WO2013160360A1 - Hair dyeing process using a mixture comprising a particular cationic polymer, obtained from an aerosol device - Google Patents
Hair dyeing process using a mixture comprising a particular cationic polymer, obtained from an aerosol device Download PDFInfo
- Publication number
- WO2013160360A1 WO2013160360A1 PCT/EP2013/058514 EP2013058514W WO2013160360A1 WO 2013160360 A1 WO2013160360 A1 WO 2013160360A1 EP 2013058514 W EP2013058514 W EP 2013058514W WO 2013160360 A1 WO2013160360 A1 WO 2013160360A1
- Authority
- WO
- WIPO (PCT)
- Prior art keywords
- group
- chosen
- bis
- composition
- carbon atoms
- Prior art date
- Legal status (The legal status is an assumption and is not a legal conclusion. Google has not performed a legal analysis and makes no representation as to the accuracy of the status listed.)
- Ceased
Links
- 0 CCC(C)(*)C(N*N(*)*)=O Chemical compound CCC(C)(*)C(N*N(*)*)=O 0.000 description 2
Classifications
-
- A—HUMAN NECESSITIES
- A61—MEDICAL OR VETERINARY SCIENCE; HYGIENE
- A61K—PREPARATIONS FOR MEDICAL, DENTAL OR TOILETRY PURPOSES
- A61K8/00—Cosmetics or similar toiletry preparations
- A61K8/02—Cosmetics or similar toiletry preparations characterised by special physical form
- A61K8/04—Dispersions; Emulsions
- A61K8/046—Aerosols; Foams
-
- A—HUMAN NECESSITIES
- A61—MEDICAL OR VETERINARY SCIENCE; HYGIENE
- A61K—PREPARATIONS FOR MEDICAL, DENTAL OR TOILETRY PURPOSES
- A61K8/00—Cosmetics or similar toiletry preparations
- A61K8/18—Cosmetics or similar toiletry preparations characterised by the composition
- A61K8/72—Cosmetics or similar toiletry preparations characterised by the composition containing organic macromolecular compounds
- A61K8/73—Polysaccharides
- A61K8/731—Cellulose; Quaternized cellulose derivatives
-
- A—HUMAN NECESSITIES
- A61—MEDICAL OR VETERINARY SCIENCE; HYGIENE
- A61K—PREPARATIONS FOR MEDICAL, DENTAL OR TOILETRY PURPOSES
- A61K8/00—Cosmetics or similar toiletry preparations
- A61K8/18—Cosmetics or similar toiletry preparations characterised by the composition
- A61K8/72—Cosmetics or similar toiletry preparations characterised by the composition containing organic macromolecular compounds
- A61K8/81—Cosmetics or similar toiletry preparations characterised by the composition containing organic macromolecular compounds obtained by reactions involving only carbon-to-carbon unsaturated bonds
- A61K8/817—Compositions of homopolymers or copolymers of compounds having one or more unsaturated aliphatic radicals, each having only one carbon-to-carbon double bond, and at least one being terminated by a single or double bond to nitrogen or by a heterocyclic ring containing nitrogen; Compositions or derivatives of such polymers, e.g. vinylimidazol, vinylcaprolactame, allylamines (Polyquaternium 6)
-
- A—HUMAN NECESSITIES
- A61—MEDICAL OR VETERINARY SCIENCE; HYGIENE
- A61Q—SPECIFIC USE OF COSMETICS OR SIMILAR TOILETRY PREPARATIONS
- A61Q5/00—Preparations for care of the hair
- A61Q5/10—Preparations for permanently dyeing the hair
-
- A—HUMAN NECESSITIES
- A61—MEDICAL OR VETERINARY SCIENCE; HYGIENE
- A61K—PREPARATIONS FOR MEDICAL, DENTAL OR TOILETRY PURPOSES
- A61K2800/00—Properties of cosmetic compositions or active ingredients thereof or formulation aids used therein and process related aspects
- A61K2800/40—Chemical, physico-chemical or functional or structural properties of particular ingredients
- A61K2800/54—Polymers characterized by specific structures/properties
- A61K2800/542—Polymers characterized by specific structures/properties characterized by the charge
- A61K2800/5426—Polymers characterized by specific structures/properties characterized by the charge cationic
Definitions
- the subject of the present invention is a process for dyeing keratin fibres, such as hair, using a mixture comprising one or more cationic polymers, the cationic charge density of which is greater than 4 milliequivalents per gram (meq/g), said mixture being obtained from two compositions, at least one of which is packaged in a pressurized container, and also a device suitable for implementing this process.
- oxidation dyeing or permanent dyeing. More particularly, this form of dyeing uses one or more oxidation dyes, usually one or more oxidation bases optionally combined with one or more couplers.
- the oxidation bases are chosen from ortho- or para- phenylenediamines, ortho- or para-aminophenols and heterocyclic compounds. These oxidation bases are colourless or weakly coloured compounds which, when combined with oxidizing products, can give access to coloured entities.
- the shades obtained with these oxidation bases are often varied by combining them with one or more couplers, these couplers being chosen especially from aromatic meta-diamines, meta-aminophenols, meta-diphenols and certain heterocyclic compounds, such as indole compounds.
- Permanent dyeing processes thus consist in using with the dye composition an aqueous composition comprising at least one oxidizing agent such as hydrogen peroxide, under alkaline pH conditions in the vast majority of cases.
- the alkaline agent conventionally used is aqueous ammonia or other alkaline agents, such as alkanolamines.
- Dye compositions may take various forms such as lotions, gels, emulsions, creams or mousses.
- compositions in particular the compositions comprising oxidation dyes, are obviously sensitive to oxidation and as a result contain reducing agents or antioxidants. This action of protection against oxidation is also reinforced by virtue of the inert atmosphere which is sometimes employed during the packaging of these compositions.
- compositions of this type are precisely the result of their sensitivity to oxidation. Indeed, during their use, they are brought into contact with atmospheric oxygen and this then requires that they be used rapidly. If this is not the case, the compositions become unusable after storage and are lost.
- compositions which are packaged in pressurized containers and which make it possible to avoid bringing the composition into contact with air during use of said compositions, as is, for example, described in documents US 2010/0236570 or else FR 2 048 629.
- oxidation dyeing compositions in particular in mousse form, which are easy to prepare and to apply, and which remain sufficiently stable over time while at the same time retaining effective dyeing properties, in particular in terms of coverage of the hair, more particularly white hair, but also of intensity, of complete uniformity and of chromaticity of the colouration obtained.
- an oxidizing composition comprising at least one chemical oxidizing agent, ⁇ at least one of the compositions being delivered from a pressurized device,
- the composition used in the process according to the invention is in the form of a mousse which is particularly pleasant to apply.
- the qualities of the mousse are sufficiently long-lasting to enable uniform application of the dye product, without running.
- composition of the invention makes it possible to retain dyeing properties, such as strength of the colour, resistance to external agents (shampooing, perspiration, light) and selectivity, and most particularly, coverage of white hair.
- oxyalkylenated covers, respectively, mono- or poly- oxyalkylenated, oxyethylenated, oxypropylenated and glycerolated compounds, unless specifically mentioned.
- the human keratin fibres treated by means of the process according to the invention are preferably the hair.
- the cosmetic composition used in the process according to the invention comprises one or more cationic polymers, the cationic charge density of which is greater than 4 milliequivalents per gram (meq/g), preferably greater than or equal to 5 milliequivalents per gram (meq/g), preferably ranging from 5 to 20 meq/g and more particularly from 5.5 to 10 meq/g.
- the cationic charge density of a polymer corresponds to the number of moles of cationic charges per unit weight of polymer under conditions in which it is totally ionized. It may be determined by calculation if the structure of the polymer is known, i.e. the structure of the monomers constituting the polymer and their mole proportion or weight proportion. It may also be determined experimentally via the Kjeldahl method, generally at a pH of about 7 at ambient temperature.
- the cationic polymers with a cationic charge density of greater than 4 meq/g may be chosen from any polymer already known per se as improving the cosmetic properties of hair treated with compositions, i.e. in particular those described in patent application EP- A-0 337 354 and in French patent applications FR-A-2 270 846, 2 383 660, 2 598 61 1 , 2 470 596 and 2 519 863.
- cationic polymer denotes any polymer comprising cationic groups and/or groups that are ionizable into cationic groups.
- the cationic polymers are chosen from those which comprise units comprising primary, secondary, tertiary and/or quaternary amine groups that either may form part of the main polymer chain or may be borne by a side substituent directly attached thereto.
- the cationic polymers used generally have a number-average molar weight of between 500 and 5 ⁇ 10 6 approximately and preferably between 10 3 and 3x10 6 approximately.
- cationic polymers that may more particularly be mentioned are polymers of the polyamine, polyaminoamide and polyquaternary ammonium type. These are known products.
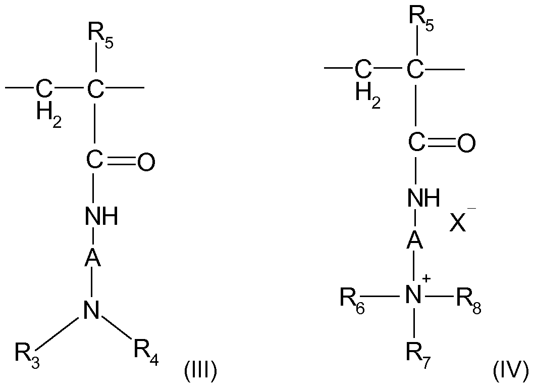
- R 3 and R 4 which may be identical or different, represent a hydrogen atom or an alkyl group having from 1 to 6 carbon atoms, and preferably methyl or ethyl;
- R 5 which may be identical different, denote a hydrogen atom or a CH 3 group
- A which may be identical or different, represent a linear or branched alkyl group having from 1 to 6 carbon atoms, preferably 2 or 3 carbon atoms, or a hydroxyalkyi group having from 1 to 4 carbon atoms;
- R 6 , R7 and R 8 which may be identical or different, represent an alkyl group having from 1 to 18 carbon atoms or a benzyl group, and preferably an alkyl group having from 1 to 6 carbon atoms;
- X denotes an anion derived from an inorganic or organic acid, such as a methosulfate anion, or a halide such as chloride or bromide.
- the copolymers of family (1 ) may also contain one or more units deriving from comonomers which may be chosen from the family of acrylamides, methacrylamides, diacetone acrylamides, acrylamides and methacrylamides substituted on the nitrogen with (Ci-C 4 ) lower alkyls, acrylic acids or methacrylic acids or esters thereof, vinyllactams such as vinylpyrrolidone or vinylcaprolactam, and vinyl esters.
- comonomers which may be chosen from the family of acrylamides, methacrylamides, diacetone acrylamides, acrylamides and methacrylamides substituted on the nitrogen with (Ci-C 4 ) lower alkyls, acrylic acids or methacrylic acids or esters thereof, vinyllactams such as vinylpyrrolidone or vinylcaprolactam, and vinyl esters.
- cationic polysaccharides in particular cationic celluloses and galactomannan gums.
- cationic polysaccharides mention may be made more particularly of cellulose ether derivatives comprising quaternary ammonium groups, cationic cellulose copolymers or cellulose derivatives grafted with a water- soluble quaternary ammonium monomer and cationic galactomannan gums;
- polymers consisting of piperazinyl units and divalent alkylene or hydroxyalkylene radicals containing straight or branched chains, optionally interrupted with oxygen, sulfur or nitrogen atoms or with aromatic or heterocyclic rings, and also the oxidation and/or quaternization products of these polymers;
- water-soluble polyaminoamides prepared in particular by polycondensation of an acidic compound with a polyamine; these polyaminoamides can be crosslinked with an epihalohydrin, a diepoxide, a dianhydride, an unsaturated dianhydride, a bis- unsaturated derivative, a bis-halohydrin, a bis-azetidinium, a bis-haloacyldiamine, a bis-alkyl halide or alternatively with an oligomer resulting from the reaction of a bifunctional compound which is reactive with a bis-halohydrin, a bis-azetidinium, a bis-haloacyldiamine, a bis-alkyl halide, an epihalohydrin, a diepoxide or a bis- unsaturated derivative; the crosslinking agent being used in proportions ranging from 0.025 to 0.35 mol per amine group of the polyaminoamide; these polyaminoamides can be
- adipic acid/dialkylaminohydroxyalkyldialkylenetriamine polymers in which the alkyl radical comprises from 1 to 4 carbon atoms and preferably denotes methyl, ethyl or propyl.
- adipic acid/dimethylaminohydroxypropyl-diethylenetriamine polymers (6) polymers obtained by reaction of a polyalkylene polyamine containing two primary amine groups and at least one secondary amine group with a dicarboxylic acid chosen from diglycolic acid and saturated aliphatic dicarboxylic acids having from 3 to 8 carbon atoms;
- cyclopolymers of alkyldiallylamine or of dialkyldiallylammonium such as the homopolymers or copolymers containing, as main constituent of the chain, units corresponding to formula (V) or (VI): 1 2 )-
- Ri 2 denotes a hydrogen atom or a methyl group;
- Rio and Rn independently of one another, denote an alkyl group having from 1 to 6 carbon atoms, a hydroxyalkyi group in which the alkyl group preferably has 1 to 5 carbon atoms, a lower (Ci-C 4 ) amidoalkyl group, or R 10 and Rn can denote, together with the nitrogen atom to which they are attached, heterocyclic groups such as piperidyl or morpholinyl;
- Y " is an anion such as bromide, chloride, acetate, borate, citrate, tartrate, bisulfate, bisulfite, sulfate or phosphate.
- Rio and Rn independently of one another, preferably denote an alkyl group having from 1 to 4 carbon atoms.
- dimethyldiallylammonium chloride homopolymers sold in particular under the name Merquat 100 by the company Nalco (and its homologues of low weight-average molar weights) and copolymers of diallyldimethylammonium chloride and of acrylamide;
- diquaternary ammonium polymers in particular those containing repeating units corresponding to formula (VII):
- Ri3, Ri4 > Ri5 and Ri 6 which may be identical or different, represent aliphatic, alicyclic or arylaliphatic radicals containing from 1 to 20 carbon atoms or lower hydroxyalkylaliphatic radicals, or else Ri 3 , Ri 4> Ris and Ri 6 , together or separately, constitute, with the nitrogen atoms to which they are attached, heterocycles optionally containing a second heteroatom other than nitrogen, or else Ri3, Ri4, Ris and Ri 6 represent a linear or branched Ci-C 6 alkyl radical substituted with a nitrile, ester, acyl, amide, -CO-O-R17-D or -CO-N H-R 17 -D group, where R17 is an alkylene and D a quaternary ammonium group;
- A-i and B-i represent polymethylene groups containing from 2 to 20 carbon atoms which may be linear or branched, and saturated or unsaturated, and which may contain, linked to or inserted in the main chain, one or more aromatic rings, or one or more oxygen or sulfur atoms or sulfoxide, sulfone, disulfide, amino, alkylamino, hydroxyl, quaternary ammonium, ureido, amide or ester groups, and
- X denotes an anion derived from an inorganic or organic acid
- A-i , R and R15 can form, with the two nitrogen atoms to which they are attached, a piperazine ring; in addition, if A-i denotes a linear or branched, saturated or unsaturated alkylene or hydroxyalkylene radical, B-i can also denote a (CH 2 )n-CO- D-OC-(CH 2 )n- group, in which D denotes:
- x and y denote an integer from 1 to 4, representing a defined and unique degree of polymerization or any number from 1 to 4 representing an average degree of polymerization;
- a bis-secondary diamine residue such as a piperazine derivative
- X " is an anion such as chloride or bromide.
- These polymers have a number-average molecular weight generally of between 1000 and 100 000.
- R 18 , R19, R20 and R21 which may be identical or different, denote an alkyl or hydroxyalkyi radical having from 1 to 4 carbon atoms approximately, n and p are integers ranging from 2 to 20 approximately, and X " is an anion derived from an inorganic or organic acid.
- R22, R23, R24 and R25 which may be identical or different, represent a hydrogen atom or a methyl, ethyl, propyl, ⁇ -hydroxyethyl, ⁇ -hydroxypropyl or - CH 2 CH2(OCH 2 CH2)pOH radical,
- p is equal to 0 or to an integer between 1 and 6, with the proviso that R22, R23, 24 and R25 do not simultaneously represent a hydrogen atom, t and v, which may be identical or different, are integers between 1 and
- u is equal to 0 or to an integer between 1 and 34,
- X denotes an anion such as a halide
- A denotes a radical of a dihalide or preferably represents -CH 2 -CH 2 -0-
- C 4 )alkylammonium salts such as the polymers obtained by homopolymerization of dimethylaminoethyl methacrylate quaternized by methyl chloride, or by copolymerization of acrylamide with dimethylaminoethyl methacrylate quaternized by methyl chloride, the homo- or copolymerization being followed by crosslinking by an olefinically unsaturated compound, in particular methylenebisacrylamide.
- cationic polymers the can be used in the context of the invention are polyalkyleneimines, in particular polyethyleneimines.
- cationic polymers use is preferably made of those of families (1 ), (7), (8) and (9) and polyalkyleneimines.
- the cationic cyclopolymers of formula (V) or (VI), the diquaternary ammonium polymers of formula (VII), the polyquaternary ammonium polymers comprising units of formula (IX), polyalkyleneimines, and mixtures thereof, are preferred.
- the cationic cyclopolymers of formula (V) or (VI), the diquaternary ammonium polymers of formula (VII), the polyquaternary ammonium polymers comprising units of formula (IX), polyalkyleneimines, and mixtures thereof, are preferred.
- cationic polymers that may be used in the context of the present invention, use is preferably made of cationic cyclopolymers, in particular the dimethyldiallylammonium chloride homopolymers sold under the name Merquat 100 by the company Nalco, diquaternary ammonium polymers, and in particular Mexomere PO provided by the company Chimex, and mixtures thereof.
- the cationic polymer(s) that are of use according to the invention preferably represent from 0.01 % to 40% by weight and better still from 0.1 % to 10% by weight relative to the total weight of the mixture.
- Dye composition preferably represent from 0.01 % to 40% by weight and better still from 0.1 % to 10% by weight relative to the total weight of the mixture.
- the dye composition used in the process according to the invention comprises at least one oxidation dye precursor.
- oxidation dye precursors use may be made of oxidation bases and couplers.
- the oxidation bases are chosen from para- phenylenediamines, bis(phenyl)alkylenediamines, para-aminophenols, ortho- aminophenols and heterocyclic bases, and the addition salts thereof.
- para-phenylenediamines that may be mentioned, for example, are para-phenylenediamine, para-toluylenediamine, 2-chloro-para-phenylenediamine, 2,3-dimethyl-para-phenylenediamine, 2,6-dimethyl-para-phenylenediamine, 2,6- diethyl-para-phenylenediamine, 2,5-dimethyl-para-phenylenediamine, N,N-dimethyl- para-phenylenediamine, ⁇ , ⁇ -diethyl-para-phenylenediamine, N,N-dipropyl-para- phenylenediamine, 4-amino-N,N-diethyl-3-methylaniline, N,N-bis( -hydroxyethyl)- para-phenylenediamine, 4-N,N-bis( -hydroxyethyl)amino-2-methylaniline, 4-N,N- bis( -hydroxyeth)
- para-phenylenediamines Preference is particularly given, among the abovementioned para- phenylenediamines, to para-phenylenediamine, para-toluylenediamine, 2-isopropyl- para-phenylenediamine, 2- -hydroxyethyl-para-phenylenediamine, 2- ⁇ - hydroxyethyloxy-para-phenylenediamine, 2,6-dimethyl-para-phenylenediamine, 2,6- diethyl-para-phenylenediamine, 2,3-dimethyl-para-phenylenediamine, N,N-bis( - hydroxyethyl)-para-phenylenediamine, 2-chloro-para-phenylenediamine, 2- ⁇ - acetylaminoethyloxy-para-phenylenediamine and the addition salts thereof with an acid.
- para-aminophenols that may be mentioned, for example, are para- aminophenol, 4-amino-3-methylphenol, 4-amino-3-fluorophenol, 4-amino-3- chlorophenol, 4-amino-3-hydroxymethylphenol, 4-amino-2-methylphenol, 4-amino-2- hydroxymethylphenol, 4-amino-2-methoxymethylphenol, 4-amino-2- aminomethylphenol, 4-amino-2-( -hydroxyethylaminomethyl)phenol and 4-amino-2- fluorophenol, and the addition salts thereof with an acid.
- ortho-aminophenols that may be mentioned, for example, are 2- aminophenol, 2-amino-5-methylphenol, 2-amino-6-methylphenol and 5-acetamido-2- aminophenol, and the addition salts thereof.
- heterocyclic bases mention may be made, by way of example, of pyridine derivatives, pyrimidine derivatives and pyrazole derivatives.
- pyridine derivatives of the compounds described, for example, in patents GB 1 026 978 and GB 1 153 196, such as 2,5- diaminopyridine, 2-(4-methoxyphenyl)amino-3-aminopyridine, 3,4-diaminopyridine, and the addition salts thereof.
- pyridine oxidation bases of use in the present invention are the 3- aminopyrazolo[1 ,5-a]pyridine oxidation bases or the addition salts thereof described, for example, in patent application FR 2 801 308. Mention may be made, by way of example, of pyrazolo[1 ,5-a]pyrid-3-ylamine, 2-(acetylamino)pyrazolo[1 ,5-a]pyrid-3- ylamine, 2-(morpholin-4-yl)pyrazolo[1 ,5-a]pyrid-3-ylamine, 3-aminopyrazolo[1 ,5- a]pyridine-2-carboxylic acid, 2-methoxypyrazolo[1 ,5-a]pyrid-3-ylamine, (3- aminopyrazolo[1 ,5-a]pyrid-7-yl)methanol, 2-(3-aminopyrazolo[1 ,5-a]pyrid-5-y
- pyrazole derivatives of the compounds described in patents DE 3843892 and DE 4133957 and patent applications WO 94/08969, WO 94/08970, FR-A-2 733 749 and DE 195 43 988, such as 4,5-diamino- 1 -methylpyrazole, 4,5-diamino-1-( -hydroxyethyl)pyrazole, 3,4-diaminopyrazole, 4,5- diamino-1 -(4'-chlorobenzyl)pyrazole, 4,5-diamino-1 ,3-dimethylpyrazole, 4,5-diamino-
- Use will preferably be made of a 4,5-diaminopyrazole and even more preferentially of 4,5-diamino-1-( -hydroxyethyl)pyrazole and/or a salt thereof.
- pyrazole derivatives of diamino-N,N- dihydropyrazolopyrazolones and in particular those described in application FR-A- 2 886 136, such as the following compounds and the addition salts thereof: 2,3- diamino-6,7-dihydro-1 H,5H-pyrazolo[1 ,2-a]pyrazol-1 -one, 2-amino-3-ethylamino-6,7- dihydro-1 H,5H-pyrazolo[1 ,2-a]pyrazol-1 -one, 2-amino-3-isopropylamino-6,7-dihydro- 1 H,5H-pyrazolo[1 ,2-a]pyrazol-1 -one, 2-amino-3-(pyrrolidin-1 -yl)-6,7-dihydro-1 H,5H- pyrazolo[1 ,2-a]pyrazol-1 -one, 4,5-dia
- Use will preferably be made, as heterocyclic bases, of 4,5-diamino-1-(P- hydroxyethyl)pyrazole and/or 2,3-diamino-6,7-dihydro-1 H,5H-pyrazolo[1 ,2-a]pyrazol- 1 -one and/or a salt thereof.
- couplers that can be used in the composition employed in the process according to the invention, mention may in particular be made of meta- phenylenediamines, meta-aminophenols, meta-diphenols, naphthalene couplers, heterocyclic couplers such as, for example, indole derivatives, indoline derivatives, sesamol and derivatives thereof, pyridine derivatives, pyrazolotriazole derivatives, pyrazolones, indazoles, benzimidazoles, benzothiazoles, benzoxazoles, 1 ,3- benzodioxoles, quinolines, and the addition salts of these compounds with an acid.
- meta- phenylenediamines meta-aminophenols, meta-diphenols, naphthalene couplers
- heterocyclic couplers such as, for example, indole derivatives, indoline derivatives, sesamol and derivatives thereof, pyridine derivatives, pyr
- couplers are more particularly chosen from 2,4-diamino-1-(P- hydroxyethyloxy)benzene, 2-methyl-5-aminophenol, 5-N-( -hydroxyethyl)amino-2- methylphenol, 3-aminophenol, 1 ,3-dihydroxybenzene, 1 ,3-dihydroxy-2- methylbenzene, 4-chloro-1 ,3-dihydroxybenzene, 2-amino-4-( -hydroxyethylamino)- 1 -methoxybenzene, 1 ,3-diaminobenzene, 1 ,3-bis(2,4-diaminophenoxy)propane, sesamol, 1 -amino-2-methoxy-4,5-methylenedioxybenzene, oc-naphthol, 6- hydroxyindole, 4-hydroxyindole, 4-hydroxy-N-methylindole, 6-hydroxyindoline, 2,6- dihydroxy-4-
- the addition salts of the oxidation bases and couplers are in particular chosen from the addition salts with an acid, such as the hydrochlorides, hydrobromides, sulfates, citrates, succinates, tartrates, lactates, tosylates, benzenesulfonates, phosphates and acetates.
- an acid such as the hydrochlorides, hydrobromides, sulfates, citrates, succinates, tartrates, lactates, tosylates, benzenesulfonates, phosphates and acetates.
- the oxidation base(s) are generally each present in an amount from 0.0001 % to
- the coupler(s) each generally represent from 0.0001 % to 10% by weight relative to the total weight of the composition and preferably from 0.005% to 5% by weight relative to the total weight of the dye composition.
- the dye composition used in the process according to the invention may contain synthetic or natural, cationic or nonionic, direct dyes.
