WO2017059040A1 - Processes for the preparation of apremilast and intermediates thereof - Google Patents
Processes for the preparation of apremilast and intermediates thereof Download PDFInfo
- Publication number
- WO2017059040A1 WO2017059040A1 PCT/US2016/054390 US2016054390W WO2017059040A1 WO 2017059040 A1 WO2017059040 A1 WO 2017059040A1 US 2016054390 W US2016054390 W US 2016054390W WO 2017059040 A1 WO2017059040 A1 WO 2017059040A1
- Authority
- WO
- WIPO (PCT)
- Prior art keywords
- compound
- formula
- viii
- process according
- acid
- Prior art date
- Legal status (The legal status is an assumption and is not a legal conclusion. Google has not performed a legal analysis and makes no representation as to the accuracy of the status listed.)
- Ceased
Links
- VLFQQNPNYIDMOJ-UHFFFAOYSA-N CCOc1cc(C(CBr)=O)ccc1OC Chemical compound CCOc1cc(C(CBr)=O)ccc1OC VLFQQNPNYIDMOJ-UHFFFAOYSA-N 0.000 description 2
- OQVHBGZSXQXNTB-UHFFFAOYSA-N CCOc1cc(C(CSC)=O)ccc1OC Chemical compound CCOc1cc(C(CSC)=O)ccc1OC OQVHBGZSXQXNTB-UHFFFAOYSA-N 0.000 description 2
- PAUAJOABXCGLCN-UHFFFAOYSA-N CC(Nc(cccc1C(O2)=O)c1C2=O)=O Chemical compound CC(Nc(cccc1C(O2)=O)c1C2=O)=O PAUAJOABXCGLCN-UHFFFAOYSA-N 0.000 description 1
- XDEZGCKBKNQHBR-SNVBAGLBSA-N CCOc(cc([C@@H](CSC)N)cc1)c1OC Chemical compound CCOc(cc([C@@H](CSC)N)cc1)c1OC XDEZGCKBKNQHBR-SNVBAGLBSA-N 0.000 description 1
- XDEZGCKBKNQHBR-UHFFFAOYSA-N CCOc1cc(C(CSC)N)ccc1OC Chemical compound CCOc1cc(C(CSC)N)ccc1OC XDEZGCKBKNQHBR-UHFFFAOYSA-N 0.000 description 1
- BXUJVINGXQGNFD-SNVBAGLBSA-N CCOc1cc([C@@H](CS(C)(=O)=O)N)ccc1OC Chemical compound CCOc1cc([C@@H](CS(C)(=O)=O)N)ccc1OC BXUJVINGXQGNFD-SNVBAGLBSA-N 0.000 description 1
- CWFPQXASFROGBS-DMZKTXOQSA-N CCOc1cc([C@@H](CSC)N[S@](C(C)(C)C)=O)ccc1OC Chemical compound CCOc1cc([C@@H](CSC)N[S@](C(C)(C)C)=O)ccc1OC CWFPQXASFROGBS-DMZKTXOQSA-N 0.000 description 1
Classifications
-
- C—CHEMISTRY; METALLURGY
- C07—ORGANIC CHEMISTRY
- C07D—HETEROCYCLIC COMPOUNDS
- C07D209/00—Heterocyclic compounds containing five-membered rings, condensed with other rings, with one nitrogen atom as the only ring hetero atom
- C07D209/02—Heterocyclic compounds containing five-membered rings, condensed with other rings, with one nitrogen atom as the only ring hetero atom condensed with one carbocyclic ring
- C07D209/44—Iso-indoles; Hydrogenated iso-indoles
- C07D209/48—Iso-indoles; Hydrogenated iso-indoles with oxygen atoms in positions 1 and 3, e.g. phthalimide
-
- A—HUMAN NECESSITIES
- A61—MEDICAL OR VETERINARY SCIENCE; HYGIENE
- A61P—SPECIFIC THERAPEUTIC ACTIVITY OF CHEMICAL COMPOUNDS OR MEDICINAL PREPARATIONS
- A61P35/00—Antineoplastic agents
-
- C—CHEMISTRY; METALLURGY
- C07—ORGANIC CHEMISTRY
- C07C—ACYCLIC OR CARBOCYCLIC COMPOUNDS
- C07C317/00—Sulfones; Sulfoxides
- C07C317/26—Sulfones; Sulfoxides having sulfone or sulfoxide groups and nitrogen atoms, not being part of nitro or nitroso groups, bound to the same carbon skeleton
- C07C317/28—Sulfones; Sulfoxides having sulfone or sulfoxide groups and nitrogen atoms, not being part of nitro or nitroso groups, bound to the same carbon skeleton with sulfone or sulfoxide groups bound to acyclic carbon atoms of the carbon skeleton
-
- C—CHEMISTRY; METALLURGY
- C07—ORGANIC CHEMISTRY
- C07C—ACYCLIC OR CARBOCYCLIC COMPOUNDS
- C07C323/00—Thiols, sulfides, hydropolysulfides or polysulfides substituted by halogen, oxygen or nitrogen atoms, or by sulfur atoms not being part of thio groups
- C07C323/22—Thiols, sulfides, hydropolysulfides or polysulfides substituted by halogen, oxygen or nitrogen atoms, or by sulfur atoms not being part of thio groups containing thio groups and doubly-bound oxygen atoms bound to the same carbon skeleton
-
- C—CHEMISTRY; METALLURGY
- C07—ORGANIC CHEMISTRY
- C07C—ACYCLIC OR CARBOCYCLIC COMPOUNDS
- C07C323/00—Thiols, sulfides, hydropolysulfides or polysulfides substituted by halogen, oxygen or nitrogen atoms, or by sulfur atoms not being part of thio groups
- C07C323/23—Thiols, sulfides, hydropolysulfides or polysulfides substituted by halogen, oxygen or nitrogen atoms, or by sulfur atoms not being part of thio groups containing thio groups and nitrogen atoms, not being part of nitro or nitroso groups, bound to the same carbon skeleton
- C07C323/24—Thiols, sulfides, hydropolysulfides or polysulfides substituted by halogen, oxygen or nitrogen atoms, or by sulfur atoms not being part of thio groups containing thio groups and nitrogen atoms, not being part of nitro or nitroso groups, bound to the same carbon skeleton having the sulfur atoms of the thio groups bound to acyclic carbon atoms of the carbon skeleton
- C07C323/29—Thiols, sulfides, hydropolysulfides or polysulfides substituted by halogen, oxygen or nitrogen atoms, or by sulfur atoms not being part of thio groups containing thio groups and nitrogen atoms, not being part of nitro or nitroso groups, bound to the same carbon skeleton having the sulfur atoms of the thio groups bound to acyclic carbon atoms of the carbon skeleton the carbon skeleton containing six-membered aromatic rings
-
- C—CHEMISTRY; METALLURGY
- C07—ORGANIC CHEMISTRY
- C07C—ACYCLIC OR CARBOCYCLIC COMPOUNDS
- C07C323/00—Thiols, sulfides, hydropolysulfides or polysulfides substituted by halogen, oxygen or nitrogen atoms, or by sulfur atoms not being part of thio groups
- C07C323/23—Thiols, sulfides, hydropolysulfides or polysulfides substituted by halogen, oxygen or nitrogen atoms, or by sulfur atoms not being part of thio groups containing thio groups and nitrogen atoms, not being part of nitro or nitroso groups, bound to the same carbon skeleton
- C07C323/39—Thiols, sulfides, hydropolysulfides or polysulfides substituted by halogen, oxygen or nitrogen atoms, or by sulfur atoms not being part of thio groups containing thio groups and nitrogen atoms, not being part of nitro or nitroso groups, bound to the same carbon skeleton at least one of the nitrogen atoms being part of any of the groups, X being a hetero atom, Y being any atom
- C07C323/40—Y being a hydrogen or a carbon atom
- C07C323/41—Y being a hydrogen or an acyclic carbon atom
-
- C—CHEMISTRY; METALLURGY
- C07—ORGANIC CHEMISTRY
- C07C—ACYCLIC OR CARBOCYCLIC COMPOUNDS
- C07C323/00—Thiols, sulfides, hydropolysulfides or polysulfides substituted by halogen, oxygen or nitrogen atoms, or by sulfur atoms not being part of thio groups
- C07C323/23—Thiols, sulfides, hydropolysulfides or polysulfides substituted by halogen, oxygen or nitrogen atoms, or by sulfur atoms not being part of thio groups containing thio groups and nitrogen atoms, not being part of nitro or nitroso groups, bound to the same carbon skeleton
- C07C323/46—Thiols, sulfides, hydropolysulfides or polysulfides substituted by halogen, oxygen or nitrogen atoms, or by sulfur atoms not being part of thio groups containing thio groups and nitrogen atoms, not being part of nitro or nitroso groups, bound to the same carbon skeleton having at least one of the nitrogen atoms, not being part of nitro or nitroso groups, further bound to other hetero atoms
- C07C323/49—Thiols, sulfides, hydropolysulfides or polysulfides substituted by halogen, oxygen or nitrogen atoms, or by sulfur atoms not being part of thio groups containing thio groups and nitrogen atoms, not being part of nitro or nitroso groups, bound to the same carbon skeleton having at least one of the nitrogen atoms, not being part of nitro or nitroso groups, further bound to other hetero atoms to sulfur atoms
-
- C—CHEMISTRY; METALLURGY
- C07—ORGANIC CHEMISTRY
- C07C—ACYCLIC OR CARBOCYCLIC COMPOUNDS
- C07C45/00—Preparation of compounds having >C = O groups bound only to carbon or hydrogen atoms; Preparation of chelates of such compounds
- C07C45/61—Preparation of compounds having >C = O groups bound only to carbon or hydrogen atoms; Preparation of chelates of such compounds by reactions not involving the formation of >C = O groups
- C07C45/63—Preparation of compounds having >C = O groups bound only to carbon or hydrogen atoms; Preparation of chelates of such compounds by reactions not involving the formation of >C = O groups by introduction of halogen; by substitution of halogen atoms by other halogen atoms
-
- C—CHEMISTRY; METALLURGY
- C07—ORGANIC CHEMISTRY
- C07C—ACYCLIC OR CARBOCYCLIC COMPOUNDS
- C07C49/00—Ketones; Ketenes; Dimeric ketenes; Ketonic chelates
- C07C49/76—Ketones containing a keto group bound to a six-membered aromatic ring
- C07C49/80—Ketones containing a keto group bound to a six-membered aromatic ring containing halogen
-
- C—CHEMISTRY; METALLURGY
- C07—ORGANIC CHEMISTRY
- C07C—ACYCLIC OR CARBOCYCLIC COMPOUNDS
- C07C49/00—Ketones; Ketenes; Dimeric ketenes; Ketonic chelates
- C07C49/76—Ketones containing a keto group bound to a six-membered aromatic ring
- C07C49/84—Ketones containing a keto group bound to a six-membered aromatic ring containing ether groups, groups, groups, or groups
-
- C—CHEMISTRY; METALLURGY
- C07—ORGANIC CHEMISTRY
- C07B—GENERAL METHODS OF ORGANIC CHEMISTRY; APPARATUS THEREFOR
- C07B2200/00—Indexing scheme relating to specific properties of organic compounds
- C07B2200/13—Crystalline forms, e.g. polymorphs
Definitions
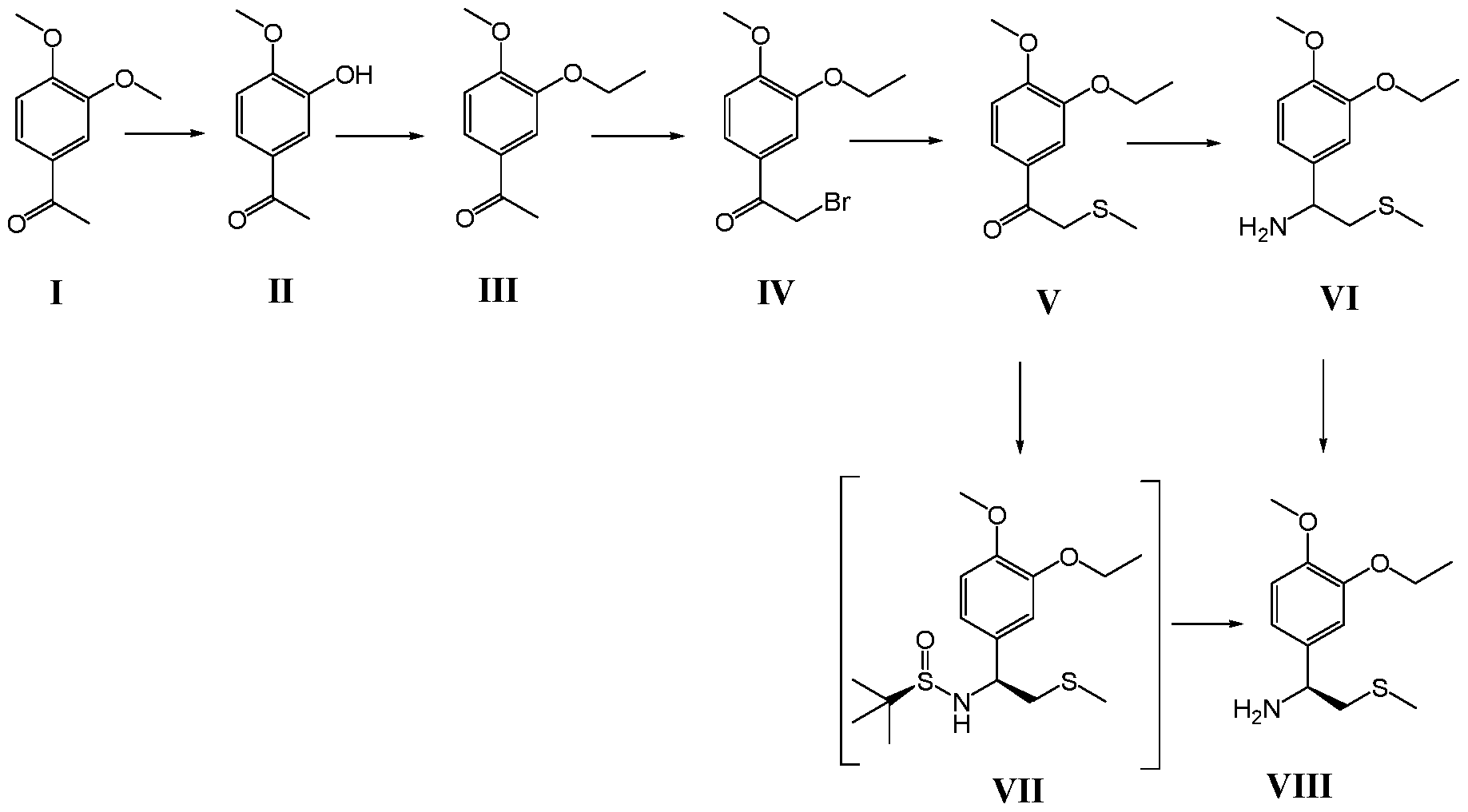
- the present disclosure relates to processes for the preparation of Apremilast and intermediates in the preparation thereof.
- OTEZLA ® is an oral small-molecule inhibitor of phosphodiesterase 4 (PDE4) specific for cyclic adenosine monophosphate (cAMP). PDE4 inhibition results in increased intracellular cAMP levels which are thought to indirectly modulate the production of inflammatory mediators.
- PDE4 phosphodiesterase 4
- OTEZLA® (apremilast) is indicated for the treatment of patients with moderate to severe plaque psoriasis who are candidates for phototherapy or systemic therapy. OTEZLA is also indicated for the treatment of adult patients with active psoriatic arthritis.
- US6020358 discloses a process using the reagents LiHMDS and n-butyllithium at -78 °C for the preparation of intermediate l-(3-ethoxy-4-methoxyphenyl)-2- (methylsulfonyl)ethan-l -amine. This process uses dangerous reagents and suffers from low yield, of about 36%, and is therefore not suitable for industrial scale application.
- US 8242310 discloses a process for the preparation of the same racemic intermediate. According to this publication, the process has improved yield, however this process still uses a dangerous reagent of n-butyllithium.
- the present disclosure relates to processes for preparing Apremilast and intermediates in the preparation thereof.
- the present disclosure provides processes for preparing a compound of formula VIII or an acid addition salt thereof, from a compound of formula V according to the following scheme:
- the compound V may be transformed to compound VIII by the route: V ⁇ VI ⁇ VIII or by the route: V ⁇ VII ⁇ VIII.
- the compound V is converted to compound VI by a reductive animation reaction.
- the compound VI may be subjected to a resolution procedure in order to obtain the compound VIII.
- the compound V may be subjected to a stereoselective reductive animation reaction by reacting with a chiral auxiliary [preferably (R)-(+)-2-methyl-2-propylsulfinamide] to generate the intermediate compound VII, followed by reduction to form compound VIII.
