WO2015122109A1 - Resin composition - Google Patents
Resin composition Download PDFInfo
- Publication number
- WO2015122109A1 WO2015122109A1 PCT/JP2014/084632 JP2014084632W WO2015122109A1 WO 2015122109 A1 WO2015122109 A1 WO 2015122109A1 JP 2014084632 W JP2014084632 W JP 2014084632W WO 2015122109 A1 WO2015122109 A1 WO 2015122109A1
- Authority
- WO
- WIPO (PCT)
- Prior art keywords
- resin composition
- formula
- component
- group
- structural unit
- Prior art date
- Legal status (The legal status is an assumption and is not a legal conclusion. Google has not performed a legal analysis and makes no representation as to the accuracy of the status listed.)
- Ceased
Links
- 0 C*CC(*C)(C(O*C1CC2OC2CC1)=O)O* Chemical compound C*CC(*C)(C(O*C1CC2OC2CC1)=O)O* 0.000 description 2
Images
Classifications
-
- C—CHEMISTRY; METALLURGY
- C08—ORGANIC MACROMOLECULAR COMPOUNDS; THEIR PREPARATION OR CHEMICAL WORKING-UP; COMPOSITIONS BASED THEREON
- C08F—MACROMOLECULAR COMPOUNDS OBTAINED BY REACTIONS ONLY INVOLVING CARBON-TO-CARBON UNSATURATED BONDS
- C08F212/00—Copolymers of compounds having one or more unsaturated aliphatic radicals, each having only one carbon-to-carbon double bond, and at least one being terminated by an aromatic carbocyclic ring
- C08F212/02—Monomers containing only one unsaturated aliphatic radical
- C08F212/04—Monomers containing only one unsaturated aliphatic radical containing one ring
- C08F212/06—Hydrocarbons
- C08F212/08—Styrene
-
- C—CHEMISTRY; METALLURGY
- C08—ORGANIC MACROMOLECULAR COMPOUNDS; THEIR PREPARATION OR CHEMICAL WORKING-UP; COMPOSITIONS BASED THEREON
- C08F—MACROMOLECULAR COMPOUNDS OBTAINED BY REACTIONS ONLY INVOLVING CARBON-TO-CARBON UNSATURATED BONDS
- C08F220/00—Copolymers of compounds having one or more unsaturated aliphatic radicals, each having only one carbon-to-carbon double bond, and only one being terminated by only one carboxyl radical or a salt, anhydride ester, amide, imide or nitrile thereof
- C08F220/02—Monocarboxylic acids having less than ten carbon atoms; Derivatives thereof
- C08F220/10—Esters
- C08F220/26—Esters containing oxygen in addition to the carboxy oxygen
- C08F220/28—Esters containing oxygen in addition to the carboxy oxygen containing no aromatic rings in the alcohol moiety
- C08F220/281—Esters containing oxygen in addition to the carboxy oxygen containing no aromatic rings in the alcohol moiety and containing only one oxygen, e.g. furfuryl (meth)acrylate or 2-methoxyethyl (meth)acrylate
-
- C—CHEMISTRY; METALLURGY
- C08—ORGANIC MACROMOLECULAR COMPOUNDS; THEIR PREPARATION OR CHEMICAL WORKING-UP; COMPOSITIONS BASED THEREON
- C08F—MACROMOLECULAR COMPOUNDS OBTAINED BY REACTIONS ONLY INVOLVING CARBON-TO-CARBON UNSATURATED BONDS
- C08F220/00—Copolymers of compounds having one or more unsaturated aliphatic radicals, each having only one carbon-to-carbon double bond, and only one being terminated by only one carboxyl radical or a salt, anhydride ester, amide, imide or nitrile thereof
- C08F220/02—Monocarboxylic acids having less than ten carbon atoms; Derivatives thereof
- C08F220/10—Esters
- C08F220/26—Esters containing oxygen in addition to the carboxy oxygen
- C08F220/30—Esters containing oxygen in addition to the carboxy oxygen containing aromatic rings in the alcohol moiety
- C08F220/301—Esters containing oxygen in addition to the carboxy oxygen containing aromatic rings in the alcohol moiety and one oxygen in the alcohol moiety
-
- C—CHEMISTRY; METALLURGY
- C08—ORGANIC MACROMOLECULAR COMPOUNDS; THEIR PREPARATION OR CHEMICAL WORKING-UP; COMPOSITIONS BASED THEREON
- C08F—MACROMOLECULAR COMPOUNDS OBTAINED BY REACTIONS ONLY INVOLVING CARBON-TO-CARBON UNSATURATED BONDS
- C08F220/00—Copolymers of compounds having one or more unsaturated aliphatic radicals, each having only one carbon-to-carbon double bond, and only one being terminated by only one carboxyl radical or a salt, anhydride ester, amide, imide or nitrile thereof
- C08F220/02—Monocarboxylic acids having less than ten carbon atoms; Derivatives thereof
- C08F220/10—Esters
- C08F220/26—Esters containing oxygen in addition to the carboxy oxygen
- C08F220/30—Esters containing oxygen in addition to the carboxy oxygen containing aromatic rings in the alcohol moiety
- C08F220/305—Esters containing oxygen in addition to the carboxy oxygen containing aromatic rings in the alcohol moiety and containing a polyether chain in the alcohol moiety
- C08F220/306—Esters containing oxygen in addition to the carboxy oxygen containing aromatic rings in the alcohol moiety and containing a polyether chain in the alcohol moiety and polyethylene oxide chain in the alcohol moiety
-
- G—PHYSICS
- G02—OPTICS
- G02B—OPTICAL ELEMENTS, SYSTEMS OR APPARATUS
- G02B3/00—Simple or compound lenses
- G02B3/0006—Arrays
- G02B3/0012—Arrays characterised by the manufacturing method
- G02B3/0018—Reflow, i.e. characterized by the step of melting microstructures to form curved surfaces, e.g. manufacturing of moulds and surfaces for transfer etching
-
- C—CHEMISTRY; METALLURGY
- C08—ORGANIC MACROMOLECULAR COMPOUNDS; THEIR PREPARATION OR CHEMICAL WORKING-UP; COMPOSITIONS BASED THEREON
- C08F—MACROMOLECULAR COMPOUNDS OBTAINED BY REACTIONS ONLY INVOLVING CARBON-TO-CARBON UNSATURATED BONDS
- C08F220/00—Copolymers of compounds having one or more unsaturated aliphatic radicals, each having only one carbon-to-carbon double bond, and only one being terminated by only one carboxyl radical or a salt, anhydride ester, amide, imide or nitrile thereof
- C08F220/02—Monocarboxylic acids having less than ten carbon atoms; Derivatives thereof
- C08F220/10—Esters
- C08F220/26—Esters containing oxygen in addition to the carboxy oxygen
- C08F220/32—Esters containing oxygen in addition to the carboxy oxygen containing epoxy radicals
- C08F220/325—Esters containing oxygen in addition to the carboxy oxygen containing epoxy radicals containing glycidyl radical, e.g. glycidyl (meth)acrylate
Definitions
- the present invention relates to a thermosetting planarizing film or microlens resin composition, and a planarizing film and microlens formed from the resin composition.
- a CCD / CMOS image sensor In the process of manufacturing a CCD / CMOS image sensor, an immersion process using a chemical solution such as a solvent or an alkaline solution is performed. In order to prevent the element from being deteriorated or damaged by such a process, the process is resistant to the process.
- a protective film is provided on the element surface. Such a protective film has such properties as transparency, high heat resistance and light resistance, no deterioration such as coloring over a long period of time, excellent solvent resistance and alkali resistance. Is required (Patent Document 1).
- Patent Document 4 a technique using a dye instead of a pigment dispersion system has been proposed.
- Patent Document 5 a technique using a dye instead of a pigment dispersion system has been proposed.
- the conventional thermosetting protective film is baked at a temperature of 180 ° C. or higher, it is generally difficult to apply it on a color filter using a dye whose decomposition starts at about 180 ° C.
- the problem to be solved is a heat which is excellent in transparency, solvent resistance and flatness and can be cured at a desired temperature higher than 100 ° C. It is to provide a curable resin composition.
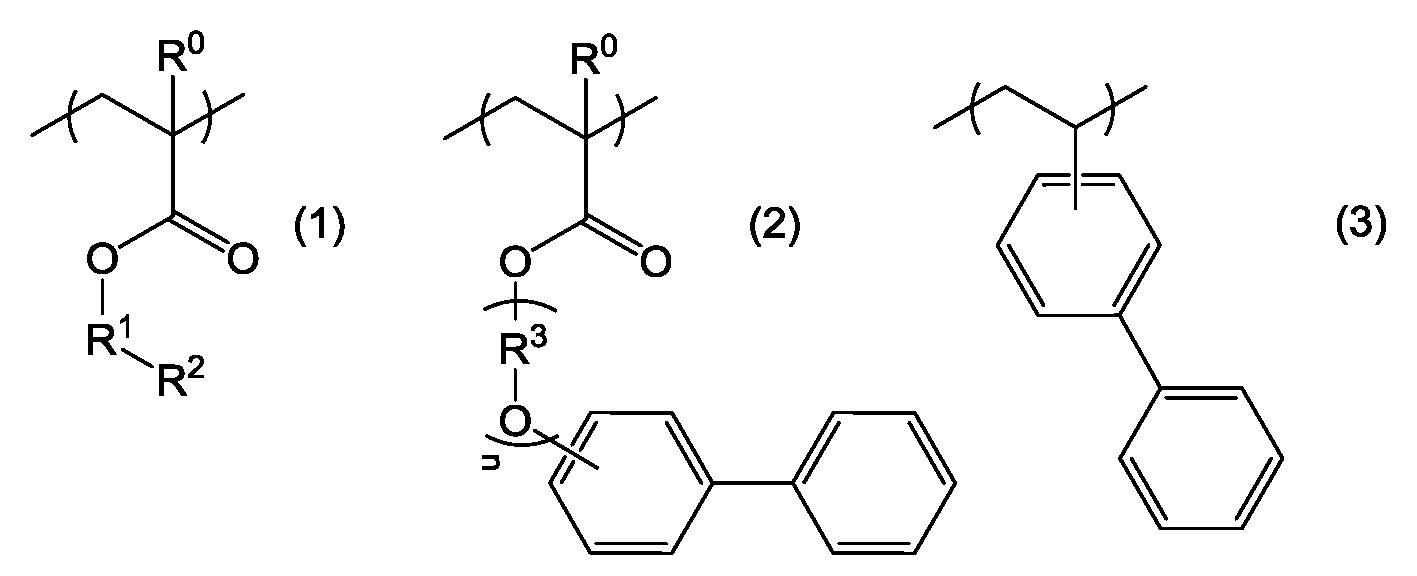
- a resin composition for a planarizing film or a microlens containing the component (A), the component (B) and a solvent a copolymer having a structural unit represented by the following formula (1) and further having a structural unit represented by the following formula (2) or formula (3):
- R 2 represents an epoxy group or an organic group having 5 to 12 carbon atoms having an epoxy ring
- R 3 represents an alkylene group having 1 to 3 carbon atoms
- n represents an integer of 0 to 5.
