -OCi-4alkyl.
- L 1 is a bond
- G 4 is G 3A
- R 3 is G 3B .
- X 1 is N or CH, and X 4 and X 5 are each CH. In some embodiments, X 1 , X 4 , and X 5 are each CH. In other embodiments, X 1 is N, and X 4 and X 5 are each CH.
- X 1 and X 5 are each independently N or CH;
- X 3 is CR 3 ;
- R 3 is selected from the group consisting of -I ⁇ -G 6 , Ci-4alkyl, Ci- 4haloalkyl, halogen, cyano, hydroxyl, -OCi-4alkyl, -OCi-4haloalkyl, -C(0)Ci-4alkyl, - C(0)OCi- 4 alkyl, - R 40 R 40 , and -C(O)NR 40 R 40 ;
- X 4 is CR 4 ;
- R 4 is selected from the group consisting of Ci-4alkyl, Ci-4haloalkyl, halogen, -OCi-4alkyl, and -OCi- 4haloalkyl;
- G 4 is selected from the group consisting of -G ⁇ R 7 , G 3A , G 4A , and G 5A .
- R 3 is selected from the group consisting of Ci-4alkyl, Ci-4haloalkyl, halogen, cyano, hydroxyl, -OCi-4alkyl, - OCi- 4 haloalkyl, -C(0)Ci- 4 alkyl, -C(0)OCi- 4 alkyl, - R 40 R 40 , and -C(O) R 40 R 40 .
- R 3 is Ci-4alkyl or -OCi-4alkyl; and R 4 is Ci-4alkyl.
- one of X 1 and X 5 is N and the other CH.
- X 1 and X 5 are each CH.
- X 1 and X 5 are each independently N or CH; X 2 is CR 2 ; R 2 is selected from the group consisting of -L l -G A , Ci-4alkyl, Ci-4haloalkyl, halogen, cyano, nitro, hydroxyl, -OCi- 4 alkyl, -OCi- 4 haloalkyl, -OCs-ealkenyl, -C(0)Ci- 4 alkyl, COOH, -C(0)OCi- 4 alkyl, - R 20 R 20 , -NR 20 (Ci- 4 haloalkyl), -NR 20 C(O)(Ci- 4 alkyl), - R 20 C(O)(Ci- 4 haloalkyl), - R 20 C(O)OCi- 4 alkyl, -C(O) R 20 R 20 , -C(O)NR 20 (Ci-)NR 20 (Ci-))
- X 1 , X 4 , and X 5 are each independently N or CH;
- X 2 is CR 2 ;
- R 2 is selected from the group consisting of - I ⁇ -G 4 , Ci- 4 alkyl, Ci- 4 haloalkyl, halogen, cyano, nitro, hydroxyl, -OCi- 4 alkyl, -OCi- 4 haloalkyl, -OC 3 - 6 alkenyl, -C(0)Ci- 4 alkyl, COOH, -C(0)OCi- 4 alkyl, - R 20 R 20 , - R 20 (Ci- 4 haloalkyl), - R 20 C(O)(Ci- 4 alkyl), - R 20 C(O)(Ci- 4 haloalkyl), - R 20 C(O)OCi- 4 alkyl, -C(O) R 20 R 20 , -C(O) R 20 R 20 , -C(O)
- R 2 is selected from the group consisting of Ci- 4 alkyl, Ci- 4 haloalkyl, halogen, cyano, nitro, hydroxyl, - OCi- 4 alkyl, -OCi- 4 haloalkyl, -OC 3 - 6 alkenyl, -C(0)Ci- 4 alkyl, COOH, -C(0)OCi- 4 alkyl, - R 20 R 20 , - R 20 (Ci- 4 haloalkyl), - R 20 C(O)(Ci- 4 alkyl), - R 20 C(O)(Ci- 4 haloalkyl), - R 20 C(O)OCi- 4 alkyl, -C(O) R 20 R 20 , -C(O)NR 20 (Ci- 4 haloalkyl), -L 2 - Ci-6alkylene-R 21 , -L 2 -Ci-6haloalkylene-R 21 ,
- R 2 is selected from the group consisting of Ci- 4 alkyl, halogen, -OCi- 4 alkyl, -OCi- 4 haloalkyl, or -OC 3 - 6 alkenyl and/or G B is -G ⁇ R 7 or G 3B .
- X 1 is N or CH, and X 4 and X 5 are each CH. In some embodiments, X 1 , X 4 , and X 5 are each CH. In other embodiments, X 1 is N, and X 4 and X 5 are each CH.
- X 1 and X 5 are each independently N or CH; X 2 is CR 2 ; R 2 is selected from the group consisting of -L l -G A , Ci- 4 alkyl, Ci- 4haloalkyl, halogen, cyano, nitro, hydroxyl, -OCi-4alkyl, -OCi-4haloalkyl, -OC3- ealkenyl, -C(0)Ci- 4 alkyl, COOH, -C(0)OCi- 4 alkyl, - R 20 R 20 , -NR 20 (Ci- 4 haloalkyl), - R 20 C(O)(Ci- 4 alkyl), - R 20 C(O)(Ci- 4 haloalkyl), -NR 20 C(O)OCi- 4 alkyl, - C(O) R 20 R 20 , -C(O) R 20 (Ci- 4 haloalkyl), -NR 20 C(O)OCi-
- R 2 is selected from the group consisting of Ci- 4 alkyl, Ci- 4 haloalkyl, halogen, cyano, nitro, hydroxyl, -OCi- 4 alkyl, -OCi- 4 haloalkyl, -OC 3 - ealkenyl, -C(0)Ci- 4 alkyl, COOH, -C(0)OCi- 4 alkyl, - R 20 R 20 , -NR 20 (Ci- 4 haloalkyl), - R 20 C(O)(Ci- 4 alkyl), - R 20 C(O)(Ci- 4 haloalkyl), -NR 20 C(O)OCi- 4 alkyl, - C(O) R 20 R 20 , -C(O) R 20 (Ci- 4 haloalkyl), -L 2 -Ci- 6 alkylene-R 21 , -L 2 -Ci-
- R 2 is halogen
- R 4 is halogen
- L 3 is a bond
- G 6 is G 3B .
- one of X 1 and X 5 is N and the other CH.
- X 1 and X 5 are each CH.
- X 3 and X 4 are each independently N or CH;
- X 1 is CR 1 ;
- R 1 is selected from the group consisting of Ci- 4 alkyl, Ci- 4 haloalkyl, halogen, -OCi- 4 alkyl, and -OCi- 4 haloalkyl;
- G A is selected from the group consisting of -G ⁇ R 7 , G 3A , G 4A , and G 5A .
- X 3 , X 4 , and X 5 are each independently N or CH;
- X 1 is CR 1 ;
- R 1 is selected from the group consisting of Ci- 4 alkyl, Ci- 4 haloalkyl, halogen, -OCi- 4 alkyl, and -OCi- 4 haloalkyl;
- G A is selected from the group consisting of -G ⁇ R 7 , G 3A , G 4A , and G 5A .
- R 1 is Ci- 4 alkyl and/or G A is G ⁇ R 7 or G 3A .
- X 3 , X 4 , and X 5 are each CH.
- X 3 and X 4 are each independently N or CH;
- X 1 is CR 1 ;
- R 1 is selected from the group consisting of Ci- 4 alkyl, Ci- 4 haloalkyl, halogen, -OCi- 4 alkyl, and -OCi- 4 haloalkyl;
- X 5 is CR 5 ;
- R 5 is selected from the group consisting of Ci- 4 alkyl, Ci- 4 haloalkyl, halogen, -OCi- 4 alkyl, and -OCi- 4 haloalkyl;
- G A is selected from the group consisting of -G ⁇ R 7 , G 3A , G 4A , and G 5A .
- R 1 is Ci- 4 alkyl
- R 5 is Ci- 4 alkyl
- G A is G ⁇ R 7 .
- X 3 and X 4 are each CH.
- X 1 is N or CH
- X 4 is N or CH
- X 5 is CR 5
- R 5 is selected from the group consisting of Ci- 4 alkyl, Ci- 4 haloalkyl, halogen, -OCi- 4 alkyl, and -OCi- 4 haloalkyl.
- X 1 is N or CH
- X 4 is N or CH
- X 5 is CR 5
- R 5 is selected from the group consisting of Ci- 4 alkyl, Ci- 4 haloalkyl, halogen, -OCi- 4 alkyl, and -OCi- 4 haloalkyl
- G A is selected from the group consisting of -G ⁇ R 7 , G 3A , G 4A , and G 5A .
- R 5 is Ci- 4 alkyl.
- X 1 is CH; X 3 is CH; and X 4 is N. In other embodiments, X 1 is CH; X 3 is N; and X 4 is CH. In other embodiments, X 1 is CH; X 3 is CH; and X 4 is CH.
- R 3 is selected from the group consisting of Ci- 4 alkyl, Ci- 4 haloalkyl, halogen, cyano, hydroxyl, -OCi- 4 alkyl, -OCi- 4 haloalkyl, - C(0)Ci- 4 alkyl, -C(0)OCi- 4 alkyl, - R 40 R 40 , and -C(O) R 40 R 40 ;
- X 5 is CR 5 ;
- R 5 is selected from the group consisting of Ci- 4 alkyl, Ci- 4 haloalkyl, halogen, -OCi- 4 alkyl, and -OCi- 4 haloalkyl.
- R 3 is halogen, R 5 is halogen, L 1 is a bond, and/or G A is G 3A .
- G A is G 3A .
- X 1 is CH; and X 4 is CH.
- X 1 is N or CH
- X 4 is N or CH
- X 5 is CR 5
- R 5 is selected from the group consisting of Ci-4alkyl, Ci-4haloalkyl, halogen, -OCi-4alkyl, and -OCi-4haloalkyl
- G B is selected from the group consisting of -G ⁇ R 7 , G 3B , G 4B , and G 5B .
- R 5 is Ci-4alkyl or halogen, and/or G B is -G 1 - R 7 .
- compounds of formula (I) may be represented by formula (III), wherein X 1 , X 3 , X 4 , and X 5 are each independently N or CH; R 2 is selected from the group consisting of -I ⁇ -G 4 , Ci-4alkyl, Ci-4haloalkyl, halogen, cyano, nitro, hydroxyl, -OCi-4alkyl, -OCi-4haloalkyl, -OC 3 - 6 alkenyl, -C(0)Ci-4alkyl, COOH, -C(0)OCi- 4 alkyl, -NR 20 R 20 , - R 20 (Ci-4haloalkyl), - R 20 C(O)(Ci-4alkyl), - R 20 C(O)(Ci-4haloalkyl), - R 20 C(O)OCi-4alkyl, -C(O) R 20 R 20 , -C(O) R 20 (Ci- 4 hal
- R 2 is not morpholino or - H-Ci-4alkylene-morpholino when X 3 is N, X 1 , X 4 and X 5 are CH, and R 8 is phenyl or 4-c anophenyl.
- R 2 is selected from the group consisting of -I ⁇ -G 4 , Ci-4alkyl, halogen, cyano, hydroxyl, -OCi-4alkyl, -OCi-
- L 1 is a bond, -0-, - R 10 -Ci- 4 alkylene-, -0-Ci- 4 alkylene-, - C(0) R 10 -, -NR 10 C(O)-, or -C(O)-;
- L 2 is a bond or -0-; and
- R 21 is -OCi- 4 alkyl or OH.
- X 5 is N and X 1 , X 3 , and X 4 are each CH.
- X 3 is N and X 1 , X 4 , and X 5 are each CH.
- X 1 , X 3 , X 4 , and X 5 are each CH.
- G 4 is not piperidinyl, piperazinyl, or morpholino, when L 1 is a bond or -NH-Ci-4alkylene-, X 3 is N, and X 1 , X 4 and X 5 are CH.
- G A is not a 6-membered saturated heterocycle containing at least one nitrogen atom when L 1 is a bond or - H-Ci- 4 alkylene- X 3 is N, and X 1 , X 4 , and X 5 are CH.
- G A is not piperidinyl, piperazinyl, or morpholino, when X 3 is N, and X 1 , X 4 and X 5 are CH.
- G A is not a 6-membered saturated heterocycle containing at least one nitrogen atom, when X 3 is N, and X 1 , X 4 and X 5 are CH.
- R 2 is not -L 1 -G 2A , when X 3 is N, and X 1 , X 4 and X 5 are CH.
- compounds of formula (I) may be represented by formula (IV), wherein X 1 and X 5 are each independently N or CH; R 2 is selected from the group consisting of -L l -G A , Ci-4alkyl, Ci-4haloalkyl, halogen, cyano, nitro, hydroxyl, -OCi- 4 alkyl, -OCi- 4 haloalkyl, -OCs-ealkenyl, -C(0)Ci- 4 alkyl, COOH, - C(0)OCi- 4 alkyl, - R 20 R 20 , - R 20 (Ci- 4 haloalkyl), - R 20 C(O)(Ci- 4 alkyl), - R 20 C(O)(Ci- 4 haloalkyl), - R 20 C(O)OCi- 4 alkyl, -C(O) R 20 R 20 , -C(O) R 20 (Ci- 4 haloalkyl), - R 20
- X 4 is N or CH. In further embodiments, X 1 is N or CH, and X 4 and X 5 are each CH. In some embodiments, X 1 , X 4 , and X 5 are each CH. In other embodiments, X 1 is N, and X 4 and X 5 are each CH. [00123] In some embodiments of formula (IV), as defined above, X 4 is CR 4 ; and R 4 is selected from the group consisting of Ci-4alkyl, Ci-4haloalkyl, halogen, -OCi- 4alkyl, -OCi-4haloalkyl, and G c .
- R 2 is selected from the group consisting of -L l -G A , Ci-4alkyl, halogen, -OCi- 4 alkyl, -OCi- 4 haloalkyl, -OCs-ealkenyl, COOH, -C(0)OCi- 4 alkyl, - R 20 R 20 , -C(O) R 20 R 20 , and -C(O) R 20 (Ci-4haloalkyl); R 3 is selected from the group consisting of -L 3 -G B , Ci-4alkyl, Ci-4haloalkyl, halogen, cyano, hydroxyl, -OCi- 4 alkyl, -C(0)OCi- 4 alkyl, and -C
- R 2 is selected from the group consisting of -L 1 -G A and halogen;
- R 3 is selected from the group consisting of halogen and -OCi-4alkyl;
- R 4 is selected from the group consisting of Ci-4alkyl, halogen, and -OCi-4alkyl; and
- L 1 is a bond.
- compounds of formula (I) may be represented by formula (V), wherein X 3 and X 4 are each independently N or CH; X 5 is N or CR 5 ; R 1 is selected from the group consisting of Ci-4alkyl, Ci-4haloalkyl, halogen, -OCi-4alkyl, and -OCi-4haloalkyl; R 2 is selected from the group consisting of -L l -G A , Ci-4alkyl, Ci-4haloalkyl, halogen, cyano, nitro, hydroxyl, -OCi-4alkyl, -OCi-4haloalkyl, -OC3- ealkenyl, -C(0)Ci- 4 alkyl, COOH, -C(0)OCi- 4 alkyl, - R 20 R 20 , -NR 20 (Ci-4haloalkyl), - R 20 C(O)(Ci-4alkyl), - R 20 C(O)(
- X 5 is N or CH. In some embodiments, X 3 , X 4 , and X 5 are each CH. In some embodiments of formula (V), as defined above, X 5 is CR 5 ; and R 5 is selected from the group consisting of Ci-4alkyl, Ci-4haloalkyl, halogen, -OCi-4alkyl, and -OCi-4haloalkyl. In some embodiments, X 3 and X 4 are each CH.
- R 1 is selected from the group consisting of Ci-4alkyl and -OCi- 4alkyl
- R 2 is selected from the group consisting of -I ⁇ -G 4 , Ci-4alkyl, halogen, -OCi- 4alkyl, -C(0)Ci-4alkyl, and -L 2 -Ci-6alkylene-R 21
- L 1 is a bond
- L 2 is a bond or - H-
- R 21 is -OCi- 4 alkyl or OH
- G A is G 2A .
- compounds of formula (I) may be represented by formula (VI), wherein X 1 and X 4 are each independently N or CH; X 2 is N or CR 2 ; X 3 is N or CR 3 ; R 5 is selected from the group consisting of Ci-4alkyl, Ci-4haloalkyl, halogen, -OCi-4alkyl, and -OCi-4haloalkyl; R 2 and R 3 are defined according to formula (I), G A is selected from the group consisting of G 2A , G 6A , G 7A , and G 8A ; and G 6 is selected from the group consisting of G 2B , G 6B , and G 7B ; provided that at least one of X 2 or X 3 is other than N or CH.
- formula (VI) wherein X 1 and X 4 are each independently N or CH; X 2 is N or CR 2 ; X 3 is N or CR 3 ; R 5 is selected from the group consisting of Ci-4alkyl, Ci-4
- R 2 is selected from the group consisting of -L l -G A , hydrogen, Ci-4alkyl, halogen, hydroxyl, -OCi- 4 alkyl, -OCi- 4 haloalkyl, -C(0)Ci- 4 alkyl, - R 20 R 20 , -NR 20 C(O)(Ci-4alkyl), -
- R 20 is selected from the group consisting of hydrogen, Ci- 4alkyl, halogen, -OCi-4alkyl, and - R 40 R 40 ;
- R 5 is selected from the group consisting of Ci-4alkyl, halogen, and -OCi-4alkyl;
- L 1 is a bond, - R 10 -Ci-4alkylene-, or -O-Ci- 4 alkylene-;
- L 2 is a bond, -O- or - H-;
- R 21 is -OCi-4alkyl or OH;
- G A is selected from the group consisting of G 2A , G 7A , and G 8A .
- the compounds of formula (VI) may have formula (VIA), wherein X 1 , X 4 , R 5 , and R 8 are as defined in formula (VI); R 2 is selected from the group consisting of -L l -G A , Ci-4alkyl, Ci-4haloalkyl, halogen, cyano, nitro, hydroxyl, -OCi- 4 alkyl, -OCi- 4 haloalkyl, -OCs-ealkenyl, -C(0)Ci- 4 alkyl, COOH, - C(0)OCi- 4 alkyl, - R 20 R 20 , - R 20 (Ci- 4 haloalkyl), - R 20 C(O)(Ci- 4 alkyl), - R 20 C(O)(Ci- 4 haloalkyl), - R 20 C(O)OCi- 4 alkyl, -C(O) R 20 R 20 , -C(O) R 20 R 20 ,
- R 2 is selected from the group consisting of Ci- 4 alkyl, halogen, - R 20 R 20 , and -C(O)NR 20 R 20 ;
- R 3 is selected from the group consisting of Ci- 4 alkyl, halogen, -OCi- 4 alkyl, and - R 40 R 40 ;
- R 5 is selected from the group consisting of Ci- 4 alkyl, halogen, and -OCi- 4 alkyl.
- the compounds of formula (VI) may have formula (VIB), wherein X 1 , X 4 , R 5 , and R 8 are as defined in formula (VI); X 3 is N or CH; and R 2 is selected from the group consisting of -L 1 - ⁇ , Ci- 4 alkyl, Ci- 4 haloalkyl, halogen, cyano, nitro, hydroxyl, -OCi- 4 alkyl, -OCi- 4 haloalkyl, -OC 3 - 6 alkenyl, -C(0)Ci- 4 alkyl, COOH, -C(0)OCi- 4 alkyl, -NR 20 R 20 , - R 20 (Ci- 4 haloalkyl), - R 20 C(O)(Ci- 4 alkyl), - R 20 C(O)(Ci- 4 haloalkyl), - R 20 C(O)OCi- 4 alkyl, -C(O) R
- R 2 is selected from the group consisting of -I ⁇ -G 4 , Ci-4alkyl, halogen, hydroxyl, -OCi-4alkyl, -OCi-4haloalkyl, - C(0)Ci- 4 alkyl, -NR 20 R 20 , - R 20 C(O)(Ci-4alkyl), -C(O) R 20 R 20 , -L 2 -Ci- 6 alkylene- R 21 , -L 2 -Ci-6haloalkylene-R 21 , -C 3 -salkenyl, and -C 3 -8alkenylene-OCi-4alkyl;
- R 5 is selected from the group consisting of Ci-4alkyl, halogen, and -OCi-4alkyl;
- L 1 is a bond, - R 10 -Ci-4alkylene- or -0-Ci- 4 alkylene-;
- L 2 is a bond, -0-, or
- X 1 is CH; X 3 is N or CH; and X 4 is N or CH. In other embodiments, X 1 is CH; X 3 is CH; and X 4 is N. In other embodiments, X 1 is CH; X 3 is N; and X 4 is CH. In other embodiments, X 1 is CH; X 3 is CH; and X 4 is CH.
- the compounds of formula (VI) may have formula (VIC), wherein X 1 , X 4 , R 5 , and R 8 are as defined in formula (VI); X 2 is N or CH; and R 3 is selected from the group consisting of -L 3 -G B , Ci-4alkyl, Ci-4haloalkyl, halogen, cyano, hydroxyl, -OCi- 4 alkyl, -OCi- 4 haloalkyl, -C(0)Ci- 4 alkyl, -C(0)OCi- 4 alkyl, - R 40 R 40 , and -C(O) R 40 R 40 .
- VIC formula (VIC)
- R 3 is halogen; and R 5 is Ci-4alkyl.
- X 1 is CH; X 2 is CH; and X 4 is CH.
- compounds of formula (I) may be represented by formula (VII), wherein X 3 is N or CH; X 1 , X 5 , and R 8 are as defined herein; R 2 is selected from the group consisting of -L l -G A , Ci-4alkyl, Ci-4haloalkyl, halogen, cyano, nitro, hydroxyl, -OCi-4alkyl, -OCi-4haloalkyl, -OC 3 - 6 alkenyl, -C(0)Ci-4alkyl, COOH, -C(0)OCi- 4 alkyl, -NR 20 R 20 , - R 20 (Ci-4haloalkyl), - R 20 C(O)(Ci-4alkyl), - R 20 C(O)(Ci-4haloalkyl), - R 20 C(O)OCi-4alkyl, -C(O) R 20 R 20 , -C(O) R 20 (Ci) R 20 (Ci) R
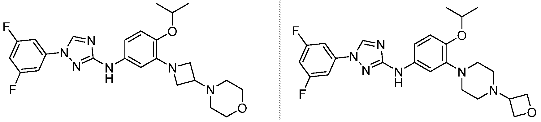
- G A is G 2A (e.g., mo holin-4-yl) and G c is G 6C (e.g., cyclopropyl). In other embodiments, G A is G 6A e.g., cyclopropyl) and G c is G 6C (e.g., cyclopropyl).
- R 2 is selected from the group consisting of Ci-4alkyl, Ci-4haloalkyl, halogen, cyano, nitro, hydroxyl, -OCi-4alkyl, - OCi- 4 haloalkyl, -OCs-ealkenyl, -C(0)Ci- 4 alkyl, COOH, -C(0)OCi- 4 alkyl, - R 20 R 20 , - R 20 (Ci-4haloalkyl), - R 20 C(O)(Ci-4alkyl), - R 20 C(O)(Ci-4haloalkyl), - R 20 C(O)OCi-4alkyl, -C(O) R 20 R 20 , -C(O)NR 20 (Ci-4haloalkyl), -L 2 -Ci- 6 alkylene- R 21 , -L 2 -Ci-6haloalkylene-R 21 , -L 2 -
- R 2 is selected from the group consisting of Ci-4alkyl, Ci-4haloalkyl, halogen, cyano, nitro, -OCi-4alkyl, -OCi-4haloalkyl, -C(0)Ci-4alkyl, COOH, - R 20 R 20 , -NR 20 (Ci-4haloalkyl), -NR 20 C(O)(Ci-4alkyl), - R 20 C(O)(Ci-4haloalkyl), - R 20 C(O)OCi-4alkyl, -L 2 -Ci- 6 alkylene-R 21 , -L 2 -Ci- 6 haloalkylene-R 21 , -L 2 -Ci- 3 alkylene-C(H)(OCi-4alkyl)-Ci- 3 alkylene-R 21 , -L 2 -C2-4alkylene-0-C2-4alkylene- R 21 , -L 2
- L 2 is a bond, -0-, - H-, -N(Ci-4alkyl)-, or - HC(O)-; and R 21 is -OCi- 4 alkyl, OH, CN, -NH2, -N(Ci-4alkyl)(Ci-4alkyl), -C(0)N(Ci-4alkyl)(Ci-4alkyl), -N(Ci- 4alkyl)C(0)OCi- 4 alkyl, - HC(0)Ci- 4 alkyl, -NHS(0) 2 Ci-4alkyl, or -C(0)Ci- 4 alkyl.
- X 1 , X 3 , and X 5 are each independently N or CH.
- X 1 is CH; X 3 is CH; and X 5 is CH.
- X 1 is CH; X 3 is N; and X 5 is CH.
- X 1 is CH; X 3 is CH; and X 5 is N.
- X 1 is N; X 3 is CH; and X 5 is CH.
- the compounds of formula (VII) may have formula (VIIA), wherein X 1 , X 3 , R 2 , R 4 , and R 8 are as defined in the embodiments of formula (VII); and R 5 is selected from the group consisting of Ci-4alkyl, Ci-4haloalkyl, halogen, -OCi-4alkyl, and -OCi-4haloalk l.
- the compounds of formula (VII) may have formula (VIIB), wherein X 3 , X 5 , R 2 , R 4 , and R 8 are as defined in the embodiments of formula (VII); and R 1 is selected from the group consisting of Ci-4alkyl, Ci-4haloalkyl, halogen, -OCi-4alkyl, and -OCi-4haloalk l.
- R 2 is G A .
- formula (X) may be represented by formulas (X-1) to X-11), where R 2 , R 8 , R 110 , and R 120 are as defined herein.
- R 2 is hydrogen
- R 2 is -C(O)NR 20 R 20 . In further embodiments R 2 is -C(0) H(Ci- 4 alkyl).
- R 110 is hydrogen. In other embodiments, R 110 is Ci-4alkyl. In other embodiments, R 110 is C(0)Ci-4alkyl. In further embodiments in combination with the foregoing R 110 description, R 2 may be hydrogen. [00138] In some embodiments of formula (X-8), R 2 is -L l -G A , where L 1 and G A are as described herein. In some embodiments, -L l -G A is -G ⁇ R 7 (i.e., L 1 is a bond), where G 1 and R 7 are as described herein.
- R 120 is hydrogen. In other embodiments, R 120 is Ci-4alkyl (e.g., methyl, ethyl, isopropyl). In yet other embodiments, R 120 is C(0)Ci-4alkyl (e.g., C(0)CH 3 ). In some embodiments, R 120 is R 6 , where R 6 is as defined herein.
- formula (XII) may be represented by formulas (XII-1) or (XII-2), where R 100 is as defined herein.
- R 2 is hydrogen in combination with an option of R 100 .
- formula (XIII) may be represented by formulas XIII-1) - (XIII-3).
- R 110 is hydrogen. In other embodiments, R 110 is Ci-4alkyl. In other embodiments, R 110 is C(0)Ci-4alkyl. In further embodiments of formulas (XIII), (XIII-1), and (XIII-3) and/or in combination with the foregoing description of R 110 , R 120 is hydrogen. In other embodiments, R 120 is Ci-4alkyl (e.g., methyl, ethyl, isopropyl). In yet other embodiments, R 120 is C(0)Ci-4alkyl (e.g., C(0)CH 3 ). In some embodiments of formulas (XIII), (XIII-1), and (XIII-3), R 120 is R 6 , where R 6 is as defined herein.
- formula (XIV) may be represented by formula (XIV-1).
- R 120 is R 6 , where R 6 is as defined herein.
- R 120 is hydrogen.
- R is Ci-4alkyl (e.g., methyl, ethyl, isopropyl).
- R 120 is C(0)Ci- 4 alkyl (e.g., C(0)CH 3 ).
- the 4- to 12-membered heterocycle at R 6 may be an optionally substituted 4- to 8-membered monocyclic heterocycle containing one nitrogen or oxygen atom and connected to the parent molecular moiety through a ring carbon atom of R 6 and optionally containing one double bond and/or a Ci- 3 alkylene bridge between two non-adjacent ring atoms.
- R 6 is an optionally substituted 4- to 6-membered monocyclic heterocycle containing containing one nitrogen or oxygen atom and connected to the parent molecular moiety through a ring carbon atom of R 6 .
- R 6 may be piperidin-3-yl, piperidin- 4-yl, l-methylpiperidin-3-yl, l-(methoxycarbonyl)piperidin-3-yl, 1- (methoxycarbonyl)piperidin-4-yl, 1 -(3 -methoxypropyl)piperidin-4-yl, 1 - acetylpiperidin-4-yl, 3-hydroxypiperidin-4-yl, 3-fluoro-l-methylpyrrolidin-3-yl, 3- hydroxy- l-methylpyrrolidin-3-yl, l-acetylpyrrolidin-3-yl, l-(2,2- difluoroethyl)pyrrolidin-3-yl, tetrahydropyran-4-yl, tetrahydropyran-3-yl, 3,6- dihydro-2H-pyran-4-yl, 2,5-dihydrofuran-3-yl, tetrahydro
- R 6 may be a 3- to 8-membered cycloalkyl optionally substituted with 1-4 substituents independently selected from the group consisting of Ci- 4 alkyl, Ci- 4 haloalkyl, halogen, hydroxyl, -C(0)OCi- 4 alkyl, -C(0)OH, and oxo.
- R 6 is optionally substituted with 1-4 substituents independently selected from the group consisting of Ci- 4 alkyl, Ci- 4 haloalkyl, halogen, hydroxyl, -C(0)OCi- 4 alkyl, -C(0)OH, oxo, -OCi- 4 alkyl, -Ci-6alkylene-OCi- 4 alkyl, and -Ci-6alkylene-OH.
- R 6 is cyclopropyl, cyclobutyl, or cyclopentyl, each being optionally substituted with -C(0)OCi- 4 alkyl, - C(0)OH, hydroxyl or 1-2 halogen.
- R 6 is cyclopropyl.
- R 6 is cyclobutyl.
- R 6 is 3,3- difluorocyclobutyl .
- R 2 is -L l -G A .
- R 3 is -V-GP.
- G A or G B is -G ⁇ R 7 .
- the 4- to 12-membered heterocycle at R 7 may be a 4- to 8- membered monocyclic heterocycle containing 1-2 heteroatoms independently selected from oxygen, nitrogen, and sulfur, the monocyclic heterocycle optionally containing one double bond and/or a Ci-3alkylene bridge between two non-adjacent ring atoms and being optionally substituted with 1-4 substituents independently selected from the group consisting of Ci-4alkyl, Ci-4haloalkyl, -CH2S(0)2phenyl, halogen, hydroxyl, oxo, -OCi-4alkyl, -Ci-6alkylene-OCi-4alkyl, and -Ci-6alkylene-OH.
- R 7 is a 4- to 8-membered monocyclic heterocycle
- monocyclic heterocycle optionally containing one double bond and/or a Ci-3alkylene bridge between two non-adjacent ring atoms and being optionally substituted with 1-4 substituents independently selected from the group consisting of Ci-4alkyl, Ci- 4haloalkyl, -CH2S(0)2phenyl, halogen, hydroxyl, oxo, -OCi-4alkyl, -Ci- 6 alkylene- OCi-4alkyl, and -Ci-6alkylene-OH.
- R 7 is an oxetanyl, a tetrahydrofuranyl, a tetrahydropyranyl, a morpholinyl, 2-oxa-5- azabicyclo[2.2.1]heptanyl, 6-oxa-3-azabicyclo[3.1.1]heptanyl, 1,4-oxazepanyl, 3-oxa- 8-azabicyclo[3.2.1]octanyl, 8-oxa-3-azabicyclo[3.2.1]octanyl, a pyrrolidinyl, piperidinyl, thiomorpholinyl, a thietanyl, piperazinyl, or azetidinyl, each being optionally substituted as described herein.
- R 7 is oxetanyl, tetrahydrofuranyl, tetrahydropyranyl, morpholinyl, pyrrolidinyl, or thietanyl, each being optionally substituted with 1-4 substituents independently selected from Ci- 4alkyl and oxo.
- the oxetanyl, tetrahydrofuranyl, tetrahydrofuranyl, morpholinyl, pyrrolidinyl, or thietanyl each being optionally substituted with 1-4 substituents independently selected from Ci- 4alkyl and oxo.
- tetrahydropyranyl, morpholinyl, pyrrolidinyl, thietanyl, piperazinyl, and azetidinyl are each optionally substituted with 1-4 substituents independently selected from halogen, Ci-4alkyl and oxo.
- the oxetanyl, tetrahydrofuranyl, tetrahydropyranyl, morpholinyl, pyrrolidinyl, thietanyl, and piperazinyl are each optionally substituted with Ci-4alkyl, and the pyrrolidinyl, piperazinyl, and thietanyl further optionally substituted with 1-2 oxo groups.
- R 7 is a 4- to 8-membered monocyclic heterocycle containing 1 oxygen atom (e.g., an oxetanyl, a tetrahydrofuranyl, a tetrahydropyranyl).
- R 7 is a 4-membered monocyclic heterocycle containing 1 oxygen atom and optionally substituted with Ci- 4alkyl or -CH2S(0)2phenyl.
- R 7 is a 4-membered monocyclic heterocycle containing 1 oxygen atom and optionally substituted with Ci-4alkyl.
- R 7 is a 4- to 8-membered monocyclic heterocycle containing 1 sulfur atom (e.g., thietanyl, tetrahydrothiophenyl, tetrahydro-2H-thiopyranyl). In other embodiments, R 7 is a 4-membered monocyclic heterocycle containing 1 sulfur atom and optionally substituted with 1-2 oxo groups.
- R 7 is a 4- to 8-membered monocyclic heterocycle containing 1 nitrogen atom and optionally 1 oxygen atom or 1 sulfur atom (e.g., azetidinyl, pyrrolidinyl, morpholinyl, homomorpholinyl, thiomorpholinyl, piperazinyl) and optionally substituted with oxo (e.g., 2-oxopyrrolidin-l-yl).
- the heterocycles of R 7 may be appended to the parent molecule by any substitutable carbon atom or nitrogen atom in R 7 .
- the oxygen-containing heterocycle is oxetan-3-yl, tetrahydrofuran-3-yl, tetrahydropyran-3-yl, or tetrahydropyran-4-yl.
- the sulfur- containing heterocycle is thietan-3-yl, tetrahydrothiophen-3-yl, tetrahydro-2H- thiopyran-3-yl, or tetany dro-2H-thiopyran-4-yl.
- the heterocycle containing 1 nitrogen atom and optionally 1 oxygen or sulfur atom is e.g., piperidin-l-yl, morpholin-4-yl, azetidin-l-yl, piperazin-l-yl, 2-oxa-5- azabicyclo[2.2.1]heptan-5-yl, 6-oxa-3-azabicyclo[3.1.1]heptan-3-yl, l,4-oxazepan-4- yl, 3-oxa-8-azabicyclo[3.2.1]octan-8-yl, 8-oxa-3-azabicyclo[3.2.1]octan-3-yl, thiomorpholin-4-yl, or 2-oxopyrrolidin-l-yl.
- the oxygen- and sulfur-containing heterocycles may be unsubstituted or substituted as described herein.
- the oxygen-containing heterocycle may be oxetan-3- yl, 3-methyloxetan-3-yl or 3 -((phenyl sulfonyl)methyl)oxetan-3-yl and the sulfur- containing heterocycle may be thietan-3-yl or l, l-dioxothietan-3-yl.
- the 4- to 12-membered heterocycle at R 7 may be a 7- to 12-membered spiro heterocycle comprising a first ring and a second ring, the first ring being a 4- to 8-membered monocyclic heterocycle containing 1-2 heteroatoms independently selected from nitrogen and oxygen and being attached to G 1 , the second ring being a C3-8cycloalkyl or a 4- to 8-membered monocyclic heterocycle containing 1-2 oxygen atoms wherein two atoms of the second ring are attached to one carbon of the first ring to form a spirocycle optionally substituted with 1-4 substituents independently selected from the group consisting of Ci-4alkyl, Ci- 4haloalkyl, halogen, hydroxyl, and oxo.
- the spirocyclic R 7 is optionally substituted with 1-4 substituents independently selected from the group consisting of Ci-4alkyl, Ci-4haloalkyl, -CH2S(0)2phenyl, halogen, hydroxyl, oxo, - OCi-4alkyl, -Ci-6alkylene-OCi-4alkyl, and -Ci-6alkylene-OH.
- 1-4 substituents independently selected from the group consisting of Ci-4alkyl, Ci-4haloalkyl, -CH2S(0)2phenyl, halogen, hydroxyl, oxo, - OCi-4alkyl, -Ci-6alkylene-OCi-4alkyl, and -Ci-6alkylene-OH.
- R 7 is a 7- to 12-membered spiro heterocycle consisting of the first ring and a second ring, as described herein.
- the first ring is attached to G 1 through any substitutable carbon or nitrogen atom in R 7 .
- the first ring is attached to G 1 through a nitrogen atom.
- the first ring of R 7 includes, but is not limited to, heterocycles such as azetidine, pyrrolidine, piperidine, azepane, morpholine, azocane, piperazine, and homopiperazine.
- the first ring of R 7 is a 4- to 8-membered monocyclic heterocycle containing 1-2 nitrogen atoms or 1 nitrogen atom and 1 oxygen atom.
- the first ring is morpholino, piperazin-l-yl, or piperidin-l-yl.
- the second ring includes a C3-scycloalkyl, e.g., cyclopropyl, cyclobutyl cyclopentyl.
- the second ring is formed by the attachment of two atoms of the second ring to a single carbon atom of the first ring such that the first ring and the second ring share one carbon atom in common.
- R 7 is 4-oxa-7-azaspiro[2.5]octanyl (e.g., 4-oxa-7-azaspiro[2.5]octan-7-yl).
- the 4- to 12-membered heterocycle at R 7 may be a 7- to 12-membered fused bicyclic heterocycle containing 1-3 heteroatoms independently selected from oxygen, nitrogen, and sulfur and being optionally substituted with 1-4 substituents independently selected from the group consisting of Ci-4alkyl, Ci- 4haloalkyl, halogen, hydroxyl, and oxo.
- R 7 is a 7- to 12- membered fused bicyclic heterocycle containing 1-3 heteroatoms independently selected from oxygen, nitrogen, and sulfur and being optionally substituted with 1-4 substituents independently selected from the group consisting of Ci-4alkyl, Ci- 4haloalkyl, halogen, hydroxyl, oxo, -OCi-4alkyl, -Ci-6alkylene-OCi-4alkyl, and -Ci- 6 alkylene-OH.
- the fused bicyclic heterocycle is a 7-12- membered ring system having a monocyclic heterocycle, as defined herein, fused to another monocyclic heterocyclic ring.
- R 7 is 2- oxa-5-azabicyclo[4.1.OJheptanyl (e.g., 2-oxa-5-azabicyclo[4.1.0]heptan-5-yl).
- R 7 may be a 5- or 6-membered monocyclic heteroaryl containing 1-3 heteroatoms independently selected from nitrogen, oxygen, and sulfur, the monocyclic heteroaryl being optionally substituted with 1-3 substituents independently selected from Ci-4alkyl, Ci-4haloalkyl, halogen, or hydroxyl.
- R 7 is a 5- or 6-membered monocyclic heteroaryl containing 1-3 heteroatoms independently selected from nitrogen, oxygen, and sulfur, the
- Ci-4alkyl independently selected from Ci-4alkyl, Ci-4haloalkyl, halogen, hydroxyl, -OCi-4alkyl, -Ci-6alkylene-OCi-4alkyl, and -Ci-6alkylene-OH.
- Ci-4alkyl independently selected from Ci-4alkyl, Ci-4haloalkyl, halogen, hydroxyl, -OCi-4alkyl, -Ci-6alkylene-OCi-4alkyl, and -Ci-6alkylene-OH.
- R 7 is a 5-membered heteroaryl containing 1-3 nitrogen atoms (e.g., pyrrolyl, imidazolyl, pyrazolyl, triazolyl). In certain embodiments, R 7 is pyrazol-l-yl. In other embodiments, R 7 is a 6-membered heteroaryl containing 1-3 nitrogen atoms (e.g., pyridine, pyrimidine, etc.). In some embodiments, R 7 is pyridin-2-yl or pyridin- 3-yl.
- R 7 may be a 3- to 8-membered cycloalkyl optionally substituted with 1-4 substituents independently selected from the group consisting of Ci- 4 alkyl, Ci- 4 haloalkyl, halogen, hydroxyl, -C(0)OCi- 4 alkyl, -C(0)OH, and oxo.
- R 7 is optionally substituted with 1-4 substituents independently selected from the group consisting of Ci-4alkyl, Ci-4haloalkyl, halogen, hydroxyl, - C(0)OCi- 4 alkyl, -C(0)OH, oxo, -OCi- 4 alkyl, -Ci-6alkylene-OCi-4alkyl, and -Ci- 6alkylene-OH.
- R 7 is cyclopropyl, cyclobutyl, or cyclopentyl, each being optionally substituted with -C(0)OCi-4alkyl, -C(0)OH, hydroxyl or 1-2 halogen.
- R 7 is cyclopropyl. In another group of compounds R 7 is cyclobutyl. In other embodiments, R 7 is 3,3- difluorocyclobutyl. In other embodiments, R 7 is a cyclobutane carboxylic acid.
- R 7 may be phenyl optionally substituted with 1-4 substituents independently selected from the group consisting of Ci-4alkyl, Ci- 4haloalkyl, halogen, hydroxyl, -C(0)OCi-4alkyl, and -C(0)OH.
- R 7 is phenyl optionally substituted with 1-4 substituents independently selected from the group consisting of Ci-4alkyl, Ci-4haloalkyl, halogen, hydroxyl, - C(0)OCi- 4 alkyl, -C(0)OH, -OCi- 4 alkyl, -Ci-6alkylene-OCi-4alkyl, and -Ci- 6alkylene-OH.
- R 7 may be represented by the following formulas, wherein R 7a , R ⁇ , R 7c , and R 7d are the optional R 7 substituents, respectively for the 4- 12 membered heterocycle, C3-scycloalkyl, phenyl, and 5- or 6-membered heteroaryl of R 7 and s is an integer from 0-4:
- G 1 may be a 4- to 8-membered monocyclic heterocycle containing 1-2 heteroatoms independently selected from oxygen, nitrogen, and sulfur, the monocyclic heterocycle optionally containing one double bond and/or a Ci- 3alkylene bridge between two non-adjacent ring atoms, G 1 being optionally substituted with 1-4 substituents independently selected from the group consisting of Ci-4alkyl, Ci-4haloalkyl, halogen, hydroxyl, and oxo.
- G 1 is a 4- to 8-membered optionally substituted monocyclic heterocycle containing a first nitrogen atom and optionally a second heteroatom independently selected from oxygen and nitrogen, and optionally containing one double bond and/or a Ci-3alkylene bridge between two non-adjacent ring atoms.
- G 1 is connected to the parent molecular moiety (e.g., at L 1 ) through the first nitrogen atom. In other embodiments, G 1 is attached at a ring carbon atom of G 1 .
- G 1 is a 4- to 6-membered optionally substituted monocyclic heterocycle containing a first nitrogen atom and optionally a second heteroatom independently selected from oxygen and nitrogen, and optionally containing one double bond and/or a Ci-3alkylene bridge between two non-adjacent ring atoms.
- G 1 is a 4- to 8- membered monocyclic heterocycle containing 1 or 2 nitrogen atoms, the monocyclic heterocycle optionally containing one double bond and/or a Ci-3alkylene bridge between two non-adjacent ring atoms, G 1 being optionally substituted with 1-4 substituents independently selected from the group consisting of Ci-4alkyl, Ci- 4haloalkyl, halogen, hydroxyl, and oxo.
- G 1 contains one nitrogen atom.
- G 1 contains two nitrogen atoms.
- G 1 is a 6-membered monocyclic heterocycle containing 1 or 2 nitrogen atoms.
- the heterocycles at G 1 may be unsubstituted or substituted. Unless substitution is indicated as present or optional for a specific heterocyclic G 1 , the heterocycle is unsubstituted.
- G 1 may be piperazinyl, homopiperazinyl, azetidinyl, pyrrolidinyl, piperidinyl, azepanyl, 2,5- diazabicyclo[2.2.1]heptanyl, 2,5-dihydro-lH-pyrrolyl, oxetanyl, morpholino, tetrahydropyranyl, or 1,2,3,6-tetrahydropyridinyl, each unsubstituted or substituted as described herein.
- the piperazinyl, homopiperazinyl, azetidinyl, pyrrolidinyl, piperidinyl, azepanyl, 2,5-diazabicyclo[2.2.1]heptanyl, 2,5-dihydro-lH- pyrrolyl, oxetanyl, morpholino, tetrahydropyranyl, or 1,2,3,6-tetrahydropyridinyl are optionally substituted with 1-4 substituents independently selected from 1 hydroxyl, 1-2 halogen, 1 oxo, and 1-4 Ci-4alkyl groups.
- pyrrolidinyl and/or piperidinyl is optionally substituted with halogen, 1 hydroxyl, or 1 oxo and the piperazinyl is optionally substituted with oxo.
- G 1 is piperazin- 1-yl optionally substituted with oxo.
- G 1 may have a Ci- 3alkylene bridge between two non-adjacent ring atoms (e.g., 2,5- diazabicyclo[2.2.1]heptanyl). In other embodiments, G 1 is without a Ci-3alkylene bridge between two non-adjacent ring atoms.
- the heterocycles of G 1 may be appended to the parent molecule (e.g., at LVL 3 ) by any substitutable carbon or nitrogen atom.
- LVL 3 is -0-, - R 10 -, C(0) R 10 -, - R 10 C(O)-, -NR 30 -, C(0)NR 30 -, -NR 30 C(O)-, or -C(O)- and G 1 is attached to LVL 3 at a ring carbon atom of G 1 .
- LVL 3 is a bond and G 1 is attached to LVL 3 at a ring nitrogen atom of G 1 .
- G 1 examples include piperazin-l-yl, 2-oxo-piperazin-l-yl, homopiperazin-l-yl, azetidin-l-yl, azetidin-3-yl, pyrrolidin-3-yl, 3-hydroxy-pyrrolidin-3-yl, 3-fluoro-pyrrolidin-3-yl, piperidin-l-yl, piperidin-3-yl, piperidin-4-yl, 3-hydroxypiperidin-4-yl, 4- hydroxypiperidin-4-yl, 3-fluoropiperidin-4-yl, 4-fluoropiperidin-4-yl, 3,3- difluoropiperidin-4-yl, azepan-3-yl, 2,5-diazabicyclo[2.2.1]heptan-2-yl, 2,5-dihydro- lH-pyrrol-3-yl, or l,2,3,6-tetrahydropyridin-4-yl.
- -G ⁇ R 7 together may represent 3-(l-hydroxycyclobutyl)piperazin-l-yl; 4- cyclopropylpiperazin- 1 -yl; 4-cyclobutylpiperazin- 1 -yl; 4-cyclopentylpiperazin- 1 -yl; l-cyclopropylpiperidin-4-yl; l-cyclopropylpiperidin-3-yl; l-cyclobutylpiperidin-4-yl, l-cyclopentylpiperidin-4-yl, 4-(3,3-difluorocyclobutyl)piperazin-l-yl; or 5- cyclopropyl-2,5-diazabicyclo[2.2.1]heptan-2-yl.
- G 1 may be represented by the following formulas, wherein R gl is the optional G 1 substituent and m is an integer
- G ⁇ R 7 may be represented by the following formulas, wherein R gl , R 7a , R 7b , R 7c , R 7d , m and s are as defined herein:
- R 2 is -L l -G A and/or R 3 is -I ⁇ -G 6 , where G ⁇ 4 is G 2A and/or G 6 is G 23 .
- G ⁇ 4 is G 2A and/or G 6 is G 23 .
- only one of -L 1 -G 2A and -L 3 -G 2B is present.
- the heterocycles at G 2A and G 2B may be unsubstituted or substituted. Unless substitution is indicated as present or optional for a specific heterocyclic G 2A and G 2B , the heterocycle is unsubstituted.
- G 2A or G 2B may be substituted with 1-4 substituents independently selected from the group consisting of Ci-4alkyl (e.g., methyl, ethyl, isopropyl), Ci-4haloalkyl (e.g., -CF 3 , -CH2CF3, -CH2CHF2), halogen (e.g., fluoro), hydroxyl, oxo, cyano, -C(0)Ci-4alkyl (e.g., -C(0)CH 3 ), -C(0)OCi- 4 alkyl (e.g., -C(0)OCH 3 , -C(0)OCH 2 CH 3 , - C(0)OC(CH 3 ) 3 ), -OCi- 4 alkyl (e.g., -OCH3), -Ci-6alkylene-OCi-4alkyl (e.g., - CH 2 OCH 3 , -CH 2 CH 2 OCH 3 , -CH 2 CH 2
- G 213 may be an optionally substituted 4- to 8-membered monocyclic heterocycle containing a first nitrogen atom and optionally a second nitrogen atom, an oxygen or sulfur atom, and optionally containing one double bond and/or a Ci- 3 alkylene bridge between two non-adjacent ring atoms, G 2A or GTM being connected to LVL 3 , respectively, through the first nitrogen atom.
- G 2A or G 2B may be an optionally substituted 4- to 6-membered monocyclic heterocycle containing a first nitrogen atom and optionally a second heteroatom independently selected from oxygen and nitrogen, and optionally containing one double bond and/or a Ci- 3 alkylene bridge between two non-adjacent ring atoms.
- G 2A or G 2B may be substituted with one substituent selected from the foregoing group and further optionally substituted with 1-3 substituents selected from the group consisting of Ci-4alkyl and halogen.
- G 2A or G 23 is a 6-membered monocyclic heterocycle containing 1 or 2 nitrogen atoms and substituted with Ci-4alkyl.
- G 2A or G 2B is piperazin-l-yl optionally substituted with Ci-4alkyl.
- G 2A or G 2B may be 4-Ci-4alkyl-piperazin-l-yl.
- G 2A or G 2B may be
- G 2A or G 2B may have a Ci- 3 alkylene bridge between two non-adjacent ring atoms (e.g., 2,5-diazabicyclo[2.2.1]heptanyl, 2-oxa-5- azabicyclo[2.2.1]heptanyl, 3-oxa-8-azabicyclo[3.2.1]octanyl, 8-oxa-3- azabicyclo[3.2. ljoctanyl).
- G 2A or G 2B is without a Ci- 3 alkylene bridge between two non-adjacent ring atoms.
- the heterocycles of G 2A or Gr 23 are appended to the parent molecule (i.e., at LVL 3 ) by a nitrogen atom in G 2A or G 2B (e.g., morpholin-4-yl, homomorpholin-4-yl, thiomorpholin-4-yl, 4- thiomorpholine 1,1 -dioxide, piperazin-l-yl, homopiperazin-l-yl, azetidin-l-yl, pyrrolidin-l-yl, piperidin-l-yl, azepan-l-yl, 2,5-diazabicyclo[2.2.1]heptan-2-yl, 6- oxa-3-azabicyclo[3.1.1]heptan-3-yl, 2-oxa-5-azabicyclo[2.2.1]heptan-5-yl, 3-oxa-8- azabicyclo[3.2.1]octan-8-yl, 8-oxa-3-azabic
- the optionally substituted G 2A or G 2B may be piperidin-l-yl, 3-fluoropiperidin-l-yl, 4- fluoropiperidin-l-yl, 3-methoxypiperidin-l-yl, 3-(methoxymethyl)piperidin-l-yl, 4- (methoxymethyl)piperidin- 1 -yl, 4-methylpiperidin- 1 -yl, 4-hydroxy-4- methylpiperidin-l-yl, 4-(ethoxycarbonyl)piperidin-l-yl, 4-(tert- butoxycarbonyl)piperidin-l-yl, 3-cyanopiperidin-l-yl, 4-cyanopiperidin-l-yl, 3- hydroxypiperidin-l-yl, 4-hydroxypiperidin-l-yl, 3-(hydroxymethyl)piperidin-l-yl, 4- (2-methoxyethyl)piperidin-l-yl,
- G 2A /G 2B may be represented by the following formulas, wherein R g2a is the optional G 2A /G 2B substituent and m is an integer between 0 and 4.
- G A is G 3A and/or G B is G 3B where G 3A and G 3B are as described above. In some embodiments, only one of -L 1 -G 3A and -L 3 -G 3B is present. In other embodiments, G 3A and G 3B are both present.
- the heterocycles at G 3A and G 3B may be unsubstituted or substituted. Unless substitution is indicated as present or optional for a specific heterocyclic G 3A or G 3B , the heterocycle is unsubstituted.
- the optional G 3A /G 3B substituent may be bonded to the same atom, or a different atom, in G 3A or G 3B to which L 1 or L 3 is bonded.
- G 3A and G 3B are attached to L 1 and L 3 , respectively, at a ring carbon ring atom of G 3A or G 3B .
- G 3A and/or G 3B are independently a 4- to 8-membered monocyclic heterocycle containing one nitrogen or oxygen atom and optionally substituted with 1-4 substituents independently selected from the group consisting of Ci-4alkyl (e.g., methyl, isobutyl), Ci-4haloalkyl, halogen (e.g., fluoro), hydroxyl, oxo, cyano, -OCi- 4 alkyl (e.g., -OCH3), -C(0)Ci- 4 alkyl (e.g., -C(0)CH 3 ), - C(0)OCi- 4 alkyl (e.g., -C(O)O-t-butyl), -Ci-6alkylene-OCi- 4 alkyl (e.g., -(CH 2 ) 3 - OCH 3 ), and -Ci-6alkylene-OH.
- Ci-4alkyl e.g., methyl, isobutyl
- the optional substituents include Ci- 4 alkyl, hydroxyl, -C(0)Ci- 4 alkyl, -C(0)OCi- 4 alkyl, or -Ci-ealkylene-OCi- 4alkyl.
- G 3A /G 3B may be an optionally substituted 4- to 6-membered monocyclic heterocycle containing 1-2 heteroatoms independently selected from oxygen and nitrogen, G 3A /G 3B being connected to the parent molecular moiety through a ring carbon atom of G 3A /G 3B .
- G 3A or G 3B may be azetidin-3-yl, pyrrolidin-3-yl, 2-oxooxazolidin-3-yl, 2-oxooxazolidin-5-yl, piperidin- 3-yl, piperidin-4-yl, azepan-3-yl, l,2,3,6-tetrahydropyridin-4-yl, oxetan-3-yl, tetrahydrofuran-2-yl, tetrahydrofuran-3-yl, tetrahydropyran-4-yl, 2,5-dihydrofuran-3- yl, or 3,6-dihydro-2H-pyran-4-yl, each optionally substituted.
- G 3A or G 3B may be piperidin-3-yl, piperidin-4-yl, l-methylpiperidin-3- yl, l-(methoxycarbonyl)piperidin-3-yl, l-(methoxycarbonyl)piperidin-4-yl, l-(3- methoxypropyl)piperidin-4-yl, l-acetylpiperidin-4-yl, 3-hydroxypiperidin-4-yl, 3- fluoro- 1 -methylpyrrolidin-3 -yl, 3 -hydroxy- 1 -methylpyrrolidin-3 -yl, 1 - acetyl pyrrolidin-3-yl, l-(2,2-difluoroethyl)pyrrolidin-3-yl, 2-oxooxazolidin-3-yl, 5- methyl-2-oxooxazolidin-5-yl, 3,5-dimethyl-2-oxooxazolid
- G /G may be represented by the following formulas, wherein R g3a is the optional G 3A /G 3B substituent and m is an integer between 0 and 4.
- G A is G 4A and/or G B is G 4B where G 4A and G 4B are independently a 7- to 12-membered spiro heterocycle comprising a first ring and a second ring, the first ring being a 4- to 8- membered monocyclic heterocycle containing 1-2 heteroatoms independently selected from nitrogen and oxygen and being attached to L 1 or L 3 , respectively, the second ring being a C3-8cycloalkyl or a 4- to 8-membered monocyclic heterocycle containing 1-2 oxygen atoms wherein two atoms of the second ring are attached to one carbon of the first ring to form a spirocycle, and wherein G 4A and G 4B are each optionally substituted with 1-4 substituents independently selected from the group consisting of Ci-4alkyl, Ci-4haloalkyl, halogen, hydroxyl, oxo, and
- G 4A or G 4B is a 7- to 12- membered spiro heterocycle consisting of the first ring and a second ring, as described herein.
- the first ring of G 4A or G 4B includes, but is not limited to, heterocycles such as azetidine, pyrrolidine, piperidine, azepane, morpholine, azocane, piperazine, and homopiperazine.
- the first ring of G 4A or G 4B is a 4- to 8- membered monocyclic heterocycle containing 1-2 nitrogen atoms or 1 nitrogen atom and 1 oxygen atom.
- the first ring of G 4A or G 4B is a 4- to 6- membered monocyclic heterocycle containing 1-2 nitrogen atoms.
- the first ring is attached to LVL 3 through any substitutable carbon or nitrogen atom.
- the first ring is attached to LVL 3 through a nitrogen atom.
- the first ring is azetidin-l-yl, pyrrolidin-l-yl, piperazin-l-yl, or piperidin-l-yl.
- the second ring of G 4A or G 4B includes, but is not limited to, heterocycles such as oxetane, tetrahydrofuran, tetrahydropyran, dioxolane, etc.
- the second ring has one oxygen atom.
- the second ring has two oxygen atoms.
- the second ring is a C 3 - 8cycloalkyl, e.g., cyclopropyl, cyclobutyl cyclopentyl.
- the second ring is formed by the attachment of two atoms of the second ring to a single carbon atom of the first ring such that the first ring and the second ring share one carbon atom in common.
- the second ring may be joined with the first ring at the 4-position of a first ring piperidin-l-yl or the 3 -position of a first ring azetidin-l-yl, pyrrolidin-l-yl, piperidin-l-yl, or piperazin-l-yl.
- G 4A or G 4B is l,4-dioxa-8- azaspiro[4.5]decanyl, 2-oxa-6-azaspiro[3.5]nonanyl, 2-oxa-7-azaspiro[3.5]nonanyl, 2- oxa-5,8-diazaspiro[3.5]nonanyl, 2,5-dioxa-8-azaspiro[3.5]nonanyl, l-oxa-8- azaspiro[4.5]decanyl, 5-oxa-8-azaspiro[3.5]nonanyl, 2-oxa-6-azaspiro[3.4]octanyl, 6- oxa-2-azaspiro[3.4]octanyl, l-oxa-6-azaspiro[3.3]heptanyl, or 2-oxa-6- azaspiro[3.3]heptanyl, 2-oxa-8-azaspiro[4.5]decanyl,
- heterocycles of G 4A or G 4B may be appended to the parent molecule (i.e., at LVL 3 ) by any substitutable carbon or nitrogen atom.
- Other embodiments include l,4-dioxa-8- azaspiro[4.5]decan-8-yl, 2-oxa-7-azaspiro[3.5]nonan-7-yl, 2-oxa-7- azaspiro[4.4]nonan-7-yl, 5-methyl-2-oxa-5,8-diazaspiro[3.5]nonan-8-yl, 2-oxa-6- azaspiro[3.4]octan-6-yl, 2-oxa-5-azaspiro[3.4]octan-5-yl, l-oxa-6- azaspiro[3.3]heptan-6-yl, 2-oxa-6-azaspiro[3.5]nonan-6-yl, 2,5-dioxa-8- azaspiro[3.5
- G 2 is selected from the group consisting of 2,6-diazaspiro[3.3]heptan-2-yl, 2-oxa-6-azaspiro[3.4]octan-6-yl, and 2- oxa-8-azaspiro[4.5]decan-8-yl.
- G A is G 5A and/or G B is G 5B , where G 5A and/or G 5B are as described above.
- the heterocycles at G 5A and/or G 5B may be unsubstituted or substituted. Unless substitution is indicated as present or optional for a specific heterocyclic G 5A and/or G 5B , the heterocycle is unsubstituted.
- the fused bicyclic heterocycle is a 7-12- membered ring system having a monocyclic heterocycle, as defined herein, fused to another monocycli
- Ci-4alkyl e.g., methyl, ethyl, isobutyl
- Ci-4haloalkyl e.g.,- CF 3 , -CH2CF 3
- halogen e.g., fluoro
- G and/or G may be substituted with one substituent selected from the foregoing group.
- G and/or G is
- G A , G B , and/or G c are each independently G 6A , G 6B , or G 6C , respectively, where G 6A , G 6B , and G 6C are as described above. In some embodiments, only one of G 6A , G 6B , and G 6C is present. In some embodiments, G 6A , G 6B , or G 6C are independently cyclopropyl, cyclobutyl, or cyclopentyl, each optionally substituted as defined herein.
- G 6A , G 6B , or G 6C may be substituted with Ci-4alkoxy (e.g., 3- methoxycyclobutane).
- the optional G 6A , G 6B , or G 6C substituent may be bonded to the same atom, or a different atom, in G 6A , G 6B , or G 6C , to which L 1 , L 3 , or the parent molecular moiety is bonded.
- G A and/or G B are G 7A or G 7B , respectively, where G 7A and G 7B are as described above. In some embodiments, only one of -L -G 7A and -L 3 -G 7B is present.
- the heteroaryls at G 7A or G 7B may be unsubstituted or substituted. Unless substitution is indicated as present or optional for a specific G 7A or G 7B , the heteroaryl is unsubstituted.
- G 7A or G 7B may be optionally substituted with 1-4 substituents independently selected from the group consisting of Ci-4alkyl, Ci-4haloalkyl, halogen, hydroxyl, cyano, and -OCi-4alkyl.
- G 7A or G 7B may be a thiazole, oxazole, triazole pyrazole, imidazole, pyridine, furan optionally substituted with Ci-4alkyl.
- G 7A or G 7B include 1 -methyl- 1H- 1,2,4- triazol-3-yl, l-ethyl-lH-l,2,4-triazol-3-yl, l-methyl-lH-pyrazol-3-yl, 1-ethyl-lH- pyrazol-3-yl, oxazol-2-yl, oxazol-5-yl, thiazol-2-yl, imidazol-2-yl, pyridin-2-yl, pyridin-3-yl, and furan-3-yl.
- R 2 is not cyano when R 3 is an imidazolyl optionally substituted with one or two Ci-4alkyl. In some embodiments, R 2 is not Ci-4alkyl, - OCi-4alkyl, hydroxy, halogen or cyano when R 3 is imidazolyl optionally substituted with one or two Ci-4alkyl.
- R 2 is not Ci-4alkyl, -OCi-4alkyl, hydroxy, halogen or cyano when R 3 is imidazolyl, oxazolyl, thiazolyl, pyrazolyl, thiadiazolyl, triazolyl, oxadiaolyl, pyrimidinyl, or pyridinyl, each optionally substituted with one or two Ci-4alkyl.
- R 2 is not Ci-4alkyl, - OCi-4alkyl, hydroxy, halogen or cyano when R 3 is a 5- or 6-membered heteroaryl optionally substituted with one or two Ci-4alkyl.
- G A and/or G c is G 8A or G 8C respectively, where G 8A and G 8C are as described above. In some embodiments, only one of G 8A and G 8C is present. G 8A and G 8C may be unsubstituted or substituted. In some embodiments, G 8A or G 8C is phenyl.
- only one of -L l -G A , -L 3 -G B , and G c is present, as L 1 , G 4 , L 3 , G 6 , and G c are defined herein.
- one of G? A , G 3A , G 4A , G 5A , G 6A , G 7A , G 8A , and one of G 6C and G 8C are present.
- G 2A and G 8C are both present.
- G 6A and G 6C are both present.
- L 1 is -0-. In still further alternative combinations, L 1 is - R 10 - and R 10 , at each occurrence, is independently selected from the group consisting of hydrogen, Ci-4alkyl, C(0)Ci-4alkyl, oxetanyl, cyclopropyl, and cyclobutyl. In still other embodiments, L 1 is -NR 10 -Ci-4alkylene-, wherein R 10 is as defined herein. In other embodiments, L 1 is -0-Ci-4alkylene- In other
- L 1 is -Ci-4alkylene- In other embodiments, L 1 is -C(O)-. In still other embodiments, L 1 is - R 10 C(O)-. In other embodiments, L 1 is -C(0) R 10 -.
- L 3 is -0-. In still further alternative combinations, L 3 is -NR 30 - and R 30 , at each occurrence, is independently selected from the group consisting of hydrogen, Ci-4alkyl, C(0)Ci-4alkyl, oxetanyl, cyclopropyl, and cyclobutyl. In still other embodiments, L 3 is -NR 30 -Ci-4alkylene-, wherein R 30 is as defined herein. In other embodiments, L 3 is -0-Ci-4alkylene- In other embodiments, L is -Ci-4alkylene- In other embodiments, L is -C(O)-. In still other embodiments, L 3 is - R 30 C(O)-. In other embodiments, L 3 is -C(0) R 30 -.
- L l -G A is -G , -O-G ⁇ , - R 10 - ⁇ , - R 10 -Ci- 4 alkylene-G A , -0-Ci-4alkylene-G A , - R 10 C(O)-G A , -C(O) R 10 -G A , or -C(0)-G A .
- V-G A includes, but is not limited to, -G 1 - R 7 , G 2A , G 3A , -0-G 3A , - R 10 -G 3A , -0-Ci-4alkylene-G 3A , -NR 10 -Ci-4alkylene-G 3A , -Ci-4alkylene-G 3A , -C(O) R 10 -G 3A , G 4A , G 5A , G 6A , -0-G 6A , -0-Ci-4alkylene-G 6A , - R 10 -Ci-4alkylene-G 6A , -C(O)NR 10 -G 6A , - R 10 C(O)-G 6A , - R 10 C(O)-G 6A
- formula (IIA) are compounds wherein X 1 , X 3 , X 4 , and X 5 are each independently N or CH; and V-G A is -G ⁇ R 7 (IIA-1), G 3A (IIA-2), - 0-G 3A ( ⁇ -3), or -0-Ci- 4 alkylene-G 3A (IIA-4).
- G 3A is an optionally substituted 4- to 8-membered monocyclic heterocycle containing one nitrogen or oxygen atom.
- X 3 and X 5 are independently N or CH, and X 1 and X 4 are each CH.
- X 5 is N and X 1 , X 3 , and X 4 are each CH.
- X 3 is N and X 1 , X 4 , and X 5 are each CH.
- X 1 , X 3 , X 4 , and X 5 are each CH.
- Examples of monocyclic optionally substituted G 3A heterocycles include oxetan-3-yl, piperidin-4-yl, piperidin- 3-yl, tetrahydrofuran-3-yl, tetrahydrofuran-2-yl, tetrahydropyran-4-yl, and pyrrolidin- 3-yl.
- formula (IIA) are compounds wherein X 1 and X 5 are each independently N or CH; X 3 is CR 3 ; R 3 is selected from the group consisting of -L 3 -G B , Ci-4alkyl, Ci-4haloalkyl, halogen, cyano, hydroxyl, -OCi-4alkyl, -OCi- 4 haloalkyl, -C(0)Ci- 4 alkyl, -C(0)OCi- 4 alkyl, - R 40 R 40 , and -C(O) R 40 R 40 ; and L 1 - G A is -G ⁇ R 7 ( ⁇ -5), G 3A (IIA-6), or - R 10 -G 3A (IIA-7).
- G 3A is an optionally substituted 4- to 8-membered monocyclic heterocycle containing one nitrogen or oxygen atom.
- X 1 , X 4 , and X 5 are each independently N or CH.
- X 1 is N or CH, and X 4 and X 5 are each CH.
- X 1 , X 4 , and X 5 are each CH.
- X 1 is N, and X 4 and X 5 are each CH.
- Examples of monocyclic optionally substituted G 3A heterocycles include oxetan-3-yl, piperidin-4-yl, piperidin- 3-yl, tetrahydrofuran-3-yl, tetrahydrofuran-2-yl, tetrahydropyran-4-yl, pyrrolidin-2-yl, and rrolidin-3-yl.
- (IIA-7) are compounds wherein X 3 and X 4 are each independently N or CH; X 1 is CR 1 ; R 1 is selected from the group consisting of Ci-4alkyl, Ci-4haloalkyl, halogen, -OCi-4alkyl, and -OCi-4haloalkyl; and I ⁇ -G 4 is - G ⁇ R 7 ( ⁇ -8), G 3A ( ⁇ -9), or - R 10 -G 3A (IIA-10).
- G 3A is an optionally substituted 4- to 8-membered monocyclic heterocycle containing one nitrogen or oxygen atom.
- X 3 , X 4 , and X 5 are each independently N or CH. In some embodiments, X 3 , X 4 , and X 5 are each CH. In other embodiments are compounds wherein X 3 and X 4 are each independently N or CH; X 1 is CR 1 ; R 1 is selected from the group consisting of Ci- 4 alkyl, Ci- 4 haloalkyl, halogen, -OCi- 4 alkyl, and -OCi- 4 haloalkyl; and X 5 is CR 5 ; R 5 is selected from the group consisting of Ci-4alkyl, Ci-4haloalkyl, halogen, -OCi-4alkyl, and -OCi-4haloalkyl.
- X 3 and X 4 are each CH.
- monocyclic optionally substituted G 3A heterocycles according to the foregoing include oxetan-3-yl, piperidin-4-yl, piperidin-3-yl, tetrahydrofuran-3-yl, tetrahydrofuran-2-yl, tetrah dropyran-4-yl, pyrrolidin-2-yl, and pyrrolidin-3-yl.
- G 3A is an optionally substituted 4- to 8-membered monocyclic heterocycle containing one nitrogen or oxygen atom.
- X 1 is CH; X 3 is N or CH; and X 4 is N or CH.
- X 1 is CH; X 3 is CH; and X 4 is N.
- X 1 is CH; X 3 is N; and X 4 is CH.
- X 1 is CH; X 3 is CH; and X 4 is CH.
- heterocycles according to the foregoing include oxetan-3-yl, piperidin-4-yl, piperidin- 3-yl, tetrahydrofuran-3-yl, tetrahydrofuran-2-yl, tetrahydropyran-4-yl, pyrrolidin-2-yl, and pyrrolidin-3-yl.
- R 3 is selected from the group consisting of Ci- 4 alkyl, Ci- 4 haloalkyl, halogen, cyano, hydroxyl, -OCi- 4 alkyl, -OCi- 4 haloalkyl, -C(0)Ci- 4 alkyl, -C(0)OCi- 4 alkyl, - R 40 R 40 , and -C(O) R 40 R 40 .
- G 3A is an optionally substituted 4- to 8-membered monocyclic heterocycle containing one nitrogen or oxygen atom.
- X 1 is CH and X 4 is CH.
- Examples of monocyclic optionally substituted G 3A heterocycles according to the foregoing include oxetan-3-yl, piped din-4-yl, piperidin-3-yl, tetrahydrofuran-3-yl, tetrahydrofuran-2-yl,
- iAG 13 is -G 6 , -O-G 6 , - R 30 -G B , - R 30 -Ci- 4 alkylene-G B , -0-Ci- 4 alkylene-G B , - R 30 C(O)-G B , -C(O) R 30 -G B , or -C(0)-G B .
- L 3 -G B includes, but is not limited to, -G 1 - R 7 , -O-G ⁇ R 7 , - R 30 -G 1 -R 7 , -0-Ci- 4 alkylene-G 1 -R 7 , - R 30 -Ci- 4 alkylene-G 1 -R 7 , G 2B , -C(0)-G 2B , - R 30 -Ci- 4 alkylene-G 2B , -0-Ci- 4 alkylene-G 2B , G 3B , -0-G 3B , - R 30 -G 3B , -0-Ci- 4 alkylene-G 3B , - R 30 -Ci- 4 alkylene-G 3B , - R 30 -Ci- 4 alkylene-G 3B , - R 30 -Ci- 4 alkylene-G 3B , - R 30 -Ci- 4 alkylene-G 3B
- X 1 and X 5 are each independently N or CH; X 2 is CR 2 ; R 2 is selected from the group consisting of -L l -G A , Ci- 4 alkyl, Ci- 4 haloalkyl, halogen, cyano, nitro, hydroxyl, -OCi- 4 alkyl, -OCi- 4 haloalkyl, -OCs-ealkenyl, -C(0)Ci- 4 alkyl, COOH, -C(0)OCi- 4 alkyl, - R 20 R 20 , -NR 20 (Ci- 4 haloalkyl), -NR 20 C(O)(Ci- 4 alkyl), - R 20 C(O)(Ci- 4 haloalkyl), - R 20 C(O)OCi- 4 alkyl, -C(O) R 20 R 20 , -C(O)NR 20 (
- G 3B is an optionally substituted 4- to 8-membered monocyclic heterocycle containing one nitrogen or oxygen atom.
- X 1 , X 4 , and X 5 are each independently N or CH.
- X 1 is N or CH, and X 4 and X 5 are each CH.
- X 1 , X 4 , and X 5 are each CH.
- X 1 is N, and X 4 and X 5 are each CH.
- X 1 and X 5 are each independently N or CH; X 4 is CR 4 ; and R 4 is selected from the group consisting of Ci-4alkyl, Ci- 4haloalkyl, halogen, -OCi-4alkyl, and -OCi-4haloalkyl.
- one of X 1 and X 5 is N and the other CH.
- X 1 and X 5 are each CH.
- X 1 is CH; X 2 is CH; and X 4 is CH.
- X 1 , X 3 , X 4 , and X 5 are each independently N or CH; R 2 is -L 1 ⁇ , and L 1 -G A is G 2A (III-l), G 6A (III-2), -0-G 6A (III-3), -0-Ci-4alkylene-G 6A (III-4), - R 10 -Ci-4alkylene-G 7A (III-5), G 8A (III-6), - R 10 C(O)-G 8A (III-7), -C(O) R 10 -G 8A (III-8), or -C(0)-G 8A (III-9); provided that L l -G A is not morpholino when X 3 is N, X 1 , X 4 and X 5 are CH, and R 8 is phenyl or 4- cyanophenyl.
- X 5 is N and X 1 , X 3 , and X 4 are each CH.
- X 3 is N and X 1 , X 4 , and X 5 are each CH.
- X 1 , X 3 , X 4 , and X 5 are each CH.
- X 1 and X 5 are each independently N or CH;
- R 2 is -L l -G A , Ci-4alkyl, Ci-4haloalkyl, halogen, cyano, nitro, hydroxyl, - OCi- 4 alkyl, -OCi- 4 haloalkyl, -OCs-ealkenyl, -C(0)Ci- 4 alkyl, COOH, -C(0)OCi- 4 alkyl, - R 20 R 20 , - R 20 (Ci-4haloalkyl), - R 20 C(O)(Ci-4alkyl), - R 20 C(O)(Ci- 4 haloalkyl), - R 20 C(O)OCi-4alkyl, -C(O) R 20 R 20 , -C(O)NR 20 (Ci-4haloalkyl), -L 2 - Ci-6alkylene-R 21 , -L
- X 4 is N or CH. In further embodiments, X 1 is N or CH, and X 4 and X 5 are each CH. In some embodiments, X 1 , X 4 , and X 5 are each CH. In other embodiments X 1 is N, and X 4 and X 5 are each CH.
- X 4 is CR 4 ; and R 4 is selected from the group consisting of Ci-4alkyl, Ci- 4haloalkyl, halogen, -OCi-4alkyl, -OCi-4haloalkyl, and G c .
- one of X 1 and X 5 is N and the other CH.
- X 1 and X 5 are each CH.
- R 4 is selected from the group consisting of Ci-4alkyl, halogen, and -OCi-4alkyl.
- X 3 and X 4 are each independently N or CH; X 5 is N or CR 5 ; R 1 is selected from the group consisting of Ci-4alkyl, Ci- 4haloalkyl, halogen, -OCi-4alkyl, and -OCi-4haloalkyl; R 2 is -L l -G A and -L l -G A is G 2A (V-l), G 6A (V-2), G 7A (V-3), or G 8A (V-4).
- X 5 is N or CH.
- X 3 , X 4 , and X 5 are each CH.
- X 5 is CR 5 ; and R 5 is selected from the group consisting of Ci-4alkyl, Ci-4haloalkyl, halogen, -OCi-4alkyl, and -OCi-4haloalkyl.
- X 3 and X 4 are each CH.
- R 1 is selected from the group consisting of Ci-4alkyl and -OCi-4alkyl.
- X 1 , X 3 , and X 4 are N or CH; R 5 and R 8 are as defined in formula (VI); R 2 is -L 1 - ⁇ ; and -L 1 ⁇ is G 2A (VIB-1), G 7A (Vm-2), -0-Ci- 4 alkylene-G 7A (VIB-3), and - R 10 -Ci-4alkylene-G 7A (VIB-4).
- R 5 is selected from the group consisting of Ci-4alkyl, halogen, and -OCi-4alkyl.
- X 1 is CH; X 3 is N or CH; and X 4 is N or CH.
- X 1 is CH; X 3 is CH; and X 4 is N. In other embodiments, X 1 is CH; X 3 is N; and X 4 is CH. In other embodiments, X 1 is CH; X is CH and X 4 is CH.
- X 1 , X 3 , and X 5 are each independently N or CH;
- R 2 is -L l -G A
- R 4 is selected from the group consisting of Ci-4alkyl, Ci-4haloalkyl, halogen, -OCi-4alkyl, -OCi- 4 haloalkyl, and G c ;
- L 1 ⁇ is G 2A (VII-1), G 6A (VII-2), -0-Ci-4alkylene-G 6A (VII-3), - R 10 -Ci-4alkylene-G 6A (VII-4), or - R 10 C(O)-G 6A (VII-5);
- G c is G 6C or G 8C .
- X 1 is CH; X 3 is CH; and X 5 is CH. In other embodiments, X 1 is CH; X 3 is N; and X 5 is CH. In other embodiments, X 1 is CH; X : is CH; and X 5 is N. In other embodiments, X 1 is N; X 3 is CH; and X 5 is CH.
- X 2 is CR 2 , where R 2 may be:
- Ci-4alkyl e.g., methyl, ethyl, tert-butyl
- Ci-4haloalkyl e.g., CF 3
- halogen e.g., bromo, fluoro
- -OCi- 4 alkyl e.g., -OCH3, -OCH2CH3, -OCH2CH2CH3, -OCH(CH 3 ) 2 , - OCH2CH2CH2CH3, -OCH 2 CH(CH 3 )2, -OCH(CH 3 )CH 2 CH3);
- -OCi-4haloalkyl e.g., -OCF3, -OCH2CHF2;
- - R 20 R 20 (e.g., - H 2 , -NHCH 3 , -N(CH 3 ) 2 , - HCH(CH 3 ) 2 , - NCH 3 CH(CH 3 ) 2 ,);
- R 20 (Ci-4haloalkyl) (e.g., - HCH2CH2CH2F, - HCH 2 CF 3 );
- R 20 C(O)(Ci-4alkyl) (e.g., - HC(0)CH 3 , - HC(0)CH(CH 3 ) 2 );
- R 20 C(O)(Ci-4haloalkyl) (e.g., - HC(0)CH 2 CF 3 );
- R 20 C(O)OCi-4alkyl (e.g., - HC(O)O-tert-butyl);
- -C(O) R 20 R 20 e.g., -C(0) H 2 , -C(0) HCH 3 , -C(0) HCH 2 CH 3 , - C(0)N(CH 3 ) 2 , -C(0)NCH(CH 3 ) 2 );
- -C(O) R 20 (Ci-4haloalkyl) (e.g., -C(0) HCH 2 CF 3 );
- -L 2 -C 2 -4alkylene-0-C 2 -4alkylene-R 21 e.g., - H-C 2 -4alkylene-0-C 2 - 4alkylene-N(Ci-4alkyl)(Ci-4alkyl), such as - H-CH 2 CH 2 OCH2CH2N(CH 3 )2);
- -C 3 - 8 alkynylene-OH e.g., -C ⁇ C-C(CH 3 )(OH)CH 2 CH 3 ); or
- -C 3 - 8 alkynylene-OCi-4alkyl e.g., -C ⁇ C-C(CH 3 )(OCH 3 )CH 2 CH 3 ).
- L 2 is a bond (e.g., -Ci-6alkylene-OCi-4alkyl, -Ci-6alkylene-OH, -Ci-6alkylene- H 2 , -Ci- 6 alkylene- HC(0)Ci-4alkyl, -Ci-6alkylene- HC(0)OCi-4alkyl, -Ci-ealkylene- HS(0) 2 Ci-4alkyl, -Ci- 6 alkylene— C(0)Ci-4alkyl).
- the L 2 -Ci- 6 alkylene-R 21 is Ci- 3 alkylene-R 21 .
- Examples include -CH2OCH3, -C(CH 3 ) 2 OH, -CH2OH, -CH(CH 3 )OH, -CH 2 CH(CH 3 )OH, -CH 2 HC(0)0-t-butyl, - CH2 H2, -CH 2 HC(0)CH 3 , -CH 2 HS(0) 2 CH 3 , and -CH 2 C(0)CH 3 .
- L 2 is -O- (e.g., - 0-Ci-6alkylene-OCi-4alkyl).
- L 2 is -0-
- the L 2 -Ci- ealkylene-R 21 is -O-Ci-salkylene-R 21 . Examples include -O-CH2CH2-OCH3 and -
- L 2 is - H- (e.g., - H-Ci-6alkylene-OCi-4alkyl, -NH-Ci-6alkylene-N(Ci-4alkyl)(Ci-4alkyl), - H-Ci- 6alkylene-C(0)N(Ci-4alkyl)(Ci-4alkyl), - H-Ci-6alkylene-N(Ci-4alkyl)C(0)OCi- 4alkyl, - H-Ci-6alkylene-CN).
- L 2 is -NH- the L 2 -Ci- 6 alkylene-R 21 is -NH-Ci-3alkylene-R 21 or -NH-C2-5alkylene-R 21 .
- Examples include -NH-CH 2 CH 2 CH2-0-t-butyl, -NH-CH2CH2CH2-OCH3, -NH-CH(CH 3 )CH 2 -OCH3, -NH-CH(CH3)CH(CH 3 )-OCH3, -NH-CH(CH 3 )CH2-OCH 2 CH3, -NH- CH 2 CH(CH3)-OCH 2 CH3, -NH-CH 2 C(CH 3 )2-OCH3, -NH-CH 2 CH 2 CH(CH3)-OCH3, -NH-CH 2 CH2CH2N(CH 2 CH3)2, -NH-CH 2 CH 2 N(CH3)2, -NH-CH 2 CH 2 N(CH3)2, -NH- CH 2 C(CH3)2CH 2 N(CH3)2, -NH-CH 2 C
- L 2 is -N(Ci- 4alkyl)- (e.g., N(Ci-4alkyl)-Ci-6alkylene-OCi-4alkyl, -N(Ci-4alkyl)-Ci-6alkylene- OH).
- L 2 is -N(Ci-4alkyl)-
- the L 2 -Ci- 6 alkylene-R 21 is - N(Ci-4alkyl)-Ci-3alkylene-R 21 or -N(Ci-4alkyl)-C2-5alkylene-R 21 .
- Examples include -NCH3-CH2CH2CH2-OCH3 and -NCH3-CH 2 CH(CH 3 )-OH.
- L 2 is -NHC(O)- (e.g., -NHC(0)-Ci-6alkylene-OCi-4alkyl, such as -NHC(0)-CH 2 -OCH 3 ).
- L 2 is -NHC(O)-
- the L 2 -Ci- 6 alkylene-R 21 is -NHC(0)-Ci- 3alkylene-R 21 .
- L 2 is -NH- (e.g., -NH-Ci-6haloalkylene-OCi-4alkyl, such as NH-CH 2 CH(CF3)-OCH 3 ).
- L 2 is -NH- the L 2 -Ci-6haloalkylene-R 21 is -NH-C2- shaloalkylene-R 21 .
- L 2 is -O- (e.g., -O-Ci-ehaloalkylene-OH, such as -0-CH2CH(CH 2 Cl)CH 2 OH and -O- CH2C(CH3)(CH 2 C1)CH 2 0H).
- L 2 is -0-
- the L 2 -Ci- 6 haloalkylene-R 21 is -0-C2-shaloalkylene-R 21 .
- the -L 2 -Ci- 6 alkylene-R 21 may be Ci-3alkylene-OH or -O-Ci-salkylene-OCi- 4alkyl.
- the -L 2 -Ci- 6 alkylene-R 21 may be Ci- 3 alkylene-OH or - H-Ci-salkylene-OCi- 4alkyl.
- the -L 2 -Ci- 6 alkylene-R 21 may be Ci- 3 alkylene-OH or - H-C2- 5alkylene-OCi-4alkyl.
- the -L 2 -Ci- 6 alkylene-R 21 may be -Ci- 3 alkylene-OH, -Ci- 3 alkylene-OCi- 4 alkyl, -Ci- 3 alkylene- H 2 , -Ci- 3 alkylene- HC(0)Ci-4alkyl, -Ci- 3 alkylene- HC(0)OCi-4alkyl, -Ci- 3 alkylene- HS(0) 2 Ci-4alkyl, -Ci- 3 alkylene- C(0)Ci- 4 alkyl, -0-C 2 -5alkylene-OCi-4alkyl, - H-C 2 -5alkylene-OCi-4alkyl, -N(Ci- 4alkyl)-C 2 -5alkylene-OCi-4alkyl,
- X 4 is CR 4 , where R 4 may be:
- G c i.e., G 6C or G 8C .
- G 6C may be a cyclopropyl.
- G 8C may be a phenyl group.
- halogen e.g., fluoro,
- R 8 is phenyl, or a 6-membered heteroaryl such as pyrazinyl, pyrimidinyl, pyridazinyl, or pyridinyl, each optionally substituted as defined above.
- the 6-membered heteroaryl at R 8 includes a pyridone ring, which is defined herein by the tautomeric hydroxypyridine form, whether or not the pyridone or the hydroxypyridine tautomer predominates.
- R 8 is phenyl, the phenyl being optionally substituted with one substituent selected from the group consisting of halogen, hydroxyl, cyano, Ci- 4 alkyl, Ci- 4 haloalkyl, -C 3 - 6 alkenyl, -OCi- 4 alkyl, -C(0)NH 2 , -L 4 -G 10 , or a 4- to 8-membered monocyclic heterocycle containing 1-2 nitrogen atoms, and optionally a Ci- 3 alkylene bridge between two non- adjacent ring atoms, the 4- to 8-membered monocyclic heterocycle being
- Ci- 4 alkyl e.g., CH 3
- -Ci- 4 alkylene-OH e.g.,
- L 4 -G 10 may be - R 9 -Ci- 4alkylene-phenyl (e.g., -NHCH 2 -phenyl) or - R 9 -Ci-4alkylene-pyridinyl (e.g., - HCH(CH 3 )-pyridin-2-yl, HCH(CH 3 )-5-fluoropyridin-2-yl).
- R 8 is pyrazinyl, the pyrazinyl being optionally substituted with 1-3 Ci-4alkyl groups.
- R 8 is pyrimidinyl (e.g., pyrimidin-4- yl, pyrimidin-5-yl), the pyrimidinyl being optionally substituted with one substituent selected from halogen, -S(0) 2 Ci- 4 alkyl, -S(0)Ci- 4 alkyl, -SCi- 4 alkyl, Ci- 4 alkyl, -OCi- 4 alkyl, or -Ci- 4 alkylene-OCi- 4 alkyl, the pyrimidinyl being further optionally substituted with Ci- 4 alkyl.
- R 8 is pyridazinyl (e.g., pyridazin-4-yl).
- R 8 is pyridinyl (e.g., pyridin-2-yl, pyridin-3- yl, pyridin-4-yl), the pyridinyl being optionally substituted with one substituent selected from the group consisting of halogen, hydroxyl, Ci- 4 alkyl, and a 4- to 8- membered monocyclic heterocycle containing 1-2 nitrogen atoms, the pyridinyl being further optionally substituted with 1-2 substituents selected from halogen and Ci- 4 alkyl.
- R 8 is phenyl optionally substituted with 1-3 substituents independently selected from the group consisting of halogen and Ci- 4 alkyl.
- R 8 is phenyl optionally substituted with 1-2 fluoro atoms or 1 fluoro and 1 methyl group.
- R 8 is independently any of phenyl, 3,5-difluorophenyl, 3 -fluorophenyl, 3,4-difluorophenyl, 2,5-difluorophenyl, or 3-fluoro-5-methylphenyl.
- R 8 is pyrazine, which is unsubstituted.
- the compouds of the present invention include 5- isopropoxy-2-methyl-N-(l -phenyl- l,2,4-triazol-3-yl)pyridin-3 -amine; 2-ethyl-5- isopropoxy-N-(l-phenyl-l,2,4-triazol-3-yl)pyridin-3-amine; N-[l-(3,5- difluorophenyl)-l,2,4-triazol-3-yl]-5-methyl-2-(oxetan-3-yl)-3,4-dihydro-lH- i soquinolin-7-amine; 1 -(3 , 5 -difluorophenyl)-N- [3 ,4-dimethyl-5 -(3 - morpholinoazeti din- l-yl)phenyl]-l,2,4-triazol-3 -amine; l-(3,4-difluoroph
- the compounds of formula ( ⁇ ) include isotope- labelled forms thereof.
- An isotope-labelled form of a compound of formula ( ⁇ ) is identical to this compound apart from the fact that one or more atoms of the compound have been replaced by an atom or atoms having an atomic mass or mass number which differs from the atomic mass or mass number of the atom which usually occurs in greater natural abundance.
- isotopes which are readily commercially available and which can be incorporated into a compound of formula ( ⁇ ) by well-known methods include isotopes of hydrogen, carbon, nitrogen, oxygen, phosphorus, fluorine and chlorine, for example 2 H, 3 H, 13 C, 14 C, 15 N, 18 0, 17 0, 31 P, 32 P, 35 S, 18 F and 36 C1, respectively.
- a compound of formula ( ⁇ ) or a pharmaceutically acceptable salt thereof which contains one or more of the above-mentioned isotopes and/or other isotopes of other atoms is intended to be part of the present invention.
- the present invention features a compound of formula ( ⁇ ) and the attendant definitions, wherein one or more hydrogen atoms are replaced by a deuterium atom.
- an isotope-labelled compound of formula ( ⁇ ) can be used in a number of beneficial ways.
- an isotope-labelled compound of formula ( ⁇ ) into which, for example, a radioisotope, such as 3 H or 14 C, has been incorporated is suitable for a medicament and/or for substrate tissue distribution assays.
- a radioisotope such as 3 H or 14 C
- tritium ( 3 H) and carbon-14 ( 14 C) are particularly preferred owing to simple preparation and excellent detectability.
- incorporation of heavier isotopes, for example deuterium ( 2 H), into a compound of formula ( ⁇ ) have therapeutic advantages owing to the higher metabolic stability of this isotope-labelled compound. Higher metabolic stability translates directly into an increased in vivo half-life or lower dosages, which under most circumstances would represent a preferred embodiment of the present invention.
- An isotope-labelled compound of formula ( ⁇ ) can usually be prepared by carrying out the procedures disclosed in the synthesis schemes and the related description, in the example part and in the preparation part in the present text, replacing a non-isotope-labelled reactant by a readily available isotope-labelled reactant.
- Deuterium ( 2 H) can also be incorporated into a compound of formula ( ⁇ ) for the purpose of manipulating the oxidative metabolism of the compound by way of the primary kinetic isotope effect.
- the primary kinetic isotope effect is a change of the rate for a chemical reaction that results from exchange of isotopic nuclei, which in turn is caused by the change in ground state energies necessary for covalent bond formation after this isotopic exchange.
- a compound of formula ( ⁇ ) which has multiple potential sites of attack for oxidative metabolism for example benzylic hydrogen atoms and hydrogen atoms bonded to a nitrogen atom, is prepared as a series of analogues in which various combinations of hydrogen atoms are replaced by deuterium atoms, so that some, most or all of these hydrogen atoms have been replaced by deuterium atoms.
- Half-life determinations enable favourable and accurate determination of the extent to which the improvement in resistance to oxidative metabolism has improved. In this way, it is determined that the half-life of the parent compound can be extended by up to 100% as the result of deuterium- hydrogen exchange of this type.
- deuterium-hydrogen exchange in a compound of formula ( ⁇ ) can be used to achieve a favourable modification of the metabolite spectrum of the starting compound in order to diminish or eliminate undesired toxic metabolites.
- a toxic metabolite arises through oxidative carbon- hydrogen (C-H) bond cleavage
- C-H oxidative carbon- hydrogen
- the invention features a compound of formula ( ⁇ ), wherein the compound or a pharmaceutically acceptable salt thereof, is selected from Table 1 below.
Landscapes
- Chemical & Material Sciences (AREA)
- Organic Chemistry (AREA)
- Health & Medical Sciences (AREA)
- Life Sciences & Earth Sciences (AREA)
- Medicinal Chemistry (AREA)
- Biomedical Technology (AREA)
- Veterinary Medicine (AREA)
- Neurology (AREA)
- Neurosurgery (AREA)
- Public Health (AREA)
- General Health & Medical Sciences (AREA)
- Animal Behavior & Ethology (AREA)
- Bioinformatics & Cheminformatics (AREA)
- Engineering & Computer Science (AREA)
- Pharmacology & Pharmacy (AREA)
- Nuclear Medicine, Radiotherapy & Molecular Imaging (AREA)
- General Chemical & Material Sciences (AREA)
- Chemical Kinetics & Catalysis (AREA)
- Psychiatry (AREA)
- Hospice & Palliative Care (AREA)
- Epidemiology (AREA)
- Pharmaceuticals Containing Other Organic And Inorganic Compounds (AREA)
Abstract
The invention relates to triazole compounds of formula (I') or pharmaceutically acceptable salts thereof, useful as modulators of demyelinating diseases: wherein A is selected from the group consisting of (i), (ii), (iii), (iv), (v), and (vi) The invention also provides pharmaceutically acceptable compositions comprising the compounds of the invention, methods of using the compositions and kits thereof in the treatment of various demyelinating and neurodegenerative diseases, including multiple sclerosis.
Description
AMINOTRIAZOLES FOR THE TREATMENT OF DEMYELINATING DISEASES
CROSS-REFERENCE TO RELATED APPLICATIONS
[0001] This application claims the benefit of U.S. Provisional Patent Application No. 62/430,813, filed December 6, 2016, the entire contents of which are hereby incorporated herein by reference.
BACKGROUND OF THE INVENTION
[0002] Multiple sclerosis (MS) is an inflammatory neurodegenerative disease of the central nervous system, characterized by myelin loss and degeneration of axons (see, Blakemore, et al., J. ofNeuroimmunology, 98, 69-76, 1999). Activation and CNS infiltration of the peripheral immune system is typical in early stages of the disease, but can become less prevalent as disease progresses.
[0003] A hallmark of MS is loss of myelin, accompanied by the death of associated oligodendrocytes (see, Merrill, J.E. et al., Neuropathology and Applied Neurobiology, 25, 435-458, 1999). Myelin, which is produced by oligodendrocytes, ensheathes axons and dramatically increases conduction velocity of neural impulses while providing trophic support to the neuron. Myelin is thought to regenerate early in disease, as oligodendroycte progenitor cells (OPCs) proliferate and generate new myelinating oligodendrocytes in response to demyelination events. As the disease progresses the regenerative capacity of the OPCs becomes less robust, and axons remain chronically demyelinated. Chronic demyelination is thought to underlie axon loss, as loss of trophic support combined with the metabolic stress of transmitting impulses along a demyelinated membrane can lead to a breakdown of axonal integrity and permanent damage to the demyelinated circuit. In addition, exposure of a demyelinated axon to an inflammatory milieu, including infiltrating immune cells and activated microglial cells, is also thought to produce permanent damage and axonal loss. Axon loss as a result of demyelination is thought to underlie long term disease progression and disability in MS patients (see, Compston, et a\.,The Lancet, Vol. 359, 1221-1231, 2002 and D. Kremer et al, Trends in Neurosciences, Vol. 39, No. 4, 246- 263, 2016).
[0004] The loss of remyelinating capacity in MS is not well understood, but is thought to involve a block in the differentiation capacity of OPCs, or the absence of a necessary signal present in the cell environment of the demyelinating lesion or in the
demyelinated axons (see, R. Franklin et al., Nature Review s/Neuroscience, Vol. 9, 839-855, 2008). The OPC cell population is prevalent in MS patients, but fails to generate new myelin in response to demyelination. Thus, a compound that can promote differentiation and myelination of OPCs should function to restore this regenerative capacity and blunt or reverse the degenerative effects of MS (see, Stangel, M. et al., Progress in Neurobiology, 68, 361-376, 2002, Nairn, F. J. et al., Nature (Letter), published online 20 April 2015, doi: 10.1038/naturel4335). Such an agent could both increase the function of neurons and provide trophic support to enhance their survival (see, Mei, F. et al. Nature Medicine, Vol. 20, No. 8, 954-961, 2014).
[0005] Leukodystrophies are degenerative white matter diseases characterized by dysmyelination or demyelination. Multiple genetic or metabolic disorders can lead to progressive white matter damage in pediatric or adult populations resulting in severe motor or cognitive deficits, mental retardation or death. A compound that can delay myelin damage or promote repair of demyelinated axons could significantly alter the course of leukodystrophies and improve their outcome. Such a compound could be also useful in combination with other therapies that can correct the disease-specific defect, metabolic, genetic or other, responsible for initiating or maintaining the disease in order to accelerate repair, restore function or prevent further damage.
[0006] Hypoxic-ischemic insults leading to reduced oxygenation and blood supply into the brain can cause severe damage to OPCs, and demyelination. Periventricular leukomalacia is a condition characterized by toxic death of OPCs in the
periventricular region and leading to severe dysmyelination and demyelination. This pathology has been proposed as the root cause of cerebral palsy, a life-long debilitating CNS disorder characterized by various motor and/or cognitive deficits of variable intensity. A compound promoting differentiation of surviving OPCs and remyelination of damaged areas could be used for the treatment or prevention of cerebral palsy in vulnerable infant populations.
[0007] Current therapies for MS are immunomodulatory in nature and do not directly promote repair. In addition, some of these immunomodulatory agents can leave patients vulnerable to opportunistic infection or neoplasia. Thus, there remains a need for compounds, such as those of the present invention, that can promote differentiation and myelination of OPCs and lead to the repair of demyelinated axons.
Such a compound could also be useful in combination with existing or experimental immunmodulating and other relevant therapies to treat MS and other neurological and demyelinating diseases.
SUMMARY OF THE INVENTION
[0008] The present invention provides compounds or a pharmaceutically acceptable salt thereof and the methods, compositions and kits disclosed herein for treating or lessening the severity of, in a subject, a disease or disorder selected from a demyelinating disease, central pontine myelinolysis, a nerve injury disease or disorder, a leukoencephalopathy or a leukodystrophy. These compounds have the general formula (Γ):
(Γ)
[0009] wherein:
[0010] A is selected from the group consisting of (i), (ii), (iii), (iv), (v), and (vi)
(ϋ) iii)
[0011] X1 is N or CR1;
[0012] X2 is N or CR2;
[0013] X3 is N or CR3;
[0014] X4 is N or CR4;
0015] X5 is N or CR5;
[0017] A1 is N or CH;
[0018] A2 is -CH2-, -0-, or -N(R110)-;
[0019] Y1 is -CH2-, -0-, or -N(R120)-;
[0020] Y2 is -CH2-, -0-, or -N(R110)-;
[0021] R100 is hydrogen, Ci-4alkyl, -Ci-6alkylene-OCi-4alkyl, or -Ci-6alkylene- OH;
[0022] R110 is hydrogen, Ci-4alkyl, or C(0)Ci-4alkyl;
[0023] R120 is R6, hydrogen, Ci-4alkyl, C(0)Ci-4alkyl, -Ci-6alkylene-OCi-4alkyl, or -Ci-6alkylene-OH;
[0024] R1 and R5 are each independently selected from the group consisting of hydrogen, Ci-4alkyl, Ci-4haloalkyl, halogen, -OCi-4alkyl, and -OCi-4haloalkyl;
[0025] R2 is selected from the group consisting of -L1-^, hydrogen, Ci-4alkyl, Ci-4haloalkyl, halogen, cyano, nitro, hydroxyl, -OCi-4alkyl, -OCi-4haloalkyl, -OC3- ealkenyl, -C(0)Ci-4alkyl, COOH, -C(0)OCi-4alkyl, - R20R20, -NR20(Ci-4haloalkyl), - R20C(O)(Ci-4alkyl), - R20C(O)(Ci-4haloalkyl), -NR20C(O)OCi-4alkyl, - C(O) R20R20, -C(O) R20(Ci-4haloalkyl), -L2-Ci-6alkylene-R21, -L2-Ci- 6haloalkylene-R21, -L2-Ci-3alkylene-C(H)(OCi-4alkyl)-Ci-3alkylene-R21, -L2-C2- 4alkylene-0-C2-4alkylene-R21, -L2-C2-4alkylene-0-C2-4alkylene-0-C2-4alkylene- R21, -C3-8alkenyl, -C3-8alkenylene-OH, -C3-8alkenylene-OCi-4alkyl, -C3- 8alkynylene-OH, and -C3-8alkynylene-OCi-4alkyl;
[0026] R3 is selected from the group consisting of -L3-GB, hydrogen, Ci-4alkyl, Ci-4haloalkyl, halogen, cyano, hydroxyl, -OCi-4alkyl, -OCi-4haloalkyl, -C(0)Ci- 4alkyl, -C(0)OCi-4alkyl, - R40R40, and -C(O) R40R40;
[0027] R4 is selected from the group consisting of hydrogen, Ci-4alkyl, Ci- 4haloalkyl, halogen, -OCi-4alkyl, -OCi-4haloalkyl, and Gc;
[0028] L1 is a bond, -0-, - R10-, -NR10-Ci-4alkylene- -0-Ci-4alkylene-, -Ci- 4alkylene-, -C(0) R10-, -NR10C(O)-, or -C(O)-;
[0029] L2 is a bond, -0-, - H-, -N(Ci-4alkyl)-, - HC(O)-, or -N(Ci- 4alkyl)C(0)-;
[0030] L3 is a bond, -0-, -NR30-, -NR30-Ci-4alkylene- -0-Ci-4alkylene-, -Ci- 4alkylene-, -C(0)NR30-, -NR30C(O), or -C(O)-;
[0031] R10, at each occurrence, is independently selected from the group consisting of hydrogen, Ci-4alkyl, C(0)Ci-4alkyl, oxetanyl, cyclopropyl, and cyclobutyl;
[0032] R30, at each occurrence, is independently selected from the group consisting of hydrogen, Ci-4alkyl, C(0)Ci-4alkyl, oxetanyl, cyclopropyl, and cyclobutyl;
[0033] R20 and R40, at each occurrence, are each independently hydrogen or Ci- 4alkyl;
[0034] R21 is -OCi-4alkyl, OH, CN, -NH2, -NH(Ci-4alkyl), -N(Ci-4alkyl)(Ci- 4alkyl), -C(0)NH2, -C(0)NH(Ci-4alkyl), -C(0)N(Ci-4alkyl)(Ci-4alkyl), - NHC(0)OCi-4alkyl, -N(Ci-4alkyl)C(0)OCi-4alkyl, -NHC(0)Ci-4alkyl, -N(Ci- 4alkyl)C(0)Ci-4alkyl, -NHS(0)2Ci-4alkyl, -N(Ci-4alkyl)S(0)2Ci-4alkyl, or -C(0)Ci- 4alkyl;
[0035] GA is selected from the group consisting of -G^R7, G2A, G3A, G4A, G5A, G6A, G7A, and G8A;
[0036] G6 is selected from the group consisting of -G^R7, G213, G3B, G4B, G5B, G6B, and G7B;
[0037] Gc is selected from the group consisting of G6C and G8C;
[0038] G1 is a 4- to 8-membered monocyclic heterocycle containing 1-2 heteroatoms independently selected from oxygen, nitrogen, and sulfur, the monocyclic heterocycle optionally containing one double bond and/or a Ci-3alkylene bridge between two non-adjacent ring atoms, G1 being optionally substituted with 1-4 substituents independently selected from the group consisting of Ci-4alkyl, Ci-
4haloalkyl, halogen, hydroxyl, -OCi-4alkyl, and oxo;
[0039] R6 is (a) a 4- to 12-membered heterocycle containing 1-4 heteroatoms independently selected from oxygen, nitrogen, and sulfur, the heterocycle being attached at a ring carbon ring atom of R6 and optionally substituted with 1-4 substituents independently selected from the group consisting of Ci-4alkyl, Ci- 4haloalkyl, -CH2S(0)2phenyl, halogen, hydroxyl, oxo, -OCi-4alkyl, -Ci-6alkylene- OCi-4alkyl, and -Ci-6alkylene-OH; or (b) a C3-scycloalkyl optionally substituted with 1-4 substituents independently selected from the group consisting of Ci-4alkyl, Ci- 4haloalkyl, halogen, hydroxyl, -C(0)OCi-4alkyl, -C(0)OH, oxo, -OCi-4alkyl, -Ci- 6alkylene-OCi-4alkyl, and -Ci-6alkylene-OH;
[0040] R7 is (a) a 4- to 12-membered heterocycle containing 1-4 heteroatoms independently selected from oxygen, nitrogen, and sulfur, the heterocycle being optionally substituted with 1-4 substituents independently selected from the group consisting of Ci-4alkyl, Ci-4haloalkyl, -CH2S(0)2phenyl, halogen, hydroxyl, oxo, - OCi-4alkyl, -Ci-6alkylene-OCi-4alkyl, and -Ci-6alkylene-OH; (b) a C3-scycloalkyl optionally substituted with 1-4 substituents independently selected from the group consisting of Ci-4alkyl, Ci-4haloalkyl, halogen, hydroxyl, -C(0)OCi-4alkyl, -C(0)OH, oxo, -OCi-4alkyl, -Ci-6alkylene-OCi-4alkyl, and -Ci-6alkylene-OH; (c) phenyl optionally substituted with 1-4 substituents independently selected from the group consisting of Ci-4alkyl, Ci-4haloalkyl, halogen, hydroxyl, -C(0)OCi-4alkyl, -C(0)OH, -OCi-4alkyl, -Ci-6alkylene-OCi-4alkyl, and -Ci-6alkylene-OH; or (d) a 5- or 6- membered monocyclic heteroaryl containing 1-3 heteroatoms independently selected from nitrogen, oxygen, and sulfur, the monocyclic heteroaryl being optionally substituted with 1-3 substituents independently selected from the group consisting of Ci-4alkyl, Ci-4haloalkyl, halogen, hydroxyl, -OCi-4alkyl, -Ci-6alkylene-OCi-4alkyl, and -Ci-6alkylene-OH;
[0041] G2A and G2B are each independently a 4- to 8-membered monocyclic heterocycle containing 1 nitrogen atom and optionally 1-2 additional heteroatoms independently selected from oxygen, nitrogen, and sulfur, G2A and G23 optionally containing one double bond and/or a Ci-3alkylene bridge between two non-adjacent ring atoms, wherein G2A and G2B are attached to L1 or L3, respectively, through a ring nitrogen of G2A or G2B, and are independently optionally substituted with 1-4 substituents independently selected from the group consisting of Ci-4alkyl, Ci-
4haloalkyl, halogen, hydroxyl, oxo, cyano, -OCi-4alkyl, -C(0)Ci-4alkyl, -C(0)OCi- 4alkyl, -Ci-6alkylene-OCi-4alkyl, and -Ci-6alkylene-OH;
[0042] G3A and G3B are each independently a 4- to 8-membered monocyclic heterocycle containing 1-3 heteroatoms independently selected from oxygen, nitrogen, and sulfur, G3A and G3B optionally containing one double bond and/or a Ci- 3alkylene bridge between two non-adjacent ring atoms, wherein G3A and G3B are attached to L1 or L3, respectively, at a ring carbon ring atom of G3A or G3B, and are independently optionally substituted with 1-4 substituents independently selected from the group consisting of Ci-4alkyl, Ci-4haloalkyl, halogen, hydroxyl, oxo, cyano, -OCi-4alkyl, -C(0)Ci-4alkyl, -C(0)OCi-4alkyl, -Ci-6alkylene-OCi-4alkyl, and -Ci- 6alkylene-OH;
[0043] G4A and G4B are each independently a 7- to 12-membered spiro heterocycle comprising a first ring and a second ring, the first ring being a 4- to 8- membered monocyclic heterocycle containing 1-2 heteroatoms independently selected from nitrogen and oxygen and being attached to Llor L3, respectively, the second ring being a C3-scycloalkyl or a 4- to 8-membered monocyclic heterocycle containing 1-2 oxygen atoms wherein two atoms of the second ring are attached to one carbon of the first ring to form a spirocycle;
[0044] G5A and G5B are each independently a 7- to 12-membered fused bicyclic heterocycle containing 1-3 heteroatoms independently selected from oxygen, nitrogen, and sulfur; wherein G4A, G4B, G5A and G5B are independently optionally substituted with 1-4 substituents independently selected from the group consisting of Ci-4alkyl, Ci-4haloalkyl, halogen, hydroxyl, -OCi-4alkyl, and oxo;
[0045] G6A, G6B, and G6C are each independently a C3-scycloalkyl optionally substituted with 1-4 substituents independently selected from the group consisting of Ci-4alkyl, Ci-4haloalkyl, halogen, hydroxyl, oxo, - HC(0)(Ci-4alkyl), -N(Ci- 4alkyl)C(0)(Ci-4alkyl), -C(0)OCi-4alkyl, -C(0)OH, -OCi-4alkyl, -Ci-ealkylene- OCi-4alkyl, and -Ci-6alkylene-OH;
[0046] G7A and G7B are each independently a 5- or 6-membered monocyclic heteroaryl containing 1-3 heteroatoms independently selected from nitrogen, oxygen, and sulfur, G7A and G7B being optionally substituted with 1-3 substituents
independently selected from the group consisting of Ci-4alkyl, Ci-4haloalkyl, halogen, hydroxyl, -OCi-4alkyl, and cyano;
[0047] G and G are each independently phenyl optionally substituted with 1-4 substituents independently selected from the group consisting of Ci-4alkyl, Ci- 4haloalkyl, halogen, hydroxyl, -OCi-4alkyl, and cyano;
[0048] R8 is phenyl or a 6-membered heteroaryl containing 1-3 nitrogen atoms, R8 being optionally substituted with 1-3 substituents independently selected from the group consisting of halogen, hydroxyl, cyano, -S(0)2Ci-4alkyl, -S(0)Ci-4alkyl, -SCi- 4alkyl, Ci-4alkyl, Ci-4haloalkyl, -C3-6alkenyl, -OCi-4alkyl, -OCi-4haloalkyl, -Ci- 4alkylene-OCi-4alkyl, -Ci-4alkylene-N(Ci-4alkyl)(Ci-4alkyl), - H(Ci-4alkylene-OCi- 4alkyl), - H(Ci-4alkylene-OH), -N(Ci-4alkyl)(Ci-4alkylene-OCi-4alkyl), -N(Ci- 4alkyl)(Ci-4alkylene-OH), - H2, - H(Ci-4alkyl), -N(Ci-4alkyl)(Ci-4alkyl), - C(0) H2, -C(0) H(Ci-4alkyl), -C(0)N(Ci-4alkyl)(Ci-4alkyl), -L4-G10, C3- 6cycloalkyl, C5-6cycloalkenyl, or a 4- to 8-membered monocyclic heterocycle containing 1-2 nitrogen atoms, and optionally an oxygen or sulfur atom, the monocyclic heterocycle optionally containing one double bond and/or a Ci-3alkylene bridge between two non-adjacent ring atoms, the C3-6cycloalkyl, the C5-6cycloalkenyl, and the 4- to 8-membered monocyclic heterocycle being independently optionally substituted with 1-4 substituents independently selected from the group consisting of halogen, hydroxyl, -OCi-4alkyl, Ci-4alkyl, Ci-4haloalkyl, -Ci-4alkylene-OCi-4alkyl, and -Ci-4alkylene-OH;
[0049] L4 is -0-, - R9-, - R9-Ci-4alkylene-, or -0-Ci-4alkylene-;
[0050] R9, at each occurrence, is independently hydrogen or Ci-4alkyl; and
[0051] G10 is phenyl or a 5- or 6-membered monocyclic heteroaryl containing 1-3 heteroatoms independently selected from nitrogen, oxygen, and sulfur, G10 being optionally substituted with 1-4 substituents independently selected from the group consisting of Ci-4alkyl, Ci-4haloalkyl, halogen, hydroxyl, -OCi-4alkyl, and cyano;
[0052] wherein
(a) no more than one of X1, X2, X3, X4, or X5 is N;
(b) at least one of X2 and X3 is other than N or CH;
(c) no more than three of X1, X2, X3, X4, or X5 are other than N or CH;
(d) R2 and R3 are not simultaneously -I^-G^R7;
(e) R3 is -L3-G1-R7, -L3-G3B, -L3-G4B, or-L3-G5B, when X1, X2, X4, and X5 are N or CH;
(f) R2 is not -OCi-4alkyl, morpholino or -NH-Ci-4alkylene-morpholino when X3 is N or CH, X1, X4 and X5 are CH, and R8 is phenyl or 4-cyanophenyl;
(g) R2, R3, and R4 are not simultaneously -OCi-4alkyl when R8 is phenyl or 4- cyanophenyl; and
(h) R2 is not cyano when R3 is an imidazolyl optionally substituted with one or two Ci-4alkyl.
