WO2016001789A1 - Pyrimidine derivatives as pi3k inhibitors for use in the treatment of cancer - Google Patents
Pyrimidine derivatives as pi3k inhibitors for use in the treatment of cancer Download PDFInfo
- Publication number
- WO2016001789A1 WO2016001789A1 PCT/IB2015/054632 IB2015054632W WO2016001789A1 WO 2016001789 A1 WO2016001789 A1 WO 2016001789A1 IB 2015054632 W IB2015054632 W IB 2015054632W WO 2016001789 A1 WO2016001789 A1 WO 2016001789A1
- Authority
- WO
- WIPO (PCT)
- Prior art keywords
- membered
- compound
- methyl
- optionally substituted
- hydrogen
- Prior art date
- Legal status (The legal status is an assumption and is not a legal conclusion. Google has not performed a legal analysis and makes no representation as to the accuracy of the status listed.)
- Ceased
Links
- 0 *C(COCC1)N1c1nc(-c2cnc(N)nc2)c(*)c(OC(C2)CC2N(*)C(O*)=O)n1 Chemical compound *C(COCC1)N1c1nc(-c2cnc(N)nc2)c(*)c(OC(C2)CC2N(*)C(O*)=O)n1 0.000 description 1
- YNAVUWVOSKDBBP-UHFFFAOYSA-N C1NCCOC1 Chemical compound C1NCCOC1 YNAVUWVOSKDBBP-UHFFFAOYSA-N 0.000 description 1
- RYHBNJHYFVUHQT-UHFFFAOYSA-N C1OCCOC1 Chemical compound C1OCCOC1 RYHBNJHYFVUHQT-UHFFFAOYSA-N 0.000 description 1
- JBYHSSAVUBIJMK-UHFFFAOYSA-N C1OCCSC1 Chemical compound C1OCCSC1 JBYHSSAVUBIJMK-UHFFFAOYSA-N 0.000 description 1
- LOZWAPSEEHRYPG-UHFFFAOYSA-N C1SCCSC1 Chemical compound C1SCCSC1 LOZWAPSEEHRYPG-UHFFFAOYSA-N 0.000 description 1
- CNUMQAKNDUKCSV-HDJSIYSDSA-N CN([C@H](C1)C[C@@H]1Oc1nc(N2CCOCC2)nc(-c2cnc(N)nc2)c1)C(CO)=O Chemical compound CN([C@H](C1)C[C@@H]1Oc1nc(N2CCOCC2)nc(-c2cnc(N)nc2)c1)C(CO)=O CNUMQAKNDUKCSV-HDJSIYSDSA-N 0.000 description 1
- SZGJARVKTGWFAN-JOCQHMNTSA-N O=C(NCC1)N1[C@H](C1)C[C@@H]1OCc1ccccc1 Chemical compound O=C(NCC1)N1[C@H](C1)C[C@@H]1OCc1ccccc1 SZGJARVKTGWFAN-JOCQHMNTSA-N 0.000 description 1
- HHRAESRQTRSYJF-IZLXSQMJSA-N O[C@H](C1)C[C@@H]1N(CCN1)C1=O Chemical compound O[C@H](C1)C[C@@H]1N(CCN1)C1=O HHRAESRQTRSYJF-IZLXSQMJSA-N 0.000 description 1
Classifications
-
- C—CHEMISTRY; METALLURGY
- C07—ORGANIC CHEMISTRY
- C07D—HETEROCYCLIC COMPOUNDS
- C07D403/00—Heterocyclic compounds containing two or more hetero rings, having nitrogen atoms as the only ring hetero atoms, not provided for by group C07D401/00
- C07D403/02—Heterocyclic compounds containing two or more hetero rings, having nitrogen atoms as the only ring hetero atoms, not provided for by group C07D401/00 containing two hetero rings
- C07D403/04—Heterocyclic compounds containing two or more hetero rings, having nitrogen atoms as the only ring hetero atoms, not provided for by group C07D401/00 containing two hetero rings directly linked by a ring-member-to-ring-member bond
-
- A—HUMAN NECESSITIES
- A61—MEDICAL OR VETERINARY SCIENCE; HYGIENE
- A61P—SPECIFIC THERAPEUTIC ACTIVITY OF CHEMICAL COMPOUNDS OR MEDICINAL PREPARATIONS
- A61P35/00—Antineoplastic agents
-
- C—CHEMISTRY; METALLURGY
- C07—ORGANIC CHEMISTRY
- C07D—HETEROCYCLIC COMPOUNDS
- C07D401/00—Heterocyclic compounds containing two or more hetero rings, having nitrogen atoms as the only ring hetero atoms, at least one ring being a six-membered ring with only one nitrogen atom
- C07D401/02—Heterocyclic compounds containing two or more hetero rings, having nitrogen atoms as the only ring hetero atoms, at least one ring being a six-membered ring with only one nitrogen atom containing two hetero rings
- C07D401/04—Heterocyclic compounds containing two or more hetero rings, having nitrogen atoms as the only ring hetero atoms, at least one ring being a six-membered ring with only one nitrogen atom containing two hetero rings directly linked by a ring-member-to-ring-member bond
-
- C—CHEMISTRY; METALLURGY
- C07—ORGANIC CHEMISTRY
- C07D—HETEROCYCLIC COMPOUNDS
- C07D403/00—Heterocyclic compounds containing two or more hetero rings, having nitrogen atoms as the only ring hetero atoms, not provided for by group C07D401/00
- C07D403/14—Heterocyclic compounds containing two or more hetero rings, having nitrogen atoms as the only ring hetero atoms, not provided for by group C07D401/00 containing three or more hetero rings
Definitions
- the present invention relates to novel pyrimidine derivatives that are useful in the treatment of abnormal cell growth, such as cancer, in mammals.
- the present invention also relates to pharmaceutical compositions containing the compounds and to methods of using the compounds and compositions in the treatment of abnormal cell growth in mammals.
- Phosphoinositide 3-kinases comprise a family of lipid kinases that catalyze the synthesis of the phosphatidylinositol (“PI") second messengers PI(3)P (“PIP"), PI(3,4)P 2 (“PIP 2 "), and PI(3,4,5)P 3 (“PIP 3 ")- (Fruman et al., "Phosphoinositide kinases", Annu. Rev. Biochem. 67 (1998), pp. 481 -507; Knight et al., "A
- Pharmacological Map of the PI3-K Family Defines a Role for p1 10a in Insulin
- lipids mediate diverse physiological processes including cell growth, survival, differentiation, and chemotaxis.
- PI3K family comprises at least 15 different lipid and serine/threonine kinases, sub-classified by structural homology, with distinct substrate specificities, expression patterns, and mode of regulation.
- Class I PI3Ka is the main PI3-kinase isoform in cancer, and consists of catalytic (p1 10a) and adapter (p85) subunits. (Stirdivant et al., "Cloning and mutagenesis of the p1 10a subunit of human phosphoinositide 3'-hydroxykinase", Bioorg. Med. Chem. 5 (1997), pp. 65-74.)
- the 3-phosphorylated phospholipid, PIP 3 acts as a second messenger recruiting kinases with lipid binding domains (including plekstrin homology ("PH") regions), such as Akt, the product of the human homologue of the viral oncogene v-Akt, and phosphoinositide-dependent kinase-1 ("PDK1 ").
- PH plekstrin homology
- Akt the product of the human homologue of the viral oncogene v-Akt
- PDK1 phosphoinositide-dependent kinase-1
- Binding of Akt to PIP 3 induces Akt to translocate to the plasma membrane, bringing Akt into contact with PDK1 , which activates Akt.
- the PI3Ks, Akt and PDK1 are important in the regulation of many cellular processes including cell cycle regulation, proliferation, survival, apoptosis and motility and are significant components of the molecular mechanisms of diseases such as cancer, diabetes and immune inflammation.
- PI3Ka is thus an attractive target for cancer drug development because PI3Ka inhibitors would be expected to inhibit proliferation and summon resistance to cytotoxic agents in cancer cells.
- Embodiments described herein relate to a compound of formula (I)
- R 1 is hydrogen or methyl
- ring A is 6 membered heteroaryl
- R 2a and R 2b are each independently hydrogen, halogen, -CN, CrC 4 alkyl, -CHF 2 , -CF 3 , hydroxy, methoxy, -NH 2 , or C3-C 4 cycloalkyl;
- R 3 is hydrogen, halogen, -CN, C-1 -C3 alkyl, -CF 3 , or methoxy;
- each R 4a is independently fluorine, -CN, methyl, hydroxy, or methoxy;
- R 5 is hydrogen, C1 -C3 alkyl, or C3-C 4 cycloalkyi;
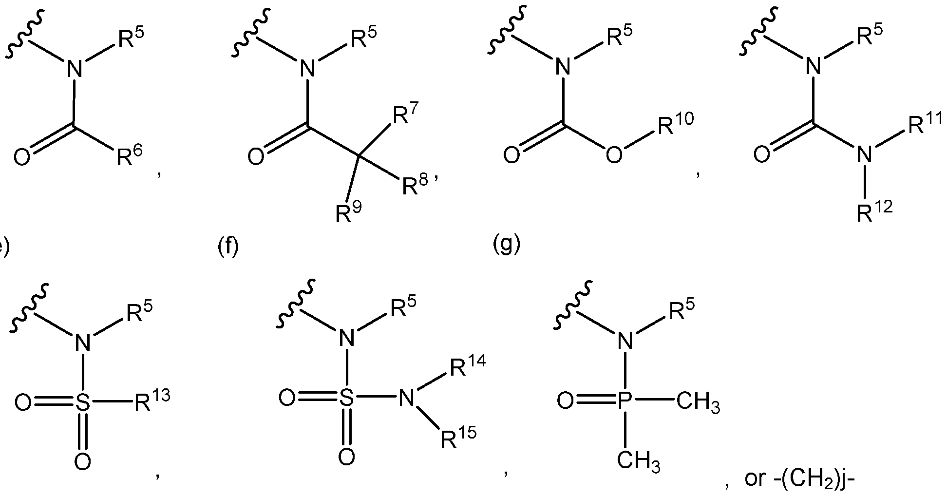
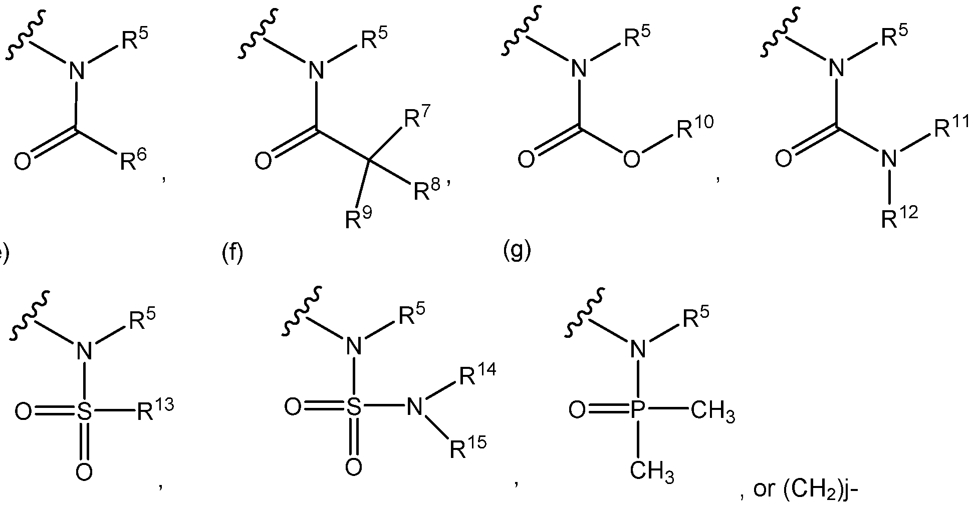
- R 6 is hydrogen, phenyl, or 5-10 membered heteroaryl, wherein the 5-10 membered heteroaryl is optionally substituted by methyl, -(CH 2 ) 2 OH , or -(CH 2 )2CN;
- R 7 is hydrogen, -CN, C C 4 alkyl, -CF 3 , -N(R 18 )(R 19 ), -S0 2 (d-C 3 alkyl), C 3 -C 6 cycloalkyi, 4-6 membered heterocycloalkyi, -(CH 2 )m-(phenyl), or -(CH 2 )n-(5-10 membered heteroaryl), wherein the Ci -C 4 alkyl is optionally substituted by hydroxy, further wherein the C 3 -C 6 cycloalkyi and the 4-6 membered heterocycloalkyi are each
- -(CH 2 )m-(phenyl) and the -(CH 2 )n-(5-10 membered heteroaryl) are each independently optionally substituted by one or two substituents selected from the group consisting of halogen, -CN, methyl, -CF 3 , C1 -C3 alkoxy, -NH 2 , and cyclopropyl;
- R 8 is hydrogen, methyl, hydroxy, methoxy, or NH 2 ,
- R 8 cannot be hydroxy, methoxy or NH 2 , when R 7 is -N(R 18 )(R 19 ); R 9 is hydrogen or C1-C6 alkyl,
- R 7 may form a 5-6 membered heterocycloalkyi ring with R 5
- R 7 may form a C3-C6 cycloalkyi ring or a 4-8 membered heterocycloalkyi ring with R 9
- R 8 may form a C 3 -C 6 cycloalkyi ring with R 9 , wherein the 5-6 membered heterocycloalkyi ring, the C3-C6 cycloalkyi ring, and the 4-8 membered heterocycloalkyi ring formed are each
- R 10 and R 1 1 are each independently CrC 4 alkyl, -(CH 2 )x-(C 3 -C 5 cycloalkyi), - (CH 2 )y-(4-6 membered heterocycloalkyi), or -(CH 2 )z-(5-6 membered heteroaryl), wherein the CrC 4 alkyl is optionally substituted by one or two substituents selected from the group consisting of fluorine, -CN, -CF 3 , C1 -C3 alkoxy, and -N(R 18 )(R 19 ), further wherein the -(CH 2 )x-(C 3 -C 5 cycloalkyi) is optionally substituted by one or two fluorine atoms, even further wherein the -(CH 2 )y-(4-6 membered heterocycloalkyi) and the - (CH 2 )z-(5-6 membered heteroaryl) are each independently optionally substituted by one or two substituents selected from the group
- R 10 or R 1 1 may form a 4-7 membered heterocycloalkyi ring with R 5 , wherein the 4-7 membered heterocycloalkyi ring formed is optionally substituted by one
- R 12 is hydrogen or Ci -C 4 alkyl, provided that R 11 and R 12 may form a 4-8 membered heterocycloalkyl ring, wherein the 4-8 membered heterocycloalkyl ring formed is optionally substituted by one or two R 21 groups, further wherein a carbon atom of the 4-8 membered heterocycloalkyl ring formed is optionally replaced by a nitrogen atom or an oxygen atom;
- R 13 is C C 4 alkyl or C 3 -C 6 cycloalkyl
- R 13 may form a 5-6 membered heterocycloalkyl ring with R 5 , wherein the 5-6 membered heterocycloalkyl ring formed is optionally substituted by one
- R 14 and R 15 are each independently hydrogen, C1-C3 alkyl, or C3-C 4 cycloalkyl, provided that R 14 may form a 5-6 membered heterocycloalkyl ring with R 5 or R 14 and R 15 may form a 4-8 membered heterocycloalkyl ring, wherein the 5-6 membered
- heterocycloalkyl ring formed is optionally substituted by one or two R groups, further wherein the 4-8 membered heterocycloalkyl ring formed is optionally substituted by one or two R 21 groups, even further wherein a carbon atom of the 4-8 membered
- heterocycloalkyl ring formed is optionally replaced by a nitrogen atom or an oxygen atom;
- R 16 and R 17 are each independently hydrogen or C1-C3 alkyl
- R 16 and R 17 may form a 4-6 membered heterocycloalkyl ring, wherein the 4-6 membered heterocycloalkyl ring formed is optionally substituted by one
- each R 18 and R 19 is independently hydrogen or methyl
- g is O, 1 , 2, 3, or 4;
- j is O, 1 , or 2;
- n 0, 1 , or 2;
- n O or l ;
- x is 0 or 1 ;
- y is 0, 1 , or 2;
- z is 0 or 1 .
- Embodiments relate to a compound of formula (I), or a pharmaceutically acceptable salt thereof, wherein R 1 is hydrogen.
- Embodiments relate to a compound of formula (I), or a pharmaceutically acceptable salt thereof, wherein R 1 is methyl.
- Embodiments relate to a compound of formula (I), or a pharmaceutically acceptable salt thereof, wherein ring A is 6-membered heteroaryl.
- Embodiments relate to a compound of formula (I), or a pharmaceutically acceptable salt thereof, wherein ring A is pyridine.
- Embodiments relate to a compound of formula (I), or a pharmaceutically acceptable salt thereof, wherein ring A is pyrimidine.
- Embodiments relate to a compound of formula (I), or a pharmaceutically acceptable salt thereof, wherein R 2a is hydrogen.
- Embodiments relate to a compound of formula (I), or a pharmaceutically acceptable salt thereof, wherein R 2a is -NH 2 .
- Embodiments relate to a compound of formula (I), or a pharmaceutically acceptable salt thereof, wherein R 2b is hydrogen, halogen, Ci-C 4 alkyl, -CHF 2 , or -CF 3 .
- Embodiments relate to a compound of formula (I), or a pharmaceutically acceptable salt thereof, wherein R 2b is hydrogen.
- Embodiments relate to a compound of formula (I), or a pharmaceutically acceptable salt thereof, wherein R 3 is hydrogen. Embodiments relate to a compound of formula (I), or a pharmaceutically acceptable salt thereof, wherein g is 0.
- Embodiments relate to a compound of formula (I), or a pharmaceutically acceptable salt thereof, wherein g is 1 .
- Embodiments relate to a compound of formula (I), or a pharmaceutically acceptable salt thereof, wherein R 5 is hydrogen or C1-C3 alkyl.
- Embodiments relate to a compound of formula (I), or a pharmaceutically acceptable salt thereof, wherein R 5 is hydrogen.
- Embodiments relate to a compound of formula (I), or a pharmaceutically acceptable salt thereof, wherein R 5 is methyl.
- Embodiments relate to a compound of formula (I), or a pharmaceutically acceptable salt thereof, wherein R 6 is hydrogen.
- Embodiments relate to a compound of formula (I), or a pharmaceutically acceptable salt thereof, wherein R 6 is 5-6 membered heteroaryl optionally substituted by methyl, -(CH 2 ) 2 OH, or -(CH 2 ) 2 CN.
- Embodiments relate to a compound of formula (I), or a pharmaceutically acceptable salt thereof, wherein R 7 is hydrogen, -CN, Ci-C 4 alkyl, -CF 3 , -NH 2 , or - S0 2 CH 3 .
- Embodiments relate to a compound of formula (I), or a pharmaceutically acceptable salt thereof, wherein R 7 is C 3 -C 6 cycloalkyl.
- Embodiments relate to a compound of formula (I), or a pharmaceutically acceptable salt thereof, wherein R 7 is -(CH 2 )m-(phenyl) or -(CH 2 )n-(5-10 membered heteroaryl), wherein the -(CH 2 )n-(5-10 membered heteroaryl) is optionally substituted by one or two substituents selected from the group consisting of halogen and methyl.
- Embodiments relate to a compound of formula (I), or a pharmaceutically acceptable salt thereof, wherein R 7 is hydrogen.
- Embodiments relate to a compound of formula (I), or a pharmaceutically acceptable salt thereof, wherein R 7 is Ci-C 4 alkyl.
- Embodiments relate to a compound of formula (I), or a pharmaceutically acceptable salt thereof, wherein R 7 is methyl.
- Embodiments relate to a compound of formula (I), or a pharmaceutically acceptable salt thereof, wherein R 8 is hydrogen, methyl, hydroxy, or methoxy. Embodiments relate to a compound of formula (I), or a pharmaceutically acceptable salt thereof, wherein R 8 is hydrogen.
- Embodiments relate to a compound of formula (I), or a pharmaceutically acceptable salt thereof, wherein R 8 is methyl.
- Embodiments relate to a compound of formula (I), or a pharmaceutically acceptable salt thereof, wherein R 8 is hydroxy.
- Embodiments relate to a compound of formula (I), or a pharmaceutically acceptable salt thereof, wherein R 9 is hydrogen.
- Embodiments relate to a compound of formula (I), or a pharmaceutically acceptable salt thereof, wherein R 9 is methyl.
- Embodiments relate to a compound of formula (I), or a pharmaceutically acceptable salt thereof, wherein R 9 is ethyl.
- Embodiments relate to a compound of formula (I), or a pharmaceutically acceptable salt thereof, wherein R 7 is hydrogen, R 8 is hydrogen, and R 9 is hydrogen.
- Embodiments relate to a compound of formula (I), or a pharmaceutically acceptable salt thereof, wherein R 7 is hydrogen, R 8 is hydroxy, and R 9 is hydrogen.
- Some embodiments relate to a compound of formula (I), or a pharmaceutically acceptable salt thereof, wherein R 7 is Ci-C 4 alkyl, R 8 is hydroxy, and R 9 is hydrogen.
- Embodiments relate to a compound of formula (I), or a pharmaceutically acceptable salt thereof, wherein R 7 and R 9 form a C 3 -C 6 cycloalkyl ring optionally substituted by one or two fluorine groups.
- Embodiments relate to a compound of formula (I), or a pharmaceutically acceptable salt thereof, wherein R 7 and R 9 form a 4-6 membered heterocycloalkyi ring.
- Embodiments relate to a compound of formula (I), or a pharmaceutically acceptable salt thereof, wherein R 8 and R 9 form a C 3 -C 6 cycloalkyl ring optionally substituted by one or two substituents selected from the group consisting of fluorine, - CN, and methyl.
- Embodiments relate to a compound of formula (I), or a pharmaceutically acceptable salt thereof, wherein R 10 is CrC 4 alkyl.
- Embodiments relate to a compound of formula (I), or a pharmaceutically acceptable salt thereof, wherein R 10 is methyl.
- Embodiments relate to a compound of formula (I), or a pharmaceutically acceptable salt thereof, wherein R 10 is C 3 -C 5 cycloalkyl. Embodiments relate to a compound of formula (I), or a pharmaceutically acceptable salt thereof, wherein R 10 and R 5 form a 5-6 membered heterocycloalkyl ring.
- Embodiments relate to a compound of formula (I), or a pharmaceutically acceptable salt thereof, wherein R 11 is Ci-C 4 alkyl or -(CH 2 )x-(C3-C5 cycloalkyi), further wherein the CrC 4 alkyl is optionally substituted by one or two substituents selected from the group consisting of fluorine, -CN, -CF 3 , C1-C3 alkoxy, and -N(CH 3 ) 2 , even further wherein the -(CH 2 )x-(C3-C5 cycloalkyi) is optionally substituted by one or two fluorine atoms.
- Embodiments relate to a compound of formula (I), or a pharmaceutically acceptable salt thereof, wherein R 11 is -(CH 2 )y-(4-6 membered heterocycloalkyl) optionally substituted by methyl.
- Embodiments relate to a compound of formula (I), or a pharmaceutically acceptable salt thereof, wherein R 11 is -(CH 2 )z-(5-6 membered heteroaryl) optionally substituted by methyl.
- Embodiments relate to a compound of formula (I), or a pharmaceutically acceptable salt thereof, wherein R 12 is hydrogen.
- Embodiments relate to a compound of formula (I), or a pharmaceutically acceptable salt thereof, wherein R 12 is methyl.
- Embodiments relate to a compound of formula (I), or a pharmaceutically acceptable salt thereof, wherein R 11 and R 12 form a 4-6 membered heterocycloalkyl ring optionally substituted by one or two substituents selected from the group consisting of fluorine, -CN, methyl, and hydroxy.
- Embodiments relate to a compound of formula (I), or a pharmaceutically acceptable salt thereof, wherein R 11 and R 5 form a 5-6 membered heterocycloalkyl ring.
- Embodiments relate to a compound of formula (I), or a pharmaceutically acceptable salt thereof, wherein R 4 is
- Embodiments relate to a compound of formula (I), or a pharmaceutically acceptable salt thereof, wherein R 4 is -(CH 2 )j-N(R 16 )(N 17 ).
- Embodiments relate to a compound of formula (I), or a pharmaceutically acceptable salt thereof, having formula (la)
- Embodiments relate to a compound of formula (I), or a pharmaceutically acceptable salt thereof, having formula (lb)
- Embodiments relate to a compound of formula (I), or a pharmaceutically acceptable salt thereof, having formula (lc)
- Embodiments relate to a compound of formula (I), or a pharmaceutically acceptable salt thereof, having formula (Id)
- Embodiments relate to a compound of formula (I), or a pharmaceutically acceptable salt thereof, having formula (le)
- Embodiments relate to a compound of formula (I), or a pharmaceutically acceptable salt thereof, having formula (If)
- Embodiments relate to a compound of formula (I), or a pharmaceutically acceptable salt thereof, having formula (Ig)
- Embodiments described herein relate to a compound of formula (II)
- R 1 is hydrogen or methyl
- R 2a and R 2b are each independently hydrogen, halogen, -CN, C C 4 alkyl, -CHF 2 , -CF 3 , hydroxy, methoxy, -NH 2 , or C3-C 4 cycloalkyl;
- R 3 is hydrogen, halogen, -CN, C1-C3 alkyl, -CF 3 , or methoxy;
- R 4 is (e
- each R 4a is independently fluorine, -CN, methyl, hydroxy, or methoxy;
- R 5 is hydrogen, C1-C3 alkyl, or C3-C 4 cycloalkyi
- R 6 is hydrogen, phenyl, or 5-10 membered heteroaryl, wherein the 5-10 membered heteroaryl is optionally substituted by methyl, -(CH 2 ) 2 OH, or -(CH 2 )2CN;
- R 7 is hydrogen, -CN, C C 4 alkyl, -CF 3 , -N(R 18 )(R 19 ), -S0 2 (C 1 -C 3 alkyl), C 3 -C 6 cycloalkyi, 4-6 membered heterocycloalkyi, -(CH 2 )m-(phenyl), or -(CH 2 )n-(5-10 membered heteroaryl), wherein the Ci-C 4 alkyl is optionally substituted by hydroxy, further wherein the C 3 -C 6 cycloalkyi and the 4-6 membered heterocycloalkyi are each
- -(CH 2 )m-(phenyl) and the -(CH 2 )n-(5-10 membered heteroaryl) are each independently optionally substituted by one or two substituents selected from the group consisting of halogen, -CN, methyl, -CF 3 , Ci-C 3 alkoxy, -NH 2 , and cyclopropyl;
- R 8 is hydrogen, methyl, hydroxy, methoxy, or NH 2 ,
- R 8 cannot be hydroxy, methoxy or NH 2 , when R 7 is -N(R 18 )(R 19 ); R 9 is hydrogen or C1-C6 alkyl,
- R 7 may form a 5-6 membered heterocycloalkyi ring with R 5
- R 7 may form a C 3 -C6 cycloalkyi ring or a 4-8 membered heterocycloalkyi ring with R 9
- R 8 may form a C 3 -C 6 cycloalkyi ring with R 9 , wherein the 5-6 membered heterocycloalkyi ring, the C 3 -C 6 cycloalkyl ring, and the 4-8 membered heterocycloalkyi ring formed are each
- R 10 and R 1 1 are each independently CrC 4 alkyl, -(CH 2 )x-(C 3 -C5 cycloalkyl), - (CH 2 )y-(4-6 membered heterocycloalkyi), or -(CH 2 )z-(5-6 membered heteroaryl), wherein the CrC 4 alkyl is optionally substituted by one or two substituents selected from the group consisting of fluorine, -CN, -CF 3 , C1 -C3 alkoxy, and -N(R 18 )(R 19 ), further wherein the -(CH 2 )x-(C 3 -C5 cycloalkyl) is optionally substituted by one or two fluorine atoms, even further wherein the -(CH 2 )y-(4-6 membered heterocycloalkyi) and the - (CH 2 )z-(5-6 membered heteroaryl) are each independently optionally substituted by one or two substituents selected from the group
- R 10 or R 1 1 may form a 4-7 membered heterocycloalkyi ring with R 5 , wherein the 4-7 membered heterocycloalkyi ring formed is optionally substituted by one
- R 12 is hydrogen or Ci -C 4 alkyl
- R 1 1 and R 12 may form a 4-8 membered heterocycloalkyi ring, wherein the 4-8 membered heterocycloalkyi ring formed is optionally substituted by one or two R 21 groups, further wherein a carbon atom of the 4-8 membered heterocycloalkyi ring formed is optionally replaced by a nitrogen atom or an oxygen atom;
- R 13 is C C 4 alkyl or C 3 -C 6 cycloalkyl
- R 13 may form a 5-6 membered heterocycloalkyi ring with R 5 , wherein the 5-6 membered heterocycloalkyi ring formed is optionally substituted by one
- R 14 and R 15 are each independently hydrogen, Ci -C 3 alkyl, or C 3 -C 4 cycloalkyl, provided that R 14 may form a 5-6 membered heterocycloalkyi ring with R 5 or R 14 and R 15 may form a 4-8 membered heterocycloalkyi ring, wherein the 5-6 membered
- heterocycloalkyi ring formed is optionally substituted by one or two R groups, further wherein the 4-8 membered heterocycloalkyi ring formed is optionally substituted by one or two R 21 groups, even further wherein a carbon atom of the 4-8 membered
- heterocycloalkyi ring formed is optionally replaced by a nitrogen atom or an oxygen atom;
- R 16 and R 17 are each independently hydrogen or Ci-C 3 alkyl, provided that R 16 and R 17 may form a 4-6 membered heterocycloalkyl ring, wherein the 4-6 membered heterocycloalkyl ring formed is optionally substituted by one
- each R 18 and R 19 is independently hydrogen or methyl
- each R 22 and R 23 is independently hydrogen or methyl
- g is O, 1 , 2, 3, or 4;
- j is O, 1 , or 2;
- n 0, 1 , or 2;
- n O or l ;
- x is 0 or 1 ;
- y is 0, 1 , or 2;
- z is 0 or 1 .
- Embodiments described herein relate to a compound of formula (II), or a pharmaceutically acceptable salt thereof, wherein R 1 is hydrogen.
- Embodiments described herein relate to a compound of formula (II), or a pharmaceutically acceptable salt thereof, wherein R 1 is methyl.
- Embodiments described herein relate to a compound of formula (II), or a pharmaceutically acceptable salt thereof, wherein R 2a is hydrogen.
- Embodiments described herein relate to a compound of formula (II), or a pharmaceutically acceptable salt thereof, wherein R 2a is -NH 2 .
- Embodiments described herein relate to a compound of formula (II), or a pharmaceutically acceptable salt thereof, wherein R 2b is hydrogen, halogen, Ci-C 4 alkyl, -CHF 2 , or -CF 3 .
- Embodiments described herein relate to a compound of formula (II), or a pharmaceutically acceptable salt thereof, wherein R 2b is hydrogen.
- Embodiments described herein relate to a compound of formula (II), or a pharmaceutically acceptable salt thereof, wherein R 3 is hydrogen.
- Embodiments described herein relate to a compound of formula (II), or a pharmaceutically acceptable salt thereof, wherein g is 0.
- Embodiments described herein relate to a compound of formula (II), or a pharmaceutically acceptable salt thereof, wherein g is 1 .
- Embodiments described herein relate to a compound of formula (II), or a pharmaceutically acceptable salt thereof, wherein R 5 is hydrogen or C1-C3 alkyl.
- Embodiments described herein relate to a compound of formula (II), or a pharmaceutically acceptable salt thereof, wherein R 5 is hydrogen.
- Embodiments described herein relate to a compound of formula (II), or a pharmaceutically acceptable salt thereof, wherein R 5 is methyl.
- Embodiments described herein relate to a compound of formula (II), or a pharmaceutically acceptable salt thereof, wherein R 6 is hydrogen.
- Embodiments described herein relate to a compound of formula (II), or a pharmaceutically acceptable salt thereof, wherein R 7 is hydrogen, -CN, Ci-C 4 alkyl, -
- Embodiments described herein relate to a compound of formula (II), or a pharmaceutically acceptable salt thereof, wherein R 7 is C3-C6 cycloalkyl.
- Embodiments described herein relate to a compound of formula (II), or a pharmaceutically acceptable salt thereof, wherein R 7 is -(CH 2 )m-(phenyl) or -(CH 2 )n-(5- 10 membered heteroaryl), wherein the -(CH 2 )n-(5-10 membered heteroaryl) is optionally substituted by one or two substituents selected from the group consisting of halogen and methyl.
- Embodiments described herein relate to a compound of formula (II), or a pharmaceutically acceptable salt thereof, wherein R 7 is hydrogen.
- Embodiments described herein relate to a compound of formula (II), or a pharmaceutically acceptable salt thereof, wherein R 7 is CrC 4 alkyl.
- Embodiments described herein relate to a compound of formula (II), or a pharmaceutically acceptable salt thereof, wherein R 7 is methyl.
- Embodiments relate to a compound of formula (I), or a pharmaceutically acceptable salt thereof, wherein R 8 is hydrogen, methyl, hydroxy, or methoxy.
- Embodiments described herein relate to a compound of formula (II), or a pharmaceutically acceptable salt thereof, wherein R 8 is hydrogen.
- Embodiments described herein relate to a compound of formula (II), or a pharmaceutically acceptable salt thereof, wherein R 8 is methyl.
- Embodiments described herein relate to a compound of formula (II), or a pharmaceutically acceptable salt thereof, wherein R 8 is hydroxy.
- Embodiments described herein relate to a compound of formula (II), or a pharmaceutically acceptable salt thereof, wherein R 9 is hydrogen.
- Embodiments described herein relate to a compound of formula (II), or a pharmaceutically acceptable salt thereof, wherein R 9 is methyl.
- Embodiments described herein relate to a compound of formula (II), or a pharmaceutically acceptable salt thereof, wherein R 9 is ethyl.
- Embodiments described herein relate to a compound of formula (II), or a pharmaceutically acceptable salt thereof, wherein R 7 is hydrogen, R 8 is hydrogen, and R 9 is hydrogen.
- Embodiments described herein relate to a compound of formula (II), or a pharmaceutically acceptable salt thereof, wherein R 7 is hydrogen, R 8 is hydroxy, and R 9 is hydrogen.
- Embodiments described herein relate to a compound of formula (II), or a pharmaceutically acceptable salt thereof, wherein R 7 is Ci-C 4 alkyl, R 8 is hydroxy, and R 9 is hydrogen.
- Embodiments described herein relate to a compound of formula (II), or a pharmaceutically acceptable salt thereof, wherein R 7 and R 9 form a C3-C6 cycloalkyi ring optionally substituted by one or two fluorine groups.
- Embodiments described herein relate to a compound of formula (II), or a pharmaceutically acceptable salt thereof, wherein R 7 and R 9 form a 4-6 membered heterocycloalkyl ring.
- Embodiments described herein relate to a compound of formula (II), or a pharmaceutically acceptable salt thereof, wherein R 8 and R 9 form a C 3 -C 6 cycloalkyi ring optionally substituted by one or two substituents selected from the group consisting of fluorine, -CN, and methyl.
- Embodiments described herein relate to a compound of formula (II), or a pharmaceutically acceptable salt thereof, wherein R 10 is Ci-C 4 alkyl.
- Embodiments described herein relate to a compound of formula (II), or a pharmaceutically acceptable salt thereof, wherein R 10 is methyl.
- Embodiments described herein relate to a compound of formula (II), or a pharmaceutically acceptable salt thereof, wherein R 10 is C3-C5 cycloalkyi.
- Embodiments described herein relate to a compound of formula (II), or a pharmaceutically acceptable salt thereof, wherein R 10 and R 5 form a 5-6 membered heterocycloalkyl ring.
- Embodiments described herein relate to a compound of formula (II), or a pharmaceutically acceptable salt thereof, wherein R 11 is Ci-C 4 alkyl or -(CH 2 )x-(C 3 -C5 cycloalkyi), further wherein the Ci-C 4 alkyl is optionally substituted by one or two substituents selected from the group consisting of fluorine, -CN, -CF 3 , C1-C3 alkoxy, and -N(CH 3 ) 2 , even further wherein the -(CH 2 )x-(C3-C5 cycloalkyi) is optionally substituted by one or two fluorine atoms.
- Embodiments described herein relate to a compound of formula (II), or a pharmaceutically acceptable salt thereof, wherein R 11 is -(CH 2 )y-(4-6 membered heterocycloalkyl) optionally substituted by methyl.
- Embodiments described herein relate to a compound of formula (II), or a pharmaceutically acceptable salt thereof, wherein R 11 is -(CH 2 )z-(5-6 membered heteroaryl) optionally substituted by methyl.
- Embodiments described herein relate to a compound of formula (II), or a pharmaceutically acceptable salt thereof, wherein R 12 is hydrogen. Embodiments described herein relate to a compound of formula (II), or a pharmaceutically acceptable salt thereof, wherein R 12 is methyl.
- Embodiments described herein relate to a compound of formula (II), or a pharmaceutically acceptable salt thereof, wherein R 11 and R 12 form a 4-6 membered heterocycloalkyl ring optionally substituted by one or two substituents selected from the group consisting of fluorine, -CN, methyl, and hydroxy.
- Embodiments described herein relate to a compound of formula (II), or a pharmaceutically acceptable salt thereof, wherein R 11 and R 5 form a 5-6 membered heterocycloalkyl ring.
- Embodiments described herein relate to a compound of formula (II), or a pharmaceutically acceptable salt thereof, wherein R 4 is
- Embodiments described herein relate to a compound of formula (II), or a pharmaceutically acceptable salt thereof, wherein R 4 is -(CH 2 )j-N(R 16 )(N 17 ).
- Embodiments described herein relate to a compound of formula (II), or a pharmaceutically acceptable salt thereof, having formula (I la)
- Embodiments described herein relate to a compound of formula (II), or a pharmaceuticall acceptable salt thereof, having formula (Mb)
- Embodiments described herein relate to a compound of formula (II), or a pharmaceuticall acceptable salt thereof, having formula (lie)
- Embodiments described herein relate to a compound of formula (II), or a pharmaceutically acceptable salt thereof, having formula (lid)
- Embodiments described herein relate to a compound of formula (II), or a pharmaceuticall acceptable salt thereof, having formula (lie)
- Embodiments described herein relate to a compound of formula (II), or a pharmaceuticall acceptable salt thereof, having formula (llf)
- Embodiments described herein relate to a having formula (llg)
- R 1 is hydrogen or methyl
- R 3 is hydrogen, halogen, -CN, C1-C3 alkyl, -CF 3 , or methoxy;
- R 4 is
- each R 4a is independently fluorine, -CN, methyl, hydroxy, or methoxy;
- R 5 is hydrogen, C1-C3 alkyl, or C3-C 4 cycloalkyi
- R 6 is hydrogen, phenyl, or 5-10 membered heteroaryl, wherein the 5-10 membered heteroaryl is optionally substituted by methyl, -(CH 2 ) 2 OH, or -(CH 2 )2CN;
- R 7 is hydrogen, -CN, C C 4 alkyl, -CF 3 , -N(R 18 )(R 19 ), -S0 2 (C 1 -C 3 alkyl), C 3 -C 6 cycloalkyi, 4-6 membered heterocycloalkyi, -(CH 2 )m-(phenyl), or -(CH 2 )n-(5-10 membered heteroaryl), wherein the Ci-C 4 alkyl is optionally substituted by hydroxy, further wherein the C 3 -C 6 cycloalkyi and the 4-6 membered heterocycloalkyi are each
- -(CH 2 )m-(phenyl) and the -(CH 2 )n-(5-10 membered heteroaryl) are each independently optionally substituted by one or two substituents selected from the group consisting of halogen, -CN, methyl, -CF 3 , Ci-C 3 alkoxy, -NH 2 , and cyclopropyl;
- R 8 is hydrogen, methyl, hydroxy, methoxy, or NH 2 ,
- R 8 cannot be hydroxy, methoxy or NH 2 , when R 7 is -N(R 18 )(R 19 ); R 9 is hydrogen or C1-C6 alkyl,
- R 7 may form a 5-6 membered heterocycloalkyi ring with R 5
- R 7 may form a C 3 -C6 cycloalkyi ring or a 4-8 membered heterocycloalkyi ring with R 9
- R 8 may form a C 3 -C 6 cycloalkyi ring with R 9 , wherein the 5-6 membered heterocycloalkyi ring, the C 3 -C 6 cycloalkyl ring, and the 4-8 membered heterocycloalkyi ring formed are each
- R 10 and R 1 1 are each independently CrC 4 alkyl, -(CH 2 )x-(C 3 -C5 cycloalkyl), - (CH 2 )y-(4-6 membered heterocycloalkyi), or -(CH 2 )z-(5-6 membered heteroaryl), wherein the CrC 4 alkyl is optionally substituted by one or two substituents selected from the group consisting of fluorine, -CN, -CF 3 , C1 -C3 alkoxy, and -N(R 18 )(R 19 ), further wherein the -(CH 2 )x-(C 3 -C5 cycloalkyl) is optionally substituted by one or two fluorine atoms, even further wherein the -(CH 2 )y-(4-6 membered heterocycloalkyi) and the - (CH 2 )z-(5-6 membered heteroaryl) are each independently optionally substituted by one or two substituents selected from the group
- R 10 or R 1 1 may form a 4-7 membered heterocycloalkyi ring with R 5 , wherein the 4-7 membered heterocycloalkyi ring formed is optionally substituted by one
- R 12 is hydrogen or Ci -C 4 alkyl
- R 1 1 and R 12 may form a 4-8 membered heterocycloalkyi ring, wherein the 4-8 membered heterocycloalkyi ring formed is optionally substituted by one or two R 21 groups, further wherein a carbon atom of the 4-8 membered heterocycloalkyi ring formed is optionally replaced by a nitrogen atom or an oxygen atom;
- R 13 is C C 4 alkyl or C 3 -C 6 cycloalkyl
- R 13 may form a 5-6 membered heterocycloalkyi ring with R 5 , wherein the 5-6 membered heterocycloalkyi ring formed is optionally substituted by one
- R 14 and R 15 are each independently hydrogen, Ci -C 3 alkyl, or C 3 -C 4 cycloalkyl, provided that R 14 may form a 5-6 membered heterocycloalkyi ring with R 5 or R 14 and R 15 may form a 4-8 membered heterocycloalkyi ring, wherein the 5-6 membered
- heterocycloalkyi ring formed is optionally substituted by one or two R groups, further wherein the 4-8 membered heterocycloalkyi ring formed is optionally substituted by one or two R 21 groups, even further wherein a carbon atom of the 4-8 membered
- heterocycloalkyi ring formed is optionally replaced by a nitrogen atom or an oxygen atom;
- R 16 and R 17 are each independently hydrogen or Ci-C 3 alkyl, provided that R 16 and R 17 may form a 4-6 membered heterocycloalkyl ring, wherein the 4-6 membered heterocycloalkyl ring formed is optionally substituted by one
- each R 18 and R 19 is independently hydrogen or methyl
- each R 22 and R 23 is independently hydrogen or methyl
- g is O, 1 , 2, 3, or 4;
- j is O, 1 , or 2;
- n 0, 1 , or 2;
- n O or l ;
- x is 0 or 1 ;
- y is 0, 1 , or 2;
- z is 0 or 1 .
- Embodiments described herein relate to a compound of formula (III), or a pharmaceutically acceptable salt thereof, wherein R 1 is hydrogen.
- Embodiments described herein relate to a compound of formula (III), or a pharmaceutically acceptable salt thereof, wherein R 1 is methyl.
- Embodiments described herein relate to a compound of formula (III), or a pharmaceutically acceptable salt thereof, wherein R 3 is hydrogen.
- Embodiments described herein relate to a compound of formula (III), or a pharmaceutically acceptable salt thereof, wherein g is 0.
- Embodiments described herein relate to a compound of formula (III), or a pharmaceutically acceptable salt thereof, wherein g is 1 .
- Embodiments described herein relate to a compound of formula (III), or a pharmaceutically acceptable salt thereof, wherein R 5 is hydrogen or C1-C3 alkyl.
- Embodiments described herein relate to a compound of formula (III), or a pharmaceutically acceptable salt thereof, wherein R 5 is hydrogen.
- Embodiments described herein relate to a compound of formula (III), or a pharmaceutically acceptable salt thereof, wherein R 5 is methyl.
- Embodiments described herein relate to a compound of formula (III), or a pharmaceutically acceptable salt thereof, wherein R 6 is hydrogen.
- Embodiments described herein relate to a compound of formula (III), or a pharmaceutically acceptable salt thereof, wherein R 6 is 5-6 membered heteroaryl optionally substituted by methyl, -(CH 2 ) 2 OH, or -(CH 2 ) 2 CN.
- Embodiments described herein relate to a compound of formula (III), or a pharmaceutically acceptable salt thereof, wherein R 7 is hydrogen, -CN, Ci-C 4 alkyl, - CF 3 , -NH 2 , or -S0 2 CH 3 .
- Embodiments described herein relate to a compound of formula (III), or a pharmaceutically acceptable salt thereof, wherein R 7 is C3-C6 cycloalkyl.
- Embodiments described herein relate to a compound of formula (III), or a pharmaceutically acceptable salt thereof, wherein R 7 is -(CH 2 )m-(phenyl) or -(CH 2 )n-(5- 10 membered heteroaryl), wherein the -(CH 2 )n-(5-10 membered heteroaryl) is optionally substituted by one or two substituents selected from the group consisting of halogen and methyl.
