WO2018106643A1 - Heterocyclic azoles for the treatment of demyelinating diseases - Google Patents
Heterocyclic azoles for the treatment of demyelinating diseases Download PDFInfo
- Publication number
- WO2018106643A1 WO2018106643A1 PCT/US2017/064629 US2017064629W WO2018106643A1 WO 2018106643 A1 WO2018106643 A1 WO 2018106643A1 US 2017064629 W US2017064629 W US 2017064629W WO 2018106643 A1 WO2018106643 A1 WO 2018106643A1
- Authority
- WO
- WIPO (PCT)
- Prior art keywords
- alkyl
- alkylene
- oci
- haloalkyl
- independently selected
- Prior art date
- Legal status (The legal status is an assumption and is not a legal conclusion. Google has not performed a legal analysis and makes no representation as to the accuracy of the status listed.)
- Ceased
Links
- 0 CCC[C@@](CCC*)C(C1)C(C)(C)C1C(CC1)CC1C(*)*CC Chemical compound CCC[C@@](CCC*)C(C1)C(C)(C)C1C(CC1)CC1C(*)*CC 0.000 description 9
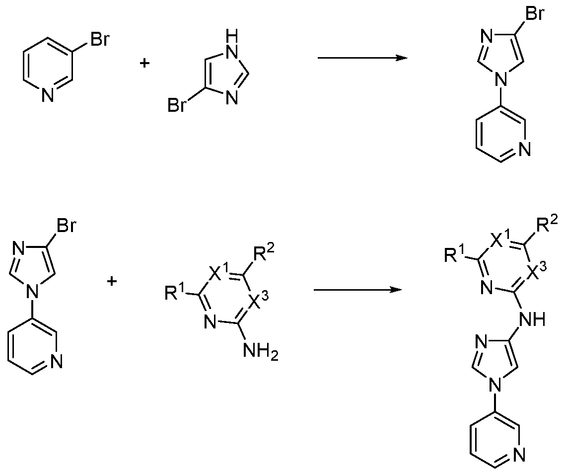
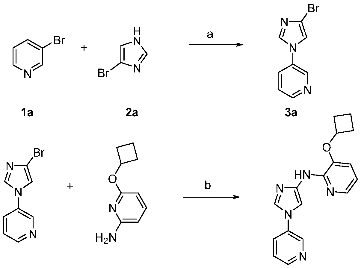
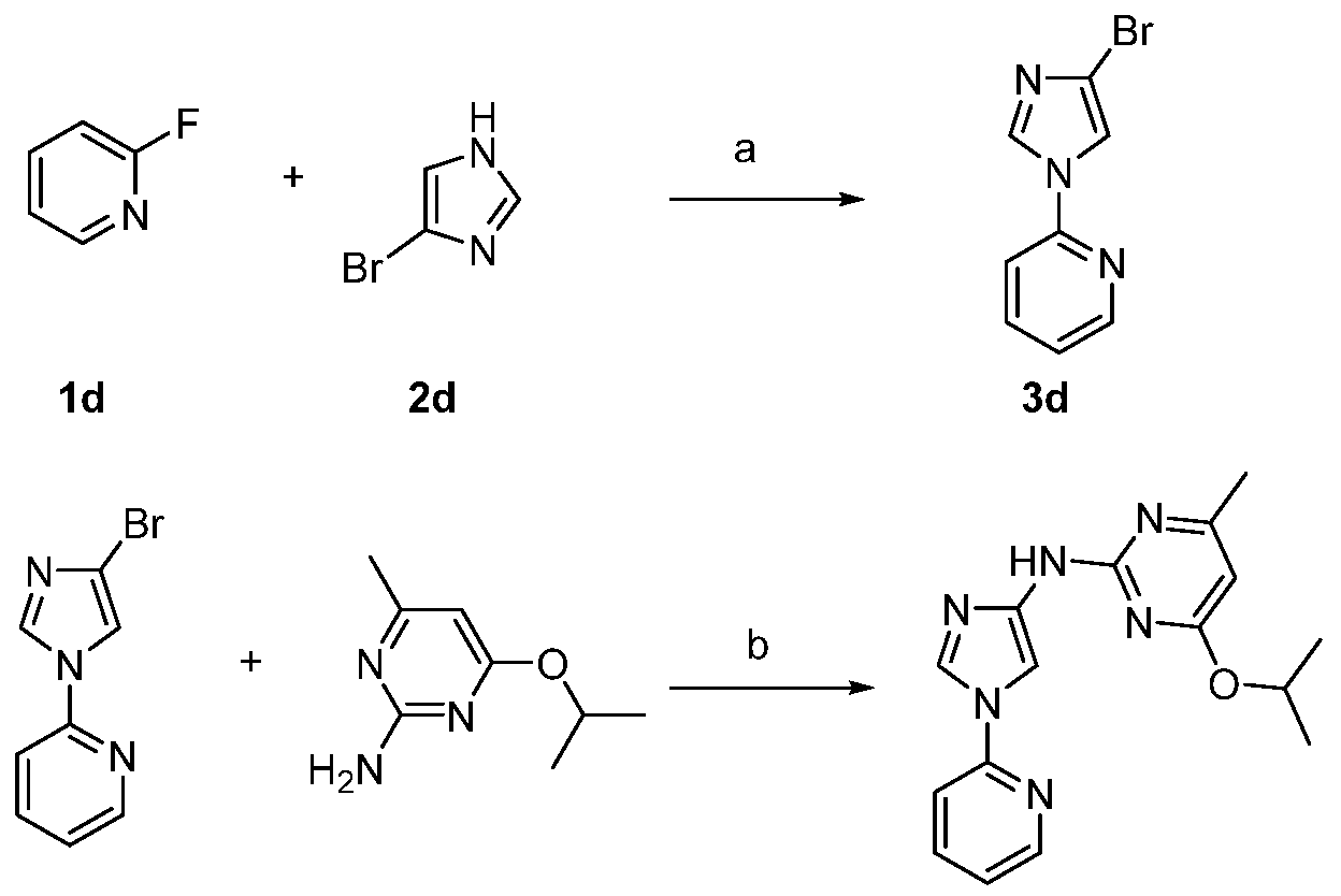
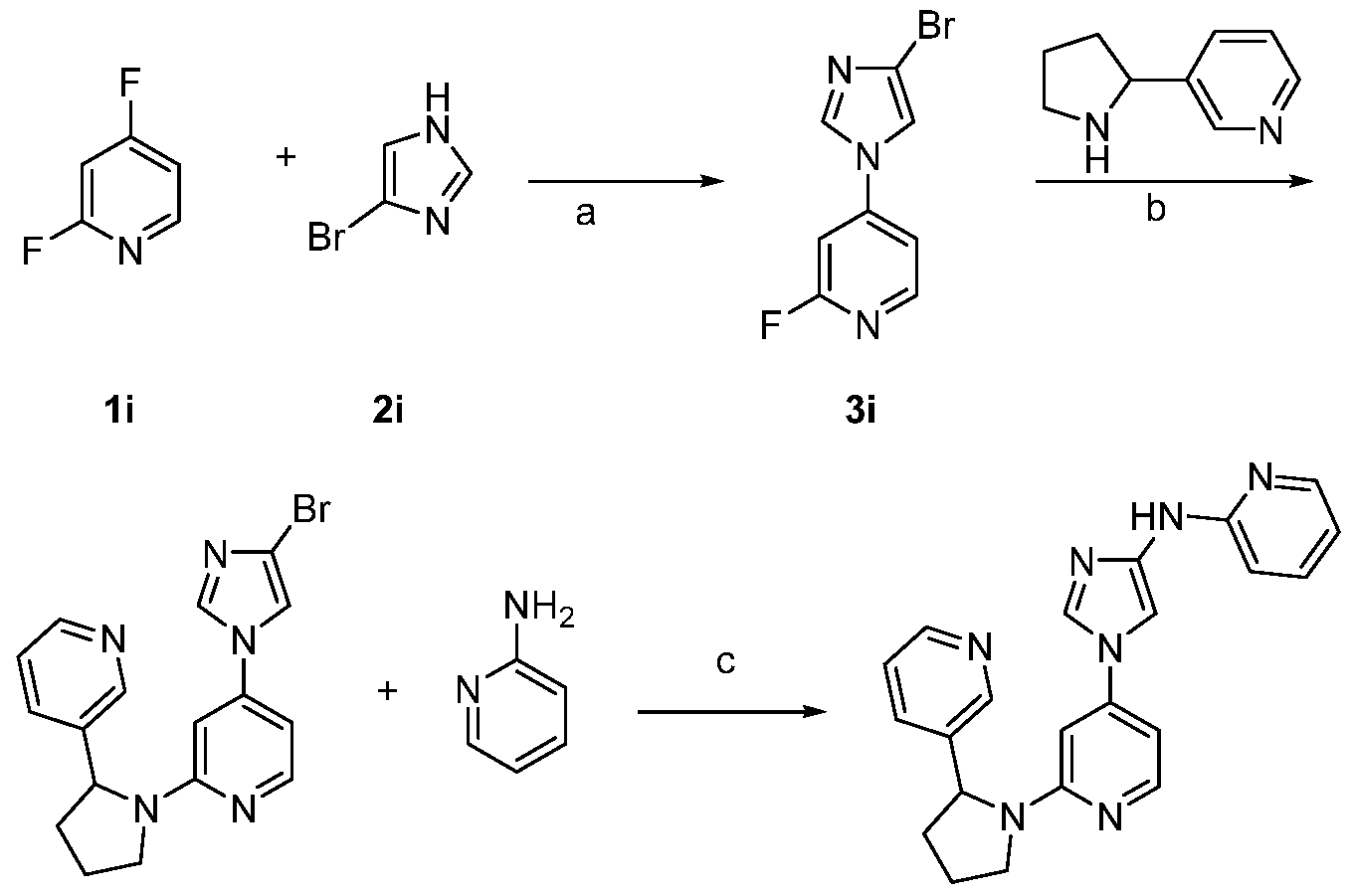
- FHZALEJIENDROK-UHFFFAOYSA-N Brc1c[nH]cn1 Chemical compound Brc1c[nH]cn1 FHZALEJIENDROK-UHFFFAOYSA-N 0.000 description 2
- XPKCAJSFGUPTED-UHFFFAOYSA-N Fc1cc(-[n]2cnc(Br)c2)cnc1 Chemical compound Fc1cc(-[n]2cnc(Br)c2)cnc1 XPKCAJSFGUPTED-UHFFFAOYSA-N 0.000 description 2
- GVPXNRCFDXKADJ-UHFFFAOYSA-N Brc(nc1)c[n]1-c1ccnc(N(CCC2)C2c2cccnc2)c1 Chemical compound Brc(nc1)c[n]1-c1ccnc(N(CCC2)C2c2cccnc2)c1 GVPXNRCFDXKADJ-UHFFFAOYSA-N 0.000 description 1
- MYKUKUCHPMASKF-UHFFFAOYSA-N C(C1)CNC1c1cccnc1 Chemical compound C(C1)CNC1c1cccnc1 MYKUKUCHPMASKF-UHFFFAOYSA-N 0.000 description 1
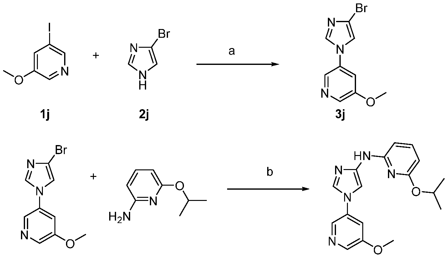
- FYJMHPUZNMZPRC-UHFFFAOYSA-N C(CC1c2cccnc2)CN1c1nccc(-[n]2cnc(Nc3ncccc3)c2)c1 Chemical compound C(CC1c2cccnc2)CN1c1nccc(-[n]2cnc(Nc3ncccc3)c2)c1 FYJMHPUZNMZPRC-UHFFFAOYSA-N 0.000 description 1
- FVOXWQFMLNMUCM-UHFFFAOYSA-N C=[Br]c(nc1)c[n]1-c1cncc(F)c1 Chemical compound C=[Br]c(nc1)c[n]1-c1cncc(F)c1 FVOXWQFMLNMUCM-UHFFFAOYSA-N 0.000 description 1
- KKKHQVICGBEEQC-UHFFFAOYSA-N CC(C)Oc1cccc(N)n1 Chemical compound CC(C)Oc1cccc(N)n1 KKKHQVICGBEEQC-UHFFFAOYSA-N 0.000 description 1
- KAUMXIFOBGXMIF-UHFFFAOYSA-N CN(C1)CC2C1COC2 Chemical compound CN(C1)CC2C1COC2 KAUMXIFOBGXMIF-UHFFFAOYSA-N 0.000 description 1
- JCMGRYDIKYOOKZ-UHFFFAOYSA-N CN(CC1)CC2C1OCC2 Chemical compound CN(CC1)CC2C1OCC2 JCMGRYDIKYOOKZ-UHFFFAOYSA-N 0.000 description 1
- FHJJGNRFAFFCPR-UHFFFAOYSA-N CN(CC1)CC2C1OCCC2 Chemical compound CN(CC1)CC2C1OCCC2 FHJJGNRFAFFCPR-UHFFFAOYSA-N 0.000 description 1
- UCOCJMJAPFFYIX-UHFFFAOYSA-N CN(CC1)CC2N1CCOC2 Chemical compound CN(CC1)CC2N1CCOC2 UCOCJMJAPFFYIX-UHFFFAOYSA-N 0.000 description 1
- ATZWXDWXCISHBE-UHFFFAOYSA-N CN1CC(CCC2)N2CC1 Chemical compound CN1CC(CCC2)N2CC1 ATZWXDWXCISHBE-UHFFFAOYSA-N 0.000 description 1
- YZZIRDYKMMFBGS-UHFFFAOYSA-N CN1CC(COC2)N2CC1 Chemical compound CN1CC(COC2)N2CC1 YZZIRDYKMMFBGS-UHFFFAOYSA-N 0.000 description 1
- MFARBWYPQHXEEK-UHFFFAOYSA-N CN1CC2N(C)CCC2C1 Chemical compound CN1CC2N(C)CCC2C1 MFARBWYPQHXEEK-UHFFFAOYSA-N 0.000 description 1
- QYSWLGHPQFYIQO-UHFFFAOYSA-N CN1CC2OCCC2C1 Chemical compound CN1CC2OCCC2C1 QYSWLGHPQFYIQO-UHFFFAOYSA-N 0.000 description 1
- NBQJGHPTWCWCHK-UHFFFAOYSA-N CN1CC2OCCC2CC1 Chemical compound CN1CC2OCCC2CC1 NBQJGHPTWCWCHK-UHFFFAOYSA-N 0.000 description 1
- CFAPHOLBVIDQAZ-UHFFFAOYSA-N CN1Cc2ncc[n]2CC1 Chemical compound CN1Cc2ncc[n]2CC1 CFAPHOLBVIDQAZ-UHFFFAOYSA-N 0.000 description 1
- OSMFHNLMWMUCGZ-UHFFFAOYSA-N Cc1cc(N2CCOCC2)cc(N)c1 Chemical compound Cc1cc(N2CCOCC2)cc(N)c1 OSMFHNLMWMUCGZ-UHFFFAOYSA-N 0.000 description 1
- GUABFMPMKJGSBQ-UHFFFAOYSA-N Cc1cnc(N)[s]1 Chemical compound Cc1cnc(N)[s]1 GUABFMPMKJGSBQ-UHFFFAOYSA-N 0.000 description 1
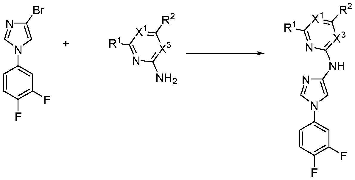
- VHNFMCYIKXTXNZ-UHFFFAOYSA-N Fc(c(F)c1)ccc1-[n]1cnc(Br)c1 Chemical compound Fc(c(F)c1)ccc1-[n]1cnc(Br)c1 VHNFMCYIKXTXNZ-UHFFFAOYSA-N 0.000 description 1
- ZGHKVQMMCGACNO-UHFFFAOYSA-N Fc1cc(-[n]2cnc(Br)c2)ccn1 Chemical compound Fc1cc(-[n]2cnc(Br)c2)ccn1 ZGHKVQMMCGACNO-UHFFFAOYSA-N 0.000 description 1
- WRXAZPPGFLETFR-UHFFFAOYSA-N Fc1cc(F)cnc1 Chemical compound Fc1cc(F)cnc1 WRXAZPPGFLETFR-UHFFFAOYSA-N 0.000 description 1
- WLAKUAILRGATSL-UHFFFAOYSA-N Fc1ccnc(F)c1 Chemical compound Fc1ccnc(F)c1 WLAKUAILRGATSL-UHFFFAOYSA-N 0.000 description 1
- ICSNLGPSRYBMBD-UHFFFAOYSA-N Nc1ccccn1 Chemical compound Nc1ccccn1 ICSNLGPSRYBMBD-UHFFFAOYSA-N 0.000 description 1
- BHJCJXWPILGIKI-UHFFFAOYSA-O [OH2+]c1cccc(Nc(nc2)c[n]2-c2cncc(F)c2)n1 Chemical compound [OH2+]c1cccc(Nc(nc2)c[n]2-c2cncc(F)c2)n1 BHJCJXWPILGIKI-UHFFFAOYSA-O 0.000 description 1
Classifications
-
- C—CHEMISTRY; METALLURGY
- C07—ORGANIC CHEMISTRY
- C07D—HETEROCYCLIC COMPOUNDS
- C07D263/00—Heterocyclic compounds containing 1,3-oxazole or hydrogenated 1,3-oxazole rings
- C07D263/02—Heterocyclic compounds containing 1,3-oxazole or hydrogenated 1,3-oxazole rings not condensed with other rings
- C07D263/30—Heterocyclic compounds containing 1,3-oxazole or hydrogenated 1,3-oxazole rings not condensed with other rings having two or three double bonds between ring members or between ring members and non-ring members
- C07D263/34—Heterocyclic compounds containing 1,3-oxazole or hydrogenated 1,3-oxazole rings not condensed with other rings having two or three double bonds between ring members or between ring members and non-ring members with hetero atoms or with carbon atoms having three bonds to hetero atoms with at the most one bond to halogen, e.g. ester or nitrile radicals, directly attached to ring carbon atoms
- C07D263/48—Nitrogen atoms not forming part of a nitro radical
-
- A—HUMAN NECESSITIES
- A61—MEDICAL OR VETERINARY SCIENCE; HYGIENE
- A61P—SPECIFIC THERAPEUTIC ACTIVITY OF CHEMICAL COMPOUNDS OR MEDICINAL PREPARATIONS
- A61P25/00—Drugs for disorders of the nervous system
- A61P25/28—Drugs for disorders of the nervous system for treating neurodegenerative disorders of the central nervous system, e.g. nootropic agents, cognition enhancers, drugs for treating Alzheimer's disease or other forms of dementia
-
- C—CHEMISTRY; METALLURGY
- C07—ORGANIC CHEMISTRY
- C07D—HETEROCYCLIC COMPOUNDS
- C07D277/00—Heterocyclic compounds containing 1,3-thiazole or hydrogenated 1,3-thiazole rings
- C07D277/02—Heterocyclic compounds containing 1,3-thiazole or hydrogenated 1,3-thiazole rings not condensed with other rings
- C07D277/20—Heterocyclic compounds containing 1,3-thiazole or hydrogenated 1,3-thiazole rings not condensed with other rings having two or three double bonds between ring members or between ring members and non-ring members
- C07D277/32—Heterocyclic compounds containing 1,3-thiazole or hydrogenated 1,3-thiazole rings not condensed with other rings having two or three double bonds between ring members or between ring members and non-ring members with hetero atoms or with carbon atoms having three bonds to hetero atoms with at the most one bond to halogen, e.g. ester or nitrile radicals, directly attached to ring carbon atoms
- C07D277/38—Nitrogen atoms
- C07D277/42—Amino or imino radicals substituted by hydrocarbon or substituted hydrocarbon radicals
-
- C—CHEMISTRY; METALLURGY
- C07—ORGANIC CHEMISTRY
- C07D—HETEROCYCLIC COMPOUNDS
- C07D401/00—Heterocyclic compounds containing two or more hetero rings, having nitrogen atoms as the only ring hetero atoms, at least one ring being a six-membered ring with only one nitrogen atom
- C07D401/02—Heterocyclic compounds containing two or more hetero rings, having nitrogen atoms as the only ring hetero atoms, at least one ring being a six-membered ring with only one nitrogen atom containing two hetero rings
- C07D401/12—Heterocyclic compounds containing two or more hetero rings, having nitrogen atoms as the only ring hetero atoms, at least one ring being a six-membered ring with only one nitrogen atom containing two hetero rings linked by a chain containing hetero atoms as chain links
-
- C—CHEMISTRY; METALLURGY
- C07—ORGANIC CHEMISTRY
- C07D—HETEROCYCLIC COMPOUNDS
- C07D401/00—Heterocyclic compounds containing two or more hetero rings, having nitrogen atoms as the only ring hetero atoms, at least one ring being a six-membered ring with only one nitrogen atom
- C07D401/14—Heterocyclic compounds containing two or more hetero rings, having nitrogen atoms as the only ring hetero atoms, at least one ring being a six-membered ring with only one nitrogen atom containing three or more hetero rings
-
- C—CHEMISTRY; METALLURGY
- C07—ORGANIC CHEMISTRY
- C07D—HETEROCYCLIC COMPOUNDS
- C07D403/00—Heterocyclic compounds containing two or more hetero rings, having nitrogen atoms as the only ring hetero atoms, not provided for by group C07D401/00
- C07D403/02—Heterocyclic compounds containing two or more hetero rings, having nitrogen atoms as the only ring hetero atoms, not provided for by group C07D401/00 containing two hetero rings
- C07D403/12—Heterocyclic compounds containing two or more hetero rings, having nitrogen atoms as the only ring hetero atoms, not provided for by group C07D401/00 containing two hetero rings linked by a chain containing hetero atoms as chain links
-
- C—CHEMISTRY; METALLURGY
- C07—ORGANIC CHEMISTRY
- C07D—HETEROCYCLIC COMPOUNDS
- C07D403/00—Heterocyclic compounds containing two or more hetero rings, having nitrogen atoms as the only ring hetero atoms, not provided for by group C07D401/00
- C07D403/14—Heterocyclic compounds containing two or more hetero rings, having nitrogen atoms as the only ring hetero atoms, not provided for by group C07D401/00 containing three or more hetero rings
-
- C—CHEMISTRY; METALLURGY
- C07—ORGANIC CHEMISTRY
- C07D—HETEROCYCLIC COMPOUNDS
- C07D413/00—Heterocyclic compounds containing two or more hetero rings, at least one ring having nitrogen and oxygen atoms as the only ring hetero atoms
- C07D413/02—Heterocyclic compounds containing two or more hetero rings, at least one ring having nitrogen and oxygen atoms as the only ring hetero atoms containing two hetero rings
- C07D413/12—Heterocyclic compounds containing two or more hetero rings, at least one ring having nitrogen and oxygen atoms as the only ring hetero atoms containing two hetero rings linked by a chain containing hetero atoms as chain links
-
- C—CHEMISTRY; METALLURGY
- C07—ORGANIC CHEMISTRY
- C07D—HETEROCYCLIC COMPOUNDS
- C07D413/00—Heterocyclic compounds containing two or more hetero rings, at least one ring having nitrogen and oxygen atoms as the only ring hetero atoms
- C07D413/14—Heterocyclic compounds containing two or more hetero rings, at least one ring having nitrogen and oxygen atoms as the only ring hetero atoms containing three or more hetero rings
-
- C—CHEMISTRY; METALLURGY
- C07—ORGANIC CHEMISTRY
- C07D—HETEROCYCLIC COMPOUNDS
- C07D417/00—Heterocyclic compounds containing two or more hetero rings, at least one ring having nitrogen and sulfur atoms as the only ring hetero atoms, not provided for by group C07D415/00
- C07D417/02—Heterocyclic compounds containing two or more hetero rings, at least one ring having nitrogen and sulfur atoms as the only ring hetero atoms, not provided for by group C07D415/00 containing two hetero rings
- C07D417/12—Heterocyclic compounds containing two or more hetero rings, at least one ring having nitrogen and sulfur atoms as the only ring hetero atoms, not provided for by group C07D415/00 containing two hetero rings linked by a chain containing hetero atoms as chain links
-
- C—CHEMISTRY; METALLURGY
- C07—ORGANIC CHEMISTRY
- C07D—HETEROCYCLIC COMPOUNDS
- C07D417/00—Heterocyclic compounds containing two or more hetero rings, at least one ring having nitrogen and sulfur atoms as the only ring hetero atoms, not provided for by group C07D415/00
- C07D417/14—Heterocyclic compounds containing two or more hetero rings, at least one ring having nitrogen and sulfur atoms as the only ring hetero atoms, not provided for by group C07D415/00 containing three or more hetero rings
Definitions
- MS Multiple sclerosis
- Activation and CNS infiltration of the peripheral immune system is typical in early stages of the disease, but can become less prevalent as disease progresses.
- a hallmark of MS is loss of myelin, accompanied by the death of associated oligodendrocytes (see, Merrill, J.E. et al, Neuropathology and Applied Neurobiology , 25, 435-458, 1999).
- Myelin which is produced by oligodendrocytes, ensheathes axons and dramatically increases conduction velocity of neural impulses while providing trophic support to the neuron.
- Myelin is thought to regenerate early in disease, as oligodendroycte progenitor cells (OPCs) proliferate and generate new myelinating oligodendrocytes in response to demyelination events.
- OPCs oligodendroycte progenitor cells
- Leukodystrophies are degenerative white matter diseases characterized by dysmyelination or demyelination. Multiple genetic or metabolic disorders can lead to progressive white matter damage in pediatric or adult populations resulting in severe motor or cognitive deficits, mental retardation or death.
- a compound that can delay myelin damage or promote repair of demyelinated axons could significantly alter the course of leukodystrophies and improve their outcome.
- Such a compound could be also useful in combination with other therapies that can correct the disease-specific defect, metabolic, genetic or other, responsible for initiating or maintaining the disease in order to accelerate repair, restore function or prevent further damage.
- Periventricular leukomalacia is a condition characterized by toxic death of OPCs in the
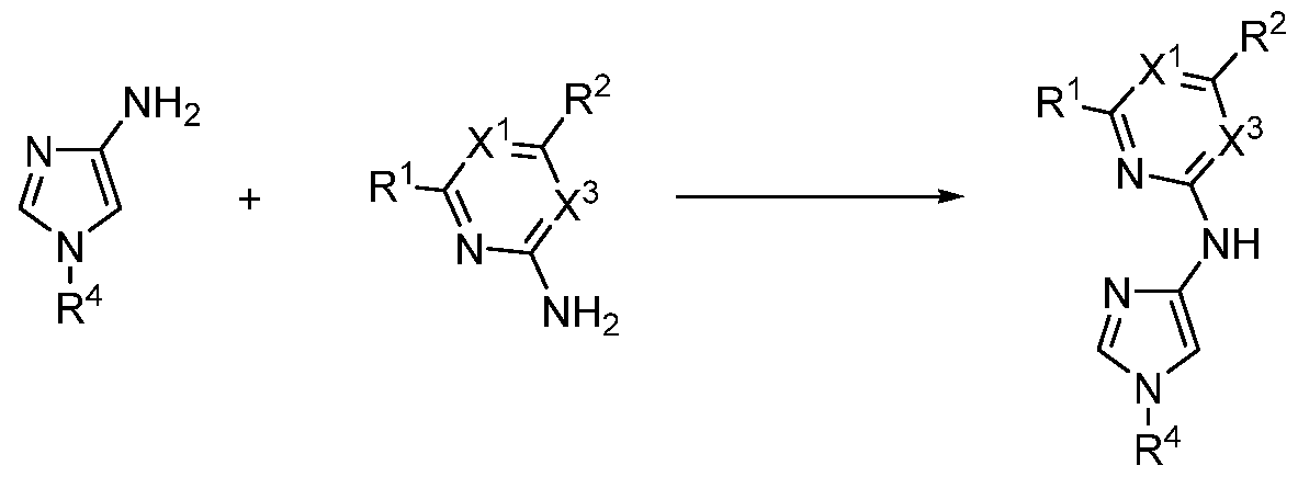
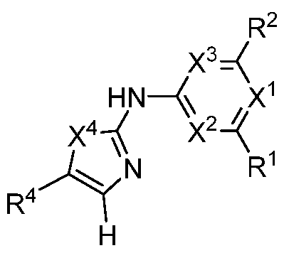
- the present invention provides compounds or a pharmaceutically acceptable salt thereof and the methods, compositions and kits disclosed herein for treating or lessening the severity of, in a subject, a disease or disorder selected from a demyelinating disease, central pontine myelinolysis, a nerve injury disease or disorder, a leukoencephalopathy or a leukodystrophy.
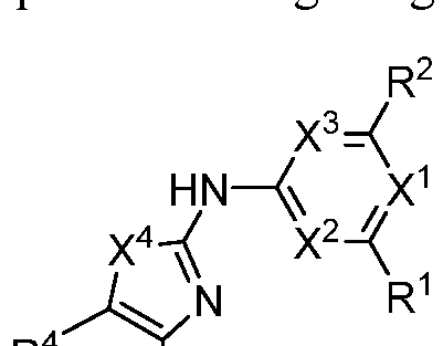
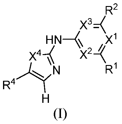
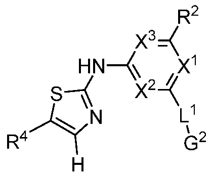
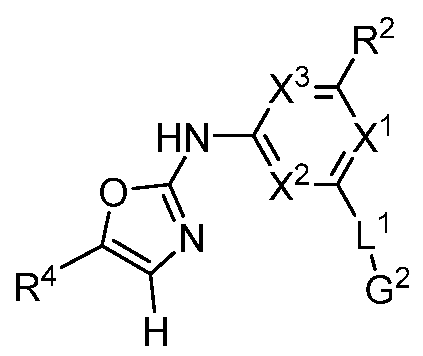
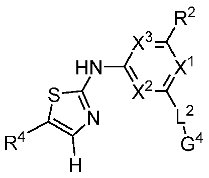
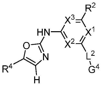
- X 2 is CR X2 or N;
- X is CR X or N
- X 4 is O or S
- R 1 is selected from the group consisting of -OCi- 6 alkyl, -OCi- 6 haloalkyl, - 0-C 2 - 6 alkylene-OCi -4 alkyl, -0-C 2-6 alkylene-OH, -NHC(0)(Ci -4 alkyl), -N(Ci_ 4 alkyl)C(0)(Ci -4 alkyl), -C(0)NH 2 , -C(0)NH(Ci -4 alkyl), -C(0)N(Ci -4 alkyl)(Ci.
- R 2 is selected from the group consisting of hydrogen, Ci -4 alkyl, Ci_ 4 haloalkyl, halogen, and -OCi -4 alkyl;
- R is selected from the group consisting of hydrogen, halogen, Ci- 4 alkyl, Ci- 4 haloalkyl, and -0-Ci- 4 alkyl;
- R X2 is selected from the group consisting of hydrogen, halogen, Ci- 4 alkyl, and Ci- 4 haloalkyl;
- R X3 is selected from the group consisting of hydrogen, halogen, Ci- 4 alkyl, Ci- 4 haloalkyl, and -0-Ci- 4 alkyl;
- L 1 is a bond, -0-, -0-Ci -4 alkylene-, -NR 5 -, -NR 5 -Ci -4 alkylene-, or - C(O)-, wherein R 5 is hydrogen or Ci- 4 alkyl;
- L 2 is -0-Ci -4 alkylene-
- G 1 is a 4- to 8-membered monocyclic heterocycle containing 1-2 heteroatoms independently selected from oxygen, nitrogen, and sulfur, the monocyclic heterocycle optionally containing one double bond and/or a Ci-3alkylene bridge between two non-adjacent ring atoms, G 1 being optionally substituted with 1-4 substituents independently selected from the group consisting of Ci- 4 alkyl, Ci_ 4 haloalkyl, halogen, hydroxyl, and oxo;
- R 6 is (a) a 4- to 12-membered heterocycle containing 1-4 heteroatoms independently selected from oxygen, nitrogen, and sulfur, the heterocycle being optionally substituted with 1-4 substituents independently selected from the group consisting of Ci- 4 alkyl, -CH 2 S(0) 2 phenyl, halogen, hydroxyl, oxo, - OCi- 4 alkyl, -Ci- 6 alkylene-OCi- 4 alkyl, and -Ci- 6 alkylene-OH; or (b) a 3- to 8- membered cycloalkyl optionally substituted with 1-4 substituents independently selected from the group consisting of Ci- 4 alkyl, halogen, hydroxyl, - C(0)OCi -4 alkyl, -C(0)OH, oxo, -OCi -4 alkyl, -Ci -6 alkylene-OCi -4 alkyl, and -Ci_ 6 alkylene-OH;
- G 2 is a 4- to 12-membered heterocycle containing 1-4 heteroatoms independently selected from oxygen, nitrogen, and sulfur, G 2 being optionally substituted with 1-4 substituents independently selected from the group consisting of Ci- 4 alkyl, halogen, hydroxyl, oxo, cyano, -Ci- 6 alkylene-cyano, - C(0)Ci -4 alkyl, -C(0)-Ci -6 alkylene-OH, -C(0)C 3- ecycloalkyl, -C(0)OCi -4 alkyl, -C(0)OCi -4 haloalkyl, -C(0)NH 2 , -C(0)NH(Ci_ 4 alkyl), -C(0)N(Ci -4 alkyl)(Ci -4 alkyl), -C(0)NH(-Ci -6 alkylene-OCi -4 alkyl), - C(0)N(Ci -4 alkyl)(-Ci -6 alkylene-OCi -4 alky
- G 3 is 3- to 8-membered cycloalkyl optionally substituted with 1-4 substituents independently selected from the group consisting of C ⁇ alkyl, Ci_ 4 haloalkyl, halogen, hydroxyl, oxo, cyano, -C(0)Ci- 4 alkyl, -C(0)C3- 6 cycloalkyl, - C(0)OCi -4 alkyl, -C(0)OCi -4 haloalkyl, -C(0)NH 2 , -C(0)NH(Ci -4 alkyl), -C(0)N(Ci_ 4 alkyl)(Ci -4 alkyl), -C(0)NH(-Ci -6 alkylene-OCi -4 alkyl), -C(0)N(Ci -4 alkyl)(-Ci. 6 alkylene-OCi -4 alkyl), -C(0)NH(-Ci -6 alkylene-OH), -C(0)N(Ci -4 alkyl
- G 4 is phenyl optionally substituted with 1-4 substituents independently selected from the group consisting of Ci- 4 alkyl, halogen, hydroxyl, cyano, phenyl, -C(0)Ci -4 alkyl, -C(0)C 3 - 6 cycloalkyl, -C(0)OCi -4 alkyl, -C(0)OCi_ 4 haloalkyl, -C(0)NH 2 , -C(0)NH(Ci -4 alkyl), -C(0)N(Ci -4 alkyl)(Ci -4 alkyl), - C(0)NH(-Ci -6 alkylene-OCi -4 alkyl), -C(0)N(Ci -4 alkyl)(-Ci -6 alkylene-OCi -4 alkyl), - C(0)NH(-Ci -6 alkylene-OH), -C(0)N(Ci -4 alkyl)(-Ci -6 alkylene-OH), -NH(Ci
- R 4 is phenyl or a 5- or 6-membered heteroaryl containing 1-3 heteroatoms independently selected from oxygen, nitrogen and sulfur, R 4 being optionally substituted with 1-3 substituents independently selected from the group consisting of halogen, hydroxyl, cyano, -S(0)2Ci -4 alkyl, -S(0)Ci -4 alkyl, -SCi -4 alkyl, Ci -4 alkyl, Ci_ 4 haloalkyl, -OCi -4 alkyl, -OCi -4 haloalkyl, -Ci- 4 alkylene-OCi -4 alkyl, -Ci -4 alkylene- N(Ci -4 alkyl)(Ci -4 alkyl), -NH(Ci -4 alkylene-OCi -4 alkyl), -NH(Ci -4 alkylene-OH), - N(Ci -4 alkyl)(Ci -4 alkylene-OCi -4 alkyl),
- R 1 is not -0-C 2-6 alkylene-OC 1 - 4 alkyl, - 0-C2- 6 alkylene-OH, G 2 , -O-G 2 , or -0-Ci -4 alkylene-G 2 , where G 2 is an optionally substituted monocyclic heterocycle containing at least one nitrogen atom, when X 1 is N, X 3 is N, X 2 is CH, and R 4 is optionally substituted phenyl; (ii) R 1 is not -OCi- alkyl when R 4 is optionally substituted phenyl or thiophene, and X 1 is CR X1 ; (iii) R 2 is other than H, when R is G 2 or -O-G , G is an optionally substituted monocyclic heterocycle containing at least one nitrogen atom, X 1 is CH, X 2 is CH and X 3 is N;
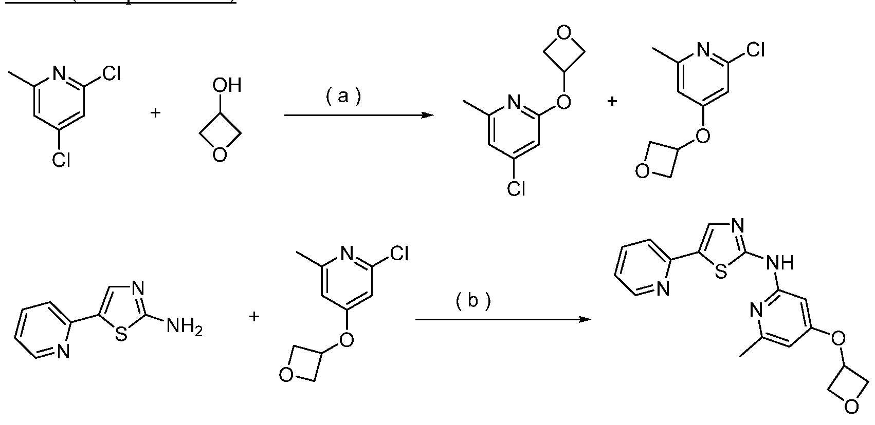
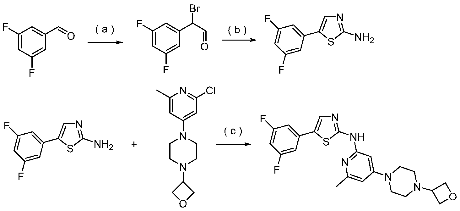
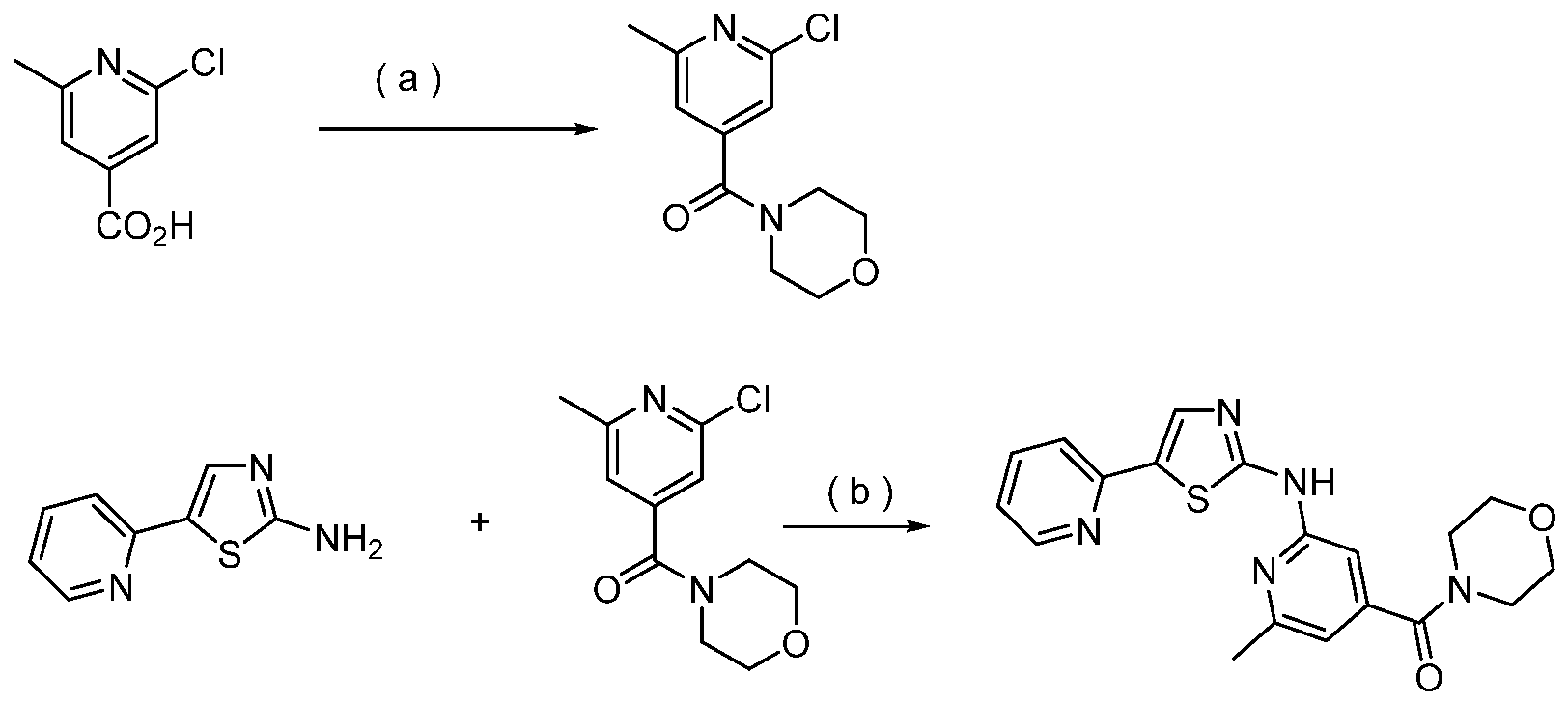
- R is other than H, when R is G or -NR -Ci -4 alkylene-G , G is an optionally substituted monocyclic heterocycle containing at least one nitrogen atom, X 1 is CH, X 3 is CH and X 2 is N; or (v) the compound of formula (II) is not N-(4-chloro-6-(4- methylpiperazin-l-yl)pyridin-2-yl)-5-(pyridin-4-yl)thiazol-2-amine; and
- G 2 is not morpholino when R 4 is phenyl substituted with cyano;
- R 1 is not -0-Ci -4 alkyl when R 4 is optionally substituted phenyl; or
- R 1 is not -NHC(0)(Ci- alkyl) when R 4 is pyridinyl.
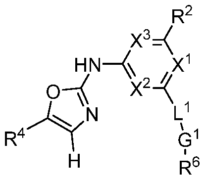
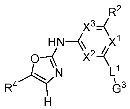
- X 1 is CR X1 or N;
- X 2 is CR X2 or N;
- X 3 is CR X3 or N;
- R 1 is selected from the group consisting of hydrogen, Ci- 4 alkyl, Ci_
- R 2 is selected from the group consisting of hydrogen, Ci- 4 alkyl, and Ci_ 4 haloalkyl;
- R X1 is selected from the group consisting of hydrogen, halogen, Ci- 4 alkyl, Ci -4 haloalkyl, -0-Ci -4 alkyl, and G 2 ;
- R 1 and R X1 do not simultaneously contain G 2 ;
- R X2 is selected from the group consisting of hydrogen, halogen, Ci- 4 alkyl, and -OCi- 4 alkyl;
- R X3 is selected from the group consisting of hydrogen, halogen, Ci- 4 alkyl,
- L 1 is a bond, -0-, or -0-Ci -4 alkylene-;
- L 2 is -O- or -0-Ci -4 alkylene-
- G 1 is a 4- to 8-membered monocyclic heterocycle containing 1-2 heteroatoms independently selected from oxygen, nitrogen, and sulfur, the monocyclic heterocycle optionally containing one double bond and/or a bridge between two non-adjacent ring atoms, G 1 being optionally substituted with 1-4 substituents independently selected from the group consisting of Ci- 4 alkyl, Ci_ 4 haloalkyl, halogen, hydroxyl, and oxo;
- R is (a) a 4- to 12-membered heterocycle containing 1-4 heteroatoms independently selected from oxygen, nitrogen, and sulfur, the heterocycle being optionally substituted with 1-4 substituents independently selected from the group consisting of Ci- 4 alkyl, -CH 2 S(0) 2 phenyl, halogen, hydroxyl, oxo, - OCi- 4 alkyl, -Ci- 6 alkylene-OCi- 4 alkyl, and -Ci- 6 alkylene-OH;
- G 2 is a 4- to 12-membered heterocycle containing 1-4 heteroatoms independently selected from oxygen, nitrogen, and sulfur, G 2 being optionally substituted with 1-4 substituents independently selected from the group consisting of Ci- 4 alkyl, halogen, hydroxyl, oxo, cyano, -Ci- 6 alkylene-cyano, - C(0)Ci -4 alkyl, -C(0)-Ci -6 alkylene-OH, -C(0)C 3- ecycloalkyl, -C(0)OCi -4 alkyl, -C(0)OCi -4 haloalkyl, -C(0)NH 2 , -C(0)NH(Ci_ 4 alkyl), -C(0)N(Ci -4 alkyl)(Ci -4 alkyl), -C(0)NH(-Ci -6 alkylene-OCi -4 alkyl), - C(0)N(Ci -4 alkyl)(-Ci -6 alkylene-OCi -4 alky
- G 3 is 3- to 8-membered cycloalkyl optionally substituted with 1-4 substituents independently selected from the group consisting of C ⁇ alkyl, Ci_ 4 haloalkyl, halogen, hydroxyl, oxo, cyano, -C(0)Ci- 4 alkyl, -C(0)C3- 6 cycloalkyl, - C(0)OCi -4 alkyl, -C(0)OCi -4 haloalkyl, -C(0)NH 2 , -C(0)NH(Ci -4 alkyl), -C(0)N(Ci_ 4 alkyl)(Ci -4 alkyl), -C(0)NH(-Ci -6 alkylene-OCi -4 alkyl), -C(0)N(Ci -4 alkyl)(-Ci. 6 alkylene-OCi -4 alkyl), -C(0)NH(-Ci -6 alkylene-OH), -C(0)N(Ci -4 alkyl
- G 4 is phenyl optionally substituted with 1-4 substituents independently selected from the group consisting of Ci -4 alkyl, Ci -4 haloalkyl, halogen, hydroxyl, cyano, phenyl, -C(0)Ci -4 alkyl, -C(0)C 3 - 6 cycloalkyl, -C(0)OCi -4 alkyl, -C(0)OCi_ 4 haloalkyl, -C(0)NH 2 , -C(0)NH(Ci -4 alkyl), -C(0)N(Ci -4 alkyl)(Ci -4 alkyl), - C(0)NH(-Ci -6 alkylene-OCi -4 alkyl), -C(0)N(Ci -4 alkyl)(-Ci -6 alkylene-OCi -4 alkyl), - C(0)NH(-Ci -6 alkylene-OH), -C(0)N(Ci -4 alkyl)(-Ci -6 alkylene
- G 5 is a monocyclic 5- or 6-membered heteroaryl containing 1-4 heteroatoms independently selected from oxygen, nitrogen, and sulfur, G 5 being optionally substituted with 1-4 substituents independently selected from the group consisting of Ci- 4 alkyl, Ci -4 haloalkyl, halogen, hydroxyl, cyano, phenyl, -C(0)Ci -4 alkyl, -C(0)C 3- ecycloalkyl, -C(0)OCi -4 alkyl, -C(0)OCi -4 haloalkyl, -C(0)NH 2 , -C(0)NH(Ci_ 4 alkyl), -C(0)N(Ci -4 alkyl)(Ci -4 alkyl), -C(0)NH(-Ci -6 alkylene-OCi -4 alkyl), - C(0)N(Ci -4 alkyl)(-Ci -6 alkylene-OCi -4 alkyl), -C(0)NH(-Ci -6 al
- R 4 is phenyl or a 5- or 6-membered heteroaryl containing 1-3 heteroatoms independently selected from oxygen, nitrogen and sulfur, R 4 being optionally substituted with 1-3 substituents independently selected from the group consisting of halogen, hydroxyl, cyano, -S(0)2Ci- 4 alkyl, -S(0)Ci- 4 alkyl, -SCi- 4 alkyl, Ci- 4 alkyl, Ci_ 4 haloalkyl, -OCi- 4 alkyl, -Ci- 4 alkylene-OCi- 4 alkyl, -Ci- 4 alkylene- N(Ci -4 alkyl)(Ci -4 alkyl), - H(CMalkylene-OC M alk l), -NH(Ci -4 alkylene-OH), - N(CMalk l)(CMalk lene-OCMalkyl), -N(Ci -4 alkyl)(Ci -4 alkylene-
- the present invention provides compounds of formula (I) or (IV).
- compositions comprising a pharmaceutically acceptable carrier and therapeutically effective amounts of a compound of formula (I) or (IV), or a pharmaceutically acceptable salt thereof.
- the invention provides compounds of formula (I) or (IV), or a pharmaceutically acceptable salt thereof, which promote remyelination of demyelinated axons.
- the invention provides compounds of formula (I) or (IV), or a pharmaceutically acceptable salt thereof, which differentiate endogenous oligodendrocyte precursor cells.
- the invention provides methods of treating multiple sclerosis by administering to a patient in need thereof a therapeutically effective amount of a compound or composition of formula (I) or (IV), or a pharmaceutically acceptable salt thereof.
- the present invention provides a method of treating, preventing or ameliorating one or more symptoms of a subject with multiple sclerosis or another neurological disease.
- the invention provides the use of a compound of formula (I) or (IV), or a pharmaceutically acceptable salt thereof, for the manufacture of a medicament for the treatment of multiple sclerosis, the promotion of remyelination of demyelinated axons, or the differentiation of endogenous oligodendrocyte precursor cells.
- the invention provides compounds of formula (I) or (IV), or a pharmaceutically acceptable salt thereof, for use in treating multiple sclerosis, promoting remyelination of demyelinated axons, or differentiating endogenous oligodendrocyte precursor cells.
- the invention provides compounds of formula (I) or (IV), or a pharmaceutically acceptable salt thereof for treating or lessening the severity of, in a subject, a disease or disorder selected from a demyelinating disease, central pontine myelinolysis, a nerve injury disease or disorder, a leukoencephalopathy or a leukodystrophyin.
- a disease or disorder selected from a demyelinating disease, central pontine myelinolysis, a nerve injury disease or disorder, a leukoencephalopathy or a leukodystrophyin.
- the invention provides compounds of formula (I) or (IV), or a pharmaceutically acceptable salt thereof
- the invention provides compounds of formula (I) or (IV), or a pharmaceutically acceptable salt thereof can be employed in combination therapies, that is, the compounds and pharmaceutically acceptable compositions can be administered concurrently with, prior to, or subsequent to, one or more other desired therapeutics or medical procedures.
- kits comprising compounds of formula
- compounds of the invention can optionally be substituted with one or more substituents, such as are illustrated generally above, or as exemplified by particular classes, subclasses, and species of the invention.
- substituents such as are illustrated generally above, or as exemplified by particular classes, subclasses, and species of the invention.
- the variables in formula I encompass specific groups, such as, for example, alkyl and cycloalkyl.
- combinations of substituents envisioned by this invention are those combinations that result in the formation of stable or chemically feasible compounds.
- stable refers to compounds that are not substantially altered when subjected to conditions to allow for their production, detection, and preferably their recovery, purification, and use for one or more of the purposes disclosed herein.
- a stable compound or chemically feasible compound is one that is not substantially altered when kept at a temperature of 40°C or less, in the absence of moisture or other chemically reactive conditions, for at least a week.
- a ring substituent such as a heterocycloalkyl
- substituents envisioned by this invention are those combinations that result in the formation of stable or chemically feasible compounds.
- alkyl as used herein, means a straight or branched chain saturated hydrocarbon.
- Representative examples of alkyl include, but are not limited to, methyl, ethyl, n-propyl, isopropyl, n-butyl, sec-butyl, isobutyl, tert-butyl, n-pentyl, isopentyl, neopentyl, n-hexyl, 3-methylhexyl, 2,2-dimethylpentyl, 2,3-dimethylpentyl, n-heptyl, n-octyl, n-nonyl, and n-decyl.
- alkylene means a divalent group derived from a straight or branched chain saturated hydrocarbon.
- Representative examples of alkylene include, but are not limited to, -CH 2 - -CH 2 CH 2 - -CH 2 CH 2 CH 2 -, - CH 2 CH(CH 3 )CH 2 - and -CH 2 CH(CH 3 )CH(CH 3 )CH 2 -.
- alkoxy means an alkyl group, as defined herein, appended to the parent molecular moiety through an oxygen atom.
- Representative examples of alkoxy include, but are not limited to, methoxy, ethoxy, propoxy, isopropoxy, butoxy, isobutoxy, tert-butoxy, pentyloxy, and hexyloxy.
- aryl means phenyl or a bicyclic aryl.
- the bicyclic aryl is naphthyl, dihydronaphthalenyl, tetrahydronaphthalenyl, indanyl, or indenyl.
- the phenyl and bicyclic aryls are attached to the parent molecular moiety through any carbon atom contained within the phenyl or bicyclic aryl.
- halogen means a chlorine, bromine, iodine, or fluorine atom.
- haloalkyl means an alkyl, as defined herein, in which one, two, three, four, five, six, or seven hydrogen atoms are replaced by halogen.
- representative examples of haloalkyl include, but are not limited to, 2-fluoroethyl, difluoromethyl, trifluoromethyl, 2,2,2-trifluoroethyl, 2,2,2- trifluoro-l,l-dimethylethyl, and the like.
- haloalkoxy means an alkoxy group, as defined herein, in which one, two, three, four, five, or six hydrogen atoms are replaced by halogen.
- Representative examples of haloalkoxy include, but are not limited to, trifiuoromethoxy, difiuoromethoxy, 2,2,2-trifluoroethoxy, 2,2-difluoroethoxy, 2- fluoroethoxy, and pentafluoroethoxy.
- heteroaryl means an aromatic heterocycle, i.e., an aromatic ring that contains at least one heteroatom.
- a heteroaryl may contain from 5 to 12 ring atoms.
- a heteroaryl may be a 5- to 6-membered monocyclic heteroaryl or an 8- to 12-membered bicyclic heteroaryl.
- a 5-membered monocyclic heteroaryl ring contains two double bonds, and one, two, three, or four heteroatoms as ring atoms.
- 5-membered monocyclic heteroaryls include, but are not limited to, furanyl, imidazolyl, isoxazolyl, isothiazolyl, oxadiazolyl, oxazolyl, pyrazolyl, pyrrolyl, tetrazolyl, thiadiazolyl, thiazolyl, thienyl, and triazolyl.
- a 6- membered heteroaryl ring contains three double bonds, and one, two, three or four heteroatoms as ring atoms.
- 6-membered monocyclic heteroaryls include, but are not limited to, pyridinyl, pyridazinyl, pyrimidinyl, pyrazinyl, and triazinyl.
- the bicyclic heteroaryl is an 8- to 12-membered ring system having a monocyclic heteroaryl fused to an aromatic, saturated, or partially saturated carbocyclic ring, or fused to a second monocyclic heteroaryl ring.
- bicyclic heteroaryl include, but are not limited to, benzofuranyl, benzoxadiazolyl, 1,3-benzothiazolyl, benzimidazolyl, benzothienyl, indolyl, indazolyl, isoquinolinyl, naphthyridinyl, oxazolopyridine, quinolinyl, thienopyridinyl, 5,6,7,8-tetrahydroquinolinyl, and 6,7-dihydro-5H-cyclopenta[b]pyridinyl.
- the heteroaryl groups are connected to the parent molecular moiety through any substitutable carbon atom or any substitutable nitrogen atom contained within the groups.
- cycloalkyl as used herein, means a monocyclic all-carbon ring containing zero heteroatoms as ring atoms, and zero double bonds.
- examples of cycloalkyls include, but are not limited to, cyclopropyl, cyclobutyl, cyclopentyl, cyclohexyl, cycloheptyl, and cyclooctyl.
- the cycloalkyl groups described herein can be appended to the parent molecular moiety through any substitutable carbon atom.
- cycloalkenyl as used herein, means a monocyclic non-aromatic all-carbon 5- to 6-membered ring containing zero heteroatoms as ring atoms and one double bond.
- examples of cycloalkenyl include cyclopentenyl and cyclohexenyl.
- cycloalkenyl groups described herein can be appended to the parent molecular moiety through any substitutable carbon atom.
- heterocycle refer generally to ring systems containing at least one heteroatom as a ring atom where the heteroatom is selected from oxygen, nitrogen, and sulfur. In some embodiments, a nitrogen or sulfur atom of the heterocycle is optionally substituted with oxo.
- Heterocycles may be a monocyclic heterocycle, a fused bicyclic heterocycle, or a spiro heterocycle.
- the monocyclic heterocycle is generally a 4, 5, 6, 7, or 8-membered non-aromatic ring containing at least one heteroatom selected from O, N, or S.
- the 4-membered ring contains one heteroatom and optionally one double bond.
- the 5-membered ring contains zero or one double bond and one, two or three heteroatoms.
- the 6, 7, or 8-membered ring contains zero, one, or two double bonds, and one, two, or three heteroatoms.
- monocyclic heterocycle include, but are not limited to, azetidinyl, azepanyl, diazepanyl, 1,3-dioxanyl, 1,4-dioxanyl, 1,3-dioxolanyl , 4,5- dihydroisoxazol-5-yl, 3,4-dihydropyranyl, 1 ,3-dithiolanyl, 1 ,3-dithianyl, imidazolinyl, imidazolidinyl, isothiazolinyl, isothiazolidinyl, isoxazolinyl, isoxazolidinyl, morpholinyl, oxadiazolinyl, oxadiazolidinyl, oxazolinyl, oxazolidinyl, oxetanyl, piperazinyl, piperidinyl, pyranyl, pyrazolinyl, pyrazolid
- the fused bicyclic heterocycle is a 7-12-membered ring system having a monocyclic heterocycle fused to a phenyl, to a saturated or partially saturated carbocyclic ring, or to another monocyclic heterocyclic ring, or to a monocyclic heteroaryl ring.
- fused bicyclic heterocycle include, but are not limited to, l ,3-benzodioxol-4-yl, 1,3-benzodithiolyl, 3-azabicyclo[3.1.0]hexanyl, hexahydro-lH-furo[3,4-c]pyrrolyl, 2,3-dihydro-l,4- benzodioxinyl, 2,3-dihydro-l-benzofuranyl, 2,3-dihydro-l -benzothienyl, 2,3-dihydro- lH-indolyl, 5,6,7,8-tetrahydroimidazo[l,2-a]pyrazinyl, and 1,2,3,4- tetrahydroquinolinyl.
- Spiro heterocycle means a 4, 5-, 6-, 7-, or 8-membered monocyclic heterocycle ring wherein two of the substituents on the same carbon atom form a second ring having 3, 4, 5, 6, 7, or 8- members.
- Examples of a spiro heterocycle include, but are not limited to, l,4-dioxa-8-azaspiro[4.5]decanyl, 2-oxa-7- azaspiro[3.5]nonanyl, 2-oxa-6-azaspiro[3.3]heptanyl, and 8-azaspiro[4.5]decane.
- the monocyclic heterocycle groups of the present invention may contain an alkylene bridge of 1, 2, or 3 carbon atoms, linking two non-adjacent atoms of the group.
- bridged heterocycle examples include, but are not limited to, 2,5- diazabicyclo[2.2.1]heptanyl, 2-azabicyclo[2.2.1]heptanyl, 2-azabicyclo[2.2.2]octanyl, and oxabicyclo[2.2.1]heptanyl.
- the monocyclic, fused bicyclic, and spiro heterocycle groups are connected to the parent molecular moiety through any substitutable carbon atom or any substitutable nitrogen atom contained within the group.
- oxo refers to an oxygen atom bonded to the parent molecular moiety.
- An oxo may be attached to a carbon atom or a sulfur atom by a double bond.
- an oxo may be attached to a nitrogen atom by a single bond, i.e., an N-oxide.
- C is an alkyl group with three carbon atoms (i.e., n-propyl, isopropyl).
- C the members of the group that follows may have any number of carbon atoms falling within the recited range.
- a “Ci- 4 alkyl,” for example, is an alkyl group having from 1 to 4 carbon atoms, however arranged (i.e., straight chain or branched).
- structures depicted herein are also meant to include all isomeric (e.g., enantiomeric, diastereomeric, and geometric (or conformational)) forms of the structure; for example, the R and S configurations for each asymmetric center, (Z) and (E) double bond isomers, and (Z) and (E) conformational isomers. Therefore, single stereochemical isomers as well as enantiomeric, diastereomeric, and geometric (or conformational) mixtures of the present compounds are within the scope of the invention. Unless otherwise stated, all tautomeric forms of the compounds of the invention are within the scope of the invention. Thus, included within the scope of the invention are tautomers of compounds of formula (I) or (IV).
- the structures also include zwitterioinc forms of the compounds or salts of formula I where appropriate.
- R 1 is selected from the group consisting of -OCi- -0-Ci -6 alkylene-OH, -NHC(0)(Ci -4 alkyl), - C(0)N(Ci -4 alkyl)(Ci -4 alkyl), -C(0)NH(Ci -4 haloalkyl), -C(0)NH(-Ci. 6 alkylene-OCi. 4 alkyl), -I ⁇ -G -R 6 , -L x -G 2 , -L x -G 3 , and -L 2 -G 4 ;
- R 2 is selected from the group consisting of hydrogen, Ci -4 alkyl, Ci -4 haloalkyl, halogen, and -OCi -4 alkyl;
- R X1 is selected from the group consisting of hydrogen and -0-Ci -4 alkyl
- R X2 is selected from the group consisting of hydrogen, halogen, and Ci -4 alkyl
- R X3 is selected from the group consisting of hydrogen, Ci -4 alkyl, and -0-Ci -4 alkyl;
- L 1 is a bond, -0-, -0-Ci -4 alkylene- -NR 5 -, or -C(O)-, wherein R 5 is hydrogen or Ci- 4 alkyl;
- L 2 is -0-Ci -4 alkylene-;
- G 1 is a 4- to 8-membered monocyclic heterocycle containing 1-2 heteroatoms independently selected from nitrogen;
- R 6 is a 4- to 12-membered heterocycle containing 1-4 heteroatoms independently selected from oxygen, the heterocycle being optionally substituted with 1-4 substituents independently selected from the group consisting of Ci -4 alkyl, Ci_ haloalkyl, -CH 2 S(0) 2 phenyl, halogen, hydroxyl, oxo, -OCi -4 alkyl, -Ci- 6 alkylene- OCi- 4 alkyl, and -Ci- 6 alkylene-OH;
- G 2 is a 4- to 12-membered heterocycle containing 1-4 heteroatoms independently selected from oxygen, nitrogen, and sulfur, G 2 being optionally substituted with 1-4 substituents independently selected from the group consisting of Ci -4 alkyl, -C(0)OCi_ 4 alkyl, and a -Chalky lene substituted by 2 groups independently selected from hydroxyl and halogen;
- G 3 is 3- to 8-membered cycloalkyl optionally substituted with 1-4 substituents independently selected from the group consisting of Ci- 4 alkyl and -OCi- 4 alkyl;
- G 4 is phenyl optionally substituted with 1-4 substituents independently selected from the group consisting of-OCi- 4 alkyl; and R 4 is phenyl or a 6-membered heteroaryl containing 1-3 nitrogen, R 4 being optionally substituted with 1-3 substituents independently selected from the group consisting of halogen.
- X 4 is S (i.e., formula (II)).
- X 1 is CR X1 (e.g., CH)
- X 3 is CR X3 (e.g., CH).
- X 3 is N
- X 1 is CR X1 (e.g., CH)
- X 2 is CR X2 (e.g., CH, C-halogen, C- Ci -4 alkyl).
- X 1 is N
- X 2 is CR X2 (e.g., C-Ci -4 alkyl)
- X 3 is CR X3 (e.g., CH).
- X 3 is N
- X 1 is N
- X 2 is CR X2 (e.g., CH, C-halogen, C-Ci -4 alkyl).
- X 1 is N
- X 2 is N
- X 3 is CR X3 (e.g., CH, C-Ci -4 alkyl).
- X 1 is CR X1 (e.g., CH)
- X 2 is CR X2 (e.g., CH, C-halogen)
- X 3 is CR X3 e.g., CH).
- X 4 is O (i.e., formula (III)).
- X 1 is CR X1 (e.g., CH, C-OCi -4 alkyl)
- X 2 is CR X2 (e.g., CH, C-halogen)
- X 3 is CR X3 (e.g., CH).
- X 2 is N
- X 1 is CR X1 (e.g., CH)
- X 3 is CR X3 (e.g., CH).
- X 3 is N, X 1 is CR X1 (e.g., CH), and X 2 is CR X2 (e.g., CH, C-halogen, C-Ci -4 alkyl). In other embodiments, X 1 is N, X 2 is CR X2 (e.g., C-Ci -4 alkyl), and X 3 is CR X3 (e.g., CH). In other embodiments, X 3 is N, X 1 is N, and X 2 is CR X2 (e.g., CH, C-halogen, C-Ci -4 alkyl). In other embodiments, X 1 is N, X 2 is N, and X 3 is CR X3 (e.g., CH, C-Ci -4 alkyl).
- X 1 is CR X1 (e.g., CH, C-OCi-4alkyl)
- X 2 is CR X2 (e.g., CH, C-halogen)
- X 3 is CR X3 (e.g., CH, C-OC M alkyl).
- X 2 is N
- X 1 is CR X1 (e.g., CH, C-Ci -4 alkyl, C-halogen, C-OCi -4 alkyl, C- G 2 )
- X 3 is CR X3 (e.g., CH).
- X 3 is N, X 1 is CR X1 (e.g., CH), and X 2 is CR X2 (e.g., CH, C-halogen, C-Ci -4 alkyl). In other embodiments, X 1 is N, X 2 is CR X2 (e.g., C-Ci -4 alkyl), and X 3 is CR X3 (e.g., CH). In other embodiments, X 3 is N, X 1 is N, and X 2 is CR X2 (e.g., CH, C-halogen, C-Ci -4 alkyl).
- X 1 is N
- X 2 is N
- X 3 is CR X3 (e.g., CH, C-Ci -4 alkyl).
- X 2 is N
- X 3 is N
- X 1 is CR X1 (e.g., CH).
- R 1 is -I ⁇ -G ⁇ R 6 (i.e., (II-l)), wherein G 1 , L 1 , and R 6 are as defined herein.
- R 1 is -I ⁇ -G 1 - R 6 (i.e., (III-l)), wherein G 1 , L 1 , and R 6 are as defined herein.
- R is -L -G -R (i.e., (IV- 1)), wherein G 1 , L 1 , and R 6 are as defined herein.
- G 1 is a 4- to 8-membered monocyclic heterocycle containing 1-2 heteroatoms independently selected from oxygen, nitrogen, and sulfur, the monocyclic heterocycle optionally containing one double bond and/or a Ci-3alkylene bridge between two non-adjacent ring atoms, G 1 being optionally substituted with 1-4 substituents independently selected from the group consisting of Ci- 4 alkyl, Ci_ 4 haloalkyl, halogen, hydroxyl, and oxo.
- G 1 is a 4- to 8- membered optionally substituted monocyclic heterocycle containing a first nitrogen atom and optionally a second heteroatom independently selected from oxygen and nitrogen, and optionally containing one double bond and/or a bridge between two non-adjacent ring atoms.
- G 1 is connected to the parent molecular moiety (i.e., at L 1 ) through the first nitrogen atom.
- G 1 is attached to L 1 at a ring carbon atom of G 1 .
- G 1 is a 4- to 6-membered optionally substituted monocyclic heterocycle containing a first nitrogen atom and optionally a second heteroatom independently selected from oxygen and nitrogen, and optionally containing one double bond and/or a bridge between two non-adjacent ring atoms, G 1 being connected to the parent molecular moiety through the first nitrogen atom.
- G 1 is a 4- to 8-membered monocyclic heterocycle containing 1 or 2 nitrogen atoms, the monocyclic heterocycle optionally containing one double bond and/or a bridge between two non-adjacent ring atoms, G 1 being optionally substituted with 1-4 substituents independently selected from the group consisting of Ci- 4 alkyl, halogen, hydroxyl, and oxo.
- G 1 contains one nitrogen atom. In other embodiments, G 1 contains two nitrogen atoms.
- the heterocycles at G 1 may be unsubstituted or substituted.
- G 1 may be piperazinyl, homopiperazinyl, azetidinyl, pyrrolidinyl, piperidinyl, azepanyl, 2,5-diazabicyclo[2.2.1]heptanyl, 2,5-dihydro-lH- pyrrolyl, oxetanyl, morpholino, tetrahydropyranyl, or 1,2,3,6-tetrahydropyridinyl, each unsubstituted or substituted as described herein.
- the piperazinyl, homopiperazinyl, azetidinyl, pyrrolidinyl, piperidinyl, azepanyl, 2,5- diazabicyclo[2.2.1]heptanyl, 2,5-dihydro-lH-pyrrolyl, oxetanyl, mo holino, tetrahydropyranyl, or 1,2,3,6-tetrahydropyridinyl are optionally substituted with 1-4 substituents independently selected from 1 hydroxyl, 1-2 halogen, 1 oxo, and 1-4 Ci_ 4 alkyl groups.
- a pyrrolidinyl and/or piperidinyl is optionally substituted with halogen, 1 hydroxyl, or 1 oxo and the piperazinyl is optionally substituted with oxo.
- G 1 is piperazin-l-yl optionally substituted with oxo.
- G 1 may have a bridge between two non-adjacent ring atoms (e.g., 2,5-diazabicyclo[2.2. l]heptanyl). In other embodiments, G 1 is without a bridge between two non-adjacent ring atoms.
- the heterocycles of G 1 may be appended to the parent molecule (i.e., at L 1 ) by any substitutable carbon or nitrogen atom.
- L 1 is -O- and G 1 is attached to L 1 at a ring carbon atom of G 1 .
- L 1 is a bond and G 1 is attached to L 1 at a ring nitrogen atom of G 1 .
- G 1 examples include piperazin-l-yl, 2-oxo-piperazin-l-yl, homopiperazin-l-yl, azetidin-l-yl, azetidin-3-yl, pyrrolidin-3-yl, 3-hydroxy-pyrrolidin-3-yl, 3-fluoro-pyrrolidin-3-yl, piperidin-l-yl, piperidin-3-yl, piperidin-4-yl, 3-hydroxypiperidin-4-yl, 4- hydroxypiperidin-4-yl, 3-fluoropiperidin-4-yl, 4-fluoropiperidin-4-yl, 3,3- difiuoropiperidin-4-yl, azepan-3-yl, 2,5-diazabicyclo[2.2.1]heptan-2-yl, 2,5-dihydro- lH-pyrrol-3-yl, or l,2,3,6-tetrahydropyridin-4-
- R 6 is a 4- to 12-membered heterocycle containing 1-4 heteroatoms independently selected from oxygen, nitrogen, and sulfur, the heterocycle being optionally substituted with 1-4 substituents independently selected from the group consisting of Ci- 4 alkyl, -CH 2 S(0) 2 phenyl, halogen, hydroxyl, oxo, - OCi- 4 alkyl, -Ci- 6 alkylene-OCi- 4 alkyl, and -Ci- 6 alkylene-OH.
- the 4- to 12-membered heterocycle at R 6 may be a 4- to 8-membered monocyclic heterocycle containing 1-2 heteroatoms independently selected from oxygen, nitrogen, and sulfur, the monocyclic heterocycle optionally containing one double bond and/or a bridge between two non- adjacent ring atoms and being optionally substituted with 1-4 substituents
- R is a 4- to 6-membered monocyclic heterocycle containing 1-2 heteroatoms independently selected from oxygen and nitrogen, and sulfur, the heterocycle being optionally substituted with 1-4 substituents independently selected from the group consisting of Ci- 4 alkyl, halogen, hydroxyl, oxo, and -OCi- 4 alkyl.
- R 6 is an oxetanyl, a tetrahydrofuranyl, a tetrahydropyranyl, a morpholinyl, 2-oxa-5- azabicyclo[2.2.1]heptanyl, 6-oxa-3-azabicyclo[3.1.1]heptanyl, 1,4-oxazepanyl, 3-oxa- 8-azabicyclo[3.2.1]octanyl, 8-oxa-3-azabicyclo[3.2.1]octanyl, a pyrrolidinyl, piperidinyl, thiomorpholinyl, a thietanyl, piperazinyl, or azetidinyl, each being optionally substituted as described herein.
- R 6 is oxetanyl, tetrahydrofuranyl, tetrahydropyranyl, morpholinyl, pyrrolidinyl, or thietanyl, each being optionally substituted with 1-4 substituents independently selected from Ci- 4 alkyl and oxo.
- the oxetanyl, tetrahydrofuranyl, tetrahydrofuranyl, morpholinyl, pyrrolidinyl, or thietanyl each being optionally substituted with 1-4 substituents independently selected from Ci- 4 alkyl and oxo.
- tetrahydropyranyl, morpholinyl, pyrrolidinyl, thietanyl, piperazinyl, and azetidinyl are each optionally substituted with 1-4 substituents independently selected from halogen, Ci- 4 alkyl and oxo.
- the oxetanyl, tetrahydrofuranyl, tetrahydropyranyl, morpholinyl, pyrrolidinyl, thietanyl, and piperazinyl are each optionally substituted with Ci- 4 alkyl, and the pyrrolidinyl, piperazinyl, and thietanyl further optionally substituted with 1-2 oxo groups.
- R 6 is a 4- to 8-membered monocyclic heterocycle containing 1 oxygen atom (e.g., an oxetanyl, a tetrahydrofuranyl, a tetrahydropyranyl).
- R 6 is a 4-membered monocyclic heterocycle containing 1 oxygen atom and optionally substituted with Ci_ 4 alkyl or -CH 2 S(0) 2 phenyl.
- R 6 is a 4-membered monocyclic heterocycle containing 1 oxygen atom and optionally substituted with Ci- 4 alkyl.
- R 6 is a 4- to 8-membered monocyclic heterocycle containing 1 sulfur atom (e.g., thietanyl, tetrahydrothiophenyl, tetrahydro-2H-thiopyranyl). In other embodiments, R 6 is a 4-membered monocyclic heterocycle containing 1 sulfur atom and optionally substituted with 1-2 oxo groups.
- R 6 is a 4- to 8-membered monocyclic heterocycle containing 1 nitrogen atom and optionally 1 oxygen atom or 1 sulfur atom (e.g., azetidinyl, pyrrolidinyl, morpholinyl, homomorpholinyl, thiomorpholinyl, piperazinyl) and optionally substituted with oxo (e.g., 2-oxopyrrolidin-l-yl).
- the heterocycles of R 6 may be appended to the parent molecule (i.e., to G 1 ) by any substitutable carbon atom or nitrogen atom in R 6 .
- the oxygen-containing heterocycle is oxetan-3-yl
- the sulfur-containing heterocycle is thietan-3-yl, tetrahydrothiophen-3- yl, tetrahydro-2H-thiopyran-3-yl, or tetahydro-2H-thiopyran-4-yl.
- the heterocycle containing 1 nitrogen atom and optionally 1 oxygen or sulfur atom is e.g., piperidin-l-yl, morpholin-4-yl, azetidin-l-yl, piperazin-l-yl, 2- oxa-5-azabicyclo[2.2.1]heptan-5-yl, 6-oxa-3-azabicyclo[3.1.1]heptan-3-yl, 1,4- oxazepan-4-yl, 3-oxa-8-azabicyclo[3.2.1]octan-8-yl, 8-oxa-3-azabicyclo[3.2.1]octan- 3-yl, thiomorpholin-4-yl, or 2-oxopyrrolidin-l-yl.
