WO2015106599A1 - Conjugates and compositions for drug delivery - Google Patents
Conjugates and compositions for drug delivery Download PDFInfo
- Publication number
- WO2015106599A1 WO2015106599A1 PCT/CN2014/091690 CN2014091690W WO2015106599A1 WO 2015106599 A1 WO2015106599 A1 WO 2015106599A1 CN 2014091690 W CN2014091690 W CN 2014091690W WO 2015106599 A1 WO2015106599 A1 WO 2015106599A1
- Authority
- WO
- WIPO (PCT)
- Prior art keywords
- compound
- acid
- linker
- added
- amino acids
- Prior art date
- Legal status (The legal status is an assumption and is not a legal conclusion. Google has not performed a legal analysis and makes no representation as to the accuracy of the status listed.)
- Ceased
Links
- 0 CC(C)C(C(N[C@@](CCCNC(N)=O)C=O)=O)NC(CCCCCN(C(CC1SC[C@](C(O)=O)NC(C(CCCCNC([C@](CC(O)=O)NC([C@](CC(O)=O)NC([C@](CCCNC(N)=N)NC([C@](CC(O)=O)N)=O)=O)=O)O)NC([C@](CC(O)=O)NC([C@](CC(O)=O)NC([C@](CCCNC(N)=N)NC([C@@](*)CC(O)=O)=O)=O)=O)=O)=O)=O)C1=O)=O Chemical compound CC(C)C(C(N[C@@](CCCNC(N)=O)C=O)=O)NC(CCCCCN(C(CC1SC[C@](C(O)=O)NC(C(CCCCNC([C@](CC(O)=O)NC([C@](CC(O)=O)NC([C@](CCCNC(N)=N)NC([C@](CC(O)=O)N)=O)=O)=O)O)NC([C@](CC(O)=O)NC([C@](CC(O)=O)NC([C@](CCCNC(N)=N)NC([C@@](*)CC(O)=O)=O)=O)=O)=O)=O)=O)C1=O)=O 0.000 description 13
- HSVCVDUTRQLSIZ-RIYZIHGNSA-N C/C(/c(cc1)ccc1N(C(CC1)=O)C1=O)=N\NI Chemical compound C/C(/c(cc1)ccc1N(C(CC1)=O)C1=O)=N\NI HSVCVDUTRQLSIZ-RIYZIHGNSA-N 0.000 description 1
- MOJBUBAZZWCLHI-CHQVSRGASA-N CC(C)C(C(N[C@@H](CCCNC(N)=O)C(Nc1ccc(COC=O)cc1)=O)=O)NC(CCCCCN(C(CC1)=O)C1=O)=O Chemical compound CC(C)C(C(N[C@@H](CCCNC(N)=O)C(Nc1ccc(COC=O)cc1)=O)=O)NC(CCCCCN(C(CC1)=O)C1=O)=O MOJBUBAZZWCLHI-CHQVSRGASA-N 0.000 description 1
- HWCIETDQUHYHGQ-DAJQDJGDSA-N CCCC(OCN([C@H](C[C@H](c1nc(C(N[C@H](C[C@H](C)C(O)=O)Cc(cc2)ccc2O)=O)c[s]1)OC(C)=O)C(C)C)C([C@H](C(C)CC)NC([C@@H]1N(C)CCCC1)=O)=O)=O Chemical compound CCCC(OCN([C@H](C[C@H](c1nc(C(N[C@H](C[C@H](C)C(O)=O)Cc(cc2)ccc2O)=O)c[s]1)OC(C)=O)C(C)C)C([C@H](C(C)CC)NC([C@@H]1N(C)CCCC1)=O)=O)=O HWCIETDQUHYHGQ-DAJQDJGDSA-N 0.000 description 1
- DASWEROEPLKSEI-RKOKEOIBSA-N CC[C@H](C)[C@@H]([C@@H](CC(N(CCC1)[C@@H]1[C@@H]([C@@H](C)C(N[C@H](C)[C@H](c1ccccc1)O)=O)OC)=O)OC)N(C)C(C(C(C)C)NC([C@H](C(C)C)NC)=O)=O Chemical compound CC[C@H](C)[C@@H]([C@@H](CC(N(CCC1)[C@@H]1[C@@H]([C@@H](C)C(N[C@H](C)[C@H](c1ccccc1)O)=O)OC)=O)OC)N(C)C(C(C(C)C)NC([C@H](C(C)C)NC)=O)=O DASWEROEPLKSEI-RKOKEOIBSA-N 0.000 description 1
- MUAUOUOIMSXVMT-IWSPIJDZSA-N C[C@H](CN(C)[C@H](C)CI)[C@@H](C)I Chemical compound C[C@H](CN(C)[C@H](C)CI)[C@@H](C)I MUAUOUOIMSXVMT-IWSPIJDZSA-N 0.000 description 1
- UZQNQSBTMNOVOV-ZDUSSCGKSA-N NC(N1)=Nc2ncc(CNc(cc3)ccc3C(N[C@@H](CCC=O)C(O)=O)=O)nc2C1=O Chemical compound NC(N1)=Nc2ncc(CNc(cc3)ccc3C(N[C@@H](CCC=O)C(O)=O)=O)nc2C1=O UZQNQSBTMNOVOV-ZDUSSCGKSA-N 0.000 description 1
- NZPQAGIEXSUAPZ-UHFFFAOYSA-N NC(N1)=Nc2ncc(CNc3ccc(C=O)cc3)nc2C1=O Chemical compound NC(N1)=Nc2ncc(CNc3ccc(C=O)cc3)nc2C1=O NZPQAGIEXSUAPZ-UHFFFAOYSA-N 0.000 description 1
- QQLZNDNUMXLKAM-UHFFFAOYSA-N NNC(OCCS)=O Chemical compound NNC(OCCS)=O QQLZNDNUMXLKAM-UHFFFAOYSA-N 0.000 description 1
Images
Classifications
-
- A—HUMAN NECESSITIES
- A61—MEDICAL OR VETERINARY SCIENCE; HYGIENE
- A61K—PREPARATIONS FOR MEDICAL, DENTAL OR TOILETRY PURPOSES
- A61K47/00—Medicinal preparations characterised by the non-active ingredients used, e.g. carriers or inert additives; Targeting or modifying agents chemically bound to the active ingredient
- A61K47/50—Medicinal preparations characterised by the non-active ingredients used, e.g. carriers or inert additives; Targeting or modifying agents chemically bound to the active ingredient the non-active ingredient being chemically bound to the active ingredient, e.g. polymer-drug conjugates
- A61K47/51—Medicinal preparations characterised by the non-active ingredients used, e.g. carriers or inert additives; Targeting or modifying agents chemically bound to the active ingredient the non-active ingredient being chemically bound to the active ingredient, e.g. polymer-drug conjugates the non-active ingredient being a modifying agent
- A61K47/62—Medicinal preparations characterised by the non-active ingredients used, e.g. carriers or inert additives; Targeting or modifying agents chemically bound to the active ingredient the non-active ingredient being chemically bound to the active ingredient, e.g. polymer-drug conjugates the non-active ingredient being a modifying agent the modifying agent being a protein, peptide or polyamino acid
- A61K47/64—Drug-peptide, drug-protein or drug-polyamino acid conjugates, i.e. the modifying agent being a peptide, protein or polyamino acid which is covalently bonded or complexed to a therapeutically active agent
-
- A—HUMAN NECESSITIES
- A61—MEDICAL OR VETERINARY SCIENCE; HYGIENE
- A61K—PREPARATIONS FOR MEDICAL, DENTAL OR TOILETRY PURPOSES
- A61K47/00—Medicinal preparations characterised by the non-active ingredients used, e.g. carriers or inert additives; Targeting or modifying agents chemically bound to the active ingredient
- A61K47/50—Medicinal preparations characterised by the non-active ingredients used, e.g. carriers or inert additives; Targeting or modifying agents chemically bound to the active ingredient the non-active ingredient being chemically bound to the active ingredient, e.g. polymer-drug conjugates
- A61K47/51—Medicinal preparations characterised by the non-active ingredients used, e.g. carriers or inert additives; Targeting or modifying agents chemically bound to the active ingredient the non-active ingredient being chemically bound to the active ingredient, e.g. polymer-drug conjugates the non-active ingredient being a modifying agent
- A61K47/62—Medicinal preparations characterised by the non-active ingredients used, e.g. carriers or inert additives; Targeting or modifying agents chemically bound to the active ingredient the non-active ingredient being chemically bound to the active ingredient, e.g. polymer-drug conjugates the non-active ingredient being a modifying agent the modifying agent being a protein, peptide or polyamino acid
- A61K47/65—Peptidic linkers, binders or spacers, e.g. peptidic enzyme-labile linkers
-
- A—HUMAN NECESSITIES
- A61—MEDICAL OR VETERINARY SCIENCE; HYGIENE
- A61P—SPECIFIC THERAPEUTIC ACTIVITY OF CHEMICAL COMPOUNDS OR MEDICINAL PREPARATIONS
- A61P35/00—Antineoplastic agents
Definitions
- This invention in general relates to conjugates and compositions useful for targeted drug delivery and preparation methods thereof, and in particular relates to those comprising folate or pteroic acid (also known as pteric acid) .
- the present invention also relates to use of such conjugates and compositions for treating diseases associated with pathogenic cell populations.
- cancer is still one of the main diseases that seriously threaten human health.
- cancer is the second leading cause of death, only after heart attack.
- Current cancer treatments typically include surgery, radiation therapy, chemotherapy, immunotherapy and combination therapy.
- chemotherapy using strong drugs such as mitomycin, paclitaxel and camptothecin.
- the main disadvantage of those chemotherapeutic agents is that, while they inhibit the growth of pathogenic cells, they also severely inhibit the growth of normal host cells at the same time. Therefore, due to such adverse side effects of current anti ⁇ cancer drugs, there is a need for novel anti ⁇ cancer drugs selective for pathogenic cell populations and with reduced host toxicity.
- low molecular weight vitamin such as folic acid
- Folic acid also called vitamin B9, is an essential nutrient required by all living cells for proper metabolic maintenance of 1 ⁇ carbon pathways and for nucleotide biosynthesis.
- Folate receptor (FR) is a transmembrane glycoprotein, including 3 subtypes: ⁇ FR, ⁇ FR, ⁇ FR.
- Folic acid displays an extremely high affinity (KD ⁇ 100pM) for a cell surface ⁇ oriented glycoprotein of the folate receptor. This glycoprotein is a glycosylphosphatidyinositol ⁇ linked protein that captures its ligand (i.e., folic acid) from the extracellular milieu.
- Folate receptor is a tumor ⁇ associated membrane protein that binds folic acid and is capable of transporting molecules bound to folic acid inside cells via an endocytosis mechanism.
- the plasma membrane surrounding the folate receptor ⁇ ligand complex will invaginate to form an internal vesicle, i.e., an endosome.
- the pH of the vesicle lumen is somewhat lowered through the action of proton pumps that are co ⁇ localized in the endosome membrane. This acidification presumably mediates a conformational change in the folate receptor protein, such that the folate receptor protein releases its bound ligand to allow cytosolic entry.
- ⁇ folate receptor is highly expressed in 90% of ovarian cancer, as well as in breast cancer, cervical cancer, endometrial cancer, colon cancer, lung cancer, choroidal cancer and ependymoma.
- ⁇ folate receptor is highly expressed in malignant myeloid cells (leukemia) and activated macrophages associated with autoimmune diseases (e.g., rheumatoid arthritis) .
- autoimmune diseases e.g., rheumatoid arthritis
- folate receptor there is almost no expression of folate receptor in normal tissues. Therefore, folic acid and folate receptor have great potentials in developing targeted therapeutics, especially for the treatment of cancer and autoimmune diseases.
- Folate receptor as a target of anti ⁇ cancer drugs, has become a popular research topic in developing novel anti ⁇ cancer drugs.
- the present invention in general provides compounds, i.e., folate receptor binding ligand ⁇ drug delivery conjugates, which are selective for pathogenic cells and has low toxicity for normal cells.
- the present invention also provides preparation methods for such compounds, pharmaceutical compositions comprising such compounds, and use of such compounds for preparing anti ⁇ tumor medicaments.
- the present invention relates to compounds of Formula (I) shown below:
- L 1 is a polyvalent linker
- L 2 is covalently bonded to L 1 and comprises at least one releasable linker, and the backbone of L 1 ⁇ L 2 is free of phenyl ⁇ disulfide;
- n 2, 3 or 4;
- each F independently is the conjugate base of folic acid or pteroic acid and covalently bonded to L 1 ;
- D is a drug covalently bonded to L 2 and comprises cyclopropyl [e] indolone, pyrrolobenzodiazepine dimmers, 7 ⁇ ethyl ⁇ 10 ⁇ hydroxycamptothecin, deacetylvinblastine monohydrazide, monomethyl auristatin E, monomethyl auristatin F, Tubulysin B, Dolastatin, Didemnin B, maytansine, paclitaxel, daunomycin, doxorubicin, epirubicin, epothilone, actinomycin, authramycin, microtubule inhibitors, azaserine, bleomycin, tamoxifen, idarubicin, vinca alkaloid, or a derivative thereof.
- L 1 includes multiple linkers.
- polyvalent linker L 1 can include one or more spacer linkers, releasable linkers, heteroatom linkers, and combinations thereof, in any order.
- releasable linkers and optional spacer linkers are covalently bonded to each other to form linker L 1 .
- ligand F is attached to polyvalent linker L 1 through one or more spacer linkers.
- two or more ligands F directly attached to each other or covalently attached by several spacer linkers and/or releasable linkers.
- two or more releasable linkers covalently attached to each other, and at least one or more releasable linkers are separated by heteroatom and/or spacer linkers.
- a heteroatom in a heteroatom linker can be N, O, S, P, Si, etc.
- the heteroatom linkers (excluding oxygen) can be in various states of oxidation, such as N (OH) , S(O) , S (O) 2 , P (O) , P (O) 2 , and P (O) 3 .
- the heteroatom linkers can be grouped to form radicals, such as hydroxylamines, hydrazines, hydrazones, sulfonates, phosphinates, and phosphonates.
- L 1 comprises at least one peptide spacer linker, each peptide spacer linker is formed by amino acids, and each of the amino acids independently is a natural amino acid or unnatural ⁇ amino acid.
- L 1 comprises at least one peptide spacer linker formed by 1 to 40 amino acids (e.g., 1 to 30, 1 to 20, 5 to 25, 5 to 20, 10 to 20, or 10 to 15) , and each of the amino acids is independently a natural amino acid or unnatural ⁇ amino acid.
- 1 to 40 amino acids e.g., 1 to 30, 1 to 20, 5 to 25, 5 to 20, 10 to 20, or 10 to 15
- each of the amino acids is independently a natural amino acid or unnatural ⁇ amino acid.
- L 1 comprises at least two amino acids each of which is independently aspartic acid, arginine, cysteine, lysine, asparagine, threonine, glutamic acid, serine, citrulline, valine, or glutamine.
- L 1 comprises one or more dipeptide, tripeptide, tetrapeptide, pentapeptide, hexapeptide, heptapeptide, octapeptide, decapeptide, undecapeptide, or dodecapeptide spacer linkers, and each of the spacer linkers is formed by aspartic acid, arginine, cysteine, citrulline, valine, lysine, or a combination thereof.
- polyvalent linker L 1 includes one or more spacer linkers selected from the group consisting of polyether compounds, saccharides, thiocarbonyl, alkylene, 1 ⁇ alkylenesuccinimid ⁇ 3 ⁇ yl, 1 ⁇ (carbonylalkyl) succinimid ⁇ 3 ⁇ yl, carbonylalkylcarbony, 1 ⁇ (carbonyltetrahydro ⁇ 2H ⁇ pyranyl) succinimid ⁇ 3 ⁇ yl, and 1 ⁇ (carbonyltetrahydrofuranyl) succinimid ⁇ 3 ⁇ yl.
- Each of the spacer linkers is optionally substituted with one or more substituents.
- Each of such substituents independently is selected from the following group: alkyl, alkoxyl, alkoxylalkyl, hydroxyl, hydroxyalkyl, amino, aminoalkyl, alkylaminoalkyl, dialkylaminoalkyl, sulfhydrylalkyl, alkylthioalkyl, aryl, substituted aryl, arylalkyl, heteroaryl, substituted heteroaryl, carboxy, carboxyalkyl, alkyl carboxylate, alkyl alkanoate, guanidinoalkyl, or amino and derivates thereof and peptides substituted carbonyl or acylamino or acylaminoalkyl.
- L 2 is covalently bonded to L 1 and comprises at least one releasable linker
- n 2, 3 or 4;
- each F independently is the conjugate base of folic acid or pteroic acid and covalently bonded to L 1 ;
- D is a drug covalently bonded to L 2 and comprises cyclopropyl [e] indolone, pyrrolobenzodiazepine dimmers, 7 ⁇ ethyl ⁇ 10 ⁇ hydroxycamptothecin, deacetylvinblastine monohydrazide, monomethyl auristatin, monomethyl auristatin F, Tubulysin B, Dolastatin, Didemnin B, maytansine, paclitaxel, daunomycin, doxorubicin, epirubicin, epothilone, actinomycin, authramycin, microtubule inhibitors, azaserine, bleomycin, tamoxifen, idarubicin, vinca alkaloid, or a derivative thereof.
- D comprise a vinca alkaloid or a derivative thereof.
- D comprises cyclopropyl [e] indolone, pyrrolobenzodiazepine dimmers, 7 ⁇ Ethyl ⁇ 10 ⁇ Hydroxycamptothecin, deacetylvinblastine monohydrazide, monomethyl auristatin E, Monomethyl auristatin F, Tubulysin B, Didemnin B, DM1 (amaytansine derivative) , paclitaxel, daunorubicin, doxorubicin, or epirubicin.
- n is 2.
- L 2 includes at least one releasable linker.
- releasable linker refers to a linker that includes at least one bond that can be broken under physiological conditions, such as pH ⁇ labile, acid ⁇ labile, oxidatively labile, or enzyme ⁇ labile bond. It should be understood that a cleavable bond can connect two adjacent atoms within the releasable linker, and/or connect either or both ends of the releasable linker with other linkers or F and/or D. In the situation where a cleavable bond connects two adjacent atoms within a releasable linker, after the bond is broken, the releasable linker is broken into two or more fragments.
- the releasable linker is separated from the moiety.
- the lability of the cleavable bond can be adjusted by, for example, substitution changes at or near the cleavable bond. For instance, such changes may include alpha branching adjacent to a cleavable disulfide bond, and homologation to form hydrolysable alkoxyl groups of a ketal or acetal.
- examples of releasable linkers include but are not limited to: 1 ⁇ alkoxycaycloalkylene, 1 ⁇ alkoxycaycloalkylenecarbonyl, carbonylarylcarbonyl, carbonyl (carboxyaryl) carbonyl, carbonyl (biscarboxyaryl) carbonyl, haloalkylenecarbonyl, oxycarbonyloxy, oxycarbonyloxyalkyl, iminoalkylidenyl carbonylalkylideniminyl, iminocycloalkylidenyl, carbonylcycloalkylideniminyl, carbonylcycloalkylideniminyl, alkylenethio, alkylenearylthio, and carbonylalkylthio.
- Each of the releasable linkers is optionally substituted with one or more substituents.
- substituents may include: alkyl, alkoxyl, alkoxylalkyl, hydroxyl, hydroxyalkyl, amino, aminoalkyl, alkylaminoalkyl, dialkylaminoalkyl, sulfhydrylalkyl, alkylthioalkyl, aryl, substituted aryl, arylalkyl, heteroaryl, substituted heteroaryl, carboxy, carboxyalkyl, alkyl carboxylate, alkyl alkanoate, guanidinoalkyl, or amino and devirates threreof and peptides substituted carbonyl or acylamino or acylaminoalkyl.
- the releasable linker of L 2 comprises a disulfide, a carbonate, an acyl hydrazide, a hydrazine, an amino acid ester, a carbamide, or a combination thereof.
- Examples of a releasable linker of L 2 suitable for Formula (I) described above each comprise
- n 1, 2, 3, or 4;
- R is H, alkyl, optionally substituted acyl, or amino protection group
- X is O, CH 2 or NH
- Y is O or S
- Z is NH, O or S
- R 1 is an alkyl radical or an alkyl radical substituted with carboxyl or acyl
- each * indicates an open valence.
- linker L 2 is formed by the releasable linkers and heteroatom or spacer linkers, and has one of the following formulae:
- m 0, 1, 2, 3, or 4; W is NH or O; and each * indicates an open valence.
- L 1 and L 2 are linked together (to form L 1 ⁇ L 2 which is sometime denoted as “L” hereinafter for convenience) through one or more spacer linkers, heteroatom linkers, and/or releasable linkers; and L 2 includes a releasable linker.
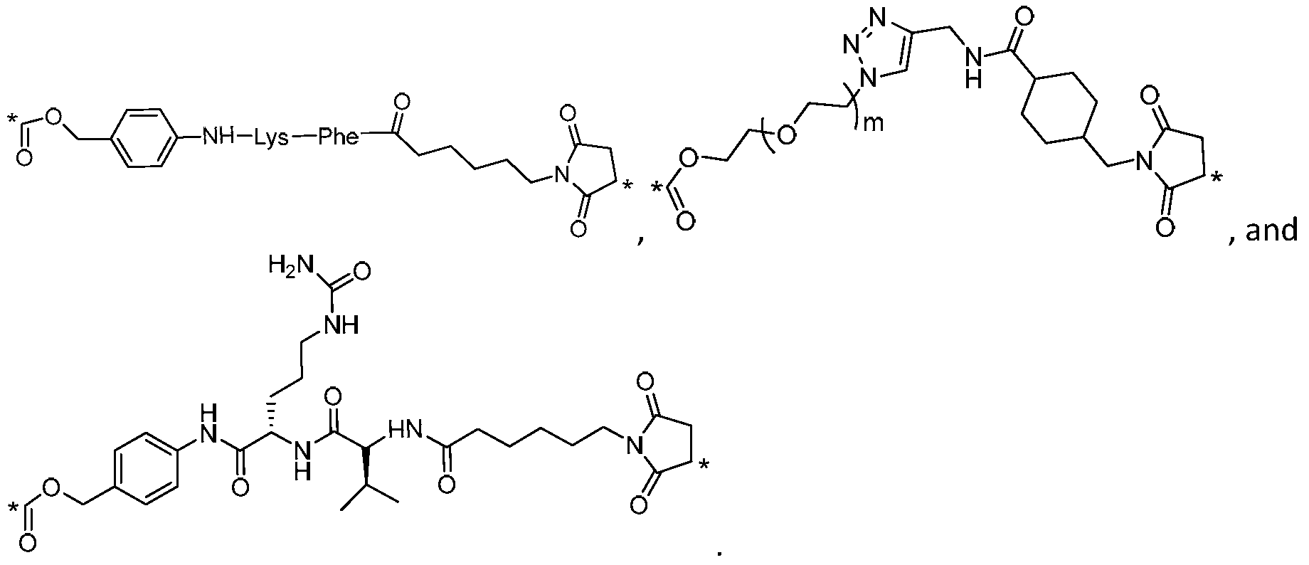
- Examples of a L 1 ⁇ L 2 group suitable for Formula (I) described above each comprise:
- W is NH or O; and each * indicates an open valence.
- W is NH or O; m is 0 or 1; each of F 1 and F 2 independently is
- R x is p ⁇ methoxyphenyl
- R y is H, C 1 ⁇ 6 alkyl optionally substituted with halogen, or optionally substituted carbonyl containing 1 to 4 carbon atoms;
- X 1 is Cl or Br
- R is H, OMe, OH, ONHBoc, ONHAc, ONH (Ac) Boc, ONPhth, or
- R 1 is C 1 ⁇ 6 alkoxyl, C 1 ⁇ 6 alkyl optionally substituted with amino, C 1 ⁇ 3 aldehyde group or carbonyl, OH, amino, C 3 ⁇ 6 cycloalkyl or C 1 ⁇ 6 heterocycloalkyl;
- n 0, 1, 2, or 3;
- a further example of the compounds of this invention includes:
- n 0, 1, 2, 3, or 4; each * indicates an open valence; and the moiety is bonded to S.
- Still additional examples of the compounds of this invention include:
- R x is p ⁇ methoxyphenyl
- the folate receptor binding ligand ⁇ drug conjugate may include folate receptor binding ligand (F) , linker (L) , and drug (D) .
- linker L can be formed in any way described in the present invention, or by the covalent connections between the spacer linkers, releasable linkers and heteroatom linkers that are known by those skilled in the art. Attachment of folate receptor binding ligand F or drug D to the heteroatom linker can be made through a reactive functional group on the drug or the folate receptor binding ligand that has been converted to a heteroatom linker.
- the reactive functional group of the folate receptor binding ligand F is carboxyl or amino.
- the polyvalent linker can be covalently attached to the carboxyl or amino to form the corresponding ester or amide.
- the drug includes a double ⁇ bonded nitrogen atom, and the releasable linker can be bonded to the drug nitrogen to form a hydrazine.
- the drug includes a sulfur atom and the releasable linker can be alkyenethio or carbonylalkylthio. Accordingly, the releasable linker can be bonded to the drug sulfur to form a disulfide.