- Embodiments described herein relate to a compound of formula (III), or a pharmaceutically acceptable salt thereof, wherein R 7 is hydrogen.
- Embodiments described herein relate to a compound of formula (III), or a pharmaceutically acceptable salt thereof, wherein R 7 is CrC 4 alkyl.
- Embodiments described herein relate to a compound of formula (III), or a pharmaceutically acceptable salt thereof, wherein R 7 is methyl.
- Embodiments relate to a compound of formula (I), or a pharmaceutically acceptable salt thereof, wherein R 8 is hydrogen, methyl, hydroxy, or methoxy.
- Embodiments described herein relate to a compound of formula (III), or a pharmaceutically acceptable salt thereof, wherein R 8 is hydrogen.
- Embodiments described herein relate to a compound of formula (III), or a pharmaceutically acceptable salt thereof, wherein R 8 is methyl.
- Embodiments described herein relate to a compound of formula (III), or a pharmaceutically acceptable salt thereof, wherein R 8 is hydroxy.
- Embodiments described herein relate to a compound of formula (III), or a pharmaceutically acceptable salt thereof, wherein R 9 is hydrogen.
- Embodiments described herein relate to a compound of formula (III), or a pharmaceutically acceptable salt thereof, wherein R 9 is methyl.
- Embodiments described herein relate to a compound of formula (III), or a pharmaceutically acceptable salt thereof, wherein R 9 is ethyl.
- Embodiments described herein relate to a compound of formula (III), or a pharmaceutically acceptable salt thereof, wherein R 7 is hydrogen, R 8 is hydrogen, and R 9 is hydrogen.
- Embodiments described herein relate to a compound of formula (III), or a pharmaceutically acceptable salt thereof, wherein R 7 is hydrogen, R 8 is hydroxy, and R 9 is hydrogen.
- Embodiments described herein relate to a compound of formula (III), or a pharmaceutically acceptable salt thereof, wherein R 7 is Ci-C 4 alkyl, R 8 is hydroxy, and R 9 is hydrogen.
- Embodiments described herein relate to a compound of formula (III), or a pharmaceutically acceptable salt thereof, wherein R 7 and R 9 form a C 3 -C 6 cycloalkyi ring optionally substituted by one or two fluorine groups.
- Embodiments described herein relate to a compound of formula (III), or a pharmaceutically acceptable salt thereof, wherein R 7 and R 9 form a 4-6 membered heterocycloalkyl ring.
- Embodiments described herein relate to a compound of formula (III), or a pharmaceutically acceptable salt thereof, wherein R 8 and R 9 form a C 3 -C 6 cycloalkyi ring optionally substituted by one or two substituents selected from the group consisting of fluorine, -CN, and methyl.
- Embodiments described herein relate to a compound of formula (III), or a pharmaceutically acceptable salt thereof, wherein R 10 is Ci-C 4 alkyl.
- Embodiments described herein relate to a compound of formula (III), or a pharmaceutically acceptable salt thereof, wherein R 10 is methyl.
- Embodiments described herein relate to a compound of formula (III), or a pharmaceutically acceptable salt thereof, wherein R 10 is C 3 -C 5 cycloalkyi.
- Embodiments described herein relate to a compound of formula (III), or a pharmaceutically acceptable salt thereof, wherein R 10 and R 5 form a 5-6 membered heterocycloalkyl ring.
- Embodiments described herein relate to a compound of formula (III), or a pharmaceutically acceptable salt thereof, wherein R 11 is Ci-C 4 alkyl or -(CH 2 )x-(C3-C5 cycloalkyi), further wherein the CrC 4 alkyl is optionally substituted by one or two substituents selected from the group consisting of fluorine, -CN, -CF 3 , C1-C3 alkoxy, and -N(CH 3 ) 2 , even further wherein the -(CH 2 )x-(C 3 -C5 cycloalkyi) is optionally substituted by one or two fluorine atoms.
- Embodiments described herein relate to a compound of formula (III), or a pharmaceutically acceptable salt thereof, wherein R 11 is -(CH 2 )y-(4-6 membered heterocycloalkyl) optionally substituted by methyl.
- Embodiments described herein relate to a compound of formula (III), or a pharmaceutically acceptable salt thereof, wherein R 11 is -(CH 2 )z-(5-6 membered heteroaryl) optionally substituted by methyl.
- Embodiments described herein relate to a compound of formula (III), or a pharmaceutically acceptable salt thereof, wherein R 12 is hydrogen.
- Embodiments described herein relate to a compound of formula (III), or a pharmaceutically acceptable salt thereof, wherein R 12 is methyl.
- Embodiments described herein relate to a compound of formula (III), or a pharmaceutically acceptable salt thereof, wherein R 11 and R 12 form a 4-6 membered heterocycloalkyl ring optionally substituted by one or two substituents selected from the group consisting of fluorine, -CN, methyl, and hydroxy.
- Embodiments described herein relate to a compound of formula (III), or a pharmaceutically acceptable salt thereof, wherein R 11 and R 5 form a 5-6 membered heterocycloalkyl ring.
- Embodiments described herein relate to a compound of formula (III), or a pharmaceutically acceptable salt thereof, wherein R is
- Embodiments described herein relate to a compound of formula (III), or a pharmaceutically acceptable salt thereof, wherein R 4 is -(CH 2 )j-N(R 16 )(N 17 ).
- Embodiments described herein relate to a compound of formula (III), or a pharmaceuticall acceptable salt thereof, having formula (Ilia)
- Embodiments described herein relate to a compound of formula (III), or a pharmaceutically acceptable salt thereof, having formula (1Mb)
- Embodiments described herein relate to a compound of formula (III), or a pharmaceutically acceptable salt thereof, having formula (III c)
- Embodiments described herein relate to a compound of formula (III), or a pharmaceutically acceptable salt thereof, having formula (llld)
- Embodiments described herein relate to a compound of formula (III), or a pharmaceutically acceptable salt thereof, having formula (llle)
- Embodiments described herein relate to a compound of formula (III), or a pharmaceutically acceptable salt thereof, having formula (lllf)
- Embodiments described herein relate to a compound of formula (III), or a pharmaceutically acceptable salt thereof, having formula (lllg)
- the compound is selected from:
- Embodiments relate to a pharmaceutical composition
- a pharmaceutical composition comprising a compound of any of the embodiments of the compounds of formula (I), formula (II), or formula (III), or a pharmaceutically acceptable salt thereof, and a pharmaceutically acceptable carrier or diluent.
- Embodiments relate to a combination of a compound of any of the embodiments of the compounds of formula (I), formula (II), or formula (III), or a pharmaceutically acceptable salt thereof, with an anti-tumor agent or with radiation therapy, for the treatment of cancer.
- Embodiments relate to a combination of a compound of any of the embodiments of the compounds of formula (I), formula (II), or formula (III), or a pharmaceutically acceptable salt thereof, with an anti-tumor agent, for the treatment of cancer.
- Embodiments relate to a method of treating abnormal cell growth in a mammal comprising administering to the mammal an amount of a compound of any of the embodiments of the compounds of formula (I), formula (II), or formula (III), or a pharmaceutically acceptable salt thereof, that is effective in treating abnormal cell growth.
- Embodiments relate to the method of treating abnormal cell growth, wherein the abnormal cell growth is cancer.
- Embodiments relate to the method of treating cancer, wherein the cancer is selected from the group consisting of basal cell cancer, medulloblastoma cancer, liver cancer, rhabdomyosarcoma, lung cancer, bone cancer, pancreatic cancer, skin cancer, cancer of the head or neck, cutaneous or intraocular melanoma, uterine cancer, ovarian cancer, rectal cancer, cancer of the anal region, stomach cancer, colon cancer, breast cancer, uterine cancer, carcinoma of the fallopian tubes, carcinoma of the
- carcinoma of the cervix carcinoma of the vagina, carcinoma of the vulva
- Hodgkin's disease cancer of the esophagus, cancer of the small intestine, cancer of the endocrine system, cancer of the thyroid gland, cancer of the parathyroid gland, cancer of the adrenal gland, sarcoma of soft tissue, cancer of the urethra, cancer of the penis, prostate cancer, chronic or acute leukemia, lymphocytic lymphomas, cancer of the bladder, cancer of the kidney or ureter, renal cell carcinoma, carcinoma of the renal pelvis, neoplasms of the central nervous system, primary central nervous system lymphoma, spinal axis tumors, brain stem glioma and pituitary adenoma, or a
- Embodiments relate to the method of treating cancer, wherein the cancer is selected from the group consisting of lung cancer, cancer of the head or neck, colon cancer, breast cancer, and ovarian cancer, or a combination of one or more of the foregoing cancers.
- TMS-CI trimethylsilyl chloride
- TMSI trimethylsilyl iodide
- Tris tris(hydroxymethyl)aminomethane
- halogen refers to a fluorine, chlorine, bromine, or iodine atom or fluoro, chloro, bromo, or iodo. Additionally, the term “halogen” refers to F, CI, Br, or I. The terms fluorine, fluoro and F, for example, are understood to be equivalent herein.
- alkyl refers to saturated monovalent hydrocarbon radicals containing, in certain embodiments, from one to six, or from one to three carbon atoms, having straight or branched moieties.
- d-Ce alkyl refers to an alkyl radical containing from one to six carbon atoms, having straight or branched moieties.
- C-,-C 6 alkyl includes within its definition the terms “C r C 3 alkyl” and "d-C4 alkyl".
- alkyl groups include, but are not limited to, methyl, ethyl, propyl, isopropyl, butyl, isobutyl, sec-butyl, fe/f-butyl, pentyl, 2-pentyl, 3-pentyl, isopentyl, neopentyl, (R)-2-methylbutyl, (S)-2-methylbutyl, 3-methylbutyl,
- cycloalkyl refers to a monocyclic, fused or bridged bicyclic or tricyclic carbocyclic ring group containing, in certain embodiments, from three to ten carbon atoms.
- cycloalkyl also includes spirocyclic cycloalkyl groups, including multi-ring systems joined by a single atom.
- C 3 -Ci 0 cycloalkyl contains from three to ten, from three to seven, from three to six, from three to five, from three to four, and from five to seven carbon atoms, respectively.
- Cycloalkyl groups include, but are not limited to, cyclopropyl, cyclobutyl, cyclopentyl, cyclohexyl, cycloheptyl, cyclopentenyl, cyclohexenyl, bicyclo[2.2.1 ]heptanyl, bicyclo[3.2.1 ]octanyl, bicyclo[5.2.0]nonanyl, adamantanyl, and the like.
- heterocycloalkyl refers to a non-aromatic
- monocyclic, fused or bridged bicyclic or tricyclic or spirocyclic ring group containing, in certain embodiments, a total of three to ten ring atoms, in which one to four ring atoms are heteroatoms independently selected from nitrogen, oxygen, and sulfur, and wherein the sulfur atom may be optionally oxidized with one or two oxygen atoms, the remaining ring atoms being carbon, with the proviso that such ring systems may not contain two adjacent oxygen atoms or two adjacent sulfur atoms.
- such groups may be bonded to the remainder of the compounds of embodiments disclosed herein through either a carbon atom or a heteroatom, if possible.
- membered heterocycloalkyl contain from three to ten, from three to seven, from four to eight, from four to seven, from four to six carbon atoms, and from five to six carbon atoms, respectively.
- saturated heterocycloalkyl groups include, but are not limited to:
- aryl refers to a group derived from an aromatic hydrocarbon containing in certain embodiments, from five to ten carbon atoms.
- C5-C10 aryl contains from five to ten carbon atoms. Examples of such groups include, but are not limited to, phenyl and naphthyl.
- aryl also includes fused polycyclic aromatic ring systems in which an aromatic ring is fused to one or more rings. Examples include, but are not limited to, 1 -naphthyl, 2-naphthyl, 1 -anthracyl and 2- anthracyl.
- aryl is a group in which an aromatic ring is fused to one or more non-aromatic rings, such as in an indanyl, phenanthridinyl, or tetrahydronaphthyl, where the radical or point of attachment is on the aromatic ring.
- heteroaryl refers to an aromatic monocyclic or bicyclic heterocyclic group having a total of from 5 to 12 atoms in its ring, and containing from 2 to 9 carbon atoms and from one to four heteroatoms each independently selected from nitrogen, oxygen, and sulfur, with the proviso that the ring of said group does not contain two adjacent oxygen atoms or two adjacent sulfur atoms.
- heteroaryl refers to an aromatic monocyclic or bicyclic heterocyclic group having a total of from 5 to 12 atoms in its ring, and containing from 2 to 9 carbon atoms and from one to four heteroatoms each independently selected from nitrogen, oxygen, and sulfur, with the proviso that the ring of said group does not contain two adjacent oxygen atoms or two adjacent sulfur atoms.
- the terms “5-12 membered heteroaryl”, “5-10 membered heteroaryl”, “5-6 membered heteroaryl”, and “4-6 membered heteroaryl” contain from five to twelve, from five to ten, from five to six, and
- heteroaryl groups include benzo- fused ring systems.
- heteroaryl groups include, but are not limited to, pyrrolyl, furyl, thienyl, imidazolyl, pyrazolyl, oxazolyl, isoxazolyl, isothiazolyl, triazolyl, oxadiazolyl, furazanyl, thiadiazolyl, thiazolyl, tetrazolyl, pyridinyl, pyrazinyl, pyrimidinyl, pyridazinyl, triazinyl, indolyl, isoindolyl, indolizinyl, benzofuranyl, benzothiophenyl, indazolyl, benzimidazolyl, benzoxazolyl, furo[3,2-Jb]pyridinyl, benzothiazolyl,
- benzo-fused unsaturated oxygen or nitrogen heterocycles which refer to a heterocyclic group in which a heteroatomic ring is fused to one or more aromatic rings.
- examples include, but are not limited to, 2,3-dihydrobenzofuran, indolinyl, 1 ,3- dihydroisobenzofuran, isoindolinyl, tetrahydroquinohnyl, tetrahydroisoquinohnyl, and the like.
- treating means reversing, alleviating, inhibiting the progress of, or preventing the disorder or condition to which such term applies, or one or more symptoms of such disorder or condition.
- treatment refers to the act of treating as “treating” is defined immediately above.
- an "effective" amount refers to an amount of a substance, agent, compound, or composition that is of sufficient quantity to result in a decrease in severity of disease symptoms, an increase in frequency and duration of disease symptom-free periods, or a prevention of impairment or disability due to the disease affliction - either as a single dose or according to a multiple dose regimen, alone or in combination with other agents or substances.
- the subject may be a human or non-human mammal (e.g., rabbit, rat, mouse, monkey or other lower-order primate).
- Embodiments disclosed herein include isotopically-labeled compounds, which are identical to those recited in formula (I), formula (II), or formula (III), but for the fact that one or more atoms are replaced by an atom having an atomic mass or mass number different from the atomic mass or mass number usually found in nature.
- isotopes that can be incorporated into compounds of the embodiments disclosed herein include isotopes of hydrogen, carbon, nitrogen, oxygen, phosphorous, sulfur, fluorine and chlorine, such as, but not limited to, 2 H, 3 H, 13 C, 14 C, 15 N, 18 O, 17 O, 31 p 32p 35g i 8p Qn( ⁇ 36Q
- isotopically-labeled compounds of the embodiments disclosed herein for example, those into which radioactive isotopes such as 3 H and 14 C are incorporated, are useful in drug and/or substrate tissue distribution assays. Tritiated, i.e., 3 H, and carbon-14, i.e., 14 C, isotopes are particularly preferred for their ease of preparation and detectability. Further, substitution with heavier isotopes such as deuterium, i.e., 2 H, can afford certain therapeutic advantages resulting from greater metabolic stability, for example, increased in vivo half-life or reduced dosage
- Isotopically-labed compounds of embodiments disclosed herein can generally be prepared by carrying out the procedures disclosed in the Schemes and/or in the Examples and
- compositions described herein relate to the pharmaceutically acceptable salts of the compounds described herein.
- Pharmaceutically acceptable salts of the compounds described herein include the acid addition and base addition salts thereof.
- Suitable acid addition salts are formed from acids which form non-toxic salts.
- suitable acid addition salts i.e., salts containing pharmacologically acceptable anions, include, but are not limited to, the acetate, acid citrate, adipate, aspartate, benzoate, besylate,
- Suitable base addition salts are formed from bases which form nontoxic salts.
- suitable base salts include the aluminium, arginine, benzathine, calcium, choline, diethylamine, diolamine, glycine, lysine, magnesium, meglumine, olamine, potassium, sodium, tromethamine and zinc salts.
- the compounds described herein that are basic in nature are capable of forming a wide variety of salts with various inorganic and organic acids.
- the acids that may be used to prepare pharmaceutically acceptable acid addition salts of such basic compounds described herein are those that form non-toxic acid addition salts, e.g., salts containing pharmacologically acceptable anions, such as the hydrochloride,
- the compounds described herein that include a basic moiety, such as an amino group may form pharmaceutically acceptable salts with various amino acids, in addition to the acids mentioned above.
- the chemical bases that may be used as reagents to prepare pharmaceutically acceptable base salts of those compounds of the compounds described herein that are acidic in nature are those that form non-toxic base salts with such compounds.
- Such non-toxic base salts include, but are not limited to those derived from such
- pharmacologically acceptable cations such as alkali metal cations (e.g., potassium and sodium) and alkaline earth metal cations (e.g., calcium and magnesium), ammonium or water-soluble amine addition salts such as N-methylglucamine-(meglumine), and the lower alkanolammonium and other base salts of pharmaceutically acceptable organic amines.
- the compounds of the embodiments described herein include all stereoisomers (e.g., cis and trans isomers) and all optical isomers of compounds described herein (e.g., R and S enantiomers), as well as racemic, diastereomeric and other mixtures of such isomers. While all stereoisomers are encompassed within the scope of our claims, one skilled in the art will recognize that particular stereoisomers may be preferred.
- the compounds described herein can exist in several tautomeric forms, including the enol and imine form, and the keto and enamine form and geometric isomers and mixtures thereof. All such tautomeric forms are included within the scope of the present embodiments. Tautomers exist as mixtures of a tautomeric set in solution. In solid form, usually one tautomer predominates. Even though one tautomer may be described, the present embodiments includes all tautomers of the present compounds.
- the present embodiments also include atropisomers of the compounds described herein.
- Atropisomers refer to compounds that can be separated into rotationally restricted isomers.
- Hemisalts of acids and bases may also be formed, for example, hemisulphate and hemicalcium salts.
- solvate is used herein to describe a molecular complex comprising a compound described herein and one or more pharmaceutically acceptable solvent molecules, for example, ethanol.
- the compounds described herein may also exist in unsolvated and solvated forms. Accordingly, some embodiments relate to the hydrates and solvates of the compounds described herein.
- tautomeric isomerism ('tautomerism') can occur.
- This can take the form of proton tautomerism in compounds described herein containing, for example, an imino, keto, or oxime group, or so-called valence tautomerism in compounds which contain an aromatic moiety.
- a single compound may exhibit more than one type of isomerism.
- Cis/trans isomers may be separated by conventional techniques well known to those skilled in the art, for example, chromatography and fractional crystallisation.
- the racemate (or a racemic precursor) may be reacted with a suitable optically active compound, for example, an alcohol, or, in the case where a compound described herein contains an acidic or basic moiety, a base or acid such as 1 -phenylethylamine or tartaric acid.
- a suitable optically active compound for example, an alcohol, or, in the case where a compound described herein contains an acidic or basic moiety, a base or acid such as 1 -phenylethylamine or tartaric acid.
- the resulting diastereomeric mixture may be separated by chromatography and/or fractional crystallization and one or both of the diastereoisomers converted to the corresponding pure enantiomer(s) by means well known to a skilled person.
- tumor cells tumor cells that proliferate by expressing a mutated tyrosine kinase or overexpression of a receptor tyrosine kinase; (2) benign and malignant cells of other proliferative diseases in which aberrant tyrosine kinase activation occurs; (3) any tumors that proliferate by receptor tyrosine kinases; (4) any tumors that proliferate by aberrant serine/threonine kinase activation; (5) benign and malignant cells of other proliferative diseases in which aberrant serine/threonine kinase activation occurs; (6) any tumors that proliferate by aberrant signaling, metabolic, epigenetic and transcriptional mechanism; and (7) benign and malignant cells of other proliferative diseases in which aberrant signaling, metabolic, epigenetic and transcriptional mechanism.
- Further embodiments relate to methods of treating abnormal cell growth in a mammal. Additional embodiments relate to a method of treating abnormal cell growth in a mammal comprising administering to the mammal an amount of a compound described herein that is effective in treating abnormal cell growth.
- the abnormal cell growth is cancer.
- the cancer is selected from the group consisting of lung cancer, mesothelioma ,bone cancer, pancreatic cancer, skin cancer, cancer of the head or neck, cutaneous or intraocular melanoma, uterine cancer, ovarian cancer, rectal cancer, cancer of the anal region, stomach cancer, hepatic carcinoma, colon cancer, breast cancer, uterine cancer, carcinoma of the fallopian tubes, carcinoma of the endometrium, carcinoma of the cervix, carcinoma of the vagina, carcinoma of the vulva, Hodgkin's disease, cancer of the esophagus, cancer of the small intestine, cancer of the endocrine system, cancer of the thyroid gland, cancer of the parathyroid gland, cancer of the adrenal gland, sarcoma of soft tissue, cancer of the urethra, cancer of the penis, prostate cancer, hematology malignancy, chronic or acute leukemia, lymphocytic lymphomas, cancer of the bladder, cancer of the kidney or ureter
- Additional embodiments relate to methods of treating cancer solid tumors in a mammal. Some embodiments relate to the treatment of cancer solid tumor in a mammal comprising administering to the mammal an amount of a compound described herein that is effective in treating said cancer solid tumor.
- the cancer solid tumor is breast, lung, colon, brain, prostate, stomach, pancreatic, ovarian, skin (melanoma), endocrine, uterine, testicular, or bladder.
- compositions for treating abnormal cell growth in a mammal comprising an amount of a compound described herein that is effective in treating abnormal cell growth, and a pharmaceutically acceptable carrier.
- Additional embodiments relate to a method of treating abnormal cell growth in a mammal, including a human, comprising administering to the mammal an amount of a compound described herein, or a pharmaceutically acceptable salt, solvate, hydrate or prodrug thereof, that is effective in treating abnormal cell growth.
- the abnormal cell growth is cancer, including, but not limited to, lung cancer, bone cancer, pancreatic cancer, skin cancer, cancer of the head or neck, cutaneous or intraocular melanoma, uterine cancer, ovarian cancer, rectal cancer, cancer of the anal region, stomach cancer, colon cancer, breast cancer, uterine cancer, carcinoma of the fallopian tubes, carcinoma of the endometrium, carcinoma of the cervix, carcinoma of the vagina, carcinoma of the vulva, Hodgkin's Disease, cancer of the esophagus, cancer of the small intestine, cancer of the endocrine system, cancer of the thyroid gland, cancer of the parathyroid gland, cancer of the adrenal gland, sarcoma of soft tissue, cancer of the urethra, cancer of the penis, prostate cancer, chronic or acute leukemia, lymphocytic lymphomas, cancer of the bladder, cancer of the kidney or ureter, renal cell carcinoma, carcinoma of the renal pelvis, neoplasms
- the method comprises comprising administering to a mammal an amount of a compound described herein that is effective in treating said cancer solid tumor.
- the solid tumor is breast, lung, colon, brain, prostate, stomach, pancreatic, ovarian, skin (melanoma), endocrine, uterine, testicular, and bladder cancer.
- said abnormal cell growth is a benign proliferative disease, including, but not limited to, psoriasis, benign prostatic hypertrophy or restinosis.
- Some embodiments relate to a method of treating abnormal cell growth in a mammal which comprises administering to said mammal an amount of a compound described herein, or a pharmaceutically acceptable salt, solvate, hydrate or prodrug thereof, that is effective in treating abnormal cell growth in combination with an antitumor agent selected from the group consisting of mitotic inhibitors, alkylating agents, anti-metabolites, intercalating antibiotics, growth factor inhibitors, cell cycle inhibitors, enzymes, topoisomerase inhibitors, biological response modifiers, antibodies, cytotoxics, anti-hormones, and anti-androgens.
- an antitumor agent selected from the group consisting of mitotic inhibitors, alkylating agents, anti-metabolites, intercalating antibiotics, growth factor inhibitors, cell cycle inhibitors, enzymes, topoisomerase inhibitors, biological response modifiers, antibodies, cytotoxics, anti-hormones, and anti-androgens.
- Additional embodiments relate to a pharmaceutical composition for treating abnormal cell growth in a mammal, including a human, comprising an amount of a compound described herein, or a pharmaceutically acceptable salt, solvate, hydrate or prodrug thereof, that is effective in treating abnormal cell growth, and a
- said abnormal cell growth is cancer, including, but not limited to, lung cancer, bone cancer, pancreatic cancer, skin cancer, cancer of the head or neck, cutaneous or intraocular melanoma, uterine cancer, ovarian cancer, rectal cancer, cancer of the anal region, stomach cancer, colon cancer, breast cancer, uterine cancer, carcinoma of the fallopian tubes, carcinoma of the endometrium, carcinoma of the cervix, carcinoma of the vagina, carcinoma of the vulva, Hodgkin's Disease, cancer of the esophagus, cancer of the small intestine, cancer of the endocrine system, cancer of the thyroid gland, cancer of the parathyroid gland, cancer of the adrenal gland, sarcoma of soft tissue, cancer of the urethra, cancer of the penis, prostate cancer, chronic or acute leukemia, lymphocytic lymphomas, cancer of the bladder, cancer of the kidney or ureter, renal cell carcinoma, carcinoma of the renal pelvis,
- compositions for treating abnormal cell growth contemplate a pharmaceutical composition for treating abnormal cell growth wherein the composition includes a compound described herein, or a pharmaceutically acceptable salt, solvate, or hydrate thereof, that is effective in treating abnormal cell growth, and another antitumor agent selected from the group consisting of mitotic inhibitors, alkylating agents, anti-metabolites, intercalating antibiotics, growth factor inhibitors, cell cycle inhibitors, enzymes, topoisomerase inhibitors, biological response modifiers, antibodies, cytotoxics, anti-hormones, and anti-androgens.
- another antitumor agent selected from the group consisting of mitotic inhibitors, alkylating agents, anti-metabolites, intercalating antibiotics, growth factor inhibitors, cell cycle inhibitors, enzymes, topoisomerase inhibitors, biological response modifiers, antibodies, cytotoxics, anti-hormones, and anti-androgens.
- Yet more embodiments relate to a method of treating a disorder associated with angiogenesis in a mammal, including a human, comprising administering to said mammal an amount of a compound described herein, as defined above, or a
- disorders include cancerous tumors such as melanoma; ocular disorders such as age-related macular degeneration, presumed ocular histoplasmosis syndrome, and retinal neovascularization from proliferative diabetic retinopathy; rheumatoid arthritis; bone loss disorders such as osteoporosis, Paget's disease, humoral hypercalcemia of malignancy, hypercalcemia from tumors metastatic to bone, and osteoporosis induced by glucocorticoid treatment; coronary restenosis; and certain microbial infections including those associated with microbial pathogens selected from adenovirus, hantaviruses, Borrelia burgdorferi, Yersinia spp., Bordetella pertussis, and group A Streptococcus.
- Some embodiments relate to a method of (and to a pharmaceutical composition for) treating abnormal cell growth in a mammal which comprise an amount of a compound described herein, or a pharmaceutically acceptable salt, solvate, or hydrate thereof, in combination with an amount of one or more substances selected from anti- angiogenesis agents, signal transduction inhibitors inhibitor (e.g., inhibiting the means by which regulatory molecules that govern the fundamental processes of cell growth, differentiation, and survival communicated within the cell), and antiproliferative agents, which amounts are together effective in treating said abnormal cell growth.
- signal transduction inhibitors inhibitor e.g., inhibiting the means by which regulatory molecules that govern the fundamental processes of cell growth, differentiation, and survival communicated within the cell
- antiproliferative agents which amounts are together effective in treating said abnormal cell growth.
- Anti-angiogenesis agents such as MMP-2 (matrix-metalloprotienase 2) inhibitors, MMP-9 (matrix-metalloprotienase 9) inhibitors, and COX-II (cyclooxygenase II) inhibitors, can be used in conjunction with a compound described herein in the methods and pharmaceutical compositions described herein.
- MMP-2 matrix-metalloprotienase 2
- MMP-9 matrix-metalloprotienase 9 inhibitors
- COX-II cyclooxygenase II
- Examples of useful COX- II inhibitors include CELEBREXTM (celecoxib), Bextra (valdecoxib), paracoxib, Vioxx (rofecoxib), and Arcoxia (etoricoxib).
- MMP-2 and MMP-9 inhibitors are those that have little or no activity inhibiting MMP-1 . More preferred, are those that selectively inhibit MMP-2 and/or MMP- 9 relative to the other matrix-metalloproteinases (i.e. MMP-1 , MMP-3, MMP-4, MMP-5, MMP-6, MMP-7, MMP-8, MMP-10, MMP-1 1 , MMP-12, and MMP-13).
- MMP-1 , MMP-3, MMP-4, MMP-5, MMP-6, MMP-7, MMP-8, MMP-10, MMP-1 1 , MMP-12, and MMP-13 matrix-metalloproteinases
- VEGF inhibitors for example, sutent and axitinib
- VEGF inhibitors can also be combined with a compound described herein.
- VEGF inhibitors are described in, for example in WO 99/24440 (published May 20, 1999), PCT International Application PCT/IB99/00797 (filed May 3, 1999), in WO 95/21613 (published August 17, 1995), WO 99/61422 (published December 2, 1999), United States Patent 5,834,504 (issued November 10, 1998), WO 98/50356 (published November 12, 1998), United States Patent 5,883, 1 13 (issued March 16, 1999), United States Patent 5,886,020 (issued March 23, 1999), United States Patent 5,792,783 (issued August 1 1 , 1998), U.S. Patent No. US
- VEGF inhibitors 6,653,308 (issued November 25, 2003), WO 99/10349 (published March 4, 1999), WO 97/32856 (published September 12, 1997), WO 97/22596 (published June 26, 1997), WO 98/54093 (published December 3, 1998), WO 98/02438 (published January 22, 1998), WO 99/16755 (published April 8, 1999), and WO 98/02437 (published January 22, 1998), all of which are herein incorporated by reference in their entirety.
- Other examples of some specific VEGF inhibitors are IM862 (Cytran Inc. of Kirkland,
- Avastin an anti-VEGF monoclonal antibody of Genentech, Inc. of South San Francisco, California
- angiozyme a synthetic ribozyme from Ribozyme (Boulder, Colorado) and Chiron (Emeryville, California).
- ErbB2 receptor inhibitors such as GW-282974 (Glaxo Wellcome pic), and the monoclonal antibodies AR-209 (Aronex Pharmaceuticals Inc. of The Woodlands, Texas, USA) and 2B-1 (Chiron), may be administered in combination with a compound described herein.
- erbB2 inhibitors include Herceptin, 2C4, and pertuzumab.
- Such erbB2 inhibitors include those described in WO 98/02434 (published January 22, 1998), WO 99/35146 (published July 15, 1999), WO 99/35132 (published July 15, 1999), WO 98/02437 (published January 22, 1998), WO 97/13760 (published April 17, 1997), WO 95/19970 (published July 27, 1995), United States Patent 5,587,458 (issued December 24, 1996), and United States Patent 5,877,305 (issued March 2, 1999), each of which is herein incorporated by reference in its entirety.
- ErbB2 receptor inhibitors useful in the embodiments described herein are also described in United States Provisional
- erbb2 receptor inhibitors include TAK- 165 (Takeda) and GW-572016 (Glaxo-Wellcome).
- EP 0 566 226 A1 (published October 20, 1993), EP 0 602 851 A1 (published June 22, 1994), EP 0 635 507 A1 (published January 25, 1995), EP 0 635 498 A1 (published January 25, 1995), and EP 0 520 722 A1 (published December 30, 1992) refer to certain bicyclic derivatives, in particular quinazoline derivatives, as possessing anti-cancer properties that result from their tyrosine kinase inhibitory properties.
- World Patent Application WO 92/20642 (published November 26, 1992), refers to certain bis-mono and bicyclic aryl and heteroaryl compounds as tyrosine kinase inhibitors that are useful in inhibiting abnormal cell proliferation.
- Epidermal growth factor receptor (EGFR) inhibitors may be administered in combination with a compound of the presentation invention.
- EGFR inhibitors include gefinitib, erlotinib, icotinib, afatinib and dacomitinib.
- Monoclonal antibody inhibitors of EGFR, such as cetuximab, may also be combined with a compound of the present invention.
- PI3K inhibitors such as PI3K beta inhibitors, may be administered in combination with a compound of the presentation invention.
- Mammalian target of rapamycin (mTOR) inhibitors may be administered in combination with a compound of the presentation invention.
- mTOR inhibitors include rapamycin analogs and ATP competitive inhibitors.
- c-Met inhibitors may be administered in combination with a compound of the presentation invention.
- Such c-Met inhibitors include crizotinib and ARQ-197.
- Monoclonal antibody inhibitors of c-Met such as METMab, may also be combined with a compound of the present invention.
- CDK inhibitors may be administered in combination with a compound of the presentation invention.
- mTOR inhibitors include palbociclib.
- MEK inhibitors may be administered in combination with a compound of the presentation invention.
- Such MEK inhibitors include PD-325901 .
- PARP inhibitors may be administered in combination with a compound of the presentation invention.
- JAK inhibitors may be administered in combination with a compound of the presentation invention.
- An antagonist of a Programmed Death 1 protein may be administered in combination with a compound of the presentation invention.
- antiproliferative agents that may be used with the compounds described herein include inhibitors of the enzyme farnesyl protein transferase and inhibitors of the receptor tyrosine kinase PDGFr, including the compounds disclosed and claimed in the following United States patent applications: 09/221946 (filed December 28, 1998);
- a compound described herein may also be used with other agents useful in treating abnormal cell growth or cancer, including, but not limited to, agents capable of enhancing antitumor immune responses, such as CTLA4 (cytotoxic lymphocyte antigen 4) antibodies, and other agents capable of blocking CTLA4; and anti-proliferative agents such as other farnesyl protein transferase inhibitors, for example the farnesyl protein transferase inhibitors described in the references cited in the "Background" section, supra.
- CTLA4 cytotoxic lymphocyte antigen 4
- anti-proliferative agents such as other farnesyl protein transferase inhibitors, for example the farnesyl protein transferase inhibitors described in the references cited in the "Background" section, supra.
- Specific CTLA4 antibodies that can be used in the present embodiments include those described in United States Provisional Application 60/1 13,647 (filed December 23, 1998) which is herein incorporated by reference in its entirety.
- a compound described herein may be applied as a sole therapy or may involve one or more other anti-tumor substances, for example those selected from, for example, mitotic inhibitors, for example vinblastine; alkylating agents, for example cis-platin, oxaliplatin, carboplatin and cyclophosphamide; anti-metabolites, for example 5- fluorouracil, capecitabine, cytosine arabinoside and hydroxyurea, or, for example, one of the preferred anti-metabolites disclosed in European Patent Application No.
- mitotic inhibitors for example vinblastine
- alkylating agents for example cis-platin, oxaliplatin, carboplatin and cyclophosphamide
- anti-metabolites for example 5- fluorouracil, capecitabine, cytosine arabinoside and hydroxyurea, or, for example, one of the preferred anti-metabolites disclosed in European Patent Application No.
- the compounds described herein may be used alone or in combination with one or more of a variety of anti-cancer agents or supportive care agents.
- the compounds described herein may be used with cytotoxic agents, e.g., one or more selected from the group consisting of a camptothecin, irinotecan HCI (Camptosar), edotecarin, SU-1 1248, epirubicin (Ellence), docetaxel (Taxotere), paclitaxel, rituximab (Rituxan) bevacizumab (Avastin), imatinib mesylate (Gleevac), Erbitux, gefitinib (Iressa), and combinations thereof.
- cytotoxic agents e.g., one or more selected from the group consisting of a camptothecin, irinotecan HCI (Camptosar), edotecarin, SU-1 1248, epirubicin (Ellence), docetaxe
- a compound described herein alone or in combination with one or more supportive care products, e.g. , a product selected from the group consisting of Filgrastim (Neupogen), ondansetron (Zofran), Fragmin, Procrit, Aloxi, Emend, or combinations thereof.
- supportive care products e.g. , a product selected from the group consisting of Filgrastim (Neupogen), ondansetron (Zofran), Fragmin, Procrit, Aloxi, Emend, or combinations thereof.
- Such conjoint treatment may be achieved by way of the simultaneous, sequential or separate dosing of the individual components of the treatment.
- the compounds described herein may be used with antitumor agents, alkylating agents, antimetabolites, antibiotics, plant-derived antitumor agents, camptothecin derivatives, tyrosine kinase inhibitors, antibodies, interferons, and/or biological response modifiers.
- antitumor agents alkylating agents, antimetabolites, antibiotics, plant-derived antitumor agents, camptothecin derivatives, tyrosine kinase inhibitors, antibodies, interferons, and/or biological response modifiers.
- secondary agents that may be used with the compounds described herein.
- Alkylating agents include, but are not limited to, nitrogen mustard N-oxide, cyclophosphamide, ifosfamide, melphalan, busulfan, mitobronitol, carboquone, thiotepa, ranimustine, nimustine, temozolomide, AMD-473, altretamine, AP-5280, apaziquone, brostallicin, bendamustine, carmustine, estramustine, fotemustine, glufosfamide, ifosfamide, KW-2170, mafosfamide, and mitolactol; platinum-coordinated alkylating compounds include but are not limited to, cisplatin, carboplatin, eptaplatin, lobaplatin, nedaplatin, oxaliplatin or satrplatin.
- Antimetabolites include but are not limited to, methotrexate, 6-mercaptopurine riboside, mercaptopurine, 5-fluorouracil (5-FU) alone or in combination with leucovorin, tegafur, UFT, doxifluridine, carmofur, cytarabine, cytarabine ocfosfate, enocitabine, S-1 , gemcitabine, fludarabin, 5-azacitidine, capecitabine, cladribine, clofarabine, decitabine, eflornithine, ethynylcytidine, cytosine arabinoside, hydroxyurea, TS-1 , melphalan, nelarabine, nolatrexed, ocfosfate, disodium premetrexed, pentostatin, pelitrexol, raltitrexed, triapine, trimetrexate, vidarabine,
- Antibiotics include but are not limited to: aclarubicin, actinomycin D, amrubicin, annamycin, bleomycin, daunorubicin, doxorubicin, elsamitrucin, epirubicin, galarubicin, idarubicin, mitomycin C, nemorubicin, neocarzinostatin, peplomycin, pirarubicin, rebeccamycin, stimalamer, streptozocin, valrubicin or zinostatin.
- Hormonal therapy agents e.g., exemestane (Aromasin), Lupron, anastrozole (Arimidex), doxercalciferol, fadrozole, formestane, anti-estrogens such as tamoxifen citrate (Nolvadex) and fulvestrant, Trelstar, toremifene, raloxifene, lasofoxifene, letrozole (Femara), or anti-androgens such as bicalutamide, flutamide, mifepristone, nilutamide, Casodex® (4'-cyano-3-(4-fluorophenylsulphonyl)-2-hydroxy-2-methyl-3'- (trifluoromethyl)propionanilide) and combinations thereof.
- Plant derived anti-tumor substances include for example those selected from mitotic inhibitors, for example vinblastine, docetaxel (Taxotere) and paclitaxel.
- Cytotoxic topoisomerase inhibiting agents include one or more agents selected from the group consisting of aclarubicn, amonafide, belotecan, camptothecin, 10- hydroxycamptothecin, 9-aminocamptothecin, diflomotecan, irinotecan HCI (Camptosar), edotecarin, epirubicin (Ellence), etoposide, exatecan, gimatecan, lurtotecan,
- mitoxantrone pirarubicin, pixantrone, rubitecan, sobuzoxane, SN-38, tafluposide, and topotecan, and combinations thereof.
- Interferons include interferon alpha, interferon alpha-2a, interferon, alpha-2b, interferon beta, interferon gamma-1 a or interferon gamma-n1 .
- Other agents include PF3512676, filgrastim, lentinan, sizofilan, TheraCys, ubenimex, WF-10, aldesleukin, alemtuzumab, BAM-002, dacarbazine, daclizumab, denileukin, gemtuzumab
- thymalasin thymalasin, tositumomab, Virulizin, Z-100, epratuzumab, mitumomab, oregovomab, pemtumomab, Provenge.
- Biological response modifiers are agents that modify defense mechanisms of living organisms or biological responses, such as survival, growth, or differentiation of tissue cells to direct them to have anti-tumor activity.
- agents include krestin, lentinan, sizofiran, picibanil, or ubenimex.
- anticancer agents include alitretinoin, ampligen, atrasentan bexarotene, bortezomib. Bosentan, calcitriol, exisulind, finasteride, fotemustine, ibandronic acid, miltefosine, mitoxantrone, l-asparaginase, procarbazine, dacarbazine,
- anti-angiogenic compounds include acitretin, fenretinide, thalidomide, zoledronic acid, angiostatin, aplidine, cilengtide, combretastatin A-4, endostatin, halofuginone, rebimastat, removab, Revlimid, squalamine, ukrain and Vitaxin.
- Platinum-coordinated compounds include but are not limited to, cisplatin, carboplatin, nedaplatin, or oxaliplatin.
- Camptothecin derivatives include but are not limited to camptothecin, 10- hydroxycamptothecin, 9-aminocamptothecin, irinotecan, SN-38, edotecarin, and topotecan.
- Tyrosine kinase inhibitors include, for example, Iressa and SU5416.
- Antibodies include, for example, Herceptin, Erbitux, Avastin, and Rituximab.
- Interferons include, for example, interferon alpha, interferon alpha-2a, interferon, alpha-2b, interferon beta, interferon gamma-1 a and interferon gamma-n1 .
- Biological response modifiers include agents that modify defense mechanisms of living organisms or biological responses, such as survival, growth, or differentiation of tissue cells to direct them to have anti-tumor activity.
- agents include, for example, krestin, lentinan, sizofiran, picibanil, and ubenimex.
- antitumor agents include, for example, mitoxantrone, l-asparaginase, procarbazine, dacarbazine, hydroxycarbamide, pentostatin, and tretinoin. Additionally, PI3K inhibitors and RAS-targeted cancer treatments may be combined with the compounds described herein.
- Some embodiments also relate to a pharmaceutical composition
- a pharmaceutical composition comprising a compound of formula (I), formula (II), or formula (III), or a pharmaceutically acceptable salt or solvate thereof, as hereinbefore defined in association with a pharmaceutically acceptable adjuvant, diluent or carrier.
- compositions which comprises mixing a compound of formula (I), formula (II), or formula (III), or a pharmaceutically acceptable salt or solvate thereof, as hereinbefore defined with a pharmaceutically acceptable adjuvant, diluent or carrier.
- the daily dosage of the compound formula (I), formula (II), or formula (III), or pharmaceutically acceptable salt thereof may be in the range from 1 mg to 1 gram, preferably 1 mg to 250 mg, more preferably 10 mg to 100 mg.
- the present embodiments also encompass sustained release compositions.
- Administration of the compounds descrbed herein can be effected by any method that enables delivery of the compounds to the site of action. These methods include oral routes, intraduodenal routes, parenteral injection (including intravenous, subcutaneous, intramuscular, intravascular or infusion), topical, and rectal administration.
- the active compound may be applied as a sole therapy or may involve one or more other anti-tumor substances, for example those selected from, for example, mitotic inhibitors, for example vinblastine; alkylating agents, for example cis-platin, carboplatin and cyclophosphamide; anti-metabolites, for example 5-fluorouracil, cytosine arabinoside and hydroxyurea, or, for example, one of the preferred antimetabolites disclosed in European Patent Application No.
- mitotic inhibitors for example vinblastine
- alkylating agents for example cis-platin, carboplatin and cyclophosphamide
- anti-metabolites for example 5-fluorouracil, cytosine arabinoside and hydroxyurea, or, for example, one of the preferred antimetabolites disclosed in European Patent Application No.
- the pharmaceutical composition may, for example, be in a form suitable for oral administration as a tablet, capsule, pill, powder, sustained release formulations, solution, suspension, for parenteral injection as a sterile solution, suspension or emulsion, for topical administration as an ointment or cream or for rectal administration as a suppository.
- the pharmaceutical composition may be in unit dosage forms suitable for single administration of precise dosages.
- the pharmaceutical composition will include a conventional pharmaceutical carrier or excipient and a compound described herein as an active ingredient. In addition, it may include other medicinal or pharmaceutical agents, carriers, adjuvants, etc.
- Exemplary parenteral administration forms include solutions or suspensions of active compounds in sterile aqueous solutions, for example, aqueous propylene glycol or dextrose solutions. Such dosage forms can be suitably buffered, if desired.
- Suitable pharmaceutical carriers include inert diluents or fillers, water and various organic solvents.
- the pharmaceutical compositions may, if desired, contain additional ingredients such as flavorings, binders, excipients and the like.
- excipients such as citric acid
- disintegrants such as starch, alginic acid and certain complex silicates and with binding agents such as sucrose, gelatin and acacia.