[0053] In another aspect, the present invention provides compounds of formula (Γ)·
[0054] Another aspect of the present invention provides pharmaceutical compositions comprising a pharmaceutically acceptable carrier and therapeutically effective amounts of a compound of formula (Γ), or a pharmaceutically acceptable salt thereof.
[0055] In another aspect, the invention provides compounds of formula (Γ), or a pharmaceutically acceptable salt thereof, which promote remyelination of
demyelinated axons.
[0056] In another aspect, the invention provides compounds of formula (Γ), or a pharmaceutically acceptable salt thereof, which differentiate endogenous
oligodendrocyte precursor cells.
[0057] In another aspect, the invention provides methods of treating multiple sclerosis by administering to a patient in need thereof a therapeutically effective amount of a compound or composition of formula (Γ), or a pharmaceutically acceptable salt thereof.
[0058] In another aspect, the present invention provides a method of treating, preventing or ameliorating one or more symptoms of a subject with multiple sclerosis or another neurological disease.
[0059] In another aspect, the invention provides the use of a compound of formula (Γ), or a pharmaceutically acceptable salt thereof, for the manufacture of a
medicament for the treatment of multiple sclerosis, the promotion of remyelination of demyelinated axons, or the differentiation of endogenous oligodendrocyte precursor cells.
[0060] In another aspect, the invention provides compounds of formula (Γ), or a pharmaceutically acceptable salt thereof, for use in treating multiple sclerosis,
promoting remyelination of demyelinated axons, or differentiating endogenous oligodendrocyte precursor cells.
[0061] In another aspect, the invention provides compounds of formula (Γ), or a pharmaceutically acceptable salt thereof for treating or lessening the severity of, in a subject, a disease or disorder selected from a demyelinating disease, central pontine myelinolysis, a nerve injury disease or disorder, a leukoencephalopathy or a
1 eukody strophy in .
[0062] In another aspect, the invention provides compounds of formula (Γ), or a pharmaceutically acceptable salt thereof
[0063] In another aspect, the invention provides compounds of formula (Γ), or a pharmaceutically acceptable salt thereof can be employed in combination therapies, that is, the compounds and pharmaceutically acceptable compositions can be administered concurrently with, prior to, or subsequent to, one or more other desired therapeutics or medical procedures.
[0064] The present invention also features kits comprising compounds of formula
(Γ)·
DETAILED DESCRIPTION OF THE INVENTION
[0065] 1. Definitions
[0066] For purposes of this invention, the chemical elements are identified in accordance with the Periodic Table of the Elements, CAS version, Handbook of
Chemistry and Physics, 75th Ed. Additionally, general principles of organic chemistry are described in "Organic Chemistry," Thomas Sorrell, University Science Books, Sausalito: 1999, and "March's Advanced Organic Chemistry," 5th Ed., Ed.: Smith, M.B. and March, J., John Wiley & Sons, New York: 2001, the entire contents of which are hereby incorporated by reference.
[0067] As described herein, compounds of the invention can optionally be substituted with one or more substituents, such as are illustrated generally above, or as exemplified by particular classes, subclasses, and species of the invention. As described herein, the variables in formula I encompass specific groups, such as, for example, alkyl and cycloalkyl. As one of ordinary skill in the art will recognize, combinations of substituents envisioned by this invention are those combinations that result in the formation of stable or chemically feasible compounds. The term
"stable," as used herein, refers to compounds that are not substantially altered when subjected to conditions to allow for their production, detection, and preferably their recovery, purification, and use for one or more of the purposes disclosed herein. In some embodiments, a stable compound or chemically feasible compound is one that is not substantially altered when kept at a temperature of 40°C or less, in the absence of moisture or other chemically reactive conditions, for at least a week.
[0068] The phrase "optionally substituted" may be used interchangeably with the phrase "substituted or unsubstituted ." In general, the term "substituted," whether preceded by the term "optionally" or not, refers to the replacement of hydrogen radicals in a given structure with the radical of a specified substituent. Specific substituents are described above in the definitions and below in the description of compounds and examples thereof. Unless otherwise indicated, an optionally substituted group can have a substituent at each substitutable position of the group, and when more than one position in any given structure can be substituted with more than one substituent selected from a specified group, the substituent can be either the same or different at every position. A ring substituent, such as a heterocycloalkyl, can be bound to another ring, such as a cycloalkyl, to form a spiro-bicyclic ring system, e.g., both rings share one common atom. As one of ordinary skill in the art will recognize, combinations of substituents envisioned by this invention are those combinations that result in the formation of stable or chemically feasible compounds.
[0069] The compounds of the invention are defined according to the terms in the claims and the embodiments. The following definitions are provided as a general guide to understanding the claims and embodiments and are applicable where specific definitions are absent. [0070] The term "alkyl" as used herein, means a straight or branched chain saturated hydrocarbon. Representative examples of alkyl include, but are not limited to, methyl, ethyl, n-propyl, isopropyl, n-butyl, sec-butyl, isobutyl, tert-butyl, n-pentyl, isopentyl, neopentyl, n-hexyl, 3-methylhexyl, 2,2-dimethylpentyl, 2,3-dimethylpentyl, n-heptyl, n-octyl, n-nonyl, and n-decyl. [0071] The term "alkylene," as used herein, means a divalent group derived from a straight or branched chain saturated hydrocarbon. Representative examples of
alkylene include, but are not limited to, -CH2-, -CH2CH2-, -CH2CH2CH2-, - CH2CH(CH3)CH2-, and -CH2CH(CH3)CH(CH3)CH2-.
[0072] The term "alkoxy" as used herein, means an alkyl group, as defined herein, appended to the parent molecular moiety through an oxygen atom. Representative examples of alkoxy include, but are not limited to, methoxy, ethoxy, propoxy, isopropoxy, butoxy, isobutoxy, tert-butoxy, pentyloxy, and hexyloxy.
[0073] The term "aryl," as used herein, means phenyl or a bicyclic aryl. The bicyclic aryl is naphthyl, dihydronaphthalenyl, tetrahydronaphthalenyl, indanyl, or indenyl. The phenyl and bicyclic aryls are attached to the parent molecular moiety through any carbon atom contained within the phenyl or bicyclic aryl.
[0074] The term "halogen" means a chlorine, bromine, iodine, or fluorine atom.
[0075] The term "haloalkyl," as used herein, means an alkyl, as defined herein, in which one, two, three, four, five, six, or seven hydrogen atoms are replaced by halogen. For example, representative examples of haloalkyl include, but are not limited to, 2-fluoroethyl, difluoromethyl, trifluoromethyl, 2,2,2-trifluoroethyl, 2,2,2- trifluoro-l,l-dimethylethyl, and the like.
[0076] The term "haloalkoxy," as used herein, means an alkoxy group, as defined herein, in which one, two, three, four, five, or six hydrogen atoms are replaced by halogen. Representative examples of haloalkoxy include, but are not limited to, trifluoromethoxy, difluoromethoxy, 2,2,2-trifluoroethoxy, 2,2-difluoroethoxy, 2- fluoroethoxy, and pentafluoroethoxy.
[0077] The term "heteroaryl," as used herein, means an aromatic heterocycle, i.e., an aromatic ring that contains at least one heteroatom. A heteroaryl may contain from 5 to 12 ring atoms. A heteroaryl may be a 5- to 6-membered monocyclic heteroaryl or an 8- to 12-membered bicyclic heteroaryl. A 5-membered monocyclic heteroaryl ring contains two double bonds, and one, two, three, or four heteroatoms as ring atoms. Representative examples of 5-membered monocyclic heteroaryls include, but are not limited to, furanyl, imidazolyl, isoxazolyl, isothiazolyl, oxadiazolyl, oxazolyl, pyrazolyl, pyrrolyl, tetrazolyl, thiadiazolyl, thiazolyl, thienyl, and triazolyl. A 6-
membered heteroaryl ring contains three double bonds, and one, two, three or four heteroatoms as ring atoms. Representative examples of 6-membered monocyclic heteroaryls include, but are not limited to, pyridinyl, pyridazinyl, pyrimidinyl, pyrazinyl, and triazinyl. The bicyclic heteroaryl is an 8- to 12-membered ring system having a monocyclic heteroaryl fused to an aromatic, saturated, or partially saturated carbocyclic ring, or fused to a second monocyclic heteroaryl ring. Representative examples of bicyclic heteroaryl include, but are not limited to, benzofuranyl, benzoxadiazolyl, 1,3-benzothiazolyl, benzimidazolyl, benzothienyl, indolyl, indazolyl, isoquinolinyl, naphthyridinyl, oxazolopyridine, quinolinyl, thienopyridinyl, 5,6,7,8-tetrahydroquinolinyl, and 6,7-dihydro-5H-cyclopenta[b]pyridinyl. The heteroaryl groups are connected to the parent molecular moiety through any substitutable carbon atom or any substitutable nitrogen atom contained within the groups.
[0078] The term "cycloalkyl" as used herein, means a monocyclic all-carbon ring containing zero heteroatoms as ring atoms, and zero double bonds. Examples of cycloalkyls include, but are not limited to, cyclopropyl, cyclobutyl, cyclopentyl, cyclohexyl, cycloheptyl, and cyclooctyl. The cycloalkyl groups described herein can be appended to the parent molecular moiety through any substitutable carbon atom.
[0079] The term "cycloalkenyl" as used herein, means a monocyclic non-aromatic all-carbon 5- to 6-membered ring containing zero heteroatoms as ring atoms and one double bond. Examples of cycloalkenyl include cyclopentenyl and cyclohexenyl. The cycloalkenyl groups described herein can be appended to the parent molecular moiety through any substitutable carbon atom.
[0080] The terms "heterocycle" or "heterocyclic" refer generally to ring systems containing at least one heteroatom as a ring atom where the heteroatom is selected from oxygen, nitrogen, and sulfur. In some embodiments, a nitrogen or sulfur atom of the heterocycle is optionally substituted with oxo. Heterocycles may be a monocyclic heterocycle, a fused bicyclic heterocycle, or a spiro heterocycle. The monocyclic heterocycle is generally a 4, 5, 6, 7, or 8-membered non-aromatic ring containing at least one heteroatom selected from O, N, or S. The 4-membered ring contains one heteroatom and optionally one double bond. The 5-membered ring contains zero or
one double bond and one, two or three heteroatoms. The 6, 7, or 8-membered ring contains zero, one, or two double bonds, and one, two, or three heteroatoms.
Representative examples of monocyclic heterocycle include, but are not limited to, azetidinyl, azepanyl, diazepanyl, 1,3-dioxanyl, 1,4-dioxanyl, 1,3-dioxolanyl , 4,5- dihydroisoxazol-5-yl, 3,4-dihydropyranyl, 1,3-dithiolanyl, 1,3-dithianyl, imidazolinyl, imidazolidinyl, isothiazolinyl, isothiazolidinyl, isoxazolinyl, isoxazolidinyl, morpholinyl, oxadiazolinyl, oxadiazolidinyl, oxazolinyl, oxazolidinyl, oxetanyl, piperazinyl, piperidinyl, pyranyl, pyrazolinyl, pyrazolidinyl, pyrrolinyl, pyrrolidinyl, tetrahydrofuranyl, tetrahydropyranyl, tetrahydrothienyl, thiadiazolinyl,
thiadiazolidinyl, thiazolinyl, thiazolidinyl, thiomorpholinyl, 1, 1- dioxidothiomorpholinyl, thiopyranyl, and trithianyl. The fused bicyclic heterocycle is a 7-12-membered ring system having a monocyclic heterocycle fused to a phenyl, to a saturated or partially saturated carbocyclic ring, or to another monocyclic heterocyclic ring, or to a monocyclic heteroaryl ring. Representative examples of fused bicyclic heterocycle include, but are not limited to, l,3-benzodioxol-4-yl, 1,3-benzodithiolyl, 3-azabicyclo[3.1.0]hexanyl, hexahydro-lH-furo[3,4-c]pyrrolyl, 2,3-dihydro-l,4- benzodioxinyl, 2,3-dihydro-l-benzofuranyl, 2,3-dihydro-l-benzothienyl, 2,3-dihydro- lH-indolyl, 5,6,7,8-tetrahydroimidazo[l,2-a]pyrazinyl, and 1,2,3,4- tetrahydroquinolinyl. Spiro heterocycle means a 4, 5-, 6-, 7-, or 8-membered monocyclic heterocycle ring wherein two of the substituents on the same carbon atom form a second ring having 3, 4, 5, 6, 7, or 8- members. Examples of a spiro heterocycle include, but are not limited to, l,4-dioxa-8-azaspiro[4.5]decanyl, 2-oxa-7- azaspiro[3.5]nonanyl, 2-oxa-6-azaspiro[3.3]heptanyl, and 8-azaspiro[4.5]decane. The monocyclic heterocycle groups of the present invention may contain an alkylene bridge of 1, 2, or 3 carbon atoms, linking two non-adjacent atoms of the group.
Examples of such a bridged heterocycle include, but are not limited to, 2,5- diazabicyclo[2.2.1]heptanyl, 2-azabicyclo[2.2.1]heptanyl, 2-azabicyclo[2.2.2]octanyl, and oxabicyclo[2.2.1]heptanyl. The monocyclic, fused bicyclic, and spiro heterocycle groups are connected to the parent molecular moiety through any substitutable carbon atom or any substitutable nitrogen atom contained within the group.
[0081] The term "oxo" as used herein refers to an oxygen atom bonded to the parent molecular moiety. An oxo may be attached to a carbon atom or a sulfur atom
by a double bond. Alternatively, an oxo may be attached to a nitrogen atom by a single bond, i.e., an N-oxide.
[0082] Terms such as "alkyl," "cycloalkyl," "alkylene," etc. may be preceded by a designation indicating the number of atoms present in the group in a particular instance (e.g., "Ci-4alkyl," "C3-6cycloalkyl," "Ci-4alkylene"). These designations are used as generally understood by those skilled in the art. For example, the
representation "C" followed by a subscripted number indicates the number of carbon atoms present in the group that follows. Thus, "C3alkyl" is an alkyl group with three carbon atoms (i.e., n-propyl, isopropyl). Where a range is given, as in "Ci-4, " the members of the group that follows may have any number of carbon atoms falling within the recited range. A "Ci-4alkyl," for example, is an alkyl group having from 1 to 4 carbon atoms, however arranged (i.e., straight chain or branched).
[0083] Unless otherwise stated, structures depicted herein are also meant to include all isomeric (e.g., enantiomeric, diastereomeric, and geometric (or conformational)) forms of the structure; for example, the R and S configurations for each asymmetric center, (Z) and (E) double bond isomers, and (Z) and (E) conformational isomers. Therefore, single stereochemical isomers as well as enantiomeric, diastereomeric, and geometric (or conformational) mixtures of the present compounds are within the scope of the invention. Unless otherwise stated, all tautomeric forms of the compounds of the invention are within the scope of the invention. Thus, included within the scope of the invention are tautomers of compounds of formula I. The structures also include zwitterioinc forms of the compounds or salts of formula I where appropriate.
[0084] 2. Compounds
[0085] In one aspect of the invention are rovided compounds of formula (I)
[0086] or a pharmaceutically acceptable salt thereof, wherein R8, X1, X2, X3, X4, and X5 are as defined herein.
[0087] In another aspect of the invention are provided compounds of formula (X),
(X)
[0089] In another aspect of the invention are provided compounds of formula
(xi),
[0090] or a pharmaceutically acceptable salt thereof, wherein R is as defined herein.
[0091] In another aspect of the invention are provided compounds of formula (XII),
[0092] or a pharmaceutically acceptable salt thereof, wherein R8, A1, and R100 are as defined herein.
[0094] or a pharmaceutically acceptable salt thereof, wherein R8, A2, and Y1 are as defined herein.
[0095] In another aspect of the invention are provided compounds of formula (XIV),
(XIV)
[0096] or a pharmaceutically acceptable salt thereof, wherein R8 and Y2 are as defined herein.
[0097] In some embodiments, compounds of formula (I) may be represented by formula (II), wherein X2 is CR2, R2 is -Ll-GA, GA is selected from the group consisting of -G^R7, G3A, G4A, and G5A, and X3 is as defined in formula (I), or X3 is CR3, R3 is -L3-GB, G6 is selected from the group consisting of -G^R7, G3B, G4B, and G5B, and X2 is as defined in formula (I); provided that GA and GB are not
simultaneously -G^R7; and wherein R8, X1, X4, X5, L1 and L3 are as defined in formula (I).
(II)
[0098] In some embodiments, the compounds of formula (II) may have formula (IIA) or (IIB), wherein X^X5, L1, L3, GA, GB, and R8 are as defined in formula (II). In some embodiments of formulas (I), (II), (IIA), or (IIB), one of G4 and G6 is -G1- R7.
(IIA) (IIB)
[0099] In some embodiments of formula (IIA), GA is -G^R7; X3 is N or CR3; and R3 is L3-G2B. In some embodiments of formula (IIA), GA is -G^R7; X3 is N or CR3; and R3 is L3-G3B. In some embodiments of formula (IIA), GA is -G^R7; X3 is N or CR3; and R3 is L3-G4B. In some embodiments of formula (IIA), GA is -G^R7; X3 is N or CR3; and R3 is L3-G5B. In some embodiments of formula (IIA), GA is -G^R7; X3 is N or CR3; and R3 is L3-G6B. In some embodiments of formula (IIA), G4 is -G1- R7; X3 is N or CR3; and R3 is L3-G7B. In some embodiments of formula (IIA), GA is - G^R7; X3 is N or CR3; and R3 is selected from the group consisting of hydrogen, Ci- 4alkyl, Ci-4haloalkyl, halogen, cyano, hydroxyl, -OCi-4alkyl, -OCi-4haloalkyl, - C(0)Ci-4alkyl, -C(0)OCi-4alkyl, - R40R40, and -C(O) R40R40.
[00100] In some embodiments of formula (IIB), GB is -G^R7; X2 is N or CR2; and R2 is L1^. In some embodiments of formula (IIB), GB is -G^R7; X2 is N or CR2; and R2 is L1-G3A. In some embodiments of formula (IIB), GB is -G^R7; X2 is N or CR2; and R2 is L1-G4A. In some embodiments of formula (IIB), G6 is -G^R7; X2 is N or CR2; and R2 is V-G5A. In some embodiments of formula (IIB), GB is -G^R7; X2 is N or CR2; and R2 is I^-G^. In some embodiments of formula (IIB), GB is -G1- R7; X2 is N or CR2; and R2 is V-G7A. In some embodiments of formula (IIB), GB is - G^R7; X2 is N or CR2; and R2 is L1-G8A. In some embodiments of formula (IIB), G8 is -G^R7; X2 is N or CR2; and R2 is selected from the group consisting of hydrogen, Ci-4alkyl, Ci-4haloalkyl, halogen, cyano, nitro, hydroxyl, -OCi-4alkyl, -OCi- 4haloalkyl, -OCs-ealkenyl, -C(0)Ci-4alkyl, COOH, -C(0)OCi-4alkyl, - R20R20, - R20(Ci-4haloalkyl), - R20C(O)(Ci-4alkyl), - R20C(O)(Ci-4haloalkyl), - R20C(O)OCi-4alkyl, -C(O) R20R20, -C(O)NR20(Ci-4haloalkyl), -L2-Ci-6alkylene- R21, -L2-Ci-6haloalkylene-R21, -L2-Ci-3alkylene-C(H)(OCi-4alkyl)-Ci-3alkylene- R21, -L2-C2-4alkylene-0-C2-4alkylene-R21, -L2-C2-4alkylene-0-C2-4alkylene-0-C2- 4alkylene-R21, -C3-8alkenyl, -C3-8alkenylene-OH, -C3-8alkenylene-OCi-4alkyl, -C3- 8alkynylene-OH, and -C3-8alkynylene-OCi-4alkyl.
[00101] In some embodiments of formulas (I), (II), (IIA), or (IIB), GA is selected from the group consisting of G3A, G4A, and G5A; and/or GB is selected from the group consisting of G3B, G4B, and G5B. For example, in some embodiments of formula (IIA), GA is selected from the group consisting of G3A, G4A, and G5A; X3 is N or CR3; and R3 is selected from the group consisting of hydrogen, Ci-4alkyl, Ci-4haloalkyl, halogen, cyano, hydroxyl, -OCi-4alkyl, -OCi-4haloalkyl, -C(0)Ci-4alkyl, -C(0)OCi- 4alkyl, - R40R40, and -C(O) R40R40. In some embodiments of formula (IIB), G6 is selected from the group consisting of G3B, G4B, and G5B; X2 is N or CR2; and R2 is selected from the group consisting of hydrogen, Ci-4alkyl, Ci-4haloalkyl, halogen, cyano, nitro, hydroxyl, -OCi-4alkyl, -OCi-4haloalkyl, -OC3-6alkenyl, -C(0)Ci-4alkyl, COOH, -C(0)OCi-4alkyl, -NR20R20, - R20(Ci-4haloalkyl), - R20C(O)(Ci-4alkyl), - R20C(O)(Ci-4haloalkyl), - R20C(O)OCi-4alkyl, -C(O) R20R20, -C(O) R20(Ci- 4haloalkyl), -L2-Ci-6alkylene-R21, -L2-Ci-6haloalkylene-R21, -L2-Ci-3alkylene- C(H)(OCi-4alkyl)-Ci-3alkylene-R21, -L2-C2-4alkylene-0-C2-4alkylene-R21, -L2-C2- 4alkylene-0-C2-4alkylene-0-C2-4alkylene-R21, -C3-salkenyl, -C3-8alkenylene-OH, - C3-8alkenylene-OCi-4alkyl, -C3-8alkynylene-OH, and -C3-8alkynylene-OCi-4alkyl.
[00102] In other embodiments, are compounds of formula (IIA) wherein X4 is CH or N when X3 is CH or N and R2 is -L1-^.
[00103] In some embodiments of formula (IIA) are compounds wherein X1, X3, X4, and X5 are each independently N or CH; and G4 is selected from the group consisting of -G^R7, G3A, G4A, and G5A. In one embodiment, GA is -G^R7. In another embodiment, GA is G3A. In another embodiment, GA is G4A. In another embodiment, GA is G5A. In each of the foregoing embodiments are further embodiments wherein X3 and X5 are independently N or CH, and X1 and X4 are each CH. In each of the foregoing embodiments are further embodiments wherein X5 is N and X1, X3, and X4 are each CH. In other embodiments, X3 is N and X1, X4, and X5 are each CH. In yet other embodiments, X1, X3, X4, and X5 are each CH.
[00104] In some embodiments of formula (IIB) are compounds wherein X1, X2, X4, and X5 are each independently N or CH; and GB is selected from the group consisting of -G^R7, G3B, G4B, and G5B. In one group of compounds, GB is -G^R7. In another group of compounds, GB is G3B. In another group of compounds, GB is G4B. In another group of compounds, G6 is G5B. In each of the foregoing embodiments are further embodiments wherein X1, X3, X4, and X5 are each CH.
[00105] In some embodiments of formula (IIA) are compounds wherein X1 and X5 are each independently N or CH; X3 is CR3; R3 is selected from the group consisting of -I^-G6, Ci-4alkyl, Ci-4haloalkyl, halogen, cyano, hydroxyl, -OCi-4alkyl, -OCi- 4haloalkyl, -C(0)Ci-4alkyl, -C(0)OCi-4alkyl, - R40R40, and -C(O) R40R40; and GA is selected from the group consisting of -G^R7, G3A, G4A, and G5A.
[00106] In some embodiments of compounds of formula (IIA), X1, X4, and X5 are each independently N or CH; X3 is CR3; R3 is selected from the group consisting of - L3-GB, Ci-4alkyl, Ci-4haloalkyl, halogen, cyano, hydroxyl, -OCi-4alkyl, -OCi- 4haloalkyl, -C(0)Ci-4alkyl, -C(0)OCi-4alkyl, - R40R40, and -C(O) R40R40; and GA is selected from the group consisting of -G^R7, G3A, G4A, and G5A. In either of the foregoing embodiments are further embodiments wherein R3 is selected from the group consisting of Ci-4alkyl, Ci-4haloalkyl, halogen, cyano, hydroxyl, -OCi-4alkyl, - OCi-4haloalkyl, -C(0)Ci-4alkyl, -C(0)OCi-4alkyl, - R40R40, and -C(O) R40R40. In further embodiments, R3 is G3B, Ci-4alkyl, halogen, or -OCi-4alkyl. In further embodiments, L1 is a bond, G4 is G3A, and R3 is G3B. In further embodiments according to the foregoing, X1 is N or CH, and X4 and X5 are each CH. In some embodiments, X1, X4, and X5 are each CH. In other embodiments, X1 is N, and X4 and X5 are each CH.
[00107] In other embodiments of formula (IIA), X1 and X5 are each independently N or CH; X3 is CR3; R3 is selected from the group consisting of -I^-G6, Ci-4alkyl, Ci- 4haloalkyl, halogen, cyano, hydroxyl, -OCi-4alkyl, -OCi-4haloalkyl, -C(0)Ci-4alkyl, - C(0)OCi-4alkyl, - R40R40, and -C(O)NR40R40; X4 is CR4; R4 is selected from the group consisting of Ci-4alkyl, Ci-4haloalkyl, halogen, -OCi-4alkyl, and -OCi- 4haloalkyl; and G4 is selected from the group consisting of -G^R7, G3A, G4A, and G5A. In further embodiments according to the foregoing, R3 is selected from the group consisting of Ci-4alkyl, Ci-4haloalkyl, halogen, cyano, hydroxyl, -OCi-4alkyl, - OCi-4haloalkyl, -C(0)Ci-4alkyl, -C(0)OCi-4alkyl, - R40R40, and -C(O) R40R40. In further embodiments, R3 is Ci-4alkyl or -OCi-4alkyl; and R4 is Ci-4alkyl. In still further embodiments, one of X1 and X5 is N and the other CH. In yet other embodiments, X1 and X5 are each CH.
[00108] In other embodiments, are compounds of formula (IIB), wherein X1 and X5 are each independently N or CH; X2 is CR2; R2 is selected from the group consisting of -Ll-GA, Ci-4alkyl, Ci-4haloalkyl, halogen, cyano, nitro, hydroxyl, -OCi-
4alkyl, -OCi-4haloalkyl, -OCs-ealkenyl, -C(0)Ci-4alkyl, COOH, -C(0)OCi-4alkyl, - R20R20, -NR20(Ci-4haloalkyl), -NR20C(O)(Ci-4alkyl), - R20C(O)(Ci-4haloalkyl), - R20C(O)OCi-4alkyl, -C(O) R20R20, -C(O)NR20(Ci-4haloalkyl), -L2-Ci-6alkylene- R21, -L2-Ci-6haloalkylene-R21, -L2-Ci-3alkylene-C(H)(OCi-4alkyl)-Ci-3alkylene- R21, -L2-C2-4alkylene-0-C2-4alkylene-R21, -L2-C2-4alkylene-0-C2-4alkylene-0-C2- 4alkylene-R21, -C3-8alkenyl, -C3-8alkenylene-OH, -C3-8alkenylene-OCi-4alkyl, -C3- 8alkynylene-OH, and -C3-8alkynylene-OCi-4alkyl; and G6 is selected from the group consisting of -G^R7, G3B, G4B, and G5B.
[00109] In some embodiments of compounds of formula (IIB), X1, X4, and X5 are each independently N or CH; X2 is CR2; R2 is selected from the group consisting of - I^-G4, Ci-4alkyl, Ci-4haloalkyl, halogen, cyano, nitro, hydroxyl, -OCi-4alkyl, -OCi- 4haloalkyl, -OC3-6alkenyl, -C(0)Ci-4alkyl, COOH, -C(0)OCi-4alkyl, - R20R20, - R20(Ci-4haloalkyl), - R20C(O)(Ci-4alkyl), - R20C(O)(Ci-4haloalkyl), - R20C(O)OCi-4alkyl, -C(O) R20R20, -C(O)NR20(Ci-4haloalkyl), -L2-Ci-6alkylene- R21, -L2-Ci-6haloalkylene-R21, -L2-Ci-3alkylene-C(H)(OCi-4alkyl)-Ci-3alkylene- R21, -L2-C2-4alkylene-0-C2-4alkylene-R21, -L2-C2-4alkylene-0-C2-4alkylene-0-C2- 4alkylene-R21, -C3-8alkenyl, -C3-8alkenylene-OH, -C3-8alkenylene-OCi-4alkyl, -C3- 8alkynylene-OH, and -C3-8alkynylene-OCi-4alkyl; and GB is selected from the group consisting of -G^R7, G3B, G4B, and G5B. In further embodiments, R2 is selected from the group consisting of Ci-4alkyl, Ci-4haloalkyl, halogen, cyano, nitro, hydroxyl, - OCi-4alkyl, -OCi-4haloalkyl, -OC3-6alkenyl, -C(0)Ci-4alkyl, COOH, -C(0)OCi- 4alkyl, - R20R20, - R20(Ci-4haloalkyl), - R20C(O)(Ci-4alkyl), - R20C(O)(Ci- 4haloalkyl), - R20C(O)OCi-4alkyl, -C(O) R20R20, -C(O)NR20(Ci-4haloalkyl), -L2- Ci-6alkylene-R21, -L2-Ci-6haloalkylene-R21, -L2-Ci-3alkylene-C(H)(OCi-4alkyl)-Ci- 3alkylene-R21, -L2-C2-4alkylene-0-C2-4alkylene-R21, -L2-C2-4alkylene-0-C2-
4alkylene-0-C2-4alkylene-R21, -C3-8alkenyl, -C3-8alkenylene-OH, -C3-8alkenylene- OCi-4alkyl, -C3-8alkynylene-OH, and -C3-8alkynylene-OCi-4alkyl. In further embodiments, R2 is selected from the group consisting of Ci-4alkyl, halogen, -OCi- 4alkyl, -OCi-4haloalkyl, or -OC3-6alkenyl and/or GB is -G^R7 or G3B. In further embodiments, X1 is N or CH, and X4 and X5 are each CH. In some embodiments, X1, X4, and X5 are each CH. In other embodiments, X1 is N, and X4 and X5 are each CH.
[00110] In other embodiments of formula (IIB), X1 and X5 are each independently N or CH; X2 is CR2; R2 is selected from the group consisting of -Ll-GA, Ci-4alkyl, Ci-
4haloalkyl, halogen, cyano, nitro, hydroxyl, -OCi-4alkyl, -OCi-4haloalkyl, -OC3- ealkenyl, -C(0)Ci-4alkyl, COOH, -C(0)OCi-4alkyl, - R20R20, -NR20(Ci-4haloalkyl), - R20C(O)(Ci-4alkyl), - R20C(O)(Ci-4haloalkyl), -NR20C(O)OCi-4alkyl, - C(O) R20R20, -C(O) R20(Ci-4haloalkyl), -L2-Ci-6alkylene-R21, -L2-Ci- ehaloalkylene-R21, -L2-Ci-3alkylene-C(H)(OCi-4alkyl)-Ci-3alkylene-R21, -L2-C2- 4alkylene-0-C2-4alkylene-R21, -L2-C2-4alkylene-0-C2-4alkylene-0-C2-4alkylene- R21, -C3-8alkenyl, -C3-8alkenylene-OH, -C3-8alkenylene-OCi-4alkyl, -C3- 8alkynylene-OH, and -C3-8alkynylene-OCi-4alkyl; X4 is CR4; R4 is selected from the group consisting of Ci-4alkyl, Ci-4haloalkyl, halogen, -OCi-4alkyl, and -OCi- 4haloalkyl; and GB is selected from the group consisting of -G^R7, G3B, G4B, and G5B. In further embodiments, R2 is selected from the group consisting of Ci-4alkyl, Ci-4haloalkyl, halogen, cyano, nitro, hydroxyl, -OCi-4alkyl, -OCi-4haloalkyl, -OC3- ealkenyl, -C(0)Ci-4alkyl, COOH, -C(0)OCi-4alkyl, - R20R20, -NR20(Ci-4haloalkyl), - R20C(O)(Ci-4alkyl), - R20C(O)(Ci-4haloalkyl), -NR20C(O)OCi-4alkyl, - C(O) R20R20, -C(O) R20(Ci-4haloalkyl), -L2-Ci-6alkylene-R21, -L2-Ci-
6haloalkylene-R21, -L2-Ci-3alkylene-C(H)(OCi-4alkyl)-Ci-3alkylene-R21, -L2-C2- 4alkylene-0-C2-4alkylene-R21, -L2-C2-4alkylene-0-C2-4alkylene-0-C2-4alkylene- R21, -C3-8alkenyl, -C3-8alkenylene-OH, -C3-8alkenylene-OCi-4alkyl, -C3- 8alkynylene-OH, and -C3-8alkynylene-OCi-4alkyl. In further embodiments, R2 is halogen, R4 is halogen, L3 is a bond, and G6 is G3B. In further embodiments of formula (IIB), one of X1 and X5 is N and the other CH. In yet other embodiments of formula (IIB), X1 and X5 are each CH.
[00111] In other embodiments of formula (IIA) are compounds wherein X3 and X4 are each independently N or CH; X1 is CR1; R1 is selected from the group consisting of Ci-4alkyl, Ci-4haloalkyl, halogen, -OCi-4alkyl, and -OCi-4haloalkyl; and GA is selected from the group consisting of -G^R7, G3A, G4A, and G5A.
[00112] In some embodiments of formula (IIA), X3, X4, and X5 are each independently N or CH; X1 is CR1; R1 is selected from the group consisting of Ci- 4alkyl, Ci-4haloalkyl, halogen, -OCi-4alkyl, and -OCi-4haloalkyl; and GA is selected from the group consisting of -G^R7, G3A, G4A, and G5A. In further embodiments, R1 is Ci-4alkyl and/or GA is G^R7 or G3A. In further embodiments, X3, X4, and X5 are each CH.
[00113] In other embodiments of formula (IIA) are compounds wherein X3 and X4 are each independently N or CH; X1 is CR1; R1 is selected from the group consisting of Ci-4alkyl, Ci-4haloalkyl, halogen, -OCi-4alkyl, and -OCi-4haloalkyl; X5 is CR5; R5 is selected from the group consisting of Ci-4alkyl, Ci-4haloalkyl, halogen, -OCi-4alkyl, and -OCi-4haloalkyl; and GA is selected from the group consisting of -G^R7, G3A, G4A, and G5A. In further embodiments, R1 is Ci-4alkyl, R5 is Ci-4alkyl, and/or GA is G^R7. In further embodiments, X3 and X4 are each CH.
[00114] In other embodiments are compounds of formula (II), wherein X1 is N or CH; X4 is N or CH; X5 is CR5; and R5 is selected from the group consisting of Ci- 4alkyl, Ci-4haloalkyl, halogen, -OCi-4alkyl, and -OCi-4haloalkyl.
[00115] In other embodiments are compounds of formula (IIA), wherein X1 is N or CH; X4 is N or CH; X5 is CR5; R5 is selected from the group consisting of Ci-4alkyl, Ci-4haloalkyl, halogen, -OCi-4alkyl, and -OCi-4haloalkyl; and GA is selected from the group consisting of -G^R7, G3A, G4A, and G5A.
[00116] In other embodiments are compounds of formula (IIA), wherein X1 is N or CH; X3 is N or CH; X4 is N or CH; X5 is CR5; R5 is selected from the group consisting of Ci-4alkyl, Ci-4haloalkyl, halogen, -OCi-4alkyl, and -OCi-4haloalkyl; and GA is selected from the group consisting of -G^R7, G3A, G4A, and G5A. In further embodiments, R5 is Ci-4alkyl. In other embodiments, X1 is CH; X3 is N or CH; and X4 is N or CH. In other embodiments, X1 is CH; X3 is CH; and X4 is N. In other embodiments, X1 is CH; X3 is N; and X4 is CH. In other embodiments, X1 is CH; X3 is CH; and X4 is CH.
[00117] In other embodiments are compounds of formula (IIA), wherein X1 is N or CH; X4 is N or CH; X3 is CR3; R3 is selected from the group consisting of -I^-G6, Ci-4alkyl, Ci-4haloalkyl, halogen, cyano, hydroxyl, -OCi-4alkyl, -OCi-4haloalkyl, - C(0)Ci-4alkyl, -C(0)OCi-4alkyl, - R40R40, and -C(O) R40R40; X5 is CR5; R5 is selected from the group consisting of Ci-4alkyl, Ci-4haloalkyl, halogen, -OCi-4alkyl, and -OCi-4haloalkyl; and G4 is selected from the group consisting of -G^R7, G3A, G4A, and G5A. In further embodiments, R3 is selected from the group consisting of Ci- 4alkyl, Ci-4haloalkyl, halogen, cyano, hydroxyl, -OCi-4alkyl, -OCi-4haloalkyl, - C(0)Ci-4alkyl, -C(0)OCi-4alkyl, - R40R40, and -C(O) R40R40; X5 is CR5; R5 is selected from the group consisting of Ci-4alkyl, Ci-4haloalkyl, halogen, -OCi-4alkyl, and -OCi-4haloalkyl. In further embodiments, R3 is halogen, R5 is halogen, L1 is a
bond, and/or GA is G3A. In other embodiments according to the foregoing
embodiments of formula (IIA), X1 is CH; and X4 is CH.
[00118] In other embodiments are compounds of formula (IIB), wherein X1 is N or CH; X4 is N or CH; X5 is CR5; R5 is selected from the group consisting of Ci-4alkyl, Ci-4haloalkyl, halogen, -OCi-4alkyl, and -OCi-4haloalkyl; and GB is selected from the group consisting of -G^R7, G3B, G4B, and G5B. In other embodiments are compounds of formula (IIB), wherein X1 is N or CH; X2 is N or CH; X4 is N or CH; X5 is CR5; R5 is selected from the group consisting of Ci-4alkyl, Ci-4haloalkyl, halogen, -OCi-4alkyl, and -OCi-4haloalkyl; and GB is selected from the group consisting of -G^R7, G3B, G4B, and G5B. In further embodiments, R5 is Ci-4alkyl or halogen, and/or GB is -G1- R7. In other embodiments, X1 is CH; X2 is CH; and X4 is CH.
[00119] In other embodiments are compounds of formula (IIB), wherein X1 is N or CH; X4 is N or CH; X2 is CR2; R2 is selected from the group consisting of -Ll-GA, Ci-4alkyl, Ci-4haloalkyl, halogen, cyano, nitro, hydroxyl, -OCi-4alkyl, -OCi- 4haloalkyl, -OCs-ealkenyl, -C(0)Ci-4alkyl, COOH, -C(0)OCi-4alkyl, - R20R20, - R20(Ci-4haloalkyl), - R20C(O)(Ci-4alkyl), - R20C(O)(Ci-4haloalkyl), - R20C(O)OCi-4alkyl, -C(O) R20R20, -C(O)NR20(Ci-4haloalkyl), -L2-Ci-6alkylene- R21, -L2-Ci-6haloalkylene-R21, -L2-Ci-3alkylene-C(H)(OCi-4alkyl)-Ci-3alkylene- R21, -L2-C2-4alkylene-0-C2-4alkylene-R21, -L2-C2-4alkylene-0-C2-4alkylene-0-C2- 4alkylene-R21, -C3-8alkenyl, -C3-8alkenylene-OH, -C3-8alkenylene-OCi-4alkyl, -C3- 8alkynylene-OH, and -C3-8alkynylene-OCi-4alkyl; X5 is CR5; R5 is selected from the group consisting of Ci-4alkyl, Ci-4haloalkyl, halogen, -OCi-4alkyl, and -OCi- 4haloalkyl; and GB is selected from the group consisting of -G^R7, G3B, G4B, and G5B. In other embodiments are compounds of formula (IIB), wherein X1 is N or CH; X4 is N or CH; X2 is CR2; R2 is selected from the group consisting of Ci-4alkyl, Ci- 4haloalkyl, halogen, cyano, nitro, hydroxyl, -OCi-4alkyl, -OCi-4haloalkyl, -OC3- ealkenyl, -C(0)Ci-4alkyl, COOH, -C(0)OCi-4alkyl, - R20R20, -NR20(Ci-4haloalkyl), - R20C(O)(Ci-4alkyl), - R20C(O)(Ci-4haloalkyl), -NR20C(O)OCi-4alkyl, - C(O) R20R20, -C(O) R20(Ci-4haloalkyl), -L2-Ci-6alkylene-R21, -L2-Ci- ehaloalkylene-R21, -L2-Ci-3alkylene-C(H)(OCi-4alkyl)-Ci-3alkylene-R21, -L2-C2- 4alkylene-0-C2-4alkylene-R21, -L2-C2-4alkylene-0-C2-4alkylene-0-C2-4alkylene- R21, -C3-8alkenyl, -C3-8alkenylene-OH, -C3-8alkenylene-OCi-4alkyl, -C3- 8alkynylene-OH, and -C3-8alkynylene-OCi-4alkyl; X5 is CR5; R5 is selected from the
group consisting of Ci-4alkyl, Ci-4haloalkyl, halogen, -OCi-4alkyl, and -OCi- 4haloalkyl; and GB is selected from the group consisting of -G^R7, G3B, G4B, and G5B. In other embodiments according to the foregoing description of formula (IIB), X1 is CH; and X4 is CH.
[00120] In some embodiments, compounds of formula (I) may be represented by formula (III), wherein X1, X3, X4, and X5 are each independently N or CH; R2 is selected from the group consisting of -I^-G4, Ci-4alkyl, Ci-4haloalkyl, halogen, cyano, nitro, hydroxyl, -OCi-4alkyl, -OCi-4haloalkyl, -OC3-6alkenyl, -C(0)Ci-4alkyl, COOH, -C(0)OCi-4alkyl, -NR20R20, - R20(Ci-4haloalkyl), - R20C(O)(Ci-4alkyl), - R20C(O)(Ci-4haloalkyl), - R20C(O)OCi-4alkyl, -C(O) R20R20, -C(O) R20(Ci- 4haloalkyl), -L2-Ci-6alkylene-R21, -L2-Ci-6haloalkylene-R21, -L2-Ci-3alkylene- C(H)(OCi-4alkyl)-Ci-3alkylene-R21, -L2-C2-4alkylene-0-C2-4alkylene-R21, -L2-C2- 4alkylene-0-C2-4alkylene-0-C2-4alkylene-R21, -C3-salkenyl, -C3-salkenylene-OH, - C3-8alkenylene-OCi-4alkyl, -C3-salkynylene-OH, and -C3-8alkynylene-OCi-4alkyl; and G4 is selected from the group consisting of G?A, G6A, G7A, and G8A; provided that R2 is not morpholino or - H-Ci-4alkylene-morpholino when X3 is N, X1, X4 and X5 are CH, and R8 is phenyl or 4-c anophenyl.
(III)
In some embodiments of formula (III), as defined above, R2 is selected from the group consisting of -I^-G4, Ci-4alkyl, halogen, cyano, hydroxyl, -OCi-4alkyl, -OCi-
4haloalkyl, COOH, - R20R20, - R20C(O)(Ci-4alkyl), -C(O) R20R20, and -L2-Ci- ealkylene-R21; L1 is a bond, -0-, - R10-Ci-4alkylene-, -0-Ci-4alkylene-, - C(0) R10-, -NR10C(O)-, or -C(O)-; L2 is a bond or -0-; and R21 is -OCi-4alkyl or OH. In each of the foregoing embodiments are further groups of compounds wherein X5 is N and X1, X3, and X4 are each CH. In other groups of compounds, X3 is N and X1, X4, and X5 are each CH. In yet other groups of compounds, X1, X3, X4, and X5 are each CH.
[00121] In some embodiments of formula (III), as defined above, G4 is not piperidinyl, piperazinyl, or morpholino, when L1 is a bond or -NH-Ci-4alkylene-, X3
is N, and X1, X4 and X5 are CH. In some embodiments of formula (III), as defined above, GA is not a 6-membered saturated heterocycle containing at least one nitrogen atom when L1 is a bond or - H-Ci-4alkylene- X3 is N, and X1, X4, and X5 are CH. In some embodiments of formula (III), as defined above, GA is not piperidinyl, piperazinyl, or morpholino, when X3 is N, and X1, X4 and X5 are CH. In some embodiments of formula (III), as defined above, GA is not a 6-membered saturated heterocycle containing at least one nitrogen atom, when X3 is N, and X1, X4 and X5 are CH. In some embodiments of formula (III), as defined above, R2 is not -L1-G2A, when X3 is N, and X1, X4 and X5 are CH.
[00122] In some embodiments, compounds of formula (I) may be represented by formula (IV), wherein X1 and X5 are each independently N or CH; R2 is selected from the group consisting of -Ll-GA, Ci-4alkyl, Ci-4haloalkyl, halogen, cyano, nitro, hydroxyl, -OCi-4alkyl, -OCi-4haloalkyl, -OCs-ealkenyl, -C(0)Ci-4alkyl, COOH, - C(0)OCi-4alkyl, - R20R20, - R20(Ci-4haloalkyl), - R20C(O)(Ci-4alkyl), - R20C(O)(Ci-4haloalkyl), - R20C(O)OCi-4alkyl, -C(O) R20R20, -C(O) R20(Ci- 4haloalkyl), -L2-Ci-6alkylene-R21, -L2-Ci-6haloalkylene-R21, -L2-Ci-3alkylene- C(H)(OCi-4alkyl)-Ci-3alkylene-R21, -L2-C2-4alkylene-0-C2-4alkylene-R21, -L2-C2- 4alkylene-0-C2-4alkylene-0-C2-4alkylene-R21, -C3-salkenyl, -C3-salkenylene-OH, - C3-8alkenylene-OCi-4alkyl, -C3-salkynylene-OH, and -C3-8alkynylene-OCi-4alkyl; R3 is selected from the group consisting of -I^-G6, Ci-4alkyl, Ci-4haloalkyl, halogen, cyano, hydroxyl, -OCi-4alkyl, -OCi-4haloalkyl, -C(0)Ci-4alkyl, -C(0)OCi-4alkyl, - R40R40, and -C(O) R40R40; GA is selected from the group consisting of G2A, G6A, G7A, and G8A; GB is selected from the group consisting of G2B, G6B, and G7B; and R8 and X4 are as defined herein.
In some embodiments of formula (IV), as defined above, X4 is N or CH. In further embodiments, X1 is N or CH, and X4 and X5 are each CH. In some embodiments, X1, X4, and X5 are each CH. In other embodiments, X1 is N, and X4 and X5 are each CH.
[00123] In some embodiments of formula (IV), as defined above, X4 is CR4; and R4 is selected from the group consisting of Ci-4alkyl, Ci-4haloalkyl, halogen, -OCi- 4alkyl, -OCi-4haloalkyl, and Gc. In further embodiments of formula (IV), one of X1 and X5 is N and the other CH. In yet other embodiments of formula (IV), X1 and X5 are each CH. In some groups of compounds of formula (IV), as defined in any embodiment herein, R2 is selected from the group consisting of -Ll-GA, Ci-4alkyl, halogen, -OCi-4alkyl, -OCi-4haloalkyl, -OCs-ealkenyl, COOH, -C(0)OCi-4alkyl, - R20R20, -C(O) R20R20, and -C(O) R20(Ci-4haloalkyl); R3 is selected from the group consisting of -L3-GB, Ci-4alkyl, Ci-4haloalkyl, halogen, cyano, hydroxyl, -OCi- 4alkyl, -C(0)OCi-4alkyl, and -C(O) R40R40; L1 is a bond -0-Ci-4alkylene- or - C(0) R10-; and L3 is a bond, -0-, - R30-Ci-4alkylene- -0-Ci-4alkylene-, or - C(O)-. In some embodiments of formula (IV), as defined above, R2 is selected from the group consisting of -L1-GA and halogen; R3 is selected from the group consisting of halogen and -OCi-4alkyl; R4 is selected from the group consisting of Ci-4alkyl, halogen, and -OCi-4alkyl; and L1 is a bond.
[00124] In some embodiments, compounds of formula (I) may be represented by formula (V), wherein X3 and X4 are each independently N or CH; X5 is N or CR5; R1 is selected from the group consisting of Ci-4alkyl, Ci-4haloalkyl, halogen, -OCi-4alkyl, and -OCi-4haloalkyl; R2 is selected from the group consisting of -Ll-GA, Ci-4alkyl, Ci-4haloalkyl, halogen, cyano, nitro, hydroxyl, -OCi-4alkyl, -OCi-4haloalkyl, -OC3- ealkenyl, -C(0)Ci-4alkyl, COOH, -C(0)OCi-4alkyl, - R20R20, -NR20(Ci-4haloalkyl), - R20C(O)(Ci-4alkyl), - R20C(O)(Ci-4haloalkyl), -NR20C(O)OCi-4alkyl, - C(O) R20R20, -C(O) R20(Ci-4haloalkyl), -L2-Ci-6alkylene-R21, -L2-Ci- 6haloalkylene-R21, -L2-Ci-3alkylene-C(H)(OCi-4alkyl)-Ci-3alkylene-R21, -L2-C2- 4alkylene-0-C2-4alkylene-R21, -L2-C2-4alkylene-0-C2-4alkylene-0-C2-4alkylene- R21, -C3-8alkenyl, -C3-8alkenylene-OH, -C3-8alkenylene-OCi-4alkyl, -C3- 8alkynylene-OH, and -C3-8alkynylene-OCi-4alkyl; and GA is selected from the group consisting of G2A, G6A, G7A and G8A.
In some embodiments of formula (V), as defined above, X5 is N or CH. In some embodiments, X3, X4, and X5 are each CH. In some embodiments of formula (V), as defined above, X5 is CR5; and R5 is selected from the group consisting of Ci-4alkyl, Ci-4haloalkyl, halogen, -OCi-4alkyl, and -OCi-4haloalkyl. In some embodiments, X3 and X4 are each CH. In some groups of compounds of formula (V), as defined in any embodiment herein, R1 is selected from the group consisting of Ci-4alkyl and -OCi- 4alkyl; R2 is selected from the group consisting of -I^-G4, Ci-4alkyl, halogen, -OCi- 4alkyl, -C(0)Ci-4alkyl, and -L2-Ci-6alkylene-R21; L1 is a bond; L2 is a bond or - H-; R21 is -OCi-4alkyl or OH; and GA is G2A.
[00125] In some embodiments, compounds of formula (I) may be represented by formula (VI), wherein X1 and X4 are each independently N or CH; X2 is N or CR2; X3 is N or CR3; R5 is selected from the group consisting of Ci-4alkyl, Ci-4haloalkyl, halogen, -OCi-4alkyl, and -OCi-4haloalkyl; R2 and R3 are defined according to formula (I), GA is selected from the group consisting of G2A, G6A, G7A, and G8A; and G6 is selected from the group consisting of G2B, G6B, and G7B; provided that at least one of X2 or X3 is other than N or CH.
(VI)
In some embodiments according to formula (VI), as defined herein, R2 is selected from the group consisting of -Ll-GA, hydrogen, Ci-4alkyl, halogen, hydroxyl, -OCi- 4alkyl, -OCi-4haloalkyl, -C(0)Ci-4alkyl, - R20R20, -NR20C(O)(Ci-4alkyl), -
C(O) R20R20, -L2-Ci-6alkylene-R21, -L2-Ci-6haloalkylene-R21, -Cs-salkenyl, and - C3-8alkenylene-OCi-4alkyl; R3 is selected from the group consisting of hydrogen, Ci- 4alkyl, halogen, -OCi-4alkyl, and - R40R40; R5 is selected from the group consisting of Ci-4alkyl, halogen, and -OCi-4alkyl; L1 is a bond, - R10-Ci-4alkylene-, or -O-Ci- 4alkylene-; L2 is a bond, -O- or - H-; R21 is -OCi-4alkyl or OH; and GA is selected from the group consisting of G2A, G7A, and G8A.
[00126] In some embodiments, the compounds of formula (VI) may have formula (VIA), wherein X1, X4, R5, and R8 are as defined in formula (VI); R2 is selected from the group consisting of -Ll-GA, Ci-4alkyl, Ci-4haloalkyl, halogen, cyano, nitro,
hydroxyl, -OCi-4alkyl, -OCi-4haloalkyl, -OCs-ealkenyl, -C(0)Ci-4alkyl, COOH, - C(0)OCi-4alkyl, - R20R20, - R20(Ci-4haloalkyl), - R20C(O)(Ci-4alkyl), - R20C(O)(Ci-4haloalkyl), - R20C(O)OCi-4alkyl, -C(O) R20R20, -C(O) R20(Ci- 4haloalkyl), -L2-Ci-6alkylene-R21, -L2-Ci-6haloalkylene-R21, -L2-Ci-3alkylene- C(H)(OCi-4alkyl)-Ci-3alkylene-R21, -L2-C2-4alkylene-0-C2-4alkylene-R21, -L2-C2- 4alkylene-0-C2-4alkylene-0-C2-4alkylene-R21, -C3-salkenyl, -C3-salkenylene-OH, - C3-8alkenylene-OCi-4alkyl, -C3-salkynylene-OH, and -C3-8alkynylene-OCi-4alkyl; and R3 is selected from the group consisting of -L3-GB, Ci-4alkyl, Ci-4haloalkyl, halogen, cyano, hydroxyl, -OCi-4alkyl, -OCi-4haloalkyl, -C(0)Ci-4alkyl, -C(0)OCi- 4alkyl, - R40R40, and -C(O R40R40.
(VIA)
In some groups of compounds of formula (VIA), R2 is selected from the group consisting of Ci-4alkyl, halogen, - R20R20, and -C(O)NR20R20; R3 is selected from the group consisting of Ci-4alkyl, halogen, -OCi-4alkyl, and - R40R40; and R5 is selected from the group consisting of Ci-4alkyl, halogen, and -OCi-4alkyl. In other embodiments according to the foregoing embodiments of formula (VIA), X1 is CH; and X4 is CH.
[00127] In some embodiments, the compounds of formula (VI) may have formula (VIB), wherein X1, X4, R5, and R8 are as defined in formula (VI); X3 is N or CH; and R2 is selected from the group consisting of -L1-^, Ci-4alkyl, Ci-4haloalkyl, halogen, cyano, nitro, hydroxyl, -OCi-4alkyl, -OCi-4haloalkyl, -OC3-6alkenyl, -C(0)Ci-4alkyl, COOH, -C(0)OCi-4alkyl, -NR20R20, - R20(Ci-4haloalkyl), - R20C(O)(Ci-4alkyl), - R20C(O)(Ci-4haloalkyl), - R20C(O)OCi-4alkyl, -C(O) R20R20, -C(O) R20(Ci- 4haloalkyl), -L2-Ci-6alkylene-R21, -L2-Ci-6haloalkylene-R21, -L2-Ci-3alkylene- C(H)(OCi-4alkyl)-Ci-3alkylene-R21, -L2-C2-4alkylene-0-C2-4alkylene-R21, -L2-C2- 4alkylene-0-C2-4alkylene-0-C2-4alkylene-R21, -C3-salkenyl, -C3-salkenylene-OH, - C3-8alkenylene-OCi-4alkyl, -C3-salkynylene-OH, and -C3-8alkynylene-OCi-4alkyl.
(VIB)
In some groups of compounds of formula (VIB), R2 is selected from the group consisting of -I^-G4, Ci-4alkyl, halogen, hydroxyl, -OCi-4alkyl, -OCi-4haloalkyl, - C(0)Ci-4alkyl, -NR20R20, - R20C(O)(Ci-4alkyl), -C(O) R20R20, -L2-Ci-6alkylene- R21, -L2-Ci-6haloalkylene-R21, -C3-salkenyl, and -C3-8alkenylene-OCi-4alkyl; R5 is selected from the group consisting of Ci-4alkyl, halogen, and -OCi-4alkyl; L1 is a bond, - R10-Ci-4alkylene- or -0-Ci-4alkylene-; L2 is a bond, -0-, or - H-; R21 is -OCi-4alkyl or OH; and GA is selected from the group consisting of G2A, G7A, and G8A. In other embodiments, X1 is CH; X3 is N or CH; and X4 is N or CH. In other embodiments, X1 is CH; X3 is CH; and X4 is N. In other embodiments, X1 is CH; X3 is N; and X4 is CH. In other embodiments, X1 is CH; X3 is CH; and X4 is CH.
[00128] In some embodiments, the compounds of formula (VI) may have formula (VIC), wherein X1, X4, R5, and R8 are as defined in formula (VI); X2 is N or CH; and R3 is selected from the group consisting of -L3-GB, Ci-4alkyl, Ci-4haloalkyl, halogen, cyano, hydroxyl, -OCi-4alkyl, -OCi-4haloalkyl, -C(0)Ci-4alkyl, -C(0)OCi-4alkyl, - R40R40, and -C(O) R40R40.
(VIC)
In some groups of compounds of formula (VIC), R3 is halogen; and R5 is Ci-4alkyl. In other embodiments of formula (VIC), X1 is CH; X2 is CH; and X4 is CH.
[00129] In some embodiments, compounds of formula (I) may be represented by formula (VII), wherein X3 is N or CH; X1, X5, and R8 are as defined herein; R2 is selected from the group consisting of -Ll-GA, Ci-4alkyl, Ci-4haloalkyl, halogen, cyano, nitro, hydroxyl, -OCi-4alkyl, -OCi-4haloalkyl, -OC3-6alkenyl, -C(0)Ci-4alkyl, COOH, -C(0)OCi-4alkyl, -NR20R20, - R20(Ci-4haloalkyl), - R20C(O)(Ci-4alkyl), - R20C(O)(Ci-4haloalkyl), - R20C(O)OCi-4alkyl, -C(O) R20R20, -C(O) R20(Ci-
4haloalkyl), -L2-Ci-6alkylene-R21, -L2-Ci-6haloalkylene-R21, -L2-Ci-3alkylene- C(H)(OCi-4alkyl)-Ci-3alkylene-R21, -L2-C2-4alkylene-0-C2-4alkylene-R21, -L2-C2- 4alkylene-0-C2-4alkylene-0-C2-4alkylene-R21, -C3-salkenyl, -C3-salkenylene-OH, - C3-8alkenylene-OCi-4alkyl, -C3-salkynylene-OH, and -C3-8alkynylene-OCi-4alkyl; R4 is selected from the group consisting of Ci-4alkyl, Ci-4haloalkyl, halogen, -OCi-4alkyl, -OCi-4haloalkyl, and Gc; GA is selected from the group consisting of G2A, G6A, G7A, and G8A; and Gc is selected from the group consisting of G6C and G8C In some embodiments, GA is G2A (e.g., pyrrolidin-l-yl) and Gc is G8C (e.g., phenyl). In other embodiments, GA is G2A (e.g., mo holin-4-yl) and Gc is G6C (e.g., cyclopropyl). In other embodiments, GA is G6A e.g., cyclopropyl) and Gc is G6C (e.g., cyclopropyl).
(VII)
In some embodiments according to formula (VII), R2 is selected from the group consisting of Ci-4alkyl, Ci-4haloalkyl, halogen, cyano, nitro, hydroxyl, -OCi-4alkyl, - OCi-4haloalkyl, -OCs-ealkenyl, -C(0)Ci-4alkyl, COOH, -C(0)OCi-4alkyl, - R20R20, - R20(Ci-4haloalkyl), - R20C(O)(Ci-4alkyl), - R20C(O)(Ci-4haloalkyl), - R20C(O)OCi-4alkyl, -C(O) R20R20, -C(O)NR20(Ci-4haloalkyl), -L2-Ci-6alkylene- R21, -L2-Ci-6haloalkylene-R21, -L2-Ci-3alkylene-C(H)(OCi-4alkyl)-Ci-3alkylene- R21, -L2-C2-4alkylene-0-C2-4alkylene-R21, -L2-C2-4alkylene-0-C2-4alkylene-0-C2- 4alkylene-R21, -C3-salkenyl, -C3-8alkenylene-OH, -C3-8alkenylene-OCi-4alkyl, -C3- 8alkynylene-OH, and -C3-8alkynylene-OCi-4alkyl. In further embodiments of formula (VII), R2 is selected from the group consisting of Ci-4alkyl, Ci-4haloalkyl, halogen, cyano, nitro, -OCi-4alkyl, -OCi-4haloalkyl, -C(0)Ci-4alkyl, COOH, - R20R20, -NR20(Ci-4haloalkyl), -NR20C(O)(Ci-4alkyl), - R20C(O)(Ci-4haloalkyl), - R20C(O)OCi-4alkyl, -L2-Ci-6alkylene-R21, -L2-Ci-6haloalkylene-R21, -L2-Ci- 3alkylene-C(H)(OCi-4alkyl)-Ci-3alkylene-R21, -L2-C2-4alkylene-0-C2-4alkylene- R21, -L2-C2-4alkylene-0-C2-4alkylene-0-C2-4alkylene-R21, and -C3-8alkynylene- OH. In some groups of compounds according to the embodiments of formula (VII), L2 is a bond, -0-, - H-, -N(Ci-4alkyl)-, or - HC(O)-; and R21 is -OCi-4alkyl, OH,
CN, -NH2, -N(Ci-4alkyl)(Ci-4alkyl), -C(0)N(Ci-4alkyl)(Ci-4alkyl), -N(Ci- 4alkyl)C(0)OCi-4alkyl, - HC(0)Ci-4alkyl, -NHS(0)2Ci-4alkyl, or -C(0)Ci-4alkyl.
[00130] In some embodiments of the compounds of formula (VII), as defined herein, X1, X3, and X5 are each independently N or CH. In further embodiments of formula (VII), X1 is CH; X3 is CH; and X5 is CH. In other embodiments of formula (VII), X1 is CH; X3 is N; and X5 is CH. In other embodiments of formula (VII), X1 is CH; X3 is CH; and X5 is N. In other embodiments of formula (VII), X1 is N; X3 is CH; and X5 is CH.
[00131] In some embodiments, the compounds of formula (VII) may have formula (VIIA), wherein X1, X3, R2, R4, and R8 are as defined in the embodiments of formula (VII); and R5 is selected from the group consisting of Ci-4alkyl, Ci-4haloalkyl, halogen, -OCi-4alkyl, and -OCi-4haloalk l.
(VIIA)
[00132] In some embodiments, the compounds of formula (VII) may have formula (VIIB), wherein X3, X5, R2, R4, and R8 are as defined in the embodiments of formula (VII); and R1 is selected from the group consisting of Ci-4alkyl, Ci-4haloalkyl, halogen, -OCi-4alkyl, and -OCi-4haloalk l.
[00133] In some embodiments are compounds of the foregoing formulas with combinations of L1 and GA. For example, in some embodiments, R2 is GA,
GA, -0-GA, -NR10-Ci-4alkylene-GA, -0-Ci-4alkylene-GA, -Ci-4alkylene- C(O) R10-GA, - R10C(O)-GA, or -C(0)-GA.
[00134] In some embodiments, formula (X) may be represented by formulas (X-1) to X-11), where R2, R8, R110, and R120 are as defined herein.
(X-1) (X-2) (X-3)
(X-10) (X-l l) [00135] In some embodiments of formulas (X-1) - (X-11), R2 is hydrogen.
[00136] In some embodiments of formula (X-6), R2 is -C(O)NR20R20. In further embodiments R2 is -C(0) H(Ci-4alkyl).
[00137] In some embodiments of formula (X-7), R110 is hydrogen. In other embodiments, R110 is Ci-4alkyl. In other embodiments, R110 is C(0)Ci-4alkyl. In further embodiments in combination with the foregoing R110 description, R2 may be hydrogen.
[00138] In some embodiments of formula (X-8), R2 is -Ll-GA, where L1 and GA are as described herein. In some embodiments, -Ll-GA is -G^R7 (i.e., L1 is a bond), where G1 and R7 are as described herein.
[00139] In some embodiments of formulas (X-9) - (X-l 1), R120 is hydrogen. In other embodiments, R120 is Ci-4alkyl (e.g., methyl, ethyl, isopropyl). In yet other embodiments, R120 is C(0)Ci-4alkyl (e.g., C(0)CH3). In some embodiments, R120 is R6, where R6 is as defined herein.
[00140] In some embodiments, formula (XII) may be represented by formulas (XII-1) or (XII-2), where R100 is as defined herein. In further embodiments, R2 is hydrogen in combination with an option of R100.
(XII-1) (XII-2)
[00141] In some embodiments, formula (XIII) may be represented by formulas XIII-1) - (XIII-3).
[00142] In some embodiments of formulas (XIII), (XIII-1), and (XIII-2), R110 is hydrogen. In other embodiments, R110 is Ci-4alkyl. In other embodiments, R110 is C(0)Ci-4alkyl. In further embodiments of formulas (XIII), (XIII-1), and (XIII-3) and/or in combination with the foregoing description of R110, R120 is hydrogen. In other embodiments, R120 is Ci-4alkyl (e.g., methyl, ethyl, isopropyl). In yet other embodiments, R120 is C(0)Ci-4alkyl (e.g., C(0)CH3). In some embodiments of formulas (XIII), (XIII-1), and (XIII-3), R120 is R6, where R6 is as defined herein.
[00143] In some embodiments, formula (XIV) may be represented by formula (XIV-1). In some embodiments of formulas (XIV) and (XIV-1), R120 is R6, where R6 is as defined herein. In other embodiments of formulas (XIV) and (XIV-1), R120 is
hydrogen. In other embodiments, R is Ci-4alkyl (e.g., methyl, ethyl, isopropyl). In yet other embodiments, R120 is C(0)Ci-4alkyl (e.g., C(0)CH3).
XIV- 1
[00144] In the embodiments were R120 is R6, the 4- to 12-membered heterocycle at R6 may be an optionally substituted 4- to 8-membered monocyclic heterocycle containing one nitrogen or oxygen atom and connected to the parent molecular moiety through a ring carbon atom of R6 and optionally containing one double bond and/or a Ci-3alkylene bridge between two non-adjacent ring atoms. In other embodiments, R6 is an optionally substituted 4- to 6-membered monocyclic heterocycle containing containing one nitrogen or oxygen atom and connected to the parent molecular moiety through a ring carbon atom of R6. For example, R6 may be piperidin-3-yl, piperidin- 4-yl, l-methylpiperidin-3-yl, l-(methoxycarbonyl)piperidin-3-yl, 1- (methoxycarbonyl)piperidin-4-yl, 1 -(3 -methoxypropyl)piperidin-4-yl, 1 - acetylpiperidin-4-yl, 3-hydroxypiperidin-4-yl, 3-fluoro-l-methylpyrrolidin-3-yl, 3- hydroxy- l-methylpyrrolidin-3-yl, l-acetylpyrrolidin-3-yl, l-(2,2- difluoroethyl)pyrrolidin-3-yl, tetrahydropyran-4-yl, tetrahydropyran-3-yl, 3,6- dihydro-2H-pyran-4-yl, 2,5-dihydrofuran-3-yl, tetrahydrofuran-3-yl, 2- methyltetrahydrofuran-2-yl, oxetan-3-yl, 3-hydroxyoxetan-3-yl, 3-methyloxetan-3-yl, or azetidin-3-yl.
[00145] In other embodiments, R6 may be a 3- to 8-membered cycloalkyl optionally substituted with 1-4 substituents independently selected from the group consisting of Ci-4alkyl, Ci-4haloalkyl, halogen, hydroxyl, -C(0)OCi-4alkyl, -C(0)OH, and oxo. In other embodiments, R6 is optionally substituted with 1-4 substituents independently selected from the group consisting of Ci-4alkyl, Ci-4haloalkyl, halogen, hydroxyl, -C(0)OCi-4alkyl, -C(0)OH, oxo, -OCi-4alkyl, -Ci-6alkylene-OCi-4alkyl, and -Ci-6alkylene-OH. For example, in some embodiments, R6 is cyclopropyl, cyclobutyl, or cyclopentyl, each being optionally substituted with -C(0)OCi-4alkyl, - C(0)OH, hydroxyl or 1-2 halogen. In one group of compounds, R6 is cyclopropyl. In
another group of compounds R6 is cyclobutyl. In other embodiments, R6 is 3,3- difluorocyclobutyl .
[00146] The foregoing formulas, embodiments, and groups of compounds may be further defined according to the following description.
[00147] In some embodiments according to formulas (Γ), (I), (II), (HA), (IIB), (X), or (X-l) - (X-l 1), R2 is -Ll-GA. In some embodiments according to formulas (I), (II), (IIA),or (IIB), R3 is -V-GP.
[00148] In some embodiments, GA or GB is -G^R7.
[00149] In some embodiments of formulas (Γ), (I), (II), (IIA), (IIB), (X), or (X-l) - (X-l 1) containing -G^R7, the 4- to 12-membered heterocycle at R7 may be a 4- to 8- membered monocyclic heterocycle containing 1-2 heteroatoms independently selected from oxygen, nitrogen, and sulfur, the monocyclic heterocycle optionally containing one double bond and/or a Ci-3alkylene bridge between two non-adjacent ring atoms and being optionally substituted with 1-4 substituents independently selected from the group consisting of Ci-4alkyl, Ci-4haloalkyl, -CH2S(0)2phenyl, halogen, hydroxyl, oxo, -OCi-4alkyl, -Ci-6alkylene-OCi-4alkyl, and -Ci-6alkylene-OH. In some embodiments R7 is a 4- to 8-membered monocyclic heterocycle containing 1-2 heteroatoms independently selected from oxygen, nitrogen, and sulfur, the
monocyclic heterocycle optionally containing one double bond and/or a Ci-3alkylene bridge between two non-adjacent ring atoms and being optionally substituted with 1-4 substituents independently selected from the group consisting of Ci-4alkyl, Ci- 4haloalkyl, -CH2S(0)2phenyl, halogen, hydroxyl, oxo, -OCi-4alkyl, -Ci-6alkylene- OCi-4alkyl, and -Ci-6alkylene-OH. For example, in some embodiments, R7 is an oxetanyl, a tetrahydrofuranyl, a tetrahydropyranyl, a morpholinyl, 2-oxa-5- azabicyclo[2.2.1]heptanyl, 6-oxa-3-azabicyclo[3.1.1]heptanyl, 1,4-oxazepanyl, 3-oxa- 8-azabicyclo[3.2.1]octanyl, 8-oxa-3-azabicyclo[3.2.1]octanyl, a pyrrolidinyl, piperidinyl, thiomorpholinyl, a thietanyl, piperazinyl, or azetidinyl, each being optionally substituted as described herein. In other embodiments, R7 is oxetanyl, tetrahydrofuranyl, tetrahydropyranyl, morpholinyl, pyrrolidinyl, or thietanyl, each being optionally substituted with 1-4 substituents independently selected from Ci- 4alkyl and oxo. In some embodiments, the oxetanyl, tetrahydrofuranyl,
tetrahydropyranyl, morpholinyl, pyrrolidinyl, thietanyl, piperazinyl, and azetidinyl, are each optionally substituted with 1-4 substituents independently selected from
halogen, Ci-4alkyl and oxo. In some embodiments, the oxetanyl, tetrahydrofuranyl, tetrahydropyranyl, morpholinyl, pyrrolidinyl, thietanyl, and piperazinyl are each optionally substituted with Ci-4alkyl, and the pyrrolidinyl, piperazinyl, and thietanyl further optionally substituted with 1-2 oxo groups. In other embodiments, R7 is a 4- to 8-membered monocyclic heterocycle containing 1 oxygen atom (e.g., an oxetanyl, a tetrahydrofuranyl, a tetrahydropyranyl). In other embodiments, R7 is a 4-membered monocyclic heterocycle containing 1 oxygen atom and optionally substituted with Ci- 4alkyl or -CH2S(0)2phenyl. In other embodiments, R7 is a 4-membered monocyclic heterocycle containing 1 oxygen atom and optionally substituted with Ci-4alkyl. In other embodiments, R7 is a 4- to 8-membered monocyclic heterocycle containing 1 sulfur atom (e.g., thietanyl, tetrahydrothiophenyl, tetrahydro-2H-thiopyranyl). In other embodiments, R7 is a 4-membered monocyclic heterocycle containing 1 sulfur atom and optionally substituted with 1-2 oxo groups. In other embodiments, R7 is a 4- to 8-membered monocyclic heterocycle containing 1 nitrogen atom and optionally 1 oxygen atom or 1 sulfur atom (e.g., azetidinyl, pyrrolidinyl, morpholinyl, homomorpholinyl, thiomorpholinyl, piperazinyl) and optionally substituted with oxo (e.g., 2-oxopyrrolidin-l-yl). The heterocycles of R7 may be appended to the parent molecule by any substitutable carbon atom or nitrogen atom in R7. Thus, in some embodiments, the oxygen-containing heterocycle is oxetan-3-yl, tetrahydrofuran-3-yl, tetrahydropyran-3-yl, or tetrahydropyran-4-yl. In other embodiments, the sulfur- containing heterocycle is thietan-3-yl, tetrahydrothiophen-3-yl, tetrahydro-2H- thiopyran-3-yl, or tetany dro-2H-thiopyran-4-yl. In other embodiments, the heterocycle containing 1 nitrogen atom and optionally 1 oxygen or sulfur atom is e.g., piperidin-l-yl, morpholin-4-yl, azetidin-l-yl, piperazin-l-yl, 2-oxa-5- azabicyclo[2.2.1]heptan-5-yl, 6-oxa-3-azabicyclo[3.1.1]heptan-3-yl, l,4-oxazepan-4- yl, 3-oxa-8-azabicyclo[3.2.1]octan-8-yl, 8-oxa-3-azabicyclo[3.2.1]octan-3-yl, thiomorpholin-4-yl, or 2-oxopyrrolidin-l-yl. In the embodiments of the invention, the oxygen- and sulfur-containing heterocycles may be unsubstituted or substituted as described herein. For example, the oxygen-containing heterocycle may be oxetan-3- yl, 3-methyloxetan-3-yl or 3 -((phenyl sulfonyl)methyl)oxetan-3-yl and the sulfur- containing heterocycle may be thietan-3-yl or l, l-dioxothietan-3-yl.
[00150] In the embodiments of formulas (Γ), (I), (II), (HA), (IIB), (X), or (X-l) - (X-l 1) containing -G^R7, the 4- to 12-membered heterocycle at R7 may be a 7- to
12-membered spiro heterocycle comprising a first ring and a second ring, the first ring being a 4- to 8-membered monocyclic heterocycle containing 1-2 heteroatoms independently selected from nitrogen and oxygen and being attached to G1, the second ring being a C3-8cycloalkyl or a 4- to 8-membered monocyclic heterocycle containing 1-2 oxygen atoms wherein two atoms of the second ring are attached to one carbon of the first ring to form a spirocycle optionally substituted with 1-4 substituents independently selected from the group consisting of Ci-4alkyl, Ci- 4haloalkyl, halogen, hydroxyl, and oxo. In some embodiments, the spirocyclic R7 is optionally substituted with 1-4 substituents independently selected from the group consisting of Ci-4alkyl, Ci-4haloalkyl, -CH2S(0)2phenyl, halogen, hydroxyl, oxo, - OCi-4alkyl, -Ci-6alkylene-OCi-4alkyl, and -Ci-6alkylene-OH. In some
embodiments, R7 is a 7- to 12-membered spiro heterocycle consisting of the first ring and a second ring, as described herein. The first ring is attached to G1 through any substitutable carbon or nitrogen atom in R7. In one embodiment, the first ring is attached to G1 through a nitrogen atom. The first ring of R7 includes, but is not limited to, heterocycles such as azetidine, pyrrolidine, piperidine, azepane, morpholine, azocane, piperazine, and homopiperazine. In some embodiments, the first ring of R7 is a 4- to 8-membered monocyclic heterocycle containing 1-2 nitrogen atoms or 1 nitrogen atom and 1 oxygen atom. For example, in some embodiments, the first ring is morpholino, piperazin-l-yl, or piperidin-l-yl. The second ring includes a C3-scycloalkyl, e.g., cyclopropyl, cyclobutyl cyclopentyl. The second ring is formed by the attachment of two atoms of the second ring to a single carbon atom of the first ring such that the first ring and the second ring share one carbon atom in common. For example, in some embodiments, R7 is 4-oxa-7-azaspiro[2.5]octanyl (e.g., 4-oxa-7-azaspiro[2.5]octan-7-yl).
[00151] In the embodiments of formulas (Γ), (I), (II), (HA), (ΠΒ), (X), or (X-l) - (X-l 1) containing -G^R7, the 4- to 12-membered heterocycle at R7 may be a 7- to 12-membered fused bicyclic heterocycle containing 1-3 heteroatoms independently selected from oxygen, nitrogen, and sulfur and being optionally substituted with 1-4 substituents independently selected from the group consisting of Ci-4alkyl, Ci- 4haloalkyl, halogen, hydroxyl, and oxo. In other embodiments, R7 is a 7- to 12- membered fused bicyclic heterocycle containing 1-3 heteroatoms independently selected from oxygen, nitrogen, and sulfur and being optionally substituted with 1-4
substituents independently selected from the group consisting of Ci-4alkyl, Ci- 4haloalkyl, halogen, hydroxyl, oxo, -OCi-4alkyl, -Ci-6alkylene-OCi-4alkyl, and -Ci- 6alkylene-OH. In some embodiments, the fused bicyclic heterocycle is a 7-12- membered ring system having a monocyclic heterocycle, as defined herein, fused to another monocyclic heterocyclic ring. For example, in some embodiments, R7 is 2- oxa-5-azabicyclo[4.1.OJheptanyl (e.g., 2-oxa-5-azabicyclo[4.1.0]heptan-5-yl).
[00152] In other embodiments of formulas (Γ), (I), (II), (IIA), (IIB), (X), or (X-l) - (X-l 1) containing -G^R7, R7 may be a 5- or 6-membered monocyclic heteroaryl containing 1-3 heteroatoms independently selected from nitrogen, oxygen, and sulfur, the monocyclic heteroaryl being optionally substituted with 1-3 substituents independently selected from Ci-4alkyl, Ci-4haloalkyl, halogen, or hydroxyl. In other embodiments, R7 is a 5- or 6-membered monocyclic heteroaryl containing 1-3 heteroatoms independently selected from nitrogen, oxygen, and sulfur, the
monocyclic heteroaryl being optionally substituted with 1-3 substituents
independently selected from Ci-4alkyl, Ci-4haloalkyl, halogen, hydroxyl, -OCi-4alkyl, -Ci-6alkylene-OCi-4alkyl, and -Ci-6alkylene-OH. For example, in some
embodiments, R7 is a 5-membered heteroaryl containing 1-3 nitrogen atoms (e.g., pyrrolyl, imidazolyl, pyrazolyl, triazolyl). In certain embodiments, R7 is pyrazol-l-yl. In other embodiments, R7 is a 6-membered heteroaryl containing 1-3 nitrogen atoms (e.g., pyridine, pyrimidine, etc.). In some embodiments, R7 is pyridin-2-yl or pyridin- 3-yl.
[00153] In embodiments of formulas (Γ), (I), (II), (IIA), (IIB), (X), or (X-l) - (X- 11) containing -G^R7, R7 may be a 3- to 8-membered cycloalkyl optionally substituted with 1-4 substituents independently selected from the group consisting of Ci-4alkyl, Ci-4haloalkyl, halogen, hydroxyl, -C(0)OCi-4alkyl, -C(0)OH, and oxo. In other embodiments, R7 is optionally substituted with 1-4 substituents independently selected from the group consisting of Ci-4alkyl, Ci-4haloalkyl, halogen, hydroxyl, - C(0)OCi-4alkyl, -C(0)OH, oxo, -OCi-4alkyl, -Ci-6alkylene-OCi-4alkyl, and -Ci- 6alkylene-OH. For example, in some embodiments, R7 is cyclopropyl, cyclobutyl, or cyclopentyl, each being optionally substituted with -C(0)OCi-4alkyl, -C(0)OH, hydroxyl or 1-2 halogen. In one group of compounds, R7 is cyclopropyl. In another group of compounds R7 is cyclobutyl. In other embodiments, R7 is 3,3- difluorocyclobutyl. In other embodiments, R7 is a cyclobutane carboxylic acid.
[00154] In other embodiments of formulas (Γ), (I), (II), (IIA), (IIB), (X), or (X-l) - (X-l 1) containing -G^R7, R7 may be phenyl optionally substituted with 1-4 substituents independently selected from the group consisting of Ci-4alkyl, Ci- 4haloalkyl, halogen, hydroxyl, -C(0)OCi-4alkyl, and -C(0)OH. In other
embodiments, R7 is phenyl optionally substituted with 1-4 substituents independently selected from the group consisting of Ci-4alkyl, Ci-4haloalkyl, halogen, hydroxyl, - C(0)OCi-4alkyl, -C(0)OH, -OCi-4alkyl, -Ci-6alkylene-OCi-4alkyl, and -Ci- 6alkylene-OH.
[00155] For example, in embodiments of formulas (Γ), (I), (II), (IIA), (IIB), (X), or (X-l) - (X-l 1) containing -G^R7, R7 may be represented by the following formulas, wherein R7a, R^, R7c, and R7d are the optional R7 substituents, respectively for the 4- 12 membered heterocycle, C3-scycloalkyl, phenyl, and 5- or 6-membered heteroaryl of R7 and s is an integer from 0-4:
[00156] In some embodiments of formulas (Γ), (I), (II), (IIA), (IIB), (X), or (X-l) - (X-l 1) containing -G^R7, G1 may be a 4- to 8-membered monocyclic heterocycle containing 1-2 heteroatoms independently selected from oxygen, nitrogen, and sulfur, the monocyclic heterocycle optionally containing one double bond and/or a Ci- 3alkylene bridge between two non-adjacent ring atoms, G1 being optionally substituted with 1-4 substituents independently selected from the group consisting of Ci-4alkyl, Ci-4haloalkyl, halogen, hydroxyl, and oxo. In further embodiments, G1 is a 4- to 8-membered optionally substituted monocyclic heterocycle containing a first nitrogen atom and optionally a second heteroatom independently selected from oxygen and nitrogen, and optionally containing one double bond and/or a Ci-3alkylene bridge between two non-adjacent ring atoms. In some embodiments, G1 is connected to the parent molecular moiety (e.g., at L1) through the first nitrogen atom. In other embodiments, G1 is attached at a ring carbon atom of G1. In further embodiments, G1 is a 4- to 6-membered optionally substituted monocyclic heterocycle containing a first nitrogen atom and optionally a second heteroatom independently selected from oxygen and nitrogen, and optionally containing one double bond and/or a Ci-3alkylene bridge between two non-adjacent ring atoms. In some embodiments, G1 is a 4- to 8- membered monocyclic heterocycle containing 1 or 2 nitrogen atoms, the monocyclic heterocycle optionally containing one double bond and/or a Ci-3alkylene bridge between two non-adjacent ring atoms, G1 being optionally substituted with 1-4 substituents independently selected from the group consisting of Ci-4alkyl, Ci- 4haloalkyl, halogen, hydroxyl, and oxo. In some embodiments, G1 contains one nitrogen atom. In other embodiments, G1 contains two nitrogen atoms. In some embodiments, G1 is a 6-membered monocyclic heterocycle containing 1 or 2 nitrogen atoms. The heterocycles at G1 may be unsubstituted or substituted. Unless substitution is indicated as present or optional for a specific heterocyclic G1, the heterocycle is unsubstituted. For example, in some embodiments, G1 may be piperazinyl, homopiperazinyl, azetidinyl, pyrrolidinyl, piperidinyl, azepanyl, 2,5- diazabicyclo[2.2.1]heptanyl, 2,5-dihydro-lH-pyrrolyl, oxetanyl, morpholino,
tetrahydropyranyl, or 1,2,3,6-tetrahydropyridinyl, each unsubstituted or substituted as described herein. In other embodiments, the piperazinyl, homopiperazinyl, azetidinyl, pyrrolidinyl, piperidinyl, azepanyl, 2,5-diazabicyclo[2.2.1]heptanyl, 2,5-dihydro-lH- pyrrolyl, oxetanyl, morpholino, tetrahydropyranyl, or 1,2,3,6-tetrahydropyridinyl are optionally substituted with 1-4 substituents independently selected from 1 hydroxyl, 1-2 halogen, 1 oxo, and 1-4 Ci-4alkyl groups. In some embodiments, pyrrolidinyl and/or piperidinyl is optionally substituted with halogen, 1 hydroxyl, or 1 oxo and the piperazinyl is optionally substituted with oxo. In some embodiments, G1 is piperazin- 1-yl optionally substituted with oxo. In some embodiments, G1 may have a Ci- 3alkylene bridge between two non-adjacent ring atoms (e.g., 2,5- diazabicyclo[2.2.1]heptanyl). In other embodiments, G1 is without a Ci-3alkylene bridge between two non-adjacent ring atoms. The heterocycles of G1 may be appended to the parent molecule (e.g., at LVL3) by any substitutable carbon or nitrogen atom. In some embodiments, LVL3 is -0-, - R10-, C(0) R10-, - R10C(O)-, -NR30-, C(0)NR30-, -NR30C(O)-, or -C(O)- and G1 is attached to LVL3 at a ring carbon atom of G1. In some embodiments, LVL3 is a bond and G1 is attached to LVL3 at a ring nitrogen atom of G1. For example, non-limiting examples of G1 include piperazin-l-yl, 2-oxo-piperazin-l-yl, homopiperazin-l-yl, azetidin-l-yl, azetidin-3-yl, pyrrolidin-3-yl, 3-hydroxy-pyrrolidin-3-yl, 3-fluoro-pyrrolidin-3-yl, piperidin-l-yl, piperidin-3-yl, piperidin-4-yl, 3-hydroxypiperidin-4-yl, 4- hydroxypiperidin-4-yl, 3-fluoropiperidin-4-yl, 4-fluoropiperidin-4-yl, 3,3- difluoropiperidin-4-yl, azepan-3-yl, 2,5-diazabicyclo[2.2.1]heptan-2-yl, 2,5-dihydro- lH-pyrrol-3-yl, or l,2,3,6-tetrahydropyridin-4-yl.
[00157] For example, in embodiments of formulas In some embodiments of formulas (Γ), (I), (II), (IIA), (IIB), (X), or (X-l) - (X-l 1) -G^R7 together may represent 4-(oxetan-3-yl)piperazin-l-yl, 4-(3-methyloxetan-3-yl)piperazin-l-yl, 4- (tetrahydrofuran-3-yl)piperazin-l-yl, 4-(2-methyltetrahydrofuran-3-yl)piperazin-l-yl, 4-(tetrahydro-2H-pyran-3 -yl)piperazin- 1 -yl, 4-(tetrahydro-2H-pyran-4-yl)piperazin- 1 - yl, 4-(oxetan-3-yl)-2-oxo-piperazin-l-yl, 4-(oxetan-3-yl)piperidin-l-yl, l-(oxetan-3- yl)piperidin-3-yl, l-(oxetan-3-yl)piperidin-4-yl, l-(3-methyloxetan-3-yl)piperidin-4- yl, 3 -hydroxy- l-(oxetan-3-yl)piperidin-4-yl, 3-fluoro-l-(oxetan-3-yl)piperidin-4-yl, 4- hydroxy-l-(oxetan-3-yl)piperidin-4-yl, 4-fluoro-l-(oxetan-3-yl)piperidin-4-yl, 3,3- difluoro- 1 -(oxetan-3 -yl)piperidin-4-yl, 4-(2-oxopyrrolidin- 1 -yl)piperidin- 1 -yl, 3 -(2-
oxopyrrolidin- 1 -yl)piperidin- 1 -yl, 4-morpholinopiperidin- 1 -yl, (4-methylpiperazin- 1 - yl)piperidin- 1 -yl, 4-(3 ,3 -difluoroazetidin- 1 -yl)piperidin- 1 -yl, 3 -mo holinopyrrolidin 1-yl, l-(oxetan-3-yl)pyrrolidin-3-yl, 5-(oxetan-3-yl)-2,5-diazabicyclo[2.2.1]heptan-2- yl, 1 -(oxetan-3 -yl)- 1 ,2, 3 ,6-tetrahy dropyridin-4-yl, 3 -hydroxy- 1 -(oxetan-3 -yl)- pyrrolidin-3-yl, 3 -fluoro-1 -(oxetan-3 -yl)pyrrolidin-3-yl, l-(oxetan-3-yl)azetidin-3-yl, 3 -(oxetan-3 -yl)azeti din- 1-yl, 3-(pyrrolidin-l-yl)azetidin-l-yl, 3-(4-fluoropiperidin-l- yl)azeti din- 1-yl, 3-morpholinoazetidin-l-yl, 3-methyl-3-morpholinoazetidin-l-yl, 3- (2-methylmorpholino)azetidin-l-yl, 3-(3-methylmorpholino)azetidin-l-yl, dimethylmorpholino)azeti din- 1-yl, 3-(2,6-dimethylmorpholino)azetidin-l-yl, 3-(l,4- oxazepan-4-yl)azeti din- 1-yl, 3-(6-oxa-3-azabicyclo[3.1.1]heptan-3-yl)azetidin-l-yl, (3-(2-oxa-5-azabicyclo[2.2.1]heptan-5-yl)azetidin-l-yl, 3-(8-oxa-3- azabicyclo[3.2.1]octan-3-yl)azetidin-l-yl, 3-(3-oxa-8-azabicyclo[3.2.1]octan-8- yl)azeti din- 1-yl, 3-(4-oxa-7-azaspiro[2.5]octan-7-yl)azetidin-l-yl, 3-(2-oxa-5- azabicyclo[4.1.0]heptan-5-yl)azetidin-l-yl, 3-(mo holinomethyl)azetidin-l-yl), 3- (1,1 -dioxidothiomorpholino)azetidin- 1 -yl, 4-(thietan-3 -yl)piperazin- 1 -yl, 4- (piperazin-l-yl)thietane 1, 1 -dioxide, 4-(oxetan-3-yl)-4-( 1-oxidanyl)-4 4-piperazin-l yl, 3-(lH-pyrazol-l-yl)azetidin-l-yl, 4-(oxetan-3-yl)mo holin-2-yl, 6-methyl-4- (oxetan-3-yl)mo holin-2-yl, 5-methyl-4-(oxetan-3-yl)moφholin-2-yl, 2-methyl-4- (oxetan-3-yl)moφholin-2-yl, 4-(oxetan-3-yl)-l,4-diazepan-l-yl, 2-phenylpyrrolidin- 1 -yl, 2-(pyridin-3-yl)pyrrolidin-l-yl, or 2-(pyridin-2-yl)pyrrolidin-l-yl.
[00158] In other embodiments of formulas (Γ), (I), (II), (IIA), (IIB), (X), or (X-l) - (X-l 1), -G^R7 together may represent 3-(l-hydroxycyclobutyl)piperazin-l-yl; 4- cyclopropylpiperazin- 1 -yl; 4-cyclobutylpiperazin- 1 -yl; 4-cyclopentylpiperazin- 1 -yl; l-cyclopropylpiperidin-4-yl; l-cyclopropylpiperidin-3-yl; l-cyclobutylpiperidin-4-yl, l-cyclopentylpiperidin-4-yl, 4-(3,3-difluorocyclobutyl)piperazin-l-yl; or 5- cyclopropyl-2,5-diazabicyclo[2.2.1]heptan-2-yl.
[00159] In some embodiments of formulas (Γ), (I), (II), (IIA), (IIB), (X), or (X-l) - (X-l 1) wherein R7 is an optionally substituted oxetan-3-yl, G1 may be represented by the following formulas, wherein Rgl is the optional G1 substituent and m is an integer
[00160] In embodiments of formulas (Γ), (I), (II), (IIA), (IIB), (X), or (X-l) - (X- 11), G^R7 may be represented by the following formulas, wherein Rgl, R7a, R7b, R7c, R7d, m and s are as defined herein:
[00161] In some embodiments according to formulas (I) to (VIIB), R2 is -Ll-GA and/or R3 is -I^-G6, where G^4 is G2A and/or G6 is G23. In some embodiments, only one of -L1-G2A and -L3-G2B is present. The heterocycles at G2A and G2B may be unsubstituted or substituted. Unless substitution is indicated as present or optional for a specific heterocyclic G2A and G2B, the heterocycle is unsubstituted. For example, G2A or G2B may be substituted with 1-4 substituents independently selected from the group consisting of Ci-4alkyl (e.g., methyl, ethyl, isopropyl), Ci-4haloalkyl (e.g., -CF3, -CH2CF3, -CH2CHF2), halogen (e.g., fluoro), hydroxyl, oxo, cyano, -C(0)Ci-4alkyl (e.g., -C(0)CH3), -C(0)OCi-4alkyl (e.g., -C(0)OCH3, -C(0)OCH2CH3, -
C(0)OC(CH3)3), -OCi-4alkyl (e.g., -OCH3), -Ci-6alkylene-OCi-4alkyl (e.g., - CH2OCH3, -CH2CH2OCH3, -CH2CH2CH2OCH3), and -Ci-ealkylene-OH (e.g., - CH2OH, -C (OH)(CH3)2, -CH2C(OH)(CH3)2, -C(OH)(CH3)CH(CH3)2). &A or G213 may be an optionally substituted 4- to 8-membered monocyclic heterocycle containing a first nitrogen atom and optionally a second nitrogen atom, an oxygen or sulfur atom, and optionally containing one double bond and/or a Ci-3alkylene bridge between two non-adjacent ring atoms, G2A or G™ being connected to LVL3, respectively, through the first nitrogen atom. G2A or G2B may be an optionally substituted 4- to 6-membered monocyclic heterocycle containing a first nitrogen atom and optionally a second heteroatom independently selected from oxygen and nitrogen, and optionally containing one double bond and/or a Ci-3alkylene bridge between two non-adjacent ring atoms. In some embodiments, G2A or G2B may be substituted with one substituent selected from the foregoing group and further optionally substituted with 1-3 substituents selected from the group consisting of Ci-4alkyl and halogen. In some embodiments, G2A or G23 is a 6-membered monocyclic heterocycle containing 1 or 2 nitrogen atoms and substituted with Ci-4alkyl. In some embodiments, G2A or G2B is piperazin-l-yl optionally substituted with Ci-4alkyl. For example, G2A or G2B may be 4-Ci-4alkyl-piperazin-l-yl. In other embodiments, G2A or G2B may be
unsubstituted. In some embodiments, G2A or G2B may have a Ci-3alkylene bridge between two non-adjacent ring atoms (e.g., 2,5-diazabicyclo[2.2.1]heptanyl, 2-oxa-5- azabicyclo[2.2.1]heptanyl, 3-oxa-8-azabicyclo[3.2.1]octanyl, 8-oxa-3- azabicyclo[3.2. ljoctanyl). In other embodiments, G2A or G2B is without a Ci- 3alkylene bridge between two non-adjacent ring atoms. The heterocycles of G2A or Gr23 are appended to the parent molecule (i.e., at LVL3) by a nitrogen atom in G2A or G2B (e.g., morpholin-4-yl, homomorpholin-4-yl, thiomorpholin-4-yl, 4- thiomorpholine 1,1 -dioxide, piperazin-l-yl, homopiperazin-l-yl, azetidin-l-yl, pyrrolidin-l-yl, piperidin-l-yl, azepan-l-yl, 2,5-diazabicyclo[2.2.1]heptan-2-yl, 6- oxa-3-azabicyclo[3.1.1]heptan-3-yl, 2-oxa-5-azabicyclo[2.2.1]heptan-5-yl, 3-oxa-8- azabicyclo[3.2.1]octan-8-yl, 8-oxa-3-azabicyclo[3.2.1]octan-3-yl).
[00162] In further examples according to formulas (I) to (VIIB), the optionally substituted G2A or G2B may be piperidin-l-yl, 3-fluoropiperidin-l-yl, 4- fluoropiperidin-l-yl, 3-methoxypiperidin-l-yl, 3-(methoxymethyl)piperidin-l-yl, 4- (methoxymethyl)piperidin- 1 -yl, 4-methylpiperidin- 1 -yl, 4-hydroxy-4-
methylpiperidin-l-yl, 4-(ethoxycarbonyl)piperidin-l-yl, 4-(tert- butoxycarbonyl)piperidin-l-yl, 3-cyanopiperidin-l-yl, 4-cyanopiperidin-l-yl, 3- hydroxypiperidin-l-yl, 4-hydroxypiperidin-l-yl, 3-(hydroxymethyl)piperidin-l-yl, 4- (2-methoxyethyl)piperidin-l-yl, pyrrolidin-l-yl, 3-fluoropyrrolidin-l-yl, 3-(2- hydroxypropan-2-yl)pyrrolidin-l-yl, 3 -hydroxy-3 -methylpyrrolidin-l-yl, 4- methylpiperazin-l-yl, 4-ethylpiperazin-l-yl, 4-isopropylpiperazin-l-yl, 4-(tert- butyl)piperazin- 1 -yl, 3 -(2-hydroxypropan-2-yl)piperazin- 1 -yl, 4- (ethoxycarbonyl)piperazin- 1 -yl, 4-(methoxycarbonyl)piperazin- 1 -yl, 4- acetylpiperazin-l-yl, 2,4,5-trimethylpiperazin-l-yl, 3,3,4-trimethylpiperazin-l-yl, piperazin-l-yl, 3-(trifluoromethyl)piperazin-l-yl, 4-(2-methoxyethyl)piperazin-l-yl, 4-(2,2,2-trifluoroethyl)piperazin- 1 -yl, 3 ,4, 5 -trimethylpiperazin- 1 -yl, 3 -(2-hy droxy-3 - methylbutan-2-yl)piperazin-l-yl, 2,5-dimethylpiperazin-l-yl, 3,4-dimethylpiperazin- 1-yl, 3-methylpiperazin-l-yl, 4-(2-hydroxy-2-methylpropyl)piperazin-l-yl, 3- (hydroxymethyl)-4-methylpiperazin- 1 -yl, 3 -(hydroxymethyl)piperazin- 1 -yl, 4-(tert- butoxycarbonyl)piperazin-l-yl, 2-oxopiperazin-l-yl, 3-methylpiperazin-l-yl, (3- methoxypropyl)piperazin- 1 -yl, 4-methyl- 1 ,4-diazepan- 1 -yl, 4-acetyl- 1 ,4-diazepan- 1 - yl, l,4-oxazepan-4-yl, morpholin-4-yl, 2,6-dimethylmorpholino, 2- (methoxymethyl)mo holino, 1, 1-dioxidothiomorpholino, azetidin-l-yl, 3- methylazetidin- 1 -yl, 3 -hydroxy-3 -methylazetidin- 1 -yl, 3-ethyl-3 -hydroxyazetidin- 1 - yl, 3-hydroxy-3-isopropylazetidin-l-yl, 3-fluoroazetidin-l-yl, 3- (methoxymethyl)azetidin- 1 -yl, 3 -(hydroxymethyl)azetidin- 1 -yl, 3 -methoxyazetidin- 1 - yl, 3-hydroxyazetidin-l-yl, 3-(2-hydroxypropan-2-yl)azetidin-l-yl, 3-cyanoazetidin-l- yl, 6-oxa-3-azabicyclo[3.1.1]heptan-3-yl, 2-oxa-5-azabicyclo[2.2.1]heptan-5-yl, 3- oxa-8-azabicyclo[3.2.1]octan-8-yl, 8-oxa-3-azabicyclo[3.2.1]octan-3-yl, or 5-methyl- 2,5-diazabicyclo[2.2.1]heptan-2-yl.
[00163] In some embodiments of formulas (I) to (VIIB), G2A/G2B may be represented by the following formulas, wherein Rg2a is the optional G2A/G2B substituent and m is an integer between 0 and 4.
[00164] In some embodiments of formulas (I), (II), (IIA), and (ΠΒ), GA is G3A and/or GB is G3B where G3A and G3B are as described above. In some embodiments, only one of -L1-G3A and -L3-G3B is present. In other embodiments, G3A and G3B are both present. The heterocycles at G3A and G3B may be unsubstituted or substituted. Unless substitution is indicated as present or optional for a specific heterocyclic G3A or G3B, the heterocycle is unsubstituted. The optional G3A/G3B substituent may be bonded to the same atom, or a different atom, in G3A or G3B to which L1 or L3 is bonded. G3A and G3B are attached to L1 and L3, respectively, at a ring carbon ring atom of G3A or G3B. In some embodiments, G3A and/or G3B are independently a 4- to 8-membered monocyclic heterocycle containing one nitrogen or oxygen atom and optionally substituted with 1-4 substituents independently selected from the group consisting of Ci-4alkyl (e.g., methyl, isobutyl), Ci-4haloalkyl, halogen (e.g., fluoro), hydroxyl, oxo, cyano, -OCi-4alkyl (e.g., -OCH3), -C(0)Ci-4alkyl (e.g., -C(0)CH3), - C(0)OCi-4alkyl (e.g., -C(O)O-t-butyl), -Ci-6alkylene-OCi-4alkyl (e.g., -(CH2)3- OCH3), and -Ci-6alkylene-OH. In some embodiments, the optional substituents include Ci-4alkyl, hydroxyl, -C(0)Ci-4alkyl, -C(0)OCi-4alkyl, or -Ci-ealkylene-OCi- 4alkyl. G3A/G3B may be an optionally substituted 4- to 6-membered monocyclic heterocycle containing 1-2 heteroatoms independently selected from oxygen and nitrogen, G3A/G3B being connected to the parent molecular moiety through a ring carbon atom of G3A/G3B. For example, in some embodiments, G3A or G3B may be azetidin-3-yl, pyrrolidin-3-yl, 2-oxooxazolidin-3-yl, 2-oxooxazolidin-5-yl, piperidin- 3-yl, piperidin-4-yl, azepan-3-yl, l,2,3,6-tetrahydropyridin-4-yl, oxetan-3-yl, tetrahydrofuran-2-yl, tetrahydrofuran-3-yl, tetrahydropyran-4-yl, 2,5-dihydrofuran-3- yl, or 3,6-dihydro-2H-pyran-4-yl, each optionally substituted. In still other embodiments, G3A or G3B may be piperidin-3-yl, piperidin-4-yl, l-methylpiperidin-3- yl, l-(methoxycarbonyl)piperidin-3-yl, l-(methoxycarbonyl)piperidin-4-yl, l-(3- methoxypropyl)piperidin-4-yl, l-acetylpiperidin-4-yl, 3-hydroxypiperidin-4-yl, 3- fluoro- 1 -methylpyrrolidin-3 -yl, 3 -hydroxy- 1 -methylpyrrolidin-3 -yl, 1 - acetyl pyrrolidin-3-yl, l-(2,2-difluoroethyl)pyrrolidin-3-yl, 2-oxooxazolidin-3-yl, 5-
methyl-2-oxooxazolidin-5-yl, 3,5-dimethyl-2-oxooxazolidin-5-yl, tetrahydropyran-4- yl, tetrahydropyran-3-yl, 3,6-dihydro-2H-pyran-4-yl, 2,5-dihydrofuran-3-yl, tetrahydrofuran-3-yl, 2-methyltetrahydrofuran-2-yl, oxetan-3-yl, 3 -hydroxy oxetan-3- yl, 3-methyloxetan-3-yl, or azetidin-3-yl.
[00165] In some embodiments, G /G may be represented by the following formulas, wherein Rg3a is the optional G3A/G3B substituent and m is an integer between 0 and 4.
[00166] In other embodiments of formulas (I), (II), (IIA), and (IIB), GA is G4A and/or GB is G4B where G4A and G4B are independently a 7- to 12-membered spiro heterocycle comprising a first ring and a second ring, the first ring being a 4- to 8- membered monocyclic heterocycle containing 1-2 heteroatoms independently selected from nitrogen and oxygen and being attached to L1 or L3, respectively, the second ring being a C3-8cycloalkyl or a 4- to 8-membered monocyclic heterocycle containing 1-2 oxygen atoms wherein two atoms of the second ring are attached to one carbon of the first ring to form a spirocycle, and wherein G4A and G4B are each optionally substituted with 1-4 substituents independently selected from the group consisting of Ci-4alkyl, Ci-4haloalkyl, halogen, hydroxyl, oxo, and -OCi-4alkyl. In some embodiments, only one of -L1-G4A and -L3-G4B is present. Unless substitution is indicated as present or optional for a specific spiro heterocyclic G4A or G4B, the spiro heterocycle is unsubstituted. In some embodiments, G4A or G4B is a 7- to 12-
membered spiro heterocycle consisting of the first ring and a second ring, as described herein. The first ring of G4A or G4B includes, but is not limited to, heterocycles such as azetidine, pyrrolidine, piperidine, azepane, morpholine, azocane, piperazine, and homopiperazine. In a preferred embodiment, the first ring of G4A or G4B is a 4- to 8- membered monocyclic heterocycle containing 1-2 nitrogen atoms or 1 nitrogen atom and 1 oxygen atom. In another embodiment, the first ring of G4A or G4B is a 4- to 6- membered monocyclic heterocycle containing 1-2 nitrogen atoms. The first ring is attached to LVL3 through any substitutable carbon or nitrogen atom. In one embodiment, the first ring is attached to LVL3 through a nitrogen atom. For example, in some embodiments, the first ring is azetidin-l-yl, pyrrolidin-l-yl, piperazin-l-yl, or piperidin-l-yl. The second ring of G4A or G4B includes, but is not limited to, heterocycles such as oxetane, tetrahydrofuran, tetrahydropyran, dioxolane, etc. In some embodiments, the second ring has one oxygen atom. In other embodiments, the second ring has two oxygen atoms. In other embodiments, the second ring is a C3- 8cycloalkyl, e.g., cyclopropyl, cyclobutyl cyclopentyl. The second ring is formed by the attachment of two atoms of the second ring to a single carbon atom of the first ring such that the first ring and the second ring share one carbon atom in common. For example, the second ring may be joined with the first ring at the 4-position of a first ring piperidin-l-yl or the 3 -position of a first ring azetidin-l-yl, pyrrolidin-l-yl, piperidin-l-yl, or piperazin-l-yl. In certain embodiments, G4A or G4B is l,4-dioxa-8- azaspiro[4.5]decanyl, 2-oxa-6-azaspiro[3.5]nonanyl, 2-oxa-7-azaspiro[3.5]nonanyl, 2- oxa-5,8-diazaspiro[3.5]nonanyl, 2,5-dioxa-8-azaspiro[3.5]nonanyl, l-oxa-8- azaspiro[4.5]decanyl, 5-oxa-8-azaspiro[3.5]nonanyl, 2-oxa-6-azaspiro[3.4]octanyl, 6- oxa-2-azaspiro[3.4]octanyl, l-oxa-6-azaspiro[3.3]heptanyl, or 2-oxa-6- azaspiro[3.3]heptanyl, 2-oxa-8-azaspiro[4.5]decanyl, 2,6-diazaspiro[3.3]heptanyl, 2- oxa-7-azaspiro[4.4]nonanyl, 2-oxa-5-azaspiro[3.4]octanyl, l-oxa-9- azaspiro[5.5]undecanyl, where the 2,6-diazaspiro[3.3]heptanyl and 2-oxa-5,8- diazaspiro[3.5]nonanyl are optionally substituted with Ci-4alkyl and/or oxo. The heterocycles of G4A or G4B may be appended to the parent molecule (i.e., at LVL3) by any substitutable carbon or nitrogen atom. Other embodiments include l,4-dioxa-8- azaspiro[4.5]decan-8-yl, 2-oxa-7-azaspiro[3.5]nonan-7-yl, 2-oxa-7- azaspiro[4.4]nonan-7-yl, 5-methyl-2-oxa-5,8-diazaspiro[3.5]nonan-8-yl, 2-oxa-6- azaspiro[3.4]octan-6-yl, 2-oxa-5-azaspiro[3.4]octan-5-yl, l-oxa-6-
azaspiro[3.3]heptan-6-yl, 2-oxa-6-azaspiro[3.5]nonan-6-yl, 2,5-dioxa-8- azaspiro[3.5]nonan-8-yl, l-oxa-8-azaspiro[4.5]decan-8-yl, 5-oxa-8- azaspiro[3.5]nonan-8-yl, 6-oxa-2-azaspiro[3.4]octan-2-yl, 2-oxa-6- azaspiro[3.3]heptan-6-yl, 2-oxa-8-azaspiro[4.5]decan-8-yl, l-oxa-9- azaspiro[5.5]undecan-9-yl, 6-isopropyl-2,6-diazaspiro[3.3]heptan-2-yl, or 2,6- diazaspiro[3.3]heptan-2-yl. In further embodiments, G2 is selected from the group consisting of 2,6-diazaspiro[3.3]heptan-2-yl, 2-oxa-6-azaspiro[3.4]octan-6-yl, and 2- oxa-8-azaspiro[4.5]decan-8-yl.