- a chiral auxiliary preferably (R)-(+)-2-methyl-2-propylsulfinamide
- the reaction with (R)-(+)-2-methyl-2-propylsulfinamide and subsequent reduction can be carried out in one pot, i.e. without isolation of the intermediate compound VII.
- the compound VIII can be converted to Apremilast in accordance with the processes disclosed herein.
- the compound VIII may be converted to Apremilast by: (A) oxidation of compound VIII to form a compound of formula IX or an acid addition salt thereof:
- the present disclosure comprises the compounds IV, V, VI and VIII, described hereinafter, processes for their preparation and their use as intermediates in the preparation of Apremilast, and intermediates of Apremilast, such as compound IX.
- the disclosure further encompasses processes for preparing Apremilast comprising the preparation of any one or several of the above compounds according to the present disclosure and converting it to
- the present disclosure relates to the compounds l-(3-ethoxy-4- methoxyphenyl)-2-(methylthio)ethan-l-one (V) and enantiomeric (l S)-l-(3-ethoxy-4- methoxyphenyl)-2-(methylthio)ethan-l -amine (VIII); processes for their preparation, and to the use of these compounds as intermediates in the preparation of apremilast.
- the disclosure further encompasses processes for preparing Apremilast comprising preparing compound V and compound VIII according to the present disclosure and converting it to Apremilast, for example according to the processes described in Scheme 1 and Scheme 2 and/or Scheme 3 hereinafter.
- the present disclosure comprises the preparation of 2-halo-l-(3-ethoxy-4- methoxyphenyl)ethan-l-one compounds (wherein halo can be fluoro, chloro, bromo or iodo, particularly chloro, bromo or iodo, more particularly chloro or bromo), and particularly 2-bromo- l-(3-ethoxy-4-methoxyphenyl)ethan-l-one (IV).
- halo can be fluoro, chloro, bromo or iodo, particularly chloro, bromo or iodo, more particularly chloro or bromo
- 2-bromo- l-(3-ethoxy-4-methoxyphenyl)ethan-l-one IV
- the present disclosure comprises the preparation of compound l-(3-ethoxy-4- methoxyphenyl)-2-(methylthio)ethan- 1 -one (V).
- the present disclosure comprises the preparation of compound l-(3-ethoxy-4- methoxy pheny l)-2-(methy lthio)ethan- 1 -amine (VI).
- the present disclosure comprises the preparation of compound (lS)-l-(3- ethoxy-4-methoxyphenyl)-2-(methylthio)ethan- 1 -amine (VIII).
- Crystalline forms of Apremilast intermediates are also provided.
- crystalline forms of compound (V), (VI) in the form of the hydrochloride salt, (VIII) in the form of the N-acetyl-L-leucine salt, and (IX) are provided.
- An amorphous form of (XII) is also provided.
- the present disclosure comprises the preparation of compound (S)-l-(3-ethoxy- 4-methoxyphenyl)-2-(methylsulfonyl)ethan-l -amine (IX), using the above mentioned intermediates IV, V, VI or VIII.
- the present disclosure also comprises processes for preparing Apremilast (N-[2- [(lS)-l-(3ethoxy-4-methoxyphenyl))-2(methylsulfonyl)ethyl]-2,3-dihydro-l,3-dioxo-lH- isoindol-4-yl]acetamide), using the above mentioned compounds as intermediates.
- Figure 1 XRPD partem of a crystalline form of compound (V) (prepared according to Example 6).
- Figure 2 XRPD partem of a crystalline form of compound (VI) hydrochloride salt (prepared according to Example 9).
- Figure 3 XRPD partem of a crystalline form of compound (VIII) N-acetyl-L- leucine salt (prepared according to Example 13).
- Figure 4 XRPD partem of a crystalline form of compound (IX) (prepared according to Example 17).
- Figure 5 XRPD pattern of an amorphous form of compound (XII) (prepared according to Example 19).
- the present disclosure relates to processes for the preparation of Apremilast and intermediates in the preparation thereof.
- the disclosure relates to the novel compounds IV, V, VI and VIII, described hereinafter, processes for their preparation and their use as intermediates in the preparation of Apremilast, and Apremilast intermediates, such as compound IX.
- the disclosure further encompasses processes for preparing Apremilast comprising preparing any one or several of the above compounds according to the present disclosure and converting it to Apremilast.
- the disclosure provides improved processes for the preparation of (l S)-l -(3-ethoxy-4-methoxyphenyl)-2-(methylthio)ethan-l-amine (VIII), which uses inexpensive and commercially available starting materials.
- the processes of the present disclosure consist of simple reaction steps and avoid the use of expensive reagents and extreme hazardous reaction conditions. Therefore they can be used on an industrial scale.
- compound IV refers to 2-bromo-l -(3-ethoxy-4- methoxyphenyl)ethan-l-one having the following structure:
- halo group can be chloro, bromo or iodo, and particularly chloro or bromo. However, preferably the halo group is bromo.
- compound V refers to compound l -(3-ethoxy-4- methoxyphenyl)-2-(methylthio)ethan-l-one (V) having the following structure:
- compound VI refers to the compound l-(3-ethoxy-4- methoxyphenyl)-2-(methylthio)ethan-l -amine (VI) having the following structure:
- compound VIII refers to the compound (lS)-l-(3- ethoxy-4-methoxyphenyl)-2-(methylthio)ethan-l -amine (VIII) having the following structure:
- Compound VIII may be in the form of a salt, for example a salt with a chiral acid, such as a chiral amino acid.
- compound VIII is in the form of the free base, or in the form of a salt with N-acetyl-L-leucine.
- the salt of compound VIII may be derived from the optical resolution of compound V by crystallization with an optically active acid.
- oxone refers to an oxidizing agent having the composition 2KHSO5.KHSO4.K2SO4 (CAS 70693-62-8) of which the active component is KHSO5 (CAS 10058-23-8), which is the potassium salt of peroxymonosulfuric acid (i.e.
- the composition is a
- isolated in reference to compounds described herein corresponds to a compound that is physically separated from the reaction mixture in which it is formed.
- a thing e.g., a reaction mixture
- room temperature often abbreviated "RT.” This means that the temperature of the thing is close to, or the same as, that of the space, e.g., the room or fume hood, in which the thing is located.
- room temperature is from about 20°C to about 30°C, or about 22°C to about 27°C, or about 25°C.
- a process or step may be referred to herein as being carried out “overnight.” This refers to a time interval, e.g., for the process or step, that spans the time during the night, when that process or step may not be actively observed. This time interval is from about 8 to about 20 hours, or about 10 to about 18 hours, typically about 16 hours.
- the present disclosure provides a process for the preparation of Apremilast comprising preparing a compound of formula (VIII) or an acid addition salt thereof, from a compound of formula (V) according to the following scheme:
- the compound (V) may be transformed to compound (VIII) by the route: (V) ⁇ (VI) ⁇ (VIII) or by the route: (V) ⁇ (VII) ⁇ (VIII).
- the compound (V) is converted to (VI) by a reductive animation reaction.
- the compound (VI) is subjected to a resolution procedure in order to obtain the compound (VIII).
- the compound (V) may be subjected to a stereoselective reductive amination by reacting with a chiral auxiliary [preferably (R)-(+)-2-methyl-2-propylsulfinamide] to generate the intermediate compound (VII), followed by reduction to form compound (VIII).
- a chiral auxiliary preferably (R)-(+)-2-methyl-2-propylsulfinamide
- the reaction with (R)-(+)-2-methyl-2-propylsulfinamide and subsequent reduction can be carried out in one pot, i.e. without isolation of the intermediate compound (VII).
- the compound of formula (V) may be prepared by thioether formation of the corresponding brominated starting material of formula (IV).
- the present disclosure encompasses a process according to the following scheme:
- Thioether formation to form the compound V can be carried out by reaction of compound (IV) with an alkali metal salt of methanethiolate, particularly sodium methanethiolate.
- the thioether formation can be done by reacting compound IV (preferably 2-bromo-l-(3-ethoxy- 4-methoxyphenyl)ethan-l-one) with sodium methane thiolate to yield compound V.
- the compound of formula (IV) or other halo substituted derivatives of compound (IV) may be prepared in three steps starting from 3',4'-dimethoxyacetophenone [compound (I) below]:
- the compound IV in the above reaction schemes may be a 2-halo-l-(3-ethoxy-4-methoxyphenyl)ethan-l-one, although compound IV is preferably 2- bromo-l-(3-ethoxy-4-methoxyphenyl)ethan-l-one as exemplified.
- the compound VIII may be in the form of a salt, for example a salt with a chiral acid, such as a chiral amino acid.
- compound VIII is in the form of the free base, or in the form of a salt with N-acetyl-L-leucine.
- the present disclosure also provides a process for preparing Apremilast comprising preparing compound VIII or an acid addition salt thereof, according to the processes disclosed in any aspect or embodiment as disclosed herein, and converting the compound VIII or an acid addition salt thereof to Apremilast.
- Compound III may be prepared by ethylation of compound II. Agents such as ethyl halides, diethyl sulfate or diethyl carbonate may be used as ethylating agents.
- the present disclosure relates to 2-halo-l-(3-ethoxy-4- methoxyphenyl)ethan-l-one compounds (wherein halo can be chloro, bromo or iodo, particularly chloro or bromo), preferably wherein halo is bromo, i.e. 2-bromo-l-(3-ethoxy-4- methoxyphenyl)ethan-l-one, the preparation thereof and to their use as an intermediate in the process for preparing apremilast.
- the 2-halo-l-(3-ethoxy-4-methoxyphenyl)ethan-l-one compounds particularly 2-bromo-l-(3-ethoxy-4-methoxyphenyl)ethan-l-one (compound IV) described herein may be isolated.
- the 2-halo-l-(3-ethoxy-4-methoxyphenyl)ethan-l-one compounds, particularly 2-bromo-l-(3-ethoxy-4-methoxyphenyl)ethan-l-one are solids.
- the 2-halo-l-(3-ethoxy-4-methoxyphenyl)ethan-l-one compounds can be prepared by halogenation of compound III.
- Suitable halogenation agents include N- chlorosuccinimide, N-iodosuccinimide, phenyltrimethylammonium tribromide, Cu(II)Br, dichlorohydantoin, preferably N-bromosuccinimide or dichlorohydantoin.
- the compound of formula IV is 2-bromo-l-(3-ethoxy-4- methoxyphenyl)ethan-l-one, which may be prepared by bromination of compound III. Any suitable brominating agent may be used.
- phenyltrimethylammonium tribromide, Cu(II)Br, bromine, or N-bromosuccinimide can be used. More particularly, bromine or N- bromosuccinimide may be used as a bromination agent.
- the present disclosure relates to l-(3-ethoxy-4- methoxyphenyl)-2-(methylthio)ethan-l-one (V), to the preparation thereof and to its use as an intermediate in the process for preparing Apremilast.
- Compound V may be isolated. In some embodiments, compound V is a solid.
- Compound V may be prepared by a process comprising thioether formation of compound IV.
- the thioether formation may be done by reacting compound IV with an alkali metal salt of methanethiolate, particularly sodium methanethiolate.
- the thioether formation can be done by reacting compound IV (preferably 2-bromo-l-(3-ethoxy-4- methoxyphenyl)ethan-l-one) with sodium methane thiolate to yield compound V.
- the present disclosure relates to l-(3-ethoxy-4- methoxyphenyl)-2-(methylthio)ethan-l -amine (VI), to the preparation thereof and to its use as an intermediate in the process for preparing Apremilast.
- Compound VI may be isolated. In some embodiments, compound VI is a solid.
- Compound VI may be prepared by a process comprising reductive animation of compound V.
- Reductive animation may be performed with in the presence of a reducing agent - preferably sodium borohydride - in the presence of titanium(IV) isopropoxide (or other titanium(IV) alkoxides, such as titanium (IV) ethoxide, titanium (IV) butoxide and titanium (IV) tert-butoxide).
- Further reduction agents include borane complexes such as borane-THF, borane- triethylamine, borane-pyridine or borane-dimethylsulfide.
- sodium reducing agent preferably sodium borohydride
- titanium(IV) isopropoxide or other titanium(IV) alkoxides, such as titanium (IV) ethoxide, titanium (IV) butoxide and titanium (IV) tert-butoxide.
- Further reduction agents include borane complexes such as borane-THF, borane- trieth
- triacetoxyborohydride or sodium cyanoborohydride may be used for the reductive amination.
- the reductive amination is performed with sodium borohydride in the presence of titanium(IV) isopropoxide.
- the ammonia source for the reductive amination can be ammonia, ammonium formate, ammonium acetate or other ammonium salts.
- the present disclosure relates to (lS)-l-(3-ethoxy-4- methoxyphenyl)-2-(methylthio)ethan-l -amine (VIII), or an acid addition salt thereof, to the preparation thereof, and to its use as an intermediate in the process for preparing Apremilast.
- the compound (VIII) may be in the form of an acid addition salt as discussed below.
- Compound VIII may be prepared by a process comprising resolution of compound VI. Resolution of compound VI may be done by optical resolution using chiral acids, such as chiral amino acids. A particularly preferred chiral amino acid is N-acetyl-L-leucine.
- compound VIII is reacted with a chiral amino acid in order to form a diastereomeric salt. The diastereomeric salt containing the desired isomer is isolated from the reaction mixture.
- the chiral amino acid is N-acetyl-L-leucine.
- Any suitable solvent may be used. A particularly preferred solvent is tetrahydrofuran.
- the compound VIII obtained from the optical resolution is typically in the form of a salt, for example a salt with a chiral acid, such as a chiral amino acid.
- compound VIII is either in the form of the free base (i.e. formed by basification of the salt of compound VIII), or in the form of a salt with N-acetyl-L- leucine.
- the acid addition salt of compound VIII from the optical resolution process may be used directly in the next step (i.e. oxidation or condensation as discussed below), or may be converted to the free base form of compound VIII by basification prior to the next step.
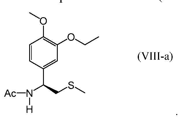
- compound VIII may be prepared by enzyme catalyzed kinetic resolution of compound VI, e.g. by enzymatic acylation of compound VI using lipases as catalysts. The reaction is preferably carried out in the presence of an acyl donor, with ethyl acetate being a preferred acyl donor.
- the product from the stereoselective enzymatic acylation of compound VI is an N-acylated derivative of compound VIII (i.e. VHI-a), having the formula:
- Compound VHI-a can be converted to compound VIII by deacylation, for example by reacting with an acid or base, preferably a base, and more preferably an alkali metal alkoxide (particularly sodium methoxide or sodium ethoxide) or alkali hydroxide (particularly sodium hydroxide or potassium hydroxide) in a suitable solvent (e.g. an aliphatic alcohol such as methanol or ethanol).
- a suitable solvent e.g. an aliphatic alcohol such as methanol or ethanol.
- the present disclosure relates to a process for preparing compound VIII by a stereoselective reductive amination of compound V.
- the stereoselective reductive amination may for example be performed by reaction of compound V with (R)-(+)-2- methyl-(2)-propanesulfinamide in the presence of a titanium(IV) alkoxide such as titanium (IV) ethoxide, titanium (IV) butoxide, titanium (IV) tert-butoxide or titanium(IV) isopropoxide - preferably titanium(IV) isopropoxide and reduction with a reducing agent (preferably sodium borohydride).
- a reducing agent preferably sodium borohydride
- the stereoselective reductive amination is performed by reaction of compound V with (R)-(+)-2-methyl-(2)-propanesulfinamide in the presence of titanium(IV) isopropoxide and reduction with sodium borohydride.
- the reaction of compound V with (R)-(+)-2-methyl-(2)-propanesulfinamide in the presence of a titanium(IV) alkoxide, preferably titanium(IV) isopropoxide generates an intermediate of formula (VII), which is preferably not isolated:
- Reaction of compound VII with an acid results in the formation of compound VIII, which preferably can be isolated in its acid addition salt.
- the resulting acid addition salt of compound VIII may be used directly in the next step (i.e. oxidation or condensation as discussed below), or may be converted to the free base form of compound VIII prior to the next step.
- compound VIII may be isolated.
- the isolated compound VIII may be in the form of an acid addition salt, for example with a mineral acid such as hydrochloric acid or with a chiral acid, such as a chiral amino acid, particularly N-acetyl-L- leucine, or as a free base.
- the disclosure further encompasses a process for preparing Apremilast comprising the preparation of compound VIII or an acid addition salt of compound VIII, for example with a mineral acid such as hydrochloric acid or with a chiral acid, such as a chiral amino acid, particularly N-acetyl-L-leucine (preferably the acid addition salt is with a chiral amino acid, and more preferably N-acetyl-L-leucine), according to the present disclosure and converting it to Apremilast, for example according to the process described in Scheme 2:
- the compound VIII may be in the form of a free base, or an acid addition salt (particularly a salt with a chiral acid, more particularly a chiral amino acid, and most preferably compound VIII is in the form of a salt with N-acetyl-L-leucine).
