WO2009066084A1 - 2 -morpholinopyrimidines and their use as pi3 kinase inhibitors - Google Patents
2 -morpholinopyrimidines and their use as pi3 kinase inhibitors Download PDFInfo
- Publication number
- WO2009066084A1 WO2009066084A1 PCT/GB2008/003910 GB2008003910W WO2009066084A1 WO 2009066084 A1 WO2009066084 A1 WO 2009066084A1 GB 2008003910 W GB2008003910 W GB 2008003910W WO 2009066084 A1 WO2009066084 A1 WO 2009066084A1
- Authority
- WO
- WIPO (PCT)
- Prior art keywords
- bipyrimidinyl
- moφholin
- amino
- ylamine
- morpholin
- Prior art date
- Legal status (The legal status is an assumption and is not a legal conclusion. Google has not performed a legal analysis and makes no representation as to the accuracy of the status listed.)
- Ceased
Links
- 0 *c(c(*)nc(N1CCOCC1)n1)c1I Chemical compound *c(c(*)nc(N1CCOCC1)n1)c1I 0.000 description 1
Classifications
-
- C—CHEMISTRY; METALLURGY
- C07—ORGANIC CHEMISTRY
- C07D—HETEROCYCLIC COMPOUNDS
- C07D239/00—Heterocyclic compounds containing 1,3-diazine or hydrogenated 1,3-diazine rings
- C07D239/02—Heterocyclic compounds containing 1,3-diazine or hydrogenated 1,3-diazine rings not condensed with other rings
- C07D239/24—Heterocyclic compounds containing 1,3-diazine or hydrogenated 1,3-diazine rings not condensed with other rings having three or more double bonds between ring members or between ring members and non-ring members
- C07D239/28—Heterocyclic compounds containing 1,3-diazine or hydrogenated 1,3-diazine rings not condensed with other rings having three or more double bonds between ring members or between ring members and non-ring members with hetero atoms or with carbon atoms having three bonds to hetero atoms with at the most one bond to halogen, directly attached to ring carbon atoms
- C07D239/46—Two or more oxygen, sulphur or nitrogen atoms
- C07D239/48—Two nitrogen atoms
-
- A—HUMAN NECESSITIES
- A61—MEDICAL OR VETERINARY SCIENCE; HYGIENE
- A61P—SPECIFIC THERAPEUTIC ACTIVITY OF CHEMICAL COMPOUNDS OR MEDICINAL PREPARATIONS
- A61P35/00—Antineoplastic agents
-
- C—CHEMISTRY; METALLURGY
- C07—ORGANIC CHEMISTRY
- C07D—HETEROCYCLIC COMPOUNDS
- C07D239/00—Heterocyclic compounds containing 1,3-diazine or hydrogenated 1,3-diazine rings
- C07D239/02—Heterocyclic compounds containing 1,3-diazine or hydrogenated 1,3-diazine rings not condensed with other rings
- C07D239/24—Heterocyclic compounds containing 1,3-diazine or hydrogenated 1,3-diazine rings not condensed with other rings having three or more double bonds between ring members or between ring members and non-ring members
- C07D239/28—Heterocyclic compounds containing 1,3-diazine or hydrogenated 1,3-diazine rings not condensed with other rings having three or more double bonds between ring members or between ring members and non-ring members with hetero atoms or with carbon atoms having three bonds to hetero atoms with at the most one bond to halogen, directly attached to ring carbon atoms
- C07D239/32—One oxygen, sulfur or nitrogen atom
- C07D239/42—One nitrogen atom
-
- C—CHEMISTRY; METALLURGY
- C07—ORGANIC CHEMISTRY
- C07D—HETEROCYCLIC COMPOUNDS
- C07D239/00—Heterocyclic compounds containing 1,3-diazine or hydrogenated 1,3-diazine rings
- C07D239/02—Heterocyclic compounds containing 1,3-diazine or hydrogenated 1,3-diazine rings not condensed with other rings
- C07D239/24—Heterocyclic compounds containing 1,3-diazine or hydrogenated 1,3-diazine rings not condensed with other rings having three or more double bonds between ring members or between ring members and non-ring members
- C07D239/28—Heterocyclic compounds containing 1,3-diazine or hydrogenated 1,3-diazine rings not condensed with other rings having three or more double bonds between ring members or between ring members and non-ring members with hetero atoms or with carbon atoms having three bonds to hetero atoms with at the most one bond to halogen, directly attached to ring carbon atoms
- C07D239/46—Two or more oxygen, sulphur or nitrogen atoms
- C07D239/47—One nitrogen atom and one oxygen or sulfur atom, e.g. cytosine
-
- C—CHEMISTRY; METALLURGY
- C07—ORGANIC CHEMISTRY
- C07D—HETEROCYCLIC COMPOUNDS
- C07D401/00—Heterocyclic compounds containing two or more hetero rings, having nitrogen atoms as the only ring hetero atoms, at least one ring being a six-membered ring with only one nitrogen atom
- C07D401/14—Heterocyclic compounds containing two or more hetero rings, having nitrogen atoms as the only ring hetero atoms, at least one ring being a six-membered ring with only one nitrogen atom containing three or more hetero rings
-
- C—CHEMISTRY; METALLURGY
- C07—ORGANIC CHEMISTRY
- C07D—HETEROCYCLIC COMPOUNDS
- C07D403/00—Heterocyclic compounds containing two or more hetero rings, having nitrogen atoms as the only ring hetero atoms, not provided for by group C07D401/00
- C07D403/14—Heterocyclic compounds containing two or more hetero rings, having nitrogen atoms as the only ring hetero atoms, not provided for by group C07D401/00 containing three or more hetero rings
-
- C—CHEMISTRY; METALLURGY
- C07—ORGANIC CHEMISTRY
- C07D—HETEROCYCLIC COMPOUNDS
- C07D413/00—Heterocyclic compounds containing two or more hetero rings, at least one ring having nitrogen and oxygen atoms as the only ring hetero atoms
- C07D413/14—Heterocyclic compounds containing two or more hetero rings, at least one ring having nitrogen and oxygen atoms as the only ring hetero atoms containing three or more hetero rings
Definitions
- the present invention relates to pyrimidine derivatives and their use as inhibitors of phosphatidylinositol 3-kinase (PI3K).
- PI3K phosphatidylinositol 3-kinase
- Phosphatidylinositol (hereinafter abbreviated as "PI") is one of a number of phospholipids found in cell membranes. In recent years it has become clear that PI plays an important role in intracellular signal transduction. In the late 1980s, a PB kinase (PI3K) was found to be an enzyme which phosphorylates the 3-position of the inositol ring of phosphatidylinositol (M.Whitman et ah, 1988, Nature, 332, 644-646).
- PI3K was originally considered to be a single enzyme, but it has now been clarified that a plurality of subtypes are present in PI3K. Each subtype has its own mechanism for regulating activity.
- Three major classes of PI3Ks have been identified on the basis of their in vitro substrate specificity (B. Vanhaesebroeck et al, 1997, Trends in Biochemical Sciences, 22, 267-272).
- Substrates for class I PBKs are PI, PI 4-phosphate (PI4P) and PI 4,5-biphosphate (PI (4,5)P2).
- Class I PBKs are further divided into two groups, class Ia and class Ib, in terms of their activation mechanism.
- Class Ia PBKs include PBK p 11 Oa, p 11 O ⁇ and p 11 O ⁇ subtypes, which transmit signals from tyrosine kinase-coupled receptors.
- Class Ib PBK includes a pi lO ⁇ subtype activated by a G protein-coupled receptor.
- PI and PI(4)P are known as substrates for class II PBKs.
- Class II PBKs include PBK C2 ⁇ , C2 ⁇ and C2 ⁇ subtypes, which are characterized by containing C2 domains at the C terminus.
- the substrate for class III PBKs is PI only. In the PBK subtypes, the class Ia subtype has been most extensively investigated to date.
- the three subtypes of class Ia are heterodimers of a catalytic 110 kDa subunit and regulatory subunits of 85 kDa or 55 kDa.
- the regulatory subunits contain SH2 domains and bind to tyrosine residues phosphorylated by growth factor receptors with a tyrosine kinase activity or oncogene products, thereby inducing the PBK activity of the pi 10 catalytic subunit which phosphorylates its lipid substrate.
- the class Ia subtypes are considered to be associated with cell proliferation and carcinogenesis.
- the present invention provides a compound which is a morpholino pyrimidine of formula (I):
- R 1 is selected from -Y-R 6 and -NR 4 R 5 ;
- R 3 is selected from H, C 1 -C 6 alkyl and C 1 -C 6 alkoxy;
- Y is selected from a direct bond, -(CR 2 ) m -, C 2 -C 6 alkenylene, C 2 -C 6 alkynylene, -(CR 2 ) P -O-(CR 2 ) r, -(CR 2 ) P -NR-(CR 2 ) r, -(CR 2 ) p -NR-(CR 2 ) n -C(O)-, -(CR 2 ) P -NR-C(O)- (CR 2 V, -(CR 2 ) P -C(O)-NR-(CR 2 ) ,-, -(CR 2 ) p -C(O)-(CR 2 ) n -NR-(CR 2 ),- and -(CR 2 ) P - C(O)-(CR 2 ) ⁇ -;
- R 6 is selected from an unsaturated 5- to 12-membered carbocyclic or heterocyclic ring, a saturated 5-, 6- or 7- membered N-containing heterocyclic group which is unsubstituted or substituted, C 1 -C 6 alkyl, -NR 2 , -OR, -NR(CO)R and - C(O)NR 2 ;
- R and R 5 which are the same or different, are both C 1 -C 6 alkyl which is unsubstituted or substituted, or R 4 and R 5 together form, with the nitrogen atom to which they are attached, a saturated 5-, 6- or 7- membered N-containing heterocyclic group which is unsubstituted or substituted; each R, which are the same or different when more than one is present in a given group, is independently H, C 1 -C 6 alkyl which is unsubstituted or substituted or a 5- to 12-membered aryl or heteroaryl group which is unsubstituted or substituted; R 10 and R 11 , which are the same or different, are independently selected from H,
- R 6 is linked to Y through a constituent O or N atom of R 6 ; or a pharmaceutically acceptable salt thereof; with the provisos that:
- R 1 is other than a phenyl group which is unsubstituted or substituted;
- R 1 when R 2 is a pyridyl group and R 3 is H then R 1 is other than a dimethylamino group, a morpholine group or a piperazinyl group which is unsubstituted or substituted by Ci-C 6 alkyl, phenyl or heteroaryl; (iii) when R 2 is a thiazole group, R 1 is -Y-R 6 in which Y is a direct bond and R 3 is H, then R 6 is other than a 5 - 12 membered aryl group; and
- R 1 is -Y-R 6 in which Y is a group -C(O)-NH- , R 3 is H and R 6 is an a 5 - 12 membered aryl group, then R is other than an unsubstituted pyrazole ring.
- the invention provides a compound which is a morpholino pyrimidine of formula (I' ) :
- R' is selected from -Y-R 0 and -NR 4 4 rR>5 3 .
- R 3 is selected from H, Ci-C 6 alkyl and C]-C 6 alkoxy;
- Y is selected from a direct bond, -(CR 2 ) m -, C 2 -C 6 alkenylene, C 2 -C 6 alkynylene, -(CR 2 ) P -O-(CR 2 ) r, -(CR 2 ) P -NR-(CR 2 ) r , -(CR 2 ) p -NR-(CR 2 ) n -C(O)-, -(CR 2 ) P -NR-C(O)- (CR 2 ) n -, -(CR 2 ) P -C(O)-NR-(CR 2 ) r, -(CR 2 ) p -C(O)-(CR 2 ) n -NR-(CR 2 ) t - and -(CR 2 ) P - C(O)-(CR 2 ) n -;
- R 6 is selected from Ci-C 6 alkyl, -NR 2 , -OR, -NR(CO)R, -C(O)NR 2 , an unsaturated 5- to 12-membered carbocyclic or heterocyclic ring which is unsubstituted or substituted and a saturated 5-, 6- or 7- membered N-containing heterocyclic group which is unsubstituted or substituted by a group Z';
- R 4 and R 5 which are the same or different, are both Cj-C 6 alkyl which is unsubstituted or substituted, or R 4 and R 5 together form, with the nitrogen atom to which they are attached, a saturated 5-, 6- or 7- membered N-containing heterocyclic group which is unsubstituted or substituted by a group Z'; each R, which are the same or different when more than one is present in a given group, is independently H or C 1 -C 6 alkyl which is unsubstituted or substituted;
- R 10 and R 11 which are the same or different, are independently selected from H, Ci-C 6 alkyl, C 2 -C 6 alkenyl, C 2 -C 6 alkynyl and C 3 -C 3 cycloalkyl;
- Z' is selected from unsubstituted C 1 -C 6 alkyl, -(alk) v -OR, -(alk) v -NR 2 , -(alk) v -
- alk is C 1 -C 8 alkylene, v is O or 1
- R is selected from H, C]-C 6 alkyl and Ar
- Ar is 5- to 12-membered aryl as defined above
- Het is 5- to 12-membered heteroaryl as defined above
- R 4a and R 5a form together, with the N atom to which they are attached, a saturated 5-, 6-, or 7-membered N- containing heterocyclic group which is unsubstituted or substituted
- n is 0 or an integer of 1 to 6
- m is an integer of 1 to 6
- p is 0 or
- R 6 is linked to Y through a constituent O or N atom of R 6 ; or a pharmaceutically acceptable salt thereof.
- the invention provides a compound which is a morpholino pyrimidine of formula (I"):
- R 2 is a N-containing monocyclic heteroaryl group which is selected from pyridyl, isoxazolyl, imidazolyl, pyrazolyl, pyrrolyl, thiazolyl, pyridazinyl, pyrimidinyl, pyrazinyl, oxazolyl, furanyl, thienyl, triazolyl and tetrazolyl and which is substituted by -NR 10 R 11 , -OR 10 , -C(O)R 10 , -NR 10 C(O)R 11 , -N(C(O)R n ) 2 , -NR 10 C(O)NR 10 R 11 , - SO 2 R 10 R 11 , -SO 2 NR 10 R 11 , -C(O)OR 1 °, -C(O)NR 1 V 1 , halo-d -C 6 alkyl and unsubstituted C 1 -C 12 alkyl;
- R 3 is selected from H, Ci-C 6 alkyl and C 1 -C 6 alkoxy; Y is C 2 -C 6 alkynylene or -0-(CR 2 ) ,- ;
- R 6 is selected from C 1 -C 6 alkyl, -NR 2 , -OR, -NR(CO)R, -C(O)NR 2 , an unsaturated 5- to 12-membered carbocyclic or heterocyclic ring which is unsubstituted or substituted and a saturated 5-, 6- or 7- membered N-containing heterocyclic group which is unsubstituted or substituted, said saturated N-containing heterocyclic group being C-linked to Y when Y is -0-(CR 2 ) t - ;
- R 4 and R 5 which are the same or different, are both C 1 -C 6 alkyl which is unsubstituted or substituted, or R 4 and R 5 together form, with the nitrogen atom to which they are attached, a saturated 5-, 6- or 7- membered N-containing heterocyclic group which is unsubstituted or substituted; each R, which are the same or different when more than one is present in a given group, is independently H or C 1 -C 6 alkyl which is unsubstituted or substituted;
- R 10 and R 11 which are the same or different, are independently selected from H, C 1 -C 6 alkyl, C 2 -C 6 alkenyl, C 2 -C 6 alkynyl and C 3 -C 8 cycloalkyl; and t is O or an integer of 1 to 6; or a pharmaceutically acceptable salt thereof.
- R 6 when t is O then R 6 is not an unsubstituted 5- to 12-membered heterocyclic ring which is unsubstituted or substituted or a saturated 5-, 6- or 7-membered N-containing heterocyclic group which is unsubstituted or substituted.
- R 6 when, in formula (I") an atom or group is substituted, it is typically substituted by a group Z'as defined above.
- the invention provides a compound which is a morpholino pyrimidine of formula (Ia):
- R 1 and R 3 are as defined above for formula (I), (F) or (I");
- W is CR or N
- R is H or Cj -C 6 alkyl which is unsubstituted or substituted
- R 7 is selected from -NR 10 R 11 , -OR 10 , -C(O)R 10 , -NR 10 C(O)R 11 , -N(C(O)R n ) 2 , -NR 10 C(O)NR 10 R 11 , SO 2 R 10 R 11 , -SO 2 NR 10 R 11 , -C(O)OR 10 , -C(O)NR 10 R 1 ⁇ halo-d -C 6 alkyl and unsubstituted C]-Ci 2 alkyl, wherein R 1 and R 11 are as defined above; or a pharmaceutically acceptable salt thereof; with the proviso that, when W is CR, R 1 is other than a piperazinyl group which is substituted by a phenyl or heteroaryl group.
- R is typically H or unsubstituted Cj -C 6 alkyl. More typically W is CH.
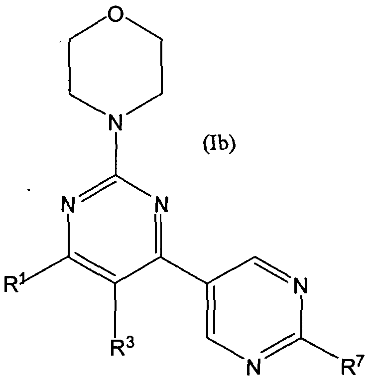
- the invention provides a compound which is a morpholino pyrimidine of formula (Ib):
- R 1 and R 3 are as defined above for formula (I), (U) or (F ');
- an alkyl group is a straight or branched chain saturated hydrocarbon radical which is unsubstituted or substituted. Typically it is C 1 -C 20 alkyl, for instance C 1 -C 10 alkyl, such as C 1 -C 6 alkyl group. C 1 -C 6 alkyl is typically Ci-C 4 alkyl.
- Analkyl group is unsubstituted or substituted, typically by one or more groups Z or R 9 as defined below. Typically it is C 1 -C 4 alkyl, for example methyl, ethyl, i-propyl, n-propyl, t-butyl, s-butyl or n-butyl
- Z is selected from H, unsubstituted C 1 -C 6 alkyl, halo, -OR', -SR', CH 2 OR', -CF 3 , -(haIo)-Ci-C 6 alkyl, -(CR 8 2 ) q O-(halo)-d-C 6 alkyl, -CO 2 R', -(CR 8 2 ) q CO 2 R', - (CR 8 2 ) q COR ⁇ -CF 2 OH, -CH(CF 3 )OH, -C(CF 3 ) 2 OH, -(CH 2 ) q OR ⁇ -(CR 8 2 ) q OR ⁇ -(CH 2 ) q NR' 2 , -(CR 8 2 ) q NR' 2 , -(CR 8 2 ) S -NR'-(CR 8 2 )-R', -C(0)NR' 2 ,
- R 9 is selected from C 1 -C 6 alkoxy, OR 8 , SR 8 , S(O) m R 8 , nitro, CN, halogen, - C(O)R 8 , - CO 2 R 8 , -C(O)N(R 8 ) 2 and -N(R 8 ) 2 .
- R 8 each of which is the same or different when more than one is present in a given substituent, is selected from H, C 1 -C 6 alkyl and C 3 -CiO cycloalkyl., and m is 1 or 2.
- a halogen or halo group is F, Cl, Br or I. Preferably it is F, Cl or Br.
- a C 1 -C 6 alkyl group substituted by halogen may be denoted by the term "halo-Ci-C 6 alkyl", which means an alkyl group in which one or more hydrogens is replaced by halo.
- a halo-d-C 6 alkyl group preferably contains one, two or three halo groups. A preferred example of such a group is trifluoromethyl.
- a C 1 -C 6 alkoxy group is linear or branched.
- Ci-C 4 alkoxy group for example a methoxy, ethoxy, propoxy, i-propoxy, n-propoxy, n-butoxy, sec- butoxy or tert-butoxy group.
- a C 1 -C 6 alkoxy group is unsubstituted or substituted, typically by one or more groups Z or R 9 as defined above.
- a C 3 -C 10 cycloalkyl group may be, for instance, C 3 -C 8 cycloalkyl such as cyclopropyl, cyclobutyl, cyclopentyl, cyclohexyl, or cycloheptyl. Typically it is C 3 -C 6 cycloalkyl.
- a C 3 -C 10 cycloalkyl group is unsubstituted or substituted, typically by one or more groups Z or R 9 as defined above.
- alkylene group is unsubstituted or substituted, straight or branched chain saturated divalent hydrocarbon group.
- alk denotes such an alkylene group.
- alkylene or “alk” is C 1 -C 8 alkylene, for instance C 1 -C 6 alkylene.
- it is C 1 -C 4 alkylene, for example C 2 -C 4 alkylene, such as methylene, ethylene, i-propylene, n-propylene, t-butylene, s-butylene or n-butylene. It may also be pentylene, hexylene, heptylene, octylene and the various branched chain isomers thereof.
- the alkylene group is substituted it is typically substituted by a group R 20 as defined above.
- each of the constituent units CR 2 or CR 8 2 may be the same or different when m, n, p, q or t is greater than 1.
- An alkenyl group is an unsubstituted or substituted, straight or branched chain hydrocarbon radical having one or more double bonds.
- alkenyl typically C 2 -C 8 alkenyl, for instance C 2 -C 6 alkenyl, such as allyl, butenyl, butadienyl, pentenyl or hexenyl.
- alkenyl group is substituted it is typically substituted by a group Z or R 9 as defined above or by alkyl which is unsubstituted or substituted by a group Z or R 9 as defined above.
- alkenylene group is a divalent alkenyl group as defined above.
- alkynyl group is an unsubstituted or substituted, straight or branched chain hydrocarbon radical having one or more triple bonds. Typically it is C 2 -C 8 alkynyl, for instance C 2 -C 6 alkynyl, such as ethynyl, propynyl or butynyl.
- alkynyl group is substituted it is typically substituted by a group R 20 as defined above or by alkyl which is unsubstituted or substituted by a group R 20 as defined above.
- An alkynylene group is a divalent alkynyl group as defined above.
- a saturated 5-, 6-, or 7-membered N-containing heterocyclic group typically contains one nitrogen atom and either an additional N atom or an O or S atom, or no additional heteroatoms. It may be C-linked or N-linked. It may alternatively be O- or S- linked when an additional O or S atom is present.
- the group may be, for example, piperidine, piperazine, morpholine, thiomorpholine, pyrrolidine or homopiperazine.
- the saturated 5-, 6-, or 7-membered N-containing heterocyclic group is unsubstituted or substituted on one or more ring carbon atoms and/or on any additional N atom present in the ring.
- suitable substituents include one or more groups Z or R 9 as defined above, and a C 1 -C 6 alkyl group which is unsubstituted or substituted by a group Z or R 9 as defined above.
- the ring When the ring is piperazine it is typically unsubstituted or substituted, typically on the second ring nitrogen atom, by - C(O)R 8 , -C(O)N(R 8 ) 2 or -S(O) 1n R 8 , or by C r C 6 alkyl which is unsubstituted or substituted by C 1 -C 6 alkoxy or OH.
- An unsaturated 5- to 12-membered carbocyclic group is a 5-, 6-, 7-, 8-, 9-, 10, 11- or 12-membered carbocyclic ring containing at least one unsaturated bond. It is a monocyclic or fused bicyclic ring system.
- the group is non-aromatic or aromatic, for instance a 5- to 12-membered aryl group. Examples include phenyl, naphthyl, indanyl, indenyl and tetrahydronaphthyl groups.
- the group is unsubstituted or substituted, typically by one or more groups Z or R 9 as defined above.
- An aryl group is a 5- to 12-membered aromatic carbocyclic group. It is monocyclic or bicyclic. Examples include phenyl and naphthyl groups. The group is unsubstituted or substituted, for instance by a group Z or R 9 as defined above.
- An unsaturated 5- to 12-membered heterocyclic group is a 5-, 6-, 7-, 8-, 9-, 10, 11- or 12-membered heterocyclic ring containing at least one unsaturated bond and at least one heteroatom selected from O, N and S. It is C-linked or heteroatom-linked. It is a monocyclic or fused bicyclic ring system. The group is non-aromatic or aromatic, for instance heteroaryl.
- the group may be, for example, furan, thiophene, pyrrole, pyrrolopyrazine, pyrrolopyrimidine, pyrrolopyridine, pyrrolopyridazine, indole, isoindole, pyrazole, pyrazolopyrazine, pyrazolopyrimidine, pyrazolopyridine, pyrazolopyridazine, imidazole, imidazopyrazine, imidazopyrimidine, imidazopyridine, imidazopyridazine, benzimidazole, benzodioxole, benzodioxine, benzoxazole, benzothiophene, benzothiazole, benzofuran, indole, indolizinyl, isoxazole, oxazole, oxadiazole, thiazole, isothiazole, thiadiazole, dihydroimidazole, dihydrobenzofur
- Heteroaryl is a 5- to 12-membered aromatic heterocyclic group which contains 1, 2, 3, or 4 heteroatoms selected from O, N and S. It is monocyclic or bicyclic. Typically it contains one N atom and 0, 1, 2 or 3 addditional heteroatoms selected from O, S and N. It may be, for example, selected from the heteroaryl groups in the above list of options for a 5 to 12-membered heterocyclic group.
- heteroaryl is selected from pyridyl, isoxazolyl, imidazolyl, pyrazolyl, pyrrolyl, thiazolyl, isothiazolyl, pyridazinyl, pyrimidinyl, pyrazinyl, oxazolyl, furanyl, thienyl, triazolyl, tetrazolyl, indolyl, quinolinyl, isoquinolinyl, quinazolinyl and indazolyl.
- R 6 is an unsaturated 5- to 12-membered carbocyclic ring, for instance an aryl group as defined above, it is unsubstituted or substituted by a group Z or R 9 as defined above. When it is substituted it is typically substituted by one or more, typically 1 or 2, substituents selected from -(alk) v -OR, -SO 2 R, -SO 2 NR 2 , -SO 2 NR 4a R 5a , -NRSO 2 R, -(alk) v -NRC(O)R, -(alk) v -C(O)NR 2 , -CO 2 R, halo, unsubstituted Ci-C 6 alkyl, -(alk) v -NR 2 , -C(O)-NR-alk-NR 2 , -(alk) v -C(O)NR 4a R 5a , -alk-NR 4a R 5a , -alk-
- R 6 is a saturated 5-, 6- or 7- membered N-containing heterocyclic group which is unsubstituted or substituted, it is unsubstituted or substituted by a group Z or R 9 as defined above.
- linker Y is -(CR 2 ) P -O-(CR 2 ) t -,it may, for example, be selected from -0-, - alk-O-alk-, -alk-O- and -O-alk- wherein alk is alkylene as defined above.
- -(CR 2 ) P -O-(CR 2 ) t - is -0-(CR 2 ) t - , of which -O-alk- is an example.
- Examples of -O-alk- include -0-(CH 2 )-, -0- ⁇ CHMe)-, -0-(CMe 2 )-, -O-(CH 2 ) 2 - and - O-(CH 2 ) 3 -.
- Examples of -alk-O- include -(CH 2 )-O-, -(CHMe)-O-, -(CMe 2 )-0-, - (CH 2 ) 2 -O- and -(CH 2 ) 3 -O-.
- linker Y is -(CR 2 ) P -NR-(CR 2 ) t - it may, for example, be selected from -NR-, alk-NR-alk, -alk-NR- and -NR-alk- wherein alk is alkylene as defined above.
- Examples of -alk-NR- include -(CH2)-NH-, -(CH 2 )-NMe- -(CHMe)-NH-, -(CHMe)-NMe-, -(CMe 2 )-NH-, -(CMe 2 )-NMe-, -(CH 2 ) 2 -NH-, - (CH 2 ) 2 -NMe-, -(CH 2 ) 3 -NH- and -(CH 2 ) 3 -NMe-.
- Examples of -NR-alk- include -NH- (CH 2 )-, -NMe-(CH 2 )-, -NH-(CHMe)-, -NMe-(CHMe)-, -NH-(CMe 2 )-, -NMe-(CMe 2 )-, -NH-(CH 2 ) 2 -, -NMe-(CH 2 ) 2 -, -NH-(CH 2 ) 3 - and -NMe-(CH 2 ) 3 .
- linker Y When linker Y is -(CR 2 ) p -NR-(CR 2 ) n -C(O)- it may, for example, be selected from -NR-C(O)-, -alk-NR-alk-C(O)-, -alk-NR-C(O)- and -NR-alk-C(O)- wherein alk is alkylene as defined above.
- Examples of -NR-C(O)- include -NH-C(O)- and -NMe-C(O).
- Examples of -alk-NR-alk-C(O)- include -(CH 2 )-NH-(CH 2 )-C(O)- , -(CH 2 )- NMe-(CH 2 )-C(0)-, -(CHMe)-NH-(CH2)-C(0)-, -(CHMe)-NMe-(CH2)-C(0)-, - (CH 2 )-NH-(CHMe)-C(O)-, -(CH 2 )-NMe-(CHMe)-C(0)-, -(CMe 2 )-NH-(CH2)-C(O)-, -(CMe 2 )-NMe-(CH 2 )-C(0)-, -(CH 2 )-NH-(CMe 2 )-C(O)-, -(CMe 2 )-NMe-
- Examples of -alk-NR-C(O)- include -(CH 2 )-NH-C(O)-, - ⁇ CH 2 )-NMe-C(O)-, - (CHMe)-NH-C(O)-, -(CHMe)-NMe-C(O)-, -(CMe 2 )-NH-C(O)-, -(CMe 2 )-NMe-C(0)- , - ⁇ CH 2 ) 2 -NH-C(O)-, -(CH 2 ) 2 -NMe-C(O)-, - ⁇ CH 2 ) 3 -NH-C(O)- and -(CH 2 ) 3 -NMe- C(O)-.
- Examples of -NR-alk-C(O)- include -NH-(CH 2 )-C(0)- , -NMe-(CH 2 )-C(0)- , -
- linker Y When linker Y is -(CR 2 ) p -NR-C(O)-(CR 2 ) n - it may, for example, be selected from -alk-NR-C(O)-alk- , -alk-NR-C(O)- and -NR-C(O)-alk-.
- Examples of -alk-NR-C(O)-alk- include -(CH 2 )-NH-C(O)-(CR' ' 2 )-, -(CH 2 )-
- Examples of -NR-C(O)-alk- include -NH-C(O)-(CH 2 )-, -NMe-C(O)-(CH 2 )-, -NH-C(OHCHMe)-, -NMe-C(O)-(CHMe)-, -NH-C(O)-(CMe 2 )-, -NMe-C(O)- (CMe 2 )-, -NH-C(OHCH 2 ) 2 -, NMe-C(O)-(CH 2 ) 2 -, -NH-C(OMCH 2 ) 3 - and -NMe- C(OHCH 2 ) 3 -.
- linker Y is -(CR 2 ) p -C(O)-NR-(CR 2 ) t - it may, for example, be selected from -alk-C(O)-NR-alk, -alk-C(0)-NR- and -C(O)-NR-alk-.
- alk-C(O)-NR-alk- examples include -(CH 2 )-C(O)-NH-(CR" 2 )-, -(CH 2 )- C(0)-NMe-(CR" 2 )-, -(CHMe)-C(0)-NH-(CR" 2 )-, -(CHMe)-C(O)-NMe-(CR" 2 )-, - (CMe 2 )-C(O)-NH-(CR 5 ' 2 )-, -(CMe 2 )-C(O)-NMe-(CR' '2)-, -(CH 2 ) 2 -C(O)-NH-(CR' ⁇ )-, -(CH 2 ) 2 -C(O)-NMe-(CR' ' 2 >, -(CH 2 ) 3 -C(O)- NH-(CR' ' 2 )- and -(CH 2 ) 3 - C(O)-NMe- (
- Examples of -alk-C(O)-NR- include -(CH 2 )-C(0) NH-, -(CH 2 )-C(O) NMe-, - (CHMe)-C(O)-NH-, -(CHMe)-C(O)-NMe-, -(CMe 2 )-C(0)-NH-, -(CMe 2 )-C(O)- NMe-, -(CH 2 ) 2 -C(O)-NH-, -(CH 2 ) 2 -C(O)-NMe-, -(CH 2 ) 3 -C(O)-NH- and -(CH 2 ) 3 - C(O)-NMe-.
- linker Y is -(CR 2 ) p -C(O)-(CR 2 ) n -NR-(CR 2 ) t -it may, for example, be -alk- C(0)-alk-NR-, -C(O)-alk-NR-, -alk-C(O)-NR- or -alk-C(O)-NR-alk-.
- Examples of-alk-C(O)-alk-NR- include include - ⁇ CH 2 )-C(O)-(CR" 2 )-NH-, - (CH 2 )-C(O)-(CR' ' 2 )-NMe- -(CHMe)-C(O)-(CR' ' 2 )-NH-, -(CHMe)-C(O)-(CR' ' 2 )- NMe, -(CMe 2 )- C(O)-(CR" 2 )-NH-, -(CMe 2 )-C(O)-(CR" 2 )-NMe-, -(CH 2 ) 2 -C(O)- (CR" 2 )-NH, - ⁇ CH 2 ) 2 -C(O)-(CR" 2 )-NMe-, -(CH 2 ) 3 -C(O)-(CR" 2 )-NH- and- ⁇ CH 2 ) 3 - C(O)
- Examples of -C(O)-alk-NR- include -C(0)-(CH 2 )-NH-, -C(0)-(CH 2 )-NMe-, - C(O)-(CHMe)-NH-, -C(O)-(CHMe)-NMe-, -C(0)-(CMe 2 )-NH-, -C(0)-(CMe 2 )-NMe, - C(O)-(CH 2 ) 2 -NH, -(C(O)-(CH 2 ) 2 -NMe-, -C(O)- (CH 2 ) 3 -NH- and -C(O)-(CH 2 ) 3 -NMe-
- alk-C(O)-NR-alk- examples include -(CH 2 )-C(O)-NH-(CH 2 )-, -(CH 2 )-C(0)-
- alk-C(O)- examples include -(CH 2 )-C(O)-, -(CH 2 ) 2 -C(O)-, -(CHMe)-C(O)- and -(CMe 2 )-C(0)-.
- Examples of -C(O)-alk- include -C(O)-(CH 2 )-, -C(O)- ⁇ CH 2 ) 2 -. -C(O)- (CHMe)- and -C(O)-(CMe 2 )-.
- Examples of alk-C(O)-alk- include -(CH 2 )-C(O)-(CH 2 )-, -(CHMe)-C(O)-(CH 2 )-, -(CMe 2 )-C(O)-(CH 2 )-, -(CH 2 )-C(0)-(CHMe)- and -(CH 2 )- C(O)-(CMe 2 )-.
- the monocyclic heteroaryl group R 2 in formulae (I) and (F) as defined above is typically a C-linked monocyclic heteroaryl group. When it is substituted, it is typically substituted by -NR 10 R 1 ', -OR 10 or C 1 -C 6 alkyl.
- R 7 in formulae (Ia) and (Ib) as defined above is typically selected from -NR 10 R 11 , -OR 10 and C 1 -C 6 alkyl.
- Y is typically C 2 -C 6 alkynylene or -0-(CR 2 ) t - wherein t is as defined above.
- R 6 is typically selected from OR, -NR 2 ,an unsaturated 5- to 12-membered carbocyclic or heterocyclic ring which is unsubstituted or substituted and a saturated 5-, 6- or 7- membered N-containing heterocyclic group which is unsubstituted or substituted, said saturated N-containing heterocyclic group being C-linked to Y when Y is -0-(CR 2 ) r .
- R 6 is selected from -NR 2 , -OR, an aryl group as defined above, a heteroaryl group as defined above and a C-linked saturated 5-, 6- or 7- membered N-containing heterocyclic group, each said group being unsubstituted or substituted, for instance by a group Z or R 9 as defined above.
- Y is C 2 -C 6 alkynylene or -0-(CR 2 ) t- wherein t is as defined above and R 6 is selected from -NR 2 , -OR, an aryl group as defined above and a heteroaryl group as defined above.
- the aryl or heteroaryl group is unsubstituted or substituted by a group Z or R 9 as defined above, for instance by a group -SO 2 R, -COR, -CONR 2 or -CN wherein each R is, independently, H or C 1 - C 6 alkyl.
- the aryl group is typically phenyl and the heteroaryl group is typically pyridyl, imidazolyl or quinolinyl.
- Morpholino pyrimidines of the invention may be produced by a process which comprises a palladium-mediated (Suzuki-type) cross-coupling reaction as the last step.
- a morpholino pyrimidine of formula (I) may be produced by a process which comprises treating a compound of formula (II):
- R 1 and R 3 are as defined above, with a boronic acid or ester thereof of formula R 2 B(OR 15 ) 2 , in which R 2 is as defined above and each R 15 is H or C 1 -C 6 alkyl or the two groups OR 15 form, together with the boron atom to which they are attached, a pinacolato boronate ester group, in the presence of a suitable base and a Pd catalyst.
- a suitable solvent is acetonitrile.
- a suitable temperature range for this reaction is room temperature to 80-180°C. This reaction may be performed thermally or in a microwave reactor.
- a compound of formula (II) wherein R 1 is a group -Y-R 6 in which Y is -O-(CR 2 ) n - and R 6 is as defined above may be produced by a process which comprises treating a compound of the following formula (III):
- R is as defined above, with a compound of formula HO-(CR 2 ) n -R in the presence of a base.
- a suitable base is sodium hydride or potassium carbonate.
- a suitable solvent is N,N-dimethylformamide or acetonitrile.
- a suitable temperature range for this reaction is room temperature to 100°C.
- a compound of formula (II) wherein R 1 is a group -Y-R 6 in which Y is -NR-(CR 2 ) n - may be prepared by treating a compound of formula (III) as defined above with an amine of formula HNR-(CR 2 ) ⁇ -R 6 in the presence of a base.
- a suitable base is sodium hydride or potassium carbonate.
- a suitable solvent is N,N-dimethylforaiamide, tetrahydrofuran or acetonitrile.
- a suitable temperature range for this reaction is room temperature to 100°C.
- a compound of formula (II) wherein R 1 is a group -Y-R 6 in which Y is a direct bond and R is an unsaturated 5- to 12-membered carbocyclic or heterocyclic ring which is aromatic may be prepared by treating a compound of formula (III) as defined above with a boronic acid or ester thereof of formula R 1 B(OR ⁇ ) 2 , in which R 1 is as defined above and each R 15 is H or C 1 -C 6 alkyl or the two groups OR 15 form, together with the boron atom to which they are attached, a pinacolato boronate ester group, in the presence of a suitable base and a Pd catalyst.
- a suitable solvent is acetonitrile.
- a suitable temperature range for this reaction is room temperature to 80-180°C. This reaction may be performed thermally or in a microwave reactor.
- a compound of formula (II) wherein R 1 is a group -Y-R 6 in which Y is a linker group -(CR 2 ) p -NR-(CR 2 ) n - in which p is 0 may be produced by a process which comprises treating a compound of formula (VI):
- a compound of formula (VI) may be produced by a process which comprises treating 2,4,6-trichloropyrimidine with an amine of formula R 6 -(CR 2 ) P -NRH in the presence of a base in an appropriate solvent.
- a morpholino pyrimidine of formula (I) may also be produced by a process which comprises treating a compound of formula (IV):
- R 2 and R 3 are as defined above, with a boronic acid or ester thereof of formula R 1 B(OR 15 ) 2 , in which R 1 is -Y-R 6 in which Y is a direct bond and R 6 is a 5- to 12- membered aryl or heteroaryl group and each R 15 is H or Ci-C 6 alkyl or the two groups OR 15 form, together with the boron atom to which they are attached, a pinacolato boronate ester group, in the presence of a suitable base and a Pd catalyst.
- a suitable solvent is acetonitrile.
- a suitable temperature range for this reaction is room temperature to 80- 18O 0 C. This reaction may be performed thermally or in a microwave reactor.
- a morpholino pyrimidine of formula (I) in which R 1 is a group -Y-R wherein Y is an alkynylene group and R 6 is as defined above may be produced by a process which comprises submitting a compound of formula (IV) as defined above to Sonogashira coupling with a compound of formula HC ⁇ C-(CR 2 ) n -R 6 in the presence of a palladiaum catalyst, a copper (I) cocatalyst and an amine base.
- a compound of formula (IV) as defined above may be produced by a process which comprises by treating a compound of formula (III) as defined above with a boronic acid or ester thereof of formula R 2 B(OR 15 )2, in which R 2 is as defined above and each R 15 is H or C 1 -C 6 alkyl or the two groups OR 15 form, together with the boron atom to which they are attached, a pinacolato boronate ester group, in the presence of a suitable base and a Pd catalyst.
- a suitable solvent is acetonitrile.
- a suitable temperature range for this reaction is room temperature to 80-180 0 C. This reaction may be performed thermally or in a microwave reactor.
- a compound of formula (I) in which R 1 is a group -Y-R 6 in which Y is a linker group -(CR 2 ) p -NH-(CR 2 ) n - as defined above in which p is 0, may be produced by a process which comprises treating a compound of formula (Ha):
- R 3 , R 6 , R and p are as defined above for formula (I), with a boronic acid or ester thereof of formula R 2 B(OR 15 ) 2 , in which R 2 is as defined above and each R 15 is H or C 1 -C 6 alkyl or the two groups OR 15 form, together with the boron atom to which they are attached, a pinacolato boronate ester group, in the presence of a suitable base and a Pd catalyst.
- a suitable solvent is acetonitrile.
- a suitable temperature range for this reaction is room temperature to 80- 180°C. This reaction may be performed thermally or in a microwave reactor.
- a compound of formula (Ha) may be prepared by a process which comprises treating a compound of formula (V):
- a compound of formula (V) may be prepared by treatment of a compound of formula (VTa):
- a compound of formula (VI) may be prepared by a process which comprises treating 2,4,6-trichloropyrimidine with an amine of formula R 6 -(CR 2 ) P -NH 2 in the presence of a base in an appropriate solvent.
- a morpholino pyrimidine of the invention may be converted into a pharmaceutically acceptable salt, and a salt may be converted into the free compound, by conventional methods.
- salts include salts with inorganic acids such as hydrochloric acid, hydrobromic acid, hydroiodic acid, sulphuric acid, nitric acid and phosphoric acid; and organic acids such as methanesulfonic acid, benzenesulphonic acid, formic acid, acetic acid, trifluoroacetic acid, propionic acid, oxalic acid, malonic acid, succinic acid, fumaric acid, maleic acid, lactic acid, malic acid, tartaric acid, citric acid, ethanesulfonic acid, aspartic acid and glutamic acid.
- the salt is a mesylate, a hydrochloride, a phosphate, a benzenesulphonate or a sulphate.
- the salt is a mesylate or a hydrochloride.
- the salts for instance salts with any of the inorganic or organic acids mentioned above, may be mono-salts, bis-salts or tris-salts.
- the mesylate salt may be the mono-mesylate or the bis-mesylate.
