WO2015003001A1 - Methods for identifying supplements that increase gut colonization by an isolated bacterial species, and compositions derived therefrom - Google Patents
Methods for identifying supplements that increase gut colonization by an isolated bacterial species, and compositions derived therefrom Download PDFInfo
- Publication number
- WO2015003001A1 WO2015003001A1 PCT/US2014/045141 US2014045141W WO2015003001A1 WO 2015003001 A1 WO2015003001 A1 WO 2015003001A1 US 2014045141 W US2014045141 W US 2014045141W WO 2015003001 A1 WO2015003001 A1 WO 2015003001A1
- Authority
- WO
- WIPO (PCT)
- Prior art keywords
- diet
- subject
- nucleic acids
- species
- gut
- Prior art date
- Legal status (The legal status is an assumption and is not a legal conclusion. Google has not performed a legal analysis and makes no representation as to the accuracy of the status listed.)
- Ceased
Links
Classifications
-
- G—PHYSICS
- G01—MEASURING; TESTING
- G01N—INVESTIGATING OR ANALYSING MATERIALS BY DETERMINING THEIR CHEMICAL OR PHYSICAL PROPERTIES
- G01N33/00—Investigating or analysing materials by specific methods not covered by groups G01N1/00 - G01N31/00
- G01N33/48—Biological material, e.g. blood, urine; Haemocytometers
- G01N33/50—Chemical analysis of biological material, e.g. blood, urine; Testing involving biospecific ligand binding methods; Immunological testing
- G01N33/5005—Chemical analysis of biological material, e.g. blood, urine; Testing involving biospecific ligand binding methods; Immunological testing involving human or animal cells
- G01N33/5008—Chemical analysis of biological material, e.g. blood, urine; Testing involving biospecific ligand binding methods; Immunological testing involving human or animal cells for testing or evaluating the effect of chemical or biological compounds, e.g. drugs, cosmetics
- G01N33/502—Chemical analysis of biological material, e.g. blood, urine; Testing involving biospecific ligand binding methods; Immunological testing involving human or animal cells for testing or evaluating the effect of chemical or biological compounds, e.g. drugs, cosmetics for testing non-proliferative effects
- G01N33/5023—Chemical analysis of biological material, e.g. blood, urine; Testing involving biospecific ligand binding methods; Immunological testing involving human or animal cells for testing or evaluating the effect of chemical or biological compounds, e.g. drugs, cosmetics for testing non-proliferative effects on expression patterns
-
- A—HUMAN NECESSITIES
- A23—FOODS OR FOODSTUFFS; TREATMENT THEREOF, NOT COVERED BY OTHER CLASSES
- A23K—FODDER
- A23K10/00—Animal feeding-stuffs
- A23K10/10—Animal feeding-stuffs obtained by microbiological or biochemical processes
- A23K10/16—Addition of microorganisms or extracts thereof, e.g. single-cell proteins, to feeding-stuff compositions
- A23K10/18—Addition of microorganisms or extracts thereof, e.g. single-cell proteins, to feeding-stuff compositions of live microorganisms
-
- A—HUMAN NECESSITIES
- A23—FOODS OR FOODSTUFFS; TREATMENT THEREOF, NOT COVERED BY OTHER CLASSES
- A23K—FODDER
- A23K50/00—Feeding-stuffs specially adapted for particular animals
- A23K50/30—Feeding-stuffs specially adapted for particular animals for swines
-
- A—HUMAN NECESSITIES
- A23—FOODS OR FOODSTUFFS; TREATMENT THEREOF, NOT COVERED BY OTHER CLASSES
- A23K—FODDER
- A23K50/00—Feeding-stuffs specially adapted for particular animals
- A23K50/70—Feeding-stuffs specially adapted for particular animals for birds
- A23K50/75—Feeding-stuffs specially adapted for particular animals for birds for poultry
-
- A—HUMAN NECESSITIES
- A23—FOODS OR FOODSTUFFS; TREATMENT THEREOF, NOT COVERED BY OTHER CLASSES
- A23L—FOODS, FOODSTUFFS OR NON-ALCOHOLIC BEVERAGES, NOT OTHERWISE PROVIDED FOR; PREPARATION OR TREATMENT THEREOF
- A23L33/00—Modifying nutritive qualities of foods; Dietetic products; Preparation or treatment thereof
- A23L33/10—Modifying nutritive qualities of foods; Dietetic products; Preparation or treatment thereof using additives
- A23L33/135—Bacteria or derivatives thereof, e.g. probiotics
-
- A—HUMAN NECESSITIES
- A61—MEDICAL OR VETERINARY SCIENCE; HYGIENE
- A61K—PREPARATIONS FOR MEDICAL, DENTAL OR TOILETRY PURPOSES
- A61K35/00—Medicinal preparations containing materials or reaction products thereof with undetermined constitution
- A61K35/66—Microorganisms or materials therefrom
- A61K35/74—Bacteria
- A61K35/741—Probiotics
-
- C—CHEMISTRY; METALLURGY
- C12—BIOCHEMISTRY; BEER; SPIRITS; WINE; VINEGAR; MICROBIOLOGY; ENZYMOLOGY; MUTATION OR GENETIC ENGINEERING
- C12N—MICROORGANISMS OR ENZYMES; COMPOSITIONS THEREOF; PROPAGATING, PRESERVING, OR MAINTAINING MICROORGANISMS; MUTATION OR GENETIC ENGINEERING; CULTURE MEDIA
- C12N1/00—Microorganisms, e.g. protozoa; Compositions thereof; Processes of propagating, maintaining or preserving microorganisms or compositions thereof; Processes of preparing or isolating a composition containing a microorganism; Culture media therefor
- C12N1/20—Bacteria; Culture media therefor
-
- C—CHEMISTRY; METALLURGY
- C12—BIOCHEMISTRY; BEER; SPIRITS; WINE; VINEGAR; MICROBIOLOGY; ENZYMOLOGY; MUTATION OR GENETIC ENGINEERING
- C12Q—MEASURING OR TESTING PROCESSES INVOLVING ENZYMES, NUCLEIC ACIDS OR MICROORGANISMS; COMPOSITIONS OR TEST PAPERS THEREFOR; PROCESSES OF PREPARING SUCH COMPOSITIONS; CONDITION-RESPONSIVE CONTROL IN MICROBIOLOGICAL OR ENZYMOLOGICAL PROCESSES
- C12Q1/00—Measuring or testing processes involving enzymes, nucleic acids or microorganisms; Compositions therefor; Processes of preparing such compositions
- C12Q1/68—Measuring or testing processes involving enzymes, nucleic acids or microorganisms; Compositions therefor; Processes of preparing such compositions involving nucleic acids
- C12Q1/6876—Nucleic acid products used in the analysis of nucleic acids, e.g. primers or probes
-
- C—CHEMISTRY; METALLURGY
- C12—BIOCHEMISTRY; BEER; SPIRITS; WINE; VINEGAR; MICROBIOLOGY; ENZYMOLOGY; MUTATION OR GENETIC ENGINEERING
- C12Q—MEASURING OR TESTING PROCESSES INVOLVING ENZYMES, NUCLEIC ACIDS OR MICROORGANISMS; COMPOSITIONS OR TEST PAPERS THEREFOR; PROCESSES OF PREPARING SUCH COMPOSITIONS; CONDITION-RESPONSIVE CONTROL IN MICROBIOLOGICAL OR ENZYMOLOGICAL PROCESSES
- C12Q1/00—Measuring or testing processes involving enzymes, nucleic acids or microorganisms; Compositions therefor; Processes of preparing such compositions
- C12Q1/68—Measuring or testing processes involving enzymes, nucleic acids or microorganisms; Compositions therefor; Processes of preparing such compositions involving nucleic acids
- C12Q1/6876—Nucleic acid products used in the analysis of nucleic acids, e.g. primers or probes
- C12Q1/6888—Nucleic acid products used in the analysis of nucleic acids, e.g. primers or probes for detection or identification of organisms
-
- A—HUMAN NECESSITIES
- A61—MEDICAL OR VETERINARY SCIENCE; HYGIENE
- A61K—PREPARATIONS FOR MEDICAL, DENTAL OR TOILETRY PURPOSES
- A61K35/00—Medicinal preparations containing materials or reaction products thereof with undetermined constitution
- A61K2035/11—Medicinal preparations comprising living procariotic cells
- A61K2035/115—Probiotics
-
- C—CHEMISTRY; METALLURGY
- C12—BIOCHEMISTRY; BEER; SPIRITS; WINE; VINEGAR; MICROBIOLOGY; ENZYMOLOGY; MUTATION OR GENETIC ENGINEERING
- C12Q—MEASURING OR TESTING PROCESSES INVOLVING ENZYMES, NUCLEIC ACIDS OR MICROORGANISMS; COMPOSITIONS OR TEST PAPERS THEREFOR; PROCESSES OF PREPARING SUCH COMPOSITIONS; CONDITION-RESPONSIVE CONTROL IN MICROBIOLOGICAL OR ENZYMOLOGICAL PROCESSES
- C12Q2600/00—Oligonucleotides characterized by their use
- C12Q2600/124—Animal traits, i.e. production traits, including athletic performance or the like
-
- C—CHEMISTRY; METALLURGY
- C12—BIOCHEMISTRY; BEER; SPIRITS; WINE; VINEGAR; MICROBIOLOGY; ENZYMOLOGY; MUTATION OR GENETIC ENGINEERING
- C12Q—MEASURING OR TESTING PROCESSES INVOLVING ENZYMES, NUCLEIC ACIDS OR MICROORGANISMS; COMPOSITIONS OR TEST PAPERS THEREFOR; PROCESSES OF PREPARING SUCH COMPOSITIONS; CONDITION-RESPONSIVE CONTROL IN MICROBIOLOGICAL OR ENZYMOLOGICAL PROCESSES
- C12Q2600/00—Oligonucleotides characterized by their use
- C12Q2600/136—Screening for pharmacological compounds
Definitions
- the invention encompasses methods for identifying supplements that support growth of a bacterial strain in the gut of a subject, and compositions derived therefrom.
- One aspect of the invention encompasses a method for identifying a candidate dietary supplement, the method comprising: (a) identifying one or more nucleic acids expressed by one or more bacterial strains of the same bacterial species when the bacterial strain is in the gut of a subject, wherein the one or more nucleic acids are differntially expressed when the subject consumes a first diet, compared to a reference diet, and wherein the nucleic acids encode enzymes that degrade, modify or create glycosidic bonds; (b) defining in vitro growth of the one or more bacterial of the same bacterial species in a plurality of conditions, each condition corresponding to media supplemented with one or more polysaccharides; wherein defining in vitro growth comprises (i) identifying one or more poslysaccharides that support greater in vitro growth in supplemented medium compared to unsupplemented medium; and (ii) determining the in vitro expression level of a set of nucleic acids from step (a) when the one or more
- the method may further comprise determining if the candidate dietary supplement increases colonization of a subject by the one or more isolated bacterial strains of the same bacterial species following administration of a composition comprising the candidate dietary supplement and the one or more bacterial strains, as compared to a composition without the candidate supplement, wherein the subject is the same species as the subject in step (a).
- Another aspect of the invention encompasses a method for identifying a candidate dietary supplement, the method comprising:(a) identifying one or more nucleic acids expressed by one or more bacterial strains of the same bacterial species when the bacterial strain is in the gut of a subject, wherein the one or more nucleic acids are differentially expressed when the subject consumes a first diet, but not differentially expressed by a plurality of the same subject species administered a reference diet, and wherein the nucleic acids encode enzymes that degrade, modify or create glycosidic bonds; (b) defining in vitro growth of the bacterial species in a plurality of conditions, each condition corresponding to media supplemented with one or more polysaccharides; wherein defining in vitro growth comprises (i) identifying one or more poslysaccharides that support greater in vitro growth in supplemented conditions compared to unsupplemented conditions; and (ii) determining the in vitro expression level of a set of nucleic acids from step (a) when the
- the method may further comprise determining if the candidate dietary supplement increases colonization of a subject by the one or more isolated bacterial strains of the same bacterial species following administration of a composition comprising the candidate dietary supplement and the one or more bacterial strains, as compared to a composition without the candidate supplement, wherein the subject is the same species as the subject in step (a).
- Another aspect of the invention encompasses a method for increasing colonization of an isolated Bacteroides species into an existing microbial community in the gut of a subject, the method comprising administering to the subject a combination comprising an isolated Bacteroides strain and at least one carbohydrate that is preferentially utilized by the Bacteroides strain when grown in the gut of a reference subject consuming a diet that supports efficacious levels of colonization.
- Another aspect of the invention encompasses a combination comprising: (i) an effective amount of an isolated Bacteroides species selected from the group consisting of B. cellulosilyticus or a Bacteroides species that prioritizes utilization of carbohydrates in vivo in the gut of a subject the same way as B. cellulosilyticus WH2, and (ii) at least one supplement in an amount effective for increasing colonization of the isolated Bacteroides species into an existing microbial community in the gut of a subject when administered to the subject.
- compositions comprising at least 3, 4, 5, 6, or 7 bacterial species selected from the group consisting of
- Bacteroides cellulosilyticus Bacteroides cellulosilyticus, B. uniformis, B. vulgatus, B. thetaiotaomicron , B. caccae, Alistipes putredinis, and Parabacteroides merdae.
- FIG. 1 depicts the phylogenetic relatedness of B. cellulosilyticus WH2 to other Bacteroides species.
- A Near full length 16S rRNA gene sequences from the B. cellulosilyticus WH2 isolate, a number of its closest known relatives (two strains of Bacteroides xylanisolvens, three strains of Bacteroides intestinalis, and the type strain of B. cellulosilyticus), and Parabacteroides distasonis (the latter was included as an outgroup) were aligned against the SILVA SEED using the SINA aligner [65].
- FIG. 2 graphically depicts the representation of all putative GH families identified in the B. cellulosilyticus WH2 genome compared to their representation in other sequenced Bacteroidetes species. Enumeration of the GH repertoire of B.
- FIG. 3 illustratively depicts the design and sampling schedule for experiments Ei and E 2 .
- two groups of C57BL/6J germ-free mice were gavaged at 10-12 wk of age with a 12-member artificial human gut microbial community (the day of gavage, referred to as day 0, is denoted by a large black arrow).
- day 0 the day of gavage, referred to as day 0, is denoted by a large black arrow.
- animals were fed diets low in fat and high in plant polysaccharides (LF/HPP, bold green) or high in fat and simple sugar (HF/HS, bold orange) in alternating fashion.
- LF/HPP plant polysaccharides
- HF/HS bold orange
- Fecal pellets and cecal contents were collected as indicated for profiling community membership and gene expression (sample types are denoted by a circle's color and the methods applied to each sample are indicated in parentheses within the sample key). Values shown along the time course indicate the number of days since gavage of the artificial community into germ-free animals.
- FIG. 4 graphically depicts COPRO-Seq analysis of the structure of a 12- member artificial human gut microbial community as a function of diet and time.
- PCoA Principal coordinates analysis
- mice were switched between two different diets at 2 wk intervals as described in Figure 3.
- COPRO-Seq data from Ei and E 2 were ordinated in the same multidimensional space. For clarity, only data from E 2 are shown here (for the E-i PCoA plot, see Figure 6A). Red/blue, feces; pink/cyan, cecal contents.
- B-E Proportional abundance data from Ei illustrating the impact of diet on fecal levels of a diet-sensitive strain with higher representation on HF/HS chow (B; B. caccae), a diet- sensitive strain with higher representation an LF/HPP chow (D; B. ovatus), a diet- insensitive strain with no obvious diet preference (C; B.
- FIG. 5 graphically depicts COPRO-Seq analysis of the proportional representation of component taxa in the 12-member artificial community as a function of time after colonization of gnotobiotic mice and the diet they were consuming.
- A Average DNA yields from fecal and cecal samples collected from each treatment group in experiment E-i .
- B DNA yields from samples collected in experiment E 2 .
- C-N COPRO-Seq quantitation of the 12 bacterial species comprising the assemblage used to colonize germ-free mice in experiments E-i and E 2 .
- Vertical dashed lines at days 14 and 28 denote time points at which diets were switched. Panels (A-N) share a common key, provided in the upper right.
- Circles and triangles denote samples from experiments Ei and E 2 , respectively.
- Cecal sample data points obtained at sacrifice on day 42 of the experiment are plotted as for fecal sample data, but with inverted colors (i.e., colored outline, solid black fill).
- inverted colors i.e., colored outline, solid black fill.
- FIG. 6 depicts further COPRO-Seq analysis of the relative abundance of components of the 12-member bacterial community as a function of diet and time.
- A Plot of the ordination results for experiment 1 (E-i) from the PCoA described in Figure 4A. COPRO-Seq data from E-i and E 2 were ordinated in the same multidimensional space. For clarity, only data from Ei are shown (for the E 2 PCoA plot, see Figure 4A). Color code: red/blue, feces; pink/cyan, cecal contents.
- FIG. 7 graphically depicts GeneChip profiling of the cecal
- FIG. 8 depicts a list and graph of B. cellulosilyticus WH2 CAZyme expression in mice fed different diets.
- A Overview of the 50 most highly expressed B. cellulosilyticus WH2 CAZymes (GHs, GTs, PLs, and CEs) for samples from each diet treatment group.
- List position denotes the rank order of gene expression for each treatment group, with higher expression levels situated at the top of each list.
- Genes common to both lists are identified by a connecting line, with the slope of the line indicating the degree to which a CAZyme's prioritized expression is
- FIG. 9 depicts a heatmap of a top-down analysis of fecal microbiome RNA expression in mice receiving oscillating diets.
- the fecal metatranscriptomes of four animals in the LF/HPP ⁇ HF/HS ⁇ LF/HPP treatment group of E 2 were analyzed using microbial RNA-Seq at seven time points to evaluate the temporal progression of changes in expressed microbial community functions triggered by a change in diet.
- raw counts were collapsed by the functional annotation (EC number) of the gene from which the corresponding reads originated.
- FIG. 10 graphically depicts the in vivo expression of EC 3.2.1 .8 (endo- 1 ,4" -xylanase).
- A Gene expression in E 2 fecal samples was evaluated by microbial RNA-Seq.
- cellulosilyticus WH2 genes account for >99% of community-normalized RNA-Seq counts assignable to EC 3.2.1 .8 (note how counts at the community level in panel (A) compare to those attributable to B. cellulosilyticus WH2 in panel (B)).
- cellulosilyticus WH2 essentially dictates the degree to which expressed endo-1 ,4- ⁇ - xylanase genes are represented within the metatranscriptome.
- C B. cellulosilyticus WH2 contributes a greater number of community-normalized RNA-Seq counts to the metatranscriptome in LF/HPP-fed mice than in HF/HS-fed animals.
- D When B.
- FIG. 11 graphically depicts shotgun metaproteomic analysis of cecal samples from gnotobiotic mice colonized with the 12-member artificial community.
- A Each species' theoretical proteome was subjected to in silico trypsin ization (see
- C-G Scatter plots illustrating the Pearson correlation coefficient (r) between log transformed averages of diet specific fold differences in expression as determined by GeneChip assay (RNA, x axis) and LC- MS/MS (protein, y axis) in E ⁇
- Data points within the black scatter plot (C) represent the 448 B. cellulosilyticus WH2 genes for which reliable quantitative data could be obtained for animals in both diet treatment groups for both the GeneChip and LC-MS/MS assays (i.e., any gene for which a signal could not be detected on at least one diet treatment in at least one assay was excluded).
- FIG. 12 depicts two xylanase-containing B. cellulosilyticus WH2 PULs demonstrating strong diet-specific expression patterns in vivo.
- the PUL spanning BWH2_4044-55 includes a four-gene cassette comprising two consecutive susC/D pairs, multiple genes encoding GHs and CEs, and a gene encoding a putative hybrid two-component system (HTCS) presumed to play a role in the regulation of this locus.
- GH10 enzymes are endo-xylanases (most often endo- ⁇ -1 ,4-xylanases), while some GH5 and GH8 enzymes are also known to have endo- or exo-xylanase activity.
- CE6 enzymes are acetyl xylan esterases, as are some members of the CE1 family.
- a second PUL spanning BWH2_4072-6 contains a susC/D cassette, an endo-xylanase with dual GH10 modules as well as dual carbohydrate (xylan) binding modules (CBM22), a hypothetical protein of unknown function, and a putative HTCS.
- B Heatmap
- FIG. 13 depicts in vitro microbial RNA-Seq profiling of B. cellulosilyticus WH2 during growth on different carbohydrates.
- MM-GIc minimal medium plus glucose
- Yellow boxes denote areas of the map where both genes in a susC/D pair were upregulated >100-fold for at least two of the replicates in a treatment group and where the average upregulation for each gene in the pair was >100-fold across all replicates of the treatment group.
- Two sets of columns to the right of the heatmap indicate PULs that were detectably expressed at the mRNA level (left set of columns) and/or protein level (right set of columns) in experiment 1 (E-i ).
- Red and black circles indicate that both genes in a susC/D pair were consistently expressed on a particular diet, as determined by GeneChip analysis of cecal RNA (>5 of 7 animals assayed) or LC-MS/MS analysis of cecal protein (2 of 2 animals assayed). In both cases, a red circle denotes significantly higher expression on one diet compared to the other.
- FIG. 14 graphically depicts reliable replication of human donor
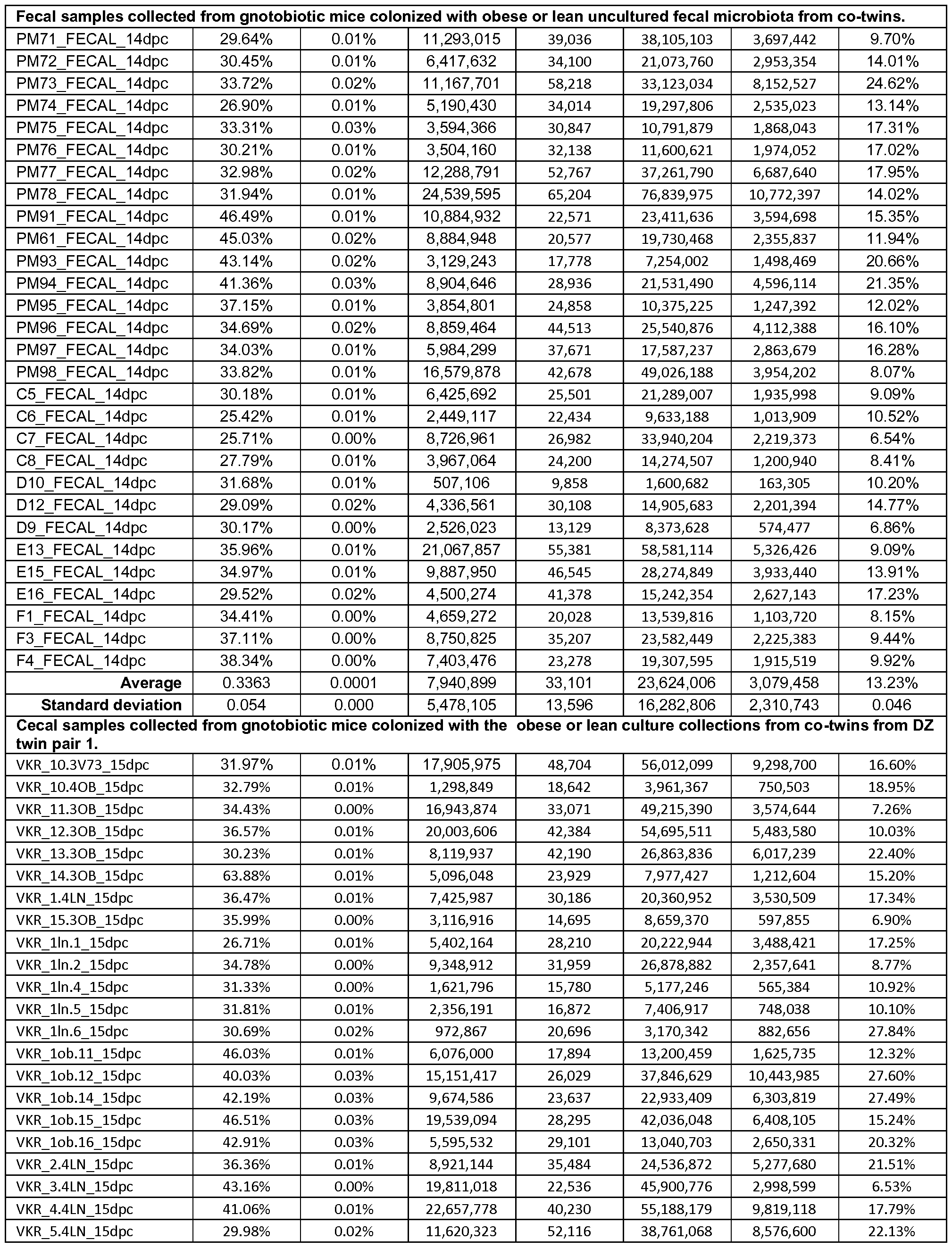
- FIG. 15 graphically depicts transplantation of an intact uncultured fecal microbiota from an obese or a lean co-twin donor from a twin pair stably discordant for obesity is reproducible within a group of recipient gnotobiotic mice. Data in A-D are from all four discordant twin pairs.
- A Transplantation of fecal microbiota from human donors to recipient mice captures interpersonal differences. Mean values ⁇ SEM for pairwise unweighted UniFrac distance measurements are plotted.
- 'Self-Self comparison same mouse sampled at different time points within a given experiment; 'Mouse-Mouse (same human donor)', mice colonized with the same human donor's fecal microbiota sample (3-8 mice/donor; 1 -5 independent experiments/donor sample); 'Mouse-Fecal microbiota from human donor', comparison of fecal bacterial communities in a recipient group of mice versus their human donor's microbiota; 'Mouse-Fecal sample from unrelated humans', comparison of fecal microbiota from recipients of given donor's microbiota compared to the fecal microbiota of all other unrelated individuals (across twin pair comparison; this latter analysis involved two fecal samples obtained two months apart for each individual in each twin pair).
- C Principal coordinates analysis (PCoA), based on a weighted UniFrac distance metric, of samples collected along the length of the gut from mice humanized with a fecal sample obtained from lean or obese co-twins.
- D Comparison of communities along the length of the gut based on their positioning along principal component 1 of the ordination plot (PC1 explains 39% of the variation). The same letter indicates that the indicated intestinal segments exhibited no significant differences in the overall phylogenetic structures of their microbiota.
- FIG. 16 graphically depicts correlation between the representation of genes with assigned KEGG EC annotations in each human donor's microbiome and their representation in the cecal microbiomes of the corresponding gnotobiotic mouse transplant recipients.
- Each circle represents an EC.
- FIG. 17 depicts via illustration the KEGG pathway maps of ECs whose representation was significantly different in the fecal metatranscriptomes of mice with transplanted intact uncultured fecal microbial communities from obese versus lean co- twins.
- A-C KEGG 'Valine, Leucine, and Isoleucine Biosynthesis' and 'Degradation' pathway.
- D KEGG 'Pentose Phosphate Pathway'.
- E Overview of carbohydrate fermentation.
- F KEGG pathway 'Pyruvate Fermentation to Butyrate'.
- Red indicates that the expressed ECs or metabolites were significantly enriched in the fecal metatranscriptomes of mice that received fecal microbiomes from obese twins compared to the fecal metatranscriptomes of mice that had received fecal microbiomes from their lean co-twin siblings.
- Red indicates expressed ECs or metabolites that were significantly enriched in the fecal metatranschptomes of recipients of lean co-twin microbiomes. All ECs highlighted in Red or Blue were differentially expressed by transplanted microbiomes from at least two of the four discordant twin pairs.
- FIG. 18 graphically depicts metabolites with significant differences in their levels in the ceca of gnotobiotic recipients of obese compared to lean co-twin fecal microbiota transplants.
- A Cellobiose and 'maltose or a similar disaccharide' levels measured by nontargeted GC/MS.
- B Targeted GC/MS of cecal SCFA. * , p ⁇ 0.05; ** , p ⁇ 0.01 (two-tailed unpaired Student's t-test).
- FIG. 19 depicts via illustration the comparison of bacterial 16S rRNA, microbial RNA-Seq and nontargeted GC/MS datasets from recipients of microbiome transplants from discordant DZ pair 1 and discordant MZ pair 4.
- FIG. 20 depicts via graphs and illustration the transplantation of culture collections from the fecal microbiota of co-twins in DZ pair 1 is reproducible within a recipient group of mice and captures interpersonal differences between donors.
- A Assembly of bacterial communities in mice that had received intact uncultured human fecal communities or the corresponding culture collections. PCoA plot based on unweighted UniFrac distance matrix and 97% ID OTUs in sampled fecal communities. Circles correspond to a single mouse fecal sample obtained at a given time point from a given recipient animal. Unfilled circles represent results obtained from transplantation of intact uncultured communities. Filled circles represent data generated from mice receiving the same donor's culture collection.
- 'Self-Self same mouse sampled at different time points within a given experiment
- 'Mouse-Mouse' mice colonized with a given donor's fecal microbiota (either intact uncultured sample or the culture collection; 3-8 mice/community type/donor)
- 'Mouse- Fecal microbiota from human donor' comparison of the fecal microbiota of transplant recipients versus the human donor's microbiota
- 'Mouse-Fecal microbiota from unrelated humans' comparison of fecal microbiota from recipients of given donor's microbiota compared to the fecal microbiota of all other unrelated individuals (across twin pair comparison; this latter analysis involved 2 fecal samples obtained two months apart from each individual in each twin pair).
- FIG. 21 depicts via illustration, graph and heatmap that cohousing Ob ch and Ln ch mice transforms the adiposity phenotype of cage mates harboring the obese co-twin's culture collection to a lean-like state.
- A Design of cohousing experiment: 8- week-old, male, germ-free C57BL/6J mice received culture collections from the lean (Ln) twin or the obese (Ob) co-twin in DZ twin pair 1 .
- SourceTracker-based estimates of the proportion of bacterial taxa in a given community that are derived from a cage mate For Ob ch -Ln ch cohousing experiments, Ob ch or Ln ch microbiota were designated as sink communities, whereas the gut microbiota Ob-Ob or Ln-Ln controls (at 5 dpc) were considered source communities. Red indicates species derived from the Ln ch gut microbial community. Blue denotes species derived from the Ob ch microbiota. Black denotes unspecified source (i.e., both communities have this species), whereas orange indicates an uncertain classification by the SourceTracker algorithm. An asterisk placed next to a species indicates that it is a successful invader as defined in the text.
- Average relative abundance (RA) in the fecal microbiota is shown before cohousing (b, at 5 dpc) and after cohousing (a, at 15 dpc).
- the average fold-change (fc) in relative abundance for a given taxon, for all time points before and after cohousing is shown (excluding the first 2 days immediately after gavage of the microbiota and immediately after initiation of cohousing).
- FIG. 22 graphically depicts differences in biomass between fecal samples collected from mice colonized with the cultured microbiota from DZ twin pair 1 , discordant for obesity.
- Biomass was defined as ng DNA mg wet weight of fecal samples obtained from gnotobiotic mouse recipients of cultured communities prepared from the microbiota of lean (red lines) and obese (blue lines) co-twin donors.
- A Ln and Ob controls.
- B Ob ch versus Ob and Ln controls
- C Ln ch versus Ln and Ob controls
- D Ln39 ch versus Ob and Ln controls.
- FIG. 23 depicts via heatmap the metabolic profiles generated by nontargeted GC/MS of cecal contents from co-housed mice containing Ln or Ob culture collections and fed a LF/HPP diet. Profiles were subjected to unsupervised hierarchical clustering (Euclidean distance matrix). The heatmap color code shown at the bottom of the panel denotes the relative abundance of a given metabolite normalized across each row. Where groups of co-eluting isomers with similar mass spectra are known to occur, the annotation shown is for the metabolite presumed to be dominant or most likely (e.g., glucose).
- FIG. 24 graphically depicts co-housing gnotobiotic mice fed a LF/HPP diet colonized with the lean co-twin's culture collection transforms the gut community structure of cagemates colonized with her obese co-twin's culture collection to a leanlike state.
- A-D Effect of co-housing on fecal bacterial community structure. Shown are plots of principal coordinate (PC) 1 representing 1 1 % of variance in the dataset, versus time (days post colonization, dpc).
- the PCoA is based on unweighted UniFrac distance matrix of community 97% ID OTU composition.
- Each circle represents a microbial community collected from a given mouse at the indicated time point.
- FIG. 25 graphically depicts distribution of invasion scores for the Ob ch microbiota is affected by diet. Histogram of the distribution of invasion scores for dually- housed Ob-Ob controls, or co-housed Ob ch animals that were subjected to five different diet-by-microbiota combinations: (A) mice colonized with the Ob culture collection from DZ twin pair 1 co-housed with Ln or (B) Ln39 mice and fed a LF/HPP diet; (C) mice colonized with the DZ twin pair 1 Ob culture collection and co-housed with Ln
- mice colonized with the intact uncultured fecal microbiota from the obese co-twin in DZ twin pair 2 and co-housed with mice colonized with the intact uncultured fecal microbiota from their lean co-twin and fed a LoSF/HiFV diet or
- mice the HiSF/LoFV diet.
- the x-axis shows the invasion scores computed for all gut bacterial taxa observed in members of a given treatment group.
- the y-axis indicates the number of times (counts) that a particular invasion score was observed in that treatment group.
- FIG. 26 depicts via heatmap that SourceTracker demonstrates the specificity of invasion at the level of 97% ID OTUs in co-housed Ln, Ob, and GF mice consuming the LF/HPP diet.
- Each row represents a 97% ID OTU assigned to the species indicated at the top of each panel.
- OTU identification numbers are provided at the end of each row for reference, dpc, days post colonization.
- the direction of invasion of OTUs belonging to (A) Bacteroides cellulosilyticus, (B) Bacteroides uniformis, and (C) Bacteroides thetaiotaomicron is shown (all from Ln ch to Ob ch ). [0039] FIG.
- Red lines and red symbols represent mice consuming a LF/HPP diet that were originally colonized with a culture collection from the lean co-twin in DZ pair 1 (Ln).
- Blue lines and blue symbols represent mice that received a culture collection from her obese co-twin (Ob).
- Closed symbols represent dually-housed Ln-Ln or Ob-Ob controls.
- Open symbols represent co-housed Ob ch and Ln ch cagemates.
- Light green lines represent the number of shared 97% ID OTUs, or branch length, in panels B-E.
- A Net Relatedness Index
- B number of 97% ID OTUs and (C) branch length were calculated for Ln and Ob controls.
- Ln-Ln controls Unlike with Ob-Ob controls, the NRI for Ln-Ln controls was significantly different from zero for the duration of the experiment, suggesting a non-random phylogenetic over-dispersion of their community (p ⁇ 0.05, one-sample t-test). Moreover, Ln-Ln and Ob-Ob controls had significantly different NRI scores (p ⁇ 0.05; significant interaction by two-way ANOVA with Dunnett's correction for multiple hypothesis). In addition, Ln-Ln controls had significantly greater number of 97% ID OTUs and branch length than Ob-Ob controls (p ⁇ 0.05; two-way ANOVA with
- FIG. 28 graphically depicts global changes in the cecal meta- transcriptomes of Ob ch animals fed the LF/HPP diet.
- Cecal samples collected at the time of sacrifice from Ln ch , Ob ch and control animals were subjected to microbial RNA-Seq.
- a total of 23,032,985 ⁇ 16,990,559 reads/sample (mean ⁇ SD) were mapped to the sequenced genomes of 148 bacterial taxa isolated from the human gut: 16.3 ⁇ 6.5% (mean ⁇ SD) of the reads mapped to known or predicted proteins in these genomes; 60.1 ⁇ 1 .3 % of these mapped reads were assigned to ECs (KEGG version 58).
- Euclidian distances were calculated using reads that mapped to ECs. Distances between the indicated comparisons that are significantly dissimilar to the distances between reference co-housed Ob-Ob controls are indicated with asterisks ( ** p ⁇ 0.001 , as measured by a one-way ANOVA, with Holm-Sidak's correction for multiple
- FIG. 29 depicts via heatmap and graph the effect of cohousing on metabolic profiles in mice consuming the LF-HPP diet.
- A Spearman's correlation analysis of cecal metabolites and cecal bacterial species-level taxa in samples collected from Ob ch , Ln ch , GF ch , Ln39 ch , and Ob chLn39 cage mates and from Ob-Ob and Ln-Ln controls (correlations with P ⁇ 0.0001 are shown). Taxonomic assignments were made using a modified taxonomy from the National Center for Biotechnology Information (U.S. National Institutes of Health) (23).
- Bacterial species and cecal metabolites enriched in animals colonized with either the Ln or Ob culture collections are colored red and blue, respectively.
- An asterisk in the colored box indicates that that a taxon or metabolite is significantly enriched in mice colonized with Ln (red) or Ob (blue) culture collections.
- Bacterial species colored red denote significant invaders from Ln ch mouse into the gut microbiota of Ob ch cage mates.
- FIG. 30 depicts via illustration, graph and heatmap the co-housing experiment involving mice colonized with the obese co-twin's culture collection and mice colonized with a consortium of 39 sequenced bacterial taxa from an arrayed culture collection generated from the lean co-twin. Mice were fed the LF/HPP diet.
- (A) 'Reference controls' consisted of co-housed Ln-Ln, Ob-Ob animals, while the experimental group consisted of Ob mice co-housed with mice that had received a consortium of 39 strains from the clonally-arrayed, taxonomically defined Ln culture collection (Ln39) (n 5 cages/experiment; 2 independent experiments).
- FIG. 31 depicts via graph and heatmap the effects of NHANES-based LoSF-HiFV and HiSF-LoFV diets on bacterial invasion, body mass and metabolic phenotypes.
- a and B Mean ⁇ SEM percent changes in total body mass (A) and body composition [fat and lean body mass, normalized to initial body mass on day 4 after gavage (B)] occurring between 4 and 14 days after colonization with culture collections from the Ln or Ob co-twin in DZ pair 1 .
- Ob- Ob controls have greater lean body mass than Ln-Ln controls, but this phenotype is not rescued in Ob ch animals (see table 28 for statistics).
- the HiSF-LoFV diet produces a significantly greater increase in body mass, specifically fat mass, in mice harboring the lean co-twins' microbiota (Ln-Ln and Ln ch ) with when they are fed the LoSF-HiFV diet [see (A), (B) versus (D), and (E); two- way ANOVA with Holm- Sidak's correction for multiple hypotheses].
- FIG. 32 depicts via heatmap the invasion analysis of species-level taxa in Ob ch or Ln ch mice fed the NHANES-based LoSF-HiFV diet.
- Red indicates species derived from the Ln ch gut microbial community.
- Blue denotes species derived from the Ob ch microbiota.
- the mean relative abundance of each species-level taxon before (b: 3 and 4 dpc) and after (a: 8, 10 and 14 dpc) cohousing is noted.
- Fold-change (fc) in relative abundance of taxa before and after colonization see legend to Fig. 21 E).
- An asterisk ( * ) denotes bacterial species that satisfy our criteria for classification as successful invaders (see text).
- FIG. 33 graphically depicts co-housing gnotobiotic mice fed the
- NHANES-based LoSF/HiFV diet that are colonized with the lean co-twin's culture collection transforms the gut community structure of cagemates colonized with her obese co-twin's culture collection to a lean-like state.
- A-C Effect of co-housing on fecal bacterial community structure.
- PC principal coordinate
- the plot was generated using an unweighted UniFrac distance matrix of community 97% ID OTU composition.
- Each circle represents a microbial community collected from a given mouse sampled at the indicated time point. Colors and symbols describe the culture collection initially introduced into gnotobiotic mouse recipients.
- FIG. 34 depicts via heatmap acylcarnitine profiles of liver samples collected from mice colonized with the culture collections from Ln or Ob co-twins from DZ twin pair 1 and fed either the LF/HPP or LoSF/HiFV diets.
- Each column represents a different animal and each row a different acylcarnitine.
- the identities and levels of these acylcarnitines were determined by targeted MS/MS (see table 29 for mean values ⁇ SEM for each treatment group). * p ⁇ 0.05.
- a two-way ANOVA with Holm-Sidak's correction was used to calculate whether the level of each acylcarnitine was significantly different between Ob-Ob versus Ln-Ln, Ln ch or Ob ch animals. * p ⁇ 0.05.
- FIG. 35 depicts via heatmap acylcarnitine profile in the skeletal muscle of mice colonized with the Ob or Ln culture collections from DZ twin pair 1 and fed the LoSF-HiFV diet.
- Each column represents a different animal and each row a different acylcarnitine.
- the identities and levels of these acylcarnitines were determined by targeted MS/MS (see table 29 for mean values ⁇ SEM for each treatment group).
- a two-way ANOVA with Holm-Sidak's correction was used to calculate whether the level of each acylcarnitine was significantly different between Ob-Ob and Ln-Ln, Ln ch , or Ob ch animals. * P ⁇ 0.05.
- FIG. 36 depicts via heatmap invasion analysis from co-housing experiments involving mice with either the obese or lean co-twin's uncultured fecal microbiota from DZ twin pair 2 and fed one of two NHANES-based diets.
- Invasion analysis of species-level taxa was based on log odds ratio between species belonging to Ob ch or Ln ch mice before and after co-housing. Red denotes invasive species-level bacterial taxa originating from Ln ch cagemates, while blue indicates invasive species- level taxa originating from Ob ch animals.
- FIG. 37 depicts the design and results of an experiment that shows administering arabinoxylan to animals fed a diet low in plant polysaccharides boosts the relative abundance of B. cellulosilyticus WH2 specifically.
- A Experimental design and sampling schedule.
- mice Four groups of C57BL/6J germ-free mice were gavaged at 9-10 weeks of age (day 0, black arrow) with a 15-member artificial human gut microbial community (Bacteroides caccae ATCC43185T, Bacteroides thetaiotaomicron VPI 5482, Bacteroides thetaiotaomicron 7330, Bacteroides ovatus ATCC 8483T, Bacteroides uniformis ATCC 8492, Bacteroides cellulosilyticus WH2, Bacteroides vulgatus ATCC 8482, Parabacteroides distasonis ATCC 8503, Eubacterium rectale ATCC 33656, Clostridium scindens ATCC 35704, Clostridium symbiosum ATCC 14940,
- Applicants have discovered that colonization of an existing gut microbial community is diet dependent. This means that an isolated bacterial strain's ability to colonize an existing gut microbial community, after being administered to the subject, may depend, in part, on the diet the subject is consuming. In order to systematically and accurately identify a dietary component that supports or promotes colonization of an administered bacterial stain, Applicants have developed the methods disclosed herein. Methods and compositions of the invention are described in more detail below.
- the present invention provides a method for identifying a candidate dietary supplement, the method comprising: (a) identifying one or more nucleic acids expressed by one or more bacterial strains of the same bacterial species when the bacterial strain is in the gut of a subject, wherein the one or more nucleic acids are differentially expressed when the subject consumes a first diet, compared to a reference diet, and wherein the nucleic acids encode enzymes that degrade, modify or create glycosidic bonds; (b) defining in vitro growth of the one or more bacterial strain of the same bacterial species in a plurality of conditions, each condition corresponding to media supplemented with one or more polysaccharides; wherein defining in vitro growth comprises (i) identifying one or more poslysaccharides that support greater in vitro growth in supplemented medium compared to
- step (ii) determining the in vitro expression level of a set of nucleic acids from step (a) when the one or more bacterial strains are grown in vitro in medium supplement with a polysaccharide identified in step (b)(i) and in
- step (c) selecting at least one candidate dietary supplement comprising a polysaccharide from step (b)(i) that resulted in a statistically significant increase in expression of one or more nucleic acids from (b)(ii), compared to the unsupplemented medium.
- the method may further comprise confirming the candidate dietary supplement increases colonization of the isolated bacterial strain into a microbial community in the gut of a subject in need thereof, wherein the subject in need thereof is the same species as the subject in step (a).
- the method may further comprise determining if the candidate dietary supplement increases colonization of a subject by the one or more isolated bacterial strains of the same bacterial species following administration of a composition comprising the candidate dietary supplement and the one or more bacterial strains, as compared to a composition without the candidate supplement, wherein the subject is the same species as the subject in step (a).
- Another aspect of the invention encompasses a method for identifying a candidate dietary supplement, the method comprising:(a) identifying one or more nucleic acids expressed by one or more bacterial strains of the same bacterial species when the bacterial strain is in the gut of a subject, wherein the one or more nucleic acids are differentially expressed when the subject consumes a first diet, but not differentially expressed by a plurality of the same subject species administered a reference diet, and wherein the nucleic acids encode enzymes that degrade, modify or create glycosidic bonds; (b) defining in vitro growth of the bacterial species in a plurality of conditions, each condition corresponding to media supplemented with one or more polysaccharides; wherein defining in vitro growth comprises (i) identifying one or more poslysaccharides that support greater in vitro growth in supplemented conditions compared to unsupplemented conditions; and (ii) determining the in vitro expression level of a set of nucleic acids from step (a) when the
- the method may further comprise determining if the candidate dietary supplement increases colonization of a subject by the one or more isolated bacterial strains of the same bacterial species following administration of a composition comprising the candidate dietary supplement and the one or more bacterial strains, as compared to a composition without the candidate supplement, wherein the subject is the same species as the subject in step (a).
- the present invention provides methods for increasing the colonization of a Bacteroides strain into an existing microbial community in the gut of a subject.
- the present invention provides combinations of isolated Bacteroides species and at least one supplement.
- the present invention provides a combination of at least three bacterial species selected from the group consisting of Bacteroides cellulosilyticus, B. uniformis, B. vulgatus, B. thetaiotaomicron , B. caccae, Alistipes putredinis, and Parabacteroides merdae.
- the present invention provides a combination of at least four bacterial species selected from the group consisting of Bacteroides cellulosilyticus, B. uniformis, B. vulgatus, B. thetaiotaomicron, B. caccae, Alistipes putredinis, and Parabacteroides merdae.
- gut microbial community and "gut microbiota”, as used herein, are interchangeable and refer to microbes that have colonized and inhabit the gastrointestinal tract of a subject.
- a subject's gut microbiota may be naturally acquired or artificially established.
- Means by which a subject naturally acquires its gut microbiota are well known. Such examples may include, but are not limited to, exposure during birth, environmental exposure, consumption of foods, and coprophagy.
- Means by which a subject's gut microbiota may be artificially established are also well known. For example, artificially established gut microbial communities can be established in gnotobiotic animals by inoculating an animal with a defined or undefined consortium of microbes.
- a naturally acquired gut microbiota is comprised of both culturable and unculturable components.
- An artificially acquired gut microbiota may be similarly comprised of both culturable and unculturable components, or may consist of only culturable components.
- the phrase "culturable components" refers to the bacteria comprising the gut microbiota that may be cultured in vitro using techniques known in the art.
- the phrase "unculturable components” refers to the bacteria comprising the gut microbiota for which the proper in vitro culturing conditions may not yet have been identified. Culture collections of gut microbial communities are described in detail in PCT/US2012/028600, incorporated herein in its entirety by reference.
- a subject's existing gut microbiota may also be modified or manipulated, for example, by administering one or more isolated bacterial species, dietary supplements, or changing the subject's diet.
- colonize and invade are interchangeable and refer to establishment, without regard to the presence or absence of an existing microbial community.
- a bacterial species may colonize the intestinal tract of both a gnotobiotic animal and an animal with an existing gut microbiota.
- colonizing bacterial species function within the existing microbiota and the colonizing bacterial species may or may not already be present in the existing microbiota.
- Colonization may be identified by an increase in the absolute and/or proportional representation of the microbe. Methods for measuring absolute and/or proportional representation of a microbe are described in detail below.
- subject refers to any animal, and in particular, an animal with a gut microbiome or capable of supporting a gut microbiome.
- An animal capable of supporting a gut microbiome includes a germ-free animal.
- Preferred subjects include, but are not limited to, animals with a monogastric digestive system, animals with a ruminant digestive system, animals with an avian digestive system, and fish. Included within the definition of monogastric animal are hind-gut fermenters.
- monogastric animals may include cats, dogs, horses, humans, non-human primates, swine, rabbits, and rodents.
- Suitable swine include, but are not limited to, pigs or hogs.
- Non-limiting examples of avians may include poultry. Suitable poultry include, but are not limited to chickens, geese, ducks, turkeys, quail, Guinea fowl and squab.
- Non-limiting examples of ruminants include cattle, deer, goat, sheep, llama, alpaca, yaks, reindeer, and caribou.
- Non-limiting examples of fish may include salmonids, tilapia, catfish, sea bass, bream, tuna, mollusks, and crustaceans.
- Suitable salmonids include, but are not limited to, salmon, steelhead, and carp.
- Suitable mollusks include, but are not limited to, mussels, clams, oysters, and scallops.
- Suitable crustaceans include, but are not limited to, shrimp, prawns, crayfish, lobsters, and crabs.
- a subject is a production animal.
- germ-free animals are gnotobiotic.
- Germ-free animals are born and maintained in aseptic conditions and therefore are born “germ-free", lacking a gut microbiota.
- conventionally raised refers to an animal that is conventionally born and therefore contains an existing gut microbiota.
- Conventionalized animals are those born germ-free and colonized with material from a conventionally-raised animal.
- the phrase "diet that supports colonization”, as used herein, refers to a diet consumed by a subject that results in greater colonization of the microbe in question.
- a diet that supports colonization will result in an increase in the relative and/or absolute abundance of the isolated bacterial strain(s) that is administered.
- the fold change in relative and/or absolute abundance may be increased about 0.001 - 0.01 , about 0.01 -0.1 , about 0.1 -1 , about 1 -2, about 2-5, about 3-6, about 4-7, about 5-8, about 6-9, or about 7-10.
- a diet that supports efficacious levels of colonization may result in at least a 2-fold increase in relative and/or absolute abundance of one or more bacoterial strains compared to a diet that does not support colonization. In other embodiments, a diet that supports efficacious levels of colonization may result in at least a 5-fold increase in relative and/or absolute abundance of one or more bacterial strain compared to a diet that does not support colonization. In certain embodiments, a diet that supports colonization may also support efficacious levels of colonization. Efficacy is measured by a desired outcome, including those detailed in Section II below.
- dietary supplement refers to a nutrient added to a diet that promotes the colonization, invasion, growth, and/or metabolic activity of a gut microbe or an isolated bacterial strain administered to a subject.
- supply' as used herein, is shorthand for "dietary supplement”.
- specific foods that when added to the diet provide an increased amount of a nutrient. For example, spelt is a specific food that could be added to a diet to provide xylan.
- xylan may include, but are not limited to, corn hulls, sunflower hulls, or foods comprising the cell walls of most dicots, grasses and cereals.
- a dietary supplement may also refer to a "food additive” or "feed additive”.
- nutrient refers to prebiotics, vitamins, carbohydrates, polysaccharides, monosaccharides, fiber, fatty acids, amino acids, sulfates, minerals, antioxidants and other food ingredients. Also included in the definition are enzyme cofactors. Suitable vitamins may include, but are not limited to: vitamin B1 , vitamin B2, vitamin B3, vitamin B5, vitamin B6, vitamin B9, vitamin B12, lipoic acid, vitamin A, biotin, vitamin K, vitamin C, vitamin D, and vitamin E. Suitable minerals may include, but are not limited to compounds containing: iron, copper, magnesium, manganese, molybdenum, nickel, and zinc.
- Suitable enzyme cofactors may include, but are not limited to: adenosine triphosphate (ATP), S-adenosyl methionine (SAM), coenzyme B, coenzyme M, coenzyme Q, glutathione, heme, methanofuran, and nucleotide sugars.
- ATP adenosine triphosphate
- SAM S-adenosyl methionine
- coenzyme B coenzyme M
- coenzyme Q coenzyme Q
- glutathione glutathione
- heme heme
- methanofuran and nucleotide sugars.
- Suitable forms of sulfate may include, but are not limited to, chondroitin sulfate, keratan sulfate, calcium sulfate, ferrous sulfate, glucosamine sulfate, vanadyl sulfate, copper sulfate, zinc sulfate, magnesium sulfate, manganese sulfate and sodium sulfate.
- Suitable fibers (including both soluble and insoluble fibers) may include, but are not limited to, arabinoxylans, cellulose, resistant starch, resistant dextrins, inulin, lignin, chitins, pectins, beta-glucans and oligosaccharides.
- Suitable lipids may include, but are not limited to, fatty acids, glycerolipids, glycerophospholipids, sphingolipids, sterol lipids, prenol lipids,
- Suitable amino acids may include, but are not limited to glycine, alanine, serine, threonine, cysteine, valine, leucine, isoleucine, methionine, proline, phenylalanine, tyrosine, tryptophan, aspartic acid, glutamic acid, asparagine, glutamine, histidine, lysine, selenocysteine, pyrrolysine, N-formylmethionine, arginine.
- nutrients may include Thiamin, Riboflavin, Niacin, Folate, Pantothenic acid, Calcium, Phosphorus, Magnesium, Manganese, Iron, Zinc, Copper, Selenium, Sodium, Potassium, betacarotene, retinol, alphatocopherol, betatocopherol, gammatocopherol, deltatocopherol, alphatoctrienol, betatoctrienol, gammatocotrienol, deltatocotrienol, apo-8-carotenal, trans-lycopene, cis-lycopene, trans-beta-carotene, and cis-beta-carotene, caffeine.
- Monosaccharides may be acyclic (open-chain) or cyclic.
- Monosaccharides may include, but are not limited to, allose, altrose, arabinose, arabitol, fructose, fucose, furanose, glucofuranose, galactose, galactosamine, galacturonic acid, glucose, glucopyranoside, glucuronic acid, glucosamine, gulose, hammelose, iodose, lyxose, mannitol, mannose, N-acetylgalactosamine, N-acetylglucosamine, N-acetylneuraminic acid, pyranose, fructophyranose, xylopyranose, pyranoside, galactopyranoside, xylopyranoside, arabinopyranoside, rhamnose, ribose, talose, threose, and
- polysaccharide refers to a polymer comprising two or more of the same or different monosaccharide units, including all stereoisomers and derivatives.
- Suitable polysaccharides may include, but are not limited to, xylan, arabinoxylan, mannan, glucomannan, galactomannan, amylose, amylopectin, starch, glycogen, fucoidan, callose or laminarin, arabinan,
- carbohydrate may refer to an organic compound with the formula ⁇ ( ⁇ 2 ⁇ ) ⁇ , where m and n may be the same or different number, provided the number is greater than 3, or similar, related compounds.
- Suitable carbohydrates include, but are not limited to, polysaccharides, pectins, hemicellulose and beta-glucans, cellulose-related compounds, starches, fructans, alpha-glucans, host- derived glycans, monosaccharides, polysaccharides, carrageenan, porphyran, alpha- mannan, and alginic acid.
- Carbohydrates may be described as plant-derived (e.g.
- pectins hemicellulose and beta-glucans, cellulose-related compounds
- starches/fructans/alpha-glucans monosaccharides, polysaccharides, carrageenan, porphyran, and alginic acid), host-derived (i.e. produced by the host (i.e. the subject) that is harboring the bacterium, such as host-derived glucans), or others, such as alpha- mannan.
- Pectins may include, but are not limited to, arabinan, arabinoglalactan, pectic galactan, polygalacturonic acid, rhamnogalacturonan I, and rhamnogalacturonan II.
- Hemicelluloses and beta-glucans may include, but are not limited to, xylan or xylan derivatives (non-limiting examples include arabinoxylan, water soluble xylan,
- glucomannan galactomannan
- beta-glucan beta-glucan
- lichenin and laminarin.
- Cellulose-related compounds may include, but are not limited to, cellobiose and cellulose.
- Starches, fructans and alpha-glucans may include, but are not limited to, amylopectin, pullulan, dextran, inulin and levan.
- Host-derived glucans include neutral mucin O-glycans, chondroitin sulfate, hyaluronic acid, heparin, keratan sulfate, and glycogen.
- prebiotic refers to a food ingredient that is utilized by a gut microbe.
- prebiotics may include dietary fibers, lipids (including fatty acids), proteins/peptides and free amino acids, carbohydrates, and combinations thereof (e.g., glycoproteins, glycolipids, lipidated proteins, etc.).
- Criticality for fitness may or may not be context dependent. For example, by comparing fitness determinants required for two different conditions (e.g. in vivo and in vitro, a first diet with one or more nutrients and a second diet lacking one or more nutrients, a diet that supports invasion and a diet that does not support invasion), it can be determined which fitness determinants are context dependent. For example, by comparing in vivo fitness determinants (i.e. fitness determinants for growth in vivo) to in vitro fitness determinants (i.e.
- fitness determinants for growth in vitro a skilled artisan can identify in v/Vo-specific fitness determinants (i.e. fitness determinants unique to in vivo growth).
- v/Vo-specific fitness determinants i.e. fitness determinants unique to in vivo growth.
- diet-specific fitness determinants by comparing fitness determinants identified for a first diet containing one or more nutrients to fitness determinants for a second diet lacking the one or more nutrients, a skilled artisan can identify diet-specific fitness determinants.
- Particularly useful fitness determinants may be in vivo, diet-specific fitness determinants, where the diet is known to support invasion.
- nucleic acid refers to DNA or RNA. Included in the definition is chromosomal DNA, mRNA, tRNA, rRNA, cDNA, and amplified DNA.
- diet-responsive refers to differential expression of a nucleic acid (as judged by relative abundance) expressed by a bacterial species between two diets. Stated another way, a nucleic acid that is preferentially utilized by an isolated bacterial species when growing on a first diet as compared to a second diet is a diet-responsive nucleic acid.
- diet refers to the growth medium.
- diet refers to the food or chow consumed by the subject.
- expression profiling refers to the identification and quantification of nucleic acid sequences encoding predicted proteins that are expressed by bacteria under a given set of conditions.
- In vivo expression profiling refers to the identification and quantification of nucleic acid sequences encoding predicted proteins that are expressed by the gut microbiota of a subject.
- the nucleic acids may be isolated from a suitable gut microbiota sample, such as a fecal sample, a cecal sample, or a sample of lumenal contents, according to methods known in the art.
- In vivo expression profile data may be analyzed in a number of ways.
- data may be grouped based on the functional annotation of the nucleic acid, regardless of its taxonomic origin.
- data may be initially grouped based on its taxonomic origin (e.g. class, order, family, species, strain), then further parsed into subgroups based on the functional annotation of the nucleic acid.
- Data may also be initially grouped based on functional annotation, and then further parsed into subgroups based on taxonomic origin (e.g. class, order, family, species, strain).
- “In vitro expression profiling” refers to the identification and quantification of nucleic acid sequences encoding predicted proteins that are expressed by a bacterial strain or collection of strains when grown in vitro.
- the nucleic acids may be isolated from a suitable in vitro sample, such as a pellet of bacterial cells obtained from an in vitro culture, according to methods known in the art.
- In vitro expression profile data may be analyzed in the same manner as in vivo expression profile data.
- compositions and methods of the invention are described in further detail below.
- the present invention provides means for identifying a candidate supplement.
- the candidate supplement is identified by a direct and deliberate method that identifies one or more metabolic systems used by a bacterial strain that is in the gut of a subject on a given diet; defines one or more components (i.e. nutrients) of the diet that activate the same metabolic systems in the bacterial strain in vitro; and selects as a candidate supplement a component of the diet that significantly activates the same metabolic systems in vivo and in vitro.
- a component of the diet that significantly activates the same metabolic systems of a bacterial strain in vivo and in vitro may result in greater colonization of the bacterial strain when the bacterial strain is administered to a subject as part of a composition comprising the diet component, compared to when the diet component is absent.
- a “metabolic system” refers to a group of nucleic acids that encode a similar function. Functional similarity may be described at a high level (e.g. carbohydrate metabolism, energy metabolism, lipid metabolism, nucleotide metabolism, amino acid metabolism, glycan biosynthesis and metabolism, metabolism of cofactors and vitamins, metabolism of terpenoids and polyketides, biosynthesis of other secondary metabolites, xenobiotic biodegradation and metabolism, etc.).
- Non-limiting examples may include grouping nucleic acids by enzyme commission (EC) number, Kyoto
- KEGG Encyclopedia of Genes and Genomes
- KEGG pathway KEGG pathway
- KEGG Orthology (KO) identifier KEGG Orthology
- CAZyme Carbohydrate-Active Enzyme
- CAZyme subfamily CAZyme subfamily
- CAZyme clan CAZyme clan
- the candidate supplement is a polysaccharide or a nutrient comprising a polysaccharide.
- a method of the invention advantageously has the ability to identify a single type of polysaccharide that acts as a supplement for a particular bacterial strain. This is in contrast to simply identifying a group of polysaccharides as advantageous for growth of one or more bacterial species.
- the present invention provides a method for identifying a candidate dietary supplement, the method comprising: (a) identifying one or more nucleic acids expressed by one or more bacterial strains of the same bacterial species when the bacterial strain is in the gut of a subject, wherein the one or more nucleic acids are differentially expressed when the subject consumes a first diet, compared to a reference diet, and wherein the nucleic acids encode enzymes that degrade, modify or create glycosidic bonds; (b) defining in vitro growth of the one or more bacterial strains of the same bacterial species in a plurality of conditions, each condition corresponding to media supplemented with one or more polysaccharides; wherein defining in vitro growth comprises (i) identifying one or more poslysaccharides that support greater in vitro growth in supplemented medium compared to unsupplemented medium; and (ii) determining the in vitro expression level of a set of nucleic acids from step (a) when the one or more
- the method may further comprise determining if the candidate dietary supplement increases colonization of a subject by the one or more isolated bacterial strains of the same bacterial species following administration of a composition comprising the candidate dietary supplement and the one or more bacterial strains, as compared to a composition without the candidate supplement, wherein the subject is the same species as the subject in step (a).
- Another aspect of the invention encompasses a method for identifying a candidate dietary supplement, the method comprising:(a) identifying one or more nucleic acids expressed by one or more bacterial strains of the same bacterial species when the bacterial strain is in the gut of a subject, wherein the one or more nucleic acids are differentially expressed when the subject consumes a first diet, but not differentially expressed by a plurality of the same subject species administered a reference diet, and wherein the nucleic acids encode enzymes that degrade, modify or create glycosidic bonds; (b) defining in vitro growth of the bacterial species in a plurality of conditions, each condition corresponding to media supplemented with one or more polysaccharides; wherein defining in vitro growth comprises (i) identifying one or more poslysaccharides that support greater in vitro growth in supplemented conditions compared to unsupplemented conditions; and (ii) determining the in vitro expression level of a set of nucleic acids from step (a) when the
- the method may further comprise determining if the candidate dietary supplement increases colonization of a subject by the one or more isolated bacterial strains of the same bacterial species following administration of a composition comprising the candidate dietary supplement and the one or more bacterial strains, as compared to a composition without the candidate supplement, wherein the subject is the same species as the subject in step (a).
- an isolated bacterial strain of the invention is cultivable (i.e. methods are known in the art for culturing the bacterial strain or a skilled artisan can develop culture methods with routine experimentation) and is known to be a member of the gut microbiota for at least one subject.
- An isolated bacterial strain may or may not be present in the gut of a plurality of subjects.
- more than one bacterial strain of the same bacterial species may be used.
- An isolated bacterial strain may efficaciously colonize a subject of the same or different species as the subject in need thereof consuming at least one known diet.
- colonization by an isolated bacterial strain may be known or hypothesized to be associated with a desired outcome for a subject in need thereof.
- whether or not colonization by an isolated bacterial strain does in fact result in the desired outcome is not critical to practice a method of the invention as described in Section I.
- an isolated bacterial strain is a member of the phylum Bacteroidetes. In other embodiments, an isolated bacterial strain is a member of the phylum Firmicutes. In some embodiments, an isolated bacterial strain is a member of the genus Bacteroides. Suitable isolated Bacteroides species may include, but are not limited to, B. acidifaciens, B. amylophilus, B. asaccharolyticus, B. barnesiae, B. bivius, B. buccae, B. buccalis, B. caccae, B. capillosus, B. capillus, B. cellulosilyticus, B. cellulosolvens, B.
- chinchilla B. clarus, B. coagulans, B. coprocola, B. coprophilus, B. coprosuis, B. corporis, B. denticola, B. disiens, B. distasonis, B. dorei, B. eggerthii, B. endodontalis, B. faecichinchillae, B. faecis, B. finegoldii, B. fluxus, B. forsythus, B.
- B. melaninogenicus B. merdae, B. microfusus, B. multiacidus, B.
- pneumosintes B. polypragmatus, B. praeacutus, B. propionicifaciens, B. putredinis, B. pyogenes, B. reticulotermitis, B. rodentium, B. ruminicola, B. salanitronis, B. salivosus, B. salyersiae, B. sartorii, B. splanchnicus, B. stercorirosoris, B. stercoris, B.
- succinogenes B. suis, B. tectus, B. termitidis, B. thetaiotaomicron, B. uniformis, B. ureolyticus, B. veroralis, B. vulgatus, B. xylanisolvens, B. xylanolyticus, B.
- an isolated bacterial strain is a member of the genus Alistipes. Suitable isolated Alistipes species may include, but are not limited to A. finegoldii, A. indistinctus, A. onderdonkii, A. shahii, and A. putredinis. In still other embodiments, an isolated bacterial strain is a member of the genus Parabacteroides. Suitable isolated Parabacteroides species may include, but are not limited to, P.
- an isolated bacterial strain is selected from the group consisting of:
- B. cellulosilyticus consisting of B. uniformis, B. vulgatus, B. thetaiotaomicron, B.
- a subject in need thereof refers to a subject consuming a diet that does not support efficacious colonization.
- the gut microbiota of the same subject twice, i.e. once on the first diet and once on the second diet. This may be done for one subject, or more than one subject (e.g. 2, 3, 4, 5, 6, 7, 8, 9, 10, or more subjects). Use of more than one subject may increase the chance of finding a significant difference.
- Applicants also contemplate sampling the gut microbiota of subjects that comprise two different groups, i.e. one group of subjects on the first diet and a different group of subjects on a second diet, in order to identify the one or more nucleic acids that are differentially expressed in a diet-dependent manner.
- Nucleic acids expressed by a bacterial strain when the strain is colonizing the gut of a subject may be identified by screening for in vivo fitness determinants and/or in vivo expression profiling.
- the one or more nucleic acids encode enzymes that degrade, modify or create glycosidic bonds. Suitable subjects are described above.
- One or more methods known in the art may be used to identify in vivo fitness determinants and/or for in vivo expression profiling. For example, at least 1 , at least 2, at least 3, at least 4, or at least 5 methods may be used. Methods for identifying in vivo fitness determinants and/or in vivo expression profiling are described further below.
- nucleic acids expressed by a bacterial strain when the strain is colonizing the gut of a subject are identified by screening for in vivo fitness determinants.
- Methods for identifying in vivo fitness determinants are known in the art. For example, some methods can disrupt the chromosomal nucleic acid sequence by mutation, insertion or deletion, such that expression from the locus is reduced. Mutagenesis methods known in the art include, but are not limited to, random mutagenesis (e.g. UV or chemical mutagenesis), site-directed mutagenesis, and insertional mutagenesis. Goodman et al.
- INSeq insertion sequencing
- nucleic acids expressed by a bacterial strain when the strain is colonizing the gut of a subject are identified by in vivo expression profiling.
- In vivo expression profiling may be performed by any number of ways known in the art. Non-limiting examples include RNA-Seq, oligonucleotide arrays, northern blotting, RT-PCR, qRT-PCR, and the SAGE (serial analysis of gene expression) family of assays.
- Oligonucleotide arrays may be designed to target all of the known or predicted nucleic acids encoding proteins for a particular gut microbiome, or only a portion thereof. Use of an oligonucleotide is further exemplified in the examples.
- RNA- Seq refers to the use of high-throughput sequencing technologies to sequence cDNA in order to get information (e.g. abundance and/or identity) about a sample's RNA content. While the sequencing platform used to generate the sequencing reads does influence resolution of the analysis, a skilled artisan will appreciate that RNA-Seq is not specific to or reliant on a particular sequencing platform. Thus, disclosures of particular types of sequencing platforms herein shall not be construed to limit the scope of the invention.
- Proteomics based methods may be used to identify proteins and/or peptides that are expressed when the bacterial strain is colonizing the gut of a subject in combination with the methods described above. Non-limiting examples of suitable methods include Western blotting and various approaches based on mass spectrometry. Both
- nucleic acids that are differentially expressed when a subject consumes a first diet compared to a reference diet refers to nucleic acids that are more or less abundant in a gut microbiota sample by a statistically significant degree when a subject consumes a first diet compared to a reference diet.
- the change in abundance may be the result of a change in the bacterial strain's proportional representation in the gut microbiota with no significant change in expression of the nucleic acid(s).
- an increase in abundance may be the result of an increase in the bacterial strain's proportional representation in the gut microbiota with no significant change in
- the change in abundance may be the result of a change in expression of the nucleic acid(s) without a significant change in the bacterial strain's proportional representation in the gut microbiota.
- an increase in abundance may be the result of an increase in expression of the nucleic acid(s) without a significant change in the bacterial strain's proportional representation in the gut microbiota
- a decrease in abundance may be the result of a decrease in expression of the nucleic acid(s) without a significant change in the bacterial strain's proportional representation in the gut microbiota
- the change in abundance may also be the result of a combination of a change in the bacterial strain's proportional representation in the gut microbiota and a change in expression of the nucleic acid(s).
- the difference in abundance may be more than about 30, 29, 28, 27, 26, 25, 24, 23, 22, 21 , 20, 19, 18, 17, 16, 15, 14, 13, 12, 1 1 , 10, 9, 8, 7, 6, 5, 4, 3, 2, or 1 % between a gut microbiota sample obtained from a subject consuming a first diet compared to a reference diet.
- the difference in abundance may be more than about 50, 49, 48, 47, 46, 45, 44, 43, 42, 41 , 40, 39, 38, 37, 36, 35, 34, 33, 32, 31 , 30, 29, 28, 27, 26, 25, 24, 23, 22, or 21 % between a gut microbiota sample obtained from a subject consuming a first diet compared to a reference diet.
- the difference in abundance may also be more than about 70, 69, 68, 67, 66, 65, 64, 63, 62, 61 , 60, 59, 58, 57, 56, 55, 54, 53, 52, 51 , 50, 49, 48, 47, 46, 45, 44, 43, 42, or 41 % between a gut microbiota sample obtained from a subject consuming a first diet compared to a reference diet.
- the difference may also be more than about 90, 89, 88, 87, 86, 85, 84, 83, 82, 81 , 80, 79, 78, 77, 76, 75, 74, 73, 72, 71 , 70, 69, 68, 67, 66, 65, 64, 63, 62, or 61 % between a gut microbiota sample obtained from a subject consuming a first diet compared to a reference diet.
- the difference in abundance may also be more than about 100, 99, 98, 97, 96, 95, 94, 93, 92, 91 , 90, 89, 88, 87, 86, 85, 84, 83, 82, 81 , 80, 79, 78, 77, 76, 75, 74, 73, 72, or 71 % between a gut microbiota sample obtained from a subject consuming a first diet compared to a reference diet.
- the difference in abundance may be at least 2, at least 3, at least 4, at least 5, at least 6, at least 7, at least 8, at least 9, or at least 10-fold between a gut microbiota sample obtained from a subject consuming a first diet compared to a reference diet.
- the difference in abundance may be at least 10, at least 50, at least 100 - fold or more between a gut microbiota sample obtained from a subject consuming a first diet compared to a reference diet.
- the difference in abundance may be at least 150, at least 200, at least 250, at least 300, at least 350, at least 400, at least 450, at least 500 -fold or more between a gut microbiota sample obtained from a subject consuming a first diet compared to a reference diet.
- the difference in abundance may be at least 550, at least 600, at least 650, at least 700, at least 750, at least 800, at least 850, at least 900, at least 950, or at least a1000-fold or more between a gut microbiota sample obtained from a subject consuming a first diet compared to a reference diet.
- identifying one or more nucleic acids expressed by a bacterial strain when the bacterial strain is colonizing the gut of a subject may further comprise grouping and/or ranking the nucleic acids identified based on the functional annotation of the nucleic acid, the level of expression (as judged by relative abundance data), or a combination thereof.
- identifying one or more nucleic acids expressed by a bacterial strain when the bacterial strain is colonizing the gut of a subject may further comprise grouping and/or ranking the nucleic acids identified by dividing the data into any number of equal-sized data sets based on the level of expression (e.g. tertiles, quartiles, quintiles, sextiles, deciles, etc.). Further groupings may be established based on functional annotation (such as enzyme commission (EC) number, Kyoto
- KEGG Encyclopedia of Genes and Genomes
- KEGG pathway KEGG Orthology (KO) identifier
- CAZyme Carbohydrate-Active Enzyme
- PUL polysaccharide utilization locus
- ABC ABC (ATP-binding cassette) importers or the like).
- identifying one or more nucleic acids expressed by a bacterial strain when the bacterial strain is colonizing the gut of a subject may further comprise grouping and/or ranking the nucleic acids identified by enzyme commission (EC) number.
- identifying one or more nucleic acids expressed by a bacterial strain when the bacterial strain is colonizing the gut of a subject may further comprise grouping and/or ranking the nucleic acids identified by Kyoto Encyclopedia of Genes and Genomes (KEGG) category.
- identifying one or more nucleic acids expressed by a bacterial strain when the bacterial strain is colonizing the gut of a subject may further comprise grouping and/or ranking the nucleic acids identified by KEGG pathway.
- identifying one or more nucleic acids expressed by a bacterial strain when the bacterial strain is colonizing the gut of a subject may further comprise grouping and/or ranking the nucleic acids identified by KEGG Orthology (KO) identifier.
- identifying one or more nucleic acids expressed by a bacterial strain when the bacterial strain is colonizing the gut of a subject may further comprise grouping and/or ranking the nucleic acids identified by Carbohydrate-Active Enzyme (CAZyme) class.
- identifying one or more nucleic acids expressed by a bacterial strain when the bacterial strain is colonizing the gut of a subject may further comprise grouping and/or ranking the nucleic acids identified by CAZyme family.
- identifying one or more nucleic acids expressed by a bacterial strain when the bacterial strain is colonizing the gut of a subject may further comprise grouping and/or ranking the nucleic acids identified by CAZyme subfamily.
- identifying one or more nucleic acids expressed by a bacterial strain when the bacterial strain is colonizing the gut of a subject may further comprise grouping and/or ranking the nucleic acids identified by CAZyme clan.
- identifying one or more nucleic acids expressed by a bacterial strain when the bacterial strain is colonizing the gut of a subject may further comprise grouping and/or ranking the nucleic acids identified by polysaccharide utilization loci (PULs).
- PULs polysaccharide utilization loci
- identifying one or more nucleic acids expressed by a bacterial strain when the bacterial strain is colonizing the gut of a subject may further comprise grouping and/or ranking the nucleic acids identified by ABC (ATP-binding cassette) importers.
- further groupings may be established dividing the data into any number of equal-sized data sets based on the level of expression.
- a “reference diet”, as used herein, refers to any diet that is measurably different from a first diet.
- measurable differences may be an increased or decreased amount of one nutrient, an increased or decreased amount of total fat, an increased or decreased amount of a type of fat, an increased or decreased amount of a monosaccharide, an increased or decreased amount of a polysaccharide, an increased or decreased amount of carbohydrate, an increased or decreased amount of fruits, an increased or decreased amount of vegetables, an increased or decreased amount of fruits and vegetables, an increased or decreased amount of plant
- a first diet has less fat, fewer carbohydrates that are easily metabolized and absorbed in the proximal intestine (e.g. starch, sucrose, corn syrup, maltodextrin, or other simple sugars) and more plant polysaccharides than a reference diet.
- a first diet has more fat, more carbohydrates that are easily metabolized and absorbed in the proximal intestine (e.g. starch, sucrose, corn syrup, maltodextrin, or other simple sugars) and less polysaccharides than a reference diet.
- carbohydrates that are easily metabolized and absorbed in the proximal intestine (e.g. starch, sucrose, corn syrup, maltodextrin, or other simple sugars) and less polysaccharides than a reference diet.
- nucleic acids expressed in vivo when an isolated bacterial strain is colonizing the gut microbiota of a subject consuming a diet that supports efficacious levels of colonization are carbohydrate active enzymes (CAZymes).
- nucleic acids expressed in vivo when an isolated bacterial strain is colonizing the gut microbiota of a subject consuming a diet that supports efficacious levels of colonization are polysaccharide utilization loci (PULs). CAZymes and PULs are described in further detail in the Examples, or Cantarel BL et al. (2009) Nucleic Acids Res 37:D233-238) or Bursel MK et al.
- nucleic acids expressed in vivo when an isolated bacterial strain is colonizing the gut microbiota of a subject consuming a diet that supports efficacious levels of colonization are ABC (ATP-binding cassette) importers.
- each condition corresponding to media supplemented with one or more nutrients
- a culture medium is a defined medium, more preferably a minimal medium. Suitable media are known in the art, and selection of an appropriate medium can and will vary depending upon the bacterial species. Growth may be defined as maximum cell density, rate of increase in cell density, or a combination thereof, preferably during logarithmic growth.
- In vitro expression profiling may be performed by any number of ways known in the art. Non-limiting examples include RNA-Seq, oligonucleotide arrays, northern blotting, RT-PCR, qRT-PCR, and the SAGE (serial analysis of gene expression) family of assays.
- growth of the one or more bacterial strains may be measured in a plurality of media that are each
- the amount of growth in the supplemente medium may be compared to growth in
- High in vitro growth refers to a statistically significant increase in growth in the supplemented medium compared to unsupplemented medium.
- High growth and low growth may be defined relative to each other. For example, high growth may be distinguished from low growth by comparing the values obtained for a set of nutrients and identifying two, non-overlapping subsets.
- a cut-off may be established to discriminate high growth from low growth.
- high growth may be a cell density of about > 0.7, about > 0.8, about > 0.9, or about > 1 .0 OD 600 units; or a growth rate of about > 0.06, about > 0.07, about > 0.08, or about > 0.09 OD600 units/h; or a combination thereof.
- growth of a bacterial strain is measured in a plurality of media that are each supplemented with one or more monosaccharides, polysaccharides, or
- growth of a bacterial strain is measured in a plurality of media that are each
- step (a) To determinine the in vitro expression level of a set of nucleic acids from step (a) when the bacterium is grown in vitro in medium supplement with a
- the in vitro expression level of one or more nucleic acids may be determined when the bacterium is grown in vitro in supplemented and unsupplemented medium.
- in vitro expression profiling may be performed for each in vitro growth condition tested or, for one or more in vitro growth conditions that supports high in vitro growth.
- all of the known or predicted protein-encoding nucleic acids are profiled.
- only a subset of the known or predicted protein-encoding nucleic acids are profiled. For example, analysis of the annotated genome of the isolated bacterial strain may be used to identify a subset of nucleic acids.
- nucleic acids As described in the Examples, an increase in the number of nucleic acids encoding predicted protein sequences associated with a particular metabolic system, when compared to prominent representatives of gut bacterial species from the same genus, may indicate those nucleic acids play an important role in endowing the bacterial strain with that metabolic function.
- Methods for sequencing and annotating a bacterial genome are known in the art, and are further detailed in the Examples.
- a suitable subset of nucleic acids may comprise nucleic acids associated with a metabolic system with no consideration of relative representation within the genome of the bacterial strain.
- a suitable subset of nucleic acids may be one or more nucleic acids identified from
- a suitable subset of nucleic acids may be one or more nucleic acids identified from Section 1(A) that are only expressed on a diet that supports efficacious levels of colonization but not on a diet that does not support efficacious levels of colonization.