- the structural unit represented by the formula (1) is a structural unit represented by the following formula (1-1), and the resin composition for a planarizing film or microlens according to the first aspect .
- the copolymer further has a structural unit represented by the following formula (4), and is a resin composition for a planarizing film or a microlens according to the first aspect or the second aspect.
- X represents a cyclohexyl group or a phenyl group.
- the weight average molecular weight of the copolymer is 1,000 to 50,000, and the resin composition for a planarizing film or microlens according to any one of the first to third aspects. object.
- the thermal acid generator is contained in an amount of 0.1% by mass to 20% by mass based on the content in the solid content excluding the solvent from the resin composition.
- the resin composition of the present invention contains the thermal acid generator as the component (B), it is excellent in curability at a desired temperature higher than 100 ° C. and storage stability. Furthermore, the resin film formed from the resin composition of the present invention has excellent transparency, solvent resistance, and flatness. As mentioned above, the level
- the solid content obtained by removing the solvent from the resin composition of the present invention is usually 1% by mass to 50% by mass.
- the component (A) of the present invention is a copolymer having a structural unit represented by the following formula (1) and further having a structural unit represented by formula (2) or formula (3).
- each R 0 independently represents a hydrogen atom or a methyl group
- R 1 represents a single bond or an alkylene group having 1 to 5 carbon atoms
- the alkylene group may have an ether bond therein.
- R 2 represents an epoxy group or an organic group having 5 to 12 carbon atoms having an epoxy ring
- R 3 represents an alkylene group having 1 to 3 carbon atoms
- n represents an integer of 0 to 5.
- Examples of the formula (1) include structural units represented by the following formula (1-1). (Wherein R 0 represents a hydrogen atom or a methyl group, and R 1 represents a single bond or an alkylene group having 1 to 5 carbon atoms.)
- Specific examples of the compound (monomer) forming the structural unit represented by the formula (2) include 4-biphenyl (meth) acrylate, 2- (4-biphenyloxy) ethyl (meth) acrylate, 2- (2 -Biphenyloxy) ethyl (meth) acrylate, 2- (4-biphenyloxy) -2'-ethoxyethyl (meth) acrylate, 2- (2-biphenyloxy) -2'-ethoxyethyl (meth) acrylate, NK ester [Registered trademark] A-LEN-10 (manufactured by Shin-Nakamura Chemical Co., Ltd.). These compounds may be used alone or in combination of two or more.
- the compound (monomer) that forms the structural unit represented by the formula (3) include 3-vinylbiphenyl and 4-vinylbiphenyl. In addition, these compounds may be used independently or may be used in combination of 2 types.
- the compound (monomer) forming the structural unit represented by the formula (4) include N-cyclohexylmaleimide and N-phenylmaleimide. These compounds may be used alone or in combination of two or more.
- the content of the structural unit represented by the above formula (1) in the copolymer of the component (A) is 10 mol% to 90 mol%, preferably 20 mol% to 70 mol%.
- the weight average molecular weight of the copolymer is usually 1,000 to 50,000, preferably 3,000 to 30,000.
- the weight average molecular weight is a value obtained by using gel as a standard sample by gel permeation chromatography (GPC).
- the content of the copolymer in the resin composition of the present invention is usually 1% by mass to 99% by mass, preferably 5% by mass to based on the content in the solid content of the resin composition. 95% by mass.
- the method for obtaining the component (A) is not particularly limited, but generally, a monomer mixture containing the monomer species used for obtaining the above-mentioned copolymer is usually 50 ° C. to 120 ° C. in a polymerization solvent. It is obtained by carrying out a polymerization reaction at a temperature of The copolymer thus obtained is usually in a solution state dissolved in a solvent, and can be used in the resin composition of the present invention without isolation in this state.
- the copolymer solution obtained as described above is poured into a stirred poor solvent such as hexane, diethyl ether, methanol, water and the like to reprecipitate the copolymer, and the generated precipitate is obtained.
- the copolymer can be made into powder by drying at normal temperature or reduced pressure at room temperature or by heating. By such an operation, a polymerization initiator and an unreacted compound that coexist with the copolymer can be removed.
- the powder of the copolymer may be used as it is, or the powder may be redissolved, for example, in a solvent described later and used as a solution.
- the thermal acid generator which is the component (B) of the present invention is a catalyst which generates an acid by heating and cationically polymerizes the epoxy group in the component (A) by the action of the acid.
- an organic onium salt compound in which a cation component and an anion component are paired is usually used.
- Examples of the cation component include organic cations such as organic sulfonium, organic oxonium, organic ammonium, organic phosphonium, and organic iodonium.
- Examples of the anion component include B (C 6 F 5 ) 4 ⁇ , SbF 6 ⁇ , AsF 6 ⁇ , PF 6 ⁇ , BF 4 ⁇ , and CF 3 SO 3 ⁇ .
- thermal acid generator examples include TA100, TA120, TA160 (manufactured by San Apro Co., Ltd.), K-PURE (registered trademark) TAG2690, TAG2690, CXC1614, CXC1738 (manufactured by King Industries Inc.). , Sun Aid SI-100L, SI-180L (manufactured by Sanshin Chemical Industry Co., Ltd.). These thermal acid generators may be used alone or in combination of two or more.
- the content of the component (B) in the resin composition of the present invention is usually 0.1% by mass to 20% by mass based on the content in the solid content of the resin composition.
- the method for preparing the resin composition of the present invention is not particularly limited.
- the copolymer (A) is dissolved in a solvent, and the thermal acid generator (B) is added to the solution in a predetermined ratio.
- the thermal acid generator (B) is added to the solution in a predetermined ratio.
- the solvent is not particularly limited as long as it dissolves the components (A) and (B).
- solvents include ethylene glycol monomethyl ether, ethylene glycol monoethyl ether, methyl cellosolve acetate, ethyl cellosolve acetate, diethylene glycol monomethyl ether, diethylene glycol monoethyl ether, propylene glycol, propylene glycol monomethyl ether, propylene glycol monomethyl ether acetate.
- propylene glycol monomethyl ether propylene glycol monomethyl ether acetate, 2-heptanone, ethyl lactate are used from the viewpoint of improving the leveling property of a coating film formed by applying the resin composition of the present invention on a substrate.
- Butyl lactate and cyclohexanone are preferred.
- the resin composition of the present invention can also contain a surfactant for the purpose of improving the coating property.
- the surfactant include polyoxyethylene lauryl ether, polyoxyethylene stearyl ether, polyoxyethylene cetyl ether, polyoxyethylene alkyl ethers such as polyoxyethylene oleyl ether, polyoxyethylene octyl phenyl ether, polyoxyethylene Polyoxyethylene alkyl aryl ethers such as ethylene nonylphenyl ether, polyoxyethylene / polyoxypropylene block copolymers, sorbitan monolaurate, sorbitan monopalmitate, sorbitan monostearate, sorbitan monooleate, sorbitan trioleate, sorbitan Sorbitan fatty acid esters such as tristearate, polyoxyethylene sorbitan monolaurate, polyoxyethylene Nonionic surfactants such as polyoxyethylene sorbitan fatty acid esters such as rubitan monopalmitate, polyoxyethylene sorbit
- Fluorosurfactants such as Gent Series (manufactured by Neos Co., Ltd.) and organosiloxane polymer KP341 (manufactured by Shin-Etsu Chemical Co., Ltd.) can be mentioned. These surfactants may be used alone or in combination of two or more.
- content in the resin composition of this invention is 3 mass% or less based on content in the solid content of the said resin composition, Preferably it is 1 mass%. Or less, more preferably 0.5% by mass or less.
- the resin composition of the present invention is a cross-linking agent, a curing aid, an ultraviolet absorber, a sensitizer, a plasticizer, an antioxidant, an adhesion aid, as necessary, as long as the effects of the present invention are not impaired. Etc. can be included.
- Substrate for example, a semiconductor substrate such as silicon covered with a silicon oxide film, a semiconductor substrate such as silicon covered with a silicon nitride film or a silicon oxynitride film, a semiconductor substrate such as silicon provided with a color filter, a silicon nitride substrate , Quartz substrate, glass substrate (including alkali-free glass, low alkali glass, crystallized glass), glass substrate on which ITO film is formed ⁇ on the resin composition of the present invention by an appropriate coating method such as a spinner or a coater. After the coating, a flattening film or a microlens resin film is formed by baking and curing using a heating means such as a hot plate.
- a heating means such as a hot plate.
- Baking conditions are appropriately selected from baking temperatures of 80 ° C. to 300 ° C. and baking times of 0.3 minutes to 60 minutes. Further, two or more steps may be performed at different baking temperatures within the above temperature range. In the case of the resin composition of the present invention, a desired resin film can be formed at a baking temperature of less than 200 ° C.
- the film thickness of the resin film formed from the resin composition of the present invention is 0.005 ⁇ m to 5.0 ⁇ m, preferably 0.01 ⁇ m to 3.0 ⁇ m.
- a resist solution is applied onto the resin film for microlenses formed from the resin composition of the present invention, exposed through a predetermined mask, and post-exposure heating (PEB) is performed as necessary, followed by alkali development, rinsing And a predetermined resist pattern is formed by drying.
- PEB post-exposure heating
- g-line, i-line, KrF excimer laser, ArF excimer laser can be used.
- the resist pattern is reflowed by heat treatment (usually a temperature not exceeding 200 ° C.) to form a lens pattern.