- direct dyes include nitrobenzene dyes; azo direct dyes; azomethine direct dyes; methine direct dyes; azacarbocyanin direct dyes, for instance tetraazacarbocyanins (tetraazapentamethines); quinone and in particular anthraquinone, naphthoquinone or benzoquinone direct dyes; azine direct dyes; xanthene direct dyes; triarylmethane direct dyes; indoamine direct dyes; indigoid direct dyes; phthalocyanine direct dyes, porphyrin direct dyes and natural direct dyes, alone or as mixtures.
- direct dyes from among: azo; methine; carbonyl; azine; nitro (hetero)aryl; tri(hetero)arylmethane; porphyrin; phthalocyanine and natural direct dyes, alone or as mixtures.
- the direct dye(s) more particularly represent from 0.0001 % to 10% by weight of the total weight of the dye composition and preferably from 0.005% to 5% by weight.
- the dye composition comprises at least one alkaline agent.
- This agent may be chosen from inorganic or organic or hybrid alkaline agents, or mixtures thereof.
- the inorganic alkaline agent(s) are preferably chosen from aqueous ammonia, alkali carbonates or bicarbonates such as sodium or potassium carbonates and sodium or potassium bicarbonates, sodium hydroxide or potassium hydroxide, or mixtures thereof.
- the organic alkaline agent(s) are preferably chosen from organic amines with a pKb at 25°C of less than 12, preferably less than 10 and even more advantageously less than 6. It should be noted that it is the pKb corresponding to the function of highest basicity.
- organic alkaline agent(s) are chosen, for example, from alkanolamines, oxyethylenated and/or oxypropylenated ethylenediamines, amino acids and the compounds having the formula below:
- Examples of such amines that may be mentioned include 1 ,3-diaminopropane, 1 ,3-diamino-2-propanol, spermine and spermidine.
- alkanolamine means an organic amine comprising a primary, secondary or tertiary amine function, and one or more linear or branched CrC 8 alkyl groups bearing one or more hydroxyl radicals.
- Alkanolamines such as monoalkanolamines, dialkanolamines or trialkanolamines comprising from one to three identical or different CrC 4 hydroxyalkyi radicals are in particular suitable for implementing the invention.
- amino acids that may be used are of natural or synthetic origin, in their L, D or racemic form, and comprise at least one acid function chosen more particularly from carboxylic acid, sulfonic acid, phosphonic acid or phosphoric acid functions.
- the amino acids can be in the neutral or ionic form.
- amino acids which can be used in the present invention, of aspartic acid, glutamic acid, alanine, arginine, ornithine, citrulline, asparagine, carnitine, cysteine, glutamine, glycine, histidine, lysine, isoleucine, leucine, methionine, N-phenylalanine, proline, serine, taurine, threonine, tryptophan, tyrosine and valine.
- amino acids which can be used in the present invention, of aspartic acid, glutamic acid, alanine, arginine, ornithine, citrulline, asparagine, carnitine, cysteine, glutamine, glycine, histidine, lysine, isoleucine, leucine, methionine, N-phenylalanine, proline, serine, taurine, threonine, tryptophan, tyrosine and valine.
- the amino acids are basic amino acids comprising an additional amine function optionally included in a ring or in a ureido function.
- Such basic amino acids are preferably chosen from those corresponding to the formula below:
- i denotes a group chosen from: -(CH 2 ) 3 NH 2
- the organic amine may also be chosen from organic amines of heterocyclic type. Besides histidine that has already been mentioned in the amino acids, mention may in particular be made of pyridine, piperidine, imidazole, triazole, tetrazole and benzimidazole.
- the organic amine can also be chosen from amino acid dipeptides.
- amino acid dipeptides that can be used in the present invention, mention may be made in particular of carnosine, anserine and balenine.
- the organic amine is chosen from compounds comprising a guanidine function.
- amines of this type that can be used in the present invention, besides arginine that has already been mentioned as an amino acid, mention may be made in particular of creatine, creatinine, 1 ,1 -dimethylguanidine, 1 ,1 -diethylguanidine, glycocyamine, metformin, agmatine, N-amidinoalanine, 3-guanidinopropionic acid, 4- guanidinobutyric acid and 2-([amino(imino)methyl]amino)ethane-1 -sulfonic acid.
- the dye composition used in the process of the invention contains, as alkaline agent, aqueous ammonia and/or at least one alkanolamine and/or at least one basic amino acid, more advantageously aqueous ammonia and/or at least one alkanolamine.
- the alkaline agent is chosen from aqueous ammonia and monoethanolamine, or a mixture thereof.
- the dye composition has a content of alkaline agent(s) ranging from 0.01 % to 30% by weight, preferably from 0.1 % to 20% by weight and better still from 1 % to 10% by weight relative to the weight of said dye composition. It should be noted that this content is expressed as NH 3 when the alkaline agent is aqueous ammonia.
- the dye composition may also comprise one or more surfactants.
- the surfactant(s) are chosen from anionic, amphoteric, zwitterionic, cationic or nonionic surfactants, and preferentially nonionic surfactants.
- alkyl sulfates alkyl ether sulfates, alkylamido ether sulfates, alkylaryl polyether sulfates, monoglyceride sulfates, alkylsulfonates, alkylamidesulfonates, alkylarylsulfonates, oolefinsulfonates, paraffinsulfonates, alkyl sulfosuccinates, alkyl ether sulfosuccinates, alkylamide sulfosuccinates, alkyl sulfoacetates, acyl sarcosinates, acyl glutamates, alkyl sulfosuccinamates, acyl isethionates and N-acyl taurates, salts of alkyl monoesters of polyglycoside- polycarboxylic acids, acyl
- These compounds can be oxyethylenated and then preferably comprise from 1 to 50 ethylene oxide units.
- the salts of C 6 -C 2 4 alkyl monoesters of polyglycoside-polycarboxylic acids can be chosen from C 6 -C 2 4 alkyl polyglycoside-citrates, C 6 -C 2 4 alkyl polyglycoside- tartrates and C 6 -C 2 4 alkyl polyglycoside-sulfosuccinates.
- anionic surfactant(s) When the anionic surfactant(s) are in salt form, they may be chosen from alkali metal salts such as the sodium or potassium salt and preferably the sodium salt, ammonium salts, amine salts and in particular amino alcohol salts or alkaline-earth metal salts such as the magnesium salts.
- alkali metal salts such as the sodium or potassium salt and preferably the sodium salt, ammonium salts, amine salts and in particular amino alcohol salts or alkaline-earth metal salts such as the magnesium salts.
- amino alcohol salts examples include monoethanolamine, diethanolamine and triethanolamine salts, monoisopropanolamine, diisopropanolamine or triisopropanolamine salts, 2-amino-2- methyl-1 -propanol salts, 2-amino-2-methyl-1 ,3-propanediol salts and tris(hydroxymethyl)aminomethane salts.
- Alkali metal or alkaline-earth metal salts and in particular sodium or magnesium salts, are preferably used.
- Use is preferably made, among the anionic surfactants mentioned, of (C 6 - C 24 )alkyl sulfates, (C 6 -C 24 )alkyl ether sulfates comprising from 2 to 50 ethylene oxide units, in particular in the form of alkali metal, ammonium, amino alcohol and alkaline- earth metal salts, or a mixture of these compounds.
- (Ci 2 -C 20 )alkyl sulfates (Ci 2 -C 20 )alkyl ether sulfates comprising from 2 to 20 ethylene oxide units, in particular in the form of alkali metal, ammonium, amino alcohol and alkaline-earth metal salts, or a mixture of these compounds.
- sodium lauryl ether sulfate containing 2.2 mol of ethylene oxide.
- amphoteric or zwitterionic surfactant(s), which are preferably non-silicone surfactant(s), which can be used in the present invention can in particular be derivatives of optionally quaternized secondary or tertiary aliphatic amines, in which derivatives the aliphatic group is a linear or branched chain comprising from 8 to 22 carbon atoms, said amine derivatives comprising at least one anionic group, such as, for example, a carboxylate, sulfonate, sulfate, phosphate or phosphonate group.
- R a represents a Ci 0 -C 3 o alkyl or alkenyl group derived from an acid R a - COOH preferably present in hydrolysed coconut oil, or a heptyl, nonyl or undecyl group;
- ⁇ R b represents a ⁇ -hydroxyethyl group
- ⁇ R c represents a carboxymethyl group
- ⁇ M + represents a cationic counterion derived from an alkali metal or alkaline- earth metal, such as sodium, an ammonium ion or an ion derived from an organic amine, and
- ⁇ X " represents an organic or inorganic anionic counterion, such as that chosen from halides, acetates, phosphates, nitrates, (CrC 4 )alkyl sulfates, (CrC 4 )alkyl- or (Ci-C 4 )alkylarylsulfonates, in particular methyl sulfate and ethyl sulfate; or alternatively M + and X " are absent;
- ⁇ B represents the group -CH 2 -CH 2 -0-X'
- ⁇ X' represents the group -CH 2 -C(0)OH, -CH 2 -C(0)OZ', -CH 2 -CH 2 -C(0)OH, -
- ⁇ Y' represents the group -C(0)OH, -C(0)OZ', -CH 2 -CH(OH)-S0 3 H or the group -CH 2 -CH(OH)-S0 3 -Z';
- ⁇ Z' represents a cationic counterion derived from an alkali metal or alkaline- earth metal, such as sodium, an ammonium ion or an ion derived from an organic amine;
- ⁇ R a ' represents a C10-C30 alkyl or alkenyl group of an acid R a -C(0)OH preferably present in hydrolysed linseed oil or coconut oil, an alkyl group, in particular of Ci 7 and its iso form, or an unsaturated Ci 7 group;
- ⁇ Y" represents the group -C(0)OH, -C(0)OZ", -CH 2 -CH(OH)-S0 3 H or the group -CH 2 -CH(OH)-S0 3 -Z";
- ⁇ Rd and Re independently of one another, represent a C1-C4 alkyl or hydroxyalkyl radical
- ⁇ Z" represents a cationic counterion derived from an alkali metal or alkaline- earth metal, such as sodium, an ammonium ion or an ion derived from an organic amine;
- R a " represents a C10-C30 alkyl or alkenyl group of an acid R a "C(0)OH preferably present in hydrolysed linseed oil or coconut oil;
- ⁇ n and n' denote, independently of one another, an integer ranging from 1 to 3.
- the compounds of formulae (B1 ) and (B2) are classified in the CTFA dictionary, 5th edition, 1993, under the names disodium cocoamphodiacetate, disodium lauroamphodiacetate, disodium caprylamphodiacetate, disodium capryloamphodiacetate, disodium cocoamphodipropionate, disodium lauroamphodipropionate, disodium caprylamphodipropionate, disodium capryloamphodipropionate, lauroamphodipropionic acid and cocoamphodipropionic acid.
- cocoamphodiacetate sold by the company Rhodia under the trade name Miranol ® C2M Concentrate.
- amphoteric or zwitterionic surfactants use is preferably made of (C 8 -C 20 )alkylbetaines such as cocobetaine, (C 8 -C 2 o)alkylamido(C 3 - C 8 )alkylbetaines such as cocamidopropylbetaine, the compounds of formula (B'2), such as the sodium salt of diethylminopropyl laurylaminosuccinamate (INCI name: sodium diethylaminopropyl cocoaspartamide) and mixtures thereof.
- (C 8 -C 20 )alkylbetaines such as cocobetaine
- (C 8 -C 2 o)alkylamido(C 3 - C 8 )alkylbetaines such as cocamidopropylbetaine
- the compounds of formula (B'2) such as the sodium salt of diethylminopropyl laurylaminosuccinamate (INCI name: sodium diethylaminopropy
- amphoteric or zwitterionic surfactant(s) are chosen from cocamidopropylbetaine, cocobetaine, the sodium salt of diethylaminopropyl cocoaspartamide (INCI name: sodium diethylaminopropyl cocoaspartamide), or mixtures thereof.
- the cationic surfactant(s) which can be used in the dye composition comprise, for example, salts of optionally polyoxyalkylenated primary, secondary or tertiary fatty amines, quaternary ammonium salts, and mixtures thereof.
- quaternary ammonium salts examples include:
- R 8 to Rii which may be identical or different, represent a linear or branched aliphatic group comprising from 1 to 30 carbon atoms, or an aromatic group such as aryl or alkylaryl, it being understood that at least one of the groups R 8 to Rii comprises from 8 to 30 carbon atoms and preferably from 12 to 24 carbon atoms; and
- ⁇ X " represents an organic or inorganic anionic counterion, such as that chosen from halides, acetates, phosphates, nitrates, (CrC 4 )alkyl sulfates, (C C 4 )alkyl or (Ci-C 4 )alkylaryl sulfonates, in particular methyl sulfate and ethyl sulfate.
- the aliphatic groups of R 8 to Rn may also comprise heteroatoms especially such as oxygen, nitrogen, sulfur and halogens.
- the aliphatic groups of R 8 to Rn are chosen, for example, from C1-C30 alkyl, d- C 3 o alkoxy, polyoxy(C 2 -C 6 )alkylene, C1-C30 alkylamide, (Ci2-C22)alkylamido(C 2 - C 6 )alkyl, (Ci 2 -C 2 2)alkyl acetate and C1-C30 hydroxyalkyl groups, X " is an anionic counterion chosen from halides, phosphates, acetates, lactates, (Ci-C 4 )alkyl sulfates and (Ci-C 4 )alkyl- or (Ci-C 4 )alkylarylsulfonates.
- quaternary ammonium salts of formula (B3) preference is given firstly to tetraalkylammonium chlorides, for instance dialkyldimethylammonium or alkyltrimethylammonium chlorides in which the alkyl group comprises approximately from 12 to 22 carbon atoms, in particular behenyltrimethylammonium chloride, distearyldimethylammonium chloride, cetyltrimethylammonium chloride, benzyldimethylstearylammonium chloride, or else, secondly, distearoylethylhydroxyethylmethylammonium methosulfate, dipalmitoylethylhydroxyethylammonium methosulfate or distearoylethylhydroxyethylammonium methosulfate, or else, lastly, palmitylamidopropyltrimethylammonium chloride or stearamidopropyldimethyl(myristyl acetate)ammonium chlor
- ⁇ Ri2 represents an alkenyl or alkyl group comprising from 8 to 30 carbon atoms, for example fatty acid derivatives of tallow;
- ⁇ R-I3 represents a hydrogen atom, a Ci-C 4 alkyl group or an alkenyl or alkyl group comprising from 8 to 30 carbon atoms;
- ⁇ Ri4 represents a C1-C4 alkyl group
- ⁇ Ri 5 represents a hydrogen atom or a C1-C4 alkyl group
- ⁇ X " represents an organic or inorganic anionic counterion, such as that chosen from halides, phosphates, acetates, lactates, (CrC 4 )alkyl sulfates, (CrC 4 )alkyl or (d- C 4 )alkylaryl sulfonates.
- R-I2 and Ri 3 preferably denote a mixture of alkyl or alkenyl groups containing from 12 to 21 carbon atoms, for example tallow fatty acid derivatives, Ri 4 denotes a methyl group, and Ri 5 denotes a hydrogen atom.
- a product is sold, for example, under the name Rewoquat® W 75 by the company Rewo;
- R-I6 denotes an alkyl group comprising approximately from 16 to 30 carbon atoms, which is optionally hydroxylated and/or interrupted with one or more oxygen atoms;
- R-I7 is chosen from hydrogen, an alkyl group comprising from 1 to 4 carbon atoms or a group -(CH 2 ) 3 -N + (R 16 a)(Ri7a)(Ri8a), X " ;
- Ri6a, Ri7a, Ri8a, Ri8, Ri9, R20 and R 2 i which may be identical or different, are chosen from hydrogen and an alkyl group comprising from 1 to 4 carbon atoms;
- X " which may be identical or different, represent an organic or inorganic anionic counterion, such as that chosen from halides, acetates, phosphates, nitrates, (CrC 4 )alkyl sulfates, (Ci-C 4 )alkyl or (Ci-C 4 )alkylaryl sulfonates, in particular methyl sulfate and ethyl sulfate.
- an organic or inorganic anionic counterion such as that chosen from halides, acetates, phosphates, nitrates, (CrC 4 )alkyl sulfates, (Ci-C 4 )alkyl or (Ci-C 4 )alkylaryl sulfonates, in particular methyl sulfate and ethyl sulfate.
- Such compounds are, for example, Finquat CT-P, sold by the company Finetex (Quaternium 89), and Finquat CT, sold by the company Finetex (Quaternium 75); - quaternary ammonium salts comprising one or more ester functions, such as those of formula (B6) below:
- R 2 2 is chosen from CrC 6 alkyl groups and CrC 6 hydroxyalkyl or CrC 6 dihydroxyalkyl groups,
- ⁇ R23 is chosen from:
- ⁇ R25 is chosen from:
- Ci-C 6 hydrocarbon-based groups R 2 g
- R 24 , R26 and R 2 8 which may be identical or different, are chosen from linear or branched, saturated or unsaturated C7-C21 hydrocarbon-based groups;
- ⁇ y is an integer ranging from 1 to 10,
- ⁇ x and z which may be identical or different, are integers ranging from 0 to 10,
- ⁇ X " represents an organic or inorganic anionic counterion
- the alkyl groups R22 may be linear or branched, and more particularly linear.
- R 22 denotes a methyl, ethyl, hydroxyethyl or dihydroxypropyl group, and more particularly a methyl or ethyl group.
- the sum x + y + z is from 1 to 10.
- R 2 3 is an R 27 hydrocarbon-based group, it may be long and may contain from 12 to 22 carbon atoms, or may be short and may have from 1 to 3 carbon atoms.
- R 25 is an R 29 hydrocarbon-based group, it preferably contains 1 to 3 carbon atoms.
- R 24 , R 26 and R 28 which are identical or different, are chosen from linear or branched, saturated or unsaturated Cn-C 2 i hydrocarbon-based groups, and more particularly from linear or branched, saturated or unsaturated Cn-C 2 i alkyl and alkenyl groups.
- x and z which may be identical or different, are equal to 0 or 1.
- y is equal to 1 .
- r, s and t which may be identical or different, are equal to 2 or 3, and even more particularly are equal to 2.
- the anionic counterion X " is preferably a halide, such as chloride, bromide or iodide; a (CrC 4 )alkyl sulfate or a (CrC 4 )alkyl- or (Ci-C 4 )alkylarylsulfonate.
- a halide such as chloride, bromide or iodide
- a (CrC 4 )alkyl sulfate or a (CrC 4 )alkyl- or (Ci-C 4 )alkylarylsulfonate it is possible to use methanesulfonate, phosphate, nitrate, tosylate, an anion derived from an organic acid, such as acetate or lactate, or any other anion that is compatible with the ammonium comprising an ester function.
- the anionic counterion X " is even more particularly chloride, methyl sulfate or ethyl sulfate.
- R 22 denotes a methyl or ethyl group
- - R 25 is chosen from: the group
- a hydrogen atom, - R 2 4, 26 and R 2 8, which may be identical or different, are chosen from linear or branched, saturated or unsaturated C13-C17 hydrocarbon-based groups, and preferably from linear or branched, saturated or unsaturated C13-C17 alkyl and alkenyl groups.
- hydrocarbon-based radicals are linear.
- acyl groups preferably have 14 to 18 carbon atoms and originate more particularly from a plant oil such as palm oil or sunflower oil. When the compound comprises several acyl groups, these groups may be identical or different.
- This esterification is followed by a quaternization by means of an alkylating agent such as an alkyl halide, preferably methyl or ethyl halide, a dialkyl sulfate, preferably dimethyl or diethyl sulfate, methyl methanesulfonate, methyl para- toluenesulfonate, glycol chlorohydrin or glycerol chlorohydrin.
- an alkylating agent such as an alkyl halide, preferably methyl or ethyl halide, a dialkyl sulfate, preferably dimethyl or diethyl sulfate, methyl methanesulfonate, methyl para- toluenesulfonate, glycol chlorohydrin or glycerol chlorohydrin.
- Such compounds are sold, for example, under the names Dehyquart® by the company Henkel, Stepanquat® by the company Stepan, Noxamium® by the company Ceca or Rewoquat® WE 18 by the company Rewo-Witco.
- the dye composition may contain, for example, a mixture of quaternary ammonium monoester, diester and triester salts with a weight majority of diester salts.
- ammonium salts containing at least one ester function that are described in patents US-A-4 874 554 and US-A-4 137 180.
- Use may be made of behenoylhydroxypropyltrimethylammonium chloride, sold by Kao under the name Quatarmin BTC 131 .
- the ammonium salts containing at least one ester function contain two ester functions.
- cationic surfactants that may be present in the dye composition, it is more particularly preferred to choose cetyltrimethylammonium, behenyltrimethylammonium and dipalmitoylethylhydroxyethylmethylammonium salts, and mixtures thereof, and more particularly behenyltrimethylammonium chloride, cetyltrimethylammonium chloride and dipalmitoylethylhydroxyethylammonium methosulfate, and mixtures thereof.
- nonionic surfactants that may be used in the composition used according to the invention are described, for example, in the "Handbook of Surfactants" by M.R.
- the nonionic surfactants are more particularly chosen from oxyalkylenated and glycerolated nonionic surfactants.
- the oxyalkylene units are more particularly oxyethylene or oxypropylene units, or a combination thereof, preferably oxyethylene units.
- oxyalkylenated, or glycerolated, nonionic surfactants examples include:
- esters of saturated or unsaturated, linear or branched, C 8 -C 3 o acids and of polyethylene glycols • esters of saturated or unsaturated, linear or branched, C 8 -C 3 o acids and of polyethylene glycols;
- the surfactants contain a number of moles of ethylene oxide and/or of propylene oxide of between 1 and 100, preferably between 2 and 50 and preferably between 2 and 30.
- the nonionic surfactants do not comprise oxypropylene units.
- the oxyalkylenated nonionic surfactants are chosen from oxyethylenated C 8 -C 30 alcohols comprising from 1 to 100 mol of ethylene oxide, more particularly from 2 to 50 and even more preferentially from 2 to 30; and oxyethylenated esters of saturated or unsaturated, linear or branched C 8 -C 30 acids and of sorbitol comprising from 1 to 100 mol of ethylene oxide.
- glycerolated nonionic surfactants examples include glycerolated C 8 -C 40 alcohols.
- Examples of compounds of this type include lauryl alcohol containing 4 mol of glycerol (INCI name: Polyglyceryl-4 Lauryl Ether), lauryl alcohol containing 1 .5 mol of glycerol, oleyl alcohol containing 4 mol of glycerol (INCI name: Polyglyceryl-4 Oleyl Ether), oleyl alcohol containing 2 mol of glycerol (INCI name: Polyglyceryl-2 Oleyl Ether), cetearyl alcohol containing 2 mol of glycerol, cetearyl alcohol containing 6 mol of glycerol, oleocetyl alcohol containing 6 mol of glycerol, and octadecanol containing 6 mol of glycerol.
- the monoglycerolated or polyglycerolated alcohols it is more particularly preferred to use the C 8 /Ci 0 alcohol containing 1 mol of glycerol, the C10/C12 alcohol containing 1 mol of glycerol and the C12 alcohol containing 1.5 mol of glycerol.
- the surfactant(s) are chosen from nonionic, anionic or amphoteric surfactants. More particularly, the additional surfactant(s) present in the composition are chosen from nonionic surfactants.
- the surfactant(s), when it (they) is (are) present, is (are) chosen from nonionic surfactants which are oxyalkylenated, in particular oxyethylenated, oxypropylenated, or combination thereof, more particularly oxyethylenated; or glycerolated, or mixtures thereof.
- the nonionic surfactants are chosen from oxyethylenated sorbitol esters, oxyethylenated fatty alcohols, oxyethylenated amides, glycerolated fatty alcohols, and mixtures thereof.
- the amount of the surfactant(s), when it (they) is (are) present preferably ranges from 0.1 % to 50% by weight and even better still from 0.5% to 20% by weight, relative to the weight of said composition.
- the medium of the dye composition according to the invention is advantageously an aqueous medium. It may also comprise one or more organic solvents.
- organic solvents include linear or branched and preferably saturated monoalcohols or diols, comprising 2 to 10 carbon atoms, such as ethyl alcohol, isopropyl alcohol, hexylene glycol (2-methyl-2,4-pentanediol), neopentyl glycol and 3-methyl-1 ,5-pentanediol, butylene glycol, dipropylene glycol and propylene glycol; aromatic alcohols such as benzyl alcohol or phenylethyl alcohol; polyols containing more than two hydroxyl functions, such as glycerol; polyol ethers, for instance ethylene glycol monomethyl, monoethyl or monobutyl ether, propylene glycol or ethers thereof, for instance propylene glycol monomethyl ether; and also diethylene glycol
- the organic solvents when they are present, generally represent between 1 % and 40% by weight relative to the total weight of the dye composition and preferably between 5% and 30% by weight relative to the total weight of the dye composition.
- the dye composition is aqueous.
- it preferably comprises from 30% to 95% by weight of water, better still from 40% to 90% by weight of water and even better still from 50% to 85% by weight of water relative to the total weight of the composition.
- the pH of the dye composition if it is aqueous, is generally between 3 and 12 and preferably between 5 and 1 1. It is preferentially between 7 and 1 1 , limits included.
- the dye composition may optionally comprise one or more fatty substances.
- fatty substance means an organic compound that is insoluble in water at ordinary temperature (25°C) and at atmospheric pressure (760 mmHg) (solubility of less than 5%, preferably less than 1 % and even more preferentially less than 0.1 %). They exhibit, in their structure, at least one hydrocarbon-based chain comprising at least 6 carbon atoms or a sequence of at least two siloxane groups.
- fatty substances are generally soluble in organic solvents under the same temperature and pressure conditions, such as, for example, chloroform, dichloromethane, carbon tetrachloride, ethanol, benzene, toluene, tetrahydrofuran (THF), liquid petroleum jelly or decamethylcyclopentasiloxane.
- organic solvents such as, for example, chloroform, dichloromethane, carbon tetrachloride, ethanol, benzene, toluene, tetrahydrofuran (THF), liquid petroleum jelly or decamethylcyclopentasiloxane.
- the fatty substances of the invention do not comprise salified or unsalified carboxylic acid groups (COOH or COO " ).
- the fatty substances of the invention are neither (poly)oxyalkylenated nor (poly)glycerolated.
