WO2017061534A1 - Dihydrothiazine derivatives - Google Patents
Dihydrothiazine derivatives Download PDFInfo
- Publication number
- WO2017061534A1 WO2017061534A1 PCT/JP2016/079767 JP2016079767W WO2017061534A1 WO 2017061534 A1 WO2017061534 A1 WO 2017061534A1 JP 2016079767 W JP2016079767 W JP 2016079767W WO 2017061534 A1 WO2017061534 A1 WO 2017061534A1
- Authority
- WO
- WIPO (PCT)
- Prior art keywords
- aromatic
- substituted
- compound
- formula
- alkyl
- Prior art date
- Legal status (The legal status is an assumption and is not a legal conclusion. Google has not performed a legal analysis and makes no representation as to the accuracy of the status listed.)
- Ceased
Links
Classifications
-
- C—CHEMISTRY; METALLURGY
- C07—ORGANIC CHEMISTRY
- C07D—HETEROCYCLIC COMPOUNDS
- C07D417/00—Heterocyclic compounds containing two or more hetero rings, at least one ring having nitrogen and sulfur atoms as the only ring hetero atoms, not provided for by group C07D415/00
- C07D417/02—Heterocyclic compounds containing two or more hetero rings, at least one ring having nitrogen and sulfur atoms as the only ring hetero atoms, not provided for by group C07D415/00 containing two hetero rings
- C07D417/12—Heterocyclic compounds containing two or more hetero rings, at least one ring having nitrogen and sulfur atoms as the only ring hetero atoms, not provided for by group C07D415/00 containing two hetero rings linked by a chain containing hetero atoms as chain links
-
- A—HUMAN NECESSITIES
- A61—MEDICAL OR VETERINARY SCIENCE; HYGIENE
- A61K—PREPARATIONS FOR MEDICAL, DENTAL OR TOILETRY PURPOSES
- A61K9/00—Medicinal preparations characterised by special physical form
- A61K9/0012—Galenical forms characterised by the site of application
- A61K9/0014—Skin, i.e. galenical aspects of topical compositions
-
- A—HUMAN NECESSITIES
- A61—MEDICAL OR VETERINARY SCIENCE; HYGIENE
- A61K—PREPARATIONS FOR MEDICAL, DENTAL OR TOILETRY PURPOSES
- A61K9/00—Medicinal preparations characterised by special physical form
- A61K9/0012—Galenical forms characterised by the site of application
- A61K9/0019—Injectable compositions; Intramuscular, intravenous, arterial, subcutaneous administration; Compositions to be administered through the skin in an invasive manner
-
- A—HUMAN NECESSITIES
- A61—MEDICAL OR VETERINARY SCIENCE; HYGIENE
- A61K—PREPARATIONS FOR MEDICAL, DENTAL OR TOILETRY PURPOSES
- A61K9/00—Medicinal preparations characterised by special physical form
- A61K9/0012—Galenical forms characterised by the site of application
- A61K9/0053—Mouth and digestive tract, i.e. intraoral and peroral administration
- A61K9/0056—Mouth soluble or dispersible forms; Suckable, eatable, chewable coherent forms; Forms rapidly disintegrating in the mouth; Lozenges; Lollipops; Bite capsules; Baked products; Baits or other oral forms for animals
-
- A—HUMAN NECESSITIES
- A61—MEDICAL OR VETERINARY SCIENCE; HYGIENE
- A61K—PREPARATIONS FOR MEDICAL, DENTAL OR TOILETRY PURPOSES
- A61K9/00—Medicinal preparations characterised by special physical form
- A61K9/0012—Galenical forms characterised by the site of application
- A61K9/007—Pulmonary tract; Aromatherapy
- A61K9/0073—Sprays or powders for inhalation; Aerolised or nebulised preparations generated by other means than thermal energy
- A61K9/0075—Sprays or powders for inhalation; Aerolised or nebulised preparations generated by other means than thermal energy for inhalation via a dry powder inhaler [DPI], e.g. comprising micronized drug mixed with lactose carrier particles
-
- A—HUMAN NECESSITIES
- A61—MEDICAL OR VETERINARY SCIENCE; HYGIENE
- A61K—PREPARATIONS FOR MEDICAL, DENTAL OR TOILETRY PURPOSES
- A61K9/00—Medicinal preparations characterised by special physical form
- A61K9/0087—Galenical forms not covered by A61K9/02 - A61K9/7023
- A61K9/0095—Drinks; Beverages; Syrups; Compositions for reconstitution thereof, e.g. powders or tablets to be dispersed in a glass of water; Veterinary drenches
-
- A—HUMAN NECESSITIES
- A61—MEDICAL OR VETERINARY SCIENCE; HYGIENE
- A61K—PREPARATIONS FOR MEDICAL, DENTAL OR TOILETRY PURPOSES
- A61K9/00—Medicinal preparations characterised by special physical form
- A61K9/06—Ointments; Bases therefor; Other semi-solid forms, e.g. creams, sticks, gels
-
- A—HUMAN NECESSITIES
- A61—MEDICAL OR VETERINARY SCIENCE; HYGIENE
- A61K—PREPARATIONS FOR MEDICAL, DENTAL OR TOILETRY PURPOSES
- A61K9/00—Medicinal preparations characterised by special physical form
- A61K9/14—Particulate form, e.g. powders, Processes for size reducing of pure drugs or the resulting products, Pure drug nanoparticles
- A61K9/16—Agglomerates; Granulates; Microbeadlets ; Microspheres; Pellets; Solid products obtained by spray drying, spray freeze drying, spray congealing,(multiple) emulsion solvent evaporation or extraction
- A61K9/1605—Excipients; Inactive ingredients
- A61K9/1617—Organic compounds, e.g. phospholipids, fats
- A61K9/1623—Sugars or sugar alcohols, e.g. lactose; Derivatives thereof; Homeopathic globules
-
- A—HUMAN NECESSITIES
- A61—MEDICAL OR VETERINARY SCIENCE; HYGIENE
- A61K—PREPARATIONS FOR MEDICAL, DENTAL OR TOILETRY PURPOSES
- A61K9/00—Medicinal preparations characterised by special physical form
- A61K9/20—Pills, tablets, discs, rods
- A61K9/2004—Excipients; Inactive ingredients
- A61K9/2013—Organic compounds, e.g. phospholipids, fats
- A61K9/2018—Sugars, or sugar alcohols, e.g. lactose, mannitol; Derivatives thereof, e.g. polysorbates
-
- A—HUMAN NECESSITIES
- A61—MEDICAL OR VETERINARY SCIENCE; HYGIENE
- A61K—PREPARATIONS FOR MEDICAL, DENTAL OR TOILETRY PURPOSES
- A61K9/00—Medicinal preparations characterised by special physical form
- A61K9/20—Pills, tablets, discs, rods
- A61K9/2004—Excipients; Inactive ingredients
- A61K9/2022—Organic macromolecular compounds
- A61K9/205—Polysaccharides, e.g. alginate, gums; Cyclodextrin
- A61K9/2054—Cellulose; Cellulose derivatives, e.g. hydroxypropyl methylcellulose
-
- A—HUMAN NECESSITIES
- A61—MEDICAL OR VETERINARY SCIENCE; HYGIENE
- A61K—PREPARATIONS FOR MEDICAL, DENTAL OR TOILETRY PURPOSES
- A61K9/00—Medicinal preparations characterised by special physical form
- A61K9/48—Preparations in capsules, e.g. of gelatin, of chocolate
- A61K9/4841—Filling excipients; Inactive ingredients
- A61K9/4858—Organic compounds
-
- A—HUMAN NECESSITIES
- A61—MEDICAL OR VETERINARY SCIENCE; HYGIENE
- A61K—PREPARATIONS FOR MEDICAL, DENTAL OR TOILETRY PURPOSES
- A61K9/00—Medicinal preparations characterised by special physical form
- A61K9/70—Web, sheet or filament bases ; Films; Fibres of the matrix type containing drug
- A61K9/7023—Transdermal patches and similar drug-containing composite devices, e.g. cataplasms
- A61K9/703—Transdermal patches and similar drug-containing composite devices, e.g. cataplasms characterised by shape or structure; Details concerning release liner or backing; Refillable patches; User-activated patches
- A61K9/7038—Transdermal patches of the drug-in-adhesive type, i.e. comprising drug in the skin-adhesive layer
-
- A—HUMAN NECESSITIES
- A61—MEDICAL OR VETERINARY SCIENCE; HYGIENE
- A61P—SPECIFIC THERAPEUTIC ACTIVITY OF CHEMICAL COMPOUNDS OR MEDICINAL PREPARATIONS
- A61P25/00—Drugs for disorders of the nervous system
- A61P25/28—Drugs for disorders of the nervous system for treating neurodegenerative disorders of the central nervous system, e.g. nootropic agents, cognition enhancers, drugs for treating Alzheimer's disease or other forms of dementia
Definitions
- the present invention relates to a compound which has amyloid ⁇ production inhibitory activity, and is useful as an agent for treating or preventing disease induced by production, secretion and/or deposition of amyloid ⁇ proteins.
- Patent Documents 1 to 30 and Non-Patent Document 1 disclose compounds having a structure similar to those of the compounds of the present invention, but each of substantially disclosed compounds has a structural difference from the compounds of the present invention.
- the present invention provides compounds which have reducing effects to produce amyloid ⁇ protein, especially BACE1 inhibitory activity, and are useful as an agent for treating disease induced by production, secretion and/or deposition of amyloid ⁇ protein.
- the present invention for example, provides the inventions described in the following items.
- a method for treating or preventing Alzheimer dementia, mild cognitive impairment or prodromal Alzheimer's disease, for preventing the progression of Alzheimer dementia, mild cognitive impairment, or prodromal Alzheimer's disease, or for preventing the progression in a patient asymptomatic at risk for Alzheimer dementia comprising administering the compound according to any one of items (1) to (8), or a pharmaceutically acceptable salt thereof.
- a pharmaceutical composition comprising the compound according to any one of items (1) to (8), or a pharmaceutically acceptable salt thereof for treating or preventing Alzheimer dementia.
- a method for treating or preventing Alzheimer dementia comprising administering the compound according to any one of items (1) to (8) , or a pharmaceutically acceptable salt thereof.
- a pharmaceutical composition comprising the compound of any one of items (1) to (8), or a pharmaceutically acceptable salt thereof, for oral administration.
- the pharmaceutical composition of (25) which is a tablet, powder, granule, capsule, pill, film, suspension, emulsion, elixir, syrup, lemonade, spirit, aromatic water, extract, decoction or tincture.
- the pharmaceutical composition of (26) which is a sugar-coated tablet, film-coated tablet, enteric-coated tablet, sustained-release tablet, troche tablet, sublingual tablet, buccal tablet, chewable tablet, orally disintegrated tablet, dry syrup, soft capsule, micro capsule or sustained-release capsule.
- a pharmaceutical composition comprising the compound of any one of items (1) to (8), or a pharmaceutically acceptable salt thereof, for parenteral administration.
- a pharmaceutical composition comprising the compound of any one of items (1) to (8), or a pharmaceutically acceptable salt thereof, for a pediatric or geriatric patient.
- a pharmaceutical composition consisting of a combination of the compound of any one of items (1) to (8) or a pharmaceutically acceptable salt thereof and acetylcholinesterase inhibitor, NMDA antagonist, or other medicament for Alzheimer dementia.
- a pharmaceutical composition comprising the compound of any one of items (1) to (8), or a pharmaceutically acceptable salt thereof, for a combination therapy with acetylcholinesterase inhibitor, NMDA antagonist, or other medicament for Alzheimer dementia.
- the compound of the present invention has BACE1 inhibitory activity and is useful as an agent for treating and/or preventing disease induced by production, secretion or deposition of amyloid ⁇ proteins such as Alzheimer dementia.
- the term of “consisting of” means having only components.
- the term of “comprising” means not restricting with components and not excluding undescribed factors.
- the "halogen” includes fluorine, chlorine, bromine, and iodine. Fluorine and chlorine are preferable.
- the "alkyl” includes linear or branched alkyl of a carbon number of 1 to 15, for example, a carbon number of 1 to 10, for example, a carbon number of 1 to 6, and for example, a carbon number of 1 to 4.
- Examples include methyl, ethyl, n-propyl, isopropyl, n-butyl, isobutyl, sec-butyl, tert-butyl, n-pentyl, isopentyl, neopentyl, hexyl, isohexyl, n-heptyl, isoheptyl, n-octyl, isooctyl, n-nonyl and n-decyl.
- alkyl is methyl, ethyl, n-propyl, isopropyl or tert-butyl.
- alkenyl includes linear or branched alkenyl of a carbon number or 2 to 15, for example, a carbon number of 2 to 10, for example, a carbon number of 2 to 6, and for example, a carbon number of 2 to 4, having one or more double bonds at any available positions.
- Examples include vinyl, allyl, propenyl, isopropenyl, butenyl, isobutenyl, prenyl, butadienyl, pentenyl, isopentenyl, pentadienyl, hexenyl, isohexenyl, hexadienyl, heptenyl, octenyl, nonenyl, decenyl, undecenyl, dodecenyl, tridecenyl, tetradecenyl and pentadecenyl.
- Examples are vinyl, allyl, propenyl, isopropenyl and butenyl.
- alkynyl includes a linear or branched alkynyl of a carbon number of 2 to 15, for example, a carbon number of 2 to 10, for example, a carbon number of 2 to 8, for example, a carbon number of 2 to 6, and for example, a carbon number of 2 to 4 having one or more triple bonds at optionally positions.
- Specific examples are ethynyl, propynyl, butynyl, pentynyl, hexynyl, heptynyl, octynyl, nonynyl and decynyl. These may have further a double bond at any available position. Examples are ethynyl, propynyl, butynyl and pentynyl.
- alkylene include a linear or branched divalent carbon chain of a carbon number of 1 to 15, for example, a carbon number of 1 to 10, for example, a carbon number of 1 to 6, and for example a carbon number of 1 to 4. Examples are methylene, dimethylene, trimethylene, tetramethylene, pentamethylene and hexamethylene. Alkylene portion in “alkylenedioxy” is the same as the above “alkylene”. Examples are methylenedioxy and dimethylenedioxy.
- aromatic carbocyclyl includes an aromatic hydrocarbon group which is monocyclic or which consists of two or more rings. Examples are an aromatic hydrocarbon group of a carbon number of 6 to 14, and specific examples are phenyl, naphthyl, anthryl and phenanthryl. In one embodiment, “aromatic carbocyclyl” is phenyl.
- non-aromatic carbocyclyl also includes a cyclic group having a bridge or a cyclic group to form a spiro ring as follows:
- non-aromatic monocyclic carbocyclyl includes a group having 3 to 16 carbon atoms, for example, 3 to 12 carbon atoms, for example, 3 to 8 carbon atoms, and for example, 3 to 5 carbon atoms.
- cycloalkyl includes a carbocyclic group of a carbon number of 3 to 10, for example, a carbon number of 3 to 8, and for example, a carbon number 4 to 8. Examples are cyclopropyl, cyclobutyl, cyclopentyl, cyclohexyl, cycloheptyl, cyclooctyl, cyclononyl and cyclodecyl. Cycloalkyl portion in “cycloalkylalkyl", “cycloalkylamino” and “cycloalkylalkyloxy” are the same as the above "cycloalkyl".
- aromatic heterocyclyl includes an aromatic group which is monocyclic, or which consists of two or more rings, containing one or more of heteroatoms selected independently from oxygen, sulfur and nitrogen atoms.
- An “aromatic heterocyclyl” of two or more rings includes a fused cyclic group wherein aromatic monocyclic heterocyclyl or non-aromatic heterocyclyl consisting of two or more rings is fused with a ring of the above “aromatic carbocyclyl”.
- aromatic monocyclic heterocyclyl includes a 5- to 8-membered group, and for example, 5- to 6- membered group.
- Examples are pyrrolyl, imidazolyl, pyrazolyl, pyridyl, pyridazinyl, pyrimidinyl, pyrazinyl, triazolyl, triazinyl, tetrazolyl, furyl, thienyl, isoxazolyl, oxazolyl, oxadiazolyl, isothiazolyl, thiazolyl and thiadiazolyl.
- aromatic bicyclic heterocyclyl includes a 9- to 10-membered group, and examples are indolinyl, isoindolinyl, indazolinyl, indolizinyl, quinolinyl, isoquinolinyl, cinnolinyl, phthalazinyl, quinazolinyl, naphthyridinyl, quinoxalinyl, purinyl, pteridinyl, benzimidazolyl, benzisoxazolyl, benzoxazolyl, benzoxadiazolyl, benzisothiazolyl, benzothiazolyl, benzothiadiazolyl, benzofuryl, isobenzofuryl, benzothienyl, benzotriazolyl, imidazopyridyl, triazolopyridyl, imidazothiazolyl, pyrazinopyridazinyl, oxazolopyridyl and thiazolop
- aromatic heterocyclyl of three or more rings includes a 13 to 14-membered group, and examples are carbazolyl, acridinyl, xanthenyl, phenothiazinyl, phenoxathiinyl, phenoxazinyl and dibenzofuryl.
- non-aromatic heterocyclyl includes a non-aromatic group which is monocyclic, or which consists of two or more rings, containing one or more of heteroatoms selected independently from oxygen, sulfur and nitrogen atoms.
- a “non-aromatic heterocyclyl” of two or more rings includes (i) a fused cyclic group wherein non-aromatic monocyclic heterocyclyl or non-aromatic heterocyclyl of two or more rings is fused with a ring of the above “aromatic carbocyclyl”, “non-aromatic carbocyclyl” and/or “aromatic heterocyclyl”, and (ii) a fused cyclic group wherein aromatic heterocyclyl is fused with non-aromatic carbocyclyl.
- non-aromatic heterocyclyl also includes a cyclic group having a bridge or a cyclic group to form a spiro ring as follows:
- non-aromatic monocyclic heterocyclyl includes a 3- to 8-membered ring, and for example, 4-, 5- or 6-membered ring.
- Examples are dioxanyl, thiiranyl, oxiranyl, oxetanyl, oxathiolanyl, azetidinyl, thianyl, thiazolidinyl, pyrrolidinyl, pyrrolinyl, imidazolidinyl, imidazolinyl, pyrazolidinyl, pyrazolinyl, piperidyl, piperazinyl, morpholinyl, morpholino, thiomorpholinyl, thiomorpholino, dihydropyridyl, tetrahydropyridyl, tetrahydrofuryl, tetrahydropyranyl, dihydrothiazolyl, tetrahydrothiazolyl, tetrahydroisothiazolyl, dihydrooxazinyl, hexahydroazepinyl, tetrahydrodiazepinyl, tetra
- alkyloxy includes a group wherein an oxygen atom is substituted with the above “alkyl”. Examples are methyloxy, ethyloxy, n-propyloxy, isopropyloxy, n-butyloxy, tert-butyloxy, isobutyloxy, sec-butyloxy, pentyloxy, isopentyloxy and hexyloxy. In one embodiment, “alkyloxy” is methyloxy, ethyloxy, n-propyloxy, isopropyloxy or tert-butyloxy.
- alkenyloxy includes a group wherein an oxygen atom is substituted with the above “alkenyl”. Examples are vinyloxy, allyloxy, 1-propenyloxy, 2-butenyloxy, 2-pentenyloxy, 2-hexenyloxy, 2-heptenyloxy and 2-octenyloxy.
- alkynyloxy includes a group wherein an oxygen atom is substituted with the above “alkynyl”. Examples are ethynyloxy, 1-propynyloxy, 2-propynyloxy, 2-butynyloxy, 2-pentynyloxy, 2-hexynyloxy, 2-heptynyloxy and 2-octynyloxy.
- haloalkyl includes a group wherein one or more hydrogen atoms attached to one or more carbon atoms of the above “alkyl” are replaced with one or more above “halogen”.
- Examples are monofluoromethyl, monofluoroethyl, monofluoropropyl, difluoromethyl, difluoroethyl, difluoropropyl, trifluoromethyl, trifluoroethyl, trifluoropropyl, pentafluoropropyl, monochloromethyl, monochloroethyl, monochloropropyl, dichloromethyl, dichloroethyl, dichloropropyl, trichloromethyl, trichloroethyl, trichloropropyl, pentachloropropyl, 1-fluoroethyl, 2-fluoroethyl, 1,1-difluoroethyl, 2,2-difluoroethyl, 2,2,
- Examples are monofluoromethyl, difluoromethyl, trifluoromethyl, 1-fluoroethyl, 1,1-difluoroethyl, and 2,2-difluoroethyl. Examples are monofluoromethyl, difluoromethyl, 1-fluoroehtyl, 1,1-difluoroethyl and 2,2-difluoroethyl.
- dihalomethyl includes a group wherein the above "alkyl” is substituted with two halogen groups. Examples are difluoromethyl and dichloromethyl.
- haloalkenyl includes a group wherein one or more hydrogen atoms attached to one or more carbon atoms of the above “alkenyl” are replaced with one or more above "halogen". Examples are monofluorovinyl, monofluoroallyl, monofluoropropenyl, difluorovinyl, difluoroallyl and difluoropropenyl.
- haloalkynyl includes a group wherein one or more hydrogen atoms attached to one or more carbon atoms of the above "alkynyl” are replaced with one or more above "halogen".
- Examples are fluoroethynyl, monofluoropropynyl, difluoropropynyl, monofluorobutynyl, chloroethynyl, monochloropropynyl, monochlorobutynyl and dichloropropynyl.
- haloalkyloxy includes a group wherein an oxygen atom is substituted with the above “haloalkyl”. Examples are monofluoromethyloxy, monofluoroethyloxy, difluoromethyloxy, 1,1-difluoroethyloxy, 2,2-difluoroethyloxy, trifluoromethyloxy, trichloromethyloxy, 2,2,2-trifluoroethyloxy and trichloroethyloxy. In one embodiment, “haloalkyloxy” is difluoromethyloxy, 2,2,2-difluoroethyloxy, trifluoromethyloxy, 2,2,2-trifluoroethyloxy, or trichloromethyloxy.
- alkyloxyalkyl includes a group wherein the above “alkyl” is substituted with the above “alkyloxy”. Examples are methoxymethyl, methoxyethyl and ethoxymethyl.
- alkyloxyalkyloxy includes a group wherein the above “alkyloxy” is substituted with the above “alkyloxy”. Examples are methyloxymethyloxy, methyloxyethyloxy, ethyloxymethyloxy and ethyloxyethyloxy.
- cycloalkylalkyloxy includes a group wherein the above “alkyloxy” is substituted with the above “cycloalkyl”. Examples are cyclopropylmethyloxy, cyclopropylethyloxy, cyclobutylmethyloxy and cyclobutylethyloxy.
- alkylcarbonyl includes a group wherein a carbonyl group is substituted with the above “alkyl”. Examples are methylcarbonyl, ethylcarbonyl, n-propylcarbonyl, isopropylcarbonyl, tert-butylcarbonyl, isobutylcarbonyl, sec-butylcarbonyl, pentylcarbonyl, isopentylcarbonyl and hexylcarbonyl. Examples are methylcarbonyl, ethylcarbonyl and n-propylcarbonyl.
- alkenylcarbonyl includes a group wherein a carbonyl group is substituted with the above “alkenyl”. Examples are ethylenylcarbonyl, propenylcarbonyl and butenylcarbonyl.
- alkynylcarbonyl includes a group wherein a carbonyl group is substituted with the above “alkynyl”. Examples are ethynylcarbonyl, propynylcarbonyl and butynylcarbonyl.
- monoalkylamino includes a group wherein a hydrogen atom attached to a nitrogen atom of an amino group is replaced with the above “alkyl”. Examples are methylamino, ethylamino and isopropylamino. In one embodiment, "monoalkylamino" is methylamino or ethylamino.
- dialkylamino includes a group wherein two hydrogen atoms attached to a nitrogen atom of an amino group are replaced with two above “alkyl”. These two alkyl groups may be the same or different. Examples are dimethylamino, diethylamino, N,N-diisopropylamino, N-methyl-N-ethylamino and N-isopropyl-N-ethylamino. In one embodiment, "dialkylamino” is dimethylamino or diethylamino.
- alkylsulfonyl includes a group wherein a sulfonyl group is substituted with the above “alkyl”. Examples are methylsulfonyl, ethylsulfonyl, propylsulfonyl, isopropylsulfonyl, tert-butylsulfonyl, isobutylsulfonyl and sec-butylsulfonyl. In one embodiment, "alkylsulfonyl” is methylsulfonyl or ethylsulfonyl.
- alkyloxyimino includes a group wherein a hydrogen atom attached to a nitrogen atom of an imino group is replaced with the above “alkyloxy”. Examples are methyloxyimino, ethyloxyimino, n-propyloxyimino and isopropyloxyimino.
- alkylcarbonyloxy includes a group wherein an oxygen atom is substituted with the above “alkylcarbonyl”. Examples are methylcarbonyloxy, ethylcarbonyloxy, propylcarbonyloxy, isopropylcarbonyloxy, tert-butylcarbonyloxy, isobutylcarbonyloxy and sec-butylcarbonyloxy. In one embodiment, “alkylcarbonyloxy” is methylcarbonyloxy or ethylcarbonyloxy.
- alkynylcarbonyloxy includes a group wherein an oxygen atom is substituted with the above “alkynylcarbonyl”. Examples are ethynylcarbonyloxy and propynylcarbonyloxy.
- alkyloxycarbonyl includes a group wherein a carbonyl group is substituted with the above “alkyloxy”. Examples are methyloxycarbonyl, ethyloxycarbonyl, propyloxycarbonyl, isopropyloxycarbonyl, tert-butyloxycarbonyl, isobutyloxycarbonyl, sec-butyloxycarbonyl, pentyloxycarbonyl, isopentyloxycarbonyl and hexyloxycarbonyl. In one embodiment, "alkyloxycarbonyl” is methyloxycarbonyl, ethyloxycarbonyl or propyloxycarbonyl.
- alkylsulfanyl includes a group wherein a hydrogen atom attached to a sulfur atom of a sulfanyl group is replaced with the above “alkyl”. Examples are methylsulfanyl, ethylsulfanyl, n-propylsulfanyl, isopropylsulfanyl, tert-butylsulfanyl and isobutylsulfanyl.
- cyanoalkylsulfanyl includes a group wherein the above "alkylsulfanyl” is substituted with a cyano group. Examples are cyanomethylsulfanyl, cyanoethylsulfanyl and cyanopropylsulfanyl.
- alkylsulfinyl includes a group wherein a sulfinyl group is substituted with the above “alkyl”. Examples are methylsulfinyl, ethylsulfinyl, n-propylsulfinyl and isopropylsulfinyl.
- monoalkylcarbamoyl includes a group wherein a hydrogen atom attached to a nitrogen atom of a carbamoyl group is replaced with the above “alkyl”. Examples are methylcarbamoyl, ethylcarbamoyl, n-propylcarbamoyl and isopropylcarbamoyl.
- dialkylcarbamoyl includes a group wherein two hydrogen atom attached to a nitrogen atom of a carbamoyl group are replaced with two above “alkyl”. These two alkyl groups may be the same or different. Examples are dimethylcarbamoyl, diethylcarbamoyl and N-methyl-N-ethylcarbamoyl.
- dialkylsulfamoyl includes a group wherein two hydrogen atoms attached to a nitrogen atom of a sulfamoyl group are replaced with two above “alkyl”. These two alkyl groups may be the same or different. Examples are dimethylsulfamoyl, diethylsulfamoyl and N-methyl-N-ethylsulfamoyl.
- alkylidene includes a divalent group derived from alkane by removing two hydrogen atoms from the same carbon atom. Examples are methylidene, ethylidene, propylidene, isopropylidene, butylidene, pentylidene and hexylidene.
- aromatic carbocyclylalkyl includes alkyl substituted with one or more above “aromatic carbocyclyl”. Examples are benzyl, phenethyl, phenylpropyl, benzhydryl, trityl, naphthylmethyl and a group of the formula of In one embodiment, “aromatic carbocyclylalkyl” is benzyl, phenethyl or benzhydryl.
- aromatic heterocyclylalkyl includes alkyl substituted with one or more above “aromatic heterocyclyl”. Also, “aromatic heterocyclylalkyl” includes “aromatic heterocyclylalkyl” wherein the alkyl portion thereof is substituted with one or more above “aromatic carbocyclyl”, and/or “non-aromatic carbocyclyl”.
- Examples are pyridylmethyl, furanylmethyl, imidazolylmethyl, indolylmethyl, benzothiophenylmethyl, oxazolylmethyl, isoxazolylmethyl, thiazolylmethyl, isothiazolylmethyl, pyrazolylmethyl, isopyrazolylmethyl, pyrrolidinylmethyl, benzoxazolylmethyl and groups of the formula of
- non-aromatic heterocyclylalkyl includes alkyl substituted with one or more above “non-aromatic heterocyclyl”. Also, “non-aromatic heterocyclylalkyl” includes a “non-aromatic heterocyclylalkyl” wherein the alkyl portion thereof is substituted with one or more above “aromatic carbocyclyl”, “non-aromatic carbocyclyl” and/or “aromatic heterocyclyl”. Examples are tetrahydropyranylmethyl, morpholinylmethyl, morpholinylethyl, piperidinylmethyl, piperazinylmethyl and groups of the formula of
- aromatic carbocyclylalkyloxy includes alkyloxy substituted with one or more above “aromatic carbocyclyl”. Examples are benzyloxy, phenethyloxy, phenylpropyloxy, benzhydryloxy, trityloxy, naphthylmethyloxy and a group of the formula of
- non-aromatic carbocyclylalkyloxy includes alkyloxy substituted with one or more above “non-aromatic carbocyclyl”. Also, “non-aromatic carbocyclylalkyloxy” includes a “non-aromatic carbocyclylalkyloxy” wherein the alkyl portion thereof is substituted with one or more above “aromatic carbocyclyl”. Examples are cyclopropylmethyloxy, cyclobutylmethyloxy, cyclopentylmethyloxy, cyclohexylmethyloxy and a group of the formula of
- aromatic heterocyclylalkyloxy includes alkyloxy substituted with one or more above “aromatic heterocyclyl”. Also, “aromatic heterocyclylalkyloxy” includes “aromatic heterocyclylalkyloxy” wherein the alkyl portion thereof is substituted with one or more above “aromatic carbocyclyl”, and/or “non-aromatic carbocyclyl”.
- Examples are pyridylmethyloxy, furanylmethyloxy, imidazolylmethyloxy, indolylmethyloxy, benzothiophenylmethyloxy, oxazolylmethyloxy, isoxazolylmethyloxy, thiazolylmethyloxy, isothiazolylmethyloxy, pyrazolylmethyloxy, isopyrazolylmethyloxy, pyrrolidinylmethyloxy, benzoxazolylmethyloxy and groups of the formula of
- non-aromatic heterocyclylalkyloxy includes alkyloxy substituted with one or more above “non-aromatic heterocyclyl”. Also, “non-aromatic heterocyclylalkyloxy” includes a “non-aromatic heterocyclylalkyloxy” wherein the alkyl portion thereof is substituted with one or more above “aromatic carbocyclyl”, “non-aromatic carbocyclyl” and/or “aromatic heterocyclyl”. Examples are tetrahydropyranylmethyloxy, morpholinylmethyloxy, morpholinylethyloxy, piperidinylmethyloxy, piperazinylmethyloxy and groups of the formula of
- aromatic carbocyclyl alkyloxycarbonyl includes alkyloxycarbonyl substituted with one or more above “aromatic carbocyclyl”. Examples are benzyloxycarbonyl, phenethyloxycarbonyl, phenylpropyloxycarbonyl, benzhydryloxycarbonyl, trityloxycarbonyl, naphthylmethyloxycarbonyl and a group of the formula of
- non-aromatic carbocyclylalkyloxycarbonyl includes alkyloxycarbonyl substituted with one or more above “non-aromatic carbocyclyl”. Also, “non-aromatic carbocyclylalkyloxycarbonyl” includes “non-aromatic carbocyclylalkyloxycarbonyl” wherein the alkyl portion thereof is substituted with one or more above “aromatic carbocyclyl”. Examples are cyclopropylmethyloxycarbonyl, cyclobutylmethyloxycarbonyl, cyclopentylmethyloxycarbonyl, cyclohexylmethyloxycarbonyl and a group of the formula of
- non-aromatic heterocyclyl alkyloxycarbonyl includes alkyloxycarbonyl substituted with one or more above “non-aromatic heterocyclyl”. Also, “non-aromatic heterocyclyl alkyloxycarbonyl” includes “non-aromatic heterocyclyl alkyloxycarbonyl” wherein the alkyl portion thereof is substituted with one or more above “aromatic carbocyclyl”, “non-aromatic carbocyclyl” and/or “aromatic heterocyclyl”.
- Examples are tetrahydropyranylmethyloxycarbonyl, morpholinylmethyloxycarbonyl, morpholinylethyloxycarbonyl, piperidinylmethyloxycarbonyl, piperazinylmethyloxycarbonyl and groups of the formula of
- aromatic carbocyclylalkylamino includes a group wherein one or two hydrogen atoms attached to a nitrogen atom of an amino group is replaced with the above “aromatic carbocyclylalkyl”. Examples are benzylamino, phenethylamino, phenylpropylamino, benzhydrylamino, tritylamino, naphthylmethylamino and dibenzylamino.
- non-aromatic carbocyclylalkylamino includes a group wherein one or two hydrogen atoms attached to a nitrogen atom of an amino group is replaced with the above “non-aromatic carbocyclylalkyl”. Examples are cyclopropylmethylamino, cyclobutylmethylamino, cyclopentylmethylamino and cyclohexylmethylamino.
- non-aromatic heterocyclylalkylamino includes a group wherein one or two hydrogen atoms attached to a nitrogen atom of an amino group is replaced with the above “non-aromatic heterocyclylalkyl”. Examples are tetrahydropyranylmethylamino, morpholinylethylamino, piperidinylmethylamino and piperazinylmethyamino.
- aromatic carbocyclylalkylcarbamoyl includes a group wherein one or two hydrogen atoms attached to a nitrogen atom of a carbamoyl group is replaced with the above “aromatic carbocyclylalkyl”.
- Examples are benzylcarbamoyl, phenethylcarbamoyl, phenylpropylcarbamoyl, benzhydrylcarbamoyl, tritylcarbamoyl, naphthylmethylcarbamoyl and dibenzylcarbamoyl.
- non-aromatic carbocyclylalkylcarbamoyl includes a group wherein one or two hydrogen atoms attached to a nitrogen atom of a carbamoyl group is replaced with the above “non-aromatic carbocyclylalkyl”. Examples are cyclopropylmethylcarbamoyl, cyclobutylmethylcarbamoyl, cyclopentylmethylcarbamoyl and cyclohexylmethylcarbamoyl.
- Examples are pyridylmethylcarbamoyl, furanylmethylcarbamoyl, imidazolylmethylcarbamoyl, indolylmethylcarbamoyl, benzothiophenylmethylcarbamoyl, oxazolylmethylcarbamoyl, isoxazolylmethylcarbamoyl, thiazolylmethylcarbamoyl, isothiazolylmethylcarbamoyl, pyrazolylmethylcarbamoyl, isopyrazolylmethylcarbamoyl, pyrrolidinylmethylcarbamoyl and benzoxazolylmethylcarbamoyl.
- non-aromatic heterocyclylalkylcarbamoyl includes a group wherein one or two hydrogen atoms attached to a nitrogen atom of a carbamoyl group is replaced with the above “non-aromatic heterocyclyl alkyl”. Examples are tetrahydropyranylmethylcarbamoyl, morpholinylethylcarbamoyl, piperidinylmethylcarbamoyl and piperazinylmethycarbamoyl.
- aromatic carbocycle portion of “aromatic carbocycle”, “aromatic carbocyclyloxy”, “aromatic carbocyclylcarbonyl”, “aromatic carbocyclylcarbonyloxy”, “aromatic carbocyclyloxycarbonyl”, “aromatic carbocyclylamino”, “aromatic carbocyclylsulfanyl”, “aromatic carbocyclyl sulfonyl”, “aromatic carbocyclylsulfamoyl” and “aromatic carbocyclylcarbamoyl” means the above “aromatic carbocyclyl”.
- aromatic carbocyclyloxycarbonyl includes a group wherein a carbonyl group is substituted with the above “aromatic carbocyclyloxy”. Examples are phenyloxycarbonyl and naphthyloxycarbonyl.
- aromatic carbocyclylamino includes a group wherein one or two hydrogen atoms attached to a nitrogen atom of an amino group is replaced with the above “aromatic carbocyclyl”. Examples are phenylamino and naphthylamino.
- aromatic carbocyclylsulfanyl includes a group wherein a hydrogen atom attached to a sulfur atom of sulfanyl is replaced with the above “aromatic carbocyclyl”. Examples are phenylsulfanyl and naphthylsulfanyl.
- aromatic carbocyclylsulfonyl includes a group wherein a sulfonyl group is substituted with the above “aromatic carbocyclyl”. Examples are phenylsulfonyl and naphthylsulfonyl.
- aromatic carbocyclylsulfamoyl includes a group wherein one or two hydrogen atoms attached to a nitrogen atom of a sulfamoyl group is replaced with the above “aromatic carbocyclyl”. Examples are phenylsulfamoyl and naphthylsulfamoyl.
- aromatic carbocyclylcarbamoyl includes a group wherein one or two hydrogen atoms attached to a nitrogen atom of a carbamoyl group is replaced with the above “aromatic carbocyclyl”. Examples are phenylcarbamoyl and naphthylcarbamoyl.
- non-aromatic carbocycle portion of "non-aromatic carbocycle”, “non-aromatic carbocyclyloxy”, “non-aromatic carbocyclylcarbonyloxy”, “non-aromatic carbocyclylcarbonyl”, “non-aromatic carbocyclyloxycarbonyl”, “non-aromatic carbocyclylamino”, “non-aromatic carbocyclylsulfanyl”, “non-aromatic carbocyclylsulfonyl”, “non-aromatic carbocyclylsulfamoyl” and “non-aromatic carbocyclylcarbamoyl” means the above “non-aromatic carbocyclyl”.
- non-aromatic carbocyclyloxy includes a group wherein an oxygen atom is substituted with the above “non-aromatic carbocyclyl”. Examples are cyclopropyloxy, cyclohexyloxy and cyclohexenyloxy.
- non-aromatic carbocyclylcarbonyl includes a group wherein a carbonyl group is substituted with the above “non-aromatic carbocyclyl”. Examples are cyclopropylcarbonyl, cyclohexylcarbonyl and cyclohexenylcarbonyl.
- non-aromatic carbocyclylcarbonyloxy includes a group wherein a carbonyloxy group is substituted with the above “non-aromatic carbocyclyl”. Examples are cyclopropylcarbonyloxy, cyclohexylcarbonyloxy and cyclohexenylcarbonyloxy.
- non-aromatic carbocyclyloxycarbonyl includes a group wherein a carbonyl group is substituted with the above “non-aromatic carbocyclyloxy”. Examples are cyclopropyloxycarbonyl, cyclohexyloxycarbonyl and cyclohexenyloxycarbonyl.
- non-aromatic carbocyclylamino includes a group wherein one or two hydrogen atoms attached to a nitrogen atom of an amino group is replaced with the above “non-aromatic carbocyclyl”. Examples are cyclopropylamino, cyclohexylamino and cyclohexenylamino.
- non-aromatic carbocyclylsulfanyl includes a group wherein a hydrogen atom attached to a sulfur atom of a sulfanyl is replaced with the above “non-aromatic carbocyclyl”. Examples are cyclopropylsulfanyl, cyclohexylsulfanyl and cyclohexenylsulfanyl.
- non-aromatic carbocyclylsulfonyl includes a group wherein a sulfonyl group is substituted with the above “non-aromatic carbocyclyl”.
- non-aromatic carbocyclylsulfamoyl includes a group wherein one or two hydrogen atoms attached to a nitrogen atom of a sulfamoyl group is replaced with the above “non-aromatic carbocyclyl”.
- Examples are cyclopropylsulfamoyl, cyclohexylsulfamoyl and cyclohexenylsulfamoyl.
- non-aromatic carbocyclylcarbamoyl includes a group wherein one or two hydrogen atoms attached to a nitrogen atom of a carbamoyl group is replaced with the above “non-aromatic carbocyclyl”. Examples are cyclopropylcarbamoyl, cyclohexylcarbamoyl and cyclohexenylcarbamoyl.
- aromatic heterocycle in ring B are pyridine, pyrazine, pyrimidine, pyridazine, oxazole and pyrazole.
- aromatic heterocyclyloxy includes a group wherein an oxygen atom is substituted with the above “aromatic heterocyclyl”. Examples are pyridyloxy and oxazolyloxy.
- aromatic heterocyclylcarbonyl includes a group wherein a carbonyl group is substituted with the above “aromatic heterocyclyl”. Examples are pyridylcarbonyl and oxazolylcarbonyl.
- aromatic heterocyclylcarbonyloxy includes a group wherein a carbonyloxy group is substituted with the above “aromatic heterocyclyl”. Examples are pyridylcarbonyloxy and oxazolylcarbonyloxy.
- aromatic heterocyclyloxycarbonyl includes a group wherein a carbonyl group is substituted with the above “aromatic heterocyclyloxy”. Examples are pyridyloxycarbonyl and oxazolyloxycarbonyl.
- aromatic heterocyclylamino includes a group wherein one or two hydrogen atoms attached to a nitrogen atom of an amino group is replaced with the above “aromatic heterocyclyl”. Examples are pyridylamino and oxazolylamino.
- aromatic heterocyclylsulfanyl includes a group wherein a hydrogen atom attached to a sulfur atom of sulfanyl is replaced with the above “aromatic heterocyclyl”. Examples are pyridylsulfanyl and oxazolylsulfanyl.
- aromatic heterocyclylsulfonyl includes a group wherein a sulfonyl group is substituted with the above “aromatic heterocyclyl”. Examples are pyridylsulfonyl and oxazolylsulfonyl.
- aromatic heterocyclylsulfamoyl includes a group wherein one or two hydrogen atoms attached to a nitrogen atom of a sulfamoyl group is replaced with the above “aromatic heterocyclyl”. Examples are pyridylsulfamoyl and oxazolylsulfamoyl.
- aromatic heterocyclylcarbamoyl includes a group wherein one or two hydrogen atoms attached to a nitrogen atom of a carbamoyl group is replaced with the above “aromatic heterocyclyl”. Examples are pyridylcarbamoyl and oxazolylcarbamoyl.
- non-aromatic heterocycle portion of "non-aromatic heterocycle”, “non-aromatic heterocyclyloxy”, “non-aromatic heterocyclylcarbonyl”, “non-aromatic heterocyclylcarbonyloxy”, “non-aromatic heterocyclyloxycarbonyl”, “non-aromatic heterocyclylamino”, “non-aromatic heterocyclylsulfanyl”, “non-aromatic heterocyclylsulfonyl”, “non-aromatic heterocyclylsulfamoyl” and “non-aromatic heterocyclylcarbamoyl” means the above “non-aromatic heterocyclyl”.
- non-aromatic heterocyclyloxy includes a group wherein an oxygen atom is substituted with the above “non-aromatic heterocyclyl”. Examples are piperidinyloxy and tetrahydrofuryloxy.
- non-aromatic heterocyclylcarbonyl includes a group wherein a carbonyl group is substituted with the above “non-aromatic heterocyclyl”. Examples are piperidinylcarbonyl and tetrahydrofurylcarbonyl.
- non-aromatic heterocyclylcarbonyloxy includes a group wherein a carbonyloxy group is substituted with the above “non-aromatic heterocyclyl”.
- non-aromatic heterocyclyloxycarbonyl includes a group wherein a carbonyl group is substituted with the above “non-aromatic heterocyclyloxy”.
- Examples are piperidinyloxycarbonyl and tetrahydrofuryloxycarbonyl.
- non-aromatic heterocyclylsulfonyl includes a group wherein a sulfonyl group is substituted with the above “non-aromatic heterocyclyl”.
- Examples are piperidinylsulfonyl and tetrahydrofurylsulfonyl.
- non-aromatic heterocyclylsulfamoyl includes a group wherein one or two hydrogen atoms attached to a nitrogen atom of a sulfamoyl group is replaced with the above “non-aromatic heterocyclyl”. Examples are piperidinylsulfamoyl and tetrahydrofurylsulfamoyl.
- non-aromatic heterocyclylcarbamoyl includes a group wherein one or two hydrogen atoms attached to a nitrogen atom of a carbamoyl group is replaced with the above “non-aromatic heterocyclyl”. Examples are piperidinylcarbamoyl and tetrahydrofurylcarbamoyl.
- substituents of "substituted or unsubstituted aromatic carbocycle”, “substituted or unsubstituted non-aromatic carbocycle”, “substituted or unsubstituted aromatic heterocycle”, “substituted or unsubstituted non-aromatic heterocycle”, “substituted or unsubstituted pyridine”, “ substituted or unsubstituted pyrazine”, “substituted or unsubstituted pyrimidine” or “substituted or unsubstituted pyridazine” in ring B include (a) a group selected from the substituent group ⁇ , for example, halogen, hydroxy, alkyloxy, formyl, alkylcarbonyl, alkenylcarbonyl, alkynylcarbonyl, aromatic carbocyclylcarbonyl, non-aromatic carbocyclylcarbonyl, aromatic heterocyclylcarbonyl, non-
- substituents of "substituted or unsubstituted aromatic carbocycle”, “substituted or unsubstituted non-aromatic carbocycle”, “substituted or unsubstituted aromatic heterocycle", “substituted or unsubstituted non-aromatic heterocycle”, “substituted or unsubstituted pyridine”, “ substituted or unsubstituted pyrazine”, “substituted or unsubstituted pyrimidine” or “substituted or unsubstituted pyridazine” in ring B are one or more selected from halogen; cyano; hydroxy; nitro; carboxy; alkyl substituted with one or more substituents selected from the substituent group ⁇ ; unsubstituted alkyl; alkenyl substituted with one or more substituents selected from the substituent group ⁇ ; unsubstituted alkenyl; alkynyl substituted
- substituents of ring B are one or more selected from halogen, cyano, hydroxy, alkyl, haloalkyl, cycloalkylalkyl, alkyloxy, haloalkyloxy, alkyloxyalkyloxy, cyanoalkyloxy, alkenyl, haloalkenyl, alkynyl, haloalkynyl, alkenyloxy, alkynyloxy, alkylsulfanyl, cyanoalkylsulfanyl, amino, monoalkylamino, dialkylamino, cycloalkylamino and cycloalkyl.
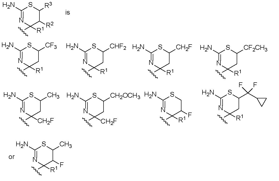
- R 1 is alkyl, R 1 is methyl, R 1 is haloalkyl, R 1 is -CH 2 F, R 2 is H, R 2 is halogen, R 2 is F, R 3 is H, R 3 is alkyl, R 3 is Me, R 3 is alkyloxyalkyl, R 3 is -CH 2 OMe, R 3 is haloalkyl, R 3 is -CH 2 F, R 3 is -CHF 2 , R 3 is -CF 2 CH 3 , R 3 is -CF 3 , R 3 is haloalkyl substituted with cycloalkyl, R 3 is -CF 2 -cyclopropyl, R 4 is H, R 4 is halogen, R 4 is H, R 4 is halogen, R 4
- R 1 is alkyl and ring B is B1 in the formula (I), (IA), (IB), (IC), (IE), (IH), (II) or (IJ). In one embodiment, R 1 is alkyl and ring B is B2 in the formula (I), (IA), (IB), (IC), (IE), (IH), (II) or (IJ). In one embodiment, R 1 is alkyl and ring B is B3 in the formula (I), (IA), (IB), (IC), (IE), (IH), (II) or (IJ).
- R 1 is alkyl and ring B is B4 in the formula (I), (IA), (IB), (IC), (IE), (IH), (II) or (IJ).
- R 1 is alkyl and ring B is B5 in the formula (I), (IA), (IB), (IC), (IE), (IH), (II), (IJ) or (IK).
- R 1 is alkyl and ring B is B6 in the formula (I), (IA), (IB), (IC), (IE), (IH), (II), (IJ) or (IK).
- R 1 is alkyl and ring B is B7 in the formula (I), (IA), (IB), (IC), (IE), (IH), (II) or (IJ).
- R 1 is haloalkyl and ring B is B1 in the formula (I), (IA), (IB), (IC), (IE), (IH), (II) or (IJ).
- R 1 is haloalkyl and ring B is B2 in the formula (I), (IA), (IB), (IC), (IE), (IH), (II) or (IJ).
- R 1 is haloalkyl and ring B is B3 in the formula (I), (IA), (IB), (IC), (IE), (IH), (II) or (IJ).
- R 1 is haloalkyl and ring B is B4 in the formula (I), (IA), (IB), (IC), (IE), (IH), (II) or (IJ).
- R 1 is haloalkyl and ring B is B5 in the formula (I), (IA), (IB), (IC), (IE), (IH), (II), (IJ) or (IK).
- R 1 is haloalkyl and ring B is B6 in the formula (I), (IA), (IB), (IC), (IE), (IH), (II), (IJ) or (IK).
- R 1 is haloalkyl and ring B is B7 in the formula (I), (IA), (IB), (IC), (IE), (IH), (II) or (IJ).
- R 1 is -CH 2 F and ring B is B1 in the formula (I), (IA), (IB), (IC), (IE), (IH), (II) or (IJ).
- R 1 is -CH 2 F and ring B is B2 in the formula (I), (IA), (IB), (IC), (IE), (IH), (II) or (IJ).
- R 1 is -CH 2 F and ring B is B3 in the formula (I), (IA), (IB), (IC), (IE), (IH), (II) or (IJ).
- R 1 is -CH 2 F and ring B is B4 in the formula (I), (IA), (IB), (IC), (IE), (IH), (II) or (IJ).
- R 1 is -CH 2 F and ring B is B5 in the formula (I), (IA), (IB), (IC), (IE), (IH), (II), (IJ) or (IK).
- R 1 is -CH 2 F and ring B is B6 in the formula (I), (IA), (IB), (IC), (IE), (IH), (II), (IJ) or (IK).
- R 1 is -CH 2 F and ring B is B7 in the formula (I), (IA), (IB), (IC), (IE), (IH), (II) or (IJ).
- R 1 is haloalkyl
- R 1 is haloalkyl
- R 1 is haloalkyl
- R 1 is haloalkyl
- R 1 is haloalkyl
- R 1 is -CH 2 F
- R 1 is -CH 2 F
- R 1 is -CH 2 F
- R 1 is -CH 2 F
- R 1 is -CH 2 F
- R 1 is -CH 2 F
- R 1 is -CH 2 F
- R 1 is alkyl
- R 1 is alkyl
- R 1 is alkyl
- R 1 is haloalkyl
- R 1 is haloalkyl
- R 1 is haloalkyl
- R 1 is -CH 2 F
- R 1 is -CH 2 F
- R 1 is -CH 2 F
- Hal is F in the formula (IA), (IB), (IC), (ID), (IE), (IF), (IG), (IH), (IJ) or (IK).
- R 4 is F in the formula (I).
- the compound of formula (I) is not limited to a specific isomer, and includes all possible isomers such as keto-enol isomers, imine-enamine isomers, diastereoisomers, optical isomers and rotation isomers, racemate and the mixture thereof.
- the compound of formula (I) includes the following tautomers.
- the compound of formula (I) has an asymmetric carbon atom and the compound includes the following optical isomers.
- Optically active compounds of formula (I) can be produced by employing an optically active starting material, by obtaining an optically active intermediate in asymmetry synthesis at a suitable stage, or by performing optical resolution of an intermediate or an objective compound, each of which is a racemate, at a suitable stage.
- Examples of a method for optical resolution are separation of an optical isomer using an optically active column; kinetic optical resolution utilizing an enzymatic reaction; crystallization resolution of a diastereomer by salt formation using a chiral acid or a chiral base; and preferential crystallization method.
- One or more hydrogen, carbon and/or other atoms of a compound of formula (I) can be replaced with an isotope of hydrogen, carbon and/or other atoms, respectively.
- isotopes include isotopes of hydrogen, carbon, nitrogen, oxygen, phosphorous, sulfur, fluorine, iodine and chlorine, such as 2 H, 3 H, 11 C, 13 C, 14 C, 15 N, 18 O, 17 O, 31 P, 32 P, 35 S, 18 F, 123 I and 36 Cl, respectively.
- the compound of formula (I) also includes the compound replaced with such isotopes.
- the compound replaced with such isotopes is useful also as a medicament, and includes all the radiolabeled compounds of the compound of formula (I).
- the invention includes "radiolabelling method" for manufacturing the "radiolabeled compound” and the method is useful as a tool of metabolic pharmacokinetic research, the research in binding assay and/or diagnosis.
- a radiolabeled compound of the compound of formula (I) can be prepared by methods known in the art.
- tritiated compounds of formula (I) can be prepared by introducing tritium into the particular compound of formula (I) such as by catalytic dehalogenation with tritium. This method may include reacting a suitably halogenated precursor of a compound of formula (I) with tritium gas in the presence of a suitable catalyst such as Pd/C, in the presence or absence of a base.
- examples include salts with alkaline metals (e.g. lithium, sodium and potassium), alkaline earth metals (e.g. calcium and barium), magnesium, transition metal (e.g. zinc and iron), ammonia, organic bases (e.g. trimethylamine, triethylamine, dicyclohexylamine, ethanolamine, diethanolamine, triethanolamine, meglumine, diethanolamine, ethylenediamine, pyridine, picoline, quinoline), and amino acids, and salts with inorganic acids (e.g.
- crystal means that a compound of formula (I) or a salt thereof and a counter-molecule exists in the same crystal lattice, and it can be formed with any number of counter-molecules.
- the compounds of the present invention represented by formula (I) or pharmaceutically acceptable salts thereof may form prodrugs.
- the present invention also encompasses such various prodrugs.
- Prodrugs are derivatives of the compounds of the present invention that have chemically or metabolically degradable groups and are compounds that are converted to the pharmaceutically active compounds of the present invention through solvolysis or under physiological conditions in vivo.
- Prodrugs include compounds that are converted to the compounds represented by formula (I) through enzymatic oxidation, reduction, hydrolysis and the like under physiological conditions in vivo and compounds that are converted to the compounds represented by formula (I) through hydrolysis by gastric acid and the like. Methods for selecting and preparing suitable prodrug derivatives are described, for example, in the Design of Prodrugs, Elsevier, Amsterdam 1985.
- prodrugs themselves may be active compounds.
- prodrugs include acyloxy derivatives and sulfonyloxy derivatives which can be prepared by reacting a compound having a hydroxy group with a suitable acid halide, suitable acid anhydride, suitable sulfonyl chloride, suitable sulfonylanhydride and mixed anhydride or with a condensing agent.
- Examples are CH 3 COO-, C 2 H 5 COO-, t-BuCOO-, C 15 H 31 COO-, PhCOO-, (m-NaOOCPh)COO-, NaOOCCH 2 CH 2 COO-, CH 3 CH(NH 2 ) COO-, CH 2 N(CH 3 ) 2 COO-, CH 3 SO 3 -, CH 3 CH 2 SO 3 -, CF 3 SO 3 -, CH 2 FSO 3 -, CF 3 CH 2 SO 3 -, p-CH 3 -O-PhSO 3 -, PhSO 3 - and p-CH 3 PhSO 3 -.
- the compounds of formula (I) may be prepared by the methods described below, together with synthetic methods known to a person skilled in the art.
- the starting materials are commercially available or may be prepared in accordance with known methods.
- P 1 is alkyl
- each of P 2 is hydrogen or a protective group such as alkyl, benzoyl, benzyl, 4-methoxybenzyl or 2,4-dimethoxybenzylre
- Y is halogen (e.g., Br, I), nitro, or trifluoroacetylamino (-NHCOCF 3 ), and other symbols are the same as defined above.
- General Procedure A is a method for preparing compounds of formula (I) from compounds of formula (A1) through multiple steps of Step 1 to Step 6.
- protective groups P 1 and P 2 can be chosen depending on the reaction conditions used in later steps.
- the starting material of formula (A1) can be prepared in a manner similar to the conditions described in Chem. Rev. 2010, 110, 3600-3740.
- Step1 Compounds of formula (A2) can be prepared by Mannich reaction of sulfinyl imine (A1) with enolates derived from the corresponding esters. This type of reactions can be conducted using the conditions described in Chem. Rev. 2010, 110, 3600-3740.
- the enolates can be prepared from the corresponding esters, lithium diisopropylamide (LDA), and TiCl(Oi-Pr)3, which can be then reacted with compounds of formula (A1) to give compounds of formula (A2).
- LDA lithium diisopropylamide
- TiCl(Oi-Pr)3 titanium chloride
- Examples of the solvent include tetrahydrofuran, 1,4-dioxanne, 1,2-dimethoxyethane, diethyl ether, toluene, and benzene.
- the reaction temperature is preferably -78 °C to -30 °C.
- the reaction time is not particularly limited and is usually 5 minutes to 24 hours, preferably 30 minutes to 24 hours.
- compounds of formula (A2) can be obtained by reacting compounds of formula (A1) with the corresponding ester in the presence of zinc powder (the Reformatsky reaction). The reaction can be done in ether solvents such as tetrahydrofuran, 1,4-dioxane, and dimethoxyethane in the presence of an excess amount of zinc powder.
- the zinc powder is activated by treatment with an aqueous HCl solution prior to the reaction.
- the activation can be achieved according to the method described in Organic Process Res. Dev. 2009, 13, 1094-1099.
- the reaction temperature is usually ice-cold temperature to solvent reflux temperature.
- the reaction time changes depending on the starting material, it is generally 0.5 to 6 hours.
- Step 2 Compounds of formula (A3) can be prepared by deprotection of compounds of formula (A2).
- This deprotection reaction is known to a person skilled in the art and can be performed under the conditions described in Chem. Rev. 2010, 110, 3600-3740.
- the reaction can be conducted under acidic conditions using e.g. hydrochloric acid at room temperature to 60 °C.
- the solvent include methanol, 1,4-dioxane, and ethyl acetate.
- the reaction time is not particularly limited and is usually 1 hour to 24 hours, preferably 1 hour to 6 hours.
- Step 3 Compounds of formula (A4) can be prepared by reaction of compounds of formula (A3) with reagents such as benzoyl isothiocyanate and benzyl isothiocyanate.
- reagents such as benzoyl isothiocyanate and benzyl isothiocyanate.
- the solvent used in this step is not particularly limited in so far as it does not interfere with the reaction. Examples of the solvent include dichloromethane, tetrahydrofuran, 1,4-dioxane, 1,2-dimethoxyethane, and toluene.
- Step 4 Compounds of formula (A5) can be prepared by reaction of compounds of formula (A4) with Grignard reagents such as methyl magnesium bromide and ethyl magnesium bromide and alkyl lithium reagents such as methyllithium, butyllithium, and phenyllithium. Stepwise addition of these nucleophiles can provide compounds of formula (A5) with various substituents of R 3 .
- the solvent used is not particularly limited in so far as it does not interfere with the reaction.
- Preferable examples of the solvent include tetrahydrofuran, 1,4-dioxane, 1,2-dimethoxyethane, diethyl ether, toluene, and benzene.
- the reaction time is not particularly limited and is usually 5 minutes to 24 hours, preferably 5 minutes to 6 hours.
- the reaction temperature is usually -100 °C to room temperature, preferably -78 °C to 0 °C.
- Step 5 Compounds of formula (A6) can be prepared by cyclization reaction of compounds of formula (A5) by converting the hydroxyl group into leaving groups such as Cl, Br, and triflate.
- the reaction conditions are known to those skilled in the art. For example, chlorination followed by cyclization may be achieved using reagents such as 1-chloro-N,N,2-trimethylpropenylamine. Alternatively, triflic anhydride may be used in the presence of bases such as N,N-dimethyl-4-aminopyridine and pyridine.
- P 2 is benzoyl
- the deprotection can be conducted with bases such as hydrazine hydrate or potassium carbonate using the solvent such as methanol and ethanol at room temperature to 80 °C.
- Nitration of the deprotected compounds can be conducted by methods known to a person skilled in the art.
- the nitrated compounds can be obtained by use of nitric acid or nitrate in solvents such as sulfuric acid or mixed solvent of sulfuric and trifluoroacetic acid.
- the reaction temperature is usually -20 °C to 0 °C.
- the reaction time is usually 1 minute to 1 hour.
- the amidine group in the deprotected compounds can be protected by Boc under the conditions described in Greene's Protective Groups in Organic Synthesis.
- the Boc protection can be conducted using Boc 2 O and a catalytic amount of N,N-dimethyl-4-aminopyridine in solvents such as dichloromethane and tetrahydrofuran at room temperature to 50 °C.
- Amide coupling reaction of the aniline with carboxylic acids can be conducted by a method known to a person skilled in the art, and suitable coupling conditions can be found in Chem. Rev. 2011, 111, 6557-6602, which includes: a) reactions using condensation reagents; b) reactions using acid chlorides or fluorides.
- Reaction a) can be conducted by use of condensation reagents such as dicyclohexylcarbodiimide (DCC), diisopropylcarbodiimide (DIC), 1-ethyl-3-(3-dimethylaminopropyl) carbodiimide hydrochloride (EDC hydrochloride), O-(7-aza-1H-benzotriazol-1-yl)-N,N,N',N'-tetramethyluronium hexafluorophosphate (HATU), and 1H-Benzotriazol-1-yloxy-tri(pyrrolidino) phosphonium hexafluorophosphate (PyBOP).
- DCC dicyclohexylcarbodiimide
- DIC diisopropylcarbodiimide
- EDC hydrochloride 1-ethyl-3-(3-dimethylaminopropyl) carbodiimide hydrochloride
- HATU O-(7
- the reaction can be performed in the presence of bases such as triethylamine and diisopropylethylamine.
- bases such as triethylamine and diisopropylethylamine.
- the reaction may be accelerated by use of catalysts such as 1-hydroxy-benzotriazole (HOBt) and 1-hydroxy-7-aza-benzotriazole (HOAt).
- the solvent used in the reaction is not particularly limited in so far as it does not interfere with the reaction. Examples of the solvent include dichloromethane, N,N-dimethylformamide(DMF), N-methylpyrrolidone(NMP), and tetrahydrofuran.
- the reaction temperature is usually 0 °C to 50 °C and is preferably room temperature.
- Reaction b) can be performed by use of commercially available acid chlorides or those synthesized by known methods to a person skilled in the art in solvents such as dichloromethane, tetrahydrofuran, and ethyl acetate in the presence of bases such as triethylamine, diisopropylethylamine, pyridine, and N,N-dimethyl-4-aminopyridine.
- the reaction temperature is usually 0 °C to 60 °C and is preferably 0 °C to room temperature.
- the reaction time is not particularly limited and is usually 5 minutes to 24 hours, preferably 20 minutes to 6 hours.
- Y Br or I: Buchwald-Hartwig reaction of compounds of formula (A6) with amide derivatives can be conducted by a methods described in Metal-Catalyzed Cross-Coupling Reactions, 2nd ed.
- this reaction can be performed by use of transition metal catalysts such as tris(dibenzylideneacetone) dipalladium and palladium acetate and ligands such as 2,2'-bis(diphenylphosphino)-1,1'-binaphthyl (BINAP), 4,5-Bis(diphenylphosphino)-9,9-dimethylxanthene (Xantphos), and 2-Dicyclohexylphosphino-2',4',6'-triisopropylbiphenyl (X-Phos) in the presence of bases such as sodium tert-butoxide, cesium carbonate, and potassium phosphate.
- bases such as sodium tert-butoxide, cesium carbonate, and
- the reaction temperature is usually 40 °C to 150 °C and is preferably 60 °C to 100 °C. This reaction may be accelerated by microwave irradiation.