- lubricating agents such as magnesium stearate, sodium lauryl sulfate and talc are often useful for tableting purposes.
- Solid compositions of a similar type may also be employed in soft and hard filled gelatin capsules.
- Preferred materials, therefor, include lactose or milk sugar and high molecular weight polyethylene glycols.
- the active compound therein may be combined with various sweetening or flavoring agents, coloring matters or dyes and, if desired, emulsifying agents or suspending agents, together with diluents such as water, ethanol, propylene glycol, glycerin, or combinations thereof.
- salt forms were occasionally isolated as a consequence of the mobile phase additives during HPLC based chromatographic purification.
- salts such as formate, trifluorooacetate and acetate were isolated and tested without further processing. It will be recognized that one of ordinary skill in the art will be able to realize the free base form by standard methodology (such as using ion exchange columns, or performing simple basic extractions using a mild aqueous base).
- the compounds described herein may be prepared by processes known in the chemical arts, particularly in light of the description contained herein.
- a pyrimidine A-1 is subjected to chlorine displacement with an amine A-2 in the presence of a suitable base (such as DIPEA, NaH, K 2 C0 3 , or CsF) in a suitable solvent (such as DMSO, MeCN, NMP, THF, or DMF) to afford A-3.
- A-3 is treated under demethylation conditions known in the art with sodium iodide and TMS-CI in MeCN to provide A-4.
- a suitable base such as DIPEA, NaH, K 2 C0 3 , or CsF
- a suitable solvent such as DMSO, MeCN, NMP, THF, or DMF
- a guanidine A-1' and a malonate A-2' are subjected to a condensation to afford A-4.
- A-4 is treated with POCIs to afford A-5.
- A-5 is subjected to selective chlorine displacement with an alkoxide A-6 (using parent alcohol in the presence of a suitable base ⁇ NaH, NaHMDS, KHMDS, K 2 CO 3 or DIPEA ⁇ ) in a suitable solvent (such as iPrOH, MeCN, THF or DMF) to afford A-7.
- A-7 is treated under Suzuki cross-coupling conditions known in the literature with a boronic acid or a boronic ester to yield A-9.
- the intermediate A-5 is treated under Suzuki cross-coupling conditions known in the literature with a boronic acid or a boronic ester to yield A-8.
- A-8 is subjected to chlorine displacement with an alkoxide A-6(using parent alcohol in the presence of a suitable base ⁇ NaH, NaHMDS, KHMDS, K 2 CO 3 or DIPEA ⁇ ) in a suitable solvent (such as iPrOH, MeCN, THF or DMF) to afford A-9.
- a suitable base ⁇ NaH, NaHMDS, KHMDS, K 2 CO 3 or DIPEA ⁇
- a suitable solvent such as iPrOH, MeCN, THF or DMF
- the R 4 group contains an amine protecting group, such as a Boc group or a CBZ group
- the protecting group may be deprotected under procedures known to one of skill in the art.
- the Boc group may be deprotected under acidic conditions (such as HCI or TFA) and the CBZ group may be deprotected under hydrogenation conditions.
- the resultant amine may be subjected to amide, carbamate, urea, sulfonamide, sulfamide or phosphinic amide formation.
- Amide formation can be achieved using a suitable amide coupling agent (such as CDI, EDCI, HATU) in the presence of a suitable base (such as DIPEA, TEA) and an appropriate carboxylic acid.
- Carbamate formation can be achieved using an appropriate chloroformate in the presence of a suitable base (such as DIPEA or TEA).
- Urea formation can be achieved by using an appropriate isocyanate in the presence of a suitable base (such as TEA), or in the presence of triphosgene or phosgene and an amine in the presence of a suitable base (such as sodium carbonate, sodium bicarbonate, or TEA).
- Sulfonamide formation can be achieved with a sulfonyl chloride in the presence of a suitable base (such as DIPEA or TEA).
- Sulfamide formation can be achieved with sulfamoyl chloride or sulfamoylcarbamate in the presence of a suitable base (such as DIPEA or TEA).
- Phosphinic amide formation can be achieved with phosphinic chloride in the presence of a suitable base (such as DIPEA or TEA).
- a suitable base such as DIPEA or TEA.
- trichloropyrimidine B-1 is subjected to a selective chlorine displacement with an alkoxide A-6 (using parent alcohol in the presence of a suitable base ⁇ NaH, NaHMDS, KHMDS, K 2 C0 3 or DIPEA ⁇ ) in a suitable solvent (such as iPrOH, MeCN, THF or DMF) to afford B-2.
- B-2 is subjected to another selective chlorine displacement with amine A-2 in the presence of a suitable base ⁇ NaH,
- A-7 is treated under Suzuki cross-coupling conditions known in the literature with a boronic acid or a boronic ester to yield A-9.
- the R 4 group contains an N-Boc group or an N-CBZ group, it may be suitably deprotected and subjected to amide, carbamate, urea, sulfonamide, sulfamide, or phosphinic amide formation either before or after the Suzuki cross- coupling step as described above in Scheme A.
- Step 1 Preparation of te f-butyl(frans-3- ⁇ [6-chloro-2-(morpholin-4-yl)pyrimidin-4- ylloxylcvclobutvDmethylcarbamate
- reaction mixture was quenched with water (0.5 mL), and washed with brine (75 mL).
- the aqueous layer was extracted with EtOAc (2 x 50 mL), and the combined organic layers were washed with brine (25 mL), dried
- Step 3 Preparation of /V-(frans-3- ⁇ [6-chloro-2-(morpholin-4-yl)pyrimidin-4-
- Step 4 Preparation of /V-(frans-3-([2'-amino-2-(morpholin-4-yl)-4,5'-bipyrimidin-6- yl1oxy)cvclobutyl)-2-hvdroxy-/V-methylacetamide
- dichloromethane (68 mg, 0.083 mmol) was added and the vessel was sealed. The mixture was heated in the microwave at 140 °C for 15 min. The mixture was filtered through a 0.45 micron syringe filter, and the filtrate was poured to a brine solution (150 ml_) and the resulting precipitate was collected by filtration and rinsed with water. The filtrate was extracted with EtAOc (3 x 50 ml_). The solids were washed with methylene chloride, the washings were combined with the EtOAc extracts, dried (MgS0 4 ) and reduced under reduced pressure.
- Step 1 Preparation of fe/f-butyl (frans-3- ⁇ [2'-amino-2-(morpholin
- Step 2 Preparation of 6- ⁇ [frans-3-(methylamino)cvclobutyl1oxy)-2-(morpholin-4- yl)-4,5'-bipyrimidin-2'-amin hydrochloride
- Step 3 Preparation of 1 -(frans-3- ⁇ [2'-amino-2-(morpholin-4-yl)-4,5'-bipyrimidin-6- yl1oxy)cvclobutyl)-1 ,3-dimethylurea
- the mixture was purified by SFC column (SFC/ZymorSpher HADP 150 x 21 .2 mm; with 15-30 % MeOH at 3%/min, 140 bar, 55 mL/min) to give 20.5 mg (57 % yield) of the title compound as a white solid.
- Step 1 Preparation of fe/f-butyl ⁇ frans-3-[(2,6-dichloropyrimidin-4- vDoxylcvclobutvDmethylcarbamate
- Step 2 Preparation of fe/f-butyl [frans-3-( ⁇ 6-chloro-2-[(3S)-3-methylmorpholin-4-
- Step 3 Preparation of frans-3-( ⁇ 6-chloro-2-[(3S)-3-methylmorpholin-4- yllPyrimidin-4-yl)oxy)-/ ⁇ /-meth lcvclobutanamine hydrochloride
- Step 4 Preparation of A/-rfrans-3-( ⁇ 6-chloro-2-r(3S)-3-methylmorpholin-4- yllPyrimidin-4-yl)oxy)cvclobut l1-/V-methylacetamide
- Step 5 Preparation of /V-rfrans-3-( ⁇ 2'-amino-2-r(3S)-3-methylmorpholin-4-yl1-4,5'- bipyrimidin-6-yl)oxy)cvclobutyl1-/V-methylacetamide
- Enantiomeric excess 98.41 % (Chiralcel OZ-3 150x4.6 mm I.D., 3 ⁇ , retention time: 9.72 min, mobile phase: 25 % MeOH (0.05 % diethylamine) in C0 2 , flow rate: 2.35 mL/min).
- Step 1 Preparation of 5-fluoro-2- morpholin-4-yl)pyrimidine-4,6-diol
- Step 1 Preparation of frans-3- ⁇ [6-chloro-2-(morpholin-4-yl)pyrimidin-4- ylloxylcyclobutanamine hydrochloride
- Step 3 Preparation of 4-(4-chloro-6- ⁇ [frans-3-(1 ,1 -dioxido-1 ,2-thiazolidin-2- yl)cvclobutvHoxy)pyrimidin-2-yl)morpholine
- Step 1 Preparation of A/-(2-chloroethyl)-/V'-(frans-3- ⁇ r6-chloro-2-(morpholin-4- yl)pynmidin-4-vHoxy)cvclobutyl)sulfuric diamide
- Step 2 Preparation of 4-(4-chloro-6- ⁇ [frans-3-(1 , 1 -dioxido-1 ,2,5-thiadiazolidin-2- yl)cvclobutvHoxy)pyrimidin-2-yl)morpholine
- Step 1 Preparation of fe/f-butyl [fran -3-(benzyloxy)cvclobutvHcarbamate
- Step 3 Preparation of fe/f-butyl (2- ⁇ trans-3- (benzyloxy)cvclobutyl1amino)ethyl)carbamate
- Step 4 Preparation of /V-[fran -3-(benzyloxy)cvclobutyl1ethane-1 ,2-diamine
- Step 5 Preparation of 1 -[frans- -(benzyloxy)cvclobutvHimidazolidin-2-one
- Step 6 Preparation of 1 -(frans-3-hvdroxycvclobutyl)imidazolidin-2-one
- Step 1 Preparation of fe/f-butyl (3- ⁇ trans-3- (benzyloxy)cvclobutvHamino)propyl)carbamate
- Step 2 Preparation of /V-[frans-3-(benzyloxy)cvclobutyllpropane-1 ,3-diamine
- Step 3 Preparation of 1 -[frans-3-(benzyloxy)cvclobutyl1tetrahydropyrimidin-2(1 /-/)- one
- Step 4 Preparation of 1 -(trans-3-hvdroxycvclobutyl)tetrahydropyrimidin-2(1 H)- one
- PF-CD05 Column Xbridge C18 2.1 x50mm 5 ⁇ ; Temperature 40 °C; Mobile Phase A 0.05% NH 4 OH in water; Mobile Phase B 100% MeCN; Gradient: 5% B to 100% B; Flow rate 0.8 ml_ / min; Agilent 1200 HPLC/1956 MSD/SEDEX 75 ELSD.
- PF-AB01 Column Xbridge C18 2.1 x50mm 5 ⁇ ; Temperature 40 °C; Mobile Phase A 0.0375% TFA in water; Mobile Phase B 0.01875% TFA in MeCN; Gradient: 1 % B to 100% B; Flow rate 0.8 ml_ / min; Agilent 1200 HPLC/1956 MSD/SEDEX 75 ELSD.
- PF-AB10 Column Xbridge C18 2.1 x50mm 5 ⁇ ; Temperature 40 °C; Mobile Phase A 0.0375% TFA in water; Mobile Phase B 0.01875% TFA in MeCN; Gradient: 10% B to 100% B; Flow rate 0.8 mL / min; Agilent 1200 HPLC/1956 MSD/SEDEX 75 ELSD. Table 2
- PF-CD05 Column Xbridge C18 2.1 x50mm 5pm; Temperature 40 °C; Mobile Phase A 0.05% NH 4 OH in water; Mobile Phase B 100% MeCN; Gradient: 5% B to 100% B; Flow rate 0.8 mL / min; Agilent 1200 HPLC/1956 MSD/SEDEX 75 ELSD.
- PF-AB01 Column Xbridge C18 2.1 x50mm 5pm; Temperature 40 °C; Mobile Phase A 0.0375% TFA in water; Mobile Phase B 0.01875% TFA in MeCN; Gradient: 1 % B to 100% B; Flow rate 0.8 mL / min; Agilent 1200 HPLC/1956 MSD/SEDEX 75 ELSD. Table 3
- Genes encoding for full length p1 10a and p85a subunits of PI3Ka complex were subcloned from existing constructs into pFASTBAC Dual vector (Life Technologies, Carlsbad, CA) using standard cloning procedures. Gene encoding p1 10a subunit was subcloned into polyhedrine promoter while gene encoding p85a subunit was subcloned into p10 promoter. Additionally, sequence encoding for histidine tag and Tobacco Etch Virus ("TEV”) cleavage site preceded p1 10a ORF (Open Reading Frame).
- TSV Tobacco Etch Virus
- MOI multiplicity of infection
- Cells were lyzed in 50 mM Tris pH 8.0, 250 mM NaCI, 5% glycerol, 0.25 mM TCEP, and 20 mM imidazole.
- the PI3Ka complex was purified from clarified supernatant using Immobilized Metalo Affinity Chromatography (“IMAC").
- the protein was eluted from the column using 50 mM Tris pH 8.0, 200 mM NaCI, 5% glycerol, 0.25 mM TCEP, and 200 mM imidazole, and further desalted into 50 mM Tris pH 8.0, 20 mM NaCI, and 0.25 mM TCEP prior to loading on MonoQ sepharose (GE Healthcare, Piscataway, NJ).
- PI3Ka complex was eluted from MonoQ sepharose over 20 column volumes using 0-30% gradient of buffer B (50 mM Tris pH 8.0, 1 M NaCI, and 0.25 mM TCEP).
- nSH2 p85a aminoacids 322-600 subunits of PI3Ka complex were subcloned from existing constructs into pFASTBAC Dual vector (Life Technologies, Carlsbad, CA) using standard cloning procedures. Gene encoding p1 10a subunit was subcloned into polyhedrine promoter while gene encoding p85a niSH2 domains was subcloned into p10 promoter. Additionally, Human Rhinovirus 3C Protease ("HRV 3C”) site was introduced between nSH2 and iSH2, replacing aminoacids 431 -438 of p85a with HRV 3C Protease
- MOI multiplicity of infection
- the p1 10a-niSH2 p85a complex was purified from clarified supernatant using Immobilized Metalo Affinity Chromatography ("IMAC").
- IMAC Immobilized Metalo Affinity Chromatography
- the protein was eluted from the column using 50 mM Tris pH 8.0, 200 mM NaCI, 0.25 mM TCEP, and 200 mM imidazole.
- the mixture of p1 10a-iSH2 p85a complex and cleaved nSH2 was recovered in reverse IMAC 40 mM imidazole flow through and 60 mM imidazole wash fractions. Those fractions were pulled together and loaded on Superdex 200 26/60 SEC column equilibrated in 25 mM Tris, pH 8.0, 100mM NaCI, 2% glycerol, and 2 mM TCEP. Following SEC,
- biochemical assays of kinase activity of full-length PI3Ka (full-length p1 10 ⁇ / ⁇ 85 ⁇ ) or truncated PI3Ka (p1 10a/iSH2 p85a) were conducted using a
- PI3Ka enzyme PI3KA_Act or PI3KA_FL
- DMSO or test compound 12-point 3-fold serial dilution, 3 ⁇ top dose, 2 % DMSO final concentration
- 5 mM MgCI 2 50 mM HEPES pH 7.4, 150 mM NaCI, 1 mM DTT, and 0.05% 3-[(3-cholamidopropyl)dimethylammonio]-1 -propanesulfonate (“CHAPS").
- the reactions were initiated by the addition of ATP (41 ⁇ , ⁇ Km-level, for full-length p1 10a/p85 or 1 mM ATP for p1 10a/iSH2 p85), following a 15-min
- detector/probe mixture containing 480 nM GST-Grp1 PH domain protein (University of Dundee, Dundee, UK) and 12 nM carboxytetramethylrhodamine ('TAMRA')-tagged fluorescent phosphatidylinositol (3,4,5)-triphosphate ("PIP3") (Echelon Biosciences, Inc., Salt Lake City, UT) in assay buffer, was mixed with 15 ⁇ _ of kinase reaction mixture. The plate was shaken for 30 minutes and fluorescence polarization values were measured on an LJL Analyst HT plate reader (Molecular Devices, Sunnyvale, CA). The inhibitors were shown to be ATP-competitive from kinetic and crystallographic studies.
- the inhibition constants (Ki) were calculated by fitting fluorescence polarization values, corresponding to initial reaction rates, to the Morrison equation (Morrison, J. F. (1969) Kinetics of the reversible inhibition of enzyme catalysed reactions by tight-binding inhibitors. Biochim. Biophys. Acta 185, 269-286) for tight-binding competitive inhibitors using non-linear regression method (GraphPad Prism, GraphPad Software, San Diego, CA).
Landscapes
- Chemical & Material Sciences (AREA)
- Organic Chemistry (AREA)
- Health & Medical Sciences (AREA)
- General Chemical & Material Sciences (AREA)
- Medicinal Chemistry (AREA)
- Nuclear Medicine, Radiotherapy & Molecular Imaging (AREA)
- Chemical Kinetics & Catalysis (AREA)
- Pharmacology & Pharmacy (AREA)
- Life Sciences & Earth Sciences (AREA)
- Animal Behavior & Ethology (AREA)
- General Health & Medical Sciences (AREA)
- Public Health (AREA)
- Veterinary Medicine (AREA)
- Pharmaceuticals Containing Other Organic And Inorganic Compounds (AREA)
Abstract
The present inventions relates to compounds of formula (I) or pharmaceutically acceptable salts thereof, wherein ring A, R1, R2a, R2b, R3, R4, R4a, R5- R23, g, j, m, n, x, y, and z are defined herein. The novel pyrimidine derivatives are useful in the treatment of abnormal cell growth, such as cancer, in mammals. Additional embodiments relate to pharmaceutical compositions containing the compounds and to methods of using the compounds and compositions in the treatment of abnormal cell growth in mammals.
Description
PYRIMIDINE DERIVATIVES
This application claims the benefit of U. S. Provisional Application No.
62/019,380 filed on June 30, 2014 and U. S. Provisional Application No. 62/163,947 filed on May 19, 2015, the contents of which is hereby incorporated by reference in its entirety.
Field of the Invention
The present invention relates to novel pyrimidine derivatives that are useful in the treatment of abnormal cell growth, such as cancer, in mammals. The present invention also relates to pharmaceutical compositions containing the compounds and to methods of using the compounds and compositions in the treatment of abnormal cell growth in mammals. Background of the Invention
Phosphoinositide 3-kinases ("PI3Ks") comprise a family of lipid kinases that catalyze the synthesis of the phosphatidylinositol ("PI") second messengers PI(3)P ("PIP"), PI(3,4)P2 ("PIP2"), and PI(3,4,5)P3 ("PIP3")- (Fruman et al., "Phosphoinositide kinases", Annu. Rev. Biochem. 67 (1998), pp. 481 -507; Knight et al., "A
Pharmacological Map of the PI3-K Family Defines a Role for p1 10a in Insulin
Signaling", Cell 125 (2006), pp. 733-747.) In the appropriate cellular context, these lipids mediate diverse physiological processes including cell growth, survival, differentiation, and chemotaxis. (Katso et al., "Cellular function of phosphoinositide 3- kinases: implications for development, homeostasis, and cancer", Annu. Rev. Cell Dev. Biol. 17 (2001 ), pp. 615 - 675.) The PI3K family comprises at least 15 different lipid and serine/threonine kinases, sub-classified by structural homology, with distinct substrate specificities, expression patterns, and mode of regulation. Class I PI3Ka is the main PI3-kinase isoform in cancer, and consists of catalytic (p1 10a) and adapter (p85) subunits. (Stirdivant et al., "Cloning and mutagenesis of the p1 10a subunit of human phosphoinositide 3'-hydroxykinase", Bioorg. Med. Chem. 5 (1997), pp. 65-74.)
The 3-phosphorylated phospholipid, PIP3, acts as a second messenger recruiting kinases with lipid binding domains (including plekstrin homology ("PH") regions), such as Akt, the product of the human homologue of the viral oncogene v-Akt, and
phosphoinositide-dependent kinase-1 ("PDK1 "). (Vivanco & Sawyers, "The Phosphatidylinositol 3-Kinase-Akt Pathway In Human Cancer", Nature Reviews Cancer 2 (2002), pp. 489-501 .) Binding of Akt to PIP3 induces Akt to translocate to the plasma membrane, bringing Akt into contact with PDK1 , which activates Akt. The tumor- suppressor phosphatase, PTEN, dephosphorylates PIP3, and therefore acts as a negative regulator of Akt activation. The PI3Ks, Akt and PDK1 are important in the regulation of many cellular processes including cell cycle regulation, proliferation, survival, apoptosis and motility and are significant components of the molecular mechanisms of diseases such as cancer, diabetes and immune inflammation.
Functional loss of PTEN (the most commonly mutated tumor-suppressor gene in cancer after p53), oncogenic mutations in the PIK3CA gene encoding PI3Ka, amplification of the PIK3CA gene and overexpression of Akt have been established in many
malignancies (see, for example, Samuels, et al., "High frequency of mutations of the PIK3CA gene in human cancers", Science 304 (2004), p. 554; Broderick et al.,
"Mutations in PIK3CA in anaplastic oligodendrogliomas, high-grade astrocytomas, and medulloblastomas", Cancer Research 64 (2004), pp.5048-5050). Therefore, the deregulation of PI3k and the upstream and downstream components of this signaling pathway is one of the most common deregulations associated with human cancers and proliferative diseases. (Parsons et al., Nature, 436 (2005), p. 792; Hennessey et al., Nature Rev. Drug Disc. 4 (2005) 988-1004.)
PI3Ka is thus an attractive target for cancer drug development because PI3Ka inhibitors would be expected to inhibit proliferation and summon resistance to cytotoxic agents in cancer cells. Summary of the Invention
Each of the embodiments described below can be combined with any other embodiment described herein not inconsistent with the embodiment with which it is combined. Furthermore, each of the embodiments described herein envisions within its scope the pharmaceutically acceptable salts of the compounds described herein.
Accordingly, the phrase "or a pharmaceutically acceptable salt thereof" is implicit in the description of all compounds described herein.
Embodiments described herein relate to a compound of formula (I)
or a pharmaceutically acceptable salt thereof,
wherein
R1 is hydrogen or methyl;
ring A is 6 membered heteroaryl;
R2a and R2b are each independently hydrogen, halogen, -CN, CrC4 alkyl, -CHF2, -CF3, hydroxy, methoxy, -NH2, or C3-C4 cycloalkyl;
R3 is hydrogen, halogen, -CN, C-1 -C3 alkyl, -CF3, or methoxy;
R4 is
N(R'D)(R");
each R4a is independently fluorine, -CN, methyl, hydroxy, or methoxy;
R5 is hydrogen, C1 -C3 alkyl, or C3-C4 cycloalkyi;
R6 is hydrogen, phenyl, or 5-10 membered heteroaryl, wherein the 5-10 membered heteroaryl is optionally substituted by methyl, -(CH2)2OH , or -(CH2)2CN;
R7 is hydrogen, -CN, C C4 alkyl, -CF3, -N(R18)(R19), -S02(d-C3 alkyl), C3-C6 cycloalkyi, 4-6 membered heterocycloalkyi, -(CH2)m-(phenyl), or -(CH2)n-(5-10 membered heteroaryl), wherein the Ci -C4 alkyl is optionally substituted by hydroxy, further wherein the C3-C6 cycloalkyi and the 4-6 membered heterocycloalkyi are each
20
independently optionally substituted by one or two R groups, even further wherein the -(CH2)m-(phenyl) and the -(CH2)n-(5-10 membered heteroaryl) are each independently optionally substituted by one or two substituents selected from the group consisting of halogen, -CN, methyl, -CF3, C1 -C3 alkoxy, -NH2, and cyclopropyl;
R8 is hydrogen, methyl, hydroxy, methoxy, or NH2,
provided that R8 cannot be hydroxy, methoxy or NH2, when R7 is -N(R18)(R19); R9 is hydrogen or C1-C6 alkyl,
provided that R7 may form a 5-6 membered heterocycloalkyi ring with R5, R7 may form a C3-C6 cycloalkyi ring or a 4-8 membered heterocycloalkyi ring with R9, or R8 may form a C3-C6 cycloalkyi ring with R9, wherein the 5-6 membered heterocycloalkyi ring, the C3-C6 cycloalkyi ring, and the 4-8 membered heterocycloalkyi ring formed are each
20
independently optionally substituted by one or two R groups;
R10 and R1 1 are each independently CrC4 alkyl, -(CH2)x-(C3-C5 cycloalkyi), - (CH2)y-(4-6 membered heterocycloalkyi), or -(CH2)z-(5-6 membered heteroaryl), wherein the CrC4 alkyl is optionally substituted by one or two substituents selected from the group consisting of fluorine, -CN, -CF3, C1 -C3 alkoxy, and -N(R18)(R19), further wherein the -(CH2)x-(C3-C5 cycloalkyi) is optionally substituted by one or two fluorine atoms, even further wherein the -(CH2)y-(4-6 membered heterocycloalkyi) and the - (CH2)z-(5-6 membered heteroaryl) are each independently optionally substituted by one or two substituents selected from the group consisting of fluorine, -CN, methyl, hydroxy, methoxy, and -N(R18)(R19),
provided that R10 or R1 1 may form a 4-7 membered heterocycloalkyi ring with R5, wherein the 4-7 membered heterocycloalkyi ring formed is optionally substituted by one
20
or two R groups;
R12 is hydrogen or Ci -C4 alkyl,
provided that R11 and R12 may form a 4-8 membered heterocycloalkyl ring, wherein the 4-8 membered heterocycloalkyl ring formed is optionally substituted by one or two R21 groups, further wherein a carbon atom of the 4-8 membered heterocycloalkyl ring formed is optionally replaced by a nitrogen atom or an oxygen atom;
R13 is C C4 alkyl or C3-C6 cycloalkyl,
provided that R13 may form a 5-6 membered heterocycloalkyl ring with R5, wherein the 5-6 membered heterocycloalkyl ring formed is optionally substituted by one
20
or two R groups;
R14 and R15 are each independently hydrogen, C1-C3 alkyl, or C3-C4 cycloalkyl, provided that R14 may form a 5-6 membered heterocycloalkyl ring with R5 or R14 and R15 may form a 4-8 membered heterocycloalkyl ring, wherein the 5-6 membered
20
heterocycloalkyl ring formed is optionally substituted by one or two R groups, further wherein the 4-8 membered heterocycloalkyl ring formed is optionally substituted by one or two R21 groups, even further wherein a carbon atom of the 4-8 membered
heterocycloalkyl ring formed is optionally replaced by a nitrogen atom or an oxygen atom;
R16 and R17 are each independently hydrogen or C1-C3 alkyl,
provided that R16 and R17 may form a 4-6 membered heterocycloalkyl ring, wherein the 4-6 membered heterocycloalkyl ring formed is optionally substituted by one
20
or two R groups, further wherein one carbon of the 4-6 membered heterocycloalkyl ring formed may be optionally replaced with an oxygen atom;
each R18 and R19 is independently hydrogen or methyl,
provided that R18 and R19 may form a 4-8 membered heterocycloalkyl ring, wherein the 4-8 membered heterocycloalkyl ring formed is optionally substituted by one or two substituents selected from the group consisting of =0, fluorine, -CN, methyl, - CF3, hydroxy, methoxy, and -N(R22)(R23), further wherein a carbon atom of the 4-8 membered heterocycloalkyl ring formed is optionally replaced by a nitrogen atom or an oxygen atom;
each R20 is independently fluorine, -CN, methyl, -CF3, hydroxy, and methoxy; each R21 is independently =0, fluorine, -CN, methyl, -CF3, hydroxy, methoxy, and
-N(R18)(R19);
each R22 and R23 is independently hydrogen or methyl,
provided that R and R may form a 4-8 membered heterocycloalkyl ring, wherein the 4-8 membered heterocycloalkyl ring formed is optionally substituted by one or two substituents selected from the group consisting of =0, fluorine, -CN, methyl, - CF3, hydroxy, methoxy, -NH2, -NHCH3 and -N(CH3)2, further wherein a carbon atom of the 4-8 membered heterocycloalkyl ring formed is optionally replaced by a nitrogen atom or an oxygen atom;
g is O, 1 , 2, 3, or 4;
j is O, 1 , or 2;
m is 0, 1 , or 2;
n is O or l ;
x is 0 or 1 ;
y is 0, 1 , or 2; and
z is 0 or 1 .
Embodiments relate to a compound of formula (I), or a pharmaceutically acceptable salt thereof, wherein R1 is hydrogen.
Embodiments relate to a compound of formula (I), or a pharmaceutically acceptable salt thereof, wherein R1 is methyl.
Embodiments relate to a compound of formula (I), or a pharmaceutically acceptable salt thereof, wherein ring A is 6-membered heteroaryl.
Embodiments relate to a compound of formula (I), or a pharmaceutically acceptable salt thereof, wherein ring A is pyridine.
Embodiments relate to a compound of formula (I), or a pharmaceutically acceptable salt thereof, wherein ring A is pyrimidine.
Embodiments relate to a compound of formula (I), or a pharmaceutically acceptable salt thereof, wherein R2a is hydrogen.
Embodiments relate to a compound of formula (I), or a pharmaceutically acceptable salt thereof, wherein R2a is -NH2.
Embodiments relate to a compound of formula (I), or a pharmaceutically acceptable salt thereof, wherein R2b is hydrogen, halogen, Ci-C4 alkyl, -CHF2, or -CF3.
Embodiments relate to a compound of formula (I), or a pharmaceutically acceptable salt thereof, wherein R2b is hydrogen.
Embodiments relate to a compound of formula (I), or a pharmaceutically acceptable salt thereof, wherein R3 is hydrogen.
Embodiments relate to a compound of formula (I), or a pharmaceutically acceptable salt thereof, wherein g is 0.
Embodiments relate to a compound of formula (I), or a pharmaceutically acceptable salt thereof, wherein g is 1 .
Embodiments relate to a compound of formula (I), or a pharmaceutically acceptable salt thereof, wherein R5 is hydrogen or C1-C3 alkyl.
Embodiments relate to a compound of formula (I), or a pharmaceutically acceptable salt thereof, wherein R5 is hydrogen.
Embodiments relate to a compound of formula (I), or a pharmaceutically acceptable salt thereof, wherein R5 is methyl.
Embodiments relate to a compound of formula (I), or a pharmaceutically acceptable salt thereof, wherein R6 is hydrogen.
Embodiments relate to a compound of formula (I), or a pharmaceutically acceptable salt thereof, wherein R6 is 5-6 membered heteroaryl optionally substituted by methyl, -(CH2)2OH, or -(CH2)2CN.
Embodiments relate to a compound of formula (I), or a pharmaceutically acceptable salt thereof, wherein R7 is hydrogen, -CN, Ci-C4 alkyl, -CF3, -NH2, or - S02CH3.
Embodiments relate to a compound of formula (I), or a pharmaceutically acceptable salt thereof, wherein R7 is C3-C6 cycloalkyl.
Embodiments relate to a compound of formula (I), or a pharmaceutically acceptable salt thereof, wherein R7 is -(CH2)m-(phenyl) or -(CH2)n-(5-10 membered heteroaryl), wherein the -(CH2)n-(5-10 membered heteroaryl) is optionally substituted by one or two substituents selected from the group consisting of halogen and methyl.
Embodiments relate to a compound of formula (I), or a pharmaceutically acceptable salt thereof, wherein R7 is hydrogen.
Embodiments relate to a compound of formula (I), or a pharmaceutically acceptable salt thereof, wherein R7 is Ci-C4 alkyl.
Embodiments relate to a compound of formula (I), or a pharmaceutically acceptable salt thereof, wherein R7 is methyl.
Embodiments relate to a compound of formula (I), or a pharmaceutically acceptable salt thereof, wherein R8 is hydrogen, methyl, hydroxy, or methoxy.
Embodiments relate to a compound of formula (I), or a pharmaceutically acceptable salt thereof, wherein R8 is hydrogen.
Embodiments relate to a compound of formula (I), or a pharmaceutically acceptable salt thereof, wherein R8 is methyl.
Embodiments relate to a compound of formula (I), or a pharmaceutically acceptable salt thereof, wherein R8 is hydroxy.
Embodiments relate to a compound of formula (I), or a pharmaceutically acceptable salt thereof, wherein R9 is hydrogen.
Embodiments relate to a compound of formula (I), or a pharmaceutically acceptable salt thereof, wherein R9 is methyl.
Embodiments relate to a compound of formula (I), or a pharmaceutically acceptable salt thereof, wherein R9 is ethyl.
Embodiments relate to a compound of formula (I), or a pharmaceutically acceptable salt thereof, wherein R7 is hydrogen, R8 is hydrogen, and R9 is hydrogen.
Embodiments relate to a compound of formula (I), or a pharmaceutically acceptable salt thereof, wherein R7 is hydrogen, R8 is hydroxy, and R9 is hydrogen.
Some embodiments relate to a compound of formula (I), or a pharmaceutically acceptable salt thereof, wherein R7 is Ci-C4 alkyl, R8 is hydroxy, and R9 is hydrogen.
Embodiments relate to a compound of formula (I), or a pharmaceutically acceptable salt thereof, wherein R7 and R9 form a C3-C6 cycloalkyl ring optionally substituted by one or two fluorine groups.
Embodiments relate to a compound of formula (I), or a pharmaceutically acceptable salt thereof, wherein R7 and R9 form a 4-6 membered heterocycloalkyi ring.
Embodiments relate to a compound of formula (I), or a pharmaceutically acceptable salt thereof, wherein R8 and R9 form a C3-C6 cycloalkyl ring optionally substituted by one or two substituents selected from the group consisting of fluorine, - CN, and methyl.
Embodiments relate to a compound of formula (I), or a pharmaceutically acceptable salt thereof, wherein R10 is CrC4 alkyl.
Embodiments relate to a compound of formula (I), or a pharmaceutically acceptable salt thereof, wherein R10 is methyl.
Embodiments relate to a compound of formula (I), or a pharmaceutically acceptable salt thereof, wherein R10 is C3-C5 cycloalkyl.
Embodiments relate to a compound of formula (I), or a pharmaceutically acceptable salt thereof, wherein R10 and R5 form a 5-6 membered heterocycloalkyl ring.
Embodiments relate to a compound of formula (I), or a pharmaceutically acceptable salt thereof, wherein R11 is Ci-C4 alkyl or -(CH2)x-(C3-C5 cycloalkyi), further wherein the CrC4 alkyl is optionally substituted by one or two substituents selected from the group consisting of fluorine, -CN, -CF3, C1-C3 alkoxy, and -N(CH3)2, even further wherein the -(CH2)x-(C3-C5 cycloalkyi) is optionally substituted by one or two fluorine atoms.
Embodiments relate to a compound of formula (I), or a pharmaceutically acceptable salt thereof, wherein R11 is -(CH2)y-(4-6 membered heterocycloalkyl) optionally substituted by methyl.
Embodiments relate to a compound of formula (I), or a pharmaceutically acceptable salt thereof, wherein R11 is -(CH2)z-(5-6 membered heteroaryl) optionally substituted by methyl.
Embodiments relate to a compound of formula (I), or a pharmaceutically acceptable salt thereof, wherein R12 is hydrogen.
Embodiments relate to a compound of formula (I), or a pharmaceutically acceptable salt thereof, wherein R12 is methyl.
Embodiments relate to a compound of formula (I), or a pharmaceutically acceptable salt thereof, wherein R11 and R12 form a 4-6 membered heterocycloalkyl ring optionally substituted by one or two substituents selected from the group consisting of fluorine, -CN, methyl, and hydroxy.
Embodiments relate to a compound of formula (I), or a pharmaceutically acceptable salt thereof, wherein R11 and R5 form a 5-6 membered heterocycloalkyl ring.
Embodiments relate to a compound of formula (I), or a pharmaceutically acceptable salt thereof, wherein R4 is
(a) (b) (c) (d)
Embodiments relate to a compound of formula (I), or a pharmaceutically acceptable salt thereof, wherein R4 is -(CH2)j-N(R16)(N17).
Embodiments relate to a compound of formula (I), or a pharmaceutically acceptable salt thereof, having formula (la)
Embodiments relate to a compound of formula (I), or a pharmaceutically acceptable salt thereof, having formula (lb)
Embodiments relate to a compound of formula (I), or a pharmaceutically acceptable salt thereof, having formula (lc)
Embodiments relate to a compound of formula (I), or a pharmaceutically acceptable salt thereof, having formula (Id)
Embodiments relate to a compound of formula (I), or a pharmaceutically acceptable salt thereof, having formula (le)
Embodiments relate to a compound of formula (I), or a pharmaceutically acceptable salt thereof, having formula (If)
Embodiments relate to a compound of formula (I), or a pharmaceutically acceptable salt thereof, having formula (Ig)
Embodiments described herein relate to a compound of formula (II)
or a pharmaceutically acceptable salt thereof,
wherein
R1 is hydrogen or methyl;
R2a and R2b are each independently hydrogen, halogen, -CN, C C4 alkyl, -CHF2, -CF3, hydroxy, methoxy, -NH2, or C3-C4 cycloalkyl;
R3 is hydrogen, halogen, -CN, C1-C3 alkyl, -CF3, or methoxy;
R4 is
(e
N(R16)(R17);
each R4a is independently fluorine, -CN, methyl, hydroxy, or methoxy;
R5 is hydrogen, C1-C3 alkyl, or C3-C4 cycloalkyi;
R6 is hydrogen, phenyl, or 5-10 membered heteroaryl, wherein the 5-10 membered heteroaryl is optionally substituted by methyl, -(CH2)2OH, or -(CH2)2CN;
R7 is hydrogen, -CN, C C4 alkyl, -CF3, -N(R18)(R19), -S02(C1-C3 alkyl), C3-C6 cycloalkyi, 4-6 membered heterocycloalkyi, -(CH2)m-(phenyl), or -(CH2)n-(5-10 membered heteroaryl), wherein the Ci-C4 alkyl is optionally substituted by hydroxy, further wherein the C3-C6 cycloalkyi and the 4-6 membered heterocycloalkyi are each
20
independently optionally substituted by one or two R groups, even further wherein the -(CH2)m-(phenyl) and the -(CH2)n-(5-10 membered heteroaryl) are each independently optionally substituted by one or two substituents selected from the group consisting of halogen, -CN, methyl, -CF3, Ci-C3 alkoxy, -NH2, and cyclopropyl;
R8 is hydrogen, methyl, hydroxy, methoxy, or NH2,
provided that R8 cannot be hydroxy, methoxy or NH2, when R7 is -N(R18)(R19); R9 is hydrogen or C1-C6 alkyl,
provided that R7 may form a 5-6 membered heterocycloalkyi ring with R5, R7 may form a C3-C6 cycloalkyi ring or a 4-8 membered heterocycloalkyi ring with R9, or R8 may form a C3-C6 cycloalkyi ring with R9, wherein the 5-6 membered heterocycloalkyi ring,
the C3-C6 cycloalkyl ring, and the 4-8 membered heterocycloalkyi ring formed are each
20
independently optionally substituted by one or two R groups;
R10 and R1 1 are each independently CrC4 alkyl, -(CH2)x-(C3-C5 cycloalkyl), - (CH2)y-(4-6 membered heterocycloalkyi), or -(CH2)z-(5-6 membered heteroaryl), wherein the CrC4 alkyl is optionally substituted by one or two substituents selected from the group consisting of fluorine, -CN, -CF3, C1 -C3 alkoxy, and -N(R18)(R19), further wherein the -(CH2)x-(C3-C5 cycloalkyl) is optionally substituted by one or two fluorine atoms, even further wherein the -(CH2)y-(4-6 membered heterocycloalkyi) and the - (CH2)z-(5-6 membered heteroaryl) are each independently optionally substituted by one or two substituents selected from the group consisting of fluorine, -CN, methyl, hydroxy, methoxy, and -N(R18)(R19),
provided that R10 or R1 1 may form a 4-7 membered heterocycloalkyi ring with R5, wherein the 4-7 membered heterocycloalkyi ring formed is optionally substituted by one
20
or two R groups;
R12 is hydrogen or Ci -C4 alkyl,
provided that R1 1 and R12 may form a 4-8 membered heterocycloalkyi ring, wherein the 4-8 membered heterocycloalkyi ring formed is optionally substituted by one or two R21 groups, further wherein a carbon atom of the 4-8 membered heterocycloalkyi ring formed is optionally replaced by a nitrogen atom or an oxygen atom;
R13 is C C4 alkyl or C3-C6 cycloalkyl,
provided that R13 may form a 5-6 membered heterocycloalkyi ring with R5, wherein the 5-6 membered heterocycloalkyi ring formed is optionally substituted by one
20
or two R groups;
R14 and R15 are each independently hydrogen, Ci -C3 alkyl, or C3-C4 cycloalkyl, provided that R14 may form a 5-6 membered heterocycloalkyi ring with R5 or R14 and R15 may form a 4-8 membered heterocycloalkyi ring, wherein the 5-6 membered
20
heterocycloalkyi ring formed is optionally substituted by one or two R groups, further wherein the 4-8 membered heterocycloalkyi ring formed is optionally substituted by one or two R21 groups, even further wherein a carbon atom of the 4-8 membered
heterocycloalkyi ring formed is optionally replaced by a nitrogen atom or an oxygen atom;
R16 and R17 are each independently hydrogen or Ci-C3 alkyl,
provided that R16 and R17 may form a 4-6 membered heterocycloalkyl ring, wherein the 4-6 membered heterocycloalkyl ring formed is optionally substituted by one
20
or two R groups, further wherein one carbon of the 4-6 membered heterocycloalkyl ring formed may be optionally replaced with an oxygen atom;
each R18 and R19 is independently hydrogen or methyl,
provided that R18 and R19 may form a 4-8 membered heterocycloalkyl ring, wherein the 4-8 membered heterocycloalkyl ring formed is optionally substituted by one or two substituents selected from the group consisting of =0, fluorine, -CN, methyl, - CF3, hydroxy, methoxy, and -N(R22)(R23), further wherein a carbon atom of the 4-8 membered heterocycloalkyl ring formed is optionally replaced by a nitrogen atom or an oxygen atom;
each R20 is independently fluorine, -CN, methyl, -CF3, hydroxy, and methoxy; each R21 is independently =0, fluorine, -CN, methyl, -CF3, hydroxy, methoxy, and -N(R18)(R19);
each R22 and R23 is independently hydrogen or methyl,
provided that R22 and R23 may form a 4-8 membered heterocycloalkyl ring, wherein the 4-8 membered heterocycloalkyl ring formed is optionally substituted by one or two substituents selected from the group consisting of =0, fluorine, -CN, methyl, - CF3, hydroxy, methoxy, -NH2, -NHCH3 and -N(CH3)2, further wherein a carbon atom of the 4-8 membered heterocycloalkyl ring formed is optionally replaced by a nitrogen atom or an oxygen atom;
g is O, 1 , 2, 3, or 4;
j is O, 1 , or 2;
m is 0, 1 , or 2;
n is O or l ;
x is 0 or 1 ;
y is 0, 1 , or 2; and
z is 0 or 1 .
Embodiments described herein relate to a compound of formula (II), or a pharmaceutically acceptable salt thereof, wherein R1 is hydrogen.
Embodiments described herein relate to a compound of formula (II), or a pharmaceutically acceptable salt thereof, wherein R1 is methyl.
Embodiments described herein relate to a compound of formula (II), or a pharmaceutically acceptable salt thereof, wherein R2a is hydrogen.
Embodiments described herein relate to a compound of formula (II), or a pharmaceutically acceptable salt thereof, wherein R2a is -NH2.
Embodiments described herein relate to a compound of formula (II), or a pharmaceutically acceptable salt thereof, wherein R2b is hydrogen, halogen, Ci-C4 alkyl, -CHF2, or -CF3.
Embodiments described herein relate to a compound of formula (II), or a pharmaceutically acceptable salt thereof, wherein R2b is hydrogen.
Embodiments described herein relate to a compound of formula (II), or a pharmaceutically acceptable salt thereof, wherein R3 is hydrogen.
Embodiments described herein relate to a compound of formula (II), or a pharmaceutically acceptable salt thereof, wherein g is 0.
Embodiments described herein relate to a compound of formula (II), or a pharmaceutically acceptable salt thereof, wherein g is 1 .
Embodiments described herein relate to a compound of formula (II), or a pharmaceutically acceptable salt thereof, wherein R5 is hydrogen or C1-C3 alkyl.
Embodiments described herein relate to a compound of formula (II), or a pharmaceutically acceptable salt thereof, wherein R5 is hydrogen.
Embodiments described herein relate to a compound of formula (II), or a pharmaceutically acceptable salt thereof, wherein R5 is methyl.
Embodiments described herein relate to a compound of formula (II), or a pharmaceutically acceptable salt thereof, wherein R6 is hydrogen.
The compound or salt of any of claims 57-69, wherein R6 is 5-6 membered heteroaryl optionally substituted by methyl, -(CH2)20H, or -(CH2)2CN.
Embodiments described herein relate to a compound of formula (II), or a pharmaceutically acceptable salt thereof, wherein R7 is hydrogen, -CN, Ci-C4 alkyl, -
Embodiments described herein relate to a compound of formula (II), or a pharmaceutically acceptable salt thereof, wherein R7 is C3-C6 cycloalkyl.
