JP7311846B2 - Non-photosensitive resin composition - Google Patents
Non-photosensitive resin composition Download PDFInfo
- Publication number
- JP7311846B2 JP7311846B2 JP2021554831A JP2021554831A JP7311846B2 JP 7311846 B2 JP7311846 B2 JP 7311846B2 JP 2021554831 A JP2021554831 A JP 2021554831A JP 2021554831 A JP2021554831 A JP 2021554831A JP 7311846 B2 JP7311846 B2 JP 7311846B2
- Authority
- JP
- Japan
- Prior art keywords
- resin composition
- photosensitive resin
- formula
- microlens
- group
- Prior art date
- Legal status (The legal status is an assumption and is not a legal conclusion. Google has not performed a legal analysis and makes no representation as to the accuracy of the status listed.)
- Active
Links
- 239000011342 resin composition Substances 0.000 title claims description 79
- 229920001577 copolymer Polymers 0.000 claims description 38
- 239000000758 substrate Substances 0.000 claims description 25
- 150000001875 compounds Chemical class 0.000 claims description 24
- 239000002904 solvent Substances 0.000 claims description 23
- 239000004094 surface-active agent Substances 0.000 claims description 16
- 238000004519 manufacturing process Methods 0.000 claims description 13
- 238000005530 etching Methods 0.000 claims description 8
- 239000000203 mixture Substances 0.000 claims description 8
- 125000000217 alkyl group Chemical group 0.000 claims description 7
- 238000010438 heat treatment Methods 0.000 claims description 7
- 239000000654 additive Substances 0.000 claims description 6
- 125000002029 aromatic hydrocarbon group Chemical group 0.000 claims description 5
- 239000000463 material Substances 0.000 claims description 5
- 125000000962 organic group Chemical group 0.000 claims description 5
- 125000002496 methyl group Chemical group [H]C([H])([H])* 0.000 claims description 4
- 125000004432 carbon atom Chemical group C* 0.000 claims description 3
- 125000004435 hydrogen atom Chemical group [H]* 0.000 claims description 3
- UFHFLCQGNIYNRP-UHFFFAOYSA-N Hydrogen Chemical compound [H][H] UFHFLCQGNIYNRP-UHFFFAOYSA-N 0.000 claims description 2
- 125000003545 alkoxy group Chemical group 0.000 claims description 2
- 125000004429 atom Chemical group 0.000 claims description 2
- 125000002915 carbonyl group Chemical group [*:2]C([*:1])=O 0.000 claims description 2
- 125000004093 cyano group Chemical group *C#N 0.000 claims description 2
- 125000003700 epoxy group Chemical group 0.000 claims description 2
- 125000005843 halogen group Chemical group 0.000 claims description 2
- 229910052739 hydrogen Inorganic materials 0.000 claims description 2
- 239000001257 hydrogen Substances 0.000 claims description 2
- 239000000243 solution Substances 0.000 description 24
- -1 quinonediazide compound Chemical class 0.000 description 20
- 238000000034 method Methods 0.000 description 15
- LLHKCFNBLRBOGN-UHFFFAOYSA-N propylene glycol methyl ether acetate Chemical compound COCC(C)OC(C)=O LLHKCFNBLRBOGN-UHFFFAOYSA-N 0.000 description 15
- 230000015572 biosynthetic process Effects 0.000 description 13
- 230000001681 protective effect Effects 0.000 description 13
- 238000006243 chemical reaction Methods 0.000 description 12
- 239000000126 substance Substances 0.000 description 11
- 125000003178 carboxy group Chemical group [H]OC(*)=O 0.000 description 10
- 238000003786 synthesis reaction Methods 0.000 description 10
- 230000000052 comparative effect Effects 0.000 description 9
- 239000007787 solid Substances 0.000 description 9
- OZAIFHULBGXAKX-UHFFFAOYSA-N 2-(2-cyanopropan-2-yldiazenyl)-2-methylpropanenitrile Chemical compound N#CC(C)(C)N=NC(C)(C)C#N OZAIFHULBGXAKX-UHFFFAOYSA-N 0.000 description 8
- DNIAPMSPPWPWGF-UHFFFAOYSA-N Propylene glycol Chemical compound CC(O)CO DNIAPMSPPWPWGF-UHFFFAOYSA-N 0.000 description 8
- PPBRXRYQALVLMV-UHFFFAOYSA-N Styrene Chemical compound C=CC1=CC=CC=C1 PPBRXRYQALVLMV-UHFFFAOYSA-N 0.000 description 8
- 238000001312 dry etching Methods 0.000 description 8
- LZCLXQDLBQLTDK-UHFFFAOYSA-N ethyl 2-hydroxypropanoate Chemical compound CCOC(=O)C(C)O LZCLXQDLBQLTDK-UHFFFAOYSA-N 0.000 description 7
- 239000000178 monomer Substances 0.000 description 7
- RTZKZFJDLAIYFH-UHFFFAOYSA-N Diethyl ether Chemical compound CCOCC RTZKZFJDLAIYFH-UHFFFAOYSA-N 0.000 description 6
- 238000004132 cross linking Methods 0.000 description 6
- JHIVVAPYMSGYDF-UHFFFAOYSA-N cyclohexanone Chemical compound O=C1CCCCC1 JHIVVAPYMSGYDF-UHFFFAOYSA-N 0.000 description 6
- CATSNJVOTSVZJV-UHFFFAOYSA-N heptan-2-one Chemical compound CCCCCC(C)=O CATSNJVOTSVZJV-UHFFFAOYSA-N 0.000 description 6
- ARXJGSRGQADJSQ-UHFFFAOYSA-N 1-methoxypropan-2-ol Chemical compound COCC(C)O ARXJGSRGQADJSQ-UHFFFAOYSA-N 0.000 description 5
- 239000004793 Polystyrene Substances 0.000 description 5
- XUIMIQQOPSSXEZ-UHFFFAOYSA-N Silicon Chemical compound [Si] XUIMIQQOPSSXEZ-UHFFFAOYSA-N 0.000 description 5
- 238000000576 coating method Methods 0.000 description 5
- 229920002223 polystyrene Polymers 0.000 description 5
- 239000011347 resin Substances 0.000 description 5
- 229920005989 resin Polymers 0.000 description 5
- 229910052710 silicon Inorganic materials 0.000 description 5
- 239000010703 silicon Substances 0.000 description 5
- XLLIQLLCWZCATF-UHFFFAOYSA-N 2-methoxyethyl acetate Chemical compound COCCOC(C)=O XLLIQLLCWZCATF-UHFFFAOYSA-N 0.000 description 4
- YEJRWHAVMIAJKC-UHFFFAOYSA-N 4-Butyrolactone Chemical compound O=C1CCCO1 YEJRWHAVMIAJKC-UHFFFAOYSA-N 0.000 description 4
- 229920003171 Poly (ethylene oxide) Polymers 0.000 description 4
- 239000004698 Polyethylene Substances 0.000 description 4
- 239000003795 chemical substances by application Substances 0.000 description 4
- BGTOWKSIORTVQH-UHFFFAOYSA-N cyclopentanone Chemical compound O=C1CCCC1 BGTOWKSIORTVQH-UHFFFAOYSA-N 0.000 description 4
- 238000005259 measurement Methods 0.000 description 4
- 229920000573 polyethylene Polymers 0.000 description 4
- 239000011148 porous material Substances 0.000 description 4
- 239000010453 quartz Substances 0.000 description 4
- VYPSYNLAJGMNEJ-UHFFFAOYSA-N silicon dioxide Inorganic materials O=[Si]=O VYPSYNLAJGMNEJ-UHFFFAOYSA-N 0.000 description 4
- WGTYBPLFGIVFAS-UHFFFAOYSA-M tetramethylammonium hydroxide Chemical compound [OH-].C[N+](C)(C)C WGTYBPLFGIVFAS-UHFFFAOYSA-M 0.000 description 4
- ZWEHNKRNPOVVGH-UHFFFAOYSA-N 2-Butanone Chemical compound CCC(C)=O ZWEHNKRNPOVVGH-UHFFFAOYSA-N 0.000 description 3
- XEKOWRVHYACXOJ-UHFFFAOYSA-N Ethyl acetate Chemical compound CCOC(C)=O XEKOWRVHYACXOJ-UHFFFAOYSA-N 0.000 description 3
- KFZMGEQAYNKOFK-UHFFFAOYSA-N Isopropanol Chemical compound CC(C)O KFZMGEQAYNKOFK-UHFFFAOYSA-N 0.000 description 3
- OKKJLVBELUTLKV-UHFFFAOYSA-N Methanol Chemical compound OC OKKJLVBELUTLKV-UHFFFAOYSA-N 0.000 description 3
- YXFVVABEGXRONW-UHFFFAOYSA-N Toluene Chemical compound CC1=CC=CC=C1 YXFVVABEGXRONW-UHFFFAOYSA-N 0.000 description 3
- 239000011248 coating agent Substances 0.000 description 3
- 229940116333 ethyl lactate Drugs 0.000 description 3
- 238000011156 evaluation Methods 0.000 description 3
- 239000007789 gas Substances 0.000 description 3
- 238000005227 gel permeation chromatography Methods 0.000 description 3
- 238000007654 immersion Methods 0.000 description 3
- VLKZOEOYAKHREP-UHFFFAOYSA-N n-Hexane Chemical compound CCCCCC VLKZOEOYAKHREP-UHFFFAOYSA-N 0.000 description 3
- 238000003860 storage Methods 0.000 description 3
- 238000002834 transmittance Methods 0.000 description 3
- LDMRLRNXHLPZJN-UHFFFAOYSA-N 3-propoxypropan-1-ol Chemical compound CCCOCCCO LDMRLRNXHLPZJN-UHFFFAOYSA-N 0.000 description 2
- JLBJTVDPSNHSKJ-UHFFFAOYSA-N 4-Methylstyrene Chemical compound CC1=CC=C(C=C)C=C1 JLBJTVDPSNHSKJ-UHFFFAOYSA-N 0.000 description 2
- MRABAEUHTLLEML-UHFFFAOYSA-N Butyl lactate Chemical compound CCCCOC(=O)C(C)O MRABAEUHTLLEML-UHFFFAOYSA-N 0.000 description 2
- 229920001214 Polysorbate 60 Polymers 0.000 description 2
- 239000004147 Sorbitan trioleate Substances 0.000 description 2
- PRXRUNOAOLTIEF-ADSICKODSA-N Sorbitan trioleate Chemical compound CCCCCCCC\C=C/CCCCCCCC(=O)OC[C@@H](OC(=O)CCCCCCC\C=C/CCCCCCCC)[C@H]1OC[C@H](O)[C@H]1OC(=O)CCCCCCC\C=C/CCCCCCCC PRXRUNOAOLTIEF-ADSICKODSA-N 0.000 description 2
- WYURNTSHIVDZCO-UHFFFAOYSA-N Tetrahydrofuran Chemical compound C1CCOC1 WYURNTSHIVDZCO-UHFFFAOYSA-N 0.000 description 2
- 238000000862 absorption spectrum Methods 0.000 description 2
- 239000002253 acid Substances 0.000 description 2
- 230000000996 additive effect Effects 0.000 description 2
- 239000012670 alkaline solution Substances 0.000 description 2
- 239000001191 butyl (2R)-2-hydroxypropanoate Substances 0.000 description 2
- 235000014113 dietary fatty acids Nutrition 0.000 description 2
- 238000001035 drying Methods 0.000 description 2
- 239000000194 fatty acid Substances 0.000 description 2
- 229930195729 fatty acid Natural products 0.000 description 2
- 239000011521 glass Substances 0.000 description 2
- 239000002184 metal Substances 0.000 description 2
- 239000000843 powder Substances 0.000 description 2
- 239000000047 product Substances 0.000 description 2
- 239000004065 semiconductor Substances 0.000 description 2
- 229910000679 solder Inorganic materials 0.000 description 2
- 235000019337 sorbitan trioleate Nutrition 0.000 description 2
- 229960000391 sorbitan trioleate Drugs 0.000 description 2
- 238000004544 sputter deposition Methods 0.000 description 2
- 238000012360 testing method Methods 0.000 description 2
- PJMXUSNWBKGQEZ-UHFFFAOYSA-N (4-hydroxyphenyl) 2-methylprop-2-enoate Chemical compound CC(=C)C(=O)OC1=CC=C(O)C=C1 PJMXUSNWBKGQEZ-UHFFFAOYSA-N 0.000 description 1
- FFJCNSLCJOQHKM-CLFAGFIQSA-N (z)-1-[(z)-octadec-9-enoxy]octadec-9-ene Chemical compound CCCCCCCC\C=C/CCCCCCCCOCCCCCCCC\C=C/CCCCCCCC FFJCNSLCJOQHKM-CLFAGFIQSA-N 0.000 description 1
- ZORQXIQZAOLNGE-UHFFFAOYSA-N 1,1-difluorocyclohexane Chemical compound FC1(F)CCCCC1 ZORQXIQZAOLNGE-UHFFFAOYSA-N 0.000 description 1
- WGGLDBIZIQMEGH-UHFFFAOYSA-N 1-bromo-4-ethenylbenzene Chemical compound BrC1=CC=C(C=C)C=C1 WGGLDBIZIQMEGH-UHFFFAOYSA-N 0.000 description 1
- XXNDEOCNKXHSGK-UHFFFAOYSA-N 1-butoxyethyl 2-methylprop-2-enoate Chemical compound CCCCOC(C)OC(=O)C(C)=C XXNDEOCNKXHSGK-UHFFFAOYSA-N 0.000 description 1
- RWNUSVWFHDHRCJ-UHFFFAOYSA-N 1-butoxypropan-2-ol Chemical compound CCCCOCC(C)O RWNUSVWFHDHRCJ-UHFFFAOYSA-N 0.000 description 1
- FUWDFGKRNIDKAE-UHFFFAOYSA-N 1-butoxypropan-2-yl acetate Chemical compound CCCCOCC(C)OC(C)=O FUWDFGKRNIDKAE-UHFFFAOYSA-N 0.000 description 1