- a suitable subset of nucleic acids may be one or more nucleic acids identified from Section 1(A) that are expressed at a higher level (i.e. a greater amount of nucleic acids) on a diet that supports efficacious levels of colonization as compared to a diet that does not support efficacious levels of colonization.
- expression may be increased at least 2-fold.
- the nucleic acids encode enzymes that degrade, modify or create glycosidic bonds.
- in vitro expression profiling may be performed for all of the known or predicted protein-encoding nucleic acids, for each growth condition tested. In other embodiments, in vitro expression profiling may be performed for only a subset of the known or predicted protein-encoding nucleic acids, for each growth condition tested, wherein the subset is the top 1 , 2, 3, 4, 5, 6, 7, 8, 9, or 10 deciles of nucleic acids determined to be positively expressed by the bacterial strain when a subject consumes a first diet, compared to a reference diet, as described above in
- in vitro expression profiling may be performed for all of the known or predicted protein-encoding nucleic acids, for one or more in vitro growth conditions that supports high in vitro growth and for growth in unsupplemented medium. In other embodiments, in vitro expression profiling may be performed for only a subset of the known or predicted protein-encoding nucleic acids, for one or more in vitro growth conditions that supports high in vitro growth and for growth in unsupplemented medium, wherein the subset is the top 1 , 2, 3, 4, 5, 6, 7, 8, 9, or 10 deciles of nucleic acids determined to be positively expressed by the bacterial strain when a subject consumes a first diet, compared to a reference diet, as described above in Section l(A).
- in vitro expression profiling may be performed for all of the nucleic acids known or predicted to encode enzymes that degrade, modify, or create glycosidic bonds, for each growth condition tested. In other embodiments, in vitro expression profiling may be performed for only a subset of the nucleic acids known or predicted to encode enzymes that degrade, modify, or create glycosidic bonds, for each growth condition tested, wherein the subset is the top 1 , 2, 3, 4, 5, 6, 7, 8, 9, or 10 deciles of nucleic acids determined to be positively expressed by the bacterial strain when a subject consumes a first diet, compared to a reference diet, as described above in Section l(A).
- in vitro expression profiling may be performed for all of the nucleic acids known or predicted to encode enzymes that degrade, modify, or create glycosidic bonds, for one or more in vitro growth conditions that supports high in vitro growth and for growth in unsupplemented medium.
- in vitro expression profiling may be performed for only a subset of the nucleic acids known or predicted to encode enzymes that degrade, modify, or create glycosidic bonds, for one or more in vitro growth conditions that supports high in vitro growth and for growth in unsupplemented medium, wherein the subset is the top 1 , 2, 3, 4, 5, 6, 7, 8, 9, or 10 deciles of nucleic acids determined to be positively expressed by the bacterial strain when a subject consumes a first diet, compared to a reference diet, as described above in Section 1(A).
- step (ii) If the amount of a nucleic acid identified in step (ii) is more abundant by a statistically significant degree when the isolated bacterial strain is grown in vitro in the presence of a nutrient, as compared to in the absence of the nutrient (unsupplemented medium), then the nutrient is identified as capable of inducing expression in vitro.
- the difference in abundance may be more than about 30, 29, 28, 27, 26, 25, 24, 23, 22, 21 , 20, 19, 18, 17, 16, 15, 14, 13, 12, 1 1 , 10, 9, 8, 7, 6, 5, 4, 3, 2, or 1 % between growth in
- the difference in abundance may be more than about 50, 49, 48, 47, 46, 45, 44, 43, 42, 41 , 40, 39, 38, 37, 36, 35, 34, 33, 32, 31 , 30, 29, 28, 27, 26, 25, 24, 23, 22, or 21 % between growth in
- the difference in abundance may also be more than about 70, 69, 68, 67, 66, 65, 64, 63, 62, 61 , 60, 59, 58, 57, 56, 55, 54, 53, 52, 51 , 50, 49, 48, 47, 46, 45, 44, 43, 42, or 41 % between growth in supplemented and unsupplemented medium.
- the difference may also be more than about 90, 89, 88, 87, 86, 85, 84, 83, 82, 81 , 80, 79, 78, 77, 76, 75, 74, 73, 72, 71 , 70, 69, 68, 67, 66, 65, 64, 63, 62, or 61 % between growth in supplemented and unsupplemented medium.
- the difference in abundance may also be more than about 100, 99, 98, 97, 96, 95, 94, 93, 92, 91 , 90, 89, 88, 87, 86, 85, 84, 83, 82, 81 , 80, 79, 78, 77, 76, 75, 74, 73, 72, or 71 % between growth in supplemented and unsupplemented medium.
- the difference in abundance may be at least 2, at least 3, at least 4, at least 5, at least 6, at least 7, at least 8, at least 9, or at least 10-fold between growth in supplemented and
- the difference in abundance may be at least 10, at least 50, at least 100-fold or more between growth in supplemented and
- the difference in abundance may be at least 150, at least 200, at least 250, at least 300, at least 350, at least 400, at least 450, at least 500-fold or more between growth in supplemented and unsupplemented medium.
- the difference in abundance may be at least 550, at least 600, at least 650, at least 700, at least 750, at least 800, at least 850, at least 900, at least 950, or at least 1000-fold or more between growth in supplemented and unsupplemented medium.
- two, three, four or five methods may be used to quantify the change in the amount of at least one nucleic acid identified in step (ii) in response to the presence and the absence of at least one nutrient in vitro.
- Use of more than one method may increase confidence in the significance of a finding.
- the isolated bacterial species needs to be cultured in vitro in the presence and absence of one or more than one nutrient. Any number of nutrients may be tested. For example, at least 1 , at least 2, at least 3, at least 4, at least 5, at least 6, at least 7, at least 8, at least 9, at least 10, at least 1 1 , at least 12, at least 13, at least 14, at least 15, at least 16, at least 17, at least 18, at least 19, at least 20, at least 21 , at least 22, at least 23, at least 24, at least 25, at least 26, at least 27, at least 28, at least 29, at least 30, at least 31 , at least 32, at least 33, at least 34, at least 35, at least 36, at least 37, at least 38, at least 39, at least 40, at least 41 , at least 42, at least 43, at least 44, at least 45, at least 46, at least 47, at least 48, at least 49, at least 50, at least 51 , at least 52, at least 53, at least 54, at least 55
- bacteria are grown in a defined medium (typically a minimal medium) and in the defined medium supplemented with the one or more nutrients. Supplementation with single nutrients allows for an analysis of the response to each nutrient individually, while supplementation with a combination (i.e. two or more) of nutrients allows for an analysis of the response to multiple combinations.
- RNA and/or protein is isolated from the bacterial cells of each culture at a defined point in the growth curve, typically during mid-logarithmic growth. Suitable RNA and protein isolation techniques are known in the art. [0100] Once RNA and/or protein has been isolated, in vitro expression profiling techniques may be used to quantify the change in the amount of nucleic acids in response to the presence and the absence of at least one nutrient in vitro.
- RNA-Seq can be used to identify nucleic acids that are differentially expressed when an isolated bacterial species is grown in vitro in the presence or absence of one or more nutrients or combinations of nutrients.
- proteomics based methods can be used to identify proteins that are differentially expressed when the isolated bacterial species is grown in vitro in the presence or absence of one or more nutrients or combinations of nutrients. Both sequencing-based and proteomic approaches are well known in the art. Further details may also be found in the Examples.
- Quantitative RT-PCR and array- based approaches are also suitable methods for quantifying the change in the amount of at least one nucleic acid in response to the presence and the absence of at least one nutrient in vitro. Such methods are well known to one of skill in the art.
- step (C) Selecting at least one candidate dietary supplement comprising a nutrient from step (b)(i) that resulted in a statistically significant increase in
- a candidate dietary supplement comprises a polysaccharide.
- a list of candidate supplements may include at least 1 , at least 2, at least 3, at least 4, at least 5, at least 6, at least 7, at least 8, at least 9, at least 10, at least 1 1 , at least 12, at least 13, at least 14, at least 15, at least 16, at least 17, at least 18, at least 19, at least 20, at least 21 , at least 22, at least 23, at least 24, at least 25, at least 26, at least 27, at least 28, at least 29, at least 30, at least 31 , at least 32, at least 33, at least 34, at least 35, at least 36, at least 37, at least 38, at least 39, at least 40, at least 41 , at least 42, at least 43, at least 44, at least 45, at least 46, at least 47, at least 48, at least 49, at least 50, at least 51 , at least 52, at least 53, at least 54, at least 55, at least 56, at least 57, at least 58, at least 59, at least 60, at least 61 , at least 62, at least 63, at least 64, at
- a comparison of the growth rate and/or total growth on defined medium supplemented with one or more nutrients will identify which nutrient(s) produce the most robust growth of the isolated bacterial strain.
- a list of candidate supplements may optionally be refined by selecting only those nutrients that provide a competitive growth advantage.
- a list of candidate supplements may optionally be refined by selecting only those nutrients that support growth of more than one bacterial strain or species in the same genus.
- a list of candidate supplements may optionally be refined by selecting only those nutrients that support growth of more than one bacterial strain or species in the same phylum.
- a list of candidate supplements may optionally be refined by selecting only those nutrients which in step (b) resulted in at least a 100- fold increase in the amount of nucleic acid compared to defined medium without the nutrient.
- a list of candidate supplements may optionally be refined by combining one or more methods described herein.
- a method of in the invention further comprises confirming the candidate dietary supplement increases colonization of the isolated bacterial strain into a microbial community in the gut of a subject in need thereof, wherein the subject in need thereof is the same species as the subject in step (a).
- Confirmation that a candidate supplement increases colonization of the isolated bacterial strain into a microbial community in the subject in need thereof may be obtained directly or indirectly.
- Direct confirmation requires administering the isolated bacterial strain alone and in combination with the candidate supplement to the subject.
- Indirect confirmation can be obtained by administering the isolated bacterial strain alone and in combination with the candidate supplement to a gnotobiotic animal that has been inoculated with a culturable fraction of the microbial community generated from a microbiota sample obtained from the subject. After administration, the amount of colonization is quantified. A greater amount of colonization when the candidate supplement is administered in combination with the isolated bacterial strain as compared to without the candidate supplement confirms the candidate supplement increases colonization.
- Methods for quantifying the amount of colonization of an isolated bacterial species after administration to a subject are known in the art. For example, one approach would involve a culture-independent characterization of the intact microbiota (e.g., sequencing the 16S rRNA gene of all members of the community) to show that the levels of isolated bacterial species increased. Alternatively, a more targeted assay could also be used, for example quantitative PCR or an array-based approach. Further details are provided in Section III and in the Examples.
- the present invention provides methods for increasing colonization of an isolated Bacteroides species, preferably a Bacteroides strain, into an existing microbial community in the gut of a subject in need thereof. Briefly, the method comprises administering to the subject a combination comprising an isolated Bacteroides species, preferably a Bacteroides strain, into an existing microbial community in the gut of a subject in need thereof. Briefly, the method comprises administering to the subject a combination comprising an isolated Bacteroides species, preferably a Bacteroides strain, into an existing microbial community in the gut of a subject in need thereof. Briefly, the method comprises administering to the subject a combination comprising an isolated Bacteroides species, preferably a Bacteroides strain, into an existing microbial community in the gut of a subject in need thereof. Briefly, the method comprises administering to the subject a combination comprising an isolated Bacteroides species, preferably a Bacteroides strain, into an existing microbial community in the gut of a subject in need thereof.
- the presence of the carbohydrate increases colonization of the isolated Bacteroides species into the gut microbiota of the subject compared to colonization in the absence of the carbohydrate.
- Suitable Bacteroides species include, but are not limited to, B. cellulosilyticus, B. uniformis, B. vulgatus, B. thetaiotaomicron , and B. finegoldii.
- any carbohydrate identified by a method of the invention described in Section I for a Bacteroides species may be a carbohydrate that is preferentially utilized by Bacteroides species when grown in the gut of a reference subject consuming a diet that supports efficacious levels of colonization.
- the phrase "reference subject”, as used herein, refers to one or more gnotobiotic animals inoculated with 1 ) an uncultured fraction of a microbiota sample obtained from a donor, 2) a culturable fraction of microbial communities generated from a microbiota sample obtained from a donor, or 3) only the isolated Bacteroides species.
- Bacteroides is a diet that is high in plant polysaccharides.
- At least one carbohydrate that is prioritized by the Bacteroides species when grown in the gut of a reference subject consuming a diet that supports efficacious levels of colonization is selected from the group consisting of a pectin, a hemicellulose, a beta-glucan, a cellulose-related compound, a starch, a fructan, an alpha-glucan, a host-derived glycan, a monosaccharide, carrageenan, porphyran, alpha-mannan, and alginic acid.
- At least 1 , at least 2, at least 3, at least 4, at least 5, at least 6, at least 7, at least 8, at least 9, or at least 10 carbohydrates can be selected independently from the group consisting of a pectin, a hemicellulose, a beta- glucan, a cellulose-related compound, a starch, a fructan, an alpha-glucan, a host- derived glycan, a monosaccharide, carrageenan, porphyran, alpha-mannan, and alginic acid.
- the number and types of carbohydrates selected will depend in part on the Bacteroides species and the diet. For example, if a diet provides all plant
- At least one carbohydrate that is prioritized by the Bacteroides species is a plant-derived carbohydrate. In other embodiments, at least one carbohydrate that is prioritized by the Bacteroides species is a host-derived
- At least one carbohydrate that is prioritized by the Bacteroides species is a plant-derived carbohydrate and at least one carbohydrate is a host-derived carbohydrate.
- Combinations of carbohydrates are also contemplated. For example, a combination of pectins, a combination of hemicelluloses, a combination of beta-glucans, a combination of cellulose-related compounds, a combination of starches, a combination of fructans, a combination of alpha-glucans, a combination of host-derived glycans, or a combination of monosaccharides are contemplated.
- a pectin a hemicellulose, a beta-glucan, a cellulose-related compound, a starch, a fructan, an alpha-glucan, a host-derived glycan, a monosaccharide, carrageenan, porphyran, alpha-mannan, and alginic acid.
- the isolated Bacteroides species is B.
- the cellulosilyticus and at least one carbohydrate is selected from the group consisting of xylan, arabinoxylan, arabinan, N-acetyl-D-galactosamine, xyloglucan, glucomannan, galactomannan, D-(+)-cellobiose, pectic galactan and chondroitin sulfate.
- the isolated Bacteroides species is B.
- cellulosilyticus and at least two carbohydrates are selected from the group consisting of xylan, arabinoxylan, arabinan, N-acetyl-D-galactosamine, xyloglucan, glucomannan, galactomannan, D-(+)- cellobiose, pectic galactan and chondroitin sulfate.
- xylan arabinoxylan
- arabinan N-acetyl-D-galactosamine
- xyloglucan glucomannan
- galactomannan D-(+)- cellobiose
- pectic galactan and chondroitin sulfate.
- the isolated Bacteroides species is B. cellulosilyticus and a first
- carbohydrate is xylan and a second carbohydrate is selected from the group consisting of arabinoxylan, arabinan, N-acetyl-D-galactosamine, xyloglucan, glucomannan, galactomannan, D-(+)-cellobiose, pectic galactan and chondroitin sulfate.
- the isolated Bacteroides species is B.
- the isolated Bacteroides species is B. cellulosilyticus and the carbohydrate is water soluble xylan.
- the isolated Bacteroides species is B. cellulosilyticus and the carbohydrate is arabinoxylan.
- the B. cellulosilyticus strain is WH2.
- the isolated Bacteroides species and the carbohydrate are administered as a combination.
- the isolated Bacteroides species and the carbohydrate are administered simultaneously.
- the isolated Bacteroides species and carbohydrate can be administered as a single composition or as two distinct compositions taken at the same time.
- the isolated Bacteroides species and the carbohydrate are administered sequentially within 5 hours.
- the isolated Bacteroides species and the carbohydrate may be administered within about 5 minutes, about 10 minutes, about 15 minutes, about 30 minutes, about 60 minutes, about 90 minutes, about 2 hours, about 2.5 hours, about 3 hours, about 3.5 hours, about 4 hours, about 4.5 hours or about 5 hours of each other.
- administering may or may not matter.
- a skilled artisan would be able to determine the importance of the order of administration, or lack thereof, with routine experimentation.
- the desired outcome is an increase or decrease in the accessibility of one or more nutrients in a given diet.
- the desired outcome is an increase in the accessibility of one or more nutrients.
- the desired outcome is a decrease in the accessibility of one or more nutrients.
- the desired outcome is decreased or increased total weight, reduced body mass index, increased lean body mass, decreased adiposity, decreased metabolic dysfunction, improved early life nutrition, reduced incidence of metabolic diseases such as diabetes, insulin resistance, and metabolic syndrome, reduced triglycerides, increased HDL levels, decreased LDL levels, decreased blood pressure, decreased fasting plasma glucose, reduced fecal output, reduced need for the administration of antibiotics and increased feed conversion efficiency.
- the method comprises administering to a subject in need thereof the composition in an amount effective for producing the desired outcome.
- the effective amount or dose of the composition administered according to this discovery will be determined by the circumstances surrounding the case, including the
- composition administered the route of administration, the status of the symptoms being treated, the outcome desired, and similar subject and administration situation
- the present invention provides a composition
- a composition comprising (i) an isolated Bacteroides species selected from the group consisting of B. cellulosilyticus or a Bacteroides species that prioritizes utilization of carbohydrates in vivo the same way as B. cellulosilyticus WH2, and (ii) at least one supplement in an amount effective for increasing invasion of the isolated Bacteroides species into an existing microbial community in the gut of a subject when administered to the subject.
- a combination may contain at least 1 , at least 2, at least 3, at least 4, at least 5, at least 6, at least 7, at least 8, at least 9, or at least 10 supplements. Suitable supplements are described above.
- the isolated Bacteroides species selected from the group consisting of B. cellulosilyticus or a Bacteroides species that prioritizes utilization of carbohydrates in vivo the same way as B. cellulosilyticus WH2, and (ii) at least one supplement in an amount effective for increasing invasion of the isolated Bacteroides species into an existing
- Bacteroides species is B. cellulosilyticus.
- the B. cellulosilyticus strain is WH2.
- Bacteroides species is also a carbohydrate that is preferentially utilized by the
- B. cellulosilyticus WH2 Bacteroides species when grown in the gut of a reference subject consuming a diet that supports invasion. Specific details regarding the utilization of carbohydrates in vivo by B. cellulosilyticus WH2 may be found in the Examples.
- the supplement used can be any supplement described above.
- the at least one supplement is selected from the group consisting of a plant- derived carbohydrate, a host-derived carbohydrate, and a combination thereof.
- the at least one supplement is a host-derived carbohydrate.
- the at least one supplement is xylan or a xylan derivative.
- the at least one supplement is selected from the group consisting of N- acetyl-D-galactosamine, N-acetyl-D-glucosamine, amylopectin, arabinan,
- arabinogalactan D-(-)-arabinose, arabinoxylan, D-(+)-cellobiose, chondroitin sulfate, dextran, L-(-)-fructose, galactormannan, D-galacturonic acid, beta-glucan,
- the at least one supplement is selected from the group consisting of xylan, arabinoxylan, arabinan, N-acetyl-D-galactosamine, xyloglucan, glucomannan, galactomannan, D-(+)-cellobiose, pectic galactan and chondroitin sulfate.
- At least two carbohydrates are selected from the group consisting of N-acetyl-D-galactosamine, N-acetyl-D-glucosamine, amylopectin, arabinan, arabinogalactan, D-(-)-arabinose, arabinoxylan, D-(+)-cellobiose, chondroitin sulfate, dextran, L-(-)-fructose, galactomannan, D-galacturonic acid, beta-glucan, glucomannan, D-(+)-glucosamine, laminarin, D-(+)-mannose, pectic galactan, polygalacturonic acids, pullulan, L-rhamnose, D-(-)-ribose, xylan and xyloglucan.
- a first carbohydrate is xylan and a second carbohydrate is selected from the group consisting of arabinoxylan, arabinan, N-acetyl-D- galactosamine, xyloglucan, glucomannan, galactomannan, D-(+)-cellobiose, pectic galactan and chondroitin sulfate.
- a first carbohydrate is arabinoxylan and a second carbohydrate is selected from the group consisting of xylan, arabinan, N-acetyl-D-galactosamine, xyloglucan, glucomannan, galactomannan, D-(+)-cellobiose, pectic galactan and chondroitin sulfate.
- the carbohydrate is water soluble xylan.
- the carbohydrate is arabinoxylan.
- composition with the supplement as compared to administration of a composition that is identical except for lack of the supplement.
- effective amount of the supplement administered according to this discovery will be determined by the circumstances surrounding the case, including the identity of the supplement, the route of
- Suitable amounts of the one or more carbohydrates are each about 0.01 % to about 20% of the composition (w/w), including about 0.01 % to about 0.05%, about 0.05% to about 0.1 %, about 0.1 % to about 0.15%, about 0.15% to about 0.20%, about 0.20% to about 0.25%, about 0.25% to about 0.30%, about 0.30% to about 0.35%, about 0.35% to about 0.40%, about 0.40% to about 0.45%, about 0.45% to about 0.50%, about 0.50% to about 1 .00%, about 1 .00% to about 2.00%, about 2.00% to about 3.00%, about 3.00% to about 4.00%, about 4.00% to about 5.00%, about 5.00% to about 6.00%, about 6.00% to about 7.00%, about 7.00% to about 8.00%, about 8.00% to about 9.00%, about 9.00% to about 10.00%, about 10.00% to
- Colonization may be measured by any method known in the art that quantifies the change in abundance of a gut microbe.
- a fecal sample, a cecal sample or other sample of the lumenal contents of the large intestine may be collected, processed, plated on appropriate growth media, cultured under suitable conditions (i.e. temperature, presence or absence of oxygen and carbon dioxide, agitation, etc.), and colony forming units may be determined.
- sequencing methods or arrays may be used to determine the relative abundance of the Bacteroides species in a fecal sample or other sample of the lumenal contents of the large intestine.
- Examples details one method, COPRO-Seq, where relative abundance is defined by the number of sequencing reads that can be unambiguously assigned to the species' genome after adjusting for genome uniqueness. 16S rRNA gene sequencing methods can also be used and are well known in the art. Typically, an effective amount of a supplement increases colonization, as measured by proportional representation, by at least 10%.
- colonization may be increased by at least 10%, 1 1 %, 12%, 13%, 14%, 15%, 16%, 17%, 18%, 19%, 20%, 21 %, 22%, 23%, 24%, 25%, 26%, 27%, 28%, 29%, 30%, 31 %, 32%, 33%, 34%, 35%, 36%, 37%, 38%, 39%, 40%, 41 %, 42%, 43%, 44%, 45%, 46%, 47%, 48%, 49%, 50%, 51 %, 52%, 53%, 54%, 55%, 56%, 57%, 58%, 59%, 60%, 61 %, 62%, 63%, 64%, 65%, 66%, 67%, 68%, 69%, 70%, 71 %, 72%, 73%, 74%, 75%, 76%, 77%, 78%, 79%, 80%, 81 %, 82%, 83%, 84%, 85%, 86%, 87%, 88%, 89%, 90%
- colonization is increased about 10% to about 20%, about 20% to about 30%, about 30% to about 40%, about 40% to about 50%, about 50% to about 60%, about 60% to about 70%, about 70% to about 80%, about 80% to about 90%, or about 90% to about 100%. In other embodiments, colonization is increased at least 2-fold, at least 5-fold, at least 10-fold, at least 20-fold, at least 50-fold, or at least 100-fold.
- Colonization can be measured about 3 days to about 14 days after administration of the isolated bacterial species. For example, colonization can be measured about 5-14 days, about 7-14 days, about 10-14 days, about 3-6 days, about 4-7 days, about 5-8 days, about 6-9 days, about 7-10 days, about 8-1 1 days, about 9-12 days, about 10-13 days, about 1 1 -14 days, or about 12-14 days after administration.
- an isolated Bacteroides species selected from the group consisting of B. cellulosilyticus or a Bacteroides species that prioritizes utilization of carbohydrates the same way as B. cellulosilyticus WH2 may comprise from at least 0.01 % to 10% relative to the total weight (w/w) of the composition.
- suitable amounts of the isolated Bacteroides species include about 0.01 % to about 0.05%, about 0.05% to about 0.1 %, about 0.1 % to about 0.15%, about 0.15% to about 0.20%, about 0.20% to about 0.25%, about 0.25% to about 0.30%, about 0.30% to about 0.35%, about 0.35% to about 0.40%, about 0.40% to about 0.45%, about 0.45% to about 0.50%, about 0.50% to about 1 .00%, about 1 .00% to about 2.00%, about 2.00% to about 3.00%, about 3.00% to about 4.00%, about 4.00% to about 5.00%, about 5.00% to about 6.00%, about 6.00% to about 7.00%, about 7.00% to about 8.00%, about 8.00% to about 9.00%, and about 9.00% to about 10.00%.
- a composition according to the invention may comprise from 10 1 to 10 9 cfu/g of live microorganisms per gram of composition.
- additional gut microbes may be optionally added to the composition.
- Non-limiting examples include, but are not limited to B. uniformis, B. vulgatus, B. thetaiotaomicron , B. caccae, Alistipes putredinis, and Parabacteroides merdae.
- compositions of the invention may be formulated as a food supplement for animal or human consumption.
- Methods of preparing compositions for animal or human consumption are well known in the art. Generally speaking, any method known in the art is suitable, provided the
- Formulations comprising compositions of the invention may contain agents to protect oxygen sensitive microbial species. Such agents are known in the art.
- Several approaches have been investigated for improving the technological and therapeutic performance of probiotics, including strain selection and probiotic stabilization during spray drying and/or freeze drying and gastric transit, as described in Ross et al. Journal of Applied Microbiology (2005) 98:1410-1417, Kosin et al. Food Technology and Biotechnology (2006) 44(3): 371 -379, and Ledeboer et al "Technological aspects of making live, probiotic-containing gut health foods"
- a composition of the invention may be formulated and administered to a subject by several different means.
- a composition may be generally formulated as a liquid composition, a dry composition or a semi-solid composition.
- the composition will typically include a solvent carrier selected from a polar solvent, a non-polar solvent, or a combination of both.
- the choice of solvent will be influenced by the properties of the components of the composition. For example, if the components are water-soluble, a polar solvent may be used. Alternatively, if the components of the composition are lipid-soluble, a non-polar solvent may be used. Suitable polar and non-polar solvents are known in the art.
- Thickeners may be added to liquid formulations to be used as an enema, such as carboxymethylcellulose, propylene glycol, or other suitable thickeners known in the art.
- the composition comprises a dry composition
- one or more carriers may be utilized as needed. Dry compositions may be substantially free flowing and resistant to clumping, enclosed into capsules or pressed into tablets. Suitable carriers for formulating a dry composition are known in the art.
- a composition may generally be administered orally or rectally in dosage unit formulations containing conventional nontoxic pharmaceutically acceptable adjuvants, carriers, excipients, and vehicles as desired.
- the frequency of dosing may be daily or once, twice, three times or more per week or per month, as needed as to produce the desired effect.
- Formulation of pharmaceutical compositions is discussed in, for example, Hoover, John E., Remington's Pharmaceutical Sciences, Mack Publishing Co., Easton, Pa. (1975), and Liberman, H. A. and Lachman, L, Eds., Pharmaceutical Dosage Forms, Marcel Decker, New York, N.Y. (1980).
- Oral preparations may be free-flowing, in capsules or compressed into tablets (i.e. dry compositions).
- Common excipients used in such preparations include pharmaceutically compatible fillers/diluents such as
- microcrystalline cellulose hydroxypropyl methylcellulose, starch, lactose, sucrose, glucose, mannitol, sorbitol, dibasic calcium phosphate, or calcium carbonate
- binding agents such as alginic acid, carboxymethylcellulose, microcrystalline cellulose, gelatin, gum tragacanth, or polyvinylpyrrolidone
- disintegrating agents such as alginic acid, cellulose, starch, or polyvinylpyrrolidone
- lubricants such as calcium stearate
- magnesium stearate, talc, silica, or sodium stearyl fumarate such as colloidal silicon dioxide; sweetening agents such as sucrose or saccharin; flavoring agents such as peppermint, methyl salicylate, or citrus flavoring; coloring agents; and preservatives such as antioxidants (e.g., vitamin A, vitamin C, vitamin E, or retinyl palmitate), citric acid, or sodium citrate.
- Oral preparations may also be administered as aqueous suspensions, elixirs, or syrups (i.e. liquid compositions).
- the active ingredient may be combined with various sweetening or flavoring agents, coloring agents, and, if so desired, emulsifying and/or suspending agents, as well as diluents such as water, ethanol, glycerin, and combinations thereof.
- Rectal preparations may be administered in the form of retention enemas, solid dosage forms such as suppositories or soft gelatin capsules, or semi-solid dosage forms such as a rectal gel, cream or foam.
- the present invention provides a composition comprising at least two or at least three bacterial species selected from the group consisting of Bacteroides cellulosilyticus, B. uniformis, B. vulgatus, B. thetaiotaomicron, B. caccae, Alistipes putredinis, and Parabacteroides merdae.
- the present invention provides a composition comprising at least four bacterial species selected from the group consisting of Bacteroides cellulosilyticus, B. uniformis, B.
- the present invention provides a composition comprising at least five bacterial species selected from the group consisting of Bacteroides
- the present invention provides a composition comprising at least six bacterial species selected from the group consisting of Bacteroides cellulosilyticus, B. uniformis, B. vulgatus, B. thetaiotaomicron, B. caccae, Alistipes putredinis, and Parabacteroides merdae.
- the present invention provides a composition comprising seven bacterial species consisting of Bacteroides cellulosilyticus, B. uniformis, B.
- compositions may optionally comprise at least one supplement. Suitable supplements are described above.
- the supplement is selected from the group consisting of xylan, arabinoxylan, arabinan, N-acetyl-D-galactosamine, xyloglucan, glucomannan, galactomannan, D-(+)-cellobiose, pectic galactan and chondroitin sulfate.
- Each of the above compositions may also optionally comprise acceptable adjuvants, carriers, excipients, and vehicles as desired.
- the present invention provides a composition consisting of at least three bacterial species selected from the group consisting of Bacteroides cellulosilyticus, B. uniformis, B. vulgatus, B. thetaiotaomicron, B. caccae, Alistipes putredinis, and Parabacteroides merdae.
- the present invention provides a composition consisting of at least four bacterial species selected from the group consisting of Bacteroides cellulosilyticus, B. uniformis, B. vulgatus, B. thetaiotaomicron, B. caccae, Alistipes putredinis, and Parabacteroides merdae.
- the present invention provides a composition consisting of at least five bacterial species selected from the group consisting of Bacteroides cellulosilyticus, B. uniformis, B. vulgatus, B. thetaiotaomicron, B. caccae, Alistipes putredinis, and
- the present invention provides a
- composition consisting of at least six bacterial species selected from the group consisting of Bacteroides cellulosilyticus, B. uniformis, B. vulgatus, B. thetaiotaomicron, B. caccae, Alistipes putredinis, and Parabacteroides merdae.
- the present invention provides a composition consisting of at least seven bacterial species selected from the group consisting of Bacteroides cellulosilyticus, B. uniformis, B.
- the present invention provides a composition consisting of seven bacterial species consisting of Bacteroides cellulosilyticus, B. uniformis, B.
- compositions of the invention may be formulated as a food supplement for animal or human consumption as described above in Section III.
- compositions of the invention administered to a subject may alter the physical state of the subject.
- the subject is human and administration of the composition may alter the subject's weight.
- the subject is human and the alteration to the physical state is selected from the group consisting of decreased or increased total weight, reduced body mass index, increased lean body mass, decreased adiposity, decreased metabolic
- the subject is a non-human monogastric animal and the alteration to the physical state is selected from the group consisting of decreased total weight, reduced body mass index, decreased adiposity, decreased metabolic dysfunction, improved early life nutrition, reduced incidence of metabolic diseases such as diabetes, insulin resistance, and metabolic syndrome, reduced triglycerides, increased HDL levels, decreased LDL levels, decreased blood pressure and decreased fasting plasma glucose.
- the alteration to the physical state is selected from the group consisting of decreased total weight, reduced body mass index, decreased adiposity, decreased metabolic dysfunction, improved early life nutrition, reduced incidence of metabolic diseases such as diabetes, insulin resistance, and metabolic syndrome, reduced triglycerides, increased HDL levels, decreased LDL levels, decreased blood pressure and decreased fasting plasma glucose.
- compositions of the invention administered to a subject alter the subject's nutrition as measured by an outcome such as, but not limited to, increased feed conversion efficiency, increased weight gain, increased lean body mass, reduced incidence of diarrhea, reduced incidence of intestinal pathologies, reduced fecal output, reduced need for the administration of antibiotics, improved early life nutrition, and reduced stress during development.
- the subject is a non-human monogastric animal including, but not limited to, pig or poultry.
- the method comprises administering to a subject in need thereof an amount of the composition that leads to measurable and beneficial effects for the subject administered the substance, i.e., significant efficacy of a composition of the invention to a subject in need thereof.
- the effective amount or dose of the composition administered according to this discovery will be determined by the circumstances surrounding the case, including the composition administered, the route of administration, the status of the symptoms being treated, the benefit desired, and similar subject and administration situation considerations among other considerations.
- Gnotobiotic mice colonized with defined consortia of sequenced human gut microbes provide an in vivo model of the microbiota in which the identity of all taxa and genes comprising the system are known.
- expressed mRNAs and proteins can be attributed to their genome, gene, and species of origin, and findings of interest can be pursued in follow- up in vitro or in vivo experiments.
- These systems also afford an opportunity to tightly control experimental variables to a degree not possible in human studies and have proven useful in studying microbial invasion, microbe interactions, and the metabolic roles of key ecological guilds [11 ,15].
- CAZy carbohydrate active enzyme
- GTs glycosyltransferases
- B. cellulosilyticus WH2 CAZome is enriched in a number of GH families even when compared with prominent representatives of the gut Bacteroidetes ( Figure 2A).
- Figure 2A When we expanded this comparison to include all 86 Bacteroidetes in the CAZy database, we found that the B. cellulosilyticus WH2 genome had the greatest number of genes for 19 different GH families, as well as genes from two GH families that had not previously been observed within a Bacteroidetes genome ( Figure 2B). Altogether, B.
- cellulosilyticus WH2 has more GH genes at its disposal than any other Bacteroidetes species analyzed to date.
- CAZymes are often located within PULs [30].
- a typical PUL harbors a pair of genes with significant homology to the susC and susD genes of the starch utilization system (Sus) in B. thetaiotaomicron [30,32].
- Other genes encoding enzymes capable of liberating oligo and monosaccharides from a larger polysaccharide are also frequently present.
- the susC and susD like genes of these loci encode the proteins that comprise the main outer membrane binding and transport apparatus and thus represent key elements of these systems.
- a search of the B. cellulosilyticus WH2 genome for genes with strong homology to the susC and susD like genes in B.
- thetaiotaomicron VPI 5482 revealed an unprecedented number susC/D pairs (a total of 1 18).
- Studies of other prominent Bacteroides spp. have found that the evolutionary expansion of these genes has played an important role in endowing the Bacteroides with the ability to degrade a wide range of host and plant derived
- Example 2 Measuring Changes in the Structural Configuration of a 12-Member Model Microbiota in Response to a Dietary Perturbation
- Bacteroidetes, Firmicutes, or Actinobacteria Bacteroidetes, Firmicutes, or Actinobacteria), (ii) it was identified as a prominent member of the human gut microbiota in previous culture independent surveys, (iii) it could be grown in the laboratory, and (iv) its genome had been sequenced to at least a high-quality draft level. Species were also selected for their functional attributes (as judged by their annotated gene content) in an effort to create an artificial community that was somewhat representative of a more complex human microbiota.
- each treatment group was fed a standard low-fat/high-plant polysaccharide (LF/HPP) mouse chow, or a "Western” like diet where calories are largely derived from fat, starch, and simple sugars (high-fat/high-sugar (HF/HS)) [12].
- LF/HPP low-fat/high-plant polysaccharide
- HF/HS high-fat/high-sugar
- polysaccharide-rich LF/HPP diet supported 2- to 3-fold more total bacterial growth (primary productivity) despite its lower caloric density (3.7 kcal/g versus 4.5 kcal/g for the HF/HS diet; Figure 5A).
- the HF/HS diet contains carbohydrates that are easily metabolized and absorbed in the proximal intestine (sucrose, corn starch, and maltodextrin), with cellulose being the one exception (4% of the diet by weight versus 46.3% for the other carbohydrate sources).
- mice fed the HF/HS diet diet derived simple sugars are likely to be rare in the distal gut where the vast majority of gut microbes reside; this may provide an advantage to those bacteria capable of utilizing other carbon sources (e.g., proteins/oligopeptides, host glycans).
- plant polysaccharides that are indigestible by the host should provide a plentiful source of energy for saccharolytic members of the artificial community.
- a structural reconfiguration also took place over the course of ⁇ 5 d following transition to the second diet phase.
- the two treatment groups underwent a near perfect inversion in their positions along PC1 after the first diet switch; the artificial community in animals switched from a LF/HPP to HF/HS diet took on a structure like that which arose by the end of the first diet phase in animals consuming the HF/HS diet, and vice versa.
- the second diet switch from phase 2 to 3 resulted in a similar movement along PC1 in the opposite direction, indicating a reversion of the artificial community's configuration to its originally assembled structure in each treatment group.
- COPRO-Seq provides precise measurements of the proportional abundance of each member species present in the artificial community.
- Data collected in both E-i and E 2 revealed significant differences between members in terms of the maximum abundance levels they achieved, the rates at which their abundance levels were impacted by diet shifts, and the degree to which each species demonstrated a preference for one diet over another (Figure 5C-N). Changes in each species' abundance over time replicated well across animals in each treatment group,
- mice initially fed a HF/HS diet four Bacteroides spp. (Bacteroides caccae, B. cellulosilyticus WH2, B. thetaiotaomicron, and Bacteroides vulgatus) each achieved a relative abundance of >10% by the end of the first diet phase (day 13 postgavage), with B. caccae attaining the highest levels (37.1 ⁇ 4.9% and 34.2 ⁇ 5.5%; group mean ⁇ SD in E-i and E 2 , respectively).
- B. caccae attaining the highest levels (37.1 ⁇ 4.9% and 34.2 ⁇ 5.5%; group mean ⁇ SD in E-i and E 2 , respectively.
- cellulosilyticus WH2 was dominant, achieving levels of 37.1 ⁇ 2.0% (E-i) and 41 .6 ⁇ 3.9% (E 2 ) by day 13.
- B. thetaiotaomicron and B. vulgatus also attained relative abundances of >10%.
- B. thetaiotaomicron showed the most stability in its representation ( Figures 4B-E and 5C-N), consistent with its reputation as a versatile forager.
- B. cellulosilyticus WH2 was both diet-sensitive and highly fit on its less preferred diet; although this strain clearly achieved higher levels of
- D. longicatena achieved significantly different maximum percentage abundances across the two treatment groups in each experiment, suggesting that steady state levels of this strain may have been impacted by diet history.
- D. longicatena was found to persist throughout the experiment at low levels on both diet regimens.
- D. longicatena dropped below the limit of detection before the end of the first diet phase, was undetectable by the end of the second diet phase, and remained undetectable throughout the rest of the time course.
- This interesting example raises the possibility that for some species, irreversible hysteresis effects may play a significant role in determining the likelihood that they will persist within a gut over long periods of time.
- Example 3 The Cecal Metatranscriptome Sampled at the Time of Sacrifice [0149] These diet induced reconfigurations in the structure of the artificial community led us to examine the degree to which its members were modifying their metabolic strategies.
- Total RNA was collected from the cecal contents of each animal in Ei at the time of sacrifice and hybridized to this GeneChip. The total number of genes whose expression was detectable on each diet was remarkably similar (14,929 and 14,594 detected in the LF/HPP ⁇ HF/HS ⁇ LF/HPP and HF/HS ⁇ LF/HPP ⁇ HF/HS treatment groups,
- B. caccae and B. cellulosilyticus WH2 provided examples of CAZy-level responses to diet change that were different in several respects.
- Our observations regarding the carbohydrate utilization capabilities and preferences of B. caccae are summarized in Example 8. However, our ability to evaluate shifts in B.
- caccae's metabolic strategy in the gut was limited by its very low abundance in animals fed LF/HPP chow (i.e., our mRNA and subsequent protein assays were often not sensitive enough to exhaustively sample B.
- FIG. 8A Twenty-five of the 50 most expressed CAZymes on the LF/HPP diet were significantly upregulated compared to the HF/HS diet; of these, seven were members of the GH43 family ( Figure 8B).
- the GH43 family consists of enzymes with activities required for the breakdown of plant derived polysaccharides such as hemicellulose and pectin. Inspection of the enzyme commission (EC) annotations for the most upregulated GH43 genes shows that they encode xylan 1 ,4 ⁇ xylosidases (EC 3.2.1 .37), arabinan endo 1 ,5 a L arabinosidases (EC 3.2.1 .99), and a L arabinofur anosidases (EC
- the GH10 family which is currently comprised exclusively of endo xylanases (EC 3.2.1 .8, EC 3.2.1 .32), was also well represented among this set of 25 genes, with four of the seven putative GH10 genes in the B. cellulosilyticus WH2 genome making the list. Strikingly, of the 45 predicted genes with putative GH43 domains in the B.
- B. cellulosilyticus WH2 CAZyme on the plant polysaccharide rich chow was BWH2 1228, a putative a galactosidase from the GH36 family.
- BWH2 1228 a putative a galactosidase from the GH36 family.
- These enzymes which are not expressed by humans in the stomach or intestine, cleave terminal galactose residues from the nonreducing ends of raffinose family oligosaccharides (RFOs, including raffinose, stachyose, and verbascose), galacto(gluco)mannans, galactolipids, and glycoproteins.
- RFOs which are well represented in cereal grains consumed by humans, are expected to be abundant in the LF/HPP diet given its ingredients (e.g., soybean meal), but potential substrates in the HF/HS diet are less obvious, possibly implicating a host glycolipid or glycoprotein target.
- cellulosilyticus WH2 genome is replete with putative GH95 and GH29 genes (total of 12 and 9, respectively), but only a few ⁇ BWH2 1350/2142/3154/3818) were expressed in vivo on at least one diet, and their expression was low relative to many other CAZymes (see Table 6 from by McNulty NP, et al. (2013) Effects of Diet on Resource Utilization by a Model Human Gut Microbiota Containing Bacteroides cellulosilyticus WH2, a Symbiont with an Extensive Glycobiome. PLoS Biol 1 1 (8): e1001637.
- B. cellulosilyticus WH2 has two GH33 genes that are expressed on either one diet (BWH2 3822, HF/HS) or both diets (BWH2 4650), but neither is highly expressed relative to other B. cellulosilyticus WH2 CAZymes. Therefore, utilization of host glycans by B. cellulosilyticus WH2, if it occurs, likely requires partnerships with other members of the artificial community that express GH29/95/33 enzymes (see
- B. cellulosilyticus WH2 CAZymes 12 were significantly upregulated on the HF/HS diet compared to the LF/HPP diet, with members of family GH13 being most prevalent. While the enzymatic activities and substrate specificities of GH13 family members are varied, most relate to the hydrolysis of substrates comprising chains of glucose subunits, including amylose (one of the two components of starch) and maltodextrin, both prominent ingredients in the HF/HS diet.
- caccae had the lowest (63.0%).
- C. aerofaciens (2,367 predicted protein coding genes) contributed only 81 ,894 (1 .5%) unique peptides, the lowest of any artificial community member evaluated, despite having a proteome composed of mostly unique peptides.
- BWH2_4044-55 contains 12 ORFs that include a dual susC/D cassette, three putative xylanases assigned to CAZy families GH8 and GH10, a putative multifunctional acetyl xylan esterase/a L fucosidase, and a putative hybrid two-component system regulator (Figure 12A).
- Gene expression within this PUL was markedly higher in mice consuming the plant polysaccharide-rich LF/HPP diet at both the mRNA and protein level.
- Our mRNA level analysis disclosed that BWH2_4047 was the most highly expressed B. cellulosilyticus WH2 susD homolog on this diet.
- BWH2_4046/4 the two susC- like genes within this PUL, were the 2nd and 4th most highly expressed B.
- BACOVA_4385-94 i.e., BACOVA_4390-4.
- the order of these five genes in these two loci is also identical.
- the similarities and differences observed when comparing the putative xylan utilization systems encoded within the genomes of different Bacteroidetes illustrate how its members may have evolved differentiated strategies for utilizing hemicelluloses like xylan.
- BWH2_4072-6 is strongly dictated by diet, we next sought to determine if these PULs are required by B. cellulosilyticus WH2 for fitness in vivo.
- a follow-up study was performed in which mice were fed either a LF/HPP or HF/HS diet after being colonized with an artificial community similar to the one used in Ei and E 2 (see Materials and Methods).
- the wild type B. cellulosilyticus WH2 strain used in our previous experiments was replaced with a transposon mutant library consisting of over 90,000 distinct transposon insertion mutants in 91 .5% of all predicted ORFs (average of 13.9 distinct insertion mutants per ORF).
- the library was constructed using methods similar to those reported by Goodman et al.
- cellulosilyticus WH2 prioritizes xylan as a nutrient source in the gut and that it tightly regulates the expression of its xylan utilization machinery. Moreover, the extraordinary number of putative CAZymes and PULs within the B. cellulosilyticus WH2 genome suggests that it is capable of growing on carbohydrates with diverse structures and varying degrees of polymerization. To characterize its carbohydrate utilization capabilities, we defined its growth in minimal medium (MM) supplemented with one of 46 different carbohydrates [25]. Three independent growths, each consisting of two technical replications, yielded a total of six growth curves for each substrate. Of the 46 substrates tested, B.
- MM minimal medium
- cellulosilyticus WH2 grew on 39 (Table 11 ); they encompassed numerous pectins (6 of 6), hemicelluloses/ ⁇ glucans (8 of 8), starches/fructans/a glucans (6 of 6), and simple sugars (14 of 15), as well as host-derived glycans (4 of 7) and one cellooligosaccharide (cellobiose).
- the seven substrates that did not support growth included three esoteric carbohydrates (carrageenan, porphyran, and alginic acid), the simple sugar N-acetylneuraminic acid, two host glyans (keratan sulfate and mucin O-glycans), and fungal cell wall derived a-mannan.
- B. cellulosilyticus WH2 clearly grew more robustly on some carbohydrates than others. Excluding simple sugars, fastest growth was achieved on dextran (0.099 ⁇ 0.048 OD 6 oo units/h), laminarin
- cellulosilyticus WH2 growth i.e., maximum cell density achieved
- host- derived glycans were typically very poor, with only two substrates achieving total growth above 0.2 OD 60 o units (chondroitin sulfate, 0.50 ⁇ 0.04; glycogen, 0.99 ⁇ 0.02).
- the disparity between total growth on plant polysaccharides versus host-derived glycans, including O-glycans that are prevalent in host mucin, indicates a preference for diet- derived saccharides, consistent with our in vivo mRNA and protein expression data.
- carbohydrates results in distinct, substrate-specific gene expression signals capable of driving highly discriminatory differences between treatment groups.
- the application of rigorous bootstrapping to our hierarchical clustering results also revealed several cases of higher level clusters in which strong confidence was achieved.
- These dendrogram nodes indicate sets of growth conditions that yield gene expression patterns more like each other than like the patterns observed for other substrates.
- Two notable examples were xylan/arabinoxylan (which are structurally related and share the same xylan backbone) and L-fucose/L-rhamnose (which are known to be metabolized via parallel pathways in E. coli [44]).
- Two of the five susC/D pairs activated by xylan/arabinoxylan form the four gene cassette in the previously discussed PUL comprising BWH2_4044-55 that is activated in mice fed the plant polysaccharide-rich chow (see Figure 12A).
- Another one of the five is the susC/D pair found in the PUL comprising BWH2_4072-6 that is activated in mice fed the HF/HS "Western"-like chow (see Figure 12A).
- each PUL may be molecular moieties shared by both xylan and arabinoxylan that do not co-occur in the lumenal environment when mice are fed the diets tested in this study.
- Example 8 Evaluating the Carbohydrate Utilization Capabilities and Preferences of B. caccae, a HF/HS Diet-adapted Species [0174] Comparing CAZyme expression between three diet-insensitive Bacteroides spp. (B. thetaiotaomicron, B. vulgatus, and B. cellulosilyticus WH2) and HF/HS-favoring B. caccae revealed that these two groups have dissimilar profiles. While diet-insensitive strains express many CAZymes on both diets, and roughly equal percentages of their encoded CAZymes in a diet-specific manner, B. caccae's CAZyme utilization is heavily skewed (Figure 7B-F).
- B. caccae CAZymes While 19% of B. caccae CAZymes were expressed in mice regardless of the diet consumed, an additional 28% of this species' predicted CAZymes were expressed in animals consuming the HF/HS diet. In contrast, B. caccae expressed only 1 % of its predicted CAZymes in a LF/HPP diet-specific manner.
- B. cellulosilyticus WH2 and B. caccae reveal the striking fact that with the exception of one monosaccharide (N-acetylneuraminic acid), B. cellulosilyticus WH2 growth outperforms that of B. caccae on every carbohydrate tested.
- New advances in the culturing of fastidious gut microbes may one day allow us to capture most (or all) of the taxonomic and functional diversity present within an individual's fecal microbiota as a clonally-arrayed, sequenced culture collection, providing a perfectly representative and defined experimental model of their gut community.
- first generation artificial communities of modest complexity such as the one described here offer a way of studying many questions related to the microbiota.
- our 12- species artificial community and the way in which it was assembled in germ-free mice, make it an imperfect model of more complex human microbiota.
- Native microbial communities are subject to the influence of variables that are notably absent from this system, such as intraspecies genetic variability and exogenous microbial inputs.
- variables that are notably absent from this system such as intraspecies genetic variability and exogenous microbial inputs.
- taxa e.g., Proteobacteria, Bifidobacteria
- microbial guilds e.g., butyrate producers
- WH2 B. cellulosilyticus
- cellulosilyticus WH2 genome were sequenced individually to ensure high sequence accuracy in these difficult to assemble regions. Further details for the B. cellulosilyticus WH2 assembly are provided in Table 1 .
- the inocula used to gavage germ-free mice in each experiment were prepared either directly from frozen stocks (experiment 1 , E-i) or from a combination of frozen stocks and overnight cultures (experiment 2, E 2 ).
- the recoverable cell density for each batch of frozen stocks used in inoculum preparation was determined prior to pooling, while the same values for overnight cultures were calculated after pooling.
- the volume of each cell suspension included in the final inoculum was normalized by its known or estimated viable cell concentration in an effort to ensure that no species received an early advantage during establishment of the artificial community in the germ-free animals.
- Total CFUs per gavage were estimated at 8.0x10 7 and 4.2x10 8 for experiments Ei and E 2 , respectively.
- mice were subjected to dietary oscillations comprising three consecutive phases of 2 wk each (see Figure 3).
- germ-free mice Prior to inoculation, germ-free mice were maintained on a standard autoclaved chow diet low in fat and rich in plant polysaccharides (LF/HPP, B&K rat and mouse autoclavable chow #73780000, Zeigler Bros, Inc).
- LF/HPP fetal bovine serum
- B&K rat and mouse autoclavable chow #73780000 Zeigler Bros, Inc.
- three days prior to inoculation one group of germ-free animals was switched to a sterile "Western"-like chow high in fat and simple sugars (HF/HS, Harlan Teklad TD96132), while the other continued to receive LF/HPP chow.
- HF/HS sterile "Western"-like chow high in fat and simple sugars
- HF/HS Harlan Teklad TD96132
- DNA and RNA were extracted from fecal pellets and cecal contents as previously described [11].
- PoMA Percentage of Maximum Achieved
- GeneChip A custom Affymetrix GeneChip ("SynComml ”) with perfect match/mismatch (PM/MM) probe sets targeting 97.6% of the predicted protein coding genes within the genomes of the 12 bacterial species in this study (plus three additional species not included in the model human gut microbiota) was designed and
- Custom mask files were generated for each species on the GeneChip for the purpose of performing data normalization one species at a time. Normalization of raw intensity values was carried out in Affymetrix Microarray Suite (MAS) v5.0. MAS output was exported to Excel where advanced filtering was used to identify those probe sets called present in at least five of seven cecal RNA samples in at least one diet tested. Data from probe sets that did not meet these criteria (i.e., genes that were not expressed on either condition) were not included in subsequent analyses. Normalized, filtered data were evaluated using the Cyber-T web server [55] to identify differentially expressed genes. Genes were generally considered significantly differentially
- Microbial RNA-Seq Methods for extracting total microbial RNA from mouse feces and cecal contents, depleting small RNAs (e.g., tRNA) and ribosomal RNA (5S, 16S, and 23S rRNA), and for converting depleted RNA to double-stranded cDNA were described previously [14].
- Illumina libraries were prepared [11] from 26 fecal samples obtained from the second diet oscillation experiment (four animals, 6-7 time points surveyed per animal), using 500 ng of input double-stranded
- RNA-Seq reads were aligned to the reference genomes using the SSAHA2 aligner [56]. Normalization of the resulting raw counts was performed using the DESeq package in R [57].
- Raw counts derived from the metatranscriptome were normalized either at the community level (i.e., counts from all genes were included in the same table during normalization) for purposes of looking at community-level representation of functions (ECs) of interest, or at the species level (i.e., counts from each species were independently normalized) for purposes of looking at gene expression changes within individual species. Data adjustment (logarithmic
- peptides were acidified (protonated) in 200 mM NaCI and 0.1 % formic acid, filtered, and concentrated with a 10 kDa molecular weight cutoff spin column (Sartorius).
- LC-MS/MS Data Collection The peptide mixture from each mouse was analyzed in technical duplicate via two dimensional liquid chromatography (LC) MS/MS on a hybrid LTQ Orbitrap Velos mass spectrometer (Thermo Fisher Scientific). Peptides (-100 ⁇ _ per sample) were separated using a split-phase 2D (strong cation exchange (SCX) and Cie reverse phase (RP)) LC column over a 12-step gradient for each run. All MS analyses were performed in positive ion mode. Mass spectral data were acquired using Xcalibur (v2.0.7) in data dependent acquisition mode for each chromatographic separation (22 h run). One precursor MS scan was acquired in the Orbitrap at 30K resolution followed by 10 data dependent MS/MS scans ⁇ m/z 400-1 ,700) at 35% normalized collision energy with dynamic exclusion enabled at a repeat count of 1 .
- MS/MS spectra were searched with SEQUEST (v.27; [60]) using the following settings: enzyme type trypsin; precursor ion mass tolerance 3.0 Da; fragment mass tolerance 0.5 Da; fully tryptic peptides and those resulting from up to four missed cleavages only. All datasets were filtered with DTASelect (v1 .9; [61]) using the following parameters:
- a custom built FASTA target decoy database [62,63] was generated and searched with SEQUEST at a peptide level false positive rate (FPR) estimated at 0.5%.
- the database contained theoretical proteomes predicted from the genomes of the 12 bacterial species characterized in this study (see Tables 4 and 8), some diet components (e.g., rice and yeast), and common contaminants (e.g., keratins). Three additional theoretical bacterial proteomes predicted from the genomes of Eubacterium rectale, Faecalibacterium prausnitzif, and Ruminococcus torques were included as distractors (negative controls) that were not expected to be present in any of the samples analyzed.
- An in silico tryptically digested protein sequence database was also used to generate a theoretical peptidome of unique peptides within a mass range of 600-4,890 Da and ⁇ 1 miscleavages.
- Anaerobic conditions were generated within each individual culture tube using a previously described method [64] with the following modifications: (i) the cotton plug was lit and extinguished before being pushed below the lip of the culture tube, and (ii) 200 ⁇ _ of saturated sodium bicarbonate was combined with 200 ⁇ _ 35% (w/v) pyrogallate solution on top of the cotton plug before a bare rubber stopper was used to seal the tube.
- each bacteriancull cell pellet was combined with 500 M L Buffer B (200 mM NaCI, 20 mM EDTA), 210 ⁇ of 20% SDS, and 500 ⁇ of acid phenol:chloroform:isoamyl alcohol (125:24:1 , pH 4.5).
- the pellet was resuspended by manual manipulation with a pipette tip and transferred to a 2 mL screwcap tube containing acid washed glass beads (Sigma, 212-300 ⁇ diameter).
- Tubes were placed on ice, bead-beaten for 2 min at room temperature (BioSpec Mini-Beadbeater-8; set to "homogenize"), placed on ice, and bead-beaten for an additional 2 min, after which time RNA was extracted as described above for fecal and cecal samples.
- transposon's erythromycin resistance gene (ermG) with the promoter for the gene encoding EF-Tu in B. cellulosilyticus WH2 dramatically improved the number of resistant clones recovered after transformation.
- the resulting library consisted of 93,458 distinct isogenic mutants, with each mutant strain containing a single randomly inserted modified mariner transposon. Of all predicted ORFs, 91 .5% had insertions covering the first 80% of each gene (mean, 13.9 distinct insertion mutants per ORF).
- mice Male germ-free C57BL/6J mice (individually caged) were fed either a diet low in fat and rich in plant polysaccharides (LF/HPP) or high in fat and simple sugars (HF/HS). After a week on their experimental diet, animals received a single gavage containing the B. cellulosilyticus ⁇ NH2 transposon library and 14 other species of bacteria (i.e., this artificial community consisted of the 12 species listed in Table 3, plus B. thetaiotaomicron 7330, E. rectale ATCC 33656, and Clostridium symbiosum ATCC 14940). After 16 d, fecal pellets were collected, and total fecal DNA was extracted.
- LF/HPP plant polysaccharides
- HF/HS high in fat and simple sugars
- Beads were pelleted with a magnetic particle collector (MPC), washed twice (each time using a mixture composed of 20 ⁇ _ TE buffer (pH 7.0) and 100 ⁇ _ sizing solution, with bead recovery via MPC after each wash), followed by two ethanol washes (180 ⁇ _ 70% ethanol/wash) and air drying for 10 min. Samples were resuspended in 18 ⁇ TE buffer (pH 7.0), and DNA was removed after pelleting beads with the MPC.
- MPC magnetic particle collector
- Ligation of adapters was performed in a 20 ⁇ _ reaction that contained 16 ⁇ _ of purified DNA, 1 ⁇ _ of T4 Ligase (2000 ⁇ / ⁇ _; NEB), 2 ⁇ _ 10x ligase buffer, and 10 pmol of barcoded adapter (incubation for 1 h at 16°C). Ligations were subsequently diluted with TE buffer (pH 7.0) to a final volume of 50 ⁇ _, mixed with 60 ⁇ _ of AMPure beads, and incubated at room
- Enrichment PCR was performed in a final volume of 50 ⁇ _ using 32 ⁇ _ of the cleaned up sample DNA, 10 ⁇ _ 10x Pfx amplification buffer (Invitrogen), 2 ⁇ _ 10 mM dNTPs, 0.5 ⁇ _ 50 mM MgSO 4 , 2 ⁇ _ of 5 ⁇ amplification primers (forward primer: 5'CAAGCAGAAGACGGCATACG3 ⁇ reverse primer: 5'AATGATACGGCGACCACCGAACACTC TTTCCCTACACGA3'), and 1 .5 ⁇ _ Pfx polymerase (2.5 ⁇ / ⁇ _; Invitrogen) (cycling conditions: denaturation at 94°C for 15 s; annealing at 65°C for 1 min; extension at 68°C for 30 s; total of 22 cycles).
- the 134 bp PCR product from each reaction was purified (4% MetaPhor gel; MinElute Gel Extraction Kit (Qiagen)) in a final volume of 20 ⁇ _ and was quantified (Qubit, dsDNA HS Assay Kit; Invitrogen). Reaction products were then combined in equimolar amounts into a pool that was subsequently adjusted to 10 nM and sequenced (lllumina HiSeq 2000 instrument).
- Mahowald MA et al.. (2009) Characterizing a model human gut microbiota composed of members of its two dominant bacterial phyla. Proc Natl Acad Sci U S A 106: 5859 5864.
- Arumugam M, et al. Enterotypes of the human gut microbiome. Nature 473: 174 180.
- Microbial community configurations vary substantially between unrelated individuals (1-9), which creates a challenge in designing surveys of sufficient power to determine whether observed differences between disease-associated and healthy communities differ significantly from normal interpersonal variation. This challenge is especially great if, for a given disease state, there are many associated states of the microbial species (microbiota) or microbial gene repertoire (microbiome), each shared by relatively few individuals. Microbiota configurations are influenced by early
- Transplanting a fecal sample obtained from each twin in a discordant pair into separate groups of recipient germ-free mice provides an opportunity to (i) identify structural and functional differences between their gut communities; (ii) generate and no test hypotheses about the impact of these differences on host biology, including body composition and metabolism; and (iii) determine the effects of diet-by-microbiota interactions through manipulation of the diets fed to these "humanized” animals and/or the representation of microbial taxa in their gut communities.
- dpc day post colonization
- Quantitative magnetic resonance (QMR) analysis was used to assess the body composition of transplant recipients 1 day, 15 days, and, in the case of longer experiments, 8, 22, 29, and 35 days after transplantation.
- Epididymal fat pad weights were also significantly higher in mice colonized with gut communities from obese twins (P ⁇ 0.05, one-tailed unpaired Student's t test). These differences in adiposity were not associated with statistically significant differences in daily feed consumption (measured on days 1 , 8, and 15 after gavage and weekly thereafter for longer experiments) or with appreciably greater inflammatory responses in recipients of obese compared with lean co-twin fecal microbiota as judged by fluorescence-activated cell sorting (FACS) analysis of the CD4+ and CD8+ T cell compartments in spleen, mesenteric lymph nodes, small intestine, or colon [see (23) for details].
- FACS fluorescence-activated cell sorting
- RNA-Seq microbial RNA sequencing
- transplanted microbiomes from lean co-twins exhibited higher expression of genes involved in (i) digestion of plant-derived polysaccharides [e.g., a-glucuronidase (EC 3.2.1 .139), a-L-arabinofuranosidase (EC 3.2.1 .55)], and (ii) fermentation to butyrate [acetyl-CoA C-acetyltransferase (EC 2.3.1 .9), 3-hydroxybutyryl- CoA dehydrogenase (EC 1 .1 .1 .157), 3-hydroxybutyryl-CoA dehydratase (EC 4.2.1 .55), butyryl-CoA dehydrogenase (EC 1 .3.99.2)] (fig. 17, E and F), and (iii) fermentation to propionate [succinate dehydrogenase (EC 1 .3.99.1 ), phosphoenolpyruvate
- plant-derived polysaccharides e.g., a-
- the fecal biomass of recipients of the culture collection from the lean twin was significantly greater than the fecal biomass of mice receiving the culture collection from her obese sibling; these differences were manifest within 7 days [P ⁇ 0.0001 , two-way analysis of variance (ANOVA)] (fig. 22A).
- mice are coprophagic, the potential for transfer of gut microbiota through the fecal-oral route is high. Therefore, we used cohousing to determine whether exposure of a mouse harboring a culture collection from the lean twin could prevent development of the increased adiposity phenotype and microbiome- associated metabolic profile of a cage mate colonized with the culture collection from her obese co-twin or vice versa.
- Ob ch mice exhibited a significantly lower increase in adiposity compared with control Ob animals that had never been exposed to mice harboring the lean co- twin's culture collection (P ⁇ 0.05, one-tailed unpaired Student's t test). Moreover, the adiposity of these Ob animals was not significantly different from Ln controls (P > 0.05, one-tailed unpaired Student's t test) (Fig. 21 B). In addition, exposure to Ob ch animals did not produce a significant effect on the adiposity of Ln ch mice: Their adiposity phenotypes and fecal biomass were indistinguishable from dually housed Ln controls (Fig. 21 B; and fig. 22, B and C). Cohousing caused the cecal metabolic profile of Ob ch mice to assume features of Ln ch and control Ln animals, including higher levels
- the fecal microbiota of Ln or Ob controls sampled 5 days after colonization were used as source communities to determine the direction of invasion.
- the fecal communities belonging to each Ln ch and Ob ch mouse were then traced to these sources.
- We defined the direction of invasion for these bacterial taxa by calculating the log odds ratio of the probability of a Ln origin ⁇ PLn) or an Ob origin (POb) for each species-level taxon or 97%ID OTU, / ' , as follows:
- a positive log odds ratio indicated that a species or 97%ID OTU was derived from a Ln source; a negative log odds ratio indicated an Ob source.
- An invasion score was calculated to quantify the success of invasion of each species or 97%ID OTU, / ' , into each cohousing group, ), as follows: [0222] where A t . is the average relative abundance of taxon / ' in all fecal samples collected from group j after cohousing, and 5.. is its relative abundance in all samples taken from that group before cohousing.
- Fig. 29A defined by asymptotic P values for all Spearman's correlations, corrected for multiple hypotheses using the Benjamini-Hochberg procedure.
- BCAA and the products of amino acid metabolism were positively correlated with Clostridium hathewayi (Fig. 29A).
- This member of the Firmicutes represented an average of 2.54% of the Ob fecal microbiota before cohousing; its relative abundance was substantially reduced in Ob ch animals, and it was not able to successfully invade the microbiota of Ln ch cage mates (Figs. 21 E and 29A and table 22A).
- Ultra- performance liquid chromatography-mass spectrometry (UPLC-MS) analysis of 37 bile acid species in cecal samples obtained from Ln-Ln, Ob-Ob, Ob ch , and Ln ch mice revealed significantly lower levels of eight bile acids in Ob-Ob compared with Ln-Ln controls (Fig. 29B). Cohousing rescued these differences, with Ob ch mice having bile acid profiles that were more similar to Ln-Ln than to Ob-Ob controls and not significantly different from Ln ch cage mates (n 5 to 6 mice per group; see table 25 for all bile acids measured that exhibit significant differences between Ob-Ob and Ln-Ln controls).
- Bile acids can have direct metabolic effects on the host via the nuclear farnesoid X receptor (FXR) (42). Intestinal FXR mediates intestinal fibroblast growth factor 15 ⁇ Fgf15) production. Fgf15, secreted by the gut epithelium and delivered to hepatocytes via the portal circulation, acts through fibroblast growth factor receptor 4 ⁇ Fgfr4) to inhibit expression of the rate-limiting enzyme in bile acid biosynthesis, cholesterol 7-a-hydroxylase (Cyp7a1) (Fig. 29, C to F) (43).
- Cyp7a1 cholesterol 7-a-hydroxylase
- Engineered FXR deficiency in leptin-deficient mice protects against obesity and improves insulin sensitivity (42). Overexpression of Cyp7a1 in the livers of transgenic mice also prevents diet-induced obesity and insulin resistance (44). Sequestering bile acids with the drug colesevelam lowers blood sugar in humans with type 2 diabetes (45). Quantitative reverse
- Obesity-related insulin resistance has been associated with broad-scale accumulation of acylcarnitines in skeletal muscle (46, 47). Maneuvers that resolve the acylcarnitine accumulation in muscle, including knockout of the malonylCoA
- Ob-Ob controls fed the LoSF-HiFV diet (33% fat by weight) also had clear increases in accumulation of a group of even-, long-chain acylcarnitines (C14, 014:1 , 016, C16:1 , C18, 018:1 , and 018:2) in their liver and skeletal muscle compared with Ln-Ln controls [multivariate ANOVA (MANOVA), P ⁇ 0.001 ; n 3 to 6 animals per treatment group].
- MANOVA multivariate ANOVA
- NHANES-based diet made with foods that characterize U.S. diets representing the upper, rather than lower, tertile of consumption of saturated fats and the lower, rather than upper, tertile of consumption of fruits and vegetables (abbreviated HiSF-LoFV; 44% fat by weight).
- Significant differences in body composition were documented between Ob-Ob and Ln-Ln mice fed this diet.
- African-Americans who comprised 14.4% of the wave 5 sample, had significantly higher rates of overweight and obesity compared to European-Americans (32.5% and 36.6% vs. 20.1 % and 15.2%, respectively; p ⁇ 0.001 ).
- the mean difference in BMI between co-twins was 3.53 kg/m 2 (SD 3.78 kg/m 2 ).
- the mean difference in BMI was greater in DZ compared to MZ twin pairs (4.65 ⁇ 4.58 kg/m2 versus 2.60 ⁇ 2.57 kg/m 2 ; p ⁇ 0.001 ).
- We identified BMI discordant twin pairs using two different definitions. If one co-twin was classified as obese (BMI>30 kg/m 2 ) and the other lean ( ⁇ 25 kg/m 2 ), then 5.72% of twin pairs were defined as BMI discordant (mean difference 1 1 .42 ⁇ 4.09 kg/m2).
- the rate of discordance was substantially lower for MZ pairs compared to DZ pairs (2.3% versus 9.9%; p ⁇ 0.001 ).
- BMI discordance was defined as 28 kg/m 2 , regardless of BMI category of the leaner co-twin, 5.2% of MZ pairs and 18.3% of DZ pairs were classified as discordant (p ⁇ 0.001 ).
- Written informed consent was obtained from all research participants, using procedures approved by the Washington University Human Studies Committee.
- Example 18 Efficient and reproducible capture of the organismal and microbial gene content of human fecal samples in gnotobiotic mouse recipients
- PCoA Principal Coordinates Analysis
- Example 20 Efficient and reliable transfer of culture collections to gnotobiotic animals
- Fig. 20A-D illustrates how capture of cultured bacterial taxa and their encoded gene functions was both efficient and reproducible within and between groups of recipient gnotobiotic mice.
- Captured members of the obese or lean co-twin's culture collection represented 83 ⁇ 3% (obese) and 86 ⁇ 8% (lean) of the family-level taxa that were successfully transplanted into mouse recipients of the corresponding intact uncultured fecal samples, and 63 ⁇ 3% (obese) and 51 ⁇ 8% (lean) of the family-level taxa that were present in the original donor fecal sample (see table 21 A-C for a summary overview and a list of phylum-, class-, order-, family-, genus-level taxa, plus 97%ID OTUs).
- shotgun sequencing of the cecal microbiomes of transplant recipients confirmed efficient capture of functional features represented in transplanted intact (non-cultured) microbiomes and recapitulation of their proportional representation as
- NRI is a measure of the standardized effect size of the mean
- Example 22 Adaptive thermogenesis analysis of epididymal fat pads
- the findings described above provide a starting point for future studies that systematically test the effects of specified diet ingredients on microbiota-associated body composition and metabolic phenotypes (e.g., components that when added or subtracted restore invasiveness of specific members of the microbiota in the context of the HiSF-LoFV diet).
- a benefit of using the approach described in this report is that the target human population embodying a phenotype of interest is integrated into the animal model through selection of gut microbiota representative of that population and diets representative of their patterns of food consumption.
- Our finding that culture collections generated from human microbiota samples can transmit donor phenotypes of interest (body composition and metabotypes) has a number of implications.
- sequenced culture collections generated from human gut microbiota donors also provide an opportunity to model and further address basic issues such as the determinants of invasiveness including the mechanisms by which invasion is impacted by diet composition, as well as the mechanisms by which invading components impact microbial and host metabolism. This issue is important for identifying next-generation probiotics, prebiotics, or a combination of the two
- mice were performed using protocols approved by the Washington University Animal Studies Committee. Germ-free adult male
- C57BL/6J mice were maintained in plastic flexible film gnotobiotic isolators under a strict 12 h light cycle and fed an autoclaved low-fat, polysaccharide-rich chow (LF/HPP) diet (B&K Universal, East Yorkshire, U.K; diet 7378000) or the NHANES-based diets ad libitum.
- LF/HPP polysaccharide-rich chow
- mice were gavaged with a given culture collection and singly-housed in a cage in an isolator dedicated to animals receiving the same collection. Five days after gavage, mice with the lean culture collection were introduced into cages containing mice harboring the obese co-twin's culture collection. Controls consisted of dually-housed Ln-Ln or Ob-Ob mice. Prior to co-housing, Aspen hardwood lab bedding (NEPCO) was replaced with freshly autoclaved material.
- NEPCO Aspen hardwood lab bedding
- Transplant recipients were maintained in separate cages within a gnotobiotic isolator dedicated to animals colonized with the same human donor microbiota, except in the case of co-housing experiments.
- the outer surface of the tube was sterilized by exposure for 20 min to chlorine dioxide in the transfer sleeve attached to the gnotobiotic isolator, and then transferred into the isolator.
- a 1 ml_ syringe was used to recover a 200 ⁇ _ aliquot of the suspension, which was subsequently introduced by gavage with a flexible plastic tube into the stomachs of each adult C57BL/6J germ- free recipient.
- Human microbiota transplant recipients were maintained in separate cages within an isolator dedicated to mice colonized with the same donor microbiota, except in the case of co-housing experiments.
- Body composition was defined using an EchoMRI-3in1 instrument (EchoMRI, Houston, TX). Mice were transported from their gnotobiotic isolators to the MR instrument in a H EPA filter-capped glass vessel. Fat mass, lean body mass and tissue-free body water were measured as indicated in the text for each experimental paradigm.
- Permeabilization buffer and acquired on an LSI II flow cytometer (Becton Dickinson). Data were analyzed using FlowJo software (Treestar).
- Genomic DNA was extracted from feces and gut contents using a bead- beating protocol (2). Briefly, a -500 mg aliquot of each pulverized frozen human fecal sample, or mouse fecal pellets (-50 mg), or stomach, small intestinal, cecal or colonic contents (-20 mg each) were re-suspended in a solution containing 500 ⁇ _ of extraction buffer [200mM Tris (pH 8.0), 200mM NaCI, 20mM EDTA], 210 ⁇ _ of 20% SDS, 500 ⁇ _ of phenol:chloroform:isoamyl alcohol (pH 7.9, 25:24:1 , Ambion) and 500 ⁇ _ of a slurry of 0.1 -mm diameter zirconia/silica beads.
- 500 ⁇ _ of extraction buffer [200mM Tris (pH 8.0), 200mM NaCI, 20mM EDTA], 210 ⁇ _ of 20% SDS, 500 ⁇ _ of phenol:chloroform:isoamyl alcohol (
- Cells were then mechanically disrupted using a bead beater (BioSpec Products, Bartlesville, OK; maximum setting for 3 min at room temperature), followed by extraction with phenol:chloroform:isoamyl alcohol and precipitation with isopropanol.
- a bead beater BioSpec Products, Bartlesville, OK; maximum setting for 3 min at room temperature
- V2-16S rRNA sequences generated using 454 FLX Titanium chemistry were trimmed to the length obtained using 454 FLX Standard chemistry (250-300 nt) and, together with the sequences generated using FLX Standard chemistry, were filtered for low quality reads and binned according to their sample-specific barcodes. Reads were clustered into 97%ID OTUs using UCLUST (53) and the Greengenes reference OTU database.
- a training dataset for taxonomic assignments was created using a modified NCBI taxonomy from the 'Isolated named strains 16S' in the Greengenes database (55). This dataset was manually curated by (i) removing strains in 'Isolated named strains 16S' that had non-standard taxonomy or that were not members of the domain Bacteria, and (ii) grouping strain level taxonomy from Greengenes assignments under a single NCBI species assignment. This dataset is available at
- RDP Database Project version 2.4 (56) classifier and to assign taxonomy to picked OTUs.
- Samples were rarefied to a depth of 800 OTUs/sample.
- the OTU table was filtered to preserve OTUs with a relative abundance > 0.5%. This threshold was also used to define a species as invasive.
- the filtered table was then rarefied to a depth of 700 OTUs/sample; while not completely characterizing the microbiota of each individual this depth has sufficient power for the analyses presented in this work (58).
- Data analysis (beta-diversity calculations, PCoA clustering, Random Forests, microbial source tracking) was performed using QIIME v1 .5 and Vegan R package version 1 .17-4 (59).
- Shotgun reads were filtered to remove all reads ⁇ 60 nt, LR70 reads with at least one degenerate base (N), or reads with two continuous and/or three total degenerate bases, plus all duplicates (defined as sequences whose initial 20 nt were identical and shared an overall identity of >97% throughout the length of the shortest read).
- N degenerate base
- all duplicates defined as sequences whose initial 20 nt were identical and shared an overall identity of >97% throughout the length of the shortest read.
- all sequences with significant similarity to human reference genomes (BLASTN with e-value ⁇ 10-5, bitscore >50, percent identity >75%) were removed. Comparable filtering against the mouse genome was performed for reads produced from samples obtained from recipient gnotobiotic animals.
- pelleted cells were suspended in 500 ⁇ _ of extraction buffer (200 mM NaCI, 20 mM EDTA), 210 ⁇ _ of 20% SDS, 500 ⁇ _ of phenol:choloroform:isoamyl alcohol (pH 4.5, 125:24:1 , Ambion), and 250 ⁇ _ of acid- washed glass beads (Sigma-Aldrich, 212-300 ⁇ diameter).
- Microbial cells were lysed by mechanical disruption using a bead beater (Biospec, maximum setting; 5 min at room temperature), followed by phenol:chloroform:isoamyl alcohol extraction and precipitation with isopropanol.
- the counts for each gene were added according to the gene's fraction of unique-match counts. Pseudocounts were added (i.e. 1 count) to each gene prior to normalization to account for different sampling depths (data expressed as reads/kb/million mapped reads).
- IPGTT Intra-peritoneal glucose tolerance test
- Glucose tolerance tests were performed by intra-peritoneal injection of 1 g D-glucose/kg body weight after a 4 hour fast in Ln-Ln or Ob-Ob animals colonized for 15 d with the culture collection from twin pair 1 and fed a LoSF/HiFV diet. Insulin signaling
- Each human fecal sample was pulverized in liquid nitrogen and resuspended in pre-reduced PBS (0.1 % Resazurin, 0.05% Cysteine/HCI; 15ml_/g feces). Samples were subsequently vortexed for 5 min and allowed to settle by gravity for 5 min to permit large, insoluble particles to settle. The supernatant was diluted 1000- fold in pre-reduced PBS and plated on 150 mm diameter plates containing pre-reduced Gut Microbiota Medium [GMM; (65)]. Plates were incubated in a Coy chamber, under anaerobic conditions, for 7d at 37oC.
- PBS 0.1 % Resazurin, 0.05% Cysteine/HCI; 15ml_/g feces
- Colonies were subsequently harvested en masse from six plates by scraping (10 ml_ of pre-reduced PBS/plate). Glycerol (30%)/PBS stocks were stored in anaerobic glass vials at -80°C. A 200 ⁇ _ aliquot of the non-arrayed culture collection was introduced by gavage into each recipient germ-free mouse.
- Genomic DNA was extracted from individual strains, first by bead- beating in phenol:chloroform, followed by purification through a Qiagen 96-well PCR purification plate. A barcoded lllumina sequencing library was then prepared for each sample (250 ng DNA strain; gel size-selected at 350-500 bp).
- An expected MPD value using the master tree built for this study, was calculated by randomly drawing communities of the same species richness, and calculating their MPD across a 1000 random draws. We compared the observed MPD to the expected MPD value using the algorithm employed in Phylocom4.1 , and implemented by QIIME version 1 .5. NRI is positive for communities that are clustered in a non-random pattern, and negative for non-random, over-dispersed communities. Significance was determined by one-sample t-test.
- Shared 97% ID OTUs and shared branch length were calculated by identifying the OTUs for each mouse sampled at a given day in a given cage, and then calculating the (i) intersection of the OTUs between each mouse and their cagemate (for shared OTUs), and (ii) the total descending branch length of the intersection of the OTUs between cagemates (for shared branch length).