- the oxygen- and sulfur-containing heterocycles may be unsubstituted or substituted as described herein.
- the oxygen-containing heterocycle may be oxetan-3-yl, 3-methyloxetan-3-yl or 3-((phenylsulfonyl)methyl)oxetan-3-yl and the sulfur-containing heterocycle may be thietan-3-yl or l,l-dioxothietan-3-yl.
- R 6 is oxetanyl, tetrahydrofuranyl, 1,4-dioxanyl, morpholino, pyrrolidinyl, piperidinyl, or piperazinyl, each optionally substituted with 1-4 substituents independently selected from the group consisting of Ci- 4 alkyl, Ci_ 4 haloalkyl, halogen, hydroxyl, oxo, and -OCi- 4 alkyl.
- the 4- to 12-membered heterocycle at R 6 may be a 7- to 12-membered spiro heterocycle comprising a first ring and a second ring, the first ring being a 4- to 8-membered monocyclic heterocycle containing 1-2 heteroatoms independently selected from nitrogen and oxygen and being attached to G 1 , the second ring being a Cs-gcycloalkyl or a 4- to 8-membered monocyclic heterocycle containing 1-2 oxygen atoms wherein two atoms of the second ring are attached to one carbon of the first ring to form a spirocycle optionally substituted with 1-4 substituents independently selected from the group consisting of Ci- 4 alkyl, Ci_ 4 haloalkyl, halogen, hydroxyl, and oxo.
- the spirocyclic R 6 is optionally substituted with 1-4 substituents independently selected from the group consisting of Ci- 4 alkyl, -CH 2 S(0) 2 phenyl, halogen, hydroxyl, oxo, - OCi- 4 alkyl, -Ci- 6 alkylene-OCi- 4 alkyl, and -Ci- 6 alkylene-OH.
- 1-4 substituents independently selected from the group consisting of Ci- 4 alkyl, -CH 2 S(0) 2 phenyl, halogen, hydroxyl, oxo, - OCi- 4 alkyl, -Ci- 6 alkylene-OCi- 4 alkyl, and -Ci- 6 alkylene-OH.
- R 6 is a 7- to 12-membered spiro heterocycle consisting of the first ring and a second ring, as described herein.
- the first ring is attached to G 1 through any substitutable carbon or nitrogen atom.
- the first ring is attached to G 1 through a nitrogen atom.
- the first ring of R 6 includes, but is not limited to, heterocycles such as azetidine, pyrrolidine, piperidine, azepane, morpholine, azocane, piperazine, and homopiperazine.
- the first ring of R 6 is a 4- to 8-membered monocyclic heterocycle containing 1 -2 nitrogen atoms or 1 nitrogen atom and 1 oxygen atom.
- the first ring is morpholino, piperazin-l -yl, or piperidin-l -yl.
- the second ring includes a C3- gcycloalkyl, e.g., cyclopropyl, cyclobutyl cyclopentyl.
- the second ring is formed by the attachment of two atoms of the second ring to a single carbon atom of the first ring such that the first ring and the second ring share one carbon atom in common.
- R 6 is 4-oxa-7-azaspiro[2.5]octanyl (e.g., 4-oxa-7- azaspiro[2.5]octan-7-yl).
- the 4- to 12-membered heterocycle at R 6 may be a 7- to 12-membered fused bicyclic heterocycle containing 1 -3 heteroatoms independently selected from oxygen, nitrogen, and sulfur and being optionally substituted with 1 -4 substituents independently selected from the group consisting of Ci- 4 alkyl, halogen, hydroxyl, and oxo.
- R 6 is a 7- to 12-membered fused bicyclic heterocycle containing 1-3 heteroatoms independently selected from oxygen, nitrogen, and sulfur and being optionally substituted with 1 -4 substituents independently selected from the group consisting of Ci- 4 alkyl, Ci_ 4 haloalkyl, halogen, hydroxyl, oxo, -OCi- 4 alkyl, -Ci- 6 alkylene-OCi- 4 alkyl, and -Ci- 6 alkylene-OH.
- the fused bicyclic heterocycle is a 7- 12- membered ring system having a monocyclic heterocycle, as defined herein, fused to another monocyclic heterocyclic ring.
- R 6 is 2- oxa-5-azabicyclo[4.1.0]heptanyl (e.g., 2-oxa-5-azabicyclo[4.1.0]heptan-5-yl).
- R 6 may be a 3- to 8-membered cycloalkyl optionally substituted with 1-4 substituents independently selected from the group consisting of Ci- 4 alkyl, halogen, hydroxyl, -C(0)OCi- 4 alkyl, -C(0)OH, and oxo.
- R 6 is optionally substituted with 1 -4 substituents independently selected from the group consisting of Ci- 4 alkyl, halogen, hydroxyl, -C(0)OCi -4 alkyl, -C(0)OH, oxo, -OCi -4 alkyl, -Ci -6 alkylene-OCi -4 alkyl, and -C h alky lene-OH.
- R 6 is cyclopropyl, cyclobutyl, or cyclopentyl, each being optionally substituted with -C(0)OCi- 4 alkyl, - C(0)OH, hydroxyl or 1 -2 halogen.
- R 6 is cyclopropyl.
- R is cyclobutyl.
- R is 3,3- difiuorocyclobutyl.
- R 6 is a cyclobutane carboxylic acid.
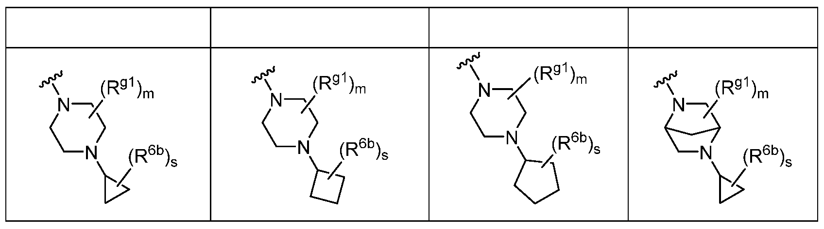
- R 6 may be represented by the following formulas, wherein R' and R 6b are the optional R 6 substituents, respectively, for the 4-12 membered heterocycle or C3- 8 cycloalkyl of R 6 and s is an integer from 0-4:
- G may be represented by the following formulas, wherein R l is the optional G 1 substituent and m is an integer from 0-4:
- G ⁇ R 6 may also be represented by the following formulas, wherein R l , R 6a , R 6b , m and s are as defined herein:
- -G 1 -!* 6 together may be 4-(oxetan-3-yl)piperazin-l-yl, 4-(3-methyloxetan-
- -G 1 -!* 6 together may represent 3-(l- hydroxycyclobutyl)piperazin-l-yl; 4-cyclopropylpiperazin-l-yl; 4- cyclobutylpiperazin-l-yl; 4-cyclopentylpiperazin-l-yl; l-cyclopropylpiperidin-4-yl; l-cyclopropylpiperidin-3-yl; l-cyclobutylpiperidin-4-yl, l-cyclopentylpiperidin-4-yl, 4-(3,3-difluorocyclobutyl)piperazin-l-yl; or 5-cyclopropyl-2,5- diazabicyclo[2.2. l]heptan-2-yl.
- L 1 is a bond or -0-.
- R 2 is hydrogen, Ci- 4 alkyl, or
- R X1 is hydrogen.
- R X2 is hydrogen or halogen.
- R X3 is hydrogen or -OCi- 4 alkyl.
- G 1 is a 4- to 8-membered or 4- to 6-membered optionally substituted monocyclic heterocycle as described above.
- R 6 is an optionally substituted 4- to 8- membered monocyclic heterocycle containing 1-2 heteroatoms independently selected from oxygen, nitrogen, and sulfur, the monocyclic heterocycle optionally containing one double bond and/or a bridge between two non-adjacent ring atoms.
- L 1 is a bond or -0-;
- R 2 is hydrogen, Ci- 4 alkyl, or Ci_ 4 haloalkyl;
- R is hydrogen;
- R is hydrogen or halogen;
- R is hydrogen or -OCi- 4alkyl;
- G 1 is a 4- to 8-membered optionally substituted monocyclic heterocycle containing a first nitrogen atom and optionally a second heteroatom independently selected from oxygen and nitrogen, the monocyclic heterocycle optionally containing one double bond and/or a bridge between two non-adjacent ring atoms;
- R 6 is an optionally substituted 4- to 8-membered monocyclic heterocycle containing 1-2 heteroatoms independently selected from oxygen, nitrogen, and sulfur, the monocyclic heterocycle optionally containing one double bond and/or a Ci_ 3 alkylene bridge between two non-adjacent ring atoms.
- L 1 is a bond and G 1 is a 4- to 8-membered optionally substituted monocyclic heterocycle containing a first nitrogen atom and optionally a second heteroatom independently selected from oxygen and nitrogen, the monocyclic heterocycle optionally containing one double bond and/or a bridge between two non-adjacent ring atoms, G 1 being connected to the parent molecular moiety through the first nitrogen atom.
- L 1 is a bond and G -R 6 is combination with the foregoing, L
- G is a 4- to 8-membered optionally substituted monocyclic heterocycle containing a first nitrogen atom and optionally a second heteroatom independently selected from oxygen and nitrogen, the monocyclic heterocycle optionally containing one double bond and/or a bridge between two non-adjacent ring atoms, wherein G 1 is connected to the parent molecular moiety through a carbon atom of G 1 .
- L 1 is -O-
- L 1 is a bond.
- R 2 is hydrogen, Ci- 4 alkyl, or Ci- 4 haloalkyl.
- R X1 is hydrogen.
- R X2 is hydrogen or halogen.
- R X3 is hydrogen.
- G 1 is a 4- to 8-membered or 4- to 6-membered optionally substituted monocyclic heterocycle as described above.
- R 6 is an optionally substituted 4- to 8-membered monocyclic heterocycle containing 1-2 heteroatoms independently selected from oxygen, nitrogen, and sulfur, the monocyclic heterocycle optionally containing one double bond and/or a Ci-3alkylene bridge between two non-adjacent ring atoms.
- R 6 is an optionally substituted 4- to 8-membered monocyclic heterocycle containing 1-2 heteroatoms independently selected from oxygen, nitrogen, and sulfur, the monocyclic heterocycle optionally containing one double bond and/or a Ci-3alkylene bridge between two non-adjacent ring atoms.
- L is a bond; R is Ci- 4 alkyl; R is hydrogen; R is hydrogen; R X3 is hydrogen; G 1 is an optionally substituted 4- to 8-membered monocyclic heterocycle containing a first nitrogen atom and optionally a second heteroatom independently selected from oxygen and nitrogen, the monocyclic heterocycle optionally containing one double bond and/or a bridge between two non- adjacent ring atoms, G 1 being connected to the parent molecular moiety through the first nitrogen atom; and R 6 is an optionally substituted 4- to 8-membered monocyclic heterocycle containing 1-2 heteroatoms independently selected from oxygen, nitrogen, and sulfur, the monocyclic heterocycle optionally containing one double bond and/or a bridge between two non-adjacent ring atoms.
- L 1 is a bond and G ⁇ R 6 is
- L 1 is a bond and G ⁇ R 6 is
- R 1 is -L x -G 2 (i.e., ( ⁇ -2)), wherein G 2 and L 1 are as defined herein.
- R 1 is -L x -G 2 (i.e., (III-2)), wherein G 2 and L 1 are as defined herein.
- R 1 is -L x -G 2 (i.e., (IV-2)), wherein G 2 and L 1 are as defined herein.
- G 2 is a 4- to 12-membered heterocycle containing 1-4 heteroatoms independently selected from oxygen, nitrogen, and sulfur, G 2 being optionally substituted with 1-4 substituents independently selected from the group consisting of Ci- 4 alkyl (e.g., methyl, ethyl, isopropyl), Ci -4 haloalkyl (e.g., -CF 3 , -CH 2 CF 3 , - CH 2 CHF 2 ), halogen (e.g., fluoro), hydroxyl, oxo, cyano, -Ci- 6 alkylene-cyano, - C(0)Ci -4 alkyl (e.g., -C(0)CH 3 ), -C(0)-Ci -6 alkylene-OCi -4 alkyl, -C(0)-Ci_ ealkylene-OH, -C(0)C 3-6 cycloalkyl, -C(0)OC M alkyl (e.g., -C(0)OC M al
- G 2 is optionally substituted with 1-4 substituents independently selected from the group consisting of halogen, Ci -4 alkyl, -C(0)OCi -4 alkyl, -OCi -4 alkyl, -N(Ci_ 4 alkyl)(Ci- 4 alkyl), -Ci- 6 alkylene-OCi -4 alkyl, and -Ci- 6 alkylene substituted by 2 groups independently selected from hydroxyl and halogen.
- G 2 may be substituted with one substituent selected from the foregoing group and further optionally substituted with 1-3 substituents selected from the group consisting of Ci_ 4 alkyl and halogen.
- the heterocycles of G 2 may be appended to the parent molecule (i.e., at L 1 ) by any substitutable carbon or nitrogen atom.
- L 1 is -0-, -O- Ci- 4 alkylene-, or -NR 5 - and G 2 is attached to L 1 at a ring carbon atom of G 2 .
- L 1 is a bond or -C(O)- and G 2 is attached to L 1 at a ring nitrogen atom of G 2 .
- the 4- to 12-membered heterocycle at G 2 is a 4- to 8- membered monocyclic heterocycle containing 1-3 heteroatoms independently selected from oxygen, nitrogen, and sulfur, the monocyclic heterocycle optionally containing one double bond and/or a Ci -3 alkylene bridge between two non-adjacent ring atoms, G 2 being optionally substituted with 1-4 substituents as described herein.
- G 2 is an optionally substituted 4- to 8-membered monocyclic heterocycle containing a first nitrogen atom and optionally a second nitrogen atom, an oxygen or sulfur atom, and optionally containing one double bond and/or a Ci_ 3 alkylene bridge between two non-adjacent ring atoms, G 2 being connected to L 1 through the first nitrogen atom.
- G 2 is an optionally substituted 4- to 6-membered monocyclic heterocycle containing a first nitrogen atom and optionally a second heteroatom independently selected from oxygen and nitrogen, and optionally containing one double bond and/or a Ci -3 alkylene bridge between two non- adjacent ring atoms, G 2 being connected to the parent molecular moiety through a nitrogen atom.
- G 2 is an optionally substituted 4- to 6- membered monocyclic heterocycle containing 1-2 heteroatoms independently selected from oxygen and nitrogen, G 2 being connected to the parent molecular moiety through ring carbon atom of G 2 .
- G 2 is a 6-membered monocyclic heterocycle containing 1 or 2 nitrogen atoms and substituted with Ci- 4 alkyl.
- G 2 is piperazin-l-yl optionally substituted with Ci- 4 alkyl.
- G 2 may be 4-Ci- 4 alkyl-piperazin-l-yl.
- G 2 may be
- G 2 may be an optionally substituted 4- to 8- membered monocyclic heterocycle containing one oxygen atom and optionally one double bond (e.g., oxetanyl, tetrahydrofuranyl, 2,5-dihydrofuranyl).
- G 2 may be an optionally substituted 4- to 8-membered monocyclic heterocycle containing one nitrogen and optionally a second nitrogen atom, an oxygen or sulfur atom, and optionally containing one double bond and/or a
- G 2 may be morpholinyl, homomorpholinyl, thiomorpholinyl, piperazinyl,
- G 2 may have a Ci- 3 alkylene bridge between two non-adjacent ring atoms (e.g., 2,5- diazabicyclo[2.2.1]heptanyl, 2-oxa-5-azabicyclo[2.2.1]heptanyl, 3-oxa-8- azabicyclo[3.2.1]octanyl, 8-oxa-3-azabicyclo[3.2.1]octanyl).
- G 2 is without a bridge between two non-adjacent ring atoms.
- the heterocycles of G 2 may be appended to the parent molecule (i.e., at L 1 ) by any substitutable carbon or nitrogen atom (e.g., morpholin-4-yl, homomorpholin-4-yl, thiomorpholin-4-yl, 4-thiomorpholine 1,1 -dioxide, piperazin-l-yl, homopiperazin-1- yl, azetidin-l-yl, azetidin-3-yl, pyrrolidin-l-yl, pyrrolidin-3-yl, 2-oxooxazolidin-3-yl, 2-oxooxazolidin-5-yl, piperidin-l-yl, piperidin-3-yl, piperidin-4-yl, azepan-l-yl, azepan-3-yl, 2,5-diazabicyclo[2.2.1]heptan-2-yl, 6-oxa-3-azabicyclo[3.1.1]h
- G 2 may be represented by the following formulas, wherein R 2a is the optional G 2 substituent and m is an integer between 0 and 4.
- the 4- to 12-membered heterocycle at G 2 is a 7- to 12- membered spiro heterocycle comprising a first ring and a second ring, the first ring being a 4- to 8-membered monocyclic heterocycle containing 1-2 heteroatoms independently selected from nitrogen and oxygen and being attached to L 1 , the second ring being a C3- 8 cycloalkyl or a 4- to 8-membered monocyclic heterocycle containing 1-2 oxygen atoms wherein two atoms of the second ring are attached to one carbon of the first ring to form a spirocycle, and wherein G 2 is optionally substituted with 1-4 substituents independently selected from the group consisting of Ci- 4 alkyl, Ci_ 4haloalkyl, halogen, hydroxyl, and oxo.
- G 2 is connected to the parent molecular moiety through a nitrogen atom of the first ring (e.g., when L 1 is a bond).
- G 2 is a 7- to 12-membered spiro heterocycle consisting of the first ring and a second ring, as described herein.
- the first ring of the spiro heterocycle includes, but is not limited to, heterocycles such as azetidine, pyrrolidine, piperidine, azepane, morpholine, azocane, piperazine, and homopiperazine.
- the first ring is a 4- to 8-membered monocyclic heterocycle containing 1 -2 nitrogen atoms or 1 nitrogen atom and 1 oxygen atom. In another embodiment, the first ring is a 4- to 6-membered monocyclic heterocycle containing
- the first ring may be attached to the parent molecule through a nitrogen atom (e.g., azetidin-l-yl, pyrrolidin-l -yl, piperazin-l -yl, or piperidin-l -yl).
- the second ring includes, but is not limited to, heterocycles such as oxetane, tetrahydrofuran, tetrahydropyran, dioxolane, etc.
- the second ring has one oxygen atom. In other embodiments, the second ring has two oxygen atoms.
- the second ring is a C3- 8 cycloalkyl, e.g., cyclopropyl, cyclobutyl cyclopentyl.
- the second ring is formed by the attachment of two atoms of the second ring to a single carbon atom of the first ring such that the first ring and the second ring share one carbon atom in common.
- the second ring may be joined with the first ring at the 4-position of a first ring piperidin-l -yl or the 3- position of a first ring azetidin-l -yl, pyrrolidin-l-yl, piperidin-l -yl, or piperazin-l -yl.
- G 2 is l,4-dioxa-8-azaspiro[4.5]decanyl, 2-oxa-6- azaspiro[3.5]nonanyl, 2-oxa-7-azaspiro[3.5]nonanyl, 2-oxa-5,8- diazaspiro[3.5]nonanyl, 2,5-dioxa-8-azaspiro[3.5]nonanyl, l-oxa-8- azaspiro[4.5]decanyl, 5-oxa-8-azaspiro[3.5]nonanyl, 2-oxa-6-azaspiro[3.4]octanyl, 6- oxa-2-azaspiro[3.4]octanyl, l-oxa-6-azaspiro[3.3]heptanyl, or 2-oxa-6- azaspiro[3.3]heptanyl, 2-oxa-8-azaspiro[4.5]decanyl, 2,6-diazas
- inventions include l ,4-dioxa-8-azaspiro[4.5]decan-8-yl, 2-oxa-7- azaspiro[3.5]nonan-7-yl, 2-oxa-7-azaspiro[4.4]nonan-7-yl, 5-methyl-2-oxa-5,8- diazaspiro[3.5]nonan-8-yl, 2-oxa-6-azaspiro[3.4]octan-6-yl, 2-oxa-5- azaspiro[3.4]octan-5-yl, l-oxa-6-azaspiro[3.3]heptan-6-yl, 2-oxa-6- azaspiro[3.5]nonan-6-yl, 2,5-dioxa-8-azaspiro[3.5]nonan-8-yl, l-oxa-8- azaspiro[4.5]decan-8-yl, 5-oxa-8-azaspiro[3.5]nonan
- G 2 is selected from the group consisting of 2,6-diazaspiro[3.3]heptan-
- the 4- to 12-membered heterocycle at G 2 is a 7- to 12- membered fused bicyclic heterocycle containing 1-3 heteroatoms independently selected from oxygen, nitrogen, and sulfur, optionally substituted with 1-4 substituents independently selected from the group consisting of Ci- 4 alkyl, Ci_ 4 haloalkyl, halogen, hydroxyl, -OCi- 4 alkyl, and oxo.
- the fused bicyclic heterocycle is a 7-12-membered ring system having a monocyclic
- G 2 may be substituted with on
- L 1 is a bond, -0-, -0-Ci- 4 alkylene- -NR 5 -, or -C(O)-.
- R 2 is hydrogen, Ci- 4 alkyl,
- R X1 is hydrogen.
- R X2 is hydrogen or halogen.
- R X3 is hydrogen.
- G 2 is an optionally substituted 4- to 8-membered monocyclic heterocycle containing 1-3 heteroatoms independently selected from oxygen, nitrogen, and sulfur, the monocyclic heterocycle optionally containing one double bond and/or a bridge between two non-adjacent ring atoms.
- L 1 is a bond, -0-, -0-Ci -4 alkylene-, -NR 5 -, or -C(O)-;
- R 2 is hydrogen, Ci- 4 alkyl, or halogen;
- R X1 is hydrogen;
- R X2 is hydrogen or halogen;
- R X3 is hydrogen or -OCi- 4 alkyl;
- G 2 is an optionally substituted 4- to 8- membered monocyclic heterocycle containing 1-3 heteroatoms independently selected from oxygen, nitrogen, and sulfur, the monocyclic heterocycle optionally containing one double bond and/or a bridge between two non-adjacent ring atoms.
- L 1 is a bond, -0-, -O-Ci- 4 alkylene- -NR 5 -, or -C(O)-;
- R 2 is Ci -4 alkyl, Ci -4 haloalkyl, or halogen;
- R X1 is hydrogen;
- R is hydrogen or halogen;
- R is hydrogen or -OCi- 4 alkyl;
- G is an optionally substituted 4- to 8-membered monocyclic heterocycle containing 1-3 heteroatoms independently selected from oxygen, nitrogen, and sulfur, the monocyclic heterocycle optionally containing one double bond and/or a Ci-3alkylene bridge between two non-adjacent ring atoms.
- L 1 is a bond, -0-, -O-Ci- 4 alkylene-, -NR 5 -, or -C(O)-;
- R 2 is hydrogen, Ci- 4 alkyl, or halogen;
- R is hydrogen;
- R is hydrogen or halogen;
- R is hydrogen or -OCi- 4 alkyl;
- G is an optionally substituted 4- to 8-membered monocyclic heterocycle containing 1-3 heteroatoms independently selected from oxygen, nitrogen, and sulfur, the monocyclic heterocycle optionally containing one double bond and/or a
- X 3 is R X3 .
- L 1 is a bond, -0-, -O-Ci. 4 alkylene-, -NR 5 -, or -C(O)-;
- R 2 is hydrogen, Ci- 4 alkyl, or halogen;
- R is hydrogen;
- R is hydrogen or halogen;
- R is hydrogen or -OCi- 4 alkyl;
- G is an optionally substituted 4- to 8-membered monocyclic heterocycle containing 1-3 heteroatoms independently selected from oxygen, nitrogen, and sulfur, the monocyclic heterocycle optionally containing one double bond and/or a bridge between two non-adjacent ring atoms; and
- R 4 is optionally substituted pyridinyl.
- L 1 is a bond, -0-, -O-Ci- 4 alkylene-, -NR 5 -, or -C(O)-;
- R 2 is hydrogen, Ci- 4 alkyl, or halogen;
- R is hydrogen; R is hydrogen or halogen; R is hydrogen or -OCi- 4 alkyl; G is an optionally substituted 4- to 8-membered monocyclic heterocycle containing 1-3 heteroatoms independently selected from oxygen, nitrogen, and sulfur, the monocyclic heterocycle optionally containing one double bond and/or a bridge between two non-adjacent ring atoms; and X 1 is R X1 .
- L 1 is a bond, -0-, -O-Ci- 4 alkylene-, -NR 5 -, or -C(O)-;
- R 2 is hydrogen, Ci- 4 alkyl, or halogen;
- R is hydrogen; R is hydrogen or halogen; R is hydrogen or -OCi- 4 alkyl; G is an optionally substituted 4- to 8-membered monocyclic heterocycle containing 1-3 heteroatoms independently selected from oxygen, nitrogen, and sulfur, the monocyclic heterocycle optionally containing one double bond and/or a bridge between two non-adjacent ring atoms; and X 2 is R X2 .
- X 1 is CR X1 ;
- X 3 is CR X3 ;
- X 2 is N;
- R is hydrogen;
- R is hydrogen;
- R is Ci- 4 alkyl, or halogen;
- L is a bond, -0-, -0-Ci-4alkylene-, -NR 5 -, or -C(O)-;
- G 2 is an optionally substituted 4- to 8-membered monocyclic heterocycle containing 1-3 heteroatoms independently selected from oxygen, nitrogen, and sulfur, the monocyclic heterocycle optionally containing one double bond and/or a bridge between two non-adjacent ring atoms; and
- R 4 is optionally substituted phenyl or pyridinyl.
- R 4 is phenyl substituted with phenyl (e.g., 3,5-difluorophenyl). In another subembodiment, R 4 is pyridin-2-yl.
- X 1 is CR X1 ;
- X 2 is CR X2 ;
- X 3 is
- N is a bond, -0-, -0-Ci- 4 alkylene-, -NR 5 -, or -C(O)-;
- G 2 is an optionally substituted 4- to 8-membered monocyclic heterocycle containing 1-3 heteroatoms independently selected from oxygen, nitrogen, and sulfur, the monocyclic heterocycle optionally containing one double bond and/or a bridge between two non-adjacent ring atoms; and
- R 4 is optionally substituted pyridinyl. In one subembodiment, R 4 is pyridin-2-yl.
- L 1 is a bond, -0-, -O-Ci. 4 alkylene-, -NR 5 -, or -C(O)-;
- R 2 is hydrogen, Ci- 4 alkyl, or halogen;
- R is hydrogen;
- R is hydrogen or halogen;
- R is hydrogen or -OCi- 4 alkyl;
- G is an optionally substituted 4- to 8-membered monocyclic heterocycle containing 1-3 heteroatoms independently selected from oxygen, nitrogen, and sulfur, the monocyclic heterocycle optionally containing one double bond and/or a
- R 4 is optionally substituted pyridinyl.
- L 1 is a bond, -0-, -O-Ci. 4 alkylene-, -NR 5 -, or -C(O)-;
- R 2 is hydrogen, Ci- 4 alkyl, or halogen;
- R is hydrogen;
- R is hydrogen or halogen;
- R is hydrogen or -OCi- 4 alkyl;
- G is an optionally substituted 4- to 8-membered monocyclic heterocycle containing 1-3 heteroatoms independently selected from oxygen, nitrogen, and sulfur, the monocyclic heterocycle optionally containing one double bond and/or a
- R 4 is phenyl or pyridinyl.
- L 1 is a bond or -C(O)-
- G 2 is connected to L 1 through a nitrogen atom of G 2 .
- L 1 is a bond or — N >— OC 1 -4 alkyl — N >— N(C 1-4 alkyl) 2
- R g2a is C 1-4 alkyl, -C(0)OCi.
- L 1 is -0-, -O-Ci- 4alkylene-, or -NR 5 -, and G 2 is connected to L 1 through a carbon atom of G 2 .
- L is -0-, -0-Ci- 4 alkylene-, or -NR -, and G is "
- R 2a is C M alkyl, -C(0)OC M alkyl, -Ci -6 alkylene-OCi -4 alkyl, or -Ci_ 6alkylene substituted by 2 groups independently selected from hydroxyl and halogen.
- L 1 is a bond.
- R 2 is hydrogen, Ci_ 4 alkyl, C 1-4 haloalkyl, or halogen.
- R 2 is hydrogen.
- R X1 is hydrogen.
- R X2 is hydrogen or halogen.
- R X2 is hydrogen.
- R X3 is hydrogen.
- L is a bond
- G is ;
- R a is
- Ci- 4 alkyl Ci- 4 alkyl
- m is 0 or 1.
- L 1 is a
- G is N— / , 4 N— / , , or 3 ⁇ 4 V- ; and R 2a is Ci -4 alkyl.
- R 1 is -L x -G 3 (i.e., ( ⁇ -3)), wherein G and L 1 are as defined herein.
- R 1 is -L x -G 3 (i.e., ( ⁇ -3)), wherein G and L 1 are as defined herein.
- R 1 is -L x -G 3 (i.e., (IV-3)), wherein G and L 1 are as defined herein.
- G 3 is a 3- to 8-membered cycloalkyl optionally substituted with 1-4 substituents independently selected from the group consisting of Ci-4alkyl, Ci- 4 haloalkyl, halogen, hydroxyl, oxo, cyano, -C(0)Ci- 4 alkyl, -C(0)C3- 6 cycloalkyl, - C(0)OCi -4 alkyl, -C(0)OCi -4 haloalkyl, -C(0)NH 2 , -C(0)NH(Ci -4 alkyl), -C(0)N(Ci_ 4 alkyl)(Ci -4 alkyl), -C(0)NH(-Ci -6 alkylene-OCi -4 alkyl), -C(0)N(Ci -4 alkyl)(-Ci. 6 alkylene-OCi -4 alkyl), -C(0)NH(-Ci -6 alkylene-OH), -C(0)N(Ci -4 alkylene-
- G 3 is optionally substituted C3- 5 cycloalkyl. In some embodiments, G 3 is optionally substituted cyclopropyl or cyclobutyl.
- L 1 is -O- or -0-Ci -4 alkylene-.
- R 2 is Ci -4 alkyl.
- R X1 is hydrogen.
- R X2 is hydrogen.
- R X3 is hydrogen.
- L 1 is -O- or -0-Ci -4 alkylene-;
- R 2 is Ci -4 alkyl;
- R X1 is hydrogen;
- R is hydrogen;
- R is hydrogen; and G is optionally substituted C3-
- G 3 is cyclopropyl
- L 1 is a bond or -0-.
- R 2 is hydrogen.
- R X1 is hydrogen.
- R X2 is hydrogen.
- R X3 is hydrogen.
- L is a bond or -0-; R is hydrogen; R is hydrogen; R is hydrogen; R X3 is hydrogen; and G 3 is optionally substituted C3-6cycloalkyl.
- R 1 is -L 2 -G 4 (i.e., ( ⁇ -4)), wherein G 4 and L 2 are as defined herein.
- R 1 is -L 2 -G 4 (i.e., (III-4)), wherein G 4 and L 2 are as defined herein.
- R 1 is -L 2 -G 4 (i.e., (IV-4)), wherein G 4 and L 2 are as defined herein.
- G 4 is phenyl optionally substituted with 1-4 substituents independently selected from the group consisting of Ci- 4 alkyl, Ci -4 haloalkyl, halogen, hydroxyl, cyano, phenyl, -C(0)Ci -4 alkyl, -C(0)C 3 - 6 cycloalkyl, -C(0)OCi -4 alkyl, -C(0)OCi_ 4 haloalkyl, -C(0)NH 2 , -C(0)NH(Ci -4 alkyl), -C(0)N(Ci -4 alkyl)(Ci -4 alkyl), - C(0)NH(-Ci -6 alkylene-OCi -4 alkyl), -C(0)N(Ci -4 alkyl)(-Ci -6 alkylene-OCi -4 alkyl), - C(0)NH(-Ci -6 alkylene-OH), -C(0)N(Ci -4 alkyl)(-Ci -6 alkylene
- G 4 is phenyl optionally substituted with 1-4 substituents independently selected from the group consisting of Ci- 4 alkyl, halogen, hydroxyl, cyano, -or OCi- 4 alkyl. In further embodiments, G 4 is phenyl optionally substituted with OCi- 4 alkyl.
- L 1 is -0-Ci- 4 alkylene-.
- R 2 is Ci- 4 alkyl.
- R X1 is hydrogen.
- R X2 is Ci- 4 alkyl.
- R X3 is hydrogen.
- L is -0-Ci- 4 alkylene-; R is Ci- 4 alkyl; R is hydrogen; R is Ci- 4 alkyl; R X3 is hydrogen; and G 4 is phenyl optionally substituted with OCi- 4 alkyl.
- L 1 is -0-Ci- 4 alkylene-.
- R 2 is hydrogen.
- R X1 is hydrogen.
- R X2 is hydrogen.
- R X3 is hydrogen.
- L is -0-Ci- 4 alkylene-; R is hydrogen; R is hydrogen; R is hydrogen; R X3 is hydrogen; and G 4 is phenyl.
- R 1 is -G 5 (i.e., (IV-5)), wherein G 5 is as defined herein.
- G is a monocyclic 5- or 6-membered heteroaryl containing 1-4 heteroatoms independently selected from oxygen, nitrogen, and sulfur, G 5 being optionally substituted with 1-4 substituents independently selected from the group consisting of Ci- 4 alkyl, halogen, hydroxyl, cyano, phenyl, -C(0)Ci- 4 alkyl, -C(0)C 3- ecycloalkyl, -C(0)OCi -4 alkyl, -C(0)OCi -4 haloalkyl, -C(0)NH 2 , -C(0)NH(Ci_
- G 5 is optionally substituted with Ci- 4 alkyl. In some embodiments, G 5 is an optionally substituted monocyclic 5- membered heteroaryl containing 1-4 heteroatoms independently selected from oxygen, nitrogen, and sulfur. In some embodiments, G 5 is an optionally substituted monocyclic 5-membered heteroaryl containing 1-4 heteroatoms independently selected from oxygen, nitrogen, and sulfur (e.g., thiazole, oxazole, imidazole).
- R 1 is selected from the group consisting of -OCi- 6 alkyl, -OCi- 6 haloalkyl, -0-C 2 - 6 alkylene- OCi- 4 alkyl, -0-C 2-6 alkylene-OH, -NHC(0)(Ci -4 alkyl), -N(Ci -4 alkyl)C(0)(Ci -4 alkyl), -C(0)NH 2 , -C(0)NH(Ci -4 alkyl), -C(0)N(Ci -4 alkyl)(Ci -4 alkyl), -C(0)NH(Ci_
- R ⁇ R°, X 1 , X ⁇ X and X" are as defined herein.
- R is optionally substituted phenyl.
- R 4 is optionally substituted pyridinyl.
- R 1 is selected from the group consisting of -OCi- 6 alkyl, -OCi- 6 haloalkyl, -0-C 2-6 alkylene-OCi- 4 alkyl, -0-C 2-6 alkylene-OH, -NHC(0)(Ci -4 alkyl), -C(0)N(Ci -4 alkyl)(Ci -4 alkyl), - C(0)NH(Ci -4 haloalkyl), and -C(0)NH(-C 2-6 alkylene-OCi -4 alkyl);
- R 2 is selected from the group consisting of hydrogen, Ci -4 alkyl, Ci -4 haloalkyl, halogen, and -OCi- 4 alkyl;
- X 1 is CH or N;
- X 2 is CR X2 or N;
- X 3 is CR X3 or N;
- R X2 is hydrogen or Ci -4 alkyl; and R X3 is hydrogen or
- R 1 is selected from the group consisting of -OCi -6 haloalkyl, -NHC(0)(Ci -4 alkyl), -C(0)N(Ci_ 4 alkyl)(Ci -4 alkyl), -C(0)NH(Ci -4 haloalkyl), and -C(0)NH(-C 2-6 alkylene-OCi.
- R 2 is selected from the group consisting of hydrogen, Ci -4 alkyl, Ci -4 haloalkyl, halogen, and -OCi -4 alkyl;
- X 1 is CH or N;
- X 2 is CR X2 or N;
- X 3 is CR X3 or N;
- R X2 is hydrogen or Ci -4 alkyl; and
- R X3 is hydrogen or Ci -4 alkyl.
- R 4 is optionally substituted phenyl.
- R 4 is optionally substituted pyridinyl.
- R 1 is selected from the group consisting of -OCi- 6 alkyl or -NHC(0)(Ci- 4 alkyl);
- R 2 is Ci- 4 alkyl;
- X 1 is CH;
- X 2 is CH;
- X 3 is CH; and
- R 4 is optionally substituted phenyl.
- R 1 is -OCi- 6 alkyl
- R 2 is hydrogen
- X 1 is CH
- X 2 is CH
- X 3 is CH
- R 4 is optionally substituted pyridinyl
- R 1 is selected from the group consisting of -OCi- 6 haloalkyl, -0-C 2 - 6 alkylene-OCi- 4 alkyl, -0-C 2- 6 alkylene-OH, -NHC(0)(Ci -4 alkyl), -C(0)N(Ci -4 alkyl)(Ci -4 alkyl), -C(0)NH(Ci_ 4 haloalkyl), and -C(0)NH(-C 2 - 6 alkylene-OCi- 4 alkyl);
- R 2 is selected from the group consisting of hydrogen, Ci- 4 alkyl, halogen, and -OCi- 4 alkyl;
- X 1 is CH or N;
- X 2 is CR X2 or N;
- X 3 is CR X3 or N;
- R X2 is hydrogen or C M alk l; and
- R X3 is hydrogen or Ci- 4 alkyl.
- R 1 is selected from the group consisting of hydrogen, Ci- 4 alkyl, -0-Ci- 4 alkyl, OH, - NH-Ci -4 alkyl, and -NH 2 ; and R 2 , R 8 , X 1 , X 2 , X 3 , and X 4 are as defined herein.
- R 1 is selected from the group consisting of hydrogen, Ci- 4 alkyl, and -0-Ci- 4 alkyl
- R 2 is hydrogen or Ci -4 alkyl
- X 1 is CR X1 or N
- X 2 is CH or N
- X 3 is CH or N
- CR X1 is hydrogen, halogen, or -OCi- 4 alkyl.
- R 4 is phenyl or a 5- or 6-membered heteroaryl containing 1-3 heteroatoms independently selected from oxygen, nitrogen and sulfur, R 4 being optionally substituted with 1-3 substituents independently selected from the group consisting of halogen, hydroxyl, cyano, -S(0) 2 Ci- 4 alkyl, -S(0)Ci- 4 alkyl, -SCi- 4 alkyl, Ci- 4 alkyl, Ci_ 4 haloalkyl, -OCi- 4 alkyl, -Ci- 4 alkylene-OCi- 4 alkyl, -Ci- 4 alkylene- N(Ci -4 alkyl)(Ci -4 alkyl), - H(CMalkylene-OC M alk l), -NH(Ci -4 alkylene-OH), - N(C M alk l)(C M alk lene-OC M alkyl), -N(Ci -4 alkyl)(Ci -4 alkylene
- R 4 is phenyl, a 5-membered heteroaryl such as thiazolyl, or a 6- membered heteroaryl such as pyrazinyl, pyrimidinyl, pyridazinyl, or pyridinyl, each optionally substituted as defined above.
- the 6-membered heteroaryl at R 4 includes a pyridone ring, which is defined herein by the tautomeric hydroxypyridine form, whether or not the pyridone or the hydroxypyridine tautomer predominates.
- R 4 is phenyl, the phenyl being optionally substituted with one substituent selected from the foregoing list of substituents and optionally substituted with 1-2 substituents independently selected from the group consisting of halogen and Ci-4alkyl.
- R 4 is pyrazinyl, the pyrazinyl being optionally substituted with 1-3 Ci- 4 alkyl groups.
- R 4 is pyridinyl (e.g., pyridin-2-yl, pyridin-3-yl, pyridin-4-yl), the pyridinyl being optionally substituted with one substituent selected from the group consisting of halogen, hydroxyl, Ci- 4 alkyl, Ci_ 4 haloalkyl, -OCi- 4 alkyl, C 3- 6 cycloalkyl, and a 4- to 8-membered monocyclic heterocycle containing 1-2 nitrogen atoms, the 4- to 8-membered monocyclic heterocycle being independently optionally substituted with 1-2 substituents independently selected from the group consisting of pyridyl, the R 4 pyridinyl being further optionally substituted with 1-2 substituents selected from halogen and Ci_ 4 alkyl.
- substituents selected from the group consisting of halogen, hydroxyl, Ci- 4 alkyl, Ci_ 4 haloalkyl, -OCi- 4 alkyl
- R 4 is phenyl optionally substituted with 1-3 substituents independently selected from the group consisting of halogen and Ci- 4 alkyl.
- R 4 is phenyl optionally substituted with 1-2 fluoro atoms or 1 fluoro and 1 methyl group.
- R 4 is independently any of phenyl, 3,5-difluorophenyl, 3 -fluorophenyl, 3,4-difluorophenyl, 2,5-difluorophenyl, or 3-fiuoro-5-methylphenyl.
- R 4 is pyrazine, which is unsubstituted.
- R 4 is phenyl or a 6-membered heteroaryl containing 1-3 nitrogen atoms and optionally substituted with 1-3 halogen. In some embodiments, R 4 is optionally substituted pyridinyl.
- R 4 is phenyl or a 5- or 6-membered heteroaryl containing 1-3 heteroatoms independently selected from nitrogen and sulfur, R 4 being optionally substituted with 1 -3 substituents independently selected from the group consisting of halogen, cyano, Ci- 4 alkyl, -OCi- 4 alkyl, C 3- 6 cycloalkyl, or a 4- to 8- membered monocyclic heterocycle containing 1-2 nitrogen atoms, the 4- to 8- membered monocyclic heterocycle being independently optionally substituted with pyridyl.
- the compound is 6- isopropoxy-N-(l-thiazol-4-ylimidazol-4-yl)pyridin-2-amine; 6-isopropoxy-N-[l-(2- pyridyl)imidazol-4-yl]pyridin-2-amine; 6-(cyclobutoxy)-N-[l-(3-pyridyl)imidazol-4- yl]pyridin-2-amine; N-[l -(3,5-difluorophenyl)imidazol-4-yl]-6-isopropoxy-pyridin-2- amine; 6-ethoxy-N-(l -phenylimidazol-4-yl)pyridin-2-amine; N-[l -(3,4- difluorophenyl)imidazol-4-yl]-6-isopropoxy-pyridin-2-amine; 6-isopropoxy-N-[l-(3- pyr
- the compound is N-[6- methyl-4-[4-(oxetan-3-yl)piperazin-l -yl]-2-pyridyl]-5-(2-pyridyl)thiazol-2-amine; N- (4-methyl-6-te ⁇ jahydropyran-3-yloxy-2-pyridyl)-5-(2-pyridyl)thiazol-2-amine; N-[2- methyl-6-[4-(oxetan-3-yl)piperazin-l-yl]pyrimidin-4-yl]-5-(2-pyridyl)thiazol-2- amine; N-(6-ethoxy-4-methyl-2-pyridyl)-5-(2-pyridyl)thiazol-2-amine; N-[4-methyl- 6-[4-(oxetan-3-yl)piperazin-l-yl]-2-pyridyl]-5-(2-pyridyl]thiazol-2-amine
- the compound is N-[4- (difluoromethyl)-6-[4-(oxetan-3-yl)piperazin-l -yl]-2-pyridyl]-5-(3- fluorophenyl)oxazol-2-amine; N-[4-(difluoromethyl)-6-[4-(oxetan-3-yl)piperazin-l - yl]-2-pyridyl]-5-phenyl-oxazol-2-amine; N-(3-isopropoxy-5-methyl-phenyl)-5- phenyl-oxazol-2-amine; N-[3-methyl-5-[4-(3-methyloxetan-3-yl)piperazin-l - yl] phenyl] -5 -phenyl-oxazol-2-amine; N-[3-ethyl-5-[[5-(3-fluoroph
- the compounds of formula (I) or (IV) include isotope-labelled forms thereof.
- An isotope-labelled form of a compound of formula (I) or (IV) is identical to this compound apart from the fact that one or more atoms of the compound have been replaced by an atom or atoms having an atomic mass or mass number which differs from the atomic mass or mass number of the atom which usually occurs in greater natural abundance.
- isotopes which are readily commercially available and which can be incorporated into a compound of formula (I) or (IV) by well-known methods include isotopes of hydrogen, carbon, nitrogen,
- the present invention features a compound of formula I or ⁇ and the attendant definitions, wherein one or more hydrogen atoms are replaced by a deuterium atom.
- an isotope-labelled compound of formula (I) or (IV) can be used in a number of beneficial ways.
- an isotope-labelled compound of formula (I) or (IV) into which, for example, a radioisotope, such as H or 14 C, has been incorporated is suitable for a medicament and/or for substrate tissue distribution assays.
- a radioisotope such as H or 14 C
- tritium ( H) and carbon-14 ( 14 C) are particularly preferred owing to simple preparation and excellent detectability.
- incorporation of heavier isotopes, for example deuterium ( 2 H), into a compound of formula (I) or (IV) have therapeutic advantages owing to the higher metabolic stability of this isotope-labelled compound. Higher metabolic stability translates directly into an increased in vivo half-life or lower dosages, which under most circumstances would represent a preferred embodiment of the present invention.
- An isotope-labelled compound of formula I or ⁇ can usually be prepared by carrying out the procedures disclosed in the synthesis schemes and the related description, in the example part and in the preparation part in the present text, replacing a non-isotope-labelled reactant by a readily available isotope-labelled reactant.
- Deuterium ( 2 H) can also be incorporated into a compound of formula (I) or (IV) for the purpose of manipulating the oxidative metabolism of the compound by way of the primary kinetic isotope effect.
- the primary kinetic isotope effect is a change of the rate for a chemical reaction that results from exchange of isotopic nuclei, which in turn is caused by the change in ground state energies necessary for covalent bond formation after this isotopic exchange. Exchange of a heavier isotope usually results in a lowering of the ground state energy for a chemical bond and thus causes a reduction in the rate-limiting bond breakage.
- the product distribution ratios can be altered substantially.
- S. L. Harbeson and R. D. Tung Deuterium In Drug Discovery and Development, Ann. Rep. Med. Chem. 2011, 46, 403-417, incorporated in its entirety herein by reference.
- pharmacokinetic profiles of compounds of formula (I) or (IV) are thereby obtained, and can be expressed quantitatively in terms of increases in the in vivo half-life (tm), concentration at maximum therapeutic effect (Cmax), area under the dose response curve (AUC), and bioavailability; and in terms of reduced clearance, dose and materials costs.
- a compound of formula (I) or (IV) which has multiple potential sites of attack for oxidative metabolism for example benzylic hydrogen atoms and hydrogen atoms bonded to a nitrogen atom, is prepared as a series of analogues in which various combinations of hydrogen atoms are replaced by deuterium atoms, so that some, most or all of these hydrogen atoms have been replaced by deuterium atoms.
- Half-life determinations enable favourable and accurate determination of the extent to which the improvement in resistance to oxidative metabolism has improved. In this way, it is determined that the half-life of the parent compound can be extended by up to 100% as the result of deuterium- hydrogen exchange of this type.
- deuterium-hydrogen exchange in a compound of formula (I) or (IV) can be used to achieve a favourable modification of the metabolite spectrum of the starting compound in order to diminish or eliminate undesired toxic metabolites.
- a toxic metabolite arises through oxidative carbon- hydrogen (C-H) bond cleavage
- C-H oxidative carbon- hydrogen
- Salts Compositions. Uses. Formulation. Administration and Additional Agents
- the compounds of formula (I) or (IV) of the present invention and the methods, compositions and kits disclosed herein are useful for the treatment of neurodegenerative or neurological diseases or disorders related to axonal damage, demyelinating diseases, central pontine myelinolysis, nerve injury diseases or disorders, metabolic diseases, mitochondrial diseases, metabolic axonal degeneration, a leukoencephalopathy or a leukodystrophy.
- said neurodegenerative or neurological diseases or disorders related to axonal damage, demyelinating diseases, central pontine myelinolysis, nerve injury diseases or disorders, metabolic diseases, mitochondrial diseases, metabolic axonal degeneration, a leukoencephalopathy or a leukodystrophy include, but are not limited to spinal cord injury, stroke, multiple sclerosis, progressive multifocal leukoencephalopathy, congenital hypomyelination, encephalomyelitis, acute disseminated
- ischemic demyelination neuromyelitis optics, adrenoleukodystrophy, Alexander's disease, Niemann-Pick disease, Pelizaeus Merzbacher disease, periventricular leukomalatia, globoid cell leucodystrophy ( K tab he's disease), Wallerian degeneration, optic neuritis, transverse myelitis, amylotrophic lateral sclerosis (Lou Gehrig's diseae), Huntington's disease, Alzheimer's disease, Parkinson's disease, Tay-Sacks disease, Gaucher ' s disease, Hurler Syndrome, traumatic brain injury, post radiation injury, neurologic complications of chemotherapy, neuropathy, acute ischemic optic neuropathy.
- leukodystrophy acute hemorrhagic leukoencephalitis, trigeminal neuralgia, Bell's palsy, schizophrenia, cerebral ischemia, multiple system atrophy, traumatic glaucoma, tropical spastic paraparesis/human T-lymphotropic virus 1 ( HTLV- 1 ) associated myelopathy, essential tremor or osmotic hyponatremia.
- HTLV- 1 human T-lymphotropic virus 1
- the compounds of formula ( 1 ) or ( IV) of the present invention and the methods, compositions and kits disclosed herein are useful for treating, preventing or ameliorating one or more symptoms of multiple sclerosis or another neurodegenerative disease selected from auditory impairment, optic neuritis, decreased visual acuity, diplopia, nystagmus, ocular dysmetria, internuclear ophthal moplegia, movement and sound phosphenes. afferent pupillary defect, paresis, monoparesis, paraparesis, hemi paresis, quadraparesis, plegia. paraplegia, hemiplegia. tetraplegia, quadraplegia.
- spasticity dysarthria, motor dysfunction, walking impairment, muscle atrophy, spasms, cramps, hypotonia, clonus, myoclonus, myokymia, restless leg syndrome, gait disturbances, footdrop. dysfunctional reflexes, pallesthesia, anaesthesia, neuralgia, neuropathic and neurogenic pain. L'hermitte's. proprioceptive dysfunction, trigeminal neuralgia, ataxia, intention tremor, dysmetria. vestibular ataxia, vertigo, speech ataxia, dystonia, disability progression,
- compositions comprising any of the compounds as described herein, and optionally comprise a pharmaceutically acceptable carrier, adjuvant or vehicle.
- these compositions optionally further comprise one or more additional therapeutic agents.
- the pharmaceutical composition comprises a therapeutically effective amount of a compound of the present invention or a pharmaceutically acceptable salt thereof and one or more pharmaceutically acceptable carriers or vehicles.
- the term "pharmaceutically acceptable salt” refers to those salts which are, within the scope of sound medical judgement, suitable for use in contact with the tissues of humans and lower animals without undue toxicity, irritation, allergic response and the like, and are commensurate with a reasonable benefit/risk ratio.
- a “pharmaceutically acceptable salt” means any non-toxic salt or salt of an ester of a compound of this invention that, upon administration to a recipient, is capable of providing, either directly or indirectly, a compound of this invention or an inhibitorily active metabolite or residue thereof.
- the term "inhibitorily active metabolite or residue thereof means that a metabolite or residue thereof is also useful for treating or lessening the severity of, in a subject, a disease or disorder selected from neurodegenerative or neurological diseases or disorders related to axonal damage, demyelinating diseases, central pontine myelinolysis, nerve injury diseases or disorders, metabolic diseases, mitochondrial diseases, metabolic axonal degeneration, a leukoencephalopathy or a leukodystrophy.
- Pharmaceutically acceptable salts of the compounds of this invention include those derived from suitable inorganic and organic acids and bases.
- suitable inorganic and organic acids and bases include those derived from suitable inorganic and organic acids and bases.
- pharmaceutically acceptable, nontoxic acid addition salts are salts of an amino group formed with inorganic acids such as hydrochloric acid, hydrobromic acid, phosphoric acid, sulfuric acid and perchloric acid or with organic acids such as acetic acid, oxalic acid, maleic acid, tartaric acid, citric acid, succinic acid or malonic acid or by using other methods used in the art such as ion exchange.
- salts include adipate, alginate, ascorbate, aspartate, benzenesulfonate, benzoate, bisulfate, borate, butyrate, camphorate, camphorsulfonate, citrate, cyclopentanepropionate, digluconate, dodecylsulfate, ethanesulfonate, formate, fumarate, glucoheptonate, glycerophosphate, gluconate, hemisulfate, heptanoate, hexanoate, hydroiodide, 2-hydroxy-ethanesulfonate, lactobionate, lactate, laurate, lauryl sulfate, malate, maleate, malonate, methanesulfonate, 2-naphthalenesulfonate, nicotinate, nitrate, oleate, oxalate, palmitate, pamoate, pectinate,
- Salts derived from appropriate bases include alkali metal, alkaline earth metal, ammonium and N + (Ci-4 alkyl) 4 salts.
- This invention also envisions the quatemization of any basic nitrogen-containing groups of the compounds disclosed herein. Water or oil-soluble or dispersable products may be obtained by such quaternization.
- alkali or alkaline earth metal salts include sodium, lithium, potassium, calcium, magnesium, and the like.
- Further pharmaceutically acceptable salts include, when appropriate, nontoxic ammonium, quaternary ammonium, and amine cations formed using counterions such as halide, hydroxide, carboxylate, sulfate, phosphate, nitrate, lower alkyl sulfonate and aryl sulfonate.
- the pharmaceutically acceptable compositions of the invention additionally comprise a pharmaceutically acceptable carrier, adjuvant, or vehicle, which, as used herein, includes any and all solvents, diluents, or other liquid vehicle, dispersion or suspension aids, surface active agents, isotonic agents, thickening or emulsifying agents, preservatives, solid binders, lubricants and the like, as suited to the particular dosage form desired.
- a pharmaceutically acceptable carrier, adjuvant, or vehicle which, as used herein, includes any and all solvents, diluents, or other liquid vehicle, dispersion or suspension aids, surface active agents, isotonic agents, thickening or emulsifying agents, preservatives, solid binders, lubricants and the like, as suited to the particular dosage form desired.
- Remington's Pharmaceutical Sciences, Sixteenth Edition, E. W. Martin (Mack Publishing Co., Easton, Pa., 1980) discloses various carriers used in formulating pharmaceutically acceptable compositions and
- pharmaceutically acceptable carriers include, but are not limited to, ion exchangers, alumina, aluminum stearate, lecithin, serum proteins, such as human serum albumin, buffer substances such as phosphates, glycine, sorbic acid, or potassium sorbate, partial glyceride mixtures of saturated vegetable fatty acids, water, salts or electrolytes, such as protamine sulfate, disodium hydrogen phosphate, potassium hydrogen phosphate, sodium chloride, zinc salts, colloidal silica, magnesium trisilicate, polyvinyl pyrrolidone, polyacrylates, waxes, polyethylene- poly oxypropylene-block polymers, wool fat, sugars such as lactose, glucose and sucrose; starches such as com starch and potato starch; cellulose and its derivatives such as sodium carboxymethyl cellulose, ethyl cellulose and cellulose acetate;
- powdered tragacanth malt; gelatin; talc; excipients such as cocoa butter and suppository waxes; oils such as peanut oil, cottonseed oil; safflower oil; sesame oil; olive oil; corn oil and soybean oil; glycols; such a propylene glycol or polyethylene glycol; esters such as ethyl oleate and ethyl laurate; agar; buffering agents such as magnesium hydroxide and aluminum hydroxide; alginic acid; pyrogen-free water; isotonic saline; Ringer's solution; ethyl alcohol, and phosphate buffer solutions, as well as other non-toxic compatible lubricants such as sodium lauryl sulfate and magnesium stearate, as well as coloring agents, releasing agents, coating agents, sweetening, flavoring and perfuming agents, preservatives and antioxidants can also be present in the composition, according to the judgment of the formulator.
- oils
- the invention features a pharmaceutical composition
- a pharmaceutical composition comprising the compound of the invention and a pharmaceutically acceptable carrier.
- the invention features a pharmaceutical composition
- a pharmaceutical composition comprising a therapeutically effective amount of the compound or a pharmaceutically acceptable salt thereof of the compounds of formula (I) or (IV) and one or more pharmaceutically acceptable carriers or vehicles.
- the methods described herein also provide a method of promoting oligodendrocyte proliferation, differentiation or survival comprising contacting oligodendrocytes with a compound of formula (I) or (IV) or a composition thereof.
- a method of the present invention comprises promoting oligodendrocyte proliferation, differentiation or survival.
- a method of the present invention comprises promoting oligodendrocyte proliferation, differentiation or survival with a compound of formula (I) or (IV) or a composition thereof.
- a method of the present invention is useful for treating or lessening the severity of a disease or disorder selected from a disease or disorder associated with a lack of oligodendrocyte proliferation, differentiation or survival comprising administering a therapeutically effective amount of the compounds of formula (I) or (IV) or compositions thereof to a subject in need thereof.
- a method of the present invention comprises promoting myelination by contacting neuronal cells, oligodendrocyte cells or oligodendrocyte precursor cells. In one embodiment, a method of the present invention comprises promoting myelination by contacting neuronal cells, oligodendrocyte cells or oligodendrocyte precursor cells with a compound of formula (I) or (IV) or a composition thereof.
- a method of the present invention comprises promoting survival of cells of the nervous system.
- a method of the present invention comprises promoting survival of cells of the nervous system comprising contacting the cells with a compound or composition of formula (I) or (IV).
- the cells of the nervous system comprise brain cells, cortical neurons, oligodendroctyes or oligodendrocyte precursor cells.
- a method of the present invention is useful for treating or lessening the severity of a disease or disorder selected from a disease or condition associated with demyelination comprising administering a therapeutically effective amount of the compounds of formula (I) or (IV) or compositions thereof to a subject in need thereof.
- the disease or condition associated with demyelination is a CNS disorder or a CNS demyelinating disease as described herein.
- the disease is multiple sclerosis.
- the subject has, or is at risk of having, multiple sclerosis.
- the subject with multiple sclerosis can be at any stage of treatment or disease.
- the subject with multiple sclerosis has one or more of: benign multiple sclerosis, relapsing remitting multiple sclerosis, quiescent relapsing remitting multiple sclerosis, active relapsing remitting multiple sclerosis, primary progressive multiple sclerosis, or secondary progressive multiple sclerosis, clinically isolated syndrome, or clinically defined multiple sclerosis.
- the type of multiple sclerosis is primar ' progressive multiple sclerosis.
- the type of multiple sclerosis is relapsing-remitting multiple sclerosis.
- the type of multiple sclerosis is secondary progressive multiple sclerosis. In still a further embodiment, the type of multiple sclerosis is progressive relapsing multiple sclerosis. In another embodiment, the subject is asymptomatic. In another embodiment, the subject has one or more multiple sclerosis-like symptoms, such as those having clinically isolated syndrome or clinically defined multiple sclerosis. In yet other embodiments, the subject has one or more multiple sclerosis relapses.
- the subject has a relapsing form of multiple sclerosis such as relapsing remitting multiple sclerosis or relapsing secondary progressive multiple sclerosis.
- the subject has relapsing remitting multiple sclerosis and has one or more ongoing clinical exacerbations.
- the subject has relapsing remitting multiple sclerosis and one or more subclinical activities.
- the clinical exacerbation or subclinical activity is shown by gadolinium enhancement of white matter lesions using T1/T2 magnetic resonance imaging.
- the clinical exacerbation or subclinical activity is shown by development of new or enlarged white matter lesions on magnetic resonance imaging of the brain or spinal cord.
- the development of new or enlarged white matter lesions is monitored by T1/T2 magnetic resonance imaging.
- the development of new or enlarged white matter lesions is monitored by Proton Density magnetic resonance imaging.
- the development of new or enlarged white matter lesions is monitored by MTR magnetic resonance imaging. See also, Gaitan, M. I. and Reich, D. S. (2014) MRI in Diagnosis and Disease Monitoring, in Multiple Sclerosis and CNS Inflammatory Disorders (eds L. M. Samkoff and A. D. Goodman), John Wiley & Sons, Ltd., Chichester, UK.
- the clinical exacerbations or subclinical activities are monitored by a functional readout such as ambulatory changes (gait changes, sway changes, etc.), T25W changes and/or EDSS changes.
- a functional readout such as ambulatory changes (gait changes, sway changes, etc.), T25W changes and/or EDSS changes.
- the clinical exacerbations or subclinical activities are monitored by a visual evoked potential assay, a visual acuit ' assay or a measurement of optic nerve thickness.
- the clinical exacerbations or subclinical activities are monitored by a myelin labelling assay.
- the subject with multiple sclerosis can be at any stage of treatment or disease and treatment with compounds of formula (I) or (IV) of the present invention result in improvement of the disease or symptoms.
- improvement in the disease or symptoms is evidenced by a reduction or disappearance of one or more white matter lesions in the brain.
- improvement in the disease or symptoms is evidenced by improved function such as improved ambulation, improved gait, reduced sway, improved T25W scores or improved EDSS scores.
- improvement in the disease or symptoms is evidenced by improvements in a visual acuity assay or a visual evoked potential assay.
- improvement in the disease or symptoms is evidenced by enhanced optic nerve thickness.
- improvement in the disease or symptoms is evidenced by increased myelination in a myelin labelling assay.
- the compounds of formula (I) or (IV) of the present invention and the methods, compositions and kits disclosed herein are useful for promoting myelin regeneration in progressive demyelinating diseases.
- the compounds of formula (I) or (IV) of the present invention and the methods, compositions and kits disclosed herein are useful for promoting myelin regeneration in primary progressive multiple sclerosis.
- the compounds of formula (I) or (IV) of the present invention and the methods, compositions and kits disclosed herein are useful for promoting myelin regeneration in secondary progressive multiple sclerosis.
- the compounds of formula (I) or (IV) of the present invention and the methods, compositions and kits disclosed herein are useful for promoting myelin regeneration in relapsing-remitting multiple sclerosis.
- the compounds of formula (I) or (IV) of the present invention and the methods, compositions and kits disclosed herein are useful for promoting myelin regeneration in progressive relapsing multiple sclerosis.
- the compounds of formula (I) or (IV) of the present invention and the methods, compositions and kits disclosed herein are useful for promoting remyelination at the cellular level wherein oligodendrocyte cells are stimulated to regenerate or differentiate.
- the compounds of formula (I) or (IV) of the present invention and the methods, compositions and kits disclosed herein are useful for promoting remyelination at the cellular level wherein oligodendrocyte cells are stimulated to remyelinate axons.
- the compounds of formula (I) or (IV) of the present invention and the methods, compositions and kits disclosed herein are useful for promoting remyelination at the cellular level whereby oligodendrocyte cells are stimulated to regenerate or differentiate thereby treating demyelinating diseases or disorders.
- the compounds of formula (I) or (IV) of the present invention and the methods, compositions and kits disclosed herein are useful for promoting remyelination at the cellular level whereby axons are remyelinated by oligodendrocyte cells thereby treating demyelinating diseases or disorders.
- the compounds of formula (I) or (IV) of the present invention and the methods, compositions and kits disclosed herein are useful for inducing endogenous oligodendrocytes or oligodendrocyte precursor cells to contact an axon and produce myelin.
- the present invention provides a method of treating or lessening the severity of, in a subject, a disease or disorder selected from a demyelinating disease, central pontine myelinolysis, a nerve injury disease or disorder, a leukoencephalopathy or a leukodystrophy comprising administering an effective amount of a compound, a pharmaceutically acceptable salt thereof or a pharmaceutical composition of the compounds of formula (I) or (IV).
- the present invention provides a method of treating or lessening the severity of, in a subject, a disease or disorder selected from spinal cord injury, stroke, multiple sclerosis, progressive multifocal leukoencephalopathy.
- encephalomyelitis central pontine myelolysis, hypoxic demyelination.
- ischemic demyelination neuromyelitis optics, adrenoleukodystrophy, Alexander's disease, Nieniann-Pick disease, Peli/aeus Merzbacher disease, periventricular leukomalatia.
- globoid cell leucodvstrophy Ki abbe's disease
- Wallerian degeneration optic neuritis
- transverse myelitis amylotrophic lateral sclerosis (Lou Gehrig's diseae).
- Huntington's disease Alzheimer's disease, Parkinson's disease, Tax -Sacks disease, Gaucher " s disease, Hurler Syndrome, traumatic brain injury, post radiation injur ', neurologic complications of chemotherapy, neuropathy, acute ischemic optic neuropathy, neuromyelitis optica, vitamin B 12 deficiency, isolated vitamin E deficiency syndrome, Bassen-Kornzweig syndrome, Leber's hereditary optic atrophy /Leber congenital amaurosis, Marchiafava-Bignami syndrome, metachromatic
- leukodystrophy acute hemorrhagic leukoencephalitis, trigeminal neuralgia, Bell's palsy, schizophrenia, cerebral ischemia, multiple system atrophy, traumatic glaucoma, tropical spastic paraparesis numan T-lymphotropic virus 1 (HTLV-1 ) associated myelopathy, essential tremor or osmotic hyponatremia comprising administering an effective amount of a compound, a pharmaceutically acceptable salt thereof or a pharmaceutical composition of the compounds of formula ( I ) or (IV).
- HTLV-1 T-lymphotropic virus 1
- the present invention provides a method of treating, preventing or ameliorating one or more symptoms of multiple sclerosis or another neurodegenerative disease selected from auditor)' impairment, optic neuritis, decreased visual acuity, diplopia, nystagmus, ocular dysmetria, internuclear ophthalmoplegia, movement and sound phosphenes, afferent pupillary defect, paresis, monoparesis, paraparesis, hemiparesis, quadraparesis, plegia, paraplegia, hemiplegia, tetraplegia, quadraplegia, spasticity, dysarthria, motor dysfunction, walking impairment, muscle atrophy, spasms, cramps, hypotonia, clonus, myoclonus, myokymia, restless leg syndrome, gait disturbances, footdrop, dysfunctional reflexes, paraesthesia, anaesthesia, neuralgia, neuropathic and neurogenic pain,
- dysdiadochokinesia frequent micturation, bladder spasticity, flaccid bladder, detrusor- sphincter dyssynergia, erectile dysfunction or anorgasmy comprising administerin an effective amount of a compound, a pharmaceutically acceptable salt thereof or a pharmaceutical composition of the compounds of formula ( I ) or (IV).
- the present invention provides a method of treating or lessenin the severity of. in a subject, a disease or disorder selected from a demyelinating disease, central pontine myelinolysis. a nerve injury disease or disorder, a leukoencephalopathy or a leukodystrophy comprising administering an effective amount of a compound, a pharmaceutically acceptable salt thereof or a pharmaceutical composition of the compounds of formula (I) or ( IV ) with one or more additional therapeutic agents administered concurrently with, prior to, or subsequent to treatment with the compound or pharmaceutical composition.
- a disease or disorder selected from a demyelinating disease, central pontine myelinolysis.
- a nerve injury disease or disorder, a leukoencephalopathy or a leukodystrophy comprising administering an effective amount of a compound, a pharmaceutically acceptable salt thereof or a pharmaceutical composition of the compounds of formula (I) or ( IV ) with one or more additional therapeutic agents administered concurrently with, prior to, or subsequent to treatment with the compound or pharmaceutical composition.
- the present inv ention provides a method of treating or lessening the severity of, in a subject, a disease or disorder selected from spinal cord injury, stroke, multiple sclerosis, progressive multifocal leukoencephalopathy, congenital hypomyelination. encephalomyelitis, acute disseminated
- encephalomyelitis central pontine myeloly sis, hypoxic demyelination, ischemic demyelination, neuromyelitis optics, adrenoleukodystrophy, Alexander's disease, Niemann-Pick disease, Pelizaeus Merzbacher disease, periventricular leukomalatia, globoid cell leucodystrophy (Krabbe's disease), Wallerian degeneration, optic neuritis, transverse myelitis, amyotrophic lateral sclerosis (Lou Gehrig's diseae), Huntington's disease, Alzheimer's disease, Parkinson's disease, Tax -Sacks disease, Gaucher " s disease, Hurler Syndrome, traumatic brain injury, post radiation injur ', neurologic complications of chemotherapy, neuropathy, acute ischemic optic neuropathy, neuromyelitis optica, vitamin B 1 2 deficiency, isolated vitamin E deficiency syndrome, Bassen-Kornzweig syndrome, Leber's heredit
- the present invention provides a method of treatin or lessening the severit ' of, in a subject, a type of multiple sclerosis selected from primary progressive multiple sclerosis, relapsing-remitting multiple sclerosis, secondary progressive multiple sclerosis or progressive relapsing multiple sclerosis.
- the type of multiple sclerosis is primary progressive multiple sclerosis.
- the type of multiple sclerosis is relapsing-remitting multiple sclerosis.
- the t pe of multiple sclerosis is secondary progressive multiple sclerosis.
- the type of multiple sclerosis is progressive relapsing multiple sclerosis.
- the present invention provides a method for treating, preventing or ameliorating one or more symptoms of multiple sclerosis or another neurodegenerative disease selected from auditory 7 impairment, optic neuritis, decreased visual acuity, diplopia, nystagmus, ocular dysmetria, intemuclear ophthalmoplegia, movement and sound phosphenes, afferent pupillary defect, paresis, monoparesis, paraparesis, hemi paresis, quadraparesis, plegia, paraplegia, hemiplegia, tetraplegia, quadraplegia, spasticity, dysarthria, motor dysfunction, walking impairment, muscle atrophy, spasms, cramps, hypotonia, clonus, myoclonus, myoky mia, restless leg syndrome, gait disturbances, footdrop.
- another neurodegenerative disease selected from auditory 7 impairment, optic neuritis, decreased visual acuity, diplopia, nys
- dysdiadochokinesia frequent micturation, bladder spasticity, flaccid bladder, detrusor- sphincter dyssynergia, erectile dysfunction or anorgasmy
- administering an effecti e amount of a compound, a pharmaceutically acceptable salt thereof or a pharmaceutical composition of the compounds of formula (I) or (IV) with one or more additional therapeutic agents administered concurrently with, prior to, or subsequent to treatment with the compound or pharmaceutical composition.
- the present invention provides the use of a compound or pharmaceutical composition described herein for the manufacture of a medicament for use in treating or lessening the severity of, in a subject, a disease or disorder selected from a demyelinating disease, central pontine myelinolysis, a nerve injury disease or disorder or a leukoencephalopathy .
- the present invention provides the use of a compound or pharmaceutical composition described herein for the manufacture of a medicament for use in treating or lessening the severity of, in a subject, a disease or disorder selected from spinal cord injury, stroke, multiple sclerosis, progressive multifocal
- leukoencephalopathy congenital hypomye!ination.
- encephalomyelitis acute disseminated encephalomyelitis, central pontine myelolysis, hypoxic demyelination.
- ischemic demyelination neuromyelitis optics, adrenoleukodystrophy, Alexander's disease, Niemann-Pick disease, Pelizaeus Merzbacher disease, periventricular leukomalatia, globoid cell leucodystrophy (Krabbe's disease), Wallerian degeneration, optic neuritis, transverse myelitis, amylotrophic lateral sclerosis (Lou Gehrig's diseae), Huntington's disease, Alzheimer's disease, Parkinson's disease, Tay -Sacks disease, Gaucher's disease, Hurler Syndrome, traumatic brain injury, post radiation injur ⁇ ', neurologic complications of chemotherapy, neuropathy, acute ischemic optic neuropathy, neuromyelitis optica, vitamin B
- the present invention provides the use of a compound or pharmaceutical composition described herein for the manufacture of a medicament for use in treating, preventing or ameliorating one or more symptoms of multiple sclerosis or another neurodegenerative disease selected from auditory impairment, optic neuritis, decreased visual acuity, diplopia, nystagmus, ocular dysmetria.
- the present invention provides the use of a compound or pharmaceutical composition described herein for the manufacture of a medicament in combination with one or more additional therapeutic agents administered concurrently with, prior to, or subsequent to treatment with the compound or pharmaceutical composition.
- the present invention provides the use of a compound or pharmaceutical composition described herein for the manufacture of a medicament for use in treating or lessening the severity of, in a subject, a disease or disorder selected from a demyelinating disease, central pontine myelinolysis. a nerve injury disease or disorder or a leukoencephalopathy with one or more additional therapeutic agents administered concurrently with, prior to, or subsequent to treatment with the compound or pharmaceutical composition.
- the present invention provides the use of a compound or pharmaceutical composition described herein for the manufacture of a medicament for use in treating or lessening the severity of, in a subject, a disease or disorder selected from spinal cord injury, stroke, multiple sclerosis, progressive multifocal leukoencephalopathy.
- Wallerian degeneration optic neuritis, transverse myelitis, amylotrophic lateral sclerosis (Lou Gehrig's diseae), Huntington's disease, Alzheimer's disease, Parkinson's disease, Tay- Sacks disease, Gaucher's disease, Hurler Syndrome, traumatic brain injury, post radiation injury, neurologic complications of chemotherapy, neuropathy, acute ischemic optic neuropathy, neuromyelitis optica, vitamin B12 deficiency, isolated vitamin E deficiency syndrome, Bassen-Kornzweig syndrome, Leber's hereditary optic atrophy /Leber congenital amaurosis, M arch i afa v a- B i gn ami syndrome, metachromatic leukodystrophy, acute hemorrhagic leukoencephalitis, trigeminal neuralgia, Bell's palsy, schizophrenia, cerebral ischemia, multiple system atrophy, traumatic glaucoma, tropical spastic paraparesis human T-lymphotropic
- the present inv ention provides the use of a compound or pharmaceutical composition described herein for the manufacture of a medicament for use in treating or lessening the severity of, in a subject, a type of multiple sclerosis selected from primary progressive multiple sclerosis, relapsing-remittin multiple sclerosis, secondary progressive multiple sclerosis or progressive relapsing multiple sclerosis.
- a type of multiple sclerosis selected from primary progressive multiple sclerosis, relapsing-remittin multiple sclerosis, secondary progressive multiple sclerosis or progressive relapsing multiple sclerosis.
- the type of multiple sclerosis is primary progressive multiple sclerosis.
- the type of multiple sclerosis is relapsing-remittin multiple sclerosis.
- the type o multiple sclerosis is secondary progressive multiple sclerosis.
- the type of multiple sclerosis is progressive relapsing multiple sclerosis.
- the present invention provides the use of a compound or pharmaceutical composition described herein for the manufacture of a medicament for use in treating, preventing or ameliorating one or more symptoms of multiple sclerosis or another neurodegenerative disease selected from auditory impairment, optic neuritis, decreased visual acuity, diplopia, nystagmus, ocular dysmetria, internuclear ophthalmoplegia, movement and sound phosphenes, afferent pupillary defect, paresis, monoparesis, paraparesis, hemi paresis, quadraparesis, plegia, paraplegia, hemiplegia, tetraplegia, quadraplegia, spasticity, dysarthria, motor dysfunction, walking impairment, muscle atrophy, spasms, cramps, hypotonia, clonus, myoclonus, myokymia, restless leg syndrome, gait disturbances, footdrop, dysfunctional reflexes, para
- an "effective amount" of the compound, a pharmaceutically acceptable salt thereof or pharmaceutically acceptable composition is that amount effective for treating or lessening the severity of, in a subject, a disease or disorder selected from one or more of a demyelinating disease, central pontine myelinolysis, a nerve injury disease or disorder or a
- the exact amount required will vary from subject to subject, depending on the species, age, and general condition of the subject, the severity of the disease, the particular agent, its mode of administration, and the like.
- the compounds of the invention are preferably formulated in dosage unit form for ease of administration and uniformity of dosage.
- dosage unit form refers to a physically discrete unit of agent appropriate for the patient to be treated. It will be understood, however, that the total daily usage of the compounds and compositions of the invention will be decided by the attending physician within the scope of sound medical judgment.