- KTZVZZJJVJQZHV-UHFFFAOYSA-N 1-chloro-4-ethenylbenzene Chemical compound ClC1=CC=C(C=C)C=C1 KTZVZZJJVJQZHV-UHFFFAOYSA-N 0.000 description 1
- NVZWEEGUWXZOKI-UHFFFAOYSA-N 1-ethenyl-2-methylbenzene Chemical compound CC1=CC=CC=C1C=C NVZWEEGUWXZOKI-UHFFFAOYSA-N 0.000 description 1
- JZHGRUMIRATHIU-UHFFFAOYSA-N 1-ethenyl-3-methylbenzene Chemical compound CC1=CC=CC(C=C)=C1 JZHGRUMIRATHIU-UHFFFAOYSA-N 0.000 description 1
- JWVTWJNGILGLAT-UHFFFAOYSA-N 1-ethenyl-4-fluorobenzene Chemical compound FC1=CC=C(C=C)C=C1 JWVTWJNGILGLAT-UHFFFAOYSA-N 0.000 description 1
- UAJRSHJHFRVGMG-UHFFFAOYSA-N 1-ethenyl-4-methoxybenzene Chemical compound COC1=CC=C(C=C)C=C1 UAJRSHJHFRVGMG-UHFFFAOYSA-N 0.000 description 1
- JOLQKTGDSGKSKJ-UHFFFAOYSA-N 1-ethoxypropan-2-ol Chemical compound CCOCC(C)O JOLQKTGDSGKSKJ-UHFFFAOYSA-N 0.000 description 1
- LIPRQQHINVWJCH-UHFFFAOYSA-N 1-ethoxypropan-2-yl acetate Chemical compound CCOCC(C)OC(C)=O LIPRQQHINVWJCH-UHFFFAOYSA-N 0.000 description 1
- DMFAHCVITRDZQB-UHFFFAOYSA-N 1-propoxypropan-2-yl acetate Chemical compound CCCOCC(C)OC(C)=O DMFAHCVITRDZQB-UHFFFAOYSA-N 0.000 description 1
- QEDJMOONZLUIMC-UHFFFAOYSA-N 1-tert-butyl-4-ethenylbenzene Chemical compound CC(C)(C)C1=CC=C(C=C)C=C1 QEDJMOONZLUIMC-UHFFFAOYSA-N 0.000 description 1
- IGGDKDTUCAWDAN-UHFFFAOYSA-N 1-vinylnaphthalene Chemical compound C1=CC=C2C(C=C)=CC=CC2=C1 IGGDKDTUCAWDAN-UHFFFAOYSA-N 0.000 description 1
- SBASXUCJHJRPEV-UHFFFAOYSA-N 2-(2-methoxyethoxy)ethanol Chemical compound COCCOCCO SBASXUCJHJRPEV-UHFFFAOYSA-N 0.000 description 1
- XNWFRZJHXBZDAG-UHFFFAOYSA-N 2-METHOXYETHANOL Chemical compound COCCO XNWFRZJHXBZDAG-UHFFFAOYSA-N 0.000 description 1
- ZNQVEEAIQZEUHB-UHFFFAOYSA-N 2-ethoxyethanol Chemical compound CCOCCO ZNQVEEAIQZEUHB-UHFFFAOYSA-N 0.000 description 1
- SVONRAPFKPVNKG-UHFFFAOYSA-N 2-ethoxyethyl acetate Chemical compound CCOCCOC(C)=O SVONRAPFKPVNKG-UHFFFAOYSA-N 0.000 description 1
- KXYAVSFOJVUIHT-UHFFFAOYSA-N 2-vinylnaphthalene Chemical compound C1=CC=CC2=CC(C=C)=CC=C21 KXYAVSFOJVUIHT-UHFFFAOYSA-N 0.000 description 1
- WFCQTAXSWSWIHS-UHFFFAOYSA-N 4-[bis(4-hydroxyphenyl)methyl]phenol Chemical compound C1=CC(O)=CC=C1C(C=1C=CC(O)=CC=1)C1=CC=C(O)C=C1 WFCQTAXSWSWIHS-UHFFFAOYSA-N 0.000 description 1
- SNTUCKQYWGHZPK-UHFFFAOYSA-N 4-ethenylbenzonitrile Chemical compound C=CC1=CC=C(C#N)C=C1 SNTUCKQYWGHZPK-UHFFFAOYSA-N 0.000 description 1
- XZIIFPSPUDAGJM-UHFFFAOYSA-N 6-chloro-2-n,2-n-diethylpyrimidine-2,4-diamine Chemical compound CCN(CC)C1=NC(N)=CC(Cl)=N1 XZIIFPSPUDAGJM-UHFFFAOYSA-N 0.000 description 1
- QTBSBXVTEAMEQO-UHFFFAOYSA-M Acetate Chemical compound CC([O-])=O QTBSBXVTEAMEQO-UHFFFAOYSA-M 0.000 description 1
- DKPFZGUDAPQIHT-UHFFFAOYSA-N Butyl acetate Natural products CCCCOC(C)=O DKPFZGUDAPQIHT-UHFFFAOYSA-N 0.000 description 1
- VGGSQFUCUMXWEO-UHFFFAOYSA-N Ethene Chemical compound C=C VGGSQFUCUMXWEO-UHFFFAOYSA-N 0.000 description 1
- 239000005977 Ethylene Substances 0.000 description 1
- YCKRFDGAMUMZLT-UHFFFAOYSA-N Fluorine atom Chemical compound [F] YCKRFDGAMUMZLT-UHFFFAOYSA-N 0.000 description 1
- 238000005033 Fourier transform infrared spectroscopy Methods 0.000 description 1
- CTQNGGLPUBDAKN-UHFFFAOYSA-N O-Xylene Chemical compound CC1=CC=CC=C1C CTQNGGLPUBDAKN-UHFFFAOYSA-N 0.000 description 1
- 240000007594 Oryza sativa Species 0.000 description 1
- 235000007164 Oryza sativa Nutrition 0.000 description 1
- 229920001213 Polysorbate 20 Polymers 0.000 description 1
- IYFATESGLOUGBX-YVNJGZBMSA-N Sorbitan monopalmitate Chemical compound CCCCCCCCCCCCCCCC(=O)OC[C@@H](O)[C@H]1OC[C@H](O)[C@H]1O IYFATESGLOUGBX-YVNJGZBMSA-N 0.000 description 1
- HVUMOYIDDBPOLL-XWVZOOPGSA-N Sorbitan monostearate Chemical compound CCCCCCCCCCCCCCCCCC(=O)OC[C@@H](O)[C@H]1OC[C@H](O)[C@H]1O HVUMOYIDDBPOLL-XWVZOOPGSA-N 0.000 description 1
- 239000006096 absorbing agent Substances 0.000 description 1
- 239000003513 alkali Substances 0.000 description 1
- 150000001346 alkyl aryl ethers Chemical class 0.000 description 1
- 150000005215 alkyl ethers Chemical class 0.000 description 1
- XYLMUPLGERFSHI-UHFFFAOYSA-N alpha-Methylstyrene Chemical compound CC(=C)C1=CC=CC=C1 XYLMUPLGERFSHI-UHFFFAOYSA-N 0.000 description 1
- 239000003963 antioxidant agent Substances 0.000 description 1
- 239000007864 aqueous solution Substances 0.000 description 1
- 239000002585 base Substances 0.000 description 1
- 230000000740 bleeding effect Effects 0.000 description 1
- 229920001400 block copolymer Polymers 0.000 description 1
- 230000015556 catabolic process Effects 0.000 description 1
- 230000007547 defect Effects 0.000 description 1
- 238000006731 degradation reaction Methods 0.000 description 1
- 238000011161 development Methods 0.000 description 1
- 238000010586 diagram Methods 0.000 description 1
- XXJWXESWEXIICW-UHFFFAOYSA-N diethylene glycol monoethyl ether Chemical compound CCOCCOCCO XXJWXESWEXIICW-UHFFFAOYSA-N 0.000 description 1
- 229940075557 diethylene glycol monoethyl ether Drugs 0.000 description 1
- 238000004090 dissolution Methods 0.000 description 1
- 239000003480 eluent Substances 0.000 description 1
- CKSRFHWWBKRUKA-UHFFFAOYSA-N ethyl 2-ethoxyacetate Chemical compound CCOCC(=O)OCC CKSRFHWWBKRUKA-UHFFFAOYSA-N 0.000 description 1
- GFUIDHWFLMPAGY-UHFFFAOYSA-N ethyl 2-hydroxy-2-methylpropanoate Chemical compound CCOC(=O)C(C)(C)O GFUIDHWFLMPAGY-UHFFFAOYSA-N 0.000 description 1
- ZANNOFHADGWOLI-UHFFFAOYSA-N ethyl 2-hydroxyacetate Chemical compound CCOC(=O)CO ZANNOFHADGWOLI-UHFFFAOYSA-N 0.000 description 1
- IJUHLFUALMUWOM-UHFFFAOYSA-N ethyl 3-methoxypropanoate Chemical compound CCOC(=O)CCOC IJUHLFUALMUWOM-UHFFFAOYSA-N 0.000 description 1
- 125000001495 ethyl group Chemical group [H]C([H])([H])C([H])([H])* 0.000 description 1
- 238000001914 filtration Methods 0.000 description 1
- 229910052731 fluorine Inorganic materials 0.000 description 1
- 239000011737 fluorine Substances 0.000 description 1
- FUZZWVXGSFPDMH-UHFFFAOYSA-N hexanoic acid Chemical compound CCCCCC(O)=O FUZZWVXGSFPDMH-UHFFFAOYSA-N 0.000 description 1
- 125000000959 isobutyl group Chemical group [H]C([H])([H])C([H])(C([H])([H])[H])C([H])([H])* 0.000 description 1
- 238000002955 isolation Methods 0.000 description 1
- 125000001449 isopropyl group Chemical group [H]C([H])([H])C([H])(*)C([H])([H])[H] 0.000 description 1
- 239000004973 liquid crystal related substance Substances 0.000 description 1
- 239000012528 membrane Substances 0.000 description 1
- YSGBMDFJWFIEDF-UHFFFAOYSA-N methyl 2-hydroxy-3-methylbutanoate Chemical compound COC(=O)C(O)C(C)C YSGBMDFJWFIEDF-UHFFFAOYSA-N 0.000 description 1
- HSDFKDZBJMDHFF-UHFFFAOYSA-N methyl 3-ethoxypropanoate Chemical compound CCOCCC(=O)OC HSDFKDZBJMDHFF-UHFFFAOYSA-N 0.000 description 1
- BDJSOPWXYLFTNW-UHFFFAOYSA-N methyl 3-methoxypropanoate Chemical compound COCCC(=O)OC BDJSOPWXYLFTNW-UHFFFAOYSA-N 0.000 description 1
- CWKLZLBVOJRSOM-UHFFFAOYSA-N methyl pyruvate Chemical compound COC(=O)C(C)=O CWKLZLBVOJRSOM-UHFFFAOYSA-N 0.000 description 1
- 238000002156 mixing Methods 0.000 description 1
- 125000004108 n-butyl group Chemical group [H]C([H])([H])C([H])([H])C([H])([H])C([H])([H])* 0.000 description 1
- 125000004123 n-propyl group Chemical group [H]C([H])([H])C([H])([H])C([H])([H])* 0.000 description 1
- 125000001624 naphthyl group Chemical group 0.000 description 1
- 239000002736 nonionic surfactant Substances 0.000 description 1
- GSGDTSDELPUTKU-UHFFFAOYSA-N nonoxybenzene Chemical compound CCCCCCCCCOC1=CC=CC=C1 GSGDTSDELPUTKU-UHFFFAOYSA-N 0.000 description 1
- 229920002114 octoxynol-9 Polymers 0.000 description 1
- 125000005375 organosiloxane group Chemical group 0.000 description 1
- HDBWAWNLGGMZRQ-UHFFFAOYSA-N p-Vinylbiphenyl Chemical group C1=CC(C=C)=CC=C1C1=CC=CC=C1 HDBWAWNLGGMZRQ-UHFFFAOYSA-N 0.000 description 1
- 230000002093 peripheral effect Effects 0.000 description 1
- 125000001997 phenyl group Chemical group [H]C1=C([H])C([H])=C(*)C([H])=C1[H] 0.000 description 1
- 239000004014 plasticizer Substances 0.000 description 1
- 229920000642 polymer Polymers 0.000 description 1
- 239000003505 polymerization initiator Substances 0.000 description 1
- 230000000379 polymerizing effect Effects 0.000 description 1
- 229920000259 polyoxyethylene lauryl ether Polymers 0.000 description 1
- 239000000256 polyoxyethylene sorbitan monolaurate Substances 0.000 description 1
- 235000010486 polyoxyethylene sorbitan monolaurate Nutrition 0.000 description 1
- 239000000249 polyoxyethylene sorbitan monopalmitate Substances 0.000 description 1
- 235000010483 polyoxyethylene sorbitan monopalmitate Nutrition 0.000 description 1
- 239000001818 polyoxyethylene sorbitan monostearate Substances 0.000 description 1
- 235000010989 polyoxyethylene sorbitan monostearate Nutrition 0.000 description 1
- 239000001816 polyoxyethylene sorbitan tristearate Substances 0.000 description 1
- 235000010988 polyoxyethylene sorbitan tristearate Nutrition 0.000 description 1
- 229920001451 polypropylene glycol Polymers 0.000 description 1
- 239000002244 precipitate Substances 0.000 description 1
- 238000002360 preparation method Methods 0.000 description 1
- 238000012545 processing Methods 0.000 description 1
- QQONPFPTGQHPMA-UHFFFAOYSA-N propylene Natural products CC=C QQONPFPTGQHPMA-UHFFFAOYSA-N 0.000 description 1
- 125000004805 propylene group Chemical group [H]C([H])([H])C([H])([*:1])C([H])([H])[*:2] 0.000 description 1
- 125000006239 protecting group Chemical group 0.000 description 1
- 230000005855 radiation Effects 0.000 description 1
- 235000009566 rice Nutrition 0.000 description 1
- 125000002914 sec-butyl group Chemical group [H]C([H])([H])C([H])([H])C([H])(*)C([H])([H])[H] 0.000 description 1
- 229940100515 sorbitan Drugs 0.000 description 1
- 229940035044 sorbitan monolaurate Drugs 0.000 description 1
- 239000001593 sorbitan monooleate Substances 0.000 description 1
- 235000011069 sorbitan monooleate Nutrition 0.000 description 1
- 229940035049 sorbitan monooleate Drugs 0.000 description 1
- 239000001570 sorbitan monopalmitate Substances 0.000 description 1
- 235000011071 sorbitan monopalmitate Nutrition 0.000 description 1
- 229940031953 sorbitan monopalmitate Drugs 0.000 description 1
- 239000001587 sorbitan monostearate Substances 0.000 description 1
- 235000011076 sorbitan monostearate Nutrition 0.000 description 1
- 229940035048 sorbitan monostearate Drugs 0.000 description 1
- 125000000999 tert-butyl group Chemical group [H]C([H])([H])C(*)(C([H])([H])[H])C([H])([H])[H] 0.000 description 1