- the morpholino pyrimidines of the invention and their salts may exist as hydrates or solvates.
- Compounds of the present invention have been found in biological tests to be inhibitors of PB kinase.
- the compounds are inhibitors of the pi 10a isoform of PI3 kinase.
- the compounds may show selectivity for the pi 10a isoform over one or more of the other isoforms of PB kinase, i.e. selectivity over one or more of the pi lO ⁇ , pi lO ⁇ and pi lO ⁇ isoforms.
- a compound of the present invention may thus be used as an inhibitor of PI3 kinase, in particular of a class Ia PO kinase. Accordingly, a compound of the present invention can be used to treat a disease or disorder arising from abnormal cell growth, function or behaviour. Such abnormal cell growth, function or behaviour is typically associated with PD kinase. Examples of such diseases and disorders are discussed by Drees et al in Expert Opin. Ther. Patents (2004) 14(5):703 - 732. These include cancer, immune disorders, cardiovascular disease, viral infection, inflammation, metabolism/endocrine disorders and neurological disorders. Examples of metabolism/endocrine disorders include diabetes and obesity.
- cancers which the present compounds can be used to treat include leukaemia, brain tumours, renal cancer, gastric cancer and cancer of the skin, bladder, breast, uterus, lung, colon, prostate, ovary and pancreas.
- a human or animal patient suffering from an immune disorder, cancer, cardiovascular disease, viral infection, inflammation, a metabolism/endocrine disorder or a neurological disorders may thus be treated by a method comprising the administration thereto of a compound of the present invention as defined above. The condition of the patient may thereby be improved or ameliorated.
- Diseases and conditions treatable according to the methods of this invention include, but are not limited to, cancer, stroke, diabetes, hepatomegaly, cardiovascular disease, Alzheimer's disease, cystic fibrosis, viral disease, autoimmune diseases, atherosclerosis, restenosis, psoriasis, allergic disorders, inflammation, neurological disorders, a hormone-related disease, conditions associated with organ transplantation, immunodeficiency disorders, destructive bone disorders, proliferative disorders, infectious diseases, conditions associated with cell death, thrombin-induced platelet aggregation, chronic myelogenous leukemia (CML), liver disease, pathologic immune conditions involving T cell activation, and CNS disorders in a patient.
- CML chronic myelogenous leukemia
- a human patient is treated with a compound of the invention and a pharmaceutically acceptable carrier, adjuvant, or vehicle, wherein said compound is present in an amount to detectably inhibit PI3 kinase activity.
- Cancers which can be treated according to the methods of this invention include, but are not limited to, breast, ovary, cervix, prostate, testis, genitourinary tract, esophagus, larynx, glioblastoma, neuroblastoma, stomach, skin, keratoacanthoma, lung, epidermoid carcinoma, large cell carcinoma, non-small cell lung carcinoma (NSCLC), small cell carcinoma, lung adenocarcinoma, bone, colon, adenoma, pancreas, adenocarcinoma, thyroid, follicular carcinoma, undifferentiated carcinoma, papillary carcinoma, seminoma, melanoma, sarcoma, bladder carcinoma, liver carcinoma and biliary passages, kidney carcinoma, myeloid
- Cardiovascular diseases which can be treated according to the methods of this invention include, but are not limited to, restenosis, cardiomegaly, atherosclerosis, myocardial infarction, and congestive heart failure.
- Neurodegenerative disease which can be treated according to the methods of this invention include, but are not limited to, Alzheimer's disease, Parkinson's disease, amyotrophic lateral sclerosis, Huntington's disease, and cerebral ischemia, and neurodegenerative disease caused by traumatic injury, glutamate neurotoxicity and hypoxia.
- Inflammatory diseases which can be treated according to the methods of this invention include, but are not limited to, rheumatoid arthritis, psoriasis, contact dermatitis, and delayed hypersensitivity reactions.
- a compound of the present invention can be administered in a variety of dosage forms, for example orally such as in the form of tablets, capsules, sugar- or film-coated tablets, liquid solutions or suspensions or parenterally, for example intramuscularly, intravenously or subcutaneously.
- the compound may therefore be given by injection or infusion.
- the dosage depends on a variety of factors including the age, weight and condition of the patient and the route of administration. Daily dosages can vary within wide limits and will be adjusted to the individual requirements in each particular case. Typically, however, the dosage adopted for each route of administration when a compound is administered alone to adult humans is 0.0001 to 50 mg/kg, most commonly in the range of 0.001 to 10 mg/kg, body weight, for instance 0.01 to 1 mg/kg. Such a dosage may be given, for example, from 1 to 5 times daily. For intravenous injection a suitable daily dose is from 0.0001 to 1 mg/kg body weight, preferably from 0.0001 to 0.1 mg/kg body weight. A daily dosage can be administered as a single dosage or according to a divided dose schedule.
- a dose to treat human patients may range from about 10 mg to about 1000 mg of a compound of the invention.
- a typical dose may be about 100 mg to about 300 mg of the compound.
- a dose may be administered once a day (QID), twice per day (BID), or more frequently, depending on the pharmacokinetic and pharmacodynamic properties, including absorption, distribution, metabolism, and excretion of the particular compound.
- toxicity factors may influence the dosage and administration regimen.
- the pill, capsule, or tablet may be ingested daily or less frequently for a specified period of time. The regimen may be repeated for a number of cycles of therapy.
- a compound is formulated for use as a pharmaceutical or veterinary composition also comprising a pharmaceutically or veterinarily acceptable carrier or diluent.
- compositions are typically prepared following conventional methods and are administered in a pharmaceutically or veterinarily suitable form.
- the compound may be administered in any conventional form, for instance as follows: A) Orally, for example, as tablets, coated tablets, dragees, troches, lozenges, aqueous or oily suspensions, liquid solutions, dispersible powders or granules, emulsions, hard or soft capsules, or syrups or elixirs.
- Compositions intended for oral use may be prepared according to any method known in the art for the manufacture of pharmaceutical compositions and such compositions may contain one or more agents selected from the group consisting of sweetening agents, flavouring agents, colouring agents and preserving agents in order to provide pharmaceutically elegant and palatable preparations.
- Tablets contain the active ingredient in admixture with non-toxic pharmaceutically acceptable excipients which are suitable for the manufacture of tablets.
- excipients may be for example, inert diluents, such as calcium carbonate, sodium carbonate, lactose, dextrose, saccharose, cellulose, corn starch, potato starch, calcium phosphate or sodium phosphate; granulating and disintegrating agents, for example, maize starch, alginic acid, alginates or sodium starch glycolate; binding agents, for example starch, gelatin or acacia; lubricating agents, for example silica, magnesium or calcium stearate, stearic acid or talc; effervescing mixtures; dyestuffs, sweeteners, wetting agents such as lecithin, polysorbates or lauryl sulphate.
- inert diluents such as calcium carbonate, sodium carbonate, lactose, dextrose, saccharose, cellulose
- the tablets may be uncoated or they may be coated by known techniques to delay disintegration and adsorption in the gastrointestinal tract and thereby provide a sustained action over a longer period.
- a time delay material such as glyceryl monostearate or glyceryl distearate may be employed.
- Such preparations may be manufactured in a known manner, for example by means of mixing, granulating, tableting, sugar coating or film coating processes.
- Formulations for oral use may also be presented as hard gelatin capsules wherein the active ingredient is mixed with an inert solid diluent, for example, calcium carbonate, calcium phosphate or kaolin, or as soft gelatin capsules wherein the active ingredient is present as such, or mixed with water or an oil medium, for example, peanut oil, liquid paraffin, or olive oil.
- an inert solid diluent for example, calcium carbonate, calcium phosphate or kaolin
- water or an oil medium for example, peanut oil, liquid paraffin, or olive oil.
- Aqueous suspensions contain the active materials in admixture with excipients suitable for the manufacture of aqueous suspensions.
- excipients are suspending agents, for example, sodium carboxymethylcellulose, methylcellulose, hydroxypropylmethyl-cellulose, sodium alginate, polyvinylpyrrolidone gum tragacanth and gum acacia; dispersing or wetting agents may be naturally-occurring phosphatides, for example lecithin, or condensation products of an alkylene oxide with fatty acids, for example polyoxyethylene stearate, or condensation products of ethylene oxide with long chain aliphatic alcohols, for example heptadecaethyleneoxycetanol, or condensation products of ethylene oxide with partial esters derived from fatty acids and a hexitol such as polyoxyethylene sorbitol monooleate, or condensation products of ethylene oxide with partial esters derived from fatty acids and hexitol anhydrides for example polyoxyethylene sorbitan monooleate.
- the said aqueous suspensions may also contain one or more preservatives, for example, ethyl or n-propyl p-hydroxybenzoate, one or more colouring agents, such as sucrose or saccharin.
- preservatives for example, ethyl or n-propyl p-hydroxybenzoate
- colouring agents such as sucrose or saccharin.
- Oily suspension may be formulated by suspending the active ingredient in a vegetable oil, for example arachis oil, olive oil, sesame oil or coconut oil, or in a mineral oil such as liquid paraffin.
- the oily suspensions may contain a thickening agent, for example beeswax, hard paraffin or cetyl alcohol.
- Sweetening agents such as those set forth above, and flavouring agents may be added to provide a palatable oral preparation. These compositions may be preserved by this addition of an antioxidant such as ascorbic acid.
- Dispersible powders and granules suitable for preparation of an aqueous suspension by the addition of water provide the active ingredient in admixture with a dispersing or wetting agent, a suspending agent and one or more preservatives. Suitable dispersing or wetting agents and suspending agents are exemplified by those already mentioned above. Additional excipients, for example sweetening, flavouring and colouring agents, may also be present.
- the pharmaceutical compositions of the invention may also be in the form of oil-in- water emulsions.
- the oily phase may be a vegetable oil, for example olive oil or arachis oils, or a mineral oil, for example liquid paraffin or mixtures of these.
- Suitable emulsifying agents may be naturally-occurring gums, for example gum acacia or gum tragacanth, naturally occuring phosphatides, for example soy bean lecithin, and esters or partial esters derived from fatty acids an hexitol anhydrides, for example sorbitan mono-oleate, and condensation products of the said partial esters with ethylene oxide, for example polyoxyethylene sorbitan monooleate.
- the emulsion may also contain sweetening and flavouring agents.
- Syrups and elixirs may be formulated with sweetening agents, for example glycerol, sorbitol or sucrose.
- sweetening agents for example glycerol, sorbitol or sucrose.
- a syrup for diabetic patients can contain as carriers only products, for example sorbitol, which do not metabolise to glucose or which only metabolise a very small amount to glucose.
- Such formulations may also contain a demulcent, a preservative and flavouring and coloring agents.
- This suspension may be formulated according to the known art using those suitable dispersing of wetting agents and suspending agents which have been mentioned above.
- the sterile injectable preparation may also be a sterile injectable solution or suspension in a non-toxic paternally-acceptable diluent or solvent, for example as a solution in 1,3-butane diol.
- Suitable vehicles and solvents that may be employed are water, Ringer's solution and isotonic sodium chloride solution.
- sterile, fixed oils are conventionally employed as a solvent or suspending medium.
- any bland fixed oil may be employed including synthetic mono- or diglycerides.
- fatty acids such as oleic acid find use in the preparation of injectables.
- SCX-2 cartridges were also used in the purification of some compounds.
- Method B A mixture of morpholinoformamidine hydrobromide (3.38g), methanol ( 1 OmL) and sodium methoxide in methanol (25% wt, 7.35ml) was heated to reflux for 30 minutes. Diethyl malonate (2.69ml) was then added and the reaction mixture was heated for a further 5 hours. The reaction mixture was then cooled and poured onto ice/water ( ⁇ 50ml) and acidified using 2N HCl to give a white precipitate. This was collected by filtration and air-dried to give 2-morpholin-4-yl-pyrimidine-4,6-diol (2.38g).
- Methyl-[5-(4,4,5,5-tetramethyl-[l,3,2]dioxaborolan-2-yl)-pyridin-2-yl]-carbamic acid tert-butyl ester was prepared from tert-butyl 5-bromopyridin-2- yl(methyl)carbamate according to J. Label Compd. Radiopharm., (2003), 46, 1055- 1065, Kumar et al.
- 6-(4-Methyl-piperazin- 1 -yl)-2-morpholin-4-yl-[4,5']bipyrimidinyl-2'-ylamine (5) was prepared using N-methylpiperazine.
- N-6-Benzyl-2-mo ⁇ holin-4-yl-[4,5']bipyrimidinyl-6,2'-diamine (16) was prepared using benzylamine.
- N-6-Benzyl-N-6-methyl-2-morpholin-4-yl-[4,5']bipyrimidinyl-6,2'-diamine (18) was prepared using N-benzylmethylamine IH NMR (400MHz, CDCl 3 )
- N-6-[2-(3,4-Dimethoxy-phenyl)-ethyl]-N-6-methyl-2-morpholin-4-yl- ⁇ 'Jbipyrimidinyl- ⁇ '-diamine (23) was prepared using 2-(3,4-dimethoxyphenyl)-N- methylethylamine.
- N-6-(2-Dimethylamino-ethyl)-2-morpholin-4-yl-[4,5']bipyrimidinyl-6,2'-diamine was prepared using N,N-dimethylethylenediamine; NMR (CDC13): 2.29 (6H, s), 2.55 (2H, t), 3.44-3.47 (2H, m), 3.77-3.80 (4H, m), 3.84- 3.87 (4H, m), 5.20 (2H, br), 5.32 (IH, br), 6.03 (IH, s), 8.89 (2H, s) MS (ESI+): MH+ 345.21 (30%) N-6-(3-Dimethylamino-propyl)-2-morpholin-4-yl-[4,5']bipyrimidinyl-6,2 l -diamine (67) was prepared using 3-dimethylaminopropylamine.
- N-6,N-6-Bis-(2-methoxy-ethyl)-2-morpholin-4-yl-[4,5']bipyrimidinyl-6,2'-diamine was prepared using bis-(2-methoxy-ethyl)-amine.
- N-6-(3-Fluoro-benzyl)-2-mo ⁇ holin-4-yl-[4,5']bipyrimidinyl-6,2'-diamine (70) was prepared using 3-fluorobenzylamine.
- N-6-(2-Methoxy-ethyl)-N-6-methyl-2-mo ⁇ holin-4-yl-[4,5']bipyrimidinyl-6,2'-diamine (111) was prepared using (2-methoxyethyl)methylamine.
- 2-Morpholin-4-yl-N-6-(2-pyridin-2-yl-ethyl)-[4,5']bipyrimidinyl-6,2'-diamine (92) was prepared using2-(2-aminoethyl)pyridine.
- N-6-[2-(lH-Imidazol-4-yl)-ethyl]-2-mo ⁇ holin-4-yl-[4,5']bipyrimidinyl-6,2 1 -diamine (101) was prepared using histamine.
- N-6-[2-(lH-Indol-3-yl)-ethyl]-2-morpholin-4-yl-[4,5 f ]bipyrimidinyl-6,2'-diamine (102) was prepared using tryptamine
- N-[4-(6-Chloro-2-morpholin-4-yl-pyrimidin-4-yl)-phenyl]-ethane-sulfonamide (69mg) and 2-aminopyrimidine-5-boronic acid pinacol ester (1.8 equiv., 47mg) were taken up in acetonitrile (2ml).
- sodium carbonate (3 equiv., 60mg) as a solution in water (0.5ml) and PdCl 2 (PPh 3 ) 2 (0.05 equiv.).
- the reaction mixture was heated in microwave at 14O 0 C for 30 min.
- 6-(3-Methanesulfonyl-phenyl)-2-mo ⁇ holin-4-yl-[4,5 l ]bipyrimidinyl-2'-ylamine (6) was prepared using 3-methoxysulphonylphenyl boronic acid.
- N-[4-(2'-Amino-2-mo ⁇ holin-4-yl-[4,5']bipyrimidinyl-6-yl)-phenyl]-acetamide (13) was prepared using 4'-(4,4,5,5-tetramethyl-l,3,2-dioxaborolan-2-yl)acetamide.
- N-[2-(2'-Amino-2-m ⁇ holin-4-yl-[4,5']bipyrimidinyl-6-yl)-phenyl]- methanesulfonamide (57) was prepared using N-[2-(4,4,5,5-tetramethyl- 1,3,2- dioxaborolan-2-yl)phenyl]methanesulfonamide.
- N- [3 -(T- Amino-2-morpholin-4-yl- [4, 5 ']bipyrimidinyl-6-yl)-phenyl] -acetamide (62) was prepared using 3-acetamidobenzeneboronic acid.
- N- [3 -(2'- Amino-2-morpholin-4-yl- [4,5 ']bipyrimidinyl-6-yl)-pheny 1] - methanesulfonamide (79) was prepared using N-[3-(4,4,5,5-tetramethyl- 1,3,2- dioxaborolan-2-yl)phenyl]methanesulfonamide.
- 6-(4-Methanesulfonyl-phenyl)-2-morpholin-4-yl-[4,5']bipyrimidinyl-2'-ylamine (58) was prepared using 4-(methanesulfonyl)benzeneboronic acid.
- 6-(2-Methanesulfonyl-phenyl)-2-morpholin-4-yl-[4,5']bipyrimidinyl-2'-ylamine (74) was prepared using (2-methylsulfonyl)phenylboronic acid.
- 6-[4-(4-Methanesulfonyl-piperazin- 1 -ylmethyl)-phenyl]-2-morpholin-4-yl- [4,5']bipyrimidinyl-2'-ylamine (39) was prepared using Intermedaite G.
- N-I *-(6-Chloro-2-morpholin-4-yl-pyrimidin-4-yl)-ethane- 1 ,2-diamine hydrochloride 150mg, 0.51mmol was dissolved in pyridine (ImI), to this was added methanesulfonyl chloride (1.2 equiv., 47ul) and the reaction mixture was stirred at room temperature overnight.
- Example 9 4-(2'-Amino-2-morpholin-4-vI-r4,5'lbipyrimidinyI-6-vD-2- methyl-but-3-vn-2-ol (114)
- 2-methyl-3-butyn-2-ol 1.2 equiv., 12ul
- copper (I) iodide 0.022 equiv., 0.5mg
- triethylamine 2 equiv., 29ul
- PdCl 2 (PPh 3 ) 2 0.05 equiv., 3.5mg.
- the reaction mixture was heated in microwave at 18O 0 C for 10 min.
- 6-(3-Dimethylamino-prop-l-ynyl)-2-morpholin-4-yl-[4,5']bipyrimidinyl-2'-ylamine (124) was prepared from l-dimethylamino-2-propyne.
- 6-(3,5-Difluoro-phenoxy)-2-morpholin-4-yl-[4,5']bipyrimidinyl-2'-ylamine (34) was prepared from 3,5-difluorophenol.
- 6-(2,6-Dimethyl-phenoxy)-2-morpholin-4-yl-[4,5']bipyrimidinyl-2'-ylamine (35) was prepared from 2,6-dimethylphenol.
- 6-(4-Methanesulfonyl-phenoxy)-2-mo ⁇ holin-4-yl-[4,5']bipyrirnidinyl-2'-ylamine (82) was prepared from 4-methylsulphonylphenol.
- N,N-dimethyl-benzamide ( 26) To a solution of Intermediate Dl (70mg) in dry N,N-dimethylformamide (2mL) was added 1,1-carbonyldiimidazole (42mg). After 2 hours dimethylamine hydrochloride (25mg) and triethylamine (41 ⁇ L) were added. The reaction mixture was stirred overnight before water was added to yield a precipitate. This was collected by filtration and air-dried to yield 4-(6-chloro-2-mo ⁇ holin-4-yl-pyrimidin-4-yloxy)-N,N-dimethyl- benzamide (76mg).
- Example 12 2-MorphoKn-4-vI-N-6-phenvI-r4,5Mbipyrimidinyl-6,2'- diamine (49) To a solution of N-BOC-aniline( 171 mg) in dry N,N-dimethy lformamide (was added sodium hydride (60% dispersion in mineral oil, 59mg). After stirring for 15 minutes, Intermediate Al (197mg) was added and the reaction mixture was heated to
- 6-(3-Methanesulfonyl-ben2yloxy)-2-morpholin-4-yl-[4,5 l ]bipyrimidinyl-2'-ylarnine (116) was prepared from (3-methanesulfonyl-phenyl)-methanol.
- (3-Methanesulfonyl-phenyl)-methanol was prepared as follows: To 3- Methanesulfonyl-benzoic acid in THF at O 0 C was added dropwise a borane-THF complex and the reaction mixture stirred at room temperature overnight. Excess hydride was destroyed by slow addition of a water/THF mixture. The aqueous phase was saturated with potassium carbonate then extracted with ether. The organics were dried with MgSO 4 and the solvent reduced in vacuo to yield (3-methanesulfonyl-phenyl)- methanol as a clear oil.
- 3-Hydroxymethyl-benzonitrile was prepared as follows: To 3- cyanobenzaldehyde in dry MeOH at O 0 C was added NaBH 4 and the reaction stirred at room temperature for 2hours. The mixture was quenched with 50:50 H 2 O:sat. aq.NaHCO 3 then extracted into MeOH-EtOAc to yield 3-hydroxymethyl-benzonitrile.
- 6-(3-Methyl-3H-imidazol-4-ylmethoxy)-2-morpholin-4-yl-[4,5']bipyrimidinyl-2'- ylamine 120 was prepared from (l-methyl-lH-imidazol-5-yl)methanol.
- 2-Morpholin-4-yl-6-(quinolin-3-ylmethoxy)-[4,5']bipyrimidinyl-2'-ylamine (121) was prepared from quinolin-3-yl-methanol.
- 3-Hydroxymethyl-N,N-dimethyl-benzamide was prepared as follows: To 3- carboxybezaldehyde in DMF was added carbonyldiimidazole. After stirring for 4 hours, triethylamine and dimethylamine.HCl were added and the mixture stirred at room temperature for a weekend. The mixture was quenched with water, extracted into DCM and washed with brine. Drying with MgSO 4 and removal of the solvent in vacuo yielded crude material which was purified on silica to give 3-Formyl-N,N-dimethyl-benzamide as a yellow oil.
- 6-(4-Methanesulfonyl-benzyloxy)-2-morpholin-4-yl-[4,5 l ]bipyrimidinyl-2'-ylamine (127) was prepared from/>-(methylsulfonyl)benzylalcohol.
- 6-(l-Methyl-l-phenyl-ethoxy)-2-mo ⁇ holin-4-yl-[4,5']bipyrimidinyl-2'-ylamine (135) was prepared from 2-phenyl-2-propanol.
- 2-(3-methanesulfonyl-phenyl)-ethanol was prepared as follows: To a solution of 3-methylsulphonylphenylacetic acid (200mg, 0.93mmol) in dry THF (3ml) at O 0 C was added borane-tetrahydrofuran complex ( 1.0M solution in THF, 1.4 equiv, 1.31 ml) dropwise. The reaction was allowed to warm up to room temperature overnight and then quenched with water. DCM/brine extraction gave 2-(3-methanesulfonyl-phenyl)-ethanol as a clear oil (184mg).
- 2-(3-cyanol-phenyl)-ethanol was prepared as follows: To a solution of 3- cyanophenylacetic acid (250mg, 1.55mmol) in dry THF (3ml) at O 0 C was added borane- tetrahydrofuran complex (LOM solution in THF, 1.4 equiv, 2.17ml) dropwise. The reaction was allowed to warm up to room temperature overnight and then quenched with water. DCM/brine extraction gave 2-(3-cyanol-phenyl)-ethanol as a yellow oil (170mg).
- LOM solution in THF 1.4 equiv, 2.17ml
- 6-[2-(lH-Indol-3-yl)-ethoxy]-2-morpholin-4-yl-[4,5']bipyrimidinyl-2'-ylamine (144) was prepared from 3-(2-hydroxy-ethyl)-indole-l-carboxylic acid tert-butyl ester.
- 3-(2-Hydroxy-ethyl)-indole-l-carboxylic acid tert-butyl ester was prepared as follows: To a solution of tryptophol (200mg, 1.25mmol) in DCM (5ml) were added di- tert-butyldicarbonate (1.5equiv, 410mg) and dimethylaminopyridine (0.05equiv, 8mg) and the reaction mixture was stirred at room temperature overnight. DCM/brine extraction afforded 3-(2-hydroxy-ethyl)-indole-l-carboxylic acid tert-butyl ester as an oil (348mg).
- 6-(4-Benzenesulfonyl-piperazin-l-yl)-2-morpholin-4-yl-[4,5']bipyrimidinyl-2'-ylamine (9) was prepared in an analogous manner using Intermediate H and benzene sulphonyl chloride.
- 6-(4-Dimethylaminomethyl-phenoxy)-2-mo ⁇ holin-4-yl-[4,5']bipyrimidinyl-2'-ylamine was prepared in a similar manner using Intermediate E2 and dimethylamine hydrochloride.
- N-6-(3-Methanesulfonyl-phenyl)-5-methyl-2-morpholin-4-yl-[4,5']bipyrimidinyl-6,2'- diamine (150) was prepared in an analogous manner using Intermediate A2.
- N-6-(4-Methanesulfonyl-phenyl)-2-morpholin-4-yl-[4,5']bipyrimidinyl-6,2'-diamine (103) was prepared using 4-methylsulphonyl aniline.
- N-6-Methyl-6-morpholin-4-yl-N-6-phenyl-[4,5']bipyrimidinyl-6,2'-diamine (106) was prepared using N-methylaniline.
- N-6-[3-(4-Methyl-piperazine-l-sulfonyl)-phenyl]-2-morpholin-4-yl-[4,5']bipyrimidinyl- 6,2'-diamine (105) was prepared in a similar manner by replacing dimethylamine with N-methylpiperazine
- 6-(6-Amino-pyridin-3-yl)-2-morpholin-4-yl-pyrimidin-4-yl]-[3-(4-methyl-piperazine-l- sulfonyl)-phenyl]-amine (133) was prepared in a similar manner using 2-aminopyridine- 5-boronic acid pinacol ester for the last step
- Example 23 3-f2-(2 > -Amino-2-morphoIin-4-vI-r4,5'lbipyrimidinyl-6- yloxy)-ethvU-benzamide (143) To 3-[2-(2'-amino-2-morpholin-4-yl-[4,5']bipyrimidinyl-6-yloxy)-ethyl]- benzonitrile 96mg, 0.24mmol) (described above) in MeOH (5ml) was added sodium hydroxide (1 equiv, 9.5mg) in water (0.5ml) and hydrogen peroxide (30% solution in water, 5 equiv., 0.12ml).
- PI3K Compound inhibition of PI3K was determined in a radiometric assay using purified, recombinant enzyme and ATP at a concentration of lmicromole All compounds were serially diluted in 100% DMSO. The kinase reaction was incubated for 1 hour at room temperature, and the reaction was terminated by the addition of PBS. ICso values were subsequently determined using sigmoidal dose-response curve fit (variable slope). All of the compounds tested had an IC 50 against PBK of 10 micromole or less.
- EC 50 values were calculated using a sigmoidal dose response curve fit. All the compounds tested had an EC 50 S of 10 micromole or less in the range of cell lines utilized.
- Tablets each weighing 0.15 g and containing 25 mg of a compound of the invention are manufactured as follows:
- the active compound, lactose and half of the corn starch are mixed. The mixture is then forced through a sieve 0.5 mm mesh size. Corn starch (10 g) is suspended in warm water (90 ml). The resulting paste is used to granulate the powder.
- Example 28 Injectable Formulation
- the compound of the invention is dissolved in most of the water (35° 40° C) and the pH adjusted to between 4.0 and 7.0 with the hydrochloric acid or the sodium hydroxide as appropriate.
- the batch is then made up to volume with water and filtered through a sterile micropore filter into a sterile 10 ml amber glass vial (type 1) and sealed with sterile closures and overseals.
- the active compound is dissolved in the glycofurol.
- the benzyl alcohol is then added and dissolved, and water added to 3 ml.
- the mixture is then filtered through a sterile micropore filter and sealed in sterile 3 ml glass vials (type 1).
- the compound of the invention is dissolved in a mixture of the glycerol and most of the purified water.
- An aqueous solution of the sodium benzoate is then added to the solution, followed by addition of the sorbitol solution and finally the flavour.
- the volume is made up with purified water and mixed well.
Landscapes
- Chemical & Material Sciences (AREA)
- Organic Chemistry (AREA)
- Health & Medical Sciences (AREA)
- Chemical Kinetics & Catalysis (AREA)
- General Chemical & Material Sciences (AREA)
- Medicinal Chemistry (AREA)
- Nuclear Medicine, Radiotherapy & Molecular Imaging (AREA)
- Pharmacology & Pharmacy (AREA)
- Life Sciences & Earth Sciences (AREA)
- Animal Behavior & Ethology (AREA)
- General Health & Medical Sciences (AREA)
- Public Health (AREA)
- Veterinary Medicine (AREA)
- Pharmaceuticals Containing Other Organic And Inorganic Compounds (AREA)
Abstract
Morpholino pyrimidines of formula (I): wherein R1 is selected from -Y-R6 and -NR4R5; R2 is a N-containing monocyclic heteroaryl group which is selected from pyridyl, isoxazolyl, imidazolyl, pyrazolyl, pyrrolyl, thiazolyl, pyridazinyl, pyrimidinyl, pyrazinyl, oxazolyl, furanyl, thienyl, triazolyl and tetrazolyl and which is unsubstituted or substituted by halo, -CN, -NR10R11, -OR10, -C(O)R10, -NR10C(O)R11, - N(C(O)R11)2, -NR10C(O)NR10R11, -SO2R10R11, -SO2NR10R11, -C(=O)OR10, -C(=O)NR10R11, halo-C1 -C6 alkyl and unsubstituted C1-C12 alkyl; R3 is selected from H, C1-C6 alkyl and C1-C6 alkoxy; Y is selected from a direct bond, -(CR2)m-, C2-C6 alkenylene, C2-C6 alkynylene, -(CR2)p-O-(CR2) t-, -(CR2)p-NR-(CR2) t, -(CR2)p-NR-(CR2)n-C(O)-, -(CR2)p-NR-C(O)- (CR2)n-, -(CR2)p-C(O)-NR-(CR2) t, -(CR2)p-C(O)-(CR2)n-NR-(CR2)t,- and -(CR2)p- C(O)-(CR2)n-; R6 is selected from an unsaturated 5- to 12-membered carbocyclic or heterocyclic ring, a saturated 5-, 6- or 7- membered N-containing heterocyclic group which is unsubstituted or substituted, C1-C6 alkyl, -NR2, -OR, -NR(CO)R and - C(O)NR2; R4 and R5, which are the same or different, are both C1-C6 alkyl which is unsubstituted or substituted, or R4 and R5 together form, with the nitrogen atom to which they are attached, a saturated 5-, 6- or 7- membered N-containing heterocyclic group which is unsubstituted or substituted; each R, which are the same or different when more than one is present in a given group, is independently H, C1-C6 alkyl which is unsubstituted or substituted or a 5- to 12-membered aryl or heteroaryl group which is unsubstituted or substituted; R10 and R11, which are the same or different, are independently selected from H, C1-C6 alkyl, C2-C6 alkenyl, C2-C6 alkynyl and C3-C8 cycloalkyl; n is 0 or an integer of 1 to 6; m is an integer of 1 to 6; p is 0 or an integer of 1 to 6; and t is 0 or an integer of 1 to 6, with the proviso that t is an integer of 2 to 6 when R6 is linked to Y through a constituent O or N atom of R6; and the pharmaceutically acceptable salts thereof, subject to various provisos, have activity as inhibitors of PI3K and may thus be used to treat diseases and disorders arising from abnormal cell growth, function or behaviour, particularly that associated with PI3 kinase such as cancer, immune disorders, cardiovascular disease, viral infection, inflammation, metabolism/endocrine disorders and neurological disorders. Processes for synthesizing the compounds are also described.
Description
2 -MORPHOLINOPYRIMIDINES AND THEIR USE AS PI3 KINASE INHIBITORS
Field of the Invention
The present invention relates to pyrimidine derivatives and their use as inhibitors of phosphatidylinositol 3-kinase (PI3K).
Background to the Invention
Phosphatidylinositol (hereinafter abbreviated as "PI") is one of a number of phospholipids found in cell membranes. In recent years it has become clear that PI plays an important role in intracellular signal transduction. In the late 1980s, a PB kinase (PI3K) was found to be an enzyme which phosphorylates the 3-position of the inositol ring of phosphatidylinositol (M.Whitman et ah, 1988, Nature, 332, 644-646).
PI3K was originally considered to be a single enzyme, but it has now been clarified that a plurality of subtypes are present in PI3K. Each subtype has its own mechanism for regulating activity. Three major classes of PI3Ks have been identified on the basis of their in vitro substrate specificity (B. Vanhaesebroeck et al, 1997, Trends in Biochemical Sciences, 22, 267-272). Substrates for class I PBKs are PI, PI 4-phosphate (PI4P) and PI 4,5-biphosphate (PI (4,5)P2). Class I PBKs are further divided into two groups, class Ia and class Ib, in terms of their activation mechanism. Class Ia PBKs include PBK p 11 Oa, p 11 Oβ and p 11 Oδ subtypes, which transmit signals from tyrosine kinase-coupled receptors. Class Ib PBK includes a pi lOγ subtype activated by a G protein-coupled receptor. PI and PI(4)P are known as substrates for class II PBKs. Class II PBKs include PBK C2α, C2β and C2γ subtypes, which are characterized by containing C2 domains at the C terminus. The substrate for class III PBKs is PI only. In the PBK subtypes, the class Ia subtype has been most extensively investigated to date. The three subtypes of class Ia are heterodimers of a catalytic 110 kDa subunit and regulatory subunits of 85 kDa or 55 kDa. The regulatory subunits contain SH2 domains and bind to tyrosine residues phosphorylated by growth factor receptors with a tyrosine kinase activity or oncogene products, thereby inducing the PBK activity of the pi 10 catalytic subunit which phosphorylates its lipid substrate. Thus, the class Ia subtypes are considered to be associated with cell proliferation and carcinogenesis.
Summary of the Invention
It has now been found that a series of pyrimidne derivatives are potent inhibitors of PBK, in particular for the pi 1 Oa subtype.
Accordingly, the present invention provides a compound which is a morpholino pyrimidine of formula (I):
R2 is a N-containing monocyclic heteroaryl group which is selected from pyridyl, isoxazolyl, imidazolyl, pyrazolyl, pyrrolyl, thiazolyl, pyridazinyl, pyrimidinyl, pyrazinyl, oxazolyl, furanyl, thienyl, triazolyl and tetrazolyl and which is unsubstituted or substituted by -CN, -NR10R11, -OR10, -C(O)R10, -NR10C(O)R11, -N(C(O)Rπ)2, - NR10C(O)NR10R11, -SO2R10R11, -SO2NR10R11, -C(=O)OR10, -Q=O)NR10R1 \ halo- Ci -C6 alkyl and and unsubstituted Ci-C12 alkyl;
R3 is selected from H, C1-C6 alkyl and C1-C6 alkoxy;
Y is selected from a direct bond, -(CR2)m-, C2-C6 alkenylene, C2-C6 alkynylene, -(CR2)P-O-(CR2) r, -(CR2)P-NR-(CR2) r, -(CR2)p-NR-(CR2)n-C(O)-, -(CR2)P-NR-C(O)- (CR2V, -(CR2)P-C(O)-NR-(CR2) ,-, -(CR2)p-C(O)-(CR2)n-NR-(CR2),- and -(CR2)P- C(O)-(CR2)π-;
R6 is selected from an unsaturated 5- to 12-membered carbocyclic or heterocyclic ring, a saturated 5-, 6- or 7- membered N-containing heterocyclic group
which is unsubstituted or substituted, C1-C6 alkyl, -NR2 , -OR, -NR(CO)R and - C(O)NR2;
R and R5, which are the same or different, are both C1-C6 alkyl which is unsubstituted or substituted, or R4 and R5 together form, with the nitrogen atom to which they are attached, a saturated 5-, 6- or 7- membered N-containing heterocyclic group which is unsubstituted or substituted; each R, which are the same or different when more than one is present in a given group, is independently H, C1-C6 alkyl which is unsubstituted or substituted or a 5- to 12-membered aryl or heteroaryl group which is unsubstituted or substituted; R10 and R11, which are the same or different, are independently selected from H,
Ci-C6 alkyl, C2-C6 alkenyl, C2-C6 alkynyl and C3-C8 cycloalkyl; n is 0 or an integer of 1 to 6; m is an integer of 1 to 6; p is 0 or an integer of 1 to 6; and t is 0 or an integer of 1 to 6, with the proviso that t is an integer of 2 to 6 when
R6 is linked to Y through a constituent O or N atom of R6; or a pharmaceutically acceptable salt thereof; with the provisos that:
(i) when R2 is a 4-pyridyl group and R3 is H then R1 is other than a phenyl group which is unsubstituted or substituted;
(ii) when R2 is a pyridyl group and R3 is H then R1 is other than a dimethylamino group, a morpholine group or a piperazinyl group which is unsubstituted or substituted by Ci-C6 alkyl, phenyl or heteroaryl; (iii) when R2 is a thiazole group, R1 is -Y-R6 in which Y is a direct bond and R3 is H, then R6 is other than a 5 - 12 membered aryl group; and
(iv) when R1 is -Y-R6 in which Y is a group -C(O)-NH- , R3 is H and R6 is an a 5 - 12 membered aryl group, then R is other than an unsubstituted pyrazole ring.
In one aspect, the invention provides a compound which is a morpholino pyrimidine of formula (I' ) :
R' is selected from -Y-R0 and -NR 44rR>53.;
R2 is a N-containing monocyclic heteroaryl group which is selected from pyridyl, isoxazolyl, imidazolyl, pyrazolyl, pyrrolyl, thiazolyl, pyridazinyl, pyrimidinyl, pyrazinyl, oxazolyl, furanyl, thienyl, triazolyl and tetrazolyl and which is substituted by -NR10R11, -OR10, -C(O)R10, -NR10C(O)R11, -N(C(O)Rn)2, -NR10C(O)NR10R11, - SO2R10R11, -SO2NR10R11, -C(=O)OR10, -C(O)NR10R11, halo-d -C6 alkyl and unsubstituted C1-C12 alkyl;
R3 is selected from H, Ci-C6 alkyl and C]-C6 alkoxy;
Y is selected from a direct bond, -(CR2)m-, C2-C6 alkenylene, C2-C6 alkynylene, -(CR2)P-O-(CR2) r, -(CR2)P-NR-(CR2) r, -(CR2)p-NR-(CR2)n-C(O)-, -(CR2)P-NR-C(O)- (CR2)n-, -(CR2)P-C(O)-NR-(CR2) r, -(CR2)p-C(O)-(CR2)n-NR-(CR2)t- and -(CR2)P- C(O)-(CR2)n-;
R6is selected from Ci-C6 alkyl, -NR2 , -OR, -NR(CO)R, -C(O)NR2, an unsaturated 5- to 12-membered carbocyclic or heterocyclic ring which is unsubstituted or substituted and a saturated 5-, 6- or 7- membered N-containing heterocyclic group which is unsubstituted or substituted by a group Z';
R4 and R5, which are the same or different, are both Cj-C6 alkyl which is unsubstituted or substituted, or R4 and R5 together form, with the nitrogen atom to which they are attached, a saturated 5-, 6- or 7- membered N-containing heterocyclic group which is unsubstituted or substituted by a group Z';
each R, which are the same or different when more than one is present in a given group, is independently H or C1-C6 alkyl which is unsubstituted or substituted;
R10 and R11, which are the same or different, are independently selected from H, Ci-C6 alkyl, C2-C6 alkenyl, C2-C6 alkynyl and C3-C3 cycloalkyl; Z' is selected from unsubstituted C1-C6 alkyl, -(alk)v-OR, -(alk)v-NR2, -(alk)v-
C(O)NR2, -(alk)v-C(O)NR4aR5a, -(alk)v-C(O)R, -(alk)v-C(O)Ar, -(alk)v-C(O)Het, - SO2R, -SO2Ar, -SO2Het and =0, wherein alk is C1-C8 alkylene, v is O or 1, R is selected from H, C]-C6 alkyl and Ar, Ar is 5- to 12-membered aryl as defined above, Het is 5- to 12-membered heteroaryl as defined above, and R4a and R5a form together, with the N atom to which they are attached, a saturated 5-, 6-, or 7-membered N- containing heterocyclic group which is unsubstituted or substituted; n is 0 or an integer of 1 to 6; m is an integer of 1 to 6; p is 0 or an integer of 1 to 6; and t is 0 or an integer of 1 to 6, with the proviso that t is an integer of 2 to 6 when
R6 is linked to Y through a constituent O or N atom of R6; or a pharmaceutically acceptable salt thereof.
In a yet further aspect the invention provides a compound which is a morpholino pyrimidine of formula (I"):
(I")
NT ^N RiAγA.R2
R3 wherein
R1 Js -Y-R6 ;
R2 is a N-containing monocyclic heteroaryl group which is selected from pyridyl, isoxazolyl, imidazolyl, pyrazolyl, pyrrolyl, thiazolyl, pyridazinyl, pyrimidinyl, pyrazinyl, oxazolyl, furanyl, thienyl, triazolyl and tetrazolyl and which is substituted by
-NR10R11, -OR10, -C(O)R10, -NR10C(O)R11, -N(C(O)Rn)2, -NR10C(O)NR10R11, - SO2R10R11, -SO2NR10R11, -C(O)OR1 °, -C(O)NR1V1, halo-d -C6alkyl and unsubstituted C1-C12 alkyl;
R3 is selected from H, Ci-C6 alkyl and C1-C6 alkoxy; Y is C2-C6 alkynylene or -0-(CR2) ,- ;
R6 is selected from C1-C6 alkyl, -NR2 , -OR, -NR(CO)R, -C(O)NR2, an unsaturated 5- to 12-membered carbocyclic or heterocyclic ring which is unsubstituted or substituted and a saturated 5-, 6- or 7- membered N-containing heterocyclic group which is unsubstituted or substituted, said saturated N-containing heterocyclic group being C-linked to Y when Y is -0-(CR2) t- ;
R4 and R5, which are the same or different, are both C1-C6 alkyl which is unsubstituted or substituted, or R4 and R5 together form, with the nitrogen atom to which they are attached, a saturated 5-, 6- or 7- membered N-containing heterocyclic group which is unsubstituted or substituted; each R, which are the same or different when more than one is present in a given group, is independently H or C1-C6 alkyl which is unsubstituted or substituted;
R10 and R11, which are the same or different, are independently selected from H, C1-C6 alkyl, C2-C6 alkenyl, C2-C6 alkynyl and C3-C8 cycloalkyl; and t is O or an integer of 1 to 6; or a pharmaceutically acceptable salt thereof.