- heat treatment usually a temperature not exceeding 200 ° C.
- the underlying microlens resin film is etched back, and the lens pattern shape is transferred to the microlens resin film to produce a microlens.
- Example 2 10.0 g (containing 2.5 g of solid content) of the copolymer (A) component obtained in Synthesis Example 2 and K-PURE (registered trademark) TAG2688 (B) as a thermal acid generator.
- King Industries Inc. 0.4 g
- Megafac registered trademark
- R-30 DIC Corporation
- ⁇ Comparative example 2 10.0 g (including 3.0 g of solid content) of the copolymer (A) component obtained in Synthesis Example 3 and Megafac [registered trademark] R-30 (manufactured by DIC Corporation) as a surfactant. ) 0.003 g was dissolved in 11.0 g of propylene glycol monomethyl ether acetate to form a solution. Then, it filtered using the polyethylene micro filter with the hole diameter of 0.10 micrometer, and prepared the resin composition.
- the film thickness change was measured before and after immersion, and even if one of the above immersion solvents had a film thickness increase or decrease of 5% or more with respect to the film thickness before immersion, the film thickness increased or decreased for all the solvents. Was less than 5%, the solvent resistance was evaluated as “ ⁇ ”. The evaluation results are shown in Table 1.
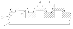
- Step flatness The resin composition prepared in Example 1 and Example 2 was applied onto a stepped substrate (see FIG. 1) having a height of 0.3 ⁇ m, a line width of 10 ⁇ m, and a space between lines of 10 ⁇ m using a spin coater, and a hot plate Above, baking was performed at 100 ° C. for 1 minute and further at 140 ° C. for 10 minutes to form a resin film having a thickness of 0.6 ⁇ m. From h1 (step difference of the stepped substrate 1) and h2 (step difference of the resin film 2, that is, the height difference between the height of the resin film on the line and the height of the resin film on the space) shown in FIG. The flattening rate was determined using (h2 / h1)) ⁇ 100 ′′. The evaluation results are shown in Table 1.
- the resin film formed from the resin composition of the present invention was highly solvent-resistant and highly transparent. Furthermore, it was found that the resin composition of the present invention is excellent in storage stability. Furthermore, the resin films formed from the resin composition of the present invention all have a leveling flatness with a flattening rate of 50% or more, and among them, the resin film formed from the resin composition prepared in Example 1 Had excellent step flatness with a flattening rate of 80% or more. On the other hand, since the resin film formed from the resin composition prepared in Comparative Example 1 does not contain a thermal acid generator, the resin film formed from the resin composition prepared in Comparative Example 2 is baked at less than 200 ° C. Since the film was formed at a temperature, the solvent resistance was not satisfied, and it was found that the film was not suitable for either a planarizing film or a microlens resin film.
- FIG. 1 is a schematic view showing a resin film formed by applying and baking the resin composition of the present invention on a stepped substrate.
- Step substrate 2 Resin film 3: Line width 4: Space between lines h1: Step difference of step substrate h2: Step of resin film
Landscapes
- Chemical & Material Sciences (AREA)
- Health & Medical Sciences (AREA)
- Chemical Kinetics & Catalysis (AREA)
- Medicinal Chemistry (AREA)
- Polymers & Plastics (AREA)
- Organic Chemistry (AREA)
- Manufacturing & Machinery (AREA)
- Engineering & Computer Science (AREA)
- Physics & Mathematics (AREA)
- Crystallography & Structural Chemistry (AREA)
- General Physics & Mathematics (AREA)
- Optics & Photonics (AREA)
- Compositions Of Macromolecular Compounds (AREA)
- Addition Polymer Or Copolymer, Post-Treatments, Or Chemical Modifications (AREA)
- Manufacture Of Macromolecular Shaped Articles (AREA)
- Materials For Photolithography (AREA)
Abstract
Description
本発明は、熱硬化性の平坦化膜用又はマイクロレンズ用樹脂組成物、並びに当該樹脂組成物より形成される平坦化膜及びマイクロレンズに関するものである。 The present invention relates to a thermosetting planarizing film or microlens resin composition, and a planarizing film and microlens formed from the resin composition.
CCD/CMOSイメージセンサを製造する工程では、溶剤やアルカリ溶液等の薬液による浸漬処理が行なわれ、このような処理により素子が劣化あるいは損傷することを防止するために、当該処理に対して耐性を有する保護膜を素子表面に設けることが行なわれている。このような保護膜には、透明性を有すること、耐熱性および耐光性が高く、長期間にわたって着色等の変質を起こさないこと、耐溶剤性、耐アルカリ性に優れたものであることなどの性能が要求される(特許文献1)。さらに、近年、CCD/CMOSイメージセンサの高精細化によってセンサ感度の向上が必要となったことから、マイクロレンズから効率良く受光部へ集光するため、保護膜をカラーフィルター上などに形成する場合には、当該保護膜は下地基板上に形成された段差を平坦化できることも求められる(特許文献2及び特許文献3)。一方、CCD/CMOSイメージセンサ用のカラーフィルターにおいては、従来の顔料分散系では解像度を更に向上させることは困難であり、顔料の粗大粒子により色ムラが発生する等の問題があるため、固体撮像素子のように微細パターンが要求される用途には適さない。そのため、顔料分散系に代えて染料を使用する技術が提案されている(特許文献4)。しかしながら、従来の熱硬化性の保護膜は、180℃以上の温度で焼成されるため、一般的に180℃程度で分解が開始する染料を使用したカラーフィルター上への適用は困難であった(特許文献5)。
In the process of manufacturing a CCD / CMOS image sensor, an immersion process using a chemical solution such as a solvent or an alkaline solution is performed. In order to prevent the element from being deteriorated or damaged by such a process, the process is resistant to the process. A protective film is provided on the element surface. Such a protective film has such properties as transparency, high heat resistance and light resistance, no deterioration such as coloring over a long period of time, excellent solvent resistance and alkali resistance. Is required (Patent Document 1). Furthermore, in recent years, since it has become necessary to improve the sensitivity of the CCD / CMOS image sensor due to high definition, when a protective film is formed on a color filter or the like in order to efficiently collect light from the microlens to the light receiving portion. In addition, the protective film is required to be able to flatten the step formed on the base substrate (
本発明では、前記の事情に基づいてなされたものであり、その解決しようとする課題は、透明性、耐溶剤性及び平坦性に優れた、100℃よりも高い所望の温度で硬化可能な熱硬化性の樹脂組成物を提供することである。 In the present invention, which has been made based on the above circumstances, the problem to be solved is a heat which is excellent in transparency, solvent resistance and flatness and can be cured at a desired temperature higher than 100 ° C. It is to provide a curable resin composition.
本発明者らは、前記の課題を解決するべく鋭意検討を行った結果、本発明を完成するに至った。
すなわち、第1観点として、
(A)成分、(B)成分及び溶剤を含有する平坦化膜用又はマイクロレンズ用樹脂組成物。
(A)成分:下記式(1)で表される構造単位を有し、さらに、下記式(2)又は式(3)で表される構造単位を有する共重合体
(B)成分:熱酸発生剤
第2観点として、前記式(1)で表される構造単位は下記式(1-1)で表される構造単位である、第1観点に記載の平坦化膜用又はマイクロレンズ用樹脂組成物。
第3観点として、前記共重合体はさらに下記式(4)で表される構造単位を有する、第1観点又は第2観点に記載の平坦化膜用又はマイクロレンズ用樹脂組成物。
第4観点として、前記共重合体の重量平均分子量は1,000乃至50,000である、第1観点乃至第3観点のうちいずれか一つに記載の平坦化膜用又はマイクロレンズ用樹脂組成物。
第5観点として、前記熱酸発生剤は、前記樹脂組成物から前記溶剤を除いた固形分中の含有量に基づいて0.1質量%乃至20質量%含まれる、第1観点乃至第4観点のうちいずれか一つに記載の平坦化膜用又はマイクロレンズ用樹脂組成物。
第6観点として、第1観点乃至第5観点のうちいずれか一つに記載の樹脂組成物から作製される平坦化膜。
第7観点として、第1観点乃至第5観点のうちいずれか一つに記載の樹脂組成物から作製されるマイクロレンズ。
As a result of intensive studies to solve the above problems, the present inventors have completed the present invention.
That is, as a first viewpoint,
A resin composition for a planarizing film or a microlens containing the component (A), the component (B) and a solvent.
Component (A): a copolymer having a structural unit represented by the following formula (1) and further having a structural unit represented by the following formula (2) or formula (3): Component (B): thermal acid Generating agent
As a second aspect, the structural unit represented by the formula (1) is a structural unit represented by the following formula (1-1), and the resin composition for a planarizing film or microlens according to the first aspect .
As a third aspect, the copolymer further has a structural unit represented by the following formula (4), and is a resin composition for a planarizing film or a microlens according to the first aspect or the second aspect.
As a fourth aspect, the weight average molecular weight of the copolymer is 1,000 to 50,000, and the resin composition for a planarizing film or microlens according to any one of the first to third aspects. object.
As a fifth aspect, the thermal acid generator is contained in an amount of 0.1% by mass to 20% by mass based on the content in the solid content excluding the solvent from the resin composition. The resin composition for planarization films | membranes or microlenses for any one of these.
As a sixth aspect, a planarization film produced from the resin composition according to any one of the first aspect to the fifth aspect.
As a seventh aspect, a microlens produced from the resin composition according to any one of the first aspect to the fifth aspect.
本発明の樹脂組成物は、(B)成分である熱酸発生剤を含むため、100℃より高い所望の温度での硬化性と、保存安定性に優れる。さらに、本発明の樹脂組成物から形成される樹脂膜は、優れた透明性、耐溶剤性、及び平坦性を有する。以上より、本発明の樹脂組成物から形成される樹脂膜により、下地基板上に形成された段差を平坦化することができる。また、本発明の樹脂組成物から樹脂膜を形成後にレジストを塗布する場合、及び平坦化膜又はマイクロレンズ形成後に電極/配線形成工程が行われる場合には、前記樹脂膜は、レジストとのミキシング、有機溶剤による平坦化膜又はマイクロレンズの変形及び剥離といった問題も著しく減少させることができる。したがって、本発明の樹脂組成物は、平坦化膜及びマイクロレンズを形成する材料として好適である。 Since the resin composition of the present invention contains the thermal acid generator as the component (B), it is excellent in curability at a desired temperature higher than 100 ° C. and storage stability. Furthermore, the resin film formed from the resin composition of the present invention has excellent transparency, solvent resistance, and flatness. As mentioned above, the level | step difference formed on the base substrate can be planarized with the resin film formed from the resin composition of this invention. In addition, when a resist is applied after forming a resin film from the resin composition of the present invention, and when an electrode / wiring forming step is performed after forming a planarizing film or a microlens, the resin film is mixed with the resist. Problems such as deformation and peeling of the planarizing film or microlens due to the organic solvent can be significantly reduced. Therefore, the resin composition of the present invention is suitable as a material for forming a planarizing film and a microlens.