[00167] In other embodiments of formulas (I), (II), (IIA), and (IIB), GA is G5A and/or GB is G5B, where G5A and/or G5B are as described above. In some
embodiments, only one of -L1-G5A and -L3-G5B is present. The heterocycles at G5A and/or G5B may be unsubstituted or substituted. Unless substitution is indicated as present or optional for a specific heterocyclic G5A and/or G5B, the heterocycle is unsubstituted. In some embodiments, the fused bicyclic heterocycle is a 7-12- membered ring system having a monocyclic heterocycle, as defined herein, fused to another monocycli
, each being optionally substituted with 1-4 substituents selected from the group consisting of Ci-4alkyl (e.g., methyl, ethyl, isobutyl), Ci-4haloalkyl (e.g.,- CF3, -CH2CF3), halogen (e.g., fluoro), hydroxyl, and oxo. In other embodiments G5A
with one Ci-4alkyl, Ci-4haloalkyl, halogen, or oxo. In some embodiments, G and/or G may be substituted with one substituent selected from the foregoing group. For
example, in some embodiments, G and/or G is
[00168] In other embodiments of formulas (I) to (VIIB), GA, GB, and/or Gc are each independently G6A, G6B, or G6C, respectively, where G6A, G6B, and G6C are as described above. In some embodiments, only one of G6A, G6B, and G6C is present. In some embodiments, G6A, G6B, or G6C are independently cyclopropyl, cyclobutyl, or cyclopentyl, each optionally substituted as defined herein. For example, in some embodiments G6A, G6B, or G6C may be substituted with Ci-4alkoxy (e.g., 3- methoxycyclobutane). The optional G6A, G6B, or G6C substituent may be bonded to the same atom, or a different atom, in G6A, G6B, or G6C, to which L1, L3, or the parent molecular moiety is bonded.
[00169] In some embodiments of formulas (I) to (VIIB), GA and/or GB are G7A or G7B, respectively, where G7A and G7B are as described above. In some embodiments, only one of -L -G7A and -L3-G7B is present. The heteroaryls at G7A or G7B may be unsubstituted or substituted. Unless substitution is indicated as present or optional for a specific G7A or G7B, the heteroaryl is unsubstituted. For example, in some embodiments, G7A or G7B may be optionally substituted with 1-4 substituents independently selected from the group consisting of Ci-4alkyl, Ci-4haloalkyl, halogen, hydroxyl, cyano, and -OCi-4alkyl. For example, in some embodiments G7A or G7B may be a thiazole, oxazole, triazole pyrazole, imidazole, pyridine, furan optionally substituted with Ci-4alkyl. Further exemplary G7A or G7B include 1 -methyl- 1H- 1,2,4- triazol-3-yl, l-ethyl-lH-l,2,4-triazol-3-yl, l-methyl-lH-pyrazol-3-yl, 1-ethyl-lH- pyrazol-3-yl, oxazol-2-yl, oxazol-5-yl, thiazol-2-yl, imidazol-2-yl, pyridin-2-yl, pyridin-3-yl, and furan-3-yl.
[00170] In some embodiments, R2 is not cyano when R3 is an imidazolyl optionally substituted with one or two Ci-4alkyl. In some embodiments, R2 is not Ci-4alkyl, - OCi-4alkyl, hydroxy, halogen or cyano when R3 is imidazolyl optionally substituted with one or two Ci-4alkyl. In some embodiments, R2 is not Ci-4alkyl, -OCi-4alkyl, hydroxy, halogen or cyano when R3 is imidazolyl, oxazolyl, thiazolyl, pyrazolyl, thiadiazolyl, triazolyl, oxadiaolyl, pyrimidinyl, or pyridinyl, each optionally substituted with one or two Ci-4alkyl. In some embodiments, R2 is not Ci-4alkyl, - OCi-4alkyl, hydroxy, halogen or cyano when R3 is a 5- or 6-membered heteroaryl optionally substituted with one or two Ci-4alkyl.
[00171] In some embodiments of formulas (I) to (VIIB), GA and/or Gc is G8A or G8C respectively, where G8A and G8C are as described above. In some embodiments, only one of G8A and G8C is present. G8A and G8C may be unsubstituted or substituted. In some embodiments, G8A or G8C is phenyl.
[00172] In some embodiments, only one of -Ll-GA, -L3-GB, and Gc is present, as L1, G4, L3, G6, and Gc are defined herein. In some embodiments, one of G?A, G3A, G4A, G5A, G6A, G7A, G8A, and one of G6C and G8C are present. In other embodiments, G2A and G8C are both present. In other embodiments, G6A and G6C are both present.
[00173] According to the embodiments described herein above and below are further combinations of embodiments wherein L1 is a bond. In alternative
combinations of embodiments, L1 is -0-. In still further alternative combinations, L1 is - R10- and R10, at each occurrence, is independently selected from the group consisting of hydrogen, Ci-4alkyl, C(0)Ci-4alkyl, oxetanyl, cyclopropyl, and cyclobutyl. In still other embodiments, L1 is -NR10-Ci-4alkylene-, wherein R10 is as defined herein. In other embodiments, L1 is -0-Ci-4alkylene- In other
embodiments, L1 is -Ci-4alkylene- In other embodiments, L1 is -C(O)-. In still other embodiments, L1 is - R10C(O)-. In other embodiments, L1 is -C(0) R10-.
[00174] According to the embodiments described herein above and below are further combinations of embodiments wherein L3 is a bond. In alternative
combinations of embodiments, L3 is -0-. In still further alternative combinations, L3 is -NR30- and R30, at each occurrence, is independently selected from the group consisting of hydrogen, Ci-4alkyl, C(0)Ci-4alkyl, oxetanyl, cyclopropyl, and cyclobutyl. In still other embodiments, L3 is -NR30-Ci-4alkylene-, wherein R30 is as defined herein. In other embodiments, L3 is -0-Ci-4alkylene- In other
embodiments, L is -Ci-4alkylene- In other embodiments, L is -C(O)-. In still other embodiments, L3 is - R30C(O)-. In other embodiments, L3 is -C(0) R30-.
[00175] In some embodiments, Ll-GA is -G , -O-G^, - R10-^, - R10-Ci- 4alkylene-GA, -0-Ci-4alkylene-GA, - R10C(O)-GA, -C(O) R10-GA, or -C(0)-GA. Subject to the description of formulas (I), (II), (IIA), (IIB), (III), (IV), (V), (VI), (VIA), (VIB), (VII), (VIIA), and (VIIB), V-GA includes, but is not limited to, -G1- R7, G2A, G3A, -0-G3A, - R10-G3A, -0-Ci-4alkylene-G3A, -NR10-Ci-4alkylene-G3A, -Ci-4alkylene-G3A, -C(O) R10-G3A, G4A, G5A, G6A, -0-G6A, -0-Ci-4alkylene-G6A, - R10-Ci-4alkylene-G6A, -C(O)NR10-G6A, - R10C(O)-G6A, G7A, -0-Ci-4alkylene- G7A, - R10-Ci-4alkylene-G7A, G8A, -0-Ci-4alkylene-G8A, - R10-Ci-4alkylene-G8A, - R10C(O)-G8A, -C(O) R10-G8A, and -C(0)-G8A.
[00176] In some embodiments of formula (IIA) are compounds wherein X1, X3, X4, and X5 are each independently N or CH; and V-GA is -G^R7 (IIA-1), G3A (IIA-2), - 0-G3A (ΠΑ-3), or -0-Ci-4alkylene-G3A (IIA-4). In further embodiments, G3A is an optionally substituted 4- to 8-membered monocyclic heterocycle containing one nitrogen or oxygen atom. In the foregoing embodiments are further embodiments wherein X3 and X5 are independently N or CH, and X1 and X4 are each CH. In each of the foregoing embodiments are further embodiments wherein X5 is N and X1, X3, and X4 are each CH. In other embodiments, X3 is N and X1, X4, and X5 are each CH. In yet other embodiments, X1, X3, X4, and X5 are each CH. Examples of monocyclic optionally substituted G3A heterocycles include oxetan-3-yl, piperidin-4-yl, piperidin- 3-yl, tetrahydrofuran-3-yl, tetrahydrofuran-2-yl, tetrahydropyran-4-yl, and pyrrolidin- 3-yl.
(IIA-1) (IIA-2)
(IIA-3) (IIA-4)
[00177] In some embodiments of formula (IIA) are compounds wherein X1 and X5 are each independently N or CH; X3 is CR3; R3 is selected from the group consisting of -L3-GB, Ci-4alkyl, Ci-4haloalkyl, halogen, cyano, hydroxyl, -OCi-4alkyl, -OCi- 4haloalkyl, -C(0)Ci-4alkyl, -C(0)OCi-4alkyl, - R40R40, and -C(O) R40R40; and L1- GA is -G^R7 (ΠΑ-5), G3A (IIA-6), or - R10-G3A (IIA-7). In further embodiments, G3A is an optionally substituted 4- to 8-membered monocyclic heterocycle containing one nitrogen or oxygen atom. In some embodiments according to the foregoing, X1, X4, and X5 are each independently N or CH. In further embodiments, X1 is N or CH, and X4 and X5 are each CH. In some embodiments, X1, X4, and X5 are each CH. In other embodiments, X1 is N, and X4 and X5 are each CH. Examples of monocyclic optionally substituted G3A heterocycles include oxetan-3-yl, piperidin-4-yl, piperidin- 3-yl, tetrahydrofuran-3-yl, tetrahydrofuran-2-yl, tetrahydropyran-4-yl, pyrrolidin-2-yl, and rrolidin-3-yl.
(IIA-5) (IIA-6)
(IIA-7)
[00178] In other embodiments of formula (IIA) are compounds wherein X3 and X4 are each independently N or CH; X1 is CR1; R1 is selected from the group consisting of Ci-4alkyl, Ci-4haloalkyl, halogen, -OCi-4alkyl, and -OCi-4haloalkyl; and I^-G4 is - G^R7 (ΠΑ-8), G3A (ΠΑ-9), or - R10-G3A (IIA-10). In further embodiments, G3A is an optionally substituted 4- to 8-membered monocyclic heterocycle containing one nitrogen or oxygen atom. In some embodiments according to the foregoing, X3, X4, and X5 are each independently N or CH. In some embodiments, X3, X4, and X5 are each CH. In other embodiments are compounds wherein X3 and X4 are each independently N or CH; X1 is CR1; R1 is selected from the group consisting of Ci- 4alkyl, Ci-4haloalkyl, halogen, -OCi-4alkyl, and -OCi-4haloalkyl; and X5 is CR5; R5 is selected from the group consisting of Ci-4alkyl, Ci-4haloalkyl, halogen, -OCi-4alkyl, and -OCi-4haloalkyl. In some embodiments, X3 and X4 are each CH. Examples of monocyclic optionally substituted G3A heterocycles according to the foregoing include oxetan-3-yl, piperidin-4-yl, piperidin-3-yl, tetrahydrofuran-3-yl, tetrahydrofuran-2-yl, tetrah dropyran-4-yl, pyrrolidin-2-yl, and pyrrolidin-3-yl.
(IIA-10)
[00179] In other embodiments are compounds of formula (IIA), wherein X1 is N or CH; X3 is N or CH; X4 is N or CH; X5 is CR5; R5 is selected from the group consisting of Ci-4alkyl, Ci-4haloalkyl, halogen, -OCi-4alkyl, and -OCi-4haloalkyl; and -G is -G^R7 (HA- 11), G3A (HA- 12), -0-G3A (IIA-13), -0-Ci-4alkylene-G3A (IIA-14), - R10-G3A (IIA-15), - R10-Ci-4alkylene-G3A (IIA-16), -Ci-4alkylene-G3A (IIA- 17), G4A (IIA- 18), and G5A (IIA- 19). In further embodiments, G3A is an optionally substituted 4- to 8-membered monocyclic heterocycle containing one nitrogen or oxygen atom. In other embodiments, X1 is CH; X3 is N or CH; and X4 is
N or CH. In other embodiments, X1 is CH; X3 is CH; and X4 is N. In other embodiments, X1 is CH; X3 is N; and X4 is CH. In other embodiments, X1 is CH; X3 is CH; and X4 is CH. Examples of monocyclic optionally substituted G3A
heterocycles according to the foregoing include oxetan-3-yl, piperidin-4-yl, piperidin- 3-yl, tetrahydrofuran-3-yl, tetrahydrofuran-2-yl, tetrahydropyran-4-yl, pyrrolidin-2-yl, and pyrrolidin-3-yl.
(II A- 11) (DA- 12)
(IIA-13) (IIA-14)
(IIA-15) (IIA-16)
IIA-17) (IIA-18)
(IIA-19)
[00180] In other embodiments are compounds of formula (IIA), wherein X1 is N or CH; X4 is N or CH; X3 is CR3; R3 is selected from the group consisting of -L3-GB, Ci-4alkyl, Ci-4haloalkyl, halogen, cyano, hydroxyl, -OCi-4alkyl, -OCi-4haloalkyl, -
C(0)Ci-4alkyl, -C(0)OCi-4alkyl, - R40R40, and -C(O) R40R40; X5 is CR5; R5 is selected from the group consisting of Ci-4alkyl, Ci-4haloalkyl, halogen, -OCi-4alkyl, and -OCi-4haloalkyl; and I^-G^ is G3A (IIA-20). In other embodiments according to the foregoing R3 is selected from the group consisting of Ci-4alkyl, Ci-4haloalkyl, halogen, cyano, hydroxyl, -OCi-4alkyl, -OCi-4haloalkyl, -C(0)Ci-4alkyl, -C(0)OCi- 4alkyl, - R40R40, and -C(O) R40R40. In further embodiments, G3A is an optionally substituted 4- to 8-membered monocyclic heterocycle containing one nitrogen or oxygen atom. In other embodiments according to the foregoing embodiments of formula (IIA), X1 is CH and X4 is CH. Examples of monocyclic optionally substituted G3A heterocycles according to the foregoing include oxetan-3-yl, piped din-4-yl, piperidin-3-yl, tetrahydrofuran-3-yl, tetrahydrofuran-2-yl,
tetrahydropyran-4-yl, pyrrolidin-2- l, and pyrrolidin-3-yl.
(IIA-20)
[00181] In some embodiments, iAG13 is -G6, -O-G6, - R30-GB, - R30-Ci- 4alkylene-GB, -0-Ci-4alkylene-GB, - R30C(O)-GB, -C(O) R30-GB, or -C(0)-GB. Subject to the description of formulas (I), (II), (IIA), (IIB), (III), (IV), (V), (VI), (VIA), (VIB), (VII), (VIIA), and (VIIB), L3-GB includes, but is not limited to, -G1- R7, -O-G^R7, - R30-G1-R7, -0-Ci-4alkylene-G1-R7, - R30-Ci-4alkylene-G1-R7, G2B, -C(0)-G2B, - R30-Ci-4alkylene-G2B, -0-Ci-4alkylene-G2B, G3B, -0-G3B, - R30-G3B, -0-Ci-4alkylene-G3B, - R30-Ci-4alkylene-G3B, -C(O) R30-G3B, G4B, G5B, G6B, -0-G6B, and G7B.
[00182] In other embodiments, are compounds of formula (IIB), wherein X1 and X5 are each independently N or CH; X2 is CR2; R2 is selected from the group consisting of -Ll-GA, Ci-4alkyl, Ci-4haloalkyl, halogen, cyano, nitro, hydroxyl, -OCi- 4alkyl, -OCi-4haloalkyl, -OCs-ealkenyl, -C(0)Ci-4alkyl, COOH, -C(0)OCi-4alkyl, - R20R20, -NR20(Ci-4haloalkyl), -NR20C(O)(Ci-4alkyl), - R20C(O)(Ci-4haloalkyl), - R20C(O)OCi-4alkyl, -C(O) R20R20, -C(O)NR20(Ci-4haloalkyl), -L2-Ci-6alkylene- R21, -L2-Ci-6haloalkylene-R21, -L2-Ci-3alkylene-C(H)(OCi-4alkyl)-Ci-3alkylene- R21, -L2-C2-4alkylene-0-C2-4alkylene-R21, -L2-C2-4alkylene-0-C2-4alkylene-0-C2-
4alkylene-R21, -C3-8alkenyl, -C3-8alkenylene-OH, -C3-8alkenylene-OCi-4alkyl, -C3- 8alkynylene-OH, and -C3-8alkynylene-OCi-4alkyl; and L3-GB is -G^R7 (ΠΒ-l), -O-
(ΠΒ-4), - R30-Ci- 4alkylene-G1-R7 (IIB-5), G3B (ΠΒ-6), -0-G3B (ΠΒ-7), - R30-G3B (ΠΒ-8), -O-Ci- 4alkylene-G3B (IIB-9), - R30-Ci-4alkylene-G3B (IIB- 10), or -C(O) R30-G3B (IIB- 11). In further embodiments, G3B is an optionally substituted 4- to 8-membered monocyclic heterocycle containing one nitrogen or oxygen atom. In some embodiments according to the foregoing, X1, X4, and X5 are each independently N or CH. In further embodiments, X1 is N or CH, and X4 and X5 are each CH. In some embodiments, X1, X4, and X5 are each CH. In other embodiments, X1 is N, and X4 and X5 are each CH. In other embodiments, X1 and X5 are each independently N or CH; X4 is CR4; and R4 is selected from the group consisting of Ci-4alkyl, Ci- 4haloalkyl, halogen, -OCi-4alkyl, and -OCi-4haloalkyl. In further embodiments according to the foregoing definitions of X4 and R4, one of X1 and X5 is N and the other CH. In yet other embodiments, X1 and X5 are each CH.
(IIB-11)
[00183] In other embodiments are compounds of formula (IIB), wherein X1 is N or CH; X2 is N or CH; X4 is N or CH; X5 is CR5; R5 is selected from the group
consisting of Ci-4alkyl, Ci-4haloalkyl, halogen, -OCi-4alkyl, and -OCi-4haloalkyl; and L3-GB is -G^R7 (ΠΒ-12 . In other embodiments, X1 is CH; X2 is CH; and X4 is CH.
(IIB-12)
[00184] In some embodiments of formula (III), X1, X3, X4, and X5 are each independently N or CH; R2 is -L1^, and L1-GA is G2A (III-l), G6A (III-2), -0-G6A (III-3), -0-Ci-4alkylene-G6A (III-4), - R10-Ci-4alkylene-G7A (III-5), G8A (III-6), - R10C(O)-G8A (III-7), -C(O) R10-G8A (III-8), or -C(0)-G8A (III-9); provided that Ll-GA is not morpholino when X3 is N, X1, X4 and X5 are CH, and R8 is phenyl or 4- cyanophenyl. In each of the foregoing embodiments are further groups of compounds wherein X5 is N and X1, X3, and X4 are each CH. In other groups of compounds, X3 is N and X1, X4, and X5 are each CH. In yet other groups of compounds, X1, X3, X4, and X5 are each CH.
(III-9)
[00185] In some embodiments, of formula (IV), X1 and X5 are each independently N or CH; R2 is -Ll-GA, Ci-4alkyl, Ci-4haloalkyl, halogen, cyano, nitro, hydroxyl, - OCi-4alkyl, -OCi-4haloalkyl, -OCs-ealkenyl, -C(0)Ci-4alkyl, COOH, -C(0)OCi- 4alkyl, - R20R20, - R20(Ci-4haloalkyl), - R20C(O)(Ci-4alkyl), - R20C(O)(Ci- 4haloalkyl), - R20C(O)OCi-4alkyl, -C(O) R20R20, -C(O)NR20(Ci-4haloalkyl), -L2- Ci-6alkylene-R21, -L2-Ci-6haloalkylene-R21, -L2-Ci-3alkylene-C(H)(OCi-4alkyl)-Ci- 3alkylene-R21, -L2-C2-4alkylene-0-C2-4alkylene-R21, -C3-8alkenyl, -C3-8alkenylene- OH, -C3-8alkenylene-OCi-4alkyl, -C3-8alkynylene-OH, and -C3-8alkynylene-OCi- 4alkyl; R3 is selected from the group consisting of -L3-GB, Ci-4alkyl, Ci-4haloalkyl, halogen, cyano, hydroxyl, -OCi-4alkyl, -OCi-4haloalkyl, -C(0)Ci-4alkyl, -C(0)OCi-
4alkyl, - R40R40, and -C(O) R40R40; -L1^ is G2A (IV- 1), -C(O) R10-G6A (IV-2), or -0-Ci-4alkylene-G8A (IV-3); -L3-GB is G2B (IV-4), -C(0)-G2B (IV-5), - R30-Ci- 4alkylene-G2B (IV-6),
(IV-7), G6B (IV-8), -0-G6B (IV-9), and G7B (IV- 10); and R8 and X4 are as defined herein. In some embodiments according to the foregoing, X4 is N or CH. In further embodiments, X1 is N or CH, and X4 and X5 are each CH. In some embodiments, X1, X4, and X5 are each CH. In other embodiments X1 is N, and X4 and X5 are each CH.
(IV-9) (IV- 10)
[00186] In some embodiments of formulas (IV) and (IV-1) to (IV-10), as defined above, X4 is CR4; and R4 is selected from the group consisting of Ci-4alkyl, Ci- 4haloalkyl, halogen, -OCi-4alkyl, -OCi-4haloalkyl, and Gc. In further embodiments, one of X1 and X5 is N and the other CH. In yet other embodiments, X1 and X5 are each CH. In some groups of compounds, R4 is selected from the group consisting of Ci-4alkyl, halogen, and -OCi-4alkyl.
[00187] In some embodiments of formula (V), X3 and X4 are each independently N or CH; X5 is N or CR5; R1 is selected from the group consisting of Ci-4alkyl, Ci- 4haloalkyl, halogen, -OCi-4alkyl, and -OCi-4haloalkyl; R2 is -Ll-GA and -Ll-GA is G2A (V-l), G6A (V-2), G7A (V-3), or G8A (V-4). In some embodiments, X5 is N or CH. In some embodiments X3, X4, and X5 are each CH.
[00188] In some embodiments of formulas (V), (V-l), (V-2), (V-3), or (V-4), as defined above, X5 is CR5; and R5 is selected from the group consisting of Ci-4alkyl, Ci-4haloalkyl, halogen, -OCi-4alkyl, and -OCi-4haloalkyl. In further embodiments, X3 and X4 are each CH. In further embodiments, R1 is selected from the group consisting of Ci-4alkyl and -OCi-4alkyl.
[00189] In some embodiments of formula (VIB), X1, X3, and X4 are N or CH; R5 and R8 are as defined in formula (VI); R2 is -L1-^; and -L1^ is G2A (VIB-1), G7A (Vm-2), -0-Ci-4alkylene-G7A (VIB-3), and - R10-Ci-4alkylene-G7A (VIB-4). In some groups of compounds, R5 is selected from the group consisting of Ci-4alkyl, halogen, and -OCi-4alkyl. In other embodiments, X1 is CH; X3 is N or CH; and X4 is N or CH. In other embodiments, X1 is CH; X3 is CH; and X4 is N. In other
embodiments, X1 is CH; X3 is N; and X4 is CH. In other embodiments, X1 is CH; X is CH and X4 is CH.
(VIB-4) [00190] In some embodiments of the compounds of formula (VII), as defined herein, X1, X3, and X5 are each independently N or CH; R2 is -Ll-GA R4 is selected from the group consisting of Ci-4alkyl, Ci-4haloalkyl, halogen, -OCi-4alkyl, -OCi- 4haloalkyl, and Gc; and L1^ is G2A (VII-1), G6A (VII-2), -0-Ci-4alkylene-G6A (VII-3), - R10-Ci-4alkylene-G6A (VII-4), or - R10C(O)-G6A (VII-5); and Gc is G6C or G8C. In further embodiments, X1 is CH; X3 is CH; and X5 is CH. In other embodiments, X1 is CH; X3 is N; and X5 is CH. In other embodiments, X1 is CH; X: is CH; and X5 is N. In other embodiments, X1 is N; X3 is CH; and X5 is CH.
(VII-5)
[00191] The formulas (I), (II), and (IIB) to (VIIB), and corresponding embodiments, and groups of compounds may be further defined according to the following description.
[00192] In some embodiments, X2 is CR2, where R2 may be:
[00193] hydrogen;
[00194] Ci-4alkyl (e.g., methyl, ethyl, tert-butyl);
[00195] Ci-4haloalkyl (e.g., CF3);
[00196] halogen (e.g., bromo, fluoro);
[00197] cyano;
[00198] nitro;
[00199] hydroxyl;
[00200] -OCi-4alkyl (e.g., -OCH3, -OCH2CH3, -OCH2CH2CH3, -OCH(CH3)2, - OCH2CH2CH2CH3, -OCH2CH(CH3)2, -OCH(CH3)CH2CH3);
[00201] -OCi-4haloalkyl (e.g., -OCF3, -OCH2CHF2);
[00202] -OC3-6alkenyl (e.g., -OCH2CH=CH2);
[00203] -C(0)Ci-4alkyl (e.g., -C(0)CH3);
[00204] -COOH;
[00205] -C(0)OCi-4alkyl (e.g., -C(0)OCH3);
[00206] - R20R20 (e.g., - H2, -NHCH3, -N(CH3)2, - HCH(CH3)2, - NCH3CH(CH3)2,);
[00207] - R20(Ci-4haloalkyl) (e.g., - HCH2CH2CH2F, - HCH2CF3);
[00208] - R20C(O)(Ci-4alkyl) (e.g., - HC(0)CH3, - HC(0)CH(CH3)2);
[00209] - R20C(O)(Ci-4haloalkyl) (e.g., - HC(0)CH2CF3);
[00210] - R20C(O)OCi-4alkyl (e.g., - HC(O)O-tert-butyl);
[00211] -C(O) R20R20 (e.g., -C(0) H2, -C(0) HCH3, -C(0) HCH2CH3, - C(0)N(CH3)2, -C(0)NCH(CH3)2);
[00212] -C(O) R20(Ci-4haloalkyl) (e.g., -C(0) HCH2CF3);
[00213] -L2-Ci-6alkylene-R21;
[00214] -L2-Ci-6haloalkylene-R21;
[00215] -L2-Ci-3alkylene-C(H)(OCi-4alkyl)-Ci-3alkylene-R21, (e.g., - H-Ci- 3alkylene-C(H)(OCi-4alkyl)-Ci-3alkylene-OCi-4alkyl, such as - HCH2-CH(OCH3)- CH2-OCH3);
[00216] -L2-C2-4alkylene-0-C2-4alkylene-R21 (e.g., - H-C2-4alkylene-0-C2- 4alkylene-N(Ci-4alkyl)(Ci-4alkyl), such as - H-CH2CH2OCH2CH2N(CH3)2);
[00217] -L2-C2-4alkylene-0-C2-4alkylene-0-C2-4alkylene-R21 (e.g., -O- CH2CH2-O-CH2CH2-O-CH2CH2- H2);
[00218] -C3-8alkenyl (e.g., -CH=CHC(CH3)3);
[00219] -C3-8alkenylene-OH (e.g., -CH=CHCH2-OH);
[00220] -C3-8alkenylene-OCi-4alkyl (e.g., -CH=CHCH2-OCH3);
[00221] -C3-8alkynylene-OH (e.g., -C≡C-C(CH3)(OH)CH2CH3); or
[00222] -C3-8alkynylene-OCi-4alkyl (e.g., -C≡C-C(CH3)(OCH3)CH2CH3).
[00223] In some embodiments where R2 is -L2-Ci-6alkylene-R21, L2 is a bond (e.g., -Ci-6alkylene-OCi-4alkyl, -Ci-6alkylene-OH, -Ci-6alkylene- H2, -Ci- 6alkylene- HC(0)Ci-4alkyl, -Ci-6alkylene- HC(0)OCi-4alkyl, -Ci-ealkylene- HS(0)2Ci-4alkyl, -Ci-6alkylene— C(0)Ci-4alkyl). In some embodiments where L2 is a bond, the L2-Ci-6alkylene-R21 is Ci-3alkylene-R21. Examples include -CH2OCH3, -C(CH3)2OH, -CH2OH, -CH(CH3)OH, -CH2CH(CH3)OH, -CH2 HC(0)0-t-butyl, - CH2 H2, -CH2 HC(0)CH3, -CH2 HS(0)2CH3, and -CH2C(0)CH3.
[00224] In some embodiments where R2 is -L2-Ci-6alkylene-R21, L2 is -O- (e.g., - 0-Ci-6alkylene-OCi-4alkyl). In some embodiments where L2 is -0-, the L2-Ci-
ealkylene-R21 is -O-Ci-salkylene-R21. Examples include -O-CH2CH2-OCH3 and -
[00225] In some embodiments where R2 is -L2-Ci-6alkylene-R21, L2 is - H- (e.g., - H-Ci-6alkylene-OCi-4alkyl, -NH-Ci-6alkylene-N(Ci-4alkyl)(Ci-4alkyl), - H-Ci- 6alkylene-C(0)N(Ci-4alkyl)(Ci-4alkyl), - H-Ci-6alkylene-N(Ci-4alkyl)C(0)OCi- 4alkyl, - H-Ci-6alkylene-CN). In some embodiments where L2 is -NH- the L2-Ci- 6alkylene-R21 is -NH-Ci-3alkylene-R21 or -NH-C2-5alkylene-R21. Examples include -NH-CH2CH2CH2-0-t-butyl, -NH-CH2CH2CH2-OCH3, -NH-CH(CH3)CH2-OCH3, -NH-CH(CH3)CH(CH3)-OCH3, -NH-CH(CH3)CH2-OCH2CH3, -NH- CH2CH(CH3)-OCH2CH3, -NH-CH2C(CH3)2-OCH3, -NH-CH2CH2CH(CH3)-OCH3, -NH-CH2CH2CH2N(CH2CH3)2, -NH-CH2CH2N(CH3)2, -NH- CH2C(CH3)2CH2N(CH3)2, -NH-CH2C(0)N(CH2CH3)2, -NH- CH(CH3)C(0)N(CH3)2, -NH-CH2C(CH3)2CN, and -NH-CH2CH2N(CH3)C(0)0-t- butyl.
[00226] In some embodiments where R2 is -L2-Ci-6alkylene-R21, L2 is -N(Ci- 4alkyl)- (e.g., N(Ci-4alkyl)-Ci-6alkylene-OCi-4alkyl, -N(Ci-4alkyl)-Ci-6alkylene- OH). In some embodiments where L2 is -N(Ci-4alkyl)-, the L2-Ci-6alkylene-R21 is - N(Ci-4alkyl)-Ci-3alkylene-R21 or -N(Ci-4alkyl)-C2-5alkylene-R21. Examples include -NCH3-CH2CH2CH2-OCH3 and -NCH3-CH2CH(CH3)-OH.
[00227] In some embodiments where R2 is -L2-Ci-6alkylene-R21, L2 is -NHC(O)- (e.g., -NHC(0)-Ci-6alkylene-OCi-4alkyl, such as -NHC(0)-CH2-OCH3). In some embodiments where L2 is -NHC(O)-, the L2-Ci-6alkylene-R21 is -NHC(0)-Ci- 3alkylene-R21.
[00228] In some embodiments where R2 is -L2-Ci-6haloalkylene-R21, L2 is -NH- (e.g., -NH-Ci-6haloalkylene-OCi-4alkyl, such as NH-CH2CH(CF3)-OCH3). In some embodiments where L2 is -NH- the L2-Ci-6haloalkylene-R21 is -NH-C2- shaloalkylene-R21.
[00229] In some embodiments where R2 is -L2-Ci-6haloalkylene-R21, L2 is -O- (e.g., -O-Ci-ehaloalkylene-OH, such as -0-CH2CH(CH2Cl)CH2OH and -O- CH2C(CH3)(CH2C1)CH20H). In some embodiments where L2 is -0-, the L2-Ci- 6haloalkylene-R21 is -0-C2-shaloalkylene-R21.
[00230] In embodiments according to formula (III) where R2 is -L2-Ci-6alkylene- R21, the -L2-Ci-6alkylene-R21 may be Ci-3alkylene-OH or -O-Ci-salkylene-OCi- 4alkyl.
[00231] In embodiments according to formula (V) where R2 is -L2-Ci-6alkylene- R21, the -L2-Ci-6alkylene-R21 may be Ci-3alkylene-OH or - H-Ci-salkylene-OCi- 4alkyl.
[00232] In embodiments according to formula (VI), (VIA), or (VIB) where R2 is - L2-Ci-6alkylene-R21, the -L2-Ci-6alkylene-R21 may be Ci-3alkylene-OH or - H-C2- 5alkylene-OCi-4alkyl.
[00233] In embodiments according to formula (VII), (VIIA), or (VIIB) where R2 is -L2-Ci-6alkylene-R21, the -L2-Ci-6alkylene-R21 may be -Ci-3alkylene-OH, -Ci- 3alkylene-OCi-4alkyl, -Ci-3alkylene- H2, -Ci-3alkylene- HC(0)Ci-4alkyl, -Ci- 3alkylene- HC(0)OCi-4alkyl, -Ci-3alkylene- HS(0)2Ci-4alkyl, -Ci-3alkylene- C(0)Ci-4alkyl, -0-C2-5alkylene-OCi-4alkyl, - H-C2-5alkylene-OCi-4alkyl, -N(Ci- 4alkyl)-C2-5alkylene-OCi-4alkyl, -N(Ci-4alkyl)-C2-5alkylene-OH, - H-C2-5alkylene- N(Ci-4alkyl)(Ci-4alkyl), - HCi-3alkylene-C(0)N(Ci-4alkyl)(Ci-4alkyl), - H-Ci- ealkylene-CN, - H-C2-5alkylene-N(Ci-4alkyl)C(0)OCi-4alkyl, or - HC(0)-Ci- 3alkylene-OCi-4alkyl.
[00234] In some embodiments of formulas (I) - (VIIB), X4 is CR4, where R4 may be:
[00235] hydrogen;
[00236] Ci-4alkyl;
[00237] Ci-4haloalkyl;
[00238] halogen;
[00239] -OCi-4alkyl;
[00240] -OCi-4haloalkyl; or
[00241] Gc (i.e., G6C or G8C).
[00242] For example, G6C may be a cyclopropyl. G8C may be a phenyl group.
[00243] Further according to each of the foregoing embodiments, R8 is phenyl or a 6-membered heteroaryl containing 1-3 nitrogen atoms, R8 being optionally substituted with 1-3 substituents independently selected from the group consisting of halogen (e.g., fluoro, chloro), hydroxyl, cyano, -S(0)2Ci-4alkyl (e.g., -S02CH3), -S(0)Ci- 4alkyl (e.g., -SOCH3), -SCi-4alkyl (e.g., -SCH3), Ci-4alkyl (e.g., methyl, ethyl), Ci-
4haloalkyl (e.g., -CF3), -C3-6alkenyl (e.g., -CH2CH=CH2), -OCi-4alkyl (e.g., -OCH3, -OCH2CH3, -OCH(CH3)2), -OCi-4haloalkyl (e.g., -OCF3), -Ci-4alkylene-OCi-4alkyl (e.g., -CH2OCH3), -Ci-4alkylene-N(Ci-4alkyl)(Ci-4alkyl) (e.g., - CH2N(CH3)(CH2CH3)), - H(Ci-4alkylene-OCi-4alkyl) (e.g., - H(CH2CH2OCH3)), - H(Ci-4alkylene-OH) (e.g., - H(CH2CH2OH)), -N(Ci-4alkyl)(Ci-4alkylene-OCi- 4alkyl) (e.g., -N(CH3)(CH2CH2OCH3)), -N(Ci-4alkyl)(Ci-4alkylene-OH)(e.g., - N(CH3)(CH2CH2OH)), - H2, - H(Ci-4alkyl), -N(Ci-4alkyl)(Ci-4alkyl)), -C(0) H2, -C(0) H(Ci-4alkyl), -C(0)N(Ci-4alkyl)(Ci-4alkyl), -L4-G10, C 3-6cycloalkyl, Cs- 6cycloalkenyl, or a 4- to 8-membered monocyclic heterocycle containing 1-2 nitrogen atoms, and optionally an oxygen or sulfur atom, the monocyclic heterocycle optionally containing one double bond and/or a Ci-3alkylene bridge between two non- adjacent ring atoms, (e.g., azetidin-l-yl, pyrrolidin-l-yl, azepan-l-yl, 3,9- diazabicyclo[4.2.1]nonan-3-yl), the C 3-6cycloalkyl, the C5-6cycloalkenyl, and the 4- to 8-membered monocyclic heterocycle being independently optionally substituted with 1-4 substituents independently selected from the group consisting of halogen (e.g., fluoro), hydroxyl, -OCi-4alkyl (e.g., -OCH3), Ci-4alkyl (e.g., ethyl), Ci- 4haloalkyl, -Ci-4alkylene-OCi-4alkyl (e.g., -CH2OCH3, -CH2OCH2CH3), and -Ci- 4alkylene-OH (e.g., -CH2OH, -C(OH)(CH3)2), wherein L4 and G10 are as defined herein. In further embodiments, R8 is phenyl, or a 6-membered heteroaryl such as pyrazinyl, pyrimidinyl, pyridazinyl, or pyridinyl, each optionally substituted as defined above. The 6-membered heteroaryl at R8 includes a pyridone ring, which is defined herein by the tautomeric hydroxypyridine form, whether or not the pyridone or the hydroxypyridine tautomer predominates. In some embodiments, R8 is phenyl, the phenyl being optionally substituted with one substituent selected from the group consisting of halogen, hydroxyl, cyano, Ci-4alkyl, Ci-4haloalkyl, -C3-6alkenyl, -OCi- 4alkyl, -C(0)NH2, -L4-G10, or a 4- to 8-membered monocyclic heterocycle containing 1-2 nitrogen atoms, and optionally a Ci-3alkylene bridge between two non- adjacent ring atoms, the 4- to 8-membered monocyclic heterocycle being
independently optionally substituted with 1-2 substituents independently selected from the group consisting of Ci-4alkyl (e.g., CH3) and -Ci-4alkylene-OH (e.g.,
CH2OH), and the phenyl being further optionally substituted with 1-2 substituents independently selected from the group consisting of halogen and Ci-4alkyl.
[00244] According to the foregoing description of R8, L4-G10 may be - R9-Ci- 4alkylene-phenyl (e.g., -NHCH2-phenyl) or - R9-Ci-4alkylene-pyridinyl (e.g., - HCH(CH3)-pyridin-2-yl, HCH(CH3)-5-fluoropyridin-2-yl).
[00245] Alternatively, R8 is pyrazinyl, the pyrazinyl being optionally substituted with 1-3 Ci-4alkyl groups. In another alternative, R8 is pyrimidinyl (e.g., pyrimidin-4- yl, pyrimidin-5-yl), the pyrimidinyl being optionally substituted with one substituent selected from halogen, -S(0)2Ci-4alkyl, -S(0)Ci-4alkyl, -SCi-4alkyl, Ci-4alkyl, -OCi- 4alkyl, or -Ci-4alkylene-OCi-4alkyl, the pyrimidinyl being further optionally substituted with Ci-4alkyl. In still a further alternative, R8 is pyridazinyl (e.g., pyridazin-4-yl). In another alternative, R8 is pyridinyl (e.g., pyridin-2-yl, pyridin-3- yl, pyridin-4-yl), the pyridinyl being optionally substituted with one substituent selected from the group consisting of halogen, hydroxyl, Ci-4alkyl, and a 4- to 8- membered monocyclic heterocycle containing 1-2 nitrogen atoms, the pyridinyl being further optionally substituted with 1-2 substituents selected from halogen and Ci- 4alkyl.
[00246] In further embodiments according to the foregoing, R8 is phenyl optionally substituted with 1-3 substituents independently selected from the group consisting of halogen and Ci-4alkyl. For example, in certain embodiments, R8 is phenyl optionally substituted with 1-2 fluoro atoms or 1 fluoro and 1 methyl group. In certain embodiments, R8 is independently any of phenyl, 3,5-difluorophenyl, 3 -fluorophenyl, 3,4-difluorophenyl, 2,5-difluorophenyl, or 3-fluoro-5-methylphenyl.
[00247] In further embodiments according to the foregoing, R8 is pyrazine, which is unsubstituted.
[00248] In other embodiments, the compouds of the present invention include 5- isopropoxy-2-methyl-N-(l -phenyl- l,2,4-triazol-3-yl)pyridin-3 -amine; 2-ethyl-5- isopropoxy-N-(l-phenyl-l,2,4-triazol-3-yl)pyridin-3-amine; N-[l-(3,5- difluorophenyl)-l,2,4-triazol-3-yl]-5-methyl-2-(oxetan-3-yl)-3,4-dihydro-lH- i soquinolin-7-amine; 1 -(3 , 5 -difluorophenyl)-N- [3 ,4-dimethyl-5 -(3 - morpholinoazeti din- l-yl)phenyl]-l,2,4-triazol-3 -amine; l-(3,4-difluorophenyl)-N-[3- methyl-4-[4-(oxetan-3-yl)piperazin-l-yl]phenyl]-l,2,4-triazol-3-amine; 1 -(3,5- difluorophenyl)-N-(3-isopropoxy-5-methyl-phenyl)-l,2,4-triazol-3-amine; l-(3,4- difluorophenyl)-N-(3-isopropoxy-5-methyl-phenyl)-l,2,4-triazol-3-amine; N-[3- methyl-5-[(l-phenyl-l,2,4-triazol-3-yl)amino]phenyl]acetamide; N-(3-isopropoxy-5-
methyl-phenyl)-l-(3-pyridyl)-l,2,4-triazol-3-amine; N-(3-isopropoxy-5-methyl- phenyl)- 1 -(2-pyridyl)- 1 ,2,4-triazol-3 -amine; N-(3 -isopropoxy-5-methyl-phenyl)- 1 - phenyl- l,2,4-triazol-3 -amine; and l-[4-methyl-3-[(l-phenyl-l,2,4-triazol-3- yl)amino]phenyl]ethanol.
[00249] In another embodiment, the compounds of formula (Γ) include isotope- labelled forms thereof. An isotope-labelled form of a compound of formula (Γ) is identical to this compound apart from the fact that one or more atoms of the compound have been replaced by an atom or atoms having an atomic mass or mass number which differs from the atomic mass or mass number of the atom which usually occurs in greater natural abundance. Examples of isotopes which are readily commercially available and which can be incorporated into a compound of formula (Γ) by well-known methods include isotopes of hydrogen, carbon, nitrogen, oxygen, phosphorus, fluorine and chlorine, for example 2H, 3H, 13C, 14C, 15N, 180, 170, 31P, 32P, 35S, 18F and 36C1, respectively.
[00250] In another embodiment, a compound of formula (Γ) or a pharmaceutically acceptable salt thereof which contains one or more of the above-mentioned isotopes and/or other isotopes of other atoms is intended to be part of the present invention.
[00251] In another embodiment, the present invention features a compound of formula (Γ) and the attendant definitions, wherein one or more hydrogen atoms are replaced by a deuterium atom.
[00252] In another embodiment, an isotope-labelled compound of formula (Γ) can be used in a number of beneficial ways. In one embodiment, an isotope-labelled compound of formula (Γ) into which, for example, a radioisotope, such as 3H or 14C, has been incorporated is suitable for a medicament and/or for substrate tissue distribution assays. In one embodiment, tritium (3H) and carbon-14 (14C) are particularly preferred owing to simple preparation and excellent detectability.
[00253] In yet another embodiment, incorporation of heavier isotopes, for example deuterium (2H), into a compound of formula (Γ) have therapeutic advantages owing to the higher metabolic stability of this isotope-labelled compound. Higher metabolic stability translates directly into an increased in vivo half-life or lower dosages, which under most circumstances would represent a preferred embodiment of the present invention. An isotope-labelled compound of formula (Γ) can usually be prepared by carrying out the procedures disclosed in the synthesis schemes and the related
description, in the example part and in the preparation part in the present text, replacing a non-isotope-labelled reactant by a readily available isotope-labelled reactant.
[00254] In another embodiment, Deuterium (2H) can also be incorporated into a compound of formula (Γ) for the purpose of manipulating the oxidative metabolism of the compound by way of the primary kinetic isotope effect. The primary kinetic isotope effect is a change of the rate for a chemical reaction that results from exchange of isotopic nuclei, which in turn is caused by the change in ground state energies necessary for covalent bond formation after this isotopic exchange.
Exchange of a heavier isotope usually results in a lowering of the ground state energy for a chemical bond and thus causes a reduction in the rate-limiting bond breakage. If the bond breakage occurs in or in the vicinity of a saddle-point region along the coordinate of a multi-product reaction, the product distribution ratios can be altered substantially. For explanation: if deuterium is bonded to a carbon atom at a non- exchangeable position, rate differences of kM/kD = 2-7 are typical. If this rate difference is successfully applied to a compound of formula (Γ) that is susceptible to oxidation, the profile of this compound in vivo can be drastically modified and result in improved pharmacokinetic properties. For a further discussion, see S. L. Harbeson and R. D. Tung, Deuterium In Drug Discovery and Development, Ann. Rep. Med. Chem. 2011, 46, 403-417, incorporated in its entirety herein by reference.
[00255] When discovering and developing therapeutic agents, the person skilled in the art attempts to optimise pharmacokinetic parameters while retaining desirable in vitro properties. It is reasonable to assume that many compounds with poor pharmacokinetic profiles are susceptible to oxidative metabolism. In vitro liver microsomal assays currently available provide valuable information on the course of oxidative metabolism of this type, which in turn permits the rational design of deuterated compounds of formula (Γ) with improved stability through resistance to such oxidative metabolism. Significant improvements in the pharmacokinetic profiles of compounds of formula (Γ) are thereby obtained, and can be expressed
quantitatively in terms of increases in the in vivo half-life (ti/2), concentration at maximum therapeutic effect (Cmax), area under the dose response curve (AUC), and bioavailability; and in terms of reduced clearance, dose and materials costs.
[00256] The following is intended to illustrate the above: a compound of formula (Γ) which has multiple potential sites of attack for oxidative metabolism, for example benzylic hydrogen atoms and hydrogen atoms bonded to a nitrogen atom, is prepared as a series of analogues in which various combinations of hydrogen atoms are replaced by deuterium atoms, so that some, most or all of these hydrogen atoms have been replaced by deuterium atoms. Half-life determinations enable favourable and accurate determination of the extent to which the improvement in resistance to oxidative metabolism has improved. In this way, it is determined that the half-life of the parent compound can be extended by up to 100% as the result of deuterium- hydrogen exchange of this type.
[00257] In another embodiment, deuterium-hydrogen exchange in a compound of formula (Γ) can be used to achieve a favourable modification of the metabolite spectrum of the starting compound in order to diminish or eliminate undesired toxic metabolites. For example, if a toxic metabolite arises through oxidative carbon- hydrogen (C-H) bond cleavage, it can reasonably be assumed that the deuterated analogue will greatly diminish or eliminate production of the unwanted metabolite, even if the particular oxidation is not a rate-determining step. Further information on the state of the art with respect to deuterium-hydrogen exchange may be found, for example in Hanzlik et al., J. Org. Chem. 55, 3992-3997, 1990, Reider et al., J. Org. Chem. 52, 3326-3334, 1987, Foster, Adv. Drug Res. 14, 1-40, 1985, Gillette et al, Biochemistry 33(10) 2927-2937, 1994, and Jarman et al. Carcinogenesis 16(4), 683- 688, 1993.
[00258] In another embodiment, the invention features a compound of formula (Γ), wherein the compound or a pharmaceutically acceptable salt thereof, is selected from Table 1 below.
[00259] Table 1. Compound Table
75
92
331 332
333 334
335 336
419 420
117
118
119
120
121
659
260] Table 2. Compound Names (IUPAC Nomenclature)
Cmpd Name
No.
23 N-(3-fluoro-5-methyl-phenyl)-l-phenyl-l,2,4-triazol-3-amine
24 N-(3 -isopropoxyphenyl)- 1 -(2-pyridyl)- 1 ,2,4-triazol-3 -amine
25 l-phenyl-N-(3-phenylphenyl)-l,2,4-triazol-3 -amine
26 N-[3-[(l-phenyl-l,2,4-triazol-3-yl)amino]phenyl]benzamide
27 N-(m-tolyl)- 1 -phenyl- 1 ,2,4-triazol-3 -amine
28 N-(3-bromophenyl)-l -phenyl- l,2,4-triazol-3 -amine
29 3-[(l-phenyl-l,2,4-triazol-3-yl)amino]benzoic acid
30 Nl -( 1 -phenyl- 1 ,2,4-triazol-3 -yl)benzene- 1 ,3 -diamine
31 [2-[(l-phenyl-l,2,4-triazol-3-yl)amino]-4-pyridyl]methanol
32 4-methyl-N-(l -phenyl- l,2,4-triazol-3-yl)pyridin-2-amine
33 2-methyl-N-(l -phenyl- l,2,4-triazol-3-yl)pyridin-4-amine
34 N-phenyl-3-[(l -phenyl- l,2,4-triazol-3-yl)amino]benzamide
35 phenyl-[3-[(l-phenyl-l,2,4-triazol-3- yl)amino]phenyl]methanone
36 N-(2-fluoro-5-isopropoxy-phenyl)-l-phenyl-l,2,4-triazol-3- amine
37 N-(4-fluoro-3-isopropoxy-phenyl)-l-phenyl-l,2,4-triazol-3- amine
38 3-[(l -phenyl- l,2,4-triazol-3-yl)amino]benzonitrile
39 N-[4-chloro-3 -(trifluoromethoxy)phenyl]- 1 -phenyl- 1 ,2,4- triazol-3 -amine
40 N-[4-fluoro-3-(trifluoromethoxy)phenyl]-l -phenyl- 1,2,4- triazol-3 -amine
41 N-[3-methyl-5-(trifluoromethoxy)phenyl]- 1 -phenyl- 1 ,2,4- triazol-3 -amine
42 N-(3-isopropoxyphenyl)-l-(3-pyridyl)-l,2,4-triazol-3-amine
43 4-ethoxy-N-(l -phenyl- l,2,4-triazol-3-yl)pyridin-2-amine
44 4-methyl-N-(l-phenyl-l,2,4-triazol-3-yl)-2,3-dihydro-l,4- benzoxazin-7-amine
45 N-(2,3 -dihydro- 1 ,4-benzodioxin-6-yl)- 1 -(3 -pyridyl)- 1 ,2,4- triazol-3 -amine
46 N-(l,3-benzodioxol-5-yl)-l-(3-pyridyl)-l,2,4-triazol-3-amine
47 N-(3,5-dimethoxyphenyl)-l-(3-pyridyl)-l,2,4-triazol-3-amine
48 N-(3,5-dimethylphenyl)-l-(3-pyridyl)-l,2,4-triazol-3-amine
49 N-[3-(cyclopentoxy)phenyl]-l-phenyl-l,2,4-triazol-3-amine
50 N-(3-benzyloxy-4-methyl-phenyl)-l -phenyl- l,2,4-triazol-3 - amine
Cmpd
Cmpd Name
No.
51 N-[2-fluoro-5-(trifluoromethoxy)phenyl]-l -phenyl- 1 ,2,4- triazol-3 -amine
52 2-methoxy-N-methyl-5-[( 1 -phenyl- 1 ,2,4-triazol-3 - yl)amino]benzamide
53 N-(5-isopropoxy-2-methyl-phenyl)-l-phenyl-l,2,4-triazol-3- amine
54 N-[3 -(cyclopropylmethoxy)phenyl]- 1 -(3 -pyridyl)- 1 ,2,4-triazol- 3 -amine
55 l-(3-pyridyl)-N-[3-(trifluoromethoxy)phenyl]-l,2,4-triazol-3- amine
56 N-(3-methoxy-5-methyl-phenyl)-l-(3-pyridyl)-l,2,4-triazol-3- amine
57 2-isopropoxy-4-[( 1 -phenyl- 1 ,2,4-triazol-3 - yl)amino]benzonitrile
58 N-(3-methoxy-4-oxazol-5-yl-phenyl)-l -phenyl- l,2,4-triazol-3- amine
59 4-[3-(5-methoxy-2-methyl-anilino)-l,2,4-triazol-l-yl]pyridin-2- ol
60 N-[3-(4-methylpiperazin-l-yl)phenyl]-l-phenyl-l,2,4-triazol-3- amine
61 N-[3-[(l-phenyl-l,2,4-triazol-3-yl)amino]phenyl]acetamide
62 Nl ,N1 -dimethyl-N3 -( 1 -phenyl- 1 ,2,4-triazol-3 -yl)benzene- 1,3- diamine
63 4-methyl-Nl-(l-phenyl-l,2,4-triazol-3-yl)benzene-l,3-diamine
64 4-methyl-N3-(l-phenyl-l,2,4-triazol-3-yl)benzene-l,3-diamine
65 N-[3-methoxy-5-(trifluoromethoxy)phenyl]-l-phenyl-l,2,4- triazol-3 -amine
66 [3-[(l-phenyl-l,2,4-triazol-3-yl)amino]-5- (trifluoromethoxy )pheny 1 ] methanol
67 3-isobutoxy-5-[(l-phenyl-l,2,4-triazol-3-yl)amino]benzoic acid
68 N-(5-ethoxy-2,3-dimethyl-phenyl)-l -phenyl- l,2,4-triazol-3- amine
69 N-(3-methoxyphenyl)-l -phenyl- l,2,4-triazol-3 -amine
70 Nl-methyl-N3-(l-phenyl-l,2,4-triazol-3-yl)benzene-l,3- diamine
71 4-fluoro-Nl -(1 -phenyl- 1 ,2,4-triazol-3 -yl)benzene- 1 ,3 -diamine
72 3 -[(1 -phenyl- 1 ,2,4-triazol-3 -yl)amino]phenol
73 l-phenyl-N-(2,4,5-trimethylphenyl)-l,2,4-triazol-3-amine
74 N-(4-fluoro-2,5-dimethyl-phenyl)-l-phenyl-l,2,4-triazol-3- amine
75 N-(4,5-difluoro-2-methoxy-phenyl)- 1 -phenyl- 1 ,2,4-triazol-3 - amine
Cmpd
Cmpd Name
No.
76 N-(2,5-difluoro-4-methoxy-phenyl)- 1 -phenyl- 1 ,2,4-triazol-3 - amine
77 l-phenyl-N-(2,4,5-trifluorophenyl)-l,2,4-triazol-3-amine
78 N-(3-methoxy-5-methyl-phenyl)-l-phenyl-l,2,4-triazol-3-amine
79 N-(3,5-dimethoxyphenyl)-l -phenyl- l,2,4-triazol-3 -amine
80 N-[3-(cyclopropylmethoxy)-5-methyl-phenyl]-l-phenyl-l,2,4- triazol-3 -amine
81 N-(3-fluoro-5-sec-butoxy-phenyl)-l-phenyl-l,2,4-triazol-3- amine
82 2, 5-dimethyl-Nl -( 1 -phenyl- 1 ,2,4-triazol-3 -yl)benzene- 1 ,4- diamine
83 N-(5-methoxy-2-methyl-phenyl)-l-(2-methoxy-4-pyridyl)- l,2,4-triazol-3 -amine
84 N-(3 -isopropoxyphenyl)- 1 -(2-methoxy-4-pyridyl)- 1 ,2,4-triazol- 3 -amine
85 N-benzyl-4-[3-(5-methoxy-2-methyl-anilino)-l,2,4-triazol-l- yl]pyridin-2-amine
86 N-benzyl-4-[3-(3-isopropoxyanilino)-l,2,4-triazol-l-yl]pyridin- 2-amine
88 methyl 2-methoxy-5-[(l-phenyl-l,2,4-triazol-3- yl)amino]benzoate
89 N-(3 -isopropoxyphenyl)- 1 -(4-pyridyl)- 1 ,2,4-triazol-3 -amine
90 4-methoxy-Nl-(l-phenyl-l,2,4-triazol-3-yl)benzene-l,3- diamine
91 N-(3 -morpholinophenyl)- 1 -phenyl- 1 ,2,4-triazol-3 -amine
92 Nl ,4-dimethyl-N3 -(1 -phenyl- 1 ,2,4-triazol-3 -yl)benzene- 1,3- diamine
93 N-(3,5-dimethylphenyl)-l-(4-pyridyl)-l,2,4-triazol-3-amine
94 5-isopropoxy-2-methyl-N-(l-phenyl-l,2,4-triazol-3-yl)pyridin- 3 -amine
95 N-(5-ethoxy-2-methyl-phenyl)-l-phenyl-l,2,4-triazol-3-amine
96 4-fluoro-6-methyl-Nl -(1 -phenyl- 1 ,2,4-triazol-3 -yl)benzene- 1,3- diamine
97 N-[4-ethyl-3 -[( 1 -phenyl- 1 ,2,4-triazol-3 - yl)amino]phenyl]acetamide
98 N-(4-isopropoxy-3 -morpholino-phenyl)- 1 -phenyl- 1 ,2,4-triazol- 3 -amine
99 N-(3,5-diisopropoxyphenyl)-l-phenyl-l,2,4-triazol-3-amine
100 2-methoxy-N,N-dimethyl-5-[(l-phenyl-l,2,4-triazol-3- yl)amino]benzamide
101 2- methoxy-N-(l-methylcyclopropyl)-5-[(l-phenyl-l,2,4-triazol-
3- yl)amino]benzamide
Cmpd
Cmpd Name
No.
102 N-isopropyl-2-methoxy-5-[(l-phenyl-l,2,4-triazol-3- yl)amino]benzamide
103 2-methoxy-5-[(l -phenyl- l,2,4-triazol-3-yl)amino]benzamide
104 N-ethyl-2-methoxy-4-methyl-5-[(l-phenyl-l,2,4-triazol-3- yl)amino]benzamide
105 N-ethyl-2-fluoro-5-[(l-phenyl-l,2,4-triazol-3- yl)amino]benzamide
106 2-methoxy-5-[(l-phenyl-l,2,4-triazol-3-yl)amino]-N-(2,2,2- trifluoroethyl)benzamide
107 N-methyl-3 -[(1 -phenyl- l,2,4-triazol-3-yl)amino]benzamide
108 N-ethyl-2-methoxy-5-[( 1 -phenyl- 1 ,2,4-triazol-3 - yl)amino]benzamide
109 2-methoxy-5-[(l -phenyl- l,2,4-triazol-3-yl)amino]benzoic acid
1 10 N-[3 -(cyclopropoxy)phenyl]- 1 -phenyl- 1 ,2,4-triazol-3 -amine
1 1 1 N-[3-(oxetan-3-yloxy)phenyl]-l-phenyl-l,2,4-triazol-3-amine
1 12 l-phenyl-N-(3-tetrahydrofuran-3-yloxyphenyl)-l,2,4-triazol-3- amine
1 13 l-phenyl-N-(3-tetrahydropyran-4-yloxyphenyl)-l,2,4-triazol-3- amine
1 14 N-[5-(lH-imidazol-2-yl)-2-methyl-phenyl]-l-phenyl-l,2,4- triazol-3 -amine
1 15 N-(3-isopropoxy-4-methyl-phenyl)-l-phenyl-l,2,4-triazol-3- amine
1 16 N-(5-isopropoxy-2-isopropyl-phenyl)-l-phenyl-l,2,4-triazol-3- amine
1 17 N-[4-(3-furyl)-3-methoxy -phenyl]- 1-phenyl-l, 2,4-triazol-3- amine
1 18 N-(3-methoxy-4-tetrahydrofuran-3-yl-phenyl)- 1-phenyl-l, 2,4- triazol-3 -amine
1 19 N-ethyl-5-[(l-phenyl-l,2,4-triazol-3-yl)amino]-2,3- dihydrobenzofuran-7-carboxamide
120 1 -phenyl-N-(3 -pyrrolidin- 1 -ylphenyl)- 1 ,2,4-triazol-3 -amine
121 N2-[(l S)-l -(5-fluoro-2-pyridyl)ethyl]-N4-(l-phenyl-l,2,4- triazol-3-yl)pyridine-2,4-diamine
122 tert-butyl 3-[3-[(l-phenyl-l,2,4-triazol-3- yl)aminolphenyl]piperidine-l-carboxylate
123 l-phenyl-N-[3 -(3 -piped dyl)phenyl]-l,2,4-triazol-3 -amine
124 methyl 2-methoxy-4-[(l-phenyl-l,2,4-triazol-3- yl)amino]benzoate
125 2-methoxy-N-(oxetan-3-yl)-4-[(l-phenyl-l,2,4-triazol-3- yl)amino]benzamide
126 rel-N- [3 -methoxy-4- [(3 S)-tetrahy drofuran-3 -yljphenyl] - 1 - phenyl- 1 ,2,4-triazol-3 -amine
Cmpd
Cmpd Name
No.
127 re/-N-[3-methoxy-4-[(3R)-tetrahydrofuran-3-yl]phenyl]-l- phenyl- 1 ,2,4-triazol-3 -amine
128 tert-butyl 3-[2-methoxy-4-[(l-phenyl-l,2,4-triazol-3- yl)aminolphenyl]pyrrolidine- 1 -carboxylate
129 N-(3 -methoxy-4-pyrrolidin-3 -yl-phenyl)- 1 -phenyl- 1 ,2,4-triazol - 3 -amine
130 1 -[3 -[2-methoxy-4-[(l -phenyl- 1 ,2,4-triazol-3 - yl)aminolphenyllpyrrolidin-l-yl]ethanone
131 l-(4-fluorophenyl)-N-(3-isopropoxyphenyl)-l,2,4-triazol-3- amine
132 4-[3-(3-methoxy-4-tetrahydrofuran-3-yl-anilino)-l,2,4-triazol- l-yl]benzonitrile
133 4-[3-(3-methoxy-4-tetrahydrofuran-3-yl-anilino)-l,2,4-triazol- l-yl]benzamide
134 4-[3 -(3 -isopropoxyanilino)- 1 ,2,4-triazol- 1 -yljbenzonitnle
135 l-(3-fluorophenyl)-N-(3-isopropoxyphenyl)-l,2,4-triazol-3- amine
136 N-[(l S)-l-(5-fluoro-2-pyridyl)ethyl]-4-[3-(3- isopropoxyanilino)- 1 ,2,4-triazol- 1 -yl]pyridin-2-amine
137 3-methyl-5-[(l -phenyl- l,2,4-triazol-3-yl)amino]benzonitrile
138 N-(3-fluoro-4-tetrahydrofuran-3 -yl-phenyl)- 1 -phenyl- 1,2,4- triazol-3 -amine
139 N-(3,5-diethoxyphenyl)-l -phenyl- l,2,4-triazol-3 -amine
140 N-(3 -isopropoxyphenyl)- 1 -[4-(trifluoromethyl)phenyl]- 1 ,2,4- triazol-3 -amine
141 N- [3 -chloro-4-(2, 5 -dihy dro- 1 H-pyrrol-3 -yl)phenyl] - 1 -phenyl- l,2,4-triazol-3 -amine
142 N-(3-chloro-4-pyrrolidin-3 -yl-phenyl)- 1 -phenyl- l,2,4-triazol-3 - amine
143 [2-methoxy-4-[(l -phenyl- 1,2,4-tri azol-3-yl)amino]phenyl]- morpholino-methanone
144 [4-[[l-(4-fluorophenyl)-l,2,4-triazol-3-yl]amino]-2-isopropoxy- phenyl]-morpholino-methanone
145 N-(3 ,5-difluoro-4-tetrahydrofuran-3 -yl-phenyl)- 1 -phenyl- 1 ,2,4- triazol-3 -amine
146 N-[3,5-difluoro-4-(3-furyl)phenyl]-l-phenyl-l,2,4-triazol-3- amine
147 N-(3 -methoxy-4-pyrrolidin-2-yl-phenyl)- 1 -phenyl- 1 ,2,4-triazol- 3 -amine
148 4-[[l-(4-fluorophenyl)-l,2,4-triazol-3-yl]amino]-2-isopropoxy- N-(oxetan-3-yl)benzamide
149 N-(3 -isopropoxyphenyl)- 1 -[3 -(trifluoromethyl)phenyl]- 1 ,2,4- triazol-3 -amine
150 N-(4-fluoro-3-tetrahydrofuran-3 -yl-phenyl)- 1 -phenyl- 1,2,4- tri azol-3 -amine
Cmpd
Cmpd Name
No.
151 N-(2,4-difluoro-5-tetrahy drofuran-3 -yl-phenyl)- 1 -phenyl- 1 ,2,4- triazol-3 -amine
152 tert-butyl 2-[2-fluoro-5-[(l-phenyl-l,2,4-triazol-3- yl)aminolphenyl]pyrrolidine- 1 -carboxylate
153 N-(4-fluoro-3-pyrrolidin-2-yl-phenyl)-l -phenyl- l,2,4-triazol-3 - amine
154 N2-[(lR)-l-(5-fluoro-2-pyridyl)ethyl]-N4-(l -phenyl- 1,2,4- triazol-3-yl)pyridine-2,4-diamine
155 N4-( 1 -phenyl- 1 ,2,4-triazol-3 -yl)-N2- [( 1 S) - 1 - (2- pyridyl)ethyl]pyridine-2,4-diamine
156 tert-butyl 3-[2-fluoro-5-[[l-(3-fluorophenyl)-l,2,4-triazol-3- yl]amino]phenyl]pyrrolidine-l -carboxylate
157 1 -(3 -fluorophenyl)-N-(4-methoxy-3 -tetrahy drofuran-3 -yl- phenyl)- 1 ,2,4-triazol-3 -amine
158 1 -(3 -fluorophenyl)-N-(4-fluoro-3 -pyrrolidin-3 -yl-phenyl)- 1 ,2,4- triazol-3 -amine
160 N4-[ 1 -(3 ,4-difluorophenyl)- 1 ,2,4-triazol-3 -yl]-N2-[( 1R)- 1 -(2- pyridyl)ethyl]pyridine-2,4-diamine
161 N-[ 1 -(3 ,4-difluorophenyl)- 1 ,2,4-triazol-3 -yl]-2-methyl-5- morpholino-pyridin-3 -amine
162 1 -(3 ,4-difluorophenyl)-N-(3 -methoxy-4-tetrahy drofuran-3 -yl- phenyl)- 1 ,2,4-triazol-3 -amine
163 2- methyl-5-morpholino-N-(l -phenyl- 1,2,4-tri azol-3-yl)pyri din-
3 - amine
164 2-methyl-5-(4-methylpiperazin- 1 -yl)-N-(l -phenyl- 1 ,2,4-triazol- 3 -yl)pyridin-3 -amine
165 N-[ 1 -(3 ,4-difluorophenyl)- 1 ,2,4-triazol-3 -yl]-2-methyl-5-(4- methylpiperazin- 1 -yl)pyridin-3 -amine
166 2-ethyl-5-morpholino-N-(l -phenyl- 1,2,4-tri azol-3-yl)pyridin-3- amine
167 N-[ 1 -(3 ,4-difluorophenyl)- 1 ,2,4-triazol-3 -yl]-2-ethyl-5- morpholino-pyridin-3 -amine
168 2-methyl-N-(l-phenyl-l,2,4-triazol-3-yl)-5-tetrahydropyran-4- yl-pyridin-3 -amine
169 N-[ 1 -(3 ,4-difluorophenyl)- 1 ,2,4-triazol-3 -yl]-2-methyl-5- pyrrolidin- 1 -yl-pyridin-3 -amine
170 N-[ 1 -(3 ,4-difluorophenyl)- 1 ,2,4-triazol-3 -yl]-2-methyl-5-(9- methyl-3,9-diazabicyclo[4.2.1]nonan-3-yl)pyridin-3-amine
171 N-[ 1 -(3 ,4-difluorophenyl)- 1 ,2,4-triazol-3 -yl]-5-isopropoxy-2- methyl-pyridin-3 -amine
172 N-[l-(3,5-difluorophenyl)-l,2,4-triazol-3-yl]-5-isopropoxy-2- methyl-pyridin-3 -amine
173 2- chloro-5-morpholino-N-(l -phenyl- 1,2,4-tri azol-3-yl)pyri din-
3 - amine
174 2-chloro-N-[ 1 -(3 ,4-difluorophenyl)- 1 ,2,4-triazol-3 -yl]-5- morpholino-pyridin-3 -amine
Cmpd
Cmpd Name
No.
175 N-[ 1 -(3 ,4-difluorophenyl)- 1 ,2,4-triazol-3 -yl]-2-methyl-5-(l - piped dyl)pyridin-3 -amine
176 2-phenyl-N-(l -phenyl- 1 ,2,4-triazol-3 -yl)-6-pyrrolidin- 1 -yl- pyridin-4-amine
177 N-[l-(2-fluoro-4-pyridyl)-l,2,4-triazol-3-yl]-5-isopropoxy-2- methyl-pyridin-3 -amine
178 4-[3-[(5-isopropoxy-2-methyl-3-pyridyl)amino]-l,2,4-triazol-l- yl]pyridin-2-ol
179 5-isopropoxy-2-methyl-N-[l-(2-methyl-4-pyridyl)-l,2,4-triazol- 3 -yl]pyridin-3 -amine
180 2-methyl-N-(l-phenyl-l,2,4-triazol-3-yl)-5-(4- piperidyl)pyridin-3 -amine
181 2-methyl-5-(l-methyl-4-piperidyl)-N-(l-phenyl-l,2,4-triazol-3- yl)pyridin-3 -amine
182 N-[ 1 -(3 ,4-difluorophenyl)- 1 ,2,4-triazol-3 -yl]-2-methyl-5-(l - methyl-4-piperidyl)pyridin-3-amine
185 N-[ 1 -(3 ,4-difluorophenyl)- 1 ,2,4-triazol-3 -yl]-2-morpholino- pyridin-4-amine
186 N-[ 1 -(3 ,4-difluorophenyl)- 1 ,2,4-triazol-3 -yl]-2-methyl-5-(2- methylmo holin-4-yl)pyridin-3-amine
187 2-chloro-N-[ 1 -(3 ,4-difluorophenyl)- 1 ,2,4-triazol-3 -yl]-6- methyl-pyridin-4-amine
188 2-methyl-N-(l-phenyl-l,2,4-triazol-3-yl)-5-tetrahydrofuran-3- yl-pyridin-3 -amine
189 N-[ 1 -(3 ,4-difluorophenyl)- 1 ,2,4-triazol-3 -yl]-2-methyl-5- tetrahydrofuran-3-yl-pyridin-3 -amine
190 N-[ 1 -(3 ,4-difluorophenyl)- 1 ,2,4-triazol-3 -yl]-2-methyl-5- tetrahydropyran-4-yl-pyridin-3-amine
191 2-chloro-N-[ 1 -(4-fluoro-3 -mo holino-phenyl)- 1 ,2,4-triazol-3 - yl]-6-methyl-pyridin-4-amine
192 6-methyl-5-[(l -phenyl- l,2,4-triazol-3-yl)amino]pyridin-3-ol
193 5-[[l-(3,5-difluorophenyl)-l,2,4-triazol-3-yl]amino]-6-methyl- pyridin-3-ol
194 2-ethyl-5-isopropoxy-N-(l-phenyl-l,2,4-triazol-3-yl)pyridin-3- amine
195 N-[l-(3,5-difluorophenyl)-l,2,4-triazol-3-yl]-2-ethyl-5- isopropoxy-pyridin-3-amine
196 2- chloro-5-isopropoxy-N-(l-phenyl-l,2,4-triazol-3-yl)pyridin-
3 - amine
197 2-chloro-N-[l-(3,5-difluorophenyl)-l,2,4-triazol-3-yl]-5- isopropoxy-pyridin-3-amine
198 N-[l-(3,5-difluorophenyl)-l,2,4-triazol-3-yl]-2-methyl-5-[(l- methyl-4-piperidyl)oxy]pyridin-3-amine
199 2-methyl-N-(l-phenyl-l,2,4-triazol-3-yl)-5-tetrahydrofuran-3- yloxy-pyridin-3 -amine
Cmpd
Cmpd Name
No.
200 2-methyl-N-(l-phenyl-l,2,4-triazol-3-yl)-5-tetrahydropyran-4- yloxy-pyridin-3 -amine
201 2-methyl-5-( 1 -methylpyrrolidin-3 -yl)oxy-N-(l -phenyl- 1 ,2,4- triazol-3-yl)pyridin-3 -amine
202 5-[(E)-3 -methoxyprop- 1 -enyl]-2-methyl-N-( 1 -phenyl- 1 ,2,4- triazol-3-yl)pyridin-3 -amine
203 5-[(E)-3 ,3 -dimethylbut- 1 -enyl]-2-methyl-N-( 1 -phenyl- 1 ,2,4- triazol-3-yl)pyridin-3 -amine
204 2-methyl-5-[(l-methyl-4-piperidyl)oxy]-N-(l-phenyl-l,2,4- triazol-3-yl)pyridin-3 -amine
205 5-isopropoxy-2-methoxy-N-(l-phenyl-l,2,4-triazol-3- yl)pyridin-3 -amine
206 N-[l-(3,5-difluorophenyl)-l,2,4-triazol-3-yl]-5-isopropoxy-2- methoxy-pyridin-3 -amine
207 2-methyl-5-(oxetan-3-ylmethoxy)-N-(l-phenyl-l,2,4-triazol-3- yl)pyridin-3 -amine
208 2-(chloromethyl)-3-[[6-methyl-5-[(l-phenyl-l,2,4-triazol-3- yl)amino]-3 -pyridyl]oxy]propan- 1 -ol
209 tert-butyl 4-[[6-methyl-5-[(l-phenyl-l,2,4-triazol-3-yl)amino]- 3-pyridyl]oxy]piperidine-l-carboxylate
210 N-[ 1 -(3 , 5-difluorophenyl)- 1 ,2,4-triazol-3 -yl]-2-methyl-5- tetrahydropyran-4-yloxy-pyridin-3-amine
211 N5-isopropyl-2-methyl-N3-(l-phenyl-l,2,4-triazol-3- yl)pyridine-3 , 5 -diamine
212 N3-[l-(3,5-difluorophenyl)-l,2,4-triazol-3-yl]-N5-isopropyl-2- methyl-pyridine-3,5-diamine
213 N5-isopropyl-N5,2-dimethyl-N3-(l-phenyl-l,2,4-triazol-3- yl)pyridine-3 , 5 -diamine
214 l-(5-bromo-3-pyridyl)-N-(4-fluoro-2-methyl-phenyl)-l,2,4- triazol-3 -amine
215 tert-butyl 4-[[6-methyl-5-[(l-phenyl-l,2,4-triazol-3-yl)amino]- 3-pyridyllmethyllpiperidine-l-carboxylate
216 tert-butyl 4-[[5-[[l-(3,5-difluorophenyl)-l,2,4-triazol-3- yllaminol-6-methyl-3-pyridyllmethyllpiperidine-l-carboxylate
217 3-[2-[6-methyl-5-[(l-phenyl-l,2,4-triazol-3-yl)amino]-3- py ri dy 1 ] ethyl ] oxetan-3 -ol
218 3-[2-[5-[[l-(3,5-difluorophenyl)-l,2,4-triazol-3-yl]amino]-6- methyl-3-pyridyl]ethyl]oxetan-3-ol
219 2-methyl-N-(l-phenyl-l,2,4-triazol-3-yl)-5-(4- piperidylmethyl)pyridin-3 -amine
220 N-[l-(3,5-difluorophenyl)-l,2,4-triazol-3-yl]-2-methyl-5-(4- piperidylmethyl)pyridin-3 -amine
221 2-methyl-N-(l-phenyl-l,2,4-triazol-3-yl)-5-(tetrahydropyran-4- ylmethoxy)pyridin-3 -amine
222 2-methyl-5-(l-methyl-2-morpholino-ethoxy)-N-(l-phenyl- l,2,4-triazol-3-yl)pyridin-3 -amine
Cmpd
Cmpd Name
No.
223 2-(chloromethyl)-2-methyl-3-[[6-methyl-5-[(l-phenyl-l,2,4- triazol-3-yl)aminol-3-pyridylloxy]propan-l-ol
224 2- methyl-N-(l-phenyl-l,2,4-triazol-3-yl)-5-(2-tetrahydrofuran-
3- ylethoxy)pyridin-3-amine
225 2-methyl-N-(l-phenyl-l,2,4-triazol-3-yl)-5-(2-tetrahydropyran- 4-ylethoxy)pyridin-3 -amine
226 2-methyl-N-(l-phenyl-l,2,4-triazol-3-yl)-5-(tetrahydrofuran-2- ylmethoxy)pyridin-3 -amine
227 N-(3 -fluoro-5 -i sopropoxy-phenyl)- 1 -(5 -fluoro-3 -pyridyl)- 1,2,4- triazol-3 -amine
228 2-methyl-N3-(l-phenyl-l,2,4-triazol-3-yl)-N5-(4- piperidylmethyl)pyridine-3,5-diamine
229 2-methyl-N3 -( 1 -phenyl- 1 ,2,4-triazol-3 -yl)-N5-(3 - piperidylmethyl)pyridine-3,5-diamine
230 2-methyl-N3-(l-phenyl-l,2,4-triazol-3-yl)-N5- (tetrahydropyran-4-ylmethyl)pyridine-3,5-diamine
231 2-methyl-N3-(l-phenyl-l,2,4-triazol-3-yl)-N5- (tetrahy dropyran-3 -ylmethyl)pyridine-3 , 5 -diamine
232 2-methyl-N-(l-phenyl-l,2,4-triazol-3-yl)-5-(tetrahydropyran-2- ylmethoxy)pyridin-3 -amine
233 N-[l-(3,5-difluorophenyl)-l,2,4-triazol-3-yl]-2-methyl-5-[(l- methyl-4-piperidyl)methyl]pyridin-3-amine
234 2-methyl-5-[(l-methyl-4-piperidyl)methyl]-N-(l-phenyl-l,2,4- triazol-3-yl)pyridin-3 -amine
235 l-[3-[[[6-methyl-5-[(l-phenyl-l,2,4-triazol-3-yl)amino]-3- pyridyl]amino]methyl]-l-piperidyl]ethanone
236 2- methyl-N3-(l-phenyl-l,2,4-triazol-3-yl)-N5-(tetrahydrofuran-
3- ylmethyl)pyridine-3,5-diamine
237 2-methyl-N3-(l-phenyl-l,2,4-triazol-3-yl)-N5-(pyrrolidin-3- ylmethyl)pyridine-3,5-diamine
238 2-methyl-N-( 1 -phenyl- 1 ,2,4-triazol-3 -yl)-5-[ 1 -(3 - pyridyl)ethoxy]pyridin-3 -amine
239 5-[2-(lH-imidazol-2-yl)ethoxy]-2-methyl-N-(l-phenyl-l,2,4- triazol-3-yl)pyridin-3 -amine
240 2-methyl-N-( 1 -phenyl- 1 ,2,4-triazol-3 -yl)-5-[ 1 -(4- pyridyl)ethoxy]pyridin-3 -amine
241 N-[ 1 -(3 , 5-difluorophenyl)- 1 ,2,4-triazol-3 -yl]-5-methyl-2- tetrahydrofuran-3-yl-pyridin-4-amine
242 5-methyl-N-(l-phenyl-l,2,4-triazol-3-yl)-2-tetrahydrofuran-3- yl-pyridin-4-amine
243 2-(3-furyl)-5-methyl-N-(l-phenyl-l,2,4-triazol-3-yl)pyridin-4- amine
244 N5,2-dimethyl-N5-[(lR)-l-phenylethyl]-N3-(l-phenyl-l,2,4- triazol-3-yl)pyridine-3,5-diamine
245 N-[3 -( 1 , 1 ,2,2,2-pentadeuterioethoxy)phenyl]- 1 -phenyl- 1 ,2,4- triazol-3 -amine
Cmpd
Cmpd Name
No.
246 [(3S,5R)-l-[4-[3-(3-isopropoxyanilino)-l,2,4-triazol-l-yl]-2- pyridyll-5-methyl-3-piperidyllmethanol
247 2-methyl-N-(l-phenyl-l,2,4-triazol-3-yl)-5-pyrrolidin-3-yl- pyridin-3 -amine
248 2-methyl-N-(l-phenyl-l,2,4-triazol-3-yl)-5-pyrrolidin-2-yl- pyridin-3 -amine
249 5-(l-isobutylpyrrolidin-3-yl)-2-methyl-N-(l-phenyl-l,2,4- triazol-3-yl)pyridin-3 -amine
250 [ 1 - [4-[3 -(3 -isopropoxyanilino)- 1 ,2,4-triazol- 1 -yl]-2-pyridyl]-2- piperidyl]methanol
251 4-morpholino-N-(l -phenyl- 1 ,2,4-triazol-3 -yl)pyridin-2-amine
252 1 -[3-[6-methyl-5-[(l -phenyl- 1,2,4-tri azol-3-yl)amino]-3- py ri dy 1 ] py rroli din- 1 -y 1 ] ethanone
253 l-[2-[6-methyl-5-[(l-phenyl-l,2,4-triazol-3-yl)amino]-3- py ri dy 1 ] py rroli din- 1 -y 1 ] ethanone
254 5-(l-isobutylpyrrolidin-2-yl)-2-methyl-N-(l-phenyl-l,2,4- triazol-3-yl)pyridin-3 -amine
255 N-(3-isopropoxyphenyl)-l-[2-[(3S,5R)-3,4,5- trimethylpiperazin-l-yl]-4-pyridyl]-l,2,4-triazol-3-amine
256 rel-2-methyl-N-(l-phenyl-l,2,4-triazol-3-yl)-5-[(3R)- tetrahydrofuran-3-yl]pyridin-3 -amine
257 re/-2-methyl-N-(l-phenyl-l,2,4-triazol-3-yl)-5-[(3S)- tetrahydrofuran-3-yl]pyridin-3 -amine
258 4-(2-phenylpyrrolidin- 1 -yl)-N-(l -phenyl- 1 ,2,4-triazol-3 - yl)pyridin-2-amine
259 N-(l-phenyl-l,2,4-triazol-3-yl)-4-[2-(3-pyridyl)pyrrolidin-l- yl]pyridin-2-amine
260 4-(2-methylpyrrolidin-l-yl)-N-(l -phenyl- 1,2,4-tri azol-3- yl)pyridin-2-amine
261 4-(2-isopropylpyrrolidin- 1 -yl)-N-( 1 -phenyl- 1 ,2,4-triazol-3 - yl)pyridin-2-amine
262 N-(l-phenyl-l,2,4-triazol-3-yl)-4-[2-(2-pyridyl)pyrrolidin-l- yl]pyridin-2-amine
263 N5-[(l S)-l-(5-fluoro-2-pyridyl)ethyl]-2-methyl-N3-(l-phenyl- l,2,4-triazol-3-yl)pyridine-3,5-diamine
264 2-isopropoxy-4-[(l-phenyl-l,2,4-triazol-3-yl)amino]benzamide
265 5-[l-(3-methoxypropyl)pyrrolidin-2-yl]-2-methyl-N-(l-phenyl- l,2,4-triazol-3-yl)pyridin-3 -amine
266 N-[ 1 -[2-(azepan- 1 -yl)-4-pyridyl]- 1 ,2,4-triazol-3 -yl]-4,6- dimethyl-pyridin-2-amine
267 l-[2-(azepan-l-yl)-4-pyridyl]-N-(3,5-dimethylphenyl)-l,2,4- triazol-3 -amine
268 N-[ 1 -[2-(azepan- 1 -yl)-4-pyridyl]- 1 ,2,4-triazol-3 -yl]- 1 -methyl- indazol-6-amine
269 N-[ 1 -[6-(azepan- 1 -yl)pyrimidin-4-yl]- 1 ,2,4-triazol-3 -yl]- 1 -
Cmpd
Cmpd Name
No.
methyl-indazol-6-amine
270 1 -[6-[(l -phenyl- 1 ,2,4-triazol-3 -yl)amino]indolin- 1 -yljethanone
271 N-[ 1 -(2-fluoro-4-pyridyl)- 1 ,2,4-triazol-3 -yl]-4,6-dimethyl- pyridin-2-amine
272 2-[4-[(l-phenyl-l,2,4-triazol-3-yl)amino]-2-pyridyl]propan-2-ol
273 2-[4-[[l-(3,5-difluorophenyl)-l,2,4-triazol-3-yl]amino]-2- pyridyl]propan-2-ol
274 1 -(3 -ethoxyphenyl)-N-(3 -methoxyphenyl)- 1 ,2,4-triazol-3 -amine
275 N-(3-bromo-5-tert-butyl-phenyl)-l-phenyl-l,2,4-triazol-3- amine
276 l-(3,5-difluorophenyl)-N-(3-isopropoxy-4-tetrahydropyran-4- yl-phenyl)-l,2,4-triazol-3 -amine
277 N- [4-fluoro-3 -methyl-5 -(4-methylpiperazin- 1 -yl)phenyl] - 1 - phenyl- 1 ,2,4-triazol-3 -amine
278 N-(3-isopropoxy-4-tetrahydropyran-4-yl-phenyl)-l-phenyl- l,2,4-triazol-3 -amine
279 N-(3-isopropoxy-4-tetrahydropyran-4-yl-phenyl)-l-(3-pyridyl)- l,2,4-triazol-3 -amine
280 N-(3-isopropoxy-4-tetrahydropyran-4-yl-phenyl)-l-(2-pyridyl)- l,2,4-triazol-3 -amine
281 N-[4-(3, 6-dihy dro-2H-pyran-4-yl)-3-(trifluoromethoxy)phenyl]- 1 -(2-pyridyl)- 1 ,2,4-triazol-3 -amine
282 N-(3-isopropoxy-4-tetrahydrofuran-3-yl-phenyl)-l-phenyl- l,2,4-triazol-3 -amine
283 N-(3 -i sopropoxy-4-tetrahy drofuran-3 -yl-phenyl)- 1 -(2-pyridy 1)- l,2,4-triazol-3 -amine
284 l-(3,5-difluorophenyl)-N-(3-isopropoxy-4-tetrahydrofuran-3-yl- phenyl)- 1 ,2,4-triazol-3 -amine
285 N-[4-(3, 6-dihy dro-2H-pyran-4-yl)-3-(trifluoromethoxy)phenyl]- 1 -phenyl- 1 ,2,4-triazol-3 -amine
286 l-(2-pyridyl)-N-[4-tetrahydropyran-4-yl-3- (trifluoromethoxy )pheny 1 ] - 1 , 2,4 -tri azol -3 -amine
287 N-[3,4-bis(3,6-dihydro-2H-pyran-4-yl)phenyl]-l-phenyl-l,2,4- triazol-3 -amine
288 N-[3-isopropoxy-4-(l-methyl-4-piperidyl)phenyl]-l-phenyl- l,2,4-triazol-3 -amine
289 l-(3,5-difluorophenyl)-N-[3-isopropoxy-4-(l-methyl-4- piperidyl)phenyl]- 1 ,2,4-triazol-3 -amine
290 l-phenyl-N-[4-tetrahydropyran-4-yl-3- (trifluoromethoxy )pheny 1 ] - 1 , 2,4 -tri azol -3 -amine
291 N-[3,4-di(tetrahydropyran-4-yl)phenyl]-l-phenyl-l,2,4-triazol- 3 -amine
292 N-(3,4-dimethoxyphenyl)-l -phenyl- l,2,4-triazol-3 -amine
293 N-( 1 -phenyl- 1 ,2,4-triazol-3 -yl)spiro[indoline-3 ,4'-
Cmpd
Cmpd Name
No.
tetrahydropyran]-6-amine
294 l-[6-[(l-phenyl-l,2,4-triazol-3-yl)amino]spiro[indoline-3,4'- tetrahydropyran]- 1 -yljethanone
295 l-isopropyl-N-(l-phenyl-l,2,4-triazol-3-yl)spiro[indoline-3,4'- tetrahydropyran]-6-amine
296 N-[ 1 -(2-fluoro-4-pyridyl)- 1 ,2,4-triazol-3 -yl]- 1 -isopropyl- spiro[indoline-3,4'-tetrahydropyran]-6-amine
297 l-isopropyl-N-(l-phenyl-l,2,4-triazol-3-yl)indolin-6-amine
298 1 -isopropyl -N-[ 1 -(2-pyridyl)- 1 ,2,4-triazol-3 -yl] spiro[indoline- 3,4'-tetrahydropyran]-6-amine
299 N-(3-allyloxy-4-tetrahydropyran-4-yl-phenyl)-l-(3-allyl-2- pyridyl)- 1 ,2,4-triazol-3 -amine
300 l-(oxetan-3-yl)-N-(l -phenyl- l,2,4-triazol-3 -yl)spiro[indoline- 3,4'-tetrahydropyran]-6-amine
301 l-(l-methylpyrrolidin-3-yl)-N-(l -phenyl- l,2,4-triazol-3 - yl)spiro[indoline-3,4'-tetrahydropyran]-6-amine
302 l-(oxetan-3-yl)-N-(l -phenyl- l,2,4-triazol-3-yl)indolin-6-amine
303 l-(l-methylpyrrolidin-3-yl)-N-(l -phenyl- l,2,4-triazol-3 - yl)indolin-6-amine
304 l-isopropyl-N-(l-phenyl-l,2,4-triazol-3-yl)indol-6-amine
305 l-[5-[(l-phenyl-l,2,4-triazol-3-yl)amino]spiro[indoline-3,4'- piperidine]-l-yl]ethanone
306 1 -[ 1 '-isopropyl-5-[( 1 -phenyl- 1 ,2,4-triazol-3 - yl)amino]spiro[indoline-3,4'-piperidine]-l-yl]ethanone
307 N3,4-dimethyl-N3-(oxetan-3-yl)-Nl-(l-phenyl-l,2,4-triazol-3- yl)benzene- 1 ,3 -diamine
308 1 -(3 -methoxy- 1 -methyl-propyl)-N-(l -phenyl- 1 ,2,4-triazol-3 - yl)indolin-6-amine
309 1 -isopropyl- 1 '-(oxetan-3 -yl)-N-(l -phenyl- 1 ,2,4-triazol-3 - yl)spiro[indoline-3,4'-piperidine]-5-amine
310 1 -(2-methoxyethyl)-N-( 1 -phenyl- 1 ,2,4-triazol-3 -yl)indazol-6- amine
311 l-(2-methoxyethyl)-N-(l -phenyl- l,2,4-triazol-3-yl)-3, 4- dihydro-2H-quinolin-7-amine
312 l-isopropyl-N-(l-phenyl-l,2,4-triazol-3-yl)spiro[indoline-3,4'- tetrahydropyran]-5-amine
313 N-[ 1 -(2-fluoro-4-pyridyl)- 1 ,2,4-triazol-3 -yl]- 1 -isopropyl- spiro[indoline-3,4'-tetrahydropyran]-5-amine
314 4-[3-[(l-isopropylspiro[indoline-3,4'-tetrahydropyran]-5- yl)amino]- 1 ,2,4-triazol- 1 -yl]- lH-pyridin-2-one
315 N-[ 1 -(3 , 5-difluorophenyl)- 1 ,2,4-triazol-3 -yl]- 1 -isopropyl- spiro[indoline-3,4'-tetrahydropyran]-5-amine
316 N-[ 1 -(3 , 5-difluorophenyl)- 1 ,2,4-triazol-3 -yl]- 1 -(2- methoxyethyl)-3,4-dihydro-2H-quinolin-7-amine
Cmpd
Cmpd Name
No.
317 N-[ 1 -(2-fluoro-4-pyridyl)- 1 ,2,4-triazol-3 -yl]- 1 -(2- methoxyethyl)-3,4-dihydro-2H-quinolin-7-amine
318 4-[3-[[l-(2-methoxyethyl)-3,4-dihydro-2H-quinolin-7- yl]amino]- 1 ,2,4-triazol- 1 -yl]- lH-pyridin-2-one
319 N-[ 1 -(3 ,5-difluorophenyl)- 1 ,2,4-triazol-3 -yl]- 1 -isopropyl- 1 '- (oxetan-3-yl)spiro[indoline-3,4'-piperidine]-5-amine
320 1 '-(oxetan-3 -yl)-N-(l -phenyl- l,2,4-triazol-3 -yl)spiro[indane- 3,4'-piperidine]-5-amine
321 1 '-(oxetan-3 -yl)-N-[ 1 -(2-pyridyl)- 1 ,2,4-triazol-3 - yl]spiro[indane-3,4'-piperidine]-5-amine
322 1 -isopropyl- 1 '-(oxetan-3 -yl)-N-[ 1 -(2-pyridyl)- 1 ,2,4-triazol-3 - yl]spiro[indoline-3,4'-piperidine]-5-amine
323 N-[ 1 -(2-fluoro-4-pyridyl)- 1 ,2,4-triazol-3 -yl]- 1 '-(oxetan-3 - yl)spiro[indane-3,4'-piperidine]-5-amine
324 N-[ 1 -(3 -fluorophenyl)- 1 ,2,4-triazol-3 -yl]- 1 '-(oxetan-3 - yl)spiro[indane-3,4'-piperidine]-5-amine
325 1 -(3 , 5 -difluorophenyl)-N- [4-fluoro-3 - [3 -fluoro- 1 -(oxetan-3 - yl)pyrrolidin-3-yl]phenyl]-l,2,4-triazol-3-amine
326 l-(3,5-difluorophenyl)-N-[4-methyl-3-[4-(oxetan-3- yl)piperazin- 1 -yl]phenyl]- 1 ,2,4-triazol-3 -amine
327 l-(3,5-difluorophenyl)-N-(2,3-dimethyl-5-nitro-phenyl)-l,2,4- triazol-3 -amine
328 N3-[l-(3,5-difluorophenyl)-l,2,4-triazol-3-yl]-4,5-dimethyl- benzene- 1 ,3 -diamine
329 1 -(3 , 5 -difluorophenyl)-N- [3 ,4-dimethy 1-5 - [4-(oxetan-3 - yl)piperazin- 1 -yl]phenyl]- 1 ,2,4-triazol-3 -amine
330 1 -(3 , 5 -difluorophenyl)-N- [3 -[4-(oxetan-3 -yl)piperazin- 1 - yl]phenyl]-l,2,4-triazol-3-amine
331 l-(3,5-difluorophenyl)-N-[2-methoxy-3-methyl-5-[4-(oxetan-3- yl)piperazin- 1 -yl]phenyl]- 1 ,2,4-triazol-3 -amine
332 N-[3 -[4-(oxetan-3 -yl)piperazin- 1 -yl]phenyl]- 1 -pyrazin-2-yl- l,2,4-triazol-3 -amine
333 N-[3-[4-(oxetan-3-yl)piperazin-l-yl]phenyl]-l-(2,3,5- trifluorophenyl)- 1 ,2,4-triazol-3 -amine
334 1 -(3 ,4-difluorophenyl)-N- [3 -[4-(oxetan-3 -yl)piperazin- 1 - yl]phenyl]-l,2,4-triazol-3-amine
335 l-(4-fluorophenyl)-N-[3-[4-(oxetan-3-yl)piperazin-l- yl]phenyl]-l,2,4-triazol-3-amine
336 N-[ 1 -(3 , 5-difluorophenyl)- 1 ,2,4-triazol-3 -yl]-5-methyl-2- (oxetan-3-yl)-3,4-dihydro-lH-isoquinolin-7-amine
337 N-[ 1 -(2, 5-difluorophenyl)- 1 ,2,4-triazol-3 -yl]-5-methyl-2- (oxetan-3-yl)-3,4-dihydro-lH-isoquinolin-7-amine
338 5-methyl-2-(oxetan-3-yl)-N-[l-(2,3,5-trifluorophenyl)-l,2,4- triazol-3-yl]-3,4-dihydro-lH-isoquinolin-7-amine
339 5-methyl-2-(oxetan-3-yl)-N-(l-pyrazin-2-yl-l,2,4-triazol-3-yl)- 3,4-dihydro-lH-isoquinolin-7-amine
Cmpd
Cmpd Name
No.
340 N-[ 1 -(3 ,4-difluorophenyl)- 1 ,2,4-triazol-3 -yl]-5-methyl-2- (oxetan-3-yl)-3,4-dihydro-lH-isoquinolin-7-amine
341 N-[l-(4-fluorophenyl)-l,2,4-triazol-3-yl]-5-methyl-2-(oxetan-3- yl)-3,4-dihydro-lH-isoquinolin-7-amine
342 N3-[l-(3,5-difluorophenyl)-l,2,4-triazol-3-yl]-Nl-(3- methoxypropyl)-Nl ,5-dimethyl-benzene- 1 ,3-diamine
343 N3-[l-(3,5-difluorophenyl)-l,2,4-triazol-3-yl]-Nl,Nl,5- trimethyl-benzene- 1 ,3-diamine
344 Nl-[l-(3,5-difluorophenyl)-l,2,4-triazol-3-yl]-N3-(3- fluoropropyl)-5-methyl-benzene-l,3-diamine
345 N3-[l-(3,5-difluorophenyl)-l,2,4-triazol-3-yl]-Nl-(2- ethoxypropyl)-5-methyl-benzene-l,3-diamine
346 N3-[ 1 -(3,5-difluorophenyl)- 1 ,2,4-triazol-3-yl]-Nl -(2-ethoxy-l - methyl-ethyl)-5-methyl-benzene-l,3-diamine
347 N3-[l-(3,5-difluorophenyl)-l,2,4-triazol-3-yl]-Nl-(2-methoxy- l-methyl-ethyl)-5-methyl-benzene-l,3-diamine
348 l-[3-[[l-(3,5-difluorophenyl)-l,2,4-triazol-3-yl]amino]-N,5- dimethyl-anilino]propan-2-ol
349 1 -(3 , 5 -difluorophenyl)-N- [3 - [4-(oxetan-3 -yl)morpholin-2- yl]phenyl]-l,2,4-triazol-3-amine
350 rel- 1 -(3 , 5 -difluorophenyl)-N- [3 - [(2R)-4-(oxetan-3 - yl)morpholin-2-yl]phenyl]-l,2,4-triazol-3-amine
351 rel- 1 -(3 , 5 -difluorophenyl)-N- [3 - [(2 S)-4-(oxetan-3 - yl)morpholin-2-yl]phenyl]-l,2,4-triazol-3-amine
352 N3-[l-(3,5-difluorophenyl)-l,2,4-triazol-3-yl]-Nl-[(l S)-2- methoxy- 1 -methyl-ethyl]-5-methyl-benzene- 1 ,3-diamine
353 N3-[l-(3,5-difluorophenyl)-l,2,4-triazol-3-yl]-Nl-[(lR)-2- methoxy- 1 -methyl-ethyl]-5-methyl-benzene- 1 ,3-diamine
354 l-(3,5-difluorophenyl)-N-(m-tolyl)-l,2,4-triazol-3-amine
355 N-[l-(3,5-difluorophenyl)-l,2,4-triazol-3-yl]-4-methyl-pyridin- 2-amine
356 N-(3-chloro-5-methyl-phenyl)-l -(3,5-difluorophenyl)- 1,2,4- triazol-3 -amine
357 N-[l-(3,5-difluorophenyl)-l,2,4-triazol-3-yl]-5,6-dimethoxy- pyridin-2-amine
358 l-(3,5-difluorophenyl)-N-(2,3-dimethylphenyl)-l,2,4-triazol-3- amine
359 N2-(2-methoxy- 1 -methyl-ethyl)-4-methyl-N6-[ 1 -[3- (trifluoromethyl)phenyl]-l,2,4-triazol-3-yl]pyridine-2,6-diamine
360 l-(3,5-difluorophenyl)-N-(2,5-dimethylphenyl)-l,2,4-triazol-3- amine
361 N6-[l-[3-(difluoromethyl)phenyl]-l,2,4-triazol-3-yl]-N2-(2- methoxy-l-methyl-ethyl)-4-methyl-pyridine-2,6-diamine
362 l-[3-[[l-(3,5-difluorophenyl)-l,2,4-triazol-3-yl]amino]-5- methyl-phenyl]-3 -methyl-pent- l-yn-3-ol
Cmpd
Cmpd Name
No.
363 l-[3-[[l-(3-fluorophenyl)-l,2,4-triazol-3-yl]amino]-5-methyl- phenyl] -3 -methyl-pent- 1 -yn-3 -ol
364 1 -(3 , 5 -difluorophenyl)-N- [4-methyl-3 -(3 -morpholinoazetidin- 1 - yl)phenyl]-l,2,4-triazol-3-amine
365 1 -(3 , 5 -difluorophenyl)-N- [3 ,4-dimethy 1-5 - (3 - morpholinoazetidin-l-yl)phenyl]-l,2,4-triazol-3-amine
366 1 -(3 ,4-difluorophenyl)-N- [4-methyl-3 -(3 -morpholinoazetidin- 1 - yl)phenyl]-l,2,4-triazol-3-amine
367 1 -(3 ,4-difluorophenyl)-N- [3 ,4-dimethy 1-5 - (3 - morpholinoazetidin-l-yl)phenyl]-l,2,4-triazol-3-amine
368 6-chloro-4-(methoxymethyl)-N-[l-[3-(trifluoromethyl)phenyl]- l,2,4-triazol-3-yl]pyridin-2-amine
369 1 -(3 , 5 -difluorophenyl)-N- [3 -methyl-4-[4-(oxetan-3 - yl)piperazin- 1 -yljphenyl]- 1 ,2,4-triazol-3 -amine
370 l-(3,4-difluorophenyl)-N-[3-methyl-4-[4-(oxetan-3- yl)piperazin- 1 -yljphenyl]- 1 ,2,4-triazol-3 -amine
371 1 -(3 , 5 -difluorophenyl)-N- [3 -methyl-4-(3 -mo holinoazetidin- 1 - yl)phenyl]-l,2,4-triazol-3-amine
372 1 -(3 ,4-difluorophenyl)-N- [3 -methyl-4-(3 -mo holinoazetidin- 1 - yl)phenyl]-l,2,4-triazol-3-amine
373 N- [3 -(cy clopentoxy)phenyl] - 1 -(3 , 5 -difluorophenyl)- 1,2,4- triazol-3 -amine
374 1 -(3 , 5 -difluorophenyl)-N-(3 -methoxy-4-morpholino-phenyl)- l,2,4-triazol-3 -amine
375 l-(3,5-difluorophenyl)-N-(5-isopropoxy-2-methyl-phenyl)- l,2,4-triazol-3 -amine
376 N-[l-(3,5-difluorophenyl)-l,2,4-triazol-3-yl]-5-methyl-6-[4- (oxetan-3-yl)piperazin-l-yl]pyridin-2-amine
377 1 -(3 , 5 -difluorophenyl)-N-(3 -propoxyphenyl)- 1 ,2,4-triazol-3 - amine
378 N-(2,5-diethoxyphenyl)-l-(3,5-difluorophenyl)-l,2,4-triazol-3- amine
379 l-(3,5-difluorophenyl)-N-(3,4,5-trimethoxyphenyl)-l,2,4- triazol-3 -amine
380 l-(3,5-difluorophenyl)-N-(3,5-dimethoxyphenyl)-l,2,4-triazol- 3 -amine
381 l-(3,5-difluorophenyl)-N-(3-methoxyphenyl)-l,2,4-triazol-3- amine
382 N-(2,2-difluoro-l,3-benzodioxol-5-yl)-l-(3,5-difluorophenyl)- l,2,4-triazol-3 -amine
383 l-(3,5-difluorophenyl)-N-(2,5-dimethoxyphenyl)-l,2,4-triazol- 3 -amine
384 1 -(3 , 5 -difluorophenyl)-N- [3 -methoxy-5 - (trifluoromethyl)phenyl]-l,2,4-triazol-3-amine
385 l-(3,5-difluorophenyl)-N-(2,3-dihydro-l,4-benzodioxin-6-yl)- l,2,4-triazol-3 -amine
Cmpd
Cmpd Name
No.
386 l-(3,5-difluorophenyl)-N-(3,4-dimethoxyphenyl)-l,2,4-triazol- 3 -amine
387 l-(3,5-difluorophenyl)-N-(5-methoxy-2-methyl-phenyl)-l,2,4- triazol-3 -amine
388 l-(3,5-difluorophenyl)-N-(2,3-dimethoxyphenyl)-l,2,4-triazol- 3 -amine
389 N-(l,3-benzodioxol-5-yl)-l-(3,5-difluorophenyl)-l,2,4-triazol- 3 -amine
390 l-(3,5-difluorophenyl)-N-(3-ethoxyphenyl)-l,2,4-triazol-3- amine
391 N-(2,2-difluoro- 1 ,3 -benzodioxol-4-yl)- 1 -(3 ,5-difluorophenyl)- l,2,4-triazol-3 -amine
392 1 -(3 , 5 -difluorophenyl)-N- [3 -(trifluoromethoxy)phenyl] - 1,2,4- triazol-3 -amine
393 l-(3,5-difluorophenyl)-N-(2,2,3,3-tetrafluoro-l,4-benzodioxin- 6-yl)-l,2,4-triazol-3 -amine
394 1 -(3 , 5 -difluorophenyl)-N-(3 ,4-dihy dro-2H- 1 , 5 -benzodioxepin- 7-yl)-l,2,4-triazol-3 -amine
395 l-(3,5-difluorophenyl)-N-(3-isopropoxyphenyl)-l,2,4-triazol-3- amine
396 1 -(3 , 5 -difluorophenyl)-N-(4-fluoro-3 -methoxy -phenyl)- 1,2,4- triazol-3 -amine
397 l-(3,5-difluorophenyl)-N-(3-methoxy-4-methyl-phenyl)-l,2,4- triazol-3 -amine
398 l-(3,5-difluorophenyl)-N-[3-(2-methoxyethoxy)phenyl]-l,2,4- triazol-3 -amine
399 N-(4-cyclopropyl-3-methoxy-phenyl)-l-(3,5-difluorophenyl)- l,2,4-triazol-3 -amine
400 1 -(3 , 5 -difluorophenyl)-N-(3 -fluoro-5 -methoxy -phenyl)- 1,2,4- triazol-3 -amine
401 l-(3,5-difluorophenyl)-N-(3-isobutoxyphenyl)-l,2,4-triazol-3- amine
402 l-(3,5-difluorophenyl)-N-[3-methoxy-4- (trifluoromethyl)phenyll-l,2,4-triazol-3-amine
403 N-(3-butoxyphenyl)-l-(3,5-difluorophenyl)-l,2,4-triazol-3- amine
404 1 -(3 , 5 -difluorophenyl)-N- [3 -(tetrahy drofuran-2- ylmethoxy)phenyl]- 1 ,2,4-triazol-3 -amine
405 1 -(3 , 5 -difluorophenyl)-N- [2-methy 1-5 - (trifluoromethoxy )pheny 1 ] - 1 , 2,4 -tri azol -3 -amine
406 l-(3,5-difluorophenyl)-N-(5-methoxy-2,3-dimethyl-phenyl)- l,2,4-triazol-3 -amine
407 l-(3,5-difluorophenyl)-N-(3-isopropoxy-5-methyl-phenyl)- l,2,4-triazol-3 -amine
408 l-(3,4-difluorophenyl)-N-(5-methoxy-2,3-dimethyl-phenyl)- l,2,4-triazol-3 -amine
Cmpd
Cmpd Name
No.
