WO2018091389A1 - Pesticidally active heterocyclic derivatives with sulphur containing substituents - Google Patents
Pesticidally active heterocyclic derivatives with sulphur containing substituents Download PDFInfo
- Publication number
- WO2018091389A1 WO2018091389A1 PCT/EP2017/078988 EP2017078988W WO2018091389A1 WO 2018091389 A1 WO2018091389 A1 WO 2018091389A1 EP 2017078988 W EP2017078988 W EP 2017078988W WO 2018091389 A1 WO2018091389 A1 WO 2018091389A1
- Authority
- WO
- WIPO (PCT)
- Prior art keywords
- spp
- formula
- compounds
- ccn
- halogen
- Prior art date
- Legal status (The legal status is an assumption and is not a legal conclusion. Google has not performed a legal analysis and makes no representation as to the accuracy of the status listed.)
- Ceased
Links
- 0 *c1n[n]cc1 Chemical compound *c1n[n]cc1 0.000 description 3
- CSGBIQQJMUUQRI-UHFFFAOYSA-N CCSc1c(C(Nc2c(NC)ncc(C(F)(F)F)c2)=O)ncc(-c2ccc(C(F)(F)F)cc2)c1 Chemical compound CCSc1c(C(Nc2c(NC)ncc(C(F)(F)F)c2)=O)ncc(-c2ccc(C(F)(F)F)cc2)c1 CSGBIQQJMUUQRI-UHFFFAOYSA-N 0.000 description 1
Classifications
-
- C—CHEMISTRY; METALLURGY
- C07—ORGANIC CHEMISTRY
- C07D—HETEROCYCLIC COMPOUNDS
- C07D471/00—Heterocyclic compounds containing nitrogen atoms as the only ring hetero atoms in the condensed system, at least one ring being a six-membered ring with one nitrogen atom, not provided for by groups C07D451/00 - C07D463/00
- C07D471/02—Heterocyclic compounds containing nitrogen atoms as the only ring hetero atoms in the condensed system, at least one ring being a six-membered ring with one nitrogen atom, not provided for by groups C07D451/00 - C07D463/00 in which the condensed system contains two hetero rings
- C07D471/04—Ortho-condensed systems
Definitions
- the present invention relates to pesticidally active, in particular insecticidally active heterocyclic derivatives containing sulphur substituents, to intermediates for the preparation of those compounds, to compositions comprising those compounds, and to their use for controlling animal pests (including arthropods and in particular insects or representatives of the order Acarina).
- Heterocyclic compounds with pesticidal action are known and described, for example, in
- the present invention accordingly relates to compounds of formula I,
- A represents CH or N
- Q is phenyl which is mono- or polysubstituted by substituents selected from the group consisting of halogen, cyano, Ci-C4alkyl, Ci-C4haloalkyl, Ci-C4alkylsulfanyl, Ci-C4alkylsulfinyl, Ci-C4alkylsulfonyl, Ci-C4haloalkoxy, Ci-C4alkoxy and Ci-C4haloalkylsulfanyl; or
- Q is pyrimidyl which is mono- or polysubstituted by substituents selected from the group consisting of halogen, cyano, Ci-C4alkyl, Ci-C4haloalkyl, Ci-C4haloalkoxy, Ci-C4alkoxy and
- Ci-C4haloalkylsulfanyl or
- Q is pyrazolyl which is linked via a nitrogen atom to the ring which contains the substituent A, said pyrazolyl can be substituted by halogen, cyano or Ci-C4haloalkyl; or
- Q is triazolyl which is linked via a nitrogen atom to the ring which contains the substituent A, said triazolyl can be substituted by halogen, cyano or Ci-C4haloalkyl;
- X is S, SO or S0 2 ;
- Ri is Ci-C4alkyl, Ci-C4haloalkyl, C2-C6alkenyl, C2-C6haloalkenyl, C2-C6alkynyl or C3-C6cyclo- alkyl-Ci-C 4 alkyl;
- R2 is halogen, Ci-C6haloalkyl, Ci-C4haloalkylsulfanyl, Ci-C4haloalkylsulfinyl, Ci-C4haloalkylsulfonyl or Ci-C6haloalkoxy;
- Xi is O, S or NR3, wherein R3 is hydrogen, Ci-C4alkyl, C2-C6alkenyl, C2-C6alkynyl, Ci-C4alkoxy- Ci-C4alkyl or C3-C6cycloalkyl; and
- Gi is N or CH; and agrochemically acceptable salts, stereoisomers, enantiomers, tautomers and N- oxides of the compounds of formula I.
- Compounds of formula I which have at least one basic centre can form, for example, acid addition salts, for example with strong inorganic acids such as mineral acids, for example perchloric acid, sulfuric acid, nitric acid, a phosphorus acid or a hydrohalic acid, with strong organic carboxylic acids, such as Ci-C4alkanecarboxylic acids which are unsubstituted or substituted, for example by halogen, for example acetic acid, such as saturated or unsaturated dicarboxylic acids, for example oxalic acid, malonic acid, succinic acid, maleic acid, fumaric acid or phthalic acid, such as hydroxycarboxylic acids, for example ascorbic acid, lactic acid, malic acid, tartaric acid or citric acid, or such as benzoic acid, or with organic sulfonic acids, such as Ci-C4alkane- or arylsulfonic acids which are unsubstituted or substituted, for example by halogen, for
- Compounds of formula I which have at least one acidic group can form, for example, salts with bases, for example mineral salts such as alkali metal or alkaline earth metal salts, for example sodium, potassium or magnesium salts, or salts with ammonia or an organic amine, such as morpholine, piperidine, pyrrolidine, a mono-, di- or tri-lower-alkylamine, for example ethyl-, diethyl-, triethyl- or
- dimethylpropylamine or a mono-, di- or trihydroxy-lower-alkylamine, for example mono-, di- or triethanolamine.
- alkyl groups occurring in the definitions of the substituents can be straight-chain or branched and are, for example, methyl, ethyl, n-propyl, isopropyl, n-butyl, sec-butyl, iso-butyl, tert-butyl, pentyl, hexyl, and their branched isomers.
- Alkylsulfanyl, alkylsulfinyl, alkylsulfonyl, alkoxy, alkenyl and alkynyl radicals are derived from the alkyl radicals mentioned.
- the alkenyl and alkynyl groups can be mono- or polyunsaturated.
- Ci-di-alkylamino is dimethylamino.
- Halogen is generally fluorine, chlorine, bromine or iodine. This also applies, correspondingly, to halogen in combination with other meanings, such as haloalkyl or halophenyl.
- HaloalkyI groups preferably have a chain length of from 1 to 6 carbon atoms.
- Haloalkyl is, for example, fluoromethyl, difluoromethyl, trifluoromethyl, chloromethyl, dichloromethyl, trichloromethyl, 2,2,2- trifluoroethyl, 2-fluoroethyl, 2-chloroethyl, pentafluoroethyl, 1 , 1-difluoro-2,2,2-trichloroethyl, 2,2,3,3- tetrafluoroethyl and 2,2,2-trichloroethyl.
- Alkoxy groups preferably have a preferred chain length of from 1 to 6 carbon atoms.
- Alkoxy is, for example, methoxy, ethoxy, propoxy, i-propoxy, n-butoxy, isobutoxy, sec-butoxy and tert-butoxy and also the isomeric pentyloxy and hexyloxy radicals.
- Alkoxyalkyl groups preferably have a chain length of 1 to 6 carbon atoms.
- Alkoxyalkyl is, for example, methoxymethyl, methoxyethyl, ethoxymethyl, ethoxyethyl, n- propoxymethyl, n-propoxyethyl, isopropoxymethyl or isopropoxyethyl.
- Haloalkylsulfanyl groups preferably have a chain length of from 1 to 4 carbon atoms.
- Haloalkylsulfanyl is, for example, difluoromethylsulfanyl, trifluoromethylsulfanyl or 2,2,2-trifluoroethylsulfanyl. Similar considerations apply to the radicals Ci-C4haloalkylsulfinyl and Ci-C4haloalkylsulfonyl, which may be, for example, trifluoromethylsulfinyl, trifluoromethylsulfonyl or 2,2,2-trifluoroethylsulfonyl.
- the cycloalkyl groups preferably have from 3 to 6 ring carbon atoms, for example cyclopropyl, cyclobutyl, cyclopentyl and cyclohexyl.
- Haloalkoxy groups preferably have a chain length of from 1 to 6 carbon atoms.
- Haloalkoxy is, for example, difluoromethoxy, trifluoromethoxy or 2,2,2-trifluoroethoxy.
- Q as a "triazolyl group which is linked via a nitrogen atom" may be selected from (1 H-1 ,2,3-triazol-1-yl)-; (2H-1 ,2,3-triazol-2-yl)-; (4H-1 ,2,4-triazol-4-yl)- and (1 H-1 ,2,4- triazol-1-yl)-.
- "mono- to polysubstituted" in the definition of the substituents means typically, depending on the chemical structure of the substituents, monosubstituted to four-times substituted, preferably monosubstituted to three-times substituted, more preferably mono-, or double- substituted.
- Free radicals represent methyl groups.
- the compounds of formula I according to the invention also include hydrates which may be formed during the salt formation.
- a preferred group of compounds of formula I is represented by the compounds of formula 1-1
- X is S, SO or S0 2 ;
- Rx is independently selected from the group consisting of hydrogen, halogen, cyano, Ci-C4alkyl, Ci- C4haloalkyl, Ci-C4haloalkoxy, Ci-C4alkoxy, Ci-C4alkylsulfanyl, Ci-C4alkylsulfinyl, Ci-C4alkylsulfonyl, and Ci-C4haloalkylsulfanyl with the proviso that at least one Rx is different from hydrogen.
- Ri is preferably ethyl
- R2 is preferably Ci-C6halo- alkyl or Ci-C4haloalkylsulfanyl
- X is preferably SO2
- Xi is preferably N(CH3).
- Preferred compounds of formula 1-1 are represented by compounds of formula 1-1 a,
- Rx is independently selected from the group consisting of hydrogen and halogen with the proviso that at least one Rx is different from hydrogen.
- Ri is preferably ethyl
- R2 is preferably Ci-C6halo- alkyl.
- Even more preferred compounds of formula l-1a are those in which R2 is CF3, Ri is ethyl, A is nitrogen, Gi is nitrogen and Rx is independently hydrogen or halogen, preferably fluorine or chlorine, with the proviso that at least one Rx is different from hydrogen.
- R2 is preferably Ci-C6haloalkyl and Ri is preferably ethyl.
- R2 is CF3, Ri is ethyl, A is nitrogen, Gi is nitrogen and Rx is is CF3, fluorine or chlorine.
- a further preferred group of compounds of formula I is represented by the compounds of formula I-2
- X is S, SO or S0 2 ;
- Rx is independently selected from the group consisting of hydrogen, halogen, cyano, Ci-C4alkyl, Ci- C4haloalkyl, Ci-C4haloalkoxy, Ci-C4alkoxy, Ci-C4alkylsulfanyl, Ci-C4alkylsulfinyl, Ci-C4alkylsulfonyl, and Ci-C4haloalkylsulfanyl; with the proviso that at least one Rx is different from hydrogen.
- Ri is preferably ethyl
- R2 is preferably Ci-C6halo-alkyl or Ci-C4haloalkylsulfanyl
- X is preferably SO2
- Xi is preferably N(CH3).
- Preferred compounds of formula I-2 are represented by compounds of formula l-2a
- R2 is preferably Ci-C6haloalkyl and Ri is preferably ethyl.
- R2 is CF3, Ri is ethyl, A is nitrogen, Gi is nitrogen and Rx is hydrogen or halogen, preferably fluorine or chlorine, with the proviso that at least one Rx is different from hydrogen.
- both Rx are independently fluorine or chlorine.
- a preferred group of compounds of formula I is represented by the compounds of formula I-3 wherein Gi , Ri, R2, A and Xi are as defined under formula I above;
- X is S, SO or S0 2 ;
- Rxa is independently selected from the group consisting of hydrogen, halogen, cyano or Ci- C4haloalkyl.
- Ri is preferably ethyl
- R2 is preferably Ci alkyl or Ci-C4haloalkylsulfanyl
- X is preferably SO2
- Xi is preferably N(CH3).
- Preferred compounds of formula I-3 are represented by compounds of formula l-3a
- X is S, SO or S0 2 ;
- Rxa is hydrogen, halogen, cyano or Ci-C4haloalkyl.
- Ri is preferably ethyl
- R2 is preferably Ci-CehaloalkyI or Ci-C4haloalkylsulfanyl
- X is preferably SO2
- Xi is preferably N(CH3).
- Preferred compounds of formula 1-4 are represented by compounds of formula l-4a
- Ri is Ci-C 4 alkyl
- R2 is Ci-C4haloalkyl
- X is S or S0 2 ; A is N; and
- Q is phenyl, which is mono- or disubstituted by substituents selected from the group consisting of halogen and Ci-C4haloalkyl;
- Q is pyrazolyl, mono-substituted by Ci-C4haloalkyl
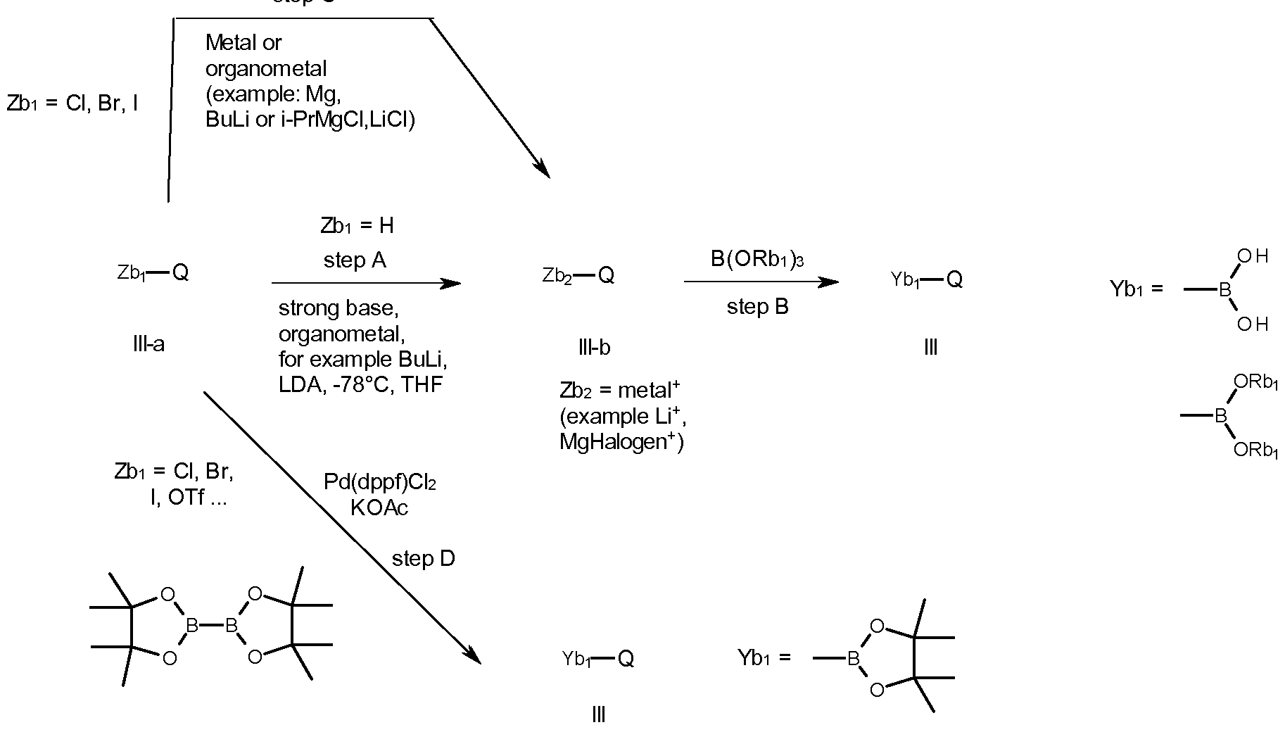
- compounds of formula I can be prepared (as depicted in scheme 1 ) by reacting compounds of formula II with compounds of formula III, wherein Xbi can be a halogen, preferentially chlorine, bromine or iodine, or a sulfonate, like for example a trifluoromethanesulfonate and Ybi can be a boron-derived functional group, as for example B(OH)2 or B(ORbi)2 wherein Rbi can be a Ci-C6alkyl group or the two groups ORbi can form together with the boron atom a five- or six-membered ring, as for example a pinacol boronic ester (Suzuki cross-coupling, see for example Tetrahedron Letters, 43(39), 6987-6990; 2002).
- Xbi can be a halogen, preferentially chlorine, bromine or iodine, or a sulfonate, like for example a tri
- A, Xi , Ri , R 2 , X and Q are as described in formula I.
- the reaction can be catalyzed by a palladium based catalyst, for example tetrakis(triphenylphosphine) palladium(O), bis(triphenylphosphine)palladium(ll) dichloride, chloro(2-dicyclohexylphosphino-2',4',6'- triisopropyl-1 , 1'-biphenyl)[2-(2'-amino-1 , 1'-biphenyl)]palladium(ll) (XPhos palladacycle),
- a palladium based catalyst for example tetrakis(triphenylphosphine) palladium(O), bis(triphenylphosphine)palladium(ll) dichloride, chloro(2-dicyclohexylphosphino-2',4',6'- triisoprop
- reaction temperature can preferably range from ambient temperature to the boiling point of the reaction mixture, or alternatively heating may be performed under microwave
- compounds of formula II wherein Xbi can be a halogen, preferentially chlorine, bromine or iodine, or a sulfonate, like for example a trifluoromethanesulfonate, may be reacted with compounds of formula III, wherein Ybi is a magnesium halide group, such as -MgBr (Kumada cross-coupling), optionally in the presence of additives, such as zind halides (Journal of Organic Chemistry, 75(19), 6677-6680; 2010).
- Xbi can be a halogen, preferentially chlorine, bromine or iodine, or a sulfonate, like for example a trifluoromethanesulfonate
- Ybi is a magnesium halide group, such as -MgBr (Kumada cross-coupling), optionally in the presence of additives, such as zind halides (Journal of
- the reaction may be catalyzed by a palladium based catalyst, or may involve a nickel based catalyst, such as 1 ,3-is(diphenylphosphino)propanenickel dichloride (dppp)NiCl2.
- a palladium based catalyst or may involve a nickel based catalyst, such as 1 ,3-is(diphenylphosphino)propanenickel dichloride (dppp)NiCl2.
- Xbi can be a halogen, preferentially chlorine, bromine or iodine, or a sulfonate, like for example a trifluoromethanesulfonate
- Ybi is a zinc halide group, such as -ZnBr (Negishi cross- coupling), as illustrated for example in Synthetic Communications, 28(2), 225-232; 1998.
- the reaction may be catalyzed by a palladium based catalyst, such as for example, (1 ,1 'bis(diphenylphosphino)- ferrocene)dichloropalladium Pd(dppf)Cl2 or bis(triphenylphosphine)palladium(ll) dichloride, optionally in the presence of phosphine additives (such as, for example, 2-dicyclohexyl-phosphino-2',6'- dimethoxy-biphenyl S-PHOS), in a solvent, like, for example 1 ,2-dimethoxyethane, dioxane, toluene, or tetrahydrofuran, preferably under inert atmosphere.
- the reaction temperature can preferentially range from ambient temperature to the boiling point of the reaction mixture.
- Compounds of formula I can also be made (as depicted in scheme 2) by reacting compounds of formula IV with compounds of formula V, wherein Xb2 can be a halogen, preferentially chlorine, bromine or iodine, or a sulfonate, like for example a trifluoromethanesulfonate and Yb2 can be a boron- derived functional group, as for example B(OH)2 or B(ORb2)2 wherein Rb2 can be a Ci-C6alkyl group or the two groups ORb2 can form together with the boron atom a five- or six-membered ring, as for example a pinacol boronic ester.
- A, Xi , Ri , R2, X and Q are as described in formula I.
- the reaction can be catalyzed by a palladium based catalyst, for example
- reaction temperature can preferentially range from ambient temperature to the boiling point of the reaction mixture, or alternatively heating may be performed under microwave irradiation.
- these compounds can be advantageously accessed by reacting a compound of the formula IV with a compound of the formula Va, wherein Yb2 can be a boron-derived functional group, such as for example B(OH)2 or B(ORb2)2 wherein Rb2 can be a Ci-C6alkyl group or the two groups ORb2 can form together with the boron atom a five - or six-membered ring, as for example a pinacol boronic ester (scheme 2a).
- Yb2 can be a boron-derived functional group, such as for example B(OH)2 or B(ORb2)2 wherein Rb2 can be a Ci-C6alkyl group or the two groups ORb2 can form together with the boron atom a five - or six-membered ring, as for example a pinacol boronic ester (scheme 2a).
- A, Ri , R2, X and Xi are as defined under formula I above and Q is as described in formula I, with the condition that the attachment point is a nitrogen atom.
- the reaction also known as Chan-Lam coupling (P. Y. S. Lam, C. G. Clark, S. Saubern, J. Adams, M. P.Winters, D. M. T. Chan, A. Combs, Tetrahedron Lett. 1998, 39, 2941 ), is commonly performed with one to two equivalents of a base, like pyridine or triethylamine, in presence of one to two equivalents of a copper derivative, like for example copper (II) acetate and under an oxygen-containing atmosphere.
- the reaction can be run in an inert solvent, like dichloromethane, dioxane or dimethylformamide, usually at or around room temperature.
- Such a reaction with a heterocycle Q-H (which contains an appropriate NH functionality) of formula Va may be operated in the presence of a base, such as potassium carbonate K2CO3 or cesium carbonate CS2CO3, optionally in the presence of a copper catalyst, for example copper(l) iodide, with or without an additive such as L-proline, ⁇ , ⁇ '- dimethylcyclohexane-1 ,2-diamine or ⁇ , ⁇ '-dimethylethylene-diamine, in an inert solvent such as N- methylpyrrolidone NMP or ⁇ , ⁇ -dimethylformamide DMF at temperatures between 30-150°C, optionally under microwave irradiation.
- a base such as potassium carbonate K2CO3 or cesium carbonate CS2CO3
- a copper catalyst for example copper(l) iodide
- an additive such as L-proline, ⁇ , ⁇ '- dimethylcyclohexane-1 ,2-diamine or ⁇ , ⁇
- Optional additive such as N,N-dimethylethylene-diamine
- Compounds of formula l-a3, wherein A, Ri, R2, Xi and Q have the values defined in formula I, and X is -SO2-, can be prepared by oxidation of compounds of formula l-a2, wherein A, Ri, R2, Xi and Q have the values defined in formula I, and X is -SO-.
- the reaction can be performed with reagents like, for example, a peracid such as peracetic acid or m-chloroperbenzoic acid, or a hydroperoxide, as for example, hydrogen peroxide or tert-butylhydroperoxide, or an inorganic oxidant, like a monoperoxo- disulfate salt or potassium permanganate.
- Compounds of formula l-a1 may also be prepared (scheme 4) by reacting a compound of the formula VI with a compound of the formula VII, wherein A, Ri, R2, Xi and Q have the values defined in formula I and X is sulphur and M is a metal or non-metal cation.
- the cation M is assumed to be monovalent, but polyvalent cations associated with more than one S-Ri group can also be considered.
- Prefered cations are, for example lithium, sodium, potassium or cesium.
- Xb3 is a leaving group like, for example, fluorine, chlorine, bromine or iodine, an aryl- or alkylsulfonate, but many other leaving groups could be considered.
- the reaction can be performed in a solvent, preferably aprotic (such as ⁇ , ⁇ -dimethylformamide or acetonitrile), at temperatures below 0°C or up to boiling temperature of the reaction mixture.
- Xb3 is a leaving group like, for example, fluorine, chlorine, bromine or iodine, or an aryl- or alkylsulfonate such as trifluoromethanesulfonate, or any other similar leaving group
- Xb4 can be a halogen, preferentially chlorine, bromine or iodine, or a sulfonate, like for example a trifluoromethanesulfonate, most preferably bromine or iodine
- Yb4 can be a boron- derived functional group, as for example B(OH)2 or B(ORb4)2 wherein Rb4 can be a Ci-C6alkyl group or the two groups ORb4 can form together with the boron atom a five- or six-membered ring, as for example a pinacol boronic ester
- reaction can be catalyzed by a palladium based catalyst, for example tetrakis(triphenyl- phosphine)palladium(O), bis(triphenylphosphine) palladium(ll) dichloride or (1 ,1 'bis(diphenyl- phosphino)-ferrocene)dichloropalladium-dichloromethane (1 : 1 complex), in presence of a base, like sodium carbonate, tripotassium phosphate or cesium fluoride, in a solvent (such as toluene, 1 ,2- dimethoxy-ethane DME, ethanol, iso-propyl alcohol, tetrahydrofuran or dioxane) or a solvent mixture, like, for example a mixture of 1 ,2-dimethoxyethane and water, or of dioxane and
- a palladium based catalyst for example tetrakis(triphenyl- phos
- compounds of formula VII I wherein Xb4 can be a halogen, preferentially chlorine, bromine or iodine, or a sulfonate, like for example a trifluoromethanesulfonate, may be reacted with compounds of formula IX, wherein Yb4 is a magnesium halide group, such as -MgBr (Kumada cross- coupling), optionally in the presence of additives, such as zind halides (Journal of Organic Chemistry, 75(19), 6677-6680; 2010).
- the reaction may be catalyzed by a palladium based catalyst, or may involve a nickel based catalyst, such as 1 ,3-is(diphenylphosphino)propanenickel dichloride
- the reaction may be catalyzed by a palladium based catalyst, such as for example, (1 ,1 'bis(diphenylphosphino)- ferrocene)dichloropalladium Pd(dppf)Cl2 or bis(triphenylphosphine)palladium(l l) dichloride, optionally in the presence of phosphine additives (such as, for example, 2-dicyclohexyl-phosphino-2',6'- dimethoxy-biphenyl S-PHOS), in a solvent, like, for example 1 ,2-dimethoxyethane, dioxane, toluene, or tetrahydrofuran, preferably under inert atmosphere.
- the reaction temperature can preferentially range from ambient temperature to the boiling point of the reaction mixture.
- compounds of formula VI can also be prepared by reacting compounds of formula X, wherein Xb3 is a leaving group like, for example, fluorine, chlorine, bromine or iodine, or an aryl- or alkylsulfonate such as trifluoromethanesulfonate, or any other similar leaving group, with compounds of formula XI , wherein Xb5 can be a halogen, preferentially chlorine, bromine or iodine, or a sulfonate, like for example a trifluoromethanesulfonate, most preferably bromine or iodine, and Yb5 can be a boron-derived functional group, as for example B(OH)2 or B(ORb5)2 wherein Rb5 can be a Ci-C6alkyl group or the two groups ORbs can form together with the boron atom a five- or six-membered ring, as for example a pin
- X and XI , A, Xi , R2 and Q are as described in formula I .
- the reaction can be catalyzed by a palladium based catalyst, for example tetrakis(triphenylphosphine)palladium(0), bis(triphenylphosphine) palladium(l l) dichloride or (1 , 1 'bis(diphenylphosphino)-ferrocene)dichloropalladium-dichloromethane (1 : 1 complex), in presence of a base, like sodium carbonate, tripotassium phosphate or cesium fluoride, in a solvent (such as toluene, 1 ,2-dimethoxy-ethane DME, ethanol, iso-propyl alcohol, tetrahydrofuran or dioxane) or a solvent mixture, like, for example a mixture of 1 ,2-dimethoxyethane and water, or of dioxane
- Compounds of formula I can also be prepared (scheme 7) by reacting compounds of formula XIII and compounds of formula XIV under various formal dehydration conditions, wherein A, Ri, R2, X, Xi and Q have the values defined in formula I.
- These methods are known to those skilled in the art or described for example in WO 2009/131237, WO 201 1/043404, WO 201 1/040629, WO 2010/125985, WO 2012/086848, WO 2013/018928, WO 2013/191 1 13, WO 2013/180193 and WO 2013/180194.
- Such processes are well known and have been described for example in WO 201 1/040629 or WO 2009131237 (Xi is oxygen), WO 201 1088990 or Inorg.
- compounds of formula XV can be converted to compounds of formula I (wherein Xi is O) using triphenylphosphine, di-isopropyl azodicarboxylate in an inert solvent such as THF at temperatures between 25-50°C.
- THF inert solvent
- X is S X is SO or S02 may be prepared by reacting a compound of formula XXVII, wherein A and Q are as defined above, and wherein R50 is Ci-C4alkyl and in which Xbi is a leaving group such as, for example, a halogen (preferably fluorine, chlorine or bromine) or nitro, with a compound of formula Vila, or a salt thereof VII, wherein Ri is as defined in formula I, optionally in the presence of a suitable base, such as alkali metal carbonates, for example sodium carbonate and potassium carbonate, or alkali metal hydrides such as sodium hydride, or alkali metal hydroxides such as sodium hydroxide and potassium hydroxide, optionally in the presence of a catalytic amount of an additive, such as an ammonium salt (for example tetrabutylammonium bromide TBAB), in an inert solvent at temperatures preferably between 25- 120°C.
- a suitable base such as alkali metal carbonates
- solvent to be used examples include ethers such as THF, ethylene glycol dimethyl ether, tert-butylmethyl ether, and 1 ,4-dioxane, aromatic hydrocarbons such as toluene and xylene, nitriles such as acetonitrile, polar aprotic solvents such as ⁇ , ⁇ -dimethylformamide, N,N-dimethylacetamide, N-methyl-2-pyrrolidone or dimethyl sulfoxide, or water.
- salts of the compound of formula Vila include compounds of the formula VII
- Ri is as defined above and wherein M is, for example, sodium or potassium.
- Oxidation of compounds of formula XIV, wherein X is S, and wherein A, Ri and Q are as defined above, with a suitable oxidizing agent, into compounds of formula XlVb, wherein X is SO or SO2 may be achieved under conditions already described above.
- Benze Reaction may be prepared by a Suzuki reaction, which involves for example, reacting compounds of formula XXVIII, wherein A, R50 and Xbi are as defined above, and wherein Xbi is a leaving group like, for example, chlorine, bromine or iodine (preferably bromine), or an aryl- or alkylsulfonate such as trifluoromethane-sulfonate, with compounds of formula III, wherein Q is optionally substituted phenyl, pyridyl or pyrimidyl, and wherein Ybi can be a boron-derived functional group, such as for example B(OH)2 or B(ORbi)2 wherein Rbi can be a Ci-C4alkyl group or the two groups ORbi can form together with the boron atom a five membered ring, as for example a pinacol boronic ester.
- XXVIII wherein A, R50 and Xbi are as
- the reaction may be catalyzed by a palladium based catalyst, for example fefra/c/ ' s(triphenylphosphine)-palladium(0), or bis(triphenylphosphine)palladium(ll) dichloride or (1 , 1 'bis(diphenylphosphino)ferrocene)dichloro- palladium-dichloromethane (1 :1 complex), in presence of a base, like sodium carbonate or cesium fluoride, in a solvent or a solvent mixture, like, for example a mixture of 1 ,2-dimethoxyethane and water or of dioxane and water, preferably under inert atmosphere.
- the reaction temperature can preferentially range from room temperature to the boiling point of the reaction mixture.
- Suzuki reactions are well known to those skilled in the art and have been reviewed, for example, in J.Orgmet. Chem. 576, 1999, 147-168.
- compounds of formula XXVII wherein A, Q, R50 and Xbi are as defined above, may be prepared by a Stille reaction between compounds of formula Ilia, wherein Q is as defined above, and wherein Yb2o is a trialkyl tin derivative, preferably tri-n-butyl tin, and compounds of formula XXVIII, wherein A, R50 and Xbi are as defined above, and wherein Xbi is a leaving group like, for example, chlorine, bromine or iodine (preferably bromine), or an aryl- or alkylsulfonate such as trifluoromethane- sulfonate.
- Such Stille reactions are usually carried out in the presence of a palladium catalyst, for example fefra/c/ ' s(triphenylphosphine)palladium(0), or bis(triphenylphosphine)palladium(ll) dichloride, in an inert solvent such as ⁇ , ⁇ -dimethylformamide, acetonitrile, toluene or dioxane, optionally in the presence of an additive, such as cesium fluoride, or lithium chloride, and optionally in the presence of a further catalyst, for example copper(l)iodide.
- a palladium catalyst for example fefra/c/ ' s(triphenylphosphine)palladium(0), or bis(triphenylphosphine)palladium(ll) dichloride
- an inert solvent such as ⁇ , ⁇ -dimethylformamide, acetonitrile, toluene or dioxane
- XXIX XXVIII may be prepared from the corresponding carboxylic acid compounds of formula XXIX, wherein A, Xbi and Xb ⁇ are as defined above, by reaction with an alcohol of formula XXX, wherein R50 is Ci-C4alkyl , optionally in the presence of an acid (such as sulfuric acid), or alternatively optionally in presence of an activating agent, such as for example oxalyl chloride (COCI)2.
- an activating agent such as for example oxalyl chloride (COCI)2.
- compounds of formula XXVII wherein A, R50 and Xbi are as defined above, may be prepared from compounds of formula XXVI II , wherein A, R50 and Xbi are as defined above, and wherein bi is a leaving group like, for example, chlorine, bromine or iodine (preferably bromine), or an aryl- or alkylsulfonate such as trifluoromethane- sulfonate, by reaction with a heterocycle Q-H (which contains an appropriate NH functionality) Va, wherein Q is optionally substituted pyrazolyl or triazolyl, in the presence of a base, such as potassium carbonate K2CO3 or cesium carbonate CS2CO3, optionally in the presence of a copper catalyst, for example copper(l) iodide, with or without an additive such as L-proline, N,N'-dimethylcyclohexane-1 ,2-
- compounds of formula VI wherein Xb3 is a leaving group like, for example, fluorine, chlorine, bromine or iodine, or an aryl- or alkylsulfonate such as trifluoromethane- sulfonate, or any other similar leaving group, can be prepared by reacting compounds of formula XVI, wherein A and Q have the values defined for formula I , with an activating agent, like, for example oxalyl chloride or thionyl chloride or a carbodiimid reagent to generate the activated species XVI-a, followed by reaction with compounds of formula XI II , wherein R2 and Xi are as described in formula I .
- the intermediate compounds of formula XVII may be isolated, but are preferentially converted into the compounds of formula VI in a similar way as described above for the transformation of compounds XV into compounds of formula I.
- Compounds of formula XXI can be prepared as described in scheme 10a, by reacting compounds of formula XX, wherein A is CH or nitrogen, and Xb3a is a leaving group like, for example nitro, fluorine, chlorine, bromine or iodine, or an aryl- or alkylsulfonate such as trifluoromethane-sulfonate, and Xb4 can be a halogen, preferentially chlorine, bromine or iodine, or a sulfonate, like for example a trifluoromethanesulfonate, most preferably bromine or iodine, with a compound of formula VII, wherein Ri is as defined in formula I, and M is a metal or non-metal cation.
- Ri is as defined in formula I
- M is a metal or non-metal cation.
- the cation M is assumed to be monovalent, but polyvalent cations associated with more than one S-R1 group can also be considered.
- Prefered cations are, for example lithium, sodium, potassium or cesium.
- the reaction can be performed in a solvent, preferably polar aprotic, such as THF, N,N-dimethylformamide or MeCN, at temperatures between -78°C and the boiling temperature of the reaction mixture.
- Compounds of formula XVIII-c can be prepared by hydrolysis of compounds of formula XXI under acidic (e.g. HCI or H2SO4) or basic conditions (e.g. NaOH or KOH) as described in scheme 10a, under conditions known to a person skilled in the art.
- Compounds of formula M-a2 can be prepared, as described in scheme 10a, by reacting compounds of formula XVIII-c respectively an activated form XVIII-d of compounds of formula XVIII-c with compounds of formula XIII, wherein Xi and R2 are as defined in formula I.
- the intermediate compounds of formula XXII may be isolated, but are preferentially converted into the compounds of formula M-a2 in a similar way as described above (transformation of compounds XV into compounds of formula I).
- X can be S, SO or SO2.
- the reaction can be performed with reagents like, for example a peracid as peracetic acid or m-chloroperbenzoic acid, or a hydroperoxide as for example hydrogen peroxide or tert-butylhydroperoxide, or an inorganic oxidant, like a mono-peroxodisulfate salt or potassium permanganate, preferentially meta-chloro- perbenzoic acid.
- reagents like, for example a peracid as peracetic acid or m-chloroperbenzoic acid, or a hydroperoxide as for example hydrogen peroxide or tert-butylhydroperoxide, or an inorganic oxidant, like a mono-peroxodisulfate salt or potassium permanganate, preferentially meta-chloro- perbenzoic acid.
- a compound of formula XVIII-c, wherein X is S, SO or SO2 can alternatively be prepared by analogous methods to those described in the literature (scheme 10b).
- a compound of formula XVIII- c, wherein X is S may be prepared by saponification of a compound of formula XXIV, wherein RLG is Ci-C4alkyl, under conditions known to a person skilled in the art (Ri is as defined in formula I, A is N or CH, and Xb4 can be a halogen, preferentially chlorine, bromine or iodine, or a sulfonate, like for example a trifluoromethanesulfonate, most preferably bromine or iodine).
- X is S in X is SO or SO2
- XXIV-a Compounds of formula XXIV, wherein RLG is Ci-C4alkyl, may be prepared by treatment of compounds of formula XXIII, wherein Xb3a is a leaving group like, for example nitro, fluorine, chlorine, bromine or iodine, or an aryl- or alkylsulfonate such as trifluoromethanesulfonate, and wherein RLG is Ci-C4alkyl, with a reagent M-S-Ri of formula VII, wherein Ri is as defined in formula I and M is a metal or non- metal cation, under conditions described above.
- Xb3a is a leaving group like, for example nitro, fluorine, chlorine, bromine or iodine, or an aryl- or alkylsulfonate such as trifluoromethanesulfonate
- RLG Ci-C4alkyl
- ester compounds of formula XXIV may be prepared from the corresponding carboxylic acid compounds of formula XVIII-c, wherein X is S, by reaction with an alcohol of formula RLGOH, wherein RLG is Ci-C4alkyl , optionally in the presence of an acid (such as sulfuric acid), or alternatively optionally in presence of an activating agent, such as for example oxalyl chloride (COCI)2.
- an activating agent such as for example oxalyl chloride (COCI)2.
- COCI oxalyl chloride
- the cation M is assumed to be monovalent, but polyvalent cations associated with more than one S-R1 group can also be considered.
- Prefered cations are, for example lithium, sodium, potassium or cesium.
- the reaction can be performed in a solvent, preferably polar aprotic, at temperatures below 0°C or up to boiling temperature of the reaction mixture.
- the reaction can be performed with reagents like, for example a peracid as peracetic acid or m-chloroperbenzoic acid, or a hydroperoxide as for example hydrogen peroxide or tert-butylhydroperoxide, or an inorganic oxidant, like a mono-peroxodisulfate salt or potassium permanganate, preferentially meta-chloroperbenzoic acid.
- reagents like, for example a peracid as peracetic acid or m-chloroperbenzoic acid, or a hydroperoxide as for example hydrogen peroxide or tert-butylhydroperoxide, or an inorganic oxidant, like a mono-peroxodisulfate salt or potassium permanganate, preferentially meta-chloroperbenzoic acid.
- compounds of formula M-a2 wherein A, Ri , R2 and Xi have the values defined in formula I, and X is -SO-, and wherein Xb4 is a halogen, preferentially chlorine, bromine or iodine, or a sulfonate like for example a trifluoromethane- sulfonate, can be prepared by oxidation of compounds of formula Il-a1 , wherein A, Ri , R2 and Xi have the values defined in formula I, and X is -S-, and wherein Xb4 is a halogen, preferentially chlorine, bromine or iodine, or a sulfonate, like for example a trifluoromethanesulfonate.
- These reactions can be performed in various organic or aqueous solvents compatible to these conditions, by temperatures from below 0°C up to the boiling point of the solvent system.
- step A hydrogen abstraction on a compound of the formula lll-a wherein Zbi is hydrogen, with a strong base (step A), like butyllithium or lithium diisopropylamide or (i-PrMgCI, LiCI), followed by reaction of the metallated intermediate of the formula lll-b, wherein Zb ⁇ is a metal such as Li + or MgCI + for example, with, for example, a trialkylborate (step B).
- Another way to access an organometal intermediate of the formula lll-b is from a compound of the formula lll-a wherein Zbi is chlorine, bromine or iodine, via metal-halogen exchange with an organometallic species (step C), like butyllithium or an organomagnesium compound, or direct metallation with a metal, like magnesium.
- organometallic species like butyllithium or an organomagnesium compound
- Compounds of formula IV, wherein A, X, Xi , Ri and R2 are as described in formula I, can be prepared from compounds of formula II (scheme 14), wherein A, X, Xi , Ri and R2 are as described in formula I.
- compounds of formula II, wherein Xbi is chlorine, bromine or iodine can be treated with an organometallic species like, for example, butyllithium or an organomagnesium compound, to generate an intermediate compound of the formula ll-a, wherein Zb3 is as defined in the scheme, via metal- halogen exchange.
- This reaction is preferentially performed in an anhydrous aprotic solvent, such as THF, at low temperature (between -120°C and 0°C), preferentially between -1 10°C and -60°C).
- the intermediate organometal compound of formula ll-a is preferably directly converted into compound of formula IV by reaction with a boronate compound B(ORb2)3, wherein Rb2 is a a Ci-C6alkyl group.
- the boronic acid IV wherein Yb ⁇ is -B(OH)2, or a dialkylboronate IV, wherein Yb ⁇ is -B(ORb2)2, can be formed.
- reaction generating a cyclic boronate IV, wherein Yb ⁇ is
- a reaction can be performed in an aprotic solvent, in presence of a base, preferentially a weak base, such as potassium acetate KOAc.
- a base preferentially a weak base, such as potassium acetate KOAc.
- [1 , 1 '-Bis(diphenylphosphino)ferrocene]dichloropalladium(ll), also known as palladium dppf dichloride or Pd(dppf)Cl2 is a common catalyst for this type of reaction.
- the temperature of the reaction is preferably comprised between 0°C and the boiling point of the reaction mixture, or alternatively heating may be performed under microwave irradiation.
- the reactants can be reacted in the presence of a base.
- suitable bases are alkali metal or alkaline earth metal hydroxides, alkali metal or alkaline earth metal hydrides, alkali metal or alkaline earth metal amides, alkali metal or alkaline earth metal alkoxides, alkali metal or alkaline earth metal acetates, alkali metal or alkaline earth metal carbonates, alkali metal or alkaline earth metal dialkylamides or alkali metal or alkaline earth metal alkylsilylamides, alkylamines, alkylenediamines, free or N-alkylated saturated or unsaturated cycloalkylamines, basic heterocycles, ammonium hydroxides and carbocyclic amines.
- sodium hydroxide sodium hydride, sodium amide, sodium methoxide, sodium acetate, sodium carbonate, potassium tert- butoxide, potassium hydroxide, potassium carbonate, potassium hydride, lithium diisopropylamide, potassium bis(trimethylsilyl)amide, calcium hydride, triethylamine, diisopropylethylamine,
- the reactants can be reacted with each other as such, i.e. without adding a solvent or diluent. In most cases, however, it is advantageous to add an inert solvent or diluent or a mixture of these. If the reaction is carried out in the presence of a base, bases which are employed in excess, such as triethylamine, pyridine, N-methylmorpholine or ⁇ , ⁇ -diethylaniline, may also act as solvents or diluents.
- the reaction is advantageously carried out in a temperature range from approximately -80°C to approximately +140°C, preferably from approximately -30°C to approximately +100°C, in many cases in the range between ambient temperature and approximately +80°C.
- a compound of formula I can be converted in a manner known per se into another compound of formula I by replacing one or more substituents of the starting compound of formula I in the customary manner by (an)other substituent(s) according to the invention.
- Salts of compounds of formula I can be prepared in a manner known per se.
- acid addition salts of compounds of formula I are obtained by treatment with a suitable acid or a suitable ion exchanger reagent and salts with bases are obtained by treatment with a suitable base or with a suitable ion exchanger reagent.
- Salts of compounds of formula I can be converted in the customary manner into the free compounds I, acid addition salts, for example, by treatment with a suitable basic compound or with a suitable ion exchanger reagent and salts with bases, for example, by treatment with a suitable acid or with a suitable ion exchanger reagent.
- Salts of compounds of formula I can be converted in a manner known per se into other salts of compounds of formula I, acid addition salts, for example, into other acid addition salts, for example by treatment of a salt of inorganic acid such as hydrochloride with a suitable metal salt such as a sodium, barium or silver salt, of an acid, for example with silver acetate, in a suitable solvent in which an inorganic salt which forms, for example silver chloride, is insoluble and thus precipitates from the reaction mixture.
- a salt of inorganic acid such as hydrochloride
- a suitable metal salt such as a sodium, barium or silver salt
- the compounds of formula I which have salt- forming properties can be obtained in free form or in the form of salts.
- the compounds of formula I and, where appropriate, the tautomers thereof, in each case in free form or in salt form, can be present in the form of one of the isomers which are possible or as a mixture of these, for example in the form of pure isomers, such as antipodes and/or diastereomers, or as isomer mixtures, such as enantiomer mixtures, for example racemates, diastereomer mixtures or racemate mixtures, depending on the number, absolute and relative configuration of asymmetric carbon atoms which occur in the molecule and/or depending on the configuration of non-aromatic double bonds which occur in the molecule; the invention relates to the pure isomers and also to all isomer mixtures which are possible and is to be understood in each case in this sense hereinabove and hereinbelow, even when stereochemical details are not mentioned specifically in each case.
- Diastereomer mixtures or racemate mixtures of compounds of formula I, in free form or in salt form, which can be obtained depending on which starting materials and procedures have been chosen can be separated in a known manner into the pure diasteromers or racemates on the basis of the physicochemical differences of the components, for example by fractional crystallization, distillation and/or chromatography.
- Enantiomer mixtures such as racemates, which can be obtained in a similar manner can be resolved into the optical antipodes by known methods, for example by recrystallization from an optically active solvent, by chromatography on chiral adsorbents, for example high-performance liquid
- N-oxides can be prepared by reacting a compound of the formula I with a suitable oxidizing agent, for example the hbCh/urea adduct in the presence of an acid anhydride, e.g. trifluoroacetic anhydride.
- a suitable oxidizing agent for example the hbCh/urea adduct
- an acid anhydride e.g. trifluoroacetic anhydride.
- the compounds of formula I and, where appropriate, the tautomers thereof, in each case in free form or in salt form, can, if appropriate, also be obtained in the form of hydrates and/or include other solvents, for example those which may have been used for the crystallization of compounds which are present in solid form.
- the compounds according to the following Tables below can be prepared according to the methods described above. The examples which follow are intended to illustrate the invention and show preferred compounds of formula I. The tables below illustrate specific compounds of the invention.
- Table A-1 provides 22 compounds A-1.001 to A-1.022 of formula (I) wherein X is SO2, Ri is ethyl and A is N and wherein R2, Gi , Xi and Q are defined as in table X.