- YLQBMQCUIZJEEH-UHFFFAOYSA-N tetrahydrofuran Natural products C=1C=COC=1 YLQBMQCUIZJEEH-UHFFFAOYSA-N 0.000 description 1
- 238000012546 transfer Methods 0.000 description 1
- 238000000870 ultraviolet spectroscopy Methods 0.000 description 1
- 238000005406 washing Methods 0.000 description 1
- XLYOFNOQVPJJNP-UHFFFAOYSA-N water Substances O XLYOFNOQVPJJNP-UHFFFAOYSA-N 0.000 description 1
- 239000008096 xylene Substances 0.000 description 1
Images
Classifications
-
- C—CHEMISTRY; METALLURGY
- C08—ORGANIC MACROMOLECULAR COMPOUNDS; THEIR PREPARATION OR CHEMICAL WORKING-UP; COMPOSITIONS BASED THEREON
- C08F—MACROMOLECULAR COMPOUNDS OBTAINED BY REACTIONS ONLY INVOLVING CARBON-TO-CARBON UNSATURATED BONDS
- C08F220/00—Copolymers of compounds having one or more unsaturated aliphatic radicals, each having only one carbon-to-carbon double bond, and only one being terminated by only one carboxyl radical or a salt, anhydride ester, amide, imide or nitrile thereof
- C08F220/02—Monocarboxylic acids having less than ten carbon atoms; Derivatives thereof
- C08F220/10—Esters
- C08F220/26—Esters containing oxygen in addition to the carboxy oxygen
- C08F220/32—Esters containing oxygen in addition to the carboxy oxygen containing epoxy radicals
-
- G—PHYSICS
- G02—OPTICS
- G02B—OPTICAL ELEMENTS, SYSTEMS OR APPARATUS
- G02B1/00—Optical elements characterised by the material of which they are made; Optical coatings for optical elements
- G02B1/04—Optical elements characterised by the material of which they are made; Optical coatings for optical elements made of organic materials, e.g. plastics
- G02B1/041—Lenses
-
- C—CHEMISTRY; METALLURGY
- C08—ORGANIC MACROMOLECULAR COMPOUNDS; THEIR PREPARATION OR CHEMICAL WORKING-UP; COMPOSITIONS BASED THEREON
- C08F—MACROMOLECULAR COMPOUNDS OBTAINED BY REACTIONS ONLY INVOLVING CARBON-TO-CARBON UNSATURATED BONDS
- C08F212/00—Copolymers of compounds having one or more unsaturated aliphatic radicals, each having only one carbon-to-carbon double bond, and at least one being terminated by an aromatic carbocyclic ring
- C08F212/02—Monomers containing only one unsaturated aliphatic radical
- C08F212/04—Monomers containing only one unsaturated aliphatic radical containing one ring
- C08F212/06—Hydrocarbons
- C08F212/08—Styrene
-
- C—CHEMISTRY; METALLURGY
- C08—ORGANIC MACROMOLECULAR COMPOUNDS; THEIR PREPARATION OR CHEMICAL WORKING-UP; COMPOSITIONS BASED THEREON
- C08F—MACROMOLECULAR COMPOUNDS OBTAINED BY REACTIONS ONLY INVOLVING CARBON-TO-CARBON UNSATURATED BONDS
- C08F212/00—Copolymers of compounds having one or more unsaturated aliphatic radicals, each having only one carbon-to-carbon double bond, and at least one being terminated by an aromatic carbocyclic ring
- C08F212/02—Monomers containing only one unsaturated aliphatic radical
- C08F212/04—Monomers containing only one unsaturated aliphatic radical containing one ring
- C08F212/06—Hydrocarbons
- C08F212/12—Monomers containing a branched unsaturated aliphatic radical or a ring substituted by an alkyl radical
-
- C—CHEMISTRY; METALLURGY
- C08—ORGANIC MACROMOLECULAR COMPOUNDS; THEIR PREPARATION OR CHEMICAL WORKING-UP; COMPOSITIONS BASED THEREON
- C08G—MACROMOLECULAR COMPOUNDS OBTAINED OTHERWISE THAN BY REACTIONS ONLY INVOLVING UNSATURATED CARBON-TO-CARBON BONDS
- C08G59/00—Polycondensates containing more than one epoxy group per molecule; Macromolecules obtained by polymerising compounds containing more than one epoxy group per molecule using curing agents or catalysts which react with the epoxy groups
- C08G59/18—Macromolecules obtained by polymerising compounds containing more than one epoxy group per molecule using curing agents or catalysts which react with the epoxy groups ; e.g. general methods of curing
- C08G59/68—Macromolecules obtained by polymerising compounds containing more than one epoxy group per molecule using curing agents or catalysts which react with the epoxy groups ; e.g. general methods of curing characterised by the catalysts used
-
- C—CHEMISTRY; METALLURGY
- C08—ORGANIC MACROMOLECULAR COMPOUNDS; THEIR PREPARATION OR CHEMICAL WORKING-UP; COMPOSITIONS BASED THEREON
- C08J—WORKING-UP; GENERAL PROCESSES OF COMPOUNDING; AFTER-TREATMENT NOT COVERED BY SUBCLASSES C08B, C08C, C08F, C08G or C08H
- C08J5/00—Manufacture of articles or shaped materials containing macromolecular substances
- C08J5/18—Manufacture of films or sheets
-
- G—PHYSICS
- G02—OPTICS
- G02B—OPTICAL ELEMENTS, SYSTEMS OR APPARATUS
- G02B1/00—Optical elements characterised by the material of which they are made; Optical coatings for optical elements
- G02B1/04—Optical elements characterised by the material of which they are made; Optical coatings for optical elements made of organic materials, e.g. plastics
-
- G—PHYSICS
- G02—OPTICS
- G02B—OPTICAL ELEMENTS, SYSTEMS OR APPARATUS
- G02B3/00—Simple or compound lenses
-
- G—PHYSICS
- G02—OPTICS
- G02B—OPTICAL ELEMENTS, SYSTEMS OR APPARATUS
- G02B3/00—Simple or compound lenses
- G02B3/0006—Arrays
- G02B3/0012—Arrays characterised by the manufacturing method
- G02B3/0018—Reflow, i.e. characterized by the step of melting microstructures to form curved surfaces, e.g. manufacturing of moulds and surfaces for transfer etching
-
- C—CHEMISTRY; METALLURGY
- C08—ORGANIC MACROMOLECULAR COMPOUNDS; THEIR PREPARATION OR CHEMICAL WORKING-UP; COMPOSITIONS BASED THEREON
- C08J—WORKING-UP; GENERAL PROCESSES OF COMPOUNDING; AFTER-TREATMENT NOT COVERED BY SUBCLASSES C08B, C08C, C08F, C08G or C08H
- C08J2325/00—Characterised by the use of homopolymers or copolymers of compounds having one or more unsaturated aliphatic radicals, each having only one carbon-to-carbon double bond, and at least one being terminated by an aromatic carbocyclic ring; Derivatives of such polymers
- C08J2325/02—Homopolymers or copolymers of hydrocarbons
- C08J2325/04—Homopolymers or copolymers of styrene
- C08J2325/06—Polystyrene
-
- C—CHEMISTRY; METALLURGY
- C08—ORGANIC MACROMOLECULAR COMPOUNDS; THEIR PREPARATION OR CHEMICAL WORKING-UP; COMPOSITIONS BASED THEREON
- C08J—WORKING-UP; GENERAL PROCESSES OF COMPOUNDING; AFTER-TREATMENT NOT COVERED BY SUBCLASSES C08B, C08C, C08F, C08G or C08H
- C08J2325/00—Characterised by the use of homopolymers or copolymers of compounds having one or more unsaturated aliphatic radicals, each having only one carbon-to-carbon double bond, and at least one being terminated by an aromatic carbocyclic ring; Derivatives of such polymers
- C08J2325/02—Homopolymers or copolymers of hydrocarbons
- C08J2325/16—Homopolymers or copolymers of alkyl-substituted styrenes
-
- G—PHYSICS
- G02—OPTICS
- G02B—OPTICAL ELEMENTS, SYSTEMS OR APPARATUS
- G02B3/00—Simple or compound lenses
- G02B2003/0093—Simple or compound lenses characterised by the shape
Landscapes
- Chemical & Material Sciences (AREA)
- Physics & Mathematics (AREA)
- Organic Chemistry (AREA)
- Health & Medical Sciences (AREA)
- Chemical Kinetics & Catalysis (AREA)
- Medicinal Chemistry (AREA)
- Polymers & Plastics (AREA)
- General Physics & Mathematics (AREA)
- Optics & Photonics (AREA)
- Manufacturing & Machinery (AREA)
- Engineering & Computer Science (AREA)
- Crystallography & Structural Chemistry (AREA)
- Materials Engineering (AREA)
- Addition Polymer Or Copolymer, Post-Treatments, Or Chemical Modifications (AREA)
- Epoxy Resins (AREA)
- Materials For Photolithography (AREA)
Description
本発明は、非感光性樹脂組成物、及び該非感光性樹脂組成物より形成される硬化膜、保護膜、平坦化膜及びマイクロレンズに関するものである。本発明の非感光性樹脂組成物は、キノンジアジド化合物などの感光剤を含有しない組成物であり、本発明の非感光性樹脂組成物に含まれる共重合体は、保護されたカルボキシ基を有する化合物と熱架橋し、硬化膜を形成するものである。 TECHNICAL FIELD The present invention relates to a non-photosensitive resin composition, and a cured film, a protective film, a planarizing film and a microlens formed from the non-photosensitive resin composition. The non-photosensitive resin composition of the present invention is a composition that does not contain a photosensitive agent such as a quinonediazide compound, and the copolymer contained in the non-photosensitive resin composition of the present invention is a compound having a protected carboxy group. and thermally crosslinked to form a cured film.
液晶ディスプレイ、CCD/CMOSイメージセンサ等の電子デバイスは、その製造工程において、酸又はアルカリ溶液、溶剤等の薬液に曝される処理や、スパッタリング、ドライエッチング、半田リフロー等の高温に曝される処理が行われる。このような処理によって、素子が劣化又は損傷することを防止するために、このような処理に対して耐性を有する硬化膜を保護膜として素子上に形成することが行われている。このような保護膜には、耐薬品性、高透明性及び耐熱性等が要求される。 Electronic devices such as liquid crystal displays and CCD/CMOS image sensors are exposed to chemical solutions such as acid or alkaline solutions and solvents in the manufacturing process, as well as processes exposed to high temperatures such as sputtering, dry etching, and solder reflow. is done. In order to prevent the element from being deteriorated or damaged by such treatment, a cured film resistant to such treatment is formed on the element as a protective film. Such a protective film is required to have chemical resistance, high transparency, heat resistance, and the like.
カラーフィルターのような凹凸が形成された表面上に前記硬化膜を形成する場合、後に続く工程でのプロセスマージンの確保、デバイス特性の均一性の確保等の観点から、平坦化性の高い硬化膜が必要となる。また、このような硬化膜からマイクロレンズを作製することも行われている。 When forming the cured film on a surface with unevenness such as a color filter, a cured film with high planarization properties is required from the viewpoint of ensuring process margins in subsequent steps and ensuring uniformity of device characteristics. Is required. Further, a microlens is also produced from such a cured film.
CCD/CMOSイメージセンサ用マイクロレンズの作製方法の1つとして、エッチバック法が知られている(特許文献1及び特許文献2)。すなわち、カラーフィルター上に形成したマイクロレンズ用樹脂膜上にレジストパターンを形成し、熱処理によってこのレジストパターンをリフローしてレンズパターンを形成する。このレジストパターンをリフローして形成したレンズパターンをエッチングマスクとして、前記レンズパターン下層のマイクロレンズ用樹脂膜をエッチバックし、前記レンズパターンの形状をマイクロレンズ用樹脂膜に転写することによってマイクロレンズを作製する。
An etch-back method is known as one of the methods of manufacturing microlenses for CCD/CMOS image sensors (
例えば特許文献3乃至特許文献5には、マイクロレンズの作製に用いられる樹脂組成物が開示されている。しかしながら、いずれも感光性(感放射線性)樹脂組成物であって、上記のエッチバック法によってマイクロレンズを形成するのに好適な材料とはいえない。
For example,
本発明は、前記の事情に基づいてなされたものであり、その目的は、優れた耐薬品性、耐熱性、透明性及び平坦化性を有する硬化膜を形成できる樹脂組成物を提供することである。また、本発明の他の目的は、優れた耐薬品性及び透明性を有するマイクロレンズを提供することである。 The present invention was made based on the above circumstances, and an object of the present invention is to provide a resin composition capable of forming a cured film having excellent chemical resistance, heat resistance, transparency and flattening properties. be. Another object of the present invention is to provide a microlens with excellent chemical resistance and transparency.