409 1 -(3 ,4-difluorophenyl)-N-(3 -methoxy-4-morpholino-phenyl)- l,2,4-triazol-3 -amine
410 l-(3,4-difluorophenyl)-N-(3-isopropoxy-5-methyl-phenyl)- l,2,4-triazol-3 -amine
411 N-[3 -(cyclopentoxy)phenyl]- 1 -(3 ,4-difluorophenyl)- 1 ,2,4- triazol-3 -amine
412 l-(3,4-difluorophenyl)-N-(5-isopropoxy-2-methyl-phenyl)- l,2,4-triazol-3 -amine
413 N-[l-(3,4-difluorophenyl)-l,2,4-triazol-3-yl]-5-methyl-6-[4- (oxetan-3-yl)piperazin-l-yl]pyridin-2-amine
414 N-[l-(3-fluorophenyl)-l,2,4-triazol-3-yl]-5-methyl-6-[4- (oxetan-3-yl)piperazin-l-yl]pyridin-2-amine
416 5-methyl-6-[4-(oxetan-3-yl)piperazin-l-yl]-N-(l-phenyl-l,2,4- triazol-3-yl)pyridin-2-amine
417 1 -(3 , 5 -difluorophenyl)-N- [4-i sopropoxy-3 -(3 - morpholinoazetidin-l-yl)phenyl]-l,2,4-triazol-3-amine
418 l-(3,5-difluorophenyl)-N-[4-isopropoxy-3-[4-(oxetan-3- yl)piperazin- 1 -yljphenyl]- 1 ,2,4-triazol-3 -amine
419 1 -(3 , 5 -difluorophenyl)-N- [4-fluoro-3 -(3 -mo holinoazetidin- 1 - yl)phenyl]-l,2,4-triazol-3-amine
420 1 -(3 ,4-difluorophenyl)-N- [4-i sopropoxy-3 -(3 - morpholinoazetidin-l-yl)phenyl]-l,2,4-triazol-3-amine
421 l-(3,4-difluorophenyl)-N-[4-isopropoxy-3-[4-(oxetan-3- yl)piperazin- 1 -yljphenyl]- 1 ,2,4-triazol-3 -amine
422 1 -(3 ,4-difluorophenyl)-N- [4-fluoro-3 -(3 -mo holinoazetidin- 1 - yl)phenyl]-l,2,4-triazol-3-amine
423 N-(2,5-diethoxyphenyl)-l-(3,4-difluorophenyl)-l,2,4-triazol-3- amine
424 1 -(3 ,4-difluorophenyl)-N-(3 ,4,5 -trimethoxyphenyl)- 1,2,4- triazol-3 -amine
425 l-(3,4-difluorophenyl)-N-(3,5-dimethoxyphenyl)-l,2,4-triazol- 3 -amine
426 l-(3,4-difluorophenyl)-N-(3-methoxyphenyl)-l,2,4-triazol-3- amine
427 l-(3,4-difluorophenyl)-N-(2,5-dimethoxyphenyl)-l,2,4-triazol- 3 -amine
428 l-(3,4-difluorophenyl)-N-(2,3-dihydro-l,4-benzodioxin-6-yl)- l,2,4-triazol-3 -amine
429 l-(3,4-difluorophenyl)-N-(3,4-dimethoxyphenyl)-l,2,4-triazol- 3 -amine
430 l-(3,4-difluorophenyl)-N-(5-methoxy-2-methyl-phenyl)-l,2,4- triazol-3 -amine
431 l-(3,4-difluorophenyl)-N-(2,3-dimethoxyphenyl)-l,2,4-triazol- 3 -amine
432 N-(l,3-benzodioxol-5-yl)-l-(3,4-difluorophenyl)-l,2,4-triazol- 3 -amine
Cmpd
Cmpd Name
No.
433 l-(3,4-difluorophenyl)-N-(3-ethoxyphenyl)-l,2,4-triazol-3- amine
434 l-(3,4-difluorophenyl)-N-[3-(trifluoromethoxy)phenyl]-l,2,4- triazol-3 -amine
435 l-(3,4-difluorophenyl)-N-(2,2,3,3-tetrafluoro-l,4-benzodioxin- 6-yl)-l,2,4-triazol-3 -amine
436 1 -(3 ,4-difluorophenyl)-N-(3 ,4-dihy dro-2H- 1 , 5 -benzodioxepin- 7-yl)-l,2,4-triazol-3 -amine
437 1 -(3 ,4-difluorophenyl)-N-(4-fluoro-3 -methoxy -phenyl)- 1,2,4- triazol-3 -amine
438 1 -(3 ,4-difluorophenyl)-N-[3 -(2-methoxyethoxy)phenyl]- 1 ,2,4- triazol-3 -amine
439 1 -(3 ,4-difluorophenyl)-N-(3 -fluoro-5 -methoxy -phenyl)- 1,2,4- triazol-3 -amine
440 l-(3,4-difluorophenyl)-N-(3-isobutoxyphenyl)-l,2,4-triazol-3- amine
441 N-(3-butoxyphenyl)-l-(3,4-difluorophenyl)-l,2,4-triazol-3- amine
442 l-(3,4-difluorophenyl)-N-[3-(tetrahydrofuran-2- ylmethoxy)phenyl]- 1 ,2,4-triazol-3 -amine
443 l-(3,4-difluorophenyl)-N-[2-methyl-5- (trifluoromethoxy )pheny 1 ] - 1 , 2,4 -tri azol -3 -amine
444 l-(3,4-difluorophenyl)-N-(3-isopropoxyphenyl)-l,2,4-triazol-3- amine
445 l-(3,4-difluorophenyl)-N-(3-isopropoxy-4-morpholino-phenyl)- l,2,4-triazol-3 -amine
446 1 -(3 , 5 -difluorophenyl)-N-(3 -i sopropoxy-4-morpholino-phenyl)- l,2,4-triazol-3 -amine
447 l-(3,5-difluorophenyl)-N-[4-methoxy-3-methyl-5-[4-(oxetan-3- yl)piperazin- 1 -yl]phenyl]- 1 ,2,4-triazol-3 -amine
448 l-(3,4-difluorophenyl)-N-[4-methoxy-3-methyl-5-[4-(oxetan-3- yl)piperazin- 1 -yl]phenyl]- 1 ,2,4-triazol-3 -amine
449 l-(3-fluorophenyl)-N-[4-methoxy-3-methyl-5-[4-(oxetan-3- yl)piperazin- 1 -yl]phenyl]- 1 ,2,4-triazol-3 -amine
450 N-[4-methoxy-3-methyl-5-[4-(oxetan-3-yl)piperazin-l- yl]phenyl]-l-(3-pyridyl)-l,2,4-triazol-3-amine
451 N-(5-chloro-2-methyl-phenyl)-l-(3,5-difluorophenyl)-l,2,4- triazol-3 -amine
452 1 -(3 , 5 -difluorophenyl)-N- [2-methy 1-5 -[4-(oxetan-3 - yl)piperazin- 1 -yljphenyl]- 1 ,2,4-triazol-3 -amine
453 1- (3,5-difluorophenyl)-N-[5-[4-(methoxymethyl)-l-piperidyl]-
2- methyl-phenyl]- 1 ,2,4-triazol-3 -amine
454 1 -(3 , 5 -difluorophenyl)-N- [2-methy 1-5 -(2-oxa-7- azaspiro[4.4]nonan-7-yl)phenyl]-l,2,4-triazol-3-amine
455 1 -(3 , 5 -difluorophenyl)-N- [2-methy 1-5 -(2-oxa-5 - azaspiro[3.4]octan-5-yl)phenyl]-l,2,4-triazol-3-amine
Cmpd
Cmpd Name
No.
456 N-[5-(l,3,3a,4,6,6a-hexahydrofuro[3,4-c]pyrrol-5-yl)-2-methyl- phenyl]- 1 -(3 ,5-difluorophenyl)- 1 ,2,4-triazol-3 -amine
457 l-(3,5-difluorophenyl)-N-[2-methyl-5-[3-(oxetan-3-yl)azetidin- 1 -yllphenyl]- 1 ,2,4-triazol-3 -amine
458 1 -(3 , 5 -difluorophenyl)-N- [5 - [(3R)-3 -i sopropoxypyrrolidin- 1 - yll-2-methyl-phenyl]-l,2,4-triazol-3-amine
459 1 -(3 , 5 -difluorophenyl)-N- [5 -(4-i sopropoxy- 1 -piped dyl)-2- methyl-phenyl]- 1 ,2,4-triazol-3 -amine
460 2-[ 1 -[3 -[[ 1 -(3 , 5-difluorophenyl)- 1 ,2,4-triazol-3 -yl]amino]-4- methyl-phenyl]-4-piperidyl]propan-2-ol
461 l-(3,5-difluorophenyl)-N-[2-methyl-5-[4-(oxetan-3-yl)-l- piperidyl]phenyl]- 1 ,2,4-triazol-3 -amine
462 l-(3,5-difluorophenyl)-N-[2-methyl-5-[4-(2,2,2- trifluoroethyl)piperazin-l-yl]phenyl]-l,2,4-triazol-3 -amine
463 N-[5-(4-cyclopropylpiperazin-l-yl)-2-methyl-phenyl]-l-(3,5- difluorophenyl)- 1 ,2,4-triazol-3 -amine
464 l-[3-[[l-(3,5-difluorophenyl)-l,2,4-triazol-3-yl]amino]-4- methyl-phenyl]-4-(methoxymethyl)piperidin-4-ol
465 N-[5-(4-tert-butylpiperazin-l-yl)-2-methyl-phenyl]-l-(3,5- difluorophenyl)- 1 ,2,4-triazol-3 -amine
466 1 -(3 , 5 -difluorophenyl)-N- [2-methyl-5 -( 1 -oxa-9- azaspiro[5.5]undecan-9-yl)phenyl]-l,2,4-triazol-3-amine
467 l-(3,5-difluorophenyl)-N-[2-methyl-5-(2-oxa-8- azaspiro[4.5]decan-8-yl)phenyl]-l,2,4-triazol-3-amine
468 l-(3,5-difluorophenyl)-N-[5-(4-methoxy-l-piperidyl)-2-methyl- phenyl]- 1 ,2,4-triazol-3 -amine
469 N- [5 -(3 , 3 -difluoroazetidin- 1 -yl)-2-methyl-pheny 1] - 1 -(3 , 5 - difluorophenyl)- 1 ,2,4-triazol-3 -amine
470 l-(3,5-difluorophenyl)-N-[5-(3-ethoxyazetidin-l-yl)-2-methyl- phenyl]- 1 ,2,4-triazol-3 -amine
471 1 -(3 , 5 -difluorophenyl)-N- [5 - [3 -(2,2-dimethylmorpholin-4- yl)azetidin-l-yll-2-methyl-phenyll-l,2,4-triazol-3-amine
472 1 -(3 , 5 -difluorophenyl)-N- [2-methyl-5 - [3 -( 1 -piped dyl)azetidin- 1 -yllphenyl]- 1 ,2,4-triazol-3 -amine
473 2-[ 1 -[3 -[[ 1 -(3 , 5-difluorophenyl)- 1 ,2,4-triazol-3 -yl]amino]-4- methyl-phenyl]azetidin-3-yl]propan-2-ol
474 1 -(3 , 5 -difluorophenyl)-N- [5 - [3 -(2, 6-dimethylmorpholin-4- yl)azetidin-l-yl]-2-methyl-phenyl]-l,2,4-triazol-3-amine
1 -(3 , 5 -difluorophenyl)-N- [5 -(2-isopropyl-2, 6-
475 diazaspiro[3.3]heptan-6-yl)-2-methyl-phenyl]-l,2,4-triazol-3- amine
476 N3-[l-(3,5-difluorophenyl)-l,2,4-triazol-3-yl]-4-methyl-Nl- tetrahy drofuran-3 -yl-benzene- 1 , 3 -diamine
477 N3-[l-(3,5-difluorophenyl)-l,2,4-triazol-3-yl]-Nl-(2-methoxy- l-methyl-ethyl)-4-methyl-benzene-l,3-diamine
478 N3-[l-(3,5-difluorophenyl)-l,2,4-triazol-3-yl]-Nl-(2-
Cmpd
Cmpd Name
No.
ethoxypropyl)-4-methyl-benzene-l,3-diamine
479 N3-[l-(3,5-difluorophenyl)-l,2,4-triazol-3-yl]-4-methyl-Nl- tetrahydropyran-3-yl-benzene- 1,3 -diamine
480 N3-[l-(3,5-difluorophenyl)-l,2,4-triazol-3-yl]-4-methyl-Nl-(2- tetrahydropyran-2-ylethyl)benzene-l,3-diamine
481 N3-[l-(3,5-difluorophenyl)-l,2,4-triazol-3-yl]-4-methyl-Nl-[(2- methyltetrahydrofuran-2-yl)methyl]benzene- 1,3 -diamine
482 1 -(3 , 5 -difluorophenyl)-N- [2-methyl-5 -(2-oxa-7- azaspiro[3.5]nonan-7-yl)phenyl]-l,2,4-triazol-3-amine
483 N-[5-(2,3,4,4a,5,7,8,8a-octahydropyrano[3,2-c]pyridin-6-yl)-2- methyl-phenyl]-l-(3,5-difluorophenyl)-l,2,4-triazol-3-amine
484 N-[l-(3,5-difluorophenyl)-l,2,4-triazol-3-yl]-5-methyl-6-(3- morpholinoazetidin- 1 -yl)pyridin-2-amine
485 N-[l-(3-fluorophenyl)-l,2,4-triazol-3-yl]-5-methyl-6-(3- morpholinoazetidin- 1 -yl)pyridin-2-amine
486 5-methyl-6-(3 -morpholinoazetidin- 1 -yl)-N-[ 1 -(3 -pyridyl)- 1 ,2,4- triazol-3-yl]pyridin-2-amine
487 N4-[l-(3,5-difluorophenyl)-l,2,4-triazol-3-yl]-2-methyl-Nl-(2- morpholinoethyl)benzene- 1 ,4-diamine
488 1 -[4-[4-[[ 1 -(3 , 5-difluorophenyl)- 1 ,2,4-triazol-3 -yl]amino]-2- methyl-anilino]-l-piperidyl]ethanone
489 l-(3,5-difluorophenyl)-N-[2-methyl-5-(3-mo holinoazetidin-l- yl)phenyl]-l,2,4-triazol-3-amine
490 N-[l-(3,5-difluorophenyl)-l,2,4-triazol-3-yl]-2-(3- methoxypropoxy)-6-(trifluoromethyl)pyridin-4-amine
491 N-[ 1 -(3 ,4-difluorophenyl)- 1 ,2,4-triazol-3 -yl]-2-(3 - methoxypropoxy)-6-(trifluoromethyl)pyridin-4-amine
492 l-(3,5-difluorophenyl)-N-[3-(3-methoxypropoxy)-5-methyl- phenyl]- 1 ,2,4-triazol-3 -amine
493 l-(3,4-difluorophenyl)-N-[3-(3-methoxypropoxy)-5-methyl- phenyl]- 1 ,2,4-triazol-3 -amine
494 N- [3 -(3 -methoxypropoxy)-5 -methyl-phenyl] - 1 - [3 - (trifluoromethyl)phenyl]-l,2,4-triazol-3-amine
495 l-(3,5-difluorophenyl)-N-[3-methyl-4-(2- morpholinoethoxy)phenyl]-l,2,4-triazol-3 -amine
496 1 -(3 , 5 -difluorophenyl)-N- [3 -methyl-4-[ [ 1 -(oxetan-3 -yl)-3 - piperidyl]methoxy]phenyl]-l,2,4-triazol-3-amine
497 1 -(3 , 5 -difluorophenyl)-N- [3 -methyl-4-[ [ 1 -(oxetan-3 -yl)-4- piperidyl]oxy]phenyl]-l,2,4-triazol-3-amine
498 1 -(3 , 5 -difluorophenyl)-N- [3 -methyl-4-[ [ 1 -(oxetan-3 - yl)pyrrolidin-3-yl]methoxy]phenyl]-l,2,4-triazol-3-amine
499 1 -(3 , 5 -difluorophenyl)-N- [3 -methyl-4-[ 1 -(oxetan-3 - yl)pyrrolidin-3-yl]oxy -phenyl]- l,2,4-triazol-3 -amine
500 l-(3,5-difluorophenyl)-N-[3-methyl-4-[l-(oxetan-3-yl)azetidin- 3-yl]oxy -phenyl]- l,2,4-triazol-3 -amine
501 l-(3,5-difluorophenyl)-N-[3-methyl-4-[[l-(oxetan-3-yl)azetidin-
Cmpd
Cmpd Name
No.
3-yl]methoxy]phenyl]-l,2,4-triazol-3-amine
502 1 -(3 , 5 -difluorophenyl)-N- [3 -methy l-4-[ [ 1 -(oxetan-3 -yl)-4- piperidyl]methoxy]phenyl]-l,2,4-triazol-3-amine
503 1 -(3 , 5 -difluorophenyl)-N- [3 -methy l-4-[ [ 1 -(oxetan-3 -yl)-3 - piperidyl]oxy]phenyl]-l,2,4-triazol-3-amine
504 N-(3 -chloro-2-methyl-phenyl)- 1 -(3 ,5-difluorophenyl)- 1 ,2,4- triazol-3 -amine
505 N-[3-(2,2-difluoroethoxy)-5-methyl-phenyl]-l-(3,5- difluorophenyl)- 1 ,2,4-triazol-3 -amine
506 N-[3-(2,2-difluoroethoxy)-5-methyl-phenyl]-l-(3,4- difluorophenyl)- 1 ,2,4-triazol-3 -amine
507 N-[3-(2,2-difluoroethoxy)-5-methyl-phenyl]-l-[3- (trifluoromethyl)phenyl]-l,2,4-triazol-3-amine
508 N4-[l-(3,5-difluorophenyl)-l,2,4-triazol-3-yl]-2-methyl-Nl-[l- (oxetan-3-yl)-4-piperidyl]benzene-l,4-diamine
509 rac-N- [3 - [4- [ [ 1 -(3 , 5 -difluorophenyl)- 1 ,2,4-triazol-3 -yl] amino] - 2-methy 1 -phenoxy 1 cycl obuty 1 ] acetami de
510 l-[3-[[4-[[l-(3,5-difluorophenyl)-l,2,4-triazol-3-yl]amino]-2- methy 1 -phenoxy ] methy 1 ] - 1 -piped dy 1 ] ethanone
511 1 - [4-[4-[[ 1 -(3 , 5 -difluorophenyl)- 1 ,2,4-triazol-3 -yl]amino]-2- methyl-phenoxy]-l-piperidyl]ethanone
512 l-[3-[[4-[[l-(3,5-difluorophenyl)-l,2,4-triazol-3-yl]amino]-2- methyl-phenoxy]methyl]pyrrolidin-l-yl]ethanone
513 l-[4-[[4-[[l-(3,5-difluorophenyl)-l,2,4-triazol-3-yl]amino]-2- methy 1 -phenoxy ] methy 1 ] - 1 -piped dy 1 ] ethanone
514 l-[3-[[4-[[l-(3,5-difluorophenyl)-l,2,4-triazol-3-yl]amino]-2- methy 1 -phenoxy ] methy 1 ] azeti din- 1 -y 1 ] ethanone
515 1 -[3 -[4-[[ 1 -(3 , 5 -difluorophenyl)- 1 ,2,4-triazol-3 -yl]amino]-2- methyl-phenoxy]-l-piperidyl]ethanone
516 1 -(3 , 5 -difluorophenyl)-N-(3 -isopropoxy-2, 5 -dimethyl-phenyl)- l,2,4-triazol-3 -amine
517 l-(3,4-difluorophenyl)-N-(3-isopropoxy-2,5-dimethyl-phenyl)- l,2,4-triazol-3 -amine
518 l-(3,5-difluorophenyl)-N-[2-methyl-3-[4-(oxetan-3- yl)piperazin- 1 -yljphenyl]- 1 ,2,4-triazol-3 -amine
519 1 -(3 , 5 -difluorophenyl)-N- [2-methyl-3 -(3 -mo holinoazetidin- 1 - yl)phenyl]-l,2,4-triazol-3-amine
520 N3-[l-(3,5-difluorophenyl)-l,2,4-triazol-3-yl]-2-methyl-Nl- (oxetan-3-yl)benzene- 1,3 -diamine
521 1 -(3 , 5 -difluorophenyl)-N-(2-methyl-3 -morpholino-phenyl)- l,2,4-triazol-3 -amine
522 N3-[l-(3,5-difluorophenyl)-l,2,4-triazol-3-yl]-Nl-(2-methoxy- l-methyl-ethyl)-2-methyl-benzene-l,3-diamine
523 1 -(3 , 5 -difluorophenyl)-N-(2-fluoro-3 -i sopropoxy-5 -methyl- phenyl)- 1 ,2,4-triazol-3 -amine
524 l-(3,4-difluorophenyl)-N-(2-fluoro-3-isopropoxy-5-methyl-
Cmpd
Cmpd Name
No.
phenyl)- 1 ,2,4-triazol-3 -amine
N-[(l-acetylazetidin-3-yl)methyl]-N-[4-[[l-(3,5-
525 difluorophenyl)-l,2,4-triazol-3-yl]amino]-2-methyl- phenyl]acetamide
N4-[l-(3,5-difluorophenyl)-l,2,4-triazol-3-yl]-2-methyl-Nl-
526 (oxetan-3 -yl)-N 1 - [[ 1 -(oxetan-3 -yl)azetidin-3 - yl]methyl]benzene- 1 ,4-diamine
527 1 -(3 , 5 -difluorophenyl)-N- [2-methyl-4-(3 -mo holinoazetidin- 1 - yl)phenyl]-l,2,4-triazol-3-amine
528 N-[2-methyl-4-(3-mo holinoazetidin-l-yl)phenyl]-l-(2- pyridyl)- 1 ,2,4-triazol-3 -amine
529 N4-[l-(3,5-difluorophenyl)-l,2,4-triazol-3-yl]-2-methyl-Nl-[[l- (oxetan-3-yl)pyrrolidin-3-yl]methyl]benzene-l,4-diamine
530 N4-[l-(3,5-difluorophenyl)-l,2,4-triazol-3-yl]-2-methyl-Nl-[l- (oxetan-3-yl)pyrrolidin-3-yl]benzene-l,4-diamine
531 N4-[l-(3,5-difluorophenyl)-l,2,4-triazol-3-yl]-2-methyl-Nl-[[l- (oxetan-3-yl)-3-piperidyllmethyl]benzene-l,4-diamine
532 N4-[l-(3,5-difluorophenyl)-l,2,4-triazol-3-yl]-2-methyl-Nl-[l- (oxetan-3-yl)-3 -piped dyl]benzene-l,4-diamine
533 l-(3,5-difluorophenyl)-N-[2-methyl-4-[4-(oxetan-3- yl)piperazin- 1 -yllphenyl]- 1 ,2,4-triazol-3 -amine
534 1 -(3 -fluoro-4-methoxy-phenyl)-N- [3 -(3 -morpholinoazetidin- 1 - yl)phenyl]-l,2,4-triazol-3-amine
535 1 -(3 , 5 -difluorophenyl)-N- [2-fluoro-4-(3 -mo holinoazetidin- 1 - yl)phenyl]-l,2,4-triazol-3-amine
536 N-(3-chloro-2,6-dimethyl-phenyl)-l-(3,5-difluorophenyl)-l,2,4- triazol-3 -amine
537 1 -(3 , 5 -difluorophenyl)-N- [2,6-dimethyl-3 - [4-(oxetan-3 - yl)piperazin- 1 -yljphenyl]- 1 ,2,4-triazol-3 -amine
538 N-[3-methyl-5-[(l-phenyl-l,2,4-triazol-3- yl)amino]phenyl]acetamide
539 N3-[l-(3,5-difluorophenyl)-l,2,4-triazol-3-yl]-Nl-(2- ethoxypropyl)-2-fluoro-5-methyl-benzene-l,3-diamine
540 N3-[l-(3,5-difluorophenyl)-l,2,4-triazol-3-yl]-2-fluoro-Nl-(2- methoxy- 1 -methyl-ethyl)-5-methyl-benzene- 1 ,3 -diamine
541 N-(3 -bromo-2-fluoro-5 -methyl-phenyl)- 1 -(3 , 5 -difluorophenyl)- l,2,4-triazol-3 -amine
542 N-(3-bromo-2-fluoro-5-methyl-phenyl)-l-(3,4-difluorophenyl)- l,2,4-triazol-3 -amine
543 N-[3 -methyl-5-[[ 1 -(3 -pyridyl)- 1 ,2,4-triazol-3 - yl]amino]phenyl]acetamide
544 6-[[l-(3,5-difluorophenyl)-l,2,4-triazol-3-yl]amino]-8-[4- (oxetan-3-yl)piperazin-l-yl]-4H-l,4-benzoxazin-3-one
545 6-[[l-(3,5-difluorophenyl)-l,2,4-triazol-3-yl]amino]-8-(3- morpholinoazetidin-l-yl)-4H-l,4-benzoxazin-3-one
546 1 -(3 , 5 -difluorophenyl)-N-(2-fluoro-5 -methyl-phenyl)- 1,2,4-
Cmpd
Cmpd Name
No.
triazol-3 -amine
547 2-methoxy-N-[3-methyl-5-[(l-phenyl-l,2,4-triazol-3- yl)amino]phenyl]acetamide
548 N-(3-isopropoxy-5-methyl-phenyl)-l-(3-pyridyl)-l,2,4-triazol- 3 -amine
549 tert-butyl N-[3-methyl-5-[(l-phenyl-l,2,4-triazol-3- yl)amino]phenyl]carbamate
550 5-methyl-Nl-(l-phenyl-l,2,4-triazol-3-yl)benzene-l,3-diamine
551 3,3,3-trifluoro-N-[3-methyl-5-[(l-phenyl-l,2,4-triazol-3- yl)aminolphenyl]propanamide
552 N-(3 -bromo-5 -methyl-phenyl)- 1 -(3 , 5 -difluorophenyl)- 1,2,4- triazol-3 -amine
553 2-methyl-N-[3-methyl-5-[(l-phenyl-l,2,4-triazol-3- yl)amino]phenyl]propanamide
554 N-(5 -chloro-2-fluoro-3 -methyl-phenyl)- 1 -(3 , 5 -difluorophenyl)- l,2,4-triazol-3 -amine
555 N-[3-[[l-(3,5-difluorophenyl)-l,2,4-triazol-3-yl]amino]-5- methy 1 -phenyl ] acetami de
556 N-[3-ethyl-5-[(l-phenyl-l,2,4-triazol-3- yl)amino]phenyl]acetamide
557 N-[3-[[l-(3,5-difluorophenyl)-l,2,4-triazol-3-yl]amino]-5-ethyl- phenyl] acetami de
558 N-(3-isopropoxy-5-methyl-phenyl)-l-(2-pyridyl)-l,2,4-triazol- 3 -amine
559 N-(3-isopropoxy-5-methyl-phenyl)-l-phenyl-l,2,4-triazol-3- amine
560 N3-[l-(3,5-difluorophenyl)-l,2,4-triazol-3-yl]-4-fluoro-Nl-(2- methoxy- 1 -methyl-ethyl)-5-methyl-benzene- 1 ,3 -diamine
561 N3-[l-(3,5-difluorophenyl)-l,2,4-triazol-3-yl]-Nl-(2- ethoxypropyl)-4-fluoro-5-methyl-benzene-l,3-diamine
562 N-[3 -ethyl-5-[[ 1 -(2-pyridyl)- 1 ,2,4-triazol-3 - yl]amino]phenyl]acetamide
563 N-[3-methyl-5-(trifluoromethoxy)phenyl]-l-(2-pyridyl)-l,2,4- triazol-3 -amine
564 N-[3-methyl-5-(trifluoromethoxy)phenyl]-l-(3-pyridyl)-l,2,4- triazol-3 -amine
565 3 - [ [ 1 -(3 , 5 -difluorophenyl)- 1 ,2,4-triazol-3 -yl] amino] -4,5- dimethyl-phenol
566 Nl-[l-(3,5-difluorophenyl)-l,2,4-triazol-3-yl]-2-fluoro-N3-(3- fluoropropyl)-5-methyl-benzene-l,3-diamine
567 N-(5-methoxy-2,3-dimethyl-phenyl)-l-phenyl-l,2,4-triazol-3- amine
568 l-(3-fluorophenyl)-N-(5-methoxy-2,3-dimethyl-phenyl)-l,2,4- triazol-3 -amine
569 N-(5-methoxy-2,3 -dimethyl-phenyl)- 1 -(2-pyridyl)- 1 ,2,4-triazol- 3 -amine
Cmpd
Cmpd Name
No.
570 N-(5-methoxy-2,3 -dimethyl-phenyl)- 1 -(3 -pyridyl)- 1 ,2,4-triazol- 3 -amine
571 N-[5-[2-[2-(2-aminoethoxy)ethoxy]ethoxy]-2,3-dimethyl- phenyl]- 1 -(3 ,5-difluorophenyl)- 1 ,2,4-triazol-3 -amine
572 l-[3-[[l-(3,5-difluorophenyl)-l,2,4-triazol-3-yl]amino]-4- methy 1 -phenyl ] ethanone
573 1 -[4-methyl-3 -[(1 -phenyl- 1 ,2,4-triazol-3 - yl)amino]phenyl]ethanone
574 l-[3-[[l-(3-fluorophenyl)-l,2,4-triazol-3-yl]amino]-4-methyl- phenyl] ethanone
575 1 -[4-methyl-3 -[[ 1 -(2-pyridyl)- 1 ,2,4-triazol-3 - yl]amino]phenyl]ethanone
576 1 -[4-methyl-3 -[[ 1 -(3 -pyridyl)- 1 ,2,4-triazol-3 - yl]amino]phenyl]ethanone
577 3, 4-dimethyl-5-[(l -phenyl- l,2,4-triazol-3-yl)amino]phenol
578 3-[[l-(3-fluorophenyl)-l,2,4-triazol-3-yl]amino]-4,5-dimethyl- phenol
579 3 ,4-dimethyl-5-[[ 1 -(2-pyridyl)- 1 ,2,4-triazol-3 -yl]amino]phenol
580 3,4-dimethyl-5-[[l-(3-pyridyl)-l,2,4-triazol-3-yl]amino]phenol
581 4-methyl-N2-(l -phenyl- l,2,4-triazol-3-yl)pyridine-2,6-diamine
582 3 - [ [ 1 -(3 , 5 -difluorophenyl)- 1 ,2,4-triazol-3 -yl] amino] -2-fluoro-5 - methyl-phenol
583 l-[3-[[l-(3,5-difluorophenyl)-l,2,4-triazol-3-yl]amino]-4- methy 1 -phenyl ] ethanol
584 1 -[4-methyl-3 -[(1 -phenyl- 1 ,2,4-triazol-3 - yl)amino]phenyl]ethanol
585 l-[3-[[l-(3-fluorophenyl)-l,2,4-triazol-3-yl]amino]-4-methyl- phenyl] ethanol
586 1 -[4-methyl-3 -[[ 1 -(2-pyridyl)- 1 ,2,4-triazol-3 - yl]amino]phenyl]ethanol
587 1 -[4-methyl-3 -[[ 1 -(3 -pyridyl)- 1 ,2,4-triazol-3 - yl]amino]phenyl]ethanol
588 2-fluoro-5-methyl-3-[(l -phenyl- l,2,4-triazol-3-yl)amino]phenol
589 6-methyl-N2-(l -phenyl- l,2,4-triazol-3-yl)pyridine-2,4-diamine
590 3 - [ [ 1 -(3 , 5 -difluorophenyl)- 1 ,2,4-triazol-3 -yl] amino] -2,5- dimethyl-phenol
591 l-[3-[[l-(3,5-difluorophenyl)-l,2,4-triazol-3-yl]amino]-5- methy 1 -phenyl ] ethanone
592 l-(3,4-difluorophenyl)-N-(3-isopropoxy-2-methyl-phenyl)- l,2,4-triazol-3 -amine
593 l-(3,5-difluorophenyl)-N-(3-isopropoxy-2-methyl-phenyl)- l,2,4-triazol-3 -amine
594 l-[3-[[l-(3,5-difluorophenyl)-l,2,4-triazol-3-yl]amino]-5-
Cmpd
Cmpd Name
No.
methyl -phenyl ] ethanol
595 2-[3-[[l-(3,5-difluorophenyl)-l,2,4-triazol-3-yl]amino]-5- methyl-phenyl]propan-2-ol
596 N-(3-bromo-5-methyl-phenyl)-l -phenyl- l,2,4-triazol-3 -amine
597 3-fluoro-5-[3-(2-fluoro-3-isopropoxy-5-methyl-anilino)- 1,2,4- triazol- 1 -yl] phenol
598 N-(2-fluoro-3-isopropoxy-5-methyl-phenyl)-l-phenyl-l,2,4- triazol-3 -amine
599 N-(2-fluoro-3 -i sopropoxy-5 -methyl-phenyl)- 1 -(3 - fluorophenyl)- 1 ,2,4-triazol-3 -amine
600 3-[[l-(3,5-difluorophenyl)-l,2,4-triazol-3-yl]amino]-5-methyl- benzonitrile
601 1 -(3 , 5 -difluorophenyl)-N-(5 -isopropoxy-2, 3 -dimethyl-phenyl)- l,2,4-triazol-3 -amine
602 3 - [ [ 1 -(3 , 5 -difluorophenyl)- 1 ,2,4-triazol-3 -yl] amino] -2-fluoro-5 - methyl-benzonitrile
603 N-(2-fluoro-3-isopropoxy-5-methyl-phenyl)-l-(3-pyridyl)- l,2,4-triazol-3 -amine
604 Nl -[3 -(diethylamino)propyl]-N3 -[ 1 -(3 , 5 -difluorophenyl)- 1 ,2,4- triazol-3-yl]-5-methyl-benzene-l,3-diamine
605 2-[3-[[l-(3,5-difluorophenyl)-l,2,4-triazol-3-yl]amino]-5- methyl-anilino]-N,N-diethyl-acetamide
606 Nl-[l-(3,5-difluorophenyl)-l,2,4-triazol-3-yl]-N3-(2-methoxy- 2-methyl-propyl)-5-methyl-benzene-l,3-diamine
607 Nl-[l-(3,5-difluorophenyl)-l,2,4-triazol-3-yl]-5-methyl-N3- (2,2,2-trifluoroethyl)benzene- 1 ,3 -diamine
608 Nl-[l-(3,5-difluorophenyl)-l,2,4-triazol-3-yl]-N3-[2-[2- (dimethylamino)ethoxy]ethyl]-5-methyl-benzene-l,3-diamine
609 Nl-[l-(3,5-difluorophenyl)-l,2,4-triazol-3-yl]-N3-(3- methoxybutyl)-5-methyl-benzene-l,3-diamine
610 Nl-[l-(3,5-difluorophenyl)-l,2,4-triazol-3-yl]-N3-[2- (dimethylamino)ethyl]-5-methyl-benzene-l,3-diamine
Nl-[l-(3,5-difluorophenyl)-l,2,4-triazol-3-yl]-N3-[3-
611 (dimethylamino)-2,2-dimethyl-propyl]-5-methyl-benzene-l,3- diamine
612 N3 -(3 -tert-butoxypropyl)-N 1 - [ 1 -(3 , 5 -difluorophenyl)- 1,2,4- triazol-3-yl]-5-methyl-benzene-l,3-diamine
613 Nl-[l-(3,5-difluorophenyl)-l,2,4-triazol-3-yl]-5-methyl-N3- (3 ,3 ,3 -trifluoro-2-methoxy-propyl)benzene- 1 ,3 -diamine
614 l-[3-[[l-(3,5-difluorophenyl)-l,2,4-triazol-3-yl]amino]-5- methy 1 -phenyl ] -3 -methyl -azeti dine-3 -carb onitril e
615 (2S)-2-[3-[[l-(3,5-difluorophenyl)-l,2,4-triazol-3-yl]amino]-5- methyl-anilino]-N,N-dimethyl-propanamide
616 3-[3-[[l-(3,5-difluorophenyl)-l,2,4-triazol-3-yl]amino]-5- methyl-anilino]-2,2-dimethyl-propanenitrile
Cmpd
Cmpd Name
No.
617 Nl-[l-(3,5-difluorophenyl)-l,2,4-triazol-3-yl]-N3-(2,3- dimethoxypropyl)-5-methyl-benzene-l,3-diamine
618 N3-[l-(3,5-difluorophenyl)-l,2,4-triazol-3-yl]-Nl-[(l S)-2- methoxy- 1 -methyl-propyl]-5-methyl-benzene- 1 ,3 -diamine
619 tert-butyl N- [2- [3 -[ [ 1 -(3 , 5 -difluorophenyl)- 1 ,2,4-triazol-3 - yllaminol-5-methyl-anilinolethyl]-N-methyl-carbamate
620 N3-[l-(3,5-difluorophenyl)-l,2,4-triazol-3-yl]-Nl-(3- ethoxypropyl)-5-methyl-benzene-l,3-diamine
621 2-[3-[[l-(3,5-difluorophenyl)-l,2,4-triazol-3-yl]amino]-4,5- dimethyl-phenoxy]-N,N-dimethyl-acetamide
622 tert-butyl N-[[3-[[l-(3,5-difluorophenyl)-l,2,4-triazol-3- y 1 ] amino] - 5 -methyl -phenyl Jmethyl ] carb am ate
623 tert-butyl N-[[3-[[l-(3,5-difluorophenyl)-l,2,4-triazol-3- yl]amino]-2-fluoro-5-methyl-phenyl]methyl]carbamate
624 N-[3-(aminomethyl)-5-methyl-phenyl]-l-(3,5-difluorophenyl)- l,2,4-triazol-3 -amine
l-(3,5-difluorophenyl)-N-[2-fluoro-5-methyl-3-[l,2,2,2-
625 tetradeuterio- 1 -(trideuteriomethyl)ethoxy]phenyl]- 1 ,2,4-triazol- 3 -amine
626 N- [3 -(aminomethyl)-2-fluoro-5 -methyl-phenyl] - 1 -(3,5- difluorophenyl)- 1 ,2,4-triazol-3 -amine
627 N-[[3-[[l-(3,5-difluorophenyl)-l,2,4-triazol-3-yl]amino]-5- methy 1 -phenyl ] methyl ] acetami de
628 N-[4-isopropoxy-3-[4-(oxetan-3-yl)piperazin-l-yl]phenyl]-l- (2,3,4,5,6-pentadeuteriophenyl)-l,2,4-triazol-3-amine
629 N-(3-ethyl-5-methoxy-phenyl)-l-(2,3,4,5,6- pentadeuteriophenyl)-l,2,4-triazol-3 -amine
630 N-(3-isopropoxy-5-methyl-phenyl)-l-(2,3,4,5,6- pentadeuteriophenyl)-l,2,4-triazol-3 -amine
631 N-(3-methoxy-5-methyl-phenyl)-l-(2,3,4,5,6- pentadeuteriophenyl)-l,2,4-triazol-3 -amine
632 N-(3 -fluoro-5 -methoxy-phenyl)- 1 -(2, 3 ,4, 5 ,6- pentadeuteriophenyl)-l,2,4-triazol-3 -amine
633 N-(3,5-dimethoxyphenyl)-l-(2,3,4,5,6-pentadeuteriophenyl)- l,2,4-triazol-3 -amine
1 -(3 ,4-difluorophenyl)-N- [2-fluoro-5 -methyl-3 - [ 1 ,2,2,2-
634 tetradeuterio- 1 -(trideuteriomethyl)ethoxy]phenyl]- 1 ,2,4-triazol- 3 -amine
N-[2-fluoro-5-methyl-3 -[ 1 ,2,2,2-tetradeuterio- 1 -
635 (trideuteriomethyl)ethoxy]phenyl]- 1 -(3 -pyridyl)- 1 ,2,4-triazol-3 - amine
636 N- [ [3 - [ [ 1 -(3 , 5 -difluorophenyl)- 1 ,2,4-triazol-3 -yl]amino] -2- fluoro-5-methyl-phenyl]methyl]acetamide
N-[2-fluoro-5-methyl-3 -[ 1 ,2,2,2-tetradeuterio- 1 -
637 (trideuteriomethyl)ethoxy]phenyl]- 1 -phenyl- 1 ,2,4-triazol-3 - amine
Cmpd
Cmpd Name
No.
N-[2-fluoro-5-methyl-3 -[ 1 ,2,2,2-tetradeuterio- 1 -
638 (trideuteriomethyl)ethoxy]phenyl]-l-(3-fluorophenyl)-l,2,4- triazol-3 -amine
639 3 - [ [ 1 -(2, 5 -difluorophenyl)- 1 ,2,4-triazol-3 -yl] amino] -2,5- dimethyl-phenol
640 3 - [ [ 1 -(3 , 5 -difluorophenyl)- 1 ,2,4-triazol-3 -yl] amino] -2,5- dimethyl-benzonitrile
641 l-[3-[[l-(3,5-difluorophenyl)-l,2,4-triazol-3-yl]amino]-2- fluoro-pheny 1 ] ethanone
642 N- [3 -(aminomethyl)-2, 5 -dimethyl-phenyl]- 1 -(3,5- difluorophenyl)- 1 ,2,4-triazol-3 -amine
643 l-[3-[[l-(3,5-difluorophenyl)-l,2,4-triazol-3-yl]amino]-2- fluoro-pheny 1 ] ethanol
644 N- [ [3 - [ [ 1 -(3 , 5 -difluorophenyl)- 1 ,2,4-triazol-3 -yl]amino] -2,5- dimethy 1 -phenyl ] methyl ] acetami de
645 N-(3-chloro-2,4,6-trideuterio-5-fluoro-phenyl)-l-phenyl-l,2,4- triazol-3 -amine
646 N-[[3-[[l-(3,5-difluorophenyl)-l,2,4-triazol-3-yl]amino]-5- methyl-phenyl]methyl]methanesulfonamide
647 l-[3-[[l-(3,5-difluorophenyl)-l,2,4-triazol-3-yl]amino]-2,5- dimethy 1 -phenyl ] ethanone
648 l-[3-[[l-(3,5-difluorophenyl)-l,2,4-triazol-3-yl]amino]-2,5- dimethy 1 -phenyl ] ethanol
649 l-[3-[[l-(3,5-difluorophenyl)-l,2,4-triazol-3-yl]amino]-4,5- dimethy 1 -phenyl ] ethanol
650 N-(3-bromo-2-fluoro-5-methyl-phenyl)-l -phenyl- 1,2,4-triazol- 3 -amine
651 l-[3-[[l-(3,5-difluorophenyl)-l,2,4-triazol-3-yl]amino]-4,5- dimethy 1 -phenyl ] ethanone
652 l-[3-[[l-(3,5-difluorophenyl)-l,2,4-triazol-3-yl]amino]-5- methyl-phenyl]propan-2-one
653 l-[3-methyl-5-[(l-phenyl-l,2,4-triazol-3- yl)amino]phenyl]propan-2-one
654 l-[3-methyl-5-[(l-phenyl-l,2,4-triazol-3- yl)amino]phenyl]propan-2-ol
655 l-[3-[[l-(3,5-difluorophenyl)-l,2,4-triazol-3-yl]amino]-5- methyl-phenyl]propan-2-ol
656 1, 1,1,2,3,3 -hexadeuterio-3 - [3 - [ [ 1 -(3 , 5 -difluorophenyl)- 1,2,4- triazol-3-yl]amino]-5-methyl-phenyl]propan-2-ol
657 1, 1, 1,2,3, 3-hexadeuterio-3-[3-methyl-5-[(l-phenyl-l,2,4-triazol- 3-yl)amino]phenyl]propan-2-ol
658 l, l,l,2,3,3-hexadeuterio-3-[3-methyl-5-[[l-(3-pyridyl)-l,2,4- triazol-3-yl]amino]phenyl]propan-2-ol
659 N-(3-chloro-2,5-difluoro-phenyl)-l -phenyl- l,2,4-triazol-3- amine
Salts, Compositions, Uses, Formulation, Administration and Additional Agents
Pharmaceutically acceptable salts and compositions
[00261] As discussed herein, the compounds of formula (Γ) of the present invention and the methods, compositions and kits disclosed herein are useful for the treatment of neurodegenerative or neurological diseases or disorders related to axonal damage, demyelinating diseases, central pontine myelinolysis, nerve injury diseases or disorders, metabolic diseases, mitochondrial diseases, metabolic axonal degeneration, a leukoencephalopathy or a leukodystrophy. In one embodiment, said
neurodegenerative or neurological diseases or disorders related to axonal damage, demyelinating diseases, central pontine myelinolysis, nerve injury diseases or disorders, metabolic diseases, mitochondrial diseases, metabolic axonal degeneration, a leukoencephalopathy or a leukodystrophy include, but are not limited to spinal cord injury, stroke, multiple sclerosis, progressive multifocal 1 eu k oen cep h a 1 opat hy , congenital hypomyelination, encephalomyelitis, acute disseminated
encephalomyelitis, central pontine myelolysis, hypoxic demyeli nation, ischemic demyelination, neuromyelitis optics, adrenoleukodystrophy, Alexander's disease, Niemann-Pick disease, Pelizaeus Merzbacher disease, periventricular leukomalatia, globoid cell leucodystrophy (Krabbe's disease), Wallerian degeneration, optic neuritis, transverse myelitis, amylotrophic lateral sclerosis (Lou Gehrig's diseae), Huntington's disease, Alzheimer's disease, Parkinson's disease, Tay-Sacks disease, Gaucher' s disease, Hurler Syndrome, traumatic brain injury, post radiation injur}', neurologic complications of chemotherapy, neuropathy, acute ischemic optic neuropathy, neuromyelitis optica, vitamin B 12 deficiency, isolated vitamin E deficiency syndrome, Bassen-Kornzweig syndrome, Leber's hereditary optic atrophy /Leber congenital amaurosis, Marchiafava-Bignami syndrome, metachromatic
leukodystrophy, acute hemorrhagic leukoencephalitis, trigeminal neuralgia. Bell's palsy, schizophrenia, cerebral ischemia, multiple system atrophy, traumatic glaucoma, tropical spastic paraparesis/human T-lymphotropic vi us 1 (HTLV- 1 ) associated myelopathy, essential tremor or osmotic hyponatremia.
[00262] In another embodiment, the compounds of formula (Γ) of the present invention and the methods, compositions and kits disclosed herein are useful for treating, preventing or ameliorating one or more symptoms of multiple sclerosis or another neurodegenerative disease selected from auditory impairment, optic neuritis,
decreased visual acuity, diplopia, nystagmus, ocular dysmetria, internuclear ophthalmoplegia, movement and sound phosphenes, afferent pupillary defect, paresis, monoparesis, paraparesis, hemiparesis, quadraparesis, plegia, paraplegia, hemiplegia, tetraplegia, quadraplegia, spasticity, dysarthria, motor dysfunction, walking impairment, muscle atrophy, spasms, cramps, hypotonia, clonus, myoclonus, myokymia, restless leg syndrome, gait disturbances, footdrop, dysfunctional reflexes, pallesthesia, anaesthesia, neuralgia, neuropathic and neurogenic pain, L'hermitte's, proprioceptive dysfunction, trigeminal neuralgia, ataxia, intention tremor, dysmetria, vestibular ataxia, vertigo, speech ataxia, dystonia, disability progression,
dysdiadochokinesia, frequent micturation, bladder spasticity, flaccid bladder, detrusor- sphincter dyssynergia, erectile dysfunction or anorgasmy,
[00263] Accordingly, in another aspect of the invention, pharmaceutically acceptable compositions are provided, wherein these compositions comprise any of the compounds as described herein, and optionally comprise a pharmaceutically acceptable carrier, adjuvant or vehicle. In certain embodiments, these compositions optionally further comprise one or more additional therapeutic agents. In one embodiment, the pharmaceutical composition comprises a therapeutically effective amount of a compound of the present invention or a pharmaceutically acceptable salt thereof and one or more pharmaceutically acceptable carriers or vehicles.
[00264] As used herein, the term "pharmaceutically acceptable salt" refers to those salts which are, within the scope of sound medical judgement, suitable for use in contact with the tissues of humans and lower animals without undue toxicity, irritation, allergic response and the like, and are commensurate with a reasonable benefit/risk ratio. A "pharmaceutically acceptable salt" means any non-toxic salt or salt of an ester of a compound of this invention that, upon administration to a recipient, is capable of providing, either directly or indirectly, a compound of this invention or an inhibitorily active metabolite or residue thereof. As used herein, the term "inhibitorily active metabolite or residue thereof means that a metabolite or residue thereof is also useful for treating or lessening the severity of, in a subject, a disease or disorder selected from neurodegenerative or neurological diseases or disorders related to axonal damage, demyelinating diseases, central pontine myelinolysis, nerve injury diseases or disorders, metabolic diseases, mitochondrial diseases, metabolic axonal degeneration, a leukoencephalopathy or a leukodystrophy.
[00265] Pharmaceutically acceptable salts are well known in the art. For example, S. M. Berge, et al. describe pharmaceutically acceptable salts in detail in J.
Pharmaceutical Sciences, 1977, 66, 1-19, incorporated herein by reference.
Pharmaceutically acceptable salts of the compounds of this invention include those derived from suitable inorganic and organic acids and bases. Examples of
pharmaceutically acceptable, nontoxic acid addition salts are salts of an amino group formed with inorganic acids such as hydrochloric acid, hydrobromic acid, phosphoric acid, sulfuric acid and perchloric acid or with organic acids such as acetic acid, oxalic acid, maleic acid, tartaric acid, citric acid, succinic acid or malonic acid or by using other methods used in the art such as ion exchange. Other pharmaceutically acceptable salts include adipate, alginate, ascorbate, aspartate, benzenesulfonate, benzoate, bisulfate, borate, butyrate, camphorate, camphorsulfonate, citrate, cyclopentanepropionate, digluconate, dodecyl sulfate, ethanesulfonate, formate, fumarate, glucoheptonate, glycerophosphate, gluconate, hemi sulfate, heptanoate, hexanoate, hydroiodide, 2-hydroxy-ethanesulfonate, lactobionate, lactate, laurate, lauryl sulfate, malate, maleate, malonate, methanesulfonate, 2-naphthalenesulfonate, nicotinate, nitrate, oleate, oxalate, palmitate, pamoate, pectinate, persulfate, 3- phenylpropionate, phosphate, picrate, pivalate, propionate, stearate, succinate, sulfate, tartrate, thiocyanate, p-toluenesulfonate, undecanoate, valerate salts, and the like. Salts derived from appropriate bases include alkali metal, alkaline earth metal, ammonium and N+(Ci-4 alkyl)4 salts. This invention also envisions the quaternization of any basic nitrogen-containing groups of the compounds disclosed herein. Water or oil-soluble or dispersable products may be obtained by such quaternization.
Representative alkali or alkaline earth metal salts include sodium, lithium, potassium, calcium, magnesium, and the like. Further pharmaceutically acceptable salts include, when appropriate, nontoxic ammonium, quaternary ammonium, and amine cations formed using counterions such as halide, hydroxide, carboxylate, sulfate, phosphate, nitrate, lower alkyl sulfonate and aryl sulfonate.
[00266] As described herein, the pharmaceutically acceptable compositions of the invention additionally comprise a pharmaceutically acceptable carrier, adjuvant, or vehicle, which, as used herein, includes any and all solvents, diluents, or other liquid vehicle, dispersion or suspension aids, surface active agents, isotonic agents, thickening or emulsifying agents, preservatives, solid binders, lubricants and the like,
as suited to the particular dosage form desired. Remington's Pharmaceutical Sciences, Sixteenth Edition, E. W. Martin (Mack Publishing Co., Easton, Pa., 1980) discloses various carriers used in formulating pharmaceutically acceptable compositions and known techniques for the preparation thereof. Except insofar as any conventional carrier medium is incompatible with the compounds of the invention, such as by producing any undesirable biological effect or otherwise interacting in a deleterious manner with any other component(s) of the
pharmaceutically acceptable composition, its use is contemplated to be within the scope of this invention. Some examples of materials which can serve as
pharmaceutically acceptable carriers include, but are not limited to, ion exchangers, alumina, aluminum stearate, lecithin, serum proteins, such as human serum albumin, buffer substances such as phosphates, glycine, sorbic acid, or potassium sorbate, partial glyceride mixtures of saturated vegetable fatty acids, water, salts or electrolytes, such as protamine sulfate, disodium hydrogen phosphate, potassium hydrogen phosphate, sodium chloride, zinc salts, colloidal silica, magnesium trisilicate, polyvinyl pyrrolidone, polyacrylates, waxes, polyethylene- polyoxypropylene-block polymers, wool fat, sugars such as lactose, glucose and sucrose; starches such as corn starch and potato starch; cellulose and its derivatives such as sodium carboxymethyl cellulose, ethyl cellulose and cellulose acetate;
powdered tragacanth; malt; gelatin; talc; excipients such as cocoa butter and suppository waxes; oils such as peanut oil, cottonseed oil; safflower oil; sesame oil; olive oil; corn oil and soybean oil; glycols; such a propylene glycol or polyethylene glycol; esters such as ethyl oleate and ethyl laurate; agar; buffering agents such as magnesium hydroxide and aluminum hydroxide; alginic acid; pyrogen-free water; isotonic saline; Ringer's solution; ethyl alcohol, and phosphate buffer solutions, as well as other non-toxic compatible lubricants such as sodium lauryl sulfate and magnesium stearate, as well as coloring agents, releasing agents, coating agents, sweetening, flavoring and perfuming agents, preservatives and antioxidants can also be present in the composition, according to the judgment of the formulator.
[00267] In another aspect, the invention features a pharmaceutical composition comprising the compound of the invention and a pharmaceutically acceptable carrier.
[00268] In another aspect, the invention features a pharmaceutical composition comprising a therapeutically effective amount of the compound or a pharmaceutically
acceptable salt thereof of the compounds of formula (Γ) and one or more
pharmaceutically acceptable carriers or vehicles.
Uses of Compounds and Pharmaceutically Acceptable Salts and Compositions
[00269] In one embodiment, the methods described herein also provide a method of promoting oligodendrocyte proliferation, differentiation or survival comprising contacting oligodendrocytes with a compound of formula (Γ) or a composition thereof.
[00270] In another embodiment, a method of the present invention comprises promoting oligodendrocyte proliferation, differentiation or survival. In another embodiment, a method of the present invention comprises promoting oligodendrocyte proliferation, differentiation or survival with a compound of formula (Γ) or a composition thereof. In another embodiment, a method of the present invention is useful for treating or lessening the severity of a disease or disorder selected from a disease or disorder associated with a lack of oligodendrocyte proliferation, differentiation or survival comprising administering a therapeutically effective amount of the compounds of formula (Γ) or compositions thereof to a subject in need thereof.
[00271] In another embodiment, a method of the present invention comprises promoting myelination by contacting neuronal cells, oligodendrocyte cells or oligodendrocyte precursor cells. In one embodiment, a method of the present invention comprises promoting myelination by contacting neuronal cells,
oligodendrocyte cells or oligodendrocyte precursor cells with a compound of formula (Γ) or a composition thereof.
[00272] In another embodiment, a method of the present invention comprises promoting survival of cells of the nervous system. In another embodiment, a method of the present invention comprises promoting survival of cells of the nervous system comprising contacting the cells with a compound or composition of formula (Γ). In one embodiment, the cells of the nervous system comprise brain cells, cortical neurons, oligodendroctyes or oligodendrocyte precursor cells.
[00273] In another embodiment, a method of the present invention is useful for treating or lessening the severity of a disease or disorder selected from a disease or condition associated with demyelination comprising administering a therapeutically
effective amount of the compounds of formula (Γ) or compositions thereof to a subject in need thereof. In one embodiment, the disease or condition associated with demyelination is a CNS disorder or a CNS demyelinating disease as described herein. In one embodiment, the disease is multiple sclerosis.
[00274] In another embodiment, the subject has, or is at risk of having, multiple sclerosis. The subject with multiple sclerosis can be at any stage of treatment or disease. In one embodiment, the subject with multiple sclerosis has one or more of: benign multiple sclerosis, relapsing remitting multiple sclerosis, quiescent relapsing remitting multiple sclerosis, active relapsing remitting multiple sclerosis, primary progressive multiple sclerosis, or secondary progressive multiple sclerosis, clinically isolated syndrome, or clinically defined multiple sclerosis. In one embodiment, the type of multiple sclerosis is primary progressive multiple sclerosis. In another embodiment, the type of multiple sclerosis is rel apsi ng-rem i tti ng multiple sclerosis. In yet another embodiment, the type of multiple sclerosis is secondary progressive multiple sclerosis. In still a further embodiment, the type of multiple sclerosis is progressive relapsing multiple sclerosis. In another embodiment, the subject is asymptomatic. In another embodiment, the subject has one or more multiple sclerosis-like symptoms, such as those having clinically isolated syndrome or clinically defined multiple sclerosis. In yet other embodiments, the subject has one or more multiple sclerosis relapses.
[00275] In another embodiment, the subject has a relapsing form of multiple sclerosis such as relapsing remitting multiple sclerosis or relapsing secondary progressive multiple sclerosis. In one embodiment, the subject has relapsing remitting multiple sclerosis and has one or more ongoing clinical exacerbations. In another embodiment, the subject has relapsing remitting multiple sclerosis and one or more subclinical activities. In one embodiment, the clinical exacerbation or subclinical activity is shown by gadolinium enhancement of white matter lesions using T1/T2 magnetic resonance imaging. In another embodiment, the clinical exacerbation or subclinical activity is shown by development of new or enlarged white matter lesions on magnetic resonance imaging of the brain or spinal cord. In one embodiment, the development of new or enlarged white matter lesions is monitored by ΊΊ /Τ2 magnetic resonance imaging. In another embodiment, the development of new or enlarged white matter lesions is monitored by Proton Density
magnetic resonance imaging. In yet another embodiment, the development of new or enlarged white matter lesions is monitored by MTR magnetic resonance imaging. See also, Gaitan, M. I. and Reich, D. S. (2014) MR I in Diagnosis and Disease Monitoring, in Multiple Sclerosis and CNS Inflammatory Disorders (eds L. M. Samkoff and A. D. Goodman), John Wiley & Sons, Ltd., Chichester, UK.
doi: 10.1002/9781118298633. ch4 which is incorporated herein in its entirety by reference.
[00276] In another embodiment, the clinical exacerbations or subclinical activities are monitored by a functional readout such as ambulatory changes (gait changes, sway changes, etc.), T25W changes and/or EDSS changes. In another embodiment, the clinical exacerbations or subclinical activities are monitored by a visual evoked potential assay, a visual acuity assay or a measurement of optic nerve thickness, in another embodiment, the clinical exacerbations or subclinical activities are monitored by a myelin labelling assay.
[00277] In another embodiment, the subject with multiple sclerosis can be at any stage of treatment or disease and treatment with compounds of formula (Γ) of the present invention result in improvement of the disease or symptoms. In one embodiment, improvement in the disease or symptoms is evidenced by a reduction or disappearance of one or more white matter lesions in the brain. In another
embodiment, improvement in the disease or symptoms is evidenced by improved function such as improved ambulation, improved gait, reduced sway, improved T25W scores or improved EDSS scores. In another embodiment, improvement in the disease or symptoms is evidenced by improvements in a visual acuity assay or a visual evoked potential assay. In another embodiment, improvement in the disease or symptoms is evidenced by enhanced optic nerve thickness. In another embodiment, improvement in the disease or symptoms is evidenced by increased myelination in a myelin labelling assay.
[00278] In another embodiment, the compounds of formula (Γ) of the present invention and the methods, compositions and kits disclosed herein are useful for promoting myelin regeneration in progressive demyelinating diseases. In one embodiment, the compounds of formula (Γ) of the present invention and the methods, compositions and kits disclosed herein are useful for promoting myelin regeneration in primary progressive multiple sclerosis. In another embodiment, the compounds of
formula (Γ) of the present invention and the methods, compositions and kits disclosed herein are useful for promoting myelin regeneration in secondary progressive multiple sclerosis. In another embodiment, the compounds of formula (Γ) of the present invention and the methods, compositions and kits disclosed herein are useful for promoting myelin regeneration in re lap sing-remitting multiple sclerosis. In another embodiment, the compounds of formula (Γ) of the present invention and the methods, compositions and kits disclosed herein are useful for promoting myelin regeneration in progressive relapsing multiple sclerosis.
[00279] In yet another embodiment, the compounds of formula (Γ) of the present invention and the methods, compositions and kits disclosed herein are useful for promoting remyelination at the cellular level wherein oligodendrocyte cells are stimulated to regenerate or differentiate. In another embodiment, the compounds of formula (Γ) of the present invention and the methods, compositions and kits disclosed herein are useful for promoting remyelination at the cellular level wherein
oligodendrocyte cells are stimulated to remyelinate axons.
[00280] In another embodiment, the compounds of formula (Γ) of the present invention and the methods, compositions and kits disclosed herein are useful for promoting remyelination at the cellular level whereby oligodendrocyte cells are stimulated to regenerate or differentiate thereby treating demyelinating diseases or disorders. In yet another embodiment, the compounds of formula (Γ) of the present invention and the methods, compositions and kits disclosed herein are useful for promoting remyelination at the cellular level whereby axons are remyelinated by oligodendrocyte cells thereby treating demyelinating diseases or disorders.
[00281] In another embodiment, the compounds of formula (Γ) of the present invention and the methods, compositions and kits disclosed herein are useful for inducing endogenous oligodendrocytes or oligodendrocyte precursor cells to contact an axon and produce myelin.
[00282] In another aspect, the present invention provides a method of treating or lessening the severity of, in a subject, a disease or disorder selected from a demyelinating disease, central pontine myelinolysis, a nerve injury disease or disorder, a leukoencephalopathy or a leukodystrophy comprising administering an effective amount of a compound, a pharmaceutically acceptable salt thereof or a pharmaceutical composition of the compounds of formula (Γ).
[00283] In one aspect, the present invention provides a method of treating or lessening the severity of, in a subject, a disease or disorder selected from spinal cord injury, stroke, multiple sclerosis, progressive multifocal leukoencephalopathy, congenital hypomyelination, encephalomyelitis, acute disseminated
encephalomyelitis, central pontine myelolysis, hypoxic demyeli nation, ischemic demyelination, neuromyelitis optics, adrenol eukody strophy , Alexander's disease, Niemann-Pick disease, Pelizaeus Merzbacher di sease, periventricular leukomalatia, globoid cell leucodystrophy (Krabbe's disease ), Wallerian degeneration, optic neuritis, transverse myeliti s, amyotrophic lateral sclerosis (Lou Gehrig' s diseae), Huntington's disease, Alzheimer's disease, Parkinson's disease, Tay-Sacks disease, Gaucher' s disease, Hurler Syndrome, traumatic brain injury, post radiation injury, neurologic complications of chemotherapy, neuropathy, acute ischemic optic neuropathy, neuromyelitis optica, vitamin B 1 2 deficiency, isolated vitamin E deficiency syndrome, Bassen-Kornzweig syndrome, Leber's hereditary optic atrophy/Leber congenital amaurosis, Marchiafava-Bignami syndrome, metachromatic
leukody strophy, acute hemorrhagic leukoencephaliti s, trigeminal neuralgia, Bell's palsy, schizophrenia, cerebral ischemia, multiple system atrophy, traumatic glaucoma, tropical spastic paraparesi s/human T-lymphotropic v irus 1 (HTLV-1) associated myelopathy, essential tremor or osmotic hyponatremia comprising administering an effectiv e amount of a compound, a pharmaceutically acceptable salt thereof or a pharmaceutical composition of the compounds of formula (Γ).
[00284] In another aspect, the present inv ention prov ides a method of treating, prev enting or ameliorating one or more symptoms of multiple sclerosis or another neurodegenerative disease selected from auditory impairment, optic neuritis, decreased visual acuity, diplopia, nystagmus, ocular dysmetria, internuclear ophthalmoplegia, mov ement and sound phosphenes, afferent pupillary defect, paresis, monoparesis, paraparesis, hemiparesis, quadraparesi s, plegia, paraplegia, hemiplegia, tetraplegia, quadraplegia, spasticity, dysarthria, motor dysfunction, walking impairment, muscle atrophy, spasms, cramps, hypotonia, clonus, myoclonus, myokymia, restless leg syndrome, gait disturbances, footdrop, dysfunctional reflexes, paraesthesia, anaesthesia, neuralgia, neuropathic and neurogenic pain, L'hermitte's, proprioceptiv e dysfunction, trigeminal neuralgia, ataxia, intention tremor, dysmetria, vestibular ataxia, vertigo, speech ataxia, dystonia, disability progression.
dysdiadochokinesia, frequent micturation, bladder spasticity, flaccid bladder, detrusor- sphincter dyssynergia, erectile dysfunction or anorgasmy comprising administering an effective amount of a compound, a pharmaceutically acceptable salt thereof or a pharmaceutical composition of the compounds of formula (Γ).
[00285] In yet another aspect, the present invention provides a method of treating or lessening the severity of, in a subject, a disease or disorder selected from a
demvelinating di sease, central pontine myelinolysis, a nerve injury disease or disorder, a leukoencephalopathy or a leukody strophy comprising administering an effective amount of a compound, a pharmaceutically acceptable salt thereof or a pharmaceutical composition of the compounds of formula (Γ) with one or more additional therapeutic agents administered concurrently with, prior to, or subsequent to treatment with the compound or pharmaceutical composition .
[00286] In another aspect, the present invention provides a method of treating or lessening the severity of, in a subject, a disease or di sorder selected from spinal cord inj ury, stroke, multiple sclerosis, progressive multifocal leukoencephalopathy, congenital hypomyelination, encephalomyeliti s, acute di sseminated
encephalomyelitis, central pontine myelolysis, hypoxic demyeli nation, ischemic demyelination, neuromyelitis optics, adrenoleukody strophy, Alexander's disease, Niemann-Pick disease, Pelizaeus Merzbacher disease, periventricular leukomalatia, globoid cell leucodystrophy (Krabbe's disease), Wallerian degeneration, optic neuriti s, transverse myelitis, amylotrophic lateral sclerosi s (Lou Gehrig' s di seae ), Huntington's disease, Alzheimer's disease, Parkinson's di sease, Tay-Sacks disease, Gaucher' s disease, Hurler Syndrome, traumatic brain inj ury, post radiation injury, neurologic complications of chemotherapy, neuropathy, acute ischemic optic neuropathy, neuromy elitis optica, vitamin B 1 2 deficiency, isolated vitamin E deficiency syndrome, Bassen-Kornzweig syndrome, Leber's hereditary optic atrophy/Leber congenital amaurosis, Marchiafava-Bignami syndrome, metachromatic
leukodystrophy, acute hemorrhagic leukoencephalitis, trigeminal neuralgia. Bell's palsy, schizophrenia, cerebral ischemia, multiple system atrophy, traumatic glaucoma, tropical spastic paraparesis/human T-lymphotropic vi us 1 (HTLV- 1 ) associated myelopathy, essential tremor or osmotic hyponatremia comprising administering an effective amount of a compound, a pharmaceutically acceptable salt thereof or a pharmaceutical composition of the compounds of formula (Γ) with one or more
additional therapeutic agents administered concurrently with, prior to, or subsequent to treatment with the compound or pharmaceutical composition,
[00287] In another aspect, the present invention provides a method of treating or lessening the severity of, in a subject, a type of multiple sclerosis selected from primary progressive multiple sclerosis, refapsing-remitting multiple sclerosis, secondary progressive multiple sclerosis or progressive relapsing multiple sclerosis. In one aspect, the type of multiple sclerosis is primary progressive multiple sclerosis. In another aspect, the type of multiple sclerosis is relapsing-remitting multiple sclerosis. In yet another aspect, the type of multiple sclerosis is secondary
progressive multiple sclerosis. In still a further aspect, the type of multiple sclerosis is progressive relapsing multiple sclerosis.
[00288] In another aspect, the present invention provides a method for treating, preventing or ameliorating one or more symptoms of multiple sclerosis or another neurodegenerative disease selected from auditory impairment, optic neuritis, decreased visual acuity, diplopia, nystagmus, ocular dysmetria, internuclear ophthalmoplegia, movement and sound phosphenes, afferent pupillary defect, paresis, monoparesis, paraparesis, hemiparesis, quadraparesis, plegia, paraplegia, hemiplegia, tetraplegia, quadraplegia, spasticity, dysarthria, motor dysfunction, walking impairment, muscle atrophy, spasms, cramps, hypotonia, clonus, myoclonus, myokymia, restless leg syndrome, gait disturbances, footdrop, dysfunctional reflexes, pallesthesia, anaesthesia, neuralgia, neuropathic and neurogenic pain, L'hermitte's, proprioceptive dysfunction, trigeminal neuralgia, ataxia, intention tremor, dysmetria, vestibular ataxia, vertigo, speech ataxia, dystonia, disability progression,
dysdiadochokinesia, frequent micturation, bladder spasticity, flaccid bladder, detrusor- sphincter dyssynergia, erectile dysfunction or anorgasmy comprising administering an effective amount of a compound, a pharmaceutically acceptable salt thereof or a pharmaceutical composition of the compounds of formula (Γ) with one or more additional therapeutic agents administered concurrently with, prior to, or subsequent to treatment with the compound or pharmaceutical composition.
Manufacture of Medicaments
[00289] In one aspect, the present invention provides the use of a compound or pharmaceutical composition described herein for the manufacture of a medicament for
use in treating or lessening the severity of, in a subject, a disease or disorder selected from a demyelinating disease, central pontine myelinolysis, a nerve injury disease or disorder or a leukoencephalopathy.
[00290] In another aspect, the present invention provides the use of a compound or pharmaceutical composition described herein for the manufacture of a medicament for use in treating or lessening the severity of, in a subject, a disease or disorder selected from spinal cord injury, stroke, multiple sclerosis, progressive multifocal
leukoencephalopathy, congenital hypomyeli nation, encephalomyelitis, acute disseminated encephalomyelitis, central pontine myelolysis, hypoxic demyelination, ischemic demyelination, neuromyelitis optics, adrenoleukodystrophy, Alexander's disease, Niemann-Pick disease, Pelizaeus Merzbacher disease, periventricular leukomalatia, globoid cell leukodystrophy (Krabbe's disease), Wallerian degeneration, optic neuritis, transverse myelitis, amylotrophic lateral sclerosis (Lou Gehrig's diseae), Huntington's disease, Alzheimer's disease, Parkinson's disease, Tay-Sacks disease, Gaucher' s disease, Hurler Syndrome, traumatic brain injury, post radiation injury, neurologic complications of chemotherapy, neuropathy, acute ischemic optic neuropathy, neuromyelitis optica, vitamin B 12 deficiency, isolated vitamin E deficiency syndrome, Bassen-K omzwei syndrome, Leber's hereditary optic atrophy/Leber congenital amaurosis, Marchiafava-Bignami syndrome, metachromatic leukodystrophy, acute hemorrhagic leukoencephalitis, trigeminal neuralgia, Bell's palsy, schizophrenia, cerebral ischemia, multiple system atrophy, traumatic glaucoma, tropical spastic paraparesis/human T-lymphotropic virus 1 (HTLV- 1 ) associated myelopathy, essential tremor or osmotic hyponatremia.
[002911 In another aspect, the present invention provides the use of a compound or pharmaceutical composition described herein for the manufacture of a medicament for use in treating, preventing or ameliorating one or more symptoms of multiple sclerosis or another neurodegenerative disease selected from auditory impairment, optic neuritis, decreased visual acuity, diplopia, nystagmus, ocular dysmetria, internuclear ophthalmoplegia, movement and sound phosphenes, afferent pupillary defect, paresis, monoparesis, paraparesis, hemi paresis, quadraparesis, plegia, paraplegia, hemiplegia, tetraplegia, quadraplegia, spasticity, dysarthria, motor dysfunction, walking impairment, muscle atrophy, spasms, cramps, hypotonia, clonus, myoclonus, myokymia, restless leg syndrome, gait disturbances, footdrop.
dysfunctional reflexes, pallesthesia, anaesthesia, neuralgia, neuropathic and neurogenic pain, L'hermitte's, proprioceptive dysfunction, trigeminal neuralgia, ataxia, intention tremor, dysmetria, vestibular ataxia, vertigo, speech ataxia, dystonia, disability progression, dysdiadochokinesia, frequent micturation, bladder spasticity, flaccid bladder, detrusor- sphincter dyssynergia, erectile dysfunction or anorgasmy.
[00292] In yet another aspect, the present invention provides the use of a compound or pharmaceutical composition described herein for the manufacture of a medicament in combination with one or more additional therapeutic agents administered concurrently with, prior to, or subsequent to treatment with the compound or pharmaceutical composition.
[00293] In one aspect, the present invention provides the use of a compound or pharmaceutical composition described herein for the manufacture of a medicament for use in treating or lessening the severity of, in a subject, a disease or disorder selected from a demyelinating disease, central pontine myelinolysis, a nerv e injury disease or disorder or a leukoencephalopathy with one or more additional therapeutic agents administered concurrently with, prior to, or subsequent to treatment with the compound or pharmaceutical composition.
[00294] In another aspect, the present invention provides the use of a compound or pharmaceutical composition described herein for the manufacture of a medicament for use in treating or lessening the severity of, in a subject, a disease or disorder selected from spinal cord injury, stroke, multiple sclerosis, progressive multifocal
leukoencephalopathy, congenital hypomyelination, encephalomyelitis, acute disseminated encephalomyelitis, central pontine myelolysis, hypoxic demyelination, ischemic demyelination, neuromyelitis optics, adrenoleukodystrophy, Alexander's disease, Niemann-Pick disease, Pelizaeus Merzbacher disease, periventricular leukomalatia, globoid cell leucodystrophy (Krabbe's disease), Wallerian degeneration, optic neuritis, transverse myelitis, amylotrophic lateral sclerosis (Lou Gehrig's diseae), Huntington's disease, Alzheimer's disease, Parkinson's disease, Tay-Sacks disease, Gaucher' s disease, Hurler Syndrome, traumatic brain injury, post radiation injury, neurologic complications of chemotherapy, neuropathy, acute ischemic optic neuropathy, neuromyelitis optica, vitamin B 12 deficiency, isolated vitamin E deficiency syndrome, Bassen-Kornzweig syndrome, Leber's hereditary optic atrophy/Leber congenital amaurosis, Marchiafava-Bignami syndrome, metachromatic
leukodystrophy, acute hemorrhagic leukoencephalitis, trigeminal neuralgia, Bell's palsy, schizophrenia, cerebral ischemia, multiple system atrophy, traumatic glaucoma, tropical spastic paraparesis/human T-lymphotropic virus 1 (HTLV- 1 ) associated myelopathy, essential tremor or osmotic hyponatremia in combination with one or more additional therapeutic agents administered concurrently with, prior to, or subsequent to treatment with the compound or pharmaceutical composition.
[00295] In another aspect, the present invention provides the use of a compound or pharmaceutical composition described herein for the manufacture of a medicament for use in treating or lessening the severity of, in a subject, a type of multiple sclerosis selected from primary progressive multiple sclerosis, relapsing-remitting multiple sclerosis, secondary progressive multiple sclerosis or progressive relapsing multiple sclerosis. In one aspect, the type of multiple sclerosis is primary progressive multiple sclerosis. In another aspect, the type of multiple sclerosis is relapsing-remitting multiple sclerosis. In yet another aspect, the type of multiple sclerosis is secondary progressive multiple sclerosis. In still a further aspect, the type of multiple sclerosis is progressive relapsing multiple sclerosis.
[00296] In yet another aspect, the present the present invention provides the use of a compound or pharmaceutical composition described herein for the manufacture of a medicament for use in treating, preventing or ameliorating one or more symptoms of multiple sclerosis or another neurodegenerative disease selected from auditory impairment, optic neuritis, decreased visual acuity, diplopia, nystagmus, ocular dysmetria, internuclear ophthalmoplegia, movement and sound phosphenes, afferent pupillary defect, paresis, monoparesis, paraparesis, hemiparesis, quadraparesis, plegia, paraplegia, hemiplegia, tetraplegia, quadraplegia, spasticity, dysarthria, motor dysfunction, walking impairment, muscle atrophy, spasms, cramps, hypotonia, clonus, myoclonus, myokymia, restless leg syndrome, gait disturbances, footdrop,
dysfunctional reflexes, paraesthesia, anaesthesia, neuralgia, neuropathic and neurogenic pain, L'hermitte's, proprioceptive dysfunction, trigeminal neuralgia, ataxia, intention tremor, dysmetria, vestibular ataxia, vertigo, speech ataxia, dystonia, disability progression, dysdiadochokinesia, frequent micturation, bladder spasticity, flaccid bladder, detrusor- sphincter dyssynergia, erectile dysfunction or anorgasmyin combination with one or more additional therapeutic agents administered concurrently
with, prior to, or subsequent to treatment with the compound or pharmaceutical composition.
Administration of Pharmaceutically acceptable salts and Compositions
[00297] In certain embodiments of the invention an "effective amount" of the compound, a pharmaceutically acceptable salt thereof or pharmaceutically acceptable composition is that amount effective for treating or lessening the severity of, in a subject, a disease or disorder selected from one or more of a demyelinating disease, central pontine myelinolysis, a nerve injury disease or disorder or a
leukoencephalopathy.
[00298] The exact amount required will vary from subject to subject, depending on the species, age, and general condition of the subject, the severity of the disease, the particular agent, its mode of administration, and the like. The compounds of the invention are preferably formulated in dosage unit form for ease of administration and uniformity of dosage. The expression "dosage unit form" as used herein refers to a physically discrete unit of agent appropriate for the patient to be treated. It will be understood, however, that the total daily usage of the compounds and compositions of the invention will be decided by the attending physician within the scope of sound medical judgment. The specific effective dose level for any particular patient or organism will depend upon a variety of factors including the disorder being treated and the severity of the disorder; the activity of the specific compound employed; the specific composition employed; the age, body weight, general health, sex and diet of the patient; the time of administration, route of administration, and rate of excretion of the specific compound employed; the duration of the treatment; drugs used in combination or coincidental with the specific compound employed, and like factors well known in the medical arts. The term "patient", as used herein, means an animal, preferably a mammal, and most preferably a human
[00299] The pharmaceutically acceptable compositions of this invention can be administered to humans and other animals orally, rectally, parenterally,
intracisternally, intravaginally, intraperitoneally, topically (as by powders, ointments, or drops), bucally, as an oral or nasal spray, or the like, depending on the severity of the disease being treated. In certain embodiments, the compounds of the invention may be administered orally or parenterally at dosage levels of about 0.01 mg/kg to
about 50 mg/kg and preferably from about 1 mg/kg to about 25 mg/kg, of subject body weight per day, one or more times a day, to obtain the desired therapeutic effect.
[00300] Liquid dosage forms for oral administration include, but are not limited to, pharmaceutically acceptable emulsions, microemulsions, solutions, suspensions, syrups and elixirs. In addition to the active compounds, the liquid dosage forms may contain inert diluents commonly used in the art such as, for example, water or other solvents, solubilizing agents and emulsifiers such as ethyl alcohol, isopropyl alcohol, ethyl carbonate, ethyl acetate, benzyl alcohol, benzyl benzoate, propylene glycol, 1,3- butylene glycol, dimethylformamide, oils (in particular, cottonseed, groundnut, corn, germ, olive, castor, and sesame oils), glycerol, tetrahydrofurfuryl alcohol,
polyethylene glycols and fatty acid esters of sorbitan, and mixtures thereof. Besides inert diluents, the oral compositions can also include adjuvants such as wetting agents, emulsifying and suspending agents, sweetening, flavoring, and perfuming agents.
[00301] Injectable preparations, for example, sterile injectable aqueous or oleaginous suspensions may be formulated according to the known art using suitable dispersing or wetting agents and suspending agents. The sterile injectable preparation may also be a sterile injectable solution, suspension or emulsion in a nontoxic parenterally acceptable diluent or solvent, for example, as a solution in 1,3-butanediol. Among the acceptable vehicles and solvents that may be employed are water, Ringer's solution, U.S. P. and isotonic sodium chloride solution. In addition, sterile, fixed oils are conventionally employed as a solvent or suspending medium. For this purpose any bland fixed oil can be employed including synthetic mono- or diglycerides. In addition, fatty acids such as oleic acid are used in the preparation of injectables.
[00302] The injectable formulations can be sterilized, for example, by filtration through a bacterial-retaining filter, or by incorporating sterilizing agents in the form of sterile solid compositions which can be dissolved or dispersed in sterile water or other sterile injectable medium prior to use.
[00303] In order to prolong the effect of a compound of the invention, it is often desirable to slow the absorption of the compound from subcutaneous or intramuscular injection. This may be accomplished by the use of a liquid suspension of crystalline or amorphous material with poor water solubility. The rate of absorption of the compound then depends upon its rate of dissolution that, in turn, may depend upon crystal size and crystalline form. Alternatively, delayed absorption of a parenterally
administered compound form is accomplished by dissolving or suspending the compound in an oil vehicle. Injectable depot forms are made by forming
microencapsule matrices of the compound in biodegradable polymers such as polylactide-polyglycolide. Depending upon the ratio of compound to polymer and the nature of the particular polymer employed, the rate of compound release can be controlled. Examples of other biodegradable polymers include poly(orthoesters) and poly(anhydrides). Depot injectable formulations are also prepared by entrapping the compound in liposomes or microemulsions that are compatible with body tissues.
[00304] Compositions for rectal or vaginal administration are preferably
suppositories which can be prepared by mixing the compounds of this invention with suitable non-irritating excipients or carriers such as cocoa butter, polyethylene glycol or a suppository wax which are solid at ambient temperature but liquid at body temperature and therefore melt in the rectum or vaginal cavity and release the active compound.
[00305] Solid dosage forms for oral administration include capsules, tablets, pills, powders, and granules. In such solid dosage forms, the active compound is mixed with at least one inert, pharmaceutically acceptable excipient or carrier such as sodium citrate or dicalcium phosphate and/or a) fillers or extenders such as starches, lactose, sucrose, glucose, mannitol, and silicic acid, b) binders such as, for example, carboxymethylcellulose, alginates, gelatin, polyvinylpyrrolidinone, sucrose, and acacia, c) humectants such as glycerol, d) disintegrating agents such as agar-agar, calcium carbonate, potato or tapioca starch, alginic acid, certain silicates, and sodium carbonate, e) solution retarding agents such as paraffin, f) absorption accelerators such as quaternary ammonium compounds, g) wetting agents such as, for example, cetyl alcohol and glycerol monostearate, h) absorbents such as kaolin and bentonite clay, and i) lubricants such as talc, calcium stearate, magnesium stearate, solid polyethylene glycols, sodium lauryl sulfate, and mixtures thereof. In the case of capsules, tablets and pills, the dosage form may also comprise buffering agents.
[00306] Solid compositions of a similar type may also be employed as fillers in soft and hard-filled gelatin capsules using such excipients as lactose or milk sugar as well as high molecular weight polyethylene glycols and the like. The solid dosage forms of tablets, dragees, capsules, pills, and granules can be prepared with coatings and shells such as enteric coatings and other coatings well known in the pharmaceutical
formulating art. They may optionally contain opacifying agents and can also be of a composition that they release the active ingredient(s) only, or preferentially, in a certain part of the intestinal tract, optionally, in a delayed manner. Examples of embedding compositions that can be used include polymeric substances and waxes. Solid compositions of a similar type may also be employed as fillers in soft and hard- filled gelatin capsules using such excipients as lactose or milk sugar as well as high molecular weight polethylene glycols and the like.
[00307] The active compounds can also be in microencapsulated form with one or more excipients as noted above. The solid dosage forms of tablets, dragees, capsules, pills, and granules can be prepared with coatings and shells such as enteric coatings, release controlling coatings and other coatings well known in the pharmaceutical formulating art. In such solid dosage forms the active compound may be admixed with at least one inert diluent such as sucrose, lactose or starch. Such dosage forms may also comprise, as is normal practice, additional substances other than inert diluents, e.g., tableting lubricants and other tableting aids such a magnesium stearate and microcrystalline cellulose. In the case of capsules, tablets and pills, the dosage forms may also comprise buffering agents. They may optionally contain opacifying agents and can also be of a composition that they release the active ingredient(s) only, or preferentially, in a certain part of the intestinal tract, optionally, in a delayed manner. Examples of embedding compositions that can be used include polymeric substances and waxes.
[00308] Dosage forms for topical or transdermal administration of a compound of this invention include ointments, pastes, creams, lotions, gels, powders, solutions, sprays, inhalants or patches. The active component is admixed under sterile conditions with a pharmaceutically acceptable carrier and any needed preservatives or buffers as may be required. Ophthalmic formulation, eardrops, and eye drops are also contemplated as being within the scope of this invention. Additionally, the invention contemplates the use of transdermal patches, which have the added advantage of providing controlled delivery of a compound to the body. Such dosage forms are prepared by dissolving or dispensing the compound in the proper medium.
Absorption enhancers can also be used to increase the flux of the compound across the skin. The rate can be controlled by either providing a rate controlling membrane or by dispersing the compound in a polymer matrix or gel.
Additional Therapeutic Agents
[00309] It will also be appreciated that the the compounds of formula (Γ) of the present invention and the methods, compositions and kits disclosed herein can be employed in combination therapies, that is, the compounds and pharmaceutically acceptable compositions can be administered concurrently with, prior to, or subsequent to, one or more other desired therapeutics or medical procedures. The particular combination of therapies (therapeutics or procedures) to employ in a combination regimen will take into account compatibility of the desired therapeutics and/or procedures and the desired therapeutic effect to be achieved. It will also be appreciated that the therapies employed may achieve a desired effect for the same disorder (for example, an inventive compound may be administered concurrently with another agent used to treat the same disorder), or they may achieve different effects (e.g., control of any adverse effects). As used herein, additional therapeutic agents that are normally administered to treat or prevent a particular disease, or condition, are known as "appropriate for the disease, or condition, being treated." Additional appropriate therapeutic agents or approaches are described generally in The Merck Manual, Nineteenth Edition, Ed. Robert S. Porter and Justin L. Kaplan, Merck Sharp & Dohme Corp., a subsidiary of Merck & Co., Inc., 2011, and the Food and Drug Administration website, www.fda.gov, the entire contents of which are hereby incorporated by reference.
[00310] In one embodiment, the additional therapeutic agents is an
immunomodulatory agent, such as an IFN-β 1 molecule including but not limited to an interferon beta la (Avonex®, Rebif®) or an interferon beta lb (Betaseron®, Betaferon®, Extavia®). Immunomodulatory agents also include other interferons and fragments, analogues, homologues, derivatives, and natural variants thereof with substantially similar biological activity to interferon beta la molecules.
[00311] In another embodiment, the additional therapeutic agent is a polymer of glutamic acid, lysine, alanine and tyrosine such as glatiramer acetate (Copaxone®).
[00312] In another embodiment, the additional therapeutic agent is an antibody or fragment thereof against alpha-4 integrin (e.g., natalizumab (Tysabri®)).
[00313] In another embodiment, the additional therapeutic agent is an
anthracenedione molecule such as mitoxantrone (Novantrone®).
[00314] In another embodiment, the additional therapeutic agent is a sphingosine 1- phosphate receptor modulator such as fingolimod (Gilenya®) and those described in WO 2012/109108 the entire contents of which is hereby incorporated by reference.
[00315] In another embodiment, the additional therapeutic agent is a dimethyl fumarate such as an oral dimethyl fumarate (Tecfidera®).
[00316] In another embodiment, the additional therapeutic agent is an antibody to the alpha subunit of the IL-2 receptor of T cells such as daclizumab (Zenapax®).
[00317] In another embodiment, the additional therapeutic agent is an antibody against CD52 such as alemtuzumab (Lemtrada®).
[00318] In another embodiment, the additional therapeutic agent is an inhibitor of a dihydroorotate dehydrogenase such as teriflunomide (Aubagio®).
[00319] In another embodiment, the additional therapeutic agent is an antibody to CD20 such as ocrelizumab, rituximab or ofatumumab.
[00320] In another embodiment, the additional therapeutic agent is a corticosteroid such as, but not limited to methylprednisolone, Depo-Medrol®, Solu-Medrol®, Deltasone®, Delta-Cortef®, Medrol®, Decadron® or Acthar®.
[00321] In another embodiment, the additional therapeutic agent is an anti-VLA4 antibody, such as Natalizumab (Tysabri®) or a related VLA-4 antibodies such as those described in US 5,840,299, US 6,602,503, Sanchez-Madrid et al, (1986) Eur. J. Immunol 16: 1343-1349; Hemler et al, (1987) J Biol. Chem. 2: 11478-11485; Issekutz et al. (1991) J Immunol 147: 109 (TA-2 mab); Pulido et al. (1991) J Biol. Chem. 266: 10241-10245; and U.S. Pat. No. 5,888,507 the entire contents of each patent or publication hereby incorporated by reference in their entirety.
[00322] In another embodiment, the additional therapeutic agent is a LINGO-1 antagonist (e.g., an antibody against LINGO (e.g., LINGO-1, LINGO-2, LINGO-3, LINGO-4) or a Nogo receptor-1 (NgRl) modulator and compositions thereof such as those disclosed in WO2004/085648, WO2006/002437, WO2007/008547,
WO2007/025219, WO2007/064882, WO2007/056161, WO2007/133746,
WO2007/098283, WO2008/086006, WO2009/061500, WO2010/005570,
WO2010/062904, WO 2013/173364, WO2014/058875, each of which is hereby incorporated by reference in its entirety.
[00323] In another embodiment, the additional therapeutic agent is a TAJ modulator, such as those disclosed in WO2006/017673, which is hereby incorporated by reference in its entirety.
[00324] In another embodiment, the additional therapeutic agent is a TrkA antagonist such as those disclosed in WO2008/013782 or a TrkB antagonist such as those disclosed in WO2009/048605, each of which is hereby incorporated by reference in its entirety.
[00325] In another embodiment, the additional therapeutic agent is a sclerostin modulator such as those disclosed in WO2013/063095, which is hereby incorporated by reference in its entirety.
[00326] In another embodiment, the additional therapeutic agent is an autotaxin (ATX) inhibitor or LPA receptor antagonist, such as those described in
WO2015048301, WO2015042053, WO2015042052, WO2015008230,
WO2015008229, WO2014202458, WO2014139882, WO2014133112,
WO2014097151, WO2014110000, WO2014/081756, WO2014/081752,
WO2014/048865, WO2014168824 , WO2014143583, WO2014139978,
WO2013/186159, WO2012/024620, WO2012/166415, WO2012078593,
WO2012078805, WO2012024620,WO2013070879, WO2013/061297,
WO2013/054185, WO2014/018881, WO2014/018887, WO2014/018891,
WO2014/025708, W02104/025709, WO2014/152725, WO2012028243,
WO2012005227, WO2011/159635, WO2011/159550, WO2011116867,
WO2011053948, WO2011041729, WO2011041694, WO2011041462,
WO2011041461, WO2011017561, WO2011017350, WO2010115491,
WO2011006569, WO20110141761, WO2010112124, WO2010112116,
WO2010077883, WO2010077882, WO2010068775, WO2010063352,
WO2010051031, WO2010051030, WO2009046841, WO2009046842,
WO2009046804, WO2009023854, WO2009/135590, WO2008/014286, WO
2010/141768, US2006/194850, US 2003/114505, US 2004/122236, US 2006/194850, US 6964945, US2005/0256160, US 2006/148830, US 2008/0293764,
US2010/0249157, the disclosure of each patent application and patent hereby incorporated by reference in its entirety.
[00327] In another embodiment, the additional therapeutic agent is a Nox4 modulator such as those described in WO2013/037499, which is hereby incorporated by reference in its entirety.
[00328] In another embodiment, the additional therapeutic agent is a remyelinating antibody such as rHIgM22.
[00329] In another embodiment, the additional therapeutic agent is dalfampridine (Ampyra®)
[00330] In another embodiment, the additional therapeutic agent is a death receptor 6 (DR6) antagonist, a p75 antagonist or a combination thereof such as those disclosed in US8894999 and WO2014106104 each of which is incorporated herein by reference in its entirety.
[00331] In another embodiment, the additional therapeutic agent is Cethrin™.
[00332] In another embodiment, the additional therapeutic agent is an activin receptor modulator such as those described in WO2015/001352, which is hereby incorporated by reference in its entirety.
[00333] In another embodiment, the additional therapeutic agent is a GLP-1 like peptide or a derivative of GLP-1 like peptides such as those disclosed in
WO2015/000942, WO2014/202727, WO2012/1401 17, WO2012/062803, WO 2012/062804, WO2011/080102 and WO2009/030771, each of which is incorporated herein by reference in its entirety. In another embodiment, the GLP-1 derivative is Liraglutide or Semaglutide.
[00334] In another embodiment, the additional therapeutic agent is a RXR modulator such as those disclosed in US2015/0038585 and WO2013056232 each of which is incorporated herein by reference in its entirety. In another embodiment, the RXR modulator is HX630.
[00335] In another embodiment, the additional therapeutic agent is an activator of the RF2/KE API/ARE pathway such as those disclosed in WO2014/197818 which is hereby incorporated by reference in its entirety.
[00336] In another embodiment, the additional therapeutic agent is a PPAR agonist such as those disclosed in WO2014/165827 which is hereby incorporated by reference in its entirety.
[00337] In another embodiment, the additional therapeutic agent is an inhibitor of HDAC4 such as those disclosed in WO2013/080120 which is hereby incorporated by reference in its entirety.
[00338] In another embodiment, the additional therapeutic agent is a gamma secretase inhibitor such as DAPT.
[00339] In another embodiment, the additional therapeutic agent is an antipsychotic medication such as quetiapine.
[00340] In another embodiment, the additional therapeutic agent is a thyroid hormone.
[00341] In another embodiment, the additional therapeutic agent is a thyroid translocator protein (TSPO) such as etifoxine.
[00342] In another embodiment, the additional therapeutic agent is insulin-like growth factor 1 (IGF-1).
[00343] In another embodiment, the additional therapeutic agent is an
anticholinergic such as benzatropine.
[00344] In another embodiment, the additional therapeutic agent is an
antihistamine/anticholinergic such as clemastine or clemastine fumarate.
[00345] In another embodiment, the additional therapeutic agent is one that removes antiaquaporin by plasmapheresis.
[00346] In another embodiment, the additional therapeutic agent is a hyaluronan inhibitor or antagonist such as those described in WO2015023691, which is hereby incorporated by reference in its entirety.
[00347] In another embodiment, the additional therapeutic agent is a hyaluronidase inhibitor such as a PH20 inhibitor or those described in WO2013/102144,
WO2011/133862, and WO2010/007729 each of which is hereby incorporated by reference in its entirety.
[00348] In another embodiment, the additional therapeutic agent is a Toll-Like Receptor-2 (TLR-2) inhibitor.
[00349] In another embodiment, the additional therapeutic agent is a Semaphorin 3A antagonist or antibody such as those disclosed in WO2014123186, which is hereby incorporated by reference in its entirety.
[00350] In another embodiment, the additional therapeutic agent is a CXCR2 inhibitor or antagonist.
[00351] In another embodiment, the additional therapeutic agent is a Semaphorin 3F agonist.
[00352] In another embodiment, the additional therapeutic agent is a Wnt polypeptide or Wnt inhibitor such as those disclosed in WO 2013/040309 and WO 2012/097093, each of which is hereby incorporated by reference in its entirety.
[00353] In another embodiment, the additional therapeutic agent is a mitochondrial pore modulator such as Olesoxime.
[00354] In another embodiment, the additional therapeutic agent is a PSA NCAM antagonist, a CXCR2 inhibitor or antagonist, a MRF agonist, a GM-98 agonist, a Tcf4 inhibitor, a retinoid, a neuregulin 1-erbB signaling modulator, a zpfl91 activator, an miR219 activator, an miR338 activator or an miR138 activator.
[00355] In certain embodiments, the additional agent is an immunomodulatory agent such as an IFN-β 1 molecule which is administered intravenously, subcutaneously or intramuscularly. In one embodiment, the IFN-β 1 molecule is administered at 20-45 microgram once a week by intramuscular injection. In another embodiment, the IFN- β 1 molecule is administered at 20-30 microgram three times a week by intramuscular injection. In another embodiment, the IFN-β 1 molecule is administered at 40-50 micrograms once a week, by subcutaneous injection.
[00356] In another embodiment, the IFN-β 1 molecule is administered in an amount of between 10 and 50 μg intramuscularly three times a week.
[00357] In another embodiment, the IFN-β 1 molecule is administered in an amount of between 10 and 50 μg intramuscularly every five to ten days.
[00358] In another embodiment, the IFN-β 1 molecule is administered in an amount between 200 and 600 μg every other day by subcutaneous injection. In one embodiment, the IFN-β 1 molecule is an interferon β-lb (Betaseron®, Betaferon®, or Extavia®).
[00359] These combinations are useful for treating or lessening the severity of, in a subject, the diseases described herein including neurodegenerative diseases such as multiple sclerosis. These combinations are also useful in the kits described herein.
[00360] it will also be appreciated that the the compounds of formula (Γ) of the present invention and the methods, compositions and kits disclosed herein can be employed in combination therapies to not only treat or lessen the severity of, in a subject, the diseases described herein but may also be used in symptom management.
Those additional agents include those useful for treating symptoms such as bladder problems (e.g., Botox®, DDAVP Nasal Spray®, Detrol®, Ditropan®, Ditropan XL®, Enablex®, Flomax®, Hytrin®, Minipress®, Oxytrol®, Pro-Banthine®, Sanctura®, Tofranil®, Vesicare®); infections (Bactrim®, Septra®, Cipro®, Macrodantin®, Hiprex®, Pyridium®); bowel dysfunction (Colace®, Dulcolax®, Enemeez®, Fleet enema, Mineral oil, Metamucil®, Milk of Magnesi®a, glycerin suppositories);
depression (Cymbalta®, Effexor®, Paxil®, Prozac®, Wellbutrin®, Zoloft®);
dizziness and vertigo (Antivert®); emotional changes (Nuedexta®), Fatigue
(Amantadine®, Provigil®, Prozac®), itching (Atarax®); pain (Dilantin®, Elavil®, Klonipin®, Neurontin®, Pamelor®, Aventyl®, Tegetrol®); sexual problems
(Cialis®, Levitra®, Papaverine®, MUSE®, Prostin VR®, Viagra®); spasticity (Dantrium®, Gablofen®, Klonipin®, Lioresal®, Valium®, Zanaflex®); tremors (Laniazid®, Nydrazid®, Klonopin®, Rivotril®); and walking or gait difficulties (Ampyra®).
[00361] The amount of additional therapeutic agent present in or with the compositions of this invention will be no more than the amount that would normally be administered in a composition comprising that therapeutic agent as the only active agent. Preferably the amount of additional therapeutic agent in the presently disclosed compositions will range from about 50% to 100% of the amount normally present in a composition comprising that agent as the only therapeutically active agent.
[00362] In another aspect, the present invention features a kit comprising a compound and/or pharmaceutical composition of formula (Γ) of the present invention and instructions for use thereof.
[00363] In another embodiment, the kits of the present invention further comprise one or more additional therapeutic agent(s). In another embodiment, the additional therapeutic agent is selected from an immunomodulatory agent, such as an IFN-β 1 molecule including but not limited to an interferon beta la (Avonex®, Rebif®) or an interferon beta lb (Betaseron®, Betaferon®, Extavia®).
[00364] In another embodiment, the additional therapeutic agent is a polymer of glutamic acid, lysine, alanine and tyrosine such as glatiramer acetate (Copaxone®).
[00365] In another embodiment, the additional therapeutic agent is an antibody or fragment thereof against alpha-4 integrin (e.g., natalizumab (Tysabri®)).
[00366] In another embodiment, the additional therapeutic agent is an
anthracenedione molecule such as mitoxantrone (Novantrone®).
[00367] In another embodiment, the additional therapeutic agent is a sphingosine 1- phosphate receptor modulator such as fingolimod (Gilenya®) and those described in WO 2012/109108 the entire contents of which is hereby incorporated by reference.
[00368] In another embodiment, the additional therapeutic agent is a dimethyl fumarate such as an oral dimethyl fumarate (Tecfidera®).
[00369] In another embodiment, the additional therapeutic agent is an antibody to the alpha subunit of the IL-2 receptor of T cells such as daclizumab (Zenapax®).
[00370] In another embodiment, the additional therapeutic agent is an antibody against CD52 such as alemtuzumab (Lemtrada®).
[00371] In another embodiment, the additional therapeutic agent is an inhibitor of a dihydroorotate dehydrogenase such as teriflunomide (Aubagio®).
[00372] In another embodiment, the additional therapeutic agent is an antibody to CD20 such as ocrelizumab, rituximab or ofatumumab.
[00373] In another embodiment, the additional therapeutic agent is a corticosteroid such as, but not limited to methylprednisolone, Depo-Medrol®, Solu-Medrol®, Deltasone®, Delta-Cortef®, Medrol®, Decadron® or Acthar®.
[00374] In another embodiment, the additional therapeutic agent is one or more compounds useful for treating symptoms of the disease such as bladder problems (e.g., Botox®, DDAVP Nasal Spray®, Detrol®, Ditropan®, Ditropan XL®,
Enablex®, Flomax®, Hytrin®, Minipress®, Oxytrol®, Pro-Banthine®, Sanctura®, Tofranil®, Vesicare®); infections (Bactrim®, Septra®, Cipro®, Macrodantin®, Hiprex®, Pyridium®); bowel dysfunction (Colace®, Dulcolax®, Enemeez®, Fleet enema, Mineral oil, Metamucil®, Milk of Magnesia®, glycerin suppositories);
depression (Cymbalta®, Effexor®, Paxil®, Prozac®, Wellbutrin®, Zoloft®);
dizziness and vertigo (Antivert®); emotional changes (Nuedexta®), Fatigue
(Amantadine®, Provigil®, Prozac®), itching (Atarax®); pain (Dilantin®, Elavil®, Klonipin®, Neurontin®, Pamelor®, Aventyl®, Tegetrol®); sexual problems
(Cialis®, Levitra®, Papaverine®, MUSE®, Prostin VR®, Viagra®); spasticity (Dantrium®, Gablofen®, Klonipin®, Lioresal®, Valium®, Zanaflex®); tremors (Laniazid®, Nydrazid®, Klonopin®, Rivotril®); or walking or gait difficulties (Ampyra®).
[00375] In another embodiment, the kits of the present invention are drawn to kits wherein the compounds or the pharmaceutical compositions of the present invention and the one or more additional therapeutic agent(s) are in separate containers.
[00376] In another embodiment, the kits of the present invention are drawn to kits wherein the compounds or the pharmaceutical compositions of the present invention and the one or more additional therapeutic agent(s) are in the same container.
[00377] In another embodiment, the container is a bottle, vial, or blister pack, or combination thereof.
SCHEMES AND EXAMPLES
The compounds of the invention may be readily prepared by known methods and by using the following methods, schemes and examples. Aminotriazole compounds disclosed herein may be prepared using a Buchwald reaction as generally indicated by the two reactions in Scheme A. In the PI variation, a triazole bearing a primary amino group may be coupled with a suitable reaction partner J- A', where J is a leaving group (e.g., a halide) and A is A, as defined herein, or a derivative of A that may be further processed to arrive at a substitution present in A. In the P2 variation, a triazole bearing a leaving group (e.g., a halide) may be coupled with a suitable reaction partner H2N-A, where A is as described above.
Scheme A
Buchwald
Reaction conditions for effecting a Buchwald reaction are generally known to those skilled in the art and/or can be found in the literature, including the following source: http://www.organic-eheim^
Substituents on the A' moiety indicated above may be transformed to other substituents following the Buchwald reaction PI or P2. For example, substituents
may be transformed through standard organic chemical reactions including, but not limited to, deprotection, oxidation, reduction, hydrolysis, amide bond formation, alkylation, reductive alkylation, Suzuki couplings, a further Buchwald reaction, and the like. The examples below illustrate various post-Buchwald transformations corresponding to substituents on A'.
The triazole compounds that participate in the Buchwald reaction of Scheme A may be prepared using Chan-Lam chemistry, as shown in Scheme B, to form the bond between the triazole moiety and R8. See e.g., Lam et al., Tetrahedron Letters (1998), 39, 2941-44. In Scheme B, the moiety Z represents a halide (e.g., bromo) or a nitro group. The nitro group can be converted to the corresponding amine shown in PI using standard conditions for reducing a nitro group.
Various procedures are illustrated below for the preparation of the reactants J-A'and H2N-A. The person skilled in the art will recognize that the specific procedures may be adapted to the synthesis of additional structural variations of compound within formula (Γ) and its subformulas without undue experimentation.
Compounds were named using either IUPAC nomenclature or the nomenclature used in ChemBioDraw Ultra (Version 12.0.2.1076, CambridgeSoft®). EXAMPLES
General methods. ¾ MR (obtained on a Bruker 400MHz Advance III Q P probe 1H/13C/19F or a Bruker 300MHz Advance I QNP probe 1H/13C/19F) spectra were obtained as solutions in an appropriate deuterated solvent such as dimethyl sulfoxide- de (DMSO-D6 or DMSO-d6). Mass spectra (MS) were obtained using a Waters 3100 mass detector and one of the following UPLC (Ultra Performance Liquid
Chromatography) or HPLC (High Performance Liquid Chromatography) methods. UPLC method A: Mobile phase A: water (0.1 % trifluoroacetic acid). Mobile phase B: acetonitrile (0.1 % trifluoroacetic acid). Column: Waters Acquity CSH CI 8, 2.1 x
50 mm, 1.7 μιη particle size. Flow rate = 0.6 mL/min, injection volume = 2 μΐ^, and column temperature = 25 °C. Gradient 5%-95% phase B over 1.4 minutes.
UPLC method B: Mobile phase A: water (0.1 % trifluoroacetic acid). Mobile phase B: acetonitrile (0.1 % trifluoroacetic acid). Column: Waters Acquity CSH CI 8, 2.1 x 50 mm, 1.7 μιη particle size. Flow rate = 0.6 mL/min, injection volume = 2 μΐ^, and column temperature = 25 °C. Gradient 10-60% phase B over 1.4 minutes.
UPLC method C: Mobile phase A: water (0.1 % trifluoroacetic acid). Mobile phase B: acetonitrile (0.1 % trifluoroacetic acid). Column 4.6 x 100mm Sunfire CI 8 column. Flow rate = 1.5 mL/min. Gradient 2-98% phase B over 3.8 minutes.
UPLC method D: Mobile Phase A: 95% water [50 mM ammonium formate pH 9]: 5% acetonitrile. Mobile Phase B: acetonitrile. Column: Waters Acquity BEH C8, 2.1 x 50 mm, 1.7 μιη particle size. Flow rate=0.6ml/min; Injection Volume: 2 μΕ.
Gradient 5-95% phase B over 1.4 minutes.
UPLC method E: Mobile Phase A: water (0.1 % trifluoroacetic acid). Mobile phase B: acetonitrile (0.1 % trifluoroacetic acid). Column: Waters Acquity CSH Fluorophenyl, 2.1 x 50 mm, 1.7 μιη particle size. Flow rate=0.6ml/min; Injection Volume: 2 μί; Gradient 5-95% phase B over 1.4 minutes.
UPLC method F: Mobile Phase A: 95% water [50 mM ammonium formate pH 9] : 5% acetonitrile. Mobile Phase B : acetonitrile. Column: Waters Acquity BEH C8, 2.1 x 50 mm, 1.7 μιη particle size. Flow rate 0.6mL/min, Injection Volume: 2 μΕ.
Gradient 60-95% phase B over 1.4 minutes.
HPLC method G: Mobile phase A: water (0.1 % trifluoroacetic acid). Mobile phase B: acetonitrile (0.1 % trifluoroacetic acid). Column: Waters Xselect CI 8, 4.6 x 50 mm, 5 μιη particle size. Flow rate = 1.5 mL/min, injection volume = 10 μΕ. Gradient 5-95% phase B over 3 minutes.
HPLC method H: Mobile phase A: water (0.1 % trifluoroacetic acid). Mobile phase B: acetonitrile (0.1 % trifluoroacetic acid). Column: Waters Xbridge C8, 4.6 x 50 mm, 5 μιη particle size. Injection Volume: 10 μΕ. Gradient 60-95%) phase B over 3 minutes.
HPLC method I: Mobile phase A: water. Mobile phase B: acetonitrile. Mobile
Phase C 5% trifluoroacetic acid in water). Column: YMC-Pak C18, 4.6 x 50 mm, 5 μιη particle size, Injection Volume: 10 μί. Flow rate: 1.5 mL/min, Constant 2%> phase C. Gradient 10-90%> phase B over 4.5 minutes.
HPLC method J: Mobile phase A: water. Mobile phase B: acetonitrile. Mobile Phase C 10% trifluoroacetic acid in water). Column: Waters Sunfire CI 8, 4.6 x 50 mm, 5 μπι particle size. Injection Volume: 10 μΐ. . Constant 2% phase C, Gradient 10- 90% phase B over 4.5 minutes.
HPLC method K: Mobile phase A: water. Mobile phase B: acetonitrile. Mobile Phase C 5% trifluoroacetic acid in water). YMC-Pak CI 8, 4.6 x 50 mm, 5 μιη particle size. Injection Volume: 10 μΐ.. Flow rate: 1.5 mL/min, Constant 1% phase C. Gradient 10-99% phase B over 4.5 minutes
UPLC Method L: Mobile phase A: water (0.1% formic acid). Mobile phase B: acetonitrile (0.1% formic acid). Column BEH C8, 2.1 x 50 mm, 1.7 μιη particle size, Injection volume 0.5
Flow rate 0.8 mL/min. Gradient Time (min): % of phase B: 0 min:3% , 0.2 min:3 %, 1.5min: 98%, 3 min:98%, 3.1min:3% ,4min 3%.