- the solvent include toluene, benzene, xylene, tetrahydrofuran, 1,4-dioxane, and 1,2-dimethoxyethane.
- Y trifluoroacetylamino:
- Deprotection of the trifluoroacetylamino group in compounds of formula (A6) can be conducted by a methods known to a person skilled in the art. Suitable conditions can be found in Greene's Protective Groups in Organic Synthesis. For example, use of potassium carbonate in methanol at room temperature may be a usual method, but not limited to. The following amide coupling reaction and deprotection of P 2 can be conducted under the same conditions described above.
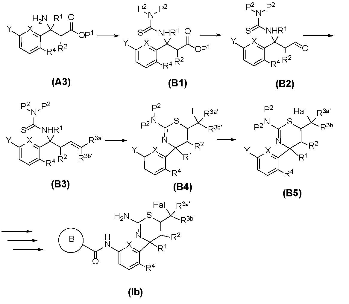
- General Procedure B is a method for preparing compounds of formula (Ib) from compounds of formula (A3) through multiple steps.
- compounds of formula (B5) can be prepared according to the methods described in General procedure A.
- Step 1 Compounds of formula (B1) can be prepared by thiourea formation of compounds of formula (A3). This type of reaction is known to those skilled in the art and is usually performed by treatment of compounds of formula (A3) with reagents such as triphosgene, 4-nitrophenyl chloroformate, and carbonyl diimidazole followed by addition of amines such as bis(2,4-dimethoxybenzyl)amine.
- reagents such as triphosgene, 4-nitrophenyl chloroformate, and carbonyl diimidazole followed by addition of amines such as bis(2,4-dimethoxybenzyl)amine.
- Preferable combinations of these reagents may be 4-nitrophenyl chloroformate and bis(2,4-dimethoxybenzyl)amine.
- the reaction can be performed in the presence of bases such as sodium bicarbonate in solvents such as water, tetrahydrofuran, ethyl acetate, and mixture of these solvents.
- bases such as sodium bicarbonate
- solvents such as water, tetrahydrofuran, ethyl acetate, and mixture of these solvents.
- the reaction temperature is usually 0 °C to room temperature.
- the reaction time is not particularly limited and is usually 1 to 12 hours.
- Step 2 Compounds of formula (B2) can be prepared by reduction of compounds of formula (B1).
- This reaction is known to those skilled in the art and is usually preformed using diisobutylaluminium hydride (DIBAL-H).
- the solvents include dichloromethane, tetrahydrofuran, and toluene.
- the reaction temperature is usually below -60 °C and preferably below -70 °C.
- the reaction time is not particularly limited and is usually 1 to 12 hours.
- Step 3 Compounds of formula (B3) can be prepared by Wittig reaction of compounds of formula (B2) with the corresponding phosphonium ylides.
- Peterson olefination, Horner-Wadsworth-Emmons reaction, Julia coupling, and Knoevenagel condensation may be considered. These reactions are known to those skilled in the art.
- Wittig reaction can be generally conducted by treatment of the corresponding alkyl halide with triphenylphosphine followed by bases such as n-butyl lithium, which can be then added to compounds of formula (B3) in solvents such as tetrahydrofuran.
- the reaction time is not particularly limited and is usually 1 to 12 hours.
- Step 4 Compounds of formula (B4) can be prepared by cyclization of compounds of formula (B3) using iodine.
- the solvent include acetonitrile, tetrahydrofuran, and dichloromethane.
- the reaction temperature is usually 0 °C to 50 °C and preferably room temperature.
- the reaction time is not particularly limited and is usually 1 to 12 hours.
- Compounds of formula (B5) can be prepared by 1) halogenation of compounds of formula (B4); 2) hydroxylation of compounds of formula (B4) followed by deoxohalogenation of the corresponding alcohol.
- halogenation e.g., fluorination
- reagents such as tetrabutylammonium fluoride (TBAF).
- the solvent include acetonitrile and tetrahydrofuran.
- the reaction temperature is usually 0 °C to 50 °C and preferably room temperature.
- the reaction time is not particularly limited and is usually 1 to 12 hours.
- hydroxylation of compounds of formula (B4) can be conducted with reagents such as potassium superoxide (KO 2 ), silver trifluoroacetate, and silver tetrafluoroborate.
- deoxohalogenation e.g., deoxofluorination
- reagents such as N,N-diethylaminosulfur trifluoride (DAST), and bis(2-methoxyethyl)aminosulfur trifluoride (Deoxo-Fluor; Registered trademark).
- DAST N,N-diethylaminosulfur trifluoride
- Deoxo-Fluor bis(2-methoxyethyl)aminosulfur trifluoride
- the solvent include dichloromethane, acetonitrile, and tetrahydrofuran.
- the reaction temperature is usually -78 °C to room temperature and is preferably -78 °C to 0 °C. Alternative conditions can be found in Synthesis 2002, 2561-2578.
- General procedure C In the above formulas, the symbols are the same as defined in General Procedure A.
- General Procedure C is a method for preparing compounds of formula (I) from compounds of formula (C1) through multiple steps. Using compounds of formula (A5), compounds of formula (I) can be prepared according to the methods described in General procedure A. The starting material of formula (C1) can be prepared in a manner similar to the conditions described in Chem. Rev. 2010, 110, 3600-3740.
- Step 1 Compounds of formula (C2) can be prepared by addition of compound of formula (C1) to ketones of formula (R 3 CHO). This reaction can be performed under conditions similar to those described in Chem. Rev. 2010, 110, 3600-3740.
- the ketimines derived from compounds of formula (C1) can be prepared using lithium diisopropylamide followed by addition of ketones (R 3 CHO) to afford compounds of formula (C2).
- the solvent include tetrahydrofuran and toluene.
- the reaction temperature is usually below -60 °C and preferably below -70 °C.
- the reaction time is not particularly limited and is usually 1 to 12 hours.
- Step 2 Compounds of formula (C3) can be prepared by reaction of compounds of formula (C2) with Grignard reagents such as methyl magnesium bromide and ethyl magnesium bromide and alkyl lithium reagents such as methyllithium, butyllithium, and phenyllithium.
- the solvent is not particularly limited in so far as it does not interfere with the reaction.
- Preferable examples of the solvent include tetrahydrofuran, 1,4-dioxane, 1,2-dimethoxyethane, diethyl ether, toluene, and benzene.
- the reaction time is not particularly limited and is usually 5 minutes to 24 hours, preferably 5 minutes to 6 hours.
- Step 3 Compounds of formula (C4) can be prepared according to the method described in Step 2 of General Procedure A.
- Step 4 Compounds of formula (A5) can be prepared according to the method described in Step 3 of General Procedure A.
- Step 1 Compounds of formula (D1) can be prepared by reaction of compounds of formula (A1) with allylmagnesium bromide.
- the solvent used is not particularly limited in so far as it does not interfere with the reaction.
- Preferable examples of the solvent include tetrahydrofuran, 1,4-dioxane, 1,2-dimethoxyethane, diethyl ether, toluene, and benzene.
- the reaction time is not particularly limited and is usually 5 minutes to 24 hours, preferably 5 minutes to 6 hours.
- the reaction temperature is usually -78 °C to 0 °C.
- Step 2 Compounds of formula (D2) can be prepared by ozonolysis of compounds of formula (D1). The reaction is well known to those skilled in the art.
- the reaction can be done in dichloromethane under a bubbling condition of ozone at -78 °C followed by a quenching reagent such as dimethyl sulfide, triethylamine, and triphenylphosphine to afford compounds of formula (D2).
- a quenching reagent such as dimethyl sulfide, triethylamine, and triphenylphosphine to afford compounds of formula (D2).
- Step 3 Compounds of formula (D3) can be prepared by addition of TMSCF 3 (Ruppert reagent) with compounds of formula (D2).
- the reaction is generally conducted in a solvent such as tetrahydrofuran, 1,4-dioxane, DMF, and toluene.
- the reaction temperature is usually -78 °C to 0 °C and is preferably -20 °C to 0 °C.
- the reaction time is not particularly limited and is usually 0.5 to 6 hours.
- Step 4 Compounds of formula (D4) can be prepared according to the method described in Step 2 of General Procedure A.
- Step 5 Compounds of formula (D5) can be prepared according to the method described in Step 3 of General Procedure A.
- Step 6 Compounds of formula (D6) can be prepared by cyclization reaction of compounds of formula (D5) with a reagent such as N,N-diethylaminosulfur trifluoride (DAST) and Bis(2-methoxyethyl)aminosulfur trifluoride (Deoxo-Fluor, Registered trademark).
- DAST N,N-diethylaminosulfur trifluoride
- Deoxo-Fluor Registered trademark
- General procedure E In the above formulas, the symbols are the same as defined in General Procedure A.
- General procedure E is a method for preparing compounds of formula (Ie) from compounds of formula (A1).
- the formula (Ie) is a derivative of compounds of formula (I) when R 2 and R 3 are H and CF 2 H, respectively.
- compounds of formula (Ie) can be prepared according to the methods described in General procedure D.
- Step1 Compounds of formula (E1) can be prepared according to the method described in Step 1 of General Procedure A.
- Step 2 Compounds of formula (E2) can be prepared by reaction of compounds of formula (E1) with diethyl (difluoromethyl) phosphonate in the presence of a base such as LDA at -78 °C.
- a preferable solvent includes tetrahydrofuran. The reaction time is usually 0.5 h to 6 hours.
- Step 3 Compounds of formula (E3) can be prepared by reduction of compounds of formula (E2) with a reagent such as NaBH 4 and LiBH 4 .
- the reaction is well known to those skilled in the art; the reducing reagents in the reaction are not limited to those described above.
- Typical examples of solvents include tetrahydrofuran, 1,4-dioxane, methanol, and ethanol.
- the reaction temperature is generally -20 °C to room temperature and is preferably 0 °C to room temperature.
- the reaction time is generally 0.5 to 6 hours.
- Step 4 Compounds of formula (E4) can be prepared according to the method described in Step 2 of General Procedure A.
- General procedure F In the above formulas, the symbols are the same as defined in General Procedure A.
- General procedure F is a method for preparing compounds of formula (If) from compounds of formula (D2).
- the formula (If) is a derivative of compounds of formula (I) when R 2 and R 3 are H and CF 2 Me, respectively.
- compounds of formula (If) can be prepared according to the methods described in General procedure A.
- Step 4 Compounds of formula (F4) can be prepared according to the methods described in Step 3 of General Procedure E.
- Step 5 Compounds of formula (F5) can be prepared by converting the hydroxyl to the I by a method known to a person skilled in the art.
- Preferable examples of solvents includes tetrahydrofuran, 1,4-dioxane, MeCN, toluene, and Et2O.
- the reaction temperature changes depending on the staring material, it is generally room temperature to 100 °C and is preferably room temperature to 80 °C.
- the reaction time also changes depending on the starting material and is generally 1 hour to 12 hours.
- Step 6 Compounds of formula (F6) can be prepared by converting the I to the hydrogen.
- reaction is well known to a person skilled in the art, preferable example of reagents would be n-Bu 3 SnH in the presence of a catalytic amount of AIBN.
- the solvent used in this reaction is generally toluene, and the reaction temperature is preferably 60 to 110 °C.
- Step 1 Compounds of formula (B4) can be prepared according to the methods described in Step 5 of General Procedure B.
- Step 2 Compounds of formula (G1) can be prepared by alkylating the hydroxyl with alkyl halides by a method known to a person skilled in the art. The reaction is generally conducted in a solvent such as tetrahydrofuran and DMF in the presence of a base such as NaH. The reaction temperature varies depending on the starting material and is generally 0 to 60 °C. The reaction time is generally 0.5 to 12 hours and is preferably 0 °C to room temperature.
- the compounds of the present invention have BACE1 inhibitory activity and are effective in treatment and/or prevention, symptom improvement, and prevention of the progression of disease induced by the production, secretion or deposition of-amyloid ⁇ protein, such as Alzheimer’s disease, Alzheimer dementia, senile dementia of Alzheimer type, mild cognitive impairment (MCI), prodromal Alzheimer's disease (e.g., MCI due to Alzheimer’s disease), Down's syndrome, memory impairment, prion disease (Creutzfeldt-Jakob disease), Dutch type of hereditary cerebral hemorrhage with amyloidosis, cerebral amyloid angiopathy, other type of degenerative dementia, mixed dementia such as coexist Alzheimer's disease with vascular type dementia, dementia with Parkinson's Disease, dementia with progressive supranuclear palsy, dementia with Cortico-basal degeneration, Alzheimer’s disease with diffuse Lewy body disease, age-related macular degeneration, Parkinson's Disease, amyloid angiopathy or the like.
- MCI mild cognitive impairment
- the compounds of the present invention are effective in preventing the progression in a patient asymptomatic at risk for Alzheimer dementia (preclinical Alzheimer’s disease).
- a patient asymptomatic at risk for Alzheimer dementia includes a subject who is cognitively and functionally normal but has potential very early signs of Alzheimer’s disease or typical age related changes (e.g., mild white matter hyper intensity on MRI), and/or has evidence of amyloid deposition as demonstrated by low cerebrospinal fluid A ⁇ 1-42 levels.
- a patient asymptomatic at risk for Alzheimer dementia includes a subject whose score of the Clinical Dementia Rating (CDR) or Clinical Dementia Rating-Japanese version (CDR-J) is 0, and/or whose stage of the Functional Assessment Staging (FAST) is stage 1 or stage 2.
- CDR Clinical Dementia Rating
- CDR-J Clinical Dementia Rating-Japanese version
- FAST Functional Assessment Staging
- the compound of the present invention has not only BACE1 inhibitory activity but the beneficialness as a medicament.
- the compound has any or all of the following superior properties. a) The compound has weak inhibitory activity for CYP enzymes such as CYP1A2, CYP2C9, CYP2C19, CYP2D6, CYP3A4. b) The compound show excellent pharmacokinetics profiles such as high bioavailability or low clearance. c) The compound has a high metabolic stability. d) The compound does not show irreversible inhibitions to CYP enzymes such as CYP3A4 in the range of the concentrations of the measurement conditions described in this description. e) The compound does not show a mutagenesis.
- compositions of the present invention When a pharmaceutical composition of the present invention is administered, it can be administered orally or parenterally.
- the composition for oral administration can be administered in usual dosage forms such as oral solid formulations (e.g., tablets, powders, granules, capsules, pills, films or the like), oral liquid formulations (e.g., suspension, emulsion, elixir, syrup, lemonade, spirit, aromatic water, extract, decoction, tincture or the like) and the like which may be prepared according to the usual method and administered.
- the tablets can be sugar-coated tablets, film-coated tablets, enteric-coating tablets, sustained-release tablets, troche tablets, sublingual tablets, buccal tablets, chewable tablets or orally disintegrated tablets.
- Powders and granules can be dry syrups.
- Capsules can be soft capsules, micro capsules or sustained-release capsules.
- the composition for parenteral administration can be administered suitably in usual parenteral dosage forms such as dermal, subcutaneous, intravenous, intraarterial, intramuscular, intraperitoneal, transmucosal, inhalation, transnasal, ophthalmic, inner ear or vaginal administration and the like.
- any forms which are usually used, such as injections, drips, external preparations (e.g., ophthalmic drops, nasal drops, ear drops, aerosols, inhalations, lotion, infusion, liniment, mouthwash, enema, ointment, plaster, jelly, cream, patch, cataplasm, external powder, suppository or the like) and the like can be preferably administered.
- Injections can be emulsions whose type is O/W, W/O, O/W/O, W/O/W or the like.
- the compounds of the present invention can be preferably administered in an oral dosage form because of their high oral absorbability.
- a pharmaceutical composition can be formulated by mixing various additive agents for medicaments, if needed, such as excipients, binders, disintegrating agents, and lubricants which are suitable for the formulations with an effective amount of the compound of the present invention.
- the pharmaceutical composition can be for pediatric patients, geriatric patients, serious cases or operations by appropriately changing the effective amount of the compound of the present invention, formulation and/or various pharmaceutical additives.
- the pediatric pharmaceutical compositions are preferably administered to patients under 12 or 15 years old.
- the pediatric pharmaceutical compositions can be administered to patients who are under 27 days old after the birth, 28 days to 23 months old after the birth, 2 to 11 years old, 12 to 16 years old, or 18 years old.
- the geriatric pharmaceutical compositions are preferably administered to patients who are 65 years old or over.
- the mix ratio of the compound of the present invention and a concomitant medicament can be suitably selected in consideration of the subject of administration, administration route, target diseases, symptoms, combinations, etc.
- the concomitant medicament can be used in the range of 0.01 to 100 parts by weight relative to 1 part by weight of the compounds of the present invention.
- Examples of a concomitant medicament are Donepezil hydrochloride, Tacrine, Galanthamine, Rivastigmine, Zanapezil, Memantine and Vinpocetine.
- Step 3 Synthesis of compound 1-4
- hydrazine hydrate (0.316 ml, 6.51 mmol) at room temperature.
- the mixture was stirred overnight at the same temperature and was treated with 3% aqueous sodium hydrogen carbonate.
- the mixture was extracted with ethyl acetate, and the combined organic layer was dried over MgSO 4 and filtered.
- the filtrate was concentrated in vacuo.
- the crude product was added to an amino silica gel column and eluted with hexane/EtOAc 30%. Collected fractions were evaporated to afford compound 1-4 (539 mg, 1.84 mmol, 85 %) as a colorless oil.
- Step 4 Synthesis of compound 1-5
- nitric acid (0.13 mL, 2.95 mmol
- the mixture was extracted with ethyl acetate and the combined organic layers were washed with water. The solvent was evaporated to give compound 1-5 (581 mg, 1.72 mmol, 93.4 %) as a yellow solid.
- Step 6 Synthesis of compound (I-5) To a stirred solution of 1-6 (25 mg, 0.081 mmol) in MeOH (1.0 ml) and hydrogen chloride (0.041 mL, 0.081 mmol, 2 mol/L in water) were added 5-(fluoromethoxy)pyrazine-2-carboxylic acid (14 mg, 0.081 mmol) and EDC hydrochloride (17 mg, 0.089 mmol) at 0°C. After being stirred for 1 hr at room temperature, the reaction was quenched with a saturated aqueous sodium hydrogen carbonate. The mixture was extracted with ethyl acetate. The combined organic layers were washed with brine, dried over MgSO 4 , and filtered.
- Step 3 Synthesis of compound 2-4
- a solution of compound 2-3 (127 mg, 0.376 mmol) in dioxane (2 ml) was added 4 mol/L of HCl in dioxane (0.376 ml, 1.506 mmol) at room temperature. After stirring for 1 h at the same temperature, the reaction mixture was evaporated. The residue was diluted with water then washed with isopropyl ether. The aqueous layer was basified with 5% aqueous sodium hydrogen carbonate then extracted with ethyl acetate. The combined organic layers were washed with brine, dried over MgSO 4 and filtered.
- Step 7 Synthesis of compound 2-8 To a stirred suspension of compound 2-7 (72 mg, 0.27 mmol) and sulfuric acid (0.175 mL, 3.28 mmol) in trifluoroacetic acid (0.708 mL) was added nitric acid (0.023 mL, 0.525 mmol) at -10 °C. After being stirred for 1 hr at 0 °C, the reaction was quenched with 30% aqueous potassium carbonate. The mixture was extracted with ethyl acetate, and the combined organic layers were washed with water. The solvent was evaporated to give compound 2-8 (78 mg, 0.244 mmol, 93.1 %) as a yellow solid.
- Step 8 Synthesis of compound 2-9 A suspension of 2-8 (75 mg, 0.235 mmol), iron (105 mg, 1.879 mmol), and ammonium chloride (151 mg, 2.82 mmol) in toluene (2 mL) and water (2 mL) was stirred for 2 h at 80 to 90°C. After being cooled to room temperature, the reaction was quenched with potassium carbonate. The mixture was filtered through Celite (Registered trademark) pad. The filtrate was extracted with ethyl acetate. The combined organic layers were washed with brine, dried over MgSO 4 and filtered. The solvent was evaporated to give compound 2-9 (68 mg, 0.235 mmol, 100 %) as a yellow solid.
- Step 9 Synthesis of compound (I-7) To a stirred solution of 2-9 (34 mg, 0.118 mmol) in MeOH ( 1.0 ml ) and hydrogen chloride (0.059 mL, 0.118 mmol, 2 mol/L in water) were added 5-(fluoromethoxy)pyrazine-2-carboxylic acid (20 mg, 0.118 mmol) and EDC hydrochloride (25 mg, 0.129 mmol) at 0°C. After being stirred for 1 h at room temperature, the reaction was quenched with a saturated aqueous sodium hydrogen carbonate. The mixture was extracted with ethyl acetate. The combined organic layers were washed with brine, dried over MgSO 4 , and filtered.
- Step 2 Synthesis of compound 3-3 To a solution of compound 3-2 (338 mg, 0.83 mmol) in dioxane (3 ml) was added 4 mol/L of HCl in dioxane (0.83 ml, 3.30 mmol) at room temperature. After stirring for 1 h at the same temperature, the reaction mixture was evaporated. The residue was diluted with water then washed with isopropyl ether. The aqueous layer was basified with 5% aqueous sodium hydrogen carbonate then extracted with ethyl acetate. The combined organic layers were washed with brine, dried over MgSO 4 and filtered. The filtrate was concentrated under vacuum to give a crude product, which was used for the next step without further purification.
- Step 3 Synthesis of compound 3-4
- DAST 0.057 ml, 0.43 mmol
- the mixture was stirred for 1 h at the same temperature and was treated with 0.5 mol/L aqueous potassium carbonate.
- the mixture was extracted with CH 2 Cl 2 , and the organic layer was dried over MgSO 4 and filtered. The filtrate was concentrated in vacuo.
- the crude product was added to a silica gel column and eluted with hexane/EtOAc 20%. Collected fractions were evaporated to afford compound 3-4 (38 mg, 0.08 mmol, 59 %) as a colorless oil.
- Step 4 Synthesis of compound 3-5
- a solution of compound 3-4 35 mg, 0.078 mmol
- EtOH 1 ml
- NaBH 4 2.94 mg, 0.078 mmol
- the mixture was treated with saturated aqueous ammonium chloride.
- the mixture was extracted with ethyl acetate, and the combined organic layer was washed with brine, dried over MgSO 4 and filtered.
- the filtrate was concentrated under vacuum to give compound 3-5 ( 32 mg, 0.078 mmol, 100%) as a colorless oil, which was used for the next step without further purification.
- Step 5 Synthesis of compound 3-6 To a solution of compound 3-5 (20 mg, 0.049 mmol) in THF (1 ml) were added triphenylphosphine (51 mg, 0.196 mmol), imidazole (13 mg, 0.196 mmol) and iodine (50 mg, 0.196 mmol) at room temperature. After stirring for 3 hr at 80 °C, the mixture was treated with 10% aqueous sodium hydrogen sulfate. The mixture was extracted with ethyl acetate, and the organic layer was washed with brine, dried over MgSO 4 and filtered. The filtrate was concentrated in vacuo.
- Step 6 Synthesis of compound 3-7 To a solution of compound 3-6 (22 mg, 0.042 mmol) in toluene (2 ml) were added Bu 3 SnH (0.027 ml, 0.102 mmol) and AIBN (2.8 mg, 0.017 mmol) at room temperature. After stirring for 1 h at 80 °C, the reaction mixture was concentrated. The resulting residue was added to an amino silica gel column and eluted with Hexane/EtOAc 20%. Collected fractions were evaporated to afford compound 3-7 (17 mg, 0.042 mmol, 100 %) as a colorless oil.
- Step 8 Synthesis of compound 3-9
- nitric acid 0.002 mL, 0.055 mmol
- the mixture was extracted with ethyl acetate and the combined organic layers were washed with water. The solvent was evaporated to give compound 3-9 (5 mg, 0.015 mmol, 54 %) as a yellow amorphous, which was used for the next step without further purification.
- Step 9 Synthesis of compound 3-10 A suspension of compound 3-9 (5 mg, 0.015 mmol), iron (7 mg, 0.12 mmol), and ammonium chloride (48 mg, 0.9 mmol) in toluene (1 mL) and water (1 mL) was stirred for 5 h at 80 to 90 °C. After being cooled to room temperature, the reaction was quenched with potassium carbonate. The mixture was filtered through Celite (Registered trademark) pad. The filtrate was extracted with ethyl acetate. The combined organic layers were washed with brine, dried over MgSO 4 and filtered.
- Step 10 Synthesis of compound (I-13) To a stirred solution of compound 3-10 (5 mg, 0.016 mmol) in MeOH (1.0 ml) and hydrogen chloride (0.008 mL, 0.016 mmol, 2 mol/L in water) were added 5-(fluoromethoxy)pyrazine-2-carboxylic acid (2.8 mg, 0.016 mmol) and EDC hydrochloride (3.5 mg, 0.018 mmol) at 0 °C.
- Step 2 Synthesis of compound 4-4 To a solution of Iodine (559 mg, 2.20 mmol) in MeCN (30 ml) was added compound 4-3 (397 mg, 1.10 mmol) in MeCN (10 ml) at 0 °C. After stirring for 20 min at the same temperature, the reaction mixture was treated with aqueous NaHCO 3 and Na 2 S 2 O 3 . The aqueous layer was extracted with AcOEt. The combined organic layers were washed with brine, dried over Na 2 SO 4 , filtered and concentrated. The crude product was added to a silica gel column and eluted with hexane/EtOAc 0% to 20%.
- Step 3 Synthesis of compound 4-5
- Step 4 Synthesis of compound 4-6 To a solution of compound 4-5 (336 mg, 0.932 mmol) in EtOH (3 ml) was added hydrazine hydrate (0.226 ml, 4.66 mmol) at room temperature. After stirring for 14 h at the same temperature, the reaction mixture was concentrated. The resulting residue was added to a amino silica gel column and eluted with Hexane/EtOAc 10% to 50%. Collected fractions were evaporated to afford compound 4-6 (195 mg, 0.761 mmol, 82%) as a white solid.
- Step 6 Synthesis of compound 4-8 To a solution of compound 4-7 (514 mg, 1.71 mmol) in toluene (5 ml) and H 2 O (5 ml) were added NH 4 Cl (1.10 g, 20.5 mmol) and Fe (762 mg, 13.7 mmol) at room temperature. After stirring for 90 min at 80 °C, the mixture was treated with H 2 O and filtrated through Celite (Registered trademark) pad. The aqueous layer was extracted with AcOEt, and the organic layer was dried over Na 2 SO 4 , filtered and concentrated to afford compound 4-8 (422 mg, 1.56 mmol, 91%) as a yellow solid.
- Step 7 Synthesis of compound (I-64) To a solution of compound 4-8 (100 mg, 0.369 mmol) in MeOH (2 ml) were added 5-chloropyrimidine-2-carboxylic acid (58.4 mg, 0.369 mmol) and 2 mol/L HCl (0.184 ml, 0.369 mmol) at room temperature. The reaction mixture was added to WSCD HCl (108 mg, 0.405 mmol) at 0 °C. After stirring for 30 min at room temperature, the reaction mixture was treated with aqueous NaHCO 3 .
- Step 2 Synthesis of compound 5-3
- 5-2 (1.15 g, 2.09 mmol) in ethanol (12 mL)
- sodium borohydride (79 mg, 2.09 mmol) at 0 °C.
- the reaction was quenched with a saturated solution of ammonium chloride.
- the mixture was extracted with ethyl acetate, and the combined organic layers were washed with water.
- the solvent was evaporated, and the crude product was purified by flash column chromatography (silica gel, 3:1 hexane:ethyl acetate) to give 5-3 (741 mg, 88%) as a colorless amorphous.
- Step 4 Synthesis of compound 5-5
- a solution of methyltriphenylphosphonium bromide (778 mg, 2.18 mmol) and potassium tert-butoxide (2.04 mL, 2.04 mmol, 1 mol/L in toluene) in THF (3 ml) was stirred at room temperature for 20 min.
- To the mixture was added 5-4 in THF (3 ml) at 0 °C, and the resulting mixture was stirred for 2 h at room temperature.
- the reaction was quenched with water.
- the mixture was extracted with ethyl acetate, and the combined organic layers were washed with water.
- Step 5 Synthesis of compound 5-6 A solution of 5-5 (190 mg, 0.47 mmol), Boc 2 O (0.22 mL, 0.95 mmol), and DMAP (11.6 mg, 0.095 mmol) in THF (2 mL) was stirred at room temperature for 1 h. The mixture was evaporated, and the crude product was purified by flash column chromatography (silica gel, 8:1 hexane:ethyl acetate) to give 5-6 (215 mg, 91%) as a white solid.
- tR means LC/MS retention time (minute).
- Test Examples for the compounds of the present invention are mentioned below.
- Test Example 1 Assay of BACE1 inhibitory activity: 384-well
- DMSO solution 0.1 ⁇ l of the compound of the present invention
- Recombinant human BACE1(R&D Systems) 5 ⁇ l of Recombinant human BACE1(R&D Systems
- Test Example 1-2 Assay of BACE2 inhibitory activity
- substrate peptide solution SEVNLDAEFRHDSGYEK-biotin
- DMSO solution 1 ⁇ l of the compound of the present invention
- 10 ⁇ l of the human BACE2 which purified FreeStyle TM293-F cells condition medium that express human BACE2 ectodomain
- the final concentrations of the substrate peptide and human BACE2 are adjusted to 1000 nmol/L and 20 ng/mL, respectively, and the reaction is performed in sodium acetate buffer (50 mmol/L sodium acetate, pH 4.5, 0.25 mg/mL bovine serum albumin). After the incubation for reaction, 30 ⁇ l of 1 M Tris-HCL (pH 7.6) is added to reaction mixtures. The reaction mixtures are added to each well coated with 82E1 (anti-amyloid ⁇ antibody; Immuno-Biological Loboratories) and incubated overnight at 4 °C.
- the A ⁇ amount was measured as follows. 5 ⁇ l of a homogeneous time resolved fluorescence (HTRF) measurement reagent (Amyloid ⁇ 1-40 peptide; CIS bio international) and 5 ⁇ l of the culture supernatant were put into a 384-well plate (a black plate: Corning) and mixed with each other, and then left standing overnight at 4 °C while the light was shielded. Then, the fluorescence intensity (620 nm and 665 nm) was measured with EnVision (Perkin Elmer life sciences). The A ⁇ amount was determined from the count rate at each measurement wavelength (Count 665/Count 620), and the amount needed to inhibit A ⁇ production by 50 % (IC 50 ) was calculated from at least six different dosages.
- HTRF time resolved fluorescence
- Test Example 3-1 Lowering effect on the brain ⁇ amyloid in mice
- Compound of the present invention is dissolved in 20% hydroxyl-beta-cyclodextrin, the final concentration is adjusted to 2 mg/mL, and this is orally administered to male Crl:CD1 (ICR) mouse (6 to 8 weeks old) at 1 to 10 mg/kg.
- ICR ICR
- a vehicle control group only 20% hydroxyl-beta-cyclodextrin is administered, and an administration test is performed at 3 to 6 animals per group.
- a brain is isolated 1 to 6 hours after administration, a cerebral hemisphere is isolated, a weight thereof is measured, the hemisphere is rapidly frozen in liquid nitrogen, and stored at -80 °C until extraction date.
- the frozen cerebral hemisphere is transferred to a homogenize tube containing ceramic beads in a 8-fold volume of a weight of an extraction buffer (containing 0.4% DEA (diethylamine), 50 mmol/L NaCl, Complete protease inhibitor (Roche)) and incubated on an ice for 20 minutes. Thereafter, the homogenization is done using MP BIO FastPrep(Registered trademark)-24 with Lysing matrix D 1.4 mm ceramic beads (20 seconds at 6 m/s). Then, the tube spins down for 1 minute, the supernatant is transferred to a centrifugation tube, and centrifuged at 221,000 x g, 4 °C for 50 minutes.
- an extraction buffer containing 0.4% DEA (diethylamine), 50 mmol/L NaCl, Complete protease inhibitor (Roche)
- the supernatant is transferred to Nunc Maxisorp (Registered trademark) plate (Thermo Fisher Scientific) coating with antibody against N-terminal of ⁇ amyloid for measuring total ⁇ amyloid, and the plate is incubated overnight at 4°C.
- the plate is washed with TBS-T (Tris buffered saline containing 0.05% Triton X-100), and HRP-conjugated 4G8 dissolved in PBS (pH 7.4) containing 0.1% casein is added in the plate and incubated at 4°C for 1 hour.
- TBS-T Tris buffered saline containing 0.05% Triton X-100
- CYP3A4 (MDZ) MBI test is a test of investigating mechanism based inhibition (MBI) potential on CYP3A4 inhibition of a compound. CYP3A4 inhibition is evaluated using 1-hydroxylation reaction of midazolam (MDZ) by pooled human liver microsomes as a marker reaction.
- the reaction conditions were as follows: substrate, 10 ⁇ mol/L MDZ; pre-reaction time, 0 or 30 minutes; substrate reaction time, 2 minutes; reaction temperature, 37 °C; protein content of pooled human liver microsomes, at pre-reaction time 0.5 mg/mL, at reaction time 0.05 mg/mL (at 10-fold dilution); concentrations of the compound of the present invention, 1, 5, 10, 20 ⁇ mol/L (four points).
- Pooled human liver microsomes and a compound of the present invention solution in a K-Pi buffer (pH 7.4) as a pre-reaction solution were added to a 96-well plate at the composition of the pre-reaction.
- a part of pre-reaction solution was transferred to another 96-well plate, and 1/10 diluted by a K-Pi buffer containing a substrate.
- NADPH as a co-factor was added to initiate a marker reaction (without preincubation).
- NADPH was also added to a remaining pre-reaction solution in order to initiate a preincubation (with preincubation).
- a part was transferred to another 96-well plate, and 1/10 diluted by K-Pi buffer containing a substrate in order to initiate a marker reaction.
- Shifted IC value was calculated as “IC of preincubation at 0 min/ IC of preincubation at 30min”. When a shifted IC was 1.5 or more, this was defined as positive. When a shifted IC was 1.0 or less, this was defined as negative. The following compounds were defined as negative. I-4, 10, 14, 25 to 31, 39, 41, 42, 44, 55, 57, 59 to 64 and 73
- the CYP inhibition test is a test to assess the inhibitory effect of a compound of the present invention towards typical substrate metabolism reactions on CYP enzymes in human liver microsomes.
- the marker reactions on human main five CYP enzymes (CYP1A2, 2C9, 2C19, 2D6, and 3A4) are used as follows; 7-ethoxyresorufin O-deethylation (CYP1A2), tolbutamide methyl-hydroxylation (CYP2C9), mephenytoin 4’-hydroxylation (CYP2C19), dextromethorphan O-demethylation (CYP2D6), and terfenadine hydroxylation (CYP3A4).
- the commercially available pooled human liver microsomes are used as an enzyme resource.
- the reaction conditions were as follows: substrate, 0.5 ⁇ mol/L ethoxyresorufin (CYP1A2), 100 ⁇ mol/L tolbutamide (CYP2C9), 50 ⁇ mol/L S-mephenytoin (CYP2C19), 5 ⁇ mol/L dextromethorphan (CYP2D6), 1 ⁇ mol/L terfenadine (CYP3A4); reaction time, 15 minutes; reaction temperature, 37 °C; enzyme, pooled human liver microsomes 0.2 mg protein/mL; concentrations of the compound of the present invention, 1, 5, 10, 20 ⁇ mol/L (four points).
- resorufin CYP1A2 metabolite
- CYP1A2 metabolite resorufin in the supernatant
- hydroxytolbutamide CYP2C9 metabolite
- 4'-hydroxymephenytoin CYP2C19 metabolite
- dextrorphan CYP2D6 metabolite
- terfenadine alcohol metabolite CYP3A4 metabolite
- the sample adding DMSO to a reaction system instead of the compound of the present invention solution was adopted as a control (100 %) because DMSO was used as a solvent to dissolve a compound of the present invention.
- Remaining activity (%) was calculated at each concentration of a compound of the present invention, and IC 50 value was calculated by reverse presumption by a logistic model using a concentration and an inhibition rate.
- DMSO solution of the compound of the present invention (several stage dilution from maximum dose 50 mg/mL at 2 to 3-fold ratio); DMSO as negative control; 50 ⁇ g/mL of 4-nitroquinoline-1-oxide DMSO solution as positive control for TA98 without metabolic activation system; 0.25 ⁇ g/mL of 2-(2-furyl)-3-(5-nitro-2-furyl)acrylamide DMSO solution as positive control for TA100 without metabolic activation system; 40 ⁇ g/mL of 2-aminoanthracene DMSO solution as positive control for TA98 with metabolic activation system; or 20 ⁇ g/mL of 2-a
- a mixed solution is incubated at 37 °C under shaking for 90 minutes.
- 460 ⁇ L of the bacterial solution exposed to the compound of the present invention is mixed with 2300 ⁇ L of Indicator medium (Micro F buffer containing biotin: 8 ⁇ g/mL, histidine: 0.2 ⁇ g/mL, glucose: 8 mg/mL, Bromo Cresol Purple: 37.5 ⁇ g/mL), each 50 ⁇ L is dispensed into 48 wells/dose in the microwell plates, and is subjected to stationary cultivation at 37 °C for 3 days.
- a well containing the bacteria which has obtained the ability of proliferation by mutation in the gene coding amino acid (histidine) synthetase, turns the color from purple to yellow due to pH change. The number of the yellow wells among the 48 total wells per dose is counted, and evaluate the mutagenicity by comparing with the negative control group.
- (-) means that mutagenicity is negative and (+) means positive.
- the mixture was shaken for 1 hour at room temperature, and the mixture was vacuum-filtered.
- Test Example 8 Metabolic stability test
- a compound of the present invention was reacted for a constant time, a remaining rate was calculated by comparing a reacted sample and an unreacted sample, thereby, a degree of metabolism in liver was assessed.
- a reaction was performed (oxidative reaction) at 37 °C for 0 minute or 30 minutes in the presence of 1 mmol/L NADPH in 0.2 mL of a buffer (50 mmol/L Tris-HCl pH 7.4, 150 mmol/L potassium chloride, 10 mmol/L magnesium chloride) containing 0.5 mg protein/mL of human liver microsomes.
- a buffer 50 mmol/L Tris-HCl pH 7.4, 150 mmol/L potassium chloride, 10 mmol/L magnesium chloride
- the compound of the present invention in the supernatant was quantified by LC/MS/MS or solid phase extraction (SPE)/MS, and a remaining amount of the compound of the present invention after the reaction was calculated, letting a compound amount at 0 minute reaction time to be 100%.
- SPE solid phase extraction
- Test Example 12 Brain distribution studies
- Compound of the present invention was intravenously administered to a rat at 0.5 mg/mL/kg. 30 minutes later, whole blood was collected from the abdominal aorta under isoflurane anesthesia to sacrifice the rat.
- the brain was enucleated and 25% brain homogenate was prepared with distilled water.
- the obtained blood was centrifuged to obtain plasma.
- the control plasma was added to the brain homogenate sample at 1:1.
- the control brain homogenate was added to the plasma sample at 1:1.
- Each sample was subjected to the measurement using LC/MS/MS.
- the obtained area ratio (a brain/plasma) was calculated as the brain Kp value.
- Ames test is performed by using Salmonellas (Salmonella typhimurium) TA 98, TA100, TA1535 and TA1537 and Escherichia coli WP2uvrA as test strains to evaluate gene mutagenicity of the compound of the present invention.
- 0.1 mL of the compound of the present invention (DMSO solution) is mixed with 0.5 mL of S9 mix in the presence of metabolic activation or 0.5 mL of phosphate buffer in the absence of metabolic activation, and 0.1 mL of test strain suspension. As needed, the mixture is preincubated at 37°C in the water bath for 20 minutes under shaking.
- these cells were seeded on Transwell (Registered trademark) insert (96-well, pore size: 0.4 ⁇ m, Coaster) at a density of 1.4 ⁇ 10 4 cells/insert and added Medium B (Medium 199 supplemented with 10 % FBS and gentamycin at 0.05 mg/mL) to the feeder tray. These cells were incubated in a CO 2 incubator (5% CO 2 /95% O 2 gasses, 37°C) and replace apical and basolateral culture medium every 48-72 hr after seeding. These cells were used between 4 and 6 days after seeding. 2. The medium in the culture insert seeded with MDR1 expressing cells or parent cells were removed by aspiration and rinsed by HBSS.
- Transwell Registered trademark
- the apical side (140 ⁇ L) or basolateral side (175 ⁇ L) was replaced with transport buffer containing reference substrates and the present invention and then an aliquot (50 ⁇ L) of transport buffer in the donor side was collected to estimate initial concentration of reference substrate and the present invention. After incubation for designed time at 37°C, an aliquot (50 ⁇ L) of transport buffer in the donor and receiver side were collected. Assay was performed by duplicate or triplicate. 3. Reference substrate and the compound of the present invention in the aliquot was quantified by LC/MS/MS.
- Pe (cm/sec) Permeated amount (pmol) / area of cell membrane (cm 2 ) / initial concentration (nM) / incubation time (sec) Where, permeated amount was calculated from permeation concentration (nM, concentration of the receiver side) of the substance after incubation for the defined time (sec) multiplied by volume (mL) and area of cell membrane was used 0.1433 (cm 2 ).
- MDR1 expressing LLC-PK1 cells and its parent cells are routinely cultured in Medium A (Medium 199 (Invitrogen) supplemented with 10 % FBS (Invitrogen), gentamycin (0.05 mg/mL, Invitrogen) and hygromycin B (100 ⁇ g/mL, Invitrogen)) at 37 °C under 5% CO 2 /95% O 2 gasses.
- Medium A Medium 199 (Invitrogen) supplemented with 10 % FBS (Invitrogen), gentamycin (0.05 mg/mL, Invitrogen) and hygromycin B (100 ⁇ g/mL, Invitrogen)
- these cells are seeded on Transwell (Registered trademark) insert (24-well, pore size: 0.4 ⁇ m, Coaster) at a density of 4 ⁇ 10 4 cells/insert and added Medium B (Medium 199 supplemented with 10 % FBS and gentamycin at 0.05 mg/mL) to the feeder tray. These cells are incubated in a CO 2 incubator (5% CO 2 /95% O 2 gasses, 37°C) and replace apical and basolateral culture medium every 48-72 hr after seeding. These cells are used between 6 and 9 days after seeding. 2. The medium in the culture insert seeded with MDR1 expressing cells or parent cells are removed by aspiration and rinsed by HBSS.
- Transwell Registered trademark
- Pe (cm/sec) Permeated amount (pmol) / area of cell membrane (cm 2 ) / initial concentration (nM) / incubation time (sec) Where, permeated amount is calculated from permeation concentration (nM, concentration of the receiver side) of the substance after incubation for the defined time (sec) multiplied by volume.(mL) and area of cell membrane is used 0.33 (cm 2 ).
- mice Materials Animal: mdr1a (-/-) B6 mice (KO mouse) or C57BL/6J mice (Wild mouse) Methods and Procedures 1. Animals may be fed prior to dosing of the compounds of the present invention. 2. The compounds of the present invention are dosed to three animals for each time point and blood and brain samples are removed at selected time points (e.g. 15 min, 30min, 1hr, 2hr, 4hr, 6hr, 8hr, or 24hr) after dosing.
- time points e.g. 15 min, 30min, 1hr, 2hr, 4hr, 6hr, 8hr, or 24hr
- Blood (0.3-0.7 mL) is collected via trunk blood collection with syringe containing anticoagulants (EDTA and heparin).
- Blood and tissue (e.g. brain) samples are immediately placed on melting ice. 3. Blood samples are centrifuged (1780 x g for 10 minutes) for cell removal to obtain plasma. Then, plasma samples are transferred to a clean tube and stored in a -70 °C freezer until analysis. 4. Tissue (e.g. brain) samples are homogenized at a 1:3 ratio of tissue weight to ml of distilled water and transferred to a clean tube and stored in a -70 °C freezer until analysis. 5. Plasma and tissue (e.g. brain) samples are prepared using protein precipitation and analyzed by LC/MS/MS.
- the analytical method is calibrated by including a standard curve constructed with blank plasma or brain samples and known quantities of analyte. Quality control samples are included to monitor the accuracy and precision of the methodology. 6.
- Group composition Vehicle group and the compound of the present invention group (4 guinea pigs per group).
- Evaluation method Evaluation items: Mean blood pressure [mmHg], Heart rate (derived from blood pressure waveform [beats/min]), QTc (ms), and Toxicokinetics.
- Guinea pigs are anesthetized by urethane (1.4 g/kg, i.p.), and inserted polyethylene tubes into carotid artery (for measuring blood pressure and sampling blood) and jugular vein (for infusion test compounds). Electrodes are attached subcutaneously (Lead 2).
- Plasma samples are obtained by centrifugation (4°C, 10000 rpm, 9300 xg, 2 minutes). The procedure for separation of plasma is conducted on ice or at 4°C. The obtained plasma (TK samples) is stored in a deep freezer (set temperature: -80°C). Analysis methods: Mean blood pressure and heart rate are averaged a 30-second period at each evaluation time point.
- ECG parameters (QT interval [ms] and QTc are derived as the average waveform of a 10-second consecutive beats in the evaluation time points.
- Data analysis of QTc Percentage changes (%) in QTc from the pre-dose value are calculated (the pre-dose value is regarded as 100%). Relative QTc is compared with vehicle value at the same evaluation point.
- Test Example 18-1 Single dose toxicity test
- the compounds of the present invention are administered by gavage at 100, 300 and 1000 mg/kg in a 0.5% methylcellulose solution (vehicle) to Crl:CD(SD) rats (3/sex/dose).
- the dosing volume is 10 mL/kg.
- Clinical observation is monitored for 4 days. On the first day of dosing, observation is conducted continuously from just after dosing to 4 hours after dosing, and intermittently until 8 hours after dosing. On the other days, clinical observation is checked once daily.
- Test Example 18-2 Single dose toxicity test
- the compounds of the present invention were administered by gavage at 50, 100 and 300 mg/kg in a 0.5% methylcellulose solution (vehicle) to Marshal beagle dogs (2/sex/dose).
- the dosing volume is 5 mL/kg.
- Clinical observation was monitored for 4 days. On the first day of dosing, observation was conducted continuously from just after dosing to 4 hours after dosing, and intermittently until 8 hours after dosing. On the other days, clinical observation was checked once daily. No central nervous system adverse events such as convulsion, tremor or the like were not caused at 300 mg/kg of compound I-5.
- Formulation Examples The following Formulation Examples are only exemplified and not intended to limit the scope of the present invention.
- Formulation Example 1 Tablet Compound of the present invention 15 mg Lactose 15 mg Calcium stearate 3 mg All of the above ingredients except for calcium stearate are uniformly mixed. Then the mixture is crushed, granulated and dried to obtain a suitable size of granules. Then, calcium stearate is added to the granules. Finally, tableting is performed under a compression force.
- Formulation Example 2 Capsules Compound of the present invention 10 mg Magnesium stearate 10 mg Lactose 80 mg The above ingredients are mixed uniformly to obtain powders or fine granules, and then the obtained mixture is filled in capsules.
- Formulation Example 3 Granules Compound of the present invention 30 g Lactose 265 g Magnesium stearate 5 g After the above ingredients are mixed uniformly, the mixture is compressed. The compressed matters are crushed, granulated and sieved to obtain suitable size of granules.
- Formulation Example 4 Orally disintegrated tablets The compounds of the present invention and crystalline cellulose are mixed, granulated and tablets are made to give orally disintegrated tablets.
- Formulation Example 5 Dry syrups The compounds of the present invention and lactose are mixed, crushed, granulated and sieved to give suitable sizes of dry syrups.
- Formulation Example 6 Injections The compounds of the present invention and phosphate buffer are mixed to give injection.
- Formulation Example 7 Infusions The compounds of the present invention and phosphate buffer are mixed to give infusion.
- Formulation Example 9 Ointments The compounds of the present invention and petrolatum are mixed to give ointments.
- Formulation Example 10 Patches The compounds of the present invention and base such as adhesive plaster or the like are mixed to give patches.
- the compounds of the present invention can be a medicament useful as an agent for treating or preventing a disease induced by production, secretion and/or deposition of amyloid ⁇ proteins.
Landscapes
- Health & Medical Sciences (AREA)
- Life Sciences & Earth Sciences (AREA)
- Chemical & Material Sciences (AREA)
- Veterinary Medicine (AREA)
- General Health & Medical Sciences (AREA)
- Public Health (AREA)
- Pharmacology & Pharmacy (AREA)
- Animal Behavior & Ethology (AREA)
- Medicinal Chemistry (AREA)
- Epidemiology (AREA)
- Bioinformatics & Cheminformatics (AREA)
- Engineering & Computer Science (AREA)
- Dermatology (AREA)
- Organic Chemistry (AREA)
- Biophysics (AREA)
- Neurosurgery (AREA)
- Biomedical Technology (AREA)
- Molecular Biology (AREA)
- Neurology (AREA)
- Hospice & Palliative Care (AREA)
- Psychiatry (AREA)
- Nuclear Medicine, Radiotherapy & Molecular Imaging (AREA)
- Chemical Kinetics & Catalysis (AREA)
- General Chemical & Material Sciences (AREA)
- Otolaryngology (AREA)
- Pulmonology (AREA)
- Zoology (AREA)
- Nutrition Science (AREA)
- Physiology (AREA)
- Pharmaceuticals Containing Other Organic And Inorganic Compounds (AREA)
Abstract
The present invention provides a compound which has an effect of inhibiting amyloid β production, especially an effect of inhibiting BACE1, and which is useful as a therapeutic or prophylactic agent for diseases induced by production, secretion and/or deposition of amyloid β proteins. A compound of formula (I) wherein R1 is alkyl or haloalkyl, R2 is H or halogen, R3 is H, alkyl, alkyloxyalkyl or haloalkyl optionally substituted with cycloalkyl, R4 is H or halogen, -X= is -CH= or -N=, ring B is a substituted or unsubstituted aromatic carbocycle, a substituted or unsubstituted aromatic heterocycle or the like, or a pharmaceutically acceptable salt thereof.
Description
The present invention relates to a compound which has amyloid β production inhibitory activity, and is useful as an agent for treating or preventing disease induced by production, secretion and/or deposition of amyloid β proteins.
In the brain of Alzheimer's patient, the peptide composed of about 40 amino acids residue, as is called amyloid β protein, that accumulates to form insoluble specks (senile specks) outside nerave cells is widely observed. It is concerned that these senile specks kill nerve cells to cause Alzheimer's disease, so the therapeutic agents for Alzheimer's disease, such as decomposition agents of amyloid β protein and amyloid vaccine, are under investigation.
Secretase is an enzyme which cleaves a protein called amyloid β precursor protein (APP) in cell and produces amyloid β protein. The enzyme which controls the production of N terminus of amyloid β protein is called as β -secretase (beta-site APP-cleaving enzyme 1, BACE1). It is thought that inhibition of this enzyme leads to reduction of producing amyloid β protein and that the therapeutic or prophylactic agent for Alzheimer's disease will be created due to the inhibition.
Patent Documents 1 to 30 and Non-Patent Document 1 disclose compounds having a structure similar to those of the compounds of the present invention, but each of substantially disclosed compounds has a structural difference from the compounds of the present invention.
Journal of Medicinal Chemistry, 2013, 56(10), pp3980-3995
The present invention provides compounds which have reducing effects to produce amyloid β protein, especially BACE1 inhibitory activity, and are useful as an agent for treating disease induced by production, secretion and/or deposition of amyloid β protein.
The present invention, for example, provides the inventions described in the following items.
(1) A compound of formula (I):
wherein
R1 is alkyl or haloalkyl,
R2 is H or halogen,
R3 is H, alkyl, alkyloxyalkyl or haloalkyl optionally substituted with cycloalkyl,
R4 is H or halogen,
-X= is -CH= or -N=,
ring B is a substituted or unsubstituted aromatic carbocycle, a substituted or unsubstituted non-aromatic carbocycle, a substituted or unsubstituted aromatic heterocycle or a substituted or unsubstituted non-aromatic heterocycle,
provided that
(i) both of R2 and R3 are not H,
(ii) when R1 is alkyl and R2 is halogen, then
(ii-1) R3 is H or
(ii-2) R3 is alkyl and ring B is pyrimidine substituted with one or more groups selected from alkyl, alkyloxy and halogen, or
(iii) when R1 is alkyl and R2 is H, then R3 is not alkyl,
or a pharmaceutically acceptable salt thereof.
(2) The compound according to item (1) wherein
wherein Haloalk1 is haloalkyl optionally substituted with cycloalkyl, Haloalk2 is haloalkyl, Alk is alkyl, Ak is alkylene, and Hal is halogen, or a pharmaceutically acceptable salt thereof.
(3) The compound according to item (1) wherein
or a pharmaceutically acceptable salt thereof.
(4) The compound according to any one of items (1) to (3) wherein R1 is -CH3, -CF3, -CHF2, or -CH2F, or a pharmaceutically acceptable salt thereof.
(5) The compound according to any one of items (1) to (4) wherein -X= is -CH= and R4 is halogen, or a pharmaceutically acceptable salt thereof.
(6) The compound according to any one of items (1) to (4) wherein -X= is -N= and R4 is F, or a pharmaceutically acceptable salt thereof.
(7) The compound according to any one of items (1) to (6) wherein ring B is substituted or unsubstituted pyridine, substituted or unsubstituted pyrazine, substituted or unsubstituted pyrimidine, or substituted or unsubstituted pyridazine, or a pharmaceutically acceptable salt thereof.
(8) The compound according to any one of items (1) to (7) wherein the compound is selected from the group of compounds I-5, I-6, I-7, I-8, I-9, I-10, I-11, I-12, I-13, I-60 and I-61 in Examples or a pharmaceutically acceptable salt thereof.
(9) A pharmaceutical composition comprising the compound according to any one of items (1) to (8), or a pharmaceutically acceptable salt thereof.
(10) A pharmaceutical composition having BACE1 inhibitory activity comprising the compound according to any one of items (1) to (8), or a pharmaceutically acceptable salt thereof.
(11) A method for inhibiting BACE1 activity comprising administering the compound according to any one of items (1) to (8), or a pharmaceutically acceptable salt thereof.
(12) The compound according to any one of items (1) to (8), or a pharmaceutically acceptable salt thereof for use in a method for inhibiting BACE1 activity.
(13) A pharmaceutical composition comprising the compound according to any one of items (1) to (8), or a pharmaceutically acceptable salt thereof for treating or preventing Alzheimer dementia, mild cognitive impairment or prodromal Alzheimer's disease, for preventing the progression of Alzheimer dementia, mild cognitive impairment, or prodromal Alzheimer's disease, or for preventing the progression in a patient asymptomatic at risk for Alzheimer dementia.
(14) A method for treating or preventing Alzheimer dementia, mild cognitive impairment or prodromal Alzheimer's disease, for preventing the progression of Alzheimer dementia, mild cognitive impairment, or prodromal Alzheimer's disease, or for preventing the progression in a patient asymptomatic at risk for Alzheimer dementia comprising administering the compound according to any one of items (1) to (8), or a pharmaceutically acceptable salt thereof.
(15) A compound according to any one of items (1) to (8), or a pharmaceutically acceptable salt thereof for use in treating or preventing Alzheimer dementia, mild cognitive impairment or prodromal Alzheimer's disease, for use in preventing the progression of Alzheimer dementia, mild cognitive impairment or prodromal Alzheimer's disease, or for use in preventing the progression in a patient asymptomatic at risk for Alzheimer dementia.
wherein
R1 is alkyl or haloalkyl,
R2 is H or halogen,
R3 is H, alkyl, alkyloxyalkyl or haloalkyl optionally substituted with cycloalkyl,
R4 is H or halogen,
-X= is -CH= or -N=,
ring B is a substituted or unsubstituted aromatic carbocycle, a substituted or unsubstituted non-aromatic carbocycle, a substituted or unsubstituted aromatic heterocycle or a substituted or unsubstituted non-aromatic heterocycle,
provided that
(i) both of R2 and R3 are not H,
(ii) when R1 is alkyl and R2 is halogen, then
(ii-1) R3 is H or
(ii-2) R3 is alkyl and ring B is pyrimidine substituted with one or more groups selected from alkyl, alkyloxy and halogen, or
(iii) when R1 is alkyl and R2 is H, then R3 is not alkyl,
or a pharmaceutically acceptable salt thereof.
(2) The compound according to item (1) wherein
wherein Haloalk1 is haloalkyl optionally substituted with cycloalkyl, Haloalk2 is haloalkyl, Alk is alkyl, Ak is alkylene, and Hal is halogen, or a pharmaceutically acceptable salt thereof.
(3) The compound according to item (1) wherein
or a pharmaceutically acceptable salt thereof.
(4) The compound according to any one of items (1) to (3) wherein R1 is -CH3, -CF3, -CHF2, or -CH2F, or a pharmaceutically acceptable salt thereof.
(5) The compound according to any one of items (1) to (4) wherein -X= is -CH= and R4 is halogen, or a pharmaceutically acceptable salt thereof.
(6) The compound according to any one of items (1) to (4) wherein -X= is -N= and R4 is F, or a pharmaceutically acceptable salt thereof.
(7) The compound according to any one of items (1) to (6) wherein ring B is substituted or unsubstituted pyridine, substituted or unsubstituted pyrazine, substituted or unsubstituted pyrimidine, or substituted or unsubstituted pyridazine, or a pharmaceutically acceptable salt thereof.
(8) The compound according to any one of items (1) to (7) wherein the compound is selected from the group of compounds I-5, I-6, I-7, I-8, I-9, I-10, I-11, I-12, I-13, I-60 and I-61 in Examples or a pharmaceutically acceptable salt thereof.
(9) A pharmaceutical composition comprising the compound according to any one of items (1) to (8), or a pharmaceutically acceptable salt thereof.
(10) A pharmaceutical composition having BACE1 inhibitory activity comprising the compound according to any one of items (1) to (8), or a pharmaceutically acceptable salt thereof.
(11) A method for inhibiting BACE1 activity comprising administering the compound according to any one of items (1) to (8), or a pharmaceutically acceptable salt thereof.
(12) The compound according to any one of items (1) to (8), or a pharmaceutically acceptable salt thereof for use in a method for inhibiting BACE1 activity.
(13) A pharmaceutical composition comprising the compound according to any one of items (1) to (8), or a pharmaceutically acceptable salt thereof for treating or preventing Alzheimer dementia, mild cognitive impairment or prodromal Alzheimer's disease, for preventing the progression of Alzheimer dementia, mild cognitive impairment, or prodromal Alzheimer's disease, or for preventing the progression in a patient asymptomatic at risk for Alzheimer dementia.
(14) A method for treating or preventing Alzheimer dementia, mild cognitive impairment or prodromal Alzheimer's disease, for preventing the progression of Alzheimer dementia, mild cognitive impairment, or prodromal Alzheimer's disease, or for preventing the progression in a patient asymptomatic at risk for Alzheimer dementia comprising administering the compound according to any one of items (1) to (8), or a pharmaceutically acceptable salt thereof.
(15) A compound according to any one of items (1) to (8), or a pharmaceutically acceptable salt thereof for use in treating or preventing Alzheimer dementia, mild cognitive impairment or prodromal Alzheimer's disease, for use in preventing the progression of Alzheimer dementia, mild cognitive impairment or prodromal Alzheimer's disease, or for use in preventing the progression in a patient asymptomatic at risk for Alzheimer dementia.
(16) Use of the compound according to any one of items (1) to (8), or a pharmaceutically acceptable salt thereof for manufacturing a medicament for inhibiting BACE1 activity.
(17) A pharmaceutical composition comprising the compound according to any one of items (1) to (8), or a pharmaceutically acceptable salt thereof for treating or preventing a disease induced by production, secretion or deposition of amyloid β proteins.
(18) A method for treating or preventing diseases induced by production, secretion or deposition of amyloid β proteins comprising administering the compound according to any one of items (1) to (8) or a pharmaceutically acceptable salt thereof.
(19) A compound according to any one of items (1) to (8), or a pharmaceutically acceptable salt thereof for use in treating or preventing diseases induced by production, secretion or deposition of amyloid β proteins.
(20) Use of the compound according to any one of items (1) to (8), or a pharmaceutically acceptable salt thereof for manufacturing a medicament for treating or preventing diseases induced by production, secretion or deposition of amyloid β proteins.
(17) A pharmaceutical composition comprising the compound according to any one of items (1) to (8), or a pharmaceutically acceptable salt thereof for treating or preventing a disease induced by production, secretion or deposition of amyloid β proteins.
(18) A method for treating or preventing diseases induced by production, secretion or deposition of amyloid β proteins comprising administering the compound according to any one of items (1) to (8) or a pharmaceutically acceptable salt thereof.
(19) A compound according to any one of items (1) to (8), or a pharmaceutically acceptable salt thereof for use in treating or preventing diseases induced by production, secretion or deposition of amyloid β proteins.
(20) Use of the compound according to any one of items (1) to (8), or a pharmaceutically acceptable salt thereof for manufacturing a medicament for treating or preventing diseases induced by production, secretion or deposition of amyloid β proteins.
(21) A pharmaceutical composition comprising the compound according to any one of items (1) to (8), or a pharmaceutically acceptable salt thereof for treating or preventing Alzheimer dementia.
(22) A method for treating or preventing Alzheimer dementia comprising administering the compound according to any one of items (1) to (8) , or a pharmaceutically acceptable salt thereof.
(23) A compound according to any one of items (1) to (8), or a pharmaceutically acceptable salt thereof for use in treating or preventing Alzheimer dementia.
(24) Use of the compound according to any one of items (1) to (8), or a pharmaceutically acceptable salt thereof for manufacturing a medicament for treating or preventing Alzheimer dementia.
(22) A method for treating or preventing Alzheimer dementia comprising administering the compound according to any one of items (1) to (8) , or a pharmaceutically acceptable salt thereof.
(23) A compound according to any one of items (1) to (8), or a pharmaceutically acceptable salt thereof for use in treating or preventing Alzheimer dementia.
(24) Use of the compound according to any one of items (1) to (8), or a pharmaceutically acceptable salt thereof for manufacturing a medicament for treating or preventing Alzheimer dementia.
(25) A pharmaceutical composition comprising the compound of any one of items (1) to (8), or a pharmaceutically acceptable salt thereof, for oral administration.
(26) The pharmaceutical composition of (25), which is a tablet, powder, granule, capsule, pill, film, suspension, emulsion, elixir, syrup, lemonade, spirit, aromatic water, extract, decoction or tincture.
(27) The pharmaceutical composition of (26), which is a sugar-coated tablet, film-coated tablet, enteric-coated tablet, sustained-release tablet, troche tablet, sublingual tablet, buccal tablet, chewable tablet, orally disintegrated tablet, dry syrup, soft capsule, micro capsule or sustained-release capsule.
(28) A pharmaceutical composition comprising the compound of any one of items (1) to (8), or a pharmaceutically acceptable salt thereof, for parenteral administration.
(29) The pharmaceutical composition of (28), for dermal, subcutaneous, intravenous, intraarterial, intramuscular, intraperitoneal, transmucosal, inhalation, transnasal, ophthalmic, inner ear or vaginal administration.
(30) The pharmaceutical composition of (28) or (29), which is injection, infusion, eye drop, nose drop, ear drop, aerosol, inhalation, lotion, impregnation, liniment, mouthwash, enema, ointment, plaster, jelly, cream, patch, cataplasm, external powder or suppository.
(31) A pharmaceutical composition comprising the compound of any one of items (1) to (8), or a pharmaceutically acceptable salt thereof, for a pediatric or geriatric patient.