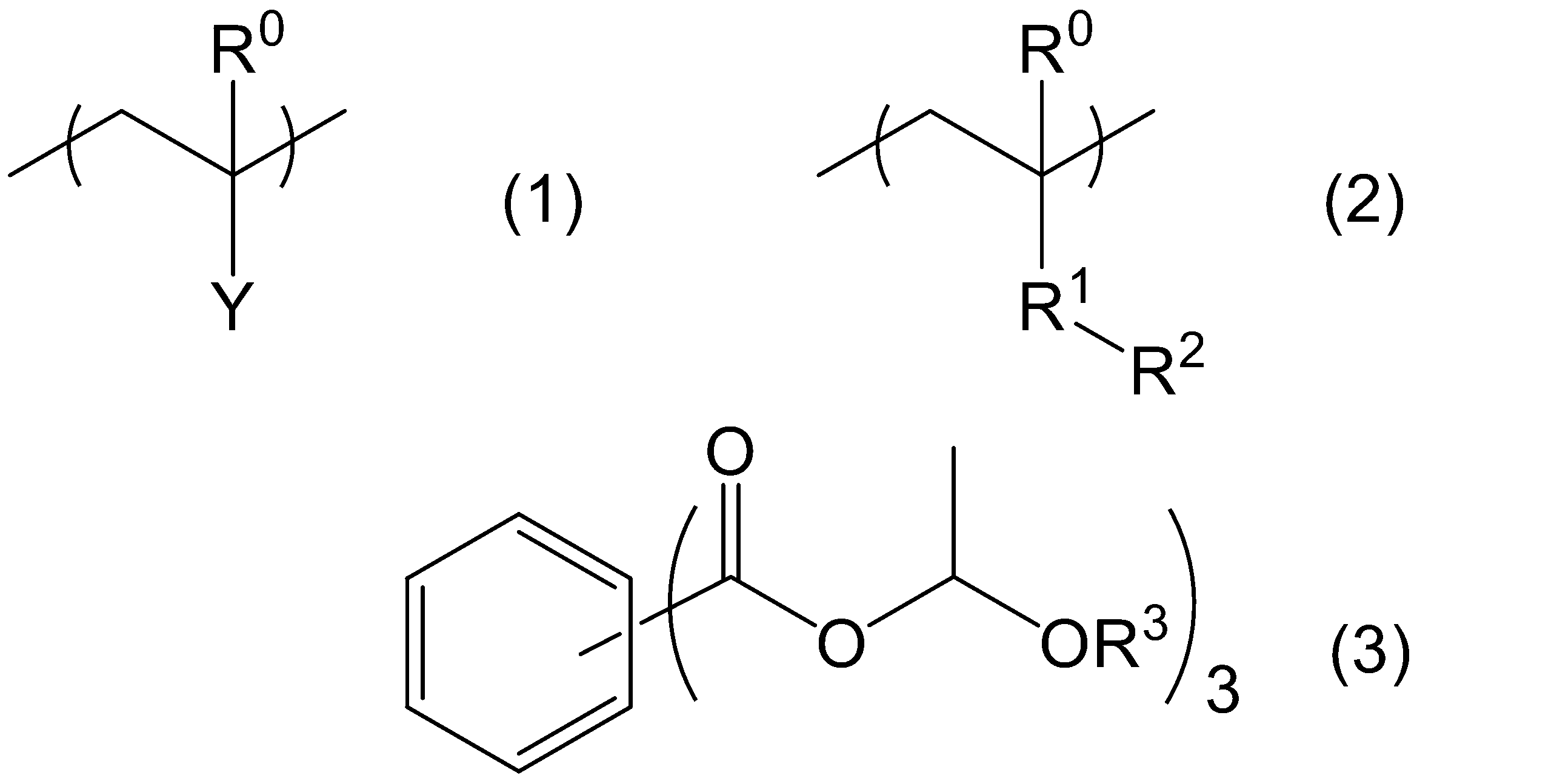
本発明者らは、前記の課題を解決するべく鋭意検討を行った結果、本発明を完成するに至った。すなわち、本発明は、下記式(1)及び式(2)で表される構造単位を有する共重合体、該共重合体100質量%に対して5質量%乃至90質量%の下記式(3)で表される化合物及び溶剤を含有する非感光性樹脂組成物である。
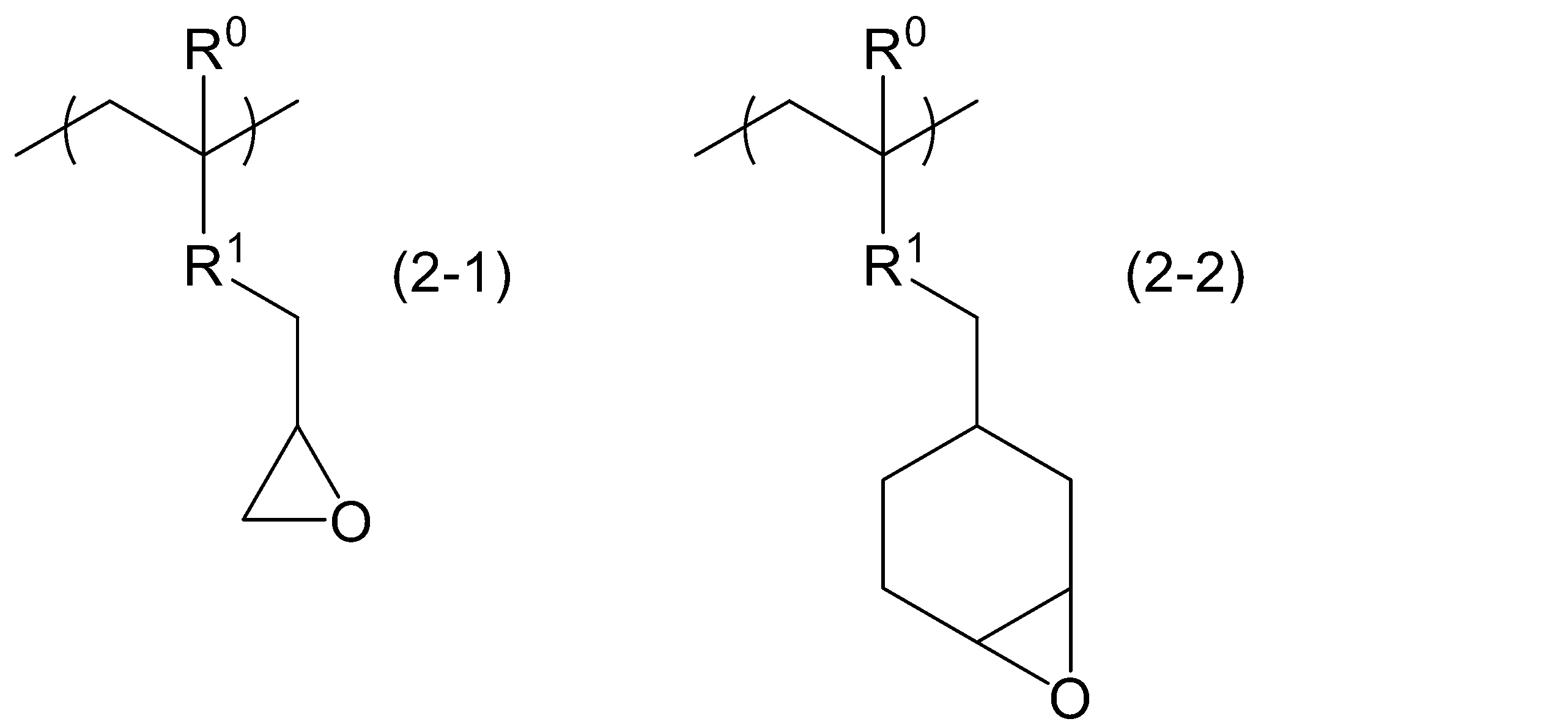
前記式(2)で表される構造単位は、例えば下記式(2-1)又は式(2-2)で表される構造単位である。
前記共重合体の重量平均分子量は、例えば1,000乃至100,000である。 The weight average molecular weight of the copolymer is, for example, 1,000 to 100,000.
前記式(3)中、R3は例えば炭素原子数1乃至4のアルキル基を表す。In formula (3), R 3 represents, for example, an alkyl group having 1 to 4 carbon atoms.
本発明の非感光性樹脂組成物は、界面活性剤をさらに含有することができる。本発明の非感光性樹脂組成物は、前記界面活性剤以外の添加剤を含有しなくてもよい。 The non-photosensitive resin composition of the present invention can further contain a surfactant. The non-photosensitive resin composition of the present invention may contain no additives other than the surfactant.
本発明の非感光性樹脂組成物は、例えば保護膜形成用樹脂組成物、平坦化膜形成用樹脂組成物又はマイクロレンズ作製用樹脂組成物である。本発明はまた、前記非感光性樹脂組成物から得られる硬化膜である。さらに本発明は、前記非感光性樹脂組成物から作製される保護膜、平坦化膜又はマイクロレンズである。前記マイクロレンズは、前記のエッチバック法によって作製される。すなわち、前記非感光性樹脂組成物を基材上に塗布し80℃乃至200℃の温度でベークして硬化膜を形成する工程、該硬化膜上にレジストパターンを形成し、加熱処理によって前記レジストパターンをリフローしてレンズパターンを形成する工程、及び該レンズパターンをマスクとして前記硬化膜をエッチバックして該レンズパターンの形状を該硬化膜へ転写する工程によって、マイクロレンズは作製される。 The non-photosensitive resin composition of the present invention is, for example, a protective film-forming resin composition, a flattening film-forming resin composition, or a microlens-forming resin composition. The present invention is also a cured film obtained from the non-photosensitive resin composition. Further, the present invention is a protective film, a planarizing film, or a microlens produced from the non-photosensitive resin composition. The microlens is produced by the etch-back method described above. That is, a step of applying the non-photosensitive resin composition on a substrate and baking it at a temperature of 80 ° C. to 200 ° C. to form a cured film, forming a resist pattern on the cured film, and heating the resist. A microlens is produced by a step of reflowing a pattern to form a lens pattern, and a step of etching back the cured film using the lens pattern as a mask to transfer the shape of the lens pattern to the cured film.
前記硬化膜は、例えば、前記非感光性樹脂組成物から溶剤を蒸発させるために80℃乃至150℃の温度でベークした後、160℃乃至200℃の温度でベークすることにより形成される。前記基材は、例えばカラーフィルターが形成された基板である。 The cured film is formed, for example, by baking at a temperature of 80° C. to 150° C. to evaporate the solvent from the non-photosensitive resin composition, followed by baking at a temperature of 160° C. to 200° C. The base material is, for example, a substrate on which a color filter is formed.
本発明の非感光性樹脂組成物から形成される硬化膜は、優れた耐薬品性、耐熱性、透明性及び平坦化性を有する。これにより、前記硬化膜は、その形成工程、又は配線等の周辺装置の形成工程において、酸又はアルカリ溶液、溶剤等の薬液に曝される処理や、スパッタリング、ドライエッチング、半田リフロー等の高温に曝される処理が行われる場合に、素子が劣化又は損傷する可能性を著しく減少できる。また、本発明の非感光性樹脂組成物から保護膜、平坦化膜又はマイクロレンズを形成し、その上にレジストを塗布する場合、及び電極/配線形成工程を行う場合には、レジストとのミキシングの問題、及び薬液による保護膜、平坦化膜又はマイクロレンズの変形及び剥離といった問題も著しく減少できる。さらに、本発明の非感光性樹脂組成物は、保護されたカルボキシ基を有する化合物を含有するため、室温での保存安定性に優れる。本発明の非感光性樹脂組成物を用いることにより、保護膜、平坦化膜又はマイクロレンズを80℃乃至200℃の温度で形成できる。また、本発明の非感光性樹脂組成物は、界面活性剤以外の添加剤を必要としない。そのため、保護されていないカルボキシ基を有する化合物を含有しない本発明の非感光性樹脂組成物は保存安定性が損なわれず、硬化膜を形成するベーク時に該硬化膜の表面に添加剤が浮き出すブリードアウトが発生せず、形成された硬化膜が溶剤と接触する際に添加剤の染み出しが発生しない。したがって、本発明の非感光性樹脂組成物は、保護膜、平坦化膜及びマイクロレンズを形成する材料として好適である。 A cured film formed from the non-photosensitive resin composition of the present invention has excellent chemical resistance, heat resistance, transparency and flatness. As a result, the cured film is exposed to chemicals such as acid or alkaline solutions, solvents, etc., and is exposed to high temperatures such as sputtering, dry etching, solder reflow, etc. in the formation process or the formation process of peripheral devices such as wiring. The likelihood of device degradation or damage when exposed processing is performed can be significantly reduced. In the case of forming a protective film, planarizing film or microlens from the non-photosensitive resin composition of the present invention and applying a resist thereon, and in the case of performing the electrode/wiring forming step, mixing with the resist is required. problems, and deformation and peeling of protective films, planarizing films or microlenses due to chemicals can also be significantly reduced. Furthermore, since the non-photosensitive resin composition of the present invention contains a compound having a protected carboxy group, it has excellent storage stability at room temperature. By using the non-photosensitive resin composition of the present invention, a protective film, a planarizing film or a microlens can be formed at a temperature of 80°C to 200°C. Moreover, the non-photosensitive resin composition of the present invention does not require additives other than surfactants. Therefore, the non-photosensitive resin composition of the present invention, which does not contain a compound having an unprotected carboxyl group, does not lose storage stability, and bleeds such that the additive floats on the surface of the cured film during baking to form the cured film. No out occurs, and no bleeding of the additive occurs when the formed cured film comes into contact with the solvent. Therefore, the non-photosensitive resin composition of the present invention is suitable as a material for forming protective films, flattening films and microlenses.