In one embodiment of formula (I"), when t is O then R6 is not an unsubstituted 5- to 12-membered heterocyclic ring which is unsubstituted or substituted or a saturated 5-, 6- or 7-membered N-containing heterocyclic group which is unsubstituted or substituted. When, in formula (I") an atom or group is substituted, it is typically substituted by a group Z'as defined above.
In a further aspect the invention provides a compound which is a morpholino pyrimidine of formula (Ia):
wherein
R1 and R3 are as defined above for formula (I), (F) or (I");
W is CR or N;
R is H or Cj -C6 alkyl which is unsubstituted or substituted; and
R7is selected from -NR10R11, -OR10, -C(O)R10, -NR10C(O)R11, -N(C(O)Rn)2, -NR10C(O)NR10R11, SO2R10R11, -SO2NR10R11, -C(O)OR10, -C(O)NR10R1 \ halo-d -C6 alkyl and unsubstituted C]-Ci2 alkyl, wherein R1 and R11 are as defined above; or a pharmaceutically acceptable salt thereof; with the proviso that, when W is CR, R1 is other than a piperazinyl group which is substituted by a phenyl or heteroaryl group.
When W in formula (Ia) is CR, R is typically H or unsubstituted Cj -C6 alkyl. More typically W is CH.
In yet a further aspect the invention provides a compound which is a morpholino pyrimidine of formula (Ib):
R7is selected from halo, -CN, -NR10R11, -OR10, -C(O)R10, -NR10C(O)R11, - N(C(O)R1 ^2, -NR10C(O)NR10R11, -SO2R10R11, -SO2NR10R11, -C(=O)OR10, -Ct=O)NR10R1 \ halo-Ci -C6 alkyl and unsubstituted C1-C12 alkyl, wherein R10 and R11 are as defined above; or a pharmaceutically acceptable salt thereof.
Detailed description of the Invention
As specified herein, an alkyl group is a straight or branched chain saturated hydrocarbon radical which is unsubstituted or substituted. Typically it is C1-C20 alkyl, for instance C1-C10 alkyl, such as C1-C6 alkyl group. C1-C6 alkyl is typically Ci-C4 alkyl. It may be, for example, methyl (Me, -CH3), ethyl (Et, -CH2CH3), 1 -propyl (n-Pr, n-propyl, -CH2CH2CH3), 2-propyl (i-Pr, i-propyl, -CH(CH3)2), 1 -butyl (n-Bu, n-butyl, - CH2CH2CH2CH3), 2-methyl-l-propyl (i-Bu, i-butyl, -CH2CH(CH3)2), 2-butyl (s-Bu, s- butyl, -CH(CH3)CH2CH3), 2-methyl-2-propyl (t-Bu, t-butyl, -C(CH3)3), 1-pentyl (n- pentyl, -CH2CH2CH2CH2CH3), 2-pentyl (-CH(CH3)CH2CH2CH3), 3-pentyl (- CH(CH2CH3)2), 2-methyl-2-butyl (-C(CH3)2CH2CH3), 3-methyl-2-butyl (- CH(CH3)CH(CH3)2), 3-methyl-l -butyl (-CH2CH2CH(CH3)2), 2-methyl-l -butyl (- CH2CH(CH3)CH2CH3), 1-hexyl (-CH2CH2CH2CH2CH2CH3), 2-hexyl (- CH(CH3)CH2CH2CH2CH3), 3-hexyl (-CH(CH2CH3)(CH2CH2CH3)), 2-methyl-2-pentyl
(-C(CH3)2CH2CH2CH3), 3-methyl-2-pentyl (-CH(CH3)CH(CH3)CH2CH3), 4-methyl-2- pentyl (-CH(CH3)CH2CH(CH3)2), 3-methyl-3-pentyl (-C(CH3)(CH2CH3)2), 2-methyl-3- pentyl (-CH(CH2CH3)CH(CH3)2), 2,3-dimethyl-2-butyl (-C(CH3)2CH(CH3)2), or 3,3- dimethyl-2 -butyl (-CH(CH3)C(CH3)3. Analkyl group is unsubstituted or substituted, typically by one or more groups Z or R9 as defined below. Typically it is C1-C4 alkyl, for example methyl, ethyl, i-propyl, n-propyl, t-butyl, s-butyl or n-butyl
Z is selected from H, unsubstituted C1-C6 alkyl, halo, -OR', -SR', CH2OR', -CF3, -(haIo)-Ci-C6 alkyl, -(CR8 2)qO-(halo)-d-C6 alkyl, -CO2R', -(CR8 2)qCO2R', - (CR8 2)qCOR\ -CF2OH, -CH(CF3)OH, -C(CF3)2OH, -(CH2)qOR\ -(CR8 2)qOR\ -(CH2)qNR'2, -(CR8 2)qNR'2, -(CR8 2)S-NR'-(CR8 2)-R', -C(0)NR'2,
-C(O)NR' -(CR'2)S-NR'2, -(CR8 2)qCONR'2, -NR'2, -(CR8 2)qNR'2, -NR'C(O)R'S -(CR8 2)qNR'C(O)OR\ -S(O)rR', -S(O)rN(R')2, -(CR8 2)qS(O)rNR'2, -OC(O)R', -(CR8 2)qOC(O)R\ -OC(O)NR'2, -(CR8 2)qOC(O)NR'2, -NRS(O)rR', -(CR8 2)qNR'S(O)r R', -NR'C(0)N(R')2, -(CR8 2)qNR'C(O)NR'2, CN, -NO2 and a 5- to 12-membered aryl or heteroaryl group, which group is unsubstituted or substituted; wherein each R' is independently selected from H, C1-C6 alkyl, C3-C10 cycloalkyl , a saturated 5-, 6- or 7-membered N-containing heterocyclic group which is unsubstituted or substituted and a 5- to 12-membered aryl or heteroaryl group which is unsubstituted or substituted; or two groups R' present on a N atom together form, with said N atom, a saturated 5-, 6- or 7-membered N-containing heterocyclic group which is unsubstituted or substituted; q is O or an integer of 1 to 4; r is 1 or 2; and s is an integer of 1 to 4. R9 is selected from C1-C6 alkoxy, OR8, SR8, S(O)mR8, nitro, CN, halogen, - C(O)R8, - CO2R8, -C(O)N(R8)2 and -N(R8)2.
R8, each of which is the same or different when more than one is present in a given substituent, is selected from H, C1-C6 alkyl and C3-CiO cycloalkyl., and m is 1 or 2.
A halogen or halo group is F, Cl, Br or I. Preferably it is F, Cl or Br. A C1-C6 alkyl group substituted by halogen may be denoted by the term "halo-Ci-C6 alkyl", which means an alkyl group in which one or more hydrogens is replaced by halo. A halo-d-C6 alkyl group preferably contains one, two or three halo groups. A preferred example of such a group is trifluoromethyl.
A C1-C 6 alkoxy group is linear or branched. It is typically a Ci-C4 alkoxy group, for example a methoxy, ethoxy, propoxy, i-propoxy, n-propoxy, n-butoxy, sec- butoxy or tert-butoxy group. A C1-C6 alkoxy group is unsubstituted or substituted, typically by one or more groups Z or R9 as defined above. A C3-C10 cycloalkyl group may be, for instance, C3-C8 cycloalkyl such as cyclopropyl, cyclobutyl, cyclopentyl, cyclohexyl, or cycloheptyl. Typically it is C3-C6 cycloalkyl. A C3-C10 cycloalkyl group is unsubstituted or substituted, typically by one or more groups Z or R9 as defined above.
An alkylene group is unsubstituted or substituted, straight or branched chain saturated divalent hydrocarbon group. The term "alk" as used herein denotes such an alkylene group. Typically alkylene (or "alk") is C1-C8 alkylene, for instance C1-C6 alkylene. Preferably it is C1-C4 alkylene, for example C2-C4 alkylene, such as methylene, ethylene, i-propylene, n-propylene, t-butylene, s-butylene or n-butylene. It may also be pentylene, hexylene, heptylene, octylene and the various branched chain isomers thereof. When the alkylene group is substituted it is typically substituted by a group R20 as defined above.
In an alkylene chain -(CR2)m- , -(CR2)n-, -(CR2)P-, -(CR2)r, or -(CR8 2)q- each of the constituent units CR2 or CR8 2 may be the same or different when m, n, p, q or t is greater than 1. An alkenyl group is an unsubstituted or substituted, straight or branched chain hydrocarbon radical having one or more double bonds. Typically it is C2-C8 alkenyl, for instance C2-C6 alkenyl, such as allyl, butenyl, butadienyl, pentenyl or hexenyl. When the alkenyl group is substituted it is typically substituted by a group Z or R9 as defined above or by alkyl which is unsubstituted or substituted by a group Z or R9 as defined above.
An alkenylene group is a divalent alkenyl group as defined above.
An alkynyl group is an unsubstituted or substituted, straight or branched chain hydrocarbon radical having one or more triple bonds. Typically it is C2-C8 alkynyl, for instance C2-C6 alkynyl, such as ethynyl, propynyl or butynyl. When the alkynyl group is substituted it is typically substituted by a group R20 as defined above or by alkyl which is unsubstituted or substituted by a group R20 as defined above..
An alkynylene group is a divalent alkynyl group as defined above.
A saturated 5-, 6-, or 7-membered N-containing heterocyclic group typically contains one nitrogen atom and either an additional N atom or an O or S atom, or no additional heteroatoms. It may be C-linked or N-linked. It may alternatively be O- or S- linked when an additional O or S atom is present. The group may be, for example, piperidine, piperazine, morpholine, thiomorpholine, pyrrolidine or homopiperazine.
The saturated 5-, 6-, or 7-membered N-containing heterocyclic group is unsubstituted or substituted on one or more ring carbon atoms and/or on any additional N atom present in the ring. Examples of suitable substituents include one or more groups Z or R9as defined above, and a C1-C6 alkyl group which is unsubstituted or substituted by a group Z or R9as defined above. When the ring is piperazine it is typically unsubstituted or substituted, typically on the second ring nitrogen atom, by - C(O)R8, -C(O)N(R8)2 or -S(O)1nR8, or by CrC6 alkyl which is unsubstituted or substituted by C1-C6 alkoxy or OH.
An unsaturated 5- to 12-membered carbocyclic group is a 5-, 6-, 7-, 8-, 9-, 10, 11- or 12-membered carbocyclic ring containing at least one unsaturated bond. It is a monocyclic or fused bicyclic ring system. The group is non-aromatic or aromatic, for instance a 5- to 12-membered aryl group. Examples include phenyl, naphthyl, indanyl, indenyl and tetrahydronaphthyl groups. The group is unsubstituted or substituted, typically by one or more groups Z or R9 as defined above. An aryl group is a 5- to 12-membered aromatic carbocyclic group. It is monocyclic or bicyclic. Examples include phenyl and naphthyl groups. The group is unsubstituted or substituted, for instance by a group Z or R9 as defined above.
An unsaturated 5- to 12-membered heterocyclic group is a 5-, 6-, 7-, 8-, 9-, 10, 11- or 12-membered heterocyclic ring containing at least one unsaturated bond and at least one heteroatom selected from O, N and S. It is C-linked or heteroatom-linked. It is a monocyclic or fused bicyclic ring system. The group is non-aromatic or aromatic, for instance heteroaryl. The group may be, for example, furan, thiophene, pyrrole, pyrrolopyrazine, pyrrolopyrimidine, pyrrolopyridine, pyrrolopyridazine, indole, isoindole, pyrazole, pyrazolopyrazine, pyrazolopyrimidine, pyrazolopyridine, pyrazolopyridazine, imidazole, imidazopyrazine, imidazopyrimidine, imidazopyridine, imidazopyridazine, benzimidazole, benzodioxole, benzodioxine, benzoxazole, benzothiophene, benzothiazole, benzofuran, indole, indolizinyl, isoxazole, oxazole,
oxadiazole, thiazole, isothiazole, thiadiazole, dihydroimidazole, dihydrobenzofuran, dihydrodioxinopyridine, dihydropyrrolopyridine, dmydrofuranopyridine, dioxolopyridine, pyridine, quinoline, isoquinoline, quinazoline, quinoxaline, tetrahydrobenzofuran, tetrahydroquinoline, tetrahydroisoquinoline, 5,6,7,8-tetrahydro- imidazo[l,5-a]pyrazine, 5,6,7,8-tetrahydro-imidazo[l,2-a]pyrazine, thienopyrazine, pyrimidine, pyridazine, pyrazine, triazine, triazole or tetrazole. The group is unsubstituted or substituted, typically by one or more groups Z or R9 as defined above. Heteroaryl is a 5- to 12-membered aromatic heterocyclic group which contains 1, 2, 3, or 4 heteroatoms selected from O, N and S. It is monocyclic or bicyclic. Typically it contains one N atom and 0, 1, 2 or 3 addditional heteroatoms selected from O, S and N. It may be, for example, selected from the heteroaryl groups in the above list of options for a 5 to 12-membered heterocyclic group. In particular heteroaryl is selected from pyridyl, isoxazolyl, imidazolyl, pyrazolyl, pyrrolyl, thiazolyl, isothiazolyl, pyridazinyl, pyrimidinyl, pyrazinyl, oxazolyl, furanyl, thienyl, triazolyl, tetrazolyl, indolyl, quinolinyl, isoquinolinyl, quinazolinyl and indazolyl.
When R6 is an unsaturated 5- to 12-membered carbocyclic ring, for instance an aryl group as defined above, it is unsubstituted or substituted by a group Z or R9 as defined above. When it is substituted it is typically substituted by one or more, typically 1 or 2, substituents selected from -(alk)v-OR, -SO2R, -SO2NR2, -SO2NR4aR5a, -NRSO2R, -(alk)v-NRC(O)R, -(alk)v-C(O)NR2, -CO2R, halo, unsubstituted Ci-C6 alkyl, -(alk)v-NR2, -C(O)-NR-alk-NR2, -(alk)v-C(O)NR4aR5a, -alk-NR4aR5a, -alk-NR-R11, -alk-NR-alk-Het and -CN, wherein R is H, Ci-C6 alkyl or aryl as defined above; alk is alkylene as defined above; R4a and R5a form together, with the N atom to which they are attached, a saturated 5-, 6-, or 7-membered N-containing heterocyclic group which is unsubstituted or substituted, typically by a group Z or R9 as defined above and more typically by a group selected from unsubstituted Ci-C6 alkyl, - SO2R, -SO2NR2, Ar and Het wherein R is as defined above, Ar is 5- to 12-membered aryl as defined above, Het is 5- to 12-membered heteroaryl as defined above; R11 is a saturated 5-, 6- or 7- membered N-containing heterocyclic group which is unsubstituted or substituted; and v is 0 or 1.
When R6 is a saturated 5-, 6- or 7- membered N-containing heterocyclic group which is unsubstituted or substituted, it is unsubstituted or substituted by a group Z or
R9 as defined above. When it is substituted it is typically substituted by one or more, typically 1 or 2, groups selected from unsubstituted C1-C6 alkyl, Ar, Het, -(alk)v-OR, - (alk)v-NR2, -(alk)v-C(O)NR2, -(alk)v-C(O)NR4aR5a, -(alk)v-C(O)R, -(alk)v-C(O)Ar, - (alk)v-C(O)Het, -SO2R, -SO2Ar, -SO2Het and =0, wherein alk, Ar, Het, R, R4a , R5 and v are as defined above.
When R4 and R5 together form, with the nitrogen atom to which they are attached, a saturated 5-, 6- or 7- membered N-containing heterocyclic group which is substituted, it is typically substituted one or more, typically 1 or 2, groups selected from unsubstituted C1-C6 alkyl, Ar, Het, -(alk)v-OR, -(alk)v-NR2> -(alk)v-C(O)NR2, -(alk)v- C(O)NR4aR5a, -(alk)v-C(O)R, -(alk)v-C(O)Ar, -(alk)v-C(O)Het, -SO2R, -SO2Ar, - SO2Het and =0, wherein alk, Ar, Het, R, R4a , R5 and v are as defined above.
When linker Y is -(CR2)P-O-(CR2) t-,it may, for example, be selected from -0-, - alk-O-alk-, -alk-O- and -O-alk- wherein alk is alkylene as defined above. In one embodiment -(CR2)P-O-(CR2) t- is -0-(CR2) t- , of which -O-alk- is an example. Examples of -O-alk- include -0-(CH2)-, -0-{CHMe)-, -0-(CMe2)-, -O-(CH2)2- and - O-(CH2)3-. Examples of -alk-O- include -(CH2)-O-, -(CHMe)-O-, -(CMe2)-0-, - (CH2)2-O- and -(CH2)3-O-. When linker Y is -(CR2)P-NR-(CR2) t- it may, for example, be selected from -NR-, alk-NR-alk, -alk-NR- and -NR-alk- wherein alk is alkylene as defined above. Examples of -alk-NR- include -(CH2)-NH-, -(CH2)-NMe- -(CHMe)-NH-, -(CHMe)-NMe-, -(CMe2)-NH-, -(CMe2)-NMe-, -(CH2)2-NH-, - (CH2)2-NMe-, -(CH2)3-NH- and -(CH2)3-NMe-. Examples of -NR-alk- include -NH- (CH2)-, -NMe-(CH2)-, -NH-(CHMe)-, -NMe-(CHMe)-, -NH-(CMe2)-, -NMe-(CMe2)-, -NH-(CH2)2-, -NMe-(CH2)2-, -NH-(CH2)3- and -NMe-(CH2)3.
When linker Y is -(CR2)p-NR-(CR2)n-C(O)- it may, for example, be selected from -NR-C(O)-, -alk-NR-alk-C(O)-, -alk-NR-C(O)- and -NR-alk-C(O)- wherein alk is alkylene as defined above.
Examples of -NR-C(O)- include -NH-C(O)- and -NMe-C(O). Examples of -alk-NR-alk-C(O)- include -(CH2)-NH-(CH2)-C(O)- , -(CH2)- NMe-(CH2)-C(0)-, -(CHMe)-NH-(CH2)-C(0)-, -(CHMe)-NMe-(CH2)-C(0)-, - (CH2)-NH-(CHMe)-C(O)-, -(CH2)-NMe-(CHMe)-C(0)-, -(CMe2)-NH-(CH2)-C(O)-, -(CMe2)-NMe-(CH2)-C(0)-, -(CH2)-NH-(CMe2)-C(O)-, -(CH2)-NMe-(CMe2)-C(0)- and -(CMe2)-NMe-(CMe2)-C(O)-.
Examples of -alk-NR-C(O)- include -(CH2)-NH-C(O)-, -<CH2)-NMe-C(O)-, - (CHMe)-NH-C(O)-, -(CHMe)-NMe-C(O)-, -(CMe2)-NH-C(O)-, -(CMe2)-NMe-C(0)- , -<CH2)2-NH-C(O)-, -(CH2)2-NMe-C(O)-, -<CH2)3-NH-C(O)- and -(CH2)3-NMe- C(O)-. Examples of -NR-alk-C(O)- include -NH-(CH2)-C(0)- , -NMe-(CH2)-C(0)- , -
NH-(CHMe)-C(O)-, -NMe-(CHMe)-C(O)-, -NH-(CMe2)-C(O)-, -NMe-(CMe2)-C(0)-, - NH-(CH2)2-C(O)-5 -NMe-(CH2)2-C(O)-, -NH-(CH2)3-C(O)- and -NMe-(CH2)3-C(O)-.
When linker Y is -(CR2)p-NR-C(O)-(CR2)n- it may, for example, be selected from -alk-NR-C(O)-alk- , -alk-NR-C(O)- and -NR-C(O)-alk-. Examples of -alk-NR-C(O)-alk- include -(CH2)-NH-C(O)-(CR' '2)-, -(CH2)-
NMe-C(OHCR"2)-, -(CHMe)-NH-C(OHCR"2)-, -(CHMe)-NMe-C(OHCR"2)-, - (CMe2)-NH-C(O)-(CR"2)-, -(CMe2)-NMe-C(OHCR"2)-, -(CH2)2-NH-C(O) - (CR' '2)-, -(CH2)2-NMe-C(OHCR' '2)-; -(CH2)3-NH-C(O)-(CR' '2)- and -(CH2)3- NMe-C(0HCR"2)- wherein R" is H or Me. Examples of -alk-NR-C(O)- include those given above.
Examples of -NR-C(O)-alk- include -NH-C(O)-(CH2)-, -NMe-C(O)-(CH2)-, -NH-C(OHCHMe)-, -NMe-C(O)-(CHMe)-, -NH-C(O)-(CMe2)-, -NMe-C(O)- (CMe2)-, -NH-C(OHCH2)2-, NMe-C(O)-(CH2)2-, -NH-C(OMCH2)3- and -NMe- C(OHCH2)3-. When linker Y is -(CR2)p-C(O)-NR-(CR2) t- it may, for example, be selected from -alk-C(O)-NR-alk, -alk-C(0)-NR- and -C(O)-NR-alk-.
Examples of alk-C(O)-NR-alk- include -(CH2)-C(O)-NH-(CR"2)-, -(CH2)- C(0)-NMe-(CR"2)-, -(CHMe)-C(0)-NH-(CR"2)-, -(CHMe)-C(O)-NMe-(CR"2)-, - (CMe2)-C(O)-NH-(CR5 '2)-, -(CMe2)-C(O)-NMe-(CR' '2)-, -(CH2)2-C(O)-NH-(CR' \)-, -(CH2)2-C(O)-NMe-(CR' '2>, -(CH2)3-C(O)- NH-(CR' '2)- and -(CH2)3- C(O)-NMe- (CR" 2)- wherein R" is H or Me.
Examples of -alk-C(O)-NR- include -(CH2)-C(0) NH-, -(CH2)-C(O) NMe-, - (CHMe)-C(O)-NH-, -(CHMe)-C(O)-NMe-, -(CMe2)-C(0)-NH-, -(CMe2)-C(O)- NMe-, -(CH2)2-C(O)-NH-, -(CH2)2-C(O)-NMe-, -(CH2)3-C(O)-NH- and -(CH2)3- C(O)-NMe-.
When linker Y is -(CR2)p-C(O)-(CR2)n-NR-(CR2)t-it may, for example, be -alk- C(0)-alk-NR-, -C(O)-alk-NR-, -alk-C(O)-NR- or -alk-C(O)-NR-alk-.
Examples of-alk-C(O)-alk-NR- include include -<CH2)-C(O)-(CR"2)-NH-, - (CH2)-C(O)-(CR' '2)-NMe- -(CHMe)-C(O)-(CR' '2)-NH-, -(CHMe)-C(O)-(CR' '2)- NMe, -(CMe2)- C(O)-(CR"2)-NH-, -(CMe2)-C(O)-(CR"2)-NMe-, -(CH2)2-C(O)- (CR"2)-NH, -<CH2)2-C(O)-(CR"2)-NMe-, -(CH2)3-C(O)-(CR"2)-NH- and-{CH2)3- C(O)-(CR' '2)-NMe- wherein R" is H or Me.
Examples of -C(O)-alk-NR- include -C(0)-(CH2)-NH-, -C(0)-(CH2)-NMe-, - C(O)-(CHMe)-NH-, -C(O)-(CHMe)-NMe-, -C(0)-(CMe2)-NH-, -C(0)-(CMe2)-NMe, - C(O)-(CH2)2-NH, -(C(O)-(CH2)2-NMe-, -C(O)- (CH2)3-NH- and -C(O)-(CH2)3-NMe-
Examples of -alk-C(O)-NR- are those given above. Examples of alk-C(O)-NR-alk- include -(CH2)-C(O)-NH-(CH2)-, -(CH2)-C(0)-
NH-(CH2)2-, -(CH2)-C(O)-NH-(CH2)3, -(CHz)-C(O)- NMe-(CH2)-, -(CH2)-C(O)- NMe-(CH2)2-, -(CHMe)-C(O)-NH-(CH2)-, -(CHMe)-C(O)-NMe-(CH2), -(CMe2)- C(O)-NH-(CHz)2-, -(CMe2)-C(0)- NMe-(CHz)2-, -(CH2)2-C(O)-NH-(CH2)2-, -(CH2)2- C(O)-NMe-(CHz)2-, -(CH2)3-C(O)-NH-(CH2)2-, and -(CHz)3-C(O)-NMe-(CHz)2-. When linker Y is -(CR2)p-C(O)-(CR2)n- it may, for example, be -C(O)-, -alk-
C(O)-, -C(O)-alk- or alk-C(O)-alk-.
Examples of alk-C(O)- include -(CH2)-C(O)-, -(CH2)2-C(O)-, -(CHMe)-C(O)- and -(CMe2)-C(0)-.
Examples of -C(O)-alk- include -C(O)-(CH2)-, -C(O)-{CH2)2-. -C(O)- (CHMe)- and -C(O)-(CMe2)-. Examples of alk-C(O)-alk- include -(CH2)-C(O)-(CH2)-, -(CHMe)-C(O)-(CH2)-, -(CMe2)-C(O)-(CH2)-, -(CH2)-C(0)-(CHMe)- and -(CH2)- C(O)-(CMe2)-.
The monocyclic heteroaryl group R2 in formulae (I) and (F) as defined above is typically a C-linked monocyclic heteroaryl group. When it is substituted, it is typically substituted by -NR10R1 ', -OR10 or C1-C6 alkyl. Likewise, R7 in formulae (Ia) and (Ib) as defined above is typically selected from -NR10R11, -OR10 and C1-C6 alkyl.
In compounds of formulae (I), (F), (I"), (Ia) or (Ib), Y is typically C2-C6 alkynylene or -0-(CR2) t- wherein t is as defined above. R6 is typically selected from OR, -NR2 ,an unsaturated 5- to 12-membered carbocyclic or heterocyclic ring which is unsubstituted or substituted and a saturated 5-, 6- or 7- membered N-containing heterocyclic group which is unsubstituted or substituted, said saturated N-containing
heterocyclic group being C-linked to Y when Y is -0-(CR2) r . For instance, R6 is selected from -NR2, -OR, an aryl group as defined above, a heteroaryl group as defined above and a C-linked saturated 5-, 6- or 7- membered N-containing heterocyclic group, each said group being unsubstituted or substituted, for instance by a group Z or R9 as defined above.
In one embodiment of formulae (I), (F), (I"), (Ia) or (Ib) Y is C2-C6 alkynylene or -0-(CR2) t- wherein t is as defined above and R6 is selected from -NR2, -OR, an aryl group as defined above and a heteroaryl group as defined above. The aryl or heteroaryl group is unsubstituted or substituted by a group Z or R9 as defined above, for instance by a group -SO2R, -COR, -CONR2 or -CN wherein each R is, independently, H or C1- C6 alkyl. In this embodiment the aryl group is typically phenyl and the heteroaryl group is typically pyridyl, imidazolyl or quinolinyl.
Specific examples of compounds of the invention include those listed in the table 1 which follows:
Table 1:
2-Morpholin-4-yl-6- phenoxy-[4,5']bipyrimidinyl-
2'-ylamine
[4-(2'-Amino-2-morpholin-4- yl-[4,5']bipyrimidinyl-6-yl)- piperazin- 1 -yl]-moφholin-4- yl-methanone
N-[4-(2'-Amino-2- morpholin-4-yl-[4, 5']bipyrimidinyl-6-yl)- phenyl]-methanesulfonamide
3 -(2'- Amino-2-morpholin-4- yl-[4,5']bipyrimidinyl-6-yl)- N-methyl-benzamide
N-6-Benzyl-N-6-methyl-2- morpholin-4-yl- [4,5']bipyrimidinyl-6,2'- diamine
[3 -(21- Amino-2-morpholin-4- yl-[4,5']bipyrimidinyl-6-yl)- phenyl]-(4-methyl-piperazin- l-yl)-methanone
2-Morpholin-4-yl-N-6- pyridin-4-ylmetiiyl- [4,5']bipyrimidinyl-6,2'- diamine
3 -(T- Amino-2-morpholin-4- yl-[4,5']bipyrimidinyl-6- ylamino)-benzoic acid
6-(4-Benzyl-piperazin- 1 -yl)- 2-morpholin-4-yl- [4,5 ']bipyrimidinyl-2'- ylamine
6-(3,5-Difluoro-phenoxy)-2- morpholin-4-yl- [4,5']bipyrimidinyl-2'- ylamine
6-(2,6-Dimethyl-phenoxy)-2- morpholin-4-yl- [4,5']bipyrimidinyl-2'- ylamine
3 -(T- Amino-2-morpholin-4- yl- [4,5 ']bipyrimidinyl-6-yl)- N-(2-dimethylamino-ethyl)- benzamide
[4-(2'-Amino-2-morpholin-4- yl-[4,5']bipyrimidinyl-6- yloxy)-phenyl] -(4-methyl- piperazin- 1 -yl)-methanone
6- [3 -(4-Methanesulfonyl- piperazin- 1 -ylmethyl)- phenyl]-2-morpholin-4-yl- [4,5']bipyrimidinyl-2'- ylamine
6- [4-(4-Methanesulfonyl- piperazin- 1 -ylmethyl)- phenyl]-2-morpholin-4-yl- [4,5']bipyrimidinyl-2'- ylamine
6-(3 ,4-Dimethoxy-phenoxy)- 2-morpholin-4-yl- [4,5 ']bipyrimidinyl-2'- ylamine
6-[3-(4-Methyl-piperazin- 1 ■ ylmethyl)-phenyl]-2- morpholin-4-yl-
[4,5']bipyrimidinyl-2'- ylamine
6-(3- {[Methyl-(l-methyl- piperidin-4-yl)-amino] - methyl } -phenyl)-2- moφholin-4-yl- [4,5']bipyrimidinyl-2'- ylamine
[3-(2'-Amino-2-moφholin-4- yl-[4,5']bipyrimidinyl-6-yl)- phenyl]-methanol
6- {3-[(Methyl-pyridin-3- ylmethyl-amino)-methyl]- phenyl} -2-morpholin-4-yl- [4,5']bipyrimidinyl-2'- ylamine
1 -[3-(2'-Amino-2-morpholin- 4-yl-[4,5']bipyrimidinyl-6- yl)-ben2yl]-4-phenyl- piperidin-4-ol
[3 -(2'- Amino-2-morpholin-4- yl- [4, 5 ']bipyrimidinyl-6- yloxy)-phenyl]-(4- methyl-piperazin- 1 -yl)- methanone
2-Morpholin-4-yl-N-6-(2- morpholin-4-yl-ethyl)- [4,5']bipyrimidinyl-6,2'- diamine
N-6-(3 -Dimethy lamino- propyl)-2-morpholin-4-yl- [4,5']bipyrimidinyl-6,2'- diamine
and the pharmaceutically acceptable salts thereof.
Morpholino pyrimidines of the invention may be produced by a process which comprises a palladium-mediated (Suzuki-type) cross-coupling reaction as the last step. Thus, a morpholino pyrimidine of formula (I) may be produced by a process which comprises treating a compound of formula (II):
wherein R1 and R3 are as defined above, with a boronic acid or ester thereof of formula R2B(OR15)2, in which R2 is as defined above and each R15 is H or C1-C6 alkyl or the two groups OR15 form, together with the boron atom to which they are attached, a pinacolato boronate ester group, in the presence of a suitable base and a Pd catalyst. A suitable solvent is acetonitrile. A suitable temperature range for this reaction is room temperature to 80-180°C. This reaction may be performed thermally or in a microwave reactor.
The intermediates of formula (II) are known compounds or may be synthesised by routine synthetic chemical techniques.
For instance, a compound of formula (II) wherein R1 is a group -Y-R6 in which Y is -O-(CR2)n- and R6 is as defined above may be produced by a process which comprises treating a compound of the following formula (III):
wherein R is as defined above, with a compound of formula HO-(CR2)n-R in the presence of a base. A suitable base is sodium hydride or potassium carbonate. A
suitable solvent is N,N-dimethylformamide or acetonitrile. A suitable temperature range for this reaction is room temperature to 100°C.
A compound of formula (II) wherein R1 is a group -Y-R6 in which Y is -NR-(CR2)n- may be prepared by treating a compound of formula (III) as defined above with an amine of formula HNR-(CR2)π-R6 in the presence of a base. A suitable base is sodium hydride or potassium carbonate. A suitable solvent is N,N-dimethylforaiamide, tetrahydrofuran or acetonitrile. A suitable temperature range for this reaction is room temperature to 100°C.
A compound of formula (II) wherein R1 is a group -Y-R6 in which Y is a direct bond and R is an unsaturated 5- to 12-membered carbocyclic or heterocyclic ring which is aromatic, may be prepared by treating a compound of formula (III) as defined above with a boronic acid or ester thereof of formula R1B(OR^)2, in which R1 is as defined above and each R15 is H or C1-C6 alkyl or the two groups OR15 form, together with the boron atom to which they are attached, a pinacolato boronate ester group, in the presence of a suitable base and a Pd catalyst. A suitable solvent is acetonitrile. A suitable temperature range for this reaction is room temperature to 80-180°C. This reaction may be performed thermally or in a microwave reactor.
A compound of formula (II) wherein R1 is a group -Y-R6 in which Y is a linker group -(CR2)p-NR-(CR2)n- in which p is 0 may be produced by a process which comprises treating a compound of formula (VI):
with morpholine in the presence of a solvent.
A compound of formula (VI) may be produced by a process which comprises treating 2,4,6-trichloropyrimidine with an amine of formula R6-(CR2)P-NRH in the presence of a base in an appropriate solvent.
A morpholino pyrimidine of formula (I) may also be produced by a process which comprises treating a compound of formula (IV):
wherein R2 and R3 are as defined above, with a boronic acid or ester thereof of formula R1B(OR15)2, in which R1 is -Y-R6 in which Y is a direct bond and R6 is a 5- to 12- membered aryl or heteroaryl group and each R15 is H or Ci-C6 alkyl or the two groups OR15 form, together with the boron atom to which they are attached, a pinacolato boronate ester group, in the presence of a suitable base and a Pd catalyst. A suitable solvent is acetonitrile. A suitable temperature range for this reaction is room temperature to 80- 18O0C. This reaction may be performed thermally or in a microwave reactor.
A morpholino pyrimidine of formula (I) in which R1 is a group -Y-R wherein Y is an alkynylene group and R6 is as defined above may be produced by a process which comprises submitting a compound of formula (IV) as defined above to Sonogashira coupling with a compound of formula HC≡C-(CR2)n-R6 in the presence of a palladiaum catalyst, a copper (I) cocatalyst and an amine base.
A compound of formula (IV) as defined above may be produced by a process which comprises by treating a compound of formula (III) as defined above with a boronic acid or ester thereof of formula R2B(OR15)2, in which R2 is as defined above and each R15 is H or C1-C6 alkyl or the two groups OR15 form, together with the boron atom to which they are attached, a pinacolato boronate ester group, in the presence of a suitable base and a Pd catalyst. A suitable solvent is acetonitrile. A suitable temperature range for this reaction is room temperature to 80-1800C. This reaction may be performed thermally or in a microwave reactor.
A compound of formula (I) in which R1 is a group -Y-R6 in which Y is a linker group -(CR2)p-NH-(CR2)n- as defined above in which p is 0, may be produced by a process which comprises treating a compound of formula (Ha):
wherein R3, R6, R and p are as defined above for formula (I), with a boronic acid or ester thereof of formula R2B(OR15)2, in which R2 is as defined above and each R15 is H or C1-C6 alkyl or the two groups OR15 form, together with the boron atom to which they are attached, a pinacolato boronate ester group, in the presence of a suitable base and a Pd catalyst. A suitable solvent is acetonitrile. A suitable temperature range for this reaction is room temperature to 80- 180°C. This reaction may be performed thermally or in a microwave reactor.
A compound of formula (Ha) may be prepared by a process which comprises treating a compound of formula (V):
wherein R3, R6, R and p are as defined above for formula (I), with morpholine in an appropriate solvent, followed by separation of the two resulting isomeric compounds. A compound of formula (V) may be prepared by treatment of a compound of formula (VTa):
wherein R , R , R and p are as defined above for formula (I), with di-tert-butyl dicarbonate in an appropriate solvent. A compound of formula (VI) may be prepared by a process which comprises treating 2,4,6-trichloropyrimidine with an amine of formula R6-(CR2)P-NH2 in the presence of a base in an appropriate solvent. A morpholino pyrimidine of the invention may be converted into a pharmaceutically acceptable salt, and a salt may be converted into the free compound, by conventional methods. Examples of pharmaceutically acceptable salts include salts with inorganic acids such as hydrochloric acid, hydrobromic acid, hydroiodic acid, sulphuric acid, nitric acid and phosphoric acid; and organic acids such as methanesulfonic acid, benzenesulphonic acid, formic acid, acetic acid, trifluoroacetic acid, propionic acid, oxalic acid, malonic acid, succinic acid, fumaric acid, maleic acid, lactic acid, malic acid, tartaric acid, citric acid, ethanesulfonic acid, aspartic acid and glutamic acid. Typically the salt is a mesylate, a hydrochloride, a phosphate, a benzenesulphonate or a sulphate. Most typically the salt is a mesylate or a hydrochloride.
The salts, for instance salts with any of the inorganic or organic acids mentioned above, may be mono-salts, bis-salts or tris-salts. Thus, for example, the mesylate salt may be the mono-mesylate or the bis-mesylate.
The morpholino pyrimidines of the invention and their salts may exist as hydrates or solvates.
Compounds of the present invention have been found in biological tests to be inhibitors of PB kinase. In one embodiment the compounds are inhibitors of the pi 10a
isoform of PI3 kinase. The compounds may show selectivity for the pi 10a isoform over one or more of the other isoforms of PB kinase, i.e. selectivity over one or more of the pi lOβ, pi lOδ and pi lOγ isoforms.
A compound of the present invention may thus be used as an inhibitor of PI3 kinase, in particular of a class Ia PO kinase. Accordingly, a compound of the present invention can be used to treat a disease or disorder arising from abnormal cell growth, function or behaviour. Such abnormal cell growth, function or behaviour is typically associated with PD kinase. Examples of such diseases and disorders are discussed by Drees et al in Expert Opin. Ther. Patents (2004) 14(5):703 - 732. These include cancer, immune disorders, cardiovascular disease, viral infection, inflammation, metabolism/endocrine disorders and neurological disorders. Examples of metabolism/endocrine disorders include diabetes and obesity.
Examples of cancers which the present compounds can be used to treat include leukaemia, brain tumours, renal cancer, gastric cancer and cancer of the skin, bladder, breast, uterus, lung, colon, prostate, ovary and pancreas. A human or animal patient suffering from an immune disorder, cancer, cardiovascular disease, viral infection, inflammation, a metabolism/endocrine disorder or a neurological disorders may thus be treated by a method comprising the administration thereto of a compound of the present invention as defined above. The condition of the patient may thereby be improved or ameliorated.
Diseases and conditions treatable according to the methods of this invention include, but are not limited to, cancer, stroke, diabetes, hepatomegaly, cardiovascular disease, Alzheimer's disease, cystic fibrosis, viral disease, autoimmune diseases, atherosclerosis, restenosis, psoriasis, allergic disorders, inflammation, neurological disorders, a hormone-related disease, conditions associated with organ transplantation, immunodeficiency disorders, destructive bone disorders, proliferative disorders, infectious diseases, conditions associated with cell death, thrombin-induced platelet aggregation, chronic myelogenous leukemia (CML), liver disease, pathologic immune conditions involving T cell activation, and CNS disorders in a patient. In one embodiment, a human patient is treated with a compound of the invention and a pharmaceutically acceptable carrier, adjuvant, or vehicle, wherein said compound is present in an amount to detectably inhibit PI3 kinase activity.
Cancers which can be treated according to the methods of this invention include, but are not limited to, breast, ovary, cervix, prostate, testis, genitourinary tract, esophagus, larynx, glioblastoma, neuroblastoma, stomach, skin, keratoacanthoma, lung, epidermoid carcinoma, large cell carcinoma, non-small cell lung carcinoma (NSCLC), small cell carcinoma, lung adenocarcinoma, bone, colon, adenoma, pancreas, adenocarcinoma, thyroid, follicular carcinoma, undifferentiated carcinoma, papillary carcinoma, seminoma, melanoma, sarcoma, bladder carcinoma, liver carcinoma and biliary passages, kidney carcinoma, myeloid disorders, lymphoid disorders, hairy cells, buccal cavity and pharynx (oral), lip, tongue, mouth, pharynx, small intestine, colon- rectum, large intestine, rectum, brain and central nervous system, Hodgkin's and leukemia.
Cardiovascular diseases which can be treated according to the methods of this invention include, but are not limited to, restenosis, cardiomegaly, atherosclerosis, myocardial infarction, and congestive heart failure. Neurodegenerative disease which can be treated according to the methods of this invention include, but are not limited to, Alzheimer's disease, Parkinson's disease, amyotrophic lateral sclerosis, Huntington's disease, and cerebral ischemia, and neurodegenerative disease caused by traumatic injury, glutamate neurotoxicity and hypoxia. Inflammatory diseases which can be treated according to the methods of this invention include, but are not limited to, rheumatoid arthritis, psoriasis, contact dermatitis, and delayed hypersensitivity reactions.
A compound of the present invention can be administered in a variety of dosage forms, for example orally such as in the form of tablets, capsules, sugar- or film-coated tablets, liquid solutions or suspensions or parenterally, for example intramuscularly, intravenously or subcutaneously. The compound may therefore be given by injection or infusion.
The dosage depends on a variety of factors including the age, weight and condition of the patient and the route of administration. Daily dosages can vary within wide limits and will be adjusted to the individual requirements in each particular case. Typically, however, the dosage adopted for each route of administration when a compound is administered alone to adult humans is 0.0001 to 50 mg/kg, most
commonly in the range of 0.001 to 10 mg/kg, body weight, for instance 0.01 to 1 mg/kg. Such a dosage may be given, for example, from 1 to 5 times daily. For intravenous injection a suitable daily dose is from 0.0001 to 1 mg/kg body weight, preferably from 0.0001 to 0.1 mg/kg body weight. A daily dosage can be administered as a single dosage or according to a divided dose schedule.
Typically a dose to treat human patients may range from about 10 mg to about 1000 mg of a compound of the invention. A typical dose may be about 100 mg to about 300 mg of the compound. A dose may be administered once a day (QID), twice per day (BID), or more frequently, depending on the pharmacokinetic and pharmacodynamic properties, including absorption, distribution, metabolism, and excretion of the particular compound. In addition, toxicity factors may influence the dosage and administration regimen. When administered orally, the pill, capsule, or tablet may be ingested daily or less frequently for a specified period of time. The regimen may be repeated for a number of cycles of therapy. A compound is formulated for use as a pharmaceutical or veterinary composition also comprising a pharmaceutically or veterinarily acceptable carrier or diluent. The compositions are typically prepared following conventional methods and are administered in a pharmaceutically or veterinarily suitable form. The compound may be administered in any conventional form, for instance as follows: A) Orally, for example, as tablets, coated tablets, dragees, troches, lozenges, aqueous or oily suspensions, liquid solutions, dispersible powders or granules, emulsions, hard or soft capsules, or syrups or elixirs. Compositions intended for oral use may be prepared according to any method known in the art for the manufacture of pharmaceutical compositions and such compositions may contain one or more agents selected from the group consisting of sweetening agents, flavouring agents, colouring agents and preserving agents in order to provide pharmaceutically elegant and palatable preparations.