HPLC method M: Mobile phase A: water. Mobile phase B: acetonitrile Mobile Phase C 5% trifluoroacetic acid in water). Column: YMC-Pak C18, 4.6 x 50 mm, 5 μπι particle size, Injection Volume: 10 μί. Flow rate: 1.5 mL/min, Constant 2% phase C, Gradient 10-45% phase B over 4.5 minutes.
UPLC method N: Mobile phase A: water (10 mmol ammonium hydroxide, pH -10). Mobile phase B: acetonitrile (10 mmol ammonium hydroxide). Column: Waters XBridge C8 column, 4.6 x 100 mm. Flow rate = 1.5 mL/min. Gradient 2-98% phase B over 3.8 minutes.
UPLC method O: Mobile phase A: water (0.1 % trifluoroacetic acid). Mobile phase B: acetonitrile (0.1 % trifluoroacetic acid). Column: 4.6 x 100 mm Waters
XSelect PFP (pentafluorophenyl) column. Flow rate = 1.5 mL/min. Gradient 2-98% phase B over 3.8 minutes.
Normal phase silica gel flash chromatography was performed using pre-packed Isco RediSepRf regular or high performance (Isco Gold) columns as well as specialty capped silica gel columns such as Isco Gold Amine, Isco Gold Diol, and Isco Gold Cyano as specified in the Examples. Reverse phase chromatography was performed using pre-packed Isco RediSepRf reverse phase columns such as Isco C18 and Isco Gold C18Aq. Pyridine, dichloromethane (CH2CI2 or DCM), tetrahydrofuran (THF), dimethylformamide (DMF), acetonitrile (ACN), methanol (MeOH), and 1,4-dioxane were from Baker or Aldrich and in some cases the reagents were Aldrich Sure-Seal
bottles kept under dry nitrogen. All reactions were stirred magnetically unless otherwise noted.
[00378] The following definitions describe terms and abbreviations used herein:
DCM dichloromethane
DMA diemethylacetamide
EtOAc/EA ethyl acetate
Hex hexanes
HEP heptanes
HPLC high-performance liquid chromatography
LCMS liquid chromatography-mass spectrometry
ESI-MS electrospray ionization mass spectrometry
TLC thin layer chromatography
DMF N,N-dimethylformamide
DMSO dimethyl sulfoxide
THF tetrahydrofuran
Et3N tri ethyl amine
MP N-methylpyrrolidone
HOAc acetic acid
TFA trifluoroacetic acid
ACN acetonitrile
DCM dichloromethane
DCE dichloroethane
DMA dimethylacetamide
N2 nitrogen
R.T./RT/rt room temperature
AT ambient temperature
Aq or aq aqueous
Rac or rac racemic mixture
Rel relative stereochemistry
MeOH methanol
EtOH ethanol
t-BuOH t-butanol
t-BuONa sodium t-butoxide
Pd/C palladium on carbon
SnAr nucleophilic aromatic substitution mechanism
t-BuXPhos Palladacycle chloro(2-di-t-butylphosphino-2',4',6'-tri-i-propyl-l, biphenyl) [2-(2-aminoethyl)phenyl]palladium(II) Pd2(dba)3 tris(dibenzylideneacetone)dipalladium
ISCO flash chromatography system
Si02 silica gel
MP-TMT macroporous polystyrene-bound tnmecaptotriazine
PL-HCO3 MP SPE polymer supported bicarbonate resin
RBF round-bottom flask
Cmpd Compound
EXAMPLE 1
Preparation of N-(2-fluoro-3 -isopropoxy-5-methylphenyl)- 1 -phenyl- IH- 1 ,2,4-triazol- 3 -amine Compound 598)
RG-1a RG-1 b
[00379] (a) Cu(OAc)2, pyridine, 4 A molecular sieves, CH2C12, RT; (b) Palladium on carbon, H2; (c) DIAD, PPh3, tetrahydrofuran, RT; (d) t-BuXPhos Palladacycle, tert-butanol, sodium tert-butoxide, 60 °C
Preparation of 3 -nitro-1 -phenyl- 1,2,4-triazole (RG-la)
[00380] A mixture of 3-nitro-lH-l,2,4-triazole (25 g, 219.2 mmol), copper(II) acetate (60 g, 330 mmol), 4 A molecular sieves (9.2 g, 45.51 mmol), pyridine (18 mL, 220 mmol) and phenylboronic acid (approximately 53.80 g, 441.2 mmol) was stirred at room temperature open to air for 7 days. The crude reaction mixture was filtered through Celite, washed with dichloromethane and ethyl acetate. The filtrate was concentrated to dryness under reduced pressure. The crude was a cyan colored solid. The crude material was slurried with 1L of ethyl acetate and filtered through a silica plug. The silica plug was then washed with 2L of ethyl acetate. The filtrate was concentrated to dryness under reduced pressure and the residue was triturated with
-150 mL of diethyl ether to yield 3 -nitro-1 -phenyl- 1,2,4-triazole (27 g, 65%). ¾ NMR (300 MHz, CDCh) δ 8.64 (d, J = 1.6 Hz, 1H), 7.88 - 7.66 (m, 2H), 7.59 (dtd, J = 14.7, 8.0, 7.4, 4.1 Hz, 3H) ppm. ESI-MS m/z calc. 190.04907, found 191.07 (M+l)+; Retention time: 0.72 minutes.
Preparation of 1 -phenyl- L2,4-triazol-3 -amine (RG-lb)
[00381] A 1L round bottom flask was charged with 10% palladium on carbon (wet, Degussa type) (250 mg) and the flask evacuated and purged three times with nitrogen. Cannulated ethanol (100 mL) into the flask, followed by cannulation of 3-nitro-l- phenyl- 1,2,4-triazole (3.1 g, 16.30 mmol) in ethanol (150 mL). Evacuated flask under vacuum then added a balloon of hydrogen and stirred at room temperature for 18 hours. Filtered the crude reaction mixture through a pad of Celite, washed the pad with ethanol, then evaporated and azeotroped with dichloromethane to afford 1- phenyl-l,2,4-triazol-3 -amine (13.3 grams, 89%). ¾ NMR (300 MHz, OMSO-d6) δ 8.81 (s, 1H), 7.81 - 7.63 (m, 2H), 7.55 - 7.40 (m, 2H), 7.4-7.2 (m, 1H), 5.76 (s, 2H) ppm. ESI-MS m/z calc. 160.07489, found 160.95 (M+l)+; Retention time: 0.55 minutes.
Preparation of l-bromo-2-fluoro-3-isopropoxy-5-methyl-benzene (RG-lc)
[00382] To a solution of 3-bromo-2-fluoro-5-methyl-phenol (1.9 g, 9.267 mmol), 2-propanol (1.1 mL, 14.37 mmol), and triphenylphosphine (3.9 g, 14.87 mmol) in tetrahydrofuran (60 mL) was added isopropyl N-isopropoxycarbonyliminocarbamate (DIAD) (2.7 mL, 13.94 mmol) and the mixture was allowed to stir overnight at room temperature under nitrogen. Celite was added to the crude reaction mixture and the mixture was concentrated to dryness under reduced pressure. Purified by silica gel chromatography (80 g column; 0-10% dichloromethane/heptane). Concentrated desired fractions to dryness under reduced pressure to afford l-bromo-2-fluoro-3- isopropoxy-5-methyl-benzene (2.04 g, 84%). ¾ NMR (400 MHz, CDCh) δ 6.98 - 6.88 (m, 1H), 6.77 - 6.67 (m, 1H), 4.57 - 4.40 (m, 1H), 2.27 (s, 3H), 1.35 (d, J = 6.1 Hz, 6H) ppm. Compound does not ionize well under standard LC/MS method.
Retention time: 0.99 minutes.
Preparation of N-(2-fluoro-3 -isopropoxy-5-methylphenyl)- 1 -phenyl- IH- 1 ,2,4-triazol- 3 -amine (Compound 598)
[00383] 1 -phenyl- l,2,4-triazol-3 -amine (41 mg, 0.2560 mmol), l-bromo-2-fluoro- 3-isopropoxy-5-methyl-benzene (60 mg, 0.2428 mmol), chloro(2-di-t- butylphosphino-2',4',6'-tri-i-propyl-l,r-biphenyl)[2-(2- aminoethyl)phenyl]palladium(II) (t-BuXPhos Palladacycle) (7.0 mg, 0.01019 mmol) and sodium tert-butoxide (73 mg, 0.7596 mmol) were mixed in tert-butanol (2 mL) and the reaction was degassed with nitrogen for 30 seconds. The reaction was heated at 60 °C for 3 hours. The reaction was cooled to room temperature and water was added to quench the reaction. Brine was added and the reaction was extracted with dichloromethane and the organic layer was concentrated to dryness under reduced pressure. The crude product was purified by silica gel chromatography (4 gram column; 10-90% ethyl acetate in hexanes). Concentrated the desired fractions to dryness under reduced pressure to yield N-(2-fluoro-3-isopropoxy-5-methylphenyl)-l- phenyl- lH-l,2,4-triazol-3 -amine (25.5 mg, 31%). ¾ NMR (300 MHz, DMSO-^e) δ 9.06 (d, J = 1.4 Hz, 1H), 8.74 (s, 1H), 7.99 - 7.68 (m, 2H), 7.68 - 7.46 (m, 2H), 7.44 - 7.18 (m, 1H), 6.54 (d, J = 6.8 Hz, 1H), 4.56 (p, J = 6.2 Hz, 1H), 2.27 (s, 3H), 1.28 (dd, J = 6.1, 1.7 Hz, 6H) ppm. ESI-MS m/z calc. 326.1543, found 327.01 (M+l)+;
Retention time: 0.98 minutes.
[00384] Using the general synthetic schemes outlined in Schemes A and B, and using procedures analogous to those described in Example 1, the following
compounds can be synthesized from the appropriate intermediates; 112, 113, 597, 599 and 603. Those skilled in the art will recognize that these methods may be extended to prepare amino triazoles with further variations in the substitutions of R8 and A.
EXAMPLE 2
Preparation of of l-(3,4-difluorophenyl)-N-(2-fluoro-3-isopropoxy-5-methyl-phenyl)-
L2,4-triazol-3 -amine (Compound 524)
[00385] (a) Cu(OAc)2, pyridine, 3 A molecular sieves, CH2CI2, RT; (b) Pearlman's catalyst, H2; (c) K2CO3, DMF, 50 °C; (d) t-BuXPhos Palladacycle, tBuOH, NaOtBu, 60 °C.
Preparation of of l-(3,4-difluorophenyl)-3-nitro-L2,4-triazole (RG-2a)
[00386] A 12 L 3 -neck flask equipped with a mechanical stirrer was charged with dichloromethane (4.5 L), 3-nitro-4H-l,2,4-triazole (100 g, 876.7 mmol), (3,4- difluorophenyl)boronic acid (200 g, 1.267 mol), 3 A molecular sieves (pellets, 200 g), diacetoxycopper (230 g, 1.266 mol) and pyridine (150 mL, 1.855 mol). The mixture was stirred at room temperature open to the atmosphere. After 1 day, the reaction mixture had dried up to the extent that stirring had ceased. The mixture was re- diluted with dichloromethane (4.5 L) and stirred for a further 3 days at room temperature open to the atmosphere. Extra dichloromethane was added daily to replace what was lost to evaporation. The reaction mixture was treated with Celite (200 g), then filtered through a pad of Celite. The plug was eluted with
approximately 6 L of dichloromethane. The combined filtrate was worked-up in batches as follows: ~2 L of dichloromethane solution was washed with ammonium hydroxide (10 vol% in water, 2 X 1.5 L) then 2 N (aq) hydrochloric acid (1 L). This
was repeated until all dichloromethane filtrate had been treated. The combined organics were then dried with magnesium sulfate, filtered, and concentrated to dryness under reduced pressure. The crude residue was triturated with methyl tert- butyl ether (250 mL) and filtered. The collected solid was washed with methyl tert- butyl ether (2 X 200 mL) then dried under suction to yield l-(3,4-difluorophenyl)-3- nitro-l,2,4-triazole (89.7 g, 45%). ¾ NMR (300 MHz, CDCh) δ 8.64 (s, 1H), 7.71 (ddd, J = 9.7, 6.6, 2.7 Hz, 1H), 7.55 (ddd, J = 8.1, 3.9, 2.0 Hz, 1H), 7.50 - 7.37 (m, 1H) ppm. ESI-MS m/z 227.07, Retention time: 2.69 minutes. Preparation of l-(3,4-difluorophenyl)-L2,4-triazol-3-amine (RG-2b)
[00387] A Parr vessel was charged with l-(3,4-difluorophenyl)-3-nitro-l,2,4- triazole (32.6 g, 144.2 mmol), Pearlman's Catalyst (10 wt% on C, wet) (7.6 g, 5.412 mmol) and acetic acid (300 mL). The mixture was hydrogenated on a Parr shaker for 2 hours. The reaction mixture was filtered through a pad of Celite, eluted with ethanol (400 mL), and concentrated to dryness under reduced pressure. The residue was dissolved in hot ethyl acetate (200 mL) and treated with heptane (400 mL). The mixture stood at room temperature for 3 days and was then filtered. The collected solid was dried under suction. A second crop of crystals was collected from the mother liquor in the same manner. Combined both crops to give l-(3,4- difluorophenyl)-l,2,4-triazol-3 -amine (28 g, 99%) as an off-white solid. ¾ MR (300 MHz, CDCh) δ 8.17 (s, 1H), 7.58 - 7.41 (m, 1H), 7.40 - 7.19 (m, 2H), 4.42 (s, 2H) ppm. ESI-MS m/z calc. 196.05605, found 197.12 (M+l)+; Retention time: 0.6 minutes. Preparation of l-bromo-2-fluoro-3-isopropoxy-5-methyl-benzene (RG-2c)
[00388] 3-bromo-2-fluoro-5-methyl-phenol (500 mg, 2.44 mmol), 2-iodopropane (-487 uL, 830 mg, 4.88 mmol), and potassium carbonate (1.01 g, 7.32 mmol) were suspended in 5 mL of dry dimethylformamide and the reaction was sealed and heated at 50°C for 1.5 hours with stirring. The solvent was removed under reduced pressure and the residue was partitioned between water and dichloromethane. The organic phase was washed with brine, dried with sodium sulfate and solvent was removed under reduced pressure to yield l-bromo-2-fluoro-3-isopropoxy-5-methyl-benzene (570 mg, 85%). ¾ NMR (400 MHz, CDCh) δ 6.95 - 6.87 (m, 1H), 6.71 (dd, J = 7.2,
2.0 Hz, 1H), 4.50 (dt, J = 12.2, 6.1 Hz, 1H), 2.34 - 2.13 (m, 3H), 1.35 (d, J = 6.1 Hz, 6H). 19F NMR (377 MHz, CDCh) -130.98, -131.00, -131.01 ppm.
Preparation of l-(3,4-difluorophenyl)-N-(2-fluoro-3-isopropoxy-5-methyl-phenyl)- l,2,4-triazol-3 -amine (Compound 524)
[00389] l-(3,4-difluorophenyl)-l,2,4-triazol-3-amine; (163 mg, 0.83 mmol) and l-bromo-2-fluoro-3-isopropoxy-5-methyl-benzene; (250 mg, 0.91 mmol) were dissolved into a mixture of anhydrous 1,4-dioxane (2 mL) and tert-butanol (8 mL) and purged with nitrogen for several minutes. During the purge was added sequentially, chloro(2-di-t-butylphosphino-2',4',6'-tri-i-propyl- 1 , 1 '-biphenyl)[2-(2- aminoethyl)phenyl]palladium(II) (t-BuXPhos Palladacycle) (50 mg, 0.083 mmol) followed by sodium tert-butoxide (120 mg, 1.24 mmol). The vial was sealed and the reaction was heated to 50°C for ~2 hours with stirring. The reaction was diluted with methanol (approximately 2 mL) and all solvents were removed under reduced pressure. The residue was partitioned between water and dichloromethane. The organic phase was washed with brine, dried with sodium sulfate, filtered and the solvent was removed under reduced pressure. The crude product was purified by silica gel chromatography (0-10% ethyl acetate/dichloromethane). The desired fractions were concentrated to dryness under reduced pressure to yield l-(3,4- difluorophenyl)-N-(2-fluoro-3-isopropoxy-5-methyl-phenyl)-l,2,4-triazol-3-amine (113 mg, 33 % yield). ¾ MR (400 MHz, CDCh) δ 8.30 (s, 1H), 7.69 (dd, J = 7.1, 1.3 Hz, 1H), 7.58 (ddd, J = 10.8, 6.8, 2.6 Hz, 1H), 7.45 - 7.35 (m, 1H), 7.36 - 7.20 (m, 3H), 6.43 (dd, J = 7.3, 1.7 Hz, 1H), 4.54 (dt, J = 12.2, 6.1 Hz, 1H), 2.36 (s, 3H), 1.37 (d, J = 6.1 Hz, 6H) ppm. ESI-MS m/z calc. 362.13544, found 364.0 (M+l)+;
Retention time: 1.0 minutes.
[00390] Using the general synthetic schemes outlined in Schemes A and B, and using procedures analogous to those described in Example 2, the following compounds can be synthesized from the appropriate intermediates; 57, 94, 99, 110, 111, 115, 139, 171, 172, 177-179, 194-197, 205, 206, 277, 368, 495, 523, 625, 634, 635, 637 and 638. Those skilled in the art will recognize that these methods may be extended to prepare amino triazoles with further variations in the substitutions of R8 and A.
EXAMPLE 3
Preparation of N-r3-(2,2-difluoroethoxy)-5-methyl-phenyl1-l-(3,5-difluorophenyl)- L2,4-triazol-3 -amine (Compound 505)
(a) Cu(OAc)2, pyridine, CH2CI2, 3 A molecular sieves, RT; (b) Palladium on Carbon, H2; (c) Copper iodide, 1,10-phenanthroline, CS2CO3, 4 A molecular sieves, toluene, 120°C; (d) t-BuXPhos Palladacycle, tBuOH, NaOtBu, 60 °C. Preparation of l-(3,5-difluorophenyl)-3-nitro-L2,4-triazole (RG-3a)
[00391] A 12 L 3-neck flask equipped with a mechanical stirrer was charged with dichloromethane (4.5 L), 3-nitro-4H-l,2,4-triazole (100 g, 876.7 mmol), (3,5- difluorophenyl)boronic acid (200 g, 1.267 mol), 3 A molecular sieves (pellets, 200 g), pyridine (150 mL, 1.855 mol) and copper(II)acetate (225 g, 1.239 mol). The mixture was stirred at room temperature open to the atmosphere for 4 days. Extra
dichloromethane was added daily to replace what was lost to evaporation. The reaction mixture was treated with Celite (200 g), then filtered through a pad of Celite. The plug was eluted with approximately 6 L of dichloromethane. The combined filtrate was worked-up in batches as follows: ~2 L of dichloromethane solution was washed with ammonium hydroxide (10 vol% in water, 2 X 1.5 L) then 2 N (aq) hydrochloric acid (1 L). This was repeated until all dichloromethane eluent had been
treated. The organics were combined and dried with magnesium sulfate, filtered and concentrated to dryness under reduced pressure. The crude residue was treated with methyl tert-butyl ether (400 mL). The resulting suspension stood at room temperature for 15 minutes, then filtered through a plastic frit. The collected solid was washed with methyl tert-butyl ether (2 X 100 mL) then dried under suction to yield l-(3,5- difluorophenyl)-3-nitro-l,2,4-triazole (119 g, 60%). ¾ NMR (400 MHz, DMSO- d6) δ 9.66 (s, 1H), 7.79 (dd, J = 8.0, 2.2 Hz, 2H), 7.52 (tt, J = 9.2, 2.3 Hz, 1H) ppm. ESI- MS m/z calc. 226.03023, found 227.22 (M+l)+; Retention time: 0.74 minutes. Preparation of l-(3,5-difluorophenyl)-L2,4-triazol-3-amine (RG-3b)
[00392] A toluene (20 mL) mixture of l-bromo-3-iodo-5-methyl-benzene (1.442 g, 4.856 mmol), 2,2-difluoroethanol (approximately 1.195 g, 14.57 mmol), copper(I)iodide (92.5 mg, 0.4857 mmol), 1, 10-phenanthroline (approximately 175.0 mg, 0.9712 mmol), cesium carbonate (approximately 3.164 g, 9.712 mmol) and 0.43 g 4 A molecular sieves was stirred at 120 °C overnight. The reaction mixture was filtered through a plug of Florisil, concentrated to dryness under reduced pressure and purified by silica gel chromatography (80 g column; 20% ethyl acetate/heptane). The desired fractions were concentrated to dryness under reduced pressure to yield 1- bromo-3-(2,2-difluoroethoxy)-5-methyl-benzene (600 mg, 49%). ¾ NMR (400 MHz, CDCh) δ 7.02 (d, J = 1.8 Hz, 1H), 6.91 (t, J = 2.1 Hz, 1H), 6.70 (t, J = 1.7 Hz, 1H), 6.25 - 5.93 (m, 1H), 4.16 (tt, J = 13.0, 4.2 Hz, 2H), 2.32 (d, J = 9.5 Hz, 3H) ppm.
Preparation of N-r3-(2,2-difluoroethoxy)-5-methyl-phenyl1-l-(3,5-difluorophenyl)- L2,4-triazol-3 -amine (Compound 505)
[00393] To a fert-butanol (6.907 mL) solution of l-(3,5-difluorophenyl)-l,2,4- triazol-3 -amine (98.08 mg, 0.5 mmol) and l-bromo-3-(2,2-difluoroethoxy)-5-methyl- benzene (163.2 mg, 0.65 mmol) was added chloro(2-di-t-butylphosphino-2',4',6'-tri-i- propyl-l, -biphenyl)[2-(2-aminoethyl)phenyl]palladium(II) (t-BuXPhos
Palladacycle) (approximately 16.28 mg, 0.025 mmol) and potassium tert-butoxide (approximately 112.2 mg, 1.0 mmol). The reaction mixture was stirred at 90 °C for 20 minutes in a sealed vial. To the reaction mixture was added ethyl acetate and brine. The organic phase was dried over magnesium sulfate, filtered, concentrated to dryness under reduced pressure and purified by silicagel chromatography (40 g Gold
column (ISCO); 50% ethyl acetate/heptane). The desired fractions were concentrated to dryness under reduced pressure to yield N-[3-(2,2-difluoroethoxy)-5-methyl- phenyl]-l-(3,5-difluorophenyl)-l,2,4-triazol-3-amine (104.3 mg, 55%). ¾ NMR (400 MHz, CDCh) δ 8.34 (s, 1H), 7.29 - 7.26 (m, 2H), 7.21 (t, J = 2.2 Hz, 1H), 6.85 (q, J = 1.6 Hz, 1H), 6.85 - 6.79 (m, 1H), 6.75 (s, 1H), 6.48 - 6.36 (m, 1H), 6.15 (tt, J = 55.3, 4.2 Hz, 1H), 4.25 (td, J = 13.1, 4.2 Hz, 2H), 2.37 (s, 3H) ppm. ESI-MS m/z calc. 366.11038, found 367.11 (M+l)+; Retention time: 0.88 minutes.
[00394] Using the general synthetic scheme outlined in Schemes A and B and using procedures analogous to those described in Example 3, the following compounds can be synthesized from the appropriate intermediates; 492-494, 506 and 507. Those skilled in the art will recognize that these methods may be extended to prepare amino triazoles with further variations in the substitutions of R8 and A.
EXAMPLE 4
Preparation of N-r3-methyl-5-r(l-phenyl-L2,4-triazol-3-yl)amino1phenyl1acetamide m ound 538)
RG-4c RG-lb Compound 538
(a) Cu(OAc)2, pyridine, 4 A molecular sieves, CH2CI2, RT; (b) Palladium on carbon, H2; (c) ethyl acetate, RT; (d) t-BuXPhos Palladacycle, tBuOH, NaOtBu, 125 °C.
Preparation of N-(3-bromo-5-methyl-phenyl)acetamide (RG-4c)
[00395] To a solution of 3-bromo-5-methyl-aniline (860 mg, 4.622 mmol) in ethyl acetate (10 mL) was added acetic anhydride (approximately 1.416 g, 1.309 mL, 13.87 mmol). The reaction mixture was stirred for 1 hour at room temperature and then concentrated to dryness under reduced pressure. The solids were triturated with ethyl acetate :hexane (1 :2; 20 mL). After filtration, the solids were collected and dried under reduced pressure to give N-(3-bromo-5-methyl-phenyl)acetamide (889 mg, 80%). 1H MR (300 MHz, CDCh) δ 7.53 (s, 1H), 7.28 (s, 1H), 7.10 (s, 2H), 2.33 (s, 3H), 2.18 (s, 3H) ppm. ESI-MS m/z calc. 226.99458, found 227.92 (M+l)+;
Retention time: 0.8 minutes.
Preparation of N-[3-methyl-5-[(l-phenyl-L2,4-triazol-3-yl)aminolphenyllacetamide (Compound 538)
[00396] 1 -Phenyl- l,2,4-triazol-3 -amine (105 mg, 0.6555 mmol), N-(3-bromo-5- methyl-phenyl)acetamide (100 mg, 0.4384 mmol) and sodium tert-butoxide (85 mg, 0.8845 mmol) were suspended in 1,4-dioxane (4 mL) and purged with nitrogen for several minutes before the addition of tert-ButylXphos Palladacyle (22 mg, 0.03378 mmol). The mixture was microwaved at 125 °C for 35 minutes. The reaction was quenched with methanol (2 mL) and diluted with dichloromethane (10 mL). After filtration through Florisil (5 g), the solvent was evaporated under reduced pressure.
The crude product was triturated with water, ether and methanol to yield N-[3-methyl- 5-[(l-phenyl-l,2,4-triazol-3-yl)amino]phenyl]acetamide (66 mg, 47%). 1H MR (300 MHz, Methanol-A+CDCh) δ 8.58 (s, 1H), 8.00 - 7.94 (m, 2H), 7.55 - 7.49 (m, 3H), 7.39 (s, 1H), 7.21 (d, J = 10.3 Hz, 1H), 6.71 (d, J = 10.6 Hz, 1H), 4.09 - 4.02 (m, 4H), 3.44 - 3.38 (m, 4H) ppm. ESI-MS m/z calc. 307.1433, found 307.98 (M+l)+; Retention time: 0.76 minutes.
[00397] Using the general synthetic scheme outlined in Schemes A and B and the procedures analogous to those described in Example 4, the following compounds can be synthesized from the appropriate intermediates; 543 and 555. Those skilled in the art will recognize that these methods may be extended to prepare amino triazoles with further variations in the substitutions of R8 and A.
[00398] The following compounds can be synthesized from the appropriate intermediates according to Schemes A and B, using procedures analogous to those
described in Example 4, except that for the third step the depicted amide formation is replaced with a reductive amination performed under typical reductive amination conditions (for example using sodium triacetoxyborohydride in
dichloromethane/acetic acid); 304, 295, 297, 98, 167, 166, 173 and 174. Those skilled in the art will recognize that these methods may be extended to prepare amino triazoles with still further variations in the substitutions of R8 and A.
EXAMPLE 5
Preparation of l-(3,5-difluorophenyl)-N-[3-[4-(oxetan-3-yl)morpholin-2-yllphenyll- 1.2.4-triazol-3 -amine (Compound 349); l-(3.5-difluorophenylVN-r3-r(2SV4-(oxetan- 3-yl moφholin-2-yl1phenyl1-L2,4-triazol-3-amine (Compound 351); and 1 -(3,5- difluorophenyl)-N-r3-r(2R)-4-(oxetan-3-yl)morpholin-2-yl1phenyl1-1.2.4-triazol-3- amine (Compound 350)
Compound 350
(a) Cu(OAc)2, Pyridine, CH2CI2, 3 A molecular sieves, rt; (b) Palladium on carbon, H2; (c) dichloromethane, NaBH(OAc)3, RT; (d) t-BuXPhos Palladacycle, NaOtBu, tBuOH, 80 °C; (e) SFC.
Preparation of 2-(3-bromophenyl)-4-(oxetan-3-yl)morpholine (RG-5c)
[00399] 2-(3-bromophenyl)morpholine (2.5 g, 10.33 mmol) and oxetan-3-one (1500 μΐ^, 23.40 mmol) were combined in dichloromethane (50 mL). Sodium triacetoxyborohydride (4 g, 18.87 mmol) was added. The mixture was stirred for 2 hours at room temperature. Methanol was added and the reaction mixture was
evaporated under reduced pressure. The crude product was purified by silica gel chromatogaphy (80 g column; 5% methanol/methylene chloride with 0.1%
triethylamine modifier). The desired fractions were concentrated to dryness under reduced pressure to yield 2-(3-bromophenyl)-4-(oxetan-3-yl)morpholine (2.01 g, 51%). 1H MR (400 MHz, CDCh) δ 7.54 (t, J = 1.8 Hz, 1H), 7.43 (ddd, J = 7.8, 2.1, 1.2 Hz, 1H), 7.33 - 7.25 (m, 1H), 7.30 - 7.17 (m, 1H), 4.74 - 4.64 (m, 4H), 4.67 - 4.55 (m, 1H), 4.07 (ddd, J = 11.5, 3.4, 1.5 Hz, 1H), 3.87 (td, J = 11.5, 2.5 Hz, 1H), 3.61 - 3.50 (m, 1H), 2.82 (dt, J = 1 1.3, 2.2 Hz, 1H), 2.74 - 2.65 (m, 1H), 2.20 (td, J = 11.4, 3.4 Hz, 1H), 1.97 (dd, J = 11.4, 10.3 Hz, 1H) ppm. ESI-MS m/z calc. 297.03644, found 299.93 Retention time: 0.74 minutes.
Preparation of of l-(3,5-difluorophenyl)-N-[3-[4-(oxetan-3-yl)morpholin-2- yl1phenyl1-L2,4-triazol-3 -amine (Compound 349)
[00400] l-(3,5-difluorophenyl)-l,2,4-triazol-3-amine (250 mg, 1.274 mmol) and 2- (3-bromophenyl)-4-(oxetan-3-yl)morpholine (400 mg, 1.341 mmol) were combined in degassed dioxane (5 mL). Sodium tert-butoxide (2 mL of 2 M, 4.000 mmol) followed by chloro(2-di-t-butylphosphino-2',4',6'-tri-i-propyl-l, l'-biphenyl)[2-(2- aminoethyl)phenyl]palladium(II) (t-BuXPhos Palladacycle) (50 mg, 0.06768 mmol) were added to the reaction mixture. The reaction mixture was stirred at 80 °C for 5 hours in a sealed vial. To the reaction mixture was added heptane. The reaction mixture was stirred and filtered. The filter cake was purified by MPLC: 80 g column, eluted with 5% methanol in methylene chloride (contains 0.1% TEA). The desired fractions were concentrated to dryness under reduced pressure to yield l-(3,5- difluorophenyl)-N-[3-[4-(oxetan-3-yl)morpholin-2-yl]phenyl]-l,2,4-triazol-3-amine (350 mg, 61%). ¾ MR (400 MHz, Methanol-^) δ 8.90 (s, 1H), 7.73 (s, 1H), 7.62 - 7.46 (m, 3H), 7.27 (t, J = 7.9 Hz, 1H), 6.95 (ddd, J = 11.1, 8.9, 7.2 Hz, 2H), 4.67 (dq, J = 9.3, 6.4 Hz, 4H), 4.57 (dd, J = 10.3, 2.1 Hz, 1H), 4.05 (dd, J = 11.5, 2.0 Hz, 1H), 3.85 (td, J = 11.5, 2.3 Hz, 1H), 3.53 (dd, J = 14.6, 8.5 Hz, 1H), 2.88 (d, J = 11.4 Hz, 1H), 2.75 (d, J = 11.4 Hz, 1H), 2.16 (td, J = 11.5, 3.4 Hz, 1H), 2.07 - 1.96 (m, 1H) ppm. ESI-MS m/z calc. 413.16632, found 414.1 (M+l)+; Retention time: 0.86 minutes.
Preparation of rel- 1 -(3 , 5 -difluorophenyD-N- [3 -\(2 S)-4-(oxetan-3 -yl)morpholin-2- yl1phenyl1-L2,4-triazol-3 -amine (Compound 351) and l-(3,5-difluorophenyl)-N-r3- r(2R)-4-(oxetan-3-yl)morpholin-2-yl1phenyl1-L2,4-triazol-3 -amine (Compound 350)
[00401] 1 -(3 , 5 -difluorophenyl)-N- [3 - [4-(oxetan-3 -yl)morpholin-2-yl]phenyl] - l,2,4-triazol-3 -amine (320 mg, 0.7047 mmol) was diluted in methanol (31 mg/mL). 1 mL of 31 mg/mL solution was injected on an IC column (20-250 mm) and eluted with 40% ethanol (5 mM Ammonia), 60% CO2 at a rate of 80 mL/minute sequentially until all the material was resolved.
Peak A (retention time 1.408 min) was concentrated to dryness to yield re/- 1 -(3,5- difluorophenyl)-N-[3-[(2R)-4-(oxetan-3-yl)morpholin-2-yl]phenyl]-l,2,4-triazol-3- amine, 350 (122.4 mg, 79%)(stereochemistry was arbitrarily assigned). ¾ ΝΜΚ (300 MHz, CDCh) δ 8.35 (s, 1H), 7.62 - 7.50 (m, 2H), 7.39 - 7.24 (m, 3H), 6.99 (d, J = 7.6 Hz, 1H), 6.80 (tt, J = 8.7, 2.1 Hz, 1H), 4.76 - 4.60 (m, 5H), 4.11 (dd, J = 11.4, 2.0 Hz, 1H), 3.92 (td, J = 11.4, 2.2 Hz, 1H), 3.56 (p, J = 6.4 Hz, 1H), 2.88 (d, J = 11.3 Hz, 1H), 2.71 (d, J = 11.1 Hz, 1H), 2.22 (td, J = 11.3, 3.3 Hz, 1H), 2.06 (t, J = 10.8 Hz, 1H) ppm. ESI-MS m/z calc. 413.16632, found 414.22 (M+l)+; Retention time: 0.7 minutes.
Peak B (retention time 1.73 min) was concentrated to dryness to yield re/-l-(3,5- difluorophenyl)-N-[3-[(2S)-4-(oxetan-3-yl)morpholin-2-yl]phenyl]-l,2,4-triazol-3- amine, 351 (120.1 mg, 80 %) (stereochemistry was arbitrarily assigned). ¾ MR (300 MHz, CDCh) δ 8.35 (s, 1H), 7.63 - 7.47 (m, 2H), 7.41 - 7.13 (m, 4H), 6.99 (d, J = 7.6 Hz, 1H), 6.80 (tt, J = 8.7, 2.2 Hz, 1H), 4.79 - 4.57 (m, 5H), 4.11 (dd, J = 11.4, 2.0 Hz, 1H), 3.92 (td, J = 11.4, 2.4 Hz, 1H), 3.56 (p, J = 6.4 Hz, 1H), 2.88 (d, J = 11.3 Hz, 1H), 2.71 (d, J = 11.2 Hz, 1H), 2.22 (td, J = 11.4, 3.4 Hz, 1H), 2.12 - 1.98 (m, 1H), 1.27 (dd, J = 28.0, 11.3 Hz, 2H) ppm. ESI-MS m/z calc. 413.16632, found 414.17 (M+l)+; Retention time: 0.7 minutes.
[00402] Using the general synthetic scheme outlined in Schemes A and B and ssing procedures analogous to those described in Example 5, the following racemic compounds can be synthesized from the appropriate intermediates, omitting the final chiral separation step; 496-502. Those skilled in the art will recognize that these methods may be extended to prepare amino triazoles with further variations in the substitutions of R8 and A.
[00403] The following compounds can be synthesized from the appropriate intermediates according to General Schemes A and B, using procedures analogous to those described in Example 5, except that for the third step the depicted reductive amination is replaced with an amide formation performed under typical conditions (for example acetyl chloride and diisopropyl ethylamine in dichloromethane at room temperature); 510-515. Those skilled in the art will recognize that these methods may be extended to prepare amino triazoles with further variations in the substitutions of R8 and A.
EXAMPLE 6
Preparation of N-r(l S)-l-(5-fluoro-2-pyridyl)ethyl1-N4-(l-phenyl-1.2.4-triazol-3- yl)pyridine-2,4-diamine (Compound 121)
RG-6c RG-lb Compound 121 (a) Cu(OAc)2, pyridine, CH2CI2, 4 A molecular sieves, RT; (b) Palladium on carbon, H2; (c) NaOH, NMP, 160 °C; (d) Cul, N,N'-dimethylethane-l,2-diamine, K2CO3, DMF, 110 °C.
Preparation of N-[(l S)-l-(5-fluoro-2-pyridyl)ethyll-4-iodo-pyridin-2-amine (RG-6c)
[00404] 2-fluoro-4-iodo-pyridine (323 mg, 1.449 mmol), (l S)-l-(5-fluoro-2- pyridyl)ethanamine (Hydrochloride salt) (approximately 307.1 mg, 1.739 mmol) were dissolved in N-methylpyrrolidine (10 mL) and treated with 2N sodium hydroxide (2
mL). The mixture was heated in the microwave at 160 °C for 30 minutes. Water (5 mL) was added and the mixture was extracted with ethyl acetate (2 X 10 mL). The combined organic layers were concentrated and the residue was purified by reverse phase HPLC with the gradient 10-90 % acetonitrile/water with a trifluoroacetic acid modifier. Concentration under vacuum provided N-[(l S)-l-(5-fluoro-2- pyridyl)ethyl]-4-iodo-pyridin-2-amine (92 mg, 18.5%). ESI-MS m/z calc. 343.14, found 344.34, Retention time: 2.04 minutes.
Preparation of N-r(l S)-l-(5-fluoro-2-pyridyl)etfayl1-N4-(l-phenyl-1.2.4-triazol-3- yl)pyridine-2,4-diamine (Compound 121)
[00405] 1 -Phenyl- l,2,4-triazol-3 -amine (approximately 19.61 mg, 0.1224 mmol), N-[(l S)-l-(5-fluoro-2-pyridyl)ethyl]-4-iodo-pyridin-2-amine (35 mg, 0.1020 mmol) and potassium carbonate (approximately 28.19 mg, 0.2040 mmol) were dissolved in dimethylformamide. The mixture was degassed for 5 minutes with nitrogen, then copper(I) iodide and N,N'-dimethylethane-l,2-diamine (approximately 2.697 mg,
3.257 μΐ^, 0.03060 mmol) were added. The tube was sealed and heated to 110 °C for a week. The crude reaction mixture was filtered through Celite. The reaction mixture was applied on reverse phase HPLC for separation to obtain N-[(l S)-l-(5-fluoro-2- pyridyl)ethyl]-N4-(l-phenyl-l,2,4-triazol-3-yl)pyridine-2,4-diamine (2.3 mgs, 6%). ¾-NMR (300 MHz, CD3OD) δ 8.92 (d, J = 1.3 Hz, 1H), 8.41 (d, J = 2.4 Hz, 2H),
7.88 (dt, J = 8.4, 1.2 Hz, 2H), 7.71 - 7.40 (m, 8H), 5.10 - 4.93 (m, 1H), 1.67 (d, J = 6.8 Hz, 3H) ppm. ESI-MS m/z calc. 375.16077, found 376.55 (M+l)+; Retention time: 2.28 minutes.
[00406] Using the general synthetic scheme outlined in Schemes A and B and using procedures analogous to those described in Example 6, the following compounds can be synthesized from the appropriate intermediates; 160, 258, 259, 261, 262, 359, 361, 376, 413, 414, 416 and 484-486. Those skilled in the art will recognize that these methods may be extended to prepare amino triazoles with further variations in the substitutions of R8 and A.
EXAMPLE 7
Preparation of N3-ri-(3.5-difluorophenvn-1.2.4-triazol-3-yll-Nl-r(l S)-2-methoxy-l- methyl-ethyl]-5-methyl-benzene-1.3-diamine (Compound 352)
RG-7c R - b Compound 352
(a) Cu(OAc)2, pyridine, CH2CI2, 3 A molecular sieves, RT; (b) palladium on carbon, H2; (c) t-BuXPhos Palladacycle, NaOtBu, tBuOH, 90 °C; (d) BrettPhos Palladacycle, tBuOH, NaOtBu, 50 °C.
Preparation of N-(3-chloro-5-methyl -phenyl)-! -(3, 5-difluorophenyl)-l,2,4-triazol-3- amine (RG-7c)
[00407] l-(3,5-difluorophenyl)-l,2,4-triazol-3-amine (1.12 g, 5.710 mmol), 1- bromo-3-chloro-5-methyl-benzene (2.72 g, 13.24 mmol), sodium tert-butoxide (approximately 909.8 mg, 9.467 mmol) and chloro(2-di-t-butylphosphino-2',4',6'-tri-i- propyl-l, -biphenyl)[2-(2-aminoethyl)phenyl]palladium(II) (t-BuXPhos
Palladacycle) (approximately 227.4 mg, 0.3078 mmol) were slurried into dry t- butanol (15.86 mL) and dry 1,4-dioxane (5.288 mL) and purged with nitrogen for -10 minutes. The reaction was sealed and stirred at 90 °C for ~1 hour. The reaction mixture was cooled to room temperature and poured into water (150 mL). The precipitate was filtered. The filter cake was washed with additional water (-75 mL) and methanol (-25 mL). Dried the filter cake in the high vacuum oven at 50°C overnight to yield N-(3-chloro-5-methyl-phenyl)-l-(3,5-difluorophenyl)-l,2,4-triazol- 3-amine (1.587 g, 4.629 mmol, 81%). ¾ NMR (300 MHz, DMSO-^e) δ 9.78 (s, 1H),
9.20 (s, 1H), 7.68 - 7.58 (m, 2H), 7.55 (d, J = 1.9 Hz, 1H), 7.34 (s, 1H), 7.28 (tt, J = 9.4, 2.3 Hz, 1H), 6.76 (s, 1H), 2.29 (s, 3H) ppm. ESI-MS m/z calc. 320.06403, found 321.07 (M+l)+; Retention time: 1.02 minutes. Preparation of N3-ri-(3.5-difluorophenvn-1.2.4-triazol-3-yll-Nl-r(l S)-2-methoxy-l- methyl-ethyll-5-methyl-benzene-l -diamine (Compound 352)
[00408] (2S)-l-methoxypropan-2-amine (approximately 273.8 mg, 3.072 mmol), N-(3-chloro-5-methyl-phenyl)-l-(3,5-difluorophenyl)-l,2,4-triazol-3-amine (657 mg, 2.048 mmol), sodium tert-butoxide (454 mg, 4.724 mmol), and BrettPhos
Palladacycle (80 mg, 0.1001 mmol) were weighed into a 40 mL vial. Dioxane (2.5 mL) and tert-butanol (7.5 mL) were added. The vial was sealed and stirred at 50 °C overnight. The reaction mixture was reduced in volume with a stream of nitrogen. Diluted with dichloromethane (20 mL) and washed with 50% saturated sodium bicarbonate (10 mL). Passed the organics through a phase separator containing a plug of Florisil, washed with additional 100 mL of 5% methanol in dichloromethane and concentrated the organics to dryness under reduced pressure. The crude was diluted with dichloromethane (5 mL) and purified by silica gel chromatography (80 g Gold column (ISCO); 0-100% (ethyl acetate (10%methanol)/heptane). The desired pure fractions were concentrated to dryness under reduced pressure. Further purification was required. Diluted with 5 mL of DMSO and purified by reverse phase
chromatrography (150 g C 18 Aq column (ISCO); 0-100%) acetonitrile/water with 0.1%) trifluoroacetic acid modifier). The desired pure fractions were concentrated to dryness under reduced pressure. Diluted with dichloromethane (10 mL) and a few drops of methanol and washed with 50%> saturated sodium bicarbonate (5 mL).
Passed the organics through a phase separator and concentrated to dryness under reduced pressure to yield N3-[l-(3,5-difluorophenyl)-l,2,4-triazol-3-yl]-Nl-[(l S)-2- methoxy-l-methyl-ethyl]-5-methyl-benzene-l,3-diamine (304.9 mg, 38%). ¾ NMR (300 MHz, OMSO-de) δ 9.17 (s, 1H), 9.13 (s, 1H), 7.73 - 7.56 (m, 2H), 7.21 (tt, J = 9.3, 2.3 Hz, 1H), 6.97 (s, 1H), 6.48 (s, 1H), 5.97 (s, 1H), 5.22 (d, J = 7.9 Hz, 1H), 3.64 - 3.49 (m, 1H), 3.43 (dd, J = 9.2, 4.7 Hz, 1H), 3.28 (s, 3H), 3.21 (dd, J = 9.2, 6.8 Hz, 1H), 2.14 (s, 3H), 1.16 (d, J = 6.4 Hz, 3H) ppm. ESI-MS m/z calc. 373.17142, found 374.3 (M+l)+; Retention time: 0.68 minutes.
[00409] Using the general synthetic scheme outlined in Schemes A and B and using procedures analogous to those described in Example 7, the following compounds can be synthesized from the appropriate intermediates; 342-348, 353, 452-483, 487-489, 518-522, 539, 540, 546, 560, 561, 566, 604-613 and 615-620. Those skilled in the art will recognize that these methods may be extended to prepare amino triazoles with further variations in the substitutions of R8 and A.
EXAMPLE 8
Preparation of 4-[[l-(4-fluorophenyl)-L2,4-triazol-3-yllaminol-2-isopropoxy-N- xetan-3-vDbenzamide (Compound 148)
(a) Cu(OAc)2, pyridine, CH2CI2, 4 A molecular sieves, RT; (b) Palladium on carbon, H2; (c) HATU, dichloromethane, triethylamine, RT; (d) BrettPhos Palladacycle, tBuOH, NaOtBu, 110 °C
Preparation of of l-(4-fluorophenyl)-3-nitro-L2,4-triazole (RG-8a)
[00410] (4-fluorophenyl)boronic acid (6.378 g, 45.58 mmol), 3-nitro-lH-l,2,4- triazole (2.6 g, 22.79 mmol), copper acetate (approximately 6.208 g, 34.18 mmol) and 4 A molecular sieves (250 mg/0.33 mmol) were mixed in dichloromethane, and treated with pyridine (approximately 3.605 g, 3.686 mL, 45.58 mmol). The mixture was stirred at room temperature under air for 2 days. The crude was filtered through a
plug of Celite and washed with water and brine. The organic layer was concentrated and purified by silica gel chromatography (10-60% ethyl acetate/ hexanes) to afford l-(4-fluorophenyl)-3-nitro-l,2,4-triazole (1.6 g, 6.918 mmol, 30.4%). ESI-MS m/z calc. 208.03966, found 209.17 (M+l)+;207.09 (M-l)+; Retention time: 2.56 minutes.
Preparation of l-(4-fluorophenyl)-L2,4-triazol-3 -amine (RG-8b)
[00411] 10% Palladium on carbon (approximately 13.09 mg, 0.1230 mmol) was placed in a round bottom flask (250 mL) and ethanol (50 mL) was added to this flask under nitrogen. l-(4-Fluorophenyl)-3-nitro-l,2,4-triazole (256 mg, 1.230 mmol) was added and the reaction was stirred under a hydrogen balloon atmosphere overnight. The reaction mixture was filtered through Celite and the filtrate was concentrated under reduced pressure to afford l-(4-fluorophenyl)-l,2,4-triazol-3 -amine (210 mg, 96%) ESI-MS m/z calc. 178.06548, found 179.11 (M+l)+; Retention time: 1.73 minutes.
Preparation of 4-bromo-2-isopropoxy-N-(oxetan-3-yl)benzamide (RG-8c)
[00412] To a solution of 4-bromo-2-isopropoxy -benzoic acid (500 mg, 1.930 mmol), oxetan-3 -amine (approximately 141.1 mg, 1.930 mmol) and HATU
(approximately 1.101 g, 2.895 mmol) in dichloromethane (approximately 9.648 mL) was added triethylamine (approximately 651.0 mg, 896.7 μΐ^, 6.433 mmol). The reaction mixture was stirred at room temperature for 18 hours. The reaction mixture was carefully diluted with saturated sodium bicarbonate (15 mL) and extracted with ethyl acetate (3 X 20 mL). The combined organic extracts were washed with IN (aq) hydrochloric acid (2 mL) and dried over sodium sulfate to afford 4-bromo-2- isopropoxy-N-(oxetan-3-yl)benzamide (606 mg, 99%). ESI-MS m/z calc. 313.03134, found 314.23 Retention time: 1.00 minutes.
Preparation of 4-[[l-(4-fluorophenyl)-L2,4-triazol-3-yllaminol-2-isopropoxy-N- (oxetan-3-vDbenzamide (Compound 148)
[00413] Combined l-(4-fluorophenyl)-l,2,4-triazol-3 -amine (100 mg, 0.5613 mmol), 4-bromo-2-isopropoxy-N-(oxetan-3-yl)benzamide (approximately 160.3 mg, 0.5103 mmol), sodium tert-butoxide (approximately 32.69 mg, 0.3402 mmol) in 1,4- dioxane (3.1 mL). The mixture was degassed with nitrogen for 15 minutes. A catalytic amount of Brettphos Palladacycle (approximately 0.05 mmol) was added.
The mixture was heated in a sealed tube at 1 10 °C for 18 hours. The reaction mixture was filtered and purified twice by reverse phase chromatography. The pure fractions were concentrated and converted to the corresponding HC1 salt of 4-[[l-(4- fluorophenyl)-l,2,4-triazol-3-yl]amino]-2-isopropoxy-N-(oxetan-3-yl)benzamide (12.6 mg, 5.0%). 1H MR (300 MHz, OMSO-de) δ 10.65 (s, 1H), 9.29 (s, 1H), 7.79 (ddd, J = 15.5, 1 1.0, 5.8 Hz, 3H), 7.68 - 7.57 (m, 1H), 7.27 (dd, J = 1 1.8, 5.3 Hz, 2H), 7.01 (d, J = 51.1 Hz, 1H), 5.33 (s, 1H), 4.89 (ddd, J = 22.7, 17.5, 9.3 Hz, 2H), 4.59 (s, 1H), 3.69 (dd, J = 38.2, 1 1.4 Hz, 2H), 1.80 - 1.12 (m, 6H) ppm. ESI-MS m/z calc. 41 1.17065, found 412.18 (M+l)+; Retention time: 0.82 minutes.
[00414] Using the general synthetic scheme outlined in Schemes A and B and using procedures analogous to those described in Example 8, the following compounds can be synthesized from the appropriate intermediates; 104, 105, 1 19, 143 and 144. Those skilled in the art will recognize that these methods may be extended to prepare amino triazoles with further variations in the substitutions of R8 and A.
EXAMPLE 9
Preparation of l-[5-[(l -phenyl- L2,4-triazol-3-yl)amino]spiro|"indoline-3,4'- piperidinel-l-yllethanone (Compound 305) & l-|T-isopropyl-5-r(l -phenyl- 1,2,4- triazol-3-yl)amino1spirorindoline-3,4'-piperidine1-l-yl1ethanone (Compound 306)
(a) Cu(OAc)2, pyridine, CH2CI2, 4 A molecular sieves, RT; (b) Palladium on carbon, H2; (c) dichloromethane, NaBH(OAc)3, AcOH, RT; (d) t-BuXPhos Palladacycle, tBuOH, NaOtBu, 120 °C; (e) dichloromethane, TFA, RT; (f) Acetone,
dichloromethane, NaBH(OAc)3, AcOH, RT.
Preparation of of fert-butyl l-acetyl-5-bromo-spirorindoline-3,4'-piperidine1- - carboxylate (RG-9c)
[00415] A mixture of tert-butyl 5-bromospiro[indoline-3,4'-piperidine]- - carboxylate (317 mg, 0.8631 mmol), acetic anhydride (approximately 440.6 mg, 407.2 μΐ^, 4.316 mmol) and triethylamine (approximately 174.7 mg, 240.6 μΐ^, 1.726 mmol) in dichloromethane (2 mL) was stirred at room temperature for 1 hour. The mixture was concentrated to a residue under reduced pressure. The residue was diluted with dichloromethane (approximately 20 mL) and washed with water
(approximately 10 mL). The organics were passed through a phase separator and concentrated to dryness under reduced pressure to give tert-butyl l-acetyl-5-bromo- spiro[indoline-3,4'-piperidine]-l'-carboxylate (350 mg, 0.8551 mmol, 99%). 1H MR (300 MHz, CDCh) δ 8.12 (d, J = 8.6 Hz, 1H), 7.35 (dd, J = 8.6, 2.1 Hz, 1H), 7.24 (d, J = 1.8 Hz, 1H), 4.18 (d, J = 11.2 Hz, 2H), 3.93 (s, 2H), 2.88 (t, J = 12.7 Hz, 2H), 2.27 (s, 3H), 1.85 (td, J = 13.2, 4.5 Hz, 2H), 1.69 (d, J = 13.5 Hz, 2H), 1.51 (s, 9H) ppm. ESI-MS m/z calc. 408.10486, found 409.32 (M+l)+; Retention time: 0.92 minutes. Preparation of of fert-butyl l-acetyl-5-r(l-phenyl-L2,4-triazol-3- yl)aminolspiro[indoline-3,4'-piperidinel- -carboxylate (RG-9d)
[00416] tert-Butyl l-acetyl-5-bromo-spiro[indoline-3,4'-piperidine]-l'-carboxylate (250 mg, 0.6108 mmol), 1 -phenyl- l,2,4-triazol-3 -amine (approximately 117.4 mg, 0.7330 mmol) and sodium tert-butoxide (approximately 176.1 mg, 1.832 mmol) were suspended in 1,4-dioxane (10 mL) and purged with nitrogen for several minutes before the addition of tert-ButylXPhos Palladacyle(approximately 20.47 mg, 0.03143 mmol). The mixture was microwaved at 120 °C for 35 minutes. The reaction was quenched with methanol (0.5 mL), IN hydrochloric acid (800 uL) and diluted with dichloromethane (approximately 20 mL). After filtration through Florisil (5 g), the excess solvent was concentrated to dryness under reduced pressure. The crude product was purified by silica gel chromatography (40 g column; 0 % to 10% methanol/dichloromethane) and then repurified by silica gel chromatography (12 g column; 10 % to 100% ethyl acetate/hexanes) to afford tert-butyl l-acetyl-5-[(l- phenyl-l,2,4-triazol-3-yl)amino]spiro[indoline-3,4'-piperidine]- -carboxylate (200 mg, 0.4093 mmol, 67.02%). ¾ NMR (300 MHz, CDCh) δ 8.33 (s, 1H), 8.20 (d, J = 8.7 Hz, 1H), 7.73 - 7.64 (m, 2H), 7.52 (t, J = 7.9 Hz, 3H), 7.43 - 7.30 (m, 2H), 6.82 (s, 1H), 4.18 (s, 2H), 2.97 (t, J = 12.1 Hz, 2H), 2.27 (s, 2H), 1.91 (dt, J = 15.4, 10.1 Hz,
2H), 1.73 (d, J = 13.6 Hz, 2H), 1.52 (s, 9H) ppm. ESI-MS m/z calc. 488.2536, found 489.35 (M+l)+; Retention time: 0.82 minutes.
Preparation of l-[5-[(l-phenyl-L2,4-triazol-3-yl)aminolspiro[indoline-3,4'- piperidinel-l-yllethanone (Compound 305)
[00417] To tert-butyl-l-acetyl-5-[(l-phenyl-l,2,4-triazol-3- yl)amino]spiro[indoline-3,4'-piperidine]-l'-carboxylate (60 mg, 0.1228 mmol) in dichloromethane (2.5 mL) was added trifluoroacetic acid (500 μΐ^, 6.490 mmol). The reaction mixture was stirred at room temperature for 2 hours and was then
concentrated to dryness. The residue was dissolved in dichloromethane/methanol (9: 1), filtered through a PL-HCCb PM SPE and dried to give l-[5-[(l-phenyl-l,2,4- triazol-3-yl)amino]spiro[indoline-3,4'-piperidine]-l-yl]ethanone. 1H MR (300 MHz, CDCh) δ 8.32 (s, 1H), 8.20 (d, J = 8.7 Hz, 1H), 7.69 (d, J = 7.6 Hz, 2H), 7.56 - 7.45 (m, 3H), 7.42 - 7.32 (m, 2H), 6.82 (s, 1H), 3.94 (s, 1H), 3.51 (s, 3H), 3.15 (t, J = 14.8 Hz, 2H), 2.91 - 2.69 (m, 2H), 2.28 (s, 2H), 1.94 (td, J = 13.2, 4.1 Hz, 2H), 1.72 (d, J = 13.9 Hz, 2H) ppm. ESI-MS m/z calc. 388.20117, found 389.34 (M+l)+; Retention time: 0.85 minutes.
Preparation of of l-n'-isopropyl-5-r(l-phenyl-L2,4-triazol-3- yl)amino1spirorindoline-3,4'-piperidine1-l-yl1ethanone (Compound 306)
[00418] To a solution of l-[5-[(l-phenyl-l,2,4-triazol-3-yl)amino]spiro[indoline- 3,4'-piperidine]-l-yl]ethanone (100 mg, 0.2574 mmol), acetone (approximately 149.5 mg, 189.0 μΐ., 2.574 mmol) and acetic acid (approximately 92.72 mg, 87.80 μΐ., 1.544 mmol) in dichloromethane (5.0 mL) was carefully added sodium
triacetoxyborohydride (approximately 327.2 mg, 1.544 mmol). The mixture was stirred for 18 hours. The reaction mixture was diluted with dichloromethane
(approximately 30 mL) and slowly quenched with saturated sodium bicarbonate (30 mL). After separation, the organic layer was washed with water, saturated sodium chloride and dried with sodium sulfate. The organics were filtered and concentrated to dryness under reduced pressure. The compound was purified on by silicagel chromatography (4 g column; 5-30% methanol/dichloromethane) to give 80 mg of desired product with trace impurities. The product was further purified by reverse phase HPLC. Pure fractions were filtered through PL-HCCb PM SPE and
concentrated to dryness under reduced pressure to yield l-[l'-isopropyl-5-[(l-phenyl- l,2,4-triazol-3-yl)amino]spiro[indoline-3,4'-piperidine]-l-yl]ethanone (20 mg, 0.04413 mmol, 17.15). ¾ MR (300 MHz, CDCb) δ 8.32 (d, J = 3.5 Hz, 1H), 8.19 (d, J = 8.7 Hz, 1H), 7.69 (dt, J = 8.8, 1.8 Hz, 2H), 7.51 (t, J = 7.9 Hz, 2H), 7.43 - 7.32 (m, 3H), 7.12 (d, J = 8.8 Hz, 1H), 6.81 (d, J = 13.4 Hz, 1H), 3.94 (d, J = 43.6 Hz, 2H), 2.94 (dd, J = 16.1, 12.3 Hz, 2H), 2.79 (dt, J = 13.0, 6.5 Hz, 1H), 2.39 - 2.21 (m, 4H), 2.12 - 1.96 (m, 2H), 1.75 (d, J = 14.4 Hz, 3H), 1.12 (d, J = 6.5 Hz, 6H) ppm. ESI-MS m/z calc. 430.2481, found 431.22 (M+l)+; Retention time: 2.53 minutes. [00419] Using the general synthetic scheme outlined in Schemes A and B and using procedures analogous to those described in Example 9, the following compound can be synthesized from the appropriate intermediate; 298. Those skilled in the art will recognize that these methods may be extended to prepare amino triazoles with further variations in the substitutions of R8 and A..
[00420] The following compound can also be synthesized according to Schemes A and B from the appropriate intermediate using procedures analogous to those described in Example 9, steps 1-4, except that instead of an acylation in step three, a reductive amination under typical conditions (sodium triacetoxyborohydride, dichloromethane/acetic acid) is performed; 309. Those skilled in the art will recognize that these methods may be extended to prepare amino triazoles with further variations in the substitutions of R8 and A.
EXAMPLE 10
Preparation of l-(oxetan-3-yl)-N-(l -phenyl- L2,4-triazol-3-yl)indolin-6-amine (Compound 302)
RG-lb RG-lOc
Cmpd 302
(a) Cu(OAc)2, pyridine, CH2CI2, 4 A molecular sieves, RT; (b) Palladium on carbon, H2; (c) t-BuXPhos Palladacycle, dioxane, NaOtBu, 120 °C; (d) dichlorom ethane, NaBH(OAc)3, RT.
Preparation of N-(l -phenyl- L2,4-triazol-3-yl)indolin-6-amine (RG-lOc)
[00421] 6-bromoindoline (120 mg, 0.6059 mmol), 1 -phenyl- l,2,4-triazol-3 -amine (approximately 116.4 mg, 0.7265 mmol) and sodium tert-butoxide (approximately 116 mg, 1.21 mmol) were suspended in 1,4-dioxane (4.0 mL) and purged with nitrogen for several minutes. Chloro(2-di-t-butylphosphino-2',4',6'-tri-i-propyl-l, - biphenyl)[2-(2-aminoethyl)phenyl]palladium(II) (t-BuXPhos Palladacycle)
(approximately 20.61 mg, 0.03165 mmol) was added and the vial was capped and microwaved at 120 °C for 35 minutes. The reaction was quenched with methanol (0.5 mL), IN hydrochloric acid (800 uL) and diluted with dichloromethane (approximately 10 mL). After filtration through Florisil (5 g), the excess solvent was concentrated to dryness under reduced pressure. The crude residue was purified by silica gel chromatography (12 g column; 10 % to 100% ethyl acetate/hexane) to give an inseparable mixture of N-(l -phenyl- l,2,4-triazol-3-yl)indolin-6-amine and N-(l- phenyl-l,2,4-triazol-3-yl)-lH-indol-6-amine (140 mg, 0.5048 mmol, 83.33). ¾
NMR (300 MHz, CDCh) δ 8.30 (s, 1H), 8.22 (s, 1H), 7.73 - 7.66 (m, 1H), 7.64 - 7.57 (m, 2H), 7.54 - 7.43 (m, 3H), 7.39 - 7.31 (m, 2H), 7.09 - 7.03 (m, 1H), 6.77 (dd, J = 7.9, 2.1 Hz, 1H), 4.31 (s, 2H), 3.85 (s, 1H), 3.59 (t, J = 8.3 Hz, 1H), 3.01 (t, J = 8.3 Hz, 1H) ppm. ESI-MS m/z calc. 277.13275, found 278.36 (M+l)+; Retention time: 0.55 minutes. This mixture was carried into the next step as is.
Preparation of l-(oxetan-3-yl)-N-(l -phenyl- L2,4-triazol-3-yl)indolin-6-amine (Compound 302)
[00422] To a solution of N-(l -phenyl- l,2,4-triazol-3-yl)indolin-6-amine (55 mg, 0.1983 mmol), oxetan-3-one (approximately 85.75 mg, 1.190 mmol) and acetic acid (approximately 71.46 mg, 67.67 μΐ^, 1.190 mmol) in dichloromethane (2.750 mL) was added sodium triacetoxyborohydride (approximately 168.1 mg, 0.7932 mmol). The mixture was stirred for 1 hour. The reaction mixture was diluted with
dichloromethane (approximately 10 mL) and slowly quenched with saturated sodium bicarbonate (5 mL). After separation, the organic layer was washed with water, saturated sodium chloride and concentrated under reduced pressure. The crude product was purified by reverse phase HPLC. The pure fractions were filtered through PL-HCO3 PM SPE and concentrated to dryness under reduced pressure to yield l-(oxetan-3-yl)-N-(l -phenyl- l,2,4-triazol-3-yl)indolin-6-amine (20 mg, 0.05579 mmol, 28.13) 1H NMR (300 MHz, CDCh) δ 8.56 (s, 1H), 7.79 - 7.65 (m, 2H), 7.64 - 7.52 (m, 2H), 7.51 - 7.44 (m, 1H), 7.08 (dd, J = 7.6, 0.6 Hz, 1H), 6.90 - 6.78 (m, 2H), 4.97 (dt, J = 13.8, 6.7 Hz, 4H), 4.69 - 4.56 (m, 1H), 3.53 (dd, J = 9.9, 6.2 Hz, 2H), 3.01 (t, J = 7.9 Hz, 2H). ESI-MS m/z calc. 333.15897, found 334.12 (M+l)+;
Retention time: 3.53 minutes.
[00423] Using the general synthetic scheme outlined in Schemes A and B and using procedures analogous to those described in Example 10, the following compounds can be synthesized from the appropriate intermediates; 296, 300, 301, 303, 307 and 308. Those skilled in the art will recognize that these methods may be extended to prepare amino triazoles with further variations in the substitutions of R8 and A.
[00424] Using the general synthetic scheme outlined in Schemes A and B and using procedures analogous to those described in Example 10, the following
compound can also be synthesized from the appropriate intermediate except for changing the last step from a reductive amination step to an acylation step carried out under typical acylation conditions (for example acetic anhydride, dichloromethane, room temperature); 294. Those skilled in the art will recognize that these methods may be extended to prepare amino triazoles with further variations in the substitutions of R8 and A.
EXAMPLE 11
Preparation of N-[3-(difluoromethyl)-5-[4-(oxetan-3-yl)piperazin-l-yllphenyll-l- phenyl- L2,4-triazol-3 -amine (Compound 319)
a) Cu(OAc)2, pyridine, 3 A molecular sieves, CH2CI2, RT; (b) Palladium on carbon, H2; (c) DCM, NaBH(OAc)3, AcOH, RT, dichloromethane; (d) DCM, TFA, RT; (e)
DCM, NaBH(OAc)3, RT; (f). t-BuXPhos Palladacycle, tBuOH, NaOtBu, 120 °C.
Preparation of fert-butyl 5-bromo-l-isopropyl-spiro[indoline-3,4'-piperidinel- - carb oxyl ate (RG- 11c)
[00425] To a solution of tert-butyl 5-bromospiro[indoline-3,4'-piperidine]- - carboxylate (650 mg, 1.770 mmol), acetone (approximately 1.028 g, 1.300 mL, 17.70 mmol) and acetic acid (approximately 637.8 mg, 604.0 μΐ^, 10.62 mmol) in dichloromethane (10.50 mL) was carefully added sodium triacetoxyborohydride (approximately 2.251 g, 10.62 mmol). The mixture was stirred for 4 hours at room temperature in a sealed vial. The reaction mixture was diluted with dichloromethane (approximately 10 mL) and slowly quenched with methanol and saturated sodium bicarbonate (3 mL). After separation, the organic layer was washed with water and brine and dried with sodium sulfate. The organics were filtered and concentrated to dryness under reduced pressure and the crude product was purified by silica gel chromatography (40 g column; 5-100% ethyl acetate/heptanes). The desired fractions were combined and concentrated to dryness under reduced pressure to afford tert- butyl 5-bromo-l-isopropyl-spiro[indoline-3,4'-piperidine]-l'-carboxylate (703 mg, 1.717 mmol, 97%). ESI-MS m/z calc. 408.14124, found 409.39 (M+l)+; Retention time: 1.1 minutes. ¾ NMR (300 MHz, CDCh) δ 7.18 (dd, J = 8.3, 2.0 Hz, 1H), 7.06 (d, J = 2.0 Hz, 1H), 6.34 (d, J = 8.4 Hz, 1H), 4.08 (d, J = 12.1 Hz, 2H), 3.88 - 3.74 (m, 1H), 3.28 (s, 2H), 2.92 (t, J = 11.4 Hz, 2H), 1.86 - 1.62 (m, 4H), 1.51 (s, 9H), 1.18 (d, J = 6.6 Hz, 6H) ppm.
Preparation of 5-bromo-l-isopropyl-spiro[indoline-3,4'-piperidinel (RG-lld)
[00426] To a solution of 5-bromo-l-isopropyl-spiro[indoline-3,4'-piperidine] (450 mg, 1.063 mmol) (trifluoroacetate salt) (450 mg, 1.063 mmol), oxetan-3-one
(approximately 766.0 mg, 10.63 mmol) and acetic acid (approximately 383.0 mg, 362.7 μΐ^, 6.378 mmol) in dichloromethane (15 mL) was added sodium
triacetoxyborohydride (approximately 1.352 g, 6.378 mmol) carefully. The mixture was stirred for 4 hours at room temperature under nitrogen. The reaction mixture was diluted with dichloromethane (approximately 10 mL) and slowly quenched with methanol (2 mL) and saturated sodium bicarbonate (3 mL). After separation, the organic layer was washed with water and brine and dried with sodium sulfate. The
organics were filtered through a plug of Florisil (~5 g). The solvent was removed under reduced pressure and the crude product was purified by silica gel
chromatography (12 g column; 0 -10% methanol/dichloromethane). The desired fractions were concentrated to dryness under reduced pressure to yield 5-bromo-l- isopropyl-l'-(oxetan-3-yl)spiro[indoline-3,4'-piperidine] (260 mg, 67%). 1H MR (300 MHz, CDCh) δ 7.16 (dd, J = 8.3, 2.1 Hz, 1H), 7.11 (d, J = 2.0 Hz, 1H), 6.29 (d, J = 8.3 Hz, 1H), 4.69 (d, J = 6.5 Hz, 4H), 3.87 - 3.70 (m, 1H), 3.61 - 3.46 (m, 1H), 3.21 (s, 2H), 2.73 (d, J = 6.7 Hz, 2H), 2.08 - 1.85 (m, 4H), 1.74 (d, J = 8.7 Hz, 2H), 1.16 (d, J = 6.6 Hz, 6H) ppm. ESI-MS m/z calc. 364.11502, found 365.4 (M+l)+;
Retention time: 0.67 minutes.
Preparation of N-[3-(difluoromethyl)-5-[4-(oxetan-3-yl)piperazin-l-yllphenyll-l- phenyl-l,2,4-triazol-3 -amine (Compound 319)
[00427] 5-Bromo-l-isopropyl- -(oxetan-3-yl)spiro[indoline-3,4'-piperidine] (110 mg, 0.3011 mmol), l-(3,5-difluorophenyl)-l,2,4-triazol-3-amine (64.97 mg, 0.3312 mmol) and sodium tert-butoxide (approximately 71.96 mg, 0.7488 mmol) were suspended in 1,4-dioxane (4.4 mL) and purged with nitrogen for several minutes before the addition of chloro(2-di-t-butylphosphino-2',4',6'-tri-i-propyl-l, - biphenyl)[2-(2-aminoethyl)phenyl]palladium(II) (t-BuXPhos Palladacycle)
(approximately 19.61 mg, 0.03011 mmol). The mixture was microwaved at 120 °C for 35 minutes. The reaction mixture was quenched with methanol (0.5 mL), IN hydrochloric acid (800 uL) and diluted with dichloromethane (approximately 10 mL). After filtration through Florisil (5 g), solvent was removed under reduced pressure. The crude product was purified by silica gel chromatography (40 g column; 0-10% methanol/dichloromethane) and repurified by silica gel chromatography (12 g column; 5-100%> ethyl acetate/heptane). The pure desired fractions were combined and concentrated to dryness under reduced pressure to yield N-[l-(3,5- difluorophenyl)- 1 ,2,4-triazol-3 -yl]- 1 -isopropyl- 1 '-(oxetan-3 -yl)spiro[indoline-3 ,4'- piperidine]-5-amine (50 mg, 33%). 1H NMR (300 MHz, CDCh) δ 8.28 (s, 1H), 7.36 - 7.29 (m, 1H), 7.25 (dd, J = 8.0, 2.3 Hz, 2H), 7.20 (d, J = 2.2 Hz, 1H), 6.77 (tt, J = 8.7, 2.3 Hz, 1H), 6.56 - 6.39 (m, 2H), 4.70 (d, J = 6.5 Hz, 4H), 3.91 - 3.73 (m, 1H), 3.55 (dd, J = 13.1, 6.5 Hz, 1H), 3.20 (s, 2H), 2.82 - 2.68 (m, 2H), 2.11 - 1.91 (m, 4H), 1.80
(dd, J = 16.0, 8.4 Hz, 2H), 1.17 (d, J = 6.6 Hz, 6H) ppm. ESI-MS m/z calc. 480.2449, found 481.41 (M+l)+; Retention time: 0.61 minutes.
[00428] Using the general synthetic scheme outlined in Schemes A and B and using procedures analogous to those described in Example 11, the following compound can be synthesized from the appropriate intermediate; 323. Those skilled in the art will recognize that these methods may be extended to prepare amino triazoles with further variations in the substitutions of R8 and A.
EXAMPLE 12
Preparation of 1 -(3 , 5 -difluorophenyl)-N- r4-fluoro-3 - Γ3 -fluoro- 1 -(oxetan-3 - yl)pyiTolidin-3-vHphenvH-L2,4-triazol-3-amine (Compound 325)
(a) Cu(OAc)2, pyridine, 3 A molecular sieves, CH2CI2, RT; (b) Palladium on carbon, H2;(c) iPrMgCl, LiCl, THF, -40 °C; (d) DCM, TFA, RT; (e) DCM, AcOH,
NaBH(OAc)3, RT; (f) Deoxo-fluor, -78 °C; (g). t-BuXPhos Palladacycle, dioxane, NaOtBu, 70°C.
Preparation of fert-butyl 3-(5-bromo-2-fluoro-phenyl)-3-hvdroxy-pyrrolidine-l- carboxylate (RG-12c)
[00429] A solution of isopropyl magnesium chloride-lithium chloride in tetrahydrofuran (30 mL of 1.3 M, 39.00 mmol) was cooled to -78 °C a. At -40 °C, 4- bromo-l-fluoro-2-iodo-benzene (approximately 11.18 g, 37.14 mmol) was added. The temperature was maintained between -40 °C and -35 °C. After approximately 2 hours, tetrahydrofuran (20 mL) was added the mixture was maintained at -35°C. tert- Butyl 3-oxopyrrolidine-l-carboxylate (approximately 7.016 g, 37.88 mmol) was added over 10 minutes. The reaction mixture was removed from the cold bath after a further 5 minutes. Aqueous saturated ammonium chloride was carefully added with cooling (ice bath) and then the reaction mixture was extracted twice with ethyl acetate. The combined organics were washed with aqueous saturated ammonium chloride, brine, dried with sodium sulfate, filtered and concentrated under reduced pressure to give a liquid that solidified over time. The solid was sonicated in the presence of 7% ethyl acetate/heptane and then filtered The resulting white solid was air dried by suction on a frit for 20 minutes to yield tert-butyl 3-(5-bromo-2-fluoro- phenyl)-3 -hydroxy-pyrrolidine- 1-carboxylate (8.3 g, 62%). ¾ MR (400 MHz, OMSO-de) δ 7.69 (d, J = 7.0 Hz, 1H), 7.55 (ddd, J = 8.6, 4.2, 2.6 Hz, 1H), 7.19 (dd, J = 11.3, 9.1 Hz, 1H), 5.73 (d, J = 4.5 Hz, 1H), 3.61 - 3.38 (m, 4H), 2.29 (s, 1H), 2.12 - 2.02 (m, 1H), 1.41 (s, 9H) ppm.
Preparation of 3-(5-bromo-2-fluoro-phenyl)pyrrolidin-3-ol (RG-12d)
[00430] To a suspension of tert-butyl 3 -(5 -bromo-2-fluoro-phenyl)-3 -hydroxy- pyrrolidine- 1-carboxylate (3 g, 8.328 mmol) in dichloromethane (20 mL) was added trifluoroacetic acid (4 mL, 51.92 mmol) at room temperature. After 1 hour of stirring, the reaction mixture was concentrated to dryness under reduced pressure. The crude residue was dissolved in methanol and passed through a SPE bicarbonate cartridge (Agilent Stratospheres 5 g/60 mL) and concentrated to dryness under reduced
pressure. The sample was placed under high vacuum for 3 hours to yield 3-(5-bromo- 2-fluoro-phenyl)pyrrolidin-3-ol (2.166 g, 8.327 mmol, 100%). ESI-MS m/z calc. 259.0008, found 262.07 (M+l)+; Retention time: 0.52 minutes Preparation of 3-(5-bromo-2-fluoro-phenyl)-l-(oxetan-3-yl)pyrrolidin-3-ol (RG-12e)
[00431] To 3-(5-bromo-2-fluoro-phenyl)pyrrolidin-3-ol (2.166 g, 8.327 mmol) in dichloromethane (20 mL) was added acetic acid (approximately 750.0 mg, 710.2 μΐ^, 12.49 mmol) then oxetan-3-one (approximately 900.1 mg, 750.1 μΐ^, 12.49 mmol). Sodium triacetoxyborohydride (approximately 2.295 g, 10.83 mmol) was added and the mixture was stirred overnight at room temperature. Solid and saturated sodium bicarbonate were added and the layers were separated. The aqueous layer was re- extracted with dichloromethane and the combined organics were passed through a phase separator and concentrated to dryness under reduced pressure. Purification was performed by silica gel chromatography (80 g column; 0-10%
methanol/dichloromethane). The desired fractions were combined and concentrated to dryness under reduced pressure to afford 3-(5-bromo-2-fluoro-phenyl)-l-(oxetan-3- yl)pyrrolidin-3-ol (2.1 g, 80%). ESI-MS m/z calc. 315.027, found 318.08 (M+l)+; Retention time: 0.54 minutes. Preparation of 3-(5-bromo-2-fluoro-phenyl)-3-fluoro-l-(oxetan-3-yl)pyrrolidine (RG- 121 )
[00432] A solution of 3-(5-bromo-2-fluoro-phenyl)-l-(oxetan-3-yl)pyrrolidin-3-ol (1.705 g, 5.393 mmol) in dichloromethane (25 mL) was cooled to -78 °C and treated with bis(2-methoxyethyl)aminosulfur trifluoride (approximately 1.790 g, 1.492 mL, 8.090 mmol) over 10 minutes. After lh, at -78 °C, added excess saturated sodium bicarbonate and removed the bath. The aqueous layer was extracted with
dichloromethane (approximately 25 mL) and the combined organics were passed through a phase separating cartridge and concentrated to dryness under reduced pressure. Purification was performed by column chromatography (Si-amine (ISCO) 150 g column; 10-50%> ethyl acetate/hexane). Enriched desired material and a side product were collected and concentrated to dryness under reduced pressure to yield 3- (5-bromo-2-fluoro-phenyl)-3-fluoro-l-(oxetan-3-yl)pyrrolidine (893 mg, 52%). ESI- MS m/z calc. 317.02267, found 318.08 (M+l)+; Retention time: 0.54 minutes.
Preparation of 1 -(3 , 5 -difluorophenvD-N- r4-fluoro-3 - Γ3 -fluoro- 1 -(oxetan-3 - yl)pyrrolidin-3-yl1phenyl1-L2,4-triazol-3-amine (Compound 325)
[00433] A Schlenck tube was charged with 3-(5-bromo-2-fluoro-phenyl)-3-fluoro- 1 -(oxetan-3 -yl)pyrrolidine (500 mg, 1.572 mmol), l-(3,5-difluorophenyl)-l,2,4- triazol-3 -amine (approximately 325.4 mg, 1.493 mmol), chloro(2-di-t- butylphosphino-2',4',6'-tri-i-propyl-l, -biphenyl)[2-(2- aminoethyl)phenyl]palladium(II) (t-BuXPhos Palladacycle) (approximately 46.45 mg, 0.06288 mmol), and sodium tert-butoxide (approximately 302.1 mg, 3.144 mmol). 1,4-Dioxane (4 mL) was added and the mixture was vacuum/nitrogen cycled three times. The reaction mixture was immersed in a glass bead bath set to 70 °C for approximately 3 hours. Water and dichloromethane were added and a precipitate was formed. The precipitate was collected by filtration. The precipitate was purified by silica gel chromatography (80 g Gold (ISCO) column; 25-100% ethyl acetate/hexane). On concentration of the pure fractions a white solid precipitated and was air dried by suction on a frit for 3 hours to afford l-(3,5-difluorophenyl)-N-[4-fluoro-3-[3-fluoro- 1 -(oxetan-3 -yl)pyrrolidin-3-yl]phenyl]-l,2,4-triazol-3 -amine (140.1 mg, 20%). ¾ MR (300 MHz, OMSO-de) δ 9.71 (s, 1H), 9.19 (s, 1H), 7.86 (dd, J = 6.8, 2.8 Hz, 1H), 7.73 - 7.56 (m, 3H), 7.33 - 7.13 (m, 2H), 4.61 (td, J = 6.6, 2.2 Hz, 2H), 4.51 (dd, J = 1 1.7, 5.7 Hz, 2H), 3.82 - 3.72 (m, 1H), 3.22 (dd, J = 24.1, 12.2 Hz, 1H), 2.97 (ddd, J = 23.4, 14.7, 8.4 Hz, 2H), 2.67 (dd, J = 14.7, 7.3 Hz, 1H), 2.48 - 2.42 (m, 1H), 2.37 (t, J = 6.6 Hz, 1H) ppm. ESI-MS m/z calc. 433.1526, found 434.29 (M+l)+;
Retention time: 0.61 minutes
EXAMPLE 13
Preparation of 2-isopropoxy-4-[(l-phenyl-L2,4-triazol-3-yl)aminolbenzamide
(Compound 264)
K(^-13c Cmpd 264
(a) Cu(OAc)2, pyridine, 4 A molecular sieves, CH2CI2, RT; (b) Palladium on carbon, H2; (c) XantPhos, Pd2(dba)3, 1,4-dioxane, NaOtBu, 100 °C; (d) DCM, DIPEA, HOBt, EDCI, DMF, RT.
Preparation 2-isopropoxy-4-r(l-phenyl-L2,4-triazol-3-yl)amino1benzoic acid (RG- 14c)
[00434] 1 -phenyl- l,2,4-triazol-3 -amine (290 mg, 1.811 mmol), 4-bromo-2- isopropoxy-benzoic acid (approximately 516.1 mg, 1.992 mmol), sodium tert- butoxide (approximately 348.1 mg, 3.622 mmol), dicyclohexyl-[2-(2,4,6- triisopropylphenyl)phenyl]phosphine (approximately 165.8 mg, 0.1811 mmol) were combined in a vial. 1,4-Dioxane (approximately 11.8 mL) was added and the mixture was stirred overnight in a sealed vial at 100 °C. The reaction mixture was concentrated to dryness under reduced pressure and purified by reverse phase chromatography to yield 2-isopropoxy-4-[(l-phenyl-l,2,4-triazol-3-yl)amino]benzoic acid (456 mg, 1.348 mmol, 74.4%). ESI-MS m/z calc. 338.13788, found
339.03(M+1)+ Retention time: 1.01 minutes. Preparation of of 2-isopropoxy-4-r(l-phenyl-L2,4-triazol-3-yl)amino1benzamide (Compound 264)
[00435] 1-A mixture of 2-isopropoxy-4-[(l-phenyl-l,2,4-triazol-3- yl)amino]benzoic acid (75 mg, 0.2217 mmol), ammonia hydrochloride (24 mg, 0.4487 mmol), HOBt (60 mg, 0.4440 mmol), EDCI (85 mg, 0.4434 mmol) and diisopropylethylenediamine (57 mg, 0.4410 mmol) in dimethylformamide (5 mL) was stirred at room temperature for 12 hours. Water (30 mL) was added and the aqueous phase was extracted with ethyl acetate (2 χ 30 mL). The combined organic phases were washed with water (3 x 30 mL) and brine (30 mL), dried with sodium sulfate, filtered and concentrated under reduced pressure. The crude was material was purified by silica gel chromatography (40 g column 0-10%
methanol/dichloromethane) to yield 2-isopropoxy-4-[(l-phenyl-l,2,4-triazol-3- yl)amino]benzamide (34.4 mg, 45%). ¾ MR (300 MHz, OMSO-de) δ 9.87 (s, 1H), 9.16 (d, J = 10.0 Hz, 1H), 7.85 (dd, J = 8.1, 3.2 Hz, 3H), 7.68 (s, 1H), 7.57 (t, J = 7.9 Hz, 2H), 7.47 (s, 1H), 7.43 - 7.29 (m, 2H), 7.12 (dd, J = 8.6, 1.7 Hz, 1H), 4.73 (dd, J = 11.9, 6.1 Hz, 1H), 1.54 - 1.33 (m, 6H) ppm. ESI-MS m/z calc. 337.15387, found 338.09 (M+l)+; Retention time: 0.9 minutes.
[00436] Using the general synthetic scheme outlined in Schemes A and B and using procedures analogous to those described in Example 13, the following compound can be synthesized from the appropriate intermediate; 125. Those skilled in the art will recognize that these methods may be extended to prepare amino triazoles with further variations in the substitutions of R8 and A.
EXAMPLE 14
Preparation of N4-ri-(3.5-difluorophenvn-1.2.4-triazol-3-yl1-2-methyl-Nl-rri- (oxetan-3-yl)-3-piperidvHmethvHbenzene-L4-diamine (Compound 531)
(a) Cu(OAc)2, pyridine, 3 A molecular sieves, CH2CI2, RT; (b) Palladium on carbon, H2; (c) t-BuXPhos Palladacycle, sodium tert-butoxide, tert-butanol, 90°C; (d)
BrettPhos Palladacycle, tert-butanol, sodium tert-butoxide, 50 °C; (e) trifluoroacetic acid, dichlorom ethane; (f) oxetan-3-one, dichlorom ethane, NaBH(OAc)3, AcOH.
Preparation of N-(4-chloro-3-methyl-phenyl)-l-(3,5-difluorophenyl)-L2,4-triazol-3- amine (RG-14c)
[00437] l-(3,5-difluorophenyl)-l,2,4-triazol-3-amine (2.95 g, 15.04 mmol), 4- bromo-l-chloro-2-methyl-benzene (4 mL, 30.17 mmol), sodium tert-butoxide (3.15 g,
32.78 mmol) and chloro(2-di-t-butylphosphino-2',4',6'-tri-i-propyl-l, -biphenyl)[2- (2-aminoethyl)phenyl]palladium(II) (/-BuXPhos Palladacycle) (460 mg, 0.6227 mmol) were slurried into dry tert-butanol (40 mL) and dry 1,4-dioxane (12 mL) and purged with nitrogen for approximately 5 minutes. The slurry was stirred at 90°C for 3 hours in a parr bottle with a Qian cap. The reaction mixture was cooled to room temperature and poured into 500 mL of water. The precipitate was filtered and washed with additional water (approximately 250 mL) and methanol (200 mL), then dried under high vacuum at 50°C overnight to yield N-(4-chloro-3-methyl-phenyl)-l- (3,5-difluorophenyl)-l,2,4-triazol-3-amine (4.05 g, 75%). ¾ MR (300 MHz, OMSO-de) δ 9.69 (s, 1H), 9.19 (s, 1H), 7.73 - 7.60 (m, 2H), 7.60 - 7.50 (m, 2H), 7.35 - 7.19 (m, 2H), 2.31 (s, 3H) ppm. ESI-MS m/z calc. 320.06403, found 321.11 (M+l)+; Retention time: 1.01 minutes.
Preparation of 3-rr4-rr i-(3,5-difluorophenyl)-L2,4-triazol-3-yl1amino1-2-methyl- anilinolmethyllpiperidine-l-carboxylate (RG-14d)
[00438] N-(4-chloro-3-methyl-phenyl)-l-(3,5-difluorophenyl)-l,2,4-triazol-3- amine (236 mg, 0.6553 mmol), sodium tert-butoxide (201 mg, 2.091 mmol), and tert- butylXphos Palladacycle (approximately 22 mg) were weighed into a 40 mL vial. tert-Butyl 3-(aminomethyl)piperidine-l-carboxylate (250 mg, 1.167 mmol) was then added followed by dioxane (2.1 mL) and tert-butanol (6.3 mL). The mixture was flushed with a stream of nitrogen and the vial sealed. The reaction mixture was stirred over the weekend at 90 °C then concentrated under a stream of nitrogen. The mixture was diluted with 20 mL of dichloromethane and washed with 50% saturated sodium bicarbonate (8 mL). The organics were passed through a plug of Florisil (5 g), and the plug was washed withlO mL of 10% methanol/dichloromethane. The filtrate was concentrated to dryness under reduced pressure. The crude material was diluted with dimethylsulfoxide (3 mL) and purified by reverse phase chromatography (50 g C18Aq (ISCO) column, 0-100%) acetonitrile/water with a trifluoroacetic acid modifier). The desired fractions were concentrated to dryness to yield 3-[[4-[[l-(3,5- difluorophenyl)-l,2,4-triazol-3-yl]amino]-2-methyl-anilino]methyl]piperidine-l- carboxylate (108 mg, 0.2156 mmol, 32.90). LCMS showed that some of the Boc group fell off during purification and the mixture was carried into the deprotection step. ESI-MS m/z calc. 498.26, found 499.38 (M+l)+; Retention time: 0.95 minutes.
Preparation of N4-ri-(3.5-difluorophenylV1.2.4-triazol-3-yl1-2-methyl-Nl-(3- piperidylmethyl)benzene-L4-diamine (RG-14e)
[00439] 3-[[4-[[l-(3,5-difluorophenyl)-l,2,4-triazol-3-yl]amino]-2-methyl- anilino]methyl]piperidine-l-carboxylate (108 mg, 0.2156 mmol) was diluted with dichloromethane (3 mL). Trifluoroacetic acid (2 mL, 25.96 mmol) was added and the mixture was stirred overnight in a sealed vial. The reaction mixture was concentrated to dryness under reduced pressure. The crude oil was then placed in a vacuum oven at 50°C overnight to give N4-[l-(3,5-difluorophenyl)-l,2,4-triazol-3-yl]-2-methyl-Nl- (3-piperidylmethyl)benzene-l,4-diamine (104.8 mg, 0.161 1 mmol, 74.69%). The crude material was carried directly to the next step without further manipulation. ESI- MS m/z calc. 398.26, found 399.34 (M+l)+; Retention time: 0.71 minutes.
Preparation of N4-ri-(3.5-difluorophenvn-1.2.4-triazol-3-yl1-2-methyl-Nl-rri- (oxetan-3-yl)-3-piperidvHmethvHbenzene-L4-diamine (Compound 531)
[00440] N4-[l-(3,5-difluorophenyl)-l,2,4-triazol-3-yl]-2-methyl-Nl-(3- piperidylmethyl)benzene-l,4-diamine (104.8 mg, 0.161 1 mmol) was dissolved in 1,2- dichloroethane (4 mL). Oxetan-3-one (12 μΐ^, 0.1872 mmol) and
diisopropylethylamine (57 μΐ^, 0.3272 mmol) were added and stirred for 5 minutes. Sodium triacetoxyborohydride (1 10 mg, 0.5190 mmol) was added and the mixture was stirred overnight at room temperature. The mixture was diluted with
dichloromethane (4 mL) and saturated aqueous sodium bicarbonate (4 mL) and stirred for 3 hours. The organics were passed through a phase separator and concentrated to dryness on a V10 evaporator. The crude product was diluted with dimethylsulfoxide (2 mL). The sample was purified by reverse phase HPLC (Waters SunFire CI 8
30x150 5uM column; acetonitrile/water gradient with a trifluoroacetic acid modifier). The fractions that contained the desired compound were combined and concentrated to dryness under reduced pressure. The sample was diluted with dichloromethane (8 mL) and washed with saturated sodium bicarbonate (4 mL). The organics were passed through a phase separator and concentrated to dryness under reduced pressure to yield N4-[l-(3,5-difluorophenyl)-l,2,4-triazol-3-yl]-2-methyl-Nl-[[l-(oxetan-3- yl)-3-piperidyl]methyl]benzene-l,4-diamine (10.4 mg, 0.021 14 mmol, 13.1%). ¾ MR (300 MHz, OMSO-de) δ 9.08 (s, 1H), 8.92 (s, 1H), 7.62 - 7.53 (m, 2H), 7.40
(dd, J = 8.6, 2.6 Hz, 1H), 7.23 - 7.11 (m, 2H), 6.50 (d, J = 8.7 Hz, 1H), 4.52 (td, J = 6.4, 2.8 Hz, 2H), 4.47 - 4.37 (m, 3H), 3.41 - 3.32 (m, 1H), 2.93 (s, 2H), 2.71 (d, J = 10.5 Hz, 1H), 2.09 (s, 3H), 1.95 - 1.71 (m, 3H), 1.69 - 1.53 (m, 2H), 1.50 - 1.39 (m, 1H), 1.11 - 0.90 (m, 1H) ppm. ESI-MS m/z calc. 454.22928, found 455.17 (M+l)+; Retention time: 2.29 minutes.
[00441] Using the general synthetic scheme outlined in Schemes A and B and using procedures analogous to those described in Example 14, the following compounds can be synthesized from the appropriate intermediates; 508, 525, 526, 529, 530, 532, 536 and 537. Those skilled in the art will recognize that these methods may be extended to prepare amino triazoles with further variations in the substitutions of R8 and A.
EXAMPLE 15
Preparation of N-r3-r4-rri-(3,5-difluorophenyl)-L2,4-triazol-3-yllaminol-2-methyl- phenoxylcyclobutvUacetamide (Compound 509)
(a) Cu(OAc)2, pyridine, 3 A molecular sieves, CH2CI2, RT; (b) Palladium on carbon, H2; (c) TEA, DCM, 0 °C; (d) DMF, 90 °C, CS2CO3; (e) TFA, DCM; (f) i. Ac20, DCM, RT, ii. l-(3,5-difluorophenyl)-l,2,4-triazol-3-amine, t-BuXPhos Palladacycle, NaOtBu, tBuOH, 50 °C.
Preparation of (ls,3s)-3-((fert-butoxycarbonyl)amino)cvclobutyl methanesulfonate
(RG-15c)
[00442] At 0 °C, a solution of tert-butyl ((ls,3s)-3 -hydroxy cyclobutyl)carbamate (936.2 mg, 5 mmol) and triethylamine (approximately 1.012 g, 1.394 mL, 10.00 mmol) in dichlorom ethane (10 mL) was treated with methanesulfonyl chloride (approximately 687.3 mg, 464.4 μL, 6.000 mmol) in dichloromethane (5 mL) dropwise over 10 minutes. After stirring overnight while warming up, ethyl acetate and aqueous ammonium chloride were added. The organic layer was collected and concentrated to yield (ls,3s)-3-((tert-butoxycarbonyl)amino)cyclobutyl
methanesulfonate (1.32 g, 4.975 mmol, 99.5%). 1H MR (300 MHz, CDCh) δ 4.73 (tt, J = 7.6, 6.9 Hz, 1H), 3.85 (s, 1H), 3.01 (s, 3H), 2.93 (dtt, J = 9.9, 7.1, 3.3 Hz, 1H), 2.28 - 2.08 (m, 2H), 1.45 (s, 9H) ppm.
Preparation of fert-butyl ((lr,3r)-3-(4-bromo-2-methylphenoxy)cyclobutyl)carbamate (RG-15d)
[00443] (ls,3s)-3-((tert-Butoxycarbonyl)amino)cyclobutyl methanesulfonate (500 mg, 1.884 mmol), cesium carbonate (1.32 g, 4.051 mmol) and 4-bromo-2-methyl- phenol (236 mg, 1.262 mmol) were combined in a 40 mL vial. Dimethylformamide
(6 mL) was added and the vial was sealed. The reaction mixture was stirred overnight at 90 °C. The reaction mixture was concentrated to dryness under reduced pressure.
Dimethylsulfoxide (5 mL) was added and a small amount of precipitate was filtered. The filtrate was purified by reverse phase chromatography (50 g C18Aq (ISCO) column; 10-100% acetonitrile/water with a trifluoroacetic acid modifier) to provide after concentration tert-butyl ((lr,3r)-3-(4-bromo-2- methylphenoxy)cyclobutyl)carbamate (175 mg, 39%). ¾ MR (300 MHz, DMSO- d6) δ 7.43 - 7.20 (m, 3H), 6.62 (d, J = 8.7 Hz, 1H), 4.85 - 4.68 (m, 1H), 4.17 - 3.99 (m, 1H), 2.40 - 2.26 (m, 4H), 2.14 (s, 3H), 1.38 (s, 9H) ppm. ESI-MS m/z calc. 355.0783, found 356.24, Retention time: 1.05 minutes.
Preparation of (lr,3r)-3-(4-bromo-2-methylphenoxy)cvclobutan-l-amine (RG-15e)
[00444] tert-Butyl ((lr,3r)-3-(4-bromo-2-methylphenoxy)cyclobutyl)carbamate (175 mg, 0.4912 mmol) was diluted with dichloromethane (6 mL). Trifluoroacetic acid (4 mL, 51.92 mmol) was added and the mixture was stirred at room temperature in a sealed vial for 2 hours. The reaction mixture was concentrated to dryness under reduced pressure. The crude residue was diluted with dichloromethane (8 mL) and
washed with saturated sodium bicarbonate (4 mL). The organics were passed through a phase separator and concentrated to dryness on the VI 0 evaporator under reduced pressure to provide (lr,3r)-3-(4-bromo-2-methylphenoxy)cyclobutan-l-amine (127 mg, 99%). ¾ MR (300 MHz, OMSO-de) δ 7.32 (dd, J = 2.5, 0.9 Hz, 1H), 7.27 (dd, J = 8.6, 2.6 Hz, 1H), 6.62 (d, J = 8.6 Hz, 1H), 4.85 - 4.74 (m, 1H), 3.62 - 3.48 (m, 1H), 2.29 - 2.16 (m, 2H), 2.16 - 2.04 (m, 5H), 1.82 (s, 2H) ppm. ESI-MS m/z calc. 255.02588, found 256.12 (M+l)+; Retention time: 0.65 minutes.
Preparation of N-((lr.3rV3-(4-((l-(3.5-difluorophenylVlH-1.2.4-triazol-3-vnaminoV 2-methylphenoxy)cvclobutyl)acetamide (Compound 509)
[00445] (lr,3r)-3-(4-Bromo-2-methylphenoxy)cyclobutan-l-amine (42 mg, 0.1606 mmol) was dissolved in dichloromethane (1 mL). To this mixture was added acetic anhydride (30 μΐ^, 0.3180 mmol) and the vial was sealed. The reaction mixture was stirred overnight at room temperature. The reaction mixture was diluted with dichloromethane (5 mL) and washed with 50% saturated sodium bicarbonate (3 mL). The organics were passed through a phase separator and concentrated to dryness on the V10 evaporator under reduced pressure. The crude N-((lr,3r)-3-(4-bromo-2- methylphenoxy)cyclobutyl)acetamide was treated with sodium tert-butoxide (65 mg, 0.6764 mmol), tert-ButylXphos Palladacyle (5 mg, 0.007281 mmol), and l-(3,5- difluorophenyl)-l,2,4-triazol-3 -amine (32 mg, 0.1631 mmol). The solids were diluted with 1,4-dioxane (0.5 mL) and tert-butanol (1.5 mL) and flushed with nitrogen. The vial was sealed and heated to 50 °C overnight with stirring. The reaction mixture was diluted with 8 mL of dichloromethane (5% methanol) and washed with 50% saturated sodium bicarbonate (4 mL). The organics were passed through a phase separator that contained a plug of Florisil (1 g) and concentrated to dryness on the Genevac under reduced pressure. This crude was diluted with dimethylsulfoxide (2 mL) and purified by reverse phase chromatography (50 g C18Aq (ISCO) column; 0-100%) acetonitrile water with a trifluoroacetic acid modifier). The pure fractions were concentrated to dryness under reduced pressure and diluted with 5%> methanol/dichloromethane (5 mL), then were washed with 50%> saturated sodium bicarbonate (3 mL). The organics were collected through a phase separator, concentrated to dryness under reduced pressure and then dried in the high vacuum oven at 50 °C for 3 hours to yield N- ((lr,3r)-3-(4-((l-(3,5-difluorophenyl)-lH-l,2,4-triazol-3-yl)amino)-2-
methylphenoxy)cyclobutyl)acetamide (18.4 mg, 26%). ¾ MR (400 MHz, DMSO- di δ 9.26 (s, 1H), 9.13 (s, 1H), 8.25 (d, J = 7.1 Hz, 1H), 7.67 - 7.58 (m, 2H), 7.51 (dd, J = 8.8, 2.8 Hz, 1H), 7.30 (d, J = 2.6 Hz, 1H), 7.23 (tt, J = 9.3, 2.4 Hz, 1H), 6.67 (d, J = 8.8 Hz, 1H), 4.80 - 4.71 (m, 1H), 4.34 - 4.25 (m, 1H), 2.37 - 2.28 (m, 4H), 2.16 (s, 3H), 1.81 (s, 3H) ppm. ESI-MS m/z calc. 413.16632, found 414.1 1 (M+l)+;
Retention time: 3.63 minutes.
EXAMPLE 16
Preparation of 2-methyl-N-(l -phenyl- L2,4-triazol-3-yl)-5-(2-tetrahy dropyran-4- ylethoxy)pyridin-3 -amine (Compound 225)
(a) Cu(OAc)2, pyridine, 4 A molecular sieves, CH2CI2, RT; (b) Palladium on carbon, H2; (c) t-BuXPhos Palladacycle, dioxane, NaOtBu, 140 °C; (d) DIAD, PPh3, THF, 45 °C.
Preparation of 6-methyl-5-r(l-phenyl-L2,4-triazol-3-yl)aminolpyridin-3-ol (RG-16c)
[00446] Chloro(2-di-t-butylphosphino-2',4',6'-tri-i-propyl-l,r-biphenyl)[2-(2- aminoethyl)phenyl]palladium(II) (t-BuXPhos Palladacycle) (approximately 452.0 mg, 0.61 18 mmol), 1 -phenyl- l,2,4-triazol-3 -amine (980 mg, 6.1 18 mmol), sodium tert-
butoxide (approximately 1.763 g, 18.35 mmol) and 5-bromo-6-methyl-pyridin-3-ol (approximately 1.150 g, 6.1 18 mmol) were combined in 1,4-dioxane (19.6 mL) and the reaction was degassed with nitrogen for 10 seconds. The reaction was capped in a microwave tube and heated at 140 °C in a microwave for 30 minutes. The crude material was absorbed onto 5 grams of silica gel and purified by silica gel
chromatography (10-90% (1% methanol/ethyl acetate)/hexanes) to afford 6-methyl-5- [(l-phenyl-l,2,4-triazol-3-yl)amino]pyridin-3-ol (650 mg, 2.418 mmol, 40%). ¾ NMR (400 MHz, OMSO-de) δ 1 1.52 (s, 1H), 9.55 (s, 1H), 9.29 (d, J = 14.2 Hz, 1H), 8.78 (d, J = 2.3 Hz, 1H), 7.95 (d, J = 7.6 Hz, 2H), 7.77 (t, J = 6.2 Hz, 1H), 7.57 (dd, J = 18.4, 10.0 Hz, 2H), 7.38 (dd, J = 28.7, 21.3 Hz, 1H), 2.68 (s, 3H) ppm. ESI-MS m/z calc. 267.1 12, found 268.46 (M+l)+; Retention time: 0.58 minutes.
Preparation of 2-methyl-N-(l -phenyl- L2,4-triazol-3-yl)-5-(2-tetrahy dropyran-4- ylethoxy)pyridin-3 -amine (Compound 225)
[00447] 6-methyl-5-[(l-phenyl-l,2,4-triazol-3-yl)amino]pyridin-3-ol (60 mg, 0.2245 mmol), 2-tetrahydropyran-4-ylethanol (43.83 mg, 0.3368 mmol), and triphenylphosphine (88.34 mg, 78.04 μΐ^, 0.3368 mmol) were dissolved in
tetrahydrofuran (2 mL) and the solution was stirred at room temperature for 10 minutes. Isopropyl N-isopropoxycarbonyliminocarbamate (68.08 mg, 0.3368 mmol) was added into the reaction via a syringe under nitrogen. The reaction was gently heated at 45 °C for 2 hours. The solvent was removed under reduced pressure and the crude material was purified by reverse phase chromatography using 10-90%) acetonitrile/water. The pure fractions were combined and neutralized using aqueous sodium bicarbonate. The free base was dissolved in dichloromethane and treated with 2 equivalents of hydrochloric acid in 1,4-dioxane (2.0 M) and the resulting mixture was concentrated to dryness under reduced pressure to give 2-methyl-N-(l-phenyl- l,2,4-triazol-3-yl)-5-(2-tetrahydropyran-4-ylethoxy)pyridin-3-amine hydrochloride (68.9 mg, 0.1574 mmol, 70.10%). ¾ NMR (400 MHz, OMSO-de) δ 9.70 (s, 1H), 9.25 (d, J = 14.9 Hz, 1H), 8.87 (s, 1H), 8.74 (d, J = 2.4 Hz, 1H), 8.04 (d, J = 2.5 Hz, 1H), 7.90 - 7.78 (m, 2H), 7.58 (t, J = 8.0 Hz, 2H), 7.42 (t, J = 7.4 Hz, 1H), 4.77 (dt, J = 12.3, 6.1 Hz, 2H), 4.25 (t, J = 6.3 Hz, 2H), 3.83 (dd, J = 1 1.3, 2.5 Hz, 2H), 3.28 (td, J = 1 1.8, 1.9 Hz, 2H), 2.79 - 2.67 (m, 3H), 1.78 - 1.62 (m, 4H), 1.26 (dd, J = 19.6, 7.8
Hz, 2H) ppm. ESI-MS m/z calc. 379.20084, found 380.52 (M+l)+; Retention time: 0.71 minutes.
[00448] Using the general synthetic scheme outlined in Schemes A and B and using procedures analogous to those described in Example 16, the following compounds can be synthesized from the appropriate intermediates; 198-201, 204, 207-210, 221-224, 226, 232 and 238-240. Those skilled in the art will recognize that these methods may be extended to prepare amino triazoles with further variations in the substitutions of R8 and A.
EXAMPLE 17
Preparation of 1-Γ3-ΓΓΓ6-ηΐ6ί1 ν1-5-Γ 1 -phenyl- L2,4-triazol-3-yl)amino"|-3- pyridyllaminolmethyll-l-piperidyl"|ethanone (Compound 235) & 2-methyl-N3-(l- phenyl-L2,4-triazol-3-yl)-N5-(3-piperidylmethyl)pyridine-3,5-diamine (Compound 229)
RG-17d Cmpd 229 Cmpd 235
(a) Cu(OAc)2, pyridine, 4 A molecular sieves, CH2CI2, RT; (b) Palladium on carbon, H2; (c) t-BuXPhos Palladacycle, tBuOH, NaOtBu, 50 °C; (d) NaBH(OAc)3, DCM, RT; (e) TFA, DCM, RT; (f) Ac20, THF, RT.
Preparation of 2-methyl-N3-(l-phenyl-L2,4-triazol-3-yl)pyridine-3,5-diamine (RG- 17c)
[00449] 1 -Phenyl- l,2,4-triazol-3 -amine (698.7 mg, 4.362 mmol) and 5-bromo-6- methyl-pyridin-3 -amine (1.02 g, 5.453 mmol) were dissolved into tert-butanol (15 mL) and this solution was purged with nitrogen. During the purge, sodium tert-
butoxide (630 mg, 6.56 mmol) was added followed by chloro(2-di-t-butylphosphino- 2',4',6'-tri-i-propyl-l,r-biphenyl)[2-(2-aminoethyl)phenyl]palladium(II) (t-BuXPhos Palladacycle) (300 mg, 0.436 mmol). The reaction was sealed, heated, and stirred at 50 °C overnight. The reaction was diluted with methanol, pulled through a pad of diatomaceous earth and washed with methanol. The solvent was removed under reduced pressure. The crude material was purified by silica gel chromatography (0- 10%(methanol/0.1% Ammonium Hydroxide)/ dichloromethane). The pure fractions were concentrated to dryness to afford 2-methyl-N3-(l -phenyl- l,2,4-triazol-3 - yl)pyridine-3,5-diamine (110 mg, 0.3718 mmol, 8.520%). ¾ NMR (400 MHz, OMSO-de) δ 9.08 (s, 1H), δ 8.16 (s, 1H), 7.87 (d, J = 1.1 Hz, 1H), 7.85 (s, 1H), 7.61 (d, J = 2.3 Hz, 1H), 7.53 (t, J = 8.0 Hz, 2H), 7.45 (d, J = 2.4 Hz, 1H), 7.35 (t, J = 7.4 Hz, 1H), 3.31 (s, 2H), 2.32 (s, 3H) ppm. ESI-MS m/z calc. 266.128, found 267.52, Retention time: 0.53 minutes. Preparation of fert-butyl 3-rrr6-methyl-5-r(l-phenyl-L2,4-triazol-3-yl)amino1-3- pyridyllaminolmethyllpiperidine-l-carboxylate (RG-17d)
[00450] 2-Methyl-N3-(l-phenyl-l,2,4-triazol-3-yl)pyridine-3,5-diamine (100 mg, 0.375 mmol) was dissolved in chloroform (5 mL) and treated with tert-butyl 3- formylpiperidine-l-carboxylate (90 mg, 0.41 mmol). The reaction was stirred vigorously during the addition of sodium triacetoxyborohydride (160 mg, 0.75 mmol). The vial was capped and stirred overnight at room temperature. The reaction was quenched with methanol (approximately 0.5 mL) and then treated with a saturated sodium carbonate solution. The organic layer was separated, washed with brine, dried with sodium sulfate and concentrated to dryness under reduced pressure to give tert- butyl 3-[[[6-methyl-5-[(l -phenyl- 1, 2,4-triazol-3-yl)amino]-3- pyridyl]amino]methyl]piperidine-l-carboxylate that was carried forward as is. ESI- MS m/z calc. 463.26956, found 464.58 Retention time: 0.68 minutes.