(32) A pharmaceutical composition consisting of a combination of the compound of any one of items (1) to (8) or a pharmaceutically acceptable salt thereof and acetylcholinesterase inhibitor, NMDA antagonist, or other medicament for Alzheimer dementia.
(33) A pharmaceutical composition comprising the compound of any one of items (1) to (8), or a pharmaceutically acceptable salt thereof, for a combination therapy with acetylcholinesterase inhibitor, NMDA antagonist, or other medicament for Alzheimer dementia.
(26) The pharmaceutical composition of (25), which is a tablet, powder, granule, capsule, pill, film, suspension, emulsion, elixir, syrup, lemonade, spirit, aromatic water, extract, decoction or tincture.
(27) The pharmaceutical composition of (26), which is a sugar-coated tablet, film-coated tablet, enteric-coated tablet, sustained-release tablet, troche tablet, sublingual tablet, buccal tablet, chewable tablet, orally disintegrated tablet, dry syrup, soft capsule, micro capsule or sustained-release capsule.
(28) A pharmaceutical composition comprising the compound of any one of items (1) to (8), or a pharmaceutically acceptable salt thereof, for parenteral administration.
(29) The pharmaceutical composition of (28), for dermal, subcutaneous, intravenous, intraarterial, intramuscular, intraperitoneal, transmucosal, inhalation, transnasal, ophthalmic, inner ear or vaginal administration.
(30) The pharmaceutical composition of (28) or (29), which is injection, infusion, eye drop, nose drop, ear drop, aerosol, inhalation, lotion, impregnation, liniment, mouthwash, enema, ointment, plaster, jelly, cream, patch, cataplasm, external powder or suppository.
(31) A pharmaceutical composition comprising the compound of any one of items (1) to (8), or a pharmaceutically acceptable salt thereof, for a pediatric or geriatric patient.
(32) A pharmaceutical composition consisting of a combination of the compound of any one of items (1) to (8) or a pharmaceutically acceptable salt thereof and acetylcholinesterase inhibitor, NMDA antagonist, or other medicament for Alzheimer dementia.
(33) A pharmaceutical composition comprising the compound of any one of items (1) to (8), or a pharmaceutically acceptable salt thereof, for a combination therapy with acetylcholinesterase inhibitor, NMDA antagonist, or other medicament for Alzheimer dementia.
The compound of the present invention has BACE1 inhibitory activity and is useful as an agent for treating and/or preventing disease induced by production, secretion or deposition of amyloid β proteins such as Alzheimer dementia.
Each meaning of terms used herein is described below. Both when used alone and in combination unless otherwise noted, each term is used in the same meaning.
In the specification, the term of “consisting of” means having only components.
In the specification, the term of “comprising” means not restricting with components and not excluding undescribed factors.
In the specification, the "halogen" includes fluorine, chlorine, bromine, and iodine. Fluorine and chlorine are preferable.
In the specification, the "alkyl" includes linear or branched alkyl of a carbon number of 1 to 15, for example, a carbon number of 1 to 10, for example, a carbon number of 1 to 6, and for example, a carbon number of 1 to 4. Examples include methyl, ethyl, n-propyl, isopropyl, n-butyl, isobutyl, sec-butyl, tert-butyl, n-pentyl, isopentyl, neopentyl, hexyl, isohexyl, n-heptyl, isoheptyl, n-octyl, isooctyl, n-nonyl and n-decyl. Examples are methyl, ethyl, n-propyl, isopropyl, n-butyl, isobutyl, sec-butyl, tert-butyl and n-pentyl.
In one embodiment, "alkyl" is methyl, ethyl, n-propyl, isopropyl or tert-butyl.
The term "alkenyl" includes linear or branched alkenyl of a carbon number or 2 to 15, for example, a carbon number of 2 to 10, for example, a carbon number of 2 to 6, and for example, a carbon number of 2 to 4, having one or more double bonds at any available positions. Examples include vinyl, allyl, propenyl, isopropenyl, butenyl, isobutenyl, prenyl, butadienyl, pentenyl, isopentenyl, pentadienyl, hexenyl, isohexenyl, hexadienyl, heptenyl, octenyl, nonenyl, decenyl, undecenyl, dodecenyl, tridecenyl, tetradecenyl and pentadecenyl. Examples are vinyl, allyl, propenyl, isopropenyl and butenyl.
In the specification, the term of “consisting of” means having only components.
In the specification, the term of “comprising” means not restricting with components and not excluding undescribed factors.
In the specification, the "halogen" includes fluorine, chlorine, bromine, and iodine. Fluorine and chlorine are preferable.
In the specification, the "alkyl" includes linear or branched alkyl of a carbon number of 1 to 15, for example, a carbon number of 1 to 10, for example, a carbon number of 1 to 6, and for example, a carbon number of 1 to 4. Examples include methyl, ethyl, n-propyl, isopropyl, n-butyl, isobutyl, sec-butyl, tert-butyl, n-pentyl, isopentyl, neopentyl, hexyl, isohexyl, n-heptyl, isoheptyl, n-octyl, isooctyl, n-nonyl and n-decyl. Examples are methyl, ethyl, n-propyl, isopropyl, n-butyl, isobutyl, sec-butyl, tert-butyl and n-pentyl.
In one embodiment, "alkyl" is methyl, ethyl, n-propyl, isopropyl or tert-butyl.
The term "alkenyl" includes linear or branched alkenyl of a carbon number or 2 to 15, for example, a carbon number of 2 to 10, for example, a carbon number of 2 to 6, and for example, a carbon number of 2 to 4, having one or more double bonds at any available positions. Examples include vinyl, allyl, propenyl, isopropenyl, butenyl, isobutenyl, prenyl, butadienyl, pentenyl, isopentenyl, pentadienyl, hexenyl, isohexenyl, hexadienyl, heptenyl, octenyl, nonenyl, decenyl, undecenyl, dodecenyl, tridecenyl, tetradecenyl and pentadecenyl. Examples are vinyl, allyl, propenyl, isopropenyl and butenyl.
The term "alkynyl" includes a linear or branched alkynyl of a carbon number of 2 to 15, for example, a carbon number of 2 to 10, for example, a carbon number of 2 to 8, for example, a carbon number of 2 to 6, and for example, a carbon number of 2 to 4 having one or more triple bonds at optionally positions. Specific examples are ethynyl, propynyl, butynyl, pentynyl, hexynyl, heptynyl, octynyl, nonynyl and decynyl. These may have further a double bond at any available position. Examples are ethynyl, propynyl, butynyl and pentynyl.
The term "alkylene" include a linear or branched divalent carbon chain of a carbon number of 1 to 15, for example, a carbon number of 1 to 10, for example, a carbon number of 1 to 6, and for example a carbon number of 1 to 4. Examples are methylene, dimethylene, trimethylene, tetramethylene, pentamethylene and hexamethylene.
Alkylene portion in "alkylenedioxy" is the same as the above "alkylene". Examples are methylenedioxy and dimethylenedioxy.
Alkylene portion in "alkylenedioxy" is the same as the above "alkylene". Examples are methylenedioxy and dimethylenedioxy.
The term of “aromatic carbocyclyl” includes an aromatic hydrocarbon group which is monocyclic or which consists of two or more rings. Examples are an aromatic hydrocarbon group of a carbon number of 6 to 14, and specific examples are phenyl, naphthyl, anthryl and phenanthryl.
In one embodiment, "aromatic carbocyclyl” is phenyl.
In one embodiment, "aromatic carbocyclyl” is phenyl.
The term of “non-aromatic carbocyclyl” includes saturated carbocyclyl or unsaturated non-aromatic carbocyclyl which is monocyclic or which consists of two or more rings. A “non-aromatic carbocyclyl” of two or more rings includes a fused cyclic group wherein a non-aromatic monocyclic carbocycle or a non-aromatic carbocycle of two or more rings is fused with a ring of the above “aromatic carbocyclyl”.
In addition, the “non-aromatic carbocyclyl” also includes a cyclic group having a bridge or a cyclic group to form a spiro ring as follows:
The term "non-aromatic monocyclic carbocyclyl" includes a group having 3 to 16 carbon atoms, for example, 3 to 12 carbon atoms, for example, 3 to 8 carbon atoms, and for example, 3 to 5 carbon atoms. Examples are cyclopropyl, cyclobutyl, cyclopentyl, cyclohexyl, cycloheptyl, cyclooctyl, cyclononyl, cyclodecanyl, cyclopropenyl, cyclobutenyl, cyclopentenyl, cyclohexenyl cycloheptenyl and cyclohexadienyl.
Examples of non-aromatic carbocyclyl consisting of two or more rings include a group having 6 to 14 carbon atoms, and examples are indanyl, indenyl, acenaphthyl, tetrahydronaphthyl and fluorenyl.
In addition, the “non-aromatic carbocyclyl” also includes a cyclic group having a bridge or a cyclic group to form a spiro ring as follows:
The term "non-aromatic monocyclic carbocyclyl" includes a group having 3 to 16 carbon atoms, for example, 3 to 12 carbon atoms, for example, 3 to 8 carbon atoms, and for example, 3 to 5 carbon atoms. Examples are cyclopropyl, cyclobutyl, cyclopentyl, cyclohexyl, cycloheptyl, cyclooctyl, cyclononyl, cyclodecanyl, cyclopropenyl, cyclobutenyl, cyclopentenyl, cyclohexenyl cycloheptenyl and cyclohexadienyl.
Examples of non-aromatic carbocyclyl consisting of two or more rings include a group having 6 to 14 carbon atoms, and examples are indanyl, indenyl, acenaphthyl, tetrahydronaphthyl and fluorenyl.
The term "cycloalkyl" includes a carbocyclic group of a carbon number of 3 to 10, for example, a carbon number of 3 to 8, and for example, a carbon number 4 to 8. Examples are cyclopropyl, cyclobutyl, cyclopentyl, cyclohexyl, cycloheptyl, cyclooctyl, cyclononyl and cyclodecyl.
Cycloalkyl portion in "cycloalkylalkyl", "cycloalkylamino" and “cycloalkylalkyloxy” are the same as the above "cycloalkyl".
Cycloalkyl portion in "cycloalkylalkyl", "cycloalkylamino" and “cycloalkylalkyloxy” are the same as the above "cycloalkyl".
The term of “aromatic heterocyclyl” includes an aromatic group which is monocyclic, or which consists of two or more rings, containing one or more of heteroatoms selected independently from oxygen, sulfur and nitrogen atoms.
An “aromatic heterocyclyl” of two or more rings includes a fused cyclic group wherein aromatic monocyclic heterocyclyl or non-aromatic heterocyclyl consisting of two or more rings is fused with a ring of the above “aromatic carbocyclyl”.
The term "aromatic monocyclic heterocyclyl" includes a 5- to 8-membered group, and for example, 5- to 6- membered group. Examples are pyrrolyl, imidazolyl, pyrazolyl, pyridyl, pyridazinyl, pyrimidinyl, pyrazinyl, triazolyl, triazinyl, tetrazolyl, furyl, thienyl, isoxazolyl, oxazolyl, oxadiazolyl, isothiazolyl, thiazolyl and thiadiazolyl.
Examples of aromatic bicyclic heterocyclyl includes a 9- to 10-membered group, and examples are indolinyl, isoindolinyl, indazolinyl, indolizinyl, quinolinyl, isoquinolinyl, cinnolinyl, phthalazinyl, quinazolinyl, naphthyridinyl, quinoxalinyl, purinyl, pteridinyl, benzimidazolyl, benzisoxazolyl, benzoxazolyl, benzoxadiazolyl, benzisothiazolyl, benzothiazolyl, benzothiadiazolyl, benzofuryl, isobenzofuryl, benzothienyl, benzotriazolyl, imidazopyridyl, triazolopyridyl, imidazothiazolyl, pyrazinopyridazinyl, oxazolopyridyl and thiazolopyridyl.
Examples of aromatic heterocyclyl of three or more rings includes a 13 to 14-membered group, and examples are carbazolyl, acridinyl, xanthenyl, phenothiazinyl, phenoxathiinyl, phenoxazinyl and dibenzofuryl.
An “aromatic heterocyclyl” of two or more rings includes a fused cyclic group wherein aromatic monocyclic heterocyclyl or non-aromatic heterocyclyl consisting of two or more rings is fused with a ring of the above “aromatic carbocyclyl”.
The term "aromatic monocyclic heterocyclyl" includes a 5- to 8-membered group, and for example, 5- to 6- membered group. Examples are pyrrolyl, imidazolyl, pyrazolyl, pyridyl, pyridazinyl, pyrimidinyl, pyrazinyl, triazolyl, triazinyl, tetrazolyl, furyl, thienyl, isoxazolyl, oxazolyl, oxadiazolyl, isothiazolyl, thiazolyl and thiadiazolyl.
Examples of aromatic bicyclic heterocyclyl includes a 9- to 10-membered group, and examples are indolinyl, isoindolinyl, indazolinyl, indolizinyl, quinolinyl, isoquinolinyl, cinnolinyl, phthalazinyl, quinazolinyl, naphthyridinyl, quinoxalinyl, purinyl, pteridinyl, benzimidazolyl, benzisoxazolyl, benzoxazolyl, benzoxadiazolyl, benzisothiazolyl, benzothiazolyl, benzothiadiazolyl, benzofuryl, isobenzofuryl, benzothienyl, benzotriazolyl, imidazopyridyl, triazolopyridyl, imidazothiazolyl, pyrazinopyridazinyl, oxazolopyridyl and thiazolopyridyl.
Examples of aromatic heterocyclyl of three or more rings includes a 13 to 14-membered group, and examples are carbazolyl, acridinyl, xanthenyl, phenothiazinyl, phenoxathiinyl, phenoxazinyl and dibenzofuryl.
The term of “non-aromatic heterocyclyl” includes a non-aromatic group which is monocyclic, or which consists of two or more rings, containing one or more of heteroatoms selected independently from oxygen, sulfur and nitrogen atoms.
A “non-aromatic heterocyclyl” of two or more rings includes
(i) a fused cyclic group wherein non-aromatic monocyclic heterocyclyl or non-aromatic heterocyclyl of two or more rings is fused with a ring of the above “aromatic carbocyclyl”, “non-aromatic carbocyclyl” and/or “aromatic heterocyclyl”, and
(ii) a fused cyclic group wherein aromatic heterocyclyl is fused with non-aromatic carbocyclyl.
In addition, the “non-aromatic heterocyclyl” also includes a cyclic group having a bridge or a cyclic group to form a spiro ring as follows:
The term "non-aromatic monocyclic heterocyclyl" includes a 3- to 8-membered ring, and for example, 4-, 5- or 6-membered ring. Examples are dioxanyl, thiiranyl, oxiranyl, oxetanyl, oxathiolanyl, azetidinyl, thianyl, thiazolidinyl, pyrrolidinyl, pyrrolinyl, imidazolidinyl, imidazolinyl, pyrazolidinyl, pyrazolinyl, piperidyl, piperazinyl, morpholinyl, morpholino, thiomorpholinyl, thiomorpholino, dihydropyridyl, tetrahydropyridyl, tetrahydrofuryl, tetrahydropyranyl, dihydrothiazolyl, tetrahydrothiazolyl, tetrahydroisothiazolyl, dihydrooxazinyl, hexahydroazepinyl, tetrahydrodiazepinyl, tetrahydropyridazinyl, hexahydropyrimidinyl, dioxolanyl, dioxazinyl, aziridinyl, dioxolinyl, oxepanyl, thiolanyl, thiinyl and thiazinyl.
Examples of non-aromatic heterocyclyl of two or more rings includes a 9 to 14-membered group, and examples are indolinyl, isoindolinyl, chromanyl and isochromanyl.
A “non-aromatic heterocyclyl” of two or more rings includes
(i) a fused cyclic group wherein non-aromatic monocyclic heterocyclyl or non-aromatic heterocyclyl of two or more rings is fused with a ring of the above “aromatic carbocyclyl”, “non-aromatic carbocyclyl” and/or “aromatic heterocyclyl”, and
(ii) a fused cyclic group wherein aromatic heterocyclyl is fused with non-aromatic carbocyclyl.
In addition, the “non-aromatic heterocyclyl” also includes a cyclic group having a bridge or a cyclic group to form a spiro ring as follows:
The term "non-aromatic monocyclic heterocyclyl" includes a 3- to 8-membered ring, and for example, 4-, 5- or 6-membered ring. Examples are dioxanyl, thiiranyl, oxiranyl, oxetanyl, oxathiolanyl, azetidinyl, thianyl, thiazolidinyl, pyrrolidinyl, pyrrolinyl, imidazolidinyl, imidazolinyl, pyrazolidinyl, pyrazolinyl, piperidyl, piperazinyl, morpholinyl, morpholino, thiomorpholinyl, thiomorpholino, dihydropyridyl, tetrahydropyridyl, tetrahydrofuryl, tetrahydropyranyl, dihydrothiazolyl, tetrahydrothiazolyl, tetrahydroisothiazolyl, dihydrooxazinyl, hexahydroazepinyl, tetrahydrodiazepinyl, tetrahydropyridazinyl, hexahydropyrimidinyl, dioxolanyl, dioxazinyl, aziridinyl, dioxolinyl, oxepanyl, thiolanyl, thiinyl and thiazinyl.
Examples of non-aromatic heterocyclyl of two or more rings includes a 9 to 14-membered group, and examples are indolinyl, isoindolinyl, chromanyl and isochromanyl.
The term of “alkyloxy” includes a group wherein an oxygen atom is substituted with the above “alkyl”. Examples are methyloxy, ethyloxy, n-propyloxy, isopropyloxy, n-butyloxy, tert-butyloxy, isobutyloxy, sec-butyloxy, pentyloxy, isopentyloxy and hexyloxy.
In one embodiment, “alkyloxy” is methyloxy, ethyloxy, n-propyloxy, isopropyloxy or tert-butyloxy.
In one embodiment, “alkyloxy” is methyloxy, ethyloxy, n-propyloxy, isopropyloxy or tert-butyloxy.
The term of “alkenyloxy” includes a group wherein an oxygen atom is substituted with the above “alkenyl”. Examples are vinyloxy, allyloxy, 1-propenyloxy, 2-butenyloxy, 2-pentenyloxy, 2-hexenyloxy, 2-heptenyloxy and 2-octenyloxy.
The term of “alkynyloxy” includes a group wherein an oxygen atom is substituted with the above “alkynyl”. Examples are ethynyloxy, 1-propynyloxy, 2-propynyloxy, 2-butynyloxy, 2-pentynyloxy, 2-hexynyloxy, 2-heptynyloxy and 2-octynyloxy.
The term of “haloalkyl” includes a group wherein one or more hydrogen atoms attached to one or more carbon atoms of the above “alkyl” are replaced with one or more above “halogen”. Examples are
monofluoromethyl, monofluoroethyl, monofluoropropyl,
difluoromethyl, difluoroethyl, difluoropropyl,
trifluoromethyl, trifluoroethyl, trifluoropropyl, pentafluoropropyl,
monochloromethyl, monochloroethyl, monochloropropyl,
dichloromethyl, dichloroethyl, dichloropropyl,
trichloromethyl, trichloroethyl, trichloropropyl, pentachloropropyl,
1-fluoroethyl, 2-fluoroethyl, 1,1-difluoroethyl, 2,2-difluoroethyl, 2,2,2-trifluoroethyl,
1-chloroethyl, 2-chloroethyl, 1,1-dichloroethyl, 2,2-dichloroethyl, 2,2,2-trichloroethyl,
1,2-dibromoethyl, 1,1,1-trifluoropropan-2-yl and 2,2,3,3,3-pentafluoropropyl.
Examples are monofluoromethyl, difluoromethyl, trifluoromethyl, 1-fluoroethyl, 1,1-difluoroethyl, and 2,2-difluoroethyl. Examples are monofluoromethyl, difluoromethyl, 1-fluoroehtyl, 1,1-difluoroethyl and 2,2-difluoroethyl.
The term of "dihalomethyl" includes a group wherein the above "alkyl" is substituted with two halogen groups. Examples are difluoromethyl and dichloromethyl.
The term of "haloalkenyl" includes a group wherein one or more hydrogen atoms attached to one or more carbon atoms of the above "alkenyl" are replaced with one or more above "halogen". Examples are monofluorovinyl, monofluoroallyl, monofluoropropenyl, difluorovinyl, difluoroallyl and difluoropropenyl.
The term of "haloalkynyl" includes a group wherein one or more hydrogen atoms attached to one or more carbon atoms of the above "alkynyl" are replaced with one or more above "halogen". Examples are fluoroethynyl, monofluoropropynyl, difluoropropynyl, monofluorobutynyl, chloroethynyl, monochloropropynyl, monochlorobutynyl and dichloropropynyl.
monofluoromethyl, monofluoroethyl, monofluoropropyl,
difluoromethyl, difluoroethyl, difluoropropyl,
trifluoromethyl, trifluoroethyl, trifluoropropyl, pentafluoropropyl,
monochloromethyl, monochloroethyl, monochloropropyl,
dichloromethyl, dichloroethyl, dichloropropyl,
trichloromethyl, trichloroethyl, trichloropropyl, pentachloropropyl,
1-fluoroethyl, 2-fluoroethyl, 1,1-difluoroethyl, 2,2-difluoroethyl, 2,2,2-trifluoroethyl,
1-chloroethyl, 2-chloroethyl, 1,1-dichloroethyl, 2,2-dichloroethyl, 2,2,2-trichloroethyl,
1,2-dibromoethyl, 1,1,1-trifluoropropan-2-yl and 2,2,3,3,3-pentafluoropropyl.
Examples are monofluoromethyl, difluoromethyl, trifluoromethyl, 1-fluoroethyl, 1,1-difluoroethyl, and 2,2-difluoroethyl. Examples are monofluoromethyl, difluoromethyl, 1-fluoroehtyl, 1,1-difluoroethyl and 2,2-difluoroethyl.
The term of "dihalomethyl" includes a group wherein the above "alkyl" is substituted with two halogen groups. Examples are difluoromethyl and dichloromethyl.
The term of "haloalkenyl" includes a group wherein one or more hydrogen atoms attached to one or more carbon atoms of the above "alkenyl" are replaced with one or more above "halogen". Examples are monofluorovinyl, monofluoroallyl, monofluoropropenyl, difluorovinyl, difluoroallyl and difluoropropenyl.
The term of "haloalkynyl" includes a group wherein one or more hydrogen atoms attached to one or more carbon atoms of the above "alkynyl" are replaced with one or more above "halogen". Examples are fluoroethynyl, monofluoropropynyl, difluoropropynyl, monofluorobutynyl, chloroethynyl, monochloropropynyl, monochlorobutynyl and dichloropropynyl.
The term of “haloalkyloxy” includes a group wherein an oxygen atom is substituted with the above “haloalkyl”. Examples are monofluoromethyloxy, monofluoroethyloxy, difluoromethyloxy, 1,1-difluoroethyloxy, 2,2-difluoroethyloxy, trifluoromethyloxy, trichloromethyloxy, 2,2,2-trifluoroethyloxy and trichloroethyloxy.
In one embodiment, “haloalkyloxy” is difluoromethyloxy, 2,2,2-difluoroethyloxy, trifluoromethyloxy, 2,2,2-trifluoroethyloxy, or trichloromethyloxy.
The term of "halomethyloxy" includes a group wherein the above "alkyloxy" is substituted with halogen group. Examples are monofluoromethyloxy, difluoromethyloxy, trifluoromethyloxy and trichloromethyloxy.
The term of “monohalomethyloxy” includes a group wherein the above “alkyloxy” is substituted with one halogen group. Examples are monofluoromethyloxy and monochloromethyloxy.
The term of “dihaloethyloxy” includes a group wherein the above “alkyloxy” is substituted with two halogen groups. Examples are difluoroethyloxy and dichloroethyloxy.
The term of "cyanoalkyloxy" includes a group wherein the above "alkyloxy" is substituted with a cyano group. Examples are cyanomethyloxy and cyanoethyloxy.
In one embodiment, “haloalkyloxy” is difluoromethyloxy, 2,2,2-difluoroethyloxy, trifluoromethyloxy, 2,2,2-trifluoroethyloxy, or trichloromethyloxy.
The term of "halomethyloxy" includes a group wherein the above "alkyloxy" is substituted with halogen group. Examples are monofluoromethyloxy, difluoromethyloxy, trifluoromethyloxy and trichloromethyloxy.
The term of “monohalomethyloxy” includes a group wherein the above “alkyloxy” is substituted with one halogen group. Examples are monofluoromethyloxy and monochloromethyloxy.
The term of “dihaloethyloxy” includes a group wherein the above “alkyloxy” is substituted with two halogen groups. Examples are difluoroethyloxy and dichloroethyloxy.
The term of "cyanoalkyloxy" includes a group wherein the above "alkyloxy" is substituted with a cyano group. Examples are cyanomethyloxy and cyanoethyloxy.
The term of “alkyloxyalkyl” includes a group wherein the above “alkyl” is substituted with the above “alkyloxy”. Examples are methoxymethyl, methoxyethyl and ethoxymethyl.
The term of “alkyloxyalkyloxy” includes a group wherein the above “alkyloxy” is substituted with the above “alkyloxy”. Examples are methyloxymethyloxy, methyloxyethyloxy, ethyloxymethyloxy and ethyloxyethyloxy.
The term of “cycloalkylalkyloxy” includes a group wherein the above “alkyloxy” is substituted with the above “cycloalkyl”. Examples are cyclopropylmethyloxy, cyclopropylethyloxy, cyclobutylmethyloxy and cyclobutylethyloxy.
The term of “cycloalkylalkyloxy” includes a group wherein the above “alkyloxy” is substituted with the above “cycloalkyl”. Examples are cyclopropylmethyloxy, cyclopropylethyloxy, cyclobutylmethyloxy and cyclobutylethyloxy.
The term of "alkylcarbonyl" includes a group wherein a carbonyl group is substituted with the above "alkyl". Examples are methylcarbonyl, ethylcarbonyl, n-propylcarbonyl, isopropylcarbonyl, tert-butylcarbonyl, isobutylcarbonyl, sec-butylcarbonyl, pentylcarbonyl, isopentylcarbonyl and hexylcarbonyl. Examples are methylcarbonyl, ethylcarbonyl and n-propylcarbonyl.
The term of "alkenylcarbonyl" includes a group wherein a carbonyl group is substituted with the above "alkenyl". Examples are ethylenylcarbonyl, propenylcarbonyl and butenylcarbonyl.
The term of "alkynylcarbonyl" includes a group wherein a carbonyl group is substituted with the above "alkynyl". Examples are ethynylcarbonyl, propynylcarbonyl and butynylcarbonyl.
The term of “monoalkylamino” includes a group wherein a hydrogen atom attached to a nitrogen atom of an amino group is replaced with the above “alkyl”. Examples are methylamino, ethylamino and isopropylamino.
In one embodiment, "monoalkylamino" is methylamino or ethylamino.
In one embodiment, "monoalkylamino" is methylamino or ethylamino.
The term of “dialkylamino” includes a group wherein two hydrogen atoms attached to a nitrogen atom of an amino group are replaced with two above “alkyl”. These two alkyl groups may be the same or different. Examples are dimethylamino, diethylamino, N,N-diisopropylamino, N-methyl-N-ethylamino and N-isopropyl-N-ethylamino.
In one embodiment, "dialkylamino" is dimethylamino or diethylamino.
In one embodiment, "dialkylamino" is dimethylamino or diethylamino.
The term of “alkylsulfonyl” includes a group wherein a sulfonyl group is substituted with the above “alkyl”. Examples are methylsulfonyl, ethylsulfonyl, propylsulfonyl, isopropylsulfonyl, tert-butylsulfonyl, isobutylsulfonyl and sec-butylsulfonyl. In one embodiment, "alkylsulfonyl" is methylsulfonyl or ethylsulfonyl.
The term of “alkyloxyimino” includes a group wherein a hydrogen atom attached to a nitrogen atom of an imino group is replaced with the above “alkyloxy”. Examples are methyloxyimino, ethyloxyimino, n-propyloxyimino and isopropyloxyimino.
The term of “alkylcarbonyloxy” includes a group wherein an oxygen atom is substituted with the above “alkylcarbonyl”. Examples are methylcarbonyloxy, ethylcarbonyloxy, propylcarbonyloxy, isopropylcarbonyloxy, tert-butylcarbonyloxy, isobutylcarbonyloxy and sec-butylcarbonyloxy. In one embodiment, “alkylcarbonyloxy” is methylcarbonyloxy or ethylcarbonyloxy.
The term of “alkenylcarbonyloxy” includes a group wherein an oxygen atom is substituted with the above “alkenylcarbonyl”. Examples are ethylenylcarbonyloxy and propenylcarbonyloxy.
The term of “alkynylcarbonyloxy” includes a group wherein an oxygen atom is substituted with the above “alkynylcarbonyl”. Examples are ethynylcarbonyloxy and propynylcarbonyloxy.
The term of "alkyloxycarbonyl" includes a group wherein a carbonyl group is substituted with the above "alkyloxy". Examples are methyloxycarbonyl, ethyloxycarbonyl, propyloxycarbonyl, isopropyloxycarbonyl, tert-butyloxycarbonyl, isobutyloxycarbonyl, sec-butyloxycarbonyl, pentyloxycarbonyl, isopentyloxycarbonyl and hexyloxycarbonyl. In one embodiment, "alkyloxycarbonyl" is methyloxycarbonyl, ethyloxycarbonyl or propyloxycarbonyl.
The term of “alkylsulfanyl” includes a group wherein a hydrogen atom attached to a sulfur atom of a sulfanyl group is replaced with the above “alkyl”. Examples are methylsulfanyl, ethylsulfanyl, n-propylsulfanyl, isopropylsulfanyl, tert-butylsulfanyl and isobutylsulfanyl.
The term "cyanoalkylsulfanyl" includes a group wherein the above "alkylsulfanyl" is substituted with a cyano group. Examples are cyanomethylsulfanyl, cyanoethylsulfanyl and cyanopropylsulfanyl.
The term "cyanoalkylsulfanyl" includes a group wherein the above "alkylsulfanyl" is substituted with a cyano group. Examples are cyanomethylsulfanyl, cyanoethylsulfanyl and cyanopropylsulfanyl.
The term of “alkenylsulfanyl” includes a group wherein a hydrogen atom attached to a sulfur atom of a sulfanyl group is replaced with the above “alkenyl”. Examples are ethylenylsulfanyl, propenylsulfanyl and butenylsulfanyl.
The term of “alkynylsulfanyl” includes a group wherein a hydrogen atom attached to a sulfur atom of a sulfanyl group is replaced with the above “alkynyl”. Examples are ethynylsulfanyl, propynylsulfanyl and butynylsulfanyl.
The term of “alkylsulfinyl” includes a group wherein a sulfinyl group is substituted with the above “alkyl”. Examples are methylsulfinyl, ethylsulfinyl, n-propylsulfinyl and isopropylsulfinyl.
The term of “monoalkylcarbamoyl” includes a group wherein a hydrogen atom attached to a nitrogen atom of a carbamoyl group is replaced with the above “alkyl”. Examples are methylcarbamoyl, ethylcarbamoyl, n-propylcarbamoyl and isopropylcarbamoyl.
The term of “dialkylcarbamoyl” includes a group wherein two hydrogen atom attached to a nitrogen atom of a carbamoyl group are replaced with two above “alkyl”. These two alkyl groups may be the same or different. Examples are dimethylcarbamoyl, diethylcarbamoyl and N-methyl-N-ethylcarbamoyl.
The term of “monoalkylsulfamoyl” includes a group wherein a hydrogen atom attached to a nitrogen atom of a sulfamoyl group is replaced with the above “alkyl”. Examples are methylsulfamoyl, ethylsulfamoyl, n-propylsulfamoyl and isopropylsulfamoyl.
The term of “dialkylsulfamoyl” includes a group wherein two hydrogen atoms attached to a nitrogen atom of a sulfamoyl group are replaced with two above “alkyl”. These two alkyl groups may be the same or different. Examples are dimethylsulfamoyl, diethylsulfamoyl and N-methyl-N-ethylsulfamoyl.
The term of "alkylidene" includes a divalent group derived from alkane by removing two hydrogen atoms from the same carbon atom. Examples are methylidene, ethylidene, propylidene, isopropylidene, butylidene, pentylidene and hexylidene.
The alkenyl portion of "alkyloxyalkenyloxy", "alkenylsulfanyl" and "alkenylamino" means the above "alkenyl".
The alkynyl portion of "alkyloxyalkynyloxy", "alkynylsulfanyl" and "alkynylamino" means the above "alkynyl".
The alkyl portion of, "monoalkylamino", "dialkylamino", "aminoalkyl", "alkyloxyalkenyloxy", "alkyloxyalkynyloxy", "alkylcarbonyl", "monoalkylcarbamoyl", "dialkylcarbamoyl", "alkylsulfanyl", "alkylsulfinyl", "monoalkylsulfamoyl", "dialkylsulfamoyl", "aromatic carbocyclylalkyl”, “non-aromatic carbocyclylalkyl”, “aromatic heterocyclylalkyl”, “non-aromatic heterocyclylalkyl”, “aromatic carbocyclylalkyloxy”, “non-aromatic carbocyclylalkyloxy”, “aromatic heterocyclylalkyloxy” and “non-aromatic heterocyclylalkyloxy”, “aromatic carbocyclylalkyloxycarbonyl”, “non-aromatic carbocyclylalkyloxycarbonyl”, “aromatic heterocyclylalkyloxycarbonyl”, “non-aromatic heterocyclylalkyloxycarbonyl”, “aromatic carbocyclylalkylamino”, “non-aromatic carbocyclylalkylamino”, “aromatic heterocyclylalkylamino”, “non-aromatic heterocyclylalkylamino”, "aromatic carbocyclylalkylcarbamoyl", "non-aromatic carbocyclylalkylcarbamoyl", "aromatic heterocyclylalkylcarbamoyl", "non-aromatic heterocyclylalkylcarbamoyl", and "cycloalkylalkyl" means the above “alkyl”.
The alkynyl portion of "alkyloxyalkynyloxy", "alkynylsulfanyl" and "alkynylamino" means the above "alkynyl".
The alkyl portion of, "monoalkylamino", "dialkylamino", "aminoalkyl", "alkyloxyalkenyloxy", "alkyloxyalkynyloxy", "alkylcarbonyl", "monoalkylcarbamoyl", "dialkylcarbamoyl", "alkylsulfanyl", "alkylsulfinyl", "monoalkylsulfamoyl", "dialkylsulfamoyl", "aromatic carbocyclylalkyl”, “non-aromatic carbocyclylalkyl”, “aromatic heterocyclylalkyl”, “non-aromatic heterocyclylalkyl”, “aromatic carbocyclylalkyloxy”, “non-aromatic carbocyclylalkyloxy”, “aromatic heterocyclylalkyloxy” and “non-aromatic heterocyclylalkyloxy”, “aromatic carbocyclylalkyloxycarbonyl”, “non-aromatic carbocyclylalkyloxycarbonyl”, “aromatic heterocyclylalkyloxycarbonyl”, “non-aromatic heterocyclylalkyloxycarbonyl”, “aromatic carbocyclylalkylamino”, “non-aromatic carbocyclylalkylamino”, “aromatic heterocyclylalkylamino”, “non-aromatic heterocyclylalkylamino”, "aromatic carbocyclylalkylcarbamoyl", "non-aromatic carbocyclylalkylcarbamoyl", "aromatic heterocyclylalkylcarbamoyl", "non-aromatic heterocyclylalkylcarbamoyl", and "cycloalkylalkyl" means the above “alkyl”.
The term of “aromatic carbocyclylalkyl” includes alkyl substituted with one or more above “aromatic carbocyclyl”. Examples are benzyl, phenethyl, phenylpropyl, benzhydryl, trityl, naphthylmethyl and a group of the formula of
In one embodiment, “aromatic carbocyclylalkyl” is benzyl, phenethyl or benzhydryl.
In one embodiment, “aromatic carbocyclylalkyl” is benzyl, phenethyl or benzhydryl.
The term of “non-aromatic carbocyclylalkyl” includes alkyl substituted with one or more above “non-aromatic carbocyclyl”. Also, “non-aromatic carbocyclylalkyl” includes a “non-aromatic carbocyclylalkyl” wherein the alkyl portion thereof is substituted with one or more above “aromatic carbocyclyl”. Examples are cyclopropylmethyl, cyclobutylmethyl, cyclopentylmethyl, cyclohexylmethyl and a group of the formula of
The term of “aromatic heterocyclylalkyl” includes alkyl substituted with one or more above “aromatic heterocyclyl”. Also, “aromatic heterocyclylalkyl” includes “aromatic heterocyclylalkyl” wherein the alkyl portion thereof is substituted with one or more above “aromatic carbocyclyl”, and/or “non-aromatic carbocyclyl”. Examples are pyridylmethyl, furanylmethyl, imidazolylmethyl, indolylmethyl, benzothiophenylmethyl, oxazolylmethyl, isoxazolylmethyl, thiazolylmethyl, isothiazolylmethyl, pyrazolylmethyl, isopyrazolylmethyl, pyrrolidinylmethyl, benzoxazolylmethyl and groups of the formula of
The term of “non-aromatic heterocyclylalkyl” includes alkyl substituted with one or more above “non-aromatic heterocyclyl”. Also, “non-aromatic heterocyclylalkyl” includes a “non-aromatic heterocyclylalkyl” wherein the alkyl portion thereof is substituted with one or more above “aromatic carbocyclyl”, “non-aromatic carbocyclyl” and/or “aromatic heterocyclyl”. Examples are tetrahydropyranylmethyl, morpholinylmethyl, morpholinylethyl, piperidinylmethyl, piperazinylmethyl and groups of the formula of
The term of “aromatic carbocyclylalkyloxy” includes alkyloxy substituted with one or more above “aromatic carbocyclyl”. Examples are benzyloxy, phenethyloxy, phenylpropyloxy, benzhydryloxy, trityloxy, naphthylmethyloxy and a group of the formula of
The term of “non-aromatic carbocyclylalkyloxy” includes alkyloxy substituted with one or more above “non-aromatic carbocyclyl”. Also, “non-aromatic carbocyclylalkyloxy” includes a “non-aromatic carbocyclylalkyloxy” wherein the alkyl portion thereof is substituted with one or more above “aromatic carbocyclyl”. Examples are cyclopropylmethyloxy, cyclobutylmethyloxy, cyclopentylmethyloxy, cyclohexylmethyloxy and a group of the formula of
The term of “aromatic heterocyclylalkyloxy” includes alkyloxy substituted with one or more above “aromatic heterocyclyl”. Also, “aromatic heterocyclylalkyloxy” includes “aromatic heterocyclylalkyloxy” wherein the alkyl portion thereof is substituted with one or more above “aromatic carbocyclyl”, and/or “non-aromatic carbocyclyl”. Examples are pyridylmethyloxy, furanylmethyloxy, imidazolylmethyloxy, indolylmethyloxy, benzothiophenylmethyloxy, oxazolylmethyloxy, isoxazolylmethyloxy, thiazolylmethyloxy, isothiazolylmethyloxy, pyrazolylmethyloxy, isopyrazolylmethyloxy, pyrrolidinylmethyloxy, benzoxazolylmethyloxy and groups of the formula of
The term of “non-aromatic heterocyclylalkyloxy” includes alkyloxy substituted with one or more above “non-aromatic heterocyclyl”. Also, “non-aromatic heterocyclylalkyloxy” includes a “non-aromatic heterocyclylalkyloxy” wherein the alkyl portion thereof is substituted with one or more above “aromatic carbocyclyl”, “non-aromatic carbocyclyl” and/or “aromatic heterocyclyl”. Examples are tetrahydropyranylmethyloxy, morpholinylmethyloxy, morpholinylethyloxy, piperidinylmethyloxy, piperazinylmethyloxy and groups of the formula of
The term of “aromatic carbocyclyl alkyloxycarbonyl” includes alkyloxycarbonyl substituted with one or more above “aromatic carbocyclyl”. Examples are benzyloxycarbonyl, phenethyloxycarbonyl, phenylpropyloxycarbonyl, benzhydryloxycarbonyl, trityloxycarbonyl, naphthylmethyloxycarbonyl and a group of the formula of
The term of “non-aromatic carbocyclylalkyloxycarbonyl” includes alkyloxycarbonyl substituted with one or more above “non-aromatic carbocyclyl”. Also, “non-aromatic carbocyclylalkyloxycarbonyl” includes “non-aromatic carbocyclylalkyloxycarbonyl” wherein the alkyl portion thereof is substituted with one or more above “aromatic carbocyclyl”. Examples are cyclopropylmethyloxycarbonyl, cyclobutylmethyloxycarbonyl, cyclopentylmethyloxycarbonyl, cyclohexylmethyloxycarbonyl and a group of the formula of
The term of “aromatic heterocyclyl alkyloxycarbonyl” includes alkyloxycarbonyl substituted with one or more above “aromatic heterocyclyl”. Also, “aromatic heterocyclyl alkyloxycarbonyl” includes “aromatic heterocyclyl alkyloxycarbonyl” wherein the alkyl portion thereof is substituted with one or more above “aromatic carbocyclyl”, and/or “non-aromatic carbocyclyl”. Examples are pyridylmethyloxycarbonyl, furanylmethyloxycarbonyl, imidazolylmethyloxycarbonyl, indolylmethyloxycarbonyl, benzothiophenylmethyloxycarbonyl, oxazolylmethyloxycarbonyl, isoxazolylmethyloxycarbonyl, thiazolylmethyloxycarbonyl, isothiazolylmethyloxycarbonyl, pyrazolylmethyloxycarbonyl, isopyrazolylmethyloxycarbonyl, pyrrolidinylmethyloxycarbonyl, benzoxazolylmethyloxycarbonyl and groups of the formula of
The term of “non-aromatic heterocyclyl alkyloxycarbonyl” includes alkyloxycarbonyl substituted with one or more above “non-aromatic heterocyclyl”. Also, “non-aromatic heterocyclyl alkyloxycarbonyl” includes “non-aromatic heterocyclyl alkyloxycarbonyl” wherein the alkyl portion thereof is substituted with one or more above “aromatic carbocyclyl”, “non-aromatic carbocyclyl” and/or “aromatic heterocyclyl”. Examples are tetrahydropyranylmethyloxycarbonyl, morpholinylmethyloxycarbonyl, morpholinylethyloxycarbonyl, piperidinylmethyloxycarbonyl, piperazinylmethyloxycarbonyl and groups of the formula of
The term of “aromatic carbocyclylalkylamino” includes a group wherein one or two hydrogen atoms attached to a nitrogen atom of an amino group is replaced with the above “aromatic carbocyclylalkyl”. Examples are benzylamino, phenethylamino, phenylpropylamino, benzhydrylamino, tritylamino, naphthylmethylamino and dibenzylamino.
The term of “non-aromatic carbocyclylalkylamino” includes a group wherein one or two hydrogen atoms attached to a nitrogen atom of an amino group is replaced with the above “non-aromatic carbocyclylalkyl”. Examples are cyclopropylmethylamino, cyclobutylmethylamino, cyclopentylmethylamino and cyclohexylmethylamino.
The term of “aromatic heterocyclylalkylamino” includes a group wherein one or two hydrogen atoms attached to a nitrogen atom of an amino group is replaced with the above “aromatic heterocyclylalkyl”. Examples are pyridylmethylamino, furanylmethylamino, imidazolylmethylamino, indolylmethylamino, benzothiophenylmethylamino, oxazolylmethylamino, isoxazolylmethylamino, thiazolylmethylamino, isothiazolylmethylamino, pyrazolylmethylamino, isopyrazolylmethylamino, pyrrolidinylmethylamino and benzoxazolylmethylamino.
The term of “non-aromatic heterocyclylalkylamino” includes a group wherein one or two hydrogen atoms attached to a nitrogen atom of an amino group is replaced with the above “non-aromatic heterocyclylalkyl”. Examples are tetrahydropyranylmethylamino, morpholinylethylamino, piperidinylmethylamino and piperazinylmethyamino.
The term of “aromatic carbocyclylalkylcarbamoyl” includes a group wherein one or two hydrogen atoms attached to a nitrogen atom of a carbamoyl group is replaced with the above “aromatic carbocyclylalkyl”. Examples are benzylcarbamoyl, phenethylcarbamoyl, phenylpropylcarbamoyl, benzhydrylcarbamoyl, tritylcarbamoyl, naphthylmethylcarbamoyl and dibenzylcarbamoyl.
The term of “aromatic carbocyclylalkylcarbamoyl” includes a group wherein one or two hydrogen atoms attached to a nitrogen atom of a carbamoyl group is replaced with the above “aromatic carbocyclylalkyl”. Examples are benzylcarbamoyl, phenethylcarbamoyl, phenylpropylcarbamoyl, benzhydrylcarbamoyl, tritylcarbamoyl, naphthylmethylcarbamoyl and dibenzylcarbamoyl.
The term of “non-aromatic carbocyclylalkylcarbamoyl” includes a group wherein one or two hydrogen atoms attached to a nitrogen atom of a carbamoyl group is replaced with the above “non-aromatic carbocyclylalkyl”. Examples are cyclopropylmethylcarbamoyl, cyclobutylmethylcarbamoyl, cyclopentylmethylcarbamoyl and cyclohexylmethylcarbamoyl.
The term of “aromatic heterocyclylalkylcarbamoyl” includes a group wherein one or two hydrogen atoms attached to a nitrogen atom of a carbamoyl group is replaced with the above “aromatic heterocyclylalkyl”. Examples are pyridylmethylcarbamoyl, furanylmethylcarbamoyl, imidazolylmethylcarbamoyl, indolylmethylcarbamoyl, benzothiophenylmethylcarbamoyl, oxazolylmethylcarbamoyl, isoxazolylmethylcarbamoyl, thiazolylmethylcarbamoyl, isothiazolylmethylcarbamoyl, pyrazolylmethylcarbamoyl, isopyrazolylmethylcarbamoyl, pyrrolidinylmethylcarbamoyl and benzoxazolylmethylcarbamoyl.
The term of “non-aromatic heterocyclylalkylcarbamoyl” includes a group wherein one or two hydrogen atoms attached to a nitrogen atom of a carbamoyl group is replaced with the above “non-aromatic heterocyclyl alkyl”. Examples are tetrahydropyranylmethylcarbamoyl, morpholinylethylcarbamoyl, piperidinylmethylcarbamoyl and piperazinylmethycarbamoyl.
The “aromatic carbocycle” portion of “aromatic carbocycle”, “aromatic carbocyclyloxy”, “aromatic carbocyclylcarbonyl”, “aromatic carbocyclylcarbonyloxy”, “aromatic carbocyclyloxycarbonyl”, “aromatic carbocyclylamino”, “aromatic carbocyclylsulfanyl”, “aromatic carbocyclyl sulfonyl”, “aromatic carbocyclylsulfamoyl” and “aromatic carbocyclylcarbamoyl” means the above “aromatic carbocyclyl”.
The term of “aromatic carbocyclyloxy” includes a group wherein an oxygen atom is substituted with the above “aromatic carbocyclyl”. Examples are phenyloxy and naphthyloxy.
The term of “aromatic carbocyclylcarbonyl” includes a group wherein a carbonyl group is substituted with the above “aromatic carbocyclyl”. Examples are phenylcarbonyl and naphthylcarbonyl.
The term of “aromatic carbocyclylcarbonyloxy” includes a group wherein a carbonyloxy group is substituted with the above “aromatic carbocyclyl”. Examples are phenylcarbonyloxy and naphthylcarbonyloxy.
The term of “aromatic carbocyclyloxycarbonyl” includes a group wherein a carbonyl group is substituted with the above “aromatic carbocyclyloxy”. Examples are phenyloxycarbonyl and naphthyloxycarbonyl.
The term of “aromatic carbocyclylamino” includes a group wherein one or two hydrogen atoms attached to a nitrogen atom of an amino group is replaced with the above “aromatic carbocyclyl”. Examples are phenylamino and naphthylamino.
The term of “aromatic carbocyclylsulfanyl” includes a group wherein a hydrogen atom attached to a sulfur atom of sulfanyl is replaced with the above “aromatic carbocyclyl”. Examples are phenylsulfanyl and naphthylsulfanyl.
The term of “aromatic carbocyclylsulfonyl” includes a group wherein a sulfonyl group is substituted with the above “aromatic carbocyclyl”. Examples are phenylsulfonyl and naphthylsulfonyl.
The term of “aromatic carbocyclylsulfamoyl” includes a group wherein one or two hydrogen atoms attached to a nitrogen atom of a sulfamoyl group is replaced with the above “aromatic carbocyclyl”. Examples are phenylsulfamoyl and naphthylsulfamoyl.
The term of “aromatic carbocyclylcarbamoyl” includes a group wherein one or two hydrogen atoms attached to a nitrogen atom of a carbamoyl group is replaced with the above “aromatic carbocyclyl”. Examples are phenylcarbamoyl and naphthylcarbamoyl.
The term of “aromatic carbocyclyloxy” includes a group wherein an oxygen atom is substituted with the above “aromatic carbocyclyl”. Examples are phenyloxy and naphthyloxy.
The term of “aromatic carbocyclylcarbonyl” includes a group wherein a carbonyl group is substituted with the above “aromatic carbocyclyl”. Examples are phenylcarbonyl and naphthylcarbonyl.
The term of “aromatic carbocyclylcarbonyloxy” includes a group wherein a carbonyloxy group is substituted with the above “aromatic carbocyclyl”. Examples are phenylcarbonyloxy and naphthylcarbonyloxy.
The term of “aromatic carbocyclyloxycarbonyl” includes a group wherein a carbonyl group is substituted with the above “aromatic carbocyclyloxy”. Examples are phenyloxycarbonyl and naphthyloxycarbonyl.
The term of “aromatic carbocyclylamino” includes a group wherein one or two hydrogen atoms attached to a nitrogen atom of an amino group is replaced with the above “aromatic carbocyclyl”. Examples are phenylamino and naphthylamino.
The term of “aromatic carbocyclylsulfanyl” includes a group wherein a hydrogen atom attached to a sulfur atom of sulfanyl is replaced with the above “aromatic carbocyclyl”. Examples are phenylsulfanyl and naphthylsulfanyl.
The term of “aromatic carbocyclylsulfonyl” includes a group wherein a sulfonyl group is substituted with the above “aromatic carbocyclyl”. Examples are phenylsulfonyl and naphthylsulfonyl.
The term of “aromatic carbocyclylsulfamoyl” includes a group wherein one or two hydrogen atoms attached to a nitrogen atom of a sulfamoyl group is replaced with the above “aromatic carbocyclyl”. Examples are phenylsulfamoyl and naphthylsulfamoyl.
The term of “aromatic carbocyclylcarbamoyl” includes a group wherein one or two hydrogen atoms attached to a nitrogen atom of a carbamoyl group is replaced with the above “aromatic carbocyclyl”. Examples are phenylcarbamoyl and naphthylcarbamoyl.
The “non-aromatic carbocycle” portion of "non-aromatic carbocycle", “non-aromatic carbocyclyloxy”, “non-aromatic carbocyclylcarbonyloxy”, “non-aromatic carbocyclylcarbonyl”, “non-aromatic carbocyclyloxycarbonyl”, “non-aromatic carbocyclylamino”, “non-aromatic carbocyclylsulfanyl”, “non-aromatic carbocyclylsulfonyl”, “non-aromatic carbocyclylsulfamoyl” and “non-aromatic carbocyclylcarbamoyl” means the above “non-aromatic carbocyclyl”.
The term of “non-aromatic carbocyclyloxy” includes a group wherein an oxygen atom is substituted with the above “non-aromatic carbocyclyl”. Examples are cyclopropyloxy, cyclohexyloxy and cyclohexenyloxy.
The term of “non-aromatic carbocyclylcarbonyl” includes a group wherein a carbonyl group is substituted with the above “non-aromatic carbocyclyl”. Examples are cyclopropylcarbonyl, cyclohexylcarbonyl and cyclohexenylcarbonyl.
The term of “non-aromatic carbocyclylcarbonyloxy” includes a group wherein a carbonyloxy group is substituted with the above “non-aromatic carbocyclyl”. Examples are cyclopropylcarbonyloxy, cyclohexylcarbonyloxy and cyclohexenylcarbonyloxy.
The term of “non-aromatic carbocyclyloxy” includes a group wherein an oxygen atom is substituted with the above “non-aromatic carbocyclyl”. Examples are cyclopropyloxy, cyclohexyloxy and cyclohexenyloxy.
The term of “non-aromatic carbocyclylcarbonyl” includes a group wherein a carbonyl group is substituted with the above “non-aromatic carbocyclyl”. Examples are cyclopropylcarbonyl, cyclohexylcarbonyl and cyclohexenylcarbonyl.
The term of “non-aromatic carbocyclylcarbonyloxy” includes a group wherein a carbonyloxy group is substituted with the above “non-aromatic carbocyclyl”. Examples are cyclopropylcarbonyloxy, cyclohexylcarbonyloxy and cyclohexenylcarbonyloxy.
The term of “non-aromatic carbocyclyloxycarbonyl” includes a group wherein a carbonyl group is substituted with the above “non-aromatic carbocyclyloxy”. Examples are cyclopropyloxycarbonyl, cyclohexyloxycarbonyl and cyclohexenyloxycarbonyl.
The term of “non-aromatic carbocyclylamino” includes a group wherein one or two hydrogen atoms attached to a nitrogen atom of an amino group is replaced with the above “non-aromatic carbocyclyl”. Examples are cyclopropylamino, cyclohexylamino and cyclohexenylamino.
The term of “non-aromatic carbocyclylsulfanyl” includes a group wherein a hydrogen atom attached to a sulfur atom of a sulfanyl is replaced with the above “non-aromatic carbocyclyl”. Examples are cyclopropylsulfanyl, cyclohexylsulfanyl and cyclohexenylsulfanyl.
The term of “non-aromatic carbocyclylsulfonyl” includes a group wherein a sulfonyl group is substituted with the above “non-aromatic carbocyclyl”. Examples are cyclopropylsulfonyl, cyclohexylsulfonyl and cyclohexenylsulfonyl.
The term of “non-aromatic carbocyclylsulfamoyl” includes a group wherein one or two hydrogen atoms attached to a nitrogen atom of a sulfamoyl group is replaced with the above “non-aromatic carbocyclyl”. Examples are cyclopropylsulfamoyl, cyclohexylsulfamoyl and cyclohexenylsulfamoyl.
The term of “non-aromatic carbocyclylcarbamoyl” includes a group wherein one or two hydrogen atoms attached to a nitrogen atom of a carbamoyl group is replaced with the above “non-aromatic carbocyclyl”. Examples are cyclopropylcarbamoyl, cyclohexylcarbamoyl and cyclohexenylcarbamoyl.
The term of “non-aromatic carbocyclylamino” includes a group wherein one or two hydrogen atoms attached to a nitrogen atom of an amino group is replaced with the above “non-aromatic carbocyclyl”. Examples are cyclopropylamino, cyclohexylamino and cyclohexenylamino.
The term of “non-aromatic carbocyclylsulfanyl” includes a group wherein a hydrogen atom attached to a sulfur atom of a sulfanyl is replaced with the above “non-aromatic carbocyclyl”. Examples are cyclopropylsulfanyl, cyclohexylsulfanyl and cyclohexenylsulfanyl.
The term of “non-aromatic carbocyclylsulfonyl” includes a group wherein a sulfonyl group is substituted with the above “non-aromatic carbocyclyl”. Examples are cyclopropylsulfonyl, cyclohexylsulfonyl and cyclohexenylsulfonyl.
The term of “non-aromatic carbocyclylsulfamoyl” includes a group wherein one or two hydrogen atoms attached to a nitrogen atom of a sulfamoyl group is replaced with the above “non-aromatic carbocyclyl”. Examples are cyclopropylsulfamoyl, cyclohexylsulfamoyl and cyclohexenylsulfamoyl.
The term of “non-aromatic carbocyclylcarbamoyl” includes a group wherein one or two hydrogen atoms attached to a nitrogen atom of a carbamoyl group is replaced with the above “non-aromatic carbocyclyl”. Examples are cyclopropylcarbamoyl, cyclohexylcarbamoyl and cyclohexenylcarbamoyl.
The “aromatic heterocycle” portion of "aromatic heterocycle", “aromatic heterocyclyloxy”, “aromatic heterocyclylcarbonyl”, “aromatic heterocyclylcarbonyloxy”, “aromatic heterocyclyloxycarbonyl”, “aromatic heterocyclylamino”, “aromatic heterocyclylsulfanyl”, “aromatic heterocyclylsulfonyl”, "aromatic heterocyclylsulfamoyl" and "aromatic heterocyclylcarbamoyl" means the above “aromatic heterocyclyl”.
Examples of “aromatic heterocycle” in ring B are pyridine, pyrazine, pyrimidine, pyridazine, oxazole and pyrazole.
The term of “aromatic heterocyclyloxy” includes a group wherein an oxygen atom is substituted with the above “aromatic heterocyclyl”. Examples are pyridyloxy and oxazolyloxy.
The term of “aromatic heterocyclylcarbonyl” includes a group wherein a carbonyl group is substituted with the above “aromatic heterocyclyl”. Examples are pyridylcarbonyl and oxazolylcarbonyl.
The term of “aromatic heterocyclylcarbonyloxy” includes a group wherein a carbonyloxy group is substituted with the above “aromatic heterocyclyl”. Examples are pyridylcarbonyloxy and oxazolylcarbonyloxy.
The term of “aromatic heterocyclyloxycarbonyl” includes a group wherein a carbonyl group is substituted with the above “aromatic heterocyclyloxy”. Examples are pyridyloxycarbonyl and oxazolyloxycarbonyl.
Examples of “aromatic heterocycle” in ring B are pyridine, pyrazine, pyrimidine, pyridazine, oxazole and pyrazole.
The term of “aromatic heterocyclyloxy” includes a group wherein an oxygen atom is substituted with the above “aromatic heterocyclyl”. Examples are pyridyloxy and oxazolyloxy.
The term of “aromatic heterocyclylcarbonyl” includes a group wherein a carbonyl group is substituted with the above “aromatic heterocyclyl”. Examples are pyridylcarbonyl and oxazolylcarbonyl.
The term of “aromatic heterocyclylcarbonyloxy” includes a group wherein a carbonyloxy group is substituted with the above “aromatic heterocyclyl”. Examples are pyridylcarbonyloxy and oxazolylcarbonyloxy.
The term of “aromatic heterocyclyloxycarbonyl” includes a group wherein a carbonyl group is substituted with the above “aromatic heterocyclyloxy”. Examples are pyridyloxycarbonyl and oxazolyloxycarbonyl.
The term of “aromatic heterocyclylamino” includes a group wherein one or two hydrogen atoms attached to a nitrogen atom of an amino group is replaced with the above “aromatic heterocyclyl”. Examples are pyridylamino and oxazolylamino.
The term of “aromatic heterocyclylsulfanyl” includes a group wherein a hydrogen atom attached to a sulfur atom of sulfanyl is replaced with the above “aromatic heterocyclyl”. Examples are pyridylsulfanyl and oxazolylsulfanyl.
The term of “aromatic heterocyclylsulfonyl” includes a group wherein a sulfonyl group is substituted with the above “aromatic heterocyclyl”. Examples are pyridylsulfonyl and oxazolylsulfonyl.
The term of “aromatic heterocyclylsulfamoyl” includes a group wherein one or two hydrogen atoms attached to a nitrogen atom of a sulfamoyl group is replaced with the above “aromatic heterocyclyl”. Examples are pyridylsulfamoyl and oxazolylsulfamoyl.
The term of “aromatic heterocyclylcarbamoyl” includes a group wherein one or two hydrogen atoms attached to a nitrogen atom of a carbamoyl group is replaced with the above “aromatic heterocyclyl”. Examples are pyridylcarbamoyl and oxazolylcarbamoyl.
The term of “aromatic heterocyclylsulfanyl” includes a group wherein a hydrogen atom attached to a sulfur atom of sulfanyl is replaced with the above “aromatic heterocyclyl”. Examples are pyridylsulfanyl and oxazolylsulfanyl.
The term of “aromatic heterocyclylsulfonyl” includes a group wherein a sulfonyl group is substituted with the above “aromatic heterocyclyl”. Examples are pyridylsulfonyl and oxazolylsulfonyl.
The term of “aromatic heterocyclylsulfamoyl” includes a group wherein one or two hydrogen atoms attached to a nitrogen atom of a sulfamoyl group is replaced with the above “aromatic heterocyclyl”. Examples are pyridylsulfamoyl and oxazolylsulfamoyl.
The term of “aromatic heterocyclylcarbamoyl” includes a group wherein one or two hydrogen atoms attached to a nitrogen atom of a carbamoyl group is replaced with the above “aromatic heterocyclyl”. Examples are pyridylcarbamoyl and oxazolylcarbamoyl.
The “non-aromatic heterocycle” portion of "non-aromatic heterocycle", “non-aromatic heterocyclyloxy”, “non-aromatic heterocyclylcarbonyl”, “non-aromatic heterocyclylcarbonyloxy”, “non-aromatic heterocyclyloxycarbonyl”, “non-aromatic heterocyclylamino”, “non-aromatic heterocyclylsulfanyl”, “non-aromatic heterocyclylsulfonyl”, “non-aromatic heterocyclylsulfamoyl” and “non-aromatic heterocyclylcarbamoyl” means the above “non-aromatic heterocyclyl”.
The term of “non-aromatic heterocyclyloxy” includes a group wherein an oxygen atom is substituted with the above “non-aromatic heterocyclyl”. Examples are piperidinyloxy and tetrahydrofuryloxy.
The term of “non-aromatic heterocyclylcarbonyl” includes a group wherein a carbonyl group is substituted with the above “non-aromatic heterocyclyl”. Examples are piperidinylcarbonyl and tetrahydrofurylcarbonyl.
The term of “non-aromatic heterocyclylcarbonyloxy” includes a group wherein a carbonyloxy group is substituted with the above “non-aromatic heterocyclyl”. Examples are piperidinylcarbonyloxy and tetrahydrofurylcarbonyloxy.
The term of “non-aromatic heterocyclyloxycarbonyl” includes a group wherein a carbonyl group is substituted with the above “non-aromatic heterocyclyloxy”. Examples are piperidinyloxycarbonyl and tetrahydrofuryloxycarbonyl.
The term of “non-aromatic heterocyclyloxy” includes a group wherein an oxygen atom is substituted with the above “non-aromatic heterocyclyl”. Examples are piperidinyloxy and tetrahydrofuryloxy.
The term of “non-aromatic heterocyclylcarbonyl” includes a group wherein a carbonyl group is substituted with the above “non-aromatic heterocyclyl”. Examples are piperidinylcarbonyl and tetrahydrofurylcarbonyl.
The term of “non-aromatic heterocyclylcarbonyloxy” includes a group wherein a carbonyloxy group is substituted with the above “non-aromatic heterocyclyl”. Examples are piperidinylcarbonyloxy and tetrahydrofurylcarbonyloxy.
The term of “non-aromatic heterocyclyloxycarbonyl” includes a group wherein a carbonyl group is substituted with the above “non-aromatic heterocyclyloxy”. Examples are piperidinyloxycarbonyl and tetrahydrofuryloxycarbonyl.
The term of “non-aromatic heterocyclylamino” includes a group wherein one or two hydrogen atoms attached to a nitrogen atom of an amino group is replaced with the above “non-aromatic heterocyclyl”. Examples are piperidinylamino and tetrahydrofurylamino.
The term of “non-aromatic heterocyclylsulfanyl” includes a group wherein a hydrogen atom attached to a sulfur atom of sulfanyl is replaced with the above “non-aromatic heterocyclyl”. Examples are piperidinylsulfanyl and tetrahydrofurylsulfanyl.