本発明は、共重合体、保護されたカルボキシ基を有する化合物及び溶剤を含有する非感光性樹脂組成物である。以下、本発明の非感光性樹脂組成物に含まれる各成分の詳細を説明する。本発明の非感光性樹脂組成物から溶剤を除いた固形分は通常、1質量%乃至50質量%である。 The present invention is a non-photosensitive resin composition containing a copolymer, a compound having a protected carboxyl group and a solvent. Details of each component contained in the non-photosensitive resin composition of the present invention are described below. The solid content of the non-photosensitive resin composition of the present invention after removing the solvent is usually 1% by mass to 50% by mass.
<共重合体>
本発明の非感光性樹脂組成物に含まれる共重合体は、前記式(1)及び式(2)で表される構造単位を有する共重合体である。<Copolymer>
The copolymer contained in the non-photosensitive resin composition of the present invention is a copolymer having structural units represented by the formulas (1) and (2).
前記式(1)において、芳香族炭化水素基の具体例としては、フェニル基、ビフェニリル基、ナフチル基が挙げられる。前記式(1)で表される構造単位を形成する化合物(モノマー)の具体例としては、スチレン、α-メチルスチレン、2-メチルスチレン、3-メチルスチレン、4-メチルスチレン、4-tert-ブチルスチレン、4-メトキシスチレン、4-シアノスチレン、4-フルオロスチレン、4-クロロスチレン、4-ブロモスチレン、4-ビニルビフェニル、1-ビニルナフタレン、2-ビニルナフタレンが挙げられる。これらの化合物は1種を単独で使用しても、或いは2種以上を組み合わせて使用してもよい。 In formula (1), specific examples of the aromatic hydrocarbon group include a phenyl group, a biphenylyl group, and a naphthyl group. Specific examples of the compound (monomer) forming the structural unit represented by formula (1) include styrene, α-methylstyrene, 2-methylstyrene, 3-methylstyrene, 4-methylstyrene, 4-tert- Butylstyrene, 4-methoxystyrene, 4-cyanostyrene, 4-fluorostyrene, 4-chlorostyrene, 4-bromostyrene, 4-vinylbiphenyl, 1-vinylnaphthalene and 2-vinylnaphthalene. These compounds may be used individually by 1 type, or may be used in combination of 2 or more type.
前記式(2)で表される構造単位は、前記式(2-1)又は式(2-2)で表される構造単位であり、前記式(2-1)又は式(2-2)で表される構造単位を形成する化合物(モノマー)の具体例としては、下記式(2-1-1)乃至式(2-1-8)及び式(2-2-1)乃至式(2-2-8)で表されるモノマーが挙げられる。なお、これらのモノマーは1種を単独で使用しても、或いは2種以上を組み合わせて使用してもよい。
前記式(1)及び式(2)で表される構造単位を有する共重合体において、前記式(1)で表される構造単位及び前記式(2)で表される構造単位の和100mol%に対し、前記式(1)で表される構造単位の含有率は20mol%乃至95mol%であり、好ましくは50mol%乃至90mol%であり、より好ましくは65mol%乃至85mol%であり、前記式(2)で表される構造単位の含有率は5mol%乃至80mol%であり、好ましくは10mol%乃至50mol%であり、より好ましくは15mol%乃至35mol%である。 In the copolymer having the structural units represented by the formulas (1) and (2), the sum of the structural units represented by the formula (1) and the structural units represented by the formula (2) is 100 mol%. , the content of the structural unit represented by the formula (1) is 20 mol% to 95 mol%, preferably 50 mol% to 90 mol%, more preferably 65 mol% to 85 mol%, and the formula ( The content of the structural unit represented by 2) is 5 mol % to 80 mol %, preferably 10 mol % to 50 mol %, more preferably 15 mol % to 35 mol %.
前記共重合体の重量平均分子量は通常、1,000乃至100,000であり、好ましくは3,000乃至50,000である。なお、重量平均分子量は、ゲルパーミエーションクロマトグラフィー(GPC)により、標準試料としてポリスチレンを用いて得られる値である。 The weight average molecular weight of the copolymer is usually 1,000 to 100,000, preferably 3,000 to 50,000. The weight average molecular weight is a value obtained by gel permeation chromatography (GPC) using polystyrene as a standard sample.
また、本発明の非感光性樹脂組成物における前記共重合体の含有量は、前記非感光性樹脂組成物の固形分中の含有量に基づいて通常、1質量%乃至99質量%であり、好ましくは5質量%乃至95質量%である。 Further, the content of the copolymer in the non-photosensitive resin composition of the present invention is usually 1% by mass to 99% by mass based on the content in the solid content of the non-photosensitive resin composition, It is preferably 5% by mass to 95% by mass.
本発明において、前記共重合体を得る方法は特に限定されないが、一般的には、前記式(1)及び式(2)で表される構造単位を形成する化合物(モノマー)を、重合開始剤存在下の溶剤中において、通常50℃乃至120℃の温度下で重合反応させることにより得られる。このようにして得られる共重合体は、通常、溶剤に溶解した溶液状態であり、この状態で単離することなく、本発明の非感光性樹脂組成物に用いることもできる。 In the present invention, the method for obtaining the copolymer is not particularly limited. It can be obtained by polymerizing at a temperature of 50° C. to 120° C. in the presence of a solvent. The copolymer thus obtained is usually in the form of a solution dissolved in a solvent, and can be used in the non-photosensitive resin composition of the present invention without isolation in this state.
また、上記のようにして得られた共重合体の溶液を、攪拌させたヘキサン、ジエチルエーテル、メタノール、水等の貧溶媒に投入して前記共重合体を再沈殿させ、生成した沈殿物をろ過・洗浄後、常圧又は減圧下で常温乾燥又は加熱乾燥することで、前記共重合体を粉体とすることができる。このような操作により、前記共重合体と共存する重合開始剤や未反応化合物を除去することができる。本発明においては、前記共重合体の粉体をそのまま用いてもよく、あるいはその粉体を、例えば後述する溶剤に再溶解して溶液の状態として用いてもよい。 In addition, the copolymer solution obtained as described above is put into a poor solvent such as hexane, diethyl ether, methanol, or water, which is stirred, to reprecipitate the copolymer, and the resulting precipitate is After filtration and washing, the copolymer can be powdered by drying at room temperature or by heating under normal pressure or reduced pressure. By such an operation, the polymerization initiator and unreacted compounds coexisting with the copolymer can be removed. In the present invention, the powder of the copolymer may be used as it is, or the powder may be redissolved, for example, in a solvent to be described later and used in the form of a solution.
<溶剤>
前記溶剤としては、前記共重合体を溶解するものであれば特に限定されない。そのような溶剤としては、例えば、エチレングリコールモノメチルエーテル、エチレングリコールモノエチルエーテル、メチルセロソルブアセテート、エチルセロソルブアセテート、ジエチレングリコールモノメチルエーテル、ジエチレングリコールモノエチルエーテル、プロピレングリコール、プロピレングリコールモノメチルエーテル、プロピレングリコールモノメチルエーテルアセテート、プロピレングリコールモノエチルエーテル、プロピレングリコールモノエチルエーテルアセテート、プロピレングリコールモノプロピルエーテル、プロピレングリコールプロピルエーテルアセテート、プロピレングリコールモノブチルエーテル、プロピレングリコールモノブチルエーテルアセテート、トルエン、キシレン、メチルエチルケトン、シクロペンタノン、シクロヘキサノン、2-ヒドロキシプロピオン酸エチル、2-ヒドロキシ-2-メチルプロピオン酸エチル、エトキシ酢酸エチル、ヒドロキシ酢酸エチル、2-ヒドロキシ-3-メチルブタン酸メチル、3-メトキシプロピオン酸メチル、3-メトキシプロピオン酸エチル、3-エトキシプロピオン酸エチル、3-エトキシプロピオン酸メチル、ピルビン酸メチル、酢酸エチル、酢酸ブチル、乳酸エチル、乳酸ブチル、2-ヘプタノン、γ-ブチロラクトンを挙げることができる。これらの溶剤は、1種を単独で使用しても、或いは2種以上を組み合わせて使用してもよい。<Solvent>
The solvent is not particularly limited as long as it dissolves the copolymer. Examples of such solvents include ethylene glycol monomethyl ether, ethylene glycol monoethyl ether, methyl cellosolve acetate, ethyl cellosolve acetate, diethylene glycol monomethyl ether, diethylene glycol monoethyl ether, propylene glycol, propylene glycol monomethyl ether, and propylene glycol monomethyl ether acetate. , propylene glycol monoethyl ether, propylene glycol monoethyl ether acetate, propylene glycol monopropyl ether, propylene glycol propyl ether acetate, propylene glycol monobutyl ether, propylene glycol monobutyl ether acetate, toluene, xylene, methyl ethyl ketone, cyclopentanone, cyclohexanone, 2 -ethyl hydroxypropionate, ethyl 2-hydroxy-2-methylpropionate, ethyl ethoxyacetate, ethyl hydroxyacetate, methyl 2-hydroxy-3-methylbutanoate, methyl 3-methoxypropionate, ethyl 3-methoxypropionate, 3 -ethyl ethoxypropionate, methyl 3-ethoxypropionate, methyl pyruvate, ethyl acetate, butyl acetate, ethyl lactate, butyl lactate, 2-heptanone, γ-butyrolactone. These solvents may be used singly or in combination of two or more.
これらの溶剤の中でも、本発明の非感光性樹脂組成物を基材上に塗布して形成される塗膜のレベリング性の向上の観点から、プロピレングリコールモノメチルエーテル、プロピレングリコールモノメチルエーテルアセテート、プロピレングリコールモノエチルエーテル、プロピレングリコールモノプロピルエーテル、2-ヘプタノン、乳酸エチル、乳酸ブチル、シクロペンタノン及びシクロヘキサノンが好ましい。 Among these solvents, propylene glycol monomethyl ether, propylene glycol monomethyl ether acetate, and propylene glycol are preferred from the viewpoint of improving the leveling properties of the coating film formed by coating the non-photosensitive resin composition of the present invention on a substrate. Monoethyl ether, propylene glycol monopropyl ether, 2-heptanone, ethyl lactate, butyl lactate, cyclopentanone and cyclohexanone are preferred.
<保護されたカルボキシ基を有する化合物>
本発明の非感光性樹脂組成物は、硬化膜を形成させる目的で、保存安定性の観点で優れる、保護されたカルボキシ基を有する化合物を含有する。その含有量は、前記非感光性樹脂組成物に含まれる共重合体100質量%に対して5質量%乃至90質量%であり、好ましくは15質量%乃至70質量%である。保護されたカルボキシ基を有する化合物の含有量が5質量%未満の場合は、形成される膜の硬化が不十分となり耐薬品性が得られないおそれがあり、90質量%を超える場合は、硬化膜を形成する際のベーク時に、脱保護した保護基によってボイド等の不良が発生するおそれがある。<Compound Having Protected Carboxy Group>
The non-photosensitive resin composition of the present invention contains a compound having a protected carboxyl group, which is excellent in terms of storage stability, for the purpose of forming a cured film. The content thereof is 5% to 90% by mass, preferably 15% to 70% by mass, based on 100% by mass of the copolymer contained in the non-photosensitive resin composition. If the content of the compound having a protected carboxyl group is less than 5% by mass, the resulting film may not be sufficiently cured and may not have chemical resistance. Deprotected protective groups may cause defects such as voids during baking for film formation.
前記保護されたカルボキシ基を有する化合物としては、アルキルビニルエーテルで保護されたカルボキシ基を分子内に3個有する前記式(3)で表される化合物を挙げることができる。前記式(3)で表される化合物としては、基材上に塗布した非感光性樹脂組成物をベークした際にアルキルビニルエーテルが解離し、かつそのアルキルビニルエーテルが揮発するものであれば特に限定されない。前記式(3)で表される化合物において、R3が炭素原子数1乃至4のアルキル基(メチル基、エチル基、n-プロピル基、イソプロピル基、n-ブチル基、sec-ブチル基、イソブチル基、tert-ブチル基)を表す化合物がより好ましい。Examples of the compound having a protected carboxy group include compounds represented by the above formula (3) having three carboxy groups protected by alkyl vinyl ether in the molecule. The compound represented by the formula (3) is not particularly limited as long as the alkyl vinyl ether dissociates and volatilizes when the non-photosensitive resin composition coated on the substrate is baked. . In the compound represented by the formula (3), R 3 is an alkyl group having 1 to 4 carbon atoms (methyl group, ethyl group, n-propyl group, isopropyl group, n-butyl group, sec-butyl group, isobutyl more preferred are the compounds representing the group (group, tert-butyl group).
前記式(3)で表される化合物の市販品としては、例えば、下記製品を挙げることができる。ノフキュアー〔登録商標〕TN-1、同TN-4、同TN-5(以上、日油(株)製)。 Examples of commercially available products of the compound represented by formula (3) include the following products. Nofcure (registered trademark) TN-1, TN-4, TN-5 (manufactured by NOF Corporation).