- Oxidation of compound VIII either in free base form or an acid addition salt thereof may be done with the use of oxone, hydrogen peroxide, sodium persulfate, or per-carboxylic acids such as m- chloroperbenzoic acid or peracetic acid.
- Condensation of compound IX and X may be performed as disclosed in WO 2003/080049. Any acid addition salt in the reaction can be removed by reaction with a base (e.g.
- Apremilast may be prepared by first condensing compound VIII with compound X to compound XII (N-[2-[(l S)-l-(3ethoxy-4-methoxyphenyl))- (methylthio)ethyl]-2,3-dihydro-l,3-dioxo-lH-isoindol-4-yl]acetamide), and then oxidizing the resulting condensation product.
- the disclosure further encompasses a process for preparing Apremilast comprising the preparation of compound VIII in the form of a free base, or an acid addition salt (particularly a salt with a chiral acid, more particularly a chiral amino acid, and most preferably N-acetyl-L-leucine) according to the present disclosure and converting it to Apremilast, for example according to the process described in Scheme 3:
- the compound VIII may be in the form of a free base, or an acid addition salt (particularly a salt with a chiral acid, more particularly a chiral amino acid, and most preferably N-acetyl-L-leucine).
- Condensation of compound VIII (as a free base or as an acid addition salt) and compound X may be performed in refluxing acetonitrile in the presence of acetic acid.
- Oxidation of the resulting compound XII may be done with the use of oxone, hydrogen peroxide, sodium persulfate, or per-carboxylic acids such as m-chloroperbenzoic acid or peracetic acid.
- the oxidation reaction may be carried out in the presence of a catalyst, such as a titanium(IV) alkoxide (particularly titanium (IV) ethoxide, titanium (IV) butoxide, titanium (IV) tert-butoxide or titanium(IV) isopropoxide, preferably titanium(IV) isopropoxide) or an alkali metal tungstate, particularly sodium tungstate.
- a catalyst such as a titanium(IV) alkoxide (particularly titanium (IV) ethoxide, titanium (IV) butoxide, titanium (IV) tert-butoxide or titanium(IV) isopropoxide, preferably titanium(IV) isopropoxide) or an alkali metal tungstate, particularly sodium tungstate.
- the oxidation reaction is carried out using hydrogen peroxide as the oxidation agent and sodium tungstate as catalyst.
- Apremilast can be carried out in one pot, i.e. without isolation of the intermediate compound XII.
- compound VIII and compound X are condensed (preferably by refluxing with acetonitrile in the presence of acetic acid), and then adding the oxidation agent and catalyst as discussed above directly to the reaction mixture after the condensation reaction is complete.
- the present disclosure further comprises the preparation of apremilast by first oxidizing compound VI, then performing resolution in order to obtain compound IX, which then may be converted to apremilast.
- the present disclosure further encompasses a crystalline form of compound (V).
- the crystalline form of compound (V) is preferably characterized by an X-ray powder diffraction partem having peaks at 8.2, 16.5, 19.5 and 27.3 ⁇ 0.2 degrees two-theta, and optionally further characterized by additional peaks at 10.8, 17.4, 18.6, 20.8, 21.8, 23.5, 24.2, 24.9, 25.0 and 28.0 ⁇ 0.2 degrees two-theta, or an X-ray powder diffraction pattern substantially as depicted in Figure 1.
- a crystalline form of the compound of formula (VI) in the form a hydrochloride salt is characterized by an X-ray powder diffraction partem having peaks at 10.6, 15.5, 23.5, 25.2 and 26.4 ⁇ 0.2 degrees two-theta, and optionally further characterized by additional peaks at 1 1.8, 16.8, 18.7, 19.3, 20.2, 20.6, 21.3, 22.3, 23.3, 27.0, 27.6, 28.1 and 29.1 ⁇ 0.2 degrees two-theta, or an X-ray powder diffraction pattern substantially as depicted in Figure 2.
- a crystalline form of the compound of formula (VIII) which is in the form of a salt with N-acetyl-L-leucine.
- the crystalline form is characterized by an X-ray powder diffraction pattern having peaks at 6.4, 7.8, 8.4, 15.6 and 16.2 ⁇ 0.2 degrees two-theta, and optionally further characterized by peaks at 3.6, 4.8, 7.3, 9.6, 10.1, 11.3, 13.7, 14.2, 14.8, 17.4, 18.0, 19.8, 22.6, 23.7, 24.2 and 24.4 ⁇ 0.2 degrees two-theta, or an X-ray powder diffraction pattern substantially as depicted in Figure 3.
- the present disclosure further provides a crystalline form of a compound of formula (IX) in free base form.
- the crystalline form is preferably characterized by an X-ray powder diffraction pattern having peaks at 5.9, 1 1.8, 17.7 and 26.0 ⁇ 0.2 degrees two-theta, and optionally further characterized by additional peaks at 15.8, 16.7, 19.8, 20.6, 23.7, 26.6, 28.6, 29.8 and 31.6 ⁇ 0.2 degrees two-theta, or an X-ray powder diffraction pattern substantially as depicted in Figure 4.
- the present disclosure comprises the use of the compounds disclosed herein, particularly compounds IV, V, VI, VII, VIII, XII, acid addition salts thereof, and their solid state forms as indicated above, as intermediates for the preparation of a compound of formula (IX) or for the preparation of Apremilast.
- the Apremilast may further be combined with at least one pharmaceutically acceptable excipient to prepare a pharmaceutical formulation, or a
- Scan range 2 - 40 degrees 2-theta
- Step size 0.05 ⁇ 0.005 degrees
- V20 The accuracy of peak positions is defined as ⁇ 0.2 degrees two theta due to experimental differences such as instrumentations, sample preparations etc.
- Dimethoxyacetophenone derivative (I) (72.08 g; 0.4 mol) was dissolved in sulfuric acid (360 ml), and then the mixture was stirred at 62 - 64 °C for 48 h.
- the reaction mixture was cooled to room temperature, poured into ice water (prepared from 2 kg of ice and 1.6 kg of water) and kept in a refrigerator overnight.
- the product was collected by filtration, washed with water (5x100 ml) and dried in vacuum at 40 °C until constant weight to obtain the product (40.4 g; 60.2 %; HPLC purity: 96.4 %).
- the crude product was dissolved in warm ethanol (80 ml) and precipitated by addition of n-heptane (80 ml).
- the mixture was cooled to 0 - 10 °C, stirred at this temperature for 1 h, the product was collected, washed with n-heptane (40 ml) and dried in a vacuum at 40°C until constant weight to obtain the purified product (30.77 g; 46.2 %; HPLC purity: 99.5 %).
- the mixture was concentrated in vacuum to about 100 g, diluted with ethyl acetate (300 ml) and about 100 ml of solvent was distilled out from the diluted mixture.
- the resulting solution was diluted with water (100 ml), the obtained precipitate was removed by filtration and the filter cake was washed with ethyl acetate (100 ml).
- the filtrate was diluted with n-heptane (100 ml) the resulting two phases were separated, the filter cake was washed once again with ethyl acetate (100 ml), which was used again for extraction of the water phase.
- the organic phases were combined, evaporated to about 40 g in vacuum and the obtained solution is diluted with ethyl acetate.
- the obtained solution was treated with concentrated hydrochloric acid (8 ml) to precipitate the hydrochloride salt of compound 6.
- the precipitated material was collected, washed with ethyl acetate (2x30 ml) and dried in vacuum at 40 °C until constant weight to obtain the product (22.61 g; 81.0 %; HPLC purity: 96.4 %).
- V l-(3-ethoxy-4-methoxyphenyl)-2-(methylthio)ethan-l-one (V) (12.01 g; 50 mMol), abs. methanol (120 ml), titanium tetra-iso-propoxide (28.4 g; 29.5 ml; 100 mMol) and ammonia 7 Mol/1 in methanol (50 ml; 350 mMol) were charged into a reaction vessel under nitrogen. After charging, the reaction vessel was closed, and the mixture was stirred at 40 C° for 10 h.
- the organic phase was evaporated to about 92 ml (about 86 g) in vacuum and the obtained solution was treated with cone hydrochloric acid (about 3.4 ml) to adjust the pH to about 4 - 5 while stirring and cooling at max. 40 C°.
- the obtained slurry was cooled to 0 - 10 C°, and stirred at this temperature for 2 h.
- the precipitated hydrochloride salt of l-(3-ethoxy-4- methoxyphenyl)-2-(methylthio)ethan-l -amine (VI) was collected, washed with ethyl acetate (2x30 ml) and dried in vacuum at 40 °C until constant weight to obtain the product.
- optical purity is characterized by ee: 97.8 %.
- NAL N-Acetyl-L-leucine
- Substrate ( ⁇ )- 1 -(3-ethoxy-4-methoxyphenyl)-2-(methylthio)ethan- 1 -amine (VI) (320 mg, 1.326 mmol, 20 mg/ml concentration in reaction mixture) was dissolved in 16 ml toluene/ethyl acetate 3: 1 v/v mixture. Triethylamine (18.5 ⁇ , 0.1 equiv. to substrate) was dissolved in the obtained solution.
- Enzymes available in immobilized form (adsorbed on sorption resins or macroporous resins or covalently immobilized on activated resins) were weighed into dry ampoules in 20-20 mg amount.
- the solution prepared above was added to the enzymes in 1-1 ml volume, at room temperature.
- the ampoules were closed with caps, and placed into an incubator shaker at 50 °C temperature, for 24 hours.
- the shaking velocity of the incubator was 400 rpm.
- the reaction mixtures were diluted quantitatively with acetonitrile and analyzed by HPLC.
- Substrate ( ⁇ )- 1 -(3-ethoxy-4-methoxyphenyl)-2-(methylthio)ethan- 1 -amine (VI) (320 mg, 1.326 mmol, 20 mg/ml concentration in reaction mixture) was dissolved in toluene, ethyl methoxyacetate (396.8 mg, 3.359 mmol, 2.5 equiv. to substrate) was added and the mixture was completed to 16 ml.
- Enzymes available in immobilized form were weighed into dry ampoules in 20-20 mg amount, together with molecular sieves (4 Angstrom pore size, 58.1 mg).
- the solution prepared above was added to the enzymes in 1-1 ml volume, at room temperature.
- the ampoules were closed with caps, and placed into an incubator shaker at 50 °C temperature, for 24 hours.
- the shaking velocity of the incubator was 400 rpm. After 24 hours of shaking the reaction mixtures were diluted quantitatively with acetonitrile and analyzed by HPLC.
- Diatomaceous earth (Hyflo Super Cel) was pretreated with 50% sulfuric acid at room temperature
- the pretreated Hyflo Super Cel powder (in dried form) was weighed in 2-2 g amount into Petri dishes and the content of each Petri dish was mixed with the prepared enzyme solutions until an uniformly spread thick suspension was obtained. The Petri dishes were left to dry under a functioning fumehood for 48 hours. The obtained enzyme preparations were homogenized thereafter and tested in enzymatic reactions.
- Reaction set A (with ethyl acetate as acyl donor):
- Enzymes immobilized by deposition on diatomaceous earth were weighed into dry ampoules in 20-20 mg amount. The solution prepared above was added to the enzymes in 1-
- Reaction set B (with ethyl methoxyacetate as acyl donor):
- Substrate ( ⁇ )- 1 -(3-ethoxy-4-methoxyphenyl)-2-(methylthio)ethan- 1 -amine (280 mg, 1.160 mmol, 20 mg/ml concentration in reaction mixture) was dissolved in toluene, ethyl methoxyacetate (344 mg, 2.912 mmol, 2.5 equiv. to substrate) and triethylamine (16.24 ⁇ , 0.1 equiv. to substrate) was added and the mixture was completed to 14 ml.
- Enzymes immobilized by deposition on diatomaceous earth were weighed into dry ampoules in 20-20 mg amount.
- the solution prepared above was added to the enzymes in 1- 1 ml volume, at room temperature.
- the ampoules were closed with caps, and placed into an incubator shaker at 50 °C for 48 hours.
- the shaking velocity of the incubator was 400 rpm. After 48 hours of shaking, the reaction mixtures were diluted quantitatively with acetonitrile and analyzed by HPLC.
- reaction mixture was cooled to 35°C and ethanol (2400 mL) was added to the solution in 2 hours. After ethanol addition the suspension was stirred for 10 hours. The suspension was cooled to 0-5°C and kept at this temperature for 2 hours. The suspension was filtered, washed with cooled (0-5°C) ethanol (1200 mL) and dried under vacuum at 50°C overnight.
Landscapes
- Chemical & Material Sciences (AREA)
- Organic Chemistry (AREA)
- Chemical Kinetics & Catalysis (AREA)
- Health & Medical Sciences (AREA)
- General Chemical & Material Sciences (AREA)
- Medicinal Chemistry (AREA)
- Nuclear Medicine, Radiotherapy & Molecular Imaging (AREA)
- Pharmacology & Pharmacy (AREA)
- Life Sciences & Earth Sciences (AREA)
- Animal Behavior & Ethology (AREA)
- General Health & Medical Sciences (AREA)
- Public Health (AREA)
- Veterinary Medicine (AREA)
- Organic Low-Molecular-Weight Compounds And Preparation Thereof (AREA)
- Pharmaceuticals Containing Other Organic And Inorganic Compounds (AREA)
Abstract
Disclosed are processes for the preparation of Apremilast and intermediates for its preparation.
Description
PROCESSES FOR THE PREPARATION OF APREMILAST AND
INTERMEDIATES THEREOF
CROSS-REFERENCE TO RELATED APPLICATIONS
[0001] This application claims the priority of U.S. Provisional Patent Application No. 62/234,094, filed September 29, 2015, which is incorporated by reference herein.
FIELD OF THE INVENTION
[0002] The present disclosure relates to processes for the preparation of Apremilast and intermediates in the preparation thereof.
BACKGROUND
[0003] Apremilast, N-[2-[(lS)-l-(3ethoxy-4-methoxyphenyl))-2(methylsulfonyl)ethyl]- 2,3-dihydro-l,3-dioxo-lH-isoindol-4-yl]acetamide, has the following chemical structure:
[0004] Apremilast, the active ingredient of OTEZLA®, is an oral small-molecule inhibitor of phosphodiesterase 4 (PDE4) specific for cyclic adenosine monophosphate (cAMP). PDE4 inhibition results in increased intracellular cAMP levels which are thought to indirectly modulate the production of inflammatory mediators.
[0005] OTEZLA® (apremilast) is indicated for the treatment of patients with moderate to severe plaque psoriasis who are candidates for phototherapy or systemic therapy. OTEZLA is also indicated for the treatment of adult patients with active psoriatic arthritis.
[0006] Processes for the preparation of apremilast are disclosed in the following references.
[0007] US6020358 discloses a process using the reagents LiHMDS and n-butyllithium at -78 °C for the preparation of intermediate l-(3-ethoxy-4-methoxyphenyl)-2-
(methylsulfonyl)ethan-l -amine. This process uses dangerous reagents and suffers from low yield, of about 36%, and is therefore not suitable for industrial scale application.
[0008] US 8242310 discloses a process for the preparation of the same racemic intermediate. According to this publication, the process has improved yield, however this process still uses a dangerous reagent of n-butyllithium.
[0009] US2013/0217918 and US2013/0217919 disclose different kinds of
stereoselective synthetic methods using chiral reagents, which are expensive.
[0010] For at least the above reasons, there is a need to have improved processes for preparing Apremilast, with increased safety, efficiency and reasonable cost that can be used for an industrial scale.
SUMMARY OF THE INVENTION
[0011] The present disclosure relates to processes for preparing Apremilast and intermediates in the preparation thereof.
[0012] In a first aspect, the present disclosure provides processes for preparing a compound of formula VIII or an acid addition salt thereof, from a compound of formula V according to the following scheme:
V
VI
Thus, as set out in the above scheme, the compound V may be transformed to compound VIII by the route: V→ VI→ VIII or by the route: V→ VII→ VIII. In the first option, the compound V is converted to compound VI by a reductive animation reaction. The compound VI may be subjected to a resolution procedure in order to obtain the compound VIII. Alternatively, the compound V may be subjected to a stereoselective reductive animation reaction by reacting with a chiral auxiliary [preferably (R)-(+)-2-methyl-2-propylsulfinamide] to generate the intermediate compound VII, followed by reduction to form compound VIII. Advantageously, the reaction with (R)-(+)-2-methyl-2-propylsulfinamide and subsequent reduction can be carried out in one pot, i.e. without isolation of the intermediate compound VII.
