WO2017102651A1 - Device for dispensing a product for dyeing and/or lightening keratin fibres comprising a cationic polymer - Google Patents
Device for dispensing a product for dyeing and/or lightening keratin fibres comprising a cationic polymer Download PDFInfo
- Publication number
- WO2017102651A1 WO2017102651A1 PCT/EP2016/080644 EP2016080644W WO2017102651A1 WO 2017102651 A1 WO2017102651 A1 WO 2017102651A1 EP 2016080644 W EP2016080644 W EP 2016080644W WO 2017102651 A1 WO2017102651 A1 WO 2017102651A1
- Authority
- WO
- WIPO (PCT)
- Prior art keywords
- composition
- group
- alkyl
- chosen
- optionally substituted
- Prior art date
- Legal status (The legal status is an assumption and is not a legal conclusion. Google has not performed a legal analysis and makes no representation as to the accuracy of the status listed.)
- Ceased
Links
- 0 CC(C)(*)*(*)C1(C)*C=CC1 Chemical compound CC(C)(*)*(*)C1(C)*C=CC1 0.000 description 1
Classifications
-
- A—HUMAN NECESSITIES
- A61—MEDICAL OR VETERINARY SCIENCE; HYGIENE
- A61Q—SPECIFIC USE OF COSMETICS OR SIMILAR TOILETRY PREPARATIONS
- A61Q5/00—Preparations for care of the hair
- A61Q5/10—Preparations for permanently dyeing the hair
-
- A—HUMAN NECESSITIES
- A61—MEDICAL OR VETERINARY SCIENCE; HYGIENE
- A61K—PREPARATIONS FOR MEDICAL, DENTAL OR TOILETRY PURPOSES
- A61K8/00—Cosmetics or similar toiletry preparations
- A61K8/02—Cosmetics or similar toiletry preparations characterised by special physical form
- A61K8/04—Dispersions; Emulsions
- A61K8/046—Aerosols; Foams
-
- A—HUMAN NECESSITIES
- A61—MEDICAL OR VETERINARY SCIENCE; HYGIENE
- A61K—PREPARATIONS FOR MEDICAL, DENTAL OR TOILETRY PURPOSES
- A61K8/00—Cosmetics or similar toiletry preparations
- A61K8/18—Cosmetics or similar toiletry preparations characterised by the composition
- A61K8/72—Cosmetics or similar toiletry preparations characterised by the composition containing organic macromolecular compounds
- A61K8/81—Cosmetics or similar toiletry preparations characterised by the composition containing organic macromolecular compounds obtained by reactions involving only carbon-to-carbon unsaturated bonds
- A61K8/817—Compositions of homopolymers or copolymers of compounds having one or more unsaturated aliphatic radicals, each having only one carbon-to-carbon double bond, and at least one being terminated by a single or double bond to nitrogen or by a heterocyclic ring containing nitrogen; Compositions or derivatives of such polymers, e.g. vinylimidazol, vinylcaprolactame, allylamines (Polyquaternium 6)
-
- A—HUMAN NECESSITIES
- A61—MEDICAL OR VETERINARY SCIENCE; HYGIENE
- A61K—PREPARATIONS FOR MEDICAL, DENTAL OR TOILETRY PURPOSES
- A61K8/00—Cosmetics or similar toiletry preparations
- A61K8/18—Cosmetics or similar toiletry preparations characterised by the composition
- A61K8/72—Cosmetics or similar toiletry preparations characterised by the composition containing organic macromolecular compounds
- A61K8/84—Cosmetics or similar toiletry preparations characterised by the composition containing organic macromolecular compounds obtained by reactions otherwise than those involving only carbon-carbon unsaturated bonds
-
- A—HUMAN NECESSITIES
- A61—MEDICAL OR VETERINARY SCIENCE; HYGIENE
- A61Q—SPECIFIC USE OF COSMETICS OR SIMILAR TOILETRY PREPARATIONS
- A61Q5/00—Preparations for care of the hair
- A61Q5/08—Preparations for bleaching the hair
-
- A—HUMAN NECESSITIES
- A61—MEDICAL OR VETERINARY SCIENCE; HYGIENE
- A61K—PREPARATIONS FOR MEDICAL, DENTAL OR TOILETRY PURPOSES
- A61K2800/00—Properties of cosmetic compositions or active ingredients thereof or formulation aids used therein and process related aspects
- A61K2800/40—Chemical, physico-chemical or functional or structural properties of particular ingredients
- A61K2800/54—Polymers characterized by specific structures/properties
- A61K2800/542—Polymers characterized by specific structures/properties characterized by the charge
- A61K2800/5426—Polymers characterized by specific structures/properties characterized by the charge cationic
-
- A—HUMAN NECESSITIES
- A61—MEDICAL OR VETERINARY SCIENCE; HYGIENE
- A61K—PREPARATIONS FOR MEDICAL, DENTAL OR TOILETRY PURPOSES
- A61K2800/00—Properties of cosmetic compositions or active ingredients thereof or formulation aids used therein and process related aspects
- A61K2800/80—Process related aspects concerning the preparation of the cosmetic composition or the storage or application thereof
- A61K2800/87—Application Devices; Containers; Packaging
Definitions
- Device for dispensing a product for dyeing and/or lightening keratin fibres comprising a cationic polymer
- a subject of the present invention is a device for dispensing a product for dyeing and/or lightening keratin fibres comprising compositions A and B, and also a dyeing process using said device.
- the present invention also relates to a kit comprising said device and a composition comprising a conditioning agent.
- oxidation dyeing or permanent dyeing. More particularly, this dyeing method uses one or more oxidation dyes, usually one or more oxidation bases optionally combined with one or more couplers.
- oxidation bases are chosen from ortho- or para-phenylenediamines, ortho- or ara-aminophenols and heterocyclic compounds. These oxidation bases are colourless or weakly coloured compounds which, when combined with oxidizing products, can give access to coloured entities.
- the shades obtained with these oxidation bases are often varied by combining them with one or more couplers, these couplers being chosen in particular from aromatic meia-diamines, meia-aminophenols, meia-diphenols and certain heterocyclic compounds, such as indole compounds.
- Permanent dyeing processes thus consist in using, with the dye composition containing the oxidation dyes, an aqueous composition comprising at least one oxidizing agent, such as hydrogen peroxide, under alkaline pH conditions in the vast majority of cases.
- the alkaline agent conventionally used is aqueous ammonia or can be chosen from other alkaline agents, such as alkanolamines.
- compositions in particular the compositions comprising oxidation dyes, are obviously sensitive to oxidation and as a result contain reducing agents or antioxidants. This action of protection against oxidation is also reinforced by virtue of the inert atmosphere that is sometimes used during the packaging of these compositions.
- compositions of this type indeed results from their sensitivity to oxidation. This is because, during their use, they are brought into contact with atmospheric oxygen and this then requires that they be used rapidly. If they are not used rapidly, the compositions become unusable after storage and are lost.
- alkaline compositions in particular dyeing compositions, and oxidizing compositions, which are packaged separately in one and the same pressurized container and which make it possible to avoid the composition being brought into contact with air when they are used.
- These compositions can be in the form of a foam or cream.
- the strength of the dyeing and also the coverage of the hair, in particular of white hair still requires further improvement, as do the rheological properties of the product(s) stemming from the pressurized container, in particular in terms of ease of mixing of the alkaline and oxidizing compositions, of the uniformity of the mixture and of the quality of application to keratin fibres (in particular in terms of the wetting nature, of the adhesion to the roots and of the ease with which the mixture can be spread along the locks of hair).
- the objective of the present invention is thus to provide dyeing and/or lightening compositions which are in particular in cream or gel form, having good use qualities, in particular mixing and application qualities, while at the same time having high dyeing and/or lightening performance levels.
- a subject of which is thus a device for dispensing a product for dyeing and/or lightening keratin fibres, constituted of a container comprising:
- the compartment a comprising a composition A comprising at least one alkaline agent and optionally at least one dyeing agent,
- the compartment b comprising an oxidizing composition B comprising at least one chemical oxidizing agent, one and/or the other of the compositions of the two compartments comprising at least one cationic polymer having a cationic charge density of greater than or equal to 6 meq/g;
- a dispensing means equipped with at least one dispensing orifice, in communication with the compartments a and b, making it possible to simultaneously deliver the compositions A and B.
- the invention also relates to a process for lightening and/or dyeing human keratin fibres using this device.
- a subject of the invention is a process for lightening and/or dyeing human keratin fibres, in which the following are applied to said fibres:
- composition A comprising at least one alkaline agent and optionally at least one dyeing agent
- composition B comprising at least one chemical oxidizing agent
- compositions comprising at least one cationic polymer having a cationic charge density of greater than or equal to
- compositions A and B being packaged in a device constituted of a container, which is preferably pressurized, comprising at least two compartments a and b separate from one another, the compartment a comprising the composition A and the compartment b comprising the composition B, the device comprising a dispensing means equipped with at least one dispensing orifice, in communication with the compartments a and b, making it possible to deliver the compositions A and B simultaneously.
- the device and the process of the invention make it possible to obtain good lightening and/or dyeing properties on keratin fibres, and in the case of dyeing, in particular dyeing which is strong, intense and/or chromatic, resistant to external agents (shampoos, perspiration, light), uniform and not very selective.
- the device comprising the compositions also produces good use qualities, in particular the application of the compositions A and B is easy and the distribution is uniform along the keratin fibres.
- the device and the process of the invention also produce good cosmetic properties, in particular in terms of disentangling, suppleness and softness of the hair.
- compositions A and B rinses off easily after the leave-on time.
- compositions A and B used in the dyeing and/or lightening process according to the invention mix easily, prior to the application to the keratin fibres or directly on the keratin fibres during simultaneous application of the compositions A and B to the hair.
- the human keratin fibres treated via the process according to the invention are preferably the hair.
- composition A of the device according to the invention comprises at least one alkaline agent.
- This agent can be chosen from mineral or organic or hybrid alkaline agents or mixtures thereof.
- the mineral alkaline agent(s) are preferably chosen from aqueous ammonia, alkali metal carbonates or bicarbonates such as sodium or potassium carbonates and sodium or potassium bicarbonates, sodium hydroxide or potassium hydroxide, or mixtures thereof.
- the organic alkaline agent(s) are preferably chosen from organic amines with a pKb at 25°C of less than 12, preferably less than 10 and even more advantageously less than 6. It should be noted that it is the pKb corresponding to the highest basicity function.
- Hybrid compounds that may be mentioned include the salts of the amines mentioned previously with acids such as carbonic acid or hydrochloric acid.
- organic alkaline agent(s) are chosen, for example, from alkanolamines, oxyethylenated and/or oxypropylenated ethylenediamines, amino acids and the compounds having the formula below:
- alkanolamine is intended to mean an organic amine comprising a primary, secondary or tertiary amine function, and one or more linear or branched C C 8 alkyl groups bearing one or more hydroxyl radicals.
- Alkanolamines such as monoalkanolamines, dialkanolamines or trialkanolamines comprising from one to three identical or different C 1 -C4 hydroxyalkyl radicals are in particular suitable for performing the invention.
- amino acids that may be used are of natural or synthetic origin, in their L, D or racemic form, and comprise at least one acid function chosen more particularly from carboxylic acid, sulfonic acid, phosphonic acid and phosphoric acid functions.
- the amino acids may be in neutral or ionic form.
- amino acids that may be used in the present invention, mention may be made in particular of aspartic acid, glutamic acid, alanine, arginine, ornithine, citrulline, asparagine, carnitine, cysteine, glutamine, glycine, histidine, lysine, isoleucine, leucine, methionine, N-phenylalanine, proline, serine, taurine, threonine, tryptophan, tyrosine and valine.
- the amino acids are basic amino acids comprising an additional amine function optionally included in a ring or in a ureido function.
- Such basic amino acids are preferably chosen from those corresponding to the formula below:
- R denotes a group chosen from:
- the compounds corresponding to the formula above are histidine, lysine, arginine, ornithine and citrulline.
- the organic amine may also be chosen from organic amines of heterocyclic type. Besides histidine that has already been mentioned in the amino acids, mention may be made in particular of pyridine, piperidine, imidazole, triazole, tetrazole and benzimidazole.
- the organic amine may also be chosen from amino acid dipeptides.
- amino acid dipeptides that may be used in the present invention, mention may be made in particular of carnosine, anserine and balenine.
- the organic amine may also be chosen from compounds comprising a guanidine function.
- amines of this type that may be used in the present invention, besides arginine, which has already been mentioned as an amino acid, mention may be made in particular of creatine, creatinine, 1 ,1 -dimethylguanidine,
- the composition according to the invention contains, as alkaline agent, aqueous ammonia and/or at least one alkanolamine and/or at least one basic amino acid, more advantageously aqueous ammonia and/or at least one alkanolamine.
- the alkaline agent is chosen from aqueous ammonia, alkanolamines, preferably monoethanolamine, and mixtures thereof.
- the composition A has a content of alkaline agent(s) ranging from 0.01 % to 30% by weight, preferably from 0.1 % to 20% by weight and better still from 1 % to 10% by weight, relative to the weight of said composition. It should be noted that this content is expressed as NH 3 when the alkaline agent is aqueous ammonia.
- composition A according to the invention may comprise at least one dyeing agent.
- the dyeing agents may be chosen from oxidation dye precursors, direct dyes, and mixtures thereof.
- the composition A comprises at least one dyeing agent chosen from oxidation dye precursors, direct dyes, and mixtures thereof, it preferably comprises at least one oxidation dye precursor.
- oxidation dye precursors use may be made of oxidation bases and couplers.
- the oxidation bases are chosen from para- phenylenediamines, bis(phenyl)alkylenediamines, para-aminophenols, ortho- aminophenols and heterocyclic bases, and addition salts thereof.
- para-phenylenediamines examples that may be mentioned include para-phenylenediamine, para-tolylenediamine, 2-chloro-para-phenylenediamine, 2,3- dimethyl-para-phenylenediamine, 2,6-dimethyl-para-phenylenediamine, 2,6-diethyl- para-phenylenediamine, 2,5-dimethyl-para-phenylenediamine, N,N-dimethyl-para- phenylenediamine, ⁇ , ⁇ -diethyl-para-phenylenediamine, N,N-dipropyl-para- phenylenediamine, 4-amino-N,N-diethyl-3-methylaniline, N,N-bis(p-hydroxyethyl)- para-phenylenediamine, 4-N,N-bis(p-hydroxyethyl)amino-2-methylaniline, 4- ⁇ , ⁇ - bis(p-hydroxyethyl)a
- para-phenylenediamine para-tolylenediamine, 2-isopropyl-para-phenylenediamine, 2-p-hydroxyethyl-para- phenylenediamine, 2-p-hydroxyethyloxy-para-phenylenediamine, 2,6-dimethyl-para- phenylenediamine, 2,6-diethyl-para-phenylenediamine, 2,3-dimethyl-para- phenylenediamine, N,N-bis(p-hydroxyethyl)-para-phenylenediamine, 2-chloro-para- phenylenediamine and 2-p-acetylaminoethyloxy-para-phenylenediamine, and addition salts thereof with an acid, are particularly preferred.
- bis(phenyl)alkylenediamines examples that may be mentioned include N,N'-bis(p-hydroxyethyl)-N,N'-bis(4'-aminophenyl)-1 ,3-diaminopropanol, ⁇ , ⁇ '- bis(p-hydroxyethyl)-N,N'-bis(4'-aminophenyl)ethylenediamine, N,N'-bis(4- aminophenyl)tetramethylenediamine, N,N'-bis(p-hydroxyethyl)-N,N'-bis(4-amino- phenyl)tetramethylenediamine, N,N'-bis(4- methylaminophenyl)tetramethylenediamine, N,N'-bis(ethyl)-N,N'-bis(4'-amino-3'- methylphenyl)ethylenediamine, 1 ,8-bis(2,5-diaminophenyl
- para-aminophenols examples that may be mentioned include para- aminophenol, 4-amino-3-methylphenol, 4-amino-3-fluorophenol, 4-amino-3- chlorophenol, 4-amino-3-hydroxymethylphenol, 4-amino-2-methylphenol, 4-amino-2- hydroxymethylphenol, 4-amino-2-methoxymethylphenol, 4-amino-2-aminomethyl- phenol, 4-amino-2-(p-hydroxyethylaminomethyl)phenol and 4-amino-2-fluorophenol, 4-methylaminophenol and addition salts thereof with an acid.
- ortho-aminophenols examples that may be mentioned include 2- aminophenol, 2-amino-5-methylphenol, 2-amino-6-methylphenol and 5-acetamido-2- aminophenol, and addition salts thereof.
- heterocyclic bases examples that may be mentioned include pyridine derivatives, pyrimidine derivatives and pyrazole derivatives.
- pyridine derivatives mention may be made of the compounds described for example in patents GB 1 026 978 and GB 1 153 196, for instance 2,5- diaminopyridine, 2-(4-methoxyphenyl)amino-3-aminopyridine and 3,4- diaminopyridine, and addition salts thereof.
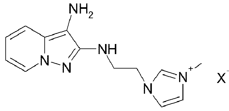
- pyridine oxidation bases that are useful in the present invention are the 3- aminopyrazolo[1 ,5-a]pyridine oxidation bases or addition salts thereof described, for example, in patent application FR 2 801 308.
- Examples that may be mentioned include pyrazolo[1 ,5-a]pyrid-3-ylamine, 2-acetylaminopyrazolo[1 ,5-a]pyrid-3-ylamine, 2-(morpholin-4-yl)pyrazolo[1 ,5-a]pyrid-3-ylamine, 3-aminopyrazolo[1 ,5-a]pyridine-2- carboxylic acid, 2-methoxypyrazolo[1 ,5-a]pyrid-3-ylamine, (3-aminopyrazolo[1 ,5- a]pyrid-7-yl)methanol, 2-(3-aminopyrazolo[1 ,5-a]pyrid-5-yl)ethanol, 2-(
- pyrimidine derivatives mention may be made of the compounds described, for example, in patents DE 2359399, JP 88-169571 , JP 05-63124 and EP 0 770 375 or patent application WO 96/15765, such as 2,4,5,6-tetraamino- pyrimidine, 4-hydroxy-2,5,6-triaminopyrimidine, 2-hydroxy-4,5,6-triaminopyrimidine,
- Use will preferably be made of a 4,5-diaminopyrazole and even more preferentially of 4,5-diamino-1 -(p-hydroxyethyl)pyrazole and/or a salt or solvate thereof.
- Pyrazole derivatives that may also be mentioned include diamino-N,N- dihydropyrazolopyrazolones and in particular those described in patent application FR-A-2 886 136, such as the following compounds and addition salts thereof: 2,3-diamino-6,7-dihydro-1 H,5H-pyrazolo[1 ,2-a]pyrazol-1 -one, 2-amino-3-ethylamino- 6,7-dihydro-1 H,5H-pyrazolo[1 ,2-a]pyrazol-1 -one, 2-amino-3-isopropylamino-6,7- dihydro-1 H,5H-pyrazolo[1 ,2-a]pyrazol-1 -one, 2-amino-3-(pyrrolidin-1 -yl)-6,7-dihydro- 1 H,5H-pyrazolo[1 ,2-a]pyrazol-1 -one, 4,5-diamino-1
- Use will preferably be made of 2,3-diamino-6,7-dihydro-1 H,5H-pyrazolo[1 ,2- a]pyrazol-1 -one and/or a salt or solvate thereof.
- Heterocyclic bases that will preferentially be used include 4,5-diamino-1 -(p- hydroxyethyl)pyrazole and/or 2,3-diamino-6,7-dihydro-1 H,5H-pyrazolo[1 ,2-a]pyrazol- 1 -one and/or 2-[(3-aminopyrazolo[1 ,5-a]pyridin-2-yl)oxy]ethanol and/or a salt or solvate thereof.
- composition A comprises at least one heterocyclic oxidation base chosen from:
- R-i represents an amino group, a Ci to C 4 alkyl group optionally substituted with one or more hydroxyl or amino groups, or a Ci to C 4 alkoxy group optionally substituted with one or more hydroxyl or amino groups,
- R 2 represents an amino group, a Ci to C 4 alkyl group, optionally substituted with one or more hydroxyl or amino groups, a Ci to C 4 alkoxy group, optionally substituted with one or more hydroxyl or amino groups; and Z-i represents a covalent bond, and -NR' 6 (CH2)q- radical or an -0(CH 2 ) p - radical in which R' 6 represents a hydrogen atom or a Ci-C 6 alkyl radical optionally substituted with one or more hydroxyl groups, p denoting an integer ranging from 0 to 6, q denoting an integer ranging from 0 to 6, and R'i is a cationic radical; and
- R' 3 , R' 4 and R' 5 may be a hydrogen atom or an optionally substituted Ci-C 4 alkyl radical.
- R' 3 , R' 4 and R' 5 independently represent a hydrogen atom or a C1-C4 alkyl radical.
- R' 4 and R' 5 can together form a partially saturated or unsaturated 5- or 8- membered ring, in particular a cyclopentene or cyclohexene, which is optionally substituted.
- R1 represents a C C 4 alkyl group which is substituted with one or more hydroxyl or amino groups
- R4 represents an amino group, a C C 4 alkyl group which is optionally substituted with one or more hydroxyl or amino groups, or a C C 4 alkoxy group which is optionally substituted with one or more hydroxyl or amino groups.
- R1 represents a C C 4 alkyl group which is substituted with at least one hydroxyl group, more particularly a hydroxyethyl group, and R4 represents an amino group.
- R 2 represents a Ci to C 4 alkoxy group, optionally substituted with one or more hydroxyl groups, and preferentially represents a hydroxyethoxy group.
- the compounds of formula (II) use will preferably be made of 2-[(3- amino-pyrazolo[1 ,5-a]pyridin-2-yl)oxy]ethanol, an addition salt thereof or a solvate thereof.
- the 3-aminopyrazolo[1 ,5-a]pyridines of formulae (II) and (III) are compounds that are known and are described in particular in patent US 5 457 200. These compounds may be prepared according to synthetic methods that are well known in the literature and as described, for example, in patent US 5 457 200.
- R'- ⁇ By way of cationic group for formula (III), mention may be made, for R'- ⁇ , of a cationic heterocycle or a heterocycle substituted with a cationic radical.
- a cationic heterocycle or a heterocycle substituted with a cationic radical By way of example, mention may be made of imidazoles substituted with a quaternary ammonium radical or imidazoliums, piperazines substituted with a quaternary ammonium radical or piperaziniums, pyrrolidines substituted with a quaternary ammonium radical or pyrrolidiniums, and diazepanes substituted with a quaternary ammonium radical or diazepaniums.
- R'i May also be chosen from the cationic radicals trialkylammonium, tri(hydroxyalkyl)ammonium, hydroxyalkyldialkylammonium or di(hydroxyalkyl)alkylammonium.
- cationic oxidation bases of formula (III) the following bases are most particularly preferred:
- heterocyclic bases that are of use for the invention, use will preferentially be made of 4,5-diamino-1 -(p-hydroxyethyl)pyrazole and/or 2, 3-diamino- 6,7-dihydro-1 H,5H-pyrazolo[1 ,2-a]pyrazol-1 -one and/or 2-[(3-aminopyrazolo[1 ,5- a]pyridin-2-yl)oxy]ethanol and/or a salt or solvate thereof.
- couplers that may be used in the composition according to the invention, mention may be made in particular of meta-phenylenediamines, meta- aminophenols, meta-diphenols, naphthalene-based couplers, heterocyclic couplers, for instance indole derivatives, indoline derivatives, sesamol and derivatives thereof, pyridine derivatives, pyrazolotriazole derivatives, pyrazolones, indazoles, benzimidazoles, benzothiazoles, benzoxazoles, 1 ,3-benzodioxoles, quinolines, and addition salts of these compounds with an acid.
- meta-phenylenediamines meta- aminophenols, meta-diphenols, naphthalene-based couplers
- heterocyclic couplers for instance indole derivatives, indoline derivatives, sesamol and derivatives thereof, pyridine derivatives, pyrazolotriazole derivatives, pyrazolone
- couplers are more particularly chosen from 2,4-diamino-1 -(p- hydroxyethyloxy)benzene, 2-methyl-5-aminophenol, 5-N-(p-hydroxyethyl)amino-2- methylphenol, 3-aminophenol, 1 ,3-dihydroxybenzene, 1 ,3-dihydroxy-2- methylbenzene, 4-chloro-1 ,3-dihydroxybenzene, 2-amino-4-(p-hydroxyethylamino)- 1 -methoxybenzene, 5-amino-6-chloro-2-methylphenol, 1 ,3-diaminobenzene, 1 ,3- bis(2,4-diaminophenoxy)propane, sesamol, 1 -amino-2-methoxy-4,5- methylenedioxybenzene, a-naphthol, 6-hydroxyindole, 4-hydroxyindole, 4-hydroxy- N-methylindole,
- the addition salts of the oxidation bases and of the couplers are in particular chosen from the addition salts with an acid such as the hydrochlorides, hydrobromides, sulfates, citrates, succinates, tartrates, lactates, tosylates, benzenesulfonates, phosphates and acetates.
- the oxidation base(s) are each generally present in an amount of from 0.0001 % to 10% by weight relative to the total weight of the composition of the invention, and preferably from 0.005% to 5% by weight relative to the total weight of the composition A.
- the coupler(s) each generally represent from 0.0001 % to 10% by weight relative to the total weight of the composition, and preferably from 0.005% to 5% by weight relative to the total weight of the composition A of the invention.
- the composition A comprises at least one oxidation dye precursor chosen from the compounds of formula ( ⁇ ) previously described, preferably 2-(4,5-diamino-1 H-pyrazol-1 -yl)ethanol or an addition salt thereof and at least one halogenated aminophenol coupler, preferably 5-amino 6- chloro 2-methyl phenol
- the dyeing agent may be chosen from direct dyes which may be synthetic or natural.
- the direct dyes may be in particular cationic or non-ionic.
- particularly suitable direct dyes mention may be made of nitrobenzene dyes; azo direct dyes; azomethine direct dyes; methine direct dyes; azacarbocyanines, for instance tetraazacarbocyanines (tetraazapentamethines); quinone and in particular anthraquinone, naphthoquinone or benzoquinone direct dyes; azine direct dyes; xanthene direct dyes; triarylmethane direct dyes; indoamine direct dyes; indigoid direct dyes; phthalocyanine direct dyes, porphyrin direct dyes and natural direct dyes, alone or as mixtures.
- direct dyes from among: azo; methine; carbonyl; azine; nitro (hetero)aryl; tri(hetero)arylmethane; porphyrin; phthalocyanine and natural direct dyes, alone or as mixtures.
- the composition A comprises at least one dyeing agent chosen from direct dyes, preferably from cationic direct dyes.
- Suitable cationic direct dyes include azo direct dyes; (poly)methine dyes such as cyanins, hemicyanins and styryls; carbonyl dyes; azine dyes; nitro(hetero)aryl dyes; tri(hetero)arylmethane dyes; porphyrin dyes; phthalocyanine dyes and natural direct dyes, alone or in the form of mixtures.
- cationic direct dyes mention may be made in particular of the hydrazono cationic dyes of formulae (Ilia) and (lll'a), the azo cationic dyes (IVa) and (IV'a) and the diazo cationic dyes (Va) below:
- Het + represents a cationic heteroaryl radical, preferably bearing an endocyclic cationic charge, such as imidazolium, indolium or pyridinium, optionally substituted preferably with one or more (CrC 8 )alkyl groups such as methyl;
- Ar + represents an aryl radical, such as phenyl or naphthyl, bearing an exocyclic cationic charge, preferably ammonium, particularly tri(Ci-
- Ar represents an aryl group, in particular phenyl, which is optionally substituted, preferably with one or more electron-donating groups such as i) optionally substituted (CrC 8 )alkyl, ii) optionally substituted (CrC 8 )alkoxy, iii) (di)(Ci-C 8 )(alkyl)amino optionally substituted on the alkyl group(s) with a hydroxyl group, iv) aryl(Ci-C 8 )alkylamino, v) optionally substituted N-(Ci- C 8 )alkyl-N-aryl(Ci-C 8 )alkylamino or, as a variant, Ar represents a julolidine group;
- Ar' represents an optionally substituted divalent (hetero)arylene group such as phenylene, particularly para-phenylene, or naphthalene, which are optionally substituted, preferably with one or more groups (Ci-C 8 )alkyl, hydroxyl or (d- C 8 )alkoxy;
- Ar represents an optionally substituted (hetero)aryl group such as phenyl or pyrazolyl, which are optionally substituted, preferably with one or more (C C 8 )alkyl, hydroxyl, (di)(Ci-C 8 )(alkyl)amino, (Ci-C 8 )alkoxy or phenyl groups;
- R a and R b which may be identical or different, represent a hydrogen atom or a (Ci-C 8 )alkyl group, which is optionally substituted, preferably with a hydroxyl group;
- the substituent R a with a substituent of Het + and/or R b with a substituent of Ar and/or R a with R b form, together with the atoms that bear them, a (hetero)cycloalkyl;
- R a and R b represent a hydrogen atom or a (CrC 4 )alkyl group, which is optionally substituted with a hydroxyl group;
- An " represents an anionic counterion, such as mesylate or halide.
- the direct dyes correspond to the following formulae:
- R 1 representing a (CrC 4 )alkyl group such as methyl
- R 2 and R 3 which may be identical or different, representing a hydrogen atom or a (C C 4 )alkyl group, such as methyl;
- R 4 representing a hydrogen atom or an electron-donating group such as optionally substituted (CrC 8 )alkyl, optionally substituted (CrC 8 )alkoxy, or (di)(Ci- C 8 )(alkyl)amino optionally substituted on the alkyl group(s) with a hydroxyl group; in particular, R 4 represents a hydrogen atom;
- - Z represents a CH group or a nitrogen atom, preferably CH
- An " represents an anionic counterion, such as mesylate or halide.