- Table A-2 provides 22 compounds A-2.001 to A-2.022 of formula (I) wherein X is SO, Ri is ethyl and A is N and wherein R2, Gi, Xi and Q are defined as in table X.
- Table A-3 provides 22 compounds A-3.001 to A-3.022 of formula (I) wherein X is S, Ri is ethyl and A is N and wherein R2, Gi, Xi and Q are defined as in table X.
- the compounds of formula I according to the invention are preventively and/or curatively valuable active ingredients in the field of pest control, even at low rates of application, which have a very favorable biocidal spectrum and are well tolerated by warm-blooded species, fish and plants.
- the active ingredients according to the invention act against all or individual developmental stages of normally sensitive, but also resistant, animal pests, such as insects or representatives of the order Acarina.
- the insecticidal or acaricidal activity of the active ingredients according to the invention can manifest itself directly, i. e. in destruction of the pests, which takes place either immediately or only after some time has elapsed, for example during ecdysis, or indirectly, for example in a reduced oviposition and/or hatching rate. Examples of the abovementioned animal pests are:
- Hyalomma spp. Ixodes spp., Olygonychus spp, Ornithodoros spp., Polyphagotarsone latus,
- Panonychus spp. Phyllocoptruta oleivora, Phytonemus spp, Polyphagotarsonemus spp, Psoroptes spp., Rhipicephalus spp., Rhizoglyphus spp., Sarcoptes spp., Steneotarsonemus spp, Tarsonemus spp. and Tetranychus spp.;
- Haematopinus spp. Linognathus spp., Pediculus spp., Pemphigus spp. and Phylloxera spp.;
- Agriotes spp. Amphimallon majale, Anomala orientalis, Anthonomus spp., Aphodius spp, Astylus atromaculatus, Ataenius spp, Atomaria linearis, Chaetocnema tibialis, Cerotoma spp, Conoderus spp, Cosmopolites spp., Cotinis nitida, Curculio spp., Cyclocephala spp, Dermestes spp., Diabrotica spp., Diloboderus abderus, Epilachna spp., Eremnus spp., Heteronychus arator, Hypothenemus hampei, Lagria vilosa, Leptinotarsa decemLineata, Lissorhoptrus spp., Liogenys spp, Maecolaspis spp, Maladera castanea, Megas
- Acyrthosium pisum Adalges spp, Agalliana ensigera, Agonoscena targionii, Aleurodicus spp, Aleurocanthus spp, Aleurolobus barodensis, Aleurothrixus floccosus, Aleyrodes brassicae, Amarasca biguttula, Amritodus atkinsoni, Aonidiella spp., Aphididae, Aphis spp., Aspidiotus spp., Aulacorthum solani, Bactericera cockerelli, Bemisia spp, Brachycaudus spp, Brevicoryne brassicae, Cacopsylla spp, Cavariella aegopodii Scop., Ceroplaster spp., Chrysomphalus aonidium, Chrysomphalus dictyospermi, Cicadella spp, Cofana spec
- Macrosiphum spp. Mahanarva spp, Metcalfa pruinosa, Metopolophium dirhodum, Myndus crudus, Myzus spp., Neotoxoptera sp, Nephotettix spp., Nilaparvata spp., Nippolachnus piri Mats, Odonaspis ruthae, Oregma lanigera Zehnter, Parabemisia myricae, Paratrioza cockerelli, Parlatoria spp., Pemphigus spp., Peregrinus maidis, Perkinsiella spp, Phorodon humuli, Phylloxera spp, Planococcus spp., Pseudaulacaspis spp., Pseudococcus spp., Pseudatomoscelis seriatus, Psylla spp., Pulvinaria
- Coptotermes spp Corniternes cumulans, Incisitermes spp, Macrotermes spp, Mastotermes spp, Microtermes spp, Reticulitermes spp.; Solenopsis geminate
- Blatta spp. Blattella spp., Gryllotalpa spp., Leucophaea maderae, Locusta spp., Neocurtilla hexadactyla, Periplaneta spp., Scapteriscus spp, and Schistocerca spp.;
- the active ingredients according to the invention can be used for controlling, i. e. containing or destroying, pests of the abovementioned type which occur in particular on plants, especially on useful plants and ornamentals in agriculture, in horticulture and in forests, or on organs, such as fruits, flowers, foliage, stalks, tubers or roots, of such plants, and in some cases even plant organs which are formed at a later point in time remain protected against these pests.
- Suitable target crops are, in particular, cereals, such as wheat, barley, rye, oats, rice, maize or sorghum; beet, such as sugar or fodder beet; fruit, for example pomaceous fruit, stone fruit or soft fruit, such as apples, pears, plums, peaches, almonds, cherries or berries, for example strawberries, raspberries or blackberries; leguminous crops, such as beans, lentils, peas or soya; oil crops, such as oilseed rape, mustard, poppies, olives, sunflowers, coconut, castor, cocoa or ground nuts; cucurbits, such as pumpkins, cucumbers or melons; fibre plants, such as cotton, flax, hemp or jute; citrus fruit, such as oranges, lemons, grapefruit or tangerines; vegetables, such as spinach, lettuce, asparagus, cabbages, carrots, onions, tomatoes, potatoes or bell peppers; Lauraceae, such as avocado, Cinnamonium or camphor; and also tobacco, nuts,
- compositions and/or methods of the present invention may be also used on any ornamental and/or vegetable crops, including flowers, shrubs, broad-leaved trees and evergreens.
- the invention may be used on any of the following ornamental species: Ageratum spp., Alonsoa spp., Anemone spp., Anisodontea capsenisis, Anthemis spp., Antirrhinum spp., Aster spp., Begonia spp. (e.g. B. elatior, B. semperflorens, B. tubereux), Bougainvillea spp., Brachycome spp., Brassica spp.
- Ageratum spp. Ageratum spp., Alonsoa spp., Anemone spp., Anisodontea capsenisis, Anthemis spp., Antirrhinum spp., Aster spp., Begonia spp. (e.g. B. elatior, B. semperflorens, B. tubereux), Bougainvillea spp., Brachycome spp.
- Calceolaria spp. (ornamental), Calceolaria spp., Capsicum annuum, Catharanthus roseus, Canna spp., Centaurea spp., Chrysanthemum spp., Cineraria spp. (C. maritime), Coreopsis spp., Crassula coccinea, Cuphea ignea, Dahlia spp., Delphinium spp., Dicentra spectabilis, Dorotheantus spp., Eustoma grandiflorum, Forsythia spp., Fuchsia spp., Geranium gnaphalium, Gerbera spp.,
- Gomphrena globosa Heliotropium spp., Helianthus spp., Hibiscus spp., Hortensia spp., Hydrangea spp., Hypoestes phyllostachya, Impatiens spp. (/. Walleriana), Iresines spp., Kalanchoe spp., Lantana camara, Lavatera trimestris, Leonotis leonurus, Lilium spp., Mesembryanthemum spp., Mimulus spp., Monarda spp., Nemesia spp., Tagetes spp., Dianthus spp.
- Canna spp. (carnation), Canna spp., Oxalis spp., Bellis spp., Pelargonium spp. (P. peltatum, P. Zonale), Viola spp. (pansy), Petunia spp., Phlox spp., Plecthranthus spp., Poinsettia spp., Parthenocissus spp. (P. quinquefolia, P. tricuspidata), Primula spp., Ranunculus spp., Rhododendron spp., Rosa spp.
- the invention may be used on any of the following vegetable species: Allium spp. (A. sativum, A., cepa, A. oschaninii, A. Porrum, A. ascalonicum, A. fistulosum), Anthriscus cerefolium, Apium graveolus, Asparagus officinalis, Beta vulgarus, Brassica spp. (B. Oleracea, B. Pekinensis, B. rapa), Capsicum annuum, Cicer arietinum, Cichorium endivia, Cichorum spp. (C. intybus, C. endivia), Citrillus lanatus, Cucumis spp. (C. sativus, C.
- Preferred ornamental species include African violet, Begonia, Dahlia, Gerbera, Hydrangea, Verbena, Rosa, Kalanchoe, Poinsettia, Aster, Centaurea, Coreopsis, Delphinium, Monarda, Phlox, Rudbeckia, Sedum, Petunia, Viola, Impatiens, Geranium, Chrysanthemum, Ranunculus, Fuchsia, Salvia, Hortensia, rosemary, sage, St. Johnswort, mint, sweet pepper, tomato and cucumber.
- the active ingredients according to the invention are especially suitable for controlling Aphis craccivora, Diabrotica balteata, Heliothis virescens, Myzus persicae, Plutella xylostella and
- the active ingredients according to the invention are further especially suitable for controlling Mamestra (preferably in vegetables), Cydia pomonella (preferably in apples), Empoasca(preferably in vegetables, vineyards), Leptinotarsa (preferably in potatos) and Chilo supressalis (preferably in rice).
- the invention may also relate to a method of controlling damage to plant and parts thereof by plant parasitic nematodes (Endoparasitic-, Semiendoparasitic- and Ectoparasitic nematodes), especially plant parasitic nematodes such as root knot nematodes, Meloidogyne hapla, Meloidogyne incognita, Meloidogyne javanica, Meloidogyne arenaria and other Meloidogyne species; cyst-forming nematodes, Globodera rostochiensis and other Globodera species; Heterodera avenae, Heterodera glycines, Heterodera schachtii, Heterodera trifolii, and other Heterodera species; Seed gall nematodes, Anguina species; Stem and foliar nematodes, Aphelenchoides species; Sting nematodes, Belonolai
- Needle nematodes Longidorus elongatus and other Longidorus species; Pin nematodes,
- Pratylenchus species Lesion nematodes, Pratylenchus neglectus, Pratylenchus penetrans,
- Bradybaenidae (Bradybaena fruticum); Cepaea (C. hortensis, C. Nemoralis); ochlodina; Deroceras (D. agrestis, D. empiricorum, D. laeve, D. reticulatum); Discus (D. rotundatus); Euomphalia; Galba (G. trunculata); Helicelia (H. itala, H. obvia); Helicidae Helicigona arbustorum); Helicodiscus; Helix (H. aperta); Limax (L. cinereoniger, L. flavus, L. marginatus, L. maximus, L. tenellus); Lymnaea; Milax (M. gagates, M. marginatus, M. sowerbyi); Opeas; Pomacea (P. canaticulata); Vallonia and Zanitoides.
- crops is to be understood as including also crop plants which have been so transformed by the use of recombinant DNA techniques that they are capable of synthesising one or more selectively acting toxins, such as are known, for example, from toxin-producing bacteria, especially those of the genus Bacillus.
- Toxins that can be expressed by such transgenic plants include, for example, insecticidal proteins, for example insecticidal proteins from Bacillus cereus or Bacillus popilliae; or insecticidal proteins from Bacillus thuringiensis, such as ⁇ -endotoxins, e.g. CrylAb, CrylAc, Cryl F, Cry1 Fa2, Cry2Ab, Cry3A, Cry3Bb1 or Cry9C, or vegetative insecticidal proteins (Vip), e.g. Vip1 , Vip2, Vip3 or Vip3A; or insecticidal proteins of bacteria colonising nematodes, for example Photorhabdus spp. or
- Xenorhabdus spp. such as Photorhabdus luminescens, Xenorhabdus nematophilus
- toxins produced by animals such as scorpion toxins, arachnid toxins, wasp toxins and other insect-specific neurotoxins
- toxins produced by fungi such as Streptomycetes toxins, plant lectins, such as pea lectins, barley lectins or snowdrop lectins
- agglutinins proteinase inhibitors, such as trypsin inhibitors, serine protease inhibitors, patatin, cystatin, papain inhibitors
- ribosome-inactivating proteins (RIP) such as ricin, maize-RIP, abrin, luffin, saporin or bryodin
- steroid metabolism enzymes such as 3-hydroxysteroidoxidase, ecdysteroid-UDP-glycosyl-transferase, cholesterol oxidases, ecd
- ⁇ -endotoxins for example CrylAb, CrylAc, Cry1 F, Cry1 Fa2, Cry2Ab, Cry3A, Cry3Bb1 or Cry9C, or vegetative insecticidal proteins (Vip), for example Vip1 , Vip2, Vip3 or Vip3A, expressly also hybrid toxins, truncated toxins and modified toxins.
- Hybrid toxins are produced recombinantly by a new combination of different domains of those proteins (see, for example, WO 02/15701 ).
- Truncated toxins for example a truncated CrylAb, are known.
- modified toxins one or more amino acids of the naturally occurring toxin are replaced.
- preferably non-naturally present protease recognition sequences are inserted into the toxin, such as, for example, in the case of Cry3A055, a cathepsin-G-recognition sequence is inserted into a Cry3A toxin (see WO 03/018810).
- Examples of such toxins or transgenic plants capable of synthesising such toxins are disclosed, for example, in EP-A-0 374 753, WO 93/07278, WO 95/34656, EP-A-0 427 529, EP-A-451 878 and WO 03/052073.
- deoxyribonucleic acids and their preparation are known, for example, from WO 95/34656, EP-A-0 367 474, EP-A-0 401 979 and WO 90/13651.
- the toxin contained in the transgenic plants imparts to the plants tolerance to harmful insects.
- insects can occur in any taxonomic group of insects, but are especially commonly found in the beetles (Coleoptera), two-winged insects (Diptera) and moths (Lepidoptera).
- Transgenic plants containing one or more genes that code for an insecticidal resistance and express one or more toxins are known and some of them are commercially available. Examples of such plants are: YieldGard® (maize variety that expresses a CrylAb toxin); YieldGard Rootworm® (maize variety that expresses a Cry3Bb1 toxin); YieldGard Plus® (maize variety that expresses a CrylAb and a Cry3Bb1 toxin); Starlink® (maize variety that expresses a Cry9C toxin); Herculex I® (maize variety that expresses a Cry1 Fa2 toxin and the enzyme phosphinothricine N-acetyltransferase (PAT) to achieve tolerance to the herbicide glufosinate ammonium); NuCOTN 33B® (cotton variety that expresses a CrylAc toxin); Bollgard I® (cotton variety that expresses a
- transgenic crops are:
- Bt11 Maize from Syngenta Seeds SAS, Chemin de I'Hobit 27, F-31 790 St. Sauveur, France, registration number C/FR/96/05/10. Genetically modified Zea mays which has been rendered resistant to attack by the European corn borer (Ostrinia nubilalis and Sesamia nonagrioides) by transgenic expression of a truncated CrylAb toxin. Bt1 1 maize also transgenically expresses the enzyme PAT to achieve tolerance to the herbicide glufosinate ammonium.
- MIR604 Maize from Syngenta Seeds SAS, Chemin de I'Hobit 27, F-31 790 St. Sauveur, France, registration number C/FR/96/05/10. Maize which has been rendered insect-resistant by transgenic expression of a modified Cry3A toxin. This toxin is Cry3A055 modified by insertion of a cathepsin-G- protease recognition sequence. The preparation of such transgenic maize plants is described in WO 03/018810.
- MON 863 Maize from Monsanto Europe S.A. 270-272 Avenue de Tervuren, B-1 150 Brussels, Belgium, registration number C/DE/02/9. MON 863 expresses a Cry3Bb1 toxin and has resistance to certain Coleoptera insects.
- NK603 * MON 810 Maize from Monsanto Europe S.A. 270-272 Avenue de Tervuren, B-1 150 Brussels, Belgium, registration number C/GB/02/M3/03. Consists of conventionally bred hybrid maize varieties by crossing the genetically modified varieties NK603 and MON 810.
- NK603 * MON 810 Maize transgenically expresses the protein CP4 EPSPS, obtained from Agrobacterium sp. strain CP4, which imparts tolerance to the herbicide Roundup® (contains glyphosate), and also a Cry1 Ab toxin obtained from Bacillus thuringiensis subsp. kurstaki which brings about tolerance to certain
- Lepidoptera include the European corn borer.
- crops is to be understood as including also crop plants which have been so transformed by the use of recombinant DNA techniques that they are capable of synthesising antipathogenic substances having a selective action, such as, for example, the so-called "pathogenesis-related proteins" (PRPs, see e.g. EP-A-0 392 225).
- PRPs pathogenesis-related proteins
- Examples of such antipathogenic substances and transgenic plants capable of synthesising such antipathogenic substances are known, for example, from EP-A-0 392 225, WO 95/33818 and EP-A-0 353 191.
- the methods of producing such transgenic plants are generally known to the person skilled in the art and are described, for example, in the publications mentioned above.
- Crops may also be modified for enhanced resistance to fungal (for example Fusarium, Anthracnose, or Phytophthora), bacterial (for example Pseudomonas) or viral (for example potato leafroll virus, tomato spotted wilt virus, cucumber mosaic virus) pathogens.
- Crops also include those that have enhanced resistance to nematodes, such as the soybean cyst nematode.
- Crops that are tolerance to abiotic stress include those that have enhanced tolerance to drought, high salt, high temperature, chill, frost, or light radiation, for example through expression of NF-YB or other proteins known in the art.
- Antipathogenic substances which can be expressed by such transgenic plants include, for example, ion channel blockers, such as blockers for sodium and calcium channels, for example the viral KP1 , KP4 or KP6 toxins; stilbene synthases; bibenzyl synthases; chitinases; glucanases; the so-called "pathogenesis-related proteins" (PRPs; see e.g. EP-A-0 392 225); antipathogenic substances produced by microorganisms, for example peptide antibiotics or heterocyclic antibiotics (see e.g. WO 95/33818) or protein or polypeptide factors involved in plant pathogen defence (so-called "plant disease resistance genes", as described in WO 03/000906).
- ion channel blockers such as blockers for sodium and calcium channels
- the viral KP1 , KP4 or KP6 toxins stilbene synthases; bibenzyl synthases; chitinases; glucanases; the so-called
- compositions according to the invention are the protection of stored goods and store rooms and the protection of raw materials, such as wood, textiles, floor coverings or buildings, and also in the hygiene sector, especially the protection of humans, domestic animals and productive livestock against pests of the mentioned type.
- the present invention also provides a method for controlling pests (such as mosquitoes and other disease vectors; see also http://www.who.int/malaria/vector_control/irs/en/).
- the method for controlling pests comprises applying the compositions of the invention to the target pests, to their locus or to a surface or substrate by brushing, rolling, spraying, spreading or dipping.
- an IRS (indoor residual spraying) application of a surface such as a wall, ceiling or floor surface is contemplated by the method of the invention.
- the method for controlling such pests comprises applying a pesticidally effective amount of the compositions of the invention to the target pests, to their locus, or to a surface or substrate so as to provide effective residual pesticidal activity on the surface or substrate.
- a pesticidally effective amount of the compositions of the invention to the target pests, to their locus, or to a surface or substrate so as to provide effective residual pesticidal activity on the surface or substrate.
- Such application may be made by brushing, rolling, spraying, spreading or dipping the pesticidal composition of the invention.
- an IRS application of a surface such as a wall, ceiling or floor surface is contemplated by the method of the invention so as to provide effective residual pesticidal activity on the surface.
- it is contemplated to apply such compositions for residual control of pests on a substrate such as a fabric material in the form of (or which can be used in the manufacture of) netting, clothing, bedding, curtains and tents.
- Substrates including non-woven, fabrics or netting to be treated may be made of natural fibres such as cotton, raffia, jute, flax, sisal, hessian, or wool, or synthetic fibres such as polyamide, polyester, polypropylene, polyacrylonitrile or the like.
- the polyesters are particularly suitable.
- the methods of textile treatment are known, e.g. WO 2008/151984, WO 03/034823, US 5631072, WO 2005/64072, WO2006/128870, EP 1724392, WO 2005/1 13886 or WO 2007/090739.
- Further areas of use of the compositions according to the invention are the field of tree injection/trunk treatment for all ornamental trees as well all sort of fruit and nut trees.
- the compounds according to the present invention are especially suitable against wood-boring insects from the order Lepidoptera as mentioned above and from the order Coleoptera, especially against woodborers listed in the following tables A and B: Table A. Examples of exotic woodborers of economic importance.
- Agrilus sayi Bayberry, Sweetfern
- Rhododendron Rhadodendron, Azalea, Laurel, Poplar, Willow, Mulberry
- Phloeotribus liminaris Peach, Cherry, Plum, Black cherry,
- the present invention may be also used to control any insect pests that may be present in turfgrass, including for example beetles, caterpillars, fire ants, ground pearls, millipedes, sow bugs, mites, mole crickets, scales, mealybugs ticks, spittlebugs, southern chinch bugs and white grubs.
- the present invention may be used to control insect pests at various stages of their life cycle, including eggs, larvae, nymphs and adults.
- the present invention may be used to control insect pests that feed on the roots of turfgrass including white grubs (such as Cyclocephala spp. (e.g. masked chafer, C. lurida),
- white grubs such as Cyclocephala spp. (e.g. masked chafer, C. lurida)
- Rhizotrogus spp. e.g. European chafer, R. majalis
- Cotinus spp. e.g. Green June beetle, C. nitida
- Popillia spp. e.g. Japanese beetle, P. japonica
- Phyllophaga spp. e.g. May/June beetle
- Ataenius spp. e.g. Black turfgrass ataenius, A. spretulus
- Maladera spp. e.g. Asiatic garden beetle, M.
- the present invention may also be used to control insect pests of turfgrass that are thatch dwelling, including armyworms (such as fall armyworm Spodoptera frugiperda, and common armyworm Pseudaletia unipuncta), cutworms, billbugs (Sphenophorus spp. , such as S. venatus verstitus and S. parvulus), and sod webworms (such as Crambus spp. and the tropical sod webworm, Herpetogramma phaeopteralis).
- armyworms such as fall armyworm Spodoptera frugiperda, and common armyworm Pseudaletia unipuncta
- cutworms such as S. venatus verstitus and S. parvulus
- sod webworms such as Crambus spp. and the tropical sod webworm, Herpetogramma phaeopteralis.
- the present invention may also be used to control insect pests of turfgrass that live above the ground and feed on the turfgrass leaves, including chinch bugs (such as southern chinch bugs, Blissus insularis), Bermudagrass mite (Eriophyes cynodoniensis), rhodesgrass mealybug (Antonina graminis), two-lined spittlebug (Propsapia bicincta), leafhoppers, cutworms (Noctuidae family), and greenbugs.
- the present invention may also be used to control other pests of turfgrass such as red imported fire ants (Solenopsis invicta) that create ant mounds in turf.
- compositions according to the invention are active against ectoparasites such as hard ticks, soft ticks, mange mites, harvest mites, flies (biting and licking), parasitic fly larvae, lice, hair lice, bird lice and fleas.
- ectoparasites such as hard ticks, soft ticks, mange mites, harvest mites, flies (biting and licking), parasitic fly larvae, lice, hair lice, bird lice and fleas.
- Anoplurida Haematopinus spp., Linognathus spp., Pediculus spp. and Phtirus spp., Solenopotes spp..
- Mallophagida Trimenopon spp., Menopon spp., Trinoton spp., Bovicola spp.,
- Nematocerina and Brachycerina for example Aedes spp., Anopheles spp., Culex spp., Simulium spp., Eusimulium spp., Phlebotomus spp., Lutzomyia spp., Culicoides spp., Chrysops spp., Hybomitra spp., Atylotus spp., Tabanus spp., Haematopota spp., Philipomyia spp., Braula spp., Musca spp., Hydrotaea spp., Stomoxys spp., Haematobia spp., Morellia spp., Fanni
- Siphonaptrida for example Pulex spp., Ctenocephalides spp., Xenopsylla spp., Ceratophyllus spp..
- Heteropterida for example Cimex spp., Triatoma spp., Rhodnius spp., Panstrongylus spp..
- Actinedida Prostigmata
- Acaridida Acaridida
- Acarapis spp. Cheyletiella spp., Ornitrocheyletia spp., Myobia spp., Psorergatesspp., Demodex spp., Trombicula spp., Listrophorus spp., Acarus spp., Tyrophagus spp., Caloglyphus spp., Hypodectes spp.,
- Pterolichus spp. Psoroptes spp., Chorioptes spp., Otodectes spp., Sarcoptes spp., Notoedres spp., Knemidocoptes spp., Cytodites spp. and Laminosioptes spp..
- compositions according to the invention are also suitable for protecting against insect infestation in the case of materials such as wood, textiles, plastics, adhesives, glues, paints, paper and card, leather, floor coverings and buildings.
- compositions according to the invention can be used, for example, against the following pests: beetles such as Hylotrupes bajulus, Chlorophorus pilosis, Anobium punctatum, Xestobium rufovillosum, Ptilinuspecticornis, Dendrobium pertinex, Ernobius mollis, Priobium carpini, Lyctus brunneus, Lyctus africanus, Lyctus planicollis, Lyctus linearis, Lyctus pubescens, Trogoxylon aequale, Minthesrugicollis, Xyleborus spec.,Tryptodendron spec, Apate monachus, Bostrychus capucins, Heterobostrychus brunneus, Sinoxylon spec, and Dinoderus minutus, and also hymenopterans such as Sirex juvencus, Urocerus gigas, Urocerus gigas taignus
- Reticulitermes santonensis Reticulitermes lucifugus
- Mastotermes darwiniensis Zootermopsis nevadensis and Coptotermes formosanus
- bristletails such as Lepisma saccharina.
- the compounds according to the invention can be used as pesticidal agents in unmodified form, but they are generally formulated into compositions in various ways using formulation adjuvants, such as carriers, solvents and surface-active substances.
- formulation adjuvants such as carriers, solvents and surface-active substances.
- the formulations can be in various physical forms, e.g.
- Such formulations can either be used directly or diluted prior to use.
- the dilutions can be made, for example, with water, liquid fertilisers, micronutrients, biological organisms, oil or solvents.
- the formulations can be prepared e.g. by mixing the active ingredient with the formulation adjuvants in order to obtain compositions in the form of finely divided solids, granules, solutions, dispersions or emulsions.
- the active ingredients can also be formulated with other adjuvants, such as finely divided solids, mineral oils, oils of vegetable or animal origin, modified oils of vegetable or animal origin, organic solvents, water, surface-active substances or combinations thereof.
- the active ingredients can also be contained in very fine microcapsules.
- Microcapsules contain the active ingredients in a porous carrier. This enables the active ingredients to be released into the environment in controlled amounts (e.g. slow-release).
- Microcapsules usually have a diameter of from 0.1 to 500 microns. They contain active ingredients in an amount of about from 25 to 95 % by weight of the capsule weight.
- the active ingredients can be in the form of a monolithic solid, in the form of fine particles in solid or liquid dispersion or in the form of a suitable solution.
- the encapsulating membranes can comprise, for example, natural or synthetic rubbers, cellulose, styrene/butadiene copolymers, polyacrylonitrile, polyacrylate, polyesters, polyamides, polyureas, polyurethane or chemically modified polymers and starch xanthates or other polymers that are known to the person skilled in the art.
- very fine microcapsules can be formed in which the active ingredient is contained in the form of finely divided particles in a solid matrix of base substance, but the
- microcapsules are not themselves encapsulated.
- the formulation adjuvants that are suitable for the preparation of the compositions according to the invention are known per se.
- liquid carriers there may be used: water, toluene, xylene, petroleum ether, vegetable oils, acetone, methyl ethyl ketone, cyclohexanone, acid anhydrides, acetonitrile, acetophenone, amyl acetate, 2-butanone, butylene carbonate, chlorobenzene, cyclohexane, cyclohexanol, alkyl esters of acetic acid, diacetone alcohol, 1 ,2-dichloropropane, diethanolamine, p- diethylbenzene, diethylene glycol, diethylene glycol abietate, diethylene glycol butyl ether, diethylene glycol ethyl ether, diethylene glycol methyl ether, A/,A/-dimethylformamide, dimethyl s
- Suitable solid carriers are, for example, talc, titanium dioxide, pyrophyllite clay, silica, attapulgite clay, kieselguhr, limestone, calcium carbonate, bentonite, calcium montmorillonite, cottonseed husks, wheat flour, soybean flour, pumice, wood flour, ground walnut shells, lignin and similar substances.
- a large number of surface-active substances can advantageously be used in both solid and liquid formulations, especially in those formulations which can be diluted with a carrier prior to use.
- Surface- active substances may be anionic, cationic, non-ionic or polymeric and they can be used as emulsifiers, wetting agents or suspending agents or for other purposes.
- Typical surface-active substances include, for example, salts of alkyl sulfates, such as diethanolammonium lauryl sulfate; salts of alkylarylsulfonates, such as calcium dodecylbenzenesulfonate; alkylphenol/alkylene oxide addition products, such as nonylphenol ethoxylate; alcohol/alkylene oxide addition products, such as tridecylalcohol ethoxylate; soaps, such as sodium stearate; salts of alkylnaphthalenesulfonat.es, such as sodium dibutylnaphthalenesulfonate; dialkyl esters of sulfosuccinate salts, such as sodium di(2- ethylhexyl)sulfosuccinate; sorbitol esters, such as sorbitol oleate; quaternary amines, such as lauryltrimethylammonium chloride, polyethylene glycol est
- Further adjuvants that can be used in pesticidal formulations include crystallisation inhibitors, viscosity modifiers, suspending agents, dyes, anti-oxidants, foaming agents, light absorbers, mixing auxiliaries, antifoams, complexing agents, neutralising or pH-modifying substances and buffers, corrosion inhibitors, fragrances, wetting agents, take-up enhancers, micronutrients, plasticisers, glidants, lubricants, dispersants, thickeners, antifreezes, microbicides, and liquid and solid fertilisers.
- compositions according to the invention can include an additive comprising an oil of vegetable or animal origin, a mineral oil, alkyl esters of such oils or mixtures of such oils and oil derivatives.
- the amount of oil additive in the composition according to the invention is generally from 0.01 to 10 %, based on the mixture to be applied.
- the oil additive can be added to a spray tank in the desired concentration after a spray mixture has been prepared.
- Preferred oil additives comprise mineral oils or an oil of vegetable origin, for example rapeseed oil, olive oil or sunflower oil, emulsified vegetable oil, alkyl esters of oils of vegetable origin, for example the methyl derivatives, or an oil of animal origin, such as fish oil or beef tallow.
- Preferred oil additives comprise alkyl esters of C8-C22 fatty acids, especially the methyl derivatives of C12-C18 fatty acids, for example the methyl esters of lauric acid, palmitic acid and oleic acid (methyl laurate, methyl palmitate and methyl oleate, respectively).
- Many oil derivatives are known from the Compendium of Herbicide Adjuvants, 10 th Edition, Southern Illinois University, 2010.
- the inventive compositions generally comprise from 0.1 to 99 % by weight, especially from 0.1 to
- a formulation adjuvant which preferably includes from 0 to 25 % by weight of a surface-active substance.
- the rates of application vary within wide limits and depend on the nature of the soil, the method of application, the crop plant, the pest to be controlled, the prevailing climatic conditions, and other factors governed by the method of application, the time of application and the target crop.
- a general guideline compounds may be applied at a rate of from 1 to 2000 l/ha, especially from 10 to 1000 l/ha.
- Preferred formulations can have the following compositions (weight %): Emulsifiable concentrates:
- active ingredient 1 to 95 %, preferably 60 to 90 %
- surface-active agent 1 to 30 %, preferably 5 to 20 %
- liquid carrier 1 to 80 %, preferably 1 to 35 % Dusts:
- active ingredient 0.1 to 10 %, preferably 0.1 to 5 %
- solid carrier 99.9 to 90 %, preferably 99.9 to 99 %
- active ingredient 5 to 75 %, preferably 10 to 50 %
- surface-active agent 1 to 40 %, preferably 2 to 30 %
- active ingredient 0.5 to 90 %, preferably 1 to 80 %
- surface-active agent 0.5 to 20 %, preferably 1 to 15 %
- solid carrier 5 to 95 %, preferably 15 to 90 %
- active ingredient 0.1 to 30 %, preferably 0.1 to 15 %
- solid carrier 99.5 to 70 %, preferably 97 to 85 %
- Powders for drv seed treatment a) b) c) active ingredients 25 % 50 % 75 % light mineral oil 5 % 5 % 5 % highly dispersed silicic acid 5 % 5 %
- the combination is thoroughly mixed with the adjuvants and the mixture is thoroughly ground in a suitable mill, affording powders that can be used directly for seed treatment.
- Emulsions of any required dilution which can be used in plant protection, can be obtained from this concentrate by dilution with water.
- Ready-for-use dusts are obtained by mixing the combination with the carrier and grinding the mixture in a suitable mill. Such powders can also be used for dry dressings for seed. Extruder qranules
- the combination is mixed and ground with the adjuvants, and the mixture is moistened with water.
- the mixture is extruded and then dried in a stream of air.
- the finely ground combination is intimately mixed with the adjuvants, giving a suspension concentrate from which suspensions of any desired dilution can be obtained by dilution with water. Using such dilutions, living plants as well as plant propagation material can be treated and protected against infestation by microorganisms, by spraying, pouring or immersion.
- Flowable concentrate for seed treatment active ingredients 40 % propylene glycol 5 % copolymer butanol PO/EO 2 %
- Silicone oil (in the form of a 75 % emulsion in water) 0.2 %
- the finely ground combination is intimately mixed with the adjuvants, giving a suspension concentrate from which suspensions of any desired dilution can be obtained by dilution with water.
- a suspension concentrate from which suspensions of any desired dilution can be obtained by dilution with water.
- living plants as well as plant propagation material can be treated and protected against infestation by microorganisms, by spraying, pouring or immersion.
- 28 parts of the combination are mixed with 2 parts of an aromatic solvent and 7 parts of toluene diisocyanate/polymethylene-polyphenylisocyanate-mixture (8:1 ).
- This mixture is emulsified in a mixture of 1.2 parts of polyvinylalcohol, 0.05 parts of a defoamer and 51.6 parts of water until the desired particle size is achieved.
- a mixture of 2.8 parts 1 ,6-diaminohexane in 5.3 parts of water is added.
- the mixture is agitated until the polymerization reaction is completed.
- the obtained capsule suspension is stabilized by adding 0.25 parts of a thickener and 3 parts of a dispersing agent.
- the capsule suspension formulation contains 28% of the active ingredients.
- the medium capsule diameter is 8-15 microns.
- the resulting formulation is applied to seeds as an aqueous suspension in an apparatus suitable for that purpose.
- Formulation types include an emulsion concentrate (EC), a suspension concentrate (SC), a suspo- emulsion (SE), a capsule suspension (CS), a water dispersible granule (WG), an emulsifiable granule (EG), an emulsion, water in oil (EO), an emulsion, oil in water (EW), a micro-emulsion (ME), an oil dispersion (OD), an oil miscible flowable (OF), an oil miscible liquid (OL), a soluble concentrate (SL), an ultra-low volume suspension (SU), an ultra-low volume liquid (UL), a technical concentrate (TK), a dispersible concentrate (DC), a wettable powder (WP), a soluble granule (SG) or any technically feasible formulation in combination with agricultural
- Mp means melting point in °C. Free radicals represent methyl groups. H NMR measurements were recorded on a Brucker 400MHz spectrometer, chemical shifts are given in ppm relevant to a TMS standard. Spectra measured in deuterated solvents as indicated. Either one of the LCMS methods below was used to characterize the compounds. The characteristic LCMS values obtained for each compound were the retention time ("Rt", recorded in minutes) and the measured molecular ion (M+H) + or (M-H)-.
- Solvent degasser binary pump, heated column compartment and diode-array detector.
- Solvent degasser binary pump, heated column compartment and diode-array detector.
- Step 1 Preparation of methyl 5-bromo-3-chloro-pyridine-2-carboxylate
- Step 2 Preparation of methyl 3-chloro-5-[3-(trifluoromethyl)pyrazol-1-yl]pyridine-2-carboxylate
- Step 3 Preparation of 3-ethylsulfanyl-5-[3-(trifluoromethyl)pyrazol-1-yl]pyridine-2-carboxylic acid
- Step 5 Preparation of 2-[3-ethylsulfanyl-5-[3-(trifluoromethyl)pyrazol-1-yl]-2-pyridyl]-3-methyl-6- (trifluoromethyl)imidazo[4,5-b]pyridine (compound P1 )
- Step 1 Preparation of 3-ethylsulfanyl-N-[2-(methylamino)-5-(trifluoromethyl)-3-pyridyl]-5-[4- (trifluoromethyl)phenyl]pyridine-2-carboxamide
- Step 2 Preparation of 2-[3-ethylsulfanyl-5-[4-(trifluoromethyl)phenyl]-2-pyridyl]-3-methyl-6- (trifluoromethyl)imidazo[4,5-b]pyridine (compound P3)
- Step 1 Preparation of 2-[3-ethylsulfanyl-5-(1 ,2,4-triazol-1-yl)-2-pyridyl]-3-methyl-6-(trifluoromethyl) imidazo[4,5-b]pyridine (compound P7
- Step 2 Preparation of 2-[3-ethylsulfonyl-5-(1 ,2,4-triazol-1-yl)-2-pyridyl]-3-methyl-6-(trifluoromethyl) imidazo[4,5-b]pyridine (compound P8
- compositions according to the invention can be broadened considerably, and adapted to prevailing circumstances, by adding other insecticidally, acaricidally and/or fungicidally active ingredients.
- mixtures of the compounds of formula I with other insecticidally, acaricidally and/or fungicidally active ingredients may also have further surprising advantages which can also be described, in a wider sense, as synergistic activity. For example, better tolerance by plants, reduced phytotoxicity, insects can be controlled in their different development stages or better behaviour during their production, for example during grinding or mixing , during their storage or during their use.
- Suitable additions to active ingredients here are, for example, representatives of the following classes of active ingredients: organophosphorus compounds, nitrophenol derivatives, thioureas, juvenile hormones, formamidines, benzophenone derivatives, ureas, pyrrole derivatives, carbamates, pyrethroids, chlorinated hydrocarbons, acylureas, pyridylmethyleneamino derivatives, macrolides, neonicotinoids and Bacillus thuringiensis preparations.
- TX means "one compound selected from the group consisting of the compounds described in Tables A-1 , A-2, A-3 and P1 of the present invention”: an adjuvant selected from the group of substances consisting of petroleum oils (628) + TX, an acaricide selected from the group of substances consisting of 1 , 1 -bis(4-chlorophenyl)-2- ethoxyethanol (lUPAC name) (910) + TX, 2,4-dichlorophenyl benzenesulfonate (lUPAC/Chemical Abstracts name) (1059) + TX, 2-fluoro-A/-methyl-A/-1 -naphthylacetamide (lUPAC name) (1295) + TX, 4-chlorophenyl phenyl sulfone (lUPAC name) (981 ) + TX, abamectin (1 ) + TX, acequinocy
- prothidathion (1360) + TX, prothoate (1362) + TX, pyrethrin I (696) + TX, pyrethrin II (696) + TX, pyrethrins (696) + TX, pyridaben (699) + TX, pyridaphenthion (701 ) + TX, pyrimidifen (706) + TX, pyrimitate (1370) + TX, quinalphos (71 1 ) + TX, quintiofos (1381 ) + TX, R-1492 (development code) (1382) + TX, RA-17 (development code) (1383) + TX, rotenone (722) + TX, schradan (1389) + TX, sebufos + TX, selamectin [CCN] + TX, SI-0009 (compound code) + TX, sophamide (1402) + TX, spirodiclofen (
- an algicide selected from the group of substances consisting of bethoxazin [CCN] + TX, copper dioctanoate (lUPAC name) (170) + TX, copper sulfate (172) + TX, cybutryne [CCN] + TX, dichlone (1052) + TX, dichlorophen (232) + TX, endothal (295) + TX, fentin (347) + TX, hyd rated lime [CCN] + TX, nabam (566) + TX, quinoclamine (714) + TX, quinonamid (1379) + TX, simazine (730) + TX, triphenyltin acetate (lUPAC name) (347) and triphenyltin hydroxide (lUPAC name) (347) + TX,
- an anthelmintic selected from the group of substances consisting of abamectin (1 ) + TX, crufomate (101 1 ) + TX, doramectin [CCN] + TX, emamectin (291 ) + TX, emamectin benzoate (291 ) + TX, eprinomectin [CCN] + TX, ivermectin [CCN] + TX, milbemycin oxime [CCN] + TX, moxidectin [CCN] + TX, piperazine [CCN] + TX, selamectin [CCN] + TX, spinosad (737) and thiophanate (1435) + TX,
- an avicide selected from the group of substances consisting of chloralose (127) + TX, endrin (1 122) + TX, fenthion (346) + TX, pyridin-4-amine (lUPAC name) (23) and strychnine (745) + TX, a bactericide selected from the group of substances consisting of 1-hydroxy-1 /- -pyridine-2-thione
- streptomycin sesquisulfate (744) + TX, tecloftalam (766) + TX, and thiomersal [CCN] + TX, a biological agent selected from the group of substances consisting of Adoxophyes orana GV (12) + TX, Agrobacterium radiobacter (13) + TX, Amblyseius spp.
- Bacillus thuringiensis subsp. israelensis (scientific name) (51 ) + TX
- Bacillus thuringiensis subsp. japonensis (scientific name) (51 ) + TX
- Bacillus thuringiensis subsp. kurstaki (scientific name) (51 ) + TX
- Helicoverpa zea NPV (431 ) + TX, Heterorhabditis bacteriophora and H. megidis (433) + TX, Hippodamia convergens (442) + TX, Leptomastix dactylopii (488) + TX, Macrolophus caliginosus (491 ) + TX, Mamestra brassicae NPV (494) + TX, Metaphycus helvolus (522) + TX, Metarhizium anisopliae var. acridum (scientific name) (523) + TX, Metarhizium anisopliae var. anisopliae
- a soil sterilant selected from the group of substances consisting of iodomethane (lUPAC name) (542) and methyl bromide (537) + TX,
- a chemosterilant selected from the group of substances consisting of apholate [CCN] + TX, bisazir [CCN] + TX, busulfan [CCN] + TX, diflubenzuron (250) + TX, dimatif [CCN] + TX, hemel [CCN] + TX, hempa [CCN] + TX, metepa [CCN] + TX, methiotepa [CCN] + TX, methyl apholate [CCN] + TX, morzid [CCN] + TX, penfluron [CCN] + TX, tepa [CCN] + TX, thiohempa [CCN] + TX, thiotepa [CCN] + TX, tretamine [CCN] and uredepa [CCN] + TX,
- an insect pheromone selected from the group of substances consisting of (E)-dec-5-en-1-yl acetate with (E)-dec-5-en-1-ol (lUPAC name) (222) + TX, (E)-tridec-4-en-1-yl acetate (lUPAC name) (829) + TX, (E)-6-methylhept-2-en-4-ol (lUPAC name) (541 ) + TX, (E,Z)-tetradeca-4, 10-dien-1-yl acetate (lUPAC name) (779) + TX, (Z)-dodec-7-en-1-yl acetate (lUPAC name) (285) + TX, (Z)-hexadec-l 1- enal (lUPAC name) (436) + TX, (Z)-hexadec-l 1-en-1-yl acetate (lUPAC name) (437) + TX, (Z)- hexade
- an insect repellent selected from the group of substances consisting of 2-(octylthio)ethanol (lUPAC name) (591 ) + TX, butopyronoxyl (933) + TX, butoxy(polypropylene glycol) (936) + TX, dibutyl adipate (lUPAC name) (1046) + TX, dibutyl phthalate (1047) + TX, dibutyl succinate (lUPAC name) (1048) + TX, diethyltoluamide [CCN] + TX, dimethyl carbate [CCN] + TX, dimethyl phthalate [CCN] + TX, ethyl hexanediol (1 137) + TX, hexamide [CCN] + TX, methoquin-butyl (1276) + TX, methylneodecanamide [CCN] + TX, oxamate [CCN] and picaridin [CCN] + TX,
- an insecticide selected from the group of substances consisting of 1-dichloro-1-nitroethane
- hexafluorosilicate [CCN] + TX barium polysulfide (lUPAC/Chemical Abstracts name) (892) + TX, barthrin [CCN] + TX, Bayer 22/190 (development code) (893) + TX, Bayer 22408 (development code) (894) + TX, bendiocarb (58) + TX, benfuracarb (60) + TX, bensultap (66) + TX, beta- cyfluthrin (194) + TX, beta-cypermethrin (203) + TX, bifenthrin (76) + TX, bioallethrin (78) + TX, bioallethrin S-cyclopentenyl isomer (79) + TX, bioethanomethrin [CCN] + TX, biopermethrin (908) + TX, bioresmethrin (80) + TX, bis(2-chloroethyl)
- chlorphoxim (989) + TX, chlorprazophos (990) + TX, chlorpyrifos (145) + TX, chlorpyrifos-methyl (146) + TX, chlorthiophos (994) + TX, chromafenozide (150) + TX, cinerin I (696) + TX, cinerin II (696) + TX, cinerins (696) + TX, cis-resmethrin + TX, cismethrin (80) + TX, clocythrin + TX, cloethocarb (999) + TX, closantel [CCN] + TX, clothianidin (165) + TX, copper acetoarsenite
- polychlorodicyclopentadiene isomers (lUPAC name) (1346) + TX, polychloroterpenes (traditional name) (1347) + TX, potassium arsenite [CCN] + TX, potassium thiocyanate [CCN] + TX, prallethrin (655) + TX, precocene I [CCN] + TX, precocene II [CCN] + TX, precocene III [CCN] + TX, primidophos (1349) + TX, profenofos (662) + TX, profluthrin [CCN] + TX, promacyl (1354) + TX, promecarb (1355) + TX, propaphos (1356) + TX, propetamphos (673) + TX, propoxur (678) + TX, prothidathion (1360) + TX, prothiofos (686) + TX, prothoate (1362) + TX
- a molluscicide selected from the group of substances consisting of bis(tributyltin) oxide (lUPAC name) (913) + TX, bromoacetamide [CCN] + TX, calcium arsenate [CCN] + TX, cloethocarb (999) + TX, copper acetoarsenite [CCN] + TX, copper sulfate (172) + TX, fentin (347) + TX, ferric phosphate (lUPAC name) (352) + TX, metaldehyde (518) + TX, methiocarb (530) + TX, niclosamide (576) + TX, niclosamide-olamine (576) + TX, pentachlorophenol (623) + TX, sodium pentachlorophenoxide (623) + TX, tazimcarb (1412) + TX, thiodicarb (799) + TX, tributyltin oxide (913)
- a nematicide selected from the group of substances consisting of AKD-3088 (compound code) + TX, 1 ,2-dibromo-3-chloropropane (lUPAC/Chemical Abstracts name) (1045) + TX, 1 ,2-dichloropropane (lUPAC/ Chemical Abstracts name) (1062) + TX, 1 ,2-dichloropropane with 1 ,3-dichloropropene (lUPAC name) (1063) + TX, 1 ,3-dichloropropene (233) + TX, 3,4-dichlorotetrahydrothiophene 1 ,1- dioxide (lUPAC/Chemical Abstracts name) (1065) + TX, 3-(4-chlorophenyl)-5-methylrhodanine (lUPAC name) (980) + TX, 5-methyl-6-thioxo-1 ,3,5-thiadiazinan-3-ylacetic acid (lUPAC name) (1286
- a nitrification inhibitor selected from the group of substances consisting of potassium ethylxanthate [CCN] and nitrapyrin (580) + TX,
- a plant activator selected from the group of substances consisting of acibenzolar (6) + TX, acibenzolar-S-methyl (6) + TX, probenazole (658) and Reynoutria sachalinensis extract (720) + TX
- a rodenticide selected from the group of substances consisting of 2-isovalerylindan-1 ,3-dione (lUPAC name) (1246) + TX, 4-(quinoxalin-2-ylamino)benzenesulfonamide (lUPAC name) (748) + TX, alpha- chlorohydrin [CCN] + TX, aluminium phosphide (640) + TX, antu (880) + TX, arsenous oxide (882) + TX, barium carbonate (891 ) + TX, bisthiosemi (912) + TX, brodifacoum (89) + TX,
- a synergist selected from the group of substances consisting of 2-(2-butoxyethoxy)ethyl piperonylate (lUPAC name) (934) + TX, 5-(1 ,3-benzodioxol-5-yl)-3-hexylcyclohex-2-enone (lUPAC name) (903) + TX, farnesol with nerolidol (324) + TX, MB-599 (development code) (498) + TX, MGK 264 (development code) (296) + TX, piperonyl butoxide (649) + TX, piprotal (1343) + TX, propyl isomer (1358) + TX, S421 (development code) (724) + TX, sesamex (1393) + TX, sesasmolin (1394) and sulfoxide (1406) + TX,
- an animal repellent selected from the group of substances consisting of anthraquinone (32) + TX, chloralose (127) + TX, copper naphthenate [CCN] + TX, copper oxychloride (171 ) + TX, diazinon (227) + TX, dicyclopentadiene (chemical name) (1069) + TX, guazatine (422) + TX, guazatine acetates (422) + TX, methiocarb (530) + TX, pyridin-4-amine (lUPAC name) (23) + TX, thiram (804) + TX, trimethacarb (840) + TX, zinc naphthenate [CCN] and ziram (856) + TX,
- a virucide selected from the group of substances consisting of imanin [CCN] and ribavirin [CCN] + TX,
- a wound protectant selected from the group of substances consisting of mercuric oxide (512) + TX, octhilinone (590) and thiophanate-methyl (802) + TX, and biologically active compounds selected from the group consisting of azaconazole (60207-31-0] + TX, bitertanol [70585-36-3] + TX, bromuconazole [1 16255-48-2] + TX, cyproconazole [94361-06-5] + TX, difenoconazole [1 19446-68-3] + TX, diniconazole [83657-24-3] + TX, epoxiconazole
- Acinetobacter Iwoffii + TX Acremonium alternatum + TX + TX, Acremonium cephalosporium + TX + TX, Acremonium diospyri + TX, Acremonium obclavatum + TX, Adoxophyes orana granulovirus (AdoxGV) (Capex®) + TX, Agrobacterium radiobacter strain K84 (Galltrol-A®) + TX, Alternaria alternate + TX, Alternaria cassia + TX, Alternaria destruens (Smolder®) + TX,
- Ampelomyces quisqualis (AQ10®) + TX, Aspergillus flavus AF36 (AF36®) + TX, Aspergillus flavus NRRL 21882 (Aflaguard®) + TX, Aspergillus spp.