- o/T means a "fatty substance” that is liquid at ambient temperature (25°C) and at atmospheric pressure (760 mmHg).
- non-silicone o/T means an oil not containing any silicon atoms (Si) and the term "silicone o/T means an oil containing at least one silicon atom.
- the fatty substances are chosen from C 6 -Ci 6 hydrocarbons, hydrocarbons containing more than 16 carbon atoms, non-silicone oils of animal origin, plant oils of triglyceride type, synthetic triglycerides, fluoro oils, fatty alcohols, fatty acid and/or fatty alcohol esters other than triglycerides and plant waxes, non- silicone waxes and silicones, and mixtures thereof.
- fatty alcohols, esters and acids more particularly exhibit at least one saturated or unsaturated and linear or branched hydrocarbon- based group which comprises from 6 to 30 and better still from 8 to 30 carbon atoms and which is optionally substituted, in particular with one or more hydroxyl groups (in particular 1 to 4). If they are unsaturated, these compounds may comprise one to three conjugated or unconjugated carbon-carbon double bonds.
- C 6 -Ci 6 hydrocarbons they are linear, branched or optionally cyclic, and are preferably alkanes. Examples that may be mentioned include hexane, dodecane and isoparaffins such as isohexadecane and isodecane.
- a hydrocarbon-based oil of animal origin that may be mentioned is perhydrosqualene.
- the triglyceride oils of plant or synthetic origin are preferably chosen from liquid fatty acid triglycerides containing from 6 to 30 carbon atoms, for instance heptanoic or octanoic acid triglycerides, or alternatively, for example, sunflower oil, corn oil, soybean oil, marrow oil, grapeseed oil, sesame seed oil, hazelnut oil, apricot oil, macadamia oil, arara oil, castor oil, avocado oil, caprylic/capric acid triglycerides, for instance those sold by the company Stearineries Dubois or those sold under the names Miglyol® 810, 812 and 818 by the company Dynamit Nobel, jojoba oil and shea butter oil.
- liquid fatty acid triglycerides containing from 6 to 30 carbon atoms for instance heptanoic or octanoic acid triglycerides, or alternatively, for example, sunflower oil, corn oil, soybean oil,
- the linear or branched hydrocarbons of mineral or synthetic origin having more than 16 carbon atoms are preferably chosen from liquid paraffins, petroleum jelly, liquid petroleum jelly, polydecenes or hydrogenated polyisobutene, such as Parleam®.
- the Ci 6 -Ci 6 alkanes they are linear, branched or optionally cyclic. Examples that may be mentioned include hexane, dodecane and isoparaffins such as isohexadecane and isodecane.
- oils of animal, plant, mineral or synthetic origin that may be used in the composition of the invention, examples that may be mentioned include:
- fluoro oils which may be chosen from perfluoromethylcyclopentane and perfluoro- 1 ,3-dimethylcyclohexane, sold under the names Flutec ® PC1 and Flutec ® PC3 by the company BNFL Fluorochemicals; perfluoro-1 ,2-dimethylcyclobutane; perfluoroalkanes such as dodecafluoropentane and tetradecafluorohexane, sold under the names PF 5050 ® and PF 5060 ® by the company 3M, or bromoperfluorooctyl sold under the name Foralkyl ® by the company Atochem; nonafluoromethoxybutane and nonafluoroethoxyisobutane; perfluoromorpholine derivatives such as 4-trifluoromethyl perfluoromorpholine sold under the name PF 5052 ® by the company 3M.
- the fatty alcohols which are suitable for the implementation of the invention are more particularly chosen from saturated or unsaturated and linear or branched alcohols comprising from 6 to 30 carbon atoms and preferably from 8 to 30 carbon atoms. Mention may be made, for example, of cetyl alcohol, stearyl alcohol and their mixture (cetearyl alcohol), octyldodecanol, 2-butyloctanol, 2-hexyldecanol, 2- undecylpentadecanol, oleyl alcohol or linoleyl alcohol.
- esters which are advantageously different from the triglycerides mentioned above, mention may be made in particular of esters of saturated or unsaturated and linear or branched Ci-C 2 6 aliphatic monoacids or polyacids and of saturated or unsaturated and linear or branched Ci- C 2 6 aliphatic monoalcohols or polyalcohols, the total carbon number of the esters being greater than or equal to 6 and more advantageously greater than or equal to 10.
- dihydroabietyl behenate octyldodecyl behenate; isocetyl behenate; cetyl lactate; Ci 2 -Ci 5 alkyl lactate; isostearyl lactate; lauryl lactate; linoleyl lactate; oleyl lactate; (iso)stearyl octanoate; isocetyl octanoate; octyl octanoate; cetyl octanoate; decyl oleate; isocetyl isostearate; isocetyl laurate; isocetyl stearate; isodecyl octanoate; isodecyl oleate; isononyl isononanoate; isostearyl palmitate; methylacetyl ricinoleate; myristyl stearate
- esters of C4-C22 dicarboxylic or tricarboxylic acids and of C1-C22 alcohols and esters of mono-, di- or tricarboxylic acids and of C 2 -C 2 6 di-, tri-, tetra- or pentahydroxy alcohols may also be used.
- esters mentioned above it is preferred to use ethyl, isopropyl, myristyl, cetyl or stearyl palmitate, 2-ethylhexyl palmitate, 2-octyldecyl palmitate, alkyl myristates such as isopropyl, butyl, cetyl or 2-octyldodecyl myristate, hexyl stearate, butyl stearate, isobutyl stearate; dioctyl malate, hexyl laurate, 2-hexyldecyl laurate, isononyl isononanoate or cetyl octanoate.
- alkyl myristates such as isopropyl, butyl, cetyl or 2-octyldodecyl myristate, hexyl stearate, butyl stearate, isobutyl stearate
- the dye composition may also comprise, as fatty ester, sugar esters and diesters of C 6 -C 3 o and preferably C12-C22 fatty acids.
- sugar esters means oxygen-bearing hydrocarbon-based compounds which have several alcohol functions, with or without aldehyde or ketone functions, and which comprise at least 4 carbon atoms.
- sugars can be monosaccharides, oligosaccharides or polysaccharides.
- sucrose or saccharose
- glucose or saccharose
- galactose or ribose
- fucose maltose
- maltose fructose
- mannose mannose
- arabinose xylose
- lactose and derivatives thereof, in particular alkyl derivatives, such as methyl derivatives, for instance methylglucose.
- the sugar esters of fatty acids may be chosen in particular from the group comprising the esters or mixtures of esters of sugars described previously and of linear or branched, saturated or unsaturated C 6 -C 3 o and preferably C12-C22 fatty acids.
- these compounds may comprise one to three conjugated or unconjugated carbon-carbon double bonds.
- esters according to this variant can also be chosen from mono-, di-, tri- and tetraesters, polyesters, and mixtures thereof.
- esters can, for example, be oleates, laurates, palmitates, myristates, behenates, cocoates, stearates, linoleates, linolenates, caprates, arachidonates or mixtures thereof, such as, in particular, oleate/palmitate, oleate/stearate or palmitate/stearate mixed esters. More particularly, use is made of monoesters and diesters and in particular mono- or di-oleate, -stearate, -behenate, -oleate/palmitate, -linoleate, -linolenate or - oleate/stearate of sucrose, of glucose or of methylglucose.
- esters or mixtures of esters of sugar and of fatty acid examples include:
- sucrose palmitostearates formed from 73% monoester and 27% diester and triester, from 61 % monoester and 39% diester, triester and tetraester, from 52% monoester and 48% diester, triester and tetraester, from 45% monoester and 55% diester, triester and tetraester, from 39% monoester and 61 % diester, triester and tetraester, and sucrose monolaurate;
- Ryoto Sugar Esters for example referenced B370 and corresponding to sucrose behenate formed from 20% monoester and 80% diester-tri ester-polyester;
- the non-silicone wax(es) are chosen in particular from carnauba wax, candelilla wax, esparto wax, paraffin wax, ozokerite, plant waxes, such as olive tree wax, rice wax, hydrogenated jojoba wax or absolute flower waxes, such as the blackcurrant blossom essential wax sold by Bertin (France), or animal waxes, such as beeswaxes or modified beeswaxes (cerabellina); other waxes or waxy starting materials which can be used according to the invention are in particular marine waxes, such as that sold by Sophim under the reference M82, polyethylene waxes or polyolefin waxes in general.
- the silicones that can be used in the dye composition according to the present invention are volatile or non-volatile, cyclic, linear or branched silicones, which are unmodified or modified by organic groups, having a viscosity from 5x 10 "6 to 2.5 m 2 /s at 25°C, and preferably 1 x 10 "5 to 1 m 2 /s.
- the silicones that may be used in accordance with the invention may be in the form of oils, waxes, resins or gums.
- the silicone is chosen from polydialkylsiloxanes, in particular polydimethylsiloxanes (PDMSs), and organomodified polysiloxanes comprising at least one functional group chosen from amino groups and alkoxy groups.
- PDMSs polydimethylsiloxanes
- organomodified polysiloxanes comprising at least one functional group chosen from amino groups and alkoxy groups.
- Organopolysiloxanes are defined in greater detail in Walter Noll's "Chemistry and Technology of Silicones” (1968), Academic Press. They can be volatile or nonvolatile. When they are volatile, the silicones are more particularly chosen from those having a boiling point of between 60°C and 260°C and even more particularly from:
- cyclic polydialkylsiloxanes comprising from 3 to 7 and preferably from 4 to 5 silicon atoms.
- cyclic polydialkylsiloxanes comprising from 3 to 7 and preferably from 4 to 5 silicon atoms.
- These are, for example, octamethylcyclotetrasiloxane sold in particular under the name Volatile Silicone ® 7207 by Union Carbide or Silbione ® 70045 V2 by Rhodia, decamethylcyclopentasiloxane sold under the name Volatile Silicone ® 7158 by Union Carbide, and Silbione ® 70045 V5 by Rhodia, and mixtures thereof.
- Use is preferably made of non-volatile polydialkylsiloxanes, polydialkylsiloxane gums and resins, polyorganosiloxanes modified with the organofunctional groups above, and mixtures thereof.
- silicones are more particularly chosen from polydialkylsiloxanes, among which mention may be made mainly of polydimethylsiloxanes having trimethylsilyl end groups.
- the viscosity of the silicones is measured at 25°C according to Standard ASTM 445 Appendix C.
- oils of the 200 series from the company Dow Corning such as DC200 with a viscosity of 60 000 mm 2 /s;
- CTFA dimethiconol
- polydialkylsiloxanes In this category of polydialkylsiloxanes, mention may also be made of the products sold under the names Abil Wax® 9800 and 9801 by the company Goldschmidt, which are polydi(CrC 2 o)alkylsiloxanes.
- the silicone gums that may be used in accordance with the invention are in particular polydialkylsiloxanes and preferably polydimethylsiloxanes with high number-average molecular weights of between 200 000 and 1 000 000, used alone or as a mixture in a solvent.
- This solvent can be chosen from volatile silicones, polydimethylsiloxane (PDMS) oils, polyphenylmethylsiloxane (PPMS) oils, isoparaffins, polyisobutylenes, methylene chloride, pentane, dodecane, tridecane or their mixtures.
- Products which can be used more particularly in accordance with the invention are mixtures such as:
- CTFA dimethiconol
- CFA cyclic polydimethylsiloxane
- the product SF 1236 is a mixture of a gum SE 30 defined above, with a viscosity of 20 m 2 /s, and of an oil SF 96 with a viscosity of 5x10 "6 m 2 /s. This product preferably comprises 15% of gum SE 30 and 85% of an oil SF 96.
- organopolysiloxane resins that may be used in accordance with the invention are crosslinked siloxane systems containing the following units:
- R represents an alkyl containing 1 to 16 carbon atoms.
- R denotes a Ci-C 4 lower alkyl group, more particularly methyl.
- organomodified silicones that can be used in accordance with the invention are silicones as defined above and comprising in their structure one or more organofunctional groups attached via a hydrocarbon-based group.
- the organomodified silicones can be polydiarylsiloxanes, in particular polydiphenylsiloxanes, and polyalkylarylsiloxanes functionalized by the abovementioned organofunctional groups.
- the polyalkylarylsiloxanes are particularly chosen from linear and/or branched polydimethyl/methylphenylsiloxanes and polydimethyl/diphenylsiloxanes with a viscosity ranging from 1 x10 "5 to 5x10 "2 m 2 /s at 25°C.
- silicones of the PK series from Bayer such as the product PK20;
- silicones of the PN and PH series from Bayer such as the products PN1000 and PH 1000;
- oils of the SF series from General Electric such as SF 1023, SF 1 154, SF 1250 and SF 1265.
- organomodified silicones of polyorganosiloxanes comprising:
- substituted or unsubstituted amino groups such as the products sold as GP 4 Silicone Fluid and GP 7100 by Genesee or the products sold as Q2 8220 and Dow Corning 929 or 939 by Dow Corning.
- the substituted amino groups are, in particular, Ci-C 4 aminoalkyl groups;
- the fatty substance is a compound that is liquid at the temperature of 25°C and at atmospheric pressure.
- the fatty substances are advantageously chosen from C 6 -Ci 6 alkanes, non- silicone oils of plant, mineral or synthetic origin, fatty alcohols, fatty acid and/or fatty alcohol esters, or mixtures thereof.
- the fatty substance is chosen from liquid petroleum jelly, C 6 -Ci 6 alkanes, polydecenes, liquid fatty acid and/or fatty alcohol esters, liquid fatty alcohols, or mixtures thereof.
- the total fatty substance content in the mixture when it contains same, is less than 20% by weight relative to the total weight of the composition (mixture of the dye composition and oxidizing composition). It then preferably ranges from a content greater than 0 to 19%, better still from a content greater than 0 to 15% and even better still from a content greater than 0 to 10% by weight relative to the total weight of the composition (mixture of the dye composition and oxidizing composition).
- the total fatty substance content is greater than or equal to 20% by weight relative to the total weight of the composition (mixture of the dye composition and oxidizing composition). It then preferably ranges from 20% to 80%, better still from 30% to 75% and even better still from 50% to 70% by weight relative to the total weight of the composition (mixture of the dye composition and oxidizing composition).
- Other adjuvants :
- the dye composition can also contain various adjuvants other than those claimed, and used conventionally in compositions for dyeing the hair, such as, for example, cationic polymers, the cationic charge density of which is less than 4 milliequivalents per gram (meq/g), anionic polymers, nonionic, amphoteric or zwitterionic polymers or mixtures thereof; thickeners such as crosslinked acrylic acid homopolymers, cellulose-based thickeners (with, for example, hydroxyethylcellulose, hydroxypropylcellulose, carboxymethylcellulose), guar gum and derivatives thereof (for example, hydroxypropyl guar), gums of microbial origin (in particular xanthan gum, scleroglucan gum); inorganic thickeners such as, in particular, clays; ammonium salts such as ammonium chloride, ammonium acetate; antioxidants or reducing agents such as ascorbic acid, erythorbic acid, ammonium sulfite, bisulfite
- the above adjuvants are generally present in an amount, for each of them, of between 0.01 % and 20% by weight relative to the weight of the composition.
- the second composition used in the process according to the invention also comprises at least one chemical oxidizing agent.
- oxidizing agents present in the oxidizing composition are described as "chemical” so as to differentiate them from atmospheric oxygen.
- the chemical oxidizing agent(s) suitable for the present invention are for example chosen from hydrogen peroxide, urea peroxide, alkali metal bromates or ferricyanides, peroxygenated salts, for instance persulfates, perborates, peracids and precursors thereof and percarbonates of alkali metals or alkaline-earth metals.
- the oxidizing agent is hydrogen peroxide.
- the content of oxidizing agent(s) more particularly represents from 0.1 % to 20% by weight and preferably from 0.5% to 10% by weight relative to the weight of the oxidizing composition.
- the oxidizing composition may also comprise one or more surfactants.
- the surfactant(s) are chosen from anionic, amphoteric, zwitterionic, cationic or nonionic surfactants, and preferentially nonionic surfactants. Reference may be made to the lists of compounds of this type given in the context of the description of the dye composition.
- these surfactants are chosen from nonionic surfactants, which are more particularly oxyalkylenated.
- the oxyalkylenated nonionic surfactants are chosen from oxyethylenated C 8 -C 30 alcohols comprising from 1 to 100 mol of ethylene oxide, preferably from 2 to 50 and even better still from 2 to 30; saturated or unsaturated, linear or branched, oxyalkylenated C 8 -C 30 amides comprising from 1 to 100 mol of ethylene oxide, preferably from 2 to 50 and even better still from 2 to 30; and polyoxyethylenated esters of saturated or unsaturated, linear or branched C 8 -C 3 o acids and of sorbitol comprising from 1 to 100 mol of ethylene oxide.
- the amount of the surfactant(s), when it (they) is (are) present preferably ranges from 0.1 % to 50% by weight and even better still from 0.5% to 20% by weight, relative to the weight of said composition.
- the oxidizing composition is advantageously an aqueous composition. It may also comprise one or more organic solvents chosen from those listed previously; these solvents more particularly representing, when they are present, from 1 % to 40% by weight and preferably from 5% to 30% by weight relative to the weight of the oxidizing composition.
- the oxidizing composition also preferably comprises one or more acidifying agents.
- the acidifying agents examples that may be mentioned include inorganic or organic acids, for instance hydrochloric acid, orthophosphoric acid, sulfuric acid, carboxylic acids, for instance acetic acid, tartaric acid, citric acid or lactic acid, and sulfonic acids.
- the pH of the oxidizing composition when it is aqueous, is less than 7.
- the oxidizing composition can also contain various adjuvants other than those claimed and used conventionally, such as, for example, polymers, the cationic charge density of which is less than 4 milliequivalents per gram (meq/g), anionic polymers, nonionic, amphoteric or zwitterionic polymers or mixtures thereof; thickeners such as crosslinked acrylic acid homopolymers, cellulose-based thickeners (with, for example, hydroxyethylcellulose, hydroxypropylcellulose, carboxymethylcellulose), guar gum and derivatives thereof (for example, hydroxypropyl guar), gums of microbial origin (in particular xanthan gum, scleroglucan gum); sequestering agents, such as ethylenediaminetetraacetic acid or salts thereof; fragrances; and preservatives, or mixtures thereof.
- adjuvants other than those claimed and used conventionally, such as, for example, polymers, the cationic charge density of which is less than 4 milliequi
- the above adjuvants are generally present in an amount, for each of them, of between 0.01 % and 20% by weight relative to the weight of the oxidizing composition.
- the mixture used in the process according to the invention comprises (initially) one or more propellant gases.
- the propellant gas can be employed in order to enable the expulsion of the composition(s), but also in order to facilitate or cause the expansion thereof.
- At least one of the compositions comprises at least one propellant gas, and preferably the two compositions comprise at least one propellant gas.
- the gas(es) are mixed with the composition.
- propellant gas suitable for implementing the invention, mention may be made of the gases normally used in the cosmetics field, in particular optionally halogenated volatile hydrocarbons, for example n-butane, propane, isobutane and pentane, and halogenated derivatives thereof; carbon dioxide, nitrous oxide, dimethyl ether and nitrogen, alone or as mixtures.
- gases normally used in the cosmetics field in particular optionally halogenated volatile hydrocarbons, for example n-butane, propane, isobutane and pentane, and halogenated derivatives thereof; carbon dioxide, nitrous oxide, dimethyl ether and nitrogen, alone or as mixtures.
- the propellant gas(es) are chosen from alkanes and in particular from n-butane, propane and isobutane, and mixtures thereof.
- each of the compositions comprises at least one propellant gas
- the latter may be identical or different, from one composition to the other, whether in terms of nature of the gas(es) or in terms of their respective proportions if mixtures are involved.
- the content of propellant gas(es) represents a content ranging from 1 % to 30% by weight relative to the weight of the composition, and preferably from 2% to 15% by weight relative to the weight of the composition containing it (them).
- the mixture applied to the fibres is therefore obtained from the mixture of the dye composition and oxidizing composition previously described.
- the mixture can be obtained from a single pressurized container comprising either the oxidizing composition or the dye composition as previously described, said composition being mixed before use with a composition (respectively dye or oxidizing composition) resulting from a non-pressurized container, such as a bottle or tube, the mixture of the two compositions comprising one or more cationic polymers, the cationic charge density of which is greater than 4 milliequivalents per gram (meq/g).
- the mixture can also be obtained from a single pressurized container comprising the oxidizing composition and the dye composition as previously described in two separate pouches, the mixture of the two compositions comprising one or more cationic polymers, the cationic charge density of which is greater than 4 milliequivalents per gram (meq/g).
- the mixture used in the context of the invention is obtained from a device comprising:
- each container is surmounted by a means for delivering each composition.
- One or both containers can have rigid walls and can contain the composition.
- one or both containers can have rigid walls and can contain a flexible-walled pouch which contains the composition.
- either the dye composition is in a pouch, or the oxidizing composition is in a pouch, or both.
- the composition in the pouch may not comprise any propellant gas, the latter being in the volume defined between the rigid walls of the container and the pouch.
- the composition contained in the pouch also itself comprises at least one propellant gas.
- the device comprises a first rigid-walled container which contains one or other of the dye or oxidizing compositions, the first rigid-walled container containing a flexible pouch which itself contains the other of the dye or oxidizing compositions and which constitutes a second container.
- the device comprises two rigid- walled containers, preferably with no pouch, each containing a composition.
- the device comprises a means for delivering the compositions, the means comprising at least one dispensing valve which surmounts the container(s).
- the means for delivering the compositions comprises two dispensing valves, each valve surmounting a container.
- the valve(s) are in selective fluidic communication with the interior of the container(s) via an inlet orifice of the valve, the communication being established in response to the actuation of an actuating means, such as a push button.
- the device comprises a first rigid-walled container which contains a flexible pouch
- a single valve is envisaged for delivering the two compositions.
- the valve is then provided with two inlet orifices, one of the orifices being able to communicate with the interior of the pouch and the other with the volume defined between the pouch and the rigid walls of the container.
- the containers When the containers do not contain a pouch, they are provided with a dip tube for conveying the composition to the inlet orifice of the dispensing valve.
- the inlet orifice of the valve opens into the pouch.
- the device can comprise at least one diffuser which caps the valve(s).
- the device comprises a single diffuser which caps the two valves.
- the device comprises two diffusers, each independently capping a valve.
- the push button can be part of the diffuser.
- the diffuser can be provided with one or more dispensing pipes envisaged for conveying the composition(s) to one or more dispensing orifices.
- each of the diffusers is provided with a pipe for conveying the composition between the outlet orifice of the valve and a dispensing orifice.
- the device When the device comprises a single diffuser, it can be provided with two pipes for conveying the compositions, each pipe communicating with the outlet orifice of a valve.
- the two pipes each end in a dispensing orifice (not communicating with one another before the dispensing orifice). According to this configuration, the mixture of the compositions is produced only after having been dispensed (therefore after the dispensing orifices).
- the two pipes end in a mixing chamber, from which a single pipe is directed to a single dispensing orifice. According to this configuration, the mixture of the compositions is produced just before it is expelled from the device.
- the two pipes each directly open onto a dispensing orifice.
- the device comprises two diffusers, that is to say it comprises two containers, each surmounted by a valve and by a diffuser which are specific to it, the two containers can be free with respect to one another, i.e. not attached together.
- the two containers can be attached together, for example by means of an external cover partly covering the containers (in particular a thermoformed film, or a rigid metal or plasticized cover), or alternatively by means of notches made in the external wall of each container enabling their attachment.
- the device comprises a single diffuser which caps the two valves
- said diffuser makes it possible to attach the two containers together.
- the device comprises two containers attached together, the device making it possible to deliver the compositions concomitantly, by means of one or preferably two dispensing orifices.
- the two containers have rigid walls, a dispensing valve surmounting each of the containers, and a single diffuser capping the two valves.
- the devices are designed in such a way that the dye composition and the oxidizing composition are brought into contact at the time of the application of the mixture obtained.
- the mixture of the dye composition and of the oxidizing composition, used in the process according to the invention, and which is applied to the fibres is in the form of a mousse which is therefore produced just before its application.
- the dye composition which is delivered (obtained) from a pressurized compartment is in the form of a cream, a gel or a mousse, preferably in the form of a mousse.
- the oxidizing composition which is delivered (obtained) from a pressurized compartment is in the form of a cream, a gel or a mousse, preferably in the form of a mousse.
- the pH of the mixture of the dye composition and the oxidizing composition is advantageously between 3 and 12, preferably between 5 and 1 1 and preferentially between 7 and 1 1 , limits included. It should be noted that the dispensing valve(s), like the content of propellant gas(es), are adjusted so as to allow the compositions to be dispensed in suitable respective proportions.
- the dye composition/oxidizing composition weight ratio in the mixture dispensed ranges from 0.25 to 4 and preferably from 0.5 to 2.
- this ratio is 1 .
- the dyeing process according to the invention consists in applying the resulting mixture to wet or dry human keratin fibres for a time sufficient to develop the desired colouration.
- the mixture obtained according to the process according to the invention is applied to keratin fibres in the form of a mousse.
- the dyeing process is generally performed at ambient temperature (between 15 and 25°C) and up to temperatures that may be as high as 60°C to 80°C.
- the keratin fibres are rinsed with water, and optionally washed with a shampoo and then rinsed with water.
- compositions are prepared Dye composition (contents expressed in g%
- Vitamin C L-Ascorbic acid as a fine powder 0.25
- Aqueous ammonia (reference concentration 20%
- Oxidizing composition (g%, as is):
- compositions are packaged in an aerosol container in the presence of the following propellant gases, in the composition/propellant gases weight ratio of 94/6.
- Oxidizing composition 25% propane, 40% n-butane, 35% i-butane
- the two aerosols are attached together via a dispensing head incorporating the two dispensing channels stemming from the two pressurized containers, the mixing of the two compositions in a weight ratio of 1 /1 taking place only immediately after the exiting from the dispensing head.
- the resulting mixture is left on the fibres for 30 minutes at ambient temperature (25°C). A light natural shade, covering the white hairs well, is obtained.