- the dye of formulae (llla-1 ) and (IVa-1 ) is chosen from Basic Red 51 , Basic Yellow 87 and Basic Orange 31 or corresponding derivatives:
- the direct dye(s) more particularly represent from 0.0001 % to 10% by weight and preferably from 0.005% to 5% by weight of the total weight of composition A.
- composition B according to the invention comprises at least one chemical oxidizing agent.
- chemical oxidizing agent is intended to mean an oxidizing agent other than atmospheric oxygen.
- the oxidizing agent(s) suitable for the present invention is (are) chosen, for example, from hydrogen peroxide, urea peroxide, alkali metal bromates or ferricyanides, peroxygenated salts, such as for example persulfates or perborates, peracids and precursors thereof and alkali metal or alkaline-earth metal percarbonates.
- the chemical oxidizing agent is hydrogen peroxide.
- the chemical oxidizing agent(s) generally represent(s) from 0.1 % to 50% and preferably from 1 % to 20% by weight relative to the total weight of the composition B.
- the composition A of the device according to the invention is devoid of chemical oxidizing agent as described above.
- At least one of the compositions A and B of the invention contains at least one cationic polymer having a charge density greater than or equal to 6 milliequivalents per gram (meq/g).
- the charge density of the cationic polymer can range from 6 to 20 meq/g and more particularly from 6 to 10 meq/g.
- the cationic charge density of a polymer corresponds to the number of moles of cationic charges per unit of mass of polymer under the conditions wherein said polymer is totally ionized. It can be determined by calculation if the structure of the polymer, i.e. the structure of the monomers constituting the polymer, and their molar or weight proportion are known. It can also be determined experimentally by the Kjeldahl method, generally at a pH of approximately 7 at ambient temperature.
- the cationic polymers having a cationic charge density greater than 6 meq/g can be chosen from all those already known per se as improving the cosmetic properties of hair treated with compositions, namely in particular those described in Patent Application EP-A-0 337 354 and in French Patent Applications FR-A-2 270 846, 2 383 660, 2 598 611 , 2 470 596 and 2 519 863.
- cationic polymer denotes any polymer comprising cationic groups and/or groups that can be ionized to cationic groups.
- the cationic polymers are chosen from those which comprise units comprising primary, secondary, tertiary and/or quaternary amine groups which may either be part of the main polymer chain, or be borne by a side substituent directly connected thereto.
- the cationic polymers used generally have a number-average molar mass of between approximately 500 and 5 ⁇ 10 6 , and preferably of between approximately 10 3 and 3 * 10 6 .
- cationic polymers that can be used in the compositions according to the invention, mention may in particular be made of:
- alkyldiallylamine or dialkyldiallylammonium cyclopolymers such as homopolymers or copolymers comprising, as main constituent of the chain, units corresponding to formula (I) or (II):
- Ri 2 denotes a hydrogen atom or a methyl radical
- Rio and Rn independently of one another, denote a Ci-C 6 alkyl group, a Ci-C 5 hydroxylalkyl group or a Ci-C 4 amidoalkyl group; or else Rio and Rn can denote, together with the nitrogen atom to which they are attached, a heterocyclic group such as piperidinyl or morpholinyl; R 10 and Rn, independently of one another, preferably denote a C C 4 alkyl group;
- - Y " is an anion such as bromide, chloride, acetate, borate, citrate, tartrate, bisulfate, bisulfite, sulfate or phosphate.
- the homopolymer of dimethyldiallyl- ammonium (for example chloride) salts for example sold under the name "Merquat 100" by the company Nalco.
- the polymers of family (1 ) are chosen from dialkyldiallylammonium homopolymers;
- R-13, R-14, R-15 and Ri 6 which may be identical or different, represent aliphatic, alicyclic or arylaliphatic radicals comprising from 1 to 20 carbon atoms or C1-C12 hydroxyalkylaliphatic radicals,
- R13, 14, 15 and Ri 6 together or separately, constitute, with the nitrogen atoms to which they are attached, heterocycles optionally comprising a second heteroatom other than nitrogen,
- R13, 14, 15 and Ri 6 represent a linear or branched Ci-C 6 alkyl radical substituted with a nitrile, ester, acyl, amide or -CO-O-R17-D or -CO-NH-R 17 -D group where R17 is an alkylene and D is a quaternary ammonium group;
- A-i and B-i represent linear or branched, saturated or unsaturated, polymethylene divalent groups comprising from 2 to 20 carbon atoms and possibly containing, bonded to or inserted into the main chain, one or more aromatic rings, or one or more oxygen or sulfur atoms or sulfoxide, sulfone, disulfide, amino, alkylamino, hydroxyl, quaternary ammonium, ureido, amide or ester groups, and
- A-i , R 13 and Ri 5 can form, with the two nitrogen atoms to which they are attached, a piperazine ring;
- A-i denotes a linear or branched, saturated or unsaturated alkylene or hydroxyalkylene radical
- B- ⁇ can also denote a (CH 2 )n-CO-D-OC-(CH2) p - group, with n and p, which may be identical or different, being integers ranging from 2 to 20, and D denoting:
- a glycol residue of formula -O-Z-O- where Z denotes a linear or branched hydrocarbon-based radical or a group corresponding to one of the following formulae: -(CH 2 CH 2 0) x -CH 2 CH 2 - and -[CH 2 CH(CH 3 )0] y -CH 2 CH(CH 3 )- where x and y denote an integer from 1 to 4, representing a defined and unique degree of polymerization, or any number from 1 to 4 representing an average degree of polymerization;
- a bis-secondary diamine residue such as a piperazine derivative
- X " is an anion such as chloride or bromide.
- Mn number-average molar mass
- R-i , R 2 , R 3 and R 4 which may be identical or different, denote an alkyl or hydroxyalkyi radical having from 1 to 4 carbon atoms, n and p are integers ranging from 2 to 20, and X " is an anion derived from a mineral or organic acid.
- the cationic polymer having a charge density greater than 6 meq/g is chosen from dialkyldiallylammonium homopolymers, in particular homopolymers of dimethyldiallylammonium salts, polymers constituted of repeating units corresponding to formula (IV) above, in particular hexadimethrine chloride, and mixtures thereof.
- the composition A and/or the composition B preferably the composition A, comprises at least two distinct cationic polymers having a charge density greater than 6 meq/g, preferably chosen from the polymers of families (1 ) and (2) described above, preferably at least one homopolymer of dimethyldiallylammonium salts and at least of hexadimethrine chloride.
- the cationic polymer(s) having a charge density greater than or equal to 6 meq/g can represent from 0.01 % to 15% by weight, preferably from 0.1 % to 10% by weight, and even more preferentially from 0.5% to 5% by weight, of the total weight of the composition A or B.
- composition A and/or the composition B may also comprise one or more surfactants.
- the surfactant(s) are chosen from anionic, amphoteric, zwitterionic, cationic and non-ionic surfactants, and preferentially non-ionic surfactants.
- anionic surfactant is intended to mean a surfactant comprising, as ionic or ionizable groups, only anionic groups. These anionic groups are preferably chosen from the following groups:
- the anionic parts comprising a cationic counterion such as those of an alkali metal, an alkaline- earth metal or an ammonium.
- anionic surfactants that may be used in the dye composition according to the invention, mention may be made of alkyl sulfates, alkyl ether sulfates, alkylamido ether sulfates, alkylaryl polyether sulfates, monoglyceride sulfates, alkylsulfonates, alkylamidesulfonates, alkylarylsulfonates, oolefin sulfonates, paraffin sulfonates, alkyl sulfosuccinates, alkyl ether sulfosuccinates, alkylamide sulfosuccinates, alkyl sulfoacetates, acylsarcosinates, acylglutamates, alkyl sulfosuccinamates, acylisethionates and N-acyltaurates, polyglycoside polycarboxylic acid and alkyl monoester
- C 6 -C 2 4 alkyl monoesters of polyglycoside-polycarboxylic acids may be chosen from C 6 -C 2 4 alkyl polyglycoside-citrates, C 6 -C 2 4 alkyl polyglycoside- tartrates and C 6 -C 2 4 alkyl polyglycoside-sulfosuccinates.
- anionic surfactant(s) When the anionic surfactant(s) is (are) in salt form, it (they) may be chosen from alkali metal salts such as the sodium or potassium salt and preferably the sodium salt, ammonium salts, amine salts and in particular amino alcohol salts or alkaline- earth metal salts such as the magnesium salts.
- alkali metal salts such as the sodium or potassium salt and preferably the sodium salt, ammonium salts, amine salts and in particular amino alcohol salts or alkaline- earth metal salts such as the magnesium salts.
- amino alcohol salts examples include monoethanolamine, diethanolamine and triethanolamine salts, monoisopropanolamine, diisopropanolamine or triisopropanolamine salts, 2-amino-2- methyl-1 -propanol salts, 2-amino-2-methyl-1 ,3-propanediol salts and tris(hydroxymethyl)aminomethane salts.
- Use is preferably made of alkali metal or alkaline-earth metal salts and in particular of sodium or magnesium salts.
- anionic surfactants use is preferably made of (C 6 -
- C 24 )alkyl sulfates (C 6 -C 24 )alkyl ether sulfates comprising from 2 to 50 ethylene oxide units, in particular in the form of alkali metal, ammonium, amino alcohol and alkaline- earth metal salts, or a mixture of these compounds.
- (Ci 2 -C 20 )alkyl sulfates (Ci 2 -C 20 )alkyl ether sulfates comprising from 2 to 20 ethylene oxide units, in particular in the form of alkali metal, ammonium, amino alcohol and alkaline-earth metal salts, or a mixture of these compounds.
- amphoteric or zwitterionic surfactant(s), which are preferably non-silicone, which may be used in the present invention may in particular be derivatives of optionally quaternized aliphatic secondary or tertiary amines, in which derivatives the aliphatic group is a linear or branched chain comprising from 8 to 22 carbon atoms, said amine derivatives containing at least one anionic group, for instance a carboxylate, sulfonate, sulfate, phosphate or phosphonate group.
- R a represents a C10-C30 alkyl or alkenyl group derived from an acid
- RaCOOH preferably present in hydrolysed copra oil, or a heptyl, nonyl or undecyl group;
- ⁇ R b represents a beta-hydroxyethyl group
- ⁇ R c represents a carboxymethyl group
- ⁇ M + represents a cationic counterion derived from an alkali metal or alkaline- earth metal, such as sodium, an ammonium ion or an ion derived from an organic amine, and
- ⁇ X- represents an organic or inorganic anionic counterion, such as that chosen from halides, acetates, phosphates, nitrates, (C1 -C4)alkyl sulfates, (C1 -C4)alkyl- or (C1 -C4)alkylaryl sulfonates, in particular methyl sulfate and ethyl sulfate; or alternatively M+ and X- are absent;
- ⁇ B represents the group -CH 2 -CH 2 -0-X'
- ⁇ X' represents the group -CH 2 -C(0)OH, -CH 2 -C(0)OZ', -CH 2 -CH 2 -C(0)OH, -CH 2 -CH 2 -C(0)OZ', or a hydrogen atom;
- ⁇ Y' represents the group -C(0)OH, -C(0)OZ', -CH 2 -CH(OH)-S0 3 H or the group
- ⁇ Z' represents a cationic counterion derived from an alkali metal or alkaline- earth metal, such as sodium, an ammonium ion or an ion derived from an organic amine;
- R a ' represents a Ci 0 -C 3 o alkyl or alkenyl group of an acid R a -C(0)OH , which is preferably present in coconut oil or in hydrolysed linseed oil, an alkyl group, in particular a Ci 7 group and its iso form, or an unsaturated Ci 7 group.
- ⁇ Y" represents the group -C(0)OH, -C(0)OZ", -CH 2 -CH(OH)-S0 3 H or the group -CH 2 -CH(OH)-S0 3 -Z";
- ⁇ Rd and Re independently of one another, represent a Ci-C 4 alkyl or hydroxyalkyl radical
- ⁇ Z" represents a cationic counterion derived from an alkali metal or alkaline- earth metal, such as sodium, an ammonium ion or an ion derived from an organic amine;
- Ra represents a Ci 0 -C 3 o alkyl or alkenyl group of an acid R a "-C(0)OH, which is preferably present in coconut oil or in hydrolysed linseed oil;
- ⁇ n and n' independently of one another, denote an integer ranging from 1 to 3.
- Use is preferably made, among the abovementioned amphoteric or zwitterionic surface-active agents, of (C 8 -C 2 o)alkyl betaines, such as cocoyl betaine, (C 8 - C 20 )alkylamido (C 3 -C 8 )alkyl betaines, such as cocamidopropyl betaine, and of the compounds of formula (B'2), such as the sodium salt of diethylaminopropyl laurylaminosuccinamate (INCI name: sodium diethylaminopropyl cocoaspartamide), and mixtures thereof.
- C 8 -C 2 o)alkyl betaines such as cocoyl betaine
- (C 8 - C 20 )alkylamido (C 3 -C 8 )alkyl betaines such as cocamidopropyl betaine
- B'2 such as the sodium salt of diethylaminopropyl laurylaminosuccinamate (IN
- amphoteric or zwitterionic surfactant(s) is (are) chosen from cocamidopropylbetaine, cocobetaine and the sodium salt of diethylaminopropyl laurylaminosuccinte, and mixtures thereof.
- the cationic surfactant(s) that may be used in the dye composition according to the invention comprise, for example, optionally polyoxyalkylenated primary, secondary or tertiary fatty amine salts, quaternary ammonium salts, and mixtures thereof.
- quaternary ammonium salts that may in particular be mentioned include:
- R 8 to ii which may be identical or different, represent a linear or branched aliphatic group comprising from 1 to 30 carbon atoms, or an aromatic group such as aryl or alkylaryl, it being understood that at least one of the groups R 8 to Rii comprises from 8 to 30 carbon atoms and preferably from 12 to 24 carbon atoms; and
- ⁇ X " represents an organic or inorganic anionic counterion, such as that chosen from halides, acetates, phosphates, nitrates, (CrC 4 )alkyl sulfates, (C C 4 )alkyl or (Ci-C 4 )alkylaryl sulfonates, in particular methyl sulfate and ethyl sulfate.
- the aliphatic groups of R 8 to Rn may also comprise heteroatoms in particular such as oxygen, nitrogen, sulfur and halogens.
- the aliphatic groups of R 8 to Rn are chosen, for example, from C1-C30 alkyl, d- C 3 o alkoxy, polyoxy(C 2 -C 6 )alkylene, C1-C30 alkylamide, (Ci2-C22)alkylamido(C 2 - C 6 )alkyl, (Ci 2 -C 2 2)alkyl acetate, and C1-C30 hydroxyalkyl groups;
- X " is an anionic counterion chosen from halides, phosphates, acetates, lactates, (Ci-C 4 )alkyl sulfates, and (Ci-C 4 )alkylsulfonates or (Ci-C 4 )alkylarylsulfonates.
- quaternary ammonium salts of formula (B3) preference is given firstly to tetraalkylammonium chlorides, for instance dialkyldimethylammonium or alkyltrimethylammonium chlorides in which the alkyl group contains approximately from 12 to 22 carbon atoms, in particular behenyltrimethylammonium chloride, distearyldimethylammonium chloride, cetyltrimethylammonium chloride, benzyldimethylstearylammonium chloride, or else, secondly, distearoylethylhydroxyethylmethylammonium methosulfate, dipalmitoylethylhydroxyethylammonium methosulfate or distearoylethylhydroxyethylammonium methosulfate, or else, lastly, palmitylamidopropyltrimethylammonium chloride or stearamidopropyldimethyl(myristyl acetate)ammonium chlor
- ⁇ R-I2 represents an alkenyl or alkyl group comprising from 8 to 30 carbon atoms, for example fatty acid derivatives of tallow;
- ⁇ R-I3 represents a hydrogen atom, a Ci-C 4 alkyl group or an alkenyl or alkyl group comprising from 8 to 30 carbon atoms;
- ⁇ Ri4 represents a C 1 -C4 alkyl group
- ⁇ Ri 5 represents a hydrogen atom or a C 1 -C4 alkyl group
- ⁇ X " represents an organic or inorganic anionic counterion, such as that chosen from halides, phosphates, acetates, lactates, (CrC 4 )alkyl sulfates, (CrC 4 )alkyl or (d- C 4 )alkylaryl sulfonates.
- Ri 2 and Ri 3 denote a mixture of alkenyl or alkyl groups comprising from 12 to 21 carbon atoms, for example derived from tallow fatty acids, Ri 4 denotes a methyl group and Ri 5 denotes a hydrogen atom.
- a product is sold, for example, under the name Rewoquat® W 75 by the company Rewo;
- ⁇ R-I6 denotes an alkyl group comprising approximately from 16 to 30 carbon atoms, which is optionally hydroxylated and/or interrupted with one or more oxygen atoms;
- ⁇ R-I7 is chosen from hydrogen, an alkyl group comprising from 1 to 4 carbon atoms or a group -(CH 2 )3-N + (R 16a )(R 17 a)(Ri8a), X " ; ⁇ R 16a , Ri7a, R 18a , Ri8, Ri9, R20 and R 2 i, which may be identical or different, are chosen from hydrogen and an alkyl group comprising from 1 to 4 carbon atoms; and
- ⁇ X- which may be identical or different, represents an organic-or inorganic anionic counterion, such as that chosen from halides, acetates, phosphates, nitrates, alkyl(d-C 4 ) sulfates, alkyl(Ci-C 4 )- or alkyl(Ci-C 4 )aryl-sulfonates, more particularly methyl sulfate and ethyl sulfate.
- organic-or inorganic anionic counterion such as that chosen from halides, acetates, phosphates, nitrates, alkyl(d-C 4 ) sulfates, alkyl(Ci-C 4 )- or alkyl(Ci-C 4 )aryl-sulfonates, more particularly methyl sulfate and ethyl sulfate.
- Such compounds are, for example, Finquat CT-P, sold by the company Finetex (Quaternium 89), and Finquat CT, sold by the company Finetex (Quaternium 75); -quaternary ammonium salts containing one or more ester functions, such as those of formula (B6) below:
- R 2 2 is chosen from CrC 6 alkyl groups and CrC 6 hydroxyalkyl or CrC 6 di hydroxyalkyl groups;
- ⁇ R23 is chosen from:
- ⁇ R25 is chosen from:
- Ci-C 6 hydrocarbon-based groups R 29 are - saturated or unsaturated, linear or branched Ci-C 6 hydrocarbon-based groups R 29 ,
- R2 4 , R26 and R 2 8 which may be identical or different, are chosen from linear or branched, saturated or unsaturated C7-C21 hydrocarbon-based groups;
- ⁇ y is an integer ranging from 1 to 10,
- ⁇ x and z which may be identical or different, are integers ranging from 0 to 10
- ⁇ X " represents an organic or inorganic anionic counterion
- the alkyl groups R 22 may be linear or branched, and more particularly linear.
- R 22 denotes a methyl, ethyl, hydroxyethyl or dihydroxypropyl group, and more particularly a methyl or ethyl group.
- the sum x + y + z is from 1 to 10.
- R 23 is a hydrocarbon-based group R 27 , it may be long and contain from 12 to 22 carbon atoms, or may be short and contain from 1 to 3 carbon atoms.
- R 25 is a hydrocarbon-based group R 29 , it preferably contains 1 to 3 carbon atoms.
- R 24 , R 26 and R 28 which may be identical or different, are chosen from linear or branched, saturated or unsaturated Cn-C 2 i hydrocarbon-based groups, and more particularly from linear or branched, saturated or unsaturated Cn- C 2 i alkyl and alkenyl groups.
- x and z which may be identical or different, are 0 or 1 .
- y is equal to 1.
- r, s and t which may be identical or different, have the value 2 or 3 and more particularly still are equal to 2.
- the anionic counterion X " is preferably a halide, such as chloride, bromide or iodide; a (CrC 4 )alkyl sulfate or a (CrC 4 )alkyl- or (Ci-C 4 )alkylarylsulfonate.
- a halide such as chloride, bromide or iodide
- a (CrC 4 )alkyl sulfate or a (CrC 4 )alkyl- or (Ci-C 4 )alkylarylsulfonate e.g., a halide, such as chloride, bromide or iodide
- a (CrC 4 )alkyl sulfate or a (CrC 4 )alkyl- or (Ci-C 4 )alkylarylsulfonate e.g., a halide, such as chloride, bromide or
- the anionic counterion X " is even more particularly chloride, methyl sulfate or ethyl sulfate.
- R 22 denotes a methyl or ethyl group
- - z is equal to 0 or 1
- - r, s and t are equal to 2
- - R25 is chosen from:
- R24, R26 and R 2 e which may be identical or different, are chosen from linear or branched, saturated or unsaturated C13-C17 hydrocarbon-based groups, and preferably from linear or branched, saturated or unsaturated C13-C17 alkyl and alkenyl groups.
- hydrocarbon-based radicals are linear.
- acyl groups preferably contain 14 to 18 carbon atoms and are obtained more particularly from a plant oil such as palm oil or sunflower oil. When the compound contains several acyl groups, these groups may be identical or different.
- This esterification is followed by a quaternization by means of an alkylating agent such as an alkyl halide, preferably methyl or ethyl halide, a dialkyl sulfate, preferably methyl or ethyl sulfate, methyl methanesulfonate, methyl para- toluenesulfonate, glycol chlorohydrin or glycerol chlorohydrin.
- an alkylating agent such as an alkyl halide, preferably methyl or ethyl halide, a dialkyl sulfate, preferably methyl or ethyl sulfate, methyl methanesulfonate, methyl para- toluenesulfonate, glycol chlorohydrin or glycerol chlorohydrin.
- composition according to the invention may contain, for example, a mixture of quaternary ammonium monoester, diester and triester salts with a weight majority of diester salts.
- ammonium salts containing at least one ester function that are described in patents US-A-4 874 554 and US-A-4 137 180.
- Use may be made of behenoylhydroxypropyltrimethylammonium chloride sold by KAO under the name Quatarmin BTC 131.
- the ammonium salts comprising at least one ester function comprise two ester functions.
- cationic surfactants that may be present in the dye composition according to the invention, it is more particularly preferred to choose cetyltrimethylammonium, behenyltrimethylammonium and dipalmitoylethyl- hydroxyethylmethylammonium salts, and mixtures thereof, and more particularly behenyltrimethylammonium chloride, cetyltrimethylammonium chloride, and dipalmitoylethylhydroxyethylammonium methosulfate, and mixtures thereof.
- non-ionic surfactants examples include but not limited to, in the Handbook of Surfactants by M.R. Porter, published by Blackie & Son (Glasgow and London), 1991 , pp. 1 16-178.
- They are chosen in particular from alcohols, a-diols or (d- C 2 o)alkylphenols, these compounds being etherified by groups that are ethoxylated and/or propoxylated, glycerolated, and having at least one fatty chain comprising, for example, from 8 to 18 carbon atoms, it being possible for the number of ethylene oxide and/or propylene oxide groups to range in particular from 1 to 100, more particularly from 2 to 50, even more particularly from 2 to 30, and it being possible for the number of glycerol groups to range in particular from 1 to 30.
- the non-ionic surfactants are more particularly chosen from oxyalkylenated or glycerolated non-ionic surfactants.
- the oxyalkylene units are more particularly oxyethylene or oxypropylene units, or their combination, preferably oxyethylene units. Mention may be made, as examples of oxyalkylenated or glycerolated non-ionic surfactants, of:
- esters of saturated or unsaturated, linear or branched, C 8 -C 3 o acids and of polyethylene glycols • esters of saturated or unsaturated, linear or branched, C 8 -C 3 o acids and of polyethylene glycols;
- the oxyalkylenated non-ionic surfactants preferably have a number of moles of ethylene oxide and/or of propylene oxide ranging from 1 to 100, preferably from 2 to 50 and preferably between 2 and 30.
- the non-ionic surfactants do not comprise any oxypropylene units.
- the oxyalkylenated non-ionic surfactants are chosen from oxyalkylenated, saturated or unsaturated, linear or branched, C 8 -C 30 amides, oxyethylenated C 8 -C 30 alcohols comprising from 1 to 100 mol of ethylene oxide, preferably from 2 to 50, more particularly from 2 to 35 mol of ethylene oxide; and oxyethylenated esters of saturated or unsaturated, linear or branched C 8 -C 30 acids and of sorbitol comprising from 1 to 100 mol of ethylene oxide, and mixtures thereof.
- -p denotes 0 or 1
- -n denotes a number ranging from 1 to 10 and preferably from 1 to 6,
- -n' denotes a number ranging from 1 to 100 and preferably from 1 to 60
- -R' denotes a hydrogen atom or a CH 2 CH 2 OH radical and preferably a hydrogen atom
- -R denotes a Ci 0 -C 30 and preferably Ci 2 -C 22 alkyl or alkenyl radical.
- Amidet A15 provided by the company Kao (INCI name: Trideceth 2-carboxamide MEA), Ethomid HP 60 provided by the company Akzo Nobel (INCI name: PEG-50 Hydrogenated Palmamide) and Amidet N provided by the company Kao (INCI name PEG-4 Rapeseedamide).
- the non-ionic oxyethylenated amide surfactant is the oxyethylenated rapeseed acid amide comprising 4 oxyethylene units.
- glycerolated non-ionic surfactants glycerolated C 8 -C 40 alcohols are preferably used.
- lauryl alcohol containing 4 mol of glycerol (INCI name: Polyglyceryl-4 Lauryl Ether), lauryl alcohol comprising 1.5 mol of glycerol, oleyl alcohol comprising 4 mol of glycerol (INCI name: Polyglyceryl-4 Oleyl Ether), oleyl alcohol comprising 2 mol of glycerol (INCI name: Polyglyceryl-2 Oleyl Ether), cetearyl alcohol containing 2 mol of glycerol, cetearyl alcohol containing 6 mol of glycerol, oleyl/cetyl alcohol containing 6 mol of glycerol, and octadecanol containing 6 mol of glycerol.
- glycerolated alcohols it is more particularly preferred to use the C 8 /Cio alcohol containing 1 mol of glycerol, the C10/C12 alcohol containing 1 mol of glycerol and the C12 alcohol containing 1.5 mol of glycerol.
- the surfactant(s) is (are) chosen from non-ionic, anionic or amphoteric surfactants. More particularly, the surfactant(s) that may be present in the composition(s) of the device is (are) chosen from non-ionic and anionic surfactants, and mixtures thereof.
- the amount of the surfactant(s), when it (they) is (are) present varies preferably from 0.1 % to 35% by weight, even better still from 0.5% to 30% by weight, better still from 1 % to 25% by weight relative to the weight of the composition A and/or B.
- the composition A and/or the composition B comprise(s) at least one surfactant, preferably chosen from non-ionic surfactants, preferablyoxyalkylenated non-ionic surfactants, more preferably chosen from oxyethylenated C 8 -C 30 alcohols comprising from 1 to 100 mol of ethylene oxide, preferably from 2 to 50, or particular from 2 to 35 mol of ethylene oxide.
- at least one surfactant preferably chosen from non-ionic surfactants, preferablyoxyalkylenated non-ionic surfactants, more preferably chosen from oxyethylenated C 8 -C 30 alcohols comprising from 1 to 100 mol of ethylene oxide, preferably from 2 to 50, or particular from 2 to 35 mol of ethylene oxide.
- the composition A and/or the composition B comprise(s) at least one oxyalkylenated non-ionic surfactant, preferably chosen from oxyethylenated C 8 -C 30 alcohols, comprising from 1 to 10 mol of ethylene oxide, preferably from 2 to 5 mol of ethylene oxide and at least one oxyalkylenated non-ionic surfactants, preferably chosen from oxyethylenated C 8 -C 30 alcohols comprising from 1 1 to 100 mol of ethylene oxide, preferably from 15 to 35 mol of ethylene oxide.
- the composition A comprises at least one non- ionic surfactant chosen from oxyethylenated amides, preferably chosen from those of formula (l)bis described above.
- the total content of surfactants in the mixture of the compositions A and B is at least 7% by weight, preferably at least 10% by weight, relative to the total weight of the mixture of the compositions A and B.
- the composition A comprises at least one anionic surfactant, preferably chosen from those mentioned above, in particular (C 6 - C 2 4)alkyl sulfates.
- the composition A comprised at least one surfactant, the total content of surfactants in the composition A being at least 10%, preferably at least 15%, but still at least 20% by weight, relative to the total weight of the composition.
- composition A and/or the composition B may comprise one or more fatty substances.
- fatty substance is intended to mean an organic compound that is insoluble in water at ordinary temperature (25°C) and at atmospheric pressure (760 mmHg) (solubility of less than 5%, preferably less than 1 % and even more preferentially less than 0.1 %). They bear in their structure at least one hydrocarbon- based chain comprising at least 6 carbon atoms or a sequence of at least two siloxane groups.
- the fatty substances are generally soluble in organic solvents under the same temperature and pressure conditions, for instance chloroform, dichloromethane, carbon tetrachloride, ethanol, benzene, toluene, tetrahydrofuran (THF), liquid petroleum jelly or decamethylcyclopentasiloxane.
- the fatty substances of the invention do not contain any salified carboxylic acid groups.
- the fatty substances of the invention are not (poly)oxyalkylenated or (poly)glycerolated ethers.
- oil is intended to mean a fatty substance that is liquid at ambient temperature (25°C) and at atmospheric pressure (760 mmHg).