- Bacillus subtilis strain AQ178 + TX Bacillus subtilis strain QST 713 (CEASE® + TX, Serenade® + TX, Rhapsody®) + TX, Bacillus subtilis strain QST 714 (JAZZ®) + TX, Bacillus subtilis strain AQ153 + TX, Bacillus subtilis strain AQ743 + TX, Bacillus subtilis strain QST3002 + TX, Bacillus subtilis strain QST3004 + TX, Bacillus subtilis var.
- amyloliquefaciens strain FZB24 (Taegro® + TX, Rhizopro®) + TX, Bacillus thuringiensis Cry 2Ae + TX, Bacillus thuringiensis CrylAb + TX, Bacillus thuringiensis aizawai GC 91 (Agree®) + TX, Bacillus thuringiensis israelensis (BMP123® + TX, Aquabac® + TX, VectoBac®) + TX, Bacillus thuringiensis kurstaki (Javelin® + TX, Deliver® + TX, CryMax® + TX, Bonide® + TX, Scutella WP® + TX, Turilav WP ® + TX, Astuto® + TX, Dipel WP® + TX, Biobit® + TX, Foray®) + TX, Bacillus thuringiensis kurstaki BMP 123 (Baritone®
- aizawai (XenTari® + TX, DiPel®) + TX, bacteria spp. (GROWMEND® + TX, GROWSWEET® + TX, Shootup®) + TX, bacteriophage of Clavipacter michiganensis (AgriPhage®) + TX, Bakflor® + TX, Beauveria bassiana (Beaugenic® + TX, Brocaril WP®) + TX, Beauveria bassiana GHA (Mycotrol ES® + TX, Mycotrol O® + TX, BotaniGuard®) + TX, Beauveria brongniartii (Engerlingspilz® + TX, Schweizer Beauveria® + TX, Melocont®) + TX, Beauveria spp. + TX, Botrytis cineria + TX,
- Bradyrhizobium japonicum (TerraMax®) + TX, Brevibacillus brevis + TX, Bacillus thuringiensis tenebrionis (Novodor®) + TX, BtBooster + TX, Burkholderia cepacia (Deny® + TX, Intercept® + TX, Blue Circle®) + TX, Burkholderia gladii + TX, Burkholderia gladioli + TX, Burkholderia spp.
- TX Canadian thistle fungus (CBH Canadian Bioherbicide®) + TX, Candida butyri + TX, Candida famata + TX, Candida fructus + TX, Candida glabrata + TX, Candida guilliermondii + TX, Candida melibiosica + TX, Candida oleophila strain O + TX, Candida parapsilosis + TX, Candida pelliculosa + TX, Candida pulcherrima + TX, Candida reuêtii + TX, Candida saitoana (Bio-Coat® + TX, Biocure®) + TX, Candida sake + TX, Candida spp.
- TX Cladosporium tenuissimum + TX, Clonostachys rosea (EndoFine®) + TX, Colletotrichum acutatum + TX, Coniothyrium minitans (Cotans WG®) + TX, Coniothyrium spp. + TX, Cryptococcus albidus (YIELDPLUS®) + TX, Cryptococcus humicola + TX, Cryptococcus infirmo-miniatus + TX,
- Cryptococcus laurentii + TX TX
- Cupriavidus campinensis + TX Cydia pomonella granulovirus (CYD-X®) + TX
- Drechslera hawaiinensis + TX Enterobacter cloacae + TX
- Enterobacteriaceae + TX Entomophtora virulenta (Vektor®) + TX
- Epicoccum nigrum + TX Epicoccum purpurascens + TX, Epicoccum
- TX Filobasidium floriforme + TX, Fusarium acuminatum + TX, Fusarium chlamydosporum + TX, Fusarium oxysporum (Fusaclean® / Biofox C®) + TX, Fusarium proliferatum + TX, Fusarium spp. + TX, Galactomyces geotrichum + TX, Gliocladium catenulatum (Primastop® + TX, Prestop®) + TX, Gliocladium roseum + TX, Gliocladium spp. (SoilGard®) + TX, Gliocladium virens (Soilgard®) + TX, Granulovirus
- Pseudomonas chlororaphis (AtEze®) + TX, Pseudomonas corrugate + TX, Pseudomonas fluorescens strain A506 (BlightBan A506®) + TX, Pseudomonas putida + TX, Pseudomonas reactans + TX, Pseudomonas spp.
- TX Scytalidium uredinicola + TX, Spodoptera exigua nuclear polyhedrosis virus (Spod-X® + TX, Spexit®) + TX, Serratia marcescens + TX, Serratia plymuthica + TX, Serratia spp. + TX, Sordaria fimicola + TX, Spodoptera littoralis nucleopolyhedrovirus (Littovir®) + TX,
- Trichoderma gamsii TX
- Trichoderma atroviride Plant®
- Trichoderma harzianum rifai Mycostar®
- Trichoderma harzianum T-22 Trianum- P® + TX, PlantShield HC® + TX, RootShield® + TX, Trianum-G®) + TX, Trichoderma harzianum T-39 (Trichodex®) + TX, Trichoderma inhamatum + TX, Trichoderma koningii + TX, Trichoderma spp.
- LC 52 (Sentinel®) + TX, Trichoderma lignorum + TX, Trichoderma longibrachiatum + TX, Trichoderma polysporum (Binab T®) + TX, Trichoderma taxi + TX, Trichoderma virens + TX, Trichoderma virens (formerly Gliocladium virens GL-21 ) (SoilGuard®) + TX, Trichoderma viride + TX, Trichoderma viride strain ICC 080 (Remedier®) + TX, Trichosporon pullulans + TX, Trichosporon spp. + TX,
- Plant extracts including: pine oil (Retenol®) + TX, azadirachtin (Plasma Neem Oil® + TX, AzaGuard® + TX, MeemAzal® + TX, Molt-X® + TX, Botanical IGR (Neemazad® + TX, Neemix®) + TX, canola oil (Lilly Miller Vegol®) + TX, Chenopodium ambrosioides near ambrosioides (Requiem®) + TX, Chrysanthemum extract (Crisant®) + TX, extract of neem oil (Trilogy®) + TX, essentials oils of Labiatae (Botania®) + TX, extracts of clove rosemary peppermint and thyme oil (Garden insect killer®) + TX, Glycinebetaine (Greenstim®) + TX, garlic + TX, lemongrass oil (GreenMatch®) + TX, neem oil +
- pheromones including: blackheaded fireworm pheromone (3M Sprayable Blackheaded Fireworm Pheromone®) + TX, Codling Moth Pheromone (Paramount dispenser-(CM)/ Isomate C-Plus®) + TX, Grape Berry Moth Pheromone (3M MEC-GBM Sprayable Pheromone®) + TX, Leafroller pheromone (3M MEC - LR Sprayable Pheromone®) + TX, Muscamone (Snip7 Fly Bait® + TX, Starbar Premium Fly Bait®) + TX, Oriental Fruit Moth Pheromone (3M oriental fruit moth sprayable pheromone®) + TX, Peachtree Borer Pheromone (Isomate-P®) + TX, Tomato Pinworm Pheromone (3M Sprayable pheromone®) + TX, Entostat powder (extract from palm tree) (Exosex CM®) + TX, (E + ⁇ , ⁇ +
- Macrobials including: Aphelinus abdominalis + TX, Aphidius ervi (Aphelinus-System®) + TX, Acerophagus papaya + TX, Adalia bipunctata (Adalia-System®) + TX, Adalia bipunctata (Adaline®) + TX, Adalia bipunctata (Aphidalia®) + TX, Ageniaspis citricola + TX, Ageniaspis fuscicollis + TX, Amblyseius andersoni (Anderline® + TX, Andersoni-System®) + TX, Amblyseius californicus (Amblyline® + TX, Spical®) + TX, Amblyseius cucumeris (Thripex® + TX, Bugline cucumeris®) + TX, Amblyseius fallacis (Fallacis®) + TX, Amblyseius swirskii (Bugline
- TX Coccidoxenoides perminutus (Planopar®) + TX, Coccophagus cowperi + TX, Coccophagus lycimnia + TX, Cotesia flavipes + TX, Cotesia plutellae + TX, Cryptolaemus montrouzieri (Cryptobug® + TX, Cryptoline®) + TX, Cybocephalus nipponicus + TX, Dacnusa sibirica + TX, Dacnusa sibirica
- Diglyphus isaea (Diminex®) + TX, Delphastus catalinae (Delphastus®) + TX, Delphastus pusillus + TX, Diachasmimorpha krausii + TX, Diachasmimorpha longicaudata + TX, Diaparsis jucunda + TX, Diaphorencyrtus aligarhensis + TX, Diglyphus isaea + TX, Diglyphus isaea (Miglyphus® + TX, Digline®) + TX, Dacnusa sibirica (DacDigline® + TX, Minex®) + TX, Diversinervus spp.
- TX Steinernematid spp. (Guardian Nematodes®) + TX, Stethorus punctillum (Stethorus®) + TX, Tamarixia radiate + TX, Tetrastichus setifer + TX, Thripobius semiluteus + TX, Torymus sinensis + TX, Trichogramma brassicae (Tricholine b®) + TX, Trichogramma brassicae (Tricho-Strip®) + TX, Trichogramma evanescens + TX, Trichogramma minutum + TX, Trichogramma ostriniae + TX, Trichogramma platneri + TX, Trichogramma pretiosum + TX, Xanthopimpla stemmator; and
- the active ingredient mixture of the compounds of formula I selected from Tables -1 , A-2, A-3 and P1 with active ingredients described above comprises a compound selected from Tables -1 , A-2, A-3 and P1 and an active ingredient as described above preferably in a mixing ratio of from 100:1 to 1 :6000, especially from 50: 1 to 1 :50, more especially in a ratio of from 20:1 to 1 :20, even more especially from 10: 1 to 1 : 10, very especially from 5:1 and 1 :5, special preference being given to a ratio of from 2: 1 to 1 :2, and a ratio of from 4:1 to 2: 1 being likewise preferred, above all in a ratio of 1 :1 , or 5: 1 , or 5:2, or 5:3, or 5:4, or 4:1 , or 4:2, or 4:3, or 3: 1 , or 3:2, or 2:1 , or 1 :5, or 2:5, or 3:5, or 4:5, or 1 :4, or 2:4, or 3:4, or 1 :3, or
- the mixtures as described above can be used in a method for controlling pests, which comprises applying a composition comprising a mixture as described above to the pests or their environment, with the exception of a method for treatment of the human or animal body by surgery or therapy and diagnostic methods practised on the human or animal body.
- the mixtures comprising a compound of formula I selected from Tables -1 , A-2, A-3 and P1 and one or more active ingredients as described above can be applied, for example, in a single "ready-mix” form, in a combined spray mixture composed from separate formulations of the single active ingredient components, such as a "tank-mix", and in a combined use of the single active ingredients when applied in a sequential manner, i.e. one after the other with a reasonably short period, such as a few hours or days.
- the order of applying the compounds of formula I selected from Tables -1 , A-2, A-3 and P1 and the active ingredients as described above is not essential for working the present invention.
- compositions according to the invention can also comprise further solid or liquid auxiliaries, such as stabilizers, for example unepoxidized or epoxidized vegetable oils (for example epoxidized coconut oil, rapeseed oil or soya oil), antifoams, for example silicone oil, preservatives, viscosity regulators, binders and/or tackifiers, fertilizers or other active ingredients for achieving specific effects, for example bactericides, fungicides, nematocides, plant activators, molluscicides or herbicides.
- auxiliaries such as stabilizers, for example unepoxidized or epoxidized vegetable oils (for example epoxidized coconut oil, rapeseed oil or soya oil), antifoams, for example silicone oil, preservatives, viscosity regulators, binders and/or tackifiers, fertilizers or other active ingredients for achieving specific effects, for example bactericides, fungicides, nematocides
- compositions according to the invention are prepared in a manner known per se, in the absence of auxiliaries for example by grinding, screening and/or compressing a solid active ingredient and in the presence of at least one auxiliary for example by intimately mixing and/or grinding the active ingredient with the auxiliary (auxiliaries).
- auxiliaries for example by grinding, screening and/or compressing a solid active ingredient and in the presence of at least one auxiliary for example by intimately mixing and/or grinding the active ingredient with the auxiliary (auxiliaries).
- compositions that is the methods of controlling pests of the abovementioned type, such as spraying, atomizing, dusting, brushing on, dressing, scattering or pouring - which are to be selected to suit the intended aims of the prevailing circumstances - and the use of the compositions for controlling pests of the abovementioned type are other subjects of the invention.
- Typical rates of concentration are between 0.1 and 1000 ppm, preferably between 0.1 and 500 ppm, of active ingredient.
- the rate of application per hectare is generally 1 to 2000 g of active ingredient per hectare, in particular 10 to 1000 g/ha, preferably 10 to 600 g/ha.
- a preferred method of application in the field of crop protection is application to the foliage of the plants (foliar application), it being possible to select frequency and rate of application to match the danger of infestation with the pest in question.
- the active ingredient can reach the plants via the root system (systemic action), by drenching the locus of the plants with a liquid composition or by incorporating the active ingredient in solid form into the locus of the plants, for example into the soil, for example in the form of granules (soil application). In the case of paddy rice crops, such granules can be metered into the flooded paddy-field.
- the compounds of the invention and compositions thereof are also be suitable for the protection of plant propagation material, for example seeds, such as fruit, tubers or kernels, or nursery plants, against pests of the abovementioned type.
- the propagation material can be treated with the compound prior to planting, for example seed can be treated prior to sowing.
- the compound can be applied to seed kernels (coating), either by soaking the kernels in a liquid composition or by applying a layer of a solid composition. It is also possible to apply the compositions when the propagation material is planted to the site of application, for example into the seed furrow during drilling.
- These treatment methods for plant propagation material and the plant propagation material thus treated are further subjects of the invention.
- Typical treatment rates would depend on the plant and pest/fungi to be controlled and are generally between 1 to 200 grams per 100 kg of seeds, preferably between 5 to 150 grams per 100 kg of seeds, such as between 10 to 100 grams per 100 kg of seeds.
- seed embraces seeds and plant propagules of all kinds including but not limited to true seeds, seed pieces, suckers, corns, bulbs, fruit, tubers, grains, rhizomes, cuttings, cut shoots and the like and means in a preferred embodiment true seeds.
- the present invention also comprises seeds coated or treated with or containing a compound of formula I.
- coated or treated with and/or containing generally signifies that the active ingredient is for the most part on the surface of the seed at the time of application, although a greater or lesser part of the ingredient may penetrate into the seed material, depending on the method of application. When the said seed product is (re)planted, it may absorb the active ingredient.
- the present invention makes available a plant propagation material adhered thereto with a compound of formula (I). Further, it is hereby made available, a composition comprising a plant propagation material treated with a compound of formula (I).
- Seed treatment comprises all suitable seed treatment techniques known in the art, such as seed dressing, seed coating, seed dusting, seed soaking and seed pelleting.
- the seed treatment application of the compound formula (I) can be carried out by any known methods, such as spraying or by dusting the seeds before sowing or during the sowing/planting of the seeds.
- Example B1 Bemisia tabaci (Cotton white fly)
- Cotton leaf discs were placed on agar in 24-well microtiter plates and sprayed with aqueous test solutions prepared from 10 ⁇ 00 ppm DMSO stock solutions. After drying the leaf discs were infested with adult white flies. The samples were checked for mortality 6 days after incubation. The following compounds resulted in at least 80% mortality at an application rate of 200 ppm: P2, P4, and P7.
- Example B2 Diabrotica balteata (Corn root worm)
- Maize sprouts, placed on an agar layer in 24-well microtiter plates were treated with aqueous test solutions prepared from 10 ⁇ 00 ppm DMSO stock solutions by spraying. After drying, the plates were infested with L2 larvae (6 to 10 per well). The samples were assessed for mortality and growth inhibition in comparison to untreated samples 4 days after infestation. The following compounds resulted in at least 80% mortality at an application rate of 200 ppm: P1 , P2, P3, P4, P6, P7, and P8.
- Example B3 Euschistus heros (Neotropical Brown Stink Bug)
- Soybean leaves on agar in 24-well microtiter plates were sprayed with agueous test solutions prepared from 10 ⁇ 00 ppm DMSO stock solutions. After drying the leaf were infested with N-2 nymphs. The samples were assessed for mortality and growth inhibition in comparison to untreated samples 5 days after infestation. The following compounds gave an effect of at least 80% in at least one of the two categories (mortality or growth inhibition) at an application rate of 200 ppm: P1 , P2, P4, P6, P7 and P8.
- Example B4 Myzus persicae (Green peach aphid)
- Sunflower leaf discs were placed on agar in a 24-well microtiter plate and sprayed with agueous test solutions prepared from 10 ⁇ 00 ppm DMSO stock solutions. After drying, the leaf discs were infested with an aphid population of mixed ages. The samples were assessed for mortality 6 days after infestation. The following compounds resulted in at least 80% mortality at an application rate of 200 ppm: P2, P4, P6, P7 and P8.
- Example B5 Myzus persicae (Green peach aphid)
- Roots of pea seedlings infested with an aphid population of mixed ages were placed directly in the agueous test solutions prepared from 10 ⁇ 00 DMSO stock solutions. The samples were assessed for mortality 6 days after placing seedlings in test solutions. The following compounds resulted in at least 80% mortality at a test rate of 24 ppm: P4.
- Example B6 Plutella xylostella (Diamond back moth)
- 24-well microtiter plates with artificial diet were treated with aqueous test solutions prepared from 10 ⁇ 00 ppm DMSO stock solutions by pipetting. After drying, the plates were infested with L2 larvae (10 to 15 per well). The samples were assessed for mortality and growth inhibition in comparison to untreated samples 5 days after infestation.
- the following compounds gave an effect of at least 80% in at least one of the two categories (mortality or growth inhibition) at an application rate of 200 ppm: P2, P3, P4, P6, P7 and P8.
- Example B7 Spodoptera littoralis (Egyptian cotton leaf worm)
- Cotton leaf discs were placed on agar in 24-well microtiter plates and sprayed with aqueous test solutions prepared from 10 ⁇ 00 ppm DMSO stock solutions. After drying the leaf discs were infested with five L1 larvae. The samples were assessed for mortality, anti-feedant effect, and growth inhibition in comparison to untreated samples 3 days after infestation. Control of Spodoptera littoralis by a test sample is when at least one of mortality, anti-feedant effect, and growth inhibition is higher than the untreated sample. The following compounds resulted in at least 80% control at an application rate of 200 ppm: P1 , P2, P4, P6, P7 and P8.
- Example B8 Spodoptera littoralis (Egyptian cotton leaf worm)
- Test compounds were applied by pipette from 10 ⁇ 00 ppm DMSO stock solutions into 24-well plates and mixed with agar. Lettuce seeds were placed on the agar and the multi well plate was closed by another plate which contains also agar. After 7 days the compound was absorbed by the roots and the lettuce grew into the lid plate. The lettuce leaves were now cut off into the lid plate. Spodoptera eggs were pipetted through a plastic stencil on a humid gel blotting paper and the plate closed with it. The samples were assessed for mortality, anti-feedant effect and growth inhibition in comparison to untreated samples 6 days after infestation. The following compounds gave an effect of at least 80% in at least one of the three categories (mortality, anti-feeding, or growth inhibition) at a test rate of 12.5 ppm: P2, P4, P6 and P8.
- Example B9 Frankliniella occidentalis (Western flower thrips)
- Sunflower leaf discs were placed on agar in 24-well microtiter plates and sprayed with agueous test solutions prepared from 10 ⁇ 00 DMSO stock solutions. After drying the leaf discs were infested with a Frankliniella population of mixed ages. The samples were assessed for mortality 7 days after infestation. The following compounds resulted in at least 80% mortality at an application rate of 200 ppm: P6 and P7.
- Example B10 Activity against Aedes aegypti (Yellow fever mosguito)
- Test solutions at an application rate of 200ppm in ethanol, were applied to 12-well tissue culture plates. Once the deposits were dry, five, two to five days old adult female Aedes aegypti were added to each well, and sustained with a 10% sucrose solution in a cotton wool plug. Assessment of knockdown was made one hour after introduction, and mortality was assessed at 24 and 48 hours after introduction. The following compounds gave at least 80% control of Aedes aegypti after 48h: P1 , P2, P3, P5, P6, P7 and P8002E
- Example B1 1 Activity against Anopheles stephensi (Indian malaria mosquito)
- Test solutions at an application rate of 200 ppm in ethanol, were applied to 12 well tissue culture plates. Once the deposits were dry, five, two to five day old adult female Anopheles stephensi were added to each well, and sustained with a 10% sucrose solution in a cotton wool plug. Assessment of knockdown was made one hour after introduction, and mortality was assessed at 24 and 48 hours after introduction. The following compounds gave at least 80% control of Anopheles stephensi after 48h and/or 24h: P2, P6, P7, and P8.
Landscapes
- Chemical & Material Sciences (AREA)
- Organic Chemistry (AREA)
- Pharmaceuticals Containing Other Organic And Inorganic Compounds (AREA)
- Agricultural Chemicals And Associated Chemicals (AREA)
Abstract
Compounds of formula I (I), wherein the substituents are as defined in claim 1, and the agrochemically acceptable salts, stereoisomers, enantiomers, tautomers and N-oxides of those compounds, can be used as insecticides and can be prepared in a manner known per se.
Description
Pesticidally active heterocyclic derivatives with sulphur containing substituents
The present invention relates to pesticidally active, in particular insecticidally active heterocyclic derivatives containing sulphur substituents, to intermediates for the preparation of those compounds, to compositions comprising those compounds, and to their use for controlling animal pests (including arthropods and in particular insects or representatives of the order Acarina).
Heterocyclic compounds with pesticidal action are known and described, for example, in
WO 2012/086848, WO 2013/018928, WO 2014/142292, WO 2015/000715, WO 2015/133603 and
WO 2015/198859. There have now been found novel pesticidally active heterocyclic 6/5-bicyclic ring derivatives with sulphur containing phenyl and pyridyl substituents.
The present invention accordingly relates to compounds of formula I,
wherein
A represents CH or N;
Q is phenyl which is mono- or polysubstituted by substituents selected from the group consisting of halogen, cyano, Ci-C4alkyl, Ci-C4haloalkyl, Ci-C4alkylsulfanyl, Ci-C4alkylsulfinyl, Ci-C4alkylsulfonyl, Ci-C4haloalkoxy, Ci-C4alkoxy and Ci-C4haloalkylsulfanyl; or
Q is pyrimidyl which is mono- or polysubstituted by substituents selected from the group consisting of halogen, cyano, Ci-C4alkyl, Ci-C4haloalkyl, Ci-C4haloalkoxy, Ci-C4alkoxy and
Ci-C4haloalkylsulfanyl; or
Q is pyrazolyl which is linked via a nitrogen atom to the ring which contains the substituent A, said pyrazolyl can be substituted by halogen, cyano or Ci-C4haloalkyl; or
Q is triazolyl which is linked via a nitrogen atom to the ring which contains the substituent A, said triazolyl can be substituted by halogen, cyano or Ci-C4haloalkyl;
X is S, SO or S02;
Ri is Ci-C4alkyl, Ci-C4haloalkyl, C2-C6alkenyl, C2-C6haloalkenyl, C2-C6alkynyl or C3-C6cyclo- alkyl-Ci-C4alkyl;
R2 is halogen, Ci-C6haloalkyl, Ci-C4haloalkylsulfanyl, Ci-C4haloalkylsulfinyl, Ci-C4haloalkylsulfonyl or Ci-C6haloalkoxy;
Xi is O, S or NR3, wherein R3 is hydrogen, Ci-C4alkyl, C2-C6alkenyl, C2-C6alkynyl, Ci-C4alkoxy- Ci-C4alkyl or C3-C6cycloalkyl; and
Gi is N or CH; and agrochemically acceptable salts, stereoisomers, enantiomers, tautomers and N- oxides of the compounds of formula I.
Compounds of formula I which have at least one basic centre can form, for example, acid addition salts, for example with strong inorganic acids such as mineral acids, for example perchloric acid, sulfuric acid, nitric acid, a phosphorus acid or a hydrohalic acid, with strong organic carboxylic acids, such as Ci-C4alkanecarboxylic acids which are unsubstituted or substituted, for example by halogen, for example acetic acid, such as saturated or unsaturated dicarboxylic acids, for example oxalic acid, malonic acid, succinic acid, maleic acid, fumaric acid or phthalic acid, such as hydroxycarboxylic acids, for example ascorbic acid, lactic acid, malic acid, tartaric acid or citric acid, or such as benzoic acid, or with organic sulfonic acids, such as Ci-C4alkane- or arylsulfonic acids which are unsubstituted or substituted, for example by halogen, for example methane- or p-toluenesulfonic acid. Compounds of formula I which have at least one acidic group can form, for example, salts with bases, for example mineral salts such as alkali metal or alkaline earth metal salts, for example sodium, potassium or magnesium salts, or salts with ammonia or an organic amine, such as morpholine, piperidine, pyrrolidine, a mono-, di- or tri-lower-alkylamine, for example ethyl-, diethyl-, triethyl- or
dimethylpropylamine, or a mono-, di- or trihydroxy-lower-alkylamine, for example mono-, di- or triethanolamine.
The alkyl groups occurring in the definitions of the substituents can be straight-chain or branched and are, for example, methyl, ethyl, n-propyl, isopropyl, n-butyl, sec-butyl, iso-butyl, tert-butyl, pentyl, hexyl, and their branched isomers. Alkylsulfanyl, alkylsulfinyl, alkylsulfonyl, alkoxy, alkenyl and alkynyl radicals are derived from the alkyl radicals mentioned. The alkenyl and alkynyl groups can be mono- or polyunsaturated. Ci-di-alkylamino is dimethylamino. Halogen is generally fluorine, chlorine, bromine or iodine. This also applies, correspondingly, to halogen in combination with other meanings, such as haloalkyl or halophenyl.
HaloalkyI groups preferably have a chain length of from 1 to 6 carbon atoms. Haloalkyl is, for example, fluoromethyl, difluoromethyl, trifluoromethyl, chloromethyl, dichloromethyl, trichloromethyl, 2,2,2- trifluoroethyl, 2-fluoroethyl, 2-chloroethyl, pentafluoroethyl, 1 , 1-difluoro-2,2,2-trichloroethyl, 2,2,3,3- tetrafluoroethyl and 2,2,2-trichloroethyl.
Alkoxy groups preferably have a preferred chain length of from 1 to 6 carbon atoms. Alkoxy is, for example, methoxy, ethoxy, propoxy, i-propoxy, n-butoxy, isobutoxy, sec-butoxy and tert-butoxy and also the isomeric pentyloxy and hexyloxy radicals. Alkoxyalkyl groups preferably have a chain length of 1 to 6 carbon atoms.
Alkoxyalkyl is, for example, methoxymethyl, methoxyethyl, ethoxymethyl, ethoxyethyl, n- propoxymethyl, n-propoxyethyl, isopropoxymethyl or isopropoxyethyl.
Haloalkylsulfanyl groups preferably have a chain length of from 1 to 4 carbon atoms. Haloalkylsulfanyl is, for example, difluoromethylsulfanyl, trifluoromethylsulfanyl or 2,2,2-trifluoroethylsulfanyl. Similar considerations apply to the radicals Ci-C4haloalkylsulfinyl and Ci-C4haloalkylsulfonyl, which may be, for example, trifluoromethylsulfinyl, trifluoromethylsulfonyl or 2,2,2-trifluoroethylsulfonyl.
The cycloalkyl groups preferably have from 3 to 6 ring carbon atoms, for example cyclopropyl, cyclobutyl, cyclopentyl and cyclohexyl.
Haloalkoxy groups preferably have a chain length of from 1 to 6 carbon atoms. Haloalkoxy is, for example, difluoromethoxy, trifluoromethoxy or 2,2,2-trifluoroethoxy. According to the present invention, Q as a "triazolyl group which is linked via a nitrogen atom" may be selected from (1 H-1 ,2,3-triazol-1-yl)-; (2H-1 ,2,3-triazol-2-yl)-; (4H-1 ,2,4-triazol-4-yl)- and (1 H-1 ,2,4- triazol-1-yl)-. Preferred is a triazolyl group selected from (4H-1 ,2,4-triazol-4-yl)- and (1 H-1 ,2,4-triazol-1- yl)-, even more preferred is (1 H-1 ,2,4-triazol-1-yl)-. In the context of this invention "mono- to polysubstituted" in the definition of the substituents, means typically, depending on the chemical structure of the substituents, monosubstituted to four-times substituted, preferably monosubstituted to three-times substituted, more preferably mono-, or double- substituted. Free radicals represent methyl groups.
The compounds of formula I according to the invention also include hydrates which may be formed during the salt formation.
A preferred group of compounds of formula I is represented by the compounds of formula 1-1
X is S, SO or S02; and
Rx is independently selected from the group consisting of hydrogen, halogen, cyano, Ci-C4alkyl, Ci- C4haloalkyl, Ci-C4haloalkoxy, Ci-C4alkoxy, Ci-C4alkylsulfanyl, Ci-C4alkylsulfinyl, Ci-C4alkylsulfonyl, and Ci-C4haloalkylsulfanyl with the proviso that at least one Rx is different from hydrogen.
In this preferred group of compounds of formula 1-1 , Ri is preferably ethyl, R2 is preferably Ci-C6halo- alkyl or Ci-C4haloalkylsulfanyl, X is preferably SO2, and Xi is preferably N(CH3).
Preferred compounds of formula 1-1 are represented by compounds of formula 1-1 a,
wherein Gi , Ri, R2 and A are as defined under formula I above;
Rx is independently selected from the group consisting of hydrogen and halogen with the proviso that at least one Rx is different from hydrogen.
In this preferred group of compounds of formula l-1a, Ri is preferably ethyl, R2 is preferably Ci-C6halo- alkyl. Even more preferred compounds of formula l-1a are those in which R2 is CF3, Ri is ethyl, A is nitrogen, Gi is nitrogen and Rx is independently hydrogen or halogen, preferably fluorine or chlorine, with the proviso that at least one Rx is different from hydrogen.
Further preferred compounds of formula 1-1 are represented by compounds of formula 1-1 b
(M b),
wherein Gi , Ri, R2, and A are as defined under formula I above; and wherein Rx is halogen or Ci- C4haloalkyl. In this preferred group of compounds of formula 1-1 b, R2 is preferably Ci-C6haloalkyl and Ri is preferably ethyl. Even more preferred compounds of formula 1-1 b are those in which R2 is CF3, Ri is ethyl, A is nitrogen, Gi is nitrogen and Rx is is CF3, fluorine or chlorine.
A further preferred group of compounds of formula I is represented by the compounds of formula I-2
X is S, SO or S02; and
Rx is independently selected from the group consisting of hydrogen, halogen, cyano, Ci-C4alkyl, Ci- C4haloalkyl, Ci-C4haloalkoxy, Ci-C4alkoxy, Ci-C4alkylsulfanyl, Ci-C4alkylsulfinyl, Ci-C4alkylsulfonyl, and Ci-C4haloalkylsulfanyl; with the proviso that at least one Rx is different from hydrogen. In this preferred group of compounds of formula I-2, Ri is preferably ethyl, R2 is preferably Ci-C6halo-alkyl or Ci-C4haloalkylsulfanyl, X is preferably SO2, and Xi is preferably N(CH3). Preferred compounds of formula I-2 are represented by compounds of formula l-2a
wherein Gi , Ri, R2, and A are as defined under formula I above; and Rx is hydrogen or halogen. In this preferred group of compounds of formula l-2a, R2 is preferably Ci-C6haloalkyl and Ri is preferably ethyl. Even more preferred compounds of formula l-3a are those in which R2 is CF3, Ri is ethyl, A is nitrogen, Gi is nitrogen and Rx is hydrogen or halogen, preferably fluorine or chlorine, with the proviso that at least one Rx is different from hydrogen. In a further preferred embodiment of the formula l-2a, both Rx are independently fluorine or chlorine.
A preferred group of compounds of formula I is represented by the compounds of formula I-3
wherein Gi , Ri, R2, A and Xi are as defined under formula I above;
X is S, SO or S02; and
Rxa is independently selected from the group consisting of hydrogen, halogen, cyano or Ci- C4haloalkyl.
In this preferred group of compounds of formula I-3, Ri is preferably ethyl, R2 is preferably Ci alkyl or Ci-C4haloalkylsulfanyl, X is preferably SO2, and Xi is preferably N(CH3).
Preferred compounds of formula I-3 are represented by compounds of formula l-3a
wherein Gi , Ri, R2, and A are as defined under formula I above; and wherein Rxa is hydrogen, halogen, cyano or Ci-C4haloalkyl. In this preferred group of compounds of formula l-3a, R2 is preferably Ci-C6haloalkyl and Ri is preferably ethyl. Even more preferred compounds of formula l-3a are those in which R2 is CF3, Ri is ethyl, A is nitrogen, Gi is nitrogen and Rxa is hydrogen, halogen, cyano or Ci-C4haloalkyl, preferably hydrogen, fluorine, chlorine, cyano or CF3. A preferred group of compounds of formula I is represented by the compounds of formula I-4
X is S, SO or S02; and
Rxa is hydrogen, halogen, cyano or Ci-C4haloalkyl.
In this preferred group of compounds of formula I-4, Ri is preferably ethyl, R2 is preferably Ci-CehaloalkyI or Ci-C4haloalkylsulfanyl, X is preferably SO2, and Xi is preferably N(CH3).
Preferred compounds of formula 1-4 are represented by compounds of formula l-4a
wherein Gi , Ri, R2, and A are as defined under formula I above; and wherein Rxa is hydrogen, halogen, cyano or Ci-C4haloalkyl. In this preferred group of compounds of formula l-4a, R2 is preferably Ci-C6haloalkyl and Ri is preferably ethyl. Even more preferred compounds of formula l-4a are those in which R2 is CF3, Ri is ethyl, A is nitrogen, Gi is nitrogen and Rxa is hydrogen, halogen, cyano or Ci-C4haloalkyl, preferably hydrogen, fluorine, chlorine, cyano or CF3.
In an outstanding group of compounds of formula I,
Ri is Ci-C4alkyl;
R2 is Ci-C4haloalkyl;
X is S or S02; A is N; and
Q is phenyl, which is mono- or disubstituted by substituents selected from the group consisting of halogen and Ci-C4haloalkyl;
or Q is pyrazolyl, mono-substituted by Ci-C4haloalkyl;
or Q is triazolyl, which is unsubstituted; and the N-oxides of said outstanding compounds of formula I.
The process according to the invention for preparing compounds of formula I is carried out in principle by methods known to those skilled in the art. The following processes describe the preparation of compounds of formula I. Throughout the process discussion detailed below (schemes 1 to 19), the group Gi is as described under formula I. More specifically, compounds of formula I can be prepared (as depicted in scheme 1 ) by reacting compounds of formula II with compounds of formula III, wherein Xbi can be a halogen, preferentially chlorine, bromine or iodine, or a sulfonate, like for example a trifluoromethanesulfonate and Ybi can be a boron-derived functional group, as for example B(OH)2 or B(ORbi)2 wherein Rbi can be a Ci-C6alkyl group or the two groups ORbi can form together with the boron atom a five- or six-membered ring, as for example a pinacol boronic ester (Suzuki cross-coupling, see for example Tetrahedron Letters, 43(39), 6987-6990; 2002). In formula II and III, A, Xi , Ri , R2, X and Q are as described in formula I. The reaction can be catalyzed by a palladium based catalyst, for example tetrakis(triphenylphosphine)
palladium(O), bis(triphenylphosphine)palladium(ll) dichloride, chloro(2-dicyclohexylphosphino-2',4',6'- triisopropyl-1 , 1'-biphenyl)[2-(2'-amino-1 , 1'-biphenyl)]palladium(ll) (XPhos palladacycle),
(1 , 1'bis(diphenylphosphino)-ferrocene)dichloropalladium-dichlorometh^ (1 : 1 complex) or palladium acetate plus phosphine ligands (such as, for example, triphenylphosphine or tricyclohexylphosphine) in presence of a base, like sodium carbonate, tripotassium phosphate or cesium fluoride, in a solvent (such as toluene, 1 ,2-dimethoxyethane DME, ethanol, iso-propyl alcohol, tetrahydrofuran or dioxane) or a solvent mixture, like, for example a mixture of 1 ,2-dimethoxyethane (or dioxane, toluene, or tetrahydrofuran) and water, preferably under inert atmosphere. The reaction temperature can preferably range from ambient temperature to the boiling point of the reaction mixture, or alternatively heating may be performed under microwave irradiation.
Scheme 1 :
Compounds of formula II, wherein A, Xi , Ri, R2 and X are as described in formula I, and wherein Xbi is a halogen, preferably chlorine, bromine or iodine, and in which Gi is N or CH, may be prepared in analogy to descriptions found in the literature.
Alternatively, compounds of formula II, wherein Xbi can be a halogen, preferentially chlorine, bromine or iodine, or a sulfonate, like for example a trifluoromethanesulfonate, may be reacted with compounds of formula III, wherein Ybi is a magnesium halide group, such as -MgBr (Kumada cross-coupling), optionally in the presence of additives, such as zind halides (Journal of Organic Chemistry, 75(19), 6677-6680; 2010). The reaction may be catalyzed by a palladium based catalyst, or may involve a nickel based catalyst, such as 1 ,3-is(diphenylphosphino)propanenickel dichloride (dppp)NiCl2.
Also known are reactions between compounds of formula II, wherein Xbi can be a halogen, preferentially chlorine, bromine or iodine, or a sulfonate, like for example a trifluoromethanesulfonate, with compounds of formula III, wherein Ybi is a zinc halide group, such as -ZnBr (Negishi cross- coupling), as illustrated for example in Synthetic Communications, 28(2), 225-232; 1998. The reaction may be catalyzed by a palladium based catalyst, such as for example, (1 ,1 'bis(diphenylphosphino)- ferrocene)dichloropalladium Pd(dppf)Cl2 or bis(triphenylphosphine)palladium(ll) dichloride, optionally in the presence of phosphine additives (such as, for example, 2-dicyclohexyl-phosphino-2',6'- dimethoxy-biphenyl S-PHOS), in a solvent, like, for example 1 ,2-dimethoxyethane, dioxane, toluene,
or tetrahydrofuran, preferably under inert atmosphere. The reaction temperature can preferentially range from ambient temperature to the boiling point of the reaction mixture.
Compounds of formula I can also be made (as depicted in scheme 2) by reacting compounds of formula IV with compounds of formula V, wherein Xb2 can be a halogen, preferentially chlorine, bromine or iodine, or a sulfonate, like for example a trifluoromethanesulfonate and Yb2 can be a boron- derived functional group, as for example B(OH)2 or B(ORb2)2 wherein Rb2 can be a Ci-C6alkyl group or the two groups ORb2 can form together with the boron atom a five- or six-membered ring, as for example a pinacol boronic ester. In formulae IV and V, A, Xi , Ri , R2, X and Q are as described in formula I. The reaction can be catalyzed by a palladium based catalyst, for example
tetrakis(triphenylphosphine)-palladium(0), bis(triphenyl-phosphine) palladium(ll) dichloride or
(1 , 1 'bis(diphenylphosphino)-ferrocene)dichloropalladium-dichloromethane (1 : 1 complex), in presence of a base, like sodium carbonate, tripotassium phosphate or cesium fluoride, in a solvent (such as toluene, 1 ,2-dimethoxyethane DME, ethanol, iso-propyl alcohol, tetrahydrofuran or dioxane) or a solvent mixture, like, for example a mixture of 1 ,2-dimethoxyethane and water, or of dioxane and water, preferably under inert atmosphere. The reaction temperature can preferentially range from ambient temperature to the boiling point of the reaction mixture, or alternatively heating may be performed under microwave irradiation.
Scheme 2
IV V
In the particular case where compounds of formula I have the group Q attached through a nitrogen atom (i.e. those situations where Q is a nitrogen containing heteroring system), these compounds can be advantageously accessed by reacting a compound of the formula IV with a compound of the formula Va, wherein Yb2 can be a boron-derived functional group, such as for example B(OH)2 or B(ORb2)2 wherein Rb2 can be a Ci-C6alkyl group or the two groups ORb2 can form together with the boron atom a five - or six-membered ring, as for example a pinacol boronic ester (scheme 2a). In formulae IV and Va, A, Ri , R2, X and Xi are as defined under formula I above and Q is as described in formula I, with the condition that the attachment point is a nitrogen atom. The reaction, also known as Chan-Lam coupling (P. Y. S. Lam, C. G. Clark, S. Saubern, J. Adams, M. P.Winters, D. M. T. Chan, A. Combs, Tetrahedron Lett. 1998, 39, 2941 ), is commonly performed with one to two equivalents of a base, like pyridine or triethylamine, in presence of one to two equivalents of a copper derivative, like
for example copper (II) acetate and under an oxygen-containing atmosphere. The reaction can be run in an inert solvent, like dichloromethane, dioxane or dimethylformamide, usually at or around room temperature.
In the particular case where compounds of formula I have the group Q attached through a nitrogen atom (i.e. those situations where Q is a nitrogen containing heteroring system such as pyrazolyl or triazolyl), these compounds can be alternatively accessed by reacting a compound of the formula II with a compound of the formula Va, wherein Xbi can be a halogen, preferentially chlorine, bromine or iodine, or a sulfonate, like for example a trifluoromethanesulfonate (scheme 2b). In formulae II and Va, A, Ri, R2, X and Xi are as defined under formula I above and Q is pyrazolyl or triazolyl, with the condition that the attachment point is a nitrogen atom. Such a reaction with a heterocycle Q-H (which contains an appropriate NH functionality) of formula Va may be operated in the presence of a base, such as potassium carbonate K2CO3 or cesium carbonate CS2CO3, optionally in the presence of a copper catalyst, for example copper(l) iodide, with or without an additive such as L-proline, Ν,Ν'- dimethylcyclohexane-1 ,2-diamine or Ν,Ν'-dimethylethylene-diamine, in an inert solvent such as N- methylpyrrolidone NMP or Ν,Ν-dimethylformamide DMF at temperatures between 30-150°C, optionally under microwave irradiation.
Scheme 2b
Such a reaction (C-N Bond Formation) is illustrated below (scheme 2c) for the heterocycle Q-H J-30a, wherein Rxa is halogen, cyano or Ci-C4haloalkyl, to give a compound of formula l-(J-30a), a particular sub-group of compounds of formula I, wherein Rxa, A, X, Ri, Xi and R∑are as previously defined.
Scheme 2c
K2C03 or Cs2C03 l-(J-30a)
Optional presence of Cul
Optional additive such as N,N-dimethylethylene-diamine
DMF or NMP
Compounds of formula l-a3, wherein A, Ri, R2, Xi and Q have the values defined in formula I, and X is -SO2-, can be prepared by oxidation of compounds of formula l-a2, wherein A, Ri, R2, Xi and Q have the values defined in formula I, and X is -SO-. The reaction can be performed with reagents like, for example, a peracid such as peracetic acid or m-chloroperbenzoic acid, or a hydroperoxide, as for example, hydrogen peroxide or tert-butylhydroperoxide, or an inorganic oxidant, like a monoperoxo- disulfate salt or potassium permanganate. In a similar way, compounds of formula l-a2, wherein A, Ri, R2, Xi and Q have the values defined in formula I, and X is -SO-, can be prepared by oxidation of compounds of formula l-a1 , wherein A, Ri, R2, Xi and Q have the values defined in formula I, and X is -S-, under analogous conditions described above. These reactions can be performed in various organic (dichloromethane for example) or aqueous solvents compatible to these conditions, by temperatures from below 0°C up to the boiling point of the solvent system. The transformation of compounds of the formula 1-a1 into compounds of the formula 1-a2 and 1-a3 is represented in scheme 3.
Scheme 3
l-a2 X = -S(O)-
Compounds of formula l-a1 may also be prepared (scheme 4) by reacting a compound of the formula VI with a compound of the formula VII, wherein A, Ri, R2, Xi and Q have the values defined in formula I and X is sulphur and M is a metal or non-metal cation. In the scheme 4, the cation M is assumed to
be monovalent, but polyvalent cations associated with more than one S-Ri group can also be considered. Prefered cations are, for example lithium, sodium, potassium or cesium. For this transformation to work, Xb3 is a leaving group like, for example, fluorine, chlorine, bromine or iodine, an aryl- or alkylsulfonate, but many other leaving groups could be considered. The reaction can be performed in a solvent, preferably aprotic (such as Ν,Ν-dimethylformamide or acetonitrile), at temperatures below 0°C or up to boiling temperature of the reaction mixture.