[0013] The compound VIII can be converted to Apremilast in accordance with the processes disclosed herein. In particular, the compound VIII may be converted to Apremilast by: (A) oxidation of compound VIII to form a compound of formula IX or an acid addition salt thereof:
and condensation of the compound of formula IX or an acid addition salt thereof with comp
or
(B) condensation of the compound of formula VIII or an acid addition salt thereof, with a compound of formula X:
and oxidizing the compound of formula XII.
[0014] The present disclosure comprises the compounds IV, V, VI and VIII, described hereinafter, processes for their preparation and their use as intermediates in the preparation of Apremilast, and intermediates of Apremilast, such as compound IX. The disclosure further encompasses processes for preparing Apremilast comprising the preparation of any one or several of the above compounds according to the present disclosure and converting it to
Apremilast.
[0015] Particularly, the present disclosure relates to the compounds l-(3-ethoxy-4- methoxyphenyl)-2-(methylthio)ethan-l-one (V) and enantiomeric (l S)-l-(3-ethoxy-4- methoxyphenyl)-2-(methylthio)ethan-l -amine (VIII); processes for their preparation, and to the use of these compounds as intermediates in the preparation of apremilast. The disclosure further encompasses processes for preparing Apremilast comprising preparing compound V and compound VIII according to the present disclosure and converting it to Apremilast, for example according to the processes described in Scheme 1 and Scheme 2 and/or Scheme 3 hereinafter.
[0016] The present disclosure comprises the preparation of 2-halo-l-(3-ethoxy-4- methoxyphenyl)ethan-l-one compounds (wherein halo can be fluoro, chloro, bromo or iodo, particularly chloro, bromo or iodo, more particularly chloro or bromo), and particularly 2-bromo- l-(3-ethoxy-4-methoxyphenyl)ethan-l-one (IV).
[0017] The present disclosure comprises the preparation of compound l-(3-ethoxy-4- methoxyphenyl)-2-(methylthio)ethan- 1 -one (V).
[0018] The present disclosure comprises the preparation of compound l-(3-ethoxy-4- methoxy pheny l)-2-(methy lthio)ethan- 1 -amine (VI).
[0019] The present disclosure comprises the preparation of compound (lS)-l-(3- ethoxy-4-methoxyphenyl)-2-(methylthio)ethan- 1 -amine (VIII).
[0020] Crystalline forms of Apremilast intermediates are also provided. In particular, crystalline forms of compound (V), (VI) in the form of the hydrochloride salt, (VIII) in the form of the N-acetyl-L-leucine salt, and (IX) are provided. An amorphous form of (XII) is also provided.
[0021] The present disclosure comprises the preparation of compound (S)-l-(3-ethoxy- 4-methoxyphenyl)-2-(methylsulfonyl)ethan-l -amine (IX), using the above mentioned intermediates IV, V, VI or VIII.
[0022] The present disclosure also comprises processes for preparing Apremilast (N-[2- [(lS)-l-(3ethoxy-4-methoxyphenyl))-2(methylsulfonyl)ethyl]-2,3-dihydro-l,3-dioxo-lH- isoindol-4-yl]acetamide), using the above mentioned compounds as intermediates.
DESCRIPTION OF FIGURES
[0023] Figure 1 : XRPD partem of a crystalline form of compound (V) (prepared according to Example 6).
[0024] Figure 2: XRPD partem of a crystalline form of compound (VI) hydrochloride salt (prepared according to Example 9).
[0025] Figure 3: XRPD partem of a crystalline form of compound (VIII) N-acetyl-L- leucine salt (prepared according to Example 13).
[0026] Figure 4: XRPD partem of a crystalline form of compound (IX) (prepared according to Example 17).
[0027] Figure 5: XRPD pattern of an amorphous form of compound (XII) (prepared according to Example 19).
DETAILED DESCRIPTION OF THE INVENTION
[0028] The present disclosure relates to processes for the preparation of Apremilast and intermediates in the preparation thereof. Particularly, the disclosure relates to the novel compounds IV, V, VI and VIII, described hereinafter, processes for their preparation and their use as intermediates in the preparation of Apremilast, and Apremilast intermediates, such as compound IX. The disclosure further encompasses processes for preparing Apremilast comprising preparing any one or several of the above compounds according to the present disclosure and converting it to Apremilast.
[0029] Particularly, the disclosure provides improved processes for the preparation of (l S)-l -(3-ethoxy-4-methoxyphenyl)-2-(methylthio)ethan-l-amine (VIII), which uses inexpensive and commercially available starting materials. The processes of the present disclosure consist of simple reaction steps and avoid the use of expensive reagents and extreme hazardous reaction conditions. Therefore they can be used on an industrial scale.
[0030] The following definitions are used throughout the disclosure:
[0031] As used herein, the term compound IV refers to 2-bromo-l -(3-ethoxy-4- methoxyphenyl)ethan-l-one having the following structure:
It will be appreciated that other 2-halo-l -(3-ethoxy-4-methoxyphenyl)ethan-l-one may also be used. For example the halo group can be chloro, bromo or iodo, and particularly chloro or bromo. However, preferably the halo group is bromo.
[0032] As used herein, the term compound V refers to compound l -(3-ethoxy-4- methoxyphenyl)-2-(methylthio)ethan-l-one (V) having the following structure:
[0033] As used herein, the term compound VI refers to the compound l-(3-ethoxy-4- methoxyphenyl)-2-(methylthio)ethan-l -amine (VI) having the following structure:
[0034] As used herein, the term compound VIII refers to the compound (lS)-l-(3- ethoxy-4-methoxyphenyl)-2-(methylthio)ethan-l -amine (VIII) having the following structure:
Compound VIII may be in the form of a salt, for example a salt with a chiral acid, such as a chiral amino acid. Preferably compound VIII is in the form of the free base, or in the form of a salt with N-acetyl-L-leucine. The salt of compound VIII may be derived from the optical resolution of compound V by crystallization with an optically active acid.
[0035] As used herein, the term oxone refers to an oxidizing agent having the composition 2KHSO5.KHSO4.K2SO4 (CAS 70693-62-8) of which the active component is KHSO5 (CAS 10058-23-8), which is the potassium salt of peroxymonosulfuric acid (i.e.
potassium peroxymonosulfate or potassium monopersulfate). The composition is a
commercially available oxidizing agent.
[0036] As used herein, the term "isolated" in reference to compounds described herein corresponds to a compound that is physically separated from the reaction mixture in which it is formed.
[0037] As used herein, unless stated otherwise, PXRD peaks reported herein are preferably measured using CuK radiation, λ = 1.5406 A.
[0038] A thing, e.g., a reaction mixture, may be characterized herein as being at, or allowed to come to "room temperature, often abbreviated "RT." This means that the temperature of the thing is close to, or the same as, that of the space, e.g., the room or fume hood, in which the thing is located. Typically, room temperature is from about 20°C to about 30°C, or about 22°C to about 27°C, or about 25°C.
[0039] A process or step may be referred to herein as being carried out "overnight." This refers to a time interval, e.g., for the process or step, that spans the time during the night, when that process or step may not be actively observed. This time interval is from about 8 to about 20 hours, or about 10 to about 18 hours, typically about 16 hours.
[0040] The present disclosure provides a process for the preparation of Apremilast comprising preparing a compound of formula (VIII) or an acid addition salt thereof, from a compound of formula (V) according to the following scheme:
and converting the compound of formula (VIII) or an acid addition salt thereof, to Apremilast. Thus, as set out in the above scheme, the compound (V) may be transformed to compound (VIII) by the route: (V)→ (VI)→ (VIII) or by the route: (V)→ (VII)→ (VIII). In the first option, the compound (V) is converted to (VI) by a reductive animation reaction. The compound (VI) is subjected to a resolution procedure in order to obtain the compound (VIII). Alternatively, the compound (V) may be subjected to a stereoselective reductive amination by reacting with a chiral auxiliary [preferably (R)-(+)-2-methyl-2-propylsulfinamide] to generate the intermediate compound (VII), followed by reduction to form compound (VIII). Advantageously, the reaction with (R)-(+)-2-methyl-2-propylsulfinamide and subsequent reduction can be carried out in one pot, i.e. without isolation of the intermediate compound (VII).
[0041] The compound of formula (V) may be prepared by thioether formation of the corresponding brominated starting material of formula (IV). Hence the present disclosure encompasses a process according to the following scheme:
Thioether formation to form the compound V can be carried out by reaction of compound (IV) with an alkali metal salt of methanethiolate, particularly sodium methanethiolate. Particularly, the thioether formation can be done by reacting compound IV (preferably 2-bromo-l-(3-ethoxy- 4-methoxyphenyl)ethan-l-one) with sodium methane thiolate to yield compound V.
[0042] The compound of formula (IV) or other halo substituted derivatives of compound (IV) (e.g. chloro and iodo substituted derivatives) may be prepared in three steps starting from 3',4'-dimethoxyacetophenone [compound (I) below]:
I II III IV
As set out in the above reaction scheme, demethylation of compound (I) results in the formation of 3 '-hydroxy -4'-methoxyacetophenone [compound (II)], which can be ethylated to form the 3'ethoxy-4'-methoxyacetophenone [compound (III)], which can be halogenated (brominated) to form compound (IV).
[0043] In certain embodiments, the present disclosure relates to (lS)-l-(3-ethoxy-4- methoxyphenyl)-2-(methylthio)ethan-l -amine (VIII), and to processes for preparation thereof according to the processes described in Scheme 1 :
Scheme 1: Synthesis of Compound VIII
[0044] In some embodiments, the compound IV in the above reaction schemes may be a 2-halo-l-(3-ethoxy-4-methoxyphenyl)ethan-l-one, although compound IV is preferably 2- bromo-l-(3-ethoxy-4-methoxyphenyl)ethan-l-one as exemplified. The compound VIII may be in the form of a salt, for example a salt with a chiral acid, such as a chiral amino acid. Preferably compound VIII is in the form of the free base, or in the form of a salt with N-acetyl-L-leucine.
[0045] The present disclosure also provides a process for preparing Apremilast comprising preparing compound VIII or an acid addition salt thereof, according to the processes disclosed in any aspect or embodiment as disclosed herein, and converting the compound VIII or an acid addition salt thereof to Apremilast.
[0046] Compound II in Scheme 1 may be prepared from compound I as described in the literature (Bioorg. Med. Chem, 18, 971-977 (2010); J. Org. Chem, 32, 1269-1270 (1967)).
[0047] Compound III may be prepared by ethylation of compound II. Agents such as ethyl halides, diethyl sulfate or diethyl carbonate may be used as ethylating agents.
[0048] In further embodiments, the present disclosure relates to 2-halo-l-(3-ethoxy-4- methoxyphenyl)ethan-l-one compounds (wherein halo can be chloro, bromo or iodo, particularly chloro or bromo), preferably wherein halo is bromo, i.e. 2-bromo-l-(3-ethoxy-4- methoxyphenyl)ethan-l-one, the preparation thereof and to their use as an intermediate in the process for preparing apremilast.
[0049] The 2-halo-l-(3-ethoxy-4-methoxyphenyl)ethan-l-one compounds, particularly 2-bromo-l-(3-ethoxy-4-methoxyphenyl)ethan-l-one (compound IV) described herein may be isolated. In some embodiments, the 2-halo-l-(3-ethoxy-4-methoxyphenyl)ethan-l-one compounds, particularly 2-bromo-l-(3-ethoxy-4-methoxyphenyl)ethan-l-one are solids.
[0050] The 2-halo-l-(3-ethoxy-4-methoxyphenyl)ethan-l-one compounds can be prepared by halogenation of compound III. Suitable halogenation agents include N- chlorosuccinimide, N-iodosuccinimide, phenyltrimethylammonium tribromide, Cu(II)Br, dichlorohydantoin, preferably N-bromosuccinimide or dichlorohydantoin. In a preferred embodiment of the present disclosure, the compound of formula IV is 2-bromo-l-(3-ethoxy-4- methoxyphenyl)ethan-l-one, which may be prepared by bromination of compound III. Any suitable brominating agent may be used. Preferably, phenyltrimethylammonium tribromide, Cu(II)Br, bromine, or N-bromosuccinimide can be used. More particularly, bromine or N- bromosuccinimide may be used as a bromination agent.
[0051] In other embodiments, the present disclosure relates to l-(3-ethoxy-4- methoxyphenyl)-2-(methylthio)ethan-l-one (V), to the preparation thereof and to its use as an intermediate in the process for preparing Apremilast.
[0052] Compound V may be isolated. In some embodiments, compound V is a solid.
[0053] Compound V may be prepared by a process comprising thioether formation of compound IV. The thioether formation may be done by reacting compound IV with an alkali metal salt of methanethiolate, particularly sodium methanethiolate. Particularly, the thioether formation can be done by reacting compound IV (preferably 2-bromo-l-(3-ethoxy-4- methoxyphenyl)ethan-l-one) with sodium methane thiolate to yield compound V.
[0054] In other embodiments, the present disclosure relates to l-(3-ethoxy-4- methoxyphenyl)-2-(methylthio)ethan-l -amine (VI), to the preparation thereof and to its use as an intermediate in the process for preparing Apremilast.
[0055] Compound VI may be isolated. In some embodiments, compound VI is a solid.
[0056] Compound VI may be prepared by a process comprising reductive animation of compound V. Reductive animation may be performed with in the presence of a reducing agent - preferably sodium borohydride - in the presence of titanium(IV) isopropoxide (or other titanium(IV) alkoxides, such as titanium (IV) ethoxide, titanium (IV) butoxide and titanium (IV) tert-butoxide). Further reduction agents include borane complexes such as borane-THF, borane- triethylamine, borane-pyridine or borane-dimethylsulfide. Further, also sodium
triacetoxyborohydride or sodium cyanoborohydride may be used for the reductive amination. Preferably, the reductive amination is performed with sodium borohydride in the presence of titanium(IV) isopropoxide. The ammonia source for the reductive amination can be ammonia, ammonium formate, ammonium acetate or other ammonium salts.
[0057] In other embodiments, the present disclosure relates to (lS)-l-(3-ethoxy-4- methoxyphenyl)-2-(methylthio)ethan-l -amine (VIII), or an acid addition salt thereof, to the preparation thereof, and to its use as an intermediate in the process for preparing Apremilast. The compound (VIII) may be in the form of an acid addition salt as discussed below.
[0058] Compound VIII may be prepared by a process comprising resolution of compound VI. Resolution of compound VI may be done by optical resolution using chiral acids, such as chiral amino acids. A particularly preferred chiral amino acid is N-acetyl-L-leucine. In a preferred embodiment, compound VIII is reacted with a chiral amino acid in order to form a diastereomeric salt. The diastereomeric salt containing the desired isomer is isolated from the reaction mixture. Preferably, the chiral amino acid is N-acetyl-L-leucine. Any suitable solvent may be used. A particularly preferred solvent is tetrahydrofuran. The compound VIII obtained from the optical resolution is typically in the form of a salt, for example a salt with a chiral acid, such as a chiral amino acid. Preferably compound VIII is either in the form of the free base (i.e. formed by basification of the salt of compound VIII), or in the form of a salt with N-acetyl-L- leucine. In the preparation of Apremilast and its intermediates, the acid addition salt of compound VIII from the optical resolution process may be used directly in the next step (i.e. oxidation or condensation as discussed below), or may be converted to the free base form of compound VIII by basification prior to the next step.
[0059] Alternatively, compound VIII may be prepared by enzyme catalyzed kinetic resolution of compound VI, e.g. by enzymatic acylation of compound VI using lipases as
catalysts. The reaction is preferably carried out in the presence of an acyl donor, with ethyl acetate being a preferred acyl donor. The product from the stereoselective enzymatic acylation of compound VI is an N-acylated derivative of compound VIII (i.e. VHI-a), having the formula:
Compound VHI-a can be converted to compound VIII by deacylation, for example by reacting with an acid or base, preferably a base, and more preferably an alkali metal alkoxide (particularly sodium methoxide or sodium ethoxide) or alkali hydroxide (particularly sodium hydroxide or potassium hydroxide) in a suitable solvent (e.g. an aliphatic alcohol such as methanol or ethanol).