Tablets contain the active ingredient in admixture with non-toxic pharmaceutically acceptable excipients which are suitable for the manufacture of tablets. These excipients may be for example, inert diluents, such as calcium carbonate, sodium carbonate, lactose, dextrose, saccharose, cellulose, corn starch, potato starch, calcium phosphate or sodium phosphate; granulating and disintegrating agents, for
example, maize starch, alginic acid, alginates or sodium starch glycolate; binding agents, for example starch, gelatin or acacia; lubricating agents, for example silica, magnesium or calcium stearate, stearic acid or talc; effervescing mixtures; dyestuffs, sweeteners, wetting agents such as lecithin, polysorbates or lauryl sulphate. The tablets may be uncoated or they may be coated by known techniques to delay disintegration and adsorption in the gastrointestinal tract and thereby provide a sustained action over a longer period. For example, a time delay material such as glyceryl monostearate or glyceryl distearate may be employed. Such preparations may be manufactured in a known manner, for example by means of mixing, granulating, tableting, sugar coating or film coating processes.
Formulations for oral use may also be presented as hard gelatin capsules wherein the active ingredient is mixed with an inert solid diluent, for example, calcium carbonate, calcium phosphate or kaolin, or as soft gelatin capsules wherein the active ingredient is present as such, or mixed with water or an oil medium, for example, peanut oil, liquid paraffin, or olive oil.
Aqueous suspensions contain the active materials in admixture with excipients suitable for the manufacture of aqueous suspensions. Such excipients are suspending agents, for example, sodium carboxymethylcellulose, methylcellulose, hydroxypropylmethyl-cellulose, sodium alginate, polyvinylpyrrolidone gum tragacanth and gum acacia; dispersing or wetting agents may be naturally-occurring phosphatides, for example lecithin, or condensation products of an alkylene oxide with fatty acids, for example polyoxyethylene stearate, or condensation products of ethylene oxide with long chain aliphatic alcohols, for example heptadecaethyleneoxycetanol, or condensation products of ethylene oxide with partial esters derived from fatty acids and a hexitol such as polyoxyethylene sorbitol monooleate, or condensation products of ethylene oxide with partial esters derived from fatty acids and hexitol anhydrides for example polyoxyethylene sorbitan monooleate.
The said aqueous suspensions may also contain one or more preservatives, for example, ethyl or n-propyl p-hydroxybenzoate, one or more colouring agents, such as sucrose or saccharin.
Oily suspension may be formulated by suspending the active ingredient in a vegetable oil, for example arachis oil, olive oil, sesame oil or coconut oil, or in a
mineral oil such as liquid paraffin. The oily suspensions may contain a thickening agent, for example beeswax, hard paraffin or cetyl alcohol.
Sweetening agents, such as those set forth above, and flavouring agents may be added to provide a palatable oral preparation. These compositions may be preserved by this addition of an antioxidant such as ascorbic acid. Dispersible powders and granules suitable for preparation of an aqueous suspension by the addition of water provide the active ingredient in admixture with a dispersing or wetting agent, a suspending agent and one or more preservatives. Suitable dispersing or wetting agents and suspending agents are exemplified by those already mentioned above. Additional excipients, for example sweetening, flavouring and colouring agents, may also be present. The pharmaceutical compositions of the invention may also be in the form of oil-in- water emulsions. The oily phase may be a vegetable oil, for example olive oil or arachis oils, or a mineral oil, for example liquid paraffin or mixtures of these. Suitable emulsifying agents may be naturally-occurring gums, for example gum acacia or gum tragacanth, naturally occuring phosphatides, for example soy bean lecithin, and esters or partial esters derived from fatty acids an hexitol anhydrides, for example sorbitan mono-oleate, and condensation products of the said partial esters with ethylene oxide, for example polyoxyethylene sorbitan monooleate. The emulsion may also contain sweetening and flavouring agents. Syrups and elixirs may be formulated with sweetening agents, for example glycerol, sorbitol or sucrose. In particular a syrup for diabetic patients can contain as carriers only products, for example sorbitol, which do not metabolise to glucose or which only metabolise a very small amount to glucose.
Such formulations may also contain a demulcent, a preservative and flavouring and coloring agents. B) Parenterally, either subcutaneously, or intravenously, or intramuscularly, or intrasternally, or by infusion techniques, in the form of sterile injectable aqueous or oleaginous suspensions. This suspension may be formulated according to the known art using those suitable dispersing of wetting agents and suspending agents which have been mentioned above. The sterile injectable preparation may also be a sterile injectable solution or suspension in a non-toxic paternally-acceptable diluent or solvent, for example as a solution in 1,3-butane diol.
Among the acceptable vehicles and solvents that may be employed are water, Ringer's solution and isotonic sodium chloride solution. In addition, sterile, fixed oils are conventionally employed as a solvent or suspending medium. For this purpose any bland fixed oil may be employed including synthetic mono- or diglycerides. In addition fatty acids such as oleic acid find use in the preparation of injectables.
C) By inhalation, in the form of aerosols or solutions for nebulizers.
D) Rectally, in the form of suppositories prepared by mixing the drug with a suitable non-irritating excipient which is solid at ordinary temperature but liquid at the rectal temperature and will therefore melt in the rectum to release the drug. Such materials are cocoa butter and poly-ethylene glycols.
E) Topically, in the form of creams, ointments, jellies, collyriums, solutions or suspensions.
F) Vaginally, in the form of pessaries, tampons, creams, gels, pastes, foams or spray formulations containing in addition to the active ingredient such carriers as are known in the art to be appropriate.
The invention will be further described in the Examples which follow, with reference to the general synthetic procedures shown below.
General Synthetic Procedures
A) Suzuki Coupling
A typical Suzuki coupling is shown below in the preparation of Compound 10
A mixture of 4-(4-chloro-6-phenoxy-pyrimidin-2-yl)-morpholine (105mg), 2- aminopyrimidine-5-boronic acid (75mg, 1.5 equivalents), sodium carbonate solution
(115mg of sodium carbonate in ImL of water), PdO2(PPh3)2 (13mg, 5%) and acetonitrile (3mL) was heated to 130°C for 25 minutes in the microwave (CEM Discover). The reaction mixture was allowed to cool, poured onto HCl (2N) and washed with ethyl acetate. The acidic phase was then basified (sodium carbonate) resulting in a white precipitate which was collected by filtration and air-dried. Further purification, using flash chromatography yielded 2-morpholin-4-yl-6-phenoxy-[4,5']bipyrimidinyl- 2'-ylamine (42mg).
SCX-2 cartridges were also used in the purification of some compounds.
B) Amide Coupling:
To a solution of the carboxylic acid in DMF was added carbonyldiimidazole (1.25 eq) and the reaction stirred at room temperature for 1 h. Then, the amine (1.5 eq) and triethylamine if required (1 eq for each HCl salt of the amine) were added and the reaction stirred at room temperature for 16 h. The mixture was then partitioned between water and ethyl acetate and the organics were washed with aqueous brine solution, dried (MgSO4) and reduced in vacuo.
Reference Example 1 ; 4-(4,6-dichIoro-pyrimidin-2-vI)-morphoIine
(Intermediate Al)
Method A
To a solution of 2,4,6-trichloropyrimidine (16.42G) in dioxane (9OmL) at 00C, was added diisopropylethylamine (17.15mL) and morpholine (8.7mL). The reaction mixture was allowed to warm to room temperature. After stirring overnight, the reaction mixture was diluted with water (300ml) and a white precipitate was collected by filtration and air -dried. Recrystallisation of this white solid from ethyl acetate/hexane yielded the undesired 4-(2,6-dichloro-pyrimidin-4-yl)-morpholine. The residue was
purified using flash chromatography (ethyl acetate/hexane) to yield the desired title compound (3.24g)
Method B A mixture of morpholinoformamidine hydrobromide (3.38g), methanol ( 1 OmL) and sodium methoxide in methanol (25% wt, 7.35ml) was heated to reflux for 30 minutes. Diethyl malonate (2.69ml) was then added and the reaction mixture was heated for a further 5 hours. The reaction mixture was then cooled and poured onto ice/water (~50ml) and acidified using 2N HCl to give a white precipitate. This was collected by filtration and air-dried to give 2-morpholin-4-yl-pyrimidine-4,6-diol (2.38g).
A mixture of 2-morpholin-4-yl-pyrimidine-4,6-diol (7.23g), phosphorous oxychloride (6OmL), N,N-dimethylaniline (0.5mL) was heated to reflux for 6 hours. The reaction mixture was then cooled, poured carefully onto ice/water and the white precipitate collected by filtration to yield the desired title compound (7.1 Ig). In an analogous manner, 4-(4,6-dichloro-5-methyl-pyrimidin-2-yl)-morpholine
(Intermediate A2) was prepared using diethylmethylmalonate.
Reference Example 2 6-Chloro-2-morpholin-4-vH4,5']bipyrimidinyl-2'- ylamine (Intermediate B)
Intermediate Al (140 mg, 0.60 mmol) and 2-aminopyrimidine-5-boronic acid pinacol ester (1.0 equiv., 83mg) were taken up in acetonitrile (3ml). To this were added sodium carbonate (3 equiv., 191mg) as a solution in water (ImI) and PdCl2(PPh3)2 (0.05 equiv.). The reaction mixture was heated in microwave at 14O0C for 30 min. Purification using SCX-2 cartridge, flash chromatography and diethyl ether trituration gave 6-chloro-2-morpholin-4-yl-[4,5']bipyrimidinyl-2'-ylamine (53mg).
The following compound was also isolated from the reaction mixture by flash chromatography purification: 2'-Mθφholin-4-yl-[5,4';6l,5"]terpyrimidine-2,2"-diamine.
Reference Example 3 3-(6-ChIoro-2-morphoIin-4-yl-pyrimidin-4-yl)- benzaldehyde (Intermediate Cl)
Intermediate Al (250 mg, 1.07 mmol) and 3-formylboronic acid (1.0 equiv., 160mg) were taken up in acetonitrile (4ml). To this were added sodium carbonate (3 equiv., 340mg) as a solution in water (ImI) and PdCl2(PPh3)2 (0.05 equiv.). The reaction mixture was heated in microwave at 14O0C for 30 min. Purification using DCM/brine extraction and flash chromatography gave 3-(6-chloro-2-morpholin-4-yl- pyrimidin-4-y l)-benzaldehyde (101 mg) .
4-(6-Chloro-2-morpholin-4-yl-pyrimidin-4-yl)-benzaldehyde (Intermediate C2) was prepared in an analogous manner
Reference Example 4 4-(6-Chloro-2-morpholin-4-yl-pyrimidin-4-yloxy)- benzoic acid (Intermediate Dl)
A mixture of Intermediate Al (251mg), methyl -4-hydroxybenzoate (171mg) and potassium carbonate (222mg) was heated to 80°C in N,N-dimethylformamamide for 4 hours. The reaction mixture was then cooled, diluted with ethyl acetate, washed with
water, dried (MgSO4) and the solvent removed in vacuo to yield 4-(6-chloro-2- moφholin-4-yl-pyrimidin-4-yloxy)-benzoic acid methyl ester (315mg). To a solution of 4-(6-chloro-2-morpholin-4-yl-pyrimidin-4-yloxy)-benzoic acid methyl ester in tetrahydrofuran (1OmL) and methanol (5mL) was added a solution of sodium hydroxide (43mg) in water (3mL). After stirring for 3 days the reaction mixture was diluted with water and washed with ethyl acetate. The aqueous phase was acidified (HC1,2N) to yield 4-(6-chloro-2-morpholin-4-yl-pyrimidin-4-yloxy)-benzoic acid as a white precipitate which was collected by filtration (210mg).
3-(6-Chloro-2-morpholin-4-yl-pyrimidin-4-yloxy)-benzoic acid (Intermediate D2) was prepared in an analogous manner using methyl-3-hydroxybenzoate.
[4-(6-Chloro-2-moφholin-4-yl-pyrimidin-4-yloxy)-phenyl]-acetic acid (Intermediate D3) was prepared in an analogous manner using methyl-4- hydroxyphenylacetate.
Reference Example 5 3-(3-Chloro-5-morpholin-4-yl-phenoxy)-benzaldehvde (Intermediate El)
A mixture of Intermediate A, 3-hydroxybenzaldehyde and potassium carbonate in N,N-dimethylformamide was stirred at 8O0C for 4 hours. After cooling to room temperature, extraction into ethyl acetate and washing with brine and sat. aq. NaHCO3 followed by purification on silica yielded 3-(3-chloro-5-morpholin-4-yl-phenoxy)- benzaldehyde
4-(6-Chloro-2-morpholin-4-yl-pyrimidin-4-yloxy)-benzaldehyde (Intermediate E2) was prepared in a similar manner using 4-hydroxybenzaldehyde.
Reference Example 6 (6-ChIoro-2-morpholin-4-yl-Pyrimidin-4-ylamino)- acetic acid methyl ester (Intermediate Fl)
(1.3 equiv., 279mg) were refluxed in acetonitrile (6ml) with potassium carbonate (2.5 equiv., 591mg) overnight. The reaction mixture was then cooled to room temperature and diluted with water. The precipitate was filtered, washed with water, air-dried to give (6-chloro-2-morpholin-4-yl-pyrimidin-4-ylamino)-acetic acid methyl ester as a white solid (417mg).
3-(6-chloro-2-morpholin-4-yl-pyrimidin-4-ylamino)-propionic acid methyl ester (Intermediate F2) was prepared in an analogous manner using beta-alanine methyl ester hydrochloride
Reference Example 7 l-methanesulfonyl-piperazine. HCI salt
(Intermediate G)
Reaction between N-BOC-piperazine and methane sulfonyl chloride in dichloromethane and triethylamine yielded 4-methanesulfonyl-piperazine-l-carboxylic acid tert-butyl ester. Cleavage of the BOC protecting group using HCl (2M) in dichloromethane yielded l-methanesulfonyl-piperazine. HCl salt.
Reference Example 8 4-(4-Chloro-6-piperazin-l-yl-pyrimidin-2-yl)- morphoIine.2HCl. (Intermediate H)
To a solution of 2,4,6-trichloropyrimidine in dioxane at O0C was added diisopropylethylamine and BOC-piperazine. After stirring overnight at room temperature, the reaction mixture was poured onto water and the white precipitate collected by filtration. The mixture of 2 isomers was separated by column chromatography, collecting the major isomer, 4-(2,6-dichloro-pyrimidin-4-yl)- piperazine-1-carboxylic acid tert-butyl ester.
To 4-(2,6-dichloro-pyrimidin-4-yl)-piperazine-l-carboxylic acid tert-butyl ester in dioxane was added diisoproplyethylamine and morpholine and the reaction mixture stirred at room temperature overnight. EtO Ac/brine extraction yielded 4-(6-chloro-2- morpholin-4-yl-pyrimidin-4-yl)-piperazine-l-carboxylic acid tert-butyl ester.
The protecting group was removed by stirring with HCl in methanol and chloroform overnight. The solvent was removed in vacuo to yield 4-(4-chloro-6- piperazin- 1 -yl-pyrimidin-2-yl)-morpholine.2HCl.
Reference Example 9 Methyl-[5-(4,4,5.,5-tetramethvHl.,3.,21dioxaborolan-2- vD-pyridin-2-vπ-carbainic acid tert-butyl ester (Intermediate D)
Methyl-[5-(4,4,5,5-tetramethyl-[l,3,2]dioxaborolan-2-yl)-pyridin-2-yl]-carbamic acid tert-butyl ester was prepared from tert-butyl 5-bromopyridin-2-
yl(methyl)carbamate according to J. Label Compd. Radiopharm., (2003), 46, 1055- 1065, Kumar et al.
Reference Example 10 ό-Chloro-l-morpholin^-vI-pyrimidine^-carboxylic acid methyl ester (Intermediate J)
To a solution of diethyloxalacetate sodium salt (10 g) in ethanol (15 mL) and water (70 mL) was added an aqueous solution of sodium hydroxide (2.02 g in 10 mL) and the reaction was stirred at 30 °C for 30 minutes. Then, morpholinoformamidine hydrogen bromide (8.09 g) was added and the pH adjusted to 11 with aqueous sodium hydroxide solution. The reaction was heated at 60 0C for 4 h and then cooled to room temperature. Hydrochloric acid was added until the pH reached 1.5. The solid was filtered, washed with water and air dried to give 6-hydroxy-2-morpholin-4-yl- pyrimidine-4-carboxylic acid as an off-white solid. To a suspension of 6-hydroxy-2-moφholin-4-yl-pyrimidine-4-carboxylic acid
(10 g) in methanol (20 mL) and toluene (80 mL) at 0°C was added trimethylsilyl diazomethane (26.70 mL of a 2 M solution in ether) dropwise. After stirring at room temperature for 4 h the reaction was quenched with acetic acid (10 mL) and the solid was filtered and air dried to give 6-hydroxy-2-morpholin-4-yl-pyrimidine-4-carboxylic acid methyl ester.
To a suspension of 6-hydroxy-2-morpholin-4-yl-pyrimidine-4-carboxylic acid methyl ester (10.175g) in phosphorus oxychloride (50 mL) was added N5N- dimethylaniline (1 mL) and the reaction was heated at reflux for 5 h. After cooling to room temperature the reaction was poured carefully onto ice-water. The mixture was basifϊed with sodium carbonate and then extracted into ethyl acetate. The organics were
washed with aqueous brine solution, dried (MgSO4) and reduced in vacuo to give the title compound.
Reference Example 12 ό-Chloro-l-morpholin^-yl-pyrimidine^-carboxylic acid (Intermediate K)
The title compound was also isolated from the synthesis of Intermediate J by acidifying the aqueous layer, filtering and air drying the resulting solid.
Reference Example 13 2,6-Di-morphoIin-4-yl-f4<5'lbipyrimidinvI-2'-ylamine
To a cold solution of 2,4,6-trichloropyrimidine (16g) in methanol (20OmL) was added morpholine (15.2ml). The reaction mixture was stirred for 24 hours and the solvent was then removed in vacuo. The residue was dissolved in dichloromethane, washed with water, dried (MgSO4) and the solvent removed in vacuo. The residue was purified using flash chromatography to yield 4-(6-chloro-2-morpholin-l-yl-pyrimidin-4- yl)-morpholine.
Reaction of 4-(6-chloro-2-morpholin-l-yl-pyrimidin-4-yl)-morpholine with 2- aminopyrimidine-5-boronic acid, pinacol ester using standard Suzuki conditions yielded the desired title compound.
400MHz IH NMR CDC13
3.64-3.66 (m, 4H, 2 x CH2), 3.7-3.86 (m, 12H, 6 x CH2), 5.22 (sbr, 2H, NH2), 6.17 (s,
H, ArH), 8.89 (s, 2H, 2 x ArH).
Reference Example 14 N-6-(3,4-Dimethoxy-phenyI)-2-morphoIin-4-yl- [4,5>lbipyrimidinyl-6.2'-diamine
To a solution of 2,4,6-trichloropyrimidine (1.45g) in ethanol (2OmL) was added sodium carbonate (921mg) and 4-aminoveratrole 91.33g).The reaction mixture was heated to reflux for 3 hours and then cooled, diluted with water, extracted with ethyl acetate, dried (MgSO4) and the solvent removed in vacuo to yield (2,6-dichloro- pyrimidin-4-yl)-(3,4-dimethoxy-phenyl)-amine (618mg).
To a solution of (2,6-dichloro-pyrimidin-4-yl)-(3,4-dimethoxy-phenyl)-amine (381mg),in tetrahydrofuran (10ml) was added 4-dimethylaminopyridine (cat.) and di- tert butyl dicarbonate (554mg). After 2 hours the reaction mixture was diluted with ethyl acetate, washed with water, dried (MgSO4) and the solvent removed in vacuo to yield (2,6-dichloro-pyrimidin-4-yl)-(3,4-dimethoxy-phenyl)-carbamic acid tert-butyl ester (424mg).
To a solution of (2,6-dichloro-pyrimidin-4-yl)-(3,4-dimethoxy-phenyl)-carbamic acid tert-butyl ester (424mg) in N,N-dimethylformamide (5ml) was added diisopropylethylamine (203μL) and morpholine (102 μL). After lhour the reaction mixture was diluted with ethyl acetate, washed with water, dried (MgSO4) and the solvent removed in vacuo. The residue was purified using flash chromatography to yield (6-chloro-2-moφholin-4-yl-pyrimidin-4-yl)-(3 ,4-dimethoxy-phenyl)-carbamic acid tert-
butyl ester (desired isomer , 136mg) and also (2-chloro-6-morpholin-4-yl-pyrimidin-4- yl)-(3,4-dimethoxy-phenyl)-carbamic acid tert-butyl ester (196mg).
Reaction of (6-chloro-2-moφholin-4-yl-pyrimidin-4-yl)-(3 ,4-dimethoxy- phenyl)-carbamic acid tert-butyl ester with 2-aminopyrimidine-5-boronic acid, pinacol ester using standard Suzuki conditions yielded the desired title compound.
IH NMR (400MHz, CDCl3)
3.78-3.92 (14H, m), 5.20 (2H, s, br.), 6.19 (IH, s), 6.49 (IH, s), 6.88(2H, s), 7.01 (IH, s), 8.85 (2H, s).
MH+ 410
Example 1 3-(2'-Amino-2-morpholin-4-yl-[4,5'1bipyrimidinyl-6- ylamino)-benzoic acid (32) The title compound was prepared by an analogous process to that described in
Reference Example 13 using methyl-3-aminobenzoate. NMR and LCMS analysis showed that the methyl ester group had hydrolysed to the carboxylic acid during the Suzuki reaction, giving the title compound.
NMR: (DMSO, 400MHz): 3.69 (t, 4H, 2xCH2, J = 4.6Hz); 3.79 (t, 4H, 2xCH2, J =
4.5Hz); 6.45 (s, IH, ArH); 7.05 (s, 2H, NH2); 7.41 (dd, IH, ArH, J = 7.9Hz); 7.53 (d,
IH, ArH, J = 7.8Hz); 7.72 (m, IH, ArH); 8.64 (s, IH, ArH); 8.81 (s, 2H, 2xArH); 9.55 (s, IH, NH).
MS: (ESI+): MH+ = 394.12
Example 2 6-(4-Methanesulfonyl-piperazin-l-vI)-2-morphoHn-4-yl-
[4,5'lbipyriinidinyl-2'-ylamine (4) A mixture of Intermediate Al (198mg), Intermediate G (230mg) and potassium carbonate (293mg) was stirred in acetonitrile (10ml) at room temperature. After 24 hours the reaction mixture was diluted with ethyl acetate, washed with water, dried (MgSO4) and the solvent removed in vacuo. The residue was recrystallised from ethyl acetate/hexane to yield 4-[4-chloro-6-(4-methanesulfonyl-piperazin-l-yl)-yrimidin-2- yl]-morpholine (206mg).
Reaction of 4-[4-chloro-6-(4-methanesulfonyl-piperazin- 1 -yl)-yrimidin-2-yl]- morpholine with 2-aminopyrimidine-5-boronic acid, pinacol ester using standard Suzuki conditions yielded the desired title compound. IH NMR (400MHz, CDCl3) 2.80 (3H,s), 3.28-3.24 (4H,m), 3.82-3.75 (12H,m), 5.20 (2H,s,br.), 6.16 (lH,s), 8.91 (2H,s).
The following compounds were prepared in a similar manner starting with the appropriate amine:
6-(4-Methyl-piperazin- 1 -yl)-2-morpholin-4-yl-[4,5']bipyrimidinyl-2'-ylamine (5) was prepared using N-methylpiperazine.
IH NMR (400MHz, CDCl3)
2.32 (3H, s), 2.54-2.50 (4H, m), 3.68-3.72 (4H, m), 3.73-3.80 (8H, m), 5.22 (2H,s,br.), 6.13 (lH,s), 8.88 (2H,s)
MH+ 357
6-(4-Dimethylamino-piperidin-l-yl)-2-morpholin-4-yl-[4,5']bipyrimidinyl-2'-ylamine (7) was prepared using 4-dimethylaminopiperidine. IH NMR (400MHz, CDCl3)
1.48-1.60 (2H,m), 1.95 (2H,d), 2.30 (6H,s), 2.42-2.47 (lH,m), 2.90-3.00 (2H,m), 3.78- 3.85 (8H,m), 4.48 (2H,d), 5.19 (2H,s,br.), 6.20 (lH,s), 8.90 (2H,s) MH+ 385
2-Moφholin-4-yl-N-6-pyridin-3-ylmethyl-[4,5']bipyrimidinyl-6,2'-diamine (8) was prepared using 3-(aminomethyl)pyridine.
400MHz 1H NMR CDC13
3.66-3.68 (m, 4H, 2 x CH2), 3.73-3.75 (m, 4H, 2 x CH2), 4.56 (d, 2H, CH2, J = 5.9Hz),
4.93 (t, H, NH, J = 5.6Hz), 5.10 (sbr, 2H, NH2), 5.94 (s, H, ArH), 7.18 -7.21 (m, H, ArH), 7.60 (m, H, AxH), 8.46 (m, H, ArHO, 8.55 (m, H, ArH), 8.77 (s, 2H, 2 x ArH).
MH+ = 365.19
2-Morpholin-4-yl-N-6-pyridin-2-ylmethyl-[4,5l]bipyrimidinyl-6,2'-diamine (15) was prepared using 2-(aminomethyl)pyridine. 400MHz IH NMR CDC13
3.77-3.79 (m, 4H, 2 x CH2), 3.84-3.85 (m, 4H, 2 x CH2), 4.73 (d, 2H, CH2, J = 5.04Hz), 5.19 (sbr, 2H, NH2), 5.85 (m, H, NH), 6.12 (s, H, ArH), 7.23 (t, H, ArH, J = 6.02Hz), 7.34 (d, H, ArH, J = 7.75Hz), 7.69 (t, H, ArH, J = 7.67Hz), 8.61 (d, H, ArH, J = 7.67Hz), 8.61 (d, H, ArH, J = 4.46Hz), 8.88 (s, 2H, 2 x ArH). MH+ = 365.16
N-6-Benzyl-2-moφholin-4-yl-[4,5']bipyrimidinyl-6,2'-diamine (16) was prepared using benzylamine.
400MHz IH NMR CDC13
3.76-3.79 (m, 4H, 2 x CH2), 3.84-3.86 (m, 4H, 2 x CH2), 4.61 (d, 2H, CH2, J =
5.67Hz), 5.04 (sbr, H, NH), 5.32 (sbr, 2H, NH2), 7.30-7.37 (m, 5H, 5 x ArH), 8.86 (s, 2H, 2 x ArH).
MH+ = 364.16
N-6-Benzyl-N-6-methyl-2-morpholin-4-yl-[4,5']bipyrimidinyl-6,2'-diamine (18) was prepared using N-benzylmethylamine IH NMR (400MHz, CDCl3)
3.03 (3H,s), 3.70-3.78 (4H,m), 3.80-3.85 (4H,m), 4.70 (2H,s), 5.20 (2H,s,br.), 7.25- 7.35 (5H,m), 8.90 (2H,s). MH+ 378
2-Moφholin-4-yl-N-6-pyridin-4-ylmethyl-[4,5']bipyrimidinyl-6,2'-diamine (20) was prepared using 4-(aminomethyl)pyridine.
400MHZ IH NMR CDC13
3.74-3.76 (m, 4H, 2 x CH2), 3.79-3.81 (m, 4H, 2 x CH2), 4.65 (d, 2H, CH2, J =
6.09Hz), 5.12 m. H, NH), 5.25 (sbr, 2H, NH2), 6.03 (s, H, ArH), 7.26 (d, 2H, 2 x ArH, J = 3.78Hz), 8.58 (d, 2H, 2 x ArH, J = 4.5Hz), 8.86 (s, 2H, 2 x ArH)
MH+ = 365.16
l-(2'-Amino-2-morpholin-4-yl-[4,5']bipyrimidinyl-6-yl)-4-phenyl-piperidin-4-ol (21) was prepared using 4-hydroxy-4-phenylpiperidine. IH NMR (400MHz, CDCl3)
1.90 (2H,d), 2.12 (2H,td), 3.49 (2H,t), 3.78-3.85 (8H,m), 4.35 (2H,d), 5.17 (2H,s,br.), 6.25 (lh,s), 7.27-7.30 (lH,m), 7.36-7.40 (2H,m), 7.50 (2H,d), 8.90 (2H,s)
N-6-[2-(3,4-Dimethoxy-phenyl)-ethyl]-N-6-methyl-2-morpholin-4-yl- ^^'Jbipyrimidinyl-ό^'-diamine (23)was prepared using 2-(3,4-dimethoxyphenyl)-N- methylethylamine. IH NMR (400MHz, CDCl3)
2.88 (2H,t), 3.01 (3H,s), 3.72-3.86 (16H), 5.20 (2H,s,br.), 6.01 (lH,s), 6.70 (lH,s), 6.73 (lH,dd), 6.80 (lH,d), 8.90 (lH,s) MH+ 452
2-Mθφholin-4-yl-N-6-phenethyl-[4,5']bipyrimidinyl-6,2'-diamine (60) was prepared using phenethylamine.
IH NMR (40OMHz5 CDCl3)
3.01 (2H,t), 3.70-3.80 (2H,m), 3.82-3.90 (8H,m), 4.74 91H,br.), 5.20 (2H,s,br.), 6.01
(lH,s), 7.30-7.40 (5H,m), 8.90 92H,s), MH+ 378
2-Mθφholin-4-yl-N-6-(2-morpholin-4-yl-ethyl)-[4,5']bipyrimidinyl-6,2'-diamine (65) was prepared using 4-(2-aminoethyl)morpholine.
NMR (CDC13): 2.50-2.54 (4H, m), 2.61-2.65 (2H, m), 3.47-3.51 (2H, m), 3.75-3.81 (8H, m), 3.84-3.87 (4H, m), 5.22 (2H, br), 5.28 (IH, br), 6.04 (IH, s), 8.90 (2H, s) MS (ESI+): MH+ 387.22 (40%)
N-6-(2-Dimethylamino-ethyl)-2-morpholin-4-yl-[4,5']bipyrimidinyl-6,2'-diamine (66) was prepared using N,N-dimethylethylenediamine; NMR (CDC13): 2.29 (6H, s), 2.55 (2H, t), 3.44-3.47 (2H, m), 3.77-3.80 (4H, m), 3.84- 3.87 (4H, m), 5.20 (2H, br), 5.32 (IH, br), 6.03 (IH, s), 8.89 (2H, s) MS (ESI+): MH+ 345.21 (30%)
N-6-(3-Dimethylamino-propyl)-2-morpholin-4-yl-[4,5']bipyrimidinyl-6,2l-diamine (67) was prepared using 3-dimethylaminopropylamine.
NMR (CDC13): 1.76-1.83 (2H, m), 2.28 (6H, s), 2.42-2.45 (2H, m), 3.46-3.49 (2H, m), 3.78-3.80 (4H, m), 3.83-3.86 (4H, m), 5.21 (2H, br), 5.60 (IH, br), 6.01 (IH, s), 8.89 (2H, s)
MS (ESI+): MH+ 359.20 (15%)
N-6,N-6-Bis-(2-methoxy-ethyl)-2-morpholin-4-yl-[4,5']bipyrimidinyl-6,2'-diamine (69) was prepared using bis-(2-methoxy-ethyl)-amine. NMR (CDC13): 3.38 (6H, s), 3.59-3.63 (4H, m), 3.75-3.82 (12H, m), 5.20 (2H, br), 6.20 (IH, s), 8.88 (2H, s) MS (ESI+): MH+ 390.22 (100%)
N-6-(3-Fluoro-benzyl)-2-moφholin-4-yl-[4,5']bipyrimidinyl-6,2'-diamine (70) was prepared using 3-fluorobenzylamine.
NMR (CDC13): 3.76-3.79 (4H, m), 3.82-3.85 (4H, m), 4.62 (2H, d), 5.06 (IH, br), 5.22
(2H, br), 6.02 (IH, s), 6.97-7.02 (IH, m), 7.07 (IH, d), 7.13 (IH, d), 7.28-7.35 (IH, m),
8.86 (2H, s)
MS (ESI+): MH+ 382.17 (100%)
N-6-(3-Methanesulfonyl-ben2yl)-2-morpholin-4-yl-[4,5']bipyrimidinyl-6,2'-diamine
(76) was prepared using 3-methanesulfonylbenzylamine.
NMR (CDC13): 3.07 (3H, s), 3.75-3.78 (4H, m), 3.80-3.84 (4H, m), 4.73 (2H, d), 5.10
(IH, br), 5.19 (2H, br), 6.04 (IH, s), 7.55-7.59 (IH, m), 7.66 (IH, d), 7.87 (IH, d), 7.97 (IH, br, s), 8.86 (2H, s)
MS (ESI+): MH+ 442.15 (100%)
6-((2R,6S)-2,6-Dimethyl-morpholin-4-yl)-2-morpholin-4-yl-[4,5']bipyrimidinyl-2'- ylamine (89) was prepared using cis-2,6-dimethylpiperazine. IH NMR (400MHz, CDCl3)
1.30 (6H,d), 2.59 (2H,t), 3.65-3.70 (2H,m), 3.78-3.85 (8H,m), 4.18 (2H,d), 5.20 (2H,s,br.), 6.16 (lH,s), 8.90 (2H,s)
MH+ 372
N-6-(2-Methoxy-ethyl)-N-6-methyl-2-moφholin-4-yl-[4,5']bipyrimidinyl-6,2'-diamine (111) was prepared using (2-methoxyethyl)methylamine. NMR (CDC13): 3.15 (3H, s), 3.38 (3H, s), 3.61(2H3 1), 3.75-3.79 (6H,m), 3.82-3.85 (4H, m), 5.20 (2H, br), 6.13 (IH, s), 8.90 (2H, s) MS (ESI+): MH+ 346.17 (100%)
2-Morpholin-4-yl-N-6-(2-pyridin-2-yl-ethyl)-[4,5']bipyrimidinyl-6,2'-diamine (92) was prepared using2-(2-aminoethyl)pyridine.
NMR: DMSO: 3.32-3.34 (2H, m), 3.72-3.78 (1OH, m), 6.02 (IH, s, Ar), 7.17-7.23 (2H, m,Ar), 7.38-7.39 (IH, m, Ar), 7.64-7.68 (IH, m, Ar), 8.45 (IH, s, Ar) and 8.79
(2H,s,Ar).
MS: (ESI+): MH+ 379.12
2-Moφholin-4-yl-N-6-(2-pyridin-3-yl-ethyl)-[4,5']bipyrimidinyl-6,2'-diamine (93) was prepared using 3-(2-aminoethyl)pyridine.
NMR: CDCl3: 2.88 (2 H, t, J 7.0, CH2), 3.58 (2 H, t, J 7.0, CH2), 3.67-3.74 (8 H, m),
5.94 (1 H, s), 7.22 (1 H, dd, J 5.0 and 7.8, Ar), 7.54 (1 H, d, J 7.8, Ar), 8.31-8.34 (2 H, m, Ar) and 8.74 (2 H, s, Ar).
MS: (ESI+): MH+ 379.13
2-Moφholin-4-yl-N-6-(2-pyridin-4-yl-ethyl)-[4,5l]bipyrimidinyl-6,2'-diamine (94) was prepared using 4-(2-aminoethyl)pyridine. NMR: MeOD: 2.99 (2 H, t, J 7.0, CH2), 3.70 (2 H, t, J 7.0, CH2), 3.72-3.76 (4 H, m), 3.79-3.81 (4 H, m), 6.13 (1 H, s, Ar), 7.33 (2 H, d, J 6.0, Ar), 8.43 (2 H, d, J 6.0, Ar) and 8.82 (2 H, s, Ar). MS: (ESI+): MH+ 379.15
N-6-[2-(lH-Imidazol-4-yl)-ethyl]-2-moφholin-4-yl-[4,5']bipyrimidinyl-6,21-diamine (101) was prepared using histamine.
NMR: CDCl3: 2.81 (2 H, t, J 7.0, CH2), 3.25 (1 H, s, NH), 3.54-3.57 (2 H, m, CH2), 3.68-3.70 (4 H, m, CH2), 3.72-7.73 (4 H, m, CH2), 5.99 (1 H, s, Ar), 6.73 (1 H, s, Ar), 7.47 (1 H, s, Ar) and 8.73 (2 H, s, Ar). MS: (ESI+): MH+ 368.17
N-6-[2-(lH-Indol-3-yl)-ethyl]-2-morpholin-4-yl-[4,5f]bipyrimidinyl-6,2'-diamine (102) was prepared using tryptamine
NMR: DMSO: 2.93-2.97 (2 H, m, CH2), 3.57-3.59 (2 H, m, CH2), 3.64-3.66 (4 H, m, CH2), 3.69-3.71 (4 H, m, CH2), 6.19 (1 H, s, Ar), 6.98-7.00 (1 H, m, Ar), 7.05-7.09 (1 H, m, Ar), 7.10 (1 H, s, Ar), 7.34 (1 H, d, J 7.5, Ar), 7.55 (1 H, d, J 7.5, Ar) and 8.77 (2 H, s, Ar). MS: (ESI+): MH+ 417.14
Example 3 N-F4-(2'-Amino-2-morpholin-4-vH4, 5'lbipyrimidinyl-6-vI)- phenyl] -methanesulfonamide (12)
Intermediate Al (lOOmg, 0.43 mmol) and N-4-(4,4,5,5-tetramethyl-l,3,2- dioxaborolan-2-yl)phenylmethanesulfonamide (134mg, 0.45 mmol) were taken up in acetonitrile (2ml). To this were added sodium carbonate (3 equiv., 136mg) as a solution in water (0.5ml) and PdCl2(PPh3)2 (0.05 equiv.). The reaction mixture was heated in microwave at 18O0C for 20 min. Purification using SCX-2 cartridge and flash chromatography gave N-[4-(6-chloro-2-moφholin-4-yl-pyrimidin-4-yl)-phenyl]-ethane- sulfonamide (70mg).
N-[4-(6-Chloro-2-morpholin-4-yl-pyrimidin-4-yl)-phenyl]-ethane-sulfonamide (69mg) and 2-aminopyrimidine-5-boronic acid pinacol ester (1.8 equiv., 47mg) were taken up in acetonitrile (2ml). To this were added sodium carbonate (3 equiv., 60mg) as a solution in water (0.5ml) and PdCl2(PPh3)2 (0.05 equiv.). The reaction mixture was heated in microwave at 14O0C for 30 min. Purification using SCX-2 cartridge, flash chromatography and diethyl ether trituration gave the title compound as a white solid (l lmg). NMR (DMSOdό): 3.05 (3H, s), 3.70-3.75 (4H, m), 3.86-3.91 (4H, m), 7.19 (2H, br), 7.30 (2H, d), 7.69 (IH, s), 8.24 (2H, d), 9.11 (2H, s) MS (ESI+): MH+ 469.15 (100%)
The following compounds were prepared using an analogous procedure with the appropriate commercially available boronic acids or boronic acid pinacol esters:
6-(3-Methanesulfonyl-phenyl)-2-moφholin-4-yl-[4,5l]bipyrimidinyl-2'-ylamine (6) was prepared using 3-methoxysulphonylphenyl boronic acid.
IH NMR (40OMHz5 CDCl3)
3.13 (3H,s), 3.81-3.86 (4H,m), 3.98-4.02 (4H,m), 5.30 (2H,s,br.), 7.30 (lH,s), 7.70
(lH,t), 8.10 (lH,d), 8.40 (lH,d), 8.66 (lH,s), 9.02 (2H,s).
MH+ 413
N-[4-(2'-Amino-2-moφholin-4-yl-[4,5']bipyrimidinyl-6-yl)-phenyl]-acetamide (13) was prepared using 4'-(4,4,5,5-tetramethyl-l,3,2-dioxaborolan-2-yl)acetamide.
NMR (DMSO-d6): 2.08 (3H, s), 3.70-3.75 (4H, m), 3.86-3.91 (4H, m), 7.19 (2H, br),
7.68-7.76 (3H, m), 8.24 (2H, d), 9.11 (2H, s), 10.15 (IH, br) MS (ESI+): MH+ 392 (25%)
3-(2'-Amino-2-moφholin-4-yl-[4,5']bipyrimidinyl-6-yl)-benzamide (14) was prepared using 3-carbamoylphenylboronic acid.
NMR (DMSO-d6): 3.70-3.75 (4H, m), 3.86-3.91 (4H, m), 7.19 (2H, br), 7.50 (IH, br), 7.62 (IH, t), 7.80 (IH, s), 8.02 (IH, d), 8.11 (IH, br), 8.41 (IH, d), 8.66 (IH, s), 9.13 (2H, s) MS (ESI+): MH+ 378 (10%)
3-(2'-Amino-2-moφholin-4-yl-[4,5l]bipyrimidinyl-6-yl)-N-methyl-benzamide (17) was prepared using 3-(N-methylaminocarbonyl)benzeneboronic acid.
NMR (DMSO-d6): 2.84 (3H, d), 3.70-3.75 (4H, m), 3.86-3.91 (4H, m), 7.19 (2H, br),
7.61 (IH, t), 7.80 (IH, s), 7.95 (IH, d), 8.39 (IH, d), 8.55 (IH, br), 8.62 (IH, s), 9.13
(2H, s)
MS (ESI+): MH+ 392 (15%)
[3-(2'-Amino-2-morpholin-4-yl-[4,5']bipyrimidinyl-6-yl)-phenyl]-(4-methyl-piperazin- l-yl)-methanone (19) was prepared using N-[4-methyl-piperazine-3-(4,4,5,5- tetramethyldioxaborolan-2-yl)benzamide.
NMR (CDC13): 2.36 (3H, s), 2.36-2.62 (2H+2H, br), 3.48-3.55 (2H, br), 3.80-3.90 (2H, br), 3.83-3.87 (4H, m), 3.99-4.02 (4H, m), 5.32 (2H, br), 7.29 (IH, s), 7.52-7.58 (2H, m), 8.14-8.20 (2H, m), 9.04 (2H, s) MS (ESI+): MH+ 461 (10%)
N-[2-(2'-Amino-2-mθφholin-4-yl-[4,5']bipyrimidinyl-6-yl)-phenyl]- methanesulfonamide (57) was prepared using N-[2-(4,4,5,5-tetramethyl- 1,3,2- dioxaborolan-2-yl)phenyl]methanesulfonamide.