- the drug includes an oxygen atom and the releasable linker can be substituted or unsubstituted alkylenecarbonyl or haloalkylenecarbonyl. Accordingly, the releasable linker can be bonded to the drug oxygen to form ester or carbonic ester. Still in some other embodiments, the drug D can include a nitrogen atom and the releasable linker is substituted or unsubstituted haloalkylenecarbonyl, such that the releasable linker can be bonded to the drug nitrogen atom to form an amide.
- the spacer linkers, the releasable linkers, and the heteroatom linkers can be combined in a variety of ways.
- the linkers are attached to each other through a heteroatom linker (e.g., alkyene ⁇ amino ⁇ alkylenecarbonyl) shown as below, where x and y are independently 1, 2, 3, 4, or 5:
- the compounds have one of following formulae:
- W is NH or O; m is 0 or 1; F 1 and F 2 each independently have the formula:
- drug D as described in the present invention may include any molecules capable of modulating or modifying a cell function, such as pharmaceutically active compounds.
- pharmaceutically active drugs can be any drug known in the art or the derivatives thereof.
- the drugs may be cytotoxic, enhance tumor permeability, inhibit tumor cell proliferation, promote apoptosis, or decrease anti ⁇ apoptotic activities in target cells.
- examples of the drugs according to the present invention include, but are not limited to, hormones, antibodies, antimicrobial compounds, antiviral agents, and anti ⁇ cancer agents.
- the present invention can use chemotherapy drugs that are cytotoxic themselves or capable of enhancing tumor permeability.
- cytotoxic agents include, but are not limited to, CBI (cyclopropyl benz [e] indolone) and analogs or derivatives thereof, seco ⁇ cyclopropyl benz [e] indolone and derivatives thereof, Dolastatins (e.g., dolastatin 10) , auristatins (e.g., monomethyl auristatin E (MMAE) and Monomethyl auristatin F (MMAF) ) , Tubulysins, combretastatin, maytansine and analogs or derivatives thereof (e.g., DM1 and DM4) , epothilones, paclitaxel and paclitaxel derivatives (e.g., Taxotere) , vinblastine and analogas and derivatives (e.g., vincristine, deacetylvinblastine monohydrazide (DAVLBH) ) , camptothecin and derivatives thereof, col
- drugs according to the present invention may include macrolide antineoplastic drugs, chemotherapeutic agents (e.g., alkylating agents) , chlormethine, nitrosourea, busulfan, carboplatin, carboplatin, chlorambucil, cisplation and other platinum compounds, antimetabolites (e.g., cytosine arabinoside) , purine analogs, pyrimidine analogs and antibiotics, penicillins, cephalosporins, vancomycin, erythromycin, clindamycin, rifampin, chloramphenicol, aminoglycoside antibiotics and acyclovir, trifluridine, ganciclovir, zidovudine, amantadine, ribavirin, gemcitabine and any other antimicrobial compounds known in the art.
- chemotherapeutic agents e.g., alkylating agents
- chlormethine nitrosourea
- busulfan carboplatin
- the drugs according to the present invention preferably include temsirolimus, seco ⁇ cyclopropyl benz [e] indolone and its derivatives, pyrrolobenzodiazepine (PBD) dimmers, Calicheamicin, 7 ⁇ Ethyl ⁇ 10 ⁇ Hydroxycamptothecin (SN ⁇ 38) , vinblastine and its analogas and derivatives, Dolastatin, auristatin, Didemnin B, Tubulysin B, maytansine and its analogs and derivatives, paclitaxel and paclitaxel derivatives, daunorubicin, doxorubicin, epirubicin, epothilones, or actinomycin.
- PPD pyrrolobenzodiazepine
- the drugs according to the present invention preferably include seco ⁇ cyclopropyl benz [e] indolone and its derivatives, pyrrolobenzodiazepine (PBD) dimmers, Calicheamicin, SN ⁇ 38, DAVLBH, Tubulysin B, Didemnin B, MMAE, MMAF and MMAF derivatives, DM1, paclitaxel and paclitaxel derivatives, vincristine and derivatives, daunorubicin, doxorubicin, or epirubicin.
- PBD pyrrolobenzodiazepine
- the seco ⁇ cyclopropyl benz [e] indolone analogs according to the present invention have the formula:
- R 1 is H, OMe, OH, ONHBoc, ONHAc, ONH (Ac) Boc , ONPhth, or and R 2 is NH 2 or OMe.
- the PBDs have the following formula:
- the PBD dimmers may differ by the numbers, types and/or positions of the substituent (s) in the aromatic ring A and the pyrrolo ring C, or by the degree of saturation of the ring C.
- the PBD dimmers suitable for the present invention have one of following formulae:
- R 1 is hydroxyl, amino, C 1 ⁇ C 6 alkoxyl, C 1 ⁇ C 6 alkyl optionally substituted with amino group (s) , C 1 ⁇ C 3 aldehyde group or carbonyl, C 3 ⁇ C 6 cycloalkyl or C 1 ⁇ C 6 heterocycloalkyl;
- SN ⁇ 38 refers to a compound having the structure:
- DAVLBH refers to a compound having the structure:
- MMAF refers to a compound having the structure:
- MMAF analogs may have the formula:
- R y is C 1 ⁇ C 6 alkyl optionally substituted with halogen, or optionally substituted carbonyl containing 1 to 4 carbon atoms.
- Didemnin B in general refers a compound having the formula:
- R x is p ⁇ methoxyphenyl
- DM1 in general refers to a compound (a maytensine derivative) having the following structure:
- drug D is covalently attached to releasable linker L 2 through the reactive functional group present on the drug or the analog or derivative thereof.
- the hydroxyl of Didemnin B may be converted to the corresponding carbonate.
- the terminal carboxyl of Tubulysin B is first converted to the corresponding hydrazide through derivation, and then the nitrogen atom of the hydrazide is used as a heteroatom linker and is covalently attached to the releasable linker of L 2 .
- folic acid can be converted to the corresponding amide. Exemplary structures of the above ⁇ described compounds are shown below:
- drug delivery conjugates according to the present invention. These drug delivery conjugates can be prepared according to the methods described herein or any other procedures known in the art.
- the present invention provides compounds having one of the following formulae:
- R x is p ⁇ methoxyphenyl
- X 1 is Cl or Br
- R is H, OMe, OH, ONHBoc, ONHAc, ONH (Ac) Boc, ONPhth, or
- R y is H, C 1 ⁇ 6 alkyl optionally substituted with halogen alkyl, or optionally substituted carbonyl containing 1 to 4 carbon atoms
- R 1 is C 1 ⁇ 6 alkoxy, C 1 ⁇ 6 alkyl optionally substituted with amino group (s) , C 1 ⁇ 3 aldehyde group or carbonyl, OH, amino, or C 1 ⁇ 6 cycloalkyl or heterocyclyl
- n is 0, 1, 2, or 3
- ONPhth refers to the following structure:
- the present invention provides compounds of the formula:
- L 4 has one of the following formulae:
- F 1 and F 2 independently have the formula:
- the present invention provides compounds having one of the following formulae:
- the present invention provides compounds having the formula:
- L 2 is a linker including at least one releasable linker.
- L 2 also includes one or more heteroatom linkers and/or spacer linkers.
- L 2 may comprise at least one of following formulae:
- m 0, 1, 2, 3 or 4; W is NH or O; and each * indicates an open valence.
- the compounds of F3L 1 L 2 D or F4L 1 L 2 D have the following structures:
- the drug delivery conjugates according to the present invention can be prepared by the synthetic methods known in the art. The choices of those synthetic methods depend upon the selection of the heteroatom linkers, the characteristics of the drug structure, as well as the functional groups present on the spacer linkers and the releasable linkers.
- the relevant bond forming reactions are generally described in Richard C. Larock, “Comprehensive Organic Transformations, A Guide to Functional Group Preparations, ” VCH Publishers, Inc., New York (1989) , and in Theodora E. Greene & Peter G. M. Wuts, “Protective Groups ion Organic Synthesis, ” 2d edition, John Wiley & Sons, Inc., New York (1991) , the contents of which are incorporated herein by reference in their entireties.
- the desired disulfide group can be formed by reacting the corresponding heteroaryldithioalkyl derivative (e.g., pyridine ⁇ 2 ⁇ yldithioalkyl derivative) with a alkylene thiol derivative.
- the solvents used in such reactions can be tetrahydrofuran (THF) , N, N ⁇ dimethylformamide (DMF) , CH 2 Cl 2 , or dimethyl sulfoxide (DMSO) .
- THF tetrahydrofuran
- DMF N, N ⁇ dimethylformamide
- CH 2 Cl 2 CH 2 Cl 2
- DMSO dimethyl sulfoxide
- the temperature for such reactions may be in the range of 0 °C to 80 °C.
- carbonate, sulfocarbonate and carbamate may be formed by common preparation methods, e.g., by reacting the corresponding compounds substituted with hydroxyl, sulfenyl, and amino, respectively, with an activated alkyoxycarbonyl derivative.
- the solvents used in those reactions may be THF, DMF, DMSO, CH 2 Cl 2 , or ethyl acetate (EtOA) .
- the temperature range may vary between 0 °C and 80 °C.
- certain basic catalysts such as an inorganic base, an amine base, and a polymer bound base, can be used to facilitate the reaction.
- amide and ester may be formed by regular methods known in the art.
- the heteroatom linker is a nitrogen atom and the terminal functional group present on the spacer linker or the releasable linker is a carbonyl group
- the desired amide group can be obtained by coupling reactions or acylation reaction of corresponding carboxylic acid or its derivative.
- Suitable solvents for forming amides described herein include CH 2 Cl 2 , THF, DMF, DMSO, etc.
- the amides can be prepared at the temperature range of ⁇ 15 °C to about 80 °C.
- examples of the coupling reagents used in those reactions may include DCC, EDC, HBTU, TBTU, HOBT/DCC, HOBT/EDC, etc.
- the parent acid can be converted into an activated carbonyl derivative, such as an acid chloride and a N ⁇ hydroxysuccinimidyl ester.
- the amide ⁇ forming reaction can be conducted in the presence of a base, such as triethylamine and N, N ⁇ diisopropylerhylamine.
- the heteroatom linker is an oxygen atom and the terminal functional group present on the spacer linker or the releasable linker is a carbonyl group.
- a desired ester group can be obtained by the coupling reactions of the corresponding carboxylic acid or derivative.
- examples of coupling reagents may include DCC, EDC, CDI, BOP, EEDQ, DEAD, PPh 3 , etc.
- examples of the solvents include CH 2 Cl 2 , THF, DMF, DMSO, acetonitrile, and EtOAc.
- the base include triethylamine, diisopropylamine, etc.
- the drug comprises a nitrogen atom to which a releasable linker or spacer linker is bounded to form a hydrazone.
- the desired hydrazone group can be formed by reacting the corresponding aldehyde or ketone, with a hydrazone or acylhydrazine derivative.
- the solvents used in such reactions include CH 2 Cl 2 , THF, DMF, DMSO, CHCl 3 , EtOAc, etc.
- the reaction temperature may be in the range between 0 °C and 80 °C.
- the reactions may also use an acid catalyst, such as mineral acid, acetic acid, and F 3 C ⁇ COOH.
- the acylhydrazone may be prepared by initially acylating hydrazine with a suitable carboxylic acid or derivative, and subsequently reacting the acylhudrazide with the corresponding aldehyde or ketone to form the acylhydrazone.
- the hydrazone functionality may be initially formed by reacting hydrazine with the corresponding aldehyde or ketone.
- the resulting hydrazone may subsequently be acylated with a suitable carboxylic acid or its derivative.
- succinmide is formed.
- the heteroatom linker includes a nitrogen, oxygen, or sulfur atom and the functional group present on the spacer linker or the releasable linker is succinimide derivative
- the resulting carbon ⁇ heteroatom bond can be formed by a Michael addition of corresponding amine, alcohol, or thiol, and a maleimide derivative.
- Solvents for performing the Michael addition can be THF, EtOAc, CH 2 Cl 2 , DMF, DMSO, H 2 O, etc.
- the formation of such Michael adducts can be accomplished by adding the equimolar amount of a base (e.g., triethylamine) or by adjusting the pH of the water to about 6.0 ⁇ 7.4.
- a base e.g., triethylamine
- reaction conditions may be adjusted to facilitate the Michael addition, for example, by using a higher reaction temperature, adding catalysts, using more polar solvents (e.g., DMF, DMSO) , and/or activating the maleimide with silyating reagents.
- polar solvents e.g., DMF, DMSO
- ketal and acetal can be formed by ketal and acetal reactions of the corresponding alcohol and an aldehyde or ketone. Preparation procedures are discussed in detail in R. R. Schmidt et al., Chem. Rev., 2000, 100, 4423 ⁇ 42, the contents of which are incorporated herein by reference in their entireties.
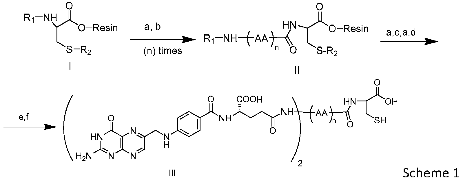
- the folate ⁇ containing peptidyl fragment Pte ⁇ Glu ⁇ (AA) n ⁇ Cys ⁇ OH is prepared by a polymer ⁇ supported sequential approach using standard methods, such as Fmoc ⁇ strategy on an acid ⁇ sensitive 2Cl ⁇ Trt Resin (I) .
- R1 is Fmoc
- R 2 is triphenyl methyl
- DIC is N, N ⁇ diisopropylcarbodiimide
- DIPEA is diisopropylethylamine.
- PyBop was used as the activating reagent to ensure efficient coupling.
- Fmoc protecting group were removed after each coupling step under standard conditions.
- suitably protected amino acid building blocks may be used, such as Fmoc ⁇ Glu ⁇ OtBu, N10 ⁇ TFA ⁇ Pteroic acid, and particularly Fmoc ⁇ AA ⁇ OH in step (b) .
- AA can be any amino acid starting material that is suitably protected.
- amino acid may refer to any reagent having both amine and a carboxylic acid functional group separated by one or more carbons.
- amino acids include naturally occurring alpha and beta amino acids, as well as amino acid derivatives and analogs of these amino acids.
- the folate ⁇ peptide synthesis according to the present invention may also use protected amino acids that have side chains, such as protected serine, threonine, cysteine, and aspartate.
- the synthesis process according to the present invention may also use amino acid analogs having ⁇ , ⁇ , or homologous side chains, or alternate branching structures as the starting material. Examples of such amino acid analogs include but are not limited to norleucine, isovaline, ⁇ methyl threonine, ⁇ methyl cysteine, and ⁇ , ⁇ dimethyl cysteine.
- n is an integer between 0 and about 100.
- the remaining Fmoc group was removed (step (a) ) ; the peptide was sequentially coupled to a glutamate derivative (step (c)) , deprotected, and coupled to TFA ⁇ protected pteroic acid (step (d) ) .
- the TFA ⁇ protecting group was removed in the presence of a base (step (e) ) .
- step (f) peptidyl fragment III was obtained.
- the peptide was then cleaved from the polymeric support in the presence of TFA, H2O, phenol, thioanisole and EDT (step (f) ) .
- the protection groups t ⁇ Bu, t ⁇ Boc, Pbf and Trt were removed.
- Such protection groups can form the side chains of the suitably protected amino acids.
- the folate ⁇ peptidyl fragment containing three or four folate receptor binding parts can be prepared using procedures similar to those described above.
- the polyvalent linker can be formed by amino acids comprising three or more reacting functional groups (e.g., amino, hydroxyl, and carboxyl) .
- the amino acids include but are not limited to lysine, glutamic acid, serine, asparagine, aspartic acid, tyrosine and arginine.
- the folate ⁇ peptidyl fragment containing three folate receptor binding parts can be prepared according to Scheme 2 below:
- the folate ⁇ peptidyl fragment containing four folate receptor binding fragment III ⁇ 3 can be prepared according to Scheme 3 below:
- any lysine of Compound c or f may be replaced by another optionally substituted amino acid having a similar structure as lysine, in order to prepare a peptidyl fragment containing four or five reacting functional groups. It can also be understood by those skilled in the art that the order of coupling different amino acids, the connection positions, or the stereo configurations of the amino acids may vary and are not limited to the examples as described herein.
- N10 ⁇ TFA ⁇ pteroic acid refers to a compound having the structure:
- the present invention provides a pharmaceutical composition
- a pharmaceutical composition comprising a drug delivery conjugate as described herein, and a pharmaceutically acceptable carrier, diluents, excipient or the combinations thereof.
- the present invention provides a use of the pharmaceutical composition in the treatment and/or preventing diseases caused by pathogenic cell populations.
- pathogenic cells refers to cancer cells, infectious agents (e.g., bacteria and viruses) , bacteria ⁇ or virus ⁇ infected cells, activated macrophages capable of causing a disease state, and any other type of pathogenic cells that uniquely express, preferentially express, or over express folate receptors.
- infectious agents e.g., bacteria and viruses
- bacteria ⁇ or virus ⁇ infected cells e.g., bacteria ⁇ or virus ⁇ infected cells
- activated macrophages capable of causing a disease state
- any other type of pathogenic cells that uniquely express, preferentially express, or over express folate receptors.
- the population of pathogenic cells can be a cancer cell population that is either tumorigenic (e.g., benign tumors and malignant tumors) or non ⁇ tumorigenic.
- the cancer cell populations can include, but are not limited to, oral, thyroid, endocrine, skin, gastric, esophageal, laryngeal, pancreatic, colon, bladder, bone, ovarian, uterine, breast, testicular, prostate, rectal, kidney, liver, and lung cancers.
- the binding ligand (F) drug delivery conjugates can be used to treat disease states characterized by presence of a pathogenic cell population in the host.
- the members of the pathogenic cell population have an accessible binding site for folic acid or pteroic acid, or analog or derivative thereof.
- the binding site is uniquely expressed, overly expressed, or preferentially expressed by the pathogenic cells.
- the selective elimination of the pathogenic cells is achieved by binding the ligand moiety of the binding ligand ⁇ drug delivery conjugate to a ligand receptor.
- Surface ⁇ expressed vitamin receptors, such as the high ⁇ affinity folate receptor, are overly expressed on cancer cells.
- the binding ligand ⁇ drug delivery conjugates described herein can be used to treat a variety of tumor cell types, as well as other types of pathogenic cells, such as infectious agents. Those cell types preferentially express folate receptor and, thus, have surface accessible binding sites for vitamins or vitamin analogs or derivatives.
- folate or “folic acid” refers to the folate receptor binding moiety used in forming the drug delivery conjugate.
- the term “pteric acid” or “pteroic acid” refers to the folate receptor binding moiety used for forming the drug delivery conjugate.
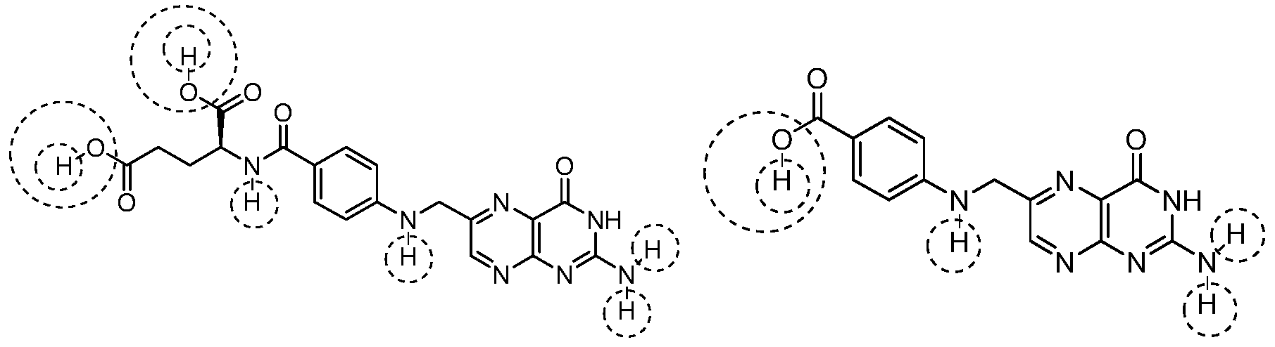
- conjugate base can be interchanged with the term “binding moiety” of folic acid or pteroic (or pteric) acid, mentioned immediately above. It can be created or produced by removing a group (e.g., hydrogen or hydroxyl) from folic acid or pteroic acid where chemically possible or feasible. For instance, in the structures shown below, the circled groups can react with another function group (without having to be removed first) or be removed first to give rise to various conjugate bases that are identified as F in the compounds of Formula (I) described herein.
- CDI N, N' ⁇ carbonyldiimidazole
- DIPEA diethyl diazenedicarboxylate
- HATU (1 ⁇ [bis (dimethylamino) methylene) –H ⁇ 1, 2, 3, ⁇ triazolo [4, 5 ⁇ b] pyridinum ⁇ 3 ⁇ oxid hexafluorophosphate)
- ivDde 1 ⁇ (4, 4 ⁇ dimethyl ⁇ 2, 6 ⁇ dioxocyclohex ⁇ 1 ⁇ ylidene) ⁇ 3 ⁇ methylbutyl
- PABA para aminobenzoic acid
- the drug delivery conjugates according to this invention have two or more (e.g., 2, 3, 4) folate receptor binding ligands, each of which independently is covalently bound to the polyvalent linker, and the drug D is covalently bound to the releasable linker.
- the compounds of the present inventions have higher ⁇ affinity to the cells expressing folate receptor.
- the polyvalent linker L described herein includes releasable linker (s) .
- the binding ligand ⁇ drug delivery conjugates When the folate receptor binding ligand folic acid and/or pteroic acid of the drug delivery conjugates bind to the pathogenic cells, the binding ligand ⁇ drug delivery conjugates is closely associated with the surface of the pathogenic cell, and then internalized into the targeted pathogenic cells. Then, within the targeted pathogenic cell, the drug is released by cleavage of the releasable linker and exerts its pharmaceutical functions.
- the ligand ⁇ drug delivery conjugates provided by the present invention exhibit great anti ⁇ tumor activity to folate receptor over ⁇ expressing tumor cells.
- the drug delivery conjugates provided by this invention not only significantly improved the anti ⁇ tumor activity, but also, at the same time, were well tolerated by the animals at the tested dosages.
- the novel compounds according to the present invention unexpectedly showed surprisingly greater chances to bind to folate receptor under the same molar dose. More surprisingly, even in the presence of an excess of folic acid, by using the molar equivalent dose, the drug delivery conjugates according to this invention exhibit stable anti ⁇ tumor activity comparing with those in the art (e.g., EC145) . This indicates that even in the presence of certain amount of folic acid competitive conditions, the novel drug delivery conjugates still show good anti ⁇ tumor activities.
- the drug delivery conjugates according to the present invention have significantly increased molecular weight, thereby allowing the conjugates to selectively accumulate into tumors by a passive targeting mechanism.
- the drug delivery conjugates of the present invention have two or more folate receptor binding ligands, thereby further enhancing the affinity between drug delivery conjugates and folate receptor positive tumor cells, as well as the retention time of the drug delivery conjugates in the tumor cells.
- releasable linkers covalently attached to the drug such as hydrazine bond can be cleaved within few minutes under the intracellular acidic condition. Simultaneously other releasable linkers of the L, such as disulfide bond, can be reduced and the drug is released to act on its intracellular anti ⁇ tumor activity.
- the phrase “the backbone of L 1 ⁇ L 2 is free of phenyl ⁇ disulfide” means that the main chain of L1 ⁇ L2 does not include the moiety of regardless if or not the phenyl group is substituted.
- alkyl when used alone or as part of a larger moiety (e.g., as in “calkoxylalkyl” ) , refers to a saturated aliphatic hydrocarbon group. It can contain 1 to 12 (e.g., 1 to 8, 1 to 6, or 1 to 4) carbon atoms. As a moiety, it can be denoted as ⁇ C n H 2n+1 .
- An alkyl group can be straight or branched.
- alkyl groups include, but are not limited to, methyl, ethyl, propyl, isopropyl, butyl, isobutyl, sec ⁇ butyl, tert ⁇ butyl, n ⁇ pentyl, n ⁇ heptyl, and 2 ⁇ ethylhexyl.
- An alkyl group can be substituted (i.e., optionally substituted) with one or more substituents.
- a carbon ⁇ number modifier e.g., C 1 ⁇ C 6 (or C 1 ⁇ 6 )
- cycloalkyl when used alone or as part of a larger moiety (e.g., as in “cycloalkylalkyl” ) , refers to a saturated carbocyclic mono ⁇ , bi ⁇ , or tri ⁇ cyclic (fused or bridged or spiral) ring system. It can contain 3 to 12 (e.g., 3 to 10, or 5 to 10) carbon atoms.
- cycloalkyl groups include, but are not limited to, cyclopropyl, cyclobutyl, cyclopentyl, cyclohexyl, cycloheptyl, adamantyl, norbornyl, cubyl, octahydro ⁇ indenyl, decahydro ⁇ naphthyl, bicyclo [3.2.1] octyl, bicyclo [2.2.2] octyl, bicyclo [3.3.1] nonyl, bicyclo [3.3.2.
