WO2015084692A1 - Antidiabetic bicyclic compounds - Google Patents
Antidiabetic bicyclic compounds Download PDFInfo
- Publication number
- WO2015084692A1 WO2015084692A1 PCT/US2014/067845 US2014067845W WO2015084692A1 WO 2015084692 A1 WO2015084692 A1 WO 2015084692A1 US 2014067845 W US2014067845 W US 2014067845W WO 2015084692 A1 WO2015084692 A1 WO 2015084692A1
- Authority
- WO
- WIPO (PCT)
- Prior art keywords
- group
- aryl
- heteroaryl
- alkyl
- unsubstituted
- Prior art date
- Legal status (The legal status is an assumption and is not a legal conclusion. Google has not performed a legal analysis and makes no representation as to the accuracy of the status listed.)
- Ceased
Links
- 0 CC(CC1)C(I=C(C)*)=C1C(*)=*C Chemical compound CC(CC1)C(I=C(C)*)=C1C(*)=*C 0.000 description 3
- IQSXJRRWSUNHMR-UHFFFAOYSA-N CC1C(/[I]=C\C)=C(C)CC1 Chemical compound CC1C(/[I]=C\C)=C(C)CC1 IQSXJRRWSUNHMR-UHFFFAOYSA-N 0.000 description 1
- JYFRFJIPRGJJJT-UHFFFAOYSA-N COc(cc1-c(c(Cl)c2CC3)ccc2C3=O)ccc1F Chemical compound COc(cc1-c(c(Cl)c2CC3)ccc2C3=O)ccc1F JYFRFJIPRGJJJT-UHFFFAOYSA-N 0.000 description 1
- VCYLIJOQEHLZLW-PINLKFFASA-N C[C@@H]([C@H](c1cc(O[C@H](CC2)c(nc3)c2cc3-c2cc(OC)ccc2F)ccc1)O)C(O)=O Chemical compound C[C@@H]([C@H](c1cc(O[C@H](CC2)c(nc3)c2cc3-c2cc(OC)ccc2F)ccc1)O)C(O)=O VCYLIJOQEHLZLW-PINLKFFASA-N 0.000 description 1
- WBVQHLYQQVZEMN-JKSZXPKPSA-N C[C@@H]([C@H](c1cc(O[C@H](CC2)c3c2cc(-c2cc(OC)ccc2F)nc3)ccc1)O)C(O)=O Chemical compound C[C@@H]([C@H](c1cc(O[C@H](CC2)c3c2cc(-c2cc(OC)ccc2F)nc3)ccc1)O)C(O)=O WBVQHLYQQVZEMN-JKSZXPKPSA-N 0.000 description 1
Classifications
-
- C—CHEMISTRY; METALLURGY
- C07—ORGANIC CHEMISTRY
- C07C—ACYCLIC OR CARBOCYCLIC COMPOUNDS
- C07C59/00—Compounds having carboxyl groups bound to acyclic carbon atoms and containing any of the groups OH, O—metal, —CHO, keto, ether, groups, groups, or groups
- C07C59/40—Unsaturated compounds
- C07C59/58—Unsaturated compounds containing ether groups, groups, groups, or groups
- C07C59/72—Unsaturated compounds containing ether groups, groups, groups, or groups containing six-membered aromatic rings and other rings
-
- A—HUMAN NECESSITIES
- A61—MEDICAL OR VETERINARY SCIENCE; HYGIENE
- A61K—PREPARATIONS FOR MEDICAL, DENTAL OR TOILETRY PURPOSES
- A61K31/00—Medicinal preparations containing organic active ingredients
- A61K31/185—Acids; Anhydrides, halides or salts thereof, e.g. sulfur acids, imidic, hydrazonic or hydroximic acids
- A61K31/19—Carboxylic acids, e.g. valproic acid
- A61K31/192—Carboxylic acids, e.g. valproic acid having aromatic groups, e.g. sulindac, 2-aryl-propionic acids, ethacrynic acid
-
- A—HUMAN NECESSITIES
- A61—MEDICAL OR VETERINARY SCIENCE; HYGIENE
- A61K—PREPARATIONS FOR MEDICAL, DENTAL OR TOILETRY PURPOSES
- A61K31/00—Medicinal preparations containing organic active ingredients
- A61K31/275—Nitriles; Isonitriles
- A61K31/277—Nitriles; Isonitriles having a ring, e.g. verapamil
-
- A—HUMAN NECESSITIES
- A61—MEDICAL OR VETERINARY SCIENCE; HYGIENE
- A61K—PREPARATIONS FOR MEDICAL, DENTAL OR TOILETRY PURPOSES
- A61K31/00—Medicinal preparations containing organic active ingredients
- A61K31/33—Heterocyclic compounds
- A61K31/38—Heterocyclic compounds having sulfur as a ring hetero atom
- A61K31/381—Heterocyclic compounds having sulfur as a ring hetero atom having five-membered rings
-
- A—HUMAN NECESSITIES
- A61—MEDICAL OR VETERINARY SCIENCE; HYGIENE
- A61K—PREPARATIONS FOR MEDICAL, DENTAL OR TOILETRY PURPOSES
- A61K31/00—Medicinal preparations containing organic active ingredients
- A61K31/33—Heterocyclic compounds
- A61K31/395—Heterocyclic compounds having nitrogen as a ring hetero atom, e.g. guanethidine or rifamycins
- A61K31/40—Heterocyclic compounds having nitrogen as a ring hetero atom, e.g. guanethidine or rifamycins having five-membered rings with one nitrogen as the only ring hetero atom, e.g. sulpiride, succinimide, tolmetin, buflomedil
- A61K31/403—Heterocyclic compounds having nitrogen as a ring hetero atom, e.g. guanethidine or rifamycins having five-membered rings with one nitrogen as the only ring hetero atom, e.g. sulpiride, succinimide, tolmetin, buflomedil condensed with carbocyclic rings, e.g. carbazole
- A61K31/404—Indoles, e.g. pindolol
-
- A—HUMAN NECESSITIES
- A61—MEDICAL OR VETERINARY SCIENCE; HYGIENE
- A61K—PREPARATIONS FOR MEDICAL, DENTAL OR TOILETRY PURPOSES
- A61K31/00—Medicinal preparations containing organic active ingredients
- A61K31/33—Heterocyclic compounds
- A61K31/395—Heterocyclic compounds having nitrogen as a ring hetero atom, e.g. guanethidine or rifamycins
- A61K31/41—Heterocyclic compounds having nitrogen as a ring hetero atom, e.g. guanethidine or rifamycins having five-membered rings with two or more ring hetero atoms, at least one of which being nitrogen, e.g. tetrazole
- A61K31/415—1,2-Diazoles
-
- A—HUMAN NECESSITIES
- A61—MEDICAL OR VETERINARY SCIENCE; HYGIENE
- A61K—PREPARATIONS FOR MEDICAL, DENTAL OR TOILETRY PURPOSES
- A61K31/00—Medicinal preparations containing organic active ingredients
- A61K31/33—Heterocyclic compounds
- A61K31/395—Heterocyclic compounds having nitrogen as a ring hetero atom, e.g. guanethidine or rifamycins
- A61K31/41—Heterocyclic compounds having nitrogen as a ring hetero atom, e.g. guanethidine or rifamycins having five-membered rings with two or more ring hetero atoms, at least one of which being nitrogen, e.g. tetrazole
- A61K31/4192—1,2,3-Triazoles
-
- A—HUMAN NECESSITIES
- A61—MEDICAL OR VETERINARY SCIENCE; HYGIENE
- A61K—PREPARATIONS FOR MEDICAL, DENTAL OR TOILETRY PURPOSES
- A61K31/00—Medicinal preparations containing organic active ingredients
- A61K31/33—Heterocyclic compounds
- A61K31/395—Heterocyclic compounds having nitrogen as a ring hetero atom, e.g. guanethidine or rifamycins
- A61K31/41—Heterocyclic compounds having nitrogen as a ring hetero atom, e.g. guanethidine or rifamycins having five-membered rings with two or more ring hetero atoms, at least one of which being nitrogen, e.g. tetrazole
- A61K31/425—Thiazoles
- A61K31/427—Thiazoles not condensed and containing further heterocyclic rings
-
- A—HUMAN NECESSITIES
- A61—MEDICAL OR VETERINARY SCIENCE; HYGIENE
- A61K—PREPARATIONS FOR MEDICAL, DENTAL OR TOILETRY PURPOSES
- A61K31/00—Medicinal preparations containing organic active ingredients
- A61K31/33—Heterocyclic compounds
- A61K31/395—Heterocyclic compounds having nitrogen as a ring hetero atom, e.g. guanethidine or rifamycins
- A61K31/435—Heterocyclic compounds having nitrogen as a ring hetero atom, e.g. guanethidine or rifamycins having six-membered rings with one nitrogen as the only ring hetero atom
-
- A—HUMAN NECESSITIES
- A61—MEDICAL OR VETERINARY SCIENCE; HYGIENE
- A61K—PREPARATIONS FOR MEDICAL, DENTAL OR TOILETRY PURPOSES
- A61K31/00—Medicinal preparations containing organic active ingredients
- A61K31/33—Heterocyclic compounds
- A61K31/395—Heterocyclic compounds having nitrogen as a ring hetero atom, e.g. guanethidine or rifamycins
- A61K31/435—Heterocyclic compounds having nitrogen as a ring hetero atom, e.g. guanethidine or rifamycins having six-membered rings with one nitrogen as the only ring hetero atom
- A61K31/4353—Heterocyclic compounds having nitrogen as a ring hetero atom, e.g. guanethidine or rifamycins having six-membered rings with one nitrogen as the only ring hetero atom ortho- or peri-condensed with heterocyclic ring systems
- A61K31/437—Heterocyclic compounds having nitrogen as a ring hetero atom, e.g. guanethidine or rifamycins having six-membered rings with one nitrogen as the only ring hetero atom ortho- or peri-condensed with heterocyclic ring systems the heterocyclic ring system containing a five-membered ring having nitrogen as a ring hetero atom, e.g. indolizine, beta-carboline
-
- A—HUMAN NECESSITIES
- A61—MEDICAL OR VETERINARY SCIENCE; HYGIENE
- A61K—PREPARATIONS FOR MEDICAL, DENTAL OR TOILETRY PURPOSES
- A61K31/00—Medicinal preparations containing organic active ingredients
- A61K31/33—Heterocyclic compounds
- A61K31/395—Heterocyclic compounds having nitrogen as a ring hetero atom, e.g. guanethidine or rifamycins
- A61K31/435—Heterocyclic compounds having nitrogen as a ring hetero atom, e.g. guanethidine or rifamycins having six-membered rings with one nitrogen as the only ring hetero atom
- A61K31/44—Non condensed pyridines; Hydrogenated derivatives thereof
-
- A—HUMAN NECESSITIES
- A61—MEDICAL OR VETERINARY SCIENCE; HYGIENE
- A61K—PREPARATIONS FOR MEDICAL, DENTAL OR TOILETRY PURPOSES
- A61K45/00—Medicinal preparations containing active ingredients not provided for in groups A61K31/00 - A61K41/00
- A61K45/06—Mixtures of active ingredients without chemical characterisation, e.g. antiphlogistics and cardiaca
-
- A—HUMAN NECESSITIES
- A61—MEDICAL OR VETERINARY SCIENCE; HYGIENE
- A61P—SPECIFIC THERAPEUTIC ACTIVITY OF CHEMICAL COMPOUNDS OR MEDICINAL PREPARATIONS
- A61P3/00—Drugs for disorders of the metabolism
- A61P3/08—Drugs for disorders of the metabolism for glucose homeostasis
- A61P3/10—Drugs for disorders of the metabolism for glucose homeostasis for hyperglycaemia, e.g. antidiabetics
-
- C—CHEMISTRY; METALLURGY
- C07—ORGANIC CHEMISTRY
- C07C—ACYCLIC OR CARBOCYCLIC COMPOUNDS
- C07C255/00—Carboxylic acid nitriles
- C07C255/49—Carboxylic acid nitriles having cyano groups bound to carbon atoms of six-membered aromatic rings of a carbon skeleton
- C07C255/58—Carboxylic acid nitriles having cyano groups bound to carbon atoms of six-membered aromatic rings of a carbon skeleton containing cyano groups and singly-bound nitrogen atoms, not being further bound to other hetero atoms, bound to the carbon skeleton
- C07C255/59—Carboxylic acid nitriles having cyano groups bound to carbon atoms of six-membered aromatic rings of a carbon skeleton containing cyano groups and singly-bound nitrogen atoms, not being further bound to other hetero atoms, bound to the carbon skeleton the carbon skeleton being further substituted by singly-bound oxygen atoms
-
- C—CHEMISTRY; METALLURGY
- C07—ORGANIC CHEMISTRY
- C07D—HETEROCYCLIC COMPOUNDS
- C07D207/00—Heterocyclic compounds containing five-membered rings not condensed with other rings, with one nitrogen atom as the only ring hetero atom
- C07D207/02—Heterocyclic compounds containing five-membered rings not condensed with other rings, with one nitrogen atom as the only ring hetero atom with only hydrogen or carbon atoms directly attached to the ring nitrogen atom
- C07D207/30—Heterocyclic compounds containing five-membered rings not condensed with other rings, with one nitrogen atom as the only ring hetero atom with only hydrogen or carbon atoms directly attached to the ring nitrogen atom having two double bonds between ring members or between ring members and non-ring members
- C07D207/32—Heterocyclic compounds containing five-membered rings not condensed with other rings, with one nitrogen atom as the only ring hetero atom with only hydrogen or carbon atoms directly attached to the ring nitrogen atom having two double bonds between ring members or between ring members and non-ring members with only hydrogen atoms, hydrocarbon or substituted hydrocarbon radicals, directly attached to ring carbon atoms
- C07D207/33—Heterocyclic compounds containing five-membered rings not condensed with other rings, with one nitrogen atom as the only ring hetero atom with only hydrogen or carbon atoms directly attached to the ring nitrogen atom having two double bonds between ring members or between ring members and non-ring members with only hydrogen atoms, hydrocarbon or substituted hydrocarbon radicals, directly attached to ring carbon atoms with substituted hydrocarbon radicals, directly attached to ring carbon atoms
- C07D207/333—Radicals substituted by oxygen or sulfur atoms
-
- C—CHEMISTRY; METALLURGY
- C07—ORGANIC CHEMISTRY
- C07D—HETEROCYCLIC COMPOUNDS
- C07D209/00—Heterocyclic compounds containing five-membered rings, condensed with other rings, with one nitrogen atom as the only ring hetero atom
- C07D209/02—Heterocyclic compounds containing five-membered rings, condensed with other rings, with one nitrogen atom as the only ring hetero atom condensed with one carbocyclic ring
- C07D209/04—Indoles; Hydrogenated indoles
- C07D209/08—Indoles; Hydrogenated indoles with only hydrogen atoms or radicals containing only hydrogen and carbon atoms, directly attached to carbon atoms of the hetero ring
-
- C—CHEMISTRY; METALLURGY
- C07—ORGANIC CHEMISTRY
- C07D—HETEROCYCLIC COMPOUNDS
- C07D209/00—Heterocyclic compounds containing five-membered rings, condensed with other rings, with one nitrogen atom as the only ring hetero atom
- C07D209/02—Heterocyclic compounds containing five-membered rings, condensed with other rings, with one nitrogen atom as the only ring hetero atom condensed with one carbocyclic ring
- C07D209/04—Indoles; Hydrogenated indoles
- C07D209/10—Indoles; Hydrogenated indoles with substituted hydrocarbon radicals attached to carbon atoms of the hetero ring
- C07D209/12—Radicals substituted by oxygen atoms
-
- C—CHEMISTRY; METALLURGY
- C07—ORGANIC CHEMISTRY
- C07D—HETEROCYCLIC COMPOUNDS
- C07D213/00—Heterocyclic compounds containing six-membered rings, not condensed with other rings, with one nitrogen atom as the only ring hetero atom and three or more double bonds between ring members or between ring members and non-ring members
- C07D213/02—Heterocyclic compounds containing six-membered rings, not condensed with other rings, with one nitrogen atom as the only ring hetero atom and three or more double bonds between ring members or between ring members and non-ring members having three double bonds between ring members or between ring members and non-ring members
- C07D213/04—Heterocyclic compounds containing six-membered rings, not condensed with other rings, with one nitrogen atom as the only ring hetero atom and three or more double bonds between ring members or between ring members and non-ring members having three double bonds between ring members or between ring members and non-ring members having no bond between the ring nitrogen atom and a non-ring member or having only hydrogen or carbon atoms directly attached to the ring nitrogen atom
- C07D213/60—Heterocyclic compounds containing six-membered rings, not condensed with other rings, with one nitrogen atom as the only ring hetero atom and three or more double bonds between ring members or between ring members and non-ring members having three double bonds between ring members or between ring members and non-ring members having no bond between the ring nitrogen atom and a non-ring member or having only hydrogen or carbon atoms directly attached to the ring nitrogen atom with hetero atoms or with carbon atoms having three bonds to hetero atoms with at the most one bond to halogen, e.g. ester or nitrile radicals, directly attached to ring carbon atoms
- C07D213/62—Oxygen or sulfur atoms
- C07D213/63—One oxygen atom
- C07D213/64—One oxygen atom attached in position 2 or 6
-
- C—CHEMISTRY; METALLURGY
- C07—ORGANIC CHEMISTRY
- C07D—HETEROCYCLIC COMPOUNDS
- C07D221/00—Heterocyclic compounds containing six-membered rings having one nitrogen atom as the only ring hetero atom, not provided for by groups C07D211/00 - C07D219/00
- C07D221/02—Heterocyclic compounds containing six-membered rings having one nitrogen atom as the only ring hetero atom, not provided for by groups C07D211/00 - C07D219/00 condensed with carbocyclic rings or ring systems
- C07D221/04—Ortho- or peri-condensed ring systems
-
- C—CHEMISTRY; METALLURGY
- C07—ORGANIC CHEMISTRY
- C07D—HETEROCYCLIC COMPOUNDS
- C07D231/00—Heterocyclic compounds containing 1,2-diazole or hydrogenated 1,2-diazole rings
- C07D231/02—Heterocyclic compounds containing 1,2-diazole or hydrogenated 1,2-diazole rings not condensed with other rings
- C07D231/10—Heterocyclic compounds containing 1,2-diazole or hydrogenated 1,2-diazole rings not condensed with other rings having two or three double bonds between ring members or between ring members and non-ring members
- C07D231/12—Heterocyclic compounds containing 1,2-diazole or hydrogenated 1,2-diazole rings not condensed with other rings having two or three double bonds between ring members or between ring members and non-ring members with only hydrogen atoms, hydrocarbon or substituted hydrocarbon radicals, directly attached to ring carbon atoms
-
- C—CHEMISTRY; METALLURGY
- C07—ORGANIC CHEMISTRY
- C07D—HETEROCYCLIC COMPOUNDS
- C07D249/00—Heterocyclic compounds containing five-membered rings having three nitrogen atoms as the only ring hetero atoms
- C07D249/02—Heterocyclic compounds containing five-membered rings having three nitrogen atoms as the only ring hetero atoms not condensed with other rings
- C07D249/04—1,2,3-Triazoles; Hydrogenated 1,2,3-triazoles
-
- C—CHEMISTRY; METALLURGY
- C07—ORGANIC CHEMISTRY
- C07D—HETEROCYCLIC COMPOUNDS
- C07D277/00—Heterocyclic compounds containing 1,3-thiazole or hydrogenated 1,3-thiazole rings
- C07D277/02—Heterocyclic compounds containing 1,3-thiazole or hydrogenated 1,3-thiazole rings not condensed with other rings
- C07D277/20—Heterocyclic compounds containing 1,3-thiazole or hydrogenated 1,3-thiazole rings not condensed with other rings having two or three double bonds between ring members or between ring members and non-ring members
- C07D277/32—Heterocyclic compounds containing 1,3-thiazole or hydrogenated 1,3-thiazole rings not condensed with other rings having two or three double bonds between ring members or between ring members and non-ring members with hetero atoms or with carbon atoms having three bonds to hetero atoms with at the most one bond to halogen, e.g. ester or nitrile radicals, directly attached to ring carbon atoms
- C07D277/38—Nitrogen atoms
- C07D277/42—Amino or imino radicals substituted by hydrocarbon or substituted hydrocarbon radicals
-
- C—CHEMISTRY; METALLURGY
- C07—ORGANIC CHEMISTRY
- C07D—HETEROCYCLIC COMPOUNDS
- C07D333/00—Heterocyclic compounds containing five-membered rings having one sulfur atom as the only ring hetero atom
- C07D333/02—Heterocyclic compounds containing five-membered rings having one sulfur atom as the only ring hetero atom not condensed with other rings
- C07D333/04—Heterocyclic compounds containing five-membered rings having one sulfur atom as the only ring hetero atom not condensed with other rings not substituted on the ring sulphur atom
- C07D333/06—Heterocyclic compounds containing five-membered rings having one sulfur atom as the only ring hetero atom not condensed with other rings not substituted on the ring sulphur atom with only hydrogen atoms, hydrocarbon or substituted hydrocarbon radicals, directly attached to the ring carbon atoms
- C07D333/24—Radicals substituted by carbon atoms having three bonds to hetero atoms with at the most one bond to halogen, e.g. ester or nitrile radicals
-
- C—CHEMISTRY; METALLURGY
- C07—ORGANIC CHEMISTRY
- C07D—HETEROCYCLIC COMPOUNDS
- C07D417/00—Heterocyclic compounds containing two or more hetero rings, at least one ring having nitrogen and sulfur atoms as the only ring hetero atoms, not provided for by group C07D415/00
- C07D417/02—Heterocyclic compounds containing two or more hetero rings, at least one ring having nitrogen and sulfur atoms as the only ring hetero atoms, not provided for by group C07D415/00 containing two hetero rings
- C07D417/04—Heterocyclic compounds containing two or more hetero rings, at least one ring having nitrogen and sulfur atoms as the only ring hetero atoms, not provided for by group C07D415/00 containing two hetero rings directly linked by a ring-member-to-ring-member bond
-
- C—CHEMISTRY; METALLURGY
- C07—ORGANIC CHEMISTRY
- C07D—HETEROCYCLIC COMPOUNDS
- C07D471/00—Heterocyclic compounds containing nitrogen atoms as the only ring hetero atoms in the condensed system, at least one ring being a six-membered ring with one nitrogen atom, not provided for by groups C07D451/00 - C07D463/00
- C07D471/02—Heterocyclic compounds containing nitrogen atoms as the only ring hetero atoms in the condensed system, at least one ring being a six-membered ring with one nitrogen atom, not provided for by groups C07D451/00 - C07D463/00 in which the condensed system contains two hetero rings
- C07D471/04—Ortho-condensed systems
-
- C—CHEMISTRY; METALLURGY
- C07—ORGANIC CHEMISTRY
- C07C—ACYCLIC OR CARBOCYCLIC COMPOUNDS
- C07C2601/00—Systems containing only non-condensed rings
- C07C2601/02—Systems containing only non-condensed rings with a three-membered ring
-
- C—CHEMISTRY; METALLURGY
- C07—ORGANIC CHEMISTRY
- C07C—ACYCLIC OR CARBOCYCLIC COMPOUNDS
- C07C2601/00—Systems containing only non-condensed rings
- C07C2601/12—Systems containing only non-condensed rings with a six-membered ring
- C07C2601/14—The ring being saturated
-
- C—CHEMISTRY; METALLURGY
- C07—ORGANIC CHEMISTRY
- C07C—ACYCLIC OR CARBOCYCLIC COMPOUNDS
- C07C2602/00—Systems containing two condensed rings
- C07C2602/02—Systems containing two condensed rings the rings having only two atoms in common
- C07C2602/04—One of the condensed rings being a six-membered aromatic ring
- C07C2602/06—One of the condensed rings being a six-membered aromatic ring the other ring being four-membered
-
- C—CHEMISTRY; METALLURGY
- C07—ORGANIC CHEMISTRY
- C07C—ACYCLIC OR CARBOCYCLIC COMPOUNDS
- C07C2602/00—Systems containing two condensed rings
- C07C2602/02—Systems containing two condensed rings the rings having only two atoms in common
- C07C2602/04—One of the condensed rings being a six-membered aromatic ring
- C07C2602/08—One of the condensed rings being a six-membered aromatic ring the other ring being five-membered, e.g. indane
Definitions
- Diabetes mellitus is a disease derived from multiple causative factors and characterized by elevated levels of plasma glucose (hyperglycemia) in the fasting state or after administration of glucose during an oral glucose tolerance test.
- diabetes There are two generally recognized forms of diabetes.
- IDDM insulin-dependent diabetes mellitus
- IDDM insulin-dependent diabetes mellitus
- NIDDM noninsulin-dependent diabetes mellitus
- insulin is still produced in the body, however patients with Type 2 diabetes have a resistance to the effects of insulin in stimulating glucose and lipid metabolism in the insulin-sensitive muscle, liver and adipose tissues.
- Persistent or uncontrolled hyperglycemia that occurs with diabetes is associated with increased and premature morbidity and mortality.
- Abnormal glucose homeostasis is associated both directly and indirectly with obesity, hypertension, and alterations of the lipid, lipoprotein and apolipoprotein metabolism, as well as other metabolic and hemodynamic disease.
- Patients with Type 2 diabetes mellitus have a significantly increased risk of macrovascular and microvascular complications, including atherosclerosis, coronary heart disease, stroke, peripheral vascular disease, hypertension, nephropathy, neuropathy, and retinopathy. Therefore, therapeutic control of glucose homeostasis, lipid metabolism, obesity, and hypertension are critically important in the clinical management and treatment of diabetes mellitus.
- Metabolic Syndrome which is characterized as having three or more symptoms selected from the following group of five symptoms: (1) abdominal obesity; (2) hypertriglyceridemia; (3) low high-density lipoprotein cholesterol (HDL); (4) high blood pressure; and (5) elevated fasting glucose, which may be in the range characteristic of Type 2 diabetes if the patient is also diabetic (as defined in the Third Report of the National Cholesterol Education Program Expert Panel on Detection, Evaluation and Treatment of High Blood Cholesterol in Adults (Adult Treatment Panel III, or ATP III), National Institutes of Health, 2001 , NIH Publication No. 01 -3670). Patients with Metabolic Syndrome have an increased risk of developing the macrovascular and microvascular complications that occur with Type 2 diabetes, such as atherosclerosis and coronary heart disease.
- Type 2 diabetes There are several available treatments for Type 2 diabetes. Physical exercise and a reduction in dietary intake of calories often dramatically improve the diabetic condition and are the usual recommended first-line treatment of Type 2 diabetes and of pre-diabetic conditions associated with insulin resistance, however compliance with this treatment is generally very poor. Pharmacologic treatments for diabetes have largely focused on three areas of
- hepatic glucose production biguanides, such as phenformin and metformin
- insulin resistance PPAR agonists, such as rosiglitazone, troglitazone, engliazone, balaglitazone, MCC-555, netoglitazone, T-131, LY-300512, LY-818 and pioglitazone
- insulin secretion sulfonylureas, such as tolbutamide, glipizide and
- incretin hormone mimetics GLP-1 derivatives and analogs, such as exenatide, liraglutide, dulaglutide, semaglutide, lixisenatide, albiglutide and taspoglutide
- DPP-4 inhibitors such as sitagliptin, alogliptin, vildagliptin, linagliptin, denagliptin and saxagliptin.
- GPCR G-protein coupled receptors
- GPR40 agonists are capable of augmenting the release of insulin from islet cells.
- the specificity of this response is suggested by results showing that the inhibition of GPR40 activity by siRNA attenuates FA-induced amplification of GSIS.
- GPR40-mediated insulin secretion is glucose dependent, there is little or no risk of hypoglycemia.
- the limited tissue distribution of GPR40 suggests that there would be less chance for side effects associated with GPR40 activity in other tissues.
- GPR40 agonists that are active in the islets may have the potential to restore or preserve islet function. This would be highly advantageous, because long term diabetes therapy often leads to the gradual diminution of islet activity, so that after extended periods of treatment, it is often necessary to treat Type 2 diabetic patients with daily insulin injections. By restoring or preserving islet function, GPR40 agonists may delay or prevent the diminution and loss of islet function in a Type 2 diabetic patient.
- G-protein-coupled receptor 40 may be useful to treat type 2 diabetes mellitus, obesity, hypertension, dyslipidemia, cancer, and metabolic syndrome, as well as cardiovascular diseases, such as myocardial infarction and stroke, by improving glucose and lipid metabolism and by reducing body weight.
- cardiovascular diseases such as myocardial infarction and stroke, by improving glucose and lipid metabolism and by reducing body weight.
- potent GPR40 agonists that have pharmacokinetic and pharmacodynamic properties suitable for use as human pharmaceuticals.
- G-protein-coupled receptor 40 (GPR40) agonists are disclosed in: WO 2004/022551, WO 2004/041266, WO 2005/051373, WO 2005/051890, WO 2005/063729, WO 2005/086661, WO 2005/087710, WO 2006/038738, WO 2006/083612, WO 2006/083781, WO 2006/127503, WO 2007/033002, WO 2007/101368, WO 2007/106469, WO 2007/123225, WO 2007/131619, WO 2007/131620, WO 2007/131621, WO 2007/131622, WO 2007/136572, WO 2007/136573, WO 2007/213364, WO 2008/001931, WO 2008/030520, WO 2008/030618, WO 2008/054674, WO 2008/054675, WO 2008/058237; WO 2008/066097, WO 2008/130514, WO 2008/139987, WO 2009/0
- GPR40 agonists are also disclosed in Walsh et al, Bioorganic & Medicinal Chemistry Letters (201 1), 21(1 1), 3390-3394; Zhou et al, Bioorganic & Medicinal Chemistry Letters (2010), 20(3), 1298-1301; Tan et al, Diabetes (2008), 57(8), 221 1-2219; Houze et al,
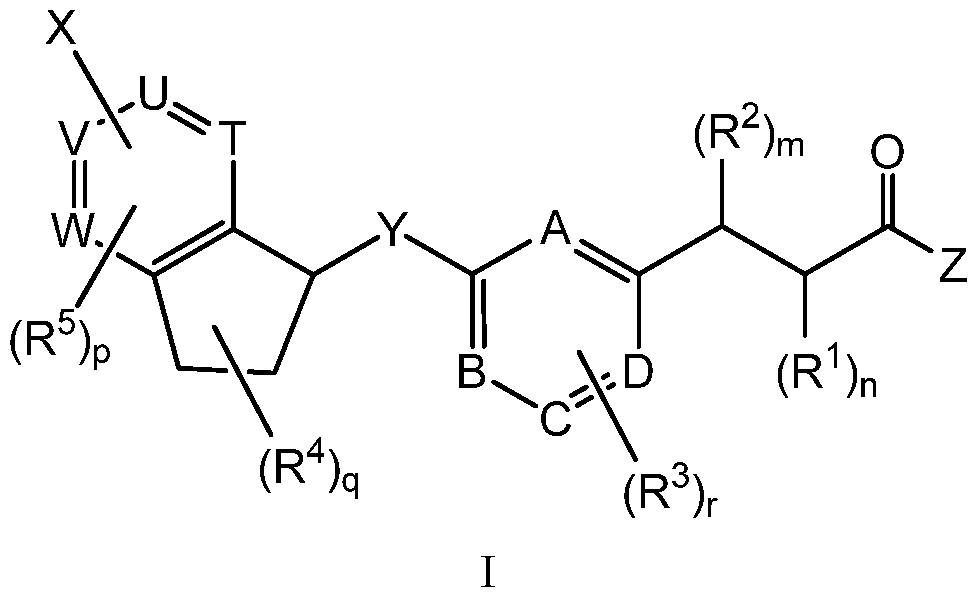
- the present invention relates to novel substituted compounds of structural formula I:
- the compounds of structural formula I, and embodiments thereof, are agonists of G-protein-coupled receptor 40 (GPR40) and may be useful in the treatment, prevention and suppression of diseases, disorders and conditions mediated by agonism of the G-protein-coupled receptor 40, such as Type 2 diabetes mellitus, insulin resistance, hyperglycemia, dyslipidemia, lipid disorders, obesity, hypertension, Metabolic Syndrome and atherosclerosis.
- GPR40 G-protein-coupled receptor 40
- the present invention also relates to pharmaceutical compositions comprising the compounds of the present invention and a pharmaceutically acceptable carrier.
- the present invention also relates to methods for the treatment, control or prevention of disorders, diseases, and conditions that may be responsive to agonism of the G-protein-coupled receptor 40 in a subject in need thereof by administering the compounds and pharmaceutical compositions of the present invention.
- the present invention also relates to the use of compounds of the present invention for manufacture of a medicament useful in treating diseases, disorders and conditions that may be responsive to the agonism of the G-protein-coupled receptor 40.
- the present invention is also concerned with treatment of these diseases, disorders and conditions by administering the compounds of the present invention in combination with a therapeutically effective amount of another agent that may be useful to treat the disease, disorder and condition.
- the invention is further concerned with processes for preparing the compounds of this invention.
- T is selected from the group consisting of:
- U is selected from the group consisting of:
- V is selected from the group consisting of:
- W is selected from the group consisting of:
- X is selected from the group consisting of:
- aryl, heteroaryl, cycloalkyl and cycloheteroalkyl are unsubstituted or substituted with one to three substituents selected from R a ;
- Y is selected from the group consisting of:
- Z is selected from the group consisting of:
- alkyl is unsubstituted or substituted with one to five substituents selected from Ci - 6alkyl;
- each R1 is independently selected from the group consisting of:
- alkyl is unsubstituted or substituted with one, two or three halogens
- each R2 is independently selected from the group consisting of:
- alkyl and cycloalkyl are unsubstituted or substituted with one, two or three halogens, and wherein cycloheteroalkyl is unsubstituted or substituted with one, two or three substituents selected from halogen, OH, and OCl-6alkyl;
- each R3 is independently selected from the group consisting of:
- alkyl is unsubstituted or substituted with one, two or three substituents selected from halogen, OH, and OC l -6alkyl;
- each R4 is independently selected from the group consisting of:
- alkyl is unsubstituted or substituted with one, two or three substituents selected from halogen, OH, and OC i-6alkyl;
- each R5 is independently selected from the group consisting of:
- each alkyl, alkenyl, cycloalkyl, cycloalkenyl, cycloheteroalkyl, aryl and heteroaryl is unsubstituted or substitued with one, two, three, four, five or six substituents selected from Rb; each R a is independently selected from the group consisting of:
- each alkyl, cycloalkyl, cycloalkenyl, cycloheteroalkyl, aryl and heteroaryl is unsubstituted or substitued with -Cl-6alkyl, halogen, -0-Cl-6alkyl and -CF3;
- each Rb is independently selected from the group consisting of:
- each CH, CH2, alkyl, alkenyl, cycloalkyl, cycloheteroalkyl, aryl and heteroaryl is unsubstituted or substitued with -C loalkyl, halogen, -OC loalkyl and -CF3;
- each R c is independently selected from the group consisting of:
- each alkyl, cycloalkyl, cycloheteroalkyl, aryl and heteroaryl is unsubstituted or substituted with one to three substituents selected from Ci-6alkyl;
- each R ⁇ is independently selected from the group consisting of:
- each alkyl, cycloalkyl, cycloheteroalkyl, aryl and heteroaiyl is unsubstituted or substituted with one to three substituents selected from Ci _6alkyl;
- each R e is independently selected from the group consisting of:
- each alkyl, cycloalkyl, cycloheteroalkyl, aryl and heteroaryl is unsubstituted or substituted with one to three substituents selected from Ci -6alkyl;
- each Rf is independently selected from the group consisting of:
- each Rg is independently selected from the group consisting of:
- each Rh is independently selected from the group consisting of:
- heteroaryl and aryl are unsubstituted or substituted with one to four substituents selected from Ci-6alkyl;
- each R 1 is independently selected from the group consisting of:
- heteroaryl wherein each alkyl, cycloalkyl, cycloheteroalkyl, aryl and heteroaryl is unsubstituted or substituted with one to three substituents selected from Cl-6alkyl;
- each RJ is independently selected from the group consisting of:
- each alkyl, cycloalkyl, cycloheteroalkyl, aryl and heteroaryl is unsubstituted or substituted with one to three substituents selected from Cl-6alkyl;
- each Rk is independently selected from the group consisting of:
- each alkyl, cycloalkyl, cycloheteroalkyl, aryl and heteroaryl is unsubstituted or substituted with one to three substituents selected from Cl-6alkyl;
- each n is independently selected from: 1 and 2;
- each m is independently selected from: 1 and 2;
- each p is independently selected from: 1, 2, 3 and 4;
- each q is independently selected from: 1, 2, 3 and 4;
- each r is independently selected from: 1, 2, 3 and 4;
- each s is independently selected from: 0, 1, 2, 3 and 4;
- each t is independently selected from: 0, 1, 2, 3 and 4;
- each u is independently selected from: 0, 1, 2, 3, and 4;
- each v is independently selected from: 0, 1, 2, 3 and 4.
- the invention has numerous embodiments, which are summarized below.
- the invention includes the compounds as shown, and also includes individual diastereoisomers, enantiomers, and epimers of the compounds, and mixtures of diastereoisomers and/or enantiomers thereof including racemic mixtures.
- A is selected from the group consisting of: CH, N and N-oxide. In a class of this embodiment, A is selected from the group consisting of: CH and N. In another class of this embodiment, A is CH. In another class of this embodiment, A is N or N-oxide. In another class of this embodiment, A is N. In another class of this embodiment, A is N-oxide.
- B is selected from the group consisting of: CH, N and N-oxide. In a class of this embodiment, B is selected from the group consisting of: CH and N. In another class of this embodiment, B is CH. In another class of this embodiment, B is N or N-oxide. In another class of this embodiment, B is N. In another class of this embodiment, B is N-oxide.
- C is selected from the group consisting of: CH, N and N-oxide. In a class of this embodiment, C is selected from the group consisting of CH and N. In another class of this embodiment, C is CH. In another class of this embodiment, C is N or N-oxide. In another class of this embodiment, C is N. In another class of this embodiment, C is N-oxide.
- D is selected from the group consisting of: CH, N and N-oxide. In a class of this embodiment, D is selected from the group consisting of: CH and N. In another class of this embodiment, D is CH. In another class of this embodiment, D is N or N-oxide. In another class of this embodiment, D is N. In another class of this embodiment, D is N-oxide.
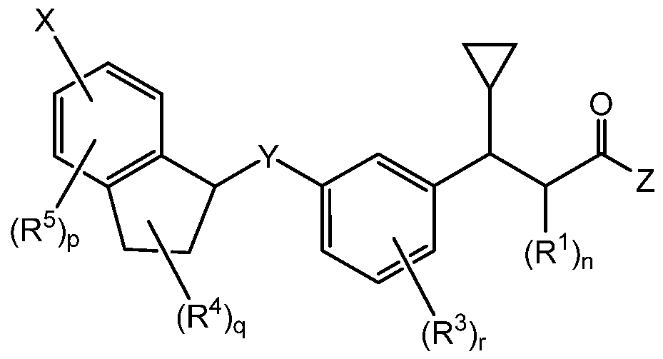
- A, B, C and D are CH.
- A, B, C and D are selected from the group consisting of: CH, N, and N-oxide, provided no more than two of A, B, C and D are selected from N and N-oxide.
- A, B, C and D are selected from the group consisting of: CH and N, provided that no more than two of A, B, C and D are N.
- A, B, C and D are selected from the group consisting of: CH, N, and N-oxide, provided that one of A, B, C and D is selected from N and N-oxide.
- A, B, C and D are selected from the group consisting of: CH and N, provided that one of A, B, C and D is N.
- A, B, C and D are selected from the group consisting of: CH, N, and N-oxide, provided that two of A, B, C and D are selected from N and N-oxide.
- A, B, C and D are selected from the group consisting of: CH and N, provided that two of A, B, C and D are N.
- T is selected from the group consisting of: CH, N and N-oxide. In a class of this embodiment, T is selected from the group consisting of: CH and N. In another class of this embodiment, T is CH. In another class of this embodiment, T is N or N-oxide. In another class of this embodiment, T is N. In another class of this embodiment, T is N-oxide. In another embodiment of the present invention, U is selected from the group consisting of: CH, N and N-oxide. In a class of this embodiment, U is selected from the group consisting of: CH and N. In another class of this embodiment, U is CH. In another class of this embodiment, U is N or N-oxide. In another class of this embodiment, U is N. In another class of this embodiment, U is N-oxide.
- V is selected from the group consisting of: CH, N and N-oxide. In a class of this embodiment, V is selected from the group consisting of: CH and N. In another class of this embodiment, V is CH. In another class of this embodiment, V is N or N-oxide. In another class of this embodiment, V is N. In another class of this embodiment, V is N-oxide.
- W is selected from the group consisting of: CH, N and N-oxide. In a class of this embodiment, W is selected from the group consisting of: CH and N. In another class of this embodiment, W is CH. In another class of this embodiment, W is N or N-oxide. In another class of this embodiment, W is N. In another class of this embodiment, W is N-oxide.
- T is CH, N or N-oxide
- U is CH, N or N- oxide
- V is CH, N or N-oxide
- W is CH, N or N-oxide, provided that no more than one of T, U, V and W is N or N-oxide.
- T is CH or N; U is CH or N; V is CH or N; and W is CH or N, provided no more than one of T, U, V and W is N.
- T is CH, N or N-oxide
- U is CH, N or N- oxide
- V is CH
- W is CH, N or N-oxide, provided that no more than one of T, U and W is N or N-oxide.
- T is CH or N; U is CH or N; V is CH; and W is CH or N, provided no more than one of T, U and W is N.
- T is CH, N or N-oxide
- U is CH, N or N- oxide
- V is CH, N or N-oxide
- W is CH, N or N-oxide, provided that two of T, U, V and W are N or N-oxide.
- T is CH or N; U is CH or N; V is CH or N; and W is CH or N, provided that two of T, U, V and W are N.
- T is CH, N or N-oxide
- U is CH, N or N- oxide
- V is CH, N or N-oxide
- W is CH, N or N-oxide, provided that one of T, U, V and W is N or N-oxide.
- T is CH or N; U is CH or N; V is CH or N; and W is CH or N, provided that one of T, U, V and W is N.
- T is CH; U is CH, N or N-oxide; V is CH; and W is CH, N or N-oxide, provided that one or two of U and W are N or N-oxide.
- T is CH; U is CH or N; V is CH; and W is CH or N; provided that one or two of U and W are N or N-oxide.
- T is CH; U is CH, N or N-oxide; V is CH; and W is CH, N or N-oxide, provided that one of U and W is N or N-oxide.
- T is CH; U is CH or N; V is CH; and W is CH or N; provided that one of U and W is N or N-oxide.
- T is CH; U is CH or N; V is CH; and W is CH or N; provided that two of U and W is N or N-oxide.
- T is N or N-oxide
- U is CH
- V is CH
- W is CH
- T is N
- U is CH
- V is CH
- W is CH
- T is CH
- U is N or N-oxide
- V is CH
- W is CH
- T is CH
- U is N
- V is CH
- W is CH
- T is CH
- U is CH
- V is N or N-oxide
- W is CH.
- T is CH
- U is CH
- V is N
- W is CH.
- T is CH, U is CH, V is CH, and W is N or N-oxide.
- T is CH, U is CH, V is CH, and W is N.
- T is CH, N or N-oxide; U is CH, N or N-oxide; V is CH; and W is CH, N or N-oxide; provided that one or two of T, U and W are N or N-oxide.
- T is CH or N; U is CH or N; V is CH; and W is CH or N; provided that one or two of T, U and W are N or N-oxide.
- T is CH, N or N-oxide; U is CH, N or N-oxide; V is CH; and W is CH, N or N-oxide; provided that one of T, U and W is N or N- oxide.
- T is CH or N; U is CH or N; V is CH; and W is CH or N; provided that one of T, U and W is N or N-oxide.
- T is CH, N or N-oxide; U is CH, N or N-oxide; V is CH; and W is CH, N or N-oxide; provided that two of T, U and W are N or N- oxide.
- T is CH or N; U is CH or N; V is CH; and W is CH or N; provided that two of T, U and W are N or N-oxide.
- T is N
- U is N
- V is CH
- W is CH
- T is N
- U is CH
- V is N
- W is CH
- T is N
- U is CH
- V is CH
- W is N
- T is CH, U is N, V is CH, and W is N.
- T is CH, U is N, V is N, and W is CH.
- T is CH
- U is CH
- V is N
- W is N
- X is selected from the group consisting of: aryl, heteroaryl, -C3-6-cycloalkyl, and -C2-6-cycloheteroalkyl, wherein aryl, heteroaryl, cycloalkyl and cycloheteroalkyl are unsubstituted or substituted with one to three substituents selected from R a .
- X is selected from the group consisting of: aryl, and heteroaryl, wherein aryl and heteroaryl are unsubstituted or substituted with one to three substituents selected from RA
- X is selected from the group consisting of: phenyl and pyridyl, wherein phenyl and pyridyl are unsubstituted or substituted with one to three substituents selected from Ra.
- X is selected from the group consisting of: aryl and heteroaryl, wherein aryl and heteroaryl are substituted with one to three substituents selected from R a .
- X is selected from the group consisting of: phenyl and pyridyl, wherein phenyl and pyridyl are substituted with one to three substituents selected from R a .
- X is selected from the group consisting of: aryl and heteroaryl, wherein aryl and heteroaryl are substituted with two substituents selected from R a .
- X is selected from the group consisting of: phenyl and pyridyl, wherein phenyl and pyridyl are substituted with two substituents selected from R a .
- X is aryl, wherein aryl is unsubstituted or substituted with one to three substituents selected from R a .
- X is phenyl, wherein phenyl is unsubstituted or substituted with one to three substituents selected from R a .
- X is aryl, wherein aryl is substituted with one to three substituents selected from R a .
- X is phenyl, wherein phenyl is substituted with one to three substituents selected from R a .
- X is aryl, wherein aryl is substituted with two substituents selected from R a .
- X is phenyl, wherein phenyl is substituted with two substituents selected from R a .
- X is heteroaryl, wherein heteroaryl is unsubstituted or substituted with one to three substituents selected from R a .
- X is pyridyl, wherein pyridyl is unsubstituted or substituted with one to three substituents selected from R a .
- X is heteroaryl, wherein heteroaryl is substituted with one to three substituents selected from R a .
- X is pyridyl, wherein pyridyl is substituted with one to three substituents selected from R a .
- X is heteroaryl, wherein heteroaryl is substituted with two substituents selected from Ra.
- X is pyridyl, wherein pyridyl is substituted with two substituents selected from R a .
- Y is selected from the group consisting of: oxygen, NRf, sulfur, -CRgRg, -C(O), and -CF2.
- Y is selected from the group consisting of: oxygen, Rf and sulfur. In another embodiment of the present invention, Y is selected from the group consisting of: oxygen, and sulfur. In another embodiment of the present invention, Y is selected from the group consisting of: oxygen, and NRf.
- Y is oxygen
- Y is selected from the group consisting of: -CRgRg, -C(O), and -CF2.
- Z is selected from the group consisting of: -OH, -O-Ci -6alkyl, and -NHRh, wherein alkyl is unsubstituted or substituted with one to five substituents selected from Ci-6alkyl.
- Z is selected from the group consisting of: -OH, and -0-Ci-6alkyl, wherein alkyl is unsubstituted or substituted with one to five substituents selected from Ci-6alkyl.
- Z is selected from the group consisting of: -OH, and -0-Ci-6alkyl.
- Z is -0-Cl-6alkyl, wherein alkyl is unsubstituted or substituted with one to five substituents selected from Ci-6alkyl.
- Z is -0-Cl-6alkyl.
- Z is -OH.
- each Rl is independently selected from the group consisting of: hydrogen, halogen, -(CH2)s-OCi-6alkyl, -(CH2)s-OH, -CN, and -Ci- 6alkyl, wherein alkyl is unsubstituted or substituted with one, two or three halogens.
- each Rl is independently selected from the group consisting of: hydrogen, and -Ci-6alkyl, wherein alkyl is unsubstituted or substituted with one, two or three halogens.
- each Rl is independently selected from the group consisting of: hydrogen, and -Ci-6alkyl.
- each Rl is independently selected from the group consisting of: hydrogen, and - CH3.
- Rl is hydrogen.
- Rl is -Ci-6alkyl, wherein alkyl is unsubstituted or substituted with one, two or three halogens.
- Rl is -CH3.
- each R2 is independently selected from the group consisting of: -(CH2)s-0-Cl-6alkyl, -Cl-6alkyl,-C3-6cycloalkyl,and -C2- 4cycloheteroalkyl, wherein alkyl and cycloalkyl are unsubstituted or substituted with one, two or three halogens, and wherein cycloheteroalkyl is unsubstituted or substituted with one, two or three substituents selected from halogen, OH, and OCi -6alkyl.
- each R2 is independently selected from the group consisting of: -Cl-6alkyl, and -C3-6cycloalkyl, wherein alkyl and cycloalkyl are unsubstituted or substituted with one, two or three halogens.
- R2 is -C3-6cycloalkyl, wherein cycloalkyl is unsubstituted or substituted with one, two or three halogens.
- R2 is cyclopropyl, wherein cyclopropyl is unsubstituted or substituted with one, two or three halogens.
- R2 is cyclopropyl.
- each R3 is independently selected from the group consisting of: hydrogen, halogen, -(CH2)s-OCl-6alkyl, -(CH2)s-OH, -CN, and -Cl- 6alkyl, wherein alkyl is unsubstituted or substituted with one, two or three substituents selected from halogen, OH, and OCi-6alkyl.