NMR (DMSO): 3.11 (3H, s), 3.72-3.75 (4H, m), 3.79-3.82 (4H5 m), 7.23-7.28 (IH, m),
7.29 (2H, s), 7.52-7.56 (IH, m), 7.60-7.63 (IH, m), 7.76 (IH, s), 8.21-8.24 (IH, m),
9.14 (2H, s) MS (ESI+): MH+ 428.16 (25%), (MH+AcN) 469.16 (100%)
N- [3 -(T- Amino-2-morpholin-4-yl- [4, 5 ']bipyrimidinyl-6-yl)-phenyl] -acetamide (62) was prepared using 3-acetamidobenzeneboronic acid.
NMR (DMSO): 2.08 (3H, s), 3.72-3.75 (4H, m), 3.87-3.90 (4H, m), 7.23 (2H, br), 7.40- 7.44 (IH, m), 7.68 (IH, s), 7.87 (IH, d), 7.91 (IH, d), 8.32 (IH, s), 9.11 (2H, s), 10.08 (IH, br) MS (ESI+): MH+ 392.15 (15%), (MH+AcN) 433.19 (100%)
4-(2'-Arnino-2-morpholin-4-yl-[4,5l]bipyrimidinyl-6-yl)-N-methyl-benzamide (75) was prepared using 4-(N-methylaminocarbonyl)phenylboronic acid.
NMR (CDC13): 3.08 (3H, d), 3.85-3.88 (4H, m), 4.00-4.03 (4H, m), 5.30 (2H, br), 7.33
(IH, s), 7.90 (2H, d), 8.17 (2H, d), 9.05 (2H, s)
MS (ESI+): MH+ 392.19 (20%), (MH+AcN) 433.19 (100%)
2-(2l-Amino-2-morpholin-4-yl-[4,5']bipyrimidinyl-6-yl)-N,N-dimethyl- benzenesulfonamide (77) was prepared using 2-(N,N-dimethylsulphamoyl) phenylboronic acid.
NMR (DMSO): 2.65 (3H, s), 3.66-3.69 (4H, m), 3.77-3.79 (4H, m), 7.19 (2H, br), 7.23 (IH, s), 7.52 (IH, d), 7.69-7.78 (2H, m), 7.90 (IH, d), 9.01 (2H, s) MS (ESI+): MH+ 442.15 (15%), (MH+AcN) 483.15 (100%)
4-(2'-Amino-2-morpholin-4-yl-[4,5']bipyrimidinyl-6-yl)-N,N-dimethyl-benzaniide (78) was prepared using 4-(N,N-dimethylaminocarbonyl)phenylboronic acid.
NMR (DMSO): 2.94 (3H, br), 3.02 (3H, br), 3.72-3.75 (4H, m), 3.86-3.89 (4H, m), 7.20
(2H, br), 7.54 (2H, d), 7.81 (IH, s), 8.33 (2H, d), 9.14 (2H, s)
MS (ESI+): MH+ 406.23 (50%), (MH+AcN) 447.18(100%)
N- [3 -(2'- Amino-2-morpholin-4-yl- [4,5 ']bipyrimidinyl-6-yl)-pheny 1] - methanesulfonamide (79) was prepared using N-[3-(4,4,5,5-tetramethyl- 1,3,2- dioxaborolan-2-yl)phenyl]methanesulfonamide.
NMR (DMSO): 3.01 (3H, s), 3.72-3.75 (4H, m), 3.86-3.89 (4H, m), 7.20 (2H, br), 7.37 (IH, d), 7.41-7.46 (IH, m), 7.68 (IH, s), 7.93 (IH, d), 8.09 (IH, s), 9.11 (2H, s)
MS (ESI+): MH+ 469.12 (100%)
3-(2'-Amino-2-moφholin-4-yl-[4,5']bipyrimidinyl-6-yl)-N,N-dimethyl- benzenesulfonamide (96) was prepared using 3-(N,N-dimethylsulphonamido) benzeneboronic acid.
NMR (DMSO): 2.68 (6H, s), 3.71-3.76 (4H, m), 2.86-3.91 (4H, m), 7.23 (2H, br), 7.78- 7.92 (3H, m), 8.51 (IH, s), 8.59 (IH, d), 9.14 (2H, s) MS (ESI+): (MH+AcN) 483.12 (100%)
4-(2'-Amino-2-moφholin-4-yl-[4,5']bipyrimidinyl-6-yl)-N,N-dimethyl- benzenesulfonamide (97)was prepared using 4-(N,N-dimethylsulphonamido) benzeneboronic acid
NMR (DMSO): 2.67 (6H, s), 3.71-3.76 (4H, m), 2.86-3.91 (4H, m), 7.23 (2H, br), 7.87
(IH, s), 7.89 (2H, d), 8.50 (2H, d), 9.15 (2H, s) MS (ESI+): (MH+AcN) 483.12 (100%)
3-(2'-Ainino-5-methyl-2-moφholin-4-yl-[4,5']bipyriniidinyl-6-yl)-N,N-dinietliyl- benzenesulfonamide was prepared in an analogous manner to Compound 96 using Intermediate A2.
NMR: MeOD: 2.20 (3 H, s, Me), 2.67 (6 H, s, Me), 3.68-3.70 (4 H, m), 3.71-3.74 (4 H, m), 7.08 (2 H, s, NH2), 7.75-7.78 (1 H, m, Ar)5 7.82-7.85 (1 H5 m, Ar)5 7.96-8.00 (2 H, m, Ar) and 8.66 (2 H, s, Ar). MS: (ESI+): MH+ 456.17
Example 4 3-(2'-Amino-2-morpholin-4-vH4,5'1bipyrimidinyl-6-yl)- benzenesulfonamide (24)
6-Chloro-2-morpholin-4-yl-[4,5']bipyrimidinyl-2'-ylamine (Intermediate B) (51mg, 0.174mmol) and benzenesulfonamide-3-boronic acid pinacol ester (1.8 equiv., 89mg) were taken up in acetonitrile (3ml). To this were added sodium carbonate (3 equiv., 55mg) as a solution in water (ImI) and PdCl2(PPh3)2 (0.05 equiv.). The reaction mixture was heated in microwave at 14O0C for 30 min. Purification using SCX-2 cartridge, flash chromatography and trituration gave the title compound as a white solid
(40mg).
NMR (DMSO-d6): 3.73-3.76 (4H, m), 3.89-3.91 (4H, m), 7.24 (2H, br), 7.46 (2H, br),
7.73 (IH, t), 7.81 (IH5 s), 7.97 (IH, d), 8.49 (IH, d), 8.70 (IH, s), 9.14 (2H, s) MS (ESI+): MH+ 455.12 ( 100%)
The following compounds have been prepared using an analogous procedure with the appropriate commercially available boronic acids or boronic acid pinacol esters.
2-Mθφholin-4-yl-6-phenyl-[4,5']bipyrimidinyl-2l-ylamine (28) was prepared using phenyl boronic acid.
NMR (CDC13): 3.84-3.87 (4H5 m), 4.00-4.03 (4H, m), 5.29 (2H5 br), 7.30 (IH, s), 7.50-
7.54 (3H, m), 8.10-8.13 (2H5 m), 9.04 (2H, s)
MS (ESI+): MH+ 335 (15%)
2-Morpholin-4-yl-6-pyridin-4-yl-[455']bipyrimidinyl-2'-ylamine (30) was prepared using 4-pyridineboronic acid.
NMR (CDC13): 3.84-3.87 (4H, m), 4.00-4.03 (4H, m), 5.29 (2H, br), 7.30 (IH, s), 7.95 (2H, d), 8.79 (2H, d), 9.04 (2H, s) MS (ESI+): MH+ 336.12 (35%)
2l-Morpholin-4-yl-[5,4';6l,5"]terpyrimidin-2-ylamine (31) was prepared using pyrimidine-5-boronic acid.
NMR (CDC13): 3.84-3.87 (4H, m), 4.00-4.03 (4H, m), 5.33 (2H, br), 7.26 (IH, s), 9.04
(2H, s), 9.34 (IH, s), 9.40 (2H, s)
MS (ESI+): MH+AcN 378 (100%)
3-(2'-Amino-2-morpholin-4-yl-[4,5l]bipyrimidinyl-6-yl)-N-(2-diniethylamino-ethyl)- benzamide (36) was prepared using N-(2-dimethylaminoethyl)-3-(4,4,5,5-tetramethyl-
1 ,3 ,2-dioxaborolan-2-yl)benzamide.
NMR (CDC13): 2.29 (6H, s), 2.57 (2H, t), 3.56-3.61 (2H, m), 3.84-3.87 (4H, m), 4.00- 4.03 (4H, m), 5.33 (2H, br), 6.92 (IH, br), 7.34 (IH, s), 7.58 (IH, m), 7.89 (IH, d), 8.23
(IH, d), 8.56 (IH, s), 9.05 (2H, s)
MS (ESI+): MH+ 449.22 (70%)
6-(4-Methanesulfonyl-phenyl)-2-morpholin-4-yl-[4,5']bipyrimidinyl-2'-ylamine (58) was prepared using 4-(methanesulfonyl)benzeneboronic acid.
NMR (DMSO): 3.29 (3H, s), 3.72-3.75 (4H, m), 3.88-3.91 (4H, m), 7.27 (2H, br), 7.88
(IH, s), 8.06 (2H, d), 8.51 (2H, d), 9.15 (2H, s)
MS (ESI+): MH+ 413.16 (10%), (MH+AcN) 454.16 (100%)
6-(2-Methanesulfonyl-phenyl)-2-morpholin-4-yl-[4,5']bipyrimidinyl-2'-ylamine (74) was prepared using (2-methylsulfonyl)phenylboronic acid.
NMR (CDC13): 3.33 (3H, s), 3.79-3.82 (4H, m), 3.90-3.93 (4H, m), 5.30 (2H, br), 7.01
(IH, s), 7.49 (IH, d), 7.64-7.69 (IH, m), 7.72-7.77 (IH, m), 8.22 (IH, d), 9.01 (2H, s)
MS (ESI+): MH+ 454.17 (100%).
Example 5 6- [3-(4-MethanesuIfonyl-piperazin-l-vImethyl)-phenyn -2- morpholin-4-vI-[4,5'lbipyrimidinyl-2>-ylamine (38)
Intermediate Cl (lOOmg, 0.33mmol) and Intermediate G (1.2 equiv., 80mg) were taken up in 1,2-dichloroethane (5ml). To this was added sodium triacetoxyborohydride (2.4equiv., 170mg) and trimethyl orthoformate (0.1ml) and the reacton mixture was stirred at room temperature overnight. Purification by DCM/aqueous NaHCO3 extraction, SCX-2 cartridge and flash chromatography gave 4- {4-chloro-6-[3-(4-methanesulfonyI-piperazin- 1 -ylmethyl)-phenyl]-pyrimidin-2-yl} - morpholine as a white solid (95mg). 4- {4-Chloro-6- [3 -(4-methanesulfonyl-piperazin- 1 -y lmethyl)-phenyl] -pyrimidin-2-yl } - morpholine (90mg, 0.20mmol) and 2-aminopyrimidine-5-boronic acid pinacol ester (1.8 equiv., 80mg) were taken up in acetonitrile (3ml). To this were added sodium carbonate (3 equiv., 64mg) as a solution in water (ImI) and PdCl2(PPh3)2 (0.05 equiv.). The reaction mixture was heated in microwave at 14O0C for 30 min. Purification using SCX- 2 cartridge, flash chromatography and trituration with hot DCM gave the title compound as a white solid (105mg).
NMR (CDC13): 2.61-2.64 (4H, m), 2.81 (3H, s), 3.27-3.30 (4H, m), 3.67 (2H, s), 3.84- 3.87 (4H, m), 4.00-4.03 (4H, m), 5.32 (2H, br), 7.28 (IH, s), 7.47-7.49 (2H, m), 7.99 (IH, s), 8.01-8.04 (IH, m), 9.04 (2H, s) MS (ESI+): MH+ 511.17 (100%)
The following compounds were prepared in an analogous manner, using the appropriate amine and either Intermediate Cl or Intermediate C2.
6-[4-(4-Methanesulfonyl-piperazin- 1 -ylmethyl)-phenyl]-2-morpholin-4-yl- [4,5']bipyrimidinyl-2'-ylamine (39) was prepared using Intermedaite G. NMR (CDC13): 2.60-2.63 (4H, m), 2.81 (3H, s), 3.27-3.30 (4H, m), 3.64 (2H, s), 3.84- 3.87 (4H, m), 4.00-4.03 (4H, m), 5.29 (2H, br), 7.29 (IH, s), 7.46 (2H, d), 8.06 (2H, d), 9.04 (IH, s) MS (ESI+): MH+ 511.17 (65%)
6-[3-(4-Methyl-piperazin-l-ylmethyl)-phenyl]-2-moφholin-4-yl-[4,5']bipyrimidinyl-2l- ylamine (41) was prepared using N-methylpiperazine
NMR (CDC13): 2.32 (3H,s), 2.50-2.60 (8H,br), 3.64 (2H, s), 3.84-3.87 (4H, m), 4.00-
4.03 (4H, m), 5.28 (2H, br), 7.29 (IH, s), 7.44-7.50 (2H, m), 7.98-8.02 (2H, m), 9.05 (2H, s)
MS (ESI+): MH+ 447.2 (20%)
6-(3-{[Methyl-(l-methyl-piperidin-4-yl)-amino]-methyl}-phenyl)-2-moφholin-4-yl- [4,5l]bipyrimidinyl-2'-ylamine (42) was prepared from l-methyl-4- (methylamino)piperidine
NMR (CDC13): 1.70-1.76 (2H, br), 1.80-1.88 (2H, br), 1.94-2.00 (2H, br), 2.27 (3H, s), 2.30 (2H, br), 2.48-2.53 (IH, m), 2.93-3.03 (2H, br), 3.71 (2H, s), 3.84-3.87 (4H, m), 4.00-4.03 (4H, m), 5.28 (2H, br), 7.30 (IH, s), 7.43-7.50 (2H, m), 7.98-8.01 (2H, m),
9.04 (2H, s) MS (ESI+): MH+ 475.33 (10%)
6- { 3 - [(Methyl-pyridin-3 -ylmethyl-amino)-methyl]-pheny 1 } -2-morpholin-4-yl- [4,5']bipyrimidinyl-2'-ylamine (44) was prepared using N-methyl-N-(3- pyridylrnethyl)amine. NMR (CDC13): 2.27 (3H, s), 3.59 (2H, s), 3.68 (2H, s), 3.85-3.88 (4H, m), 4.00-4.03 (4H, m), 5.30 (2H, br), 7.30 (IH, s), 7.46-7.55 (2H, m), 7.73 (IH, d, J=7.8Hz), 8.00 (IH, d), 8.06 (IH, s), 8.53 (IH, d), 8.62 (IH, d), 9.05 (2H, s) MS (ESI+): MH+ 469.25 (40%)
l-[3-(2l-Amino-2-morpholin-4-yl-[4,5l]bipyrimidinyl-6-yl)-benzyl]-4-phenyl-piperidin- 4-ol (45) was prepared using 4-hydroxy-4-phenylpiperidine.
NMR (CDC13): 1.77-1.81 (2H, br. d), 2.17-2.25 (2H, m), 2.53-2.59 (2H, br. t), 2.84- 2.87 (2H, br. d), 3.50 (2H, s), 3.84-3.87 (4H, m), 4.00-4.03 (4H, m), 5.30 (2H, br), 7.23- 7.30 (2H, m), 7.36-7.40 (2H, m), 7.46-7.50 (2H, m), 7.53-7.55 (2H, m), 8.01 (IH, d), 8.06 (IH, s), 9.05 (2H, s)
MS (ESI+): MH+ 524.34 (50%)
2-Moφholin-4-yl-6-[3-(4-pyrimidin-2-yl-piperazin-l-ylmethyl)-phenyl]- [4,5']bipyrimidinyl-2'-ylamine (46) was prepared using 2-piperazin-l-yl-pyrimidine. NMR (CDC13): 2.56-2.59 (4H, m), 3.68 (2H, s), 3.84-3.88 (8H, m), 4.00-4.03 (4H, m), 5.28 (2H, br), 6.49 (IH, t), 7.30 (IH, s), 7.47-7.54 (2H, m), 8.01-8.05 (2H, m), 8.32 (2H, d), 9.05 (2H, s)
MS (ESI+): MH+ 511.2 (50%)
6-(3-Dimethylaminomethyl-phenyl)-2-morpholin-4-yl-[4,5']bipyrimidinyl-2'-ylamine (47) was prepared using dimethylamine. NMR (CDC13): 2.23 (6H, br. s), 3.47 (2H, s), 3.75-3.78 (4H, m), 3.90-3.93 (4H, m), 5.20 (2H, br), 7.22 (IH, s), 7.38 (2H, m), 7.92-7.96 (2H, m), 8.96 (2H, s) MS (ESI+): MH+ 392.2 (20%)
Example 6 [3-(2'-Amino-2-morpholin-4-vI-[4,5'lbipyrimidinvI-6-yl)- phenyll -methanol (43)
[3-(6-Chloro-2-moφholin-4-yl-pyrimidin-4-yl)-phenyl]-methanol was isolated by coloumn chromatography from the reactions between 3-(6-chloro-2-morpholin-4-yl- pyrimidin-4-yl)-benzaldehyde and a secondary amine. [3-(6-Chloro-2-moφholin-4-yl-pyrimidin-4-yl)-phenyl]-methanol (53mg,
0.173mmol) and 2-aminopyrimidine-5-boronic acid pinacol ester (1.8 equiv., 69mg) were taken up in acetonitrile (3ml). To this were added sodium carbonate (55mg) as a solution in water (ImI) and PdCl2(PPh3)2 (0.05 equiv.). The reaction mixture was heated in microwave at 14O0C for 30 min. Purification using SCX-2 cartridge, flash chromatography and trituration with diethyl ether gave the title compound as a white solid (24mg).
NMR (CDCL3): 1.79 (IH, br), 3.84-3.87 (4H, m), 4.00-4.03 (4H, m), 4.84 (2H, s), 5.30 (2H, br), 7.30 (IH, s), 7.49-7.54 (2H, m), 8.02-8.05 (IH, m), 8.12 (IH, s), 9.04 (2H, s) MS (ESI+): MH+ 365.16 (18%)
Example 7 2-(2'-Amino-2-morpholin-4-vH4.5'lbipyrimidinyl-6- ylaminoVN-methyl-acetamide (83)
Intermediate Fl (70mg, 0.24mmol) was suspended in a solution of methylamine in methanol (2M, 2ml) and stirred at room temperature overnight. The reaction mixture was diluted with water and the precipitate was filtered, washed with water and air-dried to give 2-(6-chloro-2-morpholin-4-yl-pyrimidin-4-ylamino)-N-methyl-acetamide (58mg).
2-(6-Chloro-2-moφholin-4-yl-pyrimidin-4-ylamino)-N-methyl-acetamide (56mg, 0.20mmol) and 2-aminopyrimidine-5-boronic acid pinacol ester (1.8 equiv., 78mg) were taken up in acetonitrile (3ml). To this were added sodium carbonate (64mg) as a solution in water (ImI) and PdCl2(PPh3)2 (5%). The reaction mixture was heated in microwave at 14O0C for 30 min. Purification using SCX-2 cartridge, flash chromatography and diethyl ether/DCM trituration gave the title compound as a white solid (22mg). NMR (DMSO): 2.59 (2H, d), 3.61-3.64 (4H, m), 3.67-3.71 (4H, m), 3.83 (2H, d), 6.29 (IH, s), 6.98 (2H, br), 7.75 (IH, br), 8.78 (2H, s) MS (ESI+): MH+ 345.12 (85%)
The following compounds were prepared in an analogous manner using Intermediate Fl and the appropriate amine:
2-(2'-Amino-2-morpholin-4-yl-[4,5']bipyrimidinyl-6-ylamino)-N,N-dimethyl-acetamide (84) was prepared using dimethylamine
NMR (DMSO): 2.87 (3H, s), 3.02 (3H, s), 3.63-3.66 (4H, m), 3.67-3.69 (4H, m), 4.13 (2H, d), 6.39 (IH, s), 6.98 (3H, br), 8.81 (2H, s) MS (ESI+): MH+ 359.12 (100%)
2-(2'-Amino-2-moφholin-4-yl-[4,5']bipyrimidinyl-6-ylamino)-l-morpholin-4-yl- ethanone (86) was prepared using morpholine. NMR (DMSO): 3.44-3.52 (4H, br), 3.55-3.62 (4H, br), 3.63-3.66 (4H, m), 3.68-3.70 (4H, m), 4.16 (2H, d), 6.39 (IH, br), 6.99 (3H, br), 8.80 (2H, br) MS (ESI+): MH+ 401.15 (100%)
2-(2'-Amino-2-morpholin-4-yl-[4,5l]bipyrimidinyl-6-ylamino)-l-(4-methyl-piperazin-l- yl)-ethanone (88) was prepared using N-methylpiperazine.
NMR (DMSO): 2.20 (3H, s), 2.23-2.36 (4H, br), 3.45-3.49 (4H, br), 3.63-3.66 (4H, m), 3.67-3.69 (4H, m), 4.16 (2H, d), 6.48 (IH, s), 6.98-7.00 (3H, br), 8.78-8.82 (2H, br) MS (ESI+): MH+ 414.18 (10%)
The following compounds were prepared in an analogous manner Intermediate F2 and the appropriate amine.
3-(2'-Amino-2-morpholin-4-yl-[4,5l]bipyrimidinyl-6-ylamino)-N-methyl-propionamide
(85) was prepared using methylamine.
NMR (DMSO): 2.35 (2H, m), 2.57 (3H, d), 3.47-3.52 (2H, m), 3.63-3.66 (4H, m), 3.68-
3.70 (4H, m), 6.22 (IH, br), 6.96 (3H, br), 7.77 (IH, br), 8.78 (2H, br)
MS (ESI+): MH+ 359.12 (100%)
3-(2l-Amino-2-morpholin-4-yl-[4,5']bipyrimidinyl-6-ylamino)-N,N-dimethyl- propionamide (99) was prepared using dimethylamine.
NMR (CDC13): 2.62 (2H, t), 3.00 (6H, d), 3.77-3.80 (2H+4H, m), 3.83-3.85 (4H, m),
5.20 (2H, br), 5.52 (IH, br t), 6.00 (IH, s), 8.87 (2H, s) MS (ESI+): MH+ 373.16 (100%)
3-(2'-Amino-2-moφholin-4-yl-[4,5']bipyrimidinyl-6-ylamino)-l-morpholin-4-yl- propan-1-one (107) was prepared using morpholine.
NMR (CDC13): 2.62 (2H, t), 3.45 (2H, t), 3.66-3.70 (6H, m), 3.77-3.81 (6H, m), 3.83- 3.85 (4H, m), 5.18 (2H, br), 5.41 (IH, br), 6.00 (IH, s), 8.87 (2H, s) MS (ESI+): MH+ 415.15 (100%)
Example 8 N-f2-(2>-Amino-2-morphoIin-4-yl-f4,5'IbipyrimidinvI-6- ylamino)-ethyl]-methanesulfonamide (87) Intermediate Al (300mg, 1.28mmol) and N-BOC-ethylenediamine (1.3 equiv.,
264ul) were refluxed in acetonitrile (3ml) with potassium carbonate (1.5 equiv., 230mg) overnight. The reaction mixture was then cooled to room temperature and diluted with
water. The precipitate was filtered, washed with water and air-dried to give [2-(6- chloro-2-morpholin-4-yl-pyrimidin-4-ylamino)-ethyl]-carbamic acid tert-butyl ester (453mg).
[2-(6-Chloro-2-moφholin-4-yl-pyrimidin-4-ylamino)-ethyl]-carbamic acid tert- butyl ester (453mg , 1.27mmol) was dissolved in DCM (10ml), to this was added a solution of hydrogen chloride in diethyl ether (2M, 5ml) and the reaction mixture was stirred at room temperature overnight. Volatiles were removed in vacuo, the residue triturated with diethyl ether to give N-l*-(6-chloro-2-morpholin-4-yl-pyrimidin-4-yI)- ethane-l,2-diamine hydrochloride as a foamy solid (441mg). N-I *-(6-Chloro-2-morpholin-4-yl-pyrimidin-4-yl)-ethane- 1 ,2-diamine hydrochloride (150mg, 0.51mmol) was dissolved in pyridine (ImI), to this was added methanesulfonyl chloride (1.2 equiv., 47ul) and the reaction mixture was stirred at room temperature overnight. Volatiles were removed in vacuo, the residue was partitioned between DCM and brine, organics dried (MgSO-t), filtered, evaporated in vacuo and purified by column chromatography to give N-[2-(6-chloro-2-morpholin-4-yl- pyrimidin-4-ylamino)-ethyl]-methanesulfonamide as a foamy solid (53mg). To N-[2-(6-Chloro-2-moφholin-4-yl-pyrimidin-4-ylamino)-ethyl]- methanesulfonamide (53mg, 0.158mmol) and 2-aminopyrimidine-5-boronic acid pinacol ester (63mg) in acetonitrile (3ml) was added sodium carbonate (3 equiv., 51mg) as a solution in water (ImI) and PdCl2(PPh3)2 (0.05 equiv.). The reaction mixture was heated in microwave at 1400C for 30 min. Purification using SCX-2 cartridge, flash chromatography and diethyl ether trituration gave the title compound as beige solid (19mg). NMR (DMSO): 2.90 (3H, s), 3.12-3.14 (2H, m), 3.49 (2H, m), 3.64-3.66 (4H, m), 3.69- 3.71 (4H, m), 5.75 (IH, s), 6.21 (IH, br), 6.97 (2H, br), 7.10 (IH, br), 8.79 (2H, br) MS (ESI+): MH+ 395.10 (100%)
N- [2-(2 '- Amino-2-morpholin-4-yl- [4,5 ']bipyrimidinyl-6-ylamino)-ethy l]-acetamide (90) was prepared in an analogous manner using acetyl chloride. NMR (DMSO): 1.81 (3H, s), 3.15-3.22 (2H, m), ~ 3.30 (2H, under H2O peak), 3.63- 3.66 (4H, m), 3.67-3.70 (4H, m), 6.20 (IH, br), 6.98 (3H, br), 7.90 (IH, br), 8.80 (2H, br)
MS (ESI+): MH+ 359.15 (100%)
Example 9 4-(2'-Amino-2-morpholin-4-vI-r4,5'lbipyrimidinyI-6-vD-2- methyl-but-3-vn-2-ol (114) To Intermediate B (30mg, 0.103mmol), 2-methyl-3-butyn-2-ol (1.2 equiv., 12ul) and copper (I) iodide (0.022 equiv., 0.5mg) in acetonitrile (2ml) were added triethylamine (2 equiv., 29ul) and PdCl2(PPh3)2 (0.05 equiv., 3.5mg). The reaction mixture was heated in microwave at 18O0C for 10 min. Purification using SCX-2 cartridge and flash chromatography gave the title compound as a beige solid (16mg). NMR (CDC13): 1.67 (6H, s), 2.13 (IH, br), 3.78-3.82 (4H, m), 3.89-3.92 (4H, m), 5.31 (2H, br), 6.94 (IH, s), 8.95 (2H, s) MS (ESI+): MH+ 341.10 (100%)
The following compounds were prepared in an analogous manner using the appropriate starting material.
6-(3-Dimethylamino-prop-l-ynyl)-2-morpholin-4-yl-[4,5']bipyrimidinyl-2'-ylamine (124) was prepared from l-dimethylamino-2-propyne.
NMR (CDC13): 2.38 (6H, s), 3.50 (2H, s), 3.74-3.78 (4H, m), 3.85-3.88 (4H, m), 5.27 (2H, br), 6.91 (IH, s), 8.91 (2H, s) MS (ESI+): MH+ 340.16 (100%)
6-(3-Methoxy-prop-l-ynyl)-2-moφholin-4-yl-[4,5']bipyrimidinyl-2'-ylamine (125) was prepared from methylpropargyl ether. NMR (CDC13): 3.50 (3H, s), 3.78-3.82 (4H, m), 3.89-3.92 (4H, m), 4.38 (2H, s), 5.31 (2H, br), 6.97 (IH, s), 8.95 (2H, s) MS (ESI+): MH+ 327.13 (15%)
2-Morpholin-4-yl-6-pyridin-2-ylethynyl-[4,5']bipyrimidinyl-21-ylamine (138) was prepared from 2-ethynylpyridine.
NMR (CDC13): 3.80-3.84 (4H, m), 3.92-3.96 (4H, m), 5.32 (2H, br), 7.15 (IH, s), 7.32- 7.36 (IH, m), 7.65 (IH, d), 7.72-7.77 (IH, m), 8.69 (IH, d), 8.97 (2H, s)
MS (ESI+): MH+ 360.12 (100%)
Example 10 2-Morpholin-4-yl-6-phenoxy-f4,5>IbipyrimidinyI-2'-yIamine
(10) A mixture of Intermediate Al (204mg), phenol (90mg) and potassium carbonate
(180mg) in N,N-dimethylformamide (5mL) was stirred at 80°C for 5 hours. The reaction mixture was then cooled, diluted with ethyl acetate, washed with water, dried (MgSO4) and the solvent removed in vacuo to yield 4-(4-chloro-6-phenoxy-pyrimidin- 2-yl)-morpholine. Reaction of 4-(4-chloro-6-phenoxy-pyrimidin-2-yl)-morpholine with 2- aminopyrimidine-5-boronic acid, pinacol ester using standard Suzuki conditions yielded the desired title compound.
IH NMR (400MHz, CDCl3). 3.70-3.80 (8H,m), 5.20 (2H,s,br.), 6.32 91H,s), 7.20 (2H,d), 7.24-7.27 (lH,m), 7.38-7.42 (2H,m), 8.90 (2H,s) MH+ 351
The following compounds were prepared in a similar manner commencing with the appropriate starting material:
6-(3,5-Difluoro-phenoxy)-2-morpholin-4-yl-[4,5']bipyrimidinyl-2'-ylamine (34) was prepared from 3,5-difluorophenol.
NMR: (DMSO, 400MHz): 3.61 (br s, 8H, 4xCH2); 6.83 (s, IH, ArH); 7.06-7.17 (m, 3H,
3xArH); 7.18 (br s, 2H, NH2); 8.97 (s, 2H), 2xArH).
MS: (ESI+): MH+ = 387.10
6-(2,6-Dimethyl-phenoxy)-2-morpholin-4-yl-[4,5']bipyrimidinyl-2'-ylamine (35) was prepared from 2,6-dimethylphenol.
NMR: (DMSO, 400MHz): 2.08 (s, 6H, 2xCH3); 3.52-3.56 (m, 8H, 4xCH2); 6.75 (s, IH,
ArH); 7.06-7.12 (m, 3H, 3xArH); 7.14 (br s, 2H, NH2); 8.94 (s, 2H, 2xArH). MS: (ESI+): MH+ = 379.14
6-(3,4-Dimethoxy-phenoxy)-2-moφholin-4-yl-[4,5']bipyrimidinyl-2'-ylamine (40) was prepared using 3,4-dimethoxyphenol.
NMR: (CDCl3, 400MHz): 3.65-3.69 (m, 8H, 2xCH2); 3.78 (s, 3H, CH3); 3.84 (s, 3H, CH3); 5.19 (br s, 2H, NH2); 6.22 (s, IH, ArH); 6.65 (d, IH, ArH, J = 8.0Hz); 6.67 (s, IH, ArH); 6.80 (d, IH, ArH, J = 8.7Hz); 8.79 (s, 2H, 2xArH). MS: (ESI+): MH+ = 411.16
3-(2'-Arnino-2-morpholin-4-yl-[4,5']bipyrimidinyl-6-yloxy)-benzonitrile (51) was prepared from 3-cyanophenol. NMR: (CDCl3, 400MHz): 3.62 (br s, 8H, 4xCH2); 5.25 (br s, 2H, NH2); 6.38 (s, IH, ArH); 7.34-7.47 (m, 4H, 4xArH); 8.85 (s, 2H, 2xArH). MS: (ESI+): MH+ = 376.13
6-(4-Methanesulfonyl-phenoxy)-2-moφholin-4-yl-[4,5']bipyrirnidinyl-2'-ylamine (82) was prepared from 4-methylsulphonylphenol.
NMR: (DMSO, 400MHz): 3.25 (s, 3H, CH3); 3.61 (br s, 8H, 4xCH2); 6.89 (s, IH,
ArH); 7.20 (br s, 2H, NH2); 7.50 (d, 2H, 2xArH, J = 8.8Hz): 7.99 (d, 2H, 2xArH, J =
8.8Hz); 8.99 (s, 2H, 2xArH).
MS: (ESI+): MH+ = 429.10
Example 11 4-(2'-Amino-2-morpholin-4-vI-[4,5'lbipyrimidinyl-6-yloxy)-
N,N-dimethyl-benzamide ( 26) To a solution of Intermediate Dl (70mg) in dry N,N-dimethylformamide (2mL) was added 1,1-carbonyldiimidazole (42mg). After 2 hours dimethylamine hydrochloride (25mg) and triethylamine (41μL) were added. The reaction mixture was stirred overnight before water was added to yield a precipitate. This was collected by filtration and air-dried to yield 4-(6-chloro-2-moφholin-4-yl-pyrimidin-4-yloxy)-N,N-dimethyl- benzamide (76mg).
Reaction of 4-(6-chloro-2-moφholin-4-yl-pyrimidin-4-yloxy)-N,N-dimethyl- benzamide with 2-aminopyrimidine-5-boronic acid, pinacol ester using standard Suzuki conditions yielded the desired title compound.
IH NMR (40OMHz5 CDCl3)
2.95-3.15 (6H,br.), 3.70-3.75 (8H,br.), 5.30 (2H,s,br.), 6.40 (lH,s), 7.20 (2H,d), 7.50
(2H,d), 8.90 (2H,s).
MH+422
4-(2'-Amino-5-methyl-2-moφholin-4-yl-[4,5']bipyrimidinyl-6-yloxy)-N,N-dimethyl- benzamide (146) was prepared as above using Intermediate A2 NMR: MeOD: 2.31 (3 H, s, Me), 3.03 (3 H, s, Me), 3.13 (3 H, s, Me), 3.60-3.63 (4 H, m), 3.64-3.68 (4 H, m), 7.32-7.39 (3 H, m, Ar), 7.56-7.60 (1 H5 m, Ar) and 8.90 (2 H, s, Ar). MS: (ESI+): MH+ 436.22
The following compounds were prepared in an analogous manner using one of Intermediate Dl, Intermediate D2 and Intermediate D3 and the appropriate amine.
4-(2l-Amino-2-morpholin-4-yl-[4,5']bipyrimidinyl-6-yloxy)-N-methyl-benzamide (27) was prepared using Intermediate Dl and methylamine.
IH NMR (400MHz, DMSO)
2.79 (3H,d), 3.60 (8H,br.), 6.80 (lH,s), 7.11 (2H,s,br.), 7.28 (2H,d), 7.91 (2H,d), 8.41
(lH,q), 8.99 (2H,s) MH+408
[4-(2'-Amino-2-morpholin-4-yl-[4,5']bipyrimidinyl-6-yloxy)-phenyl]-(4-methyl- piperazin-l-yl)-methanone (37) was prepared using Intermediate Dl and N- methylpiperazine. IH NMR (40OMHz5 CDCl3)
2.40 (3H,s), 2.40-2.55 (4H,br.), 3.50-3.70 (12H,br.), 5.30 (2H,s,br.), 6.40 (lH,s), 7.20
(2H,d), 7.50 (2H,d), 8.90 (2H,s).
MH+477
3-(2'-Amino-2-moφholin-4-yl-[4,5']bipyrimidinyl-6-yloxy)-N,N-dimethyl-benzamide (52) was prepared using Intermediate D2 and dimethylamine.HCl.
NMR: (CDCl3, 400MHz): 3.02 (br s, 3H); 3.13 (br s, 3H); 3.73 (br s, 8H); 5.30 (br s, 2H): 6.41 (s, IH); 7.23-7.33 (m, 3H); 7.44-7.48 (m, IH, ArH); 8.91 (s, 2H, 2xArH). MS: (ESI+): MH+ = 422.19
3-(2'-Ainino-2-inorpliolin-4-yl-[4,5']bipyrimidinyl-6-yloxy)-N-methyl-benzamide (53) was prepared using Intermediate D2 and methylamine.HCl.
NMR: (CDCl3, 400MHz): 2.96 (d, 3H); 3.63 (br s, 8H); 5.19 (br s, 2H); 6.02 (br s, IH);
6.32 (s, IH); 7.22-7. ,25 (m, IH); 7.37 (dd, IH); 7.53 (s, IH); 7.54 (d, IH); 8.82 (s, 2H).
MS: (ESI+): MH+ = 408.16
[3 -(2'- Amino-2-morpholin-4-yl- [4, 5 ']bipyrimidiny l-6-yloxy)-phenyl] -(4- methanesulfonyl-piperazin-l-yl)-methanone (54) was prepared using Intermediate D2 and Intermediate G.
NMR: (CDCl3, 400MHz): 2.83 (s, 3H, CH3); 3.28 (br s, 4H, 2xCH2); 3.73 (br s, 12H5 6xCH2); 5.30 (s, 2H, NH2); 6.42 (s, IH, ArH); 7.25-7.32 (m, 3H, 3xArH); 7.50 (dd, IH,
ArH, J = 7.9Hz); 8.92 (s, 2H, 2xArH);
MS: (ESI+): MH+ = 541.25
3-(2'-Amino-2-moφholin-4-yl-[4,5']bipyrimidinyl-6-yloxy)-phenyl]-(4-methyl- piperazin-l-yl)-methanone (64) was prepared using was prepared using Intermediate D2 and N-methylpiperazine.
NMR: (CDCl3, 400MHz): 2.50 (s, 3H, CH3); 2.50 (br s, 2H, CH2); 2.40 (br s, 2H, CH2);
3.39 (br s, 2H, CH2); 3.64 (br s, 8H, 4xCH2); 3.71 (br s, 2H, CH2); 5.22 (s, 2H, NH2);
6.32 (s, IH, ArH); 7.15 (s, IH, ArH); 7.17-7.22 (m, 2H, 2xArH); 7.38 (dd, IH, ArH, J = 7.8Hz); 8.82 (s, 2H, 2xArH).
MS: (ESI+): MH+ = 477.23
2-[4-(2l-Amino-2-moφholin-4-yl-[4,5']bipyrimidinyl-6-yloxy)-phenyI]-N,N-dimethyl- acetamide (73)was prepared using Intermediate D3 and dimethylamine. HCl. NMR: (CDCl3, 400MHz): 2.92 (s, 3H, CH3); 2.97 (s, 3H, CH3); 3.65 (s, 2H, CH2); 3.67 (br s, 8H, 4xCH2); 5.17 (s, 2H, NH2); 6.26 (s, IH, ArH); 7.06 (d, 2H, 2xArH, J = 8.5Hz); 7.22 (d, 2H, 2xArH, J = 8.5Hz); 8.80 (s, 2H, 2xArH).
MS: (ESI+): MH+ = 436.44
Example 12 2-MorphoKn-4-vI-N-6-phenvI-r4,5Mbipyrimidinyl-6,2'- diamine (49) To a solution of N-BOC-aniline( 171 mg) in dry N,N-dimethy lformamide (was added sodium hydride (60% dispersion in mineral oil, 59mg). After stirring for 15 minutes, Intermediate Al (197mg) was added and the reaction mixture was heated to
80°C for 5 hours. The reaction mixture was then cooled, diluted with ethyl acetate, washed with brine, dried (MgSO4) and the solvent removed in vacuo. The residue was purified using flash chromatography to yield (6-chloro-2-morpholin-4-yl-pyrimidin-4- yl)-phenyl-carbamic acid tert-butyl ester.
Reaction of (6-chloro-2-morpholin-4-yl-pyrimidin-4-yl)-phenyl-carbamic acid tert-butyl ester with 2-aminopyrimidine-5-boronic acid, pinacol ester using standard
Suzuki conditions yielded the desired title compound (the BOC group was cleaved during the Suzuki reaction).
IH NMR (400MHz, CDCl3)
3.79-3.83 (4H,m), 3.88-3.91 (4H,m), 5.20 (2H,s), 6.30 (lH,s), 6.61 (lH,s,br.), 7.11-7.14
(lH,m), 7.35-7.40 (4H,m), 8.85 (2H,s)
MH+350
Example 13 N-[4-(2>-Amino-2-morpholin-4-vH4,5'lbipyrimidinvI-6-yl)- phenyll-N-methyl-methanesulfonamide (56) Standard Suzuki reaction betwen Intermediate Al and t-butyl-N-methyl-N-[4-
(tetramethyldioxaboronyl)phenyl]carbamate yielded [4-(6-chloro-2-morpholm-4-yl- pyrimidin-4-yl)-phenyl]-methyl-carbamic acid tert-butyl ester. Cleavage of the BOC grup using HCl in ether yielded [4-(6-chloro-2-morpholin-4-yl-pyrimidin-4-yl)-phenyl]- methyl-amine.
Reaction of [4-(6-chloro-2-morpholin-4-yl-pyrimidin-4-yl)-phenyl]-methyl- amine with methane sulphonyl chloride in dichloromethane using triethylamine as base yielded N-[4-(6-chloro-2-moφholin-4-yl-pyrimidin-4-yl)-phenyl]-N-methyl- methanesulfonamide.
Reaction of N-[4-(6-chloro-2-mθφholin-4-yl-pyrimidin-4-yl)-phenyl]-N- methyl-methanesulfonamide with 2-aminopyrimidine-5-boronic acid, pinacol ester using standard Suzuki conditions yielded the desired title compound. NMR (CDCB): 2.90 (3H, s), 3.41 (3H, s), 3.84-3.87 (4H, m), 3.99-4.02 (4H, m), 5.29 (2H, br), 7.26 (IH, s), 7.53 (2H, d), 8.12 (2H, d), 9.30 (2H, s) MS (ESI+): MH+ 442.13 (10%), (MH+AcN) 483.2 (100%)
Example 14 6-BenzyIoxy-2-morphoIin-4-yI- f 4,5' I bipyrimidinyI-2 '-ylamine
(72) To benzyl alcohol in DMF at O0C was slowly added sodium hydride. After 20 minutes, Intermediate A was added and heated to 950C overnight. EtOAc/brine extraction followed by purification on silica yielded 4-(4-benzyloxy-6-chloro- pyrimidin-2-yl)-morpholine.
4-(4-Benzyloxy-6-chloro-pyrimidm-2-yl)-morpholine was reacted with 2- aminopyrimidine-5-boronic acid pinacol ester in General Suzuki Procedure A. Purification using an SCX cartridge yielded the title compound. NMR: (CDCl3, 400MHz): 3.71 (t, 4H); 3.79 (t, 4H); 5.16 (br s, 2H); 5.32 (s, 2H, CH2); 6.29 (s, IH, ArH); 7.24-7.37 (m, 5H, 5xArH); 8.82 (s, 2H, 2xArH). MS: (ESI+): MH+ = 365.15
The following compounds were prepared in an analogous manner using the appropriate alcohol.