Scheme 4
Compounds of formula VI, wherein Xb3 is a leaving group like, for example, fluorine, chlorine, bromine or iodine, or an aryl- or alkylsulfonate such as trifluoromethanesulfonate, or any other similar leaving group, can be prepared (scheme 5) by reacting compounds of formula VIII with compounds of formula IX, wherein Xb4 can be a halogen, preferentially chlorine, bromine or iodine, or a sulfonate, like for example a trifluoromethanesulfonate, most preferably bromine or iodine and Yb4 can be a boron- derived functional group, as for example B(OH)2 or B(ORb4)2 wherein Rb4 can be a Ci-C6alkyl group or the two groups ORb4 can form together with the boron atom a five- or six-membered ring, as for example a pinacol boronic ester. In formula VI, VIII and IX, A, Xi , R2 and Q are as described in formula I. The reaction can be catalyzed by a palladium based catalyst, for example tetrakis(triphenyl- phosphine)palladium(O), bis(triphenylphosphine) palladium(ll) dichloride or (1 ,1 'bis(diphenyl- phosphino)-ferrocene)dichloropalladium-dichloromethane (1 : 1 complex), in presence of a base, like sodium carbonate, tripotassium phosphate or cesium fluoride, in a solvent (such as toluene, 1 ,2- dimethoxy-ethane DME, ethanol, iso-propyl alcohol, tetrahydrofuran or dioxane) or a solvent mixture, like, for example a mixture of 1 ,2-dimethoxyethane and water, or of dioxane and water, preferably under inert atmosphere. The reaction temperature can preferentially range from ambient temperature to the boiling point of the reaction mixture, or alternatively heating may be performed under microwave irradiation.
VIII IX VI
Alternatively, compounds of formula VII I, wherein Xb4 can be a halogen, preferentially chlorine, bromine or iodine, or a sulfonate, like for example a trifluoromethanesulfonate, may be reacted with compounds of formula IX, wherein Yb4 is a magnesium halide group, such as -MgBr (Kumada cross- coupling), optionally in the presence of additives, such as zind halides (Journal of Organic Chemistry, 75(19), 6677-6680; 2010). The reaction may be catalyzed by a palladium based catalyst, or may involve a nickel based catalyst, such as 1 ,3-is(diphenylphosphino)propanenickel dichloride
(dppp)NiCI2.
Also known are reactions between compounds of formula VII I, wherein Xb4 can be a halogen, preferentially chlorine, bromine or iodine, or a sulfonate, like for example a trifluoromethanesulfonate, with compounds of formula IX, wherein Yb4 is a zinc halide group, such as -ZnBr (Negishi cross- coupling), as illustrated for example in Synthetic Communications, 28(2), 225-232; 1998. The reaction may be catalyzed by a palladium based catalyst, such as for example, (1 ,1 'bis(diphenylphosphino)- ferrocene)dichloropalladium Pd(dppf)Cl2 or bis(triphenylphosphine)palladium(l l) dichloride, optionally in the presence of phosphine additives (such as, for example, 2-dicyclohexyl-phosphino-2',6'- dimethoxy-biphenyl S-PHOS), in a solvent, like, for example 1 ,2-dimethoxyethane, dioxane, toluene, or tetrahydrofuran, preferably under inert atmosphere. The reaction temperature can preferentially range from ambient temperature to the boiling point of the reaction mixture.
In an alternative way depicted in scheme 6, compounds of formula VI can also be prepared by reacting compounds of formula X, wherein Xb3 is a leaving group like, for example, fluorine, chlorine, bromine or iodine, or an aryl- or alkylsulfonate such as trifluoromethanesulfonate, or any other similar leaving group, with compounds of formula XI , wherein Xb5 can be a halogen, preferentially chlorine, bromine or iodine, or a sulfonate, like for example a trifluoromethanesulfonate, most preferably bromine or iodine, and Yb5 can be a boron-derived functional group, as for example B(OH)2 or B(ORb5)2 wherein Rb5 can be a Ci-C6alkyl group or the two groups ORbs can form together with the boron atom a five- or six-membered ring, as for example a pinacol boronic ester. In formula VI, X and XI , A, Xi , R2 and Q are as described in formula I . The reaction can be catalyzed by a palladium based catalyst, for example tetrakis(triphenylphosphine)palladium(0), bis(triphenylphosphine) palladium(l l) dichloride or (1 , 1 'bis(diphenylphosphino)-ferrocene)dichloropalladium-dichloromethane (1 : 1 complex), in presence of a base, like sodium carbonate, tripotassium phosphate or cesium fluoride, in a solvent (such as toluene, 1 ,2-dimethoxy-ethane DME, ethanol, iso-propyl alcohol, tetrahydrofuran or dioxane) or a solvent mixture, like, for example a mixture of 1 ,2-dimethoxyethane and water, or of dioxane and
water, preferably under inert atmosphere. The reaction temperature can preferentially range from ambient temperature to the boiling point of the reaction mixture, or alternatively heating may be performed under microwave irradiation.
Scheme 6
X XI VI
Compounds of formula I can also be prepared (scheme 7) by reacting compounds of formula XIII and compounds of formula XIV under various formal dehydration conditions, wherein A, Ri, R2, X, Xi and Q have the values defined in formula I. These methods are known to those skilled in the art or described for example in WO 2009/131237, WO 201 1/043404, WO 201 1/040629, WO 2010/125985, WO 2012/086848, WO 2013/018928, WO 2013/191 1 13, WO 2013/180193 and WO 2013/180194. Such processes are well known and have been described for example in WO 201 1/040629 or WO 2009131237 (Xi is oxygen), WO 201 1088990 or Inorg. Chimica Acta, 358(9), 2701-2710; 2005 (Xi is sulfur) and J. Am. Chem. Soc, 132(5), 1545-1557, 2010 or WO 2008128968 (Xi is NR3). The preparation of compounds of formula XIII, wherein Xi and R2 are as defined above, is described in detail, for example, in WO 2012/086848.
Scheme 7
I
The process describing the reaction between compounds of formula XIII and compounds of formula XIV towards compounds of formula I is summarized in more details in scheme 8:
Compounds of formula XIV, wherein A, Ri, X and Q are as previously described, are activated (scheme 8) to compounds of formula XlV-a by methods known to those skilled in the art and described in for example Tetrahedron, 61 (46), 10827-10852, 2005. For example compounds where Xo is chlorine are formed by treatment with for example, oxalyl chloride or thionyl chloride in the presence of catalytic quantities of DMF in inert solvents such as methylene chloride or THF at temperatures between 20 °C to 100 °C, preferably 25 °C. Treatment of XlV-a with compounds of formula XIII, wherein R2 and Xi are as described in formula I, optionally in the presence of a base, e.g. triethylamine or pyridine, leads to compounds of formula XV. Alternatively, compounds of formula I can be prepared by treatment of compounds of formula XIV with dicyclohexyl carbodiimide (DCC) or 1-ethyl-3-(3-dimethylaminopropyl)carbodiimide (EDC) to give the activated species XlV-a, wherein Xo is X01 and X02 respectively, in an inert solvent, e.g. pyridine, or tetrahydrofuran (THF) optionally in the presence of a base, e.g. triethylamine, at temperatures between 50-180 °C. Compounds of formula XV so obtained can then be converted to compounds of formula I by dehydration, eg. by heating the compounds, optionally under microwave irradiation, in the presence of an acid catalyst, for example methanesulfonic acid, or para-toluenesulfonic acid p-TsOH, in an inert solvent such as N-methyl pyrrolidone or xylene, at temperatures between 25-180 °C, preferably 130-170 °C. Such processes have been described previously in WO 2010/125985. Alternatively, compounds of formula XV can be converted to compounds of formula I (wherein Xi is O) using triphenylphosphine, di-isopropyl azodicarboxylate in an inert solvent such as THF at temperatures between 25-50°C. Such Mitsunobu conditions have been previously described for such transformations (see WO 2009/131237).
X is S X is SO or S02 may be prepared by reacting a compound of formula XXVII, wherein A and Q are as defined above, and wherein R50 is Ci-C4alkyl and in which Xbi is a leaving group such as, for example, a halogen (preferably fluorine, chlorine or bromine) or nitro, with a compound of formula Vila, or a salt thereof VII, wherein Ri is as defined in formula I, optionally in the presence of a suitable base, such as alkali metal carbonates, for example sodium carbonate and potassium carbonate, or alkali metal hydrides such as sodium hydride, or alkali metal hydroxides such as sodium hydroxide and potassium hydroxide, optionally in the presence of a catalytic amount of an additive, such as an ammonium salt (for example tetrabutylammonium bromide TBAB), in an inert solvent at temperatures preferably between 25- 120°C. Examples of solvent to be used include ethers such as THF, ethylene glycol dimethyl ether, tert-butylmethyl ether, and 1 ,4-dioxane, aromatic hydrocarbons such as toluene and xylene, nitriles such as acetonitrile, polar aprotic solvents such as Ν,Ν-dimethylformamide, N,N-dimethylacetamide, N-methyl-2-pyrrolidone or dimethyl sulfoxide, or water. Examples of salts of the compound of formula Vila include compounds of the formula VII
wherein Ri is as defined above and wherein M is, for example, sodium or potassium. Oxidation of compounds of formula XIV, wherein X is S, and wherein A, Ri and Q are as defined above, with a suitable oxidizing agent, into compounds of formula XlVb, wherein X is SO or SO2 may be achieved under conditions already described above.
Compounds of formula XXVII, wherein A is as defined above, and in which Q is optionally substituted phenyl, pyridyl or pyrimidyl, and wherein R50 is Ci-C4alkyl and in which Xbi is a leaving group such as, for example, a halogen (preferably fluorine, chlorine or bromine) or nitro,
Ilia
XXVIII XXVII
(Stille Reaction)
may be prepared by a Suzuki reaction, which involves for example, reacting compounds of formula XXVIII, wherein A, R50 and Xbi are as defined above, and wherein Xbi is a leaving group like, for example, chlorine, bromine or iodine (preferably bromine), or an aryl- or alkylsulfonate such as trifluoromethane-sulfonate, with compounds of formula III, wherein Q is optionally substituted phenyl, pyridyl or pyrimidyl, and wherein Ybi can be a boron-derived functional group, such as for example B(OH)2 or B(ORbi)2 wherein Rbi can be a Ci-C4alkyl group or the two groups ORbi can form together with the boron atom a five membered ring, as for example a pinacol boronic ester. The reaction may be catalyzed by a palladium based catalyst, for example fefra/c/'s(triphenylphosphine)-palladium(0), or bis(triphenylphosphine)palladium(ll) dichloride or (1 , 1 'bis(diphenylphosphino)ferrocene)dichloro- palladium-dichloromethane (1 :1 complex), in presence of a base, like sodium carbonate or cesium fluoride, in a solvent or a solvent mixture, like, for example a mixture of 1 ,2-dimethoxyethane and water or of dioxane and water, preferably under inert atmosphere. The reaction temperature can preferentially range from room temperature to the boiling point of the reaction mixture. Such Suzuki reactions are well known to those skilled in the art and have been reviewed, for example, in J.Orgmet. Chem. 576, 1999, 147-168.
Alternatively compounds of formula XXVII, wherein A, Q, R50 and Xbi are as defined above, may be prepared by a Stille reaction between compounds of formula Ilia, wherein Q is as defined above, and wherein Yb2o is a trialkyl tin derivative, preferably tri-n-butyl tin, and compounds of formula XXVIII, wherein A, R50 and Xbi are as defined above, and wherein Xbi is a leaving group like, for example, chlorine, bromine or iodine (preferably bromine), or an aryl- or alkylsulfonate such as trifluoromethane- sulfonate. Such Stille reactions are usually carried out in the presence of a palladium catalyst, for example fefra/c/'s(triphenylphosphine)palladium(0), or bis(triphenylphosphine)palladium(ll) dichloride, in an inert solvent such as Ν,Ν-dimethylformamide, acetonitrile, toluene or dioxane, optionally in the presence of an additive, such as cesium fluoride, or lithium chloride, and optionally in the presence of a further catalyst, for example copper(l)iodide. Such Stille couplings are also well known to those skilled in the art, and have been described in for example J. Org. Chem. , 2005, 70, 8601-8604, J. Org. Chem. , 2009 , 74, 5599-5602, and Angew. Chem. Int. Ed., 2004, 43, 1 132-1 136.
A large number of compounds of the formula III and Ilia are commercially available or can be prepared by those skilled in the art. Ester compounds of formula XXVIII, wherein A, R50, Xbi and Xbi are as defined above,
XXIX XXVIII
may be prepared from the corresponding carboxylic acid compounds of formula XXIX, wherein A, Xbi and Xb∑ are as defined above, by reaction with an alcohol of formula XXX, wherein R50 is Ci-C4alkyl , optionally in the presence of an acid (such as sulfuric acid), or alternatively optionally in presence of an activating agent, such as for example oxalyl chloride (COCI)2. Such esterification methods are well known to a person skilled in the art.
When Q is optionally substituted pyrazolyl or triazolyl, then compounds of formula XXVII , wherein A, R50 and Xbi are as defined above, may be prepared from compounds of formula XXVI II , wherein A, R50 and Xbi are as defined above, and wherein bi is a leaving group like, for example, chlorine, bromine or iodine (preferably bromine), or an aryl- or alkylsulfonate such as trifluoromethane- sulfonate, by reaction with a heterocycle Q-H (which contains an appropriate NH functionality) Va, wherein Q is optionally substituted pyrazolyl or triazolyl, in the presence of a base, such as potassium carbonate K2CO3 or cesium carbonate CS2CO3, optionally in the presence of a copper catalyst, for example copper(l) iodide, with or without an additive such as L-proline, N,N'-dimethylcyclohexane-1 ,2- diamine or Ν,Ν'-dimethylethylene-diamine, in an inert solvent such as dioxane, N-methylpyrrolidone NMP or Ν,Ν-dimethylformamide DMF at temperatures between 30-150°C.
Such a reaction (C-N Bond Formation) is illustrated below for the heterocycle Q-H J-30b, wherein Rxa is halogen, cyano or Ci-C4haloalkyl,
XXVIII K2CO3 or CS2CO3 XXVIIa
Optional presence of Cul
Optional additi\« such as N,N-dimethylethylene-diamine
DMF or NMP to give compounds of formula XXVI Ia, a particular sub-group of compounds of formula XXVI I, wherein Rxa, A, R50 and Xbi are as previously defined.
In an analogous way (scheme 9), compounds of formula VI , wherein Xb3 is a leaving group like, for example, fluorine, chlorine, bromine or iodine, or an aryl- or alkylsulfonate such as trifluoromethane- sulfonate, or any other similar leaving group, can be prepared by reacting compounds of formula XVI, wherein A and Q have the values defined for formula I , with an activating agent, like, for example oxalyl chloride or thionyl chloride or a carbodiimid reagent to generate the activated species XVI-a, followed by reaction with compounds of formula XI II , wherein R2 and Xi are as described in formula I . The intermediate compounds of formula XVII may be isolated, but are preferentially converted into the
compounds of formula VI in a similar way as described above for the transformation of compounds XV into compounds of formula I.
Scheme 9
In a similar way as described above, compounds of formula VIII can be prepared as described in scheme 10,
Scheme 10
VIII by reacting compounds of formula XVIII, respectively an activated form XVIII-a of compounds of formula XVIII, wherein A is carbon or nitrogen, and Xb3 is a leaving group like, for example fluorine, chlorine, bromine or iodine, or an aryl- or alkylsulfonate such as trifluoromethane-sulfonate, and Xb4
can be a halogen, preferentially chlorine, bromine or iodine, or a sulfonate, like for example a trifluoromethanesulfonate, most preferably bromine or iodine, with compounds of the formula XIII, wherein Xi and R2 are as defined in formula I. The intermediate compounds of formula XIX may be isolated, but are preferentially converted into the compounds of formula VIII in a similar way as described above (transformation of compounds XV into compounds of formula I).
Compounds of formula XXI can be prepared as described in scheme 10a, by reacting compounds of formula XX, wherein A is CH or nitrogen, and Xb3a is a leaving group like, for example nitro, fluorine, chlorine, bromine or iodine, or an aryl- or alkylsulfonate such as trifluoromethane-sulfonate, and Xb4 can be a halogen, preferentially chlorine, bromine or iodine, or a sulfonate, like for example a trifluoromethanesulfonate, most preferably bromine or iodine, with a compound of formula VII, wherein Ri is as defined in formula I, and M is a metal or non-metal cation. In scheme 10a, the cation M is assumed to be monovalent, but polyvalent cations associated with more than one S-R1 group can also be considered. Prefered cations are, for example lithium, sodium, potassium or cesium. The reaction can be performed in a solvent, preferably polar aprotic, such as THF, N,N-dimethylformamide or MeCN, at temperatures between -78°C and the boiling temperature of the reaction mixture.
Scheme 10a
COCI 2, Inert solvent, e.c
Compounds of formula XVIII-c can be prepared by hydrolysis of compounds of formula XXI under acidic (e.g. HCI or H2SO4) or basic conditions (e.g. NaOH or KOH) as described in scheme 10a, under conditions known to a person skilled in the art. Compounds of formula M-a2 can be prepared, as described in scheme 10a, by reacting compounds of formula XVIII-c respectively an activated form XVIII-d of compounds of formula XVIII-c with compounds of formula XIII, wherein Xi and R2 are as defined in formula I. The intermediate compounds of formula XXII may be isolated, but are preferentially converted into the compounds of formula M-a2 in a similar way as described above (transformation of compounds XV into compounds of formula I). In compounds of formula XXI, XVIII-c, XVIII-d, XXII and M-a2, X can be S, SO or SO2. The appropriate oxidation forms of the sulfur atom in compounds of formula XXI, XVIII-c, XVIII-d, XXII and Il-a2 wherein X is SO or SO2, can be prepared by oxidation of compounds of formula XXI, XVIII-c, XVIII-d, XXII and Il-a2 wherein X is S. The reaction can be performed with reagents like, for example a peracid as peracetic acid or m-chloroperbenzoic acid, or a hydroperoxide as for example hydrogen peroxide or tert-butylhydroperoxide, or an inorganic oxidant, like a mono-peroxodisulfate salt or potassium permanganate, preferentially meta-chloro- perbenzoic acid.
Compounds of formula XVIII-c, wherein X is S, SO or SO2, can alternatively be prepared by analogous methods to those described in the literature (scheme 10b). For example, a compound of formula XVIII- c, wherein X is S, may be prepared by saponification of a compound of formula XXIV, wherein RLG is Ci-C4alkyl, under conditions known to a person skilled in the art (Ri is as defined in formula I, A is N or CH, and Xb4 can be a halogen, preferentially chlorine, bromine or iodine, or a sulfonate, like for example a trifluoromethanesulfonate, most preferably bromine or iodine).
Scheme 10b
XXIV-a
Compounds of formula XXIV, wherein RLG is Ci-C4alkyl, may be prepared by treatment of compounds of formula XXIII, wherein Xb3a is a leaving group like, for example nitro, fluorine, chlorine, bromine or iodine, or an aryl- or alkylsulfonate such as trifluoromethanesulfonate, and wherein RLG is Ci-C4alkyl, with a reagent M-S-Ri of formula VII, wherein Ri is as defined in formula I and M is a metal or non- metal cation, under conditions described above. Such processes involving for example sodium methane- or ethanethiolate as reagents M-S-Ri are well known and have been described previously in, for example, WO2014/152738. Compounds of formula XXIV can be oxidised to compounds of formula XXIV-a using methods known to those skilled in the art and described for example in Scheme 12, and then saponified to compounds of formula XVIII-c, wherein X is SO or SO2. Alternatively compounds of formula XXIV can be first saponified to compounds of formula XVIII-c, wherein X is S, and then oxidised to compounds of formula XVIII-c, wherein X is SO or SO2. Compounds of formula XXIII are either commercial or have been described in WO 2012/086848.
Changing order of reaction conditions that have been described above may also allow to convert compounds of the formula XVIII-c, or their activated form XVIII-d, into useful compounds of the formula XXIV, or their oxidized form XXIV-a. This is illustrated in scheme 10c.
Scheme 10c:
XVIII-d -O H
wherein Xo is CI
As described in scheme 10c, ester compounds of formula XXIV, wherein X is S and RLG is Ci-C4alkyl, may be prepared from the corresponding carboxylic acid compounds of formula XVIII-c, wherein X is S, by reaction with an alcohol of formula RLGOH, wherein RLG is Ci-C4alkyl , optionally in the presence of an acid (such as sulfuric acid), or alternatively optionally in presence of an activating agent, such as for example oxalyl chloride (COCI)2. Such esterification methods are well known to a person skilled in the art and described in the literature. Compounds of formula XXIV can be oxidised to compounds of formula XXIV-a as discussed in scheme 10b. The substituent definitions in compounds of formula XVIII-c, XVIII-d, XXIV and XXIV-a are as previously described.
Compounds of formula Il-a1 , wherein X is sulfur, can be prepared (scheme 1 1 ) by reacting a compound of the formula VIII, wherein A, R2 and Xi are as defined in formula I, and wherein Xb3 is a leaving group like, for example, fluorine, chlorine, bromine or iodine, or an aryl- or alkylsulfonate such as trifluoromethanesulfonate, preferentially fluorine or chlorine, and wherein Xb4 is a halogen, preferentially chlorine, bromine or iodine, or a sulfonate, like for example a trifluoromethanesulfonate, most preferably bromine or iodine, with a compound of the formula VII, wherein Ri is as defined in formula I, and M is a metal or non-metal cation. In scheme 1 1 , the cation M is assumed to be monovalent, but polyvalent cations associated with more than one S-R1 group can also be considered. Prefered cations are, for example lithium, sodium, potassium or cesium. The reaction can be performed in a solvent, preferably polar aprotic, at temperatures below 0°C or up to boiling temperature of the reaction mixture.
Scheme 1 1
Compounds of formula M-a3, wherein A, Ri , R2 and Xi have the values defined in formula I, and X is -SO2-, and wherein Xb4 is a halogen, preferentially chlorine, bromine or iodine, or a sulfonate, like for example a trifluoromethanesulfonate, can be prepared (scheme 12) by oxidation of compounds of formula M-a2, wherein A, Ri , R2 and Xi have the values defined in formula I, and X is -SO- and wherein Xb4 is a halogen, preferentially chlorine, bromine or iodine, or a sulfonate, like for example a trifluoromethanesulfonate. The reaction can be performed with reagents like, for example a peracid as peracetic acid or m-chloroperbenzoic acid, or a hydroperoxide as for example hydrogen peroxide or tert-butylhydroperoxide, or an inorganic oxidant, like a mono-peroxodisulfate salt or potassium permanganate, preferentially meta-chloroperbenzoic acid. In a similar way, compounds of formula M-a2, wherein A, Ri , R2 and Xi have the values defined in formula I, and X is -SO-, and wherein Xb4 is a halogen, preferentially chlorine, bromine or iodine, or a sulfonate like for example a trifluoromethane- sulfonate, can be prepared by oxidation of compounds of formula Il-a1 , wherein A, Ri , R2 and Xi have the values defined in formula I, and X is -S-, and wherein Xb4 is a halogen, preferentially chlorine, bromine or iodine, or a sulfonate, like for example a trifluoromethanesulfonate. These reactions can be performed in various organic or aqueous solvents compatible to these conditions, by temperatures from below 0°C up to the boiling point of the solvent system. Scheme 12
Many compounds of the formula V and XI, wherein Q has the values defined in formula I, and wherein Xb2 and Xb5 are as defined above, are commercially available or can be accessible to the person skilled in the art, by analogy to procedures described in the literature. A large number of compounds of the formula III are commercially available or can be prepared by those skilled in the art. Many chemical transformations, well known by those skilled in the art, can be used to access boronic acid derivatives of formula III, starting from various and easily available starting materials, as for example, to cite only a few (scheme 13), hydrogen abstraction on a compound of the formula lll-a wherein Zbi is hydrogen, with a strong base (step A), like butyllithium or lithium diisopropylamide or (i-PrMgCI, LiCI), followed by reaction of the metallated intermediate of the formula lll-b, wherein Zb∑ is a metal such as Li+ or MgCI+ for example, with, for example, a trialkylborate (step B). Another way to access an organometal intermediate of the formula lll-b is from a compound of the formula lll-a wherein Zbi is chlorine, bromine or iodine, via metal-halogen exchange with an organometallic species (step C), like butyllithium or an organomagnesium compound, or direct metallation with a metal, like magnesium.
Introduction of a pinacolborate functional group via a palladium catalyzed reaction with bispinacol diborane on a compound of the formula lll-a, wherein Zbi is chlorine, bromine, iodine or triflate, is another common strategy (scheme 13, step D). In the compounds of formula lll-a, lll-b and III within scheme 13, Q has the values defined for the formula I. A person skilled in the art will be able to select an adequate preparation method to access compounds of formula III from lll-a depending on the values of Q.
Scheme 13
step C
The very same preparation methods described in scheme 13 may be applied for the synthesis of intermediates of the formula IX.
Compounds of formula IV, wherein A, X, Xi , Ri and R2 are as described in formula I, can be prepared from compounds of formula II (scheme 14), wherein A, X, Xi , Ri and R2 are as described in formula I. Indeed, compounds of formula II, wherein Xbi is chlorine, bromine or iodine, can be treated with an organometallic species like, for example, butyllithium or an organomagnesium compound, to generate an intermediate compound of the formula ll-a, wherein Zb3 is as defined in the scheme, via metal- halogen exchange. This reaction is preferentially performed in an anhydrous aprotic solvent, such as THF, at low temperature (between -120°C and 0°C), preferentially between -1 10°C and -60°C). The intermediate organometal compound of formula ll-a is preferably directly converted into compound of formula IV by reaction with a boronate compound B(ORb2)3, wherein Rb2 is a a Ci-C6alkyl group.
Depending on the nature of the boronate, the reaction treatment conditions and the workup conditions, the boronic acid IV, wherein Yb∑ is -B(OH)2, or a dialkylboronate IV, wherein Yb∑ is -B(ORb2)2, can be formed.
Introduction of a pinacolborate functional group via a palladium catalyzed reaction with bispinacol diborane ΒΣΡΙΠΣ on a compound of the formula II, wherein A, X, Xi , Ri and R2 are as described in formula I, and wherein Xbi is chlorine, bromine, iodine or triflate, is another common strategy. This
reaction, generating a cyclic boronate IV, wherein Yb∑ is
, can be performed in an aprotic solvent, in presence of a base, preferentially a weak base, such as potassium acetate KOAc.
[1 , 1 '-Bis(diphenylphosphino)ferrocene]dichloropalladium(ll), also known as palladium dppf dichloride or Pd(dppf)Cl2, is a common catalyst for this type of reaction. The temperature of the reaction is preferably comprised between 0°C and the boiling point of the reaction mixture, or alternatively heating may be performed under microwave irradiation.
The reactants can be reacted in the presence of a base. Examples of suitable bases are alkali metal or alkaline earth metal hydroxides, alkali metal or alkaline earth metal hydrides, alkali metal or alkaline earth metal amides, alkali metal or alkaline earth metal alkoxides, alkali metal or alkaline earth metal acetates, alkali metal or alkaline earth metal carbonates, alkali metal or alkaline earth metal dialkylamides or alkali metal or alkaline earth metal alkylsilylamides, alkylamines, alkylenediamines, free or N-alkylated saturated or unsaturated cycloalkylamines, basic heterocycles, ammonium hydroxides and carbocyclic amines. Examples which may be mentioned are sodium hydroxide, sodium hydride, sodium amide, sodium methoxide, sodium acetate, sodium carbonate, potassium tert- butoxide, potassium hydroxide, potassium carbonate, potassium hydride, lithium diisopropylamide, potassium bis(trimethylsilyl)amide, calcium hydride, triethylamine, diisopropylethylamine,
triethylenediamine, cyclohexylamine, N-cyclohexyl-N,N-dimethylamine, Ν,Ν-diethylaniline, pyridine, 4- (N,N-dimethylamino)pyridine, quinuclidine, N-methylmorpholine, benzyltrimethylammonium hydroxide and 1 ,8-diazabicyclo[5.4.0]undec-7-ene (DBU).
The reactants can be reacted with each other as such, i.e. without adding a solvent or diluent. In most cases, however, it is advantageous to add an inert solvent or diluent or a mixture of these. If the reaction is carried out in the presence of a base, bases which are employed in excess, such as triethylamine, pyridine, N-methylmorpholine or Ν,Ν-diethylaniline, may also act as solvents or diluents.
The reaction is advantageously carried out in a temperature range from approximately -80°C to approximately +140°C, preferably from approximately -30°C to approximately +100°C, in many cases in the range between ambient temperature and approximately +80°C. A compound of formula I can be converted in a manner known per se into another compound of formula I by replacing one or more substituents of the starting compound of formula I in the customary manner by (an)other substituent(s) according to the invention.
Depending on the choice of the reaction conditions and starting materials which are suitable in each case, it is possible, for example, in one reaction step only to replace one substituent by another substituent according to the invention, or a plurality of substituents can be replaced by other substituents according to the invention in the same reaction step.
Salts of compounds of formula I can be prepared in a manner known per se. Thus, for example, acid addition salts of compounds of formula I are obtained by treatment with a suitable acid or a suitable ion exchanger reagent and salts with bases are obtained by treatment with a suitable base or with a suitable ion exchanger reagent.
Salts of compounds of formula I can be converted in the customary manner into the free compounds I, acid addition salts, for example, by treatment with a suitable basic compound or with a suitable ion exchanger reagent and salts with bases, for example, by treatment with a suitable acid or with a suitable ion exchanger reagent.
Salts of compounds of formula I can be converted in a manner known per se into other salts of compounds of formula I, acid addition salts, for example, into other acid addition salts, for example by treatment of a salt of inorganic acid such as hydrochloride with a suitable metal salt such as a sodium, barium or silver salt, of an acid, for example with silver acetate, in a suitable solvent in which an inorganic salt which forms, for example silver chloride, is insoluble and thus precipitates from the reaction mixture.
Depending on the procedure or the reaction conditions, the compounds of formula I, which have salt- forming properties can be obtained in free form or in the form of salts.
The compounds of formula I and, where appropriate, the tautomers thereof, in each case in free form or in salt form, can be present in the form of one of the isomers which are possible or as a mixture of these, for example in the form of pure isomers, such as antipodes and/or diastereomers, or as isomer mixtures, such as enantiomer mixtures, for example racemates, diastereomer mixtures or racemate mixtures, depending on the number, absolute and relative configuration of asymmetric carbon atoms
which occur in the molecule and/or depending on the configuration of non-aromatic double bonds which occur in the molecule; the invention relates to the pure isomers and also to all isomer mixtures which are possible and is to be understood in each case in this sense hereinabove and hereinbelow, even when stereochemical details are not mentioned specifically in each case.
Diastereomer mixtures or racemate mixtures of compounds of formula I, in free form or in salt form, which can be obtained depending on which starting materials and procedures have been chosen can be separated in a known manner into the pure diasteromers or racemates on the basis of the physicochemical differences of the components, for example by fractional crystallization, distillation and/or chromatography.
Enantiomer mixtures, such as racemates, which can be obtained in a similar manner can be resolved into the optical antipodes by known methods, for example by recrystallization from an optically active solvent, by chromatography on chiral adsorbents, for example high-performance liquid
chromatography (HPLC) on acetyl celulose, with the aid of suitable microorganisms, by cleavage with specific, immobilized enzymes, via the formation of inclusion compounds, for example using chiral crown ethers, where only one enantiomer is complexed, or by conversion into diastereomeric salts, for example by reacting a basic end-product racemate with an optically active acid, such as a carboxylic acid, for example camphor, tartaric or malic acid, or sulfonic acid, for example camphorsulfonic acid, and separating the diastereomer mixture which can be obtained in this manner, for example by fractional crystallization based on their differing solubilities, to give the diastereomers, from which the desired enantiomer can be set free by the action of suitable agents, for example basic agents.
Pure diastereomers or enantiomers can be obtained according to the invention not only by separating suitable isomer mixtures, but also by generally known methods of diastereoselective or
enantioselective synthesis, for example by carrying out the process according to the invention with starting materials of a suitable stereochemistry.
N-oxides can be prepared by reacting a compound of the formula I with a suitable oxidizing agent, for example the hbCh/urea adduct in the presence of an acid anhydride, e.g. trifluoroacetic anhydride. Such oxidations are known from the literature, for example from J. Med. Chem., 32 (12), 2561-73, 1989 or WO 00/15615.
It is advantageous to isolate or synthesize in each case the biologically more effective isomer, for example enantiomer or diastereomer, or isomer mixture, for example enantiomer mixture or diastereomer mixture, if the individual components have a different biological activity.
The compounds of formula I and, where appropriate, the tautomers thereof, in each case in free form or in salt form, can, if appropriate, also be obtained in the form of hydrates and/or include other solvents, for example those which may have been used for the crystallization of compounds which are present in solid form.
The compounds according to the following Tables below can be prepared according to the methods described above. The examples which follow are intended to illustrate the invention and show preferred compounds of formula I. The tables below illustrate specific compounds of the invention.
Table A-1 provides 22 compounds A-1.001 to A-1.022 of formula (I) wherein X is SO2, Ri is ethyl and A is N and wherein R2, Gi , Xi and Q are defined as in table X. Table X: Substituent definitions of R2, Gi , Xi and Ai :
1 CF3 N N(CH3)
2 CF3 N N(CH3) CI
3 CF3 N N(CH3)
4 CF3 N N(CH3)
5 CF3 N N(CH3)
Entry R2 Gi Xi Q
CI
6 CF3 N N(CH3)
7 CF3 N N(CH3)
CI
8 CF3 N N(CH3)
CI
CI
9 CF3 N N(CH3)
10 CF3 N N(CH3)
1 1 CF3 N N(CH3)
12 CF3 N N(CH3)
14 CF3 N N(CH3)
Entry R2 Gi Xi Q
15 CF3 N N(CH3)
16 CF3 N N(CH3)
17 CF3 N N(CH3)
< /^N
18 CF3 N N(CH3)
< /^N
Λ
20 CF3 N N(CH3)
F
22 CF3 N N(CH3)
Table A-2 provides 22 compounds A-2.001 to A-2.022 of formula (I) wherein X is SO, Ri is ethyl and A is N and wherein R2, Gi, Xi and Q are defined as in table X. Table A-3 provides 22 compounds A-3.001 to A-3.022 of formula (I) wherein X is S, Ri is ethyl and A is N and wherein R2, Gi, Xi and Q are defined as in table X. The compounds of formula I according to
the invention are preventively and/or curatively valuable active ingredients in the field of pest control, even at low rates of application, which have a very favorable biocidal spectrum and are well tolerated by warm-blooded species, fish and plants. The active ingredients according to the invention act against all or individual developmental stages of normally sensitive, but also resistant, animal pests, such as insects or representatives of the order Acarina. The insecticidal or acaricidal activity of the active ingredients according to the invention can manifest itself directly, i. e. in destruction of the pests, which takes place either immediately or only after some time has elapsed, for example during ecdysis, or indirectly, for example in a reduced oviposition and/or hatching rate. Examples of the abovementioned animal pests are:
from the order Acarina, for example,
Acalitus spp, Aculus spp, Acaricalus spp, Aceria spp, Acarus siro, Amblyomma spp., Argas spp., Boophilus spp., Brevipalpus spp., Bryobia spp, Calipitrimerus spp., Chorioptes spp., Dermanyssus gallinae, Dermatophagoides spp, Eotetranychus spp, Eriophyes spp., Hemitarsonemus spp,
Hyalomma spp., Ixodes spp., Olygonychus spp, Ornithodoros spp., Polyphagotarsone latus,
Panonychus spp., Phyllocoptruta oleivora, Phytonemus spp, Polyphagotarsonemus spp, Psoroptes spp., Rhipicephalus spp., Rhizoglyphus spp., Sarcoptes spp., Steneotarsonemus spp, Tarsonemus spp. and Tetranychus spp.;
from the order Anoplura, for example,
Haematopinus spp., Linognathus spp., Pediculus spp., Pemphigus spp. and Phylloxera spp.;
from the order Coleoptera, for example,
Agriotes spp., Amphimallon majale, Anomala orientalis, Anthonomus spp., Aphodius spp, Astylus atromaculatus, Ataenius spp, Atomaria linearis, Chaetocnema tibialis, Cerotoma spp, Conoderus spp, Cosmopolites spp., Cotinis nitida, Curculio spp., Cyclocephala spp, Dermestes spp., Diabrotica spp., Diloboderus abderus, Epilachna spp., Eremnus spp., Heteronychus arator, Hypothenemus hampei, Lagria vilosa, Leptinotarsa decemLineata, Lissorhoptrus spp., Liogenys spp, Maecolaspis spp, Maladera castanea, Megascelis spp, Melighetes aeneus, Melolontha spp., Myochrous armatus, Orycaephilus spp., Otiorhynchus spp., Phyllophaga spp, Phlyctinus spp., Popillia spp., Psylliodes spp., Rhyssomatus aubtilis, Rhizopertha spp., Scarabeidae, Sitophilus spp., Sitotroga spp., Somaticus spp, Sphenophorus spp, Sternechus subsignatus, Tenebrio spp., Tribolium spp. and Trogoderma spp.; from the order Diptera, for example,
Aedes spp., Anopheles spp, Antherigona soccata,Bactrocea oleae, Bibio hortulanus, Bradysia spp, Calliphora erythrocephala, Ceratitis spp., Chrysomyia spp., Culex spp., Cuterebra spp., Dacus spp., Delia spp, Drosophila melanogaster, Fannia spp., Gastrophilus spp., Geomyza tripunctata, Glossina spp., Hypoderma spp., Hyppobosca spp., Liriomyza spp., Lucilia spp., Melanagromyza spp., Musca spp., Oestrus spp., Orseolia spp., Oscinella frit, Pegomyia hyoscyami, Phorbia spp., Rhagoletis spp, Rivelia quadrifasciata, Scatella spp, Sciara spp., Stomoxys spp., Tabanus spp., Tannia spp. and Tipula spp.;
from the order Hemiptera, for example,
Acanthocoris scabrator, Acrosternum spp, Adelphocoris lineolatus, Amblypelta nitida, Bathycoelia thalassina, Blissus spp, Cimex spp., Clavigralla tomentosicollis, Creontiades spp, Distantiella theobroma, Dichelops furcatus, Dysdercus spp., Edessa spp, Euchistus spp., Eurydema pulchrum, Eurygaster spp., Halyomorpha halys, Horcias nobilellus, Leptocorisa spp., Lygus spp, Margarodes spp, Murgantia histrionic, Neomegalotomus spp, Nesidiocoris tenuis, Nezara spp., Nysius simulans, Oebalus insularis, Piesma spp., Piezodorus spp, Rhodnius spp., Sahlbergella singularis, Scaptocoris castanea, Scotinophara spp., Thyanta spp, Triatoma spp., Vatiga illudens;
Acyrthosium pisum, Adalges spp, Agalliana ensigera, Agonoscena targionii, Aleurodicus spp, Aleurocanthus spp, Aleurolobus barodensis, Aleurothrixus floccosus, Aleyrodes brassicae, Amarasca biguttula, Amritodus atkinsoni, Aonidiella spp., Aphididae, Aphis spp., Aspidiotus spp., Aulacorthum solani, Bactericera cockerelli, Bemisia spp, Brachycaudus spp, Brevicoryne brassicae, Cacopsylla spp, Cavariella aegopodii Scop., Ceroplaster spp., Chrysomphalus aonidium, Chrysomphalus dictyospermi, Cicadella spp, Cofana spectra, Cryptomyzus spp, Cicadulina spp, Coccus hesperidum, Dalbulus maidis, Dialeurodes spp, Diaphorina citri, Diuraphis noxia, Dysaphis spp, Empoasca spp., Eriosoma larigerum, Erythroneura spp., Gascardia spp., Glycaspis brimblecombei, Hyadaphis pseudobrassicae, Hyalopterus spp, Hyperomyzus pallidus, Idioscopus clypealis, Jacobiasca lybica, Laodelphax spp., Lecanium corni, Lepidosaphes spp., Lopaphis erysimi, Lyogenys maidis,
Macrosiphum spp., Mahanarva spp, Metcalfa pruinosa, Metopolophium dirhodum, Myndus crudus, Myzus spp., Neotoxoptera sp, Nephotettix spp., Nilaparvata spp., Nippolachnus piri Mats, Odonaspis ruthae, Oregma lanigera Zehnter, Parabemisia myricae, Paratrioza cockerelli, Parlatoria spp., Pemphigus spp., Peregrinus maidis, Perkinsiella spp, Phorodon humuli, Phylloxera spp, Planococcus spp., Pseudaulacaspis spp., Pseudococcus spp., Pseudatomoscelis seriatus, Psylla spp., Pulvinaria aethiopica, Quadraspidiotus spp., Quesada gigas, Recilia dorsalis, Rhopalosiphum spp., Saissetia spp., Scaphoideus spp., Schizaphis spp., Sitobion spp., Sogatella furcifera, Spissistilus festinus,
Tarophagus Proserpina, Toxoptera spp, Trialeurodes spp, Tridiscus sporoboli, Trionymus spp, Trioza erytreae, Unaspis citri, Zygina flammigera, Zyginidia scutellaris, ;
from the order Hymenoptera, for example,
Acromyrmex, Arge spp, Atta spp., Cephus spp., Diprion spp., Diprionidae, Gilpinia polytoma, Hoplo- campa spp., Lasius spp., Monomorium pharaonis, Neodiprion spp., Pogonomyrmex spp, Slenopsis invicta, Solenopsis spp. and Vespa spp.;
from the order Isoptera, for example,
Coptotermes spp, Corniternes cumulans, Incisitermes spp, Macrotermes spp, Mastotermes spp, Microtermes spp, Reticulitermes spp.; Solenopsis geminate
from the order Lepidoptera, for example,
Acleris spp., Adoxophyes spp., Aegeria spp., Agrotis spp., Alabama argillaceae, Amylois spp., Anticarsia gemmatalis, Archips spp., Argyresthia spp, Argyrotaenia spp., Autographa spp., Bucculatrix thurberiella, Busseola fusca, Cadra cautella, Carposina nipponensis, Chilo spp., Choristoneura spp.,
Chrysoteuchia topiaria, Clysia ambiguella, Cnaphalocrocis spp., Cnephasia spp., Cochylis spp., Coleophora spp., Colias lesbia, Cosmophila flava, Crambus spp, Crocidolomia binotalis, Cryptophlebia leucotreta, Cydalima perspectalis, Cydia spp., Diaphania perspectalis, Diatraea spp., Diparopsis castanea, Earias spp., Eldana saccharina, Ephestia spp., Epinotia spp, Estigmene acrea, Etiella zinckinella, Eucosma spp., Eupoecilia ambiguella, Euproctis spp., Euxoa spp., Feltia jaculiferia, Gra- pholita spp., Hedya nubiferana, Heliothis spp., Hellula undalis, Herpetogramma spp, Hyphantria cunea, Keiferia lycopersicella, Lasmopalpus lignosellus, Leucoptera scitella, Lithocollethis spp., Lobesia botrana, Loxostege bifidalis, Lymantria spp., Lyonetia spp., Malacosoma spp., Mamestra brassicae, Manduca sexta, Mythimna spp, Noctua spp, Operophtera spp., Orniodes indica, Ostrinia nubilalis, Pammene spp., Pandemis spp., Panolis flammea, Papaipema nebris, Pectinophora gossypi- ela, Perileucoptera coffeella, Pseudaletia unipuncta, Phthorimaea operculella, Pieris rapae, Pieris spp., Plutella xylostella, Prays spp., Pseudoplusia spp, Rachiplusia nu, Richia albicosta, Scirpophaga spp., Sesamia spp., Sparganothis spp., Spodoptera spp., Sylepta derogate, Synanthedon spp., Thaumetopoea spp., Tortrix spp., Trichoplusia ni, Tuta absoluta, and Yponomeuta spp.;
from the order Mallophaga, for example,
Damalinea spp. and Trichodectes spp.;
from the order Orthoptera, for example,
Blatta spp., Blattella spp., Gryllotalpa spp., Leucophaea maderae, Locusta spp., Neocurtilla hexadactyla, Periplaneta spp., Scapteriscus spp, and Schistocerca spp.;
from the order Psocoptera, for example,
Liposcelis spp.;
from the order Siphonaptera, for example,
Ceratophyllus spp., Ctenocephalides spp. and Xenopsylla cheopis; from the order Thysanoptera, for example,
Calliothrips phaseoli, Frankliniella spp., Heliothrips spp, Hercinothrips spp., Parthenothrips spp, Scirtothrips aurantii, Sericothrips variabilis, Taeniothrips spp., Thrips spp;
from the order Thysanura, for example, Lepisma saccharina. The active ingredients according to the invention can be used for controlling, i. e. containing or destroying, pests of the abovementioned type which occur in particular on plants, especially on useful plants and ornamentals in agriculture, in horticulture and in forests, or on organs, such as fruits, flowers, foliage, stalks, tubers or roots, of such plants, and in some cases even plant organs which are formed at a later point in time remain protected against these pests.
Suitable target crops are, in particular, cereals, such as wheat, barley, rye, oats, rice, maize or sorghum; beet, such as sugar or fodder beet; fruit, for example pomaceous fruit, stone fruit or soft fruit, such as apples, pears, plums, peaches, almonds, cherries or berries, for example strawberries,
raspberries or blackberries; leguminous crops, such as beans, lentils, peas or soya; oil crops, such as oilseed rape, mustard, poppies, olives, sunflowers, coconut, castor, cocoa or ground nuts; cucurbits, such as pumpkins, cucumbers or melons; fibre plants, such as cotton, flax, hemp or jute; citrus fruit, such as oranges, lemons, grapefruit or tangerines; vegetables, such as spinach, lettuce, asparagus, cabbages, carrots, onions, tomatoes, potatoes or bell peppers; Lauraceae, such as avocado, Cinnamonium or camphor; and also tobacco, nuts, coffee, eggplants, sugarcane, tea, pepper, grapevines, hops, the plantain family and latex plants.
The compositions and/or methods of the present invention may be also used on any ornamental and/or vegetable crops, including flowers, shrubs, broad-leaved trees and evergreens.