- cDNA was diluted 4X and 1 ml_ of cDNA was used to run Taq-Man qPCR reactions, using TaqMan® Universal Master Mix II, without UNG, plus commercially available TaqMan primers to Fxr/Nr1 h4 (Mm00436425_m1 ), Fgf15 (Mm01275900_g1 ) and Cyp7a1 (Mm00484150_m1 ). All data were normalized to the endogenous controls L32 ribosomal protein (RPL32; Mm02528467_g1 ) (Life
- Fibroblast growth factor 15 functions as an enterohepatic signal to regulate bile acid homeostasis. Cell Metab. 2, 217-225 (2005).
- RNAmmer consistent and rapid annotation of ribosomal RNA genes. Nucleic Acids Res. 35, 3100-3108 (2007). doi:10.1093/nar/gkm160 Medline
- Genome composition Total length: 7,075,241 bp
- read length shown represents length after demultiplexing
Landscapes
- Life Sciences & Earth Sciences (AREA)
- Chemical & Material Sciences (AREA)
- Health & Medical Sciences (AREA)
- Engineering & Computer Science (AREA)
- Zoology (AREA)
- Microbiology (AREA)
- Organic Chemistry (AREA)
- Polymers & Plastics (AREA)
- Molecular Biology (AREA)
- Proteomics, Peptides & Aminoacids (AREA)
- Wood Science & Technology (AREA)
- Analytical Chemistry (AREA)
- Biotechnology (AREA)
- Biochemistry (AREA)
- Biomedical Technology (AREA)
- General Health & Medical Sciences (AREA)
- Bioinformatics & Cheminformatics (AREA)
- Food Science & Technology (AREA)
- Immunology (AREA)
- Genetics & Genomics (AREA)
- General Engineering & Computer Science (AREA)
- Animal Husbandry (AREA)
- Medicinal Chemistry (AREA)
- Physics & Mathematics (AREA)
- Mycology (AREA)
- Birds (AREA)
- Hematology (AREA)
- Urology & Nephrology (AREA)
- Tropical Medicine & Parasitology (AREA)
- Biophysics (AREA)
- Cell Biology (AREA)
- Pathology (AREA)
- General Physics & Mathematics (AREA)
- Physiology (AREA)
- Toxicology (AREA)
- Nutrition Science (AREA)
- Pharmacology & Pharmacy (AREA)
- Epidemiology (AREA)
- Animal Behavior & Ethology (AREA)
- Public Health (AREA)
Abstract
The invention encompasses methods for identifying supplements that support growth of a bacterial strain in the gut of a subject, and compositions derived therefrom.
Description
METHODS FOR IDENTIFYING SUPPLEMENTS THAT INCREASE GUT COLONIZATION BY AN ISOLATED BACTERIAL SPECIES, AND COMPOSITIONS
DERIVED THEREFROM
BACKGROUND OF THE INVENTION
[0001 ] This invention was made with government support under DK30292 and DK70977 awarded by National Institutes of Health. The government has certain rights in the invention.
CROSS REFERENCE TO RELATED APPLICATIONS
[0002] This application claims the benefit of U.S. Provisional Application No. 61/841 ,786, U.S. Provisional Application No. 61/867,600, and U.S. Provisional
Application No. 61/867,946, each of which is hereby incorporated by reference in its entirety.
FIELD OF THE INVENTION
[0003] The invention encompasses methods for identifying supplements that support growth of a bacterial strain in the gut of a subject, and compositions derived therefrom.
BACKGROUND OF THE INVENTION
[0004] It is generally desired in the art to be able to identify components of an organism's gut microbial community (i.e. an organism's gut microbiota) that are responsible for transmitting a phenotype from a first subject to a second subject. Stated another way, it is desirable to identify isolated bacterial species that are capable of (1 ) promoting a first phenotype in a first subject, (2) colonizing an existing gut microbial community in a second subject, and (3) transferring the phenotype of the first subject to the second subject.
[0005] While the art generally teaches that increased proportional
representation of bacterial taxa belonging to the phylum Bacteroidetes in the gut microbiota are associated with a lean phenotype, and increased proportional
representation of members of the phylum Firmicutes and decreased representation of the Bacteroidetes are associated with an obese phenotype, there is no consensus within the scientific community whether these relationships are in fact causal. The prior art also teaches that uncultured and cultured gut microbiota samples collected from a donor are capable of transmitting a donor phenotype to a gnotobiotic animal. It is not clear from the prior art, however, if the culturable fraction of microbial communities generated from microbiota samples obtained from a donor will transmit donor phenotypes to a recipient with an existing microbiota, nor what components of the culturable fraction are necessary for transmitting the phenotype. In order to answer these questions, methods for promoting colonization of isolated bacterial strains into existing microbial communities are first needed.
SUMMARY OF THE INVENTION
[0006] One aspect of the invention encompasses a method for identifying a candidate dietary supplement, the method comprising: (a) identifying one or more nucleic acids expressed by one or more bacterial strains of the same bacterial species when the bacterial strain is in the gut of a subject, wherein the one or more nucleic acids are differntially expressed when the subject consumes a first diet, compared to a reference diet, and wherein the nucleic acids encode enzymes that degrade, modify or create glycosidic bonds; (b) defining in vitro growth of the one or more bacterial of the same bacterial species in a plurality of conditions, each condition corresponding to media supplemented with one or more polysaccharides; wherein defining in vitro growth comprises (i) identifying one or more poslysaccharides that support greater in vitro growth in supplemented medium compared to unsupplemented medium; and (ii) determining the in vitro expression level of a set of nucleic acids from step (a) when the one or more bacterial strains are grown in vitro in medium supplement with a
polysaccharide identified in step (b)(i) and in unsupplemented medium; and (c) selecting at least one candidate dietary supplement comprising a polysaccharide from step (b)(i) that resulted in a statistically significant increase in expression of one or more nucleic acids from (b)(ii), compared to the unsupplemented medium. The method may further comprise determining if the candidate dietary supplement increases colonization of a
subject by the one or more isolated bacterial strains of the same bacterial species following administration of a composition comprising the candidate dietary supplement and the one or more bacterial strains, as compared to a composition without the candidate supplement, wherein the subject is the same species as the subject in step (a).
[0007] Another aspect of the invention encompasses a method for identifying a candidate dietary supplement, the method comprising:(a) identifying one or more nucleic acids expressed by one or more bacterial strains of the same bacterial species when the bacterial strain is in the gut of a subject, wherein the one or more nucleic acids are differentially expressed when the subject consumes a first diet, but not differentially expressed by a plurality of the same subject species administered a reference diet, and wherein the nucleic acids encode enzymes that degrade, modify or create glycosidic bonds; (b) defining in vitro growth of the bacterial species in a plurality of conditions, each condition corresponding to media supplemented with one or more polysaccharides; wherein defining in vitro growth comprises (i) identifying one or more poslysaccharides that support greater in vitro growth in supplemented conditions compared to unsupplemented conditions; and (ii) determining the in vitro expression level of a set of nucleic acids from step (a) when the one or more bacterial strains are is grown in vitro in medium supplement with a polysaccharide identified in step (b)(i) and in unsupplemented medium; and (c) selecting at least one candidate dietary supplement comprising a polysaccharide from step (b)(i) that resulted in a statistically significant increase in expression of one or more nucleic acids from (b)(ii), compared to the unsupplemented medium. The method may further comprise determining if the candidate dietary supplement increases colonization of a subject by the one or more isolated bacterial strains of the same bacterial species following administration of a composition comprising the candidate dietary supplement and the one or more bacterial strains, as compared to a composition without the candidate supplement, wherein the subject is the same species as the subject in step (a).
[0008] Another aspect of the invention encompasses a method for increasing colonization of an isolated Bacteroides species into an existing microbial community in the gut of a subject, the method comprising administering to the subject a combination
comprising an isolated Bacteroides strain and at least one carbohydrate that is preferentially utilized by the Bacteroides strain when grown in the gut of a reference subject consuming a diet that supports efficacious levels of colonization.
[0009] Another aspect of the invention encompasses a combination comprising: (i) an effective amount of an isolated Bacteroides species selected from the group consisting of B. cellulosilyticus or a Bacteroides species that prioritizes utilization of carbohydrates in vivo in the gut of a subject the same way as B. cellulosilyticus WH2, and (ii) at least one supplement in an amount effective for increasing colonization of the isolated Bacteroides species into an existing microbial community in the gut of a subject when administered to the subject.
[0010] Another aspect of the invention encompasses a composition comprising at least 3, 4, 5, 6, or 7 bacterial species selected from the group consisting of
Bacteroides cellulosilyticus, B. uniformis, B. vulgatus, B. thetaiotaomicron , B. caccae, Alistipes putredinis, and Parabacteroides merdae.
[001 1 ] Other aspects and iterations of the invention are described more thoroughly below.
BRIEF DESCRIPTION OF THE FIGURES
[0012] The application file contains at least one photograph executed in color. Copies of this patent application publication with color photographs will be provided by the Office upon request and payment of the necessary fee.
[0013] FIG. 1 depicts the phylogenetic relatedness of B. cellulosilyticus WH2 to other Bacteroides species. (A) Near full length 16S rRNA gene sequences from the B. cellulosilyticus WH2 isolate, a number of its closest known relatives (two strains of Bacteroides xylanisolvens, three strains of Bacteroides intestinalis, and the type strain of B. cellulosilyticus), and Parabacteroides distasonis (the latter was included as an outgroup) were aligned against the SILVA SEED using the SINA aligner [65]. The 5' and 3' ends of the resulting multiple sequence alignment were trimmed to remove ragged edges, and the final alignment was used to construct an approximately maximum likelihood phylogenetic tree using FastTree v2.1 .4 [66]. Sequences in the trimmed alignment used to generate the tree shown correspond to bases 22-1498 of
the Escherichia coli 16S rRNA gene [67]. Parenthetical identifiers indicate the locus tag (for B. cellulosilyticus WH2, whose genome contains four copies of the 16S rRNA gene) or GenBank accession number (for all other strains) of each sequence included in the phylogenetic analysis. (B) Identity matrix summarizing the pairwise similarities (as % nucleotide sequence identity) for all 16S rRNA gene sequences used to construct the tree shown in panel (A).
[0014] FIG. 2 graphically depicts the representation of all putative GH families identified in the B. cellulosilyticus WH2 genome compared to their representation in other sequenced Bacteroidetes species. Enumeration of the GH repertoire of B.
cellulosilyticus WH2 relative to (A) the six other Bacteroidetes species included in the artificial microbial community described in Table 3, and (B) the 86 Bacteroidetes currently annotated in the CAZy database. GH numbers in red signify CAZy families whose representation is greater in B. cellulosilyticus WH2 than in any of the other Bacteroidetes to which it is being compared. An asterisk following a GH family number indicates that genes encoding proteins from that family were found exclusively in the B. cellulosilyticus WH2 genome. In (B), GH family numbers are ordered from left to right and from top to bottom by their average representation within the 87 Bacteroidetes genomes included in the analysis.
[0015] FIG. 3 illustratively depicts the design and sampling schedule for experiments Ei and E2. In each experiment, two groups of C57BL/6J germ-free mice were gavaged at 10-12 wk of age with a 12-member artificial human gut microbial community (the day of gavage, referred to as day 0, is denoted by a large black arrow). Over time, animals were fed diets low in fat and high in plant polysaccharides (LF/HPP, bold green) or high in fat and simple sugar (HF/HS, bold orange) in alternating fashion. Fecal pellets and cecal contents were collected as indicated for profiling community membership and gene expression (sample types are denoted by a circle's color and the methods applied to each sample are indicated in parentheses within the sample key). Values shown along the time course indicate the number of days since gavage of the artificial community into germ-free animals.
[0016] FIG. 4 graphically depicts COPRO-Seq analysis of the structure of a 12- member artificial human gut microbial community as a function of diet and time. (A)
Principal coordinates analysis (PCoA) was applied to relative abundance data generated by COPRO-Seq from two experiments (E-i, E2), each spanning 6 wk.
Following colonization (day 0), mice were switched between two different diets at 2 wk intervals as described in Figure 3. COPRO-Seq data from Ei and E2 were ordinated in the same multidimensional space. For clarity, only data from E2 are shown here (for the E-i PCoA plot, see Figure 6A). Red/blue, feces; pink/cyan, cecal contents. (B-E) Proportional abundance data from Ei illustrating the impact of diet on fecal levels of a diet-sensitive strain with higher representation on HF/HS chow (B; B. caccae), a diet- sensitive strain with higher representation an LF/HPP chow (D; B. ovatus), a diet- insensitive strain with no obvious diet preference (C; B. thetaiothomicron), and a diet- sensitive strain with a preference for the LF/HPP diet that also achieves a high level of representation on the HF/HS diet (E; B. cellulosilyticus WH2). Mean values ± SEM are shown. Plots illustrating changes in abundance over time for all species in both experiments are provided in Figure 5C-N.
[0017] FIG. 5 graphically depicts COPRO-Seq analysis of the proportional representation of component taxa in the 12-member artificial community as a function of time after colonization of gnotobiotic mice and the diet they were consuming. (A) Average DNA yields from fecal and cecal samples collected from each treatment group in experiment E-i . (B) DNA yields from samples collected in experiment E2. (C-N) COPRO-Seq quantitation of the 12 bacterial species comprising the assemblage used to colonize germ-free mice in experiments E-i and E2. Vertical dashed lines at days 14 and 28 denote time points at which diets were switched. Panels (A-N) share a common key, provided in the upper right. Circles and triangles denote samples from experiments Ei and E2, respectively. Cecal sample data points (obtained at sacrifice on day 42 of the experiment) are plotted as for fecal sample data, but with inverted colors (i.e., colored outline, solid black fill). For all panels (A-N), data shown are mean ± SEM.
[0018] FIG. 6 depicts further COPRO-Seq analysis of the relative abundance of components of the 12-member bacterial community as a function of diet and time. (A) Plot of the ordination results for experiment 1 (E-i) from the PCoA described in Figure 4A. COPRO-Seq data from E-i and E2 were ordinated in the same multidimensional space. For clarity, only data from Ei are shown (for the E2 PCoA plot, see Figure 4A).
Color code: red/blue, feces; pink/cyan, cecal contents. (B-C) Heatmap representation of the relative abundance data from E-i normalized to each species' maximum across all time points within a given animal ("Percentage of maximum achieved (PoMA)"). Each heatmap cell denotes the mean for one treatment group (n=7 animals), and each treatment group is shown as its own heatmap.
[0019] FIG. 7 graphically depicts GeneChip profiling of the cecal
metatranscriptome in mice fed different diets. (A) Venn diagram illustrating the number of bacterial genes whose expression was scored as "present" (i.e., detectable in >5 of 7 animals) only in mice that were consuming the plant polysaccharide rich LF/HPP diet, only in mice that were consuming a "Western" like HF/HS diet, or in both groups. (B-F) Overview of the diet specificity of CAZyme gene expression in the 12-member model microbiota and in four prominent taxa that maintained a proportional representation in the cecal microbiota that was >5% on each diet.
[0020] FIG. 8 depicts a list and graph of B. cellulosilyticus WH2 CAZyme expression in mice fed different diets. (A) Overview of the 50 most highly expressed B. cellulosilyticus WH2 CAZymes (GHs, GTs, PLs, and CEs) for samples from each diet treatment group. List position denotes the rank order of gene expression for each treatment group, with higher expression levels situated at the top of each list. Genes common to both lists are identified by a connecting line, with the slope of the line indicating the degree to which a CAZyme's prioritized expression is
increased/decreased from one diet to the other. CAZy families in bold, colored letters highlight those list entries found to be significantly upregulated relative to the alternative diet (i.e., a CAZyme with a bold green family designation was upregulated on the LF/HPP diet; a bold orange family name implies a gene was upregulated significantly on the HF/HS diet). Statistically significant fold changes between diets are denoted in the "F.C." column (nonsignificant fold changes are omitted for clarity). (B) Breakdown by CAZy family of the top 10% most expressed CAZymes on each diet whose expression was also found to be significantly higher on one diet than the other. Note that for each diet, the family with the greatest number of upregulated genes was also exclusively upregulated on that diet (LF/HPP, GH43; HF/HS, GH13). In total, 25 genes
representative of 27 families and 12 genes representative of 13 families are shown for the LF/HPP and HF/HS diets, respectively.
[0021 ] FIG. 9 depicts a heatmap of a top-down analysis of fecal microbiome RNA expression in mice receiving oscillating diets. The fecal metatranscriptomes of four animals in the LF/HPP→HF/HS→LF/HPP treatment group of E2 were analyzed using microbial RNA-Seq at seven time points to evaluate the temporal progression of changes in expressed microbial community functions triggered by a change in diet. After aligning reads to genes in the defined artificial human gut microbiome, raw counts were collapsed by the functional annotation (EC number) of the gene from which the corresponding reads originated. Total counts for each EC number in each sample were normalized, and any EC numbers demonstrating a statistically significant difference in their representation in the metatranscriptome between the final days of the first two diet phases were identified using a model based on the negative binomial distribution [57]. Normalized expression values for 157 significant EC numbers (out of 1 ,021 total tested) were log-transformed, mean-centered, and subjected to hierarchical clustering, followed by heatmap visualization. "Rapid" responses are those where expression
increased/decreased dramatically within 1-2 d of a diet switch. "Gradual" responses are those where expression changed notably, but slowly, between the two diet transition points. "Delayed" responses are those where significant expression changes did not occur until the end of a diet phase. EC numbers specifying enzymatic reactions relevant to carbohydrate metabolism and/or transport are denoted by purple markers, while those with relevance to amino acid metabolism are indicated using orange markers. A full breakdown of all significant responses over time and the outputs of the statistical tests performed are provided in Table 7.
[0022] FIG. 10 graphically depicts the in vivo expression of EC 3.2.1 .8 (endo- 1 ,4" -xylanase). (A) Gene expression in E2 fecal samples was evaluated by microbial RNA-Seq. After data from all 12 species in the model human gut microbiome were binned by EC number annotation and normalized (i.e., data were "community- normalized" at the level of ECs), a significant decrease in the representation of EC 3.2.1 .8 in the metatranscriptome was observed when comparing the final time point of the first diet phase (day 13, LF/HPP diet) and the final time point of the second diet
phase (day 27, HF/HS diet) (Mann-Whitney L/ test, p = 0.03). (B) Transcribed B.
cellulosilyticus WH2 genes account for >99% of community-normalized RNA-Seq counts assignable to EC 3.2.1 .8 (note how counts at the community level in panel (A) compare to those attributable to B. cellulosilyticus WH2 in panel (B)). Thus, B.
cellulosilyticus WH2 essentially dictates the degree to which expressed endo-1 ,4-β- xylanase genes are represented within the metatranscriptome. (C) B. cellulosilyticus WH2 contributes a greater number of community-normalized RNA-Seq counts to the metatranscriptome in LF/HPP-fed mice than in HF/HS-fed animals. (D) When B.
cellulosilyticus WH2 gene expression data are normalized independently of data from other taxa (i.e., when data are "species-normalized"), statistically significant increases in the representation of EC 3.2.1 .8 within the B. cellulosilyticus WH2 transcriptome become apparent in HF/HS fed mice. (E) Breakdown of the total species-normalized counts in panel (D) by the B. cellulosilyticus WH2 gene from which they were derived. For all panels (A-E), mean values ± SEM are shown. Means for all panels were calculated from data from four animals at each time point, except day 26 (n=2). In each of the first four panels (A-D), the differences between day 13 and day 27 were deemed statistically significant by Mann-Whitney U test (p = 0.03 for each of the four tests performed).
[0023] FIG. 11 graphically depicts shotgun metaproteomic analysis of cecal samples from gnotobiotic mice colonized with the 12-member artificial community. (A) Each species' theoretical proteome was subjected to in silico trypsin ization (see
Materials and Methods). Of the resulting peptides, those specific to a single protein within our database of all predicted proteins encoded by the genomes of the 12 assemblage members, the mouse, and three bacterial "distractors" (E. rectale, F.
prausnitzii, and R. torques) were classified as "unique," while all others were considered "non-unique." The "unique" fraction of a species' predicted peptides indicates how many can be unambiguously traced back to a single protein of origin if detected by LC- MS/MS. (B) Comparison of the average relative cecal abundance of each assemblage member (dark gray bars) with the percentage of proteins within its theoretical proteome that were detected by LC-MS/MS (red bars), and the percentage of all genes within its genome whose expression was detected using our custom GeneChip (light gray bars).
Data shown are mean values ± SEM. (C-G) Scatter plots illustrating the Pearson correlation coefficient (r) between log transformed averages of diet specific fold differences in expression as determined by GeneChip assay (RNA, x axis) and LC- MS/MS (protein, y axis) in E<| . Data points within the black scatter plot (C) represent the 448 B. cellulosilyticus WH2 genes for which reliable quantitative data could be obtained for animals in both diet treatment groups for both the GeneChip and LC-MS/MS assays (i.e., any gene for which a signal could not be detected on at least one diet treatment in at least one assay was excluded). Scatter plots in color (D-G) represent the results of correlation analyses performed on subsets of genes within the black plot (C) whose KEGG annotations fall within particular functional categories, including "Translation" (D; r = 0.03, 59 genes), "Energy metabolism" (E; r = 0.36, 58 genes), "Amino acid metabolism" (F; r = 0.48, 67 genes), and "Carbohydrate metabolism" (G; r = 0.69, 1 10 genes). For both (B) and (C-G), n - 2 mice per treatment group (4 mice total).
[0024] FIG. 12 depicts two xylanase-containing B. cellulosilyticus WH2 PULs demonstrating strong diet-specific expression patterns in vivo. (A) The PUL spanning BWH2_4044-55 includes a four-gene cassette comprising two consecutive susC/D pairs, multiple genes encoding GHs and CEs, and a gene encoding a putative hybrid two-component system (HTCS) presumed to play a role in the regulation of this locus. GH10 enzymes are endo-xylanases (most often endo-β-1 ,4-xylanases), while some GH5 and GH8 enzymes are also known to have endo- or exo-xylanase activity. CE6 enzymes are acetyl xylan esterases, as are some members of the CE1 family. A second PUL spanning BWH2_4072-6 contains a susC/D cassette, an endo-xylanase with dual GH10 modules as well as dual carbohydrate (xylan) binding modules (CBM22), a hypothetical protein of unknown function, and a putative HTCS. (B) Heatmap
visualization of GeneChip expression data for BWH2_4044-55 and BWH2_4072-6 showing marked upregulation of these putative PULs when mice are fed either a plant polysaccharide-rich LF/HPP diet or a diet high in fat and simple sugar (HF/HS), respectively. Data are from cecal contents harvested from mice at the endpoint of experiment E<| . (C) Mass spectrometry-based quantitation of the abundance of all cecal proteins from the BWH2_4044-55 and BWH2_4072-6 PULs that were detectable in the same material used for GeneChip quantitation in panel (B). Bars represent results
(mean ± SEM) from two technical runs per sample. For each MS run, the spectral counts for each protein were normalized against the total number of B. cellulosilyticus WH2 spectra acquired. (D-G) Comparison of in vivo PUL gene expression as measured by RNA-Seq (top; D and F) and the degree to which disruption of each gene within each PUL by a transposon impacts the fitness of B. cellulosilyticus WH2 on each diet, as measured by insertion sequencing (INSeq, bottom; E and G). For the lower plots (E and G), fitness measurements were calculated by dividing a mutant's representation
(normalized sequencing counts) within the fecal output population by its representation within an input population that was introduced into germ-free animals via a single oral gavage along with other members of the artificial community. For cases in which no instances of a particular mutant could be measured in the fecal output (resulting in a fitness calculation denominator of zero), data are plotted as "<0.01 " and are drawn without error bars.
[0025] FIG. 13 depicts in vitro microbial RNA-Seq profiling of B. cellulosilyticus WH2 during growth on different carbohydrates. (A-B) Hierarchical clustering of the gene expression profiles of 90 cultures grown in minimal medium supplemented with one of 31 simple or complex sugars (n = 2-3 replicates per condition). Circles at dendrogram branch points identify clusters with strong bootstrapping support (>95%; 10,000 repetitions). Solid circles denote clusters comprising only replicates from a single treatment group/carbohydrate, while open circles denote higher level clusters
comprising samples from multiple treatment groups. Colored rectangles indicate the type of carbohydrate on which the samples within each cluster were grown. (C)
Unclustered heatmap representation of fold changes in gene expression relative to growth on minimal medium plus glucose (MM-GIc) for 60 of the 236 paired susC- and susD-like genes identified within the B. cellulosilyticus WH2 genome (for a full list of all paired and unpaired susC and susD homologs, see Table 2). Data shown are limited to those genes whose expression on at least one of the 31 carbohydrates tested demonstrated a >100-fold increase relative to growth on MM-GIc for at least one of the replicates within the treatment group. Yellow boxes denote areas of the map where both genes in a susC/D pair were upregulated >100-fold for at least two of the replicates in a treatment group and where the average upregulation for each gene in the pair was
>100-fold across all replicates of the treatment group. Two sets of columns to the right of the heatmap indicate PULs that were detectably expressed at the mRNA level (left set of columns) and/or protein level (right set of columns) in experiment 1 (E-i ). Red and black circles indicate that both genes in a susC/D pair were consistently expressed on a particular diet, as determined by GeneChip analysis of cecal RNA (>5 of 7 animals assayed) or LC-MS/MS analysis of cecal protein (2 of 2 animals assayed). In both cases, a red circle denotes significantly higher expression on one diet compared to the other.
[0026] FIG. 14 graphically depicts reliable replication of human donor
microbiota in gnotobiotic mice. (A) Assembly of bacterial communities in mice that had received intact and uncultured fecal microbiota transplants from the obese and lean co- twins in DZ pair 1 . Principal coordinates (PC) analysis plot based on an unweighted UniFrac distance matrix and 97% ID OTUs present in sampled fecal communities.
Principal coordinate 1 (PC1 ) explains 23% of the variation between samples, and describes the difference between lean and obese communities. Circles correspond to a single fecal sample obtained at a given time point from a given mouse and are colored according to the experiment (n = three independent experiments). Note that assembly is reproducible within members of a group of mice that have received a given microbiota, as well as between experiments. (B) Body composition, defined by QMR, was
performed 1 and 15 days post-colonization (dpc) of each mouse in each recipient group. Mean values (± SEM) are plotted for the percent increase in fat mass and lean body mass at 15 dpc for all recipient mice of each of the four obese co-twins' or lean co-twins' fecal microbiota, normalized to the initial body mass of each recipient mouse. A two-way ANOVA indicated that there was a significant donor effect (P < 0.05), driven by a significant difference in adiposity between mice colonized with a lean or obese co-twin donor's fecal microbiota (adjusted P < 0.05; Sidak's multiple comparison test). (C) Mean values (± SEM) are plotted for the percent change in fat mass at 15 dpc for all recipient mice of each of the four obese co-twins' or lean co-twins' fecal microbiota. Data are normalized to initial fat mass (n = 3 to 12 animals per donor microbiota; 51 to 52 mice per BMI bin; total of 103 mice). ***P < 0.001 , as judged by a one-tailed unpaired
Student's t test. (D) Prolonged time course study for recipients of fecal microbiota from
co-twins in discordant DZ pair 1 (mean values ± SEM plotted; n = 4 mice per donor microbiota). The difference between the gain in adiposity calculated relative to initial fat mass (1 dpc) between the two recipient groups of mice is statistically significant (P < 0.001 , two-way AN OVA).
[0027] FIG. 15 graphically depicts transplantation of an intact uncultured fecal microbiota from an obese or a lean co-twin donor from a twin pair stably discordant for obesity is reproducible within a group of recipient gnotobiotic mice. Data in A-D are from all four discordant twin pairs. (A) Transplantation of fecal microbiota from human donors to recipient mice captures interpersonal differences. Mean values ± SEM for pairwise unweighted UniFrac distance measurements are plotted. Abbreviations: 'Self-Self comparison, same mouse sampled at different time points within a given experiment; 'Mouse-Mouse (same human donor)', mice colonized with the same human donor's fecal microbiota sample (3-8 mice/donor; 1 -5 independent experiments/donor sample); 'Mouse-Fecal microbiota from human donor', comparison of fecal bacterial communities in a recipient group of mice versus their human donor's microbiota; 'Mouse-Fecal sample from unrelated humans', comparison of fecal microbiota from recipients of given donor's microbiota compared to the fecal microbiota of all other unrelated individuals (across twin pair comparison; this latter analysis involved two fecal samples obtained two months apart for each individual in each twin pair). See table S2D for results of statistical tests of observed differences in unweighted UniFrac distances. (B) Mean values ± SEM for pairwise UniFrac distance measurements are plotted. Abbreviations: 'Self-Self, comparison of community structures from different regions of the gut (note the small intestine was divided into 16 equal length segments with segment 1 being most proximal; segments 1 ,2,5,9,13, and 15 were analyzed separately and pairwise comparisons of segments performed to generate the mean value ± SEM that is plotted); 'Mouse-Mouse (same human donor)', mice colonized with the same human donor's fecal microbiota sample (3-8 mice/donor; 1 -4 independent experiments/donor sample); 'Mouse-fecal microbiota from unrelated humans', comparison of fecal microbiota from gnotobiotic recipients of given donor's microbiota versus the fecal microbiota of all other unrelated humans (i.e. across twin pair comparison). *p < 0.05, ** p < 0.001 ; Student's t- test with Monte Carlo simulation, 100 iterations. (C) Principal coordinates analysis
(PCoA), based on a weighted UniFrac distance metric, of samples collected along the length of the gut from mice humanized with a fecal sample obtained from lean or obese co-twins. (D) Comparison of communities along the length of the gut based on their positioning along principal component 1 of the ordination plot (PC1 explains 39% of the variation). The same letter indicates that the indicated intestinal segments exhibited no significant differences in the overall phylogenetic structures of their microbiota. Different letters are used to signify that the indicated intestinal segments have significant differences in their bacterial community structures (comparing segments with the same letter indicates that there were no significant differences in their bacterial community structures). Different letters indicate a p-value <0.05 based on results of one-way ANOVA with Holm-Sidak's correction for multiple hypotheses. (E) PCoA of fecal samples collected from mice colonized with fecal microbiota of DZ twin pair 1 lean or obese co-twin and maintained on a LF/HPP mouse chow for 35 d. Community structure is maintained throughout the duration of the experiment.
[0028] FIG. 16 graphically depicts correlation between the representation of genes with assigned KEGG EC annotations in each human donor's microbiome and their representation in the cecal microbiomes of the corresponding gnotobiotic mouse transplant recipients. Each circle represents an EC. Mean values ± SEM are plotted for each EC in a given group of mice (n=4 recipient mice/human donor). The Spearman correlation value (rho) is indicated and is significant in all cases (p < 0.0001 ). (A) Twin pair 1 , (B) Twin pair 2, (C) Twin pair 3, and (D), Twin pair 4.
[0029] FIG. 17 depicts via illustration the KEGG pathway maps of ECs whose representation was significantly different in the fecal metatranscriptomes of mice with transplanted intact uncultured fecal microbial communities from obese versus lean co- twins. (A-C) KEGG 'Valine, Leucine, and Isoleucine Biosynthesis' and 'Degradation' pathway. (D) KEGG 'Pentose Phosphate Pathway'. (E) Overview of carbohydrate fermentation. (F) KEGG pathway 'Pyruvate Fermentation to Butyrate'. Blue indicates that the expressed ECs or metabolites were significantly enriched in the fecal metatranscriptomes of mice that received fecal microbiomes from obese twins compared to the fecal metatranscriptomes of mice that had received fecal microbiomes from their lean co-twin siblings. Red indicates expressed ECs or metabolites that were
significantly enriched in the fecal metatranschptomes of recipients of lean co-twin microbiomes. All ECs highlighted in Red or Blue were differentially expressed by transplanted microbiomes from at least two of the four discordant twin pairs. *p < 0.0001 , **P < 10"10, ***p < 10"30 (ShotgunFunctionalizeR; AIC value <5000). See tables 18, 19 and 20 for further details, including statistical analysis for each EC and KEGG Pathway (Shotgun FunctionalizerR and Random Forests) or metabolite (Student's t-test with Benjamini-Hochberg adjusted p-values).
[0030] FIG. 18 graphically depicts metabolites with significant differences in their levels in the ceca of gnotobiotic recipients of obese compared to lean co-twin fecal microbiota transplants. (A) Cellobiose and 'maltose or a similar disaccharide' levels measured by nontargeted GC/MS. (B) Targeted GC/MS of cecal SCFA. *, p < 0.05; **, p < 0.01 (two-tailed unpaired Student's t-test).
[0031 ] FIG. 19 depicts via illustration the comparison of bacterial 16S rRNA, microbial RNA-Seq and nontargeted GC/MS datasets from recipients of microbiome transplants from discordant DZ pair 1 and discordant MZ pair 4. Procrustes analysis based on Hellinger distance matrix and the following data types: V2-16S rRNA (97% ID OTUs; communities denoted as circles linked to gray bars); nontargeted GC/MS (circle linked to black bars); and RNA-Seq (EC annotations assigned to transcripts in a given sample; circle linked to orange bars). A two-tailed pairwise Mantel test (with 100 iterations) between these three distance matrices confirmed that OTUs are highly correlated to the fecal transcriptome and fecal metabolome (p < 0.01 ). M2 values for goodness of fit relative to the 16S rRNA datasets are shown.
[0032] FIG. 20 depicts via graphs and illustration the transplantation of culture collections from the fecal microbiota of co-twins in DZ pair 1 is reproducible within a recipient group of mice and captures interpersonal differences between donors. (A) Assembly of bacterial communities in mice that had received intact uncultured human fecal communities or the corresponding culture collections. PCoA plot based on unweighted UniFrac distance matrix and 97% ID OTUs in sampled fecal communities. Circles correspond to a single mouse fecal sample obtained at a given time point from a given recipient animal. Unfilled circles represent results obtained from transplantation of intact uncultured communities. Filled circles represent data generated from mice
receiving the same donor's culture collection. Circles are colored according to the BMI of the donor. Results from one representative experiment are shown (n=3 independent experiments; 4-5 mice/group). Note that assembly is reproducible within members of a group of mice that have received a given microbiota. (B) Mean values ± SEM for pairwise unweighted UniFrac analysis of V2-16S rRNA datasets (97% ID OTUs) are plotted (data shown for 5 mice/treatment group; 4 treatment groups). Color code: filled symbols represent results of pairwise comparisons between recipients of intact uncultured microbiota; unfilled symbols, results of pairwise comparisons between mice harboring culture collections; black circles, pairwise comparison between recipients of intact uncultured microbiota versus the corresponding culture collection. Abbreviations: 'Self-Self, same mouse sampled at different time points within a given experiment; 'Mouse-Mouse', mice colonized with a given donor's fecal microbiota (either intact uncultured sample or the culture collection; 3-8 mice/community type/donor); 'Mouse- Fecal microbiota from human donor', comparison of the fecal microbiota of transplant recipients versus the human donor's microbiota; 'Mouse-Fecal microbiota from unrelated humans', comparison of fecal microbiota from recipients of given donor's microbiota compared to the fecal microbiota of all other unrelated individuals (across twin pair comparison; this latter analysis involved 2 fecal samples obtained two months apart from each individual in each twin pair). (C) Correlation between the representation of genes with assigned KEGG EC annotations in the cecal microbiomes of mice harboring a transplanted intact, uncultured community from the obese or lean co-twin from DZ pair 1 versus their representation in the cecal microbiomes of recipients of the corresponding culture collections. Each circle represents an EC. Mean values are plotted for each EC in a given group of mice (n= 4-5 mice/group). Spearman correlation rho values are indicated and are significant (p < 0.0001 ). (D) Unsupervised hierarchical clustering based on a Euclidean dissimilarity matrix calculated from the relative abundance of assigned KEGG ECs in the cecal microbiomes of gnotobiotic recipients of an intact uncultured (red lines) or the corresponding cultured bacterial community (gray lines). (E) Hierarchical clustering based on a Euclidean dissimilarity matrix from metabolites identified by nontargeted GC/MS in the cecal contents of mice colonized
with intact uncultured (red lines) and cultured (gray lines) gut communities from the co- twins.
[0033] FIG. 21 depicts via illustration, graph and heatmap that cohousing Obch and Lnch mice transforms the adiposity phenotype of cage mates harboring the obese co-twin's culture collection to a lean-like state. (A) Design of cohousing experiment: 8- week-old, male, germ-free C57BL/6J mice received culture collections from the lean (Ln) twin or the obese (Ob) co-twin in DZ twin pair 1 . Five days after colonization, mice were cohoused in one of three configurations: Control groups consisted of dually housed Ob-Ob or Ln-Ln cage mates; the experimental group consisted of dually housed Obch-Lnch cage mates (data shown from five cages per experiment; two independent experiments) or Obch-Lnch- GFch-GFch cage mates (n = three cages per experiment). All mice were fed a LF-HPP diet. (B) Effects of cohousing on fat mass. Changes from the first day after cohousing to 10 days after cohousing were defined using whole-body QMR. *P < 0.05, **P < 0.01 compared with Ob-Ob controls, as defined by one-tailed unpaired Student's t test. (C) Targeted GC-MS analysis of cecal short-chain fatty acids. Compared with Ob-Ob controls, the concentrations of propionate and butyrate were significantly higher in the ceca of Obch, Ln-Ln, Lnch, and GFch mice. (D) Nontargeted GC-MS analysis of cecal levels of cellobiose and "maltose or a similar disaccharide." *P < 0.05; **P < 0.01 . (E) Evidence that bacterial species from the Lnch microbiota invade the Obch microbiota. Shown are SourceTracker-based estimates of the proportion of bacterial taxa in a given community that are derived from a cage mate. For Obch-Lnch cohousing experiments, Obch or Lnch microbiota were designated as sink communities, whereas the gut microbiota Ob-Ob or Ln-Ln controls (at 5 dpc) were considered source communities. Red indicates species derived from the Lnch gut microbial community. Blue denotes species derived from the Obch microbiota. Black denotes unspecified source (i.e., both communities have this species), whereas orange indicates an uncertain classification by the SourceTracker algorithm. An asterisk placed next to a species indicates that it is a successful invader as defined in the text. Average relative abundance (RA) in the fecal microbiota is shown before cohousing (b, at 5 dpc) and after cohousing (a, at 15 dpc). The average fold-change (fc) in relative abundance for a given taxon, for all time points before and after cohousing is shown (excluding the first 2
days immediately after gavage of the microbiota and immediately after initiation of cohousing).
[0034] FIG. 22 graphically depicts differences in biomass between fecal samples collected from mice colonized with the cultured microbiota from DZ twin pair 1 , discordant for obesity. Biomass was defined as ng DNA mg wet weight of fecal samples obtained from gnotobiotic mouse recipients of cultured communities prepared from the microbiota of lean (red lines) and obese (blue lines) co-twin donors. (A) Ln and Ob controls. (B) Obch versus Ob and Ln controls (C) Lnch versus Ln and Ob controls, (D) Ln39ch versus Ob and Ln controls. (E) ObChLn39 versus Ob and Ln controls, (F) Germ- free 'bystanders' (GFch). Mean values ± SEM are plotted (n=5-6 mice/treatment group; one sample/mouse/time point). The biomass profiles between Ob controls versus Ln, Lnch, Obch and Ln39ch mice are significantly different (two-way ANOVA, p < 0.05 for panels A-F compared fecal samples collected 6-15 dpc).
[0035] FIG. 23 depicts via heatmap the metabolic profiles generated by nontargeted GC/MS of cecal contents from co-housed mice containing Ln or Ob culture collections and fed a LF/HPP diet. Profiles were subjected to unsupervised hierarchical clustering (Euclidean distance matrix). The heatmap color code shown at the bottom of the panel denotes the relative abundance of a given metabolite normalized across each row. Where groups of co-eluting isomers with similar mass spectra are known to occur, the annotation shown is for the metabolite presumed to be dominant or most likely (e.g., glucose).
[0036] FIG. 24 graphically depicts co-housing gnotobiotic mice fed a LF/HPP diet colonized with the lean co-twin's culture collection transforms the gut community structure of cagemates colonized with her obese co-twin's culture collection to a leanlike state. (A-D) Effect of co-housing on fecal bacterial community structure. Shown are plots of principal coordinate (PC) 1 representing 1 1 % of variance in the dataset, versus time (days post colonization, dpc). The PCoA is based on unweighted UniFrac distance matrix of community 97% ID OTU composition. Each circle represents a microbial community collected from a given mouse at the indicated time point. Colors and symbols describe the culture collection initially introduced into gnotobiotic mouse recipients. Results from two representative experiments are shown. (E) Net relatedness
index (NRI) calculated based on fecal samples collected 15 d after colonization (10 d after co-housing) from Ln-Ln, Ob-Ob, Lnch-Obch animals. An asterisk indicates that NRI values were significantly different from zero (** p < 0.01 ; *** p < 0.001 , one-sample Student's t-test).
[0037] FIG. 25 graphically depicts distribution of invasion scores for the Obch microbiota is affected by diet. Histogram of the distribution of invasion scores for dually- housed Ob-Ob controls, or co-housed Obch animals that were subjected to five different diet-by-microbiota combinations: (A) mice colonized with the Ob culture collection from DZ twin pair 1 co-housed with Ln or (B) Ln39 mice and fed a LF/HPP diet; (C) mice colonized with the DZ twin pair 1 Ob culture collection and co-housed with Ln
cagemates and fed a LoSF/HiFV diet; (D) mice colonized with the intact uncultured fecal microbiota from the obese co-twin in DZ twin pair 2 and co-housed with mice colonized with the intact uncultured fecal microbiota from their lean co-twin and fed a LoSF/HiFV diet or (E) the HiSF/LoFV diet. The x-axis shows the invasion scores computed for all gut bacterial taxa observed in members of a given treatment group. The y-axis indicates the number of times (counts) that a particular invasion score was observed in that treatment group. Significant differences between the distributions of invasion scores from the Ob-Ob controls versus Obch animals in each treatment group are highlighted by red arrows and defined by a Welch's two-sample t-test. The results show that neither Obch mice fed a HiSF/LoFV diet (40% fat content by weight), nor Obch co-housed with a defined 39-member community, exhibit significant invasion from the microbiota of Lnch cagemates (significant invasion would have been manifest in this type of plot by a significant shift in the distribution of invasion scores to more positive values).
[0038] FIG. 26 depicts via heatmap that SourceTracker demonstrates the specificity of invasion at the level of 97% ID OTUs in co-housed Ln, Ob, and GF mice consuming the LF/HPP diet. Each row represents a 97% ID OTU assigned to the species indicated at the top of each panel. OTU identification numbers are provided at the end of each row for reference, dpc, days post colonization. The direction of invasion of OTUs belonging to (A) Bacteroides cellulosilyticus, (B) Bacteroides uniformis, and (C) Bacteroides thetaiotaomicron is shown (all from Lnch to Obch).
[0039] FIG. 27 graphically depicts changes in phylogenetic structure of invaded Obch communities. Red lines and red symbols represent mice consuming a LF/HPP diet that were originally colonized with a culture collection from the lean co-twin in DZ pair 1 (Ln). Blue lines and blue symbols represent mice that received a culture collection from her obese co-twin (Ob). Closed symbols represent dually-housed Ln-Ln or Ob-Ob controls. Open symbols represent co-housed Obch and Lnch cagemates. Light green lines represent the number of shared 97% ID OTUs, or branch length, in panels B-E. (A) Net Relatedness Index (NRI), (B) number of 97% ID OTUs and (C) branch length were calculated for Ln and Ob controls. Unlike with Ob-Ob controls, the NRI for Ln-Ln controls was significantly different from zero for the duration of the experiment, suggesting a non-random phylogenetic over-dispersion of their community (p < 0.05, one-sample t-test). Moreover, Ln-Ln and Ob-Ob controls had significantly different NRI scores (p <0.05; significant interaction by two-way ANOVA with Dunnett's correction for multiple hypothesis). In addition, Ln-Ln controls had significantly greater number of 97% ID OTUs and branch length than Ob-Ob controls (p <0.05; two-way ANOVA with
Dunnett's correction for multiple hypothesis). (D) NRI, (E) number of 97% ID OTUs and (F) branch length calculated for Lnch and Obch cagemates. NRI for Obch animals was not significantly different from that of Lnch cagemates 10 d after co-housing (p < 0.05, paired Student's t-test). The number of shared 97% ID OTUs as well as the shared branch length between Obch and Lnch cagemates was significantly higher 10 d after co-housing compared to the beginning of the co-housing period (p < 0.0001 , paired Student's t- test).
[0040] FIG. 28 graphically depicts global changes in the cecal meta- transcriptomes of Obch animals fed the LF/HPP diet. Cecal samples collected at the time of sacrifice from Lnch, Obch and control animals were subjected to microbial RNA-Seq. A total of 23,032,985 ± 16,990,559 reads/sample (mean ± SD) were mapped to the sequenced genomes of 148 bacterial taxa isolated from the human gut: 16.3 ± 6.5% (mean ±SD) of the reads mapped to known or predicted proteins in these genomes; 60.1 ± 1 .3 % of these mapped reads were assigned to ECs (KEGG version 58).
Euclidian distances were calculated using reads that mapped to ECs. Distances between the indicated comparisons that are significantly dissimilar to the distances
between reference co-housed Ob-Ob controls are indicated with asterisks (** p < 0.001 , as measured by a one-way ANOVA, with Holm-Sidak's correction for multiple
hypotheses).
[0041 ] FIG. 29 depicts via heatmap and graph the effect of cohousing on metabolic profiles in mice consuming the LF-HPP diet. (A) Spearman's correlation analysis of cecal metabolites and cecal bacterial species-level taxa in samples collected from Obch, Lnch, GFch, Ln39ch, and ObchLn39 cage mates and from Ob-Ob and Ln-Ln controls (correlations with P < 0.0001 are shown). Taxonomic assignments were made using a modified taxonomy from the National Center for Biotechnology Information (U.S. National Institutes of Health) (23). Bacterial species and cecal metabolites enriched in animals colonized with either the Ln or Ob culture collections are colored red and blue, respectively. An asterisk in the colored box indicates that that a taxon or metabolite is significantly enriched in mice colonized with Ln (red) or Ob (blue) culture collections. Bacterial species colored red denote significant invaders from Lnch mouse into the gut microbiota of Obch cage mates. (B) Cecal bile acids measured by UPLC-MS. Note that levels are plotted as log-transformed spectral abundances. Significance of differences relative to Ob-Ob controls was defined using a two-way ANOVA with Holm-Sidak's correction for multiple hypotheses; *P < 0.05; **P < 0.01 . (C and D) QPCR assays of FXR and Fgf15 mRNA levels in the distal ileum. Data are normalized to Ln-Ln controls. (E) QPCR of hepatic Cyp7a1 mRNA, normalized to Ln-Ln controls. *P < 0.05; **P < 0.01 ; ****P < 0.001 (defined by one-tailed, unpaired Student's t test using Ob-Ob mice as reference controls). (F) Correlating cecal bile acid profiles with the FXR-Fgf 15-Cyp7A signaling pathway in the different groups of mice. (Top) The dendrogram highlights the differences in the profiles of 37 bile acid species between Ob-Ob controls and the other three treatment groups. The dendrogram was calculated using the Bray-Curtis dissimilarity index and the average relative abundance of each bile acid species among all mice belonging to a given treatment group.
[0042] FIG. 30 depicts via illustration, graph and heatmap the co-housing experiment involving mice colonized with the obese co-twin's culture collection and mice colonized with a consortium of 39 sequenced bacterial taxa from an arrayed culture collection generated from the lean co-twin. Mice were fed the LF/HPP diet. (A)
'Reference controls' consisted of co-housed Ln-Ln, Ob-Ob animals, while the experimental group consisted of Ob mice co-housed with mice that had received a consortium of 39 strains from the clonally-arrayed, taxonomically defined Ln culture collection (Ln39) (n= 5 cages/experiment; 2 independent experiments). (B,C) Ln39ch mice were not able to ameliorate the adiposity phenotype (panel B), nor did they increase cecal SCFA concentrations in obch"Ln39 cagemates (panel C; one-tailed, unpaired Student's t-test; * p < 0.05). (D) Invasion analysis of species-level taxa based on log odds ratio between invasive species belonging to Obch or Ln39ch mice before and after co-housing. Orange denotes invasive species-level taxa originating from Ln39ch mice. Green indicates invasive species-level taxa originating from Obch"Ln39 animals. The relative abundance of each species-level taxon before (5 dpc) and after (15 dpc) co- housing is indicated. Results shown are from one representative experiment.
[0043] FIG. 31 depicts via graph and heatmap the effects of NHANES-based LoSF-HiFV and HiSF-LoFV diets on bacterial invasion, body mass and metabolic phenotypes. (A and B) Mean ± SEM percent changes in total body mass (A) and body composition [fat and lean body mass, normalized to initial body mass on day 4 after gavage (B)] occurring between 4 and 14 days after colonization with culture collections from the Ln or Ob co-twin in DZ pair 1 . Cohousing Ln and Ob mice prevents an increased body mass phenotype in Obch cage mates fed the representative LoSF-HiFV human diet (see table S13) (n = three to five cages per treatment group; 26 animals in total). **P < 0.01 , based on a one-way ANOVA after Fisher's least significant difference test. (C) Spearman's correlation analysis between bacterial species-level taxa and metabolites in cecal samples collected from mice, colonized with culture collections from DZ twin pair 1 Ln and Ob co-twins and fed a LoSF-HiFV diet. Red and blue squares indicate metabolites or taxa that are significantly enriched in samples collected from dually housed Ln-Ln or Ob-Ob controls respectively. (D and E) Mean ± SEM of changes in body mass and body composition in mice colonized with intact uncultured microbiota from DZ twin pair 2 and fed the representative HiSF-LoFV human diet. Ob- Ob controls have greater lean body mass than Ln-Ln controls, but this phenotype is not rescued in Obch animals (see table 28 for statistics). *P < 0.05 based on a one-way ANOVA. Note that the HiSF-LoFV diet produces a significantly greater increase in body
mass, specifically fat mass, in mice harboring the lean co-twins' microbiota (Ln-Ln and Lnch) with when they are fed the LoSF-HiFV diet [see (A), (B) versus (D), and (E); two- way ANOVA with Holm- Sidak's correction for multiple hypotheses].
[0044] FIG. 32 depicts via heatmap the invasion analysis of species-level taxa in Obch or Lnch mice fed the NHANES-based LoSF-HiFV diet. Red indicates species derived from the Lnch gut microbial community. Blue denotes species derived from the Obch microbiota. The mean relative abundance of each species-level taxon before (b: 3 and 4 dpc) and after (a: 8, 10 and 14 dpc) cohousing is noted. Fold-change (fc) in relative abundance of taxa before and after colonization (see legend to Fig. 21 E). An asterisk (*) denotes bacterial species that satisfy our criteria for classification as successful invaders (see text).
[0045] FIG. 33 graphically depicts co-housing gnotobiotic mice fed the
NHANES-based LoSF/HiFV diet that are colonized with the lean co-twin's culture collection transforms the gut community structure of cagemates colonized with her obese co-twin's culture collection to a lean-like state. (A-C) Effect of co-housing on fecal bacterial community structure. Plots of principal coordinate (PC) 1 representing 25% of variance in the dataset versus time (days post colonization, dpc). The plot was generated using an unweighted UniFrac distance matrix of community 97% ID OTU composition. Each circle represents a microbial community collected from a given mouse sampled at the indicated time point. Colors and symbols describe the culture collection initially introduced into gnotobiotic mouse recipients.
[0046] FIG. 34 depicts via heatmap acylcarnitine profiles of liver samples collected from mice colonized with the culture collections from Ln or Ob co-twins from DZ twin pair 1 and fed either the LF/HPP or LoSF/HiFV diets. Each column represents a different animal and each row a different acylcarnitine. The identities and levels of these acylcarnitines were determined by targeted MS/MS (see table 29 for mean values ± SEM for each treatment group). * p < 0.05. A two-way ANOVA with Holm-Sidak's correction was used to calculate whether the level of each acylcarnitine was significantly different between Ob-Ob versus Ln-Ln, Lnch or Obch animals. * p < 0.05.
[0047] FIG. 35 depicts via heatmap acylcarnitine profile in the skeletal muscle of mice colonized with the Ob or Ln culture collections from DZ twin pair 1 and fed the
LoSF-HiFV diet. Each column represents a different animal and each row a different acylcarnitine. The identities and levels of these acylcarnitines were determined by targeted MS/MS (see table 29 for mean values ± SEM for each treatment group). A two-way ANOVA with Holm-Sidak's correction was used to calculate whether the level of each acylcarnitine was significantly different between Ob-Ob and Ln-Ln, Lnch, or Obch animals. *P < 0.05.
[0048] FIG. 36 (A-B) depicts via heatmap invasion analysis from co-housing experiments involving mice with either the obese or lean co-twin's uncultured fecal microbiota from DZ twin pair 2 and fed one of two NHANES-based diets. Invasion analysis of species-level taxa was based on log odds ratio between species belonging to Obch or Lnch mice before and after co-housing. Red denotes invasive species-level bacterial taxa originating from Lnch cagemates, while blue indicates invasive species- level taxa originating from Obch animals. The relative abundance of each species-level taxon before [b, 5 days post colonization (dpc)] and after (a, 15 dpc) co-housing is indicated. The fold-change (fc) in relative abundance before and after co-housing is shown (see legend to Fig. 21 E).
[0049] FIG. 37 depicts the design and results of an experiment that shows administering arabinoxylan to animals fed a diet low in plant polysaccharides boosts the relative abundance of B. cellulosilyticus WH2 specifically. (A) Experimental design and sampling schedule. Four groups of C57BL/6J germ-free mice were gavaged at 9-10 weeks of age (day 0, black arrow) with a 15-member artificial human gut microbial community (Bacteroides caccae ATCC43185T, Bacteroides thetaiotaomicron VPI 5482, Bacteroides thetaiotaomicron 7330, Bacteroides ovatus ATCC 8483T, Bacteroides uniformis ATCC 8492, Bacteroides cellulosilyticus WH2, Bacteroides vulgatus ATCC 8482, Parabacteroides distasonis ATCC 8503, Eubacterium rectale ATCC 33656, Clostridium scindens ATCC 35704, Clostridium symbiosum ATCC 14940,
Ruminococcus obeum ATCC 29174, Clostridium spiroforme DSM 1552, Dorea longicatena DSM 13814, Collinsella aerofaciens ATCC 25986). The B. ovatus, B.
cellulosilyticus WH2, B. thetaiotaomicron VPI 5482 and B. thetaiotaomicron 7330 components of this consortium were each represented by an INSeq mutant library. Over time, animals were fed diets low in fat and high in plant polysaccharides (LF/HPP,
green) or high in fat and simple sugar (HF/HS, orange). At various times, each group of mice was provided either normal drinking water, water containing 7.5% (w/v)
arabinoxylan, or water containing 15% (w/v) arabinoxylan as indicated (n=5 mice/group, individually caged). At 14 days post-colonization and 30 days post-colonization fecal samples were collected for COPRO-Seq analysis (fecal sample collection is denoted by yellow circles). (B) The relative abundance of B. cellulosilyticus WH2 in fecal samples collected over time as measured by COPRO-Seq. After 14 days post-colonization, the relative abundance of B. cellulosilyticus WH2 was significantly higher in mice fed the HF/HS diet plus drinking water supplemented with 7.5% (0.53 ± 0.027) or 15% arabinoxylan (0.58 ± 0.001 ) as compared to the control HF/HS group that was not provided arabinoxylan (0.17 ± 0.008) (adjusted p value <0.01 ; Student's i-test). When the arabinoxylan-supplemented mice were switched to regular drinking water, the relative abundance of B. cellulosilyticus WH2 decreased to 0.25 ± 0.008 (p value <0.01 ; Student's i-test). Conversely, when the control HF/HS (no arabinoxylan) group of mice was switched from regular drinking water to supplemented water (7.5% arabinoxylan), the relative abundance of B. cellulosilyticus WH2 increased significantly to 0.56 ± 0.009 (P value<0.01 ; Student's i-test). No significant differences in the relative abundance of B. cellulosilyticus WH2 (0. 36 ± 0.04 vs 0.34 ± 0.02) were observed when the mice fed the LF/HPP diet were switched to supplemented water (7.5% arabinoxylan).
DETAILED DESCRIPTION OF THE INVENTION
[0050] Applicants have discovered that colonization of an existing gut microbial community is diet dependent. This means that an isolated bacterial strain's ability to colonize an existing gut microbial community, after being administered to the subject, may depend, in part, on the diet the subject is consuming. In order to systematically and accurately identify a dietary component that supports or promotes colonization of an administered bacterial stain, Applicants have developed the methods disclosed herein. Methods and compositions of the invention are described in more detail below.
[0051 ] Accordingly, in an aspect, the present invention provides a method for identifying a candidate dietary supplement, the method comprising: (a) identifying one or more nucleic acids expressed by one or more bacterial strains of the same bacterial
species when the bacterial strain is in the gut of a subject, wherein the one or more nucleic acids are differentially expressed when the subject consumes a first diet, compared to a reference diet, and wherein the nucleic acids encode enzymes that degrade, modify or create glycosidic bonds; (b) defining in vitro growth of the one or more bacterial strain of the same bacterial species in a plurality of conditions, each condition corresponding to media supplemented with one or more polysaccharides; wherein defining in vitro growth comprises (i) identifying one or more poslysaccharides that support greater in vitro growth in supplemented medium compared to
unsupplemented medium; and (ii) determining the in vitro expression level of a set of nucleic acids from step (a) when the one or more bacterial strains are grown in vitro in medium supplement with a polysaccharide identified in step (b)(i) and in
unsupplemented medium; and (c) selecting at least one candidate dietary supplement comprising a polysaccharide from step (b)(i) that resulted in a statistically significant increase in expression of one or more nucleic acids from (b)(ii), compared to the unsupplemented medium. The method may further comprise confirming the candidate dietary supplement increases colonization of the isolated bacterial strain into a microbial community in the gut of a subject in need thereof, wherein the subject in need thereof is the same species as the subject in step (a). The method may further comprise determining if the candidate dietary supplement increases colonization of a subject by the one or more isolated bacterial strains of the same bacterial species following administration of a composition comprising the candidate dietary supplement and the one or more bacterial strains, as compared to a composition without the candidate supplement, wherein the subject is the same species as the subject in step (a).
[0052] Another aspect of the invention encompasses a method for identifying a candidate dietary supplement, the method comprising:(a) identifying one or more nucleic acids expressed by one or more bacterial strains of the same bacterial species when the bacterial strain is in the gut of a subject, wherein the one or more nucleic acids are differentially expressed when the subject consumes a first diet, but not differentially expressed by a plurality of the same subject species administered a reference diet, and wherein the nucleic acids encode enzymes that degrade, modify or create glycosidic bonds; (b) defining in vitro growth of the bacterial species in a plurality
of conditions, each condition corresponding to media supplemented with one or more polysaccharides; wherein defining in vitro growth comprises (i) identifying one or more poslysaccharides that support greater in vitro growth in supplemented conditions compared to unsupplemented conditions; and (ii) determining the in vitro expression level of a set of nucleic acids from step (a) when the one or more bacterial strains are is grown in vitro in medium supplement with a polysaccharide identified in step (b)(i) and in unsupplemented medium; and (c) selecting at least one candidate dietary supplement comprising a polysaccharide from step (b)(i) that resulted in a statistically significant increase in expression of one or more nucleic acids from (b)(ii), compared to the unsupplemented medium. The method may further comprise determining if the candidate dietary supplement increases colonization of a subject by the one or more isolated bacterial strains of the same bacterial species following administration of a composition comprising the candidate dietary supplement and the one or more bacterial strains, as compared to a composition without the candidate supplement, wherein the subject is the same species as the subject in step (a).
[0053] In another aspect, the present invention provides methods for increasing the colonization of a Bacteroides strain into an existing microbial community in the gut of a subject.
[0054] In another aspect, the present invention provides combinations of isolated Bacteroides species and at least one supplement.
[0055] In another aspect, the present invention provides a combination of at least three bacterial species selected from the group consisting of Bacteroides cellulosilyticus, B. uniformis, B. vulgatus, B. thetaiotaomicron , B. caccae, Alistipes putredinis, and Parabacteroides merdae. In another aspect, the present invention provides a combination of at least four bacterial species selected from the group consisting of Bacteroides cellulosilyticus, B. uniformis, B. vulgatus, B. thetaiotaomicron, B. caccae, Alistipes putredinis, and Parabacteroides merdae.
[0056] The terms "gut microbial community" and "gut microbiota", as used herein, are interchangeable and refer to microbes that have colonized and inhabit the gastrointestinal tract of a subject. A subject's gut microbiota may be naturally acquired or artificially established. Means by which a subject naturally acquires its gut microbiota
are well known. Such examples may include, but are not limited to, exposure during birth, environmental exposure, consumption of foods, and coprophagy. Means by which a subject's gut microbiota may be artificially established are also well known. For example, artificially established gut microbial communities can be established in gnotobiotic animals by inoculating an animal with a defined or undefined consortium of microbes. Typically, a naturally acquired gut microbiota is comprised of both culturable and unculturable components. An artificially acquired gut microbiota may be similarly comprised of both culturable and unculturable components, or may consist of only culturable components. The phrase "culturable components" refers to the bacteria comprising the gut microbiota that may be cultured in vitro using techniques known in the art. The phrase "unculturable components" refers to the bacteria comprising the gut microbiota for which the proper in vitro culturing conditions may not yet have been identified. Culture collections of gut microbial communities are described in detail in PCT/US2012/028600, incorporated herein in its entirety by reference. A subject's existing gut microbiota may also be modified or manipulated, for example, by administering one or more isolated bacterial species, dietary supplements, or changing the subject's diet.
[0057] The terms "colonize" and "invade", as used herein, are interchangeable and refer to establishment, without regard to the presence or absence of an existing microbial community. For example, a bacterial species may colonize the intestinal tract of both a gnotobiotic animal and an animal with an existing gut microbiota. In the context of animals with an existing gut microbiota, colonizing bacterial species function within the existing microbiota and the colonizing bacterial species may or may not already be present in the existing microbiota. Colonization may be identified by an increase in the absolute and/or proportional representation of the microbe. Methods for measuring absolute and/or proportional representation of a microbe are described in detail below.
[0058] The term "subject," as used herein, refers to any animal, and in particular, an animal with a gut microbiome or capable of supporting a gut microbiome. An animal capable of supporting a gut microbiome includes a germ-free animal.
Preferred subjects include, but are not limited to, animals with a monogastric digestive
system, animals with a ruminant digestive system, animals with an avian digestive system, and fish. Included within the definition of monogastric animal are hind-gut fermenters. Non-limiting examples of monogastric animals may include cats, dogs, horses, humans, non-human primates, swine, rabbits, and rodents. Suitable swine include, but are not limited to, pigs or hogs. Non-limiting examples of avians may include poultry. Suitable poultry include, but are not limited to chickens, geese, ducks, turkeys, quail, Guinea fowl and squab. Non-limiting examples of ruminants include cattle, deer, goat, sheep, llama, alpaca, yaks, reindeer, and caribou. Non-limiting examples of fish may include salmonids, tilapia, catfish, sea bass, bream, tuna, mollusks, and crustaceans. Suitable salmonids include, but are not limited to, salmon, steelhead, and carp. Suitable mollusks include, but are not limited to, mussels, clams, oysters, and scallops. Suitable crustaceans include, but are not limited to, shrimp, prawns, crayfish, lobsters, and crabs. In certain embodiments, a subject is a production animal.
[0059] The term "gnotobiotic animal", as used herein, refers to an animal where all microbial inhabitants of an animal are known ("gnotobiotic" = "known life"). In one embodiment, germ-free animals are gnotobiotic. Germ-free animals are born and maintained in aseptic conditions and therefore are born "germ-free", lacking a gut microbiota. The term "conventionally raised" refers to an animal that is conventionally born and therefore contains an existing gut microbiota. "Conventionalized" animals are those born germ-free and colonized with material from a conventionally-raised animal.
[0060] The phrase "diet that supports colonization", as used herein, refers to a diet consumed by a subject that results in greater colonization of the microbe in question. A diet that supports colonization will result in an increase in the relative and/or absolute abundance of the isolated bacterial strain(s) that is administered. For example, the fold change in relative and/or absolute abundance may be increased about 0.001 - 0.01 , about 0.01 -0.1 , about 0.1 -1 , about 1 -2, about 2-5, about 3-6, about 4-7, about 5-8, about 6-9, or about 7-10. In some embodiments, a diet that supports efficacious levels of colonization may result in at least a 2-fold increase in relative and/or absolute abundance of one or more bacoterial strains compared to a diet that does not support colonization. In other embodiments, a diet that supports efficacious levels of
colonization may result in at least a 5-fold increase in relative and/or absolute abundance of one or more bacterial strain compared to a diet that does not support colonization. In certain embodiments, a diet that supports colonization may also support efficacious levels of colonization. Efficacy is measured by a desired outcome, including those detailed in Section II below.
[0061 ] The phrase "dietary supplement", as used herein, refers to a nutrient added to a diet that promotes the colonization, invasion, growth, and/or metabolic activity of a gut microbe or an isolated bacterial strain administered to a subject. The term "supplement', as used herein, is shorthand for "dietary supplement". Also included in the term "supplement" are specific foods that when added to the diet provide an increased amount of a nutrient. For example, spelt is a specific food that could be added to a diet to provide xylan. Other foods that could be added to a diet to provide xylan may include, but are not limited to, corn hulls, sunflower hulls, or foods comprising the cell walls of most dicots, grasses and cereals. A dietary supplement may also refer to a "food additive" or "feed additive".
[0062] The term "nutrient", as used herein, refers to prebiotics, vitamins, carbohydrates, polysaccharides, monosaccharides, fiber, fatty acids, amino acids, sulfates, minerals, antioxidants and other food ingredients. Also included in the definition are enzyme cofactors. Suitable vitamins may include, but are not limited to: vitamin B1 , vitamin B2, vitamin B3, vitamin B5, vitamin B6, vitamin B9, vitamin B12, lipoic acid, vitamin A, biotin, vitamin K, vitamin C, vitamin D, and vitamin E. Suitable minerals may include, but are not limited to compounds containing: iron, copper, magnesium, manganese, molybdenum, nickel, and zinc. Suitable enzyme cofactors may include, but are not limited to: adenosine triphosphate (ATP), S-adenosyl methionine (SAM), coenzyme B, coenzyme M, coenzyme Q, glutathione, heme, methanofuran, and nucleotide sugars. Suitable forms of sulfate may include, but are not limited to, chondroitin sulfate, keratan sulfate, calcium sulfate, ferrous sulfate, glucosamine sulfate, vanadyl sulfate, copper sulfate, zinc sulfate, magnesium sulfate, manganese sulfate and sodium sulfate. Suitable fibers (including both soluble and insoluble fibers) may include, but are not limited to, arabinoxylans, cellulose, resistant starch, resistant dextrins, inulin, lignin, chitins, pectins, beta-glucans and
oligosaccharides. Suitable lipids may include, but are not limited to, fatty acids, glycerolipids, glycerophospholipids, sphingolipids, sterol lipids, prenol lipids,
saccharolipids and polyketides. Suitable amino acids may include, but are not limited to glycine, alanine, serine, threonine, cysteine, valine, leucine, isoleucine, methionine, proline, phenylalanine, tyrosine, tryptophan, aspartic acid, glutamic acid, asparagine, glutamine, histidine, lysine, selenocysteine, pyrrolysine, N-formylmethionine, arginine. Additional non-limiting examples of nutrients may include Thiamin, Riboflavin, Niacin, Folate, Pantothenic acid, Calcium, Phosphorus, Magnesium, Manganese, Iron, Zinc, Copper, Selenium, Sodium, Potassium, betacarotene, retinol, alphatocopherol, betatocopherol, gammatocopherol, deltatocopherol, alphatoctrienol, betatoctrienol, gammatocotrienol, deltatocotrienol, apo-8-carotenal, trans-lycopene, cis-lycopene, trans-beta-carotene, and cis-beta-carotene, caffeine.
[0063] The term "monosaccharide", as used herein and as known in the art, refers to organic compounds with the chemical formula Cx(H2O)y and at least one ketone or aldehyde functional group, including all stereoisomers and derivatives.
Monosaccharides may be acyclic (open-chain) or cyclic. Monosaccharides may include, but are not limited to, allose, altrose, arabinose, arabitol, fructose, fucose, furanose, glucofuranose, galactose, galactosamine, galacturonic acid, glucose, glucopyranoside, glucuronic acid, glucosamine, gulose, hammelose, iodose, lyxose, mannitol, mannose, N-acetylgalactosamine, N-acetylglucosamine, N-acetylneuraminic acid, pyranose, fructophyranose, xylopyranose, pyranoside, galactopyranoside, xylopyranoside, arabinopyranoside, rhamnose, ribose, talose, threose, and xylose. Also included in the definition is deoxyribose and other monosaccharides known in the art to be exceptions to the chemical formula above.
[0064] The term "polysaccharide", as used herein, refers to a polymer comprising two or more of the same or different monosaccharide units, including all stereoisomers and derivatives. Suitable polysaccharides may include, but are not limited to, xylan, arabinoxylan, mannan, glucomannan, galactomannan, amylose, amylopectin, starch, glycogen, fucoidan, callose or laminarin, arabinan,
arabinogalactan, beta-glucan, alpha-glucan, dextran, pullulan, and sucrose.
[0065] The term "carbohydrate", as used herein, may refer to an organic compound with the formula ^(Η2Ο)π, where m and n may be the same or different number, provided the number is greater than 3, or similar, related compounds. Suitable carbohydrates include, but are not limited to, polysaccharides, pectins, hemicellulose and beta-glucans, cellulose-related compounds, starches, fructans, alpha-glucans, host- derived glycans, monosaccharides, polysaccharides, carrageenan, porphyran, alpha- mannan, and alginic acid. Carbohydrates may be described as plant-derived (e.g.
pectins, hemicellulose and beta-glucans, cellulose-related compounds,
starches/fructans/alpha-glucans, monosaccharides, polysaccharides, carrageenan, porphyran, and alginic acid), host-derived (i.e. produced by the host (i.e. the subject) that is harboring the bacterium, such as host-derived glucans), or others, such as alpha- mannan. Pectins may include, but are not limited to, arabinan, arabinoglalactan, pectic galactan, polygalacturonic acid, rhamnogalacturonan I, and rhamnogalacturonan II. Hemicelluloses and beta-glucans may include, but are not limited to, xylan or xylan derivatives (non-limiting examples include arabinoxylan, water soluble xylan,
glucuronoxylan, arabinoglucuronoxylan, galactoarabinoxylan), xyloglucan,
glucomannan, galactomannan, beta-glucan, lichenin, and laminarin. Cellulose-related compounds may include, but are not limited to, cellobiose and cellulose. Starches, fructans and alpha-glucans may include, but are not limited to, amylopectin, pullulan, dextran, inulin and levan. Host-derived glucans include neutral mucin O-glycans, chondroitin sulfate, hyaluronic acid, heparin, keratan sulfate, and glycogen.
[0066] The term "prebiotic," as used herein, refers to a food ingredient that is utilized by a gut microbe. Non-limiting examples of prebiotics may include dietary fibers, lipids (including fatty acids), proteins/peptides and free amino acids, carbohydrates, and combinations thereof (e.g., glycoproteins, glycolipids, lipidated proteins, etc.).
[0067] The phrase "fitness determinant", as used herein, refers to a
chromosomal nucleic acid sequence that contributes to the fitness of a bacterium, such that disruption of this locus decreases the overall fitness of the bacterium. Criticality for fitness may or may not be context dependent. For example, by comparing fitness determinants required for two different conditions (e.g. in vivo and in vitro, a first diet with one or more nutrients and a second diet lacking one or more nutrients, a diet that
supports invasion and a diet that does not support invasion), it can be determined which fitness determinants are context dependent. For example, by comparing in vivo fitness determinants (i.e. fitness determinants for growth in vivo) to in vitro fitness determinants (i.e. fitness determinants for growth in vitro), a skilled artisan can identify in v/Vo-specific fitness determinants (i.e. fitness determinants unique to in vivo growth). As another example, by comparing fitness determinants identified for a first diet containing one or more nutrients to fitness determinants for a second diet lacking the one or more nutrients, a skilled artisan can identify diet-specific fitness determinants. Particularly useful fitness determinants may be in vivo, diet-specific fitness determinants, where the diet is known to support invasion.
[0068] As used herein, "nucleic acid" refers to DNA or RNA. Included in the definition is chromosomal DNA, mRNA, tRNA, rRNA, cDNA, and amplified DNA.
[0069] The phrase "diet-responsive", as used herein, refers to differential expression of a nucleic acid (as judged by relative abundance) expressed by a bacterial species between two diets. Stated another way, a nucleic acid that is preferentially utilized by an isolated bacterial species when growing on a first diet as compared to a second diet is a diet-responsive nucleic acid. In the context of in vitro growth, "diet" refers to the growth medium. In the context of in vivo growth in the gut of a subject, "diet" refers to the food or chow consumed by the subject.
[0070] The phrase "expression profiling", used herein, refers to the identification and quantification of nucleic acid sequences encoding predicted proteins that are expressed by bacteria under a given set of conditions. "In vivo expression profiling", as used herein, refers to the identification and quantification of nucleic acid sequences encoding predicted proteins that are expressed by the gut microbiota of a subject. The nucleic acids may be isolated from a suitable gut microbiota sample, such as a fecal sample, a cecal sample, or a sample of lumenal contents, according to methods known in the art. In vivo expression profile data may be analyzed in a number of ways. For example, data may be grouped based on the functional annotation of the nucleic acid, regardless of its taxonomic origin. Alternatively, data may be initially grouped based on its taxonomic origin (e.g. class, order, family, species, strain), then further parsed into subgroups based on the functional annotation of the nucleic acid. Data may also be
initially grouped based on functional annotation, and then further parsed into subgroups based on taxonomic origin (e.g. class, order, family, species, strain). "In vitro expression profiling" refers to the identification and quantification of nucleic acid sequences encoding predicted proteins that are expressed by a bacterial strain or collection of strains when grown in vitro. The nucleic acids may be isolated from a suitable in vitro sample, such as a pellet of bacterial cells obtained from an in vitro culture, according to methods known in the art. In vitro expression profile data may be analyzed in the same manner as in vivo expression profile data.
[0071 ] Other aspects of the compositions and methods of the invention are described in further detail below.
I. METHOD FOR IDENTIFYING A CANDIDATE SUPPLEMENT
[0072] The present invention provides means for identifying a candidate supplement. The candidate supplement is identified by a direct and deliberate method that identifies one or more metabolic systems used by a bacterial strain that is in the gut of a subject on a given diet; defines one or more components (i.e. nutrients) of the diet that activate the same metabolic systems in the bacterial strain in vitro; and selects as a candidate supplement a component of the diet that significantly activates the same metabolic systems in vivo and in vitro. A component of the diet that significantly activates the same metabolic systems of a bacterial strain in vivo and in vitro may result in greater colonization of the bacterial strain when the bacterial strain is administered to a subject as part of a composition comprising the diet component, compared to when the diet component is absent. A "metabolic system" refers to a group of nucleic acids that encode a similar function. Functional similarity may be described at a high level (e.g. carbohydrate metabolism, energy metabolism, lipid metabolism, nucleotide metabolism, amino acid metabolism, glycan biosynthesis and metabolism, metabolism of cofactors and vitamins, metabolism of terpenoids and polyketides, biosynthesis of other secondary metabolites, xenobiotic biodegradation and metabolism, etc.).
Functional similarity may also be described at a more specific level. As a nonlimiting example, carbohydrate metabolism may be further described by
glycolysis/gluconeogenesis, TCA cycle, pentose phosphate pathway, pentose and
glucuronate interconversions, fructose and mannose metabolism, galactose metabolism, ascorbate and aldarate metabolism, starch and sucrose metabolism, amino sugar and nucleotide sugar metabolism, pyruvate metabolism, glyoxylate and
dicarboxylate metabolism, propanoate metabolism, butanoate metabolism, C5- branched dibasic acid metabolism, inositol phosphate metabolism, etc. Similar breakdowns of other functional groups are known in the art. Methods for identifying nucleic acids that encode a similar function are known in the art. Non-limiting examples may include grouping nucleic acids by enzyme commission (EC) number, Kyoto
Encyclopedia of Genes and Genomes (KEGG) category, KEGG pathway, KEGG Orthology (KO) identifier, Carbohydrate-Active Enzyme (CAZyme) class, CAZyme CAZyme family, CAZyme subfamily, or CAZyme clan.
[0073] Preferably the candidate supplement is a polysaccharide or a nutrient comprising a polysaccharide. A method of the invention advantageously has the ability to identify a single type of polysaccharide that acts as a supplement for a particular bacterial strain. This is in contrast to simply identifying a group of polysaccharides as advantageous for growth of one or more bacterial species.
[0074] In an aspect, the present invention provides a method for identifying a candidate dietary supplement, the method comprising: (a) identifying one or more nucleic acids expressed by one or more bacterial strains of the same bacterial species when the bacterial strain is in the gut of a subject, wherein the one or more nucleic acids are differentially expressed when the subject consumes a first diet, compared to a reference diet, and wherein the nucleic acids encode enzymes that degrade, modify or create glycosidic bonds; (b) defining in vitro growth of the one or more bacterial strains of the same bacterial species in a plurality of conditions, each condition corresponding to media supplemented with one or more polysaccharides; wherein defining in vitro growth comprises (i) identifying one or more poslysaccharides that support greater in vitro growth in supplemented medium compared to unsupplemented medium; and (ii) determining the in vitro expression level of a set of nucleic acids from step (a) when the one or more bacterial strains are grown in vitro in medium supplement with a
polysaccharide identified in step (b)(i) and in unsupplemented medium; and (c) selecting at least one candidate dietary supplement comprising a polysaccharide from step (b)(i)
that resulted in a statistically significant increase in expression of one or more nucleic acids from (b)(ii), compared to the unsupplemented medium. The method may further comprise determining if the candidate dietary supplement increases colonization of a subject by the one or more isolated bacterial strains of the same bacterial species following administration of a composition comprising the candidate dietary supplement and the one or more bacterial strains, as compared to a composition without the candidate supplement, wherein the subject is the same species as the subject in step (a).
[0075] Another aspect of the invention encompasses a method for identifying a candidate dietary supplement, the method comprising:(a) identifying one or more nucleic acids expressed by one or more bacterial strains of the same bacterial species when the bacterial strain is in the gut of a subject, wherein the one or more nucleic acids are differentially expressed when the subject consumes a first diet, but not differentially expressed by a plurality of the same subject species administered a reference diet, and wherein the nucleic acids encode enzymes that degrade, modify or create glycosidic bonds; (b) defining in vitro growth of the bacterial species in a plurality of conditions, each condition corresponding to media supplemented with one or more polysaccharides; wherein defining in vitro growth comprises (i) identifying one or more poslysaccharides that support greater in vitro growth in supplemented conditions compared to unsupplemented conditions; and (ii) determining the in vitro expression level of a set of nucleic acids from step (a) when the one or more bacterial strains are is grown in vitro in medium supplement with a polysaccharide identified in step (b)(i) and in unsupplemented medium; and (c) selecting at least one candidate dietary supplement comprising a polysaccharide from step (b)(i) that resulted in a statistically significant increase in expression of one or more nucleic acids from (b)(ii), compared to the unsupplemented medium. The method may further comprise determining if the candidate dietary supplement increases colonization of a subject by the one or more isolated bacterial strains of the same bacterial species following administration of a composition comprising the candidate dietary supplement and the one or more bacterial strains, as compared to a composition without the candidate supplement, wherein the subject is the same species as the subject in step (a).