2-Moφholin-4-yl-6-(pyridin-3-ylmethoxy)-[4,5']bipyrimidinyl-2'-ylamine (81) was prepared from 3-pyridylcarbinol.
NMR: (DMSO, 400MHz): 3.67 (t, 4H, J = 4.7Hz); 3.77 (t, 4H, 2xCH2, J = 4.6Hz); 5.44
(s, 2H, CH2); 6.66 (s, IH, ArH); 7.10 (br s, 2H, NH2); 7.41-7.44 (m, IH, ArH); 7.86-
7.89 (m, IH, ArH); 8.54-8.55 (m, IH, ArH); 8.68 (s, IH, ArH); 8.92 (s, 2H, 2xArH).
MS: (ESI+): MH+ = 366.14
5-Methyl-2-moφholin-4-yl-6-(pyridin-3-ylmethoxy)-[4,5']bipyrimidinyl-2'-ylamine
(145) was prepared from 3-pyridylcarbinol and Intermediate A2.
NMR: MeOD: 2.23 (3 H, s, Me), 3.78-3.80 (4 H, m), 3.83-3.86 (4 H, m), 5.81 (2 H, s,
CH2), 8.21 (1 H, dd, J 8.1 and 5.8, Ar), 8.83-8.85 (1 H, m, Ar), 8.86 (2 H, s, Ar), 8.91 (1
H, d, J 5.8, Ar) and 9.10 (1 H, s, Ar).
MS: (ESI+): MH+ 380.18
5-[2-Mθφholin-4-yl-6-(pyridin-3-ylmethoxy)-pyrimidin-4-yl]-pyridin-2-ylamine (132) was also prepared from 3-pyridylcarbinol, followed by Suzuki coupling with 2- aminopyridine-5-boronic acid pinacol ester
NMR: (CDCl3, 400MHz): 3.80 (t, 4H, 2xCH2); 3.88 (t, 4H, 2xCH2); 4.66 (br s, 2H, NH2); 5.44 (s, 2H, CH2); 6.41 (s, IH, ArH); 6.56 (d, IH, ArH, J = 8.7Hz); 7.27-7.34 (m,
IH, ArH); 7.77-7.80 (dt, IH, ArH); 8.08-8.10 (dd, IH, ArH, J = 8.6Hz, 2.3Hz); 8.59-
8.61 (dd, IH, ArH, J = 4.8Hz, 1.6Hz); 8.72 (d, IH, ArH, J = 1.7Hz); 8.72-8.75 (m, IH,
ArH).
MS: (ESI+): MH+ = 365.14
Methyl- { 5 - [2-morpholin-4-yl-6-(pyridin-3 -ylmethoxy)-pyrimidin-4-y l]-pyridin-2-yl } - amine (134) was also prepared from 3-pyridylcarbinol, followed by Suzuki coupling with Intermediate I.
NMR: (CDCl3, 400MHz): 3.01 (d, 3H, CH3); 3.79 (t, 4H, 2xCH2); 3.88 (t, 4H, 2xCH2); 4.81 (q, IH, NH); 5.44 (s, 2H, CH2); 6.40 (s, IH, ArH); 6.44 (d, IH, ArH); 7.31-7.34
(m, IH, ArH); 7.77-7.80 (dt, IH, ArH); 8.09 (dd, IH, ArH); 8.59 (dd, IH, ArH); 8.72
(d, IH, ArH); 8.79 (d, IH, ArH).
MS: (ESI+): MH+ = 379.14
l-[2-(2'-Amino-2-morpholin-4-yl-[4,5']bipyrimidinyl-6-yloxy)-ethyl]-pyrrolidin-2-one (91) was prepared from l-(2-hydroxyethyl)-2-pyrrolidinone. NMR: (CDCl3&MeOD,400MHz): 1.89-1.94 (m, 2H, CH2); 2.26 (t, 2H, CH2, J = 8.1Hz); 3.44 (t, 2H, CH2, J - 7.1Hz); 3.53 (t, 2H, CH2, J = 5.4Hz); 3.65-3.72 (m, 8H, 4xCH2); 4.35 (t, 2H, CH2, J = 5.3Hz); 6.18 (s, IH, ArH); 8.72 (s, 2H, 2xArH). MS: (ESI+): MH+ = 386.14
6-(2-Dimethylamino-ethoxy)-2-moφholin-4-yl-[4,5']bipyrimidinyl-2'-ylamine (112)was prepared from N,N-dimethylethanolamine.
NMR: (CDCl3, 400MHz): 2.35 (s, 6H, 2xCH3); 2.72 (t, 2H, CH3, J = 5.8Hz); 3.80 (t, 4H, 2xCH2, J = 4.5Hz); 3.87 (t, 4H, 2xCH2, J = 4.3Hz); 4.45 (t, 2H, CH2, J = 5.8Hz); 5.25 (br s, 2H, NH2); 6.37 (s, IH, ArH); 8.90 (s, 2H, 2xArH). MS: (ESI+): MH+ = 346.17
2-Morpholin-4-yl-6-phenethyloxy-[4,5']bipyrimidinyl-2'-ylamine (115) was prepared using phenethylalcohol. NMR: (CDCl3, 400MHz): 3.01 (t, 2H, CH2, J = 7.2Hz); 3.70 (t, 4H, 2xCH2, J = 4.4Hz); 3.77 (t, 4H, 2xCH2, J = 4.3Hz); 4.64 (t, 2H, CH2, J = 7.2Hz); 5.13 (br s, 2H, NH2); 6.22 (s, IH, ArH); 7.16-7.27 (m, 5H, 5xArH); 8.81 (s, 2H, 2xArH). MS: (ESI+): MH+ = 379.12
6-(3-Methanesulfonyl-ben2yloxy)-2-morpholin-4-yl-[4,5l]bipyrimidinyl-2'-ylarnine (116) was prepared from (3-methanesulfonyl-phenyl)-methanol. NMR: (CDCl3, 400MHz): 3.09 (s, 3H, CH3); 3.80 (t, 4H, 2xCH2, J = 4.5Hz); 3.87 (t, 4H, 2xCH2, J = 4.5Hz); 5.27 (br s, 2H, NH2); 5.49 (s, 2H, CH2); 6.41 (s, IH, ArH); 7.62 (dd, IH, ArH5 J = 7.7Hz); 7.74 (d, IH, ArH, J = 7.7Hz); 7.93 (d, IH, ArH, J = 7.8Hz); 8.07 (s, IH, ArH); 8.92 (s, 2H, 2xArH). MS: (ESI+): MH+ = 443.09
(3-Methanesulfonyl-phenyl)-methanol was prepared as follows: To 3- Methanesulfonyl-benzoic acid in THF at O0C was added dropwise a borane-THF complex and the reaction mixture stirred at room temperature overnight. Excess hydride was destroyed by slow addition of a water/THF mixture. The aqueous phase was saturated with potassium carbonate then extracted with ether. The organics were dried with MgSO4 and the solvent reduced in vacuo to yield (3-methanesulfonyl-phenyl)- methanol as a clear oil.
3-(2'-Amino-2-morpholin-4-yl-[4,5']bipyrimidinyl-6-yloxymethyl)-benzonitrile (117) was prepared from 3-hydroxymethyl-benzonitrile
NMR: (CDCl3, 400MHz): 3.79 (t, 4H); 3.86 (t, 4H, 2xCH2, J = 4.5Hz); 5.27 (br s, 2H,
NH2); 5.44 (s, 2H, CH2); 6.39 (s, IH, ArH); 7.51 (dd, IH, ArH, J = 7.8Hz); 7.64 (d, IH,
ArH, J = 7.8Hz); 7.68 (d, IH, ArH, J = 8.0Hz); 7.76 (s, IH, ArH); 8.92 (s, 2H, 2xArH).
MS: (ESl+): MH+ = 390.19
3-Hydroxymethyl-benzonitrile was prepared as follows: To 3- cyanobenzaldehyde in dry MeOH at O0C was added NaBH4 and the reaction stirred at room temperature for 2hours. The mixture was quenched with 50:50 H2O:sat. aq.NaHCO3 then extracted into MeOH-EtOAc to yield 3-hydroxymethyl-benzonitrile.
2-Moφholin-4-yl-6-(2-pyridin-3-yl-ethoxy)-[4,5']bipyrimidinyl-2l-ylamine (118) was prepared from 3-(2-hydroxyethyl)pyridine.
NMR: (CDCl3, 400MHz): 3.11 (t, 2H, CH2); 3.80 (t, 4H, 2xCH2); 3.86 (t, 4H, 2xCH2);
4.57 (t, 2H, CH2); 5.25 (br s, 2H, NH2); 6.30 (s, IH, ArH); 7.26-7.28 (m, IH, ArH); 7.62 (d, IH, ArH, J = 7.8Hz); 8.52 (m, IH, ArH); 8.57 (s, IH, ArH); 8.91 (s, 2H,
2xArH).
MS: (ESI+): MH+ = 380.12
6-(3-Methyl-3H-imidazol-4-ylmethoxy)-2-morpholin-4-yl-[4,5']bipyrimidinyl-2'- ylamine (120) was prepared from (l-methyl-lH-imidazol-5-yl)methanol.
NMR: (CDCl3&CD3OD,400MHz): 3.24 (t, 4H, 2xCH2, J = 4.6Hz); 3.65 (s, 3H, CH3);
3.81 (t, 4H, 2xCH2, J = 4.6Hz); 5.11 (s, 2H, CH2); 6.38 (s, IH, ArH); 6.87 (s, IH, ArH);
7.32 (s, IH, ArH); 8.75 (s, 2H, 2xArH).
MS: (ESI+): MH+ = 369.18
2-Morpholin-4-yl-6-(quinolin-3-ylmethoxy)-[4,5']bipyrimidinyl-2'-ylamine (121) was prepared from quinolin-3-yl-methanol.
NMR: (CDCl3, 400MHz): 3.71 (t, 4H); 3.80 (t, 4H, 2xCH2); 5.14 (br s, 2H5 NH2); 5.53
(s, 2H, CH2); 6.32 (s, IH, ArH); 7.50 (dd, IH, ArH); 7.66 (dd, IH, ArH, J = 7.7Hz); 7.76 (d, IH, ArH); 8.05 (d, IH, ArH); 8.15 (s, IH, ArH); 8.83 (s, 2H, 2xArH); 8.93 (s,
IH, ArH).
MS: (ESI+): MH+ = 416.20
Quinolin-3-yl-methanol was prepared as follows: To 3-quinolinecarboxaldehye in dry MeOH at O0C was added NaBH4 and the reaction stirred at room temperature for 2hours. The mixture was quenched with 50:50 H2O:sat. aq.NaHCO3 then extracted into MeOH-EtOAc to yield quinolin-3-yl-methanol.
3-(2l-Arnino-2-morpholin-4-yl-[4,5l]bipyrimidinyl-6-yloxymethyl)-N,N-dimethyl- benzamide (123) was prepared from 3-hydroxymethyl-N,N-dimethyl-benzamide NMR: (CDCl3, 400MHz): 3.00 (br s, 3H, CH3); 3.13 (br s, 3H, CH3); 3.79 (t, 4H, 2xCH2, J = 4.5Hz); 3.87 (t, 4H, 2xCH2, J = 4.4Hz); 5.27 (br s, 2H, NH2); 5.43 (s, 2H, CH2); 6.38 (s, IH, ArH); 7.37-7.49 (m, 3H, 3xArH); 7.52 (s, IH, ArH); 8.91 (s, 2H, 2xArH). MS: (ESI+): MH+ = 436.24
3-Hydroxymethyl-N,N-dimethyl-benzamide was prepared as follows: To 3- carboxybezaldehyde in DMF was added carbonyldiimidazole. After stirring for 4 hours, triethylamine and dimethylamine.HCl were added and the mixture stirred at room temperature for a weekend. The mixture was quenched with water, extracted into DCM and washed with brine. Drying with MgSO4 and removal of the solvent in vacuo yielded crude material which was purified on silica to give 3-Formyl-N,N-dimethyl-benzamide as a yellow oil.
To 3-formyl-N,N-dimethyl-benzamide in methanol at O0C was added NaBH4 and the reaction stirred at room temperature for 2 hours. Quenching with H2O/sat.aq.NaHCO3 followed by extraction into MeOH-EtOAc yielded 3- Hydroxymethyl-N,N-dimethyl-benzamide.
4-(2l-Amino-2-morpholin-4-yl-[4,5']bipyrimidinyl-6-yloxymethyl)-benzonitrile (126) was prepared from 4-hydroxymethyl-benzonitrile.
NMR: (CDCl3, 400MHz): 3.68-3.76 (m, 8H, 4xCH2); 5.16 (br s, 2H, NH2); 5.38 (s, 2H, CH2); 6.31 (s, IH, ArH); 7.45 (d, 2H, 2xArH, J = 8.1Hz); 7.60 (d, 2H, 2xArH, J = 8.3Hz); 8.83 (s, 2H, 2xArH). MS: (ESI+): MH+ = 390.16
4-Hydroxymethyl-benzonitrile was prepared as follows: To 4- cyanobenzaldehyde in dry MeOH at O0C was added NaBH4 and the reaction stirred at room temperature for 2hours. The mixture was quenched with 50:50 H2O:sat. aq.NaHCO3 then extracted into MeOH-EtOAc to yield 4-hydroxymethyl-benzonitrile.
6-(4-Methanesulfonyl-benzyloxy)-2-morpholin-4-yl-[4,5l]bipyrimidinyl-2'-ylamine (127) was prepared from/>-(methylsulfonyl)benzylalcohol.
NMR: (DMSO, 400MHz): 3.21 (s, 3H, CH3); 3.64 (t, 4H, 2xCH2, J = 4.6Hz); 3.74 (t, 4H, 2xCH2, J = 4.4Hz); 5.51 (s, 2H, CH2); 6.69 (s, IH, ArH); 7.11 (br s, 2H, NH2), 7.70 (d, 2H, 2xArH, J = 8.3Hz); 7.94 (d, 2H, 2xArH, J = 8.4Hz); 8.93 (s, 2H, 2xArH). MS: (ESI+): MH+ = 443.15
6-(l-Methyl-l-phenyl-ethoxy)-2-moφholin-4-yl-[4,5']bipyrimidinyl-2'-ylamine (135) was prepared from 2-phenyl-2-propanol. NMR: (DMSO, 400MHz): 3.49 (m, 3H, CH3); 3.61 (m, 3H, CH3); 3.67 (s, 8H, 4xCH2); 6.19 (s, IH, ArH); 6.60 (s, IH5 ArH); 7.02 (m, IH, ArH); 7.05 (s, 2H, NH2); 7.14 (d, IH, ArH); 7.98 (s, IH, ArH); 8.84 (s, 2H, 2xArH). MS: (ESI+): MH+ = 393.14
2-Morpholin-4-yl-6-(2-pyridin-2-yl-ethoxy)-[4,5']bipyrimidinyl-2'-ylamine (119) was prepared from 2-(2-hydroxyethyl)pyridine.
NMR (CDC13): 3.28 (2H, t), 3.77-3.80 (4H, m), 3.85-3.88 (4H, m), 4.75 (2H, t), 5.21
(2H, br), 6.29 (IH, s), 7.16-7.19 (IH, m), 7.25-7.28 (IH, m), 7.62-7.66 (IH, m), 8.59
(IH, d), 8.90 (2H, s) MS (ESI+): MH+ 380.18 (100%)
2-Moφholin-4-yl-6-(2-pyridin-4-yl-ethoxy)-[4,5']bipyrimidinyl-2'-ylamine (122) was prepared from 4-(2-hydroxyethyl)pyridine.
NMR (CDC13): 3.10 (2H, t), 3.78-3.81 (4H, m), 3.85-3.88 (4H, m), 4.59 (2H, t), 5.23 (2H, br), 6.29 (IH, s), 7.23 (2H, d), 8.57 (2H, d), 8.90 (2H, s) MS (ESI+): MH+ 380.20 (30%)
6-[2-(3-Methanesulfonyl-phenyl)-ethoxy]-2-morpholin-4-yl-[4,5']bipyrimidinyl-2l- ylamine (141) was prepared from 2-(3-methanesulfonyl-phenyl)-ethanol. NMR (CDCB): 3.07 (3H, s), 3.20 (2H, t), 3.79-3.82 (4H, m), 3.85-3.88 (4H, m), 4.60 (2H, t), 5.23 (2H, br), 6.29 (IH, s), 7.53-7.61 (2H, m), 7.84 (IH, d), 7.90 (IH, s), 8.90 (2H, s)
MS (ESI+): MH+ 457.17 (100%)
2-(3-methanesulfonyl-phenyl)-ethanol was prepared as follows: To a solution of 3-methylsulphonylphenylacetic acid (200mg, 0.93mmol) in dry THF (3ml) at O0C was added borane-tetrahydrofuran complex ( 1.0M solution in THF, 1.4 equiv, 1.31 ml) dropwise. The reaction was allowed to warm up to room temperature overnight and then quenched with water. DCM/brine extraction gave 2-(3-methanesulfonyl-phenyl)-ethanol as a clear oil (184mg).
3-[2-(2l-Amino-2-morpholin-4-yl-[4,5']bipyrimidinyl-6-yloxy)-ethyl]-benzonitrile (142) was prepared from 2-(3-cyanol-phenyl)-ethanol.
NMR (CDC13): 3.14 (2H, t), 3.79-3.82 (4H, m), 3.85-3.88 (4H, m), 4.57 (2H, t), 5.24 (2H, br), 6.29 (IH, s), 7.42-7.47 (IH, m), 7.52-7.60 (3H, m), 8.91 (2H, s) MS (ESI+): MH+ 404.20 (90%)
2-(3-cyanol-phenyl)-ethanol was prepared as follows: To a solution of 3- cyanophenylacetic acid (250mg, 1.55mmol) in dry THF (3ml) at O0C was added borane- tetrahydrofuran complex (LOM solution in THF, 1.4 equiv, 2.17ml) dropwise. The reaction was allowed to warm up to room temperature overnight and then quenched with water. DCM/brine extraction gave 2-(3-cyanol-phenyl)-ethanol as a yellow oil (170mg).
6-[2-(lH-Indol-3-yl)-ethoxy]-2-morpholin-4-yl-[4,5']bipyrimidinyl-2'-ylamine (144) was prepared from 3-(2-hydroxy-ethyl)-indole-l-carboxylic acid tert-butyl ester. NMR (CDC13): 3.27 (2H, t), 3.76-3.80 (4H, m), 3.83-3.87 (4H, m), 4.63 (2H, t), 5.23 (2H, br), 6.33 (IH, s), 7.12 (IH, s), 7.16 (IH, t), 7.24 (IH, t), 7.40 (IH, d), 8.03 (IH, br), 8.91 (2H, s)
MS (ESI+): MH+ 418.17 (100%)
3-(2-Hydroxy-ethyl)-indole-l-carboxylic acid tert-butyl ester was prepared as follows: To a solution of tryptophol (200mg, 1.25mmol) in DCM (5ml) were added di- tert-butyldicarbonate (1.5equiv, 410mg) and dimethylaminopyridine (0.05equiv, 8mg) and the reaction mixture was stirred at room temperature overnight. DCM/brine extraction afforded 3-(2-hydroxy-ethyl)-indole-l-carboxylic acid tert-butyl ester as an oil (348mg).
Example 15 f4-(2'-Amino-2-morpholin-4-yl-[4.5t1bipyrimidinyl-6-vn- piperazin-l-vn-phenyl-methanone r3)
To Intermediate H in chloroform was added benzoylchloride and triethylamine.
After stirring overnight at room temperature, EtO Ac/brine extraction followed by purification on silica yielded [4-(6-Chloro-2-morpholin-4-yl-pyrimidin-4-yl)-piperazin- l-yl]-phenyl-methanone.
[4-(6-Chloro-2-moφholin-4-yl-pyrimidin-4-yl)-piperazin-l-yl]-phenyl- methanone was reacted with 2-aminopyrimidine-5-boronic acid pinacol ester in General
Procedure A. Purification on silica gave the title compound.
NMR: (CDCl3, 400MHz): 3.64 (br s, 8H, 4xCH2); 3.68-3.70 (m, 4H, 2xCH2); 3.73-3.75 (m, 4H, 2xCH2); 5.12 (s, NH2); 6.10 (s, IH, ArH); 7.37-7.38 (m, 5H, 5xArH); 8.80 (s,
2H, 2xArH).
MS: (ESI+): MH+ = 447.22
6-(4-Benzenesulfonyl-piperazin-l-yl)-2-morpholin-4-yl-[4,5']bipyrimidinyl-2'-ylamine (9) was prepared in an analogous manner using Intermediate H and benzene sulphonyl chloride.
NMR: (CDCl3, 400MHz): 3.13 (t, 4H, J = 5.1Hz, 2xCH2); 3.76-3.80 (m, 12H, 2xCH2 +
4xCH2); 5.19 (br s, 2H, NH2); 6.11 (s, IH, ArH); 7.54-7.65 (m, 3H, 3xArH); 7.79-7.81
(m, 2H, 2xArH); 8.85 (s, 2H, 2xArH). MS: (ESI+): MH+ = 483.18
[4-(2'-Amino-2-moφholin-4-yl-[4,5']bipyrimidinyl-6-yl)-piperazin-l-yl]-morpholin-4- yl-methanone (11) was prepared in an analogous manner using Intermediate H and morpholine carbonyl chloride.
NMR: (CDCl3, 400MHz): 3.18-3.27 (m, 8H, 4xCH2); 3.54-3.59 (m, 8H, 4xCH2); 3.63- 3.71 (m, 8H, 4xCH2); 5.06 (s, 2H, NH2); 6.04 (s, IH, ArH); 8.75 (s, 2H, 2xArH). MS: (ESI+): MH+ = 456.21
Example 16 6-(4-BenzyI-piperazin-l-yI)-2-morphoIin-4-vI-
[4,5'lbipyriinidinyl-2'-ylamine ( 33) To Intermediate H in acetonitrile was added potassium carbonate and benzylbromide. After heating to reflux overnight, EtO Ac/brine extraction followed by purification on silica yielded 4-[4-(4-Benzyl-piperazin-l-yl)-6-chloro-pyrimidin-2-yl]- morpholine.
4-[4-(4-Benzyl-piperazin- 1 -yl)-6-chloro-pyrimidin-2-yl]-morpholine was reacted with 2-aminopyrimidine-5-boronic acid pinacol ester in General Procedure A. Purification on silica yielded the title compound.
NMR: (CDCl3, 400MHz): 2.55 (t, 4H, 2xCH2, J = 5.1Hz); 3.58 (s, 2H); 3.68 (t, 4H, 2xCH2, J = 5.0Hz); 3.75-3.84 (m, 8H, 4xCH2); 5.18 (br s, 2H, NH2); 6.17 (s, IH, ArH); 7.29-7.37 (m, 5H, 5xArH); 8.88 (s, 2H, 2xArH). MS: (ESI+): MH+ = 433.17
Example 17 2-Morpholin-4-v--6-(3-morpholin-4-ylmethyl-phenoxy)- f4,5>IbipyrimidinyI-2'-vIamine ( 48)
To a solution of Intermediate El in DCE was added dropwise morpholine and trimethylorthoformate. After stirring at room temperature for 1 hour, sodium triacetoxyborohydride was added and the mixture stirred at room temperature overnight.
Quenching with aqueous sodium carbonate, followed by DCM/brine extraction and purification on silica yielded 4-[4-chloro-6-(3-morpholin-l-ylmethyl-phenoxy)- pyrimidin-2-yl]-morpholine. 4-[4-Chloro-6-(3-moφholin-l-ylmethyl-phenoxy)-pyrimidin-2-yl]-morpholine was reacted with 2-aminopyrimidine-5-boronic acid pinacol ester in General Procedure
A to give the title compound.
NMR: (CDCl3, 400MHz): 2.47 (t, 4H, 2xCH2, J = 4.5Hz); 3.54 (s, 2H, CH2); 3.71-3.76 (m, 12H, OxCH2); 5.29 (br s, 2H, NH2); 6.35 (s, IH, ArH); 7.08-7.23 (m, 3H, 3xArH); 7.37 (dd, IH, ArH, J = 15.6Hz); 8.89 (s, 2H, 2xArH). MS: (ESI+): MH+ = 450.20
6-[3-(4-Methanesulfonyl-piperazin-l-ylmethyl)-phenoxy]-2-moφholin-4-yl- [4,5']bipyrimidinyl-2'-ylamine (50) was prepared in a similar manner using Intermediate El and Intermediate G.
NMR: (CDCl3, 400MHz): 2.32 (t, 4H, 2xCH2); 2.52 (s, 3H, CH3); 2.99 (t, 4H, 2xCH2, J = 4.7Hz); 3.32 (s, 2H, CH2); 3.48 (m, 8H, 4xCH2); 5.00 (br s, 2H, NH2); 6.07 (s, IH, ArH); 6.83-6.94 (m, 3H, 3xArH); 7.11 (dd, IH, ArH, J = 7.8Hz); 8.61 (s, 2H, 2xArH). MS: (ESI+): MH+ = 527.30
6-(4-Dimethylaminomethyl-phenoxy)-2-moφholin-4-yl-[4,5']bipyrimidinyl-2'-ylamine (55) was prepared in a similar manner using Intermediate E2 and dimethylamine hydrochloride.
NMR: (CDCl3, 400MHz): 2.28 (s, 6H, 2xCH3); 3.46 (s, 2H, CH2); 3.74-3.76 (m, 8H,
4xCH2); 5.30 (br s, 2H, NH2); 6.34 (s, IH, ArH); 7.14 (d, 2H, 2xArH, J = 8.6Hz); 7.36
(d, 2H, 2xArH, J = 8.4Hz); 8.89 (s, 2xArH, 2H) MS: (ESI+): MH+ = 408.20
6-[4-(4-Methyl-piperazin-l-ylmethyl)-phenoxy]-2-morpholin-4-yl-[4,5']bipyrimidinyl- 2'-ylamine (59) was prepared in similar manner using Intermediate El and N- methylpiperazine. NMR: (DMSO, 400MHz): 2.15 (s, 3H, CH3); 2.33 (br s, 4H, 2xCH2); 2.36 (br s, 4H, 2xCH2); 3.47 (s, 2H, CH2); 3.58 (br s, 8H, 4xCH2); 6.75 (s, IH5 ArH); 7.14 (d, 2H, 2xArH, J = 8.5Hz); 7.18 (s, 2H, NH2); 7.33 (d, 2H, 2xArH); 8.94 (s, 2H, 2xArH). MS: (ESI+): MH+ = 463.26
2-Morpholin-4-yl-6-(4-morpholin-4-ylmethyl-phenoxy)-[4,5']bipyrimidinyl-2'-ylamine (61) was prepared in a similar manner using Intermediate E2 and morpholine.
NMR: (CDCl3, 400MHz): 2.49 (t, 4H, 2xCH2, J = 4.4Hz); 3.55 (s, 2H, CH2); 3.74-3.76 (m, 12H, OxCH2); 5.29 (br s, 2H, NH2); 6.33 (s, IH, ArH); 7.14 (d, 2H, 2xArH, J = 8.5Hz); 7.38 (d, 2H, 2xArH, J = 8.4Hz); 8.88 (s, 2H, 2xArH); MS: (ESI+): MH+ = 450.25
6-[4-(4-Methanesulfonyl-piperazin-l-ylmethyl)-phenoxy]-2-moφholin-4-yl- [4,5']bipyrimidinyl-2'-ylamine (71) was prepared using Intermediate E2 and Intermediate G.
NMR: (CDCl3, 400MHz): 2.52 (t, 4H, 2xCH2); 2.72 (s, 3H, CH3); 3.20 (t, 4H, 2xCH2, J = 4.5Hz); 3.53 (s, 2H, CH2); 3.66 (br s, 8H, 4xCH2); 5.18 (s, 2H5 NH2); 6.24 (s, IH, ArH); 7.07 (d, 2H, 2xArH, J = 8.4Hz); 7.28 (d, 2H, 2xArH); 8.80 (s, 2H, 2xArH) MS: (ESI+): MH+ = 527.32
Example 18 6-Methoxy-2-morphoIin-4-yl-f4,5'lbipyrimidinyl-2'-yIamine £98}
To Intermediate A in DMF was added sodium methoxide in methanol and stirred at room temperature overnight. EtO Ac/brine extraction yielded 4-(4-Chloro-6- methoxy-pyrimidin-2-yl)-morpholine.
4-(4-Chloro-6-methoxy-pyrimidin-2-yl)-morpholine was reacted with 2- aminopyrimidine-5-boronic acid pinacol ester in General Procedure A to yield the title compound.
NMR: (CDCl3, 400MHz): 3.71 (t, 4H, 2xCH2, J = 4.7Hz); 3.80 (t, 4H, 2xCH2, J = 4.6Hz); 3.86 (s, 3H, CH3); 5.19 (br s, 2H, NH2); 6.22 (s, IH, ArH); 8.82 (s, 2H, 2xArH). MS: (ESI+): MH+ = 289.12
Example 19 N-6-(3-MethanesuIfonvI-phenyl)-2-morpholin-4-yl- f4.5>lbipyrimidinyl-6,2'-diamine ( 63)
To a solution of 3-methylsulphonylaniline hydrochloride salt (177 mg) in THF (20 mL) was added sodium hydride (68 mg) and the reaction was stirred at room temperature for 30 minutes. Then a solution of intermediate A (200 mg) in THF (5 mL) was added and the reaction was heated at reflux for 16 h. After cooling to room temperature the reaction was quenched with water (20 mL) and extracted into ethyl
acetate (2 x 20 mL). The combined organics were washed with aqueous brine solution (2 x 20 mL), dried (MgSO4) reduced in vacuo and purified by column chromatography to give (6-chloro-2-morpholin-4-y l-pyrimidin-4-yl)-(3 -methanesulfony 1-pheny I)-amine as a yellow solid. (6-Chloro-2-morpholin-4-yl-pyrimidin-4-yl)-(3-methanesulfonyl-phenyl)-amine was reacted with 2-aminopyrimidine-5-boronic acid pinacol ester in general procedure A. Purification by column chromatography yielded the title compound. NMR: DMSO: 3.19 (3 H, s, Me), 3.68-3.71 (4 H, m), 3.79-3.82 (4 H, m), 6.48 (1 H, s, Ar), 7.11 (2 H, s, NH), 7.46-7.47 (1 H, m, Ar), 7.58 (1 H, t, J 7.0, Ar), 7.71-7.73 (1 H, m, Ar), 8.69 (1 H, s, Ar), 8.83 (2 H, s, Ar) and 9.80 (1 H, s, Ar). MS: (ESI+): MH+ 428.13
N-6-(3-Methanesulfonyl-phenyl)-5-methyl-2-morpholin-4-yl-[4,5']bipyrimidinyl-6,2'- diamine (150) was prepared in an analogous manner using Intermediate A2. NMR: MeOD: 2.12 (3 H, s, Me), 3.01 (3 H, s, Me), 3.22 (1 H, s, NH), 3.68 (8 H, s),
7.42-7.44 (1 H, m, Ar), 7.48-7.51 (1 H, m, Ar), 7.68-7.70 (1 H, m, Ar), 8.42 (2 H, s, Ar) and 8.49 (1 H, s, Ar).
MS: (ESI+): MH+ 442.17
The following compounds were prepared in an analogous manner using the appropriate aniline, and the appropriate boronic acid or boronylate ester
2-Moφholin-4-yl-N-6-pyridin-3-yl-[4,5']bipyrimidinyl-6,2l-diamine (80) was prepared using 3-aminopyridine. NMR: CDCl3: 3.70-3.73 (4 H, m), 3.75-3.77 (4 H, m), 6.26 (1 H, s), 7.21 (1 H, dd, J 8.0 and 4.5, Ar), 8.06-8.09 (2 H, m, Ar), 8.61 (1 H, s, Ar) and 8.89 (2 H, s, Ar). MS: (ESI+): MH+ 351.13
2-Morpholin-4-yl-N-6-pyridin-2-yl-[4,5']bipyrimidinyl-6,2'-diamine (109) was prepared using 2-aminopyridine.
NMR: DMSO: 3.70-3.72 (4 H, m), 3.75-3.77 (4 H, m), 6.95-6.97 (1 H, m, Ar), 7.09 (2 H, s, NH2), 7.17 (1 H, s, Ar), 7.71-7.72 (1 H, m, Ar), 7.91-7.93 (1 H, m, Ar), 8.27-8.29 (1 H, m, Ar), 8.81 (2 H, s, Ar) and 9.72 (1 H, s, NH). MS: (ESI+): MH+ 351.12
N-6-(4-Methanesulfonyl-phenyl)-2-morpholin-4-yl-[4,5']bipyrimidinyl-6,2'-diamine (103) was prepared using 4-methylsulphonyl aniline.
NMR: DMSO: 3.12 (3 H, s, Me), 3.69-3.72 (4 H, m, CH2), 3.81-3.83 (4 H, m, CH2), 6.53 (1 H, s, Ar), 7.10 (2 H, s, NH2), 7.84 (2 H, d, J 7.5, Ar), 7.91 (2 H, d, J 7.5, Ar), 8.81 (2 H, s, Ar) and 9.82 (I H, s, NH). MS: (ESI+): MH+ 428.08
N-6-Methyl-6-morpholin-4-yl-N-6-phenyl-[4,5']bipyrimidinyl-6,2'-diamine (106) was prepared using N-methylaniline. NMR: DMSO: 3.41 (3 H, s), 3.71-3.73 (4 H, m), 3.79-3.83 (4 H, m), 5.12 (2 H, s, NH2), 5.86 (1 H, s, Ar), 7.18-7.26 (3 H, m, Ar), 7.35-7.39 (2 H, m, Ar) and 8.63 (2 H, s, Ar). MS: (ESI+): MH+ 364.13
(3-Methanesulfonyl-phenyl)-[6-(6-methylamino-pyridin-3-yl)-2-morpholin-4-yl- pyrimidin-4-yl]-amine (129) was prepared as described for compound (63) followed by
Suzuki coupling with Intermediate I.
NMR (DMSO): 2.72 (3H, d), 3.19 (3H, s), 3.68-3.72 (4H, m), 3.77-3.81 (4H, m), 6.45
(IH, s), 6.52 (IH, d), 6.93 (IH, br), 7.48 (IH, d), 7.60 (IH, t), 7.71 (IH, d), 8.00 (IH, d), 8.69 (IH, s), 8.72 (IH, s), 9.72 (IH, s) MS (ESI+): MH+ 441.13 (100%)
Example 20 2-Morpholin-4-vI-N-6-flH-pyrazoI-3-vπ-f4<5'lbipyriinidinyl- ό^-diamine (110)
To a solution of 3-aminopyrazole (300 mg) in dichloromethane (8 mL) was added di-tertbutyldicarbonate (280 mg) and the reaction was stirred at room temperature for 16 h. The reaction was quenched with water (20 mL) and extracted into dichloromethane (2 x 20 mL). The combined organics were dried (MgSO4) reduced in
vacuo and purified by column chromatography to give 3-amino-pyrazole-l-carboxylic acid tert-butyl ester as a white solid.
To a solution of 3-amino-pyrazole-l-carboxylic acid tert-butyl ester (156 mg) in
THF (20 mL) was added sodium hydride (34 mg) and the reaction was stirred at room temperature for 30 minutes. Then a solution of Intermediate A (200 mg) in THF (5 mL) was added and the reaction was heated at reflux for 16 h. After cooling to room temperature the reaction was quenched with water (20 mL) and extracted into ethyl acetate (2 x 20 mL). The combined organics were washed with aqueous brine solution
(2 x 20 mL), dried (MgSO4) reduced in vacuo and purified by column chromatography to give 3 -(6-chloro-2-morpholin-4-yl-pyrimidin-4-ylamino)-pyrazole- 1 -carboxylic acid tert-butyl ester as a white solid.
3-(6-Chloro26-morpholin-4-yl-pyrimidin-4-ylamino)-pyrazole- 1 - carboxylic acid tert-butyl ester was reacted with 2-aminopyrimidine-5-boronic acid pinacol ester in general procedure A to yield the title compound. NMR: DMSO: 3.64-3.68 (4 H, m), 3.81-3.83 (4 H, m), 5.41 (2 H, s, NH), 5.72 (1 H, s),
5.88-5.89 (1 H, m), 7.10 (1 H, s), 7.12 (1 H, s), 8.31-8.38 (1 H, m) and 8.91 (2 H, s, Ar).
MS: (ESI+): MH+ 340.15
Example 21 3-(2'-Amino-2-morpholin-4-yl-[4,5']bipyrimidinyl-6- ylamino)-N,N-dimethyI-benzenesulfonamide (104)
To a solution of 3-nitrobenzenesulfonyl chloride (400 mg) in dichloromethane (10 mL) was added triethylamine (0.57 mL), dimethylaminopyridine (10 mg) and dimethylamine hydrochloride (134 mg) and the mixture was stirred at room temperature for 16 h. The reaction was partitioned between dichloromethane (20 mL) and water (20 mL) and the organics were washed with aqueous brine solution (2 x 20 mL), dried
(MgSO4) and reduced in vacuo to give N,N-dimethyl-3-nitro-benzenesulfonamide as a white solid.
To a solution of N,N-dimethyl-3-nitro-benzenesulfonamide (384 mg) in ethanol (10 mL) was added water (5 mL), iron (466 mg), acetic acid (10 mL) and concentrated hydrochloric acid (3 drops) and the mixture was heated at reflux for 4 h. After cooling to room temperature, the mixture was filtered through Celite, washing with ethyl acetate
(20 mL). Water (30 mL) was added and the mixture was basified with potassium carbonate.
The product was extracted into ethyl acetate (2 x 20 mL) and the combined organics were washed with aqueous brine solution (2 x 20 mL), dried (MgSO4) and reduced in vacuo to give 3-amino-N,N-dimethyl-benzenesulfonamide as a white solid. To a solution of 3-amino-N,N-dimethyl-benzenesulfonamide (171 mg) in THF (20 mL) was added sodium hydride (34 mg) and the reaction was stirred at room temperature for 30 minutes. Then a solution of intermediate A (200 mg) in THF (5 mL) was added and the reaction was heated at reflux for 16 h. After cooling to room temperature the reaction was quenched with water (20 mL) and extracted into ethyl acetate (2 x 20 mL). The combined organics were washed with aqueous brine solution (2 x 20 mL), dried (MgSO4) reduced in vacuo and purified by column chromatography to give 3 -(6-chloro-2-morpholin-4-yl-pyrimidin-4-ylamino)-N,N-dimethyl- benzenesulfonamide. 3 -(6-Chloro-2-moφholin-4-yl-pyrimidin-4-ylamino)-N,N-dimethy 1- benzenesulfonamide was reacted with 2-aminopyrimidine-5-boronic acid pinacol ester in general procedure A to yield the title compound.
NMR: DMSO: 2.63 (6 H, s, Me), 3.69-3.70 (4 H, m, CH2), 3.77-3.79 (4 H, m, CH2), 6.47 (1 H, s, Ar), 7.08 (2 H, s, NH2), 3.30 ( 1 H, d, J 7.5, Ar), 7.57 (1 H, t, J 7.5, Ar), 7.71 (1 H, d, J 7.5, Ar), 8.59 (1 H, s, Ar), 8.82 (2 H, s, Ar) and 9.74 (1 H, s, NH). MS: (ESI+): MH+ 457.12
3-[6-(6-Amino-pyridin-3-yl)-2-morpholin-4-yl-pyrimidin-4-ylamino]-N,N-dimethyI- benzenesulfonamide (130) was prepared in a similar manner using 2-aminopyridine-5- boronic acid pinacol ester for the last step.
NMR (CDC13): 2.67 (3H, s), 3.72-3.75 (4H, m), 3.81-3.85 (4H, m), 4.55 (2H, br), 6.23 (IH, s), 6.47 (IH, d), 6.52 (IH, br s), 7.35-7.45 (3H, m), 8.00 (IH, d), 8.28 (IH, s), 8.62 (IH, s) MS (ESI+): MH+ 456.17 (15%)
N,N-Dimethyl-3-[6-(6-methylamino-pyridin-3-yl)-2-morpholin-4-yl-pyrimidin-4- ylaminoj-benzenesulfonamide (131) was prepared in a similar manner using Intermediate I for the last step.
NMR (DMSO): 2.62 (6H, s), 2.72 (3H, d), 3.68-3.72 (4H, m), 3.77-3.81 (4H, m), 6.45 (IH, s), 6.52 (IH, d), 6.93 (IH, br), 7.28 (IH, d), 7.60 (IH, t), 7.71 (IH, d), 8.00 (IH, d), 8.62 (IH, s), 8.72 (IH, s), 9.72 (IH, s) MS (ESI+): MH+ 470.16 (65%)
N-6-[3-(4-Methyl-piperazine-l-sulfonyl)-phenyl]-2-morpholin-4-yl-[4,5']bipyrimidinyl- 6,2'-diamine (105) was prepared in a similar manner by replacing dimethylamine with N-methylpiperazine
NMR: DMSO: 2.25 (3 H, s, Me), 2.47-2.50 (4 H, m), 2.99-3.01 (4 H, m, CH2), 3.77- 3.80 (4 H, m, CH2), 3.84-3.87 (4 H5 m, CH2), 6.32-6.33 (1 H, m, Ar), 7.29-7.31 (1 H, m, Ar)3 7.39-7.42 (1 H, m, Ar), 7.55-7.57 (1 H, m, Ar), 8.55 (1 H, s, Ar) and 8.85 (2 H, s, Ar).
MS: (ESI+): MH+ 512.16
6-(6-Amino-pyridin-3-yl)-2-morpholin-4-yl-pyrimidin-4-yl]-[3-(4-methyl-piperazine-l- sulfonyl)-phenyl]-amine (133) was prepared in a similar manner using 2-aminopyridine- 5-boronic acid pinacol ester for the last step
NMR (CDC13): 2.29 (3H, s), 2.49-2.52 (4H, m), 3.08-3.10 (4H, m), 3.72-3.75 (4H, m),
3.81-3.85 (4H, m), 4.65 (2H, br), 6.23 (IH, s), 6.47 (IH, d), 6.52 (IH, br s), 7.40-7.55
(3H, m), 8.09 (IH, d), 8.34 (IH, s), 8.72 (IH, s)
MS (ESI+): MH+ 511.16 (10%)
[6-(6-Methylamino-pyridin-3-yl)-2-moφholin-4-yl-pyrimidin-4-yl]-[3-(4-methyl- piperazine-l-sulfonyl)-phenyl]-amine (136) was prepared in a similar manner using
Intermediate I for the last step.