- decyl bicyclo [2.2.2] octyl, adamantyl, azacycloalkyl, or ( (aminocarbonyl) cycloalkyl) cycloalkyl.
- a cycloalkyl is preceded by a carbon ⁇ number modifier, e.g., C 3 ⁇ C 6 , its means the alkyl group contains 3 to 6 carbon atoms.
- heterocycloalkyl when used alone or as part of a larger moiety (e.g., as in “heterocycloalkylalkyl” ) , refers to a 3 ⁇ to 16 ⁇ membered mono ⁇ , bi ⁇ , or tri ⁇ cyclic (fused or bridged or spiral) ) saturated ring structure, in which one or more of the ring atoms is a heteroatom (e.g., N, O, S, P, or combinations thereof) .
- the heterocycloalkyl can contain 1 to 15 carbon atoms (e.g., 1 to 6, 3 to 12, or 5 to 10) .
- heterocycloalkyl group examples include, but are not limited to, piperidyl, piperazyl, tetrahydropyranyl, tetrahydrofuryl, 1, 4 ⁇ dioxolanyl, 1 , 4 ⁇ dithianyl, 1 , 3 ⁇ dioxolanyl, oxazolidyl, isoxazolidyl, morpholinyl, thiomorpholyl, octahydrobenzofuryl, octahydrochromenyl, octahydrothiochromenyl, octahydroindolyl, octahydropyrindinyl, decahydroquinolinyl, octahydrobenzo [b] thiopheneyl, 2 ⁇ oxa ⁇ bicyclo [2.2.2] octyl, l ⁇ aza ⁇ bicyclo [2.2.2] octyl, 3 ⁇ aza ⁇ bicyclo [
- a monocyclic heterocycloalkyl group can be fused with a phenyl moiety such as tetrahydroisoquinoline.
- a heterocycloalkyl is preceded by a carbon ⁇ number modifier, e.g., C 1 ⁇ C 6 , its means the heterocycloalkyl group contains 1 to 6 carbon atoms.
- aryl when used alone or as part of a larger moiety (e.g., as in “arylkyl” ) , refers to a monocyclic (e.g., phenyl) , bicyclic (e.g., indenyl, naphthalenyl, or tetrahydronaphthyl) , and tricyclic (e.g., fluorenyl, tetrahydrofluorenyl, tetrahydroanthracenyl, or anthracenyl) ring system in which the monocyclic ring system is aromatic (e.g., phenyl) or at least one of the rings in a bicyclic or tricyclic ring system is aromatic (e.g., phenyl) .
- the bicyclic and tricyclic groups include, but are not limited to, benzo ⁇ fused 2 ⁇ or 3 ⁇ membered carbocyclic rings.
- heteroaryl refers to a monocyclic, bicyclic, or tricyclic ring system having 5 to 15 ring atoms wherein at least one of the ring atoms is a heteroatom (e.g., N, O, S, P or combinations thereof) and when the monocyclic ring system is aromatic or at least one of the rings in the bicyclic or tricyclic ring systems is aromatic. It can contain 5 to 12 or 8 to 10 ring atoms.
- a heteroaryl group includes, but is not limited to, a benzo ⁇ fused ring system having 2 to 3 rings.
- a benzo ⁇ fused group includes benzo fused with one or two 4 ⁇ to 8 ⁇ membered heterocycloalkyl moieties (e.g., indolizyl, indolyl, isoindolyl, 3H ⁇ indolyl, indolinyl, benzo [b] furyl, benzo [b] thiophenyl, quinolinyl, or isoquinolinyl) .
- 4 ⁇ to 8 ⁇ membered heterocycloalkyl moieties e.g., indolizyl, indolyl, isoindolyl, 3H ⁇ indolyl, indolinyl, benzo [b] furyl, benzo [b] thiophenyl, quinolinyl, or isoquinolinyl
- heteroaryl examples include pyridyl, 1H ⁇ indazolyl, furyl, pyrrolyl, thienyl, thiazolyl, oxazolyl, imidazolyl, tetrazolyl, benzofuryl, isoquinolinyl, benzithiazolyl, xanthenyl, thioxanthenyl, phenothiazinyl, dihydroindolyl, benzo [l, 3] dioxolyl, benzo [b] furyl, benzo [bjthiophenyl, indazolyl, benzimidazolyl, benzthiazolyl, puryl, quinolinyl, quinazolinyl, phthalazyl, quinazolyl, quinoxalyl, isoquinolinyl, 4H ⁇ quinolizyl, benzo ⁇ 1, 2, 5 ⁇ thiadiazolyl, and 1, 8 ⁇ naphthyridyl.
- heterocycloalkyl when used alone or as part of a larger moiety (e.g., as in “heterocycloalkylalkyl” ) , refers to a 3 ⁇ to 16 ⁇ membered mono ⁇ , bi ⁇ , or tri ⁇ cyclic (fused or bridged or spiral) ) saturated ring structure, in which one or more of the ring atoms is a heteroatom (e.g., N, O, S, or combinations thereof) .
- the heterocycloalkyl can contain 3 to 15 carbon atoms (e.g., 3 to 12 or 5 to 10) .
- heterocycloalkyl group examples include, but are not limited to, piperidyl, piperazyl, tetrahydropyranyl, tetrahydrofuryl, 1, 4 ⁇ dioxolanyl, 1 , 4 ⁇ dithianyl, 1 , 3 ⁇ dioxolanyl, oxazolidyl, isoxazolidyl, morpholinyl, thiomorpholyl, octahydrobenzofuryl, octahydrochromenyl, octahydrothiochromenyl, octahydroindolyl, octahydropyrindinyl, decahydroquinolinyl, octahydrobenzo [b] thiopheneyl, 2 ⁇ oxa ⁇ bicyclo [2.2.2] octyl, l ⁇ aza ⁇ bicyclo [2.2.2] octyl, 3 ⁇ aza ⁇ bicyclo [
- a monocyclic heterocycloalkyl group can be fused with a phenyl moiety such as tetrahydroisoquinoline.
- a heterocycloalkyl is preceded by a carbon ⁇ number modifier, e.g., C 1 ⁇ C 6 , its means the heterocycloalkyl group contains 1 to 6 carbon atoms.
- carbonyl refers to a moiety having the functional group ⁇ CHO.
- a carbon ⁇ number modifier e.g., C 1 ⁇ C 3 (or C 1 ⁇ 3 )
- a carbon ⁇ number modifier e.g., C 1 ⁇ C 3 (or C 1 ⁇ 3 )
- amino refers to a moiety having the structure ⁇ NR 2 , including primary amines, secondary amines, and tertiary amines.
- each R independently is hydrogen, alkyl, aryl, etc.
- amino acid refers to aminoalkylcarboxylate, where the alkyl radical is optionally substituted with alkyl, hydroxy alkyl, sulfhydrylalkyl, aminoalkyl, carboxyalkyl, etc, including groups corresponding to the naturally occurring amino acids, such as serine, cysteine, methionine, aspartic acid, glutamic acid, and the like.
- amino acid derivative refers to aminoalkylcarboxylate. Its amino radical or the carboxylate radical are each optionally substituted (e.g., with alkyl, carboxylalkyl, alkylamino) or optionally protected.
- the intervening divalent alkyl fragment is optionally substituted with alkyl, hydroxy alkyl, sulfhydrylalkyl, aminoalkyl, carboxyalkyl, including groups corresponding to the side chains found in naturally occurring amino acids, such as are found in serine, cysteine, methionine, and aspartic acid, glutamic acid.
- peptide refers to a series of amino acids and amino acid analogs and derivatives covalently linked one to the other by amide bonds.
- substituted refers to the replacement of hydrogen radicals in a given structure with the radical of a specified substituent.
- Specific substituents are described above in the definitions and below in the description of compounds and examples thereof.
- an optionally substituted group can have a substituent at each substitutable position of the group, and when more than one position in any given structure can be substituted with more than one substituent selected from a specified group, the substituent can be either the same or different in every position.
- a ring substituent such as a heterocycloalkyl
- substituents envisioned by this invention are those combinations that result in the formation of stable or chemically feasible compounds.
- the term “comprises” or “comprising” means “include, but not limited to” or “including, but not limited to. ”
- Fig. 1 illustrates the mass spectra of Compound 15 (prepared in Example 4) .
- the number 2969.35 represents the molecular ion peak of Compound 15.
- Fig. 2 illustrates the inhibitive effect of KB tumor growth by 1 ⁇ M BP111b (Compound 15) and control BP111a (Compound EC145) in the presence and in the absence of excessive folic acids, wherein “ ⁇ ” means no adding, “+” means adding.
- Fig. 3 illustrates the inhibitive effect of A549 tumor growth by BP111b (Compound 15) and control BP111a (Compound EC145) , wherein the abscissa represents the concentration of BP111a and BP111b.
- Fig. 4 illustrates the activities of BP111b (Compound 15) and control BP111a against KB tumors at the dose of 0.5 ⁇ mol/kg, 1 ⁇ mol/kg, 2 ⁇ mol/kg, respectively.
- Vehicle means blank control, i.e., giving the same amount of the solvent without any drug.
- the ordinate TV (mm 3 ) means Tumor Volume and the abscissa represents “Day. ”
- Fig. 5 illustrates the measure of weight change percentage in mice with KB tumor, which were treated with BP111b (Compound 15) and control BP111a at the dose of 0.5 ⁇ mol/kg, 1 ⁇ mol/kg, 2 ⁇ mol/kg, respetively.
- Vehicle means blank control, i.e., giving the same amount of the solvent without any drug.
- the ordinate BW (g) means Body Weight and the abscissa represents “Day. ”
- Compound 16 can be prepared according to the procedures that are similar to the preparation procedures of Compound 15. MS [M+H] + : 3043.18.
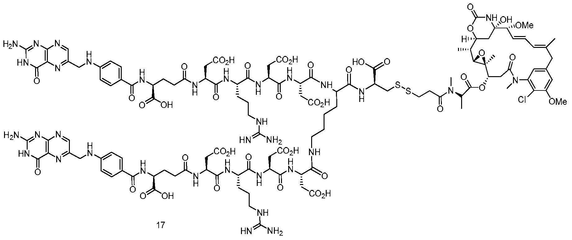
- Compound 17 can be prepared according to the procedures that are similar to the preparation procedures of Compound 15. MS [M+H] + : 2819.98.
- Compound 33 and DMAP (4 ⁇ dimethylaminopyridine) were added to the solution of Didemnin B in DCM. After stirring at 0 °C for 2h, the solution was separated and purified to give Compound 18 ⁇ 1.
- Compound III was dissolved in water under nitrogen. The pH of the solvent was adjusted to about 7.
- Compound 18 ⁇ 1 was dissolved in acetonitrile and the solution was, under nitrogen, added to the solvent of Compound III. Reverse phase analytical HPLC was used to monitor the process. After the reaction was complete, the resulting solution was separated and purified to give the target product, i.e., Compound 18.
- Compound 19 can be prepared by the Michael addition reaction of Compound 19 ⁇ 3 and the mercapto of Compound III. MS [M+H] + : 3, 072.16.
- reaction of Compound 22 ⁇ 1 and CBI can be carried out according to preparation method of amide by reacting amino with carboxyl.
- Compound 22 can be prepared according to the similar procedure as preparation method of Compound 19, by reacting Compound 22 ⁇ 2 with Compound III.
- Compound 24 can be prepared according to the procedures that are similar to the preparation method of Compound 15. MS [M+H] + : 2, 946.23.
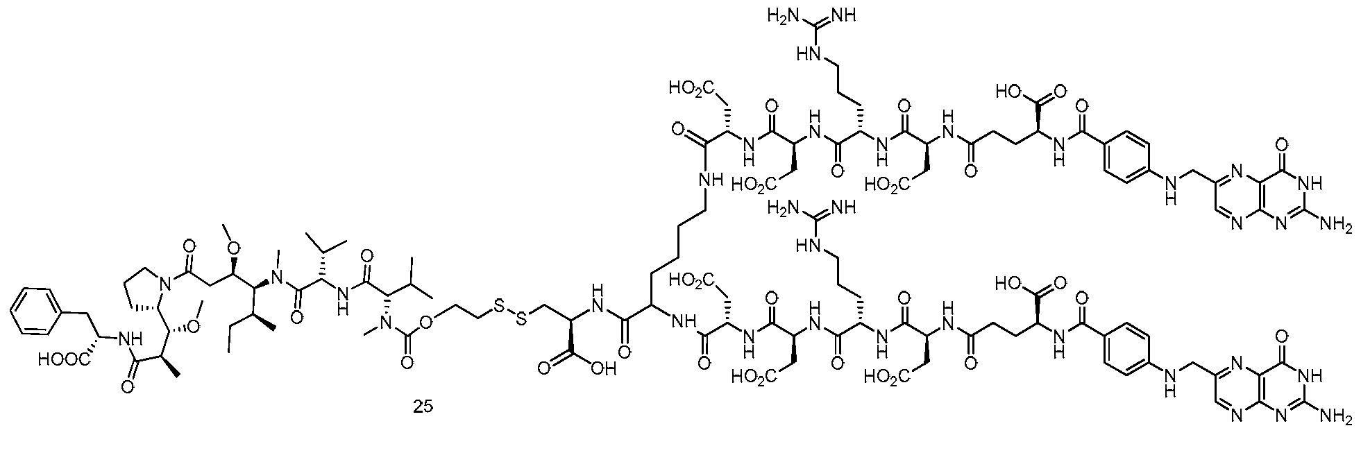
- Compound 25 can be prepared according to the procedures that are similar to the preparation method of Compound 15. MS [M+H] + : 2, 932.20.
- Compound 26 can be prepared according to procedures that are similar to the preparation method of Compound 15. MS [M+H] + : 2, 918.22
- Example 23 Compound 31 was prepared according to a procedure similar to that described above for preparing compound 29. MS [M+2H] 2+ : 5, 074.95.
- Example 24 Compound 32 was prepared according to a procedure similar to that described above for preparing compound 29. MS [M+2H] 2+ : 5, 520.33.
- FR ⁇ positive KB cells were heavily seeded into 24 ⁇ well cell culture plates and allowed to adhere to the plastic for 18h. Spent incubation media was replaced in designated wells with folate ⁇ free RPMI (FFRPMI) supplemented with 100 nM 3H ⁇ folic acid in the absence and presence of increasing concentrations of test article or folic acid. Cells were incubated for 60 minutes at 37 °C and then rinsed 3 times with PBS, pH 7.4. 500 ⁇ L of 1% SDS in PBS, pH 7.4, were added per well. Cell lysates were then collected and added to individual vials containing 5 mL of scintillation cocktail, and then counted for radioactivity.
- FFRPMI folate ⁇ free RPMI
- Negative control tubes contained only the 3H ⁇ folic acid in FFRPMI (no competitor) .
- Positive control tubes contained a final concentration of 1 mM folic acid, and CPMs measured in these samples (representing nonspecific binding of label) were subtracted from all samples.
- relative affinity were defined as the inverse molar ration of compound required to displace 50% of 3H ⁇ folic acid bound to the FR on KB cells, and the relative affinity of folic acid for the FR was set to 1.
- Compounds 16 ⁇ 32 were tested in 10% serum/FDRPMI and the results showed that compared to folic acid, Compounds 16 ⁇ 32 all represent more than 100% relative affinity for the folate. In particular, Compounds 10, 21 and 31 showed 162%, 127% and 187% relative affinity for the folate, respectively.
- Compounds 15 ⁇ 32 provided by this invention were evaluated using an in vitro cytotoxicity assay that predicts the ability of the drug to inhibit the growth of folate receptor ⁇ positive KB cells.
- KB cells were seeded into the well cell culture plates and each well contains 5*103 KB cells in 100 ⁇ l of PBS. 24 hours later, aspirate the medium, and then divided into blank control group, positive control groups a, experimental groups b, and the positive groups a and experimental groups b, each containing 10 groups.
- control compound BP111a compound EC145, the preparation and structure of which can refer to CN100381177C
- experimental groups b changed with the compound of the present invention (represented by BP111b) 1 ⁇ M
- the blank control group neither added drug nor folic acid. All of the groups were cultured for additional 70 hours. Cell viability was assessed with MTT. The absorbance was measured using ELISA detection instrument at the wavelength of 570 nm.
- MTT assay also called MTT colorimetic method. MTT is reduced by the succinic dehydrogenase in the mitochondria of living cell to yield an insoluble purple formazan product and deposited in the cells, while died cells do not have this function. Dimethylsulfoxide (DMSO) can dissolve the Formazan in the cells. ELISA detection instrument can be used to measure the absorbance at the wavelength of 570 nm ( “OD570 value” ) . The OD570 value can indirectly reflects the cell viability. In a certain range of cells, the quantity of MTT crystallization is proportional to the quantity of cells.
- DMSO dimethylsulfoxide
- BP111b represents Compound 15 of this invention
- BP111a represents Compound EC145 (EC145 and the preparation method thereof are described in CN 100381177 C)
- BP111b (Compound 15 of this invention)
- BP111b exhibited greater ability to inhibit the growth of KB cells compared to BP111a (Compound EC145)
- BP111b ’s ability to inhibit the growth of KB cells decreased due to the increase of FA. This indicates that the observed cell killing was mediated by binding to the folate receptor.
- BP111b compared to BP111a, BP111b also has the good inhibitory activity against KB tumor cells even in the presence of excess folic acid.
- This assay was used to predict the ability of the drugs to inhibit the growth of folate receptor ⁇ negative A549.
- A549 cells were seeded into the well cell culture plates and each well contains 5*103 A549 cells in 100 ⁇ l of PBS. 24 hours later, aspirate the medium, and divide into blank control group, positive control groups a, experimental groups b, and the positive groups a and experimental groups b; each containing 10 groups.
- the serial numbers are a ⁇ 1, a ⁇ 2, a ⁇ 3, a ⁇ 4, a ⁇ 5, a ⁇ 6, a ⁇ 7, a ⁇ 8, a ⁇ 9, a ⁇ 10 and b ⁇ 1, b ⁇ 2, b ⁇ 3, b ⁇ 4, b ⁇ 5, b ⁇ 6, b ⁇ 7, b ⁇ 8, b ⁇ 9, b ⁇ 10.
- BP111a EC145
- BP111b BP111b with the concentrate: 10000, 3333.33, 111.111, 370.370, 123.4567, 41.152, 13.717, 4.572, 13.717, 4.5724, 1.5241 nmol/L (nM) .
- BP111a The preparation method of BP111a was described in Chinese patent application CN 100381177C. Neither BP111a nor BP111b was added into the blank control group. All of the groups were cultured for additional 70h. Then, cell viability was assessed with MTT. The absorbance was measured using ELISA detection instrument at the wavelength of 570 nm.
- FIG. 3 shows the results of the above protocol, where Compound 15 was used as the drug of the experimental groups.
- Compound 15 was used as the drug of the experimental groups.
- the ability of BP111b (Compound 15) to inhibit the growth of folate receptor ⁇ negative A549 was not obvious.
- IC50 is the half inhibitory rate, which means concentration of drug required to induce 50% anti ⁇ tumor growth inhibition
- Compound 15 of this invention (presented by BP111b) was administrated intravenously to tumor ⁇ bearing animals.
- the positive control groups include a ⁇ 1, a ⁇ 2, a ⁇ 3; and experimental groups include b ⁇ 1, b ⁇ 2, b ⁇ 3; the blank groups consist of the rest three groups.
- mice of the positive control groups were respectively injected intravenously three times a week for 2 weeks with 0.5 ⁇ mol/kg, 1 ⁇ mol/kg, 2 ⁇ mol/kg of compound BP111a.
- the mice of the experimental groups b were respectively injected three times a week for 2 weeks with 0.5 ⁇ mol/kg, 1 ⁇ mol/kg, 2 ⁇ mol/kg of compound BP111b (Compound 15 of this invention) .
- the treatment with the compound BP111b with 0.5 ⁇ mol/kg was effective in delaying the growth of KB tumors; and the striking anti ⁇ tumor response was observed when the drug dosage was increased to 1 ⁇ mol/kg.
- the anti ⁇ tumor inhibition of compound BP111b was dose ⁇ dependent, as shown in Fig. 4.
- compound BP111b of this invention didn’ t have apparent toxicity based on animal body weights.
- BP111a also exhibited anti ⁇ tumor activity at 1 ⁇ mol/kg.
- mice (6/group) were injected intravenously, three times a week (TIW) for 2 weeks, with 500nmol/kg of Compound 25 or free ⁇ drug MMAF or an equivalent dose volume PBS.
- TIW three times a week
- the results of the mice tumor growth inhibition and the changes of the mice body weight were observed.
- Tumor growth was measured using calipers about once every three days in each treatment group.
Landscapes
- Health & Medical Sciences (AREA)
- Life Sciences & Earth Sciences (AREA)
- General Health & Medical Sciences (AREA)
- Public Health (AREA)
- Engineering & Computer Science (AREA)
- Chemical & Material Sciences (AREA)
- Medicinal Chemistry (AREA)
- Pharmacology & Pharmacy (AREA)
- Veterinary Medicine (AREA)
- Animal Behavior & Ethology (AREA)
- Proteomics, Peptides & Aminoacids (AREA)
- Bioinformatics & Cheminformatics (AREA)
- Epidemiology (AREA)
- Chemical Kinetics & Catalysis (AREA)
- General Chemical & Material Sciences (AREA)
- Nuclear Medicine, Radiotherapy & Molecular Imaging (AREA)
- Organic Chemistry (AREA)
- Molecular Biology (AREA)
- Pharmaceuticals Containing Other Organic And Inorganic Compounds (AREA)
- Medicines That Contain Protein Lipid Enzymes And Other Medicines (AREA)
- Medicinal Preparation (AREA)
Abstract
The present invention provides folate receptor binding ligand‐drug delivery conjugates having the formula (F) nL1L2D. The conjugates have high affinity to folate receptor‐positive tumor cells and low toxicity for normal cells. The present invention also relates to preparation methods for such conjugates, pharmaceutical compositions comprising such conjugates, and use of such conjugates for preparing anti‐tumor medicaments.
Description
Cross‐Reference to Related Application
This application claims priority to Chinese Patent Application No. 201410024349.9, filed on January 20, 2014, the contents of which are incorporated herein by reference in their entireties.
This invention in general relates to conjugates and compositions useful for targeted drug delivery and preparation methods thereof, and in particular relates to those comprising folate or pteroic acid (also known as pteric acid) . The present invention also relates to use of such conjugates and compositions for treating diseases associated with pathogenic cell populations.
Although studies of cancer therapeutic methods and anti‐cancer drugs have made some progress, cancer is still one of the main diseases that seriously threaten human health. In the U.S., cancer is the second leading cause of death, only after heart attack. Current cancer treatments typically include surgery, radiation therapy, chemotherapy, immunotherapy and combination therapy. Among these treatments, the most common one is chemotherapy using strong drugs such as mitomycin, paclitaxel and camptothecin. However, the main disadvantage of those chemotherapeutic agents is that, while they inhibit the growth of pathogenic cells, they also severely inhibit the growth of normal host cells at the same time. Therefore, due to such adverse side effects of current anti‐cancer drugs, there is a need for novel anti‐cancer drugs selective for pathogenic cell populations and with reduced host toxicity.
By far, there have been many efforts made to develop‐tumor selective drugs by conjugating anti‐cancer drugs to a ligand such as hormones, antibodies and vitamin. For example, low molecular weight vitamin (such as folic acid) has been used as a tumor target agent.
Folic acid, also called vitamin B9, is an essential nutrient required by all living cells for proper metabolic maintenance of 1‐carbon pathways and for nucleotide biosynthesis. Folate receptor (FR) is a transmembrane glycoprotein, including 3 subtypes: α‐FR, β‐FR, γ‐FR. Folic acid displays an extremely high affinity (KD~100pM) for a cell surface‐oriented glycoprotein of the folate receptor. This glycoprotein is a glycosylphosphatidyinositol‐linked protein that captures its ligand (i.e., folic acid) from the extracellular milieu. Folate receptor is a tumor‐associated membrane protein that binds folic acid and is capable of transporting molecules bound to folic acid inside cells via an endocytosis mechanism. Immediately after the binding, the plasma membrane surrounding the folate receptor‐ligand complex will invaginate to form an internal vesicle, i.e., an endosome. The pH of the vesicle lumen is somewhat lowered through the action of proton pumps that are co‐localized in the endosome membrane. This acidification presumably
mediates a conformational change in the folate receptor protein, such that the folate receptor protein releases its bound ligand to allow cytosolic entry.