[0076] Generally speaking, an isolated bacterial strain of the invention is cultivable (i.e. methods are known in the art for culturing the bacterial strain or a skilled artisan can develop culture methods with routine experimentation) and is known to be a member of the gut microbiota for at least one subject. An isolated bacterial strain may or may not be present in the gut of a plurality of subjects. Thus, in certain embodiments, more than one bacterial strain of the same bacterial species may be used. An isolated bacterial strain may efficaciously colonize a subject of the same or different species as the subject in need thereof consuming at least one known diet. Preferably, colonization by an isolated bacterial strain may be known or hypothesized to be associated with a desired outcome for a subject in need thereof. However, whether or not colonization by an isolated bacterial strain does in fact result in the desired outcome is not critical to practice a method of the invention as described in Section I.
[0077] In some embodiments, an isolated bacterial strain is a member of the phylum Bacteroidetes. In other embodiments, an isolated bacterial strain is a member of the phylum Firmicutes. In some embodiments, an isolated bacterial strain is a member of the genus Bacteroides. Suitable isolated Bacteroides species may include, but are not limited to, B. acidifaciens, B. amylophilus, B. asaccharolyticus, B. barnesiae, B. bivius, B. buccae, B. buccalis, B. caccae, B. capillosus, B. capillus, B. cellulosilyticus, B. cellulosolvens, B. chinchilla, B. clarus, B. coagulans, B. coprocola, B. coprophilus, B. coprosuis, B. corporis, B. denticola, B. disiens, B. distasonis, B. dorei, B. eggerthii, B. endodontalis, B. faecichinchillae, B. faecis, B. finegoldii, B. fluxus, B. forsythus, B.
fragilis, B. furcosus, B. galacturonicus, B. gallinarum, B. gingivalis, B. goldsteinii, B. gracilis, B. graminisolvens, B. helcogenes, B. heparinolyticus, B. hypermegas, B.
intermedius, B. intestinalis, B. johnsonii, B. tew'/', B. loescheii, B. macacae, B.
massiliensis, B. melaninogenicus, B. merdae, B. microfusus, B. multiacidus, B.
nodosus, B. nordii, B. ochraceus, B. oleiciplenus, B. oralis, B. oris, B. oulorum, B.
ovatus, B. paurosaccharolyticus, B. pectinophilus, B. pentosaceus, B. plebeius, B.
pneumosintes, B. polypragmatus, B. praeacutus, B. propionicifaciens, B. putredinis, B. pyogenes, B. reticulotermitis, B. rodentium, B. ruminicola, B. salanitronis, B. salivosus, B. salyersiae, B. sartorii, B. splanchnicus, B. stercorirosoris, B. stercoris, B.
succinogenes, B. suis, B. tectus, B. termitidis, B. thetaiotaomicron, B. uniformis, B.
ureolyticus, B. veroralis, B. vulgatus, B. xylanisolvens, B. xylanolyticus, B.
zoogleoformans. In other embodiments, an isolated bacterial strain is a member of the genus Alistipes. Suitable isolated Alistipes species may include, but are not limited to A. finegoldii, A. indistinctus, A. onderdonkii, A. shahii, and A. putredinis. In still other embodiments, an isolated bacterial strain is a member of the genus Parabacteroides. Suitable isolated Parabacteroides species may include, but are not limited to, P.
chartae, P. distasonis, P. goldsteinii, P. gordonii, P. johnsonii, and P. merdae. In preferred embodiments, an isolated bacterial strain is selected from the group
consisting of B. cellulosilyticus, B. uniformis, B. vulgatus, B. thetaiotaomicron, B.
caccae, A. putredinis, and P. merdae.
[0078] As used herein, the phrase "a subject in need thereof" refers to a subject consuming a diet that does not support efficacious colonization.
(A) Identifying one or more nucleic acids expressed by one or more bacterial strains of the same species when the bacterial strain is colonizing the put of one or more subjects, wherein the one or more nucleic acids are
differentially expressed when the subject consumes a first diet compared to a reference diet
[0079] In order to identify the one or more nucleic acids that are differentially expressed in a diet-dependent manner, applicants contemplate sampling the gut microbiota of the same subject twice, i.e. once on the first diet and once on the second diet. This may be done for one subject, or more than one subject (e.g. 2, 3, 4, 5, 6, 7, 8, 9, 10, or more subjects). Use of more than one subject may increase the chance of finding a significant difference. Applicants also contemplate sampling the gut microbiota of subjects that comprise two different groups, i.e. one group of subjects on the first diet and a different group of subjects on a second diet, in order to identify the one or more nucleic acids that are differentially expressed in a diet-dependent manner. This may also be done for one subject per group, or more than one subject per group (e.g. 2, 3, 4, 5, 6, 7, 8, 9, 10, or more subjects per group). Use of more than one subject per group may increase the chance of finding a significant difference.
[0080] Nucleic acids expressed by a bacterial strain when the strain is colonizing the gut of a subject may be identified by screening for in vivo fitness determinants and/or in vivo expression profiling. Preferably, the one or more nucleic acids encode enzymes that degrade, modify or create glycosidic bonds. Suitable subjects are described above. One or more methods known in the art may be used to identify in vivo fitness determinants and/or for in vivo expression profiling. For example, at least 1 , at least 2, at least 3, at least 4, or at least 5 methods may be used. Methods for identifying in vivo fitness determinants and/or in vivo expression profiling are described further below.
[0081 ] In some embodiments, nucleic acids expressed by a bacterial strain when the strain is colonizing the gut of a subject are identified by screening for in vivo fitness determinants. Methods for identifying in vivo fitness determinants are known in the art. For example, some methods can disrupt the chromosomal nucleic acid sequence by mutation, insertion or deletion, such that expression from the locus is reduced. Mutagenesis methods known in the art include, but are not limited to, random mutagenesis (e.g. UV or chemical mutagenesis), site-directed mutagenesis, and insertional mutagenesis. Goodman et al. (Cell Host Microbe (2009) 6:279-289), hereby incorporated by reference in its entirety, describes a specific insertional mutagenesis approach called insertion sequencing (INSeq). Further details regarding use of INSeq to identify in vivo fitness determinants may also be found in the Examples. Alternatively, methods such as RNA-interference (RNAi) or other methods that post-transcriptionally silence gene expression can be used. Such methods are well known to one skilled in the art.
[0082] In other embodiments, nucleic acids expressed by a bacterial strain when the strain is colonizing the gut of a subject are identified by in vivo expression profiling. In vivo expression profiling may be performed by any number of ways known in the art. Non-limiting examples include RNA-Seq, oligonucleotide arrays, northern blotting, RT-PCR, qRT-PCR, and the SAGE (serial analysis of gene expression) family of assays. Oligonucleotide arrays may be designed to target all of the known or predicted nucleic acids encoding proteins for a particular gut microbiome, or only a portion thereof. Use of an oligonucleotide is further exemplified in the examples. RNA-
Seq refers to the use of high-throughput sequencing technologies to sequence cDNA in order to get information (e.g. abundance and/or identity) about a sample's RNA content. While the sequencing platform used to generate the sequencing reads does influence resolution of the analysis, a skilled artisan will appreciate that RNA-Seq is not specific to or reliant on a particular sequencing platform. Thus, disclosures of particular types of sequencing platforms herein shall not be construed to limit the scope of the invention. Proteomics based methods may be used to identify proteins and/or peptides that are expressed when the bacterial strain is colonizing the gut of a subject in combination with the methods described above. Non-limiting examples of suitable methods include Western blotting and various approaches based on mass spectrometry. Both
sequencing-based and proteomic approaches are well known in the art, for example see Croucher NJ and Thomson NR (2010) Curr Opin Microbiol 13:619-624 and Graham RLJ et al. (2007) Microbial Cell Factories 6:26, each incorporated herein by reference in its entirety. Further details may also be found in the Examples.
[0083] "Nucleic acids that are differentially expressed when a subject consumes a first diet compared to a reference diet" refers to nucleic acids that are more or less abundant in a gut microbiota sample by a statistically significant degree when a subject consumes a first diet compared to a reference diet. The change in abundance may be the result of a change in the bacterial strain's proportional representation in the gut microbiota with no significant change in expression of the nucleic acid(s). For example, an increase in abundance may be the result of an increase in the bacterial strain's proportional representation in the gut microbiota with no significant change in
expression of the nucleic acid(s), while a decrease in abundance may be the result of a decrease in the bacterial strain's proportional representation in the gut microbiota with no significant change in expression of the nucleic acid(s). Alternatively, the change in abundance may be the result of a change in expression of the nucleic acid(s) without a significant change in the bacterial strain's proportional representation in the gut microbiota. For example, an increase in abundance may be the result of an increase in expression of the nucleic acid(s) without a significant change in the bacterial strain's proportional representation in the gut microbiota, while a decrease in abundance may be the result of a decrease in expression of the nucleic acid(s) without a significant
change in the bacterial strain's proportional representation in the gut microbiota. The change in abundance may also be the result of a combination of a change in the bacterial strain's proportional representation in the gut microbiota and a change in expression of the nucleic acid(s). In addition to the difference in abundance being statistically significant, the difference (either positive or negative) in abundance may be more than about 30, 29, 28, 27, 26, 25, 24, 23, 22, 21 , 20, 19, 18, 17, 16, 15, 14, 13, 12, 1 1 , 10, 9, 8, 7, 6, 5, 4, 3, 2, or 1 % between a gut microbiota sample obtained from a subject consuming a first diet compared to a reference diet. Alternatively, the difference in abundance may be more than about 50, 49, 48, 47, 46, 45, 44, 43, 42, 41 , 40, 39, 38, 37, 36, 35, 34, 33, 32, 31 , 30, 29, 28, 27, 26, 25, 24, 23, 22, or 21 % between a gut microbiota sample obtained from a subject consuming a first diet compared to a reference diet. The difference in abundance may also be more than about 70, 69, 68, 67, 66, 65, 64, 63, 62, 61 , 60, 59, 58, 57, 56, 55, 54, 53, 52, 51 , 50, 49, 48, 47, 46, 45, 44, 43, 42, or 41 % between a gut microbiota sample obtained from a subject consuming a first diet compared to a reference diet. The difference may also be more than about 90, 89, 88, 87, 86, 85, 84, 83, 82, 81 , 80, 79, 78, 77, 76, 75, 74, 73, 72, 71 , 70, 69, 68, 67, 66, 65, 64, 63, 62, or 61 % between a gut microbiota sample obtained from a subject consuming a first diet compared to a reference diet. The difference in abundance may also be more than about 100, 99, 98, 97, 96, 95, 94, 93, 92, 91 , 90, 89, 88, 87, 86, 85, 84, 83, 82, 81 , 80, 79, 78, 77, 76, 75, 74, 73, 72, or 71 % between a gut microbiota sample obtained from a subject consuming a first diet compared to a reference diet. The difference in abundance may be at least 2, at least 3, at least 4, at least 5, at least 6, at least 7, at least 8, at least 9, or at least 10-fold between a gut microbiota sample obtained from a subject consuming a first diet compared to a reference diet.
Alternatively, the difference in abundance may be at least 10, at least 50, at least 100 - fold or more between a gut microbiota sample obtained from a subject consuming a first diet compared to a reference diet. Alternatively, the difference in abundance may be at least 150, at least 200, at least 250, at least 300, at least 350, at least 400, at least 450, at least 500 -fold or more between a gut microbiota sample obtained from a subject consuming a first diet compared to a reference diet. Alternatively, the difference in abundance may be at least 550, at least 600, at least 650, at least 700, at least 750, at
least 800, at least 850, at least 900, at least 950, or at least a1000-fold or more between a gut microbiota sample obtained from a subject consuming a first diet compared to a reference diet.
[0084] One skilled in the art will appreciate that diet-induced changes in expression (as judged by relative abundance data) will occur to varying degrees depending on the diet and the bacterial species. Therefore, identifying one or more nucleic acids expressed by a bacterial strain when the bacterial strain is colonizing the gut of a subject may further comprise grouping and/or ranking the nucleic acids identified based on the functional annotation of the nucleic acid, the level of expression (as judged by relative abundance data), or a combination thereof.
[0085] In some embodiments, identifying one or more nucleic acids expressed by a bacterial strain when the bacterial strain is colonizing the gut of a subject may further comprise grouping and/or ranking the nucleic acids identified by dividing the data into any number of equal-sized data sets based on the level of expression (e.g. tertiles, quartiles, quintiles, sextiles, deciles, etc.). Further groupings may be established based on functional annotation (such as enzyme commission (EC) number, Kyoto
Encyclopedia of Genes and Genomes (KEGG) category, KEGG pathway, KEGG Orthology (KO) identifier, Carbohydrate-Active Enzyme (CAZyme) class, CAZyme family, CAZyme subfamily, or CAZyme clan, polysaccharide utilization locus (PUL), ABC (ATP-binding cassette) importers or the like).
[0086] In some embodiments, identifying one or more nucleic acids expressed by a bacterial strain when the bacterial strain is colonizing the gut of a subject may further comprise grouping and/or ranking the nucleic acids identified by enzyme commission (EC) number. In other embodiments, identifying one or more nucleic acids expressed by a bacterial strain when the bacterial strain is colonizing the gut of a subject may further comprise grouping and/or ranking the nucleic acids identified by Kyoto Encyclopedia of Genes and Genomes (KEGG) category. In other embodiments, identifying one or more nucleic acids expressed by a bacterial strain when the bacterial strain is colonizing the gut of a subject may further comprise grouping and/or ranking the nucleic acids identified by KEGG pathway. In other embodiments, identifying one or more nucleic acids expressed by a bacterial strain when the bacterial strain is colonizing
the gut of a subject may further comprise grouping and/or ranking the nucleic acids identified by KEGG Orthology (KO) identifier. In other embodiments, identifying one or more nucleic acids expressed by a bacterial strain when the bacterial strain is colonizing the gut of a subject may further comprise grouping and/or ranking the nucleic acids identified by Carbohydrate-Active Enzyme (CAZyme) class. In other embodiments, identifying one or more nucleic acids expressed by a bacterial strain when the bacterial strain is colonizing the gut of a subject may further comprise grouping and/or ranking the nucleic acids identified by CAZyme family. In other embodiments, identifying one or more nucleic acids expressed by a bacterial strain when the bacterial strain is colonizing the gut of a subject may further comprise grouping and/or ranking the nucleic acids identified by CAZyme subfamily. In other embodiments, identifying one or more nucleic acids expressed by a bacterial strain when the bacterial strain is colonizing the gut of a subject may further comprise grouping and/or ranking the nucleic acids identified by CAZyme clan. In other embodiments, identifying one or more nucleic acids expressed by a bacterial strain when the bacterial strain is colonizing the gut of a subject may further comprise grouping and/or ranking the nucleic acids identified by polysaccharide utilization loci (PULs). In other embodiments, identifying one or more nucleic acids expressed by a bacterial strain when the bacterial strain is colonizing the gut of a subject may further comprise grouping and/or ranking the nucleic acids identified by ABC (ATP-binding cassette) importers. In each of the above embodiments, further groupings may be established dividing the data into any number of equal-sized data sets based on the level of expression.
[0087] A "reference diet", as used herein, refers to any diet that is measurably different from a first diet. Non-limiting examples of measurable differences may be an increased or decreased amount of one nutrient, an increased or decreased amount of total fat, an increased or decreased amount of a type of fat, an increased or decreased amount of a monosaccharide, an increased or decreased amount of a polysaccharide, an increased or decreased amount of carbohydrate, an increased or decreased amount of fruits, an increased or decreased amount of vegetables, an increased or decreased amount of fruits and vegetables, an increased or decreased amount of plant
polysaccharides, an increased or decreased amount of one type of food ingredient
(corn, soy, wheat), an increased or decreased amount of red meat, or combinations thereof. In certain embodiments, either the first diet or the reference diet does not support colonization. In certain other embodiments, either the first diet or the reference diet does not support efficacious levels of colonization. In some embodiments, a first diet has less fat, fewer carbohydrates that are easily metabolized and absorbed in the proximal intestine (e.g. starch, sucrose, corn syrup, maltodextrin, or other simple sugars) and more plant polysaccharides than a reference diet. In some embodiments, a first diet has more fat, more carbohydrates that are easily metabolized and absorbed in the proximal intestine (e.g. starch, sucrose, corn syrup, maltodextrin, or other simple sugars) and less polysaccharides than a reference diet.
[0088] In certain embodiments, nucleic acids expressed in vivo when an isolated bacterial strain is colonizing the gut microbiota of a subject consuming a diet that supports efficacious levels of colonization are carbohydrate active enzymes (CAZymes). In other embodiments, nucleic acids expressed in vivo when an isolated bacterial strain is colonizing the gut microbiota of a subject consuming a diet that supports efficacious levels of colonization are polysaccharide utilization loci (PULs). CAZymes and PULs are described in further detail in the Examples, or Cantarel BL et al. (2009) Nucleic Acids Res 37:D233-238) or Bursel MK et al. (2006) J Biol Chem 281 : 36269-71 , each hereby incorporated by reference in their entirety. In still other embodiments, nucleic acids expressed in vivo when an isolated bacterial strain is colonizing the gut microbiota of a subject consuming a diet that supports efficacious levels of colonization are ABC (ATP-binding cassette) importers.
(B) Defining in vitro growth of the one or more bacterial strains of th same
bacterial species in a plurality of conditions, each condition corresponding to media supplemented with one or more nutrients
[0089] According to the invention, in vitro growth of the one or more bacterial strains of the same bacterial species is defined in a plurality of conditions, each condition corresponding to media supplemented with one or more nutrients. Preferably, a culture medium is a defined medium, more preferably a minimal medium. Suitable media are known in the art, and selection of an appropriate medium can and will vary
depending upon the bacterial species. Growth may be defined as maximum cell density, rate of increase in cell density, or a combination thereof, preferably during logarithmic growth. In vitro expression profiling may be performed by any number of ways known in the art. Non-limiting examples include RNA-Seq, oligonucleotide arrays, northern blotting, RT-PCR, qRT-PCR, and the SAGE (serial analysis of gene expression) family of assays.
[0090] To identify one or more nutrients that support greater in vitro growth in supplemented medium compared to unsupplemented medium, growth of the one or more bacterial strains may be measured in a plurality of media that are each
supplemented with one or more nutrients and in unsupplemented medium, and the amount of growth in the supplemente medium may be compared to growth in
unsupplemented medium. "Greater in vitro growth" refers to a statistically significant increase in growth in the supplemented medium compared to unsupplemented medium. In certain embodiments, it may be desirable to further distinguish high growth from low growth. High growth and low growth may be defined relative to each other. For example, high growth may be distinguished from low growth by comparing the values obtained for a set of nutrients and identifying two, non-overlapping subsets.
Alternatively, a cut-off may be established to discriminate high growth from low growth. For example, high growth may be a cell density of about > 0.7, about > 0.8, about > 0.9, or about > 1 .0 OD 600 units; or a growth rate of about > 0.06, about > 0.07, about > 0.08, or about > 0.09 OD600 units/h; or a combination thereof. In some preferred embodiments, growth of a bacterial strain is measured in a plurality of media that are each supplemented with one or more monosaccharides, polysaccharides, or
carbohydrates, and in unsupplemented medium. In other preferred embodiments, growth of a bacterial strain is measured in a plurality of media that are each
supplemented with one or more monosaccharides or polysaccharides, and in
unsupplemented medium.
[0091 ] To determinine the in vitro expression level of a set of nucleic acids from step (a) when the bacterium is grown in vitro in medium supplement with a
polysaccharide identified in step (b)(i) and in unsupplemented medium
[0092] To further define in vitro growth, the in vitro expression level of one or more nucleic acids may be determined when the bacterium is grown in vitro in supplemented and unsupplemented medium. For example, in vitro expression profiling may be performed for each in vitro growth condition tested or, for one or more in vitro growth conditions that supports high in vitro growth. In some embodiments, all of the known or predicted protein-encoding nucleic acids are profiled. In other embodiments, only a subset of the known or predicted protein-encoding nucleic acids are profiled. For example, analysis of the annotated genome of the isolated bacterial strain may be used to identify a subset of nucleic acids. As described in the Examples, an increase in the number of nucleic acids encoding predicted protein sequences associated with a particular metabolic system, when compared to prominent representatives of gut bacterial species from the same genus, may indicate those nucleic acids play an important role in endowing the bacterial strain with that metabolic function. Methods for sequencing and annotating a bacterial genome are known in the art, and are further detailed in the Examples. In another example, a suitable subset of nucleic acids may comprise nucleic acids associated with a metabolic system with no consideration of relative representation within the genome of the bacterial strain. In another example, a suitable subset of nucleic acids may be one or more nucleic acids identified from
Section 1(A). In another example, a suitable subset of nucleic acids may be one or more nucleic acids identified from Section 1(A) that are only expressed on a diet that supports efficacious levels of colonization but not on a diet that does not support efficacious levels of colonization. In another example, a suitable subset of nucleic acids may be one or more nucleic acids identified from Section 1(A) that are expressed at a higher level (i.e. a greater amount of nucleic acids) on a diet that supports efficacious levels of colonization as compared to a diet that does not support efficacious levels of colonization. For example, expression may be increased at least 2-fold. Preferably, the nucleic acids encode enzymes that degrade, modify or create glycosidic bonds.
[0093] In some embodiments, in vitro expression profiling may be performed for all of the known or predicted protein-encoding nucleic acids, for each growth condition tested. In other embodiments, in vitro expression profiling may be performed for only a subset of the known or predicted protein-encoding nucleic acids, for each growth
condition tested, wherein the subset is the top 1 , 2, 3, 4, 5, 6, 7, 8, 9, or 10 deciles of nucleic acids determined to be positively expressed by the bacterial strain when a subject consumes a first diet, compared to a reference diet, as described above in
Section I (A).
[0094] In some embodiments, in vitro expression profiling may be performed for all of the known or predicted protein-encoding nucleic acids, for one or more in vitro growth conditions that supports high in vitro growth and for growth in unsupplemented medium. In other embodiments, in vitro expression profiling may be performed for only a subset of the known or predicted protein-encoding nucleic acids, for one or more in vitro growth conditions that supports high in vitro growth and for growth in unsupplemented medium, wherein the subset is the top 1 , 2, 3, 4, 5, 6, 7, 8, 9, or 10 deciles of nucleic acids determined to be positively expressed by the bacterial strain when a subject consumes a first diet, compared to a reference diet, as described above in Section l(A).
[0095] In some embodiments, in vitro expression profiling may be performed for all of the nucleic acids known or predicted to encode enzymes that degrade, modify, or create glycosidic bonds, for each growth condition tested. In other embodiments, in vitro expression profiling may be performed for only a subset of the nucleic acids known or predicted to encode enzymes that degrade, modify, or create glycosidic bonds, for each growth condition tested, wherein the subset is the top 1 , 2, 3, 4, 5, 6, 7, 8, 9, or 10 deciles of nucleic acids determined to be positively expressed by the bacterial strain when a subject consumes a first diet, compared to a reference diet, as described above in Section l(A).
[0096] In some embodiments, in vitro expression profiling may be performed for all of the nucleic acids known or predicted to encode enzymes that degrade, modify, or create glycosidic bonds, for one or more in vitro growth conditions that supports high in vitro growth and for growth in unsupplemented medium. In other embodiments, in vitro expression profiling may be performed for only a subset of the nucleic acids known or predicted to encode enzymes that degrade, modify, or create glycosidic bonds, for one or more in vitro growth conditions that supports high in vitro growth and for growth in unsupplemented medium, wherein the subset is the top 1 , 2, 3, 4, 5, 6, 7, 8, 9, or 10 deciles of nucleic acids determined to be positively expressed by the bacterial strain
when a subject consumes a first diet, compared to a reference diet, as described above in Section 1(A).
[0097] If the amount of a nucleic acid identified in step (ii) is more abundant by a statistically significant degree when the isolated bacterial strain is grown in vitro in the presence of a nutrient, as compared to in the absence of the nutrient (unsupplemented medium), then the nutrient is identified as capable of inducing expression in vitro. In addition to the difference in abundance being statistically significant, the difference in abundance may be more than about 30, 29, 28, 27, 26, 25, 24, 23, 22, 21 , 20, 19, 18, 17, 16, 15, 14, 13, 12, 1 1 , 10, 9, 8, 7, 6, 5, 4, 3, 2, or 1 % between growth in
supplemented and unsupplemented medium. Alternatively, the difference in abundance may be more than about 50, 49, 48, 47, 46, 45, 44, 43, 42, 41 , 40, 39, 38, 37, 36, 35, 34, 33, 32, 31 , 30, 29, 28, 27, 26, 25, 24, 23, 22, or 21 % between growth in
supplemented and unsupplemented medium. The difference in abundance may also be more than about 70, 69, 68, 67, 66, 65, 64, 63, 62, 61 , 60, 59, 58, 57, 56, 55, 54, 53, 52, 51 , 50, 49, 48, 47, 46, 45, 44, 43, 42, or 41 % between growth in supplemented and unsupplemented medium. The difference may also be more than about 90, 89, 88, 87, 86, 85, 84, 83, 82, 81 , 80, 79, 78, 77, 76, 75, 74, 73, 72, 71 , 70, 69, 68, 67, 66, 65, 64, 63, 62, or 61 % between growth in supplemented and unsupplemented medium. The difference in abundance may also be more than about 100, 99, 98, 97, 96, 95, 94, 93, 92, 91 , 90, 89, 88, 87, 86, 85, 84, 83, 82, 81 , 80, 79, 78, 77, 76, 75, 74, 73, 72, or 71 % between growth in supplemented and unsupplemented medium. The difference in abundance may be at least 2, at least 3, at least 4, at least 5, at least 6, at least 7, at least 8, at least 9, or at least 10-fold between growth in supplemented and
unsupplemented medium. Alternatively, the difference in abundance may be at least 10, at least 50, at least 100-fold or more between growth in supplemented and
unsupplemented medium. Alternatively, the difference in abundance may be at least 150, at least 200, at least 250, at least 300, at least 350, at least 400, at least 450, at least 500-fold or more between growth in supplemented and unsupplemented medium. Alternatively, the difference in abundance may be at least 550, at least 600, at least 650, at least 700, at least 750, at least 800, at least 850, at least 900, at least 950, or at least 1000-fold or more between growth in supplemented and unsupplemented medium.
[0098] It is sufficient to use only a single method to quantify the change in the amount of the nucleic acid in response to the presence and the absence of at least one nutrient. Optionally, more than one method may be used. For example, two, three, four or five methods may be used to quantify the change in the amount of at least one nucleic acid identified in step (ii) in response to the presence and the absence of at least one nutrient in vitro. Use of more than one method may increase confidence in the significance of a finding.
[0099] To quantify the change in the amount of nucleic acid, the isolated bacterial species needs to be cultured in vitro in the presence and absence of one or more than one nutrient. Any number of nutrients may be tested. For example, at least 1 , at least 2, at least 3, at least 4, at least 5, at least 6, at least 7, at least 8, at least 9, at least 10, at least 1 1 , at least 12, at least 13, at least 14, at least 15, at least 16, at least 17, at least 18, at least 19, at least 20, at least 21 , at least 22, at least 23, at least 24, at least 25, at least 26, at least 27, at least 28, at least 29, at least 30, at least 31 , at least 32, at least 33, at least 34, at least 35, at least 36, at least 37, at least 38, at least 39, at least 40, at least 41 , at least 42, at least 43, at least 44, at least 45, at least 46, at least 47, at least 48, at least 49, at least 50, at least 51 , at least 52, at least 53, at least 54, at least 55, at least 56, at least 57, at least 58, at least 59, at least 60, at least 61 , at least 62, at least 63, at least 64, at least 65, at least 66, at least 67, at least 68, at least 69, at least 70, at least 71 , at least 72, at least 73, at least 74, at least 75, at least 76, at least 77, at least 78, at least 79, at least 80, at least 81 , at least 82, at least 83, at least 84, at least 85, at least 86, at least 87, at least 88, at least 89, at least 90, at least 91 , at least 92, at least 93, at least 94, at least 95, at least 96, at least 97, at least 98, at least 99, or at least 100 or more nutrients may be tested. Briefly, bacteria are grown in a defined medium (typically a minimal medium) and in the defined medium supplemented with the one or more nutrients. Supplementation with single nutrients allows for an analysis of the response to each nutrient individually, while supplementation with a combination (i.e. two or more) of nutrients allows for an analysis of the response to multiple combinations. RNA and/or protein is isolated from the bacterial cells of each culture at a defined point in the growth curve, typically during mid-logarithmic growth. Suitable RNA and protein isolation techniques are known in the art.
[0100] Once RNA and/or protein has been isolated, in vitro expression profiling techniques may be used to quantify the change in the amount of nucleic acids in response to the presence and the absence of at least one nutrient in vitro. As detailed in the Examples and as is well known in the art, RNA-Seq can be used to identify nucleic acids that are differentially expressed when an isolated bacterial species is grown in vitro in the presence or absence of one or more nutrients or combinations of nutrients. Alternatively, or in combination with RNA-Seq, proteomics based methods can be used to identify proteins that are differentially expressed when the isolated bacterial species is grown in vitro in the presence or absence of one or more nutrients or combinations of nutrients. Both sequencing-based and proteomic approaches are well known in the art. Further details may also be found in the Examples. Quantitative RT-PCR and array- based approaches are also suitable methods for quantifying the change in the amount of at least one nucleic acid in response to the presence and the absence of at least one nutrient in vitro. Such methods are well known to one of skill in the art.
(C) Selecting at least one candidate dietary supplement comprising a nutrient from step (b)(i) that resulted in a statistically significant increase in
expression of one or more nucleic acids from (b)(ii), compared to the unsupplemented medium
[0101 ] Any nutrient identified in step b(i) that results in a statistically significant increase in the amount of one or more nucleic acids from (b)(ii) can be selected as a candidate supplement. In certain embodiments, a candidate dietary supplement comprises a polysaccharide.
[0102] A list of candidate supplements may include at least 1 , at least 2, at least 3, at least 4, at least 5, at least 6, at least 7, at least 8, at least 9, at least 10, at least 1 1 , at least 12, at least 13, at least 14, at least 15, at least 16, at least 17, at least 18, at least 19, at least 20, at least 21 , at least 22, at least 23, at least 24, at least 25, at least 26, at least 27, at least 28, at least 29, at least 30, at least 31 , at least 32, at least 33, at least 34, at least 35, at least 36, at least 37, at least 38, at least 39, at least 40, at least 41 , at least 42, at least 43, at least 44, at least 45, at least 46, at least 47, at least 48, at least 49, at least 50, at least 51 , at least 52, at least 53, at least 54, at least 55, at least
56, at least 57, at least 58, at least 59, at least 60, at least 61 , at least 62, at least 63, at least 64, at least 65, at least 66, at least 67, at least 68, at least 69, at least 70, at least 71 , at least 72, at least 73, at least 74, at least 75, at least 76, at least 77, at least 78, at least 79, at least 80, at least 81 , at least 82, at least 83, at least 84, at least 85, at least 86, at least 87, at least 88, at least 89, at least 90, at least 91 , at least 92, at least 93, at least 94, at least 95, at least 96, at least 97, at least 98, at least 99, or at least 100 or more nutrients. In certain embodiments, additional selection criteria may be applied to the list of candidate supplements.
[0103] A comparison of the growth rate and/or total growth on defined medium supplemented with one or more nutrients will identify which nutrient(s) produce the most robust growth of the isolated bacterial strain. In some embodiments, a list of candidate supplements may optionally be refined by selecting only those nutrients that provide a competitive growth advantage. In other embodiments, a list of candidate supplements may optionally be refined by selecting only those nutrients that support growth of more than one bacterial strain or species in the same genus. In still other embodiments, a list of candidate supplements may optionally be refined by selecting only those nutrients that support growth of more than one bacterial strain or species in the same phylum.
[0104] In different embodiments, a list of candidate supplements may optionally be refined by selecting only those nutrients which in step (b) resulted in at least a 100- fold increase in the amount of nucleic acid compared to defined medium without the nutrient.
[0105] In alternative embodiments, a list of candidate supplements may optionally be refined by combining one or more methods described herein.
[0106] In certain embodiments, a method of in the invention further comprises confirming the candidate dietary supplement increases colonization of the isolated bacterial strain into a microbial community in the gut of a subject in need thereof, wherein the subject in need thereof is the same species as the subject in step (a).
[0107] Confirmation that a candidate supplement increases colonization of the isolated bacterial strain into a microbial community in the subject in need thereof may be obtained directly or indirectly. Direct confirmation requires administering the isolated bacterial strain alone and in combination with the candidate supplement to the subject.
Indirect confirmation can be obtained by administering the isolated bacterial strain alone and in combination with the candidate supplement to a gnotobiotic animal that has been inoculated with a culturable fraction of the microbial community generated from a microbiota sample obtained from the subject. After administration, the amount of colonization is quantified. A greater amount of colonization when the candidate supplement is administered in combination with the isolated bacterial strain as compared to without the candidate supplement confirms the candidate supplement increases colonization. Methods for quantifying the amount of colonization of an isolated bacterial species after administration to a subject are known in the art. For example, one approach would involve a culture-independent characterization of the intact microbiota (e.g., sequencing the 16S rRNA gene of all members of the community) to show that the levels of isolated bacterial species increased. Alternatively, a more targeted assay could also be used, for example quantitative PCR or an array-based approach. Further details are provided in Section III and in the Examples.
II. METHODS FOR INCREASING THE COLONIZATION OF A BACTEROIDES
SPECIES INTO AN EXISTING MICROBIAL COMMUNITY IN THE GUT OF A SUBJECT
[0108] In another aspect, the present invention provides methods for increasing colonization of an isolated Bacteroides species, preferably a Bacteroides strain, into an existing microbial community in the gut of a subject in need thereof. Briefly, the method comprises administering to the subject a combination comprising an isolated
Bacteroides species and at least one carbohydrate that is preferentially utilized by the Bacteroides species when grown in the gut of a reference subject consuming a diet that supports efficacious levels of colonization. The presence of the carbohydrate increases colonization of the isolated Bacteroides species into the gut microbiota of the subject compared to colonization in the absence of the carbohydrate. Suitable Bacteroides species include, but are not limited to, B. cellulosilyticus, B. uniformis, B. vulgatus, B. thetaiotaomicron , and B. finegoldii.
[0109] It is possible to indirectly determine at least one carbohydrate
preferentially utilized by a Bacteroides species growing in vivo by identifying highly
expressed and diet-responsive CAZymes and/or PULs expressed in vivo. Methods for identifying and quantifying nucleic acids expressed in vivo by an isolated bacterial species are described above, as are methods to determine if a CAZyme and/or PUL is diet-responsive. Alternatively, any carbohydrate identified by a method of the invention described in Section I for a Bacteroides species may be a carbohydrate that is preferentially utilized by Bacteroides species when grown in the gut of a reference subject consuming a diet that supports efficacious levels of colonization.
[01 10] The phrase "reference subject", as used herein, refers to one or more gnotobiotic animals inoculated with 1 ) an uncultured fraction of a microbiota sample obtained from a donor, 2) a culturable fraction of microbial communities generated from a microbiota sample obtained from a donor, or 3) only the isolated Bacteroides species. In certain embodiments, a diet that supports efficacious levels of colonization of
Bacteroides is a diet that is high in plant polysaccharides.
[01 1 1 ] Typically, at least one carbohydrate that is prioritized by the Bacteroides species when grown in the gut of a reference subject consuming a diet that supports efficacious levels of colonization is selected from the group consisting of a pectin, a hemicellulose, a beta-glucan, a cellulose-related compound, a starch, a fructan, an alpha-glucan, a host-derived glycan, a monosaccharide, carrageenan, porphyran, alpha-mannan, and alginic acid. For example, at least 1 , at least 2, at least 3, at least 4, at least 5, at least 6, at least 7, at least 8, at least 9, or at least 10 carbohydrates can be selected independently from the group consisting of a pectin, a hemicellulose, a beta- glucan, a cellulose-related compound, a starch, a fructan, an alpha-glucan, a host- derived glycan, a monosaccharide, carrageenan, porphyran, alpha-mannan, and alginic acid. The number and types of carbohydrates selected will depend in part on the Bacteroides species and the diet. For example, if a diet provides all plant
polysaccharides preferentially utilized by a Bacteroides species in vivo except one, then only a single carbohydrate may be administered to a subject in combination with the isolated Bacteroides species. Alternatively, if a diet is generally deficient in plant polysaccharides preferentially utilized by a Bacteroides species in vivo, then one or more carbohydrates may be administered to a subject in combination with the isolated Bacteroides species.
[01 12] In some embodiments, at least one carbohydrate that is prioritized by the Bacteroides species is a plant-derived carbohydrate. In other embodiments, at least one carbohydrate that is prioritized by the Bacteroides species is a host-derived
carbohydrate. In still other embodiments, at least one carbohydrate that is prioritized by the Bacteroides species is a plant-derived carbohydrate and at least one carbohydrate is a host-derived carbohydrate. Combinations of carbohydrates are also contemplated. For example, a combination of pectins, a combination of hemicelluloses, a combination of beta-glucans, a combination of cellulose-related compounds, a combination of starches, a combination of fructans, a combination of alpha-glucans, a combination of host-derived glycans, or a combination of monosaccharides are contemplated. Also contemplated are various combinations of a pectin, a hemicellulose, a beta-glucan, a cellulose-related compound, a starch, a fructan, an alpha-glucan, a host-derived glycan, a monosaccharide, carrageenan, porphyran, alpha-mannan, and alginic acid.
[01 13] In a preferred embodiment, the isolated Bacteroides species is B.
cellulosilyticus and at least one carbohydrate is selected from the group consisting of xylan, arabinoxylan, arabinan, N-acetyl-D-galactosamine, xyloglucan, glucomannan, galactomannan, D-(+)-cellobiose, pectic galactan and chondroitin sulfate. In another preferred embodiment, the isolated Bacteroides species is B. cellulosilyticus and at least two carbohydrates are selected from the group consisting of xylan, arabinoxylan, arabinan, N-acetyl-D-galactosamine, xyloglucan, glucomannan, galactomannan, D-(+)- cellobiose, pectic galactan and chondroitin sulfate. In still another preferred
embodiment, the isolated Bacteroides species is B. cellulosilyticus and a first
carbohydrate is xylan and a second carbohydrate is selected from the group consisting of arabinoxylan, arabinan, N-acetyl-D-galactosamine, xyloglucan, glucomannan, galactomannan, D-(+)-cellobiose, pectic galactan and chondroitin sulfate. In still another preferred embodiment, the isolated Bacteroides species is B. cellulosilyticus and a first carbohydrate is arabinoxylan and a second carbohydrate is selected from the group consisting of xylan, arabinan, N-acetyl-D-galactosamine, xyloglucan, glucomannan, galactomannan, D-(+)-cellobiose, pectic galactan and chondroitin sulfate. In an exemplary embodiment, the isolated Bacteroides species is B. cellulosilyticus and the carbohydrate is water soluble xylan. In another exemplary embodiment, the isolated
Bacteroides species is B. cellulosilyticus and the carbohydrate is arabinoxylan. In certain embodiments, the B. cellulosilyticus strain is WH2.
[01 14] According to the invention, the isolated Bacteroides species and the carbohydrate are administered as a combination. In some embodiments, the isolated Bacteroides species and the carbohydrate are administered simultaneously. When administered simultaneously, the isolated Bacteroides species and carbohydrate can be administered as a single composition or as two distinct compositions taken at the same time. In other embodiments, the isolated Bacteroides species and the carbohydrate are administered sequentially within 5 hours. For example, the isolated Bacteroides species and the carbohydrate may be administered within about 5 minutes, about 10 minutes, about 15 minutes, about 30 minutes, about 60 minutes, about 90 minutes, about 2 hours, about 2.5 hours, about 3 hours, about 3.5 hours, about 4 hours, about 4.5 hours or about 5 hours of each other. When administered sequentially, the order of
administering the isolated Bacteroides species and the carbohydrate may or may not matter. A skilled artisan would be able to determine the importance of the order of administration, or lack thereof, with routine experimentation.
[01 15] Suitable methods for measuring the amount of colonization are known in the art. Further details may also be found in Section III and in the Examples.
[01 16] Preferably, increasing the colonization of one or more Bacteroides species into an existing microbial community in the gut of a subject in need thereof will be efficacious (e.g. produce a desired outcome). In an aspect, the desired outcome is an increase or decrease in the accessibility of one or more nutrients in a given diet. In some embodiments, the desired outcome is an increase in the accessibility of one or more nutrients. In other embodiments, the desired outcome is a decrease in the accessibility of one or more nutrients. In another aspect, the desired outcome is decreased or increased total weight, reduced body mass index, increased lean body mass, decreased adiposity, decreased metabolic dysfunction, improved early life nutrition, reduced incidence of metabolic diseases such as diabetes, insulin resistance, and metabolic syndrome, reduced triglycerides, increased HDL levels, decreased LDL levels, decreased blood pressure, decreased fasting plasma glucose, reduced fecal
output, reduced need for the administration of antibiotics and increased feed conversion efficiency.
[01 17] Generally, the method comprises administering to a subject in need thereof the composition in an amount effective for producing the desired outcome. The effective amount or dose of the composition administered according to this discovery will be determined by the circumstances surrounding the case, including the
composition administered, the route of administration, the status of the symptoms being treated, the outcome desired, and similar subject and administration situation
considerations among other considerations.
III. COMPOSITIONS COMPRISING AN ISOLATED BACTEROIDES SPECIES AND AT LEAST ONE SUPPLEMENT
[01 18] In another aspect, the present invention provides a composition comprising (i) an isolated Bacteroides species selected from the group consisting of B. cellulosilyticus or a Bacteroides species that prioritizes utilization of carbohydrates in vivo the same way as B. cellulosilyticus WH2, and (ii) at least one supplement in an amount effective for increasing invasion of the isolated Bacteroides species into an existing microbial community in the gut of a subject when administered to the subject. For example, a combination may contain at least 1 , at least 2, at least 3, at least 4, at least 5, at least 6, at least 7, at least 8, at least 9, or at least 10 supplements. Suitable supplements are described above. In an exemplary embodiment, the isolated
Bacteroides species is B. cellulosilyticus. In certain embodiments, the B. cellulosilyticus strain is WH2.
[01 19] It is possible to indirectly determine how a Bacteroides species utilizes carbohydrates in vivo by identifying highly expressed and diet-responsive CAZymes and/or PULs expressed in vivo. Methods for identifying and quantifying nucleic acids expressed in vivo by an isolated bacterial species are described above, as are methods to determine if a CAZyme and/or PUL is diet-responsive. Alternatively, any
carbohydrate identified by a method of the invention described in Section I for a
Bacteroides species is also a carbohydrate that is preferentially utilized by the
Bacteroides species when grown in the gut of a reference subject consuming a diet that
supports invasion. Specific details regarding the utilization of carbohydrates in vivo by B. cellulosilyticus WH2 may be found in the Examples.
[0120] The supplement used can be any supplement described above.
Preferably, the at least one supplement is selected from the group consisting of a plant- derived carbohydrate, a host-derived carbohydrate, and a combination thereof. In some embodiments, the at least one supplement is a host-derived carbohydrate. In other embodiments, the at least one supplement is xylan or a xylan derivative. In still other embodiments, the at least one supplement is selected from the group consisting of N- acetyl-D-galactosamine, N-acetyl-D-glucosamine, amylopectin, arabinan,
arabinogalactan, D-(-)-arabinose, arabinoxylan, D-(+)-cellobiose, chondroitin sulfate, dextran, L-(-)-fructose, galactormannan, D-galacturonic acid, beta-glucan,
glucomannan, D-(+)-glucosamine, laminarin, D-(+)-mannose, pectic galactan, polygalacturonic acids, pullulan, L-rhamnose, D-(-)-ribose, xylan and xyloglucan. In a preferred embodiment, the at least one supplement is selected from the group consisting of xylan, arabinoxylan, arabinan, N-acetyl-D-galactosamine, xyloglucan, glucomannan, galactomannan, D-(+)-cellobiose, pectic galactan and chondroitin sulfate. In some embodiments, at least two carbohydrates are selected from the group consisting of N-acetyl-D-galactosamine, N-acetyl-D-glucosamine, amylopectin, arabinan, arabinogalactan, D-(-)-arabinose, arabinoxylan, D-(+)-cellobiose, chondroitin sulfate, dextran, L-(-)-fructose, galactomannan, D-galacturonic acid, beta-glucan, glucomannan, D-(+)-glucosamine, laminarin, D-(+)-mannose, pectic galactan, polygalacturonic acids, pullulan, L-rhamnose, D-(-)-ribose, xylan and xyloglucan. In a preferred embodiment, a first carbohydrate is xylan and a second carbohydrate is selected from the group consisting of arabinoxylan, arabinan, N-acetyl-D- galactosamine, xyloglucan, glucomannan, galactomannan, D-(+)-cellobiose, pectic galactan and chondroitin sulfate. In another preferred embodiment, a first carbohydrate is arabinoxylan and a second carbohydrate is selected from the group consisting of xylan, arabinan, N-acetyl-D-galactosamine, xyloglucan, glucomannan, galactomannan, D-(+)-cellobiose, pectic galactan and chondroitin sulfate. In an exemplary embodiment, the carbohydrate is water soluble xylan. In another exemplary embodiment, the carbohydrate is arabinoxylan.
[0121 ] The term "effective amount", as used herein, means an amount of a supplement that leads to a measurable increase in the colonization of the isolated Bacteroides species when colonization is measured after administration of a
composition with the supplement as compared to administration of a composition that is identical except for lack of the supplement. The effective amount of the supplement administered according to this discovery will be determined by the circumstances surrounding the case, including the identity of the supplement, the route of
administration, the subject, the diet of the subject, and the benefit desired, among other considerations. Suitable amounts of the one or more carbohydrates are each about 0.01 % to about 20% of the composition (w/w), including about 0.01 % to about 0.05%, about 0.05% to about 0.1 %, about 0.1 % to about 0.15%, about 0.15% to about 0.20%, about 0.20% to about 0.25%, about 0.25% to about 0.30%, about 0.30% to about 0.35%, about 0.35% to about 0.40%, about 0.40% to about 0.45%, about 0.45% to about 0.50%, about 0.50% to about 1 .00%, about 1 .00% to about 2.00%, about 2.00% to about 3.00%, about 3.00% to about 4.00%, about 4.00% to about 5.00%, about 5.00% to about 6.00%, about 6.00% to about 7.00%, about 7.00% to about 8.00%, about 8.00% to about 9.00%, about 9.00% to about 10.00%, about 10.00% to about 1 1 .00%, about 1 1 .00% to about 12.00%, about 12.00% to about 13.00%, about 13.00% to about 14.00%, about 14.00% to about 15.00%, about 15.00% to about 16.00%, about 16.00% to about 17.00%, about 17.00% to about 18.00%, about 18.00% to about 19.00%, and about 19.00% to about 20.00%.
[0122] Colonization may be measured by any method known in the art that quantifies the change in abundance of a gut microbe. For example, a fecal sample, a cecal sample or other sample of the lumenal contents of the large intestine may be collected, processed, plated on appropriate growth media, cultured under suitable conditions (i.e. temperature, presence or absence of oxygen and carbon dioxide, agitation, etc.), and colony forming units may be determined. Alternatively, sequencing methods or arrays may be used to determine the relative abundance of the Bacteroides species in a fecal sample or other sample of the lumenal contents of the large intestine. The Examples details one method, COPRO-Seq, where relative abundance is defined by the number of sequencing reads that can be unambiguously assigned to the species'
genome after adjusting for genome uniqueness. 16S rRNA gene sequencing methods can also be used and are well known in the art. Typically, an effective amount of a supplement increases colonization, as measured by proportional representation, by at least 10%. For example, colonization may be increased by at least 10%, 1 1 %, 12%, 13%, 14%, 15%, 16%, 17%, 18%, 19%, 20%, 21 %, 22%, 23%, 24%, 25%, 26%, 27%, 28%, 29%, 30%, 31 %, 32%, 33%, 34%, 35%, 36%, 37%, 38%, 39%, 40%, 41 %, 42%, 43%, 44%, 45%, 46%, 47%, 48%, 49%, 50%, 51 %, 52%, 53%, 54%, 55%, 56%, 57%, 58%, 59%, 60%, 61 %, 62%, 63%, 64%, 65%, 66%, 67%, 68%, 69%, 70%, 71 %, 72%, 73%, 74%, 75%, 76%, 77%, 78%, 79%, 80%, 81 %, 82%, 83%, 84%, 85%, 86%, 87%, 88%, 89%, 90%, 91 %, 92%, 93%, 94%, 95%, 96%, 97%, 98%, 99, or 100%. In some embodiments, colonization is increased about 10% to about 20%, about 20% to about 30%, about 30% to about 40%, about 40% to about 50%, about 50% to about 60%, about 60% to about 70%, about 70% to about 80%, about 80% to about 90%, or about 90% to about 100%. In other embodiments, colonization is increased at least 2-fold, at least 5-fold, at least 10-fold, at least 20-fold, at least 50-fold, or at least 100-fold.
Colonization can be measured about 3 days to about 14 days after administration of the isolated bacterial species. For example, colonization can be measured about 5-14 days, about 7-14 days, about 10-14 days, about 3-6 days, about 4-7 days, about 5-8 days, about 6-9 days, about 7-10 days, about 8-1 1 days, about 9-12 days, about 10-13 days, about 1 1 -14 days, or about 12-14 days after administration.
[0123] In another aspect, an isolated Bacteroides species selected from the group consisting of B. cellulosilyticus or a Bacteroides species that prioritizes utilization of carbohydrates the same way as B. cellulosilyticus WH2 may comprise from at least 0.01 % to 10% relative to the total weight (w/w) of the composition. For example, suitable amounts of the isolated Bacteroides species include about 0.01 % to about 0.05%, about 0.05% to about 0.1 %, about 0.1 % to about 0.15%, about 0.15% to about 0.20%, about 0.20% to about 0.25%, about 0.25% to about 0.30%, about 0.30% to about 0.35%, about 0.35% to about 0.40%, about 0.40% to about 0.45%, about 0.45% to about 0.50%, about 0.50% to about 1 .00%, about 1 .00% to about 2.00%, about 2.00% to about 3.00%, about 3.00% to about 4.00%, about 4.00% to about 5.00%, about 5.00% to about 6.00%, about 6.00% to about 7.00%, about 7.00% to about
8.00%, about 8.00% to about 9.00%, and about 9.00% to about 10.00%. Alternatively, a composition according to the invention may comprise from 101 to 109 cfu/g of live microorganisms per gram of composition.
[0124] In each of the above embodiments, additional gut microbes may be optionally added to the composition. Non-limiting examples include, but are not limited to B. uniformis, B. vulgatus, B. thetaiotaomicron , B. caccae, Alistipes putredinis, and Parabacteroides merdae.
[00100] In each of the above embodiments, compositions of the invention may be formulated as a food supplement for animal or human consumption. Methods of preparing compositions for animal or human consumption are well known in the art. Generally speaking, any method known in the art is suitable, provided the
microorganism remains viable. Formulations comprising compositions of the invention may contain agents to protect oxygen sensitive microbial species. Such agents are known in the art. Several approaches have been investigated for improving the technological and therapeutic performance of probiotics, including strain selection and probiotic stabilization during spray drying and/or freeze drying and gastric transit, as described in Ross et al. Journal of Applied Microbiology (2005) 98:1410-1417, Kosin et al. Food Technology and Biotechnology (2006) 44(3): 371 -379, and Ledeboer et al "Technological aspects of making live, probiotic-containing gut health foods"
www.labip.com/uploads/media/Gutlmpact_l_finalversion_EDM.pdf.
[0125] A composition of the invention may be formulated and administered to a subject by several different means. For instance, a composition may be generally formulated as a liquid composition, a dry composition or a semi-solid composition. For embodiments where the composition comprises a liquid composition, the composition will typically include a solvent carrier selected from a polar solvent, a non-polar solvent, or a combination of both. The choice of solvent will be influenced by the properties of the components of the composition. For example, if the components are water-soluble, a polar solvent may be used. Alternatively, if the components of the composition are lipid-soluble, a non-polar solvent may be used. Suitable polar and non-polar solvents are known in the art. Thickeners may be added to liquid formulations to be used as an enema, such as carboxymethylcellulose, propylene glycol, or other suitable thickeners
known in the art. For embodiments where the composition comprises a dry composition, one or more carriers may be utilized as needed. Dry compositions may be substantially free flowing and resistant to clumping, enclosed into capsules or pressed into tablets. Suitable carriers for formulating a dry composition are known in the art.
[0126] A composition may generally be administered orally or rectally in dosage unit formulations containing conventional nontoxic pharmaceutically acceptable adjuvants, carriers, excipients, and vehicles as desired. The frequency of dosing may be daily or once, twice, three times or more per week or per month, as needed as to produce the desired effect. Formulation of pharmaceutical compositions is discussed in, for example, Hoover, John E., Remington's Pharmaceutical Sciences, Mack Publishing Co., Easton, Pa. (1975), and Liberman, H. A. and Lachman, L, Eds., Pharmaceutical Dosage Forms, Marcel Decker, New York, N.Y. (1980). The term orally, as used herein, refers to any form of administration by mouth, including addition of a composition to animal feed or other food product. Oral preparations may be free-flowing, in capsules or compressed into tablets (i.e. dry compositions). Common excipients used in such preparations include pharmaceutically compatible fillers/diluents such as
microcrystalline cellulose, hydroxypropyl methylcellulose, starch, lactose, sucrose, glucose, mannitol, sorbitol, dibasic calcium phosphate, or calcium carbonate; binding agents such as alginic acid, carboxymethylcellulose, microcrystalline cellulose, gelatin, gum tragacanth, or polyvinylpyrrolidone; disintegrating agents such as alginic acid, cellulose, starch, or polyvinylpyrrolidone; lubricants such as calcium stearate,
magnesium stearate, talc, silica, or sodium stearyl fumarate; glidants such as colloidal silicon dioxide; sweetening agents such as sucrose or saccharin; flavoring agents such as peppermint, methyl salicylate, or citrus flavoring; coloring agents; and preservatives such as antioxidants (e.g., vitamin A, vitamin C, vitamin E, or retinyl palmitate), citric acid, or sodium citrate. Oral preparations may also be administered as aqueous suspensions, elixirs, or syrups (i.e. liquid compositions). For these, the active ingredient may be combined with various sweetening or flavoring agents, coloring agents, and, if so desired, emulsifying and/or suspending agents, as well as diluents such as water, ethanol, glycerin, and combinations thereof. Rectal preparations may be administered
in the form of retention enemas, solid dosage forms such as suppositories or soft gelatin capsules, or semi-solid dosage forms such as a rectal gel, cream or foam.
IV. ADDITIONAL COMPOSITIONS
[0127] In another aspect, the present invention provides a composition comprising at least two or at least three bacterial species selected from the group consisting of Bacteroides cellulosilyticus, B. uniformis, B. vulgatus, B. thetaiotaomicron, B. caccae, Alistipes putredinis, and Parabacteroides merdae. In another aspect, the present invention provides a composition comprising at least four bacterial species selected from the group consisting of Bacteroides cellulosilyticus, B. uniformis, B.
vulgatus, B. thetaiotaomicron, B. caccae, Alistipes putredinis, and Parabacteroides merdae. In another aspect, the present invention provides a composition comprising at least five bacterial species selected from the group consisting of Bacteroides
cellulosilyticus, B. uniformis, B. vulgatus, B. thetaiotaomicron, B. caccae, Alistipes putredinis, and Parabacteroides merdae. In another aspect, the present invention provides a composition comprising at least six bacterial species selected from the group consisting of Bacteroides cellulosilyticus, B. uniformis, B. vulgatus, B. thetaiotaomicron, B. caccae, Alistipes putredinis, and Parabacteroides merdae. In another aspect, the present invention provides a composition comprising seven bacterial species consisting of Bacteroides cellulosilyticus, B. uniformis, B. vulgatus, B. thetaiotaomicron, B. caccae, Alistipes putredinis, and Parabacteroides merdae. Each of the above compositions may optionally comprise at least one supplement. Suitable supplements are described above. In some embodiments, the supplement is selected from the group consisting of xylan, arabinoxylan, arabinan, N-acetyl-D-galactosamine, xyloglucan, glucomannan, galactomannan, D-(+)-cellobiose, pectic galactan and chondroitin sulfate. Each of the above compositions may also optionally comprise acceptable adjuvants, carriers, excipients, and vehicles as desired.
[0128] In another aspect, the present invention provides a composition consisting of at least three bacterial species selected from the group consisting of Bacteroides cellulosilyticus, B. uniformis, B. vulgatus, B. thetaiotaomicron, B. caccae, Alistipes putredinis, and Parabacteroides merdae. In another aspect, the present
invention provides a composition consisting of at least four bacterial species selected from the group consisting of Bacteroides cellulosilyticus, B. uniformis, B. vulgatus, B. thetaiotaomicron, B. caccae, Alistipes putredinis, and Parabacteroides merdae. In another aspect, the present invention provides a composition consisting of at least five bacterial species selected from the group consisting of Bacteroides cellulosilyticus, B. uniformis, B. vulgatus, B. thetaiotaomicron, B. caccae, Alistipes putredinis, and
Parabacteroides merdae. In another aspect, the present invention provides a
composition consisting of at least six bacterial species selected from the group consisting of Bacteroides cellulosilyticus, B. uniformis, B. vulgatus, B. thetaiotaomicron, B. caccae, Alistipes putredinis, and Parabacteroides merdae. In another aspect, the present invention provides a composition consisting of at least seven bacterial species selected from the group consisting of Bacteroides cellulosilyticus, B. uniformis, B.
vulgatus, B. thetaiotaomicron, B. caccae, Alistipes putredinis, and Parabacteroides merdae. In another aspect, the present invention provides a composition consisting of seven bacterial species consisting of Bacteroides cellulosilyticus, B. uniformis, B.
vulgatus, B. thetaiotaomicron, B. caccae, Alistipes putredinis, and Parabacteroides merdae.
[0129] In each of the above embodiments, compositions of the invention may be formulated as a food supplement for animal or human consumption as described above in Section III.
V. METHODS OF USING THE COMPOSITIONS
[0130] In an aspect, compositions of the invention administered to a subject may alter the physical state of the subject. In some embodiments, the subject is human and administration of the composition may alter the subject's weight. In other
embodiments, the subject is human and the alteration to the physical state is selected from the group consisting of decreased or increased total weight, reduced body mass index, increased lean body mass, decreased adiposity, decreased metabolic
dysfunction, improved early life nutrition, reduced incidence of metabolic diseases such as diabetes, insulin resistance, and metabolic syndrome, reduced triglycerides, increased HDL levels, decreased LDL levels, decreased blood pressure and decreased fasting plasma glucose. In still other embodiments, the subject is a non-human monogastric animal and the alteration to the physical state is selected from the group consisting of decreased total weight, reduced body mass index, decreased adiposity, decreased metabolic dysfunction, improved early life nutrition, reduced incidence of metabolic diseases such as diabetes, insulin resistance, and metabolic syndrome, reduced triglycerides, increased HDL levels, decreased LDL levels, decreased blood pressure and decreased fasting plasma glucose.
[0131 ] In another aspect, compositions of the invention administered to a subject alter the subject's nutrition as measured by an outcome such as, but not limited to, increased feed conversion efficiency, increased weight gain, increased lean body mass, reduced incidence of diarrhea, reduced incidence of intestinal pathologies, reduced fecal output, reduced need for the administration of antibiotics, improved early life nutrition, and reduced stress during development. In some embodiments, the subject is a non-human monogastric animal including, but not limited to, pig or poultry.
[0132] Generally, the method comprises administering to a subject in need thereof an amount of the composition that leads to measurable and beneficial effects for the subject administered the substance, i.e., significant efficacy of a composition of the invention to a subject in need thereof. The effective amount or dose of the composition administered according to this discovery will be determined by the circumstances surrounding the case, including the composition administered, the route of
administration, the status of the symptoms being treated, the benefit desired, and similar subject and administration situation considerations among other considerations.
EXAMPLES
Introduction (Supports examples 1 -8)
[0133] A growing body of evidence indicates that the tens of trillions of microbial cells that inhabit our gastrointestinal tracts extend our biological capabilities in important ways. Microbial enzymes process many compounds that would otherwise pass through our intestines unaltered [1], and cases of particular nutrient substrates favoring the growth of particular taxa are being reported [2,5]. Changes in diet are therefore expected to lead to changes in the composition and function of the microbiota [6,10]. However, our understanding of diet microbiota interactions at a mechanistic level is still in its infancy.
[0134] The absence of a complete catalog of the microbial strains and associated genome sequences that comprise a given microbiota complicates efforts to describe how particular dietary substrates influence individual taxa, how taxa
cooperate/compete to utilize nutrients, and how these many interactions in aggregate lead to emergent host phenotypes. Gnotobiotic mice colonized with defined consortia of sequenced human gut microbes, on the other hand, provide an in vivo model of the microbiota in which the identity of all taxa and genes comprising the system are known. Within these assemblages, expressed mRNAs and proteins can be attributed to their genome, gene, and species of origin, and findings of interest can be pursued in follow- up in vitro or in vivo experiments. These systems also afford an opportunity to tightly control experimental variables to a degree not possible in human studies and have proven useful in studying microbial invasion, microbe interactions, and the metabolic roles of key ecological guilds [11 ,15]. Studies aiming to better understand community- level assembly, resilience, and adaptation are therefore likely to benefit from a focus on such defined systems. However, the limited taxonomic and functional representation within artificial communities of modest complexity requires that caution be exercised when extrapolating results to more complex, naturally occurring gut communities (see Prospectus).
[0135] Culture-independent surveys of the healthy adult gut microbiota consistently conclude that it is composed primarily of members of two bacterial phyla, the Bacteroidetes and Firmicutes [16,21]. The dominance of these two bacterial phyla suggests that their representatives in the human gut are exquisitely adapted to its dynamic conditions, which include a constantly evolving nutrient environment. Members of the genus Bacteroides are known to be adept at utilizing both plant- and host-derived polysaccharides [22]. Comparisons of available Bacteroides genomes with those from other gut species indicate that the former are enriched in genes involved in the acquisition and metabolism of various glycans, including glycoside hydrolases (GHs) and polysaccharide lyases (PLs), as well as linked environmental sensors that control their expression (e.g., hybrid two-component systems, extracytoplasmic function (ECF) sigma factors and anti-sigma factors). Many of these genes are organized into polysaccharide utilization loci (PULs) that are distributed throughout the genome
[23,24]. Recent studies have focused on better understanding the evolution, specificity, and regulation of PULs in the genomes of species like Bacteroides thetaiotaomicron and Bacteroides ovatus [25,26]. Little is known, however, about the metabolic strategies adopted by multiple competing species in more complex communities, how dietary changes lead to reconfigurations in community structure through changes in individual species, or whether dietary context influences which genes dominant species rely on to remain competitive with other microbes, including those genes that are components of PULs.
[0136] Here, we adopt a multifaceted approach to study an artificial community in gnotobiotic mice fed changing diets in order to better understand: (i) the process by which such a community reconfigures itself structurally in response to changes in host diet; (ii) how aggregate community function, as judged by the metatranscriptome and metaproteome, is impacted when host diet is altered; (iii) how the metabolic strategies of its individual component microbes change, if at all, when the nutrient milieu is dramatically altered, with an emphasis on one prominent but understudied member of the human gut Bacteroides; and (iv) whether a microbe's metabolic versatility/flexibility correlates with competitive advantage in an assemblage containing related and unrelated species.
Example 1. Sequencing the Bacteroides cellulosilyticus WH2 Genome
[0137] Though at least eight complete and 68 draft genomes of Bacteroides spp. are currently available [27], there are numerous examples of distinct clades within this genus where little genomic information exists. To further explore the genome space of one such clade, we obtained a human fecal isolate whose four 16S rRNA gene sequences indicate a close relationship to Bacteroides cellulosilyticus (Figure 1A,B). The genome of this isolate, which we have designated B. cellulosilyticus WH2, was sequenced deeply, yielding a high quality draft assembly (23 contigs with an N50 value of 798,728 bp; total length of all contigs in the assembly, 7.1 Mb; Table 1 ). Annotation of its 5,244 predicted protein coding genes using the carbohydrate active enzyme (CAZy) database [28] revealed an extraordinary complement of 503 CAZymes comprising 373 GHs, 23 PLs, 28 carbohydrate esterases (CEs), and 84
glycosyltransferases (GTs) (see Table 2 for all annotated genes in the B. cellulosilyticus WH2 genome predicted to have relevance to carbohydrate metabolism). One
distinguishing feature of gut Bacteroides genomes is the substantial number of
CAZymes they encode relative to those of other intestinal bacteria [29]. The B.
cellulosilyticus WH2 CAZome is enriched in a number of GH families even when compared with prominent representatives of the gut Bacteroidetes (Figure 2A). When we expanded this comparison to include all 86 Bacteroidetes in the CAZy database, we found that the B. cellulosilyticus WH2 genome had the greatest number of genes for 19 different GH families, as well as genes from two GH families that had not previously been observed within a Bacteroidetes genome (Figure 2B). Altogether, B.
cellulosilyticus WH2 has more GH genes at its disposal than any other Bacteroidetes species analyzed to date.
[0138] In Bacteroides spp., CAZymes are often located within PULs [30]. At a minimum, a typical PUL harbors a pair of genes with significant homology to the susC and susD genes of the starch utilization system (Sus) in B. thetaiotaomicron [30,32]. Other genes encoding enzymes capable of liberating oligo and monosaccharides from a larger polysaccharide are also frequently present. The susC and susD like genes of these loci encode the proteins that comprise the main outer membrane binding and transport apparatus and thus represent key elements of these systems. A search of the
B. cellulosilyticus WH2 genome for genes with strong homology to the susC and susD like genes in B. thetaiotaomicron VPI 5482 revealed an unprecedented number susC/D pairs (a total of 1 18). Studies of other prominent Bacteroides spp. have found that the evolutionary expansion of these genes has played an important role in endowing the Bacteroides with the ability to degrade a wide range of host and plant derived
polysaccharides [25,33]. Analysis of deeply sampled adult human gut microbiota datasets indicates that B. cellulosilyticus strains are common, colonizing approximately 77% of 124 adult Europeans characterized in one study [18] and 62% of 139 individuals living in the United States examined in another survey [20]. We hypothesized that the apparent success of B. cellulosilyticus in the gut is derived in part from its substantial arsenal of genes involved in carbohydrate utilization.
Example 2. Measuring Changes in the Structural Configuration of a 12-Member Model Microbiota in Response to a Dietary Perturbation
[0139] To test the fitness of B. cellulosilyticus WH2 in relation to other prominent gut symbionts, and the importance of diet on its fitness, we carried out an experiment in gnotobiotic mice (experiment 1 , "Ei ," Figure 3). Two groups of 10-12 wk old male germ-free C57BL/6J animals were moved to individual cages within gnotobiotic isolators (n = 7 animals/group). At day zero, each animal was colonized by oral gavage with an artificial community comprising 12 human gut bacterial species (Table 3). Each species chosen for inclusion in this microbial assemblage met four criteria: (i) it was a member of one of three bacterial phyla routinely found in the human gut (i.e.,
Bacteroidetes, Firmicutes, or Actinobacteria), (ii) it was identified as a prominent member of the human gut microbiota in previous culture independent surveys, (iii) it could be grown in the laboratory, and (iv) its genome had been sequenced to at least a high-quality draft level. Species were also selected for their functional attributes (as judged by their annotated gene content) in an effort to create an artificial community that was somewhat representative of a more complex human microbiota. For example, although more than half of the species in the assemblage were Bacteroidetes predicted to excel at the breakdown of polysaccharides, several were also prominent inhabitants of the human gut that are thought to have limited carbohydrate utilization capabilities
(e.g., Firmicutes from Clostridium cluster XlVa). Some attributes for the 12 strains included in the artificial community are provided in Table 4.
[0140] For 2 wk, each treatment group was fed a standard low-fat/high-plant polysaccharide (LF/HPP) mouse chow, or a "Western" like diet where calories are largely derived from fat, starch, and simple sugars (high-fat/high-sugar (HF/HS)) [12]. Over the course of 6 wk, diets were changed twice at 2 wk intervals, such that each group began and ended on the same diet, with an intervening 2 wk period during which the other diet was administered (Figure 3).
[0141 ] Using fecal DNA as a proxy for microbial biomass, the plant
polysaccharide-rich LF/HPP diet supported 2- to 3-fold more total bacterial growth (primary productivity) despite its lower caloric density (3.7 kcal/g versus 4.5 kcal/g for the HF/HS diet; Figure 5A). The HF/HS diet contains carbohydrates that are easily metabolized and absorbed in the proximal intestine (sucrose, corn starch, and maltodextrin), with cellulose being the one exception (4% of the diet by weight versus 46.3% for the other carbohydrate sources). Thus, in mice fed the HF/HS diet, diet derived simple sugars are likely to be rare in the distal gut where the vast majority of gut microbes reside; this may provide an advantage to those bacteria capable of utilizing other carbon sources (e.g., proteins/oligopeptides, host glycans). In mice fed the LF/HPP diet, on the other hand, plant polysaccharides that are indigestible by the host should provide a plentiful source of energy for saccharolytic members of the artificial community.
[0142] To evaluate the impact of each initial diet and subsequent diet switch on the structural configuration of the artificial community, we performed shotgun
sequencing (community profiling by sequencing; COPRO-Seq) [11] of DNA isolated from fecal samples collected throughout the course of the experiment, as well as cecal contents collected at sacrifice. The relative abundances of the species in each sample (defined by the number of sequencing reads that could be unambiguously assigned to each microbial genome after adjusting for genome uniqueness) were subjected to ordination by principal coordinates analysis (PCoA) (Figure 6A). As expected, diet was found to be the predominant explanatory variable for observed variance (see separation along principal coordinate 1 , "PC1 ," which accounts for 52% of variance). The overall
structure of the artificial community achieved quasi-equilibrium before the midpoint of the first diet phase, as evidenced by the lack of any significant movement along PC1 after day five. A structural reconfiguration also took place over the course of ~5 d following transition to the second diet phase. Notably, the two treatment groups underwent a near perfect inversion in their positions along PC1 after the first diet switch; the artificial community in animals switched from a LF/HPP to HF/HS diet took on a structure like that which arose by the end of the first diet phase in animals consuming the HF/HS diet, and vice versa. The second diet switch from phase 2 to 3 resulted in a similar movement along PC1 in the opposite direction, indicating a reversion of the artificial community's configuration to its originally assembled structure in each treatment group. These results, in addition to demonstrating the significant impact of these two diets on the structure of this 12-member artificial human gut community, also suggest that an assemblage of this size is capable of demonstrating resilience in the face of substantial diet perturbations.
[0143] The assembly process and observed diet induced reconfigurations also proved to be highly reproducible as evidenced by COPRO-Seq results from a replication of E-i (experiment 2, "E2"). In this follow up experiment, fecal samples were collected more frequently than in E-i , providing a dataset with improved temporal resolution.
Ordination of E2 COPRO-Seq data by PCoA showed that (i) for each treatment group in E2, the artificial community assembles in a manner similar to its counterpart in E-i ; (ii) structural reconfigurations in response to diet occur with the same timing as in E-i ; and (iii) the quasi equilibria achieved during each diet phase are highly similar between experiments for each treatment group (compare Figures 4A and 6A). As in E-i , cecal data for each E2 treatment group overlap with their corresponding fecal samples, and DNA yields from E2 fecal samples vary substantially as a function of host diet (Figure 5B).
[0144] COPRO-Seq provides precise measurements of the proportional abundance of each member species present in the artificial community. Data collected in both E-i and E2 (Table 5) revealed significant differences between members in terms of the maximum abundance levels they achieved, the rates at which their abundance levels were impacted by diet shifts, and the degree to which each species demonstrated
a preference for one diet over another (Figure 5C-N). Changes in each species' abundance over time replicated well across animals in each treatment group,
suggesting the assembly process and diet induced reconfigurations occur in an orderly, rules-based fashion and with minimal stochasticity in this artificial community. A species' relative abundance immediately after colonization (i.e., 24 h after gavage/day 1 ) was, in general, a poor predictor of its abundance at the end of the first diet phase (i.e., day 13) (Ei R2 = 0.23; E2 R2 = 0.27), suggesting that early dominance of the founder population was not strongly tied to relative success in the assembly process.
[0145] In mice initially fed a HF/HS diet, four Bacteroides spp. (Bacteroides caccae, B. cellulosilyticus WH2, B. thetaiotaomicron, and Bacteroides vulgatus) each achieved a relative abundance of >10% by the end of the first diet phase (day 13 postgavage), with B. caccae attaining the highest levels (37.1 ±4.9% and 34.2±5.5%; group mean ± SD in E-i and E2, respectively). In animals fed the plant polysaccharide rich LF/HPP chow during the first diet phase, B. cellulosilyticus WH2 was dominant, achieving levels of 37.1 ±2.0% (E-i) and 41 .6±3.9% (E2) by day 13. B. thetaiotaomicron and B. vulgatus also attained relative abundances of >10%.
[0146] Changes in diet often resulted in rapid, dramatic changes in a species' proportional representation. Because the dynamic range of abundance values observed when comparing multiple species was substantial (lowest, Dorea longicatena
(<0.003%); highest, B. caccae (55.0%)), comparing diet responses on a common scale using raw abundance values was challenging. To represent these changes in a way that scaled absolute increases/decreases in relative abundance to the range observed for each strain, we also normalized each species' representation within the artificial community at each time point to the maximum proportional abundance each microbe achieved across all time points within each mouse. Plotting the resulting measure of abundance (percentage of maximum achieved; PoMA) over time demonstrates which microbes are strongly responsive to diet (experience significant swings in PoMA value following a diet switch) and which are relatively diet insensitive (experience only modest or no significant change in PoMA value following a diet switch). Heatmap visualization of E-i PoMA values (Figure 6B-C) indicated that those microbes with a preference for a particular diet in one animal treatment group also tended to demonstrate the same diet
preference in the other. Likewise, diet insensitivity was also consistent across treatment groups; diet insensitive microbes were insensitive regardless of the order in which diets were introduced.
[0147] Of the diet-sensitive taxa, those showing the most striking responses were B. caccae and B. ovatus, which strongly preferred the "Western"-like HF/HS diet and the polysaccharide-rich LF/HPP diet, respectively (Figures 4B-E and 5C-N).
Among the diet-insensitive taxa, B. thetaiotaomicron showed the most stability in its representation (Figures 4B-E and 5C-N), consistent with its reputation as a versatile forager. Paradoxically, B. cellulosilyticus WH2 was both diet-sensitive and highly fit on its less preferred diet; although this strain clearly achieved higher levels of
representation in animals fed the LF/HPP diet, it also maintained strong levels of representation in animals fed the HF/HS diet (Figures 4B-E and 5C-N).
[0148] When taking into account the abundance data for all 12 artificial community members, proportional representation at the end of the first diet phase (i.e., day 13) was a good predictor of representation at the end of the third diet phase (i.e., day 42) (Ei R2 = 0.77; E2 R2 = 0.84), suggesting that the intervening dietary perturbation had little effect on the ultimate outcomes for most species within this assemblage.
However, one very low abundance strain (D. longicatena) achieved significantly different maximum percentage abundances across the two treatment groups in each experiment, suggesting that steady state levels of this strain may have been impacted by diet history. In mice initially fed the LF/HPP diet, D. longicatena was found to persist throughout the experiment at low levels on both diet regimens. In mice initially fed the HF/HS diet, D. longicatena dropped below the limit of detection before the end of the first diet phase, was undetectable by the end of the second diet phase, and remained undetectable throughout the rest of the time course. This interesting example raises the possibility that for some species, irreversible hysteresis effects may play a significant role in determining the likelihood that they will persist within a gut over long periods of time.
Example 3. The Cecal Metatranscriptome Sampled at the Time of Sacrifice
[0149] These diet induced reconfigurations in the structure of the artificial community led us to examine the degree to which its members were modifying their metabolic strategies. To establish an initial baseline static view of expression data for each microbe on each diet, we developed a custom GeneChip whose probe sets were designed to target 46,851 of the 48,023 known or predicted protein coding genes within our artificial human gut microbiome (see Materials and Methods). Total RNA was collected from the cecal contents of each animal in Ei at the time of sacrifice and hybridized to this GeneChip. The total number of genes whose expression was detectable on each diet was remarkably similar (14,929 and 14,594 detected in the LF/HPP→HF/HS→LF/HPP and HF/HS→LF/HPP→HF/HS treatment groups,
respectively). A total of 1 1 ,373 genes (24.3%) were expressed on both diets (Figure 7A), while 2,003 (4.3%) were differentially expressed to a statistically significant degree, including 161 (6.1 %) of the 2,640 genes in the microbiome encoding proteins with CAZy recognized domains. Figure 7B-F illustrates the fraction of the community level
CAZome and several species level CAZomes expressed on each diet (see Table 6 from McNulty NP, et al. (2013) Effects of Diet on Resource Utilization by a Model Human Gut Microbiota Containing Bacteroides cellulosilyticus WH2, a Symbiont with an Extensive Glycobiome. PLoS Biol 1 1 (8): e1001637. doi:10.1371 /journal.pbio.1001637 , hereby incorporated by reference, for a comprehensive list of all genes, organized by species and fold change in expression, whose cecal expression was detectable on each diet and all genes whose expression was significantly different when comparing data from each treatment group).
[0150] Among taxa demonstrating obvious diet preferences (as judged by relative abundance data), B. caccae and B. cellulosilyticus WH2 provided examples of CAZy-level responses to diet change that were different in several respects. Our observations regarding the carbohydrate utilization capabilities and preferences of B. caccae are summarized in Example 8. However, our ability to evaluate shifts in B.
caccae's metabolic strategy in the gut was limited by its very low abundance in animals fed LF/HPP chow (i.e., our mRNA and subsequent protein assays were often not sensitive enough to exhaustively sample B. caccae's metatranscriptome and
metaproteome). In contrast, the abundance of B. cellulosilyticus WH2, which favored
the LF/HPP diet, remained high enough on both diets to allow for a comprehensive analysis of its expressed genes and proteins. This advantage, along with the
exceptional carbohydrate utilization machinery encoded within the genome of this organism, encouraged us to focus on further dissecting the responses of B.
cellulosilyticus WH2 to diet changes.
[0151 ] Detailed inspection of the expressed B. cellulosilyticus WH2 CAZome (503 CAZymes in total) provided an initial view of this microbe's sophisticated
carbohydrate utilization strategy. A comparison of the top decile of expressed CAZymes on each diet disclosed many shared elements between the two lists, spanning many different CAZy families, with just over half of the 50 most expressed enzymes on the plant polysaccharide-rich LF/HPP chow also occurring in the list of most highly expressed enzymes on the sucrose, corn starch, and maltodextrin-rich HF/HS diet
(Figure 8A). Twenty-five of the 50 most expressed CAZymes on the LF/HPP diet were significantly upregulated compared to the HF/HS diet; of these, seven were members of the GH43 family (Figure 8B). The GH43 family consists of enzymes with activities required for the breakdown of plant derived polysaccharides such as hemicellulose and pectin. Inspection of the enzyme commission (EC) annotations for the most upregulated GH43 genes shows that they encode xylan 1 ,4 β xylosidases (EC 3.2.1 .37), arabinan endo 1 ,5 a L arabinosidases (EC 3.2.1 .99), and a L arabinofur anosidases (EC
3.2.1 .55). The GH10 family, which is currently comprised exclusively of endo xylanases (EC 3.2.1 .8, EC 3.2.1 .32), was also well represented among this set of 25 genes, with four of the seven putative GH10 genes in the B. cellulosilyticus WH2 genome making the list. Strikingly, of the 45 predicted genes with putative GH43 domains in the B.
cellulosilyticus WH2 genome, none were upregulated on the "Western" style HF/HS diet.