- each R3 is independently selected from the group consisting of: hydrogen, halogen, and -Cl-6alkyl, wherein alkyl is unsubstituted or substituted with one, two or three substituents selected from halogen, OH, and OCi-6alkyl.
- each PS is independently selected from the group consisting of: hydrogen, and halogen.
- each PS is independently selected from the group consisting of: hydrogen, CI and F.
- each R3 is independently is selected from the group consisting of: hydrogen and F.
- each R4 is independently selected from the group consisting of: hydrogen, halogen and -Ci-6alkyl, wherein alkyl is unsubstituted or substituted with one, two or three substituents selected from halogen, OH, and OCl-6alkyl.
- each R4 is independently selected from the group consisting of: hydrogen, and -Ci-6alkyl, wherein alkyl is unsubstituted or substituted with one, two or three substituents selected from halogen, OH, and OCi-6alkyl.
- each R4 is independently selected from the group consisting of: hydrogen, and - Ci-6alkyl.
- R4 is hydrogen.
- each R ⁇ is independently selected from the group consisting of: hydrogen, -Cl-6alkyl, -Cl-6alkenyl, halogen, -(CH2)t-0-Cl-6alkyl, - S(0) t Ri, -S(0) t NRjRk, -CN, -CF3, -OCF3, -OCHF2, aryl, heteroaryl, -C3-6cycloalkyl, -C3- 6cycloalkenyl and -C2-5cycloheteroalkyl, wherein each alkyl, alkenyl, cycloalkyl, cycloalkenyl, cycloheteroalkyl, aryl and heteroaryl is unsubstituted or substitued with one, two, three, four, five or six substituents selected from Rb.
- each is independently selected from the group consisting of: hydrogen, -Cl-6alkyl, -Cl-6alkenyl, halogen, -(CH2)t-0-Cl-6alkyl, - S(0) t Ri, -S(0) t NRjRk, -CN, -CF3, -OCF3, -OCHF2, aryl, heteroaryl, -C3-6cycloalkyl, -C3- 6cycloalkenyl, and -C2-5cycloheteroalkyl, wherein each alkyl, alkenyl, cycloalkyl, cycloalkenyl, cycloheteroalkyl, aryl and heteroaryl is unsubstituted or substitued with one, two, three or four substituents selected from Rb.
- each R ⁇ is independently selected from the group consisting of: hydrogen, -Ci-6alkyl, -Ci-6alkenyl, halogen, -(CH2)t-0-Ci-6alkyl, - CN, aryl, heteroaryl, and -C3-6cycloalkyl, wherein each alkyl, alkenyl, cycloalkyl, aryl and heteroaryl is unsubstituted or substitued with one, two, or three substituents selected from Rb.
- each R ⁇ is independently selected from the group consisting of: hydrogen, -Ci-6alkenyl, halogen, -(CH2)t-0-Ci-6alkyl, -CN, aryl, heteroaryl, and -C3-6cycloalkyl, wherein each alkyl, alkenyl, cycloalkyl, aryl and heteroaryl is unsubstituted or substitued with one, two, or three substituents selected from Rb.
- each R ⁇ is independently selected from the group consisting of: hydrogen, halogen and heteroaryl, wherein each heteroaryl is unsubstituted or substitued with one, two, or three substituents selected from Rb.
- each R ⁇ is independently selected from the group consisting of: hydrogen, CI, F, pyridine, pyrazole, thiazole, thiophene, pyrrole, triazole, indole, and indazole, wherein each heteroaryl is unsubstituted or substitued with one, two, or three substituents selected from Rb.
- each R ⁇ is independently selected from the group consisting of: hydrogen, CI, F, pyrazole, thiazole, thiophene, pyrrole, triazole, indole, and indazole, wherein each heteroaryl is unsubstituted or substitued with one, two, or three substituents selected from Rb.
- each R5 is independently selected from the group consisting of: hydrogen, F and indole, wherein each indole is unsubstituted or substitued with one, two, or three substituents selected from Rb.
- each R a is independently selected from the group consisting of: -Cl-6alkyl, halogen, -(CH2) u -OCl-6alkyl, -OH, -S(0) u R e , - S(0) u NRCRd -CN, -C(0)NRCRd -CF3, -OCF3, -OCHF2, aryl, heteroaryl, -C3-6cycloalkyl, - C3-6cycloalkenyl, and -C2-5cycloheteroalkyl, wherein each alkyl, cycloalkyl, cycloalkenyl, cycloheteroalkyl, aryl and heteroaryl is unsubstituted or substitued with -Ci -6alkyl, halogen, -O- Ci-6alkyl and -CF3.
- each R a is independently selected from the group consisting of: -Cl-6alkyl, halogen, -(CH2)u-OCl-6alkyl, -OH, - S(0) u Re, -S(0) u NRCRd -CN, -C(0)NRCRd -CF3, -OCF3, and -OCHF2, wherein each alkyl is unsubstituted or substitued with -Cl-6alkyl, halogen, -0-Cl-6alkyl and -CF3.
- each R a is independently selected from the group consisting of: -Cl-6alkyl, halogen, -(CH2) u -OCl-6alkyl, -OH, -CN, -C(0)NRCRd -CF3, - OCF3, and -OCHF2, wherein each alkyl is unsubstituted or substitued with -Ci -6alkyl, halogen, -0-Ci-6alkyl and -CF3.
- each R a is independently selected from the group consisting of: -Cl-6alkyl, halogen, -(CH2) u -OCl-6alkyl, -OH, -CN, -C(0)NRCRd -CF3, - OCF3, and -OCHF2, wherein each alkyl is unsubstituted or substitued with -Ci -6alkyl, halogen, -0-Ci-6alkyl and -CF3.
- each R a is
- each alkyl is unsubstituted or substitued with -Cl-6alkyl, halogen, -0-Cl-6alkyl and -CF3.
- each R a is independently selected from the group consisting of: halogen, -(CH2)u-OCi-6alkyl, and -OH, wherein each alkyl is unsubstituted or substitued with -Cl-6alkyl, halogen, -0-Cl-6alkyl and - CF3.
- each R a is independently selected from the group consisting of: halogen, -OCi-6alkyl, and -OH, wherein each alkyl is unsubstituted or substitued with -Ci - 6alkyl, halogen, -0-Ci -6alkyl and -CF3.
- each R a is independently selected from the group consisting of: F, CI, -OCH3 and -OH.
- each R a is independently selected from the group consisting of: halogen, and -OCi-6alkyl, wherein each alkyl is unsubstituted or substitued with -Ci -6alkyl, halogen, -0-Ci-6alkyl and -CF3.
- each R a is independently selected from the group consisting of: halogen and -OCi-6alkyl.
- each R a is independently selected from the group consisting of: F, CI and -OCH3.
- each R a is independently selected from the group consisting of: F and -OCH3.
- each Rb is independently selected from the group consisting of: -Cl-l()alkyl, -C2-10alkenyl, -CF3, halogen, -CN, -OH, -OCl-lOalkyl, -OC2-10alkenyl, -0(CH2)vOCi-i()alkyl, -0(CH2)vC3-6cycloalkyl, -0(CH2)vC3-6 cycloalkyl- Ci-ioalkyl, -0(CH2)vC2-5cycloheteroalkyl, -0(CH2)vC2-5cycloheteroalkyl-Ci-ioalkyl, -O- aryl, -O-heteroaryl, -O-aryl-Ci-ioalkyl, -O-heteroaryl-Ci-ioalkyl, -O-heteroaryl-Ci-ioalkyl, -0(CH2)vNRc
- each CH, CH2, alkyl, alkenyl, cycloalkyl, cycloheteroalkyl, aryl and heteroaryl is unsubstituted or substitued with -Cl-6alkyl, halogen, -0-Cl-6alkyl and -CF3.
- each Rb is independently selected from the group consisting of: -Cl-lOalkyl, -C2-10alkenyl, -CF3, halogen, -CN, -OH, -OCl-lOalkyl, - OC2-10alkenyl, -0(CH2)vNRcS(0) m R e , -0(CH2)vS(0) m R e , -0(CH2)vS(0) m NRCRd, - 0(CH2)vNRCRd, -C(0)Re -OC(0)Re j -C02R e , -C(0)NRCRd, -NRCC(0)Re, -NRCC(0)ORe, - NRCC(0)NRCRd -0(CH2)vO-C3-6cycloalkyl, -0(CH2)vO-C2-5cycloheteroalkyl, -OCF3, - OCHF2, -(CH2)vC3-6cycloal
- each Rb is independently selected from the group consisting of: -Cl-lOalkyl, -C2-10alkenyl, -CF3, halogen, -CN, -OH, -OCi-ioalkyl, -OC2-10alkenyl, -0(CH2)vNRcS(0) m R e , -0(CH2)vS(0) m R e , - 0(CH2)vS(0) m NRCRd, -0(CH2)vNRCRd -C(0)Re -OC(0)Re -C02R e , -C(0)NRCRd, - NRcC(0)Re, -NRcC(0)ORe, -NRcC(0)NRCRd, -OCF3, -OCHF2, -(CH2)vC3-6cycloalkyl and -(CH2)vC2-5cycloheteroalkyl, wherein each CH, CH2, alkyl, alkenyl, cycl
- each Rb is independently selected from the group consisting of: -Cl-lOalkyl, -C2-10alkenyl, -CF3, halogen, -CN, -OH, -OCl-lOalkyl, - OC2-10alkenyl, -C(0)Re j -OC(0)Re j -C02R e , -C(0)NRCRd -NRCC(0)Re, -NRCC(0)ORe, - NRCC(0)NRCRd -OCF3, -OCHF2, -(CH2)vC3-6cycloalkyl, and -(CH2)vC2- 5 cycloheteroalkyl, wherein each CH2, alkyl, alkenyl, cycloalkyl, and cycloheteroalkyl is unsubstituted or substitued with -Ci-6alkyl, halogen, -0-Ci-6alkyl and -CF3.
- each Rb is independently selected from the group consisting of: -Ci-ioalkyl, -C2-10alkenyl, -CF3, halogen, -CN, -OH, -OCi-ioalkyl, -C02R e , - (CH2)vC3-6cycloalkyl and -(CH2)vC2-5cycloheteroalkyl, wherein each CH2, alkyl, alkenyl, cycloalkyl and cycloheteroalkyl is unsubstituted or substitued with -Ci-6alkyl, halogen, -O-Ci- 6alkyl and -CF3.
- each Rb is independently selected from the group consisting of: -Cl-l()alkyl, -CF3, halogen, -OH, -OCl-lOalkyl, -C02R e , -(CH2)vC3- 6cycloalkyl and -(CH2)vC2-5cycloheteroalkyl, wherein each CH2, alkyl, cycloalkyl and cycloheteroalkyl is unsubstituted or substitued with -Ci-6alkyl, halogen, -0-Ci-6alkyl and - CF3.
- each Rb is independently selected from the group consisting of: -Cl-lOalkyl, -CF3, halogen, -OH, -OCl-lOalkyl, -C02R e , -C3- 6cycloalkyl and -C2-5cycloheteroalkyl, wherein each alkyl, cycloalkyl, and cycloheteroalkyl is unsubstituted or substitued with -Ci-6alkyl, halogen, -0-Ci-6alkyl and -CF3.
- each Rb is independently selected from the group consisting of: -CH3, -CH(CH3)2, -C(CH3)3, -CF3, F, -OH, -OCH3, -C02C(CH3)3, cyclohexane and pyrrolidine, wherein each alkyl, cycloalkyl, and cycloheteroalkyl is unsubstituted or substitued with -Cl-6alkyl, halogen, - 0-Ci-6alkyl and -CF3.
- Rb is -Ci-ioalkyl, wherein each alkyl is unsubstituted or substitued with -Cl-6alkyl, halogen, -0-Cl-6alkyl and - CF3.
- Rb is -Ci-ioalkyl.
- each Rb is independently selected from the group consisting of: -CH3, -CH(CH3)2 and - C(CH 3 )3.
- each R c is independently selected from the group consisting of: hydrogen, Ci-ioalkyl, C3-6cycloalkyl, C2-5cycloheteroalkyl, aryl, and heteroaryl, wherein each alkyl, cycloalkyl, cycloheteroalkyl, aryl and heteroaryl is unsubstituted or substituted with one to three substituents selected from Cl-6alkyl;
- each R c is independently selected from the group consisting of: hydrogen and Cl-lOalkyl, wherein each alkyl is unsubstituted or substituted with one to three substituents selected from Ci-6alkyl.
- R c is hydrogen.
- R c is Ci-ioalkyl, wherein each alkyl is unsubstituted or substituted with one to three substituents selected from Cl-6alkyl.
- each R ⁇ is independently selected from the group consisting of: hydrogen, Ci-ioalkyl, C3-6cycloalkyl, C2-5cycloheteroalkyl, aryl, and heteroaryl, wherein each alkyl, cycloalkyl, cycloheteroalkyl, aryl and heteroaryl is unsubstituted or substituted with one to three substituents selected from Ci-6alkyl.
- each R ⁇ is independently selected from the group consisting of: hydrogen and Ci-ioalkyl, wherein each alkyl is unsubstituted or substituted with one to three substituents selected from Cl-6alkyl.
- R ⁇ is hydrogen.
- Rd is Ci-ioalkyl, wherein each alkyl is unsubstituted or substituted with one to three substituents selected from Ci-6alkyl.
- each R e is independently selected from the group consisting of: hydrogen, Ci-iQalkyl, C3-6cycloalkyl, C2-5cycloheteroalkyl, aryl, and heteroaryl, wherein each alkyl, cycloalkyl, cycloheteroalkyl, aryl and heteroaryl is unsubstituted or substituted with one to three substituents selected from Cl-6alkyl.
- each R e is independently selected from the group consisting of: hydrogen and Ci-ioalkyl, wherein each alkyl is unsubstituted or substituted with one to three substituents selected from Ci-6alkyl.
- R e is hydrogen.
- R e is Ci-ioalkyl, wherein each alkyl is unsubstituted or substituted with one to three substituents selected from Cl-6alkyl.
- R e is Ci-ioalkyl.
- R e is -C(CH3)3.
- Rf is independently selected from the group consisting of: hydrogen, Cl-6alkyl, and C3-6cycloalkyl. In another embodiment of the present invention, each Rf is independently selected from the group consisting of: hydrogen and Cl-6alkyl. In a class of this embodiment, Rf is hydrogen. In another class of this embodiment, R f is Ci-6alkyl.
- each Rg is independently selected from the group consisting of: hydrogen, halogen, Cl-6alkyl, and C3-6cycloalkyl.
- each R ⁇ is independently selected from the group consisting of: hydrogen, halogen and Ci-6alkyl.
- each R ⁇ is independently selected from the group consisting of: hydrogen and Ci- 6alkyl.
- R ⁇ is hydrogen.
- R ⁇ is Cl-6alkyl.
- each Rh is independently selected from the group consisting of: heteroaryl and aryl, wherein heteroaryl and aryl are unsubstituted or substituted with one to four substituents selected from Ci-6alkyl.
- Rh is heteroaryl, wherein heteroaryl is unsubstituted or substituted with one to four substituents selected from Ci-6alkyl.
- Rh is aryl, wherein aryl is unsubstituted or substituted with one to four substituents selected from Ci- 6alkyl.
- each R 1 is independently selected from the group consisting of: hydrogen, Cl-lOalkyl, C3-6cycloalkyl, C2-5cycloheteroalkyl, aryl, and heteroaryl, wherein each alkyl, cycloalkyl, cycloheteroalkyl, aryl and heteroaryl is unsubstituted or substituted with one to three substituents selected from Cl-6alkyl.
- each R 1 is independently selected from the group consisting of: hydrogen and Ci-ioalkyl, wherein each alkyl is unsubstituted or substituted with one to three substituents selected from Cl-6alkyl.
- R 1 is hydrogen.
- R 1 is Ci-ioalkyl, wherein each alkyl is unsubstituted or substituted with one to three substituents selected from Ci-6alkyl.
- each RJ is independently selected from the group consisting of: hydrogen, Cl-l()alkyl, C3-6cycloalkyl, C2-5cycloheteroalkyl, aryl, and heteroaryl, wherein each alkyl, cycloalkyl, cycloheteroalkyl, aryl and heteroaryl is unsubstituted or substituted with one to three substituents selected from Ci-6alkyl.
- each RJ is independently selected from the group consisting of: hydrogen and Cl-lOalkyl, wherein each alkyl is unsubstituted or substituted with one to three substituents selected from Cl-6alkyl.
- RJ is hydrogen.
- RJ is Ci-ioalkyl, wherein each alkyl is unsubstituted or substituted with one to three substituents selected from Cl-6alkyl.
- each R ⁇ is independently selected from the group consisting of: hydrogen, Cl-l()alkyl, C3-6cycloalkyl, C2-5cycloheteroalkyl, aryl, and heteroaryl, wherein each alkyl, cycloalkyl, cycloheteroalkyl, aryl and heteroaryl is unsubstituted or substituted with one to three substituents selected from Cl-6alkyl.
- each R ⁇ is independently selected from the group consisting of: hydrogen and Ci-ioalkyl, wherein each alkyl is unsubstituted or substituted with one to three substituents selected from Cl-6alkyl.
- Rk is hydrogen.
- R ⁇ is Ci-ioalkyl, wherein each alkyl is unsubstituted or substituted with one to three substituents selected from Ci-6alkyl.
- n is 1 or 2. In another class of this embodiment, n is 1. In another class of this embodiment, n is 2.
- n is 1 or 2. In another class of this embodiment, m is 1. In another class of this embodiment, m is 2.
- p is 1, 2, 3 or 4. In a class of this embodiment, p is 1, 2 or 3. In a class of this embodiment, p is 1 or 3. In a class of this embodiment, p is 1 or 2. In another class of this embodiment, p is 1. In another class of this embodiment, p is 2. In another class of this embodiment, p is 3. In another class of this embodiment, p is 4.
- q is 1, 2, 3 or 4. In a class of this embodiment, q is 1, 2 or 3. In a class of this embodiment, q is 1 or 3. In a class of this embodiment, q is 1 or 2. In another class of this embodiment, q is 1. In another class of this embodiment, q is 2. In another class of this embodiment, q is 3. In another class of this embodiment, q is 4.
- r is 1, 2, 3 or 4. In a class of this embodiment, r is 1, 2 or 3. In a class of this embodiment, r is 1 or 3. In a class of this embodiment, r is 1 or 2. In another class of this embodiment, r is 1. In another class of this embodiment, r is 2. In another class of this embodiment, r is 3. In another class of this embodiment, r is 4. In another embodiment of the present invention, s is 0, 1, 2, 3 or 4. In a class of this embodiment, s is 0, 1, 2 or 3. In a class of this embodiment, s is 0, 1 or 2. In another embodiment of the present invention, s is 1, 2, 3 or 4. In a class of this embodiment, s is 1, 2 or 3.
- s is 1 or 3. In a class of this embodiment, s is 1 or 2. In another class of this embodiment, s is 0 or 1. In another class of this embodiment, s is 0 or 2. In another class of this embodiment, s is 0. In another class of this embodiment, s is 1. In another class of this embodiment, s is 2. In another class of this embodiment, s is 3. In another class of this embodiment, s is 4.
- t is 0, 1, 2, 3 or 4. In a class of this embodiment, t is 0, 1, 2 or 3. In a class of this embodiment, t is 0, 1 or 2. In another embodiment of the present invention, t is 1, 2, 3 or 4. In a class of this embodiment, t is 1, 2 or 3. In a class of this embodiment, t is 1 or 3. In a class of this embodiment, t is 1 or 2. In another class of this embodiment, t is 0 or 1. In another class of this embodiment, t is 0 or 2. In another class of this embodiment, t is 0. In another class of this embodiment, t is 1. In another class of this embodiment, t is 2. In another class of this embodiment, t is 3. In another class of this embodiment, t is 4.
- u is 0, 1, 2, 3 or 4. In a class of this embodiment, u is 0, 1, 2 or 3. In a class of this embodiment, u is 0, 1 or 2. In another embodiment of the present invention, u is 1, 2, 3 or 4. In a class of this embodiment, u is 1, 2 or 3. In a class of this embodiment, u is 1 or 3. In a class of this embodiment, u is 1 or 2. In another class of this embodiment, u is 0 or 1. In another class of this embodiment, u is 0 or 2. In another class of this embodiment, u is 0. In another class of this embodiment, u is 1. In another class of this embodiment, u is 2. In another class of this embodiment, u is 3. In another class of this embodiment, u is 4.
- v is 0, 1, 2, 3 or 4. In a class of this embodiment, v is 0, 1, 2 or 3. In a class of this embodiment, v is 0, 1 or 2. In another embodiment of the present invention, v is 1, 2, 3 or 4. In a class of this embodiment, v is 1, 2 or 3. In a class of this embodiment, v is 1 or 3. In a class of this embodiment, v is 1 or 2. In another class of this embodiment, v is 0 or 1. In another class of this embodiment, v is 0 or 2. In another class of this embodiment, v is 0. In another class of this embodiment, v is 1. In another class of this embodiment, v is 2. In another class of this embodiment, v is 3. In another class of this embodiment, v is 4.
- the invention relates to compounds of structural formula la:
- the invention relates to compounds of structural formula lb:
- the invention relates to compounds of structural formula Ic:
- the invention relates to compounds of structural formula Id:
- the invention relates to compounds of structural formula Ie:
- the invention relates to compounds of structural formula If:
- the invention relates to compounds of structural formula Ig:
- the invention relates to compounds of structural formula Ih:
- the invention relates to compounds of structural formula Ii:
- the compounds of formula I have the absolute stereochemistry at the two stereogenic carbon centers as indicated in the compound of structural formula Ij :
- the compounds of formula I have the absolute stereochemistry at the two stereogenic carbon centers as indicated in the compound of structural formula Ik:
- the invention relates to compounds of structural formula II:
- the invention relates to compounds of structural formula Im:
- the compound of structural formula I includes the compounds of structural formulas la, lb, Ic, Id, Ie, If, Ig, Ih, Ii, Ij, Ik, II and Im, and pharmaceutically acceptable salts, hydrates and solvates thereof.
- A, B, C and D are CH;
- T is CH, N or N-oxide
- U is CH, N or N-oxide
- V is CH, N or N-oxide
- W is CH, N or N- oxide, provided that no more than one of T, U, V and W is N or N-oxide
- X is selected from the group consisting of:
- aryl and heteroaryl are unsubstituted or substituted with one to three substituents selected from R A ;
- Y is oxygen
- Z is selected from the group consisting of: -OH, and -0-Ci-6alkyl
- each R1 is independently selected from the group consisting of:
- alkyl is unsubstituted or substituted with one, two or three halogens
- R2 is independently selected from the group consisting of:
- each R3 is independently selected from the group consisting of:
- R4 is hydrogen
- each R5 is independently selected from the group consisting of: (1) hydrogen,
- each alkyl, alkenyl, cycloalkyl, aryl and heteroaryl is unsubstituted or substitued with one, two, or three substituents selected from Rb;
- A, B, C and D are CH;
- X is aryl, wherein aryl is unsubstituted or substituted with one to three substituents selected from Ra;
- Y is oxygen
- Z is -OH
- each R1 is independently selected from the group consisting of:
- alkyl is unsubstituted or substituted with one, two or three halogens
- R2 is -C3-6cycloalkyl, wherein cycloalkyl is unsubstituted or substituted with one, two or three halogens;
- each R3 is independently selected from the group consisting of:
- R4 is hydrogen
- each R5 is independently selected from the group consisting of:
- each heteroaryl is unsubstituted or substitued with one, two, or three substituents selected from Rb;
- GPR40 G-protein-coupled receptor 40
- stereoisomers including diastereoisomers, enantiomers, epimers, and mixtures of these may also have utility in treating GPR40 mediated diseases.
- Alkyl means saturated carbon chains which may be linear or branched or combinations thereof, unless the carbon chain is defined otherwise.
- alkyl groups include methyl, ethyl, propyl, isopropyl, butyl, sec- and tert-butyl, pentyl, hexyl, heptyl, octyl, nonyl, and the like. In one embodiment of the present invention, alkyl is methyl.
- Alkenyl means carbon chains which contain at least one carbon-carbon double bond, and which may be linear or branched, or combinations thereof, unless otherwise defined.
- alkenyl examples include vinyl, allyl, isopropenyl, pentenyl, hexenyl, heptenyl, 1-propenyl, 2-butenyl, 2-methyl-2-butenyl, and the like. In one embodiment of the present invention, alkenyl is 2-methyl- 1-propenyl.
- Alkynyl means carbon chains which contain at least one carbon-carbon triple bond, and which may be linear or branched, or combinations thereof, unless otherwise defined. Examples of alkynyl include ethynyl, propargyl, 3 -methyl- 1-pentynyl, 2-heptynyl and the like. In one embodiment, alkynyl is -C2alkyne- CH3.
- Cycloalkyl means a saturated monocyclic, bicyclic or bridged carbocyclic ring, having a specified number of carbon atoms. The term may also be used to describe a carbocyclic ring fused to an aryl group. Examples of cycloalkyl include cyclopropyl, cyclobutyl, cyclopentyl, cyclohexyl, cycloheptyl, and the like. In one embodiment of the present invention, cycloalkyl is selected from: cyclopropane, cyclobutane, cyclopentane and cyclohexane.
- cycloalkyl is selected from: cyclopropane, cyclopentane and cyclohexane. In another embodiment, cycloalkyl is selected from: cyclopropane and cyclopentane. In another embodiment of the present invention, cycloalkyl is selected from: cyclopropane. In another embodiment of the present invention, cycloalkyl is selected from: cyclopentane. In another embodiment of the present invention, cycloalkyl is selected from: cyclohexane. "Cycloalkenyl" means a nonaromatic monocyclic or bicyclic carbocylic ring containing at least one double bond.
- cycloalkenyl examples include cyclopropenyl, cyclobutenyl, cyclopentenyl, cyclohexenyl, cycloheptenyl, cyclooxtenyl and the like. In one embodiment of the present invention, cycloalkenyl is cyclopentenyl.
- Cycloheteroalkyl means a saturated or partly unsaturated non-aromatic monocyclic, bicyclic or bridged carbocyclic ring or ring system containing at least one ring heteroatom selected from N, NH, S (including SO and SO2) and O.
- the cycloheteroalkyl ring may be substituted on the ring carbons and/or the ring nitrogen(s).
- cycloheteroalkyl examples include tetrahydrofuran, pyrrolidine, tetrahydrothiophene, azetidine, piperazine, piperidine, morpholine, oxetane and tetrahydropyran, hexose, pentose, isosorbide and isomannide, dianhydromannitol, 1, 4:3, 6-dianhydromannitol, 1, 4:3, 6-dianhydro[D]mannitol, hexahydrofuro[3,2-b]furan, and 2,3,3a,5,6,6a-hexahydrofuro[3,2-b]furan.
- cycloheteroalkyl is pyrrolidine.
- Cycloheteroalkenyl means a nonaromatic monocyclic, bicyclic or bridged carbocyclic ring or ring system containing at least one double bond and containing at least one heteroatom selected from N, NH, S and O.
- Aryl means a monocyclic, bicyclic or tricyclic carbocyclic aromatic ring or ring system containing 5-14 carbon atoms, wherein at least one of the rings is aromatic.
- aryl include phenyl and naphthyl. In one embodiment of the present invention, aryl is phenyl.
- Heteroaryl means monocyclic, bicyclic or tricyclic ring or ring system containing 5-14 carbon atoms and containing at least one ring heteroatom selected from N, NH, S (including SO and SO2) and O, wherein at least one of the heteroatom containing rings is aromatic.
- heteroaryl examples include pyrrolyl, indole, isoxazolyl, isothiazolyl, pyrazolyl, pyridyl, oxazolyl, oxadiazolyl, thiadiazolyl, thiazolyl, imidazolyl, triazolyl, tetrazolyl, furanyl, triazinyl, thienyl, pyrimidyl, pyridazinyl, pyrazinyl, benzisoxazolyl, benzoxazolyl, benzothiazolyl, benzimidazolyl, benzofuranyl, benzpyrazole (or indazole), benzothiophenyl (including S-oxide and dioxide), furo(2,3-b)pyridyl, quinolyl, indolyl, isoquinolyl, quinazolinyl, dibenzofuranyl, and the like.
- heteroaryl is selected from: pyridine, pyrazole, thiazole, thiophene, pyrrole, triazole, indazole and indole.
- heteroaryl is selected from pyrazole, thiazole, thiophene, pyrrole, triazole, indazole and indole.
- heteroaryl is pyridine.
- Halogen includes fluorine, chlorine, bromine and iodine. In one embodiment of the present invention, halogen is bromine, chlorine or fluorine. In another embodiment of the present invention, halogen is chlorine or fluorine. In another embodiment of the present invention, halogen is bromine. In another embodiment of the present invention, halogen is chlorine. In another embodiment of the present invention, halogen is fluorine.
- Me represents methyl.
- any variable e.g., R.1, R a , etc.
- its definition on each occurrence is independent of its definition at every other occurrence.
- combinations of substituents and/or variables are permissible only if such combinations result in stable compounds.
- a squiggly line across a bond in a substituent variable represents the point of attachment.
- substituted shall be deemed to include multiple degrees of substitution by a named substitutent. Where multiple substituent moieties are disclosed or claimed, the substituted compound can be independently substituted by one or more of the disclosed or claimed substituent moieties, singly or plurally. By independently substituted, it is meant that the (two or more) substituents can be the same or different.
- phrases "pharmaceutically acceptable” is employed herein to refer to those compounds, materials, compositions, salts and/or dosage forms which are, using sound medical judgment, and following all applicable government regulations, safe and suitable for administration to a human being or an animal.
- % enantiomeric excess (abbreviated “ee) shall mean the % major enantiomer less the % minor enantiomer. Thus, a 70% enantiomeric excess corresponds to formation of 85% of one enantiomer and 15% of the other.
- enantiomeric excess is synonymous with the term “optical purity.”
- Compounds of Formula I may contain one or more asymmetric centers and can thus occur as racemates and racemic mixtures, single enantiomers, diastereomeric mixtures and individual diastereomers. The present invention is meant to comprehend all such isomeric forms of the compounds of Formula I.
- Tautomers are defined as compounds that undergo rapid proton shifts from one atom of the compound to another atom of the compound. Some of the compounds described herein may exist as tautomers with different points of attachment of hydrogen. Such an example may be a ketone and its enol form known as keto-enol tautomers. The individual tautomers as well as mixture thereof are encompassed with compounds of Formula I.
- the atoms may exhibit their natural isotopic abundances, or one or more of the atoms may be artificially enriched in a particular isotope having the same atomic number, but an atomic mass or mass number different from the atomic mass or mass number predominately found in nature.
- the present invention is meant to include all suitable isotopic variations of the compounds of structural formula I.
- different isotopic forms of hydrogen (H) include protium (3 ⁇ 4), deuterium ( 2 H), and tritium ( 3 H).
- Protium is the predominant hydrogen isotope found in nature. Enriching for deuterium may afford certain therapeutic advantages, such as increasing in vivo half-life or reducing dosage requirements, or may provide a compound useful as a standard for characterization of biological samples.
- Tritium is radioactive and may therefore provide for a radiolabeled compound, useful as a tracer in metabolic or kinetic studies.
- Isotopically-enriched compounds within structural formula I can be prepared without undue experimentation by conventional techniques well known to those skilled in the art or by processes analogous to those described in the Schemes and Examples herein using appropriate isotopically-enriched reagents and/or intermediates.
- chromatographic separations may be achieved as known in the art by appropriate modification of the methodology disclosed herein.
- Their absolute stereochemistry may be determined by the X- ray crystallography of crystalline products or crystalline intermediates which are derivatized, if necessary, with a reagent containing an asymmetric center of known absolute configuration.
- racemic mixtures of the compounds may be separated so that the individual enantiomers are isolated.
- the separation can be carried out by methods well-known in the art, such as the coupling of a racemic mixture of compounds to an enantiomerically pure compound to form a diastereoisomeric mixture, followed by separation of the individual diastereoisomers by standard methods, such as fractional crystallization or chromatography.
- the coupling reaction is often the formation of salts using an enantiomerically pure acid or base.
- the diasteromeric derivatives may then be converted to the pure enantiomers by cleavage of the added chiral residue.
- the racemic mixture of the compounds can also be separated directly by chromatographic methods utilizing chiral stationary phases, which methods are well known in the art.
- any enantiomer of a compound may be obtained by stereoselective synthesis using optically pure starting materials or reagents of known configuration by methods well known in the art.
- crystalline forms for compounds of the present invention may exist as polymorphs and as such are intended to be included in the present invention.
- some of the compounds of the instant invention may form solvates with water or common organic solvents. Such solvates are encompassed within the scope of this invention. It is generally preferable to administer compounds of the present invention as
- Racemic mixtures can be separated into their individual enantiomers by any of a number of conventional methods. These include chiral chromatography, derivatization with a chiral auxiliary followed by separation by chromatography or
- references to the compounds of the present invention are meant to also include the pharmaceutically acceptable salts, and also salts that are not pharmaceutically acceptable when they are used as precursors to the free compounds or their pharmaceutically acceptable salts or in other synthetic manipulations.
- the compounds of the present invention may be administered in the form of a pharmaceutically acceptable salt.
- pharmaceutically acceptable salt refers to salts prepared from pharmaceutically acceptable non-toxic bases or acids including inorganic or organic bases and inorganic or organic acids. Salts of basic compounds encompassed within the term “pharmaceutically acceptable salt” refer to non-toxic salts of the compounds of this invention which are generally prepared by reacting the free base with a suitable organic or inorganic acid.
- Representative salts of basic compounds of the present invention include, but are not limited to, the following: acetate, benzenesulfonate, benzoate, bicarbonate, bisulfate, bitartrate, borate, bromide, camsylate, carbonate, chloride, clavulanate, citrate, dihydrochloride, edetate, edisylate, estolate, esylate, fumarate, gluceptate, gluconate, glutamate,
- glycollylarsanilate hexylresorcinate, hydrabamine, hydrobromide, hydrochloride
- suitable pharmaceutically acceptable salts thereof include, but are not limited to, salts derived from inorganic bases including aluminum, ammonium, calcium, copper, ferric, ferrous, lithium, magnesium, manganic, mangamous, potassium, sodium, zinc, and the like. Particularly preferred are the ammonium, calcium, magnesium, potassium, and sodium salts.
- Salts derived from pharmaceutically acceptable organic non-toxic bases include salts of primary, secondary, and tertiary amines, cyclic amines, and basic ion-exchange resins, such as arginine, betaine, caffeine, choline, N,N- dibenzylethylenediamine, diethylamine, 2-diethylaminoethanol, 2-dimethylaminoethanol, ethanolamine, ethylenediamine, N-ethylmorpholine, N-ethylpiperidine, glucamine, glucosamine, histidine, hydrabamine, isopropylamine, lysine, methylglucamine, morpholine, piperazine, piperidine, polyamine resins, procaine, purines, theobromine, triethylamine, trimethylamine, tripropylamine, tromethamine, and the like.
- basic ion-exchange resins such as arginine, betaine, caffeine, choline
- esters of carboxylic acid derivatives such as methyl, ethyl, or pivaloyloxymethyl
- acyl derivatives of alcohols such as O-acetyl, O-pivaloyl, O-benzoyl, and 0-aminoacyl
- esters and acyl groups known in the art for modifying the solubility or hydrolysis characteristics for use as sustained-release or prodrug formulations.
- Solvates, and in particular, the hydrates of the compounds of the present invention are included in the present invention as well.
- the compounds of the present invention are potent agonists of the GPR40 receptor.
- the compounds, and pharmaceutically acceptable salts thereof, may be efficacious in the treatment of diseases that are modulated by GPR40 ligands, which are generally agonists. Many of these diseases are summarized below.
- One or more of these diseases may be treated by the administration of a therapeutically effective amount of a compound of the present invention, or a pharmaceutically acceptable salt thereof, to a patient in need of treatment.
- the compounds of the present invention may be used for the manufacture of a medicament which may be useful for treating one or more of these diseases: (1) non-insulin dependent diabetes mellitus (Type 2 diabetes); (2) hyperglycemia; (3) insulin resistance; (4) Metabolic Syndrome; (5) obesity; (6) hypercholesterolemia; (7) hypertriglyceridemia (elevated levels of triglyceride-rich-lipoproteins); (8) mixed or diabetic dyslipidemia; (9) low HDL cholesterol; (10) high LDL cholesterol; (1 1) hyperapoB- liproteinemia; and (12) atherosclerosis.
- Preferred uses of the compounds may be for the treatment of one or more of the following diseases by administering a therapeutically effective amount to a patient in need of treatment.
- the compounds may be used for manufacturing a medicament for the treatment of one or more of these diseases: (1) Type 2 diabetes, and specifically hyperglycemia associated with Type 2 diabetes; (2) Metabolic Syndrome; (3) obesity; and (4) hypercholesterolemia.
- the compounds may be effective in lowering glucose and lipids in diabetic patients and in non-diabetic patients who have impaired glucose tolerance and/or are in a pre-diabetic condition.
- the compounds may ameliorate hyperinsulinemia, which often occurs in diabetic or pre-diabetic patients, by modulating the swings in the level of serum glucose that often occurs in these patients.
- the compounds may also be effective in treating or reducing insulin resistance.
- the compounds may be effective in treating or preventing gestational diabetes.
- the compounds may also be effective in treating or preventing lipid disorders.
- the compounds may be effective in treating or preventing diabetes related disorders.
- the compounds may also be effective in treating or preventing obesity related disorders.
- the compounds of this invention may also have utility in improving or restoring ⁇ -cell function, so that they may be useful in treating Type 1 diabetes or in delaying or preventing a patient with Type 2 diabetes from needing insulin therapy.
- the invention also includes pharmaceutically acceptable salts of the compounds, and pharmaceutical compositions comprising the compounds and a pharmaceutically acceptable carrier.
- the compounds may be useful in treating insulin resistance, Type 2 diabetes, hypperglycemia, and dyslipidemia that is associated with Type 2 diabetes and insulin resistance.
- the compounds may also be useful for the treatment of obesity
- a compound of the present invention may be used in the manufacture of a medicament for the treatment of Type 2 diabetes in a human or other mammalian patient.
- a method of treating Type 2 diabetes comprises the administration of a therapeutically effective amount of a compound of the present invention, or a pharmaceutically acceptable salt thereof, or a pharmaceutical composition comprising the compound, to a human or other mammalian subject or patient in need of treatment.
- a pharmaceutically acceptable salt thereof or a pharmaceutical composition comprising the compound, to a human or other mammalian subject or patient in need of treatment.
- Other medical uses of the compounds of the present invention are described herein.
- 1,3 substituted have the unexpected benefit of higher levels of GPR40 receptor agonist activation in the IP-1 assay compared to compounds with 1,4 substitution of the A, B, C and D containing ring.
- the higher levels of GPR40 receptor agonist activity of the 1,3 substituted compounds of the present invention resulted in enhanced efficacy in modulating glucose homeostasis.
- 1,3 substituted have the unexpected ability to stimulate greater GLP 1 secretion in-vitro in cells capable of producing GLP1, such as primary mouse colonic crypt cultures, and in-vivo in C57BL/6 lean mice or Goto-Kakizaki rats when dosed orally, compared to compounds with 1,4 substitution of the A, B, C and D containing ring.
- diabetes includes both insulin-dependent diabetes mellitus
- Type 1 diabetes is the result of an absolute deficiency of insulin, the hormone which regulates glucose utilization.
- Type 2 diabetes, or insulin-independent diabetes i.e., non-insulin-dependent diabetes mellitus
- the compositions of the present invention may be useful for treating both Type 1 and Type 2 diabetes.
- diabetes associated with obesity refers to diabetes caused by obesity or resulting from obesity.
- Diabetes is characterized by a fasting plasma glucose level of greater than or equal to 126 mg/dl.
- a diabetic subject has a fasting plasma glucose level of greater than or equal to 126 mg/dl.
- a pre diabetic subject is someone suffering from prediabetes. Prediabetes is
- a prediabetic subject is a subject with impaired fasting glucose (a fasting plasma glucose (FPG) level of greater than or equal to 1 10 mg/dl and less than 126 mg/dl); or impaired glucose tolerance (a 2 hour plasma glucose level of >140 mg/dl and ⁇ 200 mg/dl); or insulin resistance, resulting in an increased risk of developing diabetes.
- FPG fasting plasma glucose
- Treatment of diabetes mellitus refers to the administration of a compound or combination of the present invention to treat a diabetic subject.
- One outcome of treatment may be decreasing the glucose level in a subject with elevated glucose levels.
- Another outcome of treatment may be decreasing insulin levels in a subject with elevated insulin levels.
- Another outcome of treatment may be decreasing plasma triglycerides in a subject with elevated plasma triglycerides.
- Another outcome of treatment is decreasing LDL cholesterol in a subject with high LDL cholesterol levels.
- Another outcome of treatment may be increasing HDL cholesterol in a subject with low HDL cholesterol levels.
- Another outcome of treatment is increasing insulin sensivity.
- Another outcome of treatment may be enhancing glucose tolerance in a subject with glucose intolerance.
- Yet another outcome of treatment may be decreasing insulin resistance in a subject with increased insulin resistance or elevated levels of insulin.
- Prevention of diabetes mellitus refers to the administration of a compound or combination of the present invention to prevent the onset of diabetes in a subject in need thereof.
- a subject in need of preventing diabetes is a prediabetic subject that is overweight or obese.
- diabetes related disorders should be understood to mean disorders that are associated with, caused by, or result from diabetes. Examples of diabetes related disorders include retinal damage, kidney disease, and nerve damage.
- Atherosclerosis encompasses vascular diseases and conditions that are recognized and understood by physicians practicing in the relevant fields of medicine.
- Atherosclerotic cardiovascular disease, coronary heart disease (also known as coronary artery disease or ischemic heart disease), cerebrovascular disease and peripheral vessel disease are all clinical manifestations of atherosclerosis and are therefore encompassed by the terms
- the combination comprised of a therapeutically effective amount of an anti-obesity agent in combination with a therapeutically effective amount of an anti-hypertensive agent may be administered to prevent or reduce the risk of occurrence, or recurrence where the potential exists, of a coronary heart disease event, a cerebrovascular event, or intermittent claudication.
- Coronary heart disease events are intended to include CHD death, myocardial infarction (i.e., a heart attack), and coronary revascularization procedures.
- Cerebrovascular events are intended to include ischemic or hemorrhagic stroke (also known as cerebrovascular accidents) and transient ischemic attacks. Intermittent claudication is a clinical manifestation of peripheral vessel disease.
- the term "atherosclerotic disease event” as used herein is intended to encompass coronary heart disease events, cerebrovascular events, and intermittent claudication. It is intended that persons who have previously experienced one or more non-fatal atherosclerotic disease events are those for whom the potential for recurrence of such an event exists.
- the term "atherosclerosis related disorders” should be understood to mean disorders associated with, caused by, or resulting from atherosclerosis.
- hypertension includes essential, or primary, hypertension wherein the cause is not known or where hypertension is due to greater than one cause, such as changes in both the heart and blood vessels; and secondary hypertension wherein the cause is known.
- causes of secondary hypertension include, but are not limited to obesity; kidney disease; hormonal disorders; use of certain drugs, such as oral contraceptives, corticosteroids, cyclosporin, and the like.
- hypertension encompasses high blood pressure, in which both the systolic and diastolic pressure levels are elevated ( ⁇ 140 mmHg/>90 mmHg), and isolated systolic hypertension, in which only the systolic pressure is elevated to greater than or equal to 140 mm Hg, while the diastolic pressure is less than 90 mm Hg.
- Normal blood pressure may be defined as less than 120 mmHg systolic and less than 80 mmHg diastolic.
- a hypertensive subject is a subject with hypertension.
- a pre-hypertensive subject is a subject with a blood pressure that is between 120 mmHg over 80 mmHg and 139 mmHg over 89 mmHg.
- One outcome of treatment is decreasing blood pressure in a subject with high blood pressure.
- Treatment of hypertension refers to the administration of the compounds and combinations of the present invention to treat hypertension in a hypertensive subject.
- Treatment of hypertension- related disorder refers to the administration of a compound or combination of the present invention to treat the hypertension-related disorder.
- Prevention of hypertension, or a hypertension related disorder refers to the administration of the combinations of the present invention to a pre-hypertensive subject to prevent the onset of hypertension or a hypertension related disorder.
- the hypertension-related disorders herein are associated with, caused by, or result from hypertension. Examples of hypertension-related disorders include, but are not limited to: heart disease, heart failure, heart attack, kidney failure, and stroke.
- Dyslipidemias and lipid disorders are disorders of lipid metabolism including various conditions characterized by abnormal concentrations of one or more lipids (i.e. cholesterol and triglycerides), and/or apolipoproteins (i.e., apolipoproteins A, B, C and E), and/or lipoproteins (i.e., the macromolecular complexes formed by the lipid and the apolipoprotein that allow lipids to circulate in blood, such as LDL, VLDL and IDL).
- Hyperlipidemia is associated with abnormally high levels of lipids, LDL and VLDL cholesterol, and/or triglycerides.
- Treatment of dyslipidemia refers to the administration of the combinations of the present invention to a dyslipidemic subject.
- Prevention of dyslipidemia refers to the administration of the
- a pre-dyslipidemic subject is a subject with higher than normal lipid levels, that is not yet dyslipidemic.
- dyslipidemia related disorders and “lipid disorder related disorders” should be understood to mean disorders associated with, caused by, or resulting from dyslipidemia or lipid disorders.
- dylipidemia related disorder and lipid disorder related disorders include, but are not limited to: hyperlipidemia, hypertriglyceridemia, hypercholesterolemia, low high density lipoprotein (HDL) levels, high plasma low density lipoprotein (LDL) levels, atherosclerosis and its sequelae, coronary artery or carotid artery disease, heart attack, and stroke.
- the term "obesity” as used herein is a condition in which there is an excess of body fat.
- the operational definition of obesity is based on the Body Mass Index (BMI), which is calculated as body weight per height in meters squared (kg/m2).
- BMI Body Mass Index
- "Obesity” refers to a condition whereby an otherwise healthy subject has a Body Mass Index (BMI) greater than or equal to 30 kg/m2, or a condition whereby a subject with at least one co-morbidity has a BMI greater than or equal to 27 kg/m2.
- An "obese subject” is an otherwise healthy subject with a Body Mass Index (BMI) greater than or equal to 30 kg/m2 or a subject with at least one co-morbidity with a BMI greater than or equal to 27 kg/m2.
- An overweight subject is a subject at risk of obesity.
- a "subject at risk of obesity” is an otherwise healthy subject with a BMI of 25 kg/m2 to less than 30 kg/m2 or a subject with at least one co-morbidity with a BMI of 25 kg/m2 to less than 27 kg/m2.
- BMI Body Mass Index
- Asians In Asian countries, including Japan, “obesity” refers to a condition whereby a subject with at least one obesity-induced or obesity-related co-morbidity, that requires weight reduction or that would be improved by weight reduction, has a BMI greater than or equal to 25 kg/m2. In Asian countries, including Japan, an “obese subject” refers to a subject with at least one obesity- induced or obesity-related co-morbidity that requires weight reduction or that would be improved by weight reduction, with a BMI greater than or equal to 25 kg/m2. In Asia-Pacific, a "subject at risk of obesity” is a subject with a BMI of greater than 23 kg/m2 to less than 25 kg/m2.
- obesity is meant to encompass all of the above definitions of obesity.
- Obesity-induced or obesity-related co-morbidities include, but are not limited to, diabetes mellitus, non-insulin dependent diabetes mellitus - type 2, diabetes associated with obesity, impaired glucose tolerance, impaired fasting glucose, insulin resistance syndrome, dyslipidemia, hypertension, hypertension associated with obesity, hyperuricacidemia, gout, coronary artery disease, myocardial infarction, angina pectoris, sleep apnea syndrome, Pickwickian syndrome, fatty liver; cerebral infarction, cerebral thrombosis, transient ischemic attack, orthopedic disorders, arthritis deformans, lumbodynia, emmeniopathy, and infertility.
- comorbidities include: hypertension, hyperlipidemia, dyslipidemia, glucose intolerance, cardiovascular disease, sleep apnea, and other obesity -related conditions.
- Treatment of obesity and obesity-related disorders refers to the administration of the compounds of the present invention to reduce or maintain the body weight of an obese subject.
- One outcome of treatment may be reducing the body weight of an obese subject relative to that subject's body weight immediately before the administration of the compounds of the present invention.
- Another outcome of treatment may be preventing body weight regain of body weight previously lost as a result of diet, exercise, or pharmacotherapy.
- Another outcome of treatment may be decreasing the occurrence of and/or the severity of obesity-related diseases.
- the treatment may suitably result in a reduction in food or calorie intake by the subject, including a reduction in total food intake, or a reduction of intake of specific components of the diet such as carbohydrates or fats; and/or the inhibition of nutrient absorption; and/or the inhibition of the reduction of metabolic rate; and in weight reduction in patients in need thereof.
- the treatment may also result in an alteration of metabolic rate, such as an increase in metabolic rate, rather than or in addition to an inhibition of the reduction of metabolic rate; and/or in minimization of the metabolic resistance that normally results from weight loss.
- Prevention of obesity and obesity -related disorders refers to the administration of the compounds of the present invention to reduce or maintain the body weight of a subject at risk of obesity.
- One outcome of prevention may be reducing the body weight of a subject at risk of obesity relative to that subject's body weight immediately before the administration of the compounds of the present invention.
- Another outcome of prevention may be preventing body weight regain of body weight previously lost as a result of diet, exercise, or pharmacotherapy.