[0060] In a further embodiment, the present disclosure relates to a process for preparing compound VIII by a stereoselective reductive amination of compound V. The stereoselective reductive amination may for example be performed by reaction of compound V with (R)-(+)-2- methyl-(2)-propanesulfinamide in the presence of a titanium(IV) alkoxide such as titanium (IV) ethoxide, titanium (IV) butoxide, titanium (IV) tert-butoxide or titanium(IV) isopropoxide - preferably titanium(IV) isopropoxide and reduction with a reducing agent (preferably sodium borohydride). In a preferred embodiment, the stereoselective reductive amination is performed by reaction of compound V with (R)-(+)-2-methyl-(2)-propanesulfinamide in the presence of titanium(IV) isopropoxide and reduction with sodium borohydride. In this process, the reaction of compound V with (R)-(+)-2-methyl-(2)-propanesulfinamide in the presence of a titanium(IV) alkoxide, preferably titanium(IV) isopropoxide, generates an intermediate of formula (VII), which is preferably not isolated:
Reaction of compound VII with an acid, preferably hydrochloric acid results in the formation of compound VIII, which preferably can be isolated in its acid addition salt. The resulting acid addition salt of compound VIII may be used directly in the next step (i.e. oxidation or condensation as discussed below), or may be converted to the free base form of compound VIII prior to the next step.
[0061] In some embodiments, compound VIII may be isolated. The isolated compound VIII may be in the form of an acid addition salt, for example with a mineral acid such as hydrochloric acid or with a chiral acid, such as a chiral amino acid, particularly N-acetyl-L- leucine, or as a free base.
[0062] The disclosure further encompasses a process for preparing Apremilast comprising the preparation of compound VIII or an acid addition salt of compound VIII, for example with a mineral acid such as hydrochloric acid or with a chiral acid, such as a chiral amino acid, particularly N-acetyl-L-leucine (preferably the acid addition salt is with a chiral amino acid, and more preferably N-acetyl-L-leucine), according to the present disclosure and converting it to Apremilast, for example according to the process described in Scheme 2:
Scheme 2: A synthetic alternative for transformation of compound VIII to apremilast
[0063] As indicated above, the compound VIII may be in the form of a free base, or an acid addition salt (particularly a salt with a chiral acid, more particularly a chiral amino acid, and most preferably compound VIII is in the form of a salt with N-acetyl-L-leucine). Oxidation of compound VIII either in free base form or an acid addition salt thereof may be done with the use of oxone, hydrogen peroxide, sodium persulfate, or per-carboxylic acids such as m- chloroperbenzoic acid or peracetic acid. Condensation of compound IX and X may be performed as disclosed in WO 2003/080049. Any acid addition salt in the reaction can be removed by reaction with a base (e.g. an alkali metal hydroxide or alkali metal carbonate, or alkali metal bicarbonate) or by extraction with the base.
[0064] Alternatively, Apremilast may be prepared by first condensing compound VIII with compound X to compound XII (N-[2-[(l S)-l-(3ethoxy-4-methoxyphenyl))- (methylthio)ethyl]-2,3-dihydro-l,3-dioxo-lH-isoindol-4-yl]acetamide), and then oxidizing the resulting condensation product.
[0065] Thus, the disclosure further encompasses a process for preparing Apremilast comprising the preparation of compound VIII in the form of a free base, or an acid addition salt (particularly a salt with a chiral acid, more particularly a chiral amino acid, and most preferably N-acetyl-L-leucine) according to the present disclosure and converting it to Apremilast, for example according to the process described in Scheme 3:
Scheme 3: A synthetic alternative for transformation of compound VIII to apremilast
[0066] As indicated above, the compound VIII may be in the form of a free base, or an acid addition salt (particularly a salt with a chiral acid, more particularly a chiral amino acid, and most preferably N-acetyl-L-leucine). Condensation of compound VIII (as a free base or as an acid addition salt) and compound X may be performed in refluxing acetonitrile in the presence of acetic acid. Oxidation of the resulting compound XII may be done with the use of oxone, hydrogen peroxide, sodium persulfate, or per-carboxylic acids such as m-chloroperbenzoic acid or peracetic acid. The oxidation reaction may be carried out in the presence of a catalyst, such as a titanium(IV) alkoxide (particularly titanium (IV) ethoxide, titanium (IV) butoxide, titanium (IV) tert-butoxide or titanium(IV) isopropoxide, preferably titanium(IV) isopropoxide) or an alkali metal tungstate, particularly sodium tungstate. Preferably, the oxidation reaction is carried out using hydrogen peroxide as the oxidation agent and sodium tungstate as catalyst.
[0067] Alternatively, the condensation and oxidation step in Scheme 3 to form
Apremilast can be carried out in one pot, i.e. without isolation of the intermediate compound XII. Preferably in the one pot process, compound VIII and compound X are condensed (preferably by refluxing with acetonitrile in the presence of acetic acid), and then adding the oxidation agent
and catalyst as discussed above directly to the reaction mixture after the condensation reaction is complete.
[0068] The present disclosure further comprises the preparation of apremilast by first oxidizing compound VI, then performing resolution in order to obtain compound IX, which then may be converted to apremilast.
[0069] The present disclosure further encompasses a crystalline form of compound (V). The crystalline form of compound (V) is preferably characterized by an X-ray powder diffraction partem having peaks at 8.2, 16.5, 19.5 and 27.3 ± 0.2 degrees two-theta, and optionally further characterized by additional peaks at 10.8, 17.4, 18.6, 20.8, 21.8, 23.5, 24.2, 24.9, 25.0 and 28.0 ± 0.2 degrees two-theta, or an X-ray powder diffraction pattern substantially as depicted in Figure 1.
[0070] Also provided is a crystalline form of the compound of formula (VI) in the form a hydrochloride salt. Preferably, the crystalline form is characterized by an X-ray powder diffraction partem having peaks at 10.6, 15.5, 23.5, 25.2 and 26.4 ± 0.2 degrees two-theta, and optionally further characterized by additional peaks at 1 1.8, 16.8, 18.7, 19.3, 20.2, 20.6, 21.3, 22.3, 23.3, 27.0, 27.6, 28.1 and 29.1 ± 0.2 degrees two-theta, or an X-ray powder diffraction pattern substantially as depicted in Figure 2.
[0071] Further provided is a crystalline form of the compound of formula (VIII) which is in the form of a salt with N-acetyl-L-leucine. Preferably, the crystalline form is characterized by an X-ray powder diffraction pattern having peaks at 6.4, 7.8, 8.4, 15.6 and 16.2 ± 0.2 degrees two-theta, and optionally further characterized by peaks at 3.6, 4.8, 7.3, 9.6, 10.1, 11.3, 13.7, 14.2, 14.8, 17.4, 18.0, 19.8, 22.6, 23.7, 24.2 and 24.4 ± 0.2 degrees two-theta, or an X-ray powder diffraction pattern substantially as depicted in Figure 3.
[0072] The present disclosure further provides a crystalline form of a compound of formula (IX) in free base form. The crystalline form is preferably characterized by an X-ray powder diffraction pattern having peaks at 5.9, 1 1.8, 17.7 and 26.0 ± 0.2 degrees two-theta, and optionally further characterized by additional peaks at 15.8, 16.7, 19.8, 20.6, 23.7, 26.6, 28.6, 29.8 and 31.6 ± 0.2 degrees two-theta, or an X-ray powder diffraction pattern substantially as depicted in Figure 4.
[0073] Also provided is an amorphous form of a compound of formula (XII), preferably wherein the amorphous form is characterized by an X-ray powder diffraction pattern having a typical amorphous "halo" substantially as depicted in Figure 5.
[0074] The present disclosure comprises the use of the compounds disclosed herein, particularly compounds IV, V, VI, VII, VIII, XII, acid addition salts thereof, and their solid state forms as indicated above, as intermediates for the preparation of a compound of formula (IX) or for the preparation of Apremilast. The Apremilast may further be combined with at least one pharmaceutically acceptable excipient to prepare a pharmaceutical formulation, or a
pharmaceutical dosage form.
[0075] Having described the invention with reference to certain preferred
embodiments, other embodiments will become apparent to one skilled in the art from
consideration of the specification. The invention is further illustrated by reference to the following examples describing in detail the preparation of the composition and methods of use of the invention. It will be apparent to those skilled in the art that many modifications, both to materials and methods, may be practiced without departing from the scope of the invention.
Examples
X-Ray powder diffraction Method
XRPD analysis was carried out on a BRUKER D8 Advance X-ray powder diffractometer. CuKa radiation (λ = 1.5406 A); Lynxeye XE detector, low amount PMMA sample holder with zero background plate was used. Prior to analysis, the dry samples were gently ground by means of mortar and pestle in order to obtain a fine powder. The ground sample was adjusted into a cavity of the sample holder and the surface of the sample was smoothed by means of a cover glass.
Measurement parameters:
Sample: Spin mode, rotation speed 30 rpm;
Scan range: 2 - 40 degrees 2-theta;
Scan mode: continuous;
Step size: 0.05 ± 0.005 degrees;
Time per step: 0.5 sec;
Divergence slit: V20
The accuracy of peak positions is defined as ± 0.2 degrees two theta due to experimental differences such as instrumentations, sample preparations etc.
Example 1
Preparation of l-(3-hydroxy-4-methoxyphenyl)ethan-l-one (II)
[0076] Dimethoxyacetophenone derivative (I) (72.08 g; 0.4 mol) was dissolved in sulfuric acid (360 ml), and then the mixture was stirred at 62 - 64 °C for 48 h. The reaction mixture was cooled to room temperature, poured into ice water (prepared from 2 kg of ice and 1.6 kg of water) and kept in a refrigerator overnight. The product was collected by filtration, washed with water (5x100 ml) and dried in vacuum at 40 °C until constant weight to obtain the product (40.4 g; 60.2 %; HPLC purity: 96.4 %). The crude product was dissolved in warm ethanol (80 ml) and precipitated by addition of n-heptane (80 ml). The mixture was cooled to 0 - 10 °C, stirred at this temperature for 1 h, the product was collected, washed with n-heptane (40 ml) and dried in a vacuum at 40°C until constant weight to obtain the purified product (30.77 g; 46.2 %; HPLC purity: 99.5 %).
Example 2
Preparation of l-(3-ethoxy-4-methoxyphenyl)ethan-l-one (III)
[0077] Purified compound II (29.9 g; 0.18 mol) was dissolved in dimethylformamide (90 ml) at room temperature. Potassium carbonate (34.8 g; 0.25 mol) was added to the mixture, and then ethyl iodide (31.2 g; 16.1 ml; 0.20 mol) was added at a temperature not higher than 35 °C while stirring and cooling. The mixture was stirred at 30 - 35 °C for 5 h, then cooled to below 10 °C, diluted with water (360 ml) and stirred at 0 - 10 °C for 2 h. The product was collected, washed with water (2x100 ml) and dried in a vacuum at 40 °C until constant weight to obtain the product (32.37 g; 92.6 %; HPLC purity: 99.9 %).
Example 3
Preparation of l-(3-ethoxy-4-methoxyphenyl)ethan-l-one (III)
[0078] Purified compound II (24.9 g; 0.15 mol) was dissolved in dimethylformamide (80 ml) at room temperature. Potassium carbonate (27.6 g; 0.20 mol) was added to the mixture, then ethyl bromide (18.0 g; 0.165 mol) was added at a temperature not higher than 35 °C while
stirring and cooling. The mixture was stirred at 30 - 35 °C for 5 h, then cooled to below 10 °C, diluted with water (240 ml) and stirred at 0 - 10 °C for 2 h. The product was collected, washed with water (2x100 ml) and dried in vacuum at 40 °C until constant weight to obtain the product (26.32 g; 90.4 %; HPLC purity: 99.8 A %).
Example 4
Preparation of 2-bromo-l-(3-ethoxy-4-methoxyphenyl)ethan-l-one (IV)
[0079] Compound III (87.3 g; 0.45 mol) was dissolved in methanol (350 ml) at 50 ±2 °C. To this solution, bromine (77.1 g = 25.0 ml; 0.48 mol) was added over 80 min and the mixture was stirred for an additional 1 h at the same temperature. The resulting slurry was cooled to 0 - 10 °C, stirred at this temperature for 1 h, the product was collected by filtration, washed with cold methanol (2x75 ml) and dried in vacuum at 40 °C until constant weight to yield the product (103.77 g; 79.1 %; HPLC purity: 97.1 %).
Example 5
Preparation of 2-bromo-l-(3-ethoxy-4-methoxyphenyl)ethan-l-one (IV)
[0080] To a solution of l-(3-ethoxy-4-methoxyphenyl)ethanone (III) (350 g, 1.80 moles) in ethyl acetate (2.8 L) para toluene sulfonic acid monohydrate (34.2 g, 0.18 moles) was added at 25-30 °C. N-bromosuccinimide (352.6 g, 1.98 moles) was added to this suspension in 4 equal lots at 25-30°C. The reaction mass was stirred for 16h at 25-30°C. After completion of the reaction, the reaction mass was cooled to 0-5 °C and stirred for 3h. The reaction mass was filtered by maintaining the temperature at 0-5 °C and suck dry for 30 min. The solid was stirred with water (1.05 L, 3 vol) for lOmin and filtered to get an off white solid. The filtered solids were dried at 40-45 °C for 5h under vacuum.
Product: 41 Og, 83.6%
Example 6
Preparation of l-(3-ethoxy-4-methoxyphenyl)-2-(methylthio)ethan-l-one (V)
[0081] The bromoacetophenone derivative IV (21.84 g; 0.08 mol was suspended in methanol (160 ml) and the mixture was heated to 35 °C. Sodium methanethiolate (29.4 g 21 % aqueous solution; 0.088 mol; about 26.7 ml) was added to the mixture at 35 - 40 °C in about 15
min. The mixture was stirred at 35 - 40 °C for 30 min, then water (320 ml) was added at 30 - 40 °C while stirring in order to precipitate the product. After addition of water, the mixture was cooled to 0 - 10 °C and stirred at this temperature for 1 h. The product was collected, washed with water (80 ml) and dried in vacuum at 40 °C until constant weight to obtain the product (17.61 g; 91.6 %; HPLC purity: 98.6 %).
Example 7
Preparation of l-(3-ethoxy-4-methoxyphenyl)-2-(methylthio)ethan-l-one (V)
[0082] The bromoacetophenone derivative IV (109.2 g; 0.4 mol was suspended in methanol (800 ml) and the mixture was heated to about 33 °C. Sodium methanethiolate (146.85 g 21 % aqueous solution; 0.44 mol; about 133 ml) was added to the mixture at 35±2 °C in about 15 min. The solution obtained after addition, was stirred at 35 ±2 °C for 30 min, than water (320 ml) was added at 30 - 40 °C while stirring in order to precipitate the product. After addition of water, the mixture was cooled to 0 - 10 °C and stirred at this temperature for 1 h. The product was collected, washed with water (300 ml) and dried in vacuum at 40 °C until constant weight to obtain the product (87.47 g; 91.0 %; HPLC purity: 98.4 %).
Example 8
Preparation of l-(3-ethoxy-4-methoxyphenyl)-2-(methylthio)ethan-l-amine HC1 salt (VI-HC1)
[0083] The mixture of methylthio derivative V (24.03 g; 0.10 mol), abs. methanol (240 ml), titanium tetra-iso-propoxide (56.8 g; 0.20 mol) and ammonia 7.1 mol/1 in methanol (71 ml; 0.5 mol) was stirred at room temperature for 19 h. The mixture was then cooled to 0 - 5 °C, sodium borohydride (5.7 g; 0.15 mol) was added in portions at 0 - 5 °C, and the mixture was stirred for 15 min at this temperature and then for 30 min at room temperature. The mixture was concentrated in vacuum to about 100 g, diluted with ethyl acetate (300 ml) and about 100 ml of solvent was distilled out from the diluted mixture. The resulting solution was diluted with water (100 ml), the obtained precipitate was removed by filtration and the filter cake was washed with ethyl acetate (100 ml). The filtrate was diluted with n-heptane (100 ml) the resulting two phases were separated, the filter cake was washed once again with ethyl acetate (100 ml), which was used again for extraction of the water phase. The organic phases were combined, evaporated to about 40 g in vacuum and the obtained solution is diluted with ethyl acetate. The obtained
solution was treated with concentrated hydrochloric acid (8 ml) to precipitate the hydrochloride salt of compound 6. The precipitated material was collected, washed with ethyl acetate (2x30 ml) and dried in vacuum at 40 °C until constant weight to obtain the product (22.61 g; 81.0 %; HPLC purity: 96.4 %).
Example 9
Preparation of l-(3-ethoxy-4-methoxyphenyl)-2-(methylthio)ethan-l-amine HC1 salt (VI-HC1)
[0084] l-(3-ethoxy-4-methoxyphenyl)-2-(methylthio)ethan-l-one (V) (12.01 g; 50 mMol), abs. methanol (120 ml), titanium tetra-iso-propoxide (28.4 g; 29.5 ml; 100 mMol) and ammonia 7 Mol/1 in methanol (50 ml; 350 mMol) were charged into a reaction vessel under nitrogen. After charging, the reaction vessel was closed, and the mixture was stirred at 40 C° for 10 h.
[0085] The mixture was then cooled to 0 - 5 C°, sodium borohydride (1.13 g; 30 mMol) was added in portions at 0 - 5 C° in about 30 min under nitrogen and the mixture was stirred for 15 min at this temperature and for another 30 min at room temperature.