Embodiments described herein relate to a compound of formula (II), or a pharmaceutically acceptable salt thereof, wherein R7 is -(CH2)m-(phenyl) or -(CH2)n-(5- 10 membered heteroaryl), wherein the -(CH2)n-(5-10 membered heteroaryl) is optionally
substituted by one or two substituents selected from the group consisting of halogen and methyl.
Embodiments described herein relate to a compound of formula (II), or a pharmaceutically acceptable salt thereof, wherein R7 is hydrogen.
Embodiments described herein relate to a compound of formula (II), or a pharmaceutically acceptable salt thereof, wherein R7 is CrC4 alkyl.
Embodiments described herein relate to a compound of formula (II), or a pharmaceutically acceptable salt thereof, wherein R7 is methyl.
Embodiments relate to a compound of formula (I), or a pharmaceutically acceptable salt thereof, wherein R8 is hydrogen, methyl, hydroxy, or methoxy.
Embodiments described herein relate to a compound of formula (II), or a pharmaceutically acceptable salt thereof, wherein R8 is hydrogen.
Embodiments described herein relate to a compound of formula (II), or a pharmaceutically acceptable salt thereof, wherein R8 is methyl.
Embodiments described herein relate to a compound of formula (II), or a pharmaceutically acceptable salt thereof, wherein R8 is hydroxy.
Embodiments described herein relate to a compound of formula (II), or a pharmaceutically acceptable salt thereof, wherein R9 is hydrogen.
Embodiments described herein relate to a compound of formula (II), or a pharmaceutically acceptable salt thereof, wherein R9 is methyl.
Embodiments described herein relate to a compound of formula (II), or a pharmaceutically acceptable salt thereof, wherein R9 is ethyl.
Embodiments described herein relate to a compound of formula (II), or a pharmaceutically acceptable salt thereof, wherein R7 is hydrogen, R8 is hydrogen, and R9 is hydrogen.
Embodiments described herein relate to a compound of formula (II), or a pharmaceutically acceptable salt thereof, wherein R7 is hydrogen, R8 is hydroxy, and R9 is hydrogen.
Embodiments described herein relate to a compound of formula (II), or a pharmaceutically acceptable salt thereof, wherein R7 is Ci-C4 alkyl, R8 is hydroxy, and R9 is hydrogen.
Embodiments described herein relate to a compound of formula (II), or a pharmaceutically acceptable salt thereof, wherein R7 and R9 form a C3-C6 cycloalkyi ring optionally substituted by one or two fluorine groups.
Embodiments described herein relate to a compound of formula (II), or a pharmaceutically acceptable salt thereof, wherein R7 and R9 form a 4-6 membered heterocycloalkyl ring.
Embodiments described herein relate to a compound of formula (II), or a pharmaceutically acceptable salt thereof, wherein R8 and R9 form a C3-C6 cycloalkyi ring optionally substituted by one or two substituents selected from the group consisting of fluorine, -CN, and methyl.
Embodiments described herein relate to a compound of formula (II), or a pharmaceutically acceptable salt thereof, wherein R10 is Ci-C4 alkyl.
Embodiments described herein relate to a compound of formula (II), or a pharmaceutically acceptable salt thereof, wherein R10 is methyl.
Embodiments described herein relate to a compound of formula (II), or a pharmaceutically acceptable salt thereof, wherein R10 is C3-C5 cycloalkyi.
Embodiments described herein relate to a compound of formula (II), or a pharmaceutically acceptable salt thereof, wherein R10 and R5 form a 5-6 membered heterocycloalkyl ring.
Embodiments described herein relate to a compound of formula (II), or a pharmaceutically acceptable salt thereof, wherein R11 is Ci-C4 alkyl or -(CH2)x-(C3-C5 cycloalkyi), further wherein the Ci-C4 alkyl is optionally substituted by one or two substituents selected from the group consisting of fluorine, -CN, -CF3, C1-C3 alkoxy, and -N(CH3)2, even further wherein the -(CH2)x-(C3-C5 cycloalkyi) is optionally substituted by one or two fluorine atoms.
Embodiments described herein relate to a compound of formula (II), or a pharmaceutically acceptable salt thereof, wherein R11 is -(CH2)y-(4-6 membered heterocycloalkyl) optionally substituted by methyl.
Embodiments described herein relate to a compound of formula (II), or a pharmaceutically acceptable salt thereof, wherein R11 is -(CH2)z-(5-6 membered heteroaryl) optionally substituted by methyl.
Embodiments described herein relate to a compound of formula (II), or a pharmaceutically acceptable salt thereof, wherein R12 is hydrogen.
Embodiments described herein relate to a compound of formula (II), or a pharmaceutically acceptable salt thereof, wherein R12 is methyl.
Embodiments described herein relate to a compound of formula (II), or a pharmaceutically acceptable salt thereof, wherein R11 and R12 form a 4-6 membered heterocycloalkyl ring optionally substituted by one or two substituents selected from the group consisting of fluorine, -CN, methyl, and hydroxy.
Embodiments described herein relate to a compound of formula (II), or a pharmaceutically acceptable salt thereof, wherein R11 and R5 form a 5-6 membered heterocycloalkyl ring.
Embodiments described herein relate to a compound of formula (II), or a pharmaceutically acceptable salt thereof, wherein R4 is
(a
Embodiments described herein relate to a compound of formula (II), or a pharmaceutically acceptable salt thereof, wherein R4 is -(CH2)j-N(R16)(N17).
Embodiments described herein relate to a compound of formula (II), or a pharmaceutically acceptable salt thereof, having formula (I la)
Embodiments described herein relate to a compound of formula (II), or a pharmaceuticall acceptable salt thereof, having formula (Mb)
Embodiments described herein relate to a compound of formula (II), or a pharmaceuticall acceptable salt thereof, having formula (lie)
Embodiments described herein relate to a compound of formula (II), or a pharmaceutically acceptable salt thereof, having formula (lid)
Embodiments described herein relate to a compound of formula (II), or a pharmaceuticall acceptable salt thereof, having formula (lie)
Embodiments described herein relate to a compound of formula (II), or a pharmaceuticall acceptable salt thereof, having formula (llf)
Embodiments described herein relate to a having formula (llg)
Embodiments described herein relate to a com ound formula
or a pharmaceutically acceptable salt thereof,
wherein
R1 is hydrogen or methyl;
R3 is hydrogen, halogen, -CN, C1-C3 alkyl, -CF3, or methoxy; R4 is
(e
N(R16)(R17);
each R4a is independently fluorine, -CN, methyl, hydroxy, or methoxy;
R5 is hydrogen, C1-C3 alkyl, or C3-C4 cycloalkyi;
R6 is hydrogen, phenyl, or 5-10 membered heteroaryl, wherein the 5-10 membered heteroaryl is optionally substituted by methyl, -(CH2)2OH, or -(CH2)2CN;
R7 is hydrogen, -CN, C C4 alkyl, -CF3, -N(R18)(R19), -S02(C1-C3 alkyl), C3-C6 cycloalkyi, 4-6 membered heterocycloalkyi, -(CH2)m-(phenyl), or -(CH2)n-(5-10 membered heteroaryl), wherein the Ci-C4 alkyl is optionally substituted by hydroxy, further wherein the C3-C6 cycloalkyi and the 4-6 membered heterocycloalkyi are each
20
independently optionally substituted by one or two R groups, even further wherein the -(CH2)m-(phenyl) and the -(CH2)n-(5-10 membered heteroaryl) are each independently optionally substituted by one or two substituents selected from the group consisting of halogen, -CN, methyl, -CF3, Ci-C3 alkoxy, -NH2, and cyclopropyl;
R8 is hydrogen, methyl, hydroxy, methoxy, or NH2,
provided that R8 cannot be hydroxy, methoxy or NH2, when R7 is -N(R18)(R19); R9 is hydrogen or C1-C6 alkyl,
provided that R7 may form a 5-6 membered heterocycloalkyi ring with R5, R7 may form a C3-C6 cycloalkyi ring or a 4-8 membered heterocycloalkyi ring with R9, or R8 may form a C3-C6 cycloalkyi ring with R9, wherein the 5-6 membered heterocycloalkyi ring,
the C3-C6 cycloalkyl ring, and the 4-8 membered heterocycloalkyi ring formed are each
20
independently optionally substituted by one or two R groups;
R10 and R1 1 are each independently CrC4 alkyl, -(CH2)x-(C3-C5 cycloalkyl), - (CH2)y-(4-6 membered heterocycloalkyi), or -(CH2)z-(5-6 membered heteroaryl), wherein the CrC4 alkyl is optionally substituted by one or two substituents selected from the group consisting of fluorine, -CN, -CF3, C1 -C3 alkoxy, and -N(R18)(R19), further wherein the -(CH2)x-(C3-C5 cycloalkyl) is optionally substituted by one or two fluorine atoms, even further wherein the -(CH2)y-(4-6 membered heterocycloalkyi) and the - (CH2)z-(5-6 membered heteroaryl) are each independently optionally substituted by one or two substituents selected from the group consisting of fluorine, -CN, methyl, hydroxy, methoxy, and -N(R18)(R19),
provided that R10 or R1 1 may form a 4-7 membered heterocycloalkyi ring with R5, wherein the 4-7 membered heterocycloalkyi ring formed is optionally substituted by one
20
or two R groups;
R12 is hydrogen or Ci -C4 alkyl,
provided that R1 1 and R12 may form a 4-8 membered heterocycloalkyi ring, wherein the 4-8 membered heterocycloalkyi ring formed is optionally substituted by one or two R21 groups, further wherein a carbon atom of the 4-8 membered heterocycloalkyi ring formed is optionally replaced by a nitrogen atom or an oxygen atom;
R13 is C C4 alkyl or C3-C6 cycloalkyl,
provided that R13 may form a 5-6 membered heterocycloalkyi ring with R5, wherein the 5-6 membered heterocycloalkyi ring formed is optionally substituted by one
20
or two R groups;
R14 and R15 are each independently hydrogen, Ci -C3 alkyl, or C3-C4 cycloalkyl, provided that R14 may form a 5-6 membered heterocycloalkyi ring with R5 or R14 and R15 may form a 4-8 membered heterocycloalkyi ring, wherein the 5-6 membered
20
heterocycloalkyi ring formed is optionally substituted by one or two R groups, further wherein the 4-8 membered heterocycloalkyi ring formed is optionally substituted by one or two R21 groups, even further wherein a carbon atom of the 4-8 membered
heterocycloalkyi ring formed is optionally replaced by a nitrogen atom or an oxygen atom;
R16 and R17 are each independently hydrogen or Ci-C3 alkyl,
provided that R16 and R17 may form a 4-6 membered heterocycloalkyl ring, wherein the 4-6 membered heterocycloalkyl ring formed is optionally substituted by one
20
or two R groups, further wherein one carbon of the 4-6 membered heterocycloalkyl ring formed may be optionally replaced with an oxygen atom;
each R18 and R19 is independently hydrogen or methyl,
provided that R18 and R19 may form a 4-8 membered heterocycloalkyl ring, wherein the 4-8 membered heterocycloalkyl ring formed is optionally substituted by one or two substituents selected from the group consisting of =0, fluorine, -CN, methyl, - CF3, hydroxy, methoxy, and -N(R22)(R23), further wherein a carbon atom of the 4-8 membered heterocycloalkyl ring formed is optionally replaced by a nitrogen atom or an oxygen atom;
each R20 is independently fluorine, -CN, methyl, -CF3, hydroxy, and methoxy; each R21 is independently =0, fluorine, -CN, methyl, -CF3, hydroxy, methoxy, and -N(R18)(R19);
each R22 and R23 is independently hydrogen or methyl,
provided that R22 and R23 may form a 4-8 membered heterocycloalkyl ring, wherein the 4-8 membered heterocycloalkyl ring formed is optionally substituted by one or two substituents selected from the group consisting of =0, fluorine, -CN, methyl, - CF3, hydroxy, methoxy, -NH2, -NHCH3 and -N(CH3)2, further wherein a carbon atom of the 4-8 membered heterocycloalkyl ring formed is optionally replaced by a nitrogen atom or an oxygen atom;
g is O, 1 , 2, 3, or 4;
j is O, 1 , or 2;
m is 0, 1 , or 2;
n is O or l ;
x is 0 or 1 ;
y is 0, 1 , or 2; and
z is 0 or 1 .
Embodiments described herein relate to a compound of formula (III), or a pharmaceutically acceptable salt thereof, wherein R1 is hydrogen.
Embodiments described herein relate to a compound of formula (III), or a pharmaceutically acceptable salt thereof, wherein R1 is methyl.
Embodiments described herein relate to a compound of formula (III), or a pharmaceutically acceptable salt thereof, wherein R3 is hydrogen.
Embodiments described herein relate to a compound of formula (III), or a pharmaceutically acceptable salt thereof, wherein g is 0.
Embodiments described herein relate to a compound of formula (III), or a pharmaceutically acceptable salt thereof, wherein g is 1 .
Embodiments described herein relate to a compound of formula (III), or a pharmaceutically acceptable salt thereof, wherein R5 is hydrogen or C1-C3 alkyl.
Embodiments described herein relate to a compound of formula (III), or a pharmaceutically acceptable salt thereof, wherein R5 is hydrogen.
Embodiments described herein relate to a compound of formula (III), or a pharmaceutically acceptable salt thereof, wherein R5 is methyl.
Embodiments described herein relate to a compound of formula (III), or a pharmaceutically acceptable salt thereof, wherein R6 is hydrogen.
Embodiments described herein relate to a compound of formula (III), or a pharmaceutically acceptable salt thereof, wherein R6 is 5-6 membered heteroaryl optionally substituted by methyl, -(CH2)2OH, or -(CH2)2CN.
Embodiments described herein relate to a compound of formula (III), or a pharmaceutically acceptable salt thereof, wherein R7 is hydrogen, -CN, Ci-C4 alkyl, - CF3, -NH2, or -S02CH3.
Embodiments described herein relate to a compound of formula (III), or a pharmaceutically acceptable salt thereof, wherein R7 is C3-C6 cycloalkyl.
Embodiments described herein relate to a compound of formula (III), or a pharmaceutically acceptable salt thereof, wherein R7 is -(CH2)m-(phenyl) or -(CH2)n-(5- 10 membered heteroaryl), wherein the -(CH2)n-(5-10 membered heteroaryl) is optionally substituted by one or two substituents selected from the group consisting of halogen and methyl.
Embodiments described herein relate to a compound of formula (III), or a pharmaceutically acceptable salt thereof, wherein R7 is hydrogen.
Embodiments described herein relate to a compound of formula (III), or a pharmaceutically acceptable salt thereof, wherein R7 is CrC4 alkyl.
Embodiments described herein relate to a compound of formula (III), or a pharmaceutically acceptable salt thereof, wherein R7 is methyl.
Embodiments relate to a compound of formula (I), or a pharmaceutically acceptable salt thereof, wherein R8 is hydrogen, methyl, hydroxy, or methoxy.
Embodiments described herein relate to a compound of formula (III), or a pharmaceutically acceptable salt thereof, wherein R8 is hydrogen.
Embodiments described herein relate to a compound of formula (III), or a pharmaceutically acceptable salt thereof, wherein R8 is methyl.
Embodiments described herein relate to a compound of formula (III), or a pharmaceutically acceptable salt thereof, wherein R8 is hydroxy.
Embodiments described herein relate to a compound of formula (III), or a pharmaceutically acceptable salt thereof, wherein R9 is hydrogen.
Embodiments described herein relate to a compound of formula (III), or a pharmaceutically acceptable salt thereof, wherein R9 is methyl.
Embodiments described herein relate to a compound of formula (III), or a pharmaceutically acceptable salt thereof, wherein R9 is ethyl.
Embodiments described herein relate to a compound of formula (III), or a pharmaceutically acceptable salt thereof, wherein R7 is hydrogen, R8 is hydrogen, and R9 is hydrogen.
Embodiments described herein relate to a compound of formula (III), or a pharmaceutically acceptable salt thereof, wherein R7 is hydrogen, R8 is hydroxy, and R9 is hydrogen.
Embodiments described herein relate to a compound of formula (III), or a pharmaceutically acceptable salt thereof, wherein R7 is Ci-C4 alkyl, R8 is hydroxy, and R9 is hydrogen.
Embodiments described herein relate to a compound of formula (III), or a pharmaceutically acceptable salt thereof, wherein R7 and R9 form a C3-C6 cycloalkyi ring optionally substituted by one or two fluorine groups.
Embodiments described herein relate to a compound of formula (III), or a pharmaceutically acceptable salt thereof, wherein R7 and R9 form a 4-6 membered heterocycloalkyl ring.
Embodiments described herein relate to a compound of formula (III), or a pharmaceutically acceptable salt thereof, wherein R8 and R9 form a C3-C6 cycloalkyi ring optionally substituted by one or two substituents selected from the group consisting of fluorine, -CN, and methyl.
Embodiments described herein relate to a compound of formula (III), or a pharmaceutically acceptable salt thereof, wherein R10 is Ci-C4 alkyl.
Embodiments described herein relate to a compound of formula (III), or a pharmaceutically acceptable salt thereof, wherein R10 is methyl.
Embodiments described herein relate to a compound of formula (III), or a pharmaceutically acceptable salt thereof, wherein R10 is C3-C5 cycloalkyi.
Embodiments described herein relate to a compound of formula (III), or a pharmaceutically acceptable salt thereof, wherein R10 and R5 form a 5-6 membered heterocycloalkyl ring.
Embodiments described herein relate to a compound of formula (III), or a pharmaceutically acceptable salt thereof, wherein R11 is Ci-C4 alkyl or -(CH2)x-(C3-C5 cycloalkyi), further wherein the CrC4 alkyl is optionally substituted by one or two substituents selected from the group consisting of fluorine, -CN, -CF3, C1-C3 alkoxy, and -N(CH3)2, even further wherein the -(CH2)x-(C3-C5 cycloalkyi) is optionally substituted by one or two fluorine atoms.
Embodiments described herein relate to a compound of formula (III), or a pharmaceutically acceptable salt thereof, wherein R11 is -(CH2)y-(4-6 membered heterocycloalkyl) optionally substituted by methyl.
Embodiments described herein relate to a compound of formula (III), or a pharmaceutically acceptable salt thereof, wherein R11 is -(CH2)z-(5-6 membered heteroaryl) optionally substituted by methyl.
Embodiments described herein relate to a compound of formula (III), or a pharmaceutically acceptable salt thereof, wherein R12 is hydrogen.
Embodiments described herein relate to a compound of formula (III), or a pharmaceutically acceptable salt thereof, wherein R12 is methyl.
Embodiments described herein relate to a compound of formula (III), or a pharmaceutically acceptable salt thereof, wherein R11 and R12 form a 4-6 membered heterocycloalkyl ring optionally substituted by one or two substituents selected from the group consisting of fluorine, -CN, methyl, and hydroxy.
Embodiments described herein relate to a compound of formula (III), or a pharmaceutically acceptable salt thereof, wherein R11 and R5 form a 5-6 membered heterocycloalkyl ring.
Embodiments described herein relate to a compound of formula (III), or a pharmaceutically acceptable salt thereof, wherein R is
Embodiments described herein relate to a compound of formula (III), or a pharmaceutically acceptable salt thereof, wherein R4 is -(CH2)j-N(R16)(N17).
Embodiments described herein relate to a compound of formula (III), or a pharmaceuticall acceptable salt thereof, having formula (Ilia)
Embodiments described herein relate to a compound of formula (III), or a pharmaceutically acceptable salt thereof, having formula (1Mb)
Mb).
Embodiments described herein relate to a compound of formula (III), or a pharmaceutically acceptable salt thereof, having formula (III c)
Embodiments described herein relate to a compound of formula (III), or a pharmaceutically acceptable salt thereof, having formula (llld)
H2N^ jvl
Embodiments described herein relate to a compound of formula (III), or a pharmaceutically acceptable salt thereof, having formula (llle)
HoN
Embodiments described herein relate to a compound of formula (III), or a pharmaceutically acceptable salt thereof, having formula (lllf)
Embodiments described herein relate to a compound of formula (III), or a pharmaceutically acceptable salt thereof, having formula (lllg)
In some embodiments, the compound is selected from:
/V-(irans-3-{[2'-amino-2-(morpholin-4-yl)-4,5'-bipyrimidin-6-yl]oxy}cyclobutyl)-2- hydroxy-/V-methylacetamide;
1 -(irans-3-{[2'-amino-2-(morpholin-4-yl)-4,5'-bipyrimidin-6-yl]oxy}cyclobutyl)-1 ,3- dimethylurea;
/V-[irans-3-({2'-amino-2-[(3S)-3-methylmorpholin-4-yl]-4,5'-bipyrimidin-6- yl}oxy)cyclobutyl]-/V-methylacetamide;
/V-(irans-3-{[2'-amino-2-(morpholin-4-yl)-4,5'-bipyrimidin-6-yl]oxy}cyclobutyl)-/V- methylacetamide;
methyl (irans-3-{[2'-amino-2-(morpholin-4-yl)-4,5'-bipyrimidin-6- yl]oxy}cyclobutyl)carbamate;
/V-(irans-3-{[2'-amino-2-(morpholin-4-yl)-4,5'-bipyrimidin-6-yl]oxy}cyclobutyl)-2- hydroxyacetamide;
/V-(irans-3-{[2'-amino-2-(morpholin-4-yl)-4,5'-bipyrimidin-6- yl]oxy}cyclobutyl)acetam ide;
1 -(irans-3-{[2'-amino-2-(morpholin-4-yl)-4,5'-bipyrimidin-6-yl]oxy}cyclobutyl)-3- methylurea;
/V-(irans-3-{[6-(6-aminopyndin-3-yl)-2-(morpholin-4-yl)pyrimidin-4- yl]oxy}cyclobutyl)-2-hydroxy-/V-methylacetamide;
/V-(irans-3-{[6-(6-aminopyndin-3-yl)-2-(morpholin-4-yl)pyrimidin-4- yl]oxy}cyclobutyl)-/V-methylacetamide;
(2S)-/V-(irans-3-{[2'-amino-2-(morpholin-4-yl)-4,5'-bipyrimidin-6-yl]oxy}cyclobutyl)- 2-hydroxy-/V-methylpropanamide;
(2S)-/V-(irans-3-{[6-(6-aminopyridin-3-yl)-2-(morpholin-4-yl)pyrimidin-4- yl]oxy}cyclobutyl)-2-hydroxy-/V-methylpropanamide;
methyl (irans-3-{[2'-amino-2-(morpholin-4-yl)-4,5'-bipyrimidin-6- yl]oxy}cyclobutyl)methylcarbamate;
(2R)-/V-(frans-3-{[2'-amino-2-(morpholin-4^
2-hydroxy-/V-methylpropanamide;
/V-(irans-3-{[6-(6-aminopyndin-3-yl)-2-(morpholin-4-yl)pyrimidin-4- yl]oxy}cyclobutyl)-2-hydroxyacetam ide;
/V-(irans-3-{[2'-amino-2-(morpholin-4-yl)-4,5'-bipyrimidin-6-yl]oxy}cyclobutyl)-/V^ methyl-L-alaninamide;
/V-(irans-3-{[2'-amino-5-fluoro-2-(morpholin-4-yl)-4,5'-bipyrimidin-6- yl]oxy}cyclobutyl)-/V-methylacetamide;
2-hydroxy-/V-methyl-/V-(irans-3-{[2-(morpholin-4-yl)-4,5'-bipyrimidin-6- yl]oxy}cyclobutyl)acetam ide;
/V-(irans-3-{[2'-amino-5-methoxy-2-(morpholin-4-yl)-4,5'-bipyrimidin-6- yl]oxy}cyclobutyl)-/V-methylacetamide;
2-hydroxy-/V-methyl-/V-(irans-3-{[2-(morpholin-4-yl)-6-(pyridin-3-yl)pyrimidin-4- yl]oxy}cyclobutyl)acetamide;
/V-(irans-3-{[2'-amino-2-(morpholin-4-yl)-4,5'-bipyrimidin-6-yl]oxy}cyclobutyl)-2- hydroxy-/V,2-dimethylpropanamide;
(2S)-/V-(irans-3-{[2'-amino-2-(morpholin-4-yl)-4,5'-bipyrimidin-6-yl]oxy}cyclobutyl)- 2-hydroxy-/V,2-dimethylbutanamide;
(2R)-/V-(frans-3-{[2'-amino-2-(morpholin-4^
2-hydroxy-/V,2-dimethylbutanamide;
(2S)-/V-(irans-3-{[2'-amino-2-(morpholin-4-yl)-4,5'-bipyrimidin-6-yl]oxy}cyclobutyl)- 2-hydroxy-/V-methyl-2-phenylethanamide;
/V-[irans-3-({6-[6-amino-4-(trifluoromethyl)pyridin-3-yl]-2-(morpholin-4-yl)pyrim 4-yl}oxy)cyclobutyl]-2-hydroxy-/V-methylacetamide;
/V-[irans-3-({6-[6-amino-4-(trifluoromethyl)pyridin-3-yl]-2-(morpholin-4-yl)pyrim 4-yl}oxy)cyclobutyl]-/V-methylacetamide;
methyl [irans-3-({6-[6-amino-4-(tnfluoromethyl)pyridin-3-yl]-2-(morpholin-4- yl)pyrimidin-4-yl}oxy)cyclobutyl]methylcarbamate;
(2R)-/V-(frans-3-{[2'-amino-2-(morpholin-4^
3,3,3-trifluoro-2-hydroxy-/V,2-dimethylpropanamide;
(2S)-/V-(irans-3-{[2'-amino-2-(morpholin-4-yl)-4,5'-bipyrimidin-6-yl]oxy}cyclobuty^ 3,3,3-trifluoro-2-hydroxy-/V,2-dimethylpropanamide;
/V-(irans-3-{[2'-amino-5-methyl-2-(morpholin-4-yl)-4,5'-bipyrimidin-6- yl]oxy}cyclobutyl)-/V-methylacetamide;
/V-(irans-3-{[2'-amino-5-ethyl-2-(morpholin-4-yl)-4,5'-bipyrimidin-6- yl]oxy}cyclobutyl)-/V-methylacetamide;
(2R)-/V-(frans-3-{[2'-amino-2-(morpholin-4^
2-hydroxy-/V-methyl-2-phenylethanamide;
/V-(irans-3-{[2'-amino-2-(morpholin-4-yl)-4,5'-bipyrimidin-6-yl]oxy}cyclobutyl)-1 - hydroxy-/V-methylcyclobutanecarboxamide;
(2R)-/V-(frans-3-{[2'-amino-2-(morpholin-4^
2-hydroxy-/V,3-dimethylbutanamide;
/V-(irans-3-{[2'-amino-2-(morpholin-4-yl)-4,5'-bipyrimidin-6-yl]oxy}cyclobutyl)- Λ/,Ρ,Ρ-trimethylphosphinic amide;
(2R)-/V-(irans-3-{[2'-amino-2-(morpholin-4-yl)-4,5'-bipyrimidin-6-yl]oxy}cyclobutyl)- 2-hydroxy-/V,3,3-trimethylbutanamide;
(2S)-/V-(irans-3-{[2'-amino-2-(morpholin-4-yl)-4,5'-bipyrimidin-6-yl]oxy}cyclobutyl)- 2-hydroxy-/V,3,3-trimethylbutanamide;
1 -(irans-3-{[2'-amino-2-(morpholin-4-yl)-4,5'-bipyrimidin-6-yl]oxy}cyclobutyl)-3- cyclopropyl-1 -methylurea;
(2S)-/V-(irans-3-{[2'-amino-2-(morpholin-4-yl)-4,5'-bipyrimidin-6-yl]oxy}cyclobutyl)- 2-hydroxy-/V,3-dimethylbutanamide;
(2R)-/V-(frans-3-{[2'-amino-2-(morpholin-4^
2-hydroxy-/V,4-dimethylpentanamide;
(2S)-/V-(irans-3-{[2'-amino-2-(morpholin-4-yl)-4,5'-bipyrimidin-6-yl]oxy}cyclobutyl)- 2-hydroxy-/V,4-dimethylpentanamide;
1 -[irans-3-({6-[6-amino-4-(trifluoromethyl)pyridin-3-yl]-2-(morpholin-4-yl)pyrimidi 4-yl}oxy)cyclobutyl]-1 ,3-dimethylurea;
(2R)-/V-(frans-3-{[2'-amino-2-(morpholin-4^
2-hydroxy-/V-methyl-2-(trifluoromethyl)butanamide;
1 -(irans-3-{[2'-amino-2-(morpholin-4-yl)-4,5'-bipyrimidin-6-yl]oxy}cyclobutyl)-3- ethyl-1 -methylurea;
1 -(irans-3-{[2'-amino-2-(morpholin-4-yl)-4,5'-bipyrimidin-6-yl]oxy}cyclobutyl)-1 - methyl-3-propan-2-ylurea;
1 -(irans-3-{[2'-amino-2-(morpholin-4-yl)-4,5'-bipyrimidin-6-yl]oxy}cyclobutyl)-1 ,3,3- trimethylurea;
(2S)-/V-(irans-3-{[2'-amino-2-(morpholin-4-yl)-4,5'-bipyrimidin-6-yl]oxy}cyclo 2-hydroxy-/V-methyl-2-(trifluoromethyl)butanamide;
1 -(irans-3-{[2'-amino-2-(morpholin-4-yl)-4,5'-bipyrimidin-6-yl]oxy}cyclobutyl)-1 - ethyl-3-methylurea;
1 -(irans-3-{[2'-amino-2-(morpholin-4-yl)-4,5'-bipyrimidin-6-yl]oxy}cyclobutyl)-3- (3, 3-d ifluorocyclobutyl)-1 -methylurea;
/V-(irans-3-{[2'-amino-2-(morpholin-4-yl)-4,5'-bipyrimidin-6-yl]oxy}cyclobutyl)-/V- ethyl-2-hydroxyacetamide;
1 -(irans-3-{[2'-amino-2-(morpholin-4-yl)-4,5'-bipyrimidin-6-yl]oxy}cyclobutyl)-3- (cyanomethyl)-l -methylurea;
1 -(irans-3-{[2'-amino-2-(morpholin-4-yl)-4,5'-bipyrimidin-6-yl]oxy}cyclobutyl)-3- cyclopropyl-1 ,3-dimethylurea;
(2R)-/V-(irans-3-{[2'-amino-2-(morpholin-4-yl)-4,5'-bipyrimidin-6-yl]oxy}cyclobutyl)- /V-methyltetrahydrofuran-2-carboxamide;
ethyl (irans-3-{[2'-amino-2-(morpholin-4-yl)-4,5'-bipyrimidin-6- yl]oxy}cyclobutyl)carbamate;
1 -(irans-3-{[2'-amino-2-(morpholin-4-yl)-4,5'-bipyrimidin-6-yl]oxy}cyclobutyl)-1 - methyl-3-(1 -methyl-1 /-/-pyrazol-4-yl)urea;
1 -(irans-3-{[2'-amino-5-fluoro-2-(morpholin-4-yl)-4,5'-bipyrimidin-6- yl]oxy}cyclobutyl)-1 , 3-d i methyl urea;
propan-2-yl (irans-3-{[2'-amino-2-(morpholin-4-yl)-4,5'-bipyrimidin-6- yl]oxy}cyclobutyl)carbamate;
/V-(irans-3-{[2'-amino-2-(morpholin-4-yl)-4,5'-bipyrimidin-6-yl]oxy}cyclobutyl)-2- hydroxy-/V-(propan-2-yl)acetam ide;
/V-(irans-3-{[2'-amino-5-fluoro-2-(morpholin-4-yl)-4,5'-bipyrimidin-6- yl]oxy}cyclobutyl)-/V,5-dimethyl-1 ,2-oxazole-3-carboxamide;
/V-(irans-3-{[2'-amino-5-fluoro-2-(morpholin-4-yl)-4,5'-bipyrimidin-6- yl]oxy}cyclobutyl)-/V, 1 -dimethyl-1 A7-1 ,2,3-triazole-4-carboxamide;
/V-(irans-3-{[2'-amino-5-fluoro-2-(morpholin-4-yl)-4,5'-bipyrimidin-6- yl]oxy}cyclobutyl)-2-hydroxy-/V-methylacetamide;
/V-(irans-3-{[2'-amino-5-fluoro-2-(morpholin-4-yl)-4,5'-bipyrimidin-6- yl]oxy}cyclobutyl)-/V, 1 -dimethyl-1 /-/-pyrazole-3-carboxam ide;
/V-(irans-3-{[2'-amino-2-(morpholin-4-yl)-4,5'-bipyrimidin-6-yl]oxy}cyclobutyl)-/V- methylmorpholine-4-carboxamide;
/V-(irans-3-{[2'-amino-2-(morpholin-4-yl)-4,5'-bipyrimidin-6-yl]oxy}cyclobutyl)-/V- methylazetidine-1 -carboxamide;
/V-(irans-3-{[2'-amino-2-(morpholin-4-yl)-4,5'-bipyrimidin-6-yl]oxy}cyclobutyl)-3- cyano-/V-methylazetidine-1 -carboxamide;
/V-(irans-3-{[2'-amino-2-(morpholin-4-yl)-4,5'-bipyrimidin-6-yl]oxy}cyclobutyl)-/V- methyl-1 -(1 /-/-pyrazol-1 -yl)cyclopropanecarboxamide;
/V-(irans-3-{[2'-amino-2-(morpholin-4-yl)-4,5'-bipyrimidin-6-yl]oxy}cyclobutyl)-3- fluoro-/V-methylazetidine-1 -carboxamide;
1 -(irans-3-{[2'-amino-2-(morpholin-4-yl)-4,5'-bipyrimidin-6- yl]oxy}cyclobutyl)imidazolidin-2-one;
/V-(c/s-3-{[2'-amino-2-(morpholin-4-yl)-4,5'-bipyrimidin-6-yl]oxy}cyclobutyl)-2- hydroxy-3-(1 /-/-imidazol-4-yl)-/V-methylpropanamide;
(2R)-/V-(irans-3-{[2'-amino-5-fluoro-2-(morpholin-4-yl)-4,5'-bipynmidin-6- yl]oxy}cyclobutyl)-2-hydroxy-/V,3-dimethylbutanamide;
(2S)-/V-(irans-3-{[2'-amino-5-fluoro-2-(morpholin-4-yl)-4,5'-bipyrimidin-6- yl]oxy}cyclobutyl)-2-hydroxy-/V,3-dimethylbutanamide;
methyl (irans-3-{[2'-amino-5-fluoro-2-(morpholin-4-yl)-4,5'-bipyrimidin-6- yl]oxy}cyclobutyl)methylcarbamate;
1 -(irans-3-{[2'-amino-2-(morpholin-4-yl)-4,5'-bipyrimidin-6-yl]oxy}cyclobutyl)-1 - methyl-3-oxetan-3-ylurea;
/V-(irans-3-{[2'-amino-5-fluoro-2-(morpholin-4-yl)-4,5'-bipyrimidin-6- yl]oxy}cyclobutyl)-/V-methylformamide;
(2S)-/V-(irans-3-{[2'-amino-5-fluoro-2-(morpholin-4-yl)-4,5'-bipyrimidin-6- yl]oxy}cyclobutyl)-2-hydroxy-/V,3,3-trimethylbutanamide;
methyl (irans-3-{[2'-amino-5-fluoro-2-(morpholin-4-yl)-4,5'-bipyrimidin-6- yl]oxy}cyclobutyl)carbamate;
1 -(irans-3-{[2'-amino-2-(morpholin-4-yl)-4,5'-bipyrimidin-6-yl]oxy}cyclobutyl)-1 - methyl-3-(1 -methylazetidin-3-yl)urea;
1 - (irans-3-{[6-(6-amino-5-fluoropyridin-3-yl)-2-(morpholin-4-yl)pyrimidin-4- yl]oxy}cyclobutyl)-1 ,3-dimethylurea;
(2R)-/V-(irans-3-{[2'-amino-5-fluoro-2-(morpholin-4-yl)-4,5'-bipynmidin-6- yl]oxy}cyclobutyl)-2-hydroxy-/V,3,3-trimethylbutanamide;
cyclobutyl (irans-3-{[2'-amino-2-(morpholin-4-yl)-4,5'-bipyrimidin-6- yl]oxy}cyclobutyl)carbamate;
2- (morpholin-4-yl)-6-{[cis-3-(morpholin-4-yl)cyclobutyl]oxy}-4,5'-bipyrimidin-2'- amine;
/V-(irans-3-{[2'-amino-2-(morpholin-4-yl)-4,5'-bipyrimidin-6-yl]oxy}cyclobutyl)-/V- methylformamide;
1 -(irans-3-{[2'-amino-4'-methyl-2-(morpholin-4-yl)-4,5'-bipyrimidin-6- yl]oxy}cyclobutyl)-1 ,3-dimethylurea;
3- (irans-3-{[2'-amino-2-(morpholin-4-yl)-4,5'-bipyrimidin-6-yl]oxy}cyclobutyl)-1 ,3- oxazolidin-2-one;
(3R)-/V-(irans-3-{[2'-amino-2-(morpholin-4-yl)-4,5'-bipyrimidin-6-yl]oxy}cyclobutyl)- 3-hydroxy-/V-methylpyrrolidine-1 -carboxamide;
/V-(frans-3-{[2'-amino-2-(morpholin-4-y^
dimethylsulfuric diamide;
(3S)-/V-(irans-3-{[2'-amino-2-(morpholin-4-yl)-4,5'-bipyrimidin-6-yl]oxy}cyclobutyl)- 3-hydroxy-/V-methylpyrrolidine-1 -carboxamide;
propan-2-yl (irans-3-{[2'-amino-2-(morpholin-4-yl)-4,5'-bipyrimidin-6- yl]oxy}cyclobutyl)methylcarbamate;
/V-[(1 R,2R)-2-{[2'-amino-2-(morpholin-4-yl)-4,5'-bipynmidin-6- yl]oxy}cyclobutyl]acetam ide;
ethyl (irans-3-{[2'-amino-2-(morpholin-4-yl)-4,5'-bipyrimidin-6- yl]oxy}cyclobutyl)methylcarbamate;
1 -(irans-3-{[2'-amino-5-fluoro-2-(morpholin-4-yl)-4,5'-bipyrimidin-6- yl]oxy}cyclobutyl)-1 -methyl-3-propan-2-ylurea;
1 -[(1 R,2R)-2-{[2'-amino-2-(morpholin-4-yl)-4,5'-bipynmidin-6-yl]oxy}cyclobutyl]^ methylurea;
methyl [(1 R,2R)-2-{[2'-amino-2-(morpholin-4-yl)-4,5'-bipynmidin-6- yl]oxy}cyclobutyl]carbamate;
cyclobutyl (irans-3-{[2'-amino-2-(morpholin-4-yl)-4,5'-bipyrimidin-6- yl]oxy}cyclobutyl)methylcarbamate;
1 -(irans-3-{[2'-amino-5-fluoro-2-(morpholin-4-yl)-4,5'-bipyrimidin-6- yl]oxy}cyclobutyl)-1 -methyl-3-[2-(pyrrolidin-1 -yl)ethyl]urea;
/V-(irans-3-{[2'-amino-5-fluoro-2-(morpholin-4-yl)-4,5'-bipyrimidin-6- yl]oxy}cyclobutyl)-/V,4-dimethylpiperazine-1 -carboxamide;
/V-(irans-3-{[2'-amino-5-fluoro-2-(morpholin-4-yl)-4,5'-bipyrimidin-6- yl]oxy}cyclobutyl)-/V-methylpiperazine-1 -carboxamide;
(2S)-/V-(irans-3-{[2'-amino-5-fluoro-2-(morpholin-4-yl)-4,5'-bipyrimidin-6- yl]oxy}cyclobutyl)-2-hydroxy-3,3-dimethylbutanamide;
1 -(irans-3-{[2'-amino-5-fluoro-2-(morpholin-4-yl)-4,5'-bipyrimidin-6- yl]oxy}cyclobutyl)-3-[2-(dimethylamino)ethyl]-1 -methylurea;
/V-(irans-3-{[2'-amino-2-(morpholin-4-yl)-4,5'-bipyrimidin-6-yl]oxy}cyclobutyl)-2- cyclopropyl-2-hydroxy-/V-methylacetamide;
/V-[irans-3-({2'-amino-2-[(3S)-3-methylmorpholin-4-yl]-4,5'-bipyrimidin-6- yl}oxy)cyclobutyl]-/V-methylmethanesulfonamide;
methyl [irans-3-({2'-amino-2-[(3S)-3-methylmorpholin-4-yl]-4,5'-bipyrimidin-6- yl}oxy)cyclobutyl]methylcarbamate;
/V-(irans-3-{[2'-amino-5-fluoro-2-(morpholin-4-yl)-4,5'-bipyrimidin-6- yl]oxy}cyclobutyl)acetam ide;
(2R)-/V-(irans-3-{[2'-amino-5-fluoro-2-(morpholin-4-yl)-4,5'-bipynmidin-6- yl]oxy}cyclobutyl)-2-hydroxy-3-methylbutanamide;
(2S)-/V-(irans-3-{[2'-amino-5-fluoro-2-(morpholin-4-yl)-4,5'-bipyrimidin-6- yl]oxy}cyclobutyl)tetrahydrofuran-2-carboxamide;
(2R)-/V-(frans-3-{[2'-amino-2-(morpholi^
2-cyclopropyl-2-hydroxy-/V-methylethanamide;
(2S)-/V-(irans-3-{[2'-amino-2-(morpholin-4-yl)-4,5'-bipyrimidin-6-yl]oxy}cyclobuty^ 2-cyclopropyl-2-hydroxy-/V-methylethanamide;
1 -[frans-3-({2'-amino-2-[(3S)-3-methylmor^
yl}oxy)cyclobutyl]-1 , 3-d i methyl urea;
1 -(irans-3-{[2'-amino-2-(morpholin-4-yl)-4,5'-bipyrimidin-6-yl]oxy}cyclobutyl)-1 - methyl-3-[(3S)-tetrahydrofuran-3-yl]urea;
6-{[irans-3-(methylamino)cyclobutyl]oxy}-2-[(3S)-3-methylmorpholin-4-yl]-4,5'- bipyrimidin-2'-amine;
1 -[irans-3-({2'-amino-2-[(3S)-3-methylmorpholin-4-yl]-4,5'-bipyrimidin-6- yl}oxy)cyclobutyl]-3-methylurea;
/V-[irans-3-({2'-amino-2-[(3S)-3-methylmorpholin-4-yl]-4,5'-bipyrimidin-6- yl}oxy)cyclobutyl]methanesulfonamide;
methyl [irans-3-({2'-amino-2-[(3S)-3-methylmorpholin-4-yl]-4,5'-bipyrimidin-6- yl}oxy)cyclobutyl]carbamate;
/V-[irans-3-({2'-amino-2-[(3S)-3-methylmorpholin-4-yl]-4,5'-bipyrimidin-6- yl}oxy)cyclobutyl]acetam ide;
1 -[irans-3-({2'-amino-2-[(3S)-3-methylmorpholin-4-yl]-4,5'-bipyrimidin-6- yl}oxy)cyclobutyl]-1 -methyl-3-[2-(pyrrolidin-1 -yl)ethyl]urea;
/V-[irans-3-({2'-amino-2-[(3S)-3-methylmorpholin-4-yl]-4,5'-bipyrimidin-6- yl}oxy)cyclobutyl]-/V-methylpiperazine-1 -carboxamide;
1 -(irans-3-{[2'-amino-2-(morpholin-4-yl)-4,5'-bipyrimidin-6-yl]oxy}cyclobutyl)-1 - methyl-3-[(3R)-tetrahydrofuran-3-yl]urea;
/V-[irans-3-({2'-amino-2-[(3S)-3-methylmorpholin-4-yl]-4,5'-bipyrimidin-6- yl}oxy)cyclobutyl]-4-methylpiperazine-1 -carboxamide;
6-[(irans-3-aminocyclobutyl)oxy]-2-[(3S)-3-methylmorpholin-4-yl]-4,5'-bipyrimidin- 2'-amine;
/V-(irans-3-{[2'-amino-2-(morpholin-4-yl)-4,5'-bipyrimidin-6-yl]oxy}cyclobutyl)-/V- methylpiperazine-1 -carboxamide;
1 -[irans-3-({2'-amino-2-[(3S)-3-methylmorpholin-4-yl]-4,5'-bipyrimidin-6^ yl}oxy)cyclobutyl]-3-(2-methoxyethyl)-1 -methylurea;
1 -[irans-3-({2'-amino-2-[(3S)-3-methylmorpholin-4-yl]-4,5'-bipyrimidin-6^ yl}oxy)cyclobutyl]-1 -methyl-3-(1 -methyl-1 /-/-pyrazol-4-yl)urea;
1 -[irans-3-({2'-amino-2-[(3S)-3-methylmorpholin-4-yl]-4,5'-bipyrimidin-6^ yl}oxy)cyclobutyl]-1 -methyl-3-[(3S)-tetrahydrofuran-3-yl]urea;
/V-[irans-3-({2'-amino-2-[(3S)-3-methylmorpholin-4-yl]-4,5'-bipyrimidin-6- yl}oxy)cyclobutyl]-/V-methylsulfuric diamide;
/V-[irans-3-({2'-amino-2-[(3S)-3-methylmorpholin-4-yl]-4,5'-bipyrimidin-6- yl}oxy)cyclobutyl]-/V,/V'-dimethylsulfuric diamide;
fe/f-butyl [irans-3-({2'-amino-5-bromo-2-[(3S)-3-methylmorpholin-4-yl]-4,5'- bipyrimidin-6-yl}oxy)cyclobutyl]methylcarbamate;
(3R)-/V-[irans-3-({2'-amino-2-[(3S)-3-methylmorpholin-4-yl]-4,5'-bipynmidin-6- yl}oxy)cyclobutyl]-3-hydroxy-/V-methylpyrrolidine-1 -carboxamide;
1 -[irans-3-({2'-amino-2-[(3S)-3-methylmorpholin-4-yl]-4,5'-bipyrimidin-6- yl}oxy)cyclobutyl]-1 -methyl-3-[(3R)-tetrahydrofuran-3-yl]urea;
/V-[irans-3-({2'-amino-2-[(3S)-3-methylmorpholin-4-yl]-4,5'-bipyrimidin-6- yl}oxy)cyclobutyl]-/V,4-dimethylpiperazine-1 -carboxamide;
1 -[irans-3-({2'-amino-2-[(3S)-3-methylmorpholin-4-yl]-4,5'-bipyrimidin-6- yl}oxy)cyclobutyl]-3-(cyanomethyl)-1 -methylurea;