It has been reported that α‐folate receptor is highly expressed in 90% of ovarian cancer, as well as in breast cancer, cervical cancer, endometrial cancer, colon cancer, lung cancer, choroidal cancer and ependymoma. β‐folate receptor is highly expressed in malignant myeloid cells (leukemia) and activated macrophages associated with autoimmune diseases (e.g., rheumatoid arthritis) . On the contrary, there is almost no expression of folate receptor in normal tissues. Therefore, folic acid and folate receptor have great potentials in developing targeted therapeutics, especially for the treatment of cancer and autoimmune diseases. Folate receptor, as a target of anti‐cancer drugs, has become a popular research topic in developing novel anti‐cancer drugs. See, e.g., Hilgenbrink, A. and P. Low (2005) , Folate Receptor Mediated Drug Targeting: From Therapeutics to Diagnostics, Journal of Pharmaceutical Sciences 94 (10) : 2135‐2146. In addition, researchers have tried to use radiolabeled folic acid conjugates, such as conjugates of folic acid 125I, 67Ga, and 111In, to detect tumor tissues with high expression of folate receptor. Further, there have begun some studies for folic acid‐protein toxin, folic acid‐small molecule chemotherapy drugs, folic acid‐liposomes (Lioposomes containing chemotherapy drugs or gene‐based drugs) and folic acid‐immunotherapeutics. See, e.g., Hilgenbrink, A. and P. Low (2005) , Folate Receptor Mediated Drug Targeting: From Therapeutics to Diagnostics, Journal of Pharmaceutical Sciences 94 (10) : 2135‐2146; WO 2012/065085, WO 2012/065079, and US 2012/022245 A1.
Summary of the Invention
The present invention in general provides compounds, i.e., folate receptor binding ligand‐drug delivery conjugates, which are selective for pathogenic cells and has low toxicity for normal cells. The present invention also provides preparation methods for such compounds, pharmaceutical compositions comprising such compounds, and use of such compounds for preparing anti‐tumor medicaments.
In one aspect, the present invention relates to compounds of Formula (I) shown below:
(F) nL1‐L2D
(I)
In Formula (I) :
L1 is a polyvalent linker;
L2 is covalently bonded to L1 and comprises at least one releasable linker, and the backbone of L1‐L2 is free of phenyl‐disulfide;
n is 2, 3 or 4;
each F independently is the conjugate base of folic acid or pteroic acid and covalently bonded to L1;
D is a drug covalently bonded to L2 and comprises cyclopropyl [e] indolone, pyrrolobenzodiazepine dimmers, 7‐ethyl‐10‐hydroxycamptothecin, deacetylvinblastine
monohydrazide, monomethyl auristatin E, monomethyl auristatin F, Tubulysin B, Dolastatin, Didemnin B, maytansine, paclitaxel, daunomycin, doxorubicin, epirubicin, epothilone, actinomycin, authramycin, microtubule inhibitors, azaserine, bleomycin, tamoxifen, idarubicin, vinca alkaloid, or a derivative thereof.
In some embodiments of this invention, L1 includes multiple linkers. For instance, polyvalent linker L1 can include one or more spacer linkers, releasable linkers, heteroatom linkers, and combinations thereof, in any order. In some embodiments, releasable linkers and optional spacer linkers are covalently bonded to each other to form linker L1. In some other embodiments, ligand F is attached to polyvalent linker L1 through one or more spacer linkers. In some other embodiments, two or more ligands F directly attached to each other or covalently attached by several spacer linkers and/or releasable linkers. Still in some other embodiments, two or more releasable linkers covalently attached to each other, and at least one or more releasable linkers are separated by heteroatom and/or spacer linkers.
It should be understood that the order and assemblies of the releasable linkers and optional spacer linkers may vary greatly.
As used herein, a heteroatom in a heteroatom linker can be N, O, S, P, Si, etc. In addition, the heteroatom linkers (excluding oxygen) can be in various states of oxidation, such as N (OH) , S(O) , S (O) 2, P (O) , P (O) 2, and P (O) 3. In some embodiments, the heteroatom linkers can be grouped to form radicals, such as hydroxylamines, hydrazines, hydrazones, sulfonates, phosphinates, and phosphonates.
In some embodiments of this invention, L1 comprises at least one peptide spacer linker, each peptide spacer linker is formed by amino acids, and each of the amino acids independently is a natural amino acid or unnatural α‐amino acid.
In some other embodiments of this invention as encompassed by Formula (I) , L1 comprises at least one peptide spacer linker formed by 1 to 40 amino acids (e.g., 1 to 30, 1 to 20, 5 to 25, 5 to 20, 10 to 20, or 10 to 15) , and each of the amino acids is independently a natural amino acid or unnatural α‐amino acid.
In still some other embodiments of this invention as encompassed by Formula (I) , L1 comprises at least two amino acids each of which is independently aspartic acid, arginine, cysteine, lysine, asparagine, threonine, glutamic acid, serine, citrulline, valine, or glutamine.
In yet still some embodiments of this invention as encompassed by Formula (I) , L1 comprises one or more dipeptide, tripeptide, tetrapeptide, pentapeptide, hexapeptide, heptapeptide, octapeptide, decapeptide, undecapeptide, or dodecapeptide spacer linkers, and each of the spacer linkers is formed by aspartic acid, arginine, cysteine, citrulline, valine, lysine, or a combination thereof.
In some embodiments, polyvalent linker L1 includes one or more spacer linkers selected from the group consisting of polyether compounds, saccharides, thiocarbonyl, alkylene, 1‐alkylenesuccinimid‐3‐yl, 1‐ (carbonylalkyl) succinimid‐3‐yl, carbonylalkylcarbony, 1‐
(carbonyltetrahydro‐2H‐pyranyl) succinimid‐3‐yl, and 1‐ (carbonyltetrahydrofuranyl) succinimid‐3‐yl. Each of the spacer linkers is optionally substituted with one or more substituents. Each of such substituents independently is selected from the following group: alkyl, alkoxyl, alkoxylalkyl, hydroxyl, hydroxyalkyl, amino, aminoalkyl, alkylaminoalkyl, dialkylaminoalkyl, sulfhydrylalkyl, alkylthioalkyl, aryl, substituted aryl, arylalkyl, heteroaryl, substituted heteroaryl, carboxy, carboxyalkyl, alkyl carboxylate, alkyl alkanoate, guanidinoalkyl, or amino and derivates thereof and peptides substituted carbonyl or acylamino or acylaminoalkyl.
In another aspect, the present invention provides compounds of Formula (I) below:
(F) nL1‐L2D
(I)
In Formula (I) :
wherein each * indicates an open valence;
L2 is covalently bonded to L1 and comprises at least one releasable linker;
n is 2, 3 or 4;
each F independently is the conjugate base of folic acid or pteroic acid and covalently bonded to L1;
D is a drug covalently bonded to L2 and comprises cyclopropyl [e] indolone, pyrrolobenzodiazepine dimmers, 7‐ethyl‐10‐hydroxycamptothecin, deacetylvinblastine
monohydrazide, monomethyl auristatin, monomethyl auristatin F, Tubulysin B, Dolastatin, Didemnin B, maytansine, paclitaxel, daunomycin, doxorubicin, epirubicin, epothilone, actinomycin, authramycin, microtubule inhibitors, azaserine, bleomycin, tamoxifen, idarubicin, vinca alkaloid, or a derivative thereof.
In some embodiments of the compounds of Formula (I) described above, D comprise a vinca alkaloid or a derivative thereof.
In some other embodiments of the compounds of Formula (I) described above, D comprises cyclopropyl [e] indolone, pyrrolobenzodiazepine dimmers, 7‐Ethyl‐10‐Hydroxycamptothecin, deacetylvinblastine monohydrazide, monomethyl auristatin E, Monomethyl auristatin F, Tubulysin B, Didemnin B, DM1 (amaytansine derivative) , paclitaxel, daunorubicin, doxorubicin, or epirubicin.
In still some other embodiments of the compounds of this invention, n is 2.
In some embodiments, L2 includes at least one releasable linker.
As used herein, the term “releasable linker” refers to a linker that includes at least one bond that can be broken under physiological conditions, such as pH‐labile, acid‐labile, oxidatively labile, or enzyme‐labile bond. It should be understood that a cleavable bond can connect two adjacent atoms within the releasable linker, and/or connect either or both ends of the releasable linker with other linkers or F and/or D. In the situation where a cleavable bond connects two adjacent atoms within a releasable linker, after the bond is broken, the releasable linker is broken into two or more fragments. Alternatively, in the situation where a cleavable bond exists between a releasable linker and another moiety – e.g., heteroatom linker, a spacer linker, another releasable linker, drug or analog or derivative thereof, or the folate receptor binding ligand –after the bond is broken, the releasable linker is separated from the moiety. The lability of the cleavable bond can be adjusted by, for example, substitution changes at or near the cleavable bond. For instance, such changes may include alpha branching adjacent to a cleavable disulfide bond, and homologation to form hydrolysable alkoxyl groups of a ketal or acetal.
According to the present invention, examples of releasable linkers include but are not limited to: 1‐alkoxycaycloalkylene, 1‐alkoxycaycloalkylenecarbonyl, carbonylarylcarbonyl, carbonyl (carboxyaryl) carbonyl, carbonyl (biscarboxyaryl) carbonyl, haloalkylenecarbonyl, oxycarbonyloxy, oxycarbonyloxyalkyl, iminoalkylidenyl carbonylalkylideniminyl, iminocycloalkylidenyl, carbonylcycloalkylideniminyl, alkylenethio, alkylenearylthio, and carbonylalkylthio. Each of the releasable linkers is optionally substituted with one or more substituents. Examples of such substituents may include: alkyl, alkoxyl, alkoxylalkyl, hydroxyl, hydroxyalkyl, amino, aminoalkyl, alkylaminoalkyl, dialkylaminoalkyl, sulfhydrylalkyl, alkylthioalkyl, aryl, substituted aryl, arylalkyl, heteroaryl, substituted heteroaryl, carboxy, carboxyalkyl, alkyl carboxylate, alkyl alkanoate, guanidinoalkyl, or amino and devirates threreof and peptides substituted carbonyl or acylamino or acylaminoalkyl.
In some embodiments of the compounds of Formula (I) described above, the releasable linker of L2 comprises a disulfide, a carbonate, an acyl hydrazide, a hydrazine, an amino acid ester, a carbamide, or a combination thereof.
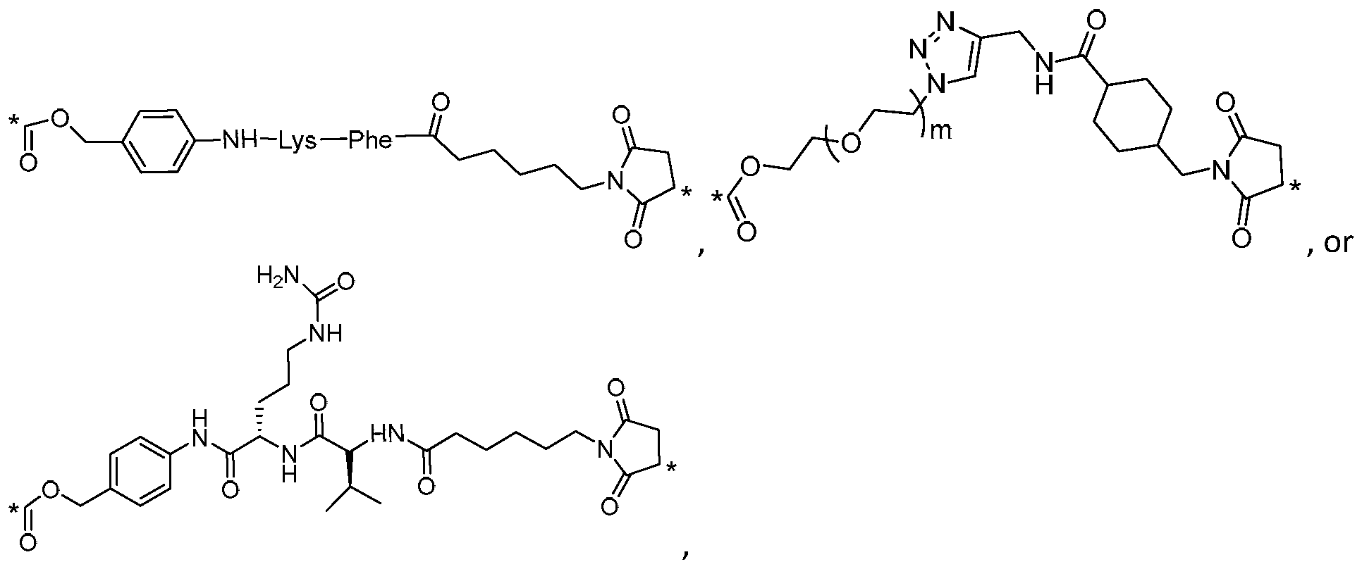
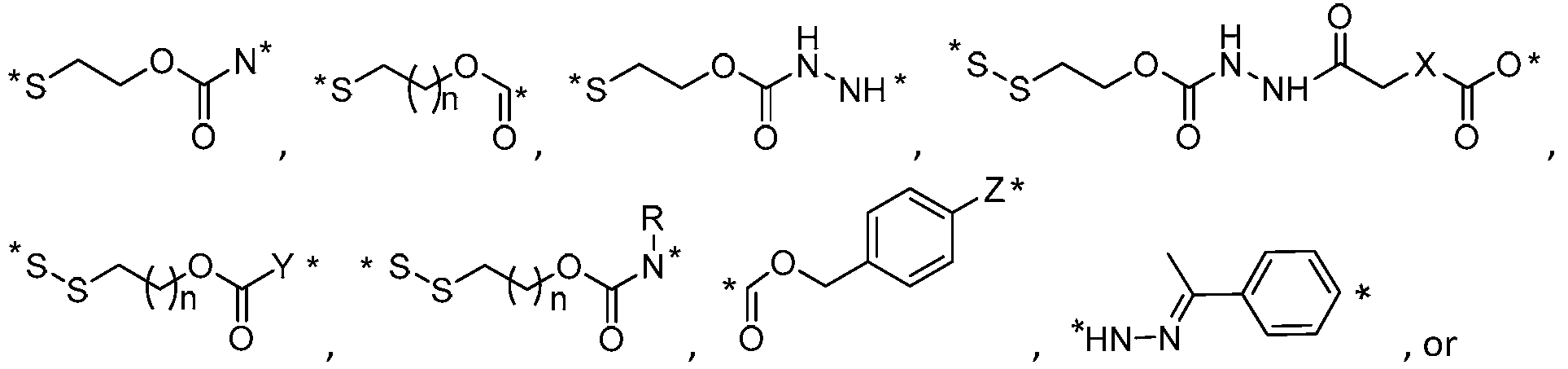
Examples of a releasable linker of L2 suitable for Formula (I) described above each comprise
wherein: n is 1, 2, 3, or 4;
R is H, alkyl, optionally substituted acyl, or amino protection group;
X is O, CH2 or NH;
Y is O or S;
Z is NH, O or S;
R1 is an alkyl radical or an alkyl radical substituted with carboxyl or acyl; and
each * indicates an open valence.
More preferably, linker L2 is formed by the releasable linkers and heteroatom or spacer linkers, and has one of the following formulae:
wherein m is 0, 1, 2, 3, or 4; W is NH or O; and each * indicates an open valence.
The releasable linkers and spacer linkers are described in more detail in Chinese patent application CN 100381177 C, the contents of which are incorporated herein by reference in their entireties.
In some embodiments, L1 and L2 are linked together (to form L1‐L2 which is sometime denoted as “L” hereinafter for convenience) through one or more spacer linkers, heteroatom linkers, and/or releasable linkers; and L2 includes a releasable linker.
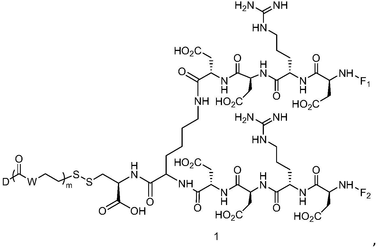
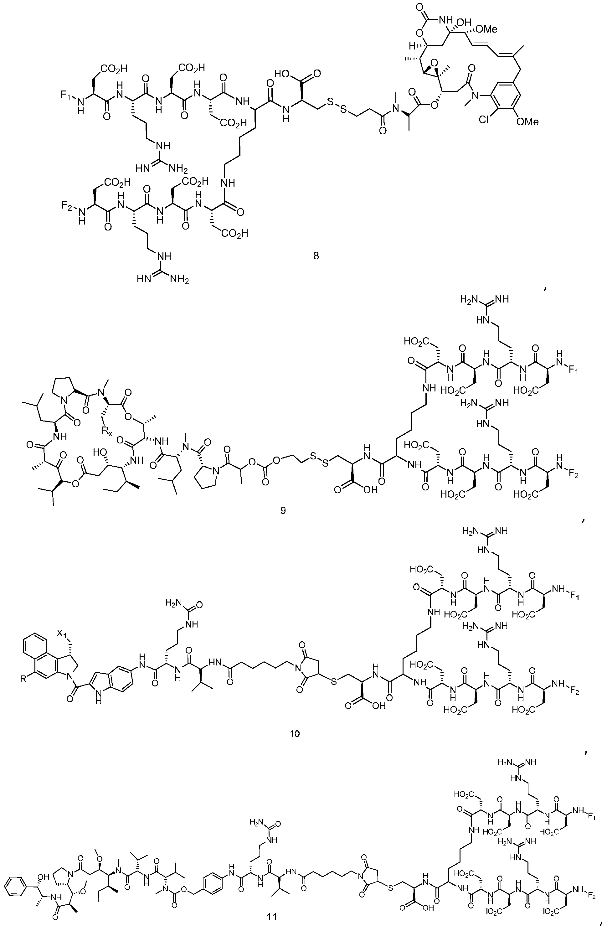
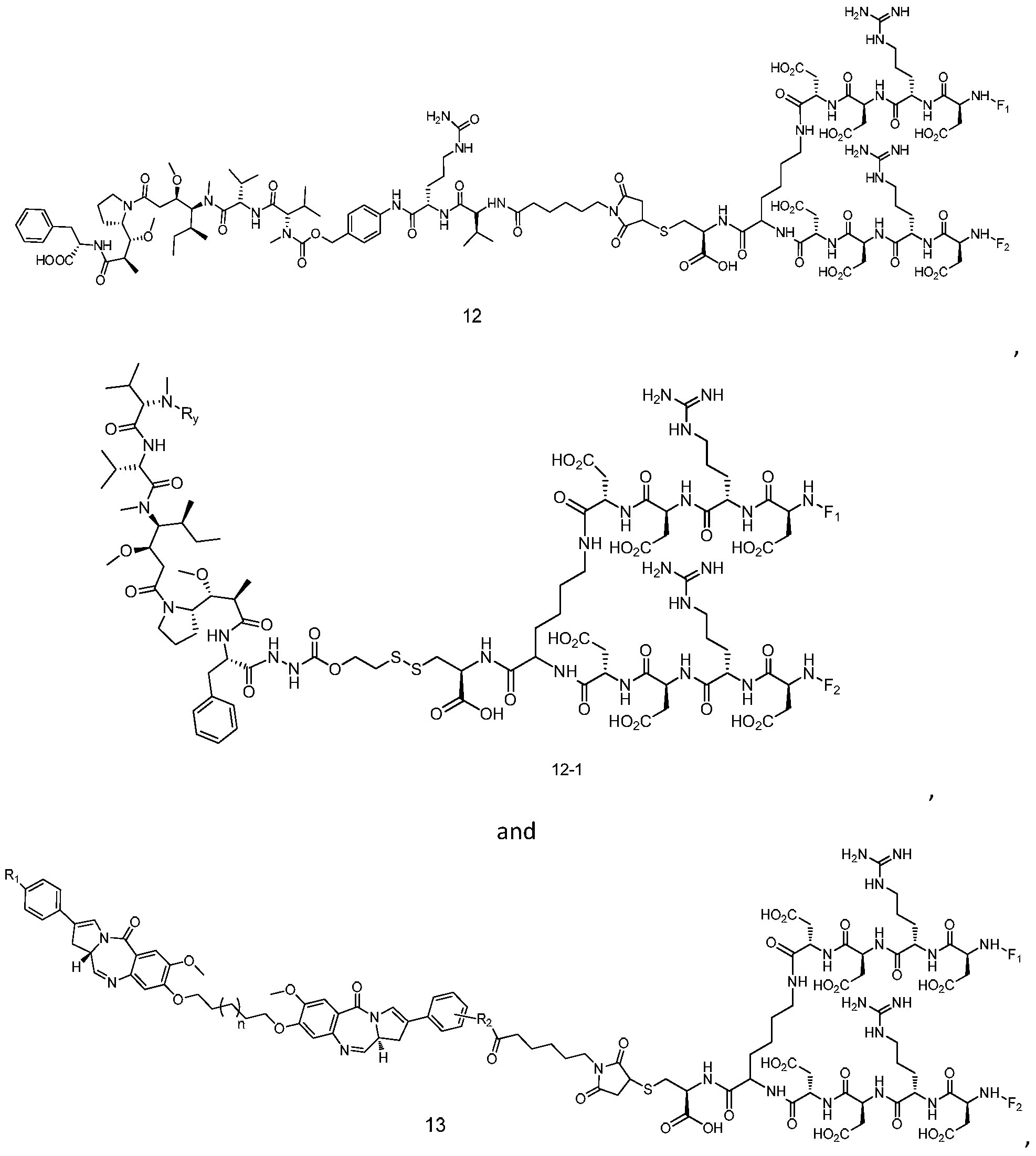
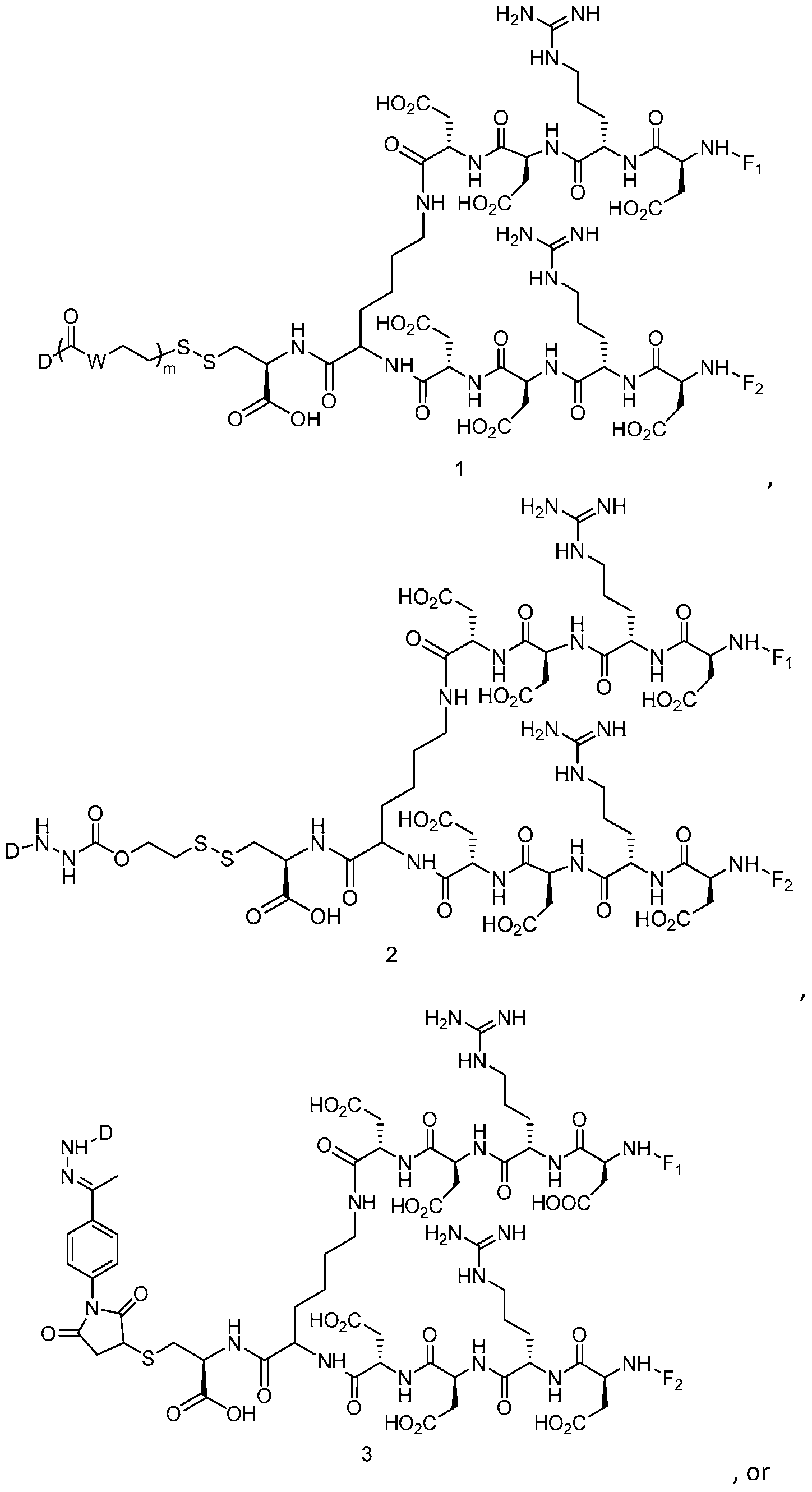
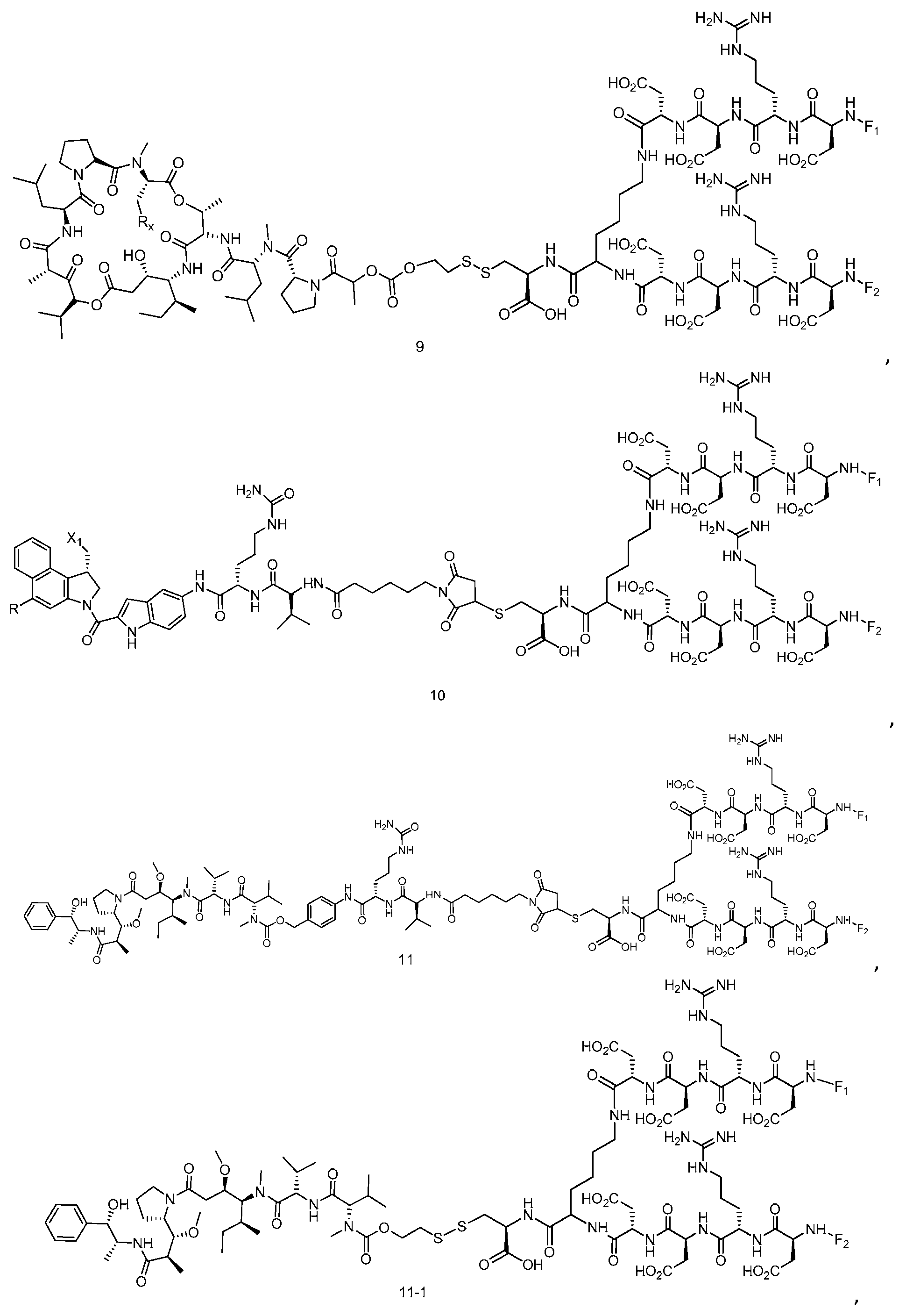
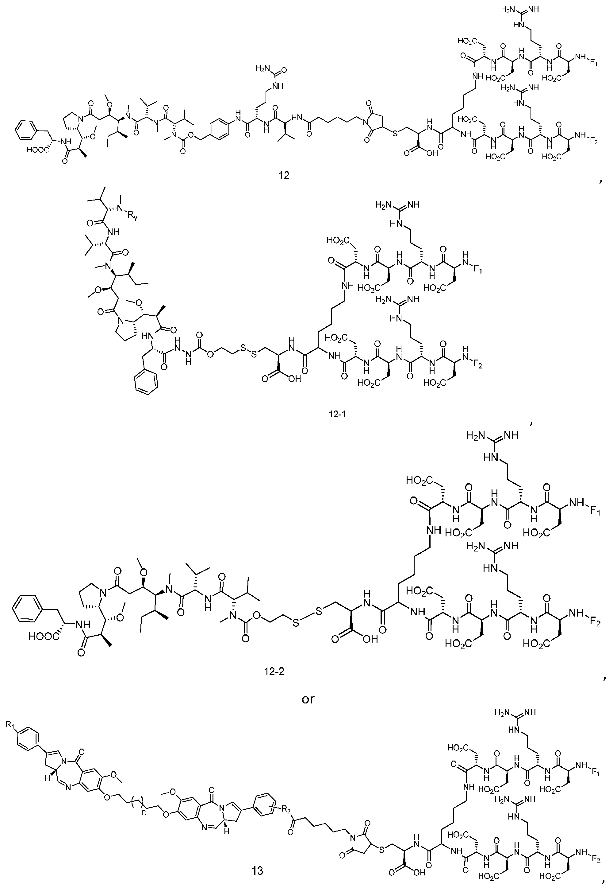
Examples of a L1‐L2 group suitable for Formula (I) described above each comprise:
wherein W is NH or O; and each * indicates an open valence.