- the specific effective dose level for any particular patient or organism will depend upon a variety of factors including the disorder being treated and the severity of the disorder; the activity of the specific compound employed; the specific composition employed; the age, body weight, general health, sex and diet of the patient; the time of administration, route of administration, and rate of excretion of the specific compound employed; the duration of the treatment; drugs used in combination or coincidental with the specific compound employed, and like factors well known in the medical arts.
- patient means an animal, preferably a mammal, and most preferably a human
- compositions of this invention can be administered to humans and other animals orally, rectally, parenterally,
- the compounds of the invention may be administered orally or parenterally at dosage levels of about 0.01 mg/kg to about 50 mg/kg and preferably from about 1 mg/kg to about 25 mg/kg, of subject body weight per day, one or more times a day, to obtain the desired therapeutic effect.
- Liquid dosage forms for oral administration include, but are not limited to, pharmaceutically acceptable emulsions, microemulsions, solutions, suspensions, syrups and elixirs.
- the liquid dosage forms may contain inert diluents commonly used in the art such as, for example, water or other solvents, solubilizing agents and emulsifiers such as ethyl alcohol, isopropyl alcohol, ethyl carbonate, ethyl acetate, benzyl alcohol, benzyl benzoate, propylene glycol, 1,3- butylene glycol, dimethylformamide, oils (in particular, cottonseed, groundnut, com, germ, olive, castor, and sesame oils), glycerol, tetrahydrofurfuryl alcohol,
- the oral compositions can also include adjuvants such as wetting agents, emulsifying and suspending agents, sweetening, flavoring, and perfuming agents.
- Injectable preparations for example, sterile injectable aqueous or oleaginous suspensions may be formulated according to the known art using suitable dispersing or wetting agents and suspending agents.
- the sterile injectable preparation may also be a sterile injectable solution, suspension or emulsion in a nontoxic parenterally acceptable diluent or solvent, for example, as a solution in 1,3- butanediol.
- the acceptable vehicles and solvents that may be employed are water, Ringer's solution, U.S. P. and isotonic sodium chloride solution.
- sterile, fixed oils are conventionally employed as a solvent or suspending medium.
- any bland fixed oil can be employed including synthetic mono- or diglycerides.
- fatty acids such as oleic acid are used in the preparation of injectables.
- the injectable formulations can be sterilized, for example, by filtration through a bacterial-retaining filter, or by incorporating sterilizing agents in the form of sterile solid compositions which can be dissolved or dispersed in sterile water or other sterile injectable medium prior to use.
- microencapsule matrices of the compound in biodegradable polymers such as polylactide-polyglycolide.
- biodegradable polymers such as polylactide-polyglycolide.
- the rate of compound release can be controlled.
- biodegradable polymers include poly(orthoesters) and poly (anhydrides).
- Depot injectable formulations are also prepared by entrapping the compound in liposomes or microemulsions that are compatible with body tissues.
- compositions for rectal or vaginal administration are preferably suppositories which can be prepared by mixing the compounds of this invention with suitable non-irritating excipients or carriers such as cocoa butter, polyethylene glycol or a suppository wax which are solid at ambient temperature but liquid at body temperature and therefore melt in the rectum or vaginal cavity and release the active compound.
- suitable non-irritating excipients or carriers such as cocoa butter, polyethylene glycol or a suppository wax which are solid at ambient temperature but liquid at body temperature and therefore melt in the rectum or vaginal cavity and release the active compound.
- Solid dosage forms for oral administration include capsules, tablets, pills, powders, and granules.
- the active compound is mixed with at least one inert, pharmaceutically acceptable excipient or carrier such as sodium citrate or dicalcium phosphate and/or a) fillers or extenders such as starches, lactose, sucrose, glucose, mannitol, and silicic acid, b) binders such as, for example, carboxymethylcellulose, alginates, gelatin, polyvinylpyrrolidinone, sucrose, and acacia, c) humectants such as glycerol, d) disintegrating agents such as agar-agar, calcium carbonate, potato or tapioca starch, alginic acid, certain silicates, and sodium carbonate, e) solution retarding agents such as paraffin, f) absorption accelerators such as quaternary ammonium compounds, g) wetting agents such as, for example, cetyl
- Solid compositions of a similar type may also be employed as fillers in soft and hard-filled gelatin capsules using such excipients as lactose or milk sugar as well as high molecular weight polyethylene glycols and the like.
- the solid dosage forms of tablets, dragees, capsules, pills, and granules can be prepared with coatings and shells such as enteric coatings and other coatings well known in the pharmaceutical formulating art. They may optionally contain opacifying agents and can also be of a composition that they release the active ingredient(s) only, or preferentially, in a certain part of the intestinal tract, optionally, in a delayed manner. Examples of embedding compositions that can be used include polymeric substances and waxes. Solid compositions of a similar type may also be employed as fillers in soft and hard- filled gelatin capsules using such excipients as lactose or milk sugar as well as high molecular weight polethylene glycols and the like.
- the active compounds can also be in microencapsulated form with one or more excipients as noted above.
- the solid dosage forms of tablets, dragees, capsules, pills, and granules can be prepared with coatings and shells such as enteric coatings, release controlling coatings and other coatings well known in the pharmaceutical formulating art.
- the active compound may be admixed with at least one inert diluent such as sucrose, lactose or starch.
- Such dosage forms may also comprise, as is normal practice, additional substances other than inert diluents, e.g., tableting lubricants and other tableting aids such a magnesium stearate and microcrystalline cellulose.
- the dosage forms may also comprise buffering agents. They may optionally contain opacifying agents and can also be of a composition that they release the active ingredient(s) only, or preferentially, in a certain part of the intestinal tract, optionally, in a delayed manner. Examples of embedding compositions that can be used include polymeric substances and waxes.
- Dosage forms for topical or transdermal administration of a compound of this invention include ointments, pastes, creams, lotions, gels, powders, solutions, sprays, inhalants or patches.
- the active component is admixed under sterile conditions with a pharmaceutically acceptable carrier and any needed preservatives or buffers as may be required.
- Ophthalmic formulation, eardrops, and eye drops are also contemplated as being within the scope of this invention. Additionally, the invention contemplates the use of transdermal patches, which have the added advantage of providing controlled delivery of a compound to the body. Such dosage forms are prepared by dissolving or dispensing the compound in the proper medium.
- Absorption enhancers can also be used to increase the flux of the compound across the skin.
- the rate can be controlled by either providing a rate controlling membrane or by dispersing the compound in a polymer matrix or gel.
- the compounds of formula (I) or ( IV ) of the present invention and the methods, compositions and kits disclosed herein can be employed in combination therapies, that is, the compounds and pharmaceutically acceptable compositions can be administered concurrently with, prior to, or subsequent to, one or more other desired therapeutics or medical procedures.
- the particular combination of therapies (therapeutics or procedures) to employ in a combination regimen will take into account compatibility of the desired therapeutics and/or procedures and the desired therapeutic effect to be achieved.
- the therapies employed may achieve a desired effect for the same disorder (for example, an inventive compound may be administered concurrently with another agent used to treat the same disorder), or they may achieve different effects (e.g., control of any adverse effects).
- additional therapeutic agents that are normally administered to treat or prevent a particular disease, or condition, are known as "appropriate for the disease, or condition, being treated.” Additional appropriate therapeutic agents or approaches are described generally in The Merck Manual, Nineteenth Edition, Ed. Robert S. Porter and Justin L. Kaplan, Merck Sharp & Dohme Corp., a subsidiary of Merck & Co., Inc., 2011, and the Food and Drug Administration website, www.fda.gov, the entire contents of which are hereby incorporated by reference. [00218] In one embodiment, the additional therapeutic agents is an
- immunomodulatory agent such as an IFN- ⁇ 1 molecule including but not limited to an interferon beta la (Avonex®, Rebif®) or an interferon beta lb (Betaseron®, Betaferon®, Extavia®). Immunomodulatory agents also include other interferons and fragments, analogues, homologues, derivatives, and natural variants thereof with substantially similar biological activity to interferon beta la molecules.
- the additional therapeutic agent is a polymer of glutamic acid, lysine, alanine and tyrosine such as glatiramer acetate (Copaxone®).
- the additional therapeutic agent is an antibody or fragment thereof against alpha-4 integrin (e.g., natalizumab (Tysabri®)).
- the additional therapeutic agent is an
- anthracenedione molecule such as mitoxantrone (Novantrone®).
- the additional therapeutic agent is a sphingosine 1- phosphate receptor modulator such as fingolimod (Gilenya®) and those described in WO 2012/109108 the entire contents of which is hereby incorporated by reference.
- the additional therapeutic agent is a dimethyl fumarate such as an oral dimethyl fumarate (Tecfidera®).
- the additional therapeutic agent is an antibody to the alpha subunit of the IL-2 receptor of T cells such as daclizumab (Zenapax®).
- the additional therapeutic agent is an antibody against CD52 such as alemtuzumab (Lemtrada®).
- the additional therapeutic agent is an inhibitor of a dihydroorotate dehydrogenase such as teriflunomide (Aubagio®).
- the additional therapeutic agent is an antibody to CD20 such as ocrelizumab, rituximab or ofatumumab.
- the additional therapeutic agent is a corticosteroid such as, but not limited to methylprednisolone, Depo-Medrol®, Solu-Medrol®, Deltasone®, Delta-Cortef®, Medrol®, Decadron® or Acthar®.
- a corticosteroid such as, but not limited to methylprednisolone, Depo-Medrol®, Solu-Medrol®, Deltasone®, Delta-Cortef®, Medrol®, Decadron® or Acthar®.
- the additional therapeutic agent is an anti-VLA4 antibody, such as Natalizumab (Tysabri®) or a related VLA-4 antibodies such as those described in US 5,840,299, US 6,602,503, Sanchez-Madrid et al, (1986) Eur. J. Immunol 16: 1343-1349; Hemler et al, (1987) J Biol. Chem. 2: 11478-11485; Issekutz et al. (1991) J Immunol 147: 109 (TA-2 mab); Pulido et al. (1991) J Biol. Chem. 266: 10241-10245; and U.S. Pat. No. 5,888,507 the entire contents of each patent or publication hereby incorporated by reference in their entirety.
- Natalizumab Tysabri®
- VLA-4 antibodies such as those described in US 5,840,299, US 6,602,503, Sanchez-Madrid et al, (1986) Eur. J. Immuno
- the additional therapeutic agent is a LINGO-1 antagonist (e.g., an antibody against LINGO (e.g., LINGO-1, LINGO-2, LINGO-3, LINGO-4) or a Nogo receptor-1 (NgRl) modulator and compositions thereof such as those disclosed in WO2004/085648, WO2006/002437, WO2007/008547,
- LINGO-1 antagonist e.g., an antibody against LINGO (e.g., LINGO-1, LINGO-2, LINGO-3, LINGO-4)
- NgRl Nogo receptor-1
- the additional therapeutic agent is a TAJ modulator, such as those disclosed in WO2006/017673, which is hereby incorporated by reference in its entirety.
- the additional therapeutic agent is a TrkA antagonist such as those disclosed in WO2008/013782 or a TrkB antagonist such as those disclosed in WO2009/048605, each of which is hereby incorporated by reference in its entirety.
- the additional therapeutic agent is a sclerostin modulator such as those disclosed in WO2013/063095, which is hereby incorporated by reference in its entirety.
- the additional therapeutic agent is an autotaxin (ATX) inhibitor or LPA receptor antagonist, such as those described in
- WO2010051031 WO2010051030, WO2009046841, WO2009046842,
- the additional therapeutic agent is a Nox4 modulator such as those described in WO2013/037499, which is hereby incorporated by reference in its entirety.
- the additional therapeutic agent is a remyelinating antibody such as rHIgM22.
- the additional therapeutic agent is dalfampridine (Ampyra®)
- the additional therapeutic agent is a death receptor 6 (DR6) antagonist, a p75 antagonist or a combination thereof such as those disclosed in US8894999 and WO2014106104 each of which is incorporated herein by reference in its entirety.
- DR6 death receptor 6
- p75 antagonist a combination thereof such as those disclosed in US8894999 and WO2014106104 each of which is incorporated herein by reference in its entirety.
- the additional therapeutic agent is CethrinTM.
- the additional therapeutic agent is an activin receptor modulator such as those described in WO2015/001352, which is hereby incorporated by reference in its entirety.
- the additional therapeutic agent is a GLP-1 like peptide or a derivative of GLP-1 like peptides such as those disclosed in
- the GLP-1 derivative is Liraglutide or Semaglutide.
- the additional therapeutic agent is a RXR modulator such as those disclosed in US2015/0038585 and WO2013056232 each of which is incorporated herein by reference in its entirety.
- the RXR modulator is HX630.
- the additional therapeutic agent is an activator of the NRF2/KE AP 1 / ARE pathway such as those disclosed in WO2014/197818 which is hereby incorporated by reference in its entirety.
- the additional therapeutic agent is a PPAR agonist such as those disclosed in WO2014/165827 which is hereby incorporated by reference in its entirety.
- the additional therapeutic agent is an inhibitor of HDAC4 such as those disclosed in WO2013/080120 which is hereby incorporated by reference in its entirety.
- the additional therapeutic agent is a gamma secretase inhibitor such as DAPT.
- the additional therapeutic agent is an antipsychotic medication such as quetiapine.
- the additional therapeutic agent is a thyroid hormone.
- the additional therapeutic agent is a thyroid translocator protein (TSPO) such as etifoxine.
- TSPO thyroid translocator protein
- the additional therapeutic agent is insulin-like growth factor 1 (IGF-1).
- IGF-1 insulin-like growth factor 1
- the additional therapeutic agent is an
- anticholinergic such as benzatropine
- the additional therapeutic agent is an
- antihistamine/anti cholinergic such as clemastine or clemastine fumarate.
- the additional therapeutic agent is one that removes antiaquaporin by plasmapheresis.
- the additional therapeutic agent is a hyaluronan inhibitor or antagonist such as those described in WO2015023691, which is hereby incorporated by reference in its entirety.
- the additional therapeutic agent is a hyaluronidase inhibitor such as a PH20 inhibitor or those described in WO2013/102144,
- the additional therapeutic agent is a Toll-Like Receptor-2 (TLR-2) inhibitor.
- the additional therapeutic agent is a Semaphorin 3A antagonist or antibody such as those disclosed in WO2014123186, which is hereby incorporated by reference in its entirety.
- the additional therapeutic agent is a CXCR2 inhibitor or antagonist.
- the additional therapeutic agent is a Semaphorin 3F agonist.
- the additional therapeutic agent is a Wnt polypeptide or Wnt inhibitor such as those disclosed in WO 2013/040309 and WO 2012/097093, each of which is hereby incorporated by reference in its entirety.
- the additional therapeutic agent is a mitochondrial pore modulator such as Olesoxime.
- the additional therapeutic agent is a PSA NCAM antagonist, a CXCR2 inhibitor or antagonist, a MRF agonist, a GM-98 agonist, a Tcf4 inhibitor, a retinoid, a neuregulin 1-erbB signaling modulator, a zpfl91 activator, an miR219 activator, an miR338 activator or an miR138 activator.
- the additional agent is an immunomodulatory agent such as an IFN- ⁇ 1 molecule which is administered intravenously,
- the IFN- ⁇ 1 molecule is administered at 20-45 microgram once a week by intramuscular injection. In another embodiment, the IFN- ⁇ 1 molecule is administered at 20-30 microgram three times a week by intramuscular injection. In another embodiment, the IFN- ⁇ 1 molecule is administered at 40-50 micrograms once a week, by subcutaneous injection.
- the IFN- ⁇ 1 molecule is administered in an amount of between 10 and 50 ⁇ g intramuscularly three times a week.
- the IFN- ⁇ 1 molecule is administered in an amount of between 10 and 50 ⁇ g intramuscularly every five to ten days.
- the IFN- ⁇ 1 molecule is administered in an amount between 200 and 600 ⁇ g every other day by subcutaneous injection.
- the IFN- ⁇ 1 molecule is an interferon ⁇ -lb (Betaseron®, Betaferon®, or Extavia®).
- interferon ⁇ -lb Betaseron®, Betaferon®, or Extavia®.
- bladder problems e.g., Botox®, DDAVP Nasal Spray®, Detrol®, Ditropan®, Ditropan XL®, Enablex®, Flomax®, Hytrin®, Minipress®, Oxytrol®, Pro-Banthine®, Sanctura®, Tofranil®, Vesicare®
- infections Bactrim®, Septra®, Cipro®, Macrodantin®, Hiprex®, Pyridium®
- bowel dysfunction Colace®, Dulcolax®, Enemeez®, Fleet enema, Mineral oil, Metamucil®, Milk of Magnesia®, glycerin suppositories
- the amount of additional therapeutic agent present in or with the compositions of this invention will be no more than the amount that would normally be administered in a composition comprising that therapeutic agent as the only active agent.
- the amount of additional therapeutic agent in the presently disclosed compositions will range from about 50% to 100% of the amount normally present in a composition comprising that agent as the only therapeutically active agent.
- the present invention features a kit comprising a compound and/or pharmaceutical composition of formula (I) or (IV) of the present invention and instructions for use thereof.
- kits of the present invention further comprise one or more additional therapeutic agent(s).
- the additional therapeutic agent is selected from an immunomodulatory agent, such as an IFN- ⁇ 1 molecule including but not limited to an interferon beta la (Avonex®, Rebif®) or an interferon beta lb (Betaseron®, Betaferon®, Extavia®).
- the additional therapeutic agent is a polymer of glutamic acid, lysine, alanine and tyrosine such as glatiramer acetate (Copaxone®).
- the additional therapeutic agent is an antibody or fragment thereof against alpha-4 integrin (e.g., natalizumab (Tysabri®)).
- the additional therapeutic agent is an
- anthracenedione molecule such as mitoxantrone (Novantrone®).
- the additional therapeutic agent is a sphingosine 1- phosphate receptor modulator such as fingolimod (Gilenya®) and those described in
- the additional therapeutic agent is a dimethyl fumarate such as an oral dimethyl fumarate (Tecfidera®).
- the additional therapeutic agent is an antibody to the alpha subunit of the IL-2 receptor of T cells such as daclizumab (Zenapax®).
- the additional therapeutic agent is an antibody against CD52 such as alemtuzumab (Lemtrada®).
- the additional therapeutic agent is an inhibitor of a dihydroorotate dehydrogenase such as teriflunomide (Aubagio®).
- the additional therapeutic agent is an antibody to CD20 such as ocrelizumab, rituximab or ofatumumab.
- the additional therapeutic agent is a corticosteroid such as, but not limited to methylprednisolone, Depo-Medrol®, Solu-Medrol®, Deltasone®, Delta-Cortef®, Medrol®, Decadron® or Acthar®.
- a corticosteroid such as, but not limited to methylprednisolone, Depo-Medrol®, Solu-Medrol®, Deltasone®, Delta-Cortef®, Medrol®, Decadron® or Acthar®.
- the additional therapeutic agent is one or more compounds useful for treating symptoms of the disease such as bladder problems (e.g., Botox®, DDAVP Nasal Spray®, Detrol®, Ditropan®, Ditropan XL®, Enablex®, Flomax®, Hytrin®, Minipress®, Oxytrol®, Pro-Banthine®, Sanctura®, Tofranil®, Vesicare®); infections (Bactrim®, Septra®, Cipro®, Macrodantin®, Hiprex®, Pyridium®); bowel dysfunction (Colace®, Dulcolax®, Enemeez®, Fleet enema, Mineral oil, Metamucil®, Milk of Magnesia®, glycerin suppositories);
- bladder problems e.g., Botox®, DDAVP Nasal Spray®, Detrol®, Ditropan®, Ditropan XL®, Enablex®, Flomax®, Hytrin®, Minipress®, Ox
- kits of the present invention are drawn to kits wherein the compounds or the pharmaceutical compositions of the present invention and the one or more additional therapeutic agent(s) are in separate containers.
- kits of the present invention are drawn to kits wherein the compounds or the pharmaceutical compositions of the present invention and the one or more additional therapeutic agent(s) are in the same container.
- the container is a bottle, vial, or blister pack, or combination thereof.
- the compounds of the invention may be readily prepared by known methods and by using the following methods, schemes and examples. Illustrated below in Scheme A through Scheme Q are general methods for preparing the compounds of the present invention. Compounds were named using either IUPAC nomenclature or the nomenclature used in ChemBioDraw Ultra (Version 12.0.2.1076, CambridgeSoft®).
- UPLC method A Mobile phase A: water (0.1 % trifluoroacetic acid).
- Mobile phase B acetonitrile (0.1 % trifluoroacetic acid).
- UPLC method B Mobile phase A: water (0.1 % trifluoroacetic acid). Mobile phase B: acetonitrile (0.1 % trifluoroacetic acid).
- UPLC method D Mobile Phase A: 95 % water [50 mM ammonium formate pH 9] : 5% acetonitrile.
- Mobile Phase B acetonitrile.
- Column: Waters Acquity BEH C8, 2.1 x 50 mm, 1.7 ⁇ particle size. Flow rate 0.6ml/min ; Injection Volume: 2 ⁇ L.
- UPLC method E Mobile Phase A: water (0.1 % trifluoroacetic acid).
- Mobile phase B acetonitrile (0.1 % trifluoroacetic acid);
- HPLC method F Mobile phase A: water (0.1 % trifluoroacetic acid).
- Mobile phase B acetonitrile (0.1 % trifluoroacetic acid).
- Reagents and conditions (a) Pd 2 (dba) 3 , RuPhos, CS2CO 3 , 90 °C, morpholine, 1,4- dioxane (b) 10% Pd/C (wet), EtOH, H 2 (c) ⁇ -BuXPhos Palladacycle, NaOtBu, 1,4- dioxane, 90 °C.
- Tris(dibenzylideneacetone)dipalladium(0) (80 mg, 0.09 mmol) was added and nitrogen purge continued for 5 minutes, then the vial was sealed and heated at 90 °C for 18 hours. The mixture was cooled, diluted with water and extracted twice with ethyl acetate. The combined organic layers were washed with water and brine, filtered through a plug of Florisil, and concentrated. Flash chromatography on silica gel (40 g column) eluting with 0-20% ethyl acetate/heptane afforded 4-(3-methyl-5-nitrophenyl)morpholine (447 mg, 46%) as an off-white solid.
Landscapes
- Organic Chemistry (AREA)
- Chemical & Material Sciences (AREA)
- Health & Medical Sciences (AREA)
- Neurosurgery (AREA)
- Engineering & Computer Science (AREA)
- Bioinformatics & Cheminformatics (AREA)
- Biomedical Technology (AREA)
- Neurology (AREA)
- Chemical Kinetics & Catalysis (AREA)
- Psychiatry (AREA)
- Hospice & Palliative Care (AREA)
- General Chemical & Material Sciences (AREA)
- Medicinal Chemistry (AREA)
- Nuclear Medicine, Radiotherapy & Molecular Imaging (AREA)
- Pharmacology & Pharmacy (AREA)
- Life Sciences & Earth Sciences (AREA)
- Animal Behavior & Ethology (AREA)
- General Health & Medical Sciences (AREA)
- Public Health (AREA)
- Veterinary Medicine (AREA)
- Pharmaceuticals Containing Other Organic And Inorganic Compounds (AREA)
Abstract
The invention relates to heterocyclic compounds of formula (I) and (IV) or pharmaceutically acceptable salts thereof, useful as modulators of demyelinating diseases. The invention also provides pharmaceutically acceptable compositions comprising the compounds of the invention, methods of using the compositions and kits thereof in the treatment of various demyelinating and neurodegenerative diseases, including multiple sclerosis.
Description
HETEROCYCLIC AZOLES FOR THE TREATMENT OF DEMYELINATING
DISEASES
CROSS-REFERENCE TO RELATED APPLICATIONS
[0001] This application claims the benefit of U.S. Provisional Patent Application No. 62/430,822, filed December 6, 2016, the entire contents of which are hereby incorporated herein by reference.
BACKGROUND OF THE INVENTION
[0002] Multiple sclerosis (MS) is an inflammatory neurodegenerative disease of the central nervous system, characterized by myelin loss and degeneration of axons (see, Blakemore, et al, J. ofNeuroimmunology, 98, 69-76, 1999). Activation and CNS infiltration of the peripheral immune system is typical in early stages of the disease, but can become less prevalent as disease progresses.
[0003] A hallmark of MS is loss of myelin, accompanied by the death of associated oligodendrocytes (see, Merrill, J.E. et al, Neuropathology and Applied Neurobiology , 25, 435-458, 1999). Myelin, which is produced by oligodendrocytes, ensheathes axons and dramatically increases conduction velocity of neural impulses while providing trophic support to the neuron. Myelin is thought to regenerate early in disease, as oligodendroycte progenitor cells (OPCs) proliferate and generate new myelinating oligodendrocytes in response to demyelination events. As the disease progresses the regenerative capacity of the OPCs becomes less robust, and axons remain chronically demyelinated. Chronic demyelination is thought to underlie axon loss, as loss of trophic support combined with the metabolic stress of transmitting impulses along a demyelinated membrane can lead to a breakdown of axonal integrity and permanent damage to the demyelinated circuit. In addition, exposure of a demyelinated axon to an inflammatory milieu, including infiltrating immune cells and activated microglial cells, is also thought to produce permanent damage and axonal loss. Axon loss as a result of demyelination is thought to underlie long term disease progression and disability in MS patients (see, Compston, et al, The Lancet, Vol. 359, 1221-1231, 2002 and D. Kremer et al, Trends in Neurosciences, Vol. 39, No. 4, 246- 263, 2016).
[0004] The loss of remyelinating capacity in MS is not well understood, but is thought to involve a block in the differentiation capacity of OPCs, or the absence of a
necessary signal present in the cell environment of the demyelinating lesion or in the demyelinated axons (see, R. Franklin et al, Nature Review s/Neuroscience, Vol. 9, 839-855, 2008). The OPC cell population is prevalent in MS patients, but fails to generate new myelin in response to demyelination. Thus, a compound that can promote differentiation and myelination of OPCs should function to restore this regenerative capacity and blunt or reverse the degenerative effects of MS (see, Stangel, M. et al, Progress in Neurobiology, 68, 361-376, 2002, Nairn, F. J. et al, Nature (Letter), published online 20 April 2015, doi: 10.1038/naturel4335). Such an agent could both increase the function of neurons and provide trophic support to enhance their survival (see, Mei, F. et al. Nature Medicine, Vol. 20, No. 8, 954-961, 2014).
[0005] Leukodystrophies are degenerative white matter diseases characterized by dysmyelination or demyelination. Multiple genetic or metabolic disorders can lead to progressive white matter damage in pediatric or adult populations resulting in severe motor or cognitive deficits, mental retardation or death. A compound that can delay myelin damage or promote repair of demyelinated axons could significantly alter the course of leukodystrophies and improve their outcome. Such a compound could be also useful in combination with other therapies that can correct the disease-specific defect, metabolic, genetic or other, responsible for initiating or maintaining the disease in order to accelerate repair, restore function or prevent further damage.
[0006] Hypoxic-ischemic insults leading to reduced oxygenation and blood supply into the brain can cause severe damage to OPCs, and demyelination. Periventricular leukomalacia is a condition characterized by toxic death of OPCs in the
periventricular region and leading to severe dysmyelination and demyelination. This pathology has been proposed as the root cause of cerebral palsy, a life-long debilitating CNS disorder characterized by various motor and/or cognitive deficits of variable intensity. A compound promoting differentiation of surviving OPCs and remyelination of damaged areas could be used for the treatment or prevention of cerebral palsy in vulnerable infant populations.
[0007] Current therapies for MS are immunomodulatory in nature and do not directly promote repair. In addition, some of these immunomodulatory agents can leave patients vulnerable to opportunistic infection or neoplasia. Thus, there remains a need for compounds, such as those of the present invention, that can promote
differentiation and myelination of OPCs and lead to the repair of demyelinated axons. Such a compound could also be useful in combination with existing or experimental immunmodulating and other relevant therapies to treat MS and other neurological and demyelinating diseases.
SUMMARY OF THE INVENTION
[0008] The present invention provides compounds or a pharmaceutically acceptable salt thereof and the methods, compositions and kits disclosed herein for treating or lessening the severity of, in a subject, a disease or disorder selected from a demyelinating disease, central pontine myelinolysis, a nerve injury disease or disorder, a leukoencephalopathy or a leukodystrophy.
[0009] In a first aspect are compounds having the general formula (I):
(I)
[0010] or a pharmaceutically acceptable salt thereof,
[0011] wherein:
[0012] x s CR^ or N;
[0013] X2 is CRX2 or N;
[0014] X is CRX or N;
[0015] X4 is O or S;
[0016] provided that X1 is not N simultaneously with X2 and X3;
[0017] R1 is selected from the group consisting of -OCi-6alkyl, -OCi-6haloalkyl, - 0-C2-6alkylene-OCi-4alkyl, -0-C2-6alkylene-OH, -NHC(0)(Ci-4alkyl), -N(Ci_ 4alkyl)C(0)(Ci-4alkyl), -C(0)NH2, -C(0)NH(Ci-4alkyl), -C(0)N(Ci-4alkyl)(Ci. 4alkyl), -C(0)NH(Ci-4haloalkyl), -C(0)NH(-C2-6alkylene-OCi-4alkyl), -C(0)N(Ci_ 4alkyl)(-C2-6alkylene-OCi-4alkyl), -C(0)NH(-C2-6alkylene-OH), -C(0)N(Ci_ 4alkyl)(-C2-6alkylene-OH), -I^-G -R6, -I^-G2, -I^-G3, and -L2-G4;
[0018] R2 is selected from the group consisting of hydrogen, Ci-4alkyl, Ci_ 4haloalkyl, halogen, and -OCi-4alkyl;
[0019] R is selected from the group consisting of hydrogen, halogen, Ci-4alkyl, Ci-4haloalkyl, and -0-Ci-4alkyl;
[0020] RX2 is selected from the group consisting of hydrogen, halogen, Ci-4alkyl, and Ci-4haloalkyl;
[0021] RX3 is selected from the group consisting of hydrogen, halogen, Ci-4alkyl, Ci-4haloalkyl, and -0-Ci-4alkyl;
[0022] L1 is a bond, -0-, -0-Ci-4alkylene-, -NR5-, -NR5-Ci-4alkylene-, or - C(O)-, wherein R5 is hydrogen or Ci-4alkyl;
[0023] L2 is -0-Ci-4alkylene-;
[0024] G1 is a 4- to 8-membered monocyclic heterocycle containing 1-2 heteroatoms independently selected from oxygen, nitrogen, and sulfur, the monocyclic heterocycle optionally containing one double bond and/or a Ci-3alkylene bridge between two non-adjacent ring atoms, G1 being optionally substituted with 1-4 substituents independently selected from the group consisting of Ci-4alkyl, Ci_ 4haloalkyl, halogen, hydroxyl, and oxo;
[0025] R6 is (a) a 4- to 12-membered heterocycle containing 1-4 heteroatoms independently selected from oxygen, nitrogen, and sulfur, the heterocycle being optionally substituted with 1-4 substituents independently selected from the group consisting of Ci-4alkyl,
-CH2S(0)2phenyl, halogen, hydroxyl, oxo, - OCi-4alkyl, -Ci-6alkylene-OCi-4alkyl, and -Ci-6alkylene-OH; or (b) a 3- to 8- membered cycloalkyl optionally substituted with 1-4 substituents independently selected from the group consisting of Ci-4alkyl,
halogen, hydroxyl, - C(0)OCi-4alkyl, -C(0)OH, oxo, -OCi-4alkyl, -Ci-6alkylene-OCi-4alkyl, and -Ci_ 6alkylene-OH;
[0026] G2 is a 4- to 12-membered heterocycle containing 1-4 heteroatoms independently selected from oxygen, nitrogen, and sulfur, G2 being optionally substituted with 1-4 substituents independently selected from the group consisting of Ci-4alkyl,
halogen, hydroxyl, oxo, cyano, -Ci-6alkylene-cyano, - C(0)Ci-4alkyl,
-C(0)-Ci-6alkylene-OH, -C(0)C3- ecycloalkyl, -C(0)OCi-4alkyl, -C(0)OCi-4haloalkyl, -C(0)NH2, -C(0)NH(Ci_ 4alkyl), -C(0)N(Ci-4alkyl)(Ci-4alkyl), -C(0)NH(-Ci-6alkylene-OCi-4alkyl), - C(0)N(Ci-4alkyl)(-Ci-6alkylene-OCi-4alkyl), -C(0)NH(-Ci-6alkylene-OH), - C(0)N(Ci-4alkyl)(-Ci-6alkylene-OH), -NH(-Ci-6alkylene-OCi-4alkyl), -N(Ci-
4alkyl)(-Ci-6alkylene-OCi-4alkyl), -NH(-Ci-6alkylene-OH), -N(Ci-4alkyl)(-Ci- 6alkylene-OH), -C(0)Ci-4haloalkyl, -OCi-4alkyl,
-Chalky lene- OCi-4alkyl, -Chalky lene-OH, -Ci-6alkylene-NH2,
- Ci-ealkylene-NiCi^alky iCi^alkyl), -0-Ci-6alkylene-NH2, -0-Ci-6alkylene- NH(Ci-4alkyl), -O-Ci-ealkylene-NCCi^alkylXCi^alkyl), -O-Ci-ealkylene-OCi. 4alkyl, -0-Ci-6alkylene-OH, -Ci-4alkylene-0-Ci-4alkylene-OCi-4alkyl, -Ci_ 4alkylene-0-Ci-4alkylene-OH, -Ci-4alkylene-C(0)OCi-4alkyl, -Ci-4alkylene- C(0)OH, -NHC(0)(Ci-4alkyl), -N(Ci-4alkyl)C(0)(Ci-4alkyl), -NH2, -NH(Ci-4alkyl),
-S(0)i-2Ci-4alkyl, -Ci-6alkylene-S(0)i-2Ci-4alkyl, and a -Ci. 6alkylene substituted by 2 groups independently selected from hydroxyl, halogen, - OC(0)Ci-4alkyl, -OCi-4alkyl, -NH2, -NH(Ci-4alkyl), and
[0027] G3 is 3- to 8-membered cycloalkyl optionally substituted with 1-4 substituents independently selected from the group consisting of C^alkyl, Ci_ 4haloalkyl, halogen, hydroxyl, oxo, cyano, -C(0)Ci-4alkyl, -C(0)C3-6cycloalkyl, - C(0)OCi-4alkyl, -C(0)OCi-4haloalkyl, -C(0)NH2, -C(0)NH(Ci-4alkyl), -C(0)N(Ci_ 4alkyl)(Ci-4alkyl), -C(0)NH(-Ci-6alkylene-OCi-4alkyl), -C(0)N(Ci-4alkyl)(-Ci. 6alkylene-OCi-4alkyl), -C(0)NH(-Ci-6alkylene-OH), -C(0)N(Ci-4alkyl)(-Ci.
ealkylene-O^^NHi-Ci-ealkylene-OCi^alky ^NiCi^alky i-Ci-ealkylene-OCi- 4alkyl), -NH(-Ci-6alkylene-OH),
-C(0)Ci_ 4haloalkyl, -OCi-4alkyl, -Ci-4alkylene-OCi-4alkyl, -Ci-6alkylene-OH, -Ci-6alkylene substituted by 2 groups independently selected from hydroxyl and -OC(0)Ci-4alkyl, -Ci-4alkylene-C(0)OCi-4alkyl, -Ci-4alkylene-C(0)OH, -NHC(0)(Ci-4alkyl), -N(Ci_ 4alkyl)C(0)(Ci-4alkyl), -NH2, -NH(Ci-4alkyl), and -N(Ci-4alkyl)(Ci-4alkyl);
[0028] G4 is phenyl optionally substituted with 1-4 substituents independently selected from the group consisting of Ci-4alkyl,
halogen, hydroxyl, cyano, phenyl, -C(0)Ci-4alkyl, -C(0)C3-6cycloalkyl, -C(0)OCi-4alkyl, -C(0)OCi_ 4haloalkyl, -C(0)NH2, -C(0)NH(Ci-4alkyl), -C(0)N(Ci-4alkyl)(Ci-4alkyl), - C(0)NH(-Ci-6alkylene-OCi-4alkyl), -C(0)N(Ci-4alkyl)(-Ci-6alkylene-OCi-4alkyl), - C(0)NH(-Ci-6alkylene-OH), -C(0)N(Ci-4alkyl)(-Ci-6alkylene-OH), -NH(-Ci_ 6alkylene-OCi-4alkyl), -NCCi^alkylX-Ci-ealkylene-OCi^alkyl), -NH(-Ci-6alkylene- OH), -N(Ci-4alkyl)(-Ci-6alkylene-OH), -C(0)Ci-4haloalkyl, -OCi-4alkyl, -Ci_ 4alkylene-OCi-4alkyl, -Ci-6alkylene-OH, -Ci-6alkylene substituted by 2 groups independently selected from hydroxyl and -OC(0)Ci-4alkyl, -Ci-4alkylene-C(0)OCi-
4alkyl, -Ci-4alkylene-C(0)OH, -NHC(0)(Ci-4alkyl), -N(Ci-4alkyl)C(0)(Ci-4alkyl), - NH2, -NH(Ci-4alkyl), and -N(Ci-4alkyl)(Ci-4alkyl); and
[0029] R4 is phenyl or a 5- or 6-membered heteroaryl containing 1-3 heteroatoms independently selected from oxygen, nitrogen and sulfur, R4 being optionally substituted with 1-3 substituents independently selected from the group consisting of halogen, hydroxyl, cyano, -S(0)2Ci-4alkyl, -S(0)Ci-4alkyl, -SCi-4alkyl, Ci-4alkyl, Ci_ 4haloalkyl, -OCi-4alkyl, -OCi-4haloalkyl, -Ci-4alkylene-OCi-4alkyl, -Ci-4alkylene- N(Ci-4alkyl)(Ci-4alkyl), -NH(Ci-4alkylene-OCi-4alkyl), -NH(Ci-4alkylene-OH), - N(Ci-4alkyl)(Ci-4alkylene-OCi-4alkyl), -N(Ci-4alkyl)(Ci-4alkylene-OH), -NH2, - NH(Ci-4alkyl), -N(Ci-4alkyl)(Ci-4alkyl), C 3-6cycloalkyl, C5-6cycloalkenyl, or a 4- to 8-membered monocyclic heterocycle containing 1-2 nitrogen atoms, the C 3- 6cycloalkyl, the C5-6cycloalkenyl, and the 4- to 8-membered monocyclic heterocycle being independently optionally substituted with 1-2 substituents independently selected from the group consisting of pyridyl, halogen, hydroxyl, -OCi-4alkyl, Ci_ alkyl, Ci-4haloalkyl, -Ci-4alkylene-OCi-4alkyl, and -Ci-4alkylene-OH;
[0030] provided that when X4 is S then (i) R1 is not -0-C2-6alkylene-OC1-4alkyl, - 0-C2-6alkylene-OH, G2, -O-G2, or -0-Ci-4alkylene-G2, where G2 is an optionally substituted monocyclic heterocycle containing at least one nitrogen atom, when X1 is N, X3 is N, X2 is CH, and R4 is optionally substituted phenyl; (ii) R1 is not -OCi- alkyl when R4 is optionally substituted phenyl or thiophene, and X1 is CRX1; (iii) R2 is other than H, when R is G2 or -O-G , G is an optionally substituted monocyclic heterocycle containing at least one nitrogen atom, X1 is CH, X2 is CH and X3 is N;
2 1 2 5 2 2
(iv) R is other than H, when R is G or -NR -Ci-4alkylene-G , G is an optionally substituted monocyclic heterocycle containing at least one nitrogen atom, X1 is CH, X3 is CH and X2 is N; or (v) the compound of formula (II) is not N-(4-chloro-6-(4- methylpiperazin-l-yl)pyridin-2-yl)-5-(pyridin-4-yl)thiazol-2-amine; and
[0031] provided that when X4 is O then (i) G2 is not morpholino when R4 is phenyl substituted with cyano; (ii) R1 is not -0-Ci-4alkyl when R4 is optionally substituted phenyl; or (iii) R1 is not -NHC(0)(Ci- alkyl) when R4 is pyridinyl.
(IV)
[0033] tiarmaceutically acceptable salt thereof,
[0034] wherein:
[0035] X1 is CRX1 or N;
[0036] X2 is CRX2 or N;
[0037] X3 is CRX3 or N;
[0038] provided that X1 is not N simultaneously with X2 or X3;
[0039] R1 is selected from the group consisting of hydrogen, Ci-4alkyl, Ci_
G -R6, -Lx-G2, -Lx-G3, -L2-G4, -L2-G5, and G5;
[0040] R2 is selected from the group consisting of hydrogen, Ci-4alkyl, and Ci_ 4haloalkyl;
[0041] RX1 is selected from the group consisting of hydrogen, halogen, Ci-4alkyl, Ci-4haloalkyl, -0-Ci-4alkyl, and G2;
[0042] provided that R1 and RX1 do not simultaneously contain G2;
[0045] L1 is a bond, -0-, or -0-Ci-4alkylene-;
[0046] L2 is -O- or -0-Ci-4alkylene-;
[0047] G1 is a 4- to 8-membered monocyclic heterocycle containing 1-2 heteroatoms independently selected from oxygen, nitrogen, and sulfur, the monocyclic heterocycle optionally containing one double bond and/or a
bridge between two non-adjacent ring atoms, G1 being optionally substituted with 1-4 substituents independently selected from the group consisting of Ci-4alkyl, Ci_ 4haloalkyl, halogen, hydroxyl, and oxo;
[0048] R is (a) a 4- to 12-membered heterocycle containing 1-4 heteroatoms independently selected from oxygen, nitrogen, and sulfur, the heterocycle being optionally substituted with 1-4 substituents independently selected from the group consisting of Ci-4alkyl,
-CH2S(0)2phenyl, halogen, hydroxyl, oxo, - OCi-4alkyl, -Ci-6alkylene-OCi-4alkyl, and -Ci-6alkylene-OH; or (b) a 3- to 8- membered cycloalkyl optionally substituted with 1-4 substituents independently selected from the group consisting of Ci-4alkyl,
halogen, hydroxyl, - C(0)OCi-4alkyl, -C(0)OH, oxo, -OCi-4alkyl, -Ci-6alkylene-OCi-4alkyl, and -Ci_ 6alkylene-OH;
[0049] G2 is a 4- to 12-membered heterocycle containing 1-4 heteroatoms independently selected from oxygen, nitrogen, and sulfur, G2 being optionally substituted with 1-4 substituents independently selected from the group consisting of Ci-4alkyl,
halogen, hydroxyl, oxo, cyano, -Ci-6alkylene-cyano, - C(0)Ci-4alkyl,
-C(0)-Ci-6alkylene-OH, -C(0)C3- ecycloalkyl, -C(0)OCi-4alkyl, -C(0)OCi-4haloalkyl, -C(0)NH2, -C(0)NH(Ci_ 4alkyl), -C(0)N(Ci-4alkyl)(Ci-4alkyl), -C(0)NH(-Ci-6alkylene-OCi-4alkyl), - C(0)N(Ci-4alkyl)(-Ci-6alkylene-OCi-4alkyl), -C(0)NH(-Ci-6alkylene-OH), - C(0)N(Ci-4alkyl)(-Ci-6alkylene-OH), -NH(-Ci-6alkylene-OCi-4alkyl), -N(Ci- 4alkyl)(-Ci-6alkylene-OCi-4alkyl), -NH(-Ci-6alkylene-OH), -N(Ci-4alkyl)(-Ci- 6alkylene-OH), -C(0)Ci-4haloalkyl, -OCi-4alkyl, -OCi-4haloalkyl, -Chalky lene- OCi-4alkyl, -Ci-6alkylene-OH, -Ci-6alkylene-NH2, -Ci-6alkylene-NH(Ci-4alkyl), - Ci-ealkylene-NiCi^alky iCi^alkyl), -0-Ci-6alkylene-NH2, -0-Ci-6alkylene- NH(Ci-4alkyl), -O-Ci-ealkylene-NCCi^alkylXCi^alkyl), -O-Ci-ealkylene-OCi. 4alkyl, -0-Ci-6alkylene-OH, -Ci-4alkylene-0-Ci-4alkylene-OCi-4alkyl, -Ci_ 4alkylene-0-Ci-4alkylene-OH, -Ci-4alkylene-C(0)OCi-4alkyl, -Ci-4alkylene-
C(0)OH, -NHC(0)(Ci-4alkyl), -N(Ci-4alkyl)C(0)(Ci-4alkyl), -NH2, -NH(Ci-4alkyl),
-S(0)i-2Ci-4alkyl, -Ci.6alkylene-S(0)i-2Ci-4alkyl, and a -Ci. 6alkylene substituted by 2 groups independently selected from hydroxyl, -OC(0)Ci_ 4alkyl, -OCi-4alkyl, -NH2, -NH(Ci-4alkyl), and
[0050] G3 is 3- to 8-membered cycloalkyl optionally substituted with 1-4 substituents independently selected from the group consisting of C^alkyl, Ci_ 4haloalkyl, halogen, hydroxyl, oxo, cyano, -C(0)Ci-4alkyl, -C(0)C3-6cycloalkyl, - C(0)OCi-4alkyl, -C(0)OCi-4haloalkyl, -C(0)NH2, -C(0)NH(Ci-4alkyl), -C(0)N(Ci_
4alkyl)(Ci-4alkyl), -C(0)NH(-Ci-6alkylene-OCi-4alkyl), -C(0)N(Ci-4alkyl)(-Ci. 6alkylene-OCi-4alkyl), -C(0)NH(-Ci-6alkylene-OH), -C(0)N(Ci-4alkyl)(-Ci.
ealkylene-O^^NHi-Ci-ealkylene-OCi^alky ^NiCi^alky i-Ci-ealkylene-OCi- 4alkyl), -NH(-Ci-6alkylene-OH), -N(Ci-4alkyl)(-Ci-6alkylene-OH), -C(0)Ci_ haloalkyl, -OCi-4alkyl, -Ci-4alkylene-OCi-4alkyl, -Ci-6alkylene-OH, -Ci-6alkylene substituted by 2 groups independently selected from hydroxyl and -OC(0)Ci-4alkyl, -Ci-4alkylene-C(0)OCi-4alkyl, -Ci-4alkylene-C(0)OH, -NHC(0)(Ci-4alkyl), -N(Ci_ 4alkyl)C(0)(Ci-4alkyl), -NH2, -NH(Ci-4alkyl), and -N(Ci-4alkyl)(Ci-4alkyl);
[0051] G4 is phenyl optionally substituted with 1-4 substituents independently selected from the group consisting of Ci-4alkyl, Ci-4haloalkyl, halogen, hydroxyl, cyano, phenyl, -C(0)Ci-4alkyl, -C(0)C3-6cycloalkyl, -C(0)OCi-4alkyl, -C(0)OCi_ 4haloalkyl, -C(0)NH2, -C(0)NH(Ci-4alkyl), -C(0)N(Ci-4alkyl)(Ci-4alkyl), - C(0)NH(-Ci-6alkylene-OCi-4alkyl), -C(0)N(Ci-4alkyl)(-Ci-6alkylene-OCi-4alkyl), - C(0)NH(-Ci-6alkylene-OH), -C(0)N(Ci-4alkyl)(-Ci-6alkylene-OH), -NH(-Ci_ 6alkylene-OCi-4alkyl), -N(Ci-4alkyl)(-Ci-6alkylene-OCi-4alkyl), -NH(-Ci-6alkylene- OH), -N(Ci-4alkyl)(-Ci-6alkylene-OH), -C(0)Ci-4haloalkyl, -OCi-4alkyl, -Ci_ 4alkylene-OCi-4alkyl, -Ci-6alkylene-OH, -Ci-6alkylene substituted by 2 groups independently selected from hydroxyl and -OC(0)Ci-4alkyl, -Ci-4alkylene-C(0)OCi- 4alkyl, -Ci-4alkylene-C(0)OH, -NHC(0)(Ci-4alkyl), -N(Ci-4alkyl)C(0)(Ci-4alkyl), - NH2, -NH(Ci-4alkyl), and -N(Ci-4alkyl)(Ci-4alkyl);
[0052] G5 is a monocyclic 5- or 6-membered heteroaryl containing 1-4 heteroatoms independently selected from oxygen, nitrogen, and sulfur, G5 being optionally substituted with 1-4 substituents independently selected from the group consisting of Ci-4alkyl, Ci-4haloalkyl, halogen, hydroxyl, cyano, phenyl, -C(0)Ci-4alkyl, -C(0)C3- ecycloalkyl, -C(0)OCi-4alkyl, -C(0)OCi-4haloalkyl, -C(0)NH2, -C(0)NH(Ci_ 4alkyl), -C(0)N(Ci-4alkyl)(Ci-4alkyl), -C(0)NH(-Ci-6alkylene-OCi-4alkyl), - C(0)N(Ci-4alkyl)(-Ci-6alkylene-OCi-4alkyl), -C(0)NH(-Ci-6alkylene-OH), - C(0)N(Ci-4alkyl)(-Ci-6alkylene-OH), -NH(-Ci-6alkylene-OCi-4alkyl), -N(Ci- 4alkyl)(-Ci-6alkylene-OCi-4alkyl), -NH(-Ci-6alkylene-OH), -N(Ci-4alkyl)(-Ci- 6alkylene-OH), -C(0)Ci-4haloalkyl, -OCi-4alkyl, -Ci-4alkylene-OCi-4alkyl, -Ci_ 6alkylene-OH, -Ci-6alkylene substituted by 2 groups independently selected from hydroxyl and -OC(0)Ci-4alkyl, -Ci-4alkylene-C(0)OCi-4alkyl, -Ci-4alkylene-
C(0)OH, -NHC(0)(Ci-4alkyl), -N(CMalkyl)C(0)(CMalkyl), -NH2, - H(CMalkyl), and -N(Ci-4alkyl)(Ci-4alkyl); and
[0053] R4 is phenyl or a 5- or 6-membered heteroaryl containing 1-3 heteroatoms independently selected from oxygen, nitrogen and sulfur, R4 being optionally substituted with 1-3 substituents independently selected from the group consisting of halogen, hydroxyl, cyano, -S(0)2Ci-4alkyl, -S(0)Ci-4alkyl, -SCi-4alkyl, Ci-4alkyl, Ci_ 4haloalkyl, -OCi-4alkyl,
-Ci-4alkylene-OCi-4alkyl, -Ci-4alkylene- N(Ci-4alkyl)(Ci-4alkyl), - H(CMalkylene-OCMalk l), -NH(Ci-4alkylene-OH), - N(CMalk l)(CMalk lene-OCMalkyl), -N(Ci-4alkyl)(Ci-4alkylene-OH), -NH2, - NH(Ci-4alkyl), -N(C1-4alkyl)(C1-4alkyl), C 3-6cycloalkyl, C5-6cycloalkenyl, or a 4- to 8-membered monocyclic heterocycle containing 1-2 nitrogen atoms, the C 3- 6cycloalkyl, the C5-6cycloalkenyl, and the 4- to 8-membered monocyclic heterocycle being independently optionally substituted with 1-2 substituents independently selected from the group consisting of pyridyl, halogen, hydroxyl, -OCi-4alkyl, Ci_ 4alkyl,
-Ci-4alkylene-OCi-4alkyl, and -Chalky lene-OH.
[0054] In another aspect, the present invention provides compounds of formula (I) or (IV).
[0055] Another aspect of the present invention provides pharmaceutical compositions comprising a pharmaceutically acceptable carrier and therapeutically effective amounts of a compound of formula (I) or (IV), or a pharmaceutically acceptable salt thereof.
[0056] In another aspect, the invention provides compounds of formula (I) or (IV), or a pharmaceutically acceptable salt thereof, which promote remyelination of demyelinated axons.
[0057] In another aspect, the invention provides compounds of formula (I) or (IV), or a pharmaceutically acceptable salt thereof, which differentiate endogenous oligodendrocyte precursor cells.
[0058] In another aspect, the invention provides methods of treating multiple sclerosis by administering to a patient in need thereof a therapeutically effective amount of a compound or composition of formula (I) or (IV), or a pharmaceutically acceptable salt thereof.
[0059] In another aspect, the present invention provides a method of treating, preventing or ameliorating one or more symptoms of a subject with multiple sclerosis or another neurological disease.
[0060] In another aspect, the invention provides the use of a compound of formula (I) or (IV), or a pharmaceutically acceptable salt thereof, for the manufacture of a medicament for the treatment of multiple sclerosis, the promotion of remyelination of demyelinated axons, or the differentiation of endogenous oligodendrocyte precursor cells.
[0061] In another aspect, the invention provides compounds of formula (I) or (IV), or a pharmaceutically acceptable salt thereof, for use in treating multiple sclerosis, promoting remyelination of demyelinated axons, or differentiating endogenous oligodendrocyte precursor cells.
[0062] In another aspect, the invention provides compounds of formula (I) or (IV), or a pharmaceutically acceptable salt thereof for treating or lessening the severity of, in a subject, a disease or disorder selected from a demyelinating disease, central pontine myelinolysis, a nerve injury disease or disorder, a leukoencephalopathy or a leukodystrophyin.
[0063] In another aspect, the invention provides compounds of formula (I) or (IV), or a pharmaceutically acceptable salt thereof
[0064] In another aspect, the invention provides compounds of formula (I) or (IV), or a pharmaceutically acceptable salt thereof can be employed in combination therapies, that is, the compounds and pharmaceutically acceptable compositions can be administered concurrently with, prior to, or subsequent to, one or more other desired therapeutics or medical procedures.
[0065] The present invention also features kits comprising compounds of formula
(I) or (IV).
DETAILED DESCRIPTION OF THE INVENTION
[0066] 1. Definitions
[0067] For purposes of this invention, the chemical elements are identified in accordance with the Periodic Table of the Elements, CAS version, Handbook of
Chemistry and Physics, 75th Ed. Additionally, general principles of organic chemistry are described in "Organic Chemistry," Thomas Sorrell, University Science Books,
Sausalito: 1999, and "March's Advanced Organic Chemistry," 5 Ed., Ed.: Smith, M.B. and March, J., John Wiley & Sons, New York: 2001, the entire contents of which are hereby incorporated by reference.
[0068] As described herein, compounds of the invention can optionally be substituted with one or more substituents, such as are illustrated generally above, or as exemplified by particular classes, subclasses, and species of the invention. As described herein, the variables in formula I encompass specific groups, such as, for example, alkyl and cycloalkyl. As one of ordinary skill in the art will recognize, combinations of substituents envisioned by this invention are those combinations that result in the formation of stable or chemically feasible compounds. The term
"stable," as used herein, refers to compounds that are not substantially altered when subjected to conditions to allow for their production, detection, and preferably their recovery, purification, and use for one or more of the purposes disclosed herein. In some embodiments, a stable compound or chemically feasible compound is one that is not substantially altered when kept at a temperature of 40°C or less, in the absence of moisture or other chemically reactive conditions, for at least a week.
[0069] The phrase "optionally substituted" may be used interchangeably with the phrase "substituted or unsubstituted." In general, the term "substituted," whether preceded by the term "optionally" or not, refers to the replacement of hydrogen radicals in a given structure with the radical of a specified substituent. Specific substituents are described above in the definitions and below in the description of compounds and examples thereof. Unless otherwise indicated, an optionally substituted group can have a substituent at each substitutable position of the group, and when more than one position in any given structure can be substituted with more than one substituent selected from a specified group, the substituent can be either the same or different at every position. A ring substituent, such as a heterocycloalkyl, can be bound to another ring, such as a cycloalkyl, to form a spiro-bicyclic ring system, e.g., both rings share one common atom. As one of ordinary skill in the art will recognize, combinations of substituents envisioned by this invention are those combinations that result in the formation of stable or chemically feasible compounds.
[0070] The compounds of the invention are defined according to the terms in the claims and the embodiments. The following definitions are provided as a general
guide to understanding the claims and embodiments and are applicable where specific definitions are absent.
[0071] The term "alkyl" as used herein, means a straight or branched chain saturated hydrocarbon. Representative examples of alkyl include, but are not limited to, methyl, ethyl, n-propyl, isopropyl, n-butyl, sec-butyl, isobutyl, tert-butyl, n-pentyl, isopentyl, neopentyl, n-hexyl, 3-methylhexyl, 2,2-dimethylpentyl, 2,3-dimethylpentyl, n-heptyl, n-octyl, n-nonyl, and n-decyl.
[0072] The term "alkylene," as used herein, means a divalent group derived from a straight or branched chain saturated hydrocarbon. Representative examples of alkylene include, but are not limited to, -CH2- -CH2CH2- -CH2CH2CH2-, - CH2CH(CH3)CH2- and -CH2CH(CH3)CH(CH3)CH2-.
[0073] The term "alkoxy" as used herein, means an alkyl group, as defined herein, appended to the parent molecular moiety through an oxygen atom. Representative examples of alkoxy include, but are not limited to, methoxy, ethoxy, propoxy, isopropoxy, butoxy, isobutoxy, tert-butoxy, pentyloxy, and hexyloxy.
[0074] The term "aryl," as used herein, means phenyl or a bicyclic aryl. The bicyclic aryl is naphthyl, dihydronaphthalenyl, tetrahydronaphthalenyl, indanyl, or indenyl. The phenyl and bicyclic aryls are attached to the parent molecular moiety through any carbon atom contained within the phenyl or bicyclic aryl.
[0075] The term "halogen" means a chlorine, bromine, iodine, or fluorine atom.
[0076] The term "haloalkyl," as used herein, means an alkyl, as defined herein, in which one, two, three, four, five, six, or seven hydrogen atoms are replaced by halogen. For example, representative examples of haloalkyl include, but are not limited to, 2-fluoroethyl, difluoromethyl, trifluoromethyl, 2,2,2-trifluoroethyl, 2,2,2- trifluoro-l,l-dimethylethyl, and the like.
[0077] The term "haloalkoxy," as used herein, means an alkoxy group, as defined herein, in which one, two, three, four, five, or six hydrogen atoms are replaced by halogen. Representative examples of haloalkoxy include, but are not limited to, trifiuoromethoxy, difiuoromethoxy, 2,2,2-trifluoroethoxy, 2,2-difluoroethoxy, 2- fluoroethoxy, and pentafluoroethoxy.
[0078] The term "heteroaryl," as used herein, means an aromatic heterocycle, i.e., an aromatic ring that contains at least one heteroatom. A heteroaryl may contain from 5 to 12 ring atoms. A heteroaryl may be a 5- to 6-membered monocyclic heteroaryl
or an 8- to 12-membered bicyclic heteroaryl. A 5-membered monocyclic heteroaryl ring contains two double bonds, and one, two, three, or four heteroatoms as ring atoms. Representative examples of 5-membered monocyclic heteroaryls include, but are not limited to, furanyl, imidazolyl, isoxazolyl, isothiazolyl, oxadiazolyl, oxazolyl, pyrazolyl, pyrrolyl, tetrazolyl, thiadiazolyl, thiazolyl, thienyl, and triazolyl. A 6- membered heteroaryl ring contains three double bonds, and one, two, three or four heteroatoms as ring atoms. Representative examples of 6-membered monocyclic heteroaryls include, but are not limited to, pyridinyl, pyridazinyl, pyrimidinyl, pyrazinyl, and triazinyl. The bicyclic heteroaryl is an 8- to 12-membered ring system having a monocyclic heteroaryl fused to an aromatic, saturated, or partially saturated carbocyclic ring, or fused to a second monocyclic heteroaryl ring. Representative examples of bicyclic heteroaryl include, but are not limited to, benzofuranyl, benzoxadiazolyl, 1,3-benzothiazolyl, benzimidazolyl, benzothienyl, indolyl, indazolyl, isoquinolinyl, naphthyridinyl, oxazolopyridine, quinolinyl, thienopyridinyl, 5,6,7,8-tetrahydroquinolinyl, and 6,7-dihydro-5H-cyclopenta[b]pyridinyl. The heteroaryl groups are connected to the parent molecular moiety through any substitutable carbon atom or any substitutable nitrogen atom contained within the groups.
[0079] The term "cycloalkyl" as used herein, means a monocyclic all-carbon ring containing zero heteroatoms as ring atoms, and zero double bonds. Examples of cycloalkyls include, but are not limited to, cyclopropyl, cyclobutyl, cyclopentyl, cyclohexyl, cycloheptyl, and cyclooctyl. The cycloalkyl groups described herein can be appended to the parent molecular moiety through any substitutable carbon atom.
[0080] The term "cycloalkenyl" as used herein, means a monocyclic non-aromatic all-carbon 5- to 6-membered ring containing zero heteroatoms as ring atoms and one double bond. Examples of cycloalkenyl include cyclopentenyl and cyclohexenyl.
The cycloalkenyl groups described herein can be appended to the parent molecular moiety through any substitutable carbon atom.
[0081] The terms "heterocycle" or "heterocyclic" refer generally to ring systems containing at least one heteroatom as a ring atom where the heteroatom is selected from oxygen, nitrogen, and sulfur. In some embodiments, a nitrogen or sulfur atom of the heterocycle is optionally substituted with oxo. Heterocycles may be a monocyclic heterocycle, a fused bicyclic heterocycle, or a spiro heterocycle. The monocyclic
heterocycle is generally a 4, 5, 6, 7, or 8-membered non-aromatic ring containing at least one heteroatom selected from O, N, or S. The 4-membered ring contains one heteroatom and optionally one double bond. The 5-membered ring contains zero or one double bond and one, two or three heteroatoms. The 6, 7, or 8-membered ring contains zero, one, or two double bonds, and one, two, or three heteroatoms.
Representative examples of monocyclic heterocycle include, but are not limited to, azetidinyl, azepanyl, diazepanyl, 1,3-dioxanyl, 1,4-dioxanyl, 1,3-dioxolanyl , 4,5- dihydroisoxazol-5-yl, 3,4-dihydropyranyl, 1 ,3-dithiolanyl, 1 ,3-dithianyl, imidazolinyl, imidazolidinyl, isothiazolinyl, isothiazolidinyl, isoxazolinyl, isoxazolidinyl, morpholinyl, oxadiazolinyl, oxadiazolidinyl, oxazolinyl, oxazolidinyl, oxetanyl, piperazinyl, piperidinyl, pyranyl, pyrazolinyl, pyrazolidinyl, pyrrolinyl, pyrrolidinyl, tetrahydrofuranyl, tetrahydropyranyl, tetrahydrothienyl, thiadiazolinyl,
thiadiazolidinyl, thiazolinyl, thiazolidinyl, thiomorpholinyl, 1 ,1 - dioxidothiomorpholinyl, thiopyranyl, and trithianyl. The fused bicyclic heterocycle is a 7-12-membered ring system having a monocyclic heterocycle fused to a phenyl, to a saturated or partially saturated carbocyclic ring, or to another monocyclic heterocyclic ring, or to a monocyclic heteroaryl ring. Representative examples of fused bicyclic heterocycle include, but are not limited to, l ,3-benzodioxol-4-yl, 1,3-benzodithiolyl, 3-azabicyclo[3.1.0]hexanyl, hexahydro-lH-furo[3,4-c]pyrrolyl, 2,3-dihydro-l,4- benzodioxinyl, 2,3-dihydro-l-benzofuranyl, 2,3-dihydro-l -benzothienyl, 2,3-dihydro- lH-indolyl, 5,6,7,8-tetrahydroimidazo[l,2-a]pyrazinyl, and 1,2,3,4- tetrahydroquinolinyl. Spiro heterocycle means a 4, 5-, 6-, 7-, or 8-membered monocyclic heterocycle ring wherein two of the substituents on the same carbon atom form a second ring having 3, 4, 5, 6, 7, or 8- members. Examples of a spiro heterocycle include, but are not limited to, l,4-dioxa-8-azaspiro[4.5]decanyl, 2-oxa-7- azaspiro[3.5]nonanyl, 2-oxa-6-azaspiro[3.3]heptanyl, and 8-azaspiro[4.5]decane. The monocyclic heterocycle groups of the present invention may contain an alkylene bridge of 1, 2, or 3 carbon atoms, linking two non-adjacent atoms of the group.
Examples of such a bridged heterocycle include, but are not limited to, 2,5- diazabicyclo[2.2.1]heptanyl, 2-azabicyclo[2.2.1]heptanyl, 2-azabicyclo[2.2.2]octanyl, and oxabicyclo[2.2.1]heptanyl. The monocyclic, fused bicyclic, and spiro heterocycle groups are connected to the parent molecular moiety through any substitutable carbon atom or any substitutable nitrogen atom contained within the group.
[0082] The term "oxo" as used herein refers to an oxygen atom bonded to the parent molecular moiety. An oxo may be attached to a carbon atom or a sulfur atom by a double bond. Alternatively, an oxo may be attached to a nitrogen atom by a single bond, i.e., an N-oxide.
[0083] Terms such as "alkyl," "cycloalkyl," "alkylene," etc. may be preceded by a designation indicating the number of atoms present in the group in a particular instance (e.g., "Ci-4alkyl," "C3-6cycloalkyl," " Chalky lene"). These designations are used as generally understood by those skilled in the art. For example, the
representation "C" followed by a subscripted number indicates the number of carbon atoms present in the group that follows. Thus, "C3alkyl" is an alkyl group with three carbon atoms (i.e., n-propyl, isopropyl). Where a range is given, as in "C ," the members of the group that follows may have any number of carbon atoms falling within the recited range. A "Ci-4alkyl," for example, is an alkyl group having from 1 to 4 carbon atoms, however arranged (i.e., straight chain or branched).
[0084] Unless otherwise stated, structures depicted herein are also meant to include all isomeric (e.g., enantiomeric, diastereomeric, and geometric (or conformational)) forms of the structure; for example, the R and S configurations for each asymmetric center, (Z) and (E) double bond isomers, and (Z) and (E) conformational isomers. Therefore, single stereochemical isomers as well as enantiomeric, diastereomeric, and geometric (or conformational) mixtures of the present compounds are within the scope of the invention. Unless otherwise stated, all tautomeric forms of the compounds of the invention are within the scope of the invention. Thus, included within the scope of the invention are tautomers of compounds of formula (I) or (IV). The structures also include zwitterioinc forms of the compounds or salts of formula I where appropriate.
[0085] 2. Compounds
[0086] In a first aspect of the invention are rovided compounds of formula (I)
[0087] or a pharmaceutically acceptable salt thereof, wherein R1, R2, R4, X1, X2, X3, and X4 are as defined herein.
[0088] In some embodiments, R1 is selected from the group consisting of -OCi-
-0-Ci-6alkylene-OH, -NHC(0)(Ci-4alkyl), - C(0)N(Ci-4alkyl)(Ci-4alkyl), -C(0)NH(Ci-4haloalkyl), -C(0)NH(-Ci.6alkylene-OCi. 4alkyl), -I^-G -R6, -Lx-G2, -Lx-G3, and -L2-G4;
R2 is selected from the group consisting of hydrogen, Ci-4alkyl, Ci-4haloalkyl, halogen, and -OCi-4alkyl;
RX1 is selected from the group consisting of hydrogen and -0-Ci-4alkyl; RX2 is selected from the group consisting of hydrogen, halogen, and Ci-4alkyl;
RX3 is selected from the group consisting of hydrogen, Ci-4alkyl, and -0-Ci-4alkyl;
L1 is a bond, -0-, -0-Ci-4alkylene- -NR5-, or -C(O)-, wherein R5 is hydrogen or Ci-4alkyl;
L2 is -0-Ci-4alkylene-; G1 is a 4- to 8-membered monocyclic heterocycle containing 1-2 heteroatoms independently selected from nitrogen;
R6 is a 4- to 12-membered heterocycle containing 1-4 heteroatoms independently selected from oxygen, the heterocycle being optionally substituted with 1-4 substituents independently selected from the group consisting of Ci-4alkyl, Ci_ haloalkyl, -CH2S(0)2phenyl, halogen, hydroxyl, oxo, -OCi-4alkyl, -Ci-6alkylene- OCi-4alkyl, and -Ci-6alkylene-OH;
G2 is a 4- to 12-membered heterocycle containing 1-4 heteroatoms independently selected from oxygen, nitrogen, and sulfur, G2 being optionally substituted with 1-4 substituents independently selected from the group consisting of Ci-4alkyl, -C(0)OCi_ 4alkyl, and a -Chalky lene substituted by 2 groups independently selected from hydroxyl and halogen;
G3 is 3- to 8-membered cycloalkyl optionally substituted with 1-4 substituents independently selected from the group consisting of Ci-4alkyl and -OCi-4alkyl;
G4 is phenyl optionally substituted with 1-4 substituents independently selected from the group consisting of-OCi-4alkyl; and R4 is phenyl or a 6-membered heteroaryl containing 1-3 nitrogen, R4 being optionally substituted with 1-3 substituents independently selected from the group consisting of halogen.
[0089] In some embodiments X4 is S (i.e., formula (II)). In the embodiments according to formula (II) and corresponding sub-formulas are further embodiments wherein X2 is N, X1 is CRX1 (e.g., CH), and X3 is CRX3 (e.g., CH). In other embodiments, X3 is N, X1 is CRX1 (e.g., CH), and X2 is CRX2 (e.g., CH, C-halogen, C- Ci-4alkyl). In other embodiments, X1 is N, X2 is CRX2 (e.g., C-Ci-4alkyl), and X3 is CRX3 (e.g., CH). In other embodiments, X3 is N, X1 is N, and X2 is CRX2 (e.g., CH, C-halogen, C-Ci-4alkyl). In other embodiments, X1 is N, X2 is N, and X3 is CRX3 (e.g., CH, C-Ci-4alkyl). In other embodiments, X1 is CRX1 (e.g., CH), X2 is CRX2 (e.g., CH, C-halogen), and X3 is CRX3 e.g., CH).
(Π)
[0090] In some embodiments, X4 is O (i.e., formula (III)). In the embodiments according to formula (III) and corresponding sub-formulas are further embodiments wherein X1 is CRX1 (e.g., CH, C-OCi-4alkyl), X2 is CRX2 (e.g., CH, C-halogen), and X3 is CRX3 (e.g., CH). In other embodiments, X2 is N, X1 is CRX1 (e.g., CH), and X3 is CRX3 (e.g., CH). In other embodiments, X3 is N, X1 is CRX1 (e.g., CH), and X2 is CRX2 (e.g., CH, C-halogen, C-Ci-4alkyl). In other embodiments, X1 is N, X2 is CRX2 (e.g., C-Ci-4alkyl), and X3 is CRX3 (e.g., CH). In other embodiments, X3 is N, X1 is N, and X2 is CRX2 (e.g., CH, C-halogen, C-Ci-4alkyl). In other embodiments, X1 is N, X2 is N, and X3 is CRX3 (e.g., CH, C-Ci-4alkyl).
(III)
[0091] In the embodiments according to formula (IV) and corresponding sub- formulas are further embodiments wherein X1 is CRX1 (e.g., CH, C-OCi-4alkyl), X2 is CRX2 (e.g., CH, C-halogen), and X3 is CRX3 (e.g., CH, C-OCMalkyl). In other embodiments, X2 is N, X1 is CRX1 (e.g., CH, C-Ci-4alkyl, C-halogen, C-OCi-4alkyl, C- G2), and X3 is CRX3 (e.g., CH). In other embodiments, X3 is N, X1 is CRX1 (e.g., CH), and X2 is CRX2 (e.g., CH, C-halogen, C-Ci-4alkyl). In other embodiments, X1 is N, X2 is CRX2 (e.g., C-Ci-4alkyl), and X3 is CRX3 (e.g., CH). In other embodiments, X3 is N, X1 is N, and X2 is CRX2 (e.g., CH, C-halogen, C-Ci-4alkyl). In other embodiments, X1 is N, X2 is N, and X3 is CRX3 (e.g., CH, C-Ci-4alkyl). In other embodiments, X2 is N, X3 is N, and X1 is CRX1 (e.g., CH).
[0092] Further according to formula (II) are embodiments wherein R1 is -I^-G^R6 (i.e., (II-l)), wherein G1, L1, and R6 are as defined herein.
(II-l)
[0093] Further according to formula (III) are embodiments wherein R1 is -I^-G1- R6 (i.e., (III-l)), wherein G1, L1, and R6 are as defined herein.
(III-l)
[0094] In some embodiments of formula (IV), R is -L -G -R (i.e., (IV- 1)), wherein G1, L1, and R6 are as defined herein.
[0095] G1 is a 4- to 8-membered monocyclic heterocycle containing 1-2 heteroatoms independently selected from oxygen, nitrogen, and sulfur, the monocyclic heterocycle optionally containing one double bond and/or a Ci-3alkylene bridge between two non-adjacent ring atoms, G1 being optionally substituted with 1-4 substituents independently selected from the group consisting of Ci-4alkyl, Ci_ 4haloalkyl, halogen, hydroxyl, and oxo. In further embodiments, G1 is a 4- to 8- membered optionally substituted monocyclic heterocycle containing a first nitrogen atom and optionally a second heteroatom independently selected from oxygen and nitrogen, and optionally containing one double bond and/or a
bridge between two non-adjacent ring atoms. In some embodiments, G1 is connected to the parent molecular moiety (i.e., at L1) through the first nitrogen atom. In other embodiments, G1 is attached to L1 at a ring carbon atom of G1. In further embodiments, G1 is a 4- to 6-membered optionally substituted monocyclic heterocycle containing a first nitrogen atom and optionally a second heteroatom independently selected from oxygen and nitrogen, and optionally containing one double bond and/or a
bridge between two non-adjacent ring atoms, G1 being connected to the parent molecular moiety through the first nitrogen atom. In some embodiments, G1 is a 4- to 8-membered monocyclic heterocycle containing 1 or 2 nitrogen atoms, the monocyclic heterocycle optionally containing one double bond and/or a
bridge between two non-adjacent ring atoms, G1 being optionally substituted with 1-4 substituents independently selected from the group consisting of Ci-4alkyl,
halogen, hydroxyl, and oxo. In some embodiments, G1 contains one nitrogen atom. In other embodiments, G1 contains two nitrogen atoms. The heterocycles at G1 may be unsubstituted or substituted. For example, in some embodiments, G1 may be piperazinyl, homopiperazinyl, azetidinyl, pyrrolidinyl, piperidinyl, azepanyl, 2,5-diazabicyclo[2.2.1]heptanyl, 2,5-dihydro-lH- pyrrolyl, oxetanyl, morpholino, tetrahydropyranyl, or 1,2,3,6-tetrahydropyridinyl,
each unsubstituted or substituted as described herein. In other embodiments, the piperazinyl, homopiperazinyl, azetidinyl, pyrrolidinyl, piperidinyl, azepanyl, 2,5- diazabicyclo[2.2.1]heptanyl, 2,5-dihydro-lH-pyrrolyl, oxetanyl, mo holino, tetrahydropyranyl, or 1,2,3,6-tetrahydropyridinyl are optionally substituted with 1-4 substituents independently selected from 1 hydroxyl, 1-2 halogen, 1 oxo, and 1-4 Ci_ 4alkyl groups. In some embodiments, a pyrrolidinyl and/or piperidinyl is optionally substituted with halogen, 1 hydroxyl, or 1 oxo and the piperazinyl is optionally substituted with oxo. In some embodiments, G1 is piperazin-l-yl optionally substituted with oxo. In some embodiments, G1 may have a
bridge between two non-adjacent ring atoms (e.g., 2,5-diazabicyclo[2.2. l]heptanyl). In other embodiments, G1 is without a
bridge between two non-adjacent ring atoms. The heterocycles of G1 may be appended to the parent molecule (i.e., at L1) by any substitutable carbon or nitrogen atom. In some embodiments, L1 is -O- and G1 is attached to L1 at a ring carbon atom of G1. In some embodiments, L1 is a bond and G1 is attached to L1 at a ring nitrogen atom of G1. For example, non-limiting examples of G1 include piperazin-l-yl, 2-oxo-piperazin-l-yl, homopiperazin-l-yl, azetidin-l-yl, azetidin-3-yl, pyrrolidin-3-yl, 3-hydroxy-pyrrolidin-3-yl, 3-fluoro-pyrrolidin-3-yl, piperidin-l-yl, piperidin-3-yl, piperidin-4-yl, 3-hydroxypiperidin-4-yl, 4- hydroxypiperidin-4-yl, 3-fluoropiperidin-4-yl, 4-fluoropiperidin-4-yl, 3,3- difiuoropiperidin-4-yl, azepan-3-yl, 2,5-diazabicyclo[2.2.1]heptan-2-yl, 2,5-dihydro- lH-pyrrol-3-yl, or l,2,3,6-tetrahydropyridin-4-yl.