[0152] The most highly expressed B. cellulosilyticus WH2 CAZyme on the plant polysaccharide rich chow (which was also highly expressed on the HF/HS chow) was BWH2 1228, a putative a galactosidase from the GH36 family. These enzymes, which are not expressed by humans in the stomach or intestine, cleave terminal galactose residues from the nonreducing ends of raffinose family oligosaccharides (RFOs, including raffinose, stachyose, and verbascose), galacto(gluco)mannans, galactolipids,
and glycoproteins. RFOs, which are well represented in cereal grains consumed by humans, are expected to be abundant in the LF/HPP diet given its ingredients (e.g., soybean meal), but potential substrates in the HF/HS diet are less obvious, possibly implicating a host glycolipid or glycoprotein target.
[0153] Surface glycans in the intestinal epithelium of rodents are decorated with terminal fucose residues [34] as well as terminal sialic acid and sulfate [35]. Hydrolysis of the a 2 linkage connecting terminal fucose residues to the galactose rich extended core is thought to be catalyzed in large part by GH95 and GH29 enzymes [36]. The B. cellulosilyticus WH2 genome is replete with putative GH95 and GH29 genes (total of 12 and 9, respectively), but only a few {BWH2 1350/2142/3154/3818) were expressed in vivo on at least one diet, and their expression was low relative to many other CAZymes (see Table 6 from by McNulty NP, et al. (2013) Effects of Diet on Resource Utilization by a Model Human Gut Microbiota Containing Bacteroides cellulosilyticus WH2, a Symbiont with an Extensive Glycobiome. PLoS Biol 1 1 (8): e1001637.
doi:10.1371/journal.pbio.1001637, hereby incorporated by reference). Cleavage of terminal sialic acids present in host mucins by bacteria is usually carried out by GH33 family enzymes. B. cellulosilyticus WH2 has two GH33 genes that are expressed on either one diet (BWH2 3822, HF/HS) or both diets (BWH2 4650), but neither is highly expressed relative to other B. cellulosilyticus WH2 CAZymes. Therefore, utilization of host glycans by B. cellulosilyticus WH2, if it occurs, likely requires partnerships with other members of the artificial community that express GH29/95/33 enzymes (see
Table 6 from McNulty NP, et al. (2013) Effects of Diet on Resource Utilization by a Model Human Gut Microbiota Containing Bacteroides cellulosilyticus WH2, a Symbiont with an Extensive Glycobiome. PLoS Biol 1 1 (8): e1001637.
doi:10.1371/journal.pbio.1001637, hereby incorporated by reference, for a list of members that express these enzymes in a diet independent and/or diet specific fashion).
[0154] Among the 50 most highly expressed B. cellulosilyticus WH2 CAZymes, 12 were significantly upregulated on the HF/HS diet compared to the LF/HPP diet, with members of family GH13 being most prevalent. While the enzymatic activities and substrate specificities of GH13 family members are varied, most relate to the hydrolysis
of substrates comprising chains of glucose subunits, including amylose (one of the two components of starch) and maltodextrin, both prominent ingredients in the HF/HS diet.
[0155] GeneChip-based profiling of the Ei cecal communities provided a snapshot of the metatranscriptome on the final day of the final diet phase in each treatment group. The analysis of B. cellulosilyticus WH2 CAZyme expression suggested that this strain achieves a "generalist" lifestyle not by relying on substrates that are present at all times (e.g., host mucins), but rather by modifying its resource utilization strategy to effectively compete with other microbes for diet-derived polysaccharides that are not metabolized by the host.
Example 4. Community-Level Analysis of Diet-Induced Changes in Microbial Gene Expression
[0156] To develop a more complete understanding of the dynamic changes that occur in gene expression over time and throughout the artificial community following diet perturbations, we performed microbial RNA Seq analyses using feces obtained at select time points from mice in the LF/HPP→HF/HS→LF/HPP treatment group of E2 (Figure 3).
[0157] We began with a "top-down" analysis in which every RNA-Seq read count from every gene in the artificial microbiome was binned based on the functional annotation of the gene from which it was derived, regardless of its species of origin. In this case, the functional annotation used as the binning variable was the predicted EC number for a gene's encoded protein product. Expecting that some changes might occur rapidly, while others might require days or weeks, we searched for significant differences between the terminal time points of the first two diet phases (i.e., points at which the model human gut microbiota had been allowed 13 d to acclimate to each diet). The 157 significant changes we identified were subjected to hierarchical clustering by EC number to determine which functional responses occurred with similar kinetics. The results revealed that in contrast to the rapid, diet induced structural reconfigurations observed in this artificial community, community level changes in microbial gene expression occurred with highly variable timing that differed from function to function. These changes were dominated by EC numbers associated with enzymatic reactions
relevant to carbohydrate and amino acid metabolism (see Table 7 for a summary of all significant changes observed, including aggregate expression values for each functional bin (EC number) at each time point). Significant responses could be divided into one of three groups: "rapid" responses were those where the representation of EC numbers in the transcriptome increased/decreased dramatically within 1-2 d of a diet switch;
"gradual" responses were those where the representation of EC numbers changed notably, but slowly, between the two diet transition points; and "delayed" responses were those where significant change did not occur until the end of a diet phase (Figure 9, Table 7). EC numbers associated with reactions important in carbohydrate
metabolism and transport were distributed across all three of these response types for each of the two diets. Nearly all genes encoding proteins with EC numbers related to amino acid metabolism that were significantly upregulated on HF/HS chow binned into the "rapid" or "gradual" groups, suggesting this diet put immediate pressure on the artificial microbial community to increase its repertoire of expressed amino acid biosynthesis and degradation genes. Genes with assigned EC numbers involved in amino acid metabolism that were significantly upregulated on the other, polysaccharide- rich, LF/HPP diet were spread more evenly across these three response types (Figure 9)-
[0158] Careful inspection of our top-down analysis results and a complementary "bottom-up" analysis in which normalization was performed at the level of individual species, rather than at the community level, allowed us to identify other important responses that would have gone undetected were it not for the fact that we were dealing with a defined assemblage of microbes where all of the genes in component members' genomes were known. For example, an assessment of the representation of EC 3.2.1 .8 (endo-1 ,4- -xylanase) within the metatranscriptome before and after the first diet switch (LF/HPP→HF/HS) initially suggested that this activity was reduced to a statistically significant degree as a result of the first diet perturbation (day 13 versus day 27; Mann- Whitney L/ test, p = 0.03; Figure 10A). Aggregation by species of all sequencing read counts assignable to mRNAs encoding proteins with this EC number revealed that over 99% of the contributions to this functional bin originated from B cellulosilyticus WH2 (note the similarity in a comparison of Figure 10A and Figure 10B), implying that the
community-level response and the response of this Bacteroides species were virtually one and the same. A tally of all sequencing reads assignable to B. cellulosilyticus WH2 at each time point disclosed that although this strain maintains high proportional representation in the artificial community throughout each diet oscillation period (range, 10.3-42.5% and 1 1 .6^13.3% for E-i and E2, respectively), its contribution to the metatranscriptome is substantially decreased during the HF/HS diet phase (Figure 10C). This dramatic reduction in the extent to which B. cellulosilyticus WH2 contributes to the metatranscriptome in HF/HS fed mice "masks" the significant upregulation of EC 3.2.1 .8 that occurs within the B. cellulosilyticus WH2 transcriptome following the first diet shift (day 13 versus day 27; Mann-Whitney L/ test, p = 0.03; Figure 10D). A further breakdown of endo-1 ,4- -xylanase upregulation in B. cellulosilyticus WH2 when mice are switched to the HF/HS diet reveals that most of this response is driven by two genes, BWH2_4068 and BWH2_4072 (Figure 10E). Our realization that we were unable to correctly infer the direction of one of the most significant diet-induced gene expression changes in the second most abundant strain in the artificial community when inspecting functional responses at the community level provides a strong argument for expanding the use of microbial assemblages comprised exclusively of sequenced species in studies of the gut microbiota. This should allow the contributions of individual species to community activity to be evaluated in a rigorous way that is not possible with microbial communities of unknown or poorly defined gene composition.
Example 5. High-Resolution Profiling of the Cecal Metaproteome Sampled at the Time of Sacrifice
[0159] In principle, protein measurements can provide a more direct readout of expressed community functions than an RNA-level analysis, and thus a deeper understanding of community members' interactions with one another and with their habitat [37,38]. For these reasons and others, much work has been dedicated to applying shotgun proteomics techniques to microbial ecosystems in various
environments [39,40]. Though these efforts have provided illustrations of significant methodological advances, they have been limited by the complexity of the
metaproteomes studied and by the difficulties this complexity creates when attempting
to assign peptide identities uniquely to proteins of specific taxa. Recognizing that a metaproteomics analysis of our artificial community would not be subject to such uncertainty given its fully-defined microbiome and thus fully-defined theoretical proteome, we subjected cecal samples from two mice from each diet treatment group in E-i (n = 4 total) to high-performance liquid chromatography tandem mass spectrometry (LC-MS/MS; see Materials and Methods). We had three goals: (i) to evaluate how our ability to assign peptide spectrum matches (PSMs) to particular proteins within a theoretical metaproteome is affected by the presence of close homologs within the same species and within other, closely-related species; (ii) to test the limits of our ability to characterize protein expression across different species given the substantial dynamic range we documented in microbial species abundance; and (iii) to collect semiquantitative peptide/protein data that might validate and enrich our understanding of functional responses identified at the mRNA level, particularly with respect to the niche (profession) of CAZyme-rich B. cellulosilyticus WH2.
[0160] Given the evolutionary relatedness of the strains involved, we expected that some fraction of observed PSMs from each sample would be of ambiguous origin due to nonunique peptides shared between species' proteomes. To assess which species might be most affected by this phenomenon when characterizing the
metaproteome on different diets, we catalogued each strain's theoretical peptidome using an in silico tryptic digest. This simulated digest took into account both the potential for missed trypic cleavages and the peptide mass range that could be detected using our methods. The results (Figure 11 A, Table 8) demonstrated that for an artificial community of modest complexity, the proportion of peptides within each strain's theoretical peptidome that are "unique" (i.e., assignable to a single protein within the theoretical metaproteome) varies substantially from species to species, even among those that are closely related. We found the lone representative of the Actinobacteria in the artificial community, Collinsella aerofaciens, to have the highest proportion of unique peptides (94.2%), while B. caccae had the lowest (63.0%). Interestingly, there was not a strong correlation between the fraction of a species' peptides that were unique and the total number of unique peptides that species contributed to the theoretical peptidome. For example, C. aerofaciens (2,367 predicted protein coding genes) contributed only
81 ,894 (1 .5%) unique peptides, the lowest of any artificial community member evaluated, despite having a proteome composed of mostly unique peptides. On the other hand, B. cellulosilyticus \NH2 (5,244 predicted protein coding genes) contributed 241 ,473 (4.5%) unique peptides, the highest of any member despite a high fraction of nonunique peptides (18.4%) within its theoretical peptidome. The evolutionary relatedness of the Bacteroides components of the artificial community appeared to negatively affect our ability to assign their peptides to specific proteins; their six theoretical peptidomes had the six lowest uniqueness levels. However, their greater number of proteins and peptides relative to the Firmicutes and Actinobacteria more than compensated for this deficiency; over 60% of unique peptides within the unique theoretical metaproteome were contributed by the Bacteroides.
[0161 ] We also found that the proportion of PSMs uniquely assignable to a single protein within the metaproteome varied significantly by function, suggesting that some classes of proteins can be traced back to specific microbes more readily than others. For example, when considering all theoretical peptides that could be derived from the proteome of a particular bacterial species, those from proteins with roles in categories with high expected levels of functional conservation (e.g., translation and nucleotide metabolism) were on average deemed unique more often than those from proteins with roles in functions we might expect to be less conserved (e.g., glycan biosynthesis and metabolism) (see Table 8 for a summary of how peptide uniqueness varied across different KEGG categories and pathways, and across different species in the experiment). However, even in KEGG categories and pathways with high expected levels of functional conservation, the vast majority of peptides were found to be unique when a particular species was not closely related to other members of the artificial community.
[0162] Next, we determined the average number of proteins that could be experimentally identified in our samples for each microbial species within each treatment group in E-i . The results (Figure 11 B, Table 9) illustrate two important conclusions. First, although equal concentrations of total protein were evaluated for each sample, slightly less than twice as many total microbial proteins were identified in samples from the LF/HPP-fed mice as those from mice fed the HF/HS diet (4,659
versus 2,777, respectively). While there are a number of possible explanations, both this finding and the higher number of mouse proteins detected in samples from HF/HS fed animals are consistent with the results of our fecal DNA analysis, which indicated that the HF/HS diet supports lower levels of gut microbial biomass than the LF/HPP diet (Figure 5A,B) Second, a breakdown of all detected microbial proteins by species of origin (Figure 11 B) revealed that the degree to which we could inspect protein expression for a given species was dictated largely by its relative abundance and the diet to which it was exposed.
[0163] Our ability to detect many of B. cellulosilyticus WH2's expressed transcripts and proteins in samples from both diet treatment groups allowed us to determine how well RNA and protein data for an abundant, active member of the artificial community might correlate. These data also allowed us to evaluate whether or not the types of genes considered might influence the degree of correlation between these two datasets. We first performed a spectral count-based correlation analysis on the diet-induced, log-transformed, average fold-differences in expression for all B.
cellulosilyticus WH2 genes that were detectable at both the RNA and protein level for both diets. The results revealed a moderate degree of linear correlation between RNA and protein observations (Figure 11 C, black plot; r = 0.53). However, subsequent division of these genes into functionally related subsets, which were each subjected to their own correlation analysis, revealed striking differences in the degree to which RNA level and protein level expression changes agreed with one another. For example, diet- induced changes in mRNA expression for genes involved in translation showed virtually no correlation with changes measured at the protein level (Figure 11 D, red plot; r = 0.03). Correlations for other categories of B. cellulosilyticus WH2 genes, such as those involved in energy metabolism (Figure 11 E, green plot; r = 0.36) and amino acid metabolism (Figure 11 F, orange plot; r = 0.48), were also poorer than the correlation for the complete set of detectable genes. In contrast, the correlation for the 1 10 genes with predicted involvement in carbohydrate metabolism was quite strong (Figure 11 G, blue plot; r = 0.69), and was in fact the best correlation identified for any functional category of genes considered. The significant range of correlations observed in different categories of genes suggests that the degree to which RNA-based analyses provide an
accurate picture of microbial adaptation to environmental perturbation may be strongly impacted by the functional classification of the genes involved. Additionally, these data further emphasize the need for enhanced dynamic range metaproteome measurements and better bioinformatic methods to assign/bin unique and nonunique peptides so that deeper and more thorough surveys of the microbial protein landscape can be performed and evaluated alongside more robust transcriptional datasets.
Example 6. Identifying Two Diet-lnducible, Xylanase-Containing PULs Whose Genetic Disruption Results in Diet-Specific Loss of Fitness
[0164] Several of the most highly expressed and diet-sensitive B.
cellulosilyticus WH2 genes in this study fell within two putative PULs. One PUL
(BWH2_4044-55) contains 12 ORFs that include a dual susC/D cassette, three putative xylanases assigned to CAZy families GH8 and GH10, a putative multifunctional acetyl xylan esterase/a L fucosidase, and a putative hybrid two-component system regulator (Figure 12A). Gene expression within this PUL was markedly higher in mice consuming the plant polysaccharide-rich LF/HPP diet at both the mRNA and protein level. Our mRNA level analysis disclosed that BWH2_4047 was the most highly expressed B. cellulosilyticus WH2 susD homolog on this diet. Likewise, BWH2_4046/4, the two susC- like genes within this PUL, were the 2nd and 4th most highly expressed B.
cellulosilyticus WH2 susC-like genes in LF/HPP-fed animals, and exhibited expression level reductions of 99.5% and 93% in animals consuming the HF/HS diet. The same LF/HPP diet bias was observed for other genes within this PUL (Figures 8A and 12B) but not for neighboring genes. The same trends were obvious and amplified when we quantified protein expression (Figure 12C). In mice fed LF/HPP chow, only three B. cellulosilyticus WH2 SusC-like proteins had higher protein levels than BWH2_4044/6, and only two SusD-like proteins had higher levels than BWH2_4045/7. Strikingly, we were unable to detect a single peptide from 9 of the 12 proteins in this PUL in samples obtained from mice fed the HF/HS diet, emphasizing the strong diet specificity of this locus.
[0165] A second PUL in the B. cellulosilyticus WH2 genome composed of a susC/D-\'\ke pair (BWH2_4074/5), a putative hybrid two-component system regulator
(BWH2_4076), and a xylanase (GH10) with dual carbohydrate binding module domains (CBM22) {BWH2_4072) (Figure 12A) demonstrated a strong but opposite diet bias, in this case exhibiting significantly higher expression in animals consuming the HF/HS "Western"-like diet. Our mRNA level analysis showed that this xylanase was the second most highly expressed B. cellulosilyticus WH2 CAZyme in animals consuming this diet (Figure 8A). As with the previously described PUL, shotgun metaproteomics validated the transcriptional analysis (Figure 12B,C); with the exception of the gene encoding the PUL's presumed transcriptional regulator (BWH2_4076), diet specificity was substantial, with protein level fold changes ranging from 10-33 across the locus (Table 10 from McNulty NP, et al. (2013) Effects of Diet on Resource Utilization by a Model Human Gut Microbiota Containing Bacteroides cellulosilyticus WH2, a Symbiont with an Extensive Glycobiome. PLoS Biol 1 1 (8): e1001637. doi:10.1371/journal.pbio.1001637, hereby incorporated by reference).
[0166] Recent work by Cann and co-workers has done much to advance our understanding of the regulation and metabolic role of xylan utilization system gene clusters in xylanolytic members of the Bacteroidetes, particularly within the genus Prevotella [41]. The "core" gene cluster of the prototypical xylan utilization system they described consists of two tandem repeats of susC/susD homologs (xusA/B/C/D), a downstream hypothetical gene (xusE) and a GH10 endoxylanase (xyn10C). The 12- gene PUL identified in our study (BWH2_4044-55) appears to contain the only instance of this core gene cluster within the B. cellulosilyticus WH2 genome, suggesting that this PUL, induced during consumption of a plant polysaccharide-rich diet, is likely to be the primary xylan utilization system within this organism. A recent study characterizing the carbohydrate utilization capabilities of B. ovatus ATCC 8483 also identified two PULs involved in xylan utilization {BACOVA_04385-94, BACOVA_03417-50) whose gene configurations differ from those described in Prevotella spp. [25]. Interestingly, the five proteins encoded by the smaller xylanase containing PUL described above
(BWH2_4072-6) are homologous to the products of the last five genes in
BACOVA_4385-94 (i.e., BACOVA_4390-4). The order of these five genes in these two loci is also identical. The similarities and differences observed when comparing the putative xylan utilization systems encoded within the genomes of different Bacteroidetes
illustrate how its members may have evolved differentiated strategies for utilizing hemicelluloses like xylan.
[0167] Having established that expression of BWH2_4044-55 and
BWH2_4072-6 is strongly dictated by diet, we next sought to determine if these PULs are required by B. cellulosilyticus WH2 for fitness in vivo. A follow-up study was performed in which mice were fed either a LF/HPP or HF/HS diet after being colonized with an artificial community similar to the one used in Ei and E2 (see Materials and Methods). The wild type B. cellulosilyticus WH2 strain used in our previous experiments was replaced with a transposon mutant library consisting of over 90,000 distinct transposon insertion mutants in 91 .5% of all predicted ORFs (average of 13.9 distinct insertion mutants per ORF). The library was constructed using methods similar to those reported by Goodman et al. ([42]; see Materials and Methods) so that the relative proportion of each insertion mutant in both the input (orally gavaged) and output (fecal) populations could be determined using insertion sequencing (INSeq). The INSeq results revealed clear, diet-specific losses of fitness when components of these loci were disrupted (Figure 12D-G). Additionally, as observed in Ei and E2, expression of each PUL was strongly biased by diet, with genes BWH2_4072-5 demonstrating
upregulation on the HF/HS diet and BWH2_4044-55 on the LF/HPP diet. The extent to which a gene's disruption impacted the fitness of B. cellulosilyticus WH2 on one diet or the other correlated well with whether or not that gene was highly expressed on a given diet. For example, four of the five most highly expressed genes in the BWH2_4044-55 locus were the four genes shown to be most crucial for fitness on the LF/HPP diet. Of these four genes, three were susC or susD homologs (the fourth was the putative endo- 1 ,4- -xylanase thought to constitute the last element of the xylan utilization system core). Though the fitness cost of disrupting genes within BWH2_4044-55 varied from gene to gene, disruption of any one component of the BWH2_4072-6 PUL had serious consequences for B. cellulosilyticus WH2 in animals fed the HF/HS diet. This could suggest that while disruption of some components of the BWH2_4044-55 locus can be rescued by similar or redundant functions elsewhere in the genome, the same is not true for BWH2_4072-5. Notably, disruption of BWH2_4076, which is predicted to
encode a hybrid two component regulatory system, had negative consequences on either diet tested, indicating that regulation of this locus is crucial even when the PUL is not actively expressed. While many genes outside of these two PULs were also found to be important for the in vivo fitness of B. cellulosilyticus WH2, those within these PULs were among the most essential to diet specific fitness, suggesting that these loci are central to the metabolic lifestyle of B. cellulosilyticus WH2 in the gut.
Example 7. Characterizing the Carbohydrate Utilization Capabilities of B.
cellulosilyticus WH2 and B. caccae
[0168] The results described in the preceding section indicate that B.
cellulosilyticus WH2 prioritizes xylan as a nutrient source in the gut and that it tightly regulates the expression of its xylan utilization machinery. Moreover, the extraordinary number of putative CAZymes and PULs within the B. cellulosilyticus WH2 genome suggests that it is capable of growing on carbohydrates with diverse structures and varying degrees of polymerization. To characterize its carbohydrate utilization capabilities, we defined its growth in minimal medium (MM) supplemented with one of 46 different carbohydrates [25]. Three independent growths, each consisting of two technical replications, yielded a total of six growth curves for each substrate. Of the 46 substrates tested, B. cellulosilyticus WH2 grew on 39 (Table 11 ); they encompassed numerous pectins (6 of 6), hemicelluloses/β glucans (8 of 8), starches/fructans/a glucans (6 of 6), and simple sugars (14 of 15), as well as host-derived glycans (4 of 7) and one cellooligosaccharide (cellobiose). The seven substrates that did not support growth included three esoteric carbohydrates (carrageenan, porphyran, and alginic acid), the simple sugar N-acetylneuraminic acid, two host glyans (keratan sulfate and mucin O-glycans), and fungal cell wall derived a-mannan. B. cellulosilyticus WH2 clearly grew more robustly on some carbohydrates than others. Excluding simple sugars, fastest growth was achieved on dextran (0.099±0.048 OD6oo units/h), laminarin
(0.095±0.014), pectic galactan (0.088±0.018), pullulan (0.088±0.026), and amylopectin (0.085±0.003). Although one study has reported that the type strain of B. cellulosilyticus degrades cellulose [43], the WH2 strain failed to demonstrate any growth on MM plus cellulose (specifically, Solka-Floc 200 FCC from International Fiber Corp.) after 5 d.
Maximum cell density was achieved with amylopectin (1 .17±0.02 OD6oo units), dextran (1 .12±0.20), cellobiose (1 .09±0.08), laminarin (1 .08±0.08), and xyloglucan (0.99±0.04). Total B. cellulosilyticus WH2 growth (i.e., maximum cell density achieved) on host- derived glycans was typically very poor, with only two substrates achieving total growth above 0.2 OD60o units (chondroitin sulfate, 0.50±0.04; glycogen, 0.99±0.02). The disparity between total growth on plant polysaccharides versus host-derived glycans, including O-glycans that are prevalent in host mucin, indicates a preference for diet- derived saccharides, consistent with our in vivo mRNA and protein expression data.
[0169] We also determined how the growth rate of B. cellulosilyticus WH2 on these substrates compared to the growth rates for other prominent gut Bacteroides spp. After subjecting B. caccae to the same phenotypic characterization as B. cellulosilyticus WH2, we combined our measurements for these two strains with previously published measurements for B. thetaiotaomicron and B. ovatus [25]. The results underscored the competitive growth advantage B. cellulosilyticus WH2 likely enjoys when foraging for polysaccharides in the intestinal lumen. For example, of the eight hemicelluloses and 3 glucans tested in our carbohydrate panel, B. cellulosilyticus WH2 grew fastest on six while B. ovatus grew fastest on two (Table 11 ). B. caccae and B. thetaiotaomicron, on the other hand, failed to grow on any of these substrates. Across all the carbohydrates for which data are available for all four species, B. cellulosilyticus WH2 grew fastest on the greatest number of polysaccharides (1 1 of 26) and tied with B. caccae for the greatest number of monosaccharides (6 of 15). B. thetaioatomicron and B. caccae did, however, outperform the other two Bacteroides tested with respect to utilization of host glycans in vitro, demonstrating superior growth rates on four of five substrates tested (Table 11 ).
[0170] B. cellulosilyticus WH2's rapid growth to high densities on xylan, arabinoxylan, and xyloglucan, as well as xylose, arabinose, and galactose, is
noteworthy given our prediction that two of its most tightly regulated, highly expressed PULs appear to be involved in the utilization of xylan, arabinoxylan, or some closely related polysaccharide. To identify specific mono- and/or polysaccharides capable of triggering the activation of these two PULs, as well as the 1 1 1 other putative PULs within the B. cellulosilyticus WH2 genome, we used RNA-Seq to characterize its
transcriptional profile at mid-log phase in MM (Table 12) plus one of 16 simple sugars or one of 15 complex sugars (Table 13) (see Materials and Methods; n = 2-3
cultures/substrate; 5.2-14.0 million raw lllumina HiSeq reads generated for each of the 90 transcriptomes). After mapping each read to the B. cellulosilyticus WH2 reference gene set, counts were normalized using DESeq to allow for direct comparisons across samples and conditions. Hierarchical clustering of the normalized dataset resulted in a well-ordered dendrogram in which samples clustered almost perfectly by the
carbohydrate on which B. cellulosilyticus WH2 was grown (Figure 13A). The
consistency of this clustering illustrates that (i) technical replicates within each condition exhibit strong correlationsMM- with one another, suggesting any differences between cultures in a treatment group (e.g., small differences in density or growth phase) had at best minor effects on aggregate gene expression, and (ii) growth on different
carbohydrates results in distinct, substrate-specific gene expression signals capable of driving highly discriminatory differences between treatment groups. The application of rigorous bootstrapping to our hierarchical clustering results also revealed several cases of higher level clusters in which strong confidence was achieved. These dendrogram nodes (illustrated as white circles) indicate sets of growth conditions that yield gene expression patterns more like each other than like the patterns observed for other substrates. Two notable examples were xylan/arabinoxylan (which are structurally related and share the same xylan backbone) and L-fucose/L-rhamnose (which are known to be metabolized via parallel pathways in E. coli [44]).
[0171 ] Importantly, these findings suggested that by considering in vitro profiling data alongside in vivo expression data from the artificial community, it might be possible to identify the particular carbohydrates to which B. cellulosilyticus WH2 is exposed and responding within its gut environment. To explore this concept further, we compared expression of each gene in each condition to its expression on our control treatment, MM plus glucose (MM-GIc). The results revealed a dynamic PUL activation network in which some PULs were activated by a single substrate, some were activated by multiple substrates, and some were transcriptionally silent across all conditions tested. Of the 1 18 putative susC/D pairs in B. cellulosilyticus WH2 that we have used as markers of PULs, 30 were dramatically activated on one or more of the substrates tested; in these
cases, both the susC- and susD-like genes in the cassette were upregulated an average of >100-fold relative to MM-GIc across all technical replicates (Figure 13B). At least one susC/D activation signature was identified for every one of the 17
oligosaccharides and polysaccharides and for six of the 13 monosaccharides tested (Table 14 from McNulty NP, et al. (2013) Effects of Diet on Resource Utilization by a Model Human Gut Microbiota Containing Bacteroides cellulosilyticus WH2, a Symbiont with an Extensive Glycobiome. PLoS Biol 1 1 (8): e1001637.
doi:10.1371/journal.pbio.1001637, hereby incorporated by reference). The lack of carbohydrate-specific PUL activation events for some monosaccharides (fructose, galactose, glucuronic acid, sucrose, and xylose) was expected, given that these loci are primarily dedicated to polysaccharide acquisition. Further inspection of gene expression outside of PULs disclosed that B. cellulosilyticus WH2 prioritizes use of its non-PUL- associated carbohydrate machinery, such as putative phosphotransferase system (PTS) components and monosaccharide permeases, when grown on these
monosaccharides (Table 14 from McNulty NP, et al. (2013) Effects of Diet on Resource Utilization by a Model Human Gut Microbiota Containing Bacteroides cellulosilyticus WH2, a Symbiont with an Extensive Glycobiome. PLoS Biol 1 1 (8): e1001637.
doi:10.1371/journal.pbio.1001637, hereby incorporated by reference).
[0172] Several carbohydrates activated the expression of multiple PULs.
Growth on water soluble xylan and wheat arabinoxylan produced significant
upregulation of five susC/D-\\ke pairs (BWH2_0865/6, 0867/8, 4044/5, 4046/7, and 4074/5). No other substrate tested activated as many loci within the genome, again hinting at the importance of xylan and arabinoxylan to this strain's metabolic strategy in vivo. Cecal expression data from E-i showed that 15 of these activated PULs were expressed in vivo on one or both of the diets tested (see circles to the right of the heatmap in Figure 13B). In mice fed the polysaccharide-rich LF/HPP chow, B.
cellulosilyticus WH2 upregulates three susC/D pairs {BWH2_2717/8, 4044/5, 4046/7) whose expression is activated in vitro by arabinan and xylan/arabinoxylan. The three most significantly upregulated susC/D pairs {BWH2_1736/7, 2514/5, 4074/5) in mice fed the HF/HS diet rich in sugar, corn starch, and maltodextrin are activated in vitro by amylopectin, ribose, and xylan/arabinoxylan, respectively. All three PULs identified as
being upregulated at the RNA level in LF/HPP-fed mice were also found to be upregulated at the protein level (Figure 13B). Two of the three PULs upregulated at the mRNA level in HF/HS-fed mice were upregulated at the protein level as well. The presence of an amylopectin-activated PUL among these two loci is noteworthy, given the significant amount of starch present in the HF/HS diet. The upregulation of four other PULs in HF/HS-fed animals was only evident in our LC-MS/MS data, reinforcing the notion that protein data both complement and supplement mRNA data when profiling microbes of interest.
[0173] Two of the five susC/D pairs activated by xylan/arabinoxylan form the four gene cassette in the previously discussed PUL comprising BWH2_4044-55 that is activated in mice fed the plant polysaccharide-rich chow (see Figure 12A). Another one of the five is the susC/D pair found in the PUL comprising BWH2_4072-6 that is activated in mice fed the HF/HS "Western"-like chow (see Figure 12A). Thus, we have identified a pair of putative PULs in close proximity to one another on the B.
cellulosilyticus WH2 genome that encode CAZymes with similar predicted functions, are subject to near identical levels of specific activation by the same two polysaccharides (i.e., xylan, arabinoxylan) in vitro, but are discordantly regulated in vivo in a diet-specific manner. The highly expressed nature of these PULs in the diet environment where they are active, their shared emphasis on xylan/arabinoxylan utilization, and their tight regulation indicate that they are likely to be important for the in vivo success of this organism in the two nutrient environments tested. However, the reasons for their discordant regulation are unclear. One possibility is that in addition to being activated by xylan/arabinoxylan and related polysaccharides, these loci are also subject to repression by other substrates present in the lumen of the gut, and this repression is sufficient to block activation. Alternatively, the specific activators of each PUL may be molecular moieties shared by both xylan and arabinoxylan that do not co-occur in the lumenal environment when mice are fed the diets tested in this study.
Example 8. Evaluating the Carbohydrate Utilization Capabilities and Preferences of B. caccae, a HF/HS Diet-adapted Species
[0174] Comparing CAZyme expression between three diet-insensitive Bacteroides spp. (B. thetaiotaomicron, B. vulgatus, and B. cellulosilyticus WH2) and HF/HS-favoring B. caccae revealed that these two groups have dissimilar profiles. While diet-insensitive strains express many CAZymes on both diets, and roughly equal percentages of their encoded CAZymes in a diet-specific manner, B. caccae's CAZyme utilization is heavily skewed (Figure 7B-F). While 19% of B. caccae CAZymes were expressed in mice regardless of the diet consumed, an additional 28% of this species' predicted CAZymes were expressed in animals consuming the HF/HS diet. In contrast, B. caccae expressed only 1 % of its predicted CAZymes in a LF/HPP diet-specific manner.
[0175] Phenotypic characterization of B. caccae on the same carbohydrate growth array we used to characterize B. cellulosilyticus WH2's substrate utilization capabilities revealed significant deficiencies in B. caccae's ability to utilize many simple and complex sugars (Table 11 ). Of particular note were its complete lack of starch utilization (as evidenced by its inability to grow on amylopectin derived from both potato and maize, as well as dextran and pullulan) and its inability to utilize any type of hemicellulose or β-glucan tested. These deficiencies are in contrast to the strong growth we observed for B. cellulosilyticus WH2 when it was cultured on several such
compounds. A complete comparison of the growth capabilities of B. cellulosilyticus WH2 and B. caccae reveals the striking fact that with the exception of one monosaccharide (N-acetylneuraminic acid), B. cellulosilyticus WH2 growth outperforms that of B. caccae on every carbohydrate tested.
Prospectus (for Examples 1 -8)
[0176] Elucidating generalizable "rules" for how microbiota operate under different environmental conditions is a substantial challenge. As our appreciation for the importance of the gut microbiota in human health and well-being grows, so too does our need to develop such rules using tractable experimental models of the gut ecosystem that allow us to move back and forth between in vivo and ex vivo analyses, using one to inform the other. Here, we have demonstrated the extent to which high resolution DNA-, mRNA-, and protein-level analyses can be applied (and integrated) to study an artificial
community of sequenced human gut microbes colonizing gnotobiotic mice. Our efforts have focused on characterizing community-level and species-level adaptation to dietary change over time and "leveraging" results obtained from in vitro assessments of individual species' responses to a panel of purified carbohydrates to deduce glycan exposures and consumption strategies in vivo. This experimental paradigm could be applied to any number of questions related to microbe-microbe, environment-microbe, and host-microbe interactions, including, for example, the metabolic fate of particular nutrients of interest (metabolic flux experiments), microbial succession, and
biotransformations of xenobiotics.
[0177] Studying artificial human gut microbial communities in gnotobiotic mice also allows us to evaluate the technical limitations of current molecular approaches for characterizing native communities. For example, the structure of an artificial community can be evaluated over time at low cost using short read shotgun DNA sequencing data mapped to all microbial genomes within the community (COPRO-Seq). This allows for a much greater depth of sequencing coverage (i.e., more sensitivity) and much less ambiguity in the assignment of reads to particular taxa than traditional 16S rRNA gene- based sequencing. Short read cDNA sequences transcribed from total microbial community RNA can also often be assigned to the exact species and gene from which they were derived, and the same is also often true for peptides derived from particular bacterial proteins. However, substantial dynamic range in species/transcript/protein abundance within any microbiota, defined or otherwise, imposes limits on our ability to characterize the least abundant elements of these systems.
[0178] The effort to obtain a more complete understanding of the operations and behaviors of minor components of the microbiota is an area deserving of significant attention, given known examples of low abundance taxa that play key roles within their larger communities and in host physiology [2,45]. Developing such an understanding requires methods and assays that are collectively capable of assessing the structure and function of a microbiota at multiple levels of resolution. The need for high sensitivity and specificity in these approaches will become increasingly relevant as we transition towards experiments involving defined communities of even greater complexity, including bacterial culture collections prepared from the fecal microbiota of humans
[46]. We anticipate that the study of sequenced culture collections transplanted to gnotobiotic mice will be instrumental in determining the degree to which physiologic or pathologic host phenotypes can be ascribed to the microbiota as well as specific constituent taxa.
[0179] The recent development of a low error 16S ribosomal RNA amplicon sequencing method (LEA-Seq) and the application of this method to the fecal microbiota of 37 healthy adults followed for up to 5 years indicated that individuals in this cohort contained 195±48 bacterial strains representing 101 ±27 species [47]. Furthermore, stability follows a power law function, suggesting that once acquired, most gut strains in a person are present for decades. New advances in the culturing of fastidious gut microbes may one day allow us to capture most (or all) of the taxonomic and functional diversity present within an individual's fecal microbiota as a clonally-arrayed, sequenced culture collection, providing a perfectly representative and defined experimental model of their gut community. In the meantime, first generation artificial communities of modest complexity such as the one described here offer a way of studying many questions related to the microbiota. However, the limited complexity and composition of our 12- species artificial community, and the way in which it was assembled in germ-free mice, make it an imperfect model of more complex human microbiota. Native microbial communities, for example, are subject to the influence of variables that are notably absent from this system, such as intraspecies genetic variability and exogenous microbial inputs. There are also taxa (e.g., Proteobacteria, Bifidobacteria) and microbial guilds (e.g., butyrate producers) typical of human gut communities that are absent from our defined assemblage that could be used to augment this system in order to improve our understanding of how their presence/absence influences a microbiota's response to diet and a spectrum of other variables of interest. These future attempts to
systematically increase complexity should reveal what trends, patterns, and trajectories observed in artificial assemblages such as the one reported here map or do not map onto natural communities.
[0180] Finally, one of the greatest advantages of studying defined assemblages in mice is that they afford us the ability to interrogate the biology of key bacterial species in a focused manner. The artificial community we used in our experiments included B.
cellulosilyticus WH2, a species that warrants further study as a model gut symbiont given its exceptional carbohydrate utilization capabilities, its apparent fitness advantage over many other previously characterized gut symbionts, and its genetic tractability. This genetic tractability should facilitate future experiments in which transposon mutant libraries are screened in vivo as one component of a larger artificial community in order to identify this strain's most important fitness determinants under a wide variety of dietary conditions. Identifying the genetic elements that allow B. cellulosilyticus to persist at the relatively high levels observed, regardless of diet, should provide microbiologists and synthetic biologists with new "standard biological parts" that will aid them in developing the next generation of prebiotics, probiotics, and synbiotics.
Materials and Methods (for Examples 1 -8)
Ethics Statement
[0181 ] All experiments involving mice used protocols approved by the
Washington University Animal Studies Committee in accordance with guidelines set forth by the American Veterinary Medical Association. Trained veterinarians from the Washington University Division of Comparative Medicine supervised all experiments. The laboratory animal program at Washington University is accredited by the
Association for Assessment and Accreditation of Laboratory Animal Care International (AAALAC).
B. cellulosilyticus WH2 Genome Sequencing
[0182] A strain of B. cellulosilyticus designated "WH2" (see Figure 1 A,B) was isolated from a human fecal sample during an iteration of the Microbial Diversity
Summer Course overseen by A. Salyers (University of Illinois, Urbana Champaign) at the Marine Biological Laboratory (Woods Hole, MA). The genome of this isolate was sequenced using a combination of long read and short read technologies, yielding 51 ,819 plasmid and fosmid end reads (library insert sizes: 3.9, 4.9, 6.0, 8.0, and 40 kb; ABI 3730 platform), 333,883 unpaired 454 reads (FLX+ and XL+ chemistry), and 10 million unpaired lllumina reads (HiSeq; 42 nt read length). A hybrid assembly was constructed using MIRA v3.4.0 (method, de novo; type, genome; quality grade,
accurate) with default settings [48,49]. Gene calling was performed using the YACOP metatool [50]. Additionally, the four ribosomal RNA (rRNA) operons within the B.
cellulosilyticus WH2 genome were sequenced individually to ensure high sequence accuracy in these difficult to assemble regions. Further details for the B. cellulosilyticus WH2 assembly are provided in Table 1 .
Bacterial Strains
[0183] Details regarding the 12 bacterial strains used in this study are provided in Table 4. Cells were grown in supplemented TYG (TYGs; [42]) at 37°C under anaerobic conditions in a Coy anaerobic chamber (atmosphere: 75% N2, 20% H2, 5% CO2). After reaching stationary phase, cells were pelleted by centrifugation and resuspended in TYGs medium supplemented with 20% glycerol. Individual aliquots containing 400-800 μΙ_ of each cell suspension were stored at 80°C in 1 .8 ml_ borosilicate glass vials with aluminum crimp tops. The identity of each species was verified prior to its use in experiments by extracting DNA from a frozen aliquot of cells, amplifying the 16S rRNA gene by PCR using primers 8F/27F
(AGAGTTTGATCCTGGCTCAG; [51]) and 1391 R (GACGGGCGGTGWGTRCA; [52]), sequencing the entire amplicon with an ABI 3730 capillary sequencer (Retrogen, Inc.), and comparing the assembled 16S rRNA gene sequence to the known reference sequence.
Preparation of Strains for Oral Gavage
[0184] Details regarding the construction of each inoculum are provided in
Table 3. The inocula used to gavage germ-free mice in each experiment were prepared either directly from frozen stocks (experiment 1 , E-i) or from a combination of frozen stocks and overnight cultures (experiment 2, E2). The recoverable cell density for each batch of frozen stocks used in inoculum preparation was determined prior to pooling, while the same values for overnight cultures were calculated after pooling. To do so, an aliquot of cells from each overnight culture or set of frozen stocks was used to prepare a 10 fold dilution series in phosphate buffered saline (PBS), and each dilution series was plated on brain heart infusion (BHI; BD Difco) agar supplemented with 10% (v/v)
defibrinated horse blood (Colorado Serum Co.). Plates were grown for up to 3 d at 37°C under anaerobic conditions in a Coy chamber, colonies were counted, and the number of colony forming units per milliliter (CFUs/mL) was calculated. The volume of each cell suspension included in the final inoculum was normalized by its known or estimated viable cell concentration in an effort to ensure that no species received an early advantage during establishment of the artificial community in the germ-free animals. Total CFUs per gavage were estimated at 8.0x107 and 4.2x108 for experiments Ei and E2, respectively.
Mice
[0185] Experiments were performed using protocols approved by the animal studies committee of the Washington University School of Medicine. For each experiment, two groups of 10-12-wk-old male germ-free C57BL/6J mice were maintained in flexible film gnotobiotic isolators under a strict 12 h light cycle, during which time they received sterilized food and water ad libitum. Animals were fasted for 4 h prior to gavage with 500 μΙ_ of a cell suspension inoculum containing the 12 sequenced, human gut derived bacterial symbionts. After gavage, animals were maintained in separate cages throughout the course of the experiment. Fresh fecal pellets were periodically collected directly into screw cap sample tubes that were immediately frozen in liquid nitrogen. At the time of sacrifice, the contents of each animal's cecum were divided into thirds and snap frozen in liquid nitrogen for later use in DNA, RNA, and total protein isolations.
Diets
[0186] Animals were subjected to dietary oscillations comprising three consecutive phases of 2 wk each (see Figure 3). Prior to inoculation, germ-free mice were maintained on a standard autoclaved chow diet low in fat and rich in plant polysaccharides (LF/HPP, B&K rat and mouse autoclavable chow #73780000, Zeigler Bros, Inc). Three days prior to inoculation, one group of germ-free animals was switched to a sterile "Western"-like chow high in fat and simple sugars (HF/HS, Harlan Teklad TD96132), while the other continued to receive LF/HPP chow. After gavage,
each group of animals was maintained on its respective diet for 2 wk, after which each treatment group was switched to the alternative diet. Two weeks later, the mice were switched back to their original starting diet and were retained on this diet until the time of sacrifice.
DNA and RNA Extraction
[0187] DNA and RNA were extracted from fecal pellets and cecal contents as previously described [11].
Community Profiling by Sequencing (COPRO-Seq)
[0188] COPRO-Seq measurements of the proportional representation of all species present in each fecal/cecal sample analyzed were performed as previously described [11] using short read (36 nt) data collected from an lllumina sequencer (data were generated using a combination of the Genome Analyzer I, Genome Analyzer II, and Genome Analyzer llx platforms). After demultiplexing each barcoded pool, reads were trimmed to 25 bp and aligned to the reference genomes. An abundance threshold cutoff of 0.003% was set for determining an artificial community members'
presence/absence, based on the proportion of reads from each experiment that were found to spuriously align to distractor reference genomes of bacterial species not included in this study. Normalized counts for each bacterial species in each sample were used to calculate a simple intrasample percentage. In order to make changes in abundance over time more easily comparable between species with significantly different relative abundances, these percentages were also in some cases normalized by the maximum abundance (%) observed for a given species across all time points from a given animal. This transformation resulted in a value referred to as the
Percentage of Maximum Achieved ("PoMA") that was used to evaluate which species were most/least responsive to dietary interventions.
Ordination of COPRO-Seq Data Using OHME
[0189] COPRO-Seq proportional abundance data were subjected to ordination using scripts found in QIIME v1 .5.0 dev [53]. Data from both Ei and E2 were combined
to generate a single tab-delimited table conforming to QIIME's early (pre v1 .4.0 dev) OTU table format. This pseudo-OTU table was subsequently converted into a BIOM- formatted table object that was used as the input for beta diversity. py to calculate the pairwise distances between all samples using a Hellinger metric. PCoA calculations were performed using principal_coordinat.es. py. These coordinates and sample metadata were passed to make_3d_plots.py to generate PCoA plots. Plots shown are visualized using v2.21 of the KiNG software package [54].
Metatranscriptomics
[0190] GeneChip. A custom Affymetrix GeneChip ("SynComml ") with perfect match/mismatch (PM/MM) probe sets targeting 97.6% of the predicted protein coding genes within the genomes of the 12 bacterial species in this study (plus three additional species not included in the model human gut microbiota) was designed and
manufactured in collaboration with the Affymetrix chip design team. Control probes targeting intergenic regions from each genome were also tiled onto the array to allow detection of any contaminating gDNA. Hybridizations were carried out with 0.9-5.1 μg cDNA using the manufacturer's recommended protocols. Details regarding the design of this GeneChip are deposited under Gene Expression Omnibus (GEO) accession GPL9803.
[0191 ] Custom mask files were generated for each species on the GeneChip for the purpose of performing data normalization one species at a time. Normalization of raw intensity values was carried out in Affymetrix Microarray Suite (MAS) v5.0. MAS output was exported to Excel where advanced filtering was used to identify those probe sets called present in at least five of seven cecal RNA samples in at least one diet tested. Data from probe sets that did not meet these criteria (i.e., genes that were not expressed on either condition) were not included in subsequent analyses. Normalized, filtered data were evaluated using the Cyber-T web server [55] to identify differentially expressed genes. Genes were generally considered significantly differentially
expressed in cases meeting the following three criteria: p<0.01 , PPDE(<p)>0.99, and |fold change|>2.
[0192] Microbial RNA-Seq. Methods for extracting total microbial RNA from mouse feces and cecal contents, depleting small RNAs (e.g., tRNA) and ribosomal RNA (5S, 16S, and 23S rRNA), and for converting depleted RNA to double-stranded cDNA were described previously [14]. Illumina libraries were prepared [11] from 26 fecal samples obtained from the second diet oscillation experiment (four animals, 6-7 time points surveyed per animal), using 500 ng of input double-stranded
cDNA/sample/library. RNA-Seq reads were aligned to the reference genomes using the SSAHA2 aligner [56]. Normalization of the resulting raw counts was performed using the DESeq package in R [57]. Raw counts derived from the metatranscriptome were normalized either at the community level (i.e., counts from all genes were included in the same table during normalization) for purposes of looking at community-level representation of functions (ECs) of interest, or at the species level (i.e., counts from each species were independently normalized) for purposes of looking at gene expression changes within individual species. Data adjustment (logarithmic
transformation) and hierarchical clustering were performed using Cluster 3.0 [58] and GENE-E. Heatmap visualizations of expression data were prepared using JavaTreeview
[59] and Microsoft Excel. The B. cellulosilyticus WH2 in vitro gene expression dendrogram presented was prepared using GENE-E. Bootstrap probabilities at each edge of the dendrogram were calculated using the "pvclust" package in R (10,000 replications). Clusters with bootstrap p values >0.95 were considered strongly supported and statistically significant.
Metaproteomics
[0193] Sample Preparation. Cecal contents were collected from four mice and solubilized in 1 ml_ SDS lysis buffer (4% w/v SDS, 100 mM Tris-HCI (pH 8.0), 10 mM dithiothreitol (DTT)), lysed mechanically by sonication, incubated at 95°C for 5 min, and centrifuged at 21 ,000 x g. Crude protein extracts were precipitated using 100% trichloroacetic acid (TCA), pelleted by centrifugation, and washed with ice-cold acetone to remove lipids and excess SDS. Protein precipitates were resolubilized in 500 μΙ_ of 8 M urea and 100 mM Tris-HCI (pH 8.0), reduced by incubation in DTT (final
concentration of 10 mM) for 1 h at room temperature, and sonicated in an ice water bath
(Branson (model SSE 1 ) sonicator; 20% amp; 2 min total (cycles of 5 s on, 10 s off)). An aliquot of each protein extract was quantified using a bicinchoninic acid (BCA) based protein assay kit (Pierce). Protein samples (1 mg) were subsequently diluted with 100 mM Tris-HCI and 10 mM CaC (pH 8.0) to a final urea concentration below 4 M.
Proteolytic digestions were initiated with sequencing grade trypsin (1/100, w/w;
Promega) and incubated overnight at room temperature. A second aliquot of trypsin was added (1/100) after the reactions were diluted with 100 mM Tris-HCI (pH 8.0) to a final urea concentration below 2 M. After incubation for 4 h at room temperature, samples were reduced by incubation in 10 mM DTT for 1 h at room temperature.
Finally, the peptides were acidified (protonated) in 200 mM NaCI and 0.1 % formic acid, filtered, and concentrated with a 10 kDa molecular weight cutoff spin column (Sartorius).
[0194] LC-MS/MS Data Collection. The peptide mixture from each mouse was analyzed in technical duplicate via two dimensional liquid chromatography (LC) MS/MS on a hybrid LTQ Orbitrap Velos mass spectrometer (Thermo Fisher Scientific). Peptides (-100 μΙ_ per sample) were separated using a split-phase 2D (strong cation exchange (SCX) and Cie reverse phase (RP)) LC column over a 12-step gradient for each run. All MS analyses were performed in positive ion mode. Mass spectral data were acquired using Xcalibur (v2.0.7) in data dependent acquisition mode for each chromatographic separation (22 h run). One precursor MS scan was acquired in the Orbitrap at 30K resolution followed by 10 data dependent MS/MS scans {m/z 400-1 ,700) at 35% normalized collision energy with dynamic exclusion enabled at a repeat count of 1 .
MS/MS spectra were searched with SEQUEST (v.27; [60]) using the following settings: enzyme type trypsin; precursor ion mass tolerance 3.0 Da; fragment mass tolerance 0.5 Da; fully tryptic peptides and those resulting from up to four missed cleavages only. All datasets were filtered with DTASelect (v1 .9; [61]) using the following parameters:
Xcorrs of 1 .8, 2.5, and 3.5 for singly, doubly, and triply charged precursor ions; DeltCN > 0.08; >2 fully tryptic peptides per protein.
[0195] A custom built FASTA target decoy database [62,63] was generated and searched with SEQUEST at a peptide level false positive rate (FPR) estimated at 0.5%. The database contained theoretical proteomes predicted from the genomes of the 12 bacterial species characterized in this study (see Tables 4 and 8), some diet
components (e.g., rice and yeast), and common contaminants (e.g., keratins). Three additional theoretical bacterial proteomes predicted from the genomes of Eubacterium rectale, Faecalibacterium prausnitzif, and Ruminococcus torques were included as distractors (negative controls) that were not expected to be present in any of the samples analyzed. An in silico tryptically digested protein sequence database was also used to generate a theoretical peptidome of unique peptides within a mass range of 600-4,890 Da and <1 miscleavages.
[0196] Analysis of Proteomic Datasets. Spectral counts for each protein were normalized by either the total number of spectra collected for all species in a sample (normalization by community, "NBC"), or by the total number of spectra collected for all proteins from a given species (normalization by species, "NBS"). p values for each protein were calculated using the Mann-Whitney L/ test. To correct for multiple comparisons, q values were calculated using an optimized false discovery rate (FDR) approach with the "qvalue" package in BioConductor. Regardless of the normalization strategy employed, p and q values were only calculated for proteins with at least three valid runs, where a valid run was one with more than five spectral counts. In NBC data, p and q values were calculated for all proteins within the model metaproteome. In NBS data, p and q values were calculated for each species specific set of proteins.
Differences in spectral counts between treatment groups (diets) were calculated using group medians. A protein was designated as "UP" regulated if both its p and q values were less than 0.05 and the spectral count difference between treatment groups was greater than 5. The same criteria were applied in the opposite direction for proteins labeled as "DOWN." For proteins labeled "NULL," there was insufficient evidence to report any significant difference between the two treatment groups. Finally, a protein was considered detected or "present" in a sample if at least four (raw) spectral counts were assigned to that protein when aggregating the results from the two runs (technical replications) performed on the sample.
Phenotypic Screen for the Growth of Bacteroides spp. on Various Carbohydrates
[0197] The ability of B. cellulosilyticus WH2 and B. caccae ATCC 43185 to grow on a panel of 47 simple and complex carbohydrates was evaluated using a phenotypic
array whose composition has been previously described [25]. Growth measurements were collected in duplicate (two wells per substrate) over the course of 3 d at 37°C under anaerobic conditions. A total of three independent experiments were performed for each species tested (n = 6 growth profiles/substrate/species). Total growth (Atot) was calculated from each growth curve as the difference between the maximum and minimum optical densities (OD6oo) observed (i.e., Amax-Amin). Growth rates were calculated as total growth divided by time (Atot/(tmax-tmin)), where tmax and tmin correspond to the time points at which Amax and Amin, respectively, were collected. Consolidated statistics from all six replicates for each of the 47 conditions tested for each species are provided in Table 11.
Profiling B. cellulosilyticus WH2 Gene Expression During Growth in Defined MM
Containing Various Carbohydrates
[0198] RNA-Seq. To characterize the impact of select mono- and
polysaccharides on the in vitro gene expression of B. cellulosilyticus WH2, cells were cultured in MM supplemented with one of 31 distinct carbohydrates (for the formulation of MM and a list of the carbohydrates used as growth substrates, see Tables 12 and 13). After recovery from a frozen stock on BHI blood agar, a single colony was picked and inoculated into 5 mL of MM containing 5 mg/mL glucose (MM-GIc). Anaerobic conditions were generated within each individual culture tube using a previously described method [64] with the following modifications: (i) the cotton plug was lit and extinguished before being pushed below the lip of the culture tube, and (ii) 200 μΙ_ of saturated sodium bicarbonate was combined with 200 μΙ_ 35% (w/v) pyrogallate solution on top of the cotton plug before a bare rubber stopper was used to seal the tube.
Cultures were grown overnight at 37°C. Twenty microliters of this "starter" culture were subsequently inoculated into a series of "acclimatization" cultures, each containing 5 mL of MM plus one of the 31 carbohydrates to be tested (5 mg/mL final concentration), and anaerobic culturing was carried out as above. This second round of culturing served two purposes: (i) it ensured cells were acclimated to growth on their new carbohydrate substrate prior to the inoculation of the final cultures that were harvested for RNA, and (ii) it provided an opportunity to obtain OD6oo measurements indicating, for each
carbohydrate, the range of optical densities corresponding to B. cellulosilyticus WH2's logarithmic phase of growth. Finally, 50 μΙ_ of each "acclimatization" culture were inoculated into triplicate 10 mL volumes of medium of the same composition, and the 90 "harvest" cultures were grown anaerobically at 37°C. At mid-log phase, 5 mL of cells were immediately preserved in Qiagen RNAprotect Bacteria Reagent according to the manufacturer's instructions. Cells were then pelleted, RNAprotect reagent was poured off, and the bacteria were stored at 80°C.
[0199] After thawing, while still cold, each bacteriancull cell pellet was combined with 500 M L Buffer B (200 mM NaCI, 20 mM EDTA), 210 μί of 20% SDS, and 500 μί of acid phenol:chloroform:isoamyl alcohol (125:24:1 , pH 4.5). The pellet was resuspended by manual manipulation with a pipette tip and transferred to a 2 mL screwcap tube containing acid washed glass beads (Sigma, 212-300 μιτι diameter). Tubes were placed on ice, bead-beaten for 2 min at room temperature (BioSpec Mini-Beadbeater-8; set to "homogenize"), placed on ice, and bead-beaten for an additional 2 min, after which time RNA was extracted as described above for fecal and cecal samples.
Identification of Diet-Specific Fitness Determinants within the B. cellulosilyticus WH2 Genome Using Insertion Sequencing (INSeq)
[0200] Whole genome transposon mutagenesis of B. cellulosilyticus WH2 was performed using protocols originally developed for B. thetaiotaomicron [42,46] , with some modifications. Initial attempts to transform B. cellulosilyticus WH2 with the pSAM_Bt construct reported by Goodman et al. yielded very low numbers of antibiotic resistant clones, which we attributed to poor recognition of one or more promoters in the mutagenesis plasmid. Replacement of the promoter driving expression of the
transposon's erythromycin resistance gene (ermG) with the promoter for the gene encoding EF-Tu in B. cellulosilyticus WH2 (BWH2_3183) dramatically improved the number of resistant clones recovered after transformation. The resulting library consisted of 93,458 distinct isogenic mutants, with each mutant strain containing a single randomly inserted modified mariner transposon. Of all predicted ORFs, 91 .5% had insertions covering the first 80% of each gene (mean, 13.9 distinct insertion mutants per ORF).
[0201 ] At 1 1 wk of age, male germ-free C57BL/6J mice (individually caged) were fed either a diet low in fat and rich in plant polysaccharides (LF/HPP) or high in fat and simple sugars (HF/HS). After a week on their experimental diet, animals received a single gavage containing the B. cellulosilyticus \NH2 transposon library and 14 other species of bacteria (i.e., this artificial community consisted of the 12 species listed in Table 3, plus B. thetaiotaomicron 7330, E. rectale ATCC 33656, and Clostridium symbiosum ATCC 14940). After 16 d, fecal pellets were collected, and total fecal DNA was extracted.
[0202] 500 ng of each fecal DNA extraction was diluted in 15 μΙ_ of TE buffer and digested with Mmel (4 U, New England Biolabs) in a 20 μΙ_ reaction supplemented with 10 pmoles of 12 bp DNA containing an Mmel restriction site (to improve the efficiency of restriction enzyme digestion) [42]. The reaction was incubated for 1 h at 37°C and then terminated (80°C for 20 min). Mmel digested DNA was subsequently purified using 125 μΙ_ of AMPure beads (after washing the beads once with 100 μΙ_ of sizing solution (1 .2 M NaCI and 8.4% PEG 8000)). The digested DNA was added to the beads and the solution incubated at room temperature for 5 min. Beads were pelleted with a magnetic particle collector (MPC), washed twice (each time using a mixture composed of 20 μΙ_ TE buffer (pH 7.0) and 100 μΙ_ sizing solution, with bead recovery via MPC after each wash), followed by two ethanol washes (180 μΙ_ 70% ethanol/wash) and air drying for 10 min. Samples were resuspended in 18 μί TE buffer (pH 7.0), and DNA was removed after pelleting beads with the MPC. Ligation of adapters was performed in a 20 μΙ_ reaction that contained 16 μΙ_ of purified DNA, 1 μΙ_ of T4 Ligase (2000 ΙΙ/μΙ_; NEB), 2 μΙ_ 10x ligase buffer, and 10 pmol of barcoded adapter (incubation for 1 h at 16°C). Ligations were subsequently diluted with TE buffer (pH 7.0) to a final volume of 50 μΙ_, mixed with 60 μΙ_ of AMPure beads, and incubated at room
temperature for 5 min. Beads with bound DNA were pelleted using the MPC and washed twice with 70% ethanol as above. After allowing the ethanol to evaporate for 10 min, 35 μΙ_ of nuclease-free water was added and, the mixture was incubated at room temperature for 2 min before collecting the beads with the MPC. Enrichment PCR was performed in a final volume of 50 μΙ_ using 32 μΙ_ of the cleaned up sample DNA, 10 μΙ_ 10x Pfx amplification buffer (Invitrogen), 2 μΙ_ 10 mM dNTPs, 0.5 μΙ_ 50 mM MgSO4, 2
μΙ_ of 5 μΜ amplification primers (forward primer: 5'CAAGCAGAAGACGGCATACG3\ reverse primer: 5'AATGATACGGCGACCACCGAACACTC TTTCCCTACACGA3'), and 1 .5 μΙ_ Pfx polymerase (2.5 ΙΙ/μΙ_; Invitrogen) (cycling conditions: denaturation at 94°C for 15 s; annealing at 65°C for 1 min; extension at 68°C for 30 s; total of 22 cycles). The 134 bp PCR product from each reaction was purified (4% MetaPhor gel; MinElute Gel Extraction Kit (Qiagen)) in a final volume of 20 μΙ_ and was quantified (Qubit, dsDNA HS Assay Kit; Invitrogen). Reaction products were then combined in equimolar amounts into a pool that was subsequently adjusted to 10 nM and sequenced (lllumina HiSeq 2000 instrument).
Data Deposition
[0203] All short read lllumina data used for COPRO-Seq and RNA-Seq analyses, GeneChip data, and genome sequencing/assembly data are available through GEO SuperSeries GSE48537 and NCBI BioProject ID PRJNA183545. The draft genome assembly for B. cellulosilyticus WH2 has been deposited at DDBJ/EMBL/ GenBank under accession number ATFIOOOOOOOO. Raw MS data are available from the Dryad Digital Repository: http://dx.doi.org/10.5061/dryad.7fj1 k.
References (for Examples 1 -8)
1 . Flint HJ, et al. (2008) Polysaccharide utilization by gut bacteria: potential for new insights from genomic analysis. Nat Rev Microbiol 6: 121 131 .
2. Gibson GR, et al. (1993) Sulphate reducing bacteria and hydrogen metabolism in the human large intestine. Gut 34: 437 439.
3. Roberfroid MB, et al. (1998) The bifidogenic nature of chicory inulin and its hydrolysis products. J Nutr 128: 1 1 19.
4. Sela DA, et al. (201 1 ) An infant-associated bacterial commensal utilizes breast milk sialyloligosaccharides. J Biol Chem 286: 1 1909 1 1918.
5. Garrido D, et al. (2012) A molecular basis for bifidobacteria! enrichment in the infant gastrointestinal tract. Adv Nutr 3: 415S 421 S.
6. Faith JJ, et al. (201 1 ) Predicting a human gut microbiota's response to diet in gnotobiotic mice. Science 333: 101 104.
7. Turnbaugh PJ, et al. (2009) The effect of diet on the human gut microbiome: a metagenomic analysis in humanized gnotobiotic mice. Sci Transl Med 1 : 6ra14.
8. Walker AW, et al. (201 1 ) Dominant and diet-responsive groups of bacteria within the human colonic microbiota. ISME J 5: 220 230.
9. Wu GD, et al. (201 1 ) Linking long-term dietary patterns with gut microbial enterotypes. Science 334: 105 108.
10. Smith Ml, et al. (2013) Gut microbiomes of Malawian twin pairs discordant for kwashiorkor. Science 339: 548 554.
1 1 . McNulty NP, et al.. (201 1 ) The impact of a consortium of fermented milk strains on the gut microbiome of gnotobiotic mice and monozygotic twins. Sci Transl Med 3:
106ra106.
12. Mahowald MA, et al.. (2009) Characterizing a model human gut microbiota composed of members of its two dominant bacterial phyla. Proc Natl Acad Sci U S A 106: 5859 5864.
13. Fischbach MA, et al. (201 1 ) Eating for two: how metabolism establishes
interspecies interactions in the gut. Cell Host Microbe 10: 336 347.
14. Rey FE, et al.. (2010) Dissecting the in vivo metabolic potential of two human gut acetogens. J Biol Chem 285: 22082 22090.
15. Woting A, et al. (2010) Bacterial transformation of dietary lignans in gnotobiotic rats. FEMS Microbiol Ecol 72: 507 514.
16. Eckburg PB, et al. (2005) Diversity of the human intestinal microbial flora. Science 308: 1635 1638.
17. Turnbaugh PJ, et al. (2009) A core gut microbiome in obese and lean twins. Nature 457: 480 484.
18. Qin J, et al. (2010) A human gut microbial gene catalogue established by metagenomic sequencing. Nature 464: 59 65.
19. Arumugam M, et al. (201 1 ) Enterotypes of the human gut microbiome. Nature 473: 174 180.
20. HMP Consortium (2012) Structure, function and diversity of the healthy human microbiome. Nature 486: 207 214.
21 . Yatsunenko T, et al.. (2012) Human gut microbiome viewed across age and geography. Nature 486: 222 227.
22. Koropatkin NM, et al. (2012) How glycan metabolism shapes the human gut microbiota. Nat Rev Microbiol 10: 323 335.
23. Xu J, et al. (2007) Evolution of symbiotic bacteria in the distal human intestine. PLoS Biol 5: e156. doi:10.1371/journal.pbio.0050156
24. Bolam DN, et al. (2012) Glycan recognition by the Bacteroidetes Sus-like systems. Curr Opin Struct Biol 22: 563 569.
25. Martens EC, et al. (201 1 ) Recognition and degradation of plant cell wall
polysaccharides by two human gut symbionts. PLoS Biol 9: e1001221 .
doi:10.1371/journal.pbio.1001221
26. Martens EC, et al. (2009) Coordinate regulation of glycan degradation and polysaccharide capsule biosynthesis by a prominent human gut symbiont. J Biol Chem 284: 18445 18457.
27. Pagani I, et al. (2012) The Genomes OnLine Database (GOLD) v.4: status of genomic and metagenomic projects and their associated metadata. Nucleic Acids Res 40: D571 579.
28. Cantarel BL, et al. (2009) The Carbohydrate-Active EnZymes database (CAZy): an expert resource for Glycogenomics. Nucleic Acids Res 37: D233 238.
29. Cantarel BL, et al. (2012) Complex carbohydrate utilization by the healthy human microbiome. PLoS One 7: e28742. doi:10.1371/ journal. pone.0028742
30. Bjursell MK, et al. (2006) Functional genomic and metabolic studies of the adaptations of a prominent adult human gut symbiont, Bacteroides thetaiotaomicron, to the suckling period. J Biol Chem 281 : 36269 36279.
31 . Tancula E, et al. (1992) Location and characterization of genes involved in binding of starch to the surface of Bacteroides thetaiotaomicron. J Bacterid 174: 5609 5616.
32. Xu J, et al. (2003) A genomic view of the human-Bacteroides thetaiotaomicron symbiosis. Science 299: 2074 2076.
33. Lynch JB, et al. (2012) Prioritization of a plant polysaccharide over a mucus carbohydrate is enforced by a Bacteroides hybrid two-component system. Mol Microbiol 85: 478 491 .
34. Chu SH, et al. (1986) Developmental changes in the activities of sialyl-and fucosyltransferases in rat small intestine. Biochim Biophys Acta 883: 496 500.
35. Thomsson KA, et al. (2012) Detailed O-glycomics of the Muc2 mucin from colon of wild-type, core 1 -and core 3-transferase-deficient mice highlights differences compared with human MUC2. Glycobiology 22: 1 128 1 139.
36. Katayama T, et al. (2004) Molecular cloning and characterization of
Bifidobacterium bifidum 1 ,2-alpha-L-fucosidase (AfcA), a novel inverting glycosidase (glycoside hydrolase family 95). J Bacteriol 186: 4885 4893.
37. Keller M, et al. (2009) Environmental proteomics: a paradigm shift in characterizing microbial activities at the molecular level. Microbiol Mol Biol Rev 73: 62 70.
38. Wilmes P, et al. (2006) Metaproteomics: studying functional gene expression in microbial ecosystems. Trends Microbiol 14: 92 97.
39. Bertin PN, et al. (201 1 ) Metabolic diversity among main microorganisms inside an arsenic-rich ecosystem revealed by meta- and proteo-genomics. ISME J 5: 1735 1747.
40. Verberkmoes NC, et al. (2009) Shotgun metaproteomics of the human distal gut microbiota. ISME J 3: 179 189.
41 . Dodd D, et al. (201 1 ) Xylan degradation, a metabolic property shared by rumen and human colonic Bacteroidetes. Mol Microbiol 79: 292 304.
42. Goodman AL, et al. (2009) Identifying genetic determinants needed to establish a human gut symbiont in its habitat. Cell Host Microbe 6: 279 289.
43. Robert C, et al. (2007) Bacteroides cellulosilyticus sp. nov., a cellulolytic bacterium from the human gut microbial community. Int J Syst Evol Microbiol 57: 1516 1520.
44. Baldoma L, et al. (1988) Metabolism of L-fucose and L-rhamnose in Escherichia coli: aerobic-anaerobic regulation of L-lactaldehyde dissimilation. J Bacteriol 170: 416 421 .
45. Backhed F, et al. (2005) Host-bacterial mutualism in the human intestine. Science 307: 1915 1920.
46. Goodman AL, et al. (201 1 ) Extensive personal human gut microbiota culture collections characterized and manipu-'lated in gnotobiotic mice. Proc Natl Acad Sci U S A 108: 6252 6257.
47. Faith JJ, et al. (2013) The long-term stability of the human gut microbiota. Science 341 : 1237439. doi:10.1 126/science.1237439
48. Chevreux B, et al. (1999) Genome sequence assembly using trace signals and additional sequence information. Computer Science and Biology: Proceedings of the German Conference on Bioinformatics (GCB) 99: 45 56.
49. Chevreux B, et al. (2004) Using the miraEST assembler for reliable and automated mRNA transcript assembly and SNP detection in sequenced ESTs. Genome Res 14: 1 147 1 159.
50. Tech M, et al. (2003) YACOP: enhanced gene prediction obtained by a
combination of existing methods. In Silico Biol 3: 441 451 .
51 . Eden PA, et al. (1991 ) Phylogenetic analysis of Aquaspirillum magnetotacticum using polymerase chain reaction-amplified 16S rRNA-specific DNA. Int J Syst Bacteriol 41 : 324 325.
52. Lane DJ (1991 ) 16S/23S rRNA sequencing. In: Stackebrandt E, Goodfellow M, editors. Nucleic Acid Technology in Bacterial Systematics. New York: John Wiley & Sons. pp. 1 15 175.
53. Caporaso JG, et al. (2010) QIIME allows analysis of high-throughput community sequencing data. Nat Methods 7: 335 336.
54. Chen VB, et al. (2009) KING (Kinemage, Next Generation): a versatile interactive molecular and scientific visualization program. Protein Sci 18: 2403 2409.
55. Baldi P, et al. (2001 ) A Bayesian framework for the analysis of microarray expression data: regularized t-test and statistical inferences of gene changes.
Bioinformatics 17: 509 519.
56. Ning Z, et al. (2001 ) SSAHA: a fast search method for large DNA databases. Genome Res 1 1 : 1725 1729.
57. Anders S, et al. (2010) Differential expression analysis for sequence count data. Genome Biol 1 1 : R106.
58. de Hoon MJ, et al. (2004) Open source clustering software. Bioinformatics 20: 1453 1454.
59. Saldanha AJ (2004)Java Treeview extensible visualization of microarray data. Bioinformatics 20: 3246 3248.
60. Eng JK, et al., (1994) An approach to correlate tandem mass spectral data of peptides with amino acid sequences in a protein database. J Am Soc Mass Spectrom 5: 976 989.
61 . Tabb DL, et al. (2002) DTASelect and Contrast: tools for assembling and comparing protein identifications from shotgun proteomics. J Proteome Res 1 : 21 26.
62. Peng J, et al. (2003) Evaluation of multidimensional chromatography coupled with tandem mass spectrometry (LC/LC-MS/MS) for large-scale protein analysis: the yeast proteome. J Proteome Res 2: 43 50.
63. Elias JE, et al. (2007) Target-decoy search strategy for increased confidence in large-scale protein identifications by mass spectrometry. Nat Methods 4: 207 214.
64. Lockhart WR (1953) A single tube method for anaerobic incubation of bacterial cultures. Science 1 18: 144.
65. Pruesse E, et al. (2012) SINA: accurate high-throughput multiple sequence alignment of ribosomal RNA genes. Bioinformatics 28: 1823 1829.
66. Price MN, et al. (2010) FastTree 2 approximately maximum-likelihood trees for large alignments. PLoS One 5: e9490. doi:10.1371/ journal. pone.0009490
67. Brosius J, et al. (1978) Complete nucleotide sequence of a 16S ribosomal RNA gene from Escherichia coli. Proc Natl Acad Sci U S A 75: 4801 4805.
Introduction (Supports examples 9-22)
[0204] The role of specific gut microbes in shaping body composition remains unclear. We transplanted fecal microbiota from adult female twin pairs discordant for obesity into germ-free mice fed low-fat mouse feed, as well as diets representing different levels of saturated fat and fruit and vegetable consumption typical of the U.S. diet. Increased total body and fat mass, as well as obesity-associated metabolic phenotypes, were transmissible with uncultured fecal communities and with their corresponding fecal bacterial culture collections. Cohousing mice harboring an obese twin's microbiota (Ob) with mice containing the lean co-twin's microbiota (Ln) prevented the development of increased body mass and obesity-associated metabolic phenotypes in Ob cage mates. Rescue correlated with invasion of specific members of
Bacteroidetes from the Ln microbiota into Ob microbiota and was diet-dependent.
These findings reveal transmissible, rapid, and modifiable effects of diet-by-microbiota interactions.
[0205] Microbial community configurations vary substantially between unrelated individuals (1-9), which creates a challenge in designing surveys of sufficient power to determine whether observed differences between disease-associated and healthy communities differ significantly from normal interpersonal variation. This challenge is especially great if, for a given disease state, there are many associated states of the microbial species (microbiota) or microbial gene repertoire (microbiome), each shared by relatively few individuals. Microbiota configurations are influenced by early
environmental exposures and are generally more similar among family members (2, 7, 10, 11).
[0206] There have been conflicting reports about the relation between interpersonal differences in the structure of the gut microbiota (e.g., the representation of Bacteroidetes and Firmicutes) and host body mass index (BMI). Taxonomic profiles for obese and lean individuals may have distinct patterns between human populations, but technical issues related to how gut samples are processed and community members are identified by 16S ribosomal RNA (rRNA) gene sequencing may also play a role in observed differences. The relative contributions of the microbiome and dietary components to obesity and obesity-related metabolic phenotypes are unclear and likely multifaceted (2, 12-17). Transplants of fecal microbiota from healthy donors to recipients with metabolic syndrome have provided evidence that the microbiota can ameliorate insulin-resistance, although the underlying mechanisms remain unclear (18).
[0207] Monozygotic (MZ) or dizygotic (DZ) twins discordant for obesity (19, 20) provide an attractive model for studying the interrelations between obesity, its
associated dietary and lifestyle risk factors, and the gut microbiome. In the case of same-sex twins discordant for a disease phenotype, the healthy co-twin provides a valuable reference control to contrast with the co-twin's disease-associated gut community. However, this comparison is fundamentally descriptive and cannot establish causality. Transplanting a fecal sample obtained from each twin in a discordant pair into separate groups of recipient germ-free mice provides an opportunity to (i) identify structural and functional differences between their gut communities; (ii) generate and no
test hypotheses about the impact of these differences on host biology, including body composition and metabolism; and (iii) determine the effects of diet-by-microbiota interactions through manipulation of the diets fed to these "humanized" animals and/or the representation of microbial taxa in their gut communities.
Example 9. Reproducibility of Microbiota Transplants from Discordant Twins
[0208] We surveyed data collected from 21 - to 32-year-old female twin pairs (n = 1539) enrolled in the Missouri Adolescent Female Twin Study [MOAFTS; (21, 22); for further details, see ref. (23) and Example 17]. We recruited four twin pairs, discordant for obesity (obese twin BMI > 30 kg/m2) with a sustained multiyear BMI difference of >5.5 kg/m2 (n = 1 MZ and 3 DZ pairs) (Twin pair 1 (DZ), BMI 23 and 32; Twin pair 2 (DZ), BMI 25.5 and 31 ; Twin pair 3 (DZ), BMI 19.5 and 30.7; Twin pair 4 (MZ), BMI 24 and 33 kg/m2). Fecal samples were collected from each twin, frozen immediately after they were produced, and stored at -80°C. Each fecal sample was introduced, via a single oral gavage, into a group of 8- to 9-week-old adult male germ-free C57BL/6J mice (one gnotobiotic isolator per microbiota sample; each recipient mouse was individually caged within the isolator; n = 3 to 4 mice per donor microbiota sample per experiment; n = 1 to 5 independent experiments per microbiota). All recipient mice were fed, ad libitum, commercial, sterilized mouse feed that was low in fat (4% by weight) and high in plant polysaccharides (LF-HPP) (23). Fecal pellets were obtained from each mouse 1 , 3, 7, 10, and 15 days post colonization (dpc) and, for more prolonged experiments, on days 17, 22, 24, 29, and 35.
[0209] Unweighted UniFrac-based comparisons of bacterial 16S rRNA data sets generated from the input human donor microbiota, from fecal samples collected from gnotobiotic mice and from different locations along the length of the mouse gut at the time they were killed (table 15A), plus comparisons of the representation of genes with assignable enzyme commission numbers (ECs) in human fecal and mouse cecal microbiomes (defined by shotgun sequencing), disclosed that transplant recipients efficiently and reproducibly captured the taxonomic features of their human donor's microbiota and the functions encoded by the donor's microbiome (see Fig. 14A; fig. 15, A to D; fig. 16; table 15B; and table 16, A to D) (23). The 16S rRNA data sets allowed
us to identify bacterial taxa that differentiate gnotobiotic mice harboring gut communities transplanted from all lean versus all obese co-twins (analysis of variance using
Benjamini-Hochberg correction for multiple hypotheses) [table 17; see (23) for details].
Example 10. Reproducible Transmission of Donor Body Composition Phenotypes
[0210] Quantitative magnetic resonance (QMR) analysis was used to assess the body composition of transplant recipients 1 day, 15 days, and, in the case of longer experiments, 8, 22, 29, and 35 days after transplantation. The increased adiposity phenotype of each obese twin in a discordant twin pair was transmissible: The change in adipose mass of mice that received an obese co-twin's fecal microbiota was significantly greater than the change in animals receiving her lean twin's gut community within a given experiment and was reproducible across experiments (P < 0.001 , one- tailed unpaired Student's t test; n = 103 mice phenotyped] (Fig. 14, B to D). Epididymal fat pad weights were also significantly higher in mice colonized with gut communities from obese twins (P < 0.05, one-tailed unpaired Student's t test). These differences in adiposity were not associated with statistically significant differences in daily feed consumption (measured on days 1 , 8, and 15 after gavage and weekly thereafter for longer experiments) or with appreciably greater inflammatory responses in recipients of obese compared with lean co-twin fecal microbiota as judged by fluorescence-activated cell sorting (FACS) analysis of the CD4+ and CD8+ T cell compartments in spleen, mesenteric lymph nodes, small intestine, or colon [see (23) for details].