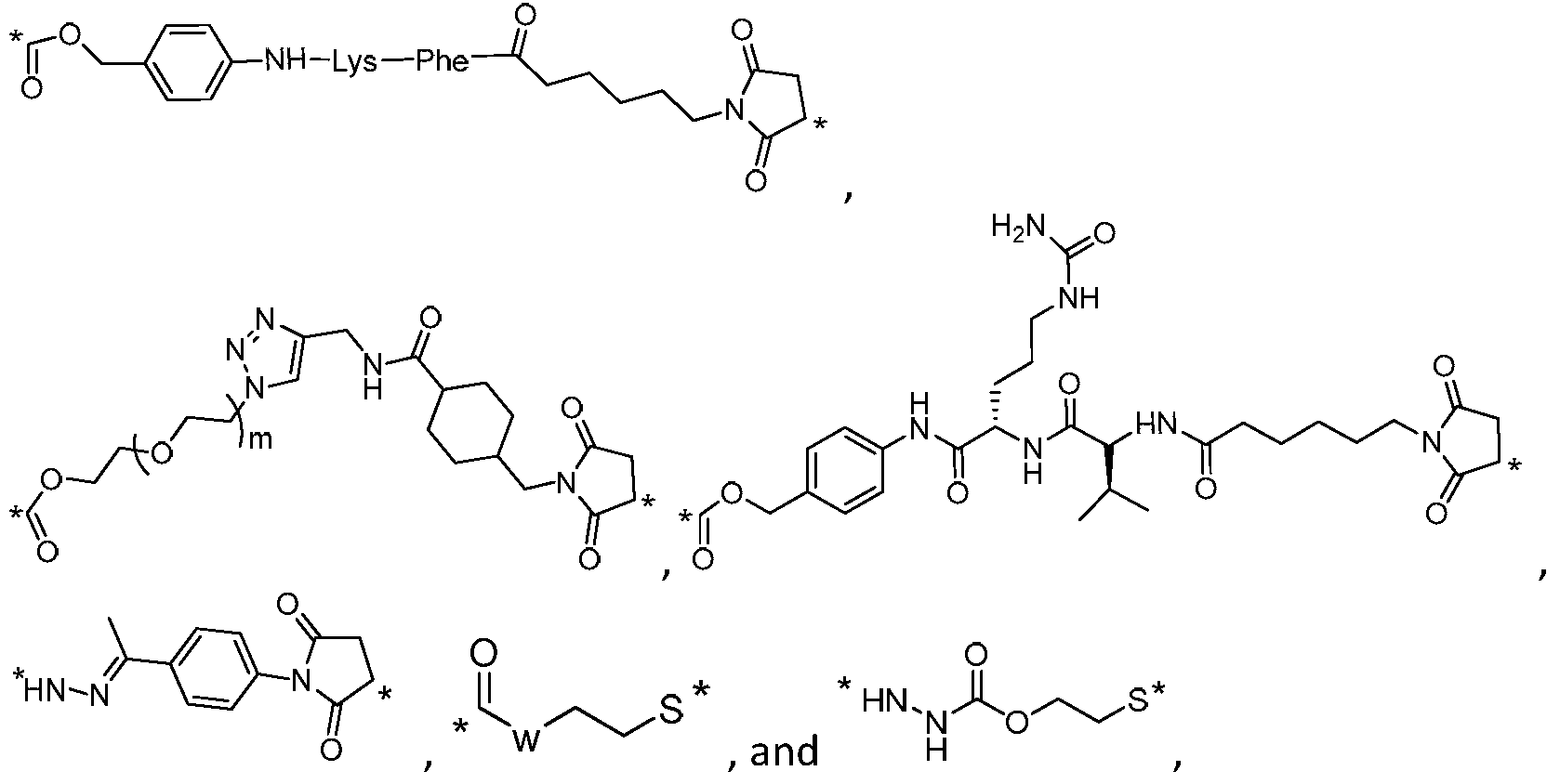
Select examples of the compounds of this invention include:
wherein W is NH or O; m is 0 or 1; each of F1 and F2 independently is
Additional examples of the compounds of this invention include:
wherein,
Rx is p‐methoxyphenyl;
Ry is H, C1‐6 alkyl optionally substituted with halogen, or optionally substituted carbonyl containing 1 to 4 carbon atoms;
X1 is Cl or Br;
R1 is C1‐6 alkoxyl, C1‐6 alkyl optionally substituted with amino, C1‐3 aldehyde group or carbonyl, OH, amino, C3‐6 cycloalkyl or C1‐6 heterocycloalkyl;
R2 is N=NH or NH substituted onto the benzene ring in a 2‐, 3‐or 4‐position;
n is 0, 1, 2, or 3;
each of F1 and F2 independently is
A further example of the compounds of this invention includes:
wherein L3 is
Still additional examples of the compounds of this invention include:
wherein Rx is p‐methoxyphenyl.
According to the present invention, the folate receptor binding ligand‐drug conjugate may include folate receptor binding ligand (F) , linker (L) , and drug (D) . More specifically, linker L can be formed in any way described in the present invention, or by the covalent connections between the spacer linkers, releasable linkers and heteroatom linkers that are known by those skilled in the
art. Attachment of folate receptor binding ligand F or drug D to the heteroatom linker can be made through a reactive functional group on the drug or the folate receptor binding ligand that has been converted to a heteroatom linker. In some embodiments, the reactive functional group of the folate receptor binding ligand F is carboxyl or amino. Accordingly, the polyvalent linker can be covalently attached to the carboxyl or amino to form the corresponding ester or amide. In some embodiments, the drug includes a double‐bonded nitrogen atom, and the releasable linker can be bonded to the drug nitrogen to form a hydrazine. In some other embodiments, the drug includes a sulfur atom and the releasable linker can be alkyenethio or carbonylalkylthio. Accordingly, the releasable linker can be bonded to the drug sulfur to form a disulfide. In some other embodiments, the drug includes an oxygen atom and the releasable linker can be substituted or unsubstituted alkylenecarbonyl or haloalkylenecarbonyl. Accordingly, the releasable linker can be bonded to the drug oxygen to form ester or carbonic ester. Still in some other embodiments, the drug D can include a nitrogen atom and the releasable linker is substituted or unsubstituted haloalkylenecarbonyl, such that the releasable linker can be bonded to the drug nitrogen atom to form an amide.
In some embodiments, the spacer linkers, the releasable linkers, and the heteroatom linkers can be combined in a variety of ways. For instance, the linkers are attached to each other through a heteroatom linker (e.g., alkyene‐amino‐alkylenecarbonyl) shown as below, where x and y are independently 1, 2, 3, 4, or 5:
In some embodiments, the compounds have one of following formulae:
wherein W is NH or O; m is 0 or 1; F1 and F2 each independently have the formula:
In some embodiments, drug D as described in the present invention may include any molecules capable of modulating or modifying a cell function, such as pharmaceutically active compounds. Such pharmaceutically active drugs can be any drug known in the art or the derivatives thereof. The drugs may be cytotoxic, enhance tumor permeability, inhibit tumor cell proliferation, promote apoptosis, or decrease anti‐apoptotic activities in target cells. Examples of the drugs according to the present invention include, but are not limited to, hormones, antibodies, antimicrobial compounds, antiviral agents, and anti‐cancer agents. The present invention can use chemotherapy drugs that are cytotoxic themselves or capable of enhancing tumor permeability. Examples of the cytotoxic agents include, but are not limited to, CBI (cyclopropyl benz [e] indolone) and analogs or derivatives thereof, seco‐cyclopropyl benz [e] indolone and derivatives thereof, Dolastatins (e.g., dolastatin 10) , auristatins (e.g., monomethyl auristatin E (MMAE) and Monomethyl auristatin F (MMAF) ) , Tubulysins, combretastatin, maytansine and analogs or derivatives thereof (e.g., DM1 and DM4) , epothilones, paclitaxel and paclitaxel derivatives (e.g., Taxotere) , vinblastine and analogas and derivatives (e.g., vincristine, deacetylvinblastine monohydrazide (DAVLBH) ) , camptothecin and derivatives thereof, colchicines and derivatives thereof, allocolchicine, thiocolchicine, colchamine, daunomycin, rhizoxin, cyclophosphamine, methotrexate, bleomycin, Temsirolimus, mitomycins, microtubule inhibitors, pyrrolobenzodiazepine (PBD) dimmers, cyclopropyl benz [e] indolones, and Calicheamicin. Other examples of the drugs according to the present invention may include macrolide antineoplastic drugs, chemotherapeutic agents (e.g., alkylating agents) , chlormethine, nitrosourea, busulfan, carboplatin, carboplatin, chlorambucil, cisplation and other platinum compounds, antimetabolites (e.g., cytosine arabinoside) , purine analogs, pyrimidine analogs and antibiotics, penicillins, cephalosporins, vancomycin, erythromycin, clindamycin, rifampin, chloramphenicol, aminoglycoside antibiotics and acyclovir, trifluridine, ganciclovir, zidovudine, amantadine, ribavirin, gemcitabine and any other antimicrobial compounds known in the art.
In some embodiments, the drugs according to the present invention preferably include temsirolimus, seco‐cyclopropyl benz [e] indolone and its derivatives, pyrrolobenzodiazepine (PBD) dimmers, Calicheamicin, 7‐Ethyl‐10‐Hydroxycamptothecin (SN‐38) , vinblastine and its analogas and derivatives, Dolastatin, auristatin, Didemnin B, Tubulysin B, maytansine and its analogs and derivatives, paclitaxel and paclitaxel derivatives, daunorubicin, doxorubicin, epirubicin, epothilones, or actinomycin.
In some embodiments, the drugs according to the present invention preferably include seco‐cyclopropyl benz [e] indolone and its derivatives, pyrrolobenzodiazepine (PBD) dimmers, Calicheamicin, SN‐38, DAVLBH, Tubulysin B, Didemnin B, MMAE, MMAF and MMAF derivatives, DM1, paclitaxel and paclitaxel derivatives, vincristine and derivatives, daunorubicin, doxorubicin, or epirubicin.
CBI compounds, as well as seco‐cyclopropyl benz [e] indolone and its derivatives, are described in detail in international patent application WO 2009/064913 A1 and U.S. patent
application US 2010/113476 A1, the contents of which are incorporated herein by reference in their entireties.
In some embodiments, the seco‐cyclopropyl benz [e] indolone analogs according to the present invention have the formula:
The PBD dimmers may differ by the numbers, types and/or positions of the substituent (s) in the aromatic ring A and the pyrrolo ring C, or by the degree of saturation of the ring C.
In some embodiments, the PBD dimmers suitable for the present invention have one of following formulae:
wherein R1 is hydroxyl, amino, C1~C6 alkoxyl, C1~C6 alkyl optionally substituted with amino group (s) , C1~C3 aldehyde group or carbonyl, C3~C6 cycloalkyl or C1~C6 heterocycloalkyl; R2 is N=NH or NH substituted onto the benzene ring, to which R2 is attached, in the 2‐, 3‐or 4‐position; n is 0, 1, 2, or 3. These compounds and the preparation methods thereof are described in Chinese patent application number CN 201180029867, the contents of which are incorporated herein by reference in their entireties.
As used herein, SN‐38 refers to a compound having the structure:
As used herein, DAVLBH refers to a compound having the structure:
The structures of Tubulysin B and MMAE are shown below:
As used herein, MMAF refers to a compound having the structure:
Accordingly, the MMAF analogs may have the formula:
wherein Ry is C1~C6 alkyl optionally substituted with halogen, or optionally substituted carbonyl containing 1 to 4 carbon atoms.
As used herein, Didemnin B in general refers a compound having the formula:
wherein Rx is p‐methoxyphenyl.
As used herein, DM1 in general refers to a compound (a maytensine derivative) having the following structure:
In some embodiments, drug D is covalently attached to releasable linker L2 through the reactive functional group present on the drug or the analog or derivative thereof. For example, the hydroxyl of Didemnin B may be converted to the corresponding carbonate. As another example, the terminal carboxyl of Tubulysin B is first converted to the corresponding hydrazide through derivation, and then the nitrogen atom of the hydrazide is used as a heteroatom linker and is covalently attached to the releasable linker of L2. As another example, folic acid can be converted to the corresponding amide. Exemplary structures of the above‐described compounds are shown below:
Provided below are exemplary drug delivery conjugates according to the present invention. These drug delivery conjugates can be prepared according to the methods described herein or any other procedures known in the art.
In some embodiments, the present invention provides compounds having one of the following formulae:
wherein Rx is p‐methoxyphenyl; X1 is Cl or Br; R is H, OMe, OH, ONHBoc, ONHAc, ONH (Ac) Boc, ONPhth, orRy is H, C1‐6 alkyl optionally substituted with halogen alkyl, or optionally substituted carbonyl containing 1 to 4 carbon atoms; R1 is C1‐6 alkoxy, C1‐6 alkyl optionally substituted with amino group (s) , C1‐3 aldehyde group or carbonyl, OH, amino, or C1‐6 cycloalkyl or heterocyclyl; R2 is N=NH or NH substituted onto the benzene ring, to which R2 is attached, in 2‐, 3‐, or 4‐position; n is 0, 1, 2, or 3; and ONPhth refers to the following structure:
In some embodiments, the present invention provides compounds of the formula:
wherein L4 has one of the following formulae:
In some embodiments, F1 and F2 independently have the formula:
wherein each * is indicates an open valence.
In some other embodiments, the present invention provides compounds having one of the following formulae:
In some other embodiments, the present invention provides compounds having the formula:
F3L1L2D or F4L1L2D.
In these formulae, the connections or bonding between each F and L1 or between L2 and D are similar to those connections as described above for F2L1L2D.
Provided below are exemplary compounds of F3L1L2D and F4L1L2D according to the present invention:
wherein D is a drug or analog or derivative thereof as described above; each of F1, F2, F3, and F4 independently is
L2 is a linker including at least one releasable linker. Optionally, L2 also includes one or more heteroatom linkers and/or spacer linkers.
For instance, L2 may comprise at least one of following formulae:
wherein m is 0, 1, 2, 3 or 4; W is NH or O; and each * indicates an open valence.
In some embodiments, the compounds of F3L1L2D or F4L1L2D have the following structures:
The drug delivery conjugates according to the present invention can be prepared by the synthetic methods known in the art. The choices of those synthetic methods depend upon the selection of the heteroatom linkers, the characteristics of the drug structure, as well as the functional groups present on the spacer linkers and the releasable linkers. The relevant bond forming reactions are generally described in Richard C. Larock, “Comprehensive Organic Transformations, A Guide to Functional Group Preparations, ” VCH Publishers, Inc., New York (1989) , and in Theodora E. Greene & Peter G. M. Wuts, “Protective Groups ion Organic Synthesis, ” 2d edition, John Wiley & Sons, Inc., New York (1991) , the contents of which are incorporated herein by reference in their entireties.
In some embodiments, when the heteroatom linker is a sulfur atom and the functional group present on the releasable linker is an alkylenethiol derivative, the desired disulfide group can be formed by reacting the corresponding heteroaryldithioalkyl derivative (e.g., pyridine‐2‐yldithioalkyl derivative) with a alkylene thiol derivative. The solvents used in such reactions can be tetrahydrofuran (THF) , N, N‐dimethylformamide (DMF) , CH2Cl2, or dimethyl sulfoxide (DMSO) . The temperature for such reactions may be in the range of 0 ℃ to 80 ℃.
In some other embodiments, carbonate, sulfocarbonate and carbamate may be formed by common preparation methods, e.g., by reacting the corresponding compounds substituted with hydroxyl, sulfenyl, and amino, respectively, with an activated alkyoxycarbonyl derivative. The solvents used in those reactions may be THF, DMF, DMSO, CH2Cl2, or ethyl acetate (EtOA) . The temperature range may vary between 0 ℃ and 80 ℃. Optionally, certain basic catalysts, such as an inorganic base, an amine base, and a polymer bound base, can be used to facilitate the reaction.
In some other embodiments, amide and ester may be formed by regular methods known in the art. For example, when the heteroatom linker is a nitrogen atom and the terminal functional group present on the spacer linker or the releasable linker is a carbonyl group, the desired amide group can be obtained by coupling reactions or acylation reaction of corresponding
carboxylic acid or its derivative. Suitable solvents for forming amides described herein include CH2Cl2, THF, DMF, DMSO, etc. In some embodiments, the amides can be prepared at the temperature range of ‐ 15 ℃ to about 80 ℃. In addition, examples of the coupling reagents used in those reactions may include DCC, EDC, HBTU, TBTU, HOBT/DCC, HOBT/EDC, etc. Alternatively, the parent acid can be converted into an activated carbonyl derivative, such as an acid chloride and a N‐hydroxysuccinimidyl ester. The amide‐forming reaction can be conducted in the presence of a base, such as triethylamine and N, N‐diisopropylerhylamine.
In some embodiments, the heteroatom linker is an oxygen atom and the terminal functional group present on the spacer linker or the releasable linker is a carbonyl group. A desired ester group can be obtained by the coupling reactions of the corresponding carboxylic acid or derivative. For such reactions, examples of coupling reagents may include DCC, EDC, CDI, BOP, EEDQ, DEAD, PPh3, etc. Examples of the solvents include CH2Cl2, THF, DMF, DMSO, acetonitrile, and EtOAc. Examples of the base include triethylamine, diisopropylamine, etc.
In some embodiments, the drug comprises a nitrogen atom to which a releasable linker or spacer linker is bounded to form a hydrazone. The desired hydrazone group can be formed by reacting the corresponding aldehyde or ketone, with a hydrazone or acylhydrazine derivative. Examples of the solvents used in such reactions include CH2Cl2, THF, DMF, DMSO, CHCl3, EtOAc, etc. The reaction temperature may be in the range between 0 ℃ and 80 ℃. The reactions may also use an acid catalyst, such as mineral acid, acetic acid, and F3C‐COOH. The acylhydrazone may be prepared by initially acylating hydrazine with a suitable carboxylic acid or derivative, and subsequently reacting the acylhudrazide with the corresponding aldehyde or ketone to form the acylhydrazone. Alternatively, the hydrazone functionality may be initially formed by reacting hydrazine with the corresponding aldehyde or ketone. The resulting hydrazone may subsequently be acylated with a suitable carboxylic acid or its derivative.
In some embodiments, succinmide is formed. For example, when the heteroatom linker includes a nitrogen, oxygen, or sulfur atom and the functional group present on the spacer linker or the releasable linker is succinimide derivative, the resulting carbon‐heteroatom bond can be formed by a Michael addition of corresponding amine, alcohol, or thiol, and a maleimide derivative. Solvents for performing the Michael addition can be THF, EtOAc, CH2Cl2, DMF, DMSO, H2O, etc. The formation of such Michael adducts can be accomplished by adding the equimolar amount of a base (e.g., triethylamine) or by adjusting the pH of the water to about 6.0~7.4. It can be understood by those skilled in the art that when the heteroatom linker is an oxygen or nitrogen atom, reaction conditions may be adjusted to facilitate the Michael addition, for example, by using a higher reaction temperature, adding catalysts, using more polar solvents (e.g., DMF, DMSO) , and/or activating the maleimide with silyating reagents.
In some embodiments, ketal and acetal can be formed by ketal and acetal reactions of the corresponding alcohol and an aldehyde or ketone. Preparation procedures are discussed in detail
in R. R. Schmidt et al., Chem. Rev., 2000, 100, 4423‐42, the contents of which are incorporated herein by reference in their entireties.
Preparation of folate‐peptides:
As shown in Scheme 1 below, the folate‐containing peptidyl fragment Pte‐γGlu‐ (AA) n‐Cys‐OH is prepared by a polymer‐supported sequential approach using standard methods, such as Fmoc‐strategy on an acid‐sensitive 2Cl‐Trt Resin (I) .
In Scheme 1, “a” represents 20% piperidine /DMF; “b” represents Fmoc‐AA‐OH, HOBT, DIC, DMF; “c” represents Fmoc‐Glu‐OtBu, HOBT, DIC, DMF; “d” represents N10‐TFA‐Pteroic acid, PyBop, DIPEA, DMF/DMSO; “e” represents 2%NH2NH2/DMF; and “f” represents TFA/H2O/phenol/thioanisole/EDT (82.5: 5: 5: 5: 2.5) .