The term of “non-aromatic heterocyclylsulfonyl” includes a group wherein a sulfonyl group is substituted with the above “non-aromatic heterocyclyl”. Examples are piperidinylsulfonyl and tetrahydrofurylsulfonyl.
The term of “non-aromatic heterocyclylsulfamoyl” includes a group wherein one or two hydrogen atoms attached to a nitrogen atom of a sulfamoyl group is replaced with the above “non-aromatic heterocyclyl”. Examples are piperidinylsulfamoyl and tetrahydrofurylsulfamoyl.
The term of “non-aromatic heterocyclylcarbamoyl” includes a group wherein one or two hydrogen atoms attached to a nitrogen atom of a carbamoyl group is replaced with the above “non-aromatic heterocyclyl”. Examples are piperidinylcarbamoyl and tetrahydrofurylcarbamoyl.
The term of “non-aromatic heterocyclylsulfanyl” includes a group wherein a hydrogen atom attached to a sulfur atom of sulfanyl is replaced with the above “non-aromatic heterocyclyl”. Examples are piperidinylsulfanyl and tetrahydrofurylsulfanyl.
The term of “non-aromatic heterocyclylsulfonyl” includes a group wherein a sulfonyl group is substituted with the above “non-aromatic heterocyclyl”. Examples are piperidinylsulfonyl and tetrahydrofurylsulfonyl.
The term of “non-aromatic heterocyclylsulfamoyl” includes a group wherein one or two hydrogen atoms attached to a nitrogen atom of a sulfamoyl group is replaced with the above “non-aromatic heterocyclyl”. Examples are piperidinylsulfamoyl and tetrahydrofurylsulfamoyl.
The term of “non-aromatic heterocyclylcarbamoyl” includes a group wherein one or two hydrogen atoms attached to a nitrogen atom of a carbamoyl group is replaced with the above “non-aromatic heterocyclyl”. Examples are piperidinylcarbamoyl and tetrahydrofurylcarbamoyl.
Examples of the substituent of "substituted or unsubstituted aromatic carbocycle”, "substituted or unsubstituted non-aromatic carbocycle", "substituted or unsubstituted aromatic heterocycle", "substituted or unsubstituted non-aromatic heterocycle", "substituted or unsubstituted pyridine", " substituted or unsubstituted pyrazine", "substituted or unsubstituted pyrimidine" or “substituted or unsubstituted pyridazine” in ring B include
(a) a group selected from the substituent group α, for example, halogen, hydroxy, alkyloxy, formyl, alkylcarbonyl, alkenylcarbonyl, alkynylcarbonyl, aromatic carbocyclylcarbonyl, non-aromatic carbocyclylcarbonyl, aromatic heterocyclylcarbonyl, non-aromatic heterocyclylcarbonyl, formyloxy, alkylcarbonyloxy, alkenylcarbonyloxy, alkynylcarbonyloxy, aromatic carbocyclylcarbonyloxy, non-aromatic carbocyclylcarbonyloxy, aromatic heterocyclylcarbonyloxy, non-aromatic heterocyclylcarbonyloxy, carboxy, alkyloxycarbonyl, carbamoyl, amino, cyano, monoalkylamino, dialkylamino and/or alkylsulfanyl;
(b) unsubstituted alkyl or alkyl substituted with one or more groups selected from the substituent group α, hydroxyimino and alkyloxyimino;
(c) aminoalkyl substituted with one or more groups selected from the substituent group α;
(d) unsubstituted alkenyl or alkenyl substituted with one or more substituents selected from the substituent group α;
(e) unsubstituted alkynyl or alkynyl substituted with one or more substituents selected from the substituent group α;
(a) a group selected from the substituent group α, for example, halogen, hydroxy, alkyloxy, formyl, alkylcarbonyl, alkenylcarbonyl, alkynylcarbonyl, aromatic carbocyclylcarbonyl, non-aromatic carbocyclylcarbonyl, aromatic heterocyclylcarbonyl, non-aromatic heterocyclylcarbonyl, formyloxy, alkylcarbonyloxy, alkenylcarbonyloxy, alkynylcarbonyloxy, aromatic carbocyclylcarbonyloxy, non-aromatic carbocyclylcarbonyloxy, aromatic heterocyclylcarbonyloxy, non-aromatic heterocyclylcarbonyloxy, carboxy, alkyloxycarbonyl, carbamoyl, amino, cyano, monoalkylamino, dialkylamino and/or alkylsulfanyl;
(b) unsubstituted alkyl or alkyl substituted with one or more groups selected from the substituent group α, hydroxyimino and alkyloxyimino;
(c) aminoalkyl substituted with one or more groups selected from the substituent group α;
(d) unsubstituted alkenyl or alkenyl substituted with one or more substituents selected from the substituent group α;
(e) unsubstituted alkynyl or alkynyl substituted with one or more substituents selected from the substituent group α;
(f) alkyloxy substituted with one or more substituents selected from the substituent group α;
(g) alkyloxyalkyloxy substituted with one or more substituents selected from the substituent group α;
(h) unsubstituted alkenyloxy or alkenyloxy substituted with one or more substituents selected from the substituent group α;
(i) alkyloxyalkenyloxy substituted with one or more substituents selected from the substituent group α;
(j) unsubstituted alkynyloxy or alkynyloxy substituted with one or more substituents selected from the substituent group α;
(k) alkyloxyalkynyloxy substituted with one or more groups selected from the substituent group α;
(l) unsubstituted alkylsulfanyl or alkylsulfanyl substituted with one or more substituents selected from the substituent group α;
(m) unsubstituted alkenylsulfanyl or alkenylsulfanyl substituted with one or more substituents selected from the substituent group α;
(n) unsubstituted alkynylsulfanyl or alkynylsulfanyl substituted with one or more substituents selected from the substituent group α; or;
(o) monoalkylamino substituted with one or more substituents selected from the substituent group α;
(p) dialkylamino substituted with one or more substituents selected from the substituent group α;
(g) alkyloxyalkyloxy substituted with one or more substituents selected from the substituent group α;
(h) unsubstituted alkenyloxy or alkenyloxy substituted with one or more substituents selected from the substituent group α;
(i) alkyloxyalkenyloxy substituted with one or more substituents selected from the substituent group α;
(j) unsubstituted alkynyloxy or alkynyloxy substituted with one or more substituents selected from the substituent group α;
(k) alkyloxyalkynyloxy substituted with one or more groups selected from the substituent group α;
(l) unsubstituted alkylsulfanyl or alkylsulfanyl substituted with one or more substituents selected from the substituent group α;
(m) unsubstituted alkenylsulfanyl or alkenylsulfanyl substituted with one or more substituents selected from the substituent group α;
(n) unsubstituted alkynylsulfanyl or alkynylsulfanyl substituted with one or more substituents selected from the substituent group α; or;
(o) monoalkylamino substituted with one or more substituents selected from the substituent group α;
(p) dialkylamino substituted with one or more substituents selected from the substituent group α;
(q) alkenylamino substituted with one or more substituents selected from the substituent group α;
(r) alkynylamino substituted with one or more substituents selected from the substituent group α;
(s) unsubstituted aminooxy or aminooxy substituted with one or more substituents selected from the substituent group α and alkylidene;
(t) alkylcarbonyl substituted with one or more substituents selected from the substituent group α;
(u) alkenylcarbonyl substituted with one or more substituents selected from the substituent group α;
(v) alkynylcarbonyl substituted with one or more substituents selected from the substituent group α;
(w) aromatic carbocyclylcarbonyl substituted with one or more substituents selected from the substituent group α;
(x) non-aromatic carbocyclylcarbonyl substituted with one or more substituents selected from the substituent group α;
(y) aromatic heterocyclylcarbonyl substituted with one or more substituents selected from the substituent group α;
(z) non-aromatic heterocyclylcarbonyl substituted with one or more substituents selected from the substituent group α;
(r) alkynylamino substituted with one or more substituents selected from the substituent group α;
(s) unsubstituted aminooxy or aminooxy substituted with one or more substituents selected from the substituent group α and alkylidene;
(t) alkylcarbonyl substituted with one or more substituents selected from the substituent group α;
(u) alkenylcarbonyl substituted with one or more substituents selected from the substituent group α;
(v) alkynylcarbonyl substituted with one or more substituents selected from the substituent group α;
(w) aromatic carbocyclylcarbonyl substituted with one or more substituents selected from the substituent group α;
(x) non-aromatic carbocyclylcarbonyl substituted with one or more substituents selected from the substituent group α;
(y) aromatic heterocyclylcarbonyl substituted with one or more substituents selected from the substituent group α;
(z) non-aromatic heterocyclylcarbonyl substituted with one or more substituents selected from the substituent group α;
(aa) monoalkylcarbamoyl substituted with one or more substituents selected from the substituent group α;
(ab) dialkylcarbamoyl substituted with one or more substituents selected from the substituent group α;
(ac) alkyloxycarbonyl substituted with one or more substituents selected from the substituent group α;
(ad) unsubstituted alkylsulfonyl or alkylsulfonyl substituted with one or more substituents selected from the substituent group α;
(ae) unsubstituted alkylsulfinyl or alkylsulfinyl substituted with one or more substituents selected from the substituent group α;
(af) monoalkylsulfamoyl substituted with one or more substituents selected from the substituent group α;
(ag) dialkylsulfamoyl substituted with one or more substituents selected from the substituent group α;
(ah) aromatic carbocyclyl substituted with one or more substituents selected from the substituent group α, azide, alkyl and haloalkyl;
(ai) non-aromatic carbocyclyl substituted with one or more substituents selected from the substituent group α, azide, alkyl and haloalkyl;
(aj) aromatic heterocyclyl substituted with one or more substituents selected from the substituent group α, azide, alkyl and haloalkyl;
(ab) dialkylcarbamoyl substituted with one or more substituents selected from the substituent group α;
(ac) alkyloxycarbonyl substituted with one or more substituents selected from the substituent group α;
(ad) unsubstituted alkylsulfonyl or alkylsulfonyl substituted with one or more substituents selected from the substituent group α;
(ae) unsubstituted alkylsulfinyl or alkylsulfinyl substituted with one or more substituents selected from the substituent group α;
(af) monoalkylsulfamoyl substituted with one or more substituents selected from the substituent group α;
(ag) dialkylsulfamoyl substituted with one or more substituents selected from the substituent group α;
(ah) aromatic carbocyclyl substituted with one or more substituents selected from the substituent group α, azide, alkyl and haloalkyl;
(ai) non-aromatic carbocyclyl substituted with one or more substituents selected from the substituent group α, azide, alkyl and haloalkyl;
(aj) aromatic heterocyclyl substituted with one or more substituents selected from the substituent group α, azide, alkyl and haloalkyl;
(ak) non-aromatic heterocyclyl substituted with one or more substituents selected from the substituent group α, azide, alkyl and haloalkyl;
(al) unsubstituted aromatic carbocyclylalkyl or aromatic carbocyclylalkyl substituted with one or more substituents selected from the substituent group α, azide, alkyl and haloalkyl;
(am) unsubstituted non-aromatic carbocyclylalkyl or non-aromatic carbocyclylalkyl substituted with one or more substituents selected from the substituent group α, azide, alkyl and haloalkyl;
(an) unsubstituted aromatic heterocyclylalkyl or aromatic heterocyclylalkyl substituted with one or more substituents selected from the substituent group α, azide, alkyl and haloalkyl;
(ao) unsubstituted non-aromatic heterocyclylalkyl or non-aromatic heterocyclylalkyl substituted with one or more substituents selected from the substituent group α, azide, alkyl and haloalkyl;
(al) unsubstituted aromatic carbocyclylalkyl or aromatic carbocyclylalkyl substituted with one or more substituents selected from the substituent group α, azide, alkyl and haloalkyl;
(am) unsubstituted non-aromatic carbocyclylalkyl or non-aromatic carbocyclylalkyl substituted with one or more substituents selected from the substituent group α, azide, alkyl and haloalkyl;
(an) unsubstituted aromatic heterocyclylalkyl or aromatic heterocyclylalkyl substituted with one or more substituents selected from the substituent group α, azide, alkyl and haloalkyl;
(ao) unsubstituted non-aromatic heterocyclylalkyl or non-aromatic heterocyclylalkyl substituted with one or more substituents selected from the substituent group α, azide, alkyl and haloalkyl;
(ap) unsubstituted aromatic carbocyclyloxy or aromatic carbocyclyloxy substituted with one or more substituents selected from the substituent group α, azide, alkyl and haloalkyl;
(aq) unsubstituted non-aromatic carbocyclyloxy or non-aromatic carbocyclyloxy substituted with one or more substituents selected from the substituent group α, azide, alkyl and haloalkyl;
(ar) unsubstituted aromatic heterocyclyloxy or aromatic heterocyclyloxy substituted with one or more substituents selected from the substituent group α, azide, alkyl and haloalkyl;
(as) unsubstituted non-aromatic heterocyclyloxy or non-aromatic heterocyclyloxy substituted with one or more substituents selected from the substituent group α, azide, alkyl and haloalkyl;
(at) unsubstituted aromatic carbocyclylalkyloxy or aromatic carbocyclylalkyloxy substituted with one or more substituents selected from the substituent group α, azide, alkyl and haloalkyl;
(au) unsubstituted non-aromatic carbocyclylalkyloxy or non-aromatic carbocyclylalkyloxy substituted with one or more substituents selected from the substituent group α, azide, alkyl and haloalkyl;
(av) unsubstituted aromatic heterocyclylalkyloxy or aromatic heterocyclylalkyloxy substituted with one or more substituents selected from the substituent group α, azide, alkyl and haloalkyl;
(aq) unsubstituted non-aromatic carbocyclyloxy or non-aromatic carbocyclyloxy substituted with one or more substituents selected from the substituent group α, azide, alkyl and haloalkyl;
(ar) unsubstituted aromatic heterocyclyloxy or aromatic heterocyclyloxy substituted with one or more substituents selected from the substituent group α, azide, alkyl and haloalkyl;
(as) unsubstituted non-aromatic heterocyclyloxy or non-aromatic heterocyclyloxy substituted with one or more substituents selected from the substituent group α, azide, alkyl and haloalkyl;
(at) unsubstituted aromatic carbocyclylalkyloxy or aromatic carbocyclylalkyloxy substituted with one or more substituents selected from the substituent group α, azide, alkyl and haloalkyl;
(au) unsubstituted non-aromatic carbocyclylalkyloxy or non-aromatic carbocyclylalkyloxy substituted with one or more substituents selected from the substituent group α, azide, alkyl and haloalkyl;
(av) unsubstituted aromatic heterocyclylalkyloxy or aromatic heterocyclylalkyloxy substituted with one or more substituents selected from the substituent group α, azide, alkyl and haloalkyl;
(aw) unsubstituted non-aromatic heterocyclylalkyloxy or non-aromatic heterocyclylalkyloxy substituted with one or more substituents selected from the substituent group α, azide, alkyl and haloalkyl;
(ax) unsubstituted aromatic carbocyclylalkyloxycarbonyl or aromatic carbocyclylalkyloxycarbonyl substituted with one or more substituents selected from the substituent group α, azide, alkyl and haloalkyl;
(ay) unsubstituted non-aromatic carbocyclylalkyloxycarbonyl or non-aromatic carbocyclylalkyloxycarbonyl substituted with one or more substituents selected from the substituent group α, azide, alkyl and haloalkyl;
(az) unsubstituted aromatic heterocyclylalkyloxycarbonyl or aromatic heterocyclylalkyloxycarbonyl substituted with one or more substituents selected from the substituent group α, azide, alkyl and haloalkyl;
(ba) unsubstituted non-aromatic heterocyclylalkyloxycarbonyl or non-aromatic heterocyclylalkyloxycarbonyl substituted with one or more substituents selected from the substituent group α, azide, alkyl and haloalkyl;
(bb) unsubstituted aromatic carbocyclylsulfanyl or aromatic carbocyclylsulfanyl substituted with one or more substituents selected from the substituent group α, azide, alkyl and haloalkyl;
(bc) unsubstituted non-aromatic carbocyclylsulfanyl or non-aromatic carbocyclylsulfanyl substituted with one or more substituents selected from the substituent group α, azide, alkyl and haloalkyl;
(ax) unsubstituted aromatic carbocyclylalkyloxycarbonyl or aromatic carbocyclylalkyloxycarbonyl substituted with one or more substituents selected from the substituent group α, azide, alkyl and haloalkyl;
(ay) unsubstituted non-aromatic carbocyclylalkyloxycarbonyl or non-aromatic carbocyclylalkyloxycarbonyl substituted with one or more substituents selected from the substituent group α, azide, alkyl and haloalkyl;
(az) unsubstituted aromatic heterocyclylalkyloxycarbonyl or aromatic heterocyclylalkyloxycarbonyl substituted with one or more substituents selected from the substituent group α, azide, alkyl and haloalkyl;
(ba) unsubstituted non-aromatic heterocyclylalkyloxycarbonyl or non-aromatic heterocyclylalkyloxycarbonyl substituted with one or more substituents selected from the substituent group α, azide, alkyl and haloalkyl;
(bb) unsubstituted aromatic carbocyclylsulfanyl or aromatic carbocyclylsulfanyl substituted with one or more substituents selected from the substituent group α, azide, alkyl and haloalkyl;
(bc) unsubstituted non-aromatic carbocyclylsulfanyl or non-aromatic carbocyclylsulfanyl substituted with one or more substituents selected from the substituent group α, azide, alkyl and haloalkyl;
(bd) unsubstituted aromatic heterocyclylsulfanyl or aromatic heterocyclylsulfanyl substituted with one or more substituents selected from the substituent group α, azide, alkyl and haloalkyl;
(be) unsubstituted non-aromatic heterocyclylsulfanyl or non-aromatic heterocyclylsulfanyl substituted with one or more substituents selected from the (bf) substituent group α, azide, alkyl and haloalkyl;
(bf) unsubstituted aromatic carbocyclylamino or aromatic carbocyclylamino substituted with one or more substituents selected from the substituent group α, azide, alkyl and haloalkyl;
(bg) unsubstituted non-aromatic carbocyclylamino or non-aromatic carbocyclylamino substituted with one or more substituents selected from the substituent group α, azide, alkyl and haloalkyl;
(bh) unsubstituted aromatic heterocyclylamino or aromatic heterocyclylamino substituted with one or more substituents selected from the substituent group α, azide, alkyl and haloalkyl;
(bi) unsubstituted non-aromatic heterocyclylamino or non-aromatic heterocyclylamino substituted with one or more substituents selected from the substituent group α, azide, alkyl and haloalkyl;
(bj) unsubstituted aromatic carbocyclylalkylamino or aromatic carbocyclylalkylamino substituted with one or more substituents selected from the substituent group α, azide, alkyl and haloalkyl;
(be) unsubstituted non-aromatic heterocyclylsulfanyl or non-aromatic heterocyclylsulfanyl substituted with one or more substituents selected from the (bf) substituent group α, azide, alkyl and haloalkyl;
(bf) unsubstituted aromatic carbocyclylamino or aromatic carbocyclylamino substituted with one or more substituents selected from the substituent group α, azide, alkyl and haloalkyl;
(bg) unsubstituted non-aromatic carbocyclylamino or non-aromatic carbocyclylamino substituted with one or more substituents selected from the substituent group α, azide, alkyl and haloalkyl;
(bh) unsubstituted aromatic heterocyclylamino or aromatic heterocyclylamino substituted with one or more substituents selected from the substituent group α, azide, alkyl and haloalkyl;
(bi) unsubstituted non-aromatic heterocyclylamino or non-aromatic heterocyclylamino substituted with one or more substituents selected from the substituent group α, azide, alkyl and haloalkyl;
(bj) unsubstituted aromatic carbocyclylalkylamino or aromatic carbocyclylalkylamino substituted with one or more substituents selected from the substituent group α, azide, alkyl and haloalkyl;
(bk) unsubstituted non-aromatic carbocyclylalkylamino or non-aromatic carbocyclylalkylamino substituted with one or more substituents selected from the substituent group α, azide, alkyl and haloalkyl;
(bl) unsubstituted aromatic heterocyclylalkylamino or aromatic heterocyclylalkylamino substituted with one or more substituents selected from the substituent group α, azide, alkyl and haloalkyl;
(bm) unsubstituted non-aromatic heterocyclylalkylamino or non-aromatic heterocyclylalkylamino substituted with one or more substituents selected from the substituent group α, azide, alkyl and haloalkyl;
(bn) unsubstituted aromatic carbocyclylsulfamoyl or aromatic carbocyclylsulfamoyl substituted with one or more substituents selected from the substituent group α, azide, alkyl and haloalkyl;
(bo) unsubstituted non-aromatic carbocyclylsulfamoyl or non-aromatic carbocyclylsulfamoyl substituted with one or more substituents selected from the substituent group α, azide, alkyl and haloalkyl;
(bp) unsubstituted aromatic heterocyclylsulfamoyl or aromatic heterocyclylsulfamoyl substituted with one or more substituents selected from the substituent group α, azide, alkyl and haloalkyl;
(bq) unsubstituted non-aromatic heterocyclylsulfamoyl or non-aromatic heterocyclylsulfamoyl substituted with one or more substituents selected from the substituent group α, azide, alkyl and haloalkyl;
(bl) unsubstituted aromatic heterocyclylalkylamino or aromatic heterocyclylalkylamino substituted with one or more substituents selected from the substituent group α, azide, alkyl and haloalkyl;
(bm) unsubstituted non-aromatic heterocyclylalkylamino or non-aromatic heterocyclylalkylamino substituted with one or more substituents selected from the substituent group α, azide, alkyl and haloalkyl;
(bn) unsubstituted aromatic carbocyclylsulfamoyl or aromatic carbocyclylsulfamoyl substituted with one or more substituents selected from the substituent group α, azide, alkyl and haloalkyl;
(bo) unsubstituted non-aromatic carbocyclylsulfamoyl or non-aromatic carbocyclylsulfamoyl substituted with one or more substituents selected from the substituent group α, azide, alkyl and haloalkyl;
(bp) unsubstituted aromatic heterocyclylsulfamoyl or aromatic heterocyclylsulfamoyl substituted with one or more substituents selected from the substituent group α, azide, alkyl and haloalkyl;
(bq) unsubstituted non-aromatic heterocyclylsulfamoyl or non-aromatic heterocyclylsulfamoyl substituted with one or more substituents selected from the substituent group α, azide, alkyl and haloalkyl;
(br) unsubstituted aromatic carbocyclylsulfonyl or aromatic carbocyclylsulfonyl substituted with one or more substituents selected from the substituent group α, azide, alkyl and haloalkyl;
(bs) unsubstituted non-aromatic carbocyclylsulfonyl or non-aromatic carbocyclylsulfonyl substituted with one or more substituents selected from the substituent group α, azide, alkyl and haloalkyl;
(bt) unsubstituted aromatic heterocyclylsulfonyl or aromatic heterocyclylsulfonyl substituted with one or more substituents selected from the substituent group α, azide, alkyl and haloalkyl;
(bu) unsubstituted non-aromatic heterocyclylsulfonyl or non-aromatic heterocyclylsulfonyl substituted with one or more substituents selected from the substituent group α, azide, alkyl and haloalkyl;
(bv) unsubstituted aromatic carbocyclylcarbamoyl or aromatic carbocyclylcarbamoyl substituted with one or more substituents selected from the substituent group α, azide, alkyl and haloalkyl;
(bw) unsubstituted non-aromatic carbocyclylcarbamoyl or non-aromatic carbocyclylcarbamoyl substituted with one or more substituents selected from the substituent group α, azide, alkyl and haloalkyl;
(bs) unsubstituted non-aromatic carbocyclylsulfonyl or non-aromatic carbocyclylsulfonyl substituted with one or more substituents selected from the substituent group α, azide, alkyl and haloalkyl;
(bt) unsubstituted aromatic heterocyclylsulfonyl or aromatic heterocyclylsulfonyl substituted with one or more substituents selected from the substituent group α, azide, alkyl and haloalkyl;
(bu) unsubstituted non-aromatic heterocyclylsulfonyl or non-aromatic heterocyclylsulfonyl substituted with one or more substituents selected from the substituent group α, azide, alkyl and haloalkyl;
(bv) unsubstituted aromatic carbocyclylcarbamoyl or aromatic carbocyclylcarbamoyl substituted with one or more substituents selected from the substituent group α, azide, alkyl and haloalkyl;
(bw) unsubstituted non-aromatic carbocyclylcarbamoyl or non-aromatic carbocyclylcarbamoyl substituted with one or more substituents selected from the substituent group α, azide, alkyl and haloalkyl;
(bx) unsubstituted aromatic heterocyclylcarbamoyl or aromatic heterocyclylcarbamoyl substituted with one or more substituents selected from the substituent group α, azide, alkyl and haloalkyl;
(by) unsubstituted non-aromatic heterocyclylcarbamoyl or non-aromatic heterocyclylcarbamoyl substituted with one or more substituents selected from the substituent group α, azide, alkyl and haloalkyl;
(bz) unsubstituted aromatic carbocyclylalkylcarbamoyl or aromatic carbocyclylalkylcarbamoyl substituted with one or more substituents selected from the substituent group α, azide, alkyl and haloalkyl;
(ca) unsubstituted non-aromatic carbocyclylalkylcarbamoyl or non-aromatic carbocyclylalkylcarbamoyl substituted with one or more substituents selected from the substituent group α, azide, alkyl and haloalkyl;
(cb) unsubstituted aromatic heterocyclylalkylcarbamoyl or aromatic heterocyclylalkylcarbamoyl substituted with one or more substituents selected from the substituent group α, azide, alkyl and haloalkyl;
(cc) unsubstituted non-aromatic heterocyclylalkylcarbamoyl or non-aromatic heterocyclylalkylcarbamoyl substituted with one or more substituents selected from the substituent group α, azide, alkyl and haloalkyl;
(cd) unsubstituted aromatic carbocyclyloxycarbonyl or aromatic carbocyclyloxycarbonyl substituted with one or more substituents selected from the substituent group α, azide, alkyl and haloalkyl;
(ce) unsubstituted non-aromatic carbocyclyloxycarbonyl or non-aromatic carbocyclyloxycarbonyl substituted with one or more substituents selected from the substituent group α, azide, alkyl and haloalkyl;
(cf) unsubstituted aromatic heterocyclyloxycarbonyl or aromatic heterocyclyloxycarbonyl substituted with one or more substituents selected from the substituent group α, azide, alkyl and haloalkyl;
(cg) unsubstituted non-aromatic heterocyclyloxycarbonyl or non-aromatic heterocyclyloxycarbonyl substituted with one or more substituents selected from the substituent group α, azide, alkyl and haloalkyl;
(ch) unsubstituted alkylenedioxy or alkylenedioxy substituted with halogen;
(ci) oxo; and
(cj) azide.
Each cyclic group in "substituted or unsubstituted aromatic carbocycle", "substituted or unsubstituted non-aromatic carbocycle", "substituted or unsubstituted aromatic heterocycle", "substituted or unsubstituted non-aromatic heterocycle", "substituted or unsubstituted pyridine", " substituted or unsubstituted pyrazine", "substituted or unsubstituted pyrimidine", or “substituted or unsubstituted pyridazine” may be substituted with one or more substituents selected from the above substituents.
(by) unsubstituted non-aromatic heterocyclylcarbamoyl or non-aromatic heterocyclylcarbamoyl substituted with one or more substituents selected from the substituent group α, azide, alkyl and haloalkyl;
(bz) unsubstituted aromatic carbocyclylalkylcarbamoyl or aromatic carbocyclylalkylcarbamoyl substituted with one or more substituents selected from the substituent group α, azide, alkyl and haloalkyl;
(ca) unsubstituted non-aromatic carbocyclylalkylcarbamoyl or non-aromatic carbocyclylalkylcarbamoyl substituted with one or more substituents selected from the substituent group α, azide, alkyl and haloalkyl;
(cb) unsubstituted aromatic heterocyclylalkylcarbamoyl or aromatic heterocyclylalkylcarbamoyl substituted with one or more substituents selected from the substituent group α, azide, alkyl and haloalkyl;
(cc) unsubstituted non-aromatic heterocyclylalkylcarbamoyl or non-aromatic heterocyclylalkylcarbamoyl substituted with one or more substituents selected from the substituent group α, azide, alkyl and haloalkyl;
(cd) unsubstituted aromatic carbocyclyloxycarbonyl or aromatic carbocyclyloxycarbonyl substituted with one or more substituents selected from the substituent group α, azide, alkyl and haloalkyl;
(ce) unsubstituted non-aromatic carbocyclyloxycarbonyl or non-aromatic carbocyclyloxycarbonyl substituted with one or more substituents selected from the substituent group α, azide, alkyl and haloalkyl;
(cf) unsubstituted aromatic heterocyclyloxycarbonyl or aromatic heterocyclyloxycarbonyl substituted with one or more substituents selected from the substituent group α, azide, alkyl and haloalkyl;
(cg) unsubstituted non-aromatic heterocyclyloxycarbonyl or non-aromatic heterocyclyloxycarbonyl substituted with one or more substituents selected from the substituent group α, azide, alkyl and haloalkyl;
(ch) unsubstituted alkylenedioxy or alkylenedioxy substituted with halogen;
(ci) oxo; and
(cj) azide.
Each cyclic group in "substituted or unsubstituted aromatic carbocycle", "substituted or unsubstituted non-aromatic carbocycle", "substituted or unsubstituted aromatic heterocycle", "substituted or unsubstituted non-aromatic heterocycle", "substituted or unsubstituted pyridine", " substituted or unsubstituted pyrazine", "substituted or unsubstituted pyrimidine", or “substituted or unsubstituted pyridazine” may be substituted with one or more substituents selected from the above substituents.
Examples of substituents of "substituted or unsubstituted aromatic carbocycle", "substituted or unsubstituted non-aromatic carbocycle", "substituted or unsubstituted aromatic heterocycle", "substituted or unsubstituted non-aromatic heterocycle", "substituted or unsubstituted pyridine", " substituted or unsubstituted pyrazine", "substituted or unsubstituted pyrimidine" or “substituted or unsubstituted pyridazine” in ring B are one or more selected from
halogen;
cyano;
hydroxy;
nitro;
carboxy;
alkyl substituted with one or more substituents selected from the substituent group α;
unsubstituted alkyl;
alkenyl substituted with one or more substituents selected from the substituent group α;
unsubstituted alkenyl;
alkynyl substituted with one or more substituents selected from the substituent group α;
unsubstituted alkynyl;
alkyloxy substituted with one or more substituents selected from the substituent group α;
unsubstituted alkyloxy;
alkenyloxy substituted with one or more substituents selected from the substituent group α;
unsubstituted alkenyloxy;
alkynyloxy substituted with one or more substituents selected from the substituent group α;
unsubstituted alkynyloxy;
alkylsulfanyl substituted with one or more substituents selected from the substituent group α;
unsubstituted alkylsulfanyl;
alkenylsulfanyl substituted with one or more substituents selected from the substituent group α;
unsubstituted alkenylsulfanyl;
alkynylsulfanyl substituted with one or more substituents selected from the substituent group α;
unsubstituted alkynylsulfanyl;
amino substituted with one or more substituents selected from the substituent group α;
unsubstituted amino;
monoalkylamino substituted with one or more substituents selected from the substituent group α;
unsubstituted monoalkylamino;
dialkylamino substituted with one or more substituents selected from the substituent group α;
unsubstituted dialkylamino;
cycloalkylamino substituted with one or more substituents selected from the substituent group α;
unsubstituted cycloalkylamino;
carbamoyl substituted with one or more substituents selected from the substituent group α;
unsubstituted carbamoyl;
monoalkylcarbamoyl substituted with one or more substituents selected from the substituent group α;
unsubstituted monoalkylcarbamoyl;
dialkylcarbamoyl substituted with one or more substituents selected from the substituent group α;
unsubstituted dialkylcarbamoyl;
alkyloxycarbonyl substituted with one or more substituents selected from the substituent group α;
unsubstituted alkyloxycarbonyl;
halogen;
cyano;
hydroxy;
nitro;
carboxy;
alkyl substituted with one or more substituents selected from the substituent group α;
unsubstituted alkyl;
alkenyl substituted with one or more substituents selected from the substituent group α;
unsubstituted alkenyl;
alkynyl substituted with one or more substituents selected from the substituent group α;
unsubstituted alkynyl;
alkyloxy substituted with one or more substituents selected from the substituent group α;
unsubstituted alkyloxy;
alkenyloxy substituted with one or more substituents selected from the substituent group α;
unsubstituted alkenyloxy;
alkynyloxy substituted with one or more substituents selected from the substituent group α;
unsubstituted alkynyloxy;
alkylsulfanyl substituted with one or more substituents selected from the substituent group α;
unsubstituted alkylsulfanyl;
alkenylsulfanyl substituted with one or more substituents selected from the substituent group α;
unsubstituted alkenylsulfanyl;
alkynylsulfanyl substituted with one or more substituents selected from the substituent group α;
unsubstituted alkynylsulfanyl;
amino substituted with one or more substituents selected from the substituent group α;
unsubstituted amino;
monoalkylamino substituted with one or more substituents selected from the substituent group α;
unsubstituted monoalkylamino;
dialkylamino substituted with one or more substituents selected from the substituent group α;
unsubstituted dialkylamino;
cycloalkylamino substituted with one or more substituents selected from the substituent group α;
unsubstituted cycloalkylamino;
carbamoyl substituted with one or more substituents selected from the substituent group α;
unsubstituted carbamoyl;
monoalkylcarbamoyl substituted with one or more substituents selected from the substituent group α;
unsubstituted monoalkylcarbamoyl;
dialkylcarbamoyl substituted with one or more substituents selected from the substituent group α;
unsubstituted dialkylcarbamoyl;
alkyloxycarbonyl substituted with one or more substituents selected from the substituent group α;
unsubstituted alkyloxycarbonyl;
aromatic carbocyclyl substituted with one or more substituents selected from the substituent groupα, unsubstituted alkyl, and alkyl substituted with one or more substituents selected from the substituent groupα;
unsubstituted aromatic carbocyclyl;
non-aromatic carbocyclyl substituted with one or more substituents selected from the substituent group α, unsubstituted alkyl, and alkyl substituted with one or more substituents selected from the substituent group α;
unsubstituted non-aromatic carbocyclyl;
aromatic heterocyclyl substituted with one or more substituents selected from the substituent group α, unsubstituted alkyl, and alkyl substituted with one or more substituents selected from the substituent group α;
unsubstituted aromatic heterocyclyl;
non-aromatic heterocyclyl substituted with one or more substituents selected from the substituent group α,unsubstituted alkyl, and alkyl substituted with one or more substituents selected from the substituent group α; and
unsubstituted non-aromatic heterocyclyl.
unsubstituted aromatic carbocyclyl;
non-aromatic carbocyclyl substituted with one or more substituents selected from the substituent group α, unsubstituted alkyl, and alkyl substituted with one or more substituents selected from the substituent group α;
unsubstituted non-aromatic carbocyclyl;
aromatic heterocyclyl substituted with one or more substituents selected from the substituent group α, unsubstituted alkyl, and alkyl substituted with one or more substituents selected from the substituent group α;
unsubstituted aromatic heterocyclyl;
non-aromatic heterocyclyl substituted with one or more substituents selected from the substituent group α,unsubstituted alkyl, and alkyl substituted with one or more substituents selected from the substituent group α; and
unsubstituted non-aromatic heterocyclyl.
In one embodiment, substituents of ring B are one or more selected from halogen, cyano, hydroxy, alkyl, haloalkyl, cycloalkylalkyl, alkyloxy, haloalkyloxy, alkyloxyalkyloxy, cyanoalkyloxy, alkenyl, haloalkenyl, alkynyl, haloalkynyl, alkenyloxy, alkynyloxy, alkylsulfanyl, cyanoalkylsulfanyl, amino, monoalkylamino, dialkylamino, cycloalkylamino and cycloalkyl.
In another embodiment, substituents are one or more selected from halogen, cyano, alkyl, haloalkyl, alkyloxy, haloalkyloxy, cycloalkylalkyloxy, alkynyloxy.
In another embodiment, substituents of ring B are one or more selected from halogen, cyano, alkyl, haloalkyl, alkyloxy and haloalkyloxy.
In another embodiment, substituents are one or more selected from halogen, cyano, alkyl, haloalkyl, alkyloxy, haloalkyloxy, cycloalkylalkyloxy, alkynyloxy.
In another embodiment, substituents of ring B are one or more selected from halogen, cyano, alkyl, haloalkyl, alkyloxy and haloalkyloxy.
Specific embodiments of the present invention are illustrated below. The embodiments are the compound of the following formulas (IA) to (IK):
wherein Hal is halogen, RB4 is halogen or alkyloxy and the other symbols are the same as defined in the above item (1).
wherein Hal is halogen, RB4 is halogen or alkyloxy and the other symbols are the same as defined in the above item (1).
Specific embodiments of each symbol of the formula (I) and (IA) to (IK) are illustrated below. All combination of these embodiments are examples of the compounds of formulas (I) and (IA) to (IK).
In the formulas (I) and (IA) to (IK),
R1 is alkyl,
R1 is methyl,
R1 is haloalkyl,
R1 is -CH2F,
R2 is H,
R2 is halogen,
R2 is F,
R3 is H,
R3 is alkyl,
R3 is Me,
R3 is alkyloxyalkyl,
R3 is -CH2OMe,
R3 is haloalkyl,
R3 is -CH2F,
R3 is -CHF2,
R3 is -CF2CH3,
R3 is -CF3,
R3 is haloalkyl substituted with cycloalkyl,
R3 is -CF2-cyclopropyl,
R4 is H,
R4 is halogen,
R4 is F,
-X= is -CH=,
-X= is -N=,
ring B is
wherein RB1 is halogen, cyano, alkyloxy or haloalkyloxy and RB2 is H, halogen or alkyl (hereinafter referred to as B1),
ring B is
wherein RB1 is halogen, cyano, methyloxy or halomethyloxy, and RB2 is H, halogen or methyl (hereinafter referred to as B2),
ring B is
wherein RB3 is haloalkyl, alkyloxy or haloalkyloxy (hereinafter referred to as B3),
ring B is
wherein RB3 is dihalomethyl, methyloxy, monohalomethyloxy or dihaloethyloxy (hereinafter referred to as B4),
ring B is
wherein RB4 is halogen or alkyloxy (hereinafter referred to as B5),
ring B is
wherein RB4 is halogen or methyloxy (hereinafter referred to as B6),
ring B is
(hereinafter referred to as B7).
In the formulas (I) and (IA) to (IK),
R1 is alkyl,
R1 is methyl,
R1 is haloalkyl,
R1 is -CH2F,
R2 is H,
R2 is halogen,
R2 is F,
R3 is H,
R3 is alkyl,
R3 is Me,
R3 is alkyloxyalkyl,
R3 is -CH2OMe,
R3 is haloalkyl,
R3 is -CH2F,
R3 is -CHF2,
R3 is -CF2CH3,
R3 is -CF3,
R3 is haloalkyl substituted with cycloalkyl,
R3 is -CF2-cyclopropyl,
R4 is H,
R4 is halogen,
R4 is F,
-X= is -CH=,
-X= is -N=,
ring B is
wherein RB1 is halogen, cyano, alkyloxy or haloalkyloxy and RB2 is H, halogen or alkyl (hereinafter referred to as B1),
ring B is
wherein RB1 is halogen, cyano, methyloxy or halomethyloxy, and RB2 is H, halogen or methyl (hereinafter referred to as B2),
ring B is
wherein RB3 is haloalkyl, alkyloxy or haloalkyloxy (hereinafter referred to as B3),
ring B is
wherein RB3 is dihalomethyl, methyloxy, monohalomethyloxy or dihaloethyloxy (hereinafter referred to as B4),
ring B is
wherein RB4 is halogen or alkyloxy (hereinafter referred to as B5),
ring B is
wherein RB4 is halogen or methyloxy (hereinafter referred to as B6),
ring B is
(hereinafter referred to as B7).
In one embodiment, R1 is alkyl and ring B is B1 in the formula (I), (IA), (IB), (IC), (IE), (IH), (II) or (IJ).
In one embodiment, R1 is alkyl and ring B is B2 in the formula (I), (IA), (IB), (IC), (IE), (IH), (II) or (IJ).
In one embodiment, R1 is alkyl and ring B is B3 in the formula (I), (IA), (IB), (IC), (IE), (IH), (II) or (IJ).
In one embodiment, R1 is alkyl and ring B is B4 in the formula (I), (IA), (IB), (IC), (IE), (IH), (II) or (IJ).
In one embodiment, R1 is alkyl and ring B is B5 in the formula (I), (IA), (IB), (IC), (IE), (IH), (II), (IJ) or (IK).
In one embodiment, R1 is alkyl and ring B is B6 in the formula (I), (IA), (IB), (IC), (IE), (IH), (II), (IJ) or (IK).
In one embodiment, R1 is alkyl and ring B is B7 in the formula (I), (IA), (IB), (IC), (IE), (IH), (II) or (IJ).
In one embodiment, R1 is haloalkyl and ring B is B1 in the formula (I), (IA), (IB), (IC), (IE), (IH), (II) or (IJ).
In one embodiment, R1 is haloalkyl and ring B is B2 in the formula (I), (IA), (IB), (IC), (IE), (IH), (II) or (IJ).
In one embodiment, R1 is haloalkyl and ring B is B3 in the formula (I), (IA), (IB), (IC), (IE), (IH), (II) or (IJ).
In one embodiment, R1 is haloalkyl and ring B is B4 in the formula (I), (IA), (IB), (IC), (IE), (IH), (II) or (IJ).
In one embodiment, R1 is haloalkyl and ring B is B5 in the formula (I), (IA), (IB), (IC), (IE), (IH), (II), (IJ) or (IK).
In one embodiment, R1 is haloalkyl and ring B is B6 in the formula (I), (IA), (IB), (IC), (IE), (IH), (II), (IJ) or (IK).
In one embodiment, R1 is haloalkyl and ring B is B7 in the formula (I), (IA), (IB), (IC), (IE), (IH), (II) or (IJ).
In one embodiment, R1 is -CH2F and ring B is B1 in the formula (I), (IA), (IB), (IC), (IE), (IH), (II) or (IJ).
In one embodiment, R1 is -CH2F and ring B is B2 in the formula (I), (IA), (IB), (IC), (IE), (IH), (II) or (IJ).
In one embodiment, R1 is -CH2F and ring B is B3 in the formula (I), (IA), (IB), (IC), (IE), (IH), (II) or (IJ).
In one embodiment, R1 is -CH2F and ring B is B4 in the formula (I), (IA), (IB), (IC), (IE), (IH), (II) or (IJ).
In one embodiment, R1 is -CH2F and ring B is B5 in the formula (I), (IA), (IB), (IC), (IE), (IH), (II), (IJ) or (IK).
In one embodiment, R1 is -CH2F and ring B is B6 in the formula (I), (IA), (IB), (IC), (IE), (IH), (II), (IJ) or (IK).
In one embodiment, R1 is -CH2F and ring B is B7 in the formula (I), (IA), (IB), (IC), (IE), (IH), (II) or (IJ).
In one embodiment, R1 is alkyl and ring B is B2 in the formula (I), (IA), (IB), (IC), (IE), (IH), (II) or (IJ).
In one embodiment, R1 is alkyl and ring B is B3 in the formula (I), (IA), (IB), (IC), (IE), (IH), (II) or (IJ).
In one embodiment, R1 is alkyl and ring B is B4 in the formula (I), (IA), (IB), (IC), (IE), (IH), (II) or (IJ).
In one embodiment, R1 is alkyl and ring B is B5 in the formula (I), (IA), (IB), (IC), (IE), (IH), (II), (IJ) or (IK).
In one embodiment, R1 is alkyl and ring B is B6 in the formula (I), (IA), (IB), (IC), (IE), (IH), (II), (IJ) or (IK).
In one embodiment, R1 is alkyl and ring B is B7 in the formula (I), (IA), (IB), (IC), (IE), (IH), (II) or (IJ).
In one embodiment, R1 is haloalkyl and ring B is B1 in the formula (I), (IA), (IB), (IC), (IE), (IH), (II) or (IJ).
In one embodiment, R1 is haloalkyl and ring B is B2 in the formula (I), (IA), (IB), (IC), (IE), (IH), (II) or (IJ).
In one embodiment, R1 is haloalkyl and ring B is B3 in the formula (I), (IA), (IB), (IC), (IE), (IH), (II) or (IJ).
In one embodiment, R1 is haloalkyl and ring B is B4 in the formula (I), (IA), (IB), (IC), (IE), (IH), (II) or (IJ).
In one embodiment, R1 is haloalkyl and ring B is B5 in the formula (I), (IA), (IB), (IC), (IE), (IH), (II), (IJ) or (IK).
In one embodiment, R1 is haloalkyl and ring B is B6 in the formula (I), (IA), (IB), (IC), (IE), (IH), (II), (IJ) or (IK).
In one embodiment, R1 is haloalkyl and ring B is B7 in the formula (I), (IA), (IB), (IC), (IE), (IH), (II) or (IJ).
In one embodiment, R1 is -CH2F and ring B is B1 in the formula (I), (IA), (IB), (IC), (IE), (IH), (II) or (IJ).
In one embodiment, R1 is -CH2F and ring B is B2 in the formula (I), (IA), (IB), (IC), (IE), (IH), (II) or (IJ).
In one embodiment, R1 is -CH2F and ring B is B3 in the formula (I), (IA), (IB), (IC), (IE), (IH), (II) or (IJ).
In one embodiment, R1 is -CH2F and ring B is B4 in the formula (I), (IA), (IB), (IC), (IE), (IH), (II) or (IJ).
In one embodiment, R1 is -CH2F and ring B is B5 in the formula (I), (IA), (IB), (IC), (IE), (IH), (II), (IJ) or (IK).
In one embodiment, R1 is -CH2F and ring B is B6 in the formula (I), (IA), (IB), (IC), (IE), (IH), (II), (IJ) or (IK).
In one embodiment, R1 is -CH2F and ring B is B7 in the formula (I), (IA), (IB), (IC), (IE), (IH), (II) or (IJ).
In one embodiment, R1 is alkyl, ring B is B1 and X is -CH= in the formula (I), (IA), (IB), (IC), (IE), (IH), (II) or (IJ).
In one embodiment, R1 is alkyl, ring B is B2 and X is -CH= in the formula (I), (IA), (IB), (IC), (IE), (IH), (II) or (IJ).
In one embodiment, R1 is alkyl, ring B is B3 and X is -CH= in the formula (I), (IA), (IB), (IC), (IE), (IH), (II) or (IJ).
In one embodiment, R1 is alkyl, ring B is B4 and X is -CH= in the formula (I), (IA), (IB), (IC), (IE), (IH), (II) or (IJ).
In one embodiment, R1 is alkyl, ring B is B5 and X is -CH= in the formula (I), (IA), (IB), (IC), (IE), (IH), (II), (IJ) or (IK).
In one embodiment, R1 is alkyl, ring B is B6 and X is -CH= in the formula (I), (IA), (IB), (IC), (IE), (IH), (II), (IJ) or (IK).
In one embodiment, R1 is alkyl, ring B is B7 and X is -CH= in the formula (I), (IA), (IB), (IC), (IE), (IH), (II) or (IJ).
In one embodiment, R1 is haloalkyl, ring B is B1 and X is -CH= in the formula (I), (IA), (IB), (IC), (IE), (IH), (II) or (IJ).
In one embodiment, R1 is haloalkyl, ring B is B2 and X is -CH= in the formula (I), (IA), (IB), (IC), (IE), (IH), (II) or (IJ).
In one embodiment, R1 is haloalkyl, ring B is B3 and X is -CH= in the formula (I), (IA), (IB), (IC), (IE), (IH), (II) or (IJ).
In one embodiment, R1 is haloalkyl, ring B is B4 and X is -CH= in the formula (I), (IA), (IB), (IC), (IE), (IH), (II) or (IJ).
In one embodiment, R1 is haloalkyl, ring B is B5 and X is -CH= in the formula (I), (IA), (IB), (IC), (IE), (IH), (II), (IJ) or (IK).
In one embodiment, R1 is haloalkyl, ring B is B6 and X is -CH= in the formula (I), (IA), (IB), (IC), (IE), (IH), (II), (IJ) or (IK).
In one embodiment, R1 is haloalkyl, ring B is B7 and X is -CH= in the formula (I), (IA), (IB), (IC), (IE), (IH), (II) or (IJ).
In one embodiment, R1 is -CH2F, ring B is B1 and X is -CH= in the formula (I), (IA), (IB), (IC), (IE), (IH), (II) or (IJ).
In one embodiment, R1 is -CH2F, ring B is B2 and X is -CH= in the formula (I), (IA), (IB), (IC), (IE), (IH), (II) or (IJ).
In one embodiment, R1 is -CH2F, ring B is B3 and X is -CH= in the formula (I), (IA), (IB), (IC), (IE), (IH), (II) or (IJ).
In one embodiment, R1 is -CH2F, ring B is B4 and X is -CH= in the formula (I), (IA), (IB), (IC), (IE), (IH), (II) or (IJ).
In one embodiment, R1 is -CH2F, ring B is B5 and X is -CH= in the formula (I), (IA), (IB), (IC), (IE), (IH), (II), (IJ) or (IK).
In one embodiment, R1 is -CH2F, ring B is B6 and X is -CH= in the formula (I), (IA), (IB), (IC), (IE), (IH), (II), (IJ) or (IK).
In one embodiment, R1 is -CH2F, ring B is B7 and X is -CH= in the formula (I), (IA), (IB), (IC), (IE), (IH), (II) or (IJ).
In one embodiment, R1 is alkyl, ring B is B2 and X is -CH= in the formula (I), (IA), (IB), (IC), (IE), (IH), (II) or (IJ).
In one embodiment, R1 is alkyl, ring B is B3 and X is -CH= in the formula (I), (IA), (IB), (IC), (IE), (IH), (II) or (IJ).
In one embodiment, R1 is alkyl, ring B is B4 and X is -CH= in the formula (I), (IA), (IB), (IC), (IE), (IH), (II) or (IJ).
In one embodiment, R1 is alkyl, ring B is B5 and X is -CH= in the formula (I), (IA), (IB), (IC), (IE), (IH), (II), (IJ) or (IK).
In one embodiment, R1 is alkyl, ring B is B6 and X is -CH= in the formula (I), (IA), (IB), (IC), (IE), (IH), (II), (IJ) or (IK).
In one embodiment, R1 is alkyl, ring B is B7 and X is -CH= in the formula (I), (IA), (IB), (IC), (IE), (IH), (II) or (IJ).
In one embodiment, R1 is haloalkyl, ring B is B1 and X is -CH= in the formula (I), (IA), (IB), (IC), (IE), (IH), (II) or (IJ).
In one embodiment, R1 is haloalkyl, ring B is B2 and X is -CH= in the formula (I), (IA), (IB), (IC), (IE), (IH), (II) or (IJ).
In one embodiment, R1 is haloalkyl, ring B is B3 and X is -CH= in the formula (I), (IA), (IB), (IC), (IE), (IH), (II) or (IJ).
In one embodiment, R1 is haloalkyl, ring B is B4 and X is -CH= in the formula (I), (IA), (IB), (IC), (IE), (IH), (II) or (IJ).
In one embodiment, R1 is haloalkyl, ring B is B5 and X is -CH= in the formula (I), (IA), (IB), (IC), (IE), (IH), (II), (IJ) or (IK).
In one embodiment, R1 is haloalkyl, ring B is B6 and X is -CH= in the formula (I), (IA), (IB), (IC), (IE), (IH), (II), (IJ) or (IK).
In one embodiment, R1 is haloalkyl, ring B is B7 and X is -CH= in the formula (I), (IA), (IB), (IC), (IE), (IH), (II) or (IJ).
In one embodiment, R1 is -CH2F, ring B is B1 and X is -CH= in the formula (I), (IA), (IB), (IC), (IE), (IH), (II) or (IJ).
In one embodiment, R1 is -CH2F, ring B is B2 and X is -CH= in the formula (I), (IA), (IB), (IC), (IE), (IH), (II) or (IJ).
In one embodiment, R1 is -CH2F, ring B is B3 and X is -CH= in the formula (I), (IA), (IB), (IC), (IE), (IH), (II) or (IJ).
In one embodiment, R1 is -CH2F, ring B is B4 and X is -CH= in the formula (I), (IA), (IB), (IC), (IE), (IH), (II) or (IJ).
In one embodiment, R1 is -CH2F, ring B is B5 and X is -CH= in the formula (I), (IA), (IB), (IC), (IE), (IH), (II), (IJ) or (IK).
In one embodiment, R1 is -CH2F, ring B is B6 and X is -CH= in the formula (I), (IA), (IB), (IC), (IE), (IH), (II), (IJ) or (IK).
In one embodiment, R1 is -CH2F, ring B is B7 and X is -CH= in the formula (I), (IA), (IB), (IC), (IE), (IH), (II) or (IJ).
In one embodiment, R1 is alkyl, ring B is B1 and X is -N= in the formula (I), (IA), (IB), (IC), (IE), (IH), (II) or (IJ).
In one embodiment, R1 is alkyl, ring B is B2 and X is -N= in the formula (I), (IA), (IB), (IC), (IE), (IH), (II) or (IJ).
In one embodiment, R1 is alkyl, ring B is B3 and X is -N= in the formula (I), (IA), (IB), (IC), (IE), (IH), (II) or (IJ).
In one embodiment, R1 is alkyl, ring B is B4 and X is -N= in the formula (I), (IA), (IB), (IC), (IE), (IH), (II) or (IJ).
In one embodiment, R1 is alkyl, ring B is B5 and X is -N= in the formula (I), (IA), (IB), (IC), (IE), (IH), (II), (IJ) or (IK).
In one embodiment, R1 is alkyl, ring B is B6 and X is -N= in the formula (I), (IA), (IB), (IC), (IE), (IH), (II), (IJ) or (IK).
In one embodiment, R1 is alkyl, ring B is B7 and X is -N= in the formula (I), (IA), (IB), (IC), (IE), (IH), (II) or (IJ).
In one embodiment, R1 is haloalkyl, ring B is B1 and X is -N= in the formula (I), (IA), (IB), (IC), (IE), (IH), (II) or (IJ).
In one embodiment, R1 is haloalkyl, ring B is B2 and X is -N= in the formula (I), (IA), (IB), (IC), (IE), (IH), (II) or (IJ).
In one embodiment, R1 is haloalkyl, ring B is B3 and X is -N= in the formula (I), (IA), (IB), (IC), (IE), (IH), (II) or (IJ).
In one embodiment, R1 is haloalkyl, ring B is B4 and X is -N= in the formula (I), (IA), (IB), (IC), (IE), (IH), (II) or (IJ).
In one embodiment, R1 is haloalkyl, ring B is B5 and X is -N= in the formula (I), (IA), (IB), (IC), (IE), (IH), (II), (IJ) or (IK).
In one embodiment, R1 is haloalkyl, ring B is B6 and X is -N= in the formula (I), (IA), (IB), (IC), (IE), (IH), (II), (IJ) or (IK).
In one embodiment, R1 is haloalkyl, ring B is B7 and X is -N= in the formula (I), (IA), (IB), (IC), (IE), (IH), (II) or (IJ).
In one embodiment, R1 is -CH2F, ring B is B1 and X is -N= in the formula (I), (IA), (IB), (IC), (IE), (IH), (II) or (IJ).
In one embodiment, R1 is -CH2F, ring B is B2 and X is -N= in the formula (I), (IA), (IB), (IC), (IE), (IH), (II) or (IJ).
In one embodiment, R1 is -CH2F, ring B is B3 and X is -N= in the formula (I), (IA), (IB), (IC), (IE), (IH), (II) or (IJ).
In one embodiment, R1 is -CH2F, ring B is B4 and X is -N= in the formula (I), (IA), (IB), (IC), (IE), (IH), (II) or (IJ).
In one embodiment, R1 is -CH2F, ring B is B5 and X is -N= in the formula (I), (IA), (IB), (IC), (IE), (IH), (II), (IJ) or (IK).
In one embodiment, R1 is -CH2F, ring B is B6 and X is -N= in the formula (I), (IA), (IB), (IC), (IE), (IH), (II), (IJ) or (IK).
In one embodiment, R1 is -CH2F, ring B is B7 and X is -N= in the formula (I), (IA), (IB), (IC), (IE), (IH), (II) or (IJ).
In one embodiment, R1 is alkyl, ring B is B2 and X is -N= in the formula (I), (IA), (IB), (IC), (IE), (IH), (II) or (IJ).
In one embodiment, R1 is alkyl, ring B is B3 and X is -N= in the formula (I), (IA), (IB), (IC), (IE), (IH), (II) or (IJ).
In one embodiment, R1 is alkyl, ring B is B4 and X is -N= in the formula (I), (IA), (IB), (IC), (IE), (IH), (II) or (IJ).
In one embodiment, R1 is alkyl, ring B is B5 and X is -N= in the formula (I), (IA), (IB), (IC), (IE), (IH), (II), (IJ) or (IK).
In one embodiment, R1 is alkyl, ring B is B6 and X is -N= in the formula (I), (IA), (IB), (IC), (IE), (IH), (II), (IJ) or (IK).
In one embodiment, R1 is alkyl, ring B is B7 and X is -N= in the formula (I), (IA), (IB), (IC), (IE), (IH), (II) or (IJ).
In one embodiment, R1 is haloalkyl, ring B is B1 and X is -N= in the formula (I), (IA), (IB), (IC), (IE), (IH), (II) or (IJ).
In one embodiment, R1 is haloalkyl, ring B is B2 and X is -N= in the formula (I), (IA), (IB), (IC), (IE), (IH), (II) or (IJ).
In one embodiment, R1 is haloalkyl, ring B is B3 and X is -N= in the formula (I), (IA), (IB), (IC), (IE), (IH), (II) or (IJ).
In one embodiment, R1 is haloalkyl, ring B is B4 and X is -N= in the formula (I), (IA), (IB), (IC), (IE), (IH), (II) or (IJ).
In one embodiment, R1 is haloalkyl, ring B is B5 and X is -N= in the formula (I), (IA), (IB), (IC), (IE), (IH), (II), (IJ) or (IK).
In one embodiment, R1 is haloalkyl, ring B is B6 and X is -N= in the formula (I), (IA), (IB), (IC), (IE), (IH), (II), (IJ) or (IK).
In one embodiment, R1 is haloalkyl, ring B is B7 and X is -N= in the formula (I), (IA), (IB), (IC), (IE), (IH), (II) or (IJ).
In one embodiment, R1 is -CH2F, ring B is B1 and X is -N= in the formula (I), (IA), (IB), (IC), (IE), (IH), (II) or (IJ).
In one embodiment, R1 is -CH2F, ring B is B2 and X is -N= in the formula (I), (IA), (IB), (IC), (IE), (IH), (II) or (IJ).
In one embodiment, R1 is -CH2F, ring B is B3 and X is -N= in the formula (I), (IA), (IB), (IC), (IE), (IH), (II) or (IJ).
In one embodiment, R1 is -CH2F, ring B is B4 and X is -N= in the formula (I), (IA), (IB), (IC), (IE), (IH), (II) or (IJ).
In one embodiment, R1 is -CH2F, ring B is B5 and X is -N= in the formula (I), (IA), (IB), (IC), (IE), (IH), (II), (IJ) or (IK).
In one embodiment, R1 is -CH2F, ring B is B6 and X is -N= in the formula (I), (IA), (IB), (IC), (IE), (IH), (II), (IJ) or (IK).
In one embodiment, R1 is -CH2F, ring B is B7 and X is -N= in the formula (I), (IA), (IB), (IC), (IE), (IH), (II) or (IJ).
In one embodiment, ring B is B1 and X is -CH= in the formula (I), (IA), (IB), (IC), (ID), (IE), (IF), (IG), (IH), (II) or (IJ).
In one embodiment, ring B is B2 and X is -CH= in the formula (I), (IA), (IB), (IC), (ID), (IE), (IF), (IG), (IH), (II) or (IJ).
In one embodiment, ring B is B3 and X is -CH= in the formula (I), (IA), (IB), (IC), (ID), (IE), (IF), (IG), (IH), (II) or (IJ).
In one embodiment, ring B is B4 and X is -CH= in the formula (I), (IA), (IB), (IC), (ID), (IE), (IF), (IG), (IH), (II) or (IJ).
In one embodiment, ring B is B5 and X is -CH= in the formula (I), (IA), (IB), (IC), (ID), (IE), (IF), (IG), (IH), (II) or (IJ).
In one embodiment, ring B is B6 and X is -CH= in the formula (I), (IA), (IB), (IC), (ID), (IE), (IF), (IG), (IH), (II) or (IJ).
In one embodiment, ring B is B7 and X is -CH= in the formula (I), (IA), (IB), (IC), (ID), (IE), (IF), (IG), (IH), (II) or (IJ).
In one embodiment, ring B is B1 and X is -N= in the formula(I), (IA), (IB), (IC), (ID), (IE), (IF), (IG), (IH), (II) or (IJ).
In one embodiment, ring B is B2 and X is -N= in the formula (I), (IA), (IB), (IC), (ID), (IE), (IF), (IG), (IH), (II) or (IJ).
In one embodiment, ring B is B3 and X is -N= in the formula (I), (IA), (IB), (IC), (ID), (IE), (IF), (IG), (IH), (II) or (IJ).
In one embodiment, ring B is B4 and X is -N= in the formula (I), (IA), (IB), (IC), (ID), (IE), (IF), (IG), (IH), (II) or (IJ).
In one embodiment, ring B is B5 and X is -N= in the formula (I), (IA), (IB), (IC), (ID), (IE), (IF), (IG), (IH), (II) or (IJ).
In one embodiment, ring B is B6 and X is -N= in the formula (I), (IA), (IB), (IC), (ID), (IE), (IF), (IG), (IH), (II) or (IJ).
In one embodiment, ring B is B7 and X is -N= in the formula (I), (IA), (IB), (IC), (ID), (IE), (IF), (IG), (IH), (II) or (IJ).
In one embodiment, ring B is B2 and X is -CH= in the formula (I), (IA), (IB), (IC), (ID), (IE), (IF), (IG), (IH), (II) or (IJ).
In one embodiment, ring B is B3 and X is -CH= in the formula (I), (IA), (IB), (IC), (ID), (IE), (IF), (IG), (IH), (II) or (IJ).
In one embodiment, ring B is B4 and X is -CH= in the formula (I), (IA), (IB), (IC), (ID), (IE), (IF), (IG), (IH), (II) or (IJ).
In one embodiment, ring B is B5 and X is -CH= in the formula (I), (IA), (IB), (IC), (ID), (IE), (IF), (IG), (IH), (II) or (IJ).
In one embodiment, ring B is B6 and X is -CH= in the formula (I), (IA), (IB), (IC), (ID), (IE), (IF), (IG), (IH), (II) or (IJ).
In one embodiment, ring B is B7 and X is -CH= in the formula (I), (IA), (IB), (IC), (ID), (IE), (IF), (IG), (IH), (II) or (IJ).
In one embodiment, ring B is B1 and X is -N= in the formula(I), (IA), (IB), (IC), (ID), (IE), (IF), (IG), (IH), (II) or (IJ).
In one embodiment, ring B is B2 and X is -N= in the formula (I), (IA), (IB), (IC), (ID), (IE), (IF), (IG), (IH), (II) or (IJ).
In one embodiment, ring B is B3 and X is -N= in the formula (I), (IA), (IB), (IC), (ID), (IE), (IF), (IG), (IH), (II) or (IJ).
In one embodiment, ring B is B4 and X is -N= in the formula (I), (IA), (IB), (IC), (ID), (IE), (IF), (IG), (IH), (II) or (IJ).
In one embodiment, ring B is B5 and X is -N= in the formula (I), (IA), (IB), (IC), (ID), (IE), (IF), (IG), (IH), (II) or (IJ).