NMR (DMSO): 2.14 (3H, s), 2.36-2.38 (4H, m), 2.84 (3H, d), 2.88-2.91 (4H, m), 3.68- 3.72 (4H, m), 3.77-3.81 (4H, m), 6.45 (IH, s), 6.52 (IH, d), 6.93 (IH, br), 7.28 (IH, d),
7.55 (IH, t), 7.70 (IH, d), 7.99 (IH, d), 8.58 (IH, s), 8.67 (IH, s), 9.70 (IH, s)
MS (ESI+): MH+ 525.29 (10%)
Example 22 6-Imidazol-l-yl-2-morpholin-4-vH4,5tlbipyrimidinyl-2<- ylamine (139)
To imidazole (1.1 equiv., 32mg) in dry THF (2ml) was added sodium hydride (60% wt suspension in mineral oil, 1.5 equiv., 26mg) and the reaction mixture was stirred at room temperature for 20 min. Next added intermediate A (lOOmg, 0.43 mmol) and the reaction mixture was refluxed for 5 hours. DCM/brine extraction and column purification gave 4-(4-chloro-6-imidazol-l-yl-pyrimidin-2-yl)-moφholine as a white solid (60mg). 4-(4-Chloro-6-imidazol-l-yl-pyrimidin-2-yl)-morpholine was reacted with amino-2-pyrirnidine-5-boronic acid pinacol ester in General Procedure A to give 6- imidazol-l-yl-2-morpholin-4-yl-[4,5']bipyrimidinyl-2'-ylamine as a white solid (55mg). NMR (CDC13): 3.82-3.86 (4H, m), 3.94-3.98 (4H, m), 5.34 (2H, br), 6.81 (IH, s), 7.23 (IH, s), 7.68 (IH, s), 8.44 (IH, s), 8.99 (2H, s) MS (ESI+): MH+ 325.15 (100%)
The following compounds were prepared in a similar manner using the appropriate starrting materials.
6-(2-Methyl-imidazol- 1 -yl)-2-moφholin-4-yl-[4,5']bipyrimidinyl-2'-ylamine (140) NMR (CDC13): 2.75 (3H, s), 3.82-3.85 (4H, m), 3.92-3.96 (4H, m), 5.37 (2H, br), 6.80 (IH, s), 7.05 (IH, s), 7.40 (IH, s), 8.98 (2H, s) MS (ESI+): MH+ 339.14 (100%)
Example 23 3-f2-(2>-Amino-2-morphoIin-4-vI-r4,5'lbipyrimidinyl-6- yloxy)-ethvU-benzamide (143) To 3-[2-(2'-amino-2-morpholin-4-yl-[4,5']bipyrimidinyl-6-yloxy)-ethyl]- benzonitrile 96mg, 0.24mmol) (described above) in MeOH (5ml) was added sodium hydroxide (1 equiv, 9.5mg) in water (0.5ml) and hydrogen peroxide (30% solution in water, 5 equiv., 0.12ml). The reaction mixture was heated at 4O0C overnight, then cooled to room temperature and diluted with water. A precipitate was filtered, washed with water, air-dried, and purified by preparative HPLC to give 3-[2-(2'-amino-2- morpholin-4-yl-[4,5']bipyrimidinyl-6-yloxy)-ethyl]-benzamide as a white solid (l lmg).
NMR (DMSO): 3.08 (2H, t), 3.65-3.69 (4H, m), 3.72-3.76 (4H, m), 4.56 (2H, t), 6.56
(IH, s), 7.09 (2H, br), 7.30 (IH, br), 7.39(1H, t), 7.45 (IH, t), 7.73 (IH, d), 7.83 (IH, s),
7.91 (IH, br), 8.91 (2H, s)
MS (ESI+): MH+ 422.14 (100%)
Example 24 (2t-Amino-2-morpholin-4-yl-[4.,5>lb.pyrimidinyl-6-vI)-(4- methanesuIfonyl-piperazin-l-vD-methanone (147) Intermediate K was reacted with Intermediate G using general procedure B.
Purification by column chromatography yielded (6-chloro-2-moφholin-4-yl-pyrimidin- 4-yl)-(4-methanesulfonyl-piperazin-l-yl)-methanone as an off-white solid.
(6-Chloro-2-morpholin-4-yl-pyrimidin-4-yl)-(4-methanesulfonyl-piperazin-l-yl)- methanone was reacted with 2-aminopyrimidine-5-boronic acid pincol ester in general procedure A. Purification by column chromatography yielded the title compound.
NMR: DMSO: 2.96 (3 H, s, Me), 3.14-3.16 (2 H, m), 3.22-3.25 (2 H, m), 3.53-3.56 (2 H, m), 3.69-3.72 (4 H, m), 3.73-3.75 (2 H, m), 3.75-3.79 (4 H, m), 7.24 (3 H, s, Ar) and
9.00 (2 H, s, Ar).
MS: (ESI+): MH+ 449.13
The following compound was prepared in a similar manner using the appropriate amine:
2'-Amino-2-morpholin-4-yl-[4,5']bipyrimidinyl-6-carboxylic acid methyl-phenyl-amide (148) was prepared using N-methylaniline
NMR: DMSO: 3.39 (3 H, s, Me), 3.42-3.50 (8 H, m), 7.14-7.22 (4 H, m, Ar), 7.24-7.30 (2 H, m, Ar) and 8.90 (2 H, s, Ar). MS: (ESI+): MH+ 392.12
Example 25 6-(l-MethanesulfonyI-piperidin-4-vImethoxy)-2-morpholin-4- yl-[4,5'lbipyrimidinyI-2'-ylamine (152) To N-Boc-4-piperidine methanol in THF at O0C was added NaH. After stirring for 10 minutes, Intermediate A was added and the reaction heated in the microwave at 13O0C for 25 minutes. The mixture was poured onto water and the solid filtered. The
product was purified on silica, then re-dissolved in DCM and MeOH. HCl in ether was added and after stirring overnight, the solid was filtered and washed with ether.
To 4-[4-Chloro-6-(piperidin-4-ylmethoxy)-pyrimidin-2-yl]-morpholine.HCl and triethylamine in DCM at O0C was added dropwise methanesulfonylchloride. After stirring overnight, the reaction mixture was quenched with water, extracted into DCM and washed with brine. Drying over MgSO4 and removal of the solvent in vacuo yielded 4-[4-chloro-6-(l-methanesulfonyl-piperidin-4-ylmethoxy)-pyrimidin-2-yl]-morpholine. 4-[4-Chloro-6-(l-methanesulfonyl-piperidin-4-ylmethoxy)-pvrimidin-2-yl]-moφholine was reacted with 2-aminopyrimidine-5-boronic acid pinacol ester in General Procedure A to give the title compound.
NMR: (DMSO, 400MHz): 1.28-1.38 (m, 2H, CH2); 1.82 -1.90 (m, 3H,); 2.45-2.75 (m, 2H, CH2); 2.84 (s, 3H, CH3); 3.59 (d, 2H, CH2); 3.67 (t, 4H, 2xCH2); 3.75 (t, 4H, 2xCH2); 4.20 (d, 2H, CH2); 6.59 (s, IH, ArH); 7.08 (s, 2H, NH2); 8.91 (s, 2H, 2xArH). MS: (ESI+): MH+ = 450.19
l-[4-(2'-Amino-2-moφholin-4-yl-[4,5']bipyrimidinyl-6-yloxymethyl)-piperidin-l-yl]- ethanone (153) was prepared in an analogous manner by using acetyl chloride. NMR: (CDCl3, 400MHz): 1.26-1.35 (m, 2H, CH2); 1.84 (d, IH5 CH); 1.92 (d, IH, CH); 2.02-2.06 (m, IH, CH); 2.12 (s, 3H, CH3); 2.58-2.65 (td, IH, CH); 3.07-3.14 (td, IH, CH); 3.80 (t, 4H, 2xCH2); 3.87 (t, 4H, 2xCH2); 3.90 (d, IH, CH); 4.16-4.26 (m, 2H, CH2); 4.70 (d, IH, CH); 5.27 (br s, 2H, NH2); 6.30 (s, IH, ArH); 8.91 (s, 2H, 2xArH). MS: (ESI+): MH+ = 414.23
Example 26 Biological Testing Compounds of the invention, prepared as described in the preceding Examples, were submitted to the following series of biological assays:
(i) PI3K Biochemical Screening
Compound inhibition of PI3K was determined in a radiometric assay using purified, recombinant enzyme and ATP at a concentration of lmicromole All compounds were serially diluted in 100% DMSO. The kinase reaction was incubated for 1 hour at room temperature, and the reaction was terminated by the addition of PBS.
ICso values were subsequently determined using sigmoidal dose-response curve fit (variable slope). All of the compounds tested had an IC50 against PBK of 10 micromole or less.
(ii) Cellular Proliferation Inhibition
Cells were seeded at optimal density in a 96 well plate and incubated for 4 days in the presence of test compound. Alamar Blue™ was subsequently added to the assay medium, and cells were incubated for 6 hours before reading at 544nm excitation, 590nm emission. EC50 values were calculated using a sigmoidal dose response curve fit. All the compounds tested had an EC50S of 10 micromole or less in the range of cell lines utilized.
Example 27 Tablet composition
Tablets, each weighing 0.15 g and containing 25 mg of a compound of the invention are manufactured as follows:
Composition for 10,000 tablets
Active compound (250 g)
Lactose (800 g) Corn starch (415g)
Talc powder (30 g)
Magnesium stearate (5 g)
The active compound, lactose and half of the corn starch are mixed. The mixture is then forced through a sieve 0.5 mm mesh size. Corn starch (10 g) is suspended in warm water (90 ml). The resulting paste is used to granulate the powder.
The granulate is dried and broken up into small fragments on a sieve of 1.4 mm mesh size. The remaining quantity of starch, talc and magnesium is added, carefully mixed and processed into tablets.
Example 28 Injectable Formulation
Formulation A
Active compound 200 mg Hydrochloric Acid Solution 0. IM or
Sodium Hydroxide Solution 0. IM q.s. to pH 4.0 to 7.0
Sterile water q.s. to 10 ml
The compound of the invention is dissolved in most of the water (35° 40° C) and the pH adjusted to between 4.0 and 7.0 with the hydrochloric acid or the sodium hydroxide as appropriate. The batch is then made up to volume with water and filtered through a sterile micropore filter into a sterile 10 ml amber glass vial (type 1) and sealed with sterile closures and overseals.
Formulation B Active Compound 125 mg
Sterile, Pyrogen-free, pH 7 Phosphate
Buffer, q.s. to 25 ml
Active compound 200 mg
Benzyl Alcohol 0.10 g Glycofurol 75 1.45 g
Water for injection q.s to 3.00 ml
The active compound is dissolved in the glycofurol. The benzyl alcohol is then added and dissolved, and water added to 3 ml. The mixture is then filtered through a sterile micropore filter and sealed in sterile 3 ml glass vials (type 1).
Example 29 Syrup Formulation
Active compound 250 mg
Sorbitol Solution 1.50 g Glycerol 2.00 g
Sodium benzoate 0.005 g
Flavour 0.0125 ml
Purified Water q.s. to 5.00 ml
The compound of the invention is dissolved in a mixture of the glycerol and most of the purified water. An aqueous solution of the sodium benzoate is then added to the solution, followed by addition of the sorbitol solution and finally the flavour. The volume is made up with purified water and mixed well.
Claims
1. A compound which is a morpholino pyrimidine of formula (I):
wherein
R1 is selected from -Y-R6 and -NR4R5;
R2 is a N-containing monocyclic heteroaryl group selected from pyridyl, isoxazolyl, imidazolyl, pyrazolyl, pyrrolyl, thiazolyl, pyridazinyl, pyrimidinyl, pyrazinyl, oxazolyl, furanyl, thienyl, triazolyl and tetrazolyl and which is unsubstiruted or substituted by -CN, -NR10R11, -OR10, -C(O)R10, -NR10C(O)R11, -N(C(O)Rπ)2, - NR10C(O)NR10R11, -SO2R10R11, -SO2NR10R11, -C(=O)OR10, -C(O)NR10R11, halo- Ci -C6 alkyl and unsubstiruted C1-C12 alkyl;
R3 is selected from H, C1-C6 alkyl and C1-C6 alkoxy; Y is selected from a direct bond, -(CR2)m-, C2-C6 alkenylene, C2-C6 alkynylene,
-(CR2)P-O-(CR2) r, -(CR2)P-NR-(CR2) t-, -(CR2)p-NR-(CR2)n-C(O)-, -(CR2)P-NR- C(O)-(CR2V, -(CR2)P-C(O)-NR-(CR2) r, -(CR2)p-C(O)-(CR2)n-NR-(CR2)t- and - (CR2)p-C(O)-(CR2)n-;
R6 is selected from an unsaturated 5- to 12-membered carbocyclic or heterocyclic ring, a saturated 5-, 6- or 7- membered N-containing heterocyclic group which is unsubstiruted or substituted, C]-C6 alkyl, -NR2 , -OR, -NR(CO)R and - C(O)NR2; R4 and R5, which are the same or different, are both C1-C6 alkyl which is unsubstituted or substituted, or R4 and R5 together form, with the nitrogen atom to which they are attached, a saturated 5-, 6- or 7- membered N-containing heterocyclic group which is unsubstituted or substituted; each R, which are the same or different when more than one is present in a given group, is independently H, C1-C6 alkyl which is unsubstituted or substituted or a 5- to 12-membered aryl or heteroaryl group which is unsubstituted or substituted;
R10 and R11, which are the same or different, are independently selected from H, C1-C6 alkyl, C2-C6 alkenyl, C2-C6 alkynyl and C3-C8 cycloalkyl; n is 0 or an integer of 1 to 6; m is an integer of 1 to 6; p is 0 or an integer of 1 to 6; and t is 0 or an integer of 1 to 6, with the proviso that t is an integer of 2 to 6 when R6 is linked to Y through a constituent O or N atom of R6; or a pharmaceutically acceptable salt thereof; with the provisos that:
(i) when R2 is a 4-pyridyl group and R3 is H then R1 is other than a phenyl group which is unsubstituted or substituted;
(ii) when R2 is a pyridyl group and R3 is H then R1 is other than a dimethylamino group, a morpholine group or a piperazinyl group which is unsubstituted or substituted by C1-C6 alkyl, phenyl or heteroaryl; (iii) when R2 is a thiazole group, R1 is -Y-R6 in which Y is a direct bond and
R3 is H, then R6 is other than a 5 - 12 membered aryl group; and (iv) when R1 is -Y-R6 in which Y is a group -C(O)-NH- , R3 is H and R6 is an a 5 - 12 membered aryl group, then R2 is other than an unsubstituted pyrazole ring.
(I")
N N
R2
R3 wherein
R1 is -Y-R6 ;
R2 is a N-containing monocyclic heteroaryl group which is selected from pyridyl, isoxazolyl, imidazolyl, pyrazolyl, pyrrolyl, thiazolyl, pyridazinyl, pyrimidinyl, pyrazinyl, oxazolyl, furanyl, thienyl, triazolyl and tetrazolyl and which is substituted by -NR10R11, -OR10, -C(O)R10, -NR10C(O)R11, -N(C(O)R11)2, -NR10C(O)NR10R11, - SO2R10R11, -SO2NR10R11, -C(O)OR10, -C^O)NR10R1 \ halo-C, -C6 alkyl and unsubstituted C1-C12 alkyl; R3 is selected from H, C1-C6 alkyl and C1-C6 alkoxy;
Y is C2-C6 alkynylene or -0-(CR2) t- ;
R6 is selected from Ci-C6 alkyl, -NR2 , -OR, -NR(CO)R, -C(O)NR2, an unsaturated 5- to 12-membered carbocyclic or heterocyclic ring which is unsubstituted or substituted and a saturated 5-, 6- or 7- membered N-containing heterocyclic group which is unsubstituted or substituted, said saturated N-containing heterocyclic group being C-linked to Y when Y is -O-(CR2) r ;
R4 and R5, which are the same or different, are both Ci-C6 alkyl which is unsubstituted or substituted, or R4 and R5 together form, with the nitrogen atom to •which they are attached, a saturated 5-, 6- or 7- membered N-containing heterocyclic group which is unsubstituted or substituted; each R, which are the same or different when more than one is present in a given group, is independently H or Ci-C6 alkyl which is unsubstituted or substituted;
R10 and R11, which are the same or different, are independently selected from H, Ci-C6 alkyl, C2-C6 alkenyl, C2-C6 alkynyl and C3-C8 cycloalkyl; and t is O or an integer of 1 to 6; or a pharmaceutically acceptable salt thereof.
3. A compound according to claim 1 or 2 which is a morpholino pyrimidine of formula (Ia):
wherein
R1 and R3 are as defined in claim 1 or 2;
W is CR or N;
R is H or C1 -C6 alkyl which is unsubstituted or substituted; and R7 is selected from -NR10R11, -OR10, -C(O)R10, -NR10C(O)R11, -N(C(O)Rπ)2,
-NR10C(O)NR10R11, -SO2R10R11, -SO2NR10R11, -C(O)OR10, -CC=O)NR10R11, halo- Ci -C6 alkyl and unsubstituted Ci-Ci2 alkyl, wherein R10 and R11 are as defined in claim i; or a pharmaceutically acceptable salt thereof; with the proviso that, when W is CR and R3 is H, R1 is other than a piperazinyl group which is substituted by a phenyl or heteroaryl group.
4. A compound according to claim 1 or 2 which is a morpholino pyrimidine of formula (Ib):
R1 and R3 are as defined in claim 1 or 2; and
R7 is selected from -NR10R11, -OR10, -C(O)R10, -NR10C(O)R11, -N(C(O)R1 ')2, -NR10C(O)NR1V5 -SO2R10R11, -SO2NR10R11, -C(=O)OR10, -Ct=O)NR10R1 \ halo- Ci -C6 alkyl and unsubstituted Ci-C12 alkyl, wherein R10 and R11 are as defined in claim i; or a pharmaceutically acceptable salt thereof.
5. A compound according to claim 3 or 4 wherein R7 is -NR10R11, -OR10 or unsubstituted C1-C12 alkyl, wherein R10 and R1' are as defined in claim 1.
6. A compound which is selected from:
[4-(2'-Amino-2-moφholin-4-yl-[4,5']bipyrimidinyl-6-yl)-piperazin-l-yl]-phenyl- methanone;
6-(4-Methanesulfonyl-piperazin-l-yl)-2-morpholin-4-yl-[4,5']bipyrimidinyl-2'-ylamine;
6-(4-Methyl-piperazin-l-yl)-2-morpholin-4-yl-[4,5']bipyrimidinyl-2'-ylamine;
6-(3-Methanesulfonyl-phenyl)-2-morpholin-4-yl-[4,5']bipyrimidinyl-2'-ylamine;
6-(4-Dimethylamino-piperidin-l-yl)-2-mθφholin-4-yl-[4,5l]bipyrimidinyl-2'-ylamine; 2-Morpholin-4-yl-N-6-pyridin-3-ylmethyl-[4,5']bipyrimidinyl-6,2'-diamine;
6-(4-BenzenesulfonyI-piperazin-l-yl)-2-moφholin-4-yl-[4,5']bipyrimidinyl-2'-ylamine;
2-Mθφholin-4-yl-6-phenoxy-[4,5']bipyrimidinyl-2'-ylamine;
[4-(2l-Amino-2-moφholin-4-yl-[4,5']bipyrimidinyl-6-yl)-piperazin-l-yl]-moφholin-4- yl-methanone; N-[4-(2'-Amino-2-moφholin-4-yl-[4, 5']bipyrimidinyl-6-yl)-phenyl]- methanesulfonamide;
N-[4-(2'-Amino-2-moφholin-4-yl-[4,5']bipyrimidinyl-6-yl)-phenyI]-acetaπύde;
3-(2'-Amino-2-morpholin-4-yl-[4,5']bipyrimidinyl-6-yl)-benzamide; 2-Morpholin-4-yl-N-6-pyridin-2-ylmethyl-[4,5']bipyrimidinyl-6,2'-diamine;
N-6-Benzyl-2-moφholin-4-yl-[4,5']bipyrimidinyl-6,2'-diamine;
3-(2'-Amino-2-moφholin-4-yl-[4,5']bipyrimidinyl-6-yl)-N-metliyl-benzamide;
N-6-Benzyl-N-6-methyl-2-moφholin-4-yl-[4,5']bipyrimidinyl-6,2'-diamine;
[3-(2'-Amino-2-moφholin-4-yl-[4,5l]bipyrimidinyl-6-yl)-phenyl]-(4-methyl-piperazin- l-yl)-methanone;
2-Moφholin-4-yl-N-6-pyridin-4-ylmethyl-[4,5']bipyrimidinyl-6,2l-diaπήne; l-(2'-Amino-2-moφholin-4-yl-[4,5']bipyrimidinyl-6-yl)-4-phenyl-piperidin-4-ol;
N-6-[2-(3,4-Dimethoxy-phenyl)-ethyl]-N-6-methyl-2-moφholin-4-yl-
[4,5']bipyrimidinyl-6,2'-diamine; 3-(2'-Amino-2-moφholin-4-yl-[4,5l]bipyrimidinyl-6-yl)-benzenesulfonaniide;
4-(2'-Amino-2-moφholin-4-yl-[4,5l]bipyrimidinyl-6-yloxy)-N,N-dimethyl-benzamide;
4-(2'-Amino-2-moφb.olin-4-yl-[4,5']bipyrimidinyl-6-yloxy)-N-methyl-benzamide;
2-Moφholin-4-yl-6-phenyl-[4,5l]bipyrimidinyl-2'-ylamine;
2-Mθφholin-4-yl-6-pyridin-4-yl-[4,5']bipyrimidinyl-2'-ylamine; 2t-Moφholin-4-yl-[5,4';6l,5"]teφyrimidin-2-ylamine;
3-(2'-Amino-2-moφholin-4-yl-[4,5']bipyrimidinyl-6-ylaniino)-benzoic acid;
6-(4-Benzyl-piperazin-l-yl)-2-moφholin-4-yl-[4,5']bipyrimidinyl-2'-ylamine;
6-(3,5-Difluoro-phenoxy)-2-moφholin-4-yl-[4,5']bipyrimidinyl-2'-ylamine;
6-(2,6-Dimethyl-phenoxy)-2-moφholin-4-yl-[4,5']bipyrimidinyl-2'-ylamine; 3-(2'-Amino-2-moφholin-4-yl-[4,5']bipyrimidinyl-6-yl)-N-(2-dimethylamino-ethyl)- benzamide;
[4-(2'-Amino-2-moφholin-4-yl-[4,5']bipyrimidinyl-6-yloxy)-phenyl]-(4-methyl- piperazin- 1 -yl)-methanone;
6-[3-(4-Methanesulfonyl-piperazin-l-ylmethyl)-phenyl]-2-moφholin-4-yl- [4,5']bipyrimidinyl-2'-ylamine;
6-[4-(4-Methanesulfonyl-piperazin-l-ylmethyl)-phenyl]-2-moφholin-4-yl-
[4,5']bipyrimidinyl-2'-ylamine; 6-(3,4-Dimethoxy-phenoxy)-2-morpholin-4-yl-[4,5']bipyrimidinyl-2'-ylamine;
6-[3-(4-Methyl-piperazin-l-ylmethyl)-phenyl]-2-moφholin-4-yl-[4,5']bipyrimidinyl-2'- ylamine;
6-(3 - { [Methyl-( 1 -methyl-piperidin-4-yl)-amino]-methyl } -phenyl)-2-morpholin-4-yl- [4,5']bipyrimidinyl-2'-ylamine;
[3-(2'-Amino-2-morpholin-4-yl-[4,5']bipyrimidinyl-6-yl)-phenyl]-methanol;
6-{3-[(Methyl-pyridin-3-ylmethyl-amino)-methyl]-phenyl}-2-morpholin-4-yl-
[4,5']bipyrimidinyl-2'-ylamine; l-[3-(2'-Amino-2-moφholin-4-yl-[4,5']bipyrimidinyl-6-yl)-benzyl]-4-phenyl-piperidin- 4-ol;
2-Morpholin-4-yl-6-[3-(4-pyrimidin-2-yl-piperazin-l-ylmethyl)-phenyl]-
[4,5l]bipyrimidinyl-2'-ylamine;
6-(3-Dimethylaminomethyl-phenyI)-2-morpholin-4-yl-[4,5l]bipyrimidinyl-2'-ylamine;
2-Moφholin-4-yl-6-(3-morpholin-4-ylmethyl-phenoxy)-[4,5']bipyrimidinyl-2'-ylamine; 2-Morpholin-4-yl-N-6-phenyl-[4,5']bipyrimidinyl-6,2'-diamine;
6-[3-(4-Methanesulfonyl-piperazin-l-ylmethyl)-phenoxy]-2-moφholin-4-yl-
[4,5']bipyrimidinyl-2'-ylamine;
3-(2'-Amino-2-moφholin-4-yl-[4,5']bipyrimidinyl-6-yloxy)-benzonitrile;
3-(2'-Amino-2-moφholin-4-yl-[4,5']bipyrimidinyl-6-yloxy)-N,N-dimethyl -benzamide;
3-(2'-Amino-2-moφholin-4-yl-[4,5']bipyrimidinyl-6-yloxy)-N-methyl-benzamide;
[3-(2'-Amino-2-moφholin-4-yl-[4,5']bipyrimidinyl-6-yloxy)-phenyl]-(4- methanesulfonyl-piperazin- 1 -yl)-methanone;
6-(4-Dimethylaminomethyl-phenoxy)-2-moφholin-4-yl-[4,5']bipyrimidinyl -2'-ylamine;
N-[4-(2'-Amino-2-moφholin-4-yl-[4,5']bipyrimidinyl-6-yl)-phenyl]-N-methyl- methanesulfonamide;
N-[2-(2'-Amino-2-moφholin-4-yl-[4,5']bipyrimidinyl-6-yl)-phenyl]- methanesulfonamide; 6-(4-Methanesulfonyl-phenyl)-2-moφholin-4-yl-[4,5']bipyrimidinyl-2'-ylamine;
6-[4-(4-Methyl-piperazin-l-ylmethyl)-phenoxy]-2-moφholin-4-yl-[4,5']bipyrimidinyl-
2'-ylamine; 2-Morpholin-4-yl-N-6-phenethyl-[4,5']bipyrimidinyl-6,2'-diamine;
2-Morpholin-4-yl-6-(4-morpholin-4-ylmethyl-phenoxy)-[4,5']bipyrimidinyl-2'-ylamine;
N-[3-(2'-Amino-2-moφholin-4-yI-[4,5']bipyrimidinyl-6-yl)-phenyI]-acetamide;
N-6-(3-Methanesulfonyl-phenyl)-2-morpholin-4-yl-[4,5']bipyrimidinyl-6 ,2'-diamine;
[3-(2'-Amino-2-moφholin-4-yl-[4,5']bipyrimidinyl-6-yloxy)-phenyl]-(4- methyl-piperazin- 1 -yl)-methanone;
2-Mθφholin-4-yl-N-6-(2-morpholin-4-yl-ethyl)-[4,5']bipyrimidinyl-6,2'-diamine;
N-6-(2-Dimethylamino-ethyl)-2-moφholin-4-yl-[4,5']bipyrimidinyl-6,2'-diamine; N-6-(3-Dimethylamino-propyl)-2-moφholin-4-yl-[4,5']bipyrimidinyl-6,2'-diamine;
N-6,N-6-Bis-(2-methoxy-ethyl)-2-moφholin-4-yl-[4,5']bipyrimidinyl-6,2l-diamine;
N-6-(3-Fluoro-benzyl)-2-moφholin-4-yl-[4,5']bipyrimidinyl-6,2'-diamine;
6-[4-(4-Methanesulfonyl-piperazin-l-ylmethyl)-phenoxy]-2-moφholin-4-yl-
[4,5']bipyrimidinyl-2'-ylamine; 6-Benzyloxy-2-moφholin-4-yl-[4,5']bipyrimidinyl-2l-ylamine;
2-[4-(2'-Amino-2-moφholin-4-yl-[4,5']bipyriniidinyl-6-yloxy)-phenyl]-N
,N-dimethyl-acetamide;
6-(2-Methanesulfonyl-phenyl)-2-moφholin-4-yl-[4,5']bipyrimidinyl-2'-ylamine;
4-(2'-Amino-2-moφholin-4-yl-[4,5']bipyriniidmyl-6-yl)-N-methyl-benzamide; N-6-(3-Methanesulfonyl-benzyl)-2-moφholin-4-yl-[4,5']bipyrimidinyl-6,2'-diamine;
2-(2'-Amino-2-moφholin-4-yl-[4,5']bipyrimidinyl-6-yl)-N,N-dimethyl- benzenesulfonamide;
4-(2'-Amino-2-moφholin-4-yl-[4,5l]bipyriπiidinyl-6-yl)-N,N-dimethyl-benzamide;
N-[3-(2'-Amino-2-moφholin-4-yl-[4,5']bipyrimidinyl-6-yl)-phenyl]- methanesulfonamide;
2-Moφholin-4-yl-N-6-pyridin-3-yl-[4,5l]bipyrimidinyl-6,2l-diamine;
2-Moφholin-4-yl-6-(pyridin-3-ylmethoxy)-[4,5']bipyrimidinyl-2'-ylamine;
6-(4-Methanesulfonyl-phenoxy)-2-moφholin-4-yl-[4,5']bipyriπύdinyl-2'- ylamine; 2-(2l-Amino-2-moφholin-4-yl-[4,5']bipyrimidinyl-6-ylamino)-N-methyl-acetamide;
2-(2'-Amino-2-moφholin-4-yl-[4,5']bipyrimidinyl-6-ylamino)-N,N-dimethyl- acetamide; 3-(2l-Amino-2-moφholin-4-yl-[4,5']bipyrinήdinyl-6-ylamino)-N-methyl-propionamide;
2-(2'-Amino-2-moφholin-4-yl-[4,5']bipyrimidinyl-6-ylaniino)-l-moφholin-4-yl- ethanone;
N-[2-(2'-Amino-2-moφholin-4-yl-[4,5']bipyrimidinyl-6-ylamino)-ethyl]- methanesulfonamide;
2-(2'-Amino-2-moφholin-4-yl-[4,5']bipyrimidinyl-6-ylainino)- 1 -(4-methyl-piperazin- 1 - yl)-ethanone;
6-((2R,6S)-2,6-Dimethyl-moφholin-4-yl)-2-moφholin-4-yl-[4,5']bipyrimidinyl-2'- ylamine; N-[2-(2l-Amino-2-moφholin-4-yl-[4,5']bipyrimidinyl-6-ylamino)-ethyl]-acetamide; l-[2-(2l-Amino-2-moφholin-4-yl-[4,5l]bipyrimidinyl-6-yloxy)-ethyl]-pyrrolidin-2-one;
2-Moφholin-4-yl-N-6-(2-pyridin-2-yl-ethyl)-[4,5l]bipyrimidinyl-6,2'-dianiine;
2-Moφholm-4-yl-N-6-(2-pyridin-3-yl-ethyl)-[4,5']bipyrimidinyl-6,2'-diamine;
2-Moφholin-4-yl-N-6-(2-pyridin-4-yl-ethyl)-[4,5']bipyrimidinyl-6,2l-diamine; 3-(2l-Amino-2-moφholin-4-yl-[4,5']bipyrimidinyl-6-yl)-N,N-dimethyl- benzenesulfonamide;
4-(2'-Amino-2-moφholin-4-yl-[4,5']bipyrimidinyl-6-yl)-N,N-dimethyl- benzenesulfonamide;
6-Methoxy-2-moφholin-4-yl-[4,5']bipyrimidinyl-2'-ylamine; 3-(2l-Amino-2-moφholin-4-yl-[4,5']bipyrimidinyl-6-ylamino)-N,N-dimethyl- propionamide;
N-6-[2-(lH-Imidazol-4-yl)-ethyl]-2-moφholin-4-yl-[4,5']bipyrimidinyl
-6,2'-diamine;
N-6-[2-(lH-Indol-3-yl)-ethyl]-2-moφholin-4-yl-[4,5']bipyrimidinyl-6, 2'-diamine;
N-6-(4-Methanesulfonyl-phenyl)-2-moφholin-4-yl-[4,5']bipyrimidinyl-6
,2'-diamine;
3-(2'-Amino-2-moφholin-4-yl-[4,5']bipyrimidinyl-6-ylamino)-N,N-dimeth yl-benzenesulfonamide; N-6-[3-(4-Methyl-piperazine-l-sulfonyl)-phenyl]-2-moφholin-4-yl-[4,5l]bipyrimidinyl-
6,2'-diamine;
N-6-Methyl-2-moφholin-4-yl-N-6-phenyl-[4,5']bipyrimidinyl-6,2'-diamine; 3 -(21- Amino-2-morpholin-4-y 1- [4, 5 ']bipyrimidinyl-6-ylamino)- 1 -morpholin-4-y 1- propan-1-one;
2-Mθφholin-4-yl-N-6-pyridin-2-yl-[4,5l]bipyrimidinyl-6,2'-diamine;
2-Moφholin-4-yl-N-6-(lH-pyrazol-3-yl)-[4,5']bipyrimidinyl-6,2'-diamine; N-6-(2-Methoxy-ethyl)-N-6-methyl-2-morpholin-4-yl-[4,5l]bipyrimidinyl-6,2'-diamine;
6-(2-Dimethylamino-ethoxy)-2-morpholin-4-yl-[4,5']bipyrimidinyl-2'-ylaniine;
4-(2'-Amino-2-morpholin-4-yl-[4,5']bipyrimidinyl-6-yl)-2-methyl-but-3-yn-2-ol;
2-Moφholin-4-yl-6-phenethyloxy-[4,5']bipyrimidinyl-2'-ylamine;
6-(3-Methanesulfonyl-benzyloxy)-2-moφholin-4-yl-[4,5']bipyrimidinyl-2'-ylamine; 3-(2'-Amino-2-moφholin-4-yl-[4,5']bipyrimidinyl-6-yloxymethyl)-benzonitrile;
2-Moφholin-4-yl-6-(2-pyridin-3-yl-ethoxy)-[4,5']bipyrimidinyl-2'-ylamine;
2-Mθφholin-4-yl-6-(2-pyridin-2-yl-ethoxy)-[4,5']bipyrimidinyl-2'-ylamine;
6-(3-Methyl-3H-imidazol-4-ylmethoxy)-2-moφholin-4-yl-[4,5']bipyrimidinyl-2'- ylamine; 2-Moφholin-4-yl-6-(quinolin-3-ylmethoxy)-[4,5']bipyrimidinyl-2'-ylamine;
2-Moφholin-4-yl-6-(2-pyridin-4-yl-ethoxy)-[4,5']bipyriniidinyl-2'-ylamine;
3-(2'-Amino-2-moφholin-4-yl-[4,5']bipyrimidinyl-6-yloxymethyl)-N,N-dimethyl- benzamide;
6-(3-Dimethylamino-prop-l-ynyl)-2-moφholin-4-yl-[4,5']bipyrimidinyl-2'-ylamine; 6-(3-Methoxy-prop-l-ynyl)-2-moφholin-4-yl-[4,5']bipyrimidinyl-2'-ylamine;
4-(2'-Amino-2-moφholin-4-yl-[4,5l]bipyrimidinyl-6-yloxymethyl)-benzonitrile;
6-(4-Methanesulfonyl-benzyloxy)-2-moφholin-4-yl-[4,5']bipyrimidinyl-2'-ylamine;
(3-Methanesulfonyl-phenyl)-[6-(6-methylamino-pyridin-3-yl)-2-moφholin-4-yl- pyrimidin-4-yl]-amine; 3 - [6-(6- Amino-pyridin-3 -y l)-2-moφholin-4-yl-pyrimidin-4-ylamino] -N,N-dimethyl- benzenesulfonamide;
N,N-Dimethyl-3-[6-(6-methylamino-pyridin-3-yl)-2-moφholin-4-yl-pyrimidin-4- ylamino]-benzenesulfonamide;
5-[2-Mθφholin-4-yl-6-(pyridin-3-ylmethoxy)-pyrimidin-4-yl]-pyridin-2-ylamine; 6-(6-Amino-pyridin-3-yl)-2-moφholin-4-yl-pyrimidin-4-yl]-[3-(4-πiethyl-piperazine-l- sulfonyl)-phenyl]-amine; Methyl-{5-[2-morpholin-4-yl-6-(pyridin-3-ylmethoxy)-pyrimidin-4-yl]-pyridin-2-yl}- amine;
6-(l-Methyl-l-phenyl-ethoxy)-2-morpholin-4-yl-[4,5']bipyrimidinyl-2'-ylamine;
[6-(6-Methylamino-pyridin-3-yl)-2-morpholin-4-yl-pyrimidin-4-yl]-[3-(4-methyl- piperazine- 1 -sulfonyl)-phenyl]-amine;
3-[(2'-Amino-2-moφholin-4-yl-[4,5']bipyriinidinyl-6-yl)-methyl-aπiino]-N,N-dimethyl- benzenesulfonamide;
2-MoφhoIin-4-yl-6-pyridin-2-ylethynyl-[4,5']bipyriπήdinyl-2'-yIainine;
6-Imidazol- 1 -yl-2-morpholin-4-yl-[4,5']bipyrimidinyl-2'-ylamine; 6-(2-Methyl-imidazol-l-yl)-2-morpholin-4-yl-[4,5']bipyrimidinyl-2'-ylamine;
6-[2-(3-Methanesulfonyl-phenyl)-ethoxy]-2-morpholin-4-yl-[4,5']bipyrimidinyl-2l- ylamine;
3-[2-(2'-Amino-2-morpholin-4-yl-[4,5']bipyrimidinyl-6-yloxy)-ethyl]-benzonitrile;
3-[2-(2'-Amino-2-morpholin-4-yl-[4,5']bipyrimidinyl-6-yloxy)-ethyl]-benzamide; 6-[2-(lH-Indol-3-yl)-ethoxy]-2-morpholin-4-yl-[4,5']bipyrimidinyl-2l-ylamine;
5-Methyl-2-moφb.olin-4-yl-6-(pyridin-3-ylmethoxy)-[4,5']bipyrimidinyl-2'-ylamine;
4-(2'-Amino-5-methyl-2-moφholin-4-yl-[4,5']bipyrimidinyl-6-yloxy)-N,N-dimethyl- benzamide;
(2'-Amino-2-moφholin-4-yl-[4,5']bipyrimidinyl-6-yl)-(4-methanesulfonyl-piperazin-l- yl)-methanone;
2l-Amino-2-moφholin-4-yl-[4,5l]bipyrimidinyl-6-carboxylic acid methyl-phenyl- amide;
N-6-(3-Methanesulfonyl-phenyl)-5-methyl-2-moφholin-4-yl-[4,5']bipyrimidinyl-6,2'- diamine; 3-(2'-Amino-5-methyl-2-moφholin-4-yl-[4,5']bipyrimidinyl-6-yl)-N,N-dimethyl- benzenesulfonamide ;
6-(l-Methanesulfonyl-piperidin-4-ylmethoxy)-2-moφb.olin-4-yl-[4,5']bipyrimidinyl-2'- ylamine; and
1 -[4-(2l-Amino-2-moφholin-4-yl-[4,5']bipyrimidinyl-6-yloxymethyl)-piperidin- 1 -yl]- ethanone; and the pharmaceutically acceptable salts thereof.
7. A process for producing a compound as defined in claim 1, which process comprises treating a compound of formula (II):
wherein R1 and R3 are as defined in claim 1, with a boronic acid or ester thereof of formula R2B(OR15)2, in which R2 is as defined in claim 1 and each R15 is H or C1-C6 alkyl or the two groups OR15 form, together with the boron atom to which they are attached, a pinacolato boronate ester group, in the presence of a suitable base and a Pd catalyst.
8. A process for producing a pharmaceutically acceptable salt as defined in claim 1, which process comprises treating a morpholino pyrimidine of formula (I):
wherein R1, R2 and R3 are as defined in claim 1, with a suitable acid in a suitable solvent.
9. A process according to claim 8 wherein the acid is selected from hydrochloric acid, hydrobromic acid, hydroiodic acid, sulphuric acid, nitric acid, phosphoric acid, methanesulfonic acid, benzenesulphonic acid, formic acid, acetic acid, trifluoroacetic acid, propionic acid, oxalic acid, malonic acid, succinic acid, fumaric acid, maleic acid, lactic acid, malic acid, tartaric acid, citric acid, ethanesulfonic acid, aspartic acid and glutamic acid.
10. A pharmaceutical composition which comprises a pharmaceutically acceptable carrier or diluent and, as an active ingredient, a compound as claimed in any one of claims 1 to 6.
11. A composition according to claim 10, which is formulated for oral administration.
12. A compound as defined in any one of claims 1 to 6 for use in a method of treatment of the human or animal body by therapy.
13. A compound for use in a method of treating a disease or disorder arising from abnormal cell growth, function or behaviour, which compound is a morpholino pyrimidine of formula (I):
(I)
R1 is selected from -Y-R6 and -NR4R5;
R2 is a N-containing monocyclic heteroaryl group which is selected from pyridyl, isoxazolyl, imidazolyl, pyrazolyl, pyrrolyl, thiazolyl, pyridazinyl, pyrimidinyl, pyrazinyl, oxazolyl, furanyl, thienyl, triazolyl and tetrazolyl and which is unsubstituted or substituted by -CN, -NR10R11, -OR10, -C(O)R10, -NR10C(O)R11, -N(C(0)Rπ)2, - NR10C(O)NR10R11, -SO2R10R11, -SO2NR10R11, -C(=O)OR10, -C(O)NR10R11, halo-d -C6 alkyl and unsubstituted C1-C12 alkyl;
R3 is selected from alkoxy; Y is selected from a direct bond, -(CR2)m-, C2-C6 alkenylene, C2-C6 alkynylene,
-(CR2)P-O-(CR2) r, -(CR2)P-NR-(CR2) r, -(CR2)p-NR-(CR2)n-C(O)-, -(CR2)P-NR- C(O)-(CRz)n-, -(CR2)P-C(O)-NR-(CR2) r, -(CR2)p-C(O)-(CR2)n-NR-(CR2)t- and - (CR2)p-C(O)-(CR2)n-;
R3 is selected from an unsaturated 5- to 12-membered carbocyclic or heterocyclic ring, a saturated 5-, 6- or 7- membered N-containing heterocyclic group which is unsubstituted or substituted, C1-C6 alkyl, -NR2 , -OR, -NR(CO)R and - C(O)NR2;
R4 and R5, which are the same or different, are both C1-C6 alkyl which is unsubstituted or substituted, or R4 and R5 together form, with the nitrogen atom to which they are attached, a saturated 5-, 6- or 7- membered N-containing heterocyclic group which is unsubstituted or substituted; each R, which are the same or different when more than one is present in a given group, is independently H, Ci-C6 alkyl which is unsubstituted or substituted or a 5- to 12-membered aryl or heteroaryl group which is unsubstituted or substituted;; R10 and R1 ', which are the same or different, are independently selected from H,
Ci-C6 alkyl, C2-C6 alkenyl, C2-C6 alkynyl and C3-C8 cycloalkyl; n is O or an integer of 1 to 6; m is an integer of 1 to 6; p is O or an integer of 1 to 6; and t is O or an integer of 1 to 6, with the proviso that t is an integer of 2 to 6 when R6 is linked to Y through a constituent O or N atom of R6; or a pharmaceutically acceptable salt thereof; with the provisos that: (i) when R2 is a 4-pyridyl group, R1 is other than a morpholine group, a piperazine group or a dimethylamino group; (ii) when R2 is a thiazole group and R1 is -Y-R6 in which Y is a direct bond, then R6 is other than an unsaturated 5 - 12 membered carbocyclic ring; and
(iii) when R1 is -Y-R6 in which Y is a group -C(O)-NH- and R6 is an an unsaturated 5 - 12 membered carbocyclic ring, then R2 is other than an unsubstituted pyrazole ring.