[0096] R6 is a 4- to 12-membered heterocycle containing 1-4 heteroatoms independently selected from oxygen, nitrogen, and sulfur, the heterocycle being optionally substituted with 1-4 substituents independently selected from the group consisting of Ci-4alkyl,
-CH2S(0)2phenyl, halogen, hydroxyl, oxo, - OCi-4alkyl, -Ci-6alkylene-OCi-4alkyl, and -Ci-6alkylene-OH.
[0097] In embodiments containing R6, the 4- to 12-membered heterocycle at R6 may be a 4- to 8-membered monocyclic heterocycle containing 1-2 heteroatoms independently selected from oxygen, nitrogen, and sulfur, the monocyclic heterocycle optionally containing one double bond and/or a
bridge between two non- adjacent ring atoms and being optionally substituted with 1-4 substituents
independently selected from the group consisting of Ci-4alkyl,
- CH2S(0)2phenyl, halogen, hydroxyl, oxo, -OCi-4alkyl, -Ci-6alkylene-OCi-4alkyl,
and -Chalky lene-OH. In some embodiments, R is a 4- to 6-membered monocyclic heterocycle containing 1-2 heteroatoms independently selected from oxygen and nitrogen, and sulfur, the heterocycle being optionally substituted with 1-4 substituents independently selected from the group consisting of Ci-4alkyl,
halogen, hydroxyl, oxo, and -OCi-4alkyl. For example, in some embodiments, R6 is an oxetanyl, a tetrahydrofuranyl, a tetrahydropyranyl, a morpholinyl, 2-oxa-5- azabicyclo[2.2.1]heptanyl, 6-oxa-3-azabicyclo[3.1.1]heptanyl, 1,4-oxazepanyl, 3-oxa- 8-azabicyclo[3.2.1]octanyl, 8-oxa-3-azabicyclo[3.2.1]octanyl, a pyrrolidinyl, piperidinyl, thiomorpholinyl, a thietanyl, piperazinyl, or azetidinyl, each being optionally substituted as described herein. In other embodiments, R6 is oxetanyl, tetrahydrofuranyl, tetrahydropyranyl, morpholinyl, pyrrolidinyl, or thietanyl, each being optionally substituted with 1-4 substituents independently selected from Ci- 4alkyl and oxo. In some embodiments, the oxetanyl, tetrahydrofuranyl,
tetrahydropyranyl, morpholinyl, pyrrolidinyl, thietanyl, piperazinyl, and azetidinyl, are each optionally substituted with 1-4 substituents independently selected from halogen, Ci-4alkyl and oxo. In some embodiments, the oxetanyl, tetrahydrofuranyl, tetrahydropyranyl, morpholinyl, pyrrolidinyl, thietanyl, and piperazinyl are each optionally substituted with Ci-4alkyl, and the pyrrolidinyl, piperazinyl, and thietanyl further optionally substituted with 1-2 oxo groups. In other embodiments, R6 is a 4- to 8-membered monocyclic heterocycle containing 1 oxygen atom (e.g., an oxetanyl, a tetrahydrofuranyl, a tetrahydropyranyl). In other embodiments, R6 is a 4-membered monocyclic heterocycle containing 1 oxygen atom and optionally substituted with Ci_ 4alkyl or -CH2S(0)2phenyl. In other embodiments, R6 is a 4-membered monocyclic heterocycle containing 1 oxygen atom and optionally substituted with Ci-4alkyl. In other embodiments, R6 is a 4- to 8-membered monocyclic heterocycle containing 1 sulfur atom (e.g., thietanyl, tetrahydrothiophenyl, tetrahydro-2H-thiopyranyl). In other embodiments, R6 is a 4-membered monocyclic heterocycle containing 1 sulfur atom and optionally substituted with 1-2 oxo groups. In other embodiments, R6 is a 4- to 8-membered monocyclic heterocycle containing 1 nitrogen atom and optionally 1 oxygen atom or 1 sulfur atom (e.g., azetidinyl, pyrrolidinyl, morpholinyl, homomorpholinyl, thiomorpholinyl, piperazinyl) and optionally substituted with oxo (e.g., 2-oxopyrrolidin-l-yl). The heterocycles of R6 may be appended to the parent molecule (i.e., to G1) by any substitutable carbon atom or nitrogen atom in R6. Thus,
in some embodiments, the oxygen-containing heterocycle is oxetan-3-yl,
tetrahydrofuran-3-yl, tetrahydropyran-3-yl, or tetrahydropyran-4-yl. In other embodiments, the sulfur-containing heterocycle is thietan-3-yl, tetrahydrothiophen-3- yl, tetrahydro-2H-thiopyran-3-yl, or tetahydro-2H-thiopyran-4-yl. In other embodiments, the heterocycle containing 1 nitrogen atom and optionally 1 oxygen or sulfur atom is e.g., piperidin-l-yl, morpholin-4-yl, azetidin-l-yl, piperazin-l-yl, 2- oxa-5-azabicyclo[2.2.1]heptan-5-yl, 6-oxa-3-azabicyclo[3.1.1]heptan-3-yl, 1,4- oxazepan-4-yl, 3-oxa-8-azabicyclo[3.2.1]octan-8-yl, 8-oxa-3-azabicyclo[3.2.1]octan- 3-yl, thiomorpholin-4-yl, or 2-oxopyrrolidin-l-yl. In the embodiments of the invention, the oxygen- and sulfur-containing heterocycles may be unsubstituted or substituted as described herein. For example, the oxygen-containing heterocycle may be oxetan-3-yl, 3-methyloxetan-3-yl or 3-((phenylsulfonyl)methyl)oxetan-3-yl and the sulfur-containing heterocycle may be thietan-3-yl or l,l-dioxothietan-3-yl. In some embodiments, R6 is oxetanyl, tetrahydrofuranyl, 1,4-dioxanyl, morpholino, pyrrolidinyl, piperidinyl, or piperazinyl, each optionally substituted with 1-4 substituents independently selected from the group consisting of Ci-4alkyl, Ci_ 4haloalkyl, halogen, hydroxyl, oxo, and -OCi-4alkyl.
[0098] In embodiments containing R6, the 4- to 12-membered heterocycle at R6 may be a 7- to 12-membered spiro heterocycle comprising a first ring and a second ring, the first ring being a 4- to 8-membered monocyclic heterocycle containing 1-2 heteroatoms independently selected from nitrogen and oxygen and being attached to G1, the second ring being a Cs-gcycloalkyl or a 4- to 8-membered monocyclic heterocycle containing 1-2 oxygen atoms wherein two atoms of the second ring are attached to one carbon of the first ring to form a spirocycle optionally substituted with 1-4 substituents independently selected from the group consisting of Ci-4alkyl, Ci_ 4haloalkyl, halogen, hydroxyl, and oxo. In some embodiments, the spirocyclic R6 is optionally substituted with 1-4 substituents independently selected from the group consisting of Ci-4alkyl,
-CH2S(0)2phenyl, halogen, hydroxyl, oxo, - OCi-4alkyl, -Ci-6alkylene-OCi-4alkyl, and -Ci-6alkylene-OH. In some
embodiments, R6 is a 7- to 12-membered spiro heterocycle consisting of the first ring and a second ring, as described herein. The first ring is attached to G1 through any substitutable carbon or nitrogen atom. In one embodiment, the first ring is attached to G1 through a nitrogen atom. The first ring of R6 includes, but is not limited to,
heterocycles such as azetidine, pyrrolidine, piperidine, azepane, morpholine, azocane, piperazine, and homopiperazine. In some embodiments, the first ring of R6 is a 4- to 8-membered monocyclic heterocycle containing 1 -2 nitrogen atoms or 1 nitrogen atom and 1 oxygen atom. For example, in some embodiments, the first ring is morpholino, piperazin-l -yl, or piperidin-l -yl. The second ring includes a C3- gcycloalkyl, e.g., cyclopropyl, cyclobutyl cyclopentyl. The second ring is formed by the attachment of two atoms of the second ring to a single carbon atom of the first ring such that the first ring and the second ring share one carbon atom in common. For example, in some embodiments, R6 is 4-oxa-7-azaspiro[2.5]octanyl (e.g., 4-oxa-7- azaspiro[2.5]octan-7-yl).
[0099] In embodiments containing R6, the 4- to 12-membered heterocycle at R6 may be a 7- to 12-membered fused bicyclic heterocycle containing 1 -3 heteroatoms independently selected from oxygen, nitrogen, and sulfur and being optionally substituted with 1 -4 substituents independently selected from the group consisting of Ci-4alkyl,
halogen, hydroxyl, and oxo. In other embodiments, R6 is a 7- to 12-membered fused bicyclic heterocycle containing 1-3 heteroatoms independently selected from oxygen, nitrogen, and sulfur and being optionally substituted with 1 -4 substituents independently selected from the group consisting of Ci-4alkyl, Ci_ 4haloalkyl, halogen, hydroxyl, oxo, -OCi-4alkyl, -Ci-6alkylene-OCi-4alkyl, and -Ci- 6alkylene-OH. In some embodiments, the fused bicyclic heterocycle is a 7- 12- membered ring system having a monocyclic heterocycle, as defined herein, fused to another monocyclic heterocyclic ring. For example, in some embodiments, R6 is 2- oxa-5-azabicyclo[4.1.0]heptanyl (e.g., 2-oxa-5-azabicyclo[4.1.0]heptan-5-yl).
[00100] In embodiments containing R6, R6 may be a 3- to 8-membered cycloalkyl optionally substituted with 1-4 substituents independently selected from the group consisting of Ci-4alkyl,
halogen, hydroxyl, -C(0)OCi-4alkyl, -C(0)OH, and oxo. In other embodiments, R6 is optionally substituted with 1 -4 substituents independently selected from the group consisting of Ci-4alkyl,
halogen, hydroxyl, -C(0)OCi-4alkyl, -C(0)OH, oxo, -OCi-4alkyl, -Ci-6alkylene-OCi-4alkyl, and -Chalky lene-OH. For example, in some embodiments, R6 is cyclopropyl, cyclobutyl, or cyclopentyl, each being optionally substituted with -C(0)OCi-4alkyl, - C(0)OH, hydroxyl or 1 -2 halogen. In one group of compounds, R6 is cyclopropyl. In
another group of compounds R is cyclobutyl. In other embodiments, R is 3,3- difiuorocyclobutyl. In other embodiments, R6 is a cyclobutane carboxylic acid.
[00101] For example, R6 may be represented by the following formulas, wherein R' and R6b are the optional R6 substituents, respectively, for the 4-12 membered heterocycle or C3-8cycloalkyl of R6 and s is an integer from 0-4:
[00102] In embodiments wherein R is an optionally substituted oxetan-3-yl, G may be represented by the following formulas, wherein R l is the optional G1 substituent and m is an integer from 0-4:
[00103] G^R6 may also be represented by the following formulas, wherein R l, R6a, R6b, m and s are as defined herein:
[00104] -G1-!*6 together may be 4-(oxetan-3-yl)piperazin-l-yl, 4-(3-methyloxetan-
3- yl)piperazin-l -yl, 4-(tetrahydrofuran-3-yl)piperazin-l -yl, 4-(2- methyltetrahydrofuran-3-yl)piperazin-l -yl, 4-(tetrahydro-2H-pyran-3-yl)piperazin-l - yl, 4-(tetrahydro-2H-pyran-4-yl)piperazin-l-yl, 4-(oxetan-3-yl)-2-oxo-piperazin-l -yl,
4- (oxetan-3-yl)piperidin-l-yl, l -(oxetan-3-yl)piperidin-3-yl, l -(oxetan-3-yl)piperidin- 4-yl, l-(3-methyloxetan-3-yl)piperidin-4-yl, 3-hydroxy-l-(oxetan-3-yl)piperidin-4-yl, 3-fluoro-l -(oxetan-3-yl)piperidin-4-yl, 4-hydroxy-l-(oxetan-3-yl)piperidin-4-yl, 4- fluoro-l-(oxetan-3-yl)piperidin-4-yl, 3,3-difluoro-l -(oxetan-3-yl)piperidin-4-yl, 4-(2- oxopy rrolidin- l-yl)piperi din- 1-yl, 3 -(2-oxopy rrolidin- l -yl)piperi din- 1 -yl, 4- morpholinopiperidin- 1 -yl, (4-methy lpiperazin- 1 -y l)piperidin- 1-yl, 4-(3,3- difluoroazetidin- 1 -y l)piperidin- 1 -y 1, 3 -morpholinopy rrolidin- 1-yl, 1 -(oxetan-3 - yl)pyrrolidin-3-yl, 5-(oxetan-3-yl)-2,5-diazabicyclo[2.2. l]heptan-2-yl, l -(oxetan-3- yl)-l ,2,3,6-tetrahydropyridin-4-yl, 3-hydroxy-l-(oxetan-3-yl)-pyrrolidin-3-yl, 3- fluoro-l -(oxetan-3-yl)pyrrolidin-3-yl, l -(oxetan-3-yl)azetidin-3-yl, 3-(oxetan-3- y l)azetidin- 1 -y 1, 3 -(py rrolidin- 1 -y l)azetidin- 1-yl, 3-(4-fluoropiperidin- 1 -y l)azetidin- 1 - yl, 3-morpholinoazetidin-l -yl, 3-methyl-3-morpholinoazeti din- 1-yl, 3-(2- methylmo holino)azeti din- 1 -yl, 3-(3-methylmorpholino)azetidin-l-yl,
dimethylmorpholino)azeti din- 1 -yl, 3-(2,6-dimethylmo holino)azeti din- 1-yl, 3-(l ,4- oxazepan-4-yl)azeti din- 1 -yl, 3-(6-oxa-3-azabicyclo[3.1. l]heptan-3-yl)azetidin-l -yl, (3-(2-oxa-5-azabicyclo[2.2.1]heptan-5-yl)azetidin-l -yl, 3-(8-oxa-3- azabicyclo[3.2.1]octan-3-yl)azetidin-l-yl, 3-(3-oxa-8-azabicyclo[3.2.1]octan-8- yl)azeti din- 1 -yl, 3-(4-oxa-7-azaspiro[2.5]octan-7-yl)azetidin-l -yl, 3-(2-oxa-5- azabicyclo[4.1.0]heptan-5-yl)azeti din- 1 -yl, 3-(morpholinomethyl)azetidin-l -yl), 3- (1, 1 -dioxidothiomo holino)azetidin- 1-yl, 4-(thietan-3-y l)piperazin- 1-yl, 4- (piperazin-l -yl)thietane 1, 1-dioxide, 4-(oxetan-3-yl)-4-( 1-oxidanyl)-4 4-piperazin-l- yl, 4-(oxetan-3-yl)n ^holin-2-yl, 6-methyl-4-(oxetan-3-yl)morpholin-2-yl, 5-methyl-
4-(oxetan-3-yl)morpholin-2-yl, 2-methyl-4-(oxetan-3-yl)morpholin-2-yl, or 4- (oxetan-3-yl)-l,4-diazepan-l-yl.
[00105] In other embodiments, -G1-!*6 together may represent 3-(l- hydroxycyclobutyl)piperazin-l-yl; 4-cyclopropylpiperazin-l-yl; 4- cyclobutylpiperazin-l-yl; 4-cyclopentylpiperazin-l-yl; l-cyclopropylpiperidin-4-yl; l-cyclopropylpiperidin-3-yl; l-cyclobutylpiperidin-4-yl, l-cyclopentylpiperidin-4-yl, 4-(3,3-difluorocyclobutyl)piperazin-l-yl; or 5-cyclopropyl-2,5- diazabicyclo[2.2. l]heptan-2-yl.
[00106] Further according to formulas (I), (II), (II-l), (III), and (III-l), and the foregoing description are embodiments wherein L1 is a bond or -0-. In further embodiments, R2 is hydrogen, Ci-4alkyl, or
In further embodiments, RX1 is hydrogen. In further embodiments, RX2 is hydrogen or halogen. In still further embodiments, RX3 is hydrogen or -OCi-4alkyl. In further embodiments, G1 is a 4- to 8-membered or 4- to 6-membered optionally substituted monocyclic heterocycle as described above. In further embodiments, R6 is an optionally substituted 4- to 8- membered monocyclic heterocycle containing 1-2 heteroatoms independently selected from oxygen, nitrogen, and sulfur, the monocyclic heterocycle optionally containing one double bond and/or a
bridge between two non-adjacent ring atoms. In still further embodiments, L1 is a bond or -0-; R2 is hydrogen, Ci-4alkyl, or Ci_ 4haloalkyl; R is hydrogen; R is hydrogen or halogen; R is hydrogen or -OCi- 4alkyl; G1 is a 4- to 8-membered optionally substituted monocyclic heterocycle containing a first nitrogen atom and optionally a second heteroatom independently selected from oxygen and nitrogen, the monocyclic heterocycle optionally containing one double bond and/or a
bridge between two non-adjacent ring atoms; and R6 is an optionally substituted 4- to 8-membered monocyclic heterocycle containing 1-2 heteroatoms independently selected from oxygen, nitrogen, and sulfur, the monocyclic heterocycle optionally containing one double bond and/or a Ci_ 3alkylene bridge between two non-adjacent ring atoms. In further embodiments, L1 is a bond and G1 is a 4- to 8-membered optionally substituted monocyclic heterocycle containing a first nitrogen atom and optionally a second heteroatom independently selected from oxygen and nitrogen, the monocyclic heterocycle optionally containing one double bond and/or a
bridge between two non-adjacent ring atoms, G1 being connected to the parent molecular moiety through the first nitrogen atom. In
further embodiments according to the foregoing, L1 is a bond and G -R6 is
combination with the foregoing, L
G is a 4- to 8-membered optionally substituted monocyclic heterocycle containing a first nitrogen atom and optionally a second heteroatom independently selected from oxygen and nitrogen, the monocyclic heterocycle optionally containing one double bond and/or a
bridge between two non-adjacent ring atoms, wherein G1 is connected to the parent molecular moiety through a carbon atom of G1. In further
[00107] Further according to formulas (IV) and (IV-1), and the foregoing description, are embodiments wherein L1 is a bond. In further embodiments, R2 is hydrogen, Ci-4alkyl, or Ci-4haloalkyl. In further embodiments, RX1 is hydrogen. In further embodiments, RX2 is hydrogen or halogen. In still further embodiments, RX3 is hydrogen. In further embodiments, G1 is a 4- to 8-membered or 4- to 6-membered optionally substituted monocyclic heterocycle as described above. In further embodiments, R6 is an optionally substituted 4- to 8-membered monocyclic heterocycle containing 1-2 heteroatoms independently selected from oxygen, nitrogen, and sulfur, the monocyclic heterocycle optionally containing one double bond and/or a Ci-3alkylene bridge between two non-adjacent ring atoms. In still
1 2 XI X2
further embodiments, L is a bond; R is Ci-4alkyl; R is hydrogen; R is hydrogen; RX3 is hydrogen; G1 is an optionally substituted 4- to 8-membered monocyclic heterocycle containing a first nitrogen atom and optionally a second heteroatom independently selected from oxygen and nitrogen, the monocyclic heterocycle optionally containing one double bond and/or a
bridge between two non- adjacent ring atoms, G1 being connected to the parent molecular moiety through the first nitrogen atom; and R6 is an optionally substituted 4- to 8-membered monocyclic heterocycle containing 1-2 heteroatoms independently selected from oxygen, nitrogen, and sulfur, the monocyclic heterocycle optionally containing one double bond and/or a
bridge between two non-adjacent ring atoms. In further embodiments according to the foregoing, L1 is a bond and G^R6 is
[00108] Further according to formula (II) are embodiments wherein R1 is -Lx-G2 (i.e., (Π-2)), wherein G2and L1 are as defined herein.
(II-2)
[00109] Further according to formula (III) are embodiments wherein R1 is -Lx-G2 (i.e., (III-2)), wherein G2and L1 are as defined herein.
(III-2)
[00110] Further according to formula (IV) are embodiments wherein R1 is -Lx-G2 (i.e., (IV-2)), wherein G2and L1 are as defined herein.
(IV-2)
[00111] G2 is a 4- to 12-membered heterocycle containing 1-4 heteroatoms independently selected from oxygen, nitrogen, and sulfur, G2 being optionally substituted with 1-4 substituents independently selected from the group consisting of Ci-4alkyl (e.g., methyl, ethyl, isopropyl), Ci-4haloalkyl (e.g., -CF3, -CH2CF3, - CH2CHF2), halogen (e.g., fluoro), hydroxyl, oxo, cyano, -Ci-6alkylene-cyano, - C(0)Ci-4alkyl (e.g., -C(0)CH3), -C(0)-Ci-6alkylene-OCi-4alkyl, -C(0)-Ci_ ealkylene-OH, -C(0)C3-6cycloalkyl, -C(0)OCMalkyl (e.g., -C(0)OCH3, - C(0)OCH2CH3, -C(0)OC(CH3)3), -C(0)OCi-4haloalkyl (e.g., -C(0)OCH2CF3), - C(0)NH2, -C(0)NH(Ci-4alkyl) (e.g., -C(0)NHCH2CH3), -C(0)N(Ci-4alkyl)(Ci. 4alkyl) (e.g., -C(0)N(CH3)2), -C(0)NH(-Ci-6alkylene-OCi-4alkyl) (e.g., - C(0)NH(CH2CH2OCH3)), -C(0)N(Ci-4alkyl)(-Ci-6alkylene-OCi-4alkyl) (e.g., - C(0)NCH3(CH2CH2OCH3)), -C(0)NH(-Ci-6alkylene-OH) (e.g., - C(0)NH(CH2CH2OH)), -C(0)N(Ci-4alkyl)(-Ci-6alkylene-OH) (e.g., - C(0)NCH3(CH2CH2OH)), -NH(-Ci-6alkylene-OCi-4alkyl) (e.g., -
NH(CH2CH2OCH3)), -N(Ci-4alkyl)(-Ci-6alkylene-OCi-4alkyl) (e.g., - NCH3(CH2CH2OCH3)), -NH(-Ci-6alkylene-OH) (e.g., -NH(CH2CH2OH)), -N(Ci_ 4alkyl)(-Ci-6alkylene-OH) (e.g., -NCH3(CH2CH2OH)), -C(0)Ci-4haloalkyl (e.g., - C(0)CF3), -OCi-4alkyl (e.g., -OCH3), -OCi-4haloalkyl, -Ci-6alkylene-OCi-4alkyl (e.g., -CH2OCH3, -CH2CH2OCH3, -CH2CH2CH2OCH3), -Ci-6alkylene-OH (e.g., - CH2OH, -C (OH)(CH3)2, -CH2C(OH)(CH3)2, -C(OH)(CH3)CH(CH3)2), -Ci.
6alkylene-NH2, -Ci-6alkylene-NH(Ci-4alkyl), -Ci-6alkylene-N(Ci-4alkyl)(Ci-4alkyl) (e.g., -CH2CH2-N(CH3)2), -0-Ci-6alkylene-NH2, -0-Ci-6alkylene-NH(Ci-4alkyl), - 0-Ci-6alkylene-N(Ci-4alkyl)(Ci-4alkyl), -0-Ci-6alkylene-OCi-4alkyl, -O-Ci.
6alkylene-OH, -Ci-4alkylene-0-Ci-4alkylene-OCi-4alkyl, -Ci-4alkylene-0-Ci- 4alkylene-OH, -Ci-4alkylene-C(0)OCi-4alkyl (e.g., -CH(CH3)C(0)OCH3 - CH2C(0)OCH2CH3, -CH2C(0)OCH2CH3), -Ci-4alkylene-C(0)OH, -NHC(0)(Ci_ 4alkyl), -N(Ci-4alkyl)C(0)(Ci-4alkyl), -NH2, -NH(Ci-4alkyl), -N(Ci-4alkyl)(Ci-4alkyl)
(e.g., -N(CH3)2), -S(0)i-2Ci-4alkyl, -Ci-6alkylene-S(0)i-2Ci-4alkyl, and a -Ci.
6alkylene substituted by 2 groups independently selected from hydroxyl, halogen, - OC(0)Ci-4alkyl, -OCi-4alkyl, -NH2, -NH(Ci-4alkyl), and -N(Ci-4alkyl)(Ci-4alkyl) (e.g., -CH(CH20H)(CH2C1), -CH2CH(OH)CH2OCH2CH3). In some embodiments, G2 is optionally substituted with 1-4 substituents independently selected from the group consisting of halogen, Ci-4alkyl, -C(0)OCi-4alkyl, -OCi-4alkyl, -N(Ci_ 4alkyl)(Ci-4alkyl), -Ci-6alkylene-OCi-4alkyl, and -Ci-6alkylene substituted by 2 groups independently selected from hydroxyl and halogen. In some embodiments, G2 may be substituted with one substituent selected from the foregoing group and further optionally substituted with 1-3 substituents selected from the group consisting of Ci_ 4alkyl and halogen.
[00112] The heterocycles of G2 may be appended to the parent molecule (i.e., at L1) by any substitutable carbon or nitrogen atom. In some embodiments, L1 is -0-, -O- Ci-4alkylene-, or -NR5- and G2 is attached to L1 at a ring carbon atom of G2. In some embodiments, L1 is a bond or -C(O)- and G2 is attached to L1 at a ring nitrogen atom of G2.
[00113] In some embodiments, the 4- to 12-membered heterocycle at G2 is a 4- to 8- membered monocyclic heterocycle containing 1-3 heteroatoms independently selected from oxygen, nitrogen, and sulfur, the monocyclic heterocycle optionally containing one double bond and/or a Ci-3alkylene bridge between two non-adjacent ring atoms, G2 being optionally substituted with 1-4 substituents as described herein. In some embodiments, G2 is an optionally substituted 4- to 8-membered monocyclic heterocycle containing a first nitrogen atom and optionally a second nitrogen atom, an oxygen or sulfur atom, and optionally containing one double bond and/or a Ci_ 3alkylene bridge between two non-adjacent ring atoms, G2 being connected to L1 through the first nitrogen atom. In some embodiments, G2 is an optionally substituted 4- to 6-membered monocyclic heterocycle containing a first nitrogen atom and optionally a second heteroatom independently selected from oxygen and nitrogen, and optionally containing one double bond and/or a Ci-3alkylene bridge between two non- adjacent ring atoms, G2 being connected to the parent molecular moiety through a nitrogen atom. In further embodiments, G2 is an optionally substituted 4- to 6- membered monocyclic heterocycle containing 1-2 heteroatoms independently selected from oxygen and nitrogen, G2 being connected to the parent molecular moiety through
ring carbon atom of G2. In some embodiments, G2 is a 6-membered monocyclic heterocycle containing 1 or 2 nitrogen atoms and substituted with Ci-4alkyl. In some embodiments, G2 is piperazin-l-yl optionally substituted with Ci-4alkyl. For example, G2 may be 4-Ci-4alkyl-piperazin-l-yl. In other embodiments, G2 may be
unsubstituted. In some embodiments, G2 may be an optionally substituted 4- to 8- membered monocyclic heterocycle containing one oxygen atom and optionally one double bond (e.g., oxetanyl, tetrahydrofuranyl, 2,5-dihydrofuranyl). In other embodiments, G2 may be an optionally substituted 4- to 8-membered monocyclic heterocycle containing one nitrogen and optionally a second nitrogen atom, an oxygen or sulfur atom, and optionally containing one double bond and/or a
bridge between two non-adjacent ring atoms (e.g., azetidinyl, piperidinyl, piperazinyl, 2,5-diazabicyclo[2.2.1]heptanyl, 2-oxa-5-azabicyclo[2.2.1]heptanyl, 3-oxa-8- azabicyclo[3.2. l]octanyl, 8-oxa-3-azabicyclo[3.2. l]octanyl, 6-oxa-3- azabicyclo[3.1.1]heptanyl, 2,5-dihydro-lH-pyrrolyl, morpholinyl). For example, G2 may be morpholinyl, homomorpholinyl, thiomorpholinyl, piperazinyl,
homopiperazinyl, azetidinyl, pyrrolidinyl, piperidinyl, azepanyl, 2,5- diazabicyclo[2.2.1]heptanyl, 2,5-dihydro-lH-pyrrolyl, 6-oxa-3- azabicyclo[3.1. l]heptanyl, 2-oxa-5-azabicyclo[2.2. l]heptanyl, 3-oxa-8- azabicyclo[3.2.1]octanyl, 8-oxa-3-azabicyclo[3.2.1]octanyl, 1,2,3,6- tetrahydropyridinyl, oxetanyl, tetrahydrofuranyl, tetrahydropyranyl, 2,5- dihydrofuranyl, or 3,6-dihydro-2H-pyranyl. In some embodiments, G2 may have a Ci-3alkylene bridge between two non-adjacent ring atoms (e.g., 2,5- diazabicyclo[2.2.1]heptanyl, 2-oxa-5-azabicyclo[2.2.1]heptanyl, 3-oxa-8- azabicyclo[3.2.1]octanyl, 8-oxa-3-azabicyclo[3.2.1]octanyl). In other embodiments, G2 is without a
bridge between two non-adjacent ring atoms. The heterocycles of G2 may be appended to the parent molecule (i.e., at L1) by any substitutable carbon or nitrogen atom (e.g., morpholin-4-yl, homomorpholin-4-yl, thiomorpholin-4-yl, 4-thiomorpholine 1,1 -dioxide, piperazin-l-yl, homopiperazin-1- yl, azetidin-l-yl, azetidin-3-yl, pyrrolidin-l-yl, pyrrolidin-3-yl, 2-oxooxazolidin-3-yl, 2-oxooxazolidin-5-yl, piperidin-l-yl, piperidin-3-yl, piperidin-4-yl, azepan-l-yl, azepan-3-yl, 2,5-diazabicyclo[2.2.1]heptan-2-yl, 6-oxa-3-azabicyclo[3.1.1]heptan-3- yl, 2-oxa-5-azabicyclo[2.2.1]heptan-5-yl, 3-oxa-8-azabicyclo[3.2.1]octan-8-yl, 8-oxa- 3-azabicyclo[3.2. l]octan-3-yl, 2,5-dihydro-lH-pyrrol-3-yl, 1,2,3,6-tetrahydropyridin-
4-yl, oxetan-3-yl, tetrahydrofuran-3-yl, tetrahydropyran-4-yl, 2,5-dihydrofuran-3-yl, and 3,6-dihydro-2H-pyran-4-yl).
[00114] In some embodiments, G2 may be represented by the following formulas, wherein R 2a is the optional G2 substituent and m is an integer between 0 and 4.
[00115] In other embodiments, the 4- to 12-membered heterocycle at G2 is a 7- to 12- membered spiro heterocycle comprising a first ring and a second ring, the first ring being a 4- to 8-membered monocyclic heterocycle containing 1-2 heteroatoms independently selected from nitrogen and oxygen and being attached to L1, the second ring being a C3-8cycloalkyl or a 4- to 8-membered monocyclic heterocycle containing 1-2 oxygen atoms wherein two atoms of the second ring are attached to one carbon of the first ring to form a spirocycle, and wherein G2 is optionally substituted with 1-4 substituents independently selected from the group consisting of Ci-4alkyl, Ci_ 4haloalkyl, halogen, hydroxyl, and oxo. In some embodiments, G2 is connected to the parent molecular moiety through a nitrogen atom of the first ring (e.g., when L1 is a bond). In some embodiments, G2 is a 7- to 12-membered spiro heterocycle consisting of the first ring and a second ring, as described herein. The first ring of the spiro heterocycle includes, but is not limited to, heterocycles such as azetidine, pyrrolidine, piperidine, azepane, morpholine, azocane, piperazine, and homopiperazine. In another embodiment, the first ring is a 4- to 8-membered monocyclic heterocycle
containing 1 -2 nitrogen atoms or 1 nitrogen atom and 1 oxygen atom. In another embodiment, the first ring is a 4- to 6-membered monocyclic heterocycle containing
1 - 2 nitrogen atoms. The first ring may be attached to the parent molecule through a nitrogen atom (e.g., azetidin-l-yl, pyrrolidin-l -yl, piperazin-l -yl, or piperidin-l -yl). The second ring includes, but is not limited to, heterocycles such as oxetane, tetrahydrofuran, tetrahydropyran, dioxolane, etc. In some embodiments, the second ring has one oxygen atom. In other embodiments, the second ring has two oxygen atoms. In other embodiments, the second ring is a C3-8cycloalkyl, e.g., cyclopropyl, cyclobutyl cyclopentyl. The second ring is formed by the attachment of two atoms of the second ring to a single carbon atom of the first ring such that the first ring and the second ring share one carbon atom in common. For example, the second ring may be joined with the first ring at the 4-position of a first ring piperidin-l -yl or the 3- position of a first ring azetidin-l -yl, pyrrolidin-l-yl, piperidin-l -yl, or piperazin-l -yl. In certain embodiments, G2 is l,4-dioxa-8-azaspiro[4.5]decanyl, 2-oxa-6- azaspiro[3.5]nonanyl, 2-oxa-7-azaspiro[3.5]nonanyl, 2-oxa-5,8- diazaspiro[3.5]nonanyl, 2,5-dioxa-8-azaspiro[3.5]nonanyl, l-oxa-8- azaspiro[4.5]decanyl, 5-oxa-8-azaspiro[3.5]nonanyl, 2-oxa-6-azaspiro[3.4]octanyl, 6- oxa-2-azaspiro[3.4]octanyl, l-oxa-6-azaspiro[3.3]heptanyl, or 2-oxa-6- azaspiro[3.3]heptanyl, 2-oxa-8-azaspiro[4.5]decanyl, 2,6-diazaspiro[3.3]heptanyl, 2- oxa-7-azaspiro[4.4]nonanyl, 2-oxa-5-azaspiro[3.4]octanyl, l-oxa-9- azaspiro[5.5]undecanyl, where the 2,6-diazaspiro[3.3]heptanyl and 2-oxa-5,8- diazaspiro[3.5]nonanyl are optionally substituted with Ci-4alkyl and/or oxo. Other embodiments include l ,4-dioxa-8-azaspiro[4.5]decan-8-yl, 2-oxa-7- azaspiro[3.5]nonan-7-yl, 2-oxa-7-azaspiro[4.4]nonan-7-yl, 5-methyl-2-oxa-5,8- diazaspiro[3.5]nonan-8-yl, 2-oxa-6-azaspiro[3.4]octan-6-yl, 2-oxa-5- azaspiro[3.4]octan-5-yl, l-oxa-6-azaspiro[3.3]heptan-6-yl, 2-oxa-6- azaspiro[3.5]nonan-6-yl, 2,5-dioxa-8-azaspiro[3.5]nonan-8-yl, l-oxa-8- azaspiro[4.5]decan-8-yl, 5-oxa-8-azaspiro[3.5]nonan-8-yl, 6-oxa-2- azaspiro[3.4]octan-2-yl, 2-oxa-6-azaspiro[3.3]heptan-6-yl, 2-oxa-8- azaspiro[4.5]decan-8-yl, l-oxa-9-azaspiro[5.5]undecan-9-yl, 6-isopropyl-2,6- diazaspiro[3.3]heptan-2-yl, or 2,6-diazaspiro[3.3]heptan-2-yl. In further
embodiments, G2 is selected from the group consisting of 2,6-diazaspiro[3.3]heptan-
2- yl, 2-oxa-6-azaspiro[3.4]octan-6-yl, and 2-oxa-8-azaspiro[4.5]decan-8-yl.
[00116] In other embodiments, the 4- to 12-membered heterocycle at G2 is a 7- to 12- membered fused bicyclic heterocycle containing 1-3 heteroatoms independently selected from oxygen, nitrogen, and sulfur, optionally substituted with 1-4 substituents independently selected from the group consisting of Ci-4alkyl, Ci_ 4haloalkyl, halogen, hydroxyl, -OCi-4alkyl, and oxo. In some embodiments, the fused bicyclic heterocycle is a 7-12-membered ring system having a monocyclic
g. For
1-4 substituents selected from the group consisting of Ci-4alkyl (e.g., methyl, ethyl, isobutyl), oxo. In ot
her embodiments G m maayv b hee
X
each being optionally substituted with one Ci-4alkyl,
halogen, or oxo. In some embodiments, G2 may be substituted with on
example, in some embodimen
[00117] Further according to formulas (I), (II), (II-2), (III), and (ΙΠ-2), and the foregoing description are embodiments wherein L1 is a bond, -0-, -0-Ci-4alkylene- -NR5-, or -C(O)-. In further embodiments, R2 is hydrogen, Ci-4alkyl,
or halogen. In further embodiments, RX1 is hydrogen. In further embodiments, RX2 is hydrogen or halogen. In still further embodiments, RX3 is hydrogen. In some embodiments, G2 is an optionally substituted 4- to 8-membered monocyclic heterocycle containing 1-3 heteroatoms independently selected from oxygen, nitrogen, and sulfur, the monocyclic heterocycle optionally containing one double bond and/or a
bridge between two non-adjacent ring atoms. In still further embodiments, L1 is a bond, -0-, -0-Ci-4alkylene-, -NR5-, or -C(O)-; R2 is hydrogen, Ci-4alkyl,
or halogen; RX1 is hydrogen; RX2 is hydrogen or halogen; RX3 is hydrogen or -OCi-4alkyl; and G2 is an optionally substituted 4- to 8- membered monocyclic heterocycle containing 1-3 heteroatoms independently selected from oxygen, nitrogen, and sulfur, the monocyclic heterocycle optionally containing one double bond and/or a
bridge between two non-adjacent ring atoms.
[00118] In still other embodiments of formula (Π-2), L1 is a bond, -0-, -O-Ci- 4alkylene- -NR5-, or -C(O)-; R2 is Ci-4alkyl, Ci-4haloalkyl, or halogen; RX1 is hydrogen; R is hydrogen or halogen; R is hydrogen or -OCi-4alkyl; and G is an optionally substituted 4- to 8-membered monocyclic heterocycle containing 1-3 heteroatoms independently selected from oxygen, nitrogen, and sulfur, the monocyclic heterocycle optionally containing one double bond and/or a Ci-3alkylene bridge between two non-adjacent ring atoms.
[00119] In still other embodiments of formula (Π-2), L1 is a bond, -0-, -O-Ci- 4alkylene-, -NR5-, or -C(O)-; R2 is hydrogen, Ci-4alkyl,
or halogen; R is hydrogen; R is hydrogen or halogen; R is hydrogen or -OCi-4alkyl; G is an optionally substituted 4- to 8-membered monocyclic heterocycle containing 1-3 heteroatoms independently selected from oxygen, nitrogen, and sulfur, the monocyclic heterocycle optionally containing one double bond and/or a
bridge between two non-adjacent ring atoms; and X3 is RX3.
[00120] In still other embodiments of formula (II-2), L1 is a bond, -0-, -O-Ci. 4alkylene-, -NR5-, or -C(O)-; R2 is hydrogen, Ci-4alkyl,
or halogen; R is hydrogen; R is hydrogen or halogen; R is hydrogen or -OCi-4alkyl; G is an optionally substituted 4- to 8-membered monocyclic heterocycle containing 1-3
heteroatoms independently selected from oxygen, nitrogen, and sulfur, the monocyclic heterocycle optionally containing one double bond and/or a
bridge between two non-adjacent ring atoms; and R4 is optionally substituted pyridinyl.
[00121] In still other embodiments of formula (Π-2), L1 is a bond, -0-, -O-Ci- 4alkylene-, -NR5-, or -C(O)-; R2 is hydrogen, Ci-4alkyl,
or halogen;
XI X2 X3 2
R is hydrogen; R is hydrogen or halogen; R is hydrogen or -OCi-4alkyl; G is an optionally substituted 4- to 8-membered monocyclic heterocycle containing 1-3 heteroatoms independently selected from oxygen, nitrogen, and sulfur, the monocyclic heterocycle optionally containing one double bond and/or a
bridge between two non-adjacent ring atoms; and X1 is RX1.
[00122] In still other embodiments of formula (Π-2), L1 is a bond, -0-, -O-Ci- 4alkylene-, -NR5-, or -C(O)-; R2 is hydrogen, Ci-4alkyl,
or halogen;
XI X2 X3 2
R is hydrogen; R is hydrogen or halogen; R is hydrogen or -OCi-4alkyl; G is an optionally substituted 4- to 8-membered monocyclic heterocycle containing 1-3 heteroatoms independently selected from oxygen, nitrogen, and sulfur, the monocyclic heterocycle optionally containing one double bond and/or a
bridge between two non-adjacent ring atoms; and X2 is RX2.
[00123] In still other embodiments of formula (II-2), X1 is CRX1; X3 is CRX3; X2 is N; R is hydrogen; R is hydrogen; R is Ci-4alkyl,
or halogen; L is a bond, -0-, -0-Ci-4alkylene-, -NR5-, or -C(O)-; G2 is an optionally substituted 4- to 8-membered monocyclic heterocycle containing 1-3 heteroatoms independently selected from oxygen, nitrogen, and sulfur, the monocyclic heterocycle optionally containing one double bond and/or a
bridge between two non-adjacent ring atoms; and R4 is optionally substituted phenyl or pyridinyl. In one
subembodiment, R4 is phenyl substituted with phenyl (e.g., 3,5-difluorophenyl). In another subembodiment, R4 is pyridin-2-yl.
[00124] In still other embodiments of formula (II-2), X1 is CRX1; X2 is CRX2; X3 is
N;
is a bond, -0-, -0-Ci-4alkylene-, -NR5-, or -C(O)-; G2 is an optionally substituted 4- to 8-membered monocyclic heterocycle containing 1-3 heteroatoms independently selected from oxygen, nitrogen, and sulfur, the monocyclic heterocycle optionally containing one double bond and/or a
bridge between two non-adjacent
ring atoms; and R4 is optionally substituted pyridinyl. In one subembodiment, R4 is pyridin-2-yl.
[00125] In still other embodiments of formula (II-2), X1 is N; X2 is CRX2; X3 is N; RX2 is hydrogen or halogen; R2 is Ci-4alkyl,
or halogen; L1 is a bond, - 0-, -0-Ci-4alkylene-, -NR5-, or -C(O)-; G2 is an optionally substituted 4- to 8- membered monocyclic heterocycle containing 1-3 heteroatoms independently selected from oxygen, nitrogen, and sulfur, the monocyclic heterocycle optionally containing one double bond and/or a
bridge between two non-adjacent ring atoms; and R4 is optionally substituted pyridinyl. In one subembodiment, R4 is pyridin-2-yl.
[00126] In still other embodiments of formula (ΙΠ-2), L1 is a bond, -0-, -O-Ci. 4alkylene-, -NR5-, or -C(O)-; R2 is hydrogen, Ci-4alkyl,
or halogen; R is hydrogen; R is hydrogen or halogen; R is hydrogen or -OCi-4alkyl; G is an optionally substituted 4- to 8-membered monocyclic heterocycle containing 1-3 heteroatoms independently selected from oxygen, nitrogen, and sulfur, the monocyclic heterocycle optionally containing one double bond and/or a
bridge between two non-adjacent ring atoms; and R4 is optionally substituted pyridinyl.
[00127] In still other embodiments of formula (ΙΠ-2), L1 is a bond, -0-, -O-Ci. 4alkylene-, -NR5-, or -C(O)-; R2 is hydrogen, Ci-4alkyl,
or halogen; R is hydrogen; R is hydrogen or halogen; R is hydrogen or -OCi-4alkyl; G is an optionally substituted 4- to 8-membered monocyclic heterocycle containing 1-3 heteroatoms independently selected from oxygen, nitrogen, and sulfur, the monocyclic heterocycle optionally containing one double bond and/or a
bridge between two non-adjacent ring atoms; and R4 is phenyl or pyridinyl.
[00128] In further embodiments of formulas (I), (II), (II-2), (III), and (III-2), L1 is a bond or -C(O)-, and G2 is connected to L1 through a nitrogen atom of G2. In further
-C(0)OCi-4alkyl, or -Ci-6alkylene-OCi-4alkyl; and m is 0, 1
r 2. In still further embodiments in combination with the foregoing, L1 is a bond or
— N >— OC1 -4alkyl — N >— N(C1-4alkyl)2
* V_/ , or ¾ V_ , and Rg2a is C1-4alkyl, -C(0)OCi.
4alkyl, or -Ci-6alkylene-OCi-4alkyl. In other embodiments, L1 is -0-, -O-Ci- 4alkylene-, or -NR5-, and G2 is connected to L1 through a carbon atom of G2. In
C(0)OCi-4alkyl, -Ci-6alkylene-OCi-4alkyl, or -Ci-6alkylene substituted by 2 groups independently selected from hydroxyl and halogen; and m is 0, 1, or 2. In still further l 5 2 «— \ NH
embodiments, L is -0-, -0-Ci-4alkylene-, or -NR -, and G is "
where R 2a is CMalkyl, -C(0)OCMalkyl, -Ci-6alkylene-OCi-4alkyl, or -Ci_ 6alkylene substituted by 2 groups independently selected from hydroxyl and halogen.
[00129] Further according to formulas (IV) and (IV-2), and the foregoing description are embodiments wherein L1 is a bond. In further embodiments, R2 is hydrogen, Ci_ 4alkyl, C1-4haloalkyl, or halogen. In further embodiments, R2 is hydrogen. In further embodiments, RX1 is hydrogen. In further embodiments, RX2 is hydrogen or halogen. In further embodiments, RX2 is hydrogen. In still further embodiments, RX3 is hydrogen. In still further embodiments, L1 is a bond; R2 is hydrogen; RX1 is hydrogen; R is hydrogen; R is hydrogen; and G is an optionally substituted 4- to 8-membered monocyclic heterocycle containing a first nitrogen atom and optionally a second nitrogen atom, an oxygen or sulfur atom, and optionally containing one double bond and/or a
bridge between two non-adjacent ring atoms, G2 being
connected to L1 through the first nitrogen atom. In further embodiments according to
Ci-4alkyl; and m is 0 or 1. In further embodiments according to the foregoing, L1 is a
„ — ti p f— N YlH R92 ai
[00130] Further according to formula (II) are embodiments wherein R1 is -Lx-G3 (i.e., (Π-3)), wherein G and L1 are as defined herein.
(II-3)
[00131] Further according to formula (III) are embodiments wherein R1 is -Lx-G3 (i.e., (ΙΠ-3)), wherein G and L1 are as defined herein.
(UI-3)
[00132] Further according to formula (IV) are embodiments wherein R1 is -Lx-G3 (i.e., (IV-3)), wherein G and L1 are as defined herein.
(IV-3)
[00133] G3 is a 3- to 8-membered cycloalkyl optionally substituted with 1-4 substituents independently selected from the group consisting of Ci-4alkyl, Ci-
4haloalkyl, halogen, hydroxyl, oxo, cyano, -C(0)Ci-4alkyl, -C(0)C3-6cycloalkyl, - C(0)OCi-4alkyl, -C(0)OCi-4haloalkyl, -C(0)NH2, -C(0)NH(Ci-4alkyl), -C(0)N(Ci_ 4alkyl)(Ci-4alkyl), -C(0)NH(-Ci-6alkylene-OCi-4alkyl), -C(0)N(Ci-4alkyl)(-Ci. 6alkylene-OCi-4alkyl), -C(0)NH(-Ci-6alkylene-OH), -C(0)N(Ci-4alkyl)(-Ci.
6alkylene-OH), -NH(-Ci-6alkylene-OCi-4alkyl), -N Ci^alkylX-Ci-ealkylene-OCi. 4alkyl), -NH(-Ci-6alkylene-OH), -N(Ci-4alkyl)(-Ci-6alkylene-OH), -C(0)Ci_ 4haloalkyl, -OCi-4alkyl, -Ci-4alkylene-OCi-4alkyl, -Ci-6alkylene-OH, -Ci-6alkylene substituted by 2 groups independently selected from hydroxyl and -OC(0)Ci-4alkyl, -Ci-4alkylene-C(0)OCi-4alkyl, -Ci-4alkylene-C(0)OH, -NHC(0)(Ci-4alkyl), -N(Ci_ 4alkyl)C(0)(Ci-4alkyl), -NH2, -NH(Ci-4alkyl), and -N(Ci-4alkyl)(Ci-4alkyl). In some embodiments, G3 is optionally substituted with 1-4 substituents independently selected from the group consisting of Ci-4alkyl, and -OCi-4alkyl. In some
embodiments, G3 is optionally substituted C3-5cycloalkyl. In some embodiments, G3 is optionally substituted cyclopropyl or cyclobutyl.
[00134] Further according to formulas (I), (II), (II-3), (III), and (ΙΠ-3), and the foregoing description are embodiments wherein L1 is -O- or -0-Ci-4alkylene-. In further embodiments, R2 is Ci-4alkyl. In further embodiments, RX1 is hydrogen. In further embodiments, RX2 is hydrogen. In still further embodiments, RX3 is hydrogen. In still further embodiments, L1 is -O- or -0-Ci-4alkylene-; R2 is Ci-4alkyl; RX1 is hydrogen; R is hydrogen; R is hydrogen; and G is optionally substituted C3-
[00135] Further according to formulas (IV) and (IV-3) and the foregoing description are embodiments wherein L1 is a bond or -0-. In further embodiments, R2 is hydrogen. In further embodiments, RX1 is hydrogen. In further embodiments, RX2 is hydrogen. In still further embodiments, RX3 is hydrogen. In still further
embodiments, L is a bond or -0-; R is hydrogen; R is hydrogen; R is hydrogen; RX3 is hydrogen; and G3 is optionally substituted C3-6cycloalkyl.
[00136] Further according to formula (II) are embodiments wherein R1 is -L2-G4 (i.e., (Π-4)), wherein G4and L2 are as defined herein.
[00137] Further according to formula (III) are embodiments wherein R1 is -L2-G4 (i.e., (III-4)), wherein G4and L2 are as defined herein.
(III-4)
[00138] Further according to formula (IV) are embodiments wherein R1 is -L2-G4 (i.e., (IV-4)), wherein G4and L2 are as defined herein.
(IV-4)
[00139] G4 is phenyl optionally substituted with 1-4 substituents independently selected from the group consisting of Ci-4alkyl, Ci-4haloalkyl, halogen, hydroxyl, cyano, phenyl, -C(0)Ci-4alkyl, -C(0)C3-6cycloalkyl, -C(0)OCi-4alkyl, -C(0)OCi_ 4haloalkyl, -C(0)NH2, -C(0)NH(Ci-4alkyl), -C(0)N(Ci-4alkyl)(Ci-4alkyl), - C(0)NH(-Ci-6alkylene-OCi-4alkyl), -C(0)N(Ci-4alkyl)(-Ci-6alkylene-OCi-4alkyl), - C(0)NH(-Ci-6alkylene-OH), -C(0)N(Ci-4alkyl)(-Ci-6alkylene-OH), -NH(-Ci_ ealkylene-OCi^alky ^NiCi^alky i-Ci-ealkylene-OCi^alky ^NHi-Ci-ealkylene- OH), -N(Ci-4alkyl)(-Ci-6alkylene-OH), -C(0)Ci-4haloalkyl, -OCi-4alkyl, -Ci_ 4alkylene-OCi-4alkyl, -Ci-6alkylene-OH, -Ci-6alkylene substituted by 2 groups independently selected from hydroxyl and -OC(0)Ci-4alkyl, -Ci-4alkylene-C(0)OCi- 4alkyl, -Ci-4alkylene-C(0)OH, -NHC(0)(Ci-4alkyl), -N(Ci-4alkyl)C(0)(Ci-4alkyl), - NH2, -NH(Ci- alkyl), and -N(Ci- alkyl)(Ci- alkyl). In some embodiments, G4 is
phenyl optionally substituted with 1-4 substituents independently selected from the group consisting of Ci-4alkyl,
halogen, hydroxyl, cyano, -or OCi-4alkyl. In further embodiments, G4 is phenyl optionally substituted with OCi-4alkyl.
[00140] Further according to formulas (I), (II), (II-4), (III), and (ΙΠ-4), and the foregoing description are embodiments wherein L1 is -0-Ci-4alkylene-. In further embodiments, R2 is Ci-4alkyl. In further embodiments, RX1 is hydrogen. In further embodiments, RX2 is Ci-4alkyl. In still further embodiments, RX3 is hydrogen. In still
1 2 XI X2 further embodiments, L is -0-Ci-4alkylene-; R is Ci-4alkyl; R is hydrogen; R is Ci-4alkyl; RX3 is hydrogen; and G4 is phenyl optionally substituted with OCi-4alkyl.
[00141] Further according to formulas (IV) and (IV-4), and the foregoing description are embodiments wherein L1 is -0-Ci-4alkylene-. In further embodiments, R2 is hydrogen. In further embodiments, RX1 is hydrogen. In further embodiments, RX2 is hydrogen. In still further embodiments, RX3 is hydrogen. In still further
1 2 XI X2 embodiments, L is -0-Ci-4alkylene-; R is hydrogen; R is hydrogen; R is hydrogen; RX3 is hydrogen; and G4 is phenyl.
[00142] Further according to formula (IV) are embodiments wherein R1 is -G5 (i.e., (IV-5)), wherein G5is as defined herein.
(IV-5)
[00143] G is a monocyclic 5- or 6-membered heteroaryl containing 1-4 heteroatoms independently selected from oxygen, nitrogen, and sulfur, G5 being optionally substituted with 1-4 substituents independently selected from the group consisting of Ci-4alkyl,
halogen, hydroxyl, cyano, phenyl, -C(0)Ci-4alkyl, -C(0)C3- ecycloalkyl, -C(0)OCi-4alkyl, -C(0)OCi-4haloalkyl, -C(0)NH2, -C(0)NH(Ci_
4alkyl), -C(0)N(Ci-4alkyl)(Ci-4alkyl), -C(0)NH(-Ci-6alkylene-OCi-4alkyl), - C(0)N(Ci-4alkyl)(-Ci-6alkylene-OCi-4alkyl), -C(0)NH(-Ci-6alkylene-OH), - C(0)N(Ci-4alkyl)(-Ci-6alkylene-OH), -NH(-Ci-6alkylene-OCi-4alkyl), -N(Ci- 4alkyl)(-Ci-6alkylene-OCi-4alkyl), -NH(-Ci-6alkylene-OH), -N(Ci-4alkyl)(-Ci- 6alkylene-OH), -C(0)Ci-4haloalkyl, -OCi-4alkyl, -Ci-4alkylene-OCi-4alkyl, -CL
6alkylene-OH, -Ci-6alkylene substituted by 2 groups independently selected from hydroxyl and -OC(0)Ci-4alkyl, -Ci-4alkylene-C(0)OCi-4alkyl, -Ci-4alkylene- C(0)OH, -NHC(0)(Ci-4alkyl), -N(Ci-4alkyl)C(0)(Ci-4alkyl), -NH2, -NH(Ci-4alkyl), and -N(Ci-4alkyl)(Ci-4alkyl). In some embodiments, G5 is optionally substituted with Ci-4alkyl. In some embodiments, G5 is an optionally substituted monocyclic 5- membered heteroaryl containing 1-4 heteroatoms independently selected from oxygen, nitrogen, and sulfur. In some embodiments, G5 is an optionally substituted monocyclic 5-membered heteroaryl containing 1-4 heteroatoms independently selected from oxygen, nitrogen, and sulfur (e.g., thiazole, oxazole, imidazole).
[00144] Further according to formulas (I)-(III) are embodiments wherein R1 is selected from the group consisting of -OCi-6alkyl, -OCi-6haloalkyl, -0-C2-6alkylene- OCi-4alkyl, -0-C2-6alkylene-OH, -NHC(0)(Ci-4alkyl), -N(Ci-4alkyl)C(0)(Ci-4alkyl), -C(0)NH2, -C(0)NH(Ci-4alkyl), -C(0)N(Ci-4alkyl)(Ci-4alkyl), -C(0)NH(Ci_
4haloalkyl), -C(0)NH(-C2-6alkylene-OCi-4alkyl), -C(0)N(Ci-4alkyl)(-C2-6alkylene- OCi-4alkyl), -C(0)NH(-C2-6alkylene-OH), and -C(0)N(Ci-4alkyl)(-C2-6alkylene-
2 8 1 2 3 4 4
OH); and R\ R°, X1, X\ X and X" are as defined herein. In some embodiments, R is optionally substituted phenyl. In some embodiments, R4 is optionally substituted pyridinyl.
[00145] Further according to formula (II) are embodiments wherein R1 is selected from the group consisting of -OCi-6alkyl, -OCi-6haloalkyl, -0-C2-6alkylene-OCi- 4alkyl, -0-C2-6alkylene-OH, -NHC(0)(Ci-4alkyl), -C(0)N(Ci-4alkyl)(Ci-4alkyl), - C(0)NH(Ci-4haloalkyl), and -C(0)NH(-C2-6alkylene-OCi-4alkyl); R2 is selected from the group consisting of hydrogen, Ci-4alkyl, Ci-4haloalkyl, halogen, and -OCi- 4alkyl; X1 is CH or N; X2 is CRX2 or N; X3 is CRX3 or N; RX2 is hydrogen or Ci-4alkyl; and RX3 is hydrogen or Ci-4alkyl. In some embodiments, R4 is optionally substituted phenyl. In some embodiments, R4 is optionally substituted pyridinyl.
[00146] Further according to formula (II) are embodiments wherein R1 is selected from the group consisting of -OCi-6haloalkyl, -NHC(0)(Ci-4alkyl), -C(0)N(Ci_ 4alkyl)(Ci-4alkyl), -C(0)NH(Ci-4haloalkyl), and -C(0)NH(-C2-6alkylene-OCi.
4alkyl); R2 is selected from the group consisting of hydrogen, Ci-4alkyl, Ci-4haloalkyl, halogen, and -OCi-4alkyl; X1 is CH or N; X2 is CRX2 or N; X3 is CRX3 or N; RX2 is hydrogen or Ci-4alkyl; and RX3 is hydrogen or Ci-4alkyl. In some embodiments, R4 is
optionally substituted phenyl. In some embodiments, R4 is optionally substituted pyridinyl.
[00147] Further according to formula (III) are embodiments wherein R1 is selected from the group consisting of -OCi-6alkyl or -NHC(0)(Ci-4alkyl); R2 is Ci-4alkyl; X1 is CH; X2 is CH; X3 is CH; and R4 is optionally substituted phenyl.
[00148] Further according to formula (III) are embodiments wherein R1 is -OCi- 6alkyl; R2 is hydrogen; X1 is CH; X2 is CH; X3 is CH; and R4 is optionally substituted pyridinyl.
[00149] Further according to formula (III) are embodiments wherein R1 is selected from the group consisting of -OCi-6haloalkyl, -0-C2-6alkylene-OCi-4alkyl, -0-C2- 6alkylene-OH, -NHC(0)(Ci-4alkyl), -C(0)N(Ci-4alkyl)(Ci-4alkyl), -C(0)NH(Ci_ 4haloalkyl), and -C(0)NH(-C2-6alkylene-OCi-4alkyl); R2 is selected from the group consisting of hydrogen, Ci-4alkyl,
halogen, and -OCi-4alkyl; X1 is CH or N; X2 is CRX2 or N; X3 is CRX3 or N; RX2 is hydrogen or CMalk l; and RX3 is hydrogen or Ci-4alkyl.
[00150] Further according to formula (IV) are embodiments wherein R1 is selected from the group consisting of hydrogen, Ci-4alkyl,
-0-Ci-4alkyl, OH, - NH-Ci-4alkyl,
and -NH2; and R2, R8, X1, X2, X3, and X4 are as defined herein.
[00151] Further according to formula (IV) are embodiments wherein R1 is selected from the group consisting of hydrogen, Ci-4alkyl, and -0-Ci-4alkyl; R2 is hydrogen or Ci-4alkyl; X1 is CRX1 or N; X2 is CH or N; X3 is CH or N; and CRX1 is hydrogen, halogen, or -OCi-4alkyl.
[00152] R4 is phenyl or a 5- or 6-membered heteroaryl containing 1-3 heteroatoms independently selected from oxygen, nitrogen and sulfur, R4 being optionally substituted with 1-3 substituents independently selected from the group consisting of halogen, hydroxyl, cyano, -S(0)2Ci-4alkyl, -S(0)Ci-4alkyl, -SCi-4alkyl, Ci-4alkyl, Ci_ 4haloalkyl, -OCi-4alkyl,
-Ci-4alkylene-OCi-4alkyl, -Ci-4alkylene- N(Ci-4alkyl)(Ci-4alkyl), - H(CMalkylene-OCMalk l), -NH(Ci-4alkylene-OH), - N(CMalk l)(CMalk lene-OCMalkyl), -N(Ci-4alkyl)(Ci-4alkylene-OH), -NH2, - NH(Ci-4alkyl), -N(Ci-4alkyl)(Ci-4alkyl), C 3-6cycloalkyl, C5-6cycloalkenyl, or a 4- to 8-membered monocyclic heterocycle containing 1-2 nitrogen atoms, the C 3- 6cycloalkyl, the C5-6cycloalkenyl, and the 4- to 8-membered monocyclic heterocycle
being independently optionally substituted with 1-2 substituents independently selected from the group consisting of pyridyl, halogen, hydroxyl, -OCi-4alkyl, Ci_ 4alkyl,
-Ci-4alkylene-OCi-4alkyl, and -Chalky lene-OH. In further embodiments, R4 is phenyl, a 5-membered heteroaryl such as thiazolyl, or a 6- membered heteroaryl such as pyrazinyl, pyrimidinyl, pyridazinyl, or pyridinyl, each optionally substituted as defined above. The 6-membered heteroaryl at R4 includes a pyridone ring, which is defined herein by the tautomeric hydroxypyridine form, whether or not the pyridone or the hydroxypyridine tautomer predominates. In some embodiments, R4 is phenyl, the phenyl being optionally substituted with one substituent selected from the foregoing list of substituents and optionally substituted with 1-2 substituents independently selected from the group consisting of halogen and Ci-4alkyl. Alternatively, R4 is pyrazinyl, the pyrazinyl being optionally substituted with 1-3 Ci-4alkyl groups. In another alternative, R4 is pyridinyl (e.g., pyridin-2-yl, pyridin-3-yl, pyridin-4-yl), the pyridinyl being optionally substituted with one substituent selected from the group consisting of halogen, hydroxyl, Ci-4alkyl, Ci_ 4haloalkyl, -OCi-4alkyl, C 3-6cycloalkyl, and a 4- to 8-membered monocyclic heterocycle containing 1-2 nitrogen atoms, the 4- to 8-membered monocyclic heterocycle being independently optionally substituted with 1-2 substituents independently selected from the group consisting of pyridyl, the R4 pyridinyl being further optionally substituted with 1-2 substituents selected from halogen and Ci_ 4alkyl. In further embodiments according to the foregoing, R4 is phenyl optionally substituted with 1-3 substituents independently selected from the group consisting of halogen and Ci-4alkyl. For example, in certain embodiments, R4 is phenyl optionally substituted with 1-2 fluoro atoms or 1 fluoro and 1 methyl group. In certain embodiments, R4 is independently any of phenyl, 3,5-difluorophenyl, 3 -fluorophenyl, 3,4-difluorophenyl, 2,5-difluorophenyl, or 3-fiuoro-5-methylphenyl. In further embodiments according to the foregoing, R4 is pyrazine, which is unsubstituted.
[00153] In some embodiments according to formulas (I), (II), (II-l)-(II-4), (III), and (III- 1 )-(III-4), and the foregoing description, R4 is phenyl or a 6-membered heteroaryl containing 1-3 nitrogen atoms and optionally substituted with 1-3 halogen. In some embodiments, R4 is optionally substituted pyridinyl.
[00154] In some embodiments according to formulas (IV) and (IV-l)-(IV-5), and the foregoing description, R4 is phenyl or a 5- or 6-membered heteroaryl containing 1-3
heteroatoms independently selected from nitrogen and sulfur, R4 being optionally substituted with 1 -3 substituents independently selected from the group consisting of halogen, cyano, Ci-4alkyl,
-OCi-4alkyl, C 3-6cycloalkyl, or a 4- to 8- membered monocyclic heterocycle containing 1-2 nitrogen atoms, the 4- to 8- membered monocyclic heterocycle being independently optionally substituted with pyridyl.
[00155] In other embodiments of the present invention, the compound is 6- isopropoxy-N-(l-thiazol-4-ylimidazol-4-yl)pyridin-2-amine; 6-isopropoxy-N-[l-(2- pyridyl)imidazol-4-yl]pyridin-2-amine; 6-(cyclobutoxy)-N-[l-(3-pyridyl)imidazol-4- yl]pyridin-2-amine; N-[l -(3,5-difluorophenyl)imidazol-4-yl]-6-isopropoxy-pyridin-2- amine; 6-ethoxy-N-(l -phenylimidazol-4-yl)pyridin-2-amine; N-[l -(3,4- difluorophenyl)imidazol-4-yl]-6-isopropoxy-pyridin-2-amine; 6-isopropoxy-N-[l-(3- pyridyl)imidazol-4-yl]pyridin-2-amine; 6-(cyclohexoxy)-N-[l -(2-pyridyl)imidazol-4- yl]pyridin-2-amine; or 4-[4-[(6-ethoxy-2-pyridyl)amino]imidazol-l -yl]benzonitrile; 6- ethoxy-N-[l -(2-pyridyl)imidazol-4-yl]pyridin-2-amine.
[00156] In other embodiments of the present invention, the compound is N-[6- methyl-4-[4-(oxetan-3-yl)piperazin-l -yl]-2-pyridyl]-5-(2-pyridyl)thiazol-2-amine; N- (4-methyl-6-te†jahydropyran-3-yloxy-2-pyridyl)-5-(2-pyridyl)thiazol-2-amine; N-[2- methyl-6-[4-(oxetan-3-yl)piperazin-l-yl]pyrimidin-4-yl]-5-(2-pyridyl)thiazol-2- amine; N-(6-ethoxy-4-methyl-2-pyridyl)-5-(2-pyridyl)thiazol-2-amine; N-[4-methyl- 6-[4-(oxetan-3-yl)piperazin-l-yl]-2-pyridyl]-5-(2-pyridyl)thiazol-2-amine; N-(6- isopropoxy-2-pyridyl)-5-(2-pyridyl)thiazol-2-amine; N-[6-methyl-4-(2-oxa-8- azaspiro[4.5]decan-8-yl)-2-pyridyl]-5-(2-pyridyl)thiazol-2-amine; N-(6-isobutoxy-2- pyridyl)-5-(2-pyridyl)thiazol-2-amine; N-[6-methyl-4-[4-(oxetan-3-yl)piperazin-l -yl]- 2-pyridyl]-5-(3-pyridyl)thiazol-2-amine; N-[6-[(l S)-2-methoxy-l-methyl-ethoxy]-4- methyl-2-pyridyl]-5-(2-pyridyl)thiazol-2-amine; or N-(2-isopropoxy-3,6-dimethyl-4- pyridyl)-5-(2-pyridyl)thiazol-2-amine.
[00157] In other embodiments of the present invention, the compound is N-[4- (difluoromethyl)-6-[4-(oxetan-3-yl)piperazin-l -yl]-2-pyridyl]-5-(3- fluorophenyl)oxazol-2-amine; N-[4-(difluoromethyl)-6-[4-(oxetan-3-yl)piperazin-l - yl]-2-pyridyl]-5-phenyl-oxazol-2-amine; N-(3-isopropoxy-5-methyl-phenyl)-5- phenyl-oxazol-2-amine; N-[3-methyl-5-[4-(3-methyloxetan-3-yl)piperazin-l - yl] phenyl] -5 -phenyl-oxazol-2-amine; N-[3-ethyl-5-[[5-(3-fluorophenyl)oxazol-2-
yl] amino] phenyl] acetamide; 5-(3-chlorophenyl)-N-[4-(difluoromethyl)-6-[4-(oxetan- 3-yl)piperazin-l-yl]-2-pyridyl]oxazol-2-amine; N-(3-methyl-5-morpholino-phenyl)-5- phenyl-oxazol-2-amine; N-[3-methyl-5-[4-(oxetan-3-yl)piperazin-l-yl]phenyl]-5- phenyl-oxazol-2-amine; 5-(3-fluorophenyl)-N-(3-isopropoxy-5-methyl- phenyl)oxazol-2-amine; or 5-(4-fluorophenyl)-N-(3-isopropoxy-5-methyl- phenyl)oxazol-2-amine.
[00158] In another embodiment, the compounds of formula (I) or (IV) include isotope-labelled forms thereof. An isotope-labelled form of a compound of formula (I) or (IV) is identical to this compound apart from the fact that one or more atoms of the compound have been replaced by an atom or atoms having an atomic mass or mass number which differs from the atomic mass or mass number of the atom which usually occurs in greater natural abundance. Examples of isotopes which are readily commercially available and which can be incorporated into a compound of formula (I) or (IV) by well-known methods include isotopes of hydrogen, carbon, nitrogen,
2 3 13 14 15 18 oxygen, phosphorus, fluorine and chlorine, for example H, H, C, C, N, O, 170, 1P, 2P, 5S, 18F and 6C1, respectively.
[00159] In another embodiment, a compound of formula (I) or (IV) or a
pharmaceutically acceptable salt thereof which contains one or more of the above- mentioned isotopes and/or other isotopes of other atoms is intended to be part of the present invention.
[00160] In another embodiment, the present invention features a compound of formula I or Γ and the attendant definitions, wherein one or more hydrogen atoms are replaced by a deuterium atom.
[00161] In another embodiment, an isotope-labelled compound of formula (I) or (IV) can be used in a number of beneficial ways. In one embodiment, an isotope-labelled compound of formula (I) or (IV) into which, for example, a radioisotope, such as H or 14C, has been incorporated is suitable for a medicament and/or for substrate tissue distribution assays. In one embodiment, tritium ( H) and carbon-14 (14C) are particularly preferred owing to simple preparation and excellent detectability.
[00162] In yet another embodiment, incorporation of heavier isotopes, for example deuterium (2H), into a compound of formula (I) or (IV) have therapeutic advantages owing to the higher metabolic stability of this isotope-labelled compound. Higher metabolic stability translates directly into an increased in vivo half-life or lower
dosages, which under most circumstances would represent a preferred embodiment of the present invention. An isotope-labelled compound of formula I or Γ can usually be prepared by carrying out the procedures disclosed in the synthesis schemes and the related description, in the example part and in the preparation part in the present text, replacing a non-isotope-labelled reactant by a readily available isotope-labelled reactant.
[00163] In another embodiment, Deuterium (2H) can also be incorporated into a compound of formula (I) or (IV) for the purpose of manipulating the oxidative metabolism of the compound by way of the primary kinetic isotope effect. The primary kinetic isotope effect is a change of the rate for a chemical reaction that results from exchange of isotopic nuclei, which in turn is caused by the change in ground state energies necessary for covalent bond formation after this isotopic exchange. Exchange of a heavier isotope usually results in a lowering of the ground state energy for a chemical bond and thus causes a reduction in the rate-limiting bond breakage. If the bond breakage occurs in or in the vicinity of a saddle-point region along the coordinate of a multi-product reaction, the product distribution ratios can be altered substantially. For explanation: if deuterium is bonded to a carbon atom at a non-exchangeable position, rate differences of kiwkD = 2-7 are typical. If this rate difference is successfully applied to a compound of formula (I) or (IV) that is susceptible to oxidation, the profile of this compound in vivo can be drastically modified and result in improved pharmacokinetic properties. For a further discussion, see S. L. Harbeson and R. D. Tung, Deuterium In Drug Discovery and Development, Ann. Rep. Med. Chem. 2011, 46, 403-417, incorporated in its entirety herein by reference.
[00164] When discovering and developing therapeutic agents, the person skilled in the art attempts to optimise pharmacokinetic parameters while retaining desirable in vitro properties. It is reasonable to assume that many compounds with poor pharmacokinetic profiles are susceptible to oxidative metabolism. In vitro liver microsomal assays currently available provide valuable information on the course of oxidative metabolism of this type, which in turn permits the rational design of deuterated compounds of formula (I) or (IV) with improved stability through resistance to such oxidative metabolism. Significant improvements in the
pharmacokinetic profiles of compounds of formula (I) or (IV) are thereby obtained,
and can be expressed quantitatively in terms of increases in the in vivo half-life (tm), concentration at maximum therapeutic effect (Cmax), area under the dose response curve (AUC), and bioavailability; and in terms of reduced clearance, dose and materials costs.
[00165] The following is intended to illustrate the above: a compound of formula (I) or (IV) which has multiple potential sites of attack for oxidative metabolism, for example benzylic hydrogen atoms and hydrogen atoms bonded to a nitrogen atom, is prepared as a series of analogues in which various combinations of hydrogen atoms are replaced by deuterium atoms, so that some, most or all of these hydrogen atoms have been replaced by deuterium atoms. Half-life determinations enable favourable and accurate determination of the extent to which the improvement in resistance to oxidative metabolism has improved. In this way, it is determined that the half-life of the parent compound can be extended by up to 100% as the result of deuterium- hydrogen exchange of this type.
[00166] In another embodiment, deuterium-hydrogen exchange in a compound of formula (I) or (IV) can be used to achieve a favourable modification of the metabolite spectrum of the starting compound in order to diminish or eliminate undesired toxic metabolites. For example, if a toxic metabolite arises through oxidative carbon- hydrogen (C-H) bond cleavage, it can reasonably be assumed that the deuterated analogue will greatly diminish or eliminate production of the unwanted metabolite, even if the particular oxidation is not a rate-determining step. Further information on the state of the art with respect to deuterium-hydrogen exchange may be found, for example in Hanzlik et al, J. Org. Chem. 55, 3992-3997, 1990, Reider et al, J. Org. Chem. 52, 3326-3334, 1987, Foster, Adv. Drug Res. 14, 1-40, 1985, Gillette et al, Biochemistry 33(10) 2927-2937, 1994, and Jarman et al. Carcinogenesis 16(4), 683- 688, 1993.
33 34
37 38
H
39 40
F
43 44
73 74
H
75 76
F
79 80
81 82
157
[00168] Table 2. Compound Names (IUPAC Nomenclature)
Compound name
No.
N-[3-methyl-5-[4-(oxetan-3-yl)piperazin-l-yl]phenyl]-5-phenyl-
7
oxazol-2-amine
N-[4-(difluoromethyl)-6-[4-(oxetan-3-yl)piperazin-l-yl]-2-
8
pyridyl]-5-(4-fluorophenyl)oxazol-2-amine
5-(3-fluorophenyl)-N-(3-isopropoxy-5-methyl-phenyl)oxazol-2-
9
amine
10 N-(3-methyl-5-morpholino-phenyl)-5-phenyl-oxazol-2-amine
5-(4-fluorophenyl)-N-(3-isopropoxy-5-methyl-phenyl)oxazol-2-
11
amine
N-[2-fluoro-5-methyl-3-[4-(oxetan-3-yl)piperazin-l-yl]phenyl]-5-
12
(4-fluorophenyl)oxazol-2-amine
N-[2-fluoro-5-methyl-3-[4-(oxetan-3-yl)piperazin-l-yl]phenyl]-5-
13
(3-fluorophenyl)oxazol-2-amine
14 N-(3-fluoro-5-mo holino-phenyl)-5-phenyl-oxazol-2-amine
5 -(3 -chloropheny 1)-N- [6-[4-(oxetan-3 -y l)piperazin- 1 -y 1] -4-
15
(trifluoromethyl)-2-pyridyl]oxazol-2-amine
N-[2-methoxy-3-methyl-5-[4-(oxetan-3-yl)piperazin-l-yl]phenyl]-
16
5-phenyl-oxazol-2-amine
N-[2-fluoro-5-methyl-3-[4-(oxetan-3-yl)piperazin-l-yl]phenyl]-5-
17
(2-fluorophenyl)oxazol-2-amine
18 5-phenyl-N-(3,4,5-trimethoxyphenyl)oxazol-2-amine
19 N-(3-mo holinophenyl)-5-phenyl-oxazol-2-amine
20 N-(3-isopropoxyphenyl)-5-(2-pyridyl)oxazol-2-amine
5-(3,5-difluorophenyl)-N-[3-methyl-5-[4-(oxetan-3-yl)piperazin-
21
1 -yl] phenyl] oxazol-2-amine
5-(3,5-difluorophenyl)-N-[4-methyl-6-[4-(oxetan-3-yl)piperazin-
22
l-yl]-2-pyridyl]oxazol-2-amine
Cmpd
Compound name
No.