In one embodiment, ring B is B6 and X is -N= in the formula (I), (IA), (IB), (IC), (ID), (IE), (IF), (IG), (IH), (II) or (IJ).
In one embodiment, ring B is B7 and X is -N= in the formula (I), (IA), (IB), (IC), (ID), (IE), (IF), (IG), (IH), (II) or (IJ).
In one embodiment, Hal is F in the formula (IA), (IB), (IC), (ID), (IE), (IF), (IG), (IH), (IJ) or (IK).
In one embodiment, R4 is F in the formula (I).
In one embodiment, R4 is F in the formula (I).
The compound of formula (I) is not limited to a specific isomer, and includes all possible isomers such as keto-enol isomers, imine-enamine isomers, diastereoisomers, optical isomers and rotation isomers, racemate and the mixture thereof. For example, the compound of formula (I) includes the following tautomers.
The compound of formula (I) has an asymmetric carbon atom and the compound includes the following optical isomers.
In one embodiment, the compound of the present invention is as follows:
Optically active compounds of formula (I) can be produced by employing an optically active starting material, by obtaining an optically active intermediate in asymmetry synthesis at a suitable stage, or by performing optical resolution of an intermediate or an objective compound, each of which is a racemate, at a suitable stage. Examples of a method for optical resolution are separation of an optical isomer using an optically active column; kinetic optical resolution utilizing an enzymatic reaction; crystallization resolution of a diastereomer by salt formation using a chiral acid or a chiral base; and preferential crystallization method.
The compound of formula (I) has an asymmetric carbon atom and the compound includes the following optical isomers.
In one embodiment, the compound of the present invention is as follows:
Optically active compounds of formula (I) can be produced by employing an optically active starting material, by obtaining an optically active intermediate in asymmetry synthesis at a suitable stage, or by performing optical resolution of an intermediate or an objective compound, each of which is a racemate, at a suitable stage. Examples of a method for optical resolution are separation of an optical isomer using an optically active column; kinetic optical resolution utilizing an enzymatic reaction; crystallization resolution of a diastereomer by salt formation using a chiral acid or a chiral base; and preferential crystallization method.
One or more hydrogen, carbon and/or other atoms of a compound of formula (I) can be replaced with an isotope of hydrogen, carbon and/or other atoms, respectively. Examples of isotopes include isotopes of hydrogen, carbon, nitrogen, oxygen, phosphorous, sulfur, fluorine, iodine and chlorine, such as 2H, 3H, 11C, 13C, 14C, 15N, 18O, 17O, 31P, 32P, 35S, 18F, 123I and 36Cl, respectively. The compound of formula (I) also includes the compound replaced with such isotopes. The compound replaced with such isotopes is useful also as a medicament, and includes all the radiolabeled compounds of the compound of formula (I). The invention includes "radiolabelling method" for manufacturing the "radiolabeled compound" and the method is useful as a tool of metabolic pharmacokinetic research, the research in binding assay and/or diagnosis.
A radiolabeled compound of the compound of formula (I) can be prepared by methods known in the art. For example, tritiated compounds of formula (I) can be prepared by introducing tritium into the particular compound of formula (I) such as by catalytic dehalogenation with tritium. This method may include reacting a suitably halogenated precursor of a compound of formula (I) with tritium gas in the presence of a suitable catalyst such as Pd/C, in the presence or absence of a base. Other suitable methods for preparing tritiated compounds can be found in Isotopes in the Physical and Biomedical Sciences, Vol. 1, Labeled Compounds (Part A), Chapter 6 (1987). A 14C-labeled compound can be prepared by employing starting materials having 14C carbon.
A radiolabeled compound of the compound of formula (I) can be prepared by methods known in the art. For example, tritiated compounds of formula (I) can be prepared by introducing tritium into the particular compound of formula (I) such as by catalytic dehalogenation with tritium. This method may include reacting a suitably halogenated precursor of a compound of formula (I) with tritium gas in the presence of a suitable catalyst such as Pd/C, in the presence or absence of a base. Other suitable methods for preparing tritiated compounds can be found in Isotopes in the Physical and Biomedical Sciences, Vol. 1, Labeled Compounds (Part A), Chapter 6 (1987). A 14C-labeled compound can be prepared by employing starting materials having 14C carbon.
As pharmaceutically acceptable salt of the compound of formula (I), examples include salts with alkaline metals (e.g. lithium, sodium and potassium), alkaline earth metals (e.g. calcium and barium), magnesium, transition metal (e.g. zinc and iron), ammonia, organic bases (e.g. trimethylamine, triethylamine, dicyclohexylamine, ethanolamine, diethanolamine, triethanolamine, meglumine, diethanolamine, ethylenediamine, pyridine, picoline, quinoline), and amino acids, and salts with inorganic acids (e.g. hydrochloric acid, sulfuric acid, nitric acid, carbonic acid, hydrobromic acid, phosphoric acid and hydroiodic acid) and organic acids (e.g. formic acid, acetic acid, propionic acid, trifluoroacetic acid, citric acid, lactic acid, tartaric acid, oxalic acid, maleic acid, fumaric acid, mandelic acid, glutaric acid, malic acid, benzoic acid, phthalic acid, ascorbic acid, benzenesulfonic acid, p-toluenesulfonic acid, methanesulfonic acid and ethanesulfonic acid). Specific Examples are salts with hydrochloric acid, sulfuric acid, phosphoric acid, tartaric acid, or methanesulfonic acid. These salts can be formed by the usual method.
The compounds of the present invention represented by formula (I) or pharmaceutically acceptable salts thereof may form solvates (e.g., hydrates etc.) , cocrystal and/or crystal polymorphs. The present invention encompasses those various solvates, cocrystal and crystal polymorphs. "Solvates" may be those wherein any number of solvent molecules (e.g., water molecules etc.) are coordinated with the compounds represented by formula (I). When the compounds represented by formula (I) or pharmaceutically acceptable salts thereof are allowed to stand in the atmosphere, the compounds may absorb water, resulting in attachment of adsorbed water or formation of hydrates. Recrystallization of the compounds represented by formula (I) or pharmaceutically acceptable salts thereof may produce crystal polymorphs. The term “cocrystal” means that a compound of formula (I) or a salt thereof and a counter-molecule exists in the same crystal lattice, and it can be formed with any number of counter-molecules.
The compounds of the present invention represented by formula (I) or pharmaceutically acceptable salts thereof may form solvates (e.g., hydrates etc.) , cocrystal and/or crystal polymorphs. The present invention encompasses those various solvates, cocrystal and crystal polymorphs. "Solvates" may be those wherein any number of solvent molecules (e.g., water molecules etc.) are coordinated with the compounds represented by formula (I). When the compounds represented by formula (I) or pharmaceutically acceptable salts thereof are allowed to stand in the atmosphere, the compounds may absorb water, resulting in attachment of adsorbed water or formation of hydrates. Recrystallization of the compounds represented by formula (I) or pharmaceutically acceptable salts thereof may produce crystal polymorphs. The term “cocrystal” means that a compound of formula (I) or a salt thereof and a counter-molecule exists in the same crystal lattice, and it can be formed with any number of counter-molecules.
The compounds of the present invention represented by formula (I) or pharmaceutically acceptable salts thereof may form prodrugs. The present invention also encompasses such various prodrugs. Prodrugs are derivatives of the compounds of the present invention that have chemically or metabolically degradable groups and are compounds that are converted to the pharmaceutically active compounds of the present invention through solvolysis or under physiological conditions in vivo. Prodrugs include compounds that are converted to the compounds represented by formula (I) through enzymatic oxidation, reduction, hydrolysis and the like under physiological conditions in vivo and compounds that are converted to the compounds represented by formula (I) through hydrolysis by gastric acid and the like. Methods for selecting and preparing suitable prodrug derivatives are described, for example, in the Design of Prodrugs, Elsevier, Amsterdam 1985. Prodrugs themselves may be active compounds.
When the compounds of formula (I) or pharmaceutically acceptable salts thereof have a hydroxy group, prodrugs include acyloxy derivatives and sulfonyloxy derivatives which can be prepared by reacting a compound having a hydroxy group with a suitable acid halide, suitable acid anhydride, suitable sulfonyl chloride, suitable sulfonylanhydride and mixed anhydride or with a condensing agent. Examples are CH3COO-, C2H5COO-, t-BuCOO-, C15H31COO-, PhCOO-, (m-NaOOCPh)COO-, NaOOCCH2CH2COO-, CH3CH(NH2) COO-, CH2N(CH3)2COO-, CH3SO3-, CH3CH2SO3-, CF3SO3-, CH2FSO3-, CF3CH2SO3-, p-CH3-O-PhSO3-, PhSO3- and p-CH3PhSO3-.
When the compounds of formula (I) or pharmaceutically acceptable salts thereof have a hydroxy group, prodrugs include acyloxy derivatives and sulfonyloxy derivatives which can be prepared by reacting a compound having a hydroxy group with a suitable acid halide, suitable acid anhydride, suitable sulfonyl chloride, suitable sulfonylanhydride and mixed anhydride or with a condensing agent. Examples are CH3COO-, C2H5COO-, t-BuCOO-, C15H31COO-, PhCOO-, (m-NaOOCPh)COO-, NaOOCCH2CH2COO-, CH3CH(NH2) COO-, CH2N(CH3)2COO-, CH3SO3-, CH3CH2SO3-, CF3SO3-, CH2FSO3-, CF3CH2SO3-, p-CH3-O-PhSO3-, PhSO3- and p-CH3PhSO3-.
The compounds of formula (I) may be prepared by the methods described below, together with synthetic methods known to a person skilled in the art.
The starting materials are commercially available or may be prepared in accordance with known methods.
During any of the following synthesis, it may be necessary or preferable to protect sensitive or reactive groups on any of molecules. In such case, these protection can be achieved by means of conventional protective groups such as those described in Greene’s Protective Group in Organic Synthesis, John Wily & Sons, 2007.
It will be understood by a person skilled in the art that the compounds described below will be generated a mixture of diastereomers and/or enantiomers, which may be separated at relevant stages of the following procedures using conventional techniques such as crystallization, silica gel chromatography, chiral or achiral high performance liquid chromatography (HPLC), and chiral supercritical fluid (SFC) chromatography to provide the single enantiomers of the invention.
During all the following steps, the order of the steps to be performed may be appropriately changed. In each step, an intermediate may be isolated and then used in the next step. All of reaction time, reaction temperature, solvents, reagents, protecting groups, etc. are mere exemplification and not limited as long as they do not cause an adverse effect on a reaction.
The starting materials are commercially available or may be prepared in accordance with known methods.
During any of the following synthesis, it may be necessary or preferable to protect sensitive or reactive groups on any of molecules. In such case, these protection can be achieved by means of conventional protective groups such as those described in Greene’s Protective Group in Organic Synthesis, John Wily & Sons, 2007.
It will be understood by a person skilled in the art that the compounds described below will be generated a mixture of diastereomers and/or enantiomers, which may be separated at relevant stages of the following procedures using conventional techniques such as crystallization, silica gel chromatography, chiral or achiral high performance liquid chromatography (HPLC), and chiral supercritical fluid (SFC) chromatography to provide the single enantiomers of the invention.
During all the following steps, the order of the steps to be performed may be appropriately changed. In each step, an intermediate may be isolated and then used in the next step. All of reaction time, reaction temperature, solvents, reagents, protecting groups, etc. are mere exemplification and not limited as long as they do not cause an adverse effect on a reaction.
General procedure A:
In the above formulas, P1 is alkyl, each of P2 is hydrogen or a protective group such as alkyl, benzoyl, benzyl, 4-methoxybenzyl or 2,4-dimethoxybenzylre, Y is halogen (e.g., Br, I), nitro, or trifluoroacetylamino (-NHCOCF3), and other symbols are the same as defined above.
In the above formulas, P1 is alkyl, each of P2 is hydrogen or a protective group such as alkyl, benzoyl, benzyl, 4-methoxybenzyl or 2,4-dimethoxybenzylre, Y is halogen (e.g., Br, I), nitro, or trifluoroacetylamino (-NHCOCF3), and other symbols are the same as defined above.
General Procedure A is a method for preparing compounds of formula (I) from compounds of formula (A1) through multiple steps of Step 1 to Step 6. Those skilled in the art will be appreciate that protective groups P1 and P2 can be chosen depending on the reaction conditions used in later steps. The starting material of formula (A1) can be prepared in a manner similar to the conditions described in Chem. Rev. 2010, 110, 3600-3740.
Step1:
Compounds of formula (A2) can be prepared by Mannich reaction of sulfinyl imine (A1) with enolates derived from the corresponding esters. This type of reactions can be conducted using the conditions described in Chem. Rev. 2010, 110, 3600-3740. Preferably, the enolates can be prepared from the corresponding esters, lithium diisopropylamide (LDA), and TiCl(Oi-Pr)3, which can be then reacted with compounds of formula (A1) to give compounds of formula (A2). The solvent used in this step is not particularly limited in so far as it does not interfere with the reaction. Examples of the solvent include tetrahydrofuran, 1,4-dioxanne, 1,2-dimethoxyethane, diethyl ether, toluene, and benzene. The reaction temperature is preferably -78 °C to -30 °C. The reaction time is not particularly limited and is usually 5 minutes to 24 hours, preferably 30 minutes to 24 hours.
Alternatively, compounds of formula (A2) can be obtained by reacting compounds of formula (A1) with the corresponding ester in the presence of zinc powder (the Reformatsky reaction). The reaction can be done in ether solvents such as tetrahydrofuran, 1,4-dioxane, and dimethoxyethane in the presence of an excess amount of zinc powder. Generally, the zinc powder is activated by treatment with an aqueous HCl solution prior to the reaction. Instead, the activation can be achieved according to the method described in Organic Process Res. Dev. 2009, 13, 1094-1099. The reaction temperature is usually ice-cold temperature to solvent reflux temperature. Although the reaction time changes depending on the starting material, it is generally 0.5 to 6 hours.
Compounds of formula (A2) can be prepared by Mannich reaction of sulfinyl imine (A1) with enolates derived from the corresponding esters. This type of reactions can be conducted using the conditions described in Chem. Rev. 2010, 110, 3600-3740. Preferably, the enolates can be prepared from the corresponding esters, lithium diisopropylamide (LDA), and TiCl(Oi-Pr)3, which can be then reacted with compounds of formula (A1) to give compounds of formula (A2). The solvent used in this step is not particularly limited in so far as it does not interfere with the reaction. Examples of the solvent include tetrahydrofuran, 1,4-dioxanne, 1,2-dimethoxyethane, diethyl ether, toluene, and benzene. The reaction temperature is preferably -78 °C to -30 °C. The reaction time is not particularly limited and is usually 5 minutes to 24 hours, preferably 30 minutes to 24 hours.
Alternatively, compounds of formula (A2) can be obtained by reacting compounds of formula (A1) with the corresponding ester in the presence of zinc powder (the Reformatsky reaction). The reaction can be done in ether solvents such as tetrahydrofuran, 1,4-dioxane, and dimethoxyethane in the presence of an excess amount of zinc powder. Generally, the zinc powder is activated by treatment with an aqueous HCl solution prior to the reaction. Instead, the activation can be achieved according to the method described in Organic Process Res. Dev. 2009, 13, 1094-1099. The reaction temperature is usually ice-cold temperature to solvent reflux temperature. Although the reaction time changes depending on the starting material, it is generally 0.5 to 6 hours.
Step 2:
Compounds of formula (A3) can be prepared by deprotection of compounds of formula (A2). This deprotection reaction is known to a person skilled in the art and can be performed under the conditions described in Chem. Rev. 2010, 110, 3600-3740. The reaction can be conducted under acidic conditions using e.g. hydrochloric acid at room temperature to 60 °C. Examples of the solvent include methanol, 1,4-dioxane, and ethyl acetate. The reaction time is not particularly limited and is usually 1 hour to 24 hours, preferably 1 hour to 6 hours.
Compounds of formula (A3) can be prepared by deprotection of compounds of formula (A2). This deprotection reaction is known to a person skilled in the art and can be performed under the conditions described in Chem. Rev. 2010, 110, 3600-3740. The reaction can be conducted under acidic conditions using e.g. hydrochloric acid at room temperature to 60 °C. Examples of the solvent include methanol, 1,4-dioxane, and ethyl acetate. The reaction time is not particularly limited and is usually 1 hour to 24 hours, preferably 1 hour to 6 hours.
Step 3:
Compounds of formula (A4) can be prepared by reaction of compounds of formula (A3) with reagents such as benzoyl isothiocyanate and benzyl isothiocyanate. Those skilled in the art will appreciate that the isothiocyanate generated from compounds of formula (A3) and reagents such as thiophosgene and thiocarbonyl diimidazole can be reacted with primary or secondary amines to afford compounds of formula (A4). The solvent used in this step is not particularly limited in so far as it does not interfere with the reaction. Examples of the solvent include dichloromethane, tetrahydrofuran, 1,4-dioxane, 1,2-dimethoxyethane, and toluene. The reaction time is not particularly limited and is usually 1 hour to 24 hours, preferably 3 hours to 6 hours. The reaction temperature is usually 0 °C to 60 °C, preferably 0 °C to room temperature. Reagents for the thiourea formation in this step are not particularly limited if these can be deprotected in Step 6, and a preferable reagent is benzoyl isothiocyanate.
Compounds of formula (A4) can be prepared by reaction of compounds of formula (A3) with reagents such as benzoyl isothiocyanate and benzyl isothiocyanate. Those skilled in the art will appreciate that the isothiocyanate generated from compounds of formula (A3) and reagents such as thiophosgene and thiocarbonyl diimidazole can be reacted with primary or secondary amines to afford compounds of formula (A4). The solvent used in this step is not particularly limited in so far as it does not interfere with the reaction. Examples of the solvent include dichloromethane, tetrahydrofuran, 1,4-dioxane, 1,2-dimethoxyethane, and toluene. The reaction time is not particularly limited and is usually 1 hour to 24 hours, preferably 3 hours to 6 hours. The reaction temperature is usually 0 °C to 60 °C, preferably 0 °C to room temperature. Reagents for the thiourea formation in this step are not particularly limited if these can be deprotected in Step 6, and a preferable reagent is benzoyl isothiocyanate.
Step 4:
Compounds of formula (A5) can be prepared by reaction of compounds of formula (A4) with Grignard reagents such as methyl magnesium bromide and ethyl magnesium bromide and alkyl lithium reagents such as methyllithium, butyllithium, and phenyllithium. Stepwise addition of these nucleophiles can provide compounds of formula (A5) with various substituents of R3. The solvent used is not particularly limited in so far as it does not interfere with the reaction. Preferable examples of the solvent include tetrahydrofuran, 1,4-dioxane, 1,2-dimethoxyethane, diethyl ether, toluene, and benzene. The reaction time is not particularly limited and is usually 5 minutes to 24 hours, preferably 5 minutes to 6 hours. The reaction temperature is usually -100 °C to room temperature, preferably -78 °C to 0 °C.
Step 5:
Compounds of formula (A6) can be prepared by cyclization reaction of compounds of formula (A5) by converting the hydroxyl group into leaving groups such as Cl, Br, and triflate. The reaction conditions are known to those skilled in the art.
For example, chlorination followed by cyclization may be achieved using reagents such as 1-chloro-N,N,2-trimethylpropenylamine. Alternatively, triflic anhydride may be used in the presence of bases such as N,N-dimethyl-4-aminopyridine and pyridine. Examples of the solvent include dichloromethane and tetrahydrofuran. The reaction temperature is usually 0 °C to room temperature and preferably 0 °C. The reaction time is not particularly limited and is usually 0.5 to 3 hours.
Step 6:
Compounds of formula (I) can be prepared by the following reaction sequence: 1) Y = H; deprotection of P2 in formula (A6), nitration, protection, reduction, followed by amide coupling reaction with carboxylic acids to afford compounds of formula (I), 2) Y = Br or I; Buchwald-Hartwig reaction of compounds of formula (A6) with amides followed by deprotection of P2 to afford compounds of formula (I), 3) Y = trifluoroacetylamino; deprotection of the trifluoroacetylamino, amide coupling reaction, followed by deprotection of P2 to afford compounds of formula (I). Examples of reaction conditions for 1) to 3) are described below:
1) Y = H:
Compounds of formula (A6) can be deprotected under the conditions described in Greene's Protective Groups in Organic Synthesis. When P2 is benzoyl, the deprotection can be conducted with bases such as hydrazine hydrate or potassium carbonate using the solvent such as methanol and ethanol at room temperature to 80 °C.
Nitration of the deprotected compounds can be conducted by methods known to a person skilled in the art. For example, the nitrated compounds can be obtained by use of nitric acid or nitrate in solvents such as sulfuric acid or mixed solvent of sulfuric and trifluoroacetic acid. The reaction temperature is usually -20 °C to 0 °C. The reaction time is usually 1 minute to 1 hour.
The amidine group in the deprotected compounds can be protected by Boc under the conditions described in Greene's Protective Groups in Organic Synthesis. For example, the Boc protection can be conducted using Boc2O and a catalytic amount of N,N-dimethyl-4-aminopyridine in solvents such as dichloromethane and tetrahydrofuran at room temperature to 50 °C.
Reduction of the nitrated compounds can be conducted by methods known to a person skilled in the art to afford the corresponding anilines; the following conditions can be used: 1) a method using iron powder in the presence of hydrochloric acid or ammonium chloride; 2) a method using palladium on carbon under hydrogen atmosphere. Examples of the solvent include solvents such as water, methanol, ethanol, ethyl acetate, tetrahydrofuran, and mixtures of those solvents.
Compounds of formula (A5) can be prepared by reaction of compounds of formula (A4) with Grignard reagents such as methyl magnesium bromide and ethyl magnesium bromide and alkyl lithium reagents such as methyllithium, butyllithium, and phenyllithium. Stepwise addition of these nucleophiles can provide compounds of formula (A5) with various substituents of R3. The solvent used is not particularly limited in so far as it does not interfere with the reaction. Preferable examples of the solvent include tetrahydrofuran, 1,4-dioxane, 1,2-dimethoxyethane, diethyl ether, toluene, and benzene. The reaction time is not particularly limited and is usually 5 minutes to 24 hours, preferably 5 minutes to 6 hours. The reaction temperature is usually -100 °C to room temperature, preferably -78 °C to 0 °C.
Step 5:
Compounds of formula (A6) can be prepared by cyclization reaction of compounds of formula (A5) by converting the hydroxyl group into leaving groups such as Cl, Br, and triflate. The reaction conditions are known to those skilled in the art.
For example, chlorination followed by cyclization may be achieved using reagents such as 1-chloro-N,N,2-trimethylpropenylamine. Alternatively, triflic anhydride may be used in the presence of bases such as N,N-dimethyl-4-aminopyridine and pyridine. Examples of the solvent include dichloromethane and tetrahydrofuran. The reaction temperature is usually 0 °C to room temperature and preferably 0 °C. The reaction time is not particularly limited and is usually 0.5 to 3 hours.
Step 6:
Compounds of formula (I) can be prepared by the following reaction sequence: 1) Y = H; deprotection of P2 in formula (A6), nitration, protection, reduction, followed by amide coupling reaction with carboxylic acids to afford compounds of formula (I), 2) Y = Br or I; Buchwald-Hartwig reaction of compounds of formula (A6) with amides followed by deprotection of P2 to afford compounds of formula (I), 3) Y = trifluoroacetylamino; deprotection of the trifluoroacetylamino, amide coupling reaction, followed by deprotection of P2 to afford compounds of formula (I). Examples of reaction conditions for 1) to 3) are described below:
1) Y = H:
Compounds of formula (A6) can be deprotected under the conditions described in Greene's Protective Groups in Organic Synthesis. When P2 is benzoyl, the deprotection can be conducted with bases such as hydrazine hydrate or potassium carbonate using the solvent such as methanol and ethanol at room temperature to 80 °C.
Nitration of the deprotected compounds can be conducted by methods known to a person skilled in the art. For example, the nitrated compounds can be obtained by use of nitric acid or nitrate in solvents such as sulfuric acid or mixed solvent of sulfuric and trifluoroacetic acid. The reaction temperature is usually -20 °C to 0 °C. The reaction time is usually 1 minute to 1 hour.
The amidine group in the deprotected compounds can be protected by Boc under the conditions described in Greene's Protective Groups in Organic Synthesis. For example, the Boc protection can be conducted using Boc2O and a catalytic amount of N,N-dimethyl-4-aminopyridine in solvents such as dichloromethane and tetrahydrofuran at room temperature to 50 °C.
Reduction of the nitrated compounds can be conducted by methods known to a person skilled in the art to afford the corresponding anilines; the following conditions can be used: 1) a method using iron powder in the presence of hydrochloric acid or ammonium chloride; 2) a method using palladium on carbon under hydrogen atmosphere. Examples of the solvent include solvents such as water, methanol, ethanol, ethyl acetate, tetrahydrofuran, and mixtures of those solvents.
Amide coupling reaction of the aniline with carboxylic acids can be conducted by a method known to a person skilled in the art, and suitable coupling conditions can be found in Chem. Rev. 2011, 111, 6557-6602, which includes: a) reactions using condensation reagents; b) reactions using acid chlorides or fluorides.
Reaction a) can be conducted by use of condensation reagents such as dicyclohexylcarbodiimide (DCC), diisopropylcarbodiimide (DIC), 1-ethyl-3-(3-dimethylaminopropyl) carbodiimide hydrochloride (EDC hydrochloride), O-(7-aza-1H-benzotriazol-1-yl)-N,N,N',N'-tetramethyluronium hexafluorophosphate (HATU), and 1H-Benzotriazol-1-yloxy-tri(pyrrolidino) phosphonium hexafluorophosphate (PyBOP). When using uronium or phosphonium salts such as HATU and PyBOP, the reaction can be performed in the presence of bases such as triethylamine and diisopropylethylamine. The reaction may be accelerated by use of catalysts such as 1-hydroxy-benzotriazole (HOBt) and 1-hydroxy-7-aza-benzotriazole (HOAt). The solvent used in the reaction is not particularly limited in so far as it does not interfere with the reaction. Examples of the solvent include dichloromethane, N,N-dimethylformamide(DMF), N-methylpyrrolidone(NMP), and tetrahydrofuran. The reaction temperature is usually 0 °C to 50 °C and is preferably room temperature.
Reaction b) can be performed by use of commercially available acid chlorides or those synthesized by known methods to a person skilled in the art in solvents such as dichloromethane, tetrahydrofuran, and ethyl acetate in the presence of bases such as triethylamine, diisopropylethylamine, pyridine, and N,N-dimethyl-4-aminopyridine. The reaction temperature is usually 0 °C to 60 °C and is preferably 0 °C to room temperature. The reaction time is not particularly limited and is usually 5 minutes to 24 hours, preferably 20 minutes to 6 hours.
Reaction a) can be conducted by use of condensation reagents such as dicyclohexylcarbodiimide (DCC), diisopropylcarbodiimide (DIC), 1-ethyl-3-(3-dimethylaminopropyl) carbodiimide hydrochloride (EDC hydrochloride), O-(7-aza-1H-benzotriazol-1-yl)-N,N,N',N'-tetramethyluronium hexafluorophosphate (HATU), and 1H-Benzotriazol-1-yloxy-tri(pyrrolidino) phosphonium hexafluorophosphate (PyBOP). When using uronium or phosphonium salts such as HATU and PyBOP, the reaction can be performed in the presence of bases such as triethylamine and diisopropylethylamine. The reaction may be accelerated by use of catalysts such as 1-hydroxy-benzotriazole (HOBt) and 1-hydroxy-7-aza-benzotriazole (HOAt). The solvent used in the reaction is not particularly limited in so far as it does not interfere with the reaction. Examples of the solvent include dichloromethane, N,N-dimethylformamide(DMF), N-methylpyrrolidone(NMP), and tetrahydrofuran. The reaction temperature is usually 0 °C to 50 °C and is preferably room temperature.
Reaction b) can be performed by use of commercially available acid chlorides or those synthesized by known methods to a person skilled in the art in solvents such as dichloromethane, tetrahydrofuran, and ethyl acetate in the presence of bases such as triethylamine, diisopropylethylamine, pyridine, and N,N-dimethyl-4-aminopyridine. The reaction temperature is usually 0 °C to 60 °C and is preferably 0 °C to room temperature. The reaction time is not particularly limited and is usually 5 minutes to 24 hours, preferably 20 minutes to 6 hours.
2) Y = Br or I:
Buchwald-Hartwig reaction of compounds of formula (A6) with amide derivatives can be conducted by a methods described in Metal-Catalyzed Cross-Coupling Reactions, 2nd ed. For example, this reaction can be performed by use of transition metal catalysts such as tris(dibenzylideneacetone) dipalladium and palladium acetate and ligands such as 2,2'-bis(diphenylphosphino)-1,1'-binaphthyl (BINAP), 4,5-Bis(diphenylphosphino)-9,9-dimethylxanthene (Xantphos), and 2-Dicyclohexylphosphino-2',4',6'-triisopropylbiphenyl (X-Phos) in the presence of bases such as sodium tert-butoxide, cesium carbonate, and potassium phosphate. The reaction temperature is usually 40 °C to 150 °C and is preferably 60 °C to 100 °C. This reaction may be accelerated by microwave irradiation. Examples of the solvent include toluene, benzene, xylene, tetrahydrofuran, 1,4-dioxane, and 1,2-dimethoxyethane.
After the Buchwald-Hartwig reaction, the deprotection of P2 in the resulting compound can be performed under the conditions described above.
Buchwald-Hartwig reaction of compounds of formula (A6) with amide derivatives can be conducted by a methods described in Metal-Catalyzed Cross-Coupling Reactions, 2nd ed. For example, this reaction can be performed by use of transition metal catalysts such as tris(dibenzylideneacetone) dipalladium and palladium acetate and ligands such as 2,2'-bis(diphenylphosphino)-1,1'-binaphthyl (BINAP), 4,5-Bis(diphenylphosphino)-9,9-dimethylxanthene (Xantphos), and 2-Dicyclohexylphosphino-2',4',6'-triisopropylbiphenyl (X-Phos) in the presence of bases such as sodium tert-butoxide, cesium carbonate, and potassium phosphate. The reaction temperature is usually 40 °C to 150 °C and is preferably 60 °C to 100 °C. This reaction may be accelerated by microwave irradiation. Examples of the solvent include toluene, benzene, xylene, tetrahydrofuran, 1,4-dioxane, and 1,2-dimethoxyethane.
After the Buchwald-Hartwig reaction, the deprotection of P2 in the resulting compound can be performed under the conditions described above.
3) Y = trifluoroacetylamino:
Deprotection of the trifluoroacetylamino group in compounds of formula (A6) can be conducted by a methods known to a person skilled in the art. Suitable conditions can be found in Greene's Protective Groups in Organic Synthesis. For example, use of potassium carbonate in methanol at room temperature may be a usual method, but not limited to. The following amide coupling reaction and deprotection of P2 can be conducted under the same conditions described above.
Deprotection of the trifluoroacetylamino group in compounds of formula (A6) can be conducted by a methods known to a person skilled in the art. Suitable conditions can be found in Greene's Protective Groups in Organic Synthesis. For example, use of potassium carbonate in methanol at room temperature may be a usual method, but not limited to. The following amide coupling reaction and deprotection of P2 can be conducted under the same conditions described above.
General Procedure B:
In the above formulas, Hal is halogen, R3a' and R3b' are each independently hydrogen, alkyl or cycloalkyl, and other symbols are the same as defined in General Procedure A.
In the above formulas, Hal is halogen, R3a' and R3b' are each independently hydrogen, alkyl or cycloalkyl, and other symbols are the same as defined in General Procedure A.
General Procedure B is a method for preparing compounds of formula (Ib) from compounds of formula (A3) through multiple steps. Using compounds of formula (B5), compounds of formula (Ib) can be prepared according to the methods described in General procedure A.
Step 1:
Compounds of formula (B1) can be prepared by thiourea formation of compounds of formula (A3). This type of reaction is known to those skilled in the art and is usually performed by treatment of compounds of formula (A3) with reagents such as triphosgene, 4-nitrophenyl chloroformate, and carbonyl diimidazole followed by addition of amines such as bis(2,4-dimethoxybenzyl)amine. Preferable combinations of these reagents may be 4-nitrophenyl chloroformate and bis(2,4-dimethoxybenzyl)amine. In such case, the reaction can be performed in the presence of bases such as sodium bicarbonate in solvents such as water, tetrahydrofuran, ethyl acetate, and mixture of these solvents. The reaction temperature is usually 0 °C to room temperature. The reaction time is not particularly limited and is usually 1 to 12 hours.
Step 1:
Compounds of formula (B1) can be prepared by thiourea formation of compounds of formula (A3). This type of reaction is known to those skilled in the art and is usually performed by treatment of compounds of formula (A3) with reagents such as triphosgene, 4-nitrophenyl chloroformate, and carbonyl diimidazole followed by addition of amines such as bis(2,4-dimethoxybenzyl)amine. Preferable combinations of these reagents may be 4-nitrophenyl chloroformate and bis(2,4-dimethoxybenzyl)amine. In such case, the reaction can be performed in the presence of bases such as sodium bicarbonate in solvents such as water, tetrahydrofuran, ethyl acetate, and mixture of these solvents. The reaction temperature is usually 0 °C to room temperature. The reaction time is not particularly limited and is usually 1 to 12 hours.
Step 2:
Compounds of formula (B2) can be prepared by reduction of compounds of formula (B1). This reaction is known to those skilled in the art and is usually preformed using diisobutylaluminium hydride (DIBAL-H). Examples of the solvents include dichloromethane, tetrahydrofuran, and toluene. The reaction temperature is usually below -60 °C and preferably below -70 °C. The reaction time is not particularly limited and is usually 1 to 12 hours.
Compounds of formula (B2) can be prepared by reduction of compounds of formula (B1). This reaction is known to those skilled in the art and is usually preformed using diisobutylaluminium hydride (DIBAL-H). Examples of the solvents include dichloromethane, tetrahydrofuran, and toluene. The reaction temperature is usually below -60 °C and preferably below -70 °C. The reaction time is not particularly limited and is usually 1 to 12 hours.
Step 3
Compounds of formula (B3) can be prepared by Wittig reaction of compounds of formula (B2) with the corresponding phosphonium ylides. Alternatively, Peterson olefination, Horner-Wadsworth-Emmons reaction, Julia coupling, and Knoevenagel condensation may be considered. These reactions are known to those skilled in the art. For example, Wittig reaction can be generally conducted by treatment of the corresponding alkyl halide with triphenylphosphine followed by bases such as n-butyl lithium, which can be then added to compounds of formula (B3) in solvents such as tetrahydrofuran. The reaction time is not particularly limited and is usually 1 to 12 hours.
Compounds of formula (B3) can be prepared by Wittig reaction of compounds of formula (B2) with the corresponding phosphonium ylides. Alternatively, Peterson olefination, Horner-Wadsworth-Emmons reaction, Julia coupling, and Knoevenagel condensation may be considered. These reactions are known to those skilled in the art. For example, Wittig reaction can be generally conducted by treatment of the corresponding alkyl halide with triphenylphosphine followed by bases such as n-butyl lithium, which can be then added to compounds of formula (B3) in solvents such as tetrahydrofuran. The reaction time is not particularly limited and is usually 1 to 12 hours.
Step 4:
Compounds of formula (B4) can be prepared by cyclization of compounds of formula (B3) using iodine. Examples of the solvent include acetonitrile, tetrahydrofuran, and dichloromethane. The reaction temperature is usually 0 °C to 50 °C and preferably room temperature. The reaction time is not particularly limited and is usually 1 to 12 hours.
Step 5:
Compounds of formula (B5) can be prepared by 1) halogenation of compounds of formula (B4); 2) hydroxylation of compounds of formula (B4) followed by deoxohalogenation of the corresponding alcohol.
As for 1), halogenation, e.g., fluorination, of compounds of formula (B4) can be performed with reagents such as tetrabutylammonium fluoride (TBAF). Examples of the solvent include acetonitrile and tetrahydrofuran. The reaction temperature is usually 0 °C to 50 °C and preferably room temperature. The reaction time is not particularly limited and is usually 1 to 12 hours.
As for 2), hydroxylation of compounds of formula (B4) can be conducted with reagents such as potassium superoxide (KO2), silver trifluoroacetate, and silver tetrafluoroborate. Preferable examples of the solvent include dimethyl sulfoxide (DMSO) for KO2, nitromethane-water for silver trifluoroacetate, and DMSO-water for silver tetrafluoroborate. The reaction temperature is not particularly limited and is preferably room temperature for KO2, 60 °C to 80 °C for silver trifluoroacetate, and room temperature to 60 °C for silver tetrafluoroborate. The following deoxohalogenation, e.g., deoxofluorination, can be conducted with reagents such as N,N-diethylaminosulfur trifluoride (DAST), and bis(2-methoxyethyl)aminosulfur trifluoride (Deoxo-Fluor; Registered trademark). Examples of the solvent include dichloromethane, acetonitrile, and tetrahydrofuran. The reaction temperature is usually -78 °C to room temperature and is preferably -78 °C to 0 °C. Alternative conditions can be found in Synthesis 2002, 2561-2578.
Compounds of formula (B4) can be prepared by cyclization of compounds of formula (B3) using iodine. Examples of the solvent include acetonitrile, tetrahydrofuran, and dichloromethane. The reaction temperature is usually 0 °C to 50 °C and preferably room temperature. The reaction time is not particularly limited and is usually 1 to 12 hours.
Step 5:
Compounds of formula (B5) can be prepared by 1) halogenation of compounds of formula (B4); 2) hydroxylation of compounds of formula (B4) followed by deoxohalogenation of the corresponding alcohol.
As for 1), halogenation, e.g., fluorination, of compounds of formula (B4) can be performed with reagents such as tetrabutylammonium fluoride (TBAF). Examples of the solvent include acetonitrile and tetrahydrofuran. The reaction temperature is usually 0 °C to 50 °C and preferably room temperature. The reaction time is not particularly limited and is usually 1 to 12 hours.
As for 2), hydroxylation of compounds of formula (B4) can be conducted with reagents such as potassium superoxide (KO2), silver trifluoroacetate, and silver tetrafluoroborate. Preferable examples of the solvent include dimethyl sulfoxide (DMSO) for KO2, nitromethane-water for silver trifluoroacetate, and DMSO-water for silver tetrafluoroborate. The reaction temperature is not particularly limited and is preferably room temperature for KO2, 60 °C to 80 °C for silver trifluoroacetate, and room temperature to 60 °C for silver tetrafluoroborate. The following deoxohalogenation, e.g., deoxofluorination, can be conducted with reagents such as N,N-diethylaminosulfur trifluoride (DAST), and bis(2-methoxyethyl)aminosulfur trifluoride (Deoxo-Fluor; Registered trademark). Examples of the solvent include dichloromethane, acetonitrile, and tetrahydrofuran. The reaction temperature is usually -78 °C to room temperature and is preferably -78 °C to 0 °C. Alternative conditions can be found in Synthesis 2002, 2561-2578.
General procedure C:
In the above formulas, the symbols are the same as defined in General Procedure A.
General Procedure C is a method for preparing compounds of formula (I) from compounds of formula (C1) through multiple steps. Using compounds of formula (A5), compounds of formula (I) can be prepared according to the methods described in General procedure A. The starting material of formula (C1) can be prepared in a manner similar to the conditions described in Chem. Rev. 2010, 110, 3600-3740.
In the above formulas, the symbols are the same as defined in General Procedure A.
General Procedure C is a method for preparing compounds of formula (I) from compounds of formula (C1) through multiple steps. Using compounds of formula (A5), compounds of formula (I) can be prepared according to the methods described in General procedure A. The starting material of formula (C1) can be prepared in a manner similar to the conditions described in Chem. Rev. 2010, 110, 3600-3740.
Step 1:
Compounds of formula (C2) can be prepared by addition of compound of formula (C1) to ketones of formula (R3CHO). This reaction can be performed under conditions similar to those described in Chem. Rev. 2010, 110, 3600-3740. For example, the ketimines derived from compounds of formula (C1) can be prepared using lithium diisopropylamide followed by addition of ketones (R3CHO) to afford compounds of formula (C2). Examples of the solvent include tetrahydrofuran and toluene. The reaction temperature is usually below -60 °C and preferably below -70 °C. The reaction time is not particularly limited and is usually 1 to 12 hours.
Step 2:
Compounds of formula (C3) can be prepared by reaction of compounds of formula (C2) with Grignard reagents such as methyl magnesium bromide and ethyl magnesium bromide and alkyl lithium reagents such as methyllithium, butyllithium, and phenyllithium. The solvent is not particularly limited in so far as it does not interfere with the reaction. Preferable examples of the solvent include tetrahydrofuran, 1,4-dioxane, 1,2-dimethoxyethane, diethyl ether, toluene, and benzene. The reaction time is not particularly limited and is usually 5 minutes to 24 hours, preferably 5 minutes to 6 hours. The reaction temperature is usually -78 °C to room temperature and is preferably -78 °C to -40 °C.
Step 3:
Compounds of formula (C4) can be prepared according to the method described in Step 2 of General Procedure A.
Step 4:
Compounds of formula (A5) can be prepared according to the method described in Step 3 of General Procedure A.
Compounds of formula (C2) can be prepared by addition of compound of formula (C1) to ketones of formula (R3CHO). This reaction can be performed under conditions similar to those described in Chem. Rev. 2010, 110, 3600-3740. For example, the ketimines derived from compounds of formula (C1) can be prepared using lithium diisopropylamide followed by addition of ketones (R3CHO) to afford compounds of formula (C2). Examples of the solvent include tetrahydrofuran and toluene. The reaction temperature is usually below -60 °C and preferably below -70 °C. The reaction time is not particularly limited and is usually 1 to 12 hours.
Step 2:
Compounds of formula (C3) can be prepared by reaction of compounds of formula (C2) with Grignard reagents such as methyl magnesium bromide and ethyl magnesium bromide and alkyl lithium reagents such as methyllithium, butyllithium, and phenyllithium. The solvent is not particularly limited in so far as it does not interfere with the reaction. Preferable examples of the solvent include tetrahydrofuran, 1,4-dioxane, 1,2-dimethoxyethane, diethyl ether, toluene, and benzene. The reaction time is not particularly limited and is usually 5 minutes to 24 hours, preferably 5 minutes to 6 hours. The reaction temperature is usually -78 °C to room temperature and is preferably -78 °C to -40 °C.
Step 3:
Compounds of formula (C4) can be prepared according to the method described in Step 2 of General Procedure A.
Step 4:
Compounds of formula (A5) can be prepared according to the method described in Step 3 of General Procedure A.
General procedure D:
In the above formulas, the symbols are the same as defined in General Procedure A.
General procedure D is a method for preparing compounds of formula (Id) from compounds of formula (A1). The formula (Id) is a derivative of compounds of formula (I) when R2 and R3 are H and CF3, respectively. Using compounds of formula (D6), compounds of formula (Id) can be prepared according to the methods described in General procedure A.
In the above formulas, the symbols are the same as defined in General Procedure A.
General procedure D is a method for preparing compounds of formula (Id) from compounds of formula (A1). The formula (Id) is a derivative of compounds of formula (I) when R2 and R3 are H and CF3, respectively. Using compounds of formula (D6), compounds of formula (Id) can be prepared according to the methods described in General procedure A.
Step 1:
Compounds of formula (D1) can be prepared by reaction of compounds of formula (A1) with allylmagnesium bromide. The solvent used is not particularly limited in so far as it does not interfere with the reaction. Preferable examples of the solvent include tetrahydrofuran, 1,4-dioxane, 1,2-dimethoxyethane, diethyl ether, toluene, and benzene. The reaction time is not particularly limited and is usually 5 minutes to 24 hours, preferably 5 minutes to 6 hours. The reaction temperature is usually -78 °C to 0 °C.
Step 2:
Compounds of formula (D2) can be prepared by ozonolysis of compounds of formula (D1). The reaction is well known to those skilled in the art. Generally, the reaction can be done in dichloromethane under a bubbling condition of ozone at -78 °C followed by a quenching reagent such as dimethyl sulfide, triethylamine, and triphenylphosphine to afford compounds of formula (D2).
Step 3:
Compounds of formula (D3) can be prepared by addition of TMSCF3 (Ruppert reagent) with compounds of formula (D2). The reaction is generally conducted in a solvent such as tetrahydrofuran, 1,4-dioxane, DMF, and toluene. The reaction temperature is usually -78 °C to 0 °C and is preferably -20 °C to 0 °C. The reaction time is not particularly limited and is usually 0.5 to 6 hours.
Compounds of formula (D1) can be prepared by reaction of compounds of formula (A1) with allylmagnesium bromide. The solvent used is not particularly limited in so far as it does not interfere with the reaction. Preferable examples of the solvent include tetrahydrofuran, 1,4-dioxane, 1,2-dimethoxyethane, diethyl ether, toluene, and benzene. The reaction time is not particularly limited and is usually 5 minutes to 24 hours, preferably 5 minutes to 6 hours. The reaction temperature is usually -78 °C to 0 °C.
Step 2:
Compounds of formula (D2) can be prepared by ozonolysis of compounds of formula (D1). The reaction is well known to those skilled in the art. Generally, the reaction can be done in dichloromethane under a bubbling condition of ozone at -78 °C followed by a quenching reagent such as dimethyl sulfide, triethylamine, and triphenylphosphine to afford compounds of formula (D2).
Step 3:
Compounds of formula (D3) can be prepared by addition of TMSCF3 (Ruppert reagent) with compounds of formula (D2). The reaction is generally conducted in a solvent such as tetrahydrofuran, 1,4-dioxane, DMF, and toluene. The reaction temperature is usually -78 °C to 0 °C and is preferably -20 °C to 0 °C. The reaction time is not particularly limited and is usually 0.5 to 6 hours.
Step 4:
Compounds of formula (D4) can be prepared according to the method described in Step 2 of General Procedure A.
Step 5:
Compounds of formula (D5) can be prepared according to the method described in Step 3 of General Procedure A.
Step 6:
Compounds of formula (D6) can be prepared by cyclization reaction of compounds of formula (D5) with a reagent such as N,N-diethylaminosulfur trifluoride (DAST) and Bis(2-methoxyethyl)aminosulfur trifluoride (Deoxo-Fluor, Registered trademark). The reaction can be conducted in dichloromethane at ice-cold temperature. The reaction time is usually 5 minutes to 6 hours and is preferably 5 minutes to 2 hours.
Compounds of formula (D4) can be prepared according to the method described in Step 2 of General Procedure A.
Step 5:
Compounds of formula (D5) can be prepared according to the method described in Step 3 of General Procedure A.
Step 6:
Compounds of formula (D6) can be prepared by cyclization reaction of compounds of formula (D5) with a reagent such as N,N-diethylaminosulfur trifluoride (DAST) and Bis(2-methoxyethyl)aminosulfur trifluoride (Deoxo-Fluor, Registered trademark). The reaction can be conducted in dichloromethane at ice-cold temperature. The reaction time is usually 5 minutes to 6 hours and is preferably 5 minutes to 2 hours.
General procedure E:
In the above formulas, the symbols are the same as defined in General Procedure A.
General procedure E is a method for preparing compounds of formula (Ie) from compounds of formula (A1). The formula (Ie) is a derivative of compounds of formula (I) when R2 and R3 are H and CF2H, respectively. Using compounds of formula (E4), compounds of formula (Ie) can be prepared according to the methods described in General procedure D.
Step1:
Compounds of formula (E1) can be prepared according to the method described in Step 1 of General Procedure A.
Step 2:
Compounds of formula (E2) can be prepared by reaction of compounds of formula (E1) with diethyl (difluoromethyl) phosphonate in the presence of a base such as LDA at -78 °C. A preferable solvent includes tetrahydrofuran. The reaction time is usually 0.5 h to 6 hours.
In the above formulas, the symbols are the same as defined in General Procedure A.
General procedure E is a method for preparing compounds of formula (Ie) from compounds of formula (A1). The formula (Ie) is a derivative of compounds of formula (I) when R2 and R3 are H and CF2H, respectively. Using compounds of formula (E4), compounds of formula (Ie) can be prepared according to the methods described in General procedure D.
Step1:
Compounds of formula (E1) can be prepared according to the method described in Step 1 of General Procedure A.
Step 2:
Compounds of formula (E2) can be prepared by reaction of compounds of formula (E1) with diethyl (difluoromethyl) phosphonate in the presence of a base such as LDA at -78 °C. A preferable solvent includes tetrahydrofuran. The reaction time is usually 0.5 h to 6 hours.
Step 3:
Compounds of formula (E3) can be prepared by reduction of compounds of formula (E2) with a reagent such as NaBH4 and LiBH4. The reaction is well known to those skilled in the art; the reducing reagents in the reaction are not limited to those described above. Typical examples of solvents include tetrahydrofuran, 1,4-dioxane, methanol, and ethanol. The reaction temperature is generally -20 °C to room temperature and is preferably 0 °C to room temperature. The reaction time is generally 0.5 to 6 hours.
Step 4:
Compounds of formula (E4) can be prepared according to the method described in Step 2 of General Procedure A.
Compounds of formula (E3) can be prepared by reduction of compounds of formula (E2) with a reagent such as NaBH4 and LiBH4. The reaction is well known to those skilled in the art; the reducing reagents in the reaction are not limited to those described above. Typical examples of solvents include tetrahydrofuran, 1,4-dioxane, methanol, and ethanol. The reaction temperature is generally -20 °C to room temperature and is preferably 0 °C to room temperature. The reaction time is generally 0.5 to 6 hours.
Step 4:
Compounds of formula (E4) can be prepared according to the method described in Step 2 of General Procedure A.
General procedure F:
In the above formulas, the symbols are the same as defined in General Procedure A.
General procedure F is a method for preparing compounds of formula (If) from compounds of formula (D2). The formula (If) is a derivative of compounds of formula (I) when R2 and R3 are H and CF2Me, respectively. Using compounds of formula (F6), compounds of formula (If) can be prepared according to the methods described in General procedure A.
In the above formulas, the symbols are the same as defined in General Procedure A.
General procedure F is a method for preparing compounds of formula (If) from compounds of formula (D2). The formula (If) is a derivative of compounds of formula (I) when R2 and R3 are H and CF2Me, respectively. Using compounds of formula (F6), compounds of formula (If) can be prepared according to the methods described in General procedure A.
Step 1:
Compounds of formula (F1) can be prepared by reacting compounds of formula (D2) with ethyl 2-bromo-2,2-difluoroacetate in the presence of zinc powder (the Reformatsky reaction). The reaction can be done in ether solvents such as tetrahydrofuran, 1,4-dioxane, and dimethoxyethane in the presence of an excess amount of zinc powder. Generally, the zinc powder is activated by washing with aqueous HCl solution prior to the reaction. Alternatively, the activation can be achieved according to the method described in Organic Process Res. Dev. 2009, 13, 1094-1099. The reaction temperature is usually ice-cold temperature to solvent reflux temperature. The reaction time is generally 0.5 to 6 hours.
Step 2:
Compounds of formula (F2) can be prepared according to the methods described in Steps 2 and 3 of General Procedure A.
Step 3:
Compounds of formula (F3) can be prepared according to the methods described in Step 6 of General Procedure D.
Compounds of formula (F1) can be prepared by reacting compounds of formula (D2) with ethyl 2-bromo-2,2-difluoroacetate in the presence of zinc powder (the Reformatsky reaction). The reaction can be done in ether solvents such as tetrahydrofuran, 1,4-dioxane, and dimethoxyethane in the presence of an excess amount of zinc powder. Generally, the zinc powder is activated by washing with aqueous HCl solution prior to the reaction. Alternatively, the activation can be achieved according to the method described in Organic Process Res. Dev. 2009, 13, 1094-1099. The reaction temperature is usually ice-cold temperature to solvent reflux temperature. The reaction time is generally 0.5 to 6 hours.
Step 2:
Compounds of formula (F2) can be prepared according to the methods described in Steps 2 and 3 of General Procedure A.
Step 3:
Compounds of formula (F3) can be prepared according to the methods described in Step 6 of General Procedure D.
Step 4:
Compounds of formula (F4) can be prepared according to the methods described in Step 3 of General Procedure E.
Step 5:
Compounds of formula (F5) can be prepared by converting the hydroxyl to the I by a method known to a person skilled in the art. Preferable examples of solvents includes tetrahydrofuran, 1,4-dioxane, MeCN, toluene, and Et2O. Although the reaction temperature changes depending on the staring material, it is generally room temperature to 100 °C and is preferably room temperature to 80 °C. The reaction time also changes depending on the starting material and is generally 1 hour to 12 hours.
Step 6:
Compounds of formula (F6) can be prepared by converting the I to the hydrogen. Although the reaction is well known to a person skilled in the art, preferable example of reagents would be n-Bu3SnH in the presence of a catalytic amount of AIBN. The solvent used in this reaction is generally toluene, and the reaction temperature is preferably 60 to 110 °C.
Compounds of formula (F4) can be prepared according to the methods described in Step 3 of General Procedure E.
Step 5:
Compounds of formula (F5) can be prepared by converting the hydroxyl to the I by a method known to a person skilled in the art. Preferable examples of solvents includes tetrahydrofuran, 1,4-dioxane, MeCN, toluene, and Et2O. Although the reaction temperature changes depending on the staring material, it is generally room temperature to 100 °C and is preferably room temperature to 80 °C. The reaction time also changes depending on the starting material and is generally 1 hour to 12 hours.
Step 6:
Compounds of formula (F6) can be prepared by converting the I to the hydrogen. Although the reaction is well known to a person skilled in the art, preferable example of reagents would be n-Bu3SnH in the presence of a catalytic amount of AIBN. The solvent used in this reaction is generally toluene, and the reaction temperature is preferably 60 to 110 °C.
General procedure G:
In the above formulas,R3a’ and R3b’ are each independently hydrogen or alkyl, and the other symbols are the same as defined in General Procedure A.
General procedure G is a method for preparing compounds of formula (Ig) from compounds of formula (B4). The formula (Ig) is a derivative of compounds of formula (I) when R3 is alkyloxyalkyl. Using compounds of formula (G2), compounds of formula (Ig) can be prepared according to the methods described in General procedure A.
In the above formulas,R3a’ and R3b’ are each independently hydrogen or alkyl, and the other symbols are the same as defined in General Procedure A.
General procedure G is a method for preparing compounds of formula (Ig) from compounds of formula (B4). The formula (Ig) is a derivative of compounds of formula (I) when R3 is alkyloxyalkyl. Using compounds of formula (G2), compounds of formula (Ig) can be prepared according to the methods described in General procedure A.
Step 1:
Compounds of formula (B4) can be prepared according to the methods described in Step 5 of General Procedure B.
Step 2:
Compounds of formula (G1) can be prepared by alkylating the hydroxyl with alkyl halides by a method known to a person skilled in the art. The reaction is generally conducted in a solvent such as tetrahydrofuran and DMF in the presence of a base such as NaH. The reaction temperature varies depending on the starting material and is generally 0 to 60 °C. The reaction time is generally 0.5 to 12 hours and is preferably 0 °C to room temperature.
Compounds of formula (B4) can be prepared according to the methods described in Step 5 of General Procedure B.
Step 2:
Compounds of formula (G1) can be prepared by alkylating the hydroxyl with alkyl halides by a method known to a person skilled in the art. The reaction is generally conducted in a solvent such as tetrahydrofuran and DMF in the presence of a base such as NaH. The reaction temperature varies depending on the starting material and is generally 0 to 60 °C. The reaction time is generally 0.5 to 12 hours and is preferably 0 °C to room temperature.
The compounds of the present invention have BACE1 inhibitory activity and are effective in treatment and/or prevention, symptom improvement, and prevention of the progression of disease induced by the production, secretion or deposition of-amyloid β protein, such as Alzheimer’s disease, Alzheimer dementia, senile dementia of Alzheimer type, mild cognitive impairment (MCI), prodromal Alzheimer's disease (e.g., MCI due to Alzheimer’s disease), Down's syndrome, memory impairment, prion disease (Creutzfeldt-Jakob disease), Dutch type of hereditary cerebral hemorrhage with amyloidosis, cerebral amyloid angiopathy, other type of degenerative dementia, mixed dementia such as coexist Alzheimer's disease with vascular type dementia, dementia with Parkinson's Disease, dementia with progressive supranuclear palsy, dementia with Cortico-basal degeneration, Alzheimer’s disease with diffuse Lewy body disease, age-related macular degeneration, Parkinson's Disease, amyloid angiopathy or the like.
Furthermore, the compounds of the present invention are effective in preventing the progression in a patient asymptomatic at risk for Alzheimer dementia (preclinical Alzheimer’s disease).
“A patient asymptomatic at risk for Alzheimer dementia” includes a subject who is cognitively and functionally normal but has potential very early signs of Alzheimer’s disease or typical age related changes (e.g., mild white matter hyper intensity on MRI), and/or has evidence of amyloid deposition as demonstrated by low cerebrospinal fluid Aβ1-42 levels. For example, “a patient asymptomatic at risk for Alzheimer dementia” includes a subject whose score of the Clinical Dementia Rating (CDR) or Clinical Dementia Rating-Japanese version (CDR-J) is 0, and/or whose stage of the Functional Assessment Staging (FAST) is stage 1 or stage 2.
Furthermore, the compounds of the present invention are effective in preventing the progression in a patient asymptomatic at risk for Alzheimer dementia (preclinical Alzheimer’s disease).
“A patient asymptomatic at risk for Alzheimer dementia” includes a subject who is cognitively and functionally normal but has potential very early signs of Alzheimer’s disease or typical age related changes (e.g., mild white matter hyper intensity on MRI), and/or has evidence of amyloid deposition as demonstrated by low cerebrospinal fluid Aβ1-42 levels. For example, “a patient asymptomatic at risk for Alzheimer dementia” includes a subject whose score of the Clinical Dementia Rating (CDR) or Clinical Dementia Rating-Japanese version (CDR-J) is 0, and/or whose stage of the Functional Assessment Staging (FAST) is stage 1 or stage 2.
The compound of the present invention has not only BACE1 inhibitory activity but the beneficialness as a medicament. The compound has any or all of the following superior properties.
a) The compound has weak inhibitory activity for CYP enzymes such as CYP1A2, CYP2C9, CYP2C19, CYP2D6, CYP3A4.
b) The compound show excellent pharmacokinetics profiles such as high bioavailability or low clearance.
c) The compound has a high metabolic stability.
d) The compound does not show irreversible inhibitions to CYP enzymes such as CYP3A4 in the range of the concentrations of the measurement conditions described in this description.
e) The compound does not show a mutagenesis.
f) The compound is at a low risk for cardiovascular systems.
g) The compound shows a high solubility.
h) The compound shows a high brain distribution.
i) The compound has a high oral absorption.
j) The compound has a long half-life period.
k) The compound has a high protein unbinding ratio.
l) The compound is negative in the Ames test.
Since the compound has high effect of reducing amyloid β production in a cell system, particularly, has high effect of reducing amyloid β production in brain, it can be an excellent medicament. In addition, by converting the compound into an optically active compound having suitable stereochemistry, the compound can be a medicament having a wider safety margin on the side effect.
a) The compound has weak inhibitory activity for CYP enzymes such as CYP1A2, CYP2C9, CYP2C19, CYP2D6, CYP3A4.
b) The compound show excellent pharmacokinetics profiles such as high bioavailability or low clearance.
c) The compound has a high metabolic stability.
d) The compound does not show irreversible inhibitions to CYP enzymes such as CYP3A4 in the range of the concentrations of the measurement conditions described in this description.
e) The compound does not show a mutagenesis.
f) The compound is at a low risk for cardiovascular systems.
g) The compound shows a high solubility.
h) The compound shows a high brain distribution.
i) The compound has a high oral absorption.
j) The compound has a long half-life period.
k) The compound has a high protein unbinding ratio.
l) The compound is negative in the Ames test.
Since the compound has high effect of reducing amyloid β production in a cell system, particularly, has high effect of reducing amyloid β production in brain, it can be an excellent medicament. In addition, by converting the compound into an optically active compound having suitable stereochemistry, the compound can be a medicament having a wider safety margin on the side effect.
When a pharmaceutical composition of the present invention is administered, it can be administered orally or parenterally. The composition for oral administration can be administered in usual dosage forms such as oral solid formulations (e.g., tablets, powders, granules, capsules, pills, films or the like), oral liquid formulations (e.g., suspension, emulsion, elixir, syrup, lemonade, spirit, aromatic water, extract, decoction, tincture or the like) and the like which may be prepared according to the usual method and administered. The tablets can be sugar-coated tablets, film-coated tablets, enteric-coating tablets, sustained-release tablets, troche tablets, sublingual tablets, buccal tablets, chewable tablets or orally disintegrated tablets. Powders and granules can be dry syrups. Capsules can be soft capsules, micro capsules or sustained-release capsules.
The composition for parenteral administration can be administered suitably in usual parenteral dosage forms such as dermal, subcutaneous, intravenous, intraarterial, intramuscular, intraperitoneal, transmucosal, inhalation, transnasal, ophthalmic, inner ear or vaginal administration and the like.. In case of parenteral administration, any forms, which are usually used, such as injections, drips, external preparations (e.g., ophthalmic drops, nasal drops, ear drops, aerosols, inhalations, lotion, infusion, liniment, mouthwash, enema, ointment, plaster, jelly, cream, patch, cataplasm, external powder, suppository or the like) and the like can be preferably administered. Injections can be emulsions whose type is O/W, W/O, O/W/O, W/O/W or the like..
The compounds of the present invention can be preferably administered in an oral dosage form because of their high oral absorbability.
A pharmaceutical composition can be formulated by mixing various additive agents for medicaments, if needed, such as excipients, binders, disintegrating agents, and lubricants which are suitable for the formulations with an effective amount of the compound of the present invention. Furthermore, the pharmaceutical composition can be for pediatric patients, geriatric patients, serious cases or operations by appropriately changing the effective amount of the compound of the present invention, formulation and/or various pharmaceutical additives. The pediatric pharmaceutical compositions are preferably administered to patients under 12 or 15 years old. In addition, the pediatric pharmaceutical compositions can be administered to patients who are under 27 days old after the birth, 28 days to 23 months old after the birth, 2 to 11 years old, 12 to 16 years old, or 18 years old. The geriatric pharmaceutical compositions are preferably administered to patients who are 65 years old or over.
The composition for parenteral administration can be administered suitably in usual parenteral dosage forms such as dermal, subcutaneous, intravenous, intraarterial, intramuscular, intraperitoneal, transmucosal, inhalation, transnasal, ophthalmic, inner ear or vaginal administration and the like.. In case of parenteral administration, any forms, which are usually used, such as injections, drips, external preparations (e.g., ophthalmic drops, nasal drops, ear drops, aerosols, inhalations, lotion, infusion, liniment, mouthwash, enema, ointment, plaster, jelly, cream, patch, cataplasm, external powder, suppository or the like) and the like can be preferably administered. Injections can be emulsions whose type is O/W, W/O, O/W/O, W/O/W or the like..
The compounds of the present invention can be preferably administered in an oral dosage form because of their high oral absorbability.
A pharmaceutical composition can be formulated by mixing various additive agents for medicaments, if needed, such as excipients, binders, disintegrating agents, and lubricants which are suitable for the formulations with an effective amount of the compound of the present invention. Furthermore, the pharmaceutical composition can be for pediatric patients, geriatric patients, serious cases or operations by appropriately changing the effective amount of the compound of the present invention, formulation and/or various pharmaceutical additives. The pediatric pharmaceutical compositions are preferably administered to patients under 12 or 15 years old. In addition, the pediatric pharmaceutical compositions can be administered to patients who are under 27 days old after the birth, 28 days to 23 months old after the birth, 2 to 11 years old, 12 to 16 years old, or 18 years old. The geriatric pharmaceutical compositions are preferably administered to patients who are 65 years old or over.