[0086] Water (10 ml) was added to the reaction mixture and stirred at RT for 1 h. The mixture was concentrated in vacuum (about 180 mbar) at 50 C° bath temperature to about 50 ml (57 g), diluted with ethyl acetate (100 ml) and stirred at room temperature for 1 h.
[0087] The resulting solid precipitate was collected by filtration and the filter cake was washed with ethyl acetate (4x50 ml). The combined organic phases were washed with water (2x 35 ml) at room temperature and with 35 ml at 2 - 8 C°.
[0088] The organic phase was evaporated to about 92 ml (about 86 g) in vacuum and the obtained solution was treated with cone hydrochloric acid (about 3.4 ml) to adjust the pH to about 4 - 5 while stirring and cooling at max. 40 C°. The obtained slurry was cooled to 0 - 10 C°, and stirred at this temperature for 2 h. The precipitated hydrochloride salt of l-(3-ethoxy-4- methoxyphenyl)-2-(methylthio)ethan-l -amine (VI) was collected, washed with ethyl acetate (2x30 ml) and dried in vacuum at 40 °C until constant weight to obtain the product.
Yield: 10.27 g (74 %)
HPLC purity: 98.5 A %
Assay: 98.6 %
Example 10
Preparation of l-(3-ethoxy-4-methoxyphenyl)-2-(methylthio)ethan-l-amine (VI)
[0089] Compound VI-HC1 (15.0 g; 0.055 mol) was dissolved in water (150 ml) and was made alkaline by the addition of sodium hydroxide solution (4 mol/L, 15 ml). The oily precipitate was extracted with ethyl acetate (3x50 ml), the combined solution was dried on sodium sulfate and evaporated to dryness. The residue was suspended in n-heptane (50 ml), collected by filtration and dried in vacuum to yield compound 6 (12.88 g; 99.0 %; HPLC purity: 99.3 A%).
Example 11
Preparation of (lS)-l-(3-ethoxy-4-methoxyphenyl)-2-(methylthio)ethan-l-amine
(VIII)
[0090] The mixture of methylthio derivative V (2.4 g; 0.010 mol), ethyl acetate (10 ml), titanium tetra-iso-propoxide (5.68 g; 0.020 mol) and (R)-(+)-2-methyl-2-propylsulfinamide (1.82 g; 0.015 mol) was stirred at 45±2 °C for 65 h.
[0091] The mixture was diluted with ethanol (10 ml), then cooled to 0 - 5 °C. Sodium borohydride (0.38 g; 0.010 mol) was added in portions at 0 - 5 °C, and the mixture was stirred for 15 min at this temperature and then for 30 min at room temperature.
[0092] The mixture was diluted with ethyl acetate (30 ml) and saturated aqueous sodium carbonate solution (30 ml) was added to it while stirring. The precipitated material was removed by filtration and the filter cake was washed with ethyl acetate (4x20 ml). The filtrate fractions were collected, diluted with water (15 ml), the phases were separated, and the water phase was extracted once again with ethyl acetate (30 ml).
[0093] The combined ethyl acetate solution was evaporated to dryness in vacuum to yield an oily residue (4.04 g) which was dissolved in methyl-tert-butyl ether (80 ml).
Hydrochloric acid solution (2 mol/ L) in diethyl ether (8 ml) was added to this solution which was then stirred for 1 h at room temperature. The precipitated material was collected by filtration, washed with ethyl acetate (2x20 ml) and dried in vacuum to yield hydrochloride salt of compound VIII (1.63 g; 58.8 %). The optical purity was characterized by ee: 98.0 %.
[0094] The hydrochloride salt (1.6 g) was dissolved in water (16 ml) and the solution was made alkaline with addition of 4 M aqueous sodium hydroxide solution, the oily precipitate was extracted with ethyl acetate (2x20 ml), the combined organic phases were evaporated to dryness to yield (lS)-l-(3-ethoxy-4-methoxyphenyl)-2-(methylthio)ethan-l-amine (VIII), 1.05 g.
[0095] The optical purity is characterized by ee: 97.8 %.
Example 12
Preparation of (lS)-l-(3-ethoxy-4-methoxyphenyl)-2-(methylthio)ethan-l-amine
(VIII)
[0096] Compound VI (2.41 g; 10 mmol) and N-acetyl-L-leucine (0.87 g; 5 mmol) were dissolved in methanol (30 ml). Half of the methanol solvent was evaporated and then the mixture was allowed to cool to room temperature and stirred for 1.5 h.
[0097] The precipitated material was collected by filtration, washed with methanol (2 ml) and dried in vacuum to yield 0.31 g of diastereomeric salt containing 91.8 % S, and 7.8 % R isomer of the amine.
[0098] The mother liquor was diluted with acetonitrile (15 ml) and the precipitated material was collected by filtration, washed with acetonitrile (2 ml) and dried in vacuum to yield 0.43 g of diastereomeric salt containing 89.1 % S, and 10.9 % R isomer of the amine.
[0099] The mother liquor was kept in a refrigerator for 3 days, the precipitated material was collected, washed with acetonitrile and dried to yield 0.80 g of diastereomeric salt containing 78.9 % S, and 28.9 % R isomer of the amine.
[00100] The three generations were combined and recrystallized from methanol (10 ml) to yield 0.75 g of the salt containing 96.5 % S, and 3.4 % R isomer of the amine.
[00101] The salt (0.70 g) was suspended in water (5 ml) and made alkaline with 4 M sodium hydroxide solution (0.6 ml), the resulting oily precipitation was extracted with ethyl acetate (10 and 5 ml), the combined organic phases were evaporated to dryness to yield (lS)-l- (3-ethoxy-4-methoxyphenyl)-2-(methylthio)ethan-l-amine (VIII), 0.43 g.
The optical purity was characterized by ee: 92.6 %.
Example 13
Preparation of (lS)-l-(3-ethoxy-4-methoxyphenyl)-2-(methylthio)ethan-l-amine (VIII) N-acetyl-L leucine salt
[00102] 1 -(3-ethoxy-4-methoxyphenyl)-2-(methylthio)ethan- 1 -amine HC1 salt (Compound VI-HCl) (100 g; 0.36 Mol) was suspended in THF (1200 ml) at 25 °C. 10 M NaOH aqueous solution (36.46 ml, 0.365 Mol) was added to the mixture, heated to reflux temperature and the solution was kept at this temperature for at least 1 hour. The reaction mixture was cooled to 25±5 °C. The formed NaCl (19.0 g) was filtered and suspended with THF (400 ml) at 25±5 °C.
[00103] After filtering off the NaCl precipitate, the washing THF was added to the filtrate containing compound IV and heated to reflux.
[00104] N-Acetyl-L-leucine (NAL) (34.45 g, 0.199 Mole) was dissolved in THF (1300 ml) at 25±5 °C. After dissolution the NAL-THF solution was filtered and then added to the compound VI- THF solution at ~ 72 °C.
[00105] During the addition of N-Acetyl-L-leucine solid precipitation started. After the addition the mixture was stirred for minimum 1 hour at ~ 72 °C then cooled to 25±5 °C.
[00106] The obtained white crystals were filtered, washed twice with THF (2 x 650 ml) and dried under vacuum at 40 °C overnight.
Product (Compound VIII - N-Acetyl-L-leucine): 74.6 g
Yield: 54.1%
Optical purity: 85.47 Area % Example 14
Preparation of N-acetyl-(lS)-l-(3-ethoxy-4-methoxyphenyl)-2-(methylthio)ethan-l- amine (VIII) by enzymatic resolution using ethyl acetate as acyl donor
[00107] Substrate (±)- 1 -(3-ethoxy-4-methoxyphenyl)-2-(methylthio)ethan- 1 -amine (VI) (320 mg, 1.326 mmol, 20 mg/ml concentration in reaction mixture) was dissolved in 16 ml toluene/ethyl acetate 3: 1 v/v mixture. Triethylamine (18.5 μί, 0.1 equiv. to substrate) was dissolved in the obtained solution.
[00108] Enzymes available in immobilized form (adsorbed on sorption resins or macroporous resins or covalently immobilized on activated resins) were weighed into dry ampoules in 20-20 mg amount. The solution prepared above was added to the enzymes in 1-1 ml volume, at room temperature. The ampoules were closed with caps, and placed into an incubator shaker at 50 °C temperature, for 24 hours. The shaking velocity of the incubator was 400 rpm. After 24 hours of shaking, the reaction mixtures were diluted quantitatively with acetonitrile and analyzed by HPLC. According to the results, 8.35% of the loaded (±)-l-(3-ethoxy-4- methoxyphenyl)-2-(methylthio)ethan-l -amine was converted to N-acetyl-(lS)-l-(3-ethoxy-4- methoxyphenyl)-2-(methylthio)ethan-l -amine in case of Immozyme CAL-A-T2-150 enzyme {Candida antarctica lipase A, covalently immobilized, from Chiralvision). The optical purity of the obtained N-acetyl-(l S)-l -(3-ethoxy-4-methoxyphenyl)-2-(methylthio)ethan-l -amine was 94.5%.
Example 15
Preparation of N-acetyl-(lS)-l-(3-ethoxy-4-methoxyphenyl)-2-(methylthio)ethan-l- amine (VIII) by enzymatic resolution using ethyl methoxyacetate as acyl donor
[00109] Substrate (±)- 1 -(3-ethoxy-4-methoxyphenyl)-2-(methylthio)ethan- 1 -amine (VI) (320 mg, 1.326 mmol, 20 mg/ml concentration in reaction mixture) was dissolved in toluene, ethyl methoxyacetate (396.8 mg, 3.359 mmol, 2.5 equiv. to substrate) was added and the mixture was completed to 16 ml.
[00110] Enzymes available in immobilized form (adsorbed on sorption resins or macroporous resins or covalently immobilized on activated resins) were weighed into dry ampoules in 20-20 mg amount, together with molecular sieves (4 Angstrom pore size, 58.1 mg). The solution prepared above was added to the enzymes in 1-1 ml volume, at room temperature. The ampoules were closed with caps, and placed into an incubator shaker at 50 °C temperature, for 24 hours. The shaking velocity of the incubator was 400 rpm. After 24 hours of shaking the reaction mixtures were diluted quantitatively with acetonitrile and analyzed by HPLC. According to the results, 9.6% of the loaded (±)-l-(3-ethoxy-4-methoxyphenyl)-2-(methylthio)ethan-l- amine was converted to N-methoxyacetyl-(lS)-l-(3-ethoxy-4-methoxyphenyl)-2- (methylthio)ethan-l -amine in case of Immozyme CAL-A-T2-150 enzyme {Candida antarctica lipase A, covalently immobilized, from Chiralvision). The optical purity of the obtained N- methoxyacetyl-(lS)-l-(3-ethoxy-4-methoxyphenyl)-2-(methylthio)ethan-l -amine was 94.5%.
Example 16
Preparation of N-acetyl-(lS)-l-(3-ethoxy-4-methoxyphenyl)-2-(methylthio)ethan-l- amine (VIII) using lipases immobilized by deposition on diatomaceous earth
[00111] Other lipases, available in isolated form, as unimmobilized enzyme protein were immobilized by deposition on Celite, based on Liljeblad, A.; Kiviniemi, A.; Kanerva, L. T.: "Aldehyde-based racemization in the dynamic kinetic resolution of N-heterocyclic a-amino esters using Candida antarctica lipase A" Tetrahedron 2004, 60, 671-677; Lundell, K.; Raijola, T.; Kanerva, L. T. Era. Microb. Technol. 1998, 22 (2), 86-93; and Adlecreutz, P. in:
"Immobilization of enzymes and cells", Guisan, M. J., Ed.; Humana Press 2006, 2nd edition; page 255. Each solid enzyme protein preparation (in 200 mg amount) was dissolved in 7.5 ml of ice- cooled Tris-HCl buffer (0.2 M, pH = 8.0) containing sucrose in 16 g/1 concentration.
Diatomaceous earth (Hyflo Super Cel) was pretreated with 50% sulfuric acid at room
temperature and washed to neutral pH with deionized water. The pretreated Hyflo Super Cel powder (in dried form) was weighed in 2-2 g amount into Petri dishes and the content of each Petri dish was mixed with the prepared enzyme solutions until an uniformly spread thick suspension was obtained. The Petri dishes were left to dry under a functioning fumehood for 48 hours. The obtained enzyme preparations were homogenized thereafter and tested in enzymatic reactions.
Reaction set A (with ethyl acetate as acyl donor):
[00112] Substrate (±)- 1 -(3-ethoxy-4-methoxyphenyl)-2-(methylthio)ethan- 1 -amine (280 mg, 1.160 mmol, 20 mg/ml concentration in reaction mixture) was dissolved in 14 ml toluene/ethyl acetate 3: 1 v/v mixture. Triethylamine (16.2 μί, 0.1 equiv. to substrate) was dissolved in the obtained solution.
[00113] Enzymes immobilized by deposition on diatomaceous earth were weighed into dry ampoules in 20-20 mg amount. The solution prepared above was added to the enzymes in 1-
1 ml volume, at room temperature. The ampoules were closed with caps, and placed into an incubator shaker at 50 °C for 48 hours. The shaking velocity of the incubator was 400 rpm. After
48 hours of shaking, the reaction mixtures were diluted quantitatively with acetonitrile and analyzed by HPLC. According to the results, 11.95% of the loaded (±)-l-(3-ethoxy-4- methoxyphenyl)-2-(methylthio)ethan-l -amine was converted to N-acetyl-(<S)-l-(3-ethoxy-4- methoxyphenyl)-2-(methylthio)ethan-l -amine in case of lipase A from Candida antarctica
(obtained as lyophilized enzyme powder from Codexis) immobilized on pretreated Hyfio Super Cel. The optical purity of the obtained N-acetyl-(<S)-l-(3-ethoxy-4-methoxyphenyl)-2- (methylthio)ethan-l -amine was 84.7%.
Reaction set B (with ethyl methoxyacetate as acyl donor):
[00114] Substrate (±)- 1 -(3-ethoxy-4-methoxyphenyl)-2-(methylthio)ethan- 1 -amine (280 mg, 1.160 mmol, 20 mg/ml concentration in reaction mixture) was dissolved in toluene, ethyl methoxyacetate (344 mg, 2.912 mmol, 2.5 equiv. to substrate) and triethylamine (16.24 μί, 0.1 equiv. to substrate) was added and the mixture was completed to 14 ml.
[00115] Enzymes immobilized by deposition on diatomaceous earth were weighed into dry ampoules in 20-20 mg amount. The solution prepared above was added to the enzymes in 1- 1 ml volume, at room temperature. The ampoules were closed with caps, and placed into an incubator shaker at 50 °C for 48 hours. The shaking velocity of the incubator was 400 rpm. After 48 hours of shaking, the reaction mixtures were diluted quantitatively with acetonitrile and analyzed by HPLC. According to the results, 25.7% of the loaded (±)-l-(3-ethoxy-4- methoxyphenyl)-2-(methylthio)ethan-l -amine was converted to N-acetyl-(5 -l-(3-ethoxy-4- methoxyphenyl)-2-(methylthio)ethan-l -amine in case of lipase A from Candida antarctica (obtained as lyophilized enzyme powder from Codexis) immobilized on pretreated Hyflo Super Cel. The optical purity of the obtained N-acetyl-(<S)-l-(3-ethoxy-4-methoxyphenyl)-2- (methylthio)ethan-l -amine was 94.4%.
Example 17
Preparation of (lS)-l-(3-ethoxy-4-methoxyphenyl)-2-(methylsulfonyl)ethan-l-amine
(IX)
[00116] Compound VIII - N-acetyl-L-leucine salt (8.28 g; 20 mMol) was suspended in water (80 ml). OXONE (14.76 g; 60 mMol) was dissolved in water (80 ml) and the solution was added to the reaction mixture while stirring and cooling at 25 ±5 C°. The mixture was stirred at this temperature for 3 h, then dimethylsulfoxide (1.3 g; 1.18 ml; 15 mMol) was added for decomposition of the excess of the oxidation agent. The mixture was stirred at 25 ±5 C° for 2h, cooled to 0 - 10 C° and stirred at this temperature for 2h.The solid material was removed by filtration and washed with water (15 ml).
[00117] Ethyl acetate (250 ml) was added to the filtrate and the sodium hydroxide solution (4 Mol/L; 21 ml) was added to the aqueous phase.
[00118] The phases were separated and the aqueous phase was extracted with ethyl acetate (2x80 ml).
[00119] The combined ethyl acetate phase was concentrated in vacuum (180 mbar; 50 C° bath temperature) to about 16.4 g (about 18 ml), diluted with n-heptane (40 ml). The slurry was cooled to 0 - 10 C° and stirred at this temperature for 2 h. The precipitate was collected by filtration, washed with n-heptane (16 ml) and dried in vacuum to yield compound IX.