For example the invention may be used on any of the following ornamental species: Ageratum spp., Alonsoa spp., Anemone spp., Anisodontea capsenisis, Anthemis spp., Antirrhinum spp., Aster spp., Begonia spp. (e.g. B. elatior, B. semperflorens, B. tubereux), Bougainvillea spp., Brachycome spp., Brassica spp. (ornamental), Calceolaria spp., Capsicum annuum, Catharanthus roseus, Canna spp., Centaurea spp., Chrysanthemum spp., Cineraria spp. (C. maritime), Coreopsis spp., Crassula coccinea, Cuphea ignea, Dahlia spp., Delphinium spp., Dicentra spectabilis, Dorotheantus spp., Eustoma grandiflorum, Forsythia spp., Fuchsia spp., Geranium gnaphalium, Gerbera spp.,
Gomphrena globosa, Heliotropium spp., Helianthus spp., Hibiscus spp., Hortensia spp., Hydrangea spp., Hypoestes phyllostachya, Impatiens spp. (/. Walleriana), Iresines spp., Kalanchoe spp., Lantana camara, Lavatera trimestris, Leonotis leonurus, Lilium spp., Mesembryanthemum spp., Mimulus spp., Monarda spp., Nemesia spp., Tagetes spp., Dianthus spp. (carnation), Canna spp., Oxalis spp., Bellis spp., Pelargonium spp. (P. peltatum, P. Zonale), Viola spp. (pansy), Petunia spp., Phlox spp., Plecthranthus spp., Poinsettia spp., Parthenocissus spp. (P. quinquefolia, P. tricuspidata), Primula spp., Ranunculus spp., Rhododendron spp., Rosa spp. (rose), Rudbeckia spp., Saintpaulia spp., Salvia spp., Scaevola aemola, Schizanthus wisetonensis, Sedum spp., Solanum spp., Surfinia spp., Tagetes spp., Nicotinia spp., Verbena spp., Zinnia spp. and other bedding plants.
For example the invention may be used on any of the following vegetable species: Allium spp. (A. sativum, A., cepa, A. oschaninii, A. Porrum, A. ascalonicum, A. fistulosum), Anthriscus cerefolium, Apium graveolus, Asparagus officinalis, Beta vulgarus, Brassica spp. (B. Oleracea, B. Pekinensis, B. rapa), Capsicum annuum, Cicer arietinum, Cichorium endivia, Cichorum spp. (C. intybus, C. endivia), Citrillus lanatus, Cucumis spp. (C. sativus, C. melo), Cucurbita spp. (C. pepo, C. maxima), Cyanara spp. (C. scolymus, C. cardunculus), Daucus carota, Foeniculum vulgare, Hypericum spp., Lactuca sativa, Lycopersicon spp. (L. esculentum, L. lycopersicum), Mentha spp., Ocimum basilicum, Petroselinum crispum, Phaseolus spp. (P. vulgaris, P. coccineus), Pisum sativum, Raphanus sativus, Rheum rhaponticum, Rosemarinus spp., Salvia spp., Scorzonera hispanica, Solanum melongena, Spinacea oleracea, Valerianella spp. (V. locusta, V. eriocarpa) and Vicia faba.
Preferred ornamental species include African violet, Begonia, Dahlia, Gerbera, Hydrangea, Verbena, Rosa, Kalanchoe, Poinsettia, Aster, Centaurea, Coreopsis, Delphinium, Monarda, Phlox, Rudbeckia, Sedum, Petunia, Viola, Impatiens, Geranium, Chrysanthemum, Ranunculus, Fuchsia, Salvia, Hortensia, rosemary, sage, St. Johnswort, mint, sweet pepper, tomato and cucumber. The active ingredients according to the invention are especially suitable for controlling Aphis craccivora, Diabrotica balteata, Heliothis virescens, Myzus persicae, Plutella xylostella and
Spodoptera littoralis in cotton, vegetable, maize, rice and soya crops. The active ingredients according to the invention are further especially suitable for controlling Mamestra (preferably in vegetables), Cydia pomonella (preferably in apples), Empoasca(preferably in vegetables, vineyards), Leptinotarsa (preferably in potatos) and Chilo supressalis (preferably in rice).
In a further aspect, the invention may also relate to a method of controlling damage to plant and parts thereof by plant parasitic nematodes (Endoparasitic-, Semiendoparasitic- and Ectoparasitic nematodes), especially plant parasitic nematodes such as root knot nematodes, Meloidogyne hapla, Meloidogyne incognita, Meloidogyne javanica, Meloidogyne arenaria and other Meloidogyne species; cyst-forming nematodes, Globodera rostochiensis and other Globodera species; Heterodera avenae, Heterodera glycines, Heterodera schachtii, Heterodera trifolii, and other Heterodera species; Seed gall nematodes, Anguina species; Stem and foliar nematodes, Aphelenchoides species; Sting nematodes, Belonolaimus longicaudatus and other Belonolaimus species; Pine nematodes, Bursaphelenchus xylophilus and other Bursaphelenchus species; Ring nematodes, Criconema species, Criconemella species, Criconemoides species, Mesocriconema species; Stem and bulb nematodes, Ditylenchus destructor, Ditylenchus dipsaci and other Ditylenchus species; Awl nematodes, Dolichodorus species; Spiral nematodes, Heliocotylenchus multicinctus and other Helicotylenchus species; Sheath and sheathoid nematodes, Hemicycliophora species and Hemicriconemoides species; Hirshmanniella species; Lance nematodes, Hoploaimus species; false rootknot nematodes, Nacobbus species;
Needle nematodes, Longidorus elongatus and other Longidorus species; Pin nematodes,
Pratylenchus species; Lesion nematodes, Pratylenchus neglectus, Pratylenchus penetrans,
Pratylenchus curvitatus, Pratylenchus goodeyi and other Pratylenchus species; Burrowing nematodes, Radopholus similis and other Radopholus species; Reniform nematodes, Rotylenchus robustus, Rotylenchus reniformis and other Rotylenchus species; Scutellonema species; Stubby root nematodes, Trichodorus primitivus and other Trichodorus species, Paratrichodorus species; Stunt nematodes, Tylenchorhynchus claytoni, Tylenchorhynchus dubius and other Tylenchorhynchus species; Citrus nematodes, Tylenchulus species; Dagger nematodes, Xiphinema species; and other plant parasitic nematode species, such as Subanguina spp., Hypsoperine spp., Macroposthonia spp., Melinius spp., Punctodera spp., and Quinisulcius spp..
The compounds of the invention may also have activity against the molluscs. Examples of which include, for example, Ampullariidae; Arion (A. ater, A. circumscriptus, A. hortensis, A. rufus);
Bradybaenidae (Bradybaena fruticum); Cepaea (C. hortensis, C. Nemoralis); ochlodina; Deroceras (D. agrestis, D. empiricorum, D. laeve, D. reticulatum); Discus (D. rotundatus); Euomphalia; Galba (G. trunculata); Helicelia (H. itala, H. obvia); Helicidae Helicigona arbustorum); Helicodiscus; Helix (H. aperta); Limax (L. cinereoniger, L. flavus, L. marginatus, L. maximus, L. tenellus); Lymnaea; Milax (M. gagates, M. marginatus, M. sowerbyi); Opeas; Pomacea (P. canaticulata); Vallonia and Zanitoides.
The term "crops" is to be understood as including also crop plants which have been so transformed by the use of recombinant DNA techniques that they are capable of synthesising one or more selectively acting toxins, such as are known, for example, from toxin-producing bacteria, especially those of the genus Bacillus.
Toxins that can be expressed by such transgenic plants include, for example, insecticidal proteins, for example insecticidal proteins from Bacillus cereus or Bacillus popilliae; or insecticidal proteins from Bacillus thuringiensis, such as δ-endotoxins, e.g. CrylAb, CrylAc, Cryl F, Cry1 Fa2, Cry2Ab, Cry3A, Cry3Bb1 or Cry9C, or vegetative insecticidal proteins (Vip), e.g. Vip1 , Vip2, Vip3 or Vip3A; or insecticidal proteins of bacteria colonising nematodes, for example Photorhabdus spp. or
Xenorhabdus spp., such as Photorhabdus luminescens, Xenorhabdus nematophilus; toxins produced by animals, such as scorpion toxins, arachnid toxins, wasp toxins and other insect-specific neurotoxins; toxins produced by fungi, such as Streptomycetes toxins, plant lectins, such as pea lectins, barley lectins or snowdrop lectins; agglutinins; proteinase inhibitors, such as trypsin inhibitors, serine protease inhibitors, patatin, cystatin, papain inhibitors; ribosome-inactivating proteins (RIP), such as ricin, maize-RIP, abrin, luffin, saporin or bryodin; steroid metabolism enzymes, such as 3-hydroxysteroidoxidase, ecdysteroid-UDP-glycosyl-transferase, cholesterol oxidases, ecdysone inhibitors, HMG-COA-reductase, ion channel blockers, such as blockers of sodium or calcium channels, juvenile hormone esterase, diuretic hormone receptors, stilbene synthase, bibenzyl synthase, chitinases and glucanases.
In the context of the present invention there are to be understood by δ-endotoxins, for example CrylAb, CrylAc, Cry1 F, Cry1 Fa2, Cry2Ab, Cry3A, Cry3Bb1 or Cry9C, or vegetative insecticidal proteins (Vip), for example Vip1 , Vip2, Vip3 or Vip3A, expressly also hybrid toxins, truncated toxins and modified toxins. Hybrid toxins are produced recombinantly by a new combination of different domains of those proteins (see, for example, WO 02/15701 ). Truncated toxins, for example a truncated CrylAb, are known. In the case of modified toxins, one or more amino acids of the naturally occurring toxin are replaced. In such amino acid replacements, preferably non-naturally present protease recognition sequences are inserted into the toxin, such as, for example, in the case of Cry3A055, a cathepsin-G-recognition sequence is inserted into a Cry3A toxin (see WO 03/018810).
Examples of such toxins or transgenic plants capable of synthesising such toxins are disclosed, for example, in EP-A-0 374 753, WO 93/07278, WO 95/34656, EP-A-0 427 529, EP-A-451 878 and WO 03/052073.
The processes for the preparation of such transgenic plants are generally known to the person skilled in the art and are described, for example, in the publications mentioned above. Cryl-type
deoxyribonucleic acids and their preparation are known, for example, from WO 95/34656, EP-A-0 367 474, EP-A-0 401 979 and WO 90/13651.
The toxin contained in the transgenic plants imparts to the plants tolerance to harmful insects. Such insects can occur in any taxonomic group of insects, but are especially commonly found in the beetles (Coleoptera), two-winged insects (Diptera) and moths (Lepidoptera).
Transgenic plants containing one or more genes that code for an insecticidal resistance and express one or more toxins are known and some of them are commercially available. Examples of such plants are: YieldGard® (maize variety that expresses a CrylAb toxin); YieldGard Rootworm® (maize variety that expresses a Cry3Bb1 toxin); YieldGard Plus® (maize variety that expresses a CrylAb and a Cry3Bb1 toxin); Starlink® (maize variety that expresses a Cry9C toxin); Herculex I® (maize variety that expresses a Cry1 Fa2 toxin and the enzyme phosphinothricine N-acetyltransferase (PAT) to achieve tolerance to the herbicide glufosinate ammonium); NuCOTN 33B® (cotton variety that expresses a CrylAc toxin); Bollgard I® (cotton variety that expresses a CrylAc toxin); Bollgard II® (cotton variety that expresses a CrylAc and a Cry2Ab toxin); VipCot® (cotton variety that expresses a Vip3A and a CrylAb toxin); NewLeaf® (potato variety that expresses a Cry3A toxin); NatureGard®, Agrisure® GT Advantage (GA21 glyphosate-tolerant trait), Agrisure® CB Advantage (Bt1 1 corn borer (CB) trait) and Protecta®.
Further examples of such transgenic crops are:
1. Bt11 Maize from Syngenta Seeds SAS, Chemin de I'Hobit 27, F-31 790 St. Sauveur, France, registration number C/FR/96/05/10. Genetically modified Zea mays which has been rendered resistant to attack by the European corn borer (Ostrinia nubilalis and Sesamia nonagrioides) by transgenic expression of a truncated CrylAb toxin. Bt1 1 maize also transgenically expresses the enzyme PAT to achieve tolerance to the herbicide glufosinate ammonium.
2. Bt176 Maize from Syngenta Seeds SAS, Chemin de I'Hobit 27, F-31 790 St. Sauveur, France, registration number C/FR/96/05/10. Genetically modified Zea mays which has been rendered resistant to attack by the European corn borer (Ostrinia nubilalis and Sesamia nonagrioides) by transgenic expression of a CrylAb toxin. Bt176 maize also transgenically expresses the enzyme PAT to achieve tolerance to the herbicide glufosinate ammonium.
3. MIR604 Maize from Syngenta Seeds SAS, Chemin de I'Hobit 27, F-31 790 St. Sauveur, France, registration number C/FR/96/05/10. Maize which has been rendered insect-resistant by transgenic expression of a modified Cry3A toxin. This toxin is Cry3A055 modified by insertion of a cathepsin-G-
protease recognition sequence. The preparation of such transgenic maize plants is described in WO 03/018810.
4. MON 863 Maize from Monsanto Europe S.A. 270-272 Avenue de Tervuren, B-1 150 Brussels, Belgium, registration number C/DE/02/9. MON 863 expresses a Cry3Bb1 toxin and has resistance to certain Coleoptera insects.
5. IPC 531 Cotton from Monsanto Europe S.A. 270-272 Avenue de Tervuren, B-1 150 Brussels, Belgium, registration number C/ES/96/02.
6. 1507 Maize from Pioneer Overseas Corporation, Avenue Tedesco, 7 B-1 160 Brussels, Belgium, registration number C/NL/00/10. Genetically modified maize for the expression of the protein Cry1 F for achieving resistance to certain Lepidoptera insects and of the PAT protein for achieving tolerance to the herbicide glufosinate ammonium.
7. NK603 * MON 810 Maize from Monsanto Europe S.A. 270-272 Avenue de Tervuren, B-1 150 Brussels, Belgium, registration number C/GB/02/M3/03. Consists of conventionally bred hybrid maize varieties by crossing the genetically modified varieties NK603 and MON 810. NK603 * MON 810 Maize transgenically expresses the protein CP4 EPSPS, obtained from Agrobacterium sp. strain CP4, which imparts tolerance to the herbicide Roundup® (contains glyphosate), and also a Cry1 Ab toxin obtained from Bacillus thuringiensis subsp. kurstaki which brings about tolerance to certain
Lepidoptera, include the European corn borer.
Transgenic crops of insect-resistant plants are also described in BATS (Zentrum fur Biosicherheit und Nachhaltigkeit, Zentrum BATS, Clarastrasse 13, 4058 Basel, Switzerland) Report 2003,
(http://bats.ch).
The term "crops" is to be understood as including also crop plants which have been so transformed by the use of recombinant DNA techniques that they are capable of synthesising antipathogenic substances having a selective action, such as, for example, the so-called "pathogenesis-related proteins" (PRPs, see e.g. EP-A-0 392 225). Examples of such antipathogenic substances and transgenic plants capable of synthesising such antipathogenic substances are known, for example, from EP-A-0 392 225, WO 95/33818 and EP-A-0 353 191. The methods of producing such transgenic plants are generally known to the person skilled in the art and are described, for example, in the publications mentioned above.
Crops may also be modified for enhanced resistance to fungal (for example Fusarium, Anthracnose, or Phytophthora), bacterial (for example Pseudomonas) or viral (for example potato leafroll virus, tomato spotted wilt virus, cucumber mosaic virus) pathogens. Crops also include those that have enhanced resistance to nematodes, such as the soybean cyst nematode.
Crops that are tolerance to abiotic stress include those that have enhanced tolerance to drought, high salt, high temperature, chill, frost, or light radiation, for example through expression of NF-YB or other proteins known in the art. Antipathogenic substances which can be expressed by such transgenic plants include, for example, ion channel blockers, such as blockers for sodium and calcium channels, for example the viral KP1 , KP4 or KP6 toxins; stilbene synthases; bibenzyl synthases; chitinases; glucanases; the so-called "pathogenesis-related proteins" (PRPs; see e.g. EP-A-0 392 225); antipathogenic substances produced by microorganisms, for example peptide antibiotics or heterocyclic antibiotics (see e.g. WO 95/33818) or protein or polypeptide factors involved in plant pathogen defence (so-called "plant disease resistance genes", as described in WO 03/000906).
Further areas of use of the compositions according to the invention are the protection of stored goods and store rooms and the protection of raw materials, such as wood, textiles, floor coverings or buildings, and also in the hygiene sector, especially the protection of humans, domestic animals and productive livestock against pests of the mentioned type.
The present invention also provides a method for controlling pests (such as mosquitoes and other disease vectors; see also http://www.who.int/malaria/vector_control/irs/en/). In one embodiment, the method for controlling pests comprises applying the compositions of the invention to the target pests, to their locus or to a surface or substrate by brushing, rolling, spraying, spreading or dipping. By way of example, an IRS (indoor residual spraying) application of a surface such as a wall, ceiling or floor surface is contemplated by the method of the invention. In another embodiment, it is contemplated to apply such compositions to a substrate such as non-woven or a fabric material in the form of (or which can be used in the manufacture of) netting, clothing, bedding, curtains and tents.
In one embodiment, the method for controlling such pests comprises applying a pesticidally effective amount of the compositions of the invention to the target pests, to their locus, or to a surface or substrate so as to provide effective residual pesticidal activity on the surface or substrate. Such application may be made by brushing, rolling, spraying, spreading or dipping the pesticidal composition of the invention. By way of example, an IRS application of a surface such as a wall, ceiling or floor surface is contemplated by the method of the invention so as to provide effective residual pesticidal activity on the surface. In another embodiment, it is contemplated to apply such compositions for residual control of pests on a substrate such as a fabric material in the form of (or which can be used in the manufacture of) netting, clothing, bedding, curtains and tents.
Substrates including non-woven, fabrics or netting to be treated may be made of natural fibres such as cotton, raffia, jute, flax, sisal, hessian, or wool, or synthetic fibres such as polyamide, polyester,
polypropylene, polyacrylonitrile or the like. The polyesters are particularly suitable. The methods of textile treatment are known, e.g. WO 2008/151984, WO 03/034823, US 5631072, WO 2005/64072, WO2006/128870, EP 1724392, WO 2005/1 13886 or WO 2007/090739. Further areas of use of the compositions according to the invention are the field of tree injection/trunk treatment for all ornamental trees as well all sort of fruit and nut trees.
In the field of tree injection/trunk treatment, the compounds according to the present invention are especially suitable against wood-boring insects from the order Lepidoptera as mentioned above and from the order Coleoptera, especially against woodborers listed in the following tables A and B: Table A. Examples of exotic woodborers of economic importance.
Table B. Examples of native woodborers of economic importance.
Family Species Host or Crop Infested
Agrilus anxius Birch
Agrilus politus Willow, Maple
Agrilus sayi Bayberry, Sweetfern
Agrilus vittaticolllis Apple, Pear, Cranberry,
Buprestidae Serviceberry, Hawthorn
Chrysobothris femorata Apple, Apricot, Beech, Boxelder,
Cherry, Chestnut, Currant, Elm,
Hawthorn, Hackberry, Hickory,
Horsechestnut, Linden, Maple,
Mountain-ash, Oak, Pecan, Pear,
Family Species Host or Crop Infested
Peach, Persimmon, Plum, Poplar, Quince, Redbud, Serviceberry, Sycamore, Walnut, Willow
Texania campestris Basswood, Beech, Maple, Oak,
Sycamore, Willow, Yellow-poplar
Goes pulverulentus Beech, Elm, Nuttall, Willow, Black oak, Cherrybark oak, Water oak, Sycamore
Goes tigrinus Oak
Neoclytus acuminatus Ash, Hickory, Oak, Walnut, Birch,
Beech, Maple, Eastern
hophornbeam, Dogwood,
Persimmon, Redbud, Holly, Hackberry, Black locust,
Honeylocust, Yellow-poplar, Chestnut, Osage-orange, Sassafras, Lilac, Mountain-mahogany, Pear, Cherry, Plum, Peach, Apple, Elm,
Cerambycidae Basswood, Sweetgum
Neoptychodes trilineatus Fig, Alder, Mulberry, Willow, Netleaf hackberry
Oberea ocellata Sumac, Apple, Peach, Plum, Pear,
Currant, Blackberry
Oberea tripunctata Dogwood, Viburnum, Elm,
Sourwood, Blueberry,
Rhododendron, Azalea, Laurel, Poplar, Willow, Mulberry
Oncideres cingulata Hickory, Pecan, Persimmon, Elm,
Sourwood, Basswood, Honeylocust, Dogwood, Eucalyptus, Oak, Hackberry, Maple, Fruit trees
Family Species Host or Crop Infested
Saperda calcarata Poplar
Strophiona nitens Chestnut, Oak, Hickory, Walnut,
Beech, Maple
Corthylus columbianus Maple, Oak, Yellow-poplar, Beech,
Boxelder, Sycamore, Birch,
Basswood, Chestnut, Elm
Dendroctonus frontalis Pine
Dryocoetes betulae Birch, Sweetgum, Wild cherry,
Beech, Pear
Scolytidae Monarthrum fasciatum Oak, Maple, Birch, Chestnut,
Sweetgum, Blackgum, Poplar, Hickory, Mimosa, Apple, Peach, Pine
Phloeotribus liminaris Peach, Cherry, Plum, Black cherry,
Elm, Mulberry, Mountain-ash
Pseudopityophthorus pruinosus Oak, American beech, Black cherry,
Chickasaw plum, Chestnut, Maple, Hickory, Hornbeam, Hophornbeam
Paranthrene simulans Oak, American chestnut
Sannina uroceriformis Persimmon
Synanthedon exitiosa Peach, Plum, Nectarine, Cherry,
Apricot, Almond, Black cherry
Sesiidae Synanthedon pictipes Peach, Plum, Cherry, Beach, Black
Cherry
Synanthedon rubrofascia Tupelo
Synanthedon scitula Dogwood, Pecan, Hickory, Oak,
Chestnut, Beech, Birch, Black cherry, Elm, Mountain-ash, Viburnum,
Family Species Host or Crop Infested
Willow, Apple, Loquat, Ninebark,
Bayberry
Vitacea polistiformis Grape
The present invention may be also used to control any insect pests that may be present in turfgrass, including for example beetles, caterpillars, fire ants, ground pearls, millipedes, sow bugs, mites, mole crickets, scales, mealybugs ticks, spittlebugs, southern chinch bugs and white grubs. The present invention may be used to control insect pests at various stages of their life cycle, including eggs, larvae, nymphs and adults.
In particular, the present invention may be used to control insect pests that feed on the roots of turfgrass including white grubs (such as Cyclocephala spp. (e.g. masked chafer, C. lurida),
Rhizotrogus spp. (e.g. European chafer, R. majalis), Cotinus spp. (e.g. Green June beetle, C. nitida), Popillia spp. (e.g. Japanese beetle, P. japonica), Phyllophaga spp. (e.g. May/June beetle), Ataenius spp. (e.g. Black turfgrass ataenius, A. spretulus), Maladera spp. (e.g. Asiatic garden beetle, M.
castanea) and Tomarus spp.), ground pearls (Margarodes spp.), mole crickets (tawny, southern, and short-winged; Scapteriscus spp., Gryllotalpa africana) and leatherjackets (European crane fly, Tipula spp.).
The present invention may also be used to control insect pests of turfgrass that are thatch dwelling, including armyworms (such as fall armyworm Spodoptera frugiperda, and common armyworm Pseudaletia unipuncta), cutworms, billbugs (Sphenophorus spp. , such as S. venatus verstitus and S. parvulus), and sod webworms (such as Crambus spp. and the tropical sod webworm, Herpetogramma phaeopteralis).
The present invention may also be used to control insect pests of turfgrass that live above the ground and feed on the turfgrass leaves, including chinch bugs (such as southern chinch bugs, Blissus insularis), Bermudagrass mite (Eriophyes cynodoniensis), rhodesgrass mealybug (Antonina graminis), two-lined spittlebug (Propsapia bicincta), leafhoppers, cutworms (Noctuidae family), and greenbugs. The present invention may also be used to control other pests of turfgrass such as red imported fire ants (Solenopsis invicta) that create ant mounds in turf.
In the hygiene sector, the compositions according to the invention are active against ectoparasites such as hard ticks, soft ticks, mange mites, harvest mites, flies (biting and licking), parasitic fly larvae, lice, hair lice, bird lice and fleas.
Examples of such parasites are:
Of the order Anoplurida: Haematopinus spp., Linognathus spp., Pediculus spp. and Phtirus spp., Solenopotes spp..
Of the order Mallophagida: Trimenopon spp., Menopon spp., Trinoton spp., Bovicola spp.,
Werneckiella spp., Lepikentron spp., Damalina spp., Trichodectes spp. and Felicola spp.. Of the order Diptera and the suborders Nematocerina and Brachycerina, for example Aedes spp., Anopheles spp., Culex spp., Simulium spp., Eusimulium spp., Phlebotomus spp., Lutzomyia spp., Culicoides spp., Chrysops spp., Hybomitra spp., Atylotus spp., Tabanus spp., Haematopota spp., Philipomyia spp., Braula spp., Musca spp., Hydrotaea spp., Stomoxys spp., Haematobia spp., Morellia spp., Fannia spp., Glossina spp., Calliphora spp., Lucilia spp., Chrysomyia spp., Wohlfahrtia spp., Sarcophaga spp., Oestrus spp., Hypoderma spp., Gasterophilus spp., Hippobosca spp., Lipoptena spp. and Melophagus spp..
Of the order Siphonapterida, for example Pulex spp., Ctenocephalides spp., Xenopsylla spp., Ceratophyllus spp..
Of the order Heteropterida, for example Cimex spp., Triatoma spp., Rhodnius spp., Panstrongylus spp..
Of the order Blattarida, for example Blatta orientalis, Periplaneta americana, Blattelagermanica and Supella spp..
Of the subclass Acaria (Acarida) and the orders Meta- and Meso-stigmata, for example Argas spp., Ornithodorus spp., Otobius spp., Ixodes spp., Amblyomma spp., Boophilus spp., Dermacentor spp., Haemophysalis spp., Hyalomma spp., Rhipicephalus spp., Dermanyssus spp., Raillietia spp., Pneumonyssus spp., Sternostoma spp. and Varroa spp..
Of the orders Actinedida (Prostigmata) and Acaridida (Astigmata), for example Acarapis spp., Cheyletiella spp., Ornithocheyletia spp., Myobia spp., Psorergatesspp., Demodex spp., Trombicula spp., Listrophorus spp., Acarus spp., Tyrophagus spp., Caloglyphus spp., Hypodectes spp.,
Pterolichus spp., Psoroptes spp., Chorioptes spp., Otodectes spp., Sarcoptes spp., Notoedres spp., Knemidocoptes spp., Cytodites spp. and Laminosioptes spp..
The compositions according to the invention are also suitable for protecting against insect infestation in the case of materials such as wood, textiles, plastics, adhesives, glues, paints, paper and card, leather, floor coverings and buildings.
The compositions according to the invention can be used, for example, against the following pests: beetles such as Hylotrupes bajulus, Chlorophorus pilosis, Anobium punctatum, Xestobium
rufovillosum, Ptilinuspecticornis, Dendrobium pertinex, Ernobius mollis, Priobium carpini, Lyctus brunneus, Lyctus africanus, Lyctus planicollis, Lyctus linearis, Lyctus pubescens, Trogoxylon aequale, Minthesrugicollis, Xyleborus spec.,Tryptodendron spec, Apate monachus, Bostrychus capucins, Heterobostrychus brunneus, Sinoxylon spec, and Dinoderus minutus, and also hymenopterans such as Sirex juvencus, Urocerus gigas, Urocerus gigas taignus and Urocerus augur, and termites such as Kalotermes flavicollis, Cryptotermes brevis, Heterotermes indicola, Reticulitermes flavipes,
Reticulitermes santonensis, Reticulitermes lucifugus, Mastotermes darwiniensis, Zootermopsis nevadensis and Coptotermes formosanus, and bristletails such as Lepisma saccharina.
The compounds according to the invention can be used as pesticidal agents in unmodified form, but they are generally formulated into compositions in various ways using formulation adjuvants, such as carriers, solvents and surface-active substances. The formulations can be in various physical forms, e.g. in the form of dusting powders, gels, wettable powders, water-dispersible granules, water- dispersible tablets, effervescent pellets, emulsifiable concentrates, microemulsifiable concentrates, oil- in-water emulsions, oil-flowables, aqueous dispersions, oily dispersions, suspo-emulsions, capsule suspensions, emulsifiable granules, soluble liquids, water-soluble concentrates (with water or a water- miscible organic solvent as carrier), impregnated polymer films or in other forms known e.g. from the Manual on Development and Use of FAO and WHO Specifications for Pesticides, United Nations, First Edition, Second Revision (2010). Such formulations can either be used directly or diluted prior to use. The dilutions can be made, for example, with water, liquid fertilisers, micronutrients, biological organisms, oil or solvents.
The formulations can be prepared e.g. by mixing the active ingredient with the formulation adjuvants in order to obtain compositions in the form of finely divided solids, granules, solutions, dispersions or emulsions. The active ingredients can also be formulated with other adjuvants, such as finely divided solids, mineral oils, oils of vegetable or animal origin, modified oils of vegetable or animal origin, organic solvents, water, surface-active substances or combinations thereof.
The active ingredients can also be contained in very fine microcapsules. Microcapsules contain the active ingredients in a porous carrier. This enables the active ingredients to be released into the environment in controlled amounts (e.g. slow-release). Microcapsules usually have a diameter of from 0.1 to 500 microns. They contain active ingredients in an amount of about from 25 to 95 % by weight of the capsule weight. The active ingredients can be in the form of a monolithic solid, in the form of fine particles in solid or liquid dispersion or in the form of a suitable solution. The encapsulating membranes can comprise, for example, natural or synthetic rubbers, cellulose, styrene/butadiene copolymers, polyacrylonitrile, polyacrylate, polyesters, polyamides, polyureas, polyurethane or chemically modified polymers and starch xanthates or other polymers that are known to the person skilled in the art. Alternatively, very fine microcapsules can be formed in which the active ingredient is contained in the form of finely divided particles in a solid matrix of base substance, but the
microcapsules are not themselves encapsulated.
The formulation adjuvants that are suitable for the preparation of the compositions according to the invention are known per se. As liquid carriers there may be used: water, toluene, xylene, petroleum ether, vegetable oils, acetone, methyl ethyl ketone, cyclohexanone, acid anhydrides, acetonitrile, acetophenone, amyl acetate, 2-butanone, butylene carbonate, chlorobenzene, cyclohexane, cyclohexanol, alkyl esters of acetic acid, diacetone alcohol, 1 ,2-dichloropropane, diethanolamine, p- diethylbenzene, diethylene glycol, diethylene glycol abietate, diethylene glycol butyl ether, diethylene glycol ethyl ether, diethylene glycol methyl ether, A/,A/-dimethylformamide, dimethyl sulfoxide, 1 ,4- dioxane, dipropylene glycol, dipropylene glycol methyl ether, dipropylene glycol dibenzoate, diproxitol, alkylpyrrolidone, ethyl acetate, 2-ethylhexanol, ethylene carbonate, 1 ,1 , 1-trichloroethane, 2- heptanone, alpha-pinene, d-limonene, ethyl lactate, ethylene glycol, ethylene glycol butyl ether, ethylene glycol methyl ether, gamma-butyrolactone, glycerol, glycerol acetate, glycerol diacetate, glycerol triacetate, hexadecane, hexylene glycol, isoamyl acetate, isobornyl acetate, isooctane, isophorone, isopropylbenzene, isopropyl myristate, lactic acid, laurylamine, mesityl oxide, methoxy- propanol, methyl isoamyl ketone, methyl isobutyl ketone, methyl laurate, methyl octanoate, methyl oleate, methylene chloride, m-xylene, n-hexane, n-octylamine, octadecanoic acid, octylamine acetate, oleic acid, oleylamine, o-xylene, phenol, polyethylene glycol, propionic acid, propyl lactate, propylene carbonate, propylene glycol, propylene glycol methyl ether, p-xylene, toluene, triethyl phosphate, triethylene glycol, xylenesulfonic acid, paraffin, mineral oil, trichloroethylene, perchloroethylene, ethyl acetate, amyl acetate, butyl acetate, propylene glycol methyl ether, diethylene glycol methyl ether, methanol, ethanol, isopropanol, and alcohols of higher molecular weight, such as amyl alcohol, tetrahydrofurfuryl alcohol, hexanol, octanol, ethylene glycol, propylene glycol, glycerol, A/-methyl-2- pyrrolidone and the like.
Suitable solid carriers are, for example, talc, titanium dioxide, pyrophyllite clay, silica, attapulgite clay, kieselguhr, limestone, calcium carbonate, bentonite, calcium montmorillonite, cottonseed husks, wheat flour, soybean flour, pumice, wood flour, ground walnut shells, lignin and similar substances.
A large number of surface-active substances can advantageously be used in both solid and liquid formulations, especially in those formulations which can be diluted with a carrier prior to use. Surface- active substances may be anionic, cationic, non-ionic or polymeric and they can be used as emulsifiers, wetting agents or suspending agents or for other purposes. Typical surface-active substances include, for example, salts of alkyl sulfates, such as diethanolammonium lauryl sulfate; salts of alkylarylsulfonates, such as calcium dodecylbenzenesulfonate; alkylphenol/alkylene oxide addition products, such as nonylphenol ethoxylate; alcohol/alkylene oxide addition products, such as tridecylalcohol ethoxylate; soaps, such as sodium stearate; salts of alkylnaphthalenesulfonat.es, such as sodium dibutylnaphthalenesulfonate; dialkyl esters of sulfosuccinate salts, such as sodium di(2- ethylhexyl)sulfosuccinate; sorbitol esters, such as sorbitol oleate; quaternary amines, such as lauryltrimethylammonium chloride, polyethylene glycol esters of fatty acids, such as polyethylene glycol stearate; block copolymers of ethylene oxide and propylene oxide; and salts of mono- and di-
alkylphosphate esters; and also further substances described e.g. in McCutcheon's Detergents and Emulsifiers Annual, MC Publishing Corp., Ridgewood New Jersey (1981 ).
Further adjuvants that can be used in pesticidal formulations include crystallisation inhibitors, viscosity modifiers, suspending agents, dyes, anti-oxidants, foaming agents, light absorbers, mixing auxiliaries, antifoams, complexing agents, neutralising or pH-modifying substances and buffers, corrosion inhibitors, fragrances, wetting agents, take-up enhancers, micronutrients, plasticisers, glidants, lubricants, dispersants, thickeners, antifreezes, microbicides, and liquid and solid fertilisers.
The compositions according to the invention can include an additive comprising an oil of vegetable or animal origin, a mineral oil, alkyl esters of such oils or mixtures of such oils and oil derivatives. The amount of oil additive in the composition according to the invention is generally from 0.01 to 10 %, based on the mixture to be applied. For example, the oil additive can be added to a spray tank in the desired concentration after a spray mixture has been prepared. Preferred oil additives comprise mineral oils or an oil of vegetable origin, for example rapeseed oil, olive oil or sunflower oil, emulsified vegetable oil, alkyl esters of oils of vegetable origin, for example the methyl derivatives, or an oil of animal origin, such as fish oil or beef tallow. Preferred oil additives comprise alkyl esters of C8-C22 fatty acids, especially the methyl derivatives of C12-C18 fatty acids, for example the methyl esters of lauric acid, palmitic acid and oleic acid (methyl laurate, methyl palmitate and methyl oleate, respectively). Many oil derivatives are known from the Compendium of Herbicide Adjuvants, 10th Edition, Southern Illinois University, 2010. The inventive compositions generally comprise from 0.1 to 99 % by weight, especially from 0.1 to
95 % by weight, of compounds of the present invention and from 1 to 99.9 % by weight of a formulation adjuvant which preferably includes from 0 to 25 % by weight of a surface-active substance.
Whereas commercial products may preferably be formulated as concentrates, the end user will normally employ dilute formulations.
The rates of application vary within wide limits and depend on the nature of the soil, the method of application, the crop plant, the pest to be controlled, the prevailing climatic conditions, and other factors governed by the method of application, the time of application and the target crop. As a general guideline compounds may be applied at a rate of from 1 to 2000 l/ha, especially from 10 to 1000 l/ha. Preferred formulations can have the following compositions (weight %): Emulsifiable concentrates:
active ingredient: 1 to 95 %, preferably 60 to 90 %
surface-active agent: 1 to 30 %, preferably 5 to 20 %
liquid carrier: 1 to 80 %, preferably 1 to 35 %
Dusts:
active ingredient: 0.1 to 10 %, preferably 0.1 to 5 %
solid carrier: 99.9 to 90 %, preferably 99.9 to 99 %
Suspension concentrates:
active ingredient: 5 to 75 %, preferably 10 to 50 %
water: 94 to 24 %, preferably 88 to 30 %
surface-active agent: 1 to 40 %, preferably 2 to 30 %
Wettable powders:
active ingredient: 0.5 to 90 %, preferably 1 to 80 %
surface-active agent: 0.5 to 20 %, preferably 1 to 15 %
solid carrier: 5 to 95 %, preferably 15 to 90 %
Granules:
active ingredient: 0.1 to 30 %, preferably 0.1 to 15 %
solid carrier: 99.5 to 70 %, preferably 97 to 85 %
The following Examples further illustrate, but do not limit, the invention.
The combination is thoroughly mixed with the adjuvants and the mixture is thoroughly ground in a suitable mill, affording wettable powders that can be diluted with water to give suspensions of the desired concentration.
Powders for drv seed treatment a) b) c) active ingredients 25 % 50 % 75 % light mineral oil 5 % 5 % 5 % highly dispersed silicic acid 5 % 5 %
Kaolin 65 % 40 %
Talcum 20 %
The combination is thoroughly mixed with the adjuvants and the mixture is thoroughly ground in a suitable mill, affording powders that can be used directly for seed treatment.
Emulsions of any required dilution, which can be used in plant protection, can be obtained from this concentrate by dilution with water.
Ready-for-use dusts are obtained by mixing the combination with the carrier and grinding the mixture in a suitable mill. Such powders can also be used for dry dressings for seed.
Extruder qranules
Active ingredients 15 % sodium lignosulfonate 2 % carboxymethylcellulose 1 %
Kaolin 82 %
The combination is mixed and ground with the adjuvants, and the mixture is moistened with water. The mixture is extruded and then dried in a stream of air.
The finely ground combination is uniformly applied, in a mixer, to the kaolin moistened with polyethylene glycol. Non-dusty coated granules are obtained in this manner. Suspension concentrate
The finely ground combination is intimately mixed with the adjuvants, giving a suspension concentrate from which suspensions of any desired dilution can be obtained by dilution with water. Using such dilutions, living plants as well as plant propagation material can be treated and protected against infestation by microorganisms, by spraying, pouring or immersion. Flowable concentrate for seed treatment
active ingredients 40 % propylene glycol 5 % copolymer butanol PO/EO 2 %
Tristyrenephenole with 10-20 moles EO 2 %
1 ,2-benzisothiazolin-3-one (in the form of a 20% solution in water) 0.5 % monoazo-pigment calcium salt 5 %
Silicone oil (in the form of a 75 % emulsion in water) 0.2 %
Water 45.3 %
The finely ground combination is intimately mixed with the adjuvants, giving a suspension concentrate from which suspensions of any desired dilution can be obtained by dilution with water. Using such dilutions, living plants as well as plant propagation material can be treated and protected against infestation by microorganisms, by spraying, pouring or immersion. Slow Release Capsule Suspension
28 parts of the combination are mixed with 2 parts of an aromatic solvent and 7 parts of toluene diisocyanate/polymethylene-polyphenylisocyanate-mixture (8:1 ). This mixture is emulsified in a mixture of 1.2 parts of polyvinylalcohol, 0.05 parts of a defoamer and 51.6 parts of water until the desired particle size is achieved. To this emulsion a mixture of 2.8 parts 1 ,6-diaminohexane in 5.3 parts of water is added. The mixture is agitated until the polymerization reaction is completed. The obtained capsule suspension is stabilized by adding 0.25 parts of a thickener and 3 parts of a dispersing agent. The capsule suspension formulation contains 28% of the active ingredients. The medium capsule diameter is 8-15 microns. The resulting formulation is applied to seeds as an aqueous suspension in an apparatus suitable for that purpose. Formulation types include an emulsion concentrate (EC), a suspension concentrate (SC), a suspo- emulsion (SE), a capsule suspension (CS), a water dispersible granule (WG), an emulsifiable granule (EG), an emulsion, water in oil (EO), an emulsion, oil in water (EW), a micro-emulsion (ME), an oil dispersion (OD), an oil miscible flowable (OF), an oil miscible liquid (OL), a soluble concentrate (SL), an ultra-low volume suspension (SU), an ultra-low volume liquid (UL), a technical concentrate (TK), a dispersible concentrate (DC), a wettable powder (WP), a soluble granule (SG) or any technically feasible formulation in combination with agriculturally acceptable adjuvants.
Preparatory Examples:
"Mp" means melting point in °C. Free radicals represent methyl groups. H NMR measurements were recorded on a Brucker 400MHz spectrometer, chemical shifts are given in ppm relevant to a TMS standard. Spectra measured in deuterated solvents as indicated. Either one of the LCMS methods below was used to characterize the compounds. The characteristic LCMS values obtained for each compound were the retention time ("Rt", recorded in minutes) and the measured molecular ion (M+H)+ or (M-H)-.
LCMS Methods:
Method 1 :
Spectra were recorded on a Mass Spectrometer from Waters (SQD or ZQ Single quadrupole mass spectrometer) equipped with an electrospray source (Polarity: positive or negative ions, Capillary: 3.00 kV, Cone range: 30-60 V, Extractor: 2.00 V, Source Temperature: 150°C, Desolvation Temperature:
350°C, Cone Gas Flow: 0 L/Hr, Desolvation Gas Flow: 650 L/Hr, Mass range: 100 to 900 Da) and an
Acquity UPLC from Waters: Binary pump, heated column compartment and diode-array detector.
Solvent degasser, binary pump, heated column compartment and diode-array detector. Column: Waters UPLC HSS T3 , 1.8 μηη, 30 x 2.1 mm, Temp: 60 °C, DAD Wavelength range (nm): 210 to 500,
Solvent Gradient: A = water + 5% MeOH + 0.05 % HCOOH, B= Acetonitrile + 0.05 % HCOOH;
gradient: 0 min 0% B, 100% A; 1 .2-1.5 min 100% B; Flow (ml/min) 0.85.
Method 2:
Spectra were recorded on a Mass Spectrometer from Waters (SQD or ZQ Single quadrupole mass spectrometer) equipped with an electrospray source (Polarity: positive or negative ions, Capillary: 3.00 kV, Cone range: 30-60 V, Extractor: 2.00 V, Source Temperature: 150°C, Desolvation Temperature:
350°C, Cone Gas Flow: 0 L/Hr, Desolvation Gas Flow: 650 L/Hr, Mass range: 100 to 900 Da) and an
Acquity UPLC from Waters: Binary pump, heated column compartment and diode-array detector.
Solvent degasser, binary pump, heated column compartment and diode-array detector. Column: Waters UPLC HSS T3 , 1 .8 μηη, 30 x 2.1 mm, Temp: 60 °C, DAD Wavelength range (nm): 210 to 500,
Solvent Gradient: A = water + 5% MeOH + 0.05 % HCOOH, B= Acetonitrile + 0.05 % HCOOH;
gradient: 0 min 0% B, 100% A; 2.7-3.0 min 100% B; Flow (ml/min) 0.85.
EXAMPLE P1 : Preparation of 2-[3-ethylsulfanyl-5-[3-(trifluoromethyl)pyrazol-1-yll-2-pyridyll-3-methyl- 6-(trifluoromethyl)imidazo[4,5-blpyridine (compound P1 ):
To a slightly cloudy solution of 5-bromo-3-chloro-pyridine-2-carboxylic acid (60 g, 183.2 mmol) in dichloromethane (700 ml) was added dropwise N,N-dimethylformamide (1 ml) and oxalylchloride (24,9 ml, 286.9 mmol). The cloudy solution was stirred for 3 hours at ambient temperature. The resulting yellow solution was cooled to 10°C and methanol (30.8 ml, 761 .3 mmol) was added dropwise to the mixture, keeping the temperature between 15° and 20°C. The solution was stirred overnight at ambient temperature. After neutralisation with an aqueous saturated solution of sodium hydrogen carbonate, the organic layer was washed with brine, dried over sodium sulfate, filtrated and evaporated to give methyl 5-bromo-3-chloro-pyridine-2-carboxylate (55 g) as a yellow solid, which was used without further purification. LCMS (method 2): 250/252/254 (M+1 )+, retention time 1.12 min.
Step 2: Preparation of methyl 3-chloro-5-[3-(trifluoromethyl)pyrazol-1-yl]pyridine-2-carboxylate
To a solution of methyl 5-bromo-3-chloro-pyridine-2-carboxylate (preparation described before, 40.0 g, 160 mmol) in dioxane (1000 ml) was added 3-trifluoromethyl-1 H-pyrazole (32.6 g, 240 mmol),
(1 R,2R)-N1 ,N2-dimethylcyclohexane-1 ,2-diamine (4.78 g, 5.30 ml), potassium carbonate (48.4 g, 479 mmol) and copper(l) iodide (15.2 g, 79.8 mmol). The reaction mixture was stirred under reflux for 24 hours. The reaction mixture was filtered through a Hyflo pad, which was rinsed with MeOH, then the solvent was evaporated under vaccum. The solid was dissolved in AcOEt and washed with HCI 0.5N, the organic phase was dried on magnesium sulfate, filtered and concentrated under vacuum. The residue was subjected to column chromatography over silica gel, eluting with ethyl acetate / cyclohexane. The selected fractions were evaporated to yield the title compound as colorless solid (18g). LCMS (method 1 ): 305/307 (M+H)+, retention time 0.99 min.
Step 3: Preparation of 3-ethylsulfanyl-5-[3-(trifluoromethyl)pyrazol-1-yl]pyridine-2-carboxylic acid
To a solution of methyl 3-chloro-5-[3-(trifluoromethyl)pyrazol-1-yl]pyridine-2-carboxylate (18.0 g, 58.9 mmol) in N,N-dimethylformamide (200 ml) was added sodium ethanethiolate (27.4 g, 290 mmol). The reaction mixture was stirred for one hour at ambient temperature. The solution was diluted with tert- butyl methyl ether and ice water, the aqueous phase was separated and neutralized with acetic acid. The precipitate formed was filtered off and washed with diethyl ether. The solid was suspended in 80ml of iPrOH and refluxed for 1 .5 hours. It was filtered (hot) and the filtrate was allowed to cool down under stirring, then filtered to give the desired 3-ethylsulfanyl-5-[3-(trifluoromethyl)pyrazol-1-yl]pyridine- 2-carboxylic acid (4.13 g). LCMS (method 1 ): 318 (M+H)+, 316 (M-H)", retention time 0.92 min. Step 4: Preparation of 3-ethylsulfanyl-N-[2-(methylamino)-5-(trifluoromethyl)-3-pyridyl]-5-[3- (trifluoromethyl)pyrazol-1-yl]pyridine-2-carboxamide
To a suspension of 3-ethylsulfanyl-5-[3-(trifluoromethyl)pyrazol-1-yl]pyridine-2-carboxylic acid (0.5478 g, 1 .72 mmol) in dichloromethane (7.8 ml) was added one drop of Ν,Ν-dimethylformamide and oxalyl dichloride (0.5082 g, 0.3493 ml). The resulting dark yellow mixture was stirred for one hour at room temperature and concentrated in vacuo to afford 3-ethylsulfanyl-5-[3-(trifluoromethyl)pyrazol-1- yl]pyridine-2-carbonyl chloride.