以下、本発明の各成分の詳細を説明する。本発明の樹脂組成物から溶剤を除いた固形分は通常、1質量%乃至50質量%である。 Hereinafter, details of each component of the present invention will be described. The solid content obtained by removing the solvent from the resin composition of the present invention is usually 1% by mass to 50% by mass.
<(A)成分>
本発明の(A)成分は、前述の下記式(1)で表される構造単位を有し、さらに、式(2)又は式(3)で表される構造単位を有する共重合体である。
The component (A) of the present invention is a copolymer having a structural unit represented by the following formula (1) and further having a structural unit represented by formula (2) or formula (3). .
前記式(1)の例としては、下記式(1-1)で表される構造単位が挙げられる。
前記式(2)で表される構造単位を形成する化合物(モノマー)の具体例としては、4-ビフェニル(メタ)アクリレート、2-(4-ビフェニルオキシ)エチル(メタ)アクリレート、2-(2-ビフェニルオキシ)エチル(メタ)アクリレート、2-(4-ビフェニルオキシ)-2’-エトキシエチル(メタ)アクリレート、2-(2-ビフェニルオキシ)-2’-エトキシエチル(メタ)アクリレート、NKエステル〔登録商標〕A-LEN-10(新中村化学工業(株)製)が挙げられる。なお、これらの化合物は単独で使用しても、2種以上を組み合わせて使用してもよい。 Specific examples of the compound (monomer) forming the structural unit represented by the formula (2) include 4-biphenyl (meth) acrylate, 2- (4-biphenyloxy) ethyl (meth) acrylate, 2- (2 -Biphenyloxy) ethyl (meth) acrylate, 2- (4-biphenyloxy) -2'-ethoxyethyl (meth) acrylate, 2- (2-biphenyloxy) -2'-ethoxyethyl (meth) acrylate, NK ester [Registered trademark] A-LEN-10 (manufactured by Shin-Nakamura Chemical Co., Ltd.). These compounds may be used alone or in combination of two or more.
前記式(3)で表される構造単位を形成する化合物(モノマー)の具体例としては、3-ビニルビフェニル、4-ビニルビフェニルが挙げられる。なお、これらの化合物は単独で使用しても、2種を組み合わせて使用してもよい。 Specific examples of the compound (monomer) that forms the structural unit represented by the formula (3) include 3-vinylbiphenyl and 4-vinylbiphenyl. In addition, these compounds may be used independently or may be used in combination of 2 types.
前記式(4)で表される構造単位を形成する化合物(モノマー)の具体例としては、N-シクロヘキシルマレイミド、N-フェニルマレイミドが挙げられる。なお、これらの化合物は単独で使用しても、2種以上を組み合わせて使用してもよい。 Specific examples of the compound (monomer) forming the structural unit represented by the formula (4) include N-cyclohexylmaleimide and N-phenylmaleimide. These compounds may be used alone or in combination of two or more.
前記共重合体において、上記(A)成分の共重合体中、上記式(1)で表される構造単位の含有量は10mol%乃至90mol%であり、好ましくは20mol%乃至70mol%である。 In the copolymer, the content of the structural unit represented by the above formula (1) in the copolymer of the component (A) is 10 mol% to 90 mol%, preferably 20 mol% to 70 mol%.
前記共重合体の重量平均分子量は通常、1,000乃至50,000であり、好ましくは3,000乃至30,000である。なお、重量平均分子量は、ゲルパーミエーションクロマトグラフィー(GPC)により、標準試料としてポリスチレンを用いて得られる値である。 The weight average molecular weight of the copolymer is usually 1,000 to 50,000, preferably 3,000 to 30,000. The weight average molecular weight is a value obtained by using gel as a standard sample by gel permeation chromatography (GPC).
また、本発明の樹脂組成物における前記共重合体の含有量は、当該樹脂組成物の固形分中の含有量に基づいて通常、1質量%乃至99質量%であり、好ましくは5質量%乃至95質量%である。 Further, the content of the copolymer in the resin composition of the present invention is usually 1% by mass to 99% by mass, preferably 5% by mass to based on the content in the solid content of the resin composition. 95% by mass.
本発明において、前記(A)成分を得る方法は特に限定されないが、一般的には、上述した共重合体を得るために用いるモノマー種を含むモノマー混合物を重合溶媒中、通常50℃乃至120℃の温度下で重合反応させることにより得られる。このようにして得られる共重合体は、通常、溶剤に溶解した溶液状態であり、この状態で単離することなく、本発明の樹脂組成物に用いることもできる。 In the present invention, the method for obtaining the component (A) is not particularly limited, but generally, a monomer mixture containing the monomer species used for obtaining the above-mentioned copolymer is usually 50 ° C. to 120 ° C. in a polymerization solvent. It is obtained by carrying out a polymerization reaction at a temperature of The copolymer thus obtained is usually in a solution state dissolved in a solvent, and can be used in the resin composition of the present invention without isolation in this state.
また、上記のようにして得られた共重合体の溶液を、攪拌させたヘキサン、ジエチルエーテル、メタノール、水等の貧溶媒に投入して当該共重合体を再沈殿させ、生成した沈殿物をろ過・洗浄後、常圧又は減圧下で常温又は加熱乾燥することで、当該共重合体を粉体とすることができる。このような操作により、前記共重合体と共存する重合開始剤や未反応化合物を除去することができる。本発明においては、前記共重合体の粉体をそのまま用いてもよく、あるいはその粉体を、例えば後述する溶剤に再溶解して溶液の状態として用いてもよい。 Further, the copolymer solution obtained as described above is poured into a stirred poor solvent such as hexane, diethyl ether, methanol, water and the like to reprecipitate the copolymer, and the generated precipitate is obtained. After filtration and washing, the copolymer can be made into powder by drying at normal temperature or reduced pressure at room temperature or by heating. By such an operation, a polymerization initiator and an unreacted compound that coexist with the copolymer can be removed. In the present invention, the powder of the copolymer may be used as it is, or the powder may be redissolved, for example, in a solvent described later and used as a solution.
<(B)成分>
本発明の(B)成分である熱酸発生剤は、加熱によって酸が発生し、酸の作用によって前記(A)成分中のエポキシ基をカチオン重合させる触媒である。熱酸発生剤としては、通常カチオン成分とアニオン成分とが対になった有機オニウム塩化合物が用いられる。
<(B) component>
The thermal acid generator which is the component (B) of the present invention is a catalyst which generates an acid by heating and cationically polymerizes the epoxy group in the component (A) by the action of the acid. As the thermal acid generator, an organic onium salt compound in which a cation component and an anion component are paired is usually used.
上記カチオン成分としては、例えば、有機スルホニウム、有機オキソニウム、有機アンモニウム、有機ホスホニウム、有機ヨードニウム等の有機カチオンが挙げられる。また、上記アニオン成分としては、例えば、B(C6F5)4 -、SbF6 -、AsF6 -、PF6 -、BF4 -、CF3SO3 -が挙げられる。 Examples of the cation component include organic cations such as organic sulfonium, organic oxonium, organic ammonium, organic phosphonium, and organic iodonium. Examples of the anion component include B (C 6 F 5 ) 4 − , SbF 6 − , AsF 6 − , PF 6 − , BF 4 − , and CF 3 SO 3 − .
熱酸発生剤としては、例えば、TA100、TA120、TA160(以上、サンアプロ(株)製)、K-PURE〔登録商標〕TAG2689、同TAG2690、同CXC1614、同CXC1738(以上、King Industries Inc.製)、サンエイドSI-100L、同SI-180L(以上、三新化学工業(株)製)を挙げることができる。これらの熱酸発生剤は、単独で使用しても、2種以上を組み合わせて使用してもよい。 Examples of the thermal acid generator include TA100, TA120, TA160 (manufactured by San Apro Co., Ltd.), K-PURE (registered trademark) TAG2690, TAG2690, CXC1614, CXC1738 (manufactured by King Industries Inc.). , Sun Aid SI-100L, SI-180L (manufactured by Sanshin Chemical Industry Co., Ltd.). These thermal acid generators may be used alone or in combination of two or more.
本発明の樹脂組成物における(B)成分の含有量は、当該樹脂組成物の固形分中の含有量に基づいて通常、0.1質量%乃至20質量%である。 The content of the component (B) in the resin composition of the present invention is usually 0.1% by mass to 20% by mass based on the content in the solid content of the resin composition.
本発明の樹脂組成物の調製方法は、特に限定されないが、例えば、(A)成分である共重合体を溶剤に溶解し、この溶液に(B)成分である熱酸発生剤を所定の割合で混合し、均一な溶液とする方法が挙げられる。さらに、この調製方法の適当な段階において、必要に応じて、その他の添加剤を更に添加して混合する方法が挙げられる。 The method for preparing the resin composition of the present invention is not particularly limited. For example, the copolymer (A) is dissolved in a solvent, and the thermal acid generator (B) is added to the solution in a predetermined ratio. To obtain a uniform solution. Furthermore, in an appropriate stage of this preparation method, there may be mentioned a method in which other additives are further added and mixed as necessary.