The dosage of a pharmaceutical composition of the present invention should be determined in consideration of the patient's age and body weight, the type and degree of diseases, the administration route and the like. The usual oral dosage for adults is in the range of 0.05 to 100 mg/kg/day and preferable is 0.1 to 10 mg/kg/day. For parenteral administration, the dosage highly varies with administration routes and the usual dosage is in the range of 0.005 to 10 mg/kg/day and preferably 0.01 to 1 mg/kg/day. The dosage may be administered once or several times per day.
The compound of the present invention can be used in combination with other drugs for treating Alzheimer's disease, Alzheimer dementia or the like such as acetylcholinesterase inhibitor (hereinafter referred to as a concomitant medicament) for the purpose of enforcement of the activity of the compound or reduction of the amount of medication of the compound or the like. In this case, timing of administration of the compound of the present invention and the concomitant medicament is not limited and these may be administered to the subject simultaneously or at regular intervals. Furthermore, the compound of the present invention and concomitant medicament may be administered as two different compositions containing each active ingredient or as a single composition containing both active ingredient.
The dose of the concomitant medicament can be suitably selected on the basis of the dose used on clinical. Moreover, the mix ratio of the compound of the present invention and a concomitant medicament can be suitably selected in consideration of the subject of administration, administration route, target diseases, symptoms, combinations, etc. For example, when the subject of administration is human, the concomitant medicament can be used in the range of 0.01 to 100 parts by weight relative to 1 part by weight of the compounds of the present invention.
Examples of a concomitant medicament are Donepezil hydrochloride, Tacrine, Galanthamine, Rivastigmine, Zanapezil, Memantine and Vinpocetine.
The compound of the present invention can be used in combination with other drugs for treating Alzheimer's disease, Alzheimer dementia or the like such as acetylcholinesterase inhibitor (hereinafter referred to as a concomitant medicament) for the purpose of enforcement of the activity of the compound or reduction of the amount of medication of the compound or the like. In this case, timing of administration of the compound of the present invention and the concomitant medicament is not limited and these may be administered to the subject simultaneously or at regular intervals. Furthermore, the compound of the present invention and concomitant medicament may be administered as two different compositions containing each active ingredient or as a single composition containing both active ingredient.
The dose of the concomitant medicament can be suitably selected on the basis of the dose used on clinical. Moreover, the mix ratio of the compound of the present invention and a concomitant medicament can be suitably selected in consideration of the subject of administration, administration route, target diseases, symptoms, combinations, etc. For example, when the subject of administration is human, the concomitant medicament can be used in the range of 0.01 to 100 parts by weight relative to 1 part by weight of the compounds of the present invention.
Examples of a concomitant medicament are Donepezil hydrochloride, Tacrine, Galanthamine, Rivastigmine, Zanapezil, Memantine and Vinpocetine.
Following examples and test examples illustrate the present invention in more detail, but the present invention is not limited by these examples.
In examples, the meaning of each abbreviation is as follows:
Ac: Acetyl
Et: ethyl
Bz: benzoyl
Me: methyl
Ph: phenyl
t-Bu: tert-butyl
TBS: tert-butyldimethylsilyl
AIBN: azobisisobutyronitrile
DAST: N,N-diethylaminosulfur trifluoride
DMSO: dimethylsulfoxide
DAST: N,N- diethylaminosulfur trifluoride
EDC: 1-ethyl-3-(3-dimethylaminopropyl)carbodiimide
LDA: lithium diisopropylamide
THF: tetrahydrofuran
In examples, the meaning of each abbreviation is as follows:
Ac: Acetyl
Et: ethyl
Bz: benzoyl
Me: methyl
Ph: phenyl
t-Bu: tert-butyl
TBS: tert-butyldimethylsilyl
AIBN: azobisisobutyronitrile
DAST: N,N-diethylaminosulfur trifluoride
DMSO: dimethylsulfoxide
DAST: N,N- diethylaminosulfur trifluoride
EDC: 1-ethyl-3-(3-dimethylaminopropyl)carbodiimide
LDA: lithium diisopropylamide
THF: tetrahydrofuran
1H NMR spectra were recorded on Bruker Advance 400 MHz spectrometer with chemical shift reported relative to tetramethylsilane or the residual solvent peak (CDCl3 = 7.26 ppm, DMSO-d6 = 2.50 ppm).
Analytical LC/MS (ESI positive or negative, retention time (RT)) data were recorded on Shimadzu UFLC or Waters UPLC system under the following conditions:
method A
Column: Shim-pack XR-ODS (2.2 μm, i.d. 50 x 3.0 mm) (Shimadzu)
Flow rate: 1.6 mL/min
Column oven: 50 °C
UV detection wavelength: 254 nm
Mobile phase: [A] 0.1% formic acid-containing aqueous solution; [B] 0.1% formic acid-containing acetonitrile solution
Gradient: linear gradient from 10% to 100% solvent [B] for 3 minutes and 100% solvent [B] for 1 minute
method B
Column: XBridge (Registered trademark) C18 (5 μm, i.d.4.6 x 50 mm) (Waters)
Flow rate: 3 mL/min
UV detection wavelength: 254 nm
Mobile phases:[A] is 0.1% formic acid solution, and [B] is 0.1% formic acid in acetonitrile solvent.
Gradient: linear gradient of 10% to 100% solvent [B] for 3 minutes was performed, and 100% solvent [B] was maintained for 1 minute.
Analytical LC/MS (ESI positive or negative, retention time (RT)) data were recorded on Shimadzu UFLC or Waters UPLC system under the following conditions:
method A
Column: Shim-pack XR-ODS (2.2 μm, i.d. 50 x 3.0 mm) (Shimadzu)
Flow rate: 1.6 mL/min
Column oven: 50 °C
UV detection wavelength: 254 nm
Mobile phase: [A] 0.1% formic acid-containing aqueous solution; [B] 0.1% formic acid-containing acetonitrile solution
Gradient: linear gradient from 10% to 100% solvent [B] for 3 minutes and 100% solvent [B] for 1 minute
method B
Column: XBridge (Registered trademark) C18 (5 μm, i.d.4.6 x 50 mm) (Waters)
Flow rate: 3 mL/min
UV detection wavelength: 254 nm
Mobile phases:[A] is 0.1% formic acid solution, and [B] is 0.1% formic acid in acetonitrile solvent.
Gradient: linear gradient of 10% to 100% solvent [B] for 3 minutes was performed, and 100% solvent [B] was maintained for 1 minute.
Synthesis of compound (I-5)
Step 1: Synthesis of compound 1-2
To a solution of compound 1-1 (1.40 g, 5.57 mmol) in CH2Cl2 (10 ml) was added benzoyl isothiocyanate (0.902 ml, 6.69 mmol) at 0°C. After stirring for 2 h at room temperature, the mixture was concentrated in vacuo. The crude product was added to a silica gel column and eluted with hexane/EtOAc 30%. Collected fractions were evaporated to afford compound 1-2 (2.06 g, 4.97 mmol, 89 %) as a white amorphous.
1H-NMR (400 MHz, CDCl3) δ: 11.61 (1H, s), 8.80 (1H, s), 7.84-7.83 (2H, m), 7.65-7.61 (1H, m), 7.51 (2H, t, J = 7.7 Hz), 7.41 (1H, td, J = 8.2, 1.5 Hz), 7.33-7.28 (1H, m), 7.17 (1H, td, J = 7.7, 1.2 Hz), 7.06-7.03 (1H, m), 4.19 (1H, s), 2.99 (1H, dd, J = 15.1, 9.8 Hz), 2.81 (1H, d, J = 5.0 Hz), 2.37 (1H, d, J = 14.3 Hz), 2.11 (3H, s).
Step 2: Synthesis of compound 1-3
To a solution of compound 1-2 (100 mg, 0.241 mmol) in CH2Cl2 (2 ml) was added DAST (0.096 ml, 0.724 mmol) at 0°C. The mixture was stirred for 1 h at the same temperature and was treated with saturated aqueous sodium hydrogen carbonate. The mixture was extracted with CH2Cl2, and organic layer was dried over MgSO4 and filtered. The filtrate was concentrated in vacuo. The crude product was added to a silica gel column and eluted with hexane/EtOAc 20%. Collected fractions were evaporated to afford compound 1-3 (64 mg, 0.16 mmol, 67 %) as a white amorphous.
1H-NMR (400 MHz, CDCl3) δ: 1.85 (3H, s), 2.12 (1H, t, J = 13.4 Hz), 3.23 (1H, dd, J = 13.9, 3.8 Hz), 3.39-3.49 (1H, m), 7.12-7.21 (2H, m), 7.29 (1H, dd, J = 8.0, 1.6 Hz), 7.36-7.39 (1H, m), 7.45 (2H, t, J = 7.5 Hz), 7.51-7.54 (1H, m), 8.21-8.24 (2H, m), 12.08 (1H, s).
Step 3: Synthesis of compound 1-4
To a solution of compound 1-3 (860 mg, 2.170 mmol) in EtOH (8.6 ml) was added hydrazine hydrate (0.316 ml, 6.51 mmol) at room temperature. The mixture was stirred overnight at the same temperature and was treated with 3% aqueous sodium hydrogen carbonate. The mixture was extracted with ethyl acetate, and the combined organic layer was dried over MgSO4 and filtered. The filtrate was concentrated in vacuo. The crude product was added to an amino silica gel column and eluted with hexane/EtOAc 30%. Collected fractions were evaporated to afford compound 1-4 (539 mg, 1.84 mmol, 85 %) as a colorless oil.
1H-NMR (400 MHz, CDCl3) δ: 1.58 (1H, t, J = 13.3 Hz), 1.69 (3H, s), 3.02 (1H, dd, J = 13.6, 4.3 Hz), 3.36-3.46 (1H, m), 4.49 (1H, br s), 7.03-7.13 (2H, m), 7.20 (1H, td, J = 8.0, 1.8 Hz), 7.24-7.30 (1H, m).
Step 4: Synthesis of compound 1-5
To a stirred suspension of compound 1-4 (539 mg, 1.844 mmol) and sulfuric acid (0.59 mL, 11.06 mmol) in trifluoroacetic acid (2.3 mL) was added nitric acid (0.13 mL, 2.95 mmol) at -10 °C. After being stirred for 30 min at 0 °C, the reaction was quenched with 30% aqueous potassium carbonate. The mixture was extracted with ethyl acetate and the combined organic layers were washed with water. The solvent was evaporated to give compound 1-5 (581 mg, 1.72 mmol, 93.4 %) as a yellow solid.
1H-NMR (CDCl3) δ: 1.67 (4H, t, J = 12.5 Hz), 3.02 (1H, dd, J = 13.9, 4.3 Hz), 3.32-3.42 (1H, m), 4.70 (2H, s), 7.24 (1H, dd, J = 11.3, 9.4 Hz), 8.17-8.19 (2H, m).
Step 5: Synthesis of compound 1-6
A suspension of compound 1-5 (581 mg, 1.72 mmol), iron (770 mg, 13.78 mmol), and ammonium chloride (1106 mg, 20.67 mmol) in toluene (10 mL) and water (10 mL) was stirred for 5 h at 80 to 90°C. After being cooled to room temperature, the reaction was quenched with potassium carbonate. The mixture was filtered through Celite (Registered trademark) pad. The filtrate was extracted with ethyl acetate. The combined organic layers were washed with brine, dried over MgSO4 and filtered. The solvent was evaporated to give compound 1-6 (530 mg, 1.72 mmol, 100 %) as a yellow solid.
1H-NMR (CDCl3) δ: 1.54 (1H, t, J = 13.2 Hz), 1.65 (3H, s), 2.99 (1H, dd, J = 13.6, 4.3 Hz), 3.46-3.51 (1H, m), 3.58 (2H, s), 4.58 (2H, br s), 6.48 (2H, dd, J = 6.8, 3.0 Hz), 6.51-6.55 (2H, m), 6.85 (1H, dd, J = 11.8, 8.5 Hz).
Step 6: Synthesis of compound (I-5)
To a stirred solution of 1-6 (25 mg, 0.081 mmol) in MeOH (1.0 ml) and hydrogen chloride (0.041 mL, 0.081 mmol, 2 mol/L in water) were added 5-(fluoromethoxy)pyrazine-2-carboxylic acid (14 mg, 0.081 mmol) and EDC hydrochloride (17 mg, 0.089 mmol) at 0°C. After being stirred for 1 hr at room temperature, the reaction was quenched with a saturated aqueous sodium hydrogen carbonate. The mixture was extracted with ethyl acetate. The combined organic layers were washed with brine, dried over MgSO4, and filtered. The solvent was evaporated and the crude product was triturated with MeOH/H2O to give compound (I-5) (30 mg, 0.065 mmol, 79.9%) as a white solid.
1H-NMR (CDCl3) δ: 1.61 (1H, t, J = 13.2 Hz), 1.70 (3H, s), 3.05 (1H, dd, J = 13.6, 4.2 Hz), 3.47-3.50 (1H, m), 6.15 (2H, d, J = 51.1 Hz), 7.11 (1H, dd, J = 11.5, 8.8 Hz), 7.32 (1H, dd, J = 7.0, 2.7 Hz), 7.90 (1H, dt, J = 8.7, 3.5 Hz), 8.29 (1H, d, J = 1.3 Hz), 9.08 (1H, d, J = 1.3 Hz), 9.45 (1H, s).
Step 1: Synthesis of compound 1-2
To a solution of compound 1-1 (1.40 g, 5.57 mmol) in CH2Cl2 (10 ml) was added benzoyl isothiocyanate (0.902 ml, 6.69 mmol) at 0°C. After stirring for 2 h at room temperature, the mixture was concentrated in vacuo. The crude product was added to a silica gel column and eluted with hexane/EtOAc 30%. Collected fractions were evaporated to afford compound 1-2 (2.06 g, 4.97 mmol, 89 %) as a white amorphous.
1H-NMR (400 MHz, CDCl3) δ: 11.61 (1H, s), 8.80 (1H, s), 7.84-7.83 (2H, m), 7.65-7.61 (1H, m), 7.51 (2H, t, J = 7.7 Hz), 7.41 (1H, td, J = 8.2, 1.5 Hz), 7.33-7.28 (1H, m), 7.17 (1H, td, J = 7.7, 1.2 Hz), 7.06-7.03 (1H, m), 4.19 (1H, s), 2.99 (1H, dd, J = 15.1, 9.8 Hz), 2.81 (1H, d, J = 5.0 Hz), 2.37 (1H, d, J = 14.3 Hz), 2.11 (3H, s).
Step 2: Synthesis of compound 1-3
To a solution of compound 1-2 (100 mg, 0.241 mmol) in CH2Cl2 (2 ml) was added DAST (0.096 ml, 0.724 mmol) at 0°C. The mixture was stirred for 1 h at the same temperature and was treated with saturated aqueous sodium hydrogen carbonate. The mixture was extracted with CH2Cl2, and organic layer was dried over MgSO4 and filtered. The filtrate was concentrated in vacuo. The crude product was added to a silica gel column and eluted with hexane/EtOAc 20%. Collected fractions were evaporated to afford compound 1-3 (64 mg, 0.16 mmol, 67 %) as a white amorphous.
1H-NMR (400 MHz, CDCl3) δ: 1.85 (3H, s), 2.12 (1H, t, J = 13.4 Hz), 3.23 (1H, dd, J = 13.9, 3.8 Hz), 3.39-3.49 (1H, m), 7.12-7.21 (2H, m), 7.29 (1H, dd, J = 8.0, 1.6 Hz), 7.36-7.39 (1H, m), 7.45 (2H, t, J = 7.5 Hz), 7.51-7.54 (1H, m), 8.21-8.24 (2H, m), 12.08 (1H, s).
Step 3: Synthesis of compound 1-4
To a solution of compound 1-3 (860 mg, 2.170 mmol) in EtOH (8.6 ml) was added hydrazine hydrate (0.316 ml, 6.51 mmol) at room temperature. The mixture was stirred overnight at the same temperature and was treated with 3% aqueous sodium hydrogen carbonate. The mixture was extracted with ethyl acetate, and the combined organic layer was dried over MgSO4 and filtered. The filtrate was concentrated in vacuo. The crude product was added to an amino silica gel column and eluted with hexane/EtOAc 30%. Collected fractions were evaporated to afford compound 1-4 (539 mg, 1.84 mmol, 85 %) as a colorless oil.
1H-NMR (400 MHz, CDCl3) δ: 1.58 (1H, t, J = 13.3 Hz), 1.69 (3H, s), 3.02 (1H, dd, J = 13.6, 4.3 Hz), 3.36-3.46 (1H, m), 4.49 (1H, br s), 7.03-7.13 (2H, m), 7.20 (1H, td, J = 8.0, 1.8 Hz), 7.24-7.30 (1H, m).
Step 4: Synthesis of compound 1-5
To a stirred suspension of compound 1-4 (539 mg, 1.844 mmol) and sulfuric acid (0.59 mL, 11.06 mmol) in trifluoroacetic acid (2.3 mL) was added nitric acid (0.13 mL, 2.95 mmol) at -10 °C. After being stirred for 30 min at 0 °C, the reaction was quenched with 30% aqueous potassium carbonate. The mixture was extracted with ethyl acetate and the combined organic layers were washed with water. The solvent was evaporated to give compound 1-5 (581 mg, 1.72 mmol, 93.4 %) as a yellow solid.
1H-NMR (CDCl3) δ: 1.67 (4H, t, J = 12.5 Hz), 3.02 (1H, dd, J = 13.9, 4.3 Hz), 3.32-3.42 (1H, m), 4.70 (2H, s), 7.24 (1H, dd, J = 11.3, 9.4 Hz), 8.17-8.19 (2H, m).
Step 5: Synthesis of compound 1-6
A suspension of compound 1-5 (581 mg, 1.72 mmol), iron (770 mg, 13.78 mmol), and ammonium chloride (1106 mg, 20.67 mmol) in toluene (10 mL) and water (10 mL) was stirred for 5 h at 80 to 90°C. After being cooled to room temperature, the reaction was quenched with potassium carbonate. The mixture was filtered through Celite (Registered trademark) pad. The filtrate was extracted with ethyl acetate. The combined organic layers were washed with brine, dried over MgSO4 and filtered. The solvent was evaporated to give compound 1-6 (530 mg, 1.72 mmol, 100 %) as a yellow solid.
1H-NMR (CDCl3) δ: 1.54 (1H, t, J = 13.2 Hz), 1.65 (3H, s), 2.99 (1H, dd, J = 13.6, 4.3 Hz), 3.46-3.51 (1H, m), 3.58 (2H, s), 4.58 (2H, br s), 6.48 (2H, dd, J = 6.8, 3.0 Hz), 6.51-6.55 (2H, m), 6.85 (1H, dd, J = 11.8, 8.5 Hz).
Step 6: Synthesis of compound (I-5)
To a stirred solution of 1-6 (25 mg, 0.081 mmol) in MeOH (1.0 ml) and hydrogen chloride (0.041 mL, 0.081 mmol, 2 mol/L in water) were added 5-(fluoromethoxy)pyrazine-2-carboxylic acid (14 mg, 0.081 mmol) and EDC hydrochloride (17 mg, 0.089 mmol) at 0°C. After being stirred for 1 hr at room temperature, the reaction was quenched with a saturated aqueous sodium hydrogen carbonate. The mixture was extracted with ethyl acetate. The combined organic layers were washed with brine, dried over MgSO4, and filtered. The solvent was evaporated and the crude product was triturated with MeOH/H2O to give compound (I-5) (30 mg, 0.065 mmol, 79.9%) as a white solid.
1H-NMR (CDCl3) δ: 1.61 (1H, t, J = 13.2 Hz), 1.70 (3H, s), 3.05 (1H, dd, J = 13.6, 4.2 Hz), 3.47-3.50 (1H, m), 6.15 (2H, d, J = 51.1 Hz), 7.11 (1H, dd, J = 11.5, 8.8 Hz), 7.32 (1H, dd, J = 7.0, 2.7 Hz), 7.90 (1H, dt, J = 8.7, 3.5 Hz), 8.29 (1H, d, J = 1.3 Hz), 9.08 (1H, d, J = 1.3 Hz), 9.45 (1H, s).
Synthesis of compound (I-7)
Step 1: Synthesis of compound 2-2
To a solution of diethyl (difluoromethyl)phosphonate (7.19 g, 38.2 mmol) in THF (63 ml) was added 1.0 mol/L of LDA in cyclohexane (25.5 ml, 38.2 mmol) at -78 °C. After stirring for 30 min at the same temperature, to the mixture were added compound 2-2 (6.3 g, 19.12 mmol) in THF (32 ml) and 1.0 mol/L of LDA in cyclohexane (14.0 ml, 21.0 mmol). The mixture was stirred for 1 hr 30 min at the same temperature and was treated with aqueous NH4Cl. Then the mixture was stirred at room temperature for 1 hr. The mixture was extracted with ethyl acetate. The combined organic layers were washed with brine, dried over MgSO4, and filtered. The filtrate was concentrated in vacuo. The crude product was added to a silica gel column and eluted with hexane/EtOAc 40% to 100%. Collected fractions were evaporated to afford compound 3-2 (6.52 g, 98.6%, containing phosphonate reagents) as a yellow oil.
1H-NMR (CDCl3) δ: 1.29 (9H, s), 1.80 (3H, s), 3.56 (1H, d, J = 19.3 Hz), 3.89 (1H, d, J = 19.6 Hz), 4.90 (1H, s), 5.64 (1H, t, J = 53.8 Hz), 7.01 (1H, ddd, J = 13.1, 8.3, 1.3 Hz), 7.15 (1H, td, J = 7.7, 1.1 Hz), 7.24-7.30 (1H, m), 7.47-7.52 (1H, m).
Step 2: Synthesis of compound 2-3
To a solution of NaBH4 (210 mg, 5.55 mmol) in isopropylalcohol (21 ml) was added compound 2-2 (6.2 g, 18.49 mmol) in isopropylalcohol (10 ml) at 0°C. The mixture was stirred for 30 min at the same temperature and was treated with 14% aqueous NH4Cl. The mixture was extracted with ethyl acetate. The combined organic layers were washed with brine, dried over MgSO4, and filtered. The filtrate was concentrated in vacuo. The crude product was added to a silica gel column and eluted with hexane/EtOAc 50% to 100%. Collected fractions were evaporated to afford compound 2-3 (1.94 g, 31%) as a white solid.
1H-NMR (CDCl3) δ: 1.23 (9H, s), 1.98 (3H, s), 2.09 (1H, d, J = 14.8 Hz), 2.32 (1H, dd, J = 14.9, 10.4 Hz), 4.10-4.23 (1H, m), 4.93 (1H, d, J = 1.5 Hz), 5.21 (1H, d, J = 5.5 Hz), 5.66 (1H, td, J = 56.2, 3.5 Hz), 7.06 (1H, ddd, J = 12.9, 8.1, 1.2 Hz), 7.12 (1H, td, J = 7.7, 1.3 Hz), 7.29 (1H, ddd, J = 10.1, 5.3, 2.4 Hz), 7.41 (1H, td, J = 8.1, 1.7 Hz).
Step 3: Synthesis of compound 2-4
To a solution of compound 2-3 (127 mg, 0.376 mmol) in dioxane (2 ml) was added 4 mol/L of HCl in dioxane (0.376 ml, 1.506 mmol) at room temperature. After stirring for 1 h at the same temperature, the reaction mixture was evaporated. The residue was diluted with water then washed with isopropyl ether. The aqueous layer was basified with 5% aqueous sodium hydrogen carbonate then extracted with ethyl acetate. The combined organic layers were washed with brine, dried over MgSO4 and filtered. The filtrate was concentrated under vacuum to give compound 2-4 (86 mg, 0.369 mmol, 98.0%) as a colorless oil.
1H-NMR (CDCl3) δ: 1.69 (3H, s), 1.94-2.07 (2H, m), 4.21-4.31 (1H, m), 5.66 (1H, td, J = 56.2, 3.8 Hz), 7.05-7.16 (2H, m), 7.25-7.33 (2H, m).
Step 4: Synthesis of compound 2-5
To a solution of compound 2-4 (86 mg, 0.369 mmol) in CH2Cl2 (1 ml) was added benzoyl isothiocyanate (0.060 ml, 0.442 mmol) at 0°C. After stirring for 4 hr at room temperature, the mixture was concentrated in vacuo. The crude product was added to a silica gel column and eluted with hexane/EtOAc 10% to 30%. Collected fractions were evaporated to afford compound 2-5 (137 mg, 0.346 mmol, 93.7 %) as a white amorphous.
1H-NMR (CDCl3) δ: 2.14 (3H, s), 2.27 (1H, d, J = 14.8 Hz), 2.51 (1H, d, J = 5.3 Hz), 2.80 (1H, dd, J = 14.8, 9.8 Hz), 3.99-4.07 (1H, m), 5.66 (1H, td, J = 56.2, 4.2 Hz), 7.00-7.06 (1H, m), 7.16 (1H, t, J = 7.7 Hz), 7.26-7.32 (1H, m), 7.40-7.44 (1H, m), 7.51 (2H, t, J = 7.7 Hz), 7.62 (1H, t, J = 7.4 Hz), 7.84 (2H, d, J = 7.3 Hz), 8.77 (1H, s), 11.61 (1H, s).
Step 5: Synthesis of compound 2-6
To a solution of compound 2-5 (137 mg, 0.346 mmol) in CH2Cl2 (3 ml) was added DAST (0.137 ml, 1.037 mmol) at room temperature. The mixture was stirred for 30 min at the same temperature and was treated with saturated aqueous sodium hydrogen carbonate. The mixture was extracted with CH2Cl2, and organic layer was dried over MgSO4 and filtered. The filtrate was concentrated in vacuo. The crude product was added to a silica gel column and eluted with hexane/EtOAc 10%. Collected fractions were evaporated to afford compound 2-6 (106 mg, 0.28 mmol, 81.1 %) as a white amorphous.
1H-NMR (CDCl3) δ: 1.84 (3H, s), 1.96 (1H, t, J = 13.3 Hz), 3.14 (1H, dd, J = 13.7, 3.8 Hz), 3.17-3.28 (1H, m), 5.78 (1H, td, J = 55.7, 5.4 Hz), 7.11-7.20 (2H, m), 7.27-7.31 (1H, m), 7.36 (1H, ddd, J = 14.1, 6.3, 1.9 Hz), 7.44 (2H, t, J = 7.5 Hz), 7.52 (1H, t, J = 7.3 Hz), 8.24 (2H, d, J = 7.2 Hz), 12.18 (1H, s).
Step 6: Synthesis of compound 2-7
To a solution of compound 2-6 (106 mg, 0.28 mmol) in EtOH (2 ml) was added hydrazine hydrate (0.041 ml, 0.84 mmol) at room temperature. The mixture was stirred for overnight at the same temperature and was then concentrated in vacuo. The crude product was added to amino silica gel column and eluted with hexane/EtOAc 40% to 50%. Collected fractions were evaporated to afford compound 2-7 (72 mg, 0.27 mmol, 96.3 %) as a colorless oil.
1H-NMR (CDCl3) δ: 1.44 (1H, t, J = 13.3 Hz), 1.68 (3H, d, J = 0.5 Hz), 2.92 (1H, dd, J = 13.6, 4.0 Hz), 3.14-3.25 (1H, m), 5.67 (1H, td, J = 56.1, 5.4 Hz), 7.02-7.12 (2H, m), 7.18-7.28 (2H, m).
Step 7: Synthesis of compound 2-8
To a stirred suspension of compound 2-7 (72 mg, 0.27 mmol) and sulfuric acid (0.175 mL, 3.28 mmol) in trifluoroacetic acid (0.708 mL) was added nitric acid (0.023 mL, 0.525 mmol) at -10 °C. After being stirred for 1 hr at 0 °C, the reaction was quenched with 30% aqueous potassium carbonate. The mixture was extracted with ethyl acetate, and the combined organic layers were washed with water. The solvent was evaporated to give compound 2-8 (78 mg, 0.244 mmol, 93.1 %) as a yellow solid.
1H-NMR (CDCl3) δ: 1.54 (1H, t, J = 13.3 Hz), 1.69 (3H, s), 2.92 (1H, dd, J = 13.9, 3.9 Hz), 3.10-3.23 (1H, m), 5.69 (1H, td, J = 56.0, 5.5 Hz), 7.23 (1H, t, J = 9.8 Hz), 8.13-8.22 (2H, m).
Step 8: Synthesis of compound 2-9
A suspension of 2-8 (75 mg, 0.235 mmol), iron (105 mg, 1.879 mmol), and ammonium chloride (151 mg, 2.82 mmol) in toluene (2 mL) and water (2 mL) was stirred for 2 h at 80 to 90°C. After being cooled to room temperature, the reaction was quenched with potassium carbonate. The mixture was filtered through Celite (Registered trademark) pad. The filtrate was extracted with ethyl acetate. The combined organic layers were washed with brine, dried over MgSO4 and filtered. The solvent was evaporated to give compound 2-9 (68 mg, 0.235 mmol, 100 %) as a yellow solid.
1H-NMR (CDCl3) δ: 1.40 (1H, t, J = 13.2 Hz), 1.65 (3H, s), 2.89 (1H, dd, J = 13.6, 3.9 Hz), 3.22-3.33 (1H, m), 3.55 (2H, br s), 5.68 (1H, td, J = 56.1, 5.3 Hz), 6.46-6.54 (2H, m), 6.84 (1H, dd, J = 11.8, 8.4 Hz).
Step 9: Synthesis of compound (I-7)
To a stirred solution of 2-9 (34 mg, 0.118 mmol) in MeOH ( 1.0 ml ) and hydrogen chloride (0.059 mL, 0.118 mmol, 2 mol/L in water) were added 5-(fluoromethoxy)pyrazine-2-carboxylic acid (20 mg, 0.118 mmol) and EDC hydrochloride (25 mg, 0.129 mmol) at 0°C. After being stirred for 1 h at room temperature, the reaction was quenched with a saturated aqueous sodium hydrogen carbonate. The mixture was extracted with ethyl acetate. The combined organic layers were washed with brine, dried over MgSO4, and filtered. The solvent was evaporated, and the crude product was triturated with MeOH/H2O to give compound (I-7) (42 mg, 0.095 mmol, 80.6%) as a white solid.
1H-NMR (CDCl3) δ: 1.47 (1H, t, J = 13.3 Hz), 1.69 (3H, s), 2.94 (1H, dd, J = 13.7, 3.9 Hz), 3.21-3.33 (1H, m), 5.69 (1H, td, J = 56.0, 5.4 Hz), 6.15 (2H, d, J = 51.2 Hz), 7.10 (1H, dd, J = 11.5, 9.0 Hz), 7.29 (1H, dd, J = 6.9, 2.9 Hz), 7.92 (1H, dt, J = 8.4, 3.5 Hz), 8.28 (1H, d, J = 1.3 Hz), 9.08 (1H, d, J = 1.3 Hz), 9.45 (1H, s).
Step 1: Synthesis of compound 2-2
To a solution of diethyl (difluoromethyl)phosphonate (7.19 g, 38.2 mmol) in THF (63 ml) was added 1.0 mol/L of LDA in cyclohexane (25.5 ml, 38.2 mmol) at -78 °C. After stirring for 30 min at the same temperature, to the mixture were added compound 2-2 (6.3 g, 19.12 mmol) in THF (32 ml) and 1.0 mol/L of LDA in cyclohexane (14.0 ml, 21.0 mmol). The mixture was stirred for 1 hr 30 min at the same temperature and was treated with aqueous NH4Cl. Then the mixture was stirred at room temperature for 1 hr. The mixture was extracted with ethyl acetate. The combined organic layers were washed with brine, dried over MgSO4, and filtered. The filtrate was concentrated in vacuo. The crude product was added to a silica gel column and eluted with hexane/EtOAc 40% to 100%. Collected fractions were evaporated to afford compound 3-2 (6.52 g, 98.6%, containing phosphonate reagents) as a yellow oil.
1H-NMR (CDCl3) δ: 1.29 (9H, s), 1.80 (3H, s), 3.56 (1H, d, J = 19.3 Hz), 3.89 (1H, d, J = 19.6 Hz), 4.90 (1H, s), 5.64 (1H, t, J = 53.8 Hz), 7.01 (1H, ddd, J = 13.1, 8.3, 1.3 Hz), 7.15 (1H, td, J = 7.7, 1.1 Hz), 7.24-7.30 (1H, m), 7.47-7.52 (1H, m).
Step 2: Synthesis of compound 2-3
To a solution of NaBH4 (210 mg, 5.55 mmol) in isopropylalcohol (21 ml) was added compound 2-2 (6.2 g, 18.49 mmol) in isopropylalcohol (10 ml) at 0°C. The mixture was stirred for 30 min at the same temperature and was treated with 14% aqueous NH4Cl. The mixture was extracted with ethyl acetate. The combined organic layers were washed with brine, dried over MgSO4, and filtered. The filtrate was concentrated in vacuo. The crude product was added to a silica gel column and eluted with hexane/EtOAc 50% to 100%. Collected fractions were evaporated to afford compound 2-3 (1.94 g, 31%) as a white solid.
1H-NMR (CDCl3) δ: 1.23 (9H, s), 1.98 (3H, s), 2.09 (1H, d, J = 14.8 Hz), 2.32 (1H, dd, J = 14.9, 10.4 Hz), 4.10-4.23 (1H, m), 4.93 (1H, d, J = 1.5 Hz), 5.21 (1H, d, J = 5.5 Hz), 5.66 (1H, td, J = 56.2, 3.5 Hz), 7.06 (1H, ddd, J = 12.9, 8.1, 1.2 Hz), 7.12 (1H, td, J = 7.7, 1.3 Hz), 7.29 (1H, ddd, J = 10.1, 5.3, 2.4 Hz), 7.41 (1H, td, J = 8.1, 1.7 Hz).
Step 3: Synthesis of compound 2-4
To a solution of compound 2-3 (127 mg, 0.376 mmol) in dioxane (2 ml) was added 4 mol/L of HCl in dioxane (0.376 ml, 1.506 mmol) at room temperature. After stirring for 1 h at the same temperature, the reaction mixture was evaporated. The residue was diluted with water then washed with isopropyl ether. The aqueous layer was basified with 5% aqueous sodium hydrogen carbonate then extracted with ethyl acetate. The combined organic layers were washed with brine, dried over MgSO4 and filtered. The filtrate was concentrated under vacuum to give compound 2-4 (86 mg, 0.369 mmol, 98.0%) as a colorless oil.
1H-NMR (CDCl3) δ: 1.69 (3H, s), 1.94-2.07 (2H, m), 4.21-4.31 (1H, m), 5.66 (1H, td, J = 56.2, 3.8 Hz), 7.05-7.16 (2H, m), 7.25-7.33 (2H, m).
Step 4: Synthesis of compound 2-5
To a solution of compound 2-4 (86 mg, 0.369 mmol) in CH2Cl2 (1 ml) was added benzoyl isothiocyanate (0.060 ml, 0.442 mmol) at 0°C. After stirring for 4 hr at room temperature, the mixture was concentrated in vacuo. The crude product was added to a silica gel column and eluted with hexane/EtOAc 10% to 30%. Collected fractions were evaporated to afford compound 2-5 (137 mg, 0.346 mmol, 93.7 %) as a white amorphous.
1H-NMR (CDCl3) δ: 2.14 (3H, s), 2.27 (1H, d, J = 14.8 Hz), 2.51 (1H, d, J = 5.3 Hz), 2.80 (1H, dd, J = 14.8, 9.8 Hz), 3.99-4.07 (1H, m), 5.66 (1H, td, J = 56.2, 4.2 Hz), 7.00-7.06 (1H, m), 7.16 (1H, t, J = 7.7 Hz), 7.26-7.32 (1H, m), 7.40-7.44 (1H, m), 7.51 (2H, t, J = 7.7 Hz), 7.62 (1H, t, J = 7.4 Hz), 7.84 (2H, d, J = 7.3 Hz), 8.77 (1H, s), 11.61 (1H, s).
Step 5: Synthesis of compound 2-6
To a solution of compound 2-5 (137 mg, 0.346 mmol) in CH2Cl2 (3 ml) was added DAST (0.137 ml, 1.037 mmol) at room temperature. The mixture was stirred for 30 min at the same temperature and was treated with saturated aqueous sodium hydrogen carbonate. The mixture was extracted with CH2Cl2, and organic layer was dried over MgSO4 and filtered. The filtrate was concentrated in vacuo. The crude product was added to a silica gel column and eluted with hexane/EtOAc 10%. Collected fractions were evaporated to afford compound 2-6 (106 mg, 0.28 mmol, 81.1 %) as a white amorphous.
1H-NMR (CDCl3) δ: 1.84 (3H, s), 1.96 (1H, t, J = 13.3 Hz), 3.14 (1H, dd, J = 13.7, 3.8 Hz), 3.17-3.28 (1H, m), 5.78 (1H, td, J = 55.7, 5.4 Hz), 7.11-7.20 (2H, m), 7.27-7.31 (1H, m), 7.36 (1H, ddd, J = 14.1, 6.3, 1.9 Hz), 7.44 (2H, t, J = 7.5 Hz), 7.52 (1H, t, J = 7.3 Hz), 8.24 (2H, d, J = 7.2 Hz), 12.18 (1H, s).
Step 6: Synthesis of compound 2-7
To a solution of compound 2-6 (106 mg, 0.28 mmol) in EtOH (2 ml) was added hydrazine hydrate (0.041 ml, 0.84 mmol) at room temperature. The mixture was stirred for overnight at the same temperature and was then concentrated in vacuo. The crude product was added to amino silica gel column and eluted with hexane/EtOAc 40% to 50%. Collected fractions were evaporated to afford compound 2-7 (72 mg, 0.27 mmol, 96.3 %) as a colorless oil.
1H-NMR (CDCl3) δ: 1.44 (1H, t, J = 13.3 Hz), 1.68 (3H, d, J = 0.5 Hz), 2.92 (1H, dd, J = 13.6, 4.0 Hz), 3.14-3.25 (1H, m), 5.67 (1H, td, J = 56.1, 5.4 Hz), 7.02-7.12 (2H, m), 7.18-7.28 (2H, m).
Step 7: Synthesis of compound 2-8
To a stirred suspension of compound 2-7 (72 mg, 0.27 mmol) and sulfuric acid (0.175 mL, 3.28 mmol) in trifluoroacetic acid (0.708 mL) was added nitric acid (0.023 mL, 0.525 mmol) at -10 °C. After being stirred for 1 hr at 0 °C, the reaction was quenched with 30% aqueous potassium carbonate. The mixture was extracted with ethyl acetate, and the combined organic layers were washed with water. The solvent was evaporated to give compound 2-8 (78 mg, 0.244 mmol, 93.1 %) as a yellow solid.
1H-NMR (CDCl3) δ: 1.54 (1H, t, J = 13.3 Hz), 1.69 (3H, s), 2.92 (1H, dd, J = 13.9, 3.9 Hz), 3.10-3.23 (1H, m), 5.69 (1H, td, J = 56.0, 5.5 Hz), 7.23 (1H, t, J = 9.8 Hz), 8.13-8.22 (2H, m).
Step 8: Synthesis of compound 2-9
A suspension of 2-8 (75 mg, 0.235 mmol), iron (105 mg, 1.879 mmol), and ammonium chloride (151 mg, 2.82 mmol) in toluene (2 mL) and water (2 mL) was stirred for 2 h at 80 to 90°C. After being cooled to room temperature, the reaction was quenched with potassium carbonate. The mixture was filtered through Celite (Registered trademark) pad. The filtrate was extracted with ethyl acetate. The combined organic layers were washed with brine, dried over MgSO4 and filtered. The solvent was evaporated to give compound 2-9 (68 mg, 0.235 mmol, 100 %) as a yellow solid.
1H-NMR (CDCl3) δ: 1.40 (1H, t, J = 13.2 Hz), 1.65 (3H, s), 2.89 (1H, dd, J = 13.6, 3.9 Hz), 3.22-3.33 (1H, m), 3.55 (2H, br s), 5.68 (1H, td, J = 56.1, 5.3 Hz), 6.46-6.54 (2H, m), 6.84 (1H, dd, J = 11.8, 8.4 Hz).
Step 9: Synthesis of compound (I-7)
To a stirred solution of 2-9 (34 mg, 0.118 mmol) in MeOH ( 1.0 ml ) and hydrogen chloride (0.059 mL, 0.118 mmol, 2 mol/L in water) were added 5-(fluoromethoxy)pyrazine-2-carboxylic acid (20 mg, 0.118 mmol) and EDC hydrochloride (25 mg, 0.129 mmol) at 0°C. After being stirred for 1 h at room temperature, the reaction was quenched with a saturated aqueous sodium hydrogen carbonate. The mixture was extracted with ethyl acetate. The combined organic layers were washed with brine, dried over MgSO4, and filtered. The solvent was evaporated, and the crude product was triturated with MeOH/H2O to give compound (I-7) (42 mg, 0.095 mmol, 80.6%) as a white solid.
1H-NMR (CDCl3) δ: 1.47 (1H, t, J = 13.3 Hz), 1.69 (3H, s), 2.94 (1H, dd, J = 13.7, 3.9 Hz), 3.21-3.33 (1H, m), 5.69 (1H, td, J = 56.0, 5.4 Hz), 6.15 (2H, d, J = 51.2 Hz), 7.10 (1H, dd, J = 11.5, 9.0 Hz), 7.29 (1H, dd, J = 6.9, 2.9 Hz), 7.92 (1H, dt, J = 8.4, 3.5 Hz), 8.28 (1H, d, J = 1.3 Hz), 9.08 (1H, d, J = 1.3 Hz), 9.45 (1H, s).
Synthesis of compound (I-13)
Step 1: Synthesis of compound 3-2
To a stirred suspension of zinc powder (802 mg, 12.26 mmol) in THF (6 ml) was added ethyl 2-bromo-2,2-difluoroacetate (1.59 ml, 12.16 mmol) at room temperature. After stirring for 30 min at the same temperature, to the mixture was added compound 3-1 (1.0 g, 3.50 mmol) in THF (6 ml). The mixture was stirred for 2 h at the same temperature and was treated with saturated aqueous ammonium chloride. The mixture was filtered through Celite (Registered trademark) pad. The filtrate was extracted with ethyl acetate. The combined organic layers were washed with brine, dried over MgSO4 and filtered. The filtrate was concentrated in vacuo. The crude product was added to a silica gel column and eluted with hexane/EtOAc 40%. Collected fractions were evaporated to afford compound 3-2 (338 mg, 0.83 mmol, 24 %) as a white solid.
1H-NMR (CDCl3) δ: 1.23 (9H, s), 1.36 (3H, t, J = 7.2 Hz), 1.98 (3H, s), 2.19 (1H, d, J = 15.1 Hz), 2.34 (1H, dd, J = 14.9, 10.2 Hz), 4.31-4.40 (2H, m), 4.46-4.52 (1H, m), 4.67 (1H, d, J = 2.3 Hz), 5.59 (1H, d, J = 6.3 Hz), 7.07 (1H, dd, J = 13.1, 8.0 Hz), 7.11-7.15 (1H, m), 7.27-7.31 (1H, m), 7.39 (1H, td, J = 8.2, 1.4 Hz).
Step 2: Synthesis of compound 3-3
To a solution of compound 3-2 (338 mg, 0.83 mmol) in dioxane (3 ml) was added 4 mol/L of HCl in dioxane (0.83 ml, 3.30 mmol) at room temperature. After stirring for 1 h at the same temperature, the reaction mixture was evaporated. The residue was diluted with water then washed with isopropyl ether. The aqueous layer was basified with 5% aqueous sodium hydrogen carbonate then extracted with ethyl acetate. The combined organic layers were washed with brine, dried over MgSO4 and filtered. The filtrate was concentrated under vacuum to give a crude product, which was used for the next step without further purification.
To a stirred solution of the crude product in dichloromethane (2 mL) was added benzoyl isothiocyanate (0.12 mL, 0.87 mmol) at 0 °C. After being stirred for 3 h at room temperature, the mixture was evaporated. The crude product was added to a silica gel column and eluted with hexane/EtOAc 30%. Collected fractions were evaporated to afford compound 3-3 (69 mg, 0.15 mmol, 2 steps 18 %) as a yellow amorphous.
1H-NMR (CDCl3) δ: 1.37 (3H, t, J = 8.8 Hz), 2.09 (3H, s), 2.37 (1H, d, J = 15.1 Hz), 2.86 (1H, d, J = 6.3 Hz), 3.01 (1H, dd, J = 14.9, 9.7 Hz), 4.34-4.37 (3H, m), 7.04 (1H, ddd, J = 12.6, 8.2, 1.1 Hz), 7.16 (1H, dd, J = 10.9, 4.4 Hz), 7.28-7.33 (1H, m), 7.42 (1H, td, J = 8.2, 1.5 Hz), 7.51 (2H, dd, J = 9.8, 5.5 Hz), 7.62 (1H, t, J = 7.4 Hz), 7.85 (2H, q, J = 5.5 Hz), 8.78 (1H, s), 11.59 (1H, s).
Step 3: Synthesis of compound 3-4
To a solution of compound 3-4 (67 mg, 0.14 mmol) in CH2Cl2 (2 ml) was added DAST (0.057 ml, 0.43 mmol) at room temperature. The mixture was stirred for 1 h at the same temperature and was treated with 0.5 mol/L aqueous potassium carbonate. The mixture was extracted with CH2Cl2, and the organic layer was dried over MgSO4 and filtered. The filtrate was concentrated in vacuo. The crude product was added to a silica gel column and eluted with hexane/EtOAc 20%. Collected fractions were evaporated to afford compound 3-4 (38 mg, 0.08 mmol, 59 %) as a colorless oil.
1H-NMR (CDCl3) δ: 1.36 (3H, t, J = 9.5 Hz), 1.83 (3H, s), 2.10 (1H, t, J = 13.4 Hz), 3.10 (1H, dd, J = 13.9, 3.6 Hz), 3.51-3.61 (1H, m), 4.30-4.42 (2H, m), 7.12 (1H, dd, J = 12.4, 8.2 Hz), 7.16-7.21 (1H, m), 7.29 (1H, td, J = 8.2, 1.8 Hz), 7.37 (1H, ddd, J = 14.3, 6.3, 1.9 Hz), 7.44 (2H, t, J = 7.4 Hz), 7.52 (1H, t, J = 7.3 Hz), 8.21-8.25 (2H, m), 12.15 (1H, br s).
Step 4: Synthesis of compound 3-5
To a solution of compound 3-4 (35 mg, 0.078 mmol) in EtOH (1 ml) was added NaBH4 (2.94 mg, 0.078 mmol) at 0 °C. After stirring for 1 h at room temperature, the mixture was treated with saturated aqueous ammonium chloride. The mixture was extracted with ethyl acetate, and the combined organic layer was washed with brine, dried over MgSO4 and filtered. The filtrate was concentrated under vacuum to give compound 3-5 ( 32 mg, 0.078 mmol, 100%) as a colorless oil, which was used for the next step without further purification.
1H-NMR (CDCl3) δ: 1.84 (3H, s), 2.13 (1H, t, J = 13.4 Hz), 3.20 (1H, dd, J = 14.1, 3.4 Hz), 3.43-3.52 (1H, m), 3.90 (2H, dt, J = 18.3, 6.5 Hz), 7.12-7.17 (2H, m), 7.31-7.36 (2H, m), 7.44 (2H, t, J = 7.6 Hz), 7.51 (1H, t, J = 7.1 Hz), 8.24 (2H, d, J = 7.3 Hz).
Step 5: Synthesis of compound 3-6
To a solution of compound 3-5 (20 mg, 0.049 mmol) in THF (1 ml) were added triphenylphosphine (51 mg, 0.196 mmol), imidazole (13 mg, 0.196 mmol) and iodine (50 mg, 0.196 mmol) at room temperature. After stirring for 3 hr at 80 °C, the mixture was treated with 10% aqueous sodium hydrogen sulfate. The mixture was extracted with ethyl acetate, and the organic layer was washed with brine, dried over MgSO4 and filtered. The filtrate was concentrated in vacuo. The crude product was added to a silica gel column and eluted with hexane/EtOAc 30%. Collected fractions were evaporated to afford compound 3-6 (15 mg, 0.028 mmol, 58 %) as a colorless oil.
1H-NMR (CDCl3) δ: 1.85 (3H, s), 2.05 (1H, t, J = 13.3 Hz), 3.15 (1H, dd, J = 13.7, 3.4 Hz), 3.42-3.62 (3H, m), 7.13-7.19 (2H, m), 7.28-7.39 (2H, m), 7.44 (3H, t, J = 7.4 Hz), 7.52 (1H, t, J = 7.3 Hz), 8.23 (2H, d, J = 7.0 Hz).
Step 6: Synthesis of compound 3-7
To a solution of compound 3-6 (22 mg, 0.042 mmol) in toluene (2 ml) were added Bu3SnH (0.027 ml, 0.102 mmol) and AIBN (2.8 mg, 0.017 mmol) at room temperature. After stirring for 1 h at 80 °C, the reaction mixture was concentrated. The resulting residue was added to an amino silica gel column and eluted with Hexane/EtOAc 20%. Collected fractions were evaporated to afford compound 3-7 (17 mg, 0.042 mmol, 100 %) as a colorless oil.
1H-NMR (CDCl3) δ: 1.70 (3H, t, J = 18.5 Hz), 1.84 (3H, s), 2.00 (1H, t, J = 13.1 Hz), 3.12-3.29 (2H, m), 7.10-7.20 (2H, m), 7.30 (1H, d, J = 6.5 Hz), 7.33-7.38 (1H, m), 7.44 (2H, t, J = 7.3 Hz), 7.51 (1H, dd, J = 8.3, 6.2 Hz), 8.24 (2H, d, J = 7.2 Hz).
Step 7: Synthesis of compound 3-8
To a solution of compound 3-7 (17 mg, 0.042 mmol) in EtOH (1 ml) was added hydrazine hydrate (0.006 ml, 0.127 mmol) at room temperature. The mixture was stirred overnight at the same temperature, then the mixture was evaporated. The crude product was added to an amino silica gel column and eluted with CHCl3/MeOH 5%. Collected fractions were evaporated to afford compound 3-8 (8 mg, 0.028 mmol, 66 %) as a colorless oil.
MS: m/z = 289 [M+H]+.
Step 8: Synthesis of compound 3-9
To a stirred suspension of compound 3-8 (8 mg, 0.028 mmol) and sulfuric acid (0.027 mL, 0.499 mmol) in trifluoroacetic acid (0.1 mL) was added nitric acid (0.002 mL, 0.055 mmol) at -10 °C. After being stirred for 30 min at 0 °C, the reaction was quenched with 30% aqueous potassium carbonate. The mixture was extracted with ethyl acetate and the combined organic layers were washed with water. The solvent was evaporated to give compound 3-9 (5 mg, 0.015 mmol, 54 %) as a yellow amorphous, which was used for the next step without further purification.
MS: m/z = 344 [M+H]+.
Step 9: Synthesis of compound 3-10
A suspension of compound 3-9 (5 mg, 0.015 mmol), iron (7 mg, 0.12 mmol), and ammonium chloride (48 mg, 0.9 mmol) in toluene (1 mL) and water (1 mL) was stirred for 5 h at 80 to 90 °C. After being cooled to room temperature, the reaction was quenched with potassium carbonate. The mixture was filtered through Celite (Registered trademark) pad. The filtrate was extracted with ethyl acetate. The combined organic layers were washed with brine, dried over MgSO4 and filtered. The solvent was evaporated to give compound 3-10 (5 mg, 0.016 mmol, 100 %) as a yellow amorphous, which was used for the next step without further purification.
MS: m/z = 304 [M+H]+.
Step 10: Synthesis of compound (I-13)
To a stirred solution of compound 3-10 (5 mg, 0.016 mmol) in MeOH (1.0 ml) and hydrogen chloride (0.008 mL, 0.016 mmol, 2 mol/L in water) were added 5-(fluoromethoxy)pyrazine-2-carboxylic acid (2.8 mg, 0.016 mmol) and EDC hydrochloride (3.5 mg, 0.018 mmol) at 0 °C. After being stirred for 1 hr at room temperature, the reaction was quenched with a saturated aqueous sodium hydrogen carbonate. The mixture was extracted with ethyl acetate. The combined organic layers were washed with brine, dried over MgSO4, and filtered. The solvent was evaporated. The crude product was added to a silica gel column and eluted with CHCl3/MeOH 5%. Collected fractions were evaporated to afford compound (I-13) (6.4 mg, 0.014 mmol, 85 %) as a white amorphous.
1H-NMR (CDCl3) δ: 1.52 (1H, t, J = 13.4 Hz), 1.64 (3H, t, J = 18.4 Hz), 1.69 (3H, s), 2.97 (1H, dd, J = 13.7, 3.5 Hz), 3.26 (1H, ddd, J = 23.4, 10.4, 3.3 Hz), 6.15 (2H, d, J = 51.1 Hz), 7.10 (1H, dd, J = 11.5, 8.8 Hz), 7.27-7.29 (1H, m), 7.94 (1H, dt, J = 8.4, 3.5 Hz), 8.29 (1H, d, J = 1.1 Hz), 9.08 (1H, d, J = 1.0 Hz), 9.46 (1H, s).
Step 1: Synthesis of compound 3-2
To a stirred suspension of zinc powder (802 mg, 12.26 mmol) in THF (6 ml) was added ethyl 2-bromo-2,2-difluoroacetate (1.59 ml, 12.16 mmol) at room temperature. After stirring for 30 min at the same temperature, to the mixture was added compound 3-1 (1.0 g, 3.50 mmol) in THF (6 ml). The mixture was stirred for 2 h at the same temperature and was treated with saturated aqueous ammonium chloride. The mixture was filtered through Celite (Registered trademark) pad. The filtrate was extracted with ethyl acetate. The combined organic layers were washed with brine, dried over MgSO4 and filtered. The filtrate was concentrated in vacuo. The crude product was added to a silica gel column and eluted with hexane/EtOAc 40%. Collected fractions were evaporated to afford compound 3-2 (338 mg, 0.83 mmol, 24 %) as a white solid.
1H-NMR (CDCl3) δ: 1.23 (9H, s), 1.36 (3H, t, J = 7.2 Hz), 1.98 (3H, s), 2.19 (1H, d, J = 15.1 Hz), 2.34 (1H, dd, J = 14.9, 10.2 Hz), 4.31-4.40 (2H, m), 4.46-4.52 (1H, m), 4.67 (1H, d, J = 2.3 Hz), 5.59 (1H, d, J = 6.3 Hz), 7.07 (1H, dd, J = 13.1, 8.0 Hz), 7.11-7.15 (1H, m), 7.27-7.31 (1H, m), 7.39 (1H, td, J = 8.2, 1.4 Hz).
Step 2: Synthesis of compound 3-3
To a solution of compound 3-2 (338 mg, 0.83 mmol) in dioxane (3 ml) was added 4 mol/L of HCl in dioxane (0.83 ml, 3.30 mmol) at room temperature. After stirring for 1 h at the same temperature, the reaction mixture was evaporated. The residue was diluted with water then washed with isopropyl ether. The aqueous layer was basified with 5% aqueous sodium hydrogen carbonate then extracted with ethyl acetate. The combined organic layers were washed with brine, dried over MgSO4 and filtered. The filtrate was concentrated under vacuum to give a crude product, which was used for the next step without further purification.
To a stirred solution of the crude product in dichloromethane (2 mL) was added benzoyl isothiocyanate (0.12 mL, 0.87 mmol) at 0 °C. After being stirred for 3 h at room temperature, the mixture was evaporated. The crude product was added to a silica gel column and eluted with hexane/EtOAc 30%. Collected fractions were evaporated to afford compound 3-3 (69 mg, 0.15 mmol, 2 steps 18 %) as a yellow amorphous.
1H-NMR (CDCl3) δ: 1.37 (3H, t, J = 8.8 Hz), 2.09 (3H, s), 2.37 (1H, d, J = 15.1 Hz), 2.86 (1H, d, J = 6.3 Hz), 3.01 (1H, dd, J = 14.9, 9.7 Hz), 4.34-4.37 (3H, m), 7.04 (1H, ddd, J = 12.6, 8.2, 1.1 Hz), 7.16 (1H, dd, J = 10.9, 4.4 Hz), 7.28-7.33 (1H, m), 7.42 (1H, td, J = 8.2, 1.5 Hz), 7.51 (2H, dd, J = 9.8, 5.5 Hz), 7.62 (1H, t, J = 7.4 Hz), 7.85 (2H, q, J = 5.5 Hz), 8.78 (1H, s), 11.59 (1H, s).
Step 3: Synthesis of compound 3-4
To a solution of compound 3-4 (67 mg, 0.14 mmol) in CH2Cl2 (2 ml) was added DAST (0.057 ml, 0.43 mmol) at room temperature. The mixture was stirred for 1 h at the same temperature and was treated with 0.5 mol/L aqueous potassium carbonate. The mixture was extracted with CH2Cl2, and the organic layer was dried over MgSO4 and filtered. The filtrate was concentrated in vacuo. The crude product was added to a silica gel column and eluted with hexane/EtOAc 20%. Collected fractions were evaporated to afford compound 3-4 (38 mg, 0.08 mmol, 59 %) as a colorless oil.
1H-NMR (CDCl3) δ: 1.36 (3H, t, J = 9.5 Hz), 1.83 (3H, s), 2.10 (1H, t, J = 13.4 Hz), 3.10 (1H, dd, J = 13.9, 3.6 Hz), 3.51-3.61 (1H, m), 4.30-4.42 (2H, m), 7.12 (1H, dd, J = 12.4, 8.2 Hz), 7.16-7.21 (1H, m), 7.29 (1H, td, J = 8.2, 1.8 Hz), 7.37 (1H, ddd, J = 14.3, 6.3, 1.9 Hz), 7.44 (2H, t, J = 7.4 Hz), 7.52 (1H, t, J = 7.3 Hz), 8.21-8.25 (2H, m), 12.15 (1H, br s).
Step 4: Synthesis of compound 3-5
To a solution of compound 3-4 (35 mg, 0.078 mmol) in EtOH (1 ml) was added NaBH4 (2.94 mg, 0.078 mmol) at 0 °C. After stirring for 1 h at room temperature, the mixture was treated with saturated aqueous ammonium chloride. The mixture was extracted with ethyl acetate, and the combined organic layer was washed with brine, dried over MgSO4 and filtered. The filtrate was concentrated under vacuum to give compound 3-5 ( 32 mg, 0.078 mmol, 100%) as a colorless oil, which was used for the next step without further purification.
1H-NMR (CDCl3) δ: 1.84 (3H, s), 2.13 (1H, t, J = 13.4 Hz), 3.20 (1H, dd, J = 14.1, 3.4 Hz), 3.43-3.52 (1H, m), 3.90 (2H, dt, J = 18.3, 6.5 Hz), 7.12-7.17 (2H, m), 7.31-7.36 (2H, m), 7.44 (2H, t, J = 7.6 Hz), 7.51 (1H, t, J = 7.1 Hz), 8.24 (2H, d, J = 7.3 Hz).
Step 5: Synthesis of compound 3-6
To a solution of compound 3-5 (20 mg, 0.049 mmol) in THF (1 ml) were added triphenylphosphine (51 mg, 0.196 mmol), imidazole (13 mg, 0.196 mmol) and iodine (50 mg, 0.196 mmol) at room temperature. After stirring for 3 hr at 80 °C, the mixture was treated with 10% aqueous sodium hydrogen sulfate. The mixture was extracted with ethyl acetate, and the organic layer was washed with brine, dried over MgSO4 and filtered. The filtrate was concentrated in vacuo. The crude product was added to a silica gel column and eluted with hexane/EtOAc 30%. Collected fractions were evaporated to afford compound 3-6 (15 mg, 0.028 mmol, 58 %) as a colorless oil.
1H-NMR (CDCl3) δ: 1.85 (3H, s), 2.05 (1H, t, J = 13.3 Hz), 3.15 (1H, dd, J = 13.7, 3.4 Hz), 3.42-3.62 (3H, m), 7.13-7.19 (2H, m), 7.28-7.39 (2H, m), 7.44 (3H, t, J = 7.4 Hz), 7.52 (1H, t, J = 7.3 Hz), 8.23 (2H, d, J = 7.0 Hz).
Step 6: Synthesis of compound 3-7
To a solution of compound 3-6 (22 mg, 0.042 mmol) in toluene (2 ml) were added Bu3SnH (0.027 ml, 0.102 mmol) and AIBN (2.8 mg, 0.017 mmol) at room temperature. After stirring for 1 h at 80 °C, the reaction mixture was concentrated. The resulting residue was added to an amino silica gel column and eluted with Hexane/EtOAc 20%. Collected fractions were evaporated to afford compound 3-7 (17 mg, 0.042 mmol, 100 %) as a colorless oil.
1H-NMR (CDCl3) δ: 1.70 (3H, t, J = 18.5 Hz), 1.84 (3H, s), 2.00 (1H, t, J = 13.1 Hz), 3.12-3.29 (2H, m), 7.10-7.20 (2H, m), 7.30 (1H, d, J = 6.5 Hz), 7.33-7.38 (1H, m), 7.44 (2H, t, J = 7.3 Hz), 7.51 (1H, dd, J = 8.3, 6.2 Hz), 8.24 (2H, d, J = 7.2 Hz).
Step 7: Synthesis of compound 3-8
To a solution of compound 3-7 (17 mg, 0.042 mmol) in EtOH (1 ml) was added hydrazine hydrate (0.006 ml, 0.127 mmol) at room temperature. The mixture was stirred overnight at the same temperature, then the mixture was evaporated. The crude product was added to an amino silica gel column and eluted with CHCl3/MeOH 5%. Collected fractions were evaporated to afford compound 3-8 (8 mg, 0.028 mmol, 66 %) as a colorless oil.
MS: m/z = 289 [M+H]+.
Step 8: Synthesis of compound 3-9
To a stirred suspension of compound 3-8 (8 mg, 0.028 mmol) and sulfuric acid (0.027 mL, 0.499 mmol) in trifluoroacetic acid (0.1 mL) was added nitric acid (0.002 mL, 0.055 mmol) at -10 °C. After being stirred for 30 min at 0 °C, the reaction was quenched with 30% aqueous potassium carbonate. The mixture was extracted with ethyl acetate and the combined organic layers were washed with water. The solvent was evaporated to give compound 3-9 (5 mg, 0.015 mmol, 54 %) as a yellow amorphous, which was used for the next step without further purification.
MS: m/z = 344 [M+H]+.
Step 9: Synthesis of compound 3-10
A suspension of compound 3-9 (5 mg, 0.015 mmol), iron (7 mg, 0.12 mmol), and ammonium chloride (48 mg, 0.9 mmol) in toluene (1 mL) and water (1 mL) was stirred for 5 h at 80 to 90 °C. After being cooled to room temperature, the reaction was quenched with potassium carbonate. The mixture was filtered through Celite (Registered trademark) pad. The filtrate was extracted with ethyl acetate. The combined organic layers were washed with brine, dried over MgSO4 and filtered. The solvent was evaporated to give compound 3-10 (5 mg, 0.016 mmol, 100 %) as a yellow amorphous, which was used for the next step without further purification.
MS: m/z = 304 [M+H]+.