In some embodiments, R1 is Fmoc; R2 is triphenyl methyl; DIC is N, N‐diisopropylcarbodiimide; DIPEA is diisopropylethylamine. PyBop was used as the activating reagent to ensure efficient coupling. Fmoc protecting group were removed after each coupling step under standard conditions. As shown in Scheme 1, suitably protected amino acid building blocks may be used, such as Fmoc‐Glu‐OtBu, N10‐TFA‐Pteroic acid, and particularly Fmoc‐AA‐OH in step (b) . As such, AA can be any amino acid starting material that is suitably protected.
An amino acid may refer to any reagent having both amine and a carboxylic acid functional group separated by one or more carbons. Examples of amino acids include naturally occurring alpha and beta amino acids, as well as amino acid derivatives and analogs of these amino acids. In particular, the folate‐peptide synthesis according to the present invention may also use protected amino acids that have side chains, such as protected serine, threonine, cysteine, and aspartate. Further, the synthesis process according to the present invention may also use amino acid analogs having γ, δ, or homologous side chains, or alternate branching structures as the starting material. Examples of such amino acid analogs include but are not limited to norleucine, isovaline, β‐methyl threonine, β‐methyl cysteine, and β, β‐dimethyl cysteine.
As shown in steps (a) and (b) , the coupling sequence, which involves Fmoc‐AA‐OH, was performed multiple times to give a solid‐support peptide (II) . In some embodiments, n is an integer between 0 and about 100. After the coupling steps, the remaining Fmoc group was removed (step (a) ) ; the peptide was sequentially coupled to a glutamate derivative (step (c)) ,
deprotected, and coupled to TFA‐protected pteroic acid (step (d) ) . Then, the TFA‐protecting group was removed in the presence of a base (step (e) ) . After step (f) , peptidyl fragment III was obtained.
The peptide was then cleaved from the polymeric support in the presence of TFA, H2O, phenol, thioanisole and EDT (step (f) ) . At the same time, the protection groups t‐Bu, t‐Boc, Pbf and Trt were removed. Such protection groups can form the side chains of the suitably protected amino acids.
The folate‐peptidyl fragment containing three or four folate receptor binding parts can be prepared using procedures similar to those described above. In some embodiments, the polyvalent linker can be formed by amino acids comprising three or more reacting functional groups (e.g., amino, hydroxyl, and carboxyl) . Examples of the amino acids include but are not limited to lysine, glutamic acid, serine, asparagine, aspartic acid, tyrosine and arginine.
In some embodiments, the folate‐peptidyl fragment containing three folate receptor binding parts can be prepared according to Scheme 2 below:
In Scheme 2, two lysines were coupled to give Compound c, which includes four reacting functional groups. Then Compound c was added into the reaction column, monitored with Ninhydrin, and then coupled Fmoc‐Asp (OtBu) ‐OH, Fmoc‐Asp (OtBu) ‐OH, Fmoc‐Arg (Pbf) ‐OH, Fmoc‐Asp (OtBu) ‐OH, Fmoc‐Glu‐OtBu and N10‐TFA‐pteroic acid successively. The amounts of amino acids and HOBT/DIC were 15eq and 16.5eq/16.5eq, respectively. After the coupling procedure, 10mL 2% NH2NH2/DMF was added into the reaction mixtures and reacted for 5 minutes. This was repeated 3 times to leave TFA protecting group on Pteroic acid. Then, the reaction solvent was washed by DMF, DCM, MeOH successively and dried. After the reaction was complete, cleavage agents were added, and TBME was added to precipitate the peptide to give Compound III‐2.
In some embodiments, the folate‐peptidyl fragment containing four folate receptor binding fragment III‐3 can be prepared according to Scheme 3 below:
Similar to Scheme 2, in Scheme 3, four lysines were coupled to obtain Compound f, which was then added into the reaction column, monitored with Ninhydrin, and coupled with Fmoc‐Asp (OtBu) ‐OH, Fmoc‐Asp (OtBu) ‐OH, Fmoc‐Arg (Pbf) ‐OH, Fmoc‐Asp (OtBu) ‐OH, Fmoc‐Glu‐OtBu and N10‐TFA‐pteroic acid successively. The amounts of amino acids and HOBT/DIC were 15eq and
16.5eq/16.5eq, respectively. After the coupling procedure, 10 mL 2% NH2NH2/DMF was added into the reaction mixtures and reacted for 5 minutes. This step was repeated 3 times to leave TFA protecting group on Pteroic acid. Then, the reaction solvent was washed by DMF, DCM, MeOH successively and dried. After the reaction was complete, cleavage agents were added, and TBME was added to precipitate the peptide to give Compound III‐3.
Further, any lysine of Compound c or f may be replaced by another optionally substituted amino acid having a similar structure as lysine, in order to prepare a peptidyl fragment containing four or five reacting functional groups. It can also be understood by those skilled in the art that the order of coupling different amino acids, the connection positions, or the stereo configurations of the amino acids may vary and are not limited to the examples as described herein.
As used herein, N10‐TFA‐pteroic acid refers to a compound having the structure:
The preparation method of this compound is described in “Efficient Syntheses of Pyrofolic Acid and Pteroyl Azide, Reagents for the Production of Carboxyl‐Differentiated Derivatives of Folic Acid” (J. Am. Chem. Soc., Vol. 119, No. 42, 1997, 10004‐10013) , the contents of which are incorporated herein by reference in their entireties.
In another aspect, the present invention provides a pharmaceutical composition comprising a drug delivery conjugate as described herein, and a pharmaceutically acceptable carrier, diluents, excipient or the combinations thereof.
In still another aspect, the present invention provides a use of the pharmaceutical composition in the treatment and/or preventing diseases caused by pathogenic cell populations.
As used herein, the term “pathogenic cells” refers to cancer cells, infectious agents (e.g., bacteria and viruses) , bacteria‐or virus‐infected cells, activated macrophages capable of causing a disease state, and any other type of pathogenic cells that uniquely express, preferentially express, or over express folate receptors. The population of pathogenic cells can be a cancer cell population that is either tumorigenic (e.g., benign tumors and malignant tumors) or non‐tumorigenic. The cancer cell populations can include, but are not limited to, oral, thyroid, endocrine, skin, gastric, esophageal, laryngeal, pancreatic, colon, bladder, bone, ovarian, uterine, breast, testicular, prostate, rectal, kidney, liver, and lung cancers.
According to the present invention, the binding ligand (F) drug delivery conjugates can be used to treat disease states characterized by presence of a pathogenic cell population in the host. The members of the pathogenic cell population have an accessible binding site for folic acid or pteroic acid, or analog or derivative thereof. The binding site is uniquely expressed, overly expressed, or preferentially expressed by the pathogenic cells. The selective elimination of the pathogenic cells is achieved by binding the ligand moiety of the binding ligand‐drug delivery
conjugate to a ligand receptor. Surface‐expressed vitamin receptors, such as the high‐affinity folate receptor, are overly expressed on cancer cells. It has been reported that epithelial cancers of the ovary, mammary gland, colon, lung, nose, throat, and brain all express high levels of the folate receptor. In fact, more than 90% of all human ovarian tumors are known to show high expression of this receptor. Accordingly, the binding ligand‐drug delivery conjugates described herein can be used to treat a variety of tumor cell types, as well as other types of pathogenic cells, such as infectious agents. Those cell types preferentially express folate receptor and, thus, have surface accessible binding sites for vitamins or vitamin analogs or derivatives.
As used herein, the term “folate” or “folic acid” refers to the folate receptor binding moiety used in forming the drug delivery conjugate.
As used herein, the term “pteric acid” or “pteroic acid” refers to the folate receptor binding moiety used for forming the drug delivery conjugate.
As used herein, the term “conjugate base” can be interchanged with the term “binding moiety” of folic acid or pteroic (or pteric) acid, mentioned immediately above. It can be created or produced by removing a group (e.g., hydrogen or hydroxyl) from folic acid or pteroic acid where chemically possible or feasible. For instance, in the structures shown below, the circled groups can react with another function group (without having to be removed first) or be removed first to give rise to various conjugate bases that are identified as F in the compounds of Formula (I) described herein.
The following abbreviations are used in the present application:
Boc: Butyloxycarbonyl
CDI: N, N'‐carbonyldiimidazole
DDQ: 2, 3‐dicyano‐5, 6‐dichlorobenzoquinone
DCC: N, N'‐dicyclohexylcarbodiimide
DEAD: diethyl diazenedicarboxylate
DIPEA: diethyl diazenedicarboxylate
DIC: N, N'‐diisopropylcarbodiimide
EDCI: 1‐ (3‐dimethylaminopropyl) ‐3‐ethylcarbodiimide
EDC: 1‐ (3‐dimethylaminopropyl) ‐3‐ethylcarbodiimide hydrochloride
EEDQ: N‐Ethoxycarbonyl‐2‐ethoxy‐1, 2‐dihydroquinoline
Fmoc: Fluorenylmethoxycarbonyl
HBTU: 2‐ (1H‐benzotriazole‐1‐yl) ‐1, 1, 3, 3‐tetramethyluronium hexafluorophosphate
HATU: (1‐ [bis (dimethylamino) methylene) –H‐1, 2, 3, ‐triazolo [4, 5‐b] pyridinum‐3‐oxid hexafluorophosphate)
HOAt: 1‐hydroxy‐7‐azabenzotriazole
HOBT: N‐hydroxybenzotriazole
HOSU: N‐hydroxysuccinimide
ivDde: 1‐ (4, 4‐dimethyl‐2, 6‐dioxocyclohex‐1‐ylidene) ‐3‐methylbutyl
NMP: N‐methyl‐2‐pyrrolidone
OtBu: tert‐butoxyl
PABA: para aminobenzoic acid
TBME: tert‐butyl methyl ether
In some embodiments, the drug delivery conjugates according to this invention have two or more (e.g., 2, 3, 4) folate receptor binding ligands, each of which independently is covalently bound to the polyvalent linker, and the drug D is covalently bound to the releasable linker. Compared to current drug delivery conjugates in the art, which only have one receptor binding ligand, the compounds of the present inventions have higher‐affinity to the cells expressing folate receptor. Further, the polyvalent linker L described herein includes releasable linker (s) . When the folate receptor binding ligand folic acid and/or pteroic acid of the drug delivery conjugates bind to the pathogenic cells, the binding ligand‐drug delivery conjugates is closely associated with the surface of the pathogenic cell, and then internalized into the targeted pathogenic cells. Then, within the targeted pathogenic cell, the drug is released by cleavage of the releasable linker and exerts its pharmaceutical functions. Unexpectedly, the ligand‐drug delivery conjugates provided by the present invention exhibit great anti‐tumor activity to folate receptor over‐expressing tumor cells. In addition, based on the measure of animal body weight changes, it was unexpectedly discovered that the drug delivery conjugates provided by this invention not only significantly improved the anti‐tumor activity, but also, at the same time, were well tolerated by the animals at the tested dosages. Further, compared to the current folate receptor binding ligand‐drug delivery conjugates in the art (e.g., EC145) , the novel compounds according to the present invention unexpectedly showed surprisingly greater chances to bind to folate receptor under the same molar dose. More surprisingly, even in the presence of an excess of folic acid, by using the molar equivalent dose, the drug delivery conjugates according to this invention exhibit stable anti‐tumor activity comparing with those in the art (e.g., EC145) . This indicates that even in the presence of certain amount of folic acid competitive conditions, the novel drug delivery conjugates still show good anti‐tumor activities. These advantages can be further described and proved by the examples later discussed in this application.
Compared to current folate receptor binding ligand‐drug delivery conjugates in the art (e.g., EC145) , the drug delivery conjugates according to the present invention have significantly increased molecular weight, thereby allowing the conjugates to selectively accumulate into
tumors by a passive targeting mechanism. Meanwhile, the drug delivery conjugates of the present invention have two or more folate receptor binding ligands, thereby further enhancing the affinity between drug delivery conjugates and folate receptor positive tumor cells, as well as the retention time of the drug delivery conjugates in the tumor cells. Furthermore, releasable linkers covalently attached to the drug such as hydrazine bond can be cleaved within few minutes under the intracellular acidic condition. Simultaneously other releasable linkers of the L, such as disulfide bond, can be reduced and the drug is released to act on its intracellular anti‐tumor activity.
As used herein, the phrase “the backbone of L1‐L2 is free of phenyl‐disulfide” means that the main chain of L1‐L2 does not include the moiety ofregardless if or not the phenyl group is substituted.
As used herein, the term “alkyl, ” when used alone or as part of a larger moiety (e.g., as in “calkoxylalkyl” ) , refers to a saturated aliphatic hydrocarbon group. It can contain 1 to 12 (e.g., 1 to 8, 1 to 6, or 1 to 4) carbon atoms. As a moiety, it can be denoted as ‐CnH2n+1. An alkyl group can be straight or branched. Examples of alkyl groups include, but are not limited to, methyl, ethyl, propyl, isopropyl, butyl, isobutyl, sec‐butyl, tert‐butyl, n‐pentyl, n‐heptyl, and 2‐ethylhexyl. An alkyl group can be substituted (i.e., optionally substituted) with one or more substituents. When an alkyl is preceded by a carbon‐number modifier, e.g., C1~C6 (or C1‐6) , its means the alkyl group contains 1 to 6 carbon atoms.
As used herein, the term “cycloalkyl, ” when used alone or as part of a larger moiety (e.g., as in “cycloalkylalkyl” ) , refers to a saturated carbocyclic mono‐, bi‐, or tri‐cyclic (fused or bridged or spiral) ring system. It can contain 3 to 12 (e.g., 3 to 10, or 5 to 10) carbon atoms. Examples of cycloalkyl groups include, but are not limited to, cyclopropyl, cyclobutyl, cyclopentyl, cyclohexyl, cycloheptyl, adamantyl, norbornyl, cubyl, octahydro‐indenyl, decahydro‐naphthyl, bicyclo [3.2.1] octyl, bicyclo [2.2.2] octyl, bicyclo [3.3.1] nonyl, bicyclo [3.3.2. ] decyl, bicyclo [2.2.2] octyl, adamantyl, azacycloalkyl, or ( (aminocarbonyl) cycloalkyl) cycloalkyl. When a cycloalkyl is preceded by a carbon‐number modifier, e.g., C3~C6, its means the alkyl group contains 3 to 6 carbon atoms.
As used herein, the term “heterocycloalkyl, ” when used alone or as part of a larger moiety (e.g., as in “heterocycloalkylalkyl” ) , refers to a 3‐to 16‐membered mono‐, bi‐, or tri‐cyclic (fused or bridged or spiral) ) saturated ring structure, in which one or more of the ring atoms is a heteroatom (e.g., N, O, S, P, or combinations thereof) . In addition to the heteroatom (s) , the heterocycloalkyl can contain 1 to 15 carbon atoms (e.g., 1 to 6, 3 to 12, or 5 to 10) . Examples of a heterocycloalkyl group include, but are not limited to, piperidyl, piperazyl, tetrahydropyranyl, tetrahydrofuryl, 1, 4‐dioxolanyl, 1 , 4‐dithianyl, 1 , 3‐dioxolanyl, oxazolidyl, isoxazolidyl, morpholinyl, thiomorpholyl, octahydrobenzofuryl, octahydrochromenyl, octahydrothiochromenyl, octahydroindolyl, octahydropyrindinyl, decahydroquinolinyl, octahydrobenzo [b] thiopheneyl, 2‐oxa‐bicyclo [2.2.2] octyl, l‐aza‐bicyclo [2.2.2] octyl, 3‐aza‐bicyclo [3.2.1] octyl, and 2, 6‐dioxa‐
tricyclo [3.3.1.03, 7] nonyl. A monocyclic heterocycloalkyl group can be fused with a phenyl moiety such as tetrahydroisoquinoline. When a heterocycloalkyl is preceded by a carbon‐number modifier, e.g., C1~C6, its means the heterocycloalkyl group contains 1 to 6 carbon atoms.
As used herein, the term “aryl, ” when used alone or as part of a larger moiety (e.g., as in “arylkyl” ) , refers to a monocyclic (e.g., phenyl) , bicyclic (e.g., indenyl, naphthalenyl, or tetrahydronaphthyl) , and tricyclic (e.g., fluorenyl, tetrahydrofluorenyl, tetrahydroanthracenyl, or anthracenyl) ring system in which the monocyclic ring system is aromatic (e.g., phenyl) or at least one of the rings in a bicyclic or tricyclic ring system is aromatic (e.g., phenyl) . The bicyclic and tricyclic groups include, but are not limited to, benzo‐fused 2‐or 3‐membered carbocyclic rings.
As used herein, the term “heteroaryl” refers to a monocyclic, bicyclic, or tricyclic ring system having 5 to 15 ring atoms wherein at least one of the ring atoms is a heteroatom (e.g., N, O, S, P or combinations thereof) and when the monocyclic ring system is aromatic or at least one of the rings in the bicyclic or tricyclic ring systems is aromatic. It can contain 5 to 12 or 8 to 10 ring atoms. A heteroaryl group includes, but is not limited to, a benzo‐fused ring system having 2 to 3 rings. For example, a benzo‐fused group includes benzo fused with one or two 4‐to 8‐membered heterocycloalkyl moieties (e.g., indolizyl, indolyl, isoindolyl, 3H‐indolyl, indolinyl, benzo [b] furyl, benzo [b] thiophenyl, quinolinyl, or isoquinolinyl) . Some examples of heteroaryl are pyridyl, 1H‐indazolyl, furyl, pyrrolyl, thienyl, thiazolyl, oxazolyl, imidazolyl, tetrazolyl, benzofuryl, isoquinolinyl, benzithiazolyl, xanthenyl, thioxanthenyl, phenothiazinyl, dihydroindolyl, benzo [l, 3] dioxolyl, benzo [b] furyl, benzo [bjthiophenyl, indazolyl, benzimidazolyl, benzthiazolyl, puryl, quinolinyl, quinazolinyl, phthalazyl, quinazolyl, quinoxalyl, isoquinolinyl, 4H‐quinolizyl, benzo‐1, 2, 5‐thiadiazolyl, and 1, 8‐naphthyridyl.
As used herein, the term “heterocycloalkyl, ” when used alone or as part of a larger moiety (e.g., as in “heterocycloalkylalkyl” ) , refers to a 3‐to 16‐membered mono‐, bi‐, or tri‐cyclic (fused or bridged or spiral) ) saturated ring structure, in which one or more of the ring atoms is a heteroatom (e.g., N, O, S, or combinations thereof) . In addition to the heteroatom (s) , the heterocycloalkyl can contain 3 to 15 carbon atoms (e.g., 3 to 12 or 5 to 10) . Examples of a heterocycloalkyl group include, but are not limited to, piperidyl, piperazyl, tetrahydropyranyl, tetrahydrofuryl, 1, 4‐dioxolanyl, 1 , 4‐dithianyl, 1 , 3‐dioxolanyl, oxazolidyl, isoxazolidyl, morpholinyl, thiomorpholyl, octahydrobenzofuryl, octahydrochromenyl, octahydrothiochromenyl, octahydroindolyl, octahydropyrindinyl, decahydroquinolinyl, octahydrobenzo [b] thiopheneyl, 2‐oxa‐bicyclo [2.2.2] octyl, l‐aza‐bicyclo [2.2.2] octyl, 3‐aza‐bicyclo [3.2.1] octyl, and 2, 6‐dioxa‐tricyclo [3.3.1.03, 7] nonyl. A monocyclic heterocycloalkyl group can be fused with a phenyl moiety such as tetrahydroisoquinoline. When a heterocycloalkyl is preceded by a carbon‐number modifier, e.g., C1~C6, its means the heterocycloalkyl group contains 1 to 6 carbon atoms.
As used herein, the term “iminoalkylidenyl” refers to a divalent radical containing alkylene and a nitrogen atom, where the terminal carbon of the alkylene is double‐bonded to the nitrogen
atoms. Examples include but are not limited to – (CH) N–, –CH2) 2 (CH) N–, and –CH2C (Me) =N–.
As used herein, the term “carbonyl” refers to a moiety having the functional group ‐CHO. When a carbonyl is preceded by a carbon‐number modifier, e.g., C1~C3 (or C1‐3) , it means the carbonyl group contains 1 to 3 carbon atoms.
As used herein, the term “aldehyde” refers to a moiety containing a carbon atom double‐bonded to an oxygen atom (i.e., C=O) . When an aldehyde is preceded by a carbon‐number modifier, e.g., C1~C3 (or C1‐3) , its means the aldehyde group contains 1 to 3 carbon atoms.
As used herein, the term “amino” refers to a moiety having the structure ‐NR2, including primary amines, secondary amines, and tertiary amines. For example, each R independently is hydrogen, alkyl, aryl, etc.
As used herein, the term “amino acid” refers to aminoalkylcarboxylate, where the alkyl radical is optionally substituted with alkyl, hydroxy alkyl, sulfhydrylalkyl, aminoalkyl, carboxyalkyl, etc, including groups corresponding to the naturally occurring amino acids, such as serine, cysteine, methionine, aspartic acid, glutamic acid, and the like.
A used herein, the term “amino acid derivative” refers to aminoalkylcarboxylate. Its amino radical or the carboxylate radical are each optionally substituted (e.g., with alkyl, carboxylalkyl, alkylamino) or optionally protected. The intervening divalent alkyl fragment is optionally substituted with alkyl, hydroxy alkyl, sulfhydrylalkyl, aminoalkyl, carboxyalkyl, including groups corresponding to the side chains found in naturally occurring amino acids, such as are found in serine, cysteine, methionine, and aspartic acid, glutamic acid.
As used herein, the term “peptide” refers to a series of amino acids and amino acid analogs and derivatives covalently linked one to the other by amide bonds.
As used herein, the term “optionally” (e.g., as in "optionally substituted with") means that the moiety at issue is either substituted or not substituted, and that the substitution occurs only when chemically feasible. For instance, H cannot be substituted with a substituent and a covalent bond or ‐C (=O) ‐group cannot be substituted with a substituent.
As used herein, the term “substituted, ” whether preceded by the term “optionally” or not, refers to the replacement of hydrogen radicals in a given structure with the radical of a specified substituent. Specific substituents are described above in the definitions and below in the description of compounds and examples thereof. Unless otherwise indicated, an optionally substituted group can have a substituent at each substitutable position of the group, and when more than one position in any given structure can be substituted with more than one substituent selected from a specified group, the substituent can be either the same or different in every position. A ring substituent, such as a heterocycloalkyl, can be bound to another ring, such as a cycloalkyl, to form a spiro‐bicyclic ring system, e.g., both rings share one common atom. As one of ordinary skill in the art will recognize, combinations of substituents envisioned by this
invention are those combinations that result in the formation of stable or chemically feasible compounds.
For convenience and as commonly understood, the term “optionally substituted” only applies to the chemical entities that can be substituted with suitable substituents, not to those that cannot be substituted chemically.
As used herein, the term “or” can mean “or” or “and. ”
As used herein, the term “comprises” or “comprising” means “include, but not limited to” or “including, but not limited to. ”
As used herein, the meaning of the singular word “a” or “an” includes that of the plural, unless such interpretation is inconsistent or contradicts with the intended meaning in the specific context.
Brief Description of the Figures
Fig. 1 illustrates the mass spectra of Compound 15 (prepared in Example 4) . The number 2969.35 represents the molecular ion peak of Compound 15.
Fig. 2 illustrates the inhibitive effect of KB tumor growth by 1 μM BP111b (Compound 15) and control BP111a (Compound EC145) in the presence and in the absence of excessive folic acids, wherein “‐” means no adding, “+” means adding.
Fig. 3 illustrates the inhibitive effect of A549 tumor growth by BP111b (Compound 15) and control BP111a (Compound EC145) , wherein the abscissa represents the concentration of BP111a and BP111b.
Fig. 4 illustrates the activities of BP111b (Compound 15) and control BP111a against KB tumors at the dose of 0.5μmol/kg, 1μmol/kg, 2μmol/kg, respectively. Vehicle means blank control, i.e., giving the same amount of the solvent without any drug. The ordinate TV (mm3) means Tumor Volume and the abscissa represents “Day. ”
Fig. 5 illustrates the measure of weight change percentage in mice with KB tumor, which were treated with BP111b (Compound 15) and control BP111a at the dose of 0.5μmol/kg, 1μmol/kg, 2μmol/kg, respetively. Vehicle means blank control, i.e., giving the same amount of the solvent without any drug. The ordinate BW (g) means Body Weight and the abscissa represents “Day. ”
Detailed Description of the Invention
The present invention can further be described by way of illustration, with reference to the following examples, which are not limiting the scope of the present invention.