前記溶剤としては、上記(A)成分、(B)成分を溶解するものであれば特に限定されない。そのような溶剤としては、例えば、エチレングリコールモノメチルエーテル、エチレングリコールモノエチルエーテル、メチルセロソルブアセテート、エチルセロソルブアセテート、ジエチレングリコールモノメチルエーテル、ジエチレングリコールモノエチルエーテル、プロピレングリコール、プロピレングリコールモノメチルエーテル、プロピレングリコールモノメチルエーテルアセテート、プロピレングリコールプロピルエーテルアセテート、プロピレングリコールモノブチルエーテル、プロピレングリコールモノブチルエーテルアセテート、トルエン、キシレン、メチルエチルケトン、シクロペンタノン、シクロヘキサノン、2-ヒドロキシプロピオン酸エチル、2-ヒドロキシ-2-メチルプロピオン酸エチル、エトキシ酢酸エチル、ヒドロキシ酢酸エチル、2-ヒドロキシ-3-メチルブタン酸メチル、3-メトキシプロピオン酸メチル、3-メトキシプロピオン酸エチル、3-エトキシプロピオン酸メチル、3-エトキシプロピオン酸エチル、ピルビン酸メチル、酢酸エチル、酢酸ブチル、乳酸エチル、乳酸ブチル、2-ヘプタノン、γ-ブチロラクトンを挙げることができる。これらの溶剤は、単独で使用しても、2種以上を組み合わせて使用してもよい。 The solvent is not particularly limited as long as it dissolves the components (A) and (B). Examples of such solvents include ethylene glycol monomethyl ether, ethylene glycol monoethyl ether, methyl cellosolve acetate, ethyl cellosolve acetate, diethylene glycol monomethyl ether, diethylene glycol monoethyl ether, propylene glycol, propylene glycol monomethyl ether, propylene glycol monomethyl ether acetate. , Propylene glycol propyl ether acetate, propylene glycol monobutyl ether, propylene glycol monobutyl ether acetate, toluene, xylene, methyl ethyl ketone, cyclopentanone, cyclohexanone, ethyl 2-hydroxypropionate, ethyl 2-hydroxy-2-methylpropionate, ethoxyacetic acid Echi , Ethyl hydroxyacetate, methyl 2-hydroxy-3-methylbutanoate, methyl 3-methoxypropionate, ethyl 3-methoxypropionate, methyl 3-ethoxypropionate, ethyl 3-ethoxypropionate, methyl pyruvate, ethyl acetate, Examples include butyl acetate, ethyl lactate, butyl lactate, 2-heptanone, and γ-butyrolactone. These solvents may be used alone or in combination of two or more.
これらの溶剤の中でも、本発明の樹脂組成物を基板上に塗布して形成される塗膜のレベリング性の向上の観点より、プロピレングリコールモノメチルエーテル、プロピレングリコールモノメチルエーテルアセテート、2-ヘプタノン、乳酸エチル、乳酸ブチル及びシクロヘキサノンが好ましい。 Among these solvents, propylene glycol monomethyl ether, propylene glycol monomethyl ether acetate, 2-heptanone, ethyl lactate are used from the viewpoint of improving the leveling property of a coating film formed by applying the resin composition of the present invention on a substrate. , Butyl lactate and cyclohexanone are preferred.
また、本発明の樹脂組成物は、塗布性を向上させる目的で、界面活性剤を含有することもできる。当該界面活性剤としては、例えば、ポリオキシエチレンラウリルエーテル、ポリオキシエチレンステアリルエーテル、ポリオキシエチレンセチルエーテル、ポリオキシエチレンオレイルエーテル等のポリオキシエチレンアルキルエーテル類、ポリオキシエチレンオクチルフェニルエーテル、ポリオキシエチレンノニルフェニルエーテル等のポリオキシエチレンアルキルアリールエーテル類、ポリオキシエチレン・ポリオキシプロピレンブロックコポリマー類、ソルビタンモノラウレート、ソルビタンモノパルミテート、ソルビタンモノステアレート、ソルビタンモノオレエート、ソルビタントリオレエート、ソルビタントリステアレート等のソルビタン脂肪酸エステル類、ポリオキシエチレンソルビタンモノラウレート、ポリオキシエチレンソルビタンモノパルミテート、ポリオキシエチレンソルビタンモノステアレート、ポリオキシエチレンソルビタントリオレエート、ポリオキシエチレンソルビタントリステアレート等のポリオキシエチレンソルビタン脂肪酸エステル類等のノニオン系界面活性剤、エフトップ〔登録商標〕EF301、同EF303、同EF352(以上、三菱マテリアル電子化成(株)製)、メガファック〔登録商標〕F-171、同F-173、同R-30、同R-40、同R-40-LM(以上、DIC(株)製)、フロラードFC430、同FC431(以上、住友スリーエム(株)製)、アサヒガード〔登録商標〕AG710、サーフロン〔登録商標〕S-382、同SC101、同SC102、同SC103、同SC104、同SC105、同SC106(旭硝子(株)製)、FTX-206D、FTX-212D、FTX-218、FTX-220D、FTX-230D、FTX-240D、FTX-212P、FTX-220P、FTX-228P、FTX-240G等フタージェントシリーズ((株)ネオス製)等のフッ素系界面活性剤、オルガノシロキサンポリマーKP341(信越化学工業(株)製)を挙げることができる。これらの界面活性剤は、単独で使用しても、2種以上を組み合わせて使用してもよい。 The resin composition of the present invention can also contain a surfactant for the purpose of improving the coating property. Examples of the surfactant include polyoxyethylene lauryl ether, polyoxyethylene stearyl ether, polyoxyethylene cetyl ether, polyoxyethylene alkyl ethers such as polyoxyethylene oleyl ether, polyoxyethylene octyl phenyl ether, polyoxyethylene Polyoxyethylene alkyl aryl ethers such as ethylene nonylphenyl ether, polyoxyethylene / polyoxypropylene block copolymers, sorbitan monolaurate, sorbitan monopalmitate, sorbitan monostearate, sorbitan monooleate, sorbitan trioleate, sorbitan Sorbitan fatty acid esters such as tristearate, polyoxyethylene sorbitan monolaurate, polyoxyethylene Nonionic surfactants such as polyoxyethylene sorbitan fatty acid esters such as rubitan monopalmitate, polyoxyethylene sorbitan monostearate, polyoxyethylene sorbitan trioleate, polyoxyethylene sorbitan tristearate, Ftop [registered trademark] ] EF301, EF303, EF352 (Mitsubishi Materials Electronics Chemical Co., Ltd.), MegaFac [registered trademark] F-171, F-173, R-30, R-40, R-40 -LM (above DIC Corporation), Florad FC430, FC431 (above, Sumitomo 3M Limited), Asahi Guard (registered trademark) AG710, Surflon (registered trademark) S-382, SC101, SC102 SC103, SC104, SC105, S 106 (manufactured by Asahi Glass Co., Ltd.), FTX-206D, FTX-212D, FTX-218, FTX-220D, FTX-230D, FTX-240D, FTX-212P, FTX-220P, FTX-228P, FTX-240G, etc. Fluorosurfactants such as Gent Series (manufactured by Neos Co., Ltd.) and organosiloxane polymer KP341 (manufactured by Shin-Etsu Chemical Co., Ltd.) can be mentioned. These surfactants may be used alone or in combination of two or more.
また、前記界面活性剤が使用される場合、本発明の樹脂組成物における含有量は、当該樹脂組成物の固形分中の含有量に基づいて、3質量%以下であり、好ましくは1質量%以下であり、より好ましくは0.5質量%以下である。 Moreover, when the said surfactant is used, content in the resin composition of this invention is 3 mass% or less based on content in the solid content of the said resin composition, Preferably it is 1 mass%. Or less, more preferably 0.5% by mass or less.
また、本発明の樹脂組成物は、本発明の効果を損なわない限りにおいて、必要に応じて、架橋剤、硬化助剤、紫外線吸収剤、増感剤、可塑剤、酸化防止剤、密着助剤等の添加剤を含むことができる。 In addition, the resin composition of the present invention is a cross-linking agent, a curing aid, an ultraviolet absorber, a sensitizer, a plasticizer, an antioxidant, an adhesion aid, as necessary, as long as the effects of the present invention are not impaired. Etc. can be included.
以下、本発明の樹脂組成物の使用例について説明する。
基板{例えば、酸化珪素膜で被覆されたシリコン等の半導体基板、窒化珪素膜又は酸化窒化珪素膜で被覆されたシリコン等の半導体基板、カラーフィルターが形成されたシリコン等の半導体基板、窒化珪素基板、石英基板、ガラス基板(無アルカリガラス、低アルカリガラス、結晶化ガラスを含む)、ITO膜が形成されたガラス基板}上に、スピナー、コーター等の適当な塗布方法により本発明の樹脂組成物を塗布後、ホットプレート等の加熱手段を用いてベークして硬化させて平坦化膜又はマイクロレンズ用樹脂膜を形成する。
Hereinafter, usage examples of the resin composition of the present invention will be described.
Substrate {for example, a semiconductor substrate such as silicon covered with a silicon oxide film, a semiconductor substrate such as silicon covered with a silicon nitride film or a silicon oxynitride film, a semiconductor substrate such as silicon provided with a color filter, a silicon nitride substrate , Quartz substrate, glass substrate (including alkali-free glass, low alkali glass, crystallized glass), glass substrate on which ITO film is formed} on the resin composition of the present invention by an appropriate coating method such as a spinner or a coater. After the coating, a flattening film or a microlens resin film is formed by baking and curing using a heating means such as a hot plate.
ベーク条件は、ベーク温度80℃乃至300℃、ベーク時間0.3分乃至60分間の中から適宜選択される。また上記温度範囲内の異なるベーク温度で2ステップ以上処理してもよい。本発明の樹脂組成物の場合、200℃未満のベーク温度で所望の樹脂膜が形成可能である。 Baking conditions are appropriately selected from baking temperatures of 80 ° C. to 300 ° C. and baking times of 0.3 minutes to 60 minutes. Further, two or more steps may be performed at different baking temperatures within the above temperature range. In the case of the resin composition of the present invention, a desired resin film can be formed at a baking temperature of less than 200 ° C.
また、本発明の樹脂組成物から形成される樹脂膜の膜厚としては、0.005μm乃至5.0μmであり、好ましくは0.01μm乃至3.0μmである。 The film thickness of the resin film formed from the resin composition of the present invention is 0.005 μm to 5.0 μm, preferably 0.01 μm to 3.0 μm.