5-(3,5-difluorophenyl)-N-[6-methyl-4-[4-(oxetan-3-yl)piperazin-
23
l-yl]-2-pyridyl]oxazol-2-amine
24 N-(3-isopropoxy-5-methyl-phenyl)-5-phenyl-oxazol-2-amine
N-[4-(difluoromethyl)-6-[4-(oxetan-3-yl)piperazin-l-yl]-2-
25
pyridyl]-5-(4-pyridyl)oxazol-2-amine
26 6-ethoxy-N-(l-phenylimidazol-4-yl)pyridin-2-amine
27 4-ethoxy-N-(l-phenylimidazol-4-yl)pyridin-2-amine
28 6-methyl-N-(l-phenylimidazol-4-yl)pyridin-2-amine
29 4-methyl-N-(l-phenylimidazol-4-yl)pyrimidin-2-amine
30 4,6-dimethyl-N-(l-phenylimidazol-4-yl)pyrimidin-2-amine
31 6-mo holino-N-(l-phenylimidazol-4-yl)pyridin-2-amine
32 N-(l-phenylimidazol-4-yl)-6-(l-piperidyl)pyridin-2-amine
6-(4-methylpiperazin- 1 -yl)-N-(l -phenylimidazol-4-yl)pyridin-2-
33
amine
34 4,6-dimethyl-N-(l^henylimidazol-4-yl)pyridin-2-amine
N-[l-[2-(azepan-l-yl)-4-pyridyl]imidazol-4-yl]-6-ethoxy-pyridin-
35
2-amine
36 6-isopropoxy-N-(l-phenylimidazol-4-yl)pyridin-2-amine
37 6-ethoxy-N-[l-(2-pyridyl)imidazol-4-yl]pyridin-2-amine
38 6-ethoxy-4-methyl-N-(l^henylimidazol-4-yl)pyridin-2-amine
6-ethoxy-5-morpholino-N-(l-phenylimidazol-4-yl)pyridin-2-
39
amine
40 4-[4-[(6-ethoxy-2-pyridyl)amino]imidazol-l-yl]benzonitrile
41 6-ethoxy-N-[l-(3-pyridyl)imidazol-4-yl]pyridin-2-amine
Cmpd
Compound name
No.
N-[l-(3,5-difluorophenyl)imidazol-4-yl]-6-ethoxy-pyridin-2-
42
amine
N-[l-(3,5-difluorophenyl)imidazol-4-yl]-6-morpholino-pyridin-2-
43
amine
N-[l-(3,5-difluorophenyl)imidazol-4-yl]-6-(4-methylpiperazin-l-
44
yl)pyridin-2-amine
N-[l-(3,5-difluorophenyl)imidazol-4-yl]-6-(4-methyl-l-
45
piperidyl)pyridin-2-amine
N-[l-(3,5-difluorophenyl)imidazol-4-yl]-6-isopropoxy-pyridin-2-
46
amine
6-(4-methyl-l-piperidyl)-N-[l-(3-pyridyl)imidazol-4-yl]pyridin-2-
47
amine
6-(4-methylpiperazin-l-yl)-N-[l-(3-pyridyl)imidazol-4-yl]pyridin-
48
2-amine
49 6-ηιο 1ιοΗηο-Ν- [ 1 -(3 -py ridy l)imidazol-4-y 1] py ridin-2-amine
N-[l-[2-[2-(2-pyridyl)pyrrolidin-l-yl]-4-pyridyl]imidazol-4-
50
yl]pyridin-2-amine
4-(5-methylthiazol-2-yl)-N-(l^henylimidazol-4-yl)pyrimidin-2-
51
amine
N-[l-[2-[2-(3-pyridyl)pyrrolidin-l-yl]-4-pyridyl]imidazol-4-
52
yl]pyridin-2-amine
N-[l-(5-cyclopropyl-3-pyridyl)imidazol-4-yl]-6-isopropoxy-
53
pyridin-2-amine
3,4,5,6-tetradeuterio-N-[l-(3,5-difluorophenyl)imidazol-4-
54
yl]pyridin-2-amine
6-(l , 1 ,2,2,2-pentadeuterioethoxy )-N-( 1 -pheny limidazol-4-
55
yl)pyridin-2-amine
N-[l-(3,4-difluorophenyl)imidazol-4-yl]-6-ethoxy-pyridin-2-
56
amine
N-[l-(3,4-difluorophenyl)imidazol-4-yl]-6-isopropoxy-pyridin-2-
57
amine
58 6-isopropoxy-N-[l-(3-pyridyl)imidazol-4-yl]pyridin-2-amine
59 6-isopropoxy-N-[l-(2-pyridyl)imidazol-4-yl]pyridin-2-amine
60 5-fluoro-N-[l-(3-pyridyl)imidazol-4-yl]pyridin-2-amine
61 5-fluoro-N-[l-(2-pyridyl)imidazol-4-yl]pyridin-2-amine
Cmpd
Compound name
No.
N-[l-(5-fluoro-3-pyridyl)imidazol-4-yl]-6-isopropoxy-pyridin-2-
62
amine
4-isopropoxy-6-methyl-N-[l-(2-pyridyl)imidazol-4-yl]pyrimidin-
63
2-amine
4-isopropoxy-6-methyl-N-[l-(3-pyridyl)imidazol-4-yl]pyrimidin-
64
2-amine
6-isopropoxy-N-[l -(3,4,5, 6-tetradeuterio-2-pyridyl)imidazol-4-
65
yl]pyridin-2-amine
6-isopropoxy-N-[l -(2,4,5, 6-tetradeuterio-3-pyridyl)imidazol-4-
66
yl]pyridin-2-amine
6-isopropoxy-N-[l-[6-(trifluoromethyl)-2-pyridyl]imidazol-4-
67
yl]pyridin-2-amine
68 6-(cyclopentoxy)-N-[l-(3-pyridyl)imidazol-4-yl]pyridin-2-amine
69 6-propyl-N-[l-(3-pyridyl)imidazol-4-yl]pyridin-2-amine
70 6-benzyloxy-N-[l-(3-pyridyl)imidazol-4-yl]pyridin-2-amine
71 6-benzyloxy-N-[l-(2-pyridyl)imidazol-4-yl]pyridin-2-amine
72 6-cyclopropyl-N-[l-(3-pyridyl)imidazol-4-yl]pyridin-2-amine
73 6-propoxy-N-[l-(3-pyridyl)imidazol-4-yl]pyridin-2-amine
74 6-(cyclobutoxy)-N-[l-(3-pyridyl)imidazol-4-yl]pyridin-2-amine
75 5,6-dimethoxy-N-[l-(3-pyridyl)imidazol-4-yl]pyridin-2-amine
6-isopropoxy-N-[l-(5-methoxy-2-pyridyl)imidazol-4-yl]pyridin-2-
76
amine
6-isopropoxy-N-[l-(5-methoxy-3-pyridyl)imidazol-4-yl]pyridin-2-
77
amine
5-fluoro-N-[l-(5-methoxy-2-pyridyl)imidazol-4-yl]pyridin-2-
78
amine
N-[l-(5-fluoro-2-pyridyl)imidazol-4-yl]-6-isopropoxy-pyridin-2-
79
amine
5-chloro-6-methoxy-N-[l-(2-pyridyl)imidazol-4-yl]pyridin-2-
80
amine
81 6-(cyclohexoxy)-N-[l-(2-pyridyl)imidazol-4-yl]pyridin-2-amine
Cmpd
Compound name
No.
82 6-isopropyl-N-[l-(2-pyridyl)imidazol-4-yl]pyridin-2-amine
6-isopropoxy-N-[l-(4-methyl-2-pyridyl)imidazol-4-yl]pyridin-2-
83
amine
6-isopropoxy-N-[l-(5-methyl-2-pyridyl)imidazol-4-yl]pyridin-2-
84
amine
85 6-isopropoxy-N-(l-thiazol-4-ylimidazol-4-yl)pyridin-2-amine l-(3,5-difluorophenyl)-N-[3-methyl-5-[4-(oxetan-3-yl)piperazin-
86
1 -yl]phenyl]imidazol-4-amine
N-[l-(3,5-difluorophenyl)imidazol-4-yl]-6-methyl-4-[4-(oxetan-3-
87
y l)piperazin- 1 -y 1] py ridin-2-amine
88 N-(6-ethoxy-2-pyridyl)-5-(2-pyridyl)thiazol-2-amine
5-(3,5-difluorophenyl)-N-(4-methyl-6-mo holino-2-
89
pyridyl)thiazol-2-amine
5-(3,5-difluorophenyl)-N-[6-methyl-4-[4-(oxetan-3-yl)piperazin-
90
1 -yl] -2-pyridyl]thiazol-2-amine
N-[6-methyl-4-[4-(oxetan-3-yl)piperazin-l-yl]-2-pyridyl]-5-(2-
91
pyridyl)thiazol-2-amine
N-[2-methyl-6-[4-(oxetan-3-yl)piperazin-l-yl]pyrimidin-4-yl]-5-
92
(2-pyridyl)thiazol-2-amine
N-[6-methyl-4-(4-methylpiperazin-l-yl)-2-pyridyl]-5-(2-
93
pyridyl)thiazol-2-amine
N-[6-methyl-4-[4-(oxetan-3-yl)piperazin-l-yl]-2-pyridyl]-5-(3-
94
pyridyl)thiazol-2-amine
N-[6-methyl-4-[4-(oxetan-3-yl)piperazin-l-yl]-2-pyridyl]-5-(4-
95
pyridyl)thiazol-2-amine
96 N-(6-isobutoxy-2-pyridyl)-5-(3-pyridyl)thiazol-2-amine
97 N-(6-isopropoxy-2-pyridyl)-5-(2-pyridyl)thiazol-2-amine
98 N-(6-ethoxy-4-methyl-2-pyridyl)-5-(2-pyridyl)thiazol-2-amine
N-[5-fluoro-2-methyl-6-[4-(oxetan-3-yl)piperazin-l-yl]pyrimidin-
99
4-yl]-5-(3-pyridyl)thiazol-2-amine
Cmpd
Compound name
No.
N-(2-isopropoxy-5-methyl-pyrimidin-4-yl)-5-(2-pyridyl)thiazol-2-
100
amine
101 N-(4,6-dimethoxy-2-pyridyl)-5-(2-pyridyl)thiazol-2-amine
N-(2-isopropoxy-6-methyl-pyrimidin-4-yl)-5-(2-pyridyl)thiazol-2-
102
amine
N-(2-methoxy-6-methyl-pyrimidin-4-yl)-5-(2-pyridyl)thiazol-2-
103
amine
tert-butyl 3-[[2-methyl-6-[[5-(2-pyridyl)thiazol-2-yl]amino]-4-
104
pyridyl]oxy]azetidine-l-carboxylate tert-butyl 4-[[2-methyl-6-[[5-(2-pyridyl)thiazol-2-yl]amino]-4-
105
py ridy 1] oxy ]piperidine- 1 -carboxy late
106 N-(6-isobutoxy-2-pyridyl)-5-(2-pyridyl)thiazol-2-amine
N-(2-isopropoxy-3,6-dimethyl-4-pyridyl)-5-(2-pyridyl)thiazol-2-
107
amine
N-[5-fluoro-2-methyl-6-[4-(oxetan-3-yl)piperazin-l-yl]pyrimidin-
108
4-yl]-5-(2-pyridyl)thiazol-2-amine
N-(6-isopropoxy-5-methyl-pyrimidin-4-yl)-5-(2-pyridyl)thiazol-2-
109
amine
N-[4-(difluoromethyl)-6-methoxy-2-pyridyl]-5-(2-pyridyl)thiazol-
110
2-amine
111 N-[6-(difluoromethoxy)-2-pyridyl]-5-(3-pyridyl)thiazol-2-amine
N-[4-[(4-methoxyphenyl)methoxy]-3,6-dimethyl-2-pyridyl]-5-(2-
112
pyridyl)thiazol-2-amine
N-[6-methyl-4-(oxetan-3-yloxy)-2-pyridyl]-5-(2-pyridyl)thiazol-2-
113
amine
N-[6-methyl-4-(3-methyloxetan-3-yl)oxy-2-pyridyl]-5-(2-
114
pyridyl)thiazol-2-amine
N-(4-isopropoxy-3,6-dimethyl-2-pyridyl)-5-(2-pyridyl)thiazol-2-
115
amine
N-(4-isopropoxy-6-methyl-2-pyridyl)-5-(2-pyridyl)thiazol-2-
116
amine
N-[6-methyl-4-[(3S)-l-(oxetan-3-yl)pyrrolidin-3-yl]oxy-2-
117
pyridyl]-5-(2-pyridyl)thiazol-2-amine
Cmpd
Compound name
No.
N-[6-methyl-4-[[l-(oxetan-3-yl)-4-piperidyl]oxy]-2-pyridyl]-5-(2-
118
pyridyl)thiazol-2-amine
N-[6-methyl-4-[4-(oxetan-3-yl)piperazin-l-yl]-2-pyridyl]-5-
119
phenyl-thiazol-2-amine
N-[6-methyl-4-[4-(oxetan-3-yl)piperazin-l-yl]-2-pyridyl]-5-
120
pyrazin-2-yl-thiazol-2-amine
3-chloro-2-[3-[[2-methyl-6-[[5-(2-pyridyl)thiazol-2-yl]amino]-4-
121
py ridy 1] oxy ] azetidin- 1 -y l]propan- 1 -ol
N-[6-methyl-4-[l-(oxetan-3-yl)azetidin-3-yl]oxy-2-pyridyl]-5-(2-
122
pyridyl)thiazol-2-amine
N-[4-(3-methoxy-2,2-dimethyl-cyclobutoxy)-6-methyl-2-pyridyl]-
123
5-(2-pyridyl)thiazol-2-amine
N-[6-methyl-4-[(3S)-tetrahydrofuran-3-yl]oxy-2-pyridyl]-5-(2-
124
pyridyl)thiazol-2-amine
N-[6-methyl-4-(l-tetrahydrofuran-3-ylazetidin-3-yl)oxy-2-
125
pyridyl]-5-(2-pyridyl)thiazol-2-amine
N-[4-(2-methoxy-l-methyl-ethoxy)-6-methyl-2-pyridyl]-5-(2-
126
pyridyl)thiazol-2-amine
N-(6-isopropoxy-4-methyl-2-pyridyl)-5-(2-pyridyl)thiazol-2-
127
amine
N-[4-methyl-6-(oxetan-3-yloxy)-2-pyridyl]-5-(2-pyridyl)thiazol-2-
128
amine
N-[6-[(lS)-2-methoxy-l-methyl-ethoxy]-4-methyl-2-pyridyl]-5-
129
(2-pyridyl)thiazol-2-amine
tert-butyl 3-[[4-methyl-6-[[5-(2-pyridyl)thiazol-2-yl]amino]-2-
130
py ridy 1] oxy ] azeti dine- 1 -carboxy late
N-[4-methyl-6-[4-(oxetan-3-yl)piperazin-l-yl]-2-pyridyl]-5-(2-
131
pyridyl)thiazol-2-amine
N-[4-(difluoromethyl)-6-(oxetan-3-yloxy)-2-pyridyl]-5-(2-
132
pyridyl)thiazol-2-amine
133 N-(6-methoxypyrimidin-4-yl)-5-(2-pyridyl)thiazol-2-amine
N-(6-ethoxy-2-methyl-pyrimidin-4-yl)-5-(2-pyridyl)thiazol-2-
134
amine
N-[4-methyl-6-(oxetan-3-ylmethoxy)-2-pyridyl]-5-(2-
135
pyridyl)thiazol-2-amine
Cmpd
Compound name
No.
N-[6-(cyclopropylmethoxy)-4-methyl-2-pyridyl]-5-(2-
136
pyridyl)thiazol-2-amine
2-methyl-4-[[4-methyl-6-[[5-(2-pyridyl)thiazol-2-yl]amino]-2-
137
pyridyl]oxy]butan-2-ol
N-[4-(2-methoxy-2-methyl-propoxy)-6-methyl-2-pyridyl]-5-(2-
138
pyridyl)thiazol-2-amine
N-(4-methyl-6-tetrahydropyran-3-yloxy-2-pyridyl)-5-(2-
139
pyridyl)thiazol-2-amine
N-(6-methoxy-2-methyl-pyrimidin-4-yl)-5-(2-pyridyl)thiazol-2-
140
amine
N-(2-chloro-6-tetrahydrofuran-3-yloxy-pyrimidin-4-yl)-5-(2-
141
pyridyl)thiazol-2-amine
5-(2-fluorophenyl)-N-[6-methyl-4-[4-(oxetan-3-yl)piperazin-l-yl]-
142
2-pyridyl]thiazol-2-amine
N- [3-fluoro-4- [4-(oxetan-3 -y l)piperazin- 1 -y 1] -2-py ridy 1] -5 -(2-
143
pyridyl)thiazol-2-amine
5-fluoro-2-methyl-N6-(3-methyloxetan-3-yl)-N4-[5-(2-
144
pyridyl)thiazol-2-yl]pyrimidine-4,6-diamine
N-[5-fluoro-2-methyl-6-[4-(3-methyloxetan-3-yl)piperazin-l-
145
yl]pyrimidin-4-yl]-5-(2-pyridyl)thiazol-2-amine
N-[3-fluoro-6-methyl-4-[4-(oxetan-3-yl)piperazin-l-yl]-2-
146
pyridyl]-5-(2-pyridyl)thiazol-2-amine
[2-methyl-6-[[5-(2-pyridyl)thiazol-2-yl] amino] -4-pyridyl] -
147
morpholino-methanone
2-methyl-6-[[5-(2-pyridyl)thiazol-2-yl]amino]-N-(2,2,2-
148
trifluoroethyl)pyridine-4-carboxamide
N-(2,2-difluoroethyl)-2-methyl-6-[[5-(2-pyridyl)thiazol-2-
149
yl] amino] pyridine-4-carboxamide
(3,3-difluoroazetidin-l-yl)-[2-methyl-6-[[5-(2-pyridyl)thiazol-2-
150
y 1] amino] -4-pyridyl] methanone
N-[6-methyl-4-(2-oxa-8-azaspiro[4.5]decan-8-yl)-2-pyridyl]-5-(2-
151
pyridyl)thiazol-2-amine
N-[4-(4-methoxy-l-piperidyl)-6-methyl-2-pyridyl]-5-(2-
152
pyridyl)thiazol-2-amine
Cmpd
Compound name
No.
N-[4-[4-(3-methoxypropyl)piperazin-l-yl]-6-methyl-2-pyridyl]-5-
153
(2-pyridyl)thiazol-2-amine
N-[4-[4-(dimethylamino)-l-piperidyl]-6-methyl-2-pyridyl]-5-(2-
154
pyridyl)thiazol-2-amine
N,N,2-trimethyl-6-[[5-(2-pyridyl)thiazol-2-yl]amino]pyridine-4-
155
carboxamide
N-(2-methoxyethyl)-2-methyl-6-[[5-(2-pyridyl)thiazol-2-
156
yl] amino] pyridine-4-carboxamide
N-[6-methyl-4-(3-morpholinoazetidin-l-yl)-2-pyridyl]-5-(2-
157
pyridyl)thiazol-2-amine
Salts. Compositions. Uses. Formulation. Administration and Additional Agents
Pharmaceutically acceptable salts and compositions
[00169] As discussed herein, the compounds of formula (I) or (IV) of the present invention and the methods, compositions and kits disclosed herein are useful for the treatment of neurodegenerative or neurological diseases or disorders related to axonal damage, demyelinating diseases, central pontine myelinolysis, nerve injury diseases or disorders, metabolic diseases, mitochondrial diseases, metabolic axonal degeneration, a leukoencephalopathy or a leukodystrophy. In one embodiment, said neurodegenerative or neurological diseases or disorders related to axonal damage, demyelinating diseases, central pontine myelinolysis, nerve injury diseases or disorders, metabolic diseases, mitochondrial diseases, metabolic axonal degeneration, a leukoencephalopathy or a leukodystrophy include, but are not limited to spinal cord injury, stroke, multiple sclerosis, progressive multifocal leukoencephalopathy, congenital hypomyelination, encephalomyelitis, acute disseminated
encephalomyelitis, central pontine myelolysis, hypoxic demve!ination. ischemic demyelination, neuromyelitis optics, adrenoleukodystrophy, Alexander's disease, Niemann-Pick disease, Pelizaeus Merzbacher disease, periventricular leukomalatia, globoid cell leucodystrophy ( K tab he's disease), Wallerian degeneration, optic neuritis, transverse myelitis, amylotrophic lateral sclerosis (Lou Gehrig's diseae), Huntington's disease, Alzheimer's disease, Parkinson's disease, Tay-Sacks disease, Gaucher' s disease, Hurler Syndrome, traumatic brain injury, post radiation injury, neurologic complications of chemotherapy, neuropathy, acute ischemic optic neuropathy.
neuromyelitis optica, vitamin B 12 deficiency, isolated vitamin E deficiency syndrome, Bassen - K orn/wei g syndrome, Leber's hereditary optic atrophy /Leber congenital amaurosis, Marchiafava-Bignami syndrome, metachromatic
leukodystrophy, acute hemorrhagic leukoencephalitis, trigeminal neuralgia, Bell's palsy, schizophrenia, cerebral ischemia, multiple system atrophy, traumatic glaucoma, tropical spastic paraparesis/human T-lymphotropic virus 1 ( HTLV- 1 ) associated myelopathy, essential tremor or osmotic hyponatremia.
100170| In another embodiment, the compounds of formula ( 1 ) or ( IV) of the present invention and the methods, compositions and kits disclosed herein are useful for treating, preventing or ameliorating one or more symptoms of multiple sclerosis or another neurodegenerative disease selected from auditory impairment, optic neuritis, decreased visual acuity, diplopia, nystagmus, ocular dysmetria, internuclear ophthal moplegia, movement and sound phosphenes. afferent pupillary defect, paresis, monoparesis, paraparesis, hemi paresis, quadraparesis, plegia. paraplegia, hemiplegia. tetraplegia, quadraplegia. spasticity, dysarthria, motor dysfunction, walking impairment, muscle atrophy, spasms, cramps, hypotonia, clonus, myoclonus, myokymia, restless leg syndrome, gait disturbances, footdrop. dysfunctional reflexes, pallesthesia, anaesthesia, neuralgia, neuropathic and neurogenic pain. L'hermitte's. proprioceptive dysfunction, trigeminal neuralgia, ataxia, intention tremor, dysmetria. vestibular ataxia, vertigo, speech ataxia, dystonia, disability progression,
dy s d i ad och ok i n es i a. fre uent micturation. bladder spasticity, flaccid bladder, detrusor- sphincter dyssynergia. erectile dysfunction or anorgasmy.
[00171] Accordingly, in another aspect of the invention, pharmaceutically acceptable compositions are provided, wherein these compositions comprise any of the compounds as described herein, and optionally comprise a pharmaceutically acceptable carrier, adjuvant or vehicle. In certain embodiments, these compositions optionally further comprise one or more additional therapeutic agents. In one embodiment, the pharmaceutical composition comprises a therapeutically effective amount of a compound of the present invention or a pharmaceutically acceptable salt thereof and one or more pharmaceutically acceptable carriers or vehicles.
[00172] As used herein, the term "pharmaceutically acceptable salt" refers to those salts which are, within the scope of sound medical judgement, suitable for use in contact with the tissues of humans and lower animals without undue toxicity,
irritation, allergic response and the like, and are commensurate with a reasonable benefit/risk ratio. A "pharmaceutically acceptable salt" means any non-toxic salt or salt of an ester of a compound of this invention that, upon administration to a recipient, is capable of providing, either directly or indirectly, a compound of this invention or an inhibitorily active metabolite or residue thereof. As used herein, the term "inhibitorily active metabolite or residue thereof means that a metabolite or residue thereof is also useful for treating or lessening the severity of, in a subject, a disease or disorder selected from neurodegenerative or neurological diseases or disorders related to axonal damage, demyelinating diseases, central pontine myelinolysis, nerve injury diseases or disorders, metabolic diseases, mitochondrial diseases, metabolic axonal degeneration, a leukoencephalopathy or a leukodystrophy.
[00173] Pharmaceutically acceptable salts are well known in the art. For example, S. M. Berge, et al. describe pharmaceutically acceptable salts in detail in J.
Pharmaceutical Sciences , 1977, 66, 1-19, incorporated herein by reference.
Pharmaceutically acceptable salts of the compounds of this invention include those derived from suitable inorganic and organic acids and bases. Examples of pharmaceutically acceptable, nontoxic acid addition salts are salts of an amino group formed with inorganic acids such as hydrochloric acid, hydrobromic acid, phosphoric acid, sulfuric acid and perchloric acid or with organic acids such as acetic acid, oxalic acid, maleic acid, tartaric acid, citric acid, succinic acid or malonic acid or by using other methods used in the art such as ion exchange. Other pharmaceutically acceptable salts include adipate, alginate, ascorbate, aspartate, benzenesulfonate, benzoate, bisulfate, borate, butyrate, camphorate, camphorsulfonate, citrate, cyclopentanepropionate, digluconate, dodecylsulfate, ethanesulfonate, formate, fumarate, glucoheptonate, glycerophosphate, gluconate, hemisulfate, heptanoate, hexanoate, hydroiodide, 2-hydroxy-ethanesulfonate, lactobionate, lactate, laurate, lauryl sulfate, malate, maleate, malonate, methanesulfonate, 2-naphthalenesulfonate, nicotinate, nitrate, oleate, oxalate, palmitate, pamoate, pectinate, persulfate, 3- phenylpropionate, phosphate, picrate, pivalate, propionate, stearate, succinate, sulfate, tartrate, thiocyanate, p-toluenesulfonate, undecanoate, valerate salts, and the like. Salts derived from appropriate bases include alkali metal, alkaline earth metal, ammonium and N+(Ci-4 alkyl)4 salts. This invention also envisions the quatemization of any basic nitrogen-containing groups of the compounds disclosed herein. Water or
oil-soluble or dispersable products may be obtained by such quaternization.
Representative alkali or alkaline earth metal salts include sodium, lithium, potassium, calcium, magnesium, and the like. Further pharmaceutically acceptable salts include, when appropriate, nontoxic ammonium, quaternary ammonium, and amine cations formed using counterions such as halide, hydroxide, carboxylate, sulfate, phosphate, nitrate, lower alkyl sulfonate and aryl sulfonate.
[00174] As described herein, the pharmaceutically acceptable compositions of the invention additionally comprise a pharmaceutically acceptable carrier, adjuvant, or vehicle, which, as used herein, includes any and all solvents, diluents, or other liquid vehicle, dispersion or suspension aids, surface active agents, isotonic agents, thickening or emulsifying agents, preservatives, solid binders, lubricants and the like, as suited to the particular dosage form desired. Remington's Pharmaceutical Sciences, Sixteenth Edition, E. W. Martin (Mack Publishing Co., Easton, Pa., 1980) discloses various carriers used in formulating pharmaceutically acceptable compositions and known techniques for the preparation thereof. Except insofar as any conventional carrier medium is incompatible with the compounds of the invention, such as by producing any undesirable biological effect or otherwise interacting in a deleterious manner with any other component(s) of the
pharmaceutically acceptable composition, its use is contemplated to be within the scope of this invention. Some examples of materials which can serve as
pharmaceutically acceptable carriers include, but are not limited to, ion exchangers, alumina, aluminum stearate, lecithin, serum proteins, such as human serum albumin, buffer substances such as phosphates, glycine, sorbic acid, or potassium sorbate, partial glyceride mixtures of saturated vegetable fatty acids, water, salts or electrolytes, such as protamine sulfate, disodium hydrogen phosphate, potassium hydrogen phosphate, sodium chloride, zinc salts, colloidal silica, magnesium trisilicate, polyvinyl pyrrolidone, polyacrylates, waxes, polyethylene- poly oxypropylene-block polymers, wool fat, sugars such as lactose, glucose and sucrose; starches such as com starch and potato starch; cellulose and its derivatives such as sodium carboxymethyl cellulose, ethyl cellulose and cellulose acetate;
powdered tragacanth; malt; gelatin; talc; excipients such as cocoa butter and suppository waxes; oils such as peanut oil, cottonseed oil; safflower oil; sesame oil; olive oil; corn oil and soybean oil; glycols; such a propylene glycol or polyethylene
glycol; esters such as ethyl oleate and ethyl laurate; agar; buffering agents such as magnesium hydroxide and aluminum hydroxide; alginic acid; pyrogen-free water; isotonic saline; Ringer's solution; ethyl alcohol, and phosphate buffer solutions, as well as other non-toxic compatible lubricants such as sodium lauryl sulfate and magnesium stearate, as well as coloring agents, releasing agents, coating agents, sweetening, flavoring and perfuming agents, preservatives and antioxidants can also be present in the composition, according to the judgment of the formulator.
[00175] In another aspect, the invention features a pharmaceutical composition comprising the compound of the invention and a pharmaceutically acceptable carrier.
[00176] In another aspect, the invention features a pharmaceutical composition comprising a therapeutically effective amount of the compound or a pharmaceutically acceptable salt thereof of the compounds of formula (I) or (IV) and one or more pharmaceutically acceptable carriers or vehicles. Uses of Compounds and Pharmaceutically Acceptable Salts and Compositions
[00177] In one embodiment, the methods described herein also provide a method of promoting oligodendrocyte proliferation, differentiation or survival comprising contacting oligodendrocytes with a compound of formula (I) or (IV) or a composition thereof.
[00178] In another embodiment, a method of the present invention comprises promoting oligodendrocyte proliferation, differentiation or survival. In another embodiment, a method of the present invention comprises promoting oligodendrocyte proliferation, differentiation or survival with a compound of formula (I) or (IV) or a composition thereof. In another embodiment, a method of the present invention is useful for treating or lessening the severity of a disease or disorder selected from a disease or disorder associated with a lack of oligodendrocyte proliferation, differentiation or survival comprising administering a therapeutically effective amount of the compounds of formula (I) or (IV) or compositions thereof to a subject in need thereof.
[00179] In another embodiment, a method of the present invention comprises promoting myelination by contacting neuronal cells, oligodendrocyte cells or oligodendrocyte precursor cells. In one embodiment, a method of the present invention comprises promoting myelination by contacting neuronal cells,
oligodendrocyte cells or oligodendrocyte precursor cells with a compound of formula (I) or (IV) or a composition thereof.
[00180] In another embodiment, a method of the present invention comprises promoting survival of cells of the nervous system. In another embodiment, a method of the present invention comprises promoting survival of cells of the nervous system comprising contacting the cells with a compound or composition of formula (I) or (IV). In one embodiment, the cells of the nervous system comprise brain cells, cortical neurons, oligodendroctyes or oligodendrocyte precursor cells.
[00181] In another embodiment, a method of the present invention is useful for treating or lessening the severity of a disease or disorder selected from a disease or condition associated with demyelination comprising administering a therapeutically effective amount of the compounds of formula (I) or (IV) or compositions thereof to a subject in need thereof. In one embodiment, the disease or condition associated with demyelination is a CNS disorder or a CNS demyelinating disease as described herein. In one embodiment, the disease is multiple sclerosis.
[00182] In another embodiment, the subject has, or is at risk of having, multiple sclerosis. The subject with multiple sclerosis can be at any stage of treatment or disease. In one embodiment, the subject with multiple sclerosis has one or more of: benign multiple sclerosis, relapsing remitting multiple sclerosis, quiescent relapsing remitting multiple sclerosis, active relapsing remitting multiple sclerosis, primary progressive multiple sclerosis, or secondary progressive multiple sclerosis, clinically isolated syndrome, or clinically defined multiple sclerosis. In one embodiment, the type of multiple sclerosis is primar ' progressive multiple sclerosis. In another embodiment, the type of multiple sclerosis is relapsing-remitting multiple sclerosis. In yet another embodiment, the type of multiple sclerosis is secondary progressive multiple sclerosis. In still a further embodiment, the type of multiple sclerosis is progressive relapsing multiple sclerosis. In another embodiment, the subject is asymptomatic. In another embodiment, the subject has one or more multiple sclerosis-like symptoms, such as those having clinically isolated syndrome or clinically defined multiple sclerosis. In yet other embodiments, the subject has one or more multiple sclerosis relapses.
[00183] In another embodiment, the subject has a relapsing form of multiple sclerosis such as relapsing remitting multiple sclerosis or relapsing secondary
progressive multiple sclerosis. In one embodiment, the subject has relapsing remitting multiple sclerosis and has one or more ongoing clinical exacerbations. In another embodiment, the subject has relapsing remitting multiple sclerosis and one or more subclinical activities. In one embodiment, the clinical exacerbation or subclinical activity is shown by gadolinium enhancement of white matter lesions using T1/T2 magnetic resonance imaging. In another embodiment, the clinical exacerbation or subclinical activity is shown by development of new or enlarged white matter lesions on magnetic resonance imaging of the brain or spinal cord. In one embodiment, the development of new or enlarged white matter lesions is monitored by T1/T2 magnetic resonance imaging. In another embodiment, the development of new or enlarged white matter lesions is monitored by Proton Density magnetic resonance imaging. In yet another embodiment, the development of new or enlarged white matter lesions is monitored by MTR magnetic resonance imaging. See also, Gaitan, M. I. and Reich, D. S. (2014) MRI in Diagnosis and Disease Monitoring, in Multiple Sclerosis and CNS Inflammatory Disorders (eds L. M. Samkoff and A. D. Goodman), John Wiley & Sons, Ltd., Chichester, UK.
doi: 10.1002/9781118298633. ch4 which is incorporated herein in its entirety by reference.
[00184] In another embodiment, the clinical exacerbations or subclinical activities are monitored by a functional readout such as ambulatory changes (gait changes, sway changes, etc.), T25W changes and/or EDSS changes. In another embodiment, the clinical exacerbations or subclinical activities are monitored by a visual evoked potential assay, a visual acuit ' assay or a measurement of optic nerve thickness. In another embodiment, the clinical exacerbations or subclinical activities are monitored by a myelin labelling assay.
[00185] In another embodiment, the subject with multiple sclerosis can be at any stage of treatment or disease and treatment with compounds of formula (I) or (IV) of the present invention result in improvement of the disease or symptoms. In one embodiment, improvement in the disease or symptoms is evidenced by a reduction or disappearance of one or more white matter lesions in the brain. In another embodiment, improvement in the disease or symptoms is evidenced by improved function such as improved ambulation, improved gait, reduced sway, improved T25W scores or improved EDSS scores. In another embodiment, improvement in the
disease or symptoms is evidenced by improvements in a visual acuity assay or a visual evoked potential assay. In another embodiment, improvement in the disease or symptoms is evidenced by enhanced optic nerve thickness. In another embodiment, improvement in the disease or symptoms is evidenced by increased myelination in a myelin labelling assay.
[00186] In another embodiment, the compounds of formula (I) or (IV) of the present invention and the methods, compositions and kits disclosed herein are useful for promoting myelin regeneration in progressive demyelinating diseases. In one embodiment, the compounds of formula (I) or (IV) of the present invention and the methods, compositions and kits disclosed herein are useful for promoting myelin regeneration in primary progressive multiple sclerosis. In another embodiment, the compounds of formula (I) or (IV) of the present invention and the methods, compositions and kits disclosed herein are useful for promoting myelin regeneration in secondary progressive multiple sclerosis. In another embodiment, the compounds of formula (I) or (IV) of the present invention and the methods, compositions and kits disclosed herein are useful for promoting myelin regeneration in relapsing-remitting multiple sclerosis. In another embodiment, the compounds of formula (I) or (IV) of the present invention and the methods, compositions and kits disclosed herein are useful for promoting myelin regeneration in progressive relapsing multiple sclerosis.
[00187] In yet another embodiment, the compounds of formula (I) or (IV) of the present invention and the methods, compositions and kits disclosed herein are useful for promoting remyelination at the cellular level wherein oligodendrocyte cells are stimulated to regenerate or differentiate. In another embodiment, the compounds of formula (I) or (IV) of the present invention and the methods, compositions and kits disclosed herein are useful for promoting remyelination at the cellular level wherein oligodendrocyte cells are stimulated to remyelinate axons.
[00188] In another embodiment, the compounds of formula (I) or (IV) of the present invention and the methods, compositions and kits disclosed herein are useful for promoting remyelination at the cellular level whereby oligodendrocyte cells are stimulated to regenerate or differentiate thereby treating demyelinating diseases or disorders. In yet another embodiment, the compounds of formula (I) or (IV) of the present invention and the methods, compositions and kits disclosed herein are useful
for promoting remyelination at the cellular level whereby axons are remyelinated by oligodendrocyte cells thereby treating demyelinating diseases or disorders.
[00189] In another embodiment, the compounds of formula (I) or (IV) of the present invention and the methods, compositions and kits disclosed herein are useful for inducing endogenous oligodendrocytes or oligodendrocyte precursor cells to contact an axon and produce myelin.
[00190] In another aspect, the present invention provides a method of treating or lessening the severity of, in a subject, a disease or disorder selected from a demyelinating disease, central pontine myelinolysis, a nerve injury disease or disorder, a leukoencephalopathy or a leukodystrophy comprising administering an effective amount of a compound, a pharmaceutically acceptable salt thereof or a pharmaceutical composition of the compounds of formula (I) or (IV).
[00191] In one aspect, the present invention provides a method of treating or lessening the severity of, in a subject, a disease or disorder selected from spinal cord injury, stroke, multiple sclerosis, progressive multifocal leukoencephalopathy.
congenital hypomyelinalion, encephalomyelitis, acute disseminated
encephalomyelitis, central pontine myelolysis, hypoxic demyelination. ischemic demyelination, neuromyelitis optics, adrenoleukodystrophy, Alexander's disease, Nieniann-Pick disease, Peli/aeus Merzbacher disease, periventricular leukomalatia. globoid cell leucodvstrophy ( Ki abbe's disease), Wallerian degeneration, optic neuritis, transverse myelitis, amylotrophic lateral sclerosis (Lou Gehrig's diseae). Huntington's disease, Alzheimer's disease, Parkinson's disease, Tax -Sacks disease, Gaucher" s disease, Hurler Syndrome, traumatic brain injury, post radiation injur ', neurologic complications of chemotherapy, neuropathy, acute ischemic optic neuropathy, neuromyelitis optica, vitamin B 12 deficiency, isolated vitamin E deficiency syndrome, Bassen-Kornzweig syndrome, Leber's hereditary optic atrophy /Leber congenital amaurosis, Marchiafava-Bignami syndrome, metachromatic
leukodystrophy, acute hemorrhagic leukoencephalitis, trigeminal neuralgia, Bell's palsy, schizophrenia, cerebral ischemia, multiple system atrophy, traumatic glaucoma, tropical spastic paraparesis numan T-lymphotropic virus 1 (HTLV-1 ) associated myelopathy, essential tremor or osmotic hyponatremia comprising administering an effective amount of a compound, a pharmaceutically acceptable salt thereof or a pharmaceutical composition of the compounds of formula ( I ) or (IV).
100192| In another aspect, the present invention provides a method of treating, preventing or ameliorating one or more symptoms of multiple sclerosis or another neurodegenerative disease selected from auditor)' impairment, optic neuritis, decreased visual acuity, diplopia, nystagmus, ocular dysmetria, internuclear ophthalmoplegia, movement and sound phosphenes, afferent pupillary defect, paresis, monoparesis, paraparesis, hemiparesis, quadraparesis, plegia, paraplegia, hemiplegia, tetraplegia, quadraplegia, spasticity, dysarthria, motor dysfunction, walking impairment, muscle atrophy, spasms, cramps, hypotonia, clonus, myoclonus, myokymia, restless leg syndrome, gait disturbances, footdrop, dysfunctional reflexes, paraesthesia, anaesthesia, neuralgia, neuropathic and neurogenic pain, L'herrnitte's, proprioceptive dysfunction, trigeminal neuralgia, ataxia, intention tremor, dysmetria, vestibular ataxia, vertigo, speech ataxia, dystonia, disability progression,
dysdiadochokinesia, frequent micturation, bladder spasticity, flaccid bladder, detrusor- sphincter dyssynergia, erectile dysfunction or anorgasmy comprising administerin an effective amount of a compound, a pharmaceutically acceptable salt thereof or a pharmaceutical composition of the compounds of formula ( I ) or (IV).
[00193] In yet another aspect, the present invention provides a method of treating or lessenin the severity of. in a subject, a disease or disorder selected from a demyelinating disease, central pontine myelinolysis. a nerve injury disease or disorder, a leukoencephalopathy or a leukodystrophy comprising administering an effective amount of a compound, a pharmaceutically acceptable salt thereof or a pharmaceutical composition of the compounds of formula (I) or ( IV ) with one or more additional therapeutic agents administered concurrently with, prior to, or subsequent to treatment with the compound or pharmaceutical composition.
[00194] In another aspect, the present inv ention provides a method of treating or lessening the severity of, in a subject, a disease or disorder selected from spinal cord injury, stroke, multiple sclerosis, progressive multifocal leukoencephalopathy, congenital hypomyelination. encephalomyelitis, acute disseminated
encephalomyelitis, central pontine myeloly sis, hypoxic demyelination, ischemic demyelination, neuromyelitis optics, adrenoleukodystrophy, Alexander's disease, Niemann-Pick disease, Pelizaeus Merzbacher disease, periventricular leukomalatia, globoid cell leucodystrophy (Krabbe's disease), Wallerian degeneration, optic neuritis, transverse myelitis, amyotrophic lateral sclerosis (Lou Gehrig's diseae), Huntington's
disease, Alzheimer's disease, Parkinson's disease, Tax -Sacks disease, Gaucher" s disease, Hurler Syndrome, traumatic brain injury, post radiation injur ', neurologic complications of chemotherapy, neuropathy, acute ischemic optic neuropathy, neuromyelitis optica, vitamin B 1 2 deficiency, isolated vitamin E deficiency syndrome, Bassen-Kornzweig syndrome, Leber's hereditary optic atrophy /Leber congenital amaurosis, Marchiafava-Bignami syndrome, metachromatic
leukodystrophy, acute hemorrhagic leukoencephal itis, trigeminal neuralgia. Bell's palsy, schizophrenia, cerebral ischemia, multiple system atrophy, traumatic glaucoma, tropical spastic paraparesis human T-lv mphotropic virus 1 (HTLV-1 ) associated myelopathy, essential tremor or osmotic hyponatremia comprising administering an effecti ve amount of a compound, a pharmaceutically acceptable salt thereof or a pharmaceutical composition of the compounds of formula (I) or (IV) with one or more additional therapeutic agents administered concurrently with, prior to, or subsequent to treatment with the compound or pharmaceutical composition.
100195| In another aspect, the present invention provides a method of treatin or lessening the severit ' of, in a subject, a type of multiple sclerosis selected from primary progressive multiple sclerosis, relapsing-remitting multiple sclerosis, secondary progressive multiple sclerosis or progressive relapsing multiple sclerosis. In one aspect, the type of multiple sclerosis is primary progressive multiple sclerosis. In another aspect, the type of multiple sclerosis is relapsing-remitting multiple sclerosis. In yet another aspect, the t pe of multiple sclerosis is secondary progressive multiple sclerosis. In still a further aspect, the type of multiple sclerosis is progressive relapsing multiple sclerosis.
[00196] In another aspect, the present invention provides a method for treating, preventing or ameliorating one or more symptoms of multiple sclerosis or another neurodegenerative disease selected from auditory7 impairment, optic neuritis, decreased visual acuity, diplopia, nystagmus, ocular dysmetria, intemuclear ophthalmoplegia, movement and sound phosphenes, afferent pupillary defect, paresis, monoparesis, paraparesis, hemi paresis, quadraparesis, plegia, paraplegia, hemiplegia, tetraplegia, quadraplegia, spasticity, dysarthria, motor dysfunction, walking impairment, muscle atrophy, spasms, cramps, hypotonia, clonus, myoclonus, myoky mia, restless leg syndrome, gait disturbances, footdrop. dysfunctional reflexes, paraesthesia, anaesthesia, neuralgia, neuropathic and neurogenic pain, L'hermitte's,
proprioceptive dysfunction, trigeminal neuralgia, ataxia, intention tremor, dysmetria, vestibular ataxia, vertigo, speech ataxia, dystonia, disability progression,
dysdiadochokinesia, frequent micturation, bladder spasticity, flaccid bladder, detrusor- sphincter dyssynergia, erectile dysfunction or anorgasmy comprising administering an effecti e amount of a compound, a pharmaceutically acceptable salt thereof or a pharmaceutical composition of the compounds of formula (I) or (IV) with one or more additional therapeutic agents administered concurrently with, prior to, or subsequent to treatment with the compound or pharmaceutical composition. Manufacture of Medicaments
[00197] In one aspect, the present invention provides the use of a compound or pharmaceutical composition described herein for the manufacture of a medicament for use in treating or lessening the severity of, in a subject, a disease or disorder selected from a demyelinating disease, central pontine myelinolysis, a nerve injury disease or disorder or a leukoencephalopathy .
[00198] In another aspect, the present invention provides the use of a compound or pharmaceutical composition described herein for the manufacture of a medicament for use in treating or lessening the severity of, in a subject, a disease or disorder selected from spinal cord injury, stroke, multiple sclerosis, progressive multifocal
leukoencephalopathy, congenital hypomye!ination. encephalomyelitis, acute disseminated encephalomyelitis, central pontine myelolysis, hypoxic demyelination. ischemic demyelination, neuromyelitis optics, adrenoleukodystrophy, Alexander's disease, Niemann-Pick disease, Pelizaeus Merzbacher disease, periventricular leukomalatia, globoid cell leucodystrophy (Krabbe's disease), Wallerian degeneration, optic neuritis, transverse myelitis, amylotrophic lateral sclerosis (Lou Gehrig's diseae), Huntington's disease, Alzheimer's disease, Parkinson's disease, Tay -Sacks disease, Gaucher's disease, Hurler Syndrome, traumatic brain injury, post radiation injur}', neurologic complications of chemotherapy, neuropathy, acute ischemic optic neuropathy, neuromyelitis optica, vitamin B12 deficiency , isolated vitamin E deficiency syndrome, Bassen-Kornzweig syndrome, Leber's hereditary optic atrophy /Leber congenital amaurosis, Marchiafava-Bignami syndrome, metachromatic leukodystrophy, acute hemorrhagic leukoencephalitis, trigeminal neuralgia, Bell's palsy, schizophrenia, cerebral ischemia, multiple system atrophy, traumatic glaucoma,
tropical spastic paraparesis human T-lvmphotropic virus 1 ( HTLV- 1 ) associated myelopathy, essential tremor or osmotic hyponatremia.
[00199] In another aspect, the present invention provides the use of a compound or pharmaceutical composition described herein for the manufacture of a medicament for use in treating, preventing or ameliorating one or more symptoms of multiple sclerosis or another neurodegenerative disease selected from auditory impairment, optic neuritis, decreased visual acuity, diplopia, nystagmus, ocular dysmetria.
intern uclear ophthalmoplegia, movement and sound phosphenes, afferent pupillary- defect, paresis, monoparesis, paraparesis, hemiparesis, quadraparesis, plegia, paraplegia, hemiplegia, tetraplegia, quadraplegia, spasticity, dysarthria, motor dysfunction, walking impairment, muscle atrophy, spasms, cramps, hypotonia, clonus, myoclonus, myokymia, restless leg syndrome, gait disturbances, footdrop, dysfunctional reflexes, paresthesia, anaesthesia, neuralgia, neuropathic and neurogenic pain, L'hermitte's, proprioceptive dysfunction, trigeminal neuralgia, ataxia, intention tremor, dysmetria, vestibular ataxia, vertigo, speech ataxia, dystonia, disability progression, dysdiadochokinesia, frequent micturation. bladder spasticity, flaccid bladder, detrusor- sphincter dyssynergia, erectile dysfunction or anorgasmy.
[00200] In yet another aspect, the present invention provides the use of a compound or pharmaceutical composition described herein for the manufacture of a medicament in combination with one or more additional therapeutic agents administered concurrently with, prior to, or subsequent to treatment with the compound or pharmaceutical composition.
[00201] In one aspect, the present invention provides the use of a compound or pharmaceutical composition described herein for the manufacture of a medicament for use in treating or lessening the severity of, in a subject, a disease or disorder selected from a demyelinating disease, central pontine myelinolysis. a nerve injury disease or disorder or a leukoencephalopathy with one or more additional therapeutic agents administered concurrently with, prior to, or subsequent to treatment with the compound or pharmaceutical composition.
[00202] In another aspect, the present invention provides the use of a compound or pharmaceutical composition described herein for the manufacture of a medicament for use in treating or lessening the severity of, in a subject, a disease or disorder selected from spinal cord injury, stroke, multiple sclerosis, progressive multifocal
leukoencephalopathy. congenital hypomyelination, encephalomyelitis, acute disseminated encephalomyelitis, central pontine myelolysis, hypoxic demyelination, ischemic demyelination, neuromyelitis optics, adrenoleukodystrophy, Alexander's disease, Niemann-Pick disease, Pelizaeus Merzbacher disease, periventricular leukomalatia, globoid cell leucodystrophy (Krabbe's disease). Wallerian degeneration, optic neuritis, transverse myelitis, amylotrophic lateral sclerosis (Lou Gehrig's diseae), Huntington's disease, Alzheimer's disease, Parkinson's disease, Tay- Sacks disease, Gaucher's disease, Hurler Syndrome, traumatic brain injury, post radiation injury, neurologic complications of chemotherapy, neuropathy, acute ischemic optic neuropathy, neuromyelitis optica, vitamin B12 deficiency, isolated vitamin E deficiency syndrome, Bassen-Kornzweig syndrome, Leber's hereditary optic atrophy /Leber congenital amaurosis, M arch i afa v a- B i gn ami syndrome, metachromatic leukodystrophy, acute hemorrhagic leukoencephalitis, trigeminal neuralgia, Bell's palsy, schizophrenia, cerebral ischemia, multiple system atrophy, traumatic glaucoma, tropical spastic paraparesis human T-lymphotropic virus 1 ( HTLV- 1 ) associated myelopathy, essential tremor or osmotic hyponatremia in combination with one or more additional therapeutic agents administered concurrently with, prior to, or subsequent to treatment with the compound or pharmaceutical composition.
[00203] In another aspect, the present inv ention provides the use of a compound or pharmaceutical composition described herein for the manufacture of a medicament for use in treating or lessening the severity of, in a subject, a type of multiple sclerosis selected from primary progressive multiple sclerosis, relapsing-remittin multiple sclerosis, secondary progressive multiple sclerosis or progressive relapsing multiple sclerosis. In one aspect, the type of multiple sclerosis is primary progressive multiple sclerosis. In another aspect, the type of multiple sclerosis is relapsing-remittin multiple sclerosis. In yet another aspect, the type o multiple sclerosis is secondary progressive multiple sclerosis. In still a further aspect, the type of multiple sclerosis is progressive relapsing multiple sclerosis.
[00204] In yet another aspect, the present the present invention provides the use of a compound or pharmaceutical composition described herein for the manufacture of a medicament for use in treating, preventing or ameliorating one or more symptoms of multiple sclerosis or another neurodegenerative disease selected from auditory impairment, optic neuritis, decreased visual acuity, diplopia, nystagmus, ocular
dysmetria, internuclear ophthalmoplegia, movement and sound phosphenes, afferent pupillary defect, paresis, monoparesis, paraparesis, hemi paresis, quadraparesis, plegia, paraplegia, hemiplegia, tetraplegia, quadraplegia, spasticity, dysarthria, motor dysfunction, walking impairment, muscle atrophy, spasms, cramps, hypotonia, clonus, myoclonus, myokymia, restless leg syndrome, gait disturbances, footdrop, dysfunctional reflexes, paraesthesia, anaesthesia, neuralgia, neuropathic and neurogenic pain, L'hermitte's, proprioceptive dysfunction, trigeminal neuralgia, ataxia, intention tremor, dysmetria, vestibular ataxia, vertigo, speech ataxia, dystonia, disability progression, dysdiadochokinesia. frequent micturation. bladder spasticity, flaccid bladder, detrusor- sphincter dyssynergia, erectile dysfunction or anorgasmyin combination with one or more additional therapeutic agents administered concurrently with, prior to, or subsequent to treatment with the compound or pharmaceutical composition. Administration of Pharmaceutically acceptable salts and Compositions
[00205] In certain embodiments of the invention an "effective amount" of the compound, a pharmaceutically acceptable salt thereof or pharmaceutically acceptable composition is that amount effective for treating or lessening the severity of, in a subject, a disease or disorder selected from one or more of a demyelinating disease, central pontine myelinolysis, a nerve injury disease or disorder or a
leukoencephalopathy .
[00206] The exact amount required will vary from subject to subject, depending on the species, age, and general condition of the subject, the severity of the disease, the particular agent, its mode of administration, and the like. The compounds of the invention are preferably formulated in dosage unit form for ease of administration and uniformity of dosage. The expression "dosage unit form" as used herein refers to a physically discrete unit of agent appropriate for the patient to be treated. It will be understood, however, that the total daily usage of the compounds and compositions of the invention will be decided by the attending physician within the scope of sound medical judgment. The specific effective dose level for any particular patient or organism will depend upon a variety of factors including the disorder being treated and the severity of the disorder; the activity of the specific compound employed; the specific composition employed; the age, body weight, general health, sex and diet of
the patient; the time of administration, route of administration, and rate of excretion of the specific compound employed; the duration of the treatment; drugs used in combination or coincidental with the specific compound employed, and like factors well known in the medical arts. The term "patient", as used herein, means an animal, preferably a mammal, and most preferably a human
[00207] The pharmaceutically acceptable compositions of this invention can be administered to humans and other animals orally, rectally, parenterally,
intracisternally, intravaginally, intraperitoneally, topically (as by powders, ointments, or drops), bucally, as an oral or nasal spray, or the like, depending on the severity of the disease being treated. In certain embodiments, the compounds of the invention may be administered orally or parenterally at dosage levels of about 0.01 mg/kg to about 50 mg/kg and preferably from about 1 mg/kg to about 25 mg/kg, of subject body weight per day, one or more times a day, to obtain the desired therapeutic effect.
[00208] Liquid dosage forms for oral administration include, but are not limited to, pharmaceutically acceptable emulsions, microemulsions, solutions, suspensions, syrups and elixirs. In addition to the active compounds, the liquid dosage forms may contain inert diluents commonly used in the art such as, for example, water or other solvents, solubilizing agents and emulsifiers such as ethyl alcohol, isopropyl alcohol, ethyl carbonate, ethyl acetate, benzyl alcohol, benzyl benzoate, propylene glycol, 1,3- butylene glycol, dimethylformamide, oils (in particular, cottonseed, groundnut, com, germ, olive, castor, and sesame oils), glycerol, tetrahydrofurfuryl alcohol,
polyethylene glycols and fatty acid esters of sorbitan, and mixtures thereof. Besides inert diluents, the oral compositions can also include adjuvants such as wetting agents, emulsifying and suspending agents, sweetening, flavoring, and perfuming agents.
[00209] Injectable preparations, for example, sterile injectable aqueous or oleaginous suspensions may be formulated according to the known art using suitable dispersing or wetting agents and suspending agents. The sterile injectable preparation may also be a sterile injectable solution, suspension or emulsion in a nontoxic parenterally acceptable diluent or solvent, for example, as a solution in 1,3- butanediol. Among the acceptable vehicles and solvents that may be employed are water, Ringer's solution, U.S. P. and isotonic sodium chloride solution. In addition, sterile, fixed oils are conventionally employed as a solvent or suspending medium. For this purpose any bland fixed oil can be employed including synthetic mono- or
diglycerides. In addition, fatty acids such as oleic acid are used in the preparation of injectables.
[00210] The injectable formulations can be sterilized, for example, by filtration through a bacterial-retaining filter, or by incorporating sterilizing agents in the form of sterile solid compositions which can be dissolved or dispersed in sterile water or other sterile injectable medium prior to use.
[00211] In order to prolong the effect of a compound of the invention, it is often desirable to slow the absorption of the compound from subcutaneous or intramuscular injection. This may be accomplished by the use of a liquid suspension of crystalline or amorphous material with poor water solubility. The rate of absorption of the compound then depends upon its rate of dissolution that, in turn, may depend upon crystal size and crystalline form. Alternatively, delayed absorption of a parenterally administered compound form is accomplished by dissolving or suspending the compound in an oil vehicle. Injectable depot forms are made by forming
microencapsule matrices of the compound in biodegradable polymers such as polylactide-polyglycolide. Depending upon the ratio of compound to polymer and the nature of the particular polymer employed, the rate of compound release can be controlled. Examples of other biodegradable polymers include poly(orthoesters) and poly (anhydrides). Depot injectable formulations are also prepared by entrapping the compound in liposomes or microemulsions that are compatible with body tissues.
[00212] Compositions for rectal or vaginal administration are preferably suppositories which can be prepared by mixing the compounds of this invention with suitable non-irritating excipients or carriers such as cocoa butter, polyethylene glycol or a suppository wax which are solid at ambient temperature but liquid at body temperature and therefore melt in the rectum or vaginal cavity and release the active compound.
[00213] Solid dosage forms for oral administration include capsules, tablets, pills, powders, and granules. In such solid dosage forms, the active compound is mixed with at least one inert, pharmaceutically acceptable excipient or carrier such as sodium citrate or dicalcium phosphate and/or a) fillers or extenders such as starches, lactose, sucrose, glucose, mannitol, and silicic acid, b) binders such as, for example, carboxymethylcellulose, alginates, gelatin, polyvinylpyrrolidinone, sucrose, and acacia, c) humectants such as glycerol, d) disintegrating agents such as agar-agar,
calcium carbonate, potato or tapioca starch, alginic acid, certain silicates, and sodium carbonate, e) solution retarding agents such as paraffin, f) absorption accelerators such as quaternary ammonium compounds, g) wetting agents such as, for example, cetyl alcohol and glycerol monostearate, h) absorbents such as kaolin and bentonite clay, and i) lubricants such as talc, calcium stearate, magnesium stearate, solid polyethylene glycols, sodium lauryl sulfate, and mixtures thereof. In the case of capsules, tablets and pills, the dosage form may also comprise buffering agents.
[00214] Solid compositions of a similar type may also be employed as fillers in soft and hard-filled gelatin capsules using such excipients as lactose or milk sugar as well as high molecular weight polyethylene glycols and the like. The solid dosage forms of tablets, dragees, capsules, pills, and granules can be prepared with coatings and shells such as enteric coatings and other coatings well known in the pharmaceutical formulating art. They may optionally contain opacifying agents and can also be of a composition that they release the active ingredient(s) only, or preferentially, in a certain part of the intestinal tract, optionally, in a delayed manner. Examples of embedding compositions that can be used include polymeric substances and waxes. Solid compositions of a similar type may also be employed as fillers in soft and hard- filled gelatin capsules using such excipients as lactose or milk sugar as well as high molecular weight polethylene glycols and the like.
[00215] The active compounds can also be in microencapsulated form with one or more excipients as noted above. The solid dosage forms of tablets, dragees, capsules, pills, and granules can be prepared with coatings and shells such as enteric coatings, release controlling coatings and other coatings well known in the pharmaceutical formulating art. In such solid dosage forms the active compound may be admixed with at least one inert diluent such as sucrose, lactose or starch. Such dosage forms may also comprise, as is normal practice, additional substances other than inert diluents, e.g., tableting lubricants and other tableting aids such a magnesium stearate and microcrystalline cellulose. In the case of capsules, tablets and pills, the dosage forms may also comprise buffering agents. They may optionally contain opacifying agents and can also be of a composition that they release the active ingredient(s) only, or preferentially, in a certain part of the intestinal tract, optionally, in a delayed manner. Examples of embedding compositions that can be used include polymeric substances and waxes.
[00216] Dosage forms for topical or transdermal administration of a compound of this invention include ointments, pastes, creams, lotions, gels, powders, solutions, sprays, inhalants or patches. The active component is admixed under sterile conditions with a pharmaceutically acceptable carrier and any needed preservatives or buffers as may be required. Ophthalmic formulation, eardrops, and eye drops are also contemplated as being within the scope of this invention. Additionally, the invention contemplates the use of transdermal patches, which have the added advantage of providing controlled delivery of a compound to the body. Such dosage forms are prepared by dissolving or dispensing the compound in the proper medium.
Absorption enhancers can also be used to increase the flux of the compound across the skin. The rate can be controlled by either providing a rate controlling membrane or by dispersing the compound in a polymer matrix or gel.
Additional Therapeutic Agents
100217| It will also be appreciated that the the compounds of formula (I) or ( IV ) of the present invention and the methods, compositions and kits disclosed herein can be employed in combination therapies, that is, the compounds and pharmaceutically acceptable compositions can be administered concurrently with, prior to, or subsequent to, one or more other desired therapeutics or medical procedures. The particular combination of therapies (therapeutics or procedures) to employ in a combination regimen will take into account compatibility of the desired therapeutics and/or procedures and the desired therapeutic effect to be achieved. It will also be appreciated that the therapies employed may achieve a desired effect for the same disorder (for example, an inventive compound may be administered concurrently with another agent used to treat the same disorder), or they may achieve different effects (e.g., control of any adverse effects). As used herein, additional therapeutic agents that are normally administered to treat or prevent a particular disease, or condition, are known as "appropriate for the disease, or condition, being treated." Additional appropriate therapeutic agents or approaches are described generally in The Merck Manual, Nineteenth Edition, Ed. Robert S. Porter and Justin L. Kaplan, Merck Sharp & Dohme Corp., a subsidiary of Merck & Co., Inc., 2011, and the Food and Drug Administration website, www.fda.gov, the entire contents of which are hereby incorporated by reference.
[00218] In one embodiment, the additional therapeutic agents is an
immunomodulatory agent, such as an IFN-β 1 molecule including but not limited to an interferon beta la (Avonex®, Rebif®) or an interferon beta lb (Betaseron®, Betaferon®, Extavia®). Immunomodulatory agents also include other interferons and fragments, analogues, homologues, derivatives, and natural variants thereof with substantially similar biological activity to interferon beta la molecules.
[00219] In another embodiment, the additional therapeutic agent is a polymer of glutamic acid, lysine, alanine and tyrosine such as glatiramer acetate (Copaxone®).
[00220] In another embodiment, the additional therapeutic agent is an antibody or fragment thereof against alpha-4 integrin (e.g., natalizumab (Tysabri®)).
[00221] In another embodiment, the additional therapeutic agent is an
anthracenedione molecule such as mitoxantrone (Novantrone®).
[00222] In another embodiment, the additional therapeutic agent is a sphingosine 1- phosphate receptor modulator such as fingolimod (Gilenya®) and those described in WO 2012/109108 the entire contents of which is hereby incorporated by reference.
[00223] In another embodiment, the additional therapeutic agent is a dimethyl fumarate such as an oral dimethyl fumarate (Tecfidera®).
[00224] In another embodiment, the additional therapeutic agent is an antibody to the alpha subunit of the IL-2 receptor of T cells such as daclizumab (Zenapax®).
[00225] In another embodiment, the additional therapeutic agent is an antibody against CD52 such as alemtuzumab (Lemtrada®).
[00226] In another embodiment, the additional therapeutic agent is an inhibitor of a dihydroorotate dehydrogenase such as teriflunomide (Aubagio®).
[00227] In another embodiment, the additional therapeutic agent is an antibody to CD20 such as ocrelizumab, rituximab or ofatumumab.
[00228] In another embodiment, the additional therapeutic agent is a corticosteroid such as, but not limited to methylprednisolone, Depo-Medrol®, Solu-Medrol®, Deltasone®, Delta-Cortef®, Medrol®, Decadron® or Acthar®.
[00229] In another embodiment, the additional therapeutic agent is an anti-VLA4 antibody, such as Natalizumab (Tysabri®) or a related VLA-4 antibodies such as those described in US 5,840,299, US 6,602,503, Sanchez-Madrid et al, (1986) Eur. J. Immunol 16: 1343-1349; Hemler et al, (1987) J Biol. Chem. 2: 11478-11485; Issekutz et al. (1991) J Immunol 147: 109 (TA-2 mab); Pulido et al. (1991) J Biol. Chem. 266:
10241-10245; and U.S. Pat. No. 5,888,507 the entire contents of each patent or publication hereby incorporated by reference in their entirety.
[00230] In another embodiment, the additional therapeutic agent is a LINGO-1 antagonist (e.g., an antibody against LINGO (e.g., LINGO-1, LINGO-2, LINGO-3, LINGO-4) or a Nogo receptor-1 (NgRl) modulator and compositions thereof such as those disclosed in WO2004/085648, WO2006/002437, WO2007/008547,
WO2007/025219, WO2007/064882, WO2007/056161, WO2007/133746,
WO2007/098283, WO2008/086006, WO2009/061500, WO2010/005570,
WO2010/062904, WO 2013/173364, WO2014/058875, each of which is hereby incorporated by reference in its entirety.
[00231] In another embodiment, the additional therapeutic agent is a TAJ modulator, such as those disclosed in WO2006/017673, which is hereby incorporated by reference in its entirety.
[00232] In another embodiment, the additional therapeutic agent is a TrkA antagonist such as those disclosed in WO2008/013782 or a TrkB antagonist such as those disclosed in WO2009/048605, each of which is hereby incorporated by reference in its entirety.
[00233] In another embodiment, the additional therapeutic agent is a sclerostin modulator such as those disclosed in WO2013/063095, which is hereby incorporated by reference in its entirety.
[00234] In another embodiment, the additional therapeutic agent is an autotaxin (ATX) inhibitor or LPA receptor antagonist, such as those described in
WO2015048301, WO2015042053, WO2015042052, WO2015008230,
WO2015008229, WO2014202458, WO2014139882, WO2014133112,
WO2014097151, WO2014110000, WO2014/081756, WO2014/081752,
WO2014/048865, WO2014168824 , WO2014143583, WO2014139978,
WO2013/186159, WO2012/024620, WO2012/166415, WO2012078593,
WO2012078805, WO2012024620,WO2013070879, WO2013/061297,
WO2013/054185, WO2014/018881, WO2014/018887, WO2014/018891,
WO2014/025708, W02104/025709, WO2014/152725, WO2012028243,
WO2012005227, WO2011/159635, WO2011/159550, WO2011116867,
WO2011053948, WO2011041729, WO2011041694, WO2011041462,
WO2011041461, WO2011017561, WO2011017350, WO2010115491,
WO2011006569, WO20110141761, WO2010112124, WO2010112116,
WO2010077883, WO2010077882, WO2010068775, WO2010063352,
WO2010051031, WO2010051030, WO2009046841, WO2009046842,
WO2009046804, WO2009023854, WO2009/135590, WO2008/014286, WO
2010/141768, US2006/194850, US 2003/114505, US 2004/122236, US 2006/194850, US 6964945, US2005/0256160, US 2006/148830, US 2008/0293764,
US2010/0249157, the disclosure of each patent application and patent hereby incorporated by reference in its entirety.
[00235] In another embodiment, the additional therapeutic agent is a Nox4 modulator such as those described in WO2013/037499, which is hereby incorporated by reference in its entirety.
[00236] In another embodiment, the additional therapeutic agent is a remyelinating antibody such as rHIgM22.
[00237] In another embodiment, the additional therapeutic agent is dalfampridine (Ampyra®)
[00238] In another embodiment, the additional therapeutic agent is a death receptor 6 (DR6) antagonist, a p75 antagonist or a combination thereof such as those disclosed in US8894999 and WO2014106104 each of which is incorporated herein by reference in its entirety.
[00239] In another embodiment, the additional therapeutic agent is Cethrin™.
[00240] In another embodiment, the additional therapeutic agent is an activin receptor modulator such as those described in WO2015/001352, which is hereby incorporated by reference in its entirety.
[00241] In another embodiment, the additional therapeutic agent is a GLP-1 like peptide or a derivative of GLP-1 like peptides such as those disclosed in
WO2015/000942, WO2014/202727, WO2012/140117, WO2012/062803, WO 2012/062804, WO2011/080102 and WO2009/030771, each of which is incorporated herein by reference in its entirety. In another embodiment, the GLP-1 derivative is Liraglutide or Semaglutide.
[00242] In another embodiment, the additional therapeutic agent is a RXR modulator such as those disclosed in US2015/0038585 and WO2013056232 each of which is incorporated herein by reference in its entirety. In another embodiment, the RXR modulator is HX630.
[00243] In another embodiment, the additional therapeutic agent is an activator of the NRF2/KE AP 1 / ARE pathway such as those disclosed in WO2014/197818 which is hereby incorporated by reference in its entirety.
[00244] In another embodiment, the additional therapeutic agent is a PPAR agonist such as those disclosed in WO2014/165827 which is hereby incorporated by reference in its entirety.
[00245] In another embodiment, the additional therapeutic agent is an inhibitor of HDAC4 such as those disclosed in WO2013/080120 which is hereby incorporated by reference in its entirety.
[00246] In another embodiment, the additional therapeutic agent is a gamma secretase inhibitor such as DAPT.
[00247] In another embodiment, the additional therapeutic agent is an antipsychotic medication such as quetiapine.
[00248] In another embodiment, the additional therapeutic agent is a thyroid hormone.
[00249] In another embodiment, the additional therapeutic agent is a thyroid translocator protein (TSPO) such as etifoxine.
[00250] In another embodiment, the additional therapeutic agent is insulin-like growth factor 1 (IGF-1).
[00251] In another embodiment, the additional therapeutic agent is an
anticholinergic such as benzatropine.
[00252] In another embodiment, the additional therapeutic agent is an
antihistamine/anti cholinergic such as clemastine or clemastine fumarate.
[00253] In another embodiment, the additional therapeutic agent is one that removes antiaquaporin by plasmapheresis.
[00254] In another embodiment, the additional therapeutic agent is a hyaluronan inhibitor or antagonist such as those described in WO2015023691, which is hereby incorporated by reference in its entirety.
[00255] In another embodiment, the additional therapeutic agent is a hyaluronidase inhibitor such as a PH20 inhibitor or those described in WO2013/102144,
WO2011/133862, and WO2010/007729 each of which is hereby incorporated by reference in its entirety.
[00256] In another embodiment, the additional therapeutic agent is a Toll-Like Receptor-2 (TLR-2) inhibitor.
[00257] In another embodiment, the additional therapeutic agent is a Semaphorin 3A antagonist or antibody such as those disclosed in WO2014123186, which is hereby incorporated by reference in its entirety.
[00258] In another embodiment, the additional therapeutic agent is a CXCR2 inhibitor or antagonist.
[00259] In another embodiment, the additional therapeutic agent is a Semaphorin 3F agonist.
[00260] In another embodiment, the additional therapeutic agent is a Wnt polypeptide or Wnt inhibitor such as those disclosed in WO 2013/040309 and WO 2012/097093, each of which is hereby incorporated by reference in its entirety.
[00261] In another embodiment, the additional therapeutic agent is a mitochondrial pore modulator such as Olesoxime.
[00262] In another embodiment, the additional therapeutic agent is a PSA NCAM antagonist, a CXCR2 inhibitor or antagonist, a MRF agonist, a GM-98 agonist, a Tcf4 inhibitor, a retinoid, a neuregulin 1-erbB signaling modulator, a zpfl91 activator, an miR219 activator, an miR338 activator or an miR138 activator.
[00263] In certain embodiments, the additional agent is an immunomodulatory agent such as an IFN-β 1 molecule which is administered intravenously,
subcutaneously or intramuscularly. In one embodiment, the IFN-β 1 molecule is administered at 20-45 microgram once a week by intramuscular injection. In another embodiment, the IFN-β 1 molecule is administered at 20-30 microgram three times a week by intramuscular injection. In another embodiment, the IFN-β 1 molecule is administered at 40-50 micrograms once a week, by subcutaneous injection.
[00264] In another embodiment, the IFN-β 1 molecule is administered in an amount of between 10 and 50 μg intramuscularly three times a week.
[00265] In another embodiment, the IFN-β 1 molecule is administered in an amount of between 10 and 50 μg intramuscularly every five to ten days.
[00266] In another embodiment, the IFN-β 1 molecule is administered in an amount between 200 and 600 μg every other day by subcutaneous injection. In one embodiment, the IFN-β 1 molecule is an interferon β-lb (Betaseron®, Betaferon®, or Extavia®).
[00267] These combinations are useful for treating or lessening the severity of, in a subject, the diseases described herein including neurodegenerative diseases such as multiple sclerosis. These combinations are also useful in the kits described herein.
[00268] It will also be appreciated that the the compounds of formula (I) or (IV) of the present invention and the methods, compositions and kits disclosed herein can be employed in combination therapies to not only treat or lessen the severity of, in a subject, the diseases described herein but may also be used in symptom management. Those additional agents include those useful for treating symptoms such as bladder problems (e.g., Botox®, DDAVP Nasal Spray®, Detrol®, Ditropan®, Ditropan XL®, Enablex®, Flomax®, Hytrin®, Minipress®, Oxytrol®, Pro-Banthine®, Sanctura®, Tofranil®, Vesicare®); infections (Bactrim®, Septra®, Cipro®, Macrodantin®, Hiprex®, Pyridium®); bowel dysfunction (Colace®, Dulcolax®, Enemeez®, Fleet enema, Mineral oil, Metamucil®, Milk of Magnesia®, glycerin suppositories);
depression (Cymbalta®, Effexor®, Paxil®, Prozac®, Wellbutrin®, Zoloft®);
dizziness and vertigo (Antivert®); emotional changes (Nuedexta®), Fatigue
(Amantadine®, Provigil®, Prozac®), itching (Atarax®); pain (Dilantin®, Elavil®, Klonipin®, Neurontin®, Pamelor®, Aventyl®, Tegetrol®); sexual problems
(Cialis®, Levitra®, Papaverine®, MUSE®, Prostin VR®, Viagra®); spasticity (Dantrium®, Gablofen®, Klonipin®, Lioresal®, Valium®, Zanaflex®); tremors (Laniazid®, Nydrazid®, Klonopin®, Rivotril®); and walking or gait difficulties (Ampyra®).
[00269] The amount of additional therapeutic agent present in or with the compositions of this invention will be no more than the amount that would normally be administered in a composition comprising that therapeutic agent as the only active agent. Preferably the amount of additional therapeutic agent in the presently disclosed compositions will range from about 50% to 100% of the amount normally present in a composition comprising that agent as the only therapeutically active agent.
[00270] In another aspect, the present invention features a kit comprising a compound and/or pharmaceutical composition of formula (I) or (IV) of the present invention and instructions for use thereof.
[00271] In another embodiment, the kits of the present invention further comprise one or more additional therapeutic agent(s). In another embodiment, the additional
therapeutic agent is selected from an immunomodulatory agent, such as an IFN-β 1 molecule including but not limited to an interferon beta la (Avonex®, Rebif®) or an interferon beta lb (Betaseron®, Betaferon®, Extavia®).
[00272] In another embodiment, the additional therapeutic agent is a polymer of glutamic acid, lysine, alanine and tyrosine such as glatiramer acetate (Copaxone®).
[00273] In another embodiment, the additional therapeutic agent is an antibody or fragment thereof against alpha-4 integrin (e.g., natalizumab (Tysabri®)).
[00274] In another embodiment, the additional therapeutic agent is an
anthracenedione molecule such as mitoxantrone (Novantrone®).
[00275] In another embodiment, the additional therapeutic agent is a sphingosine 1- phosphate receptor modulator such as fingolimod (Gilenya®) and those described in
WO 2012/109108 the entire contents of which is hereby incorporated by reference.
[00276] In another embodiment, the additional therapeutic agent is a dimethyl fumarate such as an oral dimethyl fumarate (Tecfidera®).