<界面活性剤>
また、本発明の非感光性樹脂組成物は、塗布性を向上させる目的で、界面活性剤を含有することもできる。前記界面活性剤としては、例えば、ポリオキシエチレンラウリルエーテル、ポリオキシエチレンステアリルエーテル、ポリオキシエチレンセチルエーテル、ポリオキシエチレンオレイルエーテル等のポリオキシエチレンアルキルエーテル類、ポリオキシエチレンオクチルフェニルエーテル、ポリオキシエチレンノニルフェニルエーテル等のポリオキシエチレンアルキルアリールエーテル類、ポリオキシエチレン・ポリオキシプロピレンブロックコポリマー類、ソルビタンモノラウレート、ソルビタンモノパルミテート、ソルビタンモノステアレート、ソルビタンモノオレエート、ソルビタントリオレエート、ソルビタントリステアレート等のソルビタン脂肪酸エステル類、ポリオキシエチレンソルビタンモノラウレート、ポリオキシエチレンソルビタンモノパルミテート、ポリオキシエチレンソルビタンモノステアレート、ポリオキシエチレンソルビタントリオレエート、ポリオキシエチレンソルビタントリステアレート等のポリオキシエチレンソルビタン脂肪酸エステル類等のノニオン系界面活性剤、エフトップ〔登録商標〕EF301、同EF303、同EF352(以上、三菱マテリアル電子化成(株)製)、メガファック〔登録商標〕F-171、同F-173、同R-30、同R-40、同R-40-LM(以上、DIC(株)製)、フロラードFC430、同FC431(以上、住友スリーエム(株)製)、アサヒガード〔登録商標〕AG710、サーフロン〔登録商標〕S-382、同SC101、同SC102、同SC103、同SC104、同SC105、同SC106(AGC(株)製)、FTX-206D、FTX-212D、FTX-218、FTX-220D、FTX-230D、FTX-240D、FTX-212P、FTX-220P、FTX-228P、FTX-240G等のフタージェントシリーズ((株)ネオス製)等のフッ素系界面活性剤、オルガノシロキサンポリマーKP341(信越化学工業(株)製)を挙げることができる。これらの界面活性剤は、1種単独で使用しても、2種以上を組み合わせて使用してもよい。<Surfactant>
Moreover, the non-photosensitive resin composition of the present invention may contain a surfactant for the purpose of improving coatability. Examples of the surfactant include polyoxyethylene alkyl ethers such as polyoxyethylene lauryl ether, polyoxyethylene stearyl ether, polyoxyethylene cetyl ether, and polyoxyethylene oleyl ether; polyoxyethylene octylphenyl ether; Polyoxyethylene alkylaryl ethers such as ethylene nonylphenyl ether, polyoxyethylene/polyoxypropylene block copolymers, sorbitan monolaurate, sorbitan monopalmitate, sorbitan monostearate, sorbitan monooleate, sorbitan trioleate, sorbitan Sorbitan fatty acid esters such as tristearate, polyoxyethylene sorbitan monolaurate, polyoxyethylene sorbitan monopalmitate, polyoxyethylene sorbitan monostearate, polyoxyethylene sorbitan trioleate, polyoxyethylene sorbitan tristearate, etc. Nonionic surfactants such as polyoxyethylene sorbitan fatty acid esters, F-top [registered trademark] EF301, EF303, EF352 (manufactured by Mitsubishi Materials Electronic Chemicals Co., Ltd.), Megafac [registered trademark] F-171 , F-173, R-30, R-40, R-40-LM (manufactured by DIC Corporation), Florard FC430, FC431 (manufactured by Sumitomo 3M), Asahi Guard [Registered Trademark] AG710, Surflon [Registered Trademark] S-382, SC101, SC102, SC103, SC104, SC105, SC106 (manufactured by AGC Inc.), FTX-206D, FTX-212D, FTX- 218, FTX-220D, FTX-230D, FTX-240D, FTX-212P, FTX-220P, FTX-228P, FTX-240G, etc. Ftergent series (manufactured by Neos Co., Ltd.) and other fluorine-based surfactants, organo Siloxane polymer KP341 (manufactured by Shin-Etsu Chemical Co., Ltd.) can be mentioned. These surfactants may be used alone or in combination of two or more.
また、前記界面活性剤が使用される場合、本発明の非感光性樹脂組成物におけるその界面活性剤の含有量は、前記非感光性樹脂組成物の固形分中の含有量に基づいて、0.0001質量%乃至3質量%であり、好ましくは0.001質量%乃至1質量%であり、より好ましくは0.01質量%乃至0.5質量%である。 Further, when the surfactant is used, the content of the surfactant in the non-photosensitive resin composition of the present invention is 0 based on the content in the solid content of the non-photosensitive resin composition. 0001% to 3% by mass, preferably 0.001% to 1% by mass, more preferably 0.01% to 0.5% by mass.
本発明の非感光性樹脂組成物は、上記保護されたカルボキシ基を有する化合物以外に硬化剤を含有しなくてよい。また、本発明の非感光性樹脂組成物は、硬化助剤、紫外線吸収剤、増感剤、可塑剤、酸化防止剤、密着助剤等の添加剤を含有しなくてよい。 The non-photosensitive resin composition of the present invention does not need to contain a curing agent other than the compound having a protected carboxyl group. In addition, the non-photosensitive resin composition of the present invention does not need to contain additives such as curing aids, ultraviolet absorbers, sensitizers, plasticizers, antioxidants and adhesion aids.
<非感光性樹脂組成物の調製方法>
本発明の非感光性樹脂組成物の調製方法は、特に限定されないが、例えば、前記式(1)及び式(2)で表される構造単位を有する共重合体、及び前記式(3)で表される化合物を溶剤に溶解し、均一な溶液とする方法が挙げられる。<Method for preparing non-photosensitive resin composition>
The method for preparing the non-photosensitive resin composition of the present invention is not particularly limited. For example, a copolymer having structural units represented by the formulas (1) and (2), and A method of dissolving the represented compound in a solvent to form a uniform solution can be mentioned.
<硬化膜、保護膜及び平坦化膜の作製方法>
本発明の非感光性樹脂組成物を用いた硬化膜、保護膜及び平坦化膜の作製方法について説明する。基材(例えば、半導体基板、ガラス基板、石英基板、シリコンウエハー及びこれらの表面に各種金属膜又はカラーフィルター等が形成された基板)上に、スピナー、コーター等の適当な塗布方法により本発明の非感光性樹脂組成物を塗布後、ホットプレートやオーブン等の加熱手段を用いてベークして硬化させて硬化膜、保護膜、又は平坦化膜を作製する。<Method for preparing cured film, protective film and flattening film>
A method for producing a cured film, a protective film and a planarizing film using the non-photosensitive resin composition of the present invention will be described. The composition of the present invention is applied onto a substrate (for example, a semiconductor substrate, a glass substrate, a quartz substrate, a silicon wafer, and substrates having various metal films or color filters formed thereon) by an appropriate coating method using a spinner, coater, or the like. After applying the non-photosensitive resin composition, it is cured by baking using a heating means such as a hot plate or an oven to prepare a cured film, a protective film, or a planarizing film.
ベーク条件は、ベーク温度80℃乃至260℃、好ましくは80℃乃至200℃、ベーク時間0.3分乃至60分間の中から適宜選択される。ベークは2ステップ以上で実施するのが、平坦な膜が得られるため好ましい。ベークを2ステップ以上で実施する場合、最初のベークは、前記基材上に塗布された非感光性樹脂組成物から溶剤を蒸発させるために行う。また、発明の非感光性樹脂組成物から形成される膜の膜厚としては、例えば0.001μm乃至100μmであり、好ましくは0.01μm乃至10μmである。 Baking conditions are appropriately selected from a baking temperature of 80° C. to 260° C., preferably 80° C. to 200° C., and a baking time of 0.3 minutes to 60 minutes. It is preferable to perform baking in two or more steps because a flat film can be obtained. When baking is performed in two or more steps, the first baking is performed to evaporate the solvent from the non-photosensitive resin composition applied on the substrate. The thickness of the film formed from the non-photosensitive resin composition of the invention is, for example, 0.001 μm to 100 μm, preferably 0.01 μm to 10 μm.
<マイクロレンズの作製方法>
本発明の非感光性樹脂組成物を用いたマイクロレンズの作製方法について説明する。基材(例えば、半導体基板、ガラス基板、石英基板、シリコンウエハー及びこれらの表面に各種金属膜又はカラーフィルター等が形成された基板)上に、スピナー、コーター等の適当な塗布方法により本発明の非感光性樹脂組成物を塗布後、ホットプレート、オーブン等の加熱手段を用いてベークして硬化させて硬化膜を作製する。<Method for producing microlens>
A method for producing a microlens using the non-photosensitive resin composition of the present invention will be described. The composition of the present invention is applied onto a substrate (for example, a semiconductor substrate, a glass substrate, a quartz substrate, a silicon wafer, and substrates having various metal films or color filters formed thereon) by an appropriate coating method using a spinner, coater, or the like. After applying the non-photosensitive resin composition, it is baked and cured using a heating means such as a hot plate or an oven to prepare a cured film.
ベーク条件は、ベーク温度80℃乃至260℃、好ましくは80℃乃至200℃、ベーク時間0.3分乃至60分間の中から適宜選択される。ベークは2ステップ以上で実施するのが、平坦な膜が得られるため好ましい。ベークを2ステップ以上で実施する場合、最初のベークは、前記基材上に塗布された非感光性樹脂組成物から溶剤を蒸発させるために行う。また、本発明の非感光性樹脂組成物から形成される硬化膜の膜厚としては、例えば0.1μm乃至100μmであり、好ましくは0.5μm乃至10μmである。 Baking conditions are appropriately selected from a baking temperature of 80° C. to 260° C., preferably 80° C. to 200° C., and a baking time of 0.3 minutes to 60 minutes. It is preferable to perform baking in two or more steps because a flat film can be obtained. When baking is performed in two or more steps, the first baking is performed to evaporate the solvent from the non-photosensitive resin composition applied on the substrate. The thickness of the cured film formed from the non-photosensitive resin composition of the present invention is, for example, 0.1 μm to 100 μm, preferably 0.5 μm to 10 μm.
その後、作製された硬化膜の上にレジストを塗布し、所定のマスクを通して露光し、必要に応じて露光後加熱(PEB)を行い、アルカリ現像、リンス、及び乾燥することにより、所定のレジストパターンを形成する。露光には、例えば、g線、i線、KrFエキシマレーザー、ArFエキシマレーザーを使用することができる。次いで、加熱処理することにより、前記レジストパターンをリフローしてレンズパターンを形成する。このレンズパターンをエッチングマスクとして下層の硬化膜をエッチバックして、前記レンズパターンの形状を前記硬化膜に転写することによってマイクロレンズを作製する。 After that, a resist is applied on the prepared cured film, exposed through a predetermined mask, post-exposure baking (PEB) is performed as necessary, alkali development, rinsing, and drying are performed to obtain a predetermined resist pattern. to form For exposure, for example, g-line, i-line, KrF excimer laser, ArF excimer laser can be used. Then, the resist pattern is reflowed by heat treatment to form a lens pattern. Using this lens pattern as an etching mask, the underlying cured film is etched back, and the shape of the lens pattern is transferred to the cured film to form a microlens.
以下に実施例及び比較例に基づいて本発明をより詳細に説明するが、本発明はこれら実施例に限定されるものでない。
〔下記合成例で得られた共重合体の重量平均分子量の測定〕
装置:日本分光(株)製GPCシステム
カラム:Shodex〔登録商標〕KF-804L及びKF-803L
カラムオーブン:40℃
流量:1mL/分
溶離液:テトラヒドロフランEXAMPLES The present invention will be described in more detail below based on Examples and Comparative Examples, but the present invention is not limited to these Examples.
[Measurement of Weight Average Molecular Weight of Copolymers Obtained in Synthesis Examples Below]
Apparatus: GPC system manufactured by JASCO Corporation Column: Shodex (registered trademark) KF-804L and KF-803L
Column oven: 40°C
Flow rate: 1 mL/min Eluent: Tetrahydrofuran
[共重合体の合成]
<合成例1>
前記式(2-1-3)で表されるモノマー10.2g、スチレン25.0g及び2,2’-アゾビスイソブチロニトリル0.77gをプロピレングリコールモノメチルエーテルアセテート53.9gに溶解させた後、この溶液を、プロピレングリコールモノメチルエーテルアセテート12.8gを70℃に保持したフラスコ中に4時間かけて滴下した。滴下終了後、さらに18時間反応させて、共重合体の溶液(固形分濃度35質量%)を得た。得られた共重合体の重量平均分子量Mwは30,000(ポリスチレン換算)であった。[Synthesis of copolymer]
<Synthesis Example 1>
10.2 g of the monomer represented by the formula (2-1-3), 25.0 g of styrene and 0.77 g of 2,2′-azobisisobutyronitrile were dissolved in 53.9 g of propylene glycol monomethyl ether acetate. After that, this solution was added dropwise over 4 hours into a flask in which 12.8 g of propylene glycol monomethyl ether acetate was kept at 70°C. After completion of the dropwise addition, reaction was continued for 18 hours to obtain a copolymer solution (solid concentration: 35% by mass). The weight average molecular weight Mw of the resulting copolymer was 30,000 (converted to polystyrene).