Yield: 4.91 g (89.8%)
HPLC purity: 99.77 A%
Optical purity: 99.77 A%
Assay: 98.93%
Example 18
Preparation of Apremilast, N-[2-[(lS)-l-(3ethoxy-4-methoxyphenyl))- (methylsulfonyl)ethyl] -2,3-dihydro- 1,3-dioxo- lH-isoindol-4-yl] acetamide (XI)
[00120] (lS)-l-(3-ethoxy-4-methoxyphenyl)-2-(methylsulfonyl)ethan-l -amine (Compound IX,328.2 g, 1.20 mol) was dissolved in Acetonitrile (1800 mL) at 40°C. The solution was added to a suspension of 3-acetamidophthalic anhydride (compound X) (246.0 g, 1.20 mol) in Acetonitrile (550 mL) at 40°C. Acetic acid was added (72 mL) and heated to reflux temperature. The solution was kept at this temperature for min. 6 hours. Acetonitrile (1800 mL) was evaporated from solution. The remaining reaction mixture was cooled to 35°C and ethanol (2400 mL) was added to the solution in 2 hours. After ethanol addition the suspension was stirred for 10 hours. The suspension was cooled to 0-5°C and kept at this temperature for 2 hours. The suspension was filtered, washed with cooled (0-5°C) ethanol (1200 mL) and dried under vacuum at 50°C overnight.
Product: 517 g (yield: 94%)
HPLC purity: 99.92 Area%
Assay: 99.0%
Example 19
Preparation of N-[2-[(lS)-l-(3ethoxy-4-methoxyphenyl))-(methylthio)ethyl]-2,3- dihydro-l,3-dioxo-lH-isoindol-4-yl]acetamide (XII)
[00121] A solution of compound VIII (2.4 g, 10 mmol), compound X (2 g, 1 molar equiv.), and acetic acid (1.2 ml, 2 molar equiv.) in acetonitrile (60 ml) was refluxed for 12 hours. After cooling, the reaction mixture was evaporated to dryness to yield the product: 4.47 g as a pale yellow solid foam.
HPLC purity: 97.60 A%
Optical purity: 99.85 A % (HPLC).
Example 20
Preparation of Apremilast, N-[2-[(lS)-l-(3ethoxy-4-methoxyphenyl))- (methylsulfonyl)ethyl] -2,3-dihydro- 1,3-dioxo- lH-isoindol-4-yl] acetamide (XI)
[00122] A solution of N-[2-[(lS)-l-(3ethoxy-4-methoxyphenyl))-(methylthio)ethyl]- 2,3-dihydro-l,3-di oxo- lH-isoindol-4-yl] acetamide (Compound XII, 2.14 g, 5 mmol) and acetic acid (0.6 ml, 0.2 mmol) in acetonitrile (30 ml) was stirred at ambient temperature. Sodium tungstate dihydrate (60 mg, 2 molar equiv.), then a solution of 30 % hydrogen peroxide (2.6 ml, 5 molar equiv.) were added and the reaction mixture was stirred at ambient temperature for 7 hours. The solvent was evaporated to dryness under reduced pressure. Ethanol (50 ml) was added to the sticky residue, which solidified at 2-8 °C in 5 days.
As a product, 2.09 g of APM was obtained after filtration and drying in 91 % yield.
HPLC purity: 99.51 A%
Optical purity: 99.77 A% (HPLC).
Example 21
Preparation of Apremilast, N-[2-[(lS)-l-(3ethoxy-4-methoxyphenyl))- (methylsulfonyl)ethyl] -2,3-dihydro- 1,3-dioxo- lH-isoindol-4-yl] acetamide (XI)
(One pot method)
[00123] A solution compound VIII (1.2 g, 5 mmol), compound X (1 g, 1 molar equiv.), and acetic acid (0.6 ml, 2 molar equiv.) in acetonitrile (30 ml) was refluxed for 12 hours. After cooling sodium tungstate dihydrate (60 mg, 2 molar equiv.), then a solution of 30 % hydrogen peroxide (2.6 ml, 5 molar equiv.) were added and the reaction mixture was stirred at ambient
temperature for 7 hours. The solvent was evaporated to dryness under reduced pressure. Ethanol (50 ml) was added to the sticky residue, which solidified at 2-8 °C in 5 days yielding 2.16 g (94 %) of Apremilast after filtration and drying.
HPLC purity: 99.74 A%
Optical purity: 99.79 A% (HPLC).
Claims
1. A process for the preparation of a compouund of formula (VIII) or an acid addition salt thereof, from a compound of formula (V) according to the following scheme:
VI
2. A process according to Claim 1, wherein the compound of formula (VIII) or an acid addition salt thereof, is prepared from a compound of formula (IV) according to the following scheme:
A process according to Claim 1 or Claim 2, wherein the compound of formula (VIII) an acid addition salt thereof, is prepared according to the following scheme:
4. A process according to Claim 3, wherein the compound of formula (VIII) or an acid addition salt thereof, is prepared by demethylation of the compound of formula (I) to form a compound of formula (II), ethylation of the compound of formula (II) to form a compound of formula (III), bromination of the compound of formula (III) to form a compound of formula (IV), converting the compound of formula (IV) to the compound of formula (V) by thioether formation, and either:
(A) converting the compound of formula (V) to a compound of formula (VI) and converting the compound of formula (VI) to the compound of formula (VIII) or an acid addition salt thereof; or
(B) converting the compound of formula (V) to a compound of (VII) and converting the compound of formula (VII) to the compound of formula (VIII) or an acid addition salt thereof.
5. A process according to any of Claims 1, 2, 3, or 4, wherein the compound of formula (VIII) or an acid addition salt thereof, is prepared by converting the compound of formula (V) to a compound of formula (VI), preferably by reductive animation, and converting the compound of formula (VI) to (VIII) or an acid addition salt thereof, preferably by chiral resolution.
6. A process according to Claim 5, wherein the compound of formula (VIII) is prepared as an acid addition salt, preferably with a chiral acid, more preferably with a chiral amino acid, and most preferably with N-acetyl-L-leucine.
7. A process according to any of Claims 1, 2, 3 or 4, wherein the compound of formula (VIII) is prepared by stereoselective reductive amination, preferably wherein the stereoselective reductive amination comprises converting the compound of formula (V) to a compound of formula (VII) preferably by reaction with (R)-(+)-2-methyl-2- propylsulfinamide, and converting the compound of formula (VII) to (VIII) or an acid addition salt thereof, preferably by reduction, preferably wherein the compound formula (VII) is not isolated.
8. A process according to any of Claims 3, 4, 5, 6, or 7, wherein the compound of formula
(II) is prepared by reacting compound I with a mineral acid, preferably sulfuric acid and more preferably concentrated sulfuric acid.
9. A process according to any of Claims 3, 4, 5, 6, 7 or 8, wherein the compound of formula
(III) is prepared by ethylation of compound (II), preferably using an ethylating agent selected from the group consisting of ethyl halides, diethyl sulfate or diethyl carbonate.
10. A process according to any of Claims 2, 3, 4, 5, 6, 7, 8 or 9, wherein the compound of formula (IV) is prepared by bromination of compound (III), preferably using a
bromination agent selected from bromine, phenyltrimethylammonium tribromide, Cu(II)Br or N-bromosuccinimide, preferably bromine or N-bromosuccinimide.
11. A process according to any of Claims 1, 2, 3, 4, 5, 6, 7, 8, 9 or 10, wherein the compound of formula (V) is prepared by thioether formation of a compound of formula (IV), preferably by reacting the compound of formula (IV) with an alkaline metal
methanethiolate, preferably sodium methane thiolate.
12. A process according to any of Claims 1, 2, 3, 4, 5, 6, 7, 8, 9, 10 or 11, wherein the
compound of formula (VI) is prepared by reductive amination of a compound of formula (V).
13. A process according to Claim 12, wherein the reductive amination is carried out in the presence of a reducing agent and a titanium(IV) alkoxide, preferably titanium (IV) ethoxide, titanium (IV) butoxide, titanium (IV) tert-butoxide and titanium(IV) isopropoxide; and preferably wherein the compound of formula (VI) is prepared by reductive amination of a compound of formula (V) by reacting the compound of formula (V) with sodium borohydride in the presence of titanium(IV) isopropoxide.
14. A process according to Claim 12 or Claim 13, wherein the reductive amination is carried out with an ammonia source preferably selected from the group consisting of ammonia, ammonium formate, ammonium acetate or other ammonium salts, and more preferably ammonia.
15. A process according to any of Claims 1, 2, 3, 4, 5, 6, 7, 8, 9, 10, 11, 12, 13 or 14, wherein the compound of formula (VIII) or an acid addition salt thereof, is prepared by: (a) optical resolution of the compound of formula (VI), or (b) by enzymatic acylation of compound VI using lipases as catalysts.
16. A process according to Claim 15, wherein the compound of formula (VIII) or an acid addition salt thereof is prepared by enzymatic acylation of the compound VI using lipase as catalyst to form the N-acylated derivative of the compound of formula (VIII), and deacylating, preferably wherein the deacylating is carried out using a base, and more preferably an alkali metal alkoxide, such as sodium methoxide or sodium ethoxide, or alkali hydroxide, such as sodium hydroxide or potassium hydroxide, to form the compound of formula (VIII).
17. A process according to Claim 15, wherein the compound of formula (VIII) or an acid addition salt thereof, is prepared by optical resolution of the compound of formula (VI), with a chiral acid, more preferably with a chiral amino acid, and most preferably with N- acetyl-L-leucine.
18. A process according to Claim 17, wherein the compound of formula (VIII) is formed as a acid addition salt with a chiral amino acid, preferably as an acid addition salt with N- acetyl-L-leucine.
19. A process according to any of Claims 1, 2, 3, 4, 5, 6, 7, 8, 9, 10, 11, 12, 13, 14, 15, 16, 17 or 18, further comprising converting the compound of formula (VIII) or an acid addition salt thereof, to Apremilast.
20. A process according to Claim 19, wherein the compound of formula (VIII) or an acid addition salt thereof, is converted to Apremilast by:
(A) oxidation to form a compound of formula (IX) or an acid addition salt thereof:
and condensation of the compound of formula (IX) with a compound of formula (X):
(B) condensation of the compound of formula (VIII) or an acid addition salt thereof with a compound of formula (X):
and oxidizing the compound of formula (XII).
21. A process according to Claim 20, option A, wherein the compound of formula (VIII) is in the form of an N-acetyl-L-leucine salt.
22. A process for the preparation of a compound of formula (IV):
comprising bromination of a compound of formula III:
preferably using a bromination agent selected from bromine or N-bromosuccinimide phenyltrimethylammonium tribromide or Cu(II)Br, and more preferably bromine or N-bromosuccinimide.
23. A process according to Claim 22, wherein the compound of formula (IV) is isolated, preferably wherein the compound of formula (IV) is a solid.
24. A process for the preparation of a compound of formula (V):
comprising thioether formation of a compound of formula (IV):
preferably by reacting the compound of formula (IV) with sodium methane thiolate.
25. A process according to Claim 24, wherein the compound of formula (V) is isolated, preferably wherein the compound of formula (V) is a solid.
26. A process for the preparation of a compound of formula (VI):
comprising reductive amination of a compound of formula (V):
27. A process according to Claim 25, wherein the reductive amination is performed with a reducing agent in the presence of a catalyst, and preferably wherein the catalyst is a titanium(IV) alkoxide, preferably titanium (IV) ethoxide, titanium (IV) butoxide, titanium (IV) tert-butoxide and titanium(IV) isopropoxide, and more preferably titanium(IV) isopropoxide.
28. A process according to Claim 27, wherein the reductive amination is carried out using a reducing agent selected from: sodium borohydride, or wherein the reducing agent is selected from borane complexes, preferably borane-THF, borane-triethylamine, borane- pyridine or borane-dimethylsulfide; sodium triacetoxyborohydride or sodium
cyanoborohydride, and preferably wherein the reducing agent is sodium borohydride.
29. A process according to Claim 26 wherein the reductive amination is carried out using titanium(IV) isopropoxide and sodium borohydride.
30. A process according to any of Claims 26, 27, 28 or 29, wherein the compound of formula (VI) is isolated, preferably wherein the compound of formula (VI) is a solid.
31. A process according to any of Claims 22, 23, 24, 25, 26, 27, 28, 29 or 30, further
comprising converting the compound of formula (IV), (V) or (VI) to Apremilast.
32. A process for the preparation of a compound of formula (VIII):
or an acid addition salt thereof:
comprising resolution of the compound of formula VI:
33. A process according to Claim 32, wherein the resolution of the compound of formula (VIII) is carried out by optical resolution, preferably wherein the optical resolution is carried out using a chiral acid, preferably a chiral amino acid, and more preferably N- acetyl-L-leucine.
34. A process according to Claim 33, wherein the compound of formula (VIII) is formed as an acid addition salt with the chiral acid, preferably a chiral amino acid, and more preferably N-acetyl-L-leucine.
35. A process according to Claim 32, wherein the resolution is carried out by enzyme
catalyzed kinetic resolution, preferably by enzymatic acylation of compound (VI) using a lipase as a catalyst, preferably in the presence of ethyl acetate as acyl donor.
36. A process according to Claim 35, wherein following enzymatic acylation of compound (VI), the acylated derivative of the compound of formula (VIII) is deacylated, preferably by reaction with an acid or base, to form the compound of formula (VIII).
comprising stereoselective reductive amination of a compound of formula (V).
38. A process according to Claim 37, wherein the stereoselective reductive amination is performed by reaction of the compound of formula (V) with (R)-(+)-2-methyl-(2)- propanesulfinamide in the presence of titanium(IV) isopropoxide and reduction with sodium borohydride.
39. A process according to any of Claims 32, 33, 34, 35, 36, 37 or 38, wherein the compound of formula (VIII) is isolated.
40. A process according to Claim 39, wherein the compound of formula (VIII) is isolated as a free base, or as an acid addition salt, preferably wherein the acid addition salt is with a chiral acid, more preferably a chiral amino acid, and particular N-acetyl-L-leucine.
41. A process according to any of Claims 32. 33, 34, 35, 36, 37, 38, 39 or 40, further
comprising converting the compound of formula (VIII) or an acid addition salt thereof, to Apremilast.
42. A process according to Claim 41 , wherein the compound of formula (VIII), or an acid addition salt thereof, is converted to Apremilast by oxidation of the compound of formula (VIII) or an acid addition salt thereof, to form a compound of formula (IX):
and condensation of the compound of formula (IX) with a compound of formula (X):
preferably wherein the compound of formula (VIII) is in the form of an acid addition salt with a chiral acid, more preferably a chiral amino acid, and more preferably wherein the compound of formula (VIII) is in the form of an N-acetyl-L-leucine salt.
43. A process according to Claim 42 wherein the compound of formula (VIII) in the form of an acid addition salt with a chiral acid preferably a chiral amino acid, is converted to Apremilast by oxidation, to form a compound of formula (IX):
nd of formula (IX) with a compound of formula (X):
44. A process according to Claim 42 or Claim 43, wherein the oxidation is carried out using an oxidation agent selected from the group consisting of oxone, hydrogen peroxide, sodium persulfate, or per-carboxylic acids such as m-chloroperbenzoic acid or peracetic acid.
45. A process according to any of Claims 42, 43 or 44, wherein the condensation comprises reacting the compound of formula (IX) and a compound of formula (X) with acetic acid, preferably glacial acetic acid, in acetonitrile.
46. A process according to Claim 41 , wherein the compound of formula (VIII) is converted to Apremilast by condensation of the compound of formula (VIII) or an acid addition salt thereof, with a compound of formula (X):
and oxidizing the compound of formula (XII),
preferably wherein the compound of formula (VIII) is in the form of the free base.
47. A process according to Claim 46, wherein the condensation comprises reacting the compound of formula (VIII) and a compound of formula (X) with acetic acid, preferably glacial acetic acid, in acetonitrile.
48. A process according to Claim 46 or Claim 47, wherein the oxidation is carried out using an oxidising agent and optionally a catalyst, preferably wherein the oxidizing agent is selected from the group consisting of: oxone, hydrogen peroxide, sodium persulfate, or per-carboxylic acids such as m-chloroperbenzoic acid or peracetic acid, and more preferably wherein the oxidizing agent is hydrogen peroxide, and preferably wherein the catalyst is an alkali metal tungstate, particularly sodium tungstate.
49. A process according to any of Claims 46, 47, or 48, wherein the condensation and
oxidation reactions are carried out in one pot, without isolation of the compound of formula (XII).