- Another outcome of prevention may be preventing obesity from occurring if the treatment is administered prior to the onset of obesity in a subject at risk of obesity.
- Another outcome of prevention may be decreasing the occurrence and/or severity of obesity-related disorders if the treatment is administered prior to the onset of obesity in a subject at risk of obesity.
- Such treatment may prevent the occurrence, progression or severity of obesity -related disorders, such as, but not limited to, arteriosclerosis, Type II diabetes, polycystic ovarian disease, cardiovascular diseases, osteoarthritis,
- dermatological disorders hypertension, insulin resistance, hypercholesterolemia,
- the obesity -related disorders herein are associated with, caused by, or result from obesity.
- Examples of obesity -related disorders include overeating and bulimia, hypertension, diabetes, elevated plasma insulin concentrations and insulin resistance, dyslipidemias, hyperlipidemia, endometrial, breast, prostate and colon cancer, osteoarthritis, obstructive sleep apnea, cholelithiasis, gallstones, heart disease, abnormal heart rhythms and arrythmias, myocardial infarction, congestive heart failure, coronary heart disease, sudden death, stroke, polycystic ovarian disease, craniopharyngioma, the Prader-Willi Syndrome, Frohlich's syndrome, GH-deficient subjects, normal variant short stature, Turner's syndrome, and other pathological conditions showing reduced metabolic activity or a decrease in resting energy expenditure as a percentage of total fat- free mass, e.g, children with acute lymphoblast
- obesity -related disorders are metabolic syndrome, also known as syndrome X, insulin resistance syndrome, sexual and reproductive dysfunction, such as infertility, hypogonadism in males and hirsutism in females, gastrointestinal motility disorders, such as obesity-related gastro-esophageal reflux, respiratory disorders, such as obesity- hypoventilation syndrome (Pickwickian syndrome), cardiovascular disorders, inflammation, such as systemic inflammation of the vasculature, arteriosclerosis, hypercholesterolemia, hyperuricaemia, lower back pain, gallbladder disease, gout, and kidney cancer.
- the compounds of the present invention are also useful for reducing the risk of secondary outcomes of obesity, such as reducing the risk of left ventricular hypertrophy.
- a person is defined as having metabolic syndrome if the person has three or more of the following disorders: abdominal obesity,
- Treatment of metabolic syndrome refers to the administration of the combinations of the present invention to a subject with metabolic syndrome.
- Prevention of metabolic syndrome refers to the administration of the combinations of the present invention to a subject with two of the disorders that define metabolic syndrome.
- a subject with two of the disorders that define metabolic syndrome is a subject that has developed two of the disorders that define metabolic syndrome, but has not yet developed three or more of the disorders that define metabolic syndrome.
- administration of and or “administering a” compound should be understood to mean providing a compound of the invention or a prodrug of a compound of the invention to a human or other mammal in need of treatment.
- the administration of the compound of structural formula I in order to practice the present methods of therapy is carried out by administering an effective amount of the compound of structural formula I to the mammal in need of such treatment or prophylaxis.
- the need for a prophylactic administration according to the methods of the present invention is determined via the use of well known risk factors.
- the effective amount of an individual compound is determined, in the final analysis, by the physician or veterinarian in charge of the case, but depends on factors such as the exact disease to be treated, the severity of the disease and other diseases or conditions from which the patient suffers, the chosen route of administration other drugs and treatments which the patient may concomitantly require, and other factors in the physician's judgment.
- Any suitable route of administration may be employed for providing a mammal, especially a human, with an effective dose of a compound of the present invention.
- oral, rectal, topical, parenteral, ocular, pulmonary, nasal, and the like may be employed.
- Dosage forms include tablets, troches, dispersions, suspensions, solutions, capsules, creams, ointments, aerosols, and the like.
- compounds of the present invention are administered orally.
- an appropriate dosage level will generally be about 0.01 to 500 mg per kg patient body weight per day which can be administered in single or multiple doses.
- the dosage level will be about 0.1 to about 250 mg/kg per day; more preferably about 0.5 to about 100 mg/kg per day.
- a suitable dosage level may be about 0.01 to 250 mg kg per day, about 0.05 to 100 mg/kg per day, or about 0.1 to 50 mg/kg per day. Within this range the dosage may be 0.05 to 0.5, 0.5 to 5 or 5 to 50 mg/kg per day.
- the compositions are preferably provided in the form of tablets containing 1.0 to 1000 mg of the active ingredient, particularly 1.0, 5.0, 10.0, 15.0.
- the compounds may be administered on a regimen of 1 to 4 times per day, preferably once or twice per day.
- diabetes mellitus and/or hyperglycemia When treating or preventing diabetes mellitus and/or hyperglycemia or
- the compounds of the present invention are administered at a daily dosage of from about 0.1 mg to about 100 mg per kilogram of animal body weight, preferably given as a single daily dose or in divided doses two to six times a day, or in sustained release form.
- the total daily dosage is from about 1.0 mg to about 1000 mg, preferably from about 1 mg to about 50 mg. In the case of a 70 kg adult human, the total daily dose will generally be from about 7 mg to about 350 mg. This dosage regimen may be adjusted to provide the optimal therapeutic response.
- the compounds of this invention may be used in pharmaceutical compositions comprising (a) the compound(s) or pharmaceutically acceptable salts thereof, and (b) a pharmaceutically acceptable carrier.
- the compounds of this invention may be used in pharmaceutical compositions that include one or more other active pharmaceutical ingredients.
- the compounds of this invention may also be used in pharmaceutical compositions in which the compound of the present invention or a pharmaceutically acceptable salt thereof is the only active ingredient.
- composition as in pharmaceutical composition, is intended to encompass a product comprising the active ingredient(s), and the inert ingredient(s) that make up the carrier, as well as any product which results, directly or indirectly, from combination, complexation or aggregation of any two or more of the ingredients, or from dissociation of one or more of the ingredients, or from other types of reactions or interactions of one or more of the ingredients.
- pharmaceutical compositions of the present invention encompass any composition made by admixing a compound of the present invention and a pharmaceutically acceptable carrier.
- Compounds of the present invention may be used in combination with other drugs that may also be useful in the treatment or amelioration of the diseases or conditions for which compounds of the present invention are useful.
- Such other drugs may be administered, by a route and in an amount commonly used therefor, contemporaneously or sequentially with a compound of the present invention.
- more than one drug is commonly administered.
- the compounds of this invention may generally be administered to a patient who is already taking one or more other drugs for these conditions.
- the compounds will be administered to a patient who is already being treated with one or more antidiabetic compound, such as metformin, sulfonylureas, and/or PPARy agonists, when the patient's glycemic levels are not adequately responding to treatment.
- one or more antidiabetic compound such as metformin, sulfonylureas, and/or PPARy agonists
- a pharmaceutical composition in unit dosage form containing such other drugs and the compound of the present invention is preferred.
- the combination therapy also includes therapies in which the compound of the present invention and one or more other drugs are administered on different overlapping schedules. It is also contemplated that when used in combination with one or more other active ingredients, the compound of the present invention and the other active ingredients may be used in lower doses than when each is used singly.
- compositions of the present invention include those that contain one or more other active ingredients, in addition to a compound of the present invention.
- Examples of other active ingredients that may be administered separately or in the same pharmaceutical composition in combination with a compound of the formulas described herein include, but are not limited to:
- DPP-4 dipeptidyl peptidase-IV
- DPP-4 inhibitors e.g., sitagliptin, alogliptin, linagliptin, vildagliptin, saxagliptin, teneligliptin, omarigliptin
- sitagliptin e.g., sitagliptin, alogliptin, linagliptin, vildagliptin, saxagliptin, teneligliptin, omarigliptin
- insulin sensitizers including (i) PPARy agonists, such as the glitazones (e.g.
- PPARa/ ⁇ dual agonists e.g., ZYH2, ZYH1, GFT505, chiglitazar, muraglitazar, aleglitazar, sodelglitazar, and naveglitazar
- PPARa agonists such as fenofibric acid derivatives (e.g., gemfibrozil, clofibrate, ciprofibrate, fenofibrate, bezafibrate)
- SPPARyM's selective PPARy modulators
- PPARy partial agonists such as metformin and its pharmaceutically acceptable salts, in particular, metformin hydrochloride, and extended-release formulations thereof, such as GlumetzaTM, FortametTM, and GlucophageXRTM; and
- PTP-1B protein tyrosine phosphatase- IB (PTP-1B) inhibitors (e.g., ISIS-113715 and TTP814);
- insulin or insulin analogs e.g., insulin detemir, insulin glulisine, insulin degludec, insulin glargine, insulin lispro, SBS1000 and oral and inhalable formulations of insulin and insulin analogs
- amylin and amylin analogs e.g., pramlintide
- sulfonylurea and non-sulfonylurea insulin secretagogues e.g., tolbutamide, glyburide, glipizide, glimepiride, mitiglinide, meglitinides, nateglinide and repaglinide
- insulin secretagogues e.g., tolbutamide, glyburide, glipizide, glimepiride, mitiglinide, meglitinides, nateglinide and repaglinide
- a-glucosidase inhibitors e.g., acarbose, voglibose and miglitol
- glucagon receptor antagonists e.g., NOXG15, LY2409021
- incretin mimetics such as GLP-1, GLP-1 analogs, derivatives, and mimetics
- GLP-1 receptor agonists e.g., dulaglutide, semaglutide, albiglutide, exenatide, liraglutide, lixisenatide, taspoglutide, GSK2374697, ADX72231, RG7685, 9924, ZYOG1, CJC-1 131, and BIM-51077, including intranasal, transdermal, and once-weekly formulations thereof), and oxyntomodulin and oxyntomodulin analogs and derivatives;
- LDL cholesterol lowering agents such as (i) HMG-CoA reductase inhibitors (e.g., simvastatin, lovastatin, pravastatin, crivastatin, fluvastatin, atorvastatin, pitavastatin and rosuvastatin), (ii) bile acid sequestering agents (e
- HDL-raising drugs e.g., niacin and nicotinic acid receptor agonists, and extended- release versions thereof;
- agents intended for use in inflammatory conditions such as aspirin, non-steroidal anti-inflammatory drugs or NSAIDs, glucocorticoids, and selective cyclooxygenase-2 or COX-2 inhibitors;
- antihypertensive agents such as ACE inhibitors (e.g.,lisinopril, enalapril, ramipril, captopril, quinapril, and tandolapril), A-II receptor blockers (e.g., losartan, candesartan, irbesartan, olmesartan medoxomil, valsartan, telmisartan, and eprosartan), renin inhibitors (e.g., aliskiren), beta blockers, and calcium channel blockers;
- ACE inhibitors e.g.,lisinopril, enalapril, ramipril, captopril, quinapril, and tandolapril
- A-II receptor blockers e.g., losartan, candesartan, irbesartan, olmesartan medoxomil, valsartan, telmisart
- GKAs glucokinase activators
- inhibitors of 11 ⁇ -hydroxysteroid dehydrogenase type 1, e.g., such as those disclosed in U.S. Patent No. 6,730,690, and LY-2523199;
- CETP inhibitors e.g., anacetrapib, evacetrapib and torcetrapib
- inhibitors of acetyl CoA carboxylase- 1 or 2 (ACC1 or ACC2);
- AMP-activated Protein Kinase activators such as MB 1055, ETC 1002;
- GPR-109 other agonists of the G-protein-coupled receptors: (i) GPR-109, (ii) GPR-1 19 (e.g., MBX2982, APD597, GSK1292263, HM47000, and PSN821), and (iii) GPR-40 (e.g., TAK875, MR 1704, TUG 469, TUG499, ASP 4178);
- GPR-1 19 e.g., MBX2982, APD597, GSK1292263, HM47000, and PSN821
- GPR-40 e.g., TAK875, MR 1704, TUG 469, TUG499, ASP 4178
- neuromedin U receptor agonists e.g., such as those disclosed in WO 2009/042053, including, but not limited to, neuromedin S (NMS)
- NMS neuromedin S
- GPR-105 antagonists e.g., such as those disclosed in WO 2009/000087;
- SGLT inhibitors e.g., ASP1941, SGLT-3, empagliflozin, dapagliflozin,
- ertugliflozin canagliflozin, BI-10773, PF-04971729, remogloflozin, TS-071, tofogliflozin, ipragliflozin, and LX-421 1);
- TGR5 receptor also known as GPBAR1, BG37, GPCR19, GPR131, and M-BAR
- PACAP PACAP
- PACAP mimetics PACAP
- PACAP receptor 3 agonists PACAP, PACAP mimetics, and PACAP receptor 3 agonists
- PTP-1B protein tyrosine phosphatase- IB
- IL-lb antibodies e.g., XOMA052 and canakinumab
- GPR 120 agonists such as KDT501.
- Suitable active ingredients/pharmaceutical agents that may be administered in combination with a compound of the present invention, and either administered separately or in the same pharmaceutical composition, include, but are not limited to:
- anti-diabetic agents such as (1) PPARy agonists such as glitazones (e.g. ciglitazone; darglitazone; englitazone; isaglitazone (MCC-555); pioglitazone (ACTOS); rosiglitazone (AVANDIA); troglitazone; rivoglitazone, BRL49653; CLX-0921; 5-BTZD, GW-0207, LG- 100641, R483, and LY-300512, and the like and compounds disclosed in WO97/10813, 97/27857, 97/28115, 97/28137, 97/27847, 03/000685, and 03/027112 and SPPARMS (selective PPAR gamma modulators) such as T131 (Amgen), FK614 (Fujisawa), netoglitazone, and metaglidasen; (2) biguanides such as buformin; metformin
- glibenclamide glipizide; glyburide; glimepiride; gliclazide; glipentide; gliquidone; glisolamide; tolazamide; and tolbutamide, and the like;
- meglitinides such as repaglinide, metiglinide (GLUFAST) and nateglinide, and the like;
- alpha glucoside hydrolase inhibitors such as acarbose; adiposine; camiglibose; emiglitate; miglitol; voglibose; pradimicin-Q; salbostatin; CKD-711 ; MDL-25,637; MDL-73,945; and MOR 14, and the like;
- alpha-amylase inhibitors such as tendamistat, trestatin, and Al-3688, and the like
- insulin secreatagogues such as linogliride nateglinide, mitiglinide
- non-thiazolidinediones such as JT-501, and farglitazar (GW-2570/GI-262579), and the like
- PPARa/ ⁇ dual agonists such as AVE 0847, CLX-0940, GW-1536, GW1929, GW-2433, KRP-297, L-796449, LBM 642, LR-90, LY510919, MK-0767, ONO 5129, SB 219994, TAK-559, TAK-654, 677954 (GlaxoSmithkline), E-3030 (Eisai), LY510929 (Lilly), AK109 (Asahi), DRF2655 (Dr.
- WO 99/16758 WO 99/19313, WO 99/20614, WO 99/38850, WO 00/23415, WO 00/23417, WO 00/23445, WO 00/50414, WO 01/00579, WO 01/79150, WO 02/062799, WO 03/033481, WO 03/033450, WO 03/033453; and (14), insulin, insulin mimetics and other insulin sensitizing drugs; (15) VPAC2 receptor agonists; (16) GLK modulators, such as PSN105, RO 281675, RO 274375 and those disclosed in WO 03
- ATP consumption promotors such as those disclosed in WO 03/007990; (21) fixed combinations of PPAR ⁇ agonists and metformin such as AVANDAMET; (22) PPAR pan agonists such as GSK 677954; (23) GPR40 (G-protein coupled receptor 40) also called SNORF 55 such as BG 700, and those disclosed in WO
- GPR1 19 G-protein coupled receptor 119, also called RUP3; SNORF 25) such as RUP3, HGPRBMY26, PFI 007, SNORF 25; (25) adenosine receptor 2B antagonists such as ATL-618, AT1-802, E3080, and the like; (26) carnitine palmitoyl transferase inhibitors such as ST 1327, and ST 1326, and the like; (27) Fructose 1,6- bisphospohatase inhibitors such as CS-917, MB7803, and the like; (28) glucagon antagonists such as AT77077, BAY 694326, GW 4123X, NN2501, and those disclosed in WO 03/064404, WO 05/00781, US 2004/0209928, US 2004/029943, and the like; (30) glucose-6-phosphase inhibitors; (31) phosphoenolpyruvate
- anti-dyslipidemic agents such as (1) bile acid sequestrants such as, cholestyramine, colesevelem, colestipol, dialkylaminoalkyl derivatives of a cross-linked dextran; Colestid®; LoCholest®; and Questran®, and the like; (2) HMG-CoA reductase inhibitors such as atorvastatin, itavastatin, pitavastatin, fluvastatin, lovastatin, pravastatin, rivastatin, simvastatin, rosuvastatin (ZD-4522), and other statins, particularly simvastatin, atorvastatin or rosuvastatin; (3) HMG-CoA synthase inhibitors; (4) cholesterol absorption inhibitors such as FMVP4 (Forbes Medi-Tech), KT6-971 (Kotobuki Pharmaceutical), FM-VA12 (Forbes Medi-Tech), FM-VP-24 (Forbes Medi-Tech),
- NS-220/R1593 Nippon Shinyaku/Roche, ST1929 (Sigma Tau) MC3001/MC3004 (MaxoCore Pharmaceuticals, gemcabene calcium, other fibric acid derivatives, such as Atromid®, Lopid® and Tricor®, and those disclosed in US 6,548,538, and the like;
- FXR receptor modulators such as GW 4064 (GlaxoSmithkline), SR 103912, QRX401, LN-6691 (Lion Bioscience), and those disclosed in WO 02/064125, WO 04/045511, and the like;
- LXR receptor modulators such as GW 3965 (GlaxoSmithkline), T9013137, and XTCO 179628 (X-Ceptor Therapeutics/Sanyo), and those disclosed in WO 03/031408, WO 03/063796, WO 04/072041, and the like;
- lipoprotein synthesis inhibitors such as niacin; (13) ren
- PHA384640E PHA384640E (Pfizer), S8921 (Shionogi) AZD7806 (AstrZeneca), AK105 (Asah Kasei), and the like;
- Lp-PLA2 inhibitors such as SB480848 (GlaxoSmithkline), 659032 (GlaxoSmithkline), 677116 (GlaxoSmithkline), and the like; (31) other agents which affect lipic composition including ETC1001/ESP31015 (Pfizer), ESP-55016 (Pfizer), AGI1067 (AtheroGenics), AC3056 (Amylin), AZD4619 (AstrZeneca); and
- anti-hypertensive agents such as (1) diuretics, such as thiazides, including chlorthalidone, chlorthiazide, dichlorophenamide, hydroflumethiazide, indapamide, and hydrochlorothiazide; loop diuretics, such as bumetanide, ethacrynic acid, furosemide, and torsemide; potassium sparing agents, such as amiloride, and triamterene; and aldosterone antagonists, such as spironolactone, epirenone, and the like; (2) beta-adrenergic blockers such as acebutolol, atenolol, betaxolol, bevantolol, bisoprolol, bopindolol, carteolol, carvedilol, celiprolol, esmolol, indenolol, metaprolol, nadolol, nebivolol
- endopeptidase inhibitors such as omapatrilat, cadoxatril, ecadotril, fosidotril, sampatrilat, AVE7688, ER4030, and the like; (6) endothelin antagonists such as tezosentan, A308165, and YM62899, and the like; (7) vasodilators such as hydralazine, clonidine, minoxidil, and nicotinyl alcohol, nicotinic acid or salt thereof, and the like; (8) angiotensin II receptor antagonists, which may be in free acid, free base, salt or prodrug form, such as candesartan, eprosartan, irbesartan, losartan, olmesartan, pratosartan, tasosartan, telmisartan, valsartan, and EXP-3137, FI6828K, and R
- anti-obesity agents such as (1) 5HT (serotonin) transporter inhibitors, such as paroxetine, fluoxetine, fenfluramine, fluvoxamine, sertraline, and imipramine, and those disclosed in WO 03/00663, as well as serotonin/noradrenaline re uptake inhibitors such as sibutramine (MERIDIA/REDUCTIL) and dopamine uptake inhibitor/Norepenephrine uptake inhibitors such as radafaxine hydrochloride, 353162 (GlaxoSmithkline), and the like; (2) NE (norepinephrine) transporter inhibitors, such as GW 320659, despiramine, talsupram, and nomifensine; (3) CB1 (cannabinoid-1 receptor) antagonist/inverse agonists, such as taranabant, rimonabant (ACCOMPLIA Sanofi Synthelabo), SR-147778 (Sanofi Syn
- NESS0327 (Univ of Sassari/Univ of Cagliari), and those disclosed in US Patent Nos. 4,973,587, 5,013,837, 5,081, 122, 5, 1 12,820, 5,292,736, 5,532,237, 5,624,941, 6,028,084, and 6,509367; and WO 96/33159, WO97/29079, W098/31227, WO 98/33765, WO98/37061, W098/41519, W098/43635, W098/43636, WO99/02499, WO00/10967, WO00/10968, WO 01/09120, WO 01/58869, WO 01/64632, WO 01/64633, WO 01/64634, WO 01/70700, WO 01/96330, WO 02/076949, WO 03/006007, WO 03/007887, WO 03/020217, WO 03/026647, WO
- H3 histamine H3 antagonist/inverse agonists, such as thioperamide, 3-(lH-imidazol-4-yl)propyl N-(4-pentenyl)carbamate), clobenpropit, iodophenpropit, imoproxifan, GT2394 (Gliatech), and A331440, and those disclosed in WO 02/15905; and 0-[3-(lH-imidazol-4-yl)propanol]carbamates (Kiec-Kononowicz, K.
- MCH1R melanin-concentrating hormone 1 receptor
- T-226296 Takeda
- T71 Takeda/Amgen
- AMGN- 608450 AMGN-503796
- Amgen 856464
- A798 Abbott
- ATC0175/AR224349 Arena Pharmaceuticals
- GW803430 GaxoSmithkine
- NBI- 1A Neurorocrine Biosciences
- NGX-1 Neurogen
- SNP-7941 Synaptic
- SNAP9847 Synaptic
- T-226293 Schering Plough
- TPI-1361-17 Saitama Medical School/University of California Irvine
- JP 13226269, JP 1437059, JP200431551 1, and the like (7) MCH2R (melanin concentrating hormone 2R) agonist/antagonists; (8) NPY1 (neuropeptide Y Yl) antagonists, such as BMS205749, BIBP3226, J-l 15814, BIBO 3304, LY-357897, CP-671906, and GI- 264879A; and those disclosed in U.S. Patent No.
- NPY5 neuropeptide Y Y5-5 antagonists, such as 152,804, S2367 (Shionogi), E-6999 (Esteve), GW- 569180A, GW-594884A (GlaxoSmithkline), GW-587081X, GW-548118X; FR 235,208;
- leptin such as recombinant human leptin (PEG-OB, Hoffman La Roche) and recombinant methionyl human leptin (Amgen); (11) leptin derivatives, such as those disclosed in Patent Nos.
- opioid antagonists such as nalmefene (Revex ®), 3-methoxynaltrexone, naloxone, and naltrexone; and those disclosed in WO
- Patent No. 6358951 U.S. Patent Application Nos. 2002/049196 and 2002/022637; and WO 01/56592, and WO 02/32888; (19) 5HT2c (serotonin receptor 2c) agonists, such as APD3546/AR10A (Arena),
- ATH88651 (Athersys), ATH88740 (Athersys), BVT933 (Biovitrum/GSK), DPCA37215 (BMS), IK264; LY448100 (Lilly), PNU 22394; WAY 470 (Wyeth), WAY629 (Wyeth), WAY161503 (Biovitrum), R-1065, VR1065 (Vernalis/Roche) YM 348; and those disclosed in U.S. Patent No.
- Mc3r melanocortin 3 receptor
- Mc4r Mcanocortin 4 receptor agonists, such as CHIR86036 (Chiron), CHIR915 (Chiron); ME-10142 (Melacure), ME- 10145 (Melacure), HS- 131 (Melacure), NBI72432 (Neurocrine Biosciences), NNC 70-619 (Novo Nordisk), TTP2435 (Transtech)and those disclosed in PCT Publications WO 99/64002, 00/74679, 01/991752, 01/0125192, 01/52880, 01/74844, 01/70708, 01/70337, 01/91752, 01/010842, 02/059095, 02/
- GLP-1 glucagon-like peptide 1
- Topiramate Topimax®
- phytopharm compound 57 CP 644,673
- ACC2 acetyl-CoA carboxylase-2
- ⁇ 3 beta adrenergic receptor 3) agonists, such as rafebergron/AD9677/TAK677 (Dainippon/ Takeda), CL-316,243, SB 418790, BRL-37344, L-796568, BMS-196085, BRL-35135A, CGP 12177A, BTA-243, GRC1087 (Glenmark Pharmaceuticals)
- GW 427353 solabegron hydrochloride
- Trecadrine Zeneca D71 14, N-5984 (Nisshin Kyorin)
- DGAT1 diacylglycerol acyltransferase 1 inhibitors
- DGAT2 diacylglycerol acyltransferase 2inhibitors
- FAS fatty acid synthase
- PDE phosphodiesterase
- UCP-1 uncoupling protein 1
- 2, or 3 activators such as phytanic acid, 4-[(E)-2-(5,6,7,8-tetrahydro-5,5,8,8-tetramethyl-2-napthalenyl)-l- propenyl]benzoic acid (TTNPB), and retinoic acid; and those disclosed in WO 99/00123; (35) acyl-estrogens, such as oleoyl-estrone, disclosed in del Mar-Grasa, M.
- glucocorticoid receptor antagonists such as CP472555 (Pfizer), KB 3305, and those disclosed in WO 04/000869, WO 04/075864, and the like; (37) 11 ⁇ HSD-1 (1 1-beta hydroxy steroid dehydrogenase type 1) inhibitors, such as BVT 3498 (AMG 331), BVT 2733, 3- (l-adamantyl)-4-ethyl-5-(ethylthio)-4H-l,2,4-triazole, 3-(l-adamantyl)-5-(3,4,5- trimethoxyphenyl)-4-methyl-4H-l,2,4-triazole, 3-adamantanyl-4,5,6,7,8,9, 10, l 1, 12,3a- decahydro-l,2,4-triazolo[4,3-a][l l]annulene, and those compounds disclosed in
- lipase inhibitors such as tetrahydrolipstatin
- Symlin/pramlintide/AC137 (Amylin); (59) Hoodia and trichocaulon extracts; (60) BVT74713 and other gut lipid appetite suppressants; (61) dopamine agonists such as bupropion
- anorectic agents suitable for use in combination with a compound of the present invention include, but are not limited to, aminorex, amphechloral, amphetamine, benzphetamine, chlorphentermine, clobenzorex, cloforex, clominorex, clortermine, cyclexedrine,
- dexfenfluramine dextroamphetamine, diethylpropion, diphemethoxidine, N-ethylamphetamine, fenbutrazate, fenfluramine, fenisorex, fenproporex, fludorex, fluminorex,
- furfurylmethylamphetamine levamfetamine, levophacetoperane, mazindol, mefenorex, metamfepramone, methamphetamine, norpseudoephedrine, pentorex, phendimetrazine, phenmetrazine, phentermine, phenylpropanolamine, picilorex and sibutramine;
- a particularly suitable class of anorectic agent are the halogenated amphetamine derivatives, including chlorphentermine, cloforex, clortermine, dexfenfluramine, fenfluramine, picilorex and sibutramine; and pharmaceutically acceptable salts thereof.
- Particular halogenated amphetamine derivatives of use in combination with a compound of the present invention include: fenfluramine and dexfenfluramine, and pharmaceutically acceptable salts thereof.
- Specific compounds of use in combination with a compound of the present invention include: simvastatin, mevastatin, ezetimibe, atorvastatin, rosuvastatin, sitagliptin, metformin, sibutramine, orlistat, Qnexa, topiramate, naltrexone, bupriopion, phentermine, and losartan, losartan with hydrochlorothiazide.
- the above combinations include combinations of a compound of the present invention not only with one other active compound, but also with two or more other active compounds.
- Non-limiting examples include combinations of compounds with two or more active compounds selected from biguanides, sulfonylureas, HMG-CoA reductase inhibitors, PPARy agonists, DPP- 4 inhibitors, anti-obesity compounds, and anti-hypertensive agents.
- the present invention also provides a method for the treatment or prevention of a G- protein coupled receptor 40 (GPR40) mediated disease, which method comprises administration to a patient in need of such treatment or at risk of developing a GPR40 mediated disease of an amount of a GPR40 agonist and an amount of one or more active ingredients, such that together they give effective relief.
- GPR40 G- protein coupled receptor 40
- a pharmaceutical composition comprising a GPR40 agonist and one or more active ingredients, together with at least one pharmaceutically acceptable carrier or excipient.
- GPR40 agonist and one or more active ingredients for the manufacture of a medicament for the treatment or prevention of a GPR40 mediated disease.
- a product comprising a GPR40 agonist and one or more active ingredients as a combined preparation for simultaneous, separate or sequential use in the treatment or prevention of a GPR40 mediated disease.
- Such a combined preparation may be, for example, in the form of a twin pack.
- a compound of the present invention may be used in conjunction with another pharmaceutical agent effective to treat that disorder.
- the present invention also provides a method for the treatment or prevention of diabetes, obesity, hypertension, Metabolic Syndrome, dyslipidemia, cancer, atherosclerosis, and related disorders thereof, which method comprises administration to a patient in need of such treatment an amount of a compound of the present invention and an amount of another pharmaceutical agent effective to threat that disorder, such that together they give effective relief.
- the present invention also provides a method for the treatment or prevention of diabetes, obesity, hypertension, Metabolic Syndrome, dyslipidemia, cancer, atherosclerosis, and related disorders thereof, which method comprises administration to a patient in need of such treatment an amount of a compound of the present invention and an amount of another pharmaceutical agent useful in treating that particular condition, such that together they give effective relief.
- terapéuticaally effective amount means the amount the compound of structural formula I that will elicit the biological or medical response of a tissue, system, animal or human that is being sought by the researcher, veterinarian, medical doctor or other clinician, which includes alleviation of the symptoms of the disorder being treated.
- the novel methods of treatment of this invention are for disorders known to those skilled in the art.
- “mammal” includes humans, and companion animals such as dogs and cats.
- the weight ratio of the compound of the Formula I to the second active ingredient may be varied and will depend upon the effective dose of each ingredient. Generally, an effective dose of each will be used. Thus, for example, when a compound of the Formula I is combined with a DPrV inhibitor the weight ratio of the compound of the Formula I to the DPIV inhibitor will generally range from about 1000: 1 to about 1 : 1000, preferably about 200: 1 to about 1 :200. Combinations of a compound of the Formula I and other active ingredients will generally also be within the aforementioned range, but in each case, an effective dose of each active ingredient should be used.
- the compounds of the present invention can be prepared according to the procedures of the following Schemes, Intermediates and Examples, using appropriate materials.
- the compounds illustrated in the examples are not, however, to be construed as forming the only genus that is considered as the invention.
- the Examples further illustrate details for the preparation of the compounds of the present invention.
- Those skilled in the art will readily understand that known variations of protecting groups, as well as of the conditions and processes of the following preparative procedures, can be used to prepare these compounds.
- a chemical reagent such as a boronic acid or a boronate is not commercially available, such a chemical reagent can be readily prepared following one of numerous methods described in the literature. All temperatures are degrees Celsius unless otherwise noted.
- Mass spectra (MS) were measured either by electrospray ion-mass
- ESMS electrospray mass spectroscopy
- APCI atmospheric pressure chemical ionization mass spectroscopy
- TLC or prep-TLC, or prep TLC is preparative thin layer chromatography;
- RBF round bottom flask;
- RCM ring closing metathesis reaction;
- rt or r.t. or RT is room temperature;
- s is singlet; sat or sat.
- SFC supercritical fluid chromatography
- S- Phos is 2-Dicyclohexylphosphino-2',6'-dimethoxybiphenyl
- S-Phos(Pd) is chloro(2- dicyclohexyl-phosphino-2',6'-dimethoxy-l, r-biphenyl)[2-(2-aminoethylphenyl)]-palladium(II) [CAS-No.
- S-Phos precatalyst 2 nd generation is Chloro(2-dicyclohexyl- phosphino-2',6'-dimethoxy- 1 , 1 '-biphenyl)[2-(2'-amino- 1 , 1 '-biphenyl)]palladium(II), SPhos-Pd- G2) [CAS-No.
- STEP A 4-chloro-5-(2-fluoro-5-methoxyphenyl)-2,3-dihydro-lH-inden-l-one (300 mg, 1.0 mmol), Zn(CN) 2 (151 mg, 1.3 mmol), Pd 2 (dba) 3 (189 mg, 0.20 mmol), and S-Phos Ligand (42.4 mg, 0.10 mmol) were placed in a sealed tube and sparged with nitrogen. DMF (7 mL) was then added and the reaction heated in a microwave for 35 min at 150 °C.
- STEP B The desired product (5)-5-(2-fluoro-5-methoxyphenyl)-l-hydroxy-2,3-dihydro-lH- indene-4-carbonitrile was synthesized according to the procedure used to make Intermediate 1.
- Step A To a solution of (5)-methyl 3-cyclopropyl-3-(3-hydroxyphenyl)propanoate (23.6 g, 101 mmol) in DMF (200 mL) was added TBSC1 (15.9 g, 106 mmol), followed by imidazole (13.7 g, 201 mmol). The mixture was stirred at rt for 1 h. Then the solution was diluted with saturated brine solution and extracted with hexanes (2 x 200 mL).
- Step B A solution of (5)-methyl 3-(3-((tert-butyldimethylsilyl)oxy)phenyl)-3- cyclopropylpropanoate (2 g, 6.0 mmol) was dissolved in THF (30 mL) and cooled to
- the oil was purified using an ISCO 120 g cartridge (0-30% EtOAc :hexanes) to give a 1 :2 mixture of (2R,3R)-methyl 3-(3-((ter?-butyldimethylsilyl)-oxy)-phenyl)-3-cyclopropyl-2-methylpropanoate and (25',3R)-methyl 3-(3-((tert-butyl-dimethylsilyl)oxy)phenyl)-3-cyclopropyl-2- methylpropanoate.
- Step C A solution of the 1 :2 mixture of (2R,3R)-methyl 3-(3-((tert-butyldimethylsilyl)- oxy)phenyl)-3-cyclopropyl-2-methylpropanoate and (25',3R)-methyl 3-(3-((tert- butyldimethylsilyl)oxy)phenyl)-3-cyclopropyl-2-methylpropanoate (7.8 g, 22.2 mmol) in THF (80 mL) was cooled to 0°C. Then KOiBu solution (44 mL, 44.6 mmol, l.OM in THF), and after 20 minutes the soluton was quenched with IN HC1 (200 mL).
- Step D Separation of the diastereomers from Step C was performed by SFC (IC, 50x250 mm,
- Step A 5-Methoxy-2,3-dihydro-lH-inden-l-one (30.0 g, 0.19 mol, 1.0 eq) and l,3-dibromo-5,5- dimethylhydantoin (52.96 g, 0.19 mol, 1.0 eq) were suspended in H 2 0 (300 mL) and the mixture was stirred overnight at room temperature. Then the mixture was filtered and the filter cake was washed with water (3x100 mL). The filtrate was extracted with EtOAc (500 mL). The organic layer was separated, washed with water (200 mL), brine (200 mL), dried over Na 2 S0 4 , and concentrated.
- Step B To a solution of Et 2 NCH 2 CH 2 SH-HCl (15.9 g, 93.75 mmol, 1.5 eq) in NMP (300 mL) was added NaO?-Bu (18 g, 188 mmol, 3 eq) at 0 °C. The mixture was stirred for 30 minutes at 0- 10 C under nitrogen, followed by the addition of 4-bromo-5-(2-fluoro-5-methoxyphenyl)-2,3- dihydro-1 H-inden- 1 -one (15 g, 62.5 mmol, 1 eq).
- the mixture was heated to 150-160 C and stirred for 1.5 h, then cooled to room temperature, diluted with water (300 mL), and extracted with EtOAc (300 mLx2). The combined organic layers were washed with water (100 mL). The combined aqueous layers were acidified to pH 1 with IN HC1, then extracted with EtOAc (200 mLx2). The combined organic layers were washed with brine (200 mL), dried over Na 2 S0 4; filtered and concentrated. The resulting residue was triturated in IPAc (15 mL) to give 4-bromo- 5-hydroxy-2,3-dihydro-lH-inden-l-one.
- Step C To a solution of 4-bromo-5-hydroxy-2,3-dihydro-lH-inden-l-one (12 g, 53 mmol) in DCM (240 mL) was added pyridine (8.5 mL, 106 mmol) at 0-10 C. The mixture was stirred for 10 min, followed by addition of Tf 2 0 (11.36 mL, 79.64 mmol). The mixture was stirred for 2 h at 25 ° C, then diluted with DCM (100 mL), then washed with IN HC1 (20 mL), water (100 mL), brine (100 mL), dried over Na 2 S0 4; filtered and concentrated.
- Step D To a solution of 4-bromo-l-oxo-2,3-dihydro-lH-inden-5-yl trifluoromethane-sulfonate (11.8 g, 33 mmol) in MeCN/H 2 0 (v/v 4: 1, 300 mL) was added 2-fluoro-5-methoxyphenyl)- boronic acid (5.61 g, 33 mmol), NaHC0 3 (5.54 g, 66 mmol) and Pd(PPh 3 ) 4 (1.91 g, 1.65 mmol) under nitrogen at rt. The mixture was heated to 60 C and stirred for 2 days.
- Step A A reaction vessel was charged with (2-fluoro-5-methoxyphenyl)boronic acid (210 mg, 1.2 mmol), 2-bromo-6,7-dihydro-5H-cyclopenta[b]pyridin-5-one (210 mg, 1.0 mmol), S-Phos precatalyst-2nd generation (35.7 mg, 0.050 mmol) and THF (4.0 mL). Degassed potassium phosphate (3.0 mL, 2.97 mmol, 1.0 M aqueous) solution was then added, and the reaction was then heated to 80°C. After 35 minutes, the reaction was allowed to cool to rt and partitioned between EtOAc and water.
- (2-fluoro-5-methoxyphenyl)boronic acid 210 mg, 1.2 mmol
- 2-bromo-6,7-dihydro-5H-cyclopenta[b]pyridin-5-one 210 mg, 1.0 mmol
- Step B A solution 2-(2-fluoro-5-methoxyphenyl)-6,7-dihydro-5H-cyclopenta[b]pyridin-5-one (250 mg, 0.972 mmol) and RuCl[(5,5)-TSDPEN](mesitylene) (12.1 mg, 0.02 mmol) in EtOAc (4 mL) was cooled to 0 °C. Then a pre-formed solution of formic acid (373 ⁇ , 9.72 mmol)/ TEA (542 ⁇ , 3.89 mmol)/ EtOAc (4 mL) was added dropwise via syringe. The resulting reaction was stirred at room temperature for 1 h and then at 45°C overnight.
- Step A A solution of 5-bromo-2-chloroisonicotinaldehyde (4 g, 18 mmol) in DCM (150 mL) was treated with N-methoxy-N-methyl-2-(triphenylphosphoranylidene)acetamide (9.9 g, 27 mmol) at rt. The reaction was stirred for 12h, then concentrated to dryness. The resulting crude product was purified using an ISCO 330 g cartridge (EtOAc: Hexanes 0-70%) to give (E)-3-(5- bromo-2-chloropyridin-4-yl)-N-methoxy-N-methylacrylamide as a white solid.
- Step B A solution of (£)-3-(5-bromo-2-chloropyridin-4-yl)-N-methoxy-N-methylacrylamide (1.17 g, 3.8 mmol, Step A) and 5% Rh/Al 2 0 3 (292 mg, 25 wt% in EtOAc (40 niL) was hydrogenated under a H 2 atmosphere (30 psi) for 6 h. The solution was filtered to remove the catalyst and concentrated to give rise to 3-(5-bromo-2-chloropyridin-4-yl)-N-methoxy-N- methylpropanamide.
- Step C A stirred solution of 3-(5-bromo-2-chloropyridin-4-yl)-N-methoxy-N- methylpropanamide (1.24 g, 4.0 mmol) in THF (15 mL) was cooled to -78°C. Then BuLi (2.4 mL, 6.0 mmol, 2.5 M) was added dropwise. The solution was stirred at -78°C for lh, then quenched with 3 ⁇ 40 (5 mL) at -78°C. The reaction mixture was diluted with IN HC1 (50 mL) and extracted with EtOAc (150 mL). The organic layers were combined, dried, filtered and concentrated to give a crude oil.
- Step A 3-Bromo-6,7-dihydro-5H-cyclopenta[b]pyridine (5 g, 25.2 mmol) was dissolved in AcOH (13 mL). Then H2O2 (2.6 mL, 25.2 mmol, 30% aqueous) was added, and the mixture was heated to 70 °C for 1.5 hours. The mixture was then cooled to room temperature and additional H2O2 (2.6 ml, 25.2 mmol) was added. The mixture was again heated at 70 °C overnight. The mixture was then cooled to room temperature and concentrated under reduced pressure. The remaining liquid was dissolved in CHCI 3 (20 mL) and treated with sodium carbonate (10 g) for 1 h.
- Step B To a mixture of 3-bromo-6,7-dihydro-5H-cyclopenta[b]pyridin-7-yl acetate (3.86g, 15.07 mmol) in MeOH (50 mL) was added K 2 C0 3 (5.21 g, 38 mmol) in H 2 0 (50 mL). The mixture was stirred at rt for 2 h, then diluted with EtOAc (75 mL), and washed with brine. The organic layer was separated, dried over sodium sulfate, filtered and concentrated in vacuum to afford 3-bromo-6,7-dihydro-5H-cyclopenta[b]pyridin-7-ol, which was used without further purification.
- Step C A solution of 3-bromo-6,7-dihydro-5H-cyclopenta[b]pyridin-7-ol (2.4 g, 1 1 mmol) in DCM (60 mL) was treated with Dess-Martin periodinane (5.70 g, 13.0 mmol) at rt for 1.5 h. The reaction was then diluted with DCM and quenched with saturated bicarbonate solution. After stirring at room temperature for 20 minutes, the solution was extracted with DCM. The DCM layer was concentrated and purified via MPLC using an ISCO 80g cartridge (0-50% EtOAc:hexanes) to give 3-bromo-5H-cyclopenta[b]pyridin-7(6H)-one as a solid.
- X H NMR 500 MHz; CDC1 3 ): ⁇ 8.83 (s, 1H), 8.07 (s, 1H), 3.18 (m, 2H), 2.80 (m, 2H).
- Step A A solution of Intermediate 4 (271 mg, 1.27 mmol) and Intermediate 22 (350 mg, 1.6 mmol) in THF (6 mL) was cooled to 0 °C and treated with ⁇ 3 ⁇ 4 ⁇ (392 ⁇ ⁇ , 1.6 mmol). After 5 minutes, DIAD (371 ⁇ ⁇ , 1.9 mmol) was added and the reaction was allowed to warm to room temperature.
- Step B A reaction vessel was charged with (2-fluoro-5-methoxyphenyl)boronic acid (24 mg, 0.14 mmol), (5)-methyl 3-(3-(R)-5-bromo-2,3-dihydro-lH-inden-l-yl)oxy)phenyl)-3- cyclopropylpropanoate (50 mg, 0.12 mmol, Step A), and S-Phos precatalyst-2nd generation (4.0 mg, 6.02 ⁇ ). The reaction was sealed, and then evacuated and backfilled with nitrogen. THF (482 ⁇ ) was added, followed by the addition of degassed potassium phosphate (361 ⁇ ,, 0.36 mmol). The reaction was then heated to 90°C.
- reaction was removed from the heating block and allowed to cool to room temperature. After cooling, the reaction was partitioned between EtOAc and water. The organic layer was separated, washed with brine, dried over MgS0 4 , filtered and concentrated. The resulting residue was dissolved in 2 mL of THF/water/MeOH (9: 1 :0.5) and treated with LiOH (7.7 mg, 0.321 mmol) at 40°C for 12 h. Then the reaction was cooled, diluted with EtOAc and 0.5 N HC1. The organic layer was separated, dried over sodium sulfate, filtered, and concentrated.
- Human and mouse GPR40 stable cell-lines were generated in CHO cells stably expressing NFAT BLA (Beta-lactamase).
- a human GPR40 stable cell-line was generated in HEK cells stably expressing the aequorin expressing reporter.
- the expression plasmids were transfected using lipofectamine (Life Technologies) following manufacturer's instructions. Stable cell-lines were generated following drug selection. FLIPR Assays:
- FLIPR Fluorimetric Imaging Plate Reader, Molecular Devices
- GPR40/CHO NFAT BLA cells were seeded into black-wall-clear-bottom 384- well plates (Costar) at 1.4 x 10e4 cells / 20 medium / well.
- the cells were incubated with 20 ⁇ / well of the assay buffer (HBSS, 0.1 % BSA, 20 mM HEPES, 2.5 mM probenecid, pH 7.4) containing 8 ⁇ fluo-4,AM, 0.08 % pluronic acid at room temperature for 100 minutes.
- Fluorescence output was measured using FLIPR. Compounds were dissolved in DMSO and diluted to desired concentrations with assay buffer. 13.3 ⁇ of compound solution was added.
- the compounds of the present invention including the compounds in Examples 1-41, have EC50 values less than 200 nanomolar (nM) in the FLIPR assay described above.
- the compounds in Examples 1-41 have the EC50 values in the FLIPR assay listed in Table 2.
- the assay was performed in 96-well format.
- HEK cells stably expressing human GPR40 were plated to be 60-80% confluent within 72 h. After 72 h, the plates were aspirated and the cells washed with inositol-free DMEM (ICN).
- the wash media was replaced with 150 ⁇ ⁇ of 3H- inositol labeling media (inositol-free media containing 0.4% human albumin or 0.4% mouse albumin, IX pen/strep antibiotics, glutamine, 25 mM HEPES to which was added 3H-myo- inositol NEN #NET114A lmCi/mL, 25Ci/mmol diluted 1 : 150 in loading media with a final specific radioactivity of 1 ⁇ /150 ⁇ ).
- the human and mouse albumin were added after the overnight labeling step before the addition of LiCl.
- the assay was typically run the next day after 18 h labeling. On the day of the assay, 5 ⁇ ⁇ of 300 mM LiCl were added to all wells and incubated at 37 degrees for 20 min. 0.75 ⁇ ⁇ of 200X compounds were added and incubated with the cells for 60 min at 37 degrees. The media was then aspirated off and the assay terminated with the addition of 60 ⁇ ⁇ 10 mM formic acid.
- the cells were lysed for 60 min at room temperature. 15-30 ⁇ ⁇ of lysate was mixed with 70 ⁇ 71 mg YSi SPA beads (Amersham) in clear bottom Isoplates. The plates were shaken for 2 h at room temperature. Beads were allowed to settle and the plates are counted in the Wallac Microbeta.
- the compounds of the present invention including the compounds in Examples 1-41, have EC50 values less than 2500 nanomolar (nM) in the Inositol Phophate Turnover (IPl) assay described above.
- the compounds in Examples 1-41 have the EC50 values in the Inositol Phophate Turnover (IPl) assay listed in Table 2.
- a 100 mg potency tablet is composed of 100 mg of any one of Examples, 268 mg microcrystalline cellulose, 20 mg of croscarmellose sodium, and 4 mg of magnesium stearate.
- the active, microcrystalline cellulose, and croscarmellose are blended first.
- the mixture is then lubricated by magnesium stearate and pressed into tablets.
- effective dosages other than the particular dosages as set forth herein above may be applicable as a consequence of variations in responsiveness of the mammal being treated for any of the indications with the compounds of the invention indicated above.
- the specific pharmacological responses observed may vary according to and depending upon the particular active compounds selected or whether there are present pharmaceutical carriers, as well as the type of formulation and mode of administration employed, and such expected variations or differences in the results are contemplated in accordance with the objects and practices of the present invention. It is intended, therefore, that the invention be defined by the scope of the claims which follow and that such claims be interpreted as broadly as is reasonable.
Landscapes
- Chemical & Material Sciences (AREA)
- Organic Chemistry (AREA)
- Health & Medical Sciences (AREA)
- Veterinary Medicine (AREA)
- Medicinal Chemistry (AREA)
- Pharmacology & Pharmacy (AREA)
- Life Sciences & Earth Sciences (AREA)
- Animal Behavior & Ethology (AREA)
- General Health & Medical Sciences (AREA)
- Public Health (AREA)
- Epidemiology (AREA)
- Diabetes (AREA)
- Emergency Medicine (AREA)
- Endocrinology (AREA)
- Engineering & Computer Science (AREA)
- Bioinformatics & Cheminformatics (AREA)
- Hematology (AREA)
- Obesity (AREA)
- Chemical Kinetics & Catalysis (AREA)
- General Chemical & Material Sciences (AREA)
- Nuclear Medicine, Radiotherapy & Molecular Imaging (AREA)
- Pharmaceuticals Containing Other Organic And Inorganic Compounds (AREA)
Abstract
Novel compounds of the structural formula (I), and the pharmaceutically acceptable salts thereof, are agonists of G-protein coupled receptor 40 (GPR40) and may be useful in the treatment, prevention and suppression of diseases mediated by the G-protein-coupled receptor 40. The compounds of the present invention may be useful in the treatment of Type 2 diabetes mellitus, and of conditions that are often associated with this disease, including obesity and lipid disorders, such as mixed or diabetic dyslipidemia, hyperlipidemia, hypercholesterolemia, and hypertriglyceridemia.