Landscapes
- Life Sciences & Earth Sciences (AREA)
- Health & Medical Sciences (AREA)
- Animal Behavior & Ethology (AREA)
- General Health & Medical Sciences (AREA)
- Public Health (AREA)
- Veterinary Medicine (AREA)
- Birds (AREA)
- Epidemiology (AREA)
- Chemical & Material Sciences (AREA)
- Dispersion Chemistry (AREA)
- Cosmetics (AREA)
Description
HAIR DYEING PROCESS USING A MIXTURE COMPRISING A PARTICULAR CATIONIC POLYMER, OBTAINED FROM AN AEROSOL DEVICE.
The subject of the present invention is a process for dyeing keratin fibres, such as hair, using a mixture comprising one or more cationic polymers, the cationic charge density of which is greater than 4 milliequivalents per gram (meq/g), said mixture being obtained from two compositions, at least one of which is packaged in a pressurized container, and also a device suitable for implementing this process.
Among the methods for dyeing human keratin fibres, such as the hair, mention may be made of oxidation dyeing or permanent dyeing. More particularly, this form of dyeing uses one or more oxidation dyes, usually one or more oxidation bases optionally combined with one or more couplers.
In general, the oxidation bases are chosen from ortho- or para- phenylenediamines, ortho- or para-aminophenols and heterocyclic compounds. These oxidation bases are colourless or weakly coloured compounds which, when combined with oxidizing products, can give access to coloured entities.
The shades obtained with these oxidation bases are often varied by combining them with one or more couplers, these couplers being chosen especially from aromatic meta-diamines, meta-aminophenols, meta-diphenols and certain heterocyclic compounds, such as indole compounds.
The variety of the molecules used as oxidation bases and couplers allows a rich palette of colours to be obtained.
Permanent dyeing processes thus consist in using with the dye composition an aqueous composition comprising at least one oxidizing agent such as hydrogen peroxide, under alkaline pH conditions in the vast majority of cases. The alkaline agent conventionally used is aqueous ammonia or other alkaline agents, such as alkanolamines.
Dye compositions may take various forms such as lotions, gels, emulsions, creams or mousses.
These compositions, in particular the compositions comprising oxidation dyes, are obviously sensitive to oxidation and as a result contain reducing agents or antioxidants. This action of protection against oxidation is also reinforced by virtue of the inert atmosphere which is sometimes employed during the packaging of these compositions.
The difficulty encountered with compositions of this type is precisely the result of their sensitivity to oxidation. Indeed, during their use, they are brought into contact
with atmospheric oxygen and this then requires that they be used rapidly. If this is not the case, the compositions become unusable after storage and are lost.
In the hair dyeing field, there are compositions which are packaged in pressurized containers and which make it possible to avoid bringing the composition into contact with air during use of said compositions, as is, for example, described in documents US 2010/0236570 or else FR 2 048 629.
However, coverage of the hair, in particular of white hair, still remains to be improved, as does the galenical quality of the product stemming from the pressurized container.
There is a constant need to develop oxidation dyeing compositions, in particular in mousse form, which are easy to prepare and to apply, and which remain sufficiently stable over time while at the same time retaining effective dyeing properties, in particular in terms of coverage of the hair, more particularly white hair, but also of intensity, of complete uniformity and of chromaticity of the colouration obtained.
This objective and others are achieved by means of the present invention, the subject of which is a process for dyeing keratin fibres, in which a mixture obtained from:
• a dye composition comprising at least one oxidation dye precursor, and
• an oxidizing composition comprising at least one chemical oxidizing agent, · at least one of the compositions being delivered from a pressurized device,
• the mixture of the two compositions comprising one or more cationic polymers, the cationic charge density of which is greater than 4 milliequivalents per gram (meq/g),
is applied to said fibres.
It also relates to a device suitable for implementing the process according to the invention, comprising:
• a first container containing a dye composition comprising at least one oxidation dye precursor, and
· a second container containing an oxidizing composition comprising at least one chemical oxidizing agent,
• at least one of the containers being pressurized, preferably the two containers being pressurized,
• a means for delivering the compositions,
· the mixture of the two compositions comprising one or more cationic polymers, the cationic charge density of which is greater than 4 milliequivalents per gram (meq/g).
Preferably, the composition used in the process according to the invention is in the form of a mousse which is particularly pleasant to apply.
It has a light, airy texture, which makes it particularly pleasant to use. The qualities of the mousse are sufficiently long-lasting to enable uniform application of the dye product, without running.
The composition of the invention makes it possible to retain dyeing properties, such as strength of the colour, resistance to external agents (shampooing, perspiration, light) and selectivity, and most particularly, coverage of white hair.
Other characteristics and advantages of the invention will emerge more clearly on reading the description and the examples that follow.
In the text hereinbelow, and unless otherwise indicated, the limits of a range of values are included in that range. The term "at least one" associated with an ingredient of the composition signifies "one or more".
The terms "oxyalkylenated", "oxyethylenated", "oxypropylenated" and "glycerolated" cover, respectively, mono- or poly- oxyalkylenated, oxyethylenated, oxypropylenated and glycerolated compounds, unless specifically mentioned.
Unless otherwise indicated, the contents of the ingredients present in the compositions are indicated while not taking into account the content of propellant gas(es).
The human keratin fibres treated by means of the process according to the invention are preferably the hair.
Cationic polymers
The cosmetic composition used in the process according to the invention comprises one or more cationic polymers, the cationic charge density of which is greater than 4 milliequivalents per gram (meq/g), preferably greater than or equal to 5 milliequivalents per gram (meq/g), preferably ranging from 5 to 20 meq/g and more particularly from 5.5 to 10 meq/g.
The cationic charge density of a polymer corresponds to the number of moles of cationic charges per unit weight of polymer under conditions in which it is totally ionized. It may be determined by calculation if the structure of the polymer is known, i.e. the structure of the monomers constituting the polymer and their mole proportion or weight proportion. It may also be determined experimentally via the Kjeldahl method, generally at a pH of about 7 at ambient temperature.
The cationic polymers with a cationic charge density of greater than 4 meq/g, which may be used in accordance with the present invention, may be chosen from any polymer already known per se as improving the cosmetic properties of hair
treated with compositions, i.e. in particular those described in patent application EP- A-0 337 354 and in French patent applications FR-A-2 270 846, 2 383 660, 2 598 61 1 , 2 470 596 and 2 519 863.
In general, for the purposes of the present invention, the term "cationic polymer" denotes any polymer comprising cationic groups and/or groups that are ionizable into cationic groups.
The cationic polymers are chosen from those which comprise units comprising primary, secondary, tertiary and/or quaternary amine groups that either may form part of the main polymer chain or may be borne by a side substituent directly attached thereto.
The cationic polymers used generally have a number-average molar weight of between 500 and 5 <106 approximately and preferably between 103 and 3x106 approximately.
Among the cationic polymers that may more particularly be mentioned are polymers of the polyamine, polyaminoamide and polyquaternary ammonium type. These are known products.
Among these polymers, mention may be made of:
(1 ) homopolymers or copolymers derived from acrylic or methacrylic esters or amides and comprising at least one of the units of the following formulae:
— C— C
— C— C
C=O
c=o
O
o X
A
A +
(Π)
R3 and R4, which may be identical or different, represent a hydrogen atom or an alkyl group having from 1 to 6 carbon atoms, and preferably methyl or ethyl;
R5, which may be identical different, denote a hydrogen atom or a CH3 group; A, which may be identical or different, represent a linear or branched alkyl group having from 1 to 6 carbon atoms, preferably 2 or 3 carbon atoms, or a hydroxyalkyi group having from 1 to 4 carbon atoms;
R6, R7 and R8, which may be identical or different, represent an alkyl group having from 1 to 18 carbon atoms or a benzyl group, and preferably an alkyl group having from 1 to 6 carbon atoms;
X" denotes an anion derived from an inorganic or organic acid, such as a methosulfate anion, or a halide such as chloride or bromide.
The copolymers of family (1 ) may also contain one or more units deriving from comonomers which may be chosen from the family of acrylamides, methacrylamides, diacetone acrylamides, acrylamides and methacrylamides substituted on the nitrogen with (Ci-C4) lower alkyls, acrylic acids or methacrylic acids or esters thereof, vinyllactams such as vinylpyrrolidone or vinylcaprolactam, and vinyl esters.
Thus, among these copolymers of family (1 ), mention may be made of:
- copolymers of acrylamide and of dimethylaminoethyl methacrylate quaternized with dimethyl sulfate or with a dimethyl halide,
- copolymers of acrylamide and of methacryloyloxyethyltrimethylammonium chloride
- copolymers of acrylamide and of methacryloyloxyethyltrimethylammonium methosulfate,
- quaternized or non-quaternized vinylpyrrolidone/dialkylaminoalkyl acrylate or methacrylate copolymers,
- dimethylaminoethyl methacrylate/vinylcaprolactam/vinylpyrrolidone terpolymers,
- vinylpyrrolidone/methacrylamidopropyldimethylamine copolymers,
- and quaternized vinylpyrrolidone/dimethylaminopropylmethacrylamide copolymers;
(2) cationic polysaccharides, in particular cationic celluloses and galactomannan gums. Among the cationic polysaccharides, mention may be made more particularly of cellulose ether derivatives comprising quaternary ammonium groups, cationic cellulose copolymers or cellulose derivatives grafted with a water- soluble quaternary ammonium monomer and cationic galactomannan gums;
(3) polymers consisting of piperazinyl units and divalent alkylene or hydroxyalkylene radicals containing straight or branched chains, optionally interrupted with oxygen, sulfur or nitrogen atoms or with aromatic or heterocyclic rings, and also the oxidation and/or quaternization products of these polymers;
(4) water-soluble polyaminoamides prepared in particular by polycondensation of an acidic compound with a polyamine; these polyaminoamides can be crosslinked with an epihalohydrin, a diepoxide, a dianhydride, an unsaturated dianhydride, a bis- unsaturated derivative, a bis-halohydrin, a bis-azetidinium, a bis-haloacyldiamine, a bis-alkyl halide or alternatively with an oligomer resulting from the reaction of a bifunctional compound which is reactive with a bis-halohydrin, a bis-azetidinium, a bis-haloacyldiamine, a bis-alkyl halide, an epihalohydrin, a diepoxide or a bis- unsaturated derivative; the crosslinking agent being used in proportions ranging from 0.025 to 0.35 mol per amine group of the polyaminoamide; these polyaminoamides can be alkylated or, if they comprise one or more tertiary amine functions, they can be quaternized; (5) polyaminoamide derivatives resulting from the condensation of polyalkylene polyamines with polycarboxylic acids followed by alkylation with bifunctional agents. Mention may be made, for example, of adipic acid/dialkylaminohydroxyalkyldialkylenetriamine polymers in which the alkyl radical comprises from 1 to 4 carbon atoms and preferably denotes methyl, ethyl or propyl.
Among these derivatives, mention may be made more particularly of adipic acid/dimethylaminohydroxypropyl-diethylenetriamine polymers;
(6) polymers obtained by reaction of a polyalkylene polyamine containing two primary amine groups and at least one secondary amine group with a dicarboxylic acid chosen from diglycolic acid and saturated aliphatic dicarboxylic acids having from 3 to 8 carbon atoms;
(7) cyclopolymers of alkyldiallylamine or of dialkyldiallylammonium, such as the homopolymers or copolymers containing, as main constituent of the chain, units corresponding to formula (V) or (VI): 12)-
(V) (VI ) in which formulae: k and t are equal to 0 or 1 , the sum k + t being equal to 1 ; Ri2 denotes a hydrogen atom or a methyl group; Rio and Rn, independently of one another, denote an alkyl group having from 1 to 6 carbon atoms, a hydroxyalkyi group in which the alkyl group preferably has 1 to 5 carbon atoms, a lower (Ci-C4) amidoalkyl group, or R10 and Rn can denote, together with the nitrogen atom to which they are attached, heterocyclic groups such as piperidyl or morpholinyl; Y" is an anion such as bromide, chloride, acetate, borate, citrate, tartrate, bisulfate, bisulfite, sulfate or phosphate. These polymers are in particular described in French patent 2 080 759 and in its Certificate of Addition 2 190 406.
Rio and Rn, independently of one another, preferably denote an alkyl group having from 1 to 4 carbon atoms.
Among the polymers defined above, mention may be made more particularly of the dimethyldiallylammonium chloride homopolymers sold in particular under the name Merquat 100 by the company Nalco (and its homologues of low weight-average molar weights) and copolymers of diallyldimethylammonium chloride and of acrylamide;
(8) diquaternary ammonium polymers, in particular those containing repeating units corresponding to formula (VII):
in which formula (VII):
Ri3, Ri4> Ri5 and Ri6, which may be identical or different, represent aliphatic, alicyclic or arylaliphatic radicals containing from 1 to 20 carbon atoms or lower hydroxyalkylaliphatic radicals, or else Ri3, Ri4> Ris and Ri6, together or separately, constitute, with the nitrogen atoms to which they are attached, heterocycles optionally containing a second heteroatom other than nitrogen, or else Ri3, Ri4, Ris and Ri6 represent a linear or branched Ci-C6 alkyl radical substituted with a nitrile, ester, acyl, amide, -CO-O-R17-D or -CO-N H-R17-D group, where R17 is an alkylene and D a quaternary ammonium group;
A-i and B-i represent polymethylene groups containing from 2 to 20 carbon atoms which may be linear or branched, and saturated or unsaturated, and which may contain, linked to or inserted in the main chain, one or more aromatic rings, or one or more oxygen or sulfur atoms or sulfoxide, sulfone, disulfide, amino, alkylamino, hydroxyl, quaternary ammonium, ureido, amide or ester groups, and
X" denotes an anion derived from an inorganic or organic acid;
A-i , R and R15 can form, with the two nitrogen atoms to which they are attached, a piperazine ring; in addition, if A-i denotes a linear or branched, saturated or unsaturated alkylene or hydroxyalkylene radical, B-i can also denote a (CH2)n-CO- D-OC-(CH2)n- group, in which D denotes:
a) a glycol residue of formula: -O-Z-O-, where Z denotes a linear or branched hydrocarbon-based radical or a group corresponding to one of the following formulae:
-(CH2-CH2-0)x-CH2-CH2- -[CH2-CH(CH3)-0]y-CH2-CH(CH3)- in which x and y denote an integer from 1 to 4, representing a defined and unique degree of polymerization or any number from 1 to 4 representing an average degree of polymerization;
b) a bis-secondary diamine residue such as a piperazine derivative; c) a bis-primary diamine residue of formula: -NH-Y-NH-, where Y denotes a linear or branched hydrocarbon-based radical, or alternatively the divalent radical
-CH2-CH2-S-S-CH2-CH2-;
d) a ureylene group of formula: -NH-CO-NH-.
Preferably, X" is an anion such as chloride or bromide. These polymers have a number-average molecular weight generally of between 1000 and 100 000.
in which R18, R19, R20 and R21 , which may be identical or different, denote an alkyl or hydroxyalkyi radical having from 1 to 4 carbon atoms approximately, n and p are integers ranging from 2 to 20 approximately, and X" is an anion derived from an inorganic or organic acid.
One compound of formula (a) that is particularly preferred is the one for which R Rig, R20 and R21 represent a methyl radical and n = 3, p = 6 and X = CI, which is known as Hexadimethrine chloride according to the I NCI (CTFA) nomenclature and provided by the company Chimex under the name Mexomere PO;
(9) polyquaternary ammonium polymers comprising units of formula (IX):
I R I 24
+
-N (CH2)t— NH— CO (CH2)u -CO— NH (CH2)V— N— A-
R X D X
K23 K25
(IX)
in which formula:
R22, R23, R24 and R25, which may be identical or different, represent a hydrogen atom or a methyl, ethyl, propyl, β-hydroxyethyl, β-hydroxypropyl or - CH2CH2(OCH2CH2)pOH radical,
where p is equal to 0 or to an integer between 1 and 6, with the proviso that R22, R23, 24 and R25 do not simultaneously represent a hydrogen atom,
t and v, which may be identical or different, are integers between 1 and
6,
u is equal to 0 or to an integer between 1 and 34,
X" denotes an anion such as a halide,
A denotes a radical of a dihalide or preferably represents -CH2-CH2-0-
Such compounds are described in particular in patent application EP-A-122
324.
Among these, mention may be made, for example, of the products Mirapol® A 15, Mirapol® AD 1 , Mirapol® AZ1 and Mirapol® 175, sold by the company Miranol;
(10) quaternary copolymers of vinyllactam (vinylpyrrolidone and/or vinylcaprolactam) and of vinylimidazole; (1 1 ) crosslinked polymers of methacryloyloxy(Ci-C4)alkyltri(Ci-
C4)alkylammonium salts, such as the polymers obtained by homopolymerization of dimethylaminoethyl methacrylate quaternized by methyl chloride, or by copolymerization of acrylamide with dimethylaminoethyl methacrylate quaternized by methyl chloride, the homo- or copolymerization being followed by crosslinking by an olefinically unsaturated compound, in particular methylenebisacrylamide.
Other cationic polymers the can be used in the context of the invention are polyalkyleneimines, in particular polyethyleneimines.
Among these cationic polymers, use is preferably made of those of families (1 ), (7), (8) and (9) and polyalkyleneimines.
More particularly, the cationic cyclopolymers of formula (V) or (VI), the diquaternary ammonium polymers of formula (VII), the polyquaternary ammonium polymers comprising units of formula (IX), polyalkyleneimines, and mixtures thereof, are preferred.
In particular, the cationic cyclopolymers of formula (V) or (VI), the diquaternary ammonium polymers of formula (VII), the polyquaternary ammonium polymers comprising units of formula (IX), polyalkyleneimines, and mixtures thereof, are preferred.
Among all the cationic polymers that may be used in the context of the present invention, use is preferably made of cationic cyclopolymers, in particular the dimethyldiallylammonium chloride homopolymers sold under the name Merquat 100 by the company Nalco, diquaternary ammonium polymers, and in particular Mexomere PO provided by the company Chimex, and mixtures thereof.
The cationic polymer(s) that are of use according to the invention preferably represent from 0.01 % to 40% by weight and better still from 0.1 % to 10% by weight relative to the total weight of the mixture. Dye composition
Dyes
The dye composition used in the process according to the invention comprises at least one oxidation dye precursor.
As oxidation dye precursors, use may be made of oxidation bases and couplers.
By way of example, the oxidation bases are chosen from para- phenylenediamines, bis(phenyl)alkylenediamines, para-aminophenols, ortho- aminophenols and heterocyclic bases, and the addition salts thereof.
Among the para-phenylenediamines that may be mentioned, for example, are para-phenylenediamine, para-toluylenediamine, 2-chloro-para-phenylenediamine, 2,3-dimethyl-para-phenylenediamine, 2,6-dimethyl-para-phenylenediamine, 2,6- diethyl-para-phenylenediamine, 2,5-dimethyl-para-phenylenediamine, N,N-dimethyl- para-phenylenediamine, Ν,Ν-diethyl-para-phenylenediamine, N,N-dipropyl-para- phenylenediamine, 4-amino-N,N-diethyl-3-methylaniline, N,N-bis( -hydroxyethyl)- para-phenylenediamine, 4-N,N-bis( -hydroxyethyl)amino-2-methylaniline, 4-N,N- bis( -hydroxyethyl)amino-2-chloroaniline, 2- -hydroxyethyl-para-phenylenediamine, 2-fluoro-para-phenylenediamine, 2-isopropyl-para-phenylenediamine, Ν-(β- hydroxypropyl)-para-phenylenediamine, 2-hydroxymethyl-para-phenylenediamine, N,N-dimethyl-3-methyl-para-phenylenediamine, N-ethyl-N-( -hydroxyethyl)-para- phenylenediamine, N-( ,y-dihydroxypropyl)-para-phenylenediamine, N-(4'- aminophenyl)-para-phenylenediamine, N-phenyl-para-phenylenediamine, 2-β- hydroxyethyloxy-para-phenylenediamine, 2- -acetylaminoethyloxy-para- phenylenediamine, N-( -methoxyethyl)-para-phenylenediamine, 4- aminophenylpyrrolidine, 2-thienyl-para-phenylenediamine, 2- -hydroxyethylamino-5- aminotoluene and 3-hydroxy-1 -(4'-aminophenyl)pyrrolidine, and the addition salts thereof with an acid.
Preference is particularly given, among the abovementioned para- phenylenediamines, to para-phenylenediamine, para-toluylenediamine, 2-isopropyl- para-phenylenediamine, 2- -hydroxyethyl-para-phenylenediamine, 2-β- hydroxyethyloxy-para-phenylenediamine, 2,6-dimethyl-para-phenylenediamine, 2,6- diethyl-para-phenylenediamine, 2,3-dimethyl-para-phenylenediamine, N,N-bis( - hydroxyethyl)-para-phenylenediamine, 2-chloro-para-phenylenediamine, 2-β-
acetylaminoethyloxy-para-phenylenediamine and the addition salts thereof with an acid.
Mention may be made, among bis(phenyl)alkylenediamines, by way of example, of N,N'-bis( -hydroxyethyl)-N,N'-bis(4'-aminophenyl)-1 ,3-diaminopropanol, N,N'-bis( -hydroxyethyl)-N,N'-bis(4'-aminophenyl)ethylenediamine, N,N'-bis(4- aminophenyl)tetramethylenediamine, N,N'-bis( -hydroxyethyl)-N,N'-bis(4- aminophenyl)tetramethylenediamine, N,N'-bis(4- methylaminophenyl)tetramethylenediamine, N,N'-bis(ethyl)-N,N'-bis(4'-amino-3'- methylphenyl)ethylenediamine, 1 ,8-bis(2,5-diaminophenoxy)-3,6-dioxaoctane and the addition salts thereof.
Among the para-aminophenols that may be mentioned, for example, are para- aminophenol, 4-amino-3-methylphenol, 4-amino-3-fluorophenol, 4-amino-3- chlorophenol, 4-amino-3-hydroxymethylphenol, 4-amino-2-methylphenol, 4-amino-2- hydroxymethylphenol, 4-amino-2-methoxymethylphenol, 4-amino-2- aminomethylphenol, 4-amino-2-( -hydroxyethylaminomethyl)phenol and 4-amino-2- fluorophenol, and the addition salts thereof with an acid.
Among the ortho-aminophenols that may be mentioned, for example, are 2- aminophenol, 2-amino-5-methylphenol, 2-amino-6-methylphenol and 5-acetamido-2- aminophenol, and the addition salts thereof.
Among the heterocyclic bases, mention may be made, by way of example, of pyridine derivatives, pyrimidine derivatives and pyrazole derivatives.
Mention may be made, among the pyridine derivatives, of the compounds described, for example, in patents GB 1 026 978 and GB 1 153 196, such as 2,5- diaminopyridine, 2-(4-methoxyphenyl)amino-3-aminopyridine, 3,4-diaminopyridine, and the addition salts thereof.
Other pyridine oxidation bases of use in the present invention are the 3- aminopyrazolo[1 ,5-a]pyridine oxidation bases or the addition salts thereof described, for example, in patent application FR 2 801 308. Mention may be made, by way of example, of pyrazolo[1 ,5-a]pyrid-3-ylamine, 2-(acetylamino)pyrazolo[1 ,5-a]pyrid-3- ylamine, 2-(morpholin-4-yl)pyrazolo[1 ,5-a]pyrid-3-ylamine, 3-aminopyrazolo[1 ,5- a]pyridine-2-carboxylic acid, 2-methoxypyrazolo[1 ,5-a]pyrid-3-ylamine, (3- aminopyrazolo[1 ,5-a]pyrid-7-yl)methanol, 2-(3-aminopyrazolo[1 ,5-a]pyrid-5-yl)ethanol, 2-(3-aminopyrazolo[1 ,5-a]pyrid-7-yl)ethanol, (3-aminopyrazolo[1 ,5-a]pyrid-2- yl)methanol, 3,6-diaminopyrazolo[1 ,5-a]pyridine, 3,4-diaminopyrazolo[1 ,5-a]pyridine, pyrazolo[1 ,5-a]pyridine-3,7-diamine, 7-(morpholin-4-yl)pyrazolo[1 ,5-a]pyrid-3-ylamine, pyrazolo[1 ,5-a]pyridine-3,5-diamine, 5-(morpholin-4-yl)pyrazolo[1 ,5-a]pyrid-3-ylamine, 2-[(3-aminopyrazolo[1 ,5-a]pyrid-5-yl)(2-hydroxyethyl)amino]ethanol, 2-[(3- aminopyrazolo[1 ,5-a]pyrid-7-yl)(2-hydroxyethyl)amino]ethanol, 3-aminopyrazolo[1 ,5-
a]pyridin-5-ol, 3-aminopyrazolo[1 ,5-a]pyridin-4-ol, 3-aminopyrazolo[1 ,5-a]pyridin-6-ol,
3- aminopyrazolo[1 ,5-a]pyridin-7-ol, and the addition salts thereof.
Mention may be made, among pyrimidine derivatives, of the compounds described, for example, in patents DE 2359399, JP 88-169571 , JP 05-63124 and EP 0 770 375 or patent application WO 96/15765, such as 2,4,5,6-tetraaminopyrimidine,
4- hydroxy-2,5,6-triaminopyrimidine, 2-hydroxy-4,5,6-triaminopyrimidine, 2,4- dihydroxy-5,6-diaminopyrimidine, 2,5,6-triaminopyrimidine and the addition salts thereof and the tautomeric forms thereof, when a tautomeric equilibrium exists.