/V-[irans-3-({2'-amino-2-[(3S)-3-methylmorpholin-4-yl]-4,5'-bipyrimidin-6- yl}oxy)cyclobutyl]-3-cyano-/V-methylazetidine-1 -carboxamide;
(3S)-/V-[irans-3-({2'-amino-2-[(3S)-3-methylmorpholin-4-yl]-4,5'-bipyrimidin-6- yl}oxy)cyclobutyl]-3-hydroxy-/V-methylpyrrolidine-1 -carboxamide;
/V-[irans-3-({2'-amino-5-cyano-2-[(3S)-3-methylmorpholin-4-yl]-4,5'-bipyrimidin-6- yl}oxy)cyclobutyl]-/V-methylacetamide;
1 -[frans-3-({2'-amino-2-[(3S)-3-methylmorphol^
yl}oxy)cyclobutyl]imidazolidin-2-one;
/V-(irans-3-{[2'-amino-5-fluoro-2-((S)-3-methylmorpholin-4-yl)-4,5'-bipyrimidin-6- yl]oxy}cyclobutyl)-/V-methylacetamide;
1 -[irans-3-({2'-amino-2-[(3S)-3-methylmorpholin-4-yl]-4,5'-bipyrimidin-6- yl}oxy)cyclobutyl]tetrahydropyrimidin-2(1 /-/)-one;
methyl [irans-3-({2'-amino-5-fluoro-2-[(3S)-3-methylmorpholin-4-yl]-4,5'- bipyrimidin-6-yl}oxy)cyclobutyl]carbamate;
/V-[irans-3-({2'-amino-5-fluoro-2-[(3S)-3-methylmorpholin-4-yl]-4,5'-bipyrimidin yl}oxy)cyclobutyl]methanesulfonamide;
1 -[irans-3-({2'-amino-5-fluoro-2-[(3S)-3-methylmorpholin-4-yl]-4,5'-bipyrimidin-6- yl}oxy)cyclobutyl]-3-methylurea;
/V-[irans-3-({2'-amino-5-fluoro-2-[(3S)-3-methylmorpholin-4-yl]-4,5'-bipyrimidin yl}oxy)cyclobutyl]acetam ide;
6-{[frans-3-(1 , 1 -dioxido-1 ,2-thiazolidin-2-yl)cyclobutyl]oxy}-2-(morpholin-4-yl)-4,5'- bipyrimidin-2'-amine;
1 -[irans-3-({2'-amino-5-fluoro-2-[(3S)-3-methylmorpholin-4-yl]-4,5'-bipyrimidin-6- yl}oxy)cyclobutyl]-1 , 3-d i methyl urea;
1 -[irans-3-({2'-amino-5-fluoro-2-[(3S)-3-methylmorpholin-4-yl]-4,5'-bipyrimidin-6- yl}oxy)cyclobutyl]-1 -methyl-3-[2-(pyrrolidin-1 -yl)ethyl]urea;
/V-[irans-3-({2'-amino-5-fluoro-2-[(3S)-3-methylmorpholin-4-yl]-4,5'-bipyrimidin-6- yl}oxy)cyclobutyl]-/V-methylmethanesulfonamide;
6-{[frans-3-(1 , 1 -dioxido-1 ,2,5-thiadiazolidin-2-yl)cyclobutyl]oxy}-2-(morpholin-4- yl)-4,5'-bipyrimidin-2'-amine;
methyl [irans-3-({2'-amino-5-fluoro-2-[(3S)-3-methylmorpholin-4-yl]-4,5'- bipyrimidin-6-yl}oxy)cyclobutyl]methylcarbamate;
/V-[irans-3-({2'-amino-5-fluoro-2-[(3S)-3-methylmorpholin-4-yl]-4,5'-bipyrimidin-6- yl}oxy)cyclobutyl]-/V-methylpiperazine-1 -carboxamide;
(2R)-/V-[irans-3-({2'-amino-2-[(3S)-3-methylmorpholin-4-yl]-4,5'-bipynmidin-6- yl}oxy)cyclobutyl]-2-hydroxy-/V,3-dimethylbutanamide;
/V-[irans-3-({2'-amino-2-[(3S)-3-methylmorpholin-4-yl]-4,5'-bipyrimidin-6- yl}oxy)cyclobutyl]-/V-methylmorpholine-4-carboxamide;
(2S)-/V-[trans-3-({2'-amino-2-[(3S)-3-methylmorpholin-4-yl]-4,5'-bipyrimidin-6- yl}oxy)cyclobutyl]-2-hydroxy-/V-methyl-2-phenylethanamide;
/V-[irans-3-({2'-amino-2-[(3S)-3-methylmorpholin-4-yl]-4,5'-bipyrimidin-6- yl}oxy)cyclobutyl]-/V-methyl-2-(methylsulfonyl)acetamide;
/V-(irans-3-{[2'-amino-2-(morpholin-4-yl)-4,5'-bipyrimidin-6-yl]oxy}-3- methylcyclobutyl)methanesulfonamide;
/V-(irans-3-{[2'-amino-2-(morpholin-4-yl)-4,5'-bipyrimidin-6-yl]oxy}-3- methylcyclobutyl)-/V-methylmethanesulfonamide;
/V-(irans-3-{[2'-amino-2-(morpholin-4-yl)-4,5'-bipyrimidin-6-yl]oxy}cyclobutyl)-/V- methylpyridine-3-carboxamide;
/V-(frans-3-{[2'-amino-2-(morpholin-4-yl)-4,5'-b^
dimethyl-1 /-/-pyrazole-3-carboxamide;
/V-(irans-3-{[2'-amino-2-(morpholin-4-yl)-4,5'-bipyrimidin-6-yl]oxy}cyclobutyl)- 3,3,3-trifluoro-/V-methylpropanamide;
(2R)-/V-(irans-3-{[2'-amino-2-(morpholin-4-yl)-4,5'-bipyrimidin-6-yl]oxy}cyclobutyl)- 2-hydroxy-/V-methyl-4-phenylbutanamide;
/V-(irans-3-{[2'-amino-2-(morpholin-4-yl)-4,5'-bipyrimidin-6-yl]oxy}cyclobutyl)-2-(4- fluoro-1 /-/-pyrazol-1 -yl)-/V-methylpropanamide;
/V-(frans-3-{[2'-amino-2-(morpholin-4-yl)-4,5'-b^
dimethyl-2-(1 /-/-pyrazol-1 -yl)propanamide;
/V-(frans-3-{[2'-amino-2-(morpholin-4-yl)-4,5'-b^
dimethyl-1 ,2-oxazole-4-carboxamide;
/V-(irans-3-{[2'-amino-2-(morpholin-4-yl)-4,5'-bipyrimidin-6-yl]oxy}cyclobutyl)-2 difluoro-/V-methylcyclopropanecarboxamide;
(2R)-/V-(irans-3-{[2'-amino-2-(morpholin-4-yl)-4,5'-bipyrimidin-6-yl]oxy}cyc
2-cyclohexyl-2-hydroxy-/V-methylethanamide;
/V-(frans-3-{[2'-amino-2-(morpholin-4-yl)-4,5'-bi^^
methyl-1 -(1 /-/-pyrazol-1 -yl)cyclobutanecarboxamide;
(2S)-/V-(irans-3-{[2'-amino-2-(morpholin-4-yl)-4,5'-bipyrimidin-6-yl]oxy}cyclobut^ 2-hydroxy-/V-methyl-2-phenylpropanamide;
/V-(irans-3-{[2'-amino-2-(morpholin-4-yl)-4,5'-bipyrimidin-6-yl]oxy}cyclobutyl)-1 -(^ hydroxyethyl)-/V-methyl-1 /-/-pyrazole-4-carboxamide;
/V-(irans-3-{[2'-amino-2-(morpholin-4-yl)-4,5'-bipyrimidin-6-yl]oxy}cyclobutyl)-2- (2,3-dihydro-1 -benzofuran-5-yl)-2-hydroxy-/V-methylacetamide;
/V-(irans-3-{[2'-amino-2-(morpholin-4-yl)-4,5'-bipyrimidin-6-yl]oxy}cyclobutyl)-/V,^ dimethyl-1 ,2-oxazole-3-carboxamide;
/V-(irans-3-{[2'-amino-2-(morpholin-4-yl)-4,5'-bipyrimidin-6-yl]oxy}cyclobutyl)-1 -(2- cyanoethyl)-/V-methyl-1 /-/-pyrazole-4-carboxamide;
(2S)-/V-(irans-3-{[2'-amino-2-(morpholin-4-yl)-4,5'-bipyrimidin-6-yl]oxy}cyclobutyl)- 2-hydroxy-3-(1 /-/-imidazol-4-yl)-/V-methylpropanamide;
/V-(irans-3-{[2'-amino-2-(morpholin-4-yl)-4,5'-bipyrimidin-6-yl]oxy}cyclobutyl)-/V,^ dimethyl-1 H-imidazole-4-carboxamide;
/V-(irans-3-{[2'-amino-2-(morpholin-4-yl)-4,5'-bipyrimidin-6-yl]oxy}cyclobutyl)-2- (3,5-dimethyl-1 /-/-pyrazol-1 -yl)-/V-methylacetamide;
/V-(irans-3-{[2'-amino-2-(morpholin-4-yl)-4,5'-bipyrimidin-6-yl]oxy}cyclobutyl)-1 -(4- chloro-1 /-/-pyrazol-1 -yl)-/V-methylcyclopropanecarboxamide;
1 -(irans-3-{[2'-amino-2-(morpholin-4-yl)-4,5'-bipyrimidin-6-yl]oxy}cyclobutyl)-1 - methyl-3-[(3-methyloxetan-3-yl)methyl]urea;
/V-(irans-3-{[2'-amino-2-(morpholin-4-yl)-4,5'-bipyrimidin-6-yl]oxy}cyclobutyl)-^ cyano-/V-methylpiperidine-1 -carboxamide;
1 -(irans-3-{[2'-amino-2-(morpholin-4-yl)-4,5'-bipyrimidin-6-yl]oxy}cyclobutyl)-3-(2- methoxyethyl)-1 -methylurea;
1 -(trans-3-{[2'-amino-2-(morpholin-4-yl^
methyl-3-propylurea;
(1 Sl4S)-A/-(frans^[2,^mino-2-(morpholin^-yl)^,5,-bipyrimidin-6- yl]oxy}cyclobutyl)-/V-methyl-6-oxo-2,5-diazabicyclo[2.2.1 ]heptane-2-carboxamide;
/V-(irans-3-{[2'-amino-2-(morpholin-4-yl)-4,5'-bipyrimidin-6-yl]oxy}cyclobutyl^ difluoro-/V-methylpiperidine-1 -carboxamide;
/V-(irans-3-{[2'-amino-2-(morpholin-4-yl)-4,5'-bipyrimidin-6-yl]oxy}cyclobutyl)-^^ dimethylpiperazine-1 -carboxamide;
1 -(irans-3-{[2'-amino-2-(morpholin-4-yl)-4,5'-bipyrimidin-6-yl]oxy}cyclobutyl)-3- [(3,3-difluorocyclobutyl)methyl]-1 -methylurea;
1 -(irans-3-{[2'-amino-2-(morpholin-4-yl)-4,5'-bipyrimidin-6-yl]oxy}cyclobutyl)-1 - methyl-3-[(2S)-tetrahydrofuran-2-ylmethyl]urea;
1 -(irans-3-{[2'-amino-2-(morpholin-4-yl)-4,5'-bipynmidin-6-y ]oxy}cyclobuty methyl-3-(pyridin-2-ylmethyl)urea;
1 -(irans-3-{[2'-amino-2-(morpholin-4-yl)-4,5'-bipyrimidin-6-y ]oxy}cyclobuty
[(2R)-1 -methoxypropan-2-yl]-1 -methylurea;
1 -(irans-3-{[2'-amino-2-(morpholin-4-yl)-4,5'-bipyrimidin-6-y ]oxy}cyclobuty bicyclo[1.1.1 ]pent-1 -yl-1 -methylurea;
1 -(irans-3-{[2'-amino-2-(morpholin-4-yl)-4,5'-bipynmidin-6-y ]oxy}cyclobuty methyl-3-[2-(pyrrolidin-1 -yl)ethyl]urea;
1 -(irans-3-{[2'-amino-2-(morpholin-4-yl)-4,5'-bipynmidin-6-y ]oxy}cyclobuty methyl-3-[(2R)-tetrahydrofuran-2-ylmethyl]urea;
1 -(irans-3-{[2'-amino-2-(morpholin-4-yl)-4,5'-bipynmidin-6-y ]oxy}cyclobuty (cyclopropylmethyl)-l -methylurea;
1 -(irans-3-{[2'-amino-2-(morpholin-4-yl)-4,5'-bipyrimidin-6-y ]oxy}cyclobuty (2, 2-difluoropropyl)-1 -methylurea;
1 -(irans-3-{[2'-amino-2-(morpholin-4-yl)-4,5'-bipyrimidin-6-y ]oxy}cyclobuty -3-(2- ethoxyethyl)-1 -methylurea;
1 -(irans-3-{[2'-amino-2-(morpholin-4-yl)-4,5'-bipyrimidin-6-y ]oxy}cyclobuty methyl-3-[(1 R,5S,6r)-3-oxabicyclo[3.1 .0]hex-6-yl]urea;
1 -(irans-3-{[2'-amino-2-(morpholin-4-yl)-4,5'-bipyrimidin-6-y ]oxy}cyclobuty methyl-3-(tetrahydro-2/-/-pyran-3-yl)urea;
1 -(irans-3-{[2'-amino-2-(morpholin-4-yl)-4,5'-bipyrimidin-6-y ]oxy}cyclobuty methyl-3-(tetrahydrofuran-3-yl)urea;
1 -(irans-3-{[2'-amino-2-(morpholin-4-yl)-4,5'-bipyrimidin-6-y ]oxy}cyclobuty
[(2S)-1 -methoxypropan-2-yl]-1 -methylurea;
1 -(irans-3-{[2'-amino-2-(morpholin-4-yl)-4,5'-bipyrimidin-6-y ]oxy}cyclobuty methyl-3-(tetrahydro-2/-/-pyran-4-ylmethyl)urea;
1 -(irans-3-{[2'-amino-2-(morpholin-4-yl)-4,5'-bipyrimidin-6-y ]oxy}cyclobuty -3-(3- methoxypropyl)-1 -methylurea;
1 -(irans-3-{[2'-amino-2-(morpholin-4-yl)-4,5'-bipyrimidin-6-y ]oxy}cyclobuty ■1 ,3- dimethyl-3-(2,2,2-trifluoroethyl)urea;
1 -(irans-3-{[2'-amino-2-(morpholin-4-yl)-4,5'-bipyrimidin-6-y ]oxy}cyclobuty methyl-3-(2,2,2-trifluoroethyl)urea;
6-{[frans-3-(1 , 1 -dioxido-1 ,2,5-thiadiazolidin-2-yl)cyclobutyl]oxy}-2-[(3S)-3- methylmorpholin-4-yl]-4,5'-bipyrimidin-2'-amine;
(2R)-/V-[irans-3-({2'-amino-2-[(3S)-3-methylmorpholin-4-yl]-4,5'-bipynmidin-6- yl}oxy)cyclobutyl]-2-cyclopropyl-2-hydroxy-/V-methylethanamide;
(2S)-/V-[irans-3-({2'-amino-2-[(3S)-3-methylmorpholin-4-yl]-4,5'-bipyrimidin-6- yl}oxy)cyclobutyl]-2-cyclopropyl-2-hydroxy-/V-methylethanamide;
(3R)-/V-[irans-3-({2'-amino-2-[(3S)-3-methylmorpholin-4-yl]-4,5'-bipynmidin-6- yl}oxy)cyclobutyl]-/V-methylpiperidine-3-carboxamide;
(3S)-/V-[irans-3-({2'-amino-2-[(3S)-3-methylmorpholin-4-yl]-4,5'-bipyrimidin-6- yl}oxy)cyclobutyl]-/V-methylpiperidine-3-carboxamide;
6-{[frans-3-(1 , 1 -dioxido-1 ,2-thiazolidin-2-yl)cyclobutyl]oxy}-2-[(3S)-3- methylmorpholin-4-yl]-4,5'-bipyrimidin-2'-amine;
/V-[irans-3-({2'-amino-2-[(3S)-3-methylmorpholin-4-yl]-4,5'-bipyrimidin-6- yl}oxy)cyclobutyl]-/V-methylpiperidine-4-carboxamide;
(3S)-/V-[irans-3-({2'-amino-2-[(3S)-3-methylmorpholin-4-yl]-4,5'-bipyrimidin-6- yl}oxy)cyclobutyl]-/V,3-dimethylpiperazine-1 -carboxamide;
(3R)-/V-[irans-3-({2'-amino-2-[(3S)-3-methylmorpholin-4-yl]-4,5'-bipynmidin-6- yl}oxy)cyclobutyl]-/V,3-dimethylpiperazine-1 -carboxamide;
(2R)-/V-[irans-3-({2'-amino-2-[(3S)-3-methylmorpholin-4-yl]-4,5'-bipynmidin-6- yl}oxy)cyclobutyl]-/V,2-dimethylpiperazine-1 -carboxamide;
(2S)-/V-[irans-3-({2'-amino-2-[(3S)-3-methylmorpholin-4-yl]-4,5'-bipyrimidin-6- yl}oxy)cyclobutyl]-/V,2-dimethylpiperazine-1 -carboxamide;
6-{[c/'s-3-(1 , 1 -dioxido-1 ,2-thiazolidin-2-yl)-3-methylcyclobutyl]oxy}-2-[(3S)-3- methylmorpholin-4-yl]-4,5'-bipynmidin-2'-amine;
6-{[frans-3-(1 , 1 -dioxido-1 ,2-thiazolidin-2-yl)-3-methylcyclobutyl]oxy}-2-[(3S)-3- methylmorpholin-4-yl]-4,5'-bipynmidin-2'-amine;
ie/f-butyl [irans-3-({2'-amino-2-[(3S)-3-methylmorpholin-4-yl]-4,5'-bipyrimidin-6- yl}oxy)cyclobutyl]carbamate;
1 -[irans-3-({2'-amino-2-[(3S)-3-methylmorpholin-4-yl]-4,5'-bipyrimid
yl}oxy)cyclobutyl]pyrrolidin-2-one;
(2R)-/V-[irans-3-({2'-amino-2-[(3S)-3-methylmorpholin-4-yl]-4,5'-bipyrimidin yl}oxy)cyclobutyl]-2-hydroxy-2-phenylethanamide;
(2S)-/V-[irans-3-({2'-amino-2-[(3S)-3-methylmorpholin-4-yl]-4,5'-bipyrimidin-6- yl}oxy)cyclobutyl]-2-hydroxy-2-phenylethanamide;
(2S)-/V-[irans-3-({2'-amino-2-[(3S)-3-methylmorpholin-4-yl]-4,5'-bipyrimidin-6- yl}oxy)cyclobutyl]-2-hydroxy-/V,3-dimethylbutanamide;
(2R)-/V-[irans-3-({2'-amino-2-[(3S)-3-methylmorpholin-4-yl]-4,5'-bipynmidin-6- yl}oxy)cyclobutyl]-2-hydroxy-/V-methyl-2-phenylethanamide;
(2R)-2-amino-/V-[irans-3-({2'-amino-2-[(3S)-3-methylmorpholin-4-yl]-4,5'- bipyrimidin-6-yl}oxy)cyclobutyl]-/V-methyl-2-phenylethanamide;
/V-[irans-3-({2'-amino-2-[(3S)-3-methylmorpholin-4-yl]-4,5'-bipyrimidin-6- yl}oxy)cyclobutyl]-2-phenylacetamide;
/V-[irans-3-({2'-amino-2-[(3S)-3-methylmorpholin-4-yl]-4,5'-bipyrimidin-6- yl}oxy)cyclobutyl]-3,3,3-trifluoropropanamide;
(2S)-2-amino-/V-[irans-3-({2'-amino-2-[(3S)-3-methylmorpholin-4-yl]-4,5'- bipyrimidin-6-yl}oxy)cyclobutyl]-/V-methyl-2-phenylethanamide;
/V-[irans-3-({2'-amino-2-[(3S)-3-methylmorpholin-4-yl]-4,5'-bipyrimidin-6- yl}oxy)cyclobutyl]-/V-methyl-2-phenylacetamide;
/V-[irans-3-({2'-amino-2-[(3S)-3-methylmorpholin-4-yl]-4,5'-bipyrimidin-6- yl}oxy)cyclobutyl]-1 -fluorocyclopropanecarboxamide;
/V-[irans-3-({2'-amino-2-[(3S)-3-methylmorpholin-4-yl]-4,5'-bipyrimidin-6- yl}oxy)cyclobutyl]-/V-methylpropanamide;
(2S)-/V-[irans-3-({2'-amino-2-[(3S)-3-methylmorpholin-4-yl]-4,5'-bipyrimidin-6- yl}oxy)cyclobutyl]tetrahydrofuran-2-carboxamide;
/V-[irans-3-({2'-amino-2-[(3S)-3-methylmorpholin-4-yl]-4,5'-bipyrimidin-6- yl}oxy)cyclobutyl]-2-hydroxy-/V-methyl-2-(pyridin-2-yl)acetamide;
/V-[irans-3-({2'-amino-2-[(3S)-3-methylmorpholin-4-yl]-4,5'-bipyrimidin-6- yl}oxy)cyclobutyl]-1 -fluoro-/V-methylcyclopropanecarboxamide;
/V-[irans-3-({2'-amino-2-[(3S)-3-methylmorpholin-4-yl]-4,5'-bipyrimidin-6- yl}oxy)cyclobutyl]-3,3,3-trifluoro-/V-methylpropanamide;
(2S)-/V-[irans-3-({2'-amino-2-[(3S)-3-methylmorpholin-4-yl]-4,5'-bipyrimidin-6- yl}oxy)cyclobutyl]-/V-methyltetrahydrofuran-2-carboxamide; and
/V-[irans-3-({2'-amino-2-[(3S)-3-methylmorpholin-4-yl]-4,5'-bipyrimidin-6- yl}oxy)cyclobutyl]propanam ide,
or a pharmaceutically acceptable salt thereof.
Embodiments relate to a pharmaceutical composition comprising a compound of any of the embodiments of the compounds of formula (I), formula (II), or formula (III), or a pharmaceutically acceptable salt thereof, and a pharmaceutically acceptable carrier or diluent.
Embodiments relate to a combination of a compound of any of the embodiments of the compounds of formula (I), formula (II), or formula (III), or a pharmaceutically acceptable salt thereof, with an anti-tumor agent or with radiation therapy, for the treatment of cancer.
Embodiments relate to a combination of a compound of any of the embodiments of the compounds of formula (I), formula (II), or formula (III), or a pharmaceutically acceptable salt thereof, with an anti-tumor agent, for the treatment of cancer.
Embodiments relate to a method of treating abnormal cell growth in a mammal comprising administering to the mammal an amount of a compound of any of the embodiments of the compounds of formula (I), formula (II), or formula (III), or a pharmaceutically acceptable salt thereof, that is effective in treating abnormal cell growth.
Embodiments relate to the method of treating abnormal cell growth, wherein the abnormal cell growth is cancer.
Embodiments relate to the method of treating cancer, wherein the cancer is selected from the group consisting of basal cell cancer, medulloblastoma cancer, liver cancer, rhabdomyosarcoma, lung cancer, bone cancer, pancreatic cancer, skin cancer, cancer of the head or neck, cutaneous or intraocular melanoma, uterine cancer, ovarian cancer, rectal cancer, cancer of the anal region, stomach cancer, colon cancer, breast cancer, uterine cancer, carcinoma of the fallopian tubes, carcinoma of the
endometrium, carcinoma of the cervix, carcinoma of the vagina, carcinoma of the vulva, Hodgkin's disease, cancer of the esophagus, cancer of the small intestine, cancer of the endocrine system, cancer of the thyroid gland, cancer of the parathyroid gland, cancer of the adrenal gland, sarcoma of soft tissue, cancer of the urethra, cancer of the penis, prostate cancer, chronic or acute leukemia, lymphocytic lymphomas, cancer of the bladder, cancer of the kidney or ureter, renal cell carcinoma, carcinoma of the renal pelvis, neoplasms of the central nervous system, primary central nervous system lymphoma, spinal axis tumors, brain stem glioma and pituitary adenoma, or a
combination of one or more of the foregoing cancers.
Embodiments relate to the method of treating cancer, wherein the cancer is selected from the group consisting of lung cancer, cancer of the head or neck, colon cancer, breast cancer, and ovarian cancer, or a combination of one or more of the foregoing cancers.
Detailed Description of the Invention
The following abbreviations may be used herein: AcOH (acetic acid); Boc (tert- butoxycarbonyl); CBZ (carboxybenzyl); cDNA (complementary DNA); CDI (1 , 1 '- carbonyldiimidazole); DBU (1 ,8-diazabicyclo[5.4.0]undec-7-ene); DIPEA (/V,/V- diisopropylethylamine); DMF (/V,/V-dimethylformamide); DMSO (dimethylsulfoxide); dppf [1 , 1 '-bis(diphenylphosphanyl)ferrocene]; DTT ((2S,3S)-1 ,4-bis(sulfanyl)butane-2,3-diol); EDTA (2-({2-[bis(carboxymethyl)amino]ethyl}(carboxymethyl)amino)acetic acid); EtOH (ethanol); EtOAc (ethyl acetate); eq (equivalent); h (hour or hours); HATU (2-(7-aza-1 H- benzotriazole-1 -yl)-1 , 1 ,3,3-tetramethyluronium hexafluorophosphate); HEPES (2-[4-(2- hydroxyethyl)piperazin-1 -yl]ethanesulfonic acid); HPLC (high-performance liquid chromatography; iPrOH (isopropyl alcohol); KHMDS (potassium
bis(trimethylsilyl)amide); LCMS (liquid chromatography-mass spectrometry); Me
(methyl); MeCN (acetonitrile); MeOH (methanol); min (minute or minutes); NaHC03 (sodium bicarbonate); NaHMDS (sodium bis(trimethylsilyl)amide); N/A (not available); N/D (not determined); OAc (acetate); Pd/C (palladium on carbon); SEC (size exclusion chromatography; SFC (supercritical fluid chromatography); TBAF (tetrabutylammonium fluoride); TCEP (fr/s(2-carboxyethyl)phosphine); TFA (trifluoroacetate); THF
(tetrahydrofuran); TLC (thin layer chromatography); TMS-CI (trimethylsilyl chloride); TMSI (trimethylsilyl iodide); and Tris (tris(hydroxymethyl)aminomethane).
The term "halogen", as used herein, refers to a fluorine, chlorine, bromine, or iodine atom or fluoro, chloro, bromo, or iodo. Additionally, the term "halogen" refers to F, CI, Br, or I. The terms fluorine, fluoro and F, for example, are understood to be equivalent herein.
The term "alkyl", as used herein, refers to saturated monovalent hydrocarbon radicals containing, in certain embodiments, from one to six, or from one to three carbon atoms, having straight or branched moieties. The term "d-Ce alkyl" refers to an alkyl radical containing from one to six carbon atoms, having straight or branched
moieties. The term "C-,-C6 alkyl" includes within its definition the terms "CrC3 alkyl" and "d-C4 alkyl". Examples of alkyl groups include, but are not limited to, methyl, ethyl, propyl, isopropyl, butyl, isobutyl, sec-butyl, fe/f-butyl, pentyl, 2-pentyl, 3-pentyl, isopentyl, neopentyl, (R)-2-methylbutyl, (S)-2-methylbutyl, 3-methylbutyl,
2,3-dimethylpropyl, 2,3-dimethylbutyl, hexyl, and the like. Optional substitutions, unless otherwise specified, occur off any available carbon of the alkyl moiety.
The term "cycloalkyl", as used herein, refers to a monocyclic, fused or bridged bicyclic or tricyclic carbocyclic ring group containing, in certain embodiments, from three to ten carbon atoms. The term "cycloalkyl" also includes spirocyclic cycloalkyl groups, including multi-ring systems joined by a single atom. The terms "C3-Ci0 cycloalkyl", "C3- C7 cycloalkyl", "C3-C6 cycloalkyl", "C3-C5 cycloalkyl", "C3-C4 cycloalkyl", and "C5-C7 cycloalkyl" contain from three to ten, from three to seven, from three to six, from three to five, from three to four, and from five to seven carbon atoms, respectively. Cycloalkyl groups include, but are not limited to, cyclopropyl, cyclobutyl, cyclopentyl, cyclohexyl, cycloheptyl, cyclopentenyl, cyclohexenyl, bicyclo[2.2.1 ]heptanyl, bicyclo[3.2.1 ]octanyl, bicyclo[5.2.0]nonanyl, adamantanyl, and the like.
The term "heterocycloalkyl", as used herein, refers to a non-aromatic,
monocyclic, fused or bridged bicyclic or tricyclic or spirocyclic ring group containing, in certain embodiments, a total of three to ten ring atoms, in which one to four ring atoms are heteroatoms independently selected from nitrogen, oxygen, and sulfur, and wherein the sulfur atom may be optionally oxidized with one or two oxygen atoms, the remaining ring atoms being carbon, with the proviso that such ring systems may not contain two adjacent oxygen atoms or two adjacent sulfur atoms. Furthermore, such groups may be bonded to the remainder of the compounds of embodiments disclosed herein through either a carbon atom or a heteroatom, if possible. The terms "3-10 membered heterocycloalkyl", "3-7 membered heterocycloalkyl", "4-8 membered heterocycloalkyl", "4-7 membered heterocycloalkyl", "4-6 membered heterocycloalkyl", and "5-6
membered heterocycloalkyl" contain from three to ten, from three to seven, from four to eight, from four to seven, from four to six carbon atoms, and from five to six carbon atoms, respectively. Examples of saturated heterocycloalkyl groups include, but are not limited to:
oxirane thiirane aziridine oxetane thietane azetidine tetrahydrofuran (oxiranyl) (thiiranyl) (aziridinyl) (oxetanyl) (thietanyl) (azetidinyl) (tetrahydrofuranyl)
tetrahydrothiophene pyrrolidine tetrahydropyran tetrahydrothiopyran
(tetrahydrothiophenyl) (pyrrolidinyl) (tetrahydropyranyl) (tetrahydrothiopyranyl)
piperidine 1 ,4-dioxane 1 ,4-oxathiane morpholine 1 ,4-dithiane (piperidinyl) (1 ,4-dioxanyl) (1 ,4-oxathianyl) (morpholinyl) (1 ,4-dithianyl)
piperazine 1 ,4-azathiane oxepane thiepane azepane
(piperazinyl) (1 ,4-azathianyl) (oxepanyl) (thiepanyl) (azepanyl)
1 ,4-dioxepane 1 ,4-oxathiepane 1 ,4-oxaazepane 1 ,4-dithiepane (1 ,4-dioxepanyl) (1 ,4-oxathiepanyl) (1 ,4-oxaazepanyl) (1 ,4-dithiepanyl)
1 ,4-thieazepane 1 ,4-diazepane
(1 ,4-thieazepanyl) (1 ,4-diazepanyl) bicyclo [3.2.1 Joctane bicyclo[2.2.1 Jheptane
The term "aryl", as used herein, refers to a group derived from an aromatic hydrocarbon containing in certain embodiments, from five to ten carbon atoms. The term "C5-C10 aryl" contains from five to ten carbon atoms. Examples of such groups include, but are not limited to, phenyl and naphthyl. The term "aryl" also includes fused
polycyclic aromatic ring systems in which an aromatic ring is fused to one or more rings. Examples include, but are not limited to, 1 -naphthyl, 2-naphthyl, 1 -anthracyl and 2- anthracyl. Also included within the scope of the term "aryl", as it is used herein, is a group in which an aromatic ring is fused to one or more non-aromatic rings, such as in an indanyl, phenanthridinyl, or tetrahydronaphthyl, where the radical or point of attachment is on the aromatic ring.
The term "heteroaryl, as used herein, refers to an aromatic monocyclic or bicyclic heterocyclic group having a total of from 5 to 12 atoms in its ring, and containing from 2 to 9 carbon atoms and from one to four heteroatoms each independently selected from nitrogen, oxygen, and sulfur, with the proviso that the ring of said group does not contain two adjacent oxygen atoms or two adjacent sulfur atoms. The terms "5-12 membered heteroaryl", "5-10 membered heteroaryl", "5-6 membered heteroaryl", and "4-6 membered heteroaryl" contain from five to twelve, from five to ten, from five to six, and from four to six ring atoms, respectively. The heteroaryl groups include benzo- fused ring systems. Examples of heteroaryl groups include, but are not limited to, pyrrolyl, furyl, thienyl, imidazolyl, pyrazolyl, oxazolyl, isoxazolyl, isothiazolyl, triazolyl, oxadiazolyl, furazanyl, thiadiazolyl, thiazolyl, tetrazolyl, pyridinyl, pyrazinyl, pyrimidinyl, pyridazinyl, triazinyl, indolyl, isoindolyl, indolizinyl, benzofuranyl, benzothiophenyl, indazolyl, benzimidazolyl, benzoxazolyl, furo[3,2-Jb]pyridinyl, benzothiazolyl,
benzofurazanyl, purinyl, quinolinyl, isoquinolinyl, quinazolinyl, quinoxalinyl,
naphthyridinyl, cinnolinyl, phthalazinyl, pyrido[3,4-d]pyrimidinyl, pteridinyl, and the like.
Also included within the scope of the term "5-12 membered heteroaryl", as used herein, are benzo-fused unsaturated oxygen or nitrogen heterocycles, which refer to a heterocyclic group in which a heteroatomic ring is fused to one or more aromatic rings. Examples include, but are not limited to, 2,3-dihydrobenzofuran, indolinyl, 1 ,3- dihydroisobenzofuran, isoindolinyl, tetrahydroquinohnyl, tetrahydroisoquinohnyl, and the like.
The term "treating", as used herein, unless otherwise indicated, means reversing, alleviating, inhibiting the progress of, or preventing the disorder or condition to which such term applies, or one or more symptoms of such disorder or condition. The term "treatment", as used herein, unless otherwise indicated, refers to the act of treating as "treating" is defined immediately above.
As used herein, an "effective" amount refers to an amount of a substance, agent, compound, or composition that is of sufficient quantity to result in a decrease in severity of disease symptoms, an increase in frequency and duration of disease symptom-free periods, or a prevention of impairment or disability due to the disease affliction - either as a single dose or according to a multiple dose regimen, alone or in combination with other agents or substances. One of ordinary skill in the art would be able to determine such amounts based on such factors as the subject's size, the severity of the subject's symptoms, and the particular composition or route of administration selected. The subject may be a human or non-human mammal (e.g., rabbit, rat, mouse, monkey or other lower-order primate).
Embodiments disclosed herein include isotopically-labeled compounds, which are identical to those recited in formula (I), formula (II), or formula (III), but for the fact that one or more atoms are replaced by an atom having an atomic mass or mass number different from the atomic mass or mass number usually found in nature.
Examples of isotopes that can be incorporated into compounds of the embodiments disclosed herein include isotopes of hydrogen, carbon, nitrogen, oxygen, phosphorous, sulfur, fluorine and chlorine, such as, but not limited to, 2H, 3H, 13C, 14C, 15N, 18O, 17O, 31 p 32p 35g i 8p Qn(^ 36Q| reSpectjve|v Compounds described herein and
pharmaceutically acceptable salts of said compounds which contain the aforementioned isotopes and/or other isotopes of other atoms are within the scope of the present embodiments. Certain isotopically-labeled compounds of the embodiments disclosed herein, for example, those into which radioactive isotopes such as 3H and 14C are incorporated, are useful in drug and/or substrate tissue distribution assays. Tritiated, i.e., 3H, and carbon-14, i.e., 14C, isotopes are particularly preferred for their ease of preparation and detectability. Further, substitution with heavier isotopes such as deuterium, i.e., 2H, can afford certain therapeutic advantages resulting from greater metabolic stability, for example, increased in vivo half-life or reduced dosage
requirements and, hence, may be preferred in some circumstances. Isotopically- labeled compounds of embodiments disclosed herein can generally be prepared by carrying out the procedures disclosed in the Schemes and/or in the Examples and
Preparations below, by substituting a readily available isotopically-labeled reagent for a non-isotopically-labeled reagent.
Some embodiments relate to the pharmaceutically acceptable salts of the compounds described herein. Pharmaceutically acceptable salts of the compounds described herein include the acid addition and base addition salts thereof.
Some embodiments also relate to the pharmaceutically acceptable acid addition salts of the compounds described herein. Suitable acid addition salts are formed from acids which form non-toxic salts. Non-limiting examples of suitable acid addition salts, i.e., salts containing pharmacologically acceptable anions, include, but are not limited to, the acetate, acid citrate, adipate, aspartate, benzoate, besylate,
bicarbonate/carbonate, bisulphate/sulphate, bitartrate, borate, camsylate, citrate, cyclamate, edisylate, esylate, ethanesulfonate, formate, fumarate, gluceptate, gluconate, glucuronate, hexafluorophosphate, hibenzate, hydrochloride/chloride, hydrobromide/bromide, hydroiodide/iodide, isethionate, lactate, malate, maleate, malonate, mesylate, methanesulfonate, methylsulphate, naphthylate, 2-napsylate, nicotinate, nitrate, orotate, oxalate, palmitate, pamoate, phosphate/hydrogen
phosphate/dihydrogen phosphate, pyroglutamate, saccharate, stearate, succinate, tannate, tartrate, p-toluenesulfonate, tosylate, trifluoroacetate and xinofoate salts.
Additional embodiments relate to base addition salts of the compounds described herein. Suitable base addition salts are formed from bases which form nontoxic salts. Non-limiting examples of suitable base salts include the aluminium, arginine, benzathine, calcium, choline, diethylamine, diolamine, glycine, lysine, magnesium, meglumine, olamine, potassium, sodium, tromethamine and zinc salts.
The compounds described herein that are basic in nature are capable of forming a wide variety of salts with various inorganic and organic acids. The acids that may be used to prepare pharmaceutically acceptable acid addition salts of such basic compounds described herein are those that form non-toxic acid addition salts, e.g., salts containing pharmacologically acceptable anions, such as the hydrochloride,
hydrobromide, hydroiodide, nitrate, sulfate, bisulfate, phosphate, acid phosphate, isonicotinate, acetate, lactate, salicylate, citrate, acid citrate, tartrate, pantothenate, bitartrate, ascorbate, succinate, maleate, gentisinate, fumarate, gluconate, glucuronate, saccharate, formate, benzoate, glutamate, methanesulfonate, ethanesulfonate, benzenesulfonate, p-toluenesulfonate and pamoate [i.e., 1 , 1 '-methylene-bis-(2-hydroxy- 3-naphthoate)] salts. The compounds described herein that include a basic moiety,
such as an amino group, may form pharmaceutically acceptable salts with various amino acids, in addition to the acids mentioned above.
The chemical bases that may be used as reagents to prepare pharmaceutically acceptable base salts of those compounds of the compounds described herein that are acidic in nature are those that form non-toxic base salts with such compounds. Such non-toxic base salts include, but are not limited to those derived from such
pharmacologically acceptable cations such as alkali metal cations (e.g., potassium and sodium) and alkaline earth metal cations (e.g., calcium and magnesium), ammonium or water-soluble amine addition salts such as N-methylglucamine-(meglumine), and the lower alkanolammonium and other base salts of pharmaceutically acceptable organic amines.
The compounds of the embodiments described herein include all stereoisomers (e.g., cis and trans isomers) and all optical isomers of compounds described herein (e.g., R and S enantiomers), as well as racemic, diastereomeric and other mixtures of such isomers. While all stereoisomers are encompassed within the scope of our claims, one skilled in the art will recognize that particular stereoisomers may be preferred.
In some embodiments, the compounds described herein can exist in several tautomeric forms, including the enol and imine form, and the keto and enamine form and geometric isomers and mixtures thereof. All such tautomeric forms are included within the scope of the present embodiments. Tautomers exist as mixtures of a tautomeric set in solution. In solid form, usually one tautomer predominates. Even though one tautomer may be described, the present embodiments includes all tautomers of the present compounds.
The present embodiments also include atropisomers of the compounds described herein. Atropisomers refer to compounds that can be separated into rotationally restricted isomers.
Hemisalts of acids and bases may also be formed, for example, hemisulphate and hemicalcium salts.
For a review on suitable salts, see Handbook of Pharmaceutical Salts:
Properties, Selection, and Use by Stahl and Wermuth (Wiley-VCH, 2002). Methods for making pharmaceutically acceptable salts of compounds described herein are known to one of skill in the art.
The term "solvate" is used herein to describe a molecular complex comprising a compound described herein and one or more pharmaceutically acceptable solvent molecules, for example, ethanol.
The compounds described herein may also exist in unsolvated and solvated forms. Accordingly, some embodiments relate to the hydrates and solvates of the compounds described herein.
Compounds described herein containing one or more asymmetric carbon atoms can exist as two or more stereoisomers. Where a compound described herein contains an alkenyl or alkenylene group, geometric cis/trans (or Z/E) isomers are possible.
Where structural isomers are interconvertible via a low energy barrier, tautomeric isomerism ('tautomerism') can occur. This can take the form of proton tautomerism in compounds described herein containing, for example, an imino, keto, or oxime group, or so-called valence tautomerism in compounds which contain an aromatic moiety. A single compound may exhibit more than one type of isomerism.
Included within the scope of the present embodiments are all stereoisomers, geometric isomers and tautomeric forms of the compounds described herein, including compounds exhibiting more than one type of isomerism, and mixtures of one or more thereof. Also included are acid addition or base salts wherein the counterion is optically active, for example, d-lactate or l-lysine, or racemic, for example, dl-tartrate or dl- arginine.
Cis/trans isomers may be separated by conventional techniques well known to those skilled in the art, for example, chromatography and fractional crystallisation.
Conventional techniques for the preparation/isolation of individual enantiomers include chiral synthesis from a suitable optically pure precursor or resolution of the racemate (or the racemate of a salt or derivative) using, for example, chiral high pressure liquid chromatography (HPLC) or SFC.
Alternatively, the racemate (or a racemic precursor) may be reacted with a suitable optically active compound, for example, an alcohol, or, in the case where a compound described herein contains an acidic or basic moiety, a base or acid such as 1 -phenylethylamine or tartaric acid. The resulting diastereomeric mixture may be separated by chromatography and/or fractional crystallization and one or both of the diastereoisomers converted to the corresponding pure enantiomer(s) by means well known to a skilled person.
"Abnormal cell growth", as used herein, unless otherwise indicated, refers to cell growth that is independent of normal regulatory mechanisms (e.g., loss of contact inhibition). This includes the abnormal growth of: (1 ) tumor cells (tumors) that proliferate by expressing a mutated tyrosine kinase or overexpression of a receptor tyrosine kinase; (2) benign and malignant cells of other proliferative diseases in which aberrant tyrosine kinase activation occurs; (3) any tumors that proliferate by receptor tyrosine kinases; (4) any tumors that proliferate by aberrant serine/threonine kinase activation; (5) benign and malignant cells of other proliferative diseases in which aberrant serine/threonine kinase activation occurs; (6) any tumors that proliferate by aberrant signaling, metabolic, epigenetic and transcriptional mechanism; and (7) benign and malignant cells of other proliferative diseases in which aberrant signaling, metabolic, epigenetic and transcriptional mechanism.
Further embodiments relate to methods of treating abnormal cell growth in a mammal. Additional embodiments relate to a method of treating abnormal cell growth in a mammal comprising administering to the mammal an amount of a compound described herein that is effective in treating abnormal cell growth.
In other embodiments, the abnormal cell growth is cancer.