- non-silicone oil is intended to mean an oil not containing any silicon atoms (Si) and the term “silicone oil” is intended to mean an oil containing at least one silicon atom.
- the fatty substances are chosen from C 6 -Ci 6 hydrocarbons, hydrocarbons containing more than 16 carbon atoms, non-silicone oils of animal origin, plant oils of triglyceride type, synthetic triglycerides, fluoro oils, fatty alcohols, esters of fatty acids and/or of fatty alcohols other than triglycerides, and plant waxes, non-silicone waxes and silicones, and mixtures thereof.
- the fatty alcohols, esters and acids more particularly contain at least one saturated or unsaturated, linear or branched hydrocarbon-based group, comprising 6 to 30 and better still from 8 to 30 carbon atoms, which is optionally substituted, in particular, with one or more hydroxyl groups (in particular 1 to 4). If they are unsaturated, these compounds may comprise one to three conjugated or unconjugated carbon-carbon double bonds.
- C 6 -Ci 6 hydrocarbons they are linear, branched or optionally cyclic, and are preferably alkanes. Examples that may be mentioned include hexane, dodecane and isoparaffins such as isohexadecane and isodecane.
- a hydrocarbon-based oil of animal origin that may be mentioned is perhydrosqualene.
- the triglyceride oils of plant or synthetic origin are preferably chosen from liquid fatty acid triglycerides comprising from 6 to 30 carbon atoms, for instance heptanoic or octanoic acid triglycerides, or alternatively, for example, sunflower oil, corn oil, soybean oil, marrow oil, grapeseed oil, sesame seed oil, hazelnut oil, apricot oil, macadamia oil, arara oil, castor oil, avocado oil, caprylic/capric acid triglycerides, for instance those sold by the company Stearineries Dubois or those sold under the names Miglyol® 810, 812 and 818 by the company Dynamit Nobel, jojoba oil and shea butter oil.
- liquid fatty acid triglycerides comprising from 6 to 30 carbon atoms
- heptanoic or octanoic acid triglycerides or alternatively, for example, sunflower oil, corn oil, soybean oil, m
- the linear or branched hydrocarbons of mineral or synthetic origin containing more than 16 carbon atoms are preferably chosen from liquid paraffins, petroleum jelly, liquid petroleum jelly, polydecenes and hydrogenated polyisobutene such as Parleam®.
- C 6 -Ci 6 alkanes they are linear or branched, and possibly cyclic. Examples that may be mentioned include hexane, dodecane and isoparaffins such as isohexadecane and isodecane.
- oils of animal, vegetable, mineral or synthetic origin that may be used in the composition of the invention, examples that may be mentioned include:
- fluoro oils that may be chosen from perfluoromethylcyclopentane and perfluoro-1 ,3- dimethylcyclohexane, sold under the names Flutec® PC1 and Flutec® PC3 by the company BNFL Fluorochemicals; perfluoro-1 ,2-dimethylcyclobutane; perfluoroalkanes such as dodecafluoropentane and tetradecafluorohexane, sold under the names PF 5050® and PF 5060® by the company 3M, or alternatively bromoperfluorooctyl sold under the name Foralkyl® by the company Atochem; nonafluoromethoxybutane and nonafluoroethoxyisobutane; perfluoromorpholine derivatives such as 4-trifluoromethyl perfluoromorpholine sold under the name PF
- the fatty alcohols that are suitable for use in the invention are more particularly chosen from linear or branched, saturated or unsaturated alcohols comprising from 6 to 30 carbon atoms and preferably from 8 to 30 carbon atoms. Mention may be made, for example, of cetyl alcohol, stearyl alcohol and a mixture thereof (cetearyl alcohol), octyldodecanol, 2-butyloctanol, 2-hexyldecanol, 2-undecylpentadecanol, oleyl alcohol or linoleyl alcohol.
- esters of a fatty acid and/or of fatty alcohols which are advantageously different from the triglycerides mentioned previously, mention may be made in particular of esters of saturated or unsaturated, linear or branched Ci-C 2 6 aliphatic monoacids or polyacids and of saturated or unsaturated, linear or branched Ci-C 2 6 aliphatic monoalcohols or polyalcohols, the total carbon number of the esters being greater than or equal to 6 and more advantageously greater than or equal to 10.
- dihydroabietyl behenate octyldodecyl behenate; isocetyl behenate; cetyl lactate; C12-C15 alkyl lactate; isostearyl lactate; lauryl lactate; linoleyl lactate; oleyl lactate; (iso)stearyl octanoate; isocetyl octanoate; octyl octanoate; cetyl octanoate; decyl oleate; isocetyl isostearate; isocetyl laurate; isocetyl stearate; isodecyl octanoate; isodecyl oleate; isononyl isononanoate; isostearyl palmitate; methyl acetyl ricinoleate; myristyl stearate;
- esters of C4-C22 dicarboxylic or tricarboxylic acids and of C1-C22 alcohols and esters of mono-, di- or tricarboxylic acids and of C 2 -C 2 6 di-, tri-, tetra- or pentahydroxy alcohols may also be used.
- esters mentioned above it is preferred to use ethyl, isopropyl, myristyl, cetyl or stearyl palmitates, 2-ethylhexyl palmitate, 2-octyldecyl palmitate, alkyl myristates such as isopropyl, butyl, cetyl or 2-octyldodecyl myristate, hexyl stearate, butyl stearate, isobutyl stearate; dioctyl malate, hexyl laurate, 2-hexyldecyl laurate, isononyl isononanoate or cetyl octanoate.
- alkyl myristates such as isopropyl, butyl, cetyl or 2-octyldodecyl myristate, hexyl stearate, butyl stearate, isobutyl stea
- composition may also comprise, as fatty ester, sugar esters and diesters of C 6 -C 3 o and preferably C12-C22 fatty acids.
- sugar esters and diesters of C 6 -C 3 o and preferably C12-C22 fatty acids.
- sugar esters are intended to mean oxygen-bearing hydrocarbon-based compounds bearing several alcohol functions, with or without aldehyde or ketone functions, and which comprise at least 4 carbon atoms.
- sugars may be monosaccharides, oligosaccharides or polysaccharides.
- sucrose or saccharose
- glucose or galactose
- ribose or fucose
- maltose fructose
- mannose mannose
- arabinose xylose
- lactose and derivatives thereof, in particular alkyl derivatives, such as methyl derivatives, for instance methylglucose.
- the sugar esters of fatty acids may be chosen in particular from the group comprising the esters or mixtures of esters of sugars described previously and of linear or branched, saturated or unsaturated C 6 -C 3 o and preferably C12-C22 fatty acids. If they are unsaturated, these compounds may comprise one to three conjugated or unconjugated carbon-carbon double bonds.
- esters according to this variant may also be chosen from mono-, di-, tri- and tetraesters, polyesters, and mixtures thereof.
- esters may be chosen, for example, from oleates, laurates, palmitates, myristates, behenates, cocoates, stearates, linoleates, linolenates, caprates and arachidonates, or mixtures thereof such as, in particular, oleopalmitate, oleostearate and palmitostearate mixed esters.
- monoesters and diesters and in particular sucrose, glucose or methylglucose monooleate or dioleate, stearate, behenate, oleopalmitate, linoleate, linolenate or oleostearate.
- esters or mixtures of esters of sugar and of fatty acid examples include:
- Ryoto Sugar Esters for example referenced B370 and corresponding to sucrose behenate formed from 20% monoester and 80% diester-triester-polyester;
- sucrose mono-dipalmito-stearate sold by the company Goldschmidt under the name Tegosoft® PSE.
- the fatty substances are chosen from compounds that are liquid or pasty at ambient temperature (25°C) and at atmospheric pressure.
- the fatty substance is a compound that is liquid at a temperature of 25°C and at atmospheric pressure.
- the fatty substance is a compound that is non-liquid at a temperature of 25°C and at atmospheric pressure, and is preferably solid.
- the fatty substances are advantageously chosen from C 6 -Ci 6 alkanes, non- silicone oils of vegetable, mineral or synthetic origin, fatty alcohols, esters of a fatty acid and/or of a fatty alcohol, and silicone or non-silicone waxes, or mixtures thereof.
- the fatty substances chosen from liquid petroleum jelly, C 6 -Ci 6 alkanes, fatty alcohols, or mixtures thereof.
- composition A or B according to the invention may comprise from 0.1 % to 40% by weight of fatty substance relative to its total weight, preferably from 0.5% to 30%, better still from 1 % to 20%, even better still from 1 % to 10%.
- the composition A comprises less than 10% by weight, preferably less than 7%, advantageously less than 5% by weight of fatty substance, better still less than 1 % by weight, better still less than 0.5% by weight, relative to its total weight.
- the composition A may be free of fatty substances.
- the composition B comprises at least one fatty substance preferably chosen from C 6 -Ci 6 alkanes, non-silicone oils of vegetable, mineral or synthetic origin, fatty alcohols, esters of fatty acid and/or of fatty alcohol or mixtures thereof, preferably chosen from non-silicone oils of mineral or synthetic origin and fatty alcohols, and mixtures thereof.
- the composition B comprises at least one mineral oil and at least one fatty alcohol.
- the content of fatty substances in the composition B can range from 0.1 % to 20%, preferably from 0.5% to 10% and better still from 1 % to 6% by weight relative to the total weight of the composition.
- composition A and/or the composition B may also contain various adjuvants conventionally used in hair dyeing or lightening compositions, such as cationic polymers distinct from the cationic polymers having a cationic charge density of greater than 6 meq/g, or anionic, amphoteric or non-ionic polymers, or mixtures thereof, said polymers being associative or non-associative; antioxidants; penetrants; sequestrants; fragrances; dispersants; film-forming agents; ceramides; preserving agents; opacifiers.
- cationic polymers distinct from the cationic polymers having a cationic charge density of greater than 6 meq/g
- anionic, amphoteric or non-ionic polymers or mixtures thereof, said polymers being associative or non-associative; antioxidants; penetrants; sequestrants; fragrances; dispersants; film-forming agents; ceramides; preserving agents; opacifiers.
- compositions A and B preferably the composition A, comprises at least one associative thickening polymer, preferably chosen from associative cellulose derivatives, which are preferably non-ionic, in particular hydroxyethylcelluloses modified with groups comprising at least one hydrophobic chain, such as alkyl, arylalkyl or alkylaryl groups, or mixtures thereof, and in which the alkyl groups are preferably C 8 -C 2 2 alkyl groups.
- composition A and/or B according to the invention may comprise water and/or one or more organic solvents.
- organic solvents examples include linear or branched and preferably saturated monoalcohols or diols, comprising 2 to 10 carbon atoms, such as ethyl alcohol, isopropyl alcohol, hexylene glycol (2-methyl-2,4-pentanediol), neopentyl glycol and 3-methyl-1 ,5-pentanediol, butylene glycol, dipropylene glycol and propylene glycol; aromatic alcohols such as benzyl alcohol or phenylethyl alcohol; polyols containing more than two hydroxyl functions, such as glycerol; polyol ethers, for instance ethylene glycol monomethyl, monoethyl or monobutyl ether, propylene glycol or ethers thereof, for instance propylene glycol monomethyl ether; and also diethylene glycol alkyl ethers, in particular Ci-C 4 alkyl ethers, for instance diethylene glycol monoethyl
- the organic solvents when they are present, generally represent between 1 % and 40% by weight relative to the total weight of the dye composition, and preferably between 5% and 30% by weight relative to the total weight of the dye composition.
- the composition A and the composition B are aqueous.
- the pH of the composition A if it is aqueous, is generally between 3 and 12, preferably between 5 and 1 1 . It is preferentially between 7 and 1 1 , limits included.
- the oxidizing composition B also preferably comprises one or more acidifying agents.
- acidifying agents that may be mentioned, for example, are mineral or organic acids, for instance hydrochloric acid, orthophosphoric acid or sulfuric acid, carboxylic acids, for instance acetic acid, tartaric acid, citric acid and lactic acid, and sulfonic acids.
- the pH of the oxidizing composition when it is aqueous, is less than 7.
- the compositions A and B may each have a viscosity, measured at 25°C and atmospheric pressure, ranging from 1000 to 60 000 mPa.s, preferably from 5000 to 40 000 mPa.s.
- composition A may have a viscosity ranging from 10 000 to 40 000 mPa.s.
- composition B may have a viscosity ranging from 5000 to 15 000 mPa.s.
- the viscosity of the compositions may be measured at 25°C using a Brookfield LVT viscometer equipped with an M4 spindle rotating at a speed of 12 rpm.
- the measurement is taken after 1 minute.
- compositions A and B may be in the form of a gel or cream.
- compositions A and B of the device according to the invention are such that:
- composition A comprises:
- At least one alkaline agent preferably chosen from aqueous ammonia, alkanolamines, preferably monoethanolamine, and mixtures thereof,
- At least one dyeing agent preferably chosen from oxidation dye precursors, at least one cationic polymer having a cationic charge density of greater than or equal to 6 meq/g, preferably chosen from the polymers of families (1 ) and (2) described above, and in particular homopolymers of dimethyldiallylammonium salts, hexadimethrine chloride and mixtures thereof,
- At least one anionic surfactant preferably chosen from (Ci 2 -C 2 o)alkyl sulfates as described above,
- composition B comprises:
- At least one oxidizing agent preferably hydrogen peroxide
- At least one fatty substance as described above preferably chosen from non-silicone oils of mineral or synthetic origin, fatty alcohols and mixtures thereof,
- composition A and/or the composition B comprise(s) at least one non-ionic surfactant as described above, preferably chosen from oxyethylenated C 8 -C 3 o alcohols comprising from 1 to 100 mol of ethylene oxide, preferably from 2 to 50, more particularly from 2 to 35 mol of ethylene oxide.
- the total content of surfactants in the mixture of the compositions A and B is at least 7% by weight, preferably at least 10% by weight, relative to the total weight of the mixture of the compositions A and B.
- the dispensing device according to the invention is constituted of a container comprising:
- the compartment a comprising a composition A comprising at least one alkaline agent and optionally at least one dyeing agent,
- the compartment b comprising an oxidizing composition B comprising at least one chemical oxidizing agent
- compositions A and B of the two compartments comprising at least one cationic polymer having a cationic charge density of greater than or equal to 6 meq/g;
- a dispensing means equipped with at least one dispensing orifice, in communication with the compartments a and b, making it possible to simultaneously deliver the compositions A and B.
- the container of the device is pressurized (aerosol device).
- it comprises one or more propellant gases.
- propellant gas suitable for implementing the invention, mention may be made of the gases normally used in the cosmetics field, in particular optionally halogenated volatile hydrocarbons, for example n-butane, propane, isobutane, pentane, and halogenated derivatives thereof; carbon dioxide, nitrous oxide, dimethyl ether, nitrogen and oxygen, alone or as mixtures.
- gases normally used in the cosmetics field in particular optionally halogenated volatile hydrocarbons, for example n-butane, propane, isobutane, pentane, and halogenated derivatives thereof; carbon dioxide, nitrous oxide, dimethyl ether, nitrogen and oxygen, alone or as mixtures.
- the walls of the container containing the compartments a and b are preferably rigid, the container possibly being in this case a can, for example made of metal or plastic.
- the compartments a and b are flexible pouches. They may be made of metal, such as aluminium, or plastic.
- the propellant gas is in the volume defined between the walls of the container and the flexible pouches.
- the device comprises a dispensing means equipped with at least one dispensing orifice, in communication with the compartments a and b, making it possible to simultaneously deliver the compositions A and B, in separate form (side by side for example) or in mixture form, preferably in separate form, by means of at least one dispensing orifice.
- the means for delivering the compositions comprise at least one dispensing valve.
- each compartment is surmounted by a valve.
- the compartments are surmounted by a single valve connecting them.
- the valve(s) is (are) in selective fluidic communication with the inside of the compartment(s) via a valve inlet orifice, the communication being established in response to the activating of an activating means, such as a push-button.
- the dispensing means of the device may comprise a diffuser which caps the valve(s).
- the device comprises a single diffuser which caps the two valves.
- the push-button may be part of the diffuser.
- the diffuser may be equipped with one or more dispensing pipes provided to convey the composition(s) up to one or more dispensing orifices.
- the device When the device comprises a single diffuser, it may be equipped with two composition conveying pipes, each pipe communicating with the outlet orifice of a valve.
- the two pipes each open into a dispensing orifice (not communicating with one another before the dispensing orifice). According to this configuration, the mixing of the compositions is carried out only after dispensing of the latter (thus after the dispensing orifices).
- the two pipes open into a mixing chamber equipped with a static mixer, from which a single pipe is directed to a single dispensing orifice.
- a static mixer from which a single pipe is directed to a single dispensing orifice.
- compositions A and B can be delivered in mixture form prior to the application to the keratin fibres, or can be delivered simultaneously in separate form, the mixing taking place after application to the keratin fibres (when the compositions leave simultaneously side by side).
- the compartments a and b are flexible pouches, a dispensing valve surmounting each of the compartments, a single diffuser capping the two valves.
- dispensing valve(s), like the content of propellant gas(es), are adjusted so as to enable the dispensing of the compositions in appropriate respective proportions.
- the dispensed composition A/composition B weight ratio ranges from 0.25 to 4 and preferably from 0.5 to 2.
- this ratio is 1.
- a subject of the invention is also a kit comprising:
- composition C comprising at least one conditioning agent chosen from silicones, cationic polymers and amphoteric polymers, and mixtures thereof.
- the cationic polymers may be chosen from the cationic polymers described above, in particular the polymers of families (1 ) and (2) as described above.
- the silicones that may be used in the compositions of the present invention are in particular polyorganosiloxanes, which may be oils, waxes, resins or gums.
- the silicones that may be used in the compositions of the present invention may be in the form of aqueous solutions, i.e. dissolved, or optionally in the form of dispersions or microdispersions, or of aqueous emulsions. Silicones are defined in greater detail in Walter Noll's Chemistry and Technology of Silicones (1968), Academic Press.
- the silicones may be volatile or non-volatile.
- the silicones are more particularly chosen from those having a boiling point of between 60°C and 260°C, and more particularly still from:
- cyclic silicones comprising from 3 to 7 and preferably 4 to 5 silicon atoms.
- silicones are non-volatile, use is preferably made of polyalkylsiloxanes, polyarylsiloxanes, polyalkylarylsiloxanes, silicone gums and resins, and polyorganosiloxanes modified with organofunctional groups, and mixtures thereof.
- These silicones are more particularly chosen from polydialkylsiloxanes, among which mention may be made mainly of polydimethylsiloxanes containing trimethylsilyl end groups (Dimethicone according to the CTFA name) for example having a viscosity of from 5x10 "6 to 2.5 m 2 /s at 25°C and preferably 1 x10 "5 to 1 m 2 /s. The viscosity of the silicones is measured, for example, at 25°C according to standard ASTM 445 Appendix C.
- oils of the 200 series from the company Dow Corning such as, more particularly, DC200 with a viscosity of 60 000 cSt,
- polydialkylsiloxanes and in particular polydimethylsiloxanes containing dimethylsilanol end groups such as the oils of the 48 series from the company Rhodia.
- the polyalkylarylsiloxanes are particularly chosen from linear and/or branched polydimethylmethylphenylsiloxanes and polydimethyldiphenylsiloxanes with a viscosity of from 1 ⁇ 10 "5 to 5x 10 2 m 2 /s at 25°C.
- silicones of the PN and PH series from the company Bayer such as the products PN1000 and PH1000
- certain oils of the SF series from the company General Electric such as SF 1023, SF 1 154, SF 1250 and SF 1265.
- the silicone gums that may be present in the composition according to the invention are in particular polydiorganosiloxanes having high number-average molecular weights of between 200 000 and 1 000 000, used alone or as a mixture in a solvent.
- This solvent may be chosen from volatile silicones, polydimethylsiloxane (PDMS) oils, polyphenylmethylsiloxane (PPMS) oils, isoparaffins, polyisobutylenes, methylene chloride, pentane, dodecane and tridecane, or mixtures thereof.
- a polydimethylsiloxane gum with a cyclic silicone such as the product SF 1214 Silicone Fluid from the company General Electric, this product being an SF 30 gum corresponding to a dimethicone, having a number- average molecular weight of 500 000, dissolved in the oil SF 1202 Silicone Fluid corresponding to decamethylcyclopentasiloxane,
- the product SF 1236 is a mixture of a gum SE 30 defined above, with a viscosity of 20 m 2 /s and of an oil SF 96 with a viscosity of 5x10 "6 m 2 /s. This product preferably comprises 15% of gum SE 30 and 85% of an oil SF 96.
- the organopolysiloxane resins that may be present in the composition according to the invention are crosslinked siloxane systems containing the following units: R2S1O2/2, 3S1O1/2, RS1O3/2 and S1O4/2 in which R represents a hydrocarbon group containing 1 to 16 carbon atoms or a phenyl group.
- R represents a hydrocarbon group containing 1 to 16 carbon atoms or a phenyl group.
- R denotes a C1-C4 alkyl group, more particularly methyl, or a phenyl group.
- organomodified silicones that may be present in the composition according to the invention are silicones as defined above and comprising in their structure one or more organofunctional groups attached via a hydrocarbon-based group.
- organomodified silicones mention may be made of polyorganosiloxanes comprising:
- C 6 -C 2 4 alkyl groups such as the products known as dimethicone copolyol sold by the company Dow Corning under the name DC 1248 or the oils Silwet L 722, L 7500, L 77 and L 71 1 by the company Union Carbide, and the (Ci 2 )alkylmethicone copolyol sold by the company Dow Corning under the name Q2 5200,
- organomodified silicones mention may also be made of amino silicones.
- amino silicone is intended to mean any silicone comprising at least one primary, secondary or tertiary amine function or a quaternary ammonium group.
- amino silicones that may be used in the cosmetic composition according to the present invention are chosen from:
- T is a hydrogen atom or a phenyl or hydroxyl (-OH), or CrC 8 alkyl, and preferably methyl, or
- Ci-C 8 alkoxy preferably methoxy group
- a denotes the number 0 or an integer from 1 to 3, and preferably 0,
- b denotes 0 or 1 , and in particular 1 ,
- n and n are numbers such that the sum (n + m) can range in particular from 1 to 2000 and in particular from 50 to 150, it being possible for n to denote a number from 0 to 1999 and in particular from 49 to 149, and for m to denote a number from 1 to 2000 and in particular from 1 to 10,
- R 1 is a monovalent group of formula -C q H 2q L in which q is a number from 2 to 8 and L is an optionally quaternized amino group chosen from the following groups:
- R 2 may denote a hydrogen atom, a phenyl, benzyl or saturated monovalent hydrocarbon-based group, for example a Ci-C 20 alkyl group
- Q " represents a halide ion, for example fluoride, chloride, bromide or iodide.
- amino silicones corresponding to the definition of formula (V) are chosen from the compounds corresponding to formula (VI) below:
- R, R' and R which may be identical or different, denote a C1-C4 alkyl group, preferably CH 3 ; a C1-C4 alkoxy group, preferably methoxy; or OH;
- A represents a linear or branched, C 3 -C 8 and preferably C 3 -C 6 alkylene group;
- m and n are integers dependent on the molecular weight and the sum of which is between 1 and 2000.
- R, R' and R which may be identical or different, each represent a C1-C4 alkyl group or hydroxyl
- A represents a C 3 alkylene group
- m and n are such that the weight-average molecular weight of the compound is between approximately 5000 and 500 000.
- the compounds of this type are named "amodimethicone" in the CTFA dictionary.
- R, R' and R" which may be identical or different, each represent a C1-C4 alkoxy group or hydroxyl, at least one of the groups R and R" is an alkoxy group and A represents a C 3 alkylene group.
- the hydroxyl/alkoxy mole ratio is preferably between 0.2/1 and 0.4/1 and advantageously equal to 0.3/1.
- m and n are such that the weight-average molecular weight of the compound is between 2000 and 10 6 . More particularly, n is between 0 and 999 and m is between 1 and 1000, the sum of n and m being between 1 and 1000.
- R and R which are different, each represent a
- n is such that the weight-average molecular weight of the compound is between 2000 and 200 000. More particularly, n is between 0 and 999 and m is between 1 and 1000, the sum of n and m being between 1 and 1000.
- the molecular weight of these silicones is determined by gel permeation chromatography (ambient temperature, polystyrene standard, ⁇ styragem columns, eluent THF, flow rate of 1 mm/minute, 200 ⁇ of a solution containing 0.5% by weight of silicone in THF are injected, and detection is performed by refractometry and UV-metry).
- a product corresponding to the definition of formula (V) is in particular the polymer known in the CTFA dictionary as Trimethylsilyl Amodimethicone, corresponding to formula (VII) below:
- a compound of formula (VII) is sold, for example, under the name Q2-8220 by the company OSI.
- R 3 represents a monovalent C Ci 8 hydrocarbon-based group, and in particular a C1-C18 alkyl or C 2 -Ci 8 alkenyl group, for example methyl,
- R 4 represents a divalent hydrocarbon-based group, in particular a Ci-Ci 8 alkylene group or a divalent Ci-Ci 8 , for example Ci-C 8 , alkyleneoxy group,
- Q " is a halide ion, in particular chloride
- r represents a mean statistical value from 2 to 20 and in particular from 2 to 8
- s represents a mean statistical value from 20 to 200 and in particular from 20 to
- a compound falling within this class is the product sold by the company Union Carbide under the name Ucar Silicone ALE 56.
- R 6 which may be identical or different, represent a monovalent hydrocarbon- based group having from 1 to 18 carbon atoms, and in particular a C Ci 8 alkyl group, a C 2 -Cis alkenyl group or a ring comprising 5 or 6 carbon atoms, for example methyl,
- R 5 represents a divalent hydrocarbon-based group, in particular a Ci-Ci 8 alkylene group or a divalent Ci-Ci 8 , for example Ci-C 8 alkyleneoxy group linked to the Si by an Si-C bond,
- R 7 which may be identical or different, each represent a hydrogen atom, a monovalent hydrocarbon-based group containing from 1 to 18 carbon atoms, and in particular a Ci-Ci 8 alkyl group, a C 2 -Ci 8 alkenyl group or an -R 5 -N HCOR 6 group;
- X " is an anion, such as a halide ion, in particular chloride, or an organic acid salt (acetate, etc.),
- r represents a mean statistical value from 2 to 200 and in particular from 5 to
- R 8 , R 9 , R 10 and R 11 which may be identical or different, each denote a Ci-C 4 alkyl group or a phenyl group,
- R 12 denotes a C C 4 alkyl group or a hydroxyl group
- - n is an integer ranging from 1 to 5
- - m is an integer ranging from 1 to 5
- - x is chosen such that the amine number is between 0.01 and 1 meq/g.
- one particularly advantageous embodiment involves their joint use with cationic and/or non-ionic surfactants.
- Cationic Emulsion DC939 by Dow Corning, which comprises, aside from amodimethicone, a cationic surfactant, namely trimethylcetylammonium chloride and a non-ionic surfactant of formula Ci 3 H 27 -(OC 2 H 4 ) 12 -OH, known under the CTFA name Trideceth-12.
- Another commercial product that may be used according to the invention is the product sold under the name Dow Corning Q2 7224 by the company Dow Corning, comprising, in combination, trimethylsilyl amodimethicone of formula (X) described above, non-ionic surfactant of formula C 8 H 17 -C 6 H 4 -(OCH 2 CH 2 ) 4 o-OH, known under the CTFA name Octoxynol-40, a second non-ionic surfactant of formula Ci 2 H 2 5-(OCH 2 - CH 2 )6-OH, known under the CTFA name lsolaureth-6, and propylene glycol.
- the silicones of the invention may also be silicones grafted with anionic groups, such as the compounds VS 80 or VS 70 sold by the company 3M.
- silicones can also be used in the form of emulsions, nanoemulsions or microemulsions.
- the particularly preferred silicones in accordance with the invention are:
- non-volatile silicones chosen from the family of polydialkylsiloxanes with trimethylsilyl end groups, such as oils having a viscosity of between 0.2 and 2.5 m 2 /s at 25°C, for instance the oils of the DC200 series from Dow Corning, in particular the one with a viscosity of 60 000 cSt, or of the Silbione 70047 and 47 series, and more particularly the oil 70 047 V 500 000 sold by the company Rhodia Chimie, and polydialkylsiloxanes with dimethylsilanol end groups, such as dimethiconols, or polyalkylarylsiloxanes, for instance the oil Silbione 70641 V 200 sold by the company Rhodia Chimie;
- polysiloxanes bearing amine groups such as amodimethicones, trimethylsilyl amodimethicones and polysiloxanes bearing quaternary ammonium groups.
- the silicones that are even more particularly preferred in accordance with the invention are polysiloxanes bearing amine groups.
- the viscosities of the silicones may in particular be determined by the standard
- the conditioning agent(s) may represent from 0.01 % to 10% by weight, preferably from 0.1 % to 5% by weight, more particularly from 0.3% to 5% by weight, and more particularly from 0.3% to 3% by weight, relative to the total weight of the composition C.
- the invention also relates to a process for lightening and/or dyeing human keratin fibres, in which the following are applied to said fibres:
- composition A comprising at least one alkaline agent and optionally at least one dyeing agent
- composition B comprising at least one chemical oxidizing agent
- compositions A and B comprising at least one cationic polymer having a cationic charge density of greater than or equal to 6 meq/g
- compositions A and B being packaged in a device constituted of a container, which is preferably pressurized, comprising at least two compartments a and b separate from one another, the compartment a comprising the composition A and the compartment b comprising the composition B, the device comprising a dispensing means equipped with at least one dispensing orifice, in communication with the compartments a and b, making it possible to deliver the compositions A and B simultaneously.