Mention may be made, among pyrazole derivatives, of the compounds described in patents DE 3843892 and DE 4133957 and patent applications WO 94/08969, WO 94/08970, FR-A-2 733 749 and DE 195 43 988, such as 4,5-diamino- 1 -methylpyrazole, 4,5-diamino-1-( -hydroxyethyl)pyrazole, 3,4-diaminopyrazole, 4,5- diamino-1 -(4'-chlorobenzyl)pyrazole, 4,5-diamino-1 ,3-dimethylpyrazole, 4,5-diamino-
3- methyl-1 -phenylpyrazole, 4,5-diamino-1 -methyl-3-phenylpyrazole, 4-amino-1 ,3- dimethyl-5-hydrazinopyrazole, 1 -benzyl-4,5-diamino-3-methylpyrazole, 4,5-diamino-3-
(ieri-butyl)-l -methylpyrazole, 4,5-diamino-1 -(ie f-butyl)-3-methylpyrazole, 4,5- diamino-1 -( -hydroxyethyl)-3-methylpyrazole, 4,5-diamino-1 -ethyl-3-methylpyrazole, 4,5-diamino-1 -ethyl-3-(4'-methoxyphenyl)pyrazole, 4,5-diamino-1 -ethyl-3-(hydroxy- methyl)pyrazole, 4,5-diamino-3-hydroxymethyl-1 -methylpyrazole, 4,5-diamino-3- hydroxymethyl-1 -isopropylpyrazole, 4,5-diamino-3-methyl-1 -isopropylpyrazole, 4- amino-5-(2'-aminoethyl)amino-1 ,3-dimethylpyrazole, 3,4,5-triaminopyrazole, 1 -methyl- 3,4,5-triaminopyrazole, 3,5-diamino-1 -methyl-4-(methylamino)pyrazole, 3,5-diamino-
4- ( -hydroxyethyl)amino-1 -methylpyrazole, and the addition salts thereof. Use may also be made of 4,5-diamino-1-( -methoxyethyl)pyrazole.
Use will preferably be made of a 4,5-diaminopyrazole and even more preferentially of 4,5-diamino-1-( -hydroxyethyl)pyrazole and/or a salt thereof.
Mention may also be made, as pyrazole derivatives, of diamino-N,N- dihydropyrazolopyrazolones and in particular those described in application FR-A- 2 886 136, such as the following compounds and the addition salts thereof: 2,3- diamino-6,7-dihydro-1 H,5H-pyrazolo[1 ,2-a]pyrazol-1 -one, 2-amino-3-ethylamino-6,7- dihydro-1 H,5H-pyrazolo[1 ,2-a]pyrazol-1 -one, 2-amino-3-isopropylamino-6,7-dihydro- 1 H,5H-pyrazolo[1 ,2-a]pyrazol-1 -one, 2-amino-3-(pyrrolidin-1 -yl)-6,7-dihydro-1 H,5H- pyrazolo[1 ,2-a]pyrazol-1 -one, 4,5-diamino-1 ,2-dimethyl-1 ,2-dihydropyrazol-3-one, 4,5-diamino-1 ,2-diethyl-1 ,2-dihydropyrazol-3-one, 4,5-diamino-1 ,2-di(2-hydroxyethyl)- 1 ,2-dihydropyrazol-3-one, 2-amino-3-(2-hydroxyethyl)amino-6,7-dihydro-1 H,5H- pyrazolo[1 ,2-a]pyrazol-1 -one, 2-amino-3-dimethylamino-6,7-dihydro-1 H,5H- pyrazolo[1 ,2-a]pyrazol-1 -one, 2,3-diamino-5,6,7,8-tetrahydro-1 H,6H-pyridazino[1 ,2- a]pyrazol-1 -one, 4-amino-1 ,2-diethyl-5-(pyrrolidin-1 -yl)-1 ,2-dihydropyrazol-3-one, 4-
amino-5-(3-dimethylaminopyrrolidin-1 -yl)-1 ,2-diethyl-1 ,2-dihydropyrazol-3-one or 2,3- diamino-6-hydroxy-6,7-dihydro-1 H,5H-pyrazolo[1 ,2-a]pyrazol-1 -one. Use is preferably made of 2,3-diamino-6,7-dihydro-1 H,5H-pyrazolo[1 ,2-a]pyrazol-1 -one and/or a salt thereof.
Use will preferably be made, as heterocyclic bases, of 4,5-diamino-1-(P- hydroxyethyl)pyrazole and/or 2,3-diamino-6,7-dihydro-1 H,5H-pyrazolo[1 ,2-a]pyrazol- 1 -one and/or a salt thereof.
Among the couplers that can be used in the composition employed in the process according to the invention, mention may in particular be made of meta- phenylenediamines, meta-aminophenols, meta-diphenols, naphthalene couplers, heterocyclic couplers such as, for example, indole derivatives, indoline derivatives, sesamol and derivatives thereof, pyridine derivatives, pyrazolotriazole derivatives, pyrazolones, indazoles, benzimidazoles, benzothiazoles, benzoxazoles, 1 ,3- benzodioxoles, quinolines, and the addition salts of these compounds with an acid.
These couplers are more particularly chosen from 2,4-diamino-1-(P- hydroxyethyloxy)benzene, 2-methyl-5-aminophenol, 5-N-( -hydroxyethyl)amino-2- methylphenol, 3-aminophenol, 1 ,3-dihydroxybenzene, 1 ,3-dihydroxy-2- methylbenzene, 4-chloro-1 ,3-dihydroxybenzene, 2-amino-4-( -hydroxyethylamino)- 1 -methoxybenzene, 1 ,3-diaminobenzene, 1 ,3-bis(2,4-diaminophenoxy)propane, sesamol, 1 -amino-2-methoxy-4,5-methylenedioxybenzene, oc-naphthol, 6- hydroxyindole, 4-hydroxyindole, 4-hydroxy-N-methylindole, 6-hydroxyindoline, 2,6- dihydroxy-4-methylpyridine, 1 H-3-methylpyrazol-5-one, 1 -phenyl-3-methylpyrazol-5- one, 2-amino-3-hydroxypyridine, 3,6-dimethylpyrazolo[3,2-c]-1 ,2,4-triazole and 2,6- dimethylpyrazolo[1 ,5-b]-1 ,2,4-triazole, the addition salts thereof with an acid, and mixtures thereof.
The addition salts of the oxidation bases and couplers are in particular chosen from the addition salts with an acid, such as the hydrochlorides, hydrobromides, sulfates, citrates, succinates, tartrates, lactates, tosylates, benzenesulfonates, phosphates and acetates.
The oxidation base(s) are generally each present in an amount from 0.0001 % to
10% by weight relative to the total weight of the dye composition and preferably from 0.005% to 5% by weight relative to the total weight of the composition.
The coupler(s) each generally represent from 0.0001 % to 10% by weight relative to the total weight of the composition and preferably from 0.005% to 5% by weight relative to the total weight of the dye composition.
The dye composition used in the process according to the invention may contain synthetic or natural, cationic or nonionic, direct dyes.
Examples of particularly suitable direct dyes that may be mentioned include nitrobenzene dyes; azo direct dyes; azomethine direct dyes; methine direct dyes; azacarbocyanin direct dyes, for instance tetraazacarbocyanins (tetraazapentamethines); quinone and in particular anthraquinone, naphthoquinone or benzoquinone direct dyes; azine direct dyes; xanthene direct dyes; triarylmethane direct dyes; indoamine direct dyes; indigoid direct dyes; phthalocyanine direct dyes, porphyrin direct dyes and natural direct dyes, alone or as mixtures. In particular, mention may be made of direct dyes from among: azo; methine; carbonyl; azine; nitro (hetero)aryl; tri(hetero)arylmethane; porphyrin; phthalocyanine and natural direct dyes, alone or as mixtures.
When they are present, the direct dye(s) more particularly represent from 0.0001 % to 10% by weight of the total weight of the dye composition and preferably from 0.005% to 5% by weight.
Alkaline agent
According to one preferred variant of the invention, the dye composition comprises at least one alkaline agent.
This agent may be chosen from inorganic or organic or hybrid alkaline agents, or mixtures thereof.
The inorganic alkaline agent(s) are preferably chosen from aqueous ammonia, alkali carbonates or bicarbonates such as sodium or potassium carbonates and sodium or potassium bicarbonates, sodium hydroxide or potassium hydroxide, or mixtures thereof.
The organic alkaline agent(s) are preferably chosen from organic amines with a pKb at 25°C of less than 12, preferably less than 10 and even more advantageously less than 6. It should be noted that it is the pKb corresponding to the function of highest basicity.
Mention may be made, as hybrid compounds, of the salts of the abovementioned amines with acids, such as carbonic acid or hydrochloric acid.
The organic alkaline agent(s) are chosen, for example, from alkanolamines, oxyethylenated and/or oxypropylenated ethylenediamines, amino acids and the compounds having the formula below:
Rx Rz
^ N - W - N
Ry x Rt
in which W is a Ci-C6 alkylene residue optionally substituted with a hydroxyl group or a Ci-C6 alkyl radical; Rx, Ry, Rz and Rt, which may be identical or different, represent a hydrogen atom or a Ci-C6 alkyl, CrC6 hydroxyalkyi or CrC6 aminoalkyl radical.
Examples of such amines that may be mentioned include 1 ,3-diaminopropane, 1 ,3-diamino-2-propanol, spermine and spermidine.
The term "alkanolamine" means an organic amine comprising a primary, secondary or tertiary amine function, and one or more linear or branched CrC8 alkyl groups bearing one or more hydroxyl radicals.
Alkanolamines such as monoalkanolamines, dialkanolamines or trialkanolamines comprising from one to three identical or different CrC4 hydroxyalkyi radicals are in particular suitable for implementing the invention.
Among compounds of this type, mention may be made of monoethanolamine, diethanolamine, triethanolamine, monoisopropanolamine, diisopropanolamine, N- dimethylaminoethanolamine, 2-amino-2-methyl-1-propanol, triisopropanolamine, 2- amino-2-methyl-1 ,3-propanediol, 3-amino-1 ,2-propanediol, 3-dimethylamino-1 ,2- propanediol and tris(hydroxymethylamino)methane.
More particularly, the amino acids that may be used are of natural or synthetic origin, in their L, D or racemic form, and comprise at least one acid function chosen more particularly from carboxylic acid, sulfonic acid, phosphonic acid or phosphoric acid functions. The amino acids can be in the neutral or ionic form.
Mention may in particular be made, as amino acids which can be used in the present invention, of aspartic acid, glutamic acid, alanine, arginine, ornithine, citrulline, asparagine, carnitine, cysteine, glutamine, glycine, histidine, lysine, isoleucine, leucine, methionine, N-phenylalanine, proline, serine, taurine, threonine, tryptophan, tyrosine and valine.
Advantageously, the amino acids are basic amino acids comprising an additional amine function optionally included in a ring or in a ureido function.
Such basic amino acids are preferably chosen from those corresponding to the formula below:
/
CH2— CH N^
C02H
-(CH2)2NH2 -(CH2)2NHCONH2
-(CH2)2NH- NH2
The compounds corresponding to the formula above are histidine, lysine, arginine, ornithine and citrulline.
The organic amine may also be chosen from organic amines of heterocyclic type. Besides histidine that has already been mentioned in the amino acids, mention may in particular be made of pyridine, piperidine, imidazole, triazole, tetrazole and benzimidazole.
The organic amine can also be chosen from amino acid dipeptides. As amino acid dipeptides that can be used in the present invention, mention may be made in particular of carnosine, anserine and balenine.
The organic amine is chosen from compounds comprising a guanidine function.
As amines of this type that can be used in the present invention, besides arginine that has already been mentioned as an amino acid, mention may be made in particular of creatine, creatinine, 1 ,1 -dimethylguanidine, 1 ,1 -diethylguanidine, glycocyamine, metformin, agmatine, N-amidinoalanine, 3-guanidinopropionic acid, 4- guanidinobutyric acid and 2-([amino(imino)methyl]amino)ethane-1 -sulfonic acid.
As hybrid compounds, mention may be made in particular of guanidine carbonate or monoethanolamine hydrochloride.
More particularly, the dye composition used in the process of the invention contains, as alkaline agent, aqueous ammonia and/or at least one alkanolamine and/or at least one basic amino acid, more advantageously aqueous ammonia and/or at least one alkanolamine. Preferably, the alkaline agent is chosen from aqueous ammonia and monoethanolamine, or a mixture thereof.
Advantageously, the dye composition has a content of alkaline agent(s) ranging from 0.01 % to 30% by weight, preferably from 0.1 % to 20% by weight and better still from 1 % to 10% by weight relative to the weight of said dye composition. It should be noted that this content is expressed as NH3 when the alkaline agent is aqueous ammonia.
Surfactants
The dye composition may also comprise one or more surfactants.
In particular, the surfactant(s) are chosen from anionic, amphoteric, zwitterionic, cationic or nonionic surfactants, and preferentially nonionic surfactants.
The term "anionic surfactant" means a surfactant comprising, as ionic or ionizable groups, only anionic groups. These anionic groups are preferably chosen from the groups -C(0)OH, -C(0)0", -S03H, -S(0)20", -OS(0)2OH, -OS(0)20", - P(0)OH2, -P(0)20", -P(0)02 ", -P(OH)2, =P(0)OH, -P(OH)0", =P(0)0", =POH and =PO", the anionic parts comprising a cationic counterion such as an alkali metal, an alkaline-earth metal or an ammonium.
Mention may be made, as examples of anionic surfactants which can be used in the dye composition of alkyl sulfates, alkyl ether sulfates, alkylamido ether sulfates, alkylaryl polyether sulfates, monoglyceride sulfates, alkylsulfonates, alkylamidesulfonates, alkylarylsulfonates, oolefinsulfonates, paraffinsulfonates, alkyl sulfosuccinates, alkyl ether sulfosuccinates, alkylamide sulfosuccinates, alkyl sulfoacetates, acyl sarcosinates, acyl glutamates, alkyl sulfosuccinamates, acyl isethionates and N-acyl taurates, salts of alkyl monoesters of polyglycoside- polycarboxylic acids, acyl lactylates, salts of D-galactosideuronic acids, salts of alkyl ether carboxylic acids, salts of alkylaryl ether carboxylic acids, salts of alkylamido ether carboxylic acids, and the corresponding non-salified forms of all these compounds, the alkyl and acyl groups of all these compounds comprising from 6 to 40 carbon atoms and the aryl group denoting a phenyl group.
These compounds can be oxyethylenated and then preferably comprise from 1 to 50 ethylene oxide units.
The salts of C6-C24 alkyl monoesters of polyglycoside-polycarboxylic acids can be chosen from C6-C24 alkyl polyglycoside-citrates, C6-C24 alkyl polyglycoside- tartrates and C6-C24 alkyl polyglycoside-sulfosuccinates.
When the anionic surfactant(s) are in salt form, they may be chosen from alkali metal salts such as the sodium or potassium salt and preferably the sodium salt, ammonium salts, amine salts and in particular amino alcohol salts or alkaline-earth metal salts such as the magnesium salts.
Examples of amino alcohol salts that may especially be mentioned include monoethanolamine, diethanolamine and triethanolamine salts, monoisopropanolamine, diisopropanolamine or triisopropanolamine salts, 2-amino-2- methyl-1 -propanol salts, 2-amino-2-methyl-1 ,3-propanediol salts and tris(hydroxymethyl)aminomethane salts.
Alkali metal or alkaline-earth metal salts, and in particular sodium or magnesium salts, are preferably used.
Use is preferably made, among the anionic surfactants mentioned, of (C6- C24)alkyl sulfates, (C6-C24)alkyl ether sulfates comprising from 2 to 50 ethylene oxide units, in particular in the form of alkali metal, ammonium, amino alcohol and alkaline- earth metal salts, or a mixture of these compounds.
In particular, it is preferable to use (Ci2-C20)alkyl sulfates, (Ci2-C20)alkyl ether sulfates comprising from 2 to 20 ethylene oxide units, in particular in the form of alkali metal, ammonium, amino alcohol and alkaline-earth metal salts, or a mixture of these compounds. Better still, it is preferred to use sodium lauryl ether sulfate containing 2.2 mol of ethylene oxide.
The amphoteric or zwitterionic surfactant(s), which are preferably non-silicone surfactant(s), which can be used in the present invention can in particular be derivatives of optionally quaternized secondary or tertiary aliphatic amines, in which derivatives the aliphatic group is a linear or branched chain comprising from 8 to 22 carbon atoms, said amine derivatives comprising at least one anionic group, such as, for example, a carboxylate, sulfonate, sulfate, phosphate or phosphonate group. Mention may be made in particular of (C8-C2o)alkylbetaines, sulfobetaines, (C8- C2o)alkylamido(C3-C8)alkylbetaines and (C8-C2o)alkylamido(C6-C8)alkylsulfobetaines.
Among the optionally quaternized secondary or tertiary aliphatic amine derivatives that can be used, as defined above, mention may also be made of the compounds of respective structures (B1 ), (B2) and (B'2) below:
Ra-C(0)-NH-CH2-CH2-N+(Rb)(Rc)-CH2C(0)0", M+, X" (B1 ) in which formula:
■ Ra represents a Ci0-C3o alkyl or alkenyl group derived from an acid Ra- COOH preferably present in hydrolysed coconut oil, or a heptyl, nonyl or undecyl group;
■ Rb represents a β-hydroxyethyl group; and
■ Rc represents a carboxymethyl group;
■ M+ represents a cationic counterion derived from an alkali metal or alkaline- earth metal, such as sodium, an ammonium ion or an ion derived from an organic amine, and
■ X" represents an organic or inorganic anionic counterion, such as that chosen from halides, acetates, phosphates, nitrates, (CrC4)alkyl sulfates, (CrC4)alkyl- or (Ci-C4)alkylarylsulfonates, in particular methyl sulfate and ethyl sulfate; or alternatively M+ and X" are absent;
Ra-C(0)-NH-CH2-CH2-N(B)(B') (B2)
in which formula:
■ B represents the group -CH2-CH2-0-X';
■ B' represents the group -(CH2)ZY', with z = 1 or 2;
■ X' represents the group -CH2-C(0)OH, -CH2-C(0)OZ', -CH2-CH2-C(0)OH, -
CH2-CH2-C(0)OZ', or a hydrogen atom;
■ Y' represents the group -C(0)OH, -C(0)OZ', -CH2-CH(OH)-S03H or the group -CH2-CH(OH)-S03-Z';
■ Z' represents a cationic counterion derived from an alkali metal or alkaline- earth metal, such as sodium, an ammonium ion or an ion derived from an organic amine;
■ Ra' represents a C10-C30 alkyl or alkenyl group of an acid Ra-C(0)OH preferably present in hydrolysed linseed oil or coconut oil, an alkyl group, in particular of Ci7 and its iso form, or an unsaturated Ci7 group;
Ra"-NH-CH(Y")-(CH2)n-C(0)-NH-(CH2)n'-N(Rd)(Re) (B'2)
in which formula:
■ Y" represents the group -C(0)OH, -C(0)OZ", -CH2-CH(OH)-S03H or the group -CH2-CH(OH)-S03-Z";
■ Rd and Re, independently of one another, represent a C1-C4 alkyl or hydroxyalkyl radical;
■ Z" represents a cationic counterion derived from an alkali metal or alkaline- earth metal, such as sodium, an ammonium ion or an ion derived from an organic amine;
■ Ra" represents a C10-C30 alkyl or alkenyl group of an acid Ra"C(0)OH preferably present in hydrolysed linseed oil or coconut oil;
■ n and n' denote, independently of one another, an integer ranging from 1 to 3.
The compounds of formulae (B1 ) and (B2) are classified in the CTFA dictionary, 5th edition, 1993, under the names disodium cocoamphodiacetate, disodium lauroamphodiacetate, disodium caprylamphodiacetate, disodium capryloamphodiacetate, disodium cocoamphodipropionate, disodium lauroamphodipropionate, disodium caprylamphodipropionate, disodium capryloamphodipropionate, lauroamphodipropionic acid and cocoamphodipropionic acid.
By way of example, mention may be made of the cocoamphodiacetate sold by the company Rhodia under the trade name Miranol® C2M Concentrate.
Among the compounds of formula (B'2), mention may be made of the compound classified in the CTFA dictionary under the name sodium diethylaminopropyl cocoaspartamide and sold by the company Chimex under the name Chimexane HB.
Among the amphoteric or zwitterionic surfactants mentioned above, use is preferably made of (C8-C20)alkylbetaines such as cocobetaine, (C8-C2o)alkylamido(C3- C8)alkylbetaines such as cocamidopropylbetaine, the compounds of formula (B'2), such as the sodium salt of diethylminopropyl laurylaminosuccinamate (INCI name: sodium diethylaminopropyl cocoaspartamide) and mixtures thereof. More preferentially, the amphoteric or zwitterionic surfactant(s) are chosen from cocamidopropylbetaine, cocobetaine, the sodium salt of diethylaminopropyl
cocoaspartamide (INCI name: sodium diethylaminopropyl cocoaspartamide), or mixtures thereof.
The cationic surfactant(s) which can be used in the dye composition comprise, for example, salts of optionally polyoxyalkylenated primary, secondary or tertiary fatty amines, quaternary ammonium salts, and mixtures thereof.
Examples of quaternary ammonium salts that may in particular be mentioned include:
(B3)
in which formula:
■ R8 to Rii, which may be identical or different, represent a linear or branched aliphatic group comprising from 1 to 30 carbon atoms, or an aromatic group such as aryl or alkylaryl, it being understood that at least one of the groups R8 to Rii comprises from 8 to 30 carbon atoms and preferably from 12 to 24 carbon atoms; and
■ X" represents an organic or inorganic anionic counterion, such as that chosen from halides, acetates, phosphates, nitrates, (CrC4)alkyl sulfates, (C C4)alkyl or (Ci-C4)alkylaryl sulfonates, in particular methyl sulfate and ethyl sulfate.
The aliphatic groups of R8 to Rn may also comprise heteroatoms especially such as oxygen, nitrogen, sulfur and halogens.
The aliphatic groups of R8 to Rn are chosen, for example, from C1-C30 alkyl, d- C3o alkoxy, polyoxy(C2-C6)alkylene, C1-C30 alkylamide, (Ci2-C22)alkylamido(C2- C6)alkyl, (Ci2-C22)alkyl acetate and C1-C30 hydroxyalkyl groups, X" is an anionic counterion chosen from halides, phosphates, acetates, lactates, (Ci-C4)alkyl sulfates and (Ci-C4)alkyl- or (Ci-C4)alkylarylsulfonates.
Among the quaternary ammonium salts of formula (B3), preference is given firstly to tetraalkylammonium chlorides, for instance dialkyldimethylammonium or alkyltrimethylammonium chlorides in which the alkyl group comprises approximately from 12 to 22 carbon atoms, in particular behenyltrimethylammonium chloride, distearyldimethylammonium chloride, cetyltrimethylammonium chloride, benzyldimethylstearylammonium chloride, or else, secondly, distearoylethylhydroxyethylmethylammonium methosulfate, dipalmitoylethylhydroxyethylammonium methosulfate or distearoylethylhydroxyethylammonium methosulfate, or else, lastly, palmitylamidopropyltrimethylammonium chloride or stearamidopropyldimethyl(myristyl
acetate)ammonium chloride, sold under the name Ceraphyl® 70 by the company Van Dyk;
- quaternary ammonium salts of imidazoline, for instance those of formula (B4) below:
CH2CH2— N(R15)— CO— R.
(B4)
in which formula:
■ Ri2 represents an alkenyl or alkyl group comprising from 8 to 30 carbon atoms, for example fatty acid derivatives of tallow;
■ R-I3 represents a hydrogen atom, a Ci-C4 alkyl group or an alkenyl or alkyl group comprising from 8 to 30 carbon atoms;
■ Ri4 represents a C1-C4 alkyl group;
■ Ri5 represents a hydrogen atom or a C1-C4 alkyl group;
■ X" represents an organic or inorganic anionic counterion, such as that chosen from halides, phosphates, acetates, lactates, (CrC4)alkyl sulfates, (CrC4)alkyl or (d- C4)alkylaryl sulfonates.
R-I2 and Ri3 preferably denote a mixture of alkyl or alkenyl groups containing from 12 to 21 carbon atoms, for example tallow fatty acid derivatives, Ri4 denotes a methyl group, and Ri5 denotes a hydrogen atom. Such a product is sold, for example, under the name Rewoquat® W 75 by the company Rewo;
- diquaternary or triquaternary ammonium salts, in particular of formula (B5) below:
?1i
-N- -(CH2 -N- 2X "
R, R,.
(B5)
in which formula:
R-I6 denotes an alkyl group comprising approximately from 16 to 30 carbon atoms, which is optionally hydroxylated and/or interrupted with one or more oxygen atoms;
R-I7 is chosen from hydrogen, an alkyl group comprising from 1 to 4 carbon atoms or a group -(CH2)3-N+(R16a)(Ri7a)(Ri8a), X";
Ri6a, Ri7a, Ri8a, Ri8, Ri9, R20 and R2i , which may be identical or different, are chosen from hydrogen and an alkyl group comprising from 1 to 4 carbon atoms; and
X", which may be identical or different, represent an organic or inorganic anionic counterion, such as that chosen from halides, acetates, phosphates, nitrates,
(CrC4)alkyl sulfates, (Ci-C4)alkyl or (Ci-C4)alkylaryl sulfonates, in particular methyl sulfate and ethyl sulfate.
Such compounds are, for example, Finquat CT-P, sold by the company Finetex (Quaternium 89), and Finquat CT, sold by the company Finetex (Quaternium 75); - quaternary ammonium salts comprising one or more ester functions, such as those of formula (B6) below:
in which formula:
■ R22 is chosen from CrC6 alkyl groups and CrC6 hydroxyalkyl or CrC6 dihydroxyalkyl groups,
■ R23 is chosen from:
O
- the group Ra6 C ,
- linear or branched, saturated or unsaturated C1-C22 hydrocarbon-based groups R27,
- a hydrogen atom,
■ R25 is chosen from:
O
- the group R28 ^
- linear or branched, saturated or unsaturated Ci-C6 hydrocarbon-based groups R2g,
- a hydrogen atom,
■ R24, R26 and R28, which may be identical or different, are chosen from linear or branched, saturated or unsaturated C7-C21 hydrocarbon-based groups;
■ r, s and t, which may be identical or different, are integers ranging from 2 to 6, ■ r1 and t1 , which may be identical or different, are equal to 0 or 1 , with r2+r1 =2r and t1 +t2=2t,
■ y is an integer ranging from 1 to 10,
■ x and z, which may be identical or different, are integers ranging from 0 to 10,
■ X" represents an organic or inorganic anionic counterion,
with the proviso that the sum x + y + z equals from 1 to 15, that, when x is 0, then R23 denotes R27 and that, when z is 0, then R25 denotes R2g.