Description
TITLE OF THE INVENTION
ANTIDIABETIC BICYCLIC COMPOUNDS
BACKGROUND OF THE INVENTION
Diabetes mellitus is a disease derived from multiple causative factors and characterized by elevated levels of plasma glucose (hyperglycemia) in the fasting state or after administration of glucose during an oral glucose tolerance test. There are two generally recognized forms of diabetes. In Type 1 diabetes, or insulin-dependent diabetes mellitus (IDDM), patients produce little or no insulin, the hormone which regulates glucose utilization. In Type 2 diabetes, or noninsulin-dependent diabetes mellitus (NIDDM), insulin is still produced in the body, however patients with Type 2 diabetes have a resistance to the effects of insulin in stimulating glucose and lipid metabolism in the insulin-sensitive muscle, liver and adipose tissues. These patients often have normal levels of insulin, and may have hyperinsulinemia (elevated plasma insulin levels), as they compensate for the reduced effectiveness of insulin by secreting increased amounts of insulin. This lack of responsiveness to insulin results in insufficient insulin-mediated activation of uptake, oxidation and storage of glucose in muscle, and inadequate insulin- mediated repression of lipolysis in adipose tissue and of glucose production and secretion in the liver.
Persistent or uncontrolled hyperglycemia that occurs with diabetes is associated with increased and premature morbidity and mortality. Abnormal glucose homeostasis is associated both directly and indirectly with obesity, hypertension, and alterations of the lipid, lipoprotein and apolipoprotein metabolism, as well as other metabolic and hemodynamic disease. Patients with Type 2 diabetes mellitus have a significantly increased risk of macrovascular and microvascular complications, including atherosclerosis, coronary heart disease, stroke, peripheral vascular disease, hypertension, nephropathy, neuropathy, and retinopathy. Therefore, therapeutic control of glucose homeostasis, lipid metabolism, obesity, and hypertension are critically important in the clinical management and treatment of diabetes mellitus.
Patients who have insulin resistance often have Metabolic Syndrome, which is characterized as having three or more symptoms selected from the following group of five symptoms: (1) abdominal obesity; (2) hypertriglyceridemia; (3) low high-density lipoprotein cholesterol (HDL); (4) high blood pressure; and (5) elevated fasting glucose, which may be in the range characteristic of Type 2 diabetes if the patient is also diabetic (as defined in the Third Report of the National Cholesterol Education Program Expert Panel on Detection, Evaluation and Treatment of High Blood Cholesterol in Adults (Adult Treatment Panel III, or ATP III), National Institutes of Health, 2001 , NIH Publication No. 01 -3670). Patients with Metabolic Syndrome have an increased risk of developing the macrovascular and microvascular
complications that occur with Type 2 diabetes, such as atherosclerosis and coronary heart disease.
There are several available treatments for Type 2 diabetes. Physical exercise and a reduction in dietary intake of calories often dramatically improve the diabetic condition and are the usual recommended first-line treatment of Type 2 diabetes and of pre-diabetic conditions associated with insulin resistance, however compliance with this treatment is generally very poor. Pharmacologic treatments for diabetes have largely focused on three areas of
pathophysiology: (1) hepatic glucose production (biguanides, such as phenformin and metformin), (2) insulin resistance (PPAR agonists, such as rosiglitazone, troglitazone, engliazone, balaglitazone, MCC-555, netoglitazone, T-131, LY-300512, LY-818 and pioglitazone), (3) insulin secretion (sulfonylureas, such as tolbutamide, glipizide and
glimipiride); (4) incretin hormone mimetics (GLP-1 derivatives and analogs, such as exenatide, liraglutide, dulaglutide, semaglutide, lixisenatide, albiglutide and taspoglutide); and (5) inhibitors of incretin hormone degradation (DPP-4 inhibitors, such as sitagliptin, alogliptin, vildagliptin, linagliptin, denagliptin and saxagliptin).
There has been a renewed focus on pancreatic islet-based insulin secretion that is controlled by glucose-dependent insulin secretion. This approach has the potential for stabilization and restoration of β-cell function. In this regard, several orphan G-protein coupled receptors (GPCR's) have recently been identified that are preferentially expressed in the β-cell and that are implicated in glucose stimulated insulin secretion (GSIS). GPR40 is a cell-surface GPCR that is highly expressed in human (and rodent) islets as well as in insulin-secreting cell lines. Several naturally-occurring medium to long-chain fatty acids (FA's) as well as synthetic compounds, including several members of the thiazolidinedione class of PPARy agonists, have recently been identified as ligands for GPR40 [Itoh, Y. et al, Nature. 422: 173 (2003); Briscoe, CP. et al, J. Biol. Chem.. 278: 11303 (2003); Kotarsky, K. et al, Biochem. Biophys. Res.
Comm., 301 : 406 (2003)]. Under hyperglycemic conditions, GPR40 agonists are capable of augmenting the release of insulin from islet cells. The specificity of this response is suggested by results showing that the inhibition of GPR40 activity by siRNA attenuates FA-induced amplification of GSIS. These findings indicate that, in addition to the intracellular generation of lipid-derivatives of FA's that are thought to promote insulin release, FA's (and other synthetic GPR40 agonists) may also act as extracellular ligands that bind to GPR40 in mediating FA- induced insulin secretion. There are several potential advantages of GPR40 as a potential target for the treatment of Type 2 diabetes. First, since GPR40-mediated insulin secretion is glucose dependent, there is little or no risk of hypoglycemia. Second, the limited tissue distribution of GPR40 (mainly in islets) suggests that there would be less chance for side effects associated with GPR40 activity in other tissues. Third, GPR40 agonists that are active in the islets may have the potential to restore or preserve islet function. This would be highly advantageous, because long
term diabetes therapy often leads to the gradual diminution of islet activity, so that after extended periods of treatment, it is often necessary to treat Type 2 diabetic patients with daily insulin injections. By restoring or preserving islet function, GPR40 agonists may delay or prevent the diminution and loss of islet function in a Type 2 diabetic patient.
Compounds that are agonists of G-protein-coupled receptor 40 (GPR40) may be useful to treat type 2 diabetes mellitus, obesity, hypertension, dyslipidemia, cancer, and metabolic syndrome, as well as cardiovascular diseases, such as myocardial infarction and stroke, by improving glucose and lipid metabolism and by reducing body weight. There is a need for potent GPR40 agonists that have pharmacokinetic and pharmacodynamic properties suitable for use as human pharmaceuticals.
G-protein-coupled receptor 40 (GPR40) agonists are disclosed in: WO 2004/022551, WO 2004/041266, WO 2005/051373, WO 2005/051890, WO 2005/063729, WO 2005/086661, WO 2005/087710, WO 2006/038738, WO 2006/083612, WO 2006/083781, WO 2006/127503, WO 2007/033002, WO 2007/101368, WO 2007/106469, WO 2007/123225, WO 2007/131619, WO 2007/131620, WO 2007/131621, WO 2007/131622, WO 2007/136572, WO 2007/136573, WO 2007/213364, WO 2008/001931, WO 2008/030520, WO 2008/030618, WO 2008/054674, WO 2008/054675, WO 2008/058237; WO 2008/066097, WO 2008/130514, WO 2008/139987, WO 2009/038204, WO 2009/039942, WO 2009/039943, WO 2009/048527, WO 2009/054390, WO 2009/054423, WO 2009/054479, WO 2009/058237, WO 2009/11 1056, WO 2010/025424, WO 2010/045258, WO 2010/085522, WO 2010/085525, WO 2010/085528, WO 2010/085528, WO 2010/091 176, WO 2010/091 176, WO 2010/123016, WO 2010/123017, WO 2010/143733, WO 201 1/052756, WO 201 1/066183, WO 2012/01 1125, WO 2012/030566, WO 2012/046869, WO 2012/072691, WO 2013/025424, WO 2013/104267, US 2007/0265332, US 2013/0252937, WO 2013/122028, WO 2013/122029, WO 2013/128378, US2013/0172248, CN 2013/103012343A, CN 2013/103145663A, CN 2012/10300982.7 and CN 103030646.
GPR40 agonists are also disclosed in Walsh et al, Bioorganic & Medicinal Chemistry Letters (201 1), 21(1 1), 3390-3394; Zhou et al, Bioorganic & Medicinal Chemistry Letters (2010), 20(3), 1298-1301; Tan et al, Diabetes (2008), 57(8), 221 1-2219; Houze et al,
Bioorganic & Medicinal Chemistry Letters (2012), 22(2), 1267-1270; Brown et al, ACS Medicinal Chemistry Letters (2012), 3(9), 726-730; Lin et al, PloS One (201 1), 6(1 1), e27270; Lou et al, PloS One (2012), 7(10), e46300; Lin et al, Molecular Pharmacology (2012), 82(5), 843-859; Yang, Lihu, Abstracts of Papers, 239th ACS Meeting, San Francisco, CA, USA March 21-25, 2010 MEDI-313; and Houze et al, Abstracts of Papers, 243rd ACS National Meeting & Exposition, San Diego, CA, USA March 25-29, 2012, MEDI-265.
SUMMARY OF THE INVENTION
and pharmaceutically acceptable salts thereof. The compounds of structural formula I, and embodiments thereof, are agonists of G-protein-coupled receptor 40 (GPR40) and may be useful in the treatment, prevention and suppression of diseases, disorders and conditions mediated by agonism of the G-protein-coupled receptor 40, such as Type 2 diabetes mellitus, insulin resistance, hyperglycemia, dyslipidemia, lipid disorders, obesity, hypertension, Metabolic Syndrome and atherosclerosis.
The present invention also relates to pharmaceutical compositions comprising the compounds of the present invention and a pharmaceutically acceptable carrier. The present invention also relates to methods for the treatment, control or prevention of disorders, diseases, and conditions that may be responsive to agonism of the G-protein-coupled receptor 40 in a subject in need thereof by administering the compounds and pharmaceutical compositions of the present invention. The present invention also relates to the use of compounds of the present invention for manufacture of a medicament useful in treating diseases, disorders and conditions that may be responsive to the agonism of the G-protein-coupled receptor 40. The present invention is also concerned with treatment of these diseases, disorders and conditions by administering the compounds of the present invention in combination with a therapeutically effective amount of another agent that may be useful to treat the disease, disorder and condition. The invention is further concerned with processes for preparing the compounds of this invention.
DETAILED DESCRIPTION OF THE INVENTION The present invention is concerned with novel compounds of structural Formula I:
or a pharmaceutically acceptable salt thereof; wherein
selected from the group consisting 5 of:
(1) CH,
(2) N, and
(3) N-oxide;
selected from the group consisting ; of:
(1) CH,
(2) N, and
(3) N-oxide;
selected from the group consisting ; of:
(1) CH,
(2) N, and
(3) N-oxide;
selected from the group consisting I of:
(1) CH,
(2) N, and
(3) N-oxide,
provided that no more than three of A, B, C and D are selected from N and N-oxide; T is selected from the group consisting of:
(1) CH,
(2) N, and
(3) N-oxide;
U is selected from the group consisting of:
(1) CH,
(2) N, and
(3) N-oxide;
V is selected from the group consisting of:
CH,
(2) N, and
(3) N-oxide;
W is selected from the group consisting of:
(1) CH,
(2) N, and
(3) N-oxide,
provided that no more than two of T, U, V and W are selected from N and N-oxide;
X is selected from the group consisting of:
(1) aryl,
(2) heteroaryl,
(3) -C3-6-cycloalkyl, and
(4) -C2-6-cycloheteroalkyl,
wherein aryl, heteroaryl, cycloalkyl and cycloheteroalkyl are unsubstituted or substituted with one to three substituents selected from Ra;
Y is selected from the group consisting of:
(1) oxygen,
(2) NRf,
(3) sulfur,
(4) -CRgRg,
(5) -C(O), and
(6) -CF2;
Z is selected from the group consisting of:
(1) -OH,
(2) -0-Ci-6alkyl, and
(3) -NHRh
wherein alkyl is unsubstituted or substituted with one to five substituents selected from Ci - 6alkyl;
each R1 is independently selected from the group consisting of:
(1) hydrogen,
(2) halogen,
(3) -(CH2)s-OCi-6alkyl,
(4) -(CH2)s-OH,
(5) -CN, and
(6) -Ci-6alkyl,
wherein alkyl is unsubstituted or substituted with one, two or three halogens;
each R2 is independently selected from the group consisting of:
(1) -(CH2)s-0-Ci-6alkyl,
(2) -C i-6alkyl,
(3) -C3-6cycloalkyl, and
(4) -C2-4cycloheteroalkyl,
wherein alkyl and cycloalkyl are unsubstituted or substituted with one, two or three halogens, and wherein cycloheteroalkyl is unsubstituted or substituted with one, two or three substituents selected from halogen, OH, and OCl-6alkyl;
each R3 is independently selected from the group consisting of:
(1) hydrogen,
(2) halogen,
(3) -(CH2)s-OCi-6alkyl,
(4) -(CH2)s-OH,
(5) -CN, and
(6) -C l-6alkyl,
wherein alkyl is unsubstituted or substituted with one, two or three substituents selected from halogen, OH, and OC l -6alkyl;
each R4 is independently selected from the group consisting of:
(1) hydrogen,
(2) halogen, and
(3) -Ci-6alkyl,
wherein alkyl is unsubstituted or substituted with one, two or three substituents selected from halogen, OH, and OC i-6alkyl;
each R5 is independently selected from the group consisting of:
(1 ) hydrogen,
(2) -Ci -6alkyl,
(3) -Cl -6alkenyl,
(4) halogen,
(5) -(CH2)t-0-Ci-6alkyl,
(6) -S(0)tRi,
(V) -S(0)tNRjRk
(8) -CN,
(9) -CF3,
(10) -OCF3,
(1 1) -OCHF2,
(12) aryl,
(13) heteroaryl,
(14) -C3-6cycloalkyl,
(15) -C3-6cycloalkenyl, and
(16) -C2-5cycloheteroalkyl,
wherein each alkyl, alkenyl, cycloalkyl, cycloalkenyl, cycloheteroalkyl, aryl and heteroaryl is unsubstituted or substitued with one, two, three, four, five or six substituents selected from Rb; each Ra is independently selected from the group consisting of:
(1) -Ci-6alkyl,
(2) halogen,
(3) -(CH2)u-OCi-6alkyl,
(4) -OH,
(5) -S(0)uRe,
(6) -S(0)uNRCRd
(V) -CN,
(8) -C(0)NRCRd,
(9) -CF3,
(10) -OCF3,
(11) -OCHF2,
(12) aryl,
(13) heteroaryl,
(14) -C3-6cycloalkyl,
(15) -C3-6cycloalkenyl, and
(16) -C2-5cycloheteroalkyl,
wherein each alkyl, cycloalkyl, cycloalkenyl, cycloheteroalkyl, aryl and heteroaryl is unsubstituted or substitued with -Cl-6alkyl, halogen, -0-Cl-6alkyl and -CF3;
each Rb is independently selected from the group consisting of:
(1) -Ci-ioalkyl,
(2) -C2-10alkenyl,
(3) -CF3,
(4) halogen,
(5) -CN,
(6) -OH,
(7) -OCi-ioalkyl,
(8) -OC2-10alkenyl,
(9) -O(CH2)vOCi-l0alkyl,
(10) -0(CH2)vC3_6cycloalkyl,
(11) -0(CH2)vC3-6 cycloalkyl-Cl-lOalkyl,
(12) -0(CH2)vC2-5cycloheteroalkyl,
(13) -0(CH2)vC2-5cycloheteroalkyl-C 1 - 1 Oalkyl,
(14) -O-aryl,
(15) -O-heteroaryl,
(16) -0-aryl-Cl-lOalkyl,
(17) -O-heteroaryl-C i - loalkyl,
(18) -0(CH2)vNRCS(0)mRe,
(19) -0(CH2)vS(0)mRe,
(20) -0(CH2)vS(0)mNRCRd
(21) -0(CH2)vNRCRd
(22) -C(0)Re
(23) -OC(0)Re
(24) -C02Re,
(25) -C(0)NRCRd,
(26) -NRcC(0)Re,
(27) -NRcC(0)ORe,
(28) -NRCC(0)NRCRd,
(29) -0(CH2)vO-C3-6cycloalkyl,
(30) -0(CH2)vO-C2-5cycloheteroalkyl,
(31) -OCF3,
(32) -OCHF2,
(33) -(CH2)vC3 -6cycloalkyl,
(34) -(CH2)vC2 -5 cycloheteroalkyl,
(35) aryl,
(36) heteroaryl,
(37) aryl-Ci-ioalkyl-, and
(38) heteroaryl-C l - 1 Qalkyl-,
wherein each CH, CH2, alkyl, alkenyl, cycloalkyl, cycloheteroalkyl, aryl and heteroaryl is unsubstituted or substitued with -C loalkyl, halogen, -OC loalkyl and -CF3;
each Rc is independently selected from the group consisting of:
(1) hydrogen,
(2) Ci-iOalkyl,
(3) C3-6cycloalkyl,
(4) C2-5cycloheteroalkyl,
(5) aryl, and
(6) heteroaryl,
wherein each alkyl, cycloalkyl, cycloheteroalkyl, aryl and heteroaryl is unsubstituted or substituted with one to three substituents selected from Ci-6alkyl;
each R^ is independently selected from the group consisting of:
(1) hydrogen,
(2) Ci-ioalkyl,
(3) C3-6cycloalkyl,
(4) C2-5cycloheteroalkyl,
(5) aryl, and
(6) heteroaryl,
wherein each alkyl, cycloalkyl, cycloheteroalkyl, aryl and heteroaiyl is unsubstituted or substituted with one to three substituents selected from Ci _6alkyl;
each Re is independently selected from the group consisting of:
(1) hydrogen,
(2) Ci-ioalkyl,
(3) C3-6cycloalkyl,
(4) C2-5cycloheteroalkyl,
(5) aryl, and
(6) heteroaryl,
wherein each alkyl, cycloalkyl, cycloheteroalkyl, aryl and heteroaryl is unsubstituted or substituted with one to three substituents selected from Ci -6alkyl;
each Rf is independently selected from the group consisting of:
(1) hydrogen,
(2) Ci-6alkyl, and
(3) C3-6cycloalkyl;
each Rg is independently selected from the group consisting of:
(1) hydrogen,
(2) halogen,
(3) Ci-6alkyl, and
(4) C3-6cycloalkyl;
each Rh is independently selected from the group consisting of:
(1) heteroaryl, and
(2) aryl,
wherein heteroaryl and aryl are unsubstituted or substituted with one to four substituents selected from Ci-6alkyl;
each R1 is independently selected from the group consisting of:
(1) hydrogen,
(2) Ci-ioalkyl,
(3) C3-6cycloalkyl,
(4) C2-5cycloheteroalkyl,
(5) aryl, and
(6) heteroaryl,
wherein each alkyl, cycloalkyl, cycloheteroalkyl, aryl and heteroaryl is unsubstituted or substituted with one to three substituents selected from Cl-6alkyl;
each RJ is independently selected from the group consisting of:
(1) hydrogen,
(2) Ci-ioalkyl,
(3) C3-6cycloalkyl,
(4) C2-5cycloheteroalkyl,
(5) aryl, and
(6) heteroaryl,
wherein each alkyl, cycloalkyl, cycloheteroalkyl, aryl and heteroaryl is unsubstituted or substituted with one to three substituents selected from Cl-6alkyl;
each Rk is independently selected from the group consisting of:
(1) hydrogen,
(2) Ci-ioalkyl,
(3) C3-6cycloalkyl,
(4) C2-5cycloheteroalkyl,
(5) aryl, and
(6) heteroaryl,
wherein each alkyl, cycloalkyl, cycloheteroalkyl, aryl and heteroaryl is unsubstituted or substituted with one to three substituents selected from Cl-6alkyl;
each n is independently selected from: 1 and 2;
each m is independently selected from: 1 and 2;
each p is independently selected from: 1, 2, 3 and 4;
each q is independently selected from: 1, 2, 3 and 4;
each r is independently selected from: 1, 2, 3 and 4;
each s is independently selected from: 0, 1, 2, 3 and 4;
each t is independently selected from: 0, 1, 2, 3 and 4;
each u is independently selected from: 0, 1, 2, 3, and 4; and
each v is independently selected from: 0, 1, 2, 3 and 4.
The invention has numerous embodiments, which are summarized below. The invention includes the compounds as shown, and also includes individual diastereoisomers, enantiomers, and epimers of the compounds, and mixtures of diastereoisomers and/or enantiomers thereof including racemic mixtures.
In another embodiment of the present invention, A is selected from the group consisting of: CH, N and N-oxide. In a class of this embodiment, A is selected from the group consisting of: CH and N. In another class of this embodiment, A is CH. In another class of this
embodiment, A is N or N-oxide. In another class of this embodiment, A is N. In another class of this embodiment, A is N-oxide.
In another embodiment of the present invention, B is selected from the group consisting of: CH, N and N-oxide. In a class of this embodiment, B is selected from the group consisting of: CH and N. In another class of this embodiment, B is CH. In another class of this embodiment, B is N or N-oxide. In another class of this embodiment, B is N. In another class of this embodiment, B is N-oxide.
In another embodiment of the present invention, C is selected from the group consisting of: CH, N and N-oxide. In a class of this embodiment, C is selected from the group consisting of CH and N. In another class of this embodiment, C is CH. In another class of this embodiment, C is N or N-oxide. In another class of this embodiment, C is N. In another class of this embodiment, C is N-oxide.
In another embodiment of the present invention, D is selected from the group consisting of: CH, N and N-oxide. In a class of this embodiment, D is selected from the group consisting of: CH and N. In another class of this embodiment, D is CH. In another class of this embodiment, D is N or N-oxide. In another class of this embodiment, D is N. In another class of this embodiment, D is N-oxide.
In another embodiment of the present invention, A, B, C and D are CH.
In another embodiment of the present invention, A, B, C and D are selected from the group consisting of: CH, N, and N-oxide, provided no more than two of A, B, C and D are selected from N and N-oxide. In another embodiment of the present invention, A, B, C and D are selected from the group consisting of: CH and N, provided that no more than two of A, B, C and D are N.
In another embodiment of the present invention, A, B, C and D are selected from the group consisting of: CH, N, and N-oxide, provided that one of A, B, C and D is selected from N and N-oxide. In another embodiment of the present invention, A, B, C and D are selected from the group consisting of: CH and N, provided that one of A, B, C and D is N.
In another embodiment of the present invention, A, B, C and D are selected from the group consisting of: CH, N, and N-oxide, provided that two of A, B, C and D are selected from N and N-oxide. In another embodiment of the present invention, A, B, C and D are selected from the group consisting of: CH and N, provided that two of A, B, C and D are N.
In another embodiment of the present invention, T is selected from the group consisting of: CH, N and N-oxide. In a class of this embodiment, T is selected from the group consisting of: CH and N. In another class of this embodiment, T is CH. In another class of this embodiment, T is N or N-oxide. In another class of this embodiment, T is N. In another class of this embodiment, T is N-oxide.
In another embodiment of the present invention, U is selected from the group consisting of: CH, N and N-oxide. In a class of this embodiment, U is selected from the group consisting of: CH and N. In another class of this embodiment, U is CH. In another class of this embodiment, U is N or N-oxide. In another class of this embodiment, U is N. In another class of this embodiment, U is N-oxide.
In another embodiment of the present invention, V is selected from the group consisting of: CH, N and N-oxide. In a class of this embodiment, V is selected from the group consisting of: CH and N. In another class of this embodiment, V is CH. In another class of this embodiment, V is N or N-oxide. In another class of this embodiment, V is N. In another class of this embodiment, V is N-oxide.
In another embodiment of the present invention, W is selected from the group consisting of: CH, N and N-oxide. In a class of this embodiment, W is selected from the group consisting of: CH and N. In another class of this embodiment, W is CH. In another class of this embodiment, W is N or N-oxide. In another class of this embodiment, W is N. In another class of this embodiment, W is N-oxide.
In another embodiment of the present invention, T is CH, N or N-oxide; U is CH, N or N- oxide; V is CH, N or N-oxide; and W is CH, N or N-oxide, provided that no more than one of T, U, V and W is N or N-oxide. In a class of this embodiment, T is CH or N; U is CH or N; V is CH or N; and W is CH or N, provided no more than one of T, U, V and W is N.
In another embodiment of the present invention, T is CH, N or N-oxide; U is CH, N or N- oxide; V is CH; and W is CH, N or N-oxide, provided that no more than one of T, U and W is N or N-oxide. In a class of this embodiment, T is CH or N; U is CH or N; V is CH; and W is CH or N, provided no more than one of T, U and W is N.
In another embodiment of the present invention, T is CH, N or N-oxide; U is CH, N or N- oxide; V is CH, N or N-oxide; and W is CH, N or N-oxide, provided that two of T, U, V and W are N or N-oxide. In a class of this embodiment, T is CH or N; U is CH or N; V is CH or N; and W is CH or N, provided that two of T, U, V and W are N.
In another embodiment of the present invention, T is CH, N or N-oxide; U is CH, N or N- oxide; V is CH, N or N-oxide; and W is CH, N or N-oxide, provided that one of T, U, V and W is N or N-oxide. In a class of this embodiment, T is CH or N; U is CH or N; V is CH or N; and W is CH or N, provided that one of T, U, V and W is N.
In another embodiment of the present invention, T is CH; U is CH, N or N-oxide; V is CH; and W is CH, N or N-oxide, provided that one or two of U and W are N or N-oxide. In a class of this embodiment, T is CH; U is CH or N; V is CH; and W is CH or N; provided that one or two of U and W are N or N-oxide.
In another embodiment of the present invention, T is CH; U is CH, N or N-oxide; V is CH; and W is CH, N or N-oxide, provided that one of U and W is N or N-oxide. In a class of this embodiment, T is CH; U is CH or N; V is CH; and W is CH or N; provided that one of U and W is N or N-oxide.
In another embodiment of the present invention, T is CH; U is CH, N or N-oxide; V is
CH; and W is CH, N or N-oxide, provided that two of U and W is N or N-oxide. In a class of this embodiment, T is CH; U is CH or N; V is CH; and W is CH or N; provided that two of U and W is N or N-oxide.
In another embodiment of the present invention, T is CH; U is CH; V is CH; and W is CH.
In another embodiment of the present invention, T is N or N-oxide, U is CH, V is CH, and W is CH. In a class of this embodiment, T is N, U is CH, V is CH, and W is CH.
In another embodiment of the present invention, T is CH, U is N or N-oxide, V is CH, and W is CH. In a class of this embodiment, T is CH, U is N, V is CH, and W is CH.
In another embodiment of the present invention, T is CH, U is CH, V is N or N-oxide, and W is CH. In a class of this embodiment, T is CH, U is CH, V is N, and W is CH.
In another embodiment of the present invention, T is CH, U is CH, V is CH, and W is N or N-oxide. In a class of this embodiment, T is CH, U is CH, V is CH, and W is N.
In another embodiment of the present invention, T is CH, N or N-oxide; U is CH, N or N-oxide; V is CH; and W is CH, N or N-oxide; provided that one or two of T, U and W are N or N-oxide. In a class of this embodiment, T is CH or N; U is CH or N; V is CH; and W is CH or N; provided that one or two of T, U and W are N or N-oxide.
In another embodiment of the present invention, T is CH, N or N-oxide; U is CH, N or N-oxide; V is CH; and W is CH, N or N-oxide; provided that one of T, U and W is N or N- oxide. In a class of this embodiment, T is CH or N; U is CH or N; V is CH; and W is CH or N; provided that one of T, U and W is N or N-oxide.
In another embodiment of the present invention, T is CH, N or N-oxide; U is CH, N or N-oxide; V is CH; and W is CH, N or N-oxide; provided that two of T, U and W are N or N- oxide. In a class of this embodiment, T is CH or N; U is CH or N; V is CH; and W is CH or N; provided that two of T, U and W are N or N-oxide.
In another embodiment of the present invention, T is N, U is N, V is CH, and W is CH.
In another embodiment of the present invention, T is N, U is CH, V is N, and W is CH.
In another embodiment of the present invention, T is N, U is CH, V is CH, and W is N
In another embodiment of the present invention, T is CH, U is N, V is CH, and W is N. In another embodiment of the present invention, T is CH, U is N, V is N, and W is CH.
In another embodiment of the present invention, T is CH, U is CH, V is N, and W is N.
In another embodiment of the present invention, X is selected from the group consisting of: aryl, heteroaryl, -C3-6-cycloalkyl, and -C2-6-cycloheteroalkyl, wherein aryl, heteroaryl, cycloalkyl and cycloheteroalkyl are unsubstituted or substituted with one to three substituents selected from Ra.
In another embodiment of the present invention, X is selected from the group consisting of: aryl, and heteroaryl, wherein aryl and heteroaryl are unsubstituted or substituted with one to three substituents selected from RA In a class of this embodiment, X is selected from the group consisting of: phenyl and pyridyl, wherein phenyl and pyridyl are unsubstituted or substituted with one to three substituents selected from Ra.
In another embodiment of the present invention, X is selected from the group consisting of: aryl and heteroaryl, wherein aryl and heteroaryl are substituted with one to three substituents selected from Ra. In a class of this embodiment, X is selected from the group consisting of: phenyl and pyridyl, wherein phenyl and pyridyl are substituted with one to three substituents selected from Ra.
In another embodiment of the present invention, X is selected from the group consisting of: aryl and heteroaryl, wherein aryl and heteroaryl are substituted with two substituents selected from Ra. In a class of this embodiment, X is selected from the group consisting of: phenyl and pyridyl, wherein phenyl and pyridyl are substituted with two substituents selected from Ra.
In another embodiment of the present invention, X is aryl, wherein aryl is unsubstituted or substituted with one to three substituents selected from Ra. In a class of this embodiment, X is phenyl, wherein phenyl is unsubstituted or substituted with one to three substituents selected from Ra.
In another embodiment of the present invention, X is aryl, wherein aryl is substituted with one to three substituents selected from Ra. In a class of this embodiment, X is phenyl, wherein phenyl is substituted with one to three substituents selected from Ra.
In another embodiment of the present invention, X is aryl, wherein aryl is substituted with two substituents selected from Ra. In a class of this embodiment, X is phenyl, wherein phenyl is substituted with two substituents selected from Ra.
In another embodiment of the present invention, X is heteroaryl, wherein heteroaryl is unsubstituted or substituted with one to three substituents selected from Ra. In a class of this embodiment, X is pyridyl, wherein pyridyl is unsubstituted or substituted with one to three substituents selected from Ra.
In another embodiment of the present invention, X is heteroaryl, wherein heteroaryl is substituted with one to three substituents selected from Ra. In a class of this embodiment, X is pyridyl, wherein pyridyl is substituted with one to three substituents selected from Ra.
In another embodiment of the present invention, X is heteroaryl, wherein heteroaryl is substituted with two substituents selected from Ra. In a class of this embodiment, X is pyridyl, wherein pyridyl is substituted with two substituents selected from Ra.
In another embodiment of the present invention, Y is selected from the group consisting of: oxygen, NRf, sulfur, -CRgRg, -C(O), and -CF2.
In another embodiment of the present invention, Y is selected from the group consisting of: oxygen, Rf and sulfur. In another embodiment of the present invention, Y is selected from the group consisting of: oxygen, and sulfur. In another embodiment of the present invention, Y is selected from the group consisting of: oxygen, and NRf.
In another embodiment of the present invention, Y is oxygen.
In another embodiment of the present invention, Y is selected from the group consisting of: -CRgRg, -C(O), and -CF2.
In another embodiment of the present invention, Z is selected from the group consisting of: -OH, -O-Ci -6alkyl, and -NHRh, wherein alkyl is unsubstituted or substituted with one to five substituents selected from Ci-6alkyl.
In another embodiment of the present invention, Z is selected from the group consisting of: -OH, and -0-Ci-6alkyl, wherein alkyl is unsubstituted or substituted with one to five substituents selected from Ci-6alkyl. In a class of this embodiment, Z is selected from the group consisting of: -OH, and -0-Ci-6alkyl.
In another embodiment of the present invention, Z is -0-Cl-6alkyl, wherein alkyl is unsubstituted or substituted with one to five substituents selected from Ci-6alkyl. In a class of this embodiment, Z is -0-Cl-6alkyl.
In another embodiment of the present invention, Z is -OH.
In another embodiment of the present invention, each Rl is independently selected from the group consisting of: hydrogen, halogen, -(CH2)s-OCi-6alkyl, -(CH2)s-OH, -CN, and -Ci- 6alkyl, wherein alkyl is unsubstituted or substituted with one, two or three halogens.
In another embodiment of the present invention, each Rl is independently selected from the group consisting of: hydrogen, and -Ci-6alkyl, wherein alkyl is unsubstituted or substituted with one, two or three halogens. In a class of this embodiment, each Rl is independently selected from the group consisting of: hydrogen, and -Ci-6alkyl. In another class of this embodiment, each Rl is independently selected from the group consisting of: hydrogen, and - CH3. In another embodiment of the present invention, Rl is hydrogen. In another embodiment of the present invention, Rl is -Ci-6alkyl, wherein alkyl is unsubstituted or substituted with one, two or three halogens. In a class of this embodiment, Rl is -CH3.
In another embodiment of the present invention, each R2 is independently selected from the group consisting of: -(CH2)s-0-Cl-6alkyl, -Cl-6alkyl,-C3-6cycloalkyl,and -C2- 4cycloheteroalkyl, wherein alkyl and cycloalkyl are unsubstituted or substituted with one, two or three halogens, and wherein cycloheteroalkyl is unsubstituted or substituted with one, two or three substituents selected from halogen, OH, and OCi -6alkyl. In another embodiment of the present invention, each R2 is independently selected from the group consisting of: -Cl-6alkyl, and -C3-6cycloalkyl, wherein alkyl and cycloalkyl are unsubstituted or substituted with one, two or three halogens. In another embodiment of the present invention, R2 is -C3-6cycloalkyl, wherein cycloalkyl is unsubstituted or substituted with one, two or three halogens. In a class of this embodiment, R2 is cyclopropyl, wherein cyclopropyl is unsubstituted or substituted with one, two or three halogens. In another class of this embodiment, R2 is cyclopropyl.
In another embodiment of the present invention, each R3 is independently selected from the group consisting of: hydrogen, halogen, -(CH2)s-OCl-6alkyl, -(CH2)s-OH, -CN, and -Cl- 6alkyl, wherein alkyl is unsubstituted or substituted with one, two or three substituents selected from halogen, OH, and OCi-6alkyl. In another embodiment of the present invention, each R3 is independently selected from the group consisting of: hydrogen, halogen, and -Cl-6alkyl, wherein alkyl is unsubstituted or substituted with one, two or three substituents selected from halogen, OH, and OCi-6alkyl. In another embodiment of the present invention, each PS is independently selected from the group consisting of: hydrogen, and halogen. In a class of this embodiment of the present invention, each PS is independently selected from the group consisting of: hydrogen, CI and F. In another class of this embodiment of the present invention, each R3 is independently is selected from the group consisting of: hydrogen and F.
In another embodiment of the present invention, each R4 is independently selected from the group consisting of: hydrogen, halogen and -Ci-6alkyl, wherein alkyl is unsubstituted or substituted with one, two or three substituents selected from halogen, OH, and OCl-6alkyl. In another embodiment of the present invention, each R4 is independently selected from the group consisting of: hydrogen, and -Ci-6alkyl, wherein alkyl is unsubstituted or substituted with one, two or three substituents selected from halogen, OH, and OCi-6alkyl. In a class of this embodiment, each R4 is independently selected from the group consisting of: hydrogen, and - Ci-6alkyl. In another embodiment of the present invention, R4 is hydrogen.
In another embodiment of the present invention, each R^ is independently selected from the group consisting of: hydrogen, -Cl-6alkyl, -Cl-6alkenyl, halogen, -(CH2)t-0-Cl-6alkyl, - S(0)tRi, -S(0)tNRjRk, -CN, -CF3, -OCF3, -OCHF2, aryl, heteroaryl, -C3-6cycloalkyl, -C3- 6cycloalkenyl and -C2-5cycloheteroalkyl, wherein each alkyl, alkenyl, cycloalkyl, cycloalkenyl, cycloheteroalkyl, aryl and heteroaryl is unsubstituted or substitued with one, two, three, four, five or six substituents selected from Rb.
In another embodiment of the present invention, each is independently selected from the group consisting of: hydrogen, -Cl-6alkyl, -Cl-6alkenyl, halogen, -(CH2)t-0-Cl-6alkyl, - S(0)tRi, -S(0)tNRjRk, -CN, -CF3, -OCF3, -OCHF2, aryl, heteroaryl, -C3-6cycloalkyl, -C3- 6cycloalkenyl, and -C2-5cycloheteroalkyl, wherein each alkyl, alkenyl, cycloalkyl, cycloalkenyl, cycloheteroalkyl, aryl and heteroaryl is unsubstituted or substitued with one, two, three or four substituents selected from Rb.
In another embodiment of the present invention, each R^ is independently selected from the group consisting of: hydrogen, -Ci-6alkyl, -Ci-6alkenyl, halogen, -(CH2)t-0-Ci-6alkyl, - CN, aryl, heteroaryl, and -C3-6cycloalkyl, wherein each alkyl, alkenyl, cycloalkyl, aryl and heteroaryl is unsubstituted or substitued with one, two, or three substituents selected from Rb.
In another embodiment of the present invention, each R^ is independently selected from the group consisting of: hydrogen, -Ci-6alkenyl, halogen, -(CH2)t-0-Ci-6alkyl, -CN, aryl, heteroaryl, and -C3-6cycloalkyl, wherein each alkyl, alkenyl, cycloalkyl, aryl and heteroaryl is unsubstituted or substitued with one, two, or three substituents selected from Rb. In a class of this embodiment, each R^ is independently selected from the group consisting of: hydrogen, - CH=CH2, -C(CH3)=CH2, -CH=C(CH3)2, CI, F, -CH2-0-C(CH3)3, -CN, phenyl, pyridine, pyrazole, thiazole, thiophene, pyrrole, triazole, indole, indazole. cyclopropyl, and cyclopentyl, wherein each alkyl, alkenyl, cycloalkyl, aryl and heteroaryl is unsubstituted or substitued with one, two, or three substituents selected from Rb. In another class of this embodiment, each R^ is independently selected from the group consisting of: hydrogen, -CH=CH2, -C(CH3)=CH2, - CH=C(CH3)2, CI, F, -CH2-0-C(CH3)3, -CN, phenyl, pyrazole, thiazole, thiophene, pyrrole, triazole, indole, indazole. cyclopropyl,and cyclopentyl, wherein each alkyl, alkenyl, cycloalkyl, aryl and heteroaryl is unsubstituted or substitued with one, two, or three substituents selected from Rb.
In another embodiment of the present invention, each R^ is independently selected from the group consisting of: hydrogen, halogen and heteroaryl, wherein each heteroaryl is unsubstituted or substitued with one, two, or three substituents selected from Rb. In a class of this embodiment, each R^ is independently selected from the group consisting of: hydrogen, CI, F, pyridine, pyrazole, thiazole, thiophene, pyrrole, triazole, indole, and indazole, wherein each heteroaryl is unsubstituted or substitued with one, two, or three substituents selected from Rb. In another class of this embodiment, each R^ is independently selected from the group consisting of: hydrogen, CI, F, pyrazole, thiazole, thiophene, pyrrole, triazole, indole, and indazole, wherein each heteroaryl is unsubstituted or substitued with one, two, or three substituents selected from Rb. In another class of this embodiment, In another embodiment of the present invention, each R5 is independently selected from the group consisting of: hydrogen, F and indole, wherein each indole is unsubstituted or substitued with one, two, or three substituents selected from Rb.
In another embodiment of the present invention, each Ra is independently selected from the group consisting of: -Cl-6alkyl, halogen, -(CH2)u-OCl-6alkyl, -OH, -S(0)uRe, - S(0)uNRCRd -CN, -C(0)NRCRd -CF3, -OCF3, -OCHF2, aryl, heteroaryl, -C3-6cycloalkyl, - C3-6cycloalkenyl, and -C2-5cycloheteroalkyl, wherein each alkyl, cycloalkyl, cycloalkenyl, cycloheteroalkyl, aryl and heteroaryl is unsubstituted or substitued with -Ci -6alkyl, halogen, -O- Ci-6alkyl and -CF3. In another embodiment of the present invention, each Ra is independently selected from the group consisting of: -Cl-6alkyl, halogen, -(CH2)u-OCl-6alkyl, -OH, - S(0)uRe, -S(0)uNRCRd -CN, -C(0)NRCRd -CF3, -OCF3, and -OCHF2, wherein each alkyl is unsubstituted or substitued with -Cl-6alkyl, halogen, -0-Cl-6alkyl and -CF3. In another embodiment of the present invention, each Ra is independently selected from the group consisting of: -Cl-6alkyl, halogen, -(CH2)u-OCl-6alkyl, -OH, -CN, -C(0)NRCRd -CF3, - OCF3, and -OCHF2, wherein each alkyl is unsubstituted or substitued with -Ci -6alkyl, halogen, -0-Ci-6alkyl and -CF3. In another embodiment of the present invention, each Ra is
independently selected from the group consisting of: -Cl-6alkyl, halogen, -OCl-6alkyl, -OH, - CN, -C(0)NRCRd -CF3, -OCF3, and -OCHF2, wherein each alkyl is unsubstituted or substitued with -Cl-6alkyl, halogen, -0-Cl-6alkyl and -CF3. In another embodiment, each Ra is independently selected from the group consisting of: halogen, -(CH2)u-OCi-6alkyl, and -OH, wherein each alkyl is unsubstituted or substitued with -Cl-6alkyl, halogen, -0-Cl-6alkyl and - CF3. In a class of this embodiment, each Ra is independently selected from the group consisting of: halogen, -OCi-6alkyl, and -OH, wherein each alkyl is unsubstituted or substitued with -Ci - 6alkyl, halogen, -0-Ci -6alkyl and -CF3. In another class of this embodiment, each Ra is independently selected from the group consisting of: F, CI, -OCH3 and -OH.
In another embodiment of the present invention, each Ra is independently selected from the group consisting of: halogen, and -OCi-6alkyl, wherein each alkyl is unsubstituted or substitued with -Ci -6alkyl, halogen, -0-Ci-6alkyl and -CF3. In a class of this embodiment, each Ra is independently selected from the group consisting of: halogen and -OCi-6alkyl. In another class of this embodiment, each Ra is independently selected from the group consisting of: F, CI and -OCH3. In another class of this embodiment, each Ra is independently selected from the group consisting of: F and -OCH3.
In another embodiment of the present invention, each Rb is independently selected from the group consisting of: -Cl-l()alkyl, -C2-10alkenyl, -CF3, halogen, -CN, -OH, -OCl-lOalkyl, -OC2-10alkenyl, -0(CH2)vOCi-i()alkyl, -0(CH2)vC3-6cycloalkyl, -0(CH2)vC3-6 cycloalkyl- Ci-ioalkyl, -0(CH2)vC2-5cycloheteroalkyl, -0(CH2)vC2-5cycloheteroalkyl-Ci-ioalkyl, -O- aryl, -O-heteroaryl, -O-aryl-Ci-ioalkyl, -O-heteroaryl-Ci-ioalkyl, -0(CH2)vNRcS(0)mRe, -0(CH2)vS(0)mRe, -0(CH2)vS(0)mNRCRd, -0(CH2)vNRCRd, -C(0)Rej -OC(0)Re -C02Re, -C(0)NRCRd, -NRcC(0)Re, -NRcC(0)ORe, -NRcC(0)NRCRd, -0(CH2)vO-C3-6cycloalkyl, -0(CH2)vO-C2-5cycloheteroalkyl, -OCF3, -OCHF2, -(CH2)vC3-6cycloalkyl, -(CH2)vC2- 5cycloheteroalkyl, aryl, heteroaryl, aryl-Cl-lOalkyl-, and heteroaryl-Cl-lOalkyl-,
wherein each CH, CH2, alkyl, alkenyl, cycloalkyl, cycloheteroalkyl, aryl and heteroaryl is unsubstituted or substitued with -Cl-6alkyl, halogen, -0-Cl-6alkyl and -CF3.
In another embodiment of the present invention, each Rb is independently selected from the group consisting of: -Cl-lOalkyl, -C2-10alkenyl, -CF3, halogen, -CN, -OH, -OCl-lOalkyl, - OC2-10alkenyl, -0(CH2)vNRcS(0)mRe, -0(CH2)vS(0)mRe, -0(CH2)vS(0)mNRCRd, - 0(CH2)vNRCRd, -C(0)Re -OC(0)Rej -C02Re, -C(0)NRCRd, -NRCC(0)Re, -NRCC(0)ORe, - NRCC(0)NRCRd -0(CH2)vO-C3-6cycloalkyl, -0(CH2)vO-C2-5cycloheteroalkyl, -OCF3, - OCHF2, -(CH2)vC3-6cycloalkyl, and -(CH2)vC2-5cycloheteroalkyl, wherein each CH, CH2, alkyl, alkenyl, cycloalkyl, and cycloheteroalkyl is unsubstituted or substitued with -Cl-6alkyl, halogen, -0-Ci-6alkyl and -CF3. In another embodiment of the present invention, each Rb is independently selected from the group consisting of: -Cl-lOalkyl, -C2-10alkenyl, -CF3, halogen, -CN, -OH, -OCi-ioalkyl, -OC2-10alkenyl, -0(CH2)vNRcS(0)mRe, -0(CH2)vS(0)mRe, - 0(CH2)vS(0)mNRCRd, -0(CH2)vNRCRd -C(0)Re -OC(0)Re -C02Re, -C(0)NRCRd, - NRcC(0)Re, -NRcC(0)ORe, -NRcC(0)NRCRd, -OCF3, -OCHF2, -(CH2)vC3-6cycloalkyl and -(CH2)vC2-5cycloheteroalkyl, wherein each CH, CH2, alkyl, alkenyl, cycloalkyl, and cycloheteroalkyl is unsubstituted or substitued with -Cl-6alkyl, halogen, -0-Cl-6alkyl and - CF3. In another embodiment of the present invention, each Rb is independently selected from the group consisting of: -Cl-lOalkyl, -C2-10alkenyl, -CF3, halogen, -CN, -OH, -OCl-lOalkyl, - OC2-10alkenyl, -C(0)Rej -OC(0)Rej -C02Re, -C(0)NRCRd -NRCC(0)Re, -NRCC(0)ORe, - NRCC(0)NRCRd -OCF3, -OCHF2, -(CH2)vC3-6cycloalkyl, and -(CH2)vC2- 5 cycloheteroalkyl, wherein each CH2, alkyl, alkenyl, cycloalkyl, and cycloheteroalkyl is unsubstituted or substitued with -Ci-6alkyl, halogen, -0-Ci-6alkyl and -CF3. In another embodiment of the present invention, each Rb is independently selected from the group consisting of: -Ci-ioalkyl, -C2-10alkenyl, -CF3, halogen, -CN, -OH, -OCi-ioalkyl, -C02Re, - (CH2)vC3-6cycloalkyl and -(CH2)vC2-5cycloheteroalkyl, wherein each CH2, alkyl, alkenyl, cycloalkyl and cycloheteroalkyl is unsubstituted or substitued with -Ci-6alkyl, halogen, -O-Ci- 6alkyl and -CF3.
In another embodiment of the present invention, each Rb is independently selected from the group consisting of: -Cl-l()alkyl, -CF3, halogen, -OH, -OCl-lOalkyl, -C02Re, -(CH2)vC3- 6cycloalkyl and -(CH2)vC2-5cycloheteroalkyl, wherein each CH2, alkyl, cycloalkyl and cycloheteroalkyl is unsubstituted or substitued with -Ci-6alkyl, halogen, -0-Ci-6alkyl and - CF3. In another embodiment of the present invention, each Rb is independently selected from the group consisting of: -Cl-lOalkyl, -CF3, halogen, -OH, -OCl-lOalkyl, -C02Re, -C3- 6cycloalkyl and -C2-5cycloheteroalkyl, wherein each alkyl, cycloalkyl, and cycloheteroalkyl is unsubstituted or substitued with -Ci-6alkyl, halogen, -0-Ci-6alkyl and -CF3. In a class of this embodiment, each Rb is independently selected from the group consisting of: -CH3, -CH(CH3)2, -C(CH3)3, -CF3, F, -OH, -OCH3, -C02C(CH3)3, cyclohexane and pyrrolidine, wherein each alkyl, cycloalkyl, and cycloheteroalkyl is unsubstituted or substitued with -Cl-6alkyl, halogen, - 0-Ci-6alkyl and -CF3. In another embodiment of the present invention, Rb is -Ci-ioalkyl, wherein each alkyl is unsubstituted or substitued with -Cl-6alkyl, halogen, -0-Cl-6alkyl and - CF3. In a class of this embodiment, Rb is -Ci-ioalkyl. In another class of this embodiment, each Rb is independently selected from the group consisting of: -CH3, -CH(CH3)2 and - C(CH3)3.
In another embodiment of the present invention, each Rc is independently selected from the group consisting of: hydrogen, Ci-ioalkyl, C3-6cycloalkyl, C2-5cycloheteroalkyl, aryl, and heteroaryl, wherein each alkyl, cycloalkyl, cycloheteroalkyl, aryl and heteroaryl is unsubstituted or substituted with one to three substituents selected from Cl-6alkyl;
In another embodiment of the present invention, each Rc is independently selected from the group consisting of: hydrogen and Cl-lOalkyl, wherein each alkyl is unsubstituted or substituted with one to three substituents selected from Ci-6alkyl. In a class of this embodiment, Rc is hydrogen. In another class of this embodiment, Rc is Ci-ioalkyl, wherein each alkyl is unsubstituted or substituted with one to three substituents selected from Cl-6alkyl.