<合成例2>
前記式(2-1-3)で表されるモノマー9.0g、4-メチルスチレン25.0g及び2,2’-アゾビスイソブチロニトリル0.68gをプロピレングリコールモノメチルエーテルアセテート52.0gに溶解させた後、この溶液を、プロピレングリコールモノメチルエーテルアセテート12.4gを70℃に保持したフラスコ中に4時間かけて滴下した。滴下終了後、さらに18時間反応させて、共重合体の溶液(固形分濃度35質量%)を得た。得られた共重合体の重量平均分子量Mwは22,000(ポリスチレン換算)であった。<Synthesis Example 2>
9.0 g of the monomer represented by the formula (2-1-3), 25.0 g of 4-methylstyrene and 0.68 g of 2,2′-azobisisobutyronitrile were added to 52.0 g of propylene glycol monomethyl ether acetate. After dissolution, this solution was added dropwise over 4 hours into a flask in which 12.4 g of propylene glycol monomethyl ether acetate was maintained at 70°C. After completion of the dropwise addition, reaction was continued for 18 hours to obtain a copolymer solution (solid concentration: 35% by mass). The weight average molecular weight Mw of the resulting copolymer was 22,000 (converted to polystyrene).
<合成例3>
前記式(2-1-3)で表されるモノマー6.3g、スチレン18.0g、1-n-ブトキシエチルメタクリレート8.3g及び2,2’-アゾビスイソブチロニトリル1.1gをプロピレングリコールモノメチルエーテルアセテート50.5gに溶解させた後、この溶液を、プロピレングリコールモノメチルエーテルアセテート12.0gを70℃に保持したフラスコ中に4時間かけて滴下した。滴下終了後、さらに18時間反応させて、共重合体の溶液(固形分濃度35質量%)を得た。得られた共重合体の重量平均分子量Mwは15,000(ポリスチレン換算)であった。<Synthesis Example 3>
6.3 g of the monomer represented by the above formula (2-1-3), 18.0 g of styrene, 8.3 g of 1-n-butoxyethyl methacrylate and 1.1 g of 2,2′-azobisisobutyronitrile were added to propylene. After dissolving in 50.5 g of glycol monomethyl ether acetate, this solution was added dropwise over 4 hours into a flask in which 12.0 g of propylene glycol monomethyl ether acetate was maintained at 70°C. After completion of the dropwise addition, reaction was continued for 18 hours to obtain a copolymer solution (solid concentration: 35% by mass). The weight average molecular weight Mw of the resulting copolymer was 15,000 (converted to polystyrene).
<合成例4>
前記式(2-1-3)で表されるモノマー19.9g、スチレン38.0g、4-ヒドロキシフェニルメタクリレート10.0g及び2,2’-アゾビスイソブチロニトリル2.3gをプロピレングリコールモノメチルエーテルアセテート105gに溶解させた後、この溶液を、プロピレングリコールモノメチルエーテルアセテート25.1gを70℃に保持したフラスコ中に4時間かけて滴下した。滴下終了後、さらに18時間反応させて、共重合体の溶液(固形分濃度35質量%)を得た。得られた共重合体の重量平均分子量Mwは22,000(ポリスチレン換算)であった。<Synthesis Example 4>
19.9 g of the monomer represented by the above formula (2-1-3), 38.0 g of styrene, 10.0 g of 4-hydroxyphenyl methacrylate and 2.3 g of 2,2′-azobisisobutyronitrile were mixed with propylene glycol monomethyl After dissolving in 105 g of ether acetate, this solution was added dropwise over 4 hours into a flask in which 25.1 g of propylene glycol monomethyl ether acetate was maintained at 70°C. After completion of the dropwise addition, reaction was continued for 18 hours to obtain a copolymer solution (solid concentration: 35% by mass). The weight average molecular weight Mw of the resulting copolymer was 22,000 (converted to polystyrene).
[非感光性樹脂組成物の調製]
<実施例1>
合成例1で得られた共重合体の溶液50.0g、前記式(3)で表される化合物としてノフキュアー〔登録商標〕TN-1(固形分濃度60質量%のPGMEA溶液)(日油(株)製)9.3g及び界面活性剤としてメガファック〔登録商標〕R-30(DIC(株)製)0.01gを、プロピレングリコールモノメチルエーテルアセテート29.5gに溶解させて溶液とした。その後、孔径0.10μmのポリエチレン製ミクロフィルターを用いてろ過して、非感光性樹脂組成物を調製した。[Preparation of non-photosensitive resin composition]
<Example 1>
50.0 g of the solution of the copolymer obtained in Synthesis Example 1, Nofcure (registered trademark) TN-1 (PGMEA solution with a solid content concentration of 60% by mass) as the compound represented by the formula (3) (NOF ( (manufactured by DIC Corporation) and 0.01 g of Megafac (registered trademark) R-30 (manufactured by DIC Corporation) as a surfactant were dissolved in 29.5 g of propylene glycol monomethyl ether acetate to prepare a solution. Thereafter, the mixture was filtered using a polyethylene microfilter having a pore size of 0.10 μm to prepare a non-photosensitive resin composition.
<実施例2>
合成例2で得られた共重合体の溶液50.0g、前記式(3)で表される化合物としてノフキュアー〔登録商標〕TN-1(固形分濃度60質量%のPGMEA溶液)(日油(株)製)8.5g及び界面活性剤としてメガファック〔登録商標〕R-30(DIC(株)製)0.01gを、プロピレングリコールモノメチルエーテルアセテート28.4gに溶解させて溶液とした。その後、孔径0.10μmのポリエチレン製ミクロフィルターを用いてろ過して、非感光性樹脂組成物を調製した。<Example 2>
50.0 g of the copolymer solution obtained in Synthesis Example 2, Nofcure (registered trademark) TN-1 (PGMEA solution with a solid content concentration of 60% by mass) as the compound represented by the formula (3) (NOF ( (manufactured by DIC Corporation) and 0.01 g of Megafac (registered trademark) R-30 (manufactured by DIC Corporation) as a surfactant were dissolved in 28.4 g of propylene glycol monomethyl ether acetate to prepare a solution. Thereafter, the mixture was filtered using a polyethylene microfilter having a pore size of 0.10 μm to prepare a non-photosensitive resin composition.
<比較例1>
合成例3で得られた共重合体の溶液50.0g、及び界面活性剤としてメガファック〔登録商標〕R-30(DIC(株)製)0.01gを、プロピレングリコールモノメチルエーテルアセテート17.3g及びプロピレングリコールモノメチルエーテル16.8gに溶解させて溶液とした。その後、孔径0.10μmのポリエチレン製ミクロフィルターを用いてろ過して非感光性樹脂組成物を調製した。本比較例は、前記式(3)で表される化合物を用いない。<Comparative Example 1>
50.0 g of the copolymer solution obtained in Synthesis Example 3, 0.01 g of Megafac R-30 (manufactured by DIC Corporation) as a surfactant, and 17.3 g of propylene glycol monomethyl ether acetate and 16.8 g of propylene glycol monomethyl ether to form a solution. Thereafter, the mixture was filtered using a polyethylene microfilter having a pore size of 0.10 μm to prepare a non-photosensitive resin composition. This comparative example does not use the compound represented by the formula (3).
<比較例2>
合成例4で得られた共重合体の溶液50.0g、硬化剤としてトリス(4-ヒドロキシフェニル)メタン2.2g及び界面活性剤としてメガファック〔登録商標〕R-30(DIC(株)製)0.01gを、プロピレングリコールモノメチルエーテルアセテート6.8g及びプロピレングリコールモノメチルエーテル16.8gに溶解させて溶液とした。その後、孔径0.10μmのポリエチレン製ミクロフィルターを用いてろ過して非感光性樹脂組成物を調製した。本比較例で用いた硬化剤は、前記式(3)で表される化合物に該当しない。<Comparative Example 2>
50.0 g of the copolymer solution obtained in Synthesis Example 4, 2.2 g of tris(4-hydroxyphenyl)methane as a curing agent, and Megafac (registered trademark) R-30 (manufactured by DIC Corporation) as a surfactant. ) was dissolved in 6.8 g of propylene glycol monomethyl ether acetate and 16.8 g of propylene glycol monomethyl ether to form a solution. Thereafter, the mixture was filtered using a polyethylene microfilter having a pore size of 0.10 μm to prepare a non-photosensitive resin composition. The curing agent used in this comparative example does not correspond to the compound represented by the formula (3).
[耐薬品性試験]
実施例1及び実施例2、並びに比較例1及び比較例2で調製した非感光性樹脂組成物をそれぞれ、シリコンウエハー上にスピンコーターを用いて塗布し、ホットプレート上において100℃で1分間、さらに180℃で5分間ベークを行い、膜厚2μmの膜を形成した。これらの膜に対して、プロピレングリコールモノメチルエーテル、プロピレングリコールモノメチルエーテルアセテート、乳酸エチル、シクロヘキサノン、γ-ブチロラクトン、2-プロパノール、2-ヘプタノン及び2.38質量%濃度の水酸化テトラメチルアンモニウム(TMAH)水溶液に、それぞれ23℃の温度下、5分間浸漬する試験を行った。浸漬前及び浸漬後の膜厚測定を行い、浸漬前後での膜厚変化を算出した。前記膜を浸漬した溶剤のうち1つでも、浸漬前の膜厚に対して5%以上の膜厚増減があった場合は“×”、全ての溶剤について膜厚増減が5%未満であった場合は“○”として耐薬品性を評価した。評価結果を表1に示す。[Chemical resistance test]
The non-photosensitive resin compositions prepared in Examples 1 and 2, and Comparative Examples 1 and 2 were each applied onto a silicon wafer using a spin coater, placed on a hot plate at 100°C for 1 minute, Further, baking was performed at 180° C. for 5 minutes to form a film having a thickness of 2 μm. For these membranes, propylene glycol monomethyl ether, propylene glycol monomethyl ether acetate, ethyl lactate, cyclohexanone, γ-butyrolactone, 2-propanol, 2-heptanone and tetramethylammonium hydroxide (TMAH) at a concentration of 2.38 wt. A test was conducted by immersing the sample in an aqueous solution at a temperature of 23°C for 5 minutes. The film thickness was measured before and after immersion, and the change in film thickness before and after immersion was calculated. If even one of the solvents in which the film was immersed had a film thickness change of 5% or more compared to the film thickness before immersion, the film thickness was "x", and the film thickness change was less than 5% for all solvents. In that case, the chemical resistance was evaluated as “○”. Table 1 shows the evaluation results.
[透過率測定]
実施例1及び実施例2、並びに比較例1及び比較例2で調製した非感光性樹脂組成物をそれぞれ、石英基板上にスピンコーターを用いて塗布し、ホットプレート上において100℃で1分間、さらに180℃で5分間ベークを行い、膜厚2μmの膜を形成した。これらの膜に対して、紫外線可視分光光度計UV-2550((株)島津製作所製)を用いて、波長400nm乃至800nmの範囲で波長を2nmずつ変化させて透過率を測定した。波長400nm乃至800nmの範囲で測定された最低透過率の値を表1に示す。[Transmittance measurement]
Each of the non-photosensitive resin compositions prepared in Examples 1 and 2 and Comparative Examples 1 and 2 was applied onto a quartz substrate using a spin coater, placed on a hot plate at 100°C for 1 minute, Further, baking was performed at 180° C. for 5 minutes to form a film having a thickness of 2 μm. The transmittance of these films was measured using an ultraviolet-visible spectrophotometer UV-2550 (manufactured by Shimadzu Corporation) while changing the wavelength by 2 nm in the wavelength range of 400 nm to 800 nm. Table 1 shows the minimum transmittance values measured in the wavelength range of 400 nm to 800 nm.
[架橋反応率測定]
実施例1及び実施例2、並びに比較例1及び比較例2で調製した非感光性樹脂組成物をそれぞれ、石英基板上にスピンコーターを用いて塗布し、ホットプレート上において100℃で1分間ベークを行い、膜厚2μmの膜を形成した。これらの膜に対して、フーリエ変換赤外分光光度計Nicolet6700(サーモフィッシャーサイエンティフィック(株)製)を用いて赤外線吸収スペクトルを測定した。さらにこの膜に対し180℃で5分間ベークを行い、得られた膜に対し再び赤外線吸収スペクトルを測定した。906cm-1におけるピーク強度から算出した架橋反応率を表1に示す。前記架橋反応率は、100℃で1分間ベークを行い形成された膜の906cm-1におけるピーク強度を反応率0%、ピーク強度0を反応率100%と定義し、前記膜に対し180℃で5分間ベークを行い得られた膜の906cm-1におけるピーク強度から算出した。[Measurement of cross-linking reaction rate]
The non-photosensitive resin compositions prepared in Examples 1 and 2 and Comparative Examples 1 and 2 were each applied onto a quartz substrate using a spin coater and baked on a hot plate at 100°C for 1 minute. was performed to form a film having a thickness of 2 μm. Infrared absorption spectra of these films were measured using a Fourier transform infrared spectrophotometer Nicolet 6700 (manufactured by Thermo Fisher Scientific Co., Ltd.). Further, this film was baked at 180° C. for 5 minutes, and the infrared absorption spectrum of the obtained film was measured again. Table 1 shows the cross-linking reaction rate calculated from the peak intensity at 906 cm −1 . The cross-linking reaction rate is defined as 0% reaction rate and 100% reaction rate at 906 cm -1 of the film formed by baking at 100 ° C. for 1 minute. It was calculated from the peak intensity at 906 cm -1 of the film obtained by baking for 5 minutes.
[段差平坦化性]
実施例1及び実施例2で調製した非感光性樹脂組成物を、それぞれ高さ0.5μm、ライン幅10μm、ライン間スペース10μmの段差基板上にスピンコーターを用いて塗布し、ホットプレート上において100℃で1分間、さらに180℃で5分間ベークを行い、膜厚2μmの膜を形成した。図1に示すh1(段差基板の段差)とh2(硬化膜の膜厚差)から、“式:(1-(h2/h1))×100”を用いて平坦化率を求めた。評価結果を表1に示す。[Level difference flatness]
The non-photosensitive resin compositions prepared in Examples 1 and 2 were each applied onto a stepped substrate having a height of 0.5 μm, a line width of 10 μm, and a line-to-line space of 10 μm using a spin coater, and placed on a hot plate. It was baked at 100° C. for 1 minute and further at 180° C. for 5 minutes to form a film with a thickness of 2 μm. From h1 (step of stepped substrate) and h2 (film thickness difference of cured film) shown in FIG. Table 1 shows the evaluation results.