- compositions A and B can be carried out just before the application to the keratin fibres or directly on the keratin fibres, for example during a simultaneous application of the compositions A and B to the hair.
- a composition obtained by extemporaneous mixing, at the time of use, of the composition A and of composition B is applied to the keratin fibres.
- compositions A and B are applied simultaneously to the keratin fibres, without prior mixing, and then mixed directly on the keratin fibres, for example by massaging.
- compositions A and B are applied simultaneously to the keratin fibres, the mixing of the compositions being carried out just before discharge thereof from the device.
- compositions may be applied to wet or dry keratin fibres.
- composition resulting from the mixing is usually left in place on the fibres for a period generally from 1 minute to 1 hour, preferably from 5 minutes to 30 minutes.
- the temperature during the treatment process is conventionally between ambient temperature (between 15 and 25°C) and 80°C and preferably between ambient temperature and 60°C.
- the human keratin fibres are advantageously rinsed with water. They may optionally be washed with a shampoo, followed by rinsing with water, before being dried or left to dry.
- a composition C as defined above comprising at least one conditioning agent chosen from silicones, cationic polymers and amphoteric polymers, and mixtures thereof, is applied to the keratin fibres after removal of the mixture of the compositions A and B, preferably by rinsing, and optional shampooing followed by rinsing that may occur before the application of the composition C.
- the application of the composition C may optionally be followed by rinsing, the keratin fibres then being dried or left to dry.
- compositions are prepared (the amounts are expressed in g% of active material):
- Composition A A:
- Trideceth-2 carboxamide MEA (Amidet A15/LAO 55 from 4
- Polyquaternium-6 (Merquat 100 from Nalco) 0.8
- compositions A and B are packaged in an aerosol container comprising two flexible pouches and equipped with a diffuser comprising a push-button, and are dispensed simultaneously side by side in 1/1 proportions.
- compositions mix rapidly on the hair and the mixture readily uniformly distributes on the hair.
- the use qualities are good: good wetting/glidance nature, good ease of application, good root adhesion, good consistency on the head, good ease of spreading along the locks of hair.
- the hair is then easily rinsed, then washed with a standard shampoo and dried. A strong chestnut brown colouration is obtained.
Landscapes
- Life Sciences & Earth Sciences (AREA)
- Health & Medical Sciences (AREA)
- Animal Behavior & Ethology (AREA)
- General Health & Medical Sciences (AREA)
- Public Health (AREA)
- Veterinary Medicine (AREA)
- Birds (AREA)
- Epidemiology (AREA)
- Chemical & Material Sciences (AREA)
- Dispersion Chemistry (AREA)
- Cosmetics (AREA)
Abstract
The present invention relates to a device for dispensing a product for dyeing and/or lightening keratin fibres constituted of a container comprising: i) at least two compartments a and b separate from one another, the compartment a comprising a composition A comprising at least one alkaline agent and optionally at least one dyeing agent, the compartment b comprising an oxidizing composition B comprising at least one chemical oxidizing agent, one and/or the other of the compositions of the two compartments comprising at least one cationic polymer having a cationic charge density of greater than or equal to 6 meq/g; ii) a dispensing means equipped with at least one dispensing orifice, in communication with the compartments a and b, making it possible to simultaneously deliver the compositions A and B. It also relates to a process for dyeing human keratin fibres using said device, and also to a kit comprising said device and a composition comprising a conditioning agent.
Description
Device for dispensing a product for dyeing and/or lightening keratin fibres comprising a cationic polymer
A subject of the present invention is a device for dispensing a product for dyeing and/or lightening keratin fibres comprising compositions A and B, and also a dyeing process using said device. The present invention also relates to a kit comprising said device and a composition comprising a conditioning agent.
Among the methods for dyeing human keratin fibres, such as the hair, mention may be made of oxidation dyeing or permanent dyeing. More particularly, this dyeing method uses one or more oxidation dyes, usually one or more oxidation bases optionally combined with one or more couplers.
In general, oxidation bases are chosen from ortho- or para-phenylenediamines, ortho- or ara-aminophenols and heterocyclic compounds. These oxidation bases are colourless or weakly coloured compounds which, when combined with oxidizing products, can give access to coloured entities.
The shades obtained with these oxidation bases are often varied by combining them with one or more couplers, these couplers being chosen in particular from aromatic meia-diamines, meia-aminophenols, meia-diphenols and certain heterocyclic compounds, such as indole compounds.
The variety of molecules used as oxidation bases and couplers allows a wide range of colours to be obtained.
Permanent dyeing processes thus consist in using, with the dye composition containing the oxidation dyes, an aqueous composition comprising at least one oxidizing agent, such as hydrogen peroxide, under alkaline pH conditions in the vast majority of cases. The alkaline agent conventionally used is aqueous ammonia or can be chosen from other alkaline agents, such as alkanolamines.
These compositions, in particular the compositions comprising oxidation dyes, are obviously sensitive to oxidation and as a result contain reducing agents or antioxidants. This action of protection against oxidation is also reinforced by virtue of the inert atmosphere that is sometimes used during the packaging of these compositions.
The difficulty encountered with compositions of this type indeed results from their sensitivity to oxidation. This is because, during their use, they are brought into
contact with atmospheric oxygen and this then requires that they be used rapidly. If they are not used rapidly, the compositions become unusable after storage and are lost.
In the hair dyeing field, there are alkaline compositions, in particular dyeing compositions, and oxidizing compositions, which are packaged separately in one and the same pressurized container and which make it possible to avoid the composition being brought into contact with air when they are used. These compositions can be in the form of a foam or cream.
However, the strength of the dyeing and also the coverage of the hair, in particular of white hair, still requires further improvement, as do the rheological properties of the product(s) stemming from the pressurized container, in particular in terms of ease of mixing of the alkaline and oxidizing compositions, of the uniformity of the mixture and of the quality of application to keratin fibres (in particular in terms of the wetting nature, of the adhesion to the roots and of the ease with which the mixture can be spread along the locks of hair).
There is a constant need to develop devices which make it possible to deliver dyeing and/or lightening compositions which have good use qualities such as ease of application and rinsability, and which remain sufficiently stable over time, while retaining effective dyeing properties, in particular in terms of coverage of the hair, more particularly white hair, but also of intensity, uniformity, chromaticity and selectivity of the dyeing obtained, with moreover good cosmetic properties.
The objective of the present invention is thus to provide dyeing and/or lightening compositions which are in particular in cream or gel form, having good use qualities, in particular mixing and application qualities, while at the same time having high dyeing and/or lightening performance levels.
This aim and others are achieved by means of the present invention, a subject of which is thus a device for dispensing a product for dyeing and/or lightening keratin fibres, constituted of a container comprising:
i) at least two compartments a and b separate from one another,
the compartment a comprising a composition A comprising at least one alkaline agent and optionally at least one dyeing agent,
the compartment b comprising an oxidizing composition B comprising at least one chemical oxidizing agent,
one and/or the other of the compositions of the two compartments comprising at least one cationic polymer having a cationic charge density of greater than or equal to 6 meq/g;
ii) a dispensing means equipped with at least one dispensing orifice, in communication with the compartments a and b, making it possible to simultaneously deliver the compositions A and B.
The invention also relates to a process for lightening and/or dyeing human keratin fibres using this device.
More specifically, a subject of the invention is a process for lightening and/or dyeing human keratin fibres, in which the following are applied to said fibres:
a composition A comprising at least one alkaline agent and optionally at least one dyeing agent; and
- a composition B comprising at least one chemical oxidizing agent;
one and/or the other of the two compositions comprising at least one cationic polymer having a cationic charge density of greater than or equal to
6 meq/g,
the compositions A and B being packaged in a device constituted of a container, which is preferably pressurized, comprising at least two compartments a and b separate from one another, the compartment a comprising the composition A and the compartment b comprising the composition B, the device comprising a dispensing means equipped with at least one dispensing orifice, in communication with the compartments a and b, making it possible to deliver the compositions A and B simultaneously.
The device and the process of the invention make it possible to obtain good lightening and/or dyeing properties on keratin fibres, and in the case of dyeing, in particular dyeing which is strong, intense and/or chromatic, resistant to external agents (shampoos, perspiration, light), uniform and not very selective.
The device comprising the compositions also produces good use qualities, in particular the application of the compositions A and B is easy and the distribution is uniform along the keratin fibres.
The device and the process of the invention also produce good cosmetic properties, in particular in terms of disentangling, suppleness and softness of the hair.
The mixture of the compositions A and B rinses off easily after the leave-on time.
In addition, the compositions A and B used in the dyeing and/or lightening process according to the invention mix easily, prior to the application to the keratin fibres or directly on the keratin fibres during simultaneous application of the compositions A and B to the hair.
Other characteristics and advantages of the invention will emerge more clearly on reading the description and the examples that follow.
In that which follows and unless otherwise indicated, the limits of a range of values are included in this range.
The term "at least one" associated with an ingredient of the composition signifies "one or more".
The human keratin fibres treated via the process according to the invention are preferably the hair.
Alkaline agent:
The composition A of the device according to the invention comprises at least one alkaline agent.
This agent can be chosen from mineral or organic or hybrid alkaline agents or mixtures thereof.
The mineral alkaline agent(s) are preferably chosen from aqueous ammonia, alkali metal carbonates or bicarbonates such as sodium or potassium carbonates and sodium or potassium bicarbonates, sodium hydroxide or potassium hydroxide, or mixtures thereof.
The organic alkaline agent(s) are preferably chosen from organic amines with a pKb at 25°C of less than 12, preferably less than 10 and even more advantageously less than 6. It should be noted that it is the pKb corresponding to the highest basicity function.
Hybrid compounds that may be mentioned include the salts of the amines mentioned previously with acids such as carbonic acid or hydrochloric acid.
The organic alkaline agent(s) are chosen, for example, from alkanolamines, oxyethylenated and/or oxypropylenated ethylenediamines, amino acids and the compounds having the formula below:
Rx Rz
N W N
Ry Rt
in which W is a Ci-C6 alkylene residue optionally substituted with a hydroxyl group or a Ci-C6 alkyl radical; Rx, Ry, Rz and Rt, which may be identical or different, represent a hydrogen atom or a Ci-C6 alkyl, CrC6 hydroxyalkyl or CrC6 aminoalkyl radical.
Mention may be made, as examples of such amines, of 1 ,3-diaminopropane, 1 ,3-diamino-2-propanol, spermine or spermidine.
The term "alkanolamine" is intended to mean an organic amine comprising a primary, secondary or tertiary amine function, and one or more linear or branched C C8 alkyl groups bearing one or more hydroxyl radicals.
Alkanolamines such as monoalkanolamines, dialkanolamines or trialkanolamines comprising from one to three identical or different C1-C4 hydroxyalkyl radicals are in particular suitable for performing the invention.
Among the compounds of this type, mention may be made of monoethanolamine, diethanolamine, triethanolamine, monoisopropanolamine, diisopropanolamine, N-dimethylaminoethanolamine, 2-amino-2-methyl-1 -propanol, triisopropanolamine, 2-amino-2-methyl-1 ,3-propanediol, 3-amino-1 ,2-propanediol, 3- dimethylamino-1 ,2-propanediol and tris(hydroxymethylamino)methane.
More particularly, the amino acids that may be used are of natural or synthetic origin, in their L, D or racemic form, and comprise at least one acid function chosen more particularly from carboxylic acid, sulfonic acid, phosphonic acid and phosphoric acid functions. The amino acids may be in neutral or ionic form.
As amino acids that may be used in the present invention, mention may be made in particular of aspartic acid, glutamic acid, alanine, arginine, ornithine, citrulline, asparagine, carnitine, cysteine, glutamine, glycine, histidine, lysine, isoleucine, leucine, methionine, N-phenylalanine, proline, serine, taurine, threonine, tryptophan, tyrosine and valine.
Advantageously, the amino acids are basic amino acids comprising an additional amine function optionally included in a ring or in a ureido function.
-(CH2)2NH2 -(CH2)2NHCONH2
-(CH2)2NH C— NH2
NH
The compounds corresponding to the formula above are histidine, lysine, arginine, ornithine and citrulline.
The organic amine may also be chosen from organic amines of heterocyclic type. Besides histidine that has already been mentioned in the amino acids, mention may be made in particular of pyridine, piperidine, imidazole, triazole, tetrazole and benzimidazole.
The organic amine may also be chosen from amino acid dipeptides. As amino acid dipeptides that may be used in the present invention, mention may be made in particular of carnosine, anserine and balenine.
The organic amine may also be chosen from compounds comprising a guanidine function. As amines of this type that may be used in the present invention, besides arginine, which has already been mentioned as an amino acid, mention may be made in particular of creatine, creatinine, 1 ,1 -dimethylguanidine,
1 ,1 -diethylguanidine, glycocyamine, metformin, agmatine, n-amidinoalanine, 3- guanidinopropionic acid, 4-guanidinobutyric acid and 2-([amino(imino)methyl]- amino)ethane-1 -sulfonic acid.
Mention may be made in particular of guanidine carbonate or monoethanolamine hydrochloride as hybrid compounds.
According to one embodiment of the invention, the composition according to the invention contains, as alkaline agent, aqueous ammonia and/or at least one alkanolamine and/or at least one basic amino acid, more advantageously aqueous ammonia and/or at least one alkanolamine.
Preferably, the alkaline agent is chosen from aqueous ammonia, alkanolamines, preferably monoethanolamine, and mixtures thereof.
Advantageously, the composition A has a content of alkaline agent(s) ranging from 0.01 % to 30% by weight, preferably from 0.1 % to 20% by weight and better still from 1 % to 10% by weight, relative to the weight of said composition. It should be noted that this content is expressed as NH3 when the alkaline agent is aqueous ammonia.
Dyeing agents
As indicated previously, the composition A according to the invention may comprise at least one dyeing agent.
The dyeing agents may be chosen from oxidation dye precursors, direct dyes, and mixtures thereof.
According to one advantageous embodiment, the composition A comprises at least one dyeing agent chosen from oxidation dye precursors, direct dyes, and mixtures thereof, it preferably comprises at least one oxidation dye precursor.
As oxidation dye precursors, use may be made of oxidation bases and couplers.
By way of example, the oxidation bases are chosen from para- phenylenediamines, bis(phenyl)alkylenediamines, para-aminophenols, ortho- aminophenols and heterocyclic bases, and addition salts thereof.
Among the para-phenylenediamines, examples that may be mentioned include para-phenylenediamine, para-tolylenediamine, 2-chloro-para-phenylenediamine, 2,3- dimethyl-para-phenylenediamine, 2,6-dimethyl-para-phenylenediamine, 2,6-diethyl- para-phenylenediamine, 2,5-dimethyl-para-phenylenediamine, N,N-dimethyl-para- phenylenediamine, Ν,Ν-diethyl-para-phenylenediamine, N,N-dipropyl-para- phenylenediamine, 4-amino-N,N-diethyl-3-methylaniline, N,N-bis(p-hydroxyethyl)- para-phenylenediamine, 4-N,N-bis(p-hydroxyethyl)amino-2-methylaniline, 4-Ν,Ν- bis(p-hydroxyethyl)amino-2-chloroaniline, 2-p-hydroxyethyl-para-phenylenediamine, 2-Y-hydroxypropyl-para-phenylenediamine, 2-fluoro-para-phenylenediamine, 2- isopropyl-para-phenylenediamine, N-(p-hydroxypropyl)-para-phenylenediamine, 2- hydroxymethyl-para-phenylenediamine, N,N-dimethyl-3-methyl-para-phenylene- diamine, N-ethyl-N-(p-hydroxyethyl)-para-phenylenediamine, N-(p,y-dihydroxypropyl)- para-phenylenediamine, N-(4'-aminophenyl)-para-phenylenediamine, N-phenyl-para- phenylenediamine, 2-p-hydroxyethyloxy-para-phenylenediamine, 2-p-acetylamino- ethyloxy-para-phenylenediamine, N-(p-methoxyethyl)-para-phenylenediamine, 4- aminophenylpyrrolidine, 2-thienyl-para-phenylenediamine, 2-p-hydroxyethylamino-5-
aminotoluene, 3-hydroxy-1 -(4'-aminophenyl)pyrrolidine, and addition salts thereof with an acid.
Among the para-phenylenediamines mentioned above, para-phenylenediamine, para-tolylenediamine, 2-isopropyl-para-phenylenediamine, 2-p-hydroxyethyl-para- phenylenediamine, 2-p-hydroxyethyloxy-para-phenylenediamine, 2,6-dimethyl-para- phenylenediamine, 2,6-diethyl-para-phenylenediamine, 2,3-dimethyl-para- phenylenediamine, N,N-bis(p-hydroxyethyl)-para-phenylenediamine, 2-chloro-para- phenylenediamine and 2-p-acetylaminoethyloxy-para-phenylenediamine, and addition salts thereof with an acid, are particularly preferred.
Among the bis(phenyl)alkylenediamines, examples that may be mentioned include N,N'-bis(p-hydroxyethyl)-N,N'-bis(4'-aminophenyl)-1 ,3-diaminopropanol, Ν,Ν'- bis(p-hydroxyethyl)-N,N'-bis(4'-aminophenyl)ethylenediamine, N,N'-bis(4- aminophenyl)tetramethylenediamine, N,N'-bis(p-hydroxyethyl)-N,N'-bis(4-amino- phenyl)tetramethylenediamine, N,N'-bis(4- methylaminophenyl)tetramethylenediamine, N,N'-bis(ethyl)-N,N'-bis(4'-amino-3'- methylphenyl)ethylenediamine, 1 ,8-bis(2,5-diaminophenoxy)-3,6-dioxaoctane, and addition salts thereof.
Among the para-aminophenols, examples that may be mentioned include para- aminophenol, 4-amino-3-methylphenol, 4-amino-3-fluorophenol, 4-amino-3- chlorophenol, 4-amino-3-hydroxymethylphenol, 4-amino-2-methylphenol, 4-amino-2- hydroxymethylphenol, 4-amino-2-methoxymethylphenol, 4-amino-2-aminomethyl- phenol, 4-amino-2-(p-hydroxyethylaminomethyl)phenol and 4-amino-2-fluorophenol, 4-methylaminophenol and addition salts thereof with an acid.
Among the ortho-aminophenols, examples that may be mentioned include 2- aminophenol, 2-amino-5-methylphenol, 2-amino-6-methylphenol and 5-acetamido-2- aminophenol, and addition salts thereof.
Among the heterocyclic bases, examples that may be mentioned include pyridine derivatives, pyrimidine derivatives and pyrazole derivatives.
Among the pyridine derivatives, mention may be made of the compounds described for example in patents GB 1 026 978 and GB 1 153 196, for instance 2,5- diaminopyridine, 2-(4-methoxyphenyl)amino-3-aminopyridine and 3,4- diaminopyridine, and addition salts thereof.
Other pyridine oxidation bases that are useful in the present invention are the 3- aminopyrazolo[1 ,5-a]pyridine oxidation bases or addition salts thereof described, for
example, in patent application FR 2 801 308. Examples that may be mentioned include pyrazolo[1 ,5-a]pyrid-3-ylamine, 2-acetylaminopyrazolo[1 ,5-a]pyrid-3-ylamine, 2-(morpholin-4-yl)pyrazolo[1 ,5-a]pyrid-3-ylamine, 3-aminopyrazolo[1 ,5-a]pyridine-2- carboxylic acid, 2-methoxypyrazolo[1 ,5-a]pyrid-3-ylamine, (3-aminopyrazolo[1 ,5- a]pyrid-7-yl)methanol, 2-(3-aminopyrazolo[1 ,5-a]pyrid-5-yl)ethanol, 2-(3- aminopyrazolo[1 ,5-a]pyrid-7-yl)ethanol, (3-aminopyrazolo[1 ,5-a]pyrid-2-yl)methanol, 3,6-diaminopyrazolo[1 ,5-a]pyridine, 3,4-diaminopyrazolo[1 ,5-a]pyridine, pyrazolo[1 ,5- a]pyridine-3,7-diamine, 7-(morpholin-4-yl)pyrazolo[1 ,5-a]pyrid-3-ylamine, pyrazolo[1 ,5-a]pyridine-3,5-diamine, 5-(morpholin-4-yl)pyrazolo[1 ,5-a]pyrid-3-ylamine, 2-[(3-aminopyrazolo[1 ,5-a]pyrid-5-yl)(2-hydroxyethyl)amino]ethanol, 2-[(3- aminopyrazolo[1 ,5-a]pyrid-7-yl)(2-hydroxyethyl)amino]ethanol, 3-aminopyrazolo[1 ,5- a]pyridin-5-ol, 3-aminopyrazolo[1 ,5-a]pyridin-4-ol, 3-aminopyrazolo[1 ,5-a]pyridin-6-ol and 3-aminopyrazolo[1 ,5-a]pyridin-7-ol, 2-[(3-aminopyrazolo[1 ,5-a]pyridin-2- yl)oxy]ethanol, and addition salts thereof.
Among the pyrimidine derivatives, mention may be made of the compounds described, for example, in patents DE 2359399, JP 88-169571 , JP 05-63124 and EP 0 770 375 or patent application WO 96/15765, such as 2,4,5,6-tetraamino- pyrimidine, 4-hydroxy-2,5,6-triaminopyrimidine, 2-hydroxy-4,5,6-triaminopyrimidine,
2.4- dihydroxy-5,6-diaminopyrimidine, 2,5,6-triaminopyrimidine and addition salts thereof, and the tautomeric forms thereof, when a tautomeric equilibrium exists.
Among the pyrazole derivatives mention may be made of the compounds described in patents DE 3843892 and DE 4133957 and patent applications WO 94/08969, WO 94/08970, FR-A-2 733 749 and DE 195 43 988, for instance 4,5- diamino-1 -methylpyrazole, 4,5-diamino-1 -(p-hydroxyethyl)pyrazole, 3,4-diamino- pyrazole, 4,5-diamino-1 -(4'-chlorobenzyl)pyrazole, 4,5-diamino-1 ,3-dimethylpyrazole,
4.5- diamino-3-methyl-1 -phenylpyrazole, 4,5-diamino-1 -methyl-3-phenylpyrazole, 4- amino-1 ,3-dimethyl-5-hydrazinopyrazole, 1 -benzyl-4,5-diamino-3-methylpyrazole, 4,5- diamino-3-tert-butyl-1 -methylpyrazole, 4,5-diamino-1 -tert-butyl-3-methylpyrazole, 4,5- diamino-1 -(p-hydroxyethyl)-3-methylpyrazole, 4,5-diamino-1 -ethyl-3-methylpyrazole, 4,5-diamino-1 -ethyl-3-(4'-methoxyphenyl)pyrazole, 4,5-diamino-1 -ethyl-3-hydroxy- methylpyrazole, 4,5-diamino-3-hydroxymethyl-1 -methylpyrazole, 4,5-diamino-3- hydroxymethyl-1 -isopropylpyrazole, 4,5-diamino-3-methyl-1 -isopropylpyrazole, 4- amino-5-(2'-aminoethyl)amino-1 ,3-dimethylpyrazole, 3,4,5-triaminopyrazole, 1 -methyl- 3,4,5-triaminopyrazole, 3,5-diamino-1 -methyl-4-methylaminopyrazole and 3,5-
diamino-4-(p-hydroxyethyl)amino-1 -methylpyrazole, and addition salts thereof. Use may also be made of 4,5-diamino-1 -(p-methoxyethyl)pyrazole.
Use will preferably be made of a 4,5-diaminopyrazole and even more preferentially of 4,5-diamino-1 -(p-hydroxyethyl)pyrazole and/or a salt or solvate thereof.
Pyrazole derivatives that may also be mentioned include diamino-N,N- dihydropyrazolopyrazolones and in particular those described in patent application FR-A-2 886 136, such as the following compounds and addition salts thereof: 2,3-diamino-6,7-dihydro-1 H,5H-pyrazolo[1 ,2-a]pyrazol-1 -one, 2-amino-3-ethylamino- 6,7-dihydro-1 H,5H-pyrazolo[1 ,2-a]pyrazol-1 -one, 2-amino-3-isopropylamino-6,7- dihydro-1 H,5H-pyrazolo[1 ,2-a]pyrazol-1 -one, 2-amino-3-(pyrrolidin-1 -yl)-6,7-dihydro- 1 H,5H-pyrazolo[1 ,2-a]pyrazol-1 -one, 4,5-diamino-1 ,2-dimethyl-1 ,2-dihydropyrazol-3- one, 4,5-diamino-1 ,2-diethyl-1 ,2-dihydropyrazol-3-one, 4,5-diamino-1 ,2-bis(2- hydroxyethyl)-1 ,2-dihydropyrazol-3-one, 2-amino-3-(2-hydroxyethyl)amino-6,7- dihydro-1 H,5H-pyrazolo[1 ,2-a]pyrazol-1 -one, 2-amino-3-dimethylamino-6,7-dihydro- 1 H,5H-pyrazolo[1 ,2-a]pyrazol-1 -one, 2,3-diamino-5,6,7,8-tetrahydro-1 H,6H- pyridazino[1 ,2-a]pyrazol-1 -one, 4-amino-1 ,2-diethyl-5-(pyrrolidin-1 -yl)-1 ,2- dihydropyrazol-3-one, 4-amino-5-(3-dimethylaminopyrrolidin-1 -yl)-1 ,2-diethyl-1 ,2- dihydropyrazol-3-one or 2,3-diamino-6-hydroxy-6,7-dihydro-1 H,5H-pyrazolo[1 ,2- a]pyrazol-1 -one.
Use will preferably be made of 2,3-diamino-6,7-dihydro-1 H,5H-pyrazolo[1 ,2- a]pyrazol-1 -one and/or a salt or solvate thereof.
Heterocyclic bases that will preferentially be used include 4,5-diamino-1 -(p- hydroxyethyl)pyrazole and/or 2,3-diamino-6,7-dihydro-1 H,5H-pyrazolo[1 ,2-a]pyrazol- 1 -one and/or 2-[(3-aminopyrazolo[1 ,5-a]pyridin-2-yl)oxy]ethanol and/or a salt or solvate thereof.
According to one embodiment, the composition A comprises at least one heterocyclic oxidation base chosen from:
i) the heterocyclic oxidation bases of formula (I), addition salts thereof and solvates thereof:
in which R-i represents an amino group, a Ci to C4 alkyl group optionally substituted with one or more hydroxyl or amino groups, or a Ci to C4 alkoxy group optionally substituted with one or more hydroxyl or amino groups,
ii) the compounds of formula (II) or (III), addition salts thereof and solvates thereof:
in which R2 represents an amino group, a Ci to C4 alkyl group, optionally substituted with one or more hydroxyl or amino groups, a Ci to C4 alkoxy group, optionally substituted with one or more hydroxyl or amino groups; and Z-i represents a covalent bond, and -NR'6(CH2)q- radical or an -0(CH2)p- radical in which R'6 represents a hydrogen atom or a Ci-C6 alkyl radical optionally substituted with one or more hydroxyl groups, p denoting an integer ranging from 0 to 6, q denoting an integer ranging from 0 to 6, and R'i is a cationic radical; and
the radicals R'3, R'4 and R'5, independently, may be a hydrogen atom or an optionally substituted Ci-C4 alkyl radical. By way of example, mention may be made of methyl, ethyl, hydroxyethyl, aminoethyl, propyl and butyl radicals. According to one particular embodiment, R'3, R'4 and R'5 independently represent a hydrogen atom or a C1-C4 alkyl radical.
R'4 and R'5 can together form a partially saturated or unsaturated 5- or 8- membered ring, in particular a cyclopentene or cyclohexene, which is optionally substituted.
iii) the diaminopyrazole derivatives of formula (Γ), addition salts thereof ereof:
R1 represents a C C4 alkyl group which is substituted with one or more hydroxyl or amino groups,
R4 represents an amino group, a C C4 alkyl group which is optionally substituted with one or more hydroxyl or amino groups, or a C C4 alkoxy group which is optionally substituted with one or more hydroxyl or amino groups.
Preferably, in the compounds of formula (Γ), R1 represents a C C4 alkyl group which is substituted with at least one hydroxyl group, more particularly a hydroxyethyl group, and R4 represents an amino group.
Among the preferred compounds of formula (Γ), mention will be made of 2-(4,5-diamino-1 H-pyrazolol-1 -yl)ethanol or an addition salt thereof. Preferably, in the compounds of formula (I), Ri represents an amino group.
Preferably, in the compounds of formula (II), R2 represents a Ci to C4 alkoxy group, optionally substituted with one or more hydroxyl groups, and preferentially represents a hydroxyethoxy group.
Among the compounds of formula (I), use will preferably be made of 2,3- diamino-6,7-dihydro-1 H,5H-pyrazolo[1 ,2-a]pyrazol-1 -one, an addition salt thereof or a solvate thereof.
Among the compounds of formula (II), use will preferably be made of 2-[(3- amino-pyrazolo[1 ,5-a]pyridin-2-yl)oxy]ethanol, an addition salt thereof or a solvate thereof.
For the vast majority, the 3-aminopyrazolo[1 ,5-a]pyridines of formulae (II) and (III) are compounds that are known and are described in particular in patent US 5 457 200. These compounds may be prepared according to synthetic methods that are well known in the literature and as described, for example, in patent US 5 457 200.