Example 11. Functional Differences Between Transplanted Microbial
Communities
[021 1 ] Fecal samples collected from gnotobiotic mice were used to prepare RNA for microbial RNA sequencing (RNA-Seq) characterization of the transplanted microbial communities' meta-transcriptomes (table 15C). Transcripts were mapped to a database of sequenced human gut bacterial genomes and assigned to Kyoto
Encyclopedia of Genes and Genomes (KEGG) Enzyme Commission numbers (EC numbers) [see ref. (23)]. Significant differences and distinguishing characteristics were defined using ShotgunFunctionalizeR, which is based on a Poisson model (24) (see
table 18 and table 19 for ECs and KEGG level 2 pathways, respectively). Transcripts encoding 305 KEGG ECs were differentially expressed between mice harboring microbiomes transplanted from lean or obese donors [ShotgunFunctionalizeR, Akaike's information criterion (AIC) < 5000; P < 10~30].
[0212] Mice harboring the transplanted microbiomes from the obese twins exhibited higher expression of microbial genes involved in detoxification and stress responses; in biosynthesis of cobalamin; metabolism of essential amino acids
(phenylalanine, lysine, valine, leucine, and isoleucine) and nonessential amino acids (arginine, cysteine, and tyrosine); and in the pentose phosphate pathway (fig. 17, A-D; table 18, B to G; and table 19). Follow-up targeted tandem mass spectrometry
(MS/MS)-based analysis of amino acids in sera obtained at the time mice were killed demonstrated significant increases in branched-chain amino acids (BCAA: Val and Leu/lle), as well as other amino acids (Met, Ser, and Gly), plus trends to increase Phe, Tyr, and Ala, in recipients of microbiota from obese compared with lean co-twins in discordant twin pairs DZ1 and MZ4 (tables 15 and 20A). These specific amino acids, as well as the magnitude of their differences, are remarkably similar to elevations in BCAA and related amino acids reported in obese and insulin-resistant versus lean and insulin- sensitive humans (25). This finding suggested that the gut microbiota from obese subjects could influence metabolites that characterize the obese state.
[0213] In contrast, the transplanted microbiomes from lean co-twins exhibited higher expression of genes involved in (i) digestion of plant-derived polysaccharides [e.g., a-glucuronidase (EC 3.2.1 .139), a-L-arabinofuranosidase (EC 3.2.1 .55)], and (ii) fermentation to butyrate [acetyl-CoA C-acetyltransferase (EC 2.3.1 .9), 3-hydroxybutyryl- CoA dehydrogenase (EC 1 .1 .1 .157), 3-hydroxybutyryl-CoA dehydratase (EC 4.2.1 .55), butyryl-CoA dehydrogenase (EC 1 .3.99.2)] (fig. 17, E and F), and (iii) fermentation to propionate [succinate dehydrogenase (EC 1 .3.99.1 ), phosphoenolpyruvate
carboxykinase (EC 4.1 .1 .32), methylmalonyl-CoA mutase (EC 5.4.99.2)] (table 18A). Follow-up gas chromatography-mass spectrometry (GC-MS) of cecal contents confirmed that levels of butyrate and propionate were significantly increased and that levels of several mono- and disaccharides significantly decreased in animals colonized with lean compared with obese co-twin gut communities (P < 0.05, unpaired Student's t
test) (fig. 18, A and B, and table 20B). Procrustes analysis, using a Hellinger distance matrix (26), revealed significant correlations between taxonomic structure [97% identity (97%ID) threshold for operational taxonomic units (OTU)-level bacterial phylotypes in fecal samples], transcriptional profiles (enzyme representation in fecal mRNA
populations), and metabolic profiles (GC-MS of cecal samples), with separation of groups based on donor microbiota and BMI (Mantel test, P < 0.001 ) (fig. 19).
[0214] These results suggest that, in this diet context, transplanted microbiota from lean co-twins had a greater capacity to breakdown and ferment polysaccharides than the microbiota of their obese co-twins. Previous reports have shown that increased microbial fermentation of nondigestible starches is associated with decreased body weight and decreased adiposity in conventionally raised mice that harbor a mouse microbiota [e.g., refs. (27-29)].
Example 12. Phenotypes Produced by Bacterial Culture Collections
[0215] We followed up these studies of transplanted, intact, and uncultured donor communities with a set of experiments involving culture collections produced from the fecal microbiota of one of the discordant twin pairs. Our goal was to determine whether cultured bacterial members of the co-twins' microbiota could transmit the discordant adiposity phenotypes and associated distinctive microbiota metabolic profiles when transplanted into gnotobiotic mouse recipients who received the LF-HPP feed.
[0216] Collections of cultured anaerobic bacteria were generated from each co- twin in DZ pair 1 and subsequently introduced into separate groups of 8-week-old germ- free male C57BL/6J mice (n = five independent experiments; n = 4 to 6 recipient mice per culture collection per experiment). The culture collections stabilized in the guts of recipient mice within 3 days after their introduction [see (23); fig. 20, A to E; and table 21 for documentation of the efficient and reproducible capture of cultured taxa and their encoded gene functions between groups of recipient mice].
[0217] As in the case of uncultured communities, we observed a significantly greater increase in adiposity in recipients of the obese twin's culture collection compared with the lean co-twin's culture collection (P < 0.02, one-tailed unpaired Student's t test) (Fig. 21 , A and B). Nontargeted GC-MS showed that the metabolic
profiles generated by the transplanted culture collections clustered with the profiles produced by the corresponding intact uncultured communities (fig. 20E). In addition, the fecal biomass of recipients of the culture collection from the lean twin was significantly greater than the fecal biomass of mice receiving the culture collection from her obese sibling; these differences were manifest within 7 days [P < 0.0001 , two-way analysis of variance (ANOVA)] (fig. 22A).
Example 13. Cohousing Ob and Ln Animals Prevents an Increased Adiposity Phenotype
[0218] Because mice are coprophagic, the potential for transfer of gut microbiota through the fecal-oral route is high. Therefore, we used cohousing to determine whether exposure of a mouse harboring a culture collection from the lean twin could prevent development of the increased adiposity phenotype and microbiome- associated metabolic profile of a cage mate colonized with the culture collection from her obese co-twin or vice versa. Five days after gavage, when each of the inoculated microbial consortia had stabilized in the guts of recipient animals, a mouse with the lean co-twin's culture collection was cohoused with a mouse with the obese co-twin's culture collection (abbreviated Lnch and Obch, respectively). Control groups consisted of cages of dually housed recipients of the lean twin culture collection and dually housed recipients of the obese co-twin's culture collection (n = three to five cages per housing configuration per experiment; n = four independent experiments; each housing configuration in each experiment was placed in a separate gnotobiotic isolator) (Fig. 21A). All mice were 8-week-old C57BL/6J males. All were fed the same LF-HPP feed ad libitum that was used for transplants involving the corresponding uncultured communities. Bedding was changed before initiation of cohousing. Fecal samples were collected from all recipients 1 , 2, 3, 5, 6, 7, 8, 10, and 15 days after gavage. Body composition was measured by QMR 1 and 5 days after gavage, and after 10 days of cohousing.
[0219] Obch mice exhibited a significantly lower increase in adiposity compared with control Ob animals that had never been exposed to mice harboring the lean co- twin's culture collection (P < 0.05, one-tailed unpaired Student's t test). Moreover, the
adiposity of these Ob animals was not significantly different from Ln controls (P > 0.05, one-tailed unpaired Student's t test) (Fig. 21 B). In addition, exposure to Obch animals did not produce a significant effect on the adiposity of Lnch mice: Their adiposity phenotypes and fecal biomass were indistinguishable from dually housed Ln controls (Fig. 21 B; and fig. 22, B and C). Cohousing caused the cecal metabolic profile of Obch mice to assume features of Lnch and control Ln animals, including higher levels
(compared with dually housed Ob controls) of propionate and butyrate and lower levels of cecal mono- and disaccharides, as well as BCAA and aromatic amino acids (Fig. 21 , C and D, and fig. 23).
[0220] Principal coordinates analysis of unweighted UniFrac distances revealed that the fecal microbiota of Obch mice were reconfigured so that they came to resemble the microbiota of Lnch cage mates. In contrast, the microbiota of the Lnch cage mates remained stable (fig. 24, A to C). We performed a follow-up analysis to identify species- level taxa that had infiltrated into and/or had been displaced from the guts of mice harboring the Ln and Ob culture collections. We did so by characterizing the direction and success of invasion. Microbial SourceTracker estimates the Bayesian probability (P) for every species-level taxon or 97% ID OTU to be derived from each of a set of source communities (30). The fecal microbiota of Ln or Ob controls sampled 5 days after colonization were used as source communities to determine the direction of invasion. The fecal communities belonging to each Lnch and Obch mouse were then traced to these sources. We defined the direction of invasion for these bacterial taxa, by calculating the log odds ratio of the probability of a Ln origin {PLn) or an Ob origin (POb) for each species-level taxon or 97%ID OTU, /', as follows:
[0221 ] A positive log odds ratio indicated that a species or 97%ID OTU was derived from a Ln source; a negative log odds ratio indicated an Ob source. An invasion score was calculated to quantify the success of invasion of each species or 97%ID OTU, /', into each cohousing group, ), as follows:
[0222] where At. is the average relative abundance of taxon /' in all fecal samples collected from group j after cohousing, and 5.. is its relative abundance in all samples taken from that group before cohousing.
[0223] The observed mean of the distribution of invasion scores for Obch animals was significantly higher than that for dually housed Ob-Ob controls (P < 0.0005, Welch's two-sample t test) (fig. 25A). This was not the case for Lnch animals when compared with dually housed Ln-Ln controls (P > 0.05), which suggested that there was significant invasion of components of the Lnch microbiota into the microbiota of Obch cage mates, but not vice versa. To quantify invasion further, we used the mean and standard deviation of the null distribution of invasion scores (defined as the scores from recipients of the Ln or Ob microbiota that had never been cohoused with each other) to calculate a z value and a Benjamini-Hochberg adjusted P value for the invasion score of each species in Lnch and Obch mice. We conservatively defined a taxon as a successful invader if it (i) had a Benjamini-Hochberg adjusted P < 0.05, (ii) was represented in >75% of Obch or Lnch mice when sampled 7 and 10 days after initiation of cohousing, and (iii) had a relative abundance of <0.05% before cohousing and >0.5% in the fecal microbiota at the time mice were killed. We defined a taxon that was displaced from an animal's microbiota upon cohousing as having a relative abundance >1 % in Lnch or Obch mice before they were cohoused and a relative abundance <0.5% after cohousing.
[0224] The direction and success of invasion are shown in Fig. 21 E and table 22A. The most successful Lnch invaders of the Obch microbiota were members of the Bacteroidetes (rank order of their invasion scores: B. cellulosilyticus, B. uniformis, B. vulgatus, B. thetaiotaomicron, B. caccae, Alistipes putredinis, and Parabacteroides merdae). Invasiveness exhibited specificity at the 97%ID OTU level (fig. 26). In contrast, cohousing did not result in significant invasion of Lnch intestines with members of the Obch microbiota.
[0225] In macroecosystems, successful invaders are often more likely to become established if they are from divergent taxa that do not share a niche with members of the native entrenched community (31 , 32). We used the net relatedness index [NRI (33)] to show that Ln and Ob communities have different phylogenetic
structures and that the patterns of phylogenetic clustering and dispersion of Ob, but not Ln microbiota, change as a consequence of cohousing. Specifically fecal Ln, Lnch, and Obch communities had a negative NRI, which indicates that the community is more phylogenetically dispersed. Furthermore, the fecal communities of Lnch and Obch animals had significantly more shared branch length with each other after cohousing compared with before cohousing [for a description of calculations and interpretation, see (23), fig. 24E, and fig. 27]. Together, these patterns of phylogenetic overdispersion and increased shared branch length in cohoused Lnch and Obch animals led us to
hypothesize that Bacteroides in the Lnch community were efficient invaders of Obch communities because they were able to occupy unoccupied niches in Obch intestines. Note that increased representation of Bacteroidetes has been documented in several independent studies of the gut microbiota of conventionally raised lean mice compared with mice having genetic- or diet-induced obesity (34, 35).
[0226] Control experiments involving cohousing a germ-free (GFch) mouse with an Ob mouse 5 days after transplantation of the complete culture collection from the obese co-twin demonstrated effective transmission of the Ob adiposity phenotype to the GF cage mate (defined by epididymal fat pad weight as a percentage of total body weight; P > 0.05, comparing GFch"0b and Obch"GF cage mates with a two-tailed unpaired Student's t test). The adiposity of the GFch"0b cage mate was significantly greater compared with GF-GF controls [1 .4 ± 0.1 % (Obch"GF); 1 .4 ± 0.05% (GFch"0b); 1 .5 ± 0.05% (Ob-Ob controls) versus 0.8 ± 0.06% (GF-GF controls); P < 10~4, two-tailed unpaired Student's t test between GFch"0b and GF-GF controls; n = 6 GF-GF, 8 Ob-Ob, and 10 GFch-°b-Obch"GF)].
[0227] In separate experiments, we cohoused two GF animals together with one Ln and one Ob animal, 5 days after colonization of Ln and Ob mice (repeated in three separate cages, each cage in a separate isolator). As with previous experiments, bedding was changed before initiation of cohousing. The GF "bystanders" did not develop increased adiposity phenotypes and manifested cecal metabolic profiles and fecal biomass characteristics of their Lnch cage mates and Ln controls (Fig. 21 , B to E, and fig. 22F). In the initial phase of cohousing (days 1 to 2), the microbiota of GFch mice in each cage resembled that of noncohoused Ob-Ob controls (fig. 24D). By the next
day, the microbiota of each ex-GF had undergone a dramatic change in composition, with 94.8 ± 0.4% of taxa now derived from their Lnch cage mate (defined by
SourceTracker; see table 22A for log odds ratio scores). The most prominent invaders were the same prominent invaders from the Lnch microbiota described above (i.e., all of the Bacteroides) (Fig. 21 E). We concluded that these Ln-derived taxa had greater fitness in the guts of C57BL/6J mice consuming this diet, and had a "dominant-negative" effect on host adiposity.
Example 14. Changes in the Cecal Metatranscriptome and Metabolome of Obch Animals
[0228] Cecal samples collected at the time mice were killed from Lnch, Obch, and control Ob and Ln animals were subjected to microbial RNA-Seq. Reads were assigned to ECs as above, and Euclidean distances were calculated from the EC matrix. The results revealed that the metatranscriptomes of Obch animals were significantly more similar to those of their Lnch cage mates and Ln controls than to Ob controls, consistent with a functional transformation of the Obch microbiota to a leanlike state as a consequence of invasion of the Ln taxa (P < 0.0001 as measured by a oneway ANOVA, with Holm-Sidak's correction for multiple hypotheses) (fig. 28). The majority (55.9%) of ECs that were enriched in the cecal metatranscriptomes of Obch mice, compared with dually housed Ob-Ob controls, were also significantly enriched in dually housed Ln-Ln versus Ob-Ob controls, including ECs that participate in
carbohydrate metabolism and protein degradation. The latter encompassed five enzymes involved in the KEGG pathway for degradation of the BCAA valine, leucine, and isoleucine (transcripts encoding EC 1 .2.4.4; EC 2.6.1 .42; EC 5.1 .99.1 , and EC
6.4.1 .3, which map to the genomes of invading members of the Bacteroides, and EC 4.2.1 .17, which maps to members of Clostridiaceae) (table 23). The increased expression of genes involved in BCAA degradation is consistent with the reduced cecal levels of BCAA observed in Obch versus Ob-Ob controls (fig. 23) and suggests that invasion by Bacteroides increases the efficiency of BCAA degradation in the gut, reducing production of BCAA and related metabolites by the microbiome and
contributing to decreased circulating levels of BCAA in the host. As with transplanted,
intact, and uncultured microbiota from the discordant twin pairs, targeted MS/MS analysis confirmed that Ob-Ob controls had a global increase in serum levels of BCAAs, as well as higher levels of Met, Ser, Gly, Phe, Tyr, and Ala compared with Ln-Ln controls (P < 0.05, matched one-way ANOVA) (table 24). However, after 10 days of cohousing, Obch animals did not exhibit a statistically significant reduction in serum BCAA levels compared with Ob-Ob controls, although levels in Lnch cage mates were significantly lower than in Ob-Ob controls and not different from Ln controls (table 24). More complete understanding of the contributions of the gut microbial community to Ob- associated metabolic phenotypes will require detailed, long-term, time-series studies of microbial and host transcriptomes and metabolomes.
[0229] Significant correlations between cecal metabolite levels and bacterial species represented in the microbiota of Ob-Ob, Ln-Ln, Lnch, and Obch and GFch mice consuming the LF-HPP diet are summarized in Fig. 29A (defined by asymptotic P values for all Spearman's correlations, corrected for multiple hypotheses using the Benjamini-Hochberg procedure). For example, BCAA and the products of amino acid metabolism were positively correlated with Clostridium hathewayi (Fig. 29A). This member of the Firmicutes represented an average of 2.54% of the Ob fecal microbiota before cohousing; its relative abundance was substantially reduced in Obch animals, and it was not able to successfully invade the microbiota of Lnch cage mates (Figs. 21 E and 29A and table 22A).
[0230] Three members of the Bacteroidetes, B. uniformis, Parabacteroides merdae, and A. putredinis, which were prominent invaders of the Obch gut, positively correlated with cecal acetate, propionate, and butyrate levels. Whereas members of these species generate acetate and propionate, their ability to produce butyrate has not been reported. Their positive association with butyrate levels could be due to
interspecies acetate cross-feeding with butyrate-producing taxa (36, 37). The negative correlation between adiposity and cecal butyrate and propionate concentrations in Lnch, Obch, and GFch microbiota (r = -0.49 and -0.45, respectively, P < 0.05) is consistent with previous studies claiming a role for these short-chain fatty acids in influencing host energy balance (38, 39).
[0231 ] The gut microbiota affects the composition and relative abundance of bile acids species through a variety of metabolic transformations (40, 41). Ultra- performance liquid chromatography-mass spectrometry (UPLC-MS) analysis of 37 bile acid species in cecal samples obtained from Ln-Ln, Ob-Ob, Obch, and Lnch mice revealed significantly lower levels of eight bile acids in Ob-Ob compared with Ln-Ln controls (Fig. 29B). Cohousing rescued these differences, with Obch mice having bile acid profiles that were more similar to Ln-Ln than to Ob-Ob controls and not significantly different from Lnch cage mates (n = 5 to 6 mice per group; see table 25 for all bile acids measured that exhibit significant differences between Ob-Ob and Ln-Ln controls).
[0232] Bile acids can have direct metabolic effects on the host via the nuclear farnesoid X receptor (FXR) (42). Intestinal FXR mediates intestinal fibroblast growth factor 15 {Fgf15) production. Fgf15, secreted by the gut epithelium and delivered to hepatocytes via the portal circulation, acts through fibroblast growth factor receptor 4 {Fgfr4) to inhibit expression of the rate-limiting enzyme in bile acid biosynthesis, cholesterol 7-a-hydroxylase (Cyp7a1) (Fig. 29, C to F) (43). Engineered FXR deficiency in leptin-deficient mice protects against obesity and improves insulin sensitivity (42). Overexpression of Cyp7a1 in the livers of transgenic mice also prevents diet-induced obesity and insulin resistance (44). Sequestering bile acids with the drug colesevelam lowers blood sugar in humans with type 2 diabetes (45). Quantitative reverse
transcription polymerase chain reaction (QPCR) analysis disclosed that, compared with Ln-Ln animals, Ob-Ob mice have increased FXR and Fgf15 mRNA levels in their distal small intestine (ileum) and decreased hepatic Cyp7a1 expression. Obch mice have expression profiles that are not significantly different from Ln-Ln controls (or Lnch) (Fig. 29, C to E). Differences in bile acid metabolism, in addition to the documented differences in carbohydrate fermentation by Ob compared with Ln microbial
communities highlight some of the mechanisms that could contribute to the observed microbiota-mediated effects on body composition.
Example 15. Taxa-Specific Effects on Body Composition and Metabotype
[0233] We subsequently colonized GF mice with a consortium of 39 sequenced taxa (97%ID OTUs) from the lean co-twin's culture collection; 22 OTUs from
Bacteroides, including B. cellulosilyticus, B. vulgatus, B. thetaiotaomicron, B. caccae, B. ovatus; 1 1 OTUs from Ruminococcaceae (one of the four family-level taxa that discriminate lean from obese), and six strains of Collinsella aerofaciens (see table 26 for features of their sequenced genomes). Five days after colonization with the 39 taxa, these Ln39 mice were cohoused with Ob mice. Control groups consisted of dually housed Ln-Ln and dually housed Ob-Ob animals (fig. 30A) (n = five cages of cohoused animals per group; two independent experiments). Mice harboring the 39-member consortium (Ln39ch), when cohoused with Ob (ObchLn39) animals, remained lean (fig. 30B). However, Ln39ch animals were not able to confer protection against an increase in adiposity of their Obch cage mates, nor did they exhibit a significant increase in their cecal butyrate levels (figs. 30C and 22, D and E). Even though some species like B. cellulosilyticus and B. vulgatus from the Ln39ch microbiota exhibited significant invasion into the microbiota of Obch"Ln39 cage mates, there was an overall decrease in invasion efficiency for members of the Ln39 consortia compared with those in the complete Ln culture collection [the mean of the distribution of invasion scores for the obch"Ln39 microbiota was not significantly different from Ob-Ob controls (P > 0.05, Welch's two- sample t test)] (fig. 25B, table 22B). These findings illustrate how invasiveness and adiposity are dependent on community context.
Example 16. Diet-Specific Effects
[0234] To define the effects of diet on Ln and Ob microbiota-mediated transmission of body composition and metabolic phenotypes, we constructed a diet made with foods that characterize diets representing the lower tertile of consumption of saturated fats and the upper tertile of consumption of fruits and vegetables reported in 1 -day recalls by participants in the U.S. National Health and Nutrition Examination Survey (NHANES) during the period 2003-2008 [table 27 (23)]. Mice fed this low- saturated fat, high fruits and vegetables (LoSF-HiFV, -33% kcal of fat per 100 g) NHANES-based diet were colonized with either the Ln or Ob human culture collections
and subsequently cohoused. Dually housed Ln-Ln and Ob-Ob animals served as reference controls (n = three to five cages per housing configuration; two independent experiments). Ob-Ob cage mates consuming the LoSF-HiFV diet had significantly increased body mass compared with Ln-Ln cage mates, which reflected a significant increase in both adipose and lean body mass (one-way unpaired Student's t test; P < 0.001 ) (Fig. 31 , A and B, and table 28). Cohousing rescued the increased Ob body mass phenotype in Obch animals (Fig. 31 , A and B).
[0235] We used 16S rRNA analysis of fecal samples collected on days 1 to 8,10,12, and 14 after gavage of the culture collections, and it revealed that this rescue was accompanied by invasion of taxa from Lnch to Obch cage mates (P < 10~6; Welch's two sample t test comparing the mean of the distributions of invasion scores between Ob-Ob controls and Obch animals) with the most invasive species being members of Bacteroides (i.e., B. uniformis, B. vulgatus, and B. cellulosilyticus) (Fig. 32; fig. 33, A to C; and fig. 25C). These species were also successful invaders in mice fed the LF-HPP diet (Fig. 21 E). As was the case with the LF-HPP mouse feed, fecal samples collected from Ln-Ln controls and from Lnch and Obch animals fed the human (NHANES-based) LoSF-HiFV diet had significantly greater microbial biomass compared with Ob-Ob controls (two-way ANOVA, P < 0.001 after Holm-Sidak's correction for multiple hypothesis). Moreover, fecal microbial biomass in Obch and Lnch animals was not significantly different (not shown).
[0236] Significant correlations between cecal metabolites and cecal bacterial taxa in mice fed a LoSF-HiFV diet are summarized in Fig. 31 C. As in mice fed a LF- HPP diet, the invasive species B. uniformis and B. vulgatus were significantly and positively correlated with increased cecal propionate levels in Ln-Ln, Obch, and Lnch animals compared with Ob-Ob controls.
[0237] Obesity-related insulin resistance has been associated with broad-scale accumulation of acylcarnitines in skeletal muscle (46, 47). Maneuvers that resolve the acylcarnitine accumulation in muscle, including knockout of the malonylCoA
decarboxylase gene (Mlycd) or overexpression of carnitine acyltransferase (Crat), also resolve the insulin-resistance phenotype in mice (47, 48). Therefore, we used targeted MS/MS to measure 60 acylcarnitine species (C2 to C22) in liver, skeletal muscle, and
serum (table 29, A to C). With the LF-HPP mouse feed (4% fat by weight), Ob-Ob animals had significantly higher levels of hepatic short-chain acylcarnitines (C2, C4:C4i, and C4-OH) compared with Ln-Ln mice (fig. 34; two-way ANOVA after Holm-Sidak's correction). The differences in short-chain acylcarnitines were rescued in Obch animals, which resembled Ln-Ln controls (n = 5 animals per treatment group).
[0238] Ob-Ob controls fed the LoSF-HiFV diet (33% fat by weight) also had clear increases in accumulation of a group of even-, long-chain acylcarnitines (C14, 014:1 , 016, C16:1 , C18, 018:1 , and 018:2) in their liver and skeletal muscle compared with Ln-Ln controls [multivariate ANOVA (MANOVA), P < 0.001 ; n = 3 to 6 animals per treatment group]. Cohousing Ln and Ob animals rescued this metabolic phenotype in the skeletal muscle and liver (and cecum) of Obch mice (i.e., there was no statistically significant difference compared with Ln-Ln controls) (Fig. 35, fig. 34, and table 29). There were no significant differences in accumulation of these acylcarnitines in the plasma of Ob-Ob, Ln-Ln, and cohoused animals (table 29, B and C), which suggested that the gut microbiome influences systemic lipid metabolism.
[0239] Because these findings raised the possibility that the Ob microbiome is capable of conferring muscle insulin resistance at least in the context of a human (LoSF-HiFV) diet, we subjected Ob-Ob and Ln-Ln animals to a glucose tolerance test 15 days after colonization with their human donor's gut culture collections. An increase in serum glucose concentration was observed 15 min after intraperitoneal injection of glucose in Ob-Ob animals (means ± SEM: 338.5 ± 1 1 .07 mg/dl in Ob-Ob animals versus 304.6 ± 17.78 mg/dl in Ln-Ln animals; P = 0.06, unpaired Student's t test; n = 10 to 1 1 animals per group). No significant differences in serum insulin concentrations between these groups were documented at 30 min after glucose was administered, nor did we observe significant differences in insulin signaling in liver and skeletal muscle, defined by levels of immunoreactive Akt phosphorylated at Thr308 and the Akt substrate AS160 phosphorylated at Thr642 measured 3 min after an insulin bolus (23). We concluded that the elevation in skeletal muscle long-chain acylcarnitines observed in mice colonized for just 15 days with an Ob culture collection and consuming the LoSF- HiFV diet is associated with mild glucose intolerance and may be an early manifestation of the pathobiologic effects of obese microbiota on host physiology and metabolism.
More complete time-course studies will be required to test if this lesion in glucose homeostasis will evolve into full-fledged insulin resistance with longer exposure to Ob microbiota.
[0240] To determine whether the effects exerted by diet on the invasive potential of members from the Ln microbiota were specific to the culture collections prepared from members of discordant twin pair 1 or robust to other Ln co-twin microbiota, we fed the LoSF-HiFV diet to mice colonized with intact uncultured fecal microbiota from members of discordant twin pair 2. Cohousing experiments performed using the same experimental design described above revealed significant invasion of the communities of Obch animals by bacterial species from their Lnch cage mates, most notably a member of the Bacteroidetes: Parabacteroides distasonis (figs. 25D and 36A).
[0241 ] In follow-up experiments, separate groups of germ-free mice colonized with intact uncultured microbiota from discordant twin-pair 2 were fed a second
NHANES-based diet made with foods that characterize U.S. diets representing the upper, rather than lower, tertile of consumption of saturated fats and the lower, rather than upper, tertile of consumption of fruits and vegetables (abbreviated HiSF-LoFV; 44% fat by weight). Significant differences in body composition were documented between Ob-Ob and Ln-Ln mice fed this diet. However, cohousing of Ln and Ob mice failed to attenuate or block development of an increased body mass phenotype in Obch cage mates (n = 5 to 1 1 animals per housing configuration) (Fig. 31 , D and E).
Remarkably, there was a lack of significant invasion of members of the Lnch microbiota into the guts of Obch cage mates (figs. 24E and 36B). Moreover, if biased fecal pellet consumption was the underlying mechanism leading to invasion of members of the Ln microbiota into the guts of Obch mice in the cohousing experiments, it would have to be diet- and microbiota-dependent. Together, these results emphasize the strong microbiota-by-diet interactions that underlie invasion and illustrate how a diet high in saturated fats and low in fruits and vegetables can select against human gut bacterial taxa associated with leanness.
Example 17. Wave 5 assessment of adult female twin pairs in the MOAFTS study cohort
[0242] For the present study, to identify informative twin pairs, we surveyed data collected at the 5th wave of assessment from 1 ,539 female twin pairs who were 21 -32 years old. There were 3,427 participants with height and weight data available for 3,416 (99.7%). 54.3% of the twin pairs were MZ as determined by zygosity
questionnaire. The majority of participants (55.8%) were classified as lean (BMI 18.50- 24.99 kg/m2), while 21 .9% were classified as overweight (25-29.99 kg/m2), 18.3% as obese (230 kg/m2), and 3.98% as underweight (<18.5 kg/m2). African-Americans, who comprised 14.4% of the wave 5 sample, had significantly higher rates of overweight and obesity compared to European-Americans (32.5% and 36.6% vs. 20.1 % and 15.2%, respectively; p < 0.001 ).
[0243] The mean difference in BMI between co-twins was 3.53 kg/m2 (SD 3.78 kg/m2). The mean difference in BMI was greater in DZ compared to MZ twin pairs (4.65 ± 4.58 kg/m2 versus 2.60 ± 2.57 kg/m2; p < 0.001 ). We identified BMI discordant twin pairs using two different definitions. If one co-twin was classified as obese (BMI>30 kg/m2) and the other lean (<25 kg/m2), then 5.72% of twin pairs were defined as BMI discordant (mean difference = 1 1 .42 ± 4.09 kg/m2). The rate of discordance was substantially lower for MZ pairs compared to DZ pairs (2.3% versus 9.9%; p < 0.001 ). Alternatively, when BMI discordance was defined as 28 kg/m2, regardless of BMI category of the leaner co-twin, 5.2% of MZ pairs and 18.3% of DZ pairs were classified as discordant (p < 0.001 ). Written informed consent was obtained from all research participants, using procedures approved by the Washington University Human Studies Committee.
Example 18. Efficient and reproducible capture of the organismal and microbial gene content of human fecal samples in gnotobiotic mouse recipients
[0244] Comparisons of the 'input' human fecal microbiota, and the Output' mouse fecal communities surveyed two weeks after transplantation revealed that 74.7 ± 5.6% (SD) of family-level bacterial taxa present in the human donor community were represented in the microbiota of gnotobiotic mouse recipients (n=3-12 animals
analyzed/microbiota; table 16A-C). Clusters of V2-16S rRNA reads sharing 297% nucleotide sequence identity (97% ID) were defined as species-level operational taxonomic units (OTUs).
[0245] Principal Coordinates Analysis (PCoA) of unweighted UniFrac distances (72, 73) based on the 97% ID OTU datasets revealed that transplanted microbial communities stabilized in recipient mice within 3d, and remained different up to 35d post colonization (Fig. 14A, fig. 15D). UniFrac is a distance metric that compares
communities based on their shared evolutionary history. The unweighted version of the metric, which uses presence/absence rather than abundance data, is most appropriate for these studies because transfer from the human donor to the mouse recipient is expected to cause shifts in the relative ratios of taxa. Importantly, the overall
phylogenetic architecture of the transplanted communities evolved in a reproducible way between singly-housed recipient mice within a given experiment for a given co- twin's microbiota, and between replicate experiments (Fig. 14A). Pairwise unweighted UniFrac comparisons of fecal samples and of communities sampled along the length of the guts of all transplant recipients demonstrated that the highest level of similarity occurred among mice colonized with the same human donor microbiota. Moreover, their microbiota exhibited significantly greater similarity to their human donor's microbiota than to mice colonized with the microbiota of their sibling or unrelated donors (p < 0.05 based on Student's t-test with Monte Carlo simulations, 100 iterations; see Fig. 14B; fig. 15A; table 16D).
[0246] Shotgun pyrosequencing of cecal DNA samples prepared from mice colonized with each of the eight human fecal microbiota disclosed that transplant recipients not only efficiently captured the organismal features of their human donor's microbiota but also the functions encoded by the donor's microbiome [n=3-8 mice sampled 15 d after transplantation/microbiota; n=45 cecal samples; 99.7 ± 0.2% of donor microbiome-assigned enzyme commission numbers (ECs) captured in recipient mice, with a significant correlation observed between the proportional representation of reads with a given assignable EC in donor and recipient microbiomes (p < 0.0001 Spearman's correlation; Spearman's rho = 0.88-0.92; fig. 16; table 15B)].
Example 19. Identifying bacterial taxa that differentiate mice harboring transplanted community from lean versus obese co-twins
[0247] We used supervised machine learning using a Random Forest classifier to identify bacterial taxa that differentiate gnotobiotic mice harboring gut communities transplanted from all lean versus all obese co-twins (74). Using class-level taxa, the estimated generalization error of the trained model was 6.4%, indicating that we could predict if a sample came from a mouse colonized with a lean or obese human donor microbiota with 93.6% accuracy. Eight class-level taxa were identified as producing a mean decrease in classification accuracy of >1 % each when they were ignored
[Erysipelotrichi, Clostridia, Negativicutes, and an unidentified class (from the phylum Firmicutes); Betaproteobacteria and Deltaproteobacteria (phylum Proteobacteria); Bacteroidia (Bacteroidetes), and Verrucomicrobiae (Verruconnicrobia)] with members of the Negativicutes, Erysipelotrichi, Clostridia, and Deltaproteobacteria being most discriminatory (see table 17 for phylum-, class-, order-, family-, genus- and species- level taxa significantly different between mice colonized with a lean versus an obese intact, uncultured microbiota, plus relative abundance in the two groups and the p value for the comparison calculated by ANOVA).
Example 20. Efficient and reliable transfer of culture collections to gnotobiotic animals
[0248] Fig. 20A-D illustrates how capture of cultured bacterial taxa and their encoded gene functions was both efficient and reproducible within and between groups of recipient gnotobiotic mice. Captured members of the obese or lean co-twin's culture collection represented 83 ± 3% (obese) and 86 ± 8% (lean) of the family-level taxa that were successfully transplanted into mouse recipients of the corresponding intact uncultured fecal samples, and 63 ± 3% (obese) and 51 ± 8% (lean) of the family-level taxa that were present in the original donor fecal sample (see table 21 A-C for a summary overview and a list of phylum-, class-, order-, family-, genus-level taxa, plus 97%ID OTUs). Moreover, shotgun sequencing of the cecal microbiomes of transplant recipients confirmed efficient capture of functional features represented in transplanted
intact (non-cultured) microbiomes and recapitulation of their proportional representation as judged by EC content (fig. 20C-E).
Example 21. Net Related Index Analysis
[0249] NRI is a measure of the standardized effect size of the mean
phylogenetic distance between all possible pairs of taxa in a community (33, 75). A significantly positive NRI indicates that a community is more phylogenetically clustered than expected by chance alone; a significantly negative NRI indicates that a community is more phylogenetically dispersed than expected by chance (33). NRI values of transplanted cultured communities in co-housed Ln-Ln controls differed significantly from zero (p < 0.001 , one sample t-test), while Ob communities in co-housed Ob-Ob controls did not (p =0.07) (fig. 24E, fig. 27A). Moreover, the average total descending branch length and the total number of 97% ID OTUs was significantly higher in Ln-Ln than in Ob-Ob controls, supporting the concept that the transplanted Ln microbiota was phylogenetically over-dispersed (fig. 27B-C; p < 0.0001 ; two-way ANOVA; Dunnett's multiple comparison test). NRI confirmed that 10 d after co-housing, the phylogenetic structure of the fecal microbiota from Obch animals had changed significantly from Ob- Ob controls, transforming into a lean-like, overly dispersed configuration [fig. 24E; p < 0.001 (one sample t-test to test divergence from zero); p < 0.001 (paired t-test to test difference between Ob controls and Ln, Lnch and Obch NRI values)] with significantly more shared 97%ID OTUs and branch length with their Lnch cagemates (p < 0.0001 , paired t-test; fig. 27E-F). These observations are consistent with Ln communities having non-overlapping species (i.e. species absent in the Ob microbiota) that can invade and establish themselves in the guts of Obch cagemates. The observation that the most invasive taxa from the Ln community are members of the Bacteroidetes agrees with some reports that increased representation of members of this phylum are associated with leanness, both in the context of weight loss due to diet changes and bariatric surgery (2, 76).
Example 22. Adaptive thermogenesis analysis of epididymal fat pads
[0250] We used qRT-PCR to measure expression of Prdm16, ElovL3, Ucp1, Pgc-1a and C/'c/ea in the epididymal fat pads of Ob-Ob, Ln-Ln, Obch and Lnch animals fed either the NHANES LoSF/HiFV or LF/HPP diets. These genes are associated with brite cells (browning of white adipose tissue) and are downregulated in the setting of reduced adaptive thermogenesis. The higher fat LoSF/HiFV diet resulted in a significant change (reduction) in expression of two of these genes [PGC-1a (39.36±12.34%), C/'c/ea (66.49±10.87%) (p<0.001 , two-way ANOVA)] in all groups of mice (Ob-Ob, Ln- Ln, Obch, and Lnch): i.e. there was no significant microbiota effect (two-way ANOVA; p > 0.05).
Prospectus (for Examples 9-22)
[0251 ] The findings described above provide a starting point for future studies that systematically test the effects of specified diet ingredients on microbiota-associated body composition and metabolic phenotypes (e.g., components that when added or subtracted restore invasiveness of specific members of the microbiota in the context of the HiSF-LoFV diet). A benefit of using the approach described in this report is that the target human population embodying a phenotype of interest is integrated into the animal model through selection of gut microbiota representative of that population and diets representative of their patterns of food consumption. Our finding that culture collections generated from human microbiota samples can transmit donor phenotypes of interest (body composition and metabotypes) has a number of implications. If these derived culture collections can transmit a phenotype, the stage is set for studies designed to determine which culturable components of a given person's gut community are responsible. These tests can take the form of experiments where mice containing culture collections from donors with different phenotypes are cohoused and used to determine whether invasion by components of one community into another transforms the cage mate's phenotype and, correspondingly, the properties of the human microbial communities they harbor. Sequenced culture collections generated from human gut microbiota donors also provide an opportunity to model and further address basic issues such as the determinants of invasiveness including the mechanisms by which invasion is impacted by diet composition, as well as the mechanisms by which invading
components impact microbial and host metabolism. This issue is important for identifying next-generation probiotics, prebiotics, or a combination of the two
(synbiotics). Moreover, the ability to generate a culture collection, from an individual— whose composition is resolved to the gene level, whose properties can be validated in preclinical models, and whose "manufacture" is reproducible— may provide a safer and more sustainable alternative to fecal transplants for microbiome-directed therapeutics (18, 49).
Materials and Methods (for Examples 9-22)
Production of NHANES-based diets
[0252] The National Health and Nutrition Examination Survey (NHANES; years 2003-2008; http://www.cdc.gov/nchs/nhanes.htm) was used to identify subsets of the adult (20-65 years old) USA population who consumed quantities in the lower tertile for saturated fat and the upper tertile for fruits and vegetables (LoSF/HiFV diet) or the upper tertile for saturated fat and lower tertile for fruits and vegetables (HiSF/LoFV diet). We identified key food subgroups and characterized foods using a modified version of the USDA's hierarchical food categories, which included 63 food subgroups within eight major food groups. For each food group providing 2-5% of total energy intake, we included only the food subgroup with the greatest average energy contribution. For food groups providing more than 5% of total energy intake, we included all food subgroups contributing at least 10% of that food group's energy and consumed by at least 10% of the NHANES subpopulation, in addition to those subgroups consumed by at least 20% of this subpopulation. One food item was selected to represent each food subgroup based on the food consumed by the greatest weighted percentage of people in the NHANES subpopulation. These selected foods were prepared, in relative quantities to represent the weight of the food subgroup, according to standard recipes then combined, homogenized, freeze-dried at -20°C by Van Drunen Farms (Momence, IL) and pelleted (Research Diets, Inc., New Brunswick, NJ). Pellets, stored in vacuumed- sealed plastic bags, were sterilized by gamma-irradiation (Steris Co, Libertyville, IL). The ingredients used to generate these two diets and the results of nutrient composition analysis are presented in table 27.
Animal husbandry
[0253] All experiments involving mice were performed using protocols approved by the Washington University Animal Studies Committee. Germ-free adult male
C57BL/6J mice were maintained in plastic flexible film gnotobiotic isolators under a strict 12 h light cycle and fed an autoclaved low-fat, polysaccharide-rich chow (LF/HPP) diet (B&K Universal, East Yorkshire, U.K; diet 7378000) or the NHANES-based diets ad libitum.
[0254] For co-housing experiments, mice were gavaged with a given culture collection and singly-housed in a cage in an isolator dedicated to animals receiving the same collection. Five days after gavage, mice with the lean culture collection were introduced into cages containing mice harboring the obese co-twin's culture collection. Controls consisted of dually-housed Ln-Ln or Ob-Ob mice. Prior to co-housing, Aspen hardwood lab bedding (NEPCO) was replaced with freshly autoclaved material.
Transplant recipients were maintained in separate cages within a gnotobiotic isolator dedicated to animals colonized with the same human donor microbiota, except in the case of co-housing experiments.
Collection of fecal samples from twin pairs discordant for obesity and transplantation of their uncultured fecal microbiota into germ-free mice
[0255] Adult female twin pairs with a BMI discordance ranging from 5.5-10 kg/m2 were recruited for this study. Procedures for obtaining their consent to provide fecal samples were approved by the Washington University Human Studies Committee. A single fecal sample was collected at t=0 and another 2 months later from each subject. Information about body-weight was updated at the time of each fecal sample collection. Each sample was frozen immediately at -20oC, shipped in a frozen state to a biospecimen repository overseen by one of the authors (A.C.H), and then de-identified. All samples were subsequently stored at -80°C until the time of processing.
[0256] A given human fecal sample (from the second time point) was
homogenized with a mortar and pestle while submerged in liquid nitrogen. A 500 mg aliquot of the pulverized frozen material was then diluted in 5 ml_ of reduced PBS (PBS supplemented with 0.1 % Resazurin (w/v), 0.05% L-cysteine-HCI) in an anaerobic Coy
chamber (atmosphere, 75% N2, 20% CO2, 5% H2) and then vortexed at room temperature for 5 min. The suspension was allowed to settle by gravity for 5 min, after which time the clarified supernatant was transferred to an anaerobic crimped tube that was then transported to the gnotobiotic mouse facility. The outer surface of the tube was sterilized by exposure for 20 min to chlorine dioxide in the transfer sleeve attached to the gnotobiotic isolator, and then transferred into the isolator. A 1 ml_ syringe was used to recover a 200 μΙ_ aliquot of the suspension, which was subsequently introduced by gavage with a flexible plastic tube into the stomachs of each adult C57BL/6J germ- free recipient. Human microbiota transplant recipients were maintained in separate cages within an isolator dedicated to mice colonized with the same donor microbiota, except in the case of co-housing experiments.
Quantitative magnetic resonance (qMR) analysis of body composition
[0257] Body composition was defined using an EchoMRI-3in1 instrument (EchoMRI, Houston, TX). Mice were transported from their gnotobiotic isolators to the MR instrument in a H EPA filter-capped glass vessel. Fat mass, lean body mass and tissue-free body water were measured as indicated in the text for each experimental paradigm.
Sample collection from gnotobiotic mice
[0258] Fecal samples were collected at defined times after gavage from the mouse. At the time of sacrifice, lumenal contents were collected as previously described (50) at defined positions along the length of the gut (stomach, small intestinal segments 1 ,2,5,9,13 and 15 after its division into 16 equal-sized segments, cecum, and proximal and distal halves of the colon). Both epididymal fat pads as well as liver were recovered from each animal by dissection, weighed and flash frozen for transcriptional analysis.
Immune profiling
[0259] Spleens and MLNs were recovered by dissection from each mouse colonized with an intact fecal microbiota from a lean or obese co-twin. Each tissue sample was forced through 70 μιτι or 100 m-diameter cell strainers (while bathed in
PBS/0.1 % BSA) to create single cell suspensions (51). Colonic and small intestinal lamina propria cells were prepared based on a previously described procedure (52). Cells from each of these sources were then plated in a 96-well, round bottom plastic plate, and incubated with anti-CD16/CD32 Fc block (eBiosciences) for 20 min at 4°C to prevent non-specific staining in subsequent steps. Cells were washed in 200 μΙ_ of PBS/0.1 %BSA, centrifuged at 450 x g for 5 min and then surface stained with
appropriate cocktails of anti-CD4 (labeled with APC or PerCp; BD Biosciences), TCR-β (labeled with FITC or PerCp; BD), CD44 (labeled with PE; BD Biosciences), CD62L (PE-Cy7; BD Biosciences) for 20 min at 4°C. Following staining, cells were washed twice as above, fixed overnight at 4°C using FoxP3 Fixation/Permeabilization buffer (Fix. Perm, eBioscience), washed twice to remove all buffer, and then incubated with Permeabilization Buffer (eBioscience) supplemented with normal rat serum (final concentration 2%) for 1 h at 4°C. Cells were placed in a cocktail of anti-Ki-67 (FITC:BD) and anti-FoxP3 (eFluor 450; eBioscience) for 20 min at 4°C, washed twice in
Permeabilization buffer and acquired on an LSI II flow cytometer (Becton Dickinson). Data were analyzed using FlowJo software (Treestar).
Multiplex pyrosequencing of amplicons generated from bacterial 16S rRNA genes
[0260] Genomic DNA was extracted from feces and gut contents using a bead- beating protocol (2). Briefly, a -500 mg aliquot of each pulverized frozen human fecal sample, or mouse fecal pellets (-50 mg), or stomach, small intestinal, cecal or colonic contents (-20 mg each) were re-suspended in a solution containing 500μΙ_ of extraction buffer [200mM Tris (pH 8.0), 200mM NaCI, 20mM EDTA], 210μΙ_ of 20% SDS, 500μΙ_ of phenol:chloroform:isoamyl alcohol (pH 7.9, 25:24:1 , Ambion) and 500μΙ_ of a slurry of 0.1 -mm diameter zirconia/silica beads. Cells were then mechanically disrupted using a bead beater (BioSpec Products, Bartlesville, OK; maximum setting for 3 min at room temperature), followed by extraction with phenol:chloroform:isoamyl alcohol and precipitation with isopropanol.
[0261 ] Amplicons of ~330bp, spanning variable region 2 (V2) of the bacterial 16S rRNA gene, were generated by using modified primers 27F and 338R that incorporated sample-specific barcodes (26) and subjected to multiplex pyrosequencing
(454 FLX Standard or Titanium chemistry as indicated in table 15A). V2-16S rRNA sequences generated using 454 FLX Titanium chemistry were trimmed to the length obtained using 454 FLX Standard chemistry (250-300 nt) and, together with the sequences generated using FLX Standard chemistry, were filtered for low quality reads and binned according to their sample-specific barcodes. Reads were clustered into 97%ID OTUs using UCLUST (53) and the Greengenes reference OTU database.
Reads that failed to hit the reference dataset were clustered de novo using UCLUST. A representative OTU set was created using the most abundant OTU from each bin. Reads were aligned using PyNAST (54).
[0262] A training dataset for taxonomic assignments was created using a modified NCBI taxonomy from the 'Isolated named strains 16S' in the Greengenes database (55). This dataset was manually curated by (i) removing strains in 'Isolated named strains 16S' that had non-standard taxonomy or that were not members of the domain Bacteria, and (ii) grouping strain level taxonomy from Greengenes assignments under a single NCBI species assignment. This dataset is available at
http://gordonlab.wustl.edu/SuppData.html and was used to train the Ribosomal
Database Project (RDP) version 2.4 (56) classifier and to assign taxonomy to picked OTUs.
[0263] We validated this assignment strategy with a 'mock community' composed of evenly pooled DNA from 48 sequenced members of the human gut microbiota (table 30). We performed an initial simulation in silico by first trimming the 42 known 16S rRNA sequences to the length of variable region 2 (note that complete 16S rRNA sequences were not available in the draft assemblies of 4 of the 48 community members; see table 30). We could accurately assign 89% of species-level taxa compared with 15% correct taxonomic assignments blasting against Greengenes. Additionally, we could correctly assign 91 % of genus-level taxa with RDP2.4 trained on the manually curated 'Isolated named strains 16S', versus 81 % or 73% correct assignments with Greengenes and RDP2.2, respectively (table 30). Note that the lowest taxonomic assignment that is provided when using the RDP2.2 database that accompanies their scripts is at the genus-level.
[0264] DNA from this 48-member community was then used as a template to generate and sequence PCR amplicons from the V2 regions of their 16S rRNA genes; the resulting dataset was composed of 90,555 pyrosequencer reads from two technical replicates. We subsequently picked OTUs and assigned taxonomy to our sequenced mock community by (i) using the default strategy in QIIME (57) version 1 .5 (where the RDP 2.2 classifier is trained on the Greengenes taxonomy at the genus level), (ii) Blasting against Greengenes, or (iii) employing the RDP 2.4 classifier trained on the manually curated Greengenes database of 'Isolated named strains 16S'. We found that we could accurately assign 90% of species-level taxa compared with 19% correct taxonomic assignments using Greengenes. Additionally, we could correctly assign 100% of the genus-level taxa with RDP2.4 trained on the manually curated 'Isolated named strains 16S' versus 93% or 90% assigned by Greengenes and RDP2.2, respectively, thereby demonstrating that this optimized taxonomy does better at assigning picked OTUs compared to either the RDP 2.2 classifier trained on the
Greengenes' genus-level taxonomy or blasting against the Greengenes reference taxonomy (table 31 ).
[0265] Samples were rarefied to a depth of 800 OTUs/sample. The OTU table was filtered to preserve OTUs with a relative abundance > 0.5%. This threshold was also used to define a species as invasive. The filtered table was then rarefied to a depth of 700 OTUs/sample; while not completely characterizing the microbiota of each individual this depth has sufficient power for the analyses presented in this work (58). Data analysis (beta-diversity calculations, PCoA clustering, Random Forests, microbial source tracking) was performed using QIIME v1 .5 and Vegan R package version 1 .17-4 (59).
[0266] When calculating invasion scores and fold-changes, we added a pseudo-count of 10% of the minimum relative abundance among all species-level taxa present in all samples to each species-level taxon in each sample analyzed.
Shotgun pyrosequencing of total community DNA
[0267] For multiplex shotgun pyrosequencing (454 FLX Titanium chemistry), each cecal DNA sample (n=45) was randomly fragmented by nebulization to 500-800
bp and subsequently labeled with one of 12 MIDs (Multiplex IDentifier; Roche) using the MID manufacturer's protocol (Rapid Library preparation for FLX Titanium). Equivalent amounts of up to 12 MID-labeled samples were pooled prior to each pyrosequencer run. Shotgun reads were filtered to remove all reads <60 nt, LR70 reads with at least one degenerate base (N), or reads with two continuous and/or three total degenerate bases, plus all duplicates (defined as sequences whose initial 20 nt were identical and shared an overall identity of >97% throughout the length of the shortest read). In the case of human fecal DNAs, all sequences with significant similarity to human reference genomes (BLASTN with e-value <10-5, bitscore >50, percent identity >75%) were removed. Comparable filtering against the mouse genome was performed for reads produced from samples obtained from recipient gnotobiotic animals.
[0268] All resulting filtered sequences were queried against the KEGG
database (v58) using BLASTX. Sequences were annotated as the best hit in the database if (i) they had an E-value < 10-5, (ii) the bit score was > 50, and (iii) the query and subject were at least 50% identical after being aligned. If two entries were assigned as the best BLAST hit, the read was annotated with both entries (34). EC, and KEGG Pathway assignments were made using the "KO" file provided by KEGG version 58. A matrix containing the counts for each KEGG annotation for each sample was generated for analysis with ShotgunFunctionalizeR (24) (R package version 1 .2-8).
Microbial RNA-Seq
[0269] Procedures for microbial RNA-Seq are described in our previous publications (60-62). In brief, each fecal pellet (~ 50mg), collected at 15 days post colonization (dpc) or 17 dpc, was suspended while frozen in 1 mL of RNAprotect bacteria reagent (Qiagen), vortexed for 5 min at room temperature and centrifuged (10 min; 5,000 x g; 4°C). After decanting the supernatant, pelleted cells were suspended in 500μΙ_ of extraction buffer (200 mM NaCI, 20 mM EDTA), 210μΙ_ of 20% SDS, 500 μΙ_ of phenol:choloroform:isoamyl alcohol (pH 4.5, 125:24:1 , Ambion), and 250 μΙ_ of acid- washed glass beads (Sigma-Aldrich, 212-300 μιτι diameter). Microbial cells were lysed by mechanical disruption using a bead beater (Biospec, maximum setting; 5 min at room temperature), followed by phenol:chloroform:isoamyl alcohol extraction and
precipitation with isopropanol. RNA was treated with RNAse-free TURBO-DNAse (Ambion) and 5S rRNA and tRNAs were removed (MEGACIear columns, Ambion). A second DNAse treatment was performed (Baseline-ZERO DNAse; Epicenter). rRNA was initially depleted using MICROBexpress kit (Ambion) followed by a second
MEGACIear purification. In addition, custom biotinylated oligonucleotides, directed against conserved regions of sequenced human gut bacterial rRNA genes were employed for streptavidin bead-based pulldowns. cDNA was synthesized using
Superscript II (Invitrogen), followed by second strand synthesis with RNAseH, E. coli DNA polymerase (NEB) and E. coli DNA ligase (NEB). Samples were sheared using a BioRuptor XL sonicator (Diagenode); 150-200 bp fragments were gel selected and prepared for sequencing.
[0270] Multiplex microbial cDNA sequencing was performed using an lllumina Hi-Seq2000 instrument to generate 23.7 ± 16.4 million unidirectional 101 nt reads per sample. Methods for microbial mRNA analysis are described in detail elsewhere (61). In brief, reads were split according to 4-bp barcodes used to label each of four samples pooled together per HiSeq lane. After dividing sequences by barcode, reads were mapped to genes in a custom database of 148 sequenced human gut bacterial genomes using the Bowtie 2 algorithm (63). A minimum score threshold of 42 was selected based on the distribution of scores for the reads. If a read mapped to more than one location in a genome or to multiple genomes, the counts for each gene were added according to the gene's fraction of unique-match counts. Pseudocounts were added (i.e. 1 count) to each gene prior to normalization to account for different sampling depths (data expressed as reads/kb/million mapped reads).
Intra-peritoneal glucose tolerance test (IPGTT)
[0271 ] Glucose tolerance tests were performed by intra-peritoneal injection of 1 g D-glucose/kg body weight after a 4 hour fast in Ln-Ln or Ob-Ob animals colonized for 15 d with the culture collection from twin pair 1 and fed a LoSF/HiFV diet.
Insulin signaling
[0272] For insulin signaling experiments, 1 U of insulin/kg body weight was administered, via the portal vein 3h after glucose administration for IPGTT, to Ln-Ln or Ob-Ob animals that had been colonized for 15 d with the Ob or Ln culture collections from DZ twin pair 1 and fed the LoSF/HiFV diet. Three minutes after injection, animals were sacrificed. Liver and soleus muscles were harvested and snap frozen in liquid nitrogen for analysis of insulin-mediated Akt phosphorylation by immunoblotting [pAkt- Thr308 and pAS160-Th r642; (64)].
Mass spectrometry analysis
[0273] Protocols for targeted and nontargeted MS-MS, GC-MS of cecal and fecal contents plus serum, and methods for data analysis are provided in our earlier publications (61).
Culturing fecal microbiota
[0274] Each human fecal sample was pulverized in liquid nitrogen and resuspended in pre-reduced PBS (0.1 % Resazurin, 0.05% Cysteine/HCI; 15ml_/g feces). Samples were subsequently vortexed for 5 min and allowed to settle by gravity for 5 min to permit large, insoluble particles to settle. The supernatant was diluted 1000- fold in pre-reduced PBS and plated on 150 mm diameter plates containing pre-reduced Gut Microbiota Medium [GMM; (65)]. Plates were incubated in a Coy chamber, under anaerobic conditions, for 7d at 37oC. Colonies were subsequently harvested en masse from six plates by scraping (10 ml_ of pre-reduced PBS/plate). Glycerol (30%)/PBS stocks were stored in anaerobic glass vials at -80°C. A 200μΙ_ aliquot of the non-arrayed culture collection was introduced by gavage into each recipient germ-free mouse.
Subsampling the culture collection
[0275] Methods for creating clonally arrayed culture collections from frozen fecal samples were initially described in an earlier publication (65). We subsequently created a set of interfaces for a Precision XS robot (BioTek) so that picking, arraying, and archiving of fecal bacterial culture collections could be done with speed and
economy within an anaerobic Coy chamber. Taxonomies were assigned to each strain in an arrayed collection by 454 Titanium V2-16S rRNA pyrosequencing, as previously described. Most strains (defined as having a unique V2-16S rRNA sequence) were found in more than one well across the arrayed library. Therefore, several replicate wells of each strain were picked robotically from the 384-well plate, and streaked onto 8-well TYGS-agar plates. Plates were incubated under anaerobic conditions in a Coy chamber for 3 d at 37°C. A single colony from each agar well was picked, grown in TYGS and archived as a TYGs/15% glycerol stock at -80°C.
Microbial genome analysis
[0276] Genomic DNA was extracted from individual strains, first by bead- beating in phenol:chloroform, followed by purification through a Qiagen 96-well PCR purification plate. A barcoded lllumina sequencing library was then prepared for each sample (250 ng DNA strain; gel size-selected at 350-500 bp). Barcoded DNAs were subjected to multiplex sequencing in a HiSeq2000 instrument (101 nt paired-end reads; >34-fold coverage of each genome; mean coverage, 1 18-fold) and assembled using Velvet and Velvet Optimizer, version 2.1 .7 (Velvet Optimizer parameters were: -s 31 -e 31 -t 1 ; mean N50 contig length, 86kb; see table 26A for details). Genes, tRNAs, and rRNAs were annotated using Glimmer3.0 (66), tRNAScan 1 .23 (67), and RNAmmer 1 .2 respectively (68). CAZyme family assignments were made as described in ref (69) (table 26B).
Analysis of phylogenetic structure of fecal microbiota from co-housed Obch and Lnch animals
[0277] For each mouse in a given cage in a given gnotobiotic isolator, we calculated the Net Relatedness Index [NRI; (33)] for all fecal samples collected after co- housing (days 5,6,7,10,1 1 and 15 post-colonization). We did so by comparing all 97% ID OTUs (excluding singletons) from each fecal sample with a master phylogenetic tree, built from every OTU sequenced in this study. In short, the mean phylogenetic distance (MPD) was calculated as the average of the pairwise phylogenetic distances among all pairs of taxa in each tested fecal community (observed MPD). An expected MPD value,
using the master tree built for this study, was calculated by randomly drawing communities of the same species richness, and calculating their MPD across a 1000 random draws. We compared the observed MPD to the expected MPD value using the algorithm employed in Phylocom4.1 , and implemented by QIIME version 1 .5. NRI is positive for communities that are clustered in a non-random pattern, and negative for non-random, over-dispersed communities. Significance was determined by one-sample t-test.
[0278] Shared 97% ID OTUs and shared branch length were calculated by identifying the OTUs for each mouse sampled at a given day in a given cage, and then calculating the (i) intersection of the OTUs between each mouse and their cagemate (for shared OTUs), and (ii) the total descending branch length of the intersection of the OTUs between cagemates (for shared branch length). qRT-PCR
[0279] Epidydimal fat pads were collected at the time of sacrifice and RNA was extracted using Trizol® (Invitrogen). Approximately 5ug of total RNA was used to prepare cDNA (superscript II, Invitrogen) and SYBR green qPCR thereafter. All data were normalized to TBP endogenous controls and quantitative measures were obtained using the AACT approach. The primer pairs used for Prdm16, ElovL3, Ucp1, Pgc- 1 alpha, Cidea and TBP were previously described in (70, 71 ).
[0280] Distal small intestine and liver were collected at the time of sacrifice and RNA was extracted using an initial Trizol® extraction, followed by a QIAGEN RNeasy Mini Kit purification (cat no. 74104, QIAGEN). Approximately 2mg of total RNA was used to prepare 20 μΙ_ of cDNA using the Invitrogen High capacity cDNA reverse transcription Kit (Life Technologies). cDNA was diluted 4X and 1 ml_ of cDNA was used to run Taq-Man qPCR reactions, using TaqMan® Universal Master Mix II, without UNG, plus commercially available TaqMan primers to Fxr/Nr1 h4 (Mm00436425_m1 ), Fgf15 (Mm01275900_g1 ) and Cyp7a1 (Mm00484150_m1 ). All data were normalized to the endogenous controls L32 ribosomal protein (RPL32; Mm02528467_g1 ) (Life
Technologies).
References (for Examples 9-22)
1 . P. B. Eckburg, et al., Diversity of the human intestinal microbial flora. Science 308, 1635-1638 (2005). doi:10.1 126/science.1 1 10591 Medline
2. P. J. Turnbaugh et al., A core gut microbiome in obese and lean twins. Nature 457, 480-484 (2009). doi:10.1038/nature07540 Medline
3. E. K. Costello et al., Bacterial community variation in human body habitats across space and time. Science 326, 1694-1697 (2009). doi:10.1 126/science.1 177486 Medline
4. J. Qin, et al., A human gut microbial gene catalogue established by metagenomic sequencing. Nature 464, 59-65 (2010). doi:10.1038/nature08821 Medline
5. J. Ravel, et al., Vaginal microbiome of reproductive-age women. Proc. Natl. Acad. Sci. U.S.A. 108(Suppl. 1 ), 4680-4687 (201 1 ). doi:10.1073/pnas.100261 1 107 Medline
6. P. Gajer, et al., Temporal dynamics of the human vaginal microbiota. Sci. Transl. Med. 4, 132ra52 (2012). doi:10.1 126/scitranslmed.3003605 Medline
7. T. Yatsunenko, et al., Human gut microbiome viewed across age and geography. Nature 486, 222-227 (2012). Medline
8. C. Huttenhower, et al., Structure, function and diversity of the healthy human microbiome. Nature 486, 207-214 (2012). doi:10.1038/nature1 1234 Medline
9. K. Faust, et al., Microbial co-occurrence relationships in the human microbiome.
PLOS Comput. Biol. 8, e1002606 (2012). doi:10.1371/journal.pcbi.1002606 Medline
10. M. G. Dominguez-Bello, et al., Delivery mode shapes the acquisition and structure of the initial microbiota across multiple body habitats in newborns. Proc. Natl. Acad. Sci. U.S.A. 107, 1 1971-1 1975 (2010). doi:10.1073/pnas.1002601 107 Medline
1 1 . J. E. Koenig, et al., Succession of microbial consortia in the developing infant gut microbiome. Proc. Natl. Acad. Sci. U.S.A. 108(Suppl. 1 ), 4578-4585 (201 1 ).
doi:10.1073/pnas.1000081 107 Medline
12. S. Greenblum, et al., Metagenomic systems biology of the human gut microbiome reveals topological shifts associated with obesity and inflammatory bowel disease. Proc. Natl. Acad. Sci. U.S.A. 109, 594-599 (2012). doi:10.1073/pnas.1 1 16053109 Medline
13. M. L. Zupancic, et al., Analysis of the gut microbiota in the old order Amish and its relation to the metabolic syndrome. PLoS ONE 7, e43052 (2012).
doi:10.1371/journal.pone.0043052 Medline
14. S. H. Duncan, et al., Human colonic microbiota associated with diet, obesity and weight loss. Int J Obes (Lond) 32, 1720-1724 (2008). doi:10.1038/ijo.2008.155 Medline
15. A. Schwiertz, et al., Microbiota and SCFA in lean and overweight healthy subjects. Obesity (Silver Spring) 18, 190-195 (2010). doi:10.1038/oby.2009.167 Medline
16. A. Santacruz, et al., Gut microbiota composition is associated with body weight, weight gain and biochemical parameters in pregnant women. Br. J. Nutr. 104, 83-92
(2010) . doi:10.1017/S00071 14510000176 Medline
17. R. Jumpertz, et al., Energy-balance studies reveal associations between gut microbes, caloric load, and nutrient absorption in humans. Am. J. Clin. Nutr. 94, 58-65
(201 1 ) . doi:10.3945/ajcn.1 10.010132 Medline
18. A. Vrieze, et al., Transfer of intestinal microbiota from lean donors increases insulin sensitivity in individuals with metabolic syndrome. Gastroenterology 143, 913, e7
(2012) . doi:10.1053/j.gastro.2012.06.031 Medline
19. P. Hakala, et al., Environmental factors in the development of obesity in identical twins. Int. J. Obes. Relat. Metab. Disord. 23, 746-753 (1999).
doi:10.1038/sj.ijo.0800923 Medline
20. A. Rissanen, et al., Acquired preference especially for dietary fat and obesity: a study of weight-discordant monozygotic twin pairs. Int. J. Obes. Relat. Metab. Disord. 26, 973-977 (2002). Medline
21 . A. E. Duncan, et al., A. C. Heath, Genetic and environmental contributions to BMI in adolescent and young adult women. Obesity (Silver Spring) 17, 1040-1043 (2009). doi:10.1038/oby.2008.643 Medline
22. M. Waldron, et al., A. C. Heath, Alcoholism and timing of separation in parents: findings in a midwestern birth cohort. J. Stud. Alcohol Drugs 74, 337-348 (2013).
Medline
23. Materials and methods are available as supplementary material on Science Online
24. E. Kristiansson, et al., ShotgunFunctionalizeR: an R-package for functional comparison of metagenomes. Bioinformatics 25, 2737-2738 (2009).
doi:10.1093/bioinformatics/btp508 Medline
25. C. B. Newgard, et al., A branched-chain amino acid-related metabolic signature that differentiates obese and lean humans and contributes to insulin resistance. Cell Metab. 9, 31 1-326 (2009). doi:10.1016/j.cmet.2009.02.002 Medline
26. B. D. Muegge, et al., Diet drives convergence in gut microbiome functions across mammalian phylogeny and within humans. Science 332, 970-974 (201 1 ).
doi:10.1 126/science.1 198719 Medline
27. M. J. Keenan, et al., Effects of resistant starch, a non-digestible fermentable fiber, on reducing body fat. Obesity (Silver Spring) 14, 1523-1534 (2006).
doi:10.1038/oby.2006.176 Medline
28. J. Zhou, et al., Dietary resistant starch upregulates total GLP-1 and PYY in a sustained day-long manner through fermentation in rodents. Am. J. Physiol. Endocrinol. Metab. 295, E1 160-E1 166 (2008). doi:10.1 152/ajpendo.90637.2008 Medline
29. J. Zhou, et al., Failure to ferment dietary resistant starch in specific mouse models of obesity results in no body fat loss. J. Agric. Food Chem. 57, 8844-8851 (2009).
doi:10.1021/jf901548e Medline
30. D. Knights, et al., Bayesian community-wide culture-independent microbial source tracking. Nat. Methods 8, 761-763 (201 1 ). doi:10.1038/nmeth.1650 Medline
31 . J. P. Lessard, et al., Invasive ants alter the phylogenetic structure of ant
communities. Ecology 90, 2664-2669 (2009). doi:10.1890/09-0503.1 Medline
32. M. T. Johnson, et al., An emerging synthesis between community ecology and evolutionary biology. Trends Ecol. Evol. 22, 250-257 (2007).
doi:10.1016/j.tree.2007.01 .014 Medline
33. C. O. Webb, et al., Phylogenetic balance and ecological evenness. Syst. Biol. 51 , 898-907 (2002). doi:10.1080/10635150290102609 Medline
34. P. J. Turnbaugh, et al., An obesity-associated gut microbiome with increased capacity for energy harvest. Nature 444, 1027-1031 (2006). doi:10.1038/nature05414 Medline
35. P. Gauffin Cano et al., Bacteroides uniformis CECT 7771 ameliorates metabolic and immunological dysfunction in mice with high-fat-diet induced obesity. PLoS ONE 7, e41079 (2012). doi:10.1371/journal.pone.0041079 Medline
36. S. H. Duncan, et al., Contribution of acetate to butyrate formation by human faecal bacteria. Br. J. Nutr. 91 , 915-923 (2004). doi:10.1079/BJN20041 150 Medline
37. M. A. Mahowald, et al., Characterizing a model human gut microbiota composed of members of its two dominant bacterial phyla. Proc. Natl. Acad. Sci. U.S.A. 106, 5859- 5864 (2009). doi:10.1073/pnas.0901529106 Medline
38. Z. Gao, et al., Butyrate improves insulin sensitivity and increases energy
expenditure in mice. Diabetes 58, 1509-1517 (2009). doi:10.2337/db08-1637 Medline
39. H. V. Lin, et al., Butyrate and propionate protect against diet-induced obesity and regulate gut hormones via free fatty acid receptor 3-independent mechanisms. PLoS ONE 7, e35240 (2012). doi:10.1371/journal.pone.0035240 Medline
40. H. Kuribayashi, et al., Enterobacteria-mediated deconjugation of taurocholic acid enhances ileal farnesoid X receptor signaling. Eur. J. Pharmacol. 697, 132-138 (2012). doi:10.1016/j.ejphar.2012.09.048 Medline
41 . J. R. Swann, et al., Systemic gut microbial modulation of bile acid metabolism in host tissue compartments. Proc. Natl. Acad. Sci. U.S.A. 108(Suppl. 1 ), 4523^1530 (201 1 ). doi:10.1073/pnas.1006734107 Medline
42. Y. Zhang, et al., Loss of FXR protects against diet-induced obesity and accelerates liver carcinogenesis in ob/ob mice. Mol. Endocrinol. 26, 272-280 (2012).
doi:10.1210/me.201 1 -1 157 Medline
43. T. Inagaki, et al., Fibroblast growth factor 15 functions as an enterohepatic signal to regulate bile acid homeostasis. Cell Metab. 2, 217-225 (2005).
doi:10.1016/j.cmet.2005.09.001 Medline
44. T. Li, et al., Transgenic expression of cholesterol 7a-hydroxylase in the liver prevents high-fat diet-induced obesity and insulin resistance in mice. Hepatology 52, 678-690 (2010). doi:10.1002/hep.23721 Medline
45. Y. Handelsman, Role of bile acid sequestrants in the treatment of type 2 diabetes. Diabetes Care 34(Suppl. 2), S244-S250 (201 1 ). doi:10.2337/dc1 1 -s237 Medline</jrn>
46. T. R. Koves, et al., Peroxisome proliferator-activated receptor-gamma co-activator 1 alpha-mediated metabolic remodeling of skeletal myocytes mimics exercise training and reverses lipid-induced mitochondrial inefficiency. J. Biol. Chem. 280, 33588-33598 (2005). doi:10.1074/jbc.M507621200 Medline
47. T. R. Koves, et al., Mitochondrial overload and incomplete fatty acid oxidation contribute to skeletal muscle insulin resistance. Cell Metab. 7, 45-56 (2008).
doi:10.1016/j.cmet.2007.10.013 Medline
48. D. M. Muoio, et al., Muscle-specific deletion of carnitine acetyltransferase
compromises glucose tolerance and metabolic flexibility. Cell Metab. 15, 764-777 (2012). doi:10.1016/j.cmet.2012.04.005 Medline
49. J. S. Bakken, et al.; Fecal Microbiota Transplantation Workgroup, Treating
Clostridium difficile infection with fecal microbiota transplantation. Clin. Gastroenterol. Hepatol. 9, 1044-1049 (201 1 ). doi:10.1016/j.cgh.201 1 .08.014 Medline
50. P. J. Turnbaugh, et al., The effect of diet on the human gut microbiome: a
metagenomic analysis in humanized gnotobiotic mice. Sci. Transl. Med. 1 , 6ra14 (2009). doi:10.1 126/scitranslmed.3000322 Medline
51 . P. P. Ahern, et al., lnterleukin-23 drives intestinal inflammation through direct activity on T cells. Immunity 33, 279-288 (2010). doi:10.1016/j.immuni.2010.08.010 Medline
52. E. Esplugues, et al., Control of TH17 cells occurs in the small intestine. Nature 475, 514-518 (201 1 ). doi:10.1038/nature10228 Medline
53. R. C. Edgar, Search and clustering orders of magnitude faster than BLAST.
Bioinformatics 26, 2460-2461 (2010). doi:10.1093/bioinformatics/btq461 Medline</jrn>
54. J. G. Caporaso, et al., PyNAST: a flexible tool for aligning sequences to a template alignment. Bioinformatics 26, 266-267 (2010). doi:10.1093/bioinformatics/btp636 Medline
55. T. Z. DeSantis, et al., Greengenes, a chimera-checked 16S rRNA gene database and workbench compatible with ARB. Appl. Environ. Microbiol. 72, 5069-5072 (2006). doi:10.1 128/AEM.03006-05 Medline
56. J. R. Cole, et al., The ribosomal database project (RDP-II): introducing myRDP space and quality controlled public data. Nucleic Acids Res. 35, (Database), D169- D172 (2007). doi:10.1093/nar/gkl889 Medline
57. J. G. Caporaso, et al., QIIME allows analysis of high-throughput community sequencing data. Nat. Methods 7, 335-336 (2010). doi:10.1038/nmeth.f.303 Medline
58. J. Kuczynski, E. K. Costello, D. R. Nemergut, J. Zaneveld, C. L. Lauber, D. Knights, O. Koren, et al., Direct sequencing of the human microbiome readily reveals community differences. Genome Biol. 1 1 , 210 (2010). doi:10.1 186/gb-2010-1 1 -5-210 Medline
59. J. G. B. Oksanen, et al. (http://CRAN.R-project.org/package=vegan, 201 1 ), vol. R package version 2.0-2
60. J. J. Faith, et al., Predicting a human gut microbiota's response to diet in gnotobiotic mice. Science 333, 101-104 (201 1 ). doi:10.1 126/science.1206025 Medline
61 . N. P. McNulty, et al., The impact of a consortium of fermented milk strains on the gut microbiome of gnotobiotic mice and monozygotic twins. Sci. Transl. Med. 3,
106ra106 (201 1 ). doi:10.1 126/scitranslmed.3002701 Medline
62. F. E. Rey, et al., Dissecting the in vivo metabolic potential of two human gut acetogens. J. Biol. Chem. 285, 22082-22090 (2010). doi:10.1074/jbc.M1 10.1 17713 Medline
63. B. Langmead, S. L. Salzberg, Fast gapped-read alignment with Bowtie 2. Nat.
Methods 9, 357-359 (2012). doi:10.1038/nmeth.1923 Medline
64. F. Benhamed, et al., The lipogenic transcription factor ChREBP dissociates hepatic steatosis from insulin resistance in mice and humans. J. Clin. Invest. 122, 2176-2194 (2012). doi:10.1 172/JCI41636 Medline
65. A. L. Goodman, et al., Extensive personal human gut microbiota culture collections characterized and manipulated in gnotobiotic mice. Proc. Natl. Acad. Sci. U.S.A. 108, 6252-6257 (201 1 ). doi:10.1073/pnas.1 102938108 Medline
66. A. L. Delcher, et al., Identifying bacterial genes and endosymbiont DNA with
Glimmer. Bioinformatics 23, 673-679 (2007). doi:10.1093/bioinformatics/btm009 Medline
67. T. M. Lowe, S. R. Eddy, tRNAscan-SE: a program for improved detection of transfer RNA genes in genomic sequence. Nucleic Acids Res. 25, 955-964 (1997). Medline
68. K. Lagesen, et al., RNAmmer: consistent and rapid annotation of ribosomal RNA genes. Nucleic Acids Res. 35, 3100-3108 (2007). doi:10.1093/nar/gkm160 Medline
69. B. L. Cantarel, et al., The Carbohydrate-Active EnZymes database (CAZy): an expert resource for Glycogenomics. Nucleic Acids Res. 37, (Database), D233-D238 (2009). doi:10.1093/nar/gkn663 Medline
70. P. Bostrom, et al., A PGC1 -a-dependent myokine that drives brown-fat-like development of white fat and thermogenesis. Nature 481 , 463^168 (2012).
doi:10.1038/nature10777 Medline
71 . P. Seale, et al., PRDM16 controls a brown fat/skeletal muscle switch. Nature 454, 961-967 (2008). doi:10.1038/nature07182 Medline
72. C. Lozupone, R. Knight, UniFrac: a new phylogenetic method for comparing microbial communities. Appl. Environ. Microbiol. 71 , 8228-8235 (2005).
doi:10.1 128/AEM.71 .12.8228-8235.2005 Medline
73. C. A. Lozupone, et al., The convergence of carbohydrate active gene repertoires in human gut microbes. Proc. Natl. Acad. Sci. U.S.A. 105, 15076-15081 (2008).
doi:10.1073/pnas.0807339105 Medline
74. D. Knights, et al., Supervised classification of human microbiota. FEMS Microbiol. Rev. 35, 343-359 (201 1 ). doi:10.1 1 1 1/j.1574-6976.2010.00251 .x Medline
75. M. C. Horner-Devine, B. J. Bohannan, Phylogenetic clustering and overdispersion in bacterial communities. Ecology 87(suppl.), S100-S108 (2006). doi:10.1890/0012- 9658(2006)87[100:PCAOIB]2.0.CO;2 Medline
76. J. P. Furet, et al., Differential adaptation of human gut microbiota to bariatric surgery-induced weight loss: links with metabolic and low-grade inflammation markers. Diabetes 59, 3049-3057 (2010). doi:10.2337/db10-0253 Medline
Table 1. Sequencing statistics for B. cellulosilyticus WH2.
Input data lllumina, unpaired (38-39 nta): 10,000,000
454, unpaired (FLX+/XL+): 333,883
Sanger: 51 ,819
Assembly quality metrics Average coverage: 86.0X
N50: 798,728 bp
N90: 182,301 bp
Largest contig: 1 ,976,684 bp
Smallest contig: 1 ,096 bp
# Contigs: 23
Genome composition Total length: 7,075,241 bp
Plasmids: 2
G/C content: 42.7%
# CDS genes: 5,244
# rRNA (5S/16S/23S) genes: 12 (4/4/4)
# tRNA genes: 64
: read length shown represents length after demultiplexing
Table 2. B. cellulosilyticus WH2 genome features with relevance to carbohydrate metabolism.