[ドライエッチングレートの測定]
ドライエッチングレートの測定に用いたエッチャー及びエッチングガスは、以下の通りである。
エッチャー:RIE-10NR(サムコ(株)製)
エッチングガス:CF4
[Measurement of dry etching rate]
The etcher and etching gas used for measuring the dry etching rate are as follows.
Etcher: RIE-10NR (manufactured by Samco Corporation)
Etching gas: CF4
実施例1及び実施例2で調製した非感光性樹脂組成物をそれぞれ、シリコンウエハー上にスピンコーターを用いて塗布し、ホットプレート上において100℃で1分間、さらに180℃で5分間ベークを行い、膜厚2μmの膜を形成した。前記エッチャー及びエッチングガスを用い、これらの膜のドライエッチングレートを測定した。同様に、レジスト溶液(THMR-iP1800(東京応化工業(株)製)を、シリコンウエハー上にスピンコーターを用いて塗布し、ホットプレート上において90℃で1.5分間ベークを行い、膜厚1μmのレジスト膜を形成し、ドライエッチングレートを測定した。そして、前記レジスト膜に対する、実施例1及び実施例2で調製した非感光性樹脂組成物から得られた膜のドライエッチングレート比を求めた。評価結果を表1に示す。 Each of the non-photosensitive resin compositions prepared in Examples 1 and 2 was applied onto a silicon wafer using a spin coater, and baked on a hot plate at 100°C for 1 minute and then at 180°C for 5 minutes. , a film having a thickness of 2 μm was formed. The dry etching rates of these films were measured using the above etcher and etching gas. Similarly, a resist solution (THMR-iP1800 (manufactured by Tokyo Ohka Kogyo Co., Ltd.) is applied onto a silicon wafer using a spin coater and baked on a hot plate at 90° C. for 1.5 minutes to give a film thickness of 1 μm. A resist film was formed and the dry etching rate was measured, and the dry etching rate ratio of the film obtained from the non-photosensitive resin composition prepared in Examples 1 and 2 to the resist film was determined. Table 1 shows the evaluation results.
表1の結果から、本発明の非感光性樹脂組成物から形成された膜は、高耐薬品性、高透明性であると共に、架橋反応率70%以上の優れた硬化性を有する硬化膜であった。なお、架橋反応率は高い値ほど好ましい。また、本発明の非感光性樹脂組成物から形成された膜は、平坦化率70%以上の段差平坦化性を有するものであった。さらに、エッチバック法によるマイクロレンズの作製において、レンズパターンの形状を忠実に該レンズパターンの下層の樹脂膜へ転写するにあたり、レジスト膜のドライエッチングレートXと前記レンズパターンの下層の樹脂膜のドライエッチングレートYが同等(X:Y=1:0.8乃至1.2)であることが求められ、本発明の非感光性樹脂組成物から形成された膜は、これを満足する結果となった。一方、比較例1及び比較例2で調製した非感光性樹脂組成物から形成された膜については、本発明の非感光性樹脂組成物から形成された膜と比較して架橋反応率が不十分であり、その後の工程での高温に曝される処理によって膜特性が変化する可能性が高く、保護膜、平坦化膜及びマイクロレンズ用として適さないことが分かった。 From the results of Table 1, the film formed from the non-photosensitive resin composition of the present invention is a cured film having high chemical resistance, high transparency, and excellent curability with a crosslinking reaction rate of 70% or more. there were. Incidentally, the higher the cross-linking reaction rate, the better. In addition, the film formed from the non-photosensitive resin composition of the present invention had a level difference flattening property with a flattening rate of 70% or more. Furthermore, in the fabrication of microlenses by the etch-back method, when the shape of the lens pattern is faithfully transferred to the resin film under the lens pattern, the dry etching rate X of the resist film and the dryness of the resin film under the lens pattern are determined. Etching rate Y is required to be equivalent (X: Y = 1: 0.8 to 1.2), and the film formed from the non-photosensitive resin composition of the present invention satisfies this. rice field. On the other hand, the films formed from the non-photosensitive resin compositions prepared in Comparative Examples 1 and 2 had insufficient cross-linking reaction rates compared to the films formed from the non-photosensitive resin composition of the present invention. , and it is highly likely that the film characteristics will change due to the subsequent process of exposure to high temperature, and it is not suitable for protective films, flattening films, and microlenses.
1:段差基板
2:硬化膜
3:ライン幅
4:ライン間スペース
h1:段差基板の段差
h2:硬化膜の膜厚差1: stepped substrate 2: cured film 3: line width 4: space between lines h1: stepped substrate h2: film thickness difference of cured film
Claims (11)
膜上にレジストパターンを形成し、加熱処理によって前記レジストパターンをリフローしてレンズパターンを形成する工程、及び
該レンズパターンをマスクとして前記硬化膜をエッチバックして該レンズパターンの形状を該硬化膜へ転写する工程を含む、マイクロレンズの作製方法。 A step of applying the non-photosensitive resin composition for microlens fabrication according to any one of claims 1 to 6 onto a substrate and baking the composition at a temperature of 80°C to 200°C to form a cured film; forming a resist pattern on the cured film, reflowing the resist pattern by heat treatment to form a lens pattern, and etching back the cured film using the lens pattern as a mask to shape the lens pattern. A method for producing a microlens, including a step of transferring onto a cured film.
Applications Claiming Priority (3)
| Application Number | Priority Date | Filing Date | Title |
|---|---|---|---|
| JP2019201726 | 2019-11-06 | ||
| JP2019201726 | 2019-11-06 | ||
| PCT/JP2020/034727 WO2021090576A1 (en) | 2019-11-06 | 2020-09-14 | Non-photosensitive resin composition |
Publications (3)
| Publication Number | Publication Date |
|---|---|
| JPWO2021090576A1 JPWO2021090576A1 (en) | 2021-05-14 |
| JPWO2021090576A5 JPWO2021090576A5 (en) | 2023-04-06 |
| JP7311846B2 true JP7311846B2 (en) | 2023-07-20 |
Family
ID=75849870
Family Applications (1)
| Application Number | Title | Priority Date | Filing Date |
|---|---|---|---|
| JP2021554831A Active JP7311846B2 (en) | 2019-11-06 | 2020-09-14 | Non-photosensitive resin composition |
Country Status (5)
| Country | Link |
|---|---|
| JP (1) | JP7311846B2 (en) |
| KR (1) | KR102683968B1 (en) |
| CN (2) | CN114599694B (en) |
| TW (1) | TWI858130B (en) |
| WO (1) | WO2021090576A1 (en) |
Families Citing this family (1)
| Publication number | Priority date | Publication date | Assignee | Title |
|---|---|---|---|---|
| WO2023097623A1 (en) * | 2021-12-02 | 2023-06-08 | 京东方科技集团股份有限公司 | Microlens structure and manufacturing method therefor, and display apparatus |
Citations (6)
| Publication number | Priority date | Publication date | Assignee | Title |
|---|---|---|---|---|
| JP2001350010A (en) | 2000-06-06 | 2001-12-21 | Nof Corp | Coating solution for color filter protective film and color filter |
| JP2006276048A (en) | 2005-03-25 | 2006-10-12 | Nof Corp | Resin composition for color filter protective film and color filter |
| JP2007332200A (en) | 2006-06-13 | 2007-12-27 | Jsr Corp | Thermosetting resin composition, method for forming antihalation film for solid-state image sensor, antihalation film for solid-state image sensor, and solid-state image sensor |
| WO2013005619A1 (en) | 2011-07-07 | 2013-01-10 | 日産化学工業株式会社 | Resin compositions |
| JP2015089916A (en) | 2013-11-06 | 2015-05-11 | 日油株式会社 | Thermosetting resin composition suitable for color filter protective film, and color filter provided with the cured film |
| WO2019198378A1 (en) | 2018-04-13 | 2019-10-17 | 株式会社Moresco | Compound and use thereof |
Family Cites Families (11)
| Publication number | Priority date | Publication date | Assignee | Title |
|---|---|---|---|---|
| JP2776810B2 (en) | 1987-07-03 | 1998-07-16 | ソニー株式会社 | Method for manufacturing solid-state imaging device |
| JP3074850B2 (en) * | 1991-09-20 | 2000-08-07 | ジェイエスアール株式会社 | Protective film material |
| JP3254759B2 (en) | 1992-09-25 | 2002-02-12 | ソニー株式会社 | Method of manufacturing optical element and on-chip lens |
| US20060008735A1 (en) * | 2004-07-09 | 2006-01-12 | Jsr Corporation | Radiation sensitive resin composition for forming microlens |
| JP2006251464A (en) | 2005-03-11 | 2006-09-21 | Tokyo Ohka Kogyo Co Ltd | Photosensitive resin composition for lens formation |
| JP4644857B2 (en) | 2005-07-22 | 2011-03-09 | 昭和電工株式会社 | Photosensitive resin composition |
| JP4656316B2 (en) | 2005-12-22 | 2011-03-23 | Jsr株式会社 | Interlayer insulating film, microlens, and manufacturing method thereof |
| JP2013166872A (en) * | 2012-02-16 | 2013-08-29 | Sumitomo Chemical Co Ltd | Colored curable resin composition |
| WO2014065100A1 (en) * | 2012-10-23 | 2014-05-01 | 日産化学工業株式会社 | Non-photosensitive resin composition |
| JP2016071244A (en) * | 2014-09-30 | 2016-05-09 | 富士フイルム株式会社 | Photosensitive resin composition, cured product and production method thereof, resin pattern production method, cured film, liquid crystal display device, organic EL display device, and touch panel display device |
| JP6894749B2 (en) * | 2016-07-20 | 2021-06-30 | 東京応化工業株式会社 | Positive photosensitive resin composition for manufacturing microlens patterns and its applications |
-
2020
- 2020-09-14 CN CN202080074452.8A patent/CN114599694B/en active Active
- 2020-09-14 WO PCT/JP2020/034727 patent/WO2021090576A1/en not_active Ceased
- 2020-09-14 CN CN202410359132.7A patent/CN118255920A/en active Pending
- 2020-09-14 JP JP2021554831A patent/JP7311846B2/en active Active
- 2020-09-14 TW TW109131565A patent/TWI858130B/en active
- 2020-09-14 KR KR1020227013538A patent/KR102683968B1/en active Active
Patent Citations (6)
| Publication number | Priority date | Publication date | Assignee | Title |
|---|---|---|---|---|
| JP2001350010A (en) | 2000-06-06 | 2001-12-21 | Nof Corp | Coating solution for color filter protective film and color filter |
| JP2006276048A (en) | 2005-03-25 | 2006-10-12 | Nof Corp | Resin composition for color filter protective film and color filter |
| JP2007332200A (en) | 2006-06-13 | 2007-12-27 | Jsr Corp | Thermosetting resin composition, method for forming antihalation film for solid-state image sensor, antihalation film for solid-state image sensor, and solid-state image sensor |
| WO2013005619A1 (en) | 2011-07-07 | 2013-01-10 | 日産化学工業株式会社 | Resin compositions |
| JP2015089916A (en) | 2013-11-06 | 2015-05-11 | 日油株式会社 | Thermosetting resin composition suitable for color filter protective film, and color filter provided with the cured film |
| WO2019198378A1 (en) | 2018-04-13 | 2019-10-17 | 株式会社Moresco | Compound and use thereof |
Also Published As
| Publication number | Publication date |
|---|---|
| TWI858130B (en) | 2024-10-11 |
| CN118255920A (en) | 2024-06-28 |
| JPWO2021090576A1 (en) | 2021-05-14 |
| WO2021090576A1 (en) | 2021-05-14 |
| KR20220098133A (en) | 2022-07-11 |
| CN114599694A (en) | 2022-06-07 |
| TW202124470A (en) | 2021-07-01 |
| KR102683968B1 (en) | 2024-07-12 |
| CN114599694B (en) | 2024-03-22 |
Similar Documents
| Publication | Publication Date | Title |
|---|---|---|
| CN104718229B (en) | Non-photosensitive resin composition | |
| JP2015174877A (en) | Resin composition containing specified hardening acceleration catalyst | |
| JP2016194079A (en) | Resin composition for microlens or flattening film | |
| CN103717630B (en) | Resin combination | |
| CN105934693B (en) | resin composition | |
| JP7311846B2 (en) | Non-photosensitive resin composition | |
| JP6936449B2 (en) | Thermosetting resin composition | |
| TWI736521B (en) | Resin composition for planarization film or microlens | |
| TWI719092B (en) | Resin composition |
Legal Events
| Date | Code | Title | Description |
|---|---|---|---|
| A521 | Request for written amendment filed |
Free format text: JAPANESE INTERMEDIATE CODE: A523 Effective date: 20230329 |
|
| A621 | Written request for application examination |
Free format text: JAPANESE INTERMEDIATE CODE: A621 Effective date: 20230329 |
|
| A871 | Explanation of circumstances concerning accelerated examination |
Free format text: JAPANESE INTERMEDIATE CODE: A871 Effective date: 20230329 |
|
| TRDD | Decision of grant or rejection written | ||
| A01 | Written decision to grant a patent or to grant a registration (utility model) |
Free format text: JAPANESE INTERMEDIATE CODE: A01 Effective date: 20230607 |
|
| A61 | First payment of annual fees (during grant procedure) |
Free format text: JAPANESE INTERMEDIATE CODE: A61 Effective date: 20230620 |
|
| R151 | Written notification of patent or utility model registration |
Ref document number: 7311846 Country of ref document: JP Free format text: JAPANESE INTERMEDIATE CODE: R151 |