The alkyl groups R22 may be linear or branched, and more particularly linear.
Preferably, R22 denotes a methyl, ethyl, hydroxyethyl or dihydroxypropyl group, and more particularly a methyl or ethyl group.
Advantageously, the sum x + y + z is from 1 to 10.
When R23 is an R27 hydrocarbon-based group, it may be long and may contain from 12 to 22 carbon atoms, or may be short and may have from 1 to 3 carbon atoms.
When R25 is an R29 hydrocarbon-based group, it preferably contains 1 to 3 carbon atoms.
Advantageously, R24, R26 and R28, which are identical or different, are chosen from linear or branched, saturated or unsaturated Cn-C2i hydrocarbon-based groups, and more particularly from linear or branched, saturated or unsaturated Cn-C2i alkyl and alkenyl groups.
Preferably, x and z, which may be identical or different, are equal to 0 or 1.
Advantageously, y is equal to 1 .
Preferably, r, s and t, which may be identical or different, are equal to 2 or 3, and even more particularly are equal to 2.
The anionic counterion X" is preferably a halide, such as chloride, bromide or iodide; a (CrC4)alkyl sulfate or a (CrC4)alkyl- or (Ci-C4)alkylarylsulfonate. However, it is possible to use methanesulfonate, phosphate, nitrate, tosylate, an anion derived from an organic acid, such as acetate or lactate, or any other anion that is compatible with the ammonium comprising an ester function.
The anionic counterion X" is even more particularly chloride, methyl sulfate or ethyl sulfate.
Use is made more particularly, in the dye composition, of the ammonium salts of formula (B6) in which:
- R22 denotes a methyl or ethyl group,
- x and y are equal to 1 ,
- z is equal to 0 or 1 ,
- r, s and t are equal to 2,
methyl, ethyl or Ci4-C22 hydrocarbon-based groups, a hydrogen atom,
a hydrogen atom,
- R24, 26 and R28, which may be identical or different, are chosen from linear or branched, saturated or unsaturated C13-C17 hydrocarbon-based groups, and preferably from linear or branched, saturated or unsaturated C13-C17 alkyl and alkenyl groups.
Advantageously, the hydrocarbon-based radicals are linear.
Among the compounds of formula (B6), examples that may be mentioned include salts, in particular the chloride or methyl sulfate, of diacyloxyethyldimethylammonium, diacyloxyethylhydroxyethylmethylammonium, monoacyloxyethyldihydroxyethylmethylammonium, triacyloxyethylmethylammonium or monoacyloxyethylhydroxyethyldimethylammonium, and mixtures thereof. The acyl groups preferably have 14 to 18 carbon atoms and originate more particularly from a plant oil such as palm oil or sunflower oil. When the compound comprises several acyl groups, these groups may be identical or different.
These products are obtained, for example, by direct esterification of triethanolamine, triisopropanolamine, an alkyldiethanolamine or an alkyldiisopropanolamine, which are optionally oxyalkylenated, with fatty acids or with fatty acid mixtures of plant or animal origin, or by transesterification of the methyl esters thereof. This esterification is followed by a quaternization by means of an alkylating agent such as an alkyl halide, preferably methyl or ethyl halide, a dialkyl sulfate, preferably dimethyl or diethyl sulfate, methyl methanesulfonate, methyl para- toluenesulfonate, glycol chlorohydrin or glycerol chlorohydrin.
Such compounds are sold, for example, under the names Dehyquart® by the company Henkel, Stepanquat® by the company Stepan, Noxamium® by the company Ceca or Rewoquat® WE 18 by the company Rewo-Witco.
The dye composition may contain, for example, a mixture of quaternary ammonium monoester, diester and triester salts with a weight majority of diester salts.
It is also possible to use the ammonium salts containing at least one ester function that are described in patents US-A-4 874 554 and US-A-4 137 180.
Use may be made of behenoylhydroxypropyltrimethylammonium chloride, sold by Kao under the name Quatarmin BTC 131 .
Preferably, the ammonium salts containing at least one ester function contain two ester functions.
Among the cationic surfactants that may be present in the dye composition, it is more particularly preferred to choose cetyltrimethylammonium, behenyltrimethylammonium and dipalmitoylethylhydroxyethylmethylammonium salts, and mixtures thereof, and more particularly behenyltrimethylammonium chloride, cetyltrimethylammonium chloride and dipalmitoylethylhydroxyethylammonium methosulfate, and mixtures thereof.
Examples of nonionic surfactants that may be used in the composition used according to the invention are described, for example, in the "Handbook of Surfactants" by M.R. Porter, published by Blackie & Son (Glasgow and London), 1991 , pp 1 16-178. They are chosen, in particular, from alcohols, a-diols and (Ci- C2o)alkylphenols, these compounds being etherified with groups which are ethoxylated and/or propoxylated, glycerolated and having at least one fatty chain comprising, for example, from 8 to 18 carbon atoms, it being possible for the number of ethylene oxide and/or propylene oxide groups to range, in particular, from 1 to 100, more particularly from 2 to 50 and even more preferentially from 2 to 30 and it being possible for the number of glycerol groups to range, in particular, from 1 to 30.
Mention may also be made of copolymers of ethylene oxide and propylene oxide, optionally oxyethylenated sorbitan fatty acid esters, sucrose fatty acid esters, oxyalkylenated fatty acid esters, optionally oxyalkylenated alkyl polyglycosides, alkyl glucoside esters, derivatives of N-alkylglucamine and of N-acylmethylglucamine, aldobionamides and amine oxides.
The nonionic surfactants are more particularly chosen from oxyalkylenated and glycerolated nonionic surfactants. The oxyalkylene units are more particularly oxyethylene or oxypropylene units, or a combination thereof, preferably oxyethylene units.
Examples of oxyalkylenated, or glycerolated, nonionic surfactants that may be mentioned include:
• oxyalkylenated (C8-C24)alkylphenols;
• saturated or unsaturated, linear or branched, oxyalkylenated or glycerolated C8-C3o alcohols;
• esters of saturated or unsaturated, linear or branched, C8-C3o acids and of polyethylene glycols;
• saturated or unsaturated, linear or branched, oxyalkylenated C8-C3o amides;
• oxyethylenated esters of saturated or unsaturated, linear or branched, C8-C3o acids and of sorbitol;
• saturated or unsaturated oxyethylenated plant oils;
• condensates of ethylene oxide and/or of propylene oxide, inter alia, alone or as mixtures;
• oxyethylenated and/or oxypropylenated silicones.
The surfactants contain a number of moles of ethylene oxide and/or of propylene oxide of between 1 and 100, preferably between 2 and 50 and preferably between 2 and 30. Advantageously, the nonionic surfactants do not comprise oxypropylene units.
In accordance with one preferred embodiment of the invention, the oxyalkylenated nonionic surfactants are chosen from oxyethylenated C8-C30 alcohols comprising from 1 to 100 mol of ethylene oxide, more particularly from 2 to 50 and even more preferentially from 2 to 30; and oxyethylenated esters of saturated or unsaturated, linear or branched C8-C30 acids and of sorbitol comprising from 1 to 100 mol of ethylene oxide.
As examples of glycerolated nonionic surfactants, glycerolated C8-C40 alcohols are preferably used.
Examples of compounds of this type that may be mentioned include lauryl alcohol containing 4 mol of glycerol (INCI name: Polyglyceryl-4 Lauryl Ether), lauryl alcohol containing 1 .5 mol of glycerol, oleyl alcohol containing 4 mol of glycerol (INCI name: Polyglyceryl-4 Oleyl Ether), oleyl alcohol containing 2 mol of glycerol (INCI name: Polyglyceryl-2 Oleyl Ether), cetearyl alcohol containing 2 mol of glycerol, cetearyl alcohol containing 6 mol of glycerol, oleocetyl alcohol containing 6 mol of glycerol, and octadecanol containing 6 mol of glycerol.
Among the monoglycerolated or polyglycerolated alcohols, it is more particularly preferred to use the C8/Ci0 alcohol containing 1 mol of glycerol, the C10/C12 alcohol containing 1 mol of glycerol and the C12 alcohol containing 1.5 mol of glycerol.
Preferably, the surfactant(s) are chosen from nonionic, anionic or amphoteric surfactants. More particularly, the additional surfactant(s) present in the composition are chosen from nonionic surfactants.
Preferably, the surfactant(s), when it (they) is (are) present, is (are) chosen from nonionic surfactants which are oxyalkylenated, in particular oxyethylenated, oxypropylenated, or combination thereof, more particularly oxyethylenated; or glycerolated, or mixtures thereof.
Even more preferentially, the nonionic surfactants are chosen from oxyethylenated sorbitol esters, oxyethylenated fatty alcohols, oxyethylenated amides, glycerolated fatty alcohols, and mixtures thereof.
In the dye composition, the amount of the surfactant(s), when it (they) is (are) present, preferably ranges from 0.1 % to 50% by weight and even better still from 0.5% to 20% by weight, relative to the weight of said composition.
Medium
The medium of the dye composition according to the invention is advantageously an aqueous medium. It may also comprise one or more organic solvents.
Examples of organic solvents that may be mentioned include linear or branched and preferably saturated monoalcohols or diols, comprising 2 to 10 carbon atoms, such as ethyl alcohol, isopropyl alcohol, hexylene glycol (2-methyl-2,4-pentanediol), neopentyl glycol and 3-methyl-1 ,5-pentanediol, butylene glycol, dipropylene glycol and propylene glycol; aromatic alcohols such as benzyl alcohol or phenylethyl alcohol; polyols containing more than two hydroxyl functions, such as glycerol; polyol ethers, for instance ethylene glycol monomethyl, monoethyl or monobutyl ether, propylene glycol or ethers thereof, for instance propylene glycol monomethyl ether; and also diethylene glycol alkyl ethers, especially Ci-C4 alkyl ethers, for instance diethylene glycol monoethyl ether or monobutyl ether, alone or as a mixture.
The organic solvents, when they are present, generally represent between 1 % and 40% by weight relative to the total weight of the dye composition and preferably between 5% and 30% by weight relative to the total weight of the dye composition.
Preferably, the dye composition is aqueous. In this case, it preferably comprises from 30% to 95% by weight of water, better still from 40% to 90% by weight of water and even better still from 50% to 85% by weight of water relative to the total weight of the composition.
The pH of the dye composition, if it is aqueous, is generally between 3 and 12 and preferably between 5 and 1 1. It is preferentially between 7 and 1 1 , limits included.
It may be adjusted to the desired value by means of acidifying or basifying agents usually used in the dyeing of keratin fibres, and in particular the alkaline agents of the invention mentioned above. Fatty substances
The dye composition may optionally comprise one or more fatty substances. The term "fatty substance" means an organic compound that is insoluble in water at ordinary temperature (25°C) and at atmospheric pressure (760 mmHg) (solubility of less than 5%, preferably less than 1 % and even more preferentially less than 0.1 %). They exhibit, in their structure, at least one hydrocarbon-based chain comprising at least 6 carbon atoms or a sequence of at least two siloxane groups. In addition, fatty substances are generally soluble in organic solvents under the same temperature and pressure conditions, such as, for example, chloroform, dichloromethane, carbon tetrachloride, ethanol, benzene, toluene, tetrahydrofuran (THF), liquid petroleum jelly or decamethylcyclopentasiloxane.
The fatty substances of the invention do not comprise salified or unsalified carboxylic acid groups (COOH or COO").
In particular, the fatty substances of the invention are neither (poly)oxyalkylenated nor (poly)glycerolated.
The term "o/T means a "fatty substance" that is liquid at ambient temperature (25°C) and at atmospheric pressure (760 mmHg).
The term "non-silicone o/T means an oil not containing any silicon atoms (Si) and the term "silicone o/T means an oil containing at least one silicon atom.
More particularly, the fatty substances are chosen from C6-Ci6 hydrocarbons, hydrocarbons containing more than 16 carbon atoms, non-silicone oils of animal origin, plant oils of triglyceride type, synthetic triglycerides, fluoro oils, fatty alcohols, fatty acid and/or fatty alcohol esters other than triglycerides and plant waxes, non- silicone waxes and silicones, and mixtures thereof.
It should be remembered that fatty alcohols, esters and acids more particularly exhibit at least one saturated or unsaturated and linear or branched hydrocarbon- based group which comprises from 6 to 30 and better still from 8 to 30 carbon atoms and which is optionally substituted, in particular with one or more hydroxyl groups (in particular 1 to 4). If they are unsaturated, these compounds may comprise one to three conjugated or unconjugated carbon-carbon double bonds.
As regards the C6-Ci6 hydrocarbons, they are linear, branched or optionally cyclic, and are preferably alkanes. Examples that may be mentioned include hexane, dodecane and isoparaffins such as isohexadecane and isodecane.
A hydrocarbon-based oil of animal origin that may be mentioned is perhydrosqualene.
The triglyceride oils of plant or synthetic origin are preferably chosen from liquid fatty acid triglycerides containing from 6 to 30 carbon atoms, for instance heptanoic or octanoic acid triglycerides, or alternatively, for example, sunflower oil, corn oil, soybean oil, marrow oil, grapeseed oil, sesame seed oil, hazelnut oil, apricot oil, macadamia oil, arara oil, castor oil, avocado oil, caprylic/capric acid triglycerides, for instance those sold by the company Stearineries Dubois or those sold under the names Miglyol® 810, 812 and 818 by the company Dynamit Nobel, jojoba oil and shea butter oil.
The linear or branched hydrocarbons of mineral or synthetic origin having more than 16 carbon atoms are preferably chosen from liquid paraffins, petroleum jelly, liquid petroleum jelly, polydecenes or hydrogenated polyisobutene, such as Parleam®.
As regards the Ci6-Ci6 alkanes, they are linear, branched or optionally cyclic. Examples that may be mentioned include hexane, dodecane and isoparaffins such as isohexadecane and isodecane.
As oils of animal, plant, mineral or synthetic origin that may be used in the composition of the invention, examples that may be mentioned include:
fluoro oils which may be chosen from perfluoromethylcyclopentane and perfluoro- 1 ,3-dimethylcyclohexane, sold under the names Flutec® PC1 and Flutec® PC3 by the company BNFL Fluorochemicals; perfluoro-1 ,2-dimethylcyclobutane; perfluoroalkanes such as dodecafluoropentane and tetradecafluorohexane, sold under the names PF 5050® and PF 5060® by the company 3M, or bromoperfluorooctyl sold under the name Foralkyl® by the company Atochem; nonafluoromethoxybutane and nonafluoroethoxyisobutane; perfluoromorpholine derivatives such as 4-trifluoromethyl perfluoromorpholine sold under the name PF 5052® by the company 3M.
The fatty alcohols which are suitable for the implementation of the invention are more particularly chosen from saturated or unsaturated and linear or branched alcohols comprising from 6 to 30 carbon atoms and preferably from 8 to 30 carbon atoms. Mention may be made, for example, of cetyl alcohol, stearyl alcohol and their mixture (cetearyl alcohol), octyldodecanol, 2-butyloctanol, 2-hexyldecanol, 2- undecylpentadecanol, oleyl alcohol or linoleyl alcohol.
As regards the fatty acid and/or fatty alcohol esters, which are advantageously different from the triglycerides mentioned above, mention may be made in particular of esters of saturated or unsaturated and linear or branched Ci-C26 aliphatic monoacids or polyacids and of saturated or unsaturated and linear or branched Ci- C26 aliphatic monoalcohols or polyalcohols, the total carbon number of the esters being greater than or equal to 6 and more advantageously greater than or equal to 10.
Among the monoesters, mention may be made of dihydroabietyl behenate; octyldodecyl behenate; isocetyl behenate; cetyl lactate; Ci2-Ci5 alkyl lactate; isostearyl lactate; lauryl lactate; linoleyl lactate; oleyl lactate; (iso)stearyl octanoate; isocetyl octanoate; octyl octanoate; cetyl octanoate; decyl oleate; isocetyl isostearate; isocetyl laurate; isocetyl stearate; isodecyl octanoate; isodecyl oleate; isononyl isononanoate; isostearyl palmitate; methylacetyl ricinoleate; myristyl stearate; octyl isononanoate; 2-ethylhexyl isononate; octyl palmitate; octyl pelargonate; octyl stearate; octyldodecyl erucate; oleyl erucate; ethyl and isopropyl palmitates, 2- ethylhexyl palmitate, 2-octyldecyl palmitate, alkyl myristates such as isopropyl, butyl, cetyl, 2-octyldodecyl, myristyl or stearyl myristate, hexyl stearate, butyl stearate, isobutyl stearate; dioctyl malate, hexyl laurate, 2-hexyldecyl laurate.
Still within the context of this variant, esters of C4-C22 dicarboxylic or tricarboxylic acids and of C1-C22 alcohols and esters of mono-, di- or tricarboxylic acids and of C2-C26 di-, tri-, tetra- or pentahydroxy alcohols may also be used.
Mention may be made in particular of: diethyl sebacate; diisopropyl sebacate; diisopropyl adipate; di-n-propyl adipate; dioctyl adipate; diisostearyl adipate; dioctyl maleate; glyceryl undecylenate; octyldodecyl stearoyl stearate; pentaerythrityl monoricinoleate; pentaerythrityl tetraisononanoate; pentaerythrityl tetrapelargonate; pentaerythrityl tetraisostearate; pentaerythrityl tetraoctanoate; propylene glycol dicaprylate; propylene glycol dicaprate; tridecyl erucate; triisopropyl citrate; triisostearyl citrate; glyceryl trilactate; glyceryl trioctanoate; trioctyldodecyl citrate; trioleyl citrate; propylene glycol dioctanoate; neopentyl glycol diheptanoate; diethylene glycol diisononanoate; and polyethylene glycol distearates.
Among the esters mentioned above, it is preferred to use ethyl, isopropyl, myristyl, cetyl or stearyl palmitate, 2-ethylhexyl palmitate, 2-octyldecyl palmitate, alkyl myristates such as isopropyl, butyl, cetyl or 2-octyldodecyl myristate, hexyl stearate, butyl stearate, isobutyl stearate; dioctyl malate, hexyl laurate, 2-hexyldecyl laurate, isononyl isononanoate or cetyl octanoate.
The dye composition may also comprise, as fatty ester, sugar esters and diesters of C6-C3o and preferably C12-C22 fatty acids. It is recalled that the term "sugar" means oxygen-bearing hydrocarbon-based compounds which have several alcohol functions, with or without aldehyde or ketone functions, and which comprise at least 4 carbon atoms. These sugars can be monosaccharides, oligosaccharides or polysaccharides.
Mention may be made, as suitable sugars, for example, of sucrose (or saccharose), glucose, galactose, ribose, fucose, maltose, fructose, mannose, arabinose, xylose and lactose, and derivatives thereof, in particular alkyl derivatives, such as methyl derivatives, for instance methylglucose.
The sugar esters of fatty acids may be chosen in particular from the group comprising the esters or mixtures of esters of sugars described previously and of linear or branched, saturated or unsaturated C6-C3o and preferably C12-C22 fatty acids.
If they are unsaturated, these compounds may comprise one to three conjugated or unconjugated carbon-carbon double bonds.
The esters according to this variant can also be chosen from mono-, di-, tri- and tetraesters, polyesters, and mixtures thereof.
These esters can, for example, be oleates, laurates, palmitates, myristates, behenates, cocoates, stearates, linoleates, linolenates, caprates, arachidonates or mixtures thereof, such as, in particular, oleate/palmitate, oleate/stearate or palmitate/stearate mixed esters.
More particularly, use is made of monoesters and diesters and in particular mono- or di-oleate, -stearate, -behenate, -oleate/palmitate, -linoleate, -linolenate or - oleate/stearate of sucrose, of glucose or of methylglucose.
An example that may be mentioned is the product sold under the name Glucate® DO by the company Amerchol, which is a methylglucose dioleate.
Examples of esters or mixtures of esters of sugar and of fatty acid that may also be mentioned include:
- the products sold under the names F160, F140, F1 10, F90, F70 and SL40 by the company Crodesta, respectively denoting sucrose palmitostearates formed from 73% monoester and 27% diester and triester, from 61 % monoester and 39% diester, triester and tetraester, from 52% monoester and 48% diester, triester and tetraester, from 45% monoester and 55% diester, triester and tetraester, from 39% monoester and 61 % diester, triester and tetraester, and sucrose monolaurate;
- the products sold under the name Ryoto Sugar Esters, for example referenced B370 and corresponding to sucrose behenate formed from 20% monoester and 80% diester-tri ester-polyester;
- the sucrose monopalmitostearate-dipalmitatostearate sold by Goldschmidt under the name Tegosoft® PSE.
The non-silicone wax(es) are chosen in particular from carnauba wax, candelilla wax, esparto wax, paraffin wax, ozokerite, plant waxes, such as olive tree wax, rice wax, hydrogenated jojoba wax or absolute flower waxes, such as the blackcurrant blossom essential wax sold by Bertin (France), or animal waxes, such as beeswaxes or modified beeswaxes (cerabellina); other waxes or waxy starting materials which can be used according to the invention are in particular marine waxes, such as that sold by Sophim under the reference M82, polyethylene waxes or polyolefin waxes in general.
The silicones that can be used in the dye composition according to the present invention are volatile or non-volatile, cyclic, linear or branched silicones, which are unmodified or modified by organic groups, having a viscosity from 5x 10"6 to 2.5 m2/s at 25°C, and preferably 1 x 10"5 to 1 m2/s.
The silicones that may be used in accordance with the invention may be in the form of oils, waxes, resins or gums.
Preferably, the silicone is chosen from polydialkylsiloxanes, in particular polydimethylsiloxanes (PDMSs), and organomodified polysiloxanes comprising at least one functional group chosen from amino groups and alkoxy groups.
Organopolysiloxanes are defined in greater detail in Walter Noll's "Chemistry and Technology of Silicones" (1968), Academic Press. They can be volatile or nonvolatile.
When they are volatile, the silicones are more particularly chosen from those having a boiling point of between 60°C and 260°C and even more particularly from:
(i) cyclic polydialkylsiloxanes comprising from 3 to 7 and preferably from 4 to 5 silicon atoms. These are, for example, octamethylcyclotetrasiloxane sold in particular under the name Volatile Silicone® 7207 by Union Carbide or Silbione® 70045 V2 by Rhodia, decamethylcyclopentasiloxane sold under the name Volatile Silicone® 7158 by Union Carbide, and Silbione® 70045 V5 by Rhodia, and mixtures thereof.
Mention may also be made of cyclocopolymers of the dimethylsiloxane/methylalkylsiloxane type, such as Volatile Silicone® FZ 3109 sold by the company Union Carbide, of formula:
D"— D' ■D" - D'
CH CH3 with D": — Si - 0— with D': - Si - O—
CH3 C8H 1 7
Mention may also be made of mixtures of cyclic polydialkylsiloxanes with organosilicon compounds, such as the mixture of octamethylcyclotetrasiloxane and tetra(trimethylsilyl)pentaeryth ritol (50/50) and the mixture of octamethylcyclotetrasiloxane and oxy-1 ,1 '-bis(2,2,2',2',3,3'- hexatrimethylsilyloxy)neopentane;
(ii) linear volatile polydialkylsiloxanes containing 2 to 9 silicon atoms and having a viscosity of less than or equal to 5 <10"6 m2/s at 25°C. An example is decamethyltetrasiloxane sold in particular under the name SH 200 by the company Toray Silicone. Silicones coming within this category are also described in the paper published in Cosmetics and Toiletries, Vol. 91 , Jan. 76, pp. 27-32, Todd & Byers, "Volatile Silicone Fluids for Cosmetics".
Use is preferably made of non-volatile polydialkylsiloxanes, polydialkylsiloxane gums and resins, polyorganosiloxanes modified with the organofunctional groups above, and mixtures thereof.
These silicones are more particularly chosen from polydialkylsiloxanes, among which mention may be made mainly of polydimethylsiloxanes having trimethylsilyl end groups. The viscosity of the silicones is measured at 25°C according to Standard ASTM 445 Appendix C.
Mention may be made, among these polydialkylsiloxanes, without implied limitation, of the following commercial products:
- the Silbione® oils of the 47 and 70 047 series or the Mirasil® oils sold by Rhodia, such as, for example, the oil 70 047 V 500 000;
- the oils of the Mirasil® series sold by Rhodia;
- the oils of the 200 series from the company Dow Corning, such as DC200 with a viscosity of 60 000 mm2/s;
- the Viscasil® oils from General Electric and certain oils of the SF series (SF 96, SF 18) from General Electric.
Mention may also be made of polydimethylsiloxanes having dimethylsilanol end groups known under the name dimethiconol (CTFA), such as the oils of series 48 from the company Rhodia.
In this category of polydialkylsiloxanes, mention may also be made of the products sold under the names Abil Wax® 9800 and 9801 by the company Goldschmidt, which are polydi(CrC2o)alkylsiloxanes.
The silicone gums that may be used in accordance with the invention are in particular polydialkylsiloxanes and preferably polydimethylsiloxanes with high number-average molecular weights of between 200 000 and 1 000 000, used alone or as a mixture in a solvent. This solvent can be chosen from volatile silicones, polydimethylsiloxane (PDMS) oils, polyphenylmethylsiloxane (PPMS) oils, isoparaffins, polyisobutylenes, methylene chloride, pentane, dodecane, tridecane or their mixtures.