In some embodiments, the cancer is selected from the group consisting of lung cancer, mesothelioma ,bone cancer, pancreatic cancer, skin cancer, cancer of the head or neck, cutaneous or intraocular melanoma, uterine cancer, ovarian cancer, rectal cancer, cancer of the anal region, stomach cancer, hepatic carcinoma, colon cancer, breast cancer, uterine cancer, carcinoma of the fallopian tubes, carcinoma of the endometrium, carcinoma of the cervix, carcinoma of the vagina, carcinoma of the vulva, Hodgkin's disease, cancer of the esophagus, cancer of the small intestine, cancer of the endocrine system, cancer of the thyroid gland, cancer of the parathyroid gland, cancer of the adrenal gland, sarcoma of soft tissue, cancer of the urethra, cancer of the penis, prostate cancer, hematology malignancy, chronic or acute leukemia, lymphocytic lymphomas, cancer of the bladder, cancer of the kidney or ureter, renal cell carcinoma, carcinoma of the renal pelvis, neoplasms of the central nervous system (CNS), primary CNS lymphoma, spinal axis tumors, glioblastoma, brain stem glioma, pituitary adenoma, or a combination of two or more of the foregoing cancers.
Additional embodiments relate to methods of treating cancer solid tumors in a mammal. Some embodiments relate to the treatment of cancer solid tumor in a
mammal comprising administering to the mammal an amount of a compound described herein that is effective in treating said cancer solid tumor.
In other embodiments, the cancer solid tumor is breast, lung, colon, brain, prostate, stomach, pancreatic, ovarian, skin (melanoma), endocrine, uterine, testicular, or bladder.
Further embodiments relate to methods of treating abnormal cell growth in a mammal which comprises administering to said mammal an amount of a compound described herein that is effective in treating abnormal cell growth in combination with an anti-tumor agent selected from the group consisting of mitotic inhibitors, alkylating agents, anti-metabolites, intercalating antibiotics, growth factor inhibitors, radiation, cell cycle inhibitors, enzymes, topoisomerase inhibitors, biological response modifiers, antibodies, cytotoxics, anti-hormones, and anti-androgens.
More embodiments relate to pharmaceutical compositions for treating abnormal cell growth in a mammal comprising an amount of a compound described herein that is effective in treating abnormal cell growth, and a pharmaceutically acceptable carrier.
Additional embodiments relate to a method of treating abnormal cell growth in a mammal, including a human, comprising administering to the mammal an amount of a compound described herein, or a pharmaceutically acceptable salt, solvate, hydrate or prodrug thereof, that is effective in treating abnormal cell growth. In one embodiment of this method, the abnormal cell growth is cancer, including, but not limited to, lung cancer, bone cancer, pancreatic cancer, skin cancer, cancer of the head or neck, cutaneous or intraocular melanoma, uterine cancer, ovarian cancer, rectal cancer, cancer of the anal region, stomach cancer, colon cancer, breast cancer, uterine cancer, carcinoma of the fallopian tubes, carcinoma of the endometrium, carcinoma of the cervix, carcinoma of the vagina, carcinoma of the vulva, Hodgkin's Disease, cancer of the esophagus, cancer of the small intestine, cancer of the endocrine system, cancer of the thyroid gland, cancer of the parathyroid gland, cancer of the adrenal gland, sarcoma of soft tissue, cancer of the urethra, cancer of the penis, prostate cancer, chronic or acute leukemia, lymphocytic lymphomas, cancer of the bladder, cancer of the kidney or ureter, renal cell carcinoma, carcinoma of the renal pelvis, neoplasms of the central nervous system (CNS), primary CNS lymphoma, spinal axis tumors, brain stem glioma, pituitary adenoma, or a combination of one or more of the foregoing cancers. In one embodiment the method comprises comprising administering to a mammal an amount
of a compound described herein that is effective in treating said cancer solid tumor. In one preferred embodiment the solid tumor is breast, lung, colon, brain, prostate, stomach, pancreatic, ovarian, skin (melanoma), endocrine, uterine, testicular, and bladder cancer.
In another embodiment of said method, said abnormal cell growth is a benign proliferative disease, including, but not limited to, psoriasis, benign prostatic hypertrophy or restinosis.
Some embodiments relate to a method of treating abnormal cell growth in a mammal which comprises administering to said mammal an amount of a compound described herein, or a pharmaceutically acceptable salt, solvate, hydrate or prodrug thereof, that is effective in treating abnormal cell growth in combination with an antitumor agent selected from the group consisting of mitotic inhibitors, alkylating agents, anti-metabolites, intercalating antibiotics, growth factor inhibitors, cell cycle inhibitors, enzymes, topoisomerase inhibitors, biological response modifiers, antibodies, cytotoxics, anti-hormones, and anti-androgens.
Additional embodiments relate to a pharmaceutical composition for treating abnormal cell growth in a mammal, including a human, comprising an amount of a compound described herein, or a pharmaceutically acceptable salt, solvate, hydrate or prodrug thereof, that is effective in treating abnormal cell growth, and a
pharmaceutically acceptable carrier. In one embodiment of said composition, said abnormal cell growth is cancer, including, but not limited to, lung cancer, bone cancer, pancreatic cancer, skin cancer, cancer of the head or neck, cutaneous or intraocular melanoma, uterine cancer, ovarian cancer, rectal cancer, cancer of the anal region, stomach cancer, colon cancer, breast cancer, uterine cancer, carcinoma of the fallopian tubes, carcinoma of the endometrium, carcinoma of the cervix, carcinoma of the vagina, carcinoma of the vulva, Hodgkin's Disease, cancer of the esophagus, cancer of the small intestine, cancer of the endocrine system, cancer of the thyroid gland, cancer of the parathyroid gland, cancer of the adrenal gland, sarcoma of soft tissue, cancer of the urethra, cancer of the penis, prostate cancer, chronic or acute leukemia, lymphocytic lymphomas, cancer of the bladder, cancer of the kidney or ureter, renal cell carcinoma, carcinoma of the renal pelvis, neoplasms of the central nervous system (CNS), primary CNS lymphoma, spinal axis tumors, brain stem glioma, pituitary adenoma, or a combination of one or more of the foregoing cancers. In another embodiment of said
pharmaceutical composition, said abnormal cell growth is a benign proliferative disease, including, but not limited to, psoriasis, benign prostatic hypertrophy or restinosis.
Further embodiments relate to a method of treating abnormal cell growth in a mammal which comprises administering to said mammal an amount of a compound described herein, or a pharmaceutically acceptable salt, solvate, or hydrate thereof, that is effective in treating abnormal cell growth in combination with another anti-tumor agent selected from the group consisting of mitotic inhibitors, alkylating agents, antimetabolites, intercalating antibiotics, growth factor inhibitors, cell cycle inhibitors, enzymes, topoisomerase inhibitors, biological response modifiers, antibodies, cytotoxics, anti-hormones, and anti-androgens. Some embodiments contemplate a pharmaceutical composition for treating abnormal cell growth wherein the composition includes a compound described herein, or a pharmaceutically acceptable salt, solvate, or hydrate thereof, that is effective in treating abnormal cell growth, and another antitumor agent selected from the group consisting of mitotic inhibitors, alkylating agents, anti-metabolites, intercalating antibiotics, growth factor inhibitors, cell cycle inhibitors, enzymes, topoisomerase inhibitors, biological response modifiers, antibodies, cytotoxics, anti-hormones, and anti-androgens.
Yet more embodiments relate to a method of treating a disorder associated with angiogenesis in a mammal, including a human, comprising administering to said mammal an amount of a compound described herein, as defined above, or a
pharmaceutically acceptable salt, solvate, hydrate or prodrug thereof, that is effective in treating said disorder in combination with one or more anti-tumor agents listed above. Such disorders include cancerous tumors such as melanoma; ocular disorders such as age-related macular degeneration, presumed ocular histoplasmosis syndrome, and retinal neovascularization from proliferative diabetic retinopathy; rheumatoid arthritis; bone loss disorders such as osteoporosis, Paget's disease, humoral hypercalcemia of malignancy, hypercalcemia from tumors metastatic to bone, and osteoporosis induced by glucocorticoid treatment; coronary restenosis; and certain microbial infections including those associated with microbial pathogens selected from adenovirus, hantaviruses, Borrelia burgdorferi, Yersinia spp., Bordetella pertussis, and group A Streptococcus.
Some embodiments relate to a method of (and to a pharmaceutical composition for) treating abnormal cell growth in a mammal which comprise an amount of a
compound described herein, or a pharmaceutically acceptable salt, solvate, or hydrate thereof, in combination with an amount of one or more substances selected from anti- angiogenesis agents, signal transduction inhibitors inhibitor (e.g., inhibiting the means by which regulatory molecules that govern the fundamental processes of cell growth, differentiation, and survival communicated within the cell), and antiproliferative agents, which amounts are together effective in treating said abnormal cell growth.
Anti-angiogenesis agents, such as MMP-2 (matrix-metalloprotienase 2) inhibitors, MMP-9 (matrix-metalloprotienase 9) inhibitors, and COX-II (cyclooxygenase II) inhibitors, can be used in conjunction with a compound described herein in the methods and pharmaceutical compositions described herein. Examples of useful COX- II inhibitors include CELEBREX™ (celecoxib), Bextra (valdecoxib), paracoxib, Vioxx (rofecoxib), and Arcoxia (etoricoxib). Examples of useful matrix metalloproteinase inhibitors are described in WO 96/33172 (published October 24, 1996), WO 96/27583 (published March 7, 1996), European Patent Application No. 97304971 .1 (filed July 8, 1997), European Patent Application No. 99308617.2 (filed October 29, 1999), WO
98/07697 (published February 26, 1998), WO 98/03516 (published January 29, 1998), WO 98/34918 (published August 13, 1998), WO 98/34915 (published August 13, 1998), WO 98/33768 (published August 6, 1998), WO 98/30566 (published July 16, 1998), European Patent Publication 606,046 (published July 13, 1994), European Patent Publication 931 ,788 (published July 28, 1999), WO 90/05719 (published May 331 ,
1990), WO 99/52910 (published October 21 , 1999), WO 99/52889 (published October 21 , 1999), WO 99/29667 (published June 17, 1999), PCT International Application No. PCT/IB98/01 1 13 (filed July 21 , 1998), European Patent Application No. 99302232.1 (filed March 25, 1999), Great Britain patent application number 9912961 .1 (filed June 3, 1999), United States Provisional Application No. 60/148,464 (filed August 12, 1999), United States Patent 5,863,949 (issued January 26, 1999), United States Patent 5,861 ,510 (issued January 19, 1999), and European Patent Publication 780,386
(published June 25, 1997), all of which are herein incorporated by reference in their entirety. Preferred MMP-2 and MMP-9 inhibitors are those that have little or no activity inhibiting MMP-1 . More preferred, are those that selectively inhibit MMP-2 and/or MMP- 9 relative to the other matrix-metalloproteinases (i.e. MMP-1 , MMP-3, MMP-4, MMP-5, MMP-6, MMP-7, MMP-8, MMP-10, MMP-1 1 , MMP-12, and MMP-13).
Some specific examples of MMP inhibitors useful in combination with the compounds described herein are AG-3340, RO 32-3555, RS 13-0830, and the following compounds:
3-[[4-(4-fluoro-phenoxy)-benzenesulfonyl]-(1 -hydroxycarbamoyl-cyclopentyl)- amino]-propionic acid;
3-exo-3-[4-(4-fluoro-phenoxy)-benzenesulfonylamino]-8-oxa-bicyclo[3.2.1 ]octane-
3- carboxylic acid hydroxyamide;
(2R, 3R) 1 -[4-(2-chloro-4-fluoro-benzyloxy)-benzenesulfonyl]-3-hydroxy-3-methyl- piperidine-2-carboxylic acid hydroxyamide;
4-[4-(4-fluoro-phenoxy)-benzenesulfonylamino]-tetrahydro-pyran-4-carboxylic acid hydroxyamide;
3- [[4-(4-fluoro-phenoxy)-benzenesulfonyl]-(1 -hydroxycarbamoyl-cyclobutyl)- amino]-propionic acid;
4- [4-(4-chloro-phenoxy)-benzenesulfonylamino]-tetrahydro-pyran-4-carboxylic acid hydroxyamide;
3-[4-(4-chloro-phenoxy)-benzenesulfonylamino]-tetrahydro-pyran-3-carboxylic acid hydroxyamide;
(2R, 3R) 1 -[4-(4-fluoro-2-methyl-benzyloxy)-benzenesulfonyl]-3-hydroxy-3- methyl-piperidine-2-carboxylic acid hydroxyamide;
3-[[4-(4-fluoro-phenoxy)-benzenesulfonyl]-(1 -hydroxycarbamoyl-1 -methyl-ethyl)- amino]-propionic acid;
3-[[4-(4-fluoro-phenoxy)-benzenesulfonyl]-(4-hydroxycarbamoyl-tetrahydro-pyran-
4- yl)-amino]-propionic acid;
3-exo-3-[4-(4-chloro-phenoxy)-benzenesulfonylamino]-8-oxa- bicyclo[3.2.1 ]octane-3-carboxylic acid hydroxyamide;
3-endo-3-[4-(4-fluoro-phenoxy)-benzenesulfonylamino]-8-oxa- bicyclo[3.2.1 ]octane-3-carboxylic acid hydroxyamide; and
3-[4-(4-fluoro-phenoxy)-benzenesulfonylamino]-tetrahydro-furan-3-carboxylic acid hydroxyamide;
and pharmaceutically acceptable salts and solvates of said compounds.
VEGF inhibitors, for example, sutent and axitinib, can also be combined with a compound described herein. VEGF inhibitors are described in, for example in WO 99/24440 (published May 20, 1999), PCT International Application PCT/IB99/00797
(filed May 3, 1999), in WO 95/21613 (published August 17, 1995), WO 99/61422 (published December 2, 1999), United States Patent 5,834,504 (issued November 10, 1998), WO 98/50356 (published November 12, 1998), United States Patent 5,883, 1 13 (issued March 16, 1999), United States Patent 5,886,020 (issued March 23, 1999), United States Patent 5,792,783 (issued August 1 1 , 1998), U.S. Patent No. US
6,653,308 (issued November 25, 2003), WO 99/10349 (published March 4, 1999), WO 97/32856 (published September 12, 1997), WO 97/22596 (published June 26, 1997), WO 98/54093 (published December 3, 1998), WO 98/02438 (published January 22, 1998), WO 99/16755 (published April 8, 1999), and WO 98/02437 (published January 22, 1998), all of which are herein incorporated by reference in their entirety. Other examples of some specific VEGF inhibitors are IM862 (Cytran Inc. of Kirkland,
Washington, USA); Avastin, an anti-VEGF monoclonal antibody of Genentech, Inc. of South San Francisco, California; and angiozyme, a synthetic ribozyme from Ribozyme (Boulder, Colorado) and Chiron (Emeryville, California).
ErbB2 receptor inhibitors, such as GW-282974 (Glaxo Wellcome pic), and the monoclonal antibodies AR-209 (Aronex Pharmaceuticals Inc. of The Woodlands, Texas, USA) and 2B-1 (Chiron), may be administered in combination with a compound described herein. Such erbB2 inhibitors include Herceptin, 2C4, and pertuzumab. Such erbB2 inhibitors include those described in WO 98/02434 (published January 22, 1998), WO 99/35146 (published July 15, 1999), WO 99/35132 (published July 15, 1999), WO 98/02437 (published January 22, 1998), WO 97/13760 (published April 17, 1997), WO 95/19970 (published July 27, 1995), United States Patent 5,587,458 (issued December 24, 1996), and United States Patent 5,877,305 (issued March 2, 1999), each of which is herein incorporated by reference in its entirety. ErbB2 receptor inhibitors useful in the embodiments described herein are also described in United States Provisional
Application No. 60/1 17,341 , filed January 27, 1999, and in United States Provisional Application No. 60/1 17,346, filed January 27, 1999, both of which are herein
incorporated by reference in their entirety. Other erbb2 receptor inhibitors include TAK- 165 (Takeda) and GW-572016 (Glaxo-Wellcome).
Various other compounds, such as styrene derivatives, have also been shown to possess tyrosine kinase inhibitory properties, and some of tyrosine kinase inhibitors have been identified as erbB2 receptor inhibitors. More recently, five European patent publications, namely EP 0 566 226 A1 (published October 20, 1993), EP 0 602 851 A1
(published June 22, 1994), EP 0 635 507 A1 (published January 25, 1995), EP 0 635 498 A1 (published January 25, 1995), and EP 0 520 722 A1 (published December 30, 1992), refer to certain bicyclic derivatives, in particular quinazoline derivatives, as possessing anti-cancer properties that result from their tyrosine kinase inhibitory properties. Also, World Patent Application WO 92/20642 (published November 26, 1992), refers to certain bis-mono and bicyclic aryl and heteroaryl compounds as tyrosine kinase inhibitors that are useful in inhibiting abnormal cell proliferation. World Patent Applications WO96/16960 (published June 6, 1996), WO 96/09294 (published March 6, 1996), WO 97/30034 (published August 21 , 1997), WO 98/02434 (published January 22, 1998), WO 98/02437 (published January 22, 1998), and WO 98/02438 (published January 22, 1998), also refer to substituted bicyclic heteroaromatic derivatives as tyrosine kinase inhibitors that are useful for the same purpose. Other patent applications that refer to anti-cancer compounds are World Patent Application WOOO/44728 (published August 3, 2000), EP 1029853A1 (published August 23, 2000), and WO01/98277 (published December 12, 2001 ) all of which are incorporated herein by reference in their entirety.
Epidermal growth factor receptor (EGFR) inhibitors may be administered in combination with a compound of the presentation invention. Such EGFR inhibitors include gefinitib, erlotinib, icotinib, afatinib and dacomitinib. Monoclonal antibody inhibitors of EGFR, such as cetuximab, may also be combined with a compound of the present invention.
PI3K inhibitors, such as PI3K beta inhibitors, may be administered in combination with a compound of the presentation invention.
Mammalian target of rapamycin (mTOR) inhibitors may be administered in combination with a compound of the presentation invention. Such mTOR inhibitors include rapamycin analogs and ATP competitive inhibitors.
c-Met inhibitors may be administered in combination with a compound of the presentation invention. Such c-Met inhibitors include crizotinib and ARQ-197.
Monoclonal antibody inhibitors of c-Met, such as METMab, may also be combined with a compound of the present invention.
CDK inhibitors may be administered in combination with a compound of the presentation invention. Such mTOR inhibitors include palbociclib.
MEK inhibitors may be administered in combination with a compound of the presentation invention. Such MEK inhibitors include PD-325901 .
PARP inhibitors may be administered in combination with a compound of the presentation invention.
JAK inhibitors may be administered in combination with a compound of the presentation invention.
An antagonist of a Programmed Death 1 protein (PD-1 ) may be administered in combination with a compound of the presentation invention.
Other antiproliferative agents that may be used with the compounds described herein include inhibitors of the enzyme farnesyl protein transferase and inhibitors of the receptor tyrosine kinase PDGFr, including the compounds disclosed and claimed in the following United States patent applications: 09/221946 (filed December 28, 1998);
09/454058 (filed December 2, 1999); 09/501 163 (filed February 9, 2000); 09/539930 (filed March 31 , 2000); 09/202796 (filed May 22, 1997); 09/384339 (filed August 26, 1999); and 09/383755 (filed August 26, 1999); and the compounds disclosed and claimed in the following United States provisional patent applications: 60/168207 (filed November 30, 1999); 60/1701 19 (filed December 10, 1999); 60/177718 (filed January 21 , 2000); 60/168217 (filed November 30, 1999), and 60/200834 (filed May 1 , 2000). Each of the foregoing patent applications and provisional patent applications is herein incorporated by reference in their entirety.
A compound described herein may also be used with other agents useful in treating abnormal cell growth or cancer, including, but not limited to, agents capable of enhancing antitumor immune responses, such as CTLA4 (cytotoxic lymphocyte antigen 4) antibodies, and other agents capable of blocking CTLA4; and anti-proliferative agents such as other farnesyl protein transferase inhibitors, for example the farnesyl protein transferase inhibitors described in the references cited in the "Background" section, supra. Specific CTLA4 antibodies that can be used in the present embodiments include those described in United States Provisional Application 60/1 13,647 (filed December 23, 1998) which is herein incorporated by reference in its entirety.
A compound described herein may be applied as a sole therapy or may involve one or more other anti-tumor substances, for example those selected from, for example, mitotic inhibitors, for example vinblastine; alkylating agents, for example cis-platin, oxaliplatin, carboplatin and cyclophosphamide; anti-metabolites, for example 5-
fluorouracil, capecitabine, cytosine arabinoside and hydroxyurea, or, for example, one of the preferred anti-metabolites disclosed in European Patent Application No. 239362 such as N-(5-[N-(3,4-dihydro-2-methyl-4-oxoquinazolin-6-ylmethyl)-N-methylamino]-2- thenoyl)-L-glutamic acid; growth factor inhibitors; cell cycle inhibitors; intercalating antibiotics, for example adriamycin and bleomycin; enzymes, for example interferon; and anti-hormones, for example anti-estrogens such as Nolvadex (tamoxifen) or, for example anti-androgens such as Casodex (4'-cyano-3-(4-fluorophenylsulphonyl)-2- hydroxy-2-methyl-3'-(trifluoromethyl)propionanilide).
The compounds described herein may be used alone or in combination with one or more of a variety of anti-cancer agents or supportive care agents. For example, the compounds described herein may be used with cytotoxic agents, e.g., one or more selected from the group consisting of a camptothecin, irinotecan HCI (Camptosar), edotecarin, SU-1 1248, epirubicin (Ellence), docetaxel (Taxotere), paclitaxel, rituximab (Rituxan) bevacizumab (Avastin), imatinib mesylate (Gleevac), Erbitux, gefitinib (Iressa), and combinations thereof. Some embodiments also contemplate the use of the compounds described herein together with hormonal therapy, e.g., exemestane
(Aromasin), Lupron, anastrozole (Arimidex), tamoxifen citrate (Nolvadex), Trelstar, and combinations thereof. Further, some embodiments provide a compound described herein alone or in combination with one or more supportive care products, e.g. , a product selected from the group consisting of Filgrastim (Neupogen), ondansetron (Zofran), Fragmin, Procrit, Aloxi, Emend, or combinations thereof. Such conjoint treatment may be achieved by way of the simultaneous, sequential or separate dosing of the individual components of the treatment.
The compounds described herein may be used with antitumor agents, alkylating agents, antimetabolites, antibiotics, plant-derived antitumor agents, camptothecin derivatives, tyrosine kinase inhibitors, antibodies, interferons, and/or biological response modifiers. In this regard, the following is a non-limiting list of examples of secondary agents that may be used with the compounds described herein.
Alkylating agents include, but are not limited to, nitrogen mustard N-oxide, cyclophosphamide, ifosfamide, melphalan, busulfan, mitobronitol, carboquone, thiotepa, ranimustine, nimustine, temozolomide, AMD-473, altretamine, AP-5280, apaziquone, brostallicin, bendamustine, carmustine, estramustine, fotemustine, glufosfamide, ifosfamide, KW-2170, mafosfamide, and mitolactol; platinum-coordinated alkylating
compounds include but are not limited to, cisplatin, carboplatin, eptaplatin, lobaplatin, nedaplatin, oxaliplatin or satrplatin.
Antimetabolites include but are not limited to, methotrexate, 6-mercaptopurine riboside, mercaptopurine, 5-fluorouracil (5-FU) alone or in combination with leucovorin, tegafur, UFT, doxifluridine, carmofur, cytarabine, cytarabine ocfosfate, enocitabine, S-1 , gemcitabine, fludarabin, 5-azacitidine, capecitabine, cladribine, clofarabine, decitabine, eflornithine, ethynylcytidine, cytosine arabinoside, hydroxyurea, TS-1 , melphalan, nelarabine, nolatrexed, ocfosfate, disodium premetrexed, pentostatin, pelitrexol, raltitrexed, triapine, trimetrexate, vidarabine, vincristine, vinorelbine; or for example, one of the preferred anti-metabolites disclosed in European Patent Application No. 239362 such as N-(5-[N-(3,4-dihydro-2-methyl-4-oxoquinazolin-6-ylmethyl)-N-methylamino]-2- thenoyl)-L-glutamic acid.
Antibiotics include but are not limited to: aclarubicin, actinomycin D, amrubicin, annamycin, bleomycin, daunorubicin, doxorubicin, elsamitrucin, epirubicin, galarubicin, idarubicin, mitomycin C, nemorubicin, neocarzinostatin, peplomycin, pirarubicin, rebeccamycin, stimalamer, streptozocin, valrubicin or zinostatin.
Hormonal therapy agents, e.g., exemestane (Aromasin), Lupron, anastrozole (Arimidex), doxercalciferol, fadrozole, formestane, anti-estrogens such as tamoxifen citrate (Nolvadex) and fulvestrant, Trelstar, toremifene, raloxifene, lasofoxifene, letrozole (Femara), or anti-androgens such as bicalutamide, flutamide, mifepristone, nilutamide, Casodex® (4'-cyano-3-(4-fluorophenylsulphonyl)-2-hydroxy-2-methyl-3'- (trifluoromethyl)propionanilide) and combinations thereof.
Plant derived anti-tumor substances include for example those selected from mitotic inhibitors, for example vinblastine, docetaxel (Taxotere) and paclitaxel.
Cytotoxic topoisomerase inhibiting agents include one or more agents selected from the group consisting of aclarubicn, amonafide, belotecan, camptothecin, 10- hydroxycamptothecin, 9-aminocamptothecin, diflomotecan, irinotecan HCI (Camptosar), edotecarin, epirubicin (Ellence), etoposide, exatecan, gimatecan, lurtotecan,
mitoxantrone, pirarubicin, pixantrone, rubitecan, sobuzoxane, SN-38, tafluposide, and topotecan, and combinations thereof.
Immunologicals include interferons and numerous other immune enhancing agents. Interferons include interferon alpha, interferon alpha-2a, interferon, alpha-2b, interferon beta, interferon gamma-1 a or interferon gamma-n1 . Other agents include
PF3512676, filgrastim, lentinan, sizofilan, TheraCys, ubenimex, WF-10, aldesleukin, alemtuzumab, BAM-002, dacarbazine, daclizumab, denileukin, gemtuzumab
ozogamicin, ibritumomab, imiquimod, lenograstim, lentinan, melanoma vaccine
(Corixa), molgramostim, OncoVAX-CL, sargramostim, tasonermin, tecleukin,
thymalasin, tositumomab, Virulizin, Z-100, epratuzumab, mitumomab, oregovomab, pemtumomab, Provenge.
Biological response modifiers are agents that modify defense mechanisms of living organisms or biological responses, such as survival, growth, or differentiation of tissue cells to direct them to have anti-tumor activity. Such agents include krestin, lentinan, sizofiran, picibanil, or ubenimex.
Other anticancer agents include alitretinoin, ampligen, atrasentan bexarotene, bortezomib. Bosentan, calcitriol, exisulind, finasteride, fotemustine, ibandronic acid, miltefosine, mitoxantrone, l-asparaginase, procarbazine, dacarbazine,
hydroxycarbamide, pegaspargase, pentostatin, tazarotne, TLK-286, Velcade, Tarceva, or tretinoin.
Other anti-angiogenic compounds include acitretin, fenretinide, thalidomide, zoledronic acid, angiostatin, aplidine, cilengtide, combretastatin A-4, endostatin, halofuginone, rebimastat, removab, Revlimid, squalamine, ukrain and Vitaxin.
Platinum-coordinated compounds include but are not limited to, cisplatin, carboplatin, nedaplatin, or oxaliplatin.
Camptothecin derivatives include but are not limited to camptothecin, 10- hydroxycamptothecin, 9-aminocamptothecin, irinotecan, SN-38, edotecarin, and topotecan.
Tyrosine kinase inhibitors include, for example, Iressa and SU5416.
Antibodies include, for example, Herceptin, Erbitux, Avastin, and Rituximab.
Interferons include, for example, interferon alpha, interferon alpha-2a, interferon, alpha-2b, interferon beta, interferon gamma-1 a and interferon gamma-n1 .
Biological response modifiers include agents that modify defense mechanisms of living organisms or biological responses, such as survival, growth, or differentiation of tissue cells to direct them to have anti-tumor activity. Such agents include, for example, krestin, lentinan, sizofiran, picibanil, and ubenimex.
Other antitumor agents include, for example, mitoxantrone, l-asparaginase, procarbazine, dacarbazine, hydroxycarbamide, pentostatin, and tretinoin. Additionally,
PI3K inhibitors and RAS-targeted cancer treatments may be combined with the compounds described herein.
Some embodiments also relate to a pharmaceutical composition comprising a compound of formula (I), formula (II), or formula (III), or a pharmaceutically acceptable salt or solvate thereof, as hereinbefore defined in association with a pharmaceutically acceptable adjuvant, diluent or carrier.
Further embodiments relate to a pharmaceutical composition which comprises mixing a compound of formula (I), formula (II), or formula (III), or a pharmaceutically acceptable salt or solvate thereof, as hereinbefore defined with a pharmaceutically acceptable adjuvant, diluent or carrier.
For the above-mentioned therapeutic uses the dosage administered will, of course, vary with the compound employed, the mode of administration, the treatment desired and the disorder indicated. The daily dosage of the compound formula (I), formula (II), or formula (III), or pharmaceutically acceptable salt thereof, may be in the range from 1 mg to 1 gram, preferably 1 mg to 250 mg, more preferably 10 mg to 100 mg.
The present embodiments also encompass sustained release compositions. Administration of the compounds descrbed herein (hereinafter the "active compound(s)") can be effected by any method that enables delivery of the compounds to the site of action. These methods include oral routes, intraduodenal routes, parenteral injection (including intravenous, subcutaneous, intramuscular, intravascular or infusion), topical, and rectal administration.
The active compound may be applied as a sole therapy or may involve one or more other anti-tumor substances, for example those selected from, for example, mitotic inhibitors, for example vinblastine; alkylating agents, for example cis-platin, carboplatin and cyclophosphamide; anti-metabolites, for example 5-fluorouracil, cytosine arabinoside and hydroxyurea, or, for example, one of the preferred antimetabolites disclosed in European Patent Application No. 239362 such as N-(5-[N-(3,4- dihydro-2-methyl-4-oxoquinazolin-6-ylmethyl)-N-methylamino]-2-thenoyl)-L-glutamic acid; growth factor inhibitors; cell cycle inhibitors; intercalating antibiotics, for example adriamycin and bleomycin; enzymes, for example interferon; and anti-hormones, for example anti-estrogens such as Nolvadex® (tamoxifen) or, for example anti-androgens such as Casodex® (4'-cyano-3-(4-fluorophenylsulphonyl)-2-hydroxy-2-methyl-3'-
(trifluoromethyl)propionanilide). Such conjoint treatment may be achieved by way of the simultaneous, sequential or separate dosing of the individual components of the treatment.
The pharmaceutical composition may, for example, be in a form suitable for oral administration as a tablet, capsule, pill, powder, sustained release formulations, solution, suspension, for parenteral injection as a sterile solution, suspension or emulsion, for topical administration as an ointment or cream or for rectal administration as a suppository. The pharmaceutical composition may be in unit dosage forms suitable for single administration of precise dosages. The pharmaceutical composition will include a conventional pharmaceutical carrier or excipient and a compound described herein as an active ingredient. In addition, it may include other medicinal or pharmaceutical agents, carriers, adjuvants, etc.
Exemplary parenteral administration forms include solutions or suspensions of active compounds in sterile aqueous solutions, for example, aqueous propylene glycol or dextrose solutions. Such dosage forms can be suitably buffered, if desired.
Suitable pharmaceutical carriers include inert diluents or fillers, water and various organic solvents. The pharmaceutical compositions may, if desired, contain additional ingredients such as flavorings, binders, excipients and the like. Thus for oral administration, tablets containing various excipients, such as citric acid may be employed together with various disintegrants such as starch, alginic acid and certain complex silicates and with binding agents such as sucrose, gelatin and acacia.
Additionally, lubricating agents such as magnesium stearate, sodium lauryl sulfate and talc are often useful for tableting purposes. Solid compositions of a similar type may also be employed in soft and hard filled gelatin capsules. Preferred materials, therefor, include lactose or milk sugar and high molecular weight polyethylene glycols. When aqueous suspensions or elixirs are desired for oral administration the active compound therein may be combined with various sweetening or flavoring agents, coloring matters or dyes and, if desired, emulsifying agents or suspending agents, together with diluents such as water, ethanol, propylene glycol, glycerin, or combinations thereof.
The examples and preparations provided below further illustrate and exemplify the compounds described herein and methods of preparing such compounds. The scope of the embodiments described herein is not limited in any way by the following examples and preparations. In the following examples, molecules with a single chiral
center, unless otherwise noted, exist as a racemic mixture. Those molecules with two or more chiral centers, unless otherwise noted, exist as a racemic mixture of
diastereomers. Single enantiomers/diastereomers may be obtained by methods known to those skilled in the art.
In the examples shown, salt forms were occasionally isolated as a consequence of the mobile phase additives during HPLC based chromatographic purification. In these cases, salts such as formate, trifluorooacetate and acetate were isolated and tested without further processing. It will be recognized that one of ordinary skill in the art will be able to realize the free base form by standard methodology (such as using ion exchange columns, or performing simple basic extractions using a mild aqueous base).
In general, the compounds described herein may be prepared by processes known in the chemical arts, particularly in light of the description contained herein.
Certain processes for the manufacture of the compounds described herein are provided as further features of the embodiments and are illustrated in the reaction schemes provided below and in the experimental section.
Unless stated otherwise, the variables in Schemes A and B have the same meanings as defined herein.
Scheme A:
As exemplified in Scheme A, a pyrimidine A-1 is subjected to chlorine displacement with an amine A-2 in the presence of a suitable base (such as DIPEA,
NaH, K2C03, or CsF) in a suitable solvent (such as DMSO, MeCN, NMP, THF, or DMF) to afford A-3. A-3 is treated under demethylation conditions known in the art with sodium iodide and TMS-CI in MeCN to provide A-4. Alternatively, as exemplified in
Scheme A, a guanidine A-1' and a malonate A-2' are subjected to a condensation to afford A-4. A-4 is treated with POCIs to afford A-5. A-5 is subjected to selective chlorine displacement with an alkoxide A-6 (using parent alcohol in the presence of a suitable base {NaH, NaHMDS, KHMDS, K2CO3 or DIPEA}) in a suitable solvent (such as iPrOH, MeCN, THF or DMF) to afford A-7. A-7 is treated under Suzuki cross-coupling conditions known in the literature with a boronic acid or a boronic ester to yield A-9. Alternatively, the intermediate A-5 is treated under Suzuki cross-coupling conditions known in the literature with a boronic acid or a boronic ester to yield A-8. A-8 is subjected to chlorine displacement with an alkoxide A-6(using parent alcohol in the presence of a suitable base {NaH, NaHMDS, KHMDS, K2CO3 or DIPEA}) in a suitable solvent (such as iPrOH, MeCN, THF or DMF) to afford A-9.
Furthermore, if the R4 group contains an amine protecting group, such as a Boc group or a CBZ group, the protecting group may be deprotected under procedures known to one of skill in the art. For example, the Boc group may be deprotected under acidic conditions (such as HCI or TFA) and the CBZ group may be deprotected under hydrogenation conditions. The resultant amine may be subjected to amide, carbamate, urea, sulfonamide, sulfamide or phosphinic amide formation. Amide formation can be achieved using a suitable amide coupling agent (such as CDI, EDCI, HATU) in the presence of a suitable base (such as DIPEA, TEA) and an appropriate carboxylic acid. Carbamate formation can be achieved using an appropriate chloroformate in the presence of a suitable base (such as DIPEA or TEA). Urea formation can be achieved by using an appropriate isocyanate in the presence of a suitable base (such as TEA), or in the presence of triphosgene or phosgene and an amine in the presence of a suitable base (such as sodium carbonate, sodium bicarbonate, or TEA). Sulfonamide formation can be achieved with a sulfonyl chloride in the presence of a suitable base (such as DIPEA or TEA). Sulfamide formation can be achieved with sulfamoyl chloride or sulfamoylcarbamate in the presence of a suitable base (such as DIPEA or TEA).
Phosphinic amide formation can be achieved with phosphinic chloride in the presence
of a suitable base (such as DIPEA or TEA). These amine functionalizations may be performed either before or after the Suzuki cross-coupling step.
Scheme B:
B-1 B-2
As exemplified in Scheme B, trichloropyrimidine B-1 is subjected to a selective chlorine displacement with an alkoxide A-6 (using parent alcohol in the presence of a suitable base {NaH, NaHMDS, KHMDS, K2C03 or DIPEA}) in a suitable solvent (such as iPrOH, MeCN, THF or DMF) to afford B-2. B-2 is subjected to another selective chlorine displacement with amine A-2 in the presence of a suitable base {NaH,
NaHMDS, KHMDS, K2C03 or DIPEA}) in a suitable solvent (such as iPrOH, MeCN, THF or DMF) to afford A-7. A-7 is treated under Suzuki cross-coupling conditions known in the literature with a boronic acid or a boronic ester to yield A-9.
Furthermore, if the R4 group contains an N-Boc group or an N-CBZ group, it may be suitably deprotected and subjected to amide, carbamate, urea, sulfonamide,
sulfamide, or phosphinic amide formation either before or after the Suzuki cross- coupling step as described above in Scheme A.
Examples
Example 1 (Scheme A): Preparation of yV-(frans-3-(r2'-amino-2-(morpholin-4-yl)- 4,5'-bipyrimidin-6-vnoxy)cvclobutyl)-2-hvdroxy-yV-methylacetamide
Step 1 : Preparation of te f-butyl(frans-3-{[6-chloro-2-(morpholin-4-yl)pyrimidin-4- ylloxylcvclobutvDmethylcarbamate
To a solution of fe/f-butyl (frans-3-hydroxycyclobutyl)methylcarbamate (1 .55 g, 7.69 mmol) in tetrahydrofuran (30 mL) at 0 °C under nitrogen, was added sodium hydride (256 mg, 6.41 mmol, 60 % in mineral oil). After stirring for ~10 min, a solution of 4-(4,6-dichloropyrimidin-2-yl)morpholine (1 .5 g, 6.41 mmol) in tetrahydrofuran (30 mL) was added via an addition funnel. The solution was stirred for 20 hours while letting the ice bath warm to room temperature. The reaction mixture was quenched with water (0.5 mL), and washed with brine (75 mL). The aqueous layer was extracted with EtOAc (2 x 50 mL), and the combined organic layers were washed with brine (25 mL), dried
(MgS04), and concentrated. The residue solidified upon standing and was triturated with methyl fe/f-butyl ether to give 1 .35 g (53 % yield) of the title compound as a white solid. The filtrate was purified by Biotage (40+S cartridge) using a gradient of 10-50 % EtOAc/heptane to give another 783 mg (31 % yield) of the title compound. 1H NMR (400
MHz, CD3CN) δ ppm 6.06 (s, 1 H) 5.20 - 5.14 (m, 1 H) 4.69 (br s, 1 H) 3.71 - 3.63 (m, 8 H) 2.82 (s, 3 H) 2.66 - 2.58 (m, 2 H) 2.39 - 2.30 (m, 2 H) 1 .42 (s, 9 H). m/z (APCI+) for Ci8H27CIN404 399.1 (M+H)+. Step 2: Preparation of frans-3-{[6-chloro-2-(morpholin-4-yl)pyrimidin-4-yl1oxy)-/\/- methylcvclobutanamine hydrochloride
fe/f-Butyl (irans-3-{[6-chloro-2-(morpholin-4-yl)pyrimidin-4- yl]oxy}cyclobutyl)methylcarbamate (305 mg, 0.76 mmol) was dissolved in methylene chloride (4 mL) and treated with HCI solution (4 mL, 4 M in dioxane). The mixture was stirred at room temperature for 1 hour. The resulting suspension was diluted with toluene and concentrated under reduced pressure. The residue was concentrated a second time from toluene to give a white solid which was carried directly into the next reaction. 1 H NMR (400 MHz, D20) δ ppm 6.23 (s, 1 H) 5.38 - 5.31 (m, 1 H) 4.02 - 3.93 (m, 1 H) 3.82 - 3.78 (m, 4 H) 3.77 - 3.73 (m, 4 H) 2.80 - 2.64 (m, 7 H). m/z (APCI+) for C13H19CIN402 299.1 (M+H)+.
Step 3: Preparation of /V-(frans-3-{[6-chloro-2-(morpholin-4-yl)pyrimidin-4-
To a solution of crude irans-3-{[6-chloro-2-(morpholin-4-yl)pyrimidin-4-yl]oxy}-/V- methylcyclobutanamine hydrochloride (~0.76 mmol) in DMSO (8 mL) was added glycolic acid (88 mg, 1 .2 mmol), DIPEA (0.66 mL, 3.8 mmol), and HATU (440 mg, 1 .1 mmol). The mixture was stirred at room temperature for 1 .5 hours. The mixture was partitioned between EtOAc (50 mL) and saturated aqueous NaHC03 (80 mL). The
aqueous layer was extracted with EtOAc (2 x 25 ml_). The combined organics were washed with water (25 ml_) and brine (25 ml_), dried (MgS04) and concentrated under reduced pressure. The residue was purified by Biotage (25+M cartridge) using a gradient of 50-100 % EtOAc/heptanes to give 172 mg (63 % yield) of the title compound as a white solid. 1H NMR (400 MHz, 80 °C, DMSO-d6) δ ppm 6.15 (s, 1 H) 5.28 - 5.21 (m, 1 H) 4.83 (br s, 1 H) 4.16 (br s, 1 H) 4.06 (d, J=4.5 Hz, 2 H) 3.70 - 3.63 (m, 8 H) 2.91 (s, 3 H) 2.75 - 2.65 (m, 2 H) 2.45 - 2.36 (m, 2 H). m/z (APCI+) for C15H2iCIN404 357.1 (M+H)+.
Step 4: Preparation of /V-(frans-3-([2'-amino-2-(morpholin-4-yl)-4,5'-bipyrimidin-6- yl1oxy)cvclobutyl)-2-hvdroxy-/V-methylacetamide
In a microwavable vial equipped with a stir bar, /V-(frans-3-{[6-chloro-2- (morpholin-4-yl)pyrimidin-4-yl]oxy}cyclobutyl)-2-hydroxy-/V-methylacetamide (593 mg, 1 .66 mmol) and 5-(4,4,5,5-tetramethyl-[1 ,3,2]dioxaborolan-2-yl)-pyrimidin-2-ylamine (514 mg, 2.33 mmol) were dissolved in DMSO (15 ml_). Cesium fluoride (765 mg, 4.99 mmol) was added and the mixture was sparged with a nitrogen bubbler for 5 min. [1 , 1 '- Bis(diphenylphosphino)ferrocene]dichloropalladium(ll) 1 : 1 complex with
dichloromethane (68 mg, 0.083 mmol) was added and the vessel was sealed. The mixture was heated in the microwave at 140 °C for 15 min. The mixture was filtered through a 0.45 micron syringe filter, and the filtrate was poured to a brine solution (150 ml_) and the resulting precipitate was collected by filtration and rinsed with water. The filtrate was extracted with EtAOc (3 x 50 ml_). The solids were washed with methylene chloride, the washings were combined with the EtOAc extracts, dried (MgS04) and reduced under reduced pressure. The residue was dissolved in 10 % MeOH in methylene chloride (25 ml_) and treated with silica gel thiol (1 g, 1.34 mmol/g) and the suspension was stirred at room temperature for 1 hour. The mixture was filtered and the solids washed with 10% MeOH in methylene chloride until clear solution was observed.
The filtrate was concentrated under reduced pressure, and the residue purified on a Biotage 40+S cartridge using a gradient of 0-10% MeOH/EtOAc. The product was dissolved in 10 % MeOH in methylene chloride (25 mL), treated with silica gel thiol (1 g, 1 .34 mmol/g) and the resulting suspension was stirred for 3 hours. The mixture was filtered through a 0.45 micron syringe filter, the filtrate was concentrated to ~10 mL volume and diluted with EtOAc. The solution was concentrated to a 1 -2 mL volume and the resulting suspension was filtered. The solids were rinsed with EtOAc and dried under vacuum to give 394 mg (57 % yield) of the title compound as a beige solid. 1 H NMR (400 MHz, 80 °C , DMSO-d6) δ ppm 8.89 (s, 2 H) 6.76 (br s, 2 H) 6.53 (s, 1 H) 5.33 - 5.26 (m, 1 H) 4.86 (br s, 1 H) 4.17 (br s, 1 H) 4.07 (d, J=5.0 Hz, 2 H) 3.78 - 3.73 (m, 4 H) 3.72 - 3.66 (m, 4 H) 2.93 (s, 3 H) 2.76 - 2.66 (m, 2 H) 2.45 - 2.37 (m, 2 H). m/z (APCI+) for C19H25N7O4 416.1 (M+H)+.