その後、本発明の樹脂組成物から形成されたマイクロレンズ用樹脂膜の上にレジスト溶液を塗布し、所定のマスクを通して露光し、必要に応じて露光後加熱(PEB)を行い、アルカリ現像、リンス及び乾燥することにより、所定のレジストパターンを形成する。露光には、例えば、g線、i線、KrFエキシマレーザー、ArFエキシマレーザーを使用することができる。 Thereafter, a resist solution is applied onto the resin film for microlenses formed from the resin composition of the present invention, exposed through a predetermined mask, and post-exposure heating (PEB) is performed as necessary, followed by alkali development, rinsing And a predetermined resist pattern is formed by drying. For the exposure, for example, g-line, i-line, KrF excimer laser, ArF excimer laser can be used.
次いで、加熱処理(通常は200℃を超えない温度)することにより、上記レジストパターンをリフローしてレンズパターンを形成する。このレンズパターンをエッチングマスクとして下層のマイクロレンズ用樹脂膜をエッチバックして、レンズパターン形状をマイクロレンズ用樹脂膜に転写することによってマイクロレンズを作製する。 Next, the resist pattern is reflowed by heat treatment (usually a temperature not exceeding 200 ° C.) to form a lens pattern. Using this lens pattern as an etching mask, the underlying microlens resin film is etched back, and the lens pattern shape is transferred to the microlens resin film to produce a microlens.
以下に実施例に基づいて本発明をより詳細に説明するが、本発明はこれら実施例に限定されるものでない。
〔下記合成例で得られた共重合体の重量平均分子量の測定〕
装置:日本分光(株)製GPCシステム
カラム:Shodex〔登録商標〕KF-804L及びKF-803L
カラムオーブン:40℃
流量:1mL/分
溶離液:テトラヒドロフラン
Hereinafter, the present invention will be described in more detail based on examples, but the present invention is not limited to these examples.
[Measurement of Weight Average Molecular Weight of Copolymer Obtained in Synthesis Example below]
Apparatus: GPC system manufactured by JASCO Corporation Column: Shodex (registered trademark) KF-804L and KF-803L
Column oven: 40 ° C
Flow rate: 1 mL / min Eluent: Tetrahydrofuran
[共重合体の合成]
<合成例1>
3,4-エポキシシクロヘキシルメチルメタクリレート(サイクロマー〔登録商標〕M100((株)ダイセル製))19.7g、エトキシ化オルトフェニルフェノールアクリレート(NKエステル〔登録商標〕A-LEN-10(新中村化学工業(株)製))40.0g、及び2,2’-アゾビスイソブチロニトリル1.6gをプロピレングリコールモノメチルエーテルアセテート114.0gに溶解させた後、この溶液を、プロピレングリコールモノメチルエーテルアセテート70.2gを70℃に保持したフラスコ中に3時間かけて滴下した。滴下終了後、15時間反応させることにより、前記式(1)で表される構造単位及び前記式(2)で表される構造単位を有する共重合体の溶液(固形分濃度25質量%)を得た。得られた共重合体の重量平均分子量Mwは32,000(ポリスチレン換算)であった。
[Synthesis of copolymer]
<Synthesis Example 1>
19.7 g of 3,4-epoxycyclohexylmethyl methacrylate (cyclomer (registered trademark) M100 (manufactured by Daicel Corporation)), ethoxylated orthophenylphenol acrylate (NK ester (registered trademark) A-LEN-10 (Shin Nakamura Chemical) 40.0 g) and 1.6 g of 2,2′-azobisisobutyronitrile were dissolved in 114.0 g of propylene glycol monomethyl ether acetate, and this solution was added to propylene glycol monomethyl ether acetate. 70.2 g was dripped in the flask hold | maintained at 70 degreeC over 3 hours. After completion of the dropwise addition, a solution of a copolymer having a structural unit represented by the formula (1) and a structural unit represented by the formula (2) (solid content concentration 25% by mass) is allowed to react for 15 hours. Obtained. The weight average molecular weight Mw of the obtained copolymer was 32,000 (polystyrene conversion).
<合成例2>
3,4-エポキシシクロヘキシルメチルメタクリレート20.0g、4-ビニルビフェニル11.0g、及び2,2’-アゾビスイソブチロニトリル0.64gをプロピレングリコールモノメチルエーテルアセテート43.9gに溶解させた後、この溶液を、プロピレングリコールモノメチルエーテルアセテート27.0gを70℃に保持したフラスコ中に3時間かけて滴下した。滴下終了後、15時間反応させることにより、前記式(1)で表される構造単位及び前記式(3)で表される構造単位を有する共重合体の溶液(固形分濃度25質量%)を得た。得られた共重合体の重量平均分子量Mwは17,000(ポリスチレン換算)であった。
<Synthesis Example 2>
After dissolving 20.0 g of 3,4-epoxycyclohexylmethyl methacrylate, 11.0 g of 4-vinylbiphenyl, and 0.64 g of 2,2′-azobisisobutyronitrile in 43.9 g of propylene glycol monomethyl ether acetate, This solution was dropped into a flask in which 27.0 g of propylene glycol monomethyl ether acetate was maintained at 70 ° C. over 3 hours. After completion of the dropwise addition, a solution of a copolymer having a structural unit represented by the formula (1) and a structural unit represented by the formula (3) (solid content concentration 25% by mass) is allowed to react for 15 hours. Obtained. The weight average molecular weight Mw of the obtained copolymer was 17,000 (polystyrene conversion).
<合成例3>
グリシジルメタクリレート6.5g、1-n-ブトキシエチルメタクリレート8.5g、スチレン38.0g、及び2,2’-アゾビスイソブチロニトリル2.3gをプロピレングリコールモノメチルエーテルアセテート103.0gに溶解させた後、この溶液を、プロピレングリコールモノメチルエーテルアセテート26.0gを75℃に保持したフラスコ中に4時間かけて滴下した。滴下終了後、18時間反応させることにより、前記式(2)で表される構造単位及び前記式(3)で表される構造単位のいずれも有さない共重合体の溶液(固形分濃度30質量%)を得た。得られた共重合体の重量平均分子量Mwは14,000(ポリスチレン換算)であった。
<Synthesis Example 3>
6.5 g of glycidyl methacrylate, 8.5 g of 1-n-butoxyethyl methacrylate, 38.0 g of styrene, and 2.3 g of 2,2′-azobisisobutyronitrile were dissolved in 103.0 g of propylene glycol monomethyl ether acetate. Then, this solution was dripped over 4 hours in the flask which hold | maintained 26.0 g of propylene glycol monomethyl ether acetate at 75 degreeC. After completion of dropping, the solution is reacted for 18 hours to obtain a copolymer solution (solid content concentration of 30) having neither the structural unit represented by the formula (2) nor the structural unit represented by the formula (3). Mass%). The weight average molecular weight Mw of the obtained copolymer was 14,000 (polystyrene conversion).
[樹脂組成物の調製]
<実施例1>
合成例1で得られた(A)成分である共重合体の溶液10.0g(固形分2.5g含む)、(B)成分である熱酸発生剤としてK-PURE〔登録商標〕TAG2689(King Industries Inc.製)0.04g、及び界面活性剤としてメガファック〔登録商標〕R-30(DIC(株)製)0.003gを、プロピレングリコールモノメチルエーテルアセテート7.5gに溶解させて溶液とした。その後、孔径0.10μmのポリエチレン製ミクロフィルターを用いてろ過して樹脂組成物を調製した。
[Preparation of resin composition]
<Example 1>
10.0 g (containing 2.5 g of solid content) of the copolymer (A) component obtained in Synthesis Example 1, and K-PURE (registered trademark) TAG2688 (B) as the thermal acid generator. King Industries Inc. (0.04 g) and Megafac (registered trademark) R-30 (DIC Corporation) (0.003 g) as a surfactant were dissolved in propylene glycol monomethyl ether acetate (7.5 g) to obtain a solution. did. Then, it filtered using the polyethylene micro filter with the hole diameter of 0.10 micrometer, and prepared the resin composition.
<実施例2>
合成例2で得られた(A)成分である共重合体の溶液10.0g(固形分2.5g含む)、(B)成分である熱酸発生剤としてK-PURE〔登録商標〕TAG2689(King Industries Inc.製)0.04g、及び界面活性剤としてメガファック〔登録商標〕R-30(DIC(株)製)0.003gを、プロピレングリコールモノメチルエーテルアセテート7.5gに溶解させて溶液とした。その後、孔径0.10μmのポリエチレン製ミクロフィルターを用いてろ過して樹脂組成物を調製した。
<Example 2>
10.0 g (containing 2.5 g of solid content) of the copolymer (A) component obtained in Synthesis Example 2 and K-PURE (registered trademark) TAG2688 (B) as a thermal acid generator. King Industries Inc. (0.04 g) and Megafac (registered trademark) R-30 (DIC Corporation) (0.003 g) as a surfactant were dissolved in propylene glycol monomethyl ether acetate (7.5 g) to obtain a solution. did. Then, it filtered using the polyethylene micro filter with the hole diameter of 0.10 micrometer, and prepared the resin composition.
<比較例1>
合成例1で得られた(A)成分である共重合体の溶液10.0g(固形分2.5g含む)、及び界面活性剤としてメガファック〔登録商標〕R-30(DIC(株)製)0.003gを、プロピレングリコールモノメチルエーテルアセテートル7.5gに溶解させて溶液とした。その後、孔径0.10μmのポリエチレン製ミクロフィルターを用いてろ過して樹脂組成物を調製した。
<Comparative Example 1>
10.0 g (containing 2.5 g of solid content) of the copolymer (A) component obtained in Synthesis Example 1, and Megafac [registered trademark] R-30 (manufactured by DIC Corporation) as a surfactant. ) 0.003 g was dissolved in 7.5 g of propylene glycol monomethyl ether acetate to form a solution. Then, it filtered using the polyethylene micro filter with the hole diameter of 0.10 micrometer, and prepared the resin composition.
<比較例2>
合成例3で得られた(A)成分である共重合体の溶液10.0g(固形分3.0g含む)、及び界面活性剤としてメガファック〔登録商標〕R-30(DIC(株)製)0.003gを、プロピレングリコールモノメチルエーテルアセテートル11.0gに溶解させて溶液とした。その後、孔径0.10μmのポリエチレン製ミクロフィルターを用いてろ過して樹脂組成物を調製した。
<Comparative example 2>
10.0 g (including 3.0 g of solid content) of the copolymer (A) component obtained in Synthesis Example 3 and Megafac [registered trademark] R-30 (manufactured by DIC Corporation) as a surfactant. ) 0.003 g was dissolved in 11.0 g of propylene glycol monomethyl ether acetate to form a solution. Then, it filtered using the polyethylene micro filter with the hole diameter of 0.10 micrometer, and prepared the resin composition.