[00277] In another embodiment, the additional therapeutic agent is an antibody to the alpha subunit of the IL-2 receptor of T cells such as daclizumab (Zenapax®).
[00278] In another embodiment, the additional therapeutic agent is an antibody against CD52 such as alemtuzumab (Lemtrada®).
[00279] In another embodiment, the additional therapeutic agent is an inhibitor of a dihydroorotate dehydrogenase such as teriflunomide (Aubagio®).
[00280] In another embodiment, the additional therapeutic agent is an antibody to CD20 such as ocrelizumab, rituximab or ofatumumab.
[00281] In another embodiment, the additional therapeutic agent is a corticosteroid such as, but not limited to methylprednisolone, Depo-Medrol®, Solu-Medrol®, Deltasone®, Delta-Cortef®, Medrol®, Decadron® or Acthar®.
[00282] In another embodiment, the additional therapeutic agent is one or more compounds useful for treating symptoms of the disease such as bladder problems (e.g., Botox®, DDAVP Nasal Spray®, Detrol®, Ditropan®, Ditropan XL®, Enablex®, Flomax®, Hytrin®, Minipress®, Oxytrol®, Pro-Banthine®, Sanctura®, Tofranil®, Vesicare®); infections (Bactrim®, Septra®, Cipro®, Macrodantin®, Hiprex®, Pyridium®); bowel dysfunction (Colace®, Dulcolax®, Enemeez®, Fleet enema, Mineral oil, Metamucil®, Milk of Magnesia®, glycerin suppositories);
depression (Cymbalta®, Effexor®, Paxil®, Prozac®, Wellbutrin®, Zoloft®);
dizziness and vertigo (Antivert®); emotional changes (Nuedexta®), Fatigue
(Amantadine®, Provigil®, Prozac®), itching (Atarax®); pain (Dilantin®, Elavil®, Klonipin®, Neurontin®, Pamelor®, Aventyl®, Tegetrol®); sexual problems (Cialis®, Levitra®, Papaverine®, MUSE®, Prostin VR®, Viagra®); spasticity (Dantrium®, Gablofen®, Klonipin®, Lioresal®, Valium®, Zanaflex®); tremors (Laniazid®, Nydrazid®, Klonopin®, Rivotril®); or walking or gait difficulties (Ampyra®).
[00283] In another embodiment, the kits of the present invention are drawn to kits wherein the compounds or the pharmaceutical compositions of the present invention and the one or more additional therapeutic agent(s) are in separate containers.
[00284] In another embodiment, the kits of the present invention are drawn to kits wherein the compounds or the pharmaceutical compositions of the present invention and the one or more additional therapeutic agent(s) are in the same container.
[00285] In another embodiment, the container is a bottle, vial, or blister pack, or combination thereof.
SCHEMES AND EXAMPLES
The compounds of the invention may be readily prepared by known methods and by using the following methods, schemes and examples. Illustrated below in Scheme A through Scheme Q are general methods for preparing the compounds of the present invention. Compounds were named using either IUPAC nomenclature or the nomenclature used in ChemBioDraw Ultra (Version 12.0.2.1076, CambridgeSoft®).
EXAMPLES
General methods. XH NMR (obtained on a Bruker 400MHz Advance III QNP probe 1H/13C/19F or a Bruker 300MHz Advance I QNP probe 1H/13C/19F) spectra were obtained as solutions in an appropriate deuterated solvent such as dimethyl sulfoxide- d6 (DMSO-D6 or DMSO-<¾). Mass spectra (MS) were obtained using a Waters Acquity UPLC-MS system equipped with a Waters 3100 mass detector and one of the following HPLC (High Performance Liquid Chromatography) or UPLC (Ultra Performance Liquid Chromatography) methods:
UPLC method A: Mobile phase A: water (0.1 % trifluoroacetic acid). Mobile phase B: acetonitrile (0.1 % trifluoroacetic acid). Column: Waters Acquity CSH C18, 2.1 x
50 mm, 1.7 μπι particle size. Flow rate = 0.6 mL/min, injection volume = 2 μί, and column temperature = 25 °C. Gradient 5%-95% Phase B 1.4 minutes.
UPLC method B: Mobile phase A: water (0.1 % trifluoroacetic acid). Mobile phase B: acetonitrile (0.1 % trifluoroacetic acid). Column: Waters Acquity CSH CI 8, 2.1 x 50 mm, 1.7 μηι particle size. Flow rate = 0.6 mL/min, injection volume = 2 μί, and column temperature = 25 °C. Gradient 10-60% phase B overl .4 minutes.
UPLC method C: Mobile phase A: water (0.1 % trifluoroacetic acid). Mobile phase B: acetonitrile (0.1 % trifluoroacetic acid). Column 4.6 x 100mm Sunfire C18 column. Flow rate = 1.5 mL/min. Gradient 2-98% phase B over 3.8 minutes.
UPLC method D: Mobile Phase A: 95 % water [50 mM ammonium formate pH 9] : 5% acetonitrile. Mobile Phase B: acetonitrile. Column: Waters Acquity BEH C8, 2.1 x 50 mm, 1.7 μηι particle size. Flow rate=0.6ml/min ; Injection Volume: 2 \L.
Gradient 5-95% phase B over 1.4 minutes.
UPLC method E: Mobile Phase A: water (0.1 % trifluoroacetic acid). Mobile phase B: acetonitrile (0.1 % trifluoroacetic acid); Column: Waters Acquity CSH Fluorophenyl, 2.1 x 50 mm, 1.7 μηι particle size; Flow rate=0.6ml/min ; Injection Volume: 2 μί; Gradient 5-95% phase B over 1.4 minutes.
HPLC method F: Mobile phase A: water (0.1 % trifluoroacetic acid). Mobile phase B: acetonitrile (0.1 % trifluoroacetic acid). Column: Waters Xselect C18, 4.6 x 50 mm, 5 μηι particle size. Flow rate = 1.5 mL/min, injection volume = 10 \L. Gradient 5-95% phase B over 3 minutes.
Normal phase silica gel flash chromatography was performed using pre-packed Isco RediSepRf regular or high performance (Isco Gold) columns as well as specialty capped silica gel columns such as Isco Gold Amine, Isco Gold Diol, Isco Gold Cyano as specified in the Examples. Reverse phase chromatography was performed using pre-packed Isco RediSepRf reverse phase columns such as Isco CI 8 and Isco Gold C18Aq. Pyridine, dichloromethane (CH2C12 or DCM), tetrahydrofuran (THF), dimethylformamide (DMF), acetonitrile (ACN), methanol (MeOH), and 1,4-dioxane were from Baker or Aldrich and in some cases the reagents were Aldrich Sure-Seal bottles kept under dry nitrogen. All reactions were stirred magnetically unless otherwise noted.
[00286] The following definitions describe terms and abbreviations used herein: DCM dichloromethane
DMA diemethylacetamide
EtOAc/EA ethyl acetate
Hex hexanes
HEP heptanes
HPLC high-performance liquid chromatography
LCMS liquid chromatography-mass spectrometry
ESI-MS electrospray ionization mass spectrometry
TLC thin layer chromatography
DMF N,N-dimethylformamide
DMSO dimethylsulfoxide
THF tetrahydrofuran
Et3N triethylamine
NMP N-methylpyrrolidone
HO Ac acetic acid
TFA trifluoroacetic acid
ACN acetonitrile
DCM dichloromethane
DCE dichloroethane
DMA dimethylacetamide
N2 nitrogen
R.T./RT/rt room temperature
AT ambient temperature
MeOH methanol
EtOH ethanol
t-BuOH e-butanol
t-BuONa sodium t-butoxide
Pd/C palladium on carbon
SnAr nucleophilic aromatic substitution mechanism
t-BuXPhos Palladacycle chloro(2-di-t-butylphosphino-2',4',6'-tri-i -propyl- 1, 1' biphenyl) [2-(2-aminoethyl)phenyl]palladium(II)
RuPhos 2-Dicyclohexylphosphino-2',6'-diisopropoxybiphenyl
BrettPhos 2-(Dicyclohexylphosphino)3,6-dimethoxy-2',4',6'-triisopropyl-l, - biphenyl
BrettPhos Precatalyst Chloro[2-(dicyclohexylphosphino)-3,6-dimethoxy-2',4', 6'-triisopropyl-l,l '-biphenyl] [2-(2-aminoethyl)phenyl]palladium(II) 1 : 1 molar mixture
Pd2(dba)3 tris(dibenzylideneacetone)dipalladium
ISCO flash chromatography system
S1O2 silica gel
MP-TMT macroporous polystyrene-bound trimecaptotriazine
PL-HCO3 MP SPE polymer supported bicarbonate resin
RBF round-bottom flask
Cmpd Compound
Scheme A: General Route A to Compounds of Formula I or III
Compounds of formula I or III of the present invention wherein R4 is oxygen (oxazole ring) may be prepared as generally outlined in Scheme A, which shows representative structures wherein R1 is L^G^R6, X1 is CRX1, X3 is CRX3, R4 is optionally substituted henyl, and L1, G1, R6, X2, RX1, and RX3 are as defined herein.
XA= CI, Br; Y=NH2; X2=CH, N, CF; or
XA=NH2; Y=Br, X2=CH, N, CF
EXAMPLE 1
Preparation of N-(3-methyl-5-morpholino-phenyl)-5-phenyl-oxazol-2-amine
Reagents and conditions: (a) Pd2(dba)3, RuPhos, CS2CO3, 90 °C, morpholine, 1,4- dioxane (b) 10% Pd/C (wet), EtOH, H2 (c) ί-BuXPhos Palladacycle, NaOtBu, 1,4- dioxane, 90 °C.
Preparation of 4-(3-methyl-5-nitrophenyl)morpholine
[00287] Cesium carbonate (4.2 g, 12.89 mmol) was added to a solution of 1-bromo- 3-methyl-5-nitro-benzene (947 mg, 4.38 mmol), morpholine (458 μί, 5.25 mmol) and 2-Dicyclohexylphosphino-2',6'-diisopropoxybiphenyl (RuPhos) (83 mg, 0.17 mmol) in dry 1,4-dioxane at room temperature and the mixture was purged with a stream of nitrogen for ten minutes. Tris(dibenzylideneacetone)dipalladium(0) (80 mg, 0.09 mmol) was added and nitrogen purge continued for 5 minutes, then the vial was sealed and heated at 90 °C for 18 hours. The mixture was cooled, diluted with water and extracted twice with ethyl acetate. The combined organic layers were washed with water and brine, filtered through a plug of Florisil, and concentrated. Flash chromatography on silica gel (40 g column) eluting with 0-20% ethyl acetate/heptane afforded 4-(3-methyl-5-nitrophenyl)morpholine (447 mg, 46%) as an off-white solid. XH NMR (300 MHz, CDC13) δ 7.54 (s, 2H), 7.01 (s, 1H), 3.94 - 3.84 (m, 4H), 3.29 - 3.18 (m, 4H), 2.43 (s, 3H) ppm. ESI-MS m/z calc. 222.1, found 223.1 (M+l)+;
[00288] A Parr bottle was purged with nitrogen and charged with 10% Pd/C (220 mg, wet), followed by the addition of nitrogen purged ethanol (75 mL) and 4-(3- methyl-5-nitro-phenyl)morpholine (440 mg, 1.98 mmol). The bottle was placed under vacuum and refilled with hydrogen gas two times. The mixture was shaken under 35 psi of hydrogen for 18 hours, purged with nitrogen, filtered and washed with ethanol. The filtrate was concentrated to dryness and the residue purified by flash chromatography on silica gel (12 g column) eluting with 0-40% ethyl
acetate/dichloromethane to afford 3-methyl-5-morpholino-aniline (170 mg, 45%) as a tan solid. lH NMR (300 MHz, CDC13) δ 6.20 (t, J = 1.7 Hz, 1H), 6.09 (dt, J = 7.6, 2.1 Hz, 2H), 3.90 - 3.80 (m, 4H), 3.59 (s, 2H), 3.22 - 3.05 (m, 4H), 2.25 (s, 3H) ppm. ESI-MS m/z calc. 192.13, found 193.1 (M+l)+; Retention time: 0.53 minutes. Preparation of N-(3-methyl-5-morpholinophenyl)-5-phenyl-oxazol-2-amine
[00289] Sodium t-butoxide (101 mg, 1.05 mmol) was added to a solution of 2- bromo-5-phenyl-oxazole (72 mg, 0.32 mmol) and 3-methyl-5-morpholino-aniline (63 mg, 0.33mmol) in dry 1,4-dioxane (2 mL) at room temperature. The mixture was purged with nitrogen for 3 minutes. Chloro(2-di-t-butylphosphino-2',4',6'-tri-i-propyl- l,r-biphenyl)[2-(2-aminoethyl)phenyl] palladium(II) (/-BuXPhos Palladacycle) (8 mg, 0.01 mmol) was added and after purging with nitrogen for two more minutes, the vial was sealed and heated at 60 °C for 20 hours. The reaction was cooled, diluted with pH7 buffer and water, then extracted with ethyl acetate. The organic layer was washed with brine, filtered through a plug of Florisil, dried over sodium sulfate,
filtered and concentrated. The residue was purified by flash chromatography on silica gel (12 g column; 10-60% ethyl acetate/dichloromethane) to afford the desired product. The above product was further triturated twice with ether to give N-(3- methyl-5-mo holinophenyl)-5-phenyl-oxazol-2-amine (11 mg, 10%) as a colorless solid. lH NMR (300 MHz, CDC13) δ 7.60-7.51 (m, 2H), 7.45 - 7.36 (m, 2H), 7.32- 7.23 (m, 1H), 7.17 (s, 1H), 7.06 (d, J = 2.1 Hz, 2H), 6.78 (s, 1H), 6.46 (t, J = 1.7 Hz, 1H), 3.94 - 3.85 (m, 4H), 3.26 - 3.17 (m, 4H), 2.36 (s, 3H) ppm. ESI-MS m/z calc. 335.1, found 336.1 (M+l)+; Retention time: 0.75 minutes.
EXAMPLE 2
Preparation of N-[4-(difluoromethyl)-6-[4-(oxetan-3-yl)piperazin-l -yll-2-pyridyll-5- -fluorophenyl)oxazol-2-amine (Compound 1)
Reagents and conditions: (a) DIPEA, 1 ,4-dioxane, 160 °C (b) 5-(3- fluorophenyl)oxazol-2-amine, ί-BuXPhos Palladacycle, NaOtBu, 1,4-dioxane, 125 °C.
[00290] A mixture of 2,6-dichloro-4-(difluoromethyl)pyridine (400 mg, 2.02 mmol), l-(oxetan-3-yl)piperazine (432.0 mg, 3.04 mmol), DIPEA (700 μΐ,, 4.02 mmol) and 1 ,4-dioxane (12.00 mL) in a sealed tube was heated at 160 °C for 20 min. The reaction mixture was concentrated. The crude material was subjected to flash chromatography purification (12g silica; 0% to 5% to 10% of methanol in dichloromethane) to give l-[6-chloro-4-(difluoromethyl)-2-pyridyl]-4-(oxetan-3- yl)piperazine (510 mg, 83%). 'H NMR (300 MHz, CDC13) δ 6.71 (s, 1H), 6.69 (s, 1H), 6.58 (s, 1H), 6.41 (t, J = 55.8 Hz, 1H), 4.81 - 4.58 (m, 4H), 3.79 - 3.61 (m, 4H), 3.60 - 3.47 (m, 1H), 2.59 - 2.30 (m, 4H) ppm. ESI-MS m/z calc. 303.10, found 304.46 (M+l)+; Retention time: 0.61 minutes.
Preparation of N-[4-(difluoromethyl)-6-[4-(oxetan-3-yl)piperazin-l -yll-2-pyridyll-5-
(3-fluorophenyl)oxazol-2-amine (Compound 1)
[00291] l -[6-chloro-4-(difluoromethyl)-2-pyridyl]-4-(oxetan-3-yl)piperazine (100 mg, 0.33 mmol), 5-(3-fluorophenyl)oxazol-2-amine (64 mg, 0.36 mmol) and sodium t-butoxide (65 mg, 0.68 mmol) were suspended in 1,4-dioxane (4 mL) and purged with N2 for several minutes before addition of chloro(2-di-t-butylphosphino-2',4',6'- tri-i-propyl-l, -biphenyl)[2-(2-aminoethyl)phenyl] palladium(II) (/-BuXPhos
Palladacycle) (17.4 mg, 0.025 mmol). The mixture was microwaved at 125 °C for 70 minutes. The reaction was quenched with methanol (2 mL), diluted with
dichloromethane (15 mL), washed with water (5 mL), brine (5 mL), dried over
sodium sulfate, filtered and concentrated. The crude material was subjected to flash chromatography purification (12g silica; 0% to 5% to 10% of methanol in
dichloromethane) and CH3CN trituration to give N-[4-(difluoromethyl)-6-[4-(oxetan- 3-yl)piperazin-l-yl]-2-pyridyl]-5-(3-fluorophenyl)oxazol-2-amine (90 mg, 55%). XH NMR (300 MHz, CDC13) δ 7.49 (d, J = 9.6 Hz, 2H), 7.37 (qd, J = 7.9, 3.5 Hz, 2H), 7.27 - 7.19 (m, 2H), 7.03 - 6.94 (m, 1H), 6.78 - 6.41 (m, 2H), 4.73 (d, J = 6.2 Hz, 4H), 3.67 (s, 5H), 2.49 (s, 4H) ppm. ESI-MS m/z calc. 445.17, found 446.12 (M+l)+; Retention time: 0.68 minutes. EXAMPLE 3
Preparation of N-[4-(difluoromethyl)-6-[4-(oxetan-3-yl)piperazin-l-yll-2-pyridyll-5- phenyloxazol-2-amine (Compound 3)
Reagents and conditions: (a) 5-phenyloxazol-2-amine, ί-BuXPhos Palladacycle, NaOtBu, 1,4-dioxane, 125°C.
[00292] l-[6-chloro-4-(difluoromethyl)-2-pyridyl]-4-(oxetan-3-yl)piperazine (50 mg, 0.16 mmol), 5-phenyloxazol-2-amine (53 mg, 0.33 mmol) and sodium t-butoxide (32 mg, 0.33 mmol) were suspended in 1,4-dioxane (3 mL) and purged with N2 for several minutes before addition chloro(2-di-t-butylphosphino-2',4',6'-tri-i-propyl-l, - biphenyl)[2-(2-aminoethyl)phenyl] palladium(II) (ί-BuXPhos Palladacycle) (10 mg, 0.014 mmol). The mixture was microwaved at 125°C for 70 minutes. The reaction was quenched with methanol (2 mL), diluted with dichloromethane (15 mL), washed with water (5 mL), brine (5 mL), dried over sodium sulfate, filtered and concentrated. The crude material was subjected to flash chromatography purification (12g silica; 0% to 5% to 10% of ethanol in ethyl acetate) to provide N-[4-(difluoromethyl)-6-[4- (oxetan-3-yl)piperazin-l-yl]-2-pyridyl]-5-phenyloxazol-2-amine (50 mg, 68%). XH
NMR (300 MHz, CDC13) δ 7.55 (dd, J = 14.0, 6.7 Hz, 4H), 7.42 (t, J = 7.6 Hz, 2H), 7.35 - 7.25 (m, 2H), 6.68 (d, J = 56.0 Hz, 1H), 6.44 (s, 1H), 4.83 - 4.60 (m, 4H), 3.79 - 3.49 (m, 5H), 2.57 - 2.35 (m, 4H) ppm. ESI-MS m/z calc. 427.18, found 428.03 (M+l)+; Retention time: 0.67 minutes.
EXAMPLE 4
Preparation of N-r4-(difluoromethyl)-6-r4-(oxetan-3-yl)piperazin-l-yll-2-pyridvH-5- -chlorophenyl)oxazol-2-amine (Compound 5)
Reagents and conditions: (a) 5-(3-chlorophenyl)oxazol-2-amine, /-BuXPhos
Palladacycle, NaOtBu, 1,4-dioxane, 125 °C.
Preparation of N-[4-(difluoromethyl)-6-[4-(oxetan-3-yl)piperazin-l-yll-2-pyridyll-5- (3-chlorophenyl)oxazol-2-amine (Compound 5)
[00293] l-[6-chloro-4-(difluoromethyl)-2-pyridyl]-4-(oxetan-3-yl)piperazine (100 mg, 0.33 mmol), 5-(3-chlorophenyl)oxazol-2-amine (103 mg, 0.53 mmol) and sodium t-butoxide (64 mg, 0.67 mmol) were suspended in 1,4-dioxane (4 mL) and purged with N2 for several minutes before addition of chloro(2-di-t-butylphosphino-2',4',6'- tri-i-propy 1- 1 , 1 '-biphenyl) [2-(2-aminoethy l)pheny 1] palladium(II) (/-BuXPhos Palladacycle) (18 mg, 0.026 mmol). The mixture was microwaved at 125 °C for 70
minutes. The reaction was quenched with methanol (2 mL), diluted with
dichloromethane (15 mL), washed with water (5 mL), brine (5 mL), dried over sodium sulfate, filtered and concentrated. The crude material was subjected to flash chromatography purification (12g silica; 0% to 5% to 10% of methanol in dichloromethane) to provide 5-(3-chlorophenyl)-N-[4-(difluoromethyl)-6-[4-(oxetan- 3-yl)piperazin-l-yl]-2-pyridyl]oxazol-2-amine (71 mg, 44%). l NMR (300 MHz, CDC13) δ 7.55 (t, J = 1.7 Hz, 1H), 7.51 (s, 2H), 7.46 - 7.40 (m, 1H), 7.34 (t, J = 7.8 Hz, 1H), 7.28 - 7.24 (m, 1H), 7.23 (d, J = 3.8 Hz, 1H), 6.68 (d, J = 56.0 Hz, 1H), 6.46 (s, 1H), 4.74 (d, J = 6.5 Hz, 4H), 3.70 (s, 5H), 2.53 (s, 4H) ppm. ESI-MS m/z calc. 461.14, found 462.05 (M+l)+; Retention time: 0.71 minutes.
EXAMPLE 5
Preparation of N-r4-(difluoromethyl)-6-r4-(oxetan-3-yl)piperazin-l-yll-2-pyridvH-5- 3.5-difluorophenyl)oxazol-2-amine (Compound 2)
Reagents and conditions: (a) i. Br2, DCM, 0 °C; ii. urea, DMF, 90 °C (b) 5-(3,5- difluorophenyl)oxazol-2-amine, /-BuXPhos Palladacycle, NaOtBu, 1,4-dioxane, 125 °C.
[00294] To a solution of 2-(3,5-difluorophenyl)acetaldehyde (2 g, 12.81 mmol) in 1,4-dioxane (3 mL) at 0 °C was slowly added Br2 (727 μί, 14.11 mmol). The reaction mixture was stirred at 0 °C for 30 minutes, then warmed up to room temperature. Dichloromethane (5 mL) was added to the mixture and stirred for another 30 minutes. The above reaction mixture was slowly added to a preheated solution of urea (1.58 g, 26.32 mmol) in dimethylformamide (30.00 mL) at 90 °C and the resultant mixture was heated for 3 hours, then stirred at room temperature for 8 hours. The reaction mixture was concentrated. The residue was treated with saturated Na2C03 (60 mL) and extracted with ethyl acetate (2 xl 00 mL). The combined organic layers were washed with brine, dried over sodium sulfate, filtered and concentrated. The crude material was subjected to flash chromatography purification (1st column: 40g silica; 0% to 10% to 20% of methanol in
dichloromethane; 2nd column: 12g silica, 0 to 5% ethanol in ethyl acetate) to give 5- (3,5-difluorophenyl)oxazol-2-amine (60 mg, 2%). l NMR (300 MHz, Methanol-^) δ 7.34-6.97 (m, 3H), 6.87-6.66 (m, 1H) ppm. ESI-MS m/z calc. 196.05, found 197.0 (M+l)+; Retention time: 0.61 minutes.
Preparation N-[4-(difluoromethyl)-6-[4-(oxetan-3-yl)piperazin-l-yll-2-pyridyll-5- (3.5-difluorophenyl)oxazol-2-amine (Compound 2)
[00295] l-[6-chloro-4-(difluoromethyl)-2-pyridyl]-4-(oxetan-3-yl)piperazine (60 mg, 0.2 mmol), 5-(3,5-difluorophenyl)oxazol-2-amine (60 mg, 0.31 mmol) and sodium t-butoxide (40 mg, 0.42 mmol) were suspended in 1,4-dioxane (4 mL) and purged with N2 for several minutes before addition of chloro(2-di-t-butylphosphino- 2',4',6'-tri-i-propyl-l,r-biphenyl)[2-(2-aminoethyl)phenyl] palladium(II) (i-BuXPhos Palladacycle) (12.0 mg, 0.017 mmol). The mixture was microwaved at 125 °C for 90 minutes. The reaction was quenched with methanol (2 mL), diluted with
dichloromethane (15 mL), washed with water (5 mL), brine (5 mL), dried over sodium sulfate, filtered and concentrated. The crude material was subjected to flash chromatography purification (12 g silica; 0% to 5% to 10% of ethanol in ethyl acetate) and CH3CN trituration to give N-[4-(difluoromethyl)-6-[4-(oxetan-3- yl)piperazin-l-yl]-2-pyridyl]-5-(3,5-difluorophenyl)oxazol-2-amine (50 mg, 51%). XH NMR (300 MHz, CDC13) δ 7.50 (s, 2H), 7.25 (s, 1H), 7.06 (d, J = 6.2 Hz, 2H), 6.82 - 6.54 (m, 2H), 6.46 (s, 1H), 4.82-4.61 (m, 4H), 3.65 (d, J = 4.5 Hz, 4H), 3.60 - 3.44 (m, 1H), 2.46 (d, J = 4.6 Hz, 4H) ppm. ESI-MS m/z calc. 463.16, found 463.94 (M+l)+; Retention time: 0.7 minutes.
EXAMPLE 6
Preparation of N-[3-methyl-5-[4-(3-methyloxetan-3-yl)piperazin-l-yllphenyll-5- phenyl-oxazol-2-amine (Compound 6)
Reagents and conditions: (a) KI, CaC03, EtOH, water, 100-120 °C;
(b) methanesulfonyl chloride, Et3N, EtOAc; (c) K2C03, 1,4-dioxane, 160 °C; (d) 5- phenyloxazol-2-amine, /-BuXPhos Palladacycle, NaOtBu, 1,4-dioxane, 125 °C.
Preparation of 2-[3-bromo-N-( -hvdroxyethyl)-5-methyl-anilinolethanol
[00296] A mixture of 3 -bromo-5 -methyl-aniline (1.86 g, 10 mmol), 2-chloroethanol (3.22 g, 40.00 mmol), KI (166 mg, 1.00 mmol) and CaC03 (2.00 g, 20.00 mmol) in water (6 mL) and ethanol (6 mL) was heated at 100 °C for 36 hours, then at 120 °C for 20 hours. The reaction mixture was cooled to room temperature, diluted with ethyl acetate, washed with water, saturated NaCl and dried. The excess solvent was evaporated under reduced pressure. The crude material was subjected to flash chromatography purification (40g silica; 0 % to 5% to 10% of methanol in dichloromethane) to give 2-[3-bromo-N-(2-hydroxyethyl)-5-methyl-anilino]ethanol (1.4 g, 51%). 'H NMR (300 MHz, CDC13) δ 6.71 (d, J = 22.0 Hz, 2H), 6.47 (s, 1H),
3.87 (t, J = 4.9 Hz, 4H), 3.61 - 3.53 (m, 4H), 3.41 (s, 2H), 2.29 (s, 3H) ppm. ESI-MS m/z calc. 273.04, found 274.31 (M+l)+; Retention time: 0.68 minutes.
Preparation of 2-[3-bromo-5-methyl-N-(2-methylsulfonyloxyethyl)anilinolethyl methanesulfonate
[00297] A solution of 2-[3-bromo-N-(2-hydroxyethyl)-5-methyl-anilino]ethanol (720 mg, 2.63 mmol) in ethyl acetate (15 mL) was treated with methanesulfonyl chloride (902 mg, 7.88 mmol). ΕΪ Ν (930.0 mg, 9.19 mmol) was then added to above mixture. The reaction mixture was stirred at room temperature for 1 hour. The reaction mixture was diluted with ethyl acetate, washed with water, saturated NaHCCb and saturated NaCl, then dried over sodium sulfate, filtered and
concentrated. The crude material was subjected to flash chromatography purification (40g silica; 10% to 50% to 100% of ethyl acetate in hexanes) to give 2-[3-bromo-5- methyl-N-(2-methylsulfonyloxyethyl)anilino]ethyl methanesulfonate (950 mg, 84%). XH NMR (300 MHz, CDC13) δ 6.79 (s, 1H), 6.67 (d, J = 1.8 Hz, 1H), 6.47 (s, 1H), 4.37 (t, J = 5.8 Hz, 4H), 3.76 (t, J = 5.8 Hz, 4H), 3.02 (s, 6H), 2.30 (s, 3H) ppm. ESI- MS m/z calc. 428.99, found 430.24 (M+l)+; Retention time: 0.85 minutes. Preparation of l-(3-bromo-5-methyl-phenyl)-4-(3-methyloxetan-3-yl)piperazine
[00298] A mixture of 2-[3-bromo-5-methyl-N-(2- methylsulfonyloxyethyl)anilino]ethyl methanesulfonate (220 mg, 0.51 mmol), 3- methyloxetan-3-amine (54 mg, 0.62 mmol) and K2CO3 (212 mg, 1.53 mmol) in 1,4- dioxane (15 mL) was microwaved at 160 °C for 16 h. The reaction mixture was diluted with ethyl acetate, washed with water, saturated NaHCC , saturated NaCl and
dried. The excess solvent was evaporated under reduced pressure. The crude material was subjected to flash chromatography purification (12 g silica; 10% to 50% to 100% of ethyl acetate in hexanes) to give l-(3-bromo-5-methyl-phenyl)-4-(3- methyloxetan-3-yl)piperazine (85 mg, 51%). lH NMR (300 MHz, CDC13) δ 6.86 (d, J = 1.8 Hz, 1H), 6.83 (s, 1H), 6.65 (s, 1H), 4.64 (d, J = 5.4 Hz, 2H), 4.29 (d, J = 5.8 Hz, 2H), 3.29 - 3.13 (m, 4H), 2.61 - 2.44 (m, 4H), 2.35 - 2.22 (m, 3H), 1.42 (s, 3H) ppm. ESI-MS m/z calc. 324.08, found 325.39 (M+l)+; Retention time: 0.64 minutes.
Preparation of N-[3-methyl-5-[4-(3-methyloxetan-3-yl)piperazin-l-yllphenyll-5- phenyl-oxazol-2-amine (Compound 6)
[00299] 5-phenyloxazol-2-amine (63 mg, 0.39 mmol), l-(3-bromo-5-methyl- phenyl)-4-(3-methyloxetan-3-yl)piperazine (80 mg, 0.25mmol) and sodium t-butoxide (50 mg, 0.52 mmol) were suspended in 1,4-dioxane (4 mL) and purged with N2 for several minutes before addition of chloro(2-di-t-but lphosphino-2',4',6'-tri-i-propyl- l,r-biphenyl)[2-(2-aminoethyl)phenyl] palladium(II) (i-BuXPhos Palladacycle) (13 mg, 0.02 mmol). The mixture was microwaved at 125 °C for 60 minutes. The reaction was quenched with methanol (2 mL) and diluted with dichloromethane. After filtration (Florisil/10 g), the excess solvent was evaporated under reduced pressure. The crude material was subjected to flash chromatography purification (12g silica; 0% to 5% of ethanol in ethyl acetate) to give N-[3-methyl-5-[4-(3- methyloxetan-3-yl)piperazin-l-yl]phenyl]-5-phenyl-oxazol-2-amine (75 mg, 72%). XH NMR (300 MHz, CDC13) δ 7.61 - 7.49 (m, 2H), 7.40 (t, J = 7.7 Hz, 2H), 7.26 (d, J = 7.4Hz, 1H), 7.17 (s, 1H), 7.03 (s, 1H), 6.93 (s, 1H), 6.79 (s, 1H), 6.47 (s, 1H), 4.71 (d, J = 5.5 Hz, 2H), 4.30 (d, J = 5.8 Hz, 2H), 3.49 - 3.18 (m, 4H), 2.74 - 2.45 (m, 4H), 2.35 (s, 3H) ppm. ESI-MS m/z calc. 404.22, found 405.28 (M+l)+; Retention time: 0.64 minutes.
EXAMPLE 7
Preparation of N-[3-ethyl-5-[[5-(3-fluorophenyl)oxazol-2-yllaminolphenyllacetamide (Compound 4)
Reagents and conditions: (a) 5-(3-fluorophenyl)oxazol-2-amine, /-BuXPhos
Palladacycle, NaOtBu, 1,4-dioxane, 125 °C
Preparation of N-[3-ethyl-5-[[5-( -fluorophenyl)oxazol-2-yllaminolphenyllacetamide
[00300] 5-(3-fluorophenyl)oxazol-2-amine (77 mg, 0.43 mmol) , N-(3-bromo-5- ethyl-phenyl)acetamide (100 mg, 0.39 mmol) and sodium t-butoxide (80 mg, 0.83 mmol) were suspended in 1,4-dioxane (4 mL) and purged with N2 for several minutes before addition of chloro(2-di-t-butylphosphino-2',4',6'-tri-i-propyl-l, -biphenyl)[2- (2-aminoethyl)phenyl] palladium(II) (ί-BuXPhos Palladacycle) (20 mg, 0.03 mmol). The mixture was microwaved at 125 °C for 75 minutes. The reaction was quenched with methanol (2 mL), diluted with dichloromethane (20 mL), washed with water (5 mL), dried over sodium sulfate, filtered and concentrated. The crude material was subjected to flash chromatography purification (12 g silica; 0% to 5% to 10% of methanol in dichloromethane) to provide N-[3-ethyl-5-[[5-(3-fluorophenyl)oxazol-2- yl]amino]phenyl]acetamide (50 mg, 36%). XH NMR (300 MHz, Methanol- <¾+CDCl3) δ 7.55 (d, J = 1.9 Hz, 1H), 7.36 (t, J = 5.4 Hz, 2H), 7.29 - 7.23 (m, 1H), 7.18 (s, 1H), 7.15 (s, 1H), 7.07 (s, 1H), 7.00 - 6.90 (m, 1H), 2.65 (q, J = 7.6 Hz, 2H),
2.16 (s, 3H), 1.26 (t, J = 7.6 Hz, 3H) ppm. ESI-MS m/z calc. 339.14, found 340.06 (M+l)+; Retention time: 0.81 minutes.
[00301] Using the general synthetic scheme outlined in Scheme A and experimental procedures analogous to those listed above in Examples 1-7, the following compounds can be prepared: 12-17, 19, 7, 3-5, 8, 25, 22 and 23.
Scheme B: General Route B for Preparation of Compounds of Formula III
Compounds of the invention of Formula III may be prepared as generally outlined in Scheme B, where X1, X2, X3, R1, R2 and R4 are as described herein.
EXAMPLE 8
Preparation of 5-(3.5-difluorophenyl)-N-r3-methyl-5-r4-(oxetan-3-yl)piperazin-l- yllphenylloxazol-2-amine (Compound 21)
Reagents and conditions: (a) trimethlphenylammonium tribromide, THF, 0 °C (b) NaN3 MeOH (c) thiocarbonyl dichloride, DCM, 0 °C (d) PPh3, DCM.
Preparation of 2-bromo-l-(3.5-difluorophenyl)ethanone
[00302] To a solution of l-(3,5-difluorophenyl)ethanone (10 g, 64.05 mmol) in THF (70 mL) at 0 °C was added trimethlphenylammonium tribrornide (26.5 g, 70.49 mmol) in 2 portions 10 minutes apart. The reaction mixture was stirred for 30 minutes, then warmed to room temperature and stirred for 3 hours. The reaction was quenched with water (100 mL) and the aqueous solution was extracted with diethyl ether (2 x 100 mL). The organic layer was washed with brine, dried over magnesium sulfate, filtered and concentrated under reduced pressure. The crude material was subjected to flash chromatography purification (330 g Gold Silica; 10-70% dichloromethane/hexanes) to give 2-bromo-l-(3,5-difiuorophenyl)ethanone (9.8 g, 65%). XH NMR (300 MHz, CDC13) δ 7.61 - 7.40 (m, 2H), 7.16 - 6.93 (m, 1H), 4.41 (s, 2H) ppm. Does not ionize in LCMS.
reparation of 2-azido-l -(3.5-difluorophenyl)ethanone
[00303] To a solution of 2-bromo-l -(3,5-difluorophenyl)ethanone (2.46 g, 10.47 mmol) in methanol (20 mL) was added NaN3 (776 mg, 1 1.94 mmol) and the resulting mixture was stirred for 2 hours at room temperature. The solvent was removed under vacuum. The residue was partitioned between ethyl acetate (50 mL) and water (50 mL). The organic layer was dried over magnesium sulfate, filtered and the solvent was removed under reduced pressure to give 2-azido-l -(3,5-difluorophenyl)ethanone (2 g, 97%). XH NMR (300 MHz, Methanol-^) δ 7.48 - 7.33 (m, 2H), 7.06 (tt, J = 8.4, 2.3 Hz, 1H), 4.48 (s, 2H) ppm.
Preparation of l-(3-isothiocvanato-5-methyl-phenyl)-4-(oxetan-3-yl)piperazine
[00304] To a solution of 3-methyl-5-[4-(oxetan-3-yl)piperazin-l-yl]aniline (1 g, 4.04 mmol) in dichloromethane (10 mL) at 0 °C was slowly added thiocarbonyl dichloride (502 mg, 333 μί, 4.37 mmol). The reaction was stirred for 2 hours at room temperature, then saturated NaHCC was added and the mixture was stirred for another 1 hour. The layers were separated and the aqueous layer was washed with dichloromethane (2 x 20 mL). The combined organic layers were dried over magnesium sulfate, filtered, and the solvent was removed under reduced pressure to give l-(3-isothiocyanato-5-methyl-phenyl)-4-(oxetan-3-yl)piperazine (1.17 g; 100%).
XH NMR (300 MHz, Methanol-***) δ 6.60 (s, 1H), 6.56 - 6.45 (m, 2H), 4.65(dq, J = 12.6, 6.4 Hz, 3H), 3.58 - 3.43 (m, 1H), 3.31 - 3.08 (m, 4H), 2.52 - 2.41 (m, 3H), 2.25 (s, 3H) ppm. ESI-MS m/z calc. 289.12, found 290.21 (M+l)+; Retention time: 0.63 minutes.
Preparation 5-(3.5-difluorophenyl)-N-[3-methyl-5-[4-(oxetan-3-yl)piperazin-l- yllphenylloxazol-2-amine. trifluoroacetic acid salt (Compound 21)
[00305] To a mixture of l-(3-isothiocyanato-5-methyl-phenyl)-4-(oxetan-3- yl)piperazine (1.21 g, 4.18 mmol) and PPI13 (1.11 g, 4.22 mmol) in dichloromethane (10 mL) was added a solution of 2-azido-l-(3,5-difluorophenyl)ethanone (824 mg, 4.18 mmol) in dichloromethane (3 mL) over 1 hour at room temperature. The resultant mixture was stirred for another 2 hours, quenched with 2N HCl (30 mL) and stirred for 1 hour. The resulting biphasic mixture was separated and the aqueous layer was washed with dichloromethane (20 mL). The pH of aqueous layer was adjusted to 12 with 6N NaOH and an extraction with dichloromethane (3 x 20 mL) was performed. The combined organic layers were washed with brine, dried, filtered and concentrated. The product was purified via reverse phase column chromatography (120g C18 silica; 10-95% ACN/water 0.1% TFA) to give 5-(3,5-difluorophenyl)-N- [3-methyl-5-[4-(oxetan-3-yl)piperazin-l-yl]phenyl]oxazol-2-amine (trifluoroacetic acid salt(l)) (72.6 mg, 3%). XH NMR (300 MHz, Methanol-^) δ 7.42 (s, 1H), 7.31 - 7.12 (m, 3H), 6.90 - 6.74 (m, 2H), 6.57 (s, 1H), 5.48 (d, J = 2.5 Hz, 1H), 5.01 - 4.87 (m, 5H), 4.50 (dd, J = 12.3, 6.9 Hz, 1H), 3.52 (s, 4H), 3.38 (s, 3H), 2.32 (s, 3H), 1.41 - 1.12 (m, 3H), 0.97 - 0.83 (m, 1H) ppm. ESI-MS m/z calc. 426.19, found 427.34 (M+l)+; Retention time: 0.63 minutes.
X1 U=CI, Br; ΧΊ Ί =ΝΗ2
(III) X10=NH2; X1 1 =CI, Br
Compounds of the invention may be prepared as generally outlined in Scheme C, where R1 is -OCi-6alkyl, -OCi-6haloalkyl, -0-C2-6alkylene-OCi-4alkyl, -O-G -R6, O-G2, or -O-G3, and R2, R4, X1, X2, and X3 are as described herein.
EXAMPLE 9
Reagents and conditions: (a) K2C03, 50 °C, DMF (b) i-BuXPhos Palladacycle , NaOtBu, L4-dioxane, 90 °C.
Preparation of l-bromo-3-isopropoxy-5-methyl-benzene
[00306] A mixture of 2-bromopropane (8.55g, 6.53 mL, 69.50 mmol), 3-bromo-5- methyl-phenol (6.5 g, 34.75 mmol) and potassium carbonate (14.41 g, 104.3 mmol) in dimethylformamide (60 mL) was heated to 50 °C for 4 hours. The reaction was diluted with water (100 mL) and extracted with ethyl acetate (200 mL). The organic layer was washed with water (3 x 100 mL), saturated NaCl and dried with sodium sulfate. After filtration, the solvent was removed under vacuum to give l-bromo-3- isopropoxy-5-methyl-benzene (6.95 g, 83%). XH NMR (300 MHz, CDC13) δ 6.91 (s, 1H), 6.87 (d, J = 1.9 Hz, 1H), 6.65 (d, J = 0.7 Hz, 1H), 4.60 - 4.44 (m, 1H), 2.30 (d, J = 0.5 Hz, 3H), 1.34 (d, J = 6.1 Hz, 6H) ppm. ESI-MS m/z calc. 228.01, found 229.22 (M+l)+; Retention time: 1.08 minutes.
Preparation of 5-(3-fluorophenyl -N-(3-isopropoxy-5-methyl-phenyl)oxazol-2-amine
[00307] l-Bromo-3-isopropoxy-5-methyl-benzene (80 μί, 0.45 mmol), 5- (3fluorophenyl)oxazol-2-amine (89 mg, 0.50 mmol) and sodium t-butoxide (100 mg, 1.04 mmol) were suspended in 1,4-dioxane (4 mL) and purged with N2 for several minutes before addition of chloro(2-di-t-butylphosphino-2',4',6'-tri-i-propy 1-1,1 '- biphenyl)[2-(2-aminoethyl)phenyl] palladium(II) (ί-BuXPhos Palladacycle) (24 mg, 0.035 mmol). The mixture was microwaved at 125 °C for 70 minutes. The reaction was quenched with methanol (2 mL), diluted with dichloromethane (15 mL), washed with water (5 mL), washed with brine (5 mL), dried over sodium sulfate, filtered and concentrated. The desired product was triturated with dichloromethane, then C¾CN to give 5-(3-fluorophenyl)-N-(3-isopropoxy-5-methyl-phenyl)oxazol-2-amine (80 mg, 51%). XH NMR (300 MHz, CDC13) δ 7.45 - 7.29 (m, 3H), 7.26 - 7.18 (m, 2H), 7.03 - 6.93 (m, 2H), 6.84 (s, 1H), 6.47 (s, 1H), 4.59 (dt, J = 12.1, 6.0 Hz, 1H), 2.35 (s, 3H), 1.38 (d, J = 6.1 Hz, 6H) ppm. ESI-MS m/z calc. 326.14, found 327.33 (M+l)+;
Retention time: 0.98 minutes.
EXAMPLE 10
Preparation of N-(3-isopropoxy-5-methyl-phenyl)-5-phenyl-oxazol-2-amine
(Compound 24)
Reagents and conditions: (a) /-BuXPhos Palladacycle, NaOtBu, 1,4-dioxane, 90 °C.
Preparation of N-(3-isopropoxy-5-methyl-phenyl)-5-phenyl-oxazol-2-amine (Compound 24)
[00308] Sodium t-butoxide (122 mg, 1.27 mmol) was added to a solution of 2- chloro-5-phenyl-oxazole (68 mg, 0.38 mmol) and 3-isopropoxy-5-methyl-aniline (72 mg, 0.44 mmol) in anhydrous 1,4-dioxane (2 mL) and t-Butanol (0.5 mL) at room temperature. Nitrogen was bubbled through the mixture for 5 minutes, then chloro(2- di-t-butylphosphino-2',4',6'-tri-i-propyl-l, -biphenyl)[2-(2-aminoethyl)phenyl] palladium(II) (ί-BuXPhos Palladacycle) (10 mg, 0.015 mmol) was added and nitrogen bubbled through for 5 more minutes. The vial was sealed and heated at 90 °C for 3 hours, cooled, diluted with pH 7 phosphate buffer and water, extracted twice with ethyl acetate. The combined organic extracts were washed with water and brine then filtered through a plug of Florisil, and concentrated. The crude material was subjected to flash chromatography purification (12 g silica gel column; 0-30% ethyl acetate/hexanes to afford N-(3-isopropoxy-5-methyl-phenyl)-5-phenyl-oxazol-2- amine (20 mg, 16%) as a colorless solid. XH NMR (300 MHz, CDC13) δ 7.82 - 7.68
(m, 2H), 7.66 - 7.51 (m, 2H), 7.52 - 7.39 (m, 2H), 7.25 (s, 1H), 7.17 (t, J = 2.3 Hz, 1H), 7.03 (s, 1H), 6.62 (s, 1H), 4.77 (ddd, J = 10.2, 8.1, 5.0 Hz, 1H), 2.52 (s, 3H), 1.55 (d, J = 6.1 Hz, 6H) ppm. ESI-MS m/z calc. 308.15, found 309.15 (M+l)+;
Retention time: 0.93 minutes.
EXAMPLE 11
Preparation of N-(3-isopropoxyphenyl)-5-(2-pyridyl)oxazol-2-amine (Compound 20)
Reagents and conditions: (a) i. LiHMDS, THF, -78 °C; ii. C2C16, RT (b) toluene, 170 °C.
[00309] To a solution of 2-oxazol-5-ylpyridine (488 mg, 3.34 mmol) in THF (5 mL) at -78 °C was added a solution of LiHMDS in THF (3.7 mL of 1M, 3.7 mmol) over 30 minutes. 1,1,1,2,2,2-hexachloroethane (1.03 g, 4.34 mmol) was added and the reaction was stirred at room temperature overnight. The reaction mixture was poured onto an ice/saturated NH4C1 mixture and extracted twice with ethyl acetate. The combined organics were dried over sodium sulfate, filtered and concentrated.
Purification by silica gel chromatography (40 g column; 0-10% methanol in
dichloromethane) gave 2-chloro-5-(2-pyridyl)oxazole (500 mg, 83%). ESI-MS m/z calc. 180.01, found 180.95 (M+l)+; Retention time: 0.64 minutes.
Preparation of N-(3-isopropoxyphenyl)-5-(2-pyridyl)oxazol-2-amine (Compound 20)
[00310] A mixture of 2-chloro-5-(2-pyridyl)oxazole (250 mg, 1.38 mmol), 3- isopropoxyaniline (408 μί, 2.77 mmol) and toluene (1 mL) was microved at 170 °C for 15 minutes. The crude product was purified by preparatory HPLC (Waters) using a water/CH3CN gradient with 0.1%. The pure fractions were combined, treated with 1M aqueous NaOH and extracted twice with ethyl acetate. The combined organic layers were dried over sodium sulfate, filtered and concentrated to yield the desired product. Addition of diethyl ether to the concentrated material caused precipitation and the precipitate was collected by filtration to afford N-(3-isopropoxyphenyl)-5-(2- pyridyl)oxazol-2-amine (22 mg, 5%). lH NMR (300 MHz, OMSO-d6) δ 10.44 (s,
1H), 8.55 (d, J = 4.1 Hz, 1H), 7.85 (td, J = 7.8, 1.7 Hz, 1H), 7.60 (s, 1H), 7.56 (d, J 7.9 Hz, 1H), 7.34 (t, J = 2.1 Hz, 1H), 7.29 - 7.21 (m, 1H), 7.18 (d, J = 8.0 Hz, 1H), 7.11 (d, J = 9.0 Hz, 1H), 6.59 - 6.49 (m, 1H), 4.57 (sept, J = 6.0 Hz, 1H), 1.28 (d, J 6.0 Hz, 6H) ppm. ESI-MS m/z calc. 295.13, found 296.41 (M+l)+; Retention time: 0.63 minutes.
[00311] Using the general synthetic scheme outlined in Scheme C and experimental procedures analogous to those listed above in Examples 9-11, the following compounds can be prepared: 11 and 18.
Scheme D: General Route AA for Preparation of Compounds of Formula IV
Compounds of Formula IV of the present invention may be prepared as generally outlined in Scheme D, where R1, R2, X1, and X3 are as described herein.
EXAMPLE 12
Preparation of 6-cvclobutoxy-N-(l-(pyridin-3-yl)-lH-imidazol-4-yl)pyridin-2-amine (Compound 74)
3a 4a Cmpd 74
a) Cul, N,N,N',N'-tetramethylethane-l,2-diamine, Cs2C03, DMF; b) NaOtBu, BrettPhos Precatalyst, 1 ,4 dioxane, Microwave 150 °C.
Preparation of 3-(4-bromoimidazol-l-yl)pyridine (3a)
r
3a
[00312] To a 2L flask was added 3-bromopyridine (63.4 g, 401.3 mmol), 4-bromo- 5H-imidazole (70.78 g, 481.6 mmol), N,N,N',N'-tetramethylethane-l,2-diamine (4.663 g, 6.056 mL, 40.13 mmol), cesium carbonate (130.8 g, 401.3 mmol), and dry dimethylformamide (50 mL). Nitrogen was bubbled in for -10 min and iodocopper (3.820 g, 20.06 mmol) was added. The reaction was heated to 135 °C under nitrogen for 18 hours. The heat was removed and the reaction was stirred overnight. The dimethylformamide was evaporated under vacuum. The crude was dissolved in tetrahy drofuran (500 mL) and then the solution was filtered through a pad of Florisil. The filtrate was concentrated to obtain a thick reddish liquid which solidified. This material was triturated with acetonitrile to afford 64 g of desired product.
Preparation of 6-cvclobutoxy-N-(l-(pyridin-3-yl)-lH-imidazol-4-yl)pyridin-2-amine (Compound 74)
Cmpd 74
[00313] To a microwave tube was added 3-(4-bromoimidazol-l-yl)pyridine (170 mg, 0.7587 mmol), 6-(cyclobutoxy)pyridin-2-amine (186.9 mg, 1.138 mmol) and BrettPhos Precatalyst (18 mg, 0.02 mmol) into 1,4-dioxane (1.7 mL). The reaction was degassed with nitrogen for 20 minutes, then sodium tert-butoxide (182.3 mg, 1.9 mmol) was added. The solution was heated in a microwave reactor at 140 °C for 40 minutes. The solution was filtered through a plug of Celite and the solvent was
evaporated. The crude was purified on CI 8 reverse phase column to provide the purified product. The HC1 salt was formed by adding HC1 in 1,4-dioxane (4N) to a free base solution in dichloromethane. The solution was stirred for several minutes, then the solvent was evaporated and dried under vacuum to afford the desired compound as the HC1 salt. ESI-MS m/z calc. 307.1, found 308.3 (M+l)+; Retention time: 0.64 minutes (3 minutes run). XH NMR (300 MHz, Methanol-^) δ 9.36 (s, 1H), 8.98 - 8.89 (m, 2H), 8.82 (d, J = 8.3 Hz, 1H), 8.22 - 8.11 (m, 1H), 7.85 (dd, J = 9.3, 7.2 Hz, 1H), 6.69 (d, J = 8.3 Hz, 1H), 6.39 (d, J = 8.1 Hz, 1H), 5.08 (p, J = 7.1 Hz, 1H), 2.64 - 2.45 (m, 2H), 2.36 - 2.15 (m, 2H), 2.01 - 1.67 (m, 2H) ppm.
[00314] Using the general synthetic scheme outlined in Scheme AA and the experimental procedures listed above in Example 12, the following compounds can be prepared: 41,47,48,58,60, 64, 66, 68-70, 72, 73 and 75.
Scheme E: General Route BB for Pre aration of Compounds of Formula IV
Compounds of Formula IV of the present invention may be prepared as generally outlined in Scheme E, where R1, R2, X1, and X3 are as described herein. EXAMPLE 13
1 b 2b Cmpd 26
Reagents and conditions: (a) NaOtBu, BrettPhos Precatalyst, 1,4-dioxane, microwave 120 °C Preparation of 6-ethoxy-N-(l-phenylimidazol-4-yl)pyridin-2-amine (Compound 26)
[00315] 4-bromo-l -phenyl-imidazole (281 mg, 1.260 mmol), sodium tert-butoxide (181.6 mg, 1.890 mmol), and 5 mol% BrettPhos Precatalyst were weighed into a microwave vial. The vial was flushed with nitrogen. 1,4-Dioxane (10.8 mL) was added and the reaction was degassed for 20 minutes. 6-Ethoxypyridin-2-amine (261mg, 1.890 mmol) was added and this solution degassed for another 5 minutes. The vial was sealed and the reaction was heated at 120 °C in a microwave reactor for 30 minutes. The crude material was purified by sillicagel chromatography (50 g amine Gold (ISCO) column; 0-50% (ethyl acetate: methanol (9: l))/heptane over 25 minutes). Desired fractions were combined and concentrated to yield 6-ethoxy-N-(l- phenylimidazol-4-yl)pyridin-2-amine (148.3 mg, 41%). ESI-MS m/z calc. 280.1, found 281.1 (M+l)+; Retention time: 2.32 minutes. XH NMR (400 MHz, DMSO-i¾) δ 9.39 (s, 1H), 8.09 (d, J = 1.6 Hz, 1H), 7.70 (d, J = 1.6 Hz, 1H), 7.59 (dd, J = 8.6, 1.2 Hz, 2H), 7.56 - 7.48 (m, 2H), 7.41 (t, J = 7.9 Hz, 1H), 7.34 (t, J = 7.2 Hz, 1H), 6.46 (d, J = 7.5 Hz, 1H), 6.04 (d, J = 7.3 Hz, 1H), 4.40 (q, J = 7.0 Hz, 2H), 1.37 (t, J = 7.0 Hz, 3H) ppm.
[00316] Using the general synthetic scheme outlined in Scheme E and the experimental procedures listed above in Example 13, the following compounds can be prepared: 28-34, 36, 38-40 and 50. Scheme F: General Route CC for Preparation of Compounds of Formula IV
Compounds of Formula IV of the present invention may be prepared as generally outlined in Scheme F, where R1, R2, X1, and X3 are as described herein.
EXAMPLE 14
Preparation of l-(3.5-difluorophenyl)-N-[3-methyl-5-[4-(oxetan-3-yl)piperazin-l- yllphenyllimidazol-4-amine (Compound 86)
1c 2c Cmpd 86
(a) NaOtBu, ί-BuXPhos Palladacycle, 1,4-dioxane, microwave 50 °C.
Preparation of l-(3.5-difluorophenyl)-N-[3-methyl-5-[4-(oxetan-3-yl)piperazin-l- yllphenyllimidazol-4-amine (Compound 86)
[00317] 4-bromo-l-(3,5-difluorophenyl)imidazole (100 mg, 0.39 mM) and 3- methyl-5-[4-(oxetan-3-yl)piperazin-l-yl]aniline; (145 mg, 0.58 mM) were dissolved in dry tert-butanol (5 mL); the solution was warmed and purged with nitrogen for several minutes. During the purge chloro(2-di-t-butylphosphino-2',4',6'-tri-i-propyl- Ι,Γ-biphenyl) [2-(2-aminoethyl)phenyl]palladium(II) ( t-Bu XPhos Palladacycle) (30 mg, 0.039 mM) and sodium tert-butoxide (60 mg, 0.58 mM) were added. The reaction was stirred in a microwave reactor at -50 °C for 1.0 hour. The reaction was diluted with methanol and solvents were removed under reduced pressure. The
residue was partitioned between water and ethyl acetate; the organic layer was reduced to a solid under reduced pressure. The crude material was purified on a silica gel column eluting with dichloromethane: methanol (0-10%). The purified material was dissolved into dichloromethane and shaken with MP-TMT resin for 14 hours to remove residual palladium. The resin was filtered and the filtrate was concentrated to afford 46 mg of desired product in 25% yield. ESI-MS m/z calc. 425.5, found 426.5 (M+l)+; Retention time: 0.56 minutes; XH NMR (400 MHz, DMSO-c¾) δ 8.25 (s, 1H), 8.07 (s, 1H), 7.62 (d, J = 6.9 Hz, 2H), 7.39 (s, 1H), 7.19 (t, J = 9.3 Hz, 1H), 6.47 (s, 1H), 6.40 (s, 1H), 6.18 (s, 1H), 4.56 (t, J = 6.5 Hz, 2H), 4.47 (t, J = 6.0 Hz, 2H), 3.53 - 3.37 (m, 1H), 3.10 (s, 4H), 2.38 (s, 4H), 2.20 (s, 3H) ppm.
[00318] Using the general synthetic scheme outlined in Scheme F and the experimental procedures listed above in Example 14, the following compounds can be prepared: 42-46, 54 and 87. Scheme G: General Route DD for Preparation of Compounds of Formula IV
Compounds of Formula IV of the present invention may be prepared as generally outlined in Scheme G, where R1, R2, X1, and X3 are as described herein.
EXAMPLE 15
Preparation of 4-isopropoxy-6-methyl-N-ri-(2-pyridyl)iiTddazol-4-yllpyrirnidin-2- amine (Compound 63)
a) K2C03, DMF, 100 °C, 24hours; b) NaOtBu, BrettPhos Precatalyst, dioxane, microwave, 140 °C
Preparation of 2-(4-bromoimidazol-l-yl)pyridine (3d)
r
[00319] In a microwave flask containing 4-bromo-5H-imidazole (10 g, 68.04 mmol) in dimethylformamide (70.00 mL) was added 2-fluoropyridine (7.9 g, 7.0 mL, 82 mmol) and potassium carbonate (14.1 g, 102 mmol). The reaction was heated in a microwave reactor at 100 °C for 24 hours. LCMS showed that the product was formed. The reaction was added to water and a precipitate formed which was then filtered and dried under vacuum to afford the product in 92% yield. ESI-MS m/z calc. 223.0, found 234.1 (M+l)+; Retention time: 0.71 minutes.
Preparation of 4-isopropoxy-6-methyl-N-[l-(2-pyridyl)iiTddazol-4-yllpyrimidin-2- amine (Compound 63)
[00320] 2-(4-bromoimidazol-l-yl)pyridine (3d) (149 mg, 0.6131 mmol) was added into 1,4-dioxane (4 mL) in a microwave flask. The solution was degassed with
nitrogen for 20 minutes, then sodium tert-butoxide (176 mg, 1.84 mmol) and
BrettPhos Precatalyst (24.5 mg, 0.031 mmol) were added into the solution. The reaction was heated in a microwave reactor at 140 °C for 50 minutes. The reaction mixture was filtered over Celite and the solvent was evaporated. The crude was purified by reverse phase chromatography (CI 8 100 g column (ISCO); 10-90% water/acetonitrile with a trifluoroacetic acid modifier) to afford purified product. Dichloromethane was added into the combined fractions and the fractions were then neutralized with A21 resin. After stirring for several minutes, methanol was added and the solution was filtered. The filtrate was then evaporated and dried under vacuum to afford 16.0 mg of desired product. ESI-MS m/z calc. 310.2, found 311.3 (M+l)+; Retention time: 0.61 minutes; XH NMR (300 MHz, Methanol-***) δ 8.49 (dd, J = 4.9, 1.1 Hz, 1H), 8.40 (d, J = 1.1 Hz, 1H), 8.03 - 7.93 (m, 2H), 7.65 (d, J = 8.2 Hz, 1H), 7.36 (dd, J = 6.9, 4.9 Hz, 1H), 6.15 (d, J = 6.1 Hz, 1H), 5.44 (dq, J = 12.4, 6.1 Hz, 1H), 2.36 (d, J = 5.0 Hz, 3H), 1.40 (t, J = 6.5 Hz, 6H) ppm.
[00321] Using the general synthetic scheme outlined in Scheme G and the experimental procedures listed above in Example 15, the following compounds can be prepared: 37, 59, 61, 65, 71, 80 and 82. Scheme H: General Route EE for Pre aration of Compounds of Formula IV
Compounds of Formula IV of the present invention may be prepared as generally outlined in Scheme H, where R1, R2, X1, and X3 are as described herein.
EXAMPLE 16
Preparation of N-[l-(3.4-difluorophenyl)imidazol-4-yll-6-isopropoxy-pyridin-2- amine (Compound 57)
1e 2e Cmpd 57
a) NaOtBu, BrettPhos Precatalyst, 1,4-dioxane, microwave, 140 °C
Preparation of N-[l-(3.4-difluorophenyl)imidazol-4-yll-6-isopropoxy-pyridin-2- amine (Compound 57)
[00322] To a microwave tube was added 4-bromo-l-(3,4-difluorophenyl)imidazole (157 mg, 0.6061 mmol), 6-isopropoxypyridin-2-amine (138 mg, 0.91 mmol) in 1,4- dioxane (4 mL). The mixture was degassed with nitrogen for 20 minutes, then sodium tert-butoxide (174.7 mg, 1.82 mmol) and BrettPhos Precatalyst
(approximately 24 mg, 0.03 mmol) were added. The reaction was heated in a microwave reactor at 140 °C for 40 minutes. The reaction mixture was filtered over celite and the solvent evaporated. The crude was purified by reverse phase chromatography (C18 100 g column (ISCO); 10-90% water/acetonitrile with a trifiuoroacetic acid modifier) to afford purified product. Dichloromethane was added into the combined fractions and the fractions were then neutralized with A21 resin. After stirring for several minutes, methanol was added and the solution was filtered. The solvent was then evaporated and dried under vacuum to afford 60.6 mg of desired product in 29% yield. ESI-MS m/z calc. 330.1, found 331.5 (M+l)+; Retention time: 0.71 minutes; Ti NMR (300 MHz, Methanol-^) δ 8.40 - 8.32 (m, 1H), 7.78 - 7.63 (m, 2H), 7.58 - 7.41 (m, 3H), 6.42 (dd, J = 8.0, 0.7 Hz, 1H), 6.18 (dd, J = 7.9, 0.7 Hz, 1H), 5.19 (hept, J = 6.2 Hz, 1H), 1.37 (d, J = 6.2 Hz, 6H) ppm.
[00323] Using the general synthetic scheme outlined in Scheme H and the experimental procedures listed above in Example 16, the following compound can be prepared: 56.
Scheme I: General Route FF for Pre aration of Compounds of Formula IV
Compounds of Formula IV of the present invention may be prepared as generally outlined in Scheme I, where R1, R2, X1, and X3 are as described herein.
EXAMPLE 17
Preparation of N-ri-(5-cvclopropyl-3-pyridyl)imidazol-4-yll-6-isopropoxy-pyridin-2- amine (Compound 53)
1f 2f Cmpd 53
a) NaOtBu, BrettPhos Precatalyst, 1,4-dioxane, microwave 140 °C
Preparation of N-[l-(5-cvclopropyl-3-pyridyl)imidazol-4-yll-6-isopropoxy-pyridin-2- amine (Compound 53)
[00324] To a microwave tube was added 3-(4-bromoimidazol-l-yl)-5-cyclopropyl- pyridine (108 mg, 0.41 mmol) and 6-isopropoxypyridin-2-amine (93 mg, 0.61 mmol) in 1,4-dioxane (3 mL). The reaction was degassed with nitrogen for 20 minutes, then sodium tert-butoxide (118 mg, 1.2 mmol) and BrettPhos Precatalyst (16 mg, 0.02 mmol) were added. The reaction was heated in a microwave at 140°C for 40 minutes. The reaction mixture was filtered over celite and the solvent evaporated. The crude
was purified by reverse phase chromatography (C18 100 g column (ISCO); 10-90% water/acetonitrile with a trifluoroacetic acid modifier) to afford purified product. Dichloromethane was added into the combined fractions and the fractions were then neutralized with A21 resin. After stirring for several minutes, methanol was added and the solution was filtered. The solvent was then evaporated and dried under vacuum to afford 11.9 mg of desired product. ESI-MS m/z calc. 335.2, found 336.2 (M+l)+; Retention time: 0.80 minutes; XH NMR (300 MHz, Methanol-***) δ 8.71 - 8.61 (m, 2H), 8.51 (d, J = 1.9 Hz, 1H), 7.77 (q, J = 2.7, 2.2 Hz, 1H), 7.56 (t, J = 8.0 Hz, 1H), 6.45 (dd, J = 8.0, 0.6 Hz, 1H), 6.24 (dd, J = 8.0, 0.7 Hz, 1H), 5.20 (h, J = 6.2 Hz, 1H), 2.13 (It, J = 8.4, 5.0 Hz, 1H), 1.39 (d, J = 6.2 Hz, 6H), 1.23 - 1.11 (m, 2H), 0.96 - 0.85 (m, 2H) ppm.
Scheme J: General Route GG for Preparation of Compounds of Formula IV
Compounds of Formula IV of the present invention may be prepared as generally outlined in Scheme J, where R1, R2, X1, and X3 are as described herein.
EXAMPLE 18
Preparation of 6-isopropoxy-N-[l-(5-methoxy-2-pyridyl)imidazol-4-yllpyridin-2- amine (Compound 76)
3g 4g Cmpd 76
a) Cs2C03 NMP, 140 °C; b) NaOtBu, BrettPhos Precatalyst, dioxane, microwave, 140 °C.
Preparation of 2-(4-bromoimidazol-l-yl)-5-methoxy-pyridine (3g)
3g
[00325] 4-bromo-lH-imidazole (867 mg, 5.9 mmol), Cs2C03 (1.28 g, 3.9 mmol), and 2-fluoro-5-methoxy-pyridine (500 mg, 3.9 mmol) were combined in NMP (5 mL) in a microwave vial. The reaction was heated in a microwave at 140°C for 60 minutes. The reaction was poured into water and the precipitate was filtered to afford 296 mg of desired product.
Preparation of 6-isopropoxy-N-[l -(5-methoxy-2-pyridyl)imidazol-4-yllpyridin-2- amine (Compound 76)
[00326] To a microwave tube were added 2-(4-bromoimidazol-l-yl)-5-methoxy- pyridine (167 mg, 0.67 mmol) and 6-isopropoxypyridin-2-amine (150mg, 0.99 mmol) in 1,4-dioxane (1.5 mL). The reaction was degassed with nitrogen for 20 minutes, then sodium tert-butoxide (118 mg, 1.2 mmol) and BrettPhos Precatalyst (16 mg, 0.02 mmol) were added. The reaction was heated in a microwave at 140°C for 40 minutes. The reaction mixture was filtered over Celite and the solvent evaporated. The crude was purified by reverse phase chromatography (C18 100 g column (ISCO);10-90% water/acetonitrile with a trifluoroacetic acid modifier) to afford purified product. Dichloromethane was added into the combined fractions and the fractions were then neutralized with A21 resin. The HCl salt was formed by adding HCl (4N)/dioxane to a dichloromethane solution at room temp. The solution was stirred for several minutes, then the solvent was evaporated and dried under vacuum to afford 88.6 mg of desired product as the HCl salt in 21% yield. ESI-MS m/z calc. 325.2, found 326.3 (M+l)+; Retention time: 0.85 minutes; XH NMR (300 MHz, Methanol-^) δ 8.22 (t, J = 8.6 Hz, 1H), 7.79 - 7.71 (m, 1H), 7.66 - 7.46 (m, 2H), 6.51 - 6.38 (m, 1H), 6.29 (dd, J = 11.4, 5.9 Hz, 1H), 5.25 - 5.11 (m, 1H), 3.99 - 3.91 (m, 3H), 1.49 - 1.32 (m, 7H) ppm.
[00327] Using the general synthetic scheme outlined in Scheme J and the experimental procedures listed above in Example 18, the following compound can be prepared: 78.
Scheme K: General Route HH for Preparation of Compounds of Formula IV
Compounds of Formula IV of the present invention may be prepared as generally outlined in Scheme K, where R1, R2, X1, and X3 are as described herein.
EXAMPLE 19
Preparation of N-[l-(5-fluoro-3-pyridyl)imidazol-4-yll-6-isopropoxy-pyridin-2-amine (Compound 62)
3h 4h Cmpd 62
a) K2C03, NMP, 140 °C; b) NaOtBu, BrettPhos Precatalyst/, 1,4-dioxane, microwave, 140 °C Preparation 3-(4-bromoimidazol-l-yl)-5-fluoro-pyridine (3h)
3h
[00328] To a flask was added 4-bromo-5H-imidazole (approximately 455 mg, 3.1 mmol) in N-methylpyrrolidine (6 mL) and 3,5-difluoropyridine (366 mg, 3.1 mmol) and potassium carbonate (429 mg, 3.1 mmol). The reaction was heated at 100 °C for 12 hours. LCMS showed the formation of the product. The reaction was filtered and the crude product was purified by reverse phase chromatography (CI 8 100 g column (ISCO);10-90% water/acetonitrile with a trifluoroacetic acid modifier) to afford purified product. The fraction were combined and neutralized with an SPE-CO3H cartridge to afford the desired product.
Preparation of N-[l-(5-fluoro-3-pyridyl)inudazol-4-yll-6-isopropoxy-pyridin-2-aniine (Compound 62)
[00329] To a microwave tube were added 3-(4-bromoimidazol-l-yl)-5-fluoro- pyridine (109 mg, 0.42 mmol) and 6-isopropoxypyridin-2-amine (approximately 96 mg, 0.63 mmol) in 1,4-dioxane (1 mL). The mixture was degassed with nitrogen for 20 min, then sodium tert-butoxide (121 mg, 1.26 mmol) and BrettPhos Precatalyst (16 mg, 0.02 mmol) were added. The reaction was heated in a microwave at 140 °C for 40 minutes. The reaction mixture was filtered over Celite and the solvent evaporated. The crude was purified by reverse phase chromatography (CI 8 100 g column (ISCO);10-90% water/acetonitrile with a trifluoroacetic acid modifier) to afford purified product.. The combined fractions were then neutralized with an SPE-CO3H cartridge to afford 9.8 mg of desired compound 62 as a freebase. ESI-MS m/z calc. 313.1, found 314.2 (M+l)+; Retention time: 0.68 minutes; ¾ NMR (300 MHz, DMSO-c¾) δ 9.45 (s, 1H), 8.78 (s, 1H), 8.58 (s, 1H), 8.26 (s, 1H), 8.13 (d, J = 9.8 Hz, 1H), 7.71 (s, 1H), 7.42 (s, 1H), 6.46 (d, J = 8.2 Hz, 1H), 6.02 (d, J = 6.8 Hz, 1H), 5.31 (s, 1H), 1.33 (t, J = 10.3 Hz, 6H) ppm.
Scheme L: General Route II for Preparation of Compounds of Formula IV
Compounds of Formula IV of the present invention may be prepared as generally outlined in Scheme L, where R1, R2, X1, and X3 are as described herein and NR14R15 represent an optionally substituted heterocyclic ring.
EXAMPLE 20
Preparation of N-[l -[2-[2-(3-pyridyl)pyrrolidin-l-yll-4-pyridyllimidazol-4-yllpyridin- 2-amine (Compound 50)
4i 5i Cmpd 50
a) K2CO3, DMF, 50 °C; b) K2C03, MeCN, 90 °C c) NaOtBu, BrettPhos Precatalyst, 1 ,4-dioxane, microwave 140 °C
Preparation of 4-(4-bromoimidazol-l -yl)-2-fluoro-pyridine (3i)
[00330] To a flask was added 2,4-difluoropyridine (li, 5.48g, 47.60 mmol) in dimethylformamide (133.5 mL), 4-bromo-5H-imidazole (2i, 5.83g, 39.67 mmol) and potassium carbonate (5.4 g, 39.7 mmol). The reaction was heated at 50 °C for 12 hours. The reaction mixture was poured into water, the precipitate was filtered,
washed with water and dried under vacuum to afford desired product, 3i. ESI-MS m/z calc. 241.0, found 242.0 (M+l)+; Retention time: 0.79 minutes.
Preparation of N-[2-fluoro-5-methyl-3-(6-oxa-2-azaspiro[4.51decan-2-yl)phenyll-l- phenyl-1.2.4-triazol-3-amine (4i)
4i
[00331] To a flask was added 4-(4-bromoimidazol-l-yl)-2-fluoro-pyridine (500 mg, 1.55 mmol), 3-pyrrolidin-2-ylpyridine (344mg, 2.3 mmol) and potassium carbonate (321 mg, 2.3 mmol) in acetonitrile (2 mL). The reaction was heated at 90°C for 10 hours. The reaction mixture was filtered and solvent was evaporated. Purification by reverse phase chromatography (150 g CI 8 Aq Gold column (ISCO); 10-90% water- acetonitrile with a trifluoroacetic acid modifier) afforded desired product, 4i. ESI-MS m/z calc. 369.1, found 370.0 (M+l)+; Retention time: 0.51 minutes. Preparation of N-[l-[2-[2-(3-pyridyl)pyrrolidin-l-yll-4-pyridyllimidazol-4-yllpyridin-
2-amine (Compound 50)
[00332] A microwave flask containing pyridin-2-amine (approximately 26.82 mg, 0.2850 mmol) in 1,4-dioxane (3mL) was degassed with nitrogen for 20 minutes, then sodium tert-butoxide (54 mg, 0.5700 mmol) and BrettPhos Precatalyst (8 mg, O.Olmmol) were added. The reaction was heated in microwave at 140°C for 40 minutes. The reaction mixture was filtered over Celite and the solvent was
evaporated. Purification by reverse phase chromatography (150 g C18 Aq Gold column (ISCO); 10-90% water-acetonitrile with a trifluoroacetic acid modifier) afforded desired product. The desired fractions were neutralized with A21 resin in dichloromethane/ methanol and solvent was removed to afford 36.3 mg of desired product, compound 50. ESI-MS m/z calc. 383.2, found 384.2 (M+l)+; Retention time: 0.45 minutes; Ti NMR (300 MHz, Methanol-^) δ 8.83 - 8.74 (m, 1H), 8.73 - 8.61 (m, 1H), 8.50 - 8.38 (m, 2H), 8.17 - 8.03 (m, 3H), 8.02 - 7.88 (m, 1H), 7.63 (d, J = 1.6 Hz, 1H), 7.29 (dd, J = 9.0, 1.1 Hz, 1H), 7.11 (td, J = 5.9, 1.5 Hz, 2H), 7.01 - 6.92 (m, 1H), 5.59 - 5.48 (m, 1H), 4.04 (td, J = 8.2, 7.4, 4.8 Hz, 1H), 3.73 (td, J = 9.2, 6.8 Hz, 1H), 2.67 - 2.56 (m, 1H), 2.18 (ddt, J = 23.5, 19.2, 7.8 Hz, 4H) ppm.
[00333] Using the general synthetic scheme outlined in Scheme L and the experimental procedures listed above in Example 20, the following compounds can be prepared: 35 and 50. Scheme M: General Route JJ for Preparation of Com ounds of Formula IV
Compounds of Formula IV of the present invention may be prepared as generally outlined in Scheme M, where R1, R2, R4, X1, and X3 are as described herein.