50. A process for the preparation of a compound of formula (IX):
comprising oxidation of a compound of formula (VIII):
or an acid addition salt thereof, preferably wherein the compound of formula (VIII) is in the form of an acid addition salt with a chiral acid, more preferably a chiral amino
acid, and particularly wherein the compound of formula (VIII) is in the form of the N- acetyl-L-leucine salt.
51. A process according to Claim 50, wherein the oxidation is carried out using an oxidising agent, preferably wherein the oxidizing agent is selected from the group consisting of: oxone, hydrogen peroxide, sodium persulfate, or per-carboxylic acids such as m- chloroperbenzoic acid or peracetic acid and more preferably wherein the oxidizing agent is oxone.
52. A process according Claim 50 or Claim 51, further comprising converting the compound of formula (IX) to Apremilast.
53. A process according to Claim 52, wherein the compound of formula (IX) is converted to Apremilast by condensation of the compound of formula (IX) with a compound of formula (X):
preferably wherein the condensation is carried out in the presence of acetic acid, more
preferably glacial acetic acid.
54. A process according to any of Claims 19, 20, 21, 31 , 41, 42, 43, 44, 45, 46, 47, 48, 49, 52 and 53, further comprising combining the Apremilast with at least one pharmaceutically acceptable excipient to form a pharmaceutical composition, preferably wherein the pharmaceutical composition is a solid dosage form, more preferably a tablet.
55. A compound of formula IV:
57. A compound of formula (V) according to Claim 56 in crystalline form, preferably
wherein the crystalline form is characterized by an X-ray powder diffraction pattern having peaks at 8.2, 16.5, 19.5 and 27.3 ± 0.2 degrees two-theta, and optionally further characterized by additional peaks at 10.8, 17.4, 18.6, 20.8, 21.8, 23.5, 24.2, 24.9, 25.0 and 28.0 ± 0.2 degrees two-theta, or wherein the crystalline form is characterized by an X-ray powder diffraction pattern substantially as depicted in Figure 1.
or an acid addition salt thereof, preferably wherein the compound of formula (VI) is in free base form or in the form of a salt with a mineral acid, more preferably in the form of a hydrochloride salt.
59. A compound of formula (VI) according to Claim 58 in the form a hydrochloride salt, preferably in crystalline form, more preferably wherein the crystalline form is characterized by an X-ray powder diffraction partem having peaks at 10.6, 15.5, 23.5, 25.2 and 26.4 ± 0.2 degrees two-theta, and optionally further characterized by additional peaks at 11.8, 16.8, 18.7, 19.3, 20.2, 20.6, 21.3, 22.3, 23.3, 27.0, 27.6, 28.1 and 29.1 ± 0.2 degrees two-theta, or wherein the crystalline form is characterized by an X-ray powder diffraction pattern substantially as depicted in Figure 2.
0. A compound of formula (VII):
61. A compound of formula (VIII):
or an acid addition salt thereof, preferably wherein the compound of formula (VIII) is in free base form, or in the form of a salt with an chiral acid, preferably a chiral amino acid, and more preferably in the form of a salt with N-acetyl-L-leucine.
62. A compound of formula (VIII) according to Claim 61, which is in the form of a salt with N-acetyl-L-leucine.
63. A compound according to Claim 63, which is in crystalline form, preferably wherein the crystalline form is characterized by an X-ray powder diffraction partem having peaks at 6.4, 7.8, 8.4, 15.6 and 16.2 ± 0.2 degrees two-theta, and optionally further characterized by peaks at 3.6, 4.8, 7.3, 9.6, 10.1, 11.3, 13.7, 14.2, 14.8, 17.4, 18.0, 19.8, 22.6, 23.7, 24.2 and 24.4 ± 0.2 degrees two-theta, or wherein the crystalline form is characterized by an X-ray powder diffraction pattern substantially as depicted in Figure 3.
64. A compound having the formula (V) or (VIII) according to Claim 56 or Claim 61.
65. A compound of formula (VHI-a):
66. A compound of formula (IX):
which is a crystalline form, preferably wherein the crystalline form is characterized by an X- ray powder diffraction pattern having peaks at 5.9, 1 1.8, 17.7 and 26.0 ± 0.2 degrees two- theta, and optionally further characterized by additional peaks at 15.8, 16.7, 19.8, 20.6, 23.7, 26.6, 28.6, 29.8 and 31.6 ± 0.2 degrees two-theta, or wherein the crystalline form is characterized by an X-ray powder diffraction partem substantially as depicted in Figure 4.
67. A compound of formula (XII):
in amorphous form, wherein the amorphous form is characterized by an X-ray powder diffraction pattern substantially as depicted in Figure 5.
68. Use of a compound as defined in any of Claims 55, 56, 57, 58, 59, 60, 61 , 62, 63, 64, 65, 66 or 67, as an intermediate for the preparation of Apremilast.
69. Use according to Claim 68, wherein the Apremilast is further combined with at least one pharmaceutically acceptable excipient to form a pharmaceutical composition or dosage form.
70. Use of a compound according to any of Claims 55, 56, 57, 58, 59, 60, 61 , 62, 63, 64, 65, 66 or 67, as an intermediate for the preparation of a compound of formula (IX):
71. A process for the preparation of Apremilast comprising preparing a compound according to any of Claims 55, 56, 57, 58, 59, 60, 61, 62, 63, 64, 65, 66 or 67, and converting the compound to Apremilast.
72. A process according to Claim 71, further comprising combining the Apremilast with at least one pharmaceutically acceptable excipient to form a pharmaceutical composition or a dosage form.
Priority Applications (1)
| Application Number | Priority Date | Filing Date | Title |
|---|---|---|---|
| EP16778644.1A EP3356327A1 (en) | 2015-09-29 | 2016-09-29 | Processes for the preparation of apremilast and intermediates thereof |
Applications Claiming Priority (2)
| Application Number | Priority Date | Filing Date | Title |
|---|---|---|---|
| US201562234094P | 2015-09-29 | 2015-09-29 | |
| US62/234,094 | 2015-09-29 |
Publications (1)
| Publication Number | Publication Date |
|---|---|
| WO2017059040A1 true WO2017059040A1 (en) | 2017-04-06 |
Family
ID=57113803
Family Applications (1)
| Application Number | Title | Priority Date | Filing Date |
|---|---|---|---|
| PCT/US2016/054390 Ceased WO2017059040A1 (en) | 2015-09-29 | 2016-09-29 | Processes for the preparation of apremilast and intermediates thereof |
Country Status (2)
| Country | Link |
|---|---|
| EP (1) | EP3356327A1 (en) |
| WO (1) | WO2017059040A1 (en) |
Cited By (4)
| Publication number | Priority date | Publication date | Assignee | Title |
|---|---|---|---|---|
| CN108084066A (en) * | 2017-12-12 | 2018-05-29 | 中山大学 | A kind of synthetic method of Apremilast and enantiomter |
| EP3619195A4 (en) * | 2017-05-04 | 2020-12-02 | Unichem Laboratories Ltd | NEW PROCESS FOR THE PREPARATION OF N- [2 - [(1S) -1- (3-ETHOXY-4-METHOXYPHENYL) -2- (METHYLSULFONYL) ETHYL] -1,3-DIOXO-2,3-DIHYDRO-1H-ISOINDOLE -4-YL] ACETAMIDE |
| WO2022232037A1 (en) * | 2021-04-26 | 2022-11-03 | Amgen Inc. | Process for synthesizing apremilast |
| CN120554380A (en) * | 2025-05-30 | 2025-08-29 | 江西华邦药业有限公司 | A preparation method of sulbactam acid |
Citations (9)
| Publication number | Priority date | Publication date | Assignee | Title |
|---|---|---|---|---|
| US6020358A (en) | 1998-10-30 | 2000-02-01 | Celgene Corporation | Substituted phenethylsulfones and method of reducing TNFα levels |
| US20030187052A1 (en) * | 2002-03-20 | 2003-10-02 | George W. Muller | (+)-2-[1-(3-Ethoxy-4-methoxyphenyl)-2-methylsulfonylethyl]-4-acetylaminoisoindoline-1,3-dione: methods of using and compositions thereof |
| WO2003080048A1 (en) * | 2002-03-20 | 2003-10-02 | Celgene Corporation | (-)-2-[1-(3-ethoxy-4-methoxyphenyl)-2-methylsulfonylethyl]-4-acetylaminoisoindoline-1,3-dione: methods of using and compositions thereof |
| US20100324108A1 (en) * | 2009-06-18 | 2010-12-23 | Concert Pharmaceuticals Inc. | Substituted isoindoline-1,3-dione derivatives |
| US8242310B2 (en) | 2008-09-10 | 2012-08-14 | Celgene Corporation | Processes for the preparation of aminosulfone compounds |
| US20130217918A1 (en) | 2012-02-21 | 2013-08-22 | Celgene Corporation | Processes for the preparation of (s)-1-(3-ethoxy-4-methoxyphenyl)-2-methanesulfonylethylamine |
| US20130217919A1 (en) | 2012-02-21 | 2013-08-22 | Celgene Corporation | Asymmetric synthetic processes for the preparation of aminosulfone compounds |
| CN103864670B (en) * | 2014-03-17 | 2015-08-26 | 苏州明锐医药科技有限公司 | The preparation method of A Pusite |
| WO2016066116A1 (en) * | 2014-10-29 | 2016-05-06 | 南京安源生物医药科技有限公司 | Preparation method of apremilast and intermediate thereof |
-
2016
- 2016-09-29 WO PCT/US2016/054390 patent/WO2017059040A1/en not_active Ceased
- 2016-09-29 EP EP16778644.1A patent/EP3356327A1/en not_active Withdrawn
Patent Citations (10)
| Publication number | Priority date | Publication date | Assignee | Title |
|---|---|---|---|---|
| US6020358A (en) | 1998-10-30 | 2000-02-01 | Celgene Corporation | Substituted phenethylsulfones and method of reducing TNFα levels |
| US20030187052A1 (en) * | 2002-03-20 | 2003-10-02 | George W. Muller | (+)-2-[1-(3-Ethoxy-4-methoxyphenyl)-2-methylsulfonylethyl]-4-acetylaminoisoindoline-1,3-dione: methods of using and compositions thereof |
| WO2003080048A1 (en) * | 2002-03-20 | 2003-10-02 | Celgene Corporation | (-)-2-[1-(3-ethoxy-4-methoxyphenyl)-2-methylsulfonylethyl]-4-acetylaminoisoindoline-1,3-dione: methods of using and compositions thereof |
| WO2003080049A1 (en) | 2002-03-20 | 2003-10-02 | Celgene Corporation | (+)-2-[1-(3-ethoxy-4-methoxyphenyl)-2-methylsulfonylethyl]-4-acetylaminoisoindoline-1,3-dione: methods of using and compositions thereof |
| US8242310B2 (en) | 2008-09-10 | 2012-08-14 | Celgene Corporation | Processes for the preparation of aminosulfone compounds |
| US20100324108A1 (en) * | 2009-06-18 | 2010-12-23 | Concert Pharmaceuticals Inc. | Substituted isoindoline-1,3-dione derivatives |
| US20130217918A1 (en) | 2012-02-21 | 2013-08-22 | Celgene Corporation | Processes for the preparation of (s)-1-(3-ethoxy-4-methoxyphenyl)-2-methanesulfonylethylamine |
| US20130217919A1 (en) | 2012-02-21 | 2013-08-22 | Celgene Corporation | Asymmetric synthetic processes for the preparation of aminosulfone compounds |
| CN103864670B (en) * | 2014-03-17 | 2015-08-26 | 苏州明锐医药科技有限公司 | The preparation method of A Pusite |
| WO2016066116A1 (en) * | 2014-10-29 | 2016-05-06 | 南京安源生物医药科技有限公司 | Preparation method of apremilast and intermediate thereof |
Non-Patent Citations (5)
| Title |
|---|
| ADLECREUTZ, P.: "Immobilization of enzymes and cells", 2006, HUMANA PRESS, pages: 255 |
| BIOORG. MED. CHEM., vol. 18, 2010, pages 971 - 977 |
| J. ORG. CHEM., vol. 32, 1967, pages 1269 - 1270 |
| LILJEBLAD, A.; KIVINIEMI, A.; KANERVA, L. T.: "Aldehyde-based racemization in the dynamic kinetic resolution of N-heterocyclic a-amino esters using Candida antarctica lipase A", TETRAHEDRON, vol. 60, 2004, pages 671 - 677, XP004482881, DOI: doi:10.1016/j.tet.2003.10.103 |
| LUNDELL, K.; RAIJOLA, T.; KANERVA, L. T, ENZ. MICROB. TECHNOL., vol. 22, no. 2, 1998, pages 86 - 93 |
Cited By (5)
| Publication number | Priority date | Publication date | Assignee | Title |
|---|---|---|---|---|
| EP3619195A4 (en) * | 2017-05-04 | 2020-12-02 | Unichem Laboratories Ltd | NEW PROCESS FOR THE PREPARATION OF N- [2 - [(1S) -1- (3-ETHOXY-4-METHOXYPHENYL) -2- (METHYLSULFONYL) ETHYL] -1,3-DIOXO-2,3-DIHYDRO-1H-ISOINDOLE -4-YL] ACETAMIDE |
| CN108084066A (en) * | 2017-12-12 | 2018-05-29 | 中山大学 | A kind of synthetic method of Apremilast and enantiomter |
| WO2022232037A1 (en) * | 2021-04-26 | 2022-11-03 | Amgen Inc. | Process for synthesizing apremilast |
| US12351555B2 (en) | 2021-04-26 | 2025-07-08 | Amgen Inc. | Process for synthesizing apremilast |
| CN120554380A (en) * | 2025-05-30 | 2025-08-29 | 江西华邦药业有限公司 | A preparation method of sulbactam acid |
Also Published As
| Publication number | Publication date |
|---|---|
| EP3356327A1 (en) | 2018-08-08 |
Similar Documents
| Publication | Publication Date | Title |
|---|---|---|
| EP3527573B1 (en) | Synthesis of polycyclic-carbamoylpyridone compounds | |
| JP6355625B2 (en) | Process for producing hydroxylated cyclopentapyrimidine compounds and salts thereof | |
| EA019431B1 (en) | Process and intermediates for preparing integrase inhibitors | |
| EP2861582B1 (en) | Process for making hydroxylated cyclopentylpyrimidine compounds | |
| WO2017059040A1 (en) | Processes for the preparation of apremilast and intermediates thereof | |
| US20250230170A1 (en) | Process for the Steroselective Preparation of Chiral 2-[(Hetero)Arylalkylsulfanyl]Pyrimidines and Products Obtainable Therefrom | |
| US10870626B2 (en) | Process for preparing (cyclopentyl[d]pyrimidin-4-yl)piperazine compounds | |
| US6806380B2 (en) | Modified safe and efficient process for the environmentally friendly synthesis of imidoesters | |
| WO2017046319A1 (en) | A synthetic pathway towards apremilast | |
| WO2018061034A1 (en) | Novel process for the preparation of 1-(3-ethoxy-4-methoxy-phenyl)-2-methylsulfonyl-ethanamine | |
| EP4685237A1 (en) | Process and intermediates for the preparation of etrasimod and related compounds | |
| HK40024946B (en) | Process for preparing an intermediate in the synthesis of (cyclopentyl[d]pyrimidin-4-yl)piperazine compounds | |
| HK40024946A (en) | Process for preparing an intermediate in the synthesis of (cyclopentyl[d]pyrimidin-4-yl)piperazine compounds | |
| HK40042520A (en) | Processes for preparing (cyclopentyl[d]pyrimidin-4-yl)piperazine compounds | |
| NZ759046B2 (en) | Insulating device | |
| NZ759046A (en) | Insulating device | |
| JPH09255673A (en) | Production of optically active 3-(paramethoxyphenyl) grycidic acid alkali metal salt | |
| NZ731073B2 (en) | PROCESSES FOR PREPARING (CYCLOPENTYL[d]PYRIMIDIN-4-YL)PIPERAZINE COMPOUNDS | |
| JPH09255672A (en) | Production of optically active 3-(para-methoxyphenyl) glycidic acid alkali metal salt | |
| HK1208673A1 (en) | Process for making hydroxylated cyclopentylpyrimidine compounds | |
| HK1208500B (en) | Process of making hydroxylated cyclopentapyrimidine compounds and salts thereof |
Legal Events
| Date | Code | Title | Description |
|---|---|---|---|
| 121 | Ep: the epo has been informed by wipo that ep was designated in this application |
Ref document number: 16778644 Country of ref document: EP Kind code of ref document: A1 |
|
| NENP | Non-entry into the national phase |
Ref country code: DE |
|
| WWE | Wipo information: entry into national phase |
Ref document number: 2016778644 Country of ref document: EP |
























