A. CAZymes
Carbohydrate Esterases (CEs) [28]
BWH2 3803 CE8
BWH2 3806* CE12-CE8
CE8 [5] BWH2 3850 CE8
BWH2 4227 CE8
BWH2 4229* PL10-CE8
CE9 [1] BWH2 3246 CE9
CE11 [1] BWH2 3876 CE11
BWH2 1517 CE12
BWH2 3396 CE12-CE12
CE12 [4]
BWH2 3806* CE12-CE8
BWH2 3989 CE12
CE15 [1] BWH2 2127 CE15
BWH2 2471 GH2
BWH2 2484 GH2
BWH2 2517 GH2
BWH2 2546 GH2
BWH2 2652 GH2
BWH2 2776 GH2
BWH2 2846 GH2
BWH2 2950 GH2
BWH2 2951 GH2
BWH2 2960 GH2
BWH2 2963 GH2
BWH2 3108 CBM13-GH2
BWH2 3135 GH2
BWH2 3372 GH2
BWH2 3373* GH2-GH43
BWH2 3980 GH2 BWH2 2264 GH13
BWH2 4084 GH2 BWH2 2265 GH13
BWH2 4226 GH2 BWH2 4167 GH13
BWH2 4552 GH2 BWH2 5225 GH13
BWH2 4560 GH2 BWH2 5229 CBM48-GH13
BWH2 4612 GH2 BWH2 1542* GH43-GH16
BWH2 4658 GH2-CBM57 BWH2 1543 GH16
BWH2 4659 GH2 GH16 [5] BWH2 2178 GH16
BWH2 4660 GH2 BWH2 3105 GH16
BWH2 1465 GH3 BWH2 4102 GH16
BWH2 1792 GH3 BWH2 1336 GH18
BWH2 1793 GH3 GH18 [3] BWH2 3249 GH18
BWH2 1885 GH3 BWH2 4015 GH18
BWH2 1889 GH3 BWH2 1688 GH20
BWH2 1890 GH3 BWH2 1964 GH20
BWH2 1993 GH3 BWH2 2181 GH20
BWH2 2103 GH3 GH20 [7] BWH2 3243 GH20-CBM32
BWH2 2123 GH3 BWH2 3244 GH20
BWH2 2143 GH3 BWH2 3444 GH20
BWH2 2253 GH3 BWH2 4095 GH20-CBM32
BWH2 2386 GH3 BWH2 1034 GH23
BWH2 2573 GH3 GH23 [3] BWH2 3686 GH23-CBM50
BWH2 2714 GH3 BWH2 4294 GH23
BWH2 2803 GH3 GH24 [1] BWH2 0228 GH24
GH3 [31] BWH2 2804 GH3 GH25 [1] BWH2 0911 GH25
BWH2 2808 GH3 BWH2 1875 GH26
BWH2 2830 GH3 BWH2 1876 GH26
BWH2 2847 GH3 GH26 [5] BWH2 2845 GH26
BWH2 3028 GH3 BWH2 4058 GH26
BWH2 3055 GH3 BWH2 4061 GH26
BWH2 3107 GH3 BWH2 0665 CBM51-GH27
BWH2 3136 GH3 BWH2 2658 CBM51-GH27
GH27 [4]
BWH2 3292 GH3 BWH2 2660* GH27-GH43-CBM6
BWH2 3367 GH3 BWH2 4237 GH27
BWH2 3408 GH3 BWH2 0849 GH28
BWH2 3415 GH3 BWH2 1115 GH28
BWH2 3854 GH3 BWH2 1118 GH28
BWH2 3967 GH3 BWH2 1520 GH28
BWH2 4104 GH3 BWH2 1732 GH28
BWH2 4224 GH3 BWH2 1927 GH28
BWH2 1881 GH5 BWH2 1934 GH28
BWH2 1882 GH5 BWH2 2109 GH28
BWH2 2387 GH5 BWH2 2141 GH28
GH5 [7] BWH2 2637* GH5-GH43 BWH2 2153 GH28
BWH2 3131 GH5 BWH2 2155 GH28
BWH2 3132 GH5 BWH2 2878 GH28
BWH2 4051 GH5 GH28 [25] BWH2 2925 GH28
BWH2 2829 GH8 BWH2 2953 GH28
GH8 [2]
BWH2 4054 GH8 BWH2 3290 GH28
BWH2 1253* GH9-CE4 BWH2 3291 GH28
GH9 [3] BWH2 1305 GH9 BWH2 3365 GH28
BWH2 2716 GH9 BWH2 3823 GH28
BWH2 0870 GH10 BWH2 3973 GH28
BWH2 1708* GH10-CE1 BWH2 4315 GH28
BWH2 1895* GH43-GH10 BWH2 4553 GH28
BWH2 4049 GH10 BWH2 4556 GH28
GH10 [7]
BWH2 4050 GH10 BWH2 4559 GH28
BWH2 4068* GH10-GH43 BWH2 4570 GH28
GH10-CBM22- BWH2 4648 GH28
BWH2 4072 CBM22-GH10 BWH2 1350 GH29
BWH2 1164 CBM48-GH13 BWH2 1958 GH29
BWH2 1184 GH13 GH29 [9] BWH2 2105 GH29
GH13 [10]
BWH2 2160 GH13 BWH2 2114 GH29
BWH2 2173 GH13 BWH2 2117 GH29
BWH2 2179 GH29-CBM32 BWH2 2654 GH43
BWH2 2825 GH29 BWH2 2656 GH43-CBM6
BWH2 2827 GH29 BWH2 2659 GH43
BWH2 3052 GH29 BWH2 2660* GH27-GH43-CBM6
BWH2 0871 GH30 BWH2 2713 GH43-CBM6
BWH2 1991 GH30 BWH2 2715 GH43
BWH2 2367 GH30 BWH2 2719 GH43-CBM13
BWH2 2388 GH30 BWH2 3036 GH43-CBM32
GH30 [9] BWH2 2540 GH30 BWH2 3295 GH43
BWH2 2545 GH30 BWH2 3333 GH43
BWH2 2547 GH30 BWH2 3373* GH2-GH43
BWH2 2780 GH30 BWH2 3820 GH43
BWH2 2964 GH30 BWH2 4059 GH43
BWH2 1112 GH31 BWH2 4066 GH43
BWH2 2113 GH31 BWH2 4068* GH10-GH43
BWH2 2466 GH31 BWH2 4541 GH43
BWH2 2653 GH31 BWH2 4562 GH43-GH43-GH43
BWH2 2657 GH31 BWH2 4625 GH43
GH31 [10]
BWH2 2980 GH31 BWH2 4999 GH43
BWH2 3134 GH31 BWH2 2189 GH50
GH50 [2]
BWH2 3974 GH31 BWH2 2807 GH50
BWH2 4041 GH31 BWH2 0832 GH51
BWH2 5016 GH31 BWH2 0846 GH51
BWH2 1235 GH32 BWH2 1531 GH51
GH32 [2]
BWH2 1239 GH32 BWH2 1532 GH51
BWH2 3822* GH78-GH33 GH51 [9] BWH2 2407 GH51
GH33 [2]
BWH2 4650* GH78-GH33 BWH2 2647 GH51
BWH2 1515* GH43-GH35-CBM32 BWH2 2781 GH51
GH35 [3] BWH2 3374 GH35 BWH2 3377 GH51
BWH2 4071 GH35 BWH2 4561 GH51
BWH2 0388 GH36 GH53 [1] BWH2 1190 GH53
BWH2 1111 GH36 GH57 [1] BWH2 3997 GH57
GH36 [4]
BWH2 1228 GH36 BWH2 2156 GH63
BWH2 3266 GH36 GH63 [3] BWH2 2236 GH63
GH38 [1] BWH2 2532 GH38-CBM32 BWH2 2465 GH63
GH39 [1] BWH2 3106 GH39 BWH2 1199 GH65
GH65 [2]
BWH2 1464 GH42 BWH2 5024 GH65
GH42 [3] BWH2 2773 GH42 GH66 [1] BWH2 5015 GH66
BWH2 3987 GH42 BWH2 2523 GH67
GH67 [2]
BWH2 0833 GH43 BWH2 4064 GH67
BWH2 0838 GH43 GH73-CBM50-
GH73 [1]
BWH2 1515* GH43-GH35-CBM32 BWH2 4860 CBM50
BWH2 1519 GH43 GH76 [1] BWH2 2519 GH76
BWH2 1529 GH43 CBM20-CBM20-
GH77 [1]
BWH2 1533* GH97-GH43 BWH2 1495 GH77
BWH2 1534 GH43-GH43 BWH2 1753 GH78
BWH2 1538 GH43 BWH2 2115 GH78
BWH2 1542* GH43-GH16 BWH2 2116 GH78
BWH2 1853 GH43-CBM32 BWH2 2787 GH78
BWH2 1895* GH43-GH10 BWH2 2954* PL8-GH78
BWH2 1896 GH43 GH78 [11] BWH2 3103 GH78
BWH2 1940 GH43-CBM32 BWH2 3822* GH78-GH33
GH43 [45]
BWH2 1941 GH43-CBM6 BWH2 4627 GH78
BWH2 1942 GH43-CBM6 BWH2 4647 GH78
BWH2 1943 GH43 BWH2 4650* GH78-GH33
BWH2 1992 GH43 BWH2 4656 GH78
BWH2 1995 GH43 GH79 [1] BWH2 2948 GH79
BWH2 2146 GH43-CBM6 BWH2 0814 GH88
BWH2 2461 GH43 BWH2 1093 GH88
BWH2 2462 GH43 BWH2 1585 GH88
BWH2 2474 GH43 BWH2 2335 GH88
GH88 [8]
BWH2 2572 GH43 BWH2 2372 GH88
BWH2 2637* GH5-GH43 BWH2 2952 GH88
BWH2 2646 GH43 BWH2 4540 GH88
BWH2 2648 GH43 BWH2 4548 GH88
BWH2 2684 GH89 BWH2 2943 GH106
GH89 [2]
BWH2 2922 GH89 BWH2 3288 GH106
BWH2 1768 GH92 BWH2 3289 GH106
BWH2 1994 GH92 BWH2 4609 GH106
BWH2 2879 GH92 GH108 [1] BWH2 3726 GH108
BWH2 2880 GH92 BWH2 0811 GH109
BWH2 2924 GH92 GH109 [3] BWH2 1961 GH109
BWH2 2929 GH92 BWH2 3935 GH109
BWH2 3109 GH92 BWH2 3420 GH1 10
GH92 [14]
BWH2 3110 GH92 GH110 [3] BWH2 3422 GH1 10
BWH2 3414 GH92 BWH2 3425 GH1 10
BWH2 4007 GH92 BWH2 0864 GH1 15
BWH2 4010 GH92 BWH2 1516 GH1 15
GH115 [4]
BWH2 4017 GH92 BWH2 2467 GH1 15
BWH2 4028 GH92 BWH2 4042 GH1 15
BWH2 4031 GH92 GH116 [1] BWH2 1773 GH1 16
BWH2 1088 GH95 GH117 [1] BWH2 2355 GH1 17
BWH2 2009 GH95 GH121 [1] BWH2 4626 GH121
BWH2 2106 GH95 GH125 [1] BWH2 2520 GH125
BWH2 2142 GH95 BWH2 1850 GH127
BWH2 2553 GH95 BWH2 1854 GH127
BWH2 2608 GH95 GH127 [5] BWH2 1860 GH127
GH95 [12]
BWH2 2978 GH95 BWH2 3293 GH127
BWH2 3154 GH95 BWH2 4654 GH127
BWH2 3818 GH95 BWH2 1874 GH130
BWH2 3968 GH95 BWH2 2469 GH130
GH130 [4]
BWH2 4053* CE6-GH95 BWH2 2839 GH130
BWH2 4653 GH95 BWH2 4030 GH130
BWH2 1113 GH97 Glycosyl Transferases (GTs) [84]
BWH2 1114 GH97 BWH2 0166 GT2
BWH2 1533* GH97-GH43 BWH2 0169 GT2
BWH2 1852 GH97 BWH2 0170 GT2
BWH2 2263 GH97 BWH2 0350 GT2
BWH2 2522 GH97 BWH2 0354 GT2
BWH2 2651 GH97 BWH2 0413 GT2
GH97 [15] BWH2 2655 GH97 BWH2 0441 GT2
BWH2 2979 GH97 BWH2 0480 GT2
BWH2 4016 GH97 BWH2 0569 GT2
BWH2 4107 GH97 BWH2 0576 GT2
BWH2 4234 GH97 BWH2 0886 GT2
BWH2 4542 GH97 BWH2 0891 GT2
BWH2 4554 GH97 BWH2 0935 GT2
BWH2 5017 GH97 BWH2 1325 GT2
BWH2 0820 GH105 BWH2 1327 GT2
BWH2 1023 GH105 BWH2 1488 GT2
BWH2 1090 GH105 BWH2 1498 GT2
BWH2 1095 GH105 BWH2 1898 GT2
GT2 [42]
BWH2 1461 GH105 BWH2 2021 GT2
BWH2 1466 GH105 BWH2 2074 GT2
BWH2 1535 GH105 BWH2 2288 GT2
BWH2 1929 GH105 BWH2 2291 GT2
BWH2 1937 GH105 BWH2 2293 GT2
BWH2 1959 GH105 BWH2 2294 GT2
GH105 [20]
BWH2 2468 GH105 BWH2 2295 GT2
BWH2 2472 GH105 BWH2 2890 GT2
BWH2 2521 GH105 BWH2 2896 GT2
BWH2 2607 GH105 BWH2 2898 GT2
BWH2 2962 GH105 BWH2 3666 GT2
BWH2 3443 GH105 BWH2 3718 GT2
BWH2 3802 GH105 BWH2 3720 GT2
BWH2 3978 GH105 BWH2 4355 GT2
BWH2 3988 GH105 BWH2 4688 GT2
BWH2 4652 GH105 BWH2 4690 GT2
BWH2 1936 GH106 BWH2 4692 GT2
GH106 [6]
BWH2 2108 GH106 BWH2 4888 GT2
B. SusC/D homologs
BWH2 1236 SusC-like Paired BWH2 2171 SusD-like Paired
BWH2 1237 SusD-like Paired BWH2 2172 SusC-like Paired
BWH2 1405 SusC-like Unpaired BWH2 2183 SusD-like Paired
BWH2 1456 SusC-like Paired BWH2 2184 SusC-like Paired
BWH2 1457 SusD-like Paired BWH2 2192 SusD-like Paired
BWH2 1521 SusD-like Paired BWH2 2193 SusC-like Paired
BWH2 1522 SusC-like Paired BWH2 2194 SusD-like Paired
BWH2 1539 SusD-like Paired BWH2 2195 SusC-like Paired
BWH2 1540 SusC-like Paired BWH2 2231 SusC-like Paired
BWH2 1545 SusD-like Paired BWH2 2232 SusD-like Paired
BWH2 1546 SusC-like Paired BWH2 2238 SusC-like Unpaired
BWH2 1547 SusD-like Paired BWH2 2267 SusD-like Paired
BWH2 1548 SusC-like Paired BWH2 2268 SusC-like Paired
BWH2 1554 SusD-like Paired BWH2 2348 SusC-like Paired
BWH2 1555 SusC-like Paired BWH2 2349 SusD-like Paired
BWH2 1559 SusD-like Paired BWH2 2351 SusC-like Paired
BWH2 1560 SusC-like Paired BWH2 2352 SusD-like Paired
BWH2 1565 SusC-like Paired BWH2 2369 SusC-like Paired
BWH2 1566 SusD-like Paired BWH2 2370 SusD-like Paired
BWH2 1583 SusC-like Paired BWH2 2418 SusD-like Paired
BWH2 1584 SusD-like Paired BWH2 2419 SusC-like Paired
BWH2 1622 SusD-like Paired BWH2 2440 SusC-like Unpaired
BWH2 1623 SusC-like Paired BWH2 2463 SusD-like Paired
BWH2 1703 SusD-like Paired BWH2 2464 SusC-like Paired
BWH2 1704 SusC-like Paired BWH2 2476 SusD-like Paired
BWH2 1721 SusC-like Paired BWH2 2477 SusC-like Paired
BWH2 1722 SusD-like Paired BWH2 2514 SusC-like Paired
BWH2 1736 SusD-like Paired BWH2 2515 SusD-like Paired
BWH2 1737 SusC-like Paired BWH2 2525 SusC-like Paired
BWH2 1771 SusD-like Paired BWH2 2526 SusD-like Paired
BWH2 1772 SusC-like Paired BWH2 2537 SusC-like Paired
BWH2 1794 SusD-like Paired BWH2 2538 SusD-like Paired
BWH2 1795 SusC-like Paired BWH2 2543 SusC-like Paired
BWH2 1848 SusD-like Paired BWH2 2544 SusD-like Paired
BWH2 1849 SusC-like Paired BWH2 2551 SusD-like Paired
BWH2 1857 SusC-like Paired BWH2 2552 SusC-like Paired
BWH2 1858 SusD-like Paired BWH2 2574 SusC-like Paired
BWH2 1879 SusD-like Paired BWH2 2575 SusD-like Paired
BWH2 1880 SusC-like Paired BWH2 2633 SusC-like Paired
BWH2 1906 SusC-like Unpaired BWH2 2634 SusD-like Paired
BWH2 1922 SusC-like Unpaired BWH2 2696 SusC-like Unpaired
BWH2 1924 SusD-like Paired BWH2 2697 SusC-like Paired
BWH2 1925 SusC-like Paired BWH2 2698 SusD-like Paired
BWH2 1954 SusC-like Paired BWH2 2717 SusD-like Paired
BWH2 1955 SusD-like Paired BWH2 2718 SusC-like Paired
BWH2 1998 SusD-like Unpaired BWH2 2777 SusC-like Paired
BWH2 1999 SusD-like Paired BWH2 2778 SusD-like Paired
BWH2 2000 SusC-like Paired BWH2 2785 SusC-like Paired
BWH2 2001 SusC-like Unpaired BWH2 2786 SusD-like Paired
BWH2 2059 SusD-like Paired BWH2 2792 SusD-like Paired
BWH2 2060 SusC-like Paired BWH2 2793 SusC-like Paired
BWH2 2063 SusD-like Paired BWH2 2805 SusC-like Paired
BWH2 2064 SusC-like Paired BWH2 2806 SusD-like Paired
BWH2 2066 SusC-like Paired BWH2 2823 SusC-like Unpaired
BWH2 2067 SusD-like Paired BWH2 2840 SusC-like Paired
BWH2 2101 SusC-like Paired BWH2 2841 SusD-like Paired
BWH2 2102 SusD-like Paired BWH2 2862 SusC-like Paired
BWH2 2110 SusD-like Paired BWH2 2864 SusD-like Paired
BWH2 2111 SusC-like Paired BWH2 2881 SusD-like Paired
BWH2 2121 SusC-like Paired BWH2 2882 SusC-like Paired
BWH2 2122 SusD-like Paired BWH2 2930 SusD-like Paired
BWH2 2144 SusD-like Paired BWH2 2931 SusC-like Paired
BWH2 2145 SusC-like Paired BWH2 2945 SusC-like Paired
BWH2 2157 SusC-like Paired BWH2 2946 SusD-like Paired
BWH2 2965 SusD-like Paired BWH2 4011 SusC-like Paired
BWH2 2966 SusC-like Paired BWH2 4012 SusD-like Paired
BWH2 2983 SusD-like Paired BWH2 4044 SusC-like Paired
BWH2 2984 SusC-like Paired BWH2 4045 SusD-like Paired
BWH2 3029 SusC-like Paired BWH2 4046 SusC-like Paired
BWH2 3030 SusD-like Paired BWH2 4047 SusD-like Paired
BWH2 3047 SusC-like Paired BWH2 4062 SusD-like Paired
BWH2 3048 SusD-like Paired BWH2 4063 SusC-like Paired
BWH2 3086 SusC-like Paired BWH2 4074 SusD-like Paired
BWH2 3087 SusD-like Paired BWH2 4075 SusC-like Paired
BWH2 3088 SusD-like Paired BWH2 4099 SusC-like Paired
BWH2 3089 SusC-like Paired BWH2 4100 SusD-like Paired
BWH2 3099 SusC-like Paired BWH2 4162 SusC-like Unpaired
BWH2 3100 SusD-like Paired BWH2 4163 SusC-like Unpaired
BWH2 3120 SusC-like Unpaired BWH2 4174 SusC-like Unpaired
BWH2 3121 SusC-like Paired BWH2 4239 SusD-like Paired
BWH2 3122 SusD-like Paired BWH2 4240 SusC-like Paired
BWH2 3252 SusD-like Paired BWH2 4401 SusC-like Unpaired
BWH2 3253 SusC-like Paired BWH2 4476 SusC-like Paired
BWH2 3264 SusC-like Paired BWH2 4477 SusD-like Paired
BWH2 3265 SusD-like Paired BWH2 4517 SusC-like Unpaired
BWH2 3286 SusC-like Paired BWH2 4550 SusC-like Paired
BWH2 3287 SusD-like Paired BWH2 4551 SusD-like Paired
BWH2 3303 SusC-like Unpaired BWH2 4572 SusD-like Paired
BWH2 3370 SusC-like Paired BWH2 4573 SusC-like Paired
BWH2 3371 SusD-like Paired BWH2 4579 SusD-like Paired
BWH2 3393 SusC-like Unpaired BWH2 4580 SusC-like Paired
BWH2 3404 SusC-like Paired BWH2 4620 SusC-like Unpaired
BWH2 3405 SusD-like Paired BWH2 4621 SusC-like Paired
BWH2 3417 SusC-like Paired BWH2 4622 SusD-like Paired
BWH2 3418 SusD-like Paired BWH2 4761 SusC-like Unpaired
BWH2 3441 SusC-like Paired BWH2 4855 SusC-like Unpaired
BWH2 3442 SusD-like Paired BWH2 4863 SusC-like Unpaired
BWH2 3485 SusD-like Paired BWH2 5012 SusC-like Paired
BWH2 3486 SusC-like Paired BWH2 5013 SusD-like Paired
BWH2 3566 SusD-like Paired BWH2 5120 SusC-like Paired
BWH2 3567 SusC-like Paired BWH2 5121 SusD-like Paired
BWH2 3569 SusC-like Paired
BWH2 3570 SusD-like Paired
BWH2 3573 SusC-like Paired
BWH2 3574 SusD-like Paired
BWH2 3576 SusC-like Paired
BWH2 3577 SusD-like Paired
BWH2 3578 SusC-like Paired
BWH2 3579 SusD-like Paired
BWH2 3650 SusC-like Unpaired
BWH2 3775 SusC-like Unpaired
BWH2 3808 SusC-like Paired
BWH2 3809 SusD-like Paired
BWH2 3816 SusD-like Paired
BWH2 3817 SusC-like Paired
BWH2 3848 SusC-like Unpaired
BWH2 3851 SusC-like Paired
BWH2 3852 SusD-like Paired
BWH2 3857 SusC-like Paired
BWH2 3858 SusD-like Paired
BWH2 3869 SusC-like Unpaired
BWH2 3871 SusC-like Unpaired
BWH2 3964 SusC-like Paired
BWH2 3965 SusD-like Paired
BWH2 3969 SusC-like Paired
BWH2 3970 SusD-like Paired
BWH2 3981 SusD-like Paired
BWH2 3982 SusC-like Paired
BWH2 3984 SusC-like Unpaired
C. PULs
PUL
# Locus Description Notes
BWH2_0843 L-arabinose isomerase
BWH2_0844 Pentulose/hexulose kinase (XylB-like
protein)
BWH2_0845 Hypothetical protein
BWH2 0846 Glycoside hydrolase 51 (GH51 ) (AbfA-like 2 activities (a-L-arabinofuranosidase, endoglucanase) are protein) currently known for GH51 family members.
BWH2_0863 Hybrid two-component system (HTCS)
regulatory protein
BWH2_0864 Hypothetical protein
BWH2_0865 SusC-like protein Member of dual SusC/D cassette
BWH2_0866 SusD-like protein Member of dual SusC/D cassette
BWH2 0867 SusC-like protein Member of dual SusC/D cassette
BWH2_0868 SusD-like protein Member of dual SusC/D cassette
BWH2_0869 Hypothetical protein Domain of unknown function has been found in bacterial acylhydrolases
BWH2_0870 Glycoside hydrolase 10 (GH10) 2 activities (endo-1 ,4-b-xylanase, endo-1 ,3-b-xylanase) are currently known for GH10 family members.
BWH2_0871 Glycoside hydrolase 30 (GH30) 6 activities are currently known for GH30 family members.
BWH2 1004 SusD-like protein Forms pair with neighboring SusC-like protein
BWH2_1005 SusC-like protein Forms pair with neighboring SusD-like protein; appears to be missing some of the domains found in SusC-like proteins
BWH2_1011 SusD-like protein Forms pair with neighboring SusC-like protein
BWH2 1012 SusC-like protein Forms pair with neighboring SusD-like protein
BWH2 1023 Glycoside hydrolase 105 (GH105) 1 activity (unsaturated rhamnogalacturonyl hydrolase) is currently known for GH105 family members.
BWH2 1024 Polysaccharide lyase 1 (PL1 ) 3 activities (pectate lyase, exo-pectate lyase, pectin lyase) are currently known for PL1 family members.
BWH2 1025 Hypothetical protein
BWH2_1026 SusD-like protein Forms pair with neighboring SusC-like protein
BWH2 1027 SusC-like protein Forms pair with neighboring SusD-like protein
BWH2 1028 FecR-like protein Potentially acts as an anti-sigma factor; may form sigma:anti- sigma pair with BWH2 1029
BWH2 1029 RNA polymerase sigma factor, sigma-70 May form sigma:anti-sigma pair with BWH2_1028
family
BWH2_1041 SusD-like protein Forms pair with neighboring SusC-like protein
BWH2_1042 SusC-like protein Forms pair with neighboring SusD-like protein
BWH2_1065 Putative alpha/beta hydrolase
BWH2_1066 Glycoside hydrolase 2 (GH2) 5 activities are currently known for GH2 family members.
BWH2_1067 Hypothetical protein
BWH2_1068 SusC-like protein Forms pair with neighboring SusD-like protein
BWH2_1069 SusD-like protein Forms pair with neighboring SusC-like protein
BWH2 1070 Hypothetical protein
BWH2_1071 Hypothetical protein
BWH2_1072 Hypothetical protein
BWH2_1073 SusC-like protein
BWH2_1074 SusD-like protein
BWH2_1075 Hypothetical protein
BWH2 1078 Hypothetical protein
BWH2 1079 Hypothetical protein
BWH2_1080 Hypothetical protein
BWH2_1081 Hypothetical protein
BWH2_1082 Hypothetical protein Contains TonB-dependent receptor plug domain
BWH2_1083 Hypothetical protein
BWH2_1084 Hypothetical protein
BWH2_1085 SusD-like protein Forms pair with neighboring SusC-like protein
BWH2 1086 SusC-like protein Forms pair with neighboring SusD-like protein
BWH2_1183 Hypothetical protein
BWH2_1184 Glycoside hydrolase 13 (GH13) 22 activities are currently known for GH13 family members.
BWH2_1185 Hypothetical protein
BWH2_1186 SusE-like protein
BWH2 1187 SusD-like protein Forms pair with neighboring SusC-like protein
BWH2_1188 SusC-like protein Forms pair with neighboring SusD-like protein
BWH2 1189 Glycoside hydrolase 2 (GH2) 5 activities are currently known for GH2 family members.
BWH2 1190 Glycoside hydrolase 53 (GH53) 1 activity (endo-b-1 ,4-galactanase) is currently known for GH53 family members.
BWH2 1191 Hypothetical protein
BWH2_1232 Ribokinase
BWH2 1233 Fucose permease (FucP-like protein)
BWH2_1234 Gal -like protein
BWH2_1235 Glycoside hydrolase 32 (GH32) 12 activities are currently known for GH32 family members.
BWH2 1236 SusC-like protein Forms pair with neighboring SusD-like protein
BWH2_1237 SusD-like protein Forms pair with neighboring SusC-like protein
BWH2_1238 Hypothetical protein
BWH2 1239 Glycoside hydrolase 32 (GH32) 12 activities are currently known for GH32 family members.
BWH2_1455 Hypothetical protein
BWH2_1456 SusC-like protein Forms pair with neighboring SusD-like protein
BWH2_1457 SusD-like protein Forms pair with neighboring SusC-like protein
BWH2_1458 Hypothetical protein
BWH2 1459 Hybrid two-component system (HTCS)
regulatory protein
BWH2_1460 Hypothetical protein
BWH2_1461 Glycoside hydrolase 105 (GH105) 1 activity (unsaturated rhamnogalacturonyl hydrolase) is currently known for GH105 family members.
BWH2 1462 Hypothetical protein
BWH2_1463 Hypothetical protein
BWH2_1464 Glycoside hydrolase 42 (GH42) 1 activity (b-galactosidase) is currently known for GH42 family members.
BWH2_1465 Glycoside hydrolase 3 (GH3) 7 activities are currently known for GH3 family members.
BWH2_1466 Glycoside hydrolase 105 (GH105) 1 activity (unsaturated rhamnogalacturonyl hydrolase) is currently known for GH105 family members.
BWH2 1516 Glycoside hydrolase 115 (GH115) 2 activities (xylan a-1 ,2-glucuronidase, a-(4-0-methyl)- glucuronidase) are currently known for GH115 family members.
BWH2 1517 Carbohydrate esterase 12 (CE12) 3 activities (pectin acetylesterase, rhamnogalacturonan
acetylesterase, acetyl xylan esterase) are currently known for CE12 family members.
BWH2 1518 Hypothetical protein
BWH2 1519 Glycoside hydrolase 43 (GH43) 6 activities are currently known for GH43 family members.
BWH2_1520 Glycoside hydrolase 28 (GH28) 6 activities are currently known for GH28 family members.
BWH2 1521 SusD-like protein Forms pair with neighboring SusC-like protein
BWH2 1522 SusC-like protein Forms pair with neighboring SusD-like protein
BWH2_1529 Glycoside hydrolase 43 (GH43) 6 activities are currently known for GH43 family members.
BWH2 1530 Glycoside hydrolase 2 (GH2) 5 activities are currently known for GH2 family members.
BWH2 1531 Glycoside hydrolase 51 (GH51 ) 2 activities (a-L-arabinofuranosidase, endoglucanase) are currently known for GH51 family members.
BWH2 1532 Glycoside hydrolase 51 (GH51 ) 2 activities (a-L-arabinofuranosidase, endoglucanase) are currently known for GH51 family members.
BWH2_1533 Glycoside hydrolase 97 (GH97) / 2 activities (a-glucosidase, a-galactosidase) are currently known
Glycoside hydrolase 43 (GH43) for GH97 family members. 6 activities are currently known for
GH43 family members.
BWH2_1534 Glycoside hydrolase 43 (GH43) / 6 activities are currently known for GH43 family members.
Glycoside hydrolase 43 (GH43)
BWH2 1535 Glycoside hydrolase 105 (GH105) 1 activity (unsaturated rhamnogalacturonyl hydrolase) is currently known for GH105 family members.
BWH2 1536 Hypothetical protein
BWH2_1537 Conserved bacterial protein of unknown
function
BWH2 1538 Glycoside hydrolase 43 (GH43) 6 activities are currently known for GH43 family members.
BWH2 1539 SusD-like protein Forms pair with neighboring SusC-like protein
BWH2_1540 SusC-like protein Forms pair with neighboring SusD-like protein
BWH2_1541 Hybrid two-component system (HTCS)
regulatory protein
BWH2_1542 Glycoside hydrolase 43 (GH43) / 6 activities are currently known for GH43 family members. 10
Glycoside hydrolase 16 (GH16) activities are currently known for GH16 family members.
BWH2_1543 Glycoside hydrolase 16 (GH16) 10 activities are currently known for GH16 family members.
BWH2_1544 Hypothetical protein with a carbohydrate
binding module (CBM32)
BWH2 1545 SusD-like protein Forms pair with neighboring SusC-like protein
BWH2 1546 SusC-like protein Forms pair with neighboring SusD-like protein
BWH2_1547 SusD-like protein Forms pair with neighboring SusC-like protein
BWH2 1548 SusC-like protein Forms pair with neighboring SusD-like protein
BWH2 1549 Hypothetical protein
BWH2 1550 Hybrid two-component system (HTCS)
regulatory protein
BWH2_1554 SusD-like protein Forms pair with neighboring SusC-like protein
BWH2 1555 SusC-like protein Forms pair with neighboring SusD-like protein
BWH2 1556 Hypothetical protein BACON domain may suggest a role for this protein in binding mucin
BWH2 1557 Conserved bacterial protein of unknown
function
BWH2 1558 Hypothetical protein
BWH2_1559 SusD-like protein Forms pair with neighboring SusC-like protein
BWH2 1560 SusC-like protein Forms pair with neighboring SusD-like protein
BWH2 1562 RNA polymerase sigma factor, sigma-70 May form sigma:anti-sigma pair with BWH2 1564
family
BWH2 1563 Hypothetical protein
BWH2_1564 FecR-like protein Potentially acts as an anti-sigma factor; may form sigma:anti- sigma pair with BWH2 1562
BWH2_1565 SusC-like protein Forms pair with neighboring SusD-like protein
BWH2 1566 SusD-like protein Forms pair with neighboring SusC-like protein
BWH2 1581 Hybrid two-component system (HTCS)
regulatory protein
BWH2 1582 Gal -like protein
BWH2_1583 SusC-like protein Forms pair with neighboring SusD-like protein
BWH2 1584 SusD-like protein Forms pair with neighboring SusC-like protein
BWH2_1585 Glycoside hydrolase 88 (GH88) 1 activity (d-4,5-unsaturated b-glucuronyl hydrolase) is currently known for GH88 family members.
BWH2_1586 Polysaccharide lyase 12 (PL12) 1 activity (heparin-sulfate lyase) is currently known for PL12 family members.
BWH2_1587 Arylsulfatase A or related enzyme (AslA- like protein)
BWH2 1588 Hypothetical protein
BWH2_1589 Hypothetical protein
BWH2 1590 Transcriptional regulator/sugar
kinase (NagC-like protein)
BWH2 1591 Fucose permease (FucP-like protein)
BWH2 1592 Polysaccharide lyase 15 (PL15) 1 activity (oligoalginate lyase) is currently known for PL15 family members.
BWH2 1593 Arylsulfatase A or related enzyme (AslA- like protein)
BWH2_1618 Transcriptional regulator
BWH2_1619 Glycoside hydrolase 2 (GH2) 5 activities are currently known for GH2 family members.
BWH2 1620 Transcriptional regulator/sugar
kinase (NagC-like protein)
BWH2_1621 Hypothetical protein
BWH2_1622 SusD-like protein Forms pair with neighboring SusC-like protein
BWH2_1623 SusC-like protein Forms pair with neighboring SusD-like protein
BWH2 1700 Glycoside hydrolase 2 (GH2) 5 activities are currently known for GH2 family members.
BWH2_1701 Putative glycoside hydrolase 2 (GH2)
BWH2_1702 Hypothetical protein
BWH2_1703 SusD-like protein Forms pair with neighboring SusC-like protein
BWH2_1704 SusC-like protein Forms pair with neighboring SusD-like protein
BWH2 1718 tRNA-specific 2-thiouridylase (MnmA-like
protein)
BWH2 1719 Hypothetical protein
BWH2 1720 Arylsulfatase A or related enzyme (AslA- like protein)
BWH2_1721 SusC-like protein Forms pair with neighboring SusD-like protein
BWH2_1722 SusD-like protein Forms pair with neighboring SusC-like protein
BWH2 1723 Conserved bacterial protein of unknown
function
BWH2 1736 SusD-like protein Forms pair with neighboring SusC-like protein
BWH2 1737 SusC-like protein Forms pair with neighboring SusD-like protein
BWH2 1768 Glycoside hydrolase 92 (GH92) 7 activities are currently known for GH92 family members.
BWH2 1769 Hypothetical protein Contains GxGYxYP, but is of unknown function. Associated families are sugar-processing domains.
BWH2 1770 Conserved Bacteroidetes protein of
unknown function
BWH2 1771 SusD-like protein Forms pair with neighboring SusC-like protein
BWH2 1772 SusC-like protein Forms pair with neighboring SusD-like protein
BWH2_1773 Glycoside hydrolase 116 (GH116) 3 activities (acid b-glucosidase, b-glucosidase, b-xylosidase) are currently known for GH116 family members.
BWH2_1774 Putative response regulator protein
BWH2 1792 Glycoside hydrolase 3 (GH3) 7 activities are currently known for GH3 family members.
BWH2 1793 Glycoside hydrolase 3 (GH3) 7 activities are currently known for GH3 family members.
BWH2 1794 SusD-like protein Forms pair with neighboring SusC-like protein
BWH2 1795 SusC-like protein Forms pair with neighboring SusD-like protein
BWH2_1796 Hypothetical protein
BWH2 1797 Hybrid two-component system (HTCS)
regulatory protein
BWH2_1848 SusD-like protein Forms pair with neighboring SusC-like protein
BWH2 1849 SusC-like protein Forms pair with neighboring SusD-like protein
BWH2_1857 SusC-like protein Forms pair with neighboring SusD-like protein
BWH2 1858 SusD-like protein Forms pair with neighboring SusC-like protein
BWH2 1859 Hypothetical protein
BWH2_1860 Glycoside hydrolase 127 (GH127) 1 activity (b-L-arabinofuranosidase) is currently known for GH127 family members.
BWH2_1871 GDSL-like lipase/acylhydrolase
BWH2 1872 N-acyl-D-glucosamine 2-epimerase
BWH2_1873 MFS/sugar transport protein
BWH2_1874 Glycoside hydrolase 130 (GH130) 1 activity (1-b-D-mannopyranosyl-4-D-glucopyranose:phosphate a- D-mannosyltransferase) is currently known for GH130 family members.
BWH2_1875 Glycoside hydrolase 26 (GH26) 2 activities (b-mannanase, b-1 ,3-xylanase) are currently known for
GH26 family members.
BWH2_1876 Glycoside hydrolase 26 (GH26) 2 activities (b-mannanase, b-1 ,3-xylanase) are currently known for
GH26 family members.
BWH2_1877 Hypothetical protein
BWH2 1878 Hypothetical protein
BWH2 1879 SusD-like protein Forms pair with neighboring SusC-like protein
BWH2_1880 SusC-like protein Forms pair with neighboring SusD-like protein
BWH2 1881 Glycoside hydrolase 5 (GH5) 18 activities are currently known for GH5 family members.
BWH2 1882 Glycoside hydrolase 5 (GH5) 18 activities are currently known for GH5 family members.
BWH2_1883 Carbohydrate esterase 7 (CE7) 2 activities (acetyl xylan esterase, cephalosporin-C deacetylase) are currently known for CE7 family members.
BWH2_1884 AraC-type DNA-binding domain-containing
protein
BWH2_1885 Glycoside hydrolase 3 (GH3) 7 activities are currently known for GH3 family members.
BWH2 1923 Polysaccharide lyase 1 (PL1 ) 3 activities (pectate lyase, exo-pectate lyase, pectin lyase) are currently known for PL1 family members.
BWH2 2104 Hypothetical protein
BWH2_2105 Glycoside hydrolase 29 (GH29) 2 activities (a-L-fucosidase, a-1 ,3/1 ,4-L-fucosidase) are currently known for GH29 family members.
BWH2_2106 Glycoside hydrolase 95 (GH95) 2 activities (a-1 ,2-L-fucosidase, a-L-fucosidase) are currently known for GH95 family members.
BWH2 2107 Conserved bacterial protein of unknown
function
BWH2_2108 Glycoside hydrolase 106 (GH106) 1 activity (a-L-rhamnosidase) is currently known for GH106 family members.
BWH2_2109 Glycoside hydrolase 28 (GH28) 6 activities are currently known for GH28 family members.
BWH2 2110 SusD-like protein Forms pair with neighboring SusC-like protein
BWH2 2111 SusC-like protein Forms pair with neighboring SusD-like protein
BWH2 2121 SusC-like protein Forms pair with neighboring SusD-like protein
BWH2 2122 SusD-like protein Forms pair with neighboring SusC-like protein
BWH2 2123 Glycoside hydrolase 3 (GH3) 7 activities are currently known for GH3 family members.
BWH2 2124 Hypothetical protein Contains Exonuclease-Endonuclease-Phosphatase (EEP) domain
BWH2 2125 Hypothetical protein
BWH2 2126 Hypothetical protein Contains domain with homology to region 4 of Sigma-70
BWH2 2143 Glycoside hydrolase 3 (GH3) 7 activities are currently known for GH3 family members.
BWH2 2144 SusD-like protein Forms pair with neighboring SusC-like protein
BWH2_2145 SusC-like protein Forms pair with neighboring SusD-like protein
BWH2 2147 Hybrid two-component system (HTCS)
regulatory protein
BWH2 2152 Hybrid two-component system (HTCS)
regulatory protein
BWH2 2153 Glycoside hydrolase 28 (GH28) 6 activities are currently known for GH28 family members.
BWH2 2154 Putative xylose isomerase Contains xylose isomerase-like TIM barrel domain
BWH2_2155 Glycoside hydrolase 28 (GH28) 6 activities are currently known for GH28 family members.
BWH2 2156 Glycoside hydrolase 63 (GH63) 3 activities (processing a-glucosidase, a-1,3-glucosidase, a- glucosidase) are currently known for GH63 family members.
BWH2 2157 SusC-like protein Forms pair with neighboring SusD-like protein
BWH2 2158 SusD-like protein Forms pair with neighboring SusC-like protein
BWH2_2159 SusE-like protein
BWH2 2160 Glycoside hydrolase 13 (GH13) 22 activities are currently known for GH13 family members.
BWH2 2168 RNA polymerase sigma factor, sigma-70
family
BWH2 2169 RNA polymerase sigma factor (RpoE-like
protein)
BWH2 2170 Arylsulfatase A or related enzyme (AslA- like protein)
BWH2 2171 SusD-like protein Forms pair with neighboring SusC-like protein
BWH2_2172 SusC-like protein Forms pair with neighboring SusD-like protein
BWH2 2173 Glycoside hydrolase 13 (GH13) 22 activities are currently known for GH13 family members.
BWH2 2174 Arylsulfatase A or related enzyme (AsIA- like protein)
BWH2 2175 Arylsulfatase A or related enzyme (AslA- like protein)
BWH2 2176 Glycoside hydrolase 13 (GH13) 22 activities are currently known for GH13 family members.
BWH2_2177 Hypothetical protein
BWH2 2178 Glycoside hydrolase 16 (GH16) 10 activities are currently known for GH16 family members.
BWH2 2179 Glycoside hydrolase 29 (GH29) with a 2 activities (a-L-fucosidase, a-1 ,3/1 ,4-L-fucosidase) are currently carbohydrate binding module (CBM32) known for GH29 family members.
BWH2 2180 Glycoside hydrolase 2 (GH2) 5 activities are currently known for GH2 family members.
BWH2_2181 Glycoside hydrolase 20 (GH20) 4 activities are currently known for GH20 family members.
BWH2 2182 Arylsulfatase A or related enzyme (AsIA- like protein)
BWH2 2183 SusD-like protein Forms pair with neighboring SusC-like protein
BWH2 2184 SusC-like protein Forms pair with neighboring SusD-like protein
BWH2_2185 Hybrid two-component system (HTCS)
regulatory protein
BWH2_2186 Hypothetical protein
BWH2 2187 Hypothetical protein
BWH2_2188 Conserved bacterial protein of unknown
function
BWH2 2189 Glycoside hydrolase 50 (GH50) 1 activity (b-agarase) is currently known for GH50 family members.
BWH2 2190 Putative glycoside hydrolase 43 (GH43)
BWH2 2191 Hypothetical protein
BWH2 2192 SusD-like protein Member of dual SusC/D cassette
BWH2 2193 SusC-like protein Member of dual SusC/D cassette
BWH2_2194 SusD-like protein Member of dual SusC/D cassette
BWH2 2195 SusC-like protein Member of dual SusC/D cassette
BWH2 2196 Hybrid two-component system (HTCS)
regulatory protein
BWH2 2231 SusC-like protein Forms pair with neighboring SusD-like protein
BWH2_2232 SusD-like protein Forms pair with neighboring SusC-like protein
BWH2 2233 Hypothetical protein DUF340 domain suggests this protein likely spans a cell
membrane
BWH2 2234 Hypothetical protein DUF340 domain suggests this protein likely spans a cell
membrane
BWH2 2235 Glycoside hydrolase 2 (GH2) 5 activities are currently known for GH2 family members.
BWH2 2236 Glycoside hydrolase 63 (GH63) 3 activities (processing a-glucosidase, a-1,3-glucosidase, a- glucosidase) are currently known for GH63 family members.
BWH2 2263 Glycoside hydrolase 97 (GH97) 2 activities (a-glucosidase, a-galactosidase) are currently known for GH97 family members.
BWH2 2264 Glycoside hydrolase 13 (GH13) 22 activities are currently known for GH13 family members.
BWH2 2265 Glycoside hydrolase 13 (GH13) 22 activities are currently known for GH13 family members.
BWH2 2266 Hypothetical protein
BWH2 2267 SusD-like protein Forms pair with neighboring SusC-like protein
BWH2_2268 SusC-like protein Forms pair with neighboring SusD-like protein
BWH2 2346 Hybrid two-component system (HTCS)
regulatory protein
BWH2_2347 Arylsulfatase A or related enzyme (AslA- like protein)
BWH2 2348 SusC-like protein Member of dual SusC/D cassette
BWH2 2349 SusD-like protein Member of dual SusC/D cassette
BWH2_2350 Polysaccharide lyase 8 (PL8) 4 activities are currently known for PL8 family members.
BWH2 2351 SusC-like protein Member of dual SusC/D cassette
BWH2 2352 SusD-like protein Member of dual SusC/D cassette
BWH2_2367 Glycoside hydrolase 30 (GH30) 6 activities are currently known for GH30 family members.
BWH2 2368 Hypothetical protein
BWH2 2369 SusC-like protein Forms pair with neighboring SusD-like protein
BWH2 2370 SusD-like protein Forms pair with neighboring SusC-like protein
BWH2 2371 Glycoside hydrolase 2 (GH2) 5 activities are currently known for GH2 family members.
BWH2 2372 Glycoside hydrolase 88 (GH88) 1 activity (d-4,5-unsaturated b-glucuronyl hydrolase) is currently known for GH88 family members.
BWH2 2418 SusD-like protein Forms pair with neighboring SusC-like protein
BWH2 2419 SusC-like protein Forms pair with neighboring SusD-like protein
BWH2 2420 Hybrid two-component system (HTCS)
regulatory protein
BWH2 2460 Putative LanC-like protein
BWH2_2461 Glycoside hydrolase 43 (GH43) 6 activities are currently known for GH43 family members.
BWH2 2462 Glycoside hydrolase 43 (GH43) 6 activities are currently known for GH43 family members.
BWH2 2463 SusD-like protein Forms pair with neighboring SusC-like protein
BWH2_2464 SusC-like protein Forms pair with neighboring SusD-like protein
BWH2 2465 Glycoside hydrolase 63 (GH63) 3 activities (processing a-glucosidase, a-1,3-glucosidase, a- glucosidase) are currently known for GH63 family members.
BWH2 2466 Glycoside hydrolase 31 (GH31 ) 6 activities are currently known for GH31 family members.
BWH2_2467 Glycoside hydrolase 115 (GH115) 2 activities (xylan a-1 ,2-glucuronidase, a-(4-0-methyl)- glucuronidase) are currently known for GH115 family members.
BWH2 2468 Glycoside hydrolase 105 (GH105) 1 activity (unsaturated rhamnogalacturonyl hydrolase) is currently known for GH105 family members.
BWH2 2469 Glycoside hydrolase 130 (GH130) 1 activity (1-b-D-mannopyranosyl-4-D-glucopyranose:phosphate a- D-mannosyltransferase) is currently known for GH130 family members.
BWH2 2470 FAD dependent oxidoreductase
BWH2_2471 Glycoside hydrolase 2 (GH2) 5 activities are currently known for GH2 family members.
BWH2 2472 Glycoside hydrolase 105 (GH105) 1 activity (unsaturated rhamnogalacturonyl hydrolase) is currently known for GH105 family members.
BWH2 2473 Hybrid two-component system (HTCS)
regulatory protein
BWH2 2474 Glycoside hydrolase 43 (GH43) 6 activities are currently known for GH43 family members.
BWH2 2475 Arylsulfatase A or related enzyme (AsIA- like protein)
BWH2 2476 SusD-like protein Forms pair with neighboring SusC-like protein
BWH2_2477 SusC-like protein Forms pair with neighboring SusD-like protein
BWH2 2510 Sugar kinase, ribokinase family
BWH2 2511 Putative permease
BWH2_2512 Hypothetical protein
BWH2 2513 Hypothetical protein BACON domain may suggest a role for this protein in binding mucin
BWH2 2514 SusC-like protein Forms pair with neighboring SusD-like protein
BWH2 2515 SusD-like protein Forms pair with neighboring SusC-like protein
BWH2_2516 Putative glycoside hydrolase
BWH2 2517 Glycoside hydrolase 2 (GH2) 5 activities are currently known for GH2 family members.
BWH2 2518 Putative nucleoside hydrolase
BWH2 2519 Glycoside hydrolase 76 (GH76) 1 activity (a-1 ,6-mannanase) is currently known for GH76 family members.
BWH2 2520 Glycoside hydrolase 125 (GH125) 1 activity (exo-a-1 ,6-mannosidase) is currently known for GH125 family members.
BWH2 2521 Glycoside hydrolase 105 (GH105) 1 activity (unsaturated rhamnogalacturonyl hydrolase) is currently known for GH105 family members.
BWH2_2522 Glycoside hydrolase 97 (GH97) 2 activities (a-glucosidase, a-galactosidase) are currently known for GH97 family members.
BWH2_2523 Glycoside hydrolase 67 (GH67) 2 activities (a-glucuronidase, xylan a-1 ,2-glucuronidase) are currently known for GH67 family members.
BWH2_2524 Hypothetical protein
BWH2 2525 SusC-like protein Forms pair with neighboring SusD-like protein
BWH2 2526 SusD-like protein Forms pair with neighboring SusC-like protein
BWH2_2535 Hybrid two-component system (HTCS)
regulatory protein
BWH2_2536 Hypothetical protein
BWH2 2537 SusC-like protein Forms pair with neighboring SusD-like protein
BWH2 2538 SusD-like protein Forms pair with neighboring SusC-like protein
BWH2_2539 Conserved bacterial protein of unknown
function
BWH2_2540 Glycoside hydrolase 30 (GH30) 6 activities are currently known for GH30 family members.
BWH2 2541 Hybrid two-component system (HTCS)
regulatory protein
BWH2 2542 Hypothetical protein
BWH2 2543 SusC-like protein Forms pair with SusD-like protein
BWH2_2544 SusD-like protein Forms pair with SusC-like protein
BWH2 2545 Glycoside hydrolase 30 (GH30) 6 activities are currently known for GH30 family members.
BWH2 2551 SusD-like protein Forms pair with SusC-like protein
BWH2 2552 SusC-like protein Forms pair with SusD-like protein
BWH2 2553 Glycoside hydrolase 95 (GH95) 2 activities (a-1 ,2-L-fucosidase, a-L-fucosidase) are currently known for GH95 family members.
BWH2 2554 Hybrid two-component system (HTCS)
regulatory protein
BWH2 2571 Hybrid two-component system (HTCS)
regulatory protein
BWH2 2572 Glycoside hydrolase 43 (GH43) 6 activities are currently known for GH43 family members.
BWH2 2573 Glycoside hydrolase 3 (GH3) 7 activities are currently known for GH3 family members.
Bacteroides expansion family 1
BWH2 2802 Hybrid two-component system (HTCS)
regulatory protein
BWH2 2803 Glycoside hydrolase 3 (GH3) 7 activities are currently known for GH3 family members.
BWH2 2804 Glycoside hydrolase 3 (GH3) 7 activities are currently known for GH3 family members.
BWH2 2805 SusC-like protein Forms pair with SusD-like protein
BWH2 2806 SusD-like protein Forms pair with SusC-like protein
BWH2 2807 Glycoside hydrolase 50 (GH50) 1 activity (b-agarase) is currently known for GH50 family members.
BWH2 2808 Glycoside hydrolase 3 (GH3) 7 activities are currently known for GH3 family members.
BWH2_2837 Putative response regulator
BWH2 2838 Putative transporter
BWH2 2839 Glycoside hydrolase 130 (GH130) 1 activity (1-b-D-mannopyranosyl-4-D-glucopyranose:phosphate a- D-mannosyltransferase) is currently known for GH130 family members.
BWH2 2840 SusC-like protein Forms pair with SusD-like protein
BWH2 2841 SusD-like protein Forms pair with SusC-like protein
BWH2 2842 Hypothetical protein
BWH2 2843 Hypothetical protein
BWH2_2844 Hypothetical protein
BWH2 2845 Glycoside hydrolase 26 (GH26) 2 activities (b-mannanase, b-1 ,3-xylanase) are currently known for
GH26 family members.
BWH2 2846 Glycoside hydrolase 2 (GH2) 5 activities are currently known for GH2 family members.
BWH2 2847 Glycoside hydrolase 3 (GH3) 7 activities are currently known for GH3 family members.
BWH2_2856 Putative sulfatase
BWH2 2857 Transcriptional regulator (PurR-like
protein)
BWH2 2858 L-fucose isomerase
BWH2 2859 Hypothetical protein
BWH2_2860 Fucose permease
BWH2 2861 Hypothetical protein
BWH2 2862 SusC-like protein Forms pair with SusD-like protein
BWH2 2864 SusD-like protein Forms pair with SusC-like protein
BWH2 2878 Glycoside hydrolase 28 (GH28) 6 activities are currently known for GH28 family members.
BWH2 2879 Glycoside hydrolase 92 (GH92) 7 activities are currently known for GH92 family members.
BWH2 2880 Glycoside hydrolase 92 (GH92) 7 activities are currently known for GH92 family members.
BWH2 2881 SusD-like protein Forms pair with SusC-like protein
BWH2_2882 SusC-like protein Forms pair with SusD-like protein
BWH2 2883 FecR-like protein Potentially acts as an anti-sigma factor; may form sigma:anti- sigma pair with BWH2 2884
BWH2 2884 RNA polymerase sigma-70 factor, May form sigma:anti-sigma pair with BWH2_2883
Bacteroides expansion family 1
BWH2 2928 Hypothetical protein
BWH2 2929 Glycoside hydrolase 92 (GH92) 7 activities are currently known for GH92 family members.
BWH2 2930 SusD-like protein Forms pair with SusC-like protein
BWH2 2931 SusC-like protein Forms pair with SusD-like protein
BWH2 2944 Hybrid two-component system (HTCS)
regulatory protein
BWH2 2945 SusC-like protein Forms pair with SusD-like protein
BWH2_2946 SusD-like protein Forms pair with SusC-like protein
BWH2_2947 Polysaccharide lyase 8 (PL8) with a 4 activities are currently known for PL8 family members.
carbohydrate binding module (CBM32)
BWH2 2948 Glycoside hydrolase 79 (GH79) 4 activities are currently known for GH79 family members.
BWH2 2949 Polysaccharide lyase 8 (PL8) 4 activities are currently known for PL8 family members.
BWH2_2950 Glycoside hydrolase 2 (GH2) 5 activities are currently known for GH2 family members.
BWH2 2951 Glycoside hydrolase 2 (GH2) 5 activities are currently known for GH2 family members.
BWH2 2952 Glycoside hydrolase 88 (GH88) 1 activity (d-4,5-unsaturated b-glucuronyl hydrolase) is currently known for GH88 family members.
BWH2 2953 Glycoside hydrolase 28 (GH28) 6 activities are currently known for GH28 family members.
72 BWH2_2954 Polysaccharide lyase 8 (PL8) / Glycoside 4 activities are currently known for PL8 family members. 1 activity hydrolase 78 (GH78) (a-L-rhamnosidase) is currently known for GH78 family members.
72 BWH2 2955 Response regulator, LytR/AlgR family Forms two-component regulatory system with BACWH2002956
72 BWH2_2956 Histidine kinase Forms two-component regulatory system with BACWH2002955
73 BWH2 2960 Glycoside hydrolase 2 (GH2) 5 activities are currently known for GH2 family members.
73 BWH2 2961 Polysaccharide lyase 17 (PL17) 2 activities (alginate lyase, oligoalginate lyase) are currently known for PL17 family members.
73 BWH2 2962 Glycoside hydrolase 105 (GH105) 1 activity (unsaturated rhamnogalacturonyl hydrolase) is currently known for GH105 family members.
73 BWH2 2963 Glycoside hydrolase 2 (GH2) 5 activities are currently known for GH2 family members.
73 BWH2_2964 Glycoside hydrolase 30 (GH30) 6 activities are currently known for GH30 family members.
73 BWH2 2965 SusD-like protein Forms pair with SusC-like protein
73 BWH2 2966 SusC-like protein Forms pair with SusD-like protein
73 BWH2_2967 Hypothetical protein
73 BWH2 2968 Hypothetical protein
73 BWH2_2969 D-xylose transporter (XylE-like protein)
73 BWH2 2970 Putative response regulator
74 BWH2 2976 Carbohydrate esterase (CE7) 2 activities (acetyl xylan esterase, cephalosporin-C deacetylase) are currently known for CE7 family members.
74 BWH2 2977 Putative glycerophosphodiester
phosphodiesterase
74 BWH2 2978 Glycoside hydrolase 95 (GH95) 2 activities (a-1 ,2-L-fucosidase, a-L-fucosidase) are currently known for GH95 family members.
74 BWH2 2979 Glycoside hydrolase 97 (GH97) 2 activities (a-glucosidase, a-galactosidase) are currently known for GH97 family members.
74 BWH2 2980 Glycoside hydrolase 31 (GH31 ) 6 activities are currently known for GH31 family members.
74 BWH2 2981 Hypothetical protein
74 BWH2 2982 Hypothetical protein
74 BWH2 2983 SusD-like protein Forms pair with SusC-like protein
74 BWH2_2984 SusC-like protein Forms pair with SusD-like protein
74 BWH2 2985 FecR-like protein Potentially acts as an anti-sigma factor; may form sigma:anti- sigma pair with BWH2_2986
74 BWH2 2986 RNA polymerase sigma factor, sigma-70 May form sigma:anti-sigma pair with BWH2_2985
family
75 BWH2_3028 Glycoside hydrolase 3 (GH3) 7 activities are currently known for GH3 family members.
75 BWH2 3029 SusC-like protein Forms pair with SusD-like protein
75 BWH2_3030 SusD-like protein Forms pair with SusC-like protein
75 BWH2_3031 Lectin/glucanase (concanavalin A-like
protein)
75 BWH2 3032 Hypothetical protein
75 BWH2_3033 Hypothetical protein
75 BWH2_3034 Hypothetical protein
75 BWH2_3035 Arylsulfatase A or related enzyme (AslA- like protein)
75 BWH2_3036 Glycoside hydrolase 43 (GH43) with a 6 activities are currently known for GH43 family members.
carbohydrate binding module (CBM32)
75 BWH2_3037 Carbohydrate esterase 1 (CE1 ) 5 activities are currently known for CE1 family members.
76 BWH2_3047 SusC-like protein Forms pair with SusD-like protein
76 BWH2_3048 SusD-like protein Forms pair with SusC-like protein
76 BWH2_3049 Hypothetical protein
76 BWH2_3050 Hypothetical protein
76 BWH2_3051 Putative lyase or esterase, SGNH
hydrolase family
76 BWH2_3052 Glycoside hydrolase 29 (GH29) 2 activities (a-L-fucosidase, a-1 ,3/1 ,4-L-fucosidase) are currently known for GH29 family members.
76 BWH2_3053 Putative hydrolase, alpha/beta hydrolase
family
76 BWH2 3054 Conserved bacterial protein of unknown
function; conserved lipoprotein
76 BWH2_3055 Glycoside hydrolase 3 (GH3) 7 activities are currently known for GH3 family members.
76 BWH2_3056 Hypothetical protein
76 BWH2_3057 Putative hydrolase Contains domains from both the SGNH hydrolase and alpha/beta hydrolase families
76 BWH2_3058 Hypothetical protein
76 BWH2_3059 Hypothetical protein
76 BWH2_3060 FAD-dependent oxidoreductase
76 BWH2 3061 Putative solute-binding protein of unknown
function
77 BWH2_3084 RNA polymerase sigma factor (SigX-like May form sigma:anti-sigma pair with BWH2_3085
protein)
77 BWH2_3085 FecR-like protein Potentially acts as an anti-sigma factor; may form sigma:anti- sigma pair with BWH2 3084
77 BWH2_3086 SusC-like protein Forms pair with SusD-like protein
77 BWH2_3087 SusD-like protein Forms pair with SusC-like protein
78 BWH2 3088 SusD-like protein Forms pair with SusC-like protein
78 BWH2_3089 SusC-like protein Forms pair with SusD-like protein
78 BWH2_3090 FecR-like protein Potentially acts as an anti-sigma factor; may form sigma:anti- sigma pair with BWH2_3092
78 BWH2_3091 Hypothetical protein
78 BWH2 3092 RNA polymerase sigma-70 factor, May form sigma:anti-sigma pair with BWH2_3090
Bacteroides expansion family 1
79 BWH2 3098 Putative DNA-binding transcriptional
activator
79 BWH2 3099 SusC-like protein Forms pair with SusD-like protein
79 BWH2_3100 SusD-like protein Forms pair with SusC-like protein
79 BWH2_3101 Hypothetical protein
79 BWH2 3102 Hypothetical protein
79 BWH2 3103 Glycoside hydrolase 78 (GH78) 1 activity (a-L-rhamnosidase) is currently known for GH78 family members.
79 BWH2_3104 Hypothetical protein
79 BWH2_3105 Glycoside hydrolase 16 (GH16) 10 activities are currently known for GH16 family members.
79 BWH2 3106 Glycoside hydrolase 39 (GH39) 2 activities (a-L-iduronidase, b-xylosidase) are currently known for
GH39 family members.
79 BWH2 3107 Glycoside hydrolase 3 (GH3) 7 activities are currently known for GH3 family members.
79 BWH2_3108 Glycoside hydrolase 2 (GH2) with a 5 activities are currently known for GH2 family members.
carbohydrate binding module (CBM13)
79 BWH2 3109 Glycoside hydrolase 92 (GH92) 7 activities are currently known for GH92 family members.
79 BWH2_3110 Glycoside hydrolase 92 (GH92) 7 activities are currently known for GH92 family members.
79 BWH2_3111 ADP-ribosylglycohydrolase
80 BWH2_3120 SusC-like protein
80 BWH2 3121 SusC-like protein Forms pair with SusD-like protein
80 BWH2 3122 SusD-like protein Forms pair with SusC-like protein
80 BWH2_3123 Hypothetical protein
80 BWH2_3124 Hypothetical protein Contains partial flagellin domain
80 BWH2 3125 Hypothetical protein
80 BWH2_3126 Hypothetical protein
81 BWH2 3244 Glycoside hydrolase 20 (GH20) 4 activities are currently known for GH20 family members.
81 BWH2 3245 Glucosamine-6-phosphate deaminase
81 BWH2_3246 Carbohydrate esterase 9 (CE9) 1 activity (N-acetylglucosamine 6-phosphate deacetylase) is currently known for CE9 family members.
81 BWH2_3247 Fucose permease
81 BWH2 3248 Hypothetical protein
81 BWH2 3249 Glycoside hydrolase 18 (GH18) 2 activities (chitinase, endo-b-N-acetylglucosaminidase) are currently known for GH18 family members.
81 BWH2 3250 Hypothetical protein
81 BWH2_3251 SusD-like protein Severely truncated protein; partial hit to multi-domain model only
81 BWH2 3252 SusD-like protein Forms pair with SusC-like protein
81 BWH2_3253 SusC-like protein Forms pair with SusD-like protein
81 BWH2_3254 Putative response regulator
81 BWH2 3255 Putative DNA-binding protein
82 BWH2 3263 RNA polymerase sigma-70 factor,
Bacteroides expansion family 1
82 BWH2_3264 SusC-like protein Forms pair with SusD-like protein
82 BWH2 3265 SusD-like protein Forms pair with SusC-like protein
82 BWH2_3266 Glycoside hydrolase 36 (GH36) 4 activities are currently known for GH36 family members.
83 BWH2 3285 Hypothetical protein BACON domain may suggest a role for this protein in binding mucin
83 BWH2 3286 SusC-like protein Forms pair with SusD-like protein
83 BWH2 3287 SusD-like protein Forms pair with SusC-like protein
83 BWH2_3288 Glycoside hydrolase 106 (GH106) 1 activity (a-L-rhamnosidase) is currently known for GH106 family members.
83 BWH2_3289 Glycoside hydrolase 106 (GH106) 1 activity (a-L-rhamnosidase) is currently known for GH106 family members.
83 BWH2 3290 Glycoside hydrolase 28 (GH28) 6 activities are currently known for GH28 family members.
83 BWH2 3291 Glycoside hydrolase 28 (GH28) 6 activities are currently known for GH28 family members.
83 BWH2 3292 Glycoside hydrolase 3 (GH3) 7 activities are currently known for GH3 family members.
83 BWH2_3293 Glycoside hydrolase 127 (GH127) 1 activity (b-L-arabinofuranosidase) is currently known for GH127 family members.
83 BWH2 3294 Hybrid two-component system (HTCS)
regulatory protein
83 BWH2 3295 Glycoside hydrolase 43 (GH43) 6 activities are currently known for GH43 family members.
84 BWH2 3369 Hybrid two-component system (HTCS)
regulatory protein
84 BWH2_3370 SusC-like protein Forms pair with SusD-like protein
84 BWH2_3371 SusD-like protein Forms pair with SusC-like protein
84 BWH2 3372 Glycoside hydrolase 2 (GH2) 5 activities are currently known for GH2 family members.
84 BWH2_3373 Glycoside hydrolase 2 (GH2) / Glycoside 5 activities are currently known for GH2 family members. 6 hydrolase 43 (GH43) activities are currently known for GH43 family members.
84 BWH2_3374 Glycoside hydrolase 35 (GH35) 3 activities (b-galactosidase, exo-b-glucosaminidase, exo-b-1 ,4- galactanase) are currently known for GH35 family members.
84 BWH2_3375 Hypothetical protein
84 BWH2 3376 Hypothetical protein
84 BWH2 3377 Glycoside hydrolase 51 (GH51 ) 2 activities (a-L-arabinofuranosidase, endoglucanase) are currently known for GH51 family members.
85 BWH2_3400 Glycoside hydrolase 2 (GH2) 5 activities are currently known for GH2 family members.
85 BWH2_3401 Hypothetical protein
85 BWH2 3402 Glycoside hydrolase 2 (GH2) 5 activities are currently known for GH2 family members.
85 BWH2_3403 Hypothetical protein
85 BWH2_3404 SusC-like protein Forms pair with SusD-like protein
85 BWH2_3405 SusD-like protein Forms pair with SusC-like protein
85 BWH2_3406 Hypothetical protein
85 BWH2_3407 Hypothetical protein
85 BWH2_3408 Glycoside hydrolase 3 (GH3) 7 activities are currently known for GH3 family members.
85 BWH2_3409 Glycoside hydrolase 2 (GH2) 5 activities are currently known for GH2 family members.
85 BWH2 3410 Hypothetical protein
86 BWH2_3416 Hybrid two-component system (HTCS)
regulatory protein
86 BWH2_3417 SusC-like protein Forms pair with SusD-like protein
86 BWH2_3418 SusD-like protein Forms pair with SusC-like protein
86 BWH2 3419 Arylsulfatase A or related enzyme (AsIA- like protein)
86 BWH2 3420 Glycoside hydrolase 110 (GH110) 2 activities (a-galactosidase, a-1 ,3-galactosidase) are currently known for GH110 family members.
86 BWH2 3421 Arylsulfatase A or related enzyme (AsIA- like protein)
86 BWH2 3422 Glycoside hydrolase 110 (GH110) 2 activities (a-galactosidase, a-1 ,3-galactosidase) are currently known for GH110 family members.
86 BWH2_3423 Arylsulfatase A or related enzyme (AslA- like protein)
86 BWH2_3424 Arylsulfatase A or related enzyme (AslA- like protein)
86 BWH2_3425 Glycoside hydrolase 110 (GH110) 2 activities (a-galactosidase, a-1 ,3-galactosidase) are currently
known for GH110 family members.
86 BWH2_3426 Hypothetical protein
87 BWH2_3441 SusC-like protein Forms pair with SusD-like protein
87 BWH2_3442 SusD-like protein Forms pair with SusC-like protein
87 BWH2_3443 Glycoside hydrolase 105 (GH105) 1 activity (unsaturated rhamnogalacturonyl hydrolase) is currently known for GH105 family members.
87 BWH2_3444 Glycoside hydrolase 20 (GH20) 4 activities are currently known for GH20 family members.
88 BWH2_3484 Hypothetical protein
88 BWH2_3485 SusD-like protein Forms pair with SusC-like protein
88 BWH2_3486 SusC-like protein Forms pair with SusD-like protein
89 BWH2_3566 SusD-like protein Forms pair with SusC-like protein
89 BWH2_3567 SusC-like protein Forms pair with SusD-like protein
90 BWH2 3569 SusC-like protein Forms pair with SusD-like protein
90 BWH2 3570 SusD-like protein Forms pair with SusC-like protein
90 BWH2_3571 Hypothetical protein
90 BWH2 3572 Hypothetical protein
91 BWH2_3573 SusC-like protein Forms pair with SusD-like protein
91 BWH2_3574 SusD-like protein Forms pair with SusC-like protein
91 BWH2 3575 Hypothetical protein
92 BWH2_3576 SusC-like protein Forms pair with SusD-like protein; deemed too distantly positioned to form dual cassette with BACWH2003578/79
92 BWH2 3577 SusD-like protein Forms pair with SusC-like protein; deemed too distantly positioned to form dual cassette with BACWH2003578/79
93 BWH2 3578 SusC-like protein Forms pair with SusD-like protein
93 BWH2 3579 SusD-like protein Forms pair with SusC-like protein
94 BWH2 3808 SusC-like protein Forms pair with SusD-like protein
94 BWH2_3809 SusD-like protein Forms pair with SusC-like protein
94 BWH2_3810 Putative esterase or lipase
94 BWH2_3811 Hybrid two-component system (HTCS)
regulatory protein
95 BWH2 3812 Hybrid two-component system (HTCS)
regulatory protein
95 BWH2_3813 Hypothetical protein
95 BWH2_3814 Hypothetical protein Possibly a nucleoside hydrolase
95 BWH2_3815 Hypothetical protein
95 BWH2_3816 SusD-like protein Forms pair with SusC-like protein
95 BWH2_3817 SusC-like protein Forms pair with SusD-like protein
96 BWH2 3849 Polysaccharide lyase 1 (PL1 ) 3 activities (pectate lyase, exo-pectate lyase, pectin lyase) are currently known for PL1 family members.
96 BWH2 3850 Carbohydrate esterease 8 (CE8) 1 activity (pectin methylesterase) is currently known for CE8 family members.
96 BWH2_3851 SusC-like protein Forms pair with SusD-like protein
96 BWH2 3852 SusD-like protein Forms pair with SusC-like protein
96 BWH2_3853 Hypothetical protein
96 BWH2_3854 Glycoside hydrolase 3 (GH3) 7 activities are currently known for GH3 family members.
96 BWH2 3855 Hybrid two-component system (HTCS)
regulatory protein
97 BWH2_3856 Hypothetical protein
97 BWH2_3857 SusC-like protein Forms pair with SusD-like protein
97 BWH2 3858 SusD-like protein Forms pair with SusC-like protein
97 BWH2 3859 Hypothetical protein
97 BWH2_3860 Hybrid two-component system (HTCS)
regulatory protein
98 BWH2_3964 SusC-like protein Forms pair with SusD-like protein
98 BWH2 3965 SusD-like protein Forms pair with SusC-like protein
99 BWH2_3968 Glycoside hydrolase 95 (GH95) 2 activities (a-1 ,2-L-fucosidase, a-L-fucosidase) are currently known for GH95 family members.
99 BWH2 3969 SusC-like protein Forms pair with SusD-like protein
99 BWH2_3970 SusD-like protein Forms pair with SusC-like protein
99 BWH2_3971 Hypothetical protein
100 BWH2_3976 Hybrid two-component system (HTCS)
regulatory protein
100 BWH2_3977 Conserved bacterial protein of unknown
function
100 BWH2_3978 Glycoside hydrolase 105 (GH105) 1 activity (unsaturated rhamnogalacturonyl hydrolase) is currently known for GH105 family members.
100 BWH2_3979 Polysaccharide lyase 11 (PL11) 2 activities (rhamnogalacturonan lyase, exo-unsatu rated
rhamnogalacturonan lyase) are currently known for PL11 family members.
100 BWH2_3980 Glycoside hydrolase 2 (GH2) 5 activities are currently known for GH2 family members.
100 BWH2_3981 SusD-like protein Forms pair with SusC-like protein
100 BWH2 3982 SusC-like protein Forms pair with SusD-like protein
101 BWH2_4007 Glycoside hydrolase 92 (GH92) 7 activities are currently known for GH92 family members.
101 BWH2 4008 RNA polymerase sigma-70 factor, May form sigma:anti-sigma pair with BWH2_4009
Bacteroides expansion family 1
101 BWH2 4009 FecR-like protein Potentially acts as an anti-sigma factor; may form sigma:anti- sigma pair with BWH2 4008
101 BWH2_4010 Glycoside hydrolase 92 (GH92) 7 activities are currently known for GH92 family members.
101 BWH2_4011 SusC-like protein Forms pair with SusD-like protein
101 BWH2_4012 SusD-like protein Forms pair with SusC-like protein
101 BWH2_4014 Conserved lipoprotein
101 BWH2_4015 Glycoside hydrolase 18 (GH18) 2 activities (chitinase, endo-b-N-acetylglucosaminidase) are currently known for GH18 family members.
101 BWH2_4016 Glycoside hydrolase 97 (GH97) 2 activities (a-glucosidase, a-galactosidase) are currently known for GH97 family members.
101 BWH2_4017 Glycoside hydrolase 92 (GH92) 7 activities are currently known for GH92 family members.
102 BWH2_4044 SusC-like protein Member of dual SusC/D cassette
102 BWH2_4045 SusD-like protein Member of dual SusC/D cassette
102 BWH2_4046 SusC-like protein Member of dual SusC/D cassette
102 BWH2_4047 SusD-like protein Member of dual SusC/D cassette
102 BWH2_4048 Conserved bacterial protein of unknown
function
102 BWH2 4049 Glycoside hydrolase 10 (GH10) 2 activities (endo-1 ,4-b-xylanase, endo-1 ,3-b-xylanase) are currently known for GH10 family members.
102 BWH2_4050 Glycoside hydrolase 10 (GH10) 2 activities (endo-1 ,4-b-xylanase, endo-1 ,3-b-xylanase) are currently known for GH10 family members.
102 BWH2_4051 Glycoside hydrolase 5 (GH5) 18 activities are currently known for GH5 family members.
102 BWH2 4052 Carbohydrate esterase 1 (CE1 ) 5 activities are currently known for CE1 family members.
102 BWH2_4053 Carbohydrate esterase 6 (CE6) / 1 activity (acetyl xylan esterase) is currently known for CE6 family
Glycoside hydrolase 95 (GH95) members. 2 activities (a-1 ,2-L-fucosidase, a-L-fucosidase) are currently known for GH95 family members.
102 BWH2 4054 Glycoside hydrolase 8 (GH8) 5 activities are currently known for GH8 family members.
102 BWH2_4055 Hybrid two-component system (HTCS)
regulatory protein
103 BWH2_4058 Glycoside hydrolase 26 (GH26) 2 activities (b-mannanase, b-1 ,3-xylanase) are currently known for
GH26 family members.
103 BWH2_4059 Glycoside hydrolase 43 (GH43) 6 activities are currently known for GH43 family members.
103 BWH2_4060 D-xylose transporter (XylE-like protein)
103 BWH2 4061 Glycoside hydrolase 26 (GH26) 2 activities (b-mannanase, b-1 ,3-xylanase) are currently known for
GH26 family members.
103 BWH2_4062 SusD-like protein Forms pair with SusC-like protein
103 BWH2_4063 SusC-like protein Forms pair with SusD-like protein
104 BWH2_4072 Glycoside hydrolase 10 (GH10, dual 2 activities (endo-1 ,4-b-xylanase, endo-1 , 3-b-xylanase) are domain) with two carbohydrate binding currently known for GH10 family members. modules (both CBM22)
104 BWH2_4073 Hypothetical protein
104 BWH2_4074 SusD-like protein Forms pair with SusC-like protein
104 BWH2_4075 SusC-like protein Forms pair with SusD-like protein
104 BWH2_4076 Hybrid two-component system (HTCS)
regulatory protein
105 BWH2 4099 SusC-like protein Forms pair with SusD-like protein
105 BWH2_4100 SusD-like protein Forms pair with SusC-like protein
105 BWH2_4101 Hypothetical protein
105 BWH2 4102 Glycoside hydrolase 16 (GH16) 10 activities are currently known for GH16 family members.
BACON domain may suggest a role for this protein in binding mucin.
105 BWH2 4103 Zinc-dependent metalloprotease
105 BWH2_4104 Glycoside hydrolase 3 (GH3) 7 activities are currently known for GH3 family members.
106 BWH2_4234 Glycoside hydrolase 97 (GH97) 2 activities (a-glucosidase, a-galactosidase) are currently known for GH97 family members.
106 BWH2_4236 Hypothetical protein with a carbohydrate
binding module (CBM35)
106 BWH2_4237 Glycoside hydrolase 27 (GH27) 4 activities are currently known for GH27 family members.
106 BWH2 4238 Hypothetical protein
106 BWH2 4239 SusD-like protein Forms pair with SusC-like protein
106 BWH2_4240 SusC-like protein Forms pair with SusD-like protein
106 BWH2_4241 Hypothetical protein
107 BWH2 4476 SusC-like protein Forms pair with SusD-like protein
107 BWH2_4477 SusD-like protein Forms pair with SusC-like protein; though homologous to a SusD- like gene in B. thetaiotaomicron (BT_3632) at the nucleotide level, this gene does not seem to harbor characteristic SusD-like domains
107 BWH2_4478 Hypothetical protein
107 BWH2 4479 Hypothetical protein
107 BWH2 4480 Hypothetical protein
108 BWH2_4549 RNA polymerase sigma-70 factor,
Bacteroides expansion family 1
108 BWH2_4550 SusC-like protein Forms pair with SusD-like protein
108 BWH2 4551 SusD-like protein Forms pair with SusC-like protein
108 BWH2 4552 Glycoside hydrolase 2 (GH2) 5 activities are currently known for GH2 family members.
108 BWH2_4553 Glycoside hydrolase 28 (GH28) 6 activities are currently known for GH28 family members.
108 BWH2_4554 Glycoside hydrolase 97 (GH97) 2 activities (a-glucosidase, a-galactosidase) are currently known for GH97 family members.
108 BWH2 4555 Hypothetical protein
108 BWH2_4556 Glycoside hydrolase 28 (GH28) 6 activities are currently known for GH28 family members.
108 BWH2_4557 Hypothetical protein
108 BWH2 4558 Hypothetical protein
108 BWH2_4559 Glycoside hydrolase 28 (GH28) 6 activities are currently known for GH28 family members.
108 BWH2_4560 Glycoside hydrolase 2 (GH2) 5 activities are currently known for GH2 family members.
108 BWH2_4561 Glycoside hydrolase 51 (GH51 ) 2 activities (a-L-arabinofuranosidase, endoglucanase) are
currently known for GH51 family members.