Example 1. Preparation of Compound III
According to Scheme 1, 1000 mg 2Cl‐Trt Resin (1.5 eq. ) was added to a 50 mL reaction flask, and then 234 mg Fmoc‐Cys (Trt) ‐OH (1.0eq. ) , 8 mL DMC, and 640 μL DIEA (2.0 eq. ) were added. After the reaction mixture was completely dissolved and maintained for 50 min, 8mL DCM, 1 mL MeOH and 1 mL DIEA were added to the reaction mixture and reacted for 20 minutes. The reaction mixture is then transferred to the self‐made solid‐phase synthesis reaction column and washed with DMF. 10 mL 20% piperidine in DMF was added into the reaction mixture, reacted for 20 minutes, washed with DMF and monitored with ninhydrin. 709 mg Fmoc‐Lys (Fmoc) ‐OH (3.0 eq. ) , 178 mg HOBT (3.3 eq. ) were dissolved in 6 mL DMF and 230 μL DIC (3.3 eq. ) was added. The above solution was added to the reaction column, reacted for an hour, and then monitored with ninhydrin. The resulting solution was washed with DMF and then 20% piperidine in DMF was added. The above steps were repeated to couple the following sequence: Fmoc‐Asp (OtBu) ‐OH, Fmoc‐Asp (OtBu) ‐OH, Fmoc‐Arg (Pbf) ‐OH, Fmoc‐Asp (OtBu) ‐OH, Fmoc‐Glu‐OtBu, N10‐TFA‐pteroic acid (wherein the usage amount of amino acids and HOBT/DIC was 6 eq. and 6.6 eq. /6.6 eq. ) . After the coupling process, 10 mL 2% NH2NH2/DMF was added into the reaction mixture and reacted for 5 minutes (repeating 3 times) to leave TFA protecting group on Pteroic acid. The resulting solution was washed with DMF, DCM, MeOH successively and dried. After the reaction was complete, cleavage agents were added, TBME was added to precipitate peptide to give crude Compound III, which is then purified by HPLC preparation chromatography to given pure Compound III.
Example 2. Preparation of Compound 33
10.0 mL DCM and 1.0 mL MeOC (O) SCl (1.0 eq. ) were added to a 100 mL three‐neck flask and the solution was cooled to 0 ℃ by ice bath. 0.76 mL mercaptoethanol (1 eq. ) was dropped into the solution. After reacting for 30 minutes at the temperature of 0 ℃, 1.22 g 2‐pyridinethiol (1.0 eq. ) and 16 mL DMC were added to the reaction flask, reacted at the temperature of 0 ℃ for an hour and then at the room temperature for another hour. After the reaction was complete,
the mixture was concentrated to about 16 mL, filtrated, and the filtrate was washed with DMC to give 2.0g light yellow solid with slight stink.
3.0 mL DCM and 0.46 g diphosgene (0.55 eq. ) were added to a 100 mL three‐neck flack and the solution was cooled to 0 ℃ by ice bath. 1.0 g compound 33‐2 (1.1 eq. ) was dissolved in 13 mL DCM and then 0.45 g triethylamine (1.0 eq. ) was added, stirred to dissolve. The solution of Compound 33‐2 was then added to the reaction flack under the temperature below 0 ℃. Then the mixture was warmed to the room temperature and then stirred for an hour to give Compound 33 at the yield of 96%. MS [M] +: 248.97.
This process is also described in detail in US 2007/276018 and I. R. Vlahov, et al., Bioorg. Med. Chem. Lett., 16 (2006) : 5093‐5096, the contents of which are incorporated herein by reference in their entireties.
Example 3. Preparation of Compound 15‐3
1.5 g vinblastine, 5 mL anhydrous methanol, and 5 mL anhydrous hydrazine were added to a 100mL three‐neck flack. The mixture was reacted for 25 hours and monitored with TLC. After the reaction was complete, the mixture was dropped into 50 mL water, and extracted into DMC 3 times, washed with water 3 times, washed with saturated aqueous of sodium chloride 3 times, dried by anhydrous sodium sulfate, to give 1.1 g white solid, i.e., Compound 15‐2.
0.98 g Compound 15‐2 (1.0 eq. ) , 0.67 g Compound 33 (1.5 eq. ) and 10 g DCM were added to a 100mL three‐neck flack. The mixture was stirred until all solid was dissolved. Then 0.44 mL triethylamine (2.5 eq. ) was dropped into the mixture and maintained for 2 hours at the room temperature.
Postprocessing: 50 mL DCM was added to the mixture, and the solution was washed with water 3 times and saturated brine 3 times, dried by anhydrous sodium sulfate, concentrated to give 1.1 g crude product. The crude product was purified by column chromatography to give pure product 750mg. MS [M] +: 959.43.
Example 4. Preparation of Compound 15
7.5 mL water was added to a 100 mL three‐neck flask, bubbled with nitrogen for 30 minutes. Then 200 mg Compound III (1.2 eq. ) was added to the solution. The solution was adjusted to pH≈6.9 with 0.1 N NaHCO3.78 mg compound 15‐3 was dissolved in 15 mL MeOH, and the solution was added to the reaction flask. After about 10min the reaction was completed. The reaction mixture was purified by HPLC on a preparative column, followed by freeze‐drying to give the 39 mg Compound 15. HPLC: 98.1%. Matrix‐assisted laser desorption ionization‐time of flight‐mass spectrometer (MALDI‐TOF‐MS) was used to determine the MS of Compound 14. See Fig. 1. MS [M+H] +: 2969.35.
Example 5. Preparation of Compound 16
Example 6. Preparation of Compound 17
Compound 17 can be prepared according to the procedures that are similar to the preparation procedures of Compound 15. MS [M+H] +: 2819.98.
Example 7. Preparation of Compound 18
Compound 33 and DMAP (4‐dimethylaminopyridine) were added to the solution of Didemnin B in DCM. After stirring at 0 ℃ for 2h, the solution was separated and purified to give Compound 18‐1. Compound III was dissolved in water under nitrogen. The pH of the solvent was adjusted to about 7. Compound 18‐1 was dissolved in acetonitrile and the solution was, under nitrogen, added to the solvent of Compound III. Reverse phase analytical HPLC was used to monitor the process. After the reaction was complete, the resulting solution was separated and purified to give the target product, i.e., Compound 18.
MS[M+H] +: 3312.36.
Example 8. Preparation of Compound 19
The hydrazide‐TFA salt of Compound 19‐2 (6.4mg, 20 μmol) was added to a mixture of Compound 19‐1 (7.7 mg, 10 μmol) in 5% methanol/dichloromethane at 0 ℃. The reaction mixture was warmed to the ambient temperature and stirred for 5h, then concentrated under reduced pressure and purified on a silica gel column eluting with 3% methanol/dichloromethane to give 3.3 mg of Compound 19‐3. MS [M+H] +: 973.42.
Example 9. Preparation of Compound 20
According to the above scheme, the starting material Compound 20‐1 was used as the starting material and reacted through 8 steps to give Compound 20. The reaction procedures from Compound 20‐1 to Compound 20‐9 (six steps) were described in detail in EP 0624377 A2, the contents of which are incorporated herein by reference.
Preparation Method of Compound 20‐10: MMAE (100.5 mg, 0.14 mmol, 1 eq. ) , Compound 20‐9 (110.6 mg, 0.15 mmol, 1.1 eq. ) and HPBt (19 mg, 0.14 mmol, 1.0eq. ) were diluted with DMF (2 mL) . After 2 minutes, pyridine (0.5 mL) was added and the reaction was monitored by reverse‐phase HPLC. The reaction was complete after about 24 hours. The mixture was concentrated and the resulting residue was purified using reverse phase preparative‐HPLC (Varian Dynamax column 21.4 mm×25 cm, 5μ,through gradient elution of MeCN and Et3N‐CO2 (pH 7) at 20 mL/minutes from 10% to 100% for 40 minutes. The relevant fractions were pooled and concentrated to give an off‐white solid intermediate, i.e., Compound 20‐10. MS [M] +: 1, 315.78.
Example 10. Preparation of Compound 21
Example 11. Preparation of Compound 22
The preparation method of arms maleimide modified valine‐citruline dipetide (Compound 22‐1) was described in Gene M. Dubowchik, et al., “Cathepsin B‐Labile Dipeptide Linkers for Lysosomal Release of Doxorubicin from Internalizing Immunoconjugates: Model Studies of Enzymatic Drμg Release and Antigen‐Specific In Vitro Anticancer Activity, ” Bioconjugate Chem. 13 (4) , 855‐869 (2002) .
The reaction of Compound 22‐1 and CBI can be carried out according to preparation method of amide by reacting amino with carboxyl. Compound 22 can be prepared according to the similar procedure as preparation method of Compound 19, by reacting Compound 22‐2 with Compound III. MS [M+H] +: 3, 065.16.
Example 12. Preparation of Compound 23
Under the condition of pyridine, (Boc) 2O was used according to the common method known in the art to protect the hydroxyl at site 10 of SN‐38, thereby giving Compound 23‐2.
Compound 23‐2 (0.358g, 0.073mmol) , DMPA (0.266, 0.218mmol) and triphosgene (0.0095g, 0.032 mmol) were taken in an eppendorf vial and the reaction was initiated by adding dichloromethane (1.5 mL) . TLC was used to monitor the process of the reaction. After the reaction was complete, methanol was used to quench the reaction to give compound 23‐3. Compound 23‐3 can be used directly in the next step without any further purification.
According to the Scheme shown above, Compound 23‐4 was reacted with Compound III to give Compound 23. MS [M+H] +: 3, 089.15.
Example 13. Preparation of Compound 24
Example 14. Preparation of Compound 25
Example 15. Preparation of Compound 26
Compound 26 can be prepared according to procedures that are similar to the preparation method of Compound 15. MS [M+H] +: 2, 918.22
Example 16. Preparation of Compound 27
According to Scheme 1, 1000 mg 2Cl‐Trt Resin (1.5eq. ) was added to a 50 mL reaction flask, and then 234 mg Fmoc‐Cys (Trt) ‐OH (1.0 eq. ) , 8 mL DMC, 640 μL DIEA (2.0 eq. ) were added. After the reaction mixture was completely dissolved and maintained for 50 minutes, 8 mL DCM, 1 mL MeOH and 1 mL DIEA were added to the reaction mixture and reacted for 20 minutes, then transferred to the self‐made solid‐phase synthesis reaction column and washed with DMF. Then 10 mL 20% piperidine in DMF was added into the reaction mixtures, after 20 minutes, washed with DMF and monitored with ninhydrin. 709 mg Fmoc‐Lys (Fmoc) ‐OH (3.0 eq., 178 mg HOBT (3.3 eq. ) were dissolved in 6 mL DMF and 230 μL DIC (3.3 eq. ) was added. The above solution was added to the reaction column and reacting for an hour, then monitored with ninhydrin. The
mixtures were washed with DMF and after that 20% piperidine in DMF was added. The above steps were repeated to couple the following sequence: Fmoc‐Asp (OtBu) ‐OH, Fmoc‐Asp (OtBu) ‐OH, Fmoc‐Arg (Pbf) ‐OH, Fmoc‐Asp (OtBu) ‐OH, N10‐TFA‐pteroic acid (wherein the usage amount of amino acids and HOBT/DIC is 6eq and 6.6eq/6.6eq. ) . After that, 10mL 2% NH2NH2/DMF was added into the reaction mixture and reacted for 5 minutes (repeating 3 times) to leave TFA protecting group on pteroic acid, then washed with DMF, DCM, MeOH, separately and dried. Then, cleavage agents were added, TBME was added to precipitate the peptide to give Compound III. MS [M] +: 1, 839.65.
Similarly, Compound 27 was prepared according to the procedure as described in Example 4, except that Compound III in Example 4 was replaced by Compound III‐1. MS [M+H] +: 2711.05.
Example 17. Preparation of Compound III‐1’
Preparation of fully protected peptide Asp (OtBu) ‐Asp (OtBu) ‐Arg (Pbf) ‐Asp (OtBu) ‐pteroic acid: Using 2Cl‐Trt Resin, SPPS coupled Fmoc‐Asp (OtBu) ‐OH, Fmoc‐Asp (OtBu) ‐OH, Fmoc‐Arg (Pbf) ‐OH, Fmoc‐Asp (OtBu) ‐OH, N10‐TFA‐pteroic acid successively. Then, 2% NH2NH2/DMF was added into the reaction mixture and reacted for 5 min (repeating 3 times) to leave TFA protecting group on Pteroic acid, then washed the product with DMF, DCM, MeOH, respectively, and then dried. 1% TFA/DCM was added and reacted for 5 minutes, repeated several times until there was no product detected by TLC. Filtered and the filtrate was collected. The filtrate was neutralized with pyridine and then washed with water, saturated brine, concentrated, purified by preparative HPLC, to give fully protected peptide, i.e., Asp (OtBu) ‐Asp (OtBu) ‐Arg (Pbf) ‐Asp (OtBu) ‐pteroic acid. MS [M] +: 981.05.
Preparation of Compound III‐1’ : 1000mg 2Cl‐Trt Resin (1.5 eq. ) was added to a 50 mL reaction flask, and then 117 mg Fmoc‐Cys (Trt) ‐OH (1.0 eq. ) , 8 mL DMC, 320 μL DIEA (2.0 eq. ) were added. After the reaction mixture was completely dissolved. After reacting for 50 minutes, 8 mL DCM, 1 mL MeOH and 1 mL DIEA were added to the reaction mixture. After reacting for 20 minutes, the reaction mixture was transferred to the self‐made solid‐phase synthesis reaction column and washed with DMF. 10mL 20% piperidine in DMF was added into the reaction mixture, after 20 minutes, washed with DMF and monitored with ninhydrin. Fmoc‐Lys (Fmoc) ‐OH (3.0 eq. ) , 178 mg HOBT (3.3 eq. ) were dissolved in 6 mL DMF and 230 μL DIC (3.3 eq. ) was added to the
reaction column. After an hour, the reaction mixture was monitored with ninhydrin and washed with DMF, and then 20% pyridine in DMF was added. The above steps were repeated to couple the following sequence: Fmoc‐Asp (OtBu) ‐OH, Fmoc‐Asp (OtBu) ‐OH, Fmoc‐Arg (Pbf) ‐OH, Fmoc‐Asp (OtBu) ‐OH, Fmoc‐Glu‐OtBu, N10‐TFA‐pteroic acid (wherein the usage amount of amino acids and HOBT/DIC is 3eq and 3.3eq/3.3eq. ) . After that, 10 mL 2% NH2NH2/DMF was added into the reaction mixture and reacted for 5 minutes (repeating 3 times) to leave TFA protecting group on Pteroic acid, then monitored the positive with ninhydrin. {Asp (OtBu) ‐Asp (OtBu) ‐Arg (Pbf) ‐Asp (OtBu) ‐pteroic acid} (2.0 eq. ) , HOAT (2.2 eq. ) and DIC (2.2 eq. ) were added and DMF was used as a solvent. Reacted overnight and then monitored with ninhydrin. After the reaction was complete, the reaction mixture was washed with DMF, DCM, MeOH, then dried. Cleavage agent was added, TBME was added to precipitate the peptide to give Compound III‐1’ . MS [M] +: 1, 968.69.
Example 18. Preparation of Compound 28
Similarly, Compound 28 was prepared according to the procedure as described in Example 4. MS [M+H] +: 2, 840.10.
Example 19. Preparation of Compound III‐2
According to Scheme 2, Compound III‐2 can be prepared by the following steps: Preparation of Compound c:
10 g Compound a and 1.1 eq HOSU were added to a 250 mL reaction flask. Dissolved in 100 mL THF and the solution was cooled to 0 ℃ with ice‐bath. 1.1 eq DCC was added and the reaction mixture were stirred overnight at the room temperature. After the reaction was complete, filtrated, and the filter cake was washed with THF, filtrate was collected, and concentrated to give 12 g of Compound b.
3.0 g Compound d was added to a 100 mL reaction flask and dissolved in 300 mL water. 1.1 eq. NaHCO3 was added and the solution was cooled to 10 ℃. 1.1 eq. Compound b was dissolved in 30 mL DMF and the solution was dropwise added to the reaction flask. Additional 10 mL THF was added to the flask and stirred overnight. When the reaction was complete, the resulting solution was concentrated and EA was added. The solution was washed with diluted
hydrochloric acid, then washed with water and saturated brine, dried, concentrated, purified with column to give Compound c.
Preparation of Compound III‐2:
1000 mg 2Cl‐Trt Resin (2.0 eq. ) was added to a 50 mL reaction flask, and then 117 mg Fmoc‐Cys (Trt) ‐OH (1.0 eq. ) , 8 mL DMC, 320 μL DIEA (2.0 eq. ) were added. After the reaction mixture was completely dissolved and maintained for 50 minutes, 8 mL DCM, 1 mL MeOH and 1 mL DIEA were added to the reaction mixture. The reaction was solution was reacted for 20 minutes, then transferred to the self‐made solid‐phase synthesis reaction column and washed with DMF. 10 mL 20% piperidine in DMF was added into the reaction mixture, after 20 minutes, washed with DMF and monitored with ninhydrin. Compound c (3.0 eq. ) , 178 mg HOBT (3.3 eq. ) was dissolved in 6 mL DMF and then added 230 μL DIC (3.3 eq. ) . The mixture was added to the reaction column. After an hour monitored with ninhydrin and washed with DMF, and then added 20% pyridine in DMF. The above steps were repeated to couple the following sequence: Fmoc‐Asp (OtBu) ‐OH, Fmoc‐Asp (OtBu) ‐OH, Fmoc‐Arg (Pbf) ‐OH, Fmoc‐Asp (OtBu) ‐OH, Fmoc‐Glu‐OtBu, N10‐TFA‐pteroic acid, wherein the usage amount of amino acids and HOBT/DIC was 15eq and 16.5 eq/16.5 eq. After that, 10 mL 2%NH2NH2/DMF was added into the reaction mixture and reacted 5 minutes (repeating 3 times) to leave TFA protecting group on Pteroic acid, the reaction mixture was washed with DMF, DCM, MeOH, then dried. Cleavage agent was added, TBME was added to precipitate the peptide to give Compound III‐2. MS [M+H] +: 3, 151.15.
Example 20. Preparation of Compound III‐3
According to Scheme 3, Compound III‐2 can be prepared as follows:
Preparation of Compound f:
10 g compound a and 1.1 eq HOSU were added to a 250 mL reaction flask, dissolved in 100 mL THF and the solution was cooled to 0 ℃ with ice‐bath. Added 1.1 eq. DCC and the reaction mixture was stirred overnight at the room temperature. After the reaction was complete, the solution was filtrated, and the filter cake was washed with THF. The filtrate was collected and concentrated to give 12g of Compound b.
3.0 g Compound d was added to a 100 mL reaction flask and dissolved in 30 mL water. 1.1 eq. NaHCO3 was added and the solution was cooled to 10 ℃. 1.1 eq. Compound b was dissolved in 30 mL DME and the solution was added dropwise to the reaction flask. Additional 10 mL THF was added to the flask and stirred overnight. When the reaction was complete, the result solution was concentrated; EA was added; the solution was washed with diluted hydrochloric acid, then washed with water and saturated brine, dried, concentrated, purified with column to give Compound c.
5 g Compound c and 1.1eq HOSU were added to a 10 mL reaction flask. Dissolved in 10 mL THF. 1.1 eq. DCC was added and the solution warmed to the room temperature, stirred overnight.
Postprocessing:
The result solution was filtrated and the filter cake was washed with THF, collecting the filtrate and concentrated to give 6 g of Compound e.
3.0 g Compound e was added to a 100 mL reaction flask and dissolved in 30 mL water. 1.1 eq. NaHCO3 was added and the solution was cooled to 10 ℃. 1.1 eq. Compound b was dissolved in 30 mL DME, and the solution was added dropwise to the reaction flask, stirred overnight. When the reaction was complete, the result solution was concentrated and then EA was added, the solution was washed with diluted hydrochloric acid, then washed with water, saturated brine, dried, concentrated, purified with column to obtain Compound f.
Preparation of Compound III‐3:
1000 mg 2Cl‐Trt Resin (2.0 eq. ) was added to a 50 mL reaction flask, and then 117 mg Fmoc‐Cys (Trt) ‐OH (1.0eq. ) , 8mL DMC, 320 μL DIEA (2.0eq. ) were added. After the reaction mixture was completely dissolved and maintained for 50 minutes, 8 mL DCM, 1 mL MeOH and 1 mL DIEA were added to the reaction mixture. After reacting for 20 minutes, the solution was transferred to the self‐made solid‐phase synthesis reaction column and washed with DMF. 10 mL 20% piperidine in DMF was added into the reaction mixture, after 20 minutes, washed with DMF and monitored with ninhydrin. Compound f (3.0 eq. ) , 178 mg HOBT (3.3 eq. ) was dissolved in 6mL DMF and then 230 μL DIC (3.3 eq. ) was added. The mixture was added to the reaction column. After an hour, monitored with ninhydrin, mixtured was washed with DMF, and then 20% pyridine in DMF was added. The above steps were repeated to couple the following sequence: Fmoc‐Asp (OtBu) ‐OH, Fmoc‐Asp (OtBu) ‐OH, Fmoc‐Arg (Pbf) ‐OH, Fmoc‐Asp (OtBu) ‐OH, Fmoc‐Glu‐OtBu, N10‐TFA‐pteroic acid, wherein the usage amount of amino acids and HOBT/DIC is 15 eq. and 16.5 eq. /16.5 eq. Then, 10 mL 2% NH2NH2/DMF was added into the reaction mixture and reacted for 5 minutes (repeating 3 times) to leave TFA protecting group on Pteroic acid. The reaction mixture was washed with DMF, DCM, MeOH, then dried, cleavage agent was added, and TBME was added to precipitate peptide to give Compound III‐3. MS [M] +: 4203.55.
Example 21. Preparation of Compound 29
Compound 29 was prepared according to the procedures as described in Example 4, except that the Compound III in Example 4 was replaced with Compound III‐2. MS [M+H] +: 4, 021.54.
Examples 22. Compound 30 was prepared according to a procedure similar to that described above for preparing compound 29. MS [M+2H] 2+: 4, 481.91.
Example 23. Compound 31 was prepared according to a procedure similar to that described above for preparing compound 29. MS [M+2H] 2+: 5, 074.95.
Example 24. Compound 32 was prepared according to a procedure similar to that described above for preparing compound 29. MS [M+2H] 2+: 5, 520.33.
Example 25. Relative affinity assay
FR‐positive KB cells were heavily seeded into 24‐well cell culture plates and allowed to adhere to the plastic for 18h. Spent incubation media was replaced in designated wells with folate‐free RPMI (FFRPMI) supplemented with 100 nM 3H‐folic acid in the absence and presence of increasing concentrations of test article or folic acid. Cells were incubated for 60 minutes at 37 ℃ and then rinsed 3 times with PBS, pH 7.4. 500 μL of 1% SDS in PBS, pH 7.4, were added per well. Cell lysates were then collected and added to individual vials containing 5 mL of scintillation cocktail, and then counted for radioactivity. Negative control tubes contained only the 3H‐folic acid in FFRPMI (no competitor) . Positive control tubes contained a final concentration of 1 mM folic acid, and CPMs measured in these samples (representing nonspecific binding of label) were subtracted from all samples. Notably, relative affinity were defined as the inverse molar ration of compound required to displace 50% of 3H‐folic acid bound to the FR on KB cells, and the relative affinity of folic acid for the FR was set to 1.
The test of Compound 15 in 10% serum/FDRPMI showed that compared to folic acid, Compound 15 showed 157% relative affinity for the folate.
Similarly, the relative affinity of Compounds 16‐32 was tested in 10% serum/FDRPMI and the results showed that compared to folic acid, Compounds 16‐32 all represent more than 100% relative affinity for the folate. In particular, Compounds 10, 21 and 31 showed 162%, 127% and 187% relative affinity for the folate, respectively.
Example 26. Cell activity assays
Cell activity assay 1
MTT assay, also called MTT colorimetic method. MTT is reduced by the succinic dehydrogenase in the mitochondria of living cell to yield an insoluble purple formazan product and deposited in the cells, while died cells do not have this function. Dimethylsulfoxide (DMSO) can dissolve the Formazan in the cells. ELISA detection instrument can be used to measure the absorbance at the wavelength of 570 nm ( “OD570 value” ) . The OD570 value can indirectly reflects the cell viability. In a certain range of cells, the quantity of MTT crystallization is proportional to the quantity of cells.
For instance, Compound 15 was used as the drug in experimental groups (represented by BP111b) , and operated in accordance with the above method. The results were shown in Fig. 2. BP111b represents Compound 15 of this invention, and BP111a represents Compound EC145 (EC145 and the preparation method thereof are described in CN 100381177 C) . As shown in Fig. 2, under the same conditions, BP111b (Compound 15 of this invention) exhibited greater ability to inhibit the growth of KB cells compared to BP111a (Compound EC145) . In addition, BP111b’s ability to inhibit the growth of KB cells decreased due to the increase of FA. This indicates that the observed cell killing was mediated by binding to the folate receptor. Furthermore, as shown in Fig. 2, compared to BP111a, BP111b also has the good inhibitory activity against KB tumor cells even in the presence of excess folic acid.