To a solution of N2-methyl-5-(trifluoromethyl)pyridine-2,3-diamine (0.3 g, 1.569 mmol) and
triethylamine (0.401 g, 0.55 ml, 3.924 mmol) in tetrahydrofuran (7.8 ml) at 0-5°C was added the above prepared 3-ethylsulfanyl-5-[3-(trifluoromethyl)pyrazol-1-yl]pyridine-2-carbonyl chloride dropewise, and the reaction mixture was stirred one hour at ambient temperature, then 5 hours at 65°C. Ethyl acetate and an aqueous solution of sodium hydrogen carbonate were added to the mixture, the layers separated, the organic phase dried over magnesium sulfate and concentrated under vacuum. The residue was purified by flash chromatography to afford 3-ethylsulfanyl-N-[2-(methylamino)-5- (trifluoromethyl)-3-pyridyl]-5-[3-(trifluoromethyl)pyrazol-1-yl]pyridine-2-carboxamide (699 mg). LCMS
(method 1 ): 491 (M+H)+, 489 (M-H)", retention time 1.16 min. Ή NMR (400 MHz, CDCIs)□ ppm: 1.49 (t, 3H), 3.05 (q, 2H), 3.09 (d, 3H), 5.04 (br s, 1 H), 6.85 (d, 1 H), 7.93 (d, 1 H), 8.04 (m, 1 H), 8.13 (d, 1 H), 8.36 (d, 1 H), 8.65 (d, 1 H), 9.50 (s, 1 H).
Step 5: Preparation of 2-[3-ethylsulfanyl-5-[3-(trifluoromethyl)pyrazol-1-yl]-2-pyridyl]-3-methyl-6- (trifluoromethyl)imidazo[4,5-b]pyridine (compound P1 )
A solution of 3-ethylsulfanyl-N-[2-(methylamino)-5-(trifluoromethyl)-3-pyridyl]-5-[3-(trifluoro- methyl)pyrazol-1-yl]pyridine-2-carboxamide (699 mg, 1.425 mmol) in acetic acid (7.13 ml) was heated at 150°C for one hour in the microwave. The reaction mixture was diluted with water and ethyl acetate, the layers separated, the organic phase dried over magnesium sulfate and concentrated under vacuum. The residue was purified by flash chromatography to afford 2-[3-ethylsulfanyl-5-[3-(trifluoro- methyl)pyrazol-1-yl]-2-pyridyl]-3-methyl-6-(trifluoromethyl)imidazo[4,5-b]pyridine (compound P1 ) as a solid (673 mg). LCMS (method 1 ): 473 (M+H)+, retention time 1 .21 min. Ή NMR (400 MHz, CDCI3)□ ppm: 1.43 (t, 3H), 3.09 (q, 2H), 4.10 (s, 3H), 6.85 (d, 1 H), 8.12 (d, 1 H), 8.20 (d, 1 H), 8.43 (d, 1 H), 8.76 (d, 1 H), 8.83 (d, 1 H).
EXAMPLE P2: Preparation of 2-[3-ethylsulfonyl-5-[3-(trifluoromethyl)pyrazol-1-yll-2-pyridyll-3-methyl- 6-(trifluoromethyl)imidazo[4,5-blpyridine (compound P2):
To a solution of 2-[3-ethylsulfanyl-5-[3-(trifluoromethyl)pyrazol-1-yl]-2-pyridyl]-3-methyl-6-(trifluoro- methyl)imidazo[4,5-b]pyridine (670 mg, 1.14 mmol) in dichloromethane (10 ml) was added meta- chloroperbenzoic acid (3.62 mmol, 2.3 eq.) at room temperature. The yellow solution was stirred for one hour and poured into an aqueous saturated solution of sodium hydrogen carbonate. The product was extracted twice with dichloromethane, the combined organic phases were dried over magnesium sulfate and concentrated under vacuum. The residue was purified by flash chromatography to afford 2- [3-ethylsulfonyl-5-[3-(trifluoromethyl)pyrazol-1-yl]-2-pyridyl]-3-methyl-6-(trifluoromethyl)imidazo[4,5-
b]pyridine (compound P2) as a white solid (580 mg). LCMS (method 1 ): 505 (M+H)+, retention time 1.12 min. 1 H NMR (400 MHz, CDCI3)□ ppm: 1.44 (t, 3H), 3.93 (s, 3H), 3.99 (q, 2H), 6.91 (d, 1 H), 8.22 (d, 1 H), 8.33 (d, 1 H), 8.79 (d, 1 H), 8.83 (d, 1 H), 9.47 (d, 1 H). EXAMPLE P3: Preparation of 2-[3-ethylsulfanyl-5-[4-(trifluoromethyl)phenyll-2-pyridyll-3-methyl-6- (trifluoromethyl)imidazo[4,5-blpyridine (compound P3):
Step 1 : Preparation of 3-ethylsulfanyl-N-[2-(methylamino)-5-(trifluoromethyl)-3-pyridyl]-5-[4- (trifluoromethyl)phenyl]pyridine-2-carboxamide
To a solution of N2-methyl-5-(trifluoromethyl)pyridine-2,3-diamine (545 mg, 2.85 mmol) and triethylamine (1.01 ml, 7.12 mmol) in tetrahydrofuran (15 ml) at 0-5°C was added 3-ethylsulfanyl-5-[4- (trifluoromethyl)phenyl]pyridine-2-carbonyl chloride (prepared from 3-ethylsulfanyl-5-[4-(trifluoro- methyl)phenyl]pyridine-2-carboxylic acid in analogy to EXAMPLE 1 , step 4) (1.084 g, 3.13 mmol) dissolved in tetrahydrofuran (5 ml) dropewise. The mixture was stirred for 3 hours at room
temperature, then quenched with water and extracted with ethyl acetate. The combined organic phases were washed with brine, dried over magnesium sulfate and reduced under vacuum. The residue was purified by flash chromatography to afford 3-ethylsulfanyl-N-[2-(methylamino)-5- (trifluoromethyl)-3-pyridyl]-5-[4-(trifluoromethyl)phenyl]pyridine-2-carboxamide (708 mg) as a solid. LCMS (method 1 ): 501 (M+H)+, 499 (M-H)", retention time 1.08 min. Ή NMR (400 MHz, CDCIs)□ ppm:
1.48 (t, 3H), 3.03 (q, 2H), 3.09 (d, 3H), 5.08 (br s, 1 H), 7.73 (d, 2H), 7.82 (d, 2H), 7.85 (d, 1 H), 7.96 (d, 1 H), 8.35 (d, 1 H), 8.53 (d, 1 H), 9.66 (s, 1 H).
Step 2: Preparation of 2-[3-ethylsulfanyl-5-[4-(trifluoromethyl)phenyl]-2-pyridyl]-3-methyl-6- (trifluoromethyl)imidazo[4,5-b]pyridine (compound P3)
A solution of 3-ethylsulfanyl-N-[2-(methylamino)-5-(trifluoromethyl)-3-pyridyl]-5-[4-(trifluoromethyl) phenyl]pyridine-2-carboxamide (485 mg, 0.969 mmol) in acetic acid (20 ml) was stirred at 120°C for 3 hours. The solvent was removed in vacuo and the residue purified by flash chromatography to afford 2-[3-ethylsulfanyl-5-[4-(trifluoromethyl)phenyl]-2-pyridyl]-3-methyl-6-(trifluoromethyl)imidazo[4,5- b]pyridine (compound P3) as a solid (426 mg), mp 137-138°C. LCMS (method 2): 483 (M+H)+, retention time 2.17 min. Ή NMR (400 MHz, CDCIs)□ ppm: 1.40 (t, 3H), 3.05 (q, 2H), 4.12 (s, 3H), 7.79 (m, 4H), 7.92 (d, 1 H), 8.42 (d, 1 H), 8.72-8.78 (m, 2H). EXAMPLE P4: Preparation of 2-[3-ethylsulfonyl-5-(1 ,2,4-triazol-1-yl)-2-pyridyll-3-methyl-6-
(trifluoromethyl)imidazo[4,5-blpyridine (compound P8):
Step 1 : Preparation of 2-[3-ethylsulfanyl-5-(1 ,2,4-triazol-1-yl)-2-pyridyl]-3-methyl-6-(trifluoromethyl) imidazo[4,5-b]pyridine (compound P7
To an ice cooled solution of 1 H-1 ,2,4-triazole (42.3 mg, 0.606 mmol) in N,N-dimethylformamide (4 ml) was added sodium hydride (27 mg, 0.671 mmol; 60 weight% in paraffin oil), followed by 2-(5-chloro-3- ethylsulfanyl-2-pyridyl)-3-methyl-6-(trifluoromethyl)imidazo[4,5-b]pyridine (200 mg, 0.536 mmol) after 15 minutes. The mixture was heated 2 days at 120°C, then quenched with water and extracted with ethyl acetate. The combined organic phases were washed with brine, dried over magnesium sulfate and reduced under vacuum. The residue was purified by flash chromatography to afford 2-[3-ethyl- sulfanyl-5-(1 ,2,4-triazol-1-yl)-2-pyridyl]-3-methyl-6-(trifluoromethyl) imidazo[4,5-b]pyridine (compound
P7) as a solid (59 mg). LCMS (method 1 ): 406 (M+H)+, retention time 0.97 min. H NMR (400 MHz,
CDCI3) δ ppm: 1.43 (t, 3H), 3.07 (q, 2H), 4.12 (s, 3H), 8.14 (d, 1 H), 8.22 (s, 1 H), 8.43 (d, 1 H), 8.72 - 8.78 (m, 2H), 8.83 (d, 1 H).
Step 2: Preparation of 2-[3-ethylsulfonyl-5-(1 ,2,4-triazol-1-yl)-2-pyridyl]-3-methyl-6-(trifluoromethyl) imidazo[4,5-b]pyridine (compound P8
Obtained from 2-[3-ethylsulfanyl-5-(1 ,2,4-triazol-1-yl)-2-pyridyl]-3-methyl-6-(trifluoromethyl) imidazo[4,5-b]pyridine (compound P7) (54 mg, 0.133 mmol) and mCPBA (64.4 mg, 0.280 mmol) in dichloromethane (10 ml) according to procedure Example P2. The mixture was stirred at room temperature for 2 hours. Workup afforded 2-[3-ethylsulfonyl-5-(1 ,2,4-triazol-1-yl)-2-pyridyl]-3-methyl-6- (trifluoromethyl) imidazo[4,5-b]pyridine (compound P8) as a solid (57 mg). LCMS (method 1 ): 438
(M+H)+, retention time 0.90 min. H NMR (400 MHz, CDCI3) δ ppm: 1.44 (t, 3H), 3.91-4.04 (m, 5H), 8.27 (s, 1 H), 8.34 (d, 1 H), 8.79 (d, 1 H), 8.83-8.89 (m, 2H), 9.44 (d, 1 H). EXAMPLE P5: Preparation of 2-[5-(3,5-difluorophenyl)-3-ethylsulfonyl-2-pyridyll-3-methyl-6-
(trifluoromethyl)imidazo[4,5-blpyridine (compound P6):
A solution of 2-(5-bromo-3-ethylsulfonyl-2-pyridyl)-3-methyl-6-(trifluoromethyl)imidazo[4,5-b]pyridine (600 mg, 1 .336 mmol), (3,5-difluorophenyl)boronic acid (210.9 mg, 1.336 mmol) and an aqueous 1 M sodium carbonate solution (2.671 ml, 2.671 mmol) in iso-propyl alcohol (26.7 ml) was flushed with argon. Tetrakis(triphenylphosphine)palladium(0) (47.3 mg, 0.0401 mmol) was added, and the mixture was stirred at 100°C for 4 hours. The reaction mixture was diluted with water and extracted with ethyl acetate. The combined organic phases were washed with brine, dried over sodium sulfate and reduced under vacuum. The residue was purified by flash chromatography to afford 2-[5-(3,5-difluoro- phenyl)-3-ethylsulfonyl-2-pyridyl]-3-methyl-6-(trifluoromethyl)imidazo[4,5-b]pyridine (compound P6) as a solid (420 mg). LCMS (method 1 ): 483 (M+H)+, retention time 1.15 min. H NMR (400 MHz, CDCI3)
δ ppm: 1.44 (t, 3H), 3.92 (q, 2H), 3.94 (s, 3H), 7.00 (m, 1H), 7.26-7.30 (m, 2H), 8.33 (d, 1H), 8.66 (d, 1H), 8.78 (d, 1H), 9.17 (d, 1H).
Table P1: Compounds of formula (I)
The activity of the compositions according to the invention can be broadened considerably, and adapted to prevailing circumstances, by adding other insecticidally, acaricidally and/or fungicidally active ingredients. The mixtures of the compounds of formula I with other insecticidally, acaricidally and/or fungicidally active ingredients may also have further surprising advantages which can also be described, in a wider sense, as synergistic activity. For example, better tolerance by plants, reduced phytotoxicity, insects can be controlled in their different development stages or better behaviour during their production, for example during grinding or mixing , during their storage or during their use.
Suitable additions to active ingredients here are, for example, representatives of the following classes of active ingredients: organophosphorus compounds, nitrophenol derivatives, thioureas, juvenile hormones, formamidines, benzophenone derivatives, ureas, pyrrole derivatives, carbamates, pyrethroids, chlorinated hydrocarbons, acylureas, pyridylmethyleneamino derivatives, macrolides, neonicotinoids and Bacillus thuringiensis preparations. The following mixtures of the compounds of formula I with active ingredients are preferred (the abbreviation "TX" means "one compound selected from the group consisting of the compounds described in Tables A-1 , A-2, A-3 and P1 of the present invention": an adjuvant selected from the group of substances consisting of petroleum oils (628) + TX, an acaricide selected from the group of substances consisting of 1 , 1 -bis(4-chlorophenyl)-2- ethoxyethanol (lUPAC name) (910) + TX, 2,4-dichlorophenyl benzenesulfonate (lUPAC/Chemical Abstracts name) (1059) + TX, 2-fluoro-A/-methyl-A/-1 -naphthylacetamide (lUPAC name) (1295) + TX, 4-chlorophenyl phenyl sulfone (lUPAC name) (981 ) + TX, abamectin (1 ) + TX, acequinocyl (3) + TX, acetoprole [CCN] + TX, acrinathrin (9) + TX, aldicarb (16) + TX, aldoxycarb (863) + TX, alpha- cypermethrin (202) + TX, amidithion (870) + TX, amidoflumet [CCN] + TX, amidothioate (872) + TX, amiton (875) + TX, amiton hydrogen oxalate (875) + TX, amitraz (24) + TX, aramite (881 ) +
TX, arsenous oxide (882) + TX, AVI 382 (compound code) + TX, AZ 60541 (compound code) + TX, azinphos-ethyl (44) + TX, azinphos-methyl (45) + TX, azobenzene (lUPAC name) (888) + TX, azocyclotin (46) + TX, azothoate (889) + TX, benomyl (62) + TX, benoxafos [CCN] + TX, benzoximate (71 ) + TX, benzyl benzoate (lUPAC name) [CCN] + TX, bifenazate (74) + TX, bifenthrin (76) + TX, binapacryl (907) + TX, brofenvalerate + TX, bromocyclen (918) + TX, bromophos (920) + TX, bromophos-ethyl (921 ) + TX, bromopropylate (94) + TX, buprofezin (99) + TX, butocarboxim (103) + TX, butoxycarboxim (104) + TX, butylpyridaben + TX, calcium polysulfide (IUPAC name) (1 1 1 ) + TX, camphechlor (941 ) + TX, carbanolate (943) + TX, carbaryl (1 15) + TX, carbofuran (1 18) + TX, carbophenothion (947) + TX, CGA 50'439 (development code) (125) + TX, chinomethionat (126) + TX, chlorbenside (959) + TX, chlordimeform (964) + TX, chlordimeform hydrochloride (964) + TX, chlorfenapyr (130) + TX, chlorfenethol (968) + TX, chlorfenson (970) + TX, chlorfensulfide (971 ) + TX, chlorfenvinphos (131 ) + TX, chlorobenzilate (975) + TX, chloromebuform (977) + TX, chloromethiuron (978) + TX, chloropropylate (983) + TX, chlorpyrifos (145) + TX, chlorpyrifos-methyl (146) + TX, chlorthiophos (994) + TX, cinerin I (696) + TX, cinerin II (696) + TX, cinerins (696) + TX, clofentezine (158) + TX, closantel [CCN] + TX, coumaphos (174) + TX, crotamiton [CCN] + TX, crotoxyphos (1010) + TX, cufraneb (1013) + TX, cyanthoate (1020) + TX, cyflumetofen (CAS Reg. No.: 400882-07-7) + TX, cyhalothrin (196) + TX, cyhexatin (199) + TX, cypermethrin (201 ) + TX, DCPM (1032) + TX, DDT (219) + TX, demephion
(1037) + TX, demephion-O (1037) + TX, demephion-S (1037) + TX, demeton (1038) + TX, demeton-methyl (224) + TX, demeton-0 (1038) + TX, demeton-O-methyl (224) + TX, demeton-S
(1038) + TX, demeton-S-methyl (224) + TX, demeton-S-methylsulfon (1039) + TX, diafenthiuron (226) + TX, dialifos (1042) + TX, diazinon (227) + TX, dichlofluanid (230) + TX, dichlorvos (236) + TX, dicliphos + TX, dicofol (242) + TX, dicrotophos (243) + TX, dienochlor (1071 ) + TX, dimefox (1081 ) + TX, dimethoate (262) + TX, dinactin (653) + TX, dinex (1089) + TX, dinex-diclexine (1089) + TX, dinobuton (269) + TX, dinocap (270) + TX, dinocap-4 [CCN] + TX, dinocap-6 [CCN] + TX, dinocton (1090) + TX, dinopenton (1092) + TX, dinosulfon (1097) + TX, dinoterbon (1098) + TX, dioxathion (1 102) + TX, diphenyl sulfone (lUPAC name) (1 103) + TX, disulfiram [CCN] + TX, disulfoton (278) + TX, DNOC (282) + TX, dofenapyn (1 1 13) + TX, doramectin [CCN] + TX, endosulfan (294) + TX, endothion (1 121 ) + TX, EPN (297) + TX, eprinomectin [CCN] + TX, ethion (309) + TX, ethoate-methyl (1 134) + TX, etoxazole (320) + TX, etrimfos (1 142) + TX, fenazaflor (1 147) + TX, fenazaquin (328) + TX, fenbutatin oxide (330) + TX, fenothiocarb (337) + TX, fenpropathrin (342) + TX, fenpyrad + TX, fenpyroximate (345) + TX, fenson (1 157) + TX, fentrifanil (1 161 ) + TX, fenvalerate (349) + TX, fipronil (354) + TX, fluacrypyrim (360) + TX, fluazuron (1 166) + TX, flubenzimine (1 167) + TX, flucycloxuron (366) + TX, flucythrinate (367) + TX, fluenetil (1 169) + TX, flufenoxuron (370) + TX, flumethrin (372) + TX, fluorbenside (1 174) + TX, fluvalinate (1 184) + TX, FMC 1 137 (development code) (1 185) + TX, formetanate (405) + TX, formetanate hydrochloride (405) + TX, formothion (1 192) + TX, formparanate (1 193) + TX, gamma-HCH (430) + TX, glyodin (1205) + TX, halfenprox (424) + TX, heptenophos (432) + TX,
hexadecyl cyclopropanecarboxylate (lUPAC/Chemical Abstracts name) (1216) + TX, hexythiazox (441 ) + TX, iodomethane (lUPAC name) (542) + TX, isocarbophos (473) + TX, isopropyl 0- (methoxyaminothiophosphoryl)salicylate (lUPAC name) (473) + TX, ivermectin [CCN] + TX, jasmolin I (696) + TX, jasmolin II (696) + TX, jodfenphos (1248) + TX, lindane (430) + TX, lufenuron (490) + TX, malathion (492) + TX, malonoben (1254) + TX, mecarbam (502) + TX, mephosfolan (1261 ) + TX, mesulfen [CCN] + TX, methacrifos (1266) + TX, methamidophos (527) + TX, methidathion (529) + TX, methiocarb (530) + TX, methomyl (531 ) + TX, methyl bromide (537) + TX, metolcarb (550) + TX, mevinphos (556) + TX, mexacarbate (1290) + TX, milbemectin (557) + TX, milbemycin oxime [CCN] + TX, mipafox (1293) + TX, monocrotophos (561 ) + TX, morphothion (1300) + TX, moxidectin [CCN] + TX, naled (567) + TX, NC-184 (compound code) + TX, NC-512 (compound code) + TX, nifluridide (1309) + TX, nikkomycins [CCN] + TX, nitrilacarb (1313) + TX, nitrilacarb 1 :1 zinc chloride complex (1313) + TX, NNI-0101 (compound code) + TX, NNI-0250 (compound code) + TX, omethoate (594) + TX, oxamyl (602) + TX, oxydeprofos (1324) + TX, oxydisulfoton (1325) + TX, pp'-DDT (219) + TX, parathion (615) + TX, permethrin (626) + TX, petroleum oils (628) + TX, phenkapton (1330) + TX, phenthoate (631 ) + TX, phorate (636) + TX, phosalone (637) + TX, phosfolan (1338) + TX, phosmet (638) + TX, phosphamidon (639) + TX, phoxim (642) + TX, pirimiphos-methyl (652) + TX, polychloroterpenes (traditional name) (1347) + TX, polynactins (653) + TX, proclonol (1350) + TX, profenofos (662) + TX, promacyl (1354) + TX, propargite (671 ) + TX, propetamphos (673) + TX, propoxur (678) + TX,
prothidathion (1360) + TX, prothoate (1362) + TX, pyrethrin I (696) + TX, pyrethrin II (696) + TX, pyrethrins (696) + TX, pyridaben (699) + TX, pyridaphenthion (701 ) + TX, pyrimidifen (706) + TX, pyrimitate (1370) + TX, quinalphos (71 1 ) + TX, quintiofos (1381 ) + TX, R-1492 (development code) (1382) + TX, RA-17 (development code) (1383) + TX, rotenone (722) + TX, schradan (1389) + TX, sebufos + TX, selamectin [CCN] + TX, SI-0009 (compound code) + TX, sophamide (1402) + TX, spirodiclofen (738) + TX, spiromesifen (739) + TX, SSI-121 (development code) (1404) + TX, sulfiram [CCN] + TX, sulfluramid (750) + TX, sulfotep (753) + TX, sulfur (754) + TX, SZI- 121 (development code) (757) + TX, tau-fluvalinate (398) + TX, tebufenpyrad (763) + TX, TEPP (1417) + TX, terbam + TX, tetrachlorvinphos (777) + TX, tetradifon (786) + TX, tetranactin (653) + TX, tetrasul (1425) + TX, thiafenox + TX, thiocarboxime (1431 ) + TX, thiofanox (800) + TX, thiometon (801 ) + TX, thioquinox (1436) + TX, thuringiensin [CCN] + TX, triamiphos (1441 ) + TX, triarathene (1443) + TX, triazophos (820) + TX, triazuron + TX, trichlorfon (824) + TX, trifenofos (1455) + TX, trinactin (653) + TX, vamidothion (847) + TX, vaniliprole [CCN] and YI-5302
(compound code) + TX,
an algicide selected from the group of substances consisting of bethoxazin [CCN] + TX, copper dioctanoate (lUPAC name) (170) + TX, copper sulfate (172) + TX, cybutryne [CCN] + TX, dichlone (1052) + TX, dichlorophen (232) + TX, endothal (295) + TX, fentin (347) + TX, hyd rated lime [CCN] + TX, nabam (566) + TX, quinoclamine (714) + TX, quinonamid (1379) + TX, simazine
(730) + TX, triphenyltin acetate (lUPAC name) (347) and triphenyltin hydroxide (lUPAC name) (347) + TX,
an anthelmintic selected from the group of substances consisting of abamectin (1 ) + TX, crufomate (101 1 ) + TX, doramectin [CCN] + TX, emamectin (291 ) + TX, emamectin benzoate (291 ) + TX, eprinomectin [CCN] + TX, ivermectin [CCN] + TX, milbemycin oxime [CCN] + TX, moxidectin [CCN] + TX, piperazine [CCN] + TX, selamectin [CCN] + TX, spinosad (737) and thiophanate (1435) + TX,
an avicide selected from the group of substances consisting of chloralose (127) + TX, endrin (1 122) + TX, fenthion (346) + TX, pyridin-4-amine (lUPAC name) (23) and strychnine (745) + TX, a bactericide selected from the group of substances consisting of 1-hydroxy-1 /- -pyridine-2-thione
(lUPAC name) (1222) + TX, 4-(quinoxalin-2-ylamino)benzenesulfonamide (lUPAC name) (748) + TX, 8-hydroxyquinoline sulfate (446) + TX, bronopol (97) + TX, copper dioctanoate (lUPAC name) (170) + TX, copper hydroxide (lUPAC name) (169) + TX, cresol [CCN] + TX, dichlorophen (232) + TX, dipyrithione (1 105) + TX, dodicin (1 1 12) + TX, fenaminosulf (1 144) + TX, formaldehyde (404) + TX, hydrargaphen [CCN] + TX, kasugamycin (483) + TX, kasugamycin hydrochloride hydrate (483) + TX, nickel bis(dimethyldithiocarbamate) (lUPAC name) (1308) + TX, nitrapyrin (580) + TX, octhilinone (590) + TX, oxolinic acid (606) + TX, oxytetracycline (61 1 ) + TX, potassium
hydroxyquinoline sulfate (446) + TX, probenazole (658) + TX, streptomycin (744) + TX,
streptomycin sesquisulfate (744) + TX, tecloftalam (766) + TX, and thiomersal [CCN] + TX, a biological agent selected from the group of substances consisting of Adoxophyes orana GV (12) + TX, Agrobacterium radiobacter (13) + TX, Amblyseius spp. (19) + TX, Anagrapha falcifera NPV (28) + TX, Anagrus atomus (29) + TX, Aphelinus abdominalis (33) + TX, Aphidius colemani (34) + TX, Aphidoletes aphidimyza (35) + TX, Autographa californica NPV (38) + TX, Bacillus firmus (48) + TX, Bacillus sphaericus Neide (scientific name) (49) + TX, Bacillus thuringiensis Berliner (scientific name) (51 ) + TX, Bacillus thuringiensis subsp. aizawai (scientific name) (51 ) + TX,
Bacillus thuringiensis subsp. israelensis (scientific name) (51 ) + TX, Bacillus thuringiensis subsp. japonensis (scientific name) (51 ) + TX, Bacillus thuringiensis subsp. kurstaki (scientific name) (51 ) + TX, Bacillus thuringiensis subsp. tenebrionis (scientific name) (51 ) + TX, Beauveria bassiana (53) + TX, Beauveria brongniartii (54) + TX, Chrysoperla carnea (151 ) + TX, Cryptolaemus montrouzieri (178) + TX, Cydia pomonella GV (191 ) + TX, Dacnusa sibirica (212) + TX, Diglyphus isaea (254) + TX, Encarsia formosa (scientific name) (293) + TX, Eretmocerus eremicus (300) + TX,
Helicoverpa zea NPV (431 ) + TX, Heterorhabditis bacteriophora and H. megidis (433) + TX, Hippodamia convergens (442) + TX, Leptomastix dactylopii (488) + TX, Macrolophus caliginosus (491 ) + TX, Mamestra brassicae NPV (494) + TX, Metaphycus helvolus (522) + TX, Metarhizium anisopliae var. acridum (scientific name) (523) + TX, Metarhizium anisopliae var. anisopliae
(scientific name) (523) + TX, Neodiprion sertifer NPV and N. lecontei NPV (575) + TX, Orius spp. (596) + TX, Paecilomyces fumosoroseus (613) + TX, Phytoseiulus persimilis (644) + TX,
Spodoptera exigua multicapsid nuclear polyhedrosis virus (scientific name) (741 ) + TX, Steinernema
bibionis (742) + TX, Steinernema carpocapsae (742) + TX, Steinernema feltiae (742) + TX, Steinernema glaseri (742) + TX, Steinernema riobrave (742) + TX, Steinernema riobravis (742) + TX, Steinernema scapterisci (742) + TX, Steinernema spp. (742) + TX, Trichogramma spp. (826) + TX, Typhlodromus occidentalis (844) and Verticillium lecanii (848) + TX,
a soil sterilant selected from the group of substances consisting of iodomethane (lUPAC name) (542) and methyl bromide (537) + TX,
a chemosterilant selected from the group of substances consisting of apholate [CCN] + TX, bisazir [CCN] + TX, busulfan [CCN] + TX, diflubenzuron (250) + TX, dimatif [CCN] + TX, hemel [CCN] + TX, hempa [CCN] + TX, metepa [CCN] + TX, methiotepa [CCN] + TX, methyl apholate [CCN] + TX, morzid [CCN] + TX, penfluron [CCN] + TX, tepa [CCN] + TX, thiohempa [CCN] + TX, thiotepa [CCN] + TX, tretamine [CCN] and uredepa [CCN] + TX,
an insect pheromone selected from the group of substances consisting of (E)-dec-5-en-1-yl acetate with (E)-dec-5-en-1-ol (lUPAC name) (222) + TX, (E)-tridec-4-en-1-yl acetate (lUPAC name) (829) + TX, (E)-6-methylhept-2-en-4-ol (lUPAC name) (541 ) + TX, (E,Z)-tetradeca-4, 10-dien-1-yl acetate (lUPAC name) (779) + TX, (Z)-dodec-7-en-1-yl acetate (lUPAC name) (285) + TX, (Z)-hexadec-l 1- enal (lUPAC name) (436) + TX, (Z)-hexadec-l 1-en-1-yl acetate (lUPAC name) (437) + TX, (Z)- hexadec-13-en-1 1-yn-1-yl acetate (lUPAC name) (438) + TX, (Z)-icos-13-en-10-one (lUPAC name) (448) + TX, (Z)-tetradec-7-en-1-al (lUPAC name) (782) + TX, (Z)-tetradec-9-en-1-ol (lUPAC name) (783) + TX, (Z)-tetradec-9-en-1-yl acetate (lUPAC name) (784) + TX, (7E,9Z)-dodeca-7,9-dien-1-yl acetate (lUPAC name) (283) + TX, (9Z, 1 1 E)-tetradeca-9, 1 1-dien-1-yl acetate (lUPAC name) (780) + TX, (9Z, 12E)-tetradeca-9, 12-dien-1-yl acetate (lUPAC name) (781 ) + TX, 14-methyloctadec-1-ene (lUPAC name) (545) + TX, 4-methylnonan-5-ol with 4-methylnonan-5-one (lUPAC name) (544) + TX, alpha-multistriatin [CCN] + TX, brevicomin [CCN] + TX, codlelure [CCN] + TX, codlemone (167) + TX, cuelure (179) + TX, disparlure (277) + TX, dodec-8-en-1-yl acetate (lUPAC name) (286) + TX, dodec-9-en-1-yl acetate (lUPAC name) (287) + TX, dodeca-8 + TX, 10-dien-1-yl acetate
(lUPAC name) (284) + TX, dominicalure [CCN] + TX, ethyl 4-methyloctanoate (lUPAC name) (317) + TX, eugenol [CCN] + TX, frontalin [CCN] + TX, gossyplure (420) + TX, grandlure (421 ) + TX, grandlure l (421 ) + TX, grandlure II (421 ) + TX, grandlure III (421 ) + TX, grandlure IV (421 ) + TX, hexalure [CCN] + TX, ipsdienol [CCN] + TX, ipsenol [CCN] + TX, japonilure (481 ) + TX, lineatin [CCN] + TX, litlure [CCN] + TX, looplure [CCN] + TX, medlure [CCN] + TX, megatomoic acid [CCN] + TX, methyl eugenol (540) + TX, muscalure (563) + TX, octadeca-2, 13-dien-1-yl acetate (lUPAC name) (588) + TX, octadeca-3, 13-dien-1-yl acetate (lUPAC name) (589) + TX, orfralure [CCN] + TX, oryctalure (317) + TX, ostramone [CCN] + TX, siglure [CCN] + TX, sordidin (736) + TX, sulcatol [CCN] + TX, tetradec-11-en-1-yl acetate (lUPAC name) (785) + TX, trimedlure (839) + TX, trimedlure A (839) + TX, trimedlure Bi (839) + TX, trimedlure B2 (839) + TX, trimedlure C (839) and trunc-call [CCN] + TX,
an insect repellent selected from the group of substances consisting of 2-(octylthio)ethanol (lUPAC name) (591 ) + TX, butopyronoxyl (933) + TX, butoxy(polypropylene glycol) (936) + TX, dibutyl
adipate (lUPAC name) (1046) + TX, dibutyl phthalate (1047) + TX, dibutyl succinate (lUPAC name) (1048) + TX, diethyltoluamide [CCN] + TX, dimethyl carbate [CCN] + TX, dimethyl phthalate [CCN] + TX, ethyl hexanediol (1 137) + TX, hexamide [CCN] + TX, methoquin-butyl (1276) + TX, methylneodecanamide [CCN] + TX, oxamate [CCN] and picaridin [CCN] + TX,
an insecticide selected from the group of substances consisting of 1-dichloro-1-nitroethane
(lUPAC/Chemical Abstracts name) (1058) + TX, 1 ,1-dichloro-2,2-bis(4-ethylphenyl)ethane (lUPAC name) (1056), + TX, 1 ,2-dichloropropane (lUPAC/Chemical Abstracts name) (1062) + TX, 1 ,2- dichloropropane with 1 ,3-dichloropropene (lUPAC name) (1063) + TX, 1-bromo-2-chloroethane (lUPAC/Chemical Abstracts name) (916) + TX, 2,2,2-trichloro-1-(3,4-dichlorophenyl)ethyl acetate (lUPAC name) (1451 ) + TX, 2,2-dichlorovinyl 2-ethylsulfinylethyl methyl phosphate (lUPAC name) (1066) + TX, 2-(1 ,3-dithiolan-2-yl)phenyl dimethylcarbamate (lUPAC/ Chemical Abstracts name) (1 109) + TX, 2-(2-butoxyethoxy)ethyl thiocyanate (lUPAC/Chemical Abstracts name) (935) + TX, 2- (4,5-dimethyl-1 ,3-dioxolan-2-yl)phenyl methylcarbamate (lUPAC/ Chemical Abstracts name) (1084) + TX, 2-(4-chloro-3,5-xylyloxy)ethanol (lUPAC name) (986) + TX, 2-chlorovinyl diethyl phosphate (lUPAC name) (984) + TX, 2-imidazolidone (lUPAC name) (1225) + TX, 2-isovalerylindan-1 ,3-dione (lUPAC name) (1246) + TX, 2-methyl(prop-2-ynyl)aminophenyl methylcarbamate (lUPAC name) (1284) + TX, 2-thiocyanatoethyl laurate (lUPAC name) (1433) + TX, 3-bromo-1-chloroprop-1-ene (lUPAC name) (917) + TX, 3-methyl-1-phenylpyrazol-5-yl dimethylcarbamate (lUPAC name) (1283) + TX, 4-methyl(prop-2-ynyl)amino-3,5-xylyl methylcarbamate (lUPAC name) (1285) + TX, 5,5-dimethyl- 3-oxocyclohex-1-enyl dimethylcarbamate (lUPAC name) (1085) + TX, abamectin (1 ) + TX, acephate (2) + TX, acetamiprid (4) + TX, acethion [CCN] + TX, acetoprole [CCN] + TX, acrinathrin (9) + TX, acrylonitrile (lUPAC name) (861 ) + TX, alanycarb (15) + TX, aldicarb (16) + TX, aldoxycarb (863) + TX, aldrin (864) + TX, allethrin (17) + TX, allosamidin [CCN] + TX, allyxycarb (866) + TX, alpha-cypermethrin (202) + TX, alpha-ecdysone [CCN] + TX, aluminium phosphide (640) + TX, amidithion (870) + TX, amidothioate (872) + TX, aminocarb (873) + TX, amiton (875) + TX, amiton hydrogen oxalate (875) + TX, amitraz (24) + TX, anabasine (877) + TX, athidathion (883) + TX, AVI 382 (compound code) + TX, AZ 60541 (compound code) + TX, azadirachtin (41 ) + TX, azamethiphos (42) + TX, azinphos-ethyl (44) + TX, azinphos-methyl (45) + TX, azothoate (889) + TX, Bacillus thuringiensis delta endotoxins (52) + TX, barium
hexafluorosilicate [CCN] + TX, barium polysulfide (lUPAC/Chemical Abstracts name) (892) + TX, barthrin [CCN] + TX, Bayer 22/190 (development code) (893) + TX, Bayer 22408 (development code) (894) + TX, bendiocarb (58) + TX, benfuracarb (60) + TX, bensultap (66) + TX, beta- cyfluthrin (194) + TX, beta-cypermethrin (203) + TX, bifenthrin (76) + TX, bioallethrin (78) + TX, bioallethrin S-cyclopentenyl isomer (79) + TX, bioethanomethrin [CCN] + TX, biopermethrin (908) + TX, bioresmethrin (80) + TX, bis(2-chloroethyl) ether (lUPAC name) (909) + TX, bistrifluron (83) + TX, borax (86) + TX, brofenvalerate + TX, bromfenvinfos (914) + TX, bromocyclen (918) + TX, bromo-DDT [CCN] + TX, bromophos (920) + TX, bromophos-ethyl (921 ) + TX, bufencarb (924) + TX, buprofezin (99) + TX, butacarb (926) + TX, butathiofos (927) + TX, butocarboxim (103) + TX,
butonate (932) + TX, butoxycarboxim (104) + TX, butylpyridaben + TX, cadusafos (109) + TX, calcium arsenate [CCN] + TX, calcium cyanide (444) + TX, calcium polysulfide (lUPAC name) (1 1 1 ) + TX, camphechlor (941 ) + TX, carbanolate (943) + TX, carbaryl (1 15) + TX, carbofuran (1 18) + TX, carbon disulfide (lUPAC/Chemical Abstracts name) (945) + TX, carbon tetrachloride (lUPAC name) (946) + TX, carbophenothion (947) + TX, carbosulfan (1 19) + TX, cartap (123) + TX, cartap hydrochloride (123) + TX, cevadine (725) + TX, chlorbicyclen (960) + TX, chlordane (128) + TX, chlordecone (963) + TX, chlordimeform (964) + TX, chlordimeform hydrochloride (964) + TX, chlorethoxyfos (129) + TX, chlorfenapyr (130) + TX, chlorfenvinphos (131 ) + TX, chlorfluazuron (132) + TX, chlormephos (136) + TX, chloroform [CCN] + TX, chloropicrin (141 ) + TX,
chlorphoxim (989) + TX, chlorprazophos (990) + TX, chlorpyrifos (145) + TX, chlorpyrifos-methyl (146) + TX, chlorthiophos (994) + TX, chromafenozide (150) + TX, cinerin I (696) + TX, cinerin II (696) + TX, cinerins (696) + TX, cis-resmethrin + TX, cismethrin (80) + TX, clocythrin + TX, cloethocarb (999) + TX, closantel [CCN] + TX, clothianidin (165) + TX, copper acetoarsenite
[CCN] + TX, copper arsenate [CCN] + TX, copper oleate [CCN] + TX, coumaphos (174) + TX, coumithoate (1006) + TX, crotamiton [CCN] + TX, crotoxyphos (1010) + TX, crufomate (101 1 ) + TX, cryolite (177) + TX, CS 708 (development code) (1012) + TX, cyanofenphos (1019) + TX, cyanophos (184) + TX, cyanthoate (1020) + TX, cyclethrin [CCN] + TX, cycloprothrin (188) + TX, cyfluthrin (193) + TX, cyhalothrin (196) + TX, cypermethrin (201 ) + TX, cyphenothrin (206) + TX, cyromazine (209) + TX, cythioate [CCN] + TX, cf-limonene [CCN] + TX, cf-tetramethrin (788) + TX, DAEP (1031 ) + TX, dazomet (216) + TX, DDT (219) + TX, decarbofu ran (1034) + TX, deltamethrin (223) + TX, demephion (1037) + TX, demephion-0 (1037) + TX, demephion-S (1037) + TX, demeton (1038) + TX, demeton-methyl (224) + TX, demeton-0 (1038) + TX, demeton-O- methyl (224) + TX, demeton-S (1038) + TX, demeton-S-methyl (224) + TX, demeton-S- methylsulphon (1039) + TX, diafenthiuron (226) + TX, dialifos (1042) + TX, diamidafos (1044) + TX, diazinon (227) + TX, dicapthon (1050) + TX, dichlofenthion (1051 ) + TX, dichlorvos (236) + TX, dicliphos + TX, dicresyl [CCN] + TX, dicrotophos (243) + TX, dicyclanil (244) + TX, dieldrin (1070) + TX, diethyl 5-methylpyrazol-3-yl phosphate (lUPAC name) (1076) + TX, diflubenzuron (250) + TX, dilor [CCN] + TX, dimefluthrin [CCN] + TX, dimefox (1081 ) + TX, dimetan (1085) + TX, dimethoate (262) + TX, dimethrin (1083) + TX, dimethylvinphos (265) + TX, dimetilan (1086) + TX, dinex (1089) + TX, dinex-diclexine (1089) + TX, dinoprop (1093) + TX, dinosam (1094) + TX, dinoseb (1095) + TX, dinotefuran (271 ) + TX, diofenolan (1099) + TX, dioxabenzofos (1 100) + TX, dioxacarb (1 101 ) + TX, dioxathion (1 102) + TX, disulfoton (278) + TX, dithicrofos (1 108) + TX, DNOC (282) + TX, doramectin [CCN] + TX, DSP (1 1 15) + TX, ecdysterone [CCN] + TX, El 1642 (development code) (1 1 18) + TX, emamectin (291 ) + TX, emamectin benzoate (291 ) + TX, EMPC (1 120) + TX, empenthrin (292) + TX, endosulfan (294) + TX, endothion (1 121 ) + TX, endrin (1 122) + TX, EPBP (1 123) + TX, EPN (297) + TX, epofenonane (1 124) + TX, eprinomectin [CCN] + TX, esfenvalerate (302) + TX, etaphos [CCN] + TX, ethiofencarb (308) + TX, ethion (309) + TX, ethiprole (310) + TX, ethoate-m ethyl (1 134) + TX, ethoprophos (312) + TX, ethyl
formate (lUPAC name) [CCN] + TX, ethyl-DDD (1056) + TX, ethylene dibromide (316) + TX, ethylene dichloride (chemical name) (1 136) + TX, ethylene oxide [CCN] + TX, etofenprox (319) + TX, etrimfos (1 142) + TX, EXD (1 143) + TX, famphur (323) + TX, fenamiphos (326) + TX, fenazaflor (1 147) + TX, fenchlorphos (1 148) + TX, fenethacarb (1 149) + TX, fenfluthrin (1 150) + TX, fenitrothion (335) + TX, fenobucarb (336) + TX, fenoxacrim (1 153) + TX, fenoxycarb (340) + TX, fenpirithrin (1 155) + TX, fenpropathrin (342) + TX, fenpyrad + TX, fensulfothion (1 158) + TX, fenthion (346) + TX, fenthion-ethyl [CCN] + TX, fenvalerate (349) + TX, fipronil (354) + TX, flonicamid (358) + TX, flubendiamide (CAS. Reg. No.: 272451-65-7) + TX, flucofuron (1 168) + TX, flucycloxuron (366) + TX, flucythrinate (367) + TX, fluenetil (1 169) + TX, flufenerim [CCN] + TX, flufenoxuron (370) + TX, flufenprox (1 171 ) + TX, flumethrin (372) + TX, fluvalinate (1 184) + TX, FMC 1 137 (development code) (1 185) + TX, fonofos (1 191 ) + TX, formetanate (405) + TX, formetanate hydrochloride (405) + TX, formothion (1 192) + TX, formparanate (1 193) + TX, fosmethilan (1 194) + TX, fospirate (1 195) + TX, fosthiazate (408) + TX, fosthietan (1 196) + TX, furathiocarb (412) + TX, furethrin (1200) + TX, gamma-cyhalothrin (197) + TX, gamma-HCH (430) + TX, guazatine (422) + TX, guazatine acetates (422) + TX, GY-81 (development code) (423) + TX, halfenprox (424) + TX, halofenozide (425) + TX, HCH (430) + TX, HEOD (1070) + TX, heptachlor (121 1 ) + TX, heptenophos (432) + TX, heterophos [CCN] + TX, hexaflumuron (439) + TX, HHDN (864) + TX, hydramethylnon (443) + TX, hydrogen cyanide (444) + TX, hydroprene (445) + TX, hyquincarb (1223) + TX, imidacloprid (458) + TX, imiprothrin (460) + TX, indoxacarb (465) + TX, iodomethane (lUPAC name) (542) + TX, IPSP (1229) + TX, isazofos (1231 ) + TX, isobenzan (1232) + TX, isocarbophos (473) + TX, isodrin (1235) + TX, isofenphos (1236) + TX, isolane (1237) + TX, isoprocarb (472) + TX, isopropyl 0-(methoxyaminothiophosphoryl)salicylate (lUPAC name) (473) + TX, isoprothiolane (474) + TX, isothioate (1244) + TX, isoxathion (480) + TX, ivermectin [CCN] + TX, jasmolin I (696) + TX, jasmolin II (696) + TX, jodfenphos (1248) + TX, juvenile hormone I [CCN] + TX, juvenile hormone II [CCN] + TX, juvenile hormone III [CCN] + TX, kelevan (1249) + TX, kinoprene (484) + TX, lambda-cyhalothrin (198) + TX, lead arsenate [CCN] + TX, lepimectin (CCN) + TX, leptophos (1250) + TX, lindane (430) + TX, lirimfos (1251 ) + TX, lufenuron (490) + TX, lythidathion (1253) + TX, m-cumenyl methylcarbamate (lUPAC name) (1014) + TX, magnesium phosphide (lUPAC name) (640) + TX, malathion (492) + TX, malonoben (1254) + TX, mazidox (1255) + TX, mecarbam (502) + TX, mecarphon (1258) + TX, menazon (1260) + TX, mephosfolan (1261 ) + TX, mercurous chloride (513) + TX, mesulfenfos (1263) + TX, metaflumizone (CCN) + TX, metam (519) + TX, metam-potassium (519) + TX, metam-sodium (519) + TX, methacrifos (1266) + TX, methamidophos (527) + TX, methanesulfonyl fluoride (lUPAC/Chemical Abstracts name) (1268) + TX, methidathion (529) + TX, methiocarb (530) + TX, methocrotophos (1273) + TX, methomyl (531 ) + TX, methoprene (532) + TX, methoquin-butyl (1276) + TX, methothrin (533) + TX, methoxychlor (534) + TX, methoxyfenozide (535) + TX, methyl bromide (537) + TX, methyl isothiocyanate (543) + TX, methylchloroform [CCN] + TX, methylene chloride [CCN] + TX, metofluthrin [CCN] + TX, metolcarb (550) + TX, metoxadiazone
(1288) + TX, mevinphos (556) + TX, mexacarbate (1290) + TX, milbemectin (557) + TX, milbemycin oxime [CCN] + TX, mipafox (1293) + TX, mirex (1294) + TX, monocrotophos (561 ) + TX, morphothion (1300) + TX, moxidectin [CCN] + TX, naftalofos [CCN] + TX, naled (567) + TX, naphthalene (lUPAC/Chemical Abstracts name) (1303) + TX, NC-170 (development code) (1306) + TX, NC-184 (compound code) + TX, nicotine (578) + TX, nicotine sulfate (578) + TX, nifluridide (1309) + TX, nitenpyram (579) + TX, nithiazine (131 1 ) + TX, nitrilacarb (1313) + TX, nitrilacarb 1 : 1 zinc chloride complex (1313) + TX, NNI-0101 (compound code) + TX, NNI-0250 (compound code) + TX, nornicotine (traditional name) (1319) + TX, novaluron (585) + TX, noviflumuron (586) + TX, 0-5-dichloro-4-iodophenyl O-ethyl ethylphosphonothioate (lUPAC name) (1057) + TX, 0,0- diethyl 0-4-methyl-2-oxo-2A -chromen-7-yl phosphorothioate (lUPAC name) (1074) + TX, 0,0-diethyl 0-6-methyl-2-propylpyrimidin-4-yl phosphorothioate (lUPAC name) (1075) + TX, Ο,Ο,Ο',Ο'- tetrapropyl dithiopyrophosphate (lUPAC name) (1424) + TX, oleic acid (lUPAC name) (593) + TX, omethoate (594) + TX, oxamyl (602) + TX, oxydemeton-methyl (609) + TX, oxydeprofos (1324) + TX, oxydisulfoton (1325) + TX, pp'-DDT (219) + TX, para-dichlorobenzene [CCN] + TX, parathion (615) + TX, parathion-methyl (616) + TX, penfluron [CCN] + TX, pentachlorophenol (623) + TX, pentachlorophenyl laurate (lUPAC name) (623) + TX, permethrin (626) + TX, petroleum oils (628) + TX, PH 60-38 (development code) (1328) + TX, phenkapton (1330) + TX, phenothrin (630) + TX, phenthoate (631 ) + TX, phorate (636) + TX, phosalone (637) + TX, phosfolan (1338) + TX, phosmet (638) + TX, phosnichlor (1339) + TX, phosphamidon (639) + TX, phosphine (lUPAC name) (640) + TX, phoxim (642) + TX, phoxim-methyl (1340) + TX, pirimetaphos (1344) + TX, pirimicarb (651 ) + TX, pirimiphos-ethyl (1345) + TX, pirimiphos-methyl (652) + TX,