[耐溶剤性試験]
実施例1、実施例2、比較例1及び比較例2で調製した樹脂組成物をそれぞれ、シリコンウエハー上にスピンコーターを用いて塗布し、ホットプレート上において100℃で1分間、さらに140℃で10分間ベークを行い、膜厚0.6μmの樹脂膜を形成した。これらの樹脂膜に対して、プロピレングリコールモノメチルエーテル、プロピレングリコールモノメチルエーテルアセテート、シクロヘキサノン、乳酸エチル、酢酸ブチル、アセトン、γ-ブチロラクトン、メチルエチルケトン、2-ヘプタノン、2-プロパノール、及び2.38質量%濃度の水酸化テトラメチルアンモニウム(TMAH)水溶液に、それぞれ23℃の温度条件下、5分間浸漬する試験を行った。浸漬前後において膜厚変化を測定し、上記浸漬溶剤のうち1つでも、浸漬前の膜厚に対して5%以上の膜厚増減があった場合は“×”、全ての溶剤について膜厚増減が5%未満であった場合は“○”として耐溶剤性を評価した。評価結果を表1に示す。
[Solvent resistance test]
The resin compositions prepared in Example 1, Example 2, Comparative Example 1 and Comparative Example 2 were applied on a silicon wafer using a spin coater, respectively, on a hot plate at 100 ° C. for 1 minute, and further at 140 ° C. Baking was performed for 10 minutes to form a resin film having a thickness of 0.6 μm. Propylene glycol monomethyl ether, propylene glycol monomethyl ether acetate, cyclohexanone, ethyl lactate, butyl acetate, acetone, γ-butyrolactone, methyl ethyl ketone, 2-heptanone, 2-propanol, and a concentration of 2.38% by mass with respect to these resin films Each was immersed in an aqueous tetramethylammonium hydroxide (TMAH) solution at a temperature of 23 ° C. for 5 minutes. The film thickness change was measured before and after immersion, and even if one of the above immersion solvents had a film thickness increase or decrease of 5% or more with respect to the film thickness before immersion, the film thickness increased or decreased for all the solvents. Was less than 5%, the solvent resistance was evaluated as “◯”. The evaluation results are shown in Table 1.
[透過率測定]
実施例1及び実施例2で調製した樹脂組成物をそれぞれ、石英基板上にスピンコーターを用いて塗布し、ホットプレート上において100℃で1分間、さらに140℃で10分間ベークを行い、膜厚0.6μmの樹脂膜を形成した。これらの樹脂膜に対し、紫外線可視分光光度計UV-2550((株)島津製作所製)を用いて、波長400nmの透過率を測定した。評価結果を表1に示す。
[Transmittance measurement]
Each of the resin compositions prepared in Example 1 and Example 2 was applied onto a quartz substrate using a spin coater, and baked on a hot plate at 100 ° C. for 1 minute, and further at 140 ° C. for 10 minutes. A 0.6 μm resin film was formed. The transmittance at a wavelength of 400 nm was measured for these resin films using an ultraviolet-visible spectrophotometer UV-2550 (manufactured by Shimadzu Corporation). The evaluation results are shown in Table 1.
[保存安定性]
実施例1及び実施例2で調製した直後の樹脂組成物をそれぞれ、シリコンウエハー上にスピンコーターを用いて塗布し、ホットプレート上において100℃で1分間、さらに140℃で10分間ベークを行うことにより樹脂膜を形成し、光干渉式膜厚測定装置ラムダエースVM-2110(大日本スクリーン製造(株)製)を用いてこれらの樹脂膜の膜厚を測定した。さらに、同じ樹脂組成物を35℃(加速試験)にて1ヶ月保管し、保管後の樹脂組成物から同様の方法にて形成した樹脂膜の膜厚を測定した。調製直後の樹脂組成物から形成した樹脂膜の膜厚と比較して、膜厚変化が10%未満であるものを“○”、10%以上であるものを“×”とした。評価結果を表1に示す。
[Storage stability]
Each of the resin compositions just prepared in Example 1 and Example 2 is applied onto a silicon wafer using a spin coater and baked on a hot plate at 100 ° C. for 1 minute and further at 140 ° C. for 10 minutes. The film thickness of these resin films was measured using a light interference type film thickness measuring device Lambda Ace VM-2110 (manufactured by Dainippon Screen Mfg. Co., Ltd.). Furthermore, the same resin composition was stored at 35 ° C. (acceleration test) for one month, and the film thickness of the resin film formed by the same method from the resin composition after storage was measured. Compared with the film thickness of the resin film formed from the resin composition immediately after preparation, the film thickness change of less than 10% was “◯”, and the film thickness change of 10% or more was “x”. The evaluation results are shown in Table 1.
[段差平坦化性]
実施例1及び実施例2で調製した樹脂組成物を、それぞれ高さ0.3μm、ライン幅10μm、ライン間スペース10μmの段差基板(図1参照)上にスピンコーターを用いて塗布し、ホットプレート上において100℃で1分間、さらに140℃で10分間ベークを行い、膜厚0.6μmの樹脂膜を形成した。図1に示すh1(段差基板1の段差)とh2(樹脂膜2の段差、即ちライン上の樹脂膜の高さとスペース上の樹脂膜の高さとの高低差)から、“式:(1-(h2/h1))×100”を用いて平坦化率を求めた。評価結果を表1に示す。
[Step flatness]
The resin composition prepared in Example 1 and Example 2 was applied onto a stepped substrate (see FIG. 1) having a height of 0.3 μm, a line width of 10 μm, and a space between lines of 10 μm using a spin coater, and a hot plate Above, baking was performed at 100 ° C. for 1 minute and further at 140 ° C. for 10 minutes to form a resin film having a thickness of 0.6 μm. From h1 (step difference of the stepped substrate 1) and h2 (step difference of the
表1の結果から、本発明の樹脂組成物から形成された樹脂膜は、高耐溶剤性であると共に高透明性であった。さらに、本発明の樹脂組成物は、保存安定性に優れることがわかった。さらに、本発明の樹脂組成物から形成された樹脂膜は、いずれも平坦化率50%以上の段差平坦化性を有し、中でも実施例1で調製した樹脂組成物から形成された樹脂膜については、平坦化率80%以上の優れた段差平坦化性を有するものであった。一方、比較例1で調製した樹脂組成物から形成された樹脂膜については熱酸発生剤を含有しないため、比較例2で調製した樹脂組成物から形成された樹脂膜については200℃未満のベーク温度で形成されたため、耐溶剤性を満足しない結果となり、平坦化膜及びマイクロレンズ用樹脂膜いずれにも適さないことがわかった。 From the results shown in Table 1, the resin film formed from the resin composition of the present invention was highly solvent-resistant and highly transparent. Furthermore, it was found that the resin composition of the present invention is excellent in storage stability. Furthermore, the resin films formed from the resin composition of the present invention all have a leveling flatness with a flattening rate of 50% or more, and among them, the resin film formed from the resin composition prepared in Example 1 Had excellent step flatness with a flattening rate of 80% or more. On the other hand, since the resin film formed from the resin composition prepared in Comparative Example 1 does not contain a thermal acid generator, the resin film formed from the resin composition prepared in Comparative Example 2 is baked at less than 200 ° C. Since the film was formed at a temperature, the solvent resistance was not satisfied, and it was found that the film was not suitable for either a planarizing film or a microlens resin film.