EXAMPLE 21
4j 5j Cmpd 77
a) Cs2C03, Cul, TMEDA, DMF, 90 °C; b) NaOtBu, BrettPhos Precatalyst, 1,4- dioxane, 140 °C Preparation of 3-(4-bromoinridazol-l-yl)-5-methoxy-pyridine (3j)
[00334] In a flask containing 4-bromo-5H-imidazole (293 mg, 2.0 mmol) in dimethylformamide (7 mL) was added 3-iodo-5-methoxy -pyridine (293 mg, 1.2 mmol), copper iodide (12 mg, 0.06 mmol) and TMEDA (15 mg, 19 μί, 0.12 mmol). The resulting mixture was stirred at 90 °C under an argon atmosphere for 48 hours. The reaction was cooled to room temperature. The reaction mixture was poured into water and a precipitate formed. After a few minutes of stirring, the precipitate was filtered and dried under vacuum to afford 114 mg of desired product, 3j, in 34% yield. ESI-MS m/z calc. 253.0, found 254.1 (M+l)+; Retention time: 0.61 minutes.
Preparation of 6-isopropoxy-N-ri-(5-methoxy-3-pyridyl)imidazol-4-yllpyridin-2- amine (Compound 77)
[00335] A microwave flask containing 3-(4-bromoimidazol-l-yl)-5-methoxy- pyridine (114 mg, 0.43 mmol), 6-isopropoxypyridin-2-amine (98 mg, 0.64 mmol) and BrettPhos Precatalyst (10 mg, 0.01 mmol) in 1,4-dioxane (1 mL) was degassed with nitrogen for 20 minutes, then sodium tert-butoxide (103 mg, 1.1 mmol) was added. The reaction was heated in a microwave at 140 °C for 40 minutes. The reaction was filtered over Celite and the solvent was evaporated. The crude was purified by reverse phase chromatography (150 g C18 Aq Gold column (ISCO); 10-90% water- acetonitrile with a trifluoroacetic acid modifier). The desired fractions were combined and neutralized. The HC1 salt was formed by adding HC1 (4N)/Dioxane to a dichloromethane solution at room temperature. The solution was stirred for several minutes, then the solvent was evaporated and dried under vacuum to afford 22.6 mg of desired product as the HC1 salt. ESI-MS m/z calc. 325.2, found 254.1 (M+l)+; Retention time: 0.61 minutes; XH NMR (300 MHz, Methanol-^) δ 9.00 (s, 1H), 8.57 (s, 1H), 8.47 (s, 1H), 7.87 (t, J = 2.3 Hz, 1H), 7.69 (t, J = 8.1 Hz, 1H), 6.55 (d, J = 7.9 Hz, 1H), 6.35 (dd, J = 10.3, 8.1 Hz, 1H), 5.11 (dq, J = 11.8, 5.9 Hz, 1H), 3.31 (dt, J = 3.2, 1.6 Hz, 3H), 1.47 - 1.33 (m, 6H) ppm.
[00336] Using the general synthetic scheme outlined in Scheme M and the experimental procedures listed above in Example 21, the following compounds can be prepared: 67, 79 and 83-85.
Scheme N: General Route KK for Preparation of Com ounds of Formula IV
Compounds of Formula IV of the present invention may be prepared as generally outlined in Scheme N, where R1, R2, R4, X1, and X3 are as described herein.
EXAMPLE 22
1z 2z Cmpd 27
a) NaOtBu, t-BuXPhos Palladacycle, 1,4-dioxane, microwave 120 °C
Preparation of 4-ethoxy-N-(l-phenylimidazol-4-yl)pyridin-2-amine (Compound 27)
[00337] Sodium tert-butoxide (210 mg, 2.2 mmol), l-phenylimidazol-4-amine (Hydrochloride salt) (245 mg, 1.3 mmol), and 2-bromo-4-ethoxy-pyridine (126 mg, 0.6 mmol) were weighed into a microwave vial. The mixture was diluted with 1,4- dioxane (5 mL) and degassed with nitrogen for 10 minutes. 0.1 Equivalents of chloro(2-di-t-butylphosphino-2',4',6'-tri-i-propyl-l,r-biphenyl) [2-(2- aminoethyl)phenyl]palladium(II) (t-BuXPhos Palladacycle) was added and degassed with nitrogen for another 10 minutes. The vial was sealed and the reaction was heated at 120 °C for 30 minutes in a microwave. LC/MS showed the desired product. The crude was purified with double stacked 50 g amine silica columns eluting with 0- 100%(Ethyl Acetate (10%Methanol)) in hexane over 30 minutes. The pure fractions were combined and concentrated to dryness to afford 15.9 mg of desired product.
ESI-MS m/z calc. 280.13242, found 281.07 (M+l)+; Retention time: 2.1 minutes; XH NMR (400 MHz, OMSO-d6) δ 9.21 (s, 1H), 8.07 (d, J = 1.7 Hz, 1H), 7.99 (d, J = 5.9 Hz, 1H), 7.74 (d, J = 1.7 Hz, 1H), 7.62 (dt, J = 8.6, 1.1 Hz, 2H), 7.51 (tt, J = 10.7, 5.2 Hz, 2H), 7.33 (t, J = 7.4 Hz, 1H), 6.46 (d, J = 2.1 Hz, 1H), 6.31 (dd, J = 5.9, 2.2 Hz, 1H), 4.02 (q, J = 7.0 Hz, 2H), 1.33 (t, J = 7.0 Hz, 3H) ppm.
[00338] Using the general synthetic scheme outlined in Scheme N and the experimental procedures listed above in Example 22, the following compounds can be prepared: 55 and 81. Scheme M: General Route LL for Preparation of Compounds of Formula II
a: NHR R , K2C03, CH3CN; b: NaOtBu, i-BuXPhos Palladacycle, 1,4-dioxane Compounds of Formula II of the present invention may be prepared as generally outlined in Scheme M, where R4 is as described herein, LGi and LG2 are leaving groups, and NR14R15 represent an optionally substituted heterocyclic ring (e.g., G1, G2).
EXAMPLE 23
Preparation of N- [6-methyl-4-[4-(oxetan-3 -vDpiperazin- 1 -yll -2-pyridvH -5 -(2- pyridyl)thiazol-2-amine (Compound 91)
Preparation of [2-methyl-6-(trifluoromethylsulfonyloxy)-4-pyridyll
trifluoromethanesulfonate
[00339] A 2 L flask was charged with 6-methylpyridine-2,4-diol (17 g, 135.9 mmol) and triethylamine (46 mL, 330 mmol) in tetrahydrofuran (500 mL) and pyridine (50 mL). The mixture was cooled in an ice bath and N-(5-chloro-2-pyridyl)- 1, 1 ,1 - trifluoro-N-(trifluoromethyl-sulfonyl)methane-sulfonamide (Comins' reagent) (1 17.4 g, 299 mmol) was added, all at once. The reaction was allowed to warm to room temperature overnight. Water (400 mL) was added and the layers separated. The organic layer was washed with water and dried over sodium sulfate. After filtration, the solvent was removed under vacuum, affording [2-methyl-6-
(trifluoromethylsulfonyloxy)-4-pyridyl] trifluoromethanesulfonate as a brown oil. The crude was chromatographed on a silica gel column eluting with 20% ethyl acetate/heptane to afford 48g of a pale yellow liquid. XH NMR (300 MHz, CDC13) δ 7.24 - 7.14 (m, 1H), 6.96 (dd, J = 1.8, 0.8 Hz, 1H), 2.65 (d, J = 0.7 Hz, 3H) ppm.
Preparation of [6-methyl-4-[4-(oxetan-3-yl)piperazin-l-yll-2-pyridyll
trifluoromethane-sulfonate
[00340] To a mixture of l-(oxetan-3-yl)piperazine (1.5 g, 10.5 mmol) and potassium carbonate (3 g, 21.7 mmol) in acetonitrile (100 mL) at 0 °C was added [2- methyl-6-(trifluoromethyl-sulfonyloxy)-4-pyridyl] trifluoro-methanesulfonate (4 g, 10.3 mmol). The mixture was warmed to room temperature overnight. The solvent was evaporated under vacuum. The mixture was diluted with ethyl acetate (100 mL) and filtered to remove inorganic salt. The filtrate was concentrated under vacuum. The crude was diluted with dichloromethane (50 mL), and stirred until the product solidified, filtered to collect [6-methyl-4-[4-(oxetan-3-yl)piperazin-l-yl]-2-pyridyl] trifluoromethane-sulfonate (3.3 g, 82%). XH NMR (300 MHz, CDC13) δ 6.52 - 6.40 (m, 1H), 6.19 (d, J = 2.0 Hz, 1H), 4.70 - 4.46 (m, 6H), 3.59 - 3.41 (m, 3H), 3.40 - 3.25 (m, 4H), 2.45 - 2.28 (m, 9H) ppm.
Preparation of N- [6-methyl-4-[4-(oxetan-3 -vDpiperazin- 1 -yll -2-pyridvH -5 -(2- Pyridyl)thiazol-2-amine (Compound 91)
[00341] A mixture of [6-methyl-4-[4-(oxetan-3-yl)piperazin-l-yl]-2-pyridyl] trifluoromethane-sulfonate (100 mg, 0.26 mmol), thiazol-2-amine (45 mg, 0.25 mmol) and chloro(2-di-t-but lphosphino-2',4',6'-tri-i-propyl-l,r-biphenyl)[2-(2- aminoethyl)phenyl] palladium(II) (/-BuXPhos Palladacycle) (20 mg, 0.025 mmol) in 1,4-dioxane (2 mL) was bubbled with nitrogen for 5 minutes. To the mixture was added sodium fert-butoxide (0.3 mL of 2 M, 0.6 mmol) and the mixture was stirred overnight at 100 °C. The mixture was diluted with dichloromethane, filtered though a layer of Celite, and concentrated under vacuum. The crude was purified on a 4 g silica gel cartridge eluting with 0-8% methanol /dichloromethane. Recovered N-[6- methyl-4-[4-(oxetan-3-yl)piperazin-l-yl]-2-pyridyl]-5-(2-pyridyl)thiazol-2-amine (13.5 mg, 12%). XH NMR (400 MHz, CDC13) δ 8.74 (dd, J = 2.3, 0.9 Hz, 1H), 8.43 (dd, J = 4.8, 1.6 Hz, 1H), 7.72 (dt, J = 8.0, 1.9 Hz, 1H), 7.52 (s, 1H), 7.24 (ddd, J = 7.9, 4.8, 0.9 Hz, 1H), 6.21 (d, J = 2.0 Hz, 2H), 4.60 (dt, J = 25.2, 6.4 Hz, 4H), 3.54 - 3.32 (m, 4H), 2.48 - 2.24 (m, 6H) ppm.
[00342] Using the general synthetic scheme outlined in Scheme M and the experimental procedures listed above in Example 23, the following compounds prepared: 93-95, 119, 120, 131, 151-154 and 157. Scheme N: General Route MM for Preparation of Compounds of Formula II
a: NHR14R15, DIPEA, DCM; b: NaOtBu, i-BuXPhos Palladacycle, 1,4-dioxane Compounds of Formula II of the present invention may be prepared as generally
2 4 X2 14 outlined in Scheme N, where R , R , and R are as described herein, and NR R represent an optionally substituted heterocyclic ring (e.g., G1, G2).
EXAMPLE 24
Preparation of 4-chloro-5-fluoro-2-methyl-6-[4-(oxetan-3-yl)piperazin-l- yllpyrimidine
Preparation of 4-chloro-5-fluoro-2-methyl-6-[4-(oxetan-3-yl)piperazin-l- yllpyrimidine
[00343] To a mixture of 4,6-dichloro-5-fluoro-2-methyl-pyrimidine (390 mg, 2.15 mmol) and diisopropylethylamine (900 μί, 5.17 mmol) in dichloromethane (3.9 mL) was added l-(oxetan-3-yl)piperazine (335 mg, 2.4 mmol) . The mixture was stirred for 10 minutes. The resulting mixture was concentrated in vacuo then purified on a 40 g silica gel cartridge eluting with 0-80% ethyl acetate/heptane to provide 4-chloro- 5-fluoro-2-methyl-6-[4-(oxetan-3-yl)piperazin-l-yl]pyrirnidine (550 mg, 89%). XH NMR (400 MHz, CDC13) δ 5.35 (s, 1H), 4.92 - 4.70 (m, 2H), 4.65 - 4.41 (m, 2H), 4.68 - 4.12 (m, 2H), 2.46 (d, J = 1.1 Hz, 3H), 1.79 (d, J = 0.7 Hz, 3H) ppm. ESI-MS m/z calc. 231.05746, found 232.0 (M+l) +; Retention time: 0.65 minutes.
Preparation of N- [5 -fluoro-2-methyl-6- [4-(oxetan-3 -vDpiperazin- 1 -yll pyrimidin-4- yll-5-(2-pyridyl)thiazol-2-amine (Compound 108)
[00344] A mixture of 5-(2-pyridyl)thiazol-2-amine (45 mg, 0.25 mmol), 4-chloro-5- fluoro-2-methyl-6-[4-(oxetan-3-yl)piperazin-l-yl]pyrimidine (90 mg, 0.31 mmol), chloro(2-di-t-butylphosphino-2',4',6'-tri-i-propyl-l,r-biphenyl)[2-(2- aminoethyl)phenyl] palladium(II) (/-BuXPhos Palladacycle) (20 mg, 0.029 mmol) and potassium fert-butoxide (65 mg, 0.58 mmol) in 1,4-dioxane (5 mL) was bubbled with nitrogen for 5 minutes. The mixture was stirred for 3 hours at 70 °C. The mixture was loaded onto a 4 g silica gel cartridge eluting with 0-10% methanol /DCM to provide N-[5-fluoro-2-methyl-6-[4-(oxetan-3-yl)piperazin-l-yl]pyrimidin-4-yl]-5-(2- pyridyl)thiazol-2-amine (25.6 mg, 22.4%). lH NMR (400 MHz, CDC13) δ 9.08 (s, 1H), 8.78 (dd, J = 2.3, 0.8 Hz, 1H), 8.45 (dd, J = 4.8, 1.6 Hz, 1H), 7.76 (ddd, J = 7.9, 2.4, 1.6 Hz, 1H), 7.58 (s, 1H), 7.25 (ddd, J = 7.9, 4.8, 0.9 Hz, 1H), 4.71 - 4.50 (m, 4H), 3.82 - 3.71 (m, 4H), 3.46 (p, J = 6.4 Hz, 1H), 2.44 (d, J = 0.8 Hz, 3H), 2.39 - 2.29 (m, 4H) ppm. ESI-MS m/z calc. 427.15906, found 428.2 (M+l) + ; Retention time: 0.65 minutes.
[00345] Using the general synthetic scheme outlined in Scheme N and the experimental procedures listed above in Example 24, the following compounds can prepared: 92, 99, 108, 144 and 145.
Scheme O: General Route NN for Pre aration of Compounds of Formula II
a) KOtBu, THF; b) NaOtBu, i-BuXPhos Palladacycle, 1,4-dioxane
Compounds of Formula II of the present invention may be prepared as generally outlined in Scheme O, where R2 and R4 are as described herein and ORla is an R1 moiety bonded to the parent molecule through an oxygen atom (e.g., OCi-4alkyl, - OG2, etc).
EXAMPLE 25
Preparation of N-r6-methyl-4-(oxetan-3-yloxy)-2-pyridyll-5-(2-pyridyl)thiazol-2- amine (Compound 113)
Preparation of 4-chloro-2-methyl-6-(oxetan-3-yloxy)pyridine
[00346] A mixture of 2,4-dichloro-6-methyl-pyridine (500 mg, 3.1 mmol), oxetan- 3-ol (250 mg, 3.4 mmol) and potassium fert-butoxide (450 mg, 4.0 mmol ) in dimethylsulfoxide (7 mL) was stirred for 15 minutes at room temperature. The mixture was diluted with ethyl acetate, washed with water, brine, dried over sodium sulfate, concentrated. The crude product was purified by silica gel chromatography (12g column; 0-30% ethyl acetate/heptane) to afford 4-chloro-2-methyl-6-(oxetan-3- yloxy pyridine (120 mg, 19%) (less polar). l NMR (400 MHz, CDC13) δ 6.77 (d, J = 1.6 Hz, 1H), 6.62 (d, J = 1.6 Hz, 1H), 5.69 - 5.46 (m, 1H), 4.97 (ddd, J = 7.4, 6.3, 1.0 Hz, 2H), 4.72 (ddt, J = 7.0, 5.4, 2.1 Hz, 2H), 2.37 (s, 3H), and 2-chloro-6-methyl- 4-(oxetan-3-yloxy)pyridine (380 mg, 62%) (more polar ). XH NMR (400 MHz, CDC13) δ 6.46 (t, J = 0.8 Hz, 2H), 5.25 (tt, J = 6.0, 5.0 Hz, 1H), 5.00 (ddd, J = 7.1, 6.0, 1.0 Hz, 2H), 4.75 (ddd, J = 7.5, 5.0, 1.0 Hz, 2H), 2.49 (d, J = 0.6 Hz, 3H) ppm.
Preparation N-[6-methyl-4-(oxetan-3-yloxy)-2-pyridyll-5-(2-pyridyl)thiazol-2-amine (Compound 113)
[00347] A mixture of 5-(2-pyridyl)thiazol-2-amine (40 mg, 0.23 mml)), 2-chloro-6- methyl-4-(oxetan-3-yloxy)pyridine (50 mg, 0.26 mmol), and chloro(2-di-t- butylphosphino-2',4',6'-tri-i-propyl-l, -biphenyl)[2-(2-aminoethyl)phenyl] palladium(II) (ί-BuXPhos Palladacycle) (12 mg, O. lmmol) in 1,4-dioxane (1 mL) was bubbled with nitrogen for 5 minutes. To the mixture was added potassium tert- butoxide (0.2 mL, 2M, 0.4 mmol) and the mixture was stirred overnight at 70-80 °C. The reaction mixture was diluted with dichloromethane, filtered though a layer of Celite, and concentrated. The crude was purified by silica gel chromatography (4 g column; 0-8% methanol/dichloromethane). The product was repurified by reserve phase HPLC eluting with 10-90% acetonitrile/water to afford N-[6-methyl-4-(oxetan- 3-yloxy)-2-pyridyl]-5-(2-pyridyl)thiazol-2-amine (11 mg, 12%), XH NMR (400 MHz, Methanol-^) δ 8.78 - 8.58 (m, 1H), 8.31 (m, 2H), 8.12 (d, J = 7.9 Hz, 1H), 7.66 (t, J = 6.6 Hz, 1H), 6.99 (d, J = 2.3 Hz, 2H), 4.97 (s, 1H), 4.02 - 3.78 (m, 4H), 2.67 (s, 3H) ppm.
[00348] Using the general synthetic scheme outlined in Scheme O and the experimental procedures listed above in Example 25, the following compounds can prepared: 88, 96-98, 100-107, 109-118, 121-130 and 132-141.
Scheme P: General Route OO for Preparation of Compounds of Formula II
a) i. PPh3CH2OCH3Cl, KOtBu, THF; ii. Br2, CH3CN; b) Thiourea, EtOH; c) Pd2(dba)3, XantPhos, Na2C03, toluene.
Compounds of Formula II of the present invention may be prepared as generally outlined in Scheme P, where R2 and R4 are as described herein, and NR14R15 represents an optionally substituted heterocyclic ring (e.g., G1, G2). EXAMPLE 26
Preparation of 5-(3.5-difluorophenyl)-N-[6-methyl-4-[4-(oxetan-3-yl)piperazin-l-yll- -pyridyllthiazol-2-amine (Compound 90)
a) i. PPh3CH2OCH3Cl, KOtBu, THF, 0 °C-RT; ii. Br2, CH3CN; b)Thiourea, EtOH; c)Pd2(dba)3, XantPhos, Na2C03, toluene.
Preparation of 1.3-difluoro-5-(2-methoxyvinylbenzene
To a suspension of methoxymethyl-triphenyl-phosphonium chloride (64.75 g, 188.9 mmol) and 3,5-difluorobenzaldehyde (22.37 g, 157.4 mmol) in tetrahydrofuran (300 mL) at 0 °C was added potassium fert-butoxide (157.4 mL of 1 M, 157.4 mmol) dropwise over 15 minutes. The reaction mixture was stirred at 0 °C for 30 minutes following completion of addition, then for a further 30 minutes at room temperature. The reaction was quenched via addition of water (300 mL). The biphasic mixture was partitioned between ethyl acetate (200 mL) and water (200 mL). The organic layer was separated, washed with brine (500 mL) dried over magnesium sulfate, filtered and concentrated under vacuum. The residue was treated with diethyl ether (100 mL) then heptane (100 mL) and agitated to give a slurry of yellow solid
(triphenylphosphine oxide). The mixture was filtered, then washed with 1 : 1 diethyl ether: heptane (100 mL). The combined filtrate was concentrated and the residue was purified on a 220g silica gel cartridge eluting with 0-35% ethyl acetate/heptane. This afforded l,3-difluoro-5-(2-methoxyvinyl)benzene (13.9 g, 52%) as a pale yellow oil. 1HNMR showed a 1 : 1 mixture of cis and trans isomers. XH NMR (300 MHz, DMSO- d6) δ 7.12-7.06 (m, 1H), 6.75-6.60 (m, 1H), 6.58-6.50 (m, 1H), 6.21, 5.74 (d, 1H), 5.17 (d, 1H), 3.84, 3.71 (s, 3H) ppm. NOTE: the resonances are listed for the mixture; 1H corresponds to a proton where the resonance for the individual components overlapped and integrated together as one proton; where the resonances are listed separated by comma rather than as a range, the two stereoisomers gave distinct peaks, and the sum of the two peaks integrated as the number of protons described in parantheses. Preparation of 2-bromo-2-(3.5-difluorophenyl)acetaldehvde (E31446-97)
[00349] To a solution o f l,3-difluoro-5-(2-methoxyvinyl)benzene (7.6 g, 44.7 mmol) in diethyl ether (400 mL) at 0 °C was added a solution of bromine (7.1 g, 2.3 mL, 44.7 mmol) in dichloromethane (40 mL) dropwise via addition funnel over 15 minutes. The reaction mixture was stirred at 0 °C for 1 hour then treated with saturated aqueous sodium bicarbonate (400 mL). The resulting biphasic mixture was stirred at room temperature for 1.5 hours, the organics were separated, washed with brine (400 mL), dried over magnesium sulfate, then filtered and concentrated under vacuum. This provided 2-bromo-2-(3,5-difluorophenyl)acetaldehyde (10.5 g, 44.68
mmol). XH NMR (300 MHz, OMSO-d6) δ 9.53 (s, 1H), 7.01-6.98 (m, 2H), 6.89-6.82 (m, 1H), 3.5 (d, 1H) ppm.
Preparation of 5-(3.5-difluorophenyl)thiazol-2-amine (E31446-98)
[00350] To a solution of 2-bromo-2-(3,5-difluorophenyl)acetaldehyde (10.5 g, 44.68 mmol) in ethanol (150 mL) at room temperature was added thiourea (6.80 g, 89.36 mmol). The mixture was stirred at room temperature for 30 minutes then warmed to 80 °C. After 18 hours, LC-MS shows desired product as the major UV-active component. Heating was ceased and the reaction mixture was stirred for 4 days to give a suspension. The solid was isolated via filtration, then washed with ethanol (10 mL) to give 5-(3,5-difluorophenyl)thiazol-2-amine (5.68 g, 59%) as a white crystalline solid. XH NMR (300 MHz, OMSO-d6) δ 9.36 (s, 2H), 7.98 (s, 1H), 7.52 - 7.34 (m, 2H), 7.25 (tt, J = 9.3, 2.2 Hz, 1H) ppm. ESI-MS m/z calc. 212.02197, found 213.2 (M+l) +; Retention time: 0.6 minutes.
Preparation of 5-(3.5-difluorophenyl)-N-[6-methyl-4-[4-(oxetan-3-yl)piperazin-l-yll- 2-pyridyllthiazol-2-amine (Compound 90)
[00351] To a mixture of 5-(3,5-difluorophenyl)thiazol-2-amine (74 mg, 0.35 mmol), l-(2-chloro-6-methyl-4-pyridyl)-4-(oxetan-3-yl)piperazine (77 mg, 0.28 mmol), tris(dibenzylideneacetone)dipalladium(0) (8 mg, 0.0087 mmol), 4,5- bis(diphenylphosphino)-9,9-dimethylxanthene (XantPhos) (15 mg, 0.026 mmol) and sodium carbonate (43 mg, 0.40 mmol) in toluene (3 mL) was added water (6 μί, 0.3 mmol) under nitrogen. The mixture was stirred at 110 °C for 20 hours. LCMS showed a trace of desired product with both starting materials as major peaks. New portions of tris(dibenzylideneacetone)dipalladium(0) (8 mg, 0.0087 mmol), 4,5- bis(diphenylphosphino)-9,9-dimethylxanthene (XantPhos) (15 mg, 0.026 mmol), sodium carbonate (43 mg, 0.40 mmol) and tetrahydrofuran (3 mL) were added and the mixture was heated in a microwave at 160 °C for 2 hours. LCMS showed desired product as the major peak. Water (30 ml) was added and the mixture was extracted with ethyl acetate (3 X 30 mL). The organic layer was evaporated then the crude solid purified by silica gel chromatography (0-10% methanol/dichloromethane) to provide the first batch of product. The aqueous phase was extracted with
dichloromethane (4 X 20 mL), evaporated under vacuum, then purified by silica gel
chromatography (0-10% methanol/dichloromethane) to provide a second batch of product. Obtained 5-(3,5-difluorophenyl)-N-[6-methyl-4-[4-(oxetan-3-yl)piperazin-l- yl]-2-pyridyl]thiazol-2-amine (69 mg, 52%). lH NMR (300 MHz, DMSO-i¾) δ 11.01 (s, 1H), 7.91 (s, 1H), 7.29 (d, J = 7.1 Hz, 2H), 7.06 (t, J = 9.3 Hz, 1H), 6.46 (s, 1H), 6.27 (s, 1H), 4.57 (t, J = 6.5 Hz, 2H), 4.48 (t, J = 5.9 Hz, 2H), 3.50 - 3.40 (m, 1H), 3.30 (m, 8H), 2.39 - 2.36 (m, 3H) ppm. ESI-MS m/z calc. 443.15915, found 444.31 (M+l) +; Retention time: 0.68 minute.
[00352] Using the general synthetic scheme outlined in Scheme P and the experimental procedures listed above in Example 26, the following compounds can be prepared: 89 and 142
Scheme : General Route PP for Preparation of Compounds of Formula II
Compounds of Formula II of the present invention may be prepared as generally outlined in Scheme Q, where R2 is as described herein, and C(0)NRlbRlb is a nitrogen-containing R1 moiety bonded to the parent molecule through a carbonyl moiety (e.g., -C(0)NH2, -C(0)NH(Ci-4alkyl), -C(0)N(CMalkyl)(CMalkyl), - C(0)G2).
EXAMPLE 27
Preparation of [2-methyl-6-[[5-(2-pyridyl)thiazol-2-yllaminol-4-pyridyll-morpholino- methanone (Compound 147)
a) i. SOCl2, DMF; ii. TEA, morpholine, DCM; b) NaOtBu, i-BuXPhos Palladacycle, 1,4-dioxane Preparation of 2-chloro-6-methyl-pyridine-4-carbonyl chloride
[00353] A mixture of 2-chloro-6-methyl-pyridine-4-carboxylic acid (1.29 g, 7.5 mmol) and thionyl chloride (5 mL, 68.55 mmol) in dichloromethane (10 mL) was stirred at 70 °C overnight. Concentrated under vacuum to provide 2-chloro-6-methyl- pyridine-4-carbonyl chloride which was carried to next step as is.
Preparation of (2-chloro-6-methyl-4-pyridyl)-morpholino-methanone
[00354] To a mixture of morpholine (100 μί, 1.15 mmol) and triethylamine (300 μί, 2.15 mmol) in dichloromethane (5 mL) was added 2-chloro-6-methyl-pyridine-4- carbonyl chloride (200 mg, 1.05 mmol) and the mixture stirred for 10 minutes. The reaction mixture was concentrated and purified by silica gel chromatography (12g column; 0-40% ethyl acetate/heptane) to provide (2-chloro-6-methyl-4-pyridyl)- morpholino-methanone (100 mg, 39%). lH NMR (300 MHz, CDC13) δ 7.18 - 7.12 (m, 1H), 7.08 (dd, J = 1.2, 0.6 Hz, 1H), 3.72 (d, J = 40.4 Hz, 6H), 3.39 (s, 2H), 2.59 (t, J = 0.6 Hz, 3H) ppm.
Preparation of [2-methyl-6-[[5-(2-pyridyl)thiazol-2-yllarninol-4-pyridyll-morpholino- methanone (Compound 147)
[00355] To a mixture of 5-(2-pyridyl)thiazol-2-amine (50 mg, 0.28mmol), 2- chloropyridine (75 mg, 0.31mmol) and chloro(2-di-t-butylphosphino-2',4',6'-tri-i- propyl- l,l'-biphenyl)[2-(2-aminoethyl)phenyl] palladium(II) (i-BuXPhos
Palladacycle) (25 mg, 0.03mmol) in 1,4-dioxane (1 mL) was added sodium tert- butoxide (0.3 mL of 2 M, 0.6mmol) and the mixture was stirred for 30 minutes at room temperature. The reaction was purified on a 4 g silica gel cartridge eluting with 0-8% methanol/dichloromethane which provided [2-methyl-6-[[5-(2-pyridyl)thiazol- 2-yl] amino] -4-pyridyl]-morpholino-methanone (18.7 mg, 16.5%). XH NMR (400
MHz, CDC13) δ 10.81 (s, 1H), 8.78 (dd, J = 2.4, 0.9 Hz, 1H), 8.45 (dd, J = 4.8, 1.6 Hz, 1H), 7.78 (ddd, J = 8.0, 2.4, 1.6 Hz, 1H), 7.62 (s, 1H), 7.34 - 7.25 (m, 1H), 6.76 - 6.57 (m, 2H), 3.63 (d, J = 63.6 Hz, 6H), 3.35 (s, 3H) ppm. ESI-MS m/z calc. 381.13, found 382.2 (M+l) +; Retention time: 0.62 minute.
[00356] Using the general synthetic scheme outlined in Scheme Q and the experimental procedures listed above in Example 27, the following compounds can be prepared: 147-150, 155 and 156.
EXAMPLE 28
Preparation of N- [3 -fluoro-6-methyl-4- [4-(oxetan-3 -vDpiperazin- 1 -yl] -2-pyridvH -5 - -pyridyl)thiazol-2-amine (Compound 146)
Preparation of 1 -(4-chloro-3-fluoro-6-methyl-2-pyridyl)-4-(oxetan-3-yl)piperazine
[00357] To a mixture of 2,4-dichloro-3-fluoro-6-methyl-pyridine (200 mg, 0.67 mmol) and l-(oxetan-3-yl)piperazine (120 mg, 0.84 mmol) in dimethylsulfoxide (5
mL) was added triethylamine (180 μί, 1.29 mmol) and the reaction was stirred overnight at 80 °C. LC-MS showed two products and small amount of SM. The reaction mixture was diluted with ethyl acetate, washed with water and brine, dried over sodium sulfate, and concentrated under vacuum. Crude product was purified on a 40 g silica gel cartridge eluting with 0-40% ethyl acetate in heptane to provide desired l-(2-chloro-3-fluoro-6-methyl-4-pyridyl)-4-(oxetan-3-yl)piperazine (110 mg, 58%) (more polar; carried forward in the next step). l NMR (400 MHz, CDC13) δ 6.55 (d, J = 5.8 Hz, 1H), 4.78 - 4.58 (m, 4H), 3.58 (tt, J = 6.8, 6.0 Hz, 1H), 3.47 - 3.20 (m, 4H), 2.62 - 2.24 (m, 7H). ESI-MS m/z calc. 285.10443, found 286.2 (M+l) +; Retention time: 0.62 minutes. Silica gel purification also provided the undesired regioisomer l-(4-chloro-3-fluoro-6-methyl-2-pyridyl)-4-(oxetan-3-yl)piperazine (60 mg, 32%) (less polar). l NMR (400 MHz, CDC13) δ 6.65 (dd, J = 4.0, 0.6 Hz, 1H), 4.74 . 4.64 (m, 4H), 3.65-3.49(m, 5H), 2.53 - 2.43 (m, 4H), 2.36 (dd, J = 1.2, 0.5 Hz, 3H). ESI-MS m/z calc. 285.10443, found 286.0 (M+l) +; Retention time: 0.74 minutes.
Preparation of N- [3 -fluoro-6-methyl-4- [4-(oxetan-3 -vDpiperazin- 1 -yll -2-pyridvH -5 - (2-pyridyl)thiazol-2-amine (Compound 146)
[00358] A mixture of l-(2-chloro-3-fluoro-6-methyl-4-pyridyl)-4-(oxetan-3- yl)piperazine (50 mg, 0.17 mmol), 5-(2-pyridyl)thiazol-2-amine (40 mg, 0.23 mmol) and chloro(2-di-t-but lphosphino-2',4',6'-tri-i-propyl-l, -biphenyl)[2-(2- aminoethyl)phenyl] palladium(II) (/-BuXPhos Palladacycle) (17 mg, 0.021 mmol) in 1,4-dioxane (1 mL) was bubbled with nitrogen for 2 minutes. To the mixture was added sodium fert-butoxide (220 of 2 M, 0.44 mmol) and the mixture was stirred overnight at 80 °C. LC/MS showed desired product. The crude mixture was purified on a 4 g silica gel cartridge eluting with 0-8% methanol/dichloromethane which provided a minor amount of desired product, N-[3-fluoro-6-methyl-4-[4-(oxetan-3- yl)piperazin-l-yl]-2-pyridyl]-5-(2-pyridyl)thiazol-2-amine (2.1 mg, 3%) . ¾ NMR (400 MHz, CDCI3). δ 8.95 - 8.77 (m, 1H), 8.52 (dd, J = 4.9, 1.6 Hz, 1H), 8.33 (s, 1H), 7.86 (ddd, J = 7.9, 2.4, 1.6 Hz, 1H), 7.66 (s, 1H), 7.33 (ddd, J = 8.0, 4.8, 0.9 Hz, 1H), 6.33 (d, J = 5.9 Hz, 1H), 4.70 (dt, J = 21.2, 6.4 Hz, 4H), 3.60 (q, J = 6.4 Hz, 1H), 3.49 - 3.30 (m, 4H), 2.66 - 2.37 (m, 7H) ppm. ESI-MS m/z calc. 426.16382, found 427.34 (M+l) +; Retention time: 2.03.
[00359] Table 3. Analytical Data
. m, , . s, ppm.
ASSAYS FOR DETECTING AND MEASURING REMYELINA TION PROPERTIES OF COMPOUNDS In vivo Mouse Cuprizone Assay:
[00360] Cuprizone Feeding Protocol:
[00361] 2 month old female C57BL/6 mice (Stock Number: 000664) are purchased from Jackson Labs and fed for 4-10 months with a 0.2% cuprizone chow (provided by Research Diets, Product # D10020701R, Description AIN-76A Rodent Diet with 0.2% cuprizone) using cuprizone purchased from Sigma (Cat# 14690-
100G). Chow is provided ad libitum, and refreshed every 4 days to ensure stability of
the cuprizone. Mice are maintained on this diet for 4 -10 months before initiation of the experiments.
[00362] Dosing and PK:
[00363] 1) 24 hours prior to the start of dosing, 6 to 10 mice are switched from cuprizone chow to normal chow (Picolab rodent diet 20 EXT IRR 5053, irradiated) without added cuprizone. These mice are maintained on normal chow throughout the course of dosing.
[00364] 2) 6 to 10 mice per group are randomized into new cages such that mice that are housed in one cage during the cuprizone diet are not housed together in one dose group during the study.
[00365] 3) Mice can be dosed with compound in one of two regimens:
Regimen A: mice are dosed QD or BID for 14 days via oral gavage. Regimen B: mice are dosed QD or BID for 14 days via IP injection. However, other dosing schedules and/or routes of administration may also be used.
[00366] 4) On the last day of dosing, dried blood spots are collected at multiple time points following the last dose. Often this is 30 minutes, 2, 6 and 24 hours following the final dose on day 14 via the tail vein.
[00367] Perfusion and sectioning:
[00368] 1) The day after the last day of dosing, mice are transcardially perfused with 12 ml of PBS (Sigma, P4417) followed by 20 ml of 3.2% paraformaldehyde in PBS (Electron Microscopy Sciences # 15714-S). The brains are removed via standard dissection techniques and each is postfixed in 3.2% paraformaldehyde (20 ml) for 24- 48 hours at room temperature in sealed scintillation vials.
[00369] 2) Serial 50 micron sections are collected through the anterior posterior extent of the brain, from just behind the olfactory bulb, through visual cortex using a vibrating microtome, the V-STAR (described in International Publication No. WO 2013/012799 and US Patent number US 8,967,024 both of which are incorporated herein by reference in their entirety). Sections are collected in phosphate buffered saline (PBS). Vibratome speed is set to 1.1 mm/s and amplitude was set to 0.8 mm.
[00370] 3) A series of every 24th section is removed for staining yielding 5 sections per brain.
[00371] Staining:
[00372] 1) Tissue sections are stained using an automated system for processing blots (hereinafter the "blotinator") (described in WO2011/087646 and US Patent numbers US 8,337,754 and US 8,679,406 each of which is incorporated herein by reference in its entirety). Brain sections are placed in the blotinator plate and bathed in PBS. The blotinator applies primary antibodies (MOG and MBP together) and Hoechst nuclear stain for 12 hours at room temperature with constant shaking.
[00373] The following stains sre diluted in blocking buffer (described below):
[00374] Hoechst nuclear stain (0.5 mg/ml)(bisBenzimide H 33342
trihydrochloride Sigma # 33342).
[00375] Myelin basic Protein (MBP) antibody (Abeam Cat # ab7349) is diluted at a 1 :750 ratio in blocking buffer).
[00376] Myelin Oligodendrocyte Glycoprotein (MOG) (R&D systems Cat #
AF2439) is diluted at a 1 :250 ratio in blocking buffer.
[00377] Antibodies are diluted in blocking buffer, which consists of 0.3% Triton X-100 (Sigma Cat # 234729), 0.02% Sodium Azide (Sigma Cat# S2002) and 8% fetal bovine serum in PBS (Sigma Cat# F2442).
[00378] 2) The blotinator washes the samples 4 times for 5 minutes each with a wash buffer (0.2% Triton X-100 in PBS).
[00379] 3) The blotinator applies secondary antibodies diluted in blocking buffer and incubates them for 2 hours with constant shaking.
[00380] Alexa 488 donkey anti-rat secondary (Life technologies Cat# A-21208) is diluted at 1 : 1000 in blocking buffer.
[00381] Alexa 568 donkey anti-goat secondary (Life technologies Cat# A-
11057) is diluted at 1 : 1000 in blocking buffer.
[00382] Antibodies are also diluted in blocking buffer described above.
[00383] 4) The samples are then washed 4 times for 5 minutes each with wash buffer (0.2% Triton X-100 in PBS).
[00384] 5) All 5 sections are mounted on a slide (Fisherbrand Superfrost Plus microscope slide Cat# 12-550-15) and coverslip with 50 microliters Fluormount (Sigma cat# F4680-25ml) in preparation for scanning.
[00385] Scanning:
[00386] Images are scanned using an Olympus CS120 flourescent scanning microscope. Entire sections are scanned at lOx magnification, with 500 millisecond
exposures for the 488 and 568 nanometer fluorescent channels. The Hoechst signal is detected using a 100 millisecond exposure.
In vivo Myelin Detection Software:
[00387] A custom algorithm , developed in house, is used to quantify the amount of new myelin in mice that has been demyelinated with cuprizone and subsequently is treated with compounds. Conceptually, the software can subtract a mature myelin marker from a pan-myelin (young and old myelin) marker, and measure the area of the remaining "new" myelin. Myelin oligodendrocyte glycoprotein ("MOG") is specific to old myelin, while myelin basic protein ("MBP") is a pan myelin marker, expressed in more immature myelin as well as more mature myelin. This process accounts for the variability inherent in the demyelination process, in which some animals experience more demyelination than others. It more accurately measures myelin generated in response to compound treatment.
[00388] The algorithm is written using Definiens Tissue Studio and Definiens
Developer XD. There are several steps to the algorithm, each of which is discussed below.
[00389] Three channels of information for each sample are loaded. The intensity levels of the three images are summed, and the resulting image is used to determine the "tissue" area. Subsequent analyses are done exclusively on the tissue area.
[00390] The MOG channel is loaded and the Definiens "Auto Threshold" function is used to distinguish MOG positive regions from background. Regions of putative white matter with areas < 50 pixels are returned to the tissue class. Thus, remaining white matter tracts that resist demyelination from cuprizone are excluded from subsequent analyses.
[00391] The ratio of MBP signal to MOG signal is calculated. This consists of the mean MBP intensity value divided by the mean MOG intensity value over the entirety of the image. This MBP:MOG ratio is used to normalize the intensity between the MBP and MOG channels. The normalized MOG signal multiplied by 0.5 is subtracted from the MBP signal, creating a new image, "MBP-MOG". The "Auto Threshold" function is used on the MBP-MOG image, and the 'new' myelin consisting of pixels with intensities above the threshold is delineated. Regions of
putative new myelin with areas <2 pixels are returned to the tissue class, and the number of pixels positive for "new" myelin is measured.
[00392] The algorithm returns the area of the tissue and the MBP positive,
MOG negative 'new' myelin. Each section is normalized by area relative to its comparable tissue (e.g., the first). Most anterior sections are normalized relative to other first anterior sections. The 5 normalized MBP+/MOG- areas are summed, yielding a total positive area per sample. This yields a representation of myelin synthesis over the whole extent of the brain, excluding the olfactory bulb and the cerebellum.
[00393] Compound of the present invention may be tested in the in vivo Mouse
Cuprizone assay described above.
In vitro Myelination Assay
[00394] Compounds were screened for their ability to induce myelination using a primary rat mixed cortical cell culture assay, which contains neurons,
oligodendrocyte precursor cells, oligodendrocytes, astrocytes and microglia. The assay quantifies myelination by measuring myelin basic protein (MBP)
immunofluorescent positive myelin strands from images taken using a Cellomics Array Scan (model Arrayscan VTI HCS Reader) or a Molecular Devices Image Xpress (model IXM XL) high content imager. The myelin strands were quantitated using a custom created myelin detection software program. Test compounds were dissolved in DMSO to make a 10 mM initial stock solution. Dilutions were made in myelination medium to obtain the final solutions for the assay and were tested in primary rat mixed cortical cells at selected doses.
[00395] Primary rat mixed cortical cells were prepared from harvested cerebral cortices from postnatal day 1 (PI) rats (PI Rat CD® IGS pups) were purchased from Charles River) in Complete Dissociation Medium, wherein the meninges were removed and the cortical tissue chopped with a razor blade into ~1 mm3 pieces.
Tissue from 1-3 pups was collected and placed into 15 ml conical tubes in a total volume of 5 ml of Complete Dissociation Medium. Activated papain (3 ml) was added to each 15 ml conical tube and tissue was incubated at 37°C for 30 minutes.
After the 30 minute incubation, DNase (Sigma D4527; 75 μΐ of a 1 mg/ml stock) was added to each tube, followed by mechanical trituration using a 2 ml serological pipette and autopipettor to gently dissociate the tissue. Following trituration, larger tissue
pieces were allowed to settle by gravity, and the supernatant containing dissociated cells was transferred to a 50 ml conical tube with 4 ml of trypsin inhibitor. Cells were pelleted by centrifugation, resuspended in myelination medium and filtered through a 40 μιτι filter. Cells were then seeded in 96-well plates (BD Biosciences, Black, PDL- coated, Cat. No. 356640) or in some cases in 384-well plates at 87,500-95,000 cells/well in a final volume of 200μ1 of Myelination Medium in the presence or absence of compound and cultured for 14 days in a humidified 37°C incubator with 5% CO2. Half the medium was removed and replaced with fresh medium containing IX compound on days 6 and 10. Using a Biotek automatic plate washer (model Biomek® FXP Laboratory Automation Workstation), cells were fixed with 4% paraformaldehyde on day 14, washed with PBS and blocked in 5% normal goat serum (Vector Laboratories, S-1000) in 0.1% PBS-TritonX-100 (PBST) for 1 hour. Cells were stained with 1 :500 anti-MBP (Covance, cat #SMI99) primary antibody in 1% normal goat serum in 0.1% PBST for 2 hours at room temperature followed by 2 washes with PBST. A final incubation in secondary antibody (1 : 1000, Invitrogen, Alexa-488 anti-mouse IgG2b) and 1 : 10,000 Hoechst dye in 1% normal goat serum in 0.1% PBST was performed for 2 hours at room temperature. Plates were washed with PBS and then scanned on a Cellomics Array Scan using a 10X objective (25 images per well) or the Image Xpress using a 10X objective (9 image per well). Images were analyzed using Vertex myelin detection software (described below) to quantify total MBP myelin pixels per well. Fold myelin pixels above background at two concentrations (1.0 μΜ and 10.0 μΜ) relative to baseline of no added compound are reported below in Table 4. Standard deviation for each compound concentration was calculated using all replicates and using a standard deviation formula commonly used in the art.
[00396] One of skill in the art would recognize that for this type of primary neuronal mixed cell assay variability between different assay runs is to be expected even though the protocol is the same for each assay run. For instance, variability may be due to small differences in cell viability, cell density, age of the animals, etc.
[00397] Vertex Myelin Detection Software:
[00398] The Vertex myelin detection software was used to quantify the amount of myelin wrapping axons in a digital image that was obtained from our in-house microscope. Conceptually, the software identified and traced MBP positive ridge like
structures in the image that were indicative of myelinating axons. A confounding factor in the analysis was the large debris fields typically occurring in the images. These fields resulted from the assay conditions required to achieve myelination. Special care was taken to ensure that noise in the image induced by the debris field was appropriately suppressed so that the signal that arose from the myelination could be recovered. The software was written in the Jython programming language and made significant utilization of the Fiji image analysis toolkits (see, Schindelin, J.; Arganda-Carreras, I. & Frise, E. et al., "Fiji: an open-source platform for biological- image analysis", Nature Methods 9(7): 676-682, 2012). There were several steps to the algorithm, each of which are discussed below.
[00399] Initially the image was loaded and converted to a 256-bit grey scale representation. Image contrast was enhanced by performing standard histogram stretching. The saturation parameter for the enhancement was set at 0.35, meaning the upper and lower 3.5% of the distribution of the gray scale values present in the image were removed prior to enhancement. The Frangi[2] vesselness measure, which computes the likelihood of a pixel belonging to a ridge-like structure, was applied to the resulting image (see, Frangi AF, Niessen WJ, Vincken KL, Viergever MA "Multiscale vessel enhancement filtering", Proceedings of Medical Image Computer- Assisted Intervention (MICCAI), Lecture notes in computer science 1496: 130-137, 1998). The Frangi process created a "vessel likeness image" which was then converted to a binary image mask. The threshold of the Frangi measure for conversion to the mask was adjusted so that appropriate regions of the input image were selected. Once the mask was created, morphological closing was applied to remove small holes. Small structures were removed from the mask by deleting regions containing less than 40 connected pixels. The resulting mask overlaps regions of the original image that had a high likelihood of containing myelin strands.
[00400] Morphological skeletonization was applied to the binary mask and the resulting image was then converted to a graph data structure. Each node of the graph represented a pixel of the image. Owing to the skeletonizaiton process, each node was connected to at most 4 neighboring pixels. Nodes connected to one other node indicated the end of a myelin strand ("end nodes"); nodes connected to exactly two other nodes indicated a pixel contained in a myelin strand ("myelin node"); while nodes connected to 3 or 4 other nodes indicated regions where myelin strands
intersect ("join nodes"). Neighboring 'myelin nodes' that were adjacent to the same "join node" were merged into longer strands of myelin. This process was done in a greedy fashion. The longest strand of myelin originating from an "end node" in the graph was identified. If this strand terminated in an end node the strand was extracted from the graph. If the strand terminated at a "join node" then it was joined with one of the other myelin strands adjacent to the same join node. The largest angle between the growing strand and all other strands adjacent to the join node was determined. If this angle was greater or equal to 140 degrees, then the growing strand and the strand that made this large angle were merged into one strand. The two strands that were merged were removed from being adjacent to the "join node". If the angle was less than 140 degrees, the growing strand was extracted from the graph and removed as being adjacent to the join node. The entire process was repeated until all strands were removed from the graph. Various geometric properties of the strand such as length and maximum curvature were computed from the number of pixels in the strand and the connectivity of the graph.
[00401] Before a putative myelin strand was quantified as myelin it was subjected to several quality control measures. The strand needed to be of a sufficient length (at least greater than 40 pixels). To ensure the strand was not overly curved, the ratio of the geometric distance between strand endpoints to the length of the strand needed to be greater than or equal to 0.8. Finally, to ensure the strand was not overly thick, the gray scale gradient at each point on the strand in the directions orthogonal to the strand direction needed to decay sufficiently rapidly. Specifically, the gray scale needed to decrease by 25% from the gray scale value of pixel intersected by the orthogonal line and the putative myelin strand. This decrease needed to occur within 5 pixels. If a strand passes all quality checks it was quantified as myelin.
[00402] Reagent and media preparation and animal source for the in vitro
Myelination Assay
[00403] lOx Dissociation Media (DM): lOx DM was prepared on a 1 liter scale by combining 900 mM Na2S04, 300 mM K2S04, 58 mM MgCl2, 2.5 mM CaCl2, 10 mM HEPES and 20 mL of a phenol red solution (0.5%). The pH was adjusted with . IN NaOH by eye until orange-red. The solution was then sterilized by filteration through a 0.2uM filter (prewashed with 100 ml of deionized sterile water which was discarded prior to filtration of the DM media solution.
[00404] lOx KyMg Stock: KyMg stock was prepared on a 200 mL scale as follows. To a 250 mL flask was added 190 mL of water, 1 mL of phenol red (Sigma P0290), stock, 1.75 mL of IN NaOH, 378 mg of kynurenic acid, and 2 mL 500 mM HEPES. The mixture was then sonicated to dissolve the kynurenate and then MgC12 (4.1 ml of a 4.9 M solution) was added. The pH was adjusted to 7.4 by adding up to 1 ml of 0.1N NaOH and the mixture sterilized by filtration through a prewashed nylon filter
[00405] Complete dissociation medium (DM): 5 mL Ky Mg to 45 mL IX DM media
[00406] Papain Enzyme Solution (Worthington Biochemical. LK003178): A 10 units/mL stock solution was made fresh the day of dissection by adding lmL of lOmM NaOH and Complete Dissociation Medium to one vial of papain (-100 units) to give a 10 units/mL final concentration. The papain was activated at 37 °C for 10- 15 minutes prior to use.
[00407] Trypsin Inhibitor Solution : 9.6mL of Complete Dissociation Medium was added to 100 mg of trypsin inhibitor (type II-O; Sigma T-9253) and the mixture was sonicated. The pH was adjustedto -5.75 using IN NaOH and pH strips. Aliquots (4 mL) were measured out and and stored at -20 °C.
[00408] DNase I Solution lmg/mL): Added 25 mL DMEM/F12 medium (Corning,
10-092-CM) to 20 KU DNAse I (Sigma D4527) and aliquoted into one time use aliquots stored at -20° C.
Myelination Medium:
DMEM (Invitrogen, Cat #11960-051)
1 :50 B27 (Invitrogen, Cat #17504-044)
1% FBS (HyClone)
2 mM Glutamax (1 : 100) (Cat # Gibco 25030081)
Pen Strep (1 : 100) 10,000 units/mL (Cat # Gibco 15140122)
PDGF/FGF 0.3 ng/mL each (3 uL per 100 mL; PeproTech, cat #100-13 A and cat
#100-18B
Myelination medium was made fresh the day of use from a stock bottle of DMEM containing pencillin/streptomycin and Glutamax, which was stored at 4° C for up to one month. On the day of use, 1 :50 B27, 1% FBS and 0.3ng/mL of PDGF and FGF were added to the DMEM containing pencillin/streptomycin and Glutamax.
[00409] Other in vitro and in vivo assays and models known in the art may also be used to show induction of remyelination in response to treatment with compounds such as those of the present invention (see, Nairn, F. J. et al, Nature (Letter), published online 20 April 2015, doi: 10.1038/naturel4335 and Macklin, W.B. et al, Developmental Cell, 32, pp 447-458 (2015))
[00410] The activities of the compounds below in Table 4 below have between less than 1 fold to greater than 10,000 fold myelin pixels above background at two concentrations (1.0 μΜ and 10.0 μΜ) relative to baseline of no added compound.
Table 4. Remyelination in vitro data.
34 + -
35 ++ -
36 - +++
37 +++ ++
38 - ++
39 + +
40 ++ ++
41 +++ +
42 +++ -
43 ++ ++
44 ++ -
45 + -
46 ++ ++
47 + -
48 + -
49 - +
50 ++ -
51 ND ND
52 + -
53 + +
54 - -
55 ++ +
56 ++ +
57 - +
58 +++ ++
59 ++ +++
60 + -
61 - -
62 ++ +
63 +++ -
64 ++ -
65 ++ +++
66 ++ ++
67 + -
68 +++ ++
69 ++ -
70 ++ -
71 ++ -
72 +++ ++
73 +++ ++
74 + ++
75 + -
76 +++ -
77 ++ -
78 - -
79 +++ -
80 - -
81 +++ ++
82 + +
83 +++ -
84 ++ +
85 ++ +++
86 + -
87 + -
88 +++ +++
89 ++ +
90 + -
91 - +++
92 ++ +++
93 - ++
94 - ++
95 - -
96 ++ ++
97 +++ +++
98 ++ +++
99 - -
100 + -
101 ++ ++
102 + +
103 - -
104 ++ +
105 + +
106 + ++
107 ++ +
108 - +
109 ++ +
110 ++ ++
111 + -
112 + +
113 + +++
114 - ++
115 +++ +
116 ++ +
117 - +++
118 - +
119 +++ +++
120 - +
121 ++ +
122 ++ ++
123 ++ +
124 - ++
125 ++ +
126 + +
127 ++ +++
128 ++ ++
129 - +++
130 + +
131 ND ND
132 ND ND
133 ND ND
134 ND ND
135 ND ND
136 ND ND
137 ND ND
138 ND ND
139 ND ND
140 ND ND
141 ND ND
142 ND ND
143 ND ND
144 ND ND
145 ND ND
146 ND ND
147 ND ND
148 ND ND
149 ND ND
150 ND ND
151 ND ND
152 ND ND
153 ND ND
154 ND ND
155 ND ND
156 ND ND
Fold relative to baseline Activity
ND not determined
<1
>1 to lOx +
>10 to lOOx ++
> 100 to lOOOx +++
>1000 to 10,000x ++4
[00411] All publications and patents referred to in this disclosure are incorporated herein by reference to the same extent as if each individual publication or patent application were specifically and individually indicated to be incorporated by reference. Should the meaning of the terms in any of the patents or publications incorporated by reference conflict with the meaning of the terms used in this
disclosure, the meaning of the terms in this disclosure are intended to be controlling. Furthermore, the foregoing discussion discloses and describes merely exemplary embodiments of the invention. One skilled in the art will readily recognize from such discussion and from the accompanying drawings and claims, that various changes, modifications and variations can be made therein without departing from the spirit and scope of the invention as defined in the following claims.
Claims
We claim:
1. A compound of formula (I)
(I)
or a pharmaceutically acceptable salt thereof,
wherein:
X1 is CRX1 or N;
X2 is CRX2 or N;
X is CRX or N;
X4 is O or S;
provided that X1 is not N simultaneously with X2 and X3;
R1 is selected from the group consisting of -OCi-6alkyl, -OCi-6haloalkyl, -0-C2- 6alkylene-OCi-4alkyl, -0-C2-6alkylene-OH, -NHC(0)(Ci-4alkyl), -N(Ci_ 4alkyl)C(0)(Ci-4alkyl), -C(0)NH2, -C(0)NH(Ci-4alkyl), -C(0)N(Ci-4alkyl)(Ci-
4alkyl), -C(0)NH(Ci-4haloalkyl), -C(0)NH(-C2-6alkylene-OCi-4alkyl), - C(0)N(Ci-4alkyl)(-C2-6alkylene-OCi-4alkyl), -C(0)NH(-C2-6alkylene-OH), - C(0)N(Ci-4alkyl)(-C2-6alkylene-OH), -I^-G -R6, -I^-G2, -I^-G3, and -L2-G4;
R2 is selected from the group consisting of hydrogen, Ci-4alkyl, Ci-4haloalkyl,
halogen, and -OCi-4alkyl;
RX1 is selected from the group consisting of hydrogen, halogen, Ci-4alkyl, Ci_
4haloalkyl, and -0-Ci-4alkyl;
RX2 is selected from the group consisting of hydrogen, halogen, Ci-4alkyl, and Ci_ 4haloalkyl;
RX3 is selected from the group consisting of hydrogen, halogen, Ci-4alkyl, Ci_
4haloalkyl, and -0-Ci-4alkyl;
L1 is a bond, -0-, -0-Ci-4alkylene- -NR5-, -NR5-Ci-4alkylene-, or -C(O)-
,wherein R5 is hydrogen or Ci-4alkyl;
L2 is -0-Ci-4alkylene-;
s a 4- to 8-membered monocyclic heterocycle containing 1-2 heteroatoms independently selected from oxygen, nitrogen, and sulfur, the monocyclic heterocycle optionally containing one double bond and/or a
bridge between two non-adjacent ring atoms, G1 being optionally substituted with 1-4 substituents independently selected from the group consisting of Ci-4alkyl, Ci_ 4haloalkyl, halogen, hydroxyl, and oxo;
R6 is
a) a 4- to 12-membered heterocycle containing 1-4 heteroatoms independently selected from oxygen, nitrogen, and sulfur, the heterocycle being optionally substituted with 1-4 substituents independently selected from the group consisting of Ci-4alkyl,
-CH2S(0)2phenyl, halogen, hydroxyl, oxo, -OCi-4alkyl, -Ci-6alkylene-OCi-4alkyl, and -Ci-6alkylene-OH; or b) a 3- to 8-membered cycloalkyl optionally substituted with 1-4 substituents independently selected from the group consisting of Ci-4alkyl,
halogen, hydroxyl, -C(0)OCi-4alkyl, -C(0)OH, oxo, -OCi-4alkyl, -Ci_ 6alkylene-OCi-4alkyl, and -Ci-6alkylene-OH;
s a 4- to 12-membered heterocycle containing 1-4 heteroatoms independently selected from oxygen, nitrogen, and sulfur, G2 being optionally substituted with 1- 4 substituents independently selected from the group consisting of Ci-4alkyl, Ci_ 4haloalkyl, halogen, hydroxyl, oxo, cyano, -Ci-6alkylene-cyano, -C(0)Ci-4alkyl, -C(0)-Ci-6alkylene-OCi-4alkyl, -C(0)-Ci-6alkylene-OH, -C(0)C3-6cycloalkyl, - C(0)OCi-4alkyl, -C(0)OCi-4haloalkyl, -C(0)NH2, -C(0)NH(Ci-4alkyl), - C(0)N(Ci-4alkyl)(Ci-4alkyl), -C(0)NH(-Ci-6alkylene-OCi-4alkyl), -C(0)N(Ci_ 4alky 1)(-C i-6alky lene-OC i-4alky 1), -C(0)NH(-C i-6alky lene-OH), -C(0)N(C i_ 4alkyl)(-Ci-6alkylene-OH), -NH(-Ci-6alkylene-OCi-4alkyl), -N(Ci-4alkyl)(-Ci- ealky lene-OC i-4alky 1), -NH(-C i-6alky lene-OH), -N(C i-4alky 1)(-C i-6alky lene- OH), -C(0)Ci-4haloalkyl, -OCi-4alkyl, -OCi-4haloalkyl, -Ci-6alkylene-OCi. 4alkyl, -Ci-6alkylene-OH, -Ci-6alkylene-NH2, -Ci-6alkylene-NH(Ci-4alkyl), -Ci_ ealkylene-NiCi^alky iCi^alkyl), -0-Ci-6alkylene-NH2, -0-Ci-6alkylene- NH(Ci-4alkyl), -O-Ci-ealkylene-NCC^alkylXC^alkyl), -0-Ci-6alkylene-OCi. 4alkyl, -0-Ci-6alkylene-OH, -Ci-4alkylene-0-Ci-4alkylene-OCi-4alkyl, -Ci_ 4alkylene-0-Ci-4alkylene-OH, -Ci-4alkylene-C(0)OCi-4alkyl, -Chalky lene- C(0)OH, -NHC(0)(Ci-4alkyl), -N(Ci-4alkyl)C(0)(Ci-4alkyl), -NH2, -NH(Ci_
4alkyl), -N(CMalkyl)(CMalkyl), -S(0)i-2Ci-4alkyl, -Ci-6alkylene-S(0)i-2Ci- 4alkyl, and a -Ci-6alkylene substituted by 2 groups independently selected from hydroxyl, halogen, -OC(0)Ci-4alkyl, -OCi-4alkyl, -NH2, -NH(Ci-4alkyl), and - N(CMalkyl)(CMalkyl);
s 3- to 8-membered cycloalkyl optionally substituted with 1 -4 substituents independently selected from the group consisting of Ci-4alkyl, Ci-4haloalkyl, halogen, hydroxyl, oxo, cyano, -C(0)Ci-4alkyl, -C(0)C3-6cycloalkyl, -C(0)OCi_ 4alkyl, -C(0)OCi-4haloalkyl, -C(0)NH2, -C(0)NH(Ci-4alkyl), -C(0)N(Ci_ 4alkyl)(Ci-4alkyl), -C(0)NH(-Ci-6alkylene-OCi-4alkyl), -C(0)N(Ci-4alkyl)(-Ci. 6alkylene-OCi-4alkyl), -C(0)NH(-Ci-6alkylene-OH), -C(0)N(Ci-4alkyl)(-Ci. ealkylene-O^^NHi-Ci-ealkylene-OCi^alky ^NiCi^alky i-Ci-ealkylene- OCi-4alkyl), -NH(-Ci-6alkylene-OH), -N(Ci-4alkyl)(-Ci-6alkylene-OH), - C(0)Ci-4haloalkyl, -OCi-4alkyl, -Ci-4alkylene-OCi-4alkyl, -Chalky lene-OH, - Ci-6alkylene substituted by 2 groups independently selected from hydroxyl and - OC(0)Ci-4alkyl, -Ci-4alkylene-C(0)OCi-4alkyl, -Chalky lene-C(0)OH, - NHC(0)(Ci-4alkyl), -N(Ci-4alkyl)C(0)(Ci-4alkyl), -NH2, -NH(Ci-4alkyl), and - N(Ci-4alkyl)(Ci-4alkyl);
s phenyl optionally substituted with 1 -4 substituents independently selected from the group consisting of Ci-4alkyl, Ci-4haloalkyl, halogen, hydroxyl, cyano, phenyl, -C(0)Ci-4alkyl, -C(0)C3-6cycloalkyl, -C(0)OCi-4alkyl, -C(0)OCi-4haloalkyl, - C(0)NH2, -C(0)NH(Ci-4alkyl), -C(0)N(Ci-4alkyl)(Ci-4alkyl), -C(0)NH(-Ci- 6alkylene-OCi-4alkyl), -C(0)N(Ci-4alkyl)(-Ci-6alkylene-OCi-4alkyl), -C(0)NH(- Ci-6alkylene-OH), -C(0)N(Ci-4alkyl)(-Ci-6alkylene-OH), -NH(-Ci-6alkylene- OCi-4alkyl), -N(Ci-4alkyl)(-Ci-6alkylene-OCi-4alkyl), -NH(-Ci-6alkylene-OH), - N(Ci-4alkyl)(-Ci-6alkylene-OH), -C(0)Ci-4haloalkyl, -OCi-4alkyl, -Ci-4alkylene- OCi-4alkyl, -Ci-6alkylene-OH, -Ci-6alkylene substituted by 2 groups
independently selected from hydroxyl and -OC(0)Ci-4alkyl, -Ci-4alkylene- C(0)OCi-4alkyl, -Ci-4alkylene-C(0)OH, -NHC(0)(Ci-4alkyl), -N(Ci_
4alkyl)C(0)(Ci-4alkyl), -NH2, -NH(Ci-4alkyl), and -N(Ci-4alkyl)(Ci-4alkyl); ands phenyl or a 5- or 6-membered heteroaryl containing 1-3 heteroatoms independently selected from oxygen, nitrogen and sulfur, R4 being optionally substituted with 1-3 substituents independently selected from the group consisting of halogen, hydroxyl, cyano, -S(0)2Ci-4alkyl, -S(0)Ci-4alkyl, -SCi-4alkyl, Ci_
4alkyl, Ci-4haloalkyl, -OCi-4alkyl, -OCi-4haloalkyl, -Ci-4alkylene-OCi-4alkyl, - Ci^alkylene-NiCi^alky iCi^alky ^NHiCi^alkylene-OCi^alky ^NHiCi. ialkylene-O^^NiCi^alky iCi^alkylene-OCi^alky ^NiCi^alky iCi.
4alkylene-OH), -NH2, -NH(Ci-4alkyl), -N(Ci-4alkyl)(Ci-4alkyl), C 3-6cycloalkyl, C5-6cycloalkenyl, or a 4- to 8-membered monocyclic heterocycle containing 1-2 nitrogen atoms, the C 3-6cycloalkyl, the C5-6cycloalkenyl, and the 4- to 8- membered monocyclic heterocycle being independently optionally substituted with 1-2 substituents independently selected from the group consisting of pyridyl, halogen, hydroxyl, -OCi-4alkyl, Ci-4alkyl, Ci-4haloalkyl, -Ci-4alkylene-OCi- 4alkyl, and -Ci-4alkylene-OH; provided that when X4 is S then
(i) R1 is not -0-C2-6alkylene-OCi-4alkyl, -0-C2-6alkylene-OH, G2, -O-G2, or -
0-Ci-4alkylene-G2, where G2 is an optionally substituted monocyclic heterocycle containing at least one nitrogen atom, when X1 is N, X3 is N, X2 is CH, and R4 is optionally substituted phenyl;
(ii) R1 is not -OCi-4alkyl when R4 is optionally substituted phenyl or thiophene, and X1 is CRX1;
(iii) R2 is other than H, when R1 is G2 or -O-G , G is an optionally substituted monocyclic heterocycle containing at least one nitrogen atom, X1 is CH, X2 is CH and X3 is N;
(iv) R2 is other than H, when R1 is G2 or -NR5-Ci-4alkylene-G2, G2 is an
optionally substituted monocyclic heterocycle containing at least one nitrogen atom, X1 is CH, X3 is CH and X2 is N; or
(v) the compound of formula (I) is not N-(4-chloro-6-(4-methylpiperazin-l- yl)pyridin-2-yl)-5-(pyridin-4-yl)thiazol-2-amine; and provided that when X4 is O then
(i) G2 is not morpholino when R4 is phenyl substituted with cyano;
(ii) R1 is not -0-Ci-4alkyl when R4 is optionally substituted phenyl; or
(iii) R1 is not -NHC(0)(Ci-4alkyl) when R4 is pyridinyl.
2. The compound of claim 1 of formula (II)
or a pharmaceutically acceptable salt thereof,
wherein:
R1 is selected from the group consisting of -OCi-6alkyl, -OCi-6haloalkyl, -0-C2- 6alkylene-OCi-4alkyl, -0-C2-6alkylene-OH, -C(0)NH2, -C(0)NH(Ci-4alkyl), - C(0)N(C i-4alky 1)(C i-4alky 1), -C(0)NH(C i-4haloalky 1), -C(0)NH(-C2-6alky lene- OCi-4alkyl), -C(0)N(Ci-4alkyl)(-C2-6alkylene-OCi-4alkyl), -C(0)NH(-C2- 6alkylene-OH), -C(0)N(Ci-4alkyl)(-C2-6alkylene-OH), -L^G^R6, -Lx-G2, -L1 G3, and -L2-G4; and
R2, R4, X1, X2, and X3 are as defined in claim 1.
The compound of claim 1 of formula (III)
(III)
or a pharmaceutically acceptable salt thereof,
wherein:
R1 is selected from the group consisting of -OCi-6alkyl, -OCi-6haloalkyl, -0-C2- 6alkylene-OCi-4alkyl, -NHC(0)(Ci-4alkyl), -N(Ci-4alkyl)C(0)(Ci-4alkyl), -L1- G^R6, -Lx-G2, -Lx-G3, and -L2-G4;
L1 is a bond, -0-, or -0-Ci-4alkylene-; and
R2, R4, X1, X2, and X3 are as defined in claim 1.
4. The compound of any of claims 1-3, or a pharmaceutically acceptable salt thereof, wherein R1 is -I^-G^R6. 5. The compound of claim 4, or a pharmaceutically acceptable salt thereof, wherein L1 is a bond or -0-.
6. The compound of claim 5, or a pharmaceutically acceptable salt thereof, wherein L1 is a bond and G1 is a 4- to 8-membered optionally substituted monocyclic heterocycle containing a first nitrogen atom and optionally a second heteroatom independently selected from oxygen and nitrogen, the monocyclic heterocycle optionally containing one double bond and/or a Ci-3alkylene bridge between two non- adjacent ring atoms, G1 being connected to L1 through the first nitrogen atom. 7. The compound of claim 5, or a pharmaceutically acceptable salt thereof, wherein L1 is -O- and G1 is a 4- to 8-membered optionally substituted monocyclic heterocycle containing a first nitrogen atom and optionally a second heteroatom independently selected from oxygen and nitrogen, the monocyclic heterocycle optionally containing one double bond and/or a
bridge between two non- adjacent ring atoms, G1 being attached to L1 at a ring carbon atom of G1.
8. The compound of any of claims 1-3, or a pharmaceutically acceptable salt thereof, wherein R1 is -Lx-G2. 9. The compound of claim 8, or a pharmaceutically acceptable salt thereof, wherein L1 is a bond, -0-, -0-Ci-4alkylene-, -NR5-, or -C(O)-.
10. The compound of claim 9, or a pharmaceutically acceptable salt thereof, wherein L1 is a bond or -C(O)- and G2 is attached to L1 at a ring nitrogen atom of G2.
11. The compound of claim 9, or a pharmaceutically acceptable salt thereof, wherein L1 is -0-, -0-Ci-4alkylene-, or -NR5- and G2 is attached to L1 at a ring carbon atom of G2.
12. The compound of any of claims 1-3, or a pharmaceutically acceptable salt thereof, wherein R1 is -Lx-G3 and L1 is -O- or -0-Ci-4alkylene-. 13. The compound of any of claims 1-3, or a pharmaceutically acceptable salt thereof, wherein R1 is L2-G4.
14. The compound of any of claims 1-3, or a pharmaceutically acceptable salt thereof, wherein R1 is selected from the group consisting of -OCi-6alkyl, -OCi- 6haloalkyl, -0-Ci-6alkylene-OCi-4alkyl, -0-Ci-6alkylene-OH, -NHC(0)(Ci-4alkyl), -N(Ci-4alkyl)C(0)(Ci-4alkyl), -C(0)NH2, -C(0)NH(Ci-4alkyl), -C(0)N(Ci_ 4alkyl)(Ci-4alkyl), -C(0)NH(Ci-4haloalkyl), -C(0)NH(-Ci-6alkylene-OCi-4alkyl), - C(0)N(Ci-4alkyl)(-Ci-6alkylene-OCi-4alkyl), -C(0)NH(-Ci-6alkylene-OH), and - C(0)N(Ci-4alkyl)(-Ci-6alkylene-OH).
15. The compound of any of the preceding claims, or a pharmaceutically acceptable salt thereof, wherein R2 is hydrogen, Ci-4alkyl, or Ci-4haloalkyl.
16. The compound of any of the preceding claims, or a pharmaceutically acceptable salt thereof, wherein RX1 is hydrogen.
17. The compound of any of the preceding claims, or a pharmaceutically acceptable salt thereof, wherein RX2 is hydrogen or halogen. 18. The compound of any of the preceding claims, or a pharmaceutically acceptable salt thereof, whereinRX3 is hydrogen or -OCi-4alkyl.
19. The compound of any of the preceding claims, or a pharmaceutically acceptable salt thereof, wherein R4 is phenyl or a 6-membered heteroaryl containing 1-3 nitrogen atoms, R4 being optionally substituted with 1-3 halogen.
20. The compound of claim 1, or a pharmaceutically acceptable salt thereof, selected from Table 2.
21. A pharmaceutical composition comprising a pharmaceutically acceptable carrier and a compound of any of claims 1-20, or a pharmaceutically acceptable salt thereof.