Products which can be used more particularly in accordance with the invention are mixtures such as:
- the mixtures formed from a polydimethylsiloxane hydroxylated at the chain end, or dimethiconol (CTFA), and from a cyclic polydimethylsiloxane, also known as cyclomethicone (CTFA), such as the product Q2 1401 sold by Dow Corning;
- the mixtures of a polydimethylsiloxane gum and of a cyclic silicone, such as the product SF 1214 Silicone Fluid from General Electric; this product is an SF 30 gum corresponding to a dimethicone, having a number-average molecular weight of 500 000, dissolved in the oil SF 1202 Silicone Fluid corresponding to decamethylcyclopentasiloxane;
- the mixtures of two PDMSs with different viscosities, and more particularly of a PDMS gum and a PDMS oil, such as the product SF 1236 from General Electric. The product SF 1236 is a mixture of a gum SE 30 defined above, with a viscosity of 20 m2/s, and of an oil SF 96 with a viscosity of 5x10"6 m2/s. This product preferably comprises 15% of gum SE 30 and 85% of an oil SF 96.
The organopolysiloxane resins that may be used in accordance with the invention are crosslinked siloxane systems containing the following units:
R2Si02/2, R3S1O1/2, RS1O3/2 and Si04/2,
in which R represents an alkyl containing 1 to 16 carbon atoms. Among these products, those that are particularly preferred are those in which R denotes a Ci-C4 lower alkyl group, more particularly methyl.
Mention may be made, among these resins, of the product sold under the name Dow Corning 593 or those sold under the names Silicone Fluid SS 4230 and SS 4267 by General Electric, which are silicones of dimethyl/trimethylsiloxane structure.
Mention may also be made of the resins of the trimethylsiloxysilicate type, sold in particular under the names X22-4914, X21 -5034 and X21 -5037 by the company Shin-Etsu.
The organomodified silicones that can be used in accordance with the invention are silicones as defined above and comprising in their structure one or more organofunctional groups attached via a hydrocarbon-based group.
In addition to the silicones described above, the organomodified silicones can be polydiarylsiloxanes, in particular polydiphenylsiloxanes, and polyalkylarylsiloxanes functionalized by the abovementioned organofunctional groups.
The polyalkylarylsiloxanes are particularly chosen from linear and/or branched polydimethyl/methylphenylsiloxanes and polydimethyl/diphenylsiloxanes with a viscosity ranging from 1 x10"5 to 5x10"2 m2/s at 25°C.
Mention may be made, among these polyalkylarylsiloxanes, by way of example, of the products sold under the following names:
. the Silbione® oils of the 70 641 series from Rhodia;
. the oils of the Rhodorsil® 70 633 and 763 series from Rhodia;
. the oil Dow Corning 556 Cosmetic Grade Fluid from Dow Corning;
. the silicones of the PK series from Bayer, such as the product PK20;
. the silicones of the PN and PH series from Bayer, such as the products PN1000 and PH 1000;
. certain oils of the SF series from General Electric, such as SF 1023, SF 1 154, SF 1250 and SF 1265.
Mention may be made, among the organomodified silicones, of polyorganosiloxanes comprising:
- substituted or unsubstituted amino groups, such as the products sold as GP 4 Silicone Fluid and GP 7100 by Genesee or the products sold as Q2 8220 and Dow Corning 929 or 939 by Dow Corning. The substituted amino groups are, in particular, Ci-C4 aminoalkyl groups;
- alkoxylated groups, such as the product sold under the name Silicone
Copolymer F-755 by SWS Silicones, and Abil Wax® 2428, 2434 and 2440 by the company Goldschmidt.
More particularly, the fatty substances are chosen from compounds that are liquid or pasty at ambient temperature (25°C) and at atmospheric pressure.
Preferably, the fatty substance is a compound that is liquid at the temperature of 25°C and at atmospheric pressure.
The fatty substances are advantageously chosen from C6-Ci6 alkanes, non- silicone oils of plant, mineral or synthetic origin, fatty alcohols, fatty acid and/or fatty alcohol esters, or mixtures thereof.
Preferably, the fatty substance is chosen from liquid petroleum jelly, C6-Ci6 alkanes, polydecenes, liquid fatty acid and/or fatty alcohol esters, liquid fatty alcohols, or mixtures thereof.
In a first variant of the invention, the total fatty substance content in the mixture, when it contains same, is less than 20% by weight relative to the total weight of the composition (mixture of the dye composition and oxidizing composition). It then preferably ranges from a content greater than 0 to 19%, better still from a content greater than 0 to 15% and even better still from a content greater than 0 to 10% by weight relative to the total weight of the composition (mixture of the dye composition and oxidizing composition).
In a second variant of the invention, the total fatty substance content is greater than or equal to 20% by weight relative to the total weight of the composition (mixture of the dye composition and oxidizing composition). It then preferably ranges from 20% to 80%, better still from 30% to 75% and even better still from 50% to 70% by weight relative to the total weight of the composition (mixture of the dye composition and oxidizing composition). Other adjuvants:
The dye composition can also contain various adjuvants other than those claimed, and used conventionally in compositions for dyeing the hair, such as, for example, cationic polymers, the cationic charge density of which is less than 4 milliequivalents per gram (meq/g), anionic polymers, nonionic, amphoteric or zwitterionic polymers or mixtures thereof; thickeners such as crosslinked acrylic acid homopolymers, cellulose-based thickeners (with, for example, hydroxyethylcellulose, hydroxypropylcellulose, carboxymethylcellulose), guar gum and derivatives thereof (for example, hydroxypropyl guar), gums of microbial origin (in particular xanthan gum, scleroglucan gum); inorganic thickeners such as, in particular, clays; ammonium salts such as ammonium chloride, ammonium acetate; antioxidants or reducing agents such as ascorbic acid, erythorbic acid, ammonium sulfite, bisulfite or metabisulfite, ammonium thiolactate; penetrating agents, sequestering agents, such
as ethylenediaminetetraacetic acid or salts thereof; fragrances; titanium oxides; buffers; dispersants; and preservatives, or mixtures thereof.
The above adjuvants are generally present in an amount, for each of them, of between 0.01 % and 20% by weight relative to the weight of the composition.
Oxidizing composition
Chemical oxidizing agent
The second composition used in the process according to the invention also comprises at least one chemical oxidizing agent.
It should be noted that the oxidizing agents present in the oxidizing composition are described as "chemical" so as to differentiate them from atmospheric oxygen.
In particular, the chemical oxidizing agent(s) suitable for the present invention are for example chosen from hydrogen peroxide, urea peroxide, alkali metal bromates or ferricyanides, peroxygenated salts, for instance persulfates, perborates, peracids and precursors thereof and percarbonates of alkali metals or alkaline-earth metals. Advantageously, the oxidizing agent is hydrogen peroxide.
The content of oxidizing agent(s) more particularly represents from 0.1 % to 20% by weight and preferably from 0.5% to 10% by weight relative to the weight of the oxidizing composition.
Surfactants
The oxidizing composition may also comprise one or more surfactants.
In particular, the surfactant(s) are chosen from anionic, amphoteric, zwitterionic, cationic or nonionic surfactants, and preferentially nonionic surfactants. Reference may be made to the lists of compounds of this type given in the context of the description of the dye composition.
Preferably, these surfactants, if they are present, are chosen from nonionic surfactants, which are more particularly oxyalkylenated.
Even more preferably, the oxyalkylenated nonionic surfactants are chosen from oxyethylenated C8-C30 alcohols comprising from 1 to 100 mol of ethylene oxide, preferably from 2 to 50 and even better still from 2 to 30; saturated or unsaturated, linear or branched, oxyalkylenated C8-C30 amides comprising from 1 to 100 mol of ethylene oxide, preferably from 2 to 50 and even better still from 2 to 30; and polyoxyethylenated esters of saturated or unsaturated, linear or branched C8-C3o acids and of sorbitol comprising from 1 to 100 mol of ethylene oxide.
In the oxidizing composition, the amount of the surfactant(s), when it (they) is (are) present, preferably ranges from 0.1 % to 50% by weight and even better still from 0.5% to 20% by weight, relative to the weight of said composition.
Medium
The oxidizing composition is advantageously an aqueous composition. It may also comprise one or more organic solvents chosen from those listed previously; these solvents more particularly representing, when they are present, from 1 % to 40% by weight and preferably from 5% to 30% by weight relative to the weight of the oxidizing composition. The oxidizing composition also preferably comprises one or more acidifying agents. Among the acidifying agents, examples that may be mentioned include inorganic or organic acids, for instance hydrochloric acid, orthophosphoric acid, sulfuric acid, carboxylic acids, for instance acetic acid, tartaric acid, citric acid or lactic acid, and sulfonic acids.
Usually, the pH of the oxidizing composition, when it is aqueous, is less than 7.
Other adjuvants:
The oxidizing composition can also contain various adjuvants other than those claimed and used conventionally, such as, for example, polymers, the cationic charge density of which is less than 4 milliequivalents per gram (meq/g), anionic polymers, nonionic, amphoteric or zwitterionic polymers or mixtures thereof; thickeners such as crosslinked acrylic acid homopolymers, cellulose-based thickeners (with, for example, hydroxyethylcellulose, hydroxypropylcellulose, carboxymethylcellulose), guar gum and derivatives thereof (for example, hydroxypropyl guar), gums of microbial origin (in particular xanthan gum, scleroglucan gum); sequestering agents, such as ethylenediaminetetraacetic acid or salts thereof; fragrances; and preservatives, or mixtures thereof.
The above adjuvants are generally present in an amount, for each of them, of between 0.01 % and 20% by weight relative to the weight of the oxidizing composition.
Propellant gas
As has been indicated previously, at least one of the compositions in the process according to the invention is obtained from at least one pressurized device. In other words, the mixture used in the process according to the invention comprises (initially) one or more propellant gases.
It should be noted that, in the context of the invention, the propellant gas can be employed in order to enable the expulsion of the composition(s), but also in order to facilitate or cause the expansion thereof.
As previously indicated, at least one of the compositions comprises at least one propellant gas, and preferably the two compositions comprise at least one propellant gas. In other words, the gas(es) are mixed with the composition.
As a propellant gas suitable for implementing the invention, mention may be made of the gases normally used in the cosmetics field, in particular optionally halogenated volatile hydrocarbons, for example n-butane, propane, isobutane and pentane, and halogenated derivatives thereof; carbon dioxide, nitrous oxide, dimethyl ether and nitrogen, alone or as mixtures.
Preferably, the propellant gas(es) are chosen from alkanes and in particular from n-butane, propane and isobutane, and mixtures thereof.
The gases are under pressure, more particularly at least partially in liquid form. In the preferred case where each of the compositions comprises at least one propellant gas, the latter may be identical or different, from one composition to the other, whether in terms of nature of the gas(es) or in terms of their respective proportions if mixtures are involved.
Preferably, the content of propellant gas(es) represents a content ranging from 1 % to 30% by weight relative to the weight of the composition, and preferably from 2% to 15% by weight relative to the weight of the composition containing it (them).
Device The mixture applied to the fibres is therefore obtained from the mixture of the dye composition and oxidizing composition previously described.
The mixture can be obtained from a single pressurized container comprising either the oxidizing composition or the dye composition as previously described, said composition being mixed before use with a composition (respectively dye or oxidizing composition) resulting from a non-pressurized container, such as a bottle or tube, the mixture of the two compositions comprising one or more cationic polymers, the cationic charge density of which is greater than 4 milliequivalents per gram (meq/g). The mixture can also be obtained from a single pressurized container comprising the oxidizing composition and the dye composition as previously described in two separate pouches, the mixture of the two compositions comprising
one or more cationic polymers, the cationic charge density of which is greater than 4 milliequivalents per gram (meq/g).
Preferably, the mixture used in the context of the invention is obtained from a device comprising:
• a first container containing the dye composition previously described, and
• a second container containing the oxidizing composition also previously described,
• at least one of the containers being pressurized, preferably the two containers being pressurized,
• a means for delivering the compositions,
• the mixture of the two compositions comprising one or more cationic polymers, the cationic charge density of which is greater than 4 milliequivalents per gram (meq/g).
Preferably, each container is surmounted by a means for delivering each composition.
One or both containers can have rigid walls and can contain the composition. As a variant, one or both containers can have rigid walls and can contain a flexible-walled pouch which contains the composition.
According to this embodiment, either the dye composition is in a pouch, or the oxidizing composition is in a pouch, or both.
According to this configuration, the composition in the pouch may not comprise any propellant gas, the latter being in the volume defined between the rigid walls of the container and the pouch.
Preferably, the composition contained in the pouch also itself comprises at least one propellant gas.
According to another variant, the device comprises a first rigid-walled container which contains one or other of the dye or oxidizing compositions, the first rigid-walled container containing a flexible pouch which itself contains the other of the dye or oxidizing compositions and which constitutes a second container.
According to another variant, which is preferred, the device comprises two rigid- walled containers, preferably with no pouch, each containing a composition.
The device comprises a means for delivering the compositions, the means comprising at least one dispensing valve which surmounts the container(s).
Preferably, the means for delivering the compositions comprises two dispensing valves, each valve surmounting a container.
The valve(s) are in selective fluidic communication with the interior of the container(s) via an inlet orifice of the valve, the communication being established in response to the actuation of an actuating means, such as a push button.
When the device comprises a first rigid-walled container which contains a flexible pouch, a single valve is envisaged for delivering the two compositions. The valve is then provided with two inlet orifices, one of the orifices being able to communicate with the interior of the pouch and the other with the volume defined between the pouch and the rigid walls of the container.
When the containers do not contain a pouch, they are provided with a dip tube for conveying the composition to the inlet orifice of the dispensing valve.
When the containers contain a pouch, the inlet orifice of the valve opens into the pouch.
The device can comprise at least one diffuser which caps the valve(s). According to a first variant, the device comprises a single diffuser which caps the two valves. According to a second variant, the device comprises two diffusers, each independently capping a valve.
The push button can be part of the diffuser.
The diffuser can be provided with one or more dispensing pipes envisaged for conveying the composition(s) to one or more dispensing orifices.
When the device comprises two diffusers, each of the diffusers is provided with a pipe for conveying the composition between the outlet orifice of the valve and a dispensing orifice.
When the device comprises a single diffuser, it can be provided with two pipes for conveying the compositions, each pipe communicating with the outlet orifice of a valve.
According to a first embodiment, the two pipes each end in a dispensing orifice (not communicating with one another before the dispensing orifice). According to this configuration, the mixture of the compositions is produced only after having been dispensed (therefore after the dispensing orifices).
According to a second embodiment, the two pipes end in a mixing chamber, from which a single pipe is directed to a single dispensing orifice. According to this configuration, the mixture of the compositions is produced just before it is expelled from the device.
Preferably, the two pipes each directly open onto a dispensing orifice.
When the device comprises two diffusers, that is to say it comprises two containers, each surmounted by a valve and by a diffuser which are specific to it, the two containers can be free with respect to one another, i.e. not attached together.
As a variant, the two containers can be attached together, for example by means of an external cover partly covering the containers (in particular a thermoformed film, or a rigid metal or plasticized cover), or alternatively by means of notches made in the external wall of each container enabling their attachment.
When the device comprises a single diffuser which caps the two valves, said diffuser makes it possible to attach the two containers together. In this case, it is also possible to envisage an external cover partly covering the containers.
In accordance with one particular embodiment of the invention, the device comprises two containers attached together, the device making it possible to deliver the compositions concomitantly, by means of one or preferably two dispensing orifices.
Preferably, according to this embodiment, the two containers have rigid walls, a dispensing valve surmounting each of the containers, and a single diffuser capping the two valves.
Of course, the devices are designed in such a way that the dye composition and the oxidizing composition are brought into contact at the time of the application of the mixture obtained.
Mixture
Advantageously, the mixture of the dye composition and of the oxidizing composition, used in the process according to the invention, and which is applied to the fibres, is in the form of a mousse which is therefore produced just before its application.
More particularly, the dye composition which is delivered (obtained) from a pressurized compartment is in the form of a cream, a gel or a mousse, preferably in the form of a mousse.
Moreover, the oxidizing composition which is delivered (obtained) from a pressurized compartment is in the form of a cream, a gel or a mousse, preferably in the form of a mousse.
The pH of the mixture of the dye composition and the oxidizing composition is advantageously between 3 and 12, preferably between 5 and 1 1 and preferentially between 7 and 1 1 , limits included.
It should be noted that the dispensing valve(s), like the content of propellant gas(es), are adjusted so as to allow the compositions to be dispensed in suitable respective proportions.
In practice, the dye composition/oxidizing composition weight ratio in the mixture dispensed ranges from 0.25 to 4 and preferably from 0.5 to 2.
Even more preferentially, this ratio is 1 .
The dyeing process according to the invention consists in applying the resulting mixture to wet or dry human keratin fibres for a time sufficient to develop the desired colouration.
Preferably, the mixture obtained according to the process according to the invention is applied to keratin fibres in the form of a mousse.
The dyeing process is generally performed at ambient temperature (between 15 and 25°C) and up to temperatures that may be as high as 60°C to 80°C.
After a leave-on time of from one minute to one hour and preferably from 5 minutes to 30 minutes, the keratin fibres are rinsed with water, and optionally washed with a shampoo and then rinsed with water.
The example that follows serves to illustrate the invention without, however, being limiting in nature.
EXAMPLE
The following compositions are prepared Dye composition (contents expressed in g%
Monoethanolamine 0.47
Oleic acid 2
Oxyethylenated oleocetyl alcohol (30 OE)1) 3.47
Oxyethylenated lauryl alcohol (12 OE)2) 4.85
Oxyethylenated decyl alcohol (5 OE) 90%4) 3.47
Oxyethylenated decyl alcohol (3 OE) 90%3) 13.24
Coconut acid monoisopropanolamide 5) 4
Cationic cellulose ether9' 0.2
Hydroxyethylcellulose8' 0.4
Oleyl alcohol 1 .8
Polydimethyldiallylammonium chloride in water at
2
40%7)
Poly[(dimethyliminio)-1 ,3- propanediyl(dimethyliminio)-1 ,6-hexanediyl 2
dichloride] as an aqueous 60% solution6'
Glycerol 3
Ethylenediaminetetraacetic acid 0.2
Fragrance 0.95
Powdered sodium metabisulfite 0.46
Vitamin C: L-Ascorbic acid as a fine powder 0.25
1 ,4-diaminobenzene 0.084
1 -hydroxy-4-aminobenzene 0.58
1 ,3-Dihydroxybenzene (resorcinol) 0.25
1 -Hydroxy-3-aminobenzene 0.36
2-Methyl-1 ,3-dihydroxybenzene (2-
0.12
methylresorcinol)
6-Hydroxyindole 0.03
Aqueous ammonia (reference concentration 20%
8
with respect to ammonia)
Deionized water QS
' Oxyethylenated oleocetyl alcohol (30 OE) sold under the trade name EUMULGIN O 30 by the company COGNIS
2) Oxyethylenated lauryl alcohol (12 OE) sold under the trade name REWOPAL 12 by the company EVONIK
3) Oxyethylenated decyl alcohol (3 OE) sold under the trade name EUMULGIN BL 309 by the company COGNIS
' Oxyethylenated decyl alcohol (5 OE) sold under the trade name EUMULGI N BL 589 by the company COGNIS
5) Coconut acid monoisopropanolamide sold under the trade name REWOMID V 3203 by the company EVONI K
6) Poly[(dimethyliminio)-1 ,3-propanediyl(dimethyliminio)-1 ,6-hexanediyl dichloride] as an aqueous 60% solution sold under the trade name MEXOMERE PO by the company CHIMEX
7) Dimethyldiallylammonium chloride polymer as an aqueous solution, sold under the trade name MERQUAT 100 by the company NALCO
8) Hydroxyethylcellulose (MW: 1 300 000) sold under the trade name NATROSOL 250 HHR PC by the company ASH LAND
9) Cationic cellulose ether sold under the trade name SOFTCAT POLYMER SL-100 by the company AMERCHOL
Oxidizing composition (g%, as is):
10) (50% linear 70/30 C13/C15) alkyl ether carboxylic acid monoethanolamide (2 OE) sold under the trade name AMIDET A15/LAO 55 by the company KAO
11 ) Cetearyl alcohol (d6/Ci8 30/70) sold under the trade name NAFOL 1618 S by the company SASOL
12) Oxyethylenated cetylstearyl alcohol (33 OE) sold under the trade name SIMU LSOL CS ECAILLES by the company SEPPIC
Each of the above compositions is packaged in an aerosol container in the presence of the following propellant gases, in the composition/propellant gases weight ratio of 94/6.
· Dye composition: 50% propane, 35% n-butane, 15% i-butane
• Oxidizing composition: 25% propane, 40% n-butane, 35% i-butane The two aerosols are attached together via a dispensing head incorporating the two dispensing channels stemming from the two pressurized containers, the mixing of the two compositions in a weight ratio of 1 /1 taking place only immediately after the exiting from the dispensing head.
The resulting mixture is left on the fibres for 30 minutes at ambient temperature (25°C). A light natural shade, covering the white hairs well, is obtained.
Claims
Process for dyeing keratin fibres, in which a mixture obtained from:
• a dye composition comprising at least one oxidation dye precursor, and
• an oxidizing composition comprising at least one chemical oxidizing agent,
• at least one of the compositions being delivered from a pressurized container,
• the mixture of the two compositions comprising one or more cationic polymers, the cationic charge density of which is greater than 4 milliequivalents per gram (meq/g),
is applied to said fibres.
2. Process according to Claim 1 , characterized in that the cationic polymer(s) are chosen from:
(1 ) homopolymers or copolymers derived from acrylic or methacrylic esters or amides and com g formulae:
R3 and R4, which may be identical or different, represent a hydrogen atom or an alkyl group having from 1 to 6 carbon atoms, and preferably methyl or ethyl;
R5, which may be identical or different, denote a hydrogen atom or a CH3 group; A, which may be identical or different, represent a linear or branched alkyl group having from 1 to 6 carbon atoms, preferably 2 or 3 carbon atoms, or a hydroxyalkyl group having from 1 to 4 carbon atoms;
R6, R7 and R8, which may be identical or different, represent an alkyl group having from 1 to 18 carbon atoms or a benzyl group, and preferably an alkyl group having from 1 to 6 carbon atoms;
X" denotes an anion derived from an inorganic or organic acid, such as a methosulfate anion, or a halide such as chloride or bromide;
(2) cationic polysaccharides;
(3) polymers consisting of piperazinyl units and divalent alkylene or hydroxyalkylene radicals containing straight or branched chains, optionally interrupted with oxygen, sulfur or nitrogen atoms or with aromatic or heterocyclic rings, and also the oxidation and/or quaternization products of these polymers;
(4) water-soluble polyaminoamides prepared in particular by polycondensation of an acidic compound with a polyamine; these polyaminoamides can be crosslinked with an epihalohydrin, a diepoxide, a dianhydride, an unsaturated dianhydride, a bis- unsaturated derivative, a bis-halohydrin, a bis-azetidinium, a bis-haloacyldiamine, a bis-alkyl halide or alternatively with an oligomer resulting from the reaction of a bifunctional compound which is reactive with a bis-halohydrin, a bis-azetidinium, a bis-haloacyldiamine, a bis-alkyl halide, an epihalohydrin, a diepoxide or a bis- unsaturated derivative; the crosslinking agent being used in proportions ranging from 0.025 to 0.35 mol per amine group of the polyaminoamide; these polyaminoamides can be alkylated or, if they comprise one or more tertiary amine functions, they can be quaternized;
(5) polyaminoamide derivatives resulting from the condensation of polyalkylene polyamines with polycarboxylic acids followed by alkylation with difunctional agents;
(6) polymers obtained by reaction of a polyalkylene polyamine containing two primary amine groups and at least one secondary amine group with a dicarboxylic acid chosen from diglycolic acid and saturated aliphatic dicarboxylic acids having from 3 to 8 carbon atoms;
(7) cyclopolymers of alkyldiallylamine or of dialkyldiallylammonium, such as the homopolymers or copolymers containing, as main constituent of the chain, units corresponding to formula (V) or (VI):
(V) (VI) in which formulae: k and t are equal to 0 or 1 , the sum k + 1 being equal to 1 ; R-I 2 denotes a hydrogen atom or a methyl group; Ri o and R , independently of one another, denote an alkyl group having from 1 to 6 carbon atoms, a hydroxyalkyi group in which the alkyl group preferably has 1 to 5 carbon atoms, a lower (C1 -C4 ) amidoalkyl group, or R1 0 and R can denote, together with the nitrogen atom to which they are attached, heterocyclic groups such as piperidyl or morpholinyl; Y" is an anion such as bromide, chloride, acetate, borate, citrate, tartrate, bisulfate, bisulfite, sulfate or phosphate;
(8) diquaternary ammonium polymers, in particular those containing repeating units corresponding
in which formula (VII) :
R-I3, Ri4, R-I5 and Ri6, which may be identical or different, represent aliphatic, alicyclic or arylaliphatic radicals containing from 1 to 20 carbon atoms or lower hydroxyalkylaliphatic radicals, or else Ri3, Ri4, R15 and Ri6, together or separately, constitute, with the nitrogen atoms to which they are attached, heterocycles optionally containing a second heteroatom other than nitrogen, or else Ri3, Ri4> i5 and Ri6 represent a linear or branched Ci-C6 alkyl radical substituted with a nitrile, ester, acyl, amide, -CO-O-R17-D or -CO-NH-R17-D group, where R17 is an alkylene and D a quaternary ammonium group;
A-i and B-i represent polymethylene groups containing from 2 to 20 carbon atoms which may be linear or branched, and saturated or unsaturated, and which may contain, linked to or inserted in the main chain, one or more aromatic rings, or one or more oxygen or sulfur atoms or sulfoxide, sulfone, disulfide, amino, alkylamino, hydroxyl, quaternary ammonium, ureido, amide or ester groups, and
X" denotes an anion derived from an inorganic or organic acid;
A-i, R and R15 can form, with the two nitrogen atoms to which they are attached, a piperazine ring; in addition, if A-i denotes a linear or branched, saturated or unsaturated alkylene or hydroxyalkylene radical, B-i can also denote a (CH2)n-CO- D-OC-(CH2)n- group,
in which D denotes:
a) a glycol residue of formula: -O-Z-O-, where Z denotes a linear or branched hydrocarbon-based radical or a group corresponding to one of the following formulae:
-(CH2-CH2-0)x-CH2-CH2-
-[CH2-CH(CH3)-0]y-CH2-CH(CH3)- in which x and y denote an integer from 1 to 4, representing a defined and unique degree of polymerization or any number from 1 to 4 representing an average degree of polymerization;
b) a bis-secondary diamine residue such as a piperazine derivative; c) a bis-primary diamine residue of formula: -NH-Y-NH-, where Y denotes a linear or branched hydrocarbon-based radical, or alternatively the divalent radical
- C H 2- C H 2-S -S - C H 2- C H 2- ;
d) a ureylene group of formula: -NH-CO-NH-;
X" preferably being an anion such as chloride or bromide;
(9) polyquaternary ammonium polymers comprising units of formula (IX):
(I X) in which formula:
R22, R23, R24 and R25, which may be identical or different, represent a hydrogen atom or a methyl, ethyl, propyl, β-hydroxyethyl, β-hydroxypropyl or - CH2CH2(OCH2CH2)pOH radical,
where p is equal to 0 or to an integer between 1 and 6, with the proviso that R22, R23, R24 and R25 do not simultaneously represent a hydrogen atom,
t and v, which may be identical or different, are integers between 1 and
6,
u is equal to 0 or to an integer between 1 and 34,
X" denotes an anion such as a halide,
A denotes a radical of a dihalide or preferably represents -CH2-CH2-0-
CH2-CH2-;
(10) quaternary copolymers of vinyllactam (vinylpyrrolidone and/or vinylcaprolactam) and of vinylimidazole;
(1 1 ) crosslinked polymers of methacryloyloxy(Ci-C4)alkyltri(Ci-
C4)alkylammonium salts;
(12) polyalkyleneimines.