Example 2 (Scheme A): Preparation of 1-(frans-3-(r2'-amino-2-(morpholin-4-yl)-
Step 1 : Preparation of fe/f-butyl (frans-3-{[2'-amino-2-(morpholin
bipyrimidin-6-vHoxy)cvclobutyl)methylcarbamate
A suspension of fe/f-butyl (irans-3-{[6-chloro-2-(morpholin-4-yl)pyrimidin-4- yl]oxy}cyclobutyl)methylcarbamate (200 mg, 0.50 mmol), 5-(4,4,5,5-tetramethyl- [1 ,3,2]dioxaborolan-2-yl)-pyrimidin-2-ylamine (150 mg, 0.68 mmol) and sodium carbonate (60 mg, 0.71 mmol) in MeCN (2 mL) and water (0.22 mL, 12.3 mmol) was
purged with nitrogen for 10 min. Dichlorobis[di-fe/f-butyl(4- dimethylaminophenyl)phosphino]palladium(ll)55 (40 mg, 0.056 mmol) was added and the reaction was sealed and heated at 100 °C for 30 min. The reaction mixture was concentrated under reduced pressure and the resulting brown residue was purified on silica gel (Biotage SNAP, HP-Sil, 10g, 0-50 % EtOAc in methylene chloride) to give 201 mg (88 % yield) of the title compound as a tan solid. 1H NMR (600 MHz, DMSO-d6) δ ppm 8.92 (s, 2 H) 7.1 1 (s, 2 H) 6.61 (s, 1 H) 5.22 - 5.18 (m, 1 H) 4.69 (br s, 1 H), 3.74 - 3.71 (m, 4 H) 3.67 - 3.64 (m, 4 H) 2.80 (s, 3 H) 2.66 - 2.60 (m, 2 H) 2.33 - 2.27 (m, 2 H) 1 .39 (s, 9 H). m/z (APCI+) for C22H3iN704 458.2 (M+H)+.
Step 2: Preparation of 6-{[frans-3-(methylamino)cvclobutyl1oxy)-2-(morpholin-4- yl)-4,5'-bipyrimidin-2'-amin hydrochloride
fe/f-Butyl (irans-3-{[2'-amino-2-(morpholin-4-yl)-4,5'-bipyrimidin-6- yl]oxy}cyclobutyl)methylcarbamate (250 mg, 0.55 mmol) was dissolved in methylene chloride (3 ml_) and treated with a HCI solution (3 ml_, 4 M in dioxane) at room temperature and the mixture was stirred for 18 hours. The mixture was diluted with toluene and concentrated under reduced pressure. The residue was concentrated a second time from toluene to give 276 mg of a foamy solid which was used directly in the next reaction. 1H NMR (400 MHz, D20) δ ppm 8.86 (s, 2 H) 6.48 - 6.45 (m, 1 H) 5.42 - 5.36 (m, 1 H) 4.00 - 3.91 (m, 1 H) 3.81 (s, 8 H) 2.78 - 2.63 (m, 7 H). m/z (APCI+) for Ci7H23N702 358.1 (M+H)+.
Step 3: Preparation of 1 -(frans-3-{[2'-amino-2-(morpholin-4-yl)-4,5'-bipyrimidin-6- yl1oxy)cvclobutyl)-1 ,3-dimethylurea
To a mixture of 6-{[irans-3-(methylamino)cyclobutyl]oxy}-2-(morpholin-4-yl)-4,5'- bipyrimidin-2'-amine hydrochloride (40 mg, 0.086 mmol) and DIPEA (0.075 mL, 0.43 mmol) in DMSO (1 mL) was added methyl isocyanate (0.008 mL, 0.129 mmol) at room temperature, and the mixture was stirred for 18 hours. The mixture was purified by SFC column (SFC/ZymorSpher HADP 150 x 21 .2 mm; with 15-30 % MeOH at 3%/min, 140 bar, 55 mL/min) to give 20.5 mg (57 % yield) of the title compound as a white solid. 1H NMR (400 MHz, CD3CN) δ ppm 8.91 (s, 2 H) 6.39 (s, 1 H) 5.74 (br s, 2 H) 5.24 - 5.19 (m, 1 H) 5.03 - 4.97 (m, 1 H) 4.86 (p, J=8.4 Hz, 1 H) 3.80 - 3.76 (m, 4 H) 3.70 - 3.65 (m, 4 H) 2.81 (s, 3 H) 2.64 (d, J=4.5 Hz, 3 H) 2.63 - 2.55 (m, 2 H) 2.41 - 2.32 (m, 2 H). m/z (APCI+) for Ci9H26N8O3 415.1 (M+H)+.
Example 3 (Scheme B): Preparation of /V-r*rans-3-(f2'-amino-2-r(3S)-3- methylmorpholin-4-vn-4,5'-bipyrimidin-6-yl>oxy)cvclobutvn-A/-methylacetamide H3
Step 1 : Preparation of fe/f-butyl {frans-3-[(2,6-dichloropyrimidin-4- vDoxylcvclobutvDmethylcarbamate
To a mixture of 2,4,6-trichloropyrimidine (1 .1 g, 6 mmol) and NaH (0.288 g, 12 mmol, 60 % in mineral oil) in THF (10 mL) was added a solution of te/f-butyl (trans-3- hydroxycyclobutyl)methylcarbamate (0.9 g, 4.5 mmol) in THF (10 mL) at -10 °C under nitrogen atmosphere over 30 min. The cooling bath was removed and the mixture was stirred at room temperature for 18 hours. Ice-water (50 mL) was added while keeping the reaction mixture below 10 °C and the resultant mixture was extracted with EtOAc (3 x 30 mL). The combined organic layers were washed with brine (30 mL), dried (Na2S04) and concentrated under reduced pressure. The residue was purified by silica gel chromatography using a gradient of petroleum ether/EtOAc (20: 1 to 10: 1 ) to give 1 .37 g (88 % yield) of the title compound as a colorless oil, which was used in the next step without further purification.
Step 2: Preparation of fe/f-butyl [frans-3-({6-chloro-2-[(3S)-3-methylmorpholin-4-
A solution of fe/f-butyl {frans-3-[(2,6-dichloropyrimidin-4- yl)oxy]cyclobutyl}methylcarbamate (0.68 g, 1 .97 mmol), (3S)-3-methylmorpholine (0.24 g, 2.36 mmol) and DIPEA (0.76 g, 5.91 mmol) in dry THF (10 mL) was heated at 60 °C for 18 hours. The mixture was concentrated under reduced pressure and the residue was purified by silica gel chromatography using a gradient of petroleum ether/EtOAc (6: 1 ) to give 0.35 g (43 % yield) of the title compound as a colorless gum, which was used in the next step without further purification.
Step 3: Preparation of frans-3-({6-chloro-2-[(3S)-3-methylmorpholin-4- yllPyrimidin-4-yl)oxy)-/\/-meth lcvclobutanamine hydrochloride
To a solution of fe/f-butyl [irans-3-({6-chloro-2-[(3S)-3-methylmorpholin-4- yl]pyrimidin-4-yl}oxy)cyclobutyl]methylcarbamate (350 mg, 0.85 mmol) in EtOAc (10 mL) was added HCI in EtOAc (2 mL, 4 M) at 0 °C. The mixture was stirred at room
temperature for 2 hours. The mixture was concentrated under reduced pressure to give 280 mg (100 % yield) of the title compound as a white solid, which was used in the next step without further purification.
Step 4: Preparation of A/-rfrans-3-({6-chloro-2-r(3S)-3-methylmorpholin-4- yllPyrimidin-4-yl)oxy)cvclobut l1-/V-methylacetamide
To a mixture of irans-3-({6-chloro-2-[(3S)-3-methylmorpholin-4-yl]pyrimidin-4- yl}oxy)-/V-methylcyclobutanamine hydrochloride (280 mg, 0.85 mmol) and triethylamine (257 mg, 2.55 mmol) in THF (20 mL) was added acetic anhydride (130 mg, 1 .28 mmol) at room temperature and the mixture was stirred for 3 hours. MeOH (1 mL) was added and the mixture was concentrated under reduced pressure. The residue was purified by silica gel chromatography using a gradient of methylene chloride/MeOH, (20: 1 ) to give 270 mg (89 % yield) of the title compound as a yellow gum. 1H NMR (400 MHz, CDCI3) δ ppm 6.02 - 6.01 (m, 1 H) 5.23 - 4.75 (m, 2 H) 4.61 - 4.55 (m, 1 H) 4.26 - 4.22 (m, 1 H) 3.96 - 3.94 (m, 1 H) 3.77 - 3.72 (m, 1 H) 3.67 - 3.64 (m, 1 H) 3.50 (td, J=12, 2.6 Hz, 1 H) 2.99 - 2.95 (m, 3 H) 2.69 - 2.49 (m, 4 H) 2.68 - 2.10 (m, 3 H) 1.28 - 1 .26 (m, 3 H).
Step 5: Preparation of /V-rfrans-3-({2'-amino-2-r(3S)-3-methylmorpholin-4-yl1-4,5'- bipyrimidin-6-yl)oxy)cvclobutyl1-/V-methylacetamide
A mixture of /V-[irans-3-({6-chloro-2-[(3S)-3-methylmorpholin-4-yl]pyrimidin-4- yl}oxy)cyclobutyl]-/V-methylacetamide (50 mg, 0.14 mmol), 5-(4,4,5,5-tetramethyl-1 ,3,2- dioxaborolan-2-yl)pyrimidin-2 -amine (46 mg, 0.21 mmol), Pd(dppf)Cl2 (1 1 .4 mg, 0.014 mmol) and saturated aqueous Na2C03 (1 ml_) in dioxane (3 ml_) was degassed with nitrogen and stirred at 120 °C in a microwave reactor for 30 min. The mixture was concentrated and the residue was purified by silica gel chromatography using a gradient of methylene chloride/methanol (20: 1 ) to give 18.1 mg (31 % yield) of the title
compound as a light brown solid. 1H NMR (400 MHz, CDCI3) δ ppm 8.90 (s, 2 H) 6.30 (s, 1 H) 5.25 (br s, 3 H) 4.78 - 4.66 (m, 2 H) 4.37 (d, J=15.6 Hz, 1 H) 4.00 (d, J=12.8 Hz, 1 H) 3.81 -3.70 (m, 2 H) 3.59 - 3.54 (m, 1 H) 3.30 - 3.27 (m, 1 H) 3.01 -2.97 (m, 3 H) 2.68 - 2.52 (m, 4 H) 2.12 (s, 3 H) 1 .29 (t, J=6.8 Hz, 3 H). m/z (ESI+) for C20H27N7O3 414.1 (M+H)+.
Enantiomeric excess: 98.41 % (Chiralcel OZ-3 150x4.6 mm I.D., 3 μιτη, retention time: 9.72 min, mobile phase: 25 % MeOH (0.05 % diethylamine) in C02, flow rate: 2.35 mL/min).
Experimental Procedures for Intermediates
Preparation 1 : Preparation of 4-(4,6-dichloro-5-fluoropyrimidin-2-yl)morpholine
Step 1 : Preparation of 5-fluoro-2- morpholin-4-yl)pyrimidine-4,6-diol
A solution of potassium ethoxide (8.90 g, 25 mmol, 24 % weight in EtOH) was diluted with EtOH (35 ml_) and morpholine-4-carboxamidine hydrobromide (2.69 g, 12.8 mmol) was added. The suspension was treated with diethyl fluoromalonate (2.00 ml_, 12.8 mmol) and heated at 75 °C for 18 hours. The reaction mixture was cooled to room temperature, concentrated under vacuum, and the resulting yellow solids were dissolved in hot water (15 ml_). The pH was adjusted to ~3 with 6 N HCI, and the flask was cooled on ice for 10 min and let sit at room temperature for 30 min. The precipitate was collected by filtration, washed with water, and dried under vacuum to afford the title compound (0.402 g, 15 % yield) as a yellow solid. 1 H NMR (400 MHz, DMSO-d6) δ ppm 3.65 - 3.57 (m, 4 H) 3.53 - 3.46 (m, 4 H). m/z (APCI-) for CsH^FNsOs 214.1 (M-H)".
Step 2: Preparation of 4-(4,6-dichloro-5-fluoropyrimidin-2-yl)morpholine
A suspension of 5-fluoro-2-(morpholin-4-yl)pyrimidine-4,6-diol (0.384 g, 1 .78 mmol) in phosphorous oxychloride (6.0 ml_) was heated at 100 °C for 1 .5 hours. The reaction mixture was cooled to room temperature and concentrated under vacuum. The resulting residue was sonicated with ice water. The resulting suspension was kept cool with the addition of ice and brought to pH~6 with 2 N aqueous NaOH. The remaining solids were collected by filtration and dried under vacuum to afford the title compound (0.074 g, 16 % yield). 1H NMR (400 MHz, DMSO-d6) δ ppm 3.71 - 3.60 (m, 8H).
Preparation 2: Preparation of (3S)-4-(4,6-dichloropyrimidin-2-yl)-3- methylmorpholine:
A solution of (S)-3-methylmorpholine (4.86 g, 48.0 mmol), 2-chloro-4,6- dimethoxypyrimidine (6.98 g, 40 mmol) and DIPEA (8.36 mL, 48.0 mmol) in DMSO (40 mL) was heated at 100 °C in a sealed flask for 22 hours, and then allowed to cool to room temperature. The reaction mixture was placed in an ice bath, and water (120 mL) was added drop-wise. The mixture was decanted and the gummy precipitate was dissolved in ethyl acetate. The ethyl acetate solution was washed with brine, dried with MgS04, filtered and concentrated by rotary evaporation to give the title compound (8.58 g, 90%). 1H NMR (400 MHz, CDCI3) δ 5.40 (s, 1 H), 4.69 (qd, J = 6.8, 3.1 Hz, 1 H), 4.33 (dd, J = 13.7, 2.9 Hz, 1 H), 4.01 - 3.93 (m, 1 H), 3.86 (s, 6 H), 3.78 - 3.73 (m, 1 H), 3.73 - 3.66 (m, 1 H), 3.54 (ddd, J = 12.2, 1 1.4, 3.1 Hz, 1 H), 3.25 (ddd, J = 13.5, 12.4, 3.8 Hz, 1 H), 1 .29 (d, J = 6.8 Hz, 3 H). m/z (APCI+) for CnH17N303 240.0 (M+H)+.
Step 2: Preparation of 2-[(3S)-3-methylmorpholin-4-yllpyrimidine-4,6-diol
(3S)-4-(4,6-Dimethoxypyrimidin-2-yl)-3-methylmorpholine (6.3 g, 26.3 mmol) was dissolved in MeCN (88 mL). Argon was bubbled into the solution and sodium iodide (1 1 .8 g, 79.0 mmol) and TMS-CI (10.3 mL, 79.0 mmol) were added. The reaction was heated under reflux for 2 hours, and then allowed to cool to room temperature. Water (50 mL) and sodium bisulfite (2.74 g, 26.3 mmol) was added. MeCN was removed by rotary evaporation and the resulting slurry was filtered. The precipitate was suspended in ethanol and concentrated to dryness by rotary evaporation to give the title compound (3.81 g, 68%). 1 H NMR (400 MHz, DMSO-d6) δ 10.61 (br s, 2 H), 4.80 (br s, 1 H), 4.40 (d, J = 5.9 Hz, 1 H), 3.98 (d, J = 12.7 Hz, 1 H), 3.85 (dd, J = 1 1 .3, 3.5 Hz, 1 H), 3.68 -
3.62 (m, 1 H), 3.56 - 3.50 (m, 1 H), 3.38 (td, J = 1 1 .8, 3.0 Hz, 1 H), 3.16 - 3.04 (m, 1 H), 1 .16 (d, J = 6.7 Hz, 3 H).
Step 3: Preparation of (3S)-4-(4,6-dichloropynmidin-2-yl)-3-methylmorpholine
2-[(3S)-3-methylmorpholin-4-yl]pyrimidine-4,6-diol (4.06 g, 19.2 mmol) was suspended in MeCN (38.4 mL) and phosphorous oxychloride (14.3 mL, 154 mmol) was added. The reaction mixture was heated in a sealed vial for 2 hours and then
concentrated by rotary evaporation. A 1 : 1 mixture of MeCN and water (10 mL) was added dropwise with stirring keeping the temperature below 40 °C. Additional water (20 mL) was added and the MeCN was removed by rotary evaporation. The resulting slurry was cooled to 0 °C and filtered. The precipitate was dissolved in dichloromethane, dried with Na2S04, filtered and concentrated by rotary evaporation to give the title compound (4.38 g, 92%). 1 H NMR (400 MHz, CDCI3) δ 6.56 (s, 1 H), 4.68 (qd, J = 6.8, 3.1 Hz, 1 H), 4.33 (dd, J = 13.7, 2.9 Hz, 1 H), 3.97 (dd, J = 1 1 .5, 3.7 Hz, 1 H), 3.79 - 3.73 (m, 1 H), 3.69 - 3.64 (m, 1 H), 3.51 (td, J = 1 1 .9, 3.0 Hz, 1 H), 3.30 (ddd, J = 13.6, 12.4, 3.8 Hz, 1 H), 1 .32 (d, J = 6.5 Hz, 3 H). m/z (APCI+) for C9H11 CI2N3O 247.9 (M+H)+.
Preparation 3: Preparation of tert-butyl (trans-3-hydroxy-3- methylcyclobutvDcarbamate:
To a rapidly stirring suspension of frans-3-amino-1 -methylcyclobutan-1 -ol hydrochloride (100 mg, 0.727 mmol) in dioxane (2.8 mL) and water (0.28 mL) was added potassium carbonate (201 mg, 1.45 mmol) and boc anhydride (180 mg, 0.800 mmol) at ambient temperature. The reaction was stirred for 48 hours at which time the heterogeneous mixture was diluted with water and ethyl acetate. The layers were
separated and the aqueous phase was extracted with ethyl acetate (3 x 5 ml_). The combined organic phases were dried over magnesium sulfate, filtered and concentrated to furnish 121 mg (83%) of the title compound as a white solid. 1H NMR (400 MHz, CDCIs) δ 4.67 (br s, 1 H), 3.81 - 3.64 (m, 2H), 2.50 (t, J = 8.8 Hz, 2H), 1 .98 (t, J = 10.0 Hz, 2H), 1 .45 (s, 9H), 1 .37 (s, 3H).
Preparation 4: Preparation of 4-(4-chloro-6-(r*rans-3-(1 ^lioxido-l^hiazolidin^- vncvclobutvnoxyTpyrimidin^-vnmorpholine
Step 1 : Preparation of frans-3-{[6-chloro-2-(morpholin-4-yl)pyrimidin-4- ylloxylcyclobutanamine hydrochloride
NH2 HCI
To a solution of fe/f-butyl (frans-3-{[6-chloro-2-(morpholin-4-yl)pyrimidin-4- yl]oxy}cyclobutyl)carbamate (prepared analogously to Example 1 , step 1 by replacing fe/f-butyl (frans-3-hydroxycyclobutyl)methylcarbamate with fe/f-butyl (trans-3- hydroxycyclobutyl)carbamate) (3 g, 7.812 mmol) in EtOAc/dichloromethane (12 ml_, 5: 1 ) was added dropwise HCI(g)/dioxane (4N, 20 ml_) at 10 °C. The resulting mixture was stirred at room temperature for 12 hours. The mixture was concentrated under reduced pressure to obtain the title compound (2.5 g, 100%) as a white solid. 1H NMR (400 MHz, CD3OD) δ 6.09 (s, 1 H), 5.44-5.41 (m, 1 H), 3.97-3.93 (m, 1 H), 3.76-3.66 (m, 8 H), 2.65-2.62 (m, 4 H).
Step 2: Preparation of 3-chloro-/V-(frans-3-{[6-chloro-2-(morpholin-4-yl)pyrimidin-
To a solution of frans-3-{[6-chloro-2-(morpholin-4-yl)pyrimidin-4- yl]oxy}cyclobutanamine hydrochloride (0.4 g, 1 .248 mmol) in dichloromethane (30 mL) was added 3-chloropropane-1 -sulfonyl chloride (0.26 g, 1 .49 mmol) and triethylamine (0.43 mL, 3.12 mmol) at 10 °C. The resulting mixture was allowed to warm to room temperature and stirring was continued for 12 hours. The mixture was washed with saturated aqueous NaHC03 (8 mL) and brine (5 mL), dried over Na2S04 and
concentrated under reduced pressure to give a crude title compound, which was used in the next step without further purification.
Step 3: Preparation of 4-(4-chloro-6-{[frans-3-(1 ,1 -dioxido-1 ,2-thiazolidin-2- yl)cvclobutvHoxy)pyrimidin-2-yl)morpholine
To a suspension of NaH (0.2 g, 4.99 mmol, 60% in mineral oil) in anhydrous THF (40 mL) was added dropwise a solution of compound 3-chloro-/V-(frans-3-{[6-chloro-2- (morpholin-4-yl)pyrimidin-4-yl]oxy}cyclobutyl)propane-1 -sulfonamide (0.53 g, 1 .25 mmol) in THF (10 mL) at 10 °C. The resulting mixture was stirred at room temperature for 1 hour and then heated under reflux for 12 hours. The mixture was quenched with
water (5 mL) at 10 °C and then extracted with EtOAc (3 x 15 mL). The organic layers were combined, washed with brine (8 mL) and dried over Na2S04, filtered and concentrated under reduced pressure. The residue was purified by column
chromatography eluting with petroleum ether/EtOAc (1 : 1 ) to give the title compound (0.25 g, 51 %) as yellow oil. m/z (APCI+) for C15H2iCIN404S 389.1 (M+H)+.
Preparation 5: Preparation of 4-(4-chloro-6-(rfrans-3-(1 ,1 -dioxido-1 ,2,5- thiadiazolidin-2-yl)cvclobutvnoxy>pyrimidin-2-yl)morpholine
Step 1 : Preparation of A/-(2-chloroethyl)-/V'-(frans-3-{r6-chloro-2-(morpholin-4- yl)pynmidin-4-vHoxy)cvclobutyl)sulfuric diamide
To a solution of frans-3-{[6-chloro-2-(morpholin-4-yl)pyrimidin-4- yl]oxy}cyclobutanamine hydrochloride (0.35 g, 1 .09 mmol) in anhydrous
dichloromethane (30 mL) was added TEA (0.44 g, 0.6 mL) and an ether solution of (2- chloroethyl)sulfamyl chloride (3 mL, 2.18 mmol, 0.718 M) via a syringe at -70 °C. The resulting mixture was allowed to stir at room temperature for 1 hour. The mixture was washed with saturated aqueous NaHC03 (5 mL), water (5 mL) and brine (5 mL), dried over Na2S04 and concentrated under reduced pressure to give the title compound (1 .09 mmol), which was used in the next step without further purification, m/z (APCI+) for C14H2iCI2N504S 426.1 (M+H)+.
Step 2: Preparation of 4-(4-chloro-6-{[frans-3-(1 , 1 -dioxido-1 ,2,5-thiadiazolidin-2- yl)cvclobutvHoxy)pyrimidin-2-yl)morpholine
To a solution of /V-(2-chloroethyl)-/V'-(irans-3-{[6-chloro-2-(morpholin-4- yl)pyrimidin-4-yl]oxy}cyclobutyl)sulfuric diamide (0.463 g, 1 .09 mmol) in DMSO (10 mL) was added K2CO3 (0.3 g, 2.18 mmol), and the resulting mixture was stirred at room temperature for 30 min and then heated at 50-60 °C for 1 hour. The mixture was cooled to 10 °C whereupon water (10 mL) was added. The mixture was extracted with EtOAc (4 x 15 mL). The organic layers were combined, washed with water (3 x 8 mL), brine (5 mL), dried over Na2S04, filtered and concentrated under reduced pressure. The residue was purified by column chromatography, eluting with a gradient of petroleum
ether/EtOAc (3: 1 to 1 : 1 ) to give the title compound (0.18 g, 42%) as a white solid, m/z (APCI+) for C14H20CIN5O4S 390.0 (M+H)+.
Preparation 6: Preparation of 1 -(frans-3-hvdroxycvclobutyl)imidazolidin-2-one
Step 1 : Preparation of fe/f-butyl [fran -3-(benzyloxy)cvclobutvHcarbamate
To a solution of fe/f-butyl (frans-3-hydroxycyclobutyl)carbamate (3 g, 16 mmol) in anhydrous THF (50 mL) was added NaH (640 mg, 16 mmol, 60% in oil) at 0 °C under nitrogen atmosphere, and the reaction mixture was stirred at room temperature for 30 min. Benzyl bromide (4.1 g, 24 mmol) was added dropwise and the resulting mixture
was stirred at room temperature for 12 hours. The mixture was quenched with H20 (50 mL) and extracted with EtOAc (2 x 50 mL). The combined organic layers were washed with brine (3 x 50 mL), dried over Na2S04 and concentrated under reduced pressure to give a residue, which was purified by column chromatography eluting with petroleum ether/EtOAc (10: 1 ) to give the title compound (2.92 g, 66%) as a white solid. 1 H NMR (400 MHz, CDCIs) δ 7.34-7.27 (m, 5 H), 4.68 (br s, 1 H), 4.40 (s, 2 H), 4.21 -4.17 (m, 2 H), 2.44-2.42 (m, 2 H), 2.14-2.1 1 (m, 2 H), 1 .43 (s, 9 H).
NH2
To a solution of te/f-butyl [frans-3-(benzyloxy)cyclobutyl]carbamate (2.92 g, 10.5 mmol) in dichloromethane (50 mL) was added TFA (20 mL), and the resulting mixture was stirred at room temperature for 12 hours. The mixture was concentrated under reduced pressure, and saturated aqueous NaHC03 solution (10 mL) was added. The mixture was extracted with dichloromethane/MeOH (10: 1 ) (5 x 150 mL), the combined organic layers were washed with brine (3 x 100 mL), dried over Na2S04 and
concentrated to give the title compound (1 .8 g, 97%) as an oil. 1H NMR (400 MHz, CDCI3) δ 7.34-7.27 (m, 5 H), 4.40 (s, 2 H), 4.27-4.23 (m, 1 H), 3.71 -3.70 (m , 1 H), 2.36- 2.32 (m, 2 H), 2.00-1 .97 (m, 2 H).
To a mixture of frans-3-(benzyloxy)cyclobutanamine (824 mg, 4.65 mmol) and fe/f-butyl (2-oxoethyl)carbamate (740 mg, 4.65 mmol) in 1 ,2-dichloroethane (100 ml_) was added AcOH (279 mg, 4.65 mmol) and the reaction mixture was stirred at 0 °C for 30 min. To the mixture was added NaBH(OAc)3 (2.46 g, 1 1 .6 mmol) portionwise at 0 °C and the resulting mixture was stirred at room temperature for 12 hours. Saturated aqueous NaHCO3 solution (20 ml_) was added to adjust pH to ~ 8. The organic layer was separated and the aqueous layer was extracted with dichloromethane (100 ml_). The combined organic layers were washed with brine (3 x 50 ml_), dried over Na2SO4 and concentrated under reduced pressure to give a residue, which was purified by column chromatography eluting with dichloromethane/MeOH (10: 1 ) to give the title compound (240 mg, 16%) as an oil. 1 H NMR (400 MHz, CDCI3) δ 7.34-7.27 (m, 5 H), 4.90 (s, 1 H), 4.41 (m, 2 H), 4.26-4.24 (m, 1 H), 3.47-3.45 (m, 1 H), 3.23-3.22 (m, 2 H), 2.68-2.65 (m, 2 H), 2.27-2.24 (m, 2 H), 2.07-2.05 (m, 2 H), 1 .45 (s, 9 H).
Step 4: Preparation of /V-[fran -3-(benzyloxy)cvclobutyl1ethane-1 ,2-diamine
HN
NH2
To a solution of fe/f-butyl (2-{[trans-3- (benzyloxy)cyclobutyl]amino}ethyl)carbamate (320 mg, 1 mmol) in dichloromethane (10 mL) was added TFA (10 mL) and the resulting mixture was stirred at room temperature for 4 hours. The mixture was concentrated to remove the solvent, and saturated aqueous NaHCOs solution (10 mL) was added to adjust the pH to ~ 8. The mixture was extracted with dichloromethane/MeOH (10: 1 ) (3 x 100 mL), the combined organic layers were washed with brine (2 x 50 mL), dried over Na2S04 and concentrated to give the title compound (190 g, 86.4%) as an oil. This material was used directly in the next step.
Step 5: Preparation of 1 -[frans- -(benzyloxy)cvclobutvHimidazolidin-2-one
To a solution of /V-[frans-3-(benzyloxy)cyclobutyl]ethane-1 ,2-diamine (190 mg, 0.86 mmol) in MeCN (10 mL) was added DBU (392 mg, 2.58 mmol) and then CDI (156 mg, 0.95 mmol) and the resulting mixture was stirred at room temperature for 12 hours. The mixture was concentrated to give a residue, which was dissolved in
dichloromethane (80 mL) and washed with citric acid (1 N, 10 mL), brine (10 mL) and dried over Na2S04, filtered and concentrated to give a residue, which was purified by column chromatography eluting with dichloromethane/MeOH (10: 1 ) to give the title compound (120 mg, 56.7%) as a solid. 1 H NMR (400 MHz, CDCI3) δ 7.37-7.28 (m, 5 H), 4.64-4.60 (m, 1 H), 4.42 (s, 2 H), 4.17-4.15 (m, 1 H), 3.52-3.48 (m , 2 H), 3.44-3.41 (m, 2 H), 2.45-2.37 (m, 4 H).
To a solution of 1 -[irans-3-(benzyloxy)cyclobutyl]imidazolidin-2-one (120 mg, 0.49 mmol) in MeOH (50 mL) was added Pd/C (10 mg) at room temperature. The resulting mixture was purged with hydrogen gas three times and stirred at 40 °C at 40 Psi of hydrogen for 12 hours. The mixture was filtered and washed with MeOH (20 mL). The filtrate was concentrated to give the title compound (50 mg, 65.4%) as an oil. 1 H NMR (400 MHz, CDCI3) δ 4.67-4.65 (m, 1 H), 4.46-4.43 (m, 2 H), 3.49-3.37 (m , 4 H), 2.51 -2.47 (m, 2 H), 2.26-2.23 (m, 2 H).
Preparation 7: Preparation of 1 -(frans-3-hvdroxycvclobutyl)tetrahvdropyrimidin- 2(1H)-one
Step 1 : Preparation of fe/f-butyl (3-{\trans-3- (benzyloxy)cvclobutvHamino)propyl)carbamate
To a mixture of frans-3-(benzyloxy)cyclobutanamine (400 mg, 2.26 mmol) and fe/f-butyl (3-oxopropyl)carbamate (391 mg, 2.26 mmol) in 1 ,2-dichloroethane (30 mL) was added AcOH (136 mg, 2.26 mmol) and the reaction mixture was stirred at 0 °C for 30 min. NaBH(OAc)3 (1 .2 g, 5.65 mmol) was added portionwise at 0 °C and the resulting mixture was stirred at room temperature for 12 hours. Saturated aqueous NaHCO3 solution (20 mL) was added to adjust pH to ~ 8. The organic layer was
separated and the aqueous layer was extracted with dichloromethane (2 x 50 mL). The combined organic layers were washed with brine (3 x 30 mL), dried over Na2S04 and concentrated to give a residue, which was purified by column chromatography eluting with dichloromethane/MeOH (10: 1 ) to give the title compound (200 mg, 26.5%) as an oil. This material was used directly in the next step.
Step 2: Preparation of /V-[frans-3-(benzyloxy)cvclobutyllpropane-1 ,3-diamine
To a solution of fe/f-butyl (3-{[trans-3- (benzyloxy)cyclobutyl]amino}propyl)carbamate (340 mg, 1 .02 mmol) in dichloromethane (20 mL) was added TFA (20 mL) and the resulting mixture was stirred at room
temperature for 2 hours. The mixture was concentrated to remove the solvent, and saturated aqueous NaHC03 solution (10 mL) was added to adjust the pH to ~ 8. The mixture was extracted with dichloromethane/MeOH (10: 1 ) (4 x 100 mL), the combined organic layers were washed with brine (2 x 50 mL), dried over Na2S04 and concentrated to give the title compound (150 mg, 63%) as an oil. This material was used directly in the next step.
Step 3: Preparation of 1 -[frans-3-(benzyloxy)cvclobutyl1tetrahydropyrimidin-2(1 /-/)- one
To a solution of /V-[frans-3-(benzyloxy)cyclobutyl]propane-1 ,3-diamine (200 mg, 0.86 mmol) in MeCN (10 mL) was added DBU (392 mg, 2.58 mmol) and CDI (156 mg, 0.94 mmol) and the resulting mixture was stirred at room temperature for 12 hours. The mixture was concentrated to give a residue, which was dissolved in dichloromethane (50 mL) and washed with citric acid (1 N, 10 mL), brine (20 mL) and dried over Na2S04, filtered and concentrated to give a residue, which was purified by column
chromatography eluting with dichloromethane/MeOH (10: 1 ) to give the title compound (100 mg, 44.7%) as a solid. 1 H NMR (400 MHz, CDCI3) δ 7.35-7.28 (m, 5 H), 5.12 (p, J = 8.0 Hz, 1 H), 4.76 (br s, 1 H), 4.42 (s, 2 H), 4.14-4.09 (m, 1 H), 3.29-3.26 (m, 4 H), 2.39-2.35 (m, 4 H), 1 .97-1.93 (m, 2 H).
Step 4: Preparation of 1 -(trans-3-hvdroxycvclobutyl)tetrahydropyrimidin-2(1 H)- one
To a solution of 1 -[irans-3-(benzyloxy)cyclobutyl]tetrahydropyrimidin-2(1 /-/)-one (150 mg, 0.58 mmol) in MeOH (50 mL) was added Pd/C (15 mg) at room temperature. The resulting mixture was purged with hydrogen three times and stirred at 40 °C under 40 Psi of hydrogen for 12 hours. The mixture was filtered and washed with MeOH (20 mL). The filtrate was concentrated to give the title compound (90 mg, 91 %) as a solid. 1H NMR (400 MHz, DMSO-d6) δ 6.17 (s, 1 H), 5.09 (p, J = 8.0 Hz, 1 H), 4.92 (br s, 1 H),
4.13 (brs, 1 H), 3.19-3.17 (m, 2 H), 3.07-3.05 (m, 2 H), 2.30-2.27 (m, 2 H), 1.91-1.88 (m, 2 H), 1.79-1.76 (m, 2 H).
The following examples were made with non-critical changes or substitutions to the exemplified procedures that would be understood by one skilled in the art.
Table 1
Compounds can exist as rotational isomers (rotamers)
The compounds provided in Table 2 were prepared via parallel synthesis, using the following general procedure that would be understood by one skilled in the art. A solution of the product of Example 2, Step 2, 6-{[frans-3-
(methylamino)cyclobutyl]oxy}-2-(morpholin-4-yl)-4,5'-bipyrimidin-2'-amine hydrochloride, (0.18 M) in anhydrous DMF was prepared. A solution of HATU (0.18 M) in anhydrous DMF was prepared. The carboxylic acid monomers (75 pmol, 1 .1 eq) were dispensed to 8 ml_ vials, followed by 383 μΙ_ of the solution of the product of Example 2, Step 2 (69 pmol, 1 .0 eq). TEA (25.6 μΙ_, 177 pmol, 2.6 eq) was dispensed to each vial, followed by 383 μΙ_ of the HATU solution (69 μηιοΙ, 1 .0 eq). The vials were capped and shaken at 30 °C for 16 hours. The solvent was evaporated by Speedvac and the residues were purified by preparative HPLC to give the desired product. Analytical HPLC methods:
PF-CD05: Column Xbridge C18 2.1 x50mm 5μηπ; Temperature 40 °C; Mobile Phase A 0.05% NH4OH in water; Mobile Phase B 100% MeCN; Gradient: 5% B to 100% B; Flow rate 0.8 ml_ / min; Agilent 1200 HPLC/1956 MSD/SEDEX 75 ELSD.
PF-AB01 : Column Xbridge C18 2.1 x50mm 5μηπ; Temperature 40 °C; Mobile Phase A 0.0375% TFA in water; Mobile Phase B 0.01875% TFA in MeCN; Gradient: 1 % B to 100% B; Flow rate 0.8 ml_ / min; Agilent 1200 HPLC/1956 MSD/SEDEX 75 ELSD.
PF-AB10: Column Xbridge C18 2.1 x50mm 5μηπ; Temperature 40 °C; Mobile Phase A 0.0375% TFA in water; Mobile Phase B 0.01875% TFA in MeCN; Gradient: 10% B to 100% B; Flow rate 0.8 mL / min; Agilent 1200 HPLC/1956 MSD/SEDEX 75 ELSD.
Table 2
The compounds provided in Table 3 were prepared via parallel synthesis, using the following general procedure that would be understood by one skilled in the art.
The product of Example 2, Step 2, 6-{[frans-3-(methylamino)cyclobutyl]oxy}-2- (morpholin-4-yl)-4,5'-bipyrimidin-2'-amine hydrochloride (75 pmol, 1 .0 eq) was dispensed to 8 mL vials. The amines monomers (75 pmol, 1 .0 eq), CDI (225 pmol, 3.0 eq) and THF (600 μΙ_) were added, followed by triethylamine (450 pmol, 6.0 eq). The vials were capped and stirred at 30 °C for 16 hours. The solvent was evaporated by Speedvac and the residues were purified by preparative HPLC to give the desired product.
Analytical HPLC methods:
PF-CD05: Column Xbridge C18 2.1 x50mm 5pm; Temperature 40 °C; Mobile Phase A 0.05% NH4OH in water; Mobile Phase B 100% MeCN; Gradient: 5% B to 100% B; Flow rate 0.8 mL / min; Agilent 1200 HPLC/1956 MSD/SEDEX 75 ELSD.
PF-AB01 : Column Xbridge C18 2.1 x50mm 5pm; Temperature 40 °C; Mobile Phase A 0.0375% TFA in water; Mobile Phase B 0.01875% TFA in MeCN; Gradient: 1 % B to 100% B; Flow rate 0.8 mL / min; Agilent 1200 HPLC/1956 MSD/SEDEX 75 ELSD.
Table 3
Enzyme Production for Biochemical Assays:
1 ) PI3Ka complex (full length p1 1 Qg and p85a)("PI3KA FL")
Genes encoding for full length p1 10a and p85a subunits of PI3Ka complex were subcloned from existing constructs into pFASTBAC Dual vector (Life Technologies, Carlsbad, CA) using standard cloning procedures. Gene encoding p1 10a subunit was subcloned into polyhedrine promoter while gene encoding p85a subunit was subcloned into p10 promoter. Additionally, sequence encoding for histidine tag and Tobacco Etch Virus ("TEV") cleavage site preceded p1 10a ORF (Open Reading Frame). Recombinant baculovirus was generated using Bac-to-Bac protocol (Life Technologies, Carlsbad, CA) and large scale expression was conducted in Sf21 (Life Technologies, Carlsbad, CA) cells at a multiplicity of infection ("MOI") = 1 for 72 hours. Cells were lyzed in 50 mM Tris pH 8.0, 250 mM NaCI, 5% glycerol, 0.25 mM TCEP, and 20 mM imidazole. The PI3Ka
complex was purified from clarified supernatant using Immobilized Metalo Affinity Chromatography ("IMAC"). The protein was eluted from the column using 50 mM Tris pH 8.0, 200 mM NaCI, 5% glycerol, 0.25 mM TCEP, and 200 mM imidazole, and further desalted into 50 mM Tris pH 8.0, 20 mM NaCI, and 0.25 mM TCEP prior to loading on MonoQ sepharose (GE Healthcare, Piscataway, NJ). PI3Ka complex was eluted from MonoQ sepharose over 20 column volumes using 0-30% gradient of buffer B (50 mM Tris pH 8.0, 1 M NaCI, and 0.25 mM TCEP). The peak fractions were pulled together and loaded on Superdex 200 26/60 SEC column equilibrated in 50 mM Tris pH 8.0, 200 mM NaCI, and 0.5 mM TCEP. Following SEC, chromatography peak fractions were pulled and concentrated to 1 .87 mg/ml_. Purity and integrity of the complex was confirmed using LCMS, analytical SEC and SDS-PAGE (sodium dodecyl sulfate polyacrylamide gel electrophoresis) analysis.
2) p1 10a-iSH2 p85a complex (full length p1 10a and p85a iSH2)("PI3KA Act")
Genes encoding for full length p1 10a and p85a nSH-iSH2=niSH2 (p85a aminoacids 322-600) subunits of PI3Ka complex were subcloned from existing constructs into pFASTBAC Dual vector (Life Technologies, Carlsbad, CA) using standard cloning procedures. Gene encoding p1 10a subunit was subcloned into polyhedrine promoter while gene encoding p85a niSH2 domains was subcloned into p10 promoter. Additionally, Human Rhinovirus 3C Protease ("HRV 3C") site was introduced between nSH2 and iSH2, replacing aminoacids 431 -438 of p85a with
LEVLFQGP HRV 3C recognition sequence, using standard QuickChange mutagenesis protocol (Agilent Technologies, CA). Recombinant baculovirus was generated using Bac-to-Bac protocol (Life Technologies, Carlsbad, CA). Large scale expression was conducted in Sf21 (Life Technologies, Carlsbad, CA) cells at a multiplicity of infection ("MOI") = 1 for 48 hours. Cells were lyzed in 50 mM Tris pH 8.0, 250 mM NaCI, 5% glycerol, 0.25 mM TCEP, and 20 mM imidazole. The p1 10a-niSH2 p85a complex was purified from clarified supernatant using Immobilized Metalo Affinity Chromatography ("IMAC"). The protein was eluted from the column using 50 mM Tris pH 8.0, 200 mM NaCI, 0.25 mM TCEP, and 200 mM imidazole. Following elution p1 10a-niSH2 p85a complex was dialyzed against 4 liters of 50 mM Tris pH 8.0, 200 mM NaCI, 0.25 mM TCEP, and 40 mM imidazole in the presence of PreScission Protease (1 :70 molar ratio of Protease to Protein) and TEV protease (1 :40 molar ratio protease to protein) for 16
hours at 4 °C. The protein was further purified using reverse IMAC to remove cleaved histidine tag and contaminants captured during initial IMAC purification. The mixture of p1 10a-iSH2 p85a complex and cleaved nSH2 was recovered in reverse IMAC 40 mM imidazole flow through and 60 mM imidazole wash fractions. Those fractions were pulled together and loaded on Superdex 200 26/60 SEC column equilibrated in 25 mM Tris, pH 8.0, 100mM NaCI, 2% glycerol, and 2 mM TCEP. Following SEC,
chromatography peak fractions containing p1 10a-iSH2 p85a complex were pulled and concentrated to 4.3 mg/ml_. Purity and integrity of the complex was confirmed using LCMS, analytical SEC and SDS-PAGE (sodium dodecyl sulfate polyacrylamide gel electrophoresis) analysis.
Biochemical Assays
The biochemical assays of kinase activity of full-length PI3Ka (full-length p1 10α/ρ85α) or truncated PI3Ka (p1 10a/iSH2 p85a) were conducted using a
fluorescence polarization format similar to the procedure of Yuan J., et al., (201 1 ) "PF- 04691502, a Potent and Selective Oral Inhibitor of PI3K and mTOR Kinases with
Antitumor Activity", Mol Cancer Ther. 10, 2189-2199. The enzymatic reactions were conducted in 50 μΙ_ volumes in 96-well plates. The reactions contained human recombinant PI3Ka (2 nM full-length ρ1 10α/ρ85α or 0.5 nM p1 10a/iSH2 p85) and 30 μΜ phosphatidylinositol 4,5-bisphosphate ("PIP2") (Cayman Chemical Company, Ann
Arbor, Ml) and were sonicated for 1 minute prior to adding PI3Ka enzyme (PI3KA_Act or PI3KA_FL), DMSO or test compound (12-point 3-fold serial dilution, 3 μΜ top dose, 2 % DMSO final concentration), 5 mM MgCI2, 50 mM HEPES pH 7.4, 150 mM NaCI, 1 mM DTT, and 0.05% 3-[(3-cholamidopropyl)dimethylammonio]-1 -propanesulfonate ("CHAPS"). The reactions were initiated by the addition of ATP (41 μΜ, ~Km-level, for full-length p1 10a/p85 or 1 mM ATP for p1 10a/iSH2 p85), following a 15-min
preincubation. The reactions were incubated for 30 min at room temperature, stopped with EDTA pH 8 (10 mM final concentration). In a detection plate, 15 μΙ_ of
detector/probe mixture, containing 480 nM GST-Grp1 PH domain protein (University of Dundee, Dundee, UK) and 12 nM carboxytetramethylrhodamine ('TAMRA')-tagged fluorescent phosphatidylinositol (3,4,5)-triphosphate ("PIP3") (Echelon Biosciences, Inc., Salt Lake City, UT) in assay buffer, was mixed with 15 μΙ_ of kinase reaction mixture.
The plate was shaken for 30 minutes and fluorescence polarization values were measured on an LJL Analyst HT plate reader (Molecular Devices, Sunnyvale, CA). The inhibitors were shown to be ATP-competitive from kinetic and crystallographic studies. The inhibition constants (Ki) were calculated by fitting fluorescence polarization values, corresponding to initial reaction rates, to the Morrison equation (Morrison, J. F. (1969) Kinetics of the reversible inhibition of enzyme catalysed reactions by tight-binding inhibitors. Biochim. Biophys. Acta 185, 269-286) for tight-binding competitive inhibitors using non-linear regression method (GraphPad Prism, GraphPad Software, San Diego, CA).
The results of the biological assays for the compounds tested are listed in Table
4.