In another embodiment of the present invention, each R^ is independently selected from the group consisting of: hydrogen, Ci-ioalkyl, C3-6cycloalkyl, C2-5cycloheteroalkyl, aryl, and heteroaryl, wherein each alkyl, cycloalkyl, cycloheteroalkyl, aryl and heteroaryl is unsubstituted or substituted with one to three substituents selected from Ci-6alkyl. In another embodiment of the present invention, each R^ is independently selected from the group consisting of: hydrogen and Ci-ioalkyl, wherein each alkyl is unsubstituted or substituted with one to three substituents selected from Cl-6alkyl. In a class of this embodiment, R^ is hydrogen. In another class of this embodiment, Rd is Ci-ioalkyl, wherein each alkyl is unsubstituted or substituted with one to three substituents selected from Ci-6alkyl.
In another embodiment of the present invention, each Re is independently selected from the group consisting of: hydrogen, Ci-iQalkyl, C3-6cycloalkyl, C2-5cycloheteroalkyl, aryl, and
heteroaryl, wherein each alkyl, cycloalkyl, cycloheteroalkyl, aryl and heteroaryl is unsubstituted or substituted with one to three substituents selected from Cl-6alkyl. In another embodiment of the present invention, each Re is independently selected from the group consisting of: hydrogen and Ci-ioalkyl, wherein each alkyl is unsubstituted or substituted with one to three substituents selected from Ci-6alkyl. In a class of this embodiment, Re is hydrogen. In another class of this embodiment, Re is Ci-ioalkyl, wherein each alkyl is unsubstituted or substituted with one to three substituents selected from Cl-6alkyl. In another embodiment of the present invention, Re is Ci-ioalkyl. In a class of this embodiment, Re is -C(CH3)3.
In another embodiment of the present invention, Rf is independently selected from the group consisting of: hydrogen, Cl-6alkyl, and C3-6cycloalkyl. In another embodiment of the present invention, each Rf is independently selected from the group consisting of: hydrogen and Cl-6alkyl. In a class of this embodiment, Rf is hydrogen. In another class of this embodiment, Rf is Ci-6alkyl.
In another embodiment of the present invention, each Rg is independently selected from the group consisting of: hydrogen, halogen, Cl-6alkyl, and C3-6cycloalkyl. In another embodiment of the present invention, each R§ is independently selected from the group consisting of: hydrogen, halogen and Ci-6alkyl. In another embodiment of the present invention, each R§ is independently selected from the group consisting of: hydrogen and Ci- 6alkyl. In a class of this embodiment, R§ is hydrogen. In another class of this embodiment, R§ is Cl-6alkyl.
In another embodiment of the present invention, each Rh is independently selected from the group consisting of: heteroaryl and aryl, wherein heteroaryl and aryl are unsubstituted or substituted with one to four substituents selected from Ci-6alkyl. In another embodiment of the present invention, Rh is heteroaryl, wherein heteroaryl is unsubstituted or substituted with one to four substituents selected from Ci-6alkyl. In another embodiment of the present invention, Rh is aryl, wherein aryl is unsubstituted or substituted with one to four substituents selected from Ci- 6alkyl.
In another embodiment of the present invention, each R1 is independently selected from the group consisting of: hydrogen, Cl-lOalkyl, C3-6cycloalkyl, C2-5cycloheteroalkyl, aryl, and heteroaryl, wherein each alkyl, cycloalkyl, cycloheteroalkyl, aryl and heteroaryl is unsubstituted or substituted with one to three substituents selected from Cl-6alkyl. In another embodiment of the present invention, each R1 is independently selected from the group consisting of: hydrogen and Ci-ioalkyl, wherein each alkyl is unsubstituted or substituted with one to three substituents selected from Cl-6alkyl. In a class of this embodiment, R1 is hydrogen. In another class of this embodiment, R1 is Ci-ioalkyl, wherein each alkyl is unsubstituted or substituted with one to three substituents selected from Ci-6alkyl.
In another embodiment of the present invention, each RJ is independently selected from the group consisting of: hydrogen, Cl-l()alkyl, C3-6cycloalkyl, C2-5cycloheteroalkyl, aryl, and heteroaryl, wherein each alkyl, cycloalkyl, cycloheteroalkyl, aryl and heteroaryl is unsubstituted or substituted with one to three substituents selected from Ci-6alkyl. In another embodiment of the present invention, each RJ is independently selected from the group consisting of: hydrogen and Cl-lOalkyl, wherein each alkyl is unsubstituted or substituted with one to three substituents selected from Cl-6alkyl. In a class of this embodiment, RJ is hydrogen. In another class of this embodiment, RJ is Ci-ioalkyl, wherein each alkyl is unsubstituted or substituted with one to three substituents selected from Cl-6alkyl.
In another embodiment of the present invention, each R^ is independently selected from the group consisting of: hydrogen, Cl-l()alkyl, C3-6cycloalkyl, C2-5cycloheteroalkyl, aryl, and heteroaryl, wherein each alkyl, cycloalkyl, cycloheteroalkyl, aryl and heteroaryl is unsubstituted or substituted with one to three substituents selected from Cl-6alkyl.
In another embodiment of the present invention, each R^ is independently selected from the group consisting of: hydrogen and Ci-ioalkyl, wherein each alkyl is unsubstituted or substituted with one to three substituents selected from Cl-6alkyl. In a class of this embodiment, Rk is hydrogen. In another class of this embodiment, R^ is Ci-ioalkyl, wherein each alkyl is unsubstituted or substituted with one to three substituents selected from Ci-6alkyl.
In another embodiment of the present invention, n is 1 or 2. In another class of this embodiment, n is 1. In another class of this embodiment, n is 2.
In another embodiment of the present invention, m is 1 or 2. In another class of this embodiment, m is 1. In another class of this embodiment, m is 2.
In another embodiment of the present invention, p is 1, 2, 3 or 4. In a class of this embodiment, p is 1, 2 or 3. In a class of this embodiment, p is 1 or 3. In a class of this embodiment, p is 1 or 2. In another class of this embodiment, p is 1. In another class of this embodiment, p is 2. In another class of this embodiment, p is 3. In another class of this embodiment, p is 4.
In another embodiment of the present invention, q is 1, 2, 3 or 4. In a class of this embodiment, q is 1, 2 or 3. In a class of this embodiment, q is 1 or 3. In a class of this embodiment, q is 1 or 2. In another class of this embodiment, q is 1. In another class of this embodiment, q is 2. In another class of this embodiment, q is 3. In another class of this embodiment, q is 4.
In another embodiment of the present invention, r is 1, 2, 3 or 4. In a class of this embodiment, r is 1, 2 or 3. In a class of this embodiment, r is 1 or 3. In a class of this embodiment, r is 1 or 2. In another class of this embodiment, r is 1. In another class of this embodiment, r is 2. In another class of this embodiment, r is 3. In another class of this embodiment, r is 4.
In another embodiment of the present invention, s is 0, 1, 2, 3 or 4. In a class of this embodiment, s is 0, 1, 2 or 3. In a class of this embodiment, s is 0, 1 or 2. In another embodiment of the present invention, s is 1, 2, 3 or 4. In a class of this embodiment, s is 1, 2 or 3. In a class of this embodiment, s is 1 or 3. In a class of this embodiment, s is 1 or 2. In another class of this embodiment, s is 0 or 1. In another class of this embodiment, s is 0 or 2. In another class of this embodiment, s is 0. In another class of this embodiment, s is 1. In another class of this embodiment, s is 2. In another class of this embodiment, s is 3. In another class of this embodiment, s is 4.
In another embodiment of the present invention, t is 0, 1, 2, 3 or 4. In a class of this embodiment, t is 0, 1, 2 or 3. In a class of this embodiment, t is 0, 1 or 2. In another embodiment of the present invention, t is 1, 2, 3 or 4. In a class of this embodiment, t is 1, 2 or 3. In a class of this embodiment, t is 1 or 3. In a class of this embodiment, t is 1 or 2. In another class of this embodiment, t is 0 or 1. In another class of this embodiment, t is 0 or 2. In another class of this embodiment, t is 0. In another class of this embodiment, t is 1. In another class of this embodiment, t is 2. In another class of this embodiment, t is 3. In another class of this embodiment, t is 4.
In another embodiment of the present invention, u is 0, 1, 2, 3 or 4. In a class of this embodiment, u is 0, 1, 2 or 3. In a class of this embodiment, u is 0, 1 or 2. In another embodiment of the present invention, u is 1, 2, 3 or 4. In a class of this embodiment, u is 1, 2 or 3. In a class of this embodiment, u is 1 or 3. In a class of this embodiment, u is 1 or 2. In another class of this embodiment, u is 0 or 1. In another class of this embodiment, u is 0 or 2. In another class of this embodiment, u is 0. In another class of this embodiment, u is 1. In another class of this embodiment, u is 2. In another class of this embodiment, u is 3. In another class of this embodiment, u is 4.
In another embodiment of the present invention, v is 0, 1, 2, 3 or 4. In a class of this embodiment, v is 0, 1, 2 or 3. In a class of this embodiment, v is 0, 1 or 2. In another embodiment of the present invention, v is 1, 2, 3 or 4. In a class of this embodiment, v is 1, 2 or 3. In a class of this embodiment, v is 1 or 3. In a class of this embodiment, v is 1 or 2. In another class of this embodiment, v is 0 or 1. In another class of this embodiment, v is 0 or 2. In another class of this embodiment, v is 0. In another class of this embodiment, v is 1. In another class of this embodiment, v is 2. In another class of this embodiment, v is 3. In another class of this embodiment, v is 4.
In another embodiment of the present invention, the invention relates to compounds of structural formula la:
la
or a pharmaceutically acceptable salt thereof.
In another embodiment of the present invention, the invention relates to compounds of structural formula lb:
lb
or a pharmaceutically acceptable salt thereof.
In another embodiment of the present invention, the invention relates to compounds of structural formula Ic:
Ic
or a pharmaceutically acceptable salt thereof.
In another embodiment of the present invention, the invention relates to compounds of structural formula Id:
Id
or a pharmaceutically acceptable salt thereof.
In another embodiment of the present invention, the invention relates to compounds of structural formula Ie:
Ie
or a pharmaceutically acceptable salt thereof.
In another embodiment of the present invention, the invention relates to compounds of structural formula If:
If
or a pharmaceutically acceptable salt thereof.
In another embodiment of the present invention, the invention relates to compounds of structural formula Ig:
Ig
or a pharmaceutically acceptable salt thereof.
In another embodiment of the present invention, the invention relates to compounds of structural formula Ih:
Ih
or a pharmaceutically acceptable salt thereof.
In another embodiment of the present invention, the invention relates to compounds of structural formula Ii:
Ii
or a pharmaceutically acceptable salt thereof.
In one embodiment of the present invention, the compounds of formula I have the absolute stereochemistry at the two stereogenic carbon centers as indicated in the compound of structural formula Ij :
and pharmaceutically acceptable salts thereof.
In one embodiment of the present invention, the compounds of formula I have the absolute stereochemistry at the two stereogenic carbon centers as indicated in the compound of structural formula Ik:
In another embodiment of the present invention, the invention relates to compounds of structural formula II:
II
or a pharmaceutically acceptable salt thereof.
In another embodiment of the present invention, the invention relates to compounds of structural formula Im:
Im
or a pharmaceutically acceptable salt thereof.
The compound of structural formula I includes the compounds of structural formulas la, lb, Ic, Id, Ie, If, Ig, Ih, Ii, Ij, Ik, II and Im, and pharmaceutically acceptable salts, hydrates and solvates thereof.
Another embodiment of the present invention relates to compounds of structural formula I wherein:
A, B, C and D are CH;
T is CH, N or N-oxide; U is CH, N or N-oxide; V is CH, N or N-oxide; and W is CH, N or N- oxide, provided that no more than one of T, U, V and W is N or N-oxide;
X is selected from the group consisting of:
(1) aryl, and
(2) heteroaryl,
wherein aryl and heteroaryl are unsubstituted or substituted with one to three substituents selected from RA;
Y is oxygen;
Z is selected from the group consisting of: -OH, and -0-Ci-6alkyl;
each R1 is independently selected from the group consisting of:
(1) hydrogen, and
(2) -Cl-6alkyl,
wherein alkyl is unsubstituted or substituted with one, two or three halogens;
R2 is independently selected from the group consisting of:
(1) -Cl-6alkyl, and
(2) -C3-6cycloalkyl,
wherein alkyl and cycloalkyl are unsubstituted or substituted with one, two or three halogens; each R3 is independently selected from the group consisting of:
(1) hydrogen, and
(2) halogen;
R4 is hydrogen; and
each R5 is independently selected from the group consisting of:
(1) hydrogen,
(2) -Cl-6alkenyl,
(3) halogen,
(4) -(CH2)t-0-Ci-6alkyl,
(5) -CN,
(6) aryl,
(V) heteroaryl, and
(8) -C3-6cycloalkyl,
wherein each alkyl, alkenyl, cycloalkyl, aryl and heteroaryl is unsubstituted or substitued with one, two, or three substituents selected from Rb;
or a pharmaceutically acceptable salt thereof.
Another embodiment of the present invention relates to compounds of structural formula I wherein:
A, B, C and D are CH;
T is CH or N; U is CH or N; V is CH; and W is CH or N, provided no more than one of T, U and W is N;
X is aryl, wherein aryl is unsubstituted or substituted with one to three substituents selected from Ra;
Y is oxygen;
Z is -OH;
each R1 is independently selected from the group consisting of:
(1) hydrogen, and
(2) -Ci-6alkyl,
wherein alkyl is unsubstituted or substituted with one, two or three halogens;
R2 is -C3-6cycloalkyl, wherein cycloalkyl is unsubstituted or substituted with one, two or three halogens;
each R3 is independently selected from the group consisting of:
(1) hydrogen, and
(2) halogen;
R4 is hydrogen; and
each R5 is independently selected from the group consisting of:
(1) hydrogen,
(2) halogen, and
(3) heteroaryl,
wherein each heteroaryl is unsubstituted or substitued with one, two, or three substituents selected from Rb;
or a pharmaceutically acceptable salt thereof.
Illustrative, but non-limiting, examples of the compounds of the present invention that are useful as agonists of G-protein-coupled receptor 40 (GPR40) are the following compounds
and acceptable salts thereof.
Although the specific stereochemistries described herein are preferred, other
stereoisomers, including diastereoisomers, enantiomers, epimers, and mixtures of these may also have utility in treating GPR40 mediated diseases.
Synthetic methods for making the compounds are disclosed in the Examples shown below. Where synthetic details are not provided in the examples, the compounds are readily made by a person of ordinary skill in the art of medicinal chemistry or synthetic organic chemistry by applying the synthetic information provided herein. Where a stereochemical center is not defined, the structure represents a mixture of stereoisomers at that center. For such compounds, the individual stereoisomers, including enantiomers, diastereoisomers, and mixtures of these are also compounds of the invention.
Definitions:
"Ac" is acetyl, which is Ο¾0(=0)-.
"Alkyl" means saturated carbon chains which may be linear or branched or combinations thereof, unless the carbon chain is defined otherwise. Other groups having the prefix "alk", such as alkoxy and alkanoyl, also may be linear or branched, or combinations thereof, unless the carbon chain is defined otherwise. Examples of alkyl groups include methyl, ethyl, propyl, isopropyl, butyl, sec- and tert-butyl, pentyl, hexyl, heptyl, octyl, nonyl, and the like. In one embodiment of the present invention, alkyl is methyl.
"Alkenyl" means carbon chains which contain at least one carbon-carbon double bond, and which may be linear or branched, or combinations thereof, unless otherwise defined.
Examples of alkenyl include vinyl, allyl, isopropenyl, pentenyl, hexenyl, heptenyl, 1-propenyl, 2-butenyl, 2-methyl-2-butenyl, and the like. In one embodiment of the present invention, alkenyl is 2-methyl- 1-propenyl.
"Alkynyl" means carbon chains which contain at least one carbon-carbon triple bond, and which may be linear or branched, or combinations thereof, unless otherwise defined. Examples of alkynyl include ethynyl, propargyl, 3 -methyl- 1-pentynyl, 2-heptynyl and the like. In one embodiment, alkynyl is -C2alkyne- CH3.
"Cycloalkyl" means a saturated monocyclic, bicyclic or bridged carbocyclic ring, having a specified number of carbon atoms. The term may also be used to describe a carbocyclic ring fused to an aryl group. Examples of cycloalkyl include cyclopropyl, cyclobutyl, cyclopentyl, cyclohexyl, cycloheptyl, and the like. In one embodiment of the present invention, cycloalkyl is selected from: cyclopropane, cyclobutane, cyclopentane and cyclohexane. In another embodiment, cycloalkyl is selected from: cyclopropane, cyclopentane and cyclohexane. In another embodiment, cycloalkyl is selected from: cyclopropane and cyclopentane. In another embodiment of the present invention, cycloalkyl is selected from: cyclopropane. In another embodiment of the present invention, cycloalkyl is selected from: cyclopentane. In another embodiment of the present invention, cycloalkyl is selected from: cyclohexane.
"Cycloalkenyl" means a nonaromatic monocyclic or bicyclic carbocylic ring containing at least one double bond. Examples of cycloalkenyl include cyclopropenyl, cyclobutenyl, cyclopentenyl, cyclohexenyl, cycloheptenyl, cyclooxtenyl and the like. In one embodiment of the present invention, cycloalkenyl is cyclopentenyl.
"Cycloheteroalkyl" means a saturated or partly unsaturated non-aromatic monocyclic, bicyclic or bridged carbocyclic ring or ring system containing at least one ring heteroatom selected from N, NH, S (including SO and SO2) and O. The cycloheteroalkyl ring may be substituted on the ring carbons and/or the ring nitrogen(s). Examples of cycloheteroalkyl include tetrahydrofuran, pyrrolidine, tetrahydrothiophene, azetidine, piperazine, piperidine, morpholine, oxetane and tetrahydropyran, hexose, pentose, isosorbide and isomannide, dianhydromannitol, 1, 4:3, 6-dianhydromannitol, 1, 4:3, 6-dianhydro[D]mannitol, hexahydrofuro[3,2-b]furan, and 2,3,3a,5,6,6a-hexahydrofuro[3,2-b]furan. In one embodiment of the present invention, cycloheteroalkyl is pyrrolidine.
"Cycloheteroalkenyl" means a nonaromatic monocyclic, bicyclic or bridged carbocyclic ring or ring system containing at least one double bond and containing at least one heteroatom selected from N, NH, S and O.
"Aryl" means a monocyclic, bicyclic or tricyclic carbocyclic aromatic ring or ring system containing 5-14 carbon atoms, wherein at least one of the rings is aromatic. Examples of aryl include phenyl and naphthyl. In one embodiment of the present invention, aryl is phenyl.
"Heteroaryl" means monocyclic, bicyclic or tricyclic ring or ring system containing 5-14 carbon atoms and containing at least one ring heteroatom selected from N, NH, S (including SO and SO2) and O, wherein at least one of the heteroatom containing rings is aromatic. Examples of heteroaryl include pyrrolyl, indole, isoxazolyl, isothiazolyl, pyrazolyl, pyridyl, oxazolyl, oxadiazolyl, thiadiazolyl, thiazolyl, imidazolyl, triazolyl, tetrazolyl, furanyl, triazinyl, thienyl, pyrimidyl, pyridazinyl, pyrazinyl, benzisoxazolyl, benzoxazolyl, benzothiazolyl, benzimidazolyl, benzofuranyl, benzpyrazole (or indazole), benzothiophenyl (including S-oxide and dioxide), furo(2,3-b)pyridyl, quinolyl, indolyl, isoquinolyl, quinazolinyl, dibenzofuranyl, and the like. In one embodiment of the present invention, heteroaryl is selected from: pyridine, pyrazole, thiazole, thiophene, pyrrole, triazole, indazole and indole. In another embodiment of the present invention, heteroaryl is selected from pyrazole, thiazole, thiophene, pyrrole, triazole, indazole and indole. In another embodiment of the present invention, heteroaryl is pyridine.
"Halogen" includes fluorine, chlorine, bromine and iodine. In one embodiment of the present invention, halogen is bromine, chlorine or fluorine. In another embodiment of the present invention, halogen is chlorine or fluorine. In another embodiment of the present invention, halogen is bromine. In another embodiment of the present invention, halogen is chlorine. In another embodiment of the present invention, halogen is fluorine.
"Me" represents methyl.
When any variable (e.g., R.1, Ra, etc.) occurs more than one time in any constituent or in formula I, its definition on each occurrence is independent of its definition at every other occurrence. Also, combinations of substituents and/or variables are permissible only if such combinations result in stable compounds. A squiggly line across a bond in a substituent variable represents the point of attachment.
Under standard nomenclature used throughout this disclosure, the terminal portion of the designated side chain is described first, followed by the adjacent functionality toward the point of attachment. For example, a C1 -5 alkylcarbonylamino C 1 -6 alkyl substituent is equivalent to:
O
C1 -5alkyl - C-NH-C1 -6alkyl- In choosing compounds of the present invention, one of ordinary skill in the art will recognize that the various substituents, i.e. R.1, R^, etc., are to be chosen in conformity with well-known principles of chemical structure connectivity and stability.
The term "substituted" shall be deemed to include multiple degrees of substitution by a named substitutent. Where multiple substituent moieties are disclosed or claimed, the substituted compound can be independently substituted by one or more of the disclosed or claimed substituent moieties, singly or plurally. By independently substituted, it is meant that the (two or more) substituents can be the same or different.
The phrase "pharmaceutically acceptable" is employed herein to refer to those compounds, materials, compositions, salts and/or dosage forms which are, using sound medical judgment, and following all applicable government regulations, safe and suitable for administration to a human being or an animal.
The term "% enantiomeric excess" (abbreviated "ee") shall mean the % major enantiomer less the % minor enantiomer. Thus, a 70% enantiomeric excess corresponds to formation of 85% of one enantiomer and 15% of the other. The term "enantiomeric excess" is synonymous with the term "optical purity."
Compounds of Formula I may contain one or more asymmetric centers and can thus occur as racemates and racemic mixtures, single enantiomers, diastereomeric mixtures and individual diastereomers. The present invention is meant to comprehend all such isomeric forms of the compounds of Formula I.
Some of the compounds described herein contain olefinic double bonds, and unless specified otherwise, are meant to include both E and Z geometric isomers.
Tautomers are defined as compounds that undergo rapid proton shifts from one atom of the compound to another atom of the compound. Some of the compounds described herein may exist as tautomers with different points of attachment of hydrogen. Such an example may be a ketone and its enol form known as keto-enol tautomers. The individual tautomers as well as mixture thereof are encompassed with compounds of Formula I.
In the compounds of general formula I, the atoms may exhibit their natural isotopic abundances, or one or more of the atoms may be artificially enriched in a particular isotope having the same atomic number, but an atomic mass or mass number different from the atomic mass or mass number predominately found in nature. The present invention is meant to include all suitable isotopic variations of the compounds of structural formula I. For example, different isotopic forms of hydrogen (H) include protium (¾), deuterium (2H), and tritium (3H). Protium is the predominant hydrogen isotope found in nature. Enriching for deuterium may afford certain therapeutic advantages, such as increasing in vivo half-life or reducing dosage requirements, or may provide a compound useful as a standard for characterization of biological samples. Tritium is radioactive and may therefore provide for a radiolabeled compound, useful as a tracer in metabolic or kinetic studies. Isotopically-enriched compounds within structural formula I, can be prepared without undue experimentation by conventional techniques well known to those skilled in the art or by processes analogous to those described in the Schemes and Examples herein using appropriate isotopically-enriched reagents and/or intermediates.
The independent syntheses of optical isomers and diastereoisomers or their
chromatographic separations may be achieved as known in the art by appropriate modification of the methodology disclosed herein. Their absolute stereochemistry may be determined by the X- ray crystallography of crystalline products or crystalline intermediates which are derivatized, if necessary, with a reagent containing an asymmetric center of known absolute configuration.
If desired, racemic mixtures of the compounds may be separated so that the individual enantiomers are isolated. The separation can be carried out by methods well-known in the art, such as the coupling of a racemic mixture of compounds to an enantiomerically pure compound to form a diastereoisomeric mixture, followed by separation of the individual diastereoisomers by standard methods, such as fractional crystallization or chromatography. The coupling reaction is often the formation of salts using an enantiomerically pure acid or base. The diasteromeric derivatives may then be converted to the pure enantiomers by cleavage of the added chiral residue. The racemic mixture of the compounds can also be separated directly by chromatographic methods utilizing chiral stationary phases, which methods are well known in the art.
Alternatively, any enantiomer of a compound may be obtained by stereoselective synthesis using optically pure starting materials or reagents of known configuration by methods well known in the art.
Furthermore, some of the crystalline forms for compounds of the present invention may exist as polymorphs and as such are intended to be included in the present invention. In addition, some of the compounds of the instant invention may form solvates with water or common organic solvents. Such solvates are encompassed within the scope of this invention.
It is generally preferable to administer compounds of the present invention as
enantiomerically pure formulations. Racemic mixtures can be separated into their individual enantiomers by any of a number of conventional methods. These include chiral chromatography, derivatization with a chiral auxiliary followed by separation by chromatography or
crystallization, and fractional crystallization of diastereomeric salts.
Salts:
It will be understood that, as used herein, references to the compounds of the present invention are meant to also include the pharmaceutically acceptable salts, and also salts that are not pharmaceutically acceptable when they are used as precursors to the free compounds or their pharmaceutically acceptable salts or in other synthetic manipulations.
The compounds of the present invention may be administered in the form of a pharmaceutically acceptable salt. The term "pharmaceutically acceptable salt" refers to salts prepared from pharmaceutically acceptable non-toxic bases or acids including inorganic or organic bases and inorganic or organic acids. Salts of basic compounds encompassed within the term "pharmaceutically acceptable salt" refer to non-toxic salts of the compounds of this invention which are generally prepared by reacting the free base with a suitable organic or inorganic acid. Representative salts of basic compounds of the present invention include, but are not limited to, the following: acetate, benzenesulfonate, benzoate, bicarbonate, bisulfate, bitartrate, borate, bromide, camsylate, carbonate, chloride, clavulanate, citrate, dihydrochloride, edetate, edisylate, estolate, esylate, fumarate, gluceptate, gluconate, glutamate,
glycollylarsanilate, hexylresorcinate, hydrabamine, hydrobromide, hydrochloride,
hydroxynaphthoate, iodide, isothionate, lactate, lactobionate, laurate, malate, maleate, mandelate, mesylate, methylbromide, methylnitrate, methylsulfate, mucate, napsylate, nitrate, N- methylglucamine ammonium salt, oleate, oxalate, pamoate (embonate), palmitate, pantothenate, phosphate/diphosphate, polygalacturonate, salicylate, stearate, sulfate, subacetate, succinate, tannate, tartrate, teoclate, tosylate, triethiodide and valerate. Furthermore, where the compounds of the invention carry an acidic moiety, suitable pharmaceutically acceptable salts thereof include, but are not limited to, salts derived from inorganic bases including aluminum, ammonium, calcium, copper, ferric, ferrous, lithium, magnesium, manganic, mangamous, potassium, sodium, zinc, and the like. Particularly preferred are the ammonium, calcium, magnesium, potassium, and sodium salts. Salts derived from pharmaceutically acceptable organic non-toxic bases include salts of primary, secondary, and tertiary amines, cyclic amines, and basic ion-exchange resins, such as arginine, betaine, caffeine, choline, N,N- dibenzylethylenediamine, diethylamine, 2-diethylaminoethanol, 2-dimethylaminoethanol, ethanolamine, ethylenediamine, N-ethylmorpholine, N-ethylpiperidine, glucamine, glucosamine, histidine, hydrabamine, isopropylamine, lysine, methylglucamine, morpholine, piperazine,
piperidine, polyamine resins, procaine, purines, theobromine, triethylamine, trimethylamine, tripropylamine, tromethamine, and the like.
Also, in the case of a carboxylic acid (-COOH) or alcohol group being present in the compounds of the present invention, pharmaceutically acceptable esters of carboxylic acid derivatives, such as methyl, ethyl, or pivaloyloxymethyl, or acyl derivatives of alcohols, such as O-acetyl, O-pivaloyl, O-benzoyl, and 0-aminoacyl, can be employed. Included are those esters and acyl groups known in the art for modifying the solubility or hydrolysis characteristics for use as sustained-release or prodrug formulations.
Solvates, and in particular, the hydrates of the compounds of the present invention are included in the present invention as well.
Utilities
The compounds of the present invention are potent agonists of the GPR40 receptor. The compounds, and pharmaceutically acceptable salts thereof, may be efficacious in the treatment of diseases that are modulated by GPR40 ligands, which are generally agonists. Many of these diseases are summarized below.
One or more of these diseases may be treated by the administration of a therapeutically effective amount of a compound of the present invention, or a pharmaceutically acceptable salt thereof, to a patient in need of treatment. Also, the compounds of the present invention may be used for the manufacture of a medicament which may be useful for treating one or more of these diseases: (1) non-insulin dependent diabetes mellitus (Type 2 diabetes); (2) hyperglycemia; (3) insulin resistance; (4) Metabolic Syndrome; (5) obesity; (6) hypercholesterolemia; (7) hypertriglyceridemia (elevated levels of triglyceride-rich-lipoproteins); (8) mixed or diabetic dyslipidemia; (9) low HDL cholesterol; (10) high LDL cholesterol; (1 1) hyperapoB- liproteinemia; and (12) atherosclerosis.
Preferred uses of the compounds may be for the treatment of one or more of the following diseases by administering a therapeutically effective amount to a patient in need of treatment. The compounds may be used for manufacturing a medicament for the treatment of one or more of these diseases: (1) Type 2 diabetes, and specifically hyperglycemia associated with Type 2 diabetes; (2) Metabolic Syndrome; (3) obesity; and (4) hypercholesterolemia.
The compounds may be effective in lowering glucose and lipids in diabetic patients and in non-diabetic patients who have impaired glucose tolerance and/or are in a pre-diabetic condition. The compounds may ameliorate hyperinsulinemia, which often occurs in diabetic or pre-diabetic patients, by modulating the swings in the level of serum glucose that often occurs in these patients. The compounds may also be effective in treating or reducing insulin resistance. The compounds may be effective in treating or preventing gestational diabetes.
The compounds may also be effective in treating or preventing lipid disorders. The compounds may be effective in treating or preventing diabetes related disorders. The compounds may also be effective in treating or preventing obesity related disorders.
The compounds of this invention may also have utility in improving or restoring β-cell function, so that they may be useful in treating Type 1 diabetes or in delaying or preventing a patient with Type 2 diabetes from needing insulin therapy.
The invention also includes pharmaceutically acceptable salts of the compounds, and pharmaceutical compositions comprising the compounds and a pharmaceutically acceptable carrier. The compounds may be useful in treating insulin resistance, Type 2 diabetes, hypperglycemia, and dyslipidemia that is associated with Type 2 diabetes and insulin resistance. The compounds may also be useful for the treatment of obesity
A compound of the present invention, or a pharmaceutically acceptable salt thereof, may be used in the manufacture of a medicament for the treatment of Type 2 diabetes in a human or other mammalian patient.
A method of treating Type 2 diabetes comprises the administration of a therapeutically effective amount of a compound of the present invention, or a pharmaceutically acceptable salt thereof, or a pharmaceutical composition comprising the compound, to a human or other mammalian subject or patient in need of treatment. Other medical uses of the compounds of the present invention are described herein.
The compounds of the present invention in which the A, B, C and D containing ring is
1,3 substituted have the unexpected benefit of higher levels of GPR40 receptor agonist activation in the IP-1 assay compared to compounds with 1,4 substitution of the A, B, C and D containing ring. The higher levels of GPR40 receptor agonist activity of the 1,3 substituted compounds of the present invention resulted in enhanced efficacy in modulating glucose homeostasis.
The compounds of the present invention in which the A, B, C and D containing ring is
1,3 substituted have the unexpected ability to stimulate greater GLP 1 secretion in-vitro in cells capable of producing GLP1, such as primary mouse colonic crypt cultures, and in-vivo in C57BL/6 lean mice or Goto-Kakizaki rats when dosed orally, compared to compounds with 1,4 substitution of the A, B, C and D containing ring.
The term "diabetes," as used herein, includes both insulin-dependent diabetes mellitus
(i.e., IDDM, also known as type 1 diabetes) and non-insulin-dependent diabetes mellitus (i.e., NIDDM, also known as Type 2 diabetes). Type 1 diabetes, or insulin-dependent diabetes, is the result of an absolute deficiency of insulin, the hormone which regulates glucose utilization. Type 2 diabetes, or insulin-independent diabetes (i.e., non-insulin-dependent diabetes mellitus), often occurs in the face of normal, or even elevated levels of insulin and appears to be the result of the inability of tissues to respond appropriately to insulin. Most of the Type 2 diabetics are also obese. The compositions of the present invention may be useful for treating both Type 1
and Type 2 diabetes. The term "diabetes associated with obesity" refers to diabetes caused by obesity or resulting from obesity.
Diabetes is characterized by a fasting plasma glucose level of greater than or equal to 126 mg/dl. A diabetic subject has a fasting plasma glucose level of greater than or equal to 126 mg/dl. A pre diabetic subject is someone suffering from prediabetes. Prediabetes is
characterized by an impaired fasting plasma glucose (FPG) level of greater than or equal to 1 10 mg/dl and less than 126 mg/dl; or impaired glucose tolerance; or insulin resistance. A prediabetic subject is a subject with impaired fasting glucose (a fasting plasma glucose (FPG) level of greater than or equal to 1 10 mg/dl and less than 126 mg/dl); or impaired glucose tolerance (a 2 hour plasma glucose level of >140 mg/dl and <200 mg/dl); or insulin resistance, resulting in an increased risk of developing diabetes.
Treatment of diabetes mellitus refers to the administration of a compound or combination of the present invention to treat a diabetic subject. One outcome of treatment may be decreasing the glucose level in a subject with elevated glucose levels. Another outcome of treatment may be decreasing insulin levels in a subject with elevated insulin levels. Another outcome of treatment may be decreasing plasma triglycerides in a subject with elevated plasma triglycerides. Another outcome of treatment is decreasing LDL cholesterol in a subject with high LDL cholesterol levels. Another outcome of treatment may be increasing HDL cholesterol in a subject with low HDL cholesterol levels. Another outcome of treatment is increasing insulin sensivity. Another outcome of treatment may be enhancing glucose tolerance in a subject with glucose intolerance. Yet another outcome of treatment may be decreasing insulin resistance in a subject with increased insulin resistance or elevated levels of insulin. Prevention of diabetes mellitus, in particular diabetes associated with obesity, refers to the administration of a compound or combination of the present invention to prevent the onset of diabetes in a subject in need thereof. A subject in need of preventing diabetes is a prediabetic subject that is overweight or obese.
The term "diabetes related disorders" should be understood to mean disorders that are associated with, caused by, or result from diabetes. Examples of diabetes related disorders include retinal damage, kidney disease, and nerve damage.
The term "atherosclerosis" as used herein encompasses vascular diseases and conditions that are recognized and understood by physicians practicing in the relevant fields of medicine. Atherosclerotic cardiovascular disease, coronary heart disease (also known as coronary artery disease or ischemic heart disease), cerebrovascular disease and peripheral vessel disease are all clinical manifestations of atherosclerosis and are therefore encompassed by the terms
"atherosclerosis" and "atherosclerotic disease." The combination comprised of a therapeutically effective amount of an anti-obesity agent in combination with a therapeutically effective amount of an anti-hypertensive agent may be administered to prevent or reduce the risk of occurrence, or
recurrence where the potential exists, of a coronary heart disease event, a cerebrovascular event, or intermittent claudication. Coronary heart disease events are intended to include CHD death, myocardial infarction (i.e., a heart attack), and coronary revascularization procedures.
Cerebrovascular events are intended to include ischemic or hemorrhagic stroke (also known as cerebrovascular accidents) and transient ischemic attacks. Intermittent claudication is a clinical manifestation of peripheral vessel disease. The term "atherosclerotic disease event" as used herein is intended to encompass coronary heart disease events, cerebrovascular events, and intermittent claudication. It is intended that persons who have previously experienced one or more non-fatal atherosclerotic disease events are those for whom the potential for recurrence of such an event exists. The term "atherosclerosis related disorders" should be understood to mean disorders associated with, caused by, or resulting from atherosclerosis.
The term "hypertension" as used herein includes essential, or primary, hypertension wherein the cause is not known or where hypertension is due to greater than one cause, such as changes in both the heart and blood vessels; and secondary hypertension wherein the cause is known. Causes of secondary hypertension include, but are not limited to obesity; kidney disease; hormonal disorders; use of certain drugs, such as oral contraceptives, corticosteroids, cyclosporin, and the like. The term "hypertension" encompasses high blood pressure, in which both the systolic and diastolic pressure levels are elevated (≥140 mmHg/>90 mmHg), and isolated systolic hypertension, in which only the systolic pressure is elevated to greater than or equal to 140 mm Hg, while the diastolic pressure is less than 90 mm Hg. Normal blood pressure may be defined as less than 120 mmHg systolic and less than 80 mmHg diastolic. A hypertensive subject is a subject with hypertension. A pre-hypertensive subject is a subject with a blood pressure that is between 120 mmHg over 80 mmHg and 139 mmHg over 89 mmHg. One outcome of treatment is decreasing blood pressure in a subject with high blood pressure.
Treatment of hypertension refers to the administration of the compounds and combinations of the present invention to treat hypertension in a hypertensive subject. Treatment of hypertension- related disorder refers to the administration of a compound or combination of the present invention to treat the hypertension-related disorder. Prevention of hypertension, or a hypertension related disorder, refers to the administration of the combinations of the present invention to a pre-hypertensive subject to prevent the onset of hypertension or a hypertension related disorder. The hypertension-related disorders herein are associated with, caused by, or result from hypertension. Examples of hypertension-related disorders include, but are not limited to: heart disease, heart failure, heart attack, kidney failure, and stroke.
Dyslipidemias and lipid disorders are disorders of lipid metabolism including various conditions characterized by abnormal concentrations of one or more lipids (i.e. cholesterol and triglycerides), and/or apolipoproteins (i.e., apolipoproteins A, B, C and E), and/or lipoproteins (i.e., the macromolecular complexes formed by the lipid and the apolipoprotein that allow lipids
to circulate in blood, such as LDL, VLDL and IDL). Hyperlipidemia is associated with abnormally high levels of lipids, LDL and VLDL cholesterol, and/or triglycerides. Treatment of dyslipidemia refers to the administration of the combinations of the present invention to a dyslipidemic subject. Prevention of dyslipidemia refers to the administration of the
combinations of the present invention to a pre-dyslipidemic subject. A pre-dyslipidemic subject is a subject with higher than normal lipid levels, that is not yet dyslipidemic.
The terms "dyslipidemia related disorders" and "lipid disorder related disorders" should be understood to mean disorders associated with, caused by, or resulting from dyslipidemia or lipid disorders. Examples of dylipidemia related disorder and lipid disorder related disorders include, but are not limited to: hyperlipidemia, hypertriglyceridemia, hypercholesterolemia, low high density lipoprotein (HDL) levels, high plasma low density lipoprotein (LDL) levels, atherosclerosis and its sequelae, coronary artery or carotid artery disease, heart attack, and stroke.
The term "obesity" as used herein is a condition in which there is an excess of body fat. The operational definition of obesity is based on the Body Mass Index (BMI), which is calculated as body weight per height in meters squared (kg/m2). "Obesity" refers to a condition whereby an otherwise healthy subject has a Body Mass Index (BMI) greater than or equal to 30 kg/m2, or a condition whereby a subject with at least one co-morbidity has a BMI greater than or equal to 27 kg/m2. An "obese subject" is an otherwise healthy subject with a Body Mass Index (BMI) greater than or equal to 30 kg/m2 or a subject with at least one co-morbidity with a BMI greater than or equal to 27 kg/m2. An overweight subject is a subject at risk of obesity. A "subject at risk of obesity" is an otherwise healthy subject with a BMI of 25 kg/m2 to less than 30 kg/m2 or a subject with at least one co-morbidity with a BMI of 25 kg/m2 to less than 27 kg/m2.
The increased risks associated with obesity occur at a lower Body Mass Index (BMI) in
Asians. In Asian countries, including Japan, "obesity" refers to a condition whereby a subject with at least one obesity-induced or obesity-related co-morbidity, that requires weight reduction or that would be improved by weight reduction, has a BMI greater than or equal to 25 kg/m2. In Asian countries, including Japan, an "obese subject" refers to a subject with at least one obesity- induced or obesity-related co-morbidity that requires weight reduction or that would be improved by weight reduction, with a BMI greater than or equal to 25 kg/m2. In Asia-Pacific, a "subject at risk of obesity" is a subject with a BMI of greater than 23 kg/m2 to less than 25 kg/m2.
As used herein, the term "obesity" is meant to encompass all of the above definitions of obesity.
Obesity-induced or obesity-related co-morbidities include, but are not limited to, diabetes mellitus, non-insulin dependent diabetes mellitus - type 2, diabetes associated with obesity,
impaired glucose tolerance, impaired fasting glucose, insulin resistance syndrome, dyslipidemia, hypertension, hypertension associated with obesity, hyperuricacidemia, gout, coronary artery disease, myocardial infarction, angina pectoris, sleep apnea syndrome, Pickwickian syndrome, fatty liver; cerebral infarction, cerebral thrombosis, transient ischemic attack, orthopedic disorders, arthritis deformans, lumbodynia, emmeniopathy, and infertility. In particular, comorbidities include: hypertension, hyperlipidemia, dyslipidemia, glucose intolerance, cardiovascular disease, sleep apnea, and other obesity -related conditions.
Treatment of obesity and obesity-related disorders refers to the administration of the compounds of the present invention to reduce or maintain the body weight of an obese subject. One outcome of treatment may be reducing the body weight of an obese subject relative to that subject's body weight immediately before the administration of the compounds of the present invention. Another outcome of treatment may be preventing body weight regain of body weight previously lost as a result of diet, exercise, or pharmacotherapy. Another outcome of treatment may be decreasing the occurrence of and/or the severity of obesity-related diseases. The treatment may suitably result in a reduction in food or calorie intake by the subject, including a reduction in total food intake, or a reduction of intake of specific components of the diet such as carbohydrates or fats; and/or the inhibition of nutrient absorption; and/or the inhibition of the reduction of metabolic rate; and in weight reduction in patients in need thereof. The treatment may also result in an alteration of metabolic rate, such as an increase in metabolic rate, rather than or in addition to an inhibition of the reduction of metabolic rate; and/or in minimization of the metabolic resistance that normally results from weight loss.
Prevention of obesity and obesity -related disorders refers to the administration of the compounds of the present invention to reduce or maintain the body weight of a subject at risk of obesity. One outcome of prevention may be reducing the body weight of a subject at risk of obesity relative to that subject's body weight immediately before the administration of the compounds of the present invention. Another outcome of prevention may be preventing body weight regain of body weight previously lost as a result of diet, exercise, or pharmacotherapy. Another outcome of prevention may be preventing obesity from occurring if the treatment is administered prior to the onset of obesity in a subject at risk of obesity. Another outcome of prevention may be decreasing the occurrence and/or severity of obesity-related disorders if the treatment is administered prior to the onset of obesity in a subject at risk of obesity. Moreover, if treatment is commenced in already obese subjects, such treatment may prevent the occurrence, progression or severity of obesity -related disorders, such as, but not limited to, arteriosclerosis, Type II diabetes, polycystic ovarian disease, cardiovascular diseases, osteoarthritis,
dermatological disorders, hypertension, insulin resistance, hypercholesterolemia,
hypertriglyceridemia, and cholelithiasis.
The obesity -related disorders herein are associated with, caused by, or result from obesity. Examples of obesity -related disorders include overeating and bulimia, hypertension, diabetes, elevated plasma insulin concentrations and insulin resistance, dyslipidemias, hyperlipidemia, endometrial, breast, prostate and colon cancer, osteoarthritis, obstructive sleep apnea, cholelithiasis, gallstones, heart disease, abnormal heart rhythms and arrythmias, myocardial infarction, congestive heart failure, coronary heart disease, sudden death, stroke, polycystic ovarian disease, craniopharyngioma, the Prader-Willi Syndrome, Frohlich's syndrome, GH-deficient subjects, normal variant short stature, Turner's syndrome, and other pathological conditions showing reduced metabolic activity or a decrease in resting energy expenditure as a percentage of total fat- free mass, e.g, children with acute lymphoblastic leukemia. Further examples of obesity -related disorders are metabolic syndrome, also known as syndrome X, insulin resistance syndrome, sexual and reproductive dysfunction, such as infertility, hypogonadism in males and hirsutism in females, gastrointestinal motility disorders, such as obesity-related gastro-esophageal reflux, respiratory disorders, such as obesity- hypoventilation syndrome (Pickwickian syndrome), cardiovascular disorders, inflammation, such as systemic inflammation of the vasculature, arteriosclerosis, hypercholesterolemia, hyperuricaemia, lower back pain, gallbladder disease, gout, and kidney cancer. The compounds of the present invention are also useful for reducing the risk of secondary outcomes of obesity, such as reducing the risk of left ventricular hypertrophy.
The term "metabolic syndrome", also known as syndrome X, is defined in the Third
Report of the National Cholesterol Education Program Expert Panel on Detection, Evaluation and Treatment of High Blood Cholesterol in Adults (Adult Treatment Panel III, or ATP III), National Institutes of Health, 2001, NIH Publication No. 01-3670. E.S. Ford et al, JAMA, vol. 287 (3), Jan. 16, 2002, pp 356-359. Briefly, a person is defined as having metabolic syndrome if the person has three or more of the following disorders: abdominal obesity,
hypertriglyceridemia, low HDL cholesterol, high blood pressure, and high fasting plasma glucose. The criteria for these are defined in ATP-III. Treatment of metabolic syndrome refers to the administration of the combinations of the present invention to a subject with metabolic syndrome. Prevention of metabolic syndrome refers to the administration of the combinations of the present invention to a subject with two of the disorders that define metabolic syndrome. A subject with two of the disorders that define metabolic syndrome is a subject that has developed two of the disorders that define metabolic syndrome, but has not yet developed three or more of the disorders that define metabolic syndrome.
The terms "administration of and or "administering a" compound should be understood to mean providing a compound of the invention or a prodrug of a compound of the invention to a human or other mammal in need of treatment.
The administration of the compound of structural formula I in order to practice the present methods of therapy is carried out by administering an effective amount of the compound of structural formula I to the mammal in need of such treatment or prophylaxis. The need for a prophylactic administration according to the methods of the present invention is determined via the use of well known risk factors. The effective amount of an individual compound is determined, in the final analysis, by the physician or veterinarian in charge of the case, but depends on factors such as the exact disease to be treated, the severity of the disease and other diseases or conditions from which the patient suffers, the chosen route of administration other drugs and treatments which the patient may concomitantly require, and other factors in the physician's judgment.
The usefulness of the present compounds in these diseases or disorders may be demonstrated in animal disease models that have been reported in the literature.
Administration and Dose Ranges
Any suitable route of administration may be employed for providing a mammal, especially a human, with an effective dose of a compound of the present invention. For example, oral, rectal, topical, parenteral, ocular, pulmonary, nasal, and the like may be employed. Dosage forms include tablets, troches, dispersions, suspensions, solutions, capsules, creams, ointments, aerosols, and the like. Preferably compounds of the present invention are administered orally.
In the treatment or prevention of conditions which require agonism of GPR40 receptor activity, an appropriate dosage level will generally be about 0.01 to 500 mg per kg patient body weight per day which can be administered in single or multiple doses. Preferably, the dosage level will be about 0.1 to about 250 mg/kg per day; more preferably about 0.5 to about 100 mg/kg per day. A suitable dosage level may be about 0.01 to 250 mg kg per day, about 0.05 to 100 mg/kg per day, or about 0.1 to 50 mg/kg per day. Within this range the dosage may be 0.05 to 0.5, 0.5 to 5 or 5 to 50 mg/kg per day. For oral administration, the compositions are preferably provided in the form of tablets containing 1.0 to 1000 mg of the active ingredient, particularly 1.0, 5.0, 10.0, 15.0. 20.0, 25.0, 50.0, 75.0, 100.0, 150.0, 200.0, 250.0, 300.0, 400.0, 500.0, 600.0, 750.0, 800.0, 900.0, and 1000.0 mg of the active ingredient for the symptomatic adjustment of the dosage to the patient to be treated. The compounds may be administered on a regimen of 1 to 4 times per day, preferably once or twice per day.
When treating or preventing diabetes mellitus and/or hyperglycemia or
hypertriglyceridemia or other diseases for which compounds of the present invention are indicated, generally satisfactory results are obtained when the compounds of the present invention are administered at a daily dosage of from about 0.1 mg to about 100 mg per kilogram of animal body weight, preferably given as a single daily dose or in divided doses two to six times a day, or in sustained release form. For most large mammals, the total daily dosage is from about 1.0 mg to about 1000 mg, preferably from about 1 mg to about 50 mg. In the case of a 70
kg adult human, the total daily dose will generally be from about 7 mg to about 350 mg. This dosage regimen may be adjusted to provide the optimal therapeutic response.
It will be understood, however, that the specific dose level and frequency of dosage for any particular patient may be varied and will depend upon a variety of factors including the activity of the specific compound employed, the metabolic stability and length of action of that compound, the age, body weight, general health, sex, diet, mode and time of administration, rate of excretion, drug combination, the severity of the particular condition, and the host undergoing therapy.