Preparation of 2-methyl-N3-(l-phenyl-1.2.4-triazol-3-ylVN5-(3- piperidylmethvDpyridine-3,5-diamine (Compound 229)
[00451] fert-Butyl 3-[[[6-methyl-5-[(l-phenyl-l,2,4-triazol-3-yl)amino]-3- pyridyl]amino]methyl]piperidine-l-carboxylate (390 mg, 0.8413 mmol) was dissolved into dichloromethane and treated with trifluoroacetic acid (2 mL). The
solution was allowed to stand for 2 hours and deprotection was determined to be complete. Solvents were removed under reduced pressure and the residue was stirred with saturated sodium carbonate solution and water (1 : 1 volume) overnight. This mixture was extracted with ethyl acetate twice, the organic layer was washed with brine, dried with sodium sulfate and concentrated under reduced pressure. The aqueous was extracted with dichloromethane 3 times; this was treated in the same fashion and combined with the ethyl acetate extracts. Material was dissolved in methanol and the solvent was removed under reduced pressure. The residue was further azeotroped with dichloromethane and hexanes to provide 2-methyl-N3-(l- phenyl-l,2,4-triazol-3-yl)-N5-(3-piperidylmethyl)pyridine-3,5-diamine (270 mg, 0.6076 mmol, 65%). ¾ NMR (400 MHz, OMSO-de) δ 9.35 (s, 1H), 9.25 (s, 2H), 8.97 (s, 1H), 8.40 (s, 1H), 7.92 (d, J = 8.4 Hz, 2H), 7.58 (t, J = 7.9 Hz, 2H), 7.52 (s, 1H), 7.42 (d, J = 7.6 Hz, 1H), 3.29 (s, 1H), 3.15 (d, J = 15.6 Hz, 3H), 2.62 (s, 5H), 2.1 1 (s, 1H), 1.81 (d, J = 26.4 Hz, 2H), 1.67 (s, 1H), 1.24 (s, 1H) ppm. ESI-MS m/z calc. 363.21713, found 364.0 (M+l)+; Retention time: 0.56 minutes.
Preparation of l-[3-[[[6-methyl-5-|Yl -phenyl- L2,4-triazol-3-yl)amino"|-3- pyridvHaminolmethvH-l-piperidvHethanone (Compound 235)
[00452] 2-Methyl-N3-(l-phenyl-l,2,4-triazol-3-yl)-N5-(3- piperidylmethyl)pyridine-3,5-diamine (100 mg, 0.2751 mmol) was dissolved in tetrahydrofuran (3 mL). Acetic anhydride (approximately 28.08 mg, 25.95 μΐ., 0.2751 mmol) was added. The mixture was stirred at room temperature for several hours. Solvents were removed under reduced pressure and crude materials were purified by silica gel chromatography (0-100%) (methanol/10%) dichloromethane/0.1%> Ammonium Hydroxide)/dichloromethane). The pure fractions were combined and concentrated under reduced pressure to give l-[3-[[[6-methyl-5-[(l-phenyl-l,2,4- triazol-3-yl)amino]-3-pyridyl]amino]methyl]-l-piperidyl]ethanone (10 mg, 0.02220 mmol, 8.065). ¾ NMR (400 MHz, OMSO-de) δ 15.68 (s, 1H), 9.34 (d, J = 3.2 Hz, 1H), 9.24 (s, 1H), 8.39 (d, J = 2.9 Hz, 1H), 7.91 (s, 1H), 7.89 (s, 1H), 7.63 - 7.45 (m, 3H), 7.40 (t, J = 7.4 Hz, 1H), 4.31 (d, J = 10.4 Hz, 1H), 4.04 (d, J = 12.4 Hz, 1H), 3.79 (d, J = 12.9 Hz, 1H), 3.68 (d, J = 13.5 Hz, 1H), 3.17 - 2.88 (m, 3H), 2.61 (d, J = 2.4 Hz, 3H), 1.97 (d, J = 6.3 Hz, 3H), 1.92 - 1.76 (m, 2H), 1.65 (d, J = 18.2 Hz, 2H), 1.47
- 1.17 (m, 3H) ppm. ESI-MS m/z calc. 405.22772, found 406.0 (M+l)+; Retention time: 0.56 minutes.
[00453] Using the general synthetic scheme outlined in Schemes A and B and using procedures analogous to those described in Example 17, steps 1-4, the following compounds can be synthesized from the appropriate intermediates; 230, 231 and 236. Those skilled in the art will recognize that these methods may be extended to prepare amino triazoles with further variations in the substitutions of R8 and A.
[00454] Using the general synthetic scheme outlined in Schemes A and B and using procedures analogous to those described in Example 17, steps 1-5, the following compounds can be synthesized from the appropriate intermediates; 228 and 237.
Those skilled in the art will recognize that these methods may be extended to prepare amino triazoles with further variations in the substitutions of R8 and A.
EXAMPLE 18
[00455] Preparation of 3-rri-(3,5-difluorophenyl)-L2,4-triazol-3-yl1amino1-5- methyl-benzonitrile (Compound 600): fert-butyl N-rr3 ri-(3.5-difluorophenyl)-1.2.4- triazol-3-yllaminol-5-methyl-phenyllmethyllcarbamate (Compound 622); N-[3- (aminomethyl)-5-methyl-phenyl1-l-(3,5-difluorophenyl)-L2,4-triazol-3-amine (dihvdrochloride salt) (Compound 624): and N-rr3-rri-(3.5-difluorophenyl)-1.2.4- triazol-3-yl1amino1-5-methyl-phenyl1methyl1methanesulfonamide (Compound 646)
Cmpd 600 Cmpd 622
Cmpd 624
Cmpd 646
(a) Cu(OAc)2, pyridine, 3 A molecular sieves, CH2CI2, RT; (b) Palladium on carbon, H2; (c) t-BuXPhos Palladacycle, NaOtBu, tBuOH, 80 °C; (d) B0C2O, NiCh, MeOH, NaBH4, 60-80 °C; (e) TFA, DCM, RT; (f) triethylamine, dioxane, reflux.
Preparation of 3-[[l-(3,5-difluorophenyl)-L2,4-triazol-3-yllaminol-5-methyl- benzonitrile (Compound 600)
[00456] In a vial fitted with a stir bar was placed 3-bromo-5-methyl-benzonitrile (266 mg, 1.357 mmol), l-(3,5-difluorophenyl)-l,2,4-triazol-3-amine (205 mg, 1.045 mmol), sodium tert-butoxide (106 mg, 1.103 mmol), and chloro(2-di-t- butylphosphino-2',4',6'-tri-i-propyl-l, -biphenyl)[2-(2- aminoethyl)phenyl]palladium(II) (t-BuXPhos Palladacycle) (30 mg, 0.04607 mmol). tert-Butanol (5 mL) was added and the vial was sealed and purged with nitrogen. The mixture was heated to 80 °C overnight. The reaction was extracted with ethyl acetate and washed with water. The organics were treated with MP-TMT (ca 100 mg) and refluxed for 4 hours, to capture residual palladium. The organics were dried over sodium sulfate, filtered and concentrated under reduced pressure to give crude 3-[[l- (3,5-difluorophenyl)-l,2,4-triazol-3-yl]amino]-5-methyl-benzonitrile (0.35 g of 90% purity, 97%). A small sample of crude material was crystalized from acetonitrile to give analytically pure 3-[[l-(3,5-difluorophenyl)-l,2,4-triazol-3-yl]amino]-5-methyl- benzonitrile. ¾ MR (300 MHz, OMSO-de) δ 9.94 (s, 1H), 9.21 (s, 1H), 7.84 (s, 1H), 7.76 - 7.52 (m, 3H), 7.38 - 7.20 (m, 1H), 7.15 (s, 1H), 2.35 (s, 3H) ppm. ESI- MS m/z calc. 31 1.09827, found 312.15 (M+l)+; Retention time: 0.95 minutes. Preparation of fert-butyl N-rr3-rri-(3,5-difluorophenyl)-L2,4-triazol-3-yl1amino1-5- methyl-phenyllmethyl"|carbamate (Compound 622)
[00457] In a 50 mL round bottom flask fitted with a stir bar was placed 3-[[l-(3,5- difluorophenyl)-l,2,4-triazol-3-yl]amino]-5-methyl-benzonitrile (146 mg, 0.4217 mmol). To this was added methanol (25 mL), tert-butoxycarbonyl tert-butyl carbonate (368 mg, 1.686 mmol), dichloronickel;hexahydrate (123 mg, 0.5175 mmol) (dissolved with mild heating), and finally sodium borohydride (135 mg, 3.568 mmol). The reaction was warmed to 80°C because the starting material was not fully soluble, and more sodium borohydride (80 mg) was added. The reaction was aged at 60-80°C overnight and then quenched with N'-(2-aminoethyl)ethane-l,2-diamine
(approximately 197.5 mg, 206.8 μΐ^, 1.914 mmol) for 2 hours. The solution was concentrated to dryness and extracted with ethyl acetate and washed with saturated sodium bicarbonate. The organics were dried over sodium sulfate, filtered and concentrated to dryness under reduced pressure. The crude product was purified by
silica gel chromatography (12 g column, 20-100% ethyl acetate/heptane). The pure fractions were concentrated to dryness under reduced pressure to give tert-butyl N- [[3-[[l-(3,5-difluorophenyl)-l,2,4-triazol-3-yl]amino]-5-methyl- phenyl]methyl]carbamate (86 mg, 42%). ¾ NMR (300 MHz, OMSO-d6) δ 9.44 (s, 1H), 9.15 (s, 1H), 7.67 (d, J = 8.2 Hz, 2H), 7.46 (s, 1H), 7.37 - 7.12 (m, 3H), 6.57 (s, 1H), 4.07 (d, J = 6.2 Hz, 2H), 2.26 (s, 3H), 1.38 (s, 9H) ppm. ESI-MS m/z calc. 415.18198, found 416.31 (M+l)+; Retention time: 0.9 minutes.
Preparation of N-[3-(aminomethyl)-5-methyl-phenyll-l -(3,5-difluorophenyl)-L2,4- triazol-3 -amine (Dihydrochloride salt) (Compound 624)
[00458] tert-Butyl N-[[3-[[l-(3,5-difluorophenyl)-l,2,4-triazol-3-yl]amino]-5- methyl-phenyl]methyl]carbamate (48 mg, 0.09880 mmol) was dissolved in dichloromethane (5 mL) and treated with trifluoroacetic acid (1 mL, 12.98 mmol). The reaction was aged 10 minutes at ambient temperature, concentrated to dryness and purified by reverse phase HPLC (Waters SunFire C18 30x150 5μΜ column; acetonitrile/water gradient, hydrochloric acid modifier). The pure fractions were concentrated to dryness under reduced pressure to give N-[3-(aminomethyl)-5- methyl-phenyl]-l-(3,5-difluorophenyl)-l,2,4-triazol-3-amine (dihydrochloride salt) (27.3 mg, 63%). ¾ NMR (300 MHz, OMSO-de) δ 9.63 (s, 1H), 9.21 (s, 1H), 8.35 (s, 2H), 7.72 (d, J = 7.8 Hz, 2H), 7.57 (s, 1H), 7.36 (s, 1H), 7.32 - 7.17 (m, 1H), 6.85 (s, 1H), 3.97 (d, J = 5.8 Hz, 2H), 3.78 (s, 3H), 2.31 (s, 3H) ppm. ESI-MS m/z calc. 315.12955, found 316.16 (M+l)+; Retention time: 0.7 minutes.
Preparation of N-rr3-rri-(3,5-difluorophenyl)-L2,4-triazol-3-yl1amino1-5-methyl- phenyllmethyllmethanesulfonamide (Compound 646)
[00459] (N-[3-(aminomethyl)-5-methyl-phenyl]-l-(3,5-difluorophenyl)-l,2,4- triazol-3 -amine (Dihydrochloride salt) (10 mg, 0.02576 mmol)) was dissolved in 1,4- dioxane (2 mL) and to it was added excess triethylamine (50 μΐ^, 0.3587 mmol) and excess methanesulfonyl chloride (20 mg, 0.1746 mmol). The mixture was heated to reflux briefly. The reaction mixture was concentrated to dryness under a stream of nitrogen, dissolved in dimethylsulfoxide (2.0 mL), filtered through a 0.45μπι filter and purified by reverse phase HPLC (Waters SunFire C18 30x150 5μΜ column; acetonitrile/water gradient, hydrochloric acid modifier). The product was obtained as
a white solid N-[[3-[[l-(3,5-difluorophenyl)-l,2,4-triazol-3-yl]amino]-5-methyl- phenyl]methyl]methanesulfonamide (Hydrochloride salt) (5 mg, 43%). ¾ MR (300 MHz, OMSO-de) δ 9.15 (s, 1H), 7.75 - 7.60 (m, 2H), 7.55 (s, 1H), 7.32 - 7.13 (m, 2H), 6.69 (s, 1H), 4.10 (s, 2H), 2.89 (s, 3H), 2.29 (s, 3H) ppm. ESI-MS m/z calc. 393.10712, found 394.02 (M+l)+; Retention time: 0.83 minutes.
[00460] Using the general synthetic scheme outlined in Schemes A and B, and using procedures analogous to those described in Example 18, steps 1-3 and after the completion of step 3, a reductive amination of the ketone intermediate to the final secondary alcohol can be carried out using typical ketone reduction conditions (for example sodium borohydride in methanol), the following compounds can be synthesized from the appropriate intermediates; 594 and 643. Those skilled in the art will recognize that these methods may be extended to prepare amino triazoles with further variations in the substitutions of R8 and A.
[00461] Using the general synthetic scheme outlined in Schemes A and B and using procedures analogous to those described in Example 18, the following compound can be synthesized from the appropriate intermediate; 627. Those skilled in the art will recognize that these methods may be extended to prepare amino triazoles with further variations in the substitutions of R8 and A. EXAMPLE 19
Preparation of l-[3-[[l-(3,5-difluorophenyl)-L2,4-triazol-3-yllaminol-5-methyl- phenyl"|ethanone (Compound 591) and 2-[3-[[l-(3,5-difluorophenyl)-L2,4-triazol-3- vHamino1-5-methyl-phenvHpropan-2-ol (Compound 595)
(a) Cu(OAc)2, pyridine, 3 A molecular sieves, CH2CI2, RT; (b) Palladium on carbon, H2; (c) t-BuXPhos Palladacycle, NaOtBu, tBuOH, 60-90 °C; (d) THF, MeLi, 0 °C to RT.
Preparation l-r3-rri-(3,5-difluorophenyl)-L2,4-triazol-3-yl1amino1-5-methyl- phenyllethanone (Compound 591)
[00462] In a vial fitted with a stir bar was placed l-(3,5-difluorophenyl)-l,2,4- triazol-3 -amine (519 mg, 2.646 mmol). To this was added l-(3-bromo-5-methyl- phenyl)ethanone (500 mg, 2.347 mmol), sodium tert-butoxide (293 mg, 3.049 mmol), and chloro(2-di-t-butylphosphino-2',4',6'-tri-i-propyl-l, -biphenyl)[2-(2- aminoethyl)phenyl]palladium(II) (t-BuXPhos Palladacycle) (66 mg, 0.1013 mmol). The vial was sealed and purged with nitrogen. To the reaction was added tert-butanol (8 mL), and the reaction was stirred at 60-90 °C for 4 hours. l-(3-Bromo-5-methyl- phenyl)ethanone (150 mg) was added to the reaction in tert-butanol (lmL). The mixture was heated for 1 hour. The reaction was stored in the freezer over the weekend. The reaction was warmed to melt and then concentrated to dryness under reduced pressure. The crude was pre-absorbed onto silica (ca 10 g in methanol/ethyl acetate) and purified by silica gel chromatography (40 g column, 30-100% ethyl acetate/ heptane). The pure fractions were concentrated to dryness under reduced
pressure and crystalized from hot acetonitrile. The crystalline material was filtered to yield l-[3-[[l-(3,5-difluorophenyl)-l,2,4-triazol-3-yl]amino]-5-methyl- phenyl]ethanone (0.29 g, 34%). ¾ NMR (300 MHz, OMSO-de) δ 9.74 (s, 1H), 9.20 (s, 1H), 8.15 (s, 1H), 7.79 - 7.52 (m, 3H), 7.40 - 7.14 (m, 2H), 5.85 (s, OH), 2.57 (s, 3H), 2.38 (s, 4H) ppm. ESI-MS m/z calc. 328.1 1356, found 329.17 (M+l)+;
Retention time: 0.92 minutes.
Preparation of 2-[3-[[l-(3,5-difluorophenyl)-L2,4-triazol-3-yllaminol-5-methyl- phenyllpropan-2-ol (Compound 595)
[00463] In a 50 mL round bottom flask equipped with a stir bar was placed l-[3- [[l-(3,5-difluorophenyl)-l,2,4-triazol-3-yl]amino]-5-methyl-phenyl]ethanone (50 mg, 0.1371 mmol). The flask was stoppered and to it was added tetrahydrofuran (3 mL), followed by methyllithium (200 μL· of 3 M, 0.6000 mmol) dropwise at 0 °C. An orange homogenous solution resulted. The reaction was aged at 0 °C for 30 minutes and then warmed to room temperature slowly overnight. The reaction was quenched with water and extracted twice with ethyl acetate. The organics were concentrated under a stream of nitrogen, dissolved in dimethylsulfoxide (2.0 mL) and purified by reverse phase HPLC (Waters SunFire C18 30x150 5μΜ column; acetonitrile/water gradient, hydrochloric acid modifier). The desired fractions were concentrated to dryness under reduced pressure to give 2-[3-[[l-(3,5-difluorophenyl)-l,2,4-triazol-3- yl]amino]-5-methyl-phenyl]propan-2-ol (Hydrochloride salt) (9.0 mg, 16%). ¾ NMR (300 MHz, OMSO-de) δ 9.14 (s, 1H), 7.76 - 7.51 (m, 3H), 7.36 - 7.09 (m, 2H), 6.81 (s, 1H), 2.28 (s, 3H), 1.42 (s, 6H) ppm. ESI-MS m/z calc. 344.14487, found 345.21 (M+l)+; Retention time: 0.86 minutes.
EXAMPLE 20
Preparation of 1 -(3 ,4-difluorophenyl)-N-(3 -(4-(oxetan-3 -yPpiperazin- 1 -yPphenyl)- lH-L2,4-triazol-3-amine (Compound 334)
Cmpd 334
(a) Cu(OAc)2, pyridine, 4 A molecular sieves, CH2CI2, RT; (b) NaBH(OAc)3, DCE; (c) 10% Palladium on carbon, H2, THF; (d) t-BuXPhos Palladacycle, NaOtBu, t- BuOH 50 °C. Preparation of 3-bromo-l-(3,4-difluorophenyl)-L2,4-triazole (RG-20a)
[00464] Copper(II) acetate (approximately 18.42 g, 101.4 mmol), 3-bromo-lH- 1,2,4-triazole (10 g, 67.59 mmol), and 4 A molecular sieves (250 mg/0.33 mmol) were combined in dichloromethane and treated with 3,4-difluorophenyl boronic acid (14.94 g, 94.63 mmol), and pyridine (approximately 10.69 g, 10.93 mL, 135.2 mmol). The mixture was stirred at room temperature under air for 3 days. The reaction was filtered and the solid was washed with additional dichloromethane (200 mL). The combined organic layers were concentrated with silica gel and dry-loaded to purify on silica gel to afford 3-bromo-l-(3,4-difluorophenyl)-l,2,4-triazole (10.5 g, 54%). ¾ MR (400 MHz, DMSO-^e) δ 9.30 (s, 1H), 8.08 - 7.96 (m, 1H), 7.77 - 7.62 (m, 2H) ppm. ESI-MS m/z calc. 258.95566, found 260.32 (M+l)+; Retention time: 0.96 minutes.
Preparation of l-(3,4-dimethyl-5-nitro-phenyl)-4-(oxetan-3-yl)piperazine (RG-20b)
[00465] l-(3-Nitrophenyl)piperazine (2 g, 9.651 mmol) was dissolved in dichloroethane (10 mL) and oxetan-3-one (1000 μΕ, 15.60 mmol) was added to the reaction. The reaction was stirred at room temperature for 10 minutes, then sodium triacetoxyborohydride (3 g, 14.15 mmol) was added and the reaction was stirred at room temperature under nitrogen overnight. The reaction was quenched with 1M sodium hydroxide and diluted with water, then extracted with dichloromethane (2 X 10 mL). The combined organic layers were dried and concentrated to afford l-(3- nitrophenyl)-4-(oxetan-3-yl)piperazine (421 mg, 51%). ESI-MS m/z calc. 263.13, found 264.10 (M+l)+; Retention time: 0.55 minutes.
Preparation of 3-[4-(oxetan-3-yl)piperazin-l-yl"|aniline (RG-20c)
[00466] A solution of l-(3-nitrophenyl)-4-(oxetan-3-yl)piperazine (1700 mg, 6.457 mmol) in tetrahydrofuran was treated with 10% palladium on carbon (100 mg, 0.9397 mmol). The flask was evacuated under vacuum and filled with hydrogen, and the procedure was repeated three times. The mixture was stirred under a hydrogen
balloon for 24 hours, then was filtered through Celite and concentrated to provide 3- [4-(oxetan-3-yl)piperazin-l-yl]aniline(1.3 g, 86%). ESI-MS m/z calc. 233.15, found 234.12 (M+l)+; Retention time: 0.23 minutes. Preparation of 1 -(3 ,4-difluorophenyl)-N-(3 -(4-(oxetan-3 -yPpiperazin- 1 -yPphenyl)- lH-l,2,4-triazol-3-amine (Compound 334)
[00467] 3-[4-(Oxetan-3-yl)piperazin-l-yl]aniline (200 mg, 0.8572 mmol), 3- bromo-l-(3,4-difluorophenyl)-l,2,4-triazole (250 mg, 0.9614 mmol) and sodium tert- butoxide , (1.5 mL of 2 M, 3.000 mmol) were dissolved in tert-butanol (20 mL). The reaction mixture was purged with nitrogen for 15 minutes, then treated with chloro(2- di-t-butylphosphino-2',4',6'-tri-i-propyl- 1 , 1 '-biphenyl)[2-(2- aminoethyl)phenyl]palladium(II) (t-BuXPhos Palladacycle) (50 mg, 0.07281 mmol) and stirred at 50 °C for 2 hours. The reaction mixture was treated with trifluoroacetic acid (500 μΐ^, 6.490 mmol) then Pd-scanvenger was added and the mixture was stirred overnight. The resulting mixture was filtered, concentrated, redissolved in
dimethylsulfoxide (6 mL) and purified by reverse phase HPLC (Waters SunFire CI 8 30x150 5μΜ column; acetonitrile/water gradient, ammonium hydroxide modifier) to provide after concentration l-(3,4-difluorophenyl)-N-(3-(4-(oxetan-3-yl)piperazin-l- yl)phenyl)-lH-l,2,4-triazol-3-amine (76.2 mg, 19.35%). ESI-MS m/z calc. 412.18, found 413.45 (M+l)+; Retention time: 2.71 minutes. ¾ MR (400 MHz, OMSO-d6) δ 9.53 (s, 1H), 9.21 (s, 1H), 9.06 (s, 1H), 8.66 (d, J = 2.5 Hz, 1H), 8.58 (s, 1H), 7.30 (s, 1H), 7.13 (d, J = 5.2 Hz, 2H), 6.51 (d, J = 3.6 Hz, 1H), 4.57 (t, J = 6.5 Hz, 2H), 4.48 (t, J = 6.0 Hz, 2H), 3.51 - 3.40 (m, 1H), 3.17 (s, 4H), 2.42 (s, 4H) ppm.
[00468] Using the general synthetic scheme outlined in Schemes A and B and using procedures analogous to those described in Example 20, the following compounds can be synthesized from the appropriate intermediates; 330, 332, 333 and 335. Those skilled in the art will recognize that these methods may be extended to prepare amino triazoles with further variations in the substitutions of R8 and A. EXAMPLE 21
Preparation of l-[4-methyl-3-r(l -phenyl- L2,4-triazol-3-yl)amino1phenyl1ethanone (Compound 573) and 1 4-methyl-34(1 -phenyl- 1.2.4-triazol-3- yl)amino"|phenyl"|ethanol (Compound 584)
RG-21a
Cmpd 573
Cmpd 573 Cmpd 584
(a) Cu(OAc)2, pyridine, 4 A molecular sieves, CH2CI2, RT; (b) t-BuXPhos
Palladacycle, dioxane, NaOtBu, 60-90 °C; (c) NaBH4, MeOH, 50 °C Preparation of 3 -bromo-1 -phenyl- 1,2,4-triazole (RG-21a)
[00469] 3-Bromo-lH-l,2,4-triazole (3 g, 20.28 mmol), copper (II) acetate (7.37 g, 40.56 mmol), phenylboronic acid (4.945 g, 40.56 mmol), pyridine (3.208 mL, 40.56 mmol), and crushed and activated 4 A molecular sieves (15 g) were combined in a 1000 mL round bottom flask. The mixture was diluted with dichloromethane (300 mL), and stirred over the weekend with the cap loose at room temperature. The reaction mixture was filtered through Celite and washed with methanol
(approximately 100 mL). Celite was added and the mixture was concentrated to
dryness under reduced pressure and purified by silica gel chromatography (80 gram Gold column (ISCO); 0-100% ethyl acetate/hexane). Possible regioisomer observed in 1H NMR and in LC/MS (impurity runs faster). No separation on normal phase. Combined the desired fractions and concentrated to dryness under reduced pressure. The enriched material was diluted with dimethylsulfoxide and purified by reverse phase chromatography (275 gram Gold C-18 column (ISCO); 10-100%
acetonitrile/water with trifluoroacetic acid modifier). The pure fractions were concentrated to dryness under reduced pressure to give 3 -bromo-1 -phenyl- 1,2,4- triazole (1.72 g, 38%). 1H NMR (400 MHz, OMSO-de) δ 9.31 (s, 1H), 7.88 - 7.76 (m, 2H), 7.65 - 7.52 (m, 2H), 7.46 (t, J = 7.4 Hz, 1H) ppm. ESI-MS m/z calc. 222.9745, found 223.97 (M+l)+; Retention time: 2.66 minutes.
Preparation of l-[4-methyl-3-[(l -phenyl- L2,4-triazol-3-yl)amino]phenyllethanone (Compound 573)
[00470] In a vial equipped with a stir bar was placed l-(3-amino-4- methylphenyl)ethanone (100 mg, 0.66 mmol). 3 -Bromo-1 -phenyl- 1,2,4-triazole (150.2 mg, 0.6703 mmol), sodium tert-butoxide (150.2 mg, 1.005 mmol), and t- ButylXPhos Palladacycle (21.8 mg, 0.033 mmol) were added and the vial was sealed and purged with nitrogen. To the reaction was added tert-butanol (4.0 mL). The reaction was warmed to 60 °C with stirring, for 30 minutes and then heated to 90 °C for 30 minutes. The reaction was extracted with ethyl acetate and water. The organics were treated with MP-TMT (200 mg) to capture residual palladium. The organics were concentrated under reduced pressure and the residue was crystalized from hot acetonitrile to give l-[4-methyl-3-[(l-phenyl-l,2,4-triazol-3- yl)amino]phenyl]ethanone (60 mg, 0.1950 mmol, 29.08%). ESI-MS m/z calc.
292.13242, found 293.19 (M+l)+; Retention time: 0.84 minutes. ¾ NMR (300 MHz, OMSO-de) δ 9.12 (d, J = 2.6 Hz, 1H), 8.71 - 8.57 (m, 1H), 8.49 (s, 1H), 7.84 (d, J = 8.0 Hz, 2H), 7.67 - 7.44 (m, 3H), 7.41 - 7.22 (m, 2H), 2.66 - 2.55 (m, 3H), 2.37 (s, 8H) ppm.
Preparation of l-[4-methyl-3-r(l -phenyl- L2,4-triazol-3-yl)amino1phenyl1ethanol (Compound 584)
[00471] l-[4-Methyl-3-[(l-phenyl-l,2,4-triazol-3-yl)amino]phenyl]ethanone (32 mg, 0.1040 mmol) was dissolved in methanol (15 mL) and treated with sodium borohydride (30 mg), at 40 °C. Gas evolution was observed. The reaction was aged at 50 °C for 60 minutes. The reaction concentrated under a stream of nitrogen and the residue was dissolved in DMSO (1.8 mL), treated with 2N hydrochloric acid (200 ul) and purified by reverse phase HPLC (Waters SunFire C18 30x150 5μΜ column; acetonitrile/water gradient, hydrochloric acid modifier). The desired fractions were combined and concentrated to dryness under reduced pressure to give l-[4-methyl-3- [(l-phenyl-l,2,4-triazol-3-yl)amino]phenyl]ethanol (26 mg, 0.07119 mmol, 68.46). ESI-MS m/z calc. 294.14807, found 295.26 (M+l)+; Retention time: 0.78 minutes. 1H MR (300 MHz, Acetonitrile-*) δ 8.57 (s, 1H), 8.14 (s, 1H), 7.88 - 7.71 (m, 2H), 7.65 -7.47 (m, 2H), 7.44 - 7.32 (m, 1H), 7.16 (d, J = 7.6 Hz, 1H), 7.01 - 6.75 (m, 2H), 4.82 (q, J = 6.5 Hz, 1H), 3.13 (s, 1H), 2.32 (s, 3H), 2.28 - 2.06 (m, 2H), 1.43 (d, 3H) ppm.
[00472] Using the general synthetic scheme outlined in Schemes A and B and using procedures analogous to those described in Example 21, the following compounds can be synthesized from the appropriate intermediates; 583, 585-587, 658 and 659. Those skilled in the art will recognize that these methods may be extended to prepare amino triazoles with further variations in the substitutions of R8 and A.
[00473] Using the general synthetic scheme outlined in Schemes A and B and using procedures analogous to those described in Example 21 (Steps 1-2), the following compounds can be synthesized from the appropriate intermediate; 647 and 651. Those skilled in the art will recognize that these methods may be extended to prepare amino triazoles with further variations in the substitutions of R8 and A.
EXAMPLE 22
Preparation of l-(3,5-difluorophenyl)-N-[3,4-dimethyl-5-(3-mo holinoazetidin-l- yl)phenyl]-l,2,4-triazol-3 -amine (Compound 365)
RG-22a
(a) HMPA, K2CO3, 112 °C; (b) t-BuXPhos Palladacycle, dioxane, tBuOH, NaOtBu, RT; (c) 10% Palladium on carbon, DCM, MeOH, H2; (d) t-BuXPhos Palladacycle, dioxane, tBuOH, NaOtBu, 30 °C.
Preparation of 3-bromo-l-(3,5-difluorophenyl)-L2,4-triazole (RG-22a)
[00474] An HMPA (45.01 mL) solution of 3-bromo-lH-l,2,4-triazole (4.439 g, 30 mmol) was treated with 1,3,5-trifluorobenzene (approximately 39.62 g, 300.0 mmol) and potassium carbonate (approximately 4.146 g, 30.00 mmol). The reaction mixture was stirred in a Q-tube at 112 °C overnight. To the reaction mixture was added ethyl acetate and brine. The organic phase was dried over magnesium sulfate, filtered, and
concentrated to dryness under reduced pressure. The crude material was purified by silica gel chromatography (80 g column; 20% ethyl acetate/heptane). The desired fractions were concentrated to dryness under reduced pressure to yield 3-bromo-l- (3,5-difluorophenyl)-l,2,4-triazole (5.7 g, 21.92 mmol, 73%). 1H MR (400 MHz, OMSO-de) δ 9.39 (s, 1H), 7.77 - 7.57 (m, 2H), 7.39 (tt, J = 9.3, 2.3 Hz, 1H) ppm. ESI-MS m/z calc. 258.95566, found 260.05 (M+l)+; Retention time: 0.8 minutes.
Preparation of 4-[l-(2,3-dimethyl-5-nitro-phenyl)azetidin-3-yllmorpholine (RG-22b)
[00475] l-Bromo-2,3-dimethyl-5-nitro-benzene (2.5 g, 10.87 mmol) and 4- (azetidin-3-yl)morpholine (2.573 g, 1 1.96 mmol) were dissolved /suspended in dry 1,4-dioxane (20 mL) and tert-butanol (60 mL) and purged with nitrogen for several minutes. During the purge, chloro(2-di-t-butylphosphino-2',4',6'-tri-i-propyl-l, - biphenyl)[2-(2-aminoethyl)phenyl]palladium(II) (t-BuXPhos Palladacycle) (750 mg, 1.087 mmol) followed by sodium tert-butoxide (3.66 g, 38.04 mmol) were added. The reaction was stirred at ambient temperature for 4 hours under nitrogen. The reaction was diluted with methanol and all solvents removed under reduced pressure. The crude residue was stirred in water overnight and isolated via suction filtration. The precipitate was dissolved in dichloromethane and washed with brine, dried with sodium sulfate and purified by silica gel chromatography (0-10% methanol/ethyl acetate). The purified material was concentrated to dryness under reduced pressure and triturated with diethyl ether, stirred until powdered and collected via suction filtration (air dried) to yield 4-[l-(2,3-dimethyl-5-nitro-phenyl)azetidin-3- yl]morpholine (1.85 g, 5.715 mmol, 52.6%). ¾ MR (300 MHz, CDCh) δ 7.57 (d, J = 2.1 Hz, 1H), 7.32 - 7.16 (insolvent peak included, 1H), 4.08 (t, J = 7.2 Hz, 2H), 3.83 - 3.67 (m, 6H), 3.37 - 3.14 (m, 1H), 2.53 - 2.36 (m, 4H), 2.32 (s, 3H), 2.17 (s, 3H) ppm. ESI-MS m/z calc. 291.1583, found 292.29, Retention time: 0.61 minutes.
Preparation of 3,4-dimethyl-5-(3-moφholinoazetidin-l-yl aniline (RG-22c)
[00476] 4-[l-(2,3-Dimethyl-5-nitro-phenyl)azetidin-3-yl]morpholine (1.85 g, 6.350 mmol) was dissolved in methanol/dichloromethane (100 mL/25 mL), and the solution was placed under an atmosphere of carbon dioxide before addition of 10% Palladium on carbon (50% water) (506 mg, 0.476 mmol). Hydrogen gas was bubbled through the reaction for approximately 2 minutes the reaction was allowed to stir overnight at
ambient temperature under a balloon of hydrogen. The catalyst was removed via suction filtration, washed with methanol and the filtrate was concentrated under reduced pressure. The crude was dissolved in dichloromethane and reconcentrated under reduced pressure to yield 3,4-dimethyl-5-(3-morpholinoazetidin-l-yl)aniline (1.1 g, 3.788 mmol, 59.6%). ¾ NMR (300 MHz, CDCh) δ 6.11 (d, J = 2.1 Hz, 1H), 5.82 (d, J = 2.2 Hz, 1H), 3.95 (dd, J = 7.5, 6.8 Hz, 2H), 3.77 - 3.69 (m, 4H), 3.66 (dd, J = 7.3, 6.1 Hz, 2H), 3.45 (d, J = 11.1 Hz, 2H), 3.26 - 3.15 (m, 1H), 2.52 - 2.30 (m, 4H), 2.16 (s, 3H), 2.00 (s, 3H) ppm. ESI-MS m/z calc. 261.1841, found 262.0 (M+l)+; Retention time: 0.48 minutes.
Preparation of l-(3,5-difluorophenyl -N-Γ3,4-dimethyl-5-(3-moφholinoazetidin-l- yl)phenyll-L2,4-triazol-3 -amine (Compound 365)
[00477] 3-Bromo-l-(3,5-difluorophenyl)-l,2,4-triazole (150 mg, 0.5768 mmol) and 3,4-dimethyl-5-(3-morpholinoazetidin-l-yl)aniline (165.8 mg, 0.6345 mmol) were placed in a vial and dissolved in 1,4-dioxane (2 mL) and tert-butanol (8 mL). The vial was briefly purged with nitrogen before addition of chloro(2-di-t- butylphosphino-2',4',6'-tri-i-propyl-l, -biphenyl)[2-(2- aminoethyl)phenyl]palladium(II) (t-BuXPhos Palladacycle) (39.6 mg, 0.057 mmol) followed by sodium tert-butoxide (83.1 mg, 0.865 mmol). The reaction was stirred at 30 °C sealed for an hour. The reaction was diluted with methanol and solvents were removed under reduced pressure. The residue was suspended in water and a precipitate was isolated via suction filtration. The filter cake was washed with water, dissolved in dichloromethane and purified by silica gel chromatogaphy (0-10% methanol/ethyl acetate). The purified materials were stirred with MP-TMT resin (Biotage- 801471) in dichloromethane/tetrahydrofuran for several hours to eliminate traces of palladium metal. The material was isolated from the resin via suction filtration. The resin was washed with dichloromethane and solvents were removed under reduced pressure. The residue was triturated with diethyl ether and was collected via suction filtration (air dried) to yield l-(3,5-difluorophenyl)-N-[3,4- dimethyl-5-(3-morpholinoazetidin-l-yl)phenyl]-l,2,4-triazol-3-amine (155 mg, 0.3343 mmol, 57.95). ¾ MR (300 MHz, CDCh) δ 8.28 (s, 1H), 7.35 - 7.17 (m, 3H), 6.94 (d, J = 2.1 Hz, 1H), 6.83 - 6.68 (m, 2H), 6.56 (s, 1H), 4.06 (t, J = 7.0 Hz, 2H), 3.75 (dd, J = 10.7, 5.7 Hz, 6H), 3.26 (p, J = 6.3 Hz, 1H), 2.53 - 2.36 (m, 4H),
2.26 (s, 3H), 2.08 (s, 3H) ppm. ESI-MS m/z calc. 440.21362, found 441.0 (M+l)+; Retention time: 0.69 minutes.
[00478] Using the general synthetic scheme outlined in Schemes A and B and using procedures analogous to those described in Example 22, the following compounds can be synthesized from the appropriate intermediates; 154, 155, 326,
329, 364, 366, 367, 417-422, 447-450 and 628. Those skilled in the art will recognize that these methods may be extended to prepare amino triazoles with further variations in the substitutions of R8 and A.
EXAMPLE 23
L2,4-triazol-3 -amine (Compound 445)
Cmpd
(a) Cu(OAc)2, pyridine, 4 A molecular sieves, CH2CI2, RT; (b) neat, 130 °C; (c) K2CO3, DMF, 50 °C; (d) 10% Palladium on carbon, EtOAc, MeOH, H2; (e) t- BuXPhos Palladacycle, tBuOH, 1,4-dioxane, NaOtBu, 50 °C.
Preparation of 2-morpholino-5-nitro-phenol (RG-23b)
[00479] A mixture of 2-bromo-5-nitro-phenol (2.12 g, 9.725 mmol) and morpholine (approximately 4.236 g, 4.240 mL, 48.62 mmol) was stirred at 130 °C a sealed vial for 20 hours. The reaction was diluted with dichloromethane and
washed with saturated sodium bicarbonate. The organics were dried with sodium sulfate, filtered, absorbed onto Celite and concentrated to dryness under reduced pressure. Celite/compound mixture was purified by silica gel chromatography (80 gram Gold (ISCO) column; 10-100% ethyl acetate/ hexane). The pure fractions were concentrated to dryness under reduced pressure to give 2-morpholino-5-nitro-phenol (1.1 g, 41%). ¾ MR (300 MHz, OMSO-de) δ 10.41 (s, 1H), 7.69 (dd, J = 8.8, 2.7 Hz, 1H), 7.63 (d, J = 2.7 Hz, 1H), 6.95 (d, J = 8.9 Hz, 1H), 3.73 (dd, J = 5.9, 3.5 Hz, 4H), 3.24 - 3.14 (m, 4H) ppm. ESI-MS m/z calc. 224.07971, found 225.35 (M+l)+; Retention time: 0.78 minutes.
Preparation of 4-(2-isopropoxy-4-nitro-phenyl)morpholine (RG-23c)
[00480] 2-Morpholino-5-nitro-phenol (1.1 g, 4.440 mmol), potassium carbonate (1.3 g, 9.406 mmol) and 2-iodopropane (666 μΐ^, 6.660 mmol) were heated to 55 °C in anhydrous dimethylformamide (17 mL) for 18 hours in a sealed vial. Water was added to the reaction mixture and extracted twice with ethyl acetate. The organics were dried over anhydrous sodium sulfate, filtered and concentrated to dryness under reduced pressure. The crude was diluted with minimal dimethyl sulfoxide and purified by the reverse phase chromatography (150 g C 18 Aq (ISCO) column; 0- 100%) acetonitrile/water with a trifluoroacetic acid modifier). The desired fractions were combined and concentrated to dryness under reduced pressure, diluted with dichloromethane, washed with 50%> saturated sodium bicarbonate, and passed through a phase separator. The organics were concentrated to dryness under reduced pressure to give 4-(2-isopropoxy-4-nitro-phenyl)morpholine (1.09 g, 91%). ¾ MR (300 MHz, OMSO-de) δ 7.82 (dd, J = 8.9, 2.6 Hz, 1H), 7.68 (d, J = 2.6 Hz, 1H), 7.01 (d, J = 8.9 Hz, 1H), 4.83 - 4.68 (m, 1H), 3.25 - 3.85-3.65 (m, 4H), 3.15 (m, 4H), 1.31 (d, J = 6.0 Hz, 6H) ppm. ESI-MS m/z calc. 266.12665, found 267.2 (M+l)+; Retention time: 0.9 minutes.
Preparation of 3-isopropoxy-4-morpholino-aniline (RG-23d)
[00481] A solution of 4-(2-isopropoxy-4-nitro-phenyl)morpholine (1.09 g, 4.059 mmol) in ethyl acetate (12 mL) and methanol (4 mL) containing 10% Palladium on Carbon, wet Degussa type (150 mg) was exposed to an atmosphere of hydrogen gas with a hydrogen balloon and was stirred overnight. The reaction mixture was filtered
through Celite, washed with additional methanol and concentrated to give a light brown oil. To the filtrate was added hydrochloric acid (approximately 4.059 mL of 1 M, 4.059 mmol) and methanol (5 mL). The mixture was concentrated to dryness under reduced pressure to give 3-isopropoxy-4-morpholino-aniline (Dihydrochloride salt) (1.2 g, 96%). ¾ NMR (300 MHz, OMSO-de) δ 7.20 (d, J = 8.5 Hz, 1H), 6.96 - 6.88 (m, 1H), 6.80 (d, J = 8.5 Hz, 1H), 4.69 - 4.54 (m, 1H), 3.83 (t, J = 4.6 Hz, 4H), 3.25 - 3.13 (m, 4H), 1.33 (d, J = 6.0 Hz, 6H) ppm. ESI-MS m/z calc. 236.15248, found 237.15, Retention time: 0.69 minutes. Preparation of l-(3,4-difluorophenyl -~(N|-(3-isopropoxy-4-moφholino-phenyl - L2,4-triazol-3 -amine (Compound 445)
[00482] 3-Bromo-l-(3,4-difluorophenyl)-l,2,4-triazole (30.2 mg, 0.1 161 mmol), sodium tert-butoxide (45 mg, 0.4682 mmol), 3-isopropoxy-4-morpholino-aniline (Dihydrochloride salt) (53 mg, 0.1714 mmol) and t-ButylXPhos Palladcycle (4 mg, 0.005825 mmol) were weighed into a 4 mL vial. t-Butanol (0.75 mL) and 1,4- dioxane (0.25 mL) were added, and the vial was sealed and stirred at 50 °C overnight. The reaction mixture was cooled to room temperature, treated with DMSO (1.5 mL) and filtered through a 25 μπι filter plate. The filtrate was purified by by reverse phase HPLC (Waters SunFire C18 30x150 5μΜ column; acetonitrile/water gradient using a trifluoroacetic acid modifier). The pure fractions were combined and concentrated to dryness under reduced pressure. The solid was diluted with methanol (5 mL) and treated with 6N hydrochloric acid (0.5 mL) to give the hydrochloric acid salt. This sample was concentrated to dryness under reduced pressure to give l-(3,4- difluorophenyl)-N-(3-isopropoxy-4-mo holino-phenyl)-l,2,4-triazol-3-amine hydrochloride (17.4 mg, 0.03754 mmol, 32%). ¾ NMR (300 MHz, OMSO-de) δ 9.14 (s, 1H), 8.06 - 7.88 (m, 1H), 7.78 - 7.52 (m, 4H), 7.22 (dd, J = 8.9, 2.3 Hz, 1H), 4.76 (p, J = 6.0 Hz, 1H), 4.01 (d, J = 4.8 Hz, 4H), 3.61 (s, 4H), 1.46 (d, J = 6.0 Hz, 6H) ppm. ESI-MS m/z calc. 415.18198, found 416.36 (M+l)+; Retention time: 2.87 minutes.
[00483] Using the general synthetic scheme outlined in Schemes A and B and using procedures analogous to those described in Example 23, the following compounds can be synthesized from the appropriate intermediates; 9, 10, 12 and 446.
Those skilled in the art will recognize that these methods may be extended to prepare amino triazoles with further variations in the substitutions of R8 and A.
EXAMPLE 24
Preparation of methyl 2-methoxy-5-|Yl -phenyl- L2,4-triazol-3-yl)amino"|benzoate (Compound 88); 2-methoxy-N.N-dimethyl-5-r("l-phenyl-1.2.4-triazol-3- vDaminolbenzamide (Compound 100); and 2-methoxy-5 (l-phenyl-L2,4-triazol-3- yl)amino"|benzoic acid (Compound 109)
RG-20a
Cmpd 109
Cmpd 100
(a) Cu(OAc)2, pyridine, 4 A molecular sieves, CH2CI2, RT; (b) BrettPhos
Palladacycle, 1,4-dioxane, NaOtBu, 110 °C; (c) Li OH (2M, aq.), THF; (d) DMF, TEA, HATU. Preparation of methyl 2-methoxy-5-|Yl -phenyl- L2,4-triazol-3-yl)amino"|benzoate (Compound 88)
[00484] A mixture of 3 -bromo-1 -phenyl- 1,2,4-triazole (500 mg, 2.232 mmol), methyl 5-amino-2-methoxy-benzoate (approximately 525.8 mg, 2.902 mmol) and sodium tert-butoxide (approximately 643.5 mg, 6.696 mmol) were mixed in 1,4- dioxane (approximately 15.8 mL) and the mixture was degassed with nitrogen for 15 minutes. A catalytic amount of Brettphos Palladacycle was added. The mixture was heated in a sealed tube at 110 °C for 8 hours, filtered through Celite, dried down under reduced pressure and purified by silica gel chromatography (40 g column; 0- 100% ethyl acetate/hexanes). The desired fractions were combined and concentrated to dryness to give methyl 2-methoxy-5-[(l-phenyl-l,2,4-triazol-3-yl)amino]benzoate (484.4 mg, 1.464 mmol, 65.58). 1H MR (300 MHz, CDCh) δ 8.35 (s, 1H), 7.92 (d, J = 3.0 Hz, 1H), 7.84 (dd, J = 8.9, 3.0 Hz, 1H), 7.74 - 7.68 (m, 2H), 7.52 (t, J = 7.9 Hz, 2H), 7.37 (t, J = 7.4 Hz, 1H), 7.03 (d, J = 9.0 Hz, 1H), 6.68 (s, 1H), 3.93 (d, J = 5.9 Hz, 6H) ppm. ESI-MS m/z calc. 324.12225, found 325.23 (M+l)+; Retention time: 0.8 minutes.
Preparation of 2-methoxy-5-[(l-phenyl-L2,4-triazol-3-yl)amino"|benzoic acid (Compound 109)
[00485] Lithium hydroxide (approximately 771.0 μΐ^ of 2M aq. soln, 1.542 mmol) was added to a stirred solution of methyl 2-methoxy-5-[(l-phenyl-l,2,4-triazol-3- yl)amino]benzoate (250 mg, 0.7708 mmol) in tetrahydrofuran (5.0 mL) and the reaction was stirred at ambient temperature for 1 hour. The reaction was quenched with 1M HCl and extracted thrice with ethyl acetate. The combined organic extracts were dried over magnesium sulfate, filtered and concentrated to dryness under reduced pressure. The solid was purified by reverse phase chromatography (50 g C18 column (ISCO); 0-100% acetonitrile/water). The desired fractions were combined and concentrated to dryness under reduced pressure to give 2-methoxy-5-[(l-phenyl- l,2,4-triazol-3-yl)amino]benzoic acid (185.5 mg, 56.8%). ¾ MR (300 MHz,
CDCh) δ 8.27 (s, 1H), 8.20 (d, J = 2.8 Hz, 1H), 8.05 (d, J = 8.8 Hz, 1H), 7.72 (d, J = 8.2 Hz, 2H), 7.63 (s, 1H), 7.51 (d, J = 8.2 Hz, 2H), 7.40 (d, J = 7.3 Hz, 1H), 7.11 (d, J = 8.8 Hz, 1H), 6.93 (s, 1H), 4.09 (s, 3H) ppm. ESI-MS m/z calc. 310.1066, found 311.23 (M+l)+; Retention time: 0.75 minutes.
Preparation of 2-methoxy-N,N-dimethyl-5-r(l -phenyl- L2,4-triazol-3- vDaminolbenzamide (Compound 100)
[00486] To a solution of 2-methoxy-5-[(l-phenyl-l,2,4-triazol-3-yl)amino]benzoic acid (30 mg, 0.08651 mmol), N-methylmethanamine (hydrochloride salt)
(approximately 10.58 mg, 11.28 jiL, 0.1298 mmol) and HATU (approximately 49.35 mg, 0.1298 mmol) in dimethylformamide (627.2 μΐ.) was added triethylamine (approximately 29.18 mg, 40.19 μΐ^, 0.2884 mmol). The reaction mixture was stirred at room temperature for 18 hours. The reaction mixture was carefully diluted with saturated sodium bicarbonate (5 mL) and extracted with ethyl acetate (3 X 2 mL). The combined organic extracts were dried over sodium sulfate, filtered, and concentrated to dryness under reduced pressure. The residue was purified by reverse phase chromatography (CI 8 column (ISCO); 20-95% acetonitrile/water). The desired fractions were combined and concentrated to dryness under reduced pressure and the salt was removed by passage through a NaHCCb SPE cartridge to give 2-methoxy- N,N-dimethyl-5-[(l-phenyl-l,2,4-triazol-3-yl)amino]benzamide (15.6 mg, 0.04531 mmol, 52%). ¾ MR (300 MHz, CDCh) δ 8.32 (s, 1H), 7.72 - 7.64 (m, 3H), 7.55 - 7.47 (m, 2H), 7.41 - 7.32 (m, 2H), 6.97 - 6.90 (m, 1H), 3.84 (s, 3H), 3.15 (s, 3H), 2.91 (s, 3H) ppm. ESI-MS m/z calc. 337.15387, found 338.06 (M+l)+; Retention time: 0.74 minutes.
[00487] Using the general synthetic scheme outlined in Schemes A and B and using procedures analogous to those described in Example 24, the following compounds can be synthesized from the appropriate intermediates; 101-103 and 106- 108. Those skilled in the art will recognize that these methods may be extended to prepare amino triazoles with further variations in the substitutions of R8 and A.
EXAMPLE 25
Preparation of N-r4-(3-furyl)-3-methoxy-phenyl1-l-phenyl-L2,4-triazol-3-amine (Compound 117); N-(3-methoxy-4-tetrahydrofuran-3-yl-phenyl)-l -phenyl- 1,2,4-
triazol-3 -amine (Compound 118); re/-N-[3-methoxy-4-[(3S)-tetrahydrofuran-3- vHphenyll-1 -phenyl- l,2,4-triazol-3 -amine (Compound 126) and rg/-N-[3-methoxy-4- r(3R)-tetrahvdrofuran-3-yl1phenyl1-l-phenyl-L2,4-triazol-3-amine (Compound 127)
(a) Cu(OAc)2, pyridine, 4 A molecular sieves, CH2CI2, RT; (b) Pd(PPh3 , K2CO3, 90 °C; (c) 50 psi, H2, MeOH; (d) ZantPhos, Pd2(dba)3, dioxane, NaOtBu, 110°C; (e) SFC.
Preparation of 3-(2-methoxy-4-nitro-phenyl)furan (RG-25b)
[00488] l-Bromo-2-methoxy-4-nitro-benzene (20.47 g, 88.22 mmol) and 3- furylboronic acid (approximately 11.85 g, 105.9 mmol) were dissolved in 1,4-dioxane (100 mL) and treated with potassium carbonate (118 mL of 3 M, 354.0 mmol). The
mixture was degassed for 10 minutes with nitrogen, then
tetrakis(triphenylphosphine)palladium(0) (approximately 3.364 g, 2.911 mmol) was added and the round bottom flask was placed under nitrogen and heated to 90 °C overnight. The product does not ionize in the LC/MS. The reaction mixture was diluted with dichloromethane and washed with water. The organics were dried with magnesium sulfate, filtered, and concentrated to dryness under reduced pressure to yield 3-(2-methoxy-4-nitro-phenyl)furan (22 g, 97%). ¾ NMR (400 MHz, DMSO- d6) δ 8.36 (m, 1H), 7.94 - 7.76 (m, 4H), 7.16 - 7.09 (m, 1H), 4.03 (s, 3H) ppm. Preparation of 3-methoxy-4-tetrahydrofuran-3-yl-aniline (RG-25c)
[00489] 3-(2-Methoxy-4-nitro-phenyl)furan (15.2 g, 69.35 mmol) was dissolved in methanol (230 mL) and degassed with nitrogen. Added 10% palladium on carbon (wet) (14 g, 6.578 mmol) and degassed with nitrogen for another few minutes. The sample was placed on a Parr shaker under hydrogen (45 psi) of hydrogen. After 6 hours, full conversion to the aniline, but very little conversion to the tetrahydrofuran analogue (-5%) was observed. Another 0.1 equivalents of 10% Palladium on carbon was added to the reaction mixture and the reaction was maintained under hydrogen (50 psi) over the weekend. Complete conversion to the desired product was observed. The reaction mixture was filtered through Celite and washed with methanol. The filtrate was concentrated to dryness, diluted with dimethylsulfoxide (10 mL) and purified by reverse phase chromatography (275 g Aq CI 8 column (ISCO); 0-50% acetonitrile/water with a trifluoroacetic acid modifier). The desired fractions were combined and concentrated to dryness under reduced pressure to yield 3-methoxy-4- tetrahydrofuran-3-yl-aniline (8.1 g, 60%). ¾ NMR (400 MHz, DMSO-^e) δ 6.83 (d, J = 8.1 Hz, 1H), 6.21 (d, J = 2.0 Hz, 1H), 6.10 (dd, J = 8.1, 2.1 Hz, 1H), 4.95 (s, 2H), 3.95 - 3.87 (m, 1H), 3.84 (td, J = 8.1, 4.8 Hz, 1H), 3.73 (m, 1H), 3.68 (s, 3H), 3.48 - 3.35 (m, 2H), 2.08 (m, 1H), 1.94 - 1.73 (m, 1H) ppm. ESI-MS m/z calc. 193.11028, found 193.99 (M+l)+; Retention time: 0.52 minutes. Preparation of N-[4-(3-furyl)-3-methoxy-phenyll-l-phenyl-L2,4-triazol-3-amine
(Compound 117) and N-(3-methoxy-4-tetrahvdrofuran-3-yl-phenyl)-l -phenyl- 1,2,4- triazol-3 -amine (Compound 118)
[00490] A mixture of 3-methoxy-4-tetrahydrofuran-3-yl-aniline (127.7 mg, 0.6607 mmol), 4-(3-furyl)-3-methoxy-aniline (150 mg, 0.7928 mmol), 3-bromo-l-phenyl- 1,2,4-triazole (approximately 148.0 mg, 0.6607 mmol) and sodium tert-butoxide (approximately 127.0 mg, 1.321 mmol) were mixed in 1,4-dioxane. The mixture was degassed for 5 minutes with nitrogen, then tris(dibenzylideneacetone)dipalladium(0) (approximately 60 mg, 0.066 mmol) and dicyclohexyl-[2-(2,4,6- triisopropylphenyl)phenyl]phosphine (approximately 38 mg, 0.066 mmol) were added. The tube was sealed and heated at 1 10 °C overnight. The reaction mixture was cooled to room temperature and filtered through Celite, and the residue was purified by reverse phase chromatography to provide two compounds: N-[4-(3-furyl)- 3-methoxy-phenyl]-l-phenyl-l,2,4-triazol-3-amine (14.7 mg); ¾ MR (300 MHz, CDCh) δ 8.36 (s, 1H), 7.95 (dd, J = 1.6, 0.8 Hz, 1H), 7.77 - 7.64 (m, 2H), 7.59 - 7.30 (m, 6H), 7.06 (dd, J = 8.3, 2.2 Hz, 1H), 6.99 (s, 1H), 6.78 (dd, J = 1.9, 0.8 Hz, 1H), 3.99 (s, 3H) ppm. ESI-MS m/z calc. 332.12732, found 333.45 (M+l)+; Retention time: 3.31 minutes; and N-(3-methoxy-4-tetrahydrofuran-3-yl-phenyl)-l -phenyl - l,2,4-triazol-3 -amine (38.6 mg). 1H MR (300 MHz, CDCh) δ 8.37 (s, 1H), 7.79 - 7.63 (m, 2H), 7.59 - 7.45 (m, 2H), 7.45 - 7.31 (m, 2H), 7.19 (d, J = 8.3 Hz, 1H), 7.01 (dd, J = 8.2, 2.2 Hz, 1H), 6.90 (s, 1H), 4.21 - 4.10 (m, 1H), 4.04 (td, J = 8.2, 5.1 Hz, 1H), 3.91 (s, 3H), 3.75 - 3.67 (m, 2H), 2.28 (dtd, J = 12.2, 7.2, 5.1 Hz, 1H), 2.12 - 1.98 (m, 1H), 1.97 - 1.81 (m, 1H) ppm. ESI-MS m/z calc. 336.15863, found 337.48 (M+l)+; Retention time: 3.1 minutes.
Preparation of re/-N-r3-methoxy-4-IY3 S)-tetrahydrofuran-3-yl1phenyl1-l -phenyl- l,2,4-triazol-3 -amine (Compound 126) and re/-N-r3-methoxy-4-r(3R)- tetrahydrofuran-3-yl"|phenyl"|-l -phenyl- L2,4-triazol-3 -amine (Compound 127)
[00491] N-(3-Methoxy-4-tetrahydrofuran-3-yl-phenyl)-l -phenyl- l,2,4-triazol-3 - amine (23 mg, 0.06828 mmol) was resolved by SFC on an IA column using 40% ethanol in supercritical CO2 to obtain two enantiomers. Peak A was arbitrarily assigned as the S-isomer while peak B was arbitrarily assigned as the R-isomer. Peak A was concentrated to dryness to yield re/-N-[3-methoxy-4-[(3 S)-tetrahydrofuran-3- yl]phenyl]-l -phenyl- l,2,4-triazol-3 -amine (8.8 mg, 67%). ¾ NMR (400 MHz, OMSO-de) δ 9.42 (s, 1H), 9.09 (s, 1H), 7.91 - 7.80 (m, 2H), 7.55 (dd, J = 8.5, 7.4 Hz, 2H), 7.42 (d, J = 2.1 Hz, 1H), 7.35 (t, J = 7.4 Hz, 1H), 7.16 (dd, J = 8.4, 2.0 Hz, 1H),
7.10 (d, J = 8.3 Hz, 1H), 3.97 (t, J = 7.1 Hz, 1H), 3.89 (td, J = 8.2, 5.0 Hz, 1H), 3.84 - 3.70 (m, 4H), 3.51 (dt, J = 22.8, 7.6 Hz, 2H), 2.16 (dtd, J = 12.3, 7.4, 4.9 Hz, 1H), 1.92 (dq, J = 12.1, 7.8 Hz, 1H) ppm. ESI-MS m/z calc. 336.15863, found 337.36 (M+l)+; Retention time: 0.83 minutes. Peak B was concentrated to dryness to yield re/-N-[3-methoxy-4-[(3R)-tetrahydrofuran-3-yl]phenyl]-l -phenyl- l,2,4-triazol-3- amine (8.7 mg, 69%). 1H MR (400 MHz, DMSO-^e) δ 9.42 (s, 1H), 9.08 (s, 1H),
7.88 - 7.80 (m, 2H), 7.59 - 7.51 (m, 2H), 7.42 (d, J = 2.0 Hz, 1H), 7.35 (t, J = 7.5 Hz, 1H), 7.16 (dd, J = 8.3, 2.0 Hz, 1H), 7.10 (d, J = 8.4 Hz, 1H), 3.97 (t, J = 7.0 Hz, 1H),
3.89 (td, J = 8.1, 4.9 Hz, 1H), 3.84 - 3.71 (m, 4H), 3.52 (dq, J = 22.8, 7.6 Hz, 2H), 2.16 (dtd, J = 12.2, 7.4, 4.9 Hz, 1H), 1.92 (dq, J = 12.1, 7.8 Hz, 1H) ppm. ESI-MS m/z calc. 336.15863, found 337.4 (M+l)+; Retention time: 0.83 minutes.
[00492] Using the general synthetic scheme outlined in Schemes A and B and procedures analogous to those described in Example 25, the following compounds can be synthesized from the appropriate intermediates but without optional enantiomer sepraration by SFC; 58, 128, 132, 133, 150-152, 156, 157 and 162. Those skilled in the art will recognize that these methods may be extended to prepare amino triazoles with further variations in the substitutions of R8 and A.
EXAMPLE 26
Preparation of 2-methyl-N-(l -phenyl- L2,4-triazol-3-yl)-5-r(3R)-tetrahy drofuran-3- yllpyridin-3 -amine (Compound 256)
Cmpd 256
(a) Cu(OAc)2, pyridine, 4 A molecular sieves, CH2CI2, RT; (b)Pd(PPri3)4, dioxane, Na2C03, 80 °C; (c) 250 psi, H2, methanol, 10% Palladium on carbon, 10% Platinum on carbon; (d) SFC (e) tBuOH, t-ButylXPhos Palladacycle, NaOtBu, 50 °C.
Preparation of 5-(3-furyl)-2-methyl-3-nitro-pyridine (RG-26b)
[00493] 5-Bromo-2-methyl-3-nitro-pyridine (5 g, 23.0 mmol) and 3-furylboronic acid (2.85 g, 25.3 mmol) were dissolved in 1,4-dioxane (75 mL) and purged with nitrogen for several minutes. During the purge, a 2M sodium carbonate solution (20 mL) was added, followed by tetrakis(triphenylphosphine)palladium (0) (2.7 g, 2.34
mmol). The flask was sealed and the reaction was heated in a sand bath to 80 °C for 3.0 hours. The reaction was cooled and the solvent was removed under reduced pressure. The resulting residue was partitioned between water and dichloromethane and the organic phase was washed with brine, dried on sodium sulfate, filtered and concentrated under reduced pressure. The crude material was purified by silica gel chromatography (0-100% dichloromethane/(10% methanol/dichloromethane). The purification was repeated on the same support (0-100% dichloromethane/(5% methanol/dichloromethane) to yield 5-(3-furyl)-2-methyl-3-nitro-pyridine (1.8 g, 30%) (contains some impurities; was taken forward as is). ESI-MS m/e calc. 204.05, found 205.05 (M+l)+; Retention time: 0.79 minutes.
Preparation of 2-methyl-5-tetrahydrofuran-3-yl-pyridin-3-amine (RG-26c)
[00494] 5-(3-Furyl)-2-methyl-3-nitro-pyridine (1.8 g, 8.82 mmol) was dissolved in methanol (100 mL) treated with 10% palladium on carbon (500 mg) and platinum oxide (500 mg). The mixture was placed in a steel bomb and subjected to 250 psi hydrogen for 12 hours. The pressure at the end of the reaction was reduced by -75-80 psi during the course of the reaction. The crude mixture of product and starting material was isolated, new portions of catalyst were added, and hydrogenation was continued at 250 psi of hydrogen. A 50 psi reduction in pressure was noted from the initial pressure. The reaction mixture was filtered through a pad of diatomaceous earth, the pad was washed with methanol and the filtrate was concentrated to an oil under reduced pressure. The crude material was azeotroped with chloroform to provide 2-methyl-5-tetrahydrofuran-3-yl-pyridin-3-amine (1.7 g, contains -10% chloroform, 86%). 1H MR (400 MHz, CDCh) δ 7.84 (d, J = 1.8 Hz, 1H), 6.85 (d, J = 1.8 Hz, 1H), 4.17 - 3.98 (m, 2H), 3.98 - 3.81 (m, 1H), 3.71 (dd, J = 8.5, 6.8 Hz, 1H), 3.40 - 3.25 (m, 1H), 2.48 - 2.28 (m, 1H), 2.41(s, 3H), 1.95 (dq, J = 12.4, 7.8 Hz, 1H) ppm. ESI-MS m/e calc. 178.11, found 179.10 (M+l)+; Retention time: 0.39 minutes.
Preparation of rg/-2-methyl-5-[(3R)-tetrahydrofuran-3-yllpyridin-3-amine (RG-26d- a]
and re/-2-methyl-5-r(3 S)-tetrahydrofuran-3-vHpyridin-3 -amine (RG-26d-b)
[00495] Racemic product from above reaction was submitted for SFC separation into the two enantiomers. The separation was carried out on an AD (4.6 xlOO mm)
column using 24% methanol /0.2% diethylamine/75%) carbon dioxide. The first peak, peak A (retention time 0.767 minutes) was arbitrarily assigned as the (R) enantiomer. The second peak, peak B (retention time 0.854 minutes) was arbitrarily assigned as the (S) enantiomer.
Preparation of rg/-2-methyl-N-(l-phenyl-L2,4-triazol-3-yl)-5-r(3R)-tetrahydrofuran- 3-vHpyridin-3-amine (Compound 256)
[00496] 3 -Bromo-1 -phenyl- 1,2,4-triazole (94 mg, 0.42 mmol) and re/-3-amino-2- methyl-5-[(R)-tetrahydrofuran-3-yl)pyridine (75 mg, 0.42 mmol) were dissolved in dry tert-butanol (10 mL) and purged with nitrogen for several minutes. During the purge, chloro(2-di-t-butylphosphino-2',4',6'-tri-i-propyl-l, -biphenyl)[2-(2- aminoethyl)phenyl]palladium(II) (t-BuXPhos Palladacycle) (30 mg, 0.042 mmol) was added, followed by sodium tert-butoxide (60 mg, 0.63 mmol). The reaction was stirred at 50 °C under a nitrogen atmosphere for two hours, then diluted with methanol and the solvents were removed under reduced pressure. The crude residue was partitioned between dichloromethane and water, the organic phase was washed with brine, dried on anhydrous sodium sulfate and the solvent was removed under reduced pressure. The crude material was purified by silica gel chromatography
(dichloromethane, then 2.5% methanol/dichloromethane (0.1% ammonium
hydroxide), then 2.5% methanol/dichloromethane (0.1% ammonium hydroxide)). The product was dissolved in dichloromethane and treated with 2M ethereal hydrochloric acid. The mixture was diluted with hexanes and the solvents were removed under reduced pressure. The resulting solid was triturated with hot hexanes, cooled and filtered to yield re/-2-methyl-N-(l-phenyl-l,2,4-triazol-3-yl)-5-[(3R)- tetrahydrofuran-3-yl]pyridin-3 -amine (48 mg white solid, 25.8%>) - relative enantiomeric structure arbitrarily assigned. ¾ MR (400 MHz, DMSO- de) δ 9.68 (s, 1H), 9.27 (s, 1H), 9.10 (d, J = 1.5 Hz, 1H), 8.22 (d, J = 1.5 Hz, 1H), 7.88 (d, J = 7.7 Hz, 2H), 7.57 (t, J = 7.9 Hz, 2H), 7.40 (t, J = 7.4 Hz, 1H), 4.14 - 3.95 (m, 2H), 3.84 (dd, J = 15.3, 8.0 Hz, 1H), 3.76 - 3.59 (m, 3H), 2.77 (s, 3H), 2.48 - 2.34 (m, 1H), 1.97 (dt, J = 20.7, 6.7 Hz, 1H) ppm: - methylene peaks partially obscured by water peak. ESI-MS m/e calc. 321.16, found 322.22 (M+l)+; Retention time: 0.56 minutes.
[00497] The following compound can be synthesized from the appropriate intermediates according to general Schemes A and B, using procedures analogous to
those described in Example 26, where the final step was performed on the opposite enantiomer obtained from the SFC separation; 257. Those skilled in the art will recognize that these methods may be extended to prepare amino triazoles with further variations in the substitutions of R8 and A.
[00498] The following compounds can be synthesized from the appropriate intermediates according to general Schemes A and B, using procedures analogous to those described in Example 26, except no chiral separation of intermediates is performed; 181, 182 and 188-190.
[00499] The following compounds can be synthesized from appropriately substituted 4-nitro pyridines, according to general Schemes A and B, using procedures analogous to those described in Example 26. No chiral separation of intermediates is performed; 241-243. Those skilled in the art will recognize that these methods may be extended to prepare amino triazoles with further variations in the substitutions of R8 and A.
EXAMPLE 27
Preparation of N-(3-methoxy-4-pyrrolidin-3-yl -phenyl)-! -phenyl- 1,2,4-triazol -3- amine (Compound 129) H3-r2-methoxy-4-rn-phenyl-l,2,4-triazol-3- yl)amino1phenyl1pyrrolidin-l-vHethanone (Compound 130)
(a) Cu(OAc)2, pyridine, 4 A molecular sieves, CH2CI2, RT; (b) Pd(PPh3)4, 1,4- dioxane, Na2C03; (c) 50 psi, H2, MeOH; (d) 1,4-dioxane, Pd2(dba)3, Xantphos, NaOtBu, 110 °C; (e) 4N HC1 in 1,4-dioxane; (f) DCM, TEA, RT.
Preparation of fert-butyl 3-(2-methoxy-4-nitro-phenyl)-2,5-dihydropyrrole-l- carboxylate (RG-27b)
[00500] In a microwave tube, l-bromo-2-methoxy-4-nitro-benzene (292 mg, 1.258 mmol) and tert-butyl 3-(4,4,5,5-tetramethyl-l,3,2-dioxaborolan-2-yl)-2,5- dihydropyrrole-l-carboxylate (409 mg, 1.386 mmol) were mixed with dioxane (5 mL) and potassium carbonate (2 mL of 2 M, 4.000 mmol) was added. The mixture was degassed with nitrogen for 5 minutes and tetrakis(triphenylphosphine)palladium(0) (135 mg, 0.1168 mmol) was added. The mixture was sealed and heated at 110 °C overnight. The reaction was cooled to room temperature, filtered through Celite and the solvent was removed under reduced pressure. The crude product was purified by silica gel chromatography (40 g column; 0-60% ethyl acetate/hexane) to afford tert- butyl 3-(2-methoxy-4-nitro-phenyl)-2,5-dihydropyrrole-l-carboxylate (38 0 mg, 94%). ESI-MS m/z calc. 320.1372, found 321.52 (M+l)+; Retention time: 0.9 minutes.
Preparation of fert-butyl 3-(4-amino-2-methoxy-phenyl)pyrrolidine-l-carboxylate (RG-27c)
[00501] In a 25 mL round botton flask, tert-butyl 3-(2-methoxy-4-nitro-phenyl)- 2,5-dihydropyrrole-l-carboxylate (380 mg, 1.186 mmol) was dissolved in ethanol (4 mL), to which 10% Palladium on carbon (approximately 126.2 mg, 0.1186 mmol) was added. A three-way adapter was put on top of the flask connected to a hydrogen balloon and vacuum. The system was flushed with hydrogen three times by exhausting with vacuum pump and refilling with hydrogen through the 3 -way connector. This mixture was stirred at room temperature under a hydrogen balloon overnight. The mixture was filtered through pre-packed Celite (4 g, wet with methanol) and washed with methanol (10 mL). The combined filtrates were concentrated under reduced pressure to afford tert-butyl 3-(4-amino-2-methoxy- phenyl)pyrrolidine-l-carboxylate (328 mg, 95%) ESI-MS m/z calc. 292.17868, found 293.48 (M+l)+; Retention time: 0.76 minutes.
Preparation of fert-butyl 3-[2-methoxy-4-|Yl-phenyl-L2,4-triazol-3- vDaminolphenvHpyrrolidine-l-carboxylate (Compound 128)
[00502] A mixture of 1,4-dioxane (5 mL), tert-butyl 3-(4-amino-2-methoxy- phenyl)pyrrolidine-l-carboxylate (314 mg, 1.074 mmol), 3 -bromo-1 -phenyl- 1,2,4- triazole (approximately 200.5 mg, 0.8950 mmol), and sodium tert-butoxide
(approximately 172.0 mg, 1.790 mmol) was degassed for 5 minutes with nitrogen, then tris(dibenzylideneacetone)dipalladium (approximately 81 mg, 0.089 mmol) and dicyclohexyl-[2-(2,4,6-triisopropylphenyl)phenyl]phosphine (approximately 51 mg, 0.089 mmol) were added. The tube was sealed and the mixture was heated at 110 °C overnight. After the reaction was cooled to room temperature, the mixture was filtered through pre-packed Celite (10 g, wet with methanol). The Celite pad was washed with methanol (10 mL) and the filtrate was concentrated under reduced pressure. The crude product was purified by silica gel chromatography (12 g column; 0-50 % ethyl acetate/hexane) to afford tert-butyl 3-[2-methoxy-4-[(l-phenyl-l,2,4-triazol-3- yl)amino]phenyl]pyrrolidine-l-carboxylate (250 mg, 59%). ¾ MR (300 MHz,
CDCh) δ 8.35 (s, 1H), 7.79 - 7.61 (m, 2H), 7.60 - 7.44 (m, 2H), 7.46 - 7.32 (m, 2H), 7.13 (d, J = 8.2 Hz, 1H), 7.00 (dd, J = 8.2, 2.2 Hz, 1H), 6.84 (s, 1H), 3.91 (s, 3H), 3.89 - 3.49 (s, 3H), 3.49 - 3.16 (m, 2H), 2.17 (s, 1H), 2.14 - 1.91 (m, 1 H), 1.50 (s, 9H) ppm. ESI-MS m/z calc. 435.22705, found 436.41 (M+l)+; Retention time: 0.87 minutes.
Preparation of N-(3-m ethoxy-4-pyrrolidin-3-yl-phenyl)-l -phenyl- L2,4-triazol-3- amine (Compound 129)
[00503] To fert-butyl 3-[2-methoxy-4-[(l-phenyl-l,2,4-triazol-3- yl)amino]phenyl]pyrrolidine-l-carboxylate (80 mg, 0.1837 mmol) in a 20 mL scintillation vial with stir bar, HC1 (3 mL of 4 M, 12.00 mmol) in dioxane was added. The mixture was stirred at room temperature for 2 hours. The solvent was removed under reduced pressure. The crude product was purified by reverse phase HPLC with the (10-90 % acetonitrile/water with a trifluoroacetic acid modifier). The desired fractions were concentrated to dryness, then the product was dissolved in methanol (1 mL) and passed through a sodium bicarbonate cartridge. The cartridge was washed with additional methanol (3 mL). The combined filtrates were concentrated under reduced pressure to afford N-(3-methoxy-4-pyrrolidin-3-yl-phenyl)-l -phenyl- 1,2,4- triazol-3 -amine (52 mg, 84%). 1H MR (300 MHz, Methanol-^) δ 8.81 (s, 1H), 7.87 - 7.74 (m, 2H), 7.62 - 7.44 (m, 3H), 7.45 - 7.30 (m, 1H), 7.22 - 7.07 (m, 2H), 3.92 (s, 3H), 3.78 - 3.47 (m, 3H), 3.28 - 3.11 (m, 2H), 2.43 - 2.13 (m, 2H) ppm. ESI-MS m/z calc. 335.17462, found 336.37 (M+l)+; Retention time: 0.65 minutes.
Preparation of l-[3-[2-methoxy-4-[(l-phenyl-L2,4-triazol-3- yl)amino1phenyl1pyrrolidin-l-yl1ethanone (Compound 130)
[00504] Dichloromethane (2 mL) was added to N-(3-methoxy-4-pyrrolidin-3-yl- phenyl)-l -phenyl- l,2,4-triazol-3 -amine (21 mg, 0.06225 mmol) followed by triethylamine (18 μΐ^, 0.1291 mmol) and acetyl chloride (5 μΐ^, 0.07032 mmol). The mixture was stirred at room temperature sealed for 2 hours. The solvent was removed under reduced pressure and the crude product was purified by reverse phase HPLC (10-90 % acetonitrile/water with a tnfluoroacetic acid modifier). The desired fractions were concentrated to dryness, then the product was dissolved in methanol (1 mL) and passed through a sodium bicarbonate cartridge. The cartridge was washed with additional methanol (3 mL). The combined filtrates were concentrated under reduced pressure to afford l-[3-[2-methoxy-4-[(l-phenyl-l,2,4-triazol-3- yl)amino]phenyl]pyrrolidin-l-yl] ethanone (5.5 mg, 22%). ¾ MR (300 MHz, Methanol-^) δ 8.83 (s, 1H), 7.94 - 7.75 (m, 2H), 7.63 - 7.47 (m, 2H), 7.48 - 7.28 (m, 2H), 7.21 - 7.02 (m, 2H), 3.90 (d, J = 2.9 Hz, 3H), 3.83 - 3.51 (m, 3H), 3.53 - 3.37 (m, 2H), 2.34 - 2.13 (m, 2H), 2. 0 8 (d, J = 3.3 Hz, 3H) ppm. ESI-MS m/z calc.
377.18518, found 378.4 (M+l)+; Retention time: 0.81 minutes.
[00505] The following compounds can be synthesized from the appropriate intermediates according to general Schemes A and B, using procedures analogous to those described in Example 27; 141, 142 and 147. Those skilled in the art will recognize that these methods may be extended to prepare amino triazoles with further variations in the substitutions of R8 and A.
[00506] The following compounds can be synthesized from the appropriate intermediates according to Schemes A and B, using procedures analogous to those described in Example 27, but with a 1,3 instead of a 1,4 relationship between the nitro and the halogen group; 153, 158, 180, 247-249 and 252-254. Those skilled in the art will recognize that these methods may be extended to prepare amino triazoles with further variations in the substitutions of R8 and A. EXAMPLE 28
Preparation of N-(3,5-difluoro-4-tetrahvdrofuran-3-yl-phenyl)-l-phenyl-L2,4-triazol- 3-amine (Compound 145) and N-r3,5-difluoro-4-(3-furyl)phenyl1-l-phenyl-L2,4- triazol-3 -amine (Compound 146)
(a) Cu(OAc)2, pyridine, 4 A molecular sieves, CH2CI2, RT; (b) Pd2(dba)3, Xantphos, 1,4-dioxane, NaOtBu, 110 °C; (c) 1,4-dioxane, K2CO3, Pd(PPh3)4, 160 °C; (d) Pt02, AcOH, EtOH, H2 (50 psi). Preparation of N-(4-bromo-3,5-difluoro-phenyl)-l -phenyl- l,2,4-triazol-3 -amine (RG- 28b)
[00507] In a 20 mL microwave tube, 3 -bromo-1 -phenyl- 1,2,4-triazole (365 mg, 1.629 mmol), 4-bromo-3,5-difluoro-aniline (406 mg, 1.952 mmol) and sodium tert- butoxide (315 mg, 3.278 mmol) were mixed in 1,4-dioxane (10 mL). The mixture was degassed with nitrogen for 5 minutes then
tris(dibenzylideneacetone)dipalladium(0) (150 mg, 0.1638 mmol) and dicyclohexyl- [2-(2,4,6-triisopropylphenyl)phenyl]phosphine (95 mg, 0.1642 mmol) were added. The tube was sealed and the mixture was heated at 110 °C overnight. The reaction mixture was cooled to room temperature and filtered through pre-packed Celite (20 g, wet with methanol). The Celite plug was washed with methanol (15 mL). The combined filtrate was concentrated under reduced pressure. The crude product was purified by silica gel chromatography (40 g column; 0-60% ethyl acetate/hexane) to afford N-(4-bromo-3,5-difluoro-phenyl)-l-phenyl-l,2,4-triazol-3-amine (182 mg, 32%). ESI-MS m/z calc. 349.99786, found 353.15 (M+l)+; Retention time: 0.87 minutes.
Preparation of N- [3 , 5 -difluoro-4-(3 -furyPphenyll - 1 -phenyl- 1 ,2,4-triazol-3 -amine (Compound 146)
[00508] In a 5 mL microwave tube, N-(4-bromo-3,5-difluoro-phenyl)-l-phenyl- l,2,4-triazol-3 -amine (67 mg, 0.1908 mmol), and 3-furylboronic acid (32 mg, 0.2860 mmol) were mixed in 1,4-dioxane (2 mL). An aqueous solution of potassium carbonate (1 mL of 2 M, 2.0 mmol) was added and the mixture was degassed with nitrogen for 5 minutes. Tetrakis (triphenylphosphine)palladium(O) (22 mg, 0.01904 mmol) was added and the tube was sealed and heated in the microwave at 160 °C for 10 minutes. After cooling to room temperature, the mixture was filtered through prepacked Celite (4 g, wet with methanol) and the Celite was washed with additional methanol (5 mL). The combined filtrate was concentrated under reduced pressure. The crude product was purified by silica gel chromatography (12 g column; 0-60%
ethyl acetate/hexane) to afford N-[3,5-difluoro-4-(3-furyl)phenyl]-l-phenyl-l,2,4- triazol-3 -amine (50 mg, 77%). ¾ MR (300 MHz, CDCh) δ 8.39 (s, 1H), 7.90 (qd, J = 1.8, 0.8 Hz, 1H), 7.80 - 7.66 (m, 2H), 7.62 - 7.49 (m, 3H), 7.47 - 7.36 (m, 1H), 7.30 (d, J = 3.1 Hz, 2H), 7.27 - 7.19 (m, 1H), 6.91 (qd, J = 1.9, 0.8 Hz, 1H) ppm.
Preparation of N-(3,5-difluoro-4-tetrahvdrofuran-3-yl-phenyl)-l-phenyl-L2,4-triazol- 3 -amine (Compound 145)
[00509] In a 100 mL hydrogenation flask, N-[3,5-difluoro-4-(3-furyl)phenyl]-l- phenyl-l,2,4-triazol-3 -amine (50 mg, 0.1478 mmol) was dissolved in ethanol (10 mL) and the system was flushed with nitrogen and treated with platinum oxide (5 mg, 0.02202 mmol), followed by a drop of acetic acid. The mixture was put on a Parr shaker for hydrogenation at 50 psi for three days. The mixture was filtered through pre-packed Celite (5 g, wet with methanol) and the Celite pad was washed with additional methanol (5 mL). The combined filtrate was concentrated under reduced pressure. The crude product was purified by reverse phase HPLC (10-90%
acetonitrile/water with a trifluoroacetic acid modifier). The desired fractions were dried down under reduced pressure. The product was dissolved in methanol (1 mL) and passed through a sodium bicarbonate cartridge. The cartridge was washed with additional methanol (3 mL) and the combined filtrate was concentrated to dryness under reduced pressure to afford N-(3,5-difluoro-4-tetrahydrofuran-3-yl-phenyl)-l- phenyl-l,2,4-triazol-3 -amine (3.2 mg, 12%). ¾ NMR (300 MHz, CDCh) δ 8.56 (s, 1H), 8.49 (s, 1H), 7.80 - 7.65 (m, 2H), 7.58 (ddd, J = 8.1, 7.0, 1.3 Hz, 2H), 7.53 - 7.38 (m, 1H), 7.27 - 7.08 (m, 2H), 4.16 - 4.05 (m, 2H), 3.98 (q, J = 7.6 Hz, 1H), 3.88 - 3.57 (m, 2H), 2.43 - 2.11 (m, 2H) ppm. ESI-MS m/z calc. 342.1292, found 343.3 (M+l)+; Retention time: 0.85 minutes.
[00510] The following compound can be synthesized from the appropriate intermediates according to Schemes A and B, and using procedures analogous to those described in Example 28; 138. Those skilled in the art will recognize that these methods may be extended to prepare amino triazoles with further variations in the substitutions of R8 and A.
EXAMPLE 29
Preparation of l-(3,5-difluorophenyl)-N-(5-isopropoxy-2-methyl-phenyl)-L2,4- triazol-3 -amine (Com ound 375)
Preparation of l-(3,5-difluorophenyl)-N-(5-isopropoxy-2-methyl-phenyl)-L2,4- triazol-3 -amine (Compound 375)
[00511] 5-Isopropoxy-2-methyl-aniline (Hydrochloride salt) (22 mg, 0.1091 mmol), 3-bromo-l-(3,5-difluorophenyl)-l,2,4-triazole (25 mg, 0.09614 mmol), sodium tert-butoxide (28 mg, 0.2914 mmol), and tert-butylXphos Palladcycle (4 mg, 0.005825 mmol) were weighed into a 4 mL vial. tert-Butanol (400.0 iL) and 1,4- dioxane (100.0 iL) were added. The vial was sealed and stirred at 50 °C for 2 hours. The mixture was cooled to room temperature, dimethyl sulfoxide (1.5 mL) was added and the suspension was filtered through a 25 μπι filter plate. The sample was purified by reverse phase HPLC (Waters SunFire C18 30x150 5μΜ column; acetonitrile/water gradient with a trifluoroacetic acid modifier). The pure fractions were concentrated to dryness under reduced pressure on a Genevac EZ2 elite. The sample was diluted with DCM and washed with 50% saturated sodium bicarbonate. The organics were passed through a phase separator and concentrated to dryness under reduced pressure to yield 1 -(3 , 5 -difluorophenyl)-N-(5 -i sopropoxy-2-methyl-phenyl)- 1 ,2,4-triazol-3 -amine (10.0
mg, 30%). ¾ MR (300 MHz, OMSO-de) δ 9.18 (s, 1H), 8.37 (s, 1H), 7.64 - 7.52 (m, 3H), 7.26 (tt, J = 9.3, 2.3 Hz, 1H), 7.01 (dd, J = 8.3, 0.8 Hz, 1H), 6.44 (dd, J = 8.2, 2.6 Hz, 1H), 4.53 (hept, J = 6.1 Hz, 1H), 2.20 (s, 3H), 1.29 (d, J = 6.0 Hz, 6H) ppm. ESI-MS m/z calc. 344.14487, found 345.29 (M+l)+; Retention time: 4.76 minutes.
[00512] The following compounds can be synthesized from the appropriate intermediates according to Schemes A and B, and using procedures analogous to those described in Example 29; 13-18, 22-30, 34, 35, 49, 50, 52, 53, 59-61, 72, 83, 107, 120, 122, 123, 134, 185, 187, 251, 270, 274, 292, 310, 31 1, 316-318, 327, 357, 373, 374, 377-412, 423-444, 567-570, 572, 574-576, 590, 592, 593 and 629-633. Those skilled in the art will recognize that these methods may be extended to prepare amino triazoles with further variations in the substitutions of R8 and A.
[00513] The following compound can be synthesized from 2,3-dimethyl-5-nitro- aniline using procedures analogous to those described in Example 29, followed by a nitro reduction step performed under typical conditions (for example palladium on carbon (10% w/w), hydrogen (50 psi), methanol/ethyl acetate); 328. Those skilled in the art will recognize that these methods may be extended to prepare amino triazoles with further variations in the substitutions of R8 and A.
EXAMPLE 30
Preparation of 1 -(3 , 5 -difluorophenyl)-N-(3 -i sopropoxy-4-tetrahydrofuran-3 -yl- phenyl)-l ,2,4-triazol-3 -amine (Compound 284)
RG-22a
(a) HMPA, K2CO3, 112 °C; (b) K2CO3, acetonitrile, reflux; (c) Pd(dppf)Cl2 CH2CI2, 1,4-dioxane, Na2C03, 130 °C; (d) Pearlman's Catalyst, EtOH, AcOH, H2; (e) t- BuXPhos Palladacycle, 1,4-dioxane, NaOtBu, 80 °C.
Preparation of l-bromo-2-isopropoxy-4-nitro-benzene (RG-30b)
[00514] To a solution of 2-bromo-5-nitro-phenol (2 g, 9.174 mmol) in acetonitrile (10.0 mL) was added 2-iodopropane (approximately 2.495 g, 14.68 mmol), and potassium carbonate (approximately 2.536 g, 18.35 mmol). The resulting mixture was heated to reflux for approximately 2 hours. The reaction mixture was diluted with dichloromethane. After filtration, the filtrate was concentrated under reduced pressure to afford l-bromo-2-isopropoxy-4-nitro-benzene (2.35 g, 93%). 1H MR (300 MHz, CDCh) δ 7.75 (d, J = 2.6 Hz, 1H), 7.73 - 7.69 (m, 2H), 4.72 (dt, J = 12.1, 6.1 Hz, 1H), 1.46 (d, J = 6.1 Hz, 6H) ppm. ESI-MS m/z calc. 258.9844, found 260.23 (M+l)+; Retention time: 0.98 minutes.
Preparation of 3-(2-isopropoxy-4-nitro-phenyl)-2,5-dihvdrofuran (RG-30c)
[00515] A mixture of l-bromo-2-isopropoxy-4-nitro-benzene (300 mg, 1.084 mmol), 2-(2,5-dihydrofuran-3-yl)-4,4,5,5-tetramethyl-l,3,2-dioxaborolane
(approximately 318.8 mg, 1.626 mmol), [Ι, -
Bis(diphenylphosphino)ferrocene]dichloropalladium(II), complex with
dichloromethane (approximately 43.82 mg, 0.05420 mmol) and aqueous solution of sodium carbonate (approximately 1.084 mL of 2 M, 2.168 mmol) in 1,4-dioxane (3 mL) was purged with nitrogen for 1 minute and then microwaved at 130 °C for 30 minutes. The reaction mixture was diluted with dichloromethane and washed with water. The organics were separated and concentrated to dryness under reduced pressure. This crude material was purified by silica gel chromatography (12 g column; 5-50% ethyl acetate/hexane). The desired fractions were concentrated to dryness under reduced pressure to give 3-(2-isopropoxy-4-nitro-phenyl)-2,5- dihydrofuran (260 mg, 1.043 mmol, 96.23). ¾ NMR (300 MHz, CDCh) δ 7.79 (dt, J = 5.1, 2.2 Hz, 2H), 7.28 (d, J = 2.1 Hz, 1H), 6.81 - 6.74 (m, 1H), 5.06 (td, J = 4.8, 2.1 Hz, 2H), 4.89 (td, J = 4.8, 2.0 Hz, 2H), 4.79 (dt, J = 12.1, 6.1 Hz, 1H), 1.47 (d, J = 6.0 Hz, 6H) ppm. ESI-MS m/z calc. 249.10011, found 250.33 (M+l)+; Retention time: 0.9 minutes.
Preparation of 3-isopropoxy-4-tetrahydrofuran-3-yl-aniline (RG-30d)
[00516] A suspension of 3-(2-isopropoxy-4-nitro-phenyl)-2,5-dihydrofuran (260 mg, 1.043 mmol) and 10% palladium on carbon (approximately 222.0 mg, 0.2086 mmol) in methanol (50 mL) was shaken under hydrogen (50psi) for 18 hours.
Concentration of the reaction mixture provided 3-isopropoxy-4-tetrahydrofuran-3-yl- aniline (240 mg, 97%). ESI-MS m/z calc. 221.14159, found 222.38 (M+l)+;
Retention time: 0.59 minutes. The material was used directly in the next reaction without further purification. Preparation of 1 -(3 , 5 -difluorophenyl)-N-(3 -i sopropoxy-4-tetrahydrofuran-3 -yl- phenyl)-L2,4-triazol-3 -amine (Compound 284)
[00517] A mixture of 3-isopropoxy-4-tetrahydrofuran-3-yl-aniline (80 mg, 0.3615 mmol) and 3-bromo-l-(3,5-difluorophenyl)-l,2,4-triazole (approximately 112.8 mg, 0.4338 mmol) in 1,4-dioxane (3.0 mL) was purged with nitrogen for several minutes. To this mixture was added chloro(2-di-t-butylphosphino-2',4',6'-tri-i-propyl-l, - biphenyl)[2-(2-aminoethyl)phenyl]palladium(II) (t-BuXPhos Palladacycle)
(approximately 23.54 mg, 0.03615 mmol), and then sodium tert-butoxide
(approximately 52.11 mg, 0.5422 mmol). The reaction mixture was microwaved at 80 °C for 35 minutes. The reaction was quenched with IN hydrochloric acid (300 uL), diluted with dichlorom ethane (15 mL) and washed with water (2 X 3 mL). The organic layer was filtered through Florisil (5 g) and concentrated to dryness under reduced pressure. The crude material was purified on by silica gel chromatography (12 g column; 10-100%) ethyl acetate/hexane) to give 50 mg of desired product with trace of impurity. The above solid was collected and carefully triturated with methanol (0.5 mL+0.5 mL) to afford l-(3,5-difluorophenyl)-N-(3-isopropoxy-4- tetrahydrofuran-3-yl-phenyl)-l,2,4-triazol-3 -amine (40 mg, 26%). ¾ NMR (400 MHz, CDCb) 6 8.23 (s, 1H), 7.31 (d, J = 2.2 Hz, 1H), 7.18 - 7.14 (m, 1H), 7.10 (d, J = 8.3 Hz, 1H), 6.81 (dd, J = 8.3, 2.2 Hz, 1H), 6.71 (tt, J = 8.7, 2.3 Hz, 1H), 6.60 (s, 1H), 4.63 - 4.51 (m, 1H), 4.14 - 4.03 (m, 1H), 3.94 (qd, J = 7.9, 4.1 Hz, 1H), 3.90 - 3.79 (m, 1H), 3.68 - 3.56 (m, 2H), 2.26 - 2.12 (m, 1H), 1.97 (ddd, J = 15.6, 12.2, 7.9 Hz, 1H), 1.35 (dd, J = 6.0, 2.3 Hz, 6H) ppm. ESI-MS m/z calc. 400.17108, found 401.35 (M+l)+; Retention time: 0.98 minutes.
[00518] The following compounds can be synthesized from the appropriate intermediates according to Schemes A and B, and using procedures analogous to those described in Example 30; 276, 278-280, 282, 283, 288 and 289. Those skilled in the art will recognize that these methods may be extended to prepare amino triazoles with further variations in the substitutions of R8 and A.
EXAMPLE 31
Preparation of of N-[3,4-bis(3,6-dihydro-2H-pyran-4-yl)phenyll-l -phenyl- 1,2,4- triazol-3 -amine (Compound 287) and N-[3,4-di(tetrahydropyran-4-yl)phenyl"|-l- phenyl- l,2,4-triazol-3 -amine (Compound 291)
Cmpd 291
a) Cu(OAc)2, pyridine, 4 A molecular sieves, CH2C12, RT; (b) Pd(dppf)Cl2 CH2C12, 1,4-dioxane, Na2C03, 130 °C; (c) t-BuXPhos Palladacycle, dioxane, NaOtBu, 90 °C; (d) Palladium on carbon, H2, 50 psi, MeOH Preparation of 3,4-bis(3,6-dihydro-2H-pyran-4-yl)aniline (RG-31b)
[00519] A mixture of 3,4-dibromoaniline (220 mg, 0.8768 mmol), 2-(3,6-dihydro- 2H-pyran-4-yl)-4,4,5,5-tetramethyl-l,3,2-dioxaborolane (approximately 405.2 mg, 1.929 mmol), [l, -Bis(diphenylphosphino)ferrocene]dichloropalladium(II), complex with dichloromethane (approximately 35.45 mg, 0.04384 mmol) and an aqueous solution of sodium carbonate (approximately 1.315 mL of 2 M, 2.630 mmol) in 1,4- dioxane (3 mL) was purged with nitrogen for 1 minute and then microwaved at 130 °C for 30 minutes. The reaction mixture was diluted with dichloromethane, methanol and filtered through Florisil (5 g). The filtrate was concentrated to dryness under reduced pressure. The crude was purified by silica gel chromatography (12 g column; 10-100% ethyl acetate/hexane) to give 3,4-bis(3,6-dihydro-2H-pyran-4-yl)aniline (210 mg, 0.8161 mmol, 93.09). ¾ NMR (300 MHz, CDC13) δ 6.99 (d, J = 8.1 Hz, 1H), 6.60 (dd, J = 8.1, 2.5 Hz, 1H), 6.52 (d, J = 2.4 Hz, 1H), 5.75 (tt, J = 2.8, 1.6 Hz, 1H), 5.70 (tt, J = 2.8, 1.6 Hz, 1H), 4.32 - 4.24 (m, 4H), 3.87 (t, J = 5.4 Hz, 4H), 3.68 (s, 2H), 2.37 (qt, J = 5.4, 2.8 Hz, 4H) ppm. ESI-MS m/z calc. 257.14157, found 258.38 (M+l)+; Retention time: 0.55 minutes.
Preparation of N-[3,4-bis(3,6-dihydro-2H-pyran-4-yl)phenyll-l-phenyl-L2,4-triazol- 3 -amine (Compound 287)
[00520] A mixture of 3,4-bis(3,6-dihydro-2H-pyran-4-yl)aniline (205 mg, 0.7966 mmol) and 3 -bromo-1 -phenyl- 1,2,4-triazole (approximately 214.2 mg, 0.9559 mmol) in 1,4-dioxane (12 mL) was purged with nitrogen for several minutes. To the above mixture was added tert-ButylXPhos Palladacyle (approximately 51.88 mg, 0.07966 mmol), and then sodium tert-butoxide (approximately 114.8 mg, 1.195 mmol). The reaction mixture was microwaved at 90 °C for 35 minutes. The reaction was quenched with IN hydrochloric acid (300 uL), diluted with dichloromethane (15 mL) and washed with water (2 X 10 mL). The organic layer was concentrated to dryness under reduce pressure and purified by silica gel chromatography (12 g column; 0-10% methanol/dichloromethane). The desired fractions were combined and concentrated
to dryness under reduced pressure to give 75 mg of desired product with trace of impurity. The above solid was collected and carefully triturated with
dichloromethane (2 X 1 mL) then methanol (2 X 1 mL) to afford N-[3,4-bis(3,6- dihydro-2H-pyran-4-yl)phenyl]-l -phenyl- l,2,4-triazol-3 -amine (125 mg, 0.2965 mmol, 37%). ¾ NMR (300 MHz, DMSO- d6) δ 9.49 (s, 1H), 9.08 (s, 1H), 7.83 (dd, J = 8.6, 1.1 Hz, 2H), 7.64 - 7.50 (m, 3H), 7.36 (dd, J = 13.1, 4.9 Hz, 2H), 7.10 (d, J = 8.4 Hz, 1H), 5.83 - 5.63 (m, 2H), 4.29 - 4.05 (m, 4H), 3.77 (q, J = 5.4 Hz, 4H), 2.29 (s, 4H) ppm. ESI-MS m/z calc. 400.1899, found 401.31 (M+l)+; Retention time: 0.86 minutes.
Preparation of N-r3,4-di(tetrahvdropyran-4-yl)phenyl1-l-phenyl-L2,4-triazol-3-amine (Compound 291)
[00521] A suspension of N-[3,4-bis(3,6-dihydro-2H-pyran-4-yl)phenyl]-l-phenyl- l,2,4-triazol-3 -amine (87 mg, 0.2064 mmol) and 10% palladium on carbon
(approximately 43.93 mg, 0.04128 mmol) in methanol (50 mL) was shaken under hydrogen (50 psi) for 48hours. The solvent was removed under reduced pressure to give N-[3,4-di(tetrahydropyran-4-yl)phenyl]-l-phenyl-l,2,4-triazol-3-amine (55 mg, 0.1292 mmol, 62.58). ¾ NMR (300 MHz, CDCh) δ 8.24 (s, 1H), 7.66 - 7.58 (m, 2H), 7.49 - 7.33 (m, 4H), 7.27 (ddd, J = 7.4, 3.9, 1.1 Hz, 1H), 7.16 (s, 1H), 6.58 (s, 1H), 4.13 - 3.93 (m, 4H), 3.61 - 3.42 (m, 4H), 3.08 - 2.87 (m, 2H), 1.96 - 1.73 (m,
4H), 1.57 (dd, J = 28.8, 15.8 Hz, 4H) ppm. ESI-MS m/z calc. 404.22122, found 405.4 (M+l)+; Retention time: 0.85 minutes.
[00522] The following compounds can be synthesized from the appropriate intermediates according to Schemes A and B, and using procedures analogous to those described in Example 31; 281, 285, 285 and 290. Those skilled in the art will recognize that these methods may be extended to prepare amino triazoles with further variations in the substitutions of R8 and A.
EXAMPLE 32
N5-isopropyl-2-methyl-N3-(l -phenyl- L2,4-triazol-3-yl)pyridine-3,5-diamine
(Compound 211)
Cmpd 211
(a) Cu(OAc)2, pyridine, 4 A molecular sieves, CH2CI2, RT; (b) Pd2(dba)3, Xantphos, THF, NaHMDS, 110 °C; (c) Pd2(dba)3, Xantphos, 1,4-dioxane, NaOtBu, 100 °C. Preparation of N5-isopropyl-2-methyl-pyridine-3,5-diamine (RG-32b)
[00523] In a 5 mL microwave tube were added 5-bromo-2-methyl-pyridin-3-amine (130 mg, 0.6950 mmol), propan-2-amine (240 μΐ^, 2.793 mmol) and tetrahydrofuran (2 mL). The reaction mixture was degassed with nitrogen for 5 minutes.
Tris(dibenzylideneacetone)dipalladium(0) (70 mg, 0.07644 mmol) and dicyclohexyl- [2-(2,4,6-triisopropylphenyl)phenyl]phosphine (36 mg, 0.07552 mmol) were added to the mixture, followed by (bis(trimethylsilyl)amino)sodium (3 mL of 1 M, 3.0 mmol). The tube was sealed and the mixture was heated at 110 °C overnight. The reaction
mixture was cooled to room temperature and poured into water (5 mL). The reaction mixture was extracted with ethyl acetate (5 X 3 mL) and dichloromethane (2 X 3 mL). The combined organic extracts were concentrated under reduced pressure and the crude product was purified by reverse phase HPLC with (10-90 % acetonitrile/water with a trifluoroacetic acid modifier). The purified fractions were concentrated under vacuum to afford N5-isopropyl-2-methyl-pyridine-3,5-diamine (43 mg, 37 %). ESI- MS m/z calc. 165.1266, found 166.1 (M+l)+; Retention time: 0.51 minutes.
Preparation of N5-isopropyl-2-methyl-N3-(l -phenyl- L2,4-triazol-3-yl)pyridine-3, 5- diamine (Compound 211)
[00524] In a 5 mL microwave tube, 3 -bromo-1 -phenyl- 1,2,4-triazole (29 mg, 0.1294 mmol), N5-isopropyl-2-methyl-pyridine-3,5-diamine (21 mg, 0.1271 mmol) and sodium tert-butoxide (25 mg, 0.2601 mmol) were mixed in dioxane (2 mL). The mixture was degassed with nitrogen for 5 minutes, then
tris(dibenzylideneacetone)dipalladium(0) (11 mg, 0.01201 mmol) and dicyclohexyl- [2-(2,4,6-triisopropylphenyl)phenyl]phosphine (8 mg, 0.01383 mmol) were added. The tube was sealed and the mixture was heated at 100 °C overnight. After cooling to room temperature, the mixture was filtered through pre-packed Celite (4 g, wet with MeOH) and the pad was washed with methanol (5 mL). The combined filtrate was concentrated under reduced pressure. The crude product was purified by reverse phase HPLC (10-90% acetonitrile/water with a trifluoroacetic acid modifier). The pure fractions were concentrated under vacuum and the resulting product was re- dissolved in methanol (1 mL), passed through a bicarbonate cartridge, then the cartridge was washed with additional methanol (3 mL). The filtrate was concentrated under reduced pressure to afford N5-isopropyl-2-methyl-N3-(l-phenyl-l,2,4-triazol-3- yl)pyridine-3,5-diamine (12 mg, 29%). ¾ MR (300 MHz, Methanol -ί¾) δ 8.90 (s, 1H), 8.53 (d, J = 2.4 Hz, 1H), 7.95 - 7.79 (m, 2H), 7.63 - 7.47 (m, 2H), 7.48 - 7.33 (m, 2H), 3.66 (hept, J = 6.4 Hz, 1H), 2.58 (s, 3H), 1.28 (d, J = 6.3 Hz, 6H) ppm. ESI-MS m/z calc. 308.17496, found 309.17 (M+l)+; Retention time: 0.64 minutes.
[00525] The following compounds can be synthesized from the appropriate intermediates according to Schemes A and B, and using procedures analogous to those described in Example 32; 161, 163-165, 169, 170, 175, 186, 212, 213, 244 and
263. Those skilled in the art will recognize that these methods may be extended to prepare amino triazoles with further variations in the substitutions of R8 and A.
EXAMPLE 33
Preparation of 3-[2-[6-methyl-5-[(l-phenyl-L2,4-triazol-3-yl)aminol-3- pyridyllethvHoxetan-3-ol (Compound 217)
Cmpd 217
(a) Cu(OAc)2, pyridine, 4 A molecular sieves, CH2CI2, RT; (b) Et2 H, Cul, PdCl2(PPh3)2, RT; (c) 10% Pd/C, EtOH, H2; (d) Pd2(dba)3, Xantphos, 1,4-dioxane, NaOtBu, 110 °C.
Preparation of 3-r2-(6-methyl-5-nitro-3-pyridyl)ethvnyl1oxetan-3-ol (RG-33b)
[00526] In a 5 mL microwave tube equipped with a stirring bar was charged diethylamine (3 mL), 5-bromo-2-methyl-3-nitro-pyridine (120 mg, 0.5529 mmol), copper iodide (10 mg, 0.05251 mmol) and dichloropalladium; triphenylphosphine (39 mg, 0.05556 mmol), followed by 3-ethynyloxetan-3-ol (65 mg, 0.6626 mmol). The vial was wrapped with aluminum foil and stirred at room temperature overnight. This mixture was partitioned between ethyl acetate (3 mL) and saturated aqueous sodium carbonate (2 mL). The aqueous was separated and was extracted with ethyl acetate (2 X 4 mL). The combined organic phases were washed with water (1 X 3 mL) and brine (1 X 2 mL), dried over sodium sulfate and concentrated. The crude product was purified by silica gel chromatography (4 g column; 0-80 % ethyl acetate/hexane) to afford 3-[2-(6-methyl-5-nitro-3-pyridyl)ethynyl]oxetan-3-ol (52 mg, 40%). ESI-MS m/z calc. 234.06406, found 2 35.1 (M+l)+; Retention time: 0.66 minutes.
Preparation of 3-r2-(5-amino-6-methyl-3-pyridyl)ethyl1oxetan-3-ol (RG-33c)
[00527] A 50 mL round bottom flask was charged with 3-[2-(6-methyl-5-nitro-3- pyridyl)ethynyl]oxetan-3-ol (52 mg, 0.2220 mmol) and 10% palladium on carbon (approximately 23 mg, 0.02220 mmol). Ethanol (5 mL) was added, then a three-way adapter was fitted on top of the flask and connected to a hydrogen balloon. The system was flushed with hydrogen three times by exhausting with a vacuum pump and refilling with hydrogen through the 3 -way connector. The mixture was stirred at room temperature under the hydrogen balloon for 2 hours. The mixture was filtered through pre-packed Celite (4 g, wet with methanol) and washed with methanol (10 mL). The solvent was removed under reduced pressure to afford 3-[2-(5-amino-6- methyl-3-pyridyl)ethyl]oxetan-3-ol (19 mg, 41%). ESI-MS m/z ca 1 c. 208.12119, found 209.12 (M+l)+; Retention time: 0.27 minutes.
Preparation of 3-r2-r6-methyl-5-r(l-phenyl-L2,4-triazol-3-yl)amino1-3- pyridyllethvHoxetan-3-ol (Compound 217)
[00528] A 5 mL microwave tube fitted with a stirring bar was charged with dioxane (2 mL), 3-[2-(5-amino-6-methyl-3-pyridyl)ethyl]oxetan-3-ol (19 mg, 0.09123 mmol), 3 -bromo-1 -phenyl- 1,2,4-triazole (22 mg, 0.09819 mmol) and sodium tert- butoxide (18 mg, 0.1873 mmol). The mixture was degassed with nitrogen for 5 minutes, then dicyclohexyl-[2-(2,4,6-triisopropylphenyl)phenyl]phosphine (6 mg,
0.01037 mmol) and tris(dibenzylideneacetone)dipalladium(0) (9 mg, 0.009828 mmol) were added. The tube was sealed and the mixture was heated at 110 °C overnight. After cooling to room temperature, the mixture was filtered through pre-packed Celite (4 g, wet with methanol), and washed with methanol (5 mL). The solvent was removed under reduced pressure. The crude product was purified by reverse phase HPLC (10-90% acetonitrile/water with a trifluoroacetic acid modifier). The pure fractions were concentrated under vacuum and the product was dissolved in methanol (1 mL), passed through a bicarbonate cartridge, then the cartridge was washed with methanol (3 mL). The solvent was removed under reduced pressure to afford 3 -[2- [6- methyl-5-[(l-phenyl-l,2,4-triazol-3-yl)amino]-3-pyridyl]ethyl]oxetan-3-ol (19 mg, 55%). 1H MR (300 MHz, Methanol-^) δ 9.21 (d, J = 1.7 Hz, 1H), 8.94 (s, 1H),
8.14 (d, J = 1.7 Hz, 1H), 7.94 - 7.79 (m, 2H), 7.65 - 7.51 (m, 2H), 7.50 - 7.32 (m, 1H), 4.60 (d, J = 6.7 Hz, 2H), 4.57 - 4.40 (m, 2H), 3.03 - 2.86 (m, 2H), 2.76 (s, 3H), 2.3 4 -
2.15 (m, 2H) ppm. ESI-MS m/z calc. 351.169 53, found 352.16 (M+l)+; Retention time: 0.57 minutes.