1:段差基板
2:樹脂膜
3:ライン幅
4:ライン間スペース
h1:段差基板の段差
h2:樹脂膜の段差
1: Step substrate 2: Resin film 3: Line width 4: Space between lines h1: Step difference of step substrate h2: Step of resin film
Claims (7)
(A)成分:下記式(1)で表される構造単位を有し、さらに、下記式(2)又は式(3)で表される構造単位を有する共重合体
(B)成分:熱酸発生剤
Component (A): a copolymer having a structural unit represented by the following formula (1) and further having a structural unit represented by the following formula (2) or formula (3): Component (B): thermal acid Generating agent
Priority Applications (3)
| Application Number | Priority Date | Filing Date | Title |
|---|---|---|---|
| KR1020167018090A KR102122294B1 (en) | 2014-02-13 | 2014-12-26 | Resin composition |
| CN201480074016.5A CN105934693B (en) | 2014-02-13 | 2014-12-26 | resin composition |
| JP2015562710A JP6406525B2 (en) | 2014-02-13 | 2014-12-26 | Resin composition |
Applications Claiming Priority (2)
| Application Number | Priority Date | Filing Date | Title |
|---|---|---|---|
| JP2014-025437 | 2014-02-13 | ||
| JP2014025437 | 2014-02-13 |
Publications (1)
| Publication Number | Publication Date |
|---|---|
| WO2015122109A1 true WO2015122109A1 (en) | 2015-08-20 |
Family
ID=53799863
Family Applications (1)
| Application Number | Title | Priority Date | Filing Date |
|---|---|---|---|
| PCT/JP2014/084632 Ceased WO2015122109A1 (en) | 2014-02-13 | 2014-12-26 | Resin composition |
Country Status (5)
| Country | Link |
|---|---|
| JP (1) | JP6406525B2 (en) |
| KR (1) | KR102122294B1 (en) |
| CN (1) | CN105934693B (en) |
| TW (1) | TWI646118B (en) |
| WO (1) | WO2015122109A1 (en) |
Cited By (6)
| Publication number | Priority date | Publication date | Assignee | Title |
|---|---|---|---|---|
| WO2017145801A1 (en) * | 2016-02-22 | 2017-08-31 | デクセリアルズ株式会社 | Anisotropic conductive film |
| JP2017152354A (en) * | 2016-02-22 | 2017-08-31 | デクセリアルズ株式会社 | Anisotropic conductive film |
| JP2017155091A (en) * | 2016-02-29 | 2017-09-07 | 日産化学工業株式会社 | Flattened film-forming resin composition |
| WO2018021049A1 (en) * | 2016-07-28 | 2018-02-01 | 日産化学工業株式会社 | Resin composition |
| KR20180133312A (en) | 2017-06-06 | 2018-12-14 | 도오꾜오까고오교 가부시끼가이샤 | Resin, curable composition, cured product, method for producing cured product, and method for producing microlens |
| JP2022100724A (en) * | 2020-12-24 | 2022-07-06 | 東京応化工業株式会社 | Curable resin composition, cured material thereof, manufacturing method of cured film, and manufacturing method of microlens |
Families Citing this family (1)
| Publication number | Priority date | Publication date | Assignee | Title |
|---|---|---|---|---|
| JP6807226B2 (en) * | 2016-12-09 | 2021-01-06 | 東京応化工業株式会社 | Energy-sensitive compositions used to form flattening films or microlenses on a substrate, cured product manufacturing methods, cured products, microlens manufacturing methods, and CMOS image sensors. |
Citations (4)
| Publication number | Priority date | Publication date | Assignee | Title |
|---|---|---|---|---|
| JPH04258616A (en) * | 1990-09-24 | 1992-09-14 | Siemens Ag | Netted epoxy resin having non-linear optical characteristics |
| JP2002060467A (en) * | 2000-08-15 | 2002-02-26 | Jsr Corp | Thermosetting resin composition and cured product thereof |
| JP2013212569A (en) * | 2012-03-09 | 2013-10-17 | Tokyo Ohka Kogyo Co Ltd | Method for patterning layer including block copolymer, and primer agent |
| JP2013212489A (en) * | 2012-03-09 | 2013-10-17 | Tokyo Ohka Kogyo Co Ltd | Pattern formation method for layer including block copolymer and underlayer agent |
Family Cites Families (16)
| Publication number | Priority date | Publication date | Assignee | Title |
|---|---|---|---|---|
| JP2921770B2 (en) | 1991-01-17 | 1999-07-19 | 日本化薬株式会社 | Resin composition for color filter protective film and cured product thereof |
| JPH0675375A (en) | 1992-08-26 | 1994-03-18 | Sony Corp | Color resist material |
| JPH09124954A (en) * | 1995-11-06 | 1997-05-13 | Nippon Oil Co Ltd | Curable composition |
| JP2008208235A (en) | 2007-02-27 | 2008-09-11 | Jsr Corp | Curable resin composition for flattening layer, flattening layer, method for producing flattening layer, and solid-state imaging device |
| JP5394003B2 (en) * | 2007-08-30 | 2014-01-22 | 株式会社ダイセル | Copolymer |
| JP5451048B2 (en) * | 2008-12-05 | 2014-03-26 | 株式会社ダイセル | Copolymer and photosensitive resin composition |
| JP2010237374A (en) | 2009-03-31 | 2010-10-21 | Dainippon Printing Co Ltd | Color filter and organic EL display |
| US9733519B2 (en) * | 2009-06-23 | 2017-08-15 | Nissan Chemical Industries, Ltd. | Composition for forming thermoset film having photo alignment properties |
| KR101593006B1 (en) * | 2009-08-24 | 2016-02-11 | 닛산 가가쿠 고교 가부시키 가이샤 | Photosensitive resin composition for microlens |
| WO2011030688A1 (en) * | 2009-09-14 | 2011-03-17 | 日産化学工業株式会社 | Photosensitive resin composition containing copolymer |
| CN102712741B (en) * | 2010-01-26 | 2014-05-14 | 日产化学工业株式会社 | Curable long-chain alkylene-containing epoxy resin composition |
| KR20110124083A (en) * | 2010-05-10 | 2011-11-16 | 동우 화인켐 주식회사 | Microlens forming composition, microlens, and optical apparatus using the same |
| CN102933626B (en) * | 2010-05-13 | 2015-01-28 | 日产化学工业株式会社 | Thermosetting resin composition and display device |
| US9994685B2 (en) | 2011-07-07 | 2018-06-12 | Nissan Chemical Industries, Ltd. | Resin composition |
| EP2833203B1 (en) * | 2012-03-27 | 2019-04-24 | Nissan Chemical Corporation | Photosensitive resin composition |
| JP6131776B2 (en) * | 2012-09-05 | 2017-05-24 | 信越化学工業株式会社 | Resist material and pattern forming method using the same |
-
2014
- 2014-12-26 WO PCT/JP2014/084632 patent/WO2015122109A1/en not_active Ceased
- 2014-12-26 JP JP2015562710A patent/JP6406525B2/en active Active
- 2014-12-26 CN CN201480074016.5A patent/CN105934693B/en active Active
- 2014-12-26 KR KR1020167018090A patent/KR102122294B1/en active Active
-
2015
- 2015-01-21 TW TW104101963A patent/TWI646118B/en active
Patent Citations (4)
| Publication number | Priority date | Publication date | Assignee | Title |
|---|---|---|---|---|
| JPH04258616A (en) * | 1990-09-24 | 1992-09-14 | Siemens Ag | Netted epoxy resin having non-linear optical characteristics |
| JP2002060467A (en) * | 2000-08-15 | 2002-02-26 | Jsr Corp | Thermosetting resin composition and cured product thereof |
| JP2013212569A (en) * | 2012-03-09 | 2013-10-17 | Tokyo Ohka Kogyo Co Ltd | Method for patterning layer including block copolymer, and primer agent |
| JP2013212489A (en) * | 2012-03-09 | 2013-10-17 | Tokyo Ohka Kogyo Co Ltd | Pattern formation method for layer including block copolymer and underlayer agent |
Cited By (15)
| Publication number | Priority date | Publication date | Assignee | Title |
|---|---|---|---|---|
| JP2021009844A (en) * | 2016-02-22 | 2021-01-28 | デクセリアルズ株式会社 | Anisotropically conductive film |
| JP2017152354A (en) * | 2016-02-22 | 2017-08-31 | デクセリアルズ株式会社 | Anisotropic conductive film |
| WO2017145801A1 (en) * | 2016-02-22 | 2017-08-31 | デクセリアルズ株式会社 | Anisotropic conductive film |
| US10964440B2 (en) | 2016-02-22 | 2021-03-30 | Dexerials Corporation | Anisotropic conductive film |
| JP2017155091A (en) * | 2016-02-29 | 2017-09-07 | 日産化学工業株式会社 | Flattened film-forming resin composition |
| WO2018021049A1 (en) * | 2016-07-28 | 2018-02-01 | 日産化学工業株式会社 | Resin composition |
| KR20190035615A (en) * | 2016-07-28 | 2019-04-03 | 닛산 가가쿠 가부시키가이샤 | Resin composition |
| JPWO2018021049A1 (en) * | 2016-07-28 | 2019-05-09 | 日産化学株式会社 | Resin composition |
| KR102411927B1 (en) * | 2016-07-28 | 2022-06-22 | 닛산 가가쿠 가부시키가이샤 | resin composition |
| JP2018203913A (en) * | 2017-06-06 | 2018-12-27 | 東京応化工業株式会社 | Resin, curable composition, cured product, method for producing cured product, and method for producing microlens |
| KR20180133312A (en) | 2017-06-06 | 2018-12-14 | 도오꾜오까고오교 가부시끼가이샤 | Resin, curable composition, cured product, method for producing cured product, and method for producing microlens |
| JP2021155760A (en) * | 2017-06-06 | 2021-10-07 | 東京応化工業株式会社 | Resin, curable composition, cured article, manufacturing method of cured article, and manufacturing method of microlens |
| JP7110452B2 (en) | 2017-06-06 | 2022-08-01 | 東京応化工業株式会社 | Resin, curable composition, cured product, method for producing cured product, and method for producing microlens |
| JP2022100724A (en) * | 2020-12-24 | 2022-07-06 | 東京応化工業株式会社 | Curable resin composition, cured material thereof, manufacturing method of cured film, and manufacturing method of microlens |
| JP7477443B2 (en) | 2020-12-24 | 2024-05-01 | 東京応化工業株式会社 | CURABLE RESIN COMPOSITION, CURED PRODUCT THEREOF, METHOD FOR PRODUCING CURED FILM, AND METHOD FOR PRODUCING MICRO-LENS |
Also Published As
| Publication number | Publication date |
|---|---|
| KR20160122698A (en) | 2016-10-24 |
| JP6406525B2 (en) | 2018-10-17 |
| TW201540732A (en) | 2015-11-01 |
| KR102122294B1 (en) | 2020-06-12 |
| CN105934693B (en) | 2018-10-16 |
| TWI646118B (en) | 2019-01-01 |
| CN105934693A (en) | 2016-09-07 |
| JPWO2015122109A1 (en) | 2017-03-30 |
Similar Documents
| Publication | Publication Date | Title |
|---|---|---|
| JP5950125B2 (en) | Resin composition | |
| JP6406525B2 (en) | Resin composition | |
| JP2015174877A (en) | Resin composition containing specified hardening acceleration catalyst | |
| JP6264570B2 (en) | Non-photosensitive resin composition | |
| TW201817754A (en) | Resin composition | |
| JP6587068B2 (en) | Color filter underlayer film forming resin composition | |
| JP6936449B2 (en) | Thermosetting resin composition | |
| JP6687906B2 (en) | Resin composition for flattening film or for microlens | |
| JP6478053B2 (en) | Resin composition for forming microlenses | |
| JP7311846B2 (en) | Non-photosensitive resin composition | |
| CN113474684B (en) | Photosensitive resin composition for microlens | |
| JP7208593B2 (en) | Low temperature curing resin composition | |
| WO2017110393A1 (en) | Resin composition |
Legal Events
| Date | Code | Title | Description |
|---|---|---|---|
| 121 | Ep: the epo has been informed by wipo that ep was designated in this application |
Ref document number: 14882190 Country of ref document: EP Kind code of ref document: A1 |
|
| ENP | Entry into the national phase |
Ref document number: 2015562710 Country of ref document: JP Kind code of ref document: A |
|
| ENP | Entry into the national phase |
Ref document number: 20167018090 Country of ref document: KR Kind code of ref document: A |
|
| NENP | Non-entry into the national phase |
Ref country code: DE |
|
| 122 | Ep: pct application non-entry in european phase |
Ref document number: 14882190 Country of ref document: EP Kind code of ref document: A1 |