Table 4
Example PI3KA Act PI3KA FL
Number Ki (nM) Ki (nM)
1 N/A 0.419
2 N/A 0.418
3 0.512 0.318
4 N/A 0.621
5 N/A <0.229
6 N/A <0.229
7 N/A 0.776
8 N/A 0.769
9 N/A 7.661
10 N/A 9.990
1 1 N/A <0.229
12 N/A 18.897
13 N/A 2.615
14 N/A <0.229
15 N/A 99.841
16 N/A 4.227
17 N/A <0.229
18 N/A 56.941
19 N/A 1 .533
20 N/A 1 16.872
Example PI3KA Act PI3KA FL Number Ki (nM) Ki (nM)
21 N/A 1 .322
22 N/A 2.212
23 N/A 1 .604
24 N/A <0.229
25 N/A 16.388
26 N/A 21 .307
27 N/A 14.936
28 N/A 1 .486
29 N/A 1 .286
30 N/A 2.779
31 N/A 5.481
32 N/A <0.229
33 N/A 0.452
34 N/A <0.229
35 N/A 2.145
36 N/A <0.229
37 N/A <0.229
38 N/A 0.578
39 N/A <0.229
40 N/A <0.229
41 N/A <0.229
42 N/A 17.959
43 N/A 1 .165
44 N/A 0.568
45 N/A 0.302
46 N/A 0.664
47 N/A 0.618
48 N/A 1 .582
49 N/A 0.618
50 N/A 0.890
51 N/A 0.494
52 N/A 5.724
53 N/A 0.921
54 N/A <0.324
Example PI3KA Act PI3KA FL Number Ki (nM) Ki (nM)
55 N/A <0.302
56 N/A <0.228
57 N/A <0.228
58 N/A 3.686
59 N/A <0.228
60 N/A <0.228
61 N/A 0.607
62 N/A 18.200
63 N/A <0.228
64 N/A 0.984
65 N/A <0.228
66 N/A 2.680
67 N/A 0.602
68 N/A 1 .385
69 N/A 2.030
70 N/A <0.228
71 N/A <0.228
72 N/A 0.402
73 N/A 3.174
74 N/A 0.881
75 N/A <0.228
76 N/A 0.641
77 N/A 1 .408
78 N/A 29.997
79 0.165 <0.229
80 N/A 0.985
81 N/A 91 .534
82 N/A <0.229
83 N/A 6.578
84 0.323 <0.229
85 0.232 <0.229
86 0.156 <0.229
87 0.254 <0.229
88 N/A <0.229
Example PI3KA Act PI3KA FL Number Ki (nM) Ki (nM)
89 N/A 2.637
90 N/A 1.784
91 N/A 0.577
92 N/A 2.041
93 N/A 2.497
94 N/A 0.456
95 N/A <0.229
96 N/A 1.118
97 N/A <0.229
98 N/A 0.510
99 N/A 1.074
100 N/A 0.419
101 0.146 <0.229
102 0.521 <0.229
103 N/A 3.774
104 N/A 0.348
105 N/A 0.306
106 N/A <0.229
107 N/A <0.229
108 0.371 0.316
109 0.387 0.491
110 2.441 5.399
111 0.202 <0.229
112 0.205 <0.229
113 0.394 <0.229
114 N/A 0.721
115 0.198 0.288
116 0.099 0.235
117 N/A 0.569
118 0.103 0.292
119 2.127 3.608
120 0.104 <0.229
121 0.229 <0.229
122 0.276 <0.229
Example PI3KA Act PI3KA FL Number Ki (nM) Ki (nM)
123 0.178 <0.229
124 0.179 <0.229
125 0.107 <0.229
126 0.093 <0.229
127 0.1 13 0.241
128 0.269 <0.229
129 0.393 0.400
130 0.1 14 <0.229
131 0.202 <0.229
132 0.187 <0.229
133 N/A 1 .420
134 0.222 <0.229
135 N/A 0.771
136 0.161 <0.229
137 0.141 <0.229
138 0.053 <0.229
139 0.109 <0.229
140 0.363 <0.229
141 0.048 <0.229
142 0.161 <0.229
143 0.142 <0.229
144 0.039 <0.229
145 0.1 18 <0.229
146 0.141 <0.229
147 0.096 N/A
148 0.153 N/A
149 0.165 N/A
150 0.020 N/A
151 0.098 N/A
152 0.448 N/A
153 0.220 N/A
154 0.176 N/A
155 0.485 N/A
156 0.120 N/A
Example PI3KA Act PI3KA FL Number Ki (nM) Ki (nM)
157 0.232 N/A
158 0.414 N/A
159 0.083 N/A
160 0.325 N/A
161 0.420 N/A
162 0.463 N/A
163 0.172 N/A
164 0.227 N/A
165 0.297 N/A
166 0.191 N/A
167 1 .398 N/A
168 0.219 N/A
169 0.041 N/A
170 0.1 1 1 N/A
171 0.032 N/A
172 0.278 N/A
173 0.134 N/A
174 0.168 N/A
175 0.254 N/A
176 0.078 N/A
177 0.021 N/A
178 0.595 N/A
179 0.388 N/A
180 0.460 N/A
181 0.073 N/A
182 0.367 N/A
183 0.308 N/A
184 0.203 N/A
185 0.050 N/A
186 0.760 N/A
187 N/A 7.023
188 N/A 2.003
189 N/A <0.229
190 N/A <0.229
Example PI3KA Act PI3KA FL Number Ki (nM) Ki (nM)
191 N/A 1.337
192 N/A 1.868
193 N/A <0.229
194 N/A 0.705
195 N/A 0.400
196 N/A 1.072
197 N/A 1.046
198 N/A 0.511
199 N/A <0.229
200 N/A 1.217
201 N/A 1.454
202 N/A <0.229
203 N/A 0.885
204 N/A <0.229
205 N/A 1.715
206 N/A 1.172
207 N/A 0.689
208 N/A 0.530
209 N/A <0.229
210 N/A <0.229
211 N/A <0.229
212 N/A <0.229
213 N/A <0.229
214 N/A <0.229
215 N/A <0.229
216 N/A 0.475
217 N/A 0.339
218 N/A <0.229
219 N/A <0.229
220 N/A <0.229
221 N/A 0.365
222 N/A <0.229
223 N/A 13.206
224 N/A 1.112
Example PI3KA Act PI3KA FL Number Ki (nM) Ki (nM)
225 N/A 0.463
226 N/A 0.523
227 N/A <0.229
228 N/A 0.344
229 N/A 1 .479
230 N/A 0.364
Claims
What is claimed is:
or a pharmaceutically acceptable salt thereof,
wherein
R1 is hydrogen or methyl;
ring A is 6 membered heteroaryl;
R2a and R2b are each independently hydrogen, halogen, -CN, Ci-C4 alkyl, -CHF2, -CF3, hydroxy, methoxy, -NH2, or C3-C4 cycloalkyl;
R3 is hydrogen, halogen, -CN, C1-C3 alkyl, -CF3, or methoxy;
R4 is
(e
N(R16)(R17);
each R4a is independently fluorine, -CN, methyl, hydroxy, or methoxy;
R5 is hydrogen, C1-C3 alkyl, or C3-C4 cycloalkyi;
R6 is hydrogen, phenyl, or 5-10 membered heteroaryl, wherein the 5-10 membered heteroaryl is optionally substituted by methyl, -(CH2)2OH, or -(CH2)2CN;
R7 is hydrogen, -CN, C C4 alkyl, -CF3, -N(R18)(R19), -S02(C1-C3 alkyl), C3-C6 cycloalkyi, 4-6 membered heterocycloalkyi, -(CH2)m-(phenyl), or -(CH2)n-(5-10 membered heteroaryl), wherein the Ci-C4 alkyl is optionally substituted by hydroxy, further wherein the C3-C6 cycloalkyi and the 4-6 membered heterocycloalkyi are each
20
independently optionally substituted by one or two R groups, even further wherein the -(CH2)m-(phenyl) and the -(CH2)n-(5-10 membered heteroaryl) are each independently optionally substituted by one or two substituents selected from the group consisting of halogen, -CN, methyl, -CF3, Ci-C3 alkoxy, -NH2, and cyclopropyl;
R8 is hydrogen, methyl, hydroxy, methoxy, or NH2,
provided that R8 cannot be hydroxy, methoxy or NH2, when R7 is -N(R18)(R19); R9 is hydrogen or C1-C6 alkyl,
provided that R7 may form a 5-6 membered heterocycloalkyi ring with R5, R7 may form a C3-C6 cycloalkyi ring or a 4-8 membered heterocycloalkyi ring with R9, or R8 may form a C3-C6 cycloalkyi ring with R9, wherein the 5-6 membered heterocycloalkyi ring,
the C3-C6 cycloalkyl ring, and the 4-8 membered heterocycloalkyi ring formed are each
20
independently optionally substituted by one or two R groups;
R10 and R1 1 are each independently CrC4 alkyl, -(CH2)x-(C3-C5 cycloalkyl), - (CH2)y-(4-6 membered heterocycloalkyi), or -(CH2)z-(5-6 membered heteroaryl), wherein the CrC4 alkyl is optionally substituted by one or two substituents selected from the group consisting of fluorine, -CN, -CF3, C1 -C3 alkoxy, and -N(R18)(R19), further wherein the -(CH2)x-(C3-C5 cycloalkyl) is optionally substituted by one or two fluorine atoms, even further wherein the -(CH2)y-(4-6 membered heterocycloalkyi) and the - (CH2)z-(5-6 membered heteroaryl) are each independently optionally substituted by one or two substituents selected from the group consisting of fluorine, -CN, methyl, hydroxy, methoxy, and -N(R18)(R19),
provided that R10 or R1 1 may form a 4-7 membered heterocycloalkyi ring with R5, wherein the 4-7 membered heterocycloalkyi ring formed is optionally substituted by one
20
or two R groups;
R12 is hydrogen or Ci -C4 alkyl,
provided that R1 1 and R12 may form a 4-8 membered heterocycloalkyi ring, wherein the 4-8 membered heterocycloalkyi ring formed is optionally substituted by one or two R21 groups, further wherein a carbon atom of the 4-8 membered heterocycloalkyi ring formed is optionally replaced by a nitrogen atom or an oxygen atom;
R13 is C C4 alkyl or C3-C6 cycloalkyl,
provided that R13 may form a 5-6 membered heterocycloalkyi ring with R5, wherein the 5-6 membered heterocycloalkyi ring formed is optionally substituted by one
20
or two R groups;
R14 and R15 are each independently hydrogen, Ci -C3 alkyl, or C3-C4 cycloalkyl, provided that R14 may form a 5-6 membered heterocycloalkyi ring with R5 or R14 and R15 may form a 4-8 membered heterocycloalkyi ring, wherein the 5-6 membered
20
heterocycloalkyi ring formed is optionally substituted by one or two R groups, further wherein the 4-8 membered heterocycloalkyi ring formed is optionally substituted by one or two R21 groups, even further wherein a carbon atom of the 4-8 membered
heterocycloalkyi ring formed is optionally replaced by a nitrogen atom or an oxygen atom;
R16 and R17 are each independently hydrogen or Ci-C3 alkyl,
provided that R16 and R17 may form a 4-6 membered heterocycloalkyl ring, wherein the 4-6 membered heterocycloalkyl ring formed is optionally substituted by one
20
or two R groups, further wherein one carbon of the 4-6 membered heterocycloalkyl ring formed may be optionally replaced with an oxygen atom;
each R18 and R19 is independently hydrogen or methyl,
provided that R18 and R19 may form a 4-8 membered heterocycloalkyl ring, wherein the 4-8 membered heterocycloalkyl ring formed is optionally substituted by one or two substituents selected from the group consisting of =0, fluorine, -CN, methyl, - CF3, hydroxy, methoxy, and -N(R22)(R23), further wherein a carbon atom of the 4-8 membered heterocycloalkyl ring formed is optionally replaced by a nitrogen atom or an oxygen atom;
each R20 is independently fluorine, -CN, methyl, -CF3, hydroxy, and methoxy; each R21 is independently =0, fluorine, -CN, methyl, -CF3, hydroxy, methoxy, and -N(R18)(R19);
each R22 and R23 is independently hydrogen or methyl,
provided that R22 and R23 may form a 4-8 membered heterocycloalkyl ring, wherein the 4-8 membered heterocycloalkyl ring formed is optionally substituted by one or two substituents selected from the group consisting of =0, fluorine, -CN, methyl, - CF3, hydroxy, methoxy, -NH2, -NHCH3 and -N(CH3)2, further wherein a carbon atom of the 4-8 membered heterocycloalkyl ring formed is optionally replaced by a nitrogen atom or an oxygen atom;
g is O, 1 , 2, 3, or 4;
j is O, 1 , or 2;
m is 0, 1 , or 2;
n is O or l ;
x is 0 or 1 ;
y is 0, 1 , or 2; and
z is 0 or 1 .
2. The compound or salt of claim 1 , wherein R1 is hydrogen.
3. The compound or salt of claim 1 , wherein R1 is methyl.
4. The compound or salt of any of claims 1 -3, wherein ring A is pyridine.
5. The compound or salt of any of claims 1 -3, wherein ring A is pyrimidine.
6. The compound or salt of any of claims 1 -5, wherein R2a is -NH2.
7. The compound or salt of any of claims 1 -6, wherein R3 is hydrogen.
8. The compound or salt of any of claims 1 -7, wherein g is 0.
9. The compound or salt of any of claims 1 -7, wherein g is 1.
10. The compound or salt of any of claims 1 -9, wherein R5 is hydrogen or C-i- C3 alkyl.
1 1 . The compound or salt of any of claims 1 -10, wherein R7 is hydrogen, -CN, C1-C4 alkyl, -CF3, -NH2, or -S02CH3.
12. The compound or salt of any of claims 1 -10, wherein R8 is hydrogen, methyl, hydroxy, or methoxy.
13. The compound or salt of any of claims 1 -10, wherein R7 and R9 form a C3- C6 cycloalkyi ring optionally substituted by one or two fluorine groups.
14. The compound or salt of any of claims 1 -10, wherein R10 is C1-C4 alkyl.
15. The compound or salt of any of claims 1 -14, wherein R4 is
(a
16. A compound formula (III)
or a pharmaceutically acceptable salt thereof,
wherein
R is hydrogen or methyl;
R3 is hydrogen, halogen, -CN, C-1 -C3 alkyl, -CF3, or methoxy;
R4 is
N(R16)(R17);
each R4a is independently fluorine, -CN, methyl, hydroxy, or methoxy;
R5 is hydrogen, C1-C3 alkyl, or C3-C4 cycloalkyi;
R6 is hydrogen, phenyl, or 5-10 membered heteroaryl, wherein the 5-10 membered heteroaryl is optionally substituted by methyl, -(CH2)2OH, or -(CH2)2CN;
R7 is hydrogen, -CN, C1-C4 alkyl, -CF3, -N(R18)(R19), -S02(Ci-C3 alkyl), C3-C6 cycloalkyi, 4-6 membered heterocycloalkyi, -(CH2)m-(phenyl), or -(CH2)n-(5-10 membered heteroaryl), wherein the C1-C4 alkyl is optionally substituted by hydroxy, further wherein the C3-C6 cycloalkyi and the 4-6 membered heterocycloalkyi are each
20
independently optionally substituted by one or two R groups, even further wherein the -(CH2)m-(phenyl) and the -(CH2)n-(5-10 membered heteroaryl) are each independently optionally substituted by one or two substituents selected from the group consisting of halogen, -CN, methyl, -CF3, C1-C3 alkoxy, -NH2, and cyclopropyl;
R8 is hydrogen, methyl, hydroxy, or methoxy,
provided that R8 cannot be hydroxy or methoxy, when R7 is -N(R18)(R19);
R9 is hydrogen or C1-C6 alkyl,
provided that R7 may form a 5-6 membered heterocycloalkyi ring with R5, R7 may form a C3-C6 cycloalkyi ring or a 4-8 membered heterocycloalkyi ring with R9, or R8 may
form a C3-C6 cycloalkyl ring with R9, wherein the 5-6 membered heterocycloalkyi ring, the C3-C6 cycloalkyl ring, and the 4-8 membered heterocycloalkyi ring formed are each
20
independently optionally substituted by one or two R groups;
R10 and R11 are each independently Ci-C4 alkyl, -(CH2)x-(C3-C5 cycloalkyl), - (CH2)y-(4-6 membered heterocycloalkyi), or -(CH2)z-(5-6 membered heteroaryl), wherein the CrC4 alkyl is optionally substituted by one or two substituents selected from the group consisting of fluorine, -CN, -CF3, C1-C3 alkoxy, and -N(R18)(R19), further wherein the -(CH2)x-(C3-C5 cycloalkyl) is optionally substituted by one or two fluorine atoms, even further wherein the -(CH2)y-(4-6 membered heterocycloalkyi) and the - (CH2)z-(5-6 membered heteroaryl) are each independently optionally substituted by one or two substituents selected from the group consisting of fluorine, -CN, methyl, hydroxy, methoxy, and -N(R18)(R19),
provided that R10 or R1 1 may form a 4-7 membered heterocycloalkyi ring with R5, wherein the 4-7 membered heterocycloalkyi ring formed is optionally substituted by one
20
or two R groups;
R12 is hydrogen or Ci-C4 alkyl,
provided that R11 and R12 may form a 4-8 membered heterocycloalkyi ring, wherein the 4-8 membered heterocycloalkyi ring formed is optionally substituted by one or two R21 groups, further wherein a carbon atom of the 4-8 membered heterocycloalkyi ring formed is optionally replaced by a nitrogen atom or an oxygen atom;
R13 is C C4 alkyl or C3-C6 cycloalkyl,
provided that R13 may form a 5-6 membered heterocycloalkyi ring with R5, wherein the 5-6 membered heterocycloalkyi ring formed is optionally substituted by one
20
or two R groups;
R14 and R15 are each independently hydrogen, C1-C3 alkyl, or C3-C4 cycloalkyl, provided that R14 may form a 5-6 membered heterocycloalkyi ring with R5 or R14 and R15 may form a 4-8 membered heterocycloalkyi ring, wherein the 5-6 membered
20
heterocycloalkyi ring formed is optionally substituted by one or two R groups, further wherein the 4-8 membered heterocycloalkyi ring formed is optionally substituted by one or two R21 groups, even further wherein a carbon atom of the 4-8 membered
heterocycloalkyi ring formed is optionally replaced by a nitrogen atom or an oxygen atom;
R16 and R17 are each independently hydrogen or C1-C3 alkyl,
provided that R16 and R17 may form a 4-6 membered heterocycloalkyl ring, wherein the 4-6 membered heterocycloalkyl ring formed is optionally substituted by one
20
or two R groups, further wherein one carbon of the 4-6 membered heterocycloalkyl ring formed may be optionally replaced with an oxygen atom;
each R18 and R19 is independently hydrogen or methyl,
provided that R18 and R19 may form a 4-8 membered heterocycloalkyl ring, wherein the 4-8 membered heterocycloalkyl ring formed is optionally substituted by one or two substituents selected from the group consisting of =0, fluorine, -CN, methyl, - CF3, hydroxy, methoxy, and -N(R22)(R23), further wherein a carbon atom of the 4-8 membered heterocycloalkyl ring formed is optionally replaced by a nitrogen atom or an oxygen atom;
each R20 is independently fluorine, -CN, methyl, -CF3, hydroxy, and methoxy; each R21 is independently =0, fluorine, -CN, methyl, -CF3, hydroxy, methoxy, and -N(R18)(R19);
each R22 and R23 is independently hydrogen or methyl,
provided that R22 and R23 may form a 4-8 membered heterocycloalkyl ring, wherein the 4-8 membered heterocycloalkyl ring formed is optionally substituted by one or two substituents selected from the group consisting of =0, fluorine, -CN, methyl, - CF3, hydroxy, methoxy, -NH2, -NHCH3 and -N(CH3)2, further wherein a carbon atom of the 4-8 membered heterocycloalkyl ring formed is optionally replaced by a nitrogen atom or an oxygen atom;
g is O, 1 , 2, 3, or 4;
j is O, 1 , or 2;
m is 0, 1 , or 2;
n is O or l ;
x is 0 or 1 ;
y is 0, 1 , or 2; and
z is 0 or 1 .
17. The compound or salt of any of claims 16, wherein R4 is
(a
18. A pharmaceutical composition comprising a compound of any of the preceding claims, or a pharmaceutically acceptable salt thereof, and a pharmaceutically acceptable carrier or diluent.
19. A combination of a compound of any of claims 1 -17, or a pharmaceutically acceptable salt thereof, with an anti-tumor agent or with radiation therapy, for the treatment of cancer.
20. A method of treating abnormal cell growth in a mammal comprising administering to the mammal an amount of a compound of any of claims 1 -17, or a pharmaceutically acceptable salt thereof, that is effective in treating abnormal cell growth.
Applications Claiming Priority (4)
| Application Number | Priority Date | Filing Date | Title |
|---|---|---|---|
| US201462019380P | 2014-06-30 | 2014-06-30 | |
| US62/019,380 | 2014-06-30 | ||
| US201562163947P | 2015-05-19 | 2015-05-19 | |
| US62/163,947 | 2015-05-19 |
Publications (1)
| Publication Number | Publication Date |
|---|---|
| WO2016001789A1 true WO2016001789A1 (en) | 2016-01-07 |
Family
ID=53682749
Family Applications (1)
| Application Number | Title | Priority Date | Filing Date |
|---|---|---|---|
| PCT/IB2015/054632 Ceased WO2016001789A1 (en) | 2014-06-30 | 2015-06-19 | Pyrimidine derivatives as pi3k inhibitors for use in the treatment of cancer |
Country Status (1)
| Country | Link |
|---|---|
| WO (1) | WO2016001789A1 (en) |
Cited By (3)
| Publication number | Priority date | Publication date | Assignee | Title |
|---|---|---|---|---|
| US9758538B2 (en) | 2015-07-15 | 2017-09-12 | Pfizer Inc. | Pyrimidine derivatives |
| JP2020531486A (en) * | 2017-08-23 | 2020-11-05 | スプリント バイオサイエンス アクティエボラーグ | Pyridyl pyridone compound |
| JP2020531488A (en) * | 2017-08-23 | 2020-11-05 | スプリント バイオサイエンス アクティエボラーグ | Pyridineamine-pyridone and pyrimidineamine-pyridone compounds |
Citations (51)
| Publication number | Priority date | Publication date | Assignee | Title |
|---|---|---|---|---|
| EP0239362A2 (en) | 1986-03-27 | 1987-09-30 | Imperial Chemical Industries Plc | Anti-tumor agents |
| WO1990005719A1 (en) | 1988-11-23 | 1990-05-31 | British Bio-Technology Limited | Hydroxamic acid based collagenase inhibitors |
| WO1992020642A1 (en) | 1991-05-10 | 1992-11-26 | Rhone-Poulenc Rorer International (Holdings) Inc. | Bis mono-and bicyclic aryl and heteroaryl compounds which inhibit egf and/or pdgf receptor tyrosine kinase |
| EP0520722A1 (en) | 1991-06-28 | 1992-12-30 | Zeneca Limited | Therapeutic preparations containing quinazoline derivatives |
| EP0566226A1 (en) | 1992-01-20 | 1993-10-20 | Zeneca Limited | Quinazoline derivatives |
| EP0602851A1 (en) | 1992-12-10 | 1994-06-22 | Zeneca Limited | Quinazoline derivatives |
| EP0606046A1 (en) | 1993-01-06 | 1994-07-13 | Ciba-Geigy Ag | Arylsulfonamido-substituted hydroxamic acids |
| EP0635498A1 (en) | 1993-07-19 | 1995-01-25 | Zeneca Limited | Quinazoline derivatives and their use as anti-cancer agents |
| EP0635507A1 (en) | 1993-07-19 | 1995-01-25 | Zeneca Limited | Tricyclic derivatives and their use as anti-cancer agents |
| WO1995019970A1 (en) | 1994-01-25 | 1995-07-27 | Warner-Lambert Company | Tricyclic compounds capable of inhibiting tyrosine kinases of the epidermal growth factor receptor family |
| WO1995021613A1 (en) | 1994-02-09 | 1995-08-17 | Sugen, Inc. | Compounds for the treatment of disorders related to vasculogenesis and/or angiogenesis |
| WO1996009294A1 (en) | 1994-09-19 | 1996-03-28 | The Wellcome Foundation Limited | Substituted heteroaromatic compounds and their use in medicine |
| WO1996016960A1 (en) | 1994-11-30 | 1996-06-06 | Zeneca Limited | Quinazoline derivatives |
| WO1996027583A1 (en) | 1995-03-08 | 1996-09-12 | Pfizer Inc. | Arylsulfonylamino hydroxamic acid derivatives |
| WO1996033172A1 (en) | 1995-04-20 | 1996-10-24 | Pfizer Inc. | Arylsulfonyl hydroxamic acid derivatives as mmp and tnf inhibitors |
| US5587458A (en) | 1991-10-07 | 1996-12-24 | Aronex Pharmaceuticals, Inc. | Anti-erbB-2 antibodies, combinations thereof, and therapeutic and diagnostic uses thereof |
| WO1997013760A1 (en) | 1995-10-11 | 1997-04-17 | Glaxo Group Limited | Tricyclic fused compounds and pharmaceutical compositions containing them |
| EP0780386A1 (en) | 1995-12-20 | 1997-06-25 | F. Hoffmann-La Roche Ag | Matrix metalloprotease inhibitors |
| WO1997022596A1 (en) | 1995-12-18 | 1997-06-26 | Zeneca Limited | Quinazoline derivatives |
| WO1997030034A1 (en) | 1996-02-14 | 1997-08-21 | Zeneca Limited | Quinazoline derivatives as antitumor agents |
| WO1997032856A1 (en) | 1996-03-05 | 1997-09-12 | Zeneca Limited | 4-anilinoquinazoline derivatives |
| WO1998002438A1 (en) | 1996-07-13 | 1998-01-22 | Glaxo Group Limited | Bicyclic heteroaromatic compounds as protein tyrosine kinase inhibitors |
| WO1998002437A1 (en) | 1996-07-13 | 1998-01-22 | Glaxo Group Limited | Bicyclic heteroaromatic compounds as protein tyrosine kinase inhibitors |
| WO1998002434A1 (en) | 1996-07-13 | 1998-01-22 | Glaxo Group Limited | Fused heterocyclic compounds as protein tyrosine kinase inhibitors |
| WO1998003516A1 (en) | 1996-07-18 | 1998-01-29 | Pfizer Inc. | Phosphinate based inhibitors of matrix metalloproteases |
| WO1998007697A1 (en) | 1996-08-23 | 1998-02-26 | Pfizer Inc. | Arylsulfonylamino hydroxamic acid derivatives |
| WO1998030566A1 (en) | 1997-01-06 | 1998-07-16 | Pfizer Inc. | Cyclic sulfone derivatives |
| WO1998033768A1 (en) | 1997-02-03 | 1998-08-06 | Pfizer Products Inc. | Arylsulfonylamino hydroxamic acid derivatives |
| US5792783A (en) | 1995-06-07 | 1998-08-11 | Sugen, Inc. | 3-heteroaryl-2-indolinone compounds for the treatment of disease |
| WO1998034915A1 (en) | 1997-02-07 | 1998-08-13 | Pfizer Inc. | N-hydroxy-beta-sulfonyl-propionamide derivatives and their use as inhibitors of matrix metalloproteinases |
| WO1998034918A1 (en) | 1997-02-11 | 1998-08-13 | Pfizer Inc. | Arylsulfonyl hydroxamic acid derivatives |
| WO1998050356A1 (en) | 1997-05-07 | 1998-11-12 | Sugen, Inc. | 2-indolinone derivatives as modulators of protein kinase activity |
| WO1998054093A1 (en) | 1997-05-30 | 1998-12-03 | Merck & Co., Inc. | Novel angiogenesis inhibitors |
| US5877305A (en) | 1992-02-06 | 1999-03-02 | Chiron Corporation | DNA encoding biosynthetic binding protein for cancer marker |
| WO1999010349A1 (en) | 1997-08-22 | 1999-03-04 | Zeneca Limited | Oxindolylquinazoline derivatives as angiogenesis inhibitors |
| WO1999016755A1 (en) | 1997-09-26 | 1999-04-08 | Merck & Co., Inc. | Novel angiogenesis inhibitors |
| WO1999024440A1 (en) | 1997-11-11 | 1999-05-20 | Pfizer Products Inc. | Thienopyrimidine and thienopyridine derivatives useful as anticancer agents |
| WO1999029667A1 (en) | 1997-12-05 | 1999-06-17 | Pfizer Limited | Hydroxamic acid derivatives as matrix metalloprotease (mmp) inhibitors |
| WO1999035146A1 (en) | 1998-01-12 | 1999-07-15 | Glaxo Group Limited | Bicyclic heteroaromatic compounds as protein tyrosine kinase inhibitors |
| WO1999035132A1 (en) | 1998-01-12 | 1999-07-15 | Glaxo Group Limited | Heterocyclic compounds |
| EP0931788A2 (en) | 1998-01-27 | 1999-07-28 | Pfizer Limited | Metalloprotease inhibitors |
| WO1999052889A1 (en) | 1998-04-10 | 1999-10-21 | Pfizer Products Inc. | (4-arylsulfonylamino)-tetrahydropyran-4-carboxylic acid hydroxamides |
| WO1999052910A1 (en) | 1998-04-10 | 1999-10-21 | Pfizer Products Inc. | Bicyclic hydroxamic acid derivatives |
| WO1999061422A1 (en) | 1998-05-29 | 1999-12-02 | Sugen, Inc. | Pyrrole substituted 2-indolinone protein kinase inhibitors |
| WO2000044728A1 (en) | 1999-01-27 | 2000-08-03 | Pfizer Products Inc. | Substituted bicyclic derivatives useful as anticancer agents |
| EP1029853A1 (en) | 1999-01-27 | 2000-08-23 | Pfizer Products Inc. | Heteroaromatic bicyclic derivatives useful as anticancer agents |
| WO2001098277A2 (en) | 2000-06-22 | 2001-12-27 | Pfizer Products Inc. | Substituted bicyclic derivatives for the treatment of abnormal cell growth |
| US6653308B2 (en) | 2001-02-15 | 2003-11-25 | Sugen, Inc. | 3-(4-amidopyrrol-2-ylmethylidene)-2-indolinone derivatives as protein kinase inhibitors |
| WO2007084786A1 (en) * | 2006-01-20 | 2007-07-26 | Novartis Ag | Pyrimidine derivatives used as pi-3 kinase inhibitors |
| WO2009066084A1 (en) * | 2007-11-21 | 2009-05-28 | F. Hoffmann-La Roche Ag | 2 -morpholinopyrimidines and their use as pi3 kinase inhibitors |
| EP2604601A1 (en) * | 2010-08-10 | 2013-06-19 | Astellas Pharma Inc. | Hetero ring compound |
-
2015
- 2015-06-19 WO PCT/IB2015/054632 patent/WO2016001789A1/en not_active Ceased
Patent Citations (56)
| Publication number | Priority date | Publication date | Assignee | Title |
|---|---|---|---|---|
| EP0239362A2 (en) | 1986-03-27 | 1987-09-30 | Imperial Chemical Industries Plc | Anti-tumor agents |
| WO1990005719A1 (en) | 1988-11-23 | 1990-05-31 | British Bio-Technology Limited | Hydroxamic acid based collagenase inhibitors |
| WO1992020642A1 (en) | 1991-05-10 | 1992-11-26 | Rhone-Poulenc Rorer International (Holdings) Inc. | Bis mono-and bicyclic aryl and heteroaryl compounds which inhibit egf and/or pdgf receptor tyrosine kinase |
| EP0520722A1 (en) | 1991-06-28 | 1992-12-30 | Zeneca Limited | Therapeutic preparations containing quinazoline derivatives |
| US5587458A (en) | 1991-10-07 | 1996-12-24 | Aronex Pharmaceuticals, Inc. | Anti-erbB-2 antibodies, combinations thereof, and therapeutic and diagnostic uses thereof |
| EP0566226A1 (en) | 1992-01-20 | 1993-10-20 | Zeneca Limited | Quinazoline derivatives |
| US5877305A (en) | 1992-02-06 | 1999-03-02 | Chiron Corporation | DNA encoding biosynthetic binding protein for cancer marker |
| EP0602851A1 (en) | 1992-12-10 | 1994-06-22 | Zeneca Limited | Quinazoline derivatives |
| EP0606046A1 (en) | 1993-01-06 | 1994-07-13 | Ciba-Geigy Ag | Arylsulfonamido-substituted hydroxamic acids |
| EP0635498A1 (en) | 1993-07-19 | 1995-01-25 | Zeneca Limited | Quinazoline derivatives and their use as anti-cancer agents |
| EP0635507A1 (en) | 1993-07-19 | 1995-01-25 | Zeneca Limited | Tricyclic derivatives and their use as anti-cancer agents |
| WO1995019970A1 (en) | 1994-01-25 | 1995-07-27 | Warner-Lambert Company | Tricyclic compounds capable of inhibiting tyrosine kinases of the epidermal growth factor receptor family |
| WO1995021613A1 (en) | 1994-02-09 | 1995-08-17 | Sugen, Inc. | Compounds for the treatment of disorders related to vasculogenesis and/or angiogenesis |
| WO1996009294A1 (en) | 1994-09-19 | 1996-03-28 | The Wellcome Foundation Limited | Substituted heteroaromatic compounds and their use in medicine |
| WO1996016960A1 (en) | 1994-11-30 | 1996-06-06 | Zeneca Limited | Quinazoline derivatives |
| US5863949A (en) | 1995-03-08 | 1999-01-26 | Pfizer Inc | Arylsulfonylamino hydroxamic acid derivatives |
| WO1996027583A1 (en) | 1995-03-08 | 1996-09-12 | Pfizer Inc. | Arylsulfonylamino hydroxamic acid derivatives |
| US5861510A (en) | 1995-04-20 | 1999-01-19 | Pfizer Inc | Arylsulfonyl hydroxamic acid derivatives as MMP and TNF inhibitors |
| WO1996033172A1 (en) | 1995-04-20 | 1996-10-24 | Pfizer Inc. | Arylsulfonyl hydroxamic acid derivatives as mmp and tnf inhibitors |
| US5834504A (en) | 1995-06-07 | 1998-11-10 | Sugen, Inc. | 3-(2'-halobenzylidenyl)-2-indolinone compounds for the treatment of disease |
| US5883113A (en) | 1995-06-07 | 1999-03-16 | Sugen, Inc. | 3-(4'-Bromobenzylindenyl)-2-indolinone and analogues thereof for the treatment of disease |
| US5886020A (en) | 1995-06-07 | 1999-03-23 | Sugen, Inc. | 3-(4'-dimethylaminobenzylidenyl)-2-indolinone and analogues thereof for the treatment of disease |
| US5792783A (en) | 1995-06-07 | 1998-08-11 | Sugen, Inc. | 3-heteroaryl-2-indolinone compounds for the treatment of disease |
| WO1997013760A1 (en) | 1995-10-11 | 1997-04-17 | Glaxo Group Limited | Tricyclic fused compounds and pharmaceutical compositions containing them |
| WO1997022596A1 (en) | 1995-12-18 | 1997-06-26 | Zeneca Limited | Quinazoline derivatives |
| EP0780386A1 (en) | 1995-12-20 | 1997-06-25 | F. Hoffmann-La Roche Ag | Matrix metalloprotease inhibitors |
| WO1997030034A1 (en) | 1996-02-14 | 1997-08-21 | Zeneca Limited | Quinazoline derivatives as antitumor agents |
| WO1997032856A1 (en) | 1996-03-05 | 1997-09-12 | Zeneca Limited | 4-anilinoquinazoline derivatives |
| WO1998002434A1 (en) | 1996-07-13 | 1998-01-22 | Glaxo Group Limited | Fused heterocyclic compounds as protein tyrosine kinase inhibitors |
| WO1998002437A1 (en) | 1996-07-13 | 1998-01-22 | Glaxo Group Limited | Bicyclic heteroaromatic compounds as protein tyrosine kinase inhibitors |
| WO1998002438A1 (en) | 1996-07-13 | 1998-01-22 | Glaxo Group Limited | Bicyclic heteroaromatic compounds as protein tyrosine kinase inhibitors |
| WO1998003516A1 (en) | 1996-07-18 | 1998-01-29 | Pfizer Inc. | Phosphinate based inhibitors of matrix metalloproteases |
| WO1998007697A1 (en) | 1996-08-23 | 1998-02-26 | Pfizer Inc. | Arylsulfonylamino hydroxamic acid derivatives |
| WO1998030566A1 (en) | 1997-01-06 | 1998-07-16 | Pfizer Inc. | Cyclic sulfone derivatives |
| WO1998033768A1 (en) | 1997-02-03 | 1998-08-06 | Pfizer Products Inc. | Arylsulfonylamino hydroxamic acid derivatives |
| WO1998034915A1 (en) | 1997-02-07 | 1998-08-13 | Pfizer Inc. | N-hydroxy-beta-sulfonyl-propionamide derivatives and their use as inhibitors of matrix metalloproteinases |
| WO1998034918A1 (en) | 1997-02-11 | 1998-08-13 | Pfizer Inc. | Arylsulfonyl hydroxamic acid derivatives |
| WO1998050356A1 (en) | 1997-05-07 | 1998-11-12 | Sugen, Inc. | 2-indolinone derivatives as modulators of protein kinase activity |
| WO1998054093A1 (en) | 1997-05-30 | 1998-12-03 | Merck & Co., Inc. | Novel angiogenesis inhibitors |
| WO1999010349A1 (en) | 1997-08-22 | 1999-03-04 | Zeneca Limited | Oxindolylquinazoline derivatives as angiogenesis inhibitors |
| WO1999016755A1 (en) | 1997-09-26 | 1999-04-08 | Merck & Co., Inc. | Novel angiogenesis inhibitors |
| WO1999024440A1 (en) | 1997-11-11 | 1999-05-20 | Pfizer Products Inc. | Thienopyrimidine and thienopyridine derivatives useful as anticancer agents |
| WO1999029667A1 (en) | 1997-12-05 | 1999-06-17 | Pfizer Limited | Hydroxamic acid derivatives as matrix metalloprotease (mmp) inhibitors |
| WO1999035146A1 (en) | 1998-01-12 | 1999-07-15 | Glaxo Group Limited | Bicyclic heteroaromatic compounds as protein tyrosine kinase inhibitors |
| WO1999035132A1 (en) | 1998-01-12 | 1999-07-15 | Glaxo Group Limited | Heterocyclic compounds |
| EP0931788A2 (en) | 1998-01-27 | 1999-07-28 | Pfizer Limited | Metalloprotease inhibitors |
| WO1999052889A1 (en) | 1998-04-10 | 1999-10-21 | Pfizer Products Inc. | (4-arylsulfonylamino)-tetrahydropyran-4-carboxylic acid hydroxamides |
| WO1999052910A1 (en) | 1998-04-10 | 1999-10-21 | Pfizer Products Inc. | Bicyclic hydroxamic acid derivatives |
| WO1999061422A1 (en) | 1998-05-29 | 1999-12-02 | Sugen, Inc. | Pyrrole substituted 2-indolinone protein kinase inhibitors |
| WO2000044728A1 (en) | 1999-01-27 | 2000-08-03 | Pfizer Products Inc. | Substituted bicyclic derivatives useful as anticancer agents |
| EP1029853A1 (en) | 1999-01-27 | 2000-08-23 | Pfizer Products Inc. | Heteroaromatic bicyclic derivatives useful as anticancer agents |
| WO2001098277A2 (en) | 2000-06-22 | 2001-12-27 | Pfizer Products Inc. | Substituted bicyclic derivatives for the treatment of abnormal cell growth |
| US6653308B2 (en) | 2001-02-15 | 2003-11-25 | Sugen, Inc. | 3-(4-amidopyrrol-2-ylmethylidene)-2-indolinone derivatives as protein kinase inhibitors |
| WO2007084786A1 (en) * | 2006-01-20 | 2007-07-26 | Novartis Ag | Pyrimidine derivatives used as pi-3 kinase inhibitors |
| WO2009066084A1 (en) * | 2007-11-21 | 2009-05-28 | F. Hoffmann-La Roche Ag | 2 -morpholinopyrimidines and their use as pi3 kinase inhibitors |
| EP2604601A1 (en) * | 2010-08-10 | 2013-06-19 | Astellas Pharma Inc. | Hetero ring compound |
Non-Patent Citations (11)
| Title |
|---|
| BRODERICK ET AL.: "Mutations in PIK3CA in anaplastic oligodendrogliomas, high-grade astrocytomas, and medulloblastomas", CANCER RESEARCH, vol. 64, 2004, pages 5048 - 5050 |
| FRUMAN ET AL.: "Phosphoinositide kinases", ANNU. REV. BIOCHEM., vol. 67, 1998, pages 481 - 507 |
| HENNESSEY ET AL., NATURE REV. DRUG DISC, vol. 4, 2005, pages 988 - 1004 |
| KATSO ET AL.: "Cellular function of phosphoinositide 3-kinases: implications for development, homeostasis, and cancer", ANNU. REV. CELL DEV. BIOL., vol. 17, 2001, pages 615 - 675 |
| KNIGHT ET AL.: "A Pharmacological Map of the P13-K Family Defines a Role for p110a in Insulin Signaling", CELL, vol. 125, 2006, pages 733 - 747 |
| MORRISON, J. F.: "Kinetics of the reversible inhibition of enzyme catalysed reactions by tight-binding inhibitors", BIOCHIM. BIOPHYS. ACTA, vol. 185, 1969, pages 269 - 286 |
| PARSONS ET AL., NATURE, vol. 436, 2005, pages 792 |
| SAMUELS ET AL.: "High frequency of mutations of the PIK3CA gene in human cancers", SCIENCE, vol. 304, 2004, pages 554 |
| STIRDIVANT: "Cloning and mutagenesis of the p110a subunit of human phosphoinositide 3'-hydroxykinase", BIOORG. MED. CHEM., vol. 5, 1997, pages 65 - 74 |
| VIVANCO; SAWYERS: "The Phosphatidylinositol 3-Kinase-Akt Pathway In Human Cancer", NATURE REVIEWS CANCER, vol. 2, 2002, pages 489 - 501 |
| YUAN J. ET AL.: "PF-04691502, a Potent and Selective Oral Inhibitor of P13K and mTOR Kinases with Antitumor Activity", MOL CANCER THER., vol. 10, 2011, pages 2189 - 2199 |
Cited By (6)
| Publication number | Priority date | Publication date | Assignee | Title |
|---|---|---|---|---|
| US9758538B2 (en) | 2015-07-15 | 2017-09-12 | Pfizer Inc. | Pyrimidine derivatives |
| JP2020531486A (en) * | 2017-08-23 | 2020-11-05 | スプリント バイオサイエンス アクティエボラーグ | Pyridyl pyridone compound |
| JP2020531488A (en) * | 2017-08-23 | 2020-11-05 | スプリント バイオサイエンス アクティエボラーグ | Pyridineamine-pyridone and pyrimidineamine-pyridone compounds |
| JP7199737B2 (en) | 2017-08-23 | 2023-01-06 | スプリント バイオサイエンス アクティエボラーグ | pyridylpyridone compounds |
| JP7201260B2 (en) | 2017-08-23 | 2023-01-10 | スプリント バイオサイエンス アクティエボラーグ | Pyridinamine-pyridone and pyrimidineamine-pyridone compounds |
| JP2023021316A (en) * | 2017-08-23 | 2023-02-10 | スプリント バイオサイエンス アクティエボラーグ | Pyridinamine-pyridone and pyrimidineamine-pyridone compounds |
Similar Documents
| Publication | Publication Date | Title |
|---|---|---|
| EP2758402B9 (en) | Pyrrolopyrimidine and purine derivatives | |
| AU2014351433B2 (en) | 2,6-substituted purine derivatives and their use in the treatment of proliferative disorders | |
| US9260439B2 (en) | Dihydropyrrolopyrimidine derivatives | |
| US10676471B2 (en) | Cycloalkyl-linked diheterocycle derivatives | |
| US9758538B2 (en) | Pyrimidine derivatives | |
| WO2016001789A1 (en) | Pyrimidine derivatives as pi3k inhibitors for use in the treatment of cancer | |
| OA16753A (en) | Pyrrolopyrimidine and purine derivatives. | |
| OA17768A (en) | 2,6-Substituted purine derivatives and their use in the treatment of proliferative disorders | |
| OA18105A (en) | Cycloalkyl-linked diheterocycle derivatives |
Legal Events
| Date | Code | Title | Description |
|---|---|---|---|
| 121 | Ep: the epo has been informed by wipo that ep was designated in this application |
Ref document number: 15739334 Country of ref document: EP Kind code of ref document: A1 |
|
| NENP | Non-entry into the national phase |
Ref country code: DE |
|
| 122 | Ep: pct application non-entry in european phase |
Ref document number: 15739334 Country of ref document: EP Kind code of ref document: A1 |






























































































































































