polychlorodicyclopentadiene isomers (lUPAC name) (1346) + TX, polychloroterpenes (traditional name) (1347) + TX, potassium arsenite [CCN] + TX, potassium thiocyanate [CCN] + TX, prallethrin (655) + TX, precocene I [CCN] + TX, precocene II [CCN] + TX, precocene III [CCN] + TX, primidophos (1349) + TX, profenofos (662) + TX, profluthrin [CCN] + TX, promacyl (1354) + TX, promecarb (1355) + TX, propaphos (1356) + TX, propetamphos (673) + TX, propoxur (678) + TX, prothidathion (1360) + TX, prothiofos (686) + TX, prothoate (1362) + TX, protrifenbute [CCN] + TX, pymetrozine (688) + TX, pyraclofos (689) + TX, pyrazophos (693) + TX, pyresmethrin (1367) + TX, pyrethrin I (696) + TX, pyrethrin II (696) + TX, pyrethrins (696) + TX, pyridaben (699) + TX, pyridalyl (700) + TX, pyridaphenthion (701 ) + TX, pyrimidifen (706) + TX, pyrimitate (1370) + TX, pyriproxyfen (708) + TX, quassia [CCN] + TX, quinalphos (71 1 ) + TX, quinalphos-methyl (1376) + TX, quinothion (1380) + TX, quintiofos (1381 ) + TX, R-1492 (development code) (1382) + TX, rafoxanide [CCN] + TX, resmethrin (719) + TX, rotenone (722) + TX, RU 15525 (development code) (723) + TX, RU 25475 (development code) (1386) + TX, ryania (1387) + TX, ryanodine (traditional name) (1387) + TX, sabadilla (725) + TX, schradan (1389) + TX, sebufos + TX, selamectin [CCN] + TX, SI-0009 (compound code) + TX, SI-0205 (compound code) + TX, SI-0404 (compound code) + TX, SI-0405 (compound code) + TX, silafluofen (728) + TX, SN 72129 (development code) (1397) + TX, sodium arsenite [CCN] + TX, sodium cyanide (444) + TX,
sodium fluoride (lUPAC/Chemical Abstracts name) (1399) + TX, sodium hexafluorosilicate (1400) + TX, sodium pentachlorophenoxide (623) + TX, sodium selenate (lUPAC name) (1401 ) + TX, sodium thiocyanate [CCN] + TX, sophamide (1402) + TX, spinosad (737) + TX, spiromesifen (739) + TX, spirotetrmat (CCN) + TX, sulcofuron (746) + TX, sulcofuron-sodium (746) + TX, sulfluramid (750) + TX, sulfotep (753) + TX, sulfuryl fluoride (756) + TX, sulprofos (1408) + TX, tar oils (758) + TX, tau-fluvalinate (398) + TX, tazimcarb (1412) + TX, TDE (1414) + TX, tebufenozide (762) + TX, tebufenpyrad (763) + TX, tebupirimfos (764) + TX, teflubenzuron (768) + TX, tefluthrin (769) + TX, temephos (770) + TX, TEPP (1417) + TX, terallethrin (1418) + TX, terbam + TX, terbufos (773) + TX, tetrachloroethane [CCN] + TX, tetrachlorvinphos (777) + TX, tetramethrin (787) + TX, theta-cypermethrin (204) + TX, thiacloprid (791 ) + TX, thiafenox + TX, thiamethoxam (792) + TX, thicrofos (1428) + TX, thiocarboxime (1431 ) + TX, thiocyclam (798) + TX, thiocyclam hydrogen oxalate (798) + TX, thiodicarb (799) + TX, thiofanox (800) + TX, thiometon (801 ) + TX, thionazin (1434) + TX, thiosultap (803) + TX, thiosultap-sodium (803) + TX, thuringiensin [CCN] + TX, tolfenpyrad (809) + TX, tralomethrin (812) + TX, transfluthrin (813) + TX, transpermethrin (1440) + TX, triamiphos (1441 ) + TX, triazamate (818) + TX, triazophos (820) + TX, triazuron + TX, trichlorfon (824) + TX, trichlormetaphos-3 [CCN] + TX, trichloronat (1452) + TX, trifenofos (1455) + TX, triflumuron (835) + TX, trimethacarb (840) + TX, triprene (1459) + TX, vamidothion (847) + TX, vaniliprole [CCN] + TX, veratridine (725) + TX, veratrine (725) + TX, XMC (853) + TX, xylylcarb (854) + TX, YI-5302 (compound code) + TX, zeta-cypermethrin (205) + TX, zetamethrin + TX, zinc phosphide (640) + TX, zolaprofos (1469) and ZXI 8901 (development code) (858) + TX, cyantraniliprole [736994-63-19 + TX, chlorantraniliprole [500008-45-7] + TX, cyenopyrafen [560121- 52-0] + TX, cyflumetofen [400882-07-7] + TX, pyrifluquinazon [337458-27-2] + TX, spinetoram
[187166-40-1 + 187166-15-0] + TX, spirotetramat [203313-25-1] + TX, sulfoxaflor [946578-00-3] + TX, flufiprole [704886-18-0] + TX, meperfluthrin [915288-13-0] + TX, tetramethylfluthrin [84937-88-2] + TX, triflumezopyrim (disclosed in WO 2012/0921 15) + TX, fluxametamide (WO 2007/026965) + TX, epsilon-metofluthrin [240494-71-7] + TX, epsilon-momfluorothrin [1065124-65-3] + TX,
fluazaindolizine [1254304-22-7] + TX, chloroprallethrin [399572-87-3] + TX, fluxametamide [928783- 29-3] + TX, cyhalodiamide [1262605-53-7] + TX, tioxazafen [330459-31-9] + TX, broflanilide [1207727- 04-5] + TX, flufiprole [704886-18-0] + TX, cyclaniliprole [1031756-98-5] + TX, tetraniliprole [1229654- 66-3] + TX, guadipyr (described in WO2010/060231 ) + TX, cycloxaprid (described in
WO2005/077934) + TX,
a molluscicide selected from the group of substances consisting of bis(tributyltin) oxide (lUPAC name) (913) + TX, bromoacetamide [CCN] + TX, calcium arsenate [CCN] + TX, cloethocarb (999) + TX, copper acetoarsenite [CCN] + TX, copper sulfate (172) + TX, fentin (347) + TX, ferric phosphate (lUPAC name) (352) + TX, metaldehyde (518) + TX, methiocarb (530) + TX, niclosamide (576) + TX, niclosamide-olamine (576) + TX, pentachlorophenol (623) + TX, sodium pentachlorophenoxide (623) + TX, tazimcarb (1412) + TX, thiodicarb (799) + TX, tributyltin oxide (913) + TX, trifenmorph
(1454) + TX, trimethacarb (840) + TX, triphenyltin acetate (lUPAC name) (347) and triphenyltin hydroxide (lUPAC name) (347) + TX, pyriprole [394730-71-3] + TX,
a nematicide selected from the group of substances consisting of AKD-3088 (compound code) + TX, 1 ,2-dibromo-3-chloropropane (lUPAC/Chemical Abstracts name) (1045) + TX, 1 ,2-dichloropropane (lUPAC/ Chemical Abstracts name) (1062) + TX, 1 ,2-dichloropropane with 1 ,3-dichloropropene (lUPAC name) (1063) + TX, 1 ,3-dichloropropene (233) + TX, 3,4-dichlorotetrahydrothiophene 1 ,1- dioxide (lUPAC/Chemical Abstracts name) (1065) + TX, 3-(4-chlorophenyl)-5-methylrhodanine (lUPAC name) (980) + TX, 5-methyl-6-thioxo-1 ,3,5-thiadiazinan-3-ylacetic acid (lUPAC name) (1286) + TX, 6-isopentenylaminopurine (210) + TX, abamectin (1 ) + TX, acetoprole [CCN] + TX, alanycarb (15) + TX, aldicarb (16) + TX, aldoxycarb (863) + TX, AZ 60541 (compound code) + TX, benclothiaz [CCN] + TX, benomyl (62) + TX, butylpyridaben + TX, cadusafos (109) + TX, carbofuran (1 18) + TX, carbon disulfide (945) + TX, carbosulfan (1 19) + TX, chloropicrin (141 ) + TX, chlorpyrifos (145) + TX, cloethocarb (999) + TX, cytokinins (210) + TX, dazomet (216) + TX, DBCP (1045) + TX, DCIP (218) + TX, diamidafos (1044) + TX, dichlofenthion (1051 ) + TX, dicliphos + TX, dimethoate (262) + TX, doramectin [CCN] + TX, emamectin (291 ) + TX, emamectin benzoate (291 ) + TX, eprinomectin [CCN] + TX, ethoprophos (312) + TX, ethylene dibromide (316) + TX, fenamiphos (326) + TX, fenpyrad + TX, fensulfothion (1 158) + TX, fosthiazate (408) + TX, fosthietan (1 196) + TX, furfural [CCN] + TX, GY-81 (development code) (423) + TX, heterophos [CCN] + TX, iodomethane (lUPAC name) (542) + TX, isamidofos (1230) + TX, isazofos (1231 ) + TX, ivermectin [CCN] + TX, kinetin (210) + TX, mecarphon (1258) + TX, metam (519) + TX, metam-potassium (519) + TX, metam-sodium (519) + TX, methyl bromide (537) + TX, methyl isothiocyanate (543) + TX, milbemycin oxime [CCN] + TX, moxidectin [CCN] + TX, Myrothecium verrucaria composition (565) + TX, NC-184 (compound code) + TX, oxamyl (602) + TX, phorate (636) + TX, phosphamidon (639) + TX, phosphocarb [CCN] + TX, sebufos + TX, selamectin [CCN] + TX, spinosad (737) + TX, terbam + TX, terbufos (773) + TX, tetrachlorothiophene (lUPAC/ Chemical Abstracts name) (1422) + TX, thiafenox + TX, thionazin (1434) + TX, triazophos (820) + TX, triazuron + TX, xylenols [CCN] + TX, YI-5302 (compound code) and zeatin (210) + TX, fluensulfone [318290-98-1] + TX,
a nitrification inhibitor selected from the group of substances consisting of potassium ethylxanthate [CCN] and nitrapyrin (580) + TX,
a plant activator selected from the group of substances consisting of acibenzolar (6) + TX, acibenzolar-S-methyl (6) + TX, probenazole (658) and Reynoutria sachalinensis extract (720) + TX, a rodenticide selected from the group of substances consisting of 2-isovalerylindan-1 ,3-dione (lUPAC name) (1246) + TX, 4-(quinoxalin-2-ylamino)benzenesulfonamide (lUPAC name) (748) + TX, alpha- chlorohydrin [CCN] + TX, aluminium phosphide (640) + TX, antu (880) + TX, arsenous oxide (882) + TX, barium carbonate (891 ) + TX, bisthiosemi (912) + TX, brodifacoum (89) + TX,
bromadiolone (91 ) + TX, bromethalin (92) + TX, calcium cyanide (444) + TX, chloralose (127) + TX, chlorophacinone (140) + TX, cholecalciferol (850) + TX, coumachlor (1004) + TX,
coumafuryl (1005) + TX, coumatetralyl (175) + TX, crimidine (1009) + TX, difenacoum (246) + TX, difethialone (249) + TX, diphacinone (273) + TX, ergocalciferol (301 ) + TX, flocoumafen (357) + TX, fluoroacetamide (379) + TX, flupropadine (1 183) + TX, flupropadine hydrochloride (1 183) + TX, gamma-HCH (430) + TX, HCH (430) + TX, hydrogen cyanide (444) + TX, iodomethane (lUPAC name) (542) + TX, lindane (430) + TX, magnesium phosphide (lUPAC name) (640) + TX, methyl bromide (537) + TX, norbormide (1318) + TX, phosacetim (1336) + TX, phosphine (lUPAC name) (640) + TX, phosphorus [CCN] + TX, pindone (1341 ) + TX, potassium arsenite [CCN] + TX, pyrinuron (1371 ) + TX, scilliroside (1390) + TX, sodium arsenite [CCN] + TX, sodium cyanide (444) + TX, sodium fluoroacetate (735) + TX, strychnine (745) + TX, thallium sulfate [CCN] + TX, warfarin (851 ) and zinc phosphide (640) + TX,
a synergist selected from the group of substances consisting of 2-(2-butoxyethoxy)ethyl piperonylate (lUPAC name) (934) + TX, 5-(1 ,3-benzodioxol-5-yl)-3-hexylcyclohex-2-enone (lUPAC name) (903) + TX, farnesol with nerolidol (324) + TX, MB-599 (development code) (498) + TX, MGK 264 (development code) (296) + TX, piperonyl butoxide (649) + TX, piprotal (1343) + TX, propyl isomer (1358) + TX, S421 (development code) (724) + TX, sesamex (1393) + TX, sesasmolin (1394) and sulfoxide (1406) + TX,
an animal repellent selected from the group of substances consisting of anthraquinone (32) + TX, chloralose (127) + TX, copper naphthenate [CCN] + TX, copper oxychloride (171 ) + TX, diazinon (227) + TX, dicyclopentadiene (chemical name) (1069) + TX, guazatine (422) + TX, guazatine acetates (422) + TX, methiocarb (530) + TX, pyridin-4-amine (lUPAC name) (23) + TX, thiram (804) + TX, trimethacarb (840) + TX, zinc naphthenate [CCN] and ziram (856) + TX,
a virucide selected from the group of substances consisting of imanin [CCN] and ribavirin [CCN] + TX,
a wound protectant selected from the group of substances consisting of mercuric oxide (512) + TX, octhilinone (590) and thiophanate-methyl (802) + TX, and biologically active compounds selected from the group consisting of azaconazole (60207-31-0] + TX, bitertanol [70585-36-3] + TX, bromuconazole [1 16255-48-2] + TX, cyproconazole [94361-06-5] + TX, difenoconazole [1 19446-68-3] + TX, diniconazole [83657-24-3] + TX, epoxiconazole
[106325-08-0] + TX, fenbuconazole [1 14369-43-6] + TX, fluquinconazole [136426-54-5] + TX, flusilazole [85509-19-9] + TX, flutriafol [76674-21-0] + TX, hexaconazole [79983-71-4] + TX, imazalil [35554-44-0] + TX, imibenconazole [86598-92-7] + TX, ipconazole [125225-28-7] + TX, metconazole [1251 16-23-6] + TX, myclobutanil [88671-89-0] + TX, pefurazoate [101903-30-4] + TX, penconazole [66246-88-6] + TX, prothioconazole [178928-70-6] + TX, pyrifenox [88283-41-4] + TX, prochloraz [67747-09-5] + TX, propiconazole [60207-90-1] + TX, simeconazole [149508-90-7] + TX, tebuconazole [107534-96-3] + TX, tetraconazole [1 12281-77-3] + TX, triadimefon [43121-43-3] + TX, triad imenol [55219-65-3] + TX, triflumizole [99387-89-0] + TX, triticonazole [131983-72-7] + TX, ancymidol [12771-68-5] + TX, fenarimol [60168-88-9] + TX, nuarimol [63284-71-9] + TX,
bupirimate [41483-43-6] + TX, dimethirimol [5221-53-4] + TX, ethirimol [23947-60-6] + TX, dodemorph [1593-77-7] + TX, fenpropidine [67306-00-7] + TX, fenpropimorph [67564-91-4] + TX, spiroxamine [1 18134-30-8] + TX, tridemorph [81412-43-3] + TX, cyprodinil [121552-61-2] + TX, mepanipyrim [1 10235-47-7] + TX, pyrimethanil [531 12-28-0] + TX, fenpiclonil [74738-17-3] + TX, fludioxonil [131341-86-1] + TX, benalaxyl [71626-1 1-4] + TX, furalaxyl [57646-30-7] + TX, meta- laxyl [57837-19-1] + TX, R-metalaxyl [70630-17-0] + TX, ofurace [58810-48-3] + TX, oxadixyl [77732-09-3] + TX, benomyl [17804-35-2] + TX, carbendazim [10605-21-7] + TX, debacarb
[62732-91-6] + TX, fuberidazole [3878-19-1] + TX, thiabendazole [148-79-8] + TX, chlozolinate [84332-86-5] + TX, dichlozoline [24201-58-9] + TX, iprodione [36734-19-7] + TX, myclozoline [54864-61-8] + TX, procymidone [32809-16-8] + TX, vinclozoline [50471-44-8] + TX, boscalid
[188425-85-6] + TX, carboxin [5234-68-4] + TX, fenfuram [24691-80-3] + TX, flutolanil [66332-96- 5] + TX, mepronil [55814-41-0] + TX, oxycarboxin [5259-88-1] + TX, penthiopyrad [183675-82-3] + TX, thifluzamide [130000-40-7] + TX, guazatine [108173-90-6] + TX, dodine [2439-10-3] [1 12-65- 2] (free base) + TX, iminoctadine [13516-27-3] + TX, azoxystrobin [131860-33-8] + TX, dimoxystrobin [149961-52-4] + TX, enestroburin {Proc. BCPC, Int. Congr., Glasgow, 2003, 1 , 93} + TX, fluoxastrobin [361377-29-9] + TX, kresoxim-methyl [143390-89-0] + TX, metominostrobin [133408-50-1] + TX, trifloxystrobin [141517-21-7] + TX, orysastrobin [248593-16-0] + TX, picoxystrobin [1 17428-22-5] + TX, pyraclostrobin [175013-18-0] + TX, ferbam [14484-64-1] + TX, mancozeb [8018-01-7] + TX, maneb [12427-38-2] + TX, metiram [9006-42-2] + TX, propineb [12071-83-9] + TX, thiram [137-26-8] + TX, zineb [12122-67-7] + TX, ziram [137-30-4] + TX, captafol [2425-06-1] + TX, captan [133-06-2] + TX, dichlofluanid [1085-98-9] + TX, fluoroimide [41205-21-4] + TX, folpet [133-07-3 ] + TX, tolylfluanid [731-27-1] + TX, bordeaux mixture [801 1- 63-0] + TX, copperhydroxid [20427-59-2] + TX, copperoxychlorid [1332-40-7] + TX, coppersulfat [7758-98-7] + TX, copperoxid [1317-39-1] + TX, mancopper [53988-93-5] + TX, oxine-copper [10380-28-6] + TX, dinocap [131-72-6] + TX, nitrothal-isopropyl [10552-74-6] + TX, edifenphos
[17109-49-8] + TX, iprobenphos [26087-47-8] + TX, isoprothiolane [50512-35-1] + TX, phosdiphen [36519-00-3] + TX, pyrazophos [13457-18-6] + TX, tolclofos-methyl [57018-04-9] + TX, acibenzo- lar-S-methyl [135158-54-2] + TX, anilazine [101-05-3] + TX, benthiavalicarb [413615-35-7] + TX, blasticidin-S [2079-00-7] + TX, chinomethionat [2439-01-2] + TX, chloroneb [2675-77-6] + TX, chlorothalonil [1897-45-6] + TX, cyflufenamid [180409-60-3] + TX, cymoxanil [57966-95-7] + TX, dichlone [117-80-6] + TX, diclocymet [139920-32-4] + TX, diclomezine [62865-36-5] + TX, dicloran [99-30-9] + TX, diethofencarb [87130-20-9] + TX, dimethomorph [110488-70-5] + TX, SYP-LI90 (Flumorph) [211867-47-9] + TX, dithianon [3347-22-6] + TX, ethaboxam [162650-77-3] + TX, etridiazole [2593-15-9] + TX, famoxadone [131807-57-3] + TX, fenamidone [161326-34-7] + TX, fenoxanil [115852-48-7] + TX, fentin [668-34-8] + TX, ferimzone [89269-64-7] + TX, fluazinam
[79622-59-6] + TX, fluopicolide [2391 10-15-7] + TX, flusulfamide [106917-52-6] + TX, fenhexamid [126833-17-8] + TX, fosetyl-aluminium [39148-24-8] + TX, hymexazol [10004-44-1] + TX, iprovalicarb [140923-17-7] + TX, IKF-916 (Cyazofamid) [120116-88-3] + TX, kasugamycin [6980-18-
3] + TX, methasulfocarb [66952-49-6] + TX, metrafenone [220899-03-6] + TX, pencycuron [66063- 05-6] + TX, phthalide [27355-22-2] + TX, polyoxins [1 1 1 13-80-7] + TX, probenazole [27605-76-1] + TX, propamocarb [25606-41-1] + TX, proquinazid [189278-12-4] + TX, pyroquilon [57369-32-1] + TX, quinoxyfen [124495-18-7] + TX, quintozene [82-68-8] + TX, sulfur [7704-34-9] + TX, tiadinil [223580-51-6] + TX, triazoxide [72459-58-6] + TX, tricyclazole [41814-78-2] + TX, triforine [26644- 46-2] + TX, validamycin [37248-47-8] + TX, zoxamide (RH7281 ) [156052-68-5] + TX,
mandipropamid [374726-62-2] + TX, isopyrazam [881685-58-1] + TX, sedaxane [874967-67-6] + TX, 3-difluoromethyl-1-methyl-1 H-pyrazole-4-carboxylic acid (9-dichloromethylene-1 ,2,3,4-tetrahydro-1 ,4- methano-naphthalen-5-yl)-amide (dislosed in WO 2007/048556) + TX, 3-difluoromethyl-1-methyl-1 H- pyrazole-4-carboxylic acid (3',4',5'-trifluoro-biphenyl-2-yl)-amide (disclosed in WO 2006/087343) + TX, [(3S,4R,4aR,6S,6aS, 12R, 12aS, 12bS)-3-[(cyclopropylcarbonyl)oxy]- 1 ,3,4,4a,5,6,6a, 12,12a, 12b- decahydro-e.
e]pyran-4-yl]methyl-cyclopropanecarboxylate [915972-17-7] + TX, 1 ,3,5-trimethyl-N-(2-methyl-1- oxopropyl)-N-[3-(2-methylpropyl)-4-[2,2,2-trifluoro^
pyrazole-4-carboxamide [926914-55-8] + TX, lancotrione [1486617-21-3] + TX, florpyrauxifen [943832- 81-3] ] + TX, ipfentrifluconazole[1417782-08-1] + TX, mefentrifluconazole [1417782-03-6] + TX, quinofumelin [861647-84-9] + TX, chloroprallethrin [399572-87-3] + TX, cyhalodiamide [1262605-53- 7] ] + TX, fluazaindolizine [1254304-22-7] + TX, fluxametamide [928783-29-3] + TX, epsilon- metofluthrin [240494-71-7] + TX, epsilon-momfluorothrin [1065124-65-3] + TX, pydiflumetofen
[1228284-64-7] + TX, kappa-bifenthrin [439680-76-9] + TX, broflanilide [1207727-04-5] + TX, dicloromezotiaz [1263629-39-5] + TX, dipymetitrone [161 14-35-5] + TX, pyraziflumid [942515-63-1] + TX, kappa-tefluthrin [391634-71-2] + TX, fenpicoxamid [517875-34-2] + TX; fluindapyr [1383809-87-7] + TX; alpha-bromadiolone [28772-56-7] + TX; flupyrimin [1689566-03-7] + TX; benzpyrimoxan
[1449021-97-9] + TX; acynonapyr [1332838-17-1] + TX; inpyrfluxam [1352994-67-2] + TX, isoflucypram [1255734-28-1] + TX; rescalure [64309-03-1] + TX; aminopyrifen [1531626-08-0] + TX; tyclopyrazoflor [1477919-27-9] + TX; and spiropidion [1229023-00-0] + TX; and
microbials including: Acinetobacter Iwoffii + TX, Acremonium alternatum + TX + TX, Acremonium cephalosporium + TX + TX, Acremonium diospyri + TX, Acremonium obclavatum + TX, Adoxophyes orana granulovirus (AdoxGV) (Capex®) + TX, Agrobacterium radiobacter strain K84 (Galltrol-A®) + TX, Alternaria alternate + TX, Alternaria cassia + TX, Alternaria destruens (Smolder®) + TX,
Ampelomyces quisqualis (AQ10®) + TX, Aspergillus flavus AF36 (AF36®) + TX, Aspergillus flavus NRRL 21882 (Aflaguard®) + TX, Aspergillus spp. + TX, Aureobasidium pullulans + TX, Azospirillum + TX, (MicroAZ® + TX, TAZO B®) + TX, Azotobacter + TX, Azotobacter chroocuccum (Azotomeal®) + TX, Azotobacter cysts (Bionatural Blooming Blossoms®) + TX, Bacillus amyloliquefaciens + TX, Bacillus cereus + TX, Bacillus chitinosporus strain CM-1 + TX, Bacillus chitinosporus strain AQ746 + TX, Bacillus licheniformis strain HB-2 (Biostart™ Rhizoboost®) + TX, Bacillus licheniformis strain 3086 (EcoGuard® + TX, Green Releaf®) + TX, Bacillus circulans + TX, Bacillus firmus (BioSafe® + TX, BioNem-WP® + TX, VOTiVO®) + TX, Bacillus firmus strain 1-1582 + TX, Bacillus macerans + TX,
Bacillus marismortui + TX, Bacillus megaterium + TX, Bacillus mycoides strain AQ726 + TX, Bacillus papillae (Milky Spore Powder®) + TX, Bacillus pumilus spp. + TX, Bacillus pumilus strain GB34 (Yield Shield®) + TX, Bacillus pumilus strain AQ717 + TX, Bacillus pumilus strain QST 2808 (Sonata® + TX, Ballad Plus®) + TX, Bacillus spahericus (VectoLex®) + TX, Bacillus spp. + TX, Bacillus spp. strain AQ175 + TX, Bacillus spp. strain AQ177 + TX, Bacillus spp. strain AQ178 + TX, Bacillus subtilis strain QST 713 (CEASE® + TX, Serenade® + TX, Rhapsody®) + TX, Bacillus subtilis strain QST 714 (JAZZ®) + TX, Bacillus subtilis strain AQ153 + TX, Bacillus subtilis strain AQ743 + TX, Bacillus subtilis strain QST3002 + TX, Bacillus subtilis strain QST3004 + TX, Bacillus subtilis var. amyloliquefaciens strain FZB24 (Taegro® + TX, Rhizopro®) + TX, Bacillus thuringiensis Cry 2Ae + TX, Bacillus thuringiensis CrylAb + TX, Bacillus thuringiensis aizawai GC 91 (Agree®) + TX, Bacillus thuringiensis israelensis (BMP123® + TX, Aquabac® + TX, VectoBac®) + TX, Bacillus thuringiensis kurstaki (Javelin® + TX, Deliver® + TX, CryMax® + TX, Bonide® + TX, Scutella WP® + TX, Turilav WP ® + TX, Astuto® + TX, Dipel WP® + TX, Biobit® + TX, Foray®) + TX, Bacillus thuringiensis kurstaki BMP 123 (Baritone®) + TX, Bacillus thuringiensis kurstaki HD-1 (Bioprotec-CAF / 3P®) + TX, Bacillus thuringiensis strain BD#32 + TX, Bacillus thuringiensis strain AQ52 + TX, Bacillus thuringiensis var. aizawai (XenTari® + TX, DiPel®) + TX, bacteria spp. (GROWMEND® + TX, GROWSWEET® + TX, Shootup®) + TX, bacteriophage of Clavipacter michiganensis (AgriPhage®) + TX, Bakflor® + TX, Beauveria bassiana (Beaugenic® + TX, Brocaril WP®) + TX, Beauveria bassiana GHA (Mycotrol ES® + TX, Mycotrol O® + TX, BotaniGuard®) + TX, Beauveria brongniartii (Engerlingspilz® + TX, Schweizer Beauveria® + TX, Melocont®) + TX, Beauveria spp. + TX, Botrytis cineria + TX,
Bradyrhizobium japonicum (TerraMax®) + TX, Brevibacillus brevis + TX, Bacillus thuringiensis tenebrionis (Novodor®) + TX, BtBooster + TX, Burkholderia cepacia (Deny® + TX, Intercept® + TX, Blue Circle®) + TX, Burkholderia gladii + TX, Burkholderia gladioli + TX, Burkholderia spp. + TX, Canadian thistle fungus (CBH Canadian Bioherbicide®) + TX, Candida butyri + TX, Candida famata + TX, Candida fructus + TX, Candida glabrata + TX, Candida guilliermondii + TX, Candida melibiosica + TX, Candida oleophila strain O + TX, Candida parapsilosis + TX, Candida pelliculosa + TX, Candida pulcherrima + TX, Candida reukaufii + TX, Candida saitoana (Bio-Coat® + TX, Biocure®) + TX, Candida sake + TX, Candida spp. + TX, Candida tenius + TX, Cedecea dravisae + TX, Cellulomonas flavigena + TX, Chaetomium cochliodes (Nova-Cide®) + TX, Chaetomium globosum (Nova-Cide®) + TX, Chromobacterium subtsugae strain PRAA4-1T (Grandevo®) + TX, Cladosporium cladosporioides + TX, Cladosporium oxysporum + TX, Cladosporium chlorocephalum + TX, Cladosporium spp. + TX, Cladosporium tenuissimum + TX, Clonostachys rosea (EndoFine®) + TX, Colletotrichum acutatum + TX, Coniothyrium minitans (Cotans WG®) + TX, Coniothyrium spp. + TX, Cryptococcus albidus (YIELDPLUS®) + TX, Cryptococcus humicola + TX, Cryptococcus infirmo-miniatus + TX,
Cryptococcus laurentii + TX, Cryptophlebia leucotreta granulovirus (Cryptex®) + TX, Cupriavidus campinensis + TX, Cydia pomonella granulovirus (CYD-X®) + TX, Cydia pomonella granulovirus (Madex® + TX, Madex Plus® + TX, Madex Max/ Carpovirusine®) + TX, Cylindrobasidium laeve (Stumpout®) + TX, Cylindrocladium + TX, Debaryomyces hansenii + TX, Drechslera hawaiinensis +
TX, Enterobacter cloacae + TX, Enterobacteriaceae + TX, Entomophtora virulenta (Vektor®) + TX, Epicoccum nigrum + TX, Epicoccum purpurascens + TX, Epicoccum spp. + TX, Filobasidium floriforme + TX, Fusarium acuminatum + TX, Fusarium chlamydosporum + TX, Fusarium oxysporum (Fusaclean® / Biofox C®) + TX, Fusarium proliferatum + TX, Fusarium spp. + TX, Galactomyces geotrichum + TX, Gliocladium catenulatum (Primastop® + TX, Prestop®) + TX, Gliocladium roseum + TX, Gliocladium spp. (SoilGard®) + TX, Gliocladium virens (Soilgard®) + TX, Granulovirus
(Granupom®) + TX, Halobacillus halophilus + TX, Halobacillus litoralis + TX, Halobacillus trueperi + TX, Halomonas spp. + TX, Halomonas subglaciescola + TX, Halovibrio variabilis + TX, Hanseniaspora uvarum + TX, Helicoverpa armigera nucleopolyhedrovirus (Helicovex®) + TX, Helicoverpa zea nuclear polyhedrosis virus (Gemstar®) + TX, Isoflavone - formononetin (Myconate®) + TX, Kloeckera apiculata + TX, Kloeckera spp. + TX, Lagenidium giganteum (Laginex®) + TX, Lecanicillium longisporum (Vertiblast®) + TX, Lecanicillium muscarium (Vertikil®) + TX, Lymantria Dispar nucleopolyhedrosis virus (Disparvirus®) + TX, Marinococcus halophilus + TX, Meira geulakonigii + TX, Metarhizium anisopliae (Met52®) + TX, Metarhizium anisopliae (Destruxin WP®) + TX, Metschnikowia fruticola (Shemer®) + TX, Metschnikowia pulcherrima + TX, Microdochium dimerum (Antibot®) + TX, Micromonospora coerulea + TX, Microsphaeropsis ochracea + TX, Muscodor albus 620 (Muscudor®) + TX, Muscodor roseus strain A3-5 + TX, Mycorrhizae spp. (AMykor® + TX, Root Maximizer®) + TX, Myrothecium verrucaria strain AARC-0255 (DiTera®) + TX, BROS PLUS® + TX, Ophiostoma piliferum strain D97 (Sylvanex®) + TX, Paecilomyces farinosus + TX, Paecilomyces fumosoroseus (PFR-97® + TX, PreFeRal®) + TX, Paecilomyces linacinus (Biostat WP®) + TX, Paecilomyces lilacinus strain 251 (MeloCon WG®) + TX, Paenibacillus polymyxa + TX, Pantoea agglomerans (BlightBan C9-1®) + TX, Pantoea spp. + TX, Pasteuria spp. (Econem®) + TX, Pasteuria nishizawae + TX, Penicillium aurantiogriseum + TX, Penicillium billai (Jumpstart® + TX, TagTeam®) + TX, Penicillium
brevicompactum + TX, Penicillium frequentans + TX, Penicillium griseofulvum + TX, Penicillium purpurogenum + TX, Penicillium spp. + TX, Penicillium viridicatum + TX, Phlebiopsis gigantean
(Rotstop®) + TX, phosphate solubilizing bacteria (Phosphomeal®) + TX, Phytophthora cryptogea + TX, Phytophthora palmivora (Devine®) + TX, Pichia anomala + TX, Pichia guilermondii + TX, Pichia membranaefaciens + TX, Pichia onychis + TX, Pichia stipites + TX, Pseudomonas aeruginosa + TX, Pseudomonas aureofasciens (Spot-Less Biofungicide®) + TX, Pseudomonas cepacia + TX,
Pseudomonas chlororaphis (AtEze®) + TX, Pseudomonas corrugate + TX, Pseudomonas fluorescens strain A506 (BlightBan A506®) + TX, Pseudomonas putida + TX, Pseudomonas reactans + TX, Pseudomonas spp. + TX, Pseudomonas syringae (Bio-Save®) + TX, Pseudomonas viridiflava + TX, Pseudomons fluorescens (Zequanox®) + TX, Pseudozyma flocculosa strain PF-A22 UL (Sporodex L®) + TX, Puccinia canaliculata + TX, Puccinia thlaspeos (Wood Warrior®) + TX, Pythium
paroecandrum + TX, Pythium oligandrum (Polygandron® + TX, Polyversum®) + TX, Pythium periplocum + TX, Rhanella aquatilis + TX, Rhanella spp. + TX, Rhizobia (Dormal® + TX, Vault®) + TX, Rhizoctonia + TX, Rhodococcus globerulus strain AQ719 + TX, Rhodosporidium diobovatum + TX, Rhodosporidium toruloides + TX, Rhodotorula spp. + TX, Rhodotorula glutinis + TX, Rhodotorula
graminis + TX, Rhodotorula mucilagnosa + TX, Rhodotorula rubra + TX, Saccharomyces cerevisiae + TX, Salinococcus roseus + TX, Sclerotinia minor + TX, Sclerotinia minor (SARRITOR®) + TX, Scytalidium spp. + TX, Scytalidium uredinicola + TX, Spodoptera exigua nuclear polyhedrosis virus (Spod-X® + TX, Spexit®) + TX, Serratia marcescens + TX, Serratia plymuthica + TX, Serratia spp. + TX, Sordaria fimicola + TX, Spodoptera littoralis nucleopolyhedrovirus (Littovir®) + TX,
Sporobolomyces roseus + TX, Stenotrophomonas maltophilia + TX, Streptomyces ahygroscopicus + TX, Streptomyces albaduncus + TX, Streptomyces exfoliates + TX, Streptomyces galbus + TX, Streptomyces griseoplanus + TX, Streptomyces griseoviridis (Mycostop®) + TX, Streptomyces lydicus (Actinovate®) + TX, Streptomyces lydicus WYEC-108 (ActinoGrow®) + TX, Streptomyces violaceus + TX, Tilletiopsis minor + TX, Tilletiopsis spp. + TX, Trichoderma asperellum (T34 Biocontrol®) + TX,
Trichoderma gamsii (Tenet®) + TX, Trichoderma atroviride (Plantmate®) + TX, Trichoderma hamatum TH 382 + TX, Trichoderma harzianum rifai (Mycostar®) + TX, Trichoderma harzianum T-22 (Trianum- P® + TX, PlantShield HC® + TX, RootShield® + TX, Trianum-G®) + TX, Trichoderma harzianum T-39 (Trichodex®) + TX, Trichoderma inhamatum + TX, Trichoderma koningii + TX, Trichoderma spp. LC 52 (Sentinel®) + TX, Trichoderma lignorum + TX, Trichoderma longibrachiatum + TX, Trichoderma polysporum (Binab T®) + TX, Trichoderma taxi + TX, Trichoderma virens + TX, Trichoderma virens (formerly Gliocladium virens GL-21 ) (SoilGuard®) + TX, Trichoderma viride + TX, Trichoderma viride strain ICC 080 (Remedier®) + TX, Trichosporon pullulans + TX, Trichosporon spp. + TX,
Trichothecium spp. + TX, Trichothecium roseum + TX, Typhula phacorrhiza strain 94670 + TX, Typhula phacorrhiza strain 94671 + TX, Ulocladium atrum + TX, Ulocladium oudemansii (Botry-Zen®) + TX, Ustilago maydis + TX, various bacteria and supplementary micronutrients (Natural II®) + TX, various fungi (Millennium Microbes®) + TX, Verticillium chlamydosporium + TX, Verticillium lecanii (Mycotal® + TX, Vertalec®) + TX, Vip3Aa20 (VIPtera®) + TX, Virgibaclillus marismortui + TX, Xanthomonas campestris pv. Poae (Camperico®) + TX, Xenorhabdus bovienii + TX, Xenorhabdus nematophilus; and
Plant extracts including: pine oil (Retenol®) + TX, azadirachtin (Plasma Neem Oil® + TX, AzaGuard® + TX, MeemAzal® + TX, Molt-X® + TX, Botanical IGR (Neemazad® + TX, Neemix®) + TX, canola oil (Lilly Miller Vegol®) + TX, Chenopodium ambrosioides near ambrosioides (Requiem®) + TX, Chrysanthemum extract (Crisant®) + TX, extract of neem oil (Trilogy®) + TX, essentials oils of Labiatae (Botania®) + TX, extracts of clove rosemary peppermint and thyme oil (Garden insect killer®) + TX, Glycinebetaine (Greenstim®) + TX, garlic + TX, lemongrass oil (GreenMatch®) + TX, neem oil + TX, Nepeta cataria (Catnip oil) + TX, Nepeta catarina + TX, nicotine + TX, oregano oil (MossBuster®) + TX, Pedaliaceae oil (Nematon®) + TX, pyrethrum + TX, Quillaja saponaria (NemaQ®) + TX, Reynoutria sachalinensis (Regalia® + TX, Sakalia®) + TX, rotenone (Eco Roten®) + TX, Rutaceae plant extract (Soleo®) + TX, soybean oil (Ortho ecosense®) + TX, tea tree oil (Timorex Gold®) + TX, thymus oil + TX, AGNIQUE® MMF + TX, BugOil® + TX, mixture of rosemary sesame pepermint thyme and cinnamon extracts (EF 300®) + TX, mixture of clove rosemary and peppermint extract (EF
400®) + TX, mixture of clove pepermint garlic oil and mint (Soil Shot®) + TX, kaolin (Screen®) + TX, storage glucam of brown algae (Laminarin®); and
pheromones including: blackheaded fireworm pheromone (3M Sprayable Blackheaded Fireworm Pheromone®) + TX, Codling Moth Pheromone (Paramount dispenser-(CM)/ Isomate C-Plus®) + TX, Grape Berry Moth Pheromone (3M MEC-GBM Sprayable Pheromone®) + TX, Leafroller pheromone (3M MEC - LR Sprayable Pheromone®) + TX, Muscamone (Snip7 Fly Bait® + TX, Starbar Premium Fly Bait®) + TX, Oriental Fruit Moth Pheromone (3M oriental fruit moth sprayable pheromone®) + TX, Peachtree Borer Pheromone (Isomate-P®) + TX, Tomato Pinworm Pheromone (3M Sprayable pheromone®) + TX, Entostat powder (extract from palm tree) (Exosex CM®) + TX, (E + ΤΧ,Ζ + ΤΧ,Ζ)- 3 + TX,8 + TX,1 1 Tetradecatrienyl acetate + TX, (Z + ΤΧ,Ζ + TX,E)-7 + TX, 1 1 + TX.13-
Hexadecatrienal + TX, (E + TX,Z)-7 + TX,9-Dodecadien-1-yl acetate + TX, 2-Methyl-1-butanol + TX, Calcium acetate + TX, Scenturion® + TX, Biolure® + TX, Check-Mate® + TX, Lavandulyl senecioate; and
Macrobials including: Aphelinus abdominalis + TX, Aphidius ervi (Aphelinus-System®) + TX, Acerophagus papaya + TX, Adalia bipunctata (Adalia-System®) + TX, Adalia bipunctata (Adaline®) + TX, Adalia bipunctata (Aphidalia®) + TX, Ageniaspis citricola + TX, Ageniaspis fuscicollis + TX, Amblyseius andersoni (Anderline® + TX, Andersoni-System®) + TX, Amblyseius californicus (Amblyline® + TX, Spical®) + TX, Amblyseius cucumeris (Thripex® + TX, Bugline cucumeris®) + TX, Amblyseius fallacis (Fallacis®) + TX, Amblyseius swirskii (Bugline swirskii® + TX, Swirskii-Mite®) + TX, Amblyseius womersleyi (WomerMite®) + TX, Amitus hesperidum + TX, Anagrus atomus + TX, Anagyrus fusciventris + TX, Anagyrus kamali + TX, Anagyrus loecki + TX, Anagyrus pseudococci (Citripar®) + TX, Anicetus benefices + TX, Anisopteromalus calandrae + TX, Anthocoris nemoralis (Anthocoris-System®) + TX, Aphelinus abdominalis (Apheline® + TX, Aphiline®) + TX, Aphelinus asychis + TX, Aphidius colemani (Aphipar®) + TX, Aphidius ervi (Ervipar®) + TX, Aphidius gifuensis + TX, Aphidius matricariae (Aphipar-M®) + TX, Aphidoletes aphidimyza (Aphidend®) + TX, Aphidoletes aphidimyza (Aphidoline®) + TX, Aphytis lingnanensis + TX, Aphytis melinus + TX, Aprostocetus hagenowii + TX, Atheta coriaria (Staphyline®) + TX, Bombus spp. + TX, Bombus terrestris (Natupol Beehive®) + TX, Bombus terrestris (Beeline® + TX, Tripol®) + TX, Cephalonomia stephanoderis + TX, Chilocorus nigritus + TX, Chrysoperla carnea (Chrysoline®) + TX, Chrysoperla carnea
(Chrysopa®) + TX, Chrysoperla rufilabris + TX, Cirrospilus ingenuus + TX, Cirrospilus quadristriatus + TX, Citrostichus phyllocnistoides + TX, Closterocerus chamaeleon + TX, Closterocerus spp. + TX, Coccidoxenoides perminutus (Planopar®) + TX, Coccophagus cowperi + TX, Coccophagus lycimnia + TX, Cotesia flavipes + TX, Cotesia plutellae + TX, Cryptolaemus montrouzieri (Cryptobug® + TX, Cryptoline®) + TX, Cybocephalus nipponicus + TX, Dacnusa sibirica + TX, Dacnusa sibirica
(Minusa®) + TX, Diglyphus isaea (Diminex®) + TX, Delphastus catalinae (Delphastus®) + TX, Delphastus pusillus + TX, Diachasmimorpha krausii + TX, Diachasmimorpha longicaudata + TX, Diaparsis jucunda + TX, Diaphorencyrtus aligarhensis + TX, Diglyphus isaea + TX, Diglyphus isaea (Miglyphus® + TX, Digline®) + TX, Dacnusa sibirica (DacDigline® + TX, Minex®) + TX, Diversinervus
spp. + TX, Encarsia citrina + TX, Encarsia formosa (Encarsia max® + TX, Encarline® + TX, En- Strip®) + TX, Eretmocerus eremicus (Enermix®) + TX, Encarsia guadeloupae + TX, Encarsia haitiensis + TX, Episyrphus balteatus (Syrphidend®) + TX, Eretmoceris siphonini + TX, Eretmocerus californicus + TX, Eretmocerus eremicus (Ercal® + TX, Eretline e®) + TX, Eretmocerus eremicus (Bemimix®) + TX, Eretmocerus hayati + TX, Eretmocerus mundus (Bemipar® + TX, Eretline m®) + TX, Eretmocerus siphonini + TX, Exochomus quadripustulatus + TX, Feltiella acarisuga (Spidend®) + TX, Feltiella acarisuga (Feltiline®) + TX, Fopius arisanus + TX, Fopius ceratitivorus + TX,
Formononetin (Wirless Beehome®) + TX, Franklinothrips vespiformis (Vespop®) + TX, Galendromus occidentalis + TX, Goniozus legneri + TX, Habrobracon hebetor + TX, Harmonia axyridis
(HarmoBeetle®) + TX, Heterorhabditis spp. (Lawn Patrol®) + TX, Heterorhabditis bacteriophora
(NemaShield HB® + TX, Nemaseek® + TX, Terranem-Nam® + TX, Terranem® + TX, Larvanem® + TX, B-Green® + TX, NemAttack ® + TX, Nematop®) + TX, Heterorhabditis megidis (Nemasys H® + TX, BioNem H® + TX, Exhibitline hm® + TX, Larvanem-M®) + TX, Hippodamia convergens + TX, Hypoaspis aculeifer (Aculeifer-System® + TX, Entomite-A®) + TX, Hypoaspis miles (Hypoline m® + TX, Entomite-M®) + TX, Lbalia leucospoides + TX, Lecanoideus floccissimus + TX, Lemophagus errabundus + TX, Leptomastidea abnormis + TX, Leptomastix dactylopii (Leptopar®) + TX,
Leptomastix epona + TX, Lindorus lophanthae + TX, Lipolexis oregmae + TX, Lucilia caesar
(Natufly®) + TX, Lysiphlebus testaceipes + TX, Macrolophus caliginosus (Mirical-N® + TX, Macroline c® + TX, Mirical®) + TX, Mesoseiulus longipes + TX, Metaphycus flavus + TX, Metaphycus lounsburyi + TX, Micromus angulatus (Milacewing®) + TX, Microterys flavus + TX, Muscidifurax raptorellus and Spalangia cameroni (Biopar®) + TX, Neodryinus typhlocybae + TX, Neoseiulus californicus + TX, Neoseiulus cucumeris (THRYPEX®) + TX, Neoseiulus fallacis + TX, Nesideocoris tenuis
(NesidioBug® + TX, Nesibug®) + TX, Ophyra aenescens (Biofly®) + TX, Orius insidiosus (Thripor-I® + TX, Oriline i®) + TX, Orius laevigatus (Thripor-L® + TX, Oriline I®) + TX, Orius majusculus (Oriline m®) + TX, Orius strigicollis (Thripor-S®) + TX, Pauesia juniperorum + TX, Pediobius foveolatus + TX, Phasmarhabditis hermaphrodita (Nemaslug®) + TX, Phymastichus coffea + TX, Phytoseiulus macropilus + TX, Phytoseiulus persimilis (Spidex® + TX, Phytoline p®) + TX, Podisus maculiventris (Podisus®) + TX, Pseudacteon curvatus + TX, Pseudacteon obtusus + TX, Pseudacteon tricuspis + TX, Pseudaphycus maculipennis + TX, Pseudleptomastix mexicana + TX, Psyllaephagus pilosus + TX, Psyttalia concolor (complex) + TX, Quadrastichus spp. + TX, Rhyzobius lophanthae + TX, Rodolia cardinalis + TX, Rumina decollate + TX, Semielacher petiolatus + TX, Sitobion avenae (Ervibank®) + TX, Steinemema carpocapsae (Nematac C® + TX, Millenium® + TX, BioNem C® + TX, NemAttack® + TX, Nemastar® + TX, Capsanem®) + TX, Steinemema feltiae (NemaShield® + TX, Nemasys F® + TX, BioNem F® + TX, Steinernema-System® + TX, NemAttack® + TX, Nemaplus® + TX, Exhibitline sf® + TX, Scia-rid® + TX, Entonem®) + TX, Steinemema kraussei (Nemasys L® + TX, BioNem L® + TX, Exhibitline srb®) + TX, Steinemema riobrave (BioVector® + TX, BioVektor®) + TX, Steinemema scapterisci (Nematac S®) + TX, Steinemema spp. + TX, Steinernematid spp. (Guardian Nematodes®) + TX, Stethorus punctillum (Stethorus®) + TX, Tamarixia radiate + TX, Tetrastichus setifer + TX,
Thripobius semiluteus + TX, Torymus sinensis + TX, Trichogramma brassicae (Tricholine b®) + TX, Trichogramma brassicae (Tricho-Strip®) + TX, Trichogramma evanescens + TX, Trichogramma minutum + TX, Trichogramma ostriniae + TX, Trichogramma platneri + TX, Trichogramma pretiosum + TX, Xanthopimpla stemmator; and
other biologicals including: abscisic acid + TX, bioSea® + TX, Chondrostereum purpureum (Chontrol Paste®) + TX, Colletotrichum gloeosporioides (Collego®) + TX, Copper Octanoate (Cueva®) + TX, Delta traps (Trapline d®) + TX, Erwinia amylovora (Harpin) (ProAct® + TX, Ni-HIBIT Gold CST®) + TX, Ferri-phosphate (Ferramol®) + TX, Funnel traps (Trapline y®) + TX, Gallex® + TX, Grower's Secret® + TX, Homo-brassonolide + TX, Iron Phosphate (Lilly Miller Worry Free Ferramol Slug & Snail Bait®) + TX, MCP hail trap (Trapline f®) + TX, Microctonus hyperodae + TX, Mycoleptodiscus terrestris (Des-X®) + TX, BioGain® + TX, Aminomite® + TX, Zenox® + TX, Pheromone trap (Thripline ams®) + TX, potassium bicarbonate (MilStop®) + TX, potassium salts of fatty acids (Sanova®) + TX, potassium silicate solution (Sil-Matrix®) + TX, potassium iodide + potassiumthiocyanate (Enzicur®) + TX, SuffOil-X® + TX, Spider venom + TX, Nosema locustae (Semaspore Organic Grasshopper Control®) + TX, Sticky traps (Trapline YF® + TX, Rebell Amarillo®) + TX and Traps (Takitrapline y + b®) + TX.