[00529] The following compound can be synthesized from the appropriate intermediates according to Schemes A and B, and using procedures analogous to those described in Example 33; 218. Those skilled in the art will recognize that these methods may be extended to prepare amino triazoles with further variations in the substitutions of R8 and A.
[00530] The following compounds can be synthesized from the appropriate intermediates according to Schemes A and B, using procedures analogous to those described in Example 33, except that the reduction of the nitro group is performed under selective conditions that left the alkyne triple bond unchanged (for example iron and ammonium chloride in ethanol/water); 362 and 363. Those skilled in the art will recognize that these methods may be extended to prepare amino triazoles with further variations in the substitutions of R8 and A.
EXAMPLE 34
Preparation of N-ri-(3.5-difluorophenvn-1.2.4-triazol-3-yl1-2-methyl-5-r(l-methyl-4- piperidyl)methyl1pyridin-3 -amine (Compound 233)
(a) HMPA, K2CO3, 112 °C; (b) DMF, PPh3, Pd(OAc)2, KOAc, 100 °C; (c) 4M HC1 in 1,4-dioxane, RT; (d) Formaldehyde, CH3CN, NaBftCN, RT; (e) Palladium on carbon, EtOH, H2; (f) Pd2(dba)3, Xantphos, 1,4-dioxane, NaOtBu, 110 °C.
Preparation of fert-butyl 4-[(6-methyl-5-nitro-3-pyridyl)methylenelpiperidine-l- carboxylate (RG-34b)
[00531] To a solution of 5-bromo-2-methyl-3-nitro-pyridine (500 mg, 2.304 mmol) in dimethylformamide (10 mL) in a 20 mL microwave tube were added
tiphenylphosphine (121 mg, 0.4613 mmol), palladium acetate (II) (52 mg, 0.2316 mmol), potassium acetate (455 mg, 4.636 mmol), and tert-butyl 4-
methylenepiperidine-l-carboxylate (460 mg, 2.332 mmol). The mixture was degassed with nitrogen for 5 minutes. The tube was sealed and heated at 100 °C overnight. The mixture was cooled to room temperature and water (10 mL) was added to the reaction mixture followed by extraction with ethyl acetate (3 X 20 mL). The combined organic fractions were washed with water (1 X 20 mL), brine (1 X 20 mL), dried over sodium sulfate, filtered and concentrated to dryness. The crude product was purified by silica gel chromatography (4 g column; 0-50 % ethyl acetate/hexane) to afford tert-butyl 4-[(6-methyl-5-nitro-3- pyridyl)methylene]piperidine-l-carboxylate (320 mg, 42%). ESI-MS m/z calc.
333.16885, found 334.15 (M+l)+; Retention time: 0.8 minutes.
Preparation of 2-methyl-3-nitro-5-(4-piperidylidenemethyl)pyridine (RG-34c)
[00532] tert-Butyl 4-[(6-methyl-5-nitro-3-pyridyl)methylene]piperidine-l- carboxylate (320 mg, 0.9599 mmol) in a scintillation vial with stir bar was treated with HC1 in dioxane (8 mL of 4 M, 32.00 mmol). The mixture was stirred at room temperature for lhour. The solvent was removed under reduced pressure to afford 2- methyl-3-nitro-5-(4-piperidylidenemethyl)pyridine (Hydrochloride salt) (220 mg, 85%). ESI-MS m/z calc. 233.11642, found 23 4.11 (M+l)+; Retention time: 0.55 minutes.
Preparation of 2-methyl-5-[(l-methyl-4-piperidylidene)methyll-3-nitro-pyridine (RG- 34d)
[00533] 2-Methyl-3-nitro-5-(4-piperidylidenemethyl)pyridine (220 mg, 0.9431 mmol) and formaldehyde (0.6 mL, 21.78 mmol) (37 % in water) were dissolved in acetonitrile (5 mL). Sodium cyanoborohydride (295 mg, 4.694 mmol) was added, followed by a drop of acetic acid. The mixture was stirred at room temperature for 2 hours. The solvent was removed under reduced pressure. The crude product was purified by reverse phase HPLC (10-90% acetonitrile/water with a trifiuoroacetic acid modifier). The solvent was removed under reduced pressure on the Genevac to afford 2-methyl-5-[(l-methyl-4-piperidylidene)methyl]-3-nitro-pyridine (trifluoroacetate salt) (131 mg, 13%). ESI-M S m/z calc. 247.13208, found 248.16 (M+l)+; Retention time: 0.55 minutes.
Preparation of 2-methyl-5-r(l-methyl-4-piperidyl)methyl1pyridin-3-amine (RG-34e)
[00534] In a 50 mL round bottom flask with stir bar, 2-methyl-5-[(l-methyl-4- piperidylidene)methyl]-3-nitro-pyridine (131 mg, 0.5297 mmol) was dissolved in ethanol (10 mL) and treated with 10% palladium on carbon (57 mg, 0.05356 mmol). A three way valve was used to exhaust the system via removing air with a vacuum pump and refilling with hydrogen three times. The mixture was stirred under a hydrogen balloon for 2 hours. The mixture was filtered through pre-packed Celite (4 g, wet with methanol) and washed with methanol (10 mL). The combined solvents were removed under reduced pressure to afford 2-methyl-5-[(l -methyl -4- piped dyl)methyl]pyridin-3 -amine (98 mg, 84%). ESI-MS m /z calc. 219.17355, found 220.15 (M+l)+; Retention time: 0.27 minutes.
Preparation of N-ri-(3.5-difluorophenvn-1.2.4-triazol-3-yl1-2-methyl-5-r(l-methyl-4- piperidyl)methyl1pyridin-3 -amine (Compound 233)
[00535] In a 5 mL microwave tube equipped with a stirring bar dioxane (2 mL), 2- methyl-5-[(l-methyl-4-piperidyl)methyl]pyridin-3-amine (25 mg, 0.1 140 mmol) and 3-bromo-l-(3,5-difluorophenyl)-l,2,4-triazole (33 mg, 0.1 142 mmol) were added, followed by NaOtBu (33 mg, 0.3434 mmol). The mixture was degassed for 5 minutes with nitrogen, then tris(dibenzylideneacetone)dipalladium(0) (1 1 mg, 0.01201 mmol) and dicyclohexyl-[2-(2,4,6-triisopropylphenyl)phenyl]phosphine (7 mg, 0.01210 mmol) were added. The tube was sealed and the mixture was heated at 1 10 °C overnight. After cooling to room temperature, the mixture was filtered through prepacked Celite (4 g, wet with methanol) and washed with methanol (5 mL). The combined filtrates were concentrated under reduced pressure. The crude product was purified by reverse phase HPLC with the (10-90 % acetonitrile/water with a trifluoroacetic acid modifier). After concentration under reduced pressure, the product was dissolved in methanol (1 mL), passed through a sodium bicarbonate cartridge, then the cartridge was washed with additional methanol (3 mL). The solvent was removed under reduced pressure to afford N-[l-(3,5-difluorophenyl)- l,2,4-triazol-3-yl]-2-methyl-5-[(l-methyl-4-piperidyl)methyl]pyridin-3-amine (1 1 mg, 23%). ¾ MR (300 MHz, Methanol-^) δ 9.04 (d, J = 2.8 Hz, 2H), 8.15 (d, J = 1.7 Hz, 1H), 7.67 - 7.51 (m, 2H), 7.04 (tt, J = 9.0, 2.3 Hz, 1H), 3.63 - 3.43 (m, 2H), 3.07 - 2.89 (m, 3H), 2.85 (d, J = 3.8 Hz, 4H), 2.76 (s, 3H), 2.12 - 1.91 (m, 3H), 1.61
(dd, J = 14.8, 11.2 Hz, 2H) ppm. ESI-MS m/z calc. 398.20306, found 399.2 (M+l)+; Retention time: 0.56 minutes.
[00536] The following compounds can be synthesized from the appropriate intermediates according to Schemes A and B, and using procedures analogous to those described in Example 34; 215, 216, 219, 220 and 234. Those skilled in the art will recognize that these methods may be extended to prepare amino triazoles with further variations in the substitutions of R8 and A.
EXAMPLE 35
Preparation of N-ri-(3,5-difluorophenyl)-L2,4-triazol-3-yl1-5-methyl-2-(oxetan-3-yl)- 3,4-dihydro-lH-isoquinolin-7-amine (Compound 336)
RG-35c
RG-35e
Cmpd 336
(a) HMPA, K2CO3, 112 °C; (b) Trifluoromethanesulfonic acid, 0 °C-RT, 1- iodopyrrolidine-2,5-dione; (c) DCM, DCE, NaBH(OAc)3, RT; (d) dioxane, H2O, CS2CO3, Pd(dppf)Cl2 CH2Cl2,130°C; (e) THF, 10% Palladium on carbon, H2; (f) t- BuXPhos Palladacycle, tBuOH, NaOtBu, 90 °C.
Preparation of 5-iodo-7-nitro-L2,3,4-tetrahydroisoquinoline (RG-35b)
[00537] 7-Nitro-l,2,3,4-tetrahydroisoquinoline (1600 mg, 8.979 mmol) was treated with trifluoromethanesulfonic acid (5 mL). The mixture was cooled to 0 °C. To the mixture was added l-iodopyrrolidine-2,5-dione (2.3 g, 10.22 mmol) portionwise and the reaction mixture was stirred at room temperature overnight. The
reaction mixture was added to ice and stirred for 10 minutes. To this mixture was added sodium hydroxide (20 mL of 6 M, 120.0 mmol) until a yellow precipitate was formed. The precipitate was filtered, washed with water, and dried to yield crude 5- iodo-7-nitro-l,2,3,4-tetrahydroisoquinoline (2.2 g, 80.95%). ESI-MS m/z calc.
303.97, found 304.89 (M+l)+; Retention time: 0.59 minutes. The product was utilized in the next step without further purification.
Preparation of 5-iodo-7-nitro-2-(oxetan-3-yl)-3,4-dihydro-lH-isoquinoline (RG-35c)
[00538] A mixture of 5-iodo-7-nitro-l,2,3,4-tetrahydroisoquinoline (2.22 g, 7.301 mmol) and oxetan-3-one (1000 μΐ^, 15.60 mmol) was dissolved in dichloroethane (50 mL) and dichloromethane (50 mL). To this mixture was added sodium
triacetoxyborohydride (2.4 g, 11.32 mmol) at room temperature. The mixture was stirred overnight. The reaction mixture was diluted with dichloromethane and washed with a saturated aqueous solution of sodium bicarbonate. The organics were separated, dried with sodium sulfate, filtered and concentrated to dryness under reduced pressure to yield 5-iodo-7-nitro-2-(oxetan-3-yl)-3,4-dihydro-lH-isoquinoline as a yellow solid (2.15 g, 81.78%), ESI-MS m/z calc. 360.00, found 360.94 (M+l)+; Retention time: 0.60 minutes. The product was utilized in the next step without further purification.
Preparation of 5-methyl-7-nitro-2-(oxetan-3-yl)-3,4-dihydro-lH-isoquinoline (RG- 35d]
[00539] 5-Iodo-7-nitro-2-(oxetan-3-yl)-3,4-dihydro-lH-isoquinoline (1.5 g, 4.165 mmol), methylboronic acid (0.4 g, 6.682 mmol) and cesium carbonate (5 g, 15.35 mmol) were dissolved in 1,4-dioxane (10 mL) and water (2 mL) in a microwave vial. The mixture was degassed with nitrogen for 15 minutes. To the mixture was added [l,l '-bis(diphenylphosphino)ferrocene]dichloropalladium(II), complex with dichloromethane (300 mg, 0.3674 mmol). The microwave vial was sealed and heated to 130 °C in the microwave for 45 minutes. Water was added to the reaction mixture followed by extraction with ethyl acetate (3 X 150 mL). The combined organic fractions were washed with brine (1 X 50 mL) and water (2 X 50 mL), dried over sodium sulfate, and concentrated to dryness under reduced pressure. The crude product was purified by silica gel chromatography (80 g column; 10%
methanol/dichloromethane) to provide 5-methyl-7-nitro-2-(oxetan-3-yl)-3,4-dihydro- lH-isoquinoline (0.85 g, 82%). ESI-MS m/z calc. 248.12, found 249.11 (M+l)+; Retention time: 0.52 minutes. Preparation of 5-methyl-2-(oxetan-3-yl)-3,4-dihydro-lH-isoquinolin-7-amine (RG- 35e)
[00540] A solution of 5-methyl-7-nitro-2-(oxetan-3-yl)-3,4-dihydro-lH- isoquinoline (1.6 g, 6.444 mmol) in tetrahydrofuran (100 mL) was treated with 10% palladium on carbon (100 mg, 0.09397 mmol). The reaction mixture was placed under vacuum and then filled with hydrogen. This procedure was repeated 3 times. The reaction mixture was stirred under a hydrogen balloon for 4 days. The reaction mixture was filtered through Celite and the filtrate was dried to provide crude 5- methyl-2-(oxetan-3-yl)-3,4-dihydro-lH-isoquinolin-7-amine (1.2 g, 85%). ESI-MS m/z calc. 218.14, found 219.12 (M+l)+; Retention time: 0.24 minutes. The product was utilized in the next step without further purification.
Preparation of N-[l-(3,5-difluorophenyl)-L2,4-triazol-3-yll-5-methyl-2-(oxetan-3-yl)- 3,4-dihvdro-lH-isoquinolin-7-amine (Compound 336)
[00541] 5-Methyl-2-(oxetan-3-yl)-3,4-dihydro-lH-isoquinolin-7-amine (200 mg, 0.9162 mmol), 3-bromo-l-(3,5-difluorophenyl)-l,2,4-triazole (300 mg, 1.154 mmol) and sodium tert-butoxide (2 mL of 2 M, 4.000 mmol) were dissolved in tert-butanol (5 mL). The reaction mixture was purged with nitrogen for 15 minutes and treated with chloro (2-di-t-butylphosphino-2',4',6'-tri-i-propyl- 1 , 1 '-biphenyl)[2-(2- aminoethyl)phenyl] palladium(II) (t-BuXPhos Palladacycle) (50 mg, 0.07281 mmol). The reaction mixture was stirred at room temperature for 2 hours. Trifluoroacetic acid (300 μΐ^, 3.894 mmol) was added to the reaction mixture followed by a palladium scanvenger resin. The mixture was stirred overnight. The resin was filtered and the filtrate dried under reduced pressure. The crude material was dissolved in dimethylsulfoxide (4 mL) and purified by reverse phase chromatography (150 g C18 (ISCO) column, 10-100%) acetonitrile/water with a formic acid modifier) to provide N-[l-(3,5-difluorophenyl)-l,2,4-triazol-3-yl]-5-methyl-2-(oxetan-3-yl)-3,4- dihydro-lH-isoquinolin-7-amine (14.1 mg, 3.5%). ¾ MR (400 MHz, DMSO- d6) δ 9.35 (s, 1H), 9.15 (s, 1H), 8.16 (s, 1H, residual formic acid), 7.63 (d, J = 6.5 Hz, 2H),
7.39 - 7.13 (m, 3H), 4.63 (t, J = 6.4 Hz, 2H), 4.53 (t, J = 6.0 Hz, 2H), 3.62 - 3.53 (m, 1H), 3.41 (s, 2H), 2.57 (dd, J = 24.3, 5.1 Hz, 4H), 2.16 (s, 3H) ppm. ESI-MS m/z calc. 397.17, found 398.12 (M+l)+; Retention time: 0.71 minutes.
[00542] The following compounds can be synthesized from the appropriate intermediates according to Schemes A and B, and using procedures analogous to those described in Example 35; 337-341. Those skilled in the art will recognize that these methods may be extended to prepare amino triazoles with further variations in the substitutions of R8 and A. EXAMPLE 36
Preparation of l-(3,5-difluorophenyl)-N-(3-isopropoxy-2,5-dimethylphi
l 2,4-triazol-3 -amine (Compound 516)
RG-22a (a) HMPA, K2CO3, 112 °C; (b) DMF, K2CO3, 50°C; (c) 10% Palladium on carbon, DCM, MeOH, H2; (d) t-BuXPhos Palladacycle, dioxane, tBuOH, NaOtBu, 30 °C.
Preparation of l-isopropoxy-2,5-dimethyl-3-nitro-benzene (RG-36b)
[00543] 3-Nitro-2,5-dimethyl-phenol (300 mg, 1.8 mol), 2-iodopropane (600uL, 1.03 mg, 6.0 mmol) and potassium carbonate (1.2g, 9.0 mmol) were dissolved in dry dimethylformamide (6 mL) and stirred sealed at 50°C for 1.5 hours. The solvent was removed under reduced pressure and the residue was partitioned between
water/saturated brine 1 : 1 and dichlorom ethane. The layers were separated and the aqueous was extracted again. The combined organic layers were dried and concentrated under reduced pressure to provide l-isopropoxy-2,5-dimethyl-3-nitro- benzene (350 mg, 83%). ¾ NMR (400 MHz, CDC13) δ 7.20 (s, 1H), 6.86 (s, 1H), 4.63 - 4.43 (m, 1H), 2.36 (d, J = 0.5 Hz, 3H), 2.29 (s, 3H), 1.35 (d, J = 6.1 Hz, 6H) ppm.
Preparation of 3-isopropoxy-2,5-dimethyl-aniline (RG-36c)
[00544] l-Isopropoxy-2,5-dimethyl-3-nitro-benzene (350 mg , 1.5 mmol) was dissolved in methanol (20 mL) and dichloromethane (10 mL) and placed under a carbon dioxide atmosphere before adding 10% palladium on carbon (50% water)
(approximately 50 mg) Hydrogen gas was bubbled into the solution for ~1 minute and the reaction was allowed to stir under a hydrogen balloon for 4 hours. The catalyst was removed via suction filtration and the filtrate was concentrated under reduced pressure to provide 3-isopropoxy-2,5-dimethyl-aniline (250 mg, 83%). ¾ NMR (400 MHz, CDCh) δ 6.18 (d, J = 6.1 Hz, 2H), 4.45 (dt, J = 12.1, 6.0 Hz, 1H), 3.55 (s, 2H), 2.22 (d, J = 0.4 Hz, 3H), 2.00 (s, 3H), 1.31 (d, J = 6.1 Hz, 6H) ppm.
Preparation of l-(3,5-difluorophenyl)-N-(3-isopropoxy-2,5-dimethylphenyl)-lH- L2,4-triazol-3 -amine (Compound 516)
3-Bromo-l-(3,5-difluorophenyl)-l,2,4-triazole (approximately 220 mg, 0.84 mmol) and 3-isopropoxy-2,5-dimethyl-aniline (150 mg, 0.84 mmol) were dissolved in dry 1,4-dioxane (2 mL) and dry tert-butanol (8 mL) and purged with nitrogen for several minutes. During the purge, chloro(2-di-t-butylphosphino-2',4',6'-tri-i-propyl-l, - biphenyl)[2-(2-aminoethyl)phenyl] palladium(II) (t-BuXPhos Palladacycle)
(approximately 50 mg, 0.084 mmol) was added, followed by sodium tert-butoxide (160 mg, 1.67 mmol). The reaction was capped and stirred at 30 °C for 3 hours. The reaction mixture was diluted with methanol and the solvents were removed under reduced pressure. The residue was partitioned between water and ethyl acetate, and
the aqueous layer was extracted with ethyl acetate. The combined organic layers were washed with brine, dried on sodium sulfate and concentrated under reduced pressure. The crude material was purified by silica gel chromatography (0-100% ethyl acetate/dichloromethane) and repurified on silica gel (10% ethyl
acetate/dichloromethane) to provide l-(3,5-difluorophenyl)-N-(3-isopropoxy-2,5- dimethylphenyl)-lH-l,2,4-triazol-3-amine (20 mg, 84%). ¾ NMR (400 MHz, CDCh) δ 8.30 (s, 1H), 7.59 (s, 1H), 7.31 - 7.17 (m, 2H), 6.77 (ddd, J = 8.7, 5.5, 2.2 Hz, 1H), 6.54 (s, 1H), 6.45 (s, 1H), 4.50 (dt, J = 12.1, 6.0 Hz, 1H), 2.37 (s, 3H), 2.16 (s, 3H), 1.34 (d, J = 6.1 Hz, 6H) ppm. 19F NMR (377 MHz, CDC13) -106.76, -106.78, -106.80 ppm. ESI-MS m/z calc. 358.16052, found 359.0 (M+l) +; Retention time: 1.03 minutes.
[00545] The following compounds can be synthesized from the appropriate intermediates according to Schemes A and B, and using procedures analogous to those described in Example 36; 68, 116 and 517. Those skilled in the art will recognize that these methods may be extended to prepare amino triazoles with further variations in the substitutions of R8 and A.
EXAMPLE 37
Preparation of l-(3,5-difluorophenyl)-N-(5-isopropoxy-2,3-dimethyl-phenyl)-L2,4- triazol-3 -amine (Compound 601)
RG-37c RG-22a
Cmpd 601
(a) HMPA, K2CO3, 112 °C; (b) TBSC1, DMAP, DCM, DIPEA, RT; (c) 10%
Palladium on carbon, heptane, H2; (d) t-BuXPhos Palladacycle, dioxane, tBuOH, NaOtBu, 50-60 °C; (e) MP, NaH, 50 °C Preparation of fert-butyl-(3,4-dimethyl-5-nitro-phenoxy)-dimethyl-silane (RG-37b)
[00546] 3,4-dimethyl-5-nitro-phenol (2.00 g, 1 1.96 mmol), fert-butyl-chloro- dimethyl-silane (2.82 g, 18.71 mmol), and 4-dimethylaminopyridine (0.16 g, 1.31 mmol were dissolved in dichloromethane (18 mL) and N-ethyl-N-isopropyl-propan-2- amine (3.09 g, 4.17 mL, 23.92 mmol) was added, resulting in an orange solution. The reaction was aged at room temperature for two hours. The solution was diluted with dichloromethane and washed with IN hydrochloric acid (50 mL). The organics were separated, dried over sodium sulfate, filtered and concentrated to dryness under reduced pressure to give crude material. The crude was purified by silica gel chromatography (12 g column; 0-100% ethyl acetate/heptane). Product fractions were concentrated to dryness under reduced pressure to give tert-butyl-(3,4-dimethyl- 5-nitro-phenoxy)-dimethyl-silane (3.16 g, 11.23 mmol, 94%). ¾ NMR (300 MHz, Acetonitrile-*) δ 6.85 (d, J= 2.6 Hz, 1H), 6.77 (d, J= 2.7 Hz, 1H), 2.10 (s, 3H), 2.03 (s, 3H), 0.77 (s, 9H), 0.00 (s, 6H) ppm. Preparation of 5-rfert-butyl(dimethyl)silyl1oxy-2,3-dimethyl-aniline (RG-37c)
[00547] In a Parr shaker flask was placed tert-butyl-(3,4-dimethyl-5-nitro- phenoxy)-dimethyl-silane (3.16 g, 11.23 mmol) in heptane with 10% palladium on carbon (351 mg, 1.65 mmol, 50% water). The flask was evacuated and purged with hydrogen three times. The flask was charged to 1 atmosphere with hydrogen and shaken over the weekend, recharged to 1 atmosphere hydrogen and allowed to shake 2 more days. The bottle was evacuated, charged with nitrogen, and filtered through Celite. The solvent was removed on a rotary evaporator to give 5-[tert- butyl(dimethyl)silyl]oxy-2,3-dimethyl-aniline (2.46 g, 9.80 mmol, 87%). ¾ NMR (300 MHz, Acetonitrile-*) δ 5.90 (s, 2H), 3.75 (s, 2H), 1.99 (s, 3H), 1.77 (s, 3H), 0.81(s, 9H), 0.00 (s, 6H) ppm. ESI-MS m/z calc. 251.17055, found 252.24 (M+l)+ Retention time: 0.76 minutes.
Preparation of 3-[[l-(3,5-difluorophenyl)-l,2,4-triazol-3-yl1amino1-4,5-dimethyl- phenol (RG-37d)
[00548] In a flask with stir bar was placed 5-[tert-butyl(dimethyl)silyl]oxy-2,3- dimethyl-aniline (1.35 g, 5.38 mmol). To this was added tert-butanol (18.0 mL), previously deoxygenated with nitrogen gas. To the mixture was added 3-bromo-l- (3,5-difluorophenyl)-l,2,4-triazole (1.24 g, 4.77 mmol) and sodium tert-butoxide (917 mg, 9.54 mmol), chloro(2-di-t-butylphosphino-2',4',6'-tri-i-propyl-l, -biphenyl)[2-(2- aminoethyl)phenyl] palladium(II) (t-BuXPhos Palladacycle) (144 mg, 0.221 mmol, 0.046 eq.) and more tert-butanol (12 mL). The flask was purged with nitrogen and stirred at about 50-60 °C overnight. The reaction was concentrated to dryness and extracted with ethyl acetate and water. The aqueous was neutralized with IN hydrochloric acid (4.8 mL, pH 6) and extracted with ethyl acetate. The organics were separated, dried over sodium sulfate, filtered and concentrated to crude. The crude was dissolved in hot ethyl acetate (ca 30 mL) and treated with MP-TMT (1.99 g of 0.64 mmol/g, 1.274 mmol) and refluxed for 1 hour, to remove traces of palladium. The mixture was filtered hot, cooled to room temperature, and pre-adsorbed onto silica gel (ca 15 g). This material was purified by silica gel chromatography (40 g column; 30-100% ethyl acetate /heptane), to give 3-[[l-(3,5-difluorophenyl)-l,2,4- triazol-3-yl]amino]-4,5-dimethyl-phenol (0.58 g, 1.29 mmol, 27%). ¾ NMR (300 MHz, OMSO-de) δ 8.86 (s, 1H), 8.74 (s, 1H), 7.67 - 7.45 (m, 3H), 7.37 (d, J = 2.5 Hz, 1H), 6.98 (m, 1H), 6.32 (d, J = 2.5 Hz, 1H), 2.93 (m, 3H), 2.21 (s, 3H), 2.09 (s, 3H) ppm. ESI-MS m/z calc. 316.1 1356, found 317.19 (M+l)+: Retention time: 0.85 minutes. Preparation of l-(3,5-difluorophenyl)-N-(5-isopropoxy-2,3-dimethyl-phenyl)-L2,4- triazol-3 -amine (Compound 601)
[00549] In a vial equipped with a stir bar was placed sodium hydride (4.6 mg, 0.192 mmol) and 3-[[l-(3,5-difluorophenyl)-l,2,4-triazol-3-yl]amino]-4,5-dimethyl- phenol (20.6 mg, 0.046 mmol). To this was added N-methyl-2-pyrrolidone (1.8 mL), and 2-bromopropane (20 μΐ^, 0.213 mmol), and the vial was sealed. The reaction was stirred at 50 °C overnight. The reaction was quenched with IN hydrochloric acid (200 ul) and purified by reverse phase HPLC (Waters SunFire C 18 30x150 5uM column; acetonitrile/water gradient using a hydrochloric acid modifier) to give l-(3,5-
difluorophenyl)-N-(5-isopropoxy-2,3-dimethyl-phenyl)-l,2,4-triazol-3-amine
(hydrochloride salt) (10.3 mg, 0.024 mmol, 52%). ¾ MR (300 MHz, OMSO-de) δ 9.14 (s, 1H), 8.3 1 (s, 1H), 7.73 - 7.45 (m, 2H), 7.38 - 7.10 (m, 2H), 6.42 (s, 1H), 4.65 - 4.35 (m, 1H), 2.21 (s, 3H), 2.08 (s, 3H), 1.27 (d, J = 6.1 Hz, 6H) ppm. ESI-MS m/z calc. 358.16052, found 359.47 (M+l)+: Retention time: 4.66 minutes.
[00550] The following compounds can be synthesized from the appropriate intermediates according to Schemes A and B, and using procedures analogous to those described in Example 37; 19, 565, 571, 577-580, 621 and 639. Those skilled in the art will recognize that these methods may be extended to prepare amino triazoles with further variations in the substitutions of R8 and A.
EXAMPLE 38
Preparation of fert-Butyl N-[[3-[[l-(3,5-difluorophenyl)-L2,4-triazol-3-yllaminol-2- fluoro- 5 -methyl -phenyl 1 methyl 1 carbamate (Compound 623); N-r3-(aminomethyl)-2- fluoro-5-methyl-phenyl1-l-(3,5-difluorophenyl)-L2,4-triazol-3-amine (Compound
626); and N-rr3-rri-(3.5-difluorophenylV1.2.4-triazol-3-yl1amino1-2-fluoro-5-methyl- phenyll methyl lacetamide (Compound 636)
(a) HMPA, K2CO3, 112 °C; (b) 10% Palladium on carbon, EtOH, H2; (c) t-BuXPhos Palladacycle, tBuOH, NaOtBu, 60-110 °C; (d) B0C2O, NiCh 6H2O, NaBH4, MeOH; (e) 1.4-dioxane, 4N HC1, 105 °C; (f) 1.4-dioxane, TEA 110 °C.
Preparation of 3-amino-2-fluoro-5-methyl-benzonitrile (RG-38b)
[00551] In a Parr flask was placed 2-fluoro-5-methyl-3-nitro-benzonitrile (1.00 g, 5.55 mmol) in ethanol (75 mL). This was purged with nitrogen and to it was added 10% palladium on carbon (0.22 g, 0.207 mmol). The flask was evacuated, purged with hydrogen, and charged to 1 atmosphere with shaking, for 15 minutes. The reaction was evacuated and purged with nitrogen, and the solution was filtered through Celite and concentrated to dryness with a stream of nitrogen gas, to give 3- amino-2-fluoro-5-methyl-benzonitrile (833 mg, 5.27 mmol, 95%), as a greenish brown solid. 1H MR (300 MHz, OMSO-de) δ 6.87 (dd, J = 8.6, 2.2 Hz, 1H), 6.72 (dd, J = 4.9, 2.3 Hz, 1H), 5.59 (s, 2H), 2.18 (s, 3H) ppm. ESI-MS m/z calc.
150.05933, found 151.05 (M+l)+: Retention time: 0.8 minutes.
Preparation of 3-rri-(3,5-difluorophenyl)-L2,4-triazol-3-yl1amino1-2-fluoro-5- methyl-benzonitrile (RG-38c)
[00552] In a microwave vial equipped with a stir bar was placed 3-amino-2-fluoro- 5-methyl-benzonitrile (276 mg, 1.75 mmol), 3-bromo-l-(3,5-difluorophenyl)-l,2,4- triazole (544 mg, 1.88 mmol), sodium tert-butoxide (263 mg, 2.74 mmol), and chloro(2-di-t-butylphosphino-2',4',6'-tri-i-propyl- 1 , 1 '-biphenyl)[2-(2- aminoethyl)phenyl]palladium(II) (t-BuXPhos Palladacycle) (55 mg, 0.08 mmol).
This was sealed and purged with nitrogen. To it was added tert-butanol (10 mL) and the reaction was heated to 60 °C in the microwave for 1 hour, and then 1 10 °C in the microwave for 1 hour. The reaction was extracted with ethyl acetate and water twice. The organics were washed with brine, dried over sodium sulfate, filtered and concentrated to crude (0.72 g). This was purified by reverse phase chromatography (150 g C18 column (ISCO); 20-100% acetonitrile/water with 0.1% v/v trifluoroacetic acid, in two injections). Fractions containing product were concentrated and then extracted with ethyl acetate and saturated sodium bicarbonate. The organics were dried over sodium sulfate, filtered and concentrated to give 3-[[l-(3,5- difluorophenyl)-l,2,4-triazol-3-yl]amino]-2-fluoro-5-methyl-benzonitrile (0.28 g, 0.77 mmol, 48%), as a tan solid. ¾ MR (300 MHz, OMSO-de) δ 9.58 (s, 1H), 9.22 (s, 1H), 8.26 (d, J = 7.7 Hz, 1H), 7.78 -7.55 (m, 2H), 7.36 - 7.15 (m, 2H), 2.35 (s, 3H)
ppm. ESI-MS m/z calc. 329.08884, found 330.21 (M+l)+: Retention time: 0.97 minutes.
Preparation of fert-Butyl N-[[3-[[l-(3,5-difluorophenyl)-L2,4-triazol-3-yllaminol-2- fluoro- 5 -methyl -phenyl 1 methyl 1 carbamate Compound 623)
[00553] In a flask equipped with a stir bar was placed 3-[[l-(3,5-difluorophenyl)- l,2,4-triazol-3-yl]amino]-2-fluoro-5-methyl-benzonitrile (50 mg, 0.137 mmol). To this was added methanol (10 mL), tert-butoxycarbonyl tert-butyl carbonate (114 mg, 0.522 mmol), dichloronickel;hexahydrate (10.3 mg, 0.0433 mmol), dissolved with mild heating, and finally sodium borohydride (45 mg, 1.189 mmol). The hot solution was aged several minutes and the black color discharged to give a clear, light yellow solution. This solution was treated with N'-(2-aminoethyl)ethane-l,2-diamine (64 mg, 0.620 mmol) for 10 minutes and then concentrated to dryness, to give a yellow solid, which was recrystallized from hot ethyl acetate/heptane. The resulting solid was purified by SFC (40% ethanol (5 mM Ammonia), 60% carbon dioxide on a AD-H, 20x250 mm column, at 80 mL/min flow), to give fert-butyl N-[[3-[[l-(3,5- difluorophenyl)-l,2,4-triazol-3-yl]amino]-2-fluoro-5-methyl- phenyl]methyl]carbamate (24.4 mg, 0.053 mmol, 39%). ¾ MR (300 MHz, DMSO- d6) δ 9.17 (s, 1H), 8.96 (s, 1H), 7.79 (d, J = 7.7 Hz, 1H), 7.70 -7.54 (m, 2H), 7.39 - 7.17 (m, 2H), 6.74 - 6.57 (m, 1H), 4.14 (d, J = 5.6 Hz, 2H), 2.28 (s, 3H), 1.40 (s, 9H) ppm. ESI-MS m/z calc. 433.17255, found 434.02 (M+l)+: Retention time: 0.88 minutes.
Preparation of N-r3-(aminomethyl)-2-fluoro-5-methyl-phenyl1-l-(3,5- difluorophenyl)-L2,4-triazol-3 -amine (Compound 626)
[00554] In a vial was placed tert-butyl N-[[3-[[l-(3,5-difluorophenyl)-l,2,4-triazol- 3-yl]amino]-2-fluoro-5-methyl-phenyl]methyl]carbamate (17 mg, 0.037 mmol). To this was added 1,4-dioxane (3 mL), to give a homogenous solution. The vial was sealed and to it was added hydrochloric acid in dioxane (2 mL of 4 M, 8.000 mmol). The vial was heated to 105 °C for 1 hour, resulting in a white turbid mixture. The mixture was concentrated to dryness. The crude material was dissolved in
dimethylsulfoxide (2.0 mL) and purified by reverse phase HPLC (Waters SunFire C18 30x150 5μΜ column; acetonitrile/water gradient using a hydrochloric acid
modifier). The pure fractions were combined and concentrated to dryness under reduced pressure to give N-[3-(aminomethyl)-2-fluoro-5-methyl-phenyl]-l-(3,5- difluorophenyl)-l,2,4-triazol-3 -amine (dihydrochloride salt) (11.1 mg, 73%). ¾
MR (300 MHz, OMSO-de) δ 9.22 (s, 2H), 8.40 (s, 3H), 7.98 (d, J = 7.5 Hz, 1H), 7.73-7.56 (m, 2H), 7.36 - 7.19 (m, 1H), 6.92 (d, J = 6.0 Hz, 1H), 4.03 (d, J = 5.8 Hz, 2H), 2.33 (s, 3H) ppm. ESI-MS m/z calc. 333.12012, found 334.20 (M+l)+:
Retention time: 2.36 minutes.
Preparation of N-[[3-[[l-(3,5-difluorophenyl)-L2,4-triazol-3-yllaminol-2-fluoro-5- methyl-phenyllmethvHacetamide (Compound 636)
[00555] To a tube containing N-[3-(aminomethyl)-2-fluoro-5-methyl-phenyl]-l- (3,5-difluorophenyl)-l,2,4-triazol-3-amine (dihydrochloride salt) (14.2 mg, 0.035 mmol) was added 1,4-dioxane (4.0 mL) and triethylamine (24 mg, 0.237 mmol). The mixture was heated to 110 °C to dissolve the salt. To this was added acetyl chloride (3.5 mg, 0.0446 mmol) in 1,4-dioxane (285 ul). The reaction was heated to 110 °C for 10 minutes. The reaction was concentrated to dryness with a stream of nitrogen. The crude material was diluted in DMSO (2.0 mL) and purified by reverse phase HPLC (Waters SunFire C18 30x150 5μΜ column; acetonitrile/water gradient using a hydrochloric acid modifier) to give N-[[3-[[l-(3,5-difluorophenyl)-l,2,4-triazol-3- yl]amino]-2-fluoro-5-methyl-phenyl]methyl]acetamide (Hydrochloride salt) (9.6 mg, 0.022 mmol, 63%). 1H MR (300 MHz, OMSO-de) δ 9.18 (d, J= 1.4 Hz, 1H), 8.99 (s, 1H), 8.28 (t, J= 5.9 Hz, 1H), 7.82 (d, J= 7.6 Hz, 1H), 7.63 (d, J= 7.9 Hz, 2H), 7.35 - 7.18 (m, 1H), 6.68 (d, J= 5.9 Hz, 1H), 4.26 (d, J= 5.8 Hz, 2H), 2.29 (s, 3H), 1.87 (s, 3H) ppm. ESI-MS m/z calc. 375.1307, found 376.02 (M+l)+: Retention time: 0.82 minutes.
[00556] The following compounds can be synthesized from the appropriate intermediates according to Schemes A and B, and using procedures analogous to those described in Example 38; 642 and 644. Those skilled in the art will recognize that these methods may be extended to prepare amino triazoles with further variations in the substitutions of R8 and A.
[00557] The following compounds can be synthesized according to the Schemes A and B from the appropriate intermediates using procedures analogous to those described in Example 38, Steps 1-3; 640 and 602. Those skilled in the art will
recognize that these methods may be extended to prepare amino triazoles with further variations in the substitutions of R8 and A.
EXAMPLE 39
Preparation of l-(3,4-difluorophenyl)-N-r3-methyl-4-r4-(oxetan-3-yl)piperazin-l- yl1phenyl1-L2,4-triazol-3 -amine (Compound 370)
(a) Cu(OAc)2, pyridine, 4 A molecular sieves, CH2CI2, RT; (b) t-BuXPhos
Palladacycle, dioxane, tBuOH, NaOtBu, 30 °C; (c) 10% Palladium on carbon, DCM, MeOH, H2 (d) t-BuXPhos Palladacycle, dioxane, tBuOH, NaOtBu, 30 °C.
Preparation of l-(2-methyl-4-nitro-phenyl)-4-(oxetan-3-yl)piperazine (RG-39b)
[00558] l-Bromo-2-methyl-4-nitro-benzene (2.5 g, 11.57 mmol) and l-(oxetan-3- yl)piperazine (1.810 g, 12.73 mmol) were suspended in dry 1,4-dioxane (20 mL) and t-butanol (60 mL). The reaction mixture was purged with nitrogen for several minutes. chloro(2-di-t-butylphosphino-2',4',6'-tri-i-propyl-l, -biphenyl)[2-(2- aminoethyl)phenyl]palladium(II) (t-BuXPhos Palladacycle) (400 mg, 0.58 mmol) followed by sodium tert-butoxide (1.66 g, 17.4 mmol) were added sequentially during the purge. The reaction mixture was stirred at 30 °C for 2 hours under nitrogen. To this mixture was added sodium tert-butoxide (1 g, 10.5 mmol) and the reaction was stirred at 30 °C for an additional hour. The reaction mixture was diluted with methanol and all solvents removed under reduced pressure. The crude residue was stirred in water overnight and isolated via suction filtration. The precipitate was dissolved in minimal dichloromethane and purified by silica gel chromatography (0- 100% ethyl acetate/dichloromethane) to give l-(2-methyl-4-nitro-phenyl)-4-(oxetan- 3-yl)piperazine (860 mg, 2.791 mmol, 24.12). ¾ NMR (300 MHz, CDCh) δ 8.04 (dd, J = 6.7, 2.5 Hz, 2H), 7.11 - 6.93 (m, 1H), 4.68 (p, J = 6.4 Hz, 4H), 3.60 (p, J = 6.4 Hz, 1H), 3.22 - 2.90 (m, 4H), 2.67 - 2.42 (m, 4H), 2.35 (s, 3H) ppm. ESI-MS m/z calc. 277.14264, found 278.0 (M+l)+; Retention time: 0.59 minutes.
Preparation of 3-methyl-4-[4-(oxetan-3-yl)piperazin-l-yllaniline (RG-39c)
[00559] l-(2-Methyl-4-nitro-phenyl)-4-(oxetan-3-yl)piperazine (900 mg, 2.921 mmol) was dissolved into a mixture of methanol/dichloromethane (50 mL/25 mL), and the solution was placed under an atmosphere of carbon dioxide before addition of 10% Palladium on Carbon (50% water ) (150 mg. 0.146 mmol). Hydrogen gas was bubbled through the reaction for approximately 2 minutes and the reaction was allowed to stir overnight at ambient temperature under a balloon of hydrogen. The catalyst was removed by suction filtration, washed with methanol and the filtrates were concentrarted under reduced pressure to afford 3-methyl-4-[4-(oxetan-3- yl)piperazin-l-yl]aniline (720 mg, 2.620 mmol, 80.72%). ¾ NMR (300 MHz,
CDCh) δ 6.90 (d, J = 8.3 Hz, 1H), 6.55 (d, J = 2.7 Hz, 1H), 6.51 (dd, J = 8.3, 2.7 Hz, 1H), 4.68 (d, J = 6.5 Hz, 4H), 3.57 (p, J = 6.5 Hz, 1H), 2.94 - 2.84 (m, 4H), 2.47 (s,
4H), 2.22 (s, 3H) ppm. ESI-MS m/z calc. 247.16846, found 248.0 (M+l)+; Retention time: 0.24 minutes.
Preparation of l-(3,4-difluorophenyl)-N-[3-methyl-4-[4-(oxetan-3-yl)piperazin-l- yl1phenyl1-L2,4-triazol-3 -amine (Compound 370)
[00560] 3-Methyl-4-[4-(oxetan-3-yl)piperazin-l-yl]aniline (277.8 mg, 1.011 mmol) was placed into a vial containing a solution of 3-bromo-l-(3,4-difluorophenyl)-l,2,4- triazole (239.0 mg, 0.9191 mmol) in 1,4-dioxane (3 mL) and tert-butanol (12 mL) (both anhydrous). The vial was purged with nitrogen for several minutes and treated sequentially with chloro(2-di-t-butylphosphino-2',4',6'-tri-i-propyl-l, -biphenyl)[2- (2-aminoethyl)phenyl]palladium(II) (t-BuXPhos Palladacycle) (60 mg, 0.0919 mmol) followed by sodium tert-butoxide (135 mg, 1.38 mmol). The vial was sealed and heated at approximately 30 °C for 1 hour. The reaction mixture was diluted with methanol and solvents removed under reduced pressure. The crude product was suspended in water. The precipitate was washed with additional water and isolated via suction filtration. The precipitate was washed with acetonitrile, methanol, dichloromethane and the desired product was isolated via suction filtration. The precipitate was dissolved in a large amount of tetrahydrofuran and stirred with MP- TMT resin (Biotage 801471) for several hours. The suspension was filtered and the filtrate was concentrated under reduced pressure. The solid was triturated in dichloromethane and isolated via suction filtration (air dried) to afford l-(3,4- difluorophenyl)-N-[3-methyl-4-[4-(oxetan-3-yl)piperazin-l-yl]phenyl]-l,2,4-triazol- 3-amine (192 mg, 0.4142 mmol, 41.5%). ¾ MR (300 MHz, DMSO- d6) δ 9.27 (s, 1H), 9.05 (s, 1H), 8.07 - 7.89 (m, 1H), 7.66 (dt, J = 17.4, 6.3 Hz, 2H), 7.50 (dd, J = 8.6, 2.6 Hz, 1H), 7.34 (d, J = 2.4 Hz, 1H), 7.01 (d, J = 8.7 Hz, 1H), 4.56 (t, J = 6.5 Hz, 2H), 4.47 (t, J = 6.1 Hz, 2H), 3.53 - 3.38 (m, 1H), 2.81 (t, J = 4.5 Hz, 4H), 2.40 (s, 4H), 2.22 (s, 3H) ppm. ESI-MS m/z calc. 426.19797, found 427.0 (M+l)+; Retention time: 0.66 minutes.
[00561] The following compounds can be synthesized from the appropriate intermediates according to Schemes A and B, and using procedures analogous to those described in Example 39; 331, 369, 371, 372, 527, 528, 533 and 535. Those skilled in the art will recognize that these methods may be extended to prepare amino triazoles with further variations in the substitutions of R8 and A.
EXAMPLE 40
Preparation of l-r3-methyl-5-r(l-phenyl-L2,4-triazol-3-yl)amino1phenyl1propan-2- one (Compound 653) and 1 3-methyl-5 (l-phenyl-L2,4-triazol-3- l)amino"|phenyl"|propan-2-ol (Compound 654)
Cmpd 653
Cmpd 654
(a) Cu(OAc)2, pyridine, 4 A molecular sieves, CH2C12, RT; (b) [(Cinnamyl)PdCl]2, ZhedaPhos, Cs2C03, 108 °C; (c) t-BuXPhos Palladacycle, tBuOH, NaOtBu, 108°C; (d) EtOH, NaBH4, 70 °C. Preparation of l-(3-amino-5-methyl-phenyl)propan-2-one (RG-40b)
[00562] In a vial equipped with a stir bar was placed 3-bromo-5-methyl-aniline (510 mg, 2.741 mmol), bis[cinnamyl palladium(II) chloride], (33 mg, 0.064 mmol), 2- dicyclohexylphosphino-3-methoxy-N-methyl-N-phenylbenzenamine (ZhedaPhos) (1 13 mg, 0.276 mmol), and cesium carbonate (1.78 g, 5.463 mmol). The vial was sealed and purged with nitrogen. To it was added acetone (10 mL) via syringe and the mixture was heated to 108 °C overnight. The reaction was extracted with ethyl acetate and water. The organics were washed with brine and treated with MP-TMT (0.65 g) at 100 °C to capture residual palladium. The organics were filtered and concentrated to crude (687 mg). This was purified by silica gel chromatography(40 g column; 10-100% ethyl acetate/heptane) to give l-(3-amino-5-methyl-phenyl)propan- 2-one (158 mg, 0.533 mmol, 19%), as a brown oil. ESI-MS m/z calc. 163.09972, found 164.05 (M+l)+; Retention time: 0.53 minutes.
Preparation of l-r3-methyl-5-r(l-phenyl-L2,4-triazol-3-yl)amino1phenyl1propan-2- one (Compound 653)
[00563] In a vial with a stir bar was placed 3 -bromo-1 -phenyl- 1,2,4-triazole (173 mg, 0.772 mmol), sodium tert-butoxide (82 mg, 0.8532 mmol), and chloro(2-di-t- butylphosphino-2',4',6'-tri-i-propyl-l, -biphenyl)[2-(2- aminoethyl)phenyl]palladium(II) (t-BuXPhos Palladacycle) (22 mg, 0.0338 mmol). The vial was sealed and purged with nitrogen. To this was added l-(3-amino-5- methyl-phenyl)propan-2-one (77 mg, 0.472 mmol) in tert-butanol (2.5 mL) via syringe. The reaction was heated to 108 °C for 1 hour. The reaction was extracted with methylene chloride and water. To the organic phase was added MP-TMT (ca 0.5 g) to capture residual palladium and the mixture was heated to 80 °C overnight. The organics were dried over sodium sulfate, filtered and concentrated to crude. The crude was purified by silicagel chromatography (40 g column; 10-100%ethyl acetate/heptane), to give l-[3-methyl-5-[(l-phenyl-l,2,4-triazol-3- yl)amino]phenyl]propan-2-one (69 mg, 42%). ¾ MR (300 MHz, OMSO-d6) δ 9.38
(s, 1H), 9.08 (s, 1H), 7.97 - 7.76 (m, 2H), 7.65 - 7.46 (m, 2H), 7.43 - 7.18 (m, 3H), 6.52 (s, 1H), 3.66 (s, 2H), 2.27 (s, 3H), 2.13 (s, 3H) ppm. ESI-MS m/z calc.
306.14807, found 307.08 (M+l)+; Retention time: 0.85 minutes. Preparation of l-[3-methyl-5-[(l -phenyl- L2,4-triazol-3-yl)aminolphenyllpropan-2-ol (Compound 654)
[00564] In a flask was placed l-[3-methyl-5-[(l-phenyl-l,2,4-triazol-3- yl)amino]phenyl]propan-2-one (25.1 mg, 0.073 mmol). To this was added ethanol (15 mL) and the ketone was dissolved with heating from a heat gun. To this solution was added sodium borohydride (3 mg, 0.08 mmol). The reaction was aged at 70 °C for 10 minutes. The reaction was quenched with IN hydrochloric acid
(approximately 1 mL) and concentrated to dryness on a rotary evaporator. The product was dissolved in dimethyl sulfoxide and water (6: 1, 1.5 mL) and purified by reverse phase chromatography (5.5 g CI 8 column (ISCO); 30-100%
acetonitrile/water with 0.1% v/v TFA modifier). Fractions containing product were concentrated on a Genevac evaporator, to give the trifluoroacetate salt, which was passed through an SPE bicarbonate cartridge, eluted with methanol and then evaporated, to give l-[3-methyl-5-[(l-phenyl-l,2,4-triazol-3-yl)amino]phenyl]propan- 2-ol (20 mg, 0.059 mmol, 81%). 1H NMR (300 MHz, Methanol-^) δ 8.76 (s, 1H), 7.90 - 7.73 (m, 2H), 7.59 - 7.45 (m, 3H), 7.43 - 7.19 (m, 4H), 6.60 (s, 1H), 3.99 (q, J = 6.3 Hz, 1H), 2.78 (dd, J = 13.2, 6.3 Hz, 1H), 2.59 (dd, J = 13.2, 6.9 Hz, 1H), 2.31 (s, 3H), 1.17 (d, J = 6.1 Hz, 3H) ppm. ESI-MS m/z calc. 308.1637, found 309.1 (M+l)+; Retention time: 0.82 minutes.
[00565] The following compounds can be synthesized from the appropriate intermediates according to Schemes A and B, and using procedures analogous to those described in Example 40; 652, 655 and 657-659. Those skilled in the art will recognize that these methods may be extended to prepare amino triazoles with further variations in the substitutions of R8 and A. EXAMPLE 41
Preparation of N-ri-(3,5-difluorophenyl)-L2,4-triazol-3-yl1-2-(3-methoxypropoxy)-6-
RG-22a Cmpd
(a) HMPA, K2CO3, 112 °C; (b) 1,4-dioxane, NaH, 110 °C; (c) t-BuXPhos
Palladacycle, tBuOH, NaOtBu, 90 °C
Preparation of 2-(3-methoxypropoxy)-6-(trifluoromethyl)pyridin-4-amine (RG-4 lb)
[00566] To sodium hydride (approximately 240.0 mg of 60 %w/w, 6.000 mmol) was added a 1,4-dioxane (20 mL) solution of 3-methoxypropan-l-ol (approximately 540.7 mg, 6.000 mmol). The reaction mixture was stirred at room temperature for 1 hour. To the reaction mixture was added 2-chloro-6-(trifluoromethyl)pyridin-4-amine (393.1 mg, 2 mmol) and the reaction mixture was stirred at 110 °C overnight. To the reaction mixture was added ethyl acetate and brine. The aqueous phase pH was adjusted to greater than 12 with 2M sodium hydroxide and the organic phase was extracted with ethyl acetate several times. The organic phases were combined and dried over magnesium sulfate, filtered and concentrated to dryness under reduced pressure. The product was purified by silica gel chromatography (80 g column; 40% ethyl acetate/heptane) to afford 2-(3-methoxypropoxy)-6-(trifluoromethyl)pyridin-4- amine (340 mg, 68%). ¾ MR (400 MHz, CDCh) δ 6.58 (d, J = 1.8 Hz, 1H), 6.04
(d, J = 1.8 Hz, 1H), 4.38 (t, J = 6.4 Hz, 2H), 3.55 (t, J = 6.4 Hz, 2H), 3.37 (s, 3H), 2.04 (p, J = 6.4 Hz, 2H) ppm. ESI-MS m/z calc. 250.09291, found 0.71 (M+l)+; Retention time: 251.1 minutes. Preparation of N-[l-(3,5-difluorophenyl)-L2,4-triazol-3-yll-2-(3-methoxypropoxy)-6- (trifluoromethvDpyridin-4-amine (Compound 490)
[00567] To a tert-butanol (8.81 mL) solution of 3-bromo-l-(3,5-difluorophenyl)- 1,2,4-triazole (approximately 195.0 mg, 0.7500 mmol) and 2-(3-methoxypropoxy)-6- (trifluoromethyl)pyridin-4-amine (125.1 mg, 0.5 mmol) was added t-ButyXPhos Palladacyle (approximately 16.36 mg, 0.02512 mmol) and sodium tert-butoxide
(approximately 112.2 mg, 0.9995 mmol) at 90 °C. The reaction mixture was stirred at 90 °C for 20 minutes. To the reaction mixture was added ethyl acetate and brine. The organic phase was dried over magnesium sulfate, filtered, concentrated to dryness under reduced pressure and purified by silica gel chromatography (40 g Gold column (ISCO); 45% ethyl acetate/heptane) to afford N-[l-(3,5-difluorophenyl)-l,2,4-triazol- 3-yl]-2-(3-methoxypropoxy)-6-(trifluoromethyl)pyridin-4-amine (109.0 mg, 48%). 1H MR (400 MHz, CDCh) δ 8.39 (s, 1H), 7.33 - 7.29 (m, 3H), 7.21 (d, J = 1.8 Hz, 1H), 6.87 (tt, J = 8.6, 2.3 Hz, 1H), 4.48 (t, J = 6.4 Hz, 2H), 3.59 (t, J = 6.4 Hz, 2H), 3.39 (s, 3H), 2.10 (p, J = 6.4 Hz, 2H) ppm. ESI-MS m/z calc. 429.1224, found 430.17 (M+l)+; Retention time: 0.95 minutes.
[00568] The following compound can be synthesized from the appropriate intermediates according to Schemes A and B, and using procedures analogous to those described in Example 41; 491. Those skilled in the art will recognize that these methods may be extended to prepare amino triazoles with further variations in the substitutions of R8 and A.
EXAMPLE 42
RG-lc RG-lb Cmpd 559
(a) Cu(OAc)2, pyridine, 4 A molecular sieves, CH2CI2, RT; (b) Palladium on carbon, H2; (c) t-BuXPhos Palladacycle, tBuOH, NaOtBu, 125 °C.
Preparation of N-(3-isopropoxy-5-methyl-phenyl)-l -phenyl- l,2,4-triazol-3 -amine (Compound 559)
[00569] 1 -Phenyl- l,2,4-triazol-3 -amine (73 mg, 0.4557 mmol), l-bromo-3- isopropoxy-5-methyl-benzene (77 μΐ^, 0.4369 mmol) and sodium tert-butoxide (87 mg, 0.9053 mmol) were suspended in 1,4-dioxane (4 mL) and purged with nitrogen for several minutes before addition of chloro(2-di-t-butylphosphino-2',4',6'-tri-i- propyl-l, -biphenyl)[2-(2-aminoethyl)phenyl]palladium(II) (t-BuXPhos
Palladacycle) (approximately 21.00 mg, 0.03058 mmol). The mixture was microwaved at 125 °C for 60 minutes. The reaction was quenched with methanol (2 mL), diluted with dichloromethane (20 mL), washed with water (5 mL), dried over sodium sulfate, filtered and concentrated to dryness under reduced pressure. The crude product was purified by silica gel chromatography (12 g column; 10-100% ethyl acetate/hexanes) to provide N-(3-isopropoxy-5-methyl-phenyl)-l-phenyl-l,2,4- triazol-3 -amine (91 mg, 63%). ¾ MR (300 MHz, CDCh) δ 8.33 (s, 1H), 7.70 (dd, J = 8.6, 1.0 Hz, 2H), 7.52 (dd, J = 10.6, 5.1 Hz, 2H), 7.36 (t, J = 7.4 Hz, 1H), 7.16 (t, J = 2.0 Hz, 1H), 6.83 (s, 1H), 6.67 (s, 1H), 6.37 (s, 1H), 4.60 (dt, J = 12.1, 6.1 Hz, 1H), 2.34 (s, 3H), 1.39 (d, J = 6.1 Hz, 6H) ppm. ESI-MS m/z calc. 308.1637, found 309.1 (M+l)+; Retention time: 0.95 minutes.
[00570] The following compounds can be synthesized from the appropriate intermediates according to Schemes A and B, and using procedures analogous to
those described in Example 42; 2, 20, 21, 31-33, 36-48, 51, 54-56, 62-67, 69-82, 89- 97, 124, 131, 135, 137, 140, 149, 192, 193, 227, 245, 246, 273, 275, 293, 354-356, 358, 360, 451, 504, 541, 542, 548, 549, 552, 554, 556-558, 562-564, 581, 582, 588, 589, 596, 641, 645 and 650. Those skilled in the art will recognize that these methods may be extended to prepare amino triazoles with further variations in the substitutions of R8 and A.
EXAMPLE 43
Preparation of r-(oxetan-3-vn-N-(l-phenyl-lH-1.2.4-triazol-3-vn-2.3- dihydrospiroRndene-L4'-piperidin1-6-amine (Compound 320)
Cmpd 320
(a) Cu(OAc)2, pyridine, 4 A molecular sieves, CH2CI2, RT; (b) Palladium on H2; (c) TFA, DCM, RT; (d)NaBH(OAc)3, AcOH, DCM, RT; (e) t-BuXPhos Palladacycle, tBuOH, NaOtBu, 120 °C.
Preparation of 6-bromo-2,3-dihydrospirorindene-L4'-piperidine1 ID-43c
[00571] To a solution of tert-butyl 6-bromospiro[indane-l,4'-piperidine]-l'- carboxylate (1 g, 2.730 mmol) in dichloromethane was added trifluoroacetic acid (2 mL, 25.96 mmol). The reaction mixture was stirred for 4 hours and was concentrated under reduced pressure to provide 6-bromo-2,3-dihydrospiro[indene-l,4'-piperidine] (Trifluoroacetate salt) (1.027 g, 99%). ¾ MR (300 MHz, CDCh) δ 8.34 (s, 1H), 7.37 (dd, J = 8.0, 1.8 Hz, 1H), 7.47 - 7.30 (m, 2H), 7.32 (d, J = 1.6 Hz, 1H), 7.13 (d, J = 8.0 Hz, 1H), 7.13 (d, J = 8.0 Hz, 1H), 3.56 (d, J = 12.9 Hz, 2H), 3.20 (q, J = 12.6 Hz, 2H), 2.94 (t, J = 7.3 Hz, 2H), 2.25 - 2.08 (m, 4H), 1.80 (d, J = 14.4 Hz, 2H) ppm. ESI-MS m/z calc. 265.0466, found 266.39 (M+l)+; Retention time: 0.64 minutes.
Preparation of 6-bromo- -(oxetan-3-yl)spiroRndane-L4'-piperidine1 ID-43d
[00572] To a solution of 6-bromo-2,3-dihydrospiro[indene-l,4'-piperidine] (Trifluoroacetate salt) (1.027 g, 2.7 mmol), oxetan-3-one (approximately 1.946 g, 27.00 mmol) and acetic acid (approximately 972.8 mg, 921.2 μΐ^, 16.20 mmol) in dichloromethane (34.23 mL) was carefully added sodium triacetoxyborohydride
(approximately 3.433 g, 16.20 mmol) and the mixture was stirred at room temperature for 4 hours. The reaction was diluted with dichloromethane and slowly quenched with methanol and saturated sodium bicarbonate (50 mL). The layers were separated and the organic layer was washed with water, saturated sodium chloride and dried. The crude product was purified by silica gel chromatography (40 g column; 0-10% methanol/dichloromethane) to give 6-bromo-l'-(oxetan-3-yl)spiro[indane-l,4'- piperidine] (790 mg, 91%). 1H MR (300 MHz, CDC13) δ 7.35 (d, J = 1.7 Hz, 1H), 7.31 (d, J = 1.9 Hz, 1H), 7.08 (d, J = 8.0 Hz, 1H), 4.70 (d, J = 6.5 Hz, 4H), 3.69 - 3.45 (m, 1H), 2.86 (t, J = 7.3 Hz, 2H), 2.76 (d, J = 9.8 Hz, 2H), 2.18 - 1.86 (m, 6H), 1.59 (d, J = 12.1 Hz, 2H) ppm. ESI-MS m/z calc. 321.0728, found 322.37 (M+l) +;
Retention time: 0.64 minutes.
Preparation of r-(oxetan-3-vn-N-(l-phenyl-lH-1.2.4-triazol-3-vn-2.3- dihydrospiro[indene-L4'-piperidinl-6-amine Compound 320)
[00573] 6-Bromo-r-(oxetan-3-yl)spiro[indane-l,4'-piperidine] (100 mg, 0.3103 mmol), 1 -phenyl- l,2,4-triazol-3 -amine (approximately 54.67 mg, 0.3413 mmol) and sodium tert-butoxide (approximately 74.16 mg, 0.7717 mmol) were suspended in 1,4- dioxane (4.000 mL) and purged with nitrogen for several minutes before addition of
chloro(2-di-t-butylphosphino-2',4',6'-tri-i-propyl- 1 , 1 '-biphenyl)[2-(2- aminoethyl)phenyl]palladium(II) (t-BuXPhos Palladacycle) (approximately 20.21 mg, 0.03103 mmol). The mixture was microwaved at 120 °C for 35 minutes. The reaction was quenched with methanol (2 mL) and diluted with dichloromethane. After filtration over Florisil (5 g), the solvent was evaporated and the residue was purified by silicagel chromatography (12 g column, 0-10%
methanol/dichloromethane) to provide l'-(oxetan-3-yl)-N-(l-phenyl-lH-l,2,4-triazol- 3-yl)-2,3-dihydrospiro[indene-l,4'-piperidin]-6-amine(100 mg, 76%). ¾ MR (300 MHz, CDCh) δ 8.34 (s, 1H), 7.77 - 7.68 (m, 2H), 7.58 - 7.49 (m, 2H), 7.39 (ddd, J = 13.7, 12.9, 4.7 Hz, 3H), 7.19 (d, J = 8.2 Hz, 1H), 6.75 (s, 1H), 4.75 (dd, J = 23.5, 16.7 Hz, 4H), 3.68 (s, 1H), 2.88 (t, J = 7.2 Hz, 4H), 2.08 (dd, J = 29.4, 22.1 Hz, 6H), 1.69 (s, 2H) ppm. ESI-MS m/z calc. 401.22156, found 402.48 (M+l)+; Retention time: 0.65 minutes.
[00574] The following compounds can be synthesized from the appropriate intermediates according to Schemes A and B, and using procedures analogous to those described in Example 43; 323, 324 and 321. Those skilled in the art will recognize that these methods may be extended to prepare amino triazoles with further variations in the substitutions of R8 and A.
EXAMPLE 44
Preparation of N-[ 1 -(3 , 5-difluorophenyl)- 1 ,2,4-triazol-3 -yll- 1 -isopropyl- spirorindoline-3,4'-tetrahydropyran1-5-amine (Compound 315)
RG-22a
(a) HMPA, K2CO3, 112 °C; (b) NaBH(OAc)3, AcOH, DCM; (c) 10% Palladium on carbon, EtOAc, H2; (d) t-BuXPhos Palladacycle, 1,4-dioxane, NaOtBu, 125 °C.
Preparation of l-isopropyl-5-nitro-spirorindoline-3,4'-tetrahydropyran1 (RG-44b)
[00575] To a solution of 5-nitrospiro[indoline-3,4'-tetrahydropyran] (670 mg, 2.860 mmol), acetone (approximately 1.661 g, 2.100 mL, 28.60 mmol) and acetic acid (approximately 1.030 g, 975.4 μΐ^, 17.16 mmol) in dichloromethane (10 mL) was
carefully added sodium triacetoxyborohydride (253.1 mg, 1.194 mmol). The mixture was stirred for 4 hours. The reaction was diluted with dichloromethane and slowly quenched with methanol and saturated aqueous sodium bicarbonate (3 mL). After separation, the organic layer was washed with water, saturated aqueous sodium chloride and dried with sodium sulfate. The organics were concentrated to dryness under reduced pressure and the crude product was purified by silicagel
chromatography (12 g column; 0-10% of methanol/dichloromethane) to provide 1- isopropyl-5-nitro-spiro[indoline-3,4'-tetrahydropyran] (600 mg, 2.171 mmol, 75.92%). ¾ MR (300 MHz, CDCh) δ 8.10 (dd, J = 8.9, 2.3 Hz, 1H), 7.90 (t, J = 2.3 Hz, 1H), 6.33 (d, J = 8.9 Hz, 1H), 4.09 - 3.89 (m, 3H), 3.63 - 3.50 (m, 4H), 2.02 (td, J = 13.7, 4.6 Hz, 2H), 1.63 (dd, J = 13.7, 2.0 Hz, 2H), 1.27 (d, J = 6.7 Hz, 6H) ppm. ESI-MS m/z calc. 276.1474, found 277.42 (M+l)+; Retention time: 0.89 minutes. Preparation of l-isopropylspirorindoline-3,4'-tetrahydropyran1-5-amine (RG-44c)
[00576] To 10% palladium on carbon (approximately 231.0 mg, 0.2171 mmol) under nitrogen was added a solution of l-isopropyl-5-nitro-spiro[indoline-3,4'- tetrahydropyran] (600 mg, 2.171 mmol) in ethyl acetate (30 mL). The mixture was shaken under hydrogen (50 psi) for 2 hours. After filtration, the mixture was concentrated to dryness under reduced pressure and the crude product was purified by silica gel chromatography (12 g column; 10-100%) ethyl acetate/hexanes) to give 1- isopropylspiro[indoline-3,4'-tetrahydropyran]-5-amine (450 mg, 84%). 1H MR (300 MHz, CDCh) δ 6.60 (d, J = 36.7 Hz, 2H), 6.38 (d, J = 18.3 Hz, 1H), 3.98 (dd, J = 11.9, 2.2 Hz, 2H), 3.77 (s, 1H), 3.58 (ddd, J = 12.0, 7.2, 2.3 Hz, 2H), 3.34 - 3.01 (m, 4H), 1.94 (ddd, J = 13.4, 8.1, 4.0 Hz, 2H), 1.68 - 1.59 (m, 2H), 1.21 - 1.08 (m, 6H) ppm. ESI-MS m/z calc. 246.17322, found 247.45 (M+l)+; Retention time: 0.55 minutes.
Preparation of N-[ 1 -(3 , 5-difluorophenyl)- 1 ,2,4-triazol-3 -yll- 1 -isopropyl- spirorindoline-3,4'-tetrahydropyran1-5-amine (Compound 315)
[00577] l-Isopropylspiro[indoline-3,4'-tetrahydropyran]-5-amine (100 mg, 0.4059 mmol), 3-bromo-l-(3,5-difluorophenyl)-l,2,4-triazole (approximately 116.1 mg, 0.4465 mmol) and sodium tert-butoxide (approximately 78.02 mg, 0.8118 mmol)
were suspended in 1,4-dioxane (3.478 mL) and purged with nitrogen for several minutes before the addition of tert-ButylXPhos Palladacyle (approximately 26.43 mg, 0.0406 mmol). The vial was capped and microwaved at 125 °C for 35 minutes. The reaction was quenched with methanol (0.5 mL), IN hydrochloric acid (800 uL) and diluted with dichloromethane. After filtration through Florisil (5 g), the mixture was concentrated to dryness under reduced pressure and the crude product was purified by silica gel chromatography (12 g column; 5-100% ethyl acetate/hexane) to provide N-[ 1 -(3 , 5-difluorophenyl)- 1 ,2,4-triazol-3 -yl]- 1 -isopropyl-spiro[indoline-3 ,4'- tetrahydropyran]-5-amine (78 mg, 0.1742 mmol, 42.91%). ¾ NMR (300 MHz, OMSO-de) δ 9.08 (dd, J = 14.1, 6.6 Hz, 2H), 7.59 (dd, J = 8.7, 2.2 Hz, 2H), 7.39 - 7.28 (m, 2H), 7.25 - 7.15 (m, 1H), 6.47 (dd, J = 17.6, 8.4 Hz, 1H), 3.95 - 3.66 (m, 3H), 3.53 (t, J = 10.7 Hz, 2H), 3.23 (s, 2H), 1.84 - 1.69 (m, 2H), 1.55 (d, J = 13.2 Hz, 2H), 1.09 (d, J = 6.6 Hz, 6H) ppm. ESI-MS m/z calc. 425.20273, found 426.42 (M+l)+; Retention time: 0.67 minutes.
[00578] The following compounds can be synthesized from the appropriate intermediates according to Schemes A and B, and using procedures analogous to those described in Example 44; 312-314. Those skilled in the art will recognize that these methods may be extended to prepare amino triazoles with further variations in the substitutions of R8 and A.
EXAMPLE 45
Preparation of 2-methyl-N-[3-methyl-5-[(l-phenyl-L2,4-triazol-3- vDaminolphenyllpropanamide (Compound 553)
(a) Cu(OAc)2, pyridine, 4 A molecular sieves, CH2CI2, RT; (b) Palladium on carbon, H2; (c) t-BuXPhos Palladacycle, NaOtBu, tBuOH, 70 °C; (d) DCM, TFA, RT; (e) EtOAc, 80 °C.
Preparation of fert-butyl N-[3-methyl-5-[(l-phenyl-L2,4-triazol-3- yl)amino1phenyl1carbamate (Compound 549)
[00579] 1 -Phenyl- l,2,4-triazol-3 -amine (approximately 585.0 mg, 3.652 mmol), tert-butyl N-(3-bromo-5-methyl-phenyl)carbamate (lg, 3.320 mmol) and sodium tert- butoxide (643 mg, 6.691 mmol) were suspended in 1,4-dioxane (16 mL) and purged with nitrogen for several minutes before the addition of chloro(2-di-t- butylphosphino-2',4',6'-tri-i-propyl-l, -biphenyl)[2-(2- aminoethyl)phenyl]palladium(II) (t-BuXPhos Palladacycle) (150 mg, 0.2303 mmol).
The mixture was microwaved at 70 °C for 8 hours. The reaction was quenched with methanol (2 mL) and diluted with dichloromethane. After filtration through Florisil (5 g), the mixture was concentrated to dryness under reduced pressure. The crude product was triturated with water, diethyl ether and methanol to give tert-butyl N-[3- methyl-5-[(l-phenyl-l,2,4-triazol-3-yl)amino]phenyl]carbamate (1.15 g, 90%). ¾ NMR (300 MHz, methanol-^) δ 8.47 (s, 1H), 7.82 - 7.71 (m, 2H), 7.61 - 7.47 (m, 3H), 7.41 - 7.32 (m, 1H), 7.04 (s, 1H), 6.85 (s, 1H), 2.34 (s, 3H), 1.54 (s, 9H) ppm. ESI-MS m/z calc. 365.18518, found 365.98 (M+l)+; Retention time: 0.93 minutes. Preparation of 5-methyl-N3-(l -phenyl- l,2,4-triazol-3-yl)benzene- 1,3 -diamine Compound 550)
[00580] A mixture of tert-butyl N-[3-methyl-5-[(l-phenyl-l,2,4-triazol-3- yl)amino]phenyl]carbamate (1050 mg, 2.730 mmol) and trifluoroacetic acid (4 mL, 51.92 mmol) in dichloromethane (36 mL) was stirred for 18 hours. The reaction mixture was concentrated to dryness under reduced pressure. The solids were dissolved in dichloromethane (200 mL) and basified with aqueous saturated sodium bicarbonate (60 mL). The organic layer was washed with water (50 mL), brine (50 mL), dried over sodium sulfate, filtered and concentrated to dryness under reduced pressure to give 5-methyl-Nl-(l-phenyl-l,2,4-triazol-3-yl)benzene-l,3-diamine (745 mg, 93%). ¾ NMR (300 MHz, OMSO-de) δ 9.66 (s, 1H), 9.1 1 (s, 1H), 7.94 - 7.84 (m, 2H), 7.56 (t, J = 7.9 Hz, 3H), 7.37 (t, J = 7.4 Hz, 1H), 7.19 (s, 1H), 6.51 (s, 1H), 2.28 (s, 3H) ppm. ESI-MS m/z calc. 265.13275, found 266.04 (M+l)+; Retention time: 0.62 minutes. Preparation of 2-methyl-N-[3-methyl-5-[(l-phenyl-L2,4-triazol-3- vDaminolphenyllpropanamide (Compound 553)
[00581] 2-Methylpropanoyl 2-methylpropanoate (88 μΕ, 0.5307 mmol) and 5- methyl-Nl-(l-phenyl-l,2,4-triazol-3-yl)benzene-l,3-diamine (70 mg, 0.2638 mmol) in ethyl acetate (3 mL) were microwaved at 80 °C for 15 minutes. Solvent was removed under reduced pressure. The residue was dissolved in 20 mL of methanol/dichloromethane (1/9), filtered through a PL-HCO3 MP SPE (500 mg, 6 mL) cartridge and concentrated to dryness under reduced pressure. The compound was purified by silica gel chromatography (12 g column; 10-100%) of ethyl
acetate/hexane) to provide 2-methyl-N-[3-methyl-5-[(l-phenyl-l,2,4-triazol-3- yl)amino]phenyl]propanamide (49 mg, 53%). ¾ NMR (300 MHz, OMSO-d6) δ 9.66 (s, 1H), 9.32 (s, 1H), 9.06 (s, 1H), 7.90 (dd, J = 8.6, 1.0 Hz, 2H), 7.75 (s, 1H), 7.55 (dd, J = 10.7, 5.2 Hz, 2H), 7.35 (t, J = 7.4 Hz, 1H), 7.06 (d, J = 14.5 Hz, 2H), 2.62 (dt, J = 13.6, 6.8 Hz, 1H), 2.24 (s, 3H), 1.10 (d, J = 6.8 Hz, 6H) ppm. ESI-MS m/z calc. 335.17462, found 336.1 (M+l)+; Retention time: 0.83 minutes.
[00582] The following compounds can be synthesized from the appropriate intermediates according to Schemes A and B, and using procedures analogous to those described in Example 45; 547 and 551. Those skilled in the art will recognize that these methods may be extended to prepare amino triazoles with further variations in the substitutions of R8 and A.
EXAMPLE 46
Preparation of 2-methyl-N-(l -phenyl- 1.2.4-triazol-3-yl)-5-tetrahydropyran-4-yl- pyridin-3 -amine (Compound 168)
R -46C RG-20a Cmpd 168
(a) Cu(OAc)2, pyridine, DCM, RT; (b) Pd(PPh3)4, Na2C03, 1,4-dioxane, 80 °C; (c) Palladium on carbon, H2, MeOH, 50 psi; (d) t-BuXPhos Palladacycle, 1,4-dioxane, NaOtBu, 120-135 °C.
Preparation of 5-(3,6-dihydro-2H-pyran-4-yl)-2-methyl-pyridin-3-amine (RG-46b)
[00583] 5-Bromo-2-methyl-pyridin-3-amine (430 mg, 2.272 mmol) and 2-(3,6- dihydro-2H-pyran-4-yl)-4,4,5,5-tetramethyl-l,3,2-dioxaborolane (525 mg, 2.5 mmol)
were dissolved in dry 1,4-dioxane (4 mL) and purged with nitrogen gas for several minutes. During the purge, degassed 2M sodium carbonate solution (1.7 mL) was added, followed by tetrakis (triphenylphosphine)palladium(O) (262 mg, 0.2272 mmol). The vessel was capped and the reaction was heated at 80 °C overnight. The reaction was diluted with methanol, filtered through a pad of diatomaceous earth, the pad was washed with methanol and the solvents were removed under reduced pressure. The crude material was partitioned between water and ethyl acetate. The organic phase was washed with brine, dried with sodium sulfate and concentrated under reduced pressure. The crude material was partially purified by silica gel chromatography (0-6% (methanol/0.1% 7N aqueous ammonium
hydroxide)/dichloromethane) to yield 5-(3,6-dihydro-2H-pyran-4-yl)-2-methyl- pyridin-3 -amine (250 mg, 1.314 mmol, 86.75%). ESI-MS m/z calc. 190.1 1061, found 191.51 (M+l)+; Retention time: 0.45 minutes. Preparation of 2-methyl-5-tetrahvdropyran-4-yl-pyridin-3-amine (RG-46c)
[00584] 5-(3,6-Dihydro-2H-pyran-4-yl)-2-methyl-pyridin-3-amine (250 mg, 1.314 mmol) was dissolved in methanol (25 mL) and placed under an atmosphere of carbon dioxide before adding Degussa type 10% palladium on carbon (50% water) (100 mg) to the solution. The Parr bottle was placed under 50 psi hydrogen overnight. The material was isolated and re-subjected to fresh catalyst under the same conditions for and additional 48 hours. The reaction was filtered through a pad of diatomaceous earth, washed with methanol and concentrated under reduced pressure to yield 2- methyl-5-tetrahydropyran-4-yl-pyridin-3-amine (165 mg, 0.7724 mmol, 58.79%). ¾ MR (400 MHz, OMSO-de) δ 7.57 (d, J = 1.9 Hz, 1H), 6.77 (d, J = 1.9 Hz, 1H), 4.92 (s, 2H), 3.92 (dd, J = 10.3, 3.2 Hz, 2H), 3.40 (td, J = 1 1.4, 2.8 Hz, 2H), 2.67 - 2.54 (m, 1H), 2.55 - 2.43 (m, 3H), 1.71 - 1.46 (m, 4H) ppm. ESI-MS m/z calc. 192.12627, found 193.53 (M+l)+; Retention time: 0.27 minutes.
Preparation of 2-methyl-N-(l -phenyl- L2,4-triazol-3-yl)-5-tetrahydropyran-4-yl- pyridin-3 -amine Compound 168)
[00585] 3 -Bromo-1 -phenyl- 1,2,4-triazole (100 mg, 0.446 mmol) and 2-methyl-5- tetrahydropyran-4-yl-pyridin-3-amine (100 mg, 0.52 mmol) were dissolved into dry 1,4-dioxane (4.0 mL) and purged with nitrogen for several minutes. Sodium tert-
butoxide (65 mg, 0.67 mmol) was added during the purge, followed by chloro(2-di-t- butylphosphino-2',4',6'-tri-i-propyl-l, -biphenyl)[2-(2- aminoethyl)phenyl]palladium(II) (t-BuXPhos Palladacycle) (30 mg, 0.045 mmol). The vial was sealed and heated in the microwave for 20 minutes at 120 °C, then for 15 minutes at 135 °C. The reaction was diluted with methanol, filtered through a pad of diatomaceous earth and washed with methanol. The filtrates were concentrated under reduced pressure and the residue was partitioned between a saturated sodium carbonate solution and ethyl acetate. The organics were washed with brine, dried with sodium sulfate and concentrated to dryness under reduced pressure. The crude material was purified by silica gel chromatography (0-100% ethyl
acetate/dichloromethane), then repurified by reverse phase chromatography (CI 8 column (ISCO); 0-100%) acetonitrile/ water with trifluoroacetic acid modifier) to yield 2-methyl-N-(l -phenyl- l,2,4-triazol-3-yl)-5-tetrahydropyran-4-yl-pyridin-3-amine (14 mg, 0.03388 mmol, 7.59%). ¾ MR (400 MHz, OMSO-de) δ 9.67 (s, 1H), 9.26 (s, 1H), 9.01 (s, 1H), 8.25 (s, 1H), 7.86 (d, J = 7.6 Hz, 2H), 7.59 (t, J = 8.0 Hz, 2H), 7.41 (t, J = 7.4 Hz, 1H), 3.99 (d, J = 10.9 Hz, 3H), 3.47 (t, J = 1 1.6 Hz, 2H), 3.06 (s, 1H), 2.75 (s, 3H), 1.88 - 1.61 (m, 4H) ppm. ESI-MS m/z calc. 335.17462, found 336.0 (M+l)+; Retention time: 0.56 minutes.
[00586] The following compounds can be synthesized from the appropriate intermediates according to Schemes A and B, using procedures analogous to those described in Example 46 but omitting the optional Step 3 (reduction of the Suzuki product); 202 and 203. Those skilled in the art will recognize that these methods may be extended to prepare amino triazoles with further variations in the substitutions of R8 and A.
EXAMPLE 47
Preparation of Ν-Γ 1 -r2-(azepan- 1 -νΠ-4-pyridyll- 1 ,2,4-triazol-3 -yl1-4,6-dimethyl- pyridin-2-amine (Compound 266)
ID-47b
Cmpd 266
(a) K2CO3, DMF, 50 °C; (b) CH3CN, 80 °C; (c) BrettPhos Precatalyst, NaOtBu, 1,4- dioxane, 90 °C.
Preparation of 4-(3-bromo-L2,4-triazol-l-yl)-2-fluoro-pyridine (ID-47a)
[00587] 3-bromo-4H-l,2,4-triazole (98 g, 662.3 mmol) and potassium carbonate (approximately 274.6 g, 1.987 mol) were added to a 5L flask. Dimethylformamide was added followed by 2,4-difluoropyridine (approximately 152.5 g, 1.325 mol) all at once. The reaction mixture was heated to -50 °C for -16 hours then at room temperature for 48 hours. Most of the dimethylformamide was removed under vacuum and the residue was taken in ethanol (1 L) and filtered. The filtrate was evaporated under vacuum and the residue was triturated with water (-400 mL), filtered and washed with water (200 mL) to provide 76 g of crude product, which was purified by silica gel chromatography (1600 g column, 0-60% ethyl
acetate/dichloromethane) to yield 4-(3-bromo-l,2,4-triazol-l-yl)-2-fluoro-pyridine (61 g, 38%).
1H MR (300 MHz, Methanol-^) δ 9.27 (s, 1H), 8.36 (d, J = 5.7 Hz, 1H), 7.88 ? 7.71 (m, 1H), 7.58 (t, J = 1.3 Hz, 1H) ppm.
Preparation of l-(4-(3-bromo-lH-L2,4-triazol-l-yl)pyridin-2-yl)azepane (ID-47b)
[00588] 4-(3-bromo-l,2,4-triazol-l-yl)-2-fluoro-pyridine (2 g, 8.229 mmol) and azepane (approximately 2.449 g, 2.783 mL, 24.69 mmol) were mixed in acetonitrile (19.13 mL) and the mixture was heated to 80 0 C over the weekend. Dichloromethane and water were added and the phases were separated via a phase separator. Celite was added to to the organic layer and the suspension was concentrated to dryness and purified by silica gel chromatography (40g Gold (ISCO) column; 0-100% ethyl acetate in heptane over 20 minutes via dry loading). The pure fractions were concentrated to dryness to provide l-(4-(3-bromo-lH-l,2,4-triazol-l-yl)pyridin-2- yl)azepane_(2.129 g, 80%). 1H MR (400 MHz, OMSO-de) δ 9.48 (s, 1H), 8.19 (d, J = 5.5 Hz, 1H), 6.97 (dd, J = 5.5, 1.8 Hz, 1H), 6.94 (d, J = 1.6 Hz, 1H), 3.70 - 3.63 (m, 4H), 1.74 (m, 4H), 1.49 (m, 4H) ppm. ESI-MS m/z calc. 321.0589, found 322.13 (M+l) + ; Retention time: 0.56 minutes.
Preparation of N-[ 1 -|"2-(azepan- 1 -νΠ-4-pyridyl - 1 ,2,4-triazol-3 -yl"|-4,6-dimethyl- pyridin-2-amine Compound 266)
[00589] Sodium tert-butoxide (approximately 17 mg, 0.17 mmol), chloro[2- (dicyclohexylphosphino)-3,6-dimethoxy-2',4', 6'-triisopropyl-l, 1 '-biphenyl][2-(2- aminoethyl)phenyl]palladium(II) (BrettPhos Precatalyst) (approximately 9 mg, 0.07 mmol) and l-[4-(3-bromo-l,2,4-triazol-l-yl)-2-pyridyl]azepane (approximately 55 mg, 0.17 mmol) were weighed into a vial and diluted with 1,4-dioxane (2 mL). The vial was degassed with nitrogen for 10 minutes, then treated with 4,6- dimethylpyridin-2-amine (approximately 33 mg, 0.27 mmol) and the mixture was heated to 90 °C overnight. The reaction mixture was diluted with dichloromethane and washed with saturated sodium bicarbonate. The organic layer was passed through a phase separator, treated with Celite and concentrated to dryness. The residue was diluted with dimethylsulfoxide (2 mL) and purified by HPLC (30 x 150 mm Sunfire Ci8. column, water/acetonitrile gradient with 0.1% trifluoroacetic acid). The pure, concentrated fractions were diluted with dichloromethane, washed with saturated sodium bicarbonate and the organics were collected through a phase separator, acidified with 2M HCl in diethyl ether and concentrated to dryness to provide N-[l-
[2-(azepan-l-yl)-4-pyridyl]-l,2,4-triazol-3-yl]-4,6-dimethyl-pyridin-2-amine 266. ¾ NMR (400 MHz, OMSO-de) δ 9.80 (s, 1H), 8.18 (d, J = 6.9 Hz, 1H), 7.69 (s, 1H), 7.54 (s, 1H), 7.49 (dd, J = 6.9, 1.7 Hz, 1H), 7.13 (s, 1H), 3.83 (t, J = 5.9 Hz, 4H), 2.61 (s, 3H), 2.49 (s, 3H), 1.84 (m, 4H), 1.56 (m, 4H) ppm. ESI-MS m/z calc. 363.22, found 364.31 (M+l)+; Retention time: 0.5 minutes.
[00590] The following compounds can be synthesized from the appropriate intermediates according to Schemes A and B, using procedures analogous to those described in Example 47: 84, 85, 86, 136, 267, 268 and 269. Those skilled in the art will recognize that these methods may be extended to prepare aminotriazoles with further variations in the substitutions of R8 and A.
Table 3. Analytical Data
463 Method A ! 411.16 0.67
659 Method A 306.99 1.02 IH NMR (400 MHz, OMSO-de) δ
LC/MS
Cmpd LC/MS
M+l Ret. ¾ NMR (peaks shifts in ppm) No. method
Time
9.73 (s, 1H), 9.17 (s, 1H), 8.09 (ddd, J = 11.4, 6.4, 3.1 Hz, 1H), 7.90 - 7.78 (m, 2H), 7.57 (dd, J = 8.4, 7.6 Hz, 2H), 7.44 - 7.34 (m, 1H), 7.04 (ddd, J = 8.2, 5.1, 3.1 Hz, lH) ppm.
ASSAYS FOR DETECTING AND MEASURING REMYELINA TION
PROPERTIES OF COMPOUNDS In vivo Mouse Cuprizone Assay:
[00591] Cuprizone Feeding Protocol:
[00592] 2 month old female C57BL/6 mice (Stock Number: 000664) are purchased from Jackson Labs and fed for 4-10 months with a 0.2% cuprizone chow (provided by Research Diets, Product # Dl 0020701R, Description AIN-76A Rodent Diet with 0.2% cuprizone) using cuprizone purchased from Sigma (Cat# 14690-100G). Chow is provided ad libitum, and refreshed every 4 days to ensure stability of the cuprizone. Mice are maintained on this diet for 4 -10 months before initiation of the experiments.
[00593] Dosing and PK:
[00594] 1) 24 hours prior to the start of dosing, 6 to 10 mice are switched from cuprizone chow to normal chow (Picolab rodent diet 20 EXT IRR 5053, irradiated) without added cuprizone. These mice are maintained on normal chow throughout the course of dosing.
[00595] 2) 6 to 10 mice per group are randomized into new cages such that mice that are housed in one cage during the cuprizone diet are not housed together in one dose group during the study.
[00596] 3) Mice can be dosed with compound in one of two regimens: Regimen A: mice are dosed QD or BID for 14 days via oral gavage. Regimen B: mice are dosed QD or BID for 14 days via IP injection. However, other dosing schedules and/or routes of administration can also be used.
[00597] 4) On the last day of dosing, dried blood spots are collected at multiple time points following the last dose. Often this is 30 minutes, 2, 6 and 24 hours following the final dose on day 14 via the tail vein.
[00598] Perfusion and sectioning:
[00599] 1) The day after the last day of dosing, mice are transcardially perfused with 12 ml of PBS (Sigma, P4417) followed by 20 ml of 3.2% paraformaldehyde in PBS (Electron Microscopy Sciences # 15714-S). The brains are removed via standard dissection techniques and each is postfixed in 3.2% paraformaldehyde (20 ml) for 24- 48 hours at room temperature in sealed scintillation vials.
[00600] 2) Serial 50 micron sections are collected through the anterior posterior extent of the brain, from just behind the olfactory bulb, through visual cortex using a vibrating microtome, the V-STAR (described in International Publication No. WO 2013/012799 and US Patent number US 8,967,024 both of which are incorporated herein by reference in their entirety). Sections are collected in phosphate buffered saline (PBS). Vibratome speed is set to 1.1 mm/s and amplitude is set to 0.8 mm.
[00601] 3) A series of every 24th section is removed for staining yielding 5 sections per brain.
[00602] Staining:
[00603] 1) Tissue sections are stained using an automated system for processing blots (hereinafter the "blotinator") (described in WO2011/087646 and US Patent numbers US 8,337,754 and US 8,679,406 each of which is incorporated herein by reference in its entirety). Brain sections are placed in the blotinator plate and bathed in PBS. The blotinator can apply primary antibodies (MOG and MBP together) and Hoechst nuclear stain for 12 hours at room temperature with constant shaking.
[00604] The following stains are diluted in blocking buffer (described below):
[00605] Hoechst nuclear stain (0.5 mg/ml)(bisBenzimide H 33342 trihydrochloride Sigma # 33342).
[00606] Myelin basic Protein (MBP) antibody (Abeam Cat # ab7349) is diluted at a 1 :750 ratio in blocking buffer).
[00607] Myelin Oligodendrocyte Glycoprotein (MOG) (R&D systems Cat # AF2439) is diluted at a 1 :250 ratio in blocking buffer.
[00608] Antibodies are diluted in blocking buffer, which consists of 0.3% Triton X-100 (Sigma Cat # 234729), 0.02% Sodium Azide (Sigma Cat# S2002) and 8% fetal bovine serum in PBS (Sigma Cat# F2442).
[00609] 2) The blotinator washes the samples 4 times for 5 minutes each with a wash buffer (0.2% Triton X-100 in PBS).
[00610] 3) The blotinator can apply secondary antibodies diluted in blocking buffer and incubate them for 2 hours with constant shaking.
[00611] Alexa 488 donkey anti-rat secondary (Life technologies Cat# A-21208) is diluted at 1 : 1000 in blocking buffer.
[00612] Alexa 568 donkey anti-goat secondary (Life technologies Cat# A- 11057) is diluted at 1 : 1000 in blocking buffer.
[00613] Antibodies are also diluted in blocking buffer described above.
[00614] 4) The samples are then washed 4 times for 5 minutes each with wash buffer (0.2% Triton X-100 in PBS).
[00615] 5) All 5 sections are mounted on a slide (Fisherbrand Superfrost Plus microscope slide Cat# 12-550-15) and coverslip with 50 microliters Fluormount (Sigma cat# F4680-25ml) in preparation for scanning.
[00616] Scanning:
[00617] Images are scanned using an Olympus CS120 flourescent scanning microscope. Entire sections are scanned at lOx magnification, with 500 millisecond exposures for the 488 and 568 nanometer fluorescent channels. The Hoechst signal is detected using a 100 millisecond exposure.
[00618] In vivo Myelin Detection Software:
[00619] A custom algorithm developed in house is used to quantify the amount of new myelin in mice that had been demyelinated with cuprizone and subsequently treated with compounds. Conceptually, the software can subtract a mature myelin marker from a pan-myelin (young and old myelin) marker, and measure the area of the remaining "new" myelin. Myelin oligodendrocyte glycoprotein ("MOG") is specific to old myelin, while myelin basic protein ("MBP") is a pan myelin marker, expressed in more immature myelin as well as more mature myelin. This process accounts for the variability inherent in the demyelination process, in which some animals experience more demyelination than others. It more accurately measures myelin generated in response to compound treatment.
[00620] The algorithm can be written using Definiens Tissue Studio and Definiens Developer XD. There are several steps to the algorithm, each of which is discussed below.
[00621] Three channels of information for each sample is loaded. The intensity levels of the three images are summed, and the resulting image is used to determine the "tissue" area. Subsequent analyses may be done exclusively on the tissue area.
[00622] The MOG channel is loaded and the Definiens "Auto Threshold" function is used to distinguish MOG positive regions from background. Regions of putative white matter with areas < 50 pixels are returned to the tissue class. Thus, remaining white matter tracts that resist demyelination from cuprizone are excluded from subsequent analyses.
[00623] The ratio of MBP signal to MOG signal is calculated. This consists of the mean MBP intensity value divided by the mean MOG intensity value over the entirety of the image. This MBP:MOG ratio is used to normalize the intensity between the MBP and MOG channels. The normalized MOG signal multiplied by 0.5 is subtracted from the MBP signal, creating a new image, "MBP-MOG". The "Auto Threshold" function is used on the MBP-MOG image, and the 'new' myelin consisting of pixels with intensities above the threshold is delineated. Regions of putative new myelin with areas <2 pixels are returned to the tissue class, and the number of pixels positive for "new" myelin is measured.
[00624] The algorithm returns the area of the tissue and the MBP positive, MOG negative 'new' myelin. Each section is normalized by area relative to its comparable tissue (e.g., the first). Most anterior sections are normalized relative to other first anterior sections. The 5 normalized MBP+/MOG- areas are summed, yielding a total positive area per sample. This yields a representation of myelin synthesis over the whole extent of the brain, excluding the olfactory bulb and the cerebellum.
[00625] Compound of the present invention may be tested in the in vivo Mouse Cuprizone assay described above.
In vitro Myelination Assay
[00626] Compounds were screened for their ability to induce myelination using a primary rat mixed cortical cell culture assay, which contains neurons, oligodendrocyte precursor cells, oligodendrocytes, astrocytes and microglia. The assay quantifies myelination by measuring myelin basic protein (MBP) immunofluorescent positive myelin strands from images taken using a Cellomics Array Scan (model Arrayscan VTI HCS Reader) or a Molecular Devices Image Xpress (model IXM XL) high content imager. The myelin strands were quantitated using a custom created myelin
detection software program. Test compounds were dissolved in DMSO to make a 10 mM initial stock solution. Dilutions were made in myelination medium to obtain the final solutions for the assay and were tested in primary rat mixed cortical cells at selected doses.
[00627] Primary rat mixed cortical cells were prepared from harvested cerebral cortices from postnatal day 1 (PI) rats (PI Rat CD® IGS pups) were purchased from Charles River) in Complete Dissociation Medium, wherein the meninges were removed and the cortical tissue chopped with a razor blade into ~1 mm3 pieces.
Tissue from 1-3 pups was collected and placed into 15 ml conical tubes in a total volume of 5 ml of Complete Dissociation Medium. Activated papain (3 ml) was added to each 15 ml conical tube and tissue was incubated at 37°C for 30 minutes. After the 30 minute incubation, DNase (Sigma D4527; 75 μΐ of a 1 mg/ml stock) was added to each tube, followed by mechanical trituration using a 2 ml serological pipette and autopipettor to gently dissociate the tissue. Following trituration, larger tissue pieces were allowed to settle by gravity, and the supernatant containing dissociated cells was transferred to a 50 ml conical tube with 4 ml of trypsin inhibitor. Cells were pelleted by centrifugation, resuspended in myelination medium and filtered through a 40 μπι filter. Cells were then seeded in 96-well plates (BD Biosciences, Black, PDL- coated, Cat. No. 356640) or in some cases in 384-well plates at 87,500-95,000 cells/well in a final volume of 200μ1 of Myelination Medium in the presence or absence of compound and cultured for 14 days in a humidified 37°C incubator with 5% CO2. Half the medium was removed and replaced with fresh medium containing IX compound on days 6 and 10. Using a Biotek automatic plate washer (model Biomek® FXP Laboratory Automation Workstation), cells were fixed with 4% paraformaldehyde on day 14, washed with PBS and blocked in 5% normal goat serum (Vector Laboratories, S-1000) in 0.1% PBS-TritonX-100 (PBST) for 1 hour. Cells were stained with 1 :500 anti-MBP (Covance, cat #SMI99) primary antibody in 1% normal goat serum in 0.1% PBST for 2 hours at room temperature followed by 2 washes with PBST. A final incubation in secondary antibody (1 : 1000, Invitrogen, Alexa-488 anti-mouse IgG2b) and 1 : 10,000 Hoechst dye in 1% normal goat serum in 0.1% PBST was performed for 2 hours at room temperature. Plates were washed with PBS and then scanned on a Cellomics Array Scan using a 10X objective (25 images per well) or the Image Xpress using a 10X objective (9 image per well). Images were
analyzed using Vertex myelin detection software (described below) to quantify total MBP myelin pixels per well. Fold myelin pixels above background at two concentrations (1.0 μΜ and 10.0 μΜ) relative to baseline of no added compound are reported below in Table 4. Standard deviation for each compound concentration was calculated using all replicates and using a standard deviation formula commonly used in the art.
[00628] One of skill in the art would recognize that for this type of primary neuronal mixed cell assay variability between different assay runs is to be expected even though the protocol is the same for each assay run. For instance, variability may be due to small differences in cell viability, cell density, age of the animals, etc.
[00629] Vertex Myelin Detection Software:
[00630] The Vertex myelin detection software was used to quantify the amount of myelin wrapping axons in a digital image that was obtained from our in-house microscope. Conceptually, the software identified and traced MBP positive ridge like structures in the image that were indicative of myelinating axons. A confounding factor in the analysis was the large debris fields typically occurring in the images. These fields resulted from the assay conditions required to achieve myelination. Special care was taken to ensure that noise in the image induced by the debris field was appropriately suppressed so that the signal that arose from the myelination could be recovered. The software was written in the Jython programming language and made significant utilization of the Fiji image analysis toolkits (see, Schindelin, J.; Arganda-Carreras, I. & Frise, E. et al., "Fiji: an open-source platform for biological- image analysis", Nature Methods 9(7): 676-682, 2012). There were several steps to the algorithm, each of which are discussed below.
[00631] Initially the image was loaded and converted to a 256-bit grey scale representation. Image contrast was enhanced by performing standard histogram stretching. The saturation parameter for the enhancement was set at 0.35, meaning the upper and lower 3.5% of the distribution of the gray scale values present in the image were removed prior to enhancement. The Frangi[2] vesselness measure, which computes the likelihood of a pixel belonging to a ridge-like structure, was applied to the resulting image (see, Frangi AF, Niessen WJ, Vincken KL, Viergever MA "Multiscale vessel enhancement filtering", Proceedings of Medical Image Computer- Assisted Intervention (MICCAI), Lecture notes in computer science 1496: 130-137,
1998). The Frangi process created a "vessel likeness image" which was then converted to a binary image mask. The threshold of the Frangi measure for conversion to the mask was adjusted so that appropriate regions of the input image were selected. Once the mask was created, morphological closing was applied to remove small holes. Small structures were removed from the mask by deleting regions containing less than 40 connected pixels. The resulting mask overlaps regions of the original image that had a high likelihood of containing myelin strands.
[00632] Morphological skeletonization was applied to the binary mask and the resulting image was then converted to a graph data structure. Each node of the graph represented a pixel of the image. Owing to the skeletonizaiton process, each node was connected to at most 4 neighboring pixels. Nodes connected to one other node indicated the end of a myelin strand ("end nodes"); nodes connected to exactly two other nodes indicated a pixel contained in a myelin strand ("myelin node"); while nodes connected to 3 or 4 other nodes indicated regions where myelin strands intersect ("join nodes"). Neighboring 'myelin nodes' that were adjacent to the same "join node" were merged into longer strands of myelin. This process was done in a greedy fashion. The longest strand of myelin originating from an "end node" in the graph were identified. If this strand terminated in an end node the strand was extracted from the graph. If the strand terminated at a "join node" then it was joined with one of the other myelin strands adjacent to the same join node. The largest angle between the growing strand and all other strands adjacent to the join node was determined. If this angle was greater or equal to 140 degrees, then the growing strand and the strand that made this large angle were merged into one strand. The two strands that were merged were removed from being adjacent to the "join node". If the angle was less than 140 degrees, the growing strand was extracted from the graph and removed as being adjacent to the join node. The entire process was repeated until all strands were removed from the graph. Various geometric properties of the strand such as length and maximum curvature were computed from the number of pixels in the strand and the connectivity of the graph.
[00633] Before a putative myelin strand was quantified as myelin it was subjected to several quality control measures. The strand needed to be of a sufficient length (at least greater than 40 pixels). To ensure the strand was not overly curved, the ratio of the geometric distance between strand endpoints to the length of the strand needed to
be greater than or equal to 0.8. Finally, to ensure the strand was not overly thick, the gray scale gradient at each point on the strand in the directions orthogonal to the strand direction needed to decay sufficiently rapidly. Specifically, the gray scale needed to decrease by 25% from the gray scale value of pixel intersected by the orthogonal line and the putative myelin strand. This decrease needed to occur within 5 pixels. If a strand passes all quality checks it was quantified as myelin.
[00634] Reagent and media preparation and animal source for the in vitro
Myelination Assay
[00635] lOx Dissociation Media (DM): lOx DM was prepared on a 1 liter scale by combining 900 mM Na2S04, 300 mM K2S04, 58 mM MgC12, 2.5 mM CaC12, 10 mM HEPES and 20 mL of a phenol red solution (0.5%). The pH was adjusted with . IN NaOH by eye until orange-red. The solution was then sterilized by Alteration through a 0.2uM filter (prewashed with 100 ml of deionized sterile water which was discarded prior to filtration of the DM media solution.
[00636] lOx KyMg Stock: KyMg stock was prepared on a 200 mL scale as follows. To a 250 mL flask was added 190 mL of water, 1 mL of phenol red (Sigma P0290), stock, 1.75 mL of IN NaOH, 378 mg of kynurenic acid, and 2 mL 500 mM HEPES. The mixture was then sonicated to dissolve the kynurenate and then MgC12 (4.1 ml of a 4.9 M solution) was added. The pH was adjusted to 7.4 by adding up to 1 ml of 0. IN NaOH and the mixture sterilized by filtration through a prewashed nylon filter (0.2 μπι pore).
[00637] Complete dissociation medium (DM): 5 mL Ky Mg to 45 mL IX DM media
[00638] Papain Enzyme Solution (Worthington Biochemical LK003178), A 10 units/mL stock solution was made fresh the day of dissection by adding lmL of lOmM NaOH and Complete Dissociation Medium to one vial of papain (-100 units) to give a 10 units/mL final concentration. The papain was activated at 37 °C for 10- 15 minutes prior to use.
[00639] Trypsin Inhibitor Solution : 9.6mL of Complete Dissociation Medium was added to 100 mg of trypsin inhibitor (type II-O; Sigma T-9253) and the mixture was sonicated. The pH was adjustedto -5.75 using IN NaOH and pH strips. Aliquots (4 mL) were measured out and and stored at -20 °C.
[00640] DNase I Solution lmg/mL): Added 25 mL DMEM/F12 medium (Corning, 10-092-CM) to 20 KU DNAse I (Sigma D4527) and aliquoted into one time use aliquots stored at -20° C.
Myelination Medium:
DMEM (Invitrogen, Cat #11960-051)
1 :50 B27 (Invitrogen, Cat #17504-044)
1% FBS (HyClone)
2 mM Glutamax (1 : 100) (Cat # Gibco 25030081)
Pen Strep (1 : 100) 10,000 units/mL (Cat # Gibco 15140122)
PDGF/FGF 0.3 ng/mL each (3 uL per 100 mL; PeproTech, cat #100-13A and cat #100-18B
Myelination medium was made fresh the day of use from a stock bottle of DMEM containing pencillin/streptomycin and Glutamax, which was stored at 4° C for up to one month. On the day of use, 1 :50 B27, 1% FBS and 0.3ng/mL of PDGF and FGF were added to the DMEM containing pencillin/streptomycin and Glutamax.
[00641] Other in vitro and in vivo assays and models known in the art may also be used to show induction of remyelination in response to treatment with compounds such as those of the present invention (see, Nairn, F. J. et al., Nature (Letter), published online 20 April 2015, doi: 10.1038/naturel4335 and Macklin, W.B. et al., Developmental Cell, 32, pp 447-458 (2015))
[00642] The activities of the compounds below were determined by testing groups of compounds in different test batches. Compounds with no asterisk were part of one in vitro assay testing batch. Compound numbers indicated with an asterisk were all part of a different in vitro assay test batch. Compounds in Table 4 below have between less than 1 fold to greater than 10,000 fold myelin pixels above background at two concentrations (1.0 μΜ and 10.0 μΜ) relative to baseline of no added compound.
Table 4. Remyelination in vitro data.
Fold relative to baseline Activity
D not determined
<1
>1 to lOx +
>10 to lOOx ++
> 100 to lOOOx +++
>1000 to 10,000x ++++
[00643] All publications and patents referred to in this disclosure are incorporated herein by reference to the same extent as if each individual publication or patent application were specifically and individually indicated to be incorporated by reference. Should the meaning of the terms in any of the patents or publications incorporated by reference conflict with the meaning of the terms used in this disclosure, the meaning of the terms in this disclosure are intended to be controlling. Furthermore, the foregoing discussion discloses and describes merely exemplary embodiments of the invention. One skilled in the art will readily recognize from such discussion and from the accompanying drawings and claims, that various changes, modifications and variations can be made therein without departing from the spirit and scope of the invention as defined in the following claims.