3. Process according to Claim 2, characterized in that the cationic polymer(s) are chosen from the cationic cyclopolymers of formula (V) or (VI), the diquaternary ammonium polymers of formula (VII), the polyquaternary ammonium polymers comprising units of formula (IX), polyalkyleneimines, and mixtures thereof.
4. Process according to any one of the preceding claims, characterized in that the cationic polymer(s) represent from 0.01 % to 40% by weight and better still from 0.1 % to 10% by weight relative to the total weight of the mixture.
5. Process according to any one of the preceding claims, characterized in that the oxidation dye precursor(s) are chosen from oxidation bases and couplers.
6. Process according to any one of the preceding claims, characterized in that the container comprises at least one propellant gas chosen from optionally halogenated volatile hydrocarbons, for example n-butane, propane, isobutane and pentane, and halogenated derivatives thereof; carbon dioxide, nitrous oxide, dimethyl ether, nitrogen and compressed air, alone or as mixtures, preferably from alkanes, even more preferentially from n-butane, propane and isobutane, and mixtures thereof. Process according to the preceding claim, characterized in that the propellant gas(es) represent a content ranging from 1 % to 30% by weight relative to the weight of the composition, and preferably from 2% to 30% by weight relative to the weight of the composition.
Process according to Claim 6 or 7, characterized in that the dye composition and the oxidizing composition each comprise at least one identical or different propellant gas.
Process according to any one of the preceding claims, characterized in that the chemical oxidizing agent(s) are chosen from hydrogen peroxide, urea peroxide, alkali metal bromates or ferricyanides, peroxygenated salts, peracids and precursors thereof, and preferably hydrogen peroxide.
Process according to any one of the preceding claims, characterized in that the dye composition comprises at least one alkaline agent, more particularly chosen from aqueous ammonia, alkanolamines and amino acids, or mixtures thereof, and preferably aqueous ammonia and alkanolamines, and mixtures thereof.
Process according to the preceding claim, characterized in that the alkaline agent(s) represent a content ranging from 0.01 % to 30% by weight, preferably from 0.1 % to 20% by weight, and more particularly from 1 % to 10% by weight relative to the weight of the dye composition.
Process according to any one of the preceding claims, characterized in that the dye composition and/or the oxidizing composition comprises at least one surfactant chosen from anionic, amphoteric, zwitterionic, cationic or nonionic surfactants, and preferentially nonionic surfactants.
Process according to any one of Claims 1 to 12, characterized in that the dye composition and the oxidizing composition are each in a different pressurized container, the containers being optionally attached together and making it possible to deliver the compositions concomitantly, by means of one or two dispensing orifices. Process according to any one of the preceding claims, characterized in that the mixture of the dye composition and of the oxidizing composition, which is applied to the fibres, is in the form of a mousse.
Device suitable for implementing the process according to any one of the preceding claims, characterized in that it comprises:
• a first container containing a dye composition comprising at least one oxidation dye precursor, and
• a second container containing an oxidizing composition comprising at least one chemical oxidizing agent,
at least one of the two containers being pressurized, preferably the two containers being pressurized,
a means for delivering the compositions,
the mixture of the two compositions comprising one or more cationic polymers, the cationic charge density of which is greater than 4 milliequivalents per gram (meq/g).
Applications Claiming Priority (4)
| Application Number | Priority Date | Filing Date | Title |
|---|---|---|---|
| FR1253751 | 2012-04-24 | ||
| FR1253751A FR2989586B1 (en) | 2012-04-24 | 2012-04-24 | COLORING PROCESS USING A MIXTURE COMPRISING A PARTICULAR CATIONIC POLYMER OBTAINED FROM AEROSOL DEVICE AND DEVICE |
| US201261663110P | 2012-06-22 | 2012-06-22 | |
| US61/663,110 | 2012-06-22 |
Publications (1)
| Publication Number | Publication Date |
|---|---|
| WO2013160360A1 true WO2013160360A1 (en) | 2013-10-31 |
Family
ID=46650664
Family Applications (1)
| Application Number | Title | Priority Date | Filing Date |
|---|---|---|---|
| PCT/EP2013/058514 Ceased WO2013160360A1 (en) | 2012-04-24 | 2013-04-24 | Hair dyeing process using a mixture comprising a particular cationic polymer, obtained from an aerosol device |
Country Status (2)
| Country | Link |
|---|---|
| FR (1) | FR2989586B1 (en) |
| WO (1) | WO2013160360A1 (en) |
Cited By (3)
| Publication number | Priority date | Publication date | Assignee | Title |
|---|---|---|---|---|
| WO2018019852A1 (en) * | 2016-07-26 | 2018-02-01 | L'oreal | Composition for treating keratin fibers comprising an amphoteric or cationic polymer and neutralized fatty acid |
| WO2018056235A1 (en) * | 2016-09-20 | 2018-03-29 | L'oreal | Composition for keratin fibers |
| CN114786643A (en) * | 2019-12-13 | 2022-07-22 | 莱雅公司 | Aerosol hair dyeing device based on crotonic acid copolymer and fatty amine |
Families Citing this family (10)
| Publication number | Priority date | Publication date | Assignee | Title |
|---|---|---|---|---|
| FR3012324A1 (en) * | 2013-10-30 | 2015-05-01 | Oreal | FITTED TINCTORIAL COMPOSITION COMPRISING AN INERT GAS, A PARTICULAR CATIONIC POLYMER AND A COLORANT |
| FR3012322B1 (en) * | 2013-10-30 | 2019-07-12 | L'oreal | COLORING PROCESS USING A FOXED OXIDIZING COMPOSITION |
| WO2015063122A1 (en) * | 2013-10-30 | 2015-05-07 | L'oreal | Expanded dyeing composition comprising an inert gas, an oxidation dye and an oxyalkylenated nonionic surfactant |
| WO2015063125A1 (en) * | 2013-10-30 | 2015-05-07 | L'oreal | Expanded dyeing composition comprising an inert gas, a non-volatile alkaline agent and a dye |
| FR3012325A1 (en) * | 2013-10-30 | 2015-05-01 | Oreal | FIRED TINCTORIAL COMPOSITION COMPRISING AN INERT GAS, A COLOR AND AT LEAST 10% BY WEIGHT OF LIQUID FATTY BODIES |
| FR3012323A1 (en) * | 2013-10-30 | 2015-05-01 | Oreal | FITTED TINCTORIAL COMPOSITION COMPRISING AN INERT GAS, A NON-VOLATILE ALKALI AGENT AND A COLOR. |
| WO2015063124A1 (en) * | 2013-10-30 | 2015-05-07 | L'oreal | Dyeing method employing an expanded oxidizing composition |
| FR3012326A1 (en) * | 2013-10-30 | 2015-05-01 | Oreal | FITTED TINCTORIAL COMPOSITION COMPRISING INERT GAS, OXIDATION COLOR, AND OXYALKYLENE NON-IONIC SURFACTANT |
| FR3044881B1 (en) * | 2015-12-14 | 2021-05-14 | Oreal | DEVICE FOR THE DISTRIBUTION OF A KERATINIC FIBER COLORING AND / OR LIGHTENING PRODUCT CONTAINING AT LEAST 7% SURFACTANTS |
| FR3044880B1 (en) * | 2015-12-14 | 2018-01-19 | L'oreal | DEVICE FOR DISPENSING A PRODUCT FOR COLORING AND / OR LIGHTENING KERATIN FIBERS COMPRISING A CATIONIC POLYMER |
Citations (32)
| Publication number | Priority date | Publication date | Assignee | Title |
|---|---|---|---|---|
| GB1026978A (en) | 1962-03-30 | 1966-04-20 | Schwarzkopf Verwaltung G M B H | Method of dyeing hair |
| GB1153196A (en) | 1965-07-07 | 1969-05-29 | Schwarzkopf Verwaltung G M B H | Method of Dyeing Hair |
| DE1801518A1 (en) * | 1966-03-03 | 1971-01-21 | Schwarzkopf Gmbh Hans | Device for dispensing two substances mixed with one another, in particular a hair dye |
| FR2048629A5 (en) | 1969-05-21 | 1971-03-19 | Gillette Co | |
| FR2080759A1 (en) | 1970-02-25 | 1971-11-19 | Gillette Co | |
| FR2190406A2 (en) | 1972-06-29 | 1974-02-01 | Gillette Co | |
| DE2359399A1 (en) | 1973-11-29 | 1975-06-12 | Henkel & Cie Gmbh | Tetraaminopyrimidines as developers in oxidation hair dyes - esp. used with meta aminophenol couplers for blue shading dyes |
| FR2270846A1 (en) | 1974-05-16 | 1975-12-12 | Oreal | |
| FR2383660A1 (en) | 1977-03-15 | 1978-10-13 | Oreal | COMPOSITION AND PROCESS FOR TREATMENT OF KERATINIC MATERIALS WITH CATIONIC AND ANIONIC POLYMERS |
| US4137180A (en) | 1976-07-02 | 1979-01-30 | Lever Brothers Company | Fabric treatment materials |
| FR2470596A1 (en) | 1979-11-28 | 1981-06-12 | Oreal | COMPOSITION FOR THE TREATMENT OF KERATIN FIBERS BASED ON AMPHOTERIC POLYMERS AND CATIONIC POLYMERS |
| FR2519863A1 (en) | 1982-01-15 | 1983-07-22 | Oreal | COSMETIC COMPOSITION FOR THE TREATMENT OF KERATIN FIBERS AND METHOD FOR THE TREATMENT THEREOF |
| EP0122324A1 (en) | 1983-04-15 | 1984-10-24 | Miranol Inc. | Polyquaternary ammonium compounds and cosmetic compositions containing them |
| FR2598611A1 (en) | 1986-05-16 | 1987-11-20 | Oreal | COSMETIC COMPOSITIONS CONTAINING A CATIONIC POLYMER AND AN ANIONIC POLYMER AS A THICKENING AGENT |
| JPS63169571A (en) | 1987-01-06 | 1988-07-13 | Nec Corp | Tone detector |
| US4874554A (en) | 1986-07-10 | 1989-10-17 | Henkel Kommanditgesellschaft Auf Aktien | Quaternary ammonium compounds |
| EP0337354A1 (en) | 1988-04-12 | 1989-10-18 | Kao Corporation | Low-irritation detergent composition |
| DE3843892A1 (en) | 1988-12-24 | 1990-06-28 | Wella Ag | OXIDATION HAIR AGENTS CONTAINING DIAMINOPYRAZOL DERIVATIVES AND NEW DIAMINOPYRAZOLE DERIVATIVES |
| JPH0563124A (en) | 1991-09-03 | 1993-03-12 | Mitsubishi Electric Corp | Hybrid integrated circuit device |
| DE4133957A1 (en) | 1991-10-14 | 1993-04-15 | Wella Ag | HAIR DYE CONTAINING AMINOPYRAZOLE DERIVATIVES AND NEW PYRAZOLE DERIVATIVES |
| WO1994008970A1 (en) | 1992-10-16 | 1994-04-28 | Wella Aktiengesellschaft | Oxidation hair dye containing 4,5-diaminopyrazole derivatives and novel 4,5-diaminopyrazole derivatives and process for their production |
| WO1994008969A1 (en) | 1992-10-16 | 1994-04-28 | Wella Aktiengesellschaft | Process for producing 4,5-diamino pyrazole derivatives, their use for colouring hair and novel pyrazole derivatives |
| GB2293157A (en) * | 1993-03-14 | 1996-03-20 | Chung King Tsang | Container and its application |
| WO1996015765A1 (en) | 1994-11-17 | 1996-05-30 | Henkel Kommanditgesellschaft Auf Aktien | Oxidation dyes |
| FR2733749A1 (en) | 1995-05-05 | 1996-11-08 | Oreal | COMPOSITIONS FOR DYEING KERATINIC FIBERS CONTAINING DIAMINO PYRAZOLES, DYEING PROCESS, NOVEL DIAMINO PYRAZOLES, AND PREPARATION METHOD THEREOF |
| EP0770375A1 (en) | 1995-10-21 | 1997-05-02 | GOLDWELL GmbH | Hair dyeing composition |
| DE19543988A1 (en) | 1995-11-25 | 1997-05-28 | Wella Ag | Oxidative hair dye composition |
| FR2801308A1 (en) | 1999-11-19 | 2001-05-25 | Oreal | KERATIN FIBER DYEING COMPOSITIONS CONTAINING 3-AMINO PYRAZOLO- [1, (- a] -PYRIDINES, DYEING PROCESS, NOVEL 3-AMINO PYRAZOLO- [1,5-a] -PYRIDINES |
| EP1470812A1 (en) * | 2003-04-25 | 2004-10-27 | Kao Corporation | Hair cosmetic product |
| FR2886136A1 (en) | 2005-05-31 | 2006-12-01 | Oreal | COMPOSITION FOR DYING KERATIN FIBERS COMPRISING AT LEAST ONE DIAMINO-N, N-DIHYDRO-PYRAZOLONE DERIVATIVE AND A CATIONIC OXIDATION DYE |
| US20100236570A1 (en) | 2007-10-24 | 2010-09-23 | Kao Corporation | Head hair dyeing method |
| DE102009055125A1 (en) * | 2009-10-30 | 2011-05-05 | Henkel Ag & Co. Kgaa | Cosmetic product, useful as hair coloring-, hair caring- and/or a hair styling-preparation, comprises a formulation comprising two free-flowing components, and an associated pressure vessel for storing and dispensing the components |
-
2012
- 2012-04-24 FR FR1253751A patent/FR2989586B1/en not_active Expired - Fee Related
-
2013
- 2013-04-24 WO PCT/EP2013/058514 patent/WO2013160360A1/en not_active Ceased
Patent Citations (32)
| Publication number | Priority date | Publication date | Assignee | Title |
|---|---|---|---|---|
| GB1026978A (en) | 1962-03-30 | 1966-04-20 | Schwarzkopf Verwaltung G M B H | Method of dyeing hair |
| GB1153196A (en) | 1965-07-07 | 1969-05-29 | Schwarzkopf Verwaltung G M B H | Method of Dyeing Hair |
| DE1801518A1 (en) * | 1966-03-03 | 1971-01-21 | Schwarzkopf Gmbh Hans | Device for dispensing two substances mixed with one another, in particular a hair dye |
| FR2048629A5 (en) | 1969-05-21 | 1971-03-19 | Gillette Co | |
| FR2080759A1 (en) | 1970-02-25 | 1971-11-19 | Gillette Co | |
| FR2190406A2 (en) | 1972-06-29 | 1974-02-01 | Gillette Co | |
| DE2359399A1 (en) | 1973-11-29 | 1975-06-12 | Henkel & Cie Gmbh | Tetraaminopyrimidines as developers in oxidation hair dyes - esp. used with meta aminophenol couplers for blue shading dyes |
| FR2270846A1 (en) | 1974-05-16 | 1975-12-12 | Oreal | |
| US4137180A (en) | 1976-07-02 | 1979-01-30 | Lever Brothers Company | Fabric treatment materials |
| FR2383660A1 (en) | 1977-03-15 | 1978-10-13 | Oreal | COMPOSITION AND PROCESS FOR TREATMENT OF KERATINIC MATERIALS WITH CATIONIC AND ANIONIC POLYMERS |
| FR2470596A1 (en) | 1979-11-28 | 1981-06-12 | Oreal | COMPOSITION FOR THE TREATMENT OF KERATIN FIBERS BASED ON AMPHOTERIC POLYMERS AND CATIONIC POLYMERS |
| FR2519863A1 (en) | 1982-01-15 | 1983-07-22 | Oreal | COSMETIC COMPOSITION FOR THE TREATMENT OF KERATIN FIBERS AND METHOD FOR THE TREATMENT THEREOF |
| EP0122324A1 (en) | 1983-04-15 | 1984-10-24 | Miranol Inc. | Polyquaternary ammonium compounds and cosmetic compositions containing them |
| FR2598611A1 (en) | 1986-05-16 | 1987-11-20 | Oreal | COSMETIC COMPOSITIONS CONTAINING A CATIONIC POLYMER AND AN ANIONIC POLYMER AS A THICKENING AGENT |
| US4874554A (en) | 1986-07-10 | 1989-10-17 | Henkel Kommanditgesellschaft Auf Aktien | Quaternary ammonium compounds |
| JPS63169571A (en) | 1987-01-06 | 1988-07-13 | Nec Corp | Tone detector |
| EP0337354A1 (en) | 1988-04-12 | 1989-10-18 | Kao Corporation | Low-irritation detergent composition |
| DE3843892A1 (en) | 1988-12-24 | 1990-06-28 | Wella Ag | OXIDATION HAIR AGENTS CONTAINING DIAMINOPYRAZOL DERIVATIVES AND NEW DIAMINOPYRAZOLE DERIVATIVES |
| JPH0563124A (en) | 1991-09-03 | 1993-03-12 | Mitsubishi Electric Corp | Hybrid integrated circuit device |
| DE4133957A1 (en) | 1991-10-14 | 1993-04-15 | Wella Ag | HAIR DYE CONTAINING AMINOPYRAZOLE DERIVATIVES AND NEW PYRAZOLE DERIVATIVES |
| WO1994008970A1 (en) | 1992-10-16 | 1994-04-28 | Wella Aktiengesellschaft | Oxidation hair dye containing 4,5-diaminopyrazole derivatives and novel 4,5-diaminopyrazole derivatives and process for their production |
| WO1994008969A1 (en) | 1992-10-16 | 1994-04-28 | Wella Aktiengesellschaft | Process for producing 4,5-diamino pyrazole derivatives, their use for colouring hair and novel pyrazole derivatives |
| GB2293157A (en) * | 1993-03-14 | 1996-03-20 | Chung King Tsang | Container and its application |
| WO1996015765A1 (en) | 1994-11-17 | 1996-05-30 | Henkel Kommanditgesellschaft Auf Aktien | Oxidation dyes |
| FR2733749A1 (en) | 1995-05-05 | 1996-11-08 | Oreal | COMPOSITIONS FOR DYEING KERATINIC FIBERS CONTAINING DIAMINO PYRAZOLES, DYEING PROCESS, NOVEL DIAMINO PYRAZOLES, AND PREPARATION METHOD THEREOF |
| EP0770375A1 (en) | 1995-10-21 | 1997-05-02 | GOLDWELL GmbH | Hair dyeing composition |
| DE19543988A1 (en) | 1995-11-25 | 1997-05-28 | Wella Ag | Oxidative hair dye composition |
| FR2801308A1 (en) | 1999-11-19 | 2001-05-25 | Oreal | KERATIN FIBER DYEING COMPOSITIONS CONTAINING 3-AMINO PYRAZOLO- [1, (- a] -PYRIDINES, DYEING PROCESS, NOVEL 3-AMINO PYRAZOLO- [1,5-a] -PYRIDINES |
| EP1470812A1 (en) * | 2003-04-25 | 2004-10-27 | Kao Corporation | Hair cosmetic product |
| FR2886136A1 (en) | 2005-05-31 | 2006-12-01 | Oreal | COMPOSITION FOR DYING KERATIN FIBERS COMPRISING AT LEAST ONE DIAMINO-N, N-DIHYDRO-PYRAZOLONE DERIVATIVE AND A CATIONIC OXIDATION DYE |
| US20100236570A1 (en) | 2007-10-24 | 2010-09-23 | Kao Corporation | Head hair dyeing method |
| DE102009055125A1 (en) * | 2009-10-30 | 2011-05-05 | Henkel Ag & Co. Kgaa | Cosmetic product, useful as hair coloring-, hair caring- and/or a hair styling-preparation, comprises a formulation comprising two free-flowing components, and an associated pressure vessel for storing and dispensing the components |
Non-Patent Citations (6)
| Title |
|---|
| "Cosmetics and Toiletries", vol. 91, January 1976, TODD & BYERS, article "Volatile Silicone Fluids for Cosmetics", pages: 27 - 32 |
| DATABASE GNPD [Online] MINTEL; 1 March 2012 (2012-03-01), "Mousse Hair Color", XP002692660, Database accession no. 1765617 * |
| DATABASE GNPD [Online] MINTEL; 3 January 2012 (2012-01-03), "Foam Colour", XP002692661, Database accession no. 1704776 * |
| DATABASE GNPD MINTEL; 1 April 2008 (2008-04-01), "Soaft Foam Color", XP002692662, Database accession no. 893190 * |
| M.R. PORTER: "Handbook of Surfactants", 1991, BLACKIE & SON, pages: 116 - 178 |
| WALTER NOLL: "Chemistry and Technology of Silicones", 1968, ACADEMIC PRESS |
Cited By (4)
| Publication number | Priority date | Publication date | Assignee | Title |
|---|---|---|---|---|
| WO2018019852A1 (en) * | 2016-07-26 | 2018-02-01 | L'oreal | Composition for treating keratin fibers comprising an amphoteric or cationic polymer and neutralized fatty acid |
| US11446222B2 (en) | 2016-07-26 | 2022-09-20 | L'oreal | Composition for treating keratin fibers comprising an amphoteric or cationic polymer and neutralized fatty acid |
| WO2018056235A1 (en) * | 2016-09-20 | 2018-03-29 | L'oreal | Composition for keratin fibers |
| CN114786643A (en) * | 2019-12-13 | 2022-07-22 | 莱雅公司 | Aerosol hair dyeing device based on crotonic acid copolymer and fatty amine |
Also Published As
| Publication number | Publication date |
|---|---|
| FR2989586B1 (en) | 2014-08-01 |
| FR2989586A1 (en) | 2013-10-25 |
Similar Documents
| Publication | Publication Date | Title |
|---|---|---|
| US9849071B2 (en) | Composition for the oxidation dyeing of keratin fibres, comprising particular fatty alcohols, a liquid fatty substance and a cationic polymer | |
| WO2013160360A1 (en) | Hair dyeing process using a mixture comprising a particular cationic polymer, obtained from an aerosol device | |
| US9044412B2 (en) | Dye composition using a long-chain ether of an alkoxylated fatty alcohol and a cationic polymer, processes and devices using the same | |
| EP2841167B1 (en) | Dyeing process using a mixture obtained from an aerosol device comprising a liquid fatty alcohol and surfactants | |
| EP2879651A1 (en) | Dye composition comprising nonionic guar gum or a nonionic derivative thereof, process and device for the same | |
| EP2841047B1 (en) | Dyeing process using a mixture comprising a thickening polymer, obtained from an aerosol device, and device therefor | |
| WO2012059410A1 (en) | Dye composition having a low content of ammonia | |
| US10071036B2 (en) | Dyeing process using a mixture comprising a branched C6-C12 polyol, obtained from an aerosol device, and device therefor | |
| US20160136069A1 (en) | Oxidation dyeing process using a composition rich in fatty substances which comprises metal catalysts and couplers | |
| WO2019002072A1 (en) | Process for dyeing keratin fibres with three distinct compositions | |
| US9585824B2 (en) | Dye composition using at least one coupler of meta-phenylenediamine type substituted in position 2 in a medium comprising a fatty substance, processes and device | |
| US9855198B2 (en) | Dyeing process using a mixture obtained from an aerosol device comprising a nonionic fatty amide, and device therefor | |
| WO2017102653A1 (en) | Device for dispensing a product for dyeing and/or lightening keratin fibres comprising at least 7% of surfactants | |
| US10016344B2 (en) | Dyeing process using a mixture obtained from an aerosol device comprising a glycerolated surfactant, and device therefor | |
| WO2017102651A1 (en) | Device for dispensing a product for dyeing and/or lightening keratin fibres comprising a cationic polymer | |
| WO2013092484A2 (en) | Oxidation dyeing process rich in fatty substances and a metal catalyst, and device therefor | |
| WO2017102650A1 (en) | Device for dispensing a product for dyeing and/or lightening keratin fibres comprising an associative polymer | |
| WO2013160357A2 (en) | Dyeing process using a mixture comprising a silica or an insoluble silicate, obtained from an aerosol device and device | |
| WO2015091338A1 (en) | Dyeing process using compositions rich in fatty substances | |
| WO2013092482A2 (en) | Oxidation dye composition rich in fatty substances, processes and suitable device for same |
Legal Events
| Date | Code | Title | Description |
|---|---|---|---|
| 121 | Ep: the epo has been informed by wipo that ep was designated in this application |
Ref document number: 13719797 Country of ref document: EP Kind code of ref document: A1 |
|
| NENP | Non-entry into the national phase |
Ref country code: DE |
|
| 122 | Ep: pct application non-entry in european phase |
Ref document number: 13719797 Country of ref document: EP Kind code of ref document: A1 |