This assay was used to predict the ability of the drugs to inhibit the growth of folate receptor‐negative A549. A549 cells were seeded into the well cell culture plates and each well contains 5*103 A549 cells in 100 μl of PBS. 24 hours later, aspirate the medium, and divide into blank control group, positive control groups a, experimental groups b, and the positive groups a and experimental groups b; each containing 10 groups. The serial numbers are a‐1, a‐2, a‐3, a‐4, a‐5, a‐6, a‐7, a‐8, a‐9, a‐10 and b‐1, b‐2, b‐3, b‐4, b‐5, b‐6, b‐7, b‐8, b‐9, b‐10. To the positive control groups a and experimental groups b, respectively, added the control compound BP111a (EC145) and BP111b with the concentrate: 10000, 3333.33, 111.111, 370.370, 123.4567, 41.152, 13.717, 4.572, 13.717, 4.5724, 1.5241 nmol/L (nM) . The preparation method of BP111a was described in Chinese patent application CN 100381177C. Neither BP111a nor BP111b was added
into the blank control group. All of the groups were cultured for additional 70h. Then, cell viability was assessed with MTT. The absorbance was measured using ELISA detection instrument at the wavelength of 570 nm.
For example, Fig. 3 shows the results of the above protocol, where Compound 15 was used as the drug of the experimental groups. As shown in Fig. 3, the ability of BP111b (Compound 15) to inhibit the growth of folate receptor‐negative A549 was not obvious. These results suggest that Compound 15 acts through a folate selective or folate specific mechanism.
Table 1. KB cells inhibitory activity results for Compounds 16‐32 (IC50: nM)
| Compound | IC50 (nM) | Compound | IC50 (nM) |
| 16 | 1.4 | 25 | 1.7 |
| 17 | 2.2 | 26 | 1.2 |
| 18 | 10.2 | 27 | 1.9 |
| 19 | 1.8 | 28 | 1.7 |
| 20 | 2.1 | 29 | 1.2 |
| 21 | 2.6 | 30 | 1.3 |
| 22 | 5.9 | 31 | 0.9 |
| 23 | 3.8 | 32 | 0.8 |
| 24 | 1.1 |
Example 27. Inhibition of tumor growth in mice assay
As shown in Figs. 4 and 5, the treatment with the compound BP111b with 0.5 μmol/kg was effective in delaying the growth of KB tumors; and the striking anti‐tumor response was observed when the drug dosage was increased to 1 μmol/kg. Importantly, the anti‐tumor inhibition of compound BP111b was dose‐dependent, as shown in Fig. 4. Compared to the control drug BP111a, compound BP111b exhibited better anti‐tumor activity using the same dose. In addition, compound BP111b of this invention didn’ t have apparent toxicity based on animal body weights. BP111a also exhibited anti‐tumor activity at 1 μmol/kg. However, after 18 days for administrating 1 μmol/kg, the anti‐tumor activity of BP111b exhibited significantly better anti‐tumor activity than BP111a. Results based on the body weight indicated that all animals could be well tolerated at the doses administrated, as shown in Fig. 5.
For example, eleven days (average tumor volume at t0 =60mm3) after tumor inoculation in the subcutis of the right axilla with 1*106 KB cells, the mice (6/group) were injected intravenously, three times a week (TIW) for 2 weeks, with 500nmol/kg of Compound 25 or free‐drug MMAF or an equivalent dose volume PBS. The results of the mice tumor growth inhibition and the changes of the mice body weight were observed. Tumor growth was measured using calipers about once every three days in each treatment group. Tumor volumes were calculated using the equation V=a x b2/2, where “a” represents the length of the tumor and “b” represents the width expressed in millimeters. Animal body weights were also determined at twice a week of three times a week.
The results of the above assay showed that treatment with Compound 25 of this invention was effective in delaying the growth of KB tumors and has no apparent toxicity (based on animal body weights) . Free‐drug MMAF also exhibited anti‐tumor activity, but had concomitant toxicity and poorly tolerated by tested animals.
Similar approach was used to predict the ability of Compound 25 to inhibit the growth of folate receptor negative A549 cells. After tumor inoculation in the subcutis of the right axilla with 1*106 KB cells (average tumor volume at t0 =50~80 mm3) , the mice (6/group) were injected intravenously three times a week (TIW) , for 2 weeks with 500 nmol/kg of Compound 25 or an equivalent dose volume PBS. Tumor growth was measured using calipers. Tumor volumes were calculated using the equation V=a x b2/2, where “a” is the length of the tumor and “b” is the width expressed in millimeters. The results showed that, when treated with Compound 25, almost no anti‐tumor activity was observed in the A549 model (folate receptor‐negative) , thereby proving that Compound 25 was acting through a folate selective or folate specific mechanism.
Although specific embodiments of this invention have been illustrated herein, it will be appreciated by those skilled in the art that any modifications and variations can be made without departing from the spirit of the invention. The examples and illustrations above are not intended to limit the scope of this invention. Further, it is intended that this invention encompass any arrangement, which is calculated to achieve that same purpose, and all such variations and modifications as fall within the scope of the appended claim
All publications referred to above are incorporated herein by reference in their entireties. All the features disclosed in this specification (including any accompanying claims, abstract and drawings) may be replaced by alternative features serving the same, equivalent or similar purpose, unless expressly stated otherwise. Thus, unless expressly stated otherwise, each feature disclosed is one example of a generic series of equivalent or similar features.
Claims (20)
- A compound of Formula (I) :wherein:L1 is a polyvalent linker;L2 is covalently bonded to L1 and comprises at least one releasable linker, and the backbone of L1‐L2 is free of phenyl‐disulfide;n is 2, 3 or 4;each F independently is the conjugate base of folic acid or pteroic acid and covalently bonded to L1;D is a drug covalently bonded to L2 and comprises cyclopropyl [e] indolone, pyrrolobenzodiazepine dimmers, 7‐ethyl‐10‐hydroxycamptothecin, deacetylvinblastine monohydrazide, monomethyl auristatin E, monomethyl auristatin F, Tubulysin B, Dolastatin, Didemnin B, maytansine, paclitaxel, daunomycin, doxorubicin, epirubicin, epothilone, actinomycin, authramycin, microtubule inhibitors, azaserine, bleomycin, tamoxifen, idarubicin, vinca alkaloid, or a derivative thereof.
- The compound of claim 1, wherein L1 comprises at least one peptide spacer linker, each peptide spacer linker is formed by amino acids, and each of the amino acids independently is a natural amino acid or unnatural α‐amino acid.
- The compound of claim 1 or 2, wherein L1 comprises at least one peptide spacer linker formed by 1 to 40 amino acids, and each of the amino acids is independently a natural amino acid or unnatural α‐amino acid.
- The compound of any of claims 1‐3, wherein L1 comprises at least one peptide spacer linker formed by 1 to 20 amino acids, and each of the amino acids is independently a natural amino acid or unnatural α‐amino acid.
- The compound of any of claims 1‐4, wherein L1 comprises at least one peptide spacer linker formed by 10 to 15 amino acids, and each of the amino acids is independently a natural amino acid or unnatural α‐amino acid.
- The compound of any of claims 1‐5, wherein L1 comprises at least two amino acids each of which is independently aspartic acid, arginine, cysteine, lysine, asparagine, threonine, glutamic acid, serine, citrulline, valine, or glutamine.
- The compound of any of claims 1‐6, wherein L1 comprises one or more dipeptide, tripeptide, tetrapeptide, pentapeptide, hexapeptide, heptapeptide, octapeptide, decapeptide, undecapeptide, or dodecapeptide spacer linkers, and each of the spacer linkers is formed by aspartic acid, arginine, cysteine, citrulline, valine, lysine, or a combination thereof.
- A compound of Formula (I) :wherein:wherein each * indicates an open valence;L2 is covalently bonded to L1 and comprises at least one releasable linker;n is 2;each F independently is the conjugate base of folic acid or pteroic acid and covalently bonded to L1;D is a drug covalently bonded to L2 and comprises cyclopropyl [e] indolone, pyrrolobenzodiazepine dimmers, 7‐ethyl‐10‐hydroxycamptothecin, deacetylvinblastine monohydrazide, monomethyl auristatin, monomethyl auristatin F, Tubulysin B, Dolastatin, Didemnin B, maytansine, paclitaxel, daunomycin, doxorubicin, epirubicin, epothilone, actinomycin, authramycin, microtubule inhibitors, azaserine, bleomycin, tamoxifen, idarubicin, vinca alkaloid, or a derivative thereof.
- The compound of claim 8, wherein D is a vinca alkaloid or an analog or derivative thereof.
- The compound of any of claims 1‐9, wherein n is 2.
- The compound of any of claims 1‐10, wherein the releasable linker of L2 comprises a disulfide, a carbonate, an acyl hydrazide, a hydrazine, an amino acid ester, a carbamide, or a combination thereof.
- n is 1, 2, 3, or 4;R is H, alkyl, optionally substituted acyl, or amino protection group;X is O, CH2 or NH;Y is O or S;Z is NH, O or S;R1 is alkyl radical or alkyl radical substituted with carboxyl or acyl; andeach * indicates an open valence.
- The compound of any of claims 1‐2 and 8, wherein the drug comprises cyclopropyl [e] indolone, pyrrolobenzodiazepine dimmers, 7‐Ethyl‐10‐Hydroxycamptothecin, deacetylvinblastine monohydrazide, monomethyl auristatin E, Monomethyl auristatin F, Tubulysin B, Didemnin B, DM1, paclitaxel, daunorubicin, doxorubicin, or epirubicin.
- The compound of any of claims 1‐2 and 8, having the formula of:wherein,Rx is p‐methoxyphenyl;Ry is H, C1‐6 alkyl optionally substituted with halogen, or optionally substituted carbonyl containing 1 to 4 carbon atoms;X1 is Cl or Br;R1 is C1‐6 alkoxyl, C1‐6 alkyl optionally substituted with amino, C1‐3 aldehyde group or carbonyl, OH, amino, C3‐6 cycloalkyl or C1‐6 heterocycloalkyl;R2 is N=NH or NH substituted onto the benzene ring in a 2‐, 3‐ or 4‐ position;n is 0, 1, 2, or 3;each of F1 and F2 independently is
- A pharmaceutical composition comprising a therapeutically effective amount of a compound of any of claims 1‐18, and a pharmaceutically acceptable carrier, diluent, or excipient.
- Use of a compound of any of claims 1‐18 for the manufacture of a medicament for treating a cancer.
Applications Claiming Priority (2)
| Application Number | Priority Date | Filing Date | Title |
|---|---|---|---|
| CN201410024349.9A CN104784699B (en) | 2014-01-20 | 2014-01-20 | Folic acid receptor binding ligand-drug conjugates |
| CN201410024349.9 | 2014-01-20 |
Publications (1)
| Publication Number | Publication Date |
|---|---|
| WO2015106599A1 true WO2015106599A1 (en) | 2015-07-23 |
Family
ID=53542374
Family Applications (1)
| Application Number | Title | Priority Date | Filing Date |
|---|---|---|---|
| PCT/CN2014/091690 Ceased WO2015106599A1 (en) | 2014-01-20 | 2014-11-19 | Conjugates and compositions for drug delivery |
Country Status (2)
| Country | Link |
|---|---|
| CN (2) | CN104784699B (en) |
| WO (1) | WO2015106599A1 (en) |
Cited By (12)
| Publication number | Priority date | Publication date | Assignee | Title |
|---|---|---|---|---|
| US9505747B2 (en) | 2012-03-29 | 2016-11-29 | Endocyte, Inc. | Processes for preparing tubulysin derivatives and conjugates thereof |
| US9550734B2 (en) | 2004-07-23 | 2017-01-24 | Endocyte, Inc. | Bivalent linkers and conjugates thereof |
| US9555139B2 (en) | 2007-03-14 | 2017-01-31 | Endocyte, Inc. | Binding ligand linked drug delivery conjugates of tubulysins |
| US9877965B2 (en) | 2007-06-25 | 2018-01-30 | Endocyte, Inc. | Vitamin receptor drug delivery conjugates for treating inflammation |
| KR20180033513A (en) * | 2015-08-11 | 2018-04-03 | 코히런트 바이오파마 | Multi-ligand drug conjugates and uses thereof |
| US10080805B2 (en) | 2012-02-24 | 2018-09-25 | Purdue Research Foundation | Cholecystokinin B receptor targeting for imaging and therapy |
| US10322192B2 (en) | 2016-03-02 | 2019-06-18 | Eisai R&D Management Co., Ltd. | Eribulin-based antibody-drug conjugates and methods of use |
| KR20190133252A (en) * | 2017-04-21 | 2019-12-02 | 브라이트제네 바이오-메디컬 테크놀로지 코., 엘티디. | Multi Cancer Target Anticancer Conjugate |
| US10738086B2 (en) | 2007-06-25 | 2020-08-11 | Endocyte Inc. | Conjugates containing hydrophilic spacer linkers |
| US11229708B2 (en) | 2015-12-04 | 2022-01-25 | Seagen Inc. | Conjugates of quaternized tubulysin compounds |
| US11793880B2 (en) | 2015-12-04 | 2023-10-24 | Seagen Inc. | Conjugates of quaternized tubulysin compounds |
| WO2024105197A1 (en) * | 2022-11-17 | 2024-05-23 | Vincerx Pharma Gmbh | Small molecule-drug-conjugates cleavable in a tumor microenvironment |
Families Citing this family (13)
| Publication number | Priority date | Publication date | Assignee | Title |
|---|---|---|---|---|
| CN106466485B (en) * | 2015-08-11 | 2021-05-04 | 同宜医药(苏州)有限公司 | Targeting ligand-drug conjugate with function of mediating cell endocytosis |
| CN106466484B (en) * | 2015-08-11 | 2021-05-04 | 同宜医药(苏州)有限公司 | Multi-target ligand-drug conjugate with function of cell endocytosis mediation |
| CN107375288B (en) * | 2016-05-16 | 2019-08-23 | 博瑞生物医药(苏州)股份有限公司 | The polymerization target anticancer conjugate of multi-arm |
| CN108727583B (en) * | 2017-04-21 | 2022-03-22 | 高瑞耀业(北京)科技有限公司 | Multi-arm targeted anticancer conjugate |
| CN108727584B (en) * | 2017-04-21 | 2021-01-05 | 博瑞生物医药(苏州)股份有限公司 | Anti-cancer conjugates |
| WO2019096096A1 (en) * | 2017-11-14 | 2019-05-23 | 博瑞生物医药(苏州)股份有限公司 | Multi-arm targeting conjugate |
| CN109771658B (en) * | 2017-11-14 | 2021-12-10 | 博瑞生物医药(苏州)股份有限公司 | Targeted multi-arm conjugates |
| CN109776787B (en) * | 2017-11-14 | 2021-08-03 | 博瑞生物医药(苏州)股份有限公司 | Multi-arm targeting conjugates |
| CN108117566A (en) * | 2017-12-28 | 2018-06-05 | 广州白云山汉方现代药业有限公司 | A kind of preparation method of desacetyl vinblastine hydrazides |
| WO2021022678A1 (en) * | 2019-08-07 | 2021-02-11 | 烟台迈百瑞国际生物医药股份有限公司 | Antibody-drug conjugate and application thereof |
| KR20230034957A (en) * | 2020-06-19 | 2023-03-10 | 항저우 디에이씨 바이오테크 씨오, 엘티디 | Conjugates of cell-associated molecules with camptothecin analogues |
| TW202317199A (en) * | 2021-06-25 | 2023-05-01 | 大陸商同宜醫藥(蘇州)有限公司 | Ligand-drug conjugate and use thereof |
| CN120324628B (en) * | 2025-04-16 | 2026-01-30 | 上海生物制品研究所有限责任公司 | Folic acid conjugates, their preparation methods and applications |
Citations (2)
| Publication number | Priority date | Publication date | Assignee | Title |
|---|---|---|---|---|
| WO2007022493A2 (en) * | 2005-08-19 | 2007-02-22 | Endocyte, Inc. | Ligand conjugates of vinca alkaloids, analogs, and derivatives |
| US20070275904A1 (en) * | 2006-05-25 | 2007-11-29 | Bristol-Myers Squibb Company | Conjugates of aziridinyl-epothilone analogs and pharmaceutical compositions comprising same |
Family Cites Families (2)
| Publication number | Priority date | Publication date | Assignee | Title |
|---|---|---|---|---|
| CN101239190B (en) * | 2003-01-27 | 2013-09-25 | 恩多塞特公司 | Vitamin receptor binding drug delivery conjugates |
| CN104127878A (en) * | 2007-03-14 | 2014-11-05 | 恩多塞特公司 | Binding ligand linked drug delivery conjugates of tubulysins |
-
2014
- 2014-01-20 CN CN201410024349.9A patent/CN104784699B/en active Active
- 2014-01-20 CN CN201811352537.9A patent/CN109316605B/en active Active
- 2014-11-19 WO PCT/CN2014/091690 patent/WO2015106599A1/en not_active Ceased
Patent Citations (2)
| Publication number | Priority date | Publication date | Assignee | Title |
|---|---|---|---|---|
| WO2007022493A2 (en) * | 2005-08-19 | 2007-02-22 | Endocyte, Inc. | Ligand conjugates of vinca alkaloids, analogs, and derivatives |
| US20070275904A1 (en) * | 2006-05-25 | 2007-11-29 | Bristol-Myers Squibb Company | Conjugates of aziridinyl-epothilone analogs and pharmaceutical compositions comprising same |
Cited By (30)
| Publication number | Priority date | Publication date | Assignee | Title |
|---|---|---|---|---|
| US9550734B2 (en) | 2004-07-23 | 2017-01-24 | Endocyte, Inc. | Bivalent linkers and conjugates thereof |
| US10647676B2 (en) | 2004-07-23 | 2020-05-12 | Endocyte, Inc. | Bivalent linkers and conjugates thereof |
| US9555139B2 (en) | 2007-03-14 | 2017-01-31 | Endocyte, Inc. | Binding ligand linked drug delivery conjugates of tubulysins |
| US10500204B2 (en) | 2007-06-25 | 2019-12-10 | Endocyte, Inc. | Vitamin receptor drug delivery conjugates for treating inflammation |
| US9877965B2 (en) | 2007-06-25 | 2018-01-30 | Endocyte, Inc. | Vitamin receptor drug delivery conjugates for treating inflammation |
| US10738086B2 (en) | 2007-06-25 | 2020-08-11 | Endocyte Inc. | Conjugates containing hydrophilic spacer linkers |
| US12485179B2 (en) | 2012-02-24 | 2025-12-02 | Purdue Research Foundation | Cholecystokinin B receptor targeting for imaging and therapy |
| US11344623B2 (en) | 2012-02-24 | 2022-05-31 | Purdue Research Foundation | Cholecystokinin B receptor targeting for imaging and therapy |
| US10080805B2 (en) | 2012-02-24 | 2018-09-25 | Purdue Research Foundation | Cholecystokinin B receptor targeting for imaging and therapy |
| US10765756B2 (en) | 2012-02-24 | 2020-09-08 | Purdue Research Foundation | Cholecystokinin B receptor targeting for imaging and therapy |
| US9505747B2 (en) | 2012-03-29 | 2016-11-29 | Endocyte, Inc. | Processes for preparing tubulysin derivatives and conjugates thereof |
| JP2018529632A (en) * | 2015-08-11 | 2018-10-11 | コヒレント バイオファーマ | Multi-ligand-drug conjugates and uses thereof |
| US11571480B2 (en) | 2015-08-11 | 2023-02-07 | Coherent Biopharma I, Limited | Multi-ligand drug conjugates and uses thereof |
| KR20180033513A (en) * | 2015-08-11 | 2018-04-03 | 코히런트 바이오파마 | Multi-ligand drug conjugates and uses thereof |
| JP7573401B2 (en) | 2015-08-11 | 2024-10-25 | コヒレント バイオファーマ ワン,リミテッド | Multi-ligand-drug conjugates and uses thereof |
| KR20200071152A (en) * | 2015-08-11 | 2020-06-18 | 코히런트 바이오파마 | Multi-ligand drug conjugates and uses thereof |
| JP2023025151A (en) * | 2015-08-11 | 2023-02-21 | コヒレント バイオファーマ ワン,リミテッド | Multi-ligand-drug conjugates and uses thereof |
| EP3334500A4 (en) * | 2015-08-11 | 2019-04-03 | Coherent Biopharma | Multi-ligand drug conjugates and uses thereof |
| JP2021006549A (en) * | 2015-08-11 | 2021-01-21 | コヒレント バイオファーマ | Multiligand-drug conjugates and uses thereof |
| KR102464778B1 (en) | 2015-08-11 | 2022-11-07 | 코히런트 바이오파마 I, 리미티드 | Multi-ligand drug conjugates and uses thereof |
| KR102301596B1 (en) * | 2015-08-11 | 2021-09-14 | 코히런트 바이오파마 I, 리미티드 | Multi-ligand drug conjugates and uses thereof |
| US20180200377A1 (en) * | 2015-08-11 | 2018-07-19 | Coherent Biopharma | Multi-ligand drug conjugates and uses thereof |
| US11229708B2 (en) | 2015-12-04 | 2022-01-25 | Seagen Inc. | Conjugates of quaternized tubulysin compounds |
| US11793880B2 (en) | 2015-12-04 | 2023-10-24 | Seagen Inc. | Conjugates of quaternized tubulysin compounds |
| US10548986B2 (en) | 2016-03-02 | 2020-02-04 | Eisai R&D Management Co., Ltd. | Eribulin-based antibody-drug conjugates and methods of use |
| US10322192B2 (en) | 2016-03-02 | 2019-06-18 | Eisai R&D Management Co., Ltd. | Eribulin-based antibody-drug conjugates and methods of use |
| KR102279429B1 (en) | 2017-04-21 | 2021-07-20 | 브라이트제네 바이오-메디컬 테크놀로지 코., 엘티디. | Multi-cancer target anti-cancer conjugate |
| KR20190133252A (en) * | 2017-04-21 | 2019-12-02 | 브라이트제네 바이오-메디컬 테크놀로지 코., 엘티디. | Multi Cancer Target Anticancer Conjugate |
| EP3613792A4 (en) * | 2017-04-21 | 2020-03-04 | Bright Gene Bio-Medical Technology Co., Ltd. | MULTI-ARM TARGETED ANTI-CANCER CONJUGATE |
| WO2024105197A1 (en) * | 2022-11-17 | 2024-05-23 | Vincerx Pharma Gmbh | Small molecule-drug-conjugates cleavable in a tumor microenvironment |
Also Published As
| Publication number | Publication date |
|---|---|
| CN109316605A (en) | 2019-02-12 |
| CN104784699A (en) | 2015-07-22 |
| CN109316605B (en) | 2023-07-14 |
| CN104784699B (en) | 2019-05-03 |
Similar Documents
| Publication | Publication Date | Title |
|---|---|---|
| WO2015106599A1 (en) | Conjugates and compositions for drug delivery | |
| EP3152223B1 (en) | Mitomycin conjugate | |
| KR101413955B1 (en) | Aziridinyl-epothilone compounds | |
| ES2198421T3 (en) | DERIVATIVES OF CAMPTOTECHINE UNITED TO POLYMERS. | |
| WO2019034176A1 (en) | Camptothecin-antibody conjugate | |
| CA3198788A1 (en) | Camptothecine antibody-drug conjugates and methods of use thereof | |
| AU2018265333C1 (en) | Peptidic linkers and cryptophycin conjugates, useful in therapy, and their preparation | |
| ES2821878T3 (en) | Non-linear self-immolative connectors and their conjugates | |
| CN114053426A (en) | Double-drug linked assembly unit and double-drug targeting joint-drug conjugate | |
| CA3210473A1 (en) | Branched linkers for antibody-drug conjugates and methods of use thereof | |
| CN111001012A (en) | Hydrophilic carbonate type antibody coupling drug | |
| TW202506105A (en) | Linker-drug molecule and antibody-drug conjugate, the preparatioin method and use thereof | |
| EP2836493A1 (en) | Functionalized thieno-indole derivatives for the treatment of cancer | |
| SK154899A3 (en) | 20(s)- camptothecin glycoconjugates, method for their producing, their use and drugs containing said substances | |
| US20020173468A1 (en) | Modified cytostatic agents | |
| CA3203849A1 (en) | Dual-cleavage ester linkers for antibody-drug conjugates | |
| CN104906592B (en) | Branched Linkers for Protein Drug Conjugates | |
| US8642555B2 (en) | Prodrugs | |
| WO2017176648A1 (en) | Topoisomerase poisons | |
| WO2015069766A1 (en) | Dupa-indenoisoquinoline conjugates | |
| WO2024105197A1 (en) | Small molecule-drug-conjugates cleavable in a tumor microenvironment | |
| CA3208877A1 (en) | Cryptophycin compounds and conjugates thereof | |
| Pina | SYNTHESIS OF NEW RGD PEPTIDOMIMETIC-DRUG CONJUGATES TARGETING ΑVΒ3 INTEGRIN |
Legal Events
| Date | Code | Title | Description |
|---|---|---|---|
| 121 | Ep: the epo has been informed by wipo that ep was designated in this application |
Ref document number: 14879099 Country of ref document: EP Kind code of ref document: A1 |
|
| NENP | Non-entry into the national phase |
Ref country code: DE |
|
| 122 | Ep: pct application non-entry in european phase |
Ref document number: 14879099 Country of ref document: EP Kind code of ref document: A1 |









































































