By way of cationic group for formula (III), mention may be made, for R'-ι , of a cationic heterocycle or a heterocycle substituted with a cationic radical. By way of example, mention may be made of imidazoles substituted with a quaternary ammonium radical or imidazoliums, piperazines substituted with a quaternary ammonium radical or piperaziniums, pyrrolidines substituted with a quaternary ammonium radical or pyrrolidiniums, and diazepanes substituted with a quaternary ammonium radical or diazepaniums. R'i May also be chosen from the cationic radicals trialkylammonium, tri(hydroxyalkyl)ammonium, hydroxyalkyldialkylammonium or di(hydroxyalkyl)alkylammonium.
As cationic oxidation bases of formula (III), the following bases are most particularly preferred:
salt of 4-(3-aminopyrazolo[1 ,5-a]pyridin-2-yl)-1 ,1-dimethylpiperazin-1 -ium
salt of 3-[2-(3-aminopyrazolo[1 ,5-a]pyridin-2-ylamino)ethyl]-1-methyl-3H-imidazol-1-ium
By way of heterocyclic bases that are of use for the invention, use will preferentially be made of 4,5-diamino-1 -(p-hydroxyethyl)pyrazole and/or 2, 3-diamino- 6,7-dihydro-1 H,5H-pyrazolo[1 ,2-a]pyrazol-1 -one and/or 2-[(3-aminopyrazolo[1 ,5- a]pyridin-2-yl)oxy]ethanol and/or a salt or solvate thereof.
Among the couplers that may be used in the composition according to the invention, mention may be made in particular of meta-phenylenediamines, meta- aminophenols, meta-diphenols, naphthalene-based couplers, heterocyclic couplers, for instance indole derivatives, indoline derivatives, sesamol and derivatives thereof, pyridine derivatives, pyrazolotriazole derivatives, pyrazolones, indazoles, benzimidazoles, benzothiazoles, benzoxazoles, 1 ,3-benzodioxoles, quinolines, and addition salts of these compounds with an acid.
These couplers are more particularly chosen from 2,4-diamino-1 -(p- hydroxyethyloxy)benzene, 2-methyl-5-aminophenol, 5-N-(p-hydroxyethyl)amino-2- methylphenol, 3-aminophenol, 1 ,3-dihydroxybenzene, 1 ,3-dihydroxy-2- methylbenzene, 4-chloro-1 ,3-dihydroxybenzene, 2-amino-4-(p-hydroxyethylamino)- 1 -methoxybenzene, 5-amino-6-chloro-2-methylphenol, 1 ,3-diaminobenzene, 1 ,3- bis(2,4-diaminophenoxy)propane, sesamol, 1 -amino-2-methoxy-4,5- methylenedioxybenzene, a-naphthol, 6-hydroxyindole, 4-hydroxyindole, 4-hydroxy- N-methylindole, 6-hydroxyindoline, 2,6-dihydroxy-4-methylpyridine, 1 -H-3- methylpyrazol-5-one, 1 -phenyl-3-methylpyrazol-5-one, 2-amino-3-hydroxypyridine, 3,6-dimethylpyrazolo[3,2-c]-1 ,2,4-triazole and 2,6-dimethylpyrazolo[1 ,5-b]-1 ,2,4- triazole, 6-hydroxybenzomorpholine, addition salts thereof with an acid, and mixtures thereof.
The addition salts of the oxidation bases and of the couplers are in particular chosen from the addition salts with an acid such as the hydrochlorides, hydrobromides, sulfates, citrates, succinates, tartrates, lactates, tosylates, benzenesulfonates, phosphates and acetates.
The oxidation base(s) are each generally present in an amount of from 0.0001 % to 10% by weight relative to the total weight of the composition of the invention, and preferably from 0.005% to 5% by weight relative to the total weight of the composition A.
The coupler(s) each generally represent from 0.0001 % to 10% by weight relative to the total weight of the composition, and preferably from 0.005% to 5% by weight relative to the total weight of the composition A of the invention.
According to one particular embodiment, the composition A comprises at least one oxidation dye precursor chosen from the compounds of formula (Γ) previously
described, preferably 2-(4,5-diamino-1 H-pyrazol-1 -yl)ethanol or an addition salt thereof and at least one halogenated aminophenol coupler, preferably 5-amino 6- chloro 2-methyl phenol
The dyeing agent may be chosen from direct dyes which may be synthetic or natural. The direct dyes may be in particular cationic or non-ionic. By way of examples of particularly suitable direct dyes, mention may be made of nitrobenzene dyes; azo direct dyes; azomethine direct dyes; methine direct dyes; azacarbocyanines, for instance tetraazacarbocyanines (tetraazapentamethines); quinone and in particular anthraquinone, naphthoquinone or benzoquinone direct dyes; azine direct dyes; xanthene direct dyes; triarylmethane direct dyes; indoamine direct dyes; indigoid direct dyes; phthalocyanine direct dyes, porphyrin direct dyes and natural direct dyes, alone or as mixtures. In particular, mention may be made of direct dyes from among: azo; methine; carbonyl; azine; nitro (hetero)aryl; tri(hetero)arylmethane; porphyrin; phthalocyanine and natural direct dyes, alone or as mixtures.
According to one embodiment, the composition A comprises at least one dyeing agent chosen from direct dyes, preferably from cationic direct dyes.
Examples of suitable cationic direct dyes that may be mentioned include azo direct dyes; (poly)methine dyes such as cyanins, hemicyanins and styryls; carbonyl dyes; azine dyes; nitro(hetero)aryl dyes; tri(hetero)arylmethane dyes; porphyrin dyes; phthalocyanine dyes and natural direct dyes, alone or in the form of mixtures.
Among the cationic direct dyes, mention may be made in particular of the hydrazono cationic dyes of formulae (Ilia) and (lll'a), the azo cationic dyes (IVa) and (IV'a) and the diazo cationic dyes (Va) below:
in which formulae (Ilia), (lll'a), (IVa), (IV'a) and (Va):
• Het+ represents a cationic heteroaryl radical, preferably bearing an endocyclic cationic charge, such as imidazolium, indolium or pyridinium, optionally substituted preferably with one or more (CrC8)alkyl groups such as methyl;
• Ar+ represents an aryl radical, such as phenyl or naphthyl, bearing an exocyclic cationic charge, preferably ammonium, particularly tri(Ci-
C8)alkylammonium such as trimethylammonium;
• Ar represents an aryl group, in particular phenyl, which is optionally substituted, preferably with one or more electron-donating groups such as i) optionally substituted (CrC8)alkyl, ii) optionally substituted (CrC8)alkoxy, iii) (di)(Ci-C8)(alkyl)amino optionally substituted on the alkyl group(s) with a hydroxyl group, iv) aryl(Ci-C8)alkylamino, v) optionally substituted N-(Ci- C8)alkyl-N-aryl(Ci-C8)alkylamino or, as a variant, Ar represents a julolidine group;
• Ar' represents an optionally substituted divalent (hetero)arylene group such as phenylene, particularly para-phenylene, or naphthalene, which are optionally substituted, preferably with one or more groups (Ci-C8)alkyl, hydroxyl or (d- C8)alkoxy;
• Ar" represents an optionally substituted (hetero)aryl group such as phenyl or pyrazolyl, which are optionally substituted, preferably with one or more (C C8)alkyl, hydroxyl, (di)(Ci-C8)(alkyl)amino, (Ci-C8)alkoxy or phenyl groups;
• Ra and Rb, which may be identical or different, represent a hydrogen atom or a (Ci-C8)alkyl group, which is optionally substituted, preferably with a hydroxyl group;
or, as a variant, the substituent Ra with a substituent of Het+ and/or Rb with a substituent of Ar and/or Ra with Rb form, together with the atoms that bear them, a (hetero)cycloalkyl;
particularly, Ra and Rb represent a hydrogen atom or a (CrC4)alkyl group, which is optionally substituted with a hydroxyl group;
• An" represents an anionic counterion, such as mesylate or halide.
Mention may be made in particular of azo and hydrazono cationic dyes bearing an endocyclic cationic charge of formulae (Ilia), (IM'a) and (IVa) as defined previously. More particularly those of formulae (Ilia), (IM'a) and (IVa) derived from the dyes described in patent applications WO 95/15144, WO 95/01772 and EP-714954.
- R1 representing a (CrC4)alkyl group such as methyl;
- R2 and R3, which may be identical or different, representing a hydrogen atom or a (C C4)alkyl group, such as methyl; and
- R4 representing a hydrogen atom or an electron-donating group such as optionally substituted (CrC8)alkyl, optionally substituted (CrC8)alkoxy, or (di)(Ci- C8)(alkyl)amino optionally substituted on the alkyl group(s) with a hydroxyl group; in particular, R4 represents a hydrogen atom;
- Z represents a CH group or a nitrogen atom, preferably CH,
- An" represents an anionic counterion, such as mesylate or halide.
In particular, the dye of formulae (llla-1 ) and (IVa-1 ) is chosen from Basic Red 51 , Basic Yellow 87 and Basic Orange 31 or corresponding derivatives:
When they are present, the direct dye(s) more particularly represent from 0.0001 % to 10% by weight and preferably from 0.005% to 5% by weight of the total weight of composition A.
Oxidizing agent
The composition B according to the invention comprises at least one chemical oxidizing agent.
The expression "chemical oxidizing agent" is intended to mean an oxidizing agent other than atmospheric oxygen.
In particular, the oxidizing agent(s) suitable for the present invention is (are) chosen, for example, from hydrogen peroxide, urea peroxide, alkali metal bromates or ferricyanides, peroxygenated salts, such as for example persulfates or perborates, peracids and precursors thereof and alkali metal or alkaline-earth metal percarbonates. Advantageously, the chemical oxidizing agent is hydrogen peroxide.
The chemical oxidizing agent(s) generally represent(s) from 0.1 % to 50% and preferably from 1 % to 20% by weight relative to the total weight of the composition B. Preferably, the composition A of the device according to the invention is devoid of chemical oxidizing agent as described above.
Cationic polymer At least one of the compositions A and B of the invention contains at least one cationic polymer having a charge density greater than or equal to 6 milliequivalents per gram (meq/g).
The charge density of the cationic polymer can range from 6 to 20 meq/g and more particularly from 6 to 10 meq/g.
The cationic charge density of a polymer corresponds to the number of moles of cationic charges per unit of mass of polymer under the conditions wherein said polymer is totally ionized. It can be determined by calculation if the structure of the polymer, i.e. the structure of the monomers constituting the polymer, and their molar or weight proportion are known. It can also be determined experimentally by the Kjeldahl method, generally at a pH of approximately 7 at ambient temperature. The cationic polymers having a cationic charge density greater than 6 meq/g, that can be used in accordance with the present invention, can be chosen from all those already known per se as improving the cosmetic properties of hair treated with compositions, namely in particular those described in Patent Application
EP-A-0 337 354 and in French Patent Applications FR-A-2 270 846, 2 383 660, 2 598 611 , 2 470 596 and 2 519 863.
Generally, for the purposes of the present invention, the expression "cationic polymer" denotes any polymer comprising cationic groups and/or groups that can be ionized to cationic groups.
The cationic polymers are chosen from those which comprise units comprising primary, secondary, tertiary and/or quaternary amine groups which may either be part of the main polymer chain, or be borne by a side substituent directly connected thereto.
The cationic polymers used generally have a number-average molar mass of between approximately 500 and 5 χ 106, and preferably of between approximately 103 and 3 * 106.
As cationic polymers that can be used in the compositions according to the invention, mention may in particular be made of:
(1 ) alkyldiallylamine or dialkyldiallylammonium cyclopolymers such as homopolymers or copolymers comprising, as main constituent of the chain, units corresponding to formula (I) or (II):
. (CH2)k (CH2)k
\ / \
C(R12)-
-(CH2)t- CR 12 C(R12)- CR12
H2C H2C
CH2 CH
(I) N+ (II)
Y- 3 / N
10 1 10
in which
- k and t are equal to 0 or 1 , the sum k + t being equal to 1 ;
- Ri2 denotes a hydrogen atom or a methyl radical;
- Rio and Rn, independently of one another, denote a Ci-C6 alkyl group, a Ci-C5 hydroxylalkyl group or a Ci-C4 amidoalkyl group; or else Rio and Rn can denote, together with the nitrogen atom to which they are attached, a heterocyclic group such as piperidinyl or morpholinyl; R10 and Rn, independently of one another, preferably denote a C C4 alkyl group;
- Y" is an anion such as bromide, chloride, acetate, borate, citrate, tartrate, bisulfate,
bisulfite, sulfate or phosphate.
Mention may more particularly be made of the homopolymer of dimethyldiallyl- ammonium (for example chloride) salts, for example sold under the name "Merquat 100" by the company Nalco. Preferably, the polymers of family (1 ) are chosen from dialkyldiallylammonium homopolymers;
(2) diquaternary ammonium polymers comprising repeating units of formula:
N+ -A1 - N+- B1 (HI)
R14 X- Rie X- in which:
- R-13, R-14, R-15 and Ri6, which may be identical or different, represent aliphatic, alicyclic or arylaliphatic radicals comprising from 1 to 20 carbon atoms or C1-C12 hydroxyalkylaliphatic radicals,
or else R13, 14, 15 and Ri6, together or separately, constitute, with the nitrogen atoms to which they are attached, heterocycles optionally comprising a second heteroatom other than nitrogen,
or else R13, 14, 15 and Ri6 represent a linear or branched Ci-C6 alkyl radical substituted with a nitrile, ester, acyl, amide or -CO-O-R17-D or -CO-NH-R17-D group where R17 is an alkylene and D is a quaternary ammonium group;
- A-i and B-i represent linear or branched, saturated or unsaturated, polymethylene divalent groups comprising from 2 to 20 carbon atoms and possibly containing, bonded to or inserted into the main chain, one or more aromatic rings, or one or more oxygen or sulfur atoms or sulfoxide, sulfone, disulfide, amino, alkylamino, hydroxyl, quaternary ammonium, ureido, amide or ester groups, and
- X" denotes an anion derived from a mineral or organic acid;
it being understood that A-i , R13 and Ri5 can form, with the two nitrogen atoms to which they are attached, a piperazine ring;
in addition, if A-i denotes a linear or branched, saturated or unsaturated alkylene or hydroxyalkylene radical, B-\ can also denote a (CH2)n-CO-D-OC-(CH2)p- group, with n and p, which may be identical or different, being integers ranging from 2 to 20, and D denoting:
a) a glycol residue of formula -O-Z-O-, where Z denotes a linear or branched
hydrocarbon-based radical or a group corresponding to one of the following formulae: -(CH2CH20)x-CH2CH2- and -[CH2CH(CH3)0]y-CH2CH(CH3)- where x and y denote an integer from 1 to 4, representing a defined and unique degree of polymerization, or any number from 1 to 4 representing an average degree of polymerization;
b) a bis-secondary diamine residue such as a piperazine derivative;
c) a bis-primary diamine residue of formula -NH-Y-NH- where Y denotes a linear or branched hydrocarbon-based radical, or else the divalent radical -CH2-CH2- S-S-CH2-CH2-;
d) a ureylene group of formula -NH-CO-NH- .
Preferably, X" is an anion such as chloride or bromide. These polymers have a number-average molar mass (Mn) generally of between 1000 and 100 000.
Mention may more particularly be made of polymers which are constituted of repeating units corresponding to the formula:
- (CH2)p — (IV)
X"
in which R-i , R2, R3 and R4, which may be identical or different, denote an alkyl or hydroxyalkyi radical having from 1 to 4 carbon atoms, n and p are integers ranging from 2 to 20, and X" is an anion derived from a mineral or organic acid.
A compound of formula (IV) that is particularly preferred is the one for which R-i , R2, R3 and R4 represent a methyl radical, n = 3, p = 6 and X = CI, called hexadimethrine chloride according to the I NCI (CTFA) nomenclature. Preferably, the cationic polymer having a charge density greater than 6 meq/g is chosen from dialkyldiallylammonium homopolymers, in particular homopolymers of dimethyldiallylammonium salts, polymers constituted of repeating units corresponding to formula (IV) above, in particular hexadimethrine chloride, and mixtures thereof. According to one embodiment, the composition A and/or the composition B, preferably the composition A, comprises at least two distinct cationic polymers having a charge density greater than 6 meq/g, preferably chosen from the polymers of
families (1 ) and (2) described above, preferably at least one homopolymer of dimethyldiallylammonium salts and at least of hexadimethrine chloride.
According to the invention, the cationic polymer(s) having a charge density greater than or equal to 6 meq/g can represent from 0.01 % to 15% by weight, preferably from 0.1 % to 10% by weight, and even more preferentially from 0.5% to 5% by weight, of the total weight of the composition A or B.
Surfactants
The composition A and/or the composition B may also comprise one or more surfactants.
In particular, the surfactant(s) are chosen from anionic, amphoteric, zwitterionic, cationic and non-ionic surfactants, and preferentially non-ionic surfactants.
The term "anionic surfactant" is intended to mean a surfactant comprising, as ionic or ionizable groups, only anionic groups. These anionic groups are preferably chosen from the following groups:
-C(0)-OH, -C(0)-0", -SO3H, -S(0)20", -OS(0)2OH, -OS(0)20", -P(0)OH2, -P(0)20", -P(0)02 ", -P(OH)2, =P(0)OH, -P(OH)0", =P(0)0", =POH, =PO"; the anionic parts comprising a cationic counterion such as those of an alkali metal, an alkaline- earth metal or an ammonium.
As examples of anionic surfactants that may be used in the dye composition according to the invention, mention may be made of alkyl sulfates, alkyl ether sulfates, alkylamido ether sulfates, alkylaryl polyether sulfates, monoglyceride sulfates, alkylsulfonates, alkylamidesulfonates, alkylarylsulfonates, oolefin sulfonates, paraffin sulfonates, alkyl sulfosuccinates, alkyl ether sulfosuccinates, alkylamide sulfosuccinates, alkyl sulfoacetates, acylsarcosinates, acylglutamates, alkyl sulfosuccinamates, acylisethionates and N-acyltaurates, polyglycoside polycarboxylic acid and alkyl monoester salts, acyl lactylates, salts of D-galactoside uronic acids, salts of alkyl ether carboxylic acids, salts of alkylaryl ether carboxylic acids, salts of alkylamido ether carboxylic acids; and the corresponding non-salified forms of all these compounds; the alkyl and acyl groups of all these compounds comprising from 6 to 40 carbon atoms and the aryl group denoting a phenyl group.
These compounds may be oxyethylenated and then preferably comprise from 1 to 50 ethylene oxide units.
The salts of C6-C24 alkyl monoesters of polyglycoside-polycarboxylic acids may be chosen from C6-C24 alkyl polyglycoside-citrates, C6-C24 alkyl polyglycoside- tartrates and C6-C24 alkyl polyglycoside-sulfosuccinates.
When the anionic surfactant(s) is (are) in salt form, it (they) may be chosen from alkali metal salts such as the sodium or potassium salt and preferably the sodium salt, ammonium salts, amine salts and in particular amino alcohol salts or alkaline- earth metal salts such as the magnesium salts.
Examples of amino alcohol salts that may in particular be mentioned include monoethanolamine, diethanolamine and triethanolamine salts, monoisopropanolamine, diisopropanolamine or triisopropanolamine salts, 2-amino-2- methyl-1 -propanol salts, 2-amino-2-methyl-1 ,3-propanediol salts and tris(hydroxymethyl)aminomethane salts.
Use is preferably made of alkali metal or alkaline-earth metal salts and in particular of sodium or magnesium salts.
Among the anionic surfactants mentioned, use is preferably made of (C6-
C24)alkyl sulfates, (C6-C24)alkyl ether sulfates comprising from 2 to 50 ethylene oxide units, in particular in the form of alkali metal, ammonium, amino alcohol and alkaline- earth metal salts, or a mixture of these compounds.
In particular, it is preferred to use (Ci2-C20)alkyl sulfates, (Ci2-C20)alkyl ether sulfates comprising from 2 to 20 ethylene oxide units, in particular in the form of alkali metal, ammonium, amino alcohol and alkaline-earth metal salts, or a mixture of these compounds.
The amphoteric or zwitterionic surfactant(s), which are preferably non-silicone, which may be used in the present invention may in particular be derivatives of optionally quaternized aliphatic secondary or tertiary amines, in which derivatives the aliphatic group is a linear or branched chain comprising from 8 to 22 carbon atoms, said amine derivatives containing at least one anionic group, for instance a carboxylate, sulfonate, sulfate, phosphate or phosphonate group. Mention may be made in particular of (C8-C20)alkyl betaines, sulfobetaines, (C8-C2o)alkylamido(C3- C8)alkyl betaines and (C8-C2o)alkylamido(C6-C8)alkyl sulfobetaines.
Among the optionally quaternized secondary or tertiary aliphatic amine derivatives that may be used, as defined above, mention may also be made of the compounds of respective structures (B1 ) and (B2) below:
Ra-C(0)-NH-CH2-CH2-N+(Rb)(Rc)-CH2C(0)0-, M+ , X" (B1 )
in which formula:
■ Ra represents a C10-C30 alkyl or alkenyl group derived from an acid
RaCOOH, preferably present in hydrolysed copra oil, or a heptyl, nonyl or undecyl group;
■ Rb represents a beta-hydroxyethyl group; and
■ Rc represents a carboxymethyl group;
■ M+ represents a cationic counterion derived from an alkali metal or alkaline- earth metal, such as sodium, an ammonium ion or an ion derived from an organic amine, and
■ X- represents an organic or inorganic anionic counterion, such as that chosen from halides, acetates, phosphates, nitrates, (C1 -C4)alkyl sulfates, (C1 -C4)alkyl- or (C1 -C4)alkylaryl sulfonates, in particular methyl sulfate and ethyl sulfate; or alternatively M+ and X- are absent;
Ra -CiOJ-NH-CHz-CHz-NiBKB') (B2)
in which formula:
■ B represents the group -CH2-CH2-0-X';
■ X' represents the group -CH2-C(0)OH, -CH2-C(0)OZ', -CH2-CH2-C(0)OH, -CH2-CH2-C(0)OZ', or a hydrogen atom;
■ Y' represents the group -C(0)OH, -C(0)OZ', -CH2-CH(OH)-S03H or the group
-CH2-CH(OH)-S03-Z';
■ Z' represents a cationic counterion derived from an alkali metal or alkaline- earth metal, such as sodium, an ammonium ion or an ion derived from an organic amine;
■ Ra' represents a Ci0-C3o alkyl or alkenyl group of an acid Ra-C(0)OH , which is preferably present in coconut oil or in hydrolysed linseed oil, an alkyl group, in particular a Ci7 group and its iso form, or an unsaturated Ci7 group.
These compounds of formulae (B1 ) and (B2) are classified in the CTFA dictionary, 5th edition, 1993, under the names disodium cocoamphodiacetate, disodium lauroamphodiacetate, disodium caprylamphodiacetate, disodium capryloamphodiacetate, disodium cocoamphodipropionate, disodium lauroamphodipropionate, disodium caprylamphodipropionate, disodium capryloamphodipropionate, lauroamphodipropionic acid and cocoamphodipropionic acid.
By way of example, mention may be made of the cocoamphodiacetate sold by the company Rhodia under the trade name Miranol® C2M Concentrate.
Use may also be made of the compounds of formula (B'2):
Ra"-NH-CH(Y")-(CH2)n-C(0)-NH-(CH2)n'-N(Rd)(Re) (B'2)
in which formula:
■ Y" represents the group -C(0)OH, -C(0)OZ", -CH2-CH(OH)-S03H or the group -CH2-CH(OH)-S03-Z";
■ Rd and Re, independently of one another, represent a Ci-C4 alkyl or hydroxyalkyl radical;
■ Z" represents a cationic counterion derived from an alkali metal or alkaline- earth metal, such as sodium, an ammonium ion or an ion derived from an organic amine;
■ Ra" represents a Ci0-C3o alkyl or alkenyl group of an acid Ra"-C(0)OH, which is preferably present in coconut oil or in hydrolysed linseed oil;
■ n and n', independently of one another, denote an integer ranging from 1 to 3.
Among the compounds of formula (B'2), mention may be made of the compound classified in the CTFA dictionary under the name sodium diethylaminopropyl cocoaspartamide and sold by the company Chimex under the name Chimexane HB.
Use is preferably made, among the abovementioned amphoteric or zwitterionic surface-active agents, of (C8-C2o)alkyl betaines, such as cocoyl betaine, (C8- C20)alkylamido (C3-C8)alkyl betaines, such as cocamidopropyl betaine, and of the compounds of formula (B'2), such as the sodium salt of diethylaminopropyl laurylaminosuccinamate (INCI name: sodium diethylaminopropyl cocoaspartamide), and mixtures thereof.
More preferentially, the amphoteric or zwitterionic surfactant(s) is (are) chosen from cocamidopropylbetaine, cocobetaine and the sodium salt of diethylaminopropyl laurylaminosuccinte, and mixtures thereof.
The cationic surfactant(s) that may be used in the dye composition according to the invention comprise, for example, optionally polyoxyalkylenated primary, secondary or tertiary fatty amine salts, quaternary ammonium salts, and mixtures thereof.
Examples of quaternary ammonium salts that may in particular be mentioned include:
- those corresponding to general formula (B3) below:
+
8\
NT X
/ \
9 R„
(B3)
in which formula:
■ R8 to ii, which may be identical or different, represent a linear or branched aliphatic group comprising from 1 to 30 carbon atoms, or an aromatic group such as aryl or alkylaryl, it being understood that at least one of the groups R8 to Rii comprises from 8 to 30 carbon atoms and preferably from 12 to 24 carbon atoms; and
■ X" represents an organic or inorganic anionic counterion, such as that chosen from halides, acetates, phosphates, nitrates, (CrC4)alkyl sulfates, (C C4)alkyl or (Ci-C4)alkylaryl sulfonates, in particular methyl sulfate and ethyl sulfate.
The aliphatic groups of R8 to Rn may also comprise heteroatoms in particular such as oxygen, nitrogen, sulfur and halogens.
The aliphatic groups of R8 to Rn are chosen, for example, from C1-C30 alkyl, d- C3o alkoxy, polyoxy(C2-C6)alkylene, C1-C30 alkylamide, (Ci2-C22)alkylamido(C2- C6)alkyl, (Ci2-C22)alkyl acetate, and C1-C30 hydroxyalkyl groups; X" is an anionic counterion chosen from halides, phosphates, acetates, lactates, (Ci-C4)alkyl sulfates, and (Ci-C4)alkylsulfonates or (Ci-C4)alkylarylsulfonates.
Among the quaternary ammonium salts of formula (B3), preference is given firstly to tetraalkylammonium chlorides, for instance dialkyldimethylammonium or alkyltrimethylammonium chlorides in which the alkyl group contains approximately from 12 to 22 carbon atoms, in particular behenyltrimethylammonium chloride, distearyldimethylammonium chloride, cetyltrimethylammonium chloride, benzyldimethylstearylammonium chloride, or else, secondly, distearoylethylhydroxyethylmethylammonium methosulfate, dipalmitoylethylhydroxyethylammonium methosulfate or distearoylethylhydroxyethylammonium methosulfate, or else, lastly, palmitylamidopropyltrimethylammonium chloride or stearamidopropyldimethyl(myristyl
acetate)ammonium chloride, sold under the name Ceraphyl® 70 by the company Van Dyk;
- quaternary ammonium salts of imidazoline, such as, for example, those of formula (B4) below:
(B4)
in which formula:
■ R-I2 represents an alkenyl or alkyl group comprising from 8 to 30 carbon atoms, for example fatty acid derivatives of tallow;
■ R-I3 represents a hydrogen atom, a Ci-C4 alkyl group or an alkenyl or alkyl group comprising from 8 to 30 carbon atoms;
■ Ri4 represents a C1-C4 alkyl group;
■ Ri5 represents a hydrogen atom or a C1-C4 alkyl group;
■ X" represents an organic or inorganic anionic counterion, such as that chosen from halides, phosphates, acetates, lactates, (CrC4)alkyl sulfates, (CrC4)alkyl or (d- C4)alkylaryl sulfonates.
Preferably, Ri2 and Ri3 denote a mixture of alkenyl or alkyl groups comprising from 12 to 21 carbon atoms, for example derived from tallow fatty acids, Ri4 denotes a methyl group and Ri5 denotes a hydrogen atom. Such a product is sold, for example, under the name Rewoquat® W 75 by the company Rewo;
- di- or triquaternary ammonium salts, in particular of formula (B5) below: — (CH2)3— N— R2, 2X~
(B5)
in which formula:
■ R-I6 denotes an alkyl group comprising approximately from 16 to 30 carbon atoms, which is optionally hydroxylated and/or interrupted with one or more oxygen atoms;
■ R-I7 is chosen from hydrogen, an alkyl group comprising from 1 to 4 carbon atoms or a group -(CH2)3-N+(R16a)(R17a)(Ri8a), X";
■ R16a, Ri7a, R18a, Ri8, Ri9, R20 and R2i, which may be identical or different, are chosen from hydrogen and an alkyl group comprising from 1 to 4 carbon atoms; and
■ X-, which may be identical or different, represents an organic-or inorganic anionic counterion, such as that chosen from halides, acetates, phosphates, nitrates, alkyl(d-C4) sulfates, alkyl(Ci-C4)- or alkyl(Ci-C4)aryl-sulfonates, more particularly methyl sulfate and ethyl sulfate.