The compounds of this invention may be used in pharmaceutical compositions comprising (a) the compound(s) or pharmaceutically acceptable salts thereof, and (b) a pharmaceutically acceptable carrier. The compounds of this invention may be used in pharmaceutical compositions that include one or more other active pharmaceutical ingredients. The compounds of this invention may also be used in pharmaceutical compositions in which the compound of the present invention or a pharmaceutically acceptable salt thereof is the only active ingredient.
The term "composition," as in pharmaceutical composition, is intended to encompass a product comprising the active ingredient(s), and the inert ingredient(s) that make up the carrier, as well as any product which results, directly or indirectly, from combination, complexation or aggregation of any two or more of the ingredients, or from dissociation of one or more of the ingredients, or from other types of reactions or interactions of one or more of the ingredients. Accordingly, the pharmaceutical compositions of the present invention encompass any composition made by admixing a compound of the present invention and a pharmaceutically acceptable carrier.
Combination Therapy:
Compounds of the present invention may be used in combination with other drugs that may also be useful in the treatment or amelioration of the diseases or conditions for which compounds of the present invention are useful. Such other drugs may be administered, by a route and in an amount commonly used therefor, contemporaneously or sequentially with a compound of the present invention. In the treatment of patients who have Type 2 diabetes, insulin resistance, obesity, metabolic syndrome, and co-morbidities that accompany these diseases, more than one drug is commonly administered. The compounds of this invention may generally be administered to a patient who is already taking one or more other drugs for these conditions. Often the compounds will be administered to a patient who is already being treated with one or more antidiabetic compound, such as metformin, sulfonylureas, and/or PPARy agonists, when the patient's glycemic levels are not adequately responding to treatment.
When a compound of the present invention is used contemporaneously with one or more other drugs, a pharmaceutical composition in unit dosage form containing such other drugs and
the compound of the present invention is preferred. However, the combination therapy also includes therapies in which the compound of the present invention and one or more other drugs are administered on different overlapping schedules. It is also contemplated that when used in combination with one or more other active ingredients, the compound of the present invention and the other active ingredients may be used in lower doses than when each is used singly.
Accordingly, the pharmaceutical compositions of the present invention include those that contain one or more other active ingredients, in addition to a compound of the present invention.
Examples of other active ingredients that may be administered separately or in the same pharmaceutical composition in combination with a compound of the formulas described herein include, but are not limited to:
(1) other dipeptidyl peptidase-IV (DPP-4) inhibitors (e.g., sitagliptin, alogliptin, linagliptin, vildagliptin, saxagliptin, teneligliptin, omarigliptin);
(2) insulin sensitizers, including (i) PPARy agonists, such as the glitazones (e.g.
pioglitazone, AMG 131, MBX2044, mitoglitazone, lobeglitazone, ID R- 105, rosiglitazone, and balaglitazone), and other PPAR ligands, including (1) PPARa/γ dual agonists (e.g., ZYH2, ZYH1, GFT505, chiglitazar, muraglitazar, aleglitazar, sodelglitazar, and naveglitazar); (2) PPARa agonists such as fenofibric acid derivatives (e.g., gemfibrozil, clofibrate, ciprofibrate, fenofibrate, bezafibrate), (3) selective PPARy modulators (SPPARyM's), (e.g., such as those disclosed in WO 02/060388, WO 02/08188, WO 2004/019869, WO 2004/020409, WO
2004/020408, and WO 2004/066963); and (4) PPARy partial agonists; (ii) biguanides, such as metformin and its pharmaceutically acceptable salts, in particular, metformin hydrochloride, and extended-release formulations thereof, such as Glumetza™, Fortamet™, and GlucophageXR™; and (iii) protein tyrosine phosphatase- IB (PTP-1B) inhibitors (e.g., ISIS-113715 and TTP814);
(3) insulin or insulin analogs (e.g., insulin detemir, insulin glulisine, insulin degludec, insulin glargine, insulin lispro, SBS1000 and oral and inhalable formulations of insulin and insulin analogs);
(4) leptin and leptin derivatives and agonists;
(5) amylin and amylin analogs (e.g., pramlintide);
(6) sulfonylurea and non-sulfonylurea insulin secretagogues (e.g., tolbutamide, glyburide, glipizide, glimepiride, mitiglinide, meglitinides, nateglinide and repaglinide);
(7) a-glucosidase inhibitors (e.g., acarbose, voglibose and miglitol);
(8) glucagon receptor antagonists (e.g., NOXG15, LY2409021);
(9) incretin mimetics, such as GLP-1, GLP-1 analogs, derivatives, and mimetics; and GLP-1 receptor agonists (e.g., dulaglutide, semaglutide, albiglutide, exenatide, liraglutide, lixisenatide, taspoglutide, GSK2374697, ADX72231, RG7685, 9924, ZYOG1, CJC-1 131, and BIM-51077, including intranasal, transdermal, and once-weekly formulations thereof), and oxyntomodulin and oxyntomodulin analogs and derivatives;
(10) LDL cholesterol lowering agents such as (i) HMG-CoA reductase inhibitors (e.g., simvastatin, lovastatin, pravastatin, crivastatin, fluvastatin, atorvastatin, pitavastatin and rosuvastatin), (ii) bile acid sequestering agents (e.g., colestilan, colestimide, colesevalam hydrochloride, colestipol, cholestyramine, and dialkylaminoalkyl derivatives of a cross-linked dextran), (iii) inhibitors of cholesterol absorption, (e.g., ezetimibe), and (iv) acyl CoA:cholesterol acyltransferase inhibitors, (e.g., avasimibe);
(1 1) HDL-raising drugs, (e.g., niacin and nicotinic acid receptor agonists, and extended- release versions thereof;
(12) antiobesity compounds;
(13) agents intended for use in inflammatory conditions, such as aspirin, non-steroidal anti-inflammatory drugs or NSAIDs, glucocorticoids, and selective cyclooxygenase-2 or COX-2 inhibitors;
(14) antihypertensive agents, such as ACE inhibitors (e.g.,lisinopril, enalapril, ramipril, captopril, quinapril, and tandolapril), A-II receptor blockers (e.g., losartan, candesartan, irbesartan, olmesartan medoxomil, valsartan, telmisartan, and eprosartan), renin inhibitors (e.g., aliskiren), beta blockers, and calcium channel blockers;
(15) glucokinase activators (GKAs) (e.g., AZD6370);
(16) inhibitors of 11 β-hydroxysteroid dehydrogenase type 1, (e.g., such as those disclosed in U.S. Patent No. 6,730,690, and LY-2523199);
(17) CETP inhibitors (e.g., anacetrapib, evacetrapib and torcetrapib);
(18) inhibitors of fructose 1,6-bisphosphatase, (e.g., such as those disclosed in U.S.
Patent Nos. 6,054,587; 6, 1 10,903; 6,284,748; 6,399,782; and 6,489,476);
(19) inhibitors of acetyl CoA carboxylase- 1 or 2 (ACC1 or ACC2);
(20) AMP-activated Protein Kinase (AMPK) activators, such as MB 1055, ETC 1002;
(21) other agonists of the G-protein-coupled receptors: (i) GPR-109, (ii) GPR-1 19 (e.g., MBX2982, APD597, GSK1292263, HM47000, and PSN821), and (iii) GPR-40 (e.g., TAK875, MR 1704, TUG 469, TUG499, ASP 4178);
(22) SSTR3 antagonists (e.g., such as those disclosed in WO 2009/001836);
(23) neuromedin U receptor agonists (e.g., such as those disclosed in WO 2009/042053, including, but not limited to, neuromedin S (NMS));
(24) SCD inhibitors;
(25) GPR-105 antagonists (e.g., such as those disclosed in WO 2009/000087);
(26) SGLT inhibitors (e.g., ASP1941, SGLT-3, empagliflozin, dapagliflozin,
ertugliflozin, canagliflozin, BI-10773, PF-04971729, remogloflozin, TS-071, tofogliflozin, ipragliflozin, and LX-421 1);
(27) inhibitors of acyl coenzyme A:diacylglycerol acyltransferase 1 and 2 (DGAT-1 and DGAT-2);
(28) inhibitors of fatty acid synthase;
(29) inhibitors of acyl coenzyme A:monoacylglycerol acyltransferase 1 and 2 (MGAT-1 and MGAT-2);
(30) agonists of the TGR5 receptor (also known as GPBAR1, BG37, GPCR19, GPR131, and M-BAR);
(31) ileal bile acid transporter inhibitors;
(32) PACAP, PACAP mimetics, and PACAP receptor 3 agonists;
(33) PPAR agonists;
(34) protein tyrosine phosphatase- IB (PTP-1B) inhibitors;
(35) IL-lb antibodies, (e.g., XOMA052 and canakinumab);
(36) bromocriptine mesylate and rapid-release formulations thereof;
(37) GPR 120 agonists (such as KDT501.
Other suitable active ingredients/pharmaceutical agents that may be administered in combination with a compound of the present invention, and either administered separately or in the same pharmaceutical composition, include, but are not limited to:
(a) anti-diabetic agents such as (1) PPARy agonists such as glitazones (e.g. ciglitazone; darglitazone; englitazone; isaglitazone (MCC-555); pioglitazone (ACTOS); rosiglitazone (AVANDIA); troglitazone; rivoglitazone, BRL49653; CLX-0921; 5-BTZD, GW-0207, LG- 100641, R483, and LY-300512, and the like and compounds disclosed in WO97/10813, 97/27857, 97/28115, 97/28137, 97/27847, 03/000685, and 03/027112 and SPPARMS (selective PPAR gamma modulators) such as T131 (Amgen), FK614 (Fujisawa), netoglitazone, and metaglidasen; (2) biguanides such as buformin; metformin; and phenformin, and the like; (3) protein tyrosine phosphatase- IB (PTP-1B) inhibitors such as ISIS 1 13715, A-401674, A- 364504, IDD-3, IDD 2846, KP-40046, KR61639, MC52445, MC52453, C7, OC-060062, OC- 86839, OC29796, TTP-277BC1, and those agents disclosed in WO 04/041799, 04/050646,
02/26707, 02/26743, 04/092146, 03/048140, 04/089918, 03/002569, 04/065387, 04/127570, and US 2004/167183; (4) sulfonylureas such as acetohexamide; chlorpropamide; diabinese;
glibenclamide; glipizide; glyburide; glimepiride; gliclazide; glipentide; gliquidone; glisolamide; tolazamide; and tolbutamide, and the like; (5) meglitinides such as repaglinide, metiglinide (GLUFAST) and nateglinide, and the like; (6) alpha glucoside hydrolase inhibitors such as acarbose; adiposine; camiglibose; emiglitate; miglitol; voglibose; pradimicin-Q; salbostatin; CKD-711 ; MDL-25,637; MDL-73,945; and MOR 14, and the like; (7) alpha-amylase inhibitors such as tendamistat, trestatin, and Al-3688, and the like; (8) insulin secreatagogues such as linogliride nateglinide, mitiglinide (GLUFAST), ID 1 101 A-4166, and the like; (9) fatty acid oxidation inhibitors, such as clomoxir, and etomoxir, and the like; (10) A2 antagonists, such as midaglizole; isaglidole; deriglidole; idazoxan; earoxan; and fluparoxan, and the like; (11) insulin or insulin mimetics, such as biota, LP- 100, novarapid, insulin detemir, insulin lispro, insulin
glargine, insulin zinc suspension (lente and ultralente); Lys-Pro insulin, GLP-1 (17-36), GLP-1 (73-7) (insulintropin); GLP-1 (7-36)-NH2) exenatide/Exendin-4, Exenatide LAR, Linaglutide,
AVEOOIO, CJC 1 131, BIM51077, CS 872, TH0318, BAY-694326, GPOlO, ALBUGON (GLP-1 fused to albumin), HGX-007 (Epac agonist), S-23521, and compounds disclosed in WO
04/022004, WO 04/37859, and the like; (12) non-thiazolidinediones such as JT-501, and farglitazar (GW-2570/GI-262579), and the like; (13) PPARa/γ dual agonists such as AVE 0847, CLX-0940, GW-1536, GW1929, GW-2433, KRP-297, L-796449, LBM 642, LR-90, LY510919, MK-0767, ONO 5129, SB 219994, TAK-559, TAK-654, 677954 (GlaxoSmithkline), E-3030 (Eisai), LY510929 (Lilly), AK109 (Asahi), DRF2655 (Dr. Reddy), DRF8351 (Dr. Reddy), MC3002 (Maxocore), TY51501 (ToaEiyo), farglitazar, naveglitazar, muraglitazar, peliglitazar, tesaglitazar (GALIDA), reglitazar (JT-501), chiglitazar, and those disclosed in WO 99/16758, WO 99/19313, WO 99/20614, WO 99/38850, WO 00/23415, WO 00/23417, WO 00/23445, WO 00/50414, WO 01/00579, WO 01/79150, WO 02/062799, WO 03/033481, WO 03/033450, WO 03/033453; and (14), insulin, insulin mimetics and other insulin sensitizing drugs; (15) VPAC2 receptor agonists; (16) GLK modulators, such as PSN105, RO 281675, RO 274375 and those disclosed in WO 03/015774, WO 03/000262, WO 03/055482, WO 04/046139, WO 04/045614, WO 04/063179, WO 04/063194, WO 04/050645, and the like; (17) retinoid modulators such as those disclosed in WO 03/000249; (18) GSK 3beta/GSK 3 inhibitors such as 4-[2-(2- bromophenyl)-4-(4-fluorophenyl-lH-imidazol-5-yl]pyridine, CT21022, CT20026, CT-98023, SB-216763, SB4101 11, SB-675236, CP-70949, XD4241 and those compounds disclosed in WO 03/037869, 03/03877, 03/037891, 03/024447, 05/000192, 05/019218 and the like; (19) glycogen phosphorylase (HGLPa) inhibitors, such as AVE 5688, PSN 357, GPi-879, those disclosed in WO 03/037864, WO 03/091213, WO 04/092158, WO 05/013975, WO 05/013981, US
2004/0220229, and JP 2004-196702, and the like; (20) ATP consumption promotors such as those disclosed in WO 03/007990; (21) fixed combinations of PPAR γ agonists and metformin such as AVANDAMET; (22) PPAR pan agonists such as GSK 677954; (23) GPR40 (G-protein coupled receptor 40) also called SNORF 55 such as BG 700, and those disclosed in WO
04/041266, 04/022551, 03/099793; (24) GPR1 19 (G-protein coupled receptor 119, also called RUP3; SNORF 25) such as RUP3, HGPRBMY26, PFI 007, SNORF 25; (25) adenosine receptor 2B antagonists such as ATL-618, AT1-802, E3080, and the like; (26) carnitine palmitoyl transferase inhibitors such as ST 1327, and ST 1326, and the like; (27) Fructose 1,6- bisphospohatase inhibitors such as CS-917, MB7803, and the like; (28) glucagon antagonists such as AT77077, BAY 694326, GW 4123X, NN2501, and those disclosed in WO 03/064404, WO 05/00781, US 2004/0209928, US 2004/029943, and the like; (30) glucose-6-phosphase inhibitors; (31) phosphoenolpyruvate carboxykinase (PEPCK) inhibitors; (32) pyruvate dehydrogenase kinase (PDK) activators; (33) RXR agonists such as MC1036, CS00018, JNJ 10166806, and those disclosed in WO 04/089916, US 6759546, and the like; (34) SGLT
inhibitors such as AVE 2268, KGT 1251, T1095/RWJ 394718; (35) BLX-1002; (36) alpha glucosidase inhibitors; (37) glucagon receptor agonists; (38) glucokinase activators; 39) GIP-1 ; 40) insulin secretagogues; 41) GPR-40 agonists, such as TAK-875, 5-[4-[[(lR)-4-[6-(3-hydroxy- 3-methylbutoxy)-2-methylpyridine-3-yl]-2,3-dihydro-lH-indene-l-yl]oxy]phenyl]isothiazole-3- ol 1-oxide, 5-(4-((3-(2,6-dimethyl-4-(3-(methylsulfonyl)propoxy)phenyl)phenyl)methoxy)- phenyl)iso, 5-(4-((3-(2-methyl-6-(3-hydroxypropoxy)pyridine-3-yl)-2-methylphenyl)methoxy)- phenyl)isothiazole-3-ol 1-oxide, and 5-[4-[[3-[4-(3-aminopropoxy)-2,6-dimethylphenyl]phenyl]- methoxy]phenyl]isothiazole-3-ol 1-oxide), and those disclosed in WO 1 1/078371.
(b) anti-dyslipidemic agents such as (1) bile acid sequestrants such as, cholestyramine, colesevelem, colestipol, dialkylaminoalkyl derivatives of a cross-linked dextran; Colestid®; LoCholest®; and Questran®, and the like; (2) HMG-CoA reductase inhibitors such as atorvastatin, itavastatin, pitavastatin, fluvastatin, lovastatin, pravastatin, rivastatin, simvastatin, rosuvastatin (ZD-4522), and other statins, particularly simvastatin, atorvastatin or rosuvastatin; (3) HMG-CoA synthase inhibitors; (4) cholesterol absorption inhibitors such as FMVP4 (Forbes Medi-Tech), KT6-971 (Kotobuki Pharmaceutical), FM-VA12 (Forbes Medi-Tech), FM-VP-24 (Forbes Medi-Tech), stanol esters, beta-sitosterol, sterol glycosides such as tiqueside; and azetidinones such as ezetimibe, and those disclosed in WO 04/005247 and the like; (5) acyl coenzyme A -cholesterol acyl transferase (A CAT) inhibitors such as avasimibe, eflucimibe, pactimibe (KY505), SMP 797 (Sumitomo), SM32504 (Sumitomo), and those disclosed in WO 03/091216, and the like; (6) CETP inhibitors such as anacetrapib, JTT 705 (Japan Tobacco), torcetrapib, CP 532,632, BAY63-2149 (Bayer), SC 591, SC 795, and the like; (7) squalene synthetase inhibitors; (8) anti-oxidants such as probucol, and the like; (9) PPARa agonists such as beclofibrate, bezafibrate, ciprofibrate, clofibrate, etofibrate, fenofibrate, gemcabene, and gemfibrozil, GW 7647, BM 170744 (Kowa), LY518674 (Lilly), GW590735 (GlaxoSmithkline), KRP-101 (Kyorin), DRF10945 (Dr. Reddy), NS-220/R1593 (Nippon Shinyaku/Roche, ST1929 (Sigma Tau) MC3001/MC3004 (MaxoCore Pharmaceuticals, gemcabene calcium, other fibric acid derivatives, such as Atromid®, Lopid® and Tricor®, and those disclosed in US 6,548,538, and the like; (10) FXR receptor modulators such as GW 4064 (GlaxoSmithkline), SR 103912, QRX401, LN-6691 (Lion Bioscience), and those disclosed in WO 02/064125, WO 04/045511, and the like; (11) LXR receptor modulators such as GW 3965 (GlaxoSmithkline), T9013137, and XTCO 179628 (X-Ceptor Therapeutics/Sanyo), and those disclosed in WO 03/031408, WO 03/063796, WO 04/072041, and the like; (12) lipoprotein synthesis inhibitors such as niacin; (13) renin angiotensin system inhibitors; (14) PPAR δ partial agonists, such as those disclosed in WO 03/024395; (15) bile acid reabsorption inhibitors, such as BARI 1453, SC435, PHA384640, S8921, AZD7706, and the like; and bile acid sequesterants such as colesevelam (WELCHOL/ CHOLESTAGEL), colestipol, cholestyramine, and dialkylaminoalkyl derivatives of a cross- linked dextran, (16) PPAR8 agonists such as GW 501516 (Ligand, GSK), GW 590735, GW-
0742 (GlaxoSmithkline), T659 (Amgen/Tularik), LY934 (Lilly), C610050 (Novo Nordisk) and those disclosed in W097/28149, WO 01/79197, WO 02/14291, WO 02/46154, WO
02/46176, WO 02/076957, WO 03/016291, WO 03/033493, WO 03/035603, WO 03/072100, WO 03/097607, WO 04/005253, WO 04/007439, and JP10237049, and the like; (17) triglyceride synthesis inhibitors; (18) microsomal triglyceride transport (MTTP) inhibitors, such as implitapide, LAB687, JTT130 (Japan Tobacco), CP346086, and those disclosed in WO
03/072532, and the like; (19) transcription modulators; (20) squalene epoxidase inhibitors; (21) low density lipoprotein (LDL) receptor inducers; (22) platelet aggregation inhibitors; (23) 5-LO or FLAP inhibitors; and (24) niacin receptor agonists including HM74A receptor agonists; (25) PPAR modulators such as those disclosed in WO 01/25181, WO 01/79150, WO 02/79162, WO 02/081428, WO 03/016265, WO 03/033453; (26) niacin-bound chromium, as disclosed in WO 03/039535; (27) substituted acid derivatives disclosed in WO 03/0401 14; (28) infused HDL such as LUV/ETC-588 (Pfizer), APO-A1 Milano/ETC216 (Pfizer), ETC-642 (Pfizer), ISIS301012, D4F (Bruin Pharma), synthetic trimeric ApoAl, Bioral Apo Al targeted to foam cells, and the like; (29) IBAT inhibitors such as BARI143/HMR145A/ HMR1453 (Sanofi-Aventis,
PHA384640E (Pfizer), S8921 (Shionogi) AZD7806 (AstrZeneca), AK105 (Asah Kasei), and the like; (30) Lp-PLA2 inhibitors such as SB480848 (GlaxoSmithkline), 659032 (GlaxoSmithkline), 677116 (GlaxoSmithkline), and the like; (31) other agents which affect lipic composition including ETC1001/ESP31015 (Pfizer), ESP-55016 (Pfizer), AGI1067 (AtheroGenics), AC3056 (Amylin), AZD4619 (AstrZeneca); and
(c) anti-hypertensive agents such as (1) diuretics, such as thiazides, including chlorthalidone, chlorthiazide, dichlorophenamide, hydroflumethiazide, indapamide, and hydrochlorothiazide; loop diuretics, such as bumetanide, ethacrynic acid, furosemide, and torsemide; potassium sparing agents, such as amiloride, and triamterene; and aldosterone antagonists, such as spironolactone, epirenone, and the like; (2) beta-adrenergic blockers such as acebutolol, atenolol, betaxolol, bevantolol, bisoprolol, bopindolol, carteolol, carvedilol, celiprolol, esmolol, indenolol, metaprolol, nadolol, nebivolol, penbutolol, pindolol, propanolol, sotalol, tertatolol, tilisolol, and timolol, and the like; (3) calcium channel blockers such as amlodipine, aranidipine, azelnidipine, barnidipine, benidipine, bepridil, cinaldipine, clevidipine, diltiazem, efonidipine, felodipine, gallopamil, isradipine, lacidipine, lemildipine, lercanidipine, nicardipine, nifedipine, nilvadipine, nimodepine, nisoldipine, nitrendipine, manidipine, pranidipine, and verapamil, and the like; (4) angiotensin converting enzyme (ACE) inhibitors such as alacepril, benazepril; captopril; ceronapril, cilazapril; delapril; enalapril; fosinopril; imidapril; losinopril; moveltipril; quinapril; quinaprilat; ramipril; perindopril; perindropril; quanipril; spirapril; temocapril; trandolapril, and zofenopril, and the like; (5) neutral
endopeptidase inhibitors such as omapatrilat, cadoxatril, ecadotril, fosidotril, sampatrilat, AVE7688, ER4030, and the like; (6) endothelin antagonists such as tezosentan, A308165, and
YM62899, and the like; (7) vasodilators such as hydralazine, clonidine, minoxidil, and nicotinyl alcohol, nicotinic acid or salt thereof, and the like; (8) angiotensin II receptor antagonists, which may be in free acid, free base, salt or prodrug form, such as candesartan, eprosartan, irbesartan, losartan, olmesartan, pratosartan, tasosartan, telmisartan, valsartan, and EXP-3137, FI6828K, and R H6270, and the like; (9) α/β adrenergic blockers as nipradilol, arotinolol and amosulalol, and the like; (10) alpha 1 blockers, such as terazosin, urapidil, prazosin, bunazosin, trimazosin, doxazosin, naftopidil, indoramin, WHIP 164, and XEN010, and the like; (11) alpha 2 agonists such as lofexidine, tiamenidine, moxonidine, rilmenidine and guanobenz, and the like; (12) aldosterone inhibitors, and the like; (13) angiopoietin-2-binding agents such as those disclosed in WO 03/030833; and
(d) anti-obesity agents, such as (1) 5HT (serotonin) transporter inhibitors, such as paroxetine, fluoxetine, fenfluramine, fluvoxamine, sertraline, and imipramine, and those disclosed in WO 03/00663, as well as serotonin/noradrenaline re uptake inhibitors such as sibutramine (MERIDIA/REDUCTIL) and dopamine uptake inhibitor/Norepenephrine uptake inhibitors such as radafaxine hydrochloride, 353162 (GlaxoSmithkline), and the like; (2) NE (norepinephrine) transporter inhibitors, such as GW 320659, despiramine, talsupram, and nomifensine; (3) CB1 (cannabinoid-1 receptor) antagonist/inverse agonists, such as taranabant, rimonabant (ACCOMPLIA Sanofi Synthelabo), SR-147778 (Sanofi Synthelabo), AVE1625 (Sanofi-Aventis), BAY 65-2520 (Bayer), SLV 319 (Solvay), SLV326 (Solvay), CP945598 (Pfizer), E-6776 (Esteve), 01691 (Organix), ORG 14481 (Organon), VER24343 (Vernalis),
NESS0327 (Univ of Sassari/Univ of Cagliari), and those disclosed in US Patent Nos. 4,973,587, 5,013,837, 5,081, 122, 5, 1 12,820, 5,292,736, 5,532,237, 5,624,941, 6,028,084, and 6,509367; and WO 96/33159, WO97/29079, W098/31227, WO 98/33765, WO98/37061, W098/41519, W098/43635, W098/43636, WO99/02499, WO00/10967, WO00/10968, WO 01/09120, WO 01/58869, WO 01/64632, WO 01/64633, WO 01/64634, WO 01/70700, WO 01/96330, WO 02/076949, WO 03/006007, WO 03/007887, WO 03/020217, WO 03/026647, WO 03/026648, WO 03/027069, WO 03/027076, WO 03/027114, WO 03/037332, WO 03/040107, WO
04/096763, WO 04/11 1039, WO 04/11 1033, WO 04/1 11034, WO 04/1 11038, WO 04/013120, WO 05/000301, WO 05/016286, WO 05/066126 and EP-658546 and the like; (4) ghrelin agonists/antagonists, such as BVT81-97 (BioVitrum), RC1291 (Rejuvenon), SRD-04677
(Sumitomo), unacylated ghrelin (TheraTechnologies), and those disclosed in WO 01/87335, WO 02/08250, WO 05/012331, and the like; (5) H3 (histamine H3) antagonist/inverse agonists, such as thioperamide, 3-(lH-imidazol-4-yl)propyl N-(4-pentenyl)carbamate), clobenpropit, iodophenpropit, imoproxifan, GT2394 (Gliatech), and A331440, and those disclosed in WO 02/15905; and 0-[3-(lH-imidazol-4-yl)propanol]carbamates (Kiec-Kononowicz, K. et al, Pharmazie, 55:349-55 (2000)), piperidine-containing histamine H3-receptor antagonists (Lazewska, D. et al, Pharmazie, 56:927-32 (2001), benzophenone derivatives and related
compounds (Sasse, A. et al, Arch. Pharm.(Weinheim) 334:45-52 (2001)), substituted N- phenylcarbamates (Reidemeister, S. et al, Pharmazie, 55:83-6 (2000)), and proxifan derivatives (Sasse, A. et al, J. Med. Chem.. 43 :3335-43 (2000)) and histamine H3 receptor modulators such as those disclosed in WO 03/024928 and WO 03/024929; (6) melanin-concentrating hormone 1 receptor (MCH1R) antagonists, such as T-226296 (Takeda), T71 (Takeda/Amgen), AMGN- 608450, AMGN-503796 (Amgen), 856464 (GlaxoSmithkline), A224940 (Abbott), A798 (Abbott), ATC0175/AR224349 (Arena Pharmaceuticals), GW803430 (GlaxoSmithkine), NBI- 1A (Neurocrine Biosciences), NGX-1 (Neurogen), SNP-7941 (Synaptic), SNAP9847 (Synaptic), T-226293 (Schering Plough), TPI-1361-17 (Saitama Medical School/University of California Irvine), and those disclosed WO 01/21 169, WO 01/82925, WO 01/87834, WO 02/051809, WO 02/06245, WO 02/076929, WO 02/076947, WO 02/04433, WO 02/51809, WO 02/083134, WO 02/094799, WO 03/004027, WO 03/13574, WO 03/15769, WO 03/028641, WO 03/035624, WO 03/033476, WO 03/033480, WO 04/004611, WO 04/004726, WO 04/011438, WO 04/028459, WO 04/034702, WO 04/039764, WO 04/052848, WO 04/087680; and Japanese Patent
Application Nos. JP 13226269, JP 1437059, JP200431551 1, and the like; (7) MCH2R (melanin concentrating hormone 2R) agonist/antagonists; (8) NPY1 (neuropeptide Y Yl) antagonists, such as BMS205749, BIBP3226, J-l 15814, BIBO 3304, LY-357897, CP-671906, and GI- 264879A; and those disclosed in U.S. Patent No. 6,001,836; and WO 96/14307, WO 01/23387, WO 99/51600, WO 01/85690, WO 01/85098, WO 01/85173, and WO 01/89528; (9) NPY5 (neuropeptide Y Y5) antagonists, such as 152,804, S2367 (Shionogi), E-6999 (Esteve), GW- 569180A, GW-594884A (GlaxoSmithkline), GW-587081X, GW-548118X; FR 235,208;
FR226928, FR 240662, FR252384; 1229U91, GI-264879A, CGP71683A, C-75 (Fasgen) LY- 377897, LY366377, PD-160170, SR-120562A, SR-120819A,S2367 (Shionogi), JCF-104, and H409/22; and those compounds disclosed in U.S. Patent Nos. 6,140,354, 6, 191,160, 6,258,837, 6,313,298, 6,326,375, 6,329,395, 6,335,345, 6,337,332, 6,329,395, and 6,340,683 ; and EP- 01010691, EP-01044970, and FR252384; and PCT Publication Nos. WO 97/19682, WO
97/20820, WO 97/20821, WO 97/20822, WO 97/20823, WO 98/27063, WO 00/107409, WO 00/185714, WO 00/185730, WO 00/64880, WO 00/68197, WO 00/69849, WO 01/09120, WO 01/14376, WO 01/85714, WO 01/85730, WO 01/07409, WO 01/02379, WO 01/02379, WO 01/23388, WO 01/23389, WO 01/44201, WO 01/62737, WO 01/62738, WO 01/09120, WO 02/20488, WO 02/22592, WO 02/48152, WO 02/49648, WO 02/051806, WO 02/094789, WO 03/009845, WO 03/014083, WO 03/022849, WO 03/028726, WO 05/014592, WO 05/01493; and Norman et al., J. Med. Chem. 43 :4288-4312 (2000); (10) leptin, such as recombinant human leptin (PEG-OB, Hoffman La Roche) and recombinant methionyl human leptin (Amgen); (11) leptin derivatives, such as those disclosed in Patent Nos. 5,552,524; 5,552,523; 5,552,522; 5,521,283; and WO 96/23513; WO 96/23514; WO 96/23515; WO 96/23516; WO 96/23517; WO 96/23518; WO 96/23519; and WO 96/23520; (12) opioid antagonists, such as nalmefene
(Revex ®), 3-methoxynaltrexone, naloxone, and naltrexone; and those disclosed in WO
00/21509; (13) orexin antagonists, such as SB-334867-A (GlaxoSmithkline); and those disclosed in WO 01/96302, 01/68609, 02/44172, 02/51232, 02/51838, 02/089800, 02/090355, 03/023561, 03/032991, 03/037847, 04/004733, 04/026866, 04/041791, 04/085403, and the like; (14) BRS3 (bombesin receptor subtype 3) agonists; (15) CCK-A (cholecystokinin-A) agonists, such as AR- R 15849, GI 181771, JMV-180, A-71378, A-71623, PD170292, PD 149164, SR146131, SR125180, butabindide, and those disclosed in US 5,739, 106; (16) CNTF (ciliary neurotrophic factors), such as GI-181771 (Glaxo-SmithKline); SR146131 (Sanofi Synthelabo); butabindide; and PD170,292, PD 149164 (Pfizer); (17) CNTF derivatives, such as axokine (Regeneron); and those disclosed in WO 94/09134, WO 98/22128, and WO 99/43813; (18) GHS (growth hormone secretagogue receptor) agonists, such as NN703, hexarelin, MK-0677, SM- 130686, CP-424,391, L-692,429 and L-163,255, and those disclosed in U.S. Patent No. 6358951, U.S. Patent Application Nos. 2002/049196 and 2002/022637; and WO 01/56592, and WO 02/32888; (19) 5HT2c (serotonin receptor 2c) agonists, such as APD3546/AR10A (Arena
Pharmaceuticals), ATH88651 (Athersys), ATH88740 (Athersys), BVT933 (Biovitrum/GSK), DPCA37215 (BMS), IK264; LY448100 (Lilly), PNU 22394; WAY 470 (Wyeth), WAY629 (Wyeth), WAY161503 (Biovitrum), R-1065, VR1065 (Vernalis/Roche) YM 348; and those disclosed in U.S. Patent No. 3,914,250; and PCT Publications 01/66548, 02/36596, 02/48124, 02/10169, 02/44152; 02/51844, 02/40456, 02/40457, 03/057698, 05/000849, and the like; (20) Mc3r (melanocortin 3 receptor) agonists; (21) Mc4r (melanocortin 4 receptor) agonists, such as CHIR86036 (Chiron), CHIR915 (Chiron); ME-10142 (Melacure), ME- 10145 (Melacure), HS- 131 (Melacure), NBI72432 (Neurocrine Biosciences), NNC 70-619 (Novo Nordisk), TTP2435 (Transtech)and those disclosed in PCT Publications WO 99/64002, 00/74679, 01/991752, 01/0125192, 01/52880, 01/74844, 01/70708, 01/70337, 01/91752, 01/010842, 02/059095, 02/059107, 02/059108, 02/0591 17, 02/062766, 02/069095, 02/12166, 02/1 1715, 02/12178, 02/15909, 02/38544, 02/068387, 02/068388, 02/067869, 02/081430, 03/06604, 03/007949, 03/009847, 03/009850, 03/013509, 03/031410, 03/094918, 04/028453, 04/048345, 04/050610, 04/075823, 04/083208, 04/089951, 05/000339, and EP 1460069, and US 2005049269, and JP2005042839, and the like; (22) monoamine reuptake inhibitors, such as sibutratmine (Meridia ®/Reductil®) and salts thereof, and those compounds disclosed in U.S. Patent Nos. 4,746,680, 4,806,570, and 5,436,272, and U.S. Patent Publication No. 2002/0006964, and WO 01/27068, and WO 01/62341 ; (23) serotonin reuptake inhibitors, such as dexfenfluramine, fluoxetine, and those in U.S. Patent No. 6,365,633, and WO 01/27060, and WO 01/162341; (24) GLP-1 (glucagon-like peptide 1) agonists; (25) Topiramate (Topimax®); (26) phytopharm compound 57 (CP 644,673); (27) ACC2 (acetyl-CoA carboxylase-2) inhibitors; (28) β3 (beta adrenergic receptor 3) agonists, such as rafebergron/AD9677/TAK677 (Dainippon/ Takeda), CL-316,243, SB 418790, BRL-37344, L-796568, BMS-196085, BRL-35135A, CGP 12177A, BTA-243,
GRC1087 (Glenmark Pharmaceuticals) GW 427353 (solabegron hydrochloride), Trecadrine, Zeneca D71 14, N-5984 (Nisshin Kyorin), LY-377604 (Lilly), KT07924 (Kissei), SR 59119A, and those disclosed in US Patent Nos. 5,705,515, US 5,451,677; and W094/18161,
W095/29159, W097/46556, WO98/04526 W098/32753, WO 01/74782, WO 02/32897, WO 03/014113, WO 03/016276, WO 03/016307, WO 03/024948, WO 03/024953, WO 03/037881, WO 04/108674, and the like; (29) DGAT1 (diacylglycerol acyltransferase 1) inhibitors; (30) DGAT2 (diacylglycerol acyltransferase 2)inhibitors; (31) FAS (fatty acid synthase) inhibitors, such as Cerulenin and C75; (32) PDE (phosphodiesterase) inhibitors, such as theophylline, pentoxifylline, zaprinast, sildenafil, amrinone, milrinone, cilostamide, rolipram, and cilomilast, as well as those described in WO 03/037432, WO 03/037899; (33) thyroid hormone β agonists, such as KB-261 1 (KaroBioBMS), and those disclosed in WO 02/15845; and Japanese Patent Application No. JP 2000256190; (34) UCP-1 (uncoupling protein 1), 2, or 3 activators, such as phytanic acid, 4-[(E)-2-(5,6,7,8-tetrahydro-5,5,8,8-tetramethyl-2-napthalenyl)-l- propenyl]benzoic acid (TTNPB), and retinoic acid; and those disclosed in WO 99/00123; (35) acyl-estrogens, such as oleoyl-estrone, disclosed in del Mar-Grasa, M. et al, Obesity Research, 9:202-9 (2001); (36) glucocorticoid receptor antagonists, such as CP472555 (Pfizer), KB 3305, and those disclosed in WO 04/000869, WO 04/075864, and the like; (37) 11 β HSD-1 (1 1-beta hydroxy steroid dehydrogenase type 1) inhibitors, such as BVT 3498 (AMG 331), BVT 2733, 3- (l-adamantyl)-4-ethyl-5-(ethylthio)-4H-l,2,4-triazole, 3-(l-adamantyl)-5-(3,4,5- trimethoxyphenyl)-4-methyl-4H-l,2,4-triazole, 3-adamantanyl-4,5,6,7,8,9, 10, l 1, 12,3a- decahydro-l,2,4-triazolo[4,3-a][l l]annulene, and those compounds disclosed in WO 01/90091, 01/90090, 01/90092, 02/072084, 04/01 1410, 04/033427, 04/041264, 04/027047, 04/056744, 04/065351, 04/089415, 04/037251, and the like; (38) SCD-1 (stearoyl-CoA desaturase-1) inhibitors; (39) dipeptidyl peptidase IV (DPP-4) inhibitors, such as isoleucine thiazolidide, valine pyrrolidide, sitagliptin (Januvia), saxagliptin, alogliptin, NVP-DPP728, vildagliptin, P93/01, TSL 225, TMC-2A/2B/2C, FE 99901 1, P9310/K364, VIP 0177, SDZ 274-444, GSK 823093, E 3024, SYR 322, TS021, SSR 162369, GRC 8200, K579, NN7201, CR 14023, PHX 1004, PHX 1149, PT-630, SK-0403; and the compounds disclosed in WO 02/083128, WO 02/062764, WO 02/14271, WO 03/000180, WO 03/000181, WO 03/000250, WO 03/002530, WO 03/002531, WO 03/002553, WO 03/002593, WO 03/004498, WO 03/004496, WO
03/005766, WO 03/017936, WO 03/024942, WO 03/024965, WO 03/033524, WO 03/055881, WO 03/057144, WO 03/037327, WO 04/041795, WO 04/071454, WO 04/0214870, WO 04/041273, WO 04/041820, WO 04/050658, WO 04/046106, WO 04/067509, WO 04/048532, WO 04/099185, WO 04/108730, WO 05/009956, WO 04/09806, WO 05/023762, US
2005/043292, and EP 1 258 476; (40) lipase inhibitors, such as tetrahydrolipstatin
(orlistat/XENICAL), ATL962 (Alizyme/Takeda), GT389255 (Genzyme/Peptimmune)Triton WR1339, RHC80267, lipstatin, teasaponin, and diethylumbelliferyl phosphate, FL-386, WAY-
121898, Bay-N-3176, valilactone, esteracin, ebelactone A, ebelactone B, and RHC 80267, and those disclosed in WO 01/77094, WO 04/1 11004, and the like; (41) fatty acid transporter inhibitors; (42) dicarboxylate transporter inhibitors; (43) glucose transporter inhibitors; and (44) phosphate transporter inhibitors; (45) anorectic bicyclic compounds such as 1426 (Aventis) and 1954 (Aventis), and the compounds disclosed in WO 00/18749, WO 01/32638, WO 01/62746, WO 01/62747, and WO 03/015769; (46) peptide YY and PYY agonists such as PYY336 (Nastech/Merck), AC162352 (IC Innovations/Curis/Amylin), TM30335/TM30338 (7TM Pharma), PYY336 (Emisphere Tehcnologies), pegylated peptide YY3-36, those disclosed in WO 03/026591, 04/089279, and the like; (47) lipid metabolism modulators such as maslinic acid, erythrodiol, ursolic acid uvaol, betulinic acid, betulin, and the like and compounds disclosed in WO 03/011267; (48) transcription factor modulators such as those disclosed in WO 03/026576; (49) Mc5r (melanocortin 5 receptor) modulators, such as those disclosed in WO 97/19952, WO 00/15826, WO 00/15790, US 20030092041, and the like; (50) Brain derived neutotropic factor (BDNF), (51) Mclr (melanocortin 1 receptor modulators such as LK-184 (Proctor & Gamble), and the like; (52) 5HT6 antagonists such as BVT74316 (BioVitrum), BVT5182c (BioVitrum), E-6795 (Esteve), E-6814 (Esteve), SB399885 (GlaxoSmithkline), SB271046 (GlaxoSmithkline), RO-046790 (Roche), and the like; (53) fatty acid transport protein 4 (FATP4); (54) acetyl-CoA carboxylase (ACC) inhibitors such as CP640186, CP610431, CP640188 (Pfizer); (55) C- terminal growth hormone fragments such as AOD9604 (Monash Univ/Metabolic
Pharmaceuticals), and the like; (56) oxyntomodulin; (57) neuropeptide FF receptor antagonists such as those disclosed in WO 04/083218, and the like; (58) amylin agonists such as
Symlin/pramlintide/AC137 (Amylin); (59) Hoodia and trichocaulon extracts; (60) BVT74713 and other gut lipid appetite suppressants; (61) dopamine agonists such as bupropion
(WELLBUTRTN/GlaxoSmithkline); (62) zonisamide (ZONEGRAN/Dainippon/Elan), and the like; and
(e) anorectic agents suitable for use in combination with a compound of the present invention include, but are not limited to, aminorex, amphechloral, amphetamine, benzphetamine, chlorphentermine, clobenzorex, cloforex, clominorex, clortermine, cyclexedrine,
dexfenfluramine, dextroamphetamine, diethylpropion, diphemethoxidine, N-ethylamphetamine, fenbutrazate, fenfluramine, fenisorex, fenproporex, fludorex, fluminorex,
furfurylmethylamphetamine, levamfetamine, levophacetoperane, mazindol, mefenorex, metamfepramone, methamphetamine, norpseudoephedrine, pentorex, phendimetrazine, phenmetrazine, phentermine, phenylpropanolamine, picilorex and sibutramine; and
pharmaceutically acceptable salts thereof. A particularly suitable class of anorectic agent are the halogenated amphetamine derivatives, including chlorphentermine, cloforex, clortermine, dexfenfluramine, fenfluramine, picilorex and sibutramine; and pharmaceutically acceptable salts thereof. Particular halogenated amphetamine derivatives of use in combination with a compound
of the present invention include: fenfluramine and dexfenfluramine, and pharmaceutically acceptable salts thereof.
Specific compounds of use in combination with a compound of the present invention include: simvastatin, mevastatin, ezetimibe, atorvastatin, rosuvastatin, sitagliptin, metformin, sibutramine, orlistat, Qnexa, topiramate, naltrexone, bupriopion, phentermine, and losartan, losartan with hydrochlorothiazide.
The above combinations include combinations of a compound of the present invention not only with one other active compound, but also with two or more other active compounds. Non-limiting examples include combinations of compounds with two or more active compounds selected from biguanides, sulfonylureas, HMG-CoA reductase inhibitors, PPARy agonists, DPP- 4 inhibitors, anti-obesity compounds, and anti-hypertensive agents.
The present invention also provides a method for the treatment or prevention of a G- protein coupled receptor 40 (GPR40) mediated disease, which method comprises administration to a patient in need of such treatment or at risk of developing a GPR40 mediated disease of an amount of a GPR40 agonist and an amount of one or more active ingredients, such that together they give effective relief.
In a further aspect of the present invention, there is provided a pharmaceutical composition comprising a GPR40 agonist and one or more active ingredients, together with at least one pharmaceutically acceptable carrier or excipient.
Thus, according to a further aspect of the present invention there is provided the use of a
GPR40 agonist and one or more active ingredients for the manufacture of a medicament for the treatment or prevention of a GPR40 mediated disease. In a further or alternative aspect of the present invention, there is therefore provided a product comprising a GPR40 agonist and one or more active ingredients as a combined preparation for simultaneous, separate or sequential use in the treatment or prevention of a GPR40 mediated disease. Such a combined preparation may be, for example, in the form of a twin pack.
It will be appreciated that for the treatment or prevention of diabetes, obesity, hypertension, Metabolic Syndrome, dyslipidemia, cancer, atherosclerosis, and related disorders thereof, a compound of the present invention may be used in conjunction with another pharmaceutical agent effective to treat that disorder.
The present invention also provides a method for the treatment or prevention of diabetes, obesity, hypertension, Metabolic Syndrome, dyslipidemia, cancer, atherosclerosis, and related disorders thereof, which method comprises administration to a patient in need of such treatment an amount of a compound of the present invention and an amount of another pharmaceutical agent effective to threat that disorder, such that together they give effective relief.
The present invention also provides a method for the treatment or prevention of diabetes, obesity, hypertension, Metabolic Syndrome, dyslipidemia, cancer, atherosclerosis, and related
disorders thereof, which method comprises administration to a patient in need of such treatment an amount of a compound of the present invention and an amount of another pharmaceutical agent useful in treating that particular condition, such that together they give effective relief.
The term "therapeutically effective amount" means the amount the compound of structural formula I that will elicit the biological or medical response of a tissue, system, animal or human that is being sought by the researcher, veterinarian, medical doctor or other clinician, which includes alleviation of the symptoms of the disorder being treated. The novel methods of treatment of this invention are for disorders known to those skilled in the art. The term
"mammal" includes humans, and companion animals such as dogs and cats.
The weight ratio of the compound of the Formula I to the second active ingredient may be varied and will depend upon the effective dose of each ingredient. Generally, an effective dose of each will be used. Thus, for example, when a compound of the Formula I is combined with a DPrV inhibitor the weight ratio of the compound of the Formula I to the DPIV inhibitor will generally range from about 1000: 1 to about 1 : 1000, preferably about 200: 1 to about 1 :200. Combinations of a compound of the Formula I and other active ingredients will generally also be within the aforementioned range, but in each case, an effective dose of each active ingredient should be used.
Methods of Synthesis of the Compounds of the Present Invention:
The compounds of the present invention can be prepared according to the procedures of the following Schemes, Intermediates and Examples, using appropriate materials. The compounds illustrated in the examples are not, however, to be construed as forming the only genus that is considered as the invention. The Examples further illustrate details for the preparation of the compounds of the present invention. Those skilled in the art will readily understand that known variations of protecting groups, as well as of the conditions and processes of the following preparative procedures, can be used to prepare these compounds. It is also understood that whenever a chemical reagent such as a boronic acid or a boronate is not commercially available, such a chemical reagent can be readily prepared following one of numerous methods described in the literature. All temperatures are degrees Celsius unless otherwise noted. Mass spectra (MS) were measured either by electrospray ion-mass
spectroscopy (ESMS) or by atmospheric pressure chemical ionization mass spectroscopy (APCI).