The references in brackets behind the active ingredients, e.g. [3878-19-1] refer to the Chemical Abstracts Registry number. The above described mixing partners are known. Where the active ingredients are included in "The Pesticide Manual" [The Pesticide Manual - A World Compendium; Thirteenth Edition; Editor: C. D. S. TomLin; The British Crop Protection Council], they are described therein under the entry number given in round brackets hereinabove for the particular compound; for example, the compound "abamectin" is described under entry number (1 ). Where "[CCN]" is added hereinabove to the particular compound, the compound in question is included in the "Compendium of Pesticide Common Names", which is accessible on the internet [A. Wood; Compendium of Pesticide Common Names, Copyright © 1995-2004]; for example, the compound "acetoprole" is described under the internet address http://www.alanwood.net/pesticides/acetoprole.html.
Most of the active ingredients described above are referred to hereinabove by a so-called "common name", the relevant "ISO common name" or another "common name" being used in individual cases. If the designation is not a "common name", the nature of the designation used instead is given in round brackets for the particular compound; in that case, the lUPAC name, the lUPAC/Chemical Abstracts name, a "chemical name", a "traditional name", a "compound name" or a "develoment code" is used. "CAS Reg. No" means the Chemical Abstracts Registry Number.
The active ingredient mixture of the compounds of formula I selected from Tables -1 , A-2, A-3 and P1 with active ingredients described above comprises a compound selected from Tables -1 , A-2, A-3 and P1 and an active ingredient as described above preferably in a mixing ratio of from 100:1 to 1 :6000,
especially from 50: 1 to 1 :50, more especially in a ratio of from 20:1 to 1 :20, even more especially from 10: 1 to 1 : 10, very especially from 5:1 and 1 :5, special preference being given to a ratio of from 2: 1 to 1 :2, and a ratio of from 4:1 to 2: 1 being likewise preferred, above all in a ratio of 1 :1 , or 5: 1 , or 5:2, or 5:3, or 5:4, or 4:1 , or 4:2, or 4:3, or 3: 1 , or 3:2, or 2:1 , or 1 :5, or 2:5, or 3:5, or 4:5, or 1 :4, or 2:4, or 3:4, or 1 :3, or 2:3, or 1 :2, or 1 :600, or 1 :300, or 1 :150, or 1 :35, or 2:35, or 4:35, or 1 :75, or 2:75, or 4:75, or 1 :6000, or 1 :3000, or 1 : 1500, or 1 :350, or 2:350, or 4:350, or 1 :750, or 2:750, or 4:750. Those mixing ratios are by weight.
The mixtures as described above can be used in a method for controlling pests, which comprises applying a composition comprising a mixture as described above to the pests or their environment, with the exception of a method for treatment of the human or animal body by surgery or therapy and diagnostic methods practised on the human or animal body.
The mixtures comprising a compound of formula I selected from Tables -1 , A-2, A-3 and P1 and one or more active ingredients as described above can be applied, for example, in a single "ready-mix" form, in a combined spray mixture composed from separate formulations of the single active ingredient components, such as a "tank-mix", and in a combined use of the single active ingredients when applied in a sequential manner, i.e. one after the other with a reasonably short period, such as a few hours or days. The order of applying the compounds of formula I selected from Tables -1 , A-2, A-3 and P1 and the active ingredients as described above is not essential for working the present invention.
The compositions according to the invention can also comprise further solid or liquid auxiliaries, such as stabilizers, for example unepoxidized or epoxidized vegetable oils (for example epoxidized coconut oil, rapeseed oil or soya oil), antifoams, for example silicone oil, preservatives, viscosity regulators, binders and/or tackifiers, fertilizers or other active ingredients for achieving specific effects, for example bactericides, fungicides, nematocides, plant activators, molluscicides or herbicides.
The compositions according to the invention are prepared in a manner known per se, in the absence of auxiliaries for example by grinding, screening and/or compressing a solid active ingredient and in the presence of at least one auxiliary for example by intimately mixing and/or grinding the active ingredient with the auxiliary (auxiliaries). These processes for the preparation of the compositions and the use of the compounds I for the preparation of these compositions are also a subject of the invention. The application methods for the compositions, that is the methods of controlling pests of the abovementioned type, such as spraying, atomizing, dusting, brushing on, dressing, scattering or pouring - which are to be selected to suit the intended aims of the prevailing circumstances - and the use of the compositions for controlling pests of the abovementioned type are other subjects of the
invention. Typical rates of concentration are between 0.1 and 1000 ppm, preferably between 0.1 and 500 ppm, of active ingredient. The rate of application per hectare is generally 1 to 2000 g of active ingredient per hectare, in particular 10 to 1000 g/ha, preferably 10 to 600 g/ha. A preferred method of application in the field of crop protection is application to the foliage of the plants (foliar application), it being possible to select frequency and rate of application to match the danger of infestation with the pest in question. Alternatively, the active ingredient can reach the plants via the root system (systemic action), by drenching the locus of the plants with a liquid composition or by incorporating the active ingredient in solid form into the locus of the plants, for example into the soil, for example in the form of granules (soil application). In the case of paddy rice crops, such granules can be metered into the flooded paddy-field.
The compounds of the invention and compositions thereof are also be suitable for the protection of plant propagation material, for example seeds, such as fruit, tubers or kernels, or nursery plants, against pests of the abovementioned type. The propagation material can be treated with the compound prior to planting, for example seed can be treated prior to sowing. Alternatively, the compound can be applied to seed kernels (coating), either by soaking the kernels in a liquid composition or by applying a layer of a solid composition. It is also possible to apply the compositions when the propagation material is planted to the site of application, for example into the seed furrow during drilling. These treatment methods for plant propagation material and the plant propagation material thus treated are further subjects of the invention. Typical treatment rates would depend on the plant and pest/fungi to be controlled and are generally between 1 to 200 grams per 100 kg of seeds, preferably between 5 to 150 grams per 100 kg of seeds, such as between 10 to 100 grams per 100 kg of seeds.
The term seed embraces seeds and plant propagules of all kinds including but not limited to true seeds, seed pieces, suckers, corns, bulbs, fruit, tubers, grains, rhizomes, cuttings, cut shoots and the like and means in a preferred embodiment true seeds. The present invention also comprises seeds coated or treated with or containing a compound of formula I. The term "coated or treated with and/or containing" generally signifies that the active ingredient is for the most part on the surface of the seed at the time of application, although a greater or lesser part of the ingredient may penetrate into the seed material, depending on the method of application. When the said seed product is (re)planted, it may absorb the active ingredient. In an embodiment, the present invention makes available a plant propagation material adhered thereto with a compound of formula (I). Further, it is hereby made available, a composition comprising a plant propagation material treated with a compound of formula (I).
Seed treatment comprises all suitable seed treatment techniques known in the art, such as seed dressing, seed coating, seed dusting, seed soaking and seed pelleting. The seed treatment application of the compound formula (I) can be carried out by any known methods, such as spraying or by dusting the seeds before sowing or during the sowing/planting of the seeds.
Biological Examples:
Example B1 : Bemisia tabaci (Cotton white fly)
Cotton leaf discs were placed on agar in 24-well microtiter plates and sprayed with aqueous test solutions prepared from 10Ό00 ppm DMSO stock solutions. After drying the leaf discs were infested with adult white flies. The samples were checked for mortality 6 days after incubation. The following compounds resulted in at least 80% mortality at an application rate of 200 ppm: P2, P4, and P7.
Example B2: Diabrotica balteata (Corn root worm)
Maize sprouts, placed on an agar layer in 24-well microtiter plates were treated with aqueous test solutions prepared from 10Ό00 ppm DMSO stock solutions by spraying. After drying, the plates were infested with L2 larvae (6 to 10 per well). The samples were assessed for mortality and growth inhibition in comparison to untreated samples 4 days after infestation. The following compounds resulted in at least 80% mortality at an application rate of 200 ppm: P1 , P2, P3, P4, P6, P7, and P8.
Example B3: Euschistus heros (Neotropical Brown Stink Bug)
Soybean leaves on agar in 24-well microtiter plates were sprayed with agueous test solutions prepared from 10Ό00 ppm DMSO stock solutions. After drying the leaf were infested with N-2 nymphs. The samples were assessed for mortality and growth inhibition in comparison to untreated samples 5 days after infestation. The following compounds gave an effect of at least 80% in at least one of the two categories (mortality or growth inhibition) at an application rate of 200 ppm: P1 , P2, P4, P6, P7 and P8.
Example B4: Myzus persicae (Green peach aphid)
Sunflower leaf discs were placed on agar in a 24-well microtiter plate and sprayed with agueous test solutions prepared from 10Ό00 ppm DMSO stock solutions. After drying, the leaf discs were infested with an aphid population of mixed ages. The samples were assessed for mortality 6 days after infestation. The following compounds resulted in at least 80% mortality at an application rate of 200 ppm: P2, P4, P6, P7 and P8.
Example B5: Myzus persicae (Green peach aphid)
Roots of pea seedlings infested with an aphid population of mixed ages were placed directly in the agueous test solutions prepared from 10Ό00 DMSO stock solutions. The samples were assessed for mortality 6 days after placing seedlings in test solutions. The following compounds resulted in at least 80% mortality at a test rate of 24 ppm: P4.
Example B6: Plutella xylostella (Diamond back moth)
24-well microtiter plates with artificial diet were treated with aqueous test solutions prepared from 10Ό00 ppm DMSO stock solutions by pipetting. After drying, the plates were infested with L2 larvae (10 to 15 per well). The samples were assessed for mortality and growth inhibition in comparison to untreated samples 5 days after infestation. The following compounds gave an effect of at least 80% in at least one of the two categories (mortality or growth inhibition) at an application rate of 200 ppm: P2, P3, P4, P6, P7 and P8.
Example B7: Spodoptera littoralis (Egyptian cotton leaf worm)
Cotton leaf discs were placed on agar in 24-well microtiter plates and sprayed with aqueous test solutions prepared from 10Ό00 ppm DMSO stock solutions. After drying the leaf discs were infested with five L1 larvae. The samples were assessed for mortality, anti-feedant effect, and growth inhibition in comparison to untreated samples 3 days after infestation. Control of Spodoptera littoralis by a test sample is when at least one of mortality, anti-feedant effect, and growth inhibition is higher than the untreated sample. The following compounds resulted in at least 80% control at an application rate of 200 ppm: P1 , P2, P4, P6, P7 and P8.
Example B8: Spodoptera littoralis (Egyptian cotton leaf worm)
Test compounds were applied by pipette from 10Ό00 ppm DMSO stock solutions into 24-well plates and mixed with agar. Lettuce seeds were placed on the agar and the multi well plate was closed by another plate which contains also agar. After 7 days the compound was absorbed by the roots and the lettuce grew into the lid plate. The lettuce leaves were now cut off into the lid plate. Spodoptera eggs were pipetted through a plastic stencil on a humid gel blotting paper and the plate closed with it. The samples were assessed for mortality, anti-feedant effect and growth inhibition in comparison to untreated samples 6 days after infestation. The following compounds gave an effect of at least 80% in at least one of the three categories (mortality, anti-feeding, or growth inhibition) at a test rate of 12.5 ppm: P2, P4, P6 and P8.
Example B9: Frankliniella occidentalis (Western flower thrips)
Sunflower leaf discs were placed on agar in 24-well microtiter plates and sprayed with agueous test solutions prepared from 10Ό00 DMSO stock solutions. After drying the leaf discs were infested with a Frankliniella population of mixed ages. The samples were assessed for mortality 7 days after infestation. The following compounds resulted in at least 80% mortality at an application rate of 200 ppm: P6 and P7.
Example B10: Activity against Aedes aegypti (Yellow fever mosguito)
Test solutions, at an application rate of 200ppm in ethanol, were applied to 12-well tissue culture plates. Once the deposits were dry, five, two to five days old adult female Aedes aegypti were added to each well, and sustained with a 10% sucrose solution in a cotton wool plug. Assessment of knockdown was made one hour after introduction, and mortality was assessed at 24 and 48 hours
after introduction. The following compounds gave at least 80% control of Aedes aegypti after 48h: P1 , P2, P3, P5, P6, P7 and P8002E
Example B1 1 : Activity against Anopheles stephensi (Indian malaria mosquito)
Test solutions, at an application rate of 200 ppm in ethanol, were applied to 12 well tissue culture plates. Once the deposits were dry, five, two to five day old adult female Anopheles stephensi were added to each well, and sustained with a 10% sucrose solution in a cotton wool plug. Assessment of knockdown was made one hour after introduction, and mortality was assessed at 24 and 48 hours after introduction. The following compounds gave at least 80% control of Anopheles stephensi after 48h and/or 24h: P2, P6, P7, and P8.
Claims
1. A compound of formula I,
wherein
A represents CH or N;
Q is phenyl which is mono- or polysubstituted by substituents selected from the group consisting of halogen, cyano, Ci-C4alkyl, Ci-C4haloalkyl, Ci-C4alkylsulfanyl, Ci-C4alkylsulfinyl, Ci-C4alkylsulfonyl, Ci-C4haloalkoxy, Ci-C4alkoxy and Ci-C4haloalkylsulfanyl; or
Q is pyrimidyl which is mono- or polysubstituted by substituents selected from the group consisting of halogen, cyano, Ci-C4alkyl, Ci-C4haloalkyl, Ci-C4haloalkoxy, Ci-C4alkoxy and
Ci-C4haloalkylsulfanyl; or
Q is pyrazolyl which is linked via a nitrogen atom to the ring which contains the substituent A, said pyrazolyl can be substituted by halogen, cyano or Ci-C4haloalkyl; or
Q is triazolyl which is linked via a nitrogen atom to the ring which contains the substituent A, said triazolyl can be substituted by halogen, cyano or Ci-C4haloalkyl;
X is S, SO or S02;
Ri is Ci-C4alkyl, Ci-C4haloalkyl, C2-C6alkenyl, C2-C6haloalkenyl, C2-C6alkynyl or C3-C6cyclo- alkyl-Ci-C4alkyl;
R2 is halogen, Ci-C6haloalkyl, Ci-C4haloalkylsulfanyl, Ci-C4haloalkylsulfinyl, Ci-C4haloalkylsulfonyl or Ci-C6haloalkoxy;
Xi is O, S or NR3, wherein R3 is hydrogen, Ci-C4alkyl, C2-C6alkenyl, C2-C6alkynyl, Ci-C4alkoxy- Ci-C4alkyl or C3-C6cycloalkyl; and
Gi is N or CH; and agrochemically acceptable salts, stereoisomers, enantiomers, tautomers and N- oxides of the compounds of formula I .
2. A compound of formula I according to claim 1 represented by the compounds of formula 1-1
X is S, SO or S02; and
Rx is independently selected from the group consisting of hydrogen, halogen, cyano, Ci-C4alkyl, Ci- C4haloalkyl, Ci-C4haloalkoxy, Ci-C4alkoxy, Ci-C4alkylsulfanyl, Ci-C4alkylsulfinyl, Ci-C4alkylsulfonyl, and Ci-C4haloalkylsulfanyl with the proviso that at least one Rx is different from hydrogen.
3. A compound of formula I accordin to claim 1 represented by the compounds of formula I-2
X is S, SO or S02; and
Rx is independently selected from the group consisting of hydrogen, halogen, cyano, Ci-C4alkyl, Ci- C4haloalkyl, Ci-C4haloalkoxy, Ci-C4alkoxy and Ci-C4haloalkylsulfanyl; with the proviso that at least one Rx is different from hydrogen.
4. A compound of formula I according to claim 1 represented by the compounds of formula I-3
X is S, SO or S02; and
Rx is independently selected from the group consisting of hydrogen, halogen, cyano or Ci-C4haloalkyl.
5. A compound of formula I according to claim 1 represented by the compounds of formula I-4
Rxa is hydrogen, halogen, cyano or Ci-C4haloalkyl.
6. A compound of formula I according to claim 1 , wherein
Ri is Ci-C4alkyl;
R2 is Ci-C4haloalkyl; X is S or S02; A is N; and
Q is phenyl, which is mono- or disubstituted by substituents selected from the group consisting of halogen and Ci-C4haloalkyl;
or Q is pyrazolyl, mono-substituted by Ci-C4haloalkyl;
or Q is triazolyl, which is unsubstituted.
7. A pesticidal composition, which comprises at least one compound of formula I according to claim 1 or, where appropriate, a tautomer thereof, in each case in free form or in agrochemically utilizable salt form, as active ingredient and at least one auxiliary.
8. A method for controlling pests, which comprises applying a composition according to claim 7 to the pests or their environment with the exception of a method for treatment of the human or animal body by surgery or therapy and diagnostic methods practised on the human or animal body.
9. A method for the protection of plant propagation material from the attack by pests, which comprises treating the propagation material or the site, where the propagation material is planted, with a composition according to claim 7.
Applications Claiming Priority (2)
| Application Number | Priority Date | Filing Date | Title |
|---|---|---|---|
| EP16199356 | 2016-11-17 | ||
| EP16199356.3 | 2016-11-17 |
Publications (1)
| Publication Number | Publication Date |
|---|---|
| WO2018091389A1 true WO2018091389A1 (en) | 2018-05-24 |
Family
ID=57345812
Family Applications (1)
| Application Number | Title | Priority Date | Filing Date |
|---|---|---|---|
| PCT/EP2017/078988 Ceased WO2018091389A1 (en) | 2016-11-17 | 2017-11-13 | Pesticidally active heterocyclic derivatives with sulphur containing substituents |
Country Status (1)
| Country | Link |
|---|---|
| WO (1) | WO2018091389A1 (en) |
Cited By (3)
| Publication number | Priority date | Publication date | Assignee | Title |
|---|---|---|---|---|
| EP3730493A4 (en) * | 2017-12-22 | 2021-08-04 | Sumitomo Chemical Company Limited | HETEROCYCLIC COMPOUND AND AGENT CONTROL AGAINST HARMFUL ARTHROPODS CONTAINING THEM |
| WO2024189139A1 (en) | 2023-03-14 | 2024-09-19 | Syngenta Crop Protection Ag | Control of pests resistant to insecticides |
| WO2026020976A1 (en) * | 2024-07-25 | 2026-01-29 | 青岛清原化合物有限公司 | Substituted fused-imidazole ring compound, and preparation method therefor, insecticidal composition thereof and use thereof |
Citations (50)
| Publication number | Priority date | Publication date | Assignee | Title |
|---|---|---|---|---|
| EP0353191A2 (en) | 1988-07-29 | 1990-01-31 | Ciba-Geigy Ag | DNA sequences encoding polypeptides having beta-1,3-glucanase activity |
| EP0367474A1 (en) | 1988-11-01 | 1990-05-09 | Mycogen Corporation | Novel bacillus thuringiensis isolate denoted b.t. ps81gg, active against lepidopteran pests, and a gene encoding a lepidopteran-active toxin |
| EP0374753A2 (en) | 1988-12-19 | 1990-06-27 | American Cyanamid Company | Insecticidal toxines, genes coding therefor, antibodies binding them, transgenic plant cells and plants expressing these toxines |
| EP0392225A2 (en) | 1989-03-24 | 1990-10-17 | Ciba-Geigy Ag | Disease-resistant transgenic plants |
| WO1990013651A1 (en) | 1989-05-09 | 1990-11-15 | Imperial Chemical Industries Plc | Bacterial genes |
| EP0401979A2 (en) | 1989-05-18 | 1990-12-12 | Mycogen Corporation | Novel bacillus thuringiensis isolates active against lepidopteran pests, and genes encoding novel lepidopteran-active toxins |
| EP0427529A1 (en) | 1989-11-07 | 1991-05-15 | Pioneer Hi-Bred International, Inc. | Larvicidal lectins and plant insect resistance based thereon |
| EP0451878A1 (en) | 1985-01-18 | 1991-10-16 | Plant Genetic Systems, N.V. | Modifying plants by genetic engineering to combat or control insects |
| WO1993007278A1 (en) | 1991-10-04 | 1993-04-15 | Ciba-Geigy Ag | Synthetic dna sequence having enhanced insecticidal activity in maize |
| WO1995033818A2 (en) | 1994-06-08 | 1995-12-14 | Ciba-Geigy Ag | Genes for the synthesis of antipathogenic substances |
| WO1995034656A1 (en) | 1994-06-10 | 1995-12-21 | Ciba-Geigy Ag | Novel bacillus thuringiensis genes coding toxins active against lepidopteran pests |
| US5631072A (en) | 1995-03-10 | 1997-05-20 | Avondale Incorporated | Method and means for increasing efficacy and wash durability of insecticide treated fabric |
| WO2000015615A1 (en) | 1998-09-15 | 2000-03-23 | Syngenta Participations Ag | Pyridine ketones useful as herbicides |
| WO2002015701A2 (en) | 2000-08-25 | 2002-02-28 | Syngenta Participations Ag | Bacillus thuringiensis crystal protein hybrids |
| WO2003000906A2 (en) | 2001-06-22 | 2003-01-03 | Syngenta Participations Ag | Plant disease resistance genes |
| WO2003018810A2 (en) | 2001-08-31 | 2003-03-06 | Syngenta Participations Ag | Modified cry3a toxins and nucleic acid sequences coding therefor |
| WO2003034823A1 (en) | 2001-10-25 | 2003-05-01 | Siamdutch Mosquito Netting Company Limited | Treatment of fabric materials with an insecticide |
| WO2003052073A2 (en) | 2001-12-17 | 2003-06-26 | Syngenta Participations Ag | Novel corn event |
| WO2005064072A2 (en) | 2003-12-22 | 2005-07-14 | Basf Aktiengesellschaft | Composition for the impregnation of fibers, fabrics and nettings imparting a protective activity against pests |
| WO2005077934A1 (en) | 2004-02-18 | 2005-08-25 | Ishihara Sangyo Kaisha, Ltd. | Anthranilamides, process for the production thereof, and pest controllers containing the same |
| WO2005113886A1 (en) | 2004-05-12 | 2005-12-01 | Basf Aktiengesellschaft | Method for the treatment of flexible substrates |
| WO2006087343A1 (en) | 2005-02-16 | 2006-08-24 | Basf Aktiengesellschaft | Pyrazole carboxylic acid anilides, method for the production thereof and agents containing them for controlling pathogenic fungi |
| EP1724392A2 (en) | 2005-05-04 | 2006-11-22 | Fritz Blanke Gmbh & Co. Kg | Process for the microbicidal finishing of textile surfaces |
| WO2006128870A2 (en) | 2005-06-03 | 2006-12-07 | Basf Aktiengesellschaft | Composition for the impregnation of fibers, fabrics and nettings imparting a protective activity against pests |
| WO2007026965A1 (en) | 2005-09-02 | 2007-03-08 | Nissan Chemical Industries, Ltd. | Isoxazoline-substituted benzamide compound and harmful organism-controlling agent |
| WO2007048556A1 (en) | 2005-10-25 | 2007-05-03 | Syngenta Participations Ag | Heterocyclic amide derivatives useful as microbiocides |
| WO2007090739A1 (en) | 2006-02-03 | 2007-08-16 | Basf Se | Process for treating substrates |
| WO2008128968A1 (en) | 2007-04-19 | 2008-10-30 | Novartis Ag | Nicotinic acid derivatives as modulators of metabotropic glutamate receptor-5 |
| WO2008151984A1 (en) | 2007-06-12 | 2008-12-18 | Basf Se | Aqueous formulation and process for the impregnation of non-living-materials imparting a protective activity against pests |
| WO2009131237A1 (en) | 2008-04-21 | 2009-10-29 | 住友化学株式会社 | Harmful arthropod control composition, and fused heterocyclic compound |
| WO2010060231A1 (en) | 2008-11-25 | 2010-06-03 | Qin Zhaohai | Condensed amino nitroguanidine compounds, synthesis and use as botanical insecticides thereof |
| WO2010125985A1 (en) | 2009-04-28 | 2010-11-04 | Sumitomo Chemical Company, Limited | Fused heterocyclic compound and use thereof |
| WO2011040629A1 (en) | 2009-09-30 | 2011-04-07 | Sumitomo Chemical Company, Limited | Composition and method for controlling arthropod pests |
| WO2011043404A1 (en) | 2009-10-07 | 2011-04-14 | Sumitomo Chemical Company, Limited | Heterocyclic compound and its use for control of an arthropod pest |
| WO2011088990A1 (en) | 2010-01-21 | 2011-07-28 | Saudi Basic Industries Corporation (Sabic) | Ethylene polymerisation |
| WO2012086848A1 (en) | 2010-12-24 | 2012-06-28 | Sumitomo Chemical Company, Limited | Fused heterocyclic compound and use for pest control thereof |
| WO2012092115A1 (en) | 2010-12-29 | 2012-07-05 | E. I. Du Pont De Nemours And Company | Mesoionic pyrido [1,2 -a] pyrimidine pesticides |
| WO2013018928A1 (en) | 2011-08-04 | 2013-02-07 | Sumitomo Chemical Company, Limited | Fused heterocyclic compound and use thereof for pest control |
| WO2013180193A1 (en) | 2012-05-31 | 2013-12-05 | 住友化学株式会社 | Fused heterocyclic compound |
| WO2013180194A1 (en) | 2012-05-30 | 2013-12-05 | 住友化学株式会社 | Fused heterocyclic compound |
| WO2013191113A1 (en) | 2012-06-18 | 2013-12-27 | 住友化学株式会社 | Fused heterocyclic compound |
| WO2014142292A1 (en) | 2013-03-15 | 2014-09-18 | 日本農薬株式会社 | Fused heterocyclic compound or salt thereof, agricultural and horticultural insecticide containing fused heterocyclic compound, and method for using agricultural and horticultural insecticide |
| WO2014152738A1 (en) | 2013-03-15 | 2014-09-25 | Bristol-Myers Squibb Company | Lxr modulators |
| WO2015000715A1 (en) | 2013-07-02 | 2015-01-08 | Syngenta Participations Ag | Pesticidally active bi- or tricyclic heterocycles with sulfur containing substituents |
| WO2015133603A1 (en) | 2014-03-07 | 2015-09-11 | 住友化学株式会社 | Fused heterocyclic compound and pest control application thereof |
| WO2015198859A1 (en) | 2014-06-26 | 2015-12-30 | 住友化学株式会社 | Condensed heterocyclic compound |
| WO2016002594A1 (en) * | 2014-07-04 | 2016-01-07 | 住友化学株式会社 | Pesticide composition and application of same |
| WO2016030229A1 (en) * | 2014-08-25 | 2016-03-03 | Syngenta Participations Ag | Pesticidally active heterocyclic derivatives with sulphur containing substituents |
| WO2016046071A1 (en) * | 2014-09-25 | 2016-03-31 | Syngenta Participations Ag | Pesticidally active heterocyclic derivatives with sulphur containing substituents |
| WO2016059145A1 (en) * | 2014-10-16 | 2016-04-21 | Syngenta Participations Ag | Pesticidally active tetracyclic heterocyclic derivatives with sulphur containing substituents |
-
2017
- 2017-11-13 WO PCT/EP2017/078988 patent/WO2018091389A1/en not_active Ceased
Patent Citations (51)
| Publication number | Priority date | Publication date | Assignee | Title |
|---|---|---|---|---|
| EP0451878A1 (en) | 1985-01-18 | 1991-10-16 | Plant Genetic Systems, N.V. | Modifying plants by genetic engineering to combat or control insects |
| EP0353191A2 (en) | 1988-07-29 | 1990-01-31 | Ciba-Geigy Ag | DNA sequences encoding polypeptides having beta-1,3-glucanase activity |
| EP0367474A1 (en) | 1988-11-01 | 1990-05-09 | Mycogen Corporation | Novel bacillus thuringiensis isolate denoted b.t. ps81gg, active against lepidopteran pests, and a gene encoding a lepidopteran-active toxin |
| EP0374753A2 (en) | 1988-12-19 | 1990-06-27 | American Cyanamid Company | Insecticidal toxines, genes coding therefor, antibodies binding them, transgenic plant cells and plants expressing these toxines |
| EP0392225A2 (en) | 1989-03-24 | 1990-10-17 | Ciba-Geigy Ag | Disease-resistant transgenic plants |
| WO1990013651A1 (en) | 1989-05-09 | 1990-11-15 | Imperial Chemical Industries Plc | Bacterial genes |
| EP0401979A2 (en) | 1989-05-18 | 1990-12-12 | Mycogen Corporation | Novel bacillus thuringiensis isolates active against lepidopteran pests, and genes encoding novel lepidopteran-active toxins |
| EP0427529A1 (en) | 1989-11-07 | 1991-05-15 | Pioneer Hi-Bred International, Inc. | Larvicidal lectins and plant insect resistance based thereon |
| WO1993007278A1 (en) | 1991-10-04 | 1993-04-15 | Ciba-Geigy Ag | Synthetic dna sequence having enhanced insecticidal activity in maize |
| WO1995033818A2 (en) | 1994-06-08 | 1995-12-14 | Ciba-Geigy Ag | Genes for the synthesis of antipathogenic substances |
| WO1995034656A1 (en) | 1994-06-10 | 1995-12-21 | Ciba-Geigy Ag | Novel bacillus thuringiensis genes coding toxins active against lepidopteran pests |
| US5631072A (en) | 1995-03-10 | 1997-05-20 | Avondale Incorporated | Method and means for increasing efficacy and wash durability of insecticide treated fabric |
| WO2000015615A1 (en) | 1998-09-15 | 2000-03-23 | Syngenta Participations Ag | Pyridine ketones useful as herbicides |
| WO2002015701A2 (en) | 2000-08-25 | 2002-02-28 | Syngenta Participations Ag | Bacillus thuringiensis crystal protein hybrids |
| WO2003000906A2 (en) | 2001-06-22 | 2003-01-03 | Syngenta Participations Ag | Plant disease resistance genes |
| WO2003018810A2 (en) | 2001-08-31 | 2003-03-06 | Syngenta Participations Ag | Modified cry3a toxins and nucleic acid sequences coding therefor |
| WO2003034823A1 (en) | 2001-10-25 | 2003-05-01 | Siamdutch Mosquito Netting Company Limited | Treatment of fabric materials with an insecticide |
| WO2003052073A2 (en) | 2001-12-17 | 2003-06-26 | Syngenta Participations Ag | Novel corn event |
| WO2005064072A2 (en) | 2003-12-22 | 2005-07-14 | Basf Aktiengesellschaft | Composition for the impregnation of fibers, fabrics and nettings imparting a protective activity against pests |
| WO2005077934A1 (en) | 2004-02-18 | 2005-08-25 | Ishihara Sangyo Kaisha, Ltd. | Anthranilamides, process for the production thereof, and pest controllers containing the same |
| WO2005113886A1 (en) | 2004-05-12 | 2005-12-01 | Basf Aktiengesellschaft | Method for the treatment of flexible substrates |
| WO2006087343A1 (en) | 2005-02-16 | 2006-08-24 | Basf Aktiengesellschaft | Pyrazole carboxylic acid anilides, method for the production thereof and agents containing them for controlling pathogenic fungi |
| EP1724392A2 (en) | 2005-05-04 | 2006-11-22 | Fritz Blanke Gmbh & Co. Kg | Process for the microbicidal finishing of textile surfaces |
| WO2006128870A2 (en) | 2005-06-03 | 2006-12-07 | Basf Aktiengesellschaft | Composition for the impregnation of fibers, fabrics and nettings imparting a protective activity against pests |
| WO2007026965A1 (en) | 2005-09-02 | 2007-03-08 | Nissan Chemical Industries, Ltd. | Isoxazoline-substituted benzamide compound and harmful organism-controlling agent |
| WO2007048556A1 (en) | 2005-10-25 | 2007-05-03 | Syngenta Participations Ag | Heterocyclic amide derivatives useful as microbiocides |
| WO2007090739A1 (en) | 2006-02-03 | 2007-08-16 | Basf Se | Process for treating substrates |
| WO2008128968A1 (en) | 2007-04-19 | 2008-10-30 | Novartis Ag | Nicotinic acid derivatives as modulators of metabotropic glutamate receptor-5 |
| WO2008151984A1 (en) | 2007-06-12 | 2008-12-18 | Basf Se | Aqueous formulation and process for the impregnation of non-living-materials imparting a protective activity against pests |
| WO2009131237A1 (en) | 2008-04-21 | 2009-10-29 | 住友化学株式会社 | Harmful arthropod control composition, and fused heterocyclic compound |
| WO2010060231A1 (en) | 2008-11-25 | 2010-06-03 | Qin Zhaohai | Condensed amino nitroguanidine compounds, synthesis and use as botanical insecticides thereof |
| WO2010125985A1 (en) | 2009-04-28 | 2010-11-04 | Sumitomo Chemical Company, Limited | Fused heterocyclic compound and use thereof |
| WO2011040629A1 (en) | 2009-09-30 | 2011-04-07 | Sumitomo Chemical Company, Limited | Composition and method for controlling arthropod pests |
| WO2011043404A1 (en) | 2009-10-07 | 2011-04-14 | Sumitomo Chemical Company, Limited | Heterocyclic compound and its use for control of an arthropod pest |
| WO2011088990A1 (en) | 2010-01-21 | 2011-07-28 | Saudi Basic Industries Corporation (Sabic) | Ethylene polymerisation |
| WO2012086848A1 (en) | 2010-12-24 | 2012-06-28 | Sumitomo Chemical Company, Limited | Fused heterocyclic compound and use for pest control thereof |
| WO2012092115A1 (en) | 2010-12-29 | 2012-07-05 | E. I. Du Pont De Nemours And Company | Mesoionic pyrido [1,2 -a] pyrimidine pesticides |
| WO2013018928A1 (en) | 2011-08-04 | 2013-02-07 | Sumitomo Chemical Company, Limited | Fused heterocyclic compound and use thereof for pest control |
| EP2739624A1 (en) * | 2011-08-04 | 2014-06-11 | Sumitomo Chemical Company, Limited | Fused heterocyclic compound and use thereof for pest control |
| WO2013180194A1 (en) | 2012-05-30 | 2013-12-05 | 住友化学株式会社 | Fused heterocyclic compound |
| WO2013180193A1 (en) | 2012-05-31 | 2013-12-05 | 住友化学株式会社 | Fused heterocyclic compound |
| WO2013191113A1 (en) | 2012-06-18 | 2013-12-27 | 住友化学株式会社 | Fused heterocyclic compound |
| WO2014142292A1 (en) | 2013-03-15 | 2014-09-18 | 日本農薬株式会社 | Fused heterocyclic compound or salt thereof, agricultural and horticultural insecticide containing fused heterocyclic compound, and method for using agricultural and horticultural insecticide |
| WO2014152738A1 (en) | 2013-03-15 | 2014-09-25 | Bristol-Myers Squibb Company | Lxr modulators |
| WO2015000715A1 (en) | 2013-07-02 | 2015-01-08 | Syngenta Participations Ag | Pesticidally active bi- or tricyclic heterocycles with sulfur containing substituents |
| WO2015133603A1 (en) | 2014-03-07 | 2015-09-11 | 住友化学株式会社 | Fused heterocyclic compound and pest control application thereof |
| WO2015198859A1 (en) | 2014-06-26 | 2015-12-30 | 住友化学株式会社 | Condensed heterocyclic compound |
| WO2016002594A1 (en) * | 2014-07-04 | 2016-01-07 | 住友化学株式会社 | Pesticide composition and application of same |
| WO2016030229A1 (en) * | 2014-08-25 | 2016-03-03 | Syngenta Participations Ag | Pesticidally active heterocyclic derivatives with sulphur containing substituents |
| WO2016046071A1 (en) * | 2014-09-25 | 2016-03-31 | Syngenta Participations Ag | Pesticidally active heterocyclic derivatives with sulphur containing substituents |
| WO2016059145A1 (en) * | 2014-10-16 | 2016-04-21 | Syngenta Participations Ag | Pesticidally active tetracyclic heterocyclic derivatives with sulphur containing substituents |
Non-Patent Citations (18)
| Title |
|---|
| "Compendium of Herbicide Adjuvants", 2010, SOUTHERN ILLINOIS UNIVERSITY |
| "Manual on Development and Use of FAO and WHO Specifications for Pesticides", 2010 |
| "McCutcheon's Detergents and Emulsifiers Annual", 1981, MC PUBLISHING CORP. |
| "The Pesticide Manual'' [The Pesticide Manual - A World Compendium", THE BRITISH CROP PROTECTION COUNCIL |
| A. WOOD, COMPENDIUM OF PESTICIDE COMMON NAMES, 1995 |
| ANGEW. CHEM. INT. ED., vol. 43, 2004, pages 1132 - 1136 |
| INORG. CHIMICA ACTA, vol. 358, no. 9, 2005, pages 2701 - 2710 |
| J. AM. CHEM. SOC., vol. 132, no. 5, 2010, pages 1545 - 1557 |
| J. MED. CHEM., vol. 32, no. 12, 1989, pages 2561 - 2573 |
| J. ORG. CHEM., vol. 70, 2005, pages 8601 - 8604 |
| J. ORG. CHEM., vol. 74, 2009, pages 5599 - 5602 |
| J.ORGMET. CHEM., vol. 576, 1999, pages 147 - 168 |
| JOURNAL OF ORGANIC CHEMISTRY, vol. 75, no. 19, 2010, pages 6677 - 6680 |
| P. Y. S. LAM; C. G. CLARK; S. SAUBERN; J. ADAMS; M. P.WINTERS; D. M. T. CHAN; A. COMBS, TETRAHEDRON LETT., vol. 39, 1998, pages 2941 |
| PROC. BCPC, INT. CONGR., vol. 1, 2003, pages 93 |
| SYNTHETIC COMMUNICATIONS, vol. 28, no. 2, 1998, pages 225 - 232 |
| TETRAHEDRON LETTERS, vol. 43, no. 39, 2002, pages 6987 - 6990 |
| TETRAHEDRON, vol. 61, no. 46, 2005, pages 10827 - 10852 |
Cited By (4)
| Publication number | Priority date | Publication date | Assignee | Title |
|---|---|---|---|---|
| EP3730493A4 (en) * | 2017-12-22 | 2021-08-04 | Sumitomo Chemical Company Limited | HETEROCYCLIC COMPOUND AND AGENT CONTROL AGAINST HARMFUL ARTHROPODS CONTAINING THEM |
| US11555035B2 (en) | 2017-12-22 | 2023-01-17 | Sumitomo Chemical Company, Limited | Heterocyclic compound and harmful arthropod-controlling agent containing same |
| WO2024189139A1 (en) | 2023-03-14 | 2024-09-19 | Syngenta Crop Protection Ag | Control of pests resistant to insecticides |
| WO2026020976A1 (en) * | 2024-07-25 | 2026-01-29 | 青岛清原化合物有限公司 | Substituted fused-imidazole ring compound, and preparation method therefor, insecticidal composition thereof and use thereof |
Similar Documents
| Publication | Publication Date | Title |
|---|---|---|
| US10051864B2 (en) | Pesticidally active heterocyclic derivatives with sulphur containing substituents | |
| US12421237B2 (en) | Pesticidally active heterocyclic derivatives with sulfur containing substituents | |
| EP3183245B1 (en) | Pesticidally active heterocyclic derivatives with sulphur containing substituents | |
| EP3177620B1 (en) | Pesticidally active heterocyclic derivatives with sulphur containing substituents | |
| EP3317276B1 (en) | Pesticidally active polycyclic derivatives with sulfur containing substituents | |
| WO2016116338A1 (en) | Pesticidally active polycyclic derivatives with sulfur containing substituents | |
| EP3240788A1 (en) | Pesticidally active tetracyclic derivatives with sulfur containing substituents | |
| WO2016030229A1 (en) | Pesticidally active heterocyclic derivatives with sulphur containing substituents | |
| EP3240786A1 (en) | Pesticidally active polycyclic derivatives with sulfur containing substituents | |
| WO2016087265A1 (en) | Pesticidally active amide heterocyclic derivatives with sulphur containing substituents | |
| WO2016058928A1 (en) | Pesticidally active heterocyclic derivatives with sulphur containing substituents | |
| WO2017134066A1 (en) | Pesticidally active heterocyclic derivatives with sulphur containing substituents | |
| EP3621965A1 (en) | Imidazopyrimidine derivatives with sulfur containing phenyl and pyridyl substituents | |
| US10512265B2 (en) | Pesticidally active heterocyclic derivatives with sulphur containing substituents | |
| WO2016113155A1 (en) | Pesticidally active heterocyclic derivatives with sulphur containing substituents | |
| WO2018095795A1 (en) | Pesticidally active polycyclic derivatives with sulfur containing substituents | |
| EP3227285B1 (en) | Pesticidally active amide heterocyclic derivatives with sulphur containing substituents | |
| WO2019008115A1 (en) | Pesticidally active heterocyclic derivatives with sulfur containing substituents | |
| WO2018215304A1 (en) | Tetracyclic pyridazine sulphur containing compounds and their use as pesticides | |
| WO2018091389A1 (en) | Pesticidally active heterocyclic derivatives with sulphur containing substituents |
Legal Events
| Date | Code | Title | Description |
|---|---|---|---|
| 121 | Ep: the epo has been informed by wipo that ep was designated in this application |
Ref document number: 17803845 Country of ref document: EP Kind code of ref document: A1 |
|
| NENP | Non-entry into the national phase |
Ref country code: DE |
|
| 122 | Ep: pct application non-entry in european phase |
Ref document number: 17803845 Country of ref document: EP Kind code of ref document: A1 |
































