14. Use of a compound as defined in claim 13 in the manufacture of a medicament for treating a disease or disorder arising from abnormal cell growth, function or behaviour.
15. A compound according to claim 13 or a use according to claim 14, wherein the abnormal cell growth, function or behaviour is associated with PI3 kinase.
16. A compound according to claim 13 or a use according to claim 14 wherein the disease or disorder is selected from cancer, immune disorders, cardiovascular disease, viral infection, inflammation, metabolism/endocrine disorders and neurological disorders.
17. A compound or use according to claim 16 wherein the cancer is selected from solid tumours of the colon, breast, brain, liver, ovarian, gastric, lung, and head and neck.
18. A compound or use according to claim 17 wherein the cancer is selected from glioblastoma, melanoma, prostate, endometrial, ovarian, breast, lung, head and neck, hepatocellular, and thyroid cancers.
19. A compound or use according to claim 18 wherein the cancer is selected from breast, ovary, cervix, prostate, testis, genitourinary tract, esophagus, larynx, glioblastoma, neuroblastoma, stomach, skin, keratoacanthoma, lung, epidermoid carcinoma, large cell carcinoma, non-small cell lung carcinoma (NSCLC), small cell carcinoma, lung adenocarcinoma, bone, colon, adenoma, pancreas, adenocarcinoma, thyroid, follicular carcinoma, undifferentiated carcinoma, papillary carcinoma, seminoma, melanoma, sarcoma, bladder carcinoma, liver carcinoma and biliary passages, kidney carcinoma, myeloid disorders, lymphoid disorders, hairy cells, buccal cavity and pharynx (oral), lip, tongue, mouth, pharynx, small intestine, colon-rectum, large intestine, rectum, brain and central nervous system. Hodgkin's and leukemia.
20. A method of treating a disease or disorder arising from abnormal cell growth, function or behaviour, which method comprises administering to a patient in need thereof a compound as defined in claim 13.
21. A method according to claim 20, wherein the abnormal cell growth, function or behaviour is associated with P13 kinase.
22. A method according to claim 20 or 21, wherein the disease or disorder is selected from the group consisting of cancer, immune disorders, cardiovascular disease, viral infection, inflammation, metabolism/endocrine disorders and neurological disorders.
23. A method according to claim 22, wherein the disease or disorder is selected from cancer, immune disorders, cardiovascular disease, viral infection, inflammation, metabolism/endocrine disorders and neurological disorders.
24. A method according to claim 23, wherein the cancer is selected from glioblastoma, melanoma, prostate, endometrial, ovarian, breast, lung, head and neck, hepatocellular, and thyroid cancers.
25. A method according to claim 23, wherein the cancer is selected from breast, ovary, cervix, prostate, testis, genitourinary tract, esophagus, larynx, glioblastoma, neuroblastoma, stomach, skin, keratoacanthoma, lung, epidermoid carcinoma, large cell carcinoma, non-small cell lung carcinoma (NSCLC), small cell carcinoma, lung adenocarcinoma, bone, colon, adenoma, pancreas, adenocarcinoma, thyroid, follicular carcinoma, undifferentiated carcinoma, papillary carcinoma, seminoma, melanoma, sarcoma, bladder carcinoma, liver carcinoma and biliary passages, kidney carcinoma, myeloid disorders, lymphoid disorders, hairy cells, buccal cavity and pharynx (oral), Hp, tongue, mouth, pharynx, small intestine, colon-rectum, large intestine, rectum, brain and central nervous system. Hodgkin's and leukemia.
Applications Claiming Priority (2)
| Application Number | Priority Date | Filing Date | Title |
|---|---|---|---|
| US98971007P | 2007-11-21 | 2007-11-21 | |
| US60/989,710 | 2007-11-21 |
Publications (1)
| Publication Number | Publication Date |
|---|---|
| WO2009066084A1 true WO2009066084A1 (en) | 2009-05-28 |
Family
ID=40428331
Family Applications (1)
| Application Number | Title | Priority Date | Filing Date |
|---|---|---|---|
| PCT/GB2008/003910 Ceased WO2009066084A1 (en) | 2007-11-21 | 2008-11-21 | 2 -morpholinopyrimidines and their use as pi3 kinase inhibitors |
Country Status (1)
| Country | Link |
|---|---|
| WO (1) | WO2009066084A1 (en) |
Cited By (41)
| Publication number | Priority date | Publication date | Assignee | Title |
|---|---|---|---|---|
| WO2011159726A2 (en) | 2010-06-14 | 2011-12-22 | The Scripps Research Institute | Reprogramming of cells to a new fate |
| US8097622B2 (en) | 2008-10-14 | 2012-01-17 | Daiichi Sankyo Company, Limited | Morpholinopurine derivatives |
| WO2012044727A3 (en) * | 2010-10-01 | 2012-06-07 | Novartis Ag | Manufacturing process for pyrimidine derivatives |
| EP2474323A3 (en) * | 2008-03-26 | 2012-10-10 | Novartis AG | Imidazoquinolines and pyrimidine derivatives as potent modulators of vegf-driven angiogenic processes |
| US8333966B2 (en) | 2008-04-11 | 2012-12-18 | Emergent Product Development Seattle, Llc | CD37 immunotherapeutics and uses thereof |
| WO2012122383A3 (en) * | 2011-03-09 | 2012-12-27 | Celgene Avilomics Research, Inc. | Pi3 kinase inhibitors and uses thereof |
| WO2013030665A1 (en) * | 2011-09-02 | 2013-03-07 | Purdue Pharma L.P. | Pyrimidines as sodium channel blockers |
| WO2013030368A1 (en) * | 2011-09-01 | 2013-03-07 | Novartis Ag | Pi3k inhibitor for use in the treatment of bone cancer or for preventing metastatic dissemination primary cancer cells into the bone |
| US8409577B2 (en) | 2006-06-12 | 2013-04-02 | Emergent Product Development Seattle, Llc | Single chain multivalent binding proteins with effector function |
| JP2013525419A (en) * | 2010-04-30 | 2013-06-20 | ユニバーシティ・オブ・バーゼル | Piperazinotriazines as PI3K inhibitors for use in the treatment of antiproliferative disorders |
| US20130225574A1 (en) * | 2012-02-24 | 2013-08-29 | Novartis Ag | Oxazolidin-2-one compounds and uses thereof |
| WO2013173283A1 (en) * | 2012-05-16 | 2013-11-21 | Novartis Ag | Dosage regimen for a pi-3 kinase inhibitor |
| WO2013174794A1 (en) | 2012-05-23 | 2013-11-28 | F. Hoffmann-La Roche Ag | Compositions and methods of obtaining and using endoderm and hepatocyte cells |
| CN103483345A (en) * | 2013-09-25 | 2014-01-01 | 中山大学 | Phosphoinositide 3-kinase (P13K) inhibitor, pharmaceutical composition containing P13K inhibitor, and application of phosphoinositide kinase inhibitor and pharmaceutical composition |
| WO2014016849A2 (en) | 2012-07-23 | 2014-01-30 | Sphaera Pharma Pvt. Ltd. | Novel triazine compounds |
| WO2014090147A1 (en) * | 2012-12-14 | 2014-06-19 | 上海恒瑞医药有限公司 | Pyrimidine derivatives and salts thereof, preparation method and pharmaceutical use thereof |
| US8853366B2 (en) | 2001-01-17 | 2014-10-07 | Emergent Product Development Seattle, Llc | Binding domain-immunoglobulin fusion proteins |
| WO2014177060A1 (en) * | 2013-05-01 | 2014-11-06 | F.Hoffmann-La Roche Ag | Biheteroaryl compounds and uses thereof |
| EP2816040A1 (en) * | 2008-12-19 | 2014-12-24 | Boehringer Ingelheim International Gmbh | Process for the production of CCR2 receptor antagonists and intermediates thereof |
| US8957068B2 (en) | 2011-09-27 | 2015-02-17 | Novartis Ag | 3-pyrimidin-4-yl-oxazolidin-2-ones as inhibitors of mutant IDH |
| US9005612B2 (en) | 2001-01-17 | 2015-04-14 | Emergent Product Development Seattle, Llc | Binding domain-immunoglobulin fusion proteins |
| US9145411B2 (en) | 2012-08-02 | 2015-09-29 | Asana Biosciences, Llc | Substituted amino-pyrimidine derivatives |
| WO2016001789A1 (en) * | 2014-06-30 | 2016-01-07 | Pfizer Inc. | Pyrimidine derivatives as pi3k inhibitors for use in the treatment of cancer |
| US9296733B2 (en) | 2012-11-12 | 2016-03-29 | Novartis Ag | Oxazolidin-2-one-pyrimidine derivative and use thereof for the treatment of conditions, diseases and disorders dependent upon PI3 kinases |
| WO2016057834A1 (en) * | 2014-10-09 | 2016-04-14 | Biomarin Pharmaceutical Inc. | Heparan sulfate biosynthesis inhibitors for the treatment of diseases |
| WO2016079760A1 (en) * | 2014-11-20 | 2016-05-26 | Council Of Scientific & Industrial Research | Novel 1,3,5 -triazine based pi3k inhibitors as anticancer agents and a process for the preparation thereof |
| WO2016095833A1 (en) * | 2014-12-17 | 2016-06-23 | 上海海雁医药科技有限公司 | 2-morpholin-4,6-disubstituted pyrimidine derivative, and preparation method and pharmaceutical use thereof |
| US9434719B2 (en) | 2013-03-14 | 2016-09-06 | Novartis Ag | 3-pyrimidin-4-yl-oxazolidin-2-ones as inhibitors of mutant IDH |
| US9670222B2 (en) | 2009-12-17 | 2017-06-06 | Centrexion Therapeutics Corporation | CCR2 receptor antagonists and uses thereof |
| US9758538B2 (en) | 2015-07-15 | 2017-09-12 | Pfizer Inc. | Pyrimidine derivatives |
| US10143748B2 (en) | 2005-07-25 | 2018-12-04 | Aptevo Research And Development Llc | B-cell reduction using CD37-specific and CD20-specific binding molecules |
| US10213428B2 (en) | 2015-07-02 | 2019-02-26 | Centrexion Therapeutics Corporation | (4-((3R,4R)-3-methoxytetrahydro-pyran-4-ylamino)piperidin-1-yl)(5-methyl-6-(((2R,6S)-6-(p-tolyl)tetrahydro-2H-pyran-2-yl)methylamino)pyrimidin-4-yl)methanone citrate |
| CN109810100A (en) * | 2017-11-21 | 2019-05-28 | 中国药科大学 | A benzofuran-containing dual-target inhibitor of PARP-1 and PI3K |
| WO2019199864A1 (en) * | 2018-04-10 | 2019-10-17 | Neuropore Therapies, Inc. | Tri-substituted aryl and heteroaryl derivatives as modulators of pi3-kinase and autophagy pathways |
| US10544137B2 (en) | 2016-06-02 | 2020-01-28 | Shanghai Haiyan Pharmaceutical Technology Co., Ltd. | PI3K inhibitor, and pharmaceutically acceptable salt, polycrystalline form, and application thereof |
| WO2021159993A1 (en) * | 2020-02-14 | 2021-08-19 | Pharmablock Sciences (Nanjing) , Inc. | Inhibitors of interleukin-1 receptor associated kinase (irak) /fms-like receptor tyrosine kinase (flt3), pharmaceutical products thereof, and methods thereof |
| US11236079B2 (en) | 2018-04-10 | 2022-02-01 | Neuropore Therapies, Inc. | Morpholine derivates as inhibitors of Vps34 |
| US11352426B2 (en) | 2015-09-21 | 2022-06-07 | Aptevo Research And Development Llc | CD3 binding polypeptides |
| US11897888B1 (en) | 2020-04-30 | 2024-02-13 | Stinginn Llc | Small molecular inhibitors of sting signaling compositions and methods of use |
| US12134605B2 (en) | 2019-12-18 | 2024-11-05 | Stinginn, Llc | Substituted 1,2,4-triazoles and methods of use |
| US12427146B2 (en) | 2018-12-19 | 2025-09-30 | InventisBio Co., Ltd. | C-terminal SRC kinase inhibitors |
Citations (8)
| Publication number | Priority date | Publication date | Assignee | Title |
|---|---|---|---|---|
| JPS4921148B1 (en) * | 1970-12-28 | 1974-05-30 | ||
| JPS4935631B1 (en) * | 1970-12-28 | 1974-09-25 | ||
| WO1989007599A2 (en) * | 1988-02-09 | 1989-08-24 | Georgia State University Foundation, Inc. | Novel diazines and their method of preparation |
| WO2000018758A1 (en) * | 1998-09-25 | 2000-04-06 | Mitsubishi Chemical Corporation | Pyrimidone derivatives |
| WO2001005783A1 (en) * | 1999-07-15 | 2001-01-25 | Pharmacopeia, Inc. | Bradykinin b1 receptor antagonists |
| WO2004048365A1 (en) * | 2002-11-21 | 2004-06-10 | Chiron Corporation | 2,4,6-trisubstituted pyrimidines as phosphotidylinositol (pi) 3-kinase inhibitors and their use in the treatment of cancer |
| WO2007084786A1 (en) * | 2006-01-20 | 2007-07-26 | Novartis Ag | Pyrimidine derivatives used as pi-3 kinase inhibitors |
| WO2008125835A1 (en) * | 2007-04-12 | 2008-10-23 | Piramed Limited | 2-morpholin-4-yl-pyrimidines as pi3k inhibitors |
-
2008
- 2008-11-21 WO PCT/GB2008/003910 patent/WO2009066084A1/en not_active Ceased
Patent Citations (8)
| Publication number | Priority date | Publication date | Assignee | Title |
|---|---|---|---|---|
| JPS4921148B1 (en) * | 1970-12-28 | 1974-05-30 | ||
| JPS4935631B1 (en) * | 1970-12-28 | 1974-09-25 | ||
| WO1989007599A2 (en) * | 1988-02-09 | 1989-08-24 | Georgia State University Foundation, Inc. | Novel diazines and their method of preparation |
| WO2000018758A1 (en) * | 1998-09-25 | 2000-04-06 | Mitsubishi Chemical Corporation | Pyrimidone derivatives |
| WO2001005783A1 (en) * | 1999-07-15 | 2001-01-25 | Pharmacopeia, Inc. | Bradykinin b1 receptor antagonists |
| WO2004048365A1 (en) * | 2002-11-21 | 2004-06-10 | Chiron Corporation | 2,4,6-trisubstituted pyrimidines as phosphotidylinositol (pi) 3-kinase inhibitors and their use in the treatment of cancer |
| WO2007084786A1 (en) * | 2006-01-20 | 2007-07-26 | Novartis Ag | Pyrimidine derivatives used as pi-3 kinase inhibitors |
| WO2008125835A1 (en) * | 2007-04-12 | 2008-10-23 | Piramed Limited | 2-morpholin-4-yl-pyrimidines as pi3k inhibitors |
Non-Patent Citations (6)
| Title |
|---|
| AGARWAL A ET AL: "Antimalarial activity of 2,4,6-trisubstituted pyrimidines", BIOORGANIC & MEDICINAL CHEMISTRY LETTERS, PERGAMON, ELSEVIER SCIENCE, GB, vol. 15, no. 7, 1 April 2005 (2005-04-01), pages 1881 - 1883, XP025313497, ISSN: 0960-894X, [retrieved on 20050401] * |
| BULLETIN OF THE KOREAN CHEMICAL SOCIETY , 24(11), 1575-1578 CODEN: BKCSDE; ISSN: 0253-2964, 2003 * |
| DATABASE CA [online] CHEMICAL ABSTRACTS SERVICE, COLUMBUS, OHIO, US; KIDWAI, M. ET AL: "Base catalysed pyrimidine synthesis using microwave", XP002519915, retrieved from STN Database accession no. 2003:973238 * |
| DATABASE CA [online] CHEMICAL ABSTRACTS SERVICE, COLUMBUS, OHIO, US; TANI, HIDEO ET AL: "2,4,6-Trisubstituted pyrimidines", XP002519916, retrieved from STN Database accession no. 1975:140173 * |
| DATABASE CA [online] CHEMICAL ABSTRACTS SERVICE, COLUMBUS, OHIO, US; TANI, HIDERO ET AL: "4-Hydroxy-pyridylpyrimidine derivatives", XP002519917, retrieved from STN Database accession no. 1976:44112 * |
| KATIYAR S B ET AL: "Syntheses of 2,4,6-trisubstituted pyrimidine derivatives as a new class of antifilarial topoisomerase II inhibitors", BIOORGANIC & MEDICINAL CHEMISTRY LETTERS, PERGAMON, ELSEVIER SCIENCE, GB, vol. 15, no. 1, 3 January 2005 (2005-01-03), pages 47 - 50, XP025313472, ISSN: 0960-894X, [retrieved on 20050103] * |
Cited By (119)
| Publication number | Priority date | Publication date | Assignee | Title |
|---|---|---|---|---|
| US9005612B2 (en) | 2001-01-17 | 2015-04-14 | Emergent Product Development Seattle, Llc | Binding domain-immunoglobulin fusion proteins |
| US8853366B2 (en) | 2001-01-17 | 2014-10-07 | Emergent Product Development Seattle, Llc | Binding domain-immunoglobulin fusion proteins |
| US10307481B2 (en) | 2005-07-25 | 2019-06-04 | Aptevo Research And Development Llc | CD37 immunotherapeutics and uses thereof |
| US10143748B2 (en) | 2005-07-25 | 2018-12-04 | Aptevo Research And Development Llc | B-cell reduction using CD37-specific and CD20-specific binding molecules |
| US8409577B2 (en) | 2006-06-12 | 2013-04-02 | Emergent Product Development Seattle, Llc | Single chain multivalent binding proteins with effector function |
| EP2474323A3 (en) * | 2008-03-26 | 2012-10-10 | Novartis AG | Imidazoquinolines and pyrimidine derivatives as potent modulators of vegf-driven angiogenic processes |
| US9101609B2 (en) | 2008-04-11 | 2015-08-11 | Emergent Product Development Seattle, Llc | CD37 immunotherapeutic and combination with bifunctional chemotherapeutic thereof |
| US8333966B2 (en) | 2008-04-11 | 2012-12-18 | Emergent Product Development Seattle, Llc | CD37 immunotherapeutics and uses thereof |
| US8097622B2 (en) | 2008-10-14 | 2012-01-17 | Daiichi Sankyo Company, Limited | Morpholinopurine derivatives |
| US8309546B2 (en) | 2008-10-14 | 2012-11-13 | Daiichi Sankyo Company, Limited | Morpholinopurine derivatives |
| EP2816040A1 (en) * | 2008-12-19 | 2014-12-24 | Boehringer Ingelheim International Gmbh | Process for the production of CCR2 receptor antagonists and intermediates thereof |
| US9670222B2 (en) | 2009-12-17 | 2017-06-06 | Centrexion Therapeutics Corporation | CCR2 receptor antagonists and uses thereof |
| US11046706B2 (en) | 2009-12-17 | 2021-06-29 | Centrexion Therapeutics Corporation | CCR2 receptor antagonists and uses thereof |
| US10196402B2 (en) | 2009-12-17 | 2019-02-05 | Centrexion Therapeutics Corporation | CCR2 receptor antagonists and uses thereof |
| US12209094B2 (en) | 2009-12-17 | 2025-01-28 | Centrexion Therapeutics Corporation | CCR2 receptor antagonists and uses thereof |
| US11731981B2 (en) | 2009-12-17 | 2023-08-22 | Centrexion Therapeutics Corporation | CCR2 receptor antagonists and uses thereof |
| JP2013525419A (en) * | 2010-04-30 | 2013-06-20 | ユニバーシティ・オブ・バーゼル | Piperazinotriazines as PI3K inhibitors for use in the treatment of antiproliferative disorders |
| EP4438734A2 (en) | 2010-06-14 | 2024-10-02 | The Scripps Research Institute | Reprogramming of cells to a new fate |
| EP3399026A1 (en) | 2010-06-14 | 2018-11-07 | The Scripps Research Institute | Reprogramming of cells to a new fate |
| WO2011159726A2 (en) | 2010-06-14 | 2011-12-22 | The Scripps Research Institute | Reprogramming of cells to a new fate |
| CN104987321A (en) * | 2010-10-01 | 2015-10-21 | 诺华有限公司 | Manufacturing process for pyrimidine derivatives |
| WO2012044727A3 (en) * | 2010-10-01 | 2012-06-07 | Novartis Ag | Manufacturing process for pyrimidine derivatives |
| US9359326B2 (en) | 2010-10-01 | 2016-06-07 | Novartis Ag | Manufacturing process for pyrimidine derivatives |
| CN103140479A (en) * | 2010-10-01 | 2013-06-05 | 诺华有限公司 | Process for producing pyrimidine derivatives |
| JP2016128414A (en) * | 2010-10-01 | 2016-07-14 | ノバルティス アーゲー | Process for producing pyrimidine derivatives |
| US9452994B2 (en) | 2010-10-01 | 2016-09-27 | Novartis Ag | Manufacturing process for pyrimidine derivatives |
| CN103140479B (en) * | 2010-10-01 | 2015-04-08 | 诺华有限公司 | Process for producing pyrimidine derivatives |
| US9181215B2 (en) | 2010-10-01 | 2015-11-10 | Novartis Ag | Manufacturing process for pyrimidine derivatives |
| CN104945373A (en) * | 2010-10-01 | 2015-09-30 | 诺华有限公司 | Manufacturing process for pyrimidine derivatives |
| CN103501610A (en) * | 2011-03-09 | 2014-01-08 | 西建阿维拉米斯研究公司 | PI3 kinase inhibitors and uses thereof |
| WO2012122383A3 (en) * | 2011-03-09 | 2012-12-27 | Celgene Avilomics Research, Inc. | Pi3 kinase inhibitors and uses thereof |
| CN103764130A (en) * | 2011-09-01 | 2014-04-30 | 诺华股份有限公司 | Pi3k inhibitor for use in the treatment of bone cancer or for preventing metastatic dissemination primary cancer cells into the bone |
| WO2013030368A1 (en) * | 2011-09-01 | 2013-03-07 | Novartis Ag | Pi3k inhibitor for use in the treatment of bone cancer or for preventing metastatic dissemination primary cancer cells into the bone |
| US10059675B2 (en) | 2011-09-02 | 2018-08-28 | Purdue Pharma L.P. | Pyrimidines as sodium channel blockers |
| US9163008B2 (en) | 2011-09-02 | 2015-10-20 | Purdue Pharma, L.P. | Pyrimidines as sodium channel blockers |
| US9656968B2 (en) | 2011-09-02 | 2017-05-23 | Purdue Pharma L.P | Pyrimidines as sodium channel blockers |
| US10774050B2 (en) | 2011-09-02 | 2020-09-15 | Purdue Pharma, L.P. | Pyrimidines as sodium channel blockers |
| WO2013030665A1 (en) * | 2011-09-02 | 2013-03-07 | Purdue Pharma L.P. | Pyrimidines as sodium channel blockers |
| EP3255041A1 (en) * | 2011-09-02 | 2017-12-13 | Purdue Pharma L.P. | Pyrimidines as sodium channel blockers |
| US8957068B2 (en) | 2011-09-27 | 2015-02-17 | Novartis Ag | 3-pyrimidin-4-yl-oxazolidin-2-ones as inhibitors of mutant IDH |
| US8865894B2 (en) * | 2012-02-24 | 2014-10-21 | Novartis Ag | Oxazolidin-2-one compounds and uses thereof |
| US9458177B2 (en) | 2012-02-24 | 2016-10-04 | Novartis Ag | Oxazolidin-2-one compounds and uses thereof |
| US20130225574A1 (en) * | 2012-02-24 | 2013-08-29 | Novartis Ag | Oxazolidin-2-one compounds and uses thereof |
| AU2013263043B2 (en) * | 2012-05-16 | 2016-06-16 | Novartis Ag | Dosage regimen for a PI-3 kinase inhibitor |
| US10213432B2 (en) | 2012-05-16 | 2019-02-26 | Novartis Ag | Dosage regimen for a PI-3 kinase inhibitor |
| WO2013173283A1 (en) * | 2012-05-16 | 2013-11-21 | Novartis Ag | Dosage regimen for a pi-3 kinase inhibitor |
| WO2013174794A1 (en) | 2012-05-23 | 2013-11-28 | F. Hoffmann-La Roche Ag | Compositions and methods of obtaining and using endoderm and hepatocyte cells |
| WO2014016849A2 (en) | 2012-07-23 | 2014-01-30 | Sphaera Pharma Pvt. Ltd. | Novel triazine compounds |
| CN104582707B (en) * | 2012-07-23 | 2017-09-26 | 斯法尔制药私人有限公司 | Triazine compounds |
| EP2874632A4 (en) * | 2012-07-23 | 2016-03-16 | Sphaera Pharma Pte Ltd | NEW TRIAZINE COMPOUNDS |
| CN104582707A (en) * | 2012-07-23 | 2015-04-29 | 斯法尔制药私人有限公司 | New Triazine Compounds |
| US9145411B2 (en) | 2012-08-02 | 2015-09-29 | Asana Biosciences, Llc | Substituted amino-pyrimidine derivatives |
| US9296733B2 (en) | 2012-11-12 | 2016-03-29 | Novartis Ag | Oxazolidin-2-one-pyrimidine derivative and use thereof for the treatment of conditions, diseases and disorders dependent upon PI3 kinases |
| US10202371B2 (en) | 2012-11-12 | 2019-02-12 | Novartis Ag | Oxazolidin-2-one-pyrimidine derivatives and the use thereof as phosphatidylinositol-3-kinase inhibitors |
| WO2014090147A1 (en) * | 2012-12-14 | 2014-06-19 | 上海恒瑞医药有限公司 | Pyrimidine derivatives and salts thereof, preparation method and pharmaceutical use thereof |
| CN104245693B (en) * | 2012-12-14 | 2016-08-24 | 上海恒瑞医药有限公司 | Pyrimidine derivatives and their pharmaceutically acceptable salts, their preparation methods and their applications in medicine |
| CN104245693A (en) * | 2012-12-14 | 2014-12-24 | 上海恒瑞医药有限公司 | Pyrimidine derivatives and salts thereof, preparation method and pharmaceutical use thereof |
| US9688672B2 (en) | 2013-03-14 | 2017-06-27 | Novartis Ag | 3-pyrimidin-4-yl-oxazolidin-2-ones as inhibitors of mutant IDH |
| US10112931B2 (en) | 2013-03-14 | 2018-10-30 | Novartis Ag | 3-pyrimidin-4-yl-oxazolidin-2-ones as inhibitors of mutant IDH |
| US9434719B2 (en) | 2013-03-14 | 2016-09-06 | Novartis Ag | 3-pyrimidin-4-yl-oxazolidin-2-ones as inhibitors of mutant IDH |
| US10028954B2 (en) | 2013-04-30 | 2018-07-24 | Genentech, Inc. | Biheteroaryl compounds and uses thereof |
| EA029568B1 (en) * | 2013-05-01 | 2018-04-30 | Ф.Хоффманн-Ля Рош Аг | BIGETEROARRYNY COMPOUNDS AND THEIR APPLICATIONS |
| JP2020079264A (en) * | 2013-05-01 | 2020-05-28 | エフ.ホフマン−ラ ロシュ アーゲーF. Hoffmann−La Roche Aktiengesellschaft | Biheteroaryl compounds and uses thereof |
| KR101836431B1 (en) * | 2013-05-01 | 2018-03-09 | 에프. 호프만-라 로슈 아게 | Biheteroaryl compounds and uses thereof |
| KR20180026806A (en) * | 2013-05-01 | 2018-03-13 | 에프. 호프만-라 로슈 아게 | Biheteroaryl compounds and uses thereof |
| EA038235B1 (en) * | 2013-05-01 | 2021-07-28 | Ф.Хоффманн-Ля Рош Аг | Biheteroaryl compounds and uses thereof |
| WO2014177060A1 (en) * | 2013-05-01 | 2014-11-06 | F.Hoffmann-La Roche Ag | Biheteroaryl compounds and uses thereof |
| KR102002265B1 (en) * | 2013-05-01 | 2019-07-19 | 에프. 호프만-라 로슈 아게 | Biheteroaryl compounds and uses thereof |
| US10010549B2 (en) | 2013-05-01 | 2018-07-03 | Genentech, Inc. | Biheteroaryl compounds and uses thereof |
| US11129832B2 (en) | 2013-05-01 | 2021-09-28 | Genentech, Inc. | Biheteroaryl compounds and uses thereof |
| CN110003178B (en) * | 2013-05-01 | 2022-02-25 | 豪夫迈·罗氏有限公司 | Diheteroaryl compounds and uses thereof |
| CN110003178A (en) * | 2013-05-01 | 2019-07-12 | 豪夫迈·罗氏有限公司 | Two heteroaryl compounds and application thereof |
| US9266862B2 (en) | 2013-05-01 | 2016-02-23 | Genentech, Inc. | Biheteroaryl compounds and uses thereof |
| CN105431420B (en) * | 2013-05-01 | 2019-08-13 | 豪夫迈·罗氏有限公司 | Diheteroaryl compounds and uses thereof |
| EA033084B1 (en) * | 2013-05-01 | 2019-08-30 | Ф.Хоффманн-Ля Рош Аг | BIGETEROARIAL COMPOUNDS AND THEIR APPLICATIONS |
| JP2016518383A (en) * | 2013-05-01 | 2016-06-23 | エフ.ホフマン−ラ ロシュ アーゲーF. Hoffmann−La Roche Aktiengesellschaft | Biheteroaryl compounds and uses thereof |
| USRE47848E1 (en) | 2013-05-01 | 2020-02-11 | Genentech, Inc. | Biheteroaryl compounds and uses thereof |
| JP2018035187A (en) * | 2013-05-01 | 2018-03-08 | エフ.ホフマン−ラ ロシュ アーゲーF. Hoffmann−La Roche Aktiengesellschaft | Biheteroaryl compounds and uses thereof |
| CN105431420A (en) * | 2013-05-01 | 2016-03-23 | 豪夫迈·罗氏有限公司 | Diheteroaryl compounds and uses thereof |
| CN103483345B (en) * | 2013-09-25 | 2016-07-06 | 中山大学 | PI3K inhibitors of kinases, the pharmaceutical composition comprising it and application thereof |
| CN103483345A (en) * | 2013-09-25 | 2014-01-01 | 中山大学 | Phosphoinositide 3-kinase (P13K) inhibitor, pharmaceutical composition containing P13K inhibitor, and application of phosphoinositide kinase inhibitor and pharmaceutical composition |
| WO2016001789A1 (en) * | 2014-06-30 | 2016-01-07 | Pfizer Inc. | Pyrimidine derivatives as pi3k inhibitors for use in the treatment of cancer |
| CN107106561A (en) * | 2014-10-09 | 2017-08-29 | 生物马林药物股份有限公司 | Heparan sulfate biosynthesis inhibitor for treating disease |
| WO2016057834A1 (en) * | 2014-10-09 | 2016-04-14 | Biomarin Pharmaceutical Inc. | Heparan sulfate biosynthesis inhibitors for the treatment of diseases |
| JP2017535562A (en) * | 2014-11-20 | 2017-11-30 | カウンシル・オブ・サイエンティフィック・アンド・インダストリアル・リサーチ | Novel 1,3,5-triazine-based PI3K inhibitor as anticancer agent and method for producing the same |
| CN107428730B (en) * | 2014-11-20 | 2020-10-16 | 科学与工业研究会 | 1,3,5-triazine-based PI3K inhibitor as anticancer agent and preparation method thereof |
| WO2016079760A1 (en) * | 2014-11-20 | 2016-05-26 | Council Of Scientific & Industrial Research | Novel 1,3,5 -triazine based pi3k inhibitors as anticancer agents and a process for the preparation thereof |
| CN107428730A (en) * | 2014-11-20 | 2017-12-01 | 科学与工业研究会 | New 1,3,5 triazine radical PI3K inhibitor as antitumor and anticancer agent and preparation method thereof |
| US9951040B2 (en) | 2014-11-20 | 2018-04-24 | Council Of Scientific And Industrial Research | 1,3,5 -triazine based PI3K inhibitors as anticancer agents and a process for the preparation thereof |
| AU2015366357B2 (en) * | 2014-12-17 | 2018-07-19 | Shanghai Haiyan Pharmaceutical Technology Co. Ltd. | 2-morpholin-4,6-disubstituted pyrimidine derivative, and preparation method and pharmaceutical use thereof |
| CN107001348B (en) * | 2014-12-17 | 2019-10-11 | 上海海雁医药科技有限公司 | 2-Morpholine-4,6-disubstituted pyrimidine derivatives, their production methods and medicinal uses |
| WO2016095833A1 (en) * | 2014-12-17 | 2016-06-23 | 上海海雁医药科技有限公司 | 2-morpholin-4,6-disubstituted pyrimidine derivative, and preparation method and pharmaceutical use thereof |
| CN107001348A (en) * | 2014-12-17 | 2017-08-01 | 上海海雁医药科技有限公司 | 2‑morpholine‑4,6‑disubstituted pyrimidine derivatives, their production methods and their medicinal uses |
| US10227324B2 (en) | 2014-12-17 | 2019-03-12 | Shanghai Haiyan Pharmaceutical Technology Co., Ltd. | 2-morpholin-4,6-disubstituted pyrimidine derivative, and preparation method and pharmaceutical use thereof |
| EP3235816A4 (en) * | 2014-12-17 | 2018-06-27 | Shanghai Haiyan Pharmaceutical Technology Co., Ltd. | 2-morpholin-4,6-disubstituted pyrimidine derivative, and preparation method and pharmaceutical use thereof |
| US10568885B2 (en) | 2015-07-02 | 2020-02-25 | Centrexion Therapeutics Corporation | (4-((3R,4R)-3-methoxytetrahydro-pyran-4-ylamino)piperidin-1-y1)(5-methyl-6-(((2R,6S)-6-(p-tolyl)tetrahydro-2H-pyran-2-citrate |
| US10213428B2 (en) | 2015-07-02 | 2019-02-26 | Centrexion Therapeutics Corporation | (4-((3R,4R)-3-methoxytetrahydro-pyran-4-ylamino)piperidin-1-yl)(5-methyl-6-(((2R,6S)-6-(p-tolyl)tetrahydro-2H-pyran-2-yl)methylamino)pyrimidin-4-yl)methanone citrate |
| US12076321B2 (en) | 2015-07-02 | 2024-09-03 | Centrexion Therapeutics Corporation | (4-((3R,4R)-3-methoxytetrahydro-pyran-4-ylamino)piperidin-1-yl)(5-methyl-6-(((2R,6S)-6-(p-tolyl)tetrahydro-2H-pyran-2-yl)methylamino)pyrimidin-4-yl)methanone citrate |
| US11147814B2 (en) | 2015-07-02 | 2021-10-19 | Centrexion Therapeutics Corporation | (4-((3R,4R)-3-methoxytetrahydro-pyran-4-ylamino)piperidin-1-yl)(5-methyl-6-(((2R,6S)-6-(p- tolyl)tetrahydro-2H-pyran-2-yl)methylamino)pyrimidin-4-yl)methanone citrate |
| US9758538B2 (en) | 2015-07-15 | 2017-09-12 | Pfizer Inc. | Pyrimidine derivatives |
| US11352426B2 (en) | 2015-09-21 | 2022-06-07 | Aptevo Research And Development Llc | CD3 binding polypeptides |
| US10544137B2 (en) | 2016-06-02 | 2020-01-28 | Shanghai Haiyan Pharmaceutical Technology Co., Ltd. | PI3K inhibitor, and pharmaceutically acceptable salt, polycrystalline form, and application thereof |
| CN109810100B (en) * | 2017-11-21 | 2022-03-11 | 中国药科大学 | Benzofuran-containing PARP-1 and PI3K dual-target inhibitors |
| CN109810100A (en) * | 2017-11-21 | 2019-05-28 | 中国药科大学 | A benzofuran-containing dual-target inhibitor of PARP-1 and PI3K |
| WO2019100743A1 (en) * | 2017-11-21 | 2019-05-31 | 中国药科大学 | Parp-1 and pi3k dual target inhibitor comprising benzofuran |
| KR20200143709A (en) * | 2018-04-10 | 2020-12-24 | 뉴로포레 테라피스, 인코포레이티드 | Tri-substituted aryl and heteroaryl derivatives as modulators of PI3-kinase and autophagy pathways |
| US12049462B2 (en) | 2018-04-10 | 2024-07-30 | Neuropore Therapies, Inc. | Tri-substituted aryl and heteroaryl derivatives as modulators of PI3-kinase and autophagy pathways |
| US11492348B2 (en) | 2018-04-10 | 2022-11-08 | Neuropore Therapies, Inc. | Tri-substituted aryl and heteroaryl derivatives as modulators of PI3-kinase and autophagy pathways |
| JP2021521178A (en) * | 2018-04-10 | 2021-08-26 | ニューロポア セラピーズ インコーポレイテッド | Trisubstituted aryl and heteroaryl derivatives as regulators of PI3 kinase and autophagy pathway |
| JP7369139B2 (en) | 2018-04-10 | 2023-10-25 | ニューロポア セラピーズ インコーポレイテッド | Trisubstituted aryl and heteroaryl derivatives as regulators of PI3-kinase and autophagy pathways |
| CN112189012B (en) * | 2018-04-10 | 2024-02-13 | 神经孔疗法股份有限公司 | Trisubstituted aryl and heteroaryl derivatives as modulators of PI3 kinase and autophagy pathways |
| KR102803762B1 (en) * | 2018-04-10 | 2025-05-09 | 뉴로포레 테라피스, 인코포레이티드 | Tri-substituted aryl and heteroaryl derivatives as modulators of PI3-kinase and autophagy pathways |
| CN112189012A (en) * | 2018-04-10 | 2021-01-05 | 神经孔疗法股份有限公司 | Trisubstituted aryl and heteroaryl derivatives as modulators of PI3 kinase and autophagy pathways |
| US11236079B2 (en) | 2018-04-10 | 2022-02-01 | Neuropore Therapies, Inc. | Morpholine derivates as inhibitors of Vps34 |
| WO2019199864A1 (en) * | 2018-04-10 | 2019-10-17 | Neuropore Therapies, Inc. | Tri-substituted aryl and heteroaryl derivatives as modulators of pi3-kinase and autophagy pathways |
| US12427146B2 (en) | 2018-12-19 | 2025-09-30 | InventisBio Co., Ltd. | C-terminal SRC kinase inhibitors |
| US12134605B2 (en) | 2019-12-18 | 2024-11-05 | Stinginn, Llc | Substituted 1,2,4-triazoles and methods of use |
| WO2021159993A1 (en) * | 2020-02-14 | 2021-08-19 | Pharmablock Sciences (Nanjing) , Inc. | Inhibitors of interleukin-1 receptor associated kinase (irak) /fms-like receptor tyrosine kinase (flt3), pharmaceutical products thereof, and methods thereof |
| US11897888B1 (en) | 2020-04-30 | 2024-02-13 | Stinginn Llc | Small molecular inhibitors of sting signaling compositions and methods of use |
Similar Documents
| Publication | Publication Date | Title |
|---|---|---|
| WO2009066084A1 (en) | 2 -morpholinopyrimidines and their use as pi3 kinase inhibitors | |
| US7696204B2 (en) | Pharmaceutical compounds | |
| CA2456127C (en) | Cysteine protease inhibitors with 2-cyano-4-amino-pyrimidine structure and cathepsin k inhibitory activity for the treatment of inflammations and other diseases | |
| US8912220B2 (en) | Compounds and methods of use thereof | |
| JP5179357B2 (en) | 2,4-Diamino-pyrimidine as an aurora inhibitor | |
| EP4134364B1 (en) | Bromodomain inhibitors | |
| US20100130496A1 (en) | Pyrimidine derivatives as inhibitors of phosphatidylinositol-3-kinase | |
| CN105722835B (en) | 3- aryl -5- substitution-isoquinoline-1-ketone compound and their therapy application | |
| CN101600697A (en) | Novel phenyl (4-phenylpyrimidin-2-yl) amine derivatives, their preparation as medicaments, pharmaceutical compositions and in particular as IKK inhibitors | |
| WO2009122180A1 (en) | Pyrimidine derivatives capable of inhibiting one or more kinases | |
| JP2005502683A (en) | Pyrrolopyrimidine as an inhibitor of cysteine protease | |
| JP2010523637A (en) | Pharmaceutical compounds | |
| RU2732576C2 (en) | Pyrimidine compound with condensed rings, its intermediate compound, method of producing, composition and use | |
| TW200843777A (en) | Inhibitors of the hedgehog pathway | |
| CN102762099A (en) | Novel pyrimidine compounds as mtor and p13k inhibitors | |
| EP3160961B1 (en) | Small molecule agonists of neurotensin receptor 1 | |
| CN111566100B (en) | Pyrimidine compounds, their preparation methods and their medicinal uses | |
| US6890940B2 (en) | Bis(2-aryl-5-pyridyl) derivatives | |
| CN115785154A (en) | Heteroaromatic ring compounds and medical use thereof | |
| CN114867481A (en) | Treatment of veterinary disorders associated with CD151 | |
| CN101479277A (en) | Pyrimidine derivatives as PI3K inhibitors | |
| HK40079055A (en) | Treatment of veterinary conditions associated with cd151 | |
| WO2022067063A1 (en) | Mutant selective egfr inhibitors and methods of use thereof | |
| HK40080347A (en) | Bromodomain inhibitors | |
| HK1122285A (en) | 2,4-diamino-pyrimidines used as aurora inhibitors |
Legal Events
| Date | Code | Title | Description |
|---|---|---|---|
| 121 | Ep: the epo has been informed by wipo that ep was designated in this application |
Ref document number: 08852530 Country of ref document: EP Kind code of ref document: A1 |
|
| NENP | Non-entry into the national phase |
Ref country code: DE |
|
| 122 | Ep: pct application non-entry in european phase |
Ref document number: 08852530 Country of ref document: EP Kind code of ref document: A1 |



































