Step 10: Synthesis of compound (I-13)
To a stirred solution of compound 3-10 (5 mg, 0.016 mmol) in MeOH (1.0 ml) and hydrogen chloride (0.008 mL, 0.016 mmol, 2 mol/L in water) were added 5-(fluoromethoxy)pyrazine-2-carboxylic acid (2.8 mg, 0.016 mmol) and EDC hydrochloride (3.5 mg, 0.018 mmol) at 0 °C. After being stirred for 1 hr at room temperature, the reaction was quenched with a saturated aqueous sodium hydrogen carbonate. The mixture was extracted with ethyl acetate. The combined organic layers were washed with brine, dried over MgSO4, and filtered. The solvent was evaporated. The crude product was added to a silica gel column and eluted with CHCl3/MeOH 5%. Collected fractions were evaporated to afford compound (I-13) (6.4 mg, 0.014 mmol, 85 %) as a white amorphous.
1H-NMR (CDCl3) δ: 1.52 (1H, t, J = 13.4 Hz), 1.64 (3H, t, J = 18.4 Hz), 1.69 (3H, s), 2.97 (1H, dd, J = 13.7, 3.5 Hz), 3.26 (1H, ddd, J = 23.4, 10.4, 3.3 Hz), 6.15 (2H, d, J = 51.1 Hz), 7.10 (1H, dd, J = 11.5, 8.8 Hz), 7.27-7.29 (1H, m), 7.94 (1H, dt, J = 8.4, 3.5 Hz), 8.29 (1H, d, J = 1.1 Hz), 9.08 (1H, d, J = 1.0 Hz), 9.46 (1H, s).
Synthesis of compound (I-64)
Step 1: Synthesis of compound 4-3
To a solution of compound 4-1 (373 mg, 1.24 mmol) in MeOH (4 ml) was added 4 mol/L HCl in dioxane (0.464 ml, 1.86 mmol) at room temperature. After stirring for 30 min at the same temperature, the reaction mixture was treated with aqueous NaHCO3 and the aqueous layer was extracted with AcOEt. The combined organic layers were washed with H2O and brine, dried over Na2SO4 and filtered. The filtrate was concentrated under vacuum to give compound 4-2 as a brown oil that was used for the next step without purification.
To a solution of compound 4-2 in CH2Cl2 (3 ml) was added benzoyl isothiocyanate (0.255 ml, 1.86 mmol) at 0 °C. After stirring for 30 min at room temperature the reaction mixture was concentrated. The resulting residue was added to a silica gel column and eluted with Hexane/EtOAc 0% to 25%. Collected fractions were evaporated to afford compound 4-3 (397 mg, 1.10 mmol, 89%) as a white amorphous.
1H-NMR (400MHz, CDCl3) δ: 2.13 (s, 3H), 5.48 (d, J = 10.6 Hz, 1H), 5.60-5.76 (m, 2H), 5.82-5.96 (m, 1H), 7.00-7.07 (m, 1H), 7.16 (t, J = 7.7 Hz, 1H), 7.27-7.33 (m, 1H), 7.44 (t, J = 7.7 Hz, 1H), 7.51 (t, J = 7.7 Hz, 2H), 7.63 (t, J = 7.7 Hz, 1H), 7.85 (d, J = 7.7 Hz, 2H), 8.82 (s, 1H), 11.50 (s, 1H).
Step 2: Synthesis of compound 4-4
To a solution of Iodine (559 mg, 2.20 mmol) in MeCN (30 ml) was added compound 4-3 (397 mg, 1.10 mmol) in MeCN (10 ml) at 0 °C. After stirring for 20 min at the same temperature, the reaction mixture was treated with aqueous NaHCO3 and Na2S2O3. The aqueous layer was extracted with AcOEt. The combined organic layers were washed with brine, dried over Na2SO4, filtered and concentrated. The crude product was added to a silica gel column and eluted with hexane/EtOAc 0% to 20%. Collected fractions were evaporated to afford compound 4-4 (489 mg, 1.01 mmol, 91%) as a white amorphous.
1H-NMR (400 MHz, CDCl3) δ: 1.90 (s, 3H), 3.14-3.28 (m, 2H), 3.50 (t, J = 9.3 Hz, 1H), 5.70 (d, J = 47.3 Hz, 1H), 7.12-7.23 (m, 2H), 7.31-7.48 (m, 4H), 7.53 (t, J = 7.3 Hz, 1H), 8.21 (d, J = 7.3 Hz, 2H).
Step 3: Synthesis of compound 4-5
To a solution of compound 4-4 (489 mg, 1.01 mmol) in toluene (5 ml) were added Bu3SnH (0.320 ml, 1.21 mmol) and AIBN (8.26 mg, 0.0500 mmol) at room temperature. After stirring for 100 min at 80 °C the reaction mixture was concentrated. The resulting residue was added to a amino silica gel column and eluted with Hexane/EtOAc 0% to 20%. Collected fractions were evaporated to afford compound 4-5 (336 mg, 0.932 mmol, 93%) as a white amorphous.
1H-NMR (400 MHz, CDCl3) δ: 1.40 (d, J = 6.7 Hz, 3H), 1.88 (s, 3H), 3.13 (dq, J = 31.4, 6.7 Hz, 1H), 5.25 (d, J = 47.2 Hz, 1H), 7.11 (dd, J = 12.3, 8.0 Hz, 1H), 7.20 (t, J = 7.5 Hz, 1H), 7.33-7.46 (m, 4H), 7.51 (t, J = 7.5 Hz, 1H), 8.22 (d, J = 7.5 Hz, 2H), 12.13 (br s, 1H).
Step 4: Synthesis of compound 4-6
To a solution of compound 4-5 (336 mg, 0.932 mmol) in EtOH (3 ml) was added hydrazine hydrate (0.226 ml, 4.66 mmol) at room temperature. After stirring for 14 h at the same temperature, the reaction mixture was concentrated. The resulting residue was added to a amino silica gel column and eluted with Hexane/EtOAc 10% to 50%. Collected fractions were evaporated to afford compound 4-6 (195 mg, 0.761 mmol, 82%) as a white solid.
1H-NMR (400 MHz, CDCl3) δ: 1.32 (d, J = 6.8 Hz, 3H), 1.76 (s, 3H), 3.08-2.94 (m, 1H), 5.09 (d, J = 47.4 Hz, 1H), 6.99-7.07 (m, 1H), 7.12 (t, J = 7.4 Hz, 1H), 7.23-7.31 (m, 2H).
Step 5: Synthesis of compound 4-7
To a solution of 4-6 (446 mg, 1.74 mmol) in TFA (4.7 ml) was added sulfuric acid (1.16 ml, 21.8 mmol) at -20 °C. After stirring for 5 min at 0 °C, to the reaction mixture was added HNO3 (0.117 ml, 2.61 mmol) at -20 °C. After stirring for 30 min at 0 °C, the reaction mixture was treated with aqueous K2CO3. The aqueous layer was extracted with AcOEt and the organic layer was dried over Na2SO4. The crude product was added to a amino silica gel column and eluted with hexane/EtOAc 0% to 20%. Collected fractions were evaporated to afford compound 4-7 (514 mg, 1.71 mmol, 98%) as a white amorphous.
1H-NMR (400 MHz, CDCl3) δ: 1.35 (d, J = 6.9 Hz, 3H), 1.76 (s, 3H), 2.96 (dq, J = 30.8, 6.9 Hz, 1H), 4.60 (br s, 1H), 5.07 (d, J = 47.3 Hz, 1H), 7.20 (dd, J = 10.6, 9.0 Hz, 1H), 8.21-8.15 (m, 1H), 8.24 (dd, J = 6.6, 2.8 Hz, 1H).
Step 6: Synthesis of compound 4-8
To a solution of compound 4-7 (514 mg, 1.71 mmol) in toluene (5 ml) and H2O (5 ml) were added NH4Cl (1.10 g, 20.5 mmol) and Fe (762 mg, 13.7 mmol) at room temperature. After stirring for 90 min at 80 °C, the mixture was treated with H2O and filtrated through Celite (Registered trademark) pad. The aqueous layer was extracted with AcOEt, and the organic layer was dried over Na2SO4, filtered and concentrated to afford compound 4-8 (422 mg, 1.56 mmol, 91%) as a yellow solid.
1H-NMR (400 MHz, CDCl3) δ: 1.32 (d, J = 6.8 Hz, 3H), 1.72 (s, 3H), 3.10 (dq, J = 30.3, 6.8 Hz, 1H), 3.58 (s, 2H), 4.47 (br s, 1H), 5.06 (dd, J = 47.6, 1.1 Hz, 1H), 6.57-6.49 (m, 2H), 6.82 (dd, J = 11.6, 8.3 Hz, 1H).
Step 7: Synthesis of compound (I-64)
To a solution of compound 4-8 (100 mg, 0.369 mmol) in MeOH (2 ml) were added 5-chloropyrimidine-2-carboxylic acid (58.4 mg, 0.369 mmol) and 2 mol/L HCl (0.184 ml, 0.369 mmol) at room temperature. The reaction mixture was added to WSCD HCl (108 mg, 0.405 mmol) at 0 °C. After stirring for 30 min at room temperature, the reaction mixture was treated with aqueous NaHCO3. The aqueous layer was extracted with AcOEt and the organic layer was dried over Na2SO4, filtered and concentrated to afford compound (I-64) (136 mg, 0.330 mmol, 90%) as a white solid.
1H-NMR (400 MHz, CDCl3) δ: 1.34 (d, J = 6.8 Hz, 3H), 1.77 (s, 3H), 3.09 (dq, J = 31.2, 6.8 Hz, 1H), 5.11 (d, J = 47.4 Hz, 1H), 7.10 (dd, J = 8.5, 11.8 Hz, 1H), 7.37-7.41 (m, 1H), 8.04-7.98 (m, 1H), 8.89 (s, 2H), 9.74 (s, 1H).
Step 1: Synthesis of compound 4-3
To a solution of compound 4-1 (373 mg, 1.24 mmol) in MeOH (4 ml) was added 4 mol/L HCl in dioxane (0.464 ml, 1.86 mmol) at room temperature. After stirring for 30 min at the same temperature, the reaction mixture was treated with aqueous NaHCO3 and the aqueous layer was extracted with AcOEt. The combined organic layers were washed with H2O and brine, dried over Na2SO4 and filtered. The filtrate was concentrated under vacuum to give compound 4-2 as a brown oil that was used for the next step without purification.
To a solution of compound 4-2 in CH2Cl2 (3 ml) was added benzoyl isothiocyanate (0.255 ml, 1.86 mmol) at 0 °C. After stirring for 30 min at room temperature the reaction mixture was concentrated. The resulting residue was added to a silica gel column and eluted with Hexane/EtOAc 0% to 25%. Collected fractions were evaporated to afford compound 4-3 (397 mg, 1.10 mmol, 89%) as a white amorphous.
1H-NMR (400MHz, CDCl3) δ: 2.13 (s, 3H), 5.48 (d, J = 10.6 Hz, 1H), 5.60-5.76 (m, 2H), 5.82-5.96 (m, 1H), 7.00-7.07 (m, 1H), 7.16 (t, J = 7.7 Hz, 1H), 7.27-7.33 (m, 1H), 7.44 (t, J = 7.7 Hz, 1H), 7.51 (t, J = 7.7 Hz, 2H), 7.63 (t, J = 7.7 Hz, 1H), 7.85 (d, J = 7.7 Hz, 2H), 8.82 (s, 1H), 11.50 (s, 1H).
Step 2: Synthesis of compound 4-4
To a solution of Iodine (559 mg, 2.20 mmol) in MeCN (30 ml) was added compound 4-3 (397 mg, 1.10 mmol) in MeCN (10 ml) at 0 °C. After stirring for 20 min at the same temperature, the reaction mixture was treated with aqueous NaHCO3 and Na2S2O3. The aqueous layer was extracted with AcOEt. The combined organic layers were washed with brine, dried over Na2SO4, filtered and concentrated. The crude product was added to a silica gel column and eluted with hexane/EtOAc 0% to 20%. Collected fractions were evaporated to afford compound 4-4 (489 mg, 1.01 mmol, 91%) as a white amorphous.
1H-NMR (400 MHz, CDCl3) δ: 1.90 (s, 3H), 3.14-3.28 (m, 2H), 3.50 (t, J = 9.3 Hz, 1H), 5.70 (d, J = 47.3 Hz, 1H), 7.12-7.23 (m, 2H), 7.31-7.48 (m, 4H), 7.53 (t, J = 7.3 Hz, 1H), 8.21 (d, J = 7.3 Hz, 2H).
Step 3: Synthesis of compound 4-5
To a solution of compound 4-4 (489 mg, 1.01 mmol) in toluene (5 ml) were added Bu3SnH (0.320 ml, 1.21 mmol) and AIBN (8.26 mg, 0.0500 mmol) at room temperature. After stirring for 100 min at 80 °C the reaction mixture was concentrated. The resulting residue was added to a amino silica gel column and eluted with Hexane/EtOAc 0% to 20%. Collected fractions were evaporated to afford compound 4-5 (336 mg, 0.932 mmol, 93%) as a white amorphous.
1H-NMR (400 MHz, CDCl3) δ: 1.40 (d, J = 6.7 Hz, 3H), 1.88 (s, 3H), 3.13 (dq, J = 31.4, 6.7 Hz, 1H), 5.25 (d, J = 47.2 Hz, 1H), 7.11 (dd, J = 12.3, 8.0 Hz, 1H), 7.20 (t, J = 7.5 Hz, 1H), 7.33-7.46 (m, 4H), 7.51 (t, J = 7.5 Hz, 1H), 8.22 (d, J = 7.5 Hz, 2H), 12.13 (br s, 1H).
Step 4: Synthesis of compound 4-6
To a solution of compound 4-5 (336 mg, 0.932 mmol) in EtOH (3 ml) was added hydrazine hydrate (0.226 ml, 4.66 mmol) at room temperature. After stirring for 14 h at the same temperature, the reaction mixture was concentrated. The resulting residue was added to a amino silica gel column and eluted with Hexane/EtOAc 10% to 50%. Collected fractions were evaporated to afford compound 4-6 (195 mg, 0.761 mmol, 82%) as a white solid.
1H-NMR (400 MHz, CDCl3) δ: 1.32 (d, J = 6.8 Hz, 3H), 1.76 (s, 3H), 3.08-2.94 (m, 1H), 5.09 (d, J = 47.4 Hz, 1H), 6.99-7.07 (m, 1H), 7.12 (t, J = 7.4 Hz, 1H), 7.23-7.31 (m, 2H).
Step 5: Synthesis of compound 4-7
To a solution of 4-6 (446 mg, 1.74 mmol) in TFA (4.7 ml) was added sulfuric acid (1.16 ml, 21.8 mmol) at -20 °C. After stirring for 5 min at 0 °C, to the reaction mixture was added HNO3 (0.117 ml, 2.61 mmol) at -20 °C. After stirring for 30 min at 0 °C, the reaction mixture was treated with aqueous K2CO3. The aqueous layer was extracted with AcOEt and the organic layer was dried over Na2SO4. The crude product was added to a amino silica gel column and eluted with hexane/EtOAc 0% to 20%. Collected fractions were evaporated to afford compound 4-7 (514 mg, 1.71 mmol, 98%) as a white amorphous.
1H-NMR (400 MHz, CDCl3) δ: 1.35 (d, J = 6.9 Hz, 3H), 1.76 (s, 3H), 2.96 (dq, J = 30.8, 6.9 Hz, 1H), 4.60 (br s, 1H), 5.07 (d, J = 47.3 Hz, 1H), 7.20 (dd, J = 10.6, 9.0 Hz, 1H), 8.21-8.15 (m, 1H), 8.24 (dd, J = 6.6, 2.8 Hz, 1H).
Step 6: Synthesis of compound 4-8
To a solution of compound 4-7 (514 mg, 1.71 mmol) in toluene (5 ml) and H2O (5 ml) were added NH4Cl (1.10 g, 20.5 mmol) and Fe (762 mg, 13.7 mmol) at room temperature. After stirring for 90 min at 80 °C, the mixture was treated with H2O and filtrated through Celite (Registered trademark) pad. The aqueous layer was extracted with AcOEt, and the organic layer was dried over Na2SO4, filtered and concentrated to afford compound 4-8 (422 mg, 1.56 mmol, 91%) as a yellow solid.
1H-NMR (400 MHz, CDCl3) δ: 1.32 (d, J = 6.8 Hz, 3H), 1.72 (s, 3H), 3.10 (dq, J = 30.3, 6.8 Hz, 1H), 3.58 (s, 2H), 4.47 (br s, 1H), 5.06 (dd, J = 47.6, 1.1 Hz, 1H), 6.57-6.49 (m, 2H), 6.82 (dd, J = 11.6, 8.3 Hz, 1H).
Step 7: Synthesis of compound (I-64)
To a solution of compound 4-8 (100 mg, 0.369 mmol) in MeOH (2 ml) were added 5-chloropyrimidine-2-carboxylic acid (58.4 mg, 0.369 mmol) and 2 mol/L HCl (0.184 ml, 0.369 mmol) at room temperature. The reaction mixture was added to WSCD HCl (108 mg, 0.405 mmol) at 0 °C. After stirring for 30 min at room temperature, the reaction mixture was treated with aqueous NaHCO3. The aqueous layer was extracted with AcOEt and the organic layer was dried over Na2SO4, filtered and concentrated to afford compound (I-64) (136 mg, 0.330 mmol, 90%) as a white solid.
1H-NMR (400 MHz, CDCl3) δ: 1.34 (d, J = 6.8 Hz, 3H), 1.77 (s, 3H), 3.09 (dq, J = 31.2, 6.8 Hz, 1H), 5.11 (d, J = 47.4 Hz, 1H), 7.10 (dd, J = 8.5, 11.8 Hz, 1H), 7.37-7.41 (m, 1H), 8.04-7.98 (m, 1H), 8.89 (s, 2H), 9.74 (s, 1H).
Synthesis of compound (I-78)
Step 1: Synthesis of compound 5-2
A solution of 5-1 (1.01 g, 2.24 mmol), Boc2O (1.04 mL, 4.48 mmol), and DMAP (55.0 mg, 0.448 mmol) in THF (10 mL) was stirred for 2 h at room temperature. The mixture was evaporated and the crude product was purified by flash column chromatography (silica gel, gradient from 9:1 to 4:1 hexane:ethyl acetate) to give 5-2 (1.15 g, 93%) as a yellow gum.
1H NMR (400 MHz, CDCl3) δ: 1.32 (t, J = 7.2 Hz, 3H), 1.42 (s, 9H), 2.17 (s, 3H), 2.85 (dd, J = 13.9, 2.9 Hz, 1H), 3.54-3.64 (m, 1H), 4.27-4.39 (2H, m), 7.05 (ddd, J = 12.7, 8.7, 1.1 Hz, 1H), 7.15 (td, J = 7.6, 1.2 Hz, 1H), 7.28-7.31 (m, 1H), 7.40-7.48 (3H, m), 7.56 (t, J = 7.4 Hz, 1H), 7.76 (dd, J = 8.5, 1.4 Hz, 2H).
Step 2: Synthesis of compound 5-3
To a stirred solution of 5-2 (1.15 g, 2.09 mmol) in ethanol (12 mL) was added sodium borohydride (79 mg, 2.09 mmol) at 0 °C. After being stirred for 5 h at room temperature, the reaction was quenched with a saturated solution of ammonium chloride. The mixture was extracted with ethyl acetate, and the combined organic layers were washed with water. The solvent was evaporated, and the crude product was purified by flash column chromatography (silica gel, 3:1 hexane:ethyl acetate) to give 5-3 (741 mg, 88%) as a colorless amorphous.
1H NMR (400 MHz, CDCl3) δ: 1.52 (s, 3H), 1.77 (s, 3H), 1.99-2.06 (m, 2H), 3.12 (dd, J = 13.8, 3.5 Hz, 1H), 3.37 (ddd, J = 23.9, 12.6, 3.4 Hz, 1H), 3.82-3.89 (m, 2H), 7.10 (dd, J = 12.4, 8.1 Hz, 1H), 7.15-7.38 (m, 4H).
Step 3: Synthesis of compound 5-4
To a stirred solution of 5-3 (741 mg, 1.83 mmol) in dichloromethane (8 mL) was added Dess-Martin periodinane (1.17 g, 2.75 mmol) at 0 °C. After being stirred for 1.5 h at room temperature, the reaction was quenched with a solution of sodium thiosulfate. The mixture was extracted with chloroform, and the combined organic layers were evaporated. The crude product was purified by flash column chromatography (silica gel, gradient from 2:1 to 1:1 hexane:ethyl acetate) to give 5-4 (286 mg, 37%) as a colorless amorphous. MS: m/z = 421.15 [M+H]+.
Step 4: Synthesis of compound 5-5
A solution of methyltriphenylphosphonium bromide (778 mg, 2.18 mmol) and potassium tert-butoxide (2.04 mL, 2.04 mmol, 1 mol/L in toluene) in THF (3 ml) was stirred at room temperature for 20 min. To the mixture was added 5-4 in THF (3 ml) at 0 °C, and the resulting mixture was stirred for 2 h at room temperature. The reaction was quenched with water. The mixture was extracted with ethyl acetate, and the combined organic layers were washed with water. The solvent was evaporated and the crude product was purified by flash column chromatography (silica gel, 8:1 hexane:ethyl acetate) to give 5-5 (190 mg, 70%) as a colorless amorphous.
1H NMR (400 MHz, CDCl3) δ: 1.52 (s, 9H), 1.75 (s, 3H), 1.86 (t, J = 13.3 Hz, 1H), 3.06 (dd, J = 13.8, 3.5 Hz, 1H), 3.13-3.23 (m, 1H), 5.59 (d, J = 10.9 Hz, 1H), 5.71 (d, J = 17.2 Hz, 1H), 5.81-5.94 (m, 1H), 7.10 (dd, J = 12.3, 8.2 Hz, 1H), 7.15-7.24 (m, 2H), 7.31-7.37 (m, 1H).
Step 5: Synthesis of compound 5-6
A solution of 5-5 (190 mg, 0.47 mmol), Boc2O (0.22 mL, 0.95 mmol), and DMAP (11.6 mg, 0.095 mmol) in THF (2 mL) was stirred at room temperature for 1 h. The mixture was evaporated, and the crude product was purified by flash column chromatography (silica gel, 8:1 hexane:ethyl acetate) to give 5-6 (215 mg, 91%) as a white solid.
1H NMR (400 MHz, CDCl3) δ: 1.56 (s, 18H), 1.77 (s, 3H), 2.96 (d, J = 13.8 Hz, 1H), 3.24-3.32 (m, 1H), 5.57 (d, J = 10.8 Hz, 1H), 5.70 (d, J = 17.3 Hz, 1H), 5.78-5.88 (m, 1H), 7.05-7.10 (m, 2H), 7.29-7.35 (m, 2H).
Step 6: Synthesis of compound 5-7
To a stirred solution of aqueous sodium hydroxide (2 mL, 30%) in diethyl ether (10 mL) was added N-nitroso-N-methylurea (428 mg, 2.08 mmol, 50%). The resulting mixture was stirred for 20 min at room temperature. In a separate flask, to a suspension of 5-6 (208 mg, 0.416 mmol) and Pd(OAc)2 (18.7 mg, 0.083 mmol) in diethyl ether (5 mL) was added diazomethane in diethyl ether at 0 °C. After being stirred at 0 °C for 15 min, the reaction was quenched with water and acetic acid. The mixture was extracted with ethyl acetate The combined organic layers were washed with brine, dried over sodium sulfate, and evaporated. The crude product was purified by SFC to give 5-7 (43.2 mg, 22%) as a white solid.
1H NMR (400 MHz, CDCl3) δ: 0.61-1.25 (m, 5H), 1.56 (s, 18H), 1.67 (t, J = 13.4 Hz, 1H), 1.78 (s, 3H), 3.06 (d, J = 14.1 Hz, 1H), 3.30-3.83 (m, 1H), 7.05-7.12 (m, 2H), 7.26-7.37 (m, 2H).
Step 7: Synthesis of compound (I-78)
A solution of 5-7 (43.2 mg, 0.084 mmol) and trifluoroacetic acid (0.065 mL, 0.839 mmol) in dichloromethane (5 mL) was stirred at room temperature for 7 h. The mixture was quenched with a solution of potassium carbonate and extracted with dichloromethane. The combined organic layers were washed with brine, dried over sodium sulfate, and evaporated to a crude product, which was used for the next reaction without further purification.
To a stirred solution of the crude product and sulfuric acid (0.039 mL, 0.732 mmol) in trifluoroacetic acid (1 mL) was added nitric acid (5.5 μL, 0.123 mmol) at -5 °C. After being stirred at -5 °C for 1.5 h, the reaction was quenched with a solution of potassium carbonate. The mixture was extracted with ethyl acetate, and the combined organic layers were washed with water. The solvent was evaporated to give a crude product, which was used for the next reaction without further purification.
A suspension of the crude product, iron (36.5 mg, 0.654 mmol), and ammonium chloride (52.5 mg, 0.982 mmol) in toluene (0.5 mL) and water (0.5 mL) was stirred at 80 °C for 3.5 h. After being cooled to room temperature, the reaction was quenched with a solution of potassium carbonate. The mixture was filtered through celite pad, and the filtrate was extracted with ethyl acetate. The combined organic layers were washed with water and evaporated to give a crude product, which was used for the next reaction without further purification.
To a stirred solution of the crude product and aqueous hydrogen chloride (0.036 mL, 0.073 mmol, 2 mol/L) were added 5-(fluoromethoxy)pyrazine-2-carboxylic acid (12.5 mg, 0.073 mmol) and WSCD (15.3 mg, 0.080 mmol) at room temperature. After being stirred at room temperature for 70 min, the reaction was quenched with a saturated solution of sodium hydrogen carbonate. The mixture was extracted with ethyl acetate, and the combined organic layers were washed with brine, dried over sodium sulfate The solvent was evaporated, and the crude product was triturated with acetone/water to give compound (I-78) (25.0 mg, 72% over 4 steps).
1H NMR (400 MHz, CDCl3) δ: 0.62-0.88 (m, 5H), 1.40 (t, J = 15.2 Hz, 1H), 1.69 (s, 3H), 3.05 (dd, J = 13.7, 3.5 Hz, 1H), 3.32-3.41 (m, 1H), 6.15 (d, J = 51.1 Hz, 2H), 7.10 (dd, J = 11.6, 8.8 Hz, 1H), 7.26-7.28 (m, 1H), 7.93-7.97 (m, 1H), 8.30 (d, J = 1.3 Hz, 1H), 9.08 (d, J = 1.3 Hz, 1H), 9.47 (s, 1H).
Step 1: Synthesis of compound 5-2
A solution of 5-1 (1.01 g, 2.24 mmol), Boc2O (1.04 mL, 4.48 mmol), and DMAP (55.0 mg, 0.448 mmol) in THF (10 mL) was stirred for 2 h at room temperature. The mixture was evaporated and the crude product was purified by flash column chromatography (silica gel, gradient from 9:1 to 4:1 hexane:ethyl acetate) to give 5-2 (1.15 g, 93%) as a yellow gum.
1H NMR (400 MHz, CDCl3) δ: 1.32 (t, J = 7.2 Hz, 3H), 1.42 (s, 9H), 2.17 (s, 3H), 2.85 (dd, J = 13.9, 2.9 Hz, 1H), 3.54-3.64 (m, 1H), 4.27-4.39 (2H, m), 7.05 (ddd, J = 12.7, 8.7, 1.1 Hz, 1H), 7.15 (td, J = 7.6, 1.2 Hz, 1H), 7.28-7.31 (m, 1H), 7.40-7.48 (3H, m), 7.56 (t, J = 7.4 Hz, 1H), 7.76 (dd, J = 8.5, 1.4 Hz, 2H).
Step 2: Synthesis of compound 5-3
To a stirred solution of 5-2 (1.15 g, 2.09 mmol) in ethanol (12 mL) was added sodium borohydride (79 mg, 2.09 mmol) at 0 °C. After being stirred for 5 h at room temperature, the reaction was quenched with a saturated solution of ammonium chloride. The mixture was extracted with ethyl acetate, and the combined organic layers were washed with water. The solvent was evaporated, and the crude product was purified by flash column chromatography (silica gel, 3:1 hexane:ethyl acetate) to give 5-3 (741 mg, 88%) as a colorless amorphous.
1H NMR (400 MHz, CDCl3) δ: 1.52 (s, 3H), 1.77 (s, 3H), 1.99-2.06 (m, 2H), 3.12 (dd, J = 13.8, 3.5 Hz, 1H), 3.37 (ddd, J = 23.9, 12.6, 3.4 Hz, 1H), 3.82-3.89 (m, 2H), 7.10 (dd, J = 12.4, 8.1 Hz, 1H), 7.15-7.38 (m, 4H).
Step 3: Synthesis of compound 5-4
To a stirred solution of 5-3 (741 mg, 1.83 mmol) in dichloromethane (8 mL) was added Dess-Martin periodinane (1.17 g, 2.75 mmol) at 0 °C. After being stirred for 1.5 h at room temperature, the reaction was quenched with a solution of sodium thiosulfate. The mixture was extracted with chloroform, and the combined organic layers were evaporated. The crude product was purified by flash column chromatography (silica gel, gradient from 2:1 to 1:1 hexane:ethyl acetate) to give 5-4 (286 mg, 37%) as a colorless amorphous. MS: m/z = 421.15 [M+H]+.
Step 4: Synthesis of compound 5-5
A solution of methyltriphenylphosphonium bromide (778 mg, 2.18 mmol) and potassium tert-butoxide (2.04 mL, 2.04 mmol, 1 mol/L in toluene) in THF (3 ml) was stirred at room temperature for 20 min. To the mixture was added 5-4 in THF (3 ml) at 0 °C, and the resulting mixture was stirred for 2 h at room temperature. The reaction was quenched with water. The mixture was extracted with ethyl acetate, and the combined organic layers were washed with water. The solvent was evaporated and the crude product was purified by flash column chromatography (silica gel, 8:1 hexane:ethyl acetate) to give 5-5 (190 mg, 70%) as a colorless amorphous.
1H NMR (400 MHz, CDCl3) δ: 1.52 (s, 9H), 1.75 (s, 3H), 1.86 (t, J = 13.3 Hz, 1H), 3.06 (dd, J = 13.8, 3.5 Hz, 1H), 3.13-3.23 (m, 1H), 5.59 (d, J = 10.9 Hz, 1H), 5.71 (d, J = 17.2 Hz, 1H), 5.81-5.94 (m, 1H), 7.10 (dd, J = 12.3, 8.2 Hz, 1H), 7.15-7.24 (m, 2H), 7.31-7.37 (m, 1H).
Step 5: Synthesis of compound 5-6
A solution of 5-5 (190 mg, 0.47 mmol), Boc2O (0.22 mL, 0.95 mmol), and DMAP (11.6 mg, 0.095 mmol) in THF (2 mL) was stirred at room temperature for 1 h. The mixture was evaporated, and the crude product was purified by flash column chromatography (silica gel, 8:1 hexane:ethyl acetate) to give 5-6 (215 mg, 91%) as a white solid.
1H NMR (400 MHz, CDCl3) δ: 1.56 (s, 18H), 1.77 (s, 3H), 2.96 (d, J = 13.8 Hz, 1H), 3.24-3.32 (m, 1H), 5.57 (d, J = 10.8 Hz, 1H), 5.70 (d, J = 17.3 Hz, 1H), 5.78-5.88 (m, 1H), 7.05-7.10 (m, 2H), 7.29-7.35 (m, 2H).
Step 6: Synthesis of compound 5-7
To a stirred solution of aqueous sodium hydroxide (2 mL, 30%) in diethyl ether (10 mL) was added N-nitroso-N-methylurea (428 mg, 2.08 mmol, 50%). The resulting mixture was stirred for 20 min at room temperature. In a separate flask, to a suspension of 5-6 (208 mg, 0.416 mmol) and Pd(OAc)2 (18.7 mg, 0.083 mmol) in diethyl ether (5 mL) was added diazomethane in diethyl ether at 0 °C. After being stirred at 0 °C for 15 min, the reaction was quenched with water and acetic acid. The mixture was extracted with ethyl acetate The combined organic layers were washed with brine, dried over sodium sulfate, and evaporated. The crude product was purified by SFC to give 5-7 (43.2 mg, 22%) as a white solid.
1H NMR (400 MHz, CDCl3) δ: 0.61-1.25 (m, 5H), 1.56 (s, 18H), 1.67 (t, J = 13.4 Hz, 1H), 1.78 (s, 3H), 3.06 (d, J = 14.1 Hz, 1H), 3.30-3.83 (m, 1H), 7.05-7.12 (m, 2H), 7.26-7.37 (m, 2H).
Step 7: Synthesis of compound (I-78)
A solution of 5-7 (43.2 mg, 0.084 mmol) and trifluoroacetic acid (0.065 mL, 0.839 mmol) in dichloromethane (5 mL) was stirred at room temperature for 7 h. The mixture was quenched with a solution of potassium carbonate and extracted with dichloromethane. The combined organic layers were washed with brine, dried over sodium sulfate, and evaporated to a crude product, which was used for the next reaction without further purification.
To a stirred solution of the crude product and sulfuric acid (0.039 mL, 0.732 mmol) in trifluoroacetic acid (1 mL) was added nitric acid (5.5 μL, 0.123 mmol) at -5 °C. After being stirred at -5 °C for 1.5 h, the reaction was quenched with a solution of potassium carbonate. The mixture was extracted with ethyl acetate, and the combined organic layers were washed with water. The solvent was evaporated to give a crude product, which was used for the next reaction without further purification.
A suspension of the crude product, iron (36.5 mg, 0.654 mmol), and ammonium chloride (52.5 mg, 0.982 mmol) in toluene (0.5 mL) and water (0.5 mL) was stirred at 80 °C for 3.5 h. After being cooled to room temperature, the reaction was quenched with a solution of potassium carbonate. The mixture was filtered through celite pad, and the filtrate was extracted with ethyl acetate. The combined organic layers were washed with water and evaporated to give a crude product, which was used for the next reaction without further purification.
To a stirred solution of the crude product and aqueous hydrogen chloride (0.036 mL, 0.073 mmol, 2 mol/L) were added 5-(fluoromethoxy)pyrazine-2-carboxylic acid (12.5 mg, 0.073 mmol) and WSCD (15.3 mg, 0.080 mmol) at room temperature. After being stirred at room temperature for 70 min, the reaction was quenched with a saturated solution of sodium hydrogen carbonate. The mixture was extracted with ethyl acetate, and the combined organic layers were washed with brine, dried over sodium sulfate The solvent was evaporated, and the crude product was triturated with acetone/water to give compound (I-78) (25.0 mg, 72% over 4 steps).
1H NMR (400 MHz, CDCl3) δ: 0.62-0.88 (m, 5H), 1.40 (t, J = 15.2 Hz, 1H), 1.69 (s, 3H), 3.05 (dd, J = 13.7, 3.5 Hz, 1H), 3.32-3.41 (m, 1H), 6.15 (d, J = 51.1 Hz, 2H), 7.10 (dd, J = 11.6, 8.8 Hz, 1H), 7.26-7.28 (m, 1H), 7.93-7.97 (m, 1H), 8.30 (d, J = 1.3 Hz, 1H), 9.08 (d, J = 1.3 Hz, 1H), 9.47 (s, 1H).
The following compounds are prepared in a manner similar to the above protocols. In the tables, tR means LC/MS retention time (minute).
Test Examples for the compounds of the present invention are mentioned below.
(Test Example 1: Assay of BACE1 inhibitory activity: 384-well)
5 μL of substrate peptide solution (Biotin-XSEVNLDAEFRHDSGC-Eu: X=ε-amino-n-capronic acid, Eu=Europium cryptate) was added to each well of 384-well plate (a black plate: Corning), and after addition of 0.1 μl of the compound of the present invention (DMSO solution) and 5 μl of Recombinant human BACE1(R&D Systems), the reaction mixture was incubated at 25 °C for 2 hours. The substrate peptide was synthesized by reacting Cryptate TBPCOOH mono SMP (CIS bio international) with Biotin-XSEVNLDAEFRHDSGC (Peptide Institute, Inc.). The final concentrations of the substrate peptide and Recombinant human BACE1 were adjusted to 9.7 nmol/L and 500 nmol/L, respectively, and the reaction was performed in sodium acetate buffer (50 mmol/L sodium acetate, pH 5.0, 0.008% Triton X-100).
After the incubation for reaction, 10 μl of 8.0 μg/ml Streptavidin-XL665 (CIS bio international) dissolved in phosphate buffer (150 mmol/L K2HPO4-KH2PO4, pH 7.0, 0.008% Triton X-100, 0.8 mol/L KF) was added to each well and left stand at 25 °C for 30 minutes. After then, fluorescence intensity was measured (excitation wavelength: 320 nm, measuring wavelength: 620 nm and 665 nm) using RUBYstar (BMG LABTECH). Enzymatic activity was determined from counting ratio of each wavelength (10,000 x Count 665/Count 620) and 50% inhibitory concentration against the enzymatic activity (IC50) was calculated.
(Test Example 1: Assay of BACE1 inhibitory activity: 384-well)
5 μL of substrate peptide solution (Biotin-XSEVNLDAEFRHDSGC-Eu: X=ε-amino-n-capronic acid, Eu=Europium cryptate) was added to each well of 384-well plate (a black plate: Corning), and after addition of 0.1 μl of the compound of the present invention (DMSO solution) and 5 μl of Recombinant human BACE1(R&D Systems), the reaction mixture was incubated at 25 °C for 2 hours. The substrate peptide was synthesized by reacting Cryptate TBPCOOH mono SMP (CIS bio international) with Biotin-XSEVNLDAEFRHDSGC (Peptide Institute, Inc.). The final concentrations of the substrate peptide and Recombinant human BACE1 were adjusted to 9.7 nmol/L and 500 nmol/L, respectively, and the reaction was performed in sodium acetate buffer (50 mmol/L sodium acetate, pH 5.0, 0.008% Triton X-100).
After the incubation for reaction, 10 μl of 8.0 μg/ml Streptavidin-XL665 (CIS bio international) dissolved in phosphate buffer (150 mmol/L K2HPO4-KH2PO4, pH 7.0, 0.008% Triton X-100, 0.8 mol/L KF) was added to each well and left stand at 25 °C for 30 minutes. After then, fluorescence intensity was measured (excitation wavelength: 320 nm, measuring wavelength: 620 nm and 665 nm) using RUBYstar (BMG LABTECH). Enzymatic activity was determined from counting ratio of each wavelength (10,000 x Count 665/Count 620) and 50% inhibitory concentration against the enzymatic activity (IC50) was calculated.
(Test Example 1-2: Assay of BACE2 inhibitory activity)
89 μL of substrate peptide solution (SEVNLDAEFRHDSGYEK-biotin) is added to each well of 96-well plate (a black plate: Costar), and after addition of 1 μl of the compound of the present invention (DMSO solution) and 10 μl of the human BACE2 which purified FreeStyle TM293-F cells condition medium that express human BACE2 ectodomain, the reaction mixture is incubated at 37 °C for 1 hours. The final concentrations of the substrate peptide and human BACE2 are adjusted to 1000 nmol/L and 20 ng/mL, respectively, and the reaction is performed in sodium acetate buffer (50 mmol/L sodium acetate, pH 4.5, 0.25 mg/mL bovine serum albumin).
After the incubation for reaction, 30 μl of 1 M Tris-HCL (pH 7.6) is added to reaction mixtures. The reaction mixtures are added to each well coated with 82E1 (anti-amyloid β antibody; Immuno-Biological Loboratories) and incubated overnight at 4 °C. After the incubation and five wash, Neutravidin-Horseradish Peroxidase conjugated (Thermo Fisher) is added to each well and incubated for 1 hour at room temperature. After five washes, 45 μL of mixture of Supersignal pico solution A and B (Thermo Fisher) is added to each well. The count of chemi-luminescence in each well is measured by ARVO MX 1420 Multilabel Reader (Perkin Elmer life sciences). Enzymatic activity is determined from counting ratio of each wavelength (10,000 x Count 665/Count 620) and 50% inhibitory concentration against the enzymatic activity (IC50) is calculated.
89 μL of substrate peptide solution (SEVNLDAEFRHDSGYEK-biotin) is added to each well of 96-well plate (a black plate: Costar), and after addition of 1 μl of the compound of the present invention (DMSO solution) and 10 μl of the human BACE2 which purified FreeStyle TM293-F cells condition medium that express human BACE2 ectodomain, the reaction mixture is incubated at 37 °C for 1 hours. The final concentrations of the substrate peptide and human BACE2 are adjusted to 1000 nmol/L and 20 ng/mL, respectively, and the reaction is performed in sodium acetate buffer (50 mmol/L sodium acetate, pH 4.5, 0.25 mg/mL bovine serum albumin).
After the incubation for reaction, 30 μl of 1 M Tris-HCL (pH 7.6) is added to reaction mixtures. The reaction mixtures are added to each well coated with 82E1 (anti-amyloid β antibody; Immuno-Biological Loboratories) and incubated overnight at 4 °C. After the incubation and five wash, Neutravidin-Horseradish Peroxidase conjugated (Thermo Fisher) is added to each well and incubated for 1 hour at room temperature. After five washes, 45 μL of mixture of Supersignal pico solution A and B (Thermo Fisher) is added to each well. The count of chemi-luminescence in each well is measured by ARVO MX 1420 Multilabel Reader (Perkin Elmer life sciences). Enzymatic activity is determined from counting ratio of each wavelength (10,000 x Count 665/Count 620) and 50% inhibitory concentration against the enzymatic activity (IC50) is calculated.
(Test Example 2: Measurement of β-amyloid (Aβ) production inhibitory effect in cell: 384-well)
Neuroblastoma SH-SY5Y cells (SH/APPwt) with human wild-type β-APP excessively expressed therein were prepared at 4 X 105 cells/mL, and 50 μl portions thereof were inoculated into each well of a 384-well culture plate (Corning) added 0.5 μl of the compound of the present invention (DMSO solution). The final DMSO concentration was 1%, and the amount of the cell culture was 50 μl. After the incubation was performed for 24 hours from the cell seeding, 5 μl of the culture supernatant was collected from each fraction. The amount of the Aβ in each fraction was measured.
The Aβ amount was measured as follows. 5 μl of a homogeneous time resolved fluorescence (HTRF) measurement reagent (Amyloid β 1-40 peptide; CIS bio international) and 5 μl of the culture supernatant were put into a 384-well plate (a black plate: Corning) and mixed with each other, and then left standing overnight at 4 °C while the light was shielded. Then, the fluorescence intensity (620 nm and 665 nm) was measured with EnVision (Perkin Elmer life sciences). The Aβ amount was determined from the count rate at each measurement wavelength (Count 665/Count 620), and the amount needed to inhibit Aβ production by 50 % (IC50) was calculated from at least six different dosages.
Neuroblastoma SH-SY5Y cells (SH/APPwt) with human wild-type β-APP excessively expressed therein were prepared at 4 X 105 cells/mL, and 50 μl portions thereof were inoculated into each well of a 384-well culture plate (Corning) added 0.5 μl of the compound of the present invention (DMSO solution). The final DMSO concentration was 1%, and the amount of the cell culture was 50 μl. After the incubation was performed for 24 hours from the cell seeding, 5 μl of the culture supernatant was collected from each fraction. The amount of the Aβ in each fraction was measured.
The Aβ amount was measured as follows. 5 μl of a homogeneous time resolved fluorescence (HTRF) measurement reagent (Amyloid β 1-40 peptide; CIS bio international) and 5 μl of the culture supernatant were put into a 384-well plate (a black plate: Corning) and mixed with each other, and then left standing overnight at 4 °C while the light was shielded. Then, the fluorescence intensity (620 nm and 665 nm) was measured with EnVision (Perkin Elmer life sciences). The Aβ amount was determined from the count rate at each measurement wavelength (Count 665/Count 620), and the amount needed to inhibit Aβ production by 50 % (IC50) was calculated from at least six different dosages.
(Test Example 3-1: Lowering effect on the brain β amyloid in mice)
Compound of the present invention is dissolved in 20% hydroxyl-beta-cyclodextrin, the final concentration is adjusted to 2 mg/mL, and this is orally administered to male Crl:CD1 (ICR) mouse (6 to 8 weeks old) at 1 to 10 mg/kg. In a vehicle control group, only 20% hydroxyl-beta-cyclodextrin is administered, and an administration test is performed at 3 to 6 animals per group. A brain is isolated 1 to 6 hours after administration, a cerebral hemisphere is isolated, a weight thereof is measured, the hemisphere is rapidly frozen in liquid nitrogen, and stored at -80 °C until extraction date.
The frozen cerebral hemisphere is transferred to a homogenize tube containing ceramic beads in a 8-fold volume of a weight of an extraction buffer (containing 0.4% DEA (diethylamine), 50 mmol/L NaCl, Complete protease inhibitor (Roche)) and incubated on an ice for 20 minutes. Thereafter, the homogenization is done using MP BIO FastPrep(Registered trademark)-24 with Lysing matrix D 1.4 mm ceramic beads (20 seconds at 6 m/s). Then, the tube spins down for 1 minute, the supernatant is transferred to a centrifugation tube, and centrifuged at 221,000 x g, 4 °C for 50 minutes. After centrifugation, the supernatant is transferred to Nunc Maxisorp (Registered trademark) plate (Thermo Fisher Scientific) coating with antibody against N-terminal of β amyloid for measuring total β amyloid, and the plate is incubated overnight at 4°C. The plate is washed with TBS-T (Tris buffered saline containing 0.05% Triton X-100), and HRP-conjugated 4G8 dissolved in PBS (pH 7.4) containing 0.1% casein is added in the plate and incubated at 4°C for 1 hour. After it is washed with TBS-T, SuperSignal ELISA Pico Chemiluminescent Substrate (Thermo Scientific) is added in the plate. Then, the chemi-luminescence counting is measured by ARVO (Registered trademark) MX 1420 Multilabel Counter (Perkin Elmer) as soon as possible. The lowering effect is calculated as a ratio compared to the brain total β amyloid level of vehicle control group of each test.
The following data are a ratio compared to the brain totalβ amyloid level of vehicle control group at 2 hours after administration (dose: 3 mg/kg).
Compound of the present invention is dissolved in 20% hydroxyl-beta-cyclodextrin, the final concentration is adjusted to 2 mg/mL, and this is orally administered to male Crl:CD1 (ICR) mouse (6 to 8 weeks old) at 1 to 10 mg/kg. In a vehicle control group, only 20% hydroxyl-beta-cyclodextrin is administered, and an administration test is performed at 3 to 6 animals per group. A brain is isolated 1 to 6 hours after administration, a cerebral hemisphere is isolated, a weight thereof is measured, the hemisphere is rapidly frozen in liquid nitrogen, and stored at -80 °C until extraction date.
The frozen cerebral hemisphere is transferred to a homogenize tube containing ceramic beads in a 8-fold volume of a weight of an extraction buffer (containing 0.4% DEA (diethylamine), 50 mmol/L NaCl, Complete protease inhibitor (Roche)) and incubated on an ice for 20 minutes. Thereafter, the homogenization is done using MP BIO FastPrep(Registered trademark)-24 with Lysing matrix D 1.4 mm ceramic beads (20 seconds at 6 m/s). Then, the tube spins down for 1 minute, the supernatant is transferred to a centrifugation tube, and centrifuged at 221,000 x g, 4 °C for 50 minutes. After centrifugation, the supernatant is transferred to Nunc Maxisorp (Registered trademark) plate (Thermo Fisher Scientific) coating with antibody against N-terminal of β amyloid for measuring total β amyloid, and the plate is incubated overnight at 4°C. The plate is washed with TBS-T (Tris buffered saline containing 0.05% Triton X-100), and HRP-conjugated 4G8 dissolved in PBS (pH 7.4) containing 0.1% casein is added in the plate and incubated at 4°C for 1 hour. After it is washed with TBS-T, SuperSignal ELISA Pico Chemiluminescent Substrate (Thermo Scientific) is added in the plate. Then, the chemi-luminescence counting is measured by ARVO (Registered trademark) MX 1420 Multilabel Counter (Perkin Elmer) as soon as possible. The lowering effect is calculated as a ratio compared to the brain total β amyloid level of vehicle control group of each test.
The following data are a ratio compared to the brain totalβ amyloid level of vehicle control group at 2 hours after administration (dose: 3 mg/kg).
(Test Example 3-2: Lowering effect on the brain β amyloid in dogs)
The effect of compounds on the beta-amyloid profile in cerebrospinal fluid (CSF) of Beagle dogs is tested in combination with pharmacokinetic (PK) follow up, according to the procedures described by H. Borghys et al in Journal of Alzheimer’s Disease 38 (2014) 39-48. Upon oral administration of compound, the levels of Aβ1-40, and Aβ1-42 in CSF are measured at various time-points with immunoassay (Mesoscale electrochemiluminescence technology). The lowering effect is described as an EC50 value, defined as the plasma level of a tested compound (ng/mL) required for 50% lowering of Aβ in CSF. The EC50 value is determined after testing of the compound in dose response, using the statistical methods described in Journal of Alzheimer’s Disease 38 (2014) 39-48.
The effect of compounds on the beta-amyloid profile in cerebrospinal fluid (CSF) of Beagle dogs is tested in combination with pharmacokinetic (PK) follow up, according to the procedures described by H. Borghys et al in Journal of Alzheimer’s Disease 38 (2014) 39-48. Upon oral administration of compound, the levels of Aβ1-40, and Aβ1-42 in CSF are measured at various time-points with immunoassay (Mesoscale electrochemiluminescence technology). The lowering effect is described as an EC50 value, defined as the plasma level of a tested compound (ng/mL) required for 50% lowering of Aβ in CSF. The EC50 value is determined after testing of the compound in dose response, using the statistical methods described in Journal of Alzheimer’s Disease 38 (2014) 39-48.
(Test Example 4: CYP3A4(MDZ) MBI test)
CYP3A4 (MDZ) MBI test is a test of investigating mechanism based inhibition (MBI) potential on CYP3A4 inhibition of a compound. CYP3A4 inhibition is evaluated using 1-hydroxylation reaction of midazolam (MDZ) by pooled human liver microsomes as a marker reaction.
The reaction conditions were as follows: substrate, 10 μmol/L MDZ; pre-reaction time, 0 or 30 minutes; substrate reaction time, 2 minutes; reaction temperature, 37 °C; protein content of pooled human liver microsomes, at pre-reaction time 0.5 mg/mL, at reaction time 0.05 mg/mL (at 10-fold dilution); concentrations of the compound of the present invention, 1, 5, 10, 20 μmol/L (four points).
Pooled human liver microsomes and a compound of the present invention solution in a K-Pi buffer (pH 7.4) as a pre-reaction solution were added to a 96-well plate at the composition of the pre-reaction. A part of pre-reaction solution was transferred to another 96-well plate, and 1/10 diluted by a K-Pi buffer containing a substrate. NADPH as a co-factor was added to initiate a marker reaction (without preincubation). After a predetermined time of a reaction, methanol/acetonitrile=1/1 (v/v) solution was added to stop the reaction. On the other hand, NADPH was also added to a remaining pre-reaction solution in order to initiate a preincubation (with preincubation). After a predetermined time of a preincubation, a part was transferred to another 96-well plate, and 1/10 diluted by K-Pi buffer containing a substrate in order to initiate a marker reaction. After a predetermined time of a reaction, methanol/acetonitrile=1/1 (v/v) solution was added to stop the reaction. After centrifuged at 3000 rpm for 15 minutes, 1-hydroxymidazolam in the supernatant was quantified by LC/MS/MS.
The sample adding DMSO to a reaction system instead of the compound of the present invention solution was adopted as a control (100 %) because DMSO was used as a solvent to dissolve a compound of the present invention. Remaining activity (%) was calculated at each concentration of the compound of the present invention, and IC value was calculated by reverse presumption by a logistic model using a concentration and an inhibition rate. Shifted IC value was calculated as “IC of preincubation at 0 min/ IC of preincubation at 30min”. When a shifted IC was 1.5 or more, this was defined as positive. When a shifted IC was 1.0 or less, this was defined as negative.
The following compounds were defined as negative.
I-4, 10, 14, 25 to 31, 39, 41, 42, 44, 55, 57, 59 to 64 and 73
CYP3A4 (MDZ) MBI test is a test of investigating mechanism based inhibition (MBI) potential on CYP3A4 inhibition of a compound. CYP3A4 inhibition is evaluated using 1-hydroxylation reaction of midazolam (MDZ) by pooled human liver microsomes as a marker reaction.
The reaction conditions were as follows: substrate, 10 μmol/L MDZ; pre-reaction time, 0 or 30 minutes; substrate reaction time, 2 minutes; reaction temperature, 37 °C; protein content of pooled human liver microsomes, at pre-reaction time 0.5 mg/mL, at reaction time 0.05 mg/mL (at 10-fold dilution); concentrations of the compound of the present invention, 1, 5, 10, 20 μmol/L (four points).
Pooled human liver microsomes and a compound of the present invention solution in a K-Pi buffer (pH 7.4) as a pre-reaction solution were added to a 96-well plate at the composition of the pre-reaction. A part of pre-reaction solution was transferred to another 96-well plate, and 1/10 diluted by a K-Pi buffer containing a substrate. NADPH as a co-factor was added to initiate a marker reaction (without preincubation). After a predetermined time of a reaction, methanol/acetonitrile=1/1 (v/v) solution was added to stop the reaction. On the other hand, NADPH was also added to a remaining pre-reaction solution in order to initiate a preincubation (with preincubation). After a predetermined time of a preincubation, a part was transferred to another 96-well plate, and 1/10 diluted by K-Pi buffer containing a substrate in order to initiate a marker reaction. After a predetermined time of a reaction, methanol/acetonitrile=1/1 (v/v) solution was added to stop the reaction. After centrifuged at 3000 rpm for 15 minutes, 1-hydroxymidazolam in the supernatant was quantified by LC/MS/MS.
The sample adding DMSO to a reaction system instead of the compound of the present invention solution was adopted as a control (100 %) because DMSO was used as a solvent to dissolve a compound of the present invention. Remaining activity (%) was calculated at each concentration of the compound of the present invention, and IC value was calculated by reverse presumption by a logistic model using a concentration and an inhibition rate. Shifted IC value was calculated as “IC of preincubation at 0 min/ IC of preincubation at 30min”. When a shifted IC was 1.5 or more, this was defined as positive. When a shifted IC was 1.0 or less, this was defined as negative.
The following compounds were defined as negative.
I-4, 10, 14, 25 to 31, 39, 41, 42, 44, 55, 57, 59 to 64 and 73
(Test Example 5: CYP inhibition test)
The CYP inhibition test is a test to assess the inhibitory effect of a compound of the present invention towards typical substrate metabolism reactions on CYP enzymes in human liver microsomes. The marker reactions on human main five CYP enzymes (CYP1A2, 2C9, 2C19, 2D6, and 3A4) are used as follows; 7-ethoxyresorufin O-deethylation (CYP1A2), tolbutamide methyl-hydroxylation (CYP2C9), mephenytoin 4’-hydroxylation (CYP2C19), dextromethorphan O-demethylation (CYP2D6), and terfenadine hydroxylation (CYP3A4). The commercially available pooled human liver microsomes are used as an enzyme resource.
The reaction conditions were as follows: substrate, 0.5 μmol/L ethoxyresorufin (CYP1A2), 100 μmol/L tolbutamide (CYP2C9), 50 μmol/L S-mephenytoin (CYP2C19), 5 μmol/L dextromethorphan (CYP2D6), 1 μmol/L terfenadine (CYP3A4); reaction time, 15 minutes; reaction temperature, 37 °C; enzyme, pooled human liver microsomes 0.2 mg protein/mL; concentrations of the compound of the present invention, 1, 5, 10, 20 μmol/L (four points).
Five kinds of substrates, human liver microsomes, and a compound solution of the present invention in 50 mmol/L Hepes buffer were added to a 96-well plate at the composition as described above as a reaction solution. NADPH as a cofactor was added to this 96-well plate in order to initiate metabolism reactions. After the incubation at 37 °C for 15 minutes, a methanol/acetonitrile = 1/1 (v/v) solution was added to stop the reaction. After the centrifugation at 3000 rpm for 15 minutes, resorufin (CYP1A2 metabolite) in the supernatant was quantified by a fluorescent plate reader or LC/MS/MS, and hydroxytolbutamide (CYP2C9 metabolite), 4'-hydroxymephenytoin (CYP2C19 metabolite), dextrorphan (CYP2D6 metabolite), and terfenadine alcohol metabolite (CYP3A4 metabolite) in the supernatant were quantified by LC/MS/MS.
The sample adding DMSO to a reaction system instead of the compound of the present invention solution was adopted as a control (100 %) because DMSO was used as a solvent to dissolve a compound of the present invention. Remaining activity (%) was calculated at each concentration of a compound of the present invention, and IC50 value was calculated by reverse presumption by a logistic model using a concentration and an inhibition rate.
CYP1A2 20 μM or more: Compounds I-1 to 39, 41 to 51, 53 to 55, 57 to 64, 69, and 72 to 78
CYP1A2 10 μM to less than 20 μM: Compounds I-52 and 56
CYP2C9 20 μM or more: Compounds I-14, 15, 24 to 26, 38, 41 to 43, 53, 59, 61 to 64, and 73 to 77
CYP2C9 10 μM to less than 20 μM: Compounds I-6, 16 to 21, 27 to 31, 39, 49, 50, 54, 56 and 69
CYP2C19 20 μM or more: Compounds I-1 to 10, 12 to 39, 41 to 58, 61 to 64, 69, and 72 to 78
CYP2C19 10 μM to less than 20 μM: Compound I-59
CYP2D6 20 μM or more: Compounds I-4, 9, 14, 15, 18 to 24, 26, 41, 42, 53, 61 to 64, and 74 to 77
CYP2D6 10 μM to less than 20 μM: Compounds I-6, 13, 16, 17, 44, 47 to 51, 56 and 59
CYP3A4 20 μM or more: Compounds I-1 to 4, 9, 14 to 30, 32, 36, 38, 39, 41 to 43, 52 to 54, 59 to 64, and 73 to 77
CYP3A4 10 μM to less than 20 μM: Compounds I-7, 33, 35, 37, 47, 49, 50, 56 and 69
The CYP inhibition test is a test to assess the inhibitory effect of a compound of the present invention towards typical substrate metabolism reactions on CYP enzymes in human liver microsomes. The marker reactions on human main five CYP enzymes (CYP1A2, 2C9, 2C19, 2D6, and 3A4) are used as follows; 7-ethoxyresorufin O-deethylation (CYP1A2), tolbutamide methyl-hydroxylation (CYP2C9), mephenytoin 4’-hydroxylation (CYP2C19), dextromethorphan O-demethylation (CYP2D6), and terfenadine hydroxylation (CYP3A4). The commercially available pooled human liver microsomes are used as an enzyme resource.
The reaction conditions were as follows: substrate, 0.5 μmol/L ethoxyresorufin (CYP1A2), 100 μmol/L tolbutamide (CYP2C9), 50 μmol/L S-mephenytoin (CYP2C19), 5 μmol/L dextromethorphan (CYP2D6), 1 μmol/L terfenadine (CYP3A4); reaction time, 15 minutes; reaction temperature, 37 °C; enzyme, pooled human liver microsomes 0.2 mg protein/mL; concentrations of the compound of the present invention, 1, 5, 10, 20 μmol/L (four points).
Five kinds of substrates, human liver microsomes, and a compound solution of the present invention in 50 mmol/L Hepes buffer were added to a 96-well plate at the composition as described above as a reaction solution. NADPH as a cofactor was added to this 96-well plate in order to initiate metabolism reactions. After the incubation at 37 °C for 15 minutes, a methanol/acetonitrile = 1/1 (v/v) solution was added to stop the reaction. After the centrifugation at 3000 rpm for 15 minutes, resorufin (CYP1A2 metabolite) in the supernatant was quantified by a fluorescent plate reader or LC/MS/MS, and hydroxytolbutamide (CYP2C9 metabolite), 4'-hydroxymephenytoin (CYP2C19 metabolite), dextrorphan (CYP2D6 metabolite), and terfenadine alcohol metabolite (CYP3A4 metabolite) in the supernatant were quantified by LC/MS/MS.
The sample adding DMSO to a reaction system instead of the compound of the present invention solution was adopted as a control (100 %) because DMSO was used as a solvent to dissolve a compound of the present invention. Remaining activity (%) was calculated at each concentration of a compound of the present invention, and IC50 value was calculated by reverse presumption by a logistic model using a concentration and an inhibition rate.
CYP1A2 20 μM or more: Compounds I-1 to 39, 41 to 51, 53 to 55, 57 to 64, 69, and 72 to 78
CYP1A2 10 μM to less than 20 μM: Compounds I-52 and 56
CYP2C9 20 μM or more: Compounds I-14, 15, 24 to 26, 38, 41 to 43, 53, 59, 61 to 64, and 73 to 77
CYP2C9 10 μM to less than 20 μM: Compounds I-6, 16 to 21, 27 to 31, 39, 49, 50, 54, 56 and 69
CYP2C19 20 μM or more: Compounds I-1 to 10, 12 to 39, 41 to 58, 61 to 64, 69, and 72 to 78
CYP2C19 10 μM to less than 20 μM: Compound I-59
CYP2D6 20 μM or more: Compounds I-4, 9, 14, 15, 18 to 24, 26, 41, 42, 53, 61 to 64, and 74 to 77
CYP2D6 10 μM to less than 20 μM: Compounds I-6, 13, 16, 17, 44, 47 to 51, 56 and 59
CYP3A4 20 μM or more: Compounds I-1 to 4, 9, 14 to 30, 32, 36, 38, 39, 41 to 43, 52 to 54, 59 to 64, and 73 to 77
CYP3A4 10 μM to less than 20 μM: Compounds I-7, 33, 35, 37, 47, 49, 50, 56 and 69
(Test Example 6: Fluctuation Ames test)
Each 20 μL of freeze-stored Salmonella typhimurium (TA98 and TA100 strain) is inoculated in 10 mL of liquid nutrient medium (2.5% Oxoid nutrient broth No.2), and the cultures are incubated at 37 °C under shaking for 10 hours. 7.70 mL of TA98 culture is centrifuged (2000 X g, 10 minutes) to remove medium, and the bacteria is suspended in 7.70 mL of Micro F buffer (K2HPO4: 3.5 g/L, KH2PO4: 1 g/L, (NH4)2SO4: 1 g/L, trisodium citrate dihydrate: 0.25 g/L, MgSO4 7H2O: 0.1 g/L), and the suspension is added to 120 mL of Exposure medium (Micro F buffer containing Biotin: 8 μg/mL, histidine: 0.2 μg/mL, glucose: 8 mg/mL). 3.42 mL of TA100 culture is added to 130 mL of Exposure medium to prepare the test bacterial solution. 588 μL of the test bacterial solution (or mixed solution of 498 μl of the test bacterial solution and 90 μL of the S9 mix in the case with metabolic activation system) are mixed with each 12 μL of the following solution: DMSO solution of the compound of the present invention (several stage dilution from maximum dose 50 mg/mL at 2 to 3-fold ratio); DMSO as negative control; 50 μg/mL of 4-nitroquinoline-1-oxide DMSO solution as positive control for TA98 without metabolic activation system; 0.25 μg/mL of 2-(2-furyl)-3-(5-nitro-2-furyl)acrylamide DMSO solution as positive control for TA100 without metabolic activation system; 40 μg/mL of 2-aminoanthracene DMSO solution as positive control for TA98 with metabolic activation system; or 20 μg/mL of 2-aminoanthracene DMSO solution as positive control for TA100 with metabolic activation system. A mixed solution is incubated at 37 °C under shaking for 90 minutes. 460 μL of the bacterial solution exposed to the compound of the present invention is mixed with 2300 μL of Indicator medium (Micro F buffer containing biotin: 8 μg/mL, histidine: 0.2 μg/mL, glucose: 8 mg/mL, Bromo Cresol Purple: 37.5 μg/mL), each 50 μL is dispensed into 48 wells/dose in the microwell plates, and is subjected to stationary cultivation at 37 °C for 3 days. A well containing the bacteria, which has obtained the ability of proliferation by mutation in the gene coding amino acid (histidine) synthetase, turns the color from purple to yellow due to pH change. The number of the yellow wells among the 48 total wells per dose is counted, and evaluate the mutagenicity by comparing with the negative control group. (-) means that mutagenicity is negative and (+) means positive.