Such compounds are, for example, Finquat CT-P, sold by the company Finetex (Quaternium 89), and Finquat CT, sold by the company Finetex (Quaternium 75); -quaternary ammonium salts containing one or more ester functions, such as those of formula (B6) below:
in which formula:
■ R22 is chosen from CrC6 alkyl groups and CrC6 hydroxyalkyl or CrC6 di hydroxyalkyl groups;
■ R23 is chosen from:
O
- the group R2~c ,
- saturated or unsaturated, linear or branched C1-C22 hydrocarbon-based groups R27,
- a hydrogen atom,
■ R25 is chosen from:
O
- the group 28
- saturated or unsaturated, linear or branched Ci-C6 hydrocarbon-based groups R29,
- a hydrogen atom,
■ R24, R26 and R28, which may be identical or different, are chosen from linear or branched, saturated or unsaturated C7-C21 hydrocarbon-based groups;
■ r, s and t, which may be identical or different, are integers ranging from 2 to 6,
■ r1 and t1 , which may be identical or different, are equal to 0 or 1 , with r2+r1 =2r and t1 +t2=2t,
■ y is an integer ranging from 1 to 10,
■ x and z, which may be identical or different, are integers ranging from 0 to 10, ■ X" represents an organic or inorganic anionic counterion,
with the proviso that the sum x + y + z is from 1 to 15, that when x is 0 then R23 denotes R27, and that when z is 0 then R25 denotes R29.
The alkyl groups R22 may be linear or branched, and more particularly linear.
Preferably, R22 denotes a methyl, ethyl, hydroxyethyl or dihydroxypropyl group, and more particularly a methyl or ethyl group.
Advantageously, the sum x + y + z is from 1 to 10.
When R23 is a hydrocarbon-based group R27, it may be long and contain from 12 to 22 carbon atoms, or may be short and contain from 1 to 3 carbon atoms.
When R25 is a hydrocarbon-based group R29, it preferably contains 1 to 3 carbon atoms.
Advantageously, R24, R26 and R28, which may be identical or different, are chosen from linear or branched, saturated or unsaturated Cn-C2i hydrocarbon-based groups, and more particularly from linear or branched, saturated or unsaturated Cn- C2i alkyl and alkenyl groups.
Preferably, x and z, which may be identical or different, are 0 or 1 .
Advantageously, y is equal to 1.
Preferably, r, s and t, which may be identical or different, have the value 2 or 3 and more particularly still are equal to 2.
The anionic counterion X" is preferably a halide, such as chloride, bromide or iodide; a (CrC4)alkyl sulfate or a (CrC4)alkyl- or (Ci-C4)alkylarylsulfonate. However, use may be made of methanesulfonate, phosphate, nitrate, tosylate, an anion derived from an organic acid, such as acetate or lactate, or any other anion which is compatible with the ammonium having an ester function.
The anionic counterion X" is even more particularly chloride, methyl sulfate or ethyl sulfate.
Use is made more particularly in the dye composition according to the invention of the ammonium salts of formula (B6) in which:
- R22 denotes a methyl or ethyl group,
- x and y are equal to 1 ,
- z is equal to 0 or 1 ,
- r, s and t are equal to 2,
- R23 is chosen from:
O
• the group R26 c
• methyl, ethyl or C14-C22 hydrocarbon-based groups,
· a hydrogen atom,
- R25 is chosen from:
O
• the group R28 ^
• a hydrogen atom,
- R24, R26 and R2e, which may be identical or different, are chosen from linear or branched, saturated or unsaturated C13-C17 hydrocarbon-based groups, and preferably from linear or branched, saturated or unsaturated C13-C17 alkyl and alkenyl groups.
Advantageously, the hydrocarbon-based radicals are linear.
Among the compounds of formula (B6), examples that may be mentioned include salts, in particular the chloride or methyl sulfate, of diacyloxyethyldimethylammonium, diacyloxyethylhydroxyethylmethylammonium, monoacyloxyethyldihydroxyethylmethylammonium, triacyloxyethylmethylammonium or monoacyloxyethylhydroxyethyldimethylammonium, and mixtures thereof. The acyl groups preferably contain 14 to 18 carbon atoms and are obtained more particularly from a plant oil such as palm oil or sunflower oil. When the compound contains several acyl groups, these groups may be identical or different.
These products are obtained, for example, by direct esterification of triethanolamine, triisopropanolamine, an alkyldiethanolamine or an alkyldiisopropanolamine, which are optionally oxyalkylenated, with fatty acids or with fatty acid mixtures of plant or animal origin, or by transesterification of the methyl esters thereof. This esterification is followed by a quaternization by means of an alkylating agent such as an alkyl halide, preferably methyl or ethyl halide, a dialkyl sulfate, preferably methyl or ethyl sulfate, methyl methanesulfonate, methyl para- toluenesulfonate, glycol chlorohydrin or glycerol chlorohydrin.
Such compounds are sold, for example, under the names Dehyquart® by the company Henkel, Stepanquat® by the company Stepan, Noxamium® by the company CECA or Rewoquat® WE 18 by the company Rewo-Witco.
The composition according to the invention may contain, for example, a mixture of quaternary ammonium monoester, diester and triester salts with a weight majority of diester salts.
It is also possible to use the ammonium salts containing at least one ester function that are described in patents US-A-4 874 554 and US-A-4 137 180.
Use may be made of behenoylhydroxypropyltrimethylammonium chloride sold by KAO under the name Quatarmin BTC 131.
Preferably, the ammonium salts comprising at least one ester function comprise two ester functions.
Among the cationic surfactants that may be present in the dye composition according to the invention, it is more particularly preferred to choose cetyltrimethylammonium, behenyltrimethylammonium and dipalmitoylethyl- hydroxyethylmethylammonium salts, and mixtures thereof, and more particularly behenyltrimethylammonium chloride, cetyltrimethylammonium chloride, and dipalmitoylethylhydroxyethylammonium methosulfate, and mixtures thereof.
Examples of non-ionic surfactants that may be used in the dye composition used according to the invention are described, for example, in the Handbook of Surfactants by M.R. Porter, published by Blackie & Son (Glasgow and London), 1991 , pp. 1 16-178. They are chosen in particular from alcohols, a-diols or (d- C2o)alkylphenols, these compounds being etherified by groups that are ethoxylated and/or propoxylated, glycerolated, and having at least one fatty chain comprising, for example, from 8 to 18 carbon atoms, it being possible for the number of ethylene oxide and/or propylene oxide groups to range in particular from 1 to 100, more particularly from 2 to 50, even more particularly from 2 to 30, and it being possible for the number of glycerol groups to range in particular from 1 to 30.
Mention may also be made of copolymers of ethylene oxide and propylene oxide, optionally oxyethylenated sorbitan fatty acid esters, sucrose fatty acid esters, oxyalkylenated fatty acid esters, optionally oxyalkylenated alkyl polyglycosides, alkyl glucoside esters, derivatives of N-alkylglucamine and of N-acylmethylglucamine, and aldobionamides,
and amine oxides.
The non-ionic surfactants are more particularly chosen from oxyalkylenated or glycerolated non-ionic surfactants. The oxyalkylene units are more particularly oxyethylene or oxypropylene units, or their combination, preferably oxyethylene units.
Mention may be made, as examples of oxyalkylenated or glycerolated non-ionic surfactants, of:
• oxyalkylenated (C8-C24)alkylphenols;
• saturated or unsaturated, linear or branched, oxyalkylenated or glycerolated C8-C3o alcohols;
• saturated or unsaturated, linear or branched, oxyalkylenated C8-C3o amides;
• esters of saturated or unsaturated, linear or branched, C8-C3o acids and of polyethylene glycols;
• oxyethylenated esters of saturated or unsaturated, linear or branched, C8-C3o acids and of sorbitol;
• saturated or unsaturated oxyethylenated plant oils;
• condensates of ethylene oxide and/or of propylene oxide, inter alia, alone or as mixtures;
• oxyethylenated and/or oxypropylenated silicones.
The oxyalkylenated non-ionic surfactants preferably have a number of moles of ethylene oxide and/or of propylene oxide ranging from 1 to 100, preferably from 2 to 50 and preferably between 2 and 30. Advantageously, the non-ionic surfactants do not comprise any oxypropylene units.
In accordance with a preferred embodiment of the invention, the oxyalkylenated non-ionic surfactants are chosen from oxyalkylenated, saturated or unsaturated, linear or branched, C8-C30 amides, oxyethylenated C8-C30 alcohols comprising from 1 to 100 mol of ethylene oxide, preferably from 2 to 50, more particularly from 2 to 35 mol of ethylene oxide; and oxyethylenated esters of saturated or unsaturated, linear or branched C8-C30 acids and of sorbitol comprising from 1 to 100 mol of ethylene oxide, and mixtures thereof.
By way of oxyethylenated amides, mention may be made of the compounds of formula (l)bis
R-[(OCH2CH2)n-OCH2]p-CO-N(R')-(CH2CH20)n.H (l)bis
in which:
-p denotes 0 or 1 ,
-n denotes a number ranging from 1 to 10 and preferably from 1 to 6,
-n' denotes a number ranging from 1 to 100 and preferably from 1 to 60, -R' denotes a hydrogen atom or a CH2CH2OH radical and preferably a hydrogen atom,
-R denotes a Ci0-C30 and preferably Ci2-C22 alkyl or alkenyl radical.
By way of example of compounds of formula (l)bis, mention may be made of Amidet A15 provided by the company Kao (INCI name: Trideceth 2-carboxamide MEA), Ethomid HP 60 provided by the company Akzo Nobel (INCI name: PEG-50 Hydrogenated Palmamide) and Amidet N provided by the company Kao (INCI name PEG-4 Rapeseedamide).
According to one particular embodiment, the non-ionic oxyethylenated amide surfactant is the oxyethylenated rapeseed acid amide comprising 4 oxyethylene units.
As an example of glycerolated non-ionic surfactants, glycerolated C8-C40 alcohols are preferably used.
As examples of compounds of this type, mention may be made of lauryl alcohol containing 4 mol of glycerol (INCI name: Polyglyceryl-4 Lauryl Ether), lauryl alcohol comprising 1.5 mol of glycerol, oleyl alcohol comprising 4 mol of glycerol (INCI name: Polyglyceryl-4 Oleyl Ether), oleyl alcohol comprising 2 mol of glycerol (INCI name: Polyglyceryl-2 Oleyl Ether), cetearyl alcohol containing 2 mol of glycerol, cetearyl alcohol containing 6 mol of glycerol, oleyl/cetyl alcohol containing 6 mol of glycerol, and octadecanol containing 6 mol of glycerol.
Among the glycerolated alcohols, it is more particularly preferred to use the C8/Cio alcohol containing 1 mol of glycerol, the C10/C12 alcohol containing 1 mol of glycerol and the C12 alcohol containing 1.5 mol of glycerol.
Preferably, the surfactant(s) is (are) chosen from non-ionic, anionic or amphoteric surfactants. More particularly, the surfactant(s) that may be present in the composition(s) of the device is (are) chosen from non-ionic and anionic surfactants, and mixtures thereof.
The amount of the surfactant(s), when it (they) is (are) present, varies preferably from 0.1 % to 35% by weight, even better still from 0.5% to 30% by weight, better still from 1 % to 25% by weight relative to the weight of the composition A and/or B.
According to one embodiment, the composition A and/or the composition B comprise(s) at least one surfactant, preferably chosen from non-ionic surfactants, preferablyoxyalkylenated non-ionic surfactants, more preferably chosen from
oxyethylenated C8-C30 alcohols comprising from 1 to 100 mol of ethylene oxide, preferably from 2 to 50, or particular from 2 to 35 mol of ethylene oxide.
According to one particular embodiment, the composition A and/or the composition B comprise(s) at least one oxyalkylenated non-ionic surfactant, preferably chosen from oxyethylenated C8-C30 alcohols, comprising from 1 to 10 mol of ethylene oxide, preferably from 2 to 5 mol of ethylene oxide and at least one oxyalkylenated non-ionic surfactants, preferably chosen from oxyethylenated C8-C30 alcohols comprising from 1 1 to 100 mol of ethylene oxide, preferably from 15 to 35 mol of ethylene oxide.
According to one embodiment, the composition A comprises at least one non- ionic surfactant chosen from oxyethylenated amides, preferably chosen from those of formula (l)bis described above.
Preferably, the total content of surfactants in the mixture of the compositions A and B is at least 7% by weight, preferably at least 10% by weight, relative to the total weight of the mixture of the compositions A and B.
According to one embodiment, the composition A comprises at least one anionic surfactant, preferably chosen from those mentioned above, in particular (C6- C24)alkyl sulfates.
Preferably, the composition A comprised at least one surfactant, the total content of surfactants in the composition A being at least 10%, preferably at least 15%, but still at least 20% by weight, relative to the total weight of the composition.
Fatty substance:
The composition A and/or the composition B may comprise one or more fatty substances.
The term "fatty substance" is intended to mean an organic compound that is insoluble in water at ordinary temperature (25°C) and at atmospheric pressure (760 mmHg) (solubility of less than 5%, preferably less than 1 % and even more preferentially less than 0.1 %). They bear in their structure at least one hydrocarbon- based chain comprising at least 6 carbon atoms or a sequence of at least two siloxane groups. In addition, the fatty substances are generally soluble in organic solvents under the same temperature and pressure conditions, for instance chloroform, dichloromethane, carbon tetrachloride, ethanol, benzene, toluene, tetrahydrofuran (THF), liquid petroleum jelly or decamethylcyclopentasiloxane.
The fatty substances of the invention do not contain any salified carboxylic acid groups.
In addition, the fatty substances of the invention are not (poly)oxyalkylenated or (poly)glycerolated ethers.
The term "oil" is intended to mean a fatty substance that is liquid at ambient temperature (25°C) and at atmospheric pressure (760 mmHg).
The term "non-silicone oil" is intended to mean an oil not containing any silicon atoms (Si) and the term "silicone oil" is intended to mean an oil containing at least one silicon atom.
More particularly, the fatty substances are chosen from C6-Ci6 hydrocarbons, hydrocarbons containing more than 16 carbon atoms, non-silicone oils of animal origin, plant oils of triglyceride type, synthetic triglycerides, fluoro oils, fatty alcohols, esters of fatty acids and/or of fatty alcohols other than triglycerides, and plant waxes, non-silicone waxes and silicones, and mixtures thereof.
It is recalled that the fatty alcohols, esters and acids more particularly contain at least one saturated or unsaturated, linear or branched hydrocarbon-based group, comprising 6 to 30 and better still from 8 to 30 carbon atoms, which is optionally substituted, in particular, with one or more hydroxyl groups (in particular 1 to 4). If they are unsaturated, these compounds may comprise one to three conjugated or unconjugated carbon-carbon double bonds.
As regards the C6-Ci6 hydrocarbons, they are linear, branched or optionally cyclic, and are preferably alkanes. Examples that may be mentioned include hexane, dodecane and isoparaffins such as isohexadecane and isodecane.
A hydrocarbon-based oil of animal origin that may be mentioned is perhydrosqualene.
The triglyceride oils of plant or synthetic origin are preferably chosen from liquid fatty acid triglycerides comprising from 6 to 30 carbon atoms, for instance heptanoic or octanoic acid triglycerides, or alternatively, for example, sunflower oil, corn oil, soybean oil, marrow oil, grapeseed oil, sesame seed oil, hazelnut oil, apricot oil, macadamia oil, arara oil, castor oil, avocado oil, caprylic/capric acid triglycerides, for instance those sold by the company Stearineries Dubois or those sold under the names Miglyol® 810, 812 and 818 by the company Dynamit Nobel, jojoba oil and shea butter oil.
The linear or branched hydrocarbons of mineral or synthetic origin containing more than 16 carbon atoms are preferably chosen from liquid paraffins, petroleum
jelly, liquid petroleum jelly, polydecenes and hydrogenated polyisobutene such as Parleam®.
As regards the C6-Ci6 alkanes, they are linear or branched, and possibly cyclic. Examples that may be mentioned include hexane, dodecane and isoparaffins such as isohexadecane and isodecane.
As oils of animal, vegetable, mineral or synthetic origin that may be used in the composition of the invention, examples that may be mentioned include:
fluoro oils that may be chosen from perfluoromethylcyclopentane and perfluoro-1 ,3- dimethylcyclohexane, sold under the names Flutec® PC1 and Flutec® PC3 by the company BNFL Fluorochemicals; perfluoro-1 ,2-dimethylcyclobutane; perfluoroalkanes such as dodecafluoropentane and tetradecafluorohexane, sold under the names PF 5050® and PF 5060® by the company 3M, or alternatively bromoperfluorooctyl sold under the name Foralkyl® by the company Atochem; nonafluoromethoxybutane and nonafluoroethoxyisobutane; perfluoromorpholine derivatives such as 4-trifluoromethyl perfluoromorpholine sold under the name PF
5052® by the company 3M.
The fatty alcohols that are suitable for use in the invention are more particularly chosen from linear or branched, saturated or unsaturated alcohols comprising from 6 to 30 carbon atoms and preferably from 8 to 30 carbon atoms. Mention may be made, for example, of cetyl alcohol, stearyl alcohol and a mixture thereof (cetearyl alcohol), octyldodecanol, 2-butyloctanol, 2-hexyldecanol, 2-undecylpentadecanol, oleyl alcohol or linoleyl alcohol.
As regards the esters of a fatty acid and/or of fatty alcohols, which are advantageously different from the triglycerides mentioned previously, mention may be made in particular of esters of saturated or unsaturated, linear or branched Ci-C26 aliphatic monoacids or polyacids and of saturated or unsaturated, linear or branched Ci-C26 aliphatic monoalcohols or polyalcohols, the total carbon number of the esters being greater than or equal to 6 and more advantageously greater than or equal to 10.
Among the monoesters, mention may be made of dihydroabietyl behenate; octyldodecyl behenate; isocetyl behenate; cetyl lactate; C12-C15 alkyl lactate; isostearyl lactate; lauryl lactate; linoleyl lactate; oleyl lactate; (iso)stearyl octanoate; isocetyl octanoate; octyl octanoate; cetyl octanoate; decyl oleate; isocetyl isostearate; isocetyl laurate; isocetyl stearate; isodecyl octanoate; isodecyl oleate; isononyl
isononanoate; isostearyl palmitate; methyl acetyl ricinoleate; myristyl stearate; octyl isononanoate; 2-ethylhexyl isononanoate; octyl palmitate; octyl pelargonate; octyl stearate; octyldodecyl erucate; oleyl erucate; ethyl and isopropyl palmitates, 2- ethylhexyl palmitate, 2-octyldecyl palmitate, alkyl myristates such as isopropyl, butyl, cetyl, 2-octyldodecyl, myristyl or stearyl myristate, hexyl stearate, butyl stearate, isobutyl stearate; dioctyl malate, hexyl laurate, 2-hexyldecyl laurate.
Still within the context of this variant, esters of C4-C22 dicarboxylic or tricarboxylic acids and of C1-C22 alcohols and esters of mono-, di- or tricarboxylic acids and of C2-C26 di-, tri-, tetra- or pentahydroxy alcohols may also be used.
Mention may in particular be made of: diethyl sebacate; diisopropyl sebacate; diisopropyl adipate; di(n-propyl) adipate; dioctyl adipate; diisostearyl adipate; dioctyl maleate; glyceryl undecylenate; octyldodecyl stearoyl stearate; pentaerythrityl monoricinoleate; pentaerythrityl tetraisononanoate; pentaerythrityl tetrapelargonate; pentaerythrityl tetraisostearate; pentaerythrityl tetraoctanoate; propylene glycol dicaprylate; propylene glycol dicaprate; tridecyl erucate; triisopropyl citrate; triisostearyl citrate; glyceryl trilactate; glyceryl trioctanoate; trioctyldodecyl citrate; trioleyl citrate; propylene glycol dioctanoate; neopentyl glycol diheptanoate; diethylene glycol diisononanoate; and polyethylene glycol distearates.
Among the esters mentioned above, it is preferred to use ethyl, isopropyl, myristyl, cetyl or stearyl palmitates, 2-ethylhexyl palmitate, 2-octyldecyl palmitate, alkyl myristates such as isopropyl, butyl, cetyl or 2-octyldodecyl myristate, hexyl stearate, butyl stearate, isobutyl stearate; dioctyl malate, hexyl laurate, 2-hexyldecyl laurate, isononyl isononanoate or cetyl octanoate.
The composition may also comprise, as fatty ester, sugar esters and diesters of C6-C3o and preferably C12-C22 fatty acids. It is recalled that the term "sugar" is intended to mean oxygen-bearing hydrocarbon-based compounds bearing several alcohol functions, with or without aldehyde or ketone functions, and which comprise at least 4 carbon atoms. These sugars may be monosaccharides, oligosaccharides or polysaccharides.
Examples of suitable sugars that may be mentioned include sucrose (or saccharose), glucose, galactose, ribose, fucose, maltose, fructose, mannose, arabinose, xylose and lactose, and derivatives thereof, in particular alkyl derivatives, such as methyl derivatives, for instance methylglucose.
The sugar esters of fatty acids may be chosen in particular from the group comprising the esters or mixtures of esters of sugars described previously and of
linear or branched, saturated or unsaturated C6-C3o and preferably C12-C22 fatty acids. If they are unsaturated, these compounds may comprise one to three conjugated or unconjugated carbon-carbon double bonds.
The esters according to this variant may also be chosen from mono-, di-, tri- and tetraesters, polyesters, and mixtures thereof.
These esters may be chosen, for example, from oleates, laurates, palmitates, myristates, behenates, cocoates, stearates, linoleates, linolenates, caprates and arachidonates, or mixtures thereof such as, in particular, oleopalmitate, oleostearate and palmitostearate mixed esters.
More particularly, use is made of monoesters and diesters and in particular sucrose, glucose or methylglucose monooleate or dioleate, stearate, behenate, oleopalmitate, linoleate, linolenate or oleostearate.
An example that may be mentioned is the product sold under the name Glucate® DO by the company Amerchol, which is a methylglucose dioleate.
Examples of esters or mixtures of esters of sugar and of fatty acid that may also be mentioned include:
- the products sold under the names F160, F140, F1 10, F90, F70 and SL40 by the company Crodesta, respectively denoting sucrose palmitate/stearates formed from 73% monoester and 27% diester and triester, from 61 % monoester and 39% diester, triester and tetraester, from 52% monoester and 48% diester, triester and tetraester, from 45% monoester and 55% diester, triester and tetraester, from 39% monoester and 61 % diester, triester and tetraester, and sucrose monolaurate;
- the products sold under the name Ryoto Sugar Esters, for example referenced B370 and corresponding to sucrose behenate formed from 20% monoester and 80% diester-triester-polyester;
- the sucrose mono-dipalmito-stearate sold by the company Goldschmidt under the name Tegosoft® PSE.
More particularly, the fatty substances are chosen from compounds that are liquid or pasty at ambient temperature (25°C) and at atmospheric pressure.
In one variant of the invention, the fatty substance is a compound that is liquid at a temperature of 25°C and at atmospheric pressure.
In another variant of the invention, the fatty substance is a compound that is non-liquid at a temperature of 25°C and at atmospheric pressure, and is preferably solid.
The fatty substances are advantageously chosen from C6-Ci6 alkanes, non- silicone oils of vegetable, mineral or synthetic origin, fatty alcohols, esters of a fatty acid and/or of a fatty alcohol, and silicone or non-silicone waxes, or mixtures thereof.
Preferably, the fatty substances chosen from liquid petroleum jelly, C6-Ci6 alkanes, fatty alcohols, or mixtures thereof.
The composition A or B according to the invention may comprise from 0.1 % to 40% by weight of fatty substance relative to its total weight, preferably from 0.5% to 30%, better still from 1 % to 20%, even better still from 1 % to 10%.
According to one embodiment, the composition A comprises less than 10% by weight, preferably less than 7%, advantageously less than 5% by weight of fatty substance, better still less than 1 % by weight, better still less than 0.5% by weight, relative to its total weight. The composition A may be free of fatty substances.
According to one embodiment, the composition B comprises at least one fatty substance preferably chosen from C6-Ci6 alkanes, non-silicone oils of vegetable, mineral or synthetic origin, fatty alcohols, esters of fatty acid and/or of fatty alcohol or mixtures thereof, preferably chosen from non-silicone oils of mineral or synthetic origin and fatty alcohols, and mixtures thereof.
According to one embodiment, the composition B comprises at least one mineral oil and at least one fatty alcohol. Preferably, the content of fatty substances in the composition B can range from 0.1 % to 20%, preferably from 0.5% to 10% and better still from 1 % to 6% by weight relative to the total weight of the composition.
ADDITIVES
The composition A and/or the composition B may also contain various adjuvants conventionally used in hair dyeing or lightening compositions, such as cationic polymers distinct from the cationic polymers having a cationic charge density of greater than 6 meq/g, or anionic, amphoteric or non-ionic polymers, or mixtures thereof, said polymers being associative or non-associative; antioxidants; penetrants; sequestrants; fragrances; dispersants; film-forming agents; ceramides; preserving agents; opacifiers.
The above adjuvants are generally present in an amount for each of them of between 0.01 % and 20% by weight relative to the weight of each composition.
According to one embodiment, at least one of the compositions A and B, preferably the composition A, comprises at least one associative thickening polymer, preferably chosen from associative cellulose derivatives, which are preferably non-ionic, in particular hydroxyethylcelluloses modified with groups comprising at least one hydrophobic chain, such as alkyl, arylalkyl or alkylaryl groups, or mixtures thereof, and in which the alkyl groups are preferably C8-C22 alkyl groups.
The composition A and/or B according to the invention may comprise water and/or one or more organic solvents.
Examples of organic solvents that may be mentioned include linear or branched and preferably saturated monoalcohols or diols, comprising 2 to 10 carbon atoms, such as ethyl alcohol, isopropyl alcohol, hexylene glycol (2-methyl-2,4-pentanediol), neopentyl glycol and 3-methyl-1 ,5-pentanediol, butylene glycol, dipropylene glycol and propylene glycol; aromatic alcohols such as benzyl alcohol or phenylethyl alcohol; polyols containing more than two hydroxyl functions, such as glycerol; polyol ethers, for instance ethylene glycol monomethyl, monoethyl or monobutyl ether, propylene glycol or ethers thereof, for instance propylene glycol monomethyl ether; and also diethylene glycol alkyl ethers, in particular Ci-C4 alkyl ethers, for instance diethylene glycol monoethyl ether or monobutyl ether, alone or as a mixture.
The organic solvents, when they are present, generally represent between 1 % and 40% by weight relative to the total weight of the dye composition, and preferably between 5% and 30% by weight relative to the total weight of the dye composition.
Preferably, the composition A and the composition B are aqueous.
In this case, they each preferentially comprise from 30% to 95% of water by weight, better still from 40% to 90% of water by weight, even better still from 50% to 85% of water by weight relative to the total weight of the composition.
The pH of the composition A, if it is aqueous, is generally between 3 and 12, preferably between 5 and 1 1 . It is preferentially between 7 and 1 1 , limits included.
It may be adjusted to the desired value by means of acidifying or basifying agents usually used in the dyeing of keratin fibres, and in particular the alkaline agents of the invention mentioned above.
The oxidizing composition B also preferably comprises one or more acidifying agents. Among the acidifying agents that may be mentioned, for example, are mineral or organic acids, for instance hydrochloric acid, orthophosphoric acid or sulfuric acid,
carboxylic acids, for instance acetic acid, tartaric acid, citric acid and lactic acid, and sulfonic acids.
Usually, the pH of the oxidizing composition, when it is aqueous, is less than 7. The compositions A and B may each have a viscosity, measured at 25°C and atmospheric pressure, ranging from 1000 to 60 000 mPa.s, preferably from 5000 to 40 000 mPa.s.
More particularly, the composition A may have a viscosity ranging from 10 000 to 40 000 mPa.s.
More particularly, the composition B may have a viscosity ranging from 5000 to 15 000 mPa.s.
The viscosity of the compositions may be measured at 25°C using a Brookfield LVT viscometer equipped with an M4 spindle rotating at a speed of 12 rpm.
The measurement is taken after 1 minute.
The compositions A and B may be in the form of a gel or cream.
According to one particular embodiment, the compositions A and B of the device according to the invention are such that:
- the composition A comprises:
at least one alkaline agent, preferably chosen from aqueous ammonia, alkanolamines, preferably monoethanolamine, and mixtures thereof,
at least one dyeing agent, preferably chosen from oxidation dye precursors, at least one cationic polymer having a cationic charge density of greater than or equal to 6 meq/g, preferably chosen from the polymers of families (1 ) and (2) described above, and in particular homopolymers of dimethyldiallylammonium salts, hexadimethrine chloride and mixtures thereof,
at least one anionic surfactant, preferably chosen from (Ci2-C2o)alkyl sulfates as described above,
- the composition B comprises:
at least one oxidizing agent, preferably hydrogen peroxide,
at least one fatty substance as described above, preferably chosen from non-silicone oils of mineral or synthetic origin, fatty alcohols and mixtures thereof,
the composition A and/or the composition B comprise(s) at least one non-ionic surfactant as described above, preferably chosen from oxyethylenated C8-C3o
alcohols comprising from 1 to 100 mol of ethylene oxide, preferably from 2 to 50, more particularly from 2 to 35 mol of ethylene oxide.
Preferably, the total content of surfactants in the mixture of the compositions A and B is at least 7% by weight, preferably at least 10% by weight, relative to the total weight of the mixture of the compositions A and B.
Device The dispensing device according to the invention is constituted of a container comprising:
i) at least two compartments a and b separate from one another,
the compartment a comprising a composition A comprising at least one alkaline agent and optionally at least one dyeing agent,
the compartment b comprising an oxidizing composition B comprising at least one chemical oxidizing agent,
one and/or the other of the compositions A and B of the two compartments comprising at least one cationic polymer having a cationic charge density of greater than or equal to 6 meq/g;
ii) a dispensing means equipped with at least one dispensing orifice, in communication with the compartments a and b, making it possible to simultaneously deliver the compositions A and B.