Claims
We claim:
(Γ)
wherein:
A is selected from the group consisting of (i), (ii), (iii), (iv (v), and (vi)
(i) (ϋ) iii)
X1 is N or CR1;
X2 is N or CR2;
X3 is N or CR3;
X4 is N or CR4;
X5 is N or CR5;
A1 is N or CH;
A2 is -CH2-, -0-, or -N(R110)-;
Y1 is -CH2-, -0-, or -N(R120)-;
Y2 is -CH2-, -0-, or -N(R110)-;
R100 is hydrogen, Ci-4alkyl, -Ci-6alkylene-OCi-4alkyl, or -Ci-6alkylene-OH;
R110 is hydrogen, Ci-4alkyl, or C(0)Ci-4alkyl;
R120 is R6, hydrogen, Ci-4alkyl, C(0)Ci-4alkyl, -Ci-6alkylene-OCi-4alkyl, or -Ci- ealkylene-OH;
R1 and R5 are each independently selected from the group consisting of hydrogen, Ci-
4alkyl, Ci-4haloalkyl, halogen, -OCi-4alkyl, and -OCi-4haloalkyl;
R2 is selected from the group consisting of -Ll-GA, hydrogen, Ci-4alkyl, Ci-
4haloalkyl, halogen, cyano, nitro, hydroxyl, -OCi-4alkyl, -OCi-4haloalkyl, -OC3- ealkenyl, -C(0)Ci-4alkyl, COOH, -C(0)OCi-4alkyl, - R20R20, -NR20(Ci-
4haloalkyl), - R20C(O)(Ci-4alkyl), - R20C(O)(Ci-4haloalkyl), - R20C(O)OCi- 4alkyl, -C(O)NR20R20, -C(O) R20(Ci-4haloalkyl), -L2-Ci-6alkylene-R21, -L2-Ci- 6haloalkylene-R21, -L2-Ci-3alkylene-C(H)(OCi-4alkyl)-Ci-3alkylene-R21, -L2-C2- 4alkylene-0-C2-4alkylene-R21, -L2-C2-4alkylene-0-C2-4alkylene-0-C2- 4alkylene-R21, -C3-8alkenyl, -C3-8alkenylene-OH, -C3-8alkenylene-OCi-4alkyl, -
C3-8alkynylene-OH, and -C3-8alkynylene-OCi-4alkyl;
R3 is selected from the group consisting of -L3-GB, hydrogen, Ci-4alkyl, Ci-
4haloalkyl, halogen, cyano, hydroxyl, -OCi-4alkyl, -OCi-4haloalkyl, -C(0)Ci- 4alkyl, -C(0)OCi-4alkyl, - R40R40, and -C(O) R40R40;
R4 is selected from the group consisting of hydrogen, Ci-4alkyl, Ci-4haloalkyl,
halogen, -OCi-4alkyl, -OCi-4haloalkyl, and Gc;
L1 is a bond, -0-, - R10-, -NR10-Ci-4alkylene- -0-Ci-4alkylene-, -Ci-4alkylene-, -C(0) R10-, -NR10C(O)-, or -C(O)-;
L2 is a bond, -0-, - H-, -N(Ci-4alkyl)-, - HC(O)-, or -N(Ci-4alkyl)C(0)-;
L3 is a bond, -0-, -NR30-, -NR30-Ci-4alkylene- -0-Ci-4alkylene- -Ci-4alkylene-, -C(0)NR30-, -NR30C(O), or -C(O)-;
R10, at each occurrence, is independently selected from the group consisting of
hydrogen, Ci-4alkyl, C(0)Ci-4alkyl, oxetanyl, cyclopropyl, and cyclobutyl;
R30, at each occurrence, is independently selected from the group consisting of
hydrogen, Ci-4alkyl, C(0)Ci-4alkyl, oxetanyl, cyclopropyl, and cyclobutyl;
R20 and R40, at each occurrence, are each independently hydrogen or Ci-4alkyl;
R21 is -OCi-4alkyl, OH, CN, -NH2, -NH(Ci-4alkyl), -N(Ci-4alkyl)(Ci-4alkyl), - C(0)NH2, -C(0)NH(Ci-4alkyl), -C(0)N(Ci-4alkyl)(Ci-4alkyl), -NHC(0)OCi- 4alkyl, -N(Ci-4alkyl)C(0)OCi-4alkyl, -NHC(0)Ci-4alkyl, -N(Ci-4alkyl)C(0)Ci- 4alkyl, -NHS(0)2Ci-4alkyl, -N(Ci-4alkyl)S(0)2Ci-4alkyl, or -C(0)Ci-4alkyl;
GA is selected from the group consisting of -G^R7, G2A, G3A, G4A, G5A, G6A, G7A, and G8A;
GB is selected from the group consisting of -G^R7, G2B, G3B, G4B, G5B, G6B, and G7B; Gc is selected from the group consisting of G6C and G8C;
G1 is a 4- to 8-membered monocyclic heterocycle containing 1-2 heteroatoms
independently selected from oxygen, nitrogen, and sulfur, the monocyclic heterocycle optionally containing one double bond and/or a Ci-3alkylene bridge between two non-adjacent ring atoms, G1 being optionally substituted with 1-4 substituents independently selected from the group consisting of Ci-4alkyl, Ci- 4haloalkyl, halogen, hydroxyl, -OCi-4alkyl, and oxo;
R6 is
(a) a 4- to 12-membered heterocycle containing 1-4 heteroatoms independently selected from oxygen, nitrogen, and sulfur, the heterocycle being attached at a ring carbon ring atom of R6 and optionally substituted with 1-4 substituents independently selected from the group consisting of Ci-4alkyl, Ci-4haloalkyl, - CH2S(0)2phenyl, halogen, hydroxyl, oxo, -OCi-4alkyl, -Ci-6alkylene-OCi-4alkyl, and -Ci-6alkylene-OH; or
(b) a C3-8cycloalkyl optionally substituted with 1-4 substituents independently selected from the group consisting of Ci-4alkyl, Ci-4haloalkyl, halogen, hydroxyl,
-C(0)OCi-4alkyl, -C(0)OH, oxo, -OCi-4alkyl, -Ci-6alkylene-OCi-4alkyl, and - Ci-6alkylene-OH;
R7 is
(a) a 4- to 12-membered heterocycle containing 1-4 heteroatoms independently selected from oxygen, nitrogen, and sulfur, the heterocycle being optionally substituted with 1-4 substituents independently selected from the group consisting of Ci-4alkyl, Ci-4haloalkyl, -CH2S(0)2phenyl, halogen, hydroxyl, oxo, -OCi- 4alkyl, -Ci-6alkylene-OCi-4alkyl, and -Ci-6alkylene-OH;
(b) a C3-8cycloalkyl optionally substituted with 1-4 substituents independently selected from the group consisting of Ci-4alkyl, Ci-4haloalkyl, halogen, hydroxyl,
-C(0)OCi-4alkyl, -C(0)OH, oxo, -OCi-4alkyl, -Ci-6alkylene-OCi-4alkyl, and - Ci-6alkylene-OH;
(c) phenyl optionally substituted with 1-4 substituents independently selected from the group consisting of Ci-4alkyl, Ci-4haloalkyl, halogen, hydroxyl, - C(0)OCi-4alkyl, -C(0)OH, -OCi-4alkyl, -Ci-6alkylene-OCi-4alkyl, and -Ci-
6alkylene-OH; or
(d) a 5- or 6-membered monocyclic heteroaryl containing 1-3 heteroatoms independently selected from nitrogen, oxygen, and sulfur, the monocyclic heteroaryl being optionally substituted with 1 -3 substituents independently selected from the group consisting of Ci-4alkyl, Ci-4haloalkyl, halogen, hydroxyl,
-OCi-4alkyl, -Ci-6alkylene-OCi-4alkyl, and -Ci-6alkylene-OH;
G2A and G2B are each independently a 4- to 8-membered monocyclic heterocycle containing 1 nitrogen atom and optionally 1-2 additional heteroatoms
independently selected from oxygen, nitrogen, and sulfur, G2A and Gr23 optionally containing one double bond and/or a Ci-3alkylene bridge between two non- adjacent ring atoms, wherein G2A and G2B are attached to L1 or L3, respectively, through a ring nitrogen of G2A or G2B, and are independently optionally substituted with 1-4 substituents independently selected from the group consisting of Ci-4alkyl, Ci-4haloalkyl, halogen, hydroxyl, oxo, cyano, -OCi-4alkyl, -C(0)Ci- 4alkyl, -C(0)OCi-4alkyl, -Ci-6alkylene-OCi-4alkyl, and -Ci-ealkylene-OH;
G3A and G3B are each independently a 4- to 8-membered monocyclic heterocycle containing 1-3 heteroatoms independently selected from oxygen, nitrogen, and sulfur, G3A and G3B optionally containing one double bond and/or a Ci-3alkylene
bridge between two non-adjacent ring atoms, wherein G and G are attached to L1 or L3, respectively, at a ring carbon ring atom of G3A or G3B, and are independently optionally substituted with 1-4 substituents independently selected from the group consisting of Ci-4alkyl, Ci-4haloalkyl, halogen, hydroxyl, oxo, cyano, -OCi-4alkyl, -C(0)Ci-4alkyl, -C(0)OCi-4alkyl, -Ci-6alkylene-OCi-4alkyl, and -Ci-6alkylene-OH;
G4A and G4B are each independently a 7- to 12-membered spiro heterocycle
comprising a first ring and a second ring, the first ring being a 4- to 8-membered monocyclic heterocycle containing 1-2 heteroatoms independently selected from nitrogen and oxygen and being attached to Llor L3, respectively, the second ring being a C3-scycloalkyl or a 4- to 8-membered monocyclic heterocycle containing 1-2 oxygen atoms wherein two atoms of the second ring are attached to one carbon of the first ring to form a spirocycle;
G5A and G5B are each independently a 7- to 12-membered fused bicyclic heterocycle containing 1-3 heteroatoms independently selected from oxygen, nitrogen, and sulfur;
wherein G4A, G4B, G5A and G5B are independently optionally substituted with 1-4 substituents independently selected from the group consisting of Ci-4alkyl, Ci- 4haloalkyl, halogen, hydroxyl, -OCi-4alkyl, and oxo;
G6A, G6B, and G6C are each independently a C3-scycloalkyl optionally substituted with 1-4 substituents independently selected from the group consisting of Ci-4alkyl, Ci- 4haloalkyl, halogen, hydroxyl, oxo, - HC(0)(Ci-4alkyl), -N(Ci-4alkyl)C(0)(Ci- 4alkyl), -C(0)OCi-4alkyl, -C(0)OH, -OCi-4alkyl, -Ci-6alkylene-OCi-4alkyl, and -Ci-6alkylene-OH;
G7A and G7B are each independently a 5- or 6-membered monocyclic heteroaryl
containing 1-3 heteroatoms independently selected from nitrogen, oxygen, and sulfur, G7A and G7B being optionally substituted with 1-3 substituents
independently selected from the group consisting of Ci-4alkyl, Ci-4haloalkyl, halogen, hydroxyl, -OCi-4alkyl, and cyano;
G8A and G8C are each independently phenyl optionally substituted with 1-4
substituents independently selected from the group consisting of Ci-4alkyl, Ci- 4haloalkyl, halogen, hydroxyl, -OCi-4alkyl, and cyano;
R is phenyl or a 6-membered heteroaryl containing 1-3 nitrogen atoms, R being optionally substituted with 1-3 substituents independently selected from the group consisting of halogen, hydroxyl, cyano, -S(0)2Ci-4alkyl, -S(0)Ci-4alkyl, -SCi- 4alkyl, Ci-4alkyl, Ci-4haloalkyl, -C3-6alkenyl, -OCi-4alkyl, -OCi-4haloalkyl, -Ci- 4alkylene-OCi-4alkyl, -Ci-4alkylene-N(Ci-4alkyl)(Ci-4alkyl), - H(Ci-4alkylene-
OCi-4alkyl), - H(Ci-4alkylene-OH), -N(Ci-4alkyl)(Ci-4alkylene-OCi-4alkyl), - N(Ci-4alkyl)(Ci-4alkylene-OH), - H2, - H(Ci-4alkyl), -N(Ci-4alkyl)(Ci-4alkyl), - C(0) H2, -C(0) H(Ci-4alkyl), -C(0)N(Ci-4alkyl)(Ci-4alkyl), -L4-G10, C3- 6cycloalkyl, C5-6cycloalkenyl, or a 4- to 8-membered monocyclic heterocycle containing 1-2 nitrogen atoms, and optionally an oxygen or sulfur atom, the monocyclic heterocycle optionally containing one double bond and/or a Ci- 3alkylene bridge between two non-adjacent ring atoms, the C3-6cycloalkyl, the Cs- 6cycloalkenyl, and the 4- to 8-membered monocyclic heterocycle being independently optionally substituted with 1-4 substituents independently selected from the group consisting of halogen, hydroxyl, -OCi-4alkyl, Ci-4alkyl, Ci-
4haloalkyl, -Ci-4alkylene-OCi-4alkyl, and -Ci-4alkylene-OH;
L4 is -0-, - R9-, - R9-Ci-4alkylene-, or -0-Ci-4alkylene-;
R9, at each occurrence, is independently hydrogen or Ci-4alkyl; and
G10 is phenyl or a 5- or 6-membered monocyclic heteroaryl containing 1-3
heteroatoms independently selected from nitrogen, oxygen, and sulfur, G10 being optionally substituted with 1-4 substituents independently selected from the group consisting of Ci-4alkyl, Ci-4haloalkyl, halogen, hydroxyl, -OCi-4alkyl, and cyano; wherein
(a) no more than one of X1, X2, X3, X4, or X5 is N;
(b) at least one of X2 and X3 is other than N or CH;
(c) no more than three of X1, X2, X3, X4, or X5 are other than N or CH;
(d) R2 and R3 are not simultaneously -I^-G^R7;
(e) R3 is -L3-G1-R7, -L3-G3B, -L3-G4B, or-L3-G5B, when X1, X2, X4, and X5 are N or CH;
(f) R2 is not -OCi-4alkyl, morpholino or -NH-Ci-4alkylene-morpholino when X3 is N or CH, X1, X4 and X5 are CH, and R8 is phenyl or 4-cyanophenyl;
(g) R2, R3, and R4 are not simultaneously -OCi-4alkyl when R8 is phenyl or 4- cyanophenyl; and
(h) R2 is not cyano when R3 is an imidazolyl optionally substituted with one or two Ci-4alkyl.
2. The com ound of claim 1, or a pharmaceutically acceptable salt thereof,
wherein A is ^ '
3. The compound of claim 2, or a pharmaceutically acceptable salt thereof, wherein:
X2 is CR2, R2 is -Ll-GA, GA is selected from the group consisting of -G^R7, G3A, G4A, and G5A, and X3 is as defined in claim 1, or
X3 is CR3, R3 is -L3-GB, GB is selected from the group consisting of -G^R7, G3B,
G4B, and G5B, and X2 is as defined in claim 1;
provided that GA and GB are not simultaneously -G^R7. 4. The compound of claim 2, or a pharmaceutically acceptable salt thereof, wherein:
one of GA and GB is -G^R7.
5. The compound of any of claims 2-4, or a pharmaceutically acceptable salt thereof, wherein:
X2 is CR2;
R2 is -L1-GA;
GA is -G^R7; and
R3 is selected from the group consisting of hydrogen, Ci-4alkyl, Ci-4haloalkyl, halogen, cyano, hydroxyl, -OCi-4alkyl, -OCi-4haloalkyl, -C(0)Ci-4alkyl, -
C(0)OCi-4alkyl, - R40R40, and -C(O)NR40R40.
6. The compound of any of claims 2-4, or a pharmaceutically acceptable salt thereof, wherein:
X3 is CR3;
R3 is -L3-GB;
G6 is -G^R7; and
R2 is selected from the group consisting of hydrogen, Ci-4alkyl, Ci-4haloalkyl,
halogen, cyano, nitro, hydroxyl, -OCi-4alkyl, -OCi-4haloalkyl, -OC3-6alkenyl, -
C(0)Ci-4alkyl, COOH, -C(0)OCi-4alkyl, - R20R20, - R20(Ci-4haloalkyl), - R20C(O)(Ci-4alkyl), - R20C(O)(Ci-4haloalkyl), - R20C(O)OCi-4alkyl, - C(O) R20R20, -C(O) R20(Ci-4haloalkyl), -L2-Ci-6alkylene-R21, -L2-Ci- 6haloalkylene-R21, -L2-Ci-3alkylene-C(H)(OCi-4alkyl)-Ci-3alkylene-R21, -L2-C2- 4alkylene-0-C2-4alkylene-R21, -C3-8alkenyl, -C3-8alkenylene-OH, -C3-
8alkenylene-OCi-4alkyl, -C3-salkynylene-OH, and -C3-8alkynylene-OCi-4alkyl.
7. The compound of claim 3, or a pharmaceutically acceptable salt thereof, wherein:
G4 is selected from the group consisting of G3A, G4A, and G5A; and
GB is selected from the group consisting of G3B, G4B, and G5B.
8. The compound of any of claims 2-7, or a pharmaceutically acceptable salt thereof, wherein:
X4 is CH or N when X3 is CH or N and R2 is -L1-^.
9. The compound of claim 2, or a pharmaceutically acceptable salt thereof, wherein:
X1 is N or CH;
X2 is CR2;
X3 is N or CH;
X4 is N or CH;
X5 is N or CH;
R2 is -L1-GA; and
GA is selected from the group consisting of -G^R7, G3A, G4A, and G5A.
10. The compound of claim 2, or a pharmaceutically acceptable salt thereof, wherein:
X1 is N or CH;
X2 is N or CH;
X3 is CR3;
X4 is N or CH;
X5 is N or CH;
R3 is -L -GB; and
G6 is selected from the group consisting of -G^R7, G3B, G4B, and G3B.
11. The compound of claim 2, or a pharmaceutically acceptable salt thereof, wherein:
X1 is N or CH;
X2 is CR2;
X3 is CR3;
X4 is N or CR4;
X5 is N or CH;
R2 is -L1^;
R3 is selected from the group consisting of -L3-GB, Ci-4alkyl, Ci-4haloalkyl, halogen, cyano, hydroxyl, -OCi-4alkyl, -OCi-4haloalkyl, -C(0)Ci-4alkyl, -C(0)OCi-4alkyl, -NR40R40, and -C(O)NR40R40; and
GA is selected from the group consisting of -G^R7, G A, G4A, and G5A.
12. The compound of claim 2, or a pharmaceutically acceptable salt thereof, wherein:
X1 is N or CH;
X2 is CR2;
X3 is CR3;
X4 is N or CR4;
X5 is N or CH;
R2 is selected from the group consisting of -LL-GA, Ci-4alkyl, Ci-4haloalkyl, halogen, cyano, nitro, hydroxyl, -OCi-4alkyl, -OCi-4haloalkyl, -OCs-ealkenyl, -C(0)Ci-
4alkyl, COOH, -C(0)OCi-4alkyl, -NR20R20, -NR20(Ci-4haloalkyl), -NR20C(O)(Ci- 4alkyl), -NR20C(O)(Ci-4haloalkyl), -NR20C(O)OCi-4alkyl, -C(O)NR20R20, - C(O)NR20(Ci-4haloalkyl), -L2-Ci-6alkylene-R21, -L2-Ci-6haloalkylene-R21, -L2-
Ci-3alkylene-C(H)(OCi-4alkyl)-Ci-3alkylene-R21, -L2-C2-4alkylene-0-C2- 4alkylene-R21, -C3-8alkenyl, -C3-8alkenylene-OH, -C3-8alkenylene-OCi-4alkyl, - C3-8alkynylene-OH, and -C3-8alkynylene-OCi-4alkyl;
R3 is -L3-GB; and
GB is selected from the group consisting of -G^R7, G3B, G4B, and G5B.
13. The compound of claim 11 or 12, or a pharmaceutically acceptable salt thereof, wherein:
X4 is N or CH.
14. The compound of claim 11 or 12, or a pharmaceutically acceptable salt thereof, wherein:
X4 is CR4; and
R4 is selected from the group consisting of Ci-4alkyl, Ci-4haloalkyl, halogen, -OCi- 4alkyl, and -OCi-4haloalkyl.
15. The compound of claim 2, or a pharmaceutically acceptable salt thereof, wherein:
X1 is CR1;
X2 is CR2;
X3 is N or CH;
X4 is N or CH;
X5 is N or CR5;
R1 is selected from the group consisting of Ci-4alkyl, Ci-4haloalkyl, halogen, -OCi- 4alkyl, and -OCi-4haloalkyl;
R2 is -L!-GA; and
GA is selected from the group consisting of -G^R7, G3A, G4A, and G5A.
16. The compound of claim 15, or a pharmaceutically acceptable salt thereof, wherein:
X5 is N or CH.
17. The compound of claims 15, or a pharmaceutically acceptable salt thereof, wherein:
X5 is CR5; and
R5 is selected from the group consisting of Ci-4alkyl, Ci-4haloalkyl, halogen, -OCi- 4alkyl, and -OCi-4haloalkyl.
18. The compound of claim 3, or a pharmaceutically acceptable salt thereof, wherein:
X1 is N or CH;
X4 is N or CH;
X5 is CR5; and
R5 is selected from the group consisting of Ci-4alkyl, Ci-4haloalkyl, halogen, -OCi- 4alkyl, and -OCi-4haloalkyl. 19. The compound of claim 18, or a pharmaceutically acceptable salt thereof, wherein:
X2 is CR2;
R2 is -L1-GA; and
GA is selected from the group consisting of -G^R7, G3A, G4A, and G5A.
20. The compound of claim 19, or a pharmaceutically acceptable salt thereof, wherein:
X3 is N or CH.
21. The compound of claim 19, or a pharmaceutically acceptable salt thereof, wherein:
X3 is CR3; and
R3 is selected from the group consisting of -L3-GB, Ci-4alkyl, Ci-4haloalkyl, halogen, cyano, hydroxyl, -OCi-4alkyl, -OCi-4haloalkyl, -C(0)Ci-4alkyl, -C(0)OCi-4alkyl, - R40R40, and -C(O) R40R40.
The compound of claim 21, or a pharmaceutically acceptable salt thereof,
R is selected from the group consisting of Ci-4alkyl, Ci-4haloalkyl, halogen, cyano, hydroxyl, -OCi-4alkyl, -OCi-4haloalkyl, -C(0)Ci-4alkyl, -C(0)OCi-4alkyl, - R40R40, and -C(O) R40R40. 23. The compound of claim 18, or a pharmaceutically acceptable salt thereof, wherein:
X3 is CR3;
R3 is -L3-GB; and
GB is selected from the group consisting of -G^R7, G3B, G4B, and G5B.
24. The compound of claim 23, or a pharmaceutically acceptable salt thereof, wherein:
X2 is N or CH. 25. The compound of claim 23, or a pharmaceutically acceptable salt thereof, wherein:
X2 is CR2; and
R2 is selected from the group consisting of -Ll-GA, Ci-4alkyl, Ci-4haloalkyl, halogen, cyano, nitro, hydroxyl, -OCi-4alkyl, -OCi-4haloalkyl, -OC3-6alkenyl, -C(0)Ci- 4alkyl, COOH, -C(0)OCi-4alkyl, - R20R20, -NR20(Ci-4haloalkyl), -NR20C(O)(Ci-
4alkyl), - R20C(O)(Ci-4haloalkyl), - R20C(O)OCi-4alkyl, -C(O) R20R20, - C(O) R20(Ci-4haloalkyl), -L2-Ci-6alkylene-R21, -L2-Ci-6haloalkylene-R21, -L2- Ci-3alkylene-C(H)(OCi-4alkyl)-Ci-3alkylene-R21, -L2-C2-4alkylene-0-C2- 4alkylene-R21, -C3-8alkenyl, -C3-8alkenylene-OH, -C3-8alkenylene-OCi-4alkyl, - C3-8alkynylene-OH, and -C3-8alkynylene-OCi-4alkyl.
26. The compound of claim 25, or a pharmaceutically acceptable salt thereof, wherein:
R2 is selected from the group consisting of Ci-4alkyl, Ci-4haloalkyl, halogen, cyano, nitro, hydroxyl, -OCi-4alkyl, -OCi-4haloalkyl, -OC3-6alkenyl, -C(0)Ci-4alkyl,
COOH, -C(0)OCi-4alkyl, -NR20R20, - R20(Ci-4haloalkyl), - R20C(O)(Ci- 4alkyl), - R20C(O)(Ci-4haloalkyl), - R20C(O)OCi-4alkyl, -C(O) R20R20, - C(O) R20(Ci-4haloalkyl), -L2-Ci-6alkylene-R21, -L2-Ci-6haloalkylene-R21, -L2-
Ci-3alkylene-C(H)(OCi-4alkyl)-Ci-3alkylene-R21, -L2-C2-4alkylene-0-C2- 4alkylene-R21, -C3-8alkenyl, -C3-8alkenylene-OH, -C3-8alkenylene-OCi-4alkyl, - C3-8alkynylene-OH, and -C3-8alkynylene-OCi-4alkyl. 27. The compound of any of claims 2-4, 7, 8, 12, 13, 14, or 23, or a
pharmaceutically acceptable salt thereof, wherein:
R2 is selected from the group consisting of -I^-G4, hydrogen, Ci-4alkyl, Ci-
4haloalkyl, halogen, cyano, nitro, hydroxyl, -OCi-4alkyl, -OCi-4haloalkyl, -OC3- ealkenyl, -C(0)Ci-4alkyl, COOH, and -C(0)OCi-4alkyl; and
GA is selected from the group consisting of -G^R7, G3A, G4A, and G5A.
28. The compound of any of claims 2-4, 7, 8, 11, 13, 14, 18, or 27, or a pharmaceutically acceptable salt thereof, wherein:
R3 is selected from the group consisting of -L3-GB, -C(O) R30(G3B), hydrogen, Ci- 4alkyl, Ci-4haloalkyl, halogen, cyano, hydroxyl, -OCi-4alkyl, -OCi-4haloalkyl, -
C(0)Ci-4alkyl, -C(0)OCi-4alkyl, - R40R40, and -C(O) R40R40; and
GB is selected from the group consisting of -G^R7, G3B, G4B, and G5B.
29. The compound of any of the foregoing claims, or a pharmaceutically acceptable salt thereof, wherein:
L1 is a bond, -0-, - R10-, - R10-Ci-4alkylene- -0-Ci-4alkylene-, or -Ci- 4alkylene-
30. The compound of any of the foregoing claims, or a pharmaceutically acceptable salt thereof, wherein:
L3 is a bond, -0-, -NR30-, -NR30-Ci-4alkylene- -0-Ci-4alkylene-, or -Ci- 4alkylene-
31. The compound of claim 2, or a pharmaceutically acceptable salt thereof, wherein:
X1 is N or CH;
X2 is CR2;
X3 is N or CH;
X4 is N or CH;
X5 is N or CH;
R2 is selected from the group consisting of -Ll-GA, Ci-4alkyl, Ci-4haloalkyl, halogen, cyano, nitro, hydroxyl, -OCi-4alkyl, -OCi-4haloalkyl, -OC3-6alkenyl, -C(0)Ci-
4alkyl, COOH, -C(0)OCi-4alkyl, - R20R20, -NR20(Ci-4haloalkyl), -NR20C(O)(Ci- 4alkyl), - R20C(O)(Ci-4haloalkyl), - R20C(O)OCi-4alkyl, -C(O) R20R20, - C(O) R20(Ci-4haloalkyl), -L2-Ci-6alkylene-R21, -L2-Ci-6haloalkylene-R21, -L2- Ci-3alkylene-C(H)(OCi-4alkyl)-Ci-3alkylene-R21, -L2-C2-4alkylene-0-C2- 4alkylene-R21, -C3-8alkenyl, -C3-8alkenylene-OH, -C3-8alkenylene-OCi-4alkyl, -
C3-8alkynylene-OH, and -C3-8alkynylene-OCi-4alkyl; and
GA is selected from the group consisting of G2A, G6A, G7A, and G8A;
provided that R2 is not morpholino or - H-Ci-4alkylene-morpholino when X3 is N. 32. The compound of claim 31, or a pharmaceutically acceptable salt thereof, wherein:
R2 is selected from the group consisting of -Ll-GA, Ci-4alkyl, halogen, cyano,
hydroxyl, -OCi-4alkyl, -OCi-4haloalkyl, COOH, - R20R20, -NR20C(O)(Ci- 4alkyl), -C(O) R20R20, and -L2-Ci-6alkylene-R21;
L1 is a bond, -0-, - R10-Ci-4alkylene- -0-Ci-4alkylene-, -C(0) R10-, - R10C(O)-, or -C(O)-;
L2 is a bond or -0-; and
R21 is -OCi-4alkyl or OH. 33. The compound of claim 2, or a pharmaceutically acceptable salt thereof, wherein:
X1 is N or CH;
X2 is CR2;
X3 is CR3;
X4 is N or CR4;
X5 is N or CH;
R2 is selected from the group consisting of -I^-G4, Ci-4alkyl, Ci-4haloalkyl, halogen, cyano, nitro, hydroxyl, -OCi-4alkyl, -OCi-4haloalkyl, -OC3-6alkenyl, -C(0)Ci-
4alkyl, COOH, -C(0)OCi-4alkyl, - R R , -NR20(Ci-4haloalkyl), -NR20C(O)(Ci- 4alkyl), - R20C(O)(Ci-4haloalkyl), - R20C(O)OCi-4alkyl, -C(O) R20R20, - C(O) R20(Ci-4haloalkyl), -L2-Ci-6alkylene-R21, -L2-Ci-6haloalkylene-R21, -L2- Ci-3alkylene-C(H)(OCi-4alkyl)-Ci-3alkylene-R21, -L2-C2-4alkylene-0-C2- 4alkylene-R21, -C3-8alkenyl, -C3-8alkenylene-OH, -C3-8alkenylene-OCi-4alkyl, -
C3-8alkynylene-OH, and -C3-8alkynylene-OCi-4alkyl;
R3 is selected from the group consisting of -I^-G6, Ci-4alkyl, Ci-4haloalkyl, halogen, cyano, hydroxyl, -OCi-4alkyl, -OCi-4haloalkyl, -C(0)Ci-4alkyl, -C(0)OCi-4alkyl, - R40R40, and -C(O) R40R40;
GA is selected from the group consisting of G2A, G6A, G7A, and G8A; and
G6 is selected from the group consisting of G23, G6B, and G7B.
34. The compound of claim 33, or a pharmaceutically acceptable salt thereof, wherein:
X4 is N or CH.
35. The compound of claim 34, or a pharmaceutically acceptable salt thereof, wherein:
R2 is selected from the group consisting of -Ll-GA, Ci-4alkyl, halogen, -OCi-4alkyl, - OCi-4haloalkyl, -OC3-6alkenyl, COOH, -C(0)OCi-4alkyl, - R20R20, -
C(O) R20R20, and -C(O)NR20(Ci-4haloalkyl);
R3 is selected from the group consisting of -L3-GB, Ci-4alkyl, Ci-4haloalkyl, halogen, cyano, hydroxyl, -OCi-4alkyl, -C(0)OCi-4alkyl, and -C(O) R40R40;
L1 is a bond -0-Ci-4alkylene- or -C(0) R10-; and
L3 is a bond, -0-, - R30-Ci-4alkylene- -0-Ci-4alkylene-, or -C(O)-.
36. The compound of claim 33, or a pharmaceutically acceptable salt thereof, wherein:
X4 is CR4; and
R4 is selected from the group consisting of Ci-4alkyl, Ci-4haloalkyl, halogen, -OCi- 4alkyl, -OCi-4haloalkyl, and Gc.
37. The compound of claim 36, or a pharmaceutically acceptable salt thereof, wherein:
R2 is selected from the group consisting of -I^-G4, Ci-4alkyl, halogen,-OCi-4alkyl, - OCi-4haloalkyl, -OCs-ealkenyl, COOH, -C(0)OCi-4alkyl, - R20R20, - C(O) R20R20, and -C(O)NR20(Ci-4haloalkyl);
R3 is selected from the group consisting of -L3-GB, Ci-4alkyl, Ci-4haloalkyl, halogen, cyano, hydroxyl, -OCi-4alkyl, -C(0)OCi-4alkyl, and -C(O) R40R40;
L1 is a bond -0-Ci-4alkylene- or -C(0) R10-; and
L3 is a bond, -0-, - R30-Ci-4alkylene- -0-Ci-4alkylene-, or -C(O)-.
38. The compound of claim 37, or a pharmaceutically acceptable salt thereof, wherein:
R2 is selected from the group consisting of -L1-GA and halogen;
R3 is selected from the group consisting of halogen and -OCi-4alkyl;
R4 is selected from the group consisting of Ci-4alkyl, halogen, and -OCi-4alkyl; and L1 is a bond.
39. The compound of claim 2, or a pharmaceutically acceptable salt thereof, wherein:
X1 is CR1;
X2 is CR2;
X3 is N or CH;
X4 is N or CH;
X5 is N or CR5;
R1 is selected from the group consisting of Ci-4alkyl, Ci-4haloalkyl, halogen, -OCi- 4alkyl, and -OCi-4haloalkyl;
R2 is selected from the group consisting of -Ll-GA, Ci-4alkyl, Ci-4haloalkyl, halogen, cyano, nitro, hydroxyl, -OCi-4alkyl, -OCi-4haloalkyl, -OC3-6alkenyl, -C(0)Ci- 4alkyl, COOH, -C(0)OCi-4alkyl, - R20R20, -NR20(Ci-4haloalkyl), -NR20C(O)(Ci- 4alkyl), - R20C(O)(Ci-4haloalkyl), - R20C(O)OCi-4alkyl, -C(O) R20R20, -
C(O) R20(Ci-4haloalkyl), -L2-Ci-6alkylene-R21, -L2-Ci-6haloalkylene-R21, -L2- Ci-3alkylene-C(H)(OCi-4alkyl)-Ci-3alkylene-R21, -L2-C2-4alkylene-0-C2-
4alkylene-R21, -C3-8alkenyl, -C3-8alkenylene-OH, -C3-8alkenylene-OCi-4alkyl, - C3-8alkynylene-OH, and -C3-8alkynylene-OCi-4alkyl; and
G4 is selected from the group consisting of G2A, G6A, G7A, and G8A. 40. The compound of claim 39, or a pharmaceutically acceptable salt thereof, wherein:
X5 is N or CH.
41. The compound of claim 40, or a pharmaceutically acceptable salt thereof, wherein:
R1 is selected from the group consisting of Ci-4alkyl and -OCi-4alkyl;
R2 is selected from the group consisting of -Ll-GA, Ci-4alkyl, halogen, -OCi-4alkyl, -
C(0)Ci-4alkyl, and -L2-Ci-6alkylene-R21;
L1 is a bond;
L2 is a bond or - H-;
R21 is -OCi-4alkyl or OH; and
GA is G2A.
42. The compound of claim 39, or a pharmaceutically acceptable salt thereof, wherein:
X5 is CR5;
R5 is selected from the group consisting of Ci-4alkyl, Ci-4haloalkyl, halogen, -OCi- 4alkyl, and -OCi-4haloalkyl. 43. The compound of claim 40, or a pharmaceutically acceptable salt thereof, wherein:
R1 is selected from the group consisting of Ci-4alkyl and -OCi-4alkyl;
R2 is selected from the group consisting of -I^-G4, Ci-4alkyl, halogen, -OCi-4alkyl, - C(0)Ci-4alkyl, and -L2-Ci-6alkylene-R21;
L1 is a bond;
L2 is a bond or - H-;
R21 is -OCi-4alkyl or OH; and
GA is G2A.
44. The compound of claim 2, or a pharmaceutically acceptable salt thereof, wherein:
X1 is N or CH;
X2 is N or CR2;
X3 is N or CR3;
X4 is N or CH;
X5 is CR5;
R5 is selected from the group consisting of Ci-4alkyl, Ci-4haloalkyl, halogen, -OCi- 4alkyl, and -OCi-4haloalkyl;
is selected from the group consisting of G2A, G6A, G7A, and G8A; and
GB is selected from the group consisting of G2B, G6B, and G7B;
provided that at least one of X2 or X3 is other than N or CH. 45. The compound of claim 44, or a pharmaceutically acceptable salt thereof, wherein:
R2 is selected from the group consisting of -Ll-GA, hydrogen, Ci-4alkyl, halogen, hydroxyl, -OCi-4alkyl, -OCwhaloalkyl, -C(0)Ci-4alkyl, - R20R20, - R20C(O)(Ci-4alkyl), -C(O) R20R20, -L2-Ci-6alkylene-R21, -L2-Ci- 6haloalkylene-R21, -C3-salkenyl, and -C3-8alkenylene-OCi-4alkyl;
R3 is selected from the group consisting of hydrogen, Ci-4alkyl, halogen, -OCi-4alkyl, and -NR40R40;
R5 is selected from the group consisting of Ci-4alkyl, halogen, and -OCi-4alkyl;
L1 is a bond, -NR10-Ci-4alkylene- or -0-Ci-4alkylene-;
L2 is a bond, -O- or - H-;
R21 is -OCi-4alkyl or OH; and
GA is selected from the group consisting of G2A, G7A, and G8A.
46. The compound of claim 44, or a pharmaceutically acceptable salt thereof, wherein:
R2 is selected from the group consisting of -I^-G^, Ci-4alkyl, Ci-4haloalkyl, halogen, cyano, nitro, hydroxyl, -OCi-4alkyl, -OCi-4haloalkyl, -OC3-6alkenyl, -C(0)Ci- 4alkyl, COOH, -C(0)OCi-4alkyl, -NR20R20, -NR20(Ci-4haloalkyl), -NR20C(O)(Ci-
4alkyl), - R20C(O)(Ci-4haloalkyl), - R20C(O)OCi-4alkyl, -C(O) R20R20, - C(O) R20(Ci-4haloalkyl), -L2-Ci-6alkylene-R21, -L2-Ci-6haloalkylene-R21, -L2- Ci-3alkylene-C(H)(OCi-4alkyl)-Ci-3alkylene-R21, -L2-C2-4alkylene-0-C2- 4alkylene-R21, -C3-8alkenyl, -C3-8alkenylene-OH, -C3-8alkenylene-OCi-4alkyl, - C3-8alkynylene-OH, and -C3-8alkynylene-OCi-4alkyl; and
R3 is selected from the group consisting of -L3-GB, Ci-4alkyl, Ci-4haloalkyl, halogen, cyano, hydroxyl, -OCi-4alkyl, -OCi-4haloalkyl, -C(0)Ci-4alkyl, -C(0)OCi-4alkyl, - R40R40, and -C(O) R40R40. 47. The compound of claim 46, or a pharmaceutically acceptable salt thereof, wherein:
R2 is selected from the group consisting of Ci-4alkyl, halogen, - R20R20, and - C(O) R20R20;
R3 is selected from the group consisting of Ci-4alkyl, halogen, -OCi-4alkyl, and - R40R40; and
R5 is selected from the group consisting of Ci-4alkyl, halogen, and -OCi-4alkyl.
48. The compound of claim 44, or a pharmaceutically acceptable salt thereof, wherein:
X2 is CR2;
X3 is N or CH; and
R2 is selected from the group consisting of -Ll-GA, Ci-4alkyl, Ci-4haloalkyl, halogen, cyano, nitro, hydroxyl, -OCi-4alkyl, -OCi-4haloalkyl, -OC3-6alkenyl, -C(0)Ci- 4alkyl, COOH, -C(0)OCi-4alkyl, - R20R20, -NR20(Ci-4haloalkyl), -NR20C(O)(Ci- 4alkyl), - R20C(O)(Ci-4haloalkyl), - R20C(O)OCi-4alkyl, -C(O) R20R20, -
C(O) R20(Ci-4haloalkyl), -L2-Ci-6alkylene-R21, -L2-Ci-6haloalkylene-R21, -L2- Ci-3alkylene-C(H)(OCi-4alkyl)-Ci-3alkylene-R21, -L2-C2-4alkylene-0-C2- 4alkylene-R21, -C3-8alkenyl, -C3-8alkenylene-OH, -C3-8alkenylene-OCi-4alkyl, - C3-8alkynylene-OH, and -C3-8alkynylene-OCi-4alkyl.
49. The compound of claim 48, or a pharmaceutically acceptable salt thereof, wherein:
R2 is selected from the group consisting of -Ll-GA, Ci-4alkyl, halogen, hydroxyl, - OCi-4alkyl, -OCi-4haloalkyl, -C(0)Ci-4alkyl, - R20R20, - R20C(O)(Ci-4alkyl), - C(O) R20R20, -L2-Ci-6alkylene-R21, -L2-Ci-6haloalkylene-R21, -Cs-salkenyl, and -C3-8alkenylene-OCi-4alkyl;
R5 is selected from the group consisting of Ci-4alkyl, halogen, and -OCi-4alkyl;
L1 is a bond, - R10-Ci-4alkylene-, or -0-Ci-4alkylene-;
L2 is a bond, -0-, or - H-;
R21 is -OCi-4alkyl or OH; and
GA is selected from the group consisting of G2A, G7A, and G8A.
50. The compound of claim 44, or a pharmaceutically acceptable salt thereof, wherein:
X2 is N or CH;
X3 is CR3; and
R3 is selected from the group consisting of -L3-GB, Ci-4alkyl, Ci-4haloalkyl, halogen, cyano, hydroxyl, -OCi-4alkyl, -OCi-4haloalkyl, -C(0)Ci-4alkyl, -C(0)OCi-4alkyl, - R40R40, and -C(O) R40R40.
51. The compound of claim 50, or a pharmaceutically acceptable salt thereof, wherein:
R3 is halogen; and
R5 is Ci-4alkyl.
52. The compound of claim 2, or a pharmaceutically acceptable salt thereof, wherein:
X1 is N or CR1;
X2 is CR2;
X3 is N or CH;
X4 is CR4;
X5 is N or CR5;
R2 is selected from the group consisting of -Ll-GA, Ci-4alkyl, Ci-4haloalkyl, halogen, cyano, nitro, hydroxyl, -OCi-4alkyl, -OCi-4haloalkyl, -OC3-6alkenyl, -C(0)Ci- 4alkyl, COOH, -C(0)OCi-4alkyl, - R20R20, -NR20(Ci-4haloalkyl), -NR20C(O)(Ci-
4alkyl), - R20C(O)(Ci-4haloalkyl), - R20C(O)OCi-4alkyl, -C(O) R20R20, - C(O) R20(Ci-4haloalkyl), -L2-Ci-6alkylene-R21, -L2-Ci-6haloalkylene-R21, -L2- Ci-3alkylene-C(H)(OCi-4alkyl)-Ci-3alkylene-R21, -L2-C2-4alkylene-0-C2- 4alkylene-R21, -C3-8alkenyl, -C3-8alkenylene-OH, -C3-8alkenylene-OCi-4alkyl, - C3-8alkynylene-OH, and -C3-8alkynylene-OCi-4alkyl;
R4 is selected from the group consisting of Ci-4alkyl, Ci-4haloalkyl, halogen, -OCi- 4alkyl, -OCi-4haloalkyl, and Gc;
GA is selected from the group consisting of G2A, G6A, G7A, and G8A; and
Gc is selected from the group consisting of G6C and G8C;
53. The compound of claim 52, or a pharmaceutically acceptable salt thereof, wherein:
R2 is selected from the group consisting of Ci-4alkyl, Ci-4haloalkyl, halogen, cyano, nitro, hydroxyl, -OCi-4alkyl, -OCi-4haloalkyl, -OC3-6alkenyl, -C(0)Ci-4alkyl, COOH, -C(0)OCi-4alkyl, -NR20R20, - R20(Ci-4haloalkyl), - R20C(O)(Ci-
4alkyl), - R20C(O)(Ci-4haloalkyl), - R20C(O)OCi-4alkyl, -C(O) R20R20, - C(O) R20(Ci-4haloalkyl), -L2-Ci-6alkylene-R21, -L2-Ci-6haloalkylene-R21, -L2- Ci-3alkylene-C(H)(OCi-4alkyl)-Ci-3alkylene-R21, -L2-C2-4alkylene-0-C2- 4alkylene-R21, -C3-8alkenyl, -C3-8alkenylene-OH, -C3-8alkenylene-OCi-4alkyl, - C3-8alkynylene-OH, and -C3-8alkynylene-OCi-4alkyl.
54. The compound of claim 53, or a pharmaceutically acceptable salt thereof, wherein:
R2 is selected from the group consisting of Ci-4alkyl, Ci-4haloalkyl, halogen, cyano, nitro, -OCi-4alkyl, -OCi-4haloalkyl, -C(0)Ci-4alkyl, COOH, - R20R20, - R20(Ci-
4haloalkyl), - R20C(O)(Ci-4alkyl), - R20C(O)(Ci-4haloalkyl), - R20C(O)OCi- 4alkyl, -L2-Ci-6alkylene-R21, -L2-Ci-6haloalkylene-R21, -L2-Ci-3alkylene- C(H)(OCi-4alkyl)-Ci-3alkylene-R21, -L2-C2-4alkylene-0-C2-4alkylene-R21, and - C3-8alkynylene-OH.
55. The compound of any of claims 52-54, or a pharmaceutically acceptable salt thereof, wherein:
L2 is a bond, -0-, - H-, -N(Ci-4alkyl)-, or - HC(O)-; and
R21 is -OCi-4alkyl, OH, CN, -NH2, -N(Ci-4alkyl)(Ci-4alkyl), -C(0)N(Ci-4alkyl)(Ci- 4alkyl), -N(Ci-4alkyl)C(0)OCi-4alkyl, -NHC(0)Ci-4alkyl, -NHS(0)2Ci-4alkyl, or -C(0)Ci-4alkyl. 56. The compound of any of claims 52-55, or a pharmaceutically acceptable salt thereof, wherein:
X1 is N or CH;
X5 is CR5; and
R5 is selected from the group consisting of Ci-4alkyl, Ci-4haloalkyl, halogen, -OCi- 4alkyl, and -OCi-4haloalkyl.
57. The compound of any of claims 52-55, or a pharmaceutically acceptable salt thereof, wherein:
X1 is CR1;
X5 is N or CH; and
R1 is selected from the group consisting of Ci-4alkyl, Ci-4haloalkyl, halogen, -OCi- 4alkyl, and -OCi-4haloalkyl.
58. The compound of any of claims 52-55, or a pharmaceutically acceptable salt thereof, wherein:
X1 is N or CH; and
X5 is N or CH.
59. The compound of claim 1, or a pharmaceutically acceptable salt thereof, wherein
wherein A is
wherein A is (iv)
The com ound of claim 1, or a pharmaceutically acceptable salt thereof,
64. The compound of claim 1, or a pharmaceutically acceptable salt thereof, selected from Table 2.
65. A pharmaceutical composition comprising a pharmaceutically acceptable carrier and a compound of any of claims 1-64, or a pharmaceutically acceptable salt thereof.
66. A method of treating a disease or disorder selected from a demyelinating disease, central pontine myelinolysis, a nerve injury disease or disorder, a
leukoencephalopathy, and a leukodystrophy, comprising: administering to a patient in need thereof a therapeutically effective amount of a compound of formula (Γ), or a pharmaceutical composition or pharmaceutically acceptable salt thereof, as defined in any of claims 1-64, or a com ound of formula (I).
(I)
wherein:
X1 is N or CR1;
X2 is N or CR2;
X3 is N or CR3;
X4 is N or CR4;
X5 is N or CR5;
R1 and R5 are each independently selected from the group consisting of hydrogen, Ci- 4alkyl, Ci-4haloalkyl, halogen, -OCi-4alkyl, and -OCi-4haloalkyl;
R2 is selected from the group consisting of -I^-G4, hydrogen, Ci-4alkyl, Ci-
4haloalkyl, halogen, cyano, nitro, hydroxyl, -OCi-4alkyl, -OCi-4haloalkyl, -OC3- ealkenyl, -C(0)Ci-4alkyl, COOH, -C(0)OCi-4alkyl, - R20R20, -NR20(Ci-
4haloalkyl), - R20C(O)(Ci-4alkyl), - R20C(O)(Ci-4haloalkyl), - R20C(O)OCi- 4alkyl, -C(O)NR20R20, -C(O) R20(Ci-4haloalkyl), -L2-Ci-6alkylene-R21, -L2-Ci- 6haloalkylene-R21, -L2-Ci-3alkylene-C(H)(OCi-4alkyl)-Ci-3alkylene-R21, -L2-C2- 4alkylene-0-C2-4alkylene-R21, -L2-C2-4alkylene-0-C2-4alkylene-0-C2- 4alkylene-R21, -C3-8alkenyl, -C3-8alkenylene-OH, -C3-8alkenylene-OCi-4alkyl, -
C3-8alkynylene-OH, and -C3-8alkynylene-OCi-4alkyl;
R3 is selected from the group consisting of -L3-GB, hydrogen, Ci-4alkyl, Ci-
4haloalkyl, halogen, cyano, hydroxyl, -OCi-4alkyl, -OCi-4haloalkyl, -C(0)Ci- 4alkyl, -C(0)OCi-4alkyl, - R40R40, and -C(O) R40R40;
R4 is selected from the group consisting of hydrogen, Ci-4alkyl, Ci-4haloalkyl,
halogen, -OCi-4alkyl, -OCi-4haloalkyl, and Gc;
L1 is a bond, -0-, - R10-, - R10-Ci-4alkylene- -0-Ci-4alkylene-, -Ci-4alkylene-, -C(0) R10-, -NR10C(O)-, or -C(O)-;
L2 is a bond, -0-, - H-, -N(Ci-4alkyl)-, - HC(O)-, or -N(Ci-4alkyl)C(0)-;
L3 is a bond, -0-, -NR30-, -NR30-Ci-4alkylene- -0-Ci-4alkylene-, -Ci-4alkylene-, -C(0)NR30-, -NR30C(O), or -C(O)-;
R10, at each occurrence, is independently selected from the group consisting of
hydrogen, Ci-4alkyl, C(0)Ci-4alkyl, oxetanyl, cyclopropyl, and cyclobutyl;
R30, at each occurrence, is independently selected from the group consisting of
hydrogen, Ci-4alkyl, C(0)Ci-4alkyl, oxetanyl, cyclopropyl, and cyclobutyl;
R20 and R40, at each occurrence, are each independently hydrogen or Ci-4alkyl;
R21 is -OCi-4alkyl, OH, CN, -NH2, -NH(Ci-4alkyl), -N(Ci-4alkyl)(Ci-4alkyl), - C(0)NH2, -C(0)NH(Ci-4alkyl), -C(0)N(Ci-4alkyl)(Ci-4alkyl), -NHC(0)OCi- 4alkyl, -N(Ci-4alkyl)C(0)OCi-4alkyl, -NHC(0)Ci-4alkyl, -N(Ci-4alkyl)C(0)Ci- 4alkyl, -NHS(0)2Ci-4alkyl, -N(Ci-4alkyl)S(0)2Ci-4alkyl, or -C(0)Ci-4alkyl;
GA is selected from the group consisting of -G^R7, G2A, G3A, G4A, G5A, G6A, G7A, and G8A;
GB is selected from the group consisting of -G^R7, G2B, G3B, G4B, G5B, G6B, and G7B;
Gc is selected from the group consisting of G6C and G8C;
G1 is a 4- to 8-membered monocyclic heterocycle containing 1-2 heteroatoms
independently selected from oxygen, nitrogen, and sulfur, the monocyclic heterocycle optionally containing one double bond and/or a Ci-3alkylene bridge between two non-adjacent ring atoms, G1 being optionally substituted with 1-4 substituents independently selected from the group consisting of Ci-4alkyl, Ci-
4haloalkyl, halogen, hydroxyl, -OCi-4alkyl, and oxo;
R7 is
(a) a 4- to 12-membered heterocycle containing 1-4 heteroatoms independently selected from oxygen, nitrogen, and sulfur, the heterocycle being optionally substituted with 1-4 substituents independently selected from the group consisting of Ci-4alkyl, Ci-4haloalkyl, -CH2S(0)2phenyl, halogen, hydroxyl, oxo, -OCi- 4alkyl, -Ci-6alkylene-OCi-4alkyl, and -Ci-6alkylene-OH;
(b) a C3-8cycloalkyl optionally substituted with 1-4 substituents independently selected from the group consisting of Ci-4alkyl, Ci-4haloalkyl, halogen, hydroxyl,
-C(0)OCi-4alkyl, -C(0)OH, oxo, -OCi-4alkyl, -Ci-6alkylene-OCi-4alkyl, and - Ci-6alkylene-OH;
(c) phenyl optionally substituted with 1-4 substituents independently selected from the group consisting of Ci-4alkyl, Ci-4haloalkyl, halogen, hydroxyl, - C(0)OCi-4alkyl, -C(0)OH, -OCi-4alkyl, -Ci-6alkylene-OCi-4alkyl, and -Ci-
6alkylene-OH; or
(d) a 5- or 6-membered monocyclic heteroaryl containing 1-3 heteroatoms independently selected from nitrogen, oxygen, and sulfur, the monocyclic heteroaryl being optionally substituted with 1-3 substituents independently selected from the group consisting of Ci-4alkyl, Ci-4haloalkyl, halogen, hydroxyl,
-OCi-4alkyl, -Ci-6alkylene-OCi-4alkyl, and -Ci-6alkylene-OH;
G2A and G2B are each independently a 4- to 8-membered monocyclic heterocycle containing 1 nitrogen atom and optionally 1-2 additional heteroatoms
independently selected from oxygen, nitrogen, and sulfur, G2A and G2B optionally containing one double bond and/or a Ci-3alkylene bridge between two non- adjacent ring atoms, wherein G2A and G2B are attached to L1 through a ring nitrogen of G2A or G23, and are independently optionally substituted with 1-4 substituents independently selected from the group consisting of Ci-4alkyl, Ci-
4haloalkyl, halogen, hydroxyl, oxo, cyano, -OCi-4alkyl, -C(0)Ci-4alkyl, - C(0)OCi-4alkyl, -Ci-6alkylene-OCi-4alkyl, and -Ci-ealkylene-OH;
G3A and G3B are each independently a 4- to 8-membered monocyclic heterocycle containing 1-3 heteroatoms independently selected from oxygen, nitrogen, and sulfur, G3A and G3B optionally containing one double bond and/or a Ci-3alkylene bridge between two non-adjacent ring atoms, wherein G3A and G3B are attached to L1 at a ring carbon ring atom of G3A or G3B, and are independently optionally substituted with 1-4 substituents independently selected from the group consisting of Ci-4alkyl, Ci-4haloalkyl, halogen, hydroxyl, oxo, cyano, -OCi-4alkyl, -C(0)Ci- 4alkyl, -C(0)OCi-4alkyl, -Ci-6alkylene-OCi-4alkyl, and -Ci-ealkylene-OH;
G4A and G4B are each independently a 7- to 12-membered spiro heterocycle
comprising a first ring and a second ring, the first ring being a 4- to 8-membered monocyclic heterocycle containing 1-2 heteroatoms independently selected from nitrogen and oxygen and being attached to L1, the second ring being a C3- 8cycloalkyl or a 4- to 8-membered monocyclic heterocycle containing 1-2 oxygen atoms wherein two atoms of the second ring are attached to one carbon of the first ring to form a spirocycle;
G5A and G5B are each independently a 7- to 12-membered fused bicyclic heterocycle containing 1-3 heteroatoms independently selected from oxygen, nitrogen, and sulfur;
wherein G4A, G4B, G5A and G5B are independently optionally substituted with 1-4 substituents independently selected from the group consisting of Ci-4alkyl, Ci- 4haloalkyl, halogen, hydroxyl, -OCi-4alkyl, and oxo;
Q6A ancj Q6C are eac|1 independently a C3-8cycloalkyl optionally substituted with 1-4 substituents independently selected from the group consisting of Ci-4alkyl, Ci-
4haloalkyl, halogen, hydroxyl, oxo, - HC(0)(Ci-4alkyl), -N(Ci-4alkyl)C(0)(Ci- 4alkyl), -C(0)OCi-4alkyl, -C(0)OH, -OCi-4alkyl, -Ci-6alkylene-OCi-4alkyl, and -Ci-6alkylene-OH;
G7A and G7B are each independently a 5- or 6-membered monocyclic heteroaryl
containing 1-3 heteroatoms independently selected from nitrogen, oxygen, and sulfur, G7A and G7B being optionally substituted with 1-3 substituents
independently selected from the group consisting of Ci-4alkyl, Ci-4haloalkyl, halogen, hydroxyl, -OCi-4alkyl, and cyano;
G and G are each independently phenyl optionally substituted with 1-4 substituents independently selected from the group consisting of Ci-4alkyl, Ci- 4haloalkyl, halogen, hydroxyl, -OCi-4alkyl, and cyano;
R8 is phenyl or a 6-membered heteroaryl containing 1-3 nitrogen atoms, R8 being optionally substituted with 1-3 substituents independently selected from the group consisting of halogen, hydroxyl, cyano, -S(0)2Ci-4alkyl, -S(0)Ci-4alkyl, -SCi- 4alkyl, Ci-4alkyl, Ci-4haloalkyl, -C3-6alkenyl, -OCi-4alkyl, -OCi-4haloalkyl, -Ci- 4alkylene-OCi-4alkyl, -Ci-4alkylene-N(Ci-4alkyl)(Ci-4alkyl), - H(Ci-4alkylene- OCi-4alkyl), - H(Ci-4alkylene-OH), -N(Ci-4alkyl)(Ci-4alkylene-OCi-4alkyl), - N(Ci-4alkyl)(Ci-4alkylene-OH), - H2, - H(Ci-4alkyl), -N(Ci-4alkyl)(Ci-4alkyl), -
C(0) H2, -C(0) H(Ci-4alkyl), -C(0)N(Ci-4alkyl)(Ci-4alkyl), -L4-G10, C3- 6cycloalkyl, C5-6cycloalkenyl, or a 4- to 8-membered monocyclic heterocycle containing 1-2 nitrogen atoms, and optionally an oxygen or sulfur atom, the monocyclic heterocycle optionally containing one double bond and/or a Ci- 3alkylene bridge between two non-adjacent ring atoms, the C3-6cycloalkyl, the Cs-
6cycloalkenyl, and the 4- to 8-membered monocyclic heterocycle being independently optionally substituted with 1-4 substituents independently selected from the group consisting of halogen, hydroxyl, -OCi-4alkyl, Ci-4alkyl, Ci- 4haloalkyl, -Ci-4alkylene-OCi-4alkyl, and -Ci-4alkylene-OH;
L4 is -0-, - R9-, - R9-Ci-4alkylene-, or -0-Ci-4alkylene-;
R9, at each occurrence, is independently hydrogen or Ci-4alkyl; and
G10 is phenyl or a 5- or 6-membered monocyclic heteroaryl containing 1-3
heteroatoms independently selected from nitrogen, oxygen, and sulfur, G10 being optionally substituted with 1-4 substituents independently selected from the group consisting of Ci-4alkyl, Ci-4haloalkyl, halogen, hydroxyl, -OCi-4alkyl, and cyano; or a pharmaceutically acceptable salt or composition thereof.
67. The method of claim 66, wherein the disease or disorder is a demyelinating disease selected from multiple sclerosis, acute disseminated encephalomyelitis, neuromyelitis optica, optic neuritis, and transverse myelitis.
68. The method of claim 67, wherein the demyelinating disease is multiple sclerosis.
69. The method of claim 68, wherein the type of multiple sclerosis is primary progressive multiple sclerosis, relapsing-remitting multiple sclerosis, secondary progressive multiple sclerosis or progressive relapsing multiple sclerosis.
70. The method of claim 66, wherein the disease or disorder is a leukodystrophy selected from the group consisting of adrenoleukodystrophy, Alexander's disease, Pelizaeus Merzbacher disease, Globoid cell Leucodystrophy (Krabbe's disease), cerebrotendineous xanthomatosis, hereditary CNS demyelinating disease, metachromatic leukodystrophy, Canavan disease, adrenoleukodystrophy, Refsum disease, and xenobefantosis.
71. The method of claim 66, wherein the disease or disorder is a
leukoencephalopathy selected from progressive multifocal leukoencephalopathy.
72. The method of claim 66, wherein the disease or disorder is a nerve injury disease or disorder selected from spinal cord injury, cerebral palsey, periventricular leukomalacia and Wallerian degeneration. 73. A method of promoting remyelination of demyelinated axons comprising administering to a patient in need thereof a therapeutically effective amount of a compound of formula (Γ) or (I), or pharmaceutical composition or a pharmaceutically acceptable salt thereof, as defined in any of claims 1-66. 74. A method of differentiating endogenous oligodendrocyte precursor cells, comprising administering to a patient in need thereof a therapeutically effective amount of a compound of formula (Γ) or (I), or a pharmaceutical composition or a pharmaceutically acceptable salt thereof, as defined in any of claims 1-66. 75. A method of treating, preventing, or reducing the severity of one or more symptoms of multiple sclerosis or another neurodegenerative disease comprising administering to a patient in need thereof a therapeutically effective amount of a
compound of formula (Γ) or (I), or a pharmaceutical composition or a
pharmaceutically acceptable salt thereof, as defined in any of claims 1-66.
76. The method of claim 75, wherein the one or more symptoms of multiple sclerosis or another neurodegernative disease is selected from auditory impairment, optic neuritis, decreased visual acuity, diplopia, nystagmus, ocular dysmetria, internuclear ophthalmoplegia, movement and sound phosphenes, afferent pupillary defect, paresis, monoparesis, paraparesis, hemiparesis, quadraparesis, plegia, paraplegia, hemiplegia, tetraplegia, quadraplegia, spasticity, dysarthria, motor dysfunction, walking impairment, muscle atrophy, spasms, cramps, hypotonia, clonus, myoclonus, myokymia, restless leg syndrome, gait disturbances, footdrop,
dysfunctional reflexes, paresthesia, anaesthesia, neuralgia, neuropathic and neurogenic pain, L'hermitte's, proprioceptive dysfunction, trigeminal neuralgia, ataxia, intention tremor, dysmetria, vestibular ataxia, vertigo, speech ataxia, dystonia, disability progression, dysdiadochokinesia, frequent micturation, bladder spasticity, flaccid bladder, detrusor- sphincter dyssynergia, erectile dysfunction or anorgasmy.
77. The method of claim 66, wherein the disease or disorder is selected from spinal cord injury, stroke, multiple sclerosis, progressive multifocal
leukoencephalopathy, congenital hypomyeli nation, encephalomyelitis, acute disseminated encephalomyelitis, central pontine myelolysis, hypoxic demyelination, ischemic demyelination, neuromyelitis optics, adren ol eukod strophy , Alexander's disease, Niemann-Pick disease, Pelizaeus Merzbacher disease, periventricular !eukoma!atia, globoid cell leucodystrophy (Krabbe's disease), Wallerian degeneration, optic neuritis, transverse myelitis, amyotrophic lateral sclerosis (Lou Gehrig's diseae), Huntington's disease, Alzheimer's disease, Parkinson's disease, Tay-Sacks disease, Gaucher" s disease, Hurler Syndrome, traumatic brain injury, post radiation injury, neurologic complications of chemotherapy, neuropathy, acute ischemic optic neuropathy, neuromyelitis optica, vitamin B12 deficiency, isolated vitamin E deficiency syndrome, Bassen-Kornzweig syndrome, Leber's hereditary optic atrophy/Leber congenital amaurosis, Marchiafava-Bignami syndrome, metachromatic leukodystrophy, acute hemorrhagic leukoencephalitis, trigeminal neuralgia. Bell's palsy, schizophrenia, cerebral ischemia, multiple system atrophy, traumatic glaucoma,
tropical spastic paraparesi s/human T-lymphotropic virus 1 (HTLV- 1 ) associated myelopathy, essential tremor or osmotic hyponatremia.
78. A compound of formula (Γ) or (I), or a pharmaceutical composition or pharmaceutically acceptable salt thereof, as defined in any of claims 1-66, for use in the manufacture of a medicament for the treatment of a disease or disorder selected from a demyelinating disease, central pontine myelinolysis, a nerve injury disease or disorder, a leukoencephalopathy, a leukodystrophy, or multiple sclerosis; or for the promotion of remyelination of demyelinated axons; or for the differentiation of endogenous oligodendrocyte precursor cells.
79. A compound of formula (Γ) or (I), or a pharmaceutical composition or pharmaceutically acceptable salt thereof, as defined in any of claims 1-66, for use in treating or lessening the severity of, in a subject, a disease or disorder selected from a demyelinating disease, central pontine myelinolysis, a nerve injury disease or disorder, a leukoencephalopathy, a leukodystrophy, or multiple sclerosis; or for use in promoting remyelination of demyelinated axons; or for use in differentiating endogenous oligodendrocyte precursor cells.
80. A kit comprising the compound of any one of claims 1 to 64, or the pharmaceutical composition of claim 65, and instructions for use thereof.
81. The kit of claim 80, further comprising one or more additional therapeutic agent(s).
82. The kit of claim 80 or 81, wherein the compound of any one of claims 1 to 64 or the pharmaceutical composition of claim 65 and the one or more additional therapeutic agent(s) are in separate containers.
83. The kit of claim 80or 81 wherein the compound of any one of claims 1 to 64 or the pharmaceutical composition of claim 65 and the one or more additional therapeutic agent(s) are in the same container.
84. The kit of claim 82 or 83, wherein the container is a bottle, vial, or blister pack, or combinations thereof.
Applications Claiming Priority (2)
| Application Number | Priority Date | Filing Date | Title |
|---|---|---|---|
| US201662430813P | 2016-12-06 | 2016-12-06 | |
| US62/430,813 | 2016-12-06 |
Publications (1)
| Publication Number | Publication Date |
|---|---|
| WO2018106646A1 true WO2018106646A1 (en) | 2018-06-14 |
Family
ID=60782379
Family Applications (1)
| Application Number | Title | Priority Date | Filing Date |
|---|---|---|---|
| PCT/US2017/064632 Ceased WO2018106646A1 (en) | 2016-12-06 | 2017-12-05 | Aminotriazoles for the treatment of demyelinating diseases |
Country Status (1)
| Country | Link |
|---|---|
| WO (1) | WO2018106646A1 (en) |
Cited By (3)
| Publication number | Priority date | Publication date | Assignee | Title |
|---|---|---|---|---|
| US11458124B2 (en) * | 2018-07-12 | 2022-10-04 | UCBBiopharma Srl | Spirocyclic indane analogues as IL-17 modulators |
| CN116003336A (en) * | 2023-01-09 | 2023-04-25 | 赣南师范大学 | 1,2, 4-triazole-3-amine compound, and preparation method and application thereof |
| US12054479B1 (en) | 2022-03-14 | 2024-08-06 | Slap Pharmaceuticals Llc | Multicyclic compounds |
Citations (109)
| Publication number | Priority date | Publication date | Assignee | Title |
|---|---|---|---|---|
| US5840299A (en) | 1994-01-25 | 1998-11-24 | Athena Neurosciences, Inc. | Humanized antibodies against leukocyte adhesion molecule VLA-4 |
| US5888507A (en) | 1993-02-09 | 1999-03-30 | Biogen, Inc. | Treatment for insulin dependent diabetes |
| US20030114505A1 (en) | 2000-02-18 | 2003-06-19 | Akihiro Ueno | Novel isoxazole and thiazole compounds and use thereof as drugs |
| US6602503B1 (en) | 1993-01-12 | 2003-08-05 | Biogen, Inc. | Recombinant anti-VLA-4 antibody molecules |
| US20040122236A1 (en) | 2000-10-03 | 2004-06-24 | Lynch Kevin R. | Novel lysophosphatidic acid receptor agonists and antagonists |
| WO2004085648A2 (en) | 2003-03-19 | 2004-10-07 | Biogen Idec Ma Inc. | Nogo receptor binding protein |
| WO2005013982A1 (en) * | 2003-08-06 | 2005-02-17 | Vertex Pharmaceuticals Incorporated | Aminotriazole compounds useful as inhibitors of protein kinases |
| US6964945B1 (en) | 1998-09-25 | 2005-11-15 | The Procter & Gamble Company | Solid detergent compositions |
| US20050256160A1 (en) | 2002-05-28 | 2005-11-17 | Hiromu Habashita | Beta-alanine derivatives and the use thereof |
| WO2006002437A2 (en) | 2004-06-24 | 2006-01-05 | Biogen Idec Ma Inc. | Treatment of conditions involving demyelination |
| WO2006017673A2 (en) | 2004-08-03 | 2006-02-16 | Biogen Idec Ma Inc. | Taj in neuronal function |
| US20060148830A1 (en) | 2002-10-03 | 2006-07-06 | Ono Pharmaceutical Co., Ltd. | Lpa receptor antagonist |
| US20060194850A1 (en) | 2003-08-05 | 2006-08-31 | Ajinomoto Co. Inc | Novel azole compound |
| WO2007008547A2 (en) | 2005-07-08 | 2007-01-18 | Biogen Idec Ma Inc. | Sp35 antibodies and uses thereof |
| WO2007025219A2 (en) | 2005-08-25 | 2007-03-01 | Biogen Idec Ma Inc. | Nogo receptor polypeptides and polypeptide fragments and uses thereof |
| WO2007056161A1 (en) | 2005-11-04 | 2007-05-18 | Biogen Idec Ma Inc. | Methods for promoting neurite outgrowth and survival of dopaminergic neurons |
| WO2007064882A2 (en) | 2005-12-02 | 2007-06-07 | Biogen Idec Ma Inc. | Treatment of conditions involving demyelination |
| WO2007098283A2 (en) | 2006-02-27 | 2007-08-30 | Biogen Idec Ma Inc. | Use of antagonists of maif receptor complex molecules and neurotrophic factors for treatment of neurological diseases and disorders |
| WO2007133746A2 (en) | 2006-05-15 | 2007-11-22 | Biogen Idec Ma Inc. | Use of nogo receptor-1 (ngr1) antagonists for promoting oligodendrocyte survival |
| WO2008014286A1 (en) | 2006-07-24 | 2008-01-31 | University Of Virginia Patent Foundation | Vinyl phosphonate lysophosphatidic acid receptor antagonists |
| WO2008013782A2 (en) | 2006-07-24 | 2008-01-31 | Biogen Idec Ma Inc. | Methods for promoting myelination, neuronal survival and oligodendrocyte differentiation via administration of sp35 or trka antagonists |
| WO2008086006A2 (en) | 2007-01-09 | 2008-07-17 | Biogen Idec Ma Inc. | Sp35 antibodies and uses thereof |
| WO2009023854A1 (en) | 2007-08-15 | 2009-02-19 | University Of Virginia Patent Foundation | Bicyclic sphingosine 1-phosphate analogs |
| WO2009030771A1 (en) | 2007-09-05 | 2009-03-12 | Novo Nordisk A/S | Peptides derivatized with a-b-c-d- and their therapeutical use |
| WO2009048605A1 (en) | 2007-10-11 | 2009-04-16 | Biogen Idec Ma Inc. | Methods for treating pressure induced optic neuropathy, preventing neuronal degeneration and promoting neuronal cell, survival via administration of lingo-1 antagonists and trkb agonists |
| WO2009046804A1 (en) | 2007-10-05 | 2009-04-16 | Merck Patent Gmbh | Imidazole derivatives |
| WO2009046841A2 (en) | 2007-10-05 | 2009-04-16 | Merck Patent Gmbh | Piperidine and piperazine derivatives for treating tumours |
| WO2009046842A2 (en) | 2007-10-05 | 2009-04-16 | Merck Patent Gmbh | Thiazol derivatives for treating cancer |
| WO2009061500A1 (en) | 2007-11-08 | 2009-05-14 | Biogen Idec Ma Inc. | Use of lingo-4 antagonists in the treatment of conditions involving demyelination |
| WO2009135590A1 (en) | 2008-05-05 | 2009-11-12 | Sanofi-Aventis | Acylamino-substituted fused cyclopentanecarboxylic acid derivatives and their use as pharmaceuticals |
| WO2010005570A2 (en) | 2008-07-09 | 2010-01-14 | Biogen Idec Ma Inc. | Compositions comprising antibodies to lingo or fragments thereof |
| WO2010007729A1 (en) | 2008-07-15 | 2010-01-21 | パナソニック株式会社 | Method of manufacturing a thermoelectric device |
| WO2010051031A1 (en) | 2008-10-30 | 2010-05-06 | Biogen Idec Ma Inc. | Heterobicyclic sphingosine 1-phosphate analogs |
| WO2010051030A1 (en) | 2008-10-30 | 2010-05-06 | Biogen Idec Ma Inc. | Bicyclic aryl sphingosine 1-phosphate analogs |
| WO2010052199A1 (en) * | 2008-11-10 | 2010-05-14 | F. Hoffmann-La Roche Ag | Heterocyclic gamma secretase modulators |
| WO2010062904A2 (en) | 2008-11-25 | 2010-06-03 | Biogen Idec Ma Inc. | Use of dr6 and p75 antagonists to promote survival of cells of the nervous system |
| WO2010063352A1 (en) | 2008-12-01 | 2010-06-10 | Merck Patent Gmbh | 2, 5-diamino-substituted pyrido [4, 3-d] pyrimidines as autotaxin inhibitors against cancer |
| WO2010068775A2 (en) | 2008-12-11 | 2010-06-17 | Amira Pharmaceuticals, Inc. | Alkyne antagonists of lysophosphatidic acid receptors |
| WO2010077882A2 (en) | 2008-12-15 | 2010-07-08 | Amira Pharmaceuticals, Inc. | Antagonists of lysophosphatidic acid receptors |
| WO2010112124A1 (en) | 2009-04-02 | 2010-10-07 | Merck Patent Gmbh | Autotaxin inhibitors |
| WO2010112116A1 (en) | 2009-04-02 | 2010-10-07 | Merck Patent Gmbh | Heterocyclic compounds as autotaxin inhibitors |
| WO2010115491A2 (en) | 2009-04-02 | 2010-10-14 | Merck Patent Gmbh | Piperidine and piperazine derivatives as autotaxin inhibitors |
| WO2010141768A2 (en) | 2009-06-03 | 2010-12-09 | Amira Pharmaceuticals, Inc. | Polycyclic antagonists of lysophosphatidic acid receptors |
| WO2011006569A1 (en) | 2009-07-16 | 2011-01-20 | Merck Patent Gmbh | Heterocyclic compounds as autotaxin inhibitors |
| WO2011017350A2 (en) | 2009-08-04 | 2011-02-10 | Amira Pharmaceuticals, Inc. | Compounds as lysophosphatidic acid receptor antagonists |
| WO2011017561A1 (en) | 2009-08-05 | 2011-02-10 | Biogen Idec Ma Inc. | Bicyclic aryl sphingosine 1-phosphate analogs |
| WO2011041462A2 (en) | 2009-10-01 | 2011-04-07 | Amira Pharmaceuticals, Inc. | Polycyclic compounds as lysophosphatidic acid receptor antagonists |
| WO2011041694A2 (en) | 2009-10-01 | 2011-04-07 | Amira Pharmaceuticals, Inc. | Compounds as lysophosphatidic acid receptor antagonists |
| WO2011053948A1 (en) | 2009-11-02 | 2011-05-05 | Sanofi-Aventis | Acylamino-substituted cyclic carboxylic acid derivatives and their use as pharmaceuticals |
| WO2011080102A2 (en) | 2009-12-16 | 2011-07-07 | Novo Nordisk A/S | Glp-1 analogues and derivatives |
| WO2011116867A1 (en) | 2010-03-26 | 2011-09-29 | Merck Patent Gmbh | Benzonaphthyridinamines as autotaxin inhibitors |
| WO2011133862A1 (en) | 2010-04-23 | 2011-10-27 | Oregon Health And Science University | Methods and compositions for promoting myelination |
| WO2011141761A1 (en) | 2010-05-13 | 2011-11-17 | Nokia Corporation | Method and apparatus for providing context sensing and fusion |
| WO2011159635A1 (en) | 2010-06-15 | 2011-12-22 | Amira Pharmaceuticals, Inc. | Lysophosphatidic acid receptor antagonist for the treatment of dermal conditions |
| WO2011159550A2 (en) | 2010-06-14 | 2011-12-22 | Amidra Pharmaceuticals, Inc. | Lysophosphatidic acid receptor antagonist and uses thereof |
| WO2012005227A1 (en) | 2010-07-06 | 2012-01-12 | 小野薬品工業株式会社 | Tetrahydrocarboline derivative |
| WO2012024620A2 (en) | 2010-08-20 | 2012-02-23 | Amira Pharmaceuticals, Inc. | Autotaxin inhibitors and uses thereof |
| WO2012028243A1 (en) | 2010-09-02 | 2012-03-08 | Merck Patent Gmbh | Pyrazolopyridinone derivatives as lpa receptor antagonists |
| WO2012062803A1 (en) | 2010-11-09 | 2012-05-18 | Novo Nordisk A/S | Double-acylated glp-1 derivatives |
| WO2012078593A2 (en) | 2010-12-07 | 2012-06-14 | Amira Pharmaceuticals, Inc. | Lysophosphatidic acid receptor antagonists and uses thereof |
| WO2012078805A1 (en) | 2010-12-07 | 2012-06-14 | Amira Pharmaceuticals, Inc. | Polycyclic lpa1 antagonist and uses thereof |
| WO2012097093A2 (en) | 2011-01-11 | 2012-07-19 | Fate Therapeutics, Inc. | Novel wnt compositions and therapeutic uses of such compositions |
| WO2012109108A1 (en) | 2011-02-07 | 2012-08-16 | Biogen Idec Ma Inc. | S1p modulating agents |
| WO2012140117A1 (en) | 2011-04-12 | 2012-10-18 | Novo Nordisk A/S | Double-acylated glp-1 derivatives |
| WO2012166415A1 (en) | 2011-05-27 | 2012-12-06 | Amira Pharmaceuticals, Inc. | Heterocyclic autotaxin inhibitors and uses thereof |
| WO2013037499A1 (en) | 2011-09-15 | 2013-03-21 | Johann Wolfgang Goethe-Universität | Inhibitors of nox4 expression and/or nox4 function and their use in the prevention and treatment of nerve injury and/or neuropathic pain |
| WO2013040309A2 (en) | 2011-09-16 | 2013-03-21 | Fate Therapeutics, Inc. | Wnt compositions and therapeutic uses of such compositions |
| WO2013054185A1 (en) | 2011-10-13 | 2013-04-18 | Pfizer, Inc. | Pyrimidine and pyridine derivatives useful in therapy |
| WO2013056232A2 (en) | 2011-10-13 | 2013-04-18 | Case Western Reserve University | Rxr agonists compounds and methods |
| WO2013061297A1 (en) | 2011-10-28 | 2013-05-02 | Pfizer Limited | Pyridazine Derivatives Useful in Therapy |
| WO2013063095A1 (en) | 2011-10-24 | 2013-05-02 | Abbvie Inc. | Immunobinders directed against sclerostin |
| WO2013070879A1 (en) | 2011-11-10 | 2013-05-16 | Bristol-Myers Squibb Company | Methods for treating spinal cord injury with lpa receptor antagonists |
| WO2013080120A1 (en) | 2011-11-28 | 2013-06-06 | Novartis Ag | Novel trifluoromethyl-oxadiazole derivatives and their use in the treatment of disease |
| WO2013102144A2 (en) | 2011-12-30 | 2013-07-04 | Halozyme, Inc. | Ph20 polypeptede variants, formulations and uses thereof |
| WO2013173364A2 (en) | 2012-05-14 | 2013-11-21 | Biogen Idec Ma Inc. | Lingo-2 antagonists for treatment of conditions involving motor neurons |
| WO2013186159A1 (en) | 2012-06-13 | 2013-12-19 | F. Hoffmann-La Roche Ag | New diazaspirocycloalkane and azaspirocycloalkane |
| WO2014018881A1 (en) | 2012-07-27 | 2014-01-30 | Biogen Idec Ma Inc. | Atx modulating agents |
| WO2014018891A1 (en) | 2012-07-27 | 2014-01-30 | Biogen Idec Ma Inc. | Compounds that are s1p modulating agents and/or atx modulating agents |
| WO2014018887A1 (en) | 2012-07-27 | 2014-01-30 | Biogen Idec Ma Inc. | Atx modulating agents |
| WO2014025709A1 (en) | 2012-08-06 | 2014-02-13 | Biogen Idec Ma Inc. | Compounds that are s1p modulating agents and/or atx modulating agents |
| WO2014025708A1 (en) | 2012-08-06 | 2014-02-13 | Biogen Idec Ma Inc. | Compounds that are s1p modulating agents and/or atx modulating agents |
| WO2014048865A1 (en) | 2012-09-25 | 2014-04-03 | F. Hoffmann-La Roche Ag | New bicyclic derivatives |
| WO2014058875A2 (en) | 2012-10-09 | 2014-04-17 | Biogen Idec Ma Inc. | Combination therapies and uses for treatment of demyelinating disorders |
| WO2014081752A1 (en) | 2012-11-20 | 2014-05-30 | Biogen Idec Ma Inc. | S1p and/or atx modulating agents |
| WO2014081756A1 (en) | 2012-11-20 | 2014-05-30 | Biogen Idec Ma Inc. | S1p and/or atx modulating agents |
| WO2014097151A2 (en) | 2012-12-19 | 2014-06-26 | Novartis Ag | Autotaxin inhibitors |
| WO2014106104A1 (en) | 2012-12-28 | 2014-07-03 | Biogen Idec Ma Inc. | Use of dr6 antagonists to improve motor neuron disease |
| WO2014110000A1 (en) | 2013-01-11 | 2014-07-17 | Eli Lilly And Company | Pyrido- or pyrrolo-fused pyrimidine derivatives as autotaxin inhibitors for treating pain |
| WO2014123186A1 (en) | 2013-02-06 | 2014-08-14 | 公立大学法人横浜市立大学 | Anti-semaphorin 3a antibody and treatment of alzheimer's disease and inflammatory immune diseases using same |
| WO2014133112A1 (en) | 2013-03-01 | 2014-09-04 | 国立大学法人東京大学 | 8-substituted imidazopyrimidinone derivative having autotaxin inhibitory activity |
| WO2014143583A1 (en) | 2013-03-12 | 2014-09-18 | Eli Lilly And Company | Imidazo pyridine compounds |
| WO2014139882A1 (en) | 2013-03-14 | 2014-09-18 | Galapagos Nv | Compounds and pharmaceutical compositions thereof for the treatment of inflammatory disorders |
| WO2014139978A1 (en) | 2013-03-12 | 2014-09-18 | F. Hoffmann-La Roche Ag | New octahydro-pyrrolo[3,4-c]-pyrrole derivatives and analogs thereof as autotaxin inhibitors |
| WO2014152725A1 (en) | 2013-03-15 | 2014-09-25 | Biogen Idec Ma Inc. | S1p and/or atx modulating agents |
| WO2014165827A1 (en) | 2013-04-05 | 2014-10-09 | Salk Institute For Biological Studies | Ppar agonists |
| WO2014168824A1 (en) | 2013-04-12 | 2014-10-16 | Eli Lilly And Company | Dihydropyrido pyrimidine compounds as autotaxin inhibitors |
| WO2014197818A2 (en) | 2013-06-07 | 2014-12-11 | The General Hospital Corporation | Small molecule activators of nrf2 pathway |
| WO2014202458A1 (en) | 2013-06-19 | 2014-12-24 | Galapagos Nv | Novel compounds and pharmaceutical compositions thereof for the treatment of inflammatory disorders |
| WO2014202727A1 (en) | 2013-06-20 | 2014-12-24 | Novo Nordisk A/S | Glp-1 derivatives and uses thereof |
| WO2015001352A1 (en) | 2013-07-03 | 2015-01-08 | The University Court Of The University Of Edinburgh | Novel regenerative therapy |
| WO2015000942A1 (en) | 2013-07-04 | 2015-01-08 | Novo Nordisk A/S | Derivatives of glp-1 like peptides, and uses thereof |
| WO2015008230A1 (en) | 2013-07-18 | 2015-01-22 | Novartis Ag | Autotaxin inhibitors comprising a heteroaromatic ring-benzyl-amide-cycle core |
| WO2015008229A1 (en) | 2013-07-18 | 2015-01-22 | Novartis Ag | Autotaxin inhibitors |
| US20150038585A1 (en) | 2011-12-13 | 2015-02-05 | Io Therapeutics, Inc. | Treatment of Diseases by Concurrently Eliciting Remyelination Effects and Immunomodulatory Effects Using Selective RXR Agonists |
| WO2015023691A2 (en) | 2013-08-12 | 2015-02-19 | Benaroya Research Institute At Virginia Mason | 4-methylumbelliferone treatment for immune modulation |
| WO2015042053A1 (en) | 2013-09-17 | 2015-03-26 | Pharmakea, Inc. | Vinyl autotaxin inhibitor compounds |
| WO2015042052A1 (en) | 2013-09-17 | 2015-03-26 | Pharmakea, Inc. | Heterocyclic vinyl autotaxin inhibitor compounds |
| WO2015048301A1 (en) | 2013-09-26 | 2015-04-02 | Pharmakea, Inc. | Autotaxin inhibitor compounds |
| WO2016197009A1 (en) * | 2015-06-05 | 2016-12-08 | Vertex Pharmaceuticals Incorporated | Triazoles for the treatment of demyelinating diseases |
-
2017
- 2017-12-05 WO PCT/US2017/064632 patent/WO2018106646A1/en not_active Ceased
Patent Citations (116)
| Publication number | Priority date | Publication date | Assignee | Title |
|---|---|---|---|---|
| US6602503B1 (en) | 1993-01-12 | 2003-08-05 | Biogen, Inc. | Recombinant anti-VLA-4 antibody molecules |
| US5888507A (en) | 1993-02-09 | 1999-03-30 | Biogen, Inc. | Treatment for insulin dependent diabetes |
| US5840299A (en) | 1994-01-25 | 1998-11-24 | Athena Neurosciences, Inc. | Humanized antibodies against leukocyte adhesion molecule VLA-4 |
| US6964945B1 (en) | 1998-09-25 | 2005-11-15 | The Procter & Gamble Company | Solid detergent compositions |
| US20030114505A1 (en) | 2000-02-18 | 2003-06-19 | Akihiro Ueno | Novel isoxazole and thiazole compounds and use thereof as drugs |
| US20040122236A1 (en) | 2000-10-03 | 2004-06-24 | Lynch Kevin R. | Novel lysophosphatidic acid receptor agonists and antagonists |
| US20050256160A1 (en) | 2002-05-28 | 2005-11-17 | Hiromu Habashita | Beta-alanine derivatives and the use thereof |
| US20100249157A2 (en) | 2002-10-03 | 2010-09-30 | Ono Pharmaceutical Co., Ltd. | Lpa receptor antagonist |
| US20080293764A1 (en) | 2002-10-03 | 2008-11-27 | Ono Pharmaceutical Co., Ltd. | Lpa receptor antagonist |
| US20060148830A1 (en) | 2002-10-03 | 2006-07-06 | Ono Pharmaceutical Co., Ltd. | Lpa receptor antagonist |
| WO2004085648A2 (en) | 2003-03-19 | 2004-10-07 | Biogen Idec Ma Inc. | Nogo receptor binding protein |
| US20060194850A1 (en) | 2003-08-05 | 2006-08-31 | Ajinomoto Co. Inc | Novel azole compound |
| WO2005013982A1 (en) * | 2003-08-06 | 2005-02-17 | Vertex Pharmaceuticals Incorporated | Aminotriazole compounds useful as inhibitors of protein kinases |
| WO2006002437A2 (en) | 2004-06-24 | 2006-01-05 | Biogen Idec Ma Inc. | Treatment of conditions involving demyelination |
| WO2006017673A2 (en) | 2004-08-03 | 2006-02-16 | Biogen Idec Ma Inc. | Taj in neuronal function |
| WO2007008547A2 (en) | 2005-07-08 | 2007-01-18 | Biogen Idec Ma Inc. | Sp35 antibodies and uses thereof |
| WO2007025219A2 (en) | 2005-08-25 | 2007-03-01 | Biogen Idec Ma Inc. | Nogo receptor polypeptides and polypeptide fragments and uses thereof |
| WO2007056161A1 (en) | 2005-11-04 | 2007-05-18 | Biogen Idec Ma Inc. | Methods for promoting neurite outgrowth and survival of dopaminergic neurons |
| WO2007064882A2 (en) | 2005-12-02 | 2007-06-07 | Biogen Idec Ma Inc. | Treatment of conditions involving demyelination |
| WO2007098283A2 (en) | 2006-02-27 | 2007-08-30 | Biogen Idec Ma Inc. | Use of antagonists of maif receptor complex molecules and neurotrophic factors for treatment of neurological diseases and disorders |
| WO2007133746A2 (en) | 2006-05-15 | 2007-11-22 | Biogen Idec Ma Inc. | Use of nogo receptor-1 (ngr1) antagonists for promoting oligodendrocyte survival |
| WO2008014286A1 (en) | 2006-07-24 | 2008-01-31 | University Of Virginia Patent Foundation | Vinyl phosphonate lysophosphatidic acid receptor antagonists |
| WO2008013782A2 (en) | 2006-07-24 | 2008-01-31 | Biogen Idec Ma Inc. | Methods for promoting myelination, neuronal survival and oligodendrocyte differentiation via administration of sp35 or trka antagonists |
| WO2008086006A2 (en) | 2007-01-09 | 2008-07-17 | Biogen Idec Ma Inc. | Sp35 antibodies and uses thereof |
| WO2009023854A1 (en) | 2007-08-15 | 2009-02-19 | University Of Virginia Patent Foundation | Bicyclic sphingosine 1-phosphate analogs |
| WO2009030771A1 (en) | 2007-09-05 | 2009-03-12 | Novo Nordisk A/S | Peptides derivatized with a-b-c-d- and their therapeutical use |
| WO2009046842A2 (en) | 2007-10-05 | 2009-04-16 | Merck Patent Gmbh | Thiazol derivatives for treating cancer |
| WO2009046804A1 (en) | 2007-10-05 | 2009-04-16 | Merck Patent Gmbh | Imidazole derivatives |
| WO2009046841A2 (en) | 2007-10-05 | 2009-04-16 | Merck Patent Gmbh | Piperidine and piperazine derivatives for treating tumours |
| WO2009048605A1 (en) | 2007-10-11 | 2009-04-16 | Biogen Idec Ma Inc. | Methods for treating pressure induced optic neuropathy, preventing neuronal degeneration and promoting neuronal cell, survival via administration of lingo-1 antagonists and trkb agonists |
| WO2009061500A1 (en) | 2007-11-08 | 2009-05-14 | Biogen Idec Ma Inc. | Use of lingo-4 antagonists in the treatment of conditions involving demyelination |
| WO2009135590A1 (en) | 2008-05-05 | 2009-11-12 | Sanofi-Aventis | Acylamino-substituted fused cyclopentanecarboxylic acid derivatives and their use as pharmaceuticals |
| WO2010005570A2 (en) | 2008-07-09 | 2010-01-14 | Biogen Idec Ma Inc. | Compositions comprising antibodies to lingo or fragments thereof |
| WO2010007729A1 (en) | 2008-07-15 | 2010-01-21 | パナソニック株式会社 | Method of manufacturing a thermoelectric device |
| WO2010051031A1 (en) | 2008-10-30 | 2010-05-06 | Biogen Idec Ma Inc. | Heterobicyclic sphingosine 1-phosphate analogs |
| WO2010051030A1 (en) | 2008-10-30 | 2010-05-06 | Biogen Idec Ma Inc. | Bicyclic aryl sphingosine 1-phosphate analogs |
| WO2010052199A1 (en) * | 2008-11-10 | 2010-05-14 | F. Hoffmann-La Roche Ag | Heterocyclic gamma secretase modulators |
| WO2010062904A2 (en) | 2008-11-25 | 2010-06-03 | Biogen Idec Ma Inc. | Use of dr6 and p75 antagonists to promote survival of cells of the nervous system |
| US8894999B2 (en) | 2008-11-25 | 2014-11-25 | Biogen Idec Ma Inc. | Use of DR6 and p75 antagonists to promote survival of cells of the nervous system |
| WO2010063352A1 (en) | 2008-12-01 | 2010-06-10 | Merck Patent Gmbh | 2, 5-diamino-substituted pyrido [4, 3-d] pyrimidines as autotaxin inhibitors against cancer |
| WO2010068775A2 (en) | 2008-12-11 | 2010-06-17 | Amira Pharmaceuticals, Inc. | Alkyne antagonists of lysophosphatidic acid receptors |
| WO2010077882A2 (en) | 2008-12-15 | 2010-07-08 | Amira Pharmaceuticals, Inc. | Antagonists of lysophosphatidic acid receptors |
| WO2010077883A2 (en) | 2008-12-15 | 2010-07-08 | Amira Pharmaceuticals, Inc. | Antagonists of lysophosphatidic acid receptors |
| WO2010112116A1 (en) | 2009-04-02 | 2010-10-07 | Merck Patent Gmbh | Heterocyclic compounds as autotaxin inhibitors |
| WO2010115491A2 (en) | 2009-04-02 | 2010-10-14 | Merck Patent Gmbh | Piperidine and piperazine derivatives as autotaxin inhibitors |
| WO2010112124A1 (en) | 2009-04-02 | 2010-10-07 | Merck Patent Gmbh | Autotaxin inhibitors |
| WO2010141768A2 (en) | 2009-06-03 | 2010-12-09 | Amira Pharmaceuticals, Inc. | Polycyclic antagonists of lysophosphatidic acid receptors |
| WO2011006569A1 (en) | 2009-07-16 | 2011-01-20 | Merck Patent Gmbh | Heterocyclic compounds as autotaxin inhibitors |
| WO2011017350A2 (en) | 2009-08-04 | 2011-02-10 | Amira Pharmaceuticals, Inc. | Compounds as lysophosphatidic acid receptor antagonists |
| WO2011017561A1 (en) | 2009-08-05 | 2011-02-10 | Biogen Idec Ma Inc. | Bicyclic aryl sphingosine 1-phosphate analogs |
| WO2011041461A2 (en) | 2009-10-01 | 2011-04-07 | Amira Pharmaceuticals, Inc. | Polycyclic compounds as lysophosphatidic acid receptor antagonists |
| WO2011041694A2 (en) | 2009-10-01 | 2011-04-07 | Amira Pharmaceuticals, Inc. | Compounds as lysophosphatidic acid receptor antagonists |
| WO2011041729A2 (en) | 2009-10-01 | 2011-04-07 | Amira Pharmaceuticals, Inc. | Compounds as lysophosphatidic acid receptor antagonists |
| WO2011041462A2 (en) | 2009-10-01 | 2011-04-07 | Amira Pharmaceuticals, Inc. | Polycyclic compounds as lysophosphatidic acid receptor antagonists |
| WO2011053948A1 (en) | 2009-11-02 | 2011-05-05 | Sanofi-Aventis | Acylamino-substituted cyclic carboxylic acid derivatives and their use as pharmaceuticals |
| WO2011080102A2 (en) | 2009-12-16 | 2011-07-07 | Novo Nordisk A/S | Glp-1 analogues and derivatives |
| WO2011116867A1 (en) | 2010-03-26 | 2011-09-29 | Merck Patent Gmbh | Benzonaphthyridinamines as autotaxin inhibitors |
| WO2011133862A1 (en) | 2010-04-23 | 2011-10-27 | Oregon Health And Science University | Methods and compositions for promoting myelination |
| WO2011141761A1 (en) | 2010-05-13 | 2011-11-17 | Nokia Corporation | Method and apparatus for providing context sensing and fusion |
| WO2011159550A2 (en) | 2010-06-14 | 2011-12-22 | Amidra Pharmaceuticals, Inc. | Lysophosphatidic acid receptor antagonist and uses thereof |
| WO2011159635A1 (en) | 2010-06-15 | 2011-12-22 | Amira Pharmaceuticals, Inc. | Lysophosphatidic acid receptor antagonist for the treatment of dermal conditions |
| WO2012005227A1 (en) | 2010-07-06 | 2012-01-12 | 小野薬品工業株式会社 | Tetrahydrocarboline derivative |
| WO2012024620A2 (en) | 2010-08-20 | 2012-02-23 | Amira Pharmaceuticals, Inc. | Autotaxin inhibitors and uses thereof |
| WO2012028243A1 (en) | 2010-09-02 | 2012-03-08 | Merck Patent Gmbh | Pyrazolopyridinone derivatives as lpa receptor antagonists |
| WO2012062803A1 (en) | 2010-11-09 | 2012-05-18 | Novo Nordisk A/S | Double-acylated glp-1 derivatives |
| WO2012062804A1 (en) | 2010-11-09 | 2012-05-18 | Novo Nordisk A/S | Double-acylated glp-1 derivatives with a linker |
| WO2012078805A1 (en) | 2010-12-07 | 2012-06-14 | Amira Pharmaceuticals, Inc. | Polycyclic lpa1 antagonist and uses thereof |
| WO2012078593A2 (en) | 2010-12-07 | 2012-06-14 | Amira Pharmaceuticals, Inc. | Lysophosphatidic acid receptor antagonists and uses thereof |
| WO2012097093A2 (en) | 2011-01-11 | 2012-07-19 | Fate Therapeutics, Inc. | Novel wnt compositions and therapeutic uses of such compositions |
| WO2012109108A1 (en) | 2011-02-07 | 2012-08-16 | Biogen Idec Ma Inc. | S1p modulating agents |
| WO2012140117A1 (en) | 2011-04-12 | 2012-10-18 | Novo Nordisk A/S | Double-acylated glp-1 derivatives |
| WO2012166415A1 (en) | 2011-05-27 | 2012-12-06 | Amira Pharmaceuticals, Inc. | Heterocyclic autotaxin inhibitors and uses thereof |
| WO2013037499A1 (en) | 2011-09-15 | 2013-03-21 | Johann Wolfgang Goethe-Universität | Inhibitors of nox4 expression and/or nox4 function and their use in the prevention and treatment of nerve injury and/or neuropathic pain |
| WO2013040309A2 (en) | 2011-09-16 | 2013-03-21 | Fate Therapeutics, Inc. | Wnt compositions and therapeutic uses of such compositions |
| WO2013056232A2 (en) | 2011-10-13 | 2013-04-18 | Case Western Reserve University | Rxr agonists compounds and methods |
| WO2013054185A1 (en) | 2011-10-13 | 2013-04-18 | Pfizer, Inc. | Pyrimidine and pyridine derivatives useful in therapy |
| WO2013063095A1 (en) | 2011-10-24 | 2013-05-02 | Abbvie Inc. | Immunobinders directed against sclerostin |
| WO2013061297A1 (en) | 2011-10-28 | 2013-05-02 | Pfizer Limited | Pyridazine Derivatives Useful in Therapy |
| WO2013070879A1 (en) | 2011-11-10 | 2013-05-16 | Bristol-Myers Squibb Company | Methods for treating spinal cord injury with lpa receptor antagonists |
| WO2013080120A1 (en) | 2011-11-28 | 2013-06-06 | Novartis Ag | Novel trifluoromethyl-oxadiazole derivatives and their use in the treatment of disease |
| US20150038585A1 (en) | 2011-12-13 | 2015-02-05 | Io Therapeutics, Inc. | Treatment of Diseases by Concurrently Eliciting Remyelination Effects and Immunomodulatory Effects Using Selective RXR Agonists |
| WO2013102144A2 (en) | 2011-12-30 | 2013-07-04 | Halozyme, Inc. | Ph20 polypeptede variants, formulations and uses thereof |
| WO2013173364A2 (en) | 2012-05-14 | 2013-11-21 | Biogen Idec Ma Inc. | Lingo-2 antagonists for treatment of conditions involving motor neurons |
| WO2013186159A1 (en) | 2012-06-13 | 2013-12-19 | F. Hoffmann-La Roche Ag | New diazaspirocycloalkane and azaspirocycloalkane |
| WO2014018887A1 (en) | 2012-07-27 | 2014-01-30 | Biogen Idec Ma Inc. | Atx modulating agents |
| WO2014018891A1 (en) | 2012-07-27 | 2014-01-30 | Biogen Idec Ma Inc. | Compounds that are s1p modulating agents and/or atx modulating agents |
| WO2014018881A1 (en) | 2012-07-27 | 2014-01-30 | Biogen Idec Ma Inc. | Atx modulating agents |
| WO2014025709A1 (en) | 2012-08-06 | 2014-02-13 | Biogen Idec Ma Inc. | Compounds that are s1p modulating agents and/or atx modulating agents |
| WO2014025708A1 (en) | 2012-08-06 | 2014-02-13 | Biogen Idec Ma Inc. | Compounds that are s1p modulating agents and/or atx modulating agents |
| WO2014048865A1 (en) | 2012-09-25 | 2014-04-03 | F. Hoffmann-La Roche Ag | New bicyclic derivatives |
| WO2014058875A2 (en) | 2012-10-09 | 2014-04-17 | Biogen Idec Ma Inc. | Combination therapies and uses for treatment of demyelinating disorders |
| WO2014081756A1 (en) | 2012-11-20 | 2014-05-30 | Biogen Idec Ma Inc. | S1p and/or atx modulating agents |
| WO2014081752A1 (en) | 2012-11-20 | 2014-05-30 | Biogen Idec Ma Inc. | S1p and/or atx modulating agents |
| WO2014097151A2 (en) | 2012-12-19 | 2014-06-26 | Novartis Ag | Autotaxin inhibitors |
| WO2014106104A1 (en) | 2012-12-28 | 2014-07-03 | Biogen Idec Ma Inc. | Use of dr6 antagonists to improve motor neuron disease |
| WO2014110000A1 (en) | 2013-01-11 | 2014-07-17 | Eli Lilly And Company | Pyrido- or pyrrolo-fused pyrimidine derivatives as autotaxin inhibitors for treating pain |
| WO2014123186A1 (en) | 2013-02-06 | 2014-08-14 | 公立大学法人横浜市立大学 | Anti-semaphorin 3a antibody and treatment of alzheimer's disease and inflammatory immune diseases using same |
| WO2014133112A1 (en) | 2013-03-01 | 2014-09-04 | 国立大学法人東京大学 | 8-substituted imidazopyrimidinone derivative having autotaxin inhibitory activity |
| WO2014143583A1 (en) | 2013-03-12 | 2014-09-18 | Eli Lilly And Company | Imidazo pyridine compounds |
| WO2014139978A1 (en) | 2013-03-12 | 2014-09-18 | F. Hoffmann-La Roche Ag | New octahydro-pyrrolo[3,4-c]-pyrrole derivatives and analogs thereof as autotaxin inhibitors |
| WO2014139882A1 (en) | 2013-03-14 | 2014-09-18 | Galapagos Nv | Compounds and pharmaceutical compositions thereof for the treatment of inflammatory disorders |
| WO2014152725A1 (en) | 2013-03-15 | 2014-09-25 | Biogen Idec Ma Inc. | S1p and/or atx modulating agents |
| WO2014165827A1 (en) | 2013-04-05 | 2014-10-09 | Salk Institute For Biological Studies | Ppar agonists |
| WO2014168824A1 (en) | 2013-04-12 | 2014-10-16 | Eli Lilly And Company | Dihydropyrido pyrimidine compounds as autotaxin inhibitors |
| WO2014197818A2 (en) | 2013-06-07 | 2014-12-11 | The General Hospital Corporation | Small molecule activators of nrf2 pathway |
| WO2014202458A1 (en) | 2013-06-19 | 2014-12-24 | Galapagos Nv | Novel compounds and pharmaceutical compositions thereof for the treatment of inflammatory disorders |
| WO2014202727A1 (en) | 2013-06-20 | 2014-12-24 | Novo Nordisk A/S | Glp-1 derivatives and uses thereof |
| WO2015001352A1 (en) | 2013-07-03 | 2015-01-08 | The University Court Of The University Of Edinburgh | Novel regenerative therapy |
| WO2015000942A1 (en) | 2013-07-04 | 2015-01-08 | Novo Nordisk A/S | Derivatives of glp-1 like peptides, and uses thereof |
| WO2015008230A1 (en) | 2013-07-18 | 2015-01-22 | Novartis Ag | Autotaxin inhibitors comprising a heteroaromatic ring-benzyl-amide-cycle core |
| WO2015008229A1 (en) | 2013-07-18 | 2015-01-22 | Novartis Ag | Autotaxin inhibitors |
| WO2015023691A2 (en) | 2013-08-12 | 2015-02-19 | Benaroya Research Institute At Virginia Mason | 4-methylumbelliferone treatment for immune modulation |
| WO2015042053A1 (en) | 2013-09-17 | 2015-03-26 | Pharmakea, Inc. | Vinyl autotaxin inhibitor compounds |
| WO2015042052A1 (en) | 2013-09-17 | 2015-03-26 | Pharmakea, Inc. | Heterocyclic vinyl autotaxin inhibitor compounds |
| WO2015048301A1 (en) | 2013-09-26 | 2015-04-02 | Pharmakea, Inc. | Autotaxin inhibitor compounds |
| WO2016197009A1 (en) * | 2015-06-05 | 2016-12-08 | Vertex Pharmaceuticals Incorporated | Triazoles for the treatment of demyelinating diseases |
Non-Patent Citations (26)
| Title |
|---|
| "Handbook of Chemistry and Physics", article "Periodic Table of the Elements, CAS version" |
| "March's Advanced Organic Chemistry", 2001, JOHN WILEY & SONS |
| "The Merck Manual", 2011, MERCK & CO., INC. |
| "Thomas Sorrell, University Science Books", 1999, article "Organic Chemistry" |
| BLAKEMORE ET AL., J. OFNEUROIMMUNOLOGY, vol. 98, 1999, pages 69 - 76 |
| COMPSTON ET AL., THE LANCET, vol. 359, 2002, pages 1221 - 1231 |
| D. KREMER ET AL., TRENDS IN NEUROSCIENCES, vol. 39, no. 4, 2016, pages 246 - 263 |
| E. W. MARTIN: "Remington's Pharmaceutical Sciences", 1980, MACK PUBLISHING CO. |
| FOSTER, ADV. DRUG RES., vol. 14, 1985, pages 1 - 40 |
| GAITAN, M. I.; REICH, D. S.: "Multiple Sclerosis and CNS Inflammatory Disorders", 2014, JOHN WILEY & SONS, LTD., article "MRI in Diagnosis and Disease Monitoring" |
| GILLETTE ET AL., BIOCHEMISTRY, vol. 33, no. 10, 1994, pages 2927 - 2937 |
| HANZLIK ET AL., J. ORG. CHEM., vol. 55, 1990, pages 3992 - 3997 |
| HEMLER ET AL., J BIOL. CHEM., vol. 2, 1987, pages 11478 - 11485 |
| ISSEKUTZ ET AL., J IMMUNOL, vol. 147, pages 109 |
| JARMAN ET AL., CARCINOGENESIS, vol. 16, no. 4, 1993, pages 683 - 688 |
| LAM ET AL., TETRAHEDRON LETTERS, vol. 39, 1998, pages 2941 - 44 |
| MEI, F. ET AL., NATURE MEDICINE, vol. 20, no. 8, 2014, pages 954 - 961 |
| MERRILL, J.E. ET AL., NEUROPATHOLOGY AND APPLIED NEUROBIOLOGY, vol. 25, 1999, pages 435 - 458 |
| NALM, F. ET AL.: "Nature (Letter", 20 April 2015 |
| PULIDO ET AL., J BIOL. CHEM., vol. 266, 1991, pages 10241 - 10245 |
| R. FRANKLIN ET AL., NATURE REVIEWS/NEUROSCIENCE, vol. 9, 2008, pages 839 - 855 |
| REIDER ET AL., J. ORG. CHEM., vol. 52, 1987, pages 3326 - 3334 |
| S. L. HARBESON; R. D. TUNG: "Deuterium In Drug Discovery and Development", ANN. REP. MED. CHEM., vol. 46, 2011, pages 403 - 417, XP055422117, DOI: doi:10.1016/B978-0-12-386009-5.00003-5 |
| S. M. BERGE ET AL.: "describe pharmaceutically acceptable salts in", J. PHARMACEUTICAL SCIENCES, vol. 66, 1977, pages 1 - 19 |
| SANCHEZ-MADRID ET AL., EUR. J. IMMUNOL, vol. 16, 1986, pages 1343 - 1349 |
| STANGEL, M. ET AL., PROGRESS IN NEUROBIOLOGY, vol. 68, 2002, pages 361 - 376 |
Cited By (3)
| Publication number | Priority date | Publication date | Assignee | Title |
|---|---|---|---|---|
| US11458124B2 (en) * | 2018-07-12 | 2022-10-04 | UCBBiopharma Srl | Spirocyclic indane analogues as IL-17 modulators |
| US12054479B1 (en) | 2022-03-14 | 2024-08-06 | Slap Pharmaceuticals Llc | Multicyclic compounds |
| CN116003336A (en) * | 2023-01-09 | 2023-04-25 | 赣南师范大学 | 1,2, 4-triazole-3-amine compound, and preparation method and application thereof |
Similar Documents
| Publication | Publication Date | Title |
|---|---|---|
| US10766869B2 (en) | Triazoles for the treatment of demyelinating dieases | |
| AU2015252654B2 (en) | Polyfluorinated compounds acting as Bruton's tyrosine kinase inhibitors | |
| JP7646653B2 (en) | Pyrrolidine Derivatives | |
| KR101464060B1 (en) | Pyrazol-4-yl-heterocyclyl-carboxamide compounds and methods of use | |
| EP2773207B1 (en) | Aminopyrimidinones as interleukin receptor-associated kinase inhibitors | |
| CA2947002C (en) | Pyrazole compounds and their use as t-type calcium channel blockers | |
| DE202019005471U1 (en) | Hepatitis B capsid assembly modulators | |
| AU2023200265B2 (en) | Aminopyridine derivatives and their use as selective alk-2 inhibitors | |
| JP2011528362A (en) | Pyridone and pyridazone analogues as GPR119 modulators | |
| CA2962578A1 (en) | Aminotriazine derivatives useful as tank-binding kinase inhibitor compounds | |
| TW202308655A (en) | Phosphonyl derivative, and composition and pharmaceutical application thereof | |
| AU2021242143B2 (en) | Aminopyrimidine derivatives and their use as Aryl hydrocarbon receptor modulators | |
| EP3676261B1 (en) | Substituted 2-azabicyclo[3.1.1]heptane and 2-azabicyclo[3.2.1]octane derivatives as orexin receptor antagonists | |
| WO2018106646A1 (en) | Aminotriazoles for the treatment of demyelinating diseases | |
| WO2018106641A1 (en) | Pyrazoles for the treatment of demyelinating diseases | |
| WO2018106643A1 (en) | Heterocyclic azoles for the treatment of demyelinating diseases | |
| TW202448898A (en) | Compounds for the degradation of egfr kinase | |
| CN112279837A (en) | Pyrazine compounds and uses thereof | |
| US20250270209A1 (en) | Lrrk2 inhibitors | |
| JP2026502170A (en) | Substituted imidazo compounds as ligand-targeted IRAK3 degraders | |
| HK40074500A (en) | Pyrazine compounds and uses thereof | |
| HK40045062A (en) | Pyrazine compounds and uses thereof | |
| HK1178149B (en) | Pyrazol-4-yl-heterocyclyl-carboxamide compounds and methods of use | |
| HK40038625A (en) | Pyrazine compounds and uses thereof | |
| HK1138573A (en) | Aminopyrimidines useful as kinase inhibitors |
Legal Events
| Date | Code | Title | Description |
|---|---|---|---|
| 121 | Ep: the epo has been informed by wipo that ep was designated in this application |
Ref document number: 17818391 Country of ref document: EP Kind code of ref document: A1 |
|
| NENP | Non-entry into the national phase |
Ref country code: DE |
|
| 122 | Ep: pct application non-entry in european phase |
Ref document number: 17818391 Country of ref document: EP Kind code of ref document: A1 |















































































































































































































































































































































