List of Abbreviations
Ac is acetyl; AcO is acetoxy; AC2O is acetic anhydride; Alk is alkyl; APCI is atmospheric pressure chemical ionization; aq or aq. is aqueous; Ar is aryl; atm is atmosphere; Boc is tert- butoxycarbonyl; Bn-0 is phenyl-CH2-0 or benzyloxy; Br is broad; BuLi is w-butyllithium; Β¾Ρ is tributylphosphine; ?-BuOK is potassium tert-butoxide; °C is degrees Celsius; Cbz is benzyloxycarbonyl; CH2CI2 is dichloromethane; cone or cone, is concentrated; d is doublet;
DAST is (diethylamino)sulfur trifluoride; DIAD is diisopropyl azodicarboxylate; DCM is dichloromethane; DIPEA is N,N-diisopropylethylamine; DMAP is 4-dimethylaminopyridine; DMF is N,N-dimethyl-formamide; DMSO is dimethylsulfoxide; dppf is l, l'-Bis(diphenyl- phosphino)ferrocene; ESI is electrospray ionization; EA or EtOAc is ethyl acetate; Et is ethyl; EtMgBr is ethyl magnesium bromide; EtOH is ethanol; eq is equivalent; g is gram(s); h or hr or hrs is hour(s); hex is hexanes; HPLC is high pressure liquid chromatography; HOAc or AcOH is acetic acid; kg is kilogram(s); IPA is isopropanol; IP Ac is isopropyl acetate; KOH ispotassium hydroxide; KOAc is potassium acetate; KOTMS is potassium trimethyl-silanolate; L is liter; LAH is lithium aluminum hydride; LC-M is molar; MS is liquid chromatography-mass spectroscopy; LDA is lithium diisopropyl amide; LiOH is lithium hydroxide; m is multiplet; Me is methyl; MeO is methoxy; m-CPBA, MCPBA, or mCPBA is meta chloroperbenzoic acid; mL is milliliter; min or mins is minute(s); mol is mole(s); mmol is mmole(s); mg is milligram(s); MeMgBr is methyl magnesium bromide; MeCN is acetonitrile; MeOH is methyl alcohol or methanol; MgS04 is magnesium sulfate; MPLC is medium pressure liquid chromatography; MS is mass spectroscopy; MsCl or Ms-Cl is methane sulfonyl chloride; N is normal; Na(AcO)3BH is sodium triacetoxy borohydride; NaOH is sodium hydroxide; NaOiBu is sodium tert-butoxide; Na2S04 is sodium sulfate; NH4OAc is ammonium acetate; NBS is N-bromo succinamide; MS is N-iodo succinamide; ΝΜΟ is 4-methyl morpholine N-oxide; ΝΜΡ is l-methyl-2-pyrrolidinone; NMR is nuclear magnetic resonance spectroscopy; paraform is para-formaldehyde; PE is petroleum ether; PG is protecting group; P(Cy)3 is tricyclohexyl phosphine; Pd2(dba)3 is tris(dibenzylideneacetone)-dipalladium(0); Pd[P(7-Bu)3]2 is bis(tri-tert-butylphosphine)palladium (0); Pd(dppf)Cl2 is [l, l'-bis(diphenylphosphino)-ferrocene]dichloro-palladium (II); PMB is ara-methoxybenzyl; PMBC1 is ara-methoxybenzyl chloride; precat is precatalyst; prep is preparative; prep. TLC or prep-TLC, or prep TLC is preparative thin layer chromatography; RBF is round bottom flask; RCM is ring closing metathesis reaction; rt or r.t. or RT is room temperature; s is singlet; sat or sat. is saturated; SFC is supercritical fluid chromatography; S- Phos is 2-Dicyclohexylphosphino-2',6'-dimethoxybiphenyl; S-Phos(Pd) is chloro(2- dicyclohexyl-phosphino-2',6'-dimethoxy-l, r-biphenyl)[2-(2-aminoethylphenyl)]-palladium(II) [CAS-No. 1028206-58-7]; S-Phos precatalyst 2nd generation is Chloro(2-dicyclohexyl- phosphino-2',6'-dimethoxy- 1 , 1 '-biphenyl)[2-(2'-amino- 1 , 1 '-biphenyl)]palladium(II), SPhos-Pd- G2) [CAS-No. 1375325-64-6]; t is triplet; TBAF is tetrabutylammonium fluoride; TBSC1 is tert- butyl dimethylsilyl chloride; TBTU is N,N,N',N'-Tetramethyl-0-(benzotriazol-l-yl)uronium tetrafluoroborate; TEA is triethyl amine; THF is tetra-hydrofuran; Ti(OiPr)4 is titanium isopropoxide; TFA is trifluoroacetic acid; Tf20 is trifluoromethanesulfonic anhydride; TLC is thin-layer chromatography; TosCl is -toluene sulfonyl chloride; pTSA, pTsOH and TsOH is p- toluenesulfonic acid; RuCl[(S,S TsDPEN](mesitylene) is [N-[(lS,2S 2-(Amino-KN)-l,2- diphenylethyl]-4-methylbenzenesulfonamidato-KN]chloro[(l, 2, 3,4,5, 6-η)- 1,3,5-
trimethylbenzene] -ruthenium; xphos or XPhos is 2-Dicyclohexylphosphino-2',4',6'- triisopropylbiphenyl; and v/v is volume/volume.
The following reaction schemes and Examples illustrate methods which may be employed for the synthesis of the compounds of structural formula I described in this invention. These reaction schemes and Examples are provided to illustrate the invention and are not to be construed as limiting the invention in any manner. All substituents are as defined above unless indicated otherwise. Several strategies based upon synthetic transformations known in the literature of organic synthesis may be employed for the preparation of the compounds of structural formula I.
SCHEME 1
As outlined in Scheme I , an indanone 1 was reduced under standard borohydride reduction or asymmetric Noyori conditions using the appropriate catalyst to give the
corresponding indanol 2. Mitsonobu conditions were employed to carry out the coupling of indanol 2 with 1,3-substituted phenol 3. The resulting coupled product 4 was hydrolyzed under basic conditions to afford the desired compound 5.
('y)-4-Chloro-5-('2-fluoro-5-methoxyphenyl -2,3-dihvdro-lH-inden- l-ol TEA (695 μΐ^, 5 mmol) was added dropwise to a 0 °C solution of formic acid (765 μί, 20 mmol) in DCM (8 mL) via
syringe under nitrogen with stirring. The resulting solution was then added to a solution of 4- chloro-5-(2-fluoro-5-methoxyphenyl)-2,3-dihydro-lH-inden-l-one (580 mg, 2 mmol) and RuCl[(S,S)-TSDPEN](mesitylene) (62.2 mg, 0.1 mmol) in DCM (8 mL) at 0 °C. The reaction was stirred at rt for 48 h, then concentrated and purified via MPLC to afford (5)-4-chloro-5-(2- fluoro-5-methoxyphenyl)-2,3-dihydro-lH-inden-l-ol. XH NMR (500 MHz; CDCI3): δ 7.37 (d, J= 7.8 Hz, 1H), 7.24 (d, J= 7.5 Hz, 1H), 7.07 (t, J= 8.6 Hz, 1H), 6.89 (m, 1H), 6.80 (m, 1H), 5.34 (t, 6.0 Hz, 1H), 4.11 (dt, J= 6.9 Hz and 7.5 Hz, 1H), 3.80 (s, 3H), 3.16 (m, 1H), 2.91 (m, 1H), 2.60 (m, 1H), 2.02 (m, 1H). 2
(5f)-5-(2-Fluoro-5-methoxyphenyl)-l-hvdroxy-2,3-dihydro-lH-indene-4-carbonitrile
STEP A: 4-chloro-5-(2-fluoro-5-methoxyphenyl)-2,3-dihydro-lH-inden-l-one (300 mg, 1.0 mmol), Zn(CN)2 (151 mg, 1.3 mmol), Pd2(dba)3 (189 mg, 0.20 mmol), and S-Phos Ligand (42.4 mg, 0.10 mmol) were placed in a sealed tube and sparged with nitrogen. DMF (7 mL) was then added and the reaction heated in a microwave for 35 min at 150 °C. The mixture was then cooled, diluted with EtOAc (75 mL), washed with LiCl (saturated, 2 x 50 mL), dried (MgS04), filtered and the resulting solvent was evaporated under reduced pressure. MPLC purification using an ISCO 40g cartridge eluting with 0-40% EtOAc:hexanes gave 5-(2-fluoro-5- methoxyphenyl)- 1 -oxo-2,3 -dihydro- 1 H-indene-4-carbonitrile.
STEP B: The desired product (5)-5-(2-fluoro-5-methoxyphenyl)-l-hydroxy-2,3-dihydro-lH- indene-4-carbonitrile was synthesized according to the procedure used to make Intermediate 1. XH NMR (500 MHz; CDCI3): δ 7.70 (d, J= 7.8 Hz, 1H), 7.41 (d, J= 7.8 Hz, 1H), 7.15 (t, J= 9.1 Hz, 1H), 6.96 (m, 1H), 6.92 (m, 1H), 5.38 (br, 1H), 3.85 (m, 4H), 3.36 (m, 1H), 3.09 (m, 1H), 2.70 (m, 1H), 2.11 (m, 1H).
INTERMEDIATE 3
H
('5f)-5-('2-Fluoro-5-methoxyphenyl -2,3-dihvdro-lH-inden-l-ol The title compound was prepared according to the procedure used to prepare Intermediate 1 starting from 5-(2-fluoro-5- methoxyphenyl)-2,3-dihydro-lH-inden-l-one. XH NMR (500 MHz; CDC13): δ 7.50 (d, J= 8 Hz, 1H), 7.43 (m, 2H), 7.08 (m, 1H), 6.94 (m, 1H), 6.84 (m, 1H), 5.31 (m, 1H), 3.83 (s, 3H), 3.12 (m, 1H), 2.90 (m, 1H), 2.56 (m, 1H), 2.02 (m, 1H).
( -Methyl 3 -cyclopropyl-3 -(3 -hydroxyphenyDpropanoate (5)-methyl 3-cyclopropyl-3-(3- hydroxyphenyl)propanoate was prepared according to the procedure described in ACS Med. Chem. Lett. 2012, 3, 726-730. 5
( -Methyl 3-cyclopropyl-3-(2-fluoro-3-hydroxyphenyl)propanoate (^-methyl 3-cyclopropyl- (2-fluoro-3-hydroxyphenyl)propanoate was prepared according to the procedure described in WO 2009/048527.
INTERMEDIATES 6 and 7
(2R,3R)-Methyl 3-cvclopropyl-3-(3-hvdroxyphenyl)-2-methylpropanoate compound and (2,S,3R)-Methyl 3-cvclopropyl-3-(3-hvdroxyphenyl)-2-methylpropanoate
Step A: To a solution of (5)-methyl 3-cyclopropyl-3-(3-hydroxyphenyl)propanoate (23.6 g, 101 mmol) in DMF (200 mL) was added TBSC1 (15.9 g, 106 mmol), followed by imidazole (13.7 g, 201 mmol). The mixture was stirred at rt for 1 h. Then the solution was diluted with saturated brine solution and extracted with hexanes (2 x 200 mL). The organic layer was removed, dried over MgS04, filtered and concentrated to give (5)-methyl 3-(3-((tert- butyldimethylsilyl)oxy)phenyl)-3-cyclopropylpropanoate, which was used immediately in the next step.
Step B: A solution of (5)-methyl 3-(3-((tert-butyldimethylsilyl)oxy)phenyl)-3- cyclopropylpropanoate (2 g, 6.0 mmol) was dissolved in THF (30 mL) and cooled to
-78°C. Then LDA (4.5 mL, 9 mmol, 2.0 M) was added. After 30 minutes, Mel (0.9 mL, 15 mmol) was added dropwise. The reaction was warmed to rt and then poured into saturated aqueous a2S203 (50 mL). The aqueous layer was extracted with EtOAc (2 x 50 mL), and the EtOAc layers were combined, dried over MgS04, filtered and concentrated to give an oil. The oil was purified using an ISCO 120 g cartridge (0-30% EtOAc :hexanes) to give a 1 :2 mixture of (2R,3R)-methyl 3-(3-((ter?-butyldimethylsilyl)-oxy)-phenyl)-3-cyclopropyl-2-methylpropanoate and (25',3R)-methyl 3-(3-((tert-butyl-dimethylsilyl)oxy)phenyl)-3-cyclopropyl-2- methylpropanoate.
Step C: A solution of the 1 :2 mixture of (2R,3R)-methyl 3-(3-((tert-butyldimethylsilyl)- oxy)phenyl)-3-cyclopropyl-2-methylpropanoate and (25',3R)-methyl 3-(3-((tert- butyldimethylsilyl)oxy)phenyl)-3-cyclopropyl-2-methylpropanoate (7.8 g, 22.2 mmol) in THF (80 mL) was cooled to 0°C. Then KOiBu solution (44 mL, 44.6 mmol, l.OM in THF), and after 20 minutes the soluton was quenched with IN HC1 (200 mL). The aqueous layer was extracted with EtOAc (250 mL). The organic layer was removed, dried, filtered and concentrated to give an oil. The resulting oil was diluted with THF (40 mL) and treated with TBAF (33 mL, 33 mmol, 1.0 M THF) and stirred at rt until the reaction was complete. The solution was then diluted with brine, and extracted with EtOAc (200 mL). The organic layer was removed, dried, filtered and concentrated to give an oil. The oil was purified via ISCO 330 g cartridge (0-40% EtOAc: Hexanes) to give a 3: 1 mixture of (2R,3R)-methyl 3-(3-((tert- butyldimethylsilyl)oxy)phenyl)-3-cyclopropyl-2-methylpropanoate and (25',3R)-methyl 3-(3-
((tert-butyldimethylsilyl)-oxy)phenyl)-3-cyclopropyl-2-methylpropanoate.
Step D: Separation of the diastereomers from Step C was performed by SFC (IC, 50x250 mm,
10% IPA/C02, 200 mL/min, 35°C, 100 bar, 220 nm, 100 mg/mL in 15: 1 IPA:DCM) to give Intermediate 6 and Intermediate 7. Intermediate 6: XH NMR (500 MHz, CDC13) δ 7.2 (m, 1H), 6.70 (m, 3H), 3.76 (s, 3H), 2.82 (m, 1H), 1.90 (m, 1H), 1.05 (m, 1H), 0.96 (d, 3H), 0.56 (m, 1H), 0.30 (m, 2H), 0.01 (m, 1H). Intermediate T XH NMR (500 MHz, CD3OD) δ Ί.24 (m, 1H), 6.70
(m, 3H), 3.40 (s, 3H), 2.98 (m, 1H), 2.15 (m, 1H), 1.35 (d, 3H), 1.25 (m, 1H), 0.75 (m, 1H), 0.45 (m, 2H), 0.1 (m, 1H).
(2R,3R)-Methyl 3-cvclopropyl-3-(2-fluoro-3-hvdroxyphenyl)-2-methylpropanoate and (2S,3R)- methyl 3-cyclopropyl-3-(2-fluoro-3-hydroxyphenyl)-2-methylpropanoate Intermediates 8 and 9 were prepared according to the procedure used to make Intermediates 6 and 7, starting from 2- fluoro-3-hydroxybenzaldehyde.
INTERMEDIATES 10 and 1 1
4.5-/?^('2-Fluoro-5-methoxyphenyl)-2.3-dihvdro-lH-inden-l-one and 4-chloro-5-(2-fluoro-5- methoxyphenyl - 2 ,3 -dihydro- 1 H-inden- 1 -one A solution of 5-bromo-4-chloro-2,3-dihydro-lH- inden-l-one (2.3 g, 9.4 mmol), 2-fluoro-5-methoxyphenylboronic acid (1.7 g, 9.9 mmol), and S- Phos pre catalyst 2nd generation (340 mg, 0.4 mmol) in THF (38 mL) was treated with K3PO4 (28 mL, 2.8 mmol, 1.0 M aqueous solution). Then the solution was heated to 80°C for lh. Upon completion of the reaction, the solution was concentrated to dryness and purified directly onto a 80 g ISCO cartridge using 0-35% EtOAc: hexanes. The two products eluted and were concentrated to give Intermediates 10 and 1 1. Intermediate 10: 1H NMR (500 MHz; CDCI3): δ 7.71 (d, J= 7.7 Hz, 1H), 7.38 (d, J= 7.2 Hz, 1H), 7.11 (m, 1H), 6.94 (m, 1H), 6.81 (m, 1H), 3.82 (s, 3H), 3.20 (m, 2H), 2.80 (m, 2H). Intermediate 11 : XH NMR (500 MHz; CDC13): <5 7.88 (d, J= 7.8 Hz, 1H), 7.51 (d, J= 7.9 Hz, 1H), 7.00 (t, J= 8.9 Hz, 1H), 6.91 (t, J= 9.0 Hz, 1H), 6.79 (m, 1H), 6.77 (m, 1H), ), 6.65 (m, 1H), 6.56 (m, 1H), 3.68 (s, 3H), 3.66 (s, 3H), 3.06 (m, 1H), 2.93 (m, 1H), 2.75 (m, 2H).
INTERMEDIATE 12 H
(15^-4,5-g¾('2-fluoro-5-methoxyphenyl -2,3-dihvdro-lH-inden-l-ol The title compound was prepared according to the procedure used to prepare Intermediate 1 starting with 4-chloro-5-(2- fluoro-5-methoxyphenyl)-2,3-dihydro-lH-inden-l-one. XH NMR (500 MHz; CDC13): δ 7.56 (m, 1H), 7.38 (d, J= 7.8 Hz, 1H), 6.93 (m, 1H), 6.87 (t, J= 9.0 Hz, 1H), 6.72 (m, 2H), 6.64 (m, 1H), 6.54 (m, 1H), 5.38 (m, 1H), 3.65 (m, 6H), 2.98-2.52 (m, 3H), 2.05-1.95 (m, 1H).
INTERMEDIATE 13
4-Bromo-5 -(2-fluoro-5 -methoxyphenyl - 2 ,3 -dihydro- 1 H-inden- 1 -one
Step A: 5-Methoxy-2,3-dihydro-lH-inden-l-one (30.0 g, 0.19 mol, 1.0 eq) and l,3-dibromo-5,5- dimethylhydantoin (52.96 g, 0.19 mol, 1.0 eq) were suspended in H20 (300 mL) and the mixture was stirred overnight at room temperature. Then the mixture was filtered and the filter cake was washed with water (3x100 mL). The filtrate was extracted with EtOAc (500 mL). The organic layer was separated, washed with water (200 mL), brine (200 mL), dried over Na2S04, and concentrated. The resulting residue was triturated in IPAc (100 mL) to give 4-bromo-5- methoxy-2,3-dihydro-lH-inden-l-one. 1HNMR (400MHz , CDC13): δ 7.72 (d, J=8.4 Hz, 1H), 6.95 (d, J=8.4 Hz, 1H), 4.01 (s, 3H), 3.09-3.05 (m, 2H), 2.74-2.71 (m, 2H).
Step B: To a solution of Et2NCH2CH2SH-HCl (15.9 g, 93.75 mmol, 1.5 eq) in NMP (300 mL) was added NaO?-Bu (18 g, 188 mmol, 3 eq) at 0 °C. The mixture was stirred for 30 minutes at 0- 10 C under nitrogen, followed by the addition of 4-bromo-5-(2-fluoro-5-methoxyphenyl)-2,3- dihydro-1 H-inden- 1 -one (15 g, 62.5 mmol, 1 eq). The mixture was heated to 150-160 C and stirred for 1.5 h, then cooled to room temperature, diluted with water (300 mL), and extracted with EtOAc (300 mLx2). The combined organic layers were washed with water (100 mL). The
combined aqueous layers were acidified to pH 1 with IN HC1, then extracted with EtOAc (200 mLx2). The combined organic layers were washed with brine (200 mL), dried over Na2S04; filtered and concentrated. The resulting residue was triturated in IPAc (15 mL) to give 4-bromo- 5-hydroxy-2,3-dihydro-lH-inden-l-one. 1HNMR (400MHz , CD3OD): δ 7.53 (d, J=8.4 Hz, 1H), 6.93 (d, J=8.4 Hz, 1H), 3.04-3.01 (m, 2H), 2.70-2.67 (m, 2H).
Step C: To a solution of 4-bromo-5-hydroxy-2,3-dihydro-lH-inden-l-one (12 g, 53 mmol) in DCM (240 mL) was added pyridine (8.5 mL, 106 mmol) at 0-10 C. The mixture was stirred for 10 min, followed by addition of Tf20 (11.36 mL, 79.64 mmol). The mixture was stirred for 2 h at 25 °C, then diluted with DCM (100 mL), then washed with IN HC1 (20 mL), water (100 mL), brine (100 mL), dried over Na2S04; filtered and concentrated. The resulting residue was purified by flash silica gel with PE/EA (40: 1 to 20: 1) to give 4-bromo-l-oxo-2,3-dihydro-lH-inden-5-yl trifluoromethanesulfonate as a yellow solid. 1HNMR (400MHz , CDC13): δ 7.79 (d, J =8.4 Hz, 1H), 7.40 (d, J=8.4 Hz, 1H), 3.19-3.16 (m, 2H), 2.84-2.81 (m, 2H).
Step D: To a solution of 4-bromo-l-oxo-2,3-dihydro-lH-inden-5-yl trifluoromethane-sulfonate (11.8 g, 33 mmol) in MeCN/H20 (v/v 4: 1, 300 mL) was added 2-fluoro-5-methoxyphenyl)- boronic acid (5.61 g, 33 mmol), NaHC03 (5.54 g, 66 mmol) and Pd(PPh3)4 (1.91 g, 1.65 mmol) under nitrogen at rt. The mixture was heated to 60 C and stirred for 2 days. The mixture was then cooled to room temperature, basified with dilute NaOH (20 mL), and filtered. The filtrate was extracted with EtOAc (100 mLx2), and the combined organic layers were washed with water (100 mL), brine (100 mL), dried over Na2S04, filtered and concentrated. The resulting residue was purified by flash silica gel with PE/EA (40: 1) to give 4-bromo-5-(2-fluoro-5- methoxyphenyl)-2,3-dihydro-lH-inden-l-one as a white solid. 1HNMR (400MHz , CDC13) δ: 7.77 (d, J=7.6 Hz, 1H), 7.37 (d, J=7.6 Hz, 1H), 7.13-7.09 (m, 1H), 6.96 (m, 1H), 6.81-6.79 (m, 1H), 3.83 (s, 3H), 3.18-3.16 (m, 2H), 2.82-2.79 (m, 2H).
INTERMEDIATE 14 H
(5f)-4-Bromo-5-(2-fluoro-5-methoxyphenyl)-2.3-dihydro-lH-inden-l-ol The title compound was prepared according to the procedure used to prepare Intermediate 1 starting from 4-bromo-5-(2- fluoro-5-methoxyphenyl)-2,3-dihydro-lH-inden-l-one. XH NMR (500 MHz; CDC13): (5 7.43 (d, J= 7.4 Hz, 1H), 7.23 (d, J= 7.4 Hz, 1H), 7.07 (m, 1H), 6.91 (m, 1H), 6.79 (m, 1H), 5.38 (m, 1H), 3.82 (s, 3H), 3.16 (m, 1H), 2.91 (m, 1H), 2.60 (m, 1H), 2.03 (m, 1H).
INTERMEDIATE 15 H 6Sy5-Bromo-6-fruoro-2,3-
dihydro- 1 H-inden- 1 -ol The title compound was prepared according to the procedure used to make Intermediate 1 starting from 5- bromo-6-fluoro-2,3 -dihydro- 1 H-inden- 1 -one. 'H NMR (500 MHz; CD3OD): δ 1.86-1.79 (m, 1 H ), 2.36 (m, 1 H), 2.67 (m, 1 H ), 2.91-2.85 (m, 1 H, ), 5.02 (m, 1 H), 7.06 (d, J= 8.5 Hz, 1H), 7.36 (d, J= 6.39 Hz, 1H). LC/MS: m/e (M+H-H20) 215.07.
6S 5-Bromo-4-fluoro-2, 3 -dihydro- lH-inden- 1 -ol The title compound was prepared according to the procedure used to prepare Intermediate 1 starting from 5-bromo-4-fluoro-2,3-dihydro-lH- inden-l-one. 'H NMR (500 MHz, CD3OD): δ 1.88 (m, 1 H); 2.42-2.35 (m, 1 H); 2.77-2.71 (m, 1 H); 3.00 (m, 1H); 5.05 (t, J= 6.3 Hz, 1 H); 7.01 (d, J= 8.0 Hz, 1 H); 7.35 (t, J= 7.1 Hz, 1 H). LC/MS: m/e (M+H-H20) 215.01.
INTERMEDIATE 17
(»S 5-bromo-7-fluoro-2 ,3 -dihydro- 1 H-inden- 1 -ol The title compound was prepared according to the procedure used to prepare Intermediate 3 starting from 5-bromo-7-fluoro-2,3 -dihydro- 1H- inden-l-one. XH NMR (400 MHz, CD3OD): δ 2.04-1.97 (m, 1 H); 2.41-2.32 (m, 1 H); 2.83 (ddd, J= 16.5, 8.7, 4.2 Hz, 1 H); 3.11 (m, 1H); 5.32 (dd, J= 6.8, 3.1 Hz, 1 H); 7.1 1 (d, J= 8.7 Hz, 1 H); 7.24 (s, 1 H). LC/MS: m/e (M+H-H20) 215.04.
INTERMEDIATE 18
('y)-2-('2-Fluoro-5-methoxyphenyl)-6.7-dihvdro-5H-cvclopentarb1pyridin-5-ol
Step A: A reaction vessel was charged with (2-fluoro-5-methoxyphenyl)boronic acid (210 mg, 1.2 mmol), 2-bromo-6,7-dihydro-5H-cyclopenta[b]pyridin-5-one (210 mg, 1.0 mmol), S-Phos precatalyst-2nd generation (35.7 mg, 0.050 mmol) and THF (4.0 mL). Degassed potassium phosphate (3.0 mL, 2.97 mmol, 1.0 M aqueous) solution was then added, and the reaction was then heated to 80°C. After 35 minutes, the reaction was allowed to cool to rt and partitioned between EtOAc and water. The organic layer was separated, washed with brine, dried over magnesium sulfate, filtered and concentrated. The resulting oil was purified via MPLC on an ISCO 12 g cartridge using 5-50% EtOAc:hexanes to give 2-(2-fluoro-5-methoxyphenyl)-6,7- dihydro-5H-cyclopenta[b]pyridin-5-one.
Step B: A solution 2-(2-fluoro-5-methoxyphenyl)-6,7-dihydro-5H-cyclopenta[b]pyridin-5-one (250 mg, 0.972 mmol) and RuCl[(5,5)-TSDPEN](mesitylene) (12.1 mg, 0.02 mmol) in EtOAc (4 mL) was cooled to 0 °C. Then a pre-formed solution of formic acid (373 μΐ, 9.72 mmol)/ TEA (542 μΐ, 3.89 mmol)/ EtOAc (4 mL) was added dropwise via syringe. The resulting reaction was stirred at room temperature for 1 h and then at 45°C overnight. The reaction was then concentrated and purified via MPLC (30-100% EtOAc: hexanes) to give (5)-2-(2-fluoro-5- methoxyphenyl)-6,7-dihydro-5H-cyclopenta[b]-pyridin-5-ol. XH NMR (500 MHz; acetone-<¾): δ 7.81 (d, J= 7.7 Hz, 1H), 7.66 (d, J= 9.1 Hz, 1H), 7.58 (dd, J= 3.3 Hz and 6.3 Hz, 1H), 7.17 (m, 1H), 6.99 (m, 1H), 5.28 (m, 1H), 4.56 (m, 1H), 3.85 (s, 3H), 3.08 (m, 1H), 2.91 (m, 1H), 2.53 (m, 1H), 1.97 (m, 1H).
3-Chloro-5H-cvclopentarc1pyridin-7(6H)-one
Step A: A solution of 5-bromo-2-chloroisonicotinaldehyde (4 g, 18 mmol) in DCM (150 mL) was treated with N-methoxy-N-methyl-2-(triphenylphosphoranylidene)acetamide (9.9 g, 27 mmol) at rt. The reaction was stirred for 12h, then concentrated to dryness. The resulting crude product was purified using an ISCO 330 g cartridge (EtOAc: Hexanes 0-70%) to give (E)-3-(5- bromo-2-chloropyridin-4-yl)-N-methoxy-N-methylacrylamide as a white solid.
Step B: A solution of (£)-3-(5-bromo-2-chloropyridin-4-yl)-N-methoxy-N-methylacrylamide (1.17 g, 3.8 mmol, Step A) and 5% Rh/Al203 (292 mg, 25 wt% in EtOAc (40 niL) was hydrogenated under a H2 atmosphere (30 psi) for 6 h. The solution was filtered to remove the catalyst and concentrated to give rise to 3-(5-bromo-2-chloropyridin-4-yl)-N-methoxy-N- methylpropanamide.
Step C: A stirred solution of 3-(5-bromo-2-chloropyridin-4-yl)-N-methoxy-N- methylpropanamide (1.24 g, 4.0 mmol) in THF (15 mL) was cooled to -78°C. Then BuLi (2.4 mL, 6.0 mmol, 2.5 M) was added dropwise. The solution was stirred at -78°C for lh, then quenched with ¾0 (5 mL) at -78°C. The reaction mixture was diluted with IN HC1 (50 mL) and extracted with EtOAc (150 mL). The organic layers were combined, dried, filtered and concentrated to give a crude oil. The crude oil was purified using a 120 g ISCO (0-60% EtOAc :hexanes) to give 3-chloro-5H-cyclopenta[c]pyridin-7(6H)-one as a white solid. XH NMR (500 MHz; acetone-i¾): δ 8.61 (s, 1H), 7.71 (s, 1H), 3.24 (m, 2H), 2.66 (m, 2H). INTERMEDIATE 20
(5f)-3-Chloro-6J-dihvdro-5H-cvclopentarc1pyridin-7-ol The title compound was prepared according to the procedure used to prepare Intermediate 1 starting from 3-chloro-5H- cyclopenta[c]pyridin-7(6H)-one. 1H NMR (500 MHz; CDC13): <5 8.37 (m, 1H), 7.21 (m, 1H), 5.32 (m, 1H), 3.06 (m, 1H), 2.81 (m, 1H), 2.50 (m, 2H).
INTERMEDIATE 21
(5f)-3-(2-Fluoro-5-methoxyphenyl)-6J-dihvdro-5H-cvclopentarc1pyridin-7-ol The title compound was prepared according to the procedure used to prepare Intermediate 1 starting from (5)-3-chloro-6,7-dihydro-5H-cyclopenta[c]pyridin-7-ol. . XH NMR (500 MHz; CDC13): δ 8.74 (s, 1H), 7.67 (s, 1H), 7.45 (m, 1H), 7.08 (m, 1H), 6.90 (m, 1H), 5.40 (m, 1H), 3.86 (s, 3H), 3.11 (m, 1H), 2.88 (m, 1H), 2.54 (m, 1H), 2.03 (m, 1H).
INTERMEDIATE 22
(»S)-5-Bromo-23 -dihydro- 1 H-inden- 1 -ol The title compound was prepared according to the procedure used to prepare Intermediate 1 starting from 5-bromo-2,3-dihydro-lH-inden-l-one. XH NMR (400 MHz,CDCl3): δ 2.00 (m, 1H); 2.41-2.52 (m, 1H); 2.82 (m, 1H); 3.08 (m, H); 5.22 (m, 1H); 7.30 (m, 1H); 7.41 (m, 1H).
3-Bromo-5H-cyclopenta[b]pyridin-7(6H)-one
Step A: 3-Bromo-6,7-dihydro-5H-cyclopenta[b]pyridine (5 g, 25.2 mmol) was dissolved in AcOH (13 mL). Then H2O2 (2.6 mL, 25.2 mmol, 30% aqueous) was added, and the mixture was heated to 70 °C for 1.5 hours. The mixture was then cooled to room temperature and additional H2O2 (2.6 ml, 25.2 mmol) was added. The mixture was again heated at 70 °C overnight. The mixture was then cooled to room temperature and concentrated under reduced pressure. The remaining liquid was dissolved in CHCI3 (20 mL) and treated with sodium carbonate (10 g) for 1 h. The supernatant was decanted, and the remaining solid was washed with warm CHCI3 (50 mL). The supernatants were combined, filtered, and concentrated under reduced pressure to give an off-white solid. The off-white solid was dissolved in AC2O (19.1 mL, 202 mmol) and stirred at 90 °C overnight. The mixture was then cooled to room
temperature, concentrated onto silica gel and purified on MPLC (0-40% EtOAc:hexanes) to give 3-bromo-6,7-dihydro-5H-cyclopenta[b]pyridin-7-yl acetate.
Step B: To a mixture of 3-bromo-6,7-dihydro-5H-cyclopenta[b]pyridin-7-yl acetate (3.86g, 15.07 mmol) in MeOH (50 mL) was added K2C03 (5.21 g, 38 mmol) in H20 (50 mL). The mixture was stirred at rt for 2 h, then diluted with EtOAc (75 mL), and washed with brine. The organic layer was separated, dried over sodium sulfate, filtered and concentrated in vacuum to afford 3-bromo-6,7-dihydro-5H-cyclopenta[b]pyridin-7-ol, which was used without further purification.
Step C: A solution of 3-bromo-6,7-dihydro-5H-cyclopenta[b]pyridin-7-ol (2.4 g, 1 1 mmol) in DCM (60 mL) was treated with Dess-Martin periodinane (5.70 g, 13.0 mmol) at rt for 1.5 h. The reaction was then diluted with DCM and quenched with saturated bicarbonate solution. After stirring at room temperature for 20 minutes, the solution was extracted with DCM. The DCM
layer was concentrated and purified via MPLC using an ISCO 80g cartridge (0-50% EtOAc:hexanes) to give 3-bromo-5H-cyclopenta[b]pyridin-7(6H)-one as a solid. XH NMR (500 MHz; CDC13): δ 8.83 (s, 1H), 8.07 (s, 1H), 3.18 (m, 2H), 2.80 (m, 2H).
INTERMEDIATE 24
3-(2-Fluoro-5-methoxyphenyl -5H-cvclopentarb1pyridin-7(6H -one The title compound was prepared according to the procedure used to prepare Intermediate 10 starting from 3-bromo-5H- cyclopenta[b]pyridin-7(6H)-one and (2-fluoro-5-hydroxy-phenyl)boronic acid . XH NMR (500 MHz; CDCI3): δ 8.93 (s, 1H), 8.05 (s, 1H), 7.16 (m, 1H), 6.97 (m, 2H), 3.86 (s, 3H), 3.24 (m, 2H), 2.84 (m, 2H).
INTERMEDIATE 25 H
(5f)-3-(2-Fluoro-5-methoxyphenyl -6J-dihvdro-5H-cvclopentarb1pyridin-7-ol The title compound was prepared according to the procedure used to prepare Intermediate 1 starting from 3-chloro-5H-cyclopenta[c]pyridin-7(6H)-one. ¾ NMR (500 MHz; CDC13): δ 8.60 (s, 1H), 7.77 (s, 1H), 7.11 (m, 1H), 6.90 (m, 2H), 5.29 (m, 1H), 3.84 (s, 3H), 3.11 (m, 1H), 2.92 (m, 1H), 2.63 (m, 1H), 2.13 (m, 1H).
EXAMPLE 1
ffl-3-Cvclopropyl-3-(3-(R -5-(2-fluoro-5-methoxyphenyl -2,3-dihydro-lH-inden-l- yl)oxy)phenyl)propanoic acid
Step A: A solution of Intermediate 4 (271 mg, 1.27 mmol) and Intermediate 22 (350 mg, 1.6 mmol) in THF (6 mL) was cooled to 0 °C and treated with Β¾Ρ (392 μϊ^, 1.6 mmol). After 5 minutes, DIAD (371 μϊ^, 1.9 mmol) was added and the reaction was allowed to warm to room temperature. When complete, the reaction was concentrated and the resulting crude product purified via MPLC using an ISCO 40 g cartridge eluting with 0-50% EtOAc:Hexanes to give (5)-methyl 3 -(3 -(((R)-5 -bromo-2,3 -dihydro- 1 H-inden- 1 -yl)oxy)phenyl)-3 - cyclopropylpropanoate.
Step B: A reaction vessel was charged with (2-fluoro-5-methoxyphenyl)boronic acid (24 mg, 0.14 mmol), (5)-methyl 3-(3-(R)-5-bromo-2,3-dihydro-lH-inden-l-yl)oxy)phenyl)-3- cyclopropylpropanoate (50 mg, 0.12 mmol, Step A), and S-Phos precatalyst-2nd generation (4.0 mg, 6.02 μιηοΐ). The reaction was sealed, and then evacuated and backfilled with nitrogen. THF (482 μΚ) was added, followed by the addition of degassed potassium phosphate (361 μΐ,, 0.36 mmol). The reaction was then heated to 90°C. Once complete, the reaction was removed from the heating block and allowed to cool to room temperature. After cooling, the reaction was partitioned between EtOAc and water. The organic layer was separated, washed with brine, dried over MgS04, filtered and concentrated. The resulting residue was dissolved in 2 mL of THF/water/MeOH (9: 1 :0.5) and treated with LiOH (7.7 mg, 0.321 mmol) at 40°C for 12 h. Then the reaction was cooled, diluted with EtOAc and 0.5 N HC1. The organic layer was separated, dried over sodium sulfate, filtered, and concentrated. The resulting crude residue was purified via MPLC using an ISCO 4 g column (0-40% EtOAc: hexanes) to give the title compound (5)-3- cyclopropyl-3-(3-(R)-5-(2-fluoro-5-methoxyphenyl)-2,3-dihydro-lH-inden-l- yl)oxy)phenyl)propanoic acid. 'H NMR (500 MHz; CDC13): δ 7.54-7.49 (m, 2H), 7.43 (m, 1H),
7.28 (m, 1H), 7.09 (m, 1H), 6.97-6.82 (m, 5H), 5.82 (m, 1H), 3.85 (s, 3H), 3.25-3.17 (m, 1H), 3.04-2.96 (m, 1H), 2.85-2.75 (m, 3H), 2.41-2.35 (m, 1H), 2.32-2.25 (m, 1H), 1.09-1.03 (m, 1H), 0.65-0.58 (m, 1H), 0.51-0.44 (m, 1H), 0.36-0.30 (m, 1H), 0.25-0.19 (m, 1H). LC/MS: m/e 469 (M+Na)+.
EXAMPLE 2
(2S,3R)-3 -Cvclopropyl-3 -(3 -(R)-5 -(2-fluoro-5-methoxyphenyl -2 ,3 -dihydro- 1 H-inden- 1 - yl oxy phenyl -2-methylpropanoic acid The title compound was prepared according to the procedure used to prepare Example 1 using Intermediate 3 coupled with Intermediate 6. XH NMR (500 MHz; ; CDC13): δ 7.53 (d, J=7.8 Hz, IH), 7.50 (s, IH), 7.44 (d, J=7.9 Hz, IH), 7.30 (m, IH), 7.10 (t, J= 9.3 Hz, IH), 6.98-6.93 (m, 2H), 6.88-6.82 (m, 3H), 5.83 (m, IH), 3.85 (s, 3H), 3.27-3.19 (m, IH), 3.06-2.97 (m, IH), 2.92-2.85 (m, IH), 2.68-2.58 (m, IH), 2.35-2.27 (m, IH), 2.02 (m, IH), 1.20-1.12 (m, IH), 1.05 (d, J= 6.9 Hz, 3H), 0.71-0.64 (m, IH), 0.45-0.38 (m, 2H), 0.13-0.07 (m, IH). LC/MS: m/e 459.62 (M-H)+.
EXAMPLE 3
(25'.3R)-3-Cvclopropyl-3-(3-(((R)-5-(2-fluoro-5-methoxyphenvn-2.3-dihvdro-lH-inden-l- yl oxy phenyl -2-methylpropanoic acid The title compound was prepared according to the procedure used to prepare Example 1 using Intermediate 3 coupled with Intermediate 5. XH NMR (500 MHz; ; CDC13): δ 7.52-7.48 (m, 2H), 7.43 (m, IH), 7.30 (m, IH), 7.12-7.01 (m, 3H), 6.96 (m, IH), 6.92 (m, IH), 6.84 (m, IH), 5.79 (m, IH), 3.85 (s, 3H), 3.30-3.21 (m, IH), 3.04- 2.95 (m, IH), 2.91-2.85 (m, 2H), 2.71-2.65 (m, IH), 2.64-2.56 (m, IH), 2.40-2.34 (m, IH), 1.0 (m, IH), 0.65-0.58 (m, IH), 0.48-0.41 (m, IH), 0.38-0.32 (m, IH), 0.26-0.18 (m, IH). EXAMPLE 4
(2S.3RV3 -Cvclopropyl-3 -(2-fluoro-3 -(R)-5-(2-fluoro-5-methoxyphenyl)-2.3 -dihydro- 1 H-inden- 1 -yl oxy phenyl -2-methylpropanoic acid The title compound was prepared according to the procedure used to prepare Example 1 using Intermediate 3 coupled with Intermediate 8. XH NMR (500 MHz; CDC13): δ 7.50 (m, 2H), 7.42 (m, IH), 7.12-7.03 (m, 3H), 6.97-6.94 (m, IH), 6.91-6.83 (m, 2H), 5.80 (m, IH), 3.85 (s, 3H), 3.31-3.23 (m, IH), 3.05-2.94 (m, 2H), 2.66-2.57 (m, IH), 2.44-2.33 (m, 2H), 1.22 (m, IH), 1.06 (d, J= 6.9 Hz, 3H), 0.67 (m, IH), 0.45 (m, IH), 0.38 (m, IH), 0.09 (m, IH). LC/MS: m/e 479.43 (M+H)+.
EXAMPLE 5
(2RJR)-3-cvclopropyl-3-(2-fluoro-3-(R)-5-(2-fluoro-5-methoxyphenyl)-2 -dihvdro-lH-inden- 1 -yl oxy phenyl -2-methylpropanoic acid The title compound was prepared according to the procedure used to prepare Example 1 using Intermediate 3 coupled with Intermediate 9. 1H
NMR (500 MHz; CDC13): δ 7.49 (m, 2H), 7.41 (m, 1H), 7.09 (m, 1H), 7.03 (m, 2H), 6.97-6.90 (m, 2H), 6.87-6.82 (m, 1H), 5.78 (m, 1H), 3.85 (s, 3H), 3.30-3.22 (m, 1H), 3.10-3.03 (m, 1H), 3.03-2.95 (m, 1H), 2.63-2.54 (m, 2H), 2.40-2.32 (m, 1H), 1.30 (d, J= 6.3 Hz, 3H), 1.162 (m, 1H), 0.69 (m, 1H), 0.42 (m, 2H), 0.04 (m, 1H). LC/MS: m/e 479.43 (M+H)+.
The compounds in Table 1 were prepared according to the procedure of Example 1 using the appropriate starting materials.
EXAMPLE 30
ffl-3-(3-(R -4-Cvano-5-(2-fluoro-5-methoxyphenyl -2 -dihvdro-lH-inden-l-yl oxy phenyl -3- cyclopropylpropanoic acid The title compound was prepared according to the procedure used to prepare Example 1 using Intermediate 2 coupled to Intermediate 4. lH NMR (500 MHz;
CDC13): δ 7.71 (d, J= 7.9 Hz, 1H), 7.41 (d, J= 7.9Hz, 1H), 7.31 (m, 2H), 7.18 (m, 1H), 6.99- 6.91 (m, 4H), 5.86 (m, 1H), 3.86 (s, 3H), 3.44-3.38 (m, 1H), 3.24-2.17 (m, 1H), 2.88-2.69 (m, 3H), 2.42-2.34 (m, 2H), 1.09-1.03 (m, 1H), 0.64 (m, 1H), 0.49 (m, 1H), 0.34 (m, 1H), 0.23 (m, 1H). LC/MS: m/e 472.24 (M+H)+.
EXAMPLE 31
(,y)-3-Cvclopropyl-3-('3-('R)-7-fluoro-5-('2-fluoro-5-methoxyphenyl)-2.3-dihvdro-lH-inden-l- yl oxy phenyl propanoic acid The title compound was prepared according to the procedure used to prepare Example 1 using Intermediate 17 coupled with Intermediate 4 . XH NMR (400 MHz, CD3OD): <J 0.05(m, l H); 0.20 (m, 1H), 0.30(m, 1H), 0.44(m, 1H), 1.00 (m, 1H), 2.10(m, 2H), 2.18 (d, J= 9.1 Hz, 1H), 2.61-2.55 (m, 2H), 2.84(m, 1H), 3.16 (d, J= 2.0 Hz, 1H), 3.68 (d, J = 0.9 Hz, 3H), 5.85 (d, J= 6.3 Hz, 1H), 6.78-6.69 (m, 4H), 6.86 (t, J= 3.1 Hz, 1H), 6.99-6.95 (m, 2 H), 7.07 (d, J= 8.1 Hz, 1H), 7.17 (s, 1H). LC/MS: m/e 463.56 (M+H)+.
EXAMPLE 32
(2S.3RV 3 -Cyclopropyl-3 -(3 -(R)-4-fruoro-5-(2-fluoro-5 -methoxyphenyl)- 2.3 -dihydro- 1 H-inden- 1 -yl oxy phenyl -2-methylpropanoic acid The title compound was prepared according to the procedure used to prepare Example 1 using Intermediate 16 coupled with Intermediate 6. XH NMR (500 MHz, CD3OD): δ 0.04 (m, 1H), 0.33 (m, 2H), 0.59 (m, 1H), 0.92 (d, J= 6.8 Hz, 3H), 1.11 (m, 1H); 1.96 (t, J = 9.9 Hz, 1H), 2.23 (br s, 1H), 2.67 (d, J= 1 1.0 Hz, 2H), 2.78 (m, 1H), 3.00 (m, 1H), 3.18 (m, 1 H), 3.80 (s, 3H), 5.87 (s, 1H), 6.83-6.80 (m, 2H), 6.93-6.88 (m, 3H), 7.08 (m, 1H), 7.24 (m, 3H). LC/MS: m/e 479.61 (M+H)+.
EXAMPLE 33
ffl-3-Cvclopropyl-3-(3-(R -6-fluoro-5-(2-fluoro-5-methoxyphenyl -2,3-dihydro-lH-inden-l- yl)oxy)phenyl)propanoic acid The title compound was prepared according to the procedure used to prepare Example 1 using Intermediate 15 coupled with Intermediate 4. lH NMR (400 MHz, CD3OD): δ 0.10(m, 1 H), 0.16 (m, 1H), 0.25 (m, 1H), 0.44(m, 1H), 0.09(m, 1H), 2.02(m, 1H), 2.18(m, 1H), 2.58 (m, 3H), 2.79 (m, 1H), 2.92 (m, 1H), 3.65 (s, 3H), 5.70 (m, 1H), 6.80-6.72 (m, 4H), 7.15-6.91 (m, 5H). LC/MS: m/e 465.20 (M+H)+.
EXAMPLE 34
(^-3-Cyclopropyl-3-(3-(R)-6-fluoro-5-(2-fluoro-5-methoxyphenyl)-2.3-dihydro-lH-inden-l- yl oxy phenyl propanoic acid The title compound was prepared according to the procedure used to prepare Example 1 using Intermediate 16 coupled with Intermediate 4. 1H NMR (500 MHz, CD3OD): (5 0.01 (m, 1H), 0.17 (m, 1H), 0.27(m, 1H), 0.44 (m, 1H), 0.92(m, 1H), 1.18 (m, 1H), 2.10 (d, J= 1 1.0 Hz, lH), 2.18 (q, J= 8.2 Hz, 1H), 2.62-2.51 (m, 2H), 2.87-2.83 (m, 1H); 3.12 (m, 1H), 3.65 (s, 3H), 5.74 (m, 1H), 6.68 (m, 5H), 6.92 (m, 1H), 7.12 (m, 3H).
LC/MS: m/e 465.33 (M+H)+.
EXAMPLE 35
(2S.3RV 3 -Cvclopropyl-3 -(3 -(R)-5 -(2-fluoro-5-hvdroxyphenvn-2.3 -dihydro- 1 H-inden- 1 - yl oxy phenyl -2-methylpropanoic acid The title compound was prepared according to the procedure used to make Example 1 using Intermediate 22 coupled with Intermediate 6. The resulting bromoindanol intermediate was then coupled with (2-fluoro-5-hydroxyphenyl)boronic
acid to give the title compound. ¾ NMR (500 MHz; CDC13): δ 7.52 (m, 1H), 7.49 (s, 1H), 7.42 (m, 1H), 7.30 (m, 1H), 7.04 (m, 1H), 6.95 (d, J= 8.4 Hz, 1H), 6.91 (m, 1H), 6.85-6.82 (m, 2H), 6.78 (m, 1H), 5.83 (m, 1H), 3.26-3.18 (m, 1H), 3.05-2.97 (m, 1H), 2.67-2.59 (m, 1H), 2.35-2.27 (m, 1H), 2.02 (m, 1H), 1.05 (d, J= 6.8Hz, 3H), 0.91 (m, 1H), 0.66 (m, 1H), 0.41 (m, 2H), 0.09 (m, 1H). LC/MS: m/e 445.31 (M-H)+.
EXAMPLE 36
(S)-3-(3-(R)-4-chloro-5-(2-fluoro-5-methoxyphenyl)-2.3-dihydro-lH-inden-l-yl)oxy)phenyl)-3- cyclopropylpropanoic acid The title compound was prepared according to the procedure used to prepare Example 1 using Intermediate 1 coupled with Intermediate 4. XH NMR (500 MHz; ; CDCI3): δ 7.48 (d, J= 7.8 Hz, 1H), 7.30-7.23 (m, 2H), 7.05-6.98 (m, 2H), 6.94-6.88 (m, 3H), 6.01-5.98 (m, 1H), 3.83 (s, 3H), 3.22-3.13 (m, 1H), 3.06-2.98 (m, 1H), 2.83-2.70 (m, 3H), 2.40- 2.34 (m, 1H), 2.27-2.19 (m, 1H), 1.16-1.08 (m, 1H), 0.60-0.53 (m, 1H), 0.43-0.29 (m, 2H), 0.23- 0.16 (m, 1H). LC/MS: m/e 481.34 (M+H)+.
EXAMPLE 37
('25'.3R)-3-Cvclopropyl-3-G-aR)-5-('2-fluoro-5-methoxyphenvn-4-a-methyl-lH-indol-7-vn- 2,3-dihvdro-lH-inden-l-yl oxy phenyl -2-methylpropanoic acid A sealed tube was charged with the compound of Example 36 (50 mg, 0.1 mmol), l-methyl-7-(4,4,5,5-tetramethyl-l,3,2- dioxaborolan-2-yl)-lH-indole (32 mg, 0.12 mmol), and S-Phos precatalyst 2nd generation (3.5 mg, 4.91 μιηοΐ) and then evacuated and backfilled with nitrogen. THF (0.4 mL) was added, followed by the addition of tribasic potassium phosphate (196 μί, 0.196 mmol, 1.0 M aq), and the reaction was heated to 80°C. After 1.5 hours, the reaction mixture was cooled, diluted with EtOAc, washed with brine dried (Na2S04), and filtered. The resulting filtrate was evaporated under reduced pressure. The resulting residue was re-dissolved in THF (0.4 mL) and treated
with KOTMS (50.4 mg, 0.393 mmol) for 12 h at room temperature. The reaction was then partitioned between EtOAc and 0.5N HCl. The organic layer was separated, washed with brine, dried over MgSC^, filtered and concentrated. Purification of the resulting crude product via MPLC using an ISCO 12 g cartridge (15-75% EtOAc/Hexanes) afforded the title compound. XH NMR (500 MHz; CDC13): δ 7.52 (d, J= 7.9 Hz, 1H), 7.42 (s, 1H), 7.37 (d, J=7.4 Hz, 1H), 7.18 (d, J= 8.4 Hz, 1H), 7.03 (m, 1H), 7.00-6.96 (m, 2H), 6.95-6.88 (m, 2H), 6.88-6.75 (m, 2H), 6.65-6.61 (m, 2H), 6.41 (m, 1H), 5.90 (m, 1H), 3.78 (s, 3H), 3.57 (s, 3H), 3.09-3.01 (m, 1H), 2.94-2.80 (m, 2H), 2.61-2.51 (m, 1H), 2.23 (m, 1H), 2.03 (m, 1H), 1.16 (m, 1H), 1.05 (d, J= 7.0 Hz, 3H), 0.66 (m, 1H), 0.42 (m, 2H), 0.10 (m, 1H). LC/MS: m/e 590.26 (M+H)+.