Preferably, the container of the device is pressurized (aerosol device). In other words, it comprises one or more propellant gases.
By way of propellant gas suitable for implementing the invention, mention may be made of the gases normally used in the cosmetics field, in particular optionally halogenated volatile hydrocarbons, for example n-butane, propane, isobutane, pentane, and halogenated derivatives thereof; carbon dioxide, nitrous oxide, dimethyl ether, nitrogen and oxygen, alone or as mixtures.
The walls of the container containing the compartments a and b are preferably rigid, the container possibly being in this case a can, for example made of metal or plastic.
According to one preferred embodiment, the compartments a and b are flexible pouches. They may be made of metal, such as aluminium, or plastic.
According to this configuration, the propellant gas is in the volume defined between the walls of the container and the flexible pouches.
The device comprises a dispensing means equipped with at least one dispensing orifice, in communication with the compartments a and b, making it possible to simultaneously deliver the compositions A and B, in separate form (side by side for example) or in mixture form, preferably in separate form, by means of at least one dispensing orifice.
Preferably, the means for delivering the compositions comprise at least one dispensing valve. According to one embodiment, each compartment is surmounted by a valve.
According to one embodiment, the compartments are surmounted by a single valve connecting them.
The valve(s) is (are) in selective fluidic communication with the inside of the compartment(s) via a valve inlet orifice, the communication being established in response to the activating of an activating means, such as a push-button.
The dispensing means of the device may comprise a diffuser which caps the valve(s).
According to one variant, the device comprises a single diffuser which caps the two valves. The push-button may be part of the diffuser.
The diffuser may be equipped with one or more dispensing pipes provided to convey the composition(s) up to one or more dispensing orifices.
When the device comprises a single diffuser, it may be equipped with two composition conveying pipes, each pipe communicating with the outlet orifice of a valve.
According to a first embodiment, the two pipes each open into a dispensing orifice (not communicating with one another before the dispensing orifice). According to this configuration, the mixing of the compositions is carried out only after dispensing of the latter (thus after the dispensing orifices).
According to a second embodiment, the two pipes open into a mixing chamber equipped with a static mixer, from which a single pipe is directed to a single
dispensing orifice. According to this configuration, the mixing of the compositions is carried out just before discharge thereof from the device.
Thus, the compositions A and B can be delivered in mixture form prior to the application to the keratin fibres, or can be delivered simultaneously in separate form, the mixing taking place after application to the keratin fibres (when the compositions leave simultaneously side by side).
Preferably, according to this embodiment, the compartments a and b are flexible pouches, a dispensing valve surmounting each of the compartments, a single diffuser capping the two valves.
It should be noted that the dispensing valve(s), like the content of propellant gas(es), are adjusted so as to enable the dispensing of the compositions in appropriate respective proportions.
In practice, the dispensed composition A/composition B weight ratio ranges from 0.25 to 4 and preferably from 0.5 to 2.
Even more preferentially, this ratio is 1.
A subject of the invention is also a kit comprising:
- the device for dispensing a dyeing and/or lightening product as described above, and
- a composition C comprising at least one conditioning agent chosen from silicones, cationic polymers and amphoteric polymers, and mixtures thereof.
The cationic polymers may be chosen from the cationic polymers described above, in particular the polymers of families (1 ) and (2) as described above. The silicones that may be used in the compositions of the present invention are in particular polyorganosiloxanes, which may be oils, waxes, resins or gums.
The silicones that may be used in the compositions of the present invention may be in the form of aqueous solutions, i.e. dissolved, or optionally in the form of dispersions or microdispersions, or of aqueous emulsions.
Silicones are defined in greater detail in Walter Noll's Chemistry and Technology of Silicones (1968), Academic Press.
The silicones may be volatile or non-volatile.
When they are volatile, the silicones are more particularly chosen from those having a boiling point of between 60°C and 260°C, and more particularly still from:
(i) cyclic silicones comprising from 3 to 7 and preferably 4 to 5 silicon atoms.
These are, for example, octamethylcyclotetrasiloxane sold in particular under the name Volatile Silicone 7207 by the company Union Carbide or Silbione 70045 V 2 by the company Rhodia, decamethylcyclopentasiloxane sold under the name Volatile Silicone 7158 by the company Union Carbide, and Silbione 70045 V 5 by the company Rhodia, and mixtures thereof.
Mention may also be made of cyclocopolymers of the dimethylsiloxane/methylalkylsiloxane type, such as Volatile Silicone FZ 3109 sold by the company Union Carbide, of chemical structure:
D" - D'■ D" - D'■
CH, ChL
I
with D" : — Si - O— with D' : - T Si - O—
CH3 CaH17
Mention may also be made of mixtures of cyclic silicones with organosilicon compounds, such as the mixture of octamethylcyclotetrasiloxane and tetrakis(trimethylsilyl)pentaerythritol (50/50) and the mixture of octamethylcyclotetrasiloxane and oxy-1 ,1 '-bis(2,2,2',2',3,3'- hexatrimethylsilyloxy)neopentane;
(ii) linear volatile silicones containing 2 to 9 silicon atoms and having a viscosity of less than or equal to 5x10"6 m2/s at 25°C. This is for example the decamethyltetrasiloxane sold in particular under the name SH 200 by the company Toray Silicone. Silicones belonging to this category are also described in the article published in Cosmetics and Toiletries, Vol. 91 , Jan. 76, pp. 27-32, Todd & Byers Volatile Silicone Fluids for Cosmetics.
When the silicones are non-volatile, use is preferably made of polyalkylsiloxanes, polyarylsiloxanes, polyalkylarylsiloxanes, silicone gums and resins, and polyorganosiloxanes modified with organofunctional groups, and mixtures thereof.
These silicones are more particularly chosen from polydialkylsiloxanes, among which mention may be made mainly of polydimethylsiloxanes containing trimethylsilyl end groups (Dimethicone according to the CTFA name) for example having a viscosity of from 5x10"6 to 2.5 m2/s at 25°C and preferably 1 x10"5 to 1 m2/s. The viscosity of the silicones is measured, for example, at 25°C according to standard ASTM 445 Appendix C.
Among these polyalkylsiloxanes, mention may be made, in a non-limiting manner, of the following commercial products:
- the Silbione oils of the 70 047 series or the Mirasil oils sold by the company Rhodia, for instance the oil 70 047 V 500 000,
- the oils of the 200 series from the company Dow Corning, such as, more particularly, DC200 with a viscosity of 60 000 cSt,
- the Viscasil oils from the company General Electric and certain oils of the SF series (SF 96, SF 18) from the company General Electric.
Mention may also be made of polydialkylsiloxanes and in particular polydimethylsiloxanes containing dimethylsilanol end groups (Dimethiconol according to the CTFA name) such as the oils of the 48 series from the company Rhodia.
Mention may also be made of polydimethylsiloxanes containing aminoethyl, aminopropyl and α,ω-silanol groups.
In this category of polyalkylsiloxanes, mention may also be made of the products sold under the names Abil Wax 9800 and 9801 by the company Goldschmidt, which are poly(CrC2o)alkylsiloxanes.
The polyalkylarylsiloxanes are particularly chosen from linear and/or branched polydimethylmethylphenylsiloxanes and polydimethyldiphenylsiloxanes with a viscosity of from 1 χ 10"5 to 5x 102 m2/s at 25°C.
Among these polyalkylarylsiloxanes, examples that may be mentioned include the products sold under the following names:
- Silbione oils of the 70 641 series from the company Rhodia,
- the oils of the Rhodorsil 70 633 and 763 series from the company Rhodia, - the oil Dow Corning 556 Cosmetic Grade Fluid from the company Dow
Corning,
- the silicones of the PK series from the company Bayer, such as the product PK20,
- the silicones of the PN and PH series from the company Bayer, such as the products PN1000 and PH1000,
- certain oils of the SF series from the company General Electric, such as SF 1023, SF 1 154, SF 1250 and SF 1265.
The silicone gums that may be present in the composition according to the invention are in particular polydiorganosiloxanes having high number-average molecular weights of between 200 000 and 1 000 000, used alone or as a mixture in a solvent. This solvent may be chosen from volatile silicones, polydimethylsiloxane (PDMS) oils, polyphenylmethylsiloxane (PPMS) oils, isoparaffins, polyisobutylenes, methylene chloride, pentane, dodecane and tridecane, or mixtures thereof.
Mention may be made more particularly of the following products:
- polydimethylsiloxane gums,
- polydimethylsiloxane/methylvinylsiloxane gums,
- polydimethylsiloxane/diphenylsiloxane gums,
- polydimethylsiloxane/phenylmethylsiloxane gums,
- polydimethylsiloxane/diphenylsiloxane/methylvinylsiloxane gums.
Products that may be used more particularly are the following mixtures:
- mixtures formed from a polydimethylsiloxane hydroxylated at the end of the chain (known as dimethiconol according to the nomenclature of the CTFA dictionary) and from a cyclic polydimethylsiloxane (known as cyclomethicone according to the nomenclature of the CTFA dictionary), such as the product Q2 1401 sold by the company Dow Corning,
- mixtures formed from a polydimethylsiloxane gum with a cyclic silicone, such as the product SF 1214 Silicone Fluid from the company General Electric, this product being an SF 30 gum corresponding to a dimethicone, having a number- average molecular weight of 500 000, dissolved in the oil SF 1202 Silicone Fluid corresponding to decamethylcyclopentasiloxane,
- mixtures of two PDMSs with different viscosities, and more particularly of a PDMS gum and of a PDMS oil, such as the product SF 1236 from the company General Electric. The product SF 1236 is a mixture of a gum SE 30 defined above, with a viscosity of 20 m2/s and of an oil SF 96 with a viscosity of 5x10"6 m2/s. This product preferably comprises 15% of gum SE 30 and 85% of an oil SF 96.
The organopolysiloxane resins that may be present in the composition according to the invention are crosslinked siloxane systems containing the following units: R2S1O2/2, 3S1O1/2, RS1O3/2 and S1O4/2 in which R represents a hydrocarbon group containing 1 to 16 carbon atoms or a phenyl group. Among these products, the
ones that are particularly preferred are those in which R denotes a C1-C4 alkyl group, more particularly methyl, or a phenyl group.
Among these resins, mention may be made of the product sold under the name Dow Corning 593 or those sold under the names Silicone Fluid SS 4230 and SS 4267 by the company General Electric, which are silicones of dimethyl/trimethylsiloxane structure.
Mention may also be made of the trimethyl siloxysilicate-type resins sold in particular under the names X22-4914, X21 -5034 and X21 -5037 by the company Shin- Etsu.
The organomodified silicones that may be present in the composition according to the invention are silicones as defined above and comprising in their structure one or more organofunctional groups attached via a hydrocarbon-based group.
Among the organomodified silicones, mention may be made of polyorganosiloxanes comprising:
- polyethyleneoxy and/or polypropyleneoxy groups optionally comprising C6-C24 alkyl groups, such as the products known as dimethicone copolyol sold by the company Dow Corning under the name DC 1248 or the oils Silwet L 722, L 7500, L 77 and L 71 1 by the company Union Carbide, and the (Ci2)alkylmethicone copolyol sold by the company Dow Corning under the name Q2 5200,
- thiol groups, such as the products sold under the names GP 72 A and GP 71 from the company Genesee,
- alkoxylated groups, such as the product sold under the name Silicone Copolymer F-755 by SWS Silicones and Abil Wax 2428, 2434 and 2440 by the company Goldschmidt,
- hydroxylated groups, such as the polyorganosiloxanes containing a hydroxyalkyl function, described in French patent application FR 2 589 476,
- acyloxyalkyl groups, for instance the polyorganosiloxanes described in patent US-A-4 957 732,
- anionic groups of the carboxylic acid type, for instance in the products described in patent EP 186 507 from the company Chisso Corporation, or of the alkylcarboxylic type, such as those present in the product X-22-3701 E from the company Shin-Etsu; 2-hydroxyalkyl sulfonate; 2-hydroxyalkyl thiosulfate such as the products sold by the company Goldschmidt under the names Abil S201 and Abil S255,
- hydroxyacylamino groups, for instance the polyorganosiloxanes described in patent application EP 342 834. Mention may be made, for example, of the product Q2-8413 from the company Dow Corning.
Among the organomodified silicones, mention may also be made of amino silicones.
The term "amino silicone" is intended to mean any silicone comprising at least one primary, secondary or tertiary amine function or a quaternary ammonium group.
The amino silicones that may be used in the cosmetic composition according to the present invention are chosen from:
(a) the compounds corresponding to the following formula (V):
(R1)a(T)3-aSi[OSi(T)2]n[OSi(T)b(R1)2-b]mOSi(T)3-a(R1 )a (V)
in which:
T is a hydrogen atom or a phenyl or hydroxyl (-OH), or CrC8 alkyl, and preferably methyl, or
Ci-C8 alkoxy, preferably methoxy group,
a denotes the number 0 or an integer from 1 to 3, and preferably 0,
b denotes 0 or 1 , and in particular 1 ,
m and n are numbers such that the sum (n + m) can range in particular from 1 to 2000 and in particular from 50 to 150, it being possible for n to denote a number from 0 to 1999 and in particular from 49 to 149, and for m to denote a number from 1 to 2000 and in particular from 1 to 10,
R1 is a monovalent group of formula -CqH2qL in which q is a number from 2 to 8 and L is an optionally quaternized amino group chosen from the following groups:
-N(R2)-CH2-CH2-N(R2)2,
-N(R2)2,
-N+(R2)3 Q-,
-N+(R2) (H)2 Q-,
-N+(R2)2HQ-,
-N(R2)-CH2-CH2-N+(R2)(H)2 Q",
in which R2 may denote a hydrogen atom, a phenyl, benzyl or saturated monovalent hydrocarbon-based group, for example a Ci-C20 alkyl group, and Q" represents a halide ion, for example fluoride, chloride, bromide or iodide.
In particular, the amino silicones corresponding to the definition of formula (V) are chosen from the compounds corresponding to formula (VI) below:
in which R, R' and R", which may be identical or different, denote a C1-C4 alkyl group, preferably CH3; a C1-C4 alkoxy group, preferably methoxy; or OH; A represents a linear or branched, C3-C8 and preferably C3-C6 alkylene group; m and n are integers dependent on the molecular weight and the sum of which is between 1 and 2000.
According to a first possibility, R, R' and R", which may be identical or different, each represent a C1-C4 alkyl group or hydroxyl, A represents a C3 alkylene group and m and n are such that the weight-average molecular weight of the compound is between approximately 5000 and 500 000. The compounds of this type are named "amodimethicone" in the CTFA dictionary.
According to a second possibility, R, R' and R", which may be identical or different, each represent a C1-C4 alkoxy group or hydroxyl, at least one of the groups R and R" is an alkoxy group and A represents a C3 alkylene group. The hydroxyl/alkoxy mole ratio is preferably between 0.2/1 and 0.4/1 and advantageously equal to 0.3/1. Moreover, m and n are such that the weight-average molecular weight of the compound is between 2000 and 106. More particularly, n is between 0 and 999 and m is between 1 and 1000, the sum of n and m being between 1 and 1000.
In this category of compounds, mention may be made, inter alia, of the product Belsil® ADM 652 sold by the company Wacker.
According to a third possibility, R and R", which are different, each represent a
C1-C4 alkoxy group or hydroxyl, at least one of the groups R and R" being an alkoxy group, R' representing a methyl group and A representing a C3 alkylene group. The hydroxyl/alkoxy mole ratio is preferably between 1/0.8 and 1/1 .1 and advantageously is equal to 1/0.95. Moreover, m and n are such that the weight-average molecular weight of the compound is between 2000 and 200 000. More particularly, n is
between 0 and 999 and m is between 1 and 1000, the sum of n and m being between 1 and 1000.
More particularly, mention may be made of the product Fluid WR® 1300 sold by the company Wacker.
Note that the molecular weight of these silicones is determined by gel permeation chromatography (ambient temperature, polystyrene standard, μ styragem columns, eluent THF, flow rate of 1 mm/minute, 200 μΙ of a solution containing 0.5% by weight of silicone in THF are injected, and detection is performed by refractometry and UV-metry).
A product corresponding to the definition of formula (V) is in particular the polymer known in the CTFA dictionary as Trimethylsilyl Amodimethicone, corresponding to formula (VII) below:
(CH3)3 i(CH3 3)/3.
NH.
(VII) in which n and m have the meanings given above in accordance with formula
(VI).
Such compounds are described, for example, in patent EP 95238. A compound of formula (VII) is sold, for example, under the name Q2-8220 by the company OSI.
(b) the compounds corresponding to formula (VIII) below:
(VIII)
in which:
R3 represents a monovalent C Ci8 hydrocarbon-based group, and in particular a C1-C18 alkyl or C2-Ci8 alkenyl group, for example methyl,
R4 represents a divalent hydrocarbon-based group, in particular a Ci-Ci8 alkylene group or a divalent Ci-Ci8, for example Ci-C8, alkyleneoxy group,
Q" is a halide ion, in particular chloride,
r represents a mean statistical value from 2 to 20 and in particular from 2 to 8, s represents a mean statistical value from 20 to 200 and in particular from 20 to
50.
Such compounds are described more particularly in patent US 4 185 087.
A compound falling within this class is the product sold by the company Union Carbide under the name Ucar Silicone ALE 56.
(c) quaternary ammonium silicones in particular of formula (IX) below:
Rb OH 2 X R— N— ChL— CH— ChL— R- -Si— O- -Si— R— ChL 2— CHOH— ChL 2—. N - R6 in which:
R6, which may be identical or different, represent a monovalent hydrocarbon- based group having from 1 to 18 carbon atoms, and in particular a C Ci8 alkyl group, a C2-Cis alkenyl group or a ring comprising 5 or 6 carbon atoms, for example methyl,
R5 represents a divalent hydrocarbon-based group, in particular a Ci-Ci8 alkylene group or a divalent Ci-Ci8, for example Ci-C8 alkyleneoxy group linked to the Si by an Si-C bond,
R7, which may be identical or different, each represent a hydrogen atom, a monovalent hydrocarbon-based group containing from 1 to 18 carbon atoms, and in particular a Ci-Ci8 alkyl group, a C2-Ci8 alkenyl group or an -R5-N HCOR6 group;
X" is an anion, such as a halide ion, in particular chloride, or an organic acid salt (acetate, etc.),
r represents a mean statistical value from 2 to 200 and in particular from 5 to
100.
These silicones are described, for example, in Application EP-A-0 530 974; d) the amino silicones of formula (X) below:
in which:
- R8, R9, R10 and R11, which may be identical or different, each denote a Ci-C4 alkyl group or a phenyl group,
- R12 denotes a C C4 alkyl group or a hydroxyl group,
- n is an integer ranging from 1 to 5,
- m is an integer ranging from 1 to 5, and
- x is chosen such that the amine number is between 0.01 and 1 meq/g.
When these compounds are used, one particularly advantageous embodiment involves their joint use with cationic and/or non-ionic surfactants.
By way of example, use may be made of the product sold under the name Cationic Emulsion DC939 by Dow Corning, which comprises, aside from amodimethicone, a cationic surfactant, namely trimethylcetylammonium chloride and a non-ionic surfactant of formula Ci3H27-(OC2H4)12-OH, known under the CTFA name Trideceth-12.
Another commercial product that may be used according to the invention is the product sold under the name Dow Corning Q2 7224 by the company Dow Corning, comprising, in combination, trimethylsilyl amodimethicone of formula (X) described above, non-ionic surfactant of formula C8H17-C6H4-(OCH2CH2)4o-OH, known under the CTFA name Octoxynol-40, a second non-ionic surfactant of formula Ci2H25-(OCH2- CH2)6-OH, known under the CTFA name lsolaureth-6, and propylene glycol.
The silicones of the invention may also be silicones grafted with anionic groups, such as the compounds VS 80 or VS 70 sold by the company 3M.
According to the invention, all the silicones can also be used in the form of emulsions, nanoemulsions or microemulsions.
The particularly preferred silicones in accordance with the invention are:
- non-volatile silicones chosen from the family of polydialkylsiloxanes with trimethylsilyl end groups, such as oils having a viscosity of between 0.2 and 2.5 m2/s at 25°C, for instance the oils of the DC200 series from Dow Corning, in particular the one with a viscosity of 60 000 cSt, or of the Silbione 70047 and 47 series, and more particularly the oil 70 047 V 500 000 sold by the company Rhodia Chimie, and polydialkylsiloxanes with dimethylsilanol end groups, such as dimethiconols, or polyalkylarylsiloxanes, for instance the oil Silbione 70641 V 200 sold by the company Rhodia Chimie;
- polysiloxanes bearing amine groups such as amodimethicones, trimethylsilyl amodimethicones and polysiloxanes bearing quaternary ammonium groups.
The silicones that are even more particularly preferred in accordance with the invention are polysiloxanes bearing amine groups. The viscosities of the silicones may in particular be determined by the standard
ASTM D445-97 (viscometry).
The conditioning agent(s) may represent from 0.01 % to 10% by weight, preferably from 0.1 % to 5% by weight, more particularly from 0.3% to 5% by weight, and more particularly from 0.3% to 3% by weight, relative to the total weight of the composition C.
Process
The invention also relates to a process for lightening and/or dyeing human keratin fibres, in which the following are applied to said fibres:
a composition A comprising at least one alkaline agent and optionally at least one dyeing agent; and
a composition B comprising at least one chemical oxidizing agent;
- one and/or the other of the two compositions A and B comprising at least one cationic polymer having a cationic charge density of greater than or equal to 6 meq/g,
the compositions A and B being packaged in a device constituted of a container, which is preferably pressurized, comprising at least two compartments a and b separate from one another, the compartment a
comprising the composition A and the compartment b comprising the composition B, the device comprising a dispensing means equipped with at least one dispensing orifice, in communication with the compartments a and b, making it possible to deliver the compositions A and B simultaneously.
The mixing of the compositions A and B can be carried out just before the application to the keratin fibres or directly on the keratin fibres, for example during a simultaneous application of the compositions A and B to the hair.
Thus, according to one embodiment, a composition obtained by extemporaneous mixing, at the time of use, of the composition A and of composition B is applied to the keratin fibres.
According to another embodiment, the compositions A and B are applied simultaneously to the keratin fibres, without prior mixing, and then mixed directly on the keratin fibres, for example by massaging.
According to another embodiment, the compositions A and B are applied simultaneously to the keratin fibres, the mixing of the compositions being carried out just before discharge thereof from the device.
The compositions may be applied to wet or dry keratin fibres.
The composition resulting from the mixing is usually left in place on the fibres for a period generally from 1 minute to 1 hour, preferably from 5 minutes to 30 minutes.
The temperature during the treatment process is conventionally between ambient temperature (between 15 and 25°C) and 80°C and preferably between ambient temperature and 60°C.
After the treatment, the human keratin fibres are advantageously rinsed with water. They may optionally be washed with a shampoo, followed by rinsing with water, before being dried or left to dry.
In one variant of this process, a composition C as defined above, comprising at least one conditioning agent chosen from silicones, cationic polymers and amphoteric polymers, and mixtures thereof, is applied to the keratin fibres after removal of the mixture of the compositions A and B, preferably by rinsing, and optional shampooing followed by rinsing that may occur before the application of the composition C. The application of the composition C may optionally be followed by rinsing, the keratin fibres then being dried or left to dry.
The examples that follow serve to illustrate the invention without, however, being limiting in nature.
EXAMPLE
The following compositions are prepared (the amounts are expressed in g% of active material):
Composition A:
AlkyI (C14/C16) Hydroxyethylcellulose (Natrosol Plus 330 0.4
CS from Ashland)
EDTA 0.2
N,N-Bis(2-hydroxyethyl)-p-phenylenediamine sulfate, 1 0.025
H20
1 -3-Hydroxyethyloxy-2,4-diaminobenzene dihydrochloride 0.01
1 -Hydroxy-3-aminobenzene 0.065
1 ,3-Dihydroxybenzene (resorcinol) 0.33
1 ,4-Diaminobenzene 0.35
Sodium sulfite 0.1
Oxyethylenated (4 OE) rapeseed acid amides 3.7
Hexadimethrine chloride (Mexomere PO from Chimex) 1 .2
Trideceth-2 carboxamide MEA (Amidet A15/LAO 55 from 4
Kao)
Oxyethylenated (12 OE) lauryl alcohol 3
Erythorbic acid 0.4
Polyquaternium-6 (Merquat 100 from Nalco) 0.8
Monoethanolamine 4
Sodium cetostearyl sulfate 1 .44
Ammonium hydroxide 3.7
Oxyethylenated (30 OE) oleocetyl alcohol 2
Glycerol 3
Oxyethylenated (2.5 EO) lauryl alcohol 8
Water qs 100
Oxidizing composition B:
The compositions A and B are packaged in an aerosol container comprising two flexible pouches and equipped with a diffuser comprising a push-button, and are dispensed simultaneously side by side in 1/1 proportions.
The compositions mix rapidly on the hair and the mixture readily uniformly distributes on the hair. The use qualities are good: good wetting/glidance nature, good ease of application, good root adhesion, good consistency on the head, good ease of spreading along the locks of hair.
The hair is then easily rinsed, then washed with a standard shampoo and dried. A strong chestnut brown colouration is obtained.
Claims
1. Device for dispensing a product for dyeing and/or lightening keratin fibres constituted of a container comprising:
i) at least two compartments a and b separate from one another,
the compartment a comprising a composition A comprising at least one alkaline agent and optionally at least one dyeing agent,
the compartment b comprising an oxidizing composition B comprising at least one chemical oxidizing agent,
one and/or the other of the compositions A and B of the two compartments comprising at least one cationic polymer having a cationic charge density of greater than or equal to 6 meq/g;
ii) a dispensing means equipped with at least one dispensing orifice, in communication with the compartments a and b, making it possible to simultaneously deliver the compositions A and B.
2. Device according to Claim 1 , characterized in that the dyeing agents are chosen from oxidation dye precursors, direct dyes, and mixtures thereof. 3. Device according to Claim 1 or 2, characterized in that the composition A comprises at least one dyeing agent chosen from oxidation dye precursors, preferably chosen from oxidation bases, in particular from para- phenylenediamines, bis-phenylalkylenediamines, para-aminophenols, ortho- aminophenols, heterocyclic bases, and addition salts thereof.
4. Device according to any one of the preceding claims, characterized in that the composition A comprises at least one heterocyclic oxidation base, preferably chosen from:
i) the heterocyclic oxidation bases of formula (I), addition salts thereof and solvates thereof:
in which R-i represents an amino group, a Ci to C4 alkyl group optionally substituted with one or more hydroxyl or amino groups, or a Ci to C4 alkoxy group optionally substituted with one or more hydroxyl or amino groups,
ii) the compounds of formula (II) or (III), addition salts thereof and solvates thereof:
in which R2 represents an amino group, a Ci to C4 alkyl group, optionally substituted with one or more hydroxyl or amino groups, a Ci to C4 alkoxy group, optionally substituted with one or more hydroxyl or amino groups; and Z-i represents a covalent bond, an -NR'6(CH2)q- radical or an -0(CH2)p- radical in which R'6 represents a hydrogen atom or a Ci-C6 alkyl radical optionally substituted with one or more hydroxyl groups, p denoting an integer ranging from 0 to 6, q denoting an integer ranging from 0 to 6, and R'i is a cationic radical; and
the radicals R'3, R'4 and R'5, independently, may be a hydrogen atom or an optionally substituted Ci-C4 alkyl radical such as methyl, ethyl, hydroxyethyl, aminoethyl, propyl and butyl radicals; and
R'4 and R'5 can together form a partially saturated or unsaturated 5- or 8- membered ring, in particular a cyclopentene or cyclohexene, which is optionally substituted,
iii) the diaminopyrazole derivatives of formula (Γ), addition salts thereof and solvates thereof:
R1 representing a C C4 alkyl group which is substituted with one or more hydroxyl or amino groups,
R4 representing an amino group, a C C4 alkyl group which is optionally substituted with one or more hydroxyl or amino groups, or a C C4 alkoxy group which is optionally substituted with one or more hydroxyl or amino groups,
and mixtures thereof.
Device according to any one of the preceding claims, characterized in that the composition A comprises at least one heterocyclic oxidation base, preferably chosen from 2,3-diamino-6,7-dihydro-1 H,5H-pyrazolo[1 ,2-a]pyrazol-1 -one, 2- [(3-aminopyrazolo[1 ,5-a]pyridin-2-yl)oxy]ethanol, 2-(4,5-diamino-1 H-pyrazol-1 - yl)ethanol and/or an addition salt thereof or a solvate thereof, and mixtures thereof.