22. A method of treating a disease or disorder selected from a demyelinating disease, central pontine myelinolysis, a nerve injury disease or disorder, a leukoencephalopathy, and a leukodystrophy, comprising: administering to a patient in need thereof a therapeutically effective amount of a compound of formula (I), or a composition or pharmaceutically acceptable salt thereof, as defined in any of claims 1-21, or a compound of formula
X2 is CRX2 or N;
X3 is CRX3 or N;
X4 is O or S;
provided that X1 is not N simultaneously with X2 and X3;
R1 is selected from the group consisting of -OCi-6alkyl, -OCi-6haloalkyl, -0-C2- 6alkylene-OCi-4alkyl, -0-C2-6alkylene-OH, -NHC(0)(Ci-4alkyl), -N(Ci_ 4alkyl)C(0)(Ci-4alkyl), -C(0)NH2, -C(0)NH(Ci-4alkyl), -C(0)N(Ci-4alkyl)(Ci. 4alkyl), -C(0)NH(Ci-4haloalkyl), -C(0)NH(-C2-6alkylene-OCi-4alkyl), - C(0)N(Ci-4alkyl)(-C2-6alkylene-OCi-4alkyl), -C(0)NH(-C2-6alkylene-OH), - C(0)N(Ci-4alkyl)(-C2-6alkylene-OH), -I^-G -R6, -I^-G2, -I^-G3, and -L2-G4;
R2 is selected from the group consisting of hydrogen, Ci-4alkyl, Ci-4haloalkyl,
halogen, and -OCi-4alkyl;
RX1 is selected from the group consisting of hydrogen, halogen, Ci-4alkyl, Ci- 4haloalkyl, and -0-Ci-4alkyl;
R is selected from the group consisting of hydrogen, halogen, Ci-4alkyl, and Ci_ 4haloalkyl;
RX3 is selected from the group consisting of hydrogen, halogen, Ci-4alkyl, Ci_
4haloalkyl, and -0-Ci-4alkyl;
L1 is a bond, -0-, -0-Ci-4alkylene-, -NR5-, -NR5-Ci-4alkylene- or -C(O)-
,wherein R5 is hydrogen or Ci-4alkyl;
L2 is -0-Ci-4alkylene-;
G1 is a 4- to 8-membered monocyclic heterocycle containing 1 -2 heteroatoms
independently selected from oxygen, nitrogen, and sulfur, the monocyclic heterocycle optionally containing one double bond and/or a
bridge between two non-adjacent ring atoms, G1 being optionally substituted with 1-4 substituents independently selected from the group consisting of Ci-4alkyl, Ci- 4haloalkyl, halogen, hydroxyl, and oxo;
R6 is
a) a 4- to 12-membered heterocycle containing 1 -4 heteroatoms independently selected from oxygen, nitrogen, and sulfur, the heterocycle being optionally substituted with 1 -4 substituents independently selected from the group consisting of Ci-4alkyl,
-CH2S(0)2phenyl, halogen, hydroxyl, oxo, -OCi-4alkyl, -Ci-6alkylene-OCi-4alkyl, and -Ci-6alkylene-OH; or b) a 3- to 8-membered cycloalkyl optionally substituted with 1 -4 substituents independently selected from the group consisting of Ci-4alkyl, Ci-4haloalkyl, halogen, hydroxyl, -C(0)OCi-4alkyl, -C(0)OH, oxo, -OCi-4alkyl, -Ci_ 6alkylene-OCi-4alkyl, and -Ci-6alkylene-OH;
G2 is a 4- to 12-membered heterocycle containing 1-4 heteroatoms independently selected from oxygen, nitrogen, and sulfur, G2 being optionally substituted with 1 -
4 substituents independently selected from the group consisting of Ci-4alkyl, Ci_ 4haloalkyl, halogen, hydroxyl, oxo, cyano, -Ci-6alkylene-cyano, -C(0)Ci-4alkyl, -C(0)-Ci-6alkylene-OCi-4alkyl, -C(0)-Ci-6alkylene-OH, -C(0)C3-6cycloalkyl, - C(0)OCi-4alkyl, -C(0)OCi-4haloalkyl, -C(0)NH2, -C(0)NH(Ci-4alkyl), - C(0)N(Ci-4alkyl)(Ci-4alkyl), -C(0)NH(-Ci-6alkylene-OCi-4alkyl), -C(0)N(Ci_
4alky 1)(-C i-6alky lene-OC i-4alky 1), -C(0)NH(-C i-6alky lene-OH), -C(0)N(C i_ 4alkyl)(-Ci-6alkylene-OH), -NH(-Ci-6alkylene-OCi-4alkyl), -N(Ci-4alkyl)(-Ci- ealky lene-OC i-4alky 1), -NH(-C i-6alky lene-OH), -N(C i-4alky 1)(-C i-6alky lene-
OH), -C(0)Ci-4haloalkyl, -OCi-4alkyl, -OCi-4haloalkyl, -Ci-6alkylene-OCi. 4alkyl, -Ci-6alkylene-OH, -Ci-6alkylene-NH2, -Ci-6alkylene-NH(Ci-4alkyl), -Ci_ 6alkylene-N(Ci-4alkyl)(Ci-4alkyl), -0-Ci-6alkylene-NH2, -0-Ci-6alkylene- NH(Ci-4alkyl), -0-Ci-6alkylene-N(Ci-4alkyl)(Ci-4alkyl), -0-Ci-6alkylene-OCi. 4alkyl, -0-Ci-6alkylene-OH, -Ci-4alkylene-0-Ci-4alkylene-OCi-4alkyl, -Ci_ 4alkylene-0-Ci-4alkylene-OH, -Ci-4alkylene-C(0)OCi-4alkyl, -Ci-4alkylene- C(0)OH, -NHC(0)(Ci-4alkyl), -N(Ci-4alkyl)C(0)(Ci-4alkyl), -NH2, -NH(Ci_ 4alkyl), -N(Ci-4alkyl)(Ci-4alkyl), -S(0)i-2Ci-4alkyl, -Ci-6alkylene-S(0)i-2Ci- 4alkyl, and a -Ci-6alkylene substituted by 2 groups independently selected from hydroxyl, halogen, -OC(0)Ci-4alkyl, -OCi-4alkyl, -NH2, -NH(Ci-4alkyl), and - N(Ci-4alkyl)(Ci-4alkyl);
s a 3- to 8-membered cycloalkyl optionally substituted with 1-4 substituents independently selected from the group consisting of Ci-4alkyl, Ci-4haloalkyl, halogen, hydroxyl, oxo, cyano, -C(0)Ci-4alkyl, -C(0)C3-6cycloalkyl, -C(0)OCi_ 4alkyl, -C(0)OCi-4haloalkyl, -C(0)NH2, -C(0)NH(Ci-4alkyl), -C(0)N(Ci_ 4alkyl)(Ci-4alkyl), -C(0)NH(-Ci-6alkylene-OCi-4alkyl), -C(0)N(Ci-4alkyl)(-Ci. 6alkylene-OCi-4alkyl), -C(0)NH(-Ci-6alkylene-OH), -C(0)N(Ci-4alkyl)(-Ci. ealkylene-O^^NHi-Ci-ealkylene-OCi^alky ^NiCi^alky i-Ci-ealkylene- OCi-4alkyl), -NH(-Ci-6alkylene-OH), -N(Ci-4alkyl)(-Ci-6alkylene-OH), - C(0)Ci-4haloalkyl, -OCi-4alkyl, -Ci-4alkylene-OCi-4alkyl, -Ci-6alkylene-OH, - Ci-6alkylene substituted by 2 groups independently selected from hydroxyl and - OC(0)Ci-4alkyl, -Ci-4alkylene-C(0)OCi-4alkyl, -Ci-4alkylene-C(0)OH, - NHC(0)(Ci-4alkyl), -N(Ci-4alkyl)C(0)(Ci-4alkyl), -NH2, -NH(Ci-4alkyl), and - N(Ci-4alkyl)(Ci-4alkyl);
s phenyl optionally substituted with 1-4 substituents independently selected from the group consisting of Ci-4alkyl, Ci-4haloalkyl, halogen, hydroxyl, cyano, phenyl, -C(0)Ci-4alkyl, -C(0)C3-6cycloalkyl, -C(0)OCi-4alkyl, -C(0)OCi-4haloalkyl, - C(0)NH2, -C(0)NH(Ci-4alkyl), -C(0)N(Ci-4alkyl)(Ci-4alkyl), -C(0)NH(-Ci_ 6alkylene-OCi-4alkyl), -C(0)N(Ci-4alkyl)(-Ci-6alkylene-OCi-4alkyl), -C(0)NH(- Ci-6alkylene-OH), -C(0)N(Ci-4alkyl)(-Ci-6alkylene-OH), -NH(-Ci-6alkylene- OCi-4alkyl), -N(Ci-4alkyl)(-Ci-6alkylene-OCi-4alkyl), -NH(-Ci-6alkylene-OH), - N(Ci-4alkyl)(-Ci-6alkylene-OH), -C(0)Ci-4haloalkyl, -OCi-4alkyl, -Ci-4alkylene- OCi-4alkyl, -Ci-6alkylene-OH, -Ci-6alkylene substituted by 2 groups
independently selected from hydroxyl and -OC(0)Ci-4alkyl, -Ci-4alkylene- C(0)OCi-4alkyl, -Ci-4alkylene-C(0)OH, -NHC(0)(Ci-4alkyl), -N(Ci_
4alkyl)C(0)(Ci-4alkyl), -NH2, -NH(Ci-4alkyl), and -N(Ci-4alkyl)(Ci-4alkyl); and 4 is phenyl or a 5- or 6-membered heteroaryl containing 1-3 heteroatoms
independently selected from oxygen, nitrogen and sulfur, R4 being optionally substituted with 1-3 substituents independently selected from the group consisting of halogen, hydroxyl, cyano, -S(0)2Ci-4alkyl, -S(0)Ci-4alkyl, -SCi-4alkyl, Ci_ 4alkyl, Ci-4haloalkyl, -OCi-4alkyl, -OCi-4haloalkyl, -Ci-4alkylene-OCi-4alkyl, - Ci-4alkylene-N(Ci-4alkyl)(Ci-4alkyl), -NH(Ci-4alkylene-OCi-4alkyl), -NH(Ci. ialkylene-O^^NiCi^alky iCi^alkylene-OCi^alky ^NiCi^alky iCi.
4alkylene-OH), -NH2, -NH(Ci-4alkyl), -N(Ci-4alkyl)(Ci-4alkyl), C 3-6cycloalkyl, C5-6cycloalkenyl, or a 4- to 8-membered monocyclic heterocycle containing 1-2 nitrogen atoms, the C 3-6cycloalkyl, the C5-6cycloalkenyl, and the 4- to 8- membered monocyclic heterocycle being independently optionally substituted with 1-2 substituents independently selected from the group consisting of pyridyl, halogen, hydroxyl, -OCi-4alkyl, Ci-4alkyl, Ci-4haloalkyl, -Ci-4alkylene-OCi- 4alkyl, and -Ci-4alkylene-OH.
A compound of formula (IV), or a pharmaceutically acceptable salt thereof,
(IV)
wherein:
X1 is CRX1 or N;
X2 is CRX2 or N;
X is CRX or N;
provided that X1 is not N simultaneously with X2 or X3;
R1 is selected from the group consisting of hydrogen, Ci-4alkyl, Ci-4haloalkyl, -O-Ci- 4alkyl, OH, -NH-Ci-4alkyl, -N(Ci-4alkyl)(Ci-4alkyl), -NH2, -I^-G^R6, -I^-G2, -Lx-G3, -L2-G4, -L2-G5, and G5:
R2 is selected from the group consisting of hydrogen, Ci-4alkyl, and
RX1 is selected from the group consisting of hydrogen, halogen, Ci-4alkyl, Ci_
4haloalkyl, -0-Ci-4alkyl, and G2;
provided that R1 and RX1 do not simultaneously contain G2;
RX2 is selected from the group consisting of hydrogen, halogen, Ci-4alkyl, Ci_
4haloalkyl, and -OCi-4alkyl;
RX3 is selected from the group consisting of hydrogen, halogen, Ci-4alkyl, and Ci_
4haloalkyl;
L1 is a bond, -0-, or -0-Ci-4alkylene-;
L2 is -O- or -O-C Malky lene-;
G1 is a 4- to 8-membered monocyclic heterocycle containing 1-2 heteroatoms
independently selected from oxygen, nitrogen, and sulfur, the monocyclic heterocycle optionally containing one double bond and/or a
bridge between two non-adjacent ring atoms, G1 being optionally substituted with 1-4 substituents independently selected from the group consisting of Ci-4alkyl, Ci_
4haloalkyl, halogen, hydroxyl, and oxo;
R6 is
a) a 4- to 12-membered heterocycle containing 1-4 heteroatoms independently selected from oxygen, nitrogen, and sulfur, the heterocycle being optionally substituted with 1-4 substituents independently selected from the group consisting of Ci-4alkyl, Ci-4haloalkyl, -CH2S(0)2phenyl, halogen, hydroxyl, oxo, -OCi-4alkyl, -Ci-6alkylene-OCi-4alkyl, and -Ci-6alkylene-OH; or b) a 3- to 8-membered cycloalkyl optionally substituted with 1-4 substituents independently selected from the group consisting of Ci-4alkyl,
halogen, hydroxyl, -C(0)OCi-4alkyl, -C(0)OH, oxo, -OCi-4alkyl, -Ci_
6alkylene-OCi-4alkyl, and -Ci-6alkylene-OH;
G2 is a 4- to 12-membered heterocycle containing 1-4 heteroatoms independently selected from oxygen, nitrogen, and sulfur, G2 being optionally substituted with 1- 4 substituents independently selected from the group consisting of Ci-4alkyl, Ci_ 4haloalkyl, halogen, hydroxyl, oxo, cyano, -Ci-6alkylene-cyano, -C(0)Ci-4alkyl,
-C(0)-Ci-6alkylene-OCi-4alkyl, -C(0)-Ci-6alkylene-OH, -C(0)C3-6cycloalkyl, - C(0)OCi-4alkyl, -C(0)OCi-4haloalkyl, -C(0)NH2, -C(0)NH(Ci-4alkyl), - C(0)N(Ci-4alkyl)(Ci-4alkyl), -C(0)NH(-Ci-6alkylene-OCi-4alkyl), -C(0)N(Ci_
4alky 1)(-C i-6alky lene-OC Malky 1), -C(0)NH(-C i-6alky lene-OH), -C(0)N(C i_ 4alkyl)(-Ci-6alkylene-OH), -NH(-Ci-6alkylene-OCi-4alkyl), -N(Ci-4alkyl)(-Ci- ealky lene-OC i-4alky 1), -NH(-C i-6alky lene-OH), -N(C i-4alky 1)(-C i-6alky lene- OH), -C(0)Ci-4haloalkyl, -OCi-4alkyl, -OCi-4haloalkyl, -Ci-6alkylene-OCi. 4alkyl, -Ci-6alkylene-OH, -Ci-6alkylene-NH2, -Ci-6alkylene-NH(Ci-4alkyl), -Ci_ 6alkylene-N(Ci-4alkyl)(Ci-4alkyl), -0-Ci-6alkylene-NH2, -0-Ci-6alkylene- NH(Ci-4alkyl), -0-Ci-6alkylene-N(Ci-4alkyl)(Ci-4alkyl), -0-Ci-6alkylene-OCi. 4alkyl, -0-Ci-6alkylene-OH, -Ci-4alkylene-0-Ci-4alkylene-OCi-4alkyl, -Ci_ 4alkylene-0-Ci-4alkylene-OH, -Ci-4alkylene-C(0)OCi-4alkyl, -Ci-4alkylene- C(0)OH, -NHC(0)(Ci-4alkyl), -N(Ci-4alkyl)C(0)(Ci-4alkyl), -NH2, -NH(Ci_ 4alkyl), -N(Ci-4alkyl)(Ci-4alkyl), -S(0)i-2Ci-4alkyl, -Ci-6alkylene-S(0)i-2Ci- 4alkyl, and a -Ci-6alkylene substituted by 2 groups independently selected from hydroxyl, -OC(0)Ci-4alkyl, -OCi-4alkyl, -NH2, -NH(Ci-4alkyl), and -N(Ci_ 4alkyl)(Ci-4alkyl);
s a 3- to 8-membered cycloalkyl optionally substituted with 1-4 substituents independently selected from the group consisting of Ci-4alkyl, Ci-4haloalkyl, halogen, hydroxyl, oxo, cyano, -C(0)Ci-4alkyl, -C(0)C3-6cycloalkyl, -C(0)OCi_ 4alkyl, -C(0)OCi-4haloalkyl, -C(0)NH2, -C(0)NH(Ci-4alkyl), -C(0)N(Ci_ 4alkyl)(Ci-4alkyl), -C(0)NH(-Ci-6alkylene-OCi-4alkyl), -C(0)N(Ci-4alkyl)(-Ci. ealky lene-OC i-4alkyl), -C(0)NH(-Ci-6alkylene-OH), -C(0)N(Ci-4alkyl)(-Ci. 6alkylene-OH), -NH(-Ci-6alkylene-OCi-4alkyl), -N(Ci-4alkyl)(-Ci-6alkylene- OCi-4alkyl), -NH(-Ci-6alkylene-OH), -N(Ci-4alkyl)(-Ci-6alky lene-OH), - C(0)Ci-4haloalkyl, -OCi-4alkyl, -Ci-4alkylene-OCi-4alkyl, -Ci-6alky lene-OH, - Ci-6alkylene substituted by 2 groups independently selected from hydroxyl and - OC(0)Ci-4alkyl, -Ci-4alkylene-C(0)OCi-4alkyl, -Ci-4alkylene-C(0)OH, - NHC(0)(Ci-4alkyl), -N(Ci-4alkyl)C(0)(Ci-4alkyl), -NH2, -NH(Ci-4alkyl), and - N(Ci-4alkyl)(Ci-4alkyl);
s phenyl optionally substituted with 1-4 substituents independently selected from the group consisting of Ci-4alkyl, Ci-4haloalkyl, halogen, hydroxyl, cyano, phenyl, -C(0)Ci-4alkyl, -C(0)C3-6cycloalkyl, -C(0)OCi-4alkyl, -C(0)OCi-4haloalkyl, - C(0)NH2, -C(0)NH(Ci-4alkyl), -C(0)N(Ci-4alkyl)(Ci-4alkyl), -C(0)NH(-Ci_ ealky lene-OC i-4alkyl), -C(0)N(Ci-4alkyl)(-Ci-6alkylene-OCi-4alkyl), -C(0)NH(- Ci-6alkylene-OH), -C(0)N(Ci-4alkyl)(-Ci-6alky lene-OH), -NH(-Ci-6alkylene-
OCi-4alkyl), -N(Ci-4alkyl)(-Ci-6alkylene-OCi-4alkyl), -NH(-Ci-6alkylene-OH), - N(Ci-4alkyl)(-Ci-6alkylene-OH), -C(0)Ci-4haloalkyl, -OCi-4alkyl, -Ci-4alkylene- OCi-4alkyl, -Ci-6alkylene-OH, -Ci-6alkylene substituted by 2 groups independently selected from hydroxyl and -OC(0)Ci-4alkyl, -Ci-4alkylene- C(0)OCi-4alkyl, -Ci-4alkylene-C(0)OH, -NHC(0)(Ci-4alkyl), -N(Ci_
4alkyl)C(0)(Ci-4alkyl), -NH2, -NH(Ci-4alkyl), and -N(Ci-4alkyl)(Ci-4alkyl);s a monocyclic 5- or 6-membered heteroaryl containing 1-4 heteroatoms independently selected from oxygen, nitrogen, and sulfur, G5 being optionally substituted with 1-4 substituents independently selected from the group consisting of Ci-4alkyl, Ci-4haloalkyl, halogen, hydroxyl, cyano, phenyl, -C(0)Ci-4alkyl, - C(0)C3-6cycloalkyl, -C(0)OCi-4alkyl, -C(0)OCi-4haloalkyl, -C(0)NH2, - C(0)NH(Ci-4alkyl), -C(0)N(Ci-4alkyl)(Ci-4alkyl), -C(0)NH(-Ci-6alkylene-OCi- 4alkyl), -C(0)N(Ci-4alkyl)(-Ci-6alkylene-OCi-4alkyl), -C(0)NH(-Ci-6alkylene- OH), -C(0)N(Ci-4alkyl)(-Ci-6alkylene-OH), -NH(-Ci-6alkylene-OCi-4alkyl), - NiCi^alky i-Ci-ealkylene-OCi^alky ^NHi-Ci-ealkylene-O^^NiCi^alky i- Ci-6alkylene-OH), -C(0)Ci-4haloalkyl, -OCi-4alkyl, -Ci-4alkylene-OCi-4alkyl, - Ci-6alkylene-OH, -Ci-6alkylene substituted by 2 groups independently selected from hydroxyl and -OC(0)Ci-4alkyl, -Ci-4alkylene-C(0)OCi-4alkyl, -Ci_ 4alkylene-C(0)OH, -NHC(0)(Ci-4alkyl), -N(Ci-4alkyl)C(0)(Ci-4alkyl), -NH2, - NH(Ci-4alkyl), and -N(Ci-4alkyl)(Ci-4alkyl); and
s phenyl or a 5- or 6-membered heteroaryl containing 1-3 heteroatoms independently selected from oxygen, nitrogen and sulfur, R4 being optionally substituted with 1-3 substituents independently selected from the group consisting of halogen, hydroxyl, cyano, -S(0)2Ci-4alkyl, -S(0)Ci-4alkyl, -SCi-4alkyl, Ci_ 4alkyl, Ci-4haloalkyl, -OCi-4alkyl, -OCi-4haloalkyl, -Ci-4alkylene-OCi-4alkyl, - Ci-4alkylene-N(Ci-4alkyl)(Ci-4alkyl), -NH(Ci-4alkylene-OCi-4alkyl), -NH(Ci. ialkylene-O^^NiCi^alky iCi^alkylene-OCi^alky ^NiCi^alky iCi.
4alkylene-OH), -NH2, -NH(Ci-4alkyl), -N(Ci-4alkyl)(Ci-4alkyl), C 3-6cycloalkyl, C5-6cycloalkenyl, or a 4- to 8-membered monocyclic heterocycle containing 1-2 nitrogen atoms, the C 3-6cycloalkyl, the C5-6cycloalkenyl, and the 4- to 8- membered monocyclic heterocycle being independently optionally substituted with 1-2 substituents independently selected from the group consisting of pyridyl,
halogen, hydroxyl, -OCi-4alkyl, Ci-4alkyl,
-Ci-4alkylene-OCi- 4alkyl, and -Ci-4alkylene-OH.
24. The compound of claim 23, or a pharmaceutically acceptable salt thereof, wherein R1 is -I^-G^R6; L1 is a bond; and G1 is a 4- to 8-membered optionally substituted monocyclic heterocycle containing a first nitrogen atom and optionally a second heteroatom independently selected from oxygen and nitrogen, the monocyclic heterocycle optionally containing one double bond and/or a
bridge between two non-adjacent ring atoms, G1 being connected to L1 through the first nitrogen atom.
25. The compound of claim 23, or a pharmaceutically acceptable salt thereof, wherein R is Lx-G2; L1 is a bond; and G is an optionally substituted 4- to 8- membered monocyclic heterocycle containing a first nitrogen atom and optionally a second nitrogen atom, an oxygen or sulfur atom, and optionally containing one double bond and/or a
bridge between two non-adjacent ring atoms, G2 being connected to L1 through the first nitrogen atom.
26. The compound of claim 23, or a pharmaceutically acceptable salt thereof, wherein R1 is -Lx-G3 and L1 is a bond or -0-.
27. The compound of claim 23, or a pharmaceutically acceptable salt thereof, wherein R1 is -L2-G4. 28. The compound of claim 23, or a pharmaceutically acceptable salt thereof, wherein R1 is -L2-G5.
29. The compound of claim 23, or a pharmaceutically acceptable salt thereof, wherein R1 is G5.
30. The compound of claim 23, or a pharmaceutically acceptable salt thereof, wherein R1 is selected from the group consisting of hydrogen, Ci-4alkyl,
31. The compound of claim 23, or a pharmaceutically acceptable salt thereof, selected from Table 2.
32. A pharmaceutical composition comprising a pharmaceutically acceptable carrier and a compound of any of claims 23-31 , or a pharmaceutically acceptable salt thereof. 33. A method of treating a disease or disorder selected from a demyelinating disease, central pontine myelinolysis, a nerve injury disease or disorder, a leukoencephalopathy, and a leukodystrophy, comprising: administering to a patient in need thereof a therapeutically effective amount of a compound of formula (IV), or a composition or pharmaceutically acceptable salt thereof, as defined in any of claims 23-32.
34. The method of claim 22 or 33, wherein the disease or disorder is a demyelinating disease selected from multiple sclerosis, acute disseminated encephalomyelitis, neuromyelitis optica, optic neuritis, and transverse myelitis.
35. The method of claim 34, wherein the demyelinating disease is multiple sclerosis.
36. The method of claim 35, wherein the type of multiple sclerosis is primary progressive multiple sclerosis, relapsing-remitting multiple sclerosis, secondaiy progressive multiple sclerosis or progressive relapsing multiple sclerosis.
37. The method of claim 22 or 33, wherein the disease or disorder is a leukodystrophy selected from the group consisting of adrenoleukodystrophy, Alexander's disease, Pelizaeus Merzbacher disease, Globoid cell Leucodystrophy
(Krabbe's disease), cerebrotendineous xanthomatosis, hereditary CNS demyelinating
disease, metachromatic leukodystrophy, Canavan disease, adrenoleukodystrophy, Refsum disease, and xenobefantosis.
38. The method of claim 22 or 33, wherein the disease or disorder is a
leukoencephalopathy selected from progressive multifocal leukoencephalopathy.
39. The method of claim 22 or 33, wherein the disease or disorder is a nerve injury disease or disorder selected from spinal cord injury, cerebral palsey, periventricular leukomalacia and Wallerian degeneration.
40. A method of promoting remyelination of demyelinated axons comprising administering to a patient in need thereof a therapeutically effective amount of a compound of formula (I) or (IV), or pharmaceutical composition or pharmaceutically acceptable salt thereof, as defined in any of claims 1 -32.
41. A method of differentiating endogenous oligodendrocyte precursor cells, comprising administering to a patient in need thereof a therapeutically effective amount of a compound of formula (I) or (IV), or pharmaceutical composition or pharmaceutically acceptable salt thereof, as defined in any of claims 1 -32.
42. A method of treating, preventing, or reducing the severity of one or more symptoms of multiple sclerosis or another neurodegenerative disease comprising administering to a patient in need thereof a therapeutically effective amount of a compound of formula (I) or (IV), or pharmaceutical composition or pharmaceutically acceptable salt thereof, as defined in any of claims 1 -32.
43. The method of claim 42, wherein the one or more symptoms of multiple sclerosis or another neurodegemative disease is selected from auditory impairment, optic neuritis, decreased visual acuity, diplopia, nystagmus, ocular dysmetria, in tern ucl ear ophthalmoplegia, movement and sound phosphenes. afferent pupillary- defect, paresis, monoparesis, paraparesis, hemiparesis, quadraparesis, plegia, paraplegia, hemiplegia, tetraplegia, quadraplegia, spasticity, dysarthria, motor dysfunction, walking i mpairment, muscle atrophy, spasms, cramps, hypotonia, clonus.
myoclonus, myokymia, restless leg syndrome, gait disturbances, footdrop, dys unctional reflexes, pallesthesia, anaesthesia, neuralgia, neuropathic and neurogenic pain, L'hermi tie's, proprioceptive dysfunction, trigeminal neuralgia, ataxia, intention tremor, dysmetria, vestibular ataxia, vertigo, speech ataxia, dystonia, disability progression, dysdiadochokinesia, frequent micturation, bladder spasticity, flaccid bladder, detrusor- sphincter dyssynergia, erectile dysfunction or anorgasmy.
44. The method of claim 22 or 33, wherein the disease or disorder is selected from spinal cord injury, stroke, multiple sclerosis, progressive multi focal
leukoencephalopathy, congenital hypomyelination, encephalomyelitis, acute disseminated encephalomyelitis, central pontine myelolysis, hypoxic demyeliiiation, ischemic demyelination, neuromyelitis optics, adrenoleukodystrophy, Alexander's disease, Niemann-Pick disease, Pelizaeus Merzbacher disease, periventricular leukomalatia, globoid cell leucodystrophy (Krabbe's disease), Wallerian degeneration, optic neuritis, transverse myelitis, amylotrophic lateral sclerosis ( Lou Gehrig's diseae), Huntington's disease, Alzheimer's disease, Parkinson's disease, Tay- Sacks disease, Gaucher' s disease, Hurler Syndrome, traumatic brain injury, post radiation injur}', neurologic complications of chemotherapy, neuropathy, acute ischemic optic neuropathy, neuromyelitis optica, vitamin B12 deficiency, isolated vitamin E deficiency syndrome, Bassen-Kornzweig syndrome, Leber's hereditary optic atrophy Leber congenital amaurosis, M arch i afa va-B i gnami syndrome, metachromatic leukodystrophy, acute hemorrhagic leukoencephalitis, trigeminal neuralgia, Bell's palsy, schizophrenia, cerebral ischemia, multiple system atrophy, traumatic glaucoma, tropical spastic paraparesis human T-lymphotropic virus 1 (HTLV-1 ) associated myelopathy, essential tremor or osmotic hyponatremia.
45. A compound of formula (I) or (IV), or a pharmaceutical composition or pharmaceutically acceptable salt thereof, as defined in any of claims 1-32, for use in the manufacture of a medicament for the treatment of a disease or disorder selected from a demyelinating disease, central pontine myelinolysis, a nerve injury disease or disorder, a leukoencephalopathy, a leukodystrophy, or multiple sclerosis; or for the promotion of remyelination of demyelinated axons; or for the differentiation of endogenous oligodendrocyte precursor cells.
46. A compound of formula (I) or (IV), or a pharmaceutical composition or pharmaceutically acceptable salt thereof, as defined in any of claims 1 -32, for use in treating or lessening the severity of, in a subject, a disease or disorder selected from a demyelinating disease, central pontine myelinolysis, a nerve injury disease or disorder, a leukoencephalopathy, a leukodystrophy, or multiple sclerosis; or for use in promoting remyelination of demyelinated axons; or for use in differentiating endogenous oligodendrocyte precursor cells. 47. A kit comprising the compound of formula (I) or (IV), or a pharmaceutical composition or pharmaceutically acceptable salt thereof, as defined in any of claims 1 -32, and instructions for use thereof.
48. The kit of claim 47, further comprising one or more additional therapeutic agent(s).
49. The kit of claim 47 or 48, wherein the compound of formula (I) or (IV) and the one or more additional therapeutic agent(s) are in separate containers. 50. The kit of claim 47 or 48 wherein the compound of formula (I) or (IV) and the one or more additional therapeutic agent(s) are in the same container.
51. The kit of claim 49 or 50 wherein the container is a bottle, vial, or blister pack, or combinations thereof.
Applications Claiming Priority (2)
| Application Number | Priority Date | Filing Date | Title |
|---|---|---|---|
| US201662430822P | 2016-12-06 | 2016-12-06 | |
| US62/430,822 | 2016-12-06 |
Publications (1)
| Publication Number | Publication Date |
|---|---|
| WO2018106643A1 true WO2018106643A1 (en) | 2018-06-14 |
Family
ID=60915611
Family Applications (1)
| Application Number | Title | Priority Date | Filing Date |
|---|---|---|---|
| PCT/US2017/064629 Ceased WO2018106643A1 (en) | 2016-12-06 | 2017-12-05 | Heterocyclic azoles for the treatment of demyelinating diseases |
Country Status (1)
| Country | Link |
|---|---|
| WO (1) | WO2018106643A1 (en) |
Cited By (2)
| Publication number | Priority date | Publication date | Assignee | Title |
|---|---|---|---|---|
| WO2018231910A1 (en) * | 2017-06-13 | 2018-12-20 | National Health Research Institutes | Aminothiazole compounds as protein kinase inhibitors |
| EP4194450A4 (en) * | 2020-08-07 | 2024-10-30 | Pharmablock Sciences (Nanjing), Inc. | Cdk9 inhibitor and use thereof |
Citations (111)
| Publication number | Priority date | Publication date | Assignee | Title |
|---|---|---|---|---|
| US5840299A (en) | 1994-01-25 | 1998-11-24 | Athena Neurosciences, Inc. | Humanized antibodies against leukocyte adhesion molecule VLA-4 |
| US5888507A (en) | 1993-02-09 | 1999-03-30 | Biogen, Inc. | Treatment for insulin dependent diabetes |
| US20030114505A1 (en) | 2000-02-18 | 2003-06-19 | Akihiro Ueno | Novel isoxazole and thiazole compounds and use thereof as drugs |
| US6602503B1 (en) | 1993-01-12 | 2003-08-05 | Biogen, Inc. | Recombinant anti-VLA-4 antibody molecules |
| US20040122236A1 (en) | 2000-10-03 | 2004-06-24 | Lynch Kevin R. | Novel lysophosphatidic acid receptor agonists and antagonists |
| WO2004085648A2 (en) | 2003-03-19 | 2004-10-07 | Biogen Idec Ma Inc. | Nogo receptor binding protein |
| US6964945B1 (en) | 1998-09-25 | 2005-11-15 | The Procter & Gamble Company | Solid detergent compositions |
| US20050256160A1 (en) | 2002-05-28 | 2005-11-17 | Hiromu Habashita | Beta-alanine derivatives and the use thereof |
| WO2006002437A2 (en) | 2004-06-24 | 2006-01-05 | Biogen Idec Ma Inc. | Treatment of conditions involving demyelination |
| WO2006017673A2 (en) | 2004-08-03 | 2006-02-16 | Biogen Idec Ma Inc. | Taj in neuronal function |
| US20060148830A1 (en) | 2002-10-03 | 2006-07-06 | Ono Pharmaceutical Co., Ltd. | Lpa receptor antagonist |
| US20060194850A1 (en) | 2003-08-05 | 2006-08-31 | Ajinomoto Co. Inc | Novel azole compound |
| WO2006106437A2 (en) * | 2005-04-04 | 2006-10-12 | Ab Science | Substituted oxazole derivatives and their use as tyrosine kinase inhibitors |
| WO2007008547A2 (en) | 2005-07-08 | 2007-01-18 | Biogen Idec Ma Inc. | Sp35 antibodies and uses thereof |
| WO2007025219A2 (en) | 2005-08-25 | 2007-03-01 | Biogen Idec Ma Inc. | Nogo receptor polypeptides and polypeptide fragments and uses thereof |
| WO2007056161A1 (en) | 2005-11-04 | 2007-05-18 | Biogen Idec Ma Inc. | Methods for promoting neurite outgrowth and survival of dopaminergic neurons |
| WO2007064882A2 (en) | 2005-12-02 | 2007-06-07 | Biogen Idec Ma Inc. | Treatment of conditions involving demyelination |
| WO2007098283A2 (en) | 2006-02-27 | 2007-08-30 | Biogen Idec Ma Inc. | Use of antagonists of maif receptor complex molecules and neurotrophic factors for treatment of neurological diseases and disorders |
| WO2007133746A2 (en) | 2006-05-15 | 2007-11-22 | Biogen Idec Ma Inc. | Use of nogo receptor-1 (ngr1) antagonists for promoting oligodendrocyte survival |
| WO2008014286A1 (en) | 2006-07-24 | 2008-01-31 | University Of Virginia Patent Foundation | Vinyl phosphonate lysophosphatidic acid receptor antagonists |
| WO2008013782A2 (en) | 2006-07-24 | 2008-01-31 | Biogen Idec Ma Inc. | Methods for promoting myelination, neuronal survival and oligodendrocyte differentiation via administration of sp35 or trka antagonists |
| WO2008086006A2 (en) | 2007-01-09 | 2008-07-17 | Biogen Idec Ma Inc. | Sp35 antibodies and uses thereof |
| WO2009023854A1 (en) | 2007-08-15 | 2009-02-19 | University Of Virginia Patent Foundation | Bicyclic sphingosine 1-phosphate analogs |
| WO2009030771A1 (en) | 2007-09-05 | 2009-03-12 | Novo Nordisk A/S | Peptides derivatized with a-b-c-d- and their therapeutical use |
| WO2009048605A1 (en) | 2007-10-11 | 2009-04-16 | Biogen Idec Ma Inc. | Methods for treating pressure induced optic neuropathy, preventing neuronal degeneration and promoting neuronal cell, survival via administration of lingo-1 antagonists and trkb agonists |
| WO2009046841A2 (en) | 2007-10-05 | 2009-04-16 | Merck Patent Gmbh | Piperidine and piperazine derivatives for treating tumours |
| WO2009046804A1 (en) | 2007-10-05 | 2009-04-16 | Merck Patent Gmbh | Imidazole derivatives |
| WO2009046842A2 (en) | 2007-10-05 | 2009-04-16 | Merck Patent Gmbh | Thiazol derivatives for treating cancer |
| WO2009061500A1 (en) | 2007-11-08 | 2009-05-14 | Biogen Idec Ma Inc. | Use of lingo-4 antagonists in the treatment of conditions involving demyelination |
| WO2009135590A1 (en) | 2008-05-05 | 2009-11-12 | Sanofi-Aventis | Acylamino-substituted fused cyclopentanecarboxylic acid derivatives and their use as pharmaceuticals |
| WO2010005570A2 (en) | 2008-07-09 | 2010-01-14 | Biogen Idec Ma Inc. | Compositions comprising antibodies to lingo or fragments thereof |
| WO2010007729A1 (en) | 2008-07-15 | 2010-01-21 | パナソニック株式会社 | Method of manufacturing a thermoelectric device |
| WO2010051030A1 (en) | 2008-10-30 | 2010-05-06 | Biogen Idec Ma Inc. | Bicyclic aryl sphingosine 1-phosphate analogs |
| WO2010051031A1 (en) | 2008-10-30 | 2010-05-06 | Biogen Idec Ma Inc. | Heterobicyclic sphingosine 1-phosphate analogs |
| WO2010062904A2 (en) | 2008-11-25 | 2010-06-03 | Biogen Idec Ma Inc. | Use of dr6 and p75 antagonists to promote survival of cells of the nervous system |
| WO2010063352A1 (en) | 2008-12-01 | 2010-06-10 | Merck Patent Gmbh | 2, 5-diamino-substituted pyrido [4, 3-d] pyrimidines as autotaxin inhibitors against cancer |
| WO2010068775A2 (en) | 2008-12-11 | 2010-06-17 | Amira Pharmaceuticals, Inc. | Alkyne antagonists of lysophosphatidic acid receptors |
| WO2010077882A2 (en) | 2008-12-15 | 2010-07-08 | Amira Pharmaceuticals, Inc. | Antagonists of lysophosphatidic acid receptors |
| WO2010112116A1 (en) | 2009-04-02 | 2010-10-07 | Merck Patent Gmbh | Heterocyclic compounds as autotaxin inhibitors |
| WO2010112124A1 (en) | 2009-04-02 | 2010-10-07 | Merck Patent Gmbh | Autotaxin inhibitors |
| WO2010115491A2 (en) | 2009-04-02 | 2010-10-14 | Merck Patent Gmbh | Piperidine and piperazine derivatives as autotaxin inhibitors |
| WO2010141768A2 (en) | 2009-06-03 | 2010-12-09 | Amira Pharmaceuticals, Inc. | Polycyclic antagonists of lysophosphatidic acid receptors |
| WO2011006569A1 (en) | 2009-07-16 | 2011-01-20 | Merck Patent Gmbh | Heterocyclic compounds as autotaxin inhibitors |
| WO2011017350A2 (en) | 2009-08-04 | 2011-02-10 | Amira Pharmaceuticals, Inc. | Compounds as lysophosphatidic acid receptor antagonists |
| WO2011017561A1 (en) | 2009-08-05 | 2011-02-10 | Biogen Idec Ma Inc. | Bicyclic aryl sphingosine 1-phosphate analogs |
| WO2011041462A2 (en) | 2009-10-01 | 2011-04-07 | Amira Pharmaceuticals, Inc. | Polycyclic compounds as lysophosphatidic acid receptor antagonists |
| WO2011041729A2 (en) | 2009-10-01 | 2011-04-07 | Amira Pharmaceuticals, Inc. | Compounds as lysophosphatidic acid receptor antagonists |
| WO2011053948A1 (en) | 2009-11-02 | 2011-05-05 | Sanofi-Aventis | Acylamino-substituted cyclic carboxylic acid derivatives and their use as pharmaceuticals |
| WO2011080102A2 (en) | 2009-12-16 | 2011-07-07 | Novo Nordisk A/S | Glp-1 analogues and derivatives |
| WO2011087646A1 (en) | 2009-12-22 | 2011-07-21 | Vertex Pharmaceuticals Incorporated | Automated developer for immuno-stained biological samples |
| WO2011116867A1 (en) | 2010-03-26 | 2011-09-29 | Merck Patent Gmbh | Benzonaphthyridinamines as autotaxin inhibitors |
| WO2011133862A1 (en) | 2010-04-23 | 2011-10-27 | Oregon Health And Science University | Methods and compositions for promoting myelination |
| WO2011141761A1 (en) | 2010-05-13 | 2011-11-17 | Nokia Corporation | Method and apparatus for providing context sensing and fusion |
| WO2011159550A2 (en) | 2010-06-14 | 2011-12-22 | Amidra Pharmaceuticals, Inc. | Lysophosphatidic acid receptor antagonist and uses thereof |
| WO2011159635A1 (en) | 2010-06-15 | 2011-12-22 | Amira Pharmaceuticals, Inc. | Lysophosphatidic acid receptor antagonist for the treatment of dermal conditions |
| WO2012005227A1 (en) | 2010-07-06 | 2012-01-12 | 小野薬品工業株式会社 | Tetrahydrocarboline derivative |
| WO2012024620A2 (en) | 2010-08-20 | 2012-02-23 | Amira Pharmaceuticals, Inc. | Autotaxin inhibitors and uses thereof |
| WO2012028243A1 (en) | 2010-09-02 | 2012-03-08 | Merck Patent Gmbh | Pyrazolopyridinone derivatives as lpa receptor antagonists |
| WO2012062803A1 (en) | 2010-11-09 | 2012-05-18 | Novo Nordisk A/S | Double-acylated glp-1 derivatives |
| WO2012078593A2 (en) | 2010-12-07 | 2012-06-14 | Amira Pharmaceuticals, Inc. | Lysophosphatidic acid receptor antagonists and uses thereof |
| WO2012078805A1 (en) | 2010-12-07 | 2012-06-14 | Amira Pharmaceuticals, Inc. | Polycyclic lpa1 antagonist and uses thereof |
| WO2012097093A2 (en) | 2011-01-11 | 2012-07-19 | Fate Therapeutics, Inc. | Novel wnt compositions and therapeutic uses of such compositions |
| WO2012109108A1 (en) | 2011-02-07 | 2012-08-16 | Biogen Idec Ma Inc. | S1p modulating agents |
| WO2012140117A1 (en) | 2011-04-12 | 2012-10-18 | Novo Nordisk A/S | Double-acylated glp-1 derivatives |
| WO2012166415A1 (en) | 2011-05-27 | 2012-12-06 | Amira Pharmaceuticals, Inc. | Heterocyclic autotaxin inhibitors and uses thereof |
| WO2013012799A1 (en) | 2011-07-20 | 2013-01-24 | Vertex Pharmaceuticals, Inc. | Device to collect and segregate tissue samples sectioned on a microtome |
| WO2013014170A1 (en) * | 2011-07-27 | 2013-01-31 | Ab Science | Oxazole and thiazole derivatives as selective protein kinase inhibitors (c-kit) |
| WO2013040309A2 (en) | 2011-09-16 | 2013-03-21 | Fate Therapeutics, Inc. | Wnt compositions and therapeutic uses of such compositions |
| WO2013037499A1 (en) | 2011-09-15 | 2013-03-21 | Johann Wolfgang Goethe-Universität | Inhibitors of nox4 expression and/or nox4 function and their use in the prevention and treatment of nerve injury and/or neuropathic pain |
| WO2013056232A2 (en) | 2011-10-13 | 2013-04-18 | Case Western Reserve University | Rxr agonists compounds and methods |
| WO2013054185A1 (en) | 2011-10-13 | 2013-04-18 | Pfizer, Inc. | Pyrimidine and pyridine derivatives useful in therapy |
| WO2013061297A1 (en) | 2011-10-28 | 2013-05-02 | Pfizer Limited | Pyridazine Derivatives Useful in Therapy |
| WO2013063095A1 (en) | 2011-10-24 | 2013-05-02 | Abbvie Inc. | Immunobinders directed against sclerostin |
| WO2013070879A1 (en) | 2011-11-10 | 2013-05-16 | Bristol-Myers Squibb Company | Methods for treating spinal cord injury with lpa receptor antagonists |
| WO2013080120A1 (en) | 2011-11-28 | 2013-06-06 | Novartis Ag | Novel trifluoromethyl-oxadiazole derivatives and their use in the treatment of disease |
| WO2013102144A2 (en) | 2011-12-30 | 2013-07-04 | Halozyme, Inc. | Ph20 polypeptede variants, formulations and uses thereof |
| WO2013173364A2 (en) | 2012-05-14 | 2013-11-21 | Biogen Idec Ma Inc. | Lingo-2 antagonists for treatment of conditions involving motor neurons |
| WO2013186159A1 (en) | 2012-06-13 | 2013-12-19 | F. Hoffmann-La Roche Ag | New diazaspirocycloalkane and azaspirocycloalkane |
| WO2014018881A1 (en) | 2012-07-27 | 2014-01-30 | Biogen Idec Ma Inc. | Atx modulating agents |
| WO2014018891A1 (en) | 2012-07-27 | 2014-01-30 | Biogen Idec Ma Inc. | Compounds that are s1p modulating agents and/or atx modulating agents |
| WO2014018887A1 (en) | 2012-07-27 | 2014-01-30 | Biogen Idec Ma Inc. | Atx modulating agents |
| WO2014025708A1 (en) | 2012-08-06 | 2014-02-13 | Biogen Idec Ma Inc. | Compounds that are s1p modulating agents and/or atx modulating agents |
| WO2014025709A1 (en) | 2012-08-06 | 2014-02-13 | Biogen Idec Ma Inc. | Compounds that are s1p modulating agents and/or atx modulating agents |
| WO2014048865A1 (en) | 2012-09-25 | 2014-04-03 | F. Hoffmann-La Roche Ag | New bicyclic derivatives |
| WO2014058875A2 (en) | 2012-10-09 | 2014-04-17 | Biogen Idec Ma Inc. | Combination therapies and uses for treatment of demyelinating disorders |
| WO2014081756A1 (en) | 2012-11-20 | 2014-05-30 | Biogen Idec Ma Inc. | S1p and/or atx modulating agents |
| WO2014081752A1 (en) | 2012-11-20 | 2014-05-30 | Biogen Idec Ma Inc. | S1p and/or atx modulating agents |
| WO2014097151A2 (en) | 2012-12-19 | 2014-06-26 | Novartis Ag | Autotaxin inhibitors |
| WO2014106104A1 (en) | 2012-12-28 | 2014-07-03 | Biogen Idec Ma Inc. | Use of dr6 antagonists to improve motor neuron disease |
| WO2014110000A1 (en) | 2013-01-11 | 2014-07-17 | Eli Lilly And Company | Pyrido- or pyrrolo-fused pyrimidine derivatives as autotaxin inhibitors for treating pain |
| WO2014123186A1 (en) | 2013-02-06 | 2014-08-14 | 公立大学法人横浜市立大学 | Anti-semaphorin 3a antibody and treatment of alzheimer's disease and inflammatory immune diseases using same |
| WO2014133112A1 (en) | 2013-03-01 | 2014-09-04 | 国立大学法人東京大学 | 8-substituted imidazopyrimidinone derivative having autotaxin inhibitory activity |
| WO2014143583A1 (en) | 2013-03-12 | 2014-09-18 | Eli Lilly And Company | Imidazo pyridine compounds |
| WO2014139978A1 (en) | 2013-03-12 | 2014-09-18 | F. Hoffmann-La Roche Ag | New octahydro-pyrrolo[3,4-c]-pyrrole derivatives and analogs thereof as autotaxin inhibitors |
| WO2014139882A1 (en) | 2013-03-14 | 2014-09-18 | Galapagos Nv | Compounds and pharmaceutical compositions thereof for the treatment of inflammatory disorders |
| WO2014152725A1 (en) | 2013-03-15 | 2014-09-25 | Biogen Idec Ma Inc. | S1p and/or atx modulating agents |
| WO2014165827A1 (en) | 2013-04-05 | 2014-10-09 | Salk Institute For Biological Studies | Ppar agonists |
| WO2014168824A1 (en) | 2013-04-12 | 2014-10-16 | Eli Lilly And Company | Dihydropyrido pyrimidine compounds as autotaxin inhibitors |
| WO2014197818A2 (en) | 2013-06-07 | 2014-12-11 | The General Hospital Corporation | Small molecule activators of nrf2 pathway |
| WO2014202727A1 (en) | 2013-06-20 | 2014-12-24 | Novo Nordisk A/S | Glp-1 derivatives and uses thereof |
| WO2014202458A1 (en) | 2013-06-19 | 2014-12-24 | Galapagos Nv | Novel compounds and pharmaceutical compositions thereof for the treatment of inflammatory disorders |
| WO2015001352A1 (en) | 2013-07-03 | 2015-01-08 | The University Court Of The University Of Edinburgh | Novel regenerative therapy |
| WO2015000942A1 (en) | 2013-07-04 | 2015-01-08 | Novo Nordisk A/S | Derivatives of glp-1 like peptides, and uses thereof |
| WO2015008229A1 (en) | 2013-07-18 | 2015-01-22 | Novartis Ag | Autotaxin inhibitors |
| WO2015008230A1 (en) | 2013-07-18 | 2015-01-22 | Novartis Ag | Autotaxin inhibitors comprising a heteroaromatic ring-benzyl-amide-cycle core |
| US20150038585A1 (en) | 2011-12-13 | 2015-02-05 | Io Therapeutics, Inc. | Treatment of Diseases by Concurrently Eliciting Remyelination Effects and Immunomodulatory Effects Using Selective RXR Agonists |
| WO2015023691A2 (en) | 2013-08-12 | 2015-02-19 | Benaroya Research Institute At Virginia Mason | 4-methylumbelliferone treatment for immune modulation |
| WO2015042053A1 (en) | 2013-09-17 | 2015-03-26 | Pharmakea, Inc. | Vinyl autotaxin inhibitor compounds |
| WO2015042052A1 (en) | 2013-09-17 | 2015-03-26 | Pharmakea, Inc. | Heterocyclic vinyl autotaxin inhibitor compounds |
| WO2015048301A1 (en) | 2013-09-26 | 2015-04-02 | Pharmakea, Inc. | Autotaxin inhibitor compounds |
| WO2016124747A1 (en) * | 2015-02-05 | 2016-08-11 | Ab Science | Compounds with anti-tumoral activity |
-
2017
- 2017-12-05 WO PCT/US2017/064629 patent/WO2018106643A1/en not_active Ceased
Patent Citations (121)
| Publication number | Priority date | Publication date | Assignee | Title |
|---|---|---|---|---|
| US6602503B1 (en) | 1993-01-12 | 2003-08-05 | Biogen, Inc. | Recombinant anti-VLA-4 antibody molecules |
| US5888507A (en) | 1993-02-09 | 1999-03-30 | Biogen, Inc. | Treatment for insulin dependent diabetes |
| US5840299A (en) | 1994-01-25 | 1998-11-24 | Athena Neurosciences, Inc. | Humanized antibodies against leukocyte adhesion molecule VLA-4 |
| US6964945B1 (en) | 1998-09-25 | 2005-11-15 | The Procter & Gamble Company | Solid detergent compositions |
| US20030114505A1 (en) | 2000-02-18 | 2003-06-19 | Akihiro Ueno | Novel isoxazole and thiazole compounds and use thereof as drugs |
| US20040122236A1 (en) | 2000-10-03 | 2004-06-24 | Lynch Kevin R. | Novel lysophosphatidic acid receptor agonists and antagonists |
| US20050256160A1 (en) | 2002-05-28 | 2005-11-17 | Hiromu Habashita | Beta-alanine derivatives and the use thereof |
| US20100249157A2 (en) | 2002-10-03 | 2010-09-30 | Ono Pharmaceutical Co., Ltd. | Lpa receptor antagonist |
| US20080293764A1 (en) | 2002-10-03 | 2008-11-27 | Ono Pharmaceutical Co., Ltd. | Lpa receptor antagonist |
| US20060148830A1 (en) | 2002-10-03 | 2006-07-06 | Ono Pharmaceutical Co., Ltd. | Lpa receptor antagonist |
| WO2004085648A2 (en) | 2003-03-19 | 2004-10-07 | Biogen Idec Ma Inc. | Nogo receptor binding protein |
| US20060194850A1 (en) | 2003-08-05 | 2006-08-31 | Ajinomoto Co. Inc | Novel azole compound |
| WO2006002437A2 (en) | 2004-06-24 | 2006-01-05 | Biogen Idec Ma Inc. | Treatment of conditions involving demyelination |
| WO2006017673A2 (en) | 2004-08-03 | 2006-02-16 | Biogen Idec Ma Inc. | Taj in neuronal function |
| WO2006106437A2 (en) * | 2005-04-04 | 2006-10-12 | Ab Science | Substituted oxazole derivatives and their use as tyrosine kinase inhibitors |
| WO2007008547A2 (en) | 2005-07-08 | 2007-01-18 | Biogen Idec Ma Inc. | Sp35 antibodies and uses thereof |
| WO2007025219A2 (en) | 2005-08-25 | 2007-03-01 | Biogen Idec Ma Inc. | Nogo receptor polypeptides and polypeptide fragments and uses thereof |
| WO2007056161A1 (en) | 2005-11-04 | 2007-05-18 | Biogen Idec Ma Inc. | Methods for promoting neurite outgrowth and survival of dopaminergic neurons |
| WO2007064882A2 (en) | 2005-12-02 | 2007-06-07 | Biogen Idec Ma Inc. | Treatment of conditions involving demyelination |
| WO2007098283A2 (en) | 2006-02-27 | 2007-08-30 | Biogen Idec Ma Inc. | Use of antagonists of maif receptor complex molecules and neurotrophic factors for treatment of neurological diseases and disorders |
| WO2007133746A2 (en) | 2006-05-15 | 2007-11-22 | Biogen Idec Ma Inc. | Use of nogo receptor-1 (ngr1) antagonists for promoting oligodendrocyte survival |
| WO2008014286A1 (en) | 2006-07-24 | 2008-01-31 | University Of Virginia Patent Foundation | Vinyl phosphonate lysophosphatidic acid receptor antagonists |
| WO2008013782A2 (en) | 2006-07-24 | 2008-01-31 | Biogen Idec Ma Inc. | Methods for promoting myelination, neuronal survival and oligodendrocyte differentiation via administration of sp35 or trka antagonists |
| WO2008086006A2 (en) | 2007-01-09 | 2008-07-17 | Biogen Idec Ma Inc. | Sp35 antibodies and uses thereof |
| WO2009023854A1 (en) | 2007-08-15 | 2009-02-19 | University Of Virginia Patent Foundation | Bicyclic sphingosine 1-phosphate analogs |
| WO2009030771A1 (en) | 2007-09-05 | 2009-03-12 | Novo Nordisk A/S | Peptides derivatized with a-b-c-d- and their therapeutical use |
| WO2009046841A2 (en) | 2007-10-05 | 2009-04-16 | Merck Patent Gmbh | Piperidine and piperazine derivatives for treating tumours |
| WO2009046804A1 (en) | 2007-10-05 | 2009-04-16 | Merck Patent Gmbh | Imidazole derivatives |
| WO2009046842A2 (en) | 2007-10-05 | 2009-04-16 | Merck Patent Gmbh | Thiazol derivatives for treating cancer |
| WO2009048605A1 (en) | 2007-10-11 | 2009-04-16 | Biogen Idec Ma Inc. | Methods for treating pressure induced optic neuropathy, preventing neuronal degeneration and promoting neuronal cell, survival via administration of lingo-1 antagonists and trkb agonists |
| WO2009061500A1 (en) | 2007-11-08 | 2009-05-14 | Biogen Idec Ma Inc. | Use of lingo-4 antagonists in the treatment of conditions involving demyelination |
| WO2009135590A1 (en) | 2008-05-05 | 2009-11-12 | Sanofi-Aventis | Acylamino-substituted fused cyclopentanecarboxylic acid derivatives and their use as pharmaceuticals |
| WO2010005570A2 (en) | 2008-07-09 | 2010-01-14 | Biogen Idec Ma Inc. | Compositions comprising antibodies to lingo or fragments thereof |
| WO2010007729A1 (en) | 2008-07-15 | 2010-01-21 | パナソニック株式会社 | Method of manufacturing a thermoelectric device |
| WO2010051030A1 (en) | 2008-10-30 | 2010-05-06 | Biogen Idec Ma Inc. | Bicyclic aryl sphingosine 1-phosphate analogs |
| WO2010051031A1 (en) | 2008-10-30 | 2010-05-06 | Biogen Idec Ma Inc. | Heterobicyclic sphingosine 1-phosphate analogs |
| WO2010062904A2 (en) | 2008-11-25 | 2010-06-03 | Biogen Idec Ma Inc. | Use of dr6 and p75 antagonists to promote survival of cells of the nervous system |
| US8894999B2 (en) | 2008-11-25 | 2014-11-25 | Biogen Idec Ma Inc. | Use of DR6 and p75 antagonists to promote survival of cells of the nervous system |
| WO2010063352A1 (en) | 2008-12-01 | 2010-06-10 | Merck Patent Gmbh | 2, 5-diamino-substituted pyrido [4, 3-d] pyrimidines as autotaxin inhibitors against cancer |
| WO2010068775A2 (en) | 2008-12-11 | 2010-06-17 | Amira Pharmaceuticals, Inc. | Alkyne antagonists of lysophosphatidic acid receptors |
| WO2010077882A2 (en) | 2008-12-15 | 2010-07-08 | Amira Pharmaceuticals, Inc. | Antagonists of lysophosphatidic acid receptors |
| WO2010077883A2 (en) | 2008-12-15 | 2010-07-08 | Amira Pharmaceuticals, Inc. | Antagonists of lysophosphatidic acid receptors |
| WO2010112116A1 (en) | 2009-04-02 | 2010-10-07 | Merck Patent Gmbh | Heterocyclic compounds as autotaxin inhibitors |
| WO2010112124A1 (en) | 2009-04-02 | 2010-10-07 | Merck Patent Gmbh | Autotaxin inhibitors |
| WO2010115491A2 (en) | 2009-04-02 | 2010-10-14 | Merck Patent Gmbh | Piperidine and piperazine derivatives as autotaxin inhibitors |
| WO2010141768A2 (en) | 2009-06-03 | 2010-12-09 | Amira Pharmaceuticals, Inc. | Polycyclic antagonists of lysophosphatidic acid receptors |
| WO2011006569A1 (en) | 2009-07-16 | 2011-01-20 | Merck Patent Gmbh | Heterocyclic compounds as autotaxin inhibitors |
| WO2011017350A2 (en) | 2009-08-04 | 2011-02-10 | Amira Pharmaceuticals, Inc. | Compounds as lysophosphatidic acid receptor antagonists |
| WO2011017561A1 (en) | 2009-08-05 | 2011-02-10 | Biogen Idec Ma Inc. | Bicyclic aryl sphingosine 1-phosphate analogs |
| WO2011041461A2 (en) | 2009-10-01 | 2011-04-07 | Amira Pharmaceuticals, Inc. | Polycyclic compounds as lysophosphatidic acid receptor antagonists |
| WO2011041729A2 (en) | 2009-10-01 | 2011-04-07 | Amira Pharmaceuticals, Inc. | Compounds as lysophosphatidic acid receptor antagonists |
| WO2011041694A2 (en) | 2009-10-01 | 2011-04-07 | Amira Pharmaceuticals, Inc. | Compounds as lysophosphatidic acid receptor antagonists |
| WO2011041462A2 (en) | 2009-10-01 | 2011-04-07 | Amira Pharmaceuticals, Inc. | Polycyclic compounds as lysophosphatidic acid receptor antagonists |
| WO2011053948A1 (en) | 2009-11-02 | 2011-05-05 | Sanofi-Aventis | Acylamino-substituted cyclic carboxylic acid derivatives and their use as pharmaceuticals |
| WO2011080102A2 (en) | 2009-12-16 | 2011-07-07 | Novo Nordisk A/S | Glp-1 analogues and derivatives |
| WO2011087646A1 (en) | 2009-12-22 | 2011-07-21 | Vertex Pharmaceuticals Incorporated | Automated developer for immuno-stained biological samples |
| US8337754B2 (en) | 2009-12-22 | 2012-12-25 | Vertex Pharmaceuticals, Incorporated | Automated developer for immuno-stained biological samples |
| US8679406B2 (en) | 2009-12-22 | 2014-03-25 | Vertex Pharmaceuticals, Incorporated | Automated developer for immuno-stained biological samples |
| WO2011116867A1 (en) | 2010-03-26 | 2011-09-29 | Merck Patent Gmbh | Benzonaphthyridinamines as autotaxin inhibitors |
| WO2011133862A1 (en) | 2010-04-23 | 2011-10-27 | Oregon Health And Science University | Methods and compositions for promoting myelination |
| WO2011141761A1 (en) | 2010-05-13 | 2011-11-17 | Nokia Corporation | Method and apparatus for providing context sensing and fusion |
| WO2011159550A2 (en) | 2010-06-14 | 2011-12-22 | Amidra Pharmaceuticals, Inc. | Lysophosphatidic acid receptor antagonist and uses thereof |
| WO2011159635A1 (en) | 2010-06-15 | 2011-12-22 | Amira Pharmaceuticals, Inc. | Lysophosphatidic acid receptor antagonist for the treatment of dermal conditions |
| WO2012005227A1 (en) | 2010-07-06 | 2012-01-12 | 小野薬品工業株式会社 | Tetrahydrocarboline derivative |
| WO2012024620A2 (en) | 2010-08-20 | 2012-02-23 | Amira Pharmaceuticals, Inc. | Autotaxin inhibitors and uses thereof |
| WO2012028243A1 (en) | 2010-09-02 | 2012-03-08 | Merck Patent Gmbh | Pyrazolopyridinone derivatives as lpa receptor antagonists |
| WO2012062803A1 (en) | 2010-11-09 | 2012-05-18 | Novo Nordisk A/S | Double-acylated glp-1 derivatives |
| WO2012062804A1 (en) | 2010-11-09 | 2012-05-18 | Novo Nordisk A/S | Double-acylated glp-1 derivatives with a linker |
| WO2012078593A2 (en) | 2010-12-07 | 2012-06-14 | Amira Pharmaceuticals, Inc. | Lysophosphatidic acid receptor antagonists and uses thereof |
| WO2012078805A1 (en) | 2010-12-07 | 2012-06-14 | Amira Pharmaceuticals, Inc. | Polycyclic lpa1 antagonist and uses thereof |
| WO2012097093A2 (en) | 2011-01-11 | 2012-07-19 | Fate Therapeutics, Inc. | Novel wnt compositions and therapeutic uses of such compositions |
| WO2012109108A1 (en) | 2011-02-07 | 2012-08-16 | Biogen Idec Ma Inc. | S1p modulating agents |
| WO2012140117A1 (en) | 2011-04-12 | 2012-10-18 | Novo Nordisk A/S | Double-acylated glp-1 derivatives |
| WO2012166415A1 (en) | 2011-05-27 | 2012-12-06 | Amira Pharmaceuticals, Inc. | Heterocyclic autotaxin inhibitors and uses thereof |
| WO2013012799A1 (en) | 2011-07-20 | 2013-01-24 | Vertex Pharmaceuticals, Inc. | Device to collect and segregate tissue samples sectioned on a microtome |
| US8967024B2 (en) | 2011-07-20 | 2015-03-03 | Vertex Pharmaceuticals, Inc. | Device to collect and segregate tissue samples sectioned on a microtome |
| WO2013014170A1 (en) * | 2011-07-27 | 2013-01-31 | Ab Science | Oxazole and thiazole derivatives as selective protein kinase inhibitors (c-kit) |
| WO2013037499A1 (en) | 2011-09-15 | 2013-03-21 | Johann Wolfgang Goethe-Universität | Inhibitors of nox4 expression and/or nox4 function and their use in the prevention and treatment of nerve injury and/or neuropathic pain |
| WO2013040309A2 (en) | 2011-09-16 | 2013-03-21 | Fate Therapeutics, Inc. | Wnt compositions and therapeutic uses of such compositions |
| WO2013056232A2 (en) | 2011-10-13 | 2013-04-18 | Case Western Reserve University | Rxr agonists compounds and methods |
| WO2013054185A1 (en) | 2011-10-13 | 2013-04-18 | Pfizer, Inc. | Pyrimidine and pyridine derivatives useful in therapy |
| WO2013063095A1 (en) | 2011-10-24 | 2013-05-02 | Abbvie Inc. | Immunobinders directed against sclerostin |
| WO2013061297A1 (en) | 2011-10-28 | 2013-05-02 | Pfizer Limited | Pyridazine Derivatives Useful in Therapy |
| WO2013070879A1 (en) | 2011-11-10 | 2013-05-16 | Bristol-Myers Squibb Company | Methods for treating spinal cord injury with lpa receptor antagonists |
| WO2013080120A1 (en) | 2011-11-28 | 2013-06-06 | Novartis Ag | Novel trifluoromethyl-oxadiazole derivatives and their use in the treatment of disease |
| US20150038585A1 (en) | 2011-12-13 | 2015-02-05 | Io Therapeutics, Inc. | Treatment of Diseases by Concurrently Eliciting Remyelination Effects and Immunomodulatory Effects Using Selective RXR Agonists |
| WO2013102144A2 (en) | 2011-12-30 | 2013-07-04 | Halozyme, Inc. | Ph20 polypeptede variants, formulations and uses thereof |
| WO2013173364A2 (en) | 2012-05-14 | 2013-11-21 | Biogen Idec Ma Inc. | Lingo-2 antagonists for treatment of conditions involving motor neurons |
| WO2013186159A1 (en) | 2012-06-13 | 2013-12-19 | F. Hoffmann-La Roche Ag | New diazaspirocycloalkane and azaspirocycloalkane |
| WO2014018881A1 (en) | 2012-07-27 | 2014-01-30 | Biogen Idec Ma Inc. | Atx modulating agents |
| WO2014018891A1 (en) | 2012-07-27 | 2014-01-30 | Biogen Idec Ma Inc. | Compounds that are s1p modulating agents and/or atx modulating agents |
| WO2014018887A1 (en) | 2012-07-27 | 2014-01-30 | Biogen Idec Ma Inc. | Atx modulating agents |
| WO2014025708A1 (en) | 2012-08-06 | 2014-02-13 | Biogen Idec Ma Inc. | Compounds that are s1p modulating agents and/or atx modulating agents |
| WO2014025709A1 (en) | 2012-08-06 | 2014-02-13 | Biogen Idec Ma Inc. | Compounds that are s1p modulating agents and/or atx modulating agents |
| WO2014048865A1 (en) | 2012-09-25 | 2014-04-03 | F. Hoffmann-La Roche Ag | New bicyclic derivatives |
| WO2014058875A2 (en) | 2012-10-09 | 2014-04-17 | Biogen Idec Ma Inc. | Combination therapies and uses for treatment of demyelinating disorders |
| WO2014081756A1 (en) | 2012-11-20 | 2014-05-30 | Biogen Idec Ma Inc. | S1p and/or atx modulating agents |
| WO2014081752A1 (en) | 2012-11-20 | 2014-05-30 | Biogen Idec Ma Inc. | S1p and/or atx modulating agents |
| WO2014097151A2 (en) | 2012-12-19 | 2014-06-26 | Novartis Ag | Autotaxin inhibitors |
| WO2014106104A1 (en) | 2012-12-28 | 2014-07-03 | Biogen Idec Ma Inc. | Use of dr6 antagonists to improve motor neuron disease |
| WO2014110000A1 (en) | 2013-01-11 | 2014-07-17 | Eli Lilly And Company | Pyrido- or pyrrolo-fused pyrimidine derivatives as autotaxin inhibitors for treating pain |
| WO2014123186A1 (en) | 2013-02-06 | 2014-08-14 | 公立大学法人横浜市立大学 | Anti-semaphorin 3a antibody and treatment of alzheimer's disease and inflammatory immune diseases using same |
| WO2014133112A1 (en) | 2013-03-01 | 2014-09-04 | 国立大学法人東京大学 | 8-substituted imidazopyrimidinone derivative having autotaxin inhibitory activity |
| WO2014143583A1 (en) | 2013-03-12 | 2014-09-18 | Eli Lilly And Company | Imidazo pyridine compounds |
| WO2014139978A1 (en) | 2013-03-12 | 2014-09-18 | F. Hoffmann-La Roche Ag | New octahydro-pyrrolo[3,4-c]-pyrrole derivatives and analogs thereof as autotaxin inhibitors |
| WO2014139882A1 (en) | 2013-03-14 | 2014-09-18 | Galapagos Nv | Compounds and pharmaceutical compositions thereof for the treatment of inflammatory disorders |
| WO2014152725A1 (en) | 2013-03-15 | 2014-09-25 | Biogen Idec Ma Inc. | S1p and/or atx modulating agents |
| WO2014165827A1 (en) | 2013-04-05 | 2014-10-09 | Salk Institute For Biological Studies | Ppar agonists |
| WO2014168824A1 (en) | 2013-04-12 | 2014-10-16 | Eli Lilly And Company | Dihydropyrido pyrimidine compounds as autotaxin inhibitors |
| WO2014197818A2 (en) | 2013-06-07 | 2014-12-11 | The General Hospital Corporation | Small molecule activators of nrf2 pathway |
| WO2014202458A1 (en) | 2013-06-19 | 2014-12-24 | Galapagos Nv | Novel compounds and pharmaceutical compositions thereof for the treatment of inflammatory disorders |
| WO2014202727A1 (en) | 2013-06-20 | 2014-12-24 | Novo Nordisk A/S | Glp-1 derivatives and uses thereof |
| WO2015001352A1 (en) | 2013-07-03 | 2015-01-08 | The University Court Of The University Of Edinburgh | Novel regenerative therapy |
| WO2015000942A1 (en) | 2013-07-04 | 2015-01-08 | Novo Nordisk A/S | Derivatives of glp-1 like peptides, and uses thereof |
| WO2015008229A1 (en) | 2013-07-18 | 2015-01-22 | Novartis Ag | Autotaxin inhibitors |
| WO2015008230A1 (en) | 2013-07-18 | 2015-01-22 | Novartis Ag | Autotaxin inhibitors comprising a heteroaromatic ring-benzyl-amide-cycle core |
| WO2015023691A2 (en) | 2013-08-12 | 2015-02-19 | Benaroya Research Institute At Virginia Mason | 4-methylumbelliferone treatment for immune modulation |
| WO2015042053A1 (en) | 2013-09-17 | 2015-03-26 | Pharmakea, Inc. | Vinyl autotaxin inhibitor compounds |
| WO2015042052A1 (en) | 2013-09-17 | 2015-03-26 | Pharmakea, Inc. | Heterocyclic vinyl autotaxin inhibitor compounds |
| WO2015048301A1 (en) | 2013-09-26 | 2015-04-02 | Pharmakea, Inc. | Autotaxin inhibitor compounds |
| WO2016124747A1 (en) * | 2015-02-05 | 2016-08-11 | Ab Science | Compounds with anti-tumoral activity |
Non-Patent Citations (28)
| Title |
|---|
| "Handbook of Chemistry and Physics" |
| "The Merck Manual", MERCK SHARP & DOHME CORP. |
| BLAKEMORE ET AL., J. OFNEUROIMMUNOLOGY, vol. 98, 1999, pages 69 - 76 |
| COMPSTON ET AL., THE LANCET, vol. 359, 2002, pages 1221 - 1231 |
| D. KREMER ET AL., TRENDS IN NEUROSCIENCES, vol. 39, no. 4, 2016, pages 246 - 263 |
| E. W. MARTIN: "Remington's Pharmaceutical Sciences", 1980, MACK PUBLISHING CO. |
| FOSTER, ADV. DRUG RES., vol. 14, 1985, pages 1 - 40 |
| FRANGI AF; NIESSEN WJ; VINCKEN KL; VIERGEVER MA: "Multiscale vessel enhancement filtering", PROCEEDINGS OF MEDICAL IMAGE COMPUTER-ASSISTED INTERVENTION (MICCAI), LECTURE NOTES IN COMPUTER SCIENCE, vol. 1496, 1998, pages 130 - 137 |
| GAITAN, M. I.; REICH, D. S.: "Multiple Sclerosis and CNS Inflammatory Disorders", 2014, JOHN WILEY & SONS, LTD., article "MRI in Diagnosis and Disease Monitoring" |
| GILLETTE ET AL., BIOCHEMISTRY, vol. 33, no. 10, 1994, pages 2927 - 2937 |
| HANZLIK ET AL., J. ORG. CHEM., vol. 55, 1990, pages 3992 - 3997 |
| HEMLER ET AL., J BIOL. CHEM., vol. 2, 1987, pages 11478 - 11485 |
| ISSEKUTZ ET AL., J IMMUNOL, vol. 147, 1991, pages 109 |
| JARMAN ET AL., CARCINOGENESIS, vol. 16, no. 4, 1993, pages 683 - 688 |
| MACKLIN, W.B. ET AL., DEVELOPMENTAL CELL, vol. 32, 2015, pages 447 - 458 |
| MEI, F. ET AL., NATURE MEDICINE, vol. 20, no. 8, 2014, pages 954 - 961 |
| MERRILL, J.E. ET AL., NEUROPATHOLOGY AND APPLIED NEUROBIOLOGY, vol. 25, 1999, pages 435 - 458 |
| NALM, F. J. ET AL., NATURE (LETTER, 20 April 2015 (2015-04-20) |
| PULIDO ET AL., J BIOL. CHEM., vol. 266, 1991, pages 10241 - 10245 |
| R. FRANKLIN ET AL., NATURE REVIEWS/NEUROSCIENCE, vol. 9, 2008, pages 839 - 855 |
| REIDER ET AL., J. ORG. CHEM., vol. 52, 1987, pages 3326 - 3334 |
| S. L. HARBESON; R. D. TUNG: "Deuterium In Drug Discovery and Development", ANN. REP. MED. CHEM., vol. 46, 2011, pages 403 - 417, XP055422117, DOI: doi:10.1016/B978-0-12-386009-5.00003-5 |
| S. M. BERGE ET AL.: "pharmaceutically acceptable salts", J. PHARMACEUTICAL SCIENCES, vol. 66, 1977, pages 1 - 19 |
| SANCHEZ-MADRID ET AL., EUR. J. IMMUNOL, vol. 16, 1986, pages 1343 - 1349 |
| SCHINDELIN, J.; ARGANDA-CARRERAS, I.; FRISE, E. ET AL.: "Fiji: an open-source platform for biological-image analysis", NATURE METHODS, vol. 9, no. 7, 2012, pages 676 - 682, XP055343835, DOI: doi:10.1038/nmeth.2019 |
| SMITH, M.B.; MARCH, J.: "March's Advanced Organic Chemistry", 2001, JOHN WILEY & SONS |
| STANGEL, M. ET AL., PROGRESS IN NEUROBIOLOGY, vol. 68, 2002, pages 361 - 376 |
| THOMAS SORRELL: "Organic Chemistry", 1999, UNIVERSITY SCIENCE BOOKS |
Cited By (3)
| Publication number | Priority date | Publication date | Assignee | Title |
|---|---|---|---|---|
| WO2018231910A1 (en) * | 2017-06-13 | 2018-12-20 | National Health Research Institutes | Aminothiazole compounds as protein kinase inhibitors |
| US10300061B2 (en) | 2017-06-13 | 2019-05-28 | National Health Research Institutes | Aminothiazole compounds as protein kinase inhibitors |
| EP4194450A4 (en) * | 2020-08-07 | 2024-10-30 | Pharmablock Sciences (Nanjing), Inc. | Cdk9 inhibitor and use thereof |
Similar Documents
| Publication | Publication Date | Title |
|---|---|---|
| US10766869B2 (en) | Triazoles for the treatment of demyelinating dieases | |
| US11566001B2 (en) | Hepatitis B capsid assembly modulators | |
| CA2627623C (en) | Methods for inhibiting protein kinases | |
| KR101464060B1 (en) | Pyrazol-4-yl-heterocyclyl-carboxamide compounds and methods of use | |
| JP7646653B2 (en) | Pyrrolidine Derivatives | |
| EP3033335B1 (en) | Pyridinones | |
| CN107922431B (en) | HPK1 inhibitors and methods of use | |
| KR102038585B1 (en) | 6-Alkynyl pyridines as SMAC mimetics | |
| RS65019B1 (en) | Phenylaminopyrimidine amide autophagy inhibitors and methods of use thereof | |
| KR20200074164A (en) | Antagonist of muscarinic acetylcholine receptor M4 | |
| CA2450934A1 (en) | Pyrimidine inhibitors of phosphodiesterase (pde) 7 | |
| WO2014164767A1 (en) | Novel compounds and compositions for inhibition of fasn | |
| JP2009515882A (en) | Methods for inhibiting protein kinases | |
| KR20230035236A (en) | Adenosine A2A receptor antagonists | |
| KR20200027992A (en) | Antagonist of muscarinic acetylcholine receptor M4 | |
| CN106608879A (en) | Protein kinase inhibitor and its preparation method and medical application | |
| KR20120076352A (en) | Pyrazinylpyridines useful for the treatment of proliferative diseases | |
| US20190225617A1 (en) | Ripk2 inhibitors and method of treating cancer with same | |
| WO2019043407A1 (en) | Substituted 2-azabicyclo[3.1.1]heptane and 2-azabicyclo[3.2.1]octane derivatives as orexin receptor antagonists | |
| WO2018106646A1 (en) | Aminotriazoles for the treatment of demyelinating diseases | |
| WO2018106643A1 (en) | Heterocyclic azoles for the treatment of demyelinating diseases | |
| WO2018106641A1 (en) | Pyrazoles for the treatment of demyelinating diseases | |
| CA3151039A1 (en) | Substituted benzimidazole carboxamides and their use in the treatment of medical disorders | |
| CA3190441A1 (en) | Protein secretion inhibitors | |
| AU2024231943A1 (en) | Biarylamide derivatives and their use as pkmyt1 inhibitors |
Legal Events
| Date | Code | Title | Description |
|---|---|---|---|
| 121 | Ep: the epo has been informed by wipo that ep was designated in this application |
Ref document number: 17823262 Country of ref document: EP Kind code of ref document: A1 |
|
| NENP | Non-entry into the national phase |
Ref country code: DE |
|
| 122 | Ep: pct application non-entry in european phase |
Ref document number: 17823262 Country of ref document: EP Kind code of ref document: A1 |



































































































































