EXAMPLE 38
(5f)-3-Cvclopropyl-3-(3-(R -6-fluoro-5-(2-fluoro-5-methoxyphenyl -2,3-dihydro-lH-inden-l- yl oxy phenyl propanoic acid The title compound was prepared according to the procedure used to prepare Example 1 using Intermediate 18 coupled with Intermediate 4. XH NMR (500 MHz; acetone-i¾): δ 7.89 (d, J=8.0 Hz, 1H), 7.70 (m, 1H), 7.60 (dd, J= 3.0 Hz and 6.45 Hz, 1H), 7.25 (t, J= 7.9 Hz, 1H), 7.18 (m, 1H), 7.05 (m, 1H), 7.03-6.99 (m, 1H), 6.95-6.89 (m, 2H), 5.99 (m, 1H), 3.86 (s, 3H), 3.25-3.17 (m, 1H), 3.09-3.01 (m, 1H), 2.81-2.72 (m, 3H), 2.40-2.34 (m, 1H), 2.26-2.19 (m, 1H), 1.14-1.09 (m, 1H), 0.60-0.52 (m, 1H), 0.43-0.36 (m, 1H), 0.36-0.29 (m, 1H), 0.23-0.17 (m, 1H). LC/MS: m/e 447.95 (M+H)+.
EXAMPLE 39
(5f)-3-Cvclopropyl-3-(3-(R -6-fluoro-5-(2-fluoro-5-methoxyphenyl -2,3-dihydro-lH-inden-l- yl oxy phenyl propanoic acid The title compound was prepared according to the procedure used to prepare Example 1 using Intermediate 18 coupled with Intermediate 6. XH NMR (500 MHz; CDC13): δ 7.80 (d, J= 8.0 Hz, 1H), 7.65 (d, J=8.0 Hz, 1H), 7.48 (m, 1H), 7.31 (m, 1H), 7.1 1 (t, J= 9.6 Hz, 1H), 6.93 (d, J= 7.9 Hz, 2H), 6.88-6.82 (m, 2H), 5.86 (m, 1H), 3.89 (s, 3H), 3.41- 3.31 (m, 1H), 3.19-3.1 1 (m, 1H), 2.92-2.85 (m, 1H), 2.74-2.66 (m, 1H), 2.38-2.30 (m, 1H), 2.04
(m, 1H), 1.17 (m, 1H), 1.05 (d, J= 6.8 Hz, 3H), 0.70-0.64 (m, 1H), 0.45-0.37 (m, 2H), 0.11-0.06 (m, 1H). LC/MS: m/e 463.41 (M+H)+.
EXAMPLE 40
^JRl-S-Cvclopropyl-S-n-CRl-S- -fluoro-S-methoxyphenvn-e -dihvdro-SH- cvclopentarb1pyridin-7-yl oxy phenyl -2-methylpropanoic acid The title compound was prepared according to the procedure used to prepare Example 1 using Intermediate 25 coupled with Intermediate 8. 'H NMR (500 MHz; CDC13): δ 8.73 (bs, 1H), 7.85 (bs, 1H), 7.28 (m, 1H), 7.14 (m, 1H), 7.03- 6.94 (m, 3H), 6.94-6.89 (m, 1H), 6.85-6.82 (m, 1H), 5.78 (m, 1H), 3.86 (s, 3H), 3.31-3.22 (m, 1H), 3.07-2.99 (m, 1H), 2.94-2.86 (m, 1H), 2.74-2.64 (m, 1H), 2.43-2.33 (m, 1H), 2.04 (m, 1H), 1.20-1.12 (m, 1H), 1.04 (d, J= 6.9 Hz, 3H), 0.69-0.62 (m, 1H), 0.45-0.36 (m, 2H), 0.12-0.05 (m, 1H). LC/MS: m/e 462.31 (M+H)+.
EXAMPLE 41
^JRl-S-Cvclopropyl-S-n-CRl-S- -fluoro-S-methoxyphenvn-e -dihvdro-SH- cvclopentarb1pyridin-7-yl oxy phenyl -2-methylpropanoic acid The title compound was prepared according to the procedure used to prepare Example 1 using Intermediate 21 coupled with Intermediate 6. 'H NMR (500 MHz; CDC13): δ 8.77 (bs, 1H), 7.77 (bs, 1H), 7.49 (bs, 1H), 7.30 (m, 1H), 7.11 (m, 1H), 6.93 (m, 2H), 6.84 (m, 2H), 5.88 (m, 1H), 3.88 (s, 3H), 3.30-3.22 (m, 1H), 3.07-2.99 (m, 1H), 2.91-2.84 (m, 1H), 2.68-2.58 (m, 1H), 2.43-2.30 (m, 1H), 2.04 (m, 1H), 1.21-1.13 (m, 1H), 1.06 (bs, 3H), 0.69-0.62 (m, 1H), 0.46-0.35 (m, 2H), 0.13-0.05 (m, 1H). LC/MS: m/e 462.42 (M+H)+.
BIOLOGICAL ASSAYS
Generation of GPR40-Expressing Cells:
Human and mouse GPR40 stable cell-lines were generated in CHO cells stably expressing NFAT BLA (Beta-lactamase). A human GPR40 stable cell-line was generated in HEK cells stably expressing the aequorin expressing reporter. The expression plasmids were transfected using lipofectamine (Life Technologies) following manufacturer's instructions. Stable cell-lines were generated following drug selection. FLIPR Assays:
FLIPR (Fluorimetric Imaging Plate Reader, Molecular Devices) assays were performed to measure agonist- induced calcium mobilization of the stable clones. For the FLIPR assay, one day before assay, GPR40/CHO NFAT BLA cells were seeded into black-wall-clear-bottom 384- well plates (Costar) at 1.4 x 10e4 cells / 20 medium / well. The cells were incubated with 20 μΐ / well of the assay buffer (HBSS, 0.1 % BSA, 20 mM HEPES, 2.5 mM probenecid, pH 7.4) containing 8μΜ fluo-4,AM, 0.08 % pluronic acid at room temperature for 100 minutes.
Fluorescence output was measured using FLIPR. Compounds were dissolved in DMSO and diluted to desired concentrations with assay buffer. 13.3 μΕΛνεΙΙ of compound solution was added.
The compounds of the present invention, including the compounds in Examples 1-41, have EC50 values less than 200 nanomolar (nM) in the FLIPR assay described above. The compounds in Examples 1-41 have the EC50 values in the FLIPR assay listed in Table 2.
Inositol Phosphate Turnover Assay:
The assay was performed in 96-well format. HEK cells stably expressing human GPR40 were plated to be 60-80% confluent within 72 h. After 72 h, the plates were aspirated and the cells washed with inositol-free DMEM (ICN). The wash media was replaced with 150 μϊ^ of 3H- inositol labeling media (inositol-free media containing 0.4% human albumin or 0.4% mouse albumin, IX pen/strep antibiotics, glutamine, 25 mM HEPES to which was added 3H-myo- inositol NEN #NET114A lmCi/mL, 25Ci/mmol diluted 1 : 150 in loading media with a final specific radioactivity of 1μΟί/150 μί). Alternatively, the human and mouse albumin were added after the overnight labeling step before the addition of LiCl.
The assay was typically run the next day after 18 h labeling. On the day of the assay, 5 μΐ^ of 300 mM LiCl were added to all wells and incubated at 37 degrees for 20 min. 0.75 μΐ^ of 200X compounds were added and incubated with the cells for 60 min at 37 degrees. The media was then aspirated off and the assay terminated with the addition of 60 μϊ^ 10 mM formic acid.
The cells were lysed for 60 min at room temperature. 15-30 μϊ^ of lysate was mixed with 70
μΙ71 mg YSi SPA beads (Amersham) in clear bottom Isoplates. The plates were shaken for 2 h at room temperature. Beads were allowed to settle and the plates are counted in the Wallac Microbeta.
The compounds of the present invention, including the compounds in Examples 1-41, have EC50 values less than 2500 nanomolar (nM) in the Inositol Phophate Turnover (IPl) assay described above. The compounds in Examples 1-41 have the EC50 values in the Inositol Phophate Turnover (IPl) assay listed in Table 2.
Table 2. EC50 values in Human GPR40 FLIPR and IPl Assays
27 0.7 160
28 1 51
29 0.8 94
30 22 412
31 36 2156
32 0.4 4.5
33 12 155
34 4 107
35 0.2 2.9
36 7 357
37 1 145
38 17 895
39 5 151
40 2 91
41 <0.2 15
In Vivo Studies:
Male C57BL/6N mice (7-12 weeks of age) are housed 10 per cage and given access to normal diet rodent chow and water ad libitum. Mice are randomly assigned to treatment groups and fasted 4 to 6 h. Baseline blood glucose concentrations are determined by glucometer from tail nick blood. Animals are then treated orally with vehicle (0.25% methylcellulose) or test compound. Blood glucose concentration is measured at a set time point after treatment (t = 0 min) and mice are then intraperitoneally-challenged with dextrose (2 g/kg). One group of vehicle-treated mice is challenged with saline as a negative control. Blood glucose levels are determined from tail bleeds taken at 20, 40, 60 min after dextrose challenge. The blood glucose excursion profile from t = 0 to t = 60 min is used to integrate an area under the curve (AUC) for each treatment. Percent inhibition values for each treatment are generated from the AUC data normalized to the saline-challenged controls. EXAMPLE OF A PHARMACEUTICAL COMPOSITION
As a specific embodiment of an oral pharmaceutical composition, a 100 mg potency tablet is composed of 100 mg of any one of Examples, 268 mg microcrystalline cellulose, 20 mg of croscarmellose sodium, and 4 mg of magnesium stearate. The active, microcrystalline cellulose, and croscarmellose are blended first. The mixture is then lubricated by magnesium stearate and pressed into tablets.
While the invention has been described and illustrated with reference to certain particular embodiments thereof, those skilled in the art will appreciate that various adaptations, changes, modifications, substitutions, deletions, or additions of procedures and protocols may be made without departing from the spirit and scope of the invention. For example, effective dosages other than the particular dosages as set forth herein above may be applicable as a consequence of variations in responsiveness of the mammal being treated for any of the indications with the compounds of the invention indicated above. The specific pharmacological responses observed may vary according to and depending upon the particular active compounds selected or whether there are present pharmaceutical carriers, as well as the type of formulation and mode of administration employed, and such expected variations or differences in the results are contemplated in accordance with the objects and practices of the present invention. It is intended, therefore, that the invention be defined by the scope of the claims which follow and that such claims be interpreted as broadly as is reasonable.
Claims
1. A compound of structural formula I:
I
or a pharmaceutically acceptable salt thereof; wherein
A is selected from the group consisting of:
(1) CH,
(2) N, and
(3) N-oxide;
B is selected from the group consisting of:
(1) CH,
(2) N, and
(3) N-oxide;
C is selected from the group consisting of:
(1) CH,
(2) N, and
(3) N-oxide;
D is selected from the group consisting of:
(1) CH,
(2) N, and
(3) N-oxide,
provided that no more than three of A, B, C and D are selected from N and N-oxide; T is selected from the group consisting of:
(1) CH,
N, and
N-oxide;
U is selected from the group consistin
(1) CH,
(2) N, and
(3) N-oxide;
V is selected from the group consistin
(1) CH,
(2) N, and
(3) N-oxide;
W is selected from the group consisting of:
(1) CH,
(2) N, and
(3) N-oxide,
provided that no more than two of T, U, V and W are selected from N and N-oxide;
X is selected from the group consisting of:
(1) aryl,
(2) heteroaryl,
(3) -C3-6-cycloalkyl, and
(4) -C2-6-cycloheteroalkyl,
wherein aryl, heteroaryl, cycloalkyl and cycloheteroalkyl are unsubstituted or substituted with one to three substituents selected from Ra; selected from the group consisting
(1) oxygen,
(2) NRf,
(3) sulfur,
(4) -CRgRg,
(5) -C(O), and
(6) -CF2;
Z is selected from the group consisting of:
(1) -OH,
(2) -0-Ci-6alkyl, and
(3) -NHRh
wherein alkyl is unsubstituted or substituted with one to five substituents selected from Ci 6alkyl; each R1 is independently selected from the group consisting of:
(1 ) hydrogen,
(2) halogen,
(3) -(CH2)s-OCi-6alkyl,
(4) -(CH2)s-OH,
(5) -CN, and
(6) -Ci-6alkyl,
wherein alkyl is unsubstituted or substituted with one, two or three halogens; each R2 is independently selected from the group consisting of:
(1 ) -(CH2)s-0-Cl -6alkyl,
(2) -Ci-6alkyl,
(3) -C3-6cycloalkyl, and
(4) -C2-4cycloheteroalkyl,
wherein alkyl and cycloalkyl are unsubstituted or substituted with one, two or three halogens, and wherein cycloheteroalkyl is unsubstituted or substituted with one, two or three substituents selected from halogen, OH, and OC i-6alkyl; each R3 is independently selected from the group consisting of:
(1) hydrogen,
(2) halogen,
(3) -(CH2)s-OCi-6alkyl,
(4) -(CH2)s-OH,
(5) -CN, and
(6) -Ci-6alkyl,
wherein alkyl is unsubstituted or substituted with one, two or three substituents selected from halogen, OH, and OCl-6alkyl;
R4 is independently selected from the group consisting of:
(1) hydrogen,
(2) halogen, and
(3) -Ci-6alkyl,
wherein alkyl is unsubstituted or substituted with one, two or three substituents selected from halogen, OH, and OCl-6alkyl; each R5 is independently selected from the group consisting of:
(1) hydrogen,
(2) -Cl-6alkyl,
(3) -Ci_6alkenyl,
(4) halogen,
(5) -(CH2)t-0-Cl -6alkyl,
(6) -S(0)tRi,
(V) -S(0)tNRjRk,
(8) -CN,
(9) -CF3,
(10) -OCF3,
(1 1) -OCHF2,
(12) aryl,
(13) heteroaryl,
(14) -C3-6cycloalkyl,
(15) -C3-6cycloalkenyl, and
(16) -C2 -5 cycloheteroalkyl,
wherein each alkyl, alkenyl, cycloalkyl, cycloalkenyl, cycloheteroalkyl, aryl and heteroaryl is unsubstituted or substitued with one, two, three, four, five or six substituents selected from Rb; each Ra is independently selected from the group consisting of:
(1) -Ci-6alkyl,
(2) halogen,
(3) -(CH2)u-OCi-6alkyl,
(4) -OH,
(5) -S(0)uRe,
(6) -S(0)uNRCRd
(7) -CN,
(8) -C(0)NRCRd,
(9) -CF3,
(10) -OCF3,
(1 1) -OCHF2,
(12) aryl,
(13) heteroaryl,
(14) -C3-6cycloalkyl,
(15) -C3-6cycloalkenyl, and
(16) -C2-5cycloheteroalkyl,
wherein each alkyl, cycloalkyl, cycloalkenyl, cycloheteroalkyl, aryl and heteroaryl is unsubstituted or substitued with -Ci-6alkyl, halogen, -0-Ci-6alkyl and -CF3; each Rb is independently selected from the group consisting of:
(1) -C i-ioalkyl,
(2) -C2-10alkenyl,
(3) -CF3,
(4) halogen,
(5) -CN,
(6) -OH,
(V) -OC i-iOalkyl,
(8) -OC2- 10alkeny
(9) -O(CH2)vOCl-l0alkyl,
(10) -0(CH2)vC3 -6cycloalkyl,
(1 1) -0(CH2)vC3 -6 cycloalkyl-C 1 - 1 Oalkyl,
( 12) -0(CH2)vC2-5cycloheteroalkyl,
(13) -0(CH2)vC2-5cycloheteroalky 1-C 1 - 1 Oalkyl,
(14) -O-aryl,
(15) -O-heteroaryl,
( 16) -O-aryl-Ci-i oalkyl,
(17) -O-heteroaryl-C 1 - 1 oalkyl,
(18) -0(CH2)vNRcS(0)mRe,
(19) -0(CH2)vS(0)mRe,
(20) -0(CH2)vS(0)mNRCRd
(21) -0(CH2)vNRCRd,
(22) -C(0)Re
(23) -OC(0)Re
(24) -C02Re,
(25) -C(0)NRCRd
(26) -NRCC(0)Re,
(27) -NRcC(0)ORe,
(28) -NRCC(0)NRCRd,
(29) -0(CH2)vO-C3-6cycloalkyl,
(30) -0(CH2)vO-C2-5cycloheteroalkyl,
(31) -OCF3,
(32) -OCHF2,
(33) -(CH2)vC3-6cycloalkyl,
(34) -(CH2)vC2-5cycloheteroalkyl,
(35) aryl,
(36) heteroaryl,
(37) aryl-Ci-ioalkyl-, and
(38) heteroaiyl-Ci-ioalkyl-,
wherein each CH, CH2, alkyl, alkenyl, cycloalkyl, cycloheteroalkyl, aryl and heteroaryl unsubstituted or substitued with -Ci-6alkyl, halogen, -0-Ci-6alkyl and -CF3; each Rc is independently selected from the group consisting of:
(1) hydrogen,
(2) Ci-ioalkyl,
(3) C3-6cycloalkyl,
(4) C2-5cycloheteroalkyl,
(5) aryl, and
(6) heteroaryl,
wherein each alkyl, cycloalkyl, cycloheteroalkyl, aryl and heteroaiyl is unsubstituted or substituted with one to three substituents selected from Cl -6alkyl; each Rd is independently selected from the group consisting of:
(1) hydrogen,
(2) Ci- ioalkyl,
(3) C3-6cycloalkyl,
(4) C2-5cycloheteroalkyl,
(5) aryl, and
(6) heteroaryl,
wherein each alkyl, cycloalkyl, cycloheteroalkyl, aryl and heteroaryl is unsubstituted or substituted with one to three substituents selected from Ci -6alkyl; each Re is independently selected from the group consisting of:
(1) hydrogen,
(2) C i-ioalkyl,
(3) C3-6cycloalkyl,
(4) C2-5cycloheteroalkyl,
(5) aryl, and
(6) heteroaryl,
wherein each alkyl, cycloalkyl, cycloheteroalkyl, aryl and heteroaryl is unsubstituted or substituted with one to three substituents selected from Ci-6alkyl; each Rf is independently selected from the group consisting of:
(1) hydrogen,
(2) Ci-6alkyl, and
(3) C3-6cycloalkyl; each Rg is independently selected from the group consisting of:
(1) hydrogen,
(2) halogen,
(3) Cl-6alkyl, and
(4) C3-6cycloalkyl; each Rh is independently selected from the group consisting of:
(1) heteroaryl, and
(2) aryl,
wherein heteroaryl and aryl are unsubstituted or substituted with one to four substituents selected from Ci-6alkyl; each R1 is independently selected from the group consisting of:
(1) hydrogen,
(2) Ci-ioalkyl,
(3) C3-6cycloalkyl,
(4) C2-5cycloheteroalkyl,
(5) aryl, and
(6) heteroaryl,
wherein each alkyl, cycloalkyl, cycloheteroalkyl, aryl and heteroaryl is unsubstituted or substituted with one to three substituents selected from Ci-6alkyl;
RJ is independently selected from the group consisting of:
(1) hydrogen,
(2) Ci-ioalkyl,
(3) C3-6cycloalkyl,
(4) C2-5cycloheteroalkyl,
(5) aryl, and
(6) heteroaryl,
wherein each alkyl, cycloalkyl, cycloheteroalkyl, aryl and heteroaryl is unsubstituted or substituted with one to three substituents selected from Ci-6alkyl; each Rk is independently selected from the group consisting of:
(1) hydrogen,
(2) Ci-ioalkyl,
(3) C3-6cycloalkyl,
(4) C2-5cycloheteroalkyl,
(5) aryl, and
(6) heteroaryl,
wherein each alkyl, cycloalkyl, cycloheteroalkyl, aryl and heteroaryl is unsubstituted or substituted with one to three substituents selected from Cl-6alkyl; each n is independently selected from: 1 and 2;
each m is independently selected from: 1 and 2;
each p is independently selected from: 1, 2, 3 and 4;
each q is independently selected from: 1, 2, 3 and 4;
each r is independently selected from: 1, 2, 3 and 4;
each s is independently selected from: 0, 1, 2, 3 and 4;
each t is independently selected from: 0, 1, 2, 3 and 4;
each u is independently selected from: 0, 1, 2, 3, and 4; and
each v is independently selected from: 0, 1, 2, 3 and 4.
2. The compound according to Claim 1 wherein Y is oxygen; or a pharmaceutically acceptable salt thereof.
3. The compound according to Claims 1-2 wherein A, B, C and D are CH; or a pharmaceutically acceptable salt thereof.
4. The compound according to Claims 1-3 wherein T is CH, N or N-oxide; U is CH, N or N-oxide; V is CH, N or N-oxide; and W is CH, N or N-oxide, provided that no more than one of T, U, V and W is N or N-oxide; or a pharmaceutically acceptable salt thereof.
5. The compound according to Claims 1-4 wherein T is CH or N; U is CH or N; V is CH; and W is CH or N, provided no more than one of T, U and W is N; or a pharmaceutically acceptable salt thereof.
6. The compound according to Claims 1-5 wherein X is selected from the group consisting of:
(1) aryl, and
(2) heteroaryl,
wherein aryl and heteroaryl are unsubstituted or substituted with one to three substituents selected from Ra; or a pharmaceutically acceptable salt thereof.
7. The compound according to Claims 1-6 wherein X is aryl, wherein aryl is unsubstituted or substituted with one to three substituents selected from Ra; or a
pharmaceutically acceptable salt thereof.
8. The compound according to Claims 1-7 wherein Z is selected from the group consisting of: -OH, and -0-Ci-6alkyl; or a pharmaceutically acceptable salt thereof.
9. The compound according to Claims 1-8 wherein Z is -OH; or a pharmaceutically acceptable salt thereof.
10. The compound according to Claims 1-9 wherein each Rl is independently selected from the group consisting of:
(1) hydrogen, and
(2) -Cl-6alkyl,
wherein alkyl is unsubstituted or substituted with one, two or three halogens; or a
pharmaceutically acceptable salt thereof.
11. The compound according to Claims 1-10 wherein each R2 is independently selected from the group consisting of:
(1) -Ci-6alkyl, and
(2) -C3-6cycloalkyl,
wherein alkyl and cycloalkyl are unsubstituted or substituted with one, two or three halogens; or a pharmaceutically acceptable salt thereof.
12. The compound according to Claims 1-1 1 wherein R2 is -C3-6cycloalkyl, wherein cycloalkyl is unsubstituted or substituted with one, two or three halogens; or a pharmaceutically acceptable salt thereof.
13. The compound according to Claims 1-12 wherein each R3 is independently selected from the group consisting of:
(1) hydrogen, and
(2) halogen;
or a pharmaceutically acceptable salt thereof.
14. The compound according to Claims 1-13 wherein R4 is hydrogen; or a pharmaceutically acceptable salt thereof.
15. The compound according to Claims 1-14 wherein each is independently selected from the group consisting of:
(1) hydrogen,
(2) -Cl-6alkenyl,
(3) halogen,
(4) -(CH2)t-0-Cl-6alkyl,
(5) -CN,
(6) aryl,
(V) heteroaryl, and
(8) -C3-6cycloalkyl,
wherein each alkyl, alkenyl, cycloalkyl, aryl and heteroaryl is unsubstituted or substitued with one, two, or three substituents selected from Rb; or a pharmaceutically acceptable salt thereof.
16. The compound according to Claims 1-15 wherein each R^ is independently selected from the group consisting of:
(1) hydrogen,
(2) halogen, and
(3) heteroaryl,
wherein each heteroaryl is unsubstituted or substitued with one, two, or three substituents selected from Rb; or a pharmaceutically acceptable salt thereof.
17. The compound according to Claim 1 wherein
A, B, C and D are CH;
T is CH, N or N-oxide;
U is CH, N or N-oxide;
V is CH, N or N-oxide;
W is CH, N or N-oxide, provided that no more than one of T, U, V and W is N or N-oxide;
X is selected from the group consisting of:
(1 ) aryl, and
(2) heteroaryl,
wherein aryl and heteroaryl are unsubstituted or substituted with one to three substituents selected from RA;
Y is oxygen; Z is selected from the group consisting of: -OH, and -0-Ci-6alkyl; each R1 is independently selected from the group consisting of:
(1) hydrogen, and
(2) -Ci-6alkyl,
wherein alkyl is unsubstituted or substituted with one, two or three halogens; each R2 is independently selected from the group consisting of:
(1) -Ci-6alkyl, and
(2) -C3-6cycloalkyl,
wherein alkyl and cycloalkyl are unsubstituted or substituted with one, two or three halogens; each R3 is independently selected from the group consisting of:
(1 ) hydrogen,
(2) halogen;
R4 is hydrogen; each R5 is independently selected from the group consisting of:
(1 ) hydrogen,
(2) -Ci-6alkenyl,
(3) halogen,
(4) -(CH2)t-0-Cl-6alkyl,
(5) -CN,
(6) aryl,
(7) heteroaryl, and
(8) -C3-6cycloalkyl,
wherein each alkyl, alkenyl, cycloalkyl, aryl and heteroaryl is unsubstituted or substitued with one, two, or three substituents selected from Rb; or a pharmaceutically acceptable salt thereof.
18. The compound according to Claim 1 wherein
A, B, C and D are CH;
T is CH or ;
U is CH or ;
V is CH;
W is CH or N, provided that no more than one of T, U and W is N;
X is aryl, wherein aryl is unsubstituted or substituted with one to three substituents selected from Ra;
Y is oxygen;
Z is -OH; each R is independently selected from the group consisting of:
(1) hydrogen, and
(2) -Ci-6alkyl,
wherein alkyl is unsubstituted or substituted with one, two or three halogens;
R2 is -C3-6cycloalkyl, wherein cycloalkyl is unsubstituted or substituted with one, two or three halogens; each R3 is independently selected from the group consisting of:
(1) hydrogen, and
(2) halogen; R4 is hydrogen; and each R5 is independently selected from the group consisting of:
(1) hydrogen,
(2) halogen, and
(3) heteroaryl,
wherein each heteroaryl is unsubstituted or substitued with one, two, or three substituents selected from Rb;
or a pharmaceutically acceptable salt thereof.
20. A pharmaceutical composition comprising a compound of Claims 1 - 19, or a pharmaceutically acceptable salt thereof, and a pharmaceutically acceptable carrier.
21. The use of a compound according to Claims 1 - 19, or a pharmaceutically acceptable salt thereof, for the preparation of a medicament useful for the treatment of a disorder, condition, or disease that is responsive to the agonism of the G-protein-coupled receptor 40 in a mammal in need thereof.
22. The use of a compound of Claims 1 - 19, or a pharmaceutically acceptable salt thereof, for the manufacture of a medicament for the treatment of Type 2 diabetes.
23. A compound according to Claims 1 - 19, or a pharmaceutically acceptable salt thereof, for use in therapy.
24. A method of treating or preventing a disorder, condition or disease that is responsive to the agonism of the G-protein-coupled receptor 40 in a patient in need thereof comprising administration of a therapeutically effective amount of a compound according to Claims 1-19, or a pharmaceutically acceptable salt thereof.
25. A method of treating type 2 diabetes mellitus in a patient in need of treatment comprising the administration to the patient of a therapeutically effective amount of a compound of Claims 1-19, or a pharmaceutically acceptable salt thereof.
26. A pharmaceutical composition comprising
(1) a compound of Claims 1-19 or a pharmaceutically acceptable salt thereof;
(2) one or more compounds selected from the group consisting of :
(a) PPAR gamma agonists and partial agonists;
(b) biguanides;
(c) protein tyrosine phosphatase- IB (PTP- IB) inhibitors;
(d) dipeptidyl peptidase IV (DP-IV) inhibitors;
(e) insulin or an insulin mimetic;
(f) sulfonylureas;
(g) a-glucosidase inhibitors;
(h) agents which improve a patient's lipid profile, said agents being selected from the group consisting of (i) HMG-CoA reductase inhibitors, (ii) bile acid sequestrants, (iii) nicotinyl alcohol, nicotinic acid or a salt thereof, (iv) PPARa agonists, (v) cholesterol absorption inhibitors, (vi) acyl CoA:cholesterol acyltransferase (ACAT) inhibitors, (vii) CETP inhibitors, and (viii) phenolic anti-oxidants;
(i) PPARa/γ dual agonists,
(j) PPAR8 agonists,
(k) antiobesity compounds,
(1) ileal bile acid transporter inhibitors;
(m) anti-inflammatory agents;
(n) glucagon receptor antagonists;
(o) GLP-1 ;
(p) GIP-1 ;
(q) GLP-1 analogs;
(r) HSD-1 inhibitors;
(s) SGLT 1 inhibitors; and
(t) SGLT 2 inhibitors; and
(3) a pharmaceutically acceptable carrier.
27. A pharmaceutical composition comprising a compound according to Claims 1-19, or a pharmaceutically acceptable salt thereof, and a compound selected from simvastatin, ezetimibe and sitagliptin; and a pharmaceutically acceptable carrier.
Priority Applications (2)
| Application Number | Priority Date | Filing Date | Title |
|---|---|---|---|
| EP14868525.8A EP3076959B1 (en) | 2013-12-04 | 2014-12-01 | Antidiabetic bicyclic compounds |
| US15/034,189 US9957219B2 (en) | 2013-12-04 | 2014-12-01 | Antidiabetic bicyclic compounds |
Applications Claiming Priority (2)
| Application Number | Priority Date | Filing Date | Title |
|---|---|---|---|
| US201361911738P | 2013-12-04 | 2013-12-04 | |
| US61/911,738 | 2013-12-04 |
Publications (1)
| Publication Number | Publication Date |
|---|---|
| WO2015084692A1 true WO2015084692A1 (en) | 2015-06-11 |
Family
ID=53273996
Family Applications (1)
| Application Number | Title | Priority Date | Filing Date |
|---|---|---|---|
| PCT/US2014/067845 Ceased WO2015084692A1 (en) | 2013-12-04 | 2014-12-01 | Antidiabetic bicyclic compounds |
Country Status (3)
| Country | Link |
|---|---|
| US (1) | US9957219B2 (en) |
| EP (1) | EP3076959B1 (en) |
| WO (1) | WO2015084692A1 (en) |
Cited By (11)
| Publication number | Priority date | Publication date | Assignee | Title |
|---|---|---|---|---|
| US9957219B2 (en) | 2013-12-04 | 2018-05-01 | Merck Sharp & Dohme Corp. | Antidiabetic bicyclic compounds |
| US10710986B2 (en) | 2018-02-13 | 2020-07-14 | Gilead Sciences, Inc. | PD-1/PD-L1 inhibitors |
| US10774071B2 (en) | 2018-07-13 | 2020-09-15 | Gilead Sciences, Inc. | PD-1/PD-L1 inhibitors |
| US10899735B2 (en) | 2018-04-19 | 2021-01-26 | Gilead Sciences, Inc. | PD-1/PD-L1 inhibitors |
| US11225471B2 (en) | 2017-11-16 | 2022-01-18 | Merck Sharp & Dohme Corp. | Antidiabetic bicyclic compounds |
| US11236085B2 (en) | 2018-10-24 | 2022-02-01 | Gilead Sciences, Inc. | PD-1/PD-L1 inhibitors |
| US11279702B2 (en) | 2020-05-19 | 2022-03-22 | Kallyope, Inc. | AMPK activators |
| US11407768B2 (en) | 2020-06-26 | 2022-08-09 | Kallyope, Inc. | AMPK activators |
| US11512065B2 (en) | 2019-10-07 | 2022-11-29 | Kallyope, Inc. | GPR119 agonists |
| JP2023528713A (en) * | 2020-02-28 | 2023-07-06 | キャリーオペ,インク. | GPR40 agonist |
| US12264171B2 (en) | 2020-02-28 | 2025-04-01 | Kallyope, Inc. | GPR40 agonists |
Families Citing this family (3)
| Publication number | Priority date | Publication date | Assignee | Title |
|---|---|---|---|---|
| WO2019191624A1 (en) | 2018-03-29 | 2019-10-03 | Arbutus Biopharma, Inc. | Substituted 1,1'-biphenyl compounds, analogues thereof, and methods using same |
| US11524029B2 (en) | 2018-08-13 | 2022-12-13 | Viscera Labs, Inc. | Therapeutic composition and methods |
| US11590161B2 (en) | 2018-08-13 | 2023-02-28 | Viscera Labs, Inc. | Therapeutic composition and methods |
Citations (1)
| Publication number | Priority date | Publication date | Assignee | Title |
|---|---|---|---|---|
| US20070265332A1 (en) * | 2006-05-15 | 2007-11-15 | Min Ge | Antidiabetic bicyclic compounds |
Family Cites Families (62)
| Publication number | Priority date | Publication date | Assignee | Title |
|---|---|---|---|---|
| EP1535915A4 (en) | 2002-09-06 | 2005-10-05 | Takeda Pharmaceutical | FURANE OR THIOPHENE DERIVATIVE AND PHARMACEUTICAL USES THEREOF |
| US7960369B2 (en) | 2002-11-08 | 2011-06-14 | Takeda Pharmaceutical Company Limited | Receptor function regulator |
| US7834013B2 (en) | 2003-11-19 | 2010-11-16 | Glaxosmithkline Llc | Aminophenylcyclopropyl carboxylic acids and derivatives as agonists to GPR40 |
| US8008525B2 (en) | 2003-11-26 | 2011-08-30 | Takeda Pharmaceutical Company Limited | Receptor function regulating agent |
| TW200523247A (en) | 2003-12-25 | 2005-07-16 | Takeda Pharmaceutical | 3-(4-benzyloxyphenyl) propanoic acid derivatives |
| US7816367B2 (en) | 2004-02-27 | 2010-10-19 | Amgen Inc. | Compounds, pharmaceutical compositions and methods for use in treating metabolic disorders |
| US7786165B2 (en) | 2004-03-15 | 2010-08-31 | Takeda Pharmaceutical Company Limited | Aminophenylpropanoic acid derivative |
| EP1731505B1 (en) * | 2004-03-30 | 2015-01-14 | Takeda Pharmaceutical Company Limited | Alkoxyphenylpropanoic acid derivatives |
| US20080021069A1 (en) | 2004-10-08 | 2008-01-24 | Takeda Pharmaceutical Company Limited | Receptor Function Regulating Agent |
| US20080090865A1 (en) | 2005-01-28 | 2008-04-17 | Min Ge | Antidiabetic Bicyclic Compounds |
| AU2006210954A1 (en) | 2005-01-31 | 2006-08-10 | Merck & Co., Inc. | Antidiabetic bicyclic compounds |
| US7465804B2 (en) | 2005-05-20 | 2008-12-16 | Amgen Inc. | Compounds, pharmaceutical compositions and methods for their use in treating metabolic disorders |
| AU2006291234A1 (en) | 2005-09-14 | 2007-03-22 | Amgen Inc. | Conformationally constrained 3- (4-hydroxy-phenyl) - substituted-propanoic acids useful for treating metabolic disorders |
| MX2008011615A (en) | 2006-03-14 | 2008-09-22 | Amgen Inc | Bicyclic carboxylic acid derivatives useful for treating metabolic disorders. |
| TW200815377A (en) | 2006-04-24 | 2008-04-01 | Astellas Pharma Inc | Oxadiazolidinedione compound |
| DE102006021878A1 (en) | 2006-05-11 | 2007-11-15 | Sanofi-Aventis | Phenylamino-benzoxazole substituted carboxylic acids, process for their preparation and their use as medicaments |
| BRPI0711416A2 (en) | 2006-05-11 | 2011-11-01 | Sanofi Aventis | 4,5-diphenyl pyrimidinyl substituted carboxylic acids, process for their production and use as medicaments |
| DE102006021872B4 (en) | 2006-05-11 | 2008-04-17 | Sanofi-Aventis | 4,5-Diphenyl-pyrimidinyl-oxy or -mercapto substituted carboxylic acids, process for their preparation and their use as medicaments |
| DE102006021874B4 (en) | 2006-05-11 | 2008-03-27 | Sanofi-Aventis | 4,5-diphenyl-pyrimidinyl-amino substituted carboxylic acids, process for their preparation and their use as medicaments |
| ES2450081T3 (en) | 2006-06-27 | 2014-03-21 | Takeda Pharmaceutical Company Limited | Condensed cyclic compounds as modulators of the GPR40 receptor |
| CA2662242C (en) | 2006-09-07 | 2012-06-12 | Amgen Inc. | Benzo-fused compounds for use in treating metabolic disorders |
| AU2007293028B2 (en) | 2006-09-07 | 2012-05-31 | Amgen Inc. | Heterocyclic GPR40 modulators |
| JP2010508268A (en) | 2006-10-31 | 2010-03-18 | メルク エンド カムパニー インコーポレーテッド | Antidiabetic bicyclic compound |
| WO2008054674A2 (en) | 2006-10-31 | 2008-05-08 | Merck & Co., Inc. | Antidiabetic bicyclic compounds |
| TW200838526A (en) | 2006-12-01 | 2008-10-01 | Astellas Pharma Inc | Carboxylic acid derivatives |
| EP2139843B1 (en) | 2007-04-16 | 2013-12-25 | Amgen, Inc | Substituted biphenyl phenoxy-, thiophenyl- and aminophenylpropanoic acid gpr40 modulators |
| EP2151236A4 (en) | 2007-04-26 | 2013-01-16 | Japan Science & Tech Agency | G PROTEIN COUPLED RECEPTOR AGONIST |
| WO2009038204A1 (en) | 2007-09-17 | 2009-03-26 | Pharma Frontier Co., Ltd. | Novel long-chain fatty acid derivative compound and g-protein-coupled receptor agonist containing the compound as active ingredient |
| CN101796018A (en) | 2007-09-21 | 2010-08-04 | 塞诺菲-安万特股份有限公司 | (cyclopropylphenyl) phenyloxamides, their production and their use as medicaments |
| AU2008303976B9 (en) | 2007-09-21 | 2013-09-12 | Sanofi | (Carboxylalkylene-phenyl)-phenyl-oxalamides, method for the production thereof, and use of same as a medicament |
| US8030354B2 (en) | 2007-10-10 | 2011-10-04 | Amgen Inc. | Substituted biphenyl GPR40 modulators |
| JP2011016722A (en) | 2007-10-23 | 2011-01-27 | Astellas Pharma Inc | Thiazolidinedione compound |
| TW200932219A (en) | 2007-10-24 | 2009-08-01 | Astellas Pharma Inc | Oxadiazolidinedione compound |
| CL2008003153A1 (en) | 2007-10-26 | 2009-07-24 | Japan Tobacco Inc | Spiro-condensed compounds, gpr40 agonists: pharmaceutical composition comprising one of the compounds; and the use of the compounds in the preparation of medications for the treatment of diabetes, hyperglycemia, impaired fasting glucose tolerance, among others. |
| JP5542058B2 (en) | 2007-10-29 | 2014-07-09 | メルク・シャープ・アンド・ドーム・コーポレーション | Antidiabetic tricyclic compounds |
| CA2716352C (en) | 2008-03-06 | 2013-05-28 | Amgen Inc. | Conformationally constrained carboxylic acid derivatives useful for treating metabolic disorders |
| BRPI0917711A2 (en) | 2008-08-28 | 2017-06-20 | Astute Medical Inc | method for assessing renal status in a patient, and use of one or more markers of renal injury |
| MX2011003917A (en) | 2008-10-15 | 2011-05-31 | Amgen Inc | Spirocyclic gpr40 modulators. |
| AU2010206789A1 (en) | 2009-01-23 | 2011-07-28 | Merck Sharp & Dohme Corp. | Bridged and fused antidiabetic compounds |
| AU2010206783A1 (en) | 2009-01-23 | 2011-07-28 | Merck Sharp & Dohme Corp. | Pentafluorosulpholane-containing antidiabetic compounds |
| WO2010085525A1 (en) | 2009-01-23 | 2010-07-29 | Schering Corporation | Bridged and fused heterocyclic antidiabetic compounds |
| TW201040186A (en) | 2009-02-05 | 2010-11-16 | Schering Corp | Phthalazine-containing antidiabetic compounds |
| EP2423176A4 (en) | 2009-04-22 | 2012-11-07 | Astellas Pharma Inc | Carboxylic acid compound |
| JP2012136438A (en) | 2009-04-22 | 2012-07-19 | Astellas Pharma Inc | Tetrazole compound |
| WO2010143733A1 (en) | 2009-06-09 | 2010-12-16 | Takeda Pharmaceutical Company Limited | Novel fused cyclic compound and use thereof |
| JPWO2011052756A1 (en) | 2009-10-30 | 2013-03-21 | 持田製薬株式会社 | Novel 3-hydroxy-5-arylisoxazole derivatives |
| AR078948A1 (en) | 2009-11-30 | 2011-12-14 | Lilly Co Eli | SPYROPIPERIDINE COMPOUNDS, PHARMACEUTICAL COMPOSITION THAT INCLUDE IT AND ITS USE TO PREPARE A USEFUL MEDICINAL PRODUCT TO TREAT DIABETES |
| EP2595952B1 (en) | 2010-07-23 | 2020-11-18 | Connexios Life Sciences Pvt. Ltd. | Agonists of gpr40 |
| JP5975996B2 (en) | 2010-09-03 | 2016-08-23 | オーエムジー エレクトロニク ケミカルズ,エルエルシー | Electroless nickel alloy plating bath and method for depositing the same |
| JP5809157B2 (en) | 2010-10-08 | 2015-11-10 | 持田製薬株式会社 | Cyclic amide derivative |
| UY33758A (en) | 2010-12-01 | 2012-06-29 | Boehringer Ingelheim Int | INDANILOXIDIHIDROBENZOFURANILACETIC ACIDS |
| SG192645A1 (en) | 2011-02-17 | 2013-09-30 | Takeda Pharmaceutical | Production method of optically active dihydrobenzofuran derivative |
| TWI537262B (en) | 2011-08-17 | 2016-06-11 | 美國禮來大藥廠 | Novel 1,2,3,4-tetrahydroquinoline derivatives for the treatment of diabetes |
| CN103012343B (en) | 2011-09-26 | 2015-04-08 | 上海恒瑞医药有限公司 | Fused-ring derivative and preparation method thereof as well as application of fused-ring derivative in medicine |
| CN103030646B (en) | 2011-09-29 | 2016-08-24 | 上海恒瑞医药有限公司 | Benzodioxane analog derivative, its preparation method and in application pharmaceutically |
| WO2013102626A1 (en) | 2012-01-04 | 2013-07-11 | Sanofi | 3-[4-(phenylaminooxalylamino)phenyl]hex-4-ynoic acids, process for preparation thereof and use thereof as a medicament |
| JP2013147443A (en) * | 2012-01-18 | 2013-08-01 | Daiichi Sankyo Co Ltd | β-SUBSTITUTED CARBOXYLIC ACID DERIVATIVE |
| JP6121339B2 (en) | 2012-02-13 | 2017-04-26 | 武田薬品工業株式会社 | Aromatic ring compounds |
| WO2013122028A1 (en) | 2012-02-13 | 2013-08-22 | 武田薬品工業株式会社 | Aromatic ring compound |
| US20150072969A1 (en) | 2012-02-28 | 2015-03-12 | Piramal Enterprises Limited | Phenyl alkanoic acid derivatives as gpr agonists |
| US8642585B2 (en) | 2012-03-26 | 2014-02-04 | Boehringer Ingelheim International Gmbh | Indanyloxydihydrobenzofuranylacetic acids |
| EP3076959B1 (en) | 2013-12-04 | 2018-07-04 | Merck Sharp & Dohme Corp. | Antidiabetic bicyclic compounds |
-
2014
- 2014-12-01 EP EP14868525.8A patent/EP3076959B1/en active Active
- 2014-12-01 WO PCT/US2014/067845 patent/WO2015084692A1/en not_active Ceased
- 2014-12-01 US US15/034,189 patent/US9957219B2/en active Active
Patent Citations (1)
| Publication number | Priority date | Publication date | Assignee | Title |
|---|---|---|---|---|
| US20070265332A1 (en) * | 2006-05-15 | 2007-11-15 | Min Ge | Antidiabetic bicyclic compounds |
Non-Patent Citations (1)
| Title |
|---|
| "SCHEMBL1633343", 26 October 2006 (2006-10-26), XP055348607, Retrieved from the Internet <URL:https://pubchem.ncbi.nlm.nih.gov/compound/11403301#section>.entiredocument> [retrieved on 20150109] * |
Cited By (15)
| Publication number | Priority date | Publication date | Assignee | Title |
|---|---|---|---|---|
| US9957219B2 (en) | 2013-12-04 | 2018-05-01 | Merck Sharp & Dohme Corp. | Antidiabetic bicyclic compounds |
| US11225471B2 (en) | 2017-11-16 | 2022-01-18 | Merck Sharp & Dohme Corp. | Antidiabetic bicyclic compounds |
| US11555029B2 (en) | 2018-02-13 | 2023-01-17 | Gilead Sciences, Inc. | PD-1/PD-L1 inhibitors |
| US10710986B2 (en) | 2018-02-13 | 2020-07-14 | Gilead Sciences, Inc. | PD-1/PD-L1 inhibitors |
| US12338233B2 (en) | 2018-02-13 | 2025-06-24 | Gilead Sciences, Inc. | PD-1/Pd-L1 inhibitors |
| US10899735B2 (en) | 2018-04-19 | 2021-01-26 | Gilead Sciences, Inc. | PD-1/PD-L1 inhibitors |
| US12269812B2 (en) | 2018-07-13 | 2025-04-08 | Gilead Sciences, Inc. | PD-1/PD-L1 inhibitors |
| US10774071B2 (en) | 2018-07-13 | 2020-09-15 | Gilead Sciences, Inc. | PD-1/PD-L1 inhibitors |
| US11236085B2 (en) | 2018-10-24 | 2022-02-01 | Gilead Sciences, Inc. | PD-1/PD-L1 inhibitors |
| US11512065B2 (en) | 2019-10-07 | 2022-11-29 | Kallyope, Inc. | GPR119 agonists |
| JP2023528713A (en) * | 2020-02-28 | 2023-07-06 | キャリーオペ,インク. | GPR40 agonist |
| US12264171B2 (en) | 2020-02-28 | 2025-04-01 | Kallyope, Inc. | GPR40 agonists |
| US11279702B2 (en) | 2020-05-19 | 2022-03-22 | Kallyope, Inc. | AMPK activators |
| US11851429B2 (en) | 2020-05-19 | 2023-12-26 | Kallyope, Inc. | AMPK activators |
| US11407768B2 (en) | 2020-06-26 | 2022-08-09 | Kallyope, Inc. | AMPK activators |
Also Published As
| Publication number | Publication date |
|---|---|
| EP3076959A4 (en) | 2017-05-24 |
| US20160280626A1 (en) | 2016-09-29 |
| US9957219B2 (en) | 2018-05-01 |
| EP3076959A1 (en) | 2016-10-12 |
| EP3076959B1 (en) | 2018-07-04 |
Similar Documents
| Publication | Publication Date | Title |
|---|---|---|
| EP3102198B1 (en) | Antidiabetic compounds | |
| EP3076959B1 (en) | Antidiabetic bicyclic compounds | |
| EP2958562B1 (en) | Antidiabetic bicyclic compounds | |
| EP3055288B1 (en) | Antidiabetic tricyclic compounds | |
| AU2013296470B2 (en) | Antidiabetic tricyclic compounds | |
| US10676458B2 (en) | Antidiabetic bicyclic compounds | |
| US11072602B2 (en) | Antidiabetic heterocyclic compounds | |
| US10519115B2 (en) | Antidiabetic tricyclic compounds | |
| US10968232B2 (en) | Antidiabetic spirochroman compounds | |
| WO2014019186A1 (en) | Antidiabetic tricyclic compounds | |
| US11225471B2 (en) | Antidiabetic bicyclic compounds |
Legal Events
| Date | Code | Title | Description |
|---|---|---|---|
| 121 | Ep: the epo has been informed by wipo that ep was designated in this application |
Ref document number: 14868525 Country of ref document: EP Kind code of ref document: A1 |
|
| WWE | Wipo information: entry into national phase |
Ref document number: 15034189 Country of ref document: US |
|
| NENP | Non-entry into the national phase |
Ref country code: DE |
|
| REEP | Request for entry into the european phase |
Ref document number: 2014868525 Country of ref document: EP |
|
| WWE | Wipo information: entry into national phase |
Ref document number: 2014868525 Country of ref document: EP |































