Each 20 μL of freeze-stored Salmonella typhimurium (TA98 and TA100 strain) is inoculated in 10 mL of liquid nutrient medium (2.5% Oxoid nutrient broth No.2), and the cultures are incubated at 37 °C under shaking for 10 hours. 7.70 mL of TA98 culture is centrifuged (2000 X g, 10 minutes) to remove medium, and the bacteria is suspended in 7.70 mL of Micro F buffer (K2HPO4: 3.5 g/L, KH2PO4: 1 g/L, (NH4)2SO4: 1 g/L, trisodium citrate dihydrate: 0.25 g/L, MgSO4 7H2O: 0.1 g/L), and the suspension is added to 120 mL of Exposure medium (Micro F buffer containing Biotin: 8 μg/mL, histidine: 0.2 μg/mL, glucose: 8 mg/mL). 3.42 mL of TA100 culture is added to 130 mL of Exposure medium to prepare the test bacterial solution. 588 μL of the test bacterial solution (or mixed solution of 498 μl of the test bacterial solution and 90 μL of the S9 mix in the case with metabolic activation system) are mixed with each 12 μL of the following solution: DMSO solution of the compound of the present invention (several stage dilution from maximum dose 50 mg/mL at 2 to 3-fold ratio); DMSO as negative control; 50 μg/mL of 4-nitroquinoline-1-oxide DMSO solution as positive control for TA98 without metabolic activation system; 0.25 μg/mL of 2-(2-furyl)-3-(5-nitro-2-furyl)acrylamide DMSO solution as positive control for TA100 without metabolic activation system; 40 μg/mL of 2-aminoanthracene DMSO solution as positive control for TA98 with metabolic activation system; or 20 μg/mL of 2-aminoanthracene DMSO solution as positive control for TA100 with metabolic activation system. A mixed solution is incubated at 37 °C under shaking for 90 minutes. 460 μL of the bacterial solution exposed to the compound of the present invention is mixed with 2300 μL of Indicator medium (Micro F buffer containing biotin: 8 μg/mL, histidine: 0.2 μg/mL, glucose: 8 mg/mL, Bromo Cresol Purple: 37.5 μg/mL), each 50 μL is dispensed into 48 wells/dose in the microwell plates, and is subjected to stationary cultivation at 37 °C for 3 days. A well containing the bacteria, which has obtained the ability of proliferation by mutation in the gene coding amino acid (histidine) synthetase, turns the color from purple to yellow due to pH change. The number of the yellow wells among the 48 total wells per dose is counted, and evaluate the mutagenicity by comparing with the negative control group. (-) means that mutagenicity is negative and (+) means positive.
(Test Example 7: Solubility test)
The solubility of each compound of the present invention was determined under 1% DMSO addition conditions. A 10 mmol/L solution of the compound was prepared with DMSO, and 2 μL of the compound of the present invention solution was added, respectively, to 198 μL of JP 1st fluid (water was added to 2.0 g of sodium chloride and 7.0 mL of hydrochloric acid to reach 1000 mL) and JP 2nd fluid (Fluid A or Fluid B mentioned below: Fluid A: Dissolve 3.40 g of potassium dihydrogen phosphate and 3.55 g of anhydrous disodium hydrogen phosphate in water to make 1000 mL; Fluid B: Added 1 volume of water to 1 volume of the solution wherein 3.40 g of potassium dihydrogen phosphate and 3.55 g of anhydrous disodium hydrogen phosphate were dissolved in water to make 1000 mL). The mixture was shaken for 1 hour at room temperature, and the mixture was vacuum-filtered. The filtrate was ten or one hundred-fold diluted with methanol/water = 1/1 (v/v) or MeCN/MeOH/H2O(=1/1/2), and the compound concentration in the filtrate was measured with LC/MS or solid phase extraction (SPE)/MS by the absolute calibration method.
The solubility of each compound of the present invention was determined under 1% DMSO addition conditions. A 10 mmol/L solution of the compound was prepared with DMSO, and 2 μL of the compound of the present invention solution was added, respectively, to 198 μL of JP 1st fluid (water was added to 2.0 g of sodium chloride and 7.0 mL of hydrochloric acid to reach 1000 mL) and JP 2nd fluid (Fluid A or Fluid B mentioned below: Fluid A: Dissolve 3.40 g of potassium dihydrogen phosphate and 3.55 g of anhydrous disodium hydrogen phosphate in water to make 1000 mL; Fluid B: Added 1 volume of water to 1 volume of the solution wherein 3.40 g of potassium dihydrogen phosphate and 3.55 g of anhydrous disodium hydrogen phosphate were dissolved in water to make 1000 mL). The mixture was shaken for 1 hour at room temperature, and the mixture was vacuum-filtered. The filtrate was ten or one hundred-fold diluted with methanol/water = 1/1 (v/v) or MeCN/MeOH/H2O(=1/1/2), and the compound concentration in the filtrate was measured with LC/MS or solid phase extraction (SPE)/MS by the absolute calibration method.
(Test Example 8: Metabolic stability test)
Using a commercially available pooled human liver microsomes, a compound of the present invention was reacted for a constant time, a remaining rate was calculated by comparing a reacted sample and an unreacted sample, thereby, a degree of metabolism in liver was assessed.
A reaction was performed (oxidative reaction) at 37 °C for 0 minute or 30 minutes in the presence of 1 mmol/L NADPH in 0.2 mL of a buffer (50 mmol/L Tris-HCl pH 7.4, 150 mmol/L potassium chloride, 10 mmol/L magnesium chloride) containing 0.5 mg protein/mL of human liver microsomes. After the reaction, 50 μL of the reaction solution was added to 100 μL of a methanol/acetonitrile = 1/1 (v/v), mixed and centrifuged at 3000 rpm for 15 minutes. The compound of the present invention in the supernatant was quantified by LC/MS/MS or solid phase extraction (SPE)/MS, and a remaining amount of the compound of the present invention after the reaction was calculated, letting a compound amount at 0 minute reaction time to be 100%.
Using a commercially available pooled human liver microsomes, a compound of the present invention was reacted for a constant time, a remaining rate was calculated by comparing a reacted sample and an unreacted sample, thereby, a degree of metabolism in liver was assessed.
A reaction was performed (oxidative reaction) at 37 °C for 0 minute or 30 minutes in the presence of 1 mmol/L NADPH in 0.2 mL of a buffer (50 mmol/L Tris-HCl pH 7.4, 150 mmol/L potassium chloride, 10 mmol/L magnesium chloride) containing 0.5 mg protein/mL of human liver microsomes. After the reaction, 50 μL of the reaction solution was added to 100 μL of a methanol/acetonitrile = 1/1 (v/v), mixed and centrifuged at 3000 rpm for 15 minutes. The compound of the present invention in the supernatant was quantified by LC/MS/MS or solid phase extraction (SPE)/MS, and a remaining amount of the compound of the present invention after the reaction was calculated, letting a compound amount at 0 minute reaction time to be 100%.
(Test Example 9: hERG test)
For the purpose of assessing risk of an electrocardiogram QT interval prolongation, effects on delayed rectifier K+ current (IKr), which plays an important role in the ventricular repolarization process of the compound of the present invention, was studied using CHO cells expressing human ether-a-go-go related gene (hERG) channel.
A cell was retained at a membrane potential of -80 mV by whole cell patch clamp method using an automated patch clamp system (QPatch;Sophion Bioscience A/S). After application of leak potential at -50 mV, IKr induced by depolarization pulse stimulation at +20 mV for 2 seconds and, further, repolarization pulse stimulation at -50 mV for 2 seconds was recorded.
After the generated current was stabilized, extracellular solution (NaCl: 145 mmol/L, KCl: 4 mmol/L, CaCl2:2 mmol/L MgCl2:1 mmol/L, 1 mmol/L, HEPES(4-(2-hydroxyethyl)-1-piperazineethanesulfonic acid: 10 mmol/L, glucose:10 mmol/L pH=7.4) in which the compound of the present invention have been dissolved at an objective concentration was applied to the cell under the room temperature condition for 10 minutes. From the recording IKr, an absolute value of the tail peak current was measured based on the current value at the resting membrane potential using an analysis software (Falster Patch; Sophion Bioscience A/S). Further, the % inhibition relative to the tail peak current before application of the compound of the present invention was calculated, and compared with the vehicle-applied group (0.1% dimethyl sulfoxide solution) to assess influence of the compound of the present invention on IKr.
For the purpose of assessing risk of an electrocardiogram QT interval prolongation, effects on delayed rectifier K+ current (IKr), which plays an important role in the ventricular repolarization process of the compound of the present invention, was studied using CHO cells expressing human ether-a-go-go related gene (hERG) channel.
A cell was retained at a membrane potential of -80 mV by whole cell patch clamp method using an automated patch clamp system (QPatch;Sophion Bioscience A/S). After application of leak potential at -50 mV, IKr induced by depolarization pulse stimulation at +20 mV for 2 seconds and, further, repolarization pulse stimulation at -50 mV for 2 seconds was recorded.
After the generated current was stabilized, extracellular solution (NaCl: 145 mmol/L, KCl: 4 mmol/L, CaCl2:2 mmol/L MgCl2:1 mmol/L, 1 mmol/L, HEPES(4-(2-hydroxyethyl)-1-piperazineethanesulfonic acid: 10 mmol/L, glucose:10 mmol/L pH=7.4) in which the compound of the present invention have been dissolved at an objective concentration was applied to the cell under the room temperature condition for 10 minutes. From the recording IKr, an absolute value of the tail peak current was measured based on the current value at the resting membrane potential using an analysis software (Falster Patch; Sophion Bioscience A/S). Further, the % inhibition relative to the tail peak current before application of the compound of the present invention was calculated, and compared with the vehicle-applied group (0.1% dimethyl sulfoxide solution) to assess influence of the compound of the present invention on IKr.
(Test Example 10: Powder solubility test)
Appropriate amounts of the compound of the present invention are put into appropriate containers. 200 μL of JP 1st fluid (water is added to 2.0 g of sodium chloride and 7.0 mL of hydrochloric acid to reach 1000 mL), 200 μL of JP 2nd fluid (1 volume of water is added to 1 volume of the solution which 3.40 g of potassium dihydrogen phosphate and 3.55 g of anhydrous disodium hydrogen phosphate dissolve in water to reach 1000 mL), and 200 μL of JP 2nd fluid containing 20 mmol/L of sodium taurocholate (TCA) (TCA 1.08 g and JP 2nd fluid to make 100 mL) are added to the respective containers. When total amount of the compound of the present invention is dissolved after the addition of the test fluid, the compound is added as appropriate. The containers are sealed, and shaken for 1 hour at 37 °C. The mixtures are filtered, and 100 μL of methanol is added to each of the filtrate (100 μL) so that the filtrates are two-fold diluted. The dilution ratio may be changed if necessary. After confirming that there is no bubbles and precipitates in the diluted solution, the containers are sealed and shaken. Quantification is performed by HPLC with an absolute calibration method.
Appropriate amounts of the compound of the present invention are put into appropriate containers. 200 μL of JP 1st fluid (water is added to 2.0 g of sodium chloride and 7.0 mL of hydrochloric acid to reach 1000 mL), 200 μL of JP 2nd fluid (1 volume of water is added to 1 volume of the solution which 3.40 g of potassium dihydrogen phosphate and 3.55 g of anhydrous disodium hydrogen phosphate dissolve in water to reach 1000 mL), and 200 μL of JP 2nd fluid containing 20 mmol/L of sodium taurocholate (TCA) (TCA 1.08 g and JP 2nd fluid to make 100 mL) are added to the respective containers. When total amount of the compound of the present invention is dissolved after the addition of the test fluid, the compound is added as appropriate. The containers are sealed, and shaken for 1 hour at 37 °C. The mixtures are filtered, and 100 μL of methanol is added to each of the filtrate (100 μL) so that the filtrates are two-fold diluted. The dilution ratio may be changed if necessary. After confirming that there is no bubbles and precipitates in the diluted solution, the containers are sealed and shaken. Quantification is performed by HPLC with an absolute calibration method.
(Test Example 11: Pharmacokinetic study)
Materials and methods for oral absorption studies
(1) Animal: rat
(2) Breeding conditions: rat is allowed free access to the tap water and the solid food.
(3) Dose and grouping: orally or intravenously administered at a predetermined dose; grouping is as follows (Dose depends on the compound)
Oral administration: 1 mg/kg (n=2)
Intravenous administration: 0.5 mg/kg (n=2)
(4) Dosing formulation: for oral administration, in a suspension state; for intravenous administration, in a solution state
(5) Dosing method: in oral administration, administer using a syringe attached a flexible feeding tube; in intravenous administration, administer from caudal vein using a syringe attached with a needle.
(6) Evaluation items: blood is collected at the scheduled time, and the plasma concentration of the compound of the present invention is measured by LC/MS/MS
(7) Statistical analysis: based on the plasma concentration of the compound of the present invention, the area under the plasma concentration-time curve (AUC) is calculated by non-linear least squares program WinNonlin (Registered trademark), and the bioavailability (BA) of the compound of the present invention is calculated from the AUCs of the oral administration group and intravenous administration group
Materials and methods for oral absorption studies
(1) Animal: rat
(2) Breeding conditions: rat is allowed free access to the tap water and the solid food.
(3) Dose and grouping: orally or intravenously administered at a predetermined dose; grouping is as follows (Dose depends on the compound)
Oral administration: 1 mg/kg (n=2)
Intravenous administration: 0.5 mg/kg (n=2)
(4) Dosing formulation: for oral administration, in a suspension state; for intravenous administration, in a solution state
(5) Dosing method: in oral administration, administer using a syringe attached a flexible feeding tube; in intravenous administration, administer from caudal vein using a syringe attached with a needle.
(6) Evaluation items: blood is collected at the scheduled time, and the plasma concentration of the compound of the present invention is measured by LC/MS/MS
(7) Statistical analysis: based on the plasma concentration of the compound of the present invention, the area under the plasma concentration-time curve (AUC) is calculated by non-linear least squares program WinNonlin (Registered trademark), and the bioavailability (BA) of the compound of the present invention is calculated from the AUCs of the oral administration group and intravenous administration group
(Test Example 12: Brain distribution studies)
Compound of the present invention was intravenously administered to a rat at 0.5 mg/mL/kg. 30 minutes later, whole blood was collected from the abdominal aorta under isoflurane anesthesia to sacrifice the rat.
The brain was enucleated and 25% brain homogenate was prepared with distilled water.
The obtained blood was centrifuged to obtain plasma. The control plasma was added to the brain homogenate sample at 1:1. The control brain homogenate was added to the plasma sample at 1:1. Each sample was subjected to the measurement using LC/MS/MS. The obtained area ratio (a brain/plasma) was calculated as the brain Kp value.
Compound of the present invention was intravenously administered to a rat at 0.5 mg/mL/kg. 30 minutes later, whole blood was collected from the abdominal aorta under isoflurane anesthesia to sacrifice the rat.
The brain was enucleated and 25% brain homogenate was prepared with distilled water.
The obtained blood was centrifuged to obtain plasma. The control plasma was added to the brain homogenate sample at 1:1. The control brain homogenate was added to the plasma sample at 1:1. Each sample was subjected to the measurement using LC/MS/MS. The obtained area ratio (a brain/plasma) was calculated as the brain Kp value.
(Test Example 13: Ames test)
Ames test is performed by using Salmonellas (Salmonella typhimurium) TA 98, TA100, TA1535 and TA1537 and Escherichia coli WP2uvrA as test strains to evaluate gene mutagenicity of the compound of the present invention. 0.1 mL of the compound of the present invention (DMSO solution) is mixed with 0.5 mL of S9 mix in the presence of metabolic activation or 0.5 mL of phosphate buffer in the absence of metabolic activation, and 0.1 mL of test strain suspension. As needed, the mixture is preincubated at 37°C in the water bath for 20 minutes under shaking. Then, the mixture with 2 mL of layer soft agar, which contains histidine and biotin, or tryptophan, is overlaid on minimal glucose agar plates. Concurrently, negative control substance (DMSO) and positive control substance (2-(2-Furyl)-3-(5-nitro-2-furyl)acrylamide, sodium azide, 9-aminoacridine, or 2-aminoanthracene) are also prepared. After incubation at 37°C for 48 hours, the number of appeared revertant colonies are counted and evaluated by comparing with negative control group. It is judged to be positive when the number of revertant colonies is concentration-dependently increased and twofold or greater increased over the number of colonies of negative control group.
Ames test is performed by using Salmonellas (Salmonella typhimurium) TA 98, TA100, TA1535 and TA1537 and Escherichia coli WP2uvrA as test strains to evaluate gene mutagenicity of the compound of the present invention. 0.1 mL of the compound of the present invention (DMSO solution) is mixed with 0.5 mL of S9 mix in the presence of metabolic activation or 0.5 mL of phosphate buffer in the absence of metabolic activation, and 0.1 mL of test strain suspension. As needed, the mixture is preincubated at 37°C in the water bath for 20 minutes under shaking. Then, the mixture with 2 mL of layer soft agar, which contains histidine and biotin, or tryptophan, is overlaid on minimal glucose agar plates. Concurrently, negative control substance (DMSO) and positive control substance (2-(2-Furyl)-3-(5-nitro-2-furyl)acrylamide, sodium azide, 9-aminoacridine, or 2-aminoanthracene) are also prepared. After incubation at 37°C for 48 hours, the number of appeared revertant colonies are counted and evaluated by comparing with negative control group. It is judged to be positive when the number of revertant colonies is concentration-dependently increased and twofold or greater increased over the number of colonies of negative control group.
(Test Example 14: P-gp substrate test)
Material
1. Cell line:
a. MDR1/LLC-PK1 (Becton Dickinson)
b. LLC-PK1 (Becton Dickinson)
2. Reference substrates:
a. Digoxin (2 μM)
Methods and Procedures
1. MDR1 expressing LLC-PK1 cells and its parent cells were routinely cultured in Medium A (Medium 199 (Invitrogen) supplemented with 10 % FBS (Invitrogen), gentamycin (0.05 mg/mL, Invitrogen) and hygromycin B (100 μg/mL, Invitrogen)) at 37 °C under 5% CO2/95% O2 gasses. For the transport experiments, these cells were seeded on Transwell (Registered trademark) insert (96-well, pore size: 0.4 μm, Coaster) at a density of 1.4 × 104 cells/insert and added Medium B (Medium 199 supplemented with 10 % FBS and gentamycin at 0.05 mg/mL) to the feeder tray. These cells were incubated in a CO2 incubator (5% CO2/95% O2 gasses, 37°C) and replace apical and basolateral culture medium every 48-72 hr after seeding. These cells were used between 4 and 6 days after seeding.
2. The medium in the culture insert seeded with MDR1 expressing cells or parent cells were removed by aspiration and rinsed by HBSS. The apical side (140 μL) or basolateral side (175 μL) was replaced with transport buffer containing reference substrates and the present invention and then an aliquot (50 μL) of transport buffer in the donor side was collected to estimate initial concentration of reference substrate and the present invention. After incubation for designed time at 37°C, an aliquot (50 μL) of transport buffer in the donor and receiver side were collected. Assay was performed by duplicate or triplicate.
3. Reference substrate and the compound of the present invention in the aliquot was quantified by LC/MS/MS.
Calculations
Permeated amounts across monolayers of MDR1 expressing and parent cells were determined, and permeation coefficients (Pe) were calculated using Excel 2003 from the following equitation:
Pe (cm/sec) = Permeated amount (pmol) / area of cell membrane (cm2) /
initial concentration (nM) / incubation time (sec)
Where, permeated amount was calculated from permeation concentration (nM, concentration of the receiver side) of the substance after incubation for the defined time (sec) multiplied by volume (mL) and area of cell membrane was used 0.1433 (cm2).
The efflux ratio was calculated using the following equation:
Efflux Ratio = Basolateral-to-Apical Pe / Apical-to-Basolateral Pe
The net flux was calculated using the following equation:
Net flux = Efflux Ratio in MDR1 expressing cells / Efflux Ratio in parent cells
Material
1. Cell line:
a. MDR1/LLC-PK1 (Becton Dickinson)
b. LLC-PK1 (Becton Dickinson)
2. Reference substrates:
a. Digoxin (2 μM)
Methods and Procedures
1. MDR1 expressing LLC-PK1 cells and its parent cells were routinely cultured in Medium A (Medium 199 (Invitrogen) supplemented with 10 % FBS (Invitrogen), gentamycin (0.05 mg/mL, Invitrogen) and hygromycin B (100 μg/mL, Invitrogen)) at 37 °C under 5% CO2/95% O2 gasses. For the transport experiments, these cells were seeded on Transwell (Registered trademark) insert (96-well, pore size: 0.4 μm, Coaster) at a density of 1.4 × 104 cells/insert and added Medium B (Medium 199 supplemented with 10 % FBS and gentamycin at 0.05 mg/mL) to the feeder tray. These cells were incubated in a CO2 incubator (5% CO2/95% O2 gasses, 37°C) and replace apical and basolateral culture medium every 48-72 hr after seeding. These cells were used between 4 and 6 days after seeding.
2. The medium in the culture insert seeded with MDR1 expressing cells or parent cells were removed by aspiration and rinsed by HBSS. The apical side (140 μL) or basolateral side (175 μL) was replaced with transport buffer containing reference substrates and the present invention and then an aliquot (50 μL) of transport buffer in the donor side was collected to estimate initial concentration of reference substrate and the present invention. After incubation for designed time at 37°C, an aliquot (50 μL) of transport buffer in the donor and receiver side were collected. Assay was performed by duplicate or triplicate.
3. Reference substrate and the compound of the present invention in the aliquot was quantified by LC/MS/MS.
Calculations
Permeated amounts across monolayers of MDR1 expressing and parent cells were determined, and permeation coefficients (Pe) were calculated using Excel 2003 from the following equitation:
Pe (cm/sec) = Permeated amount (pmol) / area of cell membrane (cm2) /
initial concentration (nM) / incubation time (sec)
Where, permeated amount was calculated from permeation concentration (nM, concentration of the receiver side) of the substance after incubation for the defined time (sec) multiplied by volume (mL) and area of cell membrane was used 0.1433 (cm2).
The efflux ratio was calculated using the following equation:
Efflux Ratio = Basolateral-to-Apical Pe / Apical-to-Basolateral Pe
The net flux was calculated using the following equation:
Net flux = Efflux Ratio in MDR1 expressing cells / Efflux Ratio in parent cells
(Test Example 15: Inhibitory Effects on P-gp Transport)
Materials
1. Cell line:
a. MDR1/LLC-PK1 (Becton Dickinson)
b. LLC-PK1 (Becton Dickinson)
2. Reference substrates:
a. [3H]Digoxin (1 μM)
b. [14C]Mannitol (5 μM)
3. Reference inhibitor:
Cyclosporin A (10 μM)
Methods and Procedures
1. MDR1 expressing LLC-PK1 cells and its parent cells are routinely cultured in Medium A (Medium 199 (Invitrogen) supplemented with 10 % FBS (Invitrogen), gentamycin (0.05 mg/mL, Invitrogen) and hygromycin B (100 μg/mL, Invitrogen)) at 37 °C under 5% CO2/95% O2 gasses. For the transport experiments, these cells are seeded on Transwell (Registered trademark) insert (24-well, pore size: 0.4 μm, Coaster) at a density of 4 × 104 cells/insert and added Medium B (Medium 199 supplemented with 10 % FBS and gentamycin at 0.05 mg/mL) to the feeder tray. These cells are incubated in a CO2 incubator (5% CO2/95% O2 gasses, 37°C) and replace apical and basolateral culture medium every 48-72 hr after seeding. These cells are used between 6 and 9 days after seeding.
2. The medium in the culture insert seeded with MDR1 expressing cells or parent cells are removed by aspiration and rinsed by HBSS. The apical side (250 μL) or basolateral side (850 μL) is replaced with transport buffer containing reference substrates with or without the compound of the present invention and then an aliquot (50 μL) of transport buffer in the donor side is collected to estimate initial concentration of reference substrate. After incubation for designed time at 37°C, an aliquot (50 μL) of transport buffer in the donor and receiver side are collected. Assay is performed by triplicate.
3. An aliquot (50 μL) of the transport buffer is mixed with 5 mL of a scintillation cocktail, and the radioactivity is measured using a liquid scintillation counter.
Calculations
Permeated amounts across monolayers of MDR1 expressing and parent cells are determined, and permeation coefficients (Pe) are calculated using Excel 2003 from the following equitation:
Pe (cm/sec) = Permeated amount (pmol) / area of cell membrane (cm2) /
initial concentration (nM) / incubation time (sec)
Where, permeated amount is calculated from permeation concentration (nM, concentration of the receiver side) of the substance after incubation for the defined time (sec) multiplied by volume.(mL) and area of cell membrane is used 0.33 (cm2).
The efflux ratio will be calculated using the following equation:
Efflux Ratio = Basolateral-to-Apical Pe / Apical-to-Basolateral Pe
The net flux is calculated using the following equation:
Net flux = Efflux Ratio in MDR1 expressing cells / Efflux Ratio in parent cells
The percent of control is calculated as the net efflux ratio of reference compounds in the presence of the compound of the present invention to that in the absence of the compound of the present invention.
IC50 values are calculated using WinNonlin (Registered trademark) pharmacokinetic software modeling program.
Materials
1. Cell line:
a. MDR1/LLC-PK1 (Becton Dickinson)
b. LLC-PK1 (Becton Dickinson)
2. Reference substrates:
a. [3H]Digoxin (1 μM)
b. [14C]Mannitol (5 μM)
3. Reference inhibitor:
Cyclosporin A (10 μM)
Methods and Procedures
1. MDR1 expressing LLC-PK1 cells and its parent cells are routinely cultured in Medium A (Medium 199 (Invitrogen) supplemented with 10 % FBS (Invitrogen), gentamycin (0.05 mg/mL, Invitrogen) and hygromycin B (100 μg/mL, Invitrogen)) at 37 °C under 5% CO2/95% O2 gasses. For the transport experiments, these cells are seeded on Transwell (Registered trademark) insert (24-well, pore size: 0.4 μm, Coaster) at a density of 4 × 104 cells/insert and added Medium B (Medium 199 supplemented with 10 % FBS and gentamycin at 0.05 mg/mL) to the feeder tray. These cells are incubated in a CO2 incubator (5% CO2/95% O2 gasses, 37°C) and replace apical and basolateral culture medium every 48-72 hr after seeding. These cells are used between 6 and 9 days after seeding.
2. The medium in the culture insert seeded with MDR1 expressing cells or parent cells are removed by aspiration and rinsed by HBSS. The apical side (250 μL) or basolateral side (850 μL) is replaced with transport buffer containing reference substrates with or without the compound of the present invention and then an aliquot (50 μL) of transport buffer in the donor side is collected to estimate initial concentration of reference substrate. After incubation for designed time at 37°C, an aliquot (50 μL) of transport buffer in the donor and receiver side are collected. Assay is performed by triplicate.
3. An aliquot (50 μL) of the transport buffer is mixed with 5 mL of a scintillation cocktail, and the radioactivity is measured using a liquid scintillation counter.
Calculations
Permeated amounts across monolayers of MDR1 expressing and parent cells are determined, and permeation coefficients (Pe) are calculated using Excel 2003 from the following equitation:
Pe (cm/sec) = Permeated amount (pmol) / area of cell membrane (cm2) /
initial concentration (nM) / incubation time (sec)
Where, permeated amount is calculated from permeation concentration (nM, concentration of the receiver side) of the substance after incubation for the defined time (sec) multiplied by volume.(mL) and area of cell membrane is used 0.33 (cm2).
The efflux ratio will be calculated using the following equation:
Efflux Ratio = Basolateral-to-Apical Pe / Apical-to-Basolateral Pe
The net flux is calculated using the following equation:
Net flux = Efflux Ratio in MDR1 expressing cells / Efflux Ratio in parent cells
The percent of control is calculated as the net efflux ratio of reference compounds in the presence of the compound of the present invention to that in the absence of the compound of the present invention.
IC50 values are calculated using WinNonlin (Registered trademark) pharmacokinetic software modeling program.
(Test Example 16: P-gp Substrate Test using mdr1a (-/-) B6 mice)
Materials
Animal: mdr1a (-/-) B6 mice (KO mouse) or C57BL/6J mice (Wild mouse)
Methods and Procedures
1. Animals may be fed prior to dosing of the compounds of the present invention.
2. The compounds of the present invention are dosed to three animals for each time point and blood and brain samples are removed at selected time points (e.g. 15 min, 30min, 1hr, 2hr, 4hr, 6hr, 8hr, or 24hr) after dosing. Blood (0.3-0.7 mL) is collected via trunk blood collection with syringe containing anticoagulants (EDTA and heparin). Blood and tissue (e.g. brain) samples are immediately placed on melting ice.
3. Blood samples are centrifuged (1780 x g for 10 minutes) for cell removal to obtain plasma. Then, plasma samples are transferred to a clean tube and stored in a -70 °C freezer until analysis.
4. Tissue (e.g. brain) samples are homogenized at a 1:3 ratio of tissue weight to ml of distilled water and transferred to a clean tube and stored in a -70 °C freezer until analysis.
5. Plasma and tissue (e.g. brain) samples are prepared using protein precipitation and analyzed by LC/MS/MS. The analytical method is calibrated by including a standard curve constructed with blank plasma or brain samples and known quantities of analyte. Quality control samples are included to monitor the accuracy and precision of the methodology.
6. Plasma and brain concentration values (ng/mL and ng/g) are introduced into an appropriate calculation software for calculating the pharmacokinetic parameters. WinNonlin (Registered trademark) is used as pharmacokinetic software modeling program.
Calculations
Kp; Tissue to Plasma concentration ratio
Kp ratio = Kp in KO mouse / Kp in Wild mouse
KO / Wild ratio of AUC Tissue/AUC Plasma
= {AUC Tissue/AUC Plasma (KO mouse)} / {AUC Tissue/AUC Plasma (Wild mouse)}
Materials
Animal: mdr1a (-/-) B6 mice (KO mouse) or C57BL/6J mice (Wild mouse)
Methods and Procedures
1. Animals may be fed prior to dosing of the compounds of the present invention.
2. The compounds of the present invention are dosed to three animals for each time point and blood and brain samples are removed at selected time points (e.g. 15 min, 30min, 1hr, 2hr, 4hr, 6hr, 8hr, or 24hr) after dosing. Blood (0.3-0.7 mL) is collected via trunk blood collection with syringe containing anticoagulants (EDTA and heparin). Blood and tissue (e.g. brain) samples are immediately placed on melting ice.
3. Blood samples are centrifuged (1780 x g for 10 minutes) for cell removal to obtain plasma. Then, plasma samples are transferred to a clean tube and stored in a -70 °C freezer until analysis.
4. Tissue (e.g. brain) samples are homogenized at a 1:3 ratio of tissue weight to ml of distilled water and transferred to a clean tube and stored in a -70 °C freezer until analysis.
5. Plasma and tissue (e.g. brain) samples are prepared using protein precipitation and analyzed by LC/MS/MS. The analytical method is calibrated by including a standard curve constructed with blank plasma or brain samples and known quantities of analyte. Quality control samples are included to monitor the accuracy and precision of the methodology.
6. Plasma and brain concentration values (ng/mL and ng/g) are introduced into an appropriate calculation software for calculating the pharmacokinetic parameters. WinNonlin (Registered trademark) is used as pharmacokinetic software modeling program.
Calculations
Kp; Tissue to Plasma concentration ratio
Kp ratio = Kp in KO mouse / Kp in Wild mouse
KO / Wild ratio of AUC Tissue/AUC Plasma
= {AUC Tissue/AUC Plasma (KO mouse)} / {AUC Tissue/AUC Plasma (Wild mouse)}
(Test Example 17: Anesthetized guinea pig cardiovascular study)
Animal species: Guinea pig (Slc:Hartley, 4-6 weeks old, male), N = 4
Study design:
Dosage: 3, 10, and 30 mg/kg (in principle)
(The compounds of the present invention are administered cumulatively)
Formulation:
Composition of Vehicle; Dimethylacetamide (DMA): Polyethylene glycol 400 (PEG400): Distilled water (D.W.) = 1:7:2 (in principle).
The compounds of the present invention are dissolved with DMA and then added PEG400 and D.W. Finally, 1.5, 5, and 15 mg/mL solutions are prepared.
Dosing route and schedule:
Intravenous infusion for 10 min (2 mL/kg).
0 to 10 min: 3 mg/kg, 30 to 40 min: 10 mg/kg, 60 to 70 min: 30 mg/kg
Vehicle is administered by the same schedule as the above.
Group composition:
Vehicle group and the compound of the present invention group (4 guinea pigs per group).
Evaluation method:
Evaluation items:
Mean blood pressure [mmHg], Heart rate (derived from blood pressure waveform [beats/min]), QTc (ms), and Toxicokinetics.
Experimental Procedure:
Guinea pigs are anesthetized by urethane (1.4 g/kg, i.p.), and inserted polyethylene tubes into carotid artery (for measuring blood pressure and sampling blood) and jugular vein (for infusion test compounds). Electrodes are attached subcutaneously (Lead 2). Blood pressure, heart rate and electrocardiogram (ECG) are measured using PowerLab (Registered trademark) system (ADInstruments).
Toxicokinetics:
Approximately 0.3 mL of blood (approximately 150 μL as plasma) is drawn from carotid artery with a syringe containing heparin sodium and cooled with ice immediately at each evaluation point. Plasma samples are obtained by centrifugation (4°C, 10000 rpm, 9300 xg, 2 minutes). The procedure for separation of plasma is conducted on ice or at 4°C. The obtained plasma (TK samples) is stored in a deep freezer (set temperature: -80°C).
Analysis methods: Mean blood pressure and heart rate are averaged a 30-second period at each evaluation time point. ECG parameters (QT interval [ms] and QTc are derived as the average waveform of a 10-second consecutive beats in the evaluation time points. QTc [Fridericia’s formula; QTc=QT/(RR)1/3)] is calculated using the PowerLab (Registered trademark) system. The incidence of arrhythmia is visually evaluated for all ECG recordings (from 0.5 hours before dosing to end of experiment) for all four animals.
Evaluation time points:
Before (pre dosing), and 10, 25, 40, 55, 70, and 85 min after the first dosing.
Data analysis of QTc:
Percentage changes (%) in QTc from the pre-dose value are calculated (the pre-dose value is regarded as 100%). Relative QTc is compared with vehicle value at the same evaluation point.
Animal species: Guinea pig (Slc:Hartley, 4-6 weeks old, male), N = 4
Study design:
Dosage: 3, 10, and 30 mg/kg (in principle)
(The compounds of the present invention are administered cumulatively)
Formulation:
Composition of Vehicle; Dimethylacetamide (DMA): Polyethylene glycol 400 (PEG400): Distilled water (D.W.) = 1:7:2 (in principle).
The compounds of the present invention are dissolved with DMA and then added PEG400 and D.W. Finally, 1.5, 5, and 15 mg/mL solutions are prepared.
Dosing route and schedule:
Intravenous infusion for 10 min (2 mL/kg).
0 to 10 min: 3 mg/kg, 30 to 40 min: 10 mg/kg, 60 to 70 min: 30 mg/kg
Vehicle is administered by the same schedule as the above.
Group composition:
Vehicle group and the compound of the present invention group (4 guinea pigs per group).
Evaluation method:
Evaluation items:
Mean blood pressure [mmHg], Heart rate (derived from blood pressure waveform [beats/min]), QTc (ms), and Toxicokinetics.
Experimental Procedure:
Guinea pigs are anesthetized by urethane (1.4 g/kg, i.p.), and inserted polyethylene tubes into carotid artery (for measuring blood pressure and sampling blood) and jugular vein (for infusion test compounds). Electrodes are attached subcutaneously (Lead 2). Blood pressure, heart rate and electrocardiogram (ECG) are measured using PowerLab (Registered trademark) system (ADInstruments).
Toxicokinetics:
Approximately 0.3 mL of blood (approximately 150 μL as plasma) is drawn from carotid artery with a syringe containing heparin sodium and cooled with ice immediately at each evaluation point. Plasma samples are obtained by centrifugation (4°C, 10000 rpm, 9300 xg, 2 minutes). The procedure for separation of plasma is conducted on ice or at 4°C. The obtained plasma (TK samples) is stored in a deep freezer (set temperature: -80°C).
Analysis methods: Mean blood pressure and heart rate are averaged a 30-second period at each evaluation time point. ECG parameters (QT interval [ms] and QTc are derived as the average waveform of a 10-second consecutive beats in the evaluation time points. QTc [Fridericia’s formula; QTc=QT/(RR)1/3)] is calculated using the PowerLab (Registered trademark) system. The incidence of arrhythmia is visually evaluated for all ECG recordings (from 0.5 hours before dosing to end of experiment) for all four animals.
Evaluation time points:
Before (pre dosing), and 10, 25, 40, 55, 70, and 85 min after the first dosing.
Data analysis of QTc:
Percentage changes (%) in QTc from the pre-dose value are calculated (the pre-dose value is regarded as 100%). Relative QTc is compared with vehicle value at the same evaluation point.
(Test Example 18-1: Single dose toxicity test)
The compounds of the present invention are administered by gavage at 100, 300 and 1000 mg/kg in a 0.5% methylcellulose solution (vehicle) to Crl:CD(SD) rats (3/sex/dose). The dosing volume is 10 mL/kg. Clinical observation is monitored for 4 days. On the first day of dosing, observation is conducted continuously from just after dosing to 4 hours after dosing, and intermittently until 8 hours after dosing. On the other days, clinical observation is checked once daily.
(Test Example 18-2: Single dose toxicity test)
The compounds of the present invention were administered by gavage at 50, 100 and 300 mg/kg in a 0.5% methylcellulose solution (vehicle) to Marshal beagle dogs (2/sex/dose). The dosing volume is 5 mL/kg. Clinical observation was monitored for 4 days. On the first day of dosing, observation was conducted continuously from just after dosing to 4 hours after dosing, and intermittently until 8 hours after dosing. On the other days, clinical observation was checked once daily.
No central nervous system adverse events such as convulsion, tremor or the like were not caused at 300 mg/kg of compound I-5.
The compounds of the present invention are administered by gavage at 100, 300 and 1000 mg/kg in a 0.5% methylcellulose solution (vehicle) to Crl:CD(SD) rats (3/sex/dose). The dosing volume is 10 mL/kg. Clinical observation is monitored for 4 days. On the first day of dosing, observation is conducted continuously from just after dosing to 4 hours after dosing, and intermittently until 8 hours after dosing. On the other days, clinical observation is checked once daily.
(Test Example 18-2: Single dose toxicity test)
The compounds of the present invention were administered by gavage at 50, 100 and 300 mg/kg in a 0.5% methylcellulose solution (vehicle) to Marshal beagle dogs (2/sex/dose). The dosing volume is 5 mL/kg. Clinical observation was monitored for 4 days. On the first day of dosing, observation was conducted continuously from just after dosing to 4 hours after dosing, and intermittently until 8 hours after dosing. On the other days, clinical observation was checked once daily.
No central nervous system adverse events such as convulsion, tremor or the like were not caused at 300 mg/kg of compound I-5.
Formulation Examples
The following Formulation Examples are only exemplified and not intended to limit the scope of the present invention.
Formulation Example 1: Tablet
Compound of the present invention 15 mg
Lactose 15 mg
Calcium stearate 3 mg
All of the above ingredients except for calcium stearate are uniformly mixed. Then the mixture is crushed, granulated and dried to obtain a suitable size of granules. Then, calcium stearate is added to the granules. Finally, tableting is performed under a compression force.
The following Formulation Examples are only exemplified and not intended to limit the scope of the present invention.
Formulation Example 1: Tablet
Compound of the present invention 15 mg
Lactose 15 mg
Calcium stearate 3 mg
All of the above ingredients except for calcium stearate are uniformly mixed. Then the mixture is crushed, granulated and dried to obtain a suitable size of granules. Then, calcium stearate is added to the granules. Finally, tableting is performed under a compression force.
Formulation Example 2: Capsules
Compound of the present invention 10 mg
Magnesium stearate 10 mg
Lactose 80 mg
The above ingredients are mixed uniformly to obtain powders or fine granules, and then the obtained mixture is filled in capsules.
Compound of the present invention 10 mg
Magnesium stearate 10 mg
Lactose 80 mg
The above ingredients are mixed uniformly to obtain powders or fine granules, and then the obtained mixture is filled in capsules.
Formulation Example 3: Granules
Compound of the present invention 30 g
Lactose 265 g
Magnesium stearate 5 g
After the above ingredients are mixed uniformly, the mixture is compressed. The compressed matters are crushed, granulated and sieved to obtain suitable size of granules.
Compound of the present invention 30 g
Lactose 265 g
Magnesium stearate 5 g
After the above ingredients are mixed uniformly, the mixture is compressed. The compressed matters are crushed, granulated and sieved to obtain suitable size of granules.
Formulation Example 4: Orally disintegrated tablets
The compounds of the present invention and crystalline cellulose are mixed, granulated and tablets are made to give orally disintegrated tablets.
The compounds of the present invention and crystalline cellulose are mixed, granulated and tablets are made to give orally disintegrated tablets.
Formulation Example 5: Dry syrups
The compounds of the present invention and lactose are mixed, crushed, granulated and sieved to give suitable sizes of dry syrups.
The compounds of the present invention and lactose are mixed, crushed, granulated and sieved to give suitable sizes of dry syrups.
Formulation Example 6: Injections
The compounds of the present invention and phosphate buffer are mixed to give injection.
The compounds of the present invention and phosphate buffer are mixed to give injection.
Formulation Example 7: Infusions
The compounds of the present invention and phosphate buffer are mixed to give infusion.
The compounds of the present invention and phosphate buffer are mixed to give infusion.
Formulation Example 8: Inhalations
The compound of the present invention and lactose are mixed and crushed finely to give inhalations.
The compound of the present invention and lactose are mixed and crushed finely to give inhalations.
Formulation Example 9: Ointments
The compounds of the present invention and petrolatum are mixed to give ointments.
The compounds of the present invention and petrolatum are mixed to give ointments.
Formulation Example 10: Patches
The compounds of the present invention and base such as adhesive plaster or the like are mixed to give patches.
The compounds of the present invention and base such as adhesive plaster or the like are mixed to give patches.
The compounds of the present invention can be a medicament useful as an agent for treating or preventing a disease induced by production, secretion and/or deposition of amyloid β proteins.
Claims (15)
- A compound of formula (I):
wherein
R1 is alkyl or haloalkyl,
R2 is H, or halogen,
R3 is H, alkyl, alkyloxyalkyl or haloalkyl optionally substituted with cycloalkyl,
R4 is H or halogen,
-X= is -CH= or -N=,
ring B is a substituted or unsubstituted aromatic carbocycle, a substituted or unsubstituted non-aromatic carbocycle, a substituted or unsubstituted aromatic heterocycle or a substituted or unsubstituted non-aromatic heterocycle,
provided that
(i) both of R2 and R3 are not H,
(ii) when R1 is alkyl and R2 is halogen, then
(ii-1) R3 is H or
(ii-2) R3 is alkyl and ring B is pyrimidine substituted with one or more groups selected from alkyl, alkyloxy and halogen, or
(iii) when R1 is alkyl and R2 is H, then R3 is not alkyl,
or a pharmaceutically acceptable salt thereof. - The compound according to any one of claims 1 to 3 wherein R1 is -CH3, -CF3, -CHF2, or -CH2F, or a pharmaceutically acceptable salt thereof.
- The compound according to any one of claims 1 to 4 wherein -X= is -CH= and R4 is halogen, or a pharmaceutically acceptable salt thereof.
- The compound according to any one of claims 1 to 4 wherein -X= is -N= and R4 is F, or a pharmaceutically acceptable salt thereof.
- The compound according to any one of claims 1 to 6 wherein ring B is substituted or unsubstituted pyridine, substituted or unsubstituted pyrazine, substituted or unsubstituted pyrimidine, or substituted or unsubstituted pyridazine, or a pharmaceutically acceptable salt thereof.
- The compound according to any one of claims 1 to 7 wherein the compound is selected from the group of compounds I-5, I-6, I-7, I-8, I-9, I-10, I-11, I-12, I-13, I-60 and I-61 in Examples or a pharmaceutically acceptable salt thereof.
- A pharmaceutical composition comprising the compound according to any one of claims 1 to 8, or a pharmaceutically acceptable salt thereof.
- A pharmaceutical composition having BACE1 inhibitory activity comprising the compound according to any one of claims 1 to 8, or a pharmaceutically acceptable salt thereof.
- A method for inhibiting BACE1 activity comprising administering the compound according to any one of claims 1 to 8, or a pharmaceutically acceptable salt thereof.
- The compound according to any one of claims 1 to 8, or a pharmaceutically acceptable salt thereof for use in a method for inhibiting BACE1 activity.
- A pharmaceutical composition comprising the compound according to any one of claims 1 to 8, or a pharmaceutically acceptable salt thereof for treating or preventing Alzheimer dementia, mild cognitive impairment or prodromal Alzheimer's disease, for preventing the progression of Alzheimer dementia, mild cognitive impairment, or prodromal Alzheimer's disease, or for preventing the progression in a patient asymptomatic at risk for Alzheimer dementia.
- A method for treating or preventing Alzheimer dementia, mild cognitive impairment or prodromal Alzheimer's disease, for preventing the progression of Alzheimer dementia, mild cognitive impairment, or prodromal Alzheimer's disease, or for preventing the progression in a patient asymptomatic at risk for Alzheimer dementia comprising administering the compound according to any one of claims 1 to 8, or a pharmaceutically acceptable salt thereof.
- A compound according to any one of claims 1 to 8, or a pharmaceutically acceptable salt thereof for use in treating or preventing Alzheimer dementia, mild cognitive impairment or prodromal Alzheimer's disease, for use in preventing the progression of Alzheimer dementia, mild cognitive impairment or prodromal Alzheimer's disease, or for use in preventing the progression in a patient asymptomatic at risk for Alzheimer dementia.
Applications Claiming Priority (2)
| Application Number | Priority Date | Filing Date | Title |
|---|---|---|---|
| JP2015200183 | 2015-10-08 | ||
| JP2015-200183 | 2015-10-08 |
Publications (1)
| Publication Number | Publication Date |
|---|---|
| WO2017061534A1 true WO2017061534A1 (en) | 2017-04-13 |
Family
ID=57184746
Family Applications (1)
| Application Number | Title | Priority Date | Filing Date |
|---|---|---|---|
| PCT/JP2016/079767 Ceased WO2017061534A1 (en) | 2015-10-08 | 2016-10-06 | Dihydrothiazine derivatives |
Country Status (1)
| Country | Link |
|---|---|
| WO (1) | WO2017061534A1 (en) |
Cited By (2)
| Publication number | Priority date | Publication date | Assignee | Title |
|---|---|---|---|---|
| EP2511268B2 (en) † | 2009-12-11 | 2021-02-17 | Shionogi & Co., Ltd. | Oxazine derivative |
| US11629154B2 (en) | 2018-04-27 | 2023-04-18 | Shionogi & Co., Ltd. | Tetrahydropyranooxazine derivatives having selective BACE1 inhibitory activity |
Citations (30)
| Publication number | Priority date | Publication date | Assignee | Title |
|---|---|---|---|---|
| WO2007049532A1 (en) | 2005-10-25 | 2007-05-03 | Shionogi & Co., Ltd. | Aminodihydrothiazine derivative |
| US20080200445A1 (en) | 2003-12-15 | 2008-08-21 | Schering Corporation & Pharmacopeia Drug Discovery, Inc. | Heterocyclic aspartyl protease inhibitors |
| WO2008133273A1 (en) | 2007-04-24 | 2008-11-06 | Shionogi & Co., Ltd. | Pharmaceutical composition for treatment of alzheimer's disease |
| WO2008133274A1 (en) | 2007-04-24 | 2008-11-06 | Shionogi & Co., Ltd. | Aminodihydrothiazine derivatives substituted with cyclic groups |
| WO2009134617A1 (en) | 2008-05-02 | 2009-11-05 | Eli Lilly And Company | Aminodihydrothiazine derivatives as bace inhibitors for the treatment of alzheimer's disease |
| WO2009151098A1 (en) | 2008-06-13 | 2009-12-17 | 塩野義製薬株式会社 | SULFUR-CONTAINING HETEROCYCLIC DERIVATIVE HAVING β-SECRETASE-INHIBITING ACTIVITY |
| WO2010047372A1 (en) | 2008-10-22 | 2010-04-29 | 塩野義製薬株式会社 | 2-aminopyridin-4-one and 2-aminopyridine derivative both having bace1-inhibiting activity |
| WO2010113848A1 (en) | 2009-03-31 | 2010-10-07 | 塩野義製薬株式会社 | Isothiourea derivative or isourea derivative having bace1 inhibitory activity |
| WO2011058763A1 (en) | 2009-11-13 | 2011-05-19 | 塩野義製薬株式会社 | Aminothiazine or aminooxazine derivative having amino linker |
| WO2011071135A1 (en) | 2009-12-11 | 2011-06-16 | 塩野義製薬株式会社 | Oxazine derivative |
| WO2011071109A1 (en) | 2009-12-11 | 2011-06-16 | 塩野義製薬株式会社 | Fused heterocyclic compound having amino group |
| WO2011069934A1 (en) | 2009-12-11 | 2011-06-16 | F. Hoffmann-La Roche Ag | 2-amino-5, 5-difluoro-5, 6-dihydro-4h-oxazines as bace 1 and/or bace 2 inhibitors |
| WO2011071057A1 (en) | 2009-12-09 | 2011-06-16 | 塩野義製薬株式会社 | Pharmaceutical composition for treatment or prevention of alzheimer's disease containing sulfur-containing heterocyclic derivative |
| WO2011070781A1 (en) | 2009-12-09 | 2011-06-16 | 塩野義製薬株式会社 | Substituted aminothiazine derivative |
| WO2011077726A1 (en) | 2009-12-24 | 2011-06-30 | 塩野義製薬株式会社 | 4-amino-1,3-thiazine or oxazine derivative |
| WO2012057248A1 (en) | 2010-10-29 | 2012-05-03 | 塩野義製薬株式会社 | Naphthyridine derivative |
| WO2012057247A1 (en) | 2010-10-29 | 2012-05-03 | 塩野義製薬株式会社 | Fused aminodihydropyrimidine derivative |
| WO2012147762A1 (en) | 2011-04-26 | 2012-11-01 | 塩野義製薬株式会社 | Pyridine derivative and bace-1 inhibitor containing same |
| WO2012147763A1 (en) | 2011-04-26 | 2012-11-01 | 塩野義製薬株式会社 | Oxazine derivative and bace 1 inhibitor containing same |
| JP2012250933A (en) | 2011-06-03 | 2012-12-20 | Shionogi & Co Ltd | Pharmaceutical composition containing oxazine derivative for treating or preventing alzheimer's disease |
| WO2013110622A1 (en) | 2012-01-26 | 2013-08-01 | F. Hoffmann-La Roche Ag | Fluoromethyl-5,6-dihydro-4h-[1,3]oxazines |
| WO2014010748A1 (en) | 2012-07-10 | 2014-01-16 | Shionogi & Co., Ltd. | Cyclopropane derivative having bace1 inhibiting activity |
| WO2014065434A1 (en) | 2012-10-24 | 2014-05-01 | Shionogi & Co., Ltd. | Dihydrooxazine or oxazepine derivatives having bace1 inhibitory activity |
| JP2014101353A (en) | 2012-10-26 | 2014-06-05 | Shionogi & Co Ltd | Pharmaceutical composition for alzheimer's disease medical treatment or prevention including oxazin derivative |
| JP2014101354A (en) | 2012-10-24 | 2014-06-05 | Shionogi & Co Ltd | Oxazin derivative having bace1 antagonism |
| WO2014098831A1 (en) | 2012-12-19 | 2014-06-26 | Bristol-Myers Squibb Company | 4,6-diarylaminothiazines as bace1 inhibitors and their use for the reduction of beta-amyloid production |
| WO2014114532A1 (en) | 2013-01-22 | 2014-07-31 | F. Hoffmann-La Roche Ag | Fluoro-[1,3]oxazines as bace1 inhibitors |
| WO2014134341A1 (en) | 2013-03-01 | 2014-09-04 | Amgen Inc. | Perfluorinated 5,6-dihydro-4h-1,3-oxazin-2-amine compounds as beta-secretase inhibitors and methods of use |
| WO2014166906A1 (en) | 2013-04-11 | 2014-10-16 | F. Hoffmann-La Roche Ag | Bace1 inhibitors |
| WO2015156421A1 (en) | 2014-04-11 | 2015-10-15 | Shionogi & Co., Ltd. | Dihydrothiazine and dihydrooxazine derivatives having bace1 inhibitory activity |
-
2016
- 2016-10-06 WO PCT/JP2016/079767 patent/WO2017061534A1/en not_active Ceased
Patent Citations (32)
| Publication number | Priority date | Publication date | Assignee | Title |
|---|---|---|---|---|
| US20080200445A1 (en) | 2003-12-15 | 2008-08-21 | Schering Corporation & Pharmacopeia Drug Discovery, Inc. | Heterocyclic aspartyl protease inhibitors |
| WO2007049532A1 (en) | 2005-10-25 | 2007-05-03 | Shionogi & Co., Ltd. | Aminodihydrothiazine derivative |
| WO2008103351A2 (en) | 2007-02-23 | 2008-08-28 | Schering Corporation | Heterocyclic aspartyl protease inhibitors |
| WO2008133273A1 (en) | 2007-04-24 | 2008-11-06 | Shionogi & Co., Ltd. | Pharmaceutical composition for treatment of alzheimer's disease |
| WO2008133274A1 (en) | 2007-04-24 | 2008-11-06 | Shionogi & Co., Ltd. | Aminodihydrothiazine derivatives substituted with cyclic groups |
| WO2009134617A1 (en) | 2008-05-02 | 2009-11-05 | Eli Lilly And Company | Aminodihydrothiazine derivatives as bace inhibitors for the treatment of alzheimer's disease |
| WO2009151098A1 (en) | 2008-06-13 | 2009-12-17 | 塩野義製薬株式会社 | SULFUR-CONTAINING HETEROCYCLIC DERIVATIVE HAVING β-SECRETASE-INHIBITING ACTIVITY |
| WO2010047372A1 (en) | 2008-10-22 | 2010-04-29 | 塩野義製薬株式会社 | 2-aminopyridin-4-one and 2-aminopyridine derivative both having bace1-inhibiting activity |
| WO2010113848A1 (en) | 2009-03-31 | 2010-10-07 | 塩野義製薬株式会社 | Isothiourea derivative or isourea derivative having bace1 inhibitory activity |
| WO2011058763A1 (en) | 2009-11-13 | 2011-05-19 | 塩野義製薬株式会社 | Aminothiazine or aminooxazine derivative having amino linker |
| WO2011071057A1 (en) | 2009-12-09 | 2011-06-16 | 塩野義製薬株式会社 | Pharmaceutical composition for treatment or prevention of alzheimer's disease containing sulfur-containing heterocyclic derivative |
| WO2011070781A1 (en) | 2009-12-09 | 2011-06-16 | 塩野義製薬株式会社 | Substituted aminothiazine derivative |
| WO2011071135A1 (en) | 2009-12-11 | 2011-06-16 | 塩野義製薬株式会社 | Oxazine derivative |
| WO2011071109A1 (en) | 2009-12-11 | 2011-06-16 | 塩野義製薬株式会社 | Fused heterocyclic compound having amino group |
| WO2011069934A1 (en) | 2009-12-11 | 2011-06-16 | F. Hoffmann-La Roche Ag | 2-amino-5, 5-difluoro-5, 6-dihydro-4h-oxazines as bace 1 and/or bace 2 inhibitors |
| WO2011077726A1 (en) | 2009-12-24 | 2011-06-30 | 塩野義製薬株式会社 | 4-amino-1,3-thiazine or oxazine derivative |
| WO2012057248A1 (en) | 2010-10-29 | 2012-05-03 | 塩野義製薬株式会社 | Naphthyridine derivative |
| WO2012057247A1 (en) | 2010-10-29 | 2012-05-03 | 塩野義製薬株式会社 | Fused aminodihydropyrimidine derivative |
| US20140235626A1 (en) * | 2011-04-26 | 2014-08-21 | Shionogi & Co., Ltd. | Pyridine derivatives and a pharmaceutical composition for inhibiting bace1 containing them |
| WO2012147762A1 (en) | 2011-04-26 | 2012-11-01 | 塩野義製薬株式会社 | Pyridine derivative and bace-1 inhibitor containing same |
| WO2012147763A1 (en) | 2011-04-26 | 2012-11-01 | 塩野義製薬株式会社 | Oxazine derivative and bace 1 inhibitor containing same |
| JP2012250933A (en) | 2011-06-03 | 2012-12-20 | Shionogi & Co Ltd | Pharmaceutical composition containing oxazine derivative for treating or preventing alzheimer's disease |
| WO2013110622A1 (en) | 2012-01-26 | 2013-08-01 | F. Hoffmann-La Roche Ag | Fluoromethyl-5,6-dihydro-4h-[1,3]oxazines |
| WO2014010748A1 (en) | 2012-07-10 | 2014-01-16 | Shionogi & Co., Ltd. | Cyclopropane derivative having bace1 inhibiting activity |
| WO2014065434A1 (en) | 2012-10-24 | 2014-05-01 | Shionogi & Co., Ltd. | Dihydrooxazine or oxazepine derivatives having bace1 inhibitory activity |
| JP2014101354A (en) | 2012-10-24 | 2014-06-05 | Shionogi & Co Ltd | Oxazin derivative having bace1 antagonism |
| JP2014101353A (en) | 2012-10-26 | 2014-06-05 | Shionogi & Co Ltd | Pharmaceutical composition for alzheimer's disease medical treatment or prevention including oxazin derivative |
| WO2014098831A1 (en) | 2012-12-19 | 2014-06-26 | Bristol-Myers Squibb Company | 4,6-diarylaminothiazines as bace1 inhibitors and their use for the reduction of beta-amyloid production |
| WO2014114532A1 (en) | 2013-01-22 | 2014-07-31 | F. Hoffmann-La Roche Ag | Fluoro-[1,3]oxazines as bace1 inhibitors |
| WO2014134341A1 (en) | 2013-03-01 | 2014-09-04 | Amgen Inc. | Perfluorinated 5,6-dihydro-4h-1,3-oxazin-2-amine compounds as beta-secretase inhibitors and methods of use |
| WO2014166906A1 (en) | 2013-04-11 | 2014-10-16 | F. Hoffmann-La Roche Ag | Bace1 inhibitors |
| WO2015156421A1 (en) | 2014-04-11 | 2015-10-15 | Shionogi & Co., Ltd. | Dihydrothiazine and dihydrooxazine derivatives having bace1 inhibitory activity |
Non-Patent Citations (9)
| Title |
|---|
| "Design of Prodrugs", 1985, ELSEVIER, AMSTERDAM |
| "Physical and Biomedical Sciences, Vol. 1, Labeled Compounds (Part A", vol. 1, 1987 |
| CHEM. REV., vol. 110, 2010, pages 3600 - 3740 |
| CHEM. REV., vol. 111, 2011, pages 6557 - 6602 |
| DATABASE CAPLUS [online] CHEMICAL ABSTRACTS SERVICE, COLUMBUS, OHIO, US; KOBAYASHI, NAOTAKE ET AL: "Preparation of 2-amino-4-phenyl-4,5-dihydro-5H-1,3-thiazine derivatives and related compounds for treatment of Alzheimer's disease", XP002765982, retrieved from STN Database accession no. 2008:1466046 * |
| H. BORGHYS ET AL., RNAL OF ALZHEIMER'S DISEASE, vol. 38, 2014, pages 39 - 48 |
| JOURNAL OF ALZHEIMER'S DISEASE, vol. 38, 2014, pages 39 - 48 |
| JOURNAL OF MEDICINAL CHEMISTRY, vol. 56, no. 10, 2013, pages 3980 - 3995 |
| ORGANIC PROCESS RES. DEV., vol. 13, 2009, pages 1094 - 1099 |
Cited By (2)
| Publication number | Priority date | Publication date | Assignee | Title |
|---|---|---|---|---|
| EP2511268B2 (en) † | 2009-12-11 | 2021-02-17 | Shionogi & Co., Ltd. | Oxazine derivative |
| US11629154B2 (en) | 2018-04-27 | 2023-04-18 | Shionogi & Co., Ltd. | Tetrahydropyranooxazine derivatives having selective BACE1 inhibitory activity |
Similar Documents
| Publication | Publication Date | Title |
|---|---|---|
| US9758513B2 (en) | Dihydrooxazine or oxazepine derivatives having BACE1 inhibitory activity | |
| EP3129370A1 (en) | Dihydrothiazine and dihydrooxazine derivatives having bace1 inhibitory activity | |
| US11124486B2 (en) | 6-membered heterocyclic derivatives and pharmaceutical composition comprising the same | |
| JP5766198B2 (en) | Condensed aminodihydropyrimidine derivatives | |
| WO2017010399A1 (en) | COMPOUNDS HAVING RORγt INHIBITORY EFFECTS AND PHARMACEUTICAL COMPOSITIONS CONTAINING THE SAME | |
| WO2016088838A1 (en) | Purine derivative and pharmaceutical composition thereof | |
| WO2016084922A1 (en) | 1,2,4-triazine derivative and pharmaceutical composition thereof | |
| WO2017204316A1 (en) | 5-oxo-1,2,4-triazine derivative, and pharmaceutical composition thereof | |
| JP2014101354A (en) | Oxazin derivative having bace1 antagonism | |
| JP2022532810A (en) | Condensed heterocyclic derivative with selective BACE1 inhibitory activity | |
| WO2017061534A1 (en) | Dihydrothiazine derivatives | |
| JP2017071603A (en) | Pharmaceutical composition comprising dihydrothiazine or dihydrooxazine derivative | |
| WO2017204318A1 (en) | 1,2,4-triazine derivative | |
| KR20220042379A (en) | Substituted amino triazoles useful as chitinase inhibitors | |
| JP2021075519A (en) | Pharmaceutical composition containing tetrahydropyranooxazine derivative with selective bace1 inhibitory activity | |
| US11447484B2 (en) | Cyclic compound having dopamine D3 receptor antagonistic effect | |
| WO2017209267A1 (en) | Purine derivative | |
| JP7353708B2 (en) | Tetrahydropyranooxazine derivative with selective BACE1 inhibitory activity |
Legal Events
| Date | Code | Title | Description |
|---|---|---|---|
| 121 | Ep: the epo has been informed by wipo that ep was designated in this application |
Ref document number: 16784589 Country of ref document: EP Kind code of ref document: A1 |
|
| NENP | Non-entry into the national phase |
Ref country code: DE |
|
| NENP | Non-entry into the national phase |
Ref country code: JP |
|
| 122 | Ep: pct application non-entry in european phase |
Ref document number: 16784589 Country of ref document: EP Kind code of ref document: A1 |

































