Device according to one of the preceding claims, characterized in that the composition A comprises at least one dyeing agent chosen from direct dyes, which are preferably cationic, preferably chosen from the hydrazono cationic dyes of formulae (Ilia) and (lll'a), the azo cationic dyes (IVa) and (IV'a) and the diazo cationic dyes (Va) below:
iich formulae (Ilia), (lll'a), (IVa), (IV'a) and (Va):
• Het+ represents a cationic heteroaryl radical, preferably bearing an endocyclic cationic charge, such as imidazolium, indolium or pyridinium, optionally substituted preferably with one or more (CrC8)alkyl groups such as methyl;
• Ar+ represents an aryl radical, such as phenyl or naphthyl, bearing an exocyclic cationic charge, preferably ammonium, particularly tri(Ci- C8)alkylammonium such as trimethylammonium;
• Ar represents an aryl group, in particular phenyl, which is optionally substituted, preferably with one or more electron-donating groups such as i) optionally substituted (CrC8)alkyl, ii) optionally substituted (CrC8)alkoxy, iii) (di)(Ci-C8)(alkyl)amino optionally substituted on the alkyl group(s) with a hydroxyl group, iv) aryl(Ci-C8)alkylamino, v) optionally substituted N-(Ci- C8)alkyl-N-aryl(Ci-C8)alkylamino or, as a variant, Ar represents a julolidine group;
• Ar' represents an optionally substituted divalent (hetero)arylene group such as phenylene, particularly para-phenylene, or naphthalene, which are optionally substituted, preferably with one or more groups (Ci-C8)alkyl, hydroxyl or (d- C8)alkoxy;
• Ar" represents an optionally substituted (hetero)aryl group such as phenyl or pyrazolyl, which are optionally substituted, preferably with one or more (C C8)alkyl, hydroxyl, (di)(Ci-C8)(alkyl)amino, (Ci-C8)alkoxy or phenyl groups;
• Ra and Rb, which may be identical or different, represent a hydrogen atom or a (Ci-C8)alkyl group, which is optionally substituted, preferably with a hydroxyl group;
or, as a variant, the substituent Ra with a substituent of Het+ and/or Rb with a substituent of Ar and/or Ra with Rb form, together with the atoms that bear them, a (hetero)cycloalkyl;
particularly, Ra and Rb represent a hydrogen atom or a (CrC4)alkyl group, which is optionally substituted with a hydroxyl group;
• An" represents an anionic counterion, such as mesylate or halide.
7. Device according to any one of the preceding claims, characterized in that the composition A and/or the composition B, preferably the composition A,
comprises at least two distinct cationic polymers having a charge density greater than 6 meq/g.
8. Device according to any one of the preceding claims, characterized in that the cationic polymer(s) having a cationic charge density of greater than or equal to 6 meq/g is (are) chosen from
(1 ) alkyldiallylamine or dialkyldiallylammonium cyclopolymers such as homopolymers or copolymers comprising, as main constituent of the chain, units corresponding to formula (I) or (II):
. (CH2)k (CH2)k
\ / \
-(CH2)t- CR CR12 C(R12)-
12 C(R12)-
H2C H2C
CH2 CH
(I) N+ (II)
Y- 3 / N
10 1 10
in which
- k and t are equal to 0 or 1 , the sum k + t being equal to 1 ;
- R-I2 denotes a hydrogen atom or a methyl radical;
- Rio and Rn, independently of one another, denote a Ci-C6 alkyl group, a Ci-C5 hydroxylalkyl group or a Ci-C4 amidoalkyl group; or else Rio and Rn can denote, together with the nitrogen atom to which they are attached, a heterocyclic group such as piperidinyl or morpholinyl; R10 and Rn, independently of one another, preferably denote a C C4 alkyl group;
- Y" is an anion such as bromide, chloride, acetate, borate, citrate, tartrate, bisulfate, bisulfite, sulfate or phosphate;
(2) diquaternary ammonium polymers comprising repeating units of formula:
R 13 R 15
N+ - A1 - N+- B1
I I 1 (il l)
R X- R
14 ^16 X- in which:
- Ri3, i4, R15 and Ri6, which may be identical or different, represent aliphatic, alicyclic or arylaliphatic radicals comprising from 1 to 20 carbon atoms or C1-C12 hydroxyalkylaliphatic radicals,
or else R13, R14, R15 and Ri6, together or separately, constitute, with the nitrogen atoms to which they are attached, heterocycles optionally comprising a second heteroatom other than nitrogen,
or else R13, R14, R15 and Ri6 represent a linear or branched Ci-C6 alkyl radical substituted with a nitrile, ester, acyl, amide or -CO-O-R17-D or -CO-NH-R17-D group where R17 is an alkylene and D is a quaternary ammonium group;
- A-i and B-i represent linear or branched, saturated or unsaturated, polymethylene divalent groups comprising from 2 to 20 carbon atoms and possibly containing, bonded to or inserted into the main chain, one or more aromatic rings, or one or more oxygen or sulfur atoms or sulfoxide, sulfone, disulfide, amino, alkylamino, hydroxyl, quaternary ammonium, ureido, amide or ester groups, and
- X" denotes an anion derived from a mineral or organic acid;
it being understood that A-i , R13 and R15 can form, with the two nitrogen atoms to which they are attached, a piperazine ring;
in addition, if A-i denotes a linear or branched, saturated or unsaturated alkylene or hydroxyalkylene radical, B-\ can also denote a (CH2)n-CO-D-OC-(CH2)p- group, with n and p, which may be identical or different, being integers ranging from 2 to 20, and D denoting:
a) a glycol residue of formula -O-Z-O-, where Z denotes a linear or branched hydrocarbon-based radical or a group corresponding to one of the following formulae: -(CH2CH20)x-CH2CH2- and -[CH2CH(CH3)0]y-CH2CH(CH3)- where x and y denote an integer from 1 to 4, representing a defined and unique degree of polymerization, or any number from 1 to 4 representing an average degree of polymerization;
b) a bis-secondary diamine residue such as a piperazine derivative;
c) a bis-primary diamine residue of formula -NH-Y-NH- where Y denotes a linear or branched hydrocarbon-based radical, or else the divalent radical -CH2-CH2-
S-S-CH2-CH2-;
and mixtures thereof.
Device according to any one of the preceding claims, characterized in that the polymer(s) having a charge density of greater than or equal to 6 meq/g are chosen from:
- dialkyldiallylammonium homopolymers, in particular homopolymers of dimethyldiallylammonium salts,
- polymers constituted of repeating units corresponding to formula (IV),
- N+(CH2)n- (CH2)p — (IV)
' v. ' X"
2 x R4 in which R-i, R2, R3 and R4, which may be identical or different, denote an alkyl or hydroxyalkyl radical having from 1 to 4 carbon atoms, n and p are integers ranging from 2 to 20, and X" is an anion derived from a mineral or organic acid, in particular hexadimethrine chloride,
- and mixtures thereof.
10. Device according to any one of the preceding claims, characterized in that the content of cationic polymer(s) having a charge density of greater than or equal to 6 meq/g ranges from 0.01 % to 10% by weight, preferably from 0.1 % to 10% by weight, and even more preferentially from 0.5% to 5% by weight, of the weight of the composition A or B.
11. Device according to any one of the preceding claims, characterized in that the alkaline agent is chosen from aqueous ammonia and/or at least one alkanolamine and/or at least one basic amino acid, more advantageously from aqueous ammonia and/or at least one alkanolamine. 12. Device according to any one of the preceding claims, characterized in that the chemical oxidizing agent is hydrogen peroxide.
13. Device according to any one of the preceding claims, characterized in that the composition A and/or the composition B comprise(s) one or more surfactants chosen from anionic, amphoteric, zwitterionic, cationic or non-ionic surfactants, and preferentially non-ionic surfactants.
14. Device according to any one of the preceding claims, characterized in that the composition A and/or the composition B comprise(s) at least one non-ionic surfactant, preferably chosen from oxyethylenated C8-C30 alcohols comprising from 1 to 100 mol of ethylene oxide, preferably from 2 to 50, more particularly from 2 to 35 mol of ethylene oxide.
15. Device according to one of the preceding claims, characterized in that the composition A comprises at least one non-ionic surfactant chosen from oxyethylenated amides, preferably chosen from the compounds of formula (l)bis
R-[(OCH2CH2)n-OCH2]p-CO-N(R')-(CH2CH20)n.H (l)bis in which:
-p denotes 0 or 1 ,
-n denotes a number ranging from 1 to 10 and preferably from 1 to 6,
-n' denotes a number ranging from 1 to 100 and preferably from 1 to 60,
-R' denotes a hydrogen atom or a CH2CH2OH radical and preferably a hydrogen atom,
-R denotes a Ci0-C3o and preferably Ci2-C22 alkyl or alkenyl radical.
16. Device according to one of the preceding claims, characterized in that the composition A comprises at least one anionic surfactant, preferably chosen from (Ci2-
C20)alkyl sulfates.
17. Device according to one of the preceding claims, in which the composition A and/or B, preferably the composition A, comprises at least one associative polymer.
18. Device according to one of the preceding claims, in which the composition A and/or B, preferably the composition B, comprises at least one fatty substance, preferably chosen from non-silicone oils of mineral or synthetic origin and fatty alcohols, and mixtures thereof.
19. Device according to one of the preceding claims, in which the container is pressurized.
20. Device according to one of the preceding claims, in which the walls of the container containing the compartments a and b are rigid.
21. Device according to one of the preceding claims, in which the compartments a and b are flexible pouches.
22. Device according to one of the preceding claims, characterized in that the container comprises a dispensing means equipped with at least one dispensing orifice, in communication with the compartments a and b, making it possible to simultaneously deliver the compositions A and B in separate form, by means of at least one dispensing orifice. 23. Device according to one of the preceding claims, in which each compartment is surmounted by a valve.
24. Device according to the preceding claim, in which the dispensing means comprises a single diffuser which caps the two valves.
25. Device according to Claim 24, in which the diffuser is equipped with two composition conveying pipes, each pipe communicating with the outlet orifice of a valve. 26. Device according to either of Claims 24 and 25, in which the diffuser is equipped with two pipes opening into a mixing chamber equipped with a static mixer, from which a single pipe is directed to a single dispensing/outlet orifice.
27. Process for lightening and/or dyeing human keratin fibres, in which the following are applied to said fibres:
- a composition A comprising at least one alkaline agent and optionally at least one dyeing agent; and
- a composition B comprising at least one chemical oxidizing agent;
one and/or the other of the two compositions comprising at least one cationic polymer having a cationic charge density of greater than or equal to 6 meq/g,
the compositions A and B being packaged in a device as defined in any one of Claims 1 to 26.
Kit comprising:
- a device for dispensing a dyeing and/or lightening product as defined in any one of Claims 1 to 26, and
- a composition C comprising at least one conditioning agent chosen from silicones, cationic polymers and amphoteric polymers, and mixtures thereof.
Applications Claiming Priority (2)
| Application Number | Priority Date | Filing Date | Title |
|---|---|---|---|
| FR1562281A FR3044880B1 (en) | 2015-12-14 | 2015-12-14 | DEVICE FOR DISPENSING A PRODUCT FOR COLORING AND / OR LIGHTENING KERATIN FIBERS COMPRISING A CATIONIC POLYMER |
| FR1562281 | 2015-12-14 |
Publications (1)
| Publication Number | Publication Date |
|---|---|
| WO2017102651A1 true WO2017102651A1 (en) | 2017-06-22 |
Family
ID=55752409
Family Applications (1)
| Application Number | Title | Priority Date | Filing Date |
|---|---|---|---|
| PCT/EP2016/080644 Ceased WO2017102651A1 (en) | 2015-12-14 | 2016-12-12 | Device for dispensing a product for dyeing and/or lightening keratin fibres comprising a cationic polymer |
Country Status (2)
| Country | Link |
|---|---|
| FR (1) | FR3044880B1 (en) |
| WO (1) | WO2017102651A1 (en) |
Citations (36)
| Publication number | Priority date | Publication date | Assignee | Title |
|---|---|---|---|---|
| GB1026978A (en) | 1962-03-30 | 1966-04-20 | Schwarzkopf Verwaltung G M B H | Method of dyeing hair |
| GB1153196A (en) | 1965-07-07 | 1969-05-29 | Schwarzkopf Verwaltung G M B H | Method of Dyeing Hair |
| DE2359399A1 (en) | 1973-11-29 | 1975-06-12 | Henkel & Cie Gmbh | Tetraaminopyrimidines as developers in oxidation hair dyes - esp. used with meta aminophenol couplers for blue shading dyes |
| FR2270846A1 (en) | 1974-05-16 | 1975-12-12 | Oreal | |
| FR2383660A1 (en) | 1977-03-15 | 1978-10-13 | Oreal | COMPOSITION AND PROCESS FOR TREATMENT OF KERATINIC MATERIALS WITH CATIONIC AND ANIONIC POLYMERS |
| US4137180A (en) | 1976-07-02 | 1979-01-30 | Lever Brothers Company | Fabric treatment materials |
| US4185087A (en) | 1977-12-28 | 1980-01-22 | Union Carbide Corporation | Hair conditioning compositions containing dialkylamino hydroxy organosilicon compounds and their derivatives |
| FR2470596A1 (en) | 1979-11-28 | 1981-06-12 | Oreal | COMPOSITION FOR THE TREATMENT OF KERATIN FIBERS BASED ON AMPHOTERIC POLYMERS AND CATIONIC POLYMERS |
| FR2519863A1 (en) | 1982-01-15 | 1983-07-22 | Oreal | COSMETIC COMPOSITION FOR THE TREATMENT OF KERATIN FIBERS AND METHOD FOR THE TREATMENT THEREOF |
| EP0095238A2 (en) | 1982-05-20 | 1983-11-30 | Dow Corning Corporation | Compositions used to condition hair |
| EP0186507A2 (en) | 1984-12-22 | 1986-07-02 | Chisso Corporation | Carboxyl group-containing siloxane compounds |
| FR2589476A1 (en) | 1985-10-30 | 1987-05-07 | Rhone Poulenc Spec Chim | SILICONE ADDITIVE FOR VINYL POLYHLORIDE |
| FR2598611A1 (en) | 1986-05-16 | 1987-11-20 | Oreal | COSMETIC COMPOSITIONS CONTAINING A CATIONIC POLYMER AND AN ANIONIC POLYMER AS A THICKENING AGENT |
| US4874554A (en) | 1986-07-10 | 1989-10-17 | Henkel Kommanditgesellschaft Auf Aktien | Quaternary ammonium compounds |
| EP0337354A1 (en) | 1988-04-12 | 1989-10-18 | Kao Corporation | Low-irritation detergent composition |
| EP0342834A2 (en) | 1988-05-17 | 1989-11-23 | Dow Corning Limited | Treatment of fibrous materials |
| DE3843892A1 (en) | 1988-12-24 | 1990-06-28 | Wella Ag | OXIDATION HAIR AGENTS CONTAINING DIAMINOPYRAZOL DERIVATIVES AND NEW DIAMINOPYRAZOLE DERIVATIVES |
| US4957732A (en) | 1988-12-29 | 1990-09-18 | L'oreal | Shaving composition for the skin based on polyorgano-siloxanes containing an acyloxyalkyl group and process for use |
| EP0530974A1 (en) | 1991-08-05 | 1993-03-10 | Unilever Plc | Hair care composition |
| JPH0563124A (en) | 1991-09-03 | 1993-03-12 | Mitsubishi Electric Corp | Hybrid integrated circuit device |
| DE4133957A1 (en) | 1991-10-14 | 1993-04-15 | Wella Ag | HAIR DYE CONTAINING AMINOPYRAZOLE DERIVATIVES AND NEW PYRAZOLE DERIVATIVES |
| WO1994008969A1 (en) | 1992-10-16 | 1994-04-28 | Wella Aktiengesellschaft | Process for producing 4,5-diamino pyrazole derivatives, their use for colouring hair and novel pyrazole derivatives |
| WO1994008970A1 (en) | 1992-10-16 | 1994-04-28 | Wella Aktiengesellschaft | Oxidation hair dye containing 4,5-diaminopyrazole derivatives and novel 4,5-diaminopyrazole derivatives and process for their production |
| WO1995001772A1 (en) | 1993-07-05 | 1995-01-19 | Ciba-Geigy Ag | Process for dyeing keratin-containing fibres |
| WO1995015144A1 (en) | 1993-11-30 | 1995-06-08 | Ciba-Geigy Ag | Cationic dyes for keratin-containing fibres |
| US5457200A (en) | 1989-12-21 | 1995-10-10 | Boehringer Mannheim | 3-aminopyrazolo heterocyclic derivatives, and use for colorimetric determinations |
| WO1996015765A1 (en) | 1994-11-17 | 1996-05-30 | Henkel Kommanditgesellschaft Auf Aktien | Oxidation dyes |
| EP0714954A2 (en) | 1994-11-03 | 1996-06-05 | Ciba-Geigy Ag | Cationic iminazoleazodyestuffs |
| FR2733749A1 (en) | 1995-05-05 | 1996-11-08 | Oreal | COMPOSITIONS FOR DYEING KERATINIC FIBERS CONTAINING DIAMINO PYRAZOLES, DYEING PROCESS, NOVEL DIAMINO PYRAZOLES, AND PREPARATION METHOD THEREOF |
| EP0770375A1 (en) | 1995-10-21 | 1997-05-02 | GOLDWELL GmbH | Hair dyeing composition |
| DE19543988A1 (en) | 1995-11-25 | 1997-05-28 | Wella Ag | Oxidative hair dye composition |
| FR2801308A1 (en) | 1999-11-19 | 2001-05-25 | Oreal | KERATIN FIBER DYEING COMPOSITIONS CONTAINING 3-AMINO PYRAZOLO- [1, (- a] -PYRIDINES, DYEING PROCESS, NOVEL 3-AMINO PYRAZOLO- [1,5-a] -PYRIDINES |
| FR2886136A1 (en) | 2005-05-31 | 2006-12-01 | Oreal | COMPOSITION FOR DYING KERATIN FIBERS COMPRISING AT LEAST ONE DIAMINO-N, N-DIHYDRO-PYRAZOLONE DERIVATIVE AND A CATIONIC OXIDATION DYE |
| FR2989586A1 (en) * | 2012-04-24 | 2013-10-25 | Oreal | COLORING PROCESS USING A MIXTURE COMPRISING A PARTICULAR CATIONIC POLYMER OBTAINED FROM AEROSOL DEVICE AND DEVICE |
| FR2989585A1 (en) * | 2012-04-24 | 2013-10-25 | Oreal | Dyeing keratinous fibers such as hair, involves applying dye composition with oxidation dye precursor and oxidizing composition with chemical oxidizing agent to fibers, where compositions comprise an associative thickening polymer |
| WO2015060415A1 (en) * | 2013-10-25 | 2015-04-30 | 花王株式会社 | Hair bleaching or hair dye cosmetics |
-
2015
- 2015-12-14 FR FR1562281A patent/FR3044880B1/en active Active
-
2016
- 2016-12-12 WO PCT/EP2016/080644 patent/WO2017102651A1/en not_active Ceased
Patent Citations (36)
| Publication number | Priority date | Publication date | Assignee | Title |
|---|---|---|---|---|
| GB1026978A (en) | 1962-03-30 | 1966-04-20 | Schwarzkopf Verwaltung G M B H | Method of dyeing hair |
| GB1153196A (en) | 1965-07-07 | 1969-05-29 | Schwarzkopf Verwaltung G M B H | Method of Dyeing Hair |
| DE2359399A1 (en) | 1973-11-29 | 1975-06-12 | Henkel & Cie Gmbh | Tetraaminopyrimidines as developers in oxidation hair dyes - esp. used with meta aminophenol couplers for blue shading dyes |
| FR2270846A1 (en) | 1974-05-16 | 1975-12-12 | Oreal | |
| US4137180A (en) | 1976-07-02 | 1979-01-30 | Lever Brothers Company | Fabric treatment materials |
| FR2383660A1 (en) | 1977-03-15 | 1978-10-13 | Oreal | COMPOSITION AND PROCESS FOR TREATMENT OF KERATINIC MATERIALS WITH CATIONIC AND ANIONIC POLYMERS |
| US4185087A (en) | 1977-12-28 | 1980-01-22 | Union Carbide Corporation | Hair conditioning compositions containing dialkylamino hydroxy organosilicon compounds and their derivatives |
| FR2470596A1 (en) | 1979-11-28 | 1981-06-12 | Oreal | COMPOSITION FOR THE TREATMENT OF KERATIN FIBERS BASED ON AMPHOTERIC POLYMERS AND CATIONIC POLYMERS |
| FR2519863A1 (en) | 1982-01-15 | 1983-07-22 | Oreal | COSMETIC COMPOSITION FOR THE TREATMENT OF KERATIN FIBERS AND METHOD FOR THE TREATMENT THEREOF |
| EP0095238A2 (en) | 1982-05-20 | 1983-11-30 | Dow Corning Corporation | Compositions used to condition hair |
| EP0186507A2 (en) | 1984-12-22 | 1986-07-02 | Chisso Corporation | Carboxyl group-containing siloxane compounds |
| FR2589476A1 (en) | 1985-10-30 | 1987-05-07 | Rhone Poulenc Spec Chim | SILICONE ADDITIVE FOR VINYL POLYHLORIDE |
| FR2598611A1 (en) | 1986-05-16 | 1987-11-20 | Oreal | COSMETIC COMPOSITIONS CONTAINING A CATIONIC POLYMER AND AN ANIONIC POLYMER AS A THICKENING AGENT |
| US4874554A (en) | 1986-07-10 | 1989-10-17 | Henkel Kommanditgesellschaft Auf Aktien | Quaternary ammonium compounds |
| EP0337354A1 (en) | 1988-04-12 | 1989-10-18 | Kao Corporation | Low-irritation detergent composition |
| EP0342834A2 (en) | 1988-05-17 | 1989-11-23 | Dow Corning Limited | Treatment of fibrous materials |
| DE3843892A1 (en) | 1988-12-24 | 1990-06-28 | Wella Ag | OXIDATION HAIR AGENTS CONTAINING DIAMINOPYRAZOL DERIVATIVES AND NEW DIAMINOPYRAZOLE DERIVATIVES |
| US4957732A (en) | 1988-12-29 | 1990-09-18 | L'oreal | Shaving composition for the skin based on polyorgano-siloxanes containing an acyloxyalkyl group and process for use |
| US5457200A (en) | 1989-12-21 | 1995-10-10 | Boehringer Mannheim | 3-aminopyrazolo heterocyclic derivatives, and use for colorimetric determinations |
| EP0530974A1 (en) | 1991-08-05 | 1993-03-10 | Unilever Plc | Hair care composition |
| JPH0563124A (en) | 1991-09-03 | 1993-03-12 | Mitsubishi Electric Corp | Hybrid integrated circuit device |
| DE4133957A1 (en) | 1991-10-14 | 1993-04-15 | Wella Ag | HAIR DYE CONTAINING AMINOPYRAZOLE DERIVATIVES AND NEW PYRAZOLE DERIVATIVES |
| WO1994008969A1 (en) | 1992-10-16 | 1994-04-28 | Wella Aktiengesellschaft | Process for producing 4,5-diamino pyrazole derivatives, their use for colouring hair and novel pyrazole derivatives |
| WO1994008970A1 (en) | 1992-10-16 | 1994-04-28 | Wella Aktiengesellschaft | Oxidation hair dye containing 4,5-diaminopyrazole derivatives and novel 4,5-diaminopyrazole derivatives and process for their production |
| WO1995001772A1 (en) | 1993-07-05 | 1995-01-19 | Ciba-Geigy Ag | Process for dyeing keratin-containing fibres |
| WO1995015144A1 (en) | 1993-11-30 | 1995-06-08 | Ciba-Geigy Ag | Cationic dyes for keratin-containing fibres |
| EP0714954A2 (en) | 1994-11-03 | 1996-06-05 | Ciba-Geigy Ag | Cationic iminazoleazodyestuffs |
| WO1996015765A1 (en) | 1994-11-17 | 1996-05-30 | Henkel Kommanditgesellschaft Auf Aktien | Oxidation dyes |
| FR2733749A1 (en) | 1995-05-05 | 1996-11-08 | Oreal | COMPOSITIONS FOR DYEING KERATINIC FIBERS CONTAINING DIAMINO PYRAZOLES, DYEING PROCESS, NOVEL DIAMINO PYRAZOLES, AND PREPARATION METHOD THEREOF |
| EP0770375A1 (en) | 1995-10-21 | 1997-05-02 | GOLDWELL GmbH | Hair dyeing composition |
| DE19543988A1 (en) | 1995-11-25 | 1997-05-28 | Wella Ag | Oxidative hair dye composition |
| FR2801308A1 (en) | 1999-11-19 | 2001-05-25 | Oreal | KERATIN FIBER DYEING COMPOSITIONS CONTAINING 3-AMINO PYRAZOLO- [1, (- a] -PYRIDINES, DYEING PROCESS, NOVEL 3-AMINO PYRAZOLO- [1,5-a] -PYRIDINES |
| FR2886136A1 (en) | 2005-05-31 | 2006-12-01 | Oreal | COMPOSITION FOR DYING KERATIN FIBERS COMPRISING AT LEAST ONE DIAMINO-N, N-DIHYDRO-PYRAZOLONE DERIVATIVE AND A CATIONIC OXIDATION DYE |
| FR2989586A1 (en) * | 2012-04-24 | 2013-10-25 | Oreal | COLORING PROCESS USING A MIXTURE COMPRISING A PARTICULAR CATIONIC POLYMER OBTAINED FROM AEROSOL DEVICE AND DEVICE |
| FR2989585A1 (en) * | 2012-04-24 | 2013-10-25 | Oreal | Dyeing keratinous fibers such as hair, involves applying dye composition with oxidation dye precursor and oxidizing composition with chemical oxidizing agent to fibers, where compositions comprise an associative thickening polymer |
| WO2015060415A1 (en) * | 2013-10-25 | 2015-04-30 | 花王株式会社 | Hair bleaching or hair dye cosmetics |
Non-Patent Citations (5)
| Title |
|---|
| "CTFA dictionary, 5th edition,", 1993, CTFA |
| DATABASE WPI Week 201531, Derwent World Patents Index; AN 2015-27471W, XP002760257 * |
| M.R. PORTER: "Handbook of Surfactants", 1991, BLACKIE & SON, pages: 116 - 178 |
| TODD; BYERS: "Volatile Silicone Fluids for Cosmetics", COSMETICS AND TOILETRIES, vol. 91, January 1976 (1976-01-01), pages 27 - 32 |
| WALTER NOLL'S: "Chemistry and Technology of Silicones", 1968, ACADEMIC PRESS |
Also Published As
| Publication number | Publication date |
|---|---|
| FR3044880A1 (en) | 2017-06-16 |
| FR3044880B1 (en) | 2018-01-19 |
Similar Documents
| Publication | Publication Date | Title |
|---|---|---|
| US9907743B2 (en) | Composition comprising (2,5-diaminophenyl)ethanol, an alkylpolyglucoside nonionic surfactant, an oxyethylenated sorbitan ester or a polyalkoxylated or polyglycerolated fatty alcohol in a medium rich in fatty substances, dyeing process and device therefor | |
| EP2729119B1 (en) | Dye composition using a long-chain ether of an alkoxylated fatty alcohol and a cationic polymer, processes and devices using the same | |
| EP2841167B1 (en) | Dyeing process using a mixture obtained from an aerosol device comprising a liquid fatty alcohol and surfactants | |
| WO2013160360A1 (en) | Hair dyeing process using a mixture comprising a particular cationic polymer, obtained from an aerosol device | |
| US9872822B2 (en) | Process for dyeing in the presence of oxidation bases comprising at least one sulfonic, sulfonamide, sulfone, amid or acid group and a metal catalyst, device and ready-to-use composition | |
| ES2997582T3 (en) | Dyeing process using a mixture comprising a thickening polymer, obtained from an aerosol device, and device therefor | |
| US10071036B2 (en) | Dyeing process using a mixture comprising a branched C6-C12 polyol, obtained from an aerosol device, and device therefor | |
| US9993411B2 (en) | Dye composition using a phenol-derived coupler in a medium rich in fatty substances, processes and devices | |
| US10383803B2 (en) | Dye composition using at least one coupler of meta-phenylenediamine type substituted in position 4 in a medium comprising a fatty substance, processes and device | |
| WO2013144244A2 (en) | Dye composition using (2,5-diaminophenyl)ethanol and an aliphatic fatty alcohol in a medium rich in fatty substances, dyeing process and device | |
| US20140041133A1 (en) | Dye composition using a 2-hydroxynaphthalene, (acylamino)phenol or quinoline coupler in a fatty-substance-rich medium, dyeing process and device therefor | |
| US9585824B2 (en) | Dye composition using at least one coupler of meta-phenylenediamine type substituted in position 2 in a medium comprising a fatty substance, processes and device | |
| EP3021827A1 (en) | Dye composition comprising a particular amphoteric surfactant and a sulfate or sulfonate surfactant | |
| WO2017102653A1 (en) | Device for dispensing a product for dyeing and/or lightening keratin fibres comprising at least 7% of surfactants | |
| EP2841046B1 (en) | Dyeing process using a mixture obtained from an aerosol device comprising a nonionic fatty amide, and device therefor | |
| WO2017102651A1 (en) | Device for dispensing a product for dyeing and/or lightening keratin fibres comprising a cationic polymer | |
| US10016344B2 (en) | Dyeing process using a mixture obtained from an aerosol device comprising a glycerolated surfactant, and device therefor | |
| WO2013092484A2 (en) | Oxidation dyeing process rich in fatty substances and a metal catalyst, and device therefor | |
| WO2017102650A1 (en) | Device for dispensing a product for dyeing and/or lightening keratin fibres comprising an associative polymer | |
| WO2014118092A2 (en) | Dye composition comprising at least one particular lipophilic meta-phenylenediamine coupler in a medium rich in fatty substances, processes and devices | |
| WO2013092482A2 (en) | Oxidation dye composition rich in fatty substances, processes and suitable device for same |
Legal Events
| Date | Code | Title | Description |
|---|---|---|---|
| 121 | Ep: the epo has been informed by wipo that ep was designated in this application |
Ref document number: 16806201 Country of ref document: EP Kind code of ref document: A1 |
|
| NENP | Non-entry into the national phase |
Ref country code: DE |
|
| 122 | Ep: pct application non-entry in european phase |
Ref document number: 16806201 Country of ref document: EP Kind code of ref document: A1 |





