108 BWH2 4562 Glycoside hydrolase 43 (GH43, triple 6 activities are currently known for GH43 family members.
domain)
109 BWH2 4570 Glycoside hydrolase 28 (GH28) 6 activities are currently known for GH28 family members.
109 BWH2 4571 Hypothetical protein
109 BWH2 4572 SusD-like protein Forms pair with SusC-like protein
109 BWH2 4573 SusC-like protein Forms pair with SusD-like protein
109 BWH2_4574 Hypothetical protein with a carbohydrate
binding module (CBM32)
109 BWH2_4575 RNA polymerase sigma-70 factor,
Bacteroides expansion family 1
110 BWH2 4576 Putative response regulator protein
110 BWH2_4577 Hypothetical protein
110 BWH2 4578 Putative surface protein
110 BWH2_4579 SusD-like protein Forms pair with SusC-like protein
110 BWH2 4580 SusC-like protein Forms pair with SusD-like protein
110 BWH2 4581 RNA polymerase sigma-70 factor,
Bacteroides expansion family 1
110 BWH2 4582 Putative response regulator protein
11 1 BWH2_4620 Hypothetical protein Contains some domains common in SusC-like proteins
11 1 BWH2_4621 SusC-like protein Forms pair with SusD-like protein
11 1 BWH2_4622 SusD-like protein Forms pair with SusC-like protein
11 1 BWH2_4623 Polysaccharide lyase 1 (PL1 ) 3 activities (pectate lyase, exo-pectate lyase, pectin lyase) are currently known for PL1 family members.
11 1 BWH2_4624 Conserved protein of unknown function DUF3826 is thought to be a putative sugar-binding family of proteins
11 1 BWH2_4625 Glycoside hydrolase 43 (GH43) 6 activities are currently known for GH43 family members.
11 1 BWH2 4626 Glycoside hydrolase 121 (GH121 ) 1 activity (b-L-arabinobiosidase) is currently known for GH121 family members. Partial BNR_2 domain may suggest a role in the debranching of glycogen or some other polysaccharide
11 1 BWH2_4627 Glycoside hydrolase 78 (GH78) 1 activity (a-L-rhamnosidase) is currently known for GH78 family members.
112 BWH2 5012 SusC-like protein Forms pair with SusD-like protein
112 BWH2_5013 SusD-like protein Forms pair with SusC-like protein
112 BWH2_5014 SusE-like protein
112 BWH2 5015 Glycoside hydrolase 66 (GH66) 2 activities (cycloisomaltooligosaccharide glucanotransferase, dextranase) are currently known for GH66 family members.
112 BWH2_5016 Glycoside hydrolase 31 (GH31 ) 6 activities are currently known for GH31 family members.
112 BWH2_5017 Glycoside hydrolase 97 (GH97) 2 activities (a-glucosidase, a-galactosidase) are currently known for GH97 family members.
113 BWH2 5120 SusC-like protein Forms pair with SusD-like protein
113 BWH2_5121 SusD-like protein Forms pair with SusC-like protein
Table 3. Composition of the 12-member artificial community inoculated by oral gavage into germ-free animals.
Experiment 1 (Ei)
Viable cell
Total volume per gavage (ul) 500
Total CFUs per gavage 4.2 x 108
Table 4. Bacterial strains included in this study.
T = type strain, as recognized by the International Journal of Systematic and Evolutionary Microbiology
a = GenBank
b = as reported by the Integrated Microbial Genomes (IMG) database, v3.5
c = as reported by Bergey's Manual of Systematic Bacteriology, 2nd Ed.
d = genome sequenced as part of this study
n/d = not determined
Table 5. COPRO-Seq quantitation of the relative abundances of artificial community members over time.
Experiment 1 (Ei)
B. caccae B. ovatus B. thetaiotaomicron B. uniformis
Group Day Mean s.d. Mean s.d. Mean s.d. Mean s.d.
LF/HPP => HF/HS => LF/HPP 01 19.203 3.745 3.416 0.642 15.121 4.224 10.550 2.821
LF/HPP => HF/HS => LF/HPP 02 14.029 1.697 6.050 1.153 18.286 2.973 9.979 4.115
LF/HPP => HF/HS => LF/HPP 05 9.531 1.610 8.623 1.468 15.748 2.015 3.345 0.846
LF/HPP => HF/HS => LF/HPP 12 6.705 0.992 9.547 1.553 12.877 1 .896 3.430 1.167
LF/HPP => HF/HS => LF/HPP 13 5.195 1.751 9.431 2.102 13.018 2.527 3.692 1.708
LF/HPP => HF/HS => LF/HPP 15 15.721 4.583 6.968 2.343 12.180 3.099 3.448 1.721
LF/HPP => HF/HS => LF/HPP 16 26.668 10.960 3.939 3.752 12.164 2.255 2.770 1.232
LF/HPP => HF/HS => LF/HPP 19 41.955 5.393 0.394 0.106 12.093 2.367 5.292 6.575
LF/HPP => HF/HS => LF/HPP 26 40.214 5.484 1 .395 0.113 10.084 2.453 4.840 8.545
LF/HPP => HF/HS => LF/HPP 27 38.566 5.690 1 .517 0.167 11.602 1 .406 5.655 1 1.201
LF/HPP => HF/HS => LF/HPP 29 21.271 2.227 4.585 0.913 13.030 3.517 8.243 7.314
LF/HPP => HF/HS => LF/HPP 30 13.666 2.055 5.773 1.272 10.226 1 .953 5.223 3.534
LF/HPP => HF/HS => LF/HPP 33 1 1.233 3.210 9.078 2.052 10.600 3.910 4.616 2.551
LF/HPP => HF/HS => LF/HPP 41 7.623 2.281 12.050 2.153 11.106 2.977 3.707 0.896
LF/HPP => HF/HS => LF/HPP 42 6.884 2.260 12.053 3.700 11.244 2.956 2.985 0.431
LF/HPP => HF/HS => LF/HPP CEC 7.194 3.018 10.843 2.937 12.870 3.864 2.644 0.718
HF/HS => LF/HPP => HF/HS 01 20.728 5.600 5.351 1.085 9.970 2.537 7.091 2.260
HF/HS => LF/HPP => HF/HS 02 32.479 3.636 4.407 1.057 12.534 3.822 1.722 1.268
HF/HS => LF/HPP => HF/HS 05 44.830 10.588 0.913 0.234 8.765 3.792 2.780 1.356
HF/HS => LF/HPP => HF/HS 12 40.220 3.342 1 .682 0.180 12.370 3.551 2.160 1.739
HF/HS => LF/HPP => HF/HS 13 37.077 4.938 1 .876 0.223 12.802 1 .790 2.394 1.312
HF/HS => LF/HPP => HF/HS 15 19.342 2.424 5.122 0.889 10.880 1 .364 5.749 1.561
HF/HS => LF/HPP => HF/HS 16 16.368 2.281 5.213 0.725 11.374 2.301 4.438 1.516
HF/HS => LF/HPP => HF/HS 19 10.082 1.895 6.450 0.688 10.890 2.233 3.944 1.753
HF/HS => LF/HPP => HF/HS 26 6.599 2.317 9.981 1.750 10.738 1 .218 3.234 1.746
HF/HS => LF/HPP => HF/HS 27 6.487 2.886 9.077 1.610 11.246 2.527 3.365 1.235
HF/HS => LF/HPP => HF/HS 29 13.861 3.754 8.202 1.059 10.535 2.197 3.518 1.986
HF/HS => LF/HPP => HF/HS 30 23.467 4.138 4.127 0.791 12.743 2.097 2.750 1.908
HF/HS => LF/HPP => HF/HS 33 30.880 3.092 0.416 0.135 13.453 2.550 1.309 0.497
HF/HS => LF/HPP => HF/HS 41 29.783 9.802 1 .059 0.561 13.051 4.606 0.930 0.503
HF/HS => LF/HPP => HF/HS 42 31.890 3.877 1 .022 0.349 18.429 10.731 1.205 0.958
HF/HS => LF/HPP => HF/HS CEC 45.165 6.943 1 .025 0.333 15.762 4.797 0.891 0.717
B. cellulosilyticus
B. vulgatus C. aerofaciens C. scindens
WH2
Group Day Mean s.d. Mean s.d. Mean s.d. Mean s.d.
LF/HPP => HF/HS => LF/HPP 01 43.636 5.155 5.369 1.197 0.170 0.264 0.658 0.810
LF/HPP => HF/HS => LF/HPP 02 24.443 1.985 21 .093 3.743 2.015 1 .878 0.921 0.414
LF/HPP => HF/HS => LF/HPP 05 14.589 1.600 36.030 4.026 3.035 3.104 1.266 1.228
LF/HPP => HF/HS => LF/HPP 12 13.509 2.177 37.136 2.546 3.205 3.818 1.731 1.260
LF/HPP => HF/HS => LF/HPP 13 15.819 4.479 37.141 2.000 3.728 3.562 1.339 0.766
LF/HPP => HF/HS => LF/HPP 15 22.451 4.163 26.512 3.488 2.21 1 3.164 1.116 0.499
LF/HPP => HF/HS => LF/HPP 16 20.331 5.063 19.605 8.322 5.099 7.918 2.065 1.161
LF/HPP => HF/HS => LF/HPP 19 9.556 2.506 19.973 5.752 3.177 2.489 4.468 2.574
LF/HPP => HF/HS => LF/HPP 26 12.265 2.346 20.206 9.485 1.971 2.206 4.515 4.857
LF/HPP => HF/HS => LF/HPP 27 14.368 2.316 21 .060 7.465 1.114 0.901 1.960 1.078
LF/HPP => HF/HS => LF/HPP 29 13.903 3.228 25.909 10.618 2.743 2.561 3.866 3.055
LF/HPP => HF/HS => LF/HPP 30 18.539 2.610 35.842 5.241 1.392 1 .165 1.640 1.417
LF/HPP => HF/HS => LF/HPP 33 20.963 2.857 28.702 10.586 2.336 2.484 1.885 1.723
LF/HPP => HF/HS => LF/HPP 41 16.241 3.942 35.677 8.493 2.197 2.122 1.462 1.045
LF/HPP => HF/HS => LF/HPP 42 19.853 5.764 33.970 10.093 1.915 2.093 1.21 1 1.077
LF/HPP => HF/HS => LF/HPP CEC 20.633 6.034 38.1 12 1 1.439 0.476 0.357 0.294 0.114
HF/HS => LF/HPP => HF/HS 01 35.402 5.534 18.105 2.356 0.693 0.358 1.256 0.429
HF/HS => LF/HPP => HF/HS 02 24.249 5.758 10.859 2.632 3.606 1 .463 6.923 6.361
HF/HS => LF/HPP => HF/HS 05 1 1.143 4.779 10.271 4.693 4.477 3.727 8.575 8.819
HF/HS => LF/HPP => HF/HS 12 18.454 5.196 12.355 2.340 3.667 2.691 3.899 1.453
HF/HS => LF/HPP => HF/HS 13 16.315 3.623 14.172 2.159 5.083 3.001 5.450 1.852
HF/HS => LF/HPP => HF/HS 15 15.057 1.981 35.875 4.097 1 .113 0.422 1.499 0.709
HF/HS => LF/HPP => HF/HS 16 12.670 2.412 42.541 3.090 1 .352 0.666 0.91 1 0.231
HF/HS => LF/HPP => HF/HS 19 16.533 3.797 38.603 3.407 2.021 0.936 1.167 0.338
HF/HS => LF/HPP => HF/HS 26 18.385 2.684 37.254 3.277 1 .725 1 .170 1.332 0.509
HF/HS => LF/HPP => HF/HS 27 19.226 2.365 36.271 3.253 2.201 1 .499 1.207 0.690
HF/HS => LF/HPP => HF/HS 29 23.51 1 3.475 24.302 4.161 3.336 3.005 2.329 1.074
HF/HS => LF/HPP => HF/HS 30 24.182 3.723 18.859 3.449 2.050 1 .699 2.514 1.561
HF/HS => LF/HPP => HF/HS 33 14.873 1.645 22.466 6.255 3.632 1 .038 6.328 2.418
HF/HS => LF/HPP => HF/HS 41 14.083 5.091 21 .975 7.660 4.275 7.355 7.693 12.182
HF/HS => LF/HPP => HF/HS 42 14.308 4.251 25.907 5.736 0.839 0.352 1.991 0.564
HF/HS => LF/HPP => HF/HS CEC 12.250 4.837 19.095 6.008 0.797 0.389 1.639 0.791
C. spiroforme D. longicatena P. distasonis R. obeum
Group Day Mean s.d. Mean s.d. Mean s.d. Mean s.d.
LF/HPP => HF/HS => LF/HPP 01 0.017 0.027 0.013 0.010 1.587 0.382 0.261 0.385
LF/HPP => HF/HS => LF/HPP 02 0.195 0.202 0.018 0.045 1.378 0.186 1 .593 2.254
LF/HPP => HF/HS => LF/HPP 05 0.133 0.104 0.345 0.684 3.972 2.125 3.383 2.615
LF/HPP => HF/HS => LF/HPP 12 0.080 0.075 0.709 1 .329 4.584 2.794 6.488 3.669
LF/HPP => HF/HS => LF/HPP 13 0.043 0.031 0.275 0.592 5.062 2.739 5.257 2.978
LF/HPP => HF/HS => LF/HPP 15 0.1 18 0.141 0.386 0.665 5.678 2.857 3.210 2.483
LF/HPP => HF/HS => LF/HPP 16 0.1 13 0.137 0.331 0.588 4.879 2.455 2.035 2.171
LF/HPP => HF/HS => LF/HPP 19 0.274 0.129 0.035 0.083 0.627 0.158 2.157 1.220
LF/HPP => HF/HS => LF/HPP 26 0.342 0.639 0.033 0.087 0.755 0.482 3.380 4.043
LF/HPP => HF/HS => LF/HPP 27 0.196 0.266 0.022 0.058 1.239 0.443 2.702 1.984
LF/HPP => HF/HS => LF/HPP 29 0.143 0.137 0.017 0.044 0.885 0.466 5.406 3.734
LF/HPP => HF/HS => LF/HPP 30 0.211 0.236 0.096 0.254 1.530 1 .057 5.860 4.078
LF/HPP => HF/HS => LF/HPP 33 0.064 0.045 0.087 0.231 5.281 2.737 5.155 3.180
LF/HPP => HF/HS => LF/HPP 41 0.069 0.100 0.320 0.845 5.131 2.908 4.419 4.525
LF/HPP => HF/HS => LF/HPP 42 0.080 0.092 0.259 0.686 5.516 2.795 4.031 2.778
LF/HPP => HF/HS => LF/HPP CEC 0.014 0.016 0.014 0.037 6.373 3.086 0.533 0.372
HF/HS => LF/HPP => HF/HS 01 0 (n/d) 0 (n/d) 0.009 0.003 1.194 0.423 0.199 0.181
HF/HS => LF/HPP => HF/HS 02 0.523 1 .087 0.017 0.040 2.093 0.746 0.588 0.964
HF/HS => LF/HPP => HF/HS 05 2.453 3.163 0 (n/d) 0 (n/d) 0.250 0.163 5.542 6.268
HF/HS => LF/HPP => HF/HS 12 1.038 1 .101 0 (n/d) 0 (n/d) 0.123 0.045 4.030 1.161
HF/HS => LF/HPP => HF/HS 13 0.426 0.579 0 (n/d) 0 (n/d) 0.152 0.059 4.252 1.355
HF/HS => LF/HPP => HF/HS 15 0.335 0.398 0 (n/d) 0 (n/d) 0.170 0.102 4.856 3.119
HF/HS => LF/HPP => HF/HS 16 0.232 0.274 0 (n/d) 0 (n/d) 0.433 0.292 4.470 1.803
HF/HS => LF/HPP => HF/HS 19 0.061 0.072 0 (n/d) 0 (n/d) 4.804 2.026 5.446 1.777
HF/HS => LF/HPP => HF/HS 26 0.078 0.066 0 (n/d) 0 (n/d) 4.591 0.888 6.082 1.684
HF/HS => LF/HPP => HF/HS 27 0.073 0.063 0 (n/d) 0 (n/d) 4.633 1 .344 6.214 2.416
HF/HS => LF/HPP => HF/HS 29 0.130 0.080 0 (n/d) 0 (n/d) 5.641 0.887 4.635 1.675
HF/HS => LF/HPP => HF/HS 30 0.209 0.211 0 (n/d) 0 (n/d) 5.063 0.959 4.036 2.151
HF/HS => LF/HPP => HF/HS 33 0.252 0.359 0 (n/d) 0 (n/d) 1.557 0.318 4.834 2.683
HF/HS => LF/HPP => HF/HS 41 0.234 0.311 0 (n/d) 0 (n/d) 1.996 0.669 4.920 6.322
HF/HS => LF/HPP => HF/HS 42 0.134 0.149 0 (n/d) 0 (n/d) 2.516 0.321 1 .757 0.459
HF/HS => LF/HPP => HF/HS CEC 0.1 18 0.130 0 (n/d) 0 (n/d) 1.579 0.432 1 .678 0.754
Experiment 2 (E2)
B. caccae B. ovatus B. thetaiotaomicron B. uniformis
Group Day Mean s.d. Mean s.d. Mean s.d. Mean s.d.
LF/HPP => HF/HS => LF/HPP 01 11 .372 4.757 14.605 5.489 7.355 3.540 1 .082 0.365
LF/HPP => HF/HS => LF/HPP 02 15.037 3.793 17.406 1 .440 1 1.109 1 .605 0.677 0.134
LF/HPP => HF/HS => LF/HPP 03 13.1 14 3.788 13.616 2.793 15.087 3.276 1 .412 0.289
LF/HPP => HF/HS => LF/HPP 05 9.303 2.730 11 .019 2.771 13.847 1 .942 2.378 0.644
LF/HPP => HF/HS => LF/HPP 07 8.485 0.556 10.234 0.957 12.814 0.465 2.655 0.373
LF/HPP => HF/HS => LF/HPP 10 13.610 9.053 9.754 3.048 1 1.565 1 .496 2.800 0.517
LF/HPP => HF/HS => LF/HPP 12 11 .016 1 .132 14.066 1 .208 1 1.123 0.799 4.432 0.685
LF/HPP => HF/HS => LF/HPP 13 7.565 2.249 13.776 1 .513 10.682 1 .279 4.1 15 0.630
LF/HPP => HF/HS => LF/HPP 15 19.454 3.770 8.347 2.000 9.833 1 .295 2.861 0.520
LF/HPP => HF/HS => LF/HPP 16 32.280 5.577 2.300 1 .671 14.286 2.71 1 2.331 0.560
LF/HPP => HF/HS => LF/HPP 17 36.473 2.632 0.580 0.269 14.367 3.732 4.998 1.109
LF/HPP => HF/HS => LF/HPP 19 32.636 4.861 1 .516 2.887 13.525 2.296 9.407 4.271
LF/HPP => HF/HS => LF/HPP 21 33.464 4.779 0.679 0.295 13.339 2.062 8.980 3.439
LF/HPP => HF/HS => LF/HPP 25 33.886 2.915 0.999 0.256 17.142 2.151 4.691 2.082
LF/HPP => HF/HS => LF/HPP 26 34.893 2.358 1 .027 0.244 1 1.218 2.077 4.586 1.584
LF/HPP => HF/HS => LF/HPP 27 32.932 1 .746 1 .108 0.381 13.344 2.002 4.303 1.441
LF/HPP => HF/HS => LF/HPP 29 20.133 2.350 4.359 1 .237 20.564 6.279 5.563 0.950
LF/HPP => HF/HS => LF/HPP 30 15.598 3.230 8.348 2.197 12.483 2.916 5.348 1.720
LF/HPP => HF/HS => LF/HPP 31 13.272 1 .164 9.873 1 .092 9.833 0.939 4.779 1.524
LF/HPP => HF/HS => LF/HPP 33 10.214 1 .298 9.231 0.902 7.202 1 .689 4.557 2.469
LF/HPP => HF/HS => LF/HPP 35 9.443 1 .959 10.749 1 .547 7.918 2.222 4.946 2.127
LF/HPP => HF/HS => LF/HPP 38 8.671 2.949 19.003 4.441 9.197 2.220 5.380 1.782
LF/HPP => HF/HS => LF/HPP 40 5.923 3.133 14.076 2.537 8.828 1 .241 2.713 0.949
LF/HPP => HF/HS => LF/HPP 41 5.443 3.231 15.947 1 .735 9.537 1 .018 3.363 1.291
LF/HPP => HF/HS => LF/HPP 42 4.647 2.637 16.422 1 .132 9.772 0.912 3.562 1.185
LF/HPP => HF/HS => LF/HPP CEC 4.230 2.809 11 .530 2.484 10.341 0.706 3.190 1.432
HF/HS => LF/HPP => HF/HS 01 19.457 6.178 22.044 3.410 5.532 0.996 0.765 0.601
HF/HS => LF/HPP => HF/HS 02 30.859 4.859 11 .168 2.949 14.144 2.812 0.585 0.080
HF/HS => LF/HPP => HF/HS 03 39.834 3.337 3.1 19 1 .002 20.617 4.656 2.240 0.709
HF/HS => LF/HPP => HF/HS 05 42.635 4.826 1 .349 0.760 8.184 1 .243 4.393 1.708
HF/HS => LF/HPP => HF/HS 07 38.479 3.856 1 .847 0.729 7.431 2.571 2.778 0.839
HF/HS => LF/HPP => HF/HS 10 37.298 2.663 1 .904 0.414 9.894 1 .346 3.048 0.964
HF/HS => LF/HPP => HF/HS 12 30.958 4.453 1 .865 0.595 13.946 3.409 4.323 2.062
HF/HS => LF/HPP => HF/HS 13 34.196 5.513 1 .810 0.721 9.451 2.393 4.334 1.706
HF/HS => LF/HPP => HF/HS 15 19.144 1 .570 3.913 1 .128 24.961 8.344 5.063 1.335
HF/HS => LF/HPP => HF/HS 16 16.937 2.325 7.503 1 .439 15.563 3.442 5.129 1.292
HF/HS => LF/HPP => HF/HS 17 14.151 2.101 9.283 1 .154 12.600 2.486 5.201 1.130
HF/HS => LF/HPP => HF/HS 19 11 .033 2.188 9.691 1 .851 9.205 1 .893 5.555 2.416
HF/HS => LF/HPP => HF/HS 21 9.547 2.590 10.758 1 .501 9.066 1 .237 5.696 1.860
HF/HS => LF/HPP => HF/HS 25 7.974 2.735 14.274 2.259 8.056 1 .567 6.715 2.729
HF/HS => LF/HPP => HF/HS 26 8.342 3.034 17.029 2.487 7.869 1 .770 6.883 3.668
HF/HS => LF/HPP => HF/HS 27 7.464 2.775 17.812 2.844 8.180 1 .901 7.445 3.785
HF/HS => LF/HPP => HF/HS 29 12.256 4.156 8.742 4.574 12.428 3.214 3.493 2.443
HF/HS => LF/HPP => HF/HS 30 21 .729 5.126 2.186 0.643 14.309 2.121 3.428 1.490
HF/HS => LF/HPP => HF/HS 31 24.376 5.124 0.675 0.191 18.277 5.219 2.790 0.960
HF/HS => LF/HPP => HF/HS 33 26.929 6.349 0.642 0.348 14.706 3.329 3.103 1.014
HF/HS => LF/HPP => HF/HS 35 25.506 5.325 0.639 0.258 14.776 1 .903 2.997 0.954
HF/HS => LF/HPP => HF/HS 38 25.028 5.284 0.609 0.274 16.184 2.679 2.991 1.242
HF/HS => LF/HPP => HF/HS 40 26.384 5.957 0.557 0.206 16.694 2.501 1 .981 0.664
HF/HS => LF/HPP => HF/HS 41 23.594 5.706 0.637 0.176 25.454 4.190 1 .568 0.864
HF/HS => LF/HPP => HF/HS 42 24.021 4.818 0.842 0.263 21.529 6.340 1 .768 1.574
HF/HS => LF/HPP => HF/HS CEC 24.885 6.832 0.851 0.212 17.238 5.620 1 .610 1.272
B. cellulosilyticus
B. vulgatus C. aerofaciens C. scindens
WH2
Group Day Mean s.d. Mean s.d. Mean s.d. Mean s.d.
LF/HPP => HF/HS => LF/HPP 01 47.699 19.484 12.756 5.083 0.199 0.143 4.263 1.368
LF/HPP => HF/HS => LF/HPP 02 15.533 3.240 30.100 2.549 0.926 0.257 3.356 0.866
LF/HPP => HF/HS => LF/HPP 03 9.888 1 .175 34.971 5.053 1.018 0.247 1 .956 0.587
LF/HPP => HF/HS => LF/HPP 05 13.841 2.091 39.010 7.327 0.765 0.197 1 .005 0.164
LF/HPP => HF/HS => LF/HPP 07 14.124 0.483 36.935 1 .999 1.387 0.192 1 .488 0.165
LF/HPP => HF/HS => LF/HPP 10 15.130 3.337 36.820 5.514 0.737 0.264 1 .156 0.254
LF/HPP => HF/HS => LF/HPP 12 11 .777 2.320 36.451 2.330 0.741 0.453 1 .405 0.403
LF/HPP => HF/HS => LF/HPP 13 11 .829 2.259 41 .595 3.948 0.760 0.395 1 .420 0.605
LF/HPP => HF/HS => LF/HPP 15 22.873 4.188 27.448 6.762 0.476 0.110 0.998 0.288
LF/HPP => HF/HS => LF/HPP 16 17.001 0.719 19.372 2.120 0.830 0.475 2.154 0.621
LF/HPP => HF/HS => LF/HPP 17 13.221 2.442 21 .244 2.542 0.550 0.358 3.217 0.797
LF/HPP => HF/HS => LF/HPP 19 18.721 4.634 18.702 5.644 0.269 0.209 1 .515 0.584
LF/HPP => HF/HS => LF/HPP 21 20.618 2.303 17.543 5.276 0.213 0.081 1 .707 0.500
LF/HPP => HF/HS => LF/HPP 25 20.933 2.651 14.693 2.479 0.335 0.173 2.612 1.036
LF/HPP => HF/HS => LF/HPP 26 25.071 3.961 16.769 2.347 0.241 0.138 1 .818 0.927
LF/HPP => HF/HS => LF/HPP 27 24.846 3.199 16.287 2.359 0.312 0.183 2.009 0.902
LF/HPP => HF/HS => LF/HPP 29 14.292 1 .858 24.629 3.594 0.654 0.344 3.427 0.955
LF/HPP => HF/HS => LF/HPP 30 15.510 4.981 35.219 6.401 0.303 0.232 1 .424 0.965
LF/HPP => HF/HS => LF/HPP 31 14.241 2.771 37.795 4.153 0.402 0.132 1 .806 0.365
LF/HPP => HF/HS => LF/HPP 33 16.883 3.590 42.656 3.550 0.231 0.193 0.982 0.602
LF/HPP => HF/HS => LF/HPP 35 19.1 11 2.999 39.275 5.703 0.118 0.045 0.661 0.246
LF/HPP => HF/HS => LF/HPP 38 13.603 1 .484 35.091 4.432 0.199 0.039 0.805 0.171
LF/HPP => HF/HS => LF/HPP 40 16.916 2.465 42.187 3.716 0.154 0.063 0.596 0.220
LF/HPP => HF/HS => LF/HPP 41 14.726 2.771 40.903 2.652 0.201 0.032 0.775 0.164
LF/HPP => HF/HS => LF/HPP 42 14.086 2.411 38.466 2.792 0.326 0.060 1 .288 0.341
LF/HPP => HF/HS => LF/HPP CEC 16.735 2.321 39.670 2.103 0.312 0.121 0.953 0.347
HF/HS => LF/HPP => HF/HS 01 28.917 6.107 20.517 2.741 0.322 0.181 1 .782 0.517
HF/HS => LF/HPP => HF/HS 02 23.844 4.273 14.927 3.1 17 0.556 0.193 3.091 0.638
HF/HS => LF/HPP => HF/HS 03 14.972 2.057 11 .620 2.852 0.456 0.136 4.769 0.896
HF/HS => LF/HPP => HF/HS 05 18.706 3.406 19.919 3.793 0.271 0.108 1 .989 0.508
HF/HS => LF/HPP => HF/HS 07 21 .534 4.463 20.156 4.705 0.521 0.262 3.282 1.331
HF/HS => LF/HPP => HF/HS 10 20.083 4.411 20.104 3.318 0.657 0.376 2.999 1.237
HF/HS => LF/HPP => HF/HS 12 24.478 4.778 18.994 3.595 0.256 0.120 1 .816 0.853
HF/HS => LF/HPP => HF/HS 13 26.733 2.137 18.607 2.599 0.263 0.126 1 .560 0.398
HF/HS => LF/HPP => HF/HS 15 13.778 3.333 25.080 5.849 0.465 0.219 2.358 0.638
HF/HS => LF/HPP => HF/HS 16 11 .260 3.635 35.160 6.441 0.472 0.163 1 .783 0.829
HF/HS => LF/HPP => HF/HS 17 7.568 1 .829 39.598 3.519 0.561 0.197 1 .686 0.515
HF/HS => LF/HPP => HF/HS 19 12.961 1 .811 43.312 4.300 0.206 0.057 0.922 0.288
HF/HS => LF/HPP => HF/HS 21 15.444 2.155 39.153 3.831 0.382 0.205 1 .586 0.438
HF/HS => LF/HPP => HF/HS 25 15.824 1 .757 37.1 14 3.259 0.326 0.121 1 .1 13 0.285
HF/HS => LF/HPP => HF/HS 26 15.598 2.544 35.951 3.202 0.295 0.078 1 .029 0.276
HF/HS => LF/HPP => HF/HS 27 14.908 1 .879 35.830 3.209 0.378 0.187 1 .025 0.303
HF/HS => LF/HPP => HF/HS 29 22.636 4.673 24.777 5.583 0.935 0.441 3.228 1.489
HF/HS => LF/HPP => HF/HS 30 26.753 4.342 18.890 2.068 0.967 0.541 3.837 1.140
HF/HS => LF/HPP => HF/HS 31 22.963 3.748 17.291 4.002 1.144 0.324 6.1 18 1.253
HF/HS => LF/HPP => HF/HS 33 28.680 5.151 21 .342 7.125 0.107 0.022 1 .162 0.182
HF/HS => LF/HPP => HF/HS 35 29.595 3.238 21 .369 2.610 0.146 0.068 1 .480 0.629
HF/HS => LF/HPP => HF/HS 38 28.354 2.841 19.880 2.742 0.257 0.189 1 .923 1.081
HF/HS => LF/HPP => HF/HS 40 30.322 3.254 17.726 4.401 0.148 0.075 1 .457 0.548
HF/HS => LF/HPP => HF/HS 41 24.131 3.371 14.026 5.067 0.315 0.199 3.443 1.745
HF/HS => LF/HPP => HF/HS 42 24.402 4.498 16.469 5.336 0.502 0.365 4.027 1.159
HF/HS => LF/HPP => HF/HS CEC 28.251 6.512 17.143 5.811 0.362 0.155 3.814 1.263
C. spiroforme D. longicatena P. distasonis R. obeum
Group Day Mean s.d. Mean s.d. Mean s.d. Mean s.d.
LF/HPP => HF/HS => LF/HPP 01 0.015 0.008 0.142 0.056 0.153 0.044 0.359 0.328
LF/HPP => HF/HS => LF/HPP 02 0.517 0.395 0.012 0.013 0.332 0.137 4.995 2.456
LF/HPP => HF/HS => LF/HPP 03 0.735 0.322 0 (n/d) 0 (n/d) 1.122 0.516 7.080 1.590
LF/HPP => HF/HS => LF/HPP 05 0.251 0.141 0 (n/d) 0 (n/d) 2.950 0.918 5.633 0.875
LF/HPP => HF/HS => LF/HPP 07 0.098 0.047 0 (n/d) 0 (n/d) 3.580 0.362 8.201 1.661
LF/HPP => HF/HS => LF/HPP 10 0.175 0.148 0 (n/d) 0 (n/d) 3.918 1.590 4.334 1.707
LF/HPP => HF/HS => LF/HPP 12 0.073 0.041 0 (n/d) 0 (n/d) 3.223 0.915 5.693 2.253
LF/HPP => HF/HS => LF/HPP 13 0.017 0.008 0 (n/d) 0 (n/d) 3.557 0.920 4.685 2.228
LF/HPP => HF/HS => LF/HPP 15 0.030 0.010 0 (n/d) 0 (n/d) 6.238 1.421 1.441 0.617
LF/HPP => HF/HS => LF/HPP 16 0.028 0.013 0 (n/d) 0 (n/d) 7.664 1.033 1.752 0.847
LF/HPP => HF/HS => LF/HPP 17 0.095 0.087 0 (n/d) 0 (n/d) 3.715 0.557 1.539 0.704
LF/HPP => HF/HS => LF/HPP 19 0.051 0.045 0 (n/d) 0 (n/d) 2.729 1.332 0.927 0.553
LF/HPP => HF/HS => LF/HPP 21 0.048 0.015 0 (n/d) 0 (n/d) 2.461 0.544 0.945 0.407
LF/HPP => HF/HS => LF/HPP 25 0.075 0.021 0.004 0.003 2.945 0.700 1.685 0.697
LF/HPP => HF/HS => LF/HPP 26 0.067 0.047 0.004 0.001 3.206 0.744 1.100 0.570
LF/HPP => HF/HS => LF/HPP 27 0.052 0.015 0.005 0.002 3.621 0.664 1.180 0.351
LF/HPP => HF/HS => LF/HPP 29 0.064 0.010 0.010 0.003 1.702 1.027 4.602 1.065
LF/HPP => HF/HS => LF/HPP 30 0.026 0.018 0.007 0.003 2.779 1.762 2.955 1.454
LF/HPP => HF/HS => LF/HPP 31 0.028 0.007 0.007 0.002 2.501 0.628 5.463 1.340
LF/HPP => HF/HS => LF/HPP 33 0.032 0.015 0.006 0.001 4.698 1.155 3.309 1.529
LF/HPP => HF/HS => LF/HPP 35 0.063 0.018 0.005 0.003 4.515 1.224 3.196 1.165
LF/HPP => HF/HS => LF/HPP 38 0.095 0.036 0.007 0.002 4.357 0.668 3.592 1.118
LF/HPP => HF/HS => LF/HPP 40 0.049 0.017 0.009 0.004 5.528 1.102 3.022 1.110
LF/HPP => HF/HS => LF/HPP 41 0.066 0.012 0.014 0.006 4.579 0.537 4.446 0.912
LF/HPP => HF/HS => LF/HPP 42 0.035 0.022 0.006 0.003 4.095 0.628 7.295 1.742
LF/HPP => HF/HS => LF/HPP CEC 0.030 0.012 0.011 0.005 5.202 0.724 7.795 1.570
HF/HS => LF/HPP => HF/HS 01 0.131 0.251 0.068 0.041 0.117 0.049 0.349 0.274
HF/HS => LF/HPP => HF/HS 02 0.179 0.087 0.013 0.008 0.398 0.152 0.236 0.297
HF/HS => LF/HPP => HF/HS 03 1.105 0.204 0 (n/d) 0 (n/d) 0.424 0.133 0.842 0.200
HF/HS => LF/HPP => HF/HS 05 0.914 0.332 0 (n/d) 0 (n/d) 0.268 0.242 1.372 0.774
HF/HS => LF/HPP => HF/HS 07 0.515 0.333 0 (n/d) 0 (n/d) 0.434 0.517 3.023 1.663
HF/HS => LF/HPP => HF/HS 10 0.245 0.205 0 (n/d) 0 (n/d) 0.935 0.548 2.831 1.142
HF/HS => LF/HPP => HF/HS 12 0.033 0.019 0 (n/d) 0 (n/d) 1.778 0.953 1.551 0.886
HF/HS => LF/HPP => HF/HS 13 0.025 0.011 0 (n/d) 0 (n/d) 1.868 1.041 1.152 0.377
HF/HS => LF/HPP => HF/HS 15 0.078 0.037 0 (n/d) 0 (n/d) 1.283 0.517 3.878 1.638
HF/HS => LF/HPP => HF/HS 16 0.095 0.138 0 (n/d) 0 (n/d) 1.540 0.685 4.558 1.127
HF/HS => LF/HPP => HF/HS 17 0.065 0.053 0 (n/d) 0 (n/d) 2.452 0.659 6.835 0.898
HF/HS => LF/HPP => HF/HS 19 0.026 0.008 0 (n/d) 0 (n/d) 3.947 0.560 3.142 1.053
HF/HS => LF/HPP => HF/HS 21 0.037 0.012 0 (n/d) 0 (n/d) 4.011 0.891 4.319 1.180
HF/HS => LF/HPP => HF/HS 25 0.025 0.005 0.005 0.003 4.961 2.055 3.613 1.078
HF/HS => LF/HPP => HF/HS 26 0.024 0.007 0.007 0.003 3.548 1.074 3.425 1.083
HF/HS => LF/HPP => HF/HS 27 0.018 0.004 0.008 0.004 3.365 1.057 3.567 1.059
HF/HS => LF/HPP => HF/HS 29 0.046 0.022 0.006 0.003 6.878 3.375 4.576 1.851
HF/HS => LF/HPP => HF/HS 30 0.044 0.013 0.006 0.001 4.705 0.432 3.145 1.151
HF/HS => LF/HPP => HF/HS 31 0.122 0.084 0.007 0.002 2.633 0.524 3.606 1.371
HF/HS => LF/HPP => HF/HS 33 0.098 0.029 0.003 0.001 2.459 0.553 0.767 0.272
HF/HS => LF/HPP => HF/HS 35 0.115 0.068 0.005 0.002 2.524 0.464 0.847 0.401
HF/HS => LF/HPP => HF/HS 38 0.160 0.098 0.005 0.002 3.631 0.762 0.978 0.535
HF/HS => LF/HPP => HF/HS 40 0.169 0.084 0.006 0.002 3.458 0.585 1.099 0.626
HF/HS => LF/HPP => HF/HS 41 0.249 0.147 0.004 0.002 3.433 0.657 3.148 1.729
HF/HS => LF/HPP => HF/HS 42 0.116 0.038 0.006 0.002 3.825 1.244 2.493 1.080
HF/HS => LF/HPP => HF/HS CEC 0.171 0.102 0.006 0.002 3.412 1.629 2.256 0.931
Limit of detection: 0.003%
Values represent percentages shown to three decimal places (e.g., "0.500" = 0.500%)
n/d = not detectable
Table 6. GeneChip measurements of cecal gene expression for the 12 bacterial species comprising the artificial human gut microbial community studied in experiment E-|.
A. Overview of expression profiling results.
Avg. cecal
Table 7. List of EC numbers whose representation within the fecal metatranscriptome is significantly impacted by diet.
Carbo
hydrat
metab
Index olism Amino # genes (heatm and acid in m eta- ap transp metab transcript row) Response Type EC Description ort? olism? ome
1 Rapid, up on HF/HS 3.6.1 .13 ADP-ribose diphosphatase 24
2 Rapid, up on HF/HS 3.2.1 .18 Exo-alpha-sialidase Y 17
3 Rapid, up on HF/HS 3.2.1 .1 1 Dextranase Y 4
4 Rapid, up on HF/HS 3.1 .3.2 Acid phosphatase 6
5 Rapid, up on HF/HS 3.6.3.21 Polar-amino-acid-transporting ATPase Y 20
6 Rapid, up on HF/HS 3.6.3.2 Magnesium-importing ATPase 6
7 Rapid, up on HF/HS 1 .17.1.4 Xanthine dehydrogenase 11
8 Rapid, up on HF/HS 3.5.3.12 Agmatine deiminase Y 10
9 Rapid, up on HF/HS 3.5.4.4 Adenosine deaminase 2
10 Rapid, up on HF/HS 2.7.1 .53 L-xylulokinase Y 2
11 Rapid, up on HF/HS 4.3.1 .17 L-serine ammonia-lyase Y 15
12 Rapid, up on HF/HS 3.2.2.23 DNA-formamidopyrimidine glycosylase 0
13 Rapid, up on HF/HS 2.7.2.1 Acetate kinase 14
14 Rapid, up on HF/HS 2.1.1.104 Caffeoyl-CoA O-methyltransferase Y 3
Delayed, up on HF/HS 2.3.3.1 Citrate (Si)-synthase Y 13
Delayed, up on HF/HS 6.3.4.14 Biotin carboxylase 0
Delayed, up on HF/HS 3.6.3.16 Arsenite-transporting ATPase 6
Delayed, up on HF/HS 3.1 .21.4 Type II site-specific deoxyribonuclease 13
Delayed, up on HF/HS 3.1 .3.62 Multiple inositol-polyphosphate phosphatase Y 1
Delayed, up on HF/HS 6.6.1 .2 Cobaltochelatase 8
Delayed, up on HF/HS 3.2.1 .24 Alpha-mannosidase Y 10
Peptide-N(4)-(N-acetyl-beta-
Delayed, up on HF/HS 3.5.1 .52 2 glucosaminyl)asparagine amidase
Delayed, up on HF/HS 3.1 .6.13 lduronate-2-sulfatase Y 9
Delayed, up on HF/HS 4.1 .1 .12 Aspartate 4-decarboxylase Y 8
Delayed, up on HF/HS 3.1 .4.3 Phospholipase C 2
4.2.2.20; Chondroitin-sulfate-ABC endolyase;
Delayed, up on HF/HS Y 9
4.2.2.21 Chondroitin-sulfate-ABC exolyase
Delayed, up on HF/HS 4.2.1.113 o-succinylbenzoate synthase 7
Rapid, up on LF/HPP 2.8.1 .2 3-mercaptopyruvate sulfurtransferase Y 0
Rapid, up on LF/HPP 1 .1 .1 .22 UDP-glucose 6-dehydrogenase Y 26
Rapid, up on LF/HPP 6.3.1 .1 Aspartate-ammonia ligase Y 10
Rapid, up on LF/HPP 1 .3.1 .24 Biliverdin reductase 1
1.4.1.13; Glutamate synthase (NADPH); Glutamate
Rapid, up on LF/HPP Y 34
1.4.1.14 synthase (NADH)
Rapid, up on LF/HPP 2.6.1 .83 LL-diaminopimelate aminotransferase Y 15
Rapid, up on LF/HPP 1.11 .1 .15 Peroxiredoxin 28
Glutamine-fructose-6-phosphate transaminase
Rapid, up on LF/HPP 2.6.1 .16 Y Y 14
(isomerizing)
Rapid, up on LF/HPP 1 .1 .1 .10 L-xylulose reductase Y 1
Rapid, up on LF/HPP 6.3.4.3 Formate-tetrahydrofolate ligase 14
Rapid, up on LF/HPP 1 .17.4.1 Ribonucleoside-diphosphate reductase 14
Rapid, up on LF/HPP 3.2.1 .4 Cellulase Y 23
Rapid, up on LF/HPP 3.-.-.- Hydrolases Y 28
Rapid, up on LF/HPP 3.2.1 .78 Mannan endo-1 , 4-beta-mannosidase Y 1 1
Rapid, up on LF/HPP 1.1.1.271 GDP-L-fucose synthase Y 13
Rapid, up on LF/HPP 3.1 .1 .1 1 Pectinesterase Y 38
Rapid, up on LF/HPP 3.4.24.64 Mitochondrial processing peptidase 4
Rapid, up on LF/HPP 3.2.1 .99 Arabinan endo-1 ,5-alpha-L-arabinosidase Y 25
Rapid, up on LF/HPP 5.1 .3.4 L-ribulose-5-phosphate 4-epimerase Y 10
Rapid, up on LF/HPP 3.2.1 .55 Alpha-L-arabinofuranosidase Y 67
Rapid, up on LF/HPP 2.7.1 .16 Ribulokinase Y 12
Rapid, up on LF/HPP 5.3.1 .4 L-arabinose isomerase Y 14
Rapid, up on LF/HPP 3.5.1 .2 Glutaminase Y 9
Rapid, up on LF/HPP 4.1 .1 .15 Glutamate decarboxylase Y 7
Gradual, up on LF/HPP 2.3.1.180 Beta-ketoacyl-acyl-carrier-protein synthase III 24
Gradual, up on LF/HPP 2.3.1 .79 Maltose O-acetyltransferase Y 31
Gradual, up on LF/HPP 3.2.1 .89 Arabinogalactan endo-1 ,4-beta-galactosidase Y 7
Gradual, up on LF/HPP 4.2.1 .75 Uroporphyrinogen-lll synthase 7
Gradual, up on LF/HPP 3.4.21 .26 Prolyl oligopeptidase 5
Gradual, up on LF/HPP 5.1 .3.8 N-acylglucosamine 2-epimerase Y 17
1.2.1.21 ; Glycolaldehyde dehydrogenase; Lactaldehyde
Gradual, up on LF/HPP Y 0
1.2.1.22 dehydrogenase
Gradual, up on LF/HPP 2.4.2.14 Amidophosphoribosyltransferase Y 28
Gradual, up on LF/HPP 3.1 .1 .72 Acetylxylan esterase Y 2
Gradual, up on LF/HPP 1 .1 .1 .58 Tagaturonate reductase Y 7
1 ,4-dihydroxy-2-naphthoate
Gradual, up on LF/HPP 2.5.1 .74 0 polyprenyl transferase
Gradual, up on LF/HPP 6.3.1 .2 Glutamate-ammonia ligase Y 35
Gradual, up on LF/HPP 6.3.5.4 Asparagine synthase (glutamine-hydrolyzing) Y 13
Gradual, up on LF/HPP 3.6.4.4 Plus-end-directed kinesin ATPase 3
Gradual, up on LF/HPP 4.1 .99.1 Tryptophanase Y 4
Gradual, up on LF/HPP 4.3.1 .3 Histidine ammonia-lyase Y 10
Gradual, up on LF/HPP 1 .1 .1 .25 Shikimate dehydrogenase Y 14
Gradual, up on LF/HPP 2.5.1 .72 Quinolinate synthase 12
Gradual, up on LF/HPP 1 .16.3.1 Ferroxidase 15
Gradual, up on LF/HPP 6.1 .1 .17 Glutamate-tRNA ligase Y 13
Gradual, up on LF/HPP 2.4.2.29 tRNA-guanine transglycosylase 13
Gradual, up on LF/HPP 3.4.21 .10 Rhomboid protease 7
iMs^o/Mozsii/xad ΐοοεοο/sioz OA
89 180.7 90.2 85.5 62.9 89.7 102.8 140.9 0.5 -1 .0 0.00054 0.00510
90 12.3 0.0 0.0 0.0 0.0 2.4 2.9 0.0 -Inf 0.00106 0.00874
91 520.0 190.2 251.0 214.3 242.1 341 .7 345.8 0.5 -1 .1 0.00016 0.00202
92 282.0 151 .2 121.3 133.6 137.4 246.2 317.0 0.5 -1 .0 0.00034 0.00358
93 705.0 95.7 68.1 1 10.5 87.0 414.8 488.9 0.1 -3.0 0.00000 0.00000
94 268.8 107.2 117.2 107.6 107.0 202.5 237.5 0.4 -1 .3 0.00001 0.00029
95 293.6 56.9 69.4 48.4 64.1 238.3 372.2 0.2 -2.2 0.00282 0.02026
96 115.9 53.9 50.8 35.8 53.3 96.8 1 11 .8 0.5 -1 .1 0.00349 0.02355
97 380.3 196.0 165.9 136.3 136.4 377.2 410.2 0.4 -1 .5 0.00000 0.00000
98 278.9 66.5 59.1 34.1 35.5 261 .0 321 .8 0.1 -3.0 0.00000 0.00000
99 738.8 287.8 162.3 106.3 136.2 943.5 950.6 0.2 -2.4 0.00002 0.00039
100 129.4 44.5 40.3 35.7 40.1 136.1 132.4 0.3 -1 .7 0.00000 0.00001
101 1 170.9 470.4 348.0 565.1 409.2 1389.1 1677.5 0.3 -1 .5 0.00010 0.00141
102 21 1.7 38.5 55.7 61.6 66.8 304.6 321 .8 0.3 -1 .7 0.00005 0.00074
103 279.7 67.1 95.4 1 16.1 125.1 364.5 385.6 0.4 -1 .2 0.00588 0.03412
104 263.8 57.5 47.4 1 18.0 119.0 262.6 316.7 0.5 -1 .1 0.00505 0.03151
105 650.1 87.5 36.0 134.8 118.8 479.6 633.7 0.2 -2.5 0.00001 0.00027
106 244.6 141 .6 91 .2 85.5 122.1 171 .2 200.1 0.5 -1 .0 0.00304 0.02152
107 159.1 74.5 43.7 50.2 49.1 89.2 83.9 0.3 -1 .7 0.00001 0.00020
108 148.6 96.6 41 .4 77.7 54.2 200.8 156.1 0.4 -1 .5 0.00000 0.00001
109 63.8 44.5 20.9 29.4 28.6 61.0 67.9 0.4 -1 .2 0.00663 0.03676
110 126.7 70.2 32.8 29.4 24.9 106.9 1 18.1 0.2 -2.4 0.00000 0.00000
11 1 236.7 227.8 94.5 80.0 92.3 342.4 320.7 0.4 -1 .4 0.00021 0.00246
112 135.2 64.2 44.6 17.0 16.8 89.2 101 .4 0.1 -3.0 0.00015 0.00197
113 308.9 207.9 203.9 180.4 145.1 227.5 313.4 0.5 -1 .1 0.00065 0.00600
114 90.7 17.0 18.4 6.1 2.2 33.9 57.8 0.0 -5.3 0.00000 0.00000
115 255.7 85.9 60.0 47.9 35.2 124.9 170.9 0.1 -2.9 0.00000 0.00000
116 73.5 44.0 42.6 35.9 34.8 59.4 67.8 0.5 -1 .1 0.00650 0.03676
117 31391 .7 1343.8 464.8 306.7 317.3 2383.7 11 198.9 0.0 -6.6 0.00035 0.00366
118 141.2 29.4 23.5 29.8 15.8 34.3 103.5 0.1 -3.2 0.00003 0.00056
119 36.2 1 1.1 2.2 4.7 0.3 17.2 14.9 0.0 -6.8 0.00000 0.00000
120 88.4 56.1 26.6 45.9 23.7 64.9 103.8 0.3 -1 .9 0.00003 0.00056
121 241.3 197.8 139.9 136.8 100.7 203.1 281 .1 0.4 -1 .3 0.00029 0.00308
122 116.7 52.7 48.2 32.3 47.9 54.7 50.6 0.4 -1 .3 0.00661 0.03676
123 275.5 185.9 137.9 95.7 85.4 124.4 121 .3 0.3 -1 .7 0.00011 0.00151
124 757.2 514.1 548.5 363.5 362.5 505.2 451 .2 0.5 -1 .1 0.00053 0.00510
125 264.7 166.0 169.1 133.5 131.7 159.5 173.1 0.5 -1 .0 0.00094 0.00793
126 207.6 121 .7 11 1.7 102.7 72.7 90.9 81.1 0.4 -1 .5 0.00000 0.00007
127 70.4 30.9 38.0 30.4 23.3 24.8 26.5 0.3 -1 .6 0.00516 0.03176
128 21 .5 12.9 4.9 0.0 4.3 15.3 14.2 0.2 -2.3 0.00567 0.03333
129 62.1 53.8 17.1 8.9 12.2 14.9 26.1 0.2 -2.3 0.00001 0.00014
130 766.7 1182.3 683.9 20.4 35.5 67.2 204.6 0.0 -4.4 0.00000 0.00000
131 3319.2 3321 .6 2698.8 1332.8 1586.7 1647.3 2235.1 0.5 -1 .1 0.00002 0.00042
132 442.3 327.1 256.7 1 15.0 147.0 153.5 256.7 0.3 -1 .6 0.00006 0.00095
133 104.5 71.7 60.2 24.0 31 .8 32.3 41.8 0.3 -1 .7 0.00444 0.02860
134 321.8 349.7 223.9 103.4 138.6 154.1 165.0 0.4 -1 .2 0.00013 0.00175
135 30.4 19.6 9.3 0.0 4.8 3.4 4.8 0.2 -2.7 0.00363 0.02399
136 5030.7 4071 .3 3485.8 392.1 820.3 1083.8 3541 .8 0.2 -2.6 0.00000 0.00000
137 115.9 87.5 92.7 44.1 27.7 79.8 71.2 0.2 -2.1 0.00001 0.00029
138 55.6 53.9 28.0 4.5 6.6 29.5 25.5 0.1 -3.1 0.00000 0.00000
139 269.7 271 .6 21 1.5 107.1 116.6 245.5 229.9 0.4 -1 .2 0.00037 0.00386
140 105.9 100.5 66.1 42.2 36.0 68.1 59.1 0.3 -1 .6 0.00019 0.00221
141 659.9 396.7 238.9 60.8 51 .8 220.7 262.6 0.1 -3.7 0.00000 0.00000
142 192.8 160.7 125.4 85.4 87.1 139.8 127.1 0.5 -1 .1 0.00029 0.00308
143 212.1 227.1 116.4 53.6 78.3 124.7 180.5 0.4 -1 .4 0.00083 0.00718
144 8845.5 5698.6 2331.2 812.3 863.3 2943.4 7447.0 0.1 -3.4 0.00000 0.00000
145 1580.0 1389.3 982.0 714.1 724.2 1310.6 1603.7 0.5 -1 .1 0.00012 0.00153
146 305.8 336.8 186.0 99.0 106.7 230.6 331 .8 0.3 -1 .5 0.00062 0.00575
147 84.3 106.5 51 .7 30.8 27.5 63.6 79.1 0.3 -1 .6 0.00018 0.00210
148 134.6 179.2 95.9 79.7 65.8 100.9 97.6 0.5 -1 .0 0.00568 0.03333
149 102.5 162.7 66.1 32.6 40.8 62.5 59.4 0.4 -1 .3 0.00074 0.00665
150 540.5 858.3 399.1 239.9 184.6 380.2 515.5 0.3 -1 .5 0.00782 0.04174
151 576.9 736.2 316.5 307.1 190.2 232.9 209.5 0.3 -1 .6 0.00001 0.00029
152 669.7 1124.9 749.5 284.4 220.0 362.9 408.3 0.3 -1 .6 0.00000 0.00001
153 224.7 616.8 328.0 64.1 34.3 49.1 59.8 0.2 -2.7 0.00023 0.00257
154 22.8 17.7 7.7 2.5 0.7 1.8 5.3 0.0 -5.0 0.00000 0.00006
155 25.2 25.3 20.7 20.2 8.5 15.0 19.1 0.3 -1 .6 0.00522 0.03180
156 346.9 414.3 465.6 186.5 146.2 94.0 82.7 0.4 -1 .2 0.00001 0.00021
157 71 .7 44.1 29.7 43.9 24.2 8.0 18.0 0.3 -1 .6 0.00325 0.02220
Table 8. Summary of theoretical peptidome statistics.
A. Summar of theoretical e tidome statistics for all roteins
1045 (38.9%) 1641 (61.1 %) 4037 (75.5%) 131 1 (24.5%) 2566 (59.3%) 1763 (40.7%) amino acids
Metabolism of terpenoids
1076 (53.6%) 932 (46.4%) 1498 (68.9%) 677 (31.1 %) 1025 (52.8%) 915 (47.2%) and polyketides
Nucleotide metabolism 1447 (26.7%) 3974 (73.3%) 3011 (50.3%) 2972 (49.7%) 1551 (27.9%) 4001 (72.1 %)
Replication and repair 4295 (40.2%) 6393 (59.8%) 8382 (65.0%) 4516 (35.0%) 5778 (46.2%) 6737 (53.8%)
Signal transduction 2103 (52.7%) 1884 (47.3%) 5965 (78.6%) 1620 (21.4%) 2951 (57.4%) 2191 (42.6%)
Signaling molecules and
1090 (70.3%) 461 (29.7%) 756 (81.0%) 177 (19.0%) 1008 (71 .3%) 406 (28.7%) interaction
Transcription 1929 (48.5%) 2051 (51 .5%) 3667 (68.7%) 1673 (31 .3%) 3142 (56.6%) 2410 (43.4%)
Translation 1296 (21.3%) 4780 (78.7%) 2722 (41.8%) 3783 (58.2%) 1802 (27.1 %) 4855 (72.9%)
Xenobiotics
biodegradation and 1436 (55.3%) 1163 (44.7%) 2226 (70.4%) 934 (29.6%) 1726 (57.4%) 1283 (42.6%) metabolism
B. thetaiotaomicron B. uniformis B. vulgatus
KEGG category Unique Non-unique Unique Non-unique Unique Non-unique
Amino acid metabolism 5557 (40.6%) 8146 (59.4%) 7040 (55.2%) 5710 (44.8%) 9578 (70.1 %) 4079 (29.9%)
Biosynthesis of other
2344 (72.4%) 894 (27.6%) 3146 (78.6%) 856 (21.4%) 1631 (82.7%) 342 (17.3%) secondary metabolites
Carbohydrate metabolism 18054(64.4%) 9972 (35.6%) 17456(69.8%) 7561 (30.2%) 16365 (72.2%) 6303 (27.8%)
Cell motility 340 (48.4%) 362 (51 .6%) 322 (48.9%) 337 (51 .1 %) 486 (81.8%) 108 (18.2%)
Energy metabolism 3663 (35.4%) 6682 (64.6%) 4804 (51.3%) 4554 (48.7%) 6210 (64.6%) 3407 (35.4%)
Folding, sorting and
4030 (57.9%) 2933 (42.1 %) 3519 (63.3%) 2037 (36.7%) 5531 (80.4%) 1348 (19.6%) degradation
Glycan biosynthesis and
10808(76.3%) 3349 (23.7%) 6571 (78.5%) 1804 (21.5%) 8340 (81 .6%) 1885 (18.4%) metabolism
Lipid metabolism 6143 (70.7%) 2551 (29.3%) 3847 (73.1 %) 1419 (26.9%) 4638 (75.8%) 1477 (24.2%)
Membrane transport 4121 (58.9%) 2871 (41 .1 %) 3364 (63.7%) 1917 (36.3%) 5064 (76.6%) 1548 (23.4%)
Metabolism of cofactors
3150 (53.0%) 2790 (47.0%) 4381 (68.3%) 2038 (31.7%) 5481 (81 .2%) 1269 (18.8%) and vitamins
Metabolism of other
1938 (58.9%) 1352 (41.1 %) 3235 (74.0%) 1 138 (26.0%) 2185 (78.5%) 599 (21 .5%) amino acids
Metabolism of terpenoids
1386 (60.4%) 907 (39.6%) 1615 (69.8%) 699 (30.2%) 1681 (75.7%) 539 (24.3%) and polyketides
Nucleotide metabolism 1908 (33.3%) 3821 (66.7%) 2484 (47.4%) 2754 (52.6%) 3637 (63.3%) 2110 (36.7%)
Replication and repair 5917 (46.5%) 681 1 (53.5%) 6477 (56.6%) 4973 (43.4%) 8777 (72.0%) 3413 (28.0%)
Signal transduction 3503 (62.0%) 2145 (38.0%) 3644 (70.3%) 1540 (29.7%) 3492 (79.8%) 884 (20.2%)
Signaling molecules and
1069 (75.1 %) 355 (24.9%) 728 (82.6%) 153 (17.4%) 1 199 (91 .3%) 114 (8.7%) interaction
Transcription 3025 (56.8%) 2305 (43.2%) 2297 (58.9%) 1605 (41 .1 %) 3491 (76.9%) 1049 (23.1 %)
Translation 1767 (27.6%) 4629 (72.4%) 2199 (37.0%) 3746 (63.0%) 3519 (57.3%) 2625 (42.7%)
Xenobiotics
biodegradation and 1623 (58.2%) 1167 (41.8%) 1982 (66.4%) 1004 (33.6%) 2091 (76.2%) 653 (23.8%) metabolism
C. aerofaciens C. scindens C. spiroforme
KEGG category Unique Non-unique Unique Non-unique Unique Non-unique
Amino acid metabolism 7565 (93.8%) 501 (6.2%) 10483(79.0%) 2786 (21 .0%) 9772 (92.9%) 751 (7.1 %)
Biosynthesis of other
568 (96.8%) 19 (3.2%) 1061 (86.8%) 162 (13.2%) 753 (84.1 %) 142 (15.9%) secondary metabolites
Carbohydrate metabolism 9176 (94.0%) 586 (6.0%) 11 115(85.9%) 1831 (14.1 %) 9233 (82.7%) 1925 (17.3%)
Cell motility 448 (95.9%) 19 (4.1 %) 904 (80.6%) 218 (19.4%) 361 (96.8%) 12 (3.2%)
Energy metabolism 5049 (94.7%) 283 (5.3%) 8201 (82.4%) 1754 (17.6%) 5669 (92.7%) 447 (7.3%)
Folding, sorting and
2517 (93.6%) 173 (6.4%) 3115 (77.3%) 916 (22.7%) 3668 (92.6%) 294 (7.4%) degradation
Glycan biosynthesis and
1555 (96.9%) 49 (3.1 %) 1843 (88.7%) 234 (11.3%) 6744 (90.3%) 721 (9.7%) metabolism
Lipid metabolism 1813 (95.8%) 79 (4.2%) 2376 (86.3%) 378 (13.7%) 2878 (85.1 %) 502 (14.9%)
Membrane transport 7823 (95.1 %) 407 (4.9%) 11937(88.3%) 1578 (1 1.7%) 7578 (90.9%) 763 (9.1 %)
Metabolism of cofactors 3402 (95.9%) 147 (4.1 %) 5845 (87.5%) 836 (12.5%) 3583 (93.4%) 252 (6.6%)
and vitamins
Metabolism of other
1499 (96.7%) 51 (3.3%) 1558 (85.5%) 265 (14.5%) 1607 (94.4%) 95 (5.6%) amino acids
Metabolism of terpenoids
1135 (93.8%) 75 (6.2%) 2121 (83.6%) 417 (16.4%) 1 140 (75.1 %) 378 (24.9%) and polyketides
Nucleotide metabolism 3473 (93.1 %) 256 (6.9%) 4575 (73.7%) 1631 (26.3%) 4568 (91.9%) 402 (8.1 %)
Replication and repair 5494 (94.6%) 31 1 (5.4%) 8017 (74.2%) 2787 (25.8%) 7074 (93.6%) 486 (6.4%)
Signal transduction 1422 (94.4%) 84 (5.6%) 4365 (89.7%) 502 (10.3%) 1601 (94.1 %) 100 (5.9%)
Signaling molecules and
186 (97.9%) 4 (2.1 %) 177 (82.3%) 38 (17.7%) 1924 (91 .4%) 182 (8.6%) interaction
Transcription 3009 (94.5%) 176 (5.5%) 5007 (79.4%) 1303 (20.6%) 3009 (91.1 %) 293 (8.9%)
Translation 5138 (93.6%) 352 (6.4%) 4323 (63.7%) 2461 (36.3%) 5813 (91.8%) 522 (8.2%)
Xenobiotics
biodegradation and 121 1 (95.1 %) 62 (4.9%) 3047 (85.4%) 520 (14.6%) 1646 (70.4%) 692 (29.6%) metabolism
11952(57.6%) 8801 (42.4%)
and vitamins
Metabolism of other
7104 (63.7%) 4040 (36.3%)
amino acids
Metabolism of terpenoids
2252 (60.4%) 1476 (39.6%)
and polyketides
Nucleotide metabolism 14555(62.5%) 8716 (37.5%)
Replication and repair 76666(58.2%) 55012(41.8%)
Signal transduction 72297(57.5%) 53477(42.5%)
Signaling molecules and 161889 120493
interaction (57.3%) (42.7%)
Transcription 98736(50.0%) 98579(50.0%)
Translation 42496(41 .4%) 60222(58.6%)
Xenobiotics
biodegradation and 10658(55.3%) 8618 (44.7%)
metabolism
C. Summary of theoretical peptidome statistics for proteins assignable to KEGG pathways
B. caccae B. cellulosilyticus WH2 B. ovatus
KEGG pathway Unique Non-unique Unique Non-unique Unique Non-unique
Carbohydrate metabolism
Amino sugar and
nucleotide sugar 2861 (64.3%) 1590 (35.7%) 4423 (76.3%) 1377 (23.7%) 4004 (69.9%) 1725 (30.1 %) metabolism
Ascorbate and aldarate
127 (52.9%) 1 13 (47.1 %) 1 15 (55.3%) 93 (44.7%) 156 (63.2%) 91 (36.8%) metabolism
Butanoate metabolism 227 (30.0%) 529 (70.0%) 684 (60.4%) 448 (39.6%) 298 (33.4%) 593 (66.6%)
C5-Branched dibasic acid
119 (40.3%) 176 (59.7%) 184 (64.1 %) 103 (35.9%) 123 (43.0%) 163 (57.0%) metabolism
Citrate cycle (TCA cycle) 370 (28.2%) 943 (71.8%) 688 (50.7%) 668 (49.3%) 41 1 (29.5%) 982 (70.5%)
Fructose and mannose
1755 (58.1 %) 1267 (41.9%) 3409 (76.4%) 1053 (23.6%) 2088 (60.3%) 1374 (39.7%) metabolism
Galactose metabolism 2933 (70.5%) 1230 (29.5%) 7467 (83.3%) 1500 (16.7%) 5609 (74.7%) 1901 (25.3%)
Glycolysis /
395 (29.5%) 942 (70.5%) 914 (55.7%) 728 (44.3%) 544 (35.6%) 985 (64.4%) Gluconeogenesis
Glyoxylate and
255 (26.3%) 716 (73.7%) 626 (57.3%) 467 (42.7%) 350 (34.1 %) 675 (65.9%) dicarboxylate metabolism
Inositol phosphate
183 (48.5%) 194 (51.5%) 1 19 (60.7%) 77 (39.3%) 279 (56.4%) 216 (43.6%) metabolism
Pentose and glucuronate
1298 (60.1 %) 860 (39.9%) 3056 (79.0%) 812 (21.0%) 2357 (67.7%) 1 122 (32.3%) interconversions
Pentose phosphate
367 (35.5%) 668 (64.5%) 640 (59.3%) 440 (40.7%) 353 (34.9%) 658 (65.1 %) pathway
Propanoate metabolism 213 (20.8%) 809 (79.2%) 421 (46.7%) 481 (53.3%) 253 (25.7%) 730 (74.3%)
Pyruvate metabolism 419 (23.6%) 1353 (76.4%) 785 (44.9%) 962 (55.1 %) 509 (27.9%) 1316 (72.1 %)
Starch and sucrose
2848 (64.3%) 1581 (35.7%) 8759 (84.0%) 1663 (16.0%) 5883 (74.4%) 2022 (25.6%) metabolism
Lipid metabolism
Biosynthesis of
58 (60.4%) 38 (39.6%) 259 (84.4%) 48 (15.6%) 91 (61.9%) 56 (38.1 %) unsaturated fatty acids
Fatty acid biosynthesis 154 (27.5%) 405 (72.5%) 740 (72.3%) 284 (27.7%) 395 (48.5%) 419 (51 .5%)
Fatty acid metabolism 83 (26.3%) 233 (73.7%) 381 (71.3%) 153 (28.7%) 128 (35.0%) 238 (65.0%)
Glycerolipid metabolism 337 (72.0%) 131 (28.0%) 899 (87.4%) 130 (12.6%) 794 (83.1 %) 162 (16.9%)
Glycerophospholipid
162 (44.8%) 200 (55.2%) 609 (80.3%) 149 (19.7%) 467 (65.8%) 243 (34.2%) metabolism
Nucleotide metabolism
Purine metabolism 1065 (25.8%) 3067 (74.2%) 2415 (51 .4%) 2282 (48.6%) 1230 (28.8%) 3035 (71.2%)
Pyrimidine metabolism 789 (25.4%) 2313 (74.6%) 1809 (49.6%) 1835 (50.4%) 955 (28.6%) 2390 (71.4%)
Amino acid metabolism
Alanine, aspartate and
744 (26.8%) 2028 (73.2%) 1225 (45.0%) 1495 (55.0%) 702 (25.7%) 2031 (74.3%) glutamate metabolism
Arginine and proline 570 (31 .2%) 1258 (68.8%) 824 (48.0%) 894 (52.0%) 609 (33.3%) 1222 (66.7%)
metabolism
Cysteine and methionine
430 (34.1 %) 832 (65.9%) 756 (60.0%) 503 (40.0%) 666 (44.3%) 838 (55.7%) metabolism
Glycine, serine and
412 (33.6%) 815 (66.4%) 771 (59.0%) 535 (41 .0%) 516 (40.9%) 747 (59.1 %) threonine metabolism
Histidine metabolism 467 (47.9%) 508 (52.1 %) 1076 (69.2%) 479 (30.8%) 671 (49.9%) 673 (50.1 %)
Lysine biosynthesis 376 (36.0%) 668 (64.0%) 495 (56.4%) 382 (43.6%) 455 (40.3%) 673 (59.7%)
Lysine degradation 190 (42.2%) 260 (57.8%) 298 (66.2%) 152 (33.8%) 156 (37.4%) 261 (62.6%)
Phenylalanine metabolism 103 (28.7%) 256 (71.3%) 289 (59.7%) 195 (40.3%) 181 (36.3%) 318 (63.7%)
Phenylalanine, tyrosine
and tryptophan 352 (35.2%) 648 (64.8%) 601 (62.1 %) 367 (37.9%) 392 (37.5%) 652 (62.5%) biosynthesis
Tryptophan metabolism 0 (0.0%) 50 (100.0%) 1 14 (52.1 %) 105 (47.9%) 69 (31.9%) 147 (68.1 %)
Tyrosine metabolism 581 (58.2%) 417 (41.8%) 903 (76.0%) 285 (24.0%) 717 (61 .7%) 446 (38.3%)
Valine, leucine and
268 (27.2%) 718 (72.8%) 424 (43.4%) 552 (56.6%) 332 (32.0%) 704 (68.0%) isoleucine biosynthesis
Valine, leucine and
177 (24.2%) 553 (75.8%) 355 (53.1 %) 313 (46.9%) 270 (34.3%) 517 (65.7%) isoleucine degradation
Metabolism of other amino acids
beta-Alanine metabolism 60 (25.1 %) 179 (74.9%) 109 (46.4%) 126 (53.6%) 57 (24.2%) 179 (75.8%)
Cyanoamino acid
453 (42.8%) 606 (57.2%) 2913 (82.5%) 616 (17.5%) 1876 (73.3%) 684 (26.7%) metabolism
d-Alanine metabolism 83 (48.3%) 89 (51 .7%) 163 (72.8%) 61 (27.2%) 87 (49.4%) 89 (50.6%) d-Glutamine and d-
81 (39.5%) 124 (60.5%) 167 (68.4%) 77 (31.6%) 76 (39.0%) 1 19 (61 .0%) glutamate metabolism
Glutathione metabolism 126 (37.3%) 212 (62.7%) 218 (65.7%) 114 (34.3%) 122 (36.0%) 217 (64.0%)
Phosphonate and
48 (57.1 %) 36 (42.9%) 70 (72.2%) 27 (27.8%) 44 (55.0%) 36 (45.0%) phosphinate metabolism
Selenocompound
195 (32.6%) 404 (67.4%) 354 (58.1 %) 255 (41 .9%) 282 (39.7%) 428 (60.3%) metabolism
Taurine and hypotaurine
36 (21.6%) 131 (78.4%) 129 (50.2%) 128 (49.8%) 59 (28.4%) 149 (71 .6%) metabolism
Glycan biosynthesis and metabolism
Glycosaminoglycan
2136 (85.2%) 370 (14.8%) 933 (91.1 %) 91 (8.9%) 2207 (85.6%) 371 (14.4%) degradation
Lipopolysaccharide
198 (37.7%) 327 (62.3%) 397 (63.2%) 231 (36.8%) 344 (50.7%) 334 (49.3%) biosynthesis
Peptidoglycan
742 (53.0%) 659 (47.0%) 1004 (74.4%) 345 (25.6%) 790 (54.0%) 672 (46.0%) biosynthesis
Transcription
RNA polymerase 25 (5.2%) 459 (94.8%) 1 13 (23.5%) 367 (76.5%) 33 (6.8%) 451 (93.2%)
Translation
Aminoacyl-trna
429 (20.6%) 1651 (79.4%) 859 (41.1 %) 1229 (58.9%) 500 (24.0%) 1585 (76.0%) biosynthesis
Ribosome 100 (7.6%) 1209 (92.4%) 239 (17.9%) 1094 (82.1 %) 376 (22.9%) 1265 (77.1 %)
Folding, sorting and degradation
Protein export 345 (40.3%) 512 (59.7%) 629 (61.4%) 395 (38.6%) 234 (30.5%) 532 (69.5%)
Replication and repair
DNA replication 580 (39.0%) 907 (61.0%) 887 (60.7%) 574 (39.3%) 744 (44.8%) 917 (55.2%)
Mismatch repair 656 (39.6%) 1000 (60.4%) 1014 (59.7%) 685 (40.3%) 1021 (48.8%) 1071 (51.2%)
Homologous
673 (35.9%) 1200 (64.1 %) 1376 (65.2%) 736 (34.8%) 825 (39.2%) 1278 (60.8%) recombination
Membrane transport
ABC transporters 634 (54.2%) 536 (45.8%) 1253 (71 .2%) 507 (28.8%) 577 (52.4%) 525 (47.6%)
Phosphotransferase
12 (36.4%) 21 (63.6%) 0 (0%) 0 (0%) 13 (37.1 %) 22 (62.9%) system (PTS)
Bacterial secretion system 393 (37.5%) 655 (62.5%) 750 (59.1 %) 520 (40.9%) 428 (40.7%) 624 (59.3%)
Signal transduction
Two-component system 2032 (52.8%) 1820 (47.2%) 5859 (78.8%) 1579 (21.2%) 2773 (56.9%) 2100 (43.1 %)
Cell motility
Bacterial chemotaxis 161 (68.2%) 75 (31 .8%) 201 (84.1 %) 38 (15.9%) 84 (54.2%) 71 (45.8%)
Flagellar assembly 23 (29.1 %) 56 (70.9%) 52 (86.7%) 8 (13.3%) 73 (53.3%) 64 (46.7%)
B. thetaiotaomicron B. uniformis B. vulgatus
KEGG pathway Unique Non-unique Unique Non-unique Unique Non-unique
Carbohydrate metabolism
Amino sugar and
nucleotide sugar 4370 (71 .1 %) 1776 (28.9%) 3544 (68.0%) 1664 (32.0%) 3536 (73.6%) 1268 (26.4%) metabolism
Ascorbate and aldarate
154 (44.9%) 189 (55.1 %) 270 (75.6%) 87 (24.4%) 110 (78.6%) 30 (21 .4%) metabolism
Butanoate metabolism 555 (50.0%) 555 (50.0%) 608 (52.3%) 555 (47.7%) 732 (66.5%) 368 (33.5%)
C5-Branched dibasic acid
123 (42.9%) 164 (57.1 %) 100 (50.0%) 100 (50.0%) 124 (63.9%) 70 (36.1 %) metabolism
Citrate cycle (TCA cycle) 491 (34.7%) 924 (65.3%) 484 (43.0%) 641 (57.0%) 532 (39.1 %) 830 (60.9%)
Fructose and mannose
2483 (65.1 %) 1334 (34.9%) 2775 (71 .6%) 1 102 (28.4%) 2523 (75.0%) 839 (25.0%) metabolism
Galactose metabolism 5541 (73.5%) 2002 (26.5%) 3552 (73.1 %) 1306 (26.9%) 3871 (74.9%) 1294 (25.1 %)
Glycolysis /
568 (35.3%) 1040 (64.7%) 969 (54.6%) 807 (45.4%) 1025 (61 .7%) 636 (38.3%) Gluconeogenesis
Glyoxylate and
298 (30.5%) 680 (69.5%) 485 (49.6%) 492 (50.4%) 664 (58.8%) 466 (41 .2%) dicarboxylate metabolism
Inositol phosphate
484 (66.0%) 249 (34.0%) 259 (78.0%) 73 (22.0%) 198 (88.4%) 26 (11 .6%) metabolism
Pentose and glucuronate
1644 (59.3%) 1128 (40.7%) 946 (53.2%) 832 (46.8%) 2150 (70.0%) 922 (30.0%) interconversions
Pentose phosphate
470 (38.4%) 755 (61.6%) 813 (60.1 %) 539 (39.9%) 893 (72.7%) 336 (27.3%) pathway
Propanoate metabolism 354 (31 .4%) 775 (68.6%) 322 (39.3%) 497 (60.7%) 465 (45.9%) 549 (54.1 %)
Pyruvate metabolism 654 (32.8%) 1337 (67.2%) 770 (43.2%) 1012 (56.8%) 1043 (53.1 %) 920 (46.9%)
Starch and sucrose
4195 (70.3%) 1772 (29.7%) 5983 (78.1 %) 1677 (21.9%) 361 1 (78.4%) 997 (21 .6%) metabolism
Lipid metabolism
Biosynthesis of
97 (67.4%) 47 (32.6%) 15 (39.5%) 23 (60.5%) 50 (67.6%) 24 (32.4%) unsaturated fatty acids
Fatty acid biosynthesis 214 (34.9%) 399 (65.1 %) 228 (48.7%) 240 (51 .3%) 476 (65.0%) 256 (35.0%)
Fatty acid metabolism 109 (34.2%) 210 (65.8%) 173 (59.5%) 118 (40.5%) 296 (82.9%) 61 (17.1 %)
Glycerolipid metabolism 819 (84.6%) 149 (15.4%) 412 (82.2%) 89 (17.8%) 516 (90.5%) 54 (9.5%)
Glycerophospholipid
630 (72.8%) 235 (27.2%) 326 (72.6%) 123 (27.4%) 262 (86.5%) 41 (13.5%) metabolism
Nucleotide metabolism
Purine metabolism 1453 (33.2%) 2930 (66.8%) 1807 (46.4%) 2087 (53.6%) 2855 (63.8%) 1621 (36.2%)
Pyrimidine metabolism 1118 (33.3%) 2242 (66.7%) 1476 (47.1 %) 1658 (52.9%) 2148 (62.0%) 1319 (38.0%)
Amino acid metabolism
Alanine, aspartate and
972 (32.4%) 2030 (67.6%) 1331 (47.9%) 1448 (52.1 %) 1850 (64.1 %) 1036 (35.9%) glutamate metabolism
Arginine and proline
666 (36.0%) 1183 (64.0%) 802 (49.0%) 836 (51 .0%) 1363 (70.4%) 574 (29.6%) metabolism
Cysteine and methionine
703 (45.0%) 859 (55.0%) 812 (61.7%) 505 (38.3%) 956 (72.4%) 365 (27.6%) metabolism
Glycine, serine and
488 (39.1 %) 761 (60.9%) 635 (54.5%) 531 (45.5%) 862 (65.6%) 452 (34.4%) threonine metabolism
Histidine metabolism 765 (57.0%) 578 (43.0%) 837 (62.7%) 497 (37.3%) 1066 (77.4%) 312 (22.6%)
Lysine biosynthesis 444 (41 .3%) 631 (58.7%) 483 (55.9%) 381 (44.1 %) 832 (79.5%) 215 (20.5%)
Lysine degradation 221 (49.0%) 230 (51.0%) 283 (67.7%) 135 (32.3%) 476 (86.4%) 75 (13.6%)
Phenylalanine metabolism 118 (37.0%) 201 (63.0%) 145 (42.9%) 193 (57.1 %) 366 (73.1 %) 135 (26.9%)
Phenylalanine, tyrosine
and tryptophan 380 (39.9%) 573 (60.1 %) 515 (58.2%) 370 (41 .8%) 709 (78.8%) 191 (21 .2%) biosynthesis
Tryptophan metabolism 66 (30.4%) 151 (69.6%) 54 (43.9%) 69 (56.1 %) 31 (64.6%) 17 (35.4%)
Tyrosine metabolism 625 (65.2%) 333 (34.8%) 585 (67.6%) 280 (32.4%) 772 (81 .4%) 176 (18.6%)
Valine, leucine and
261 (27.0%) 706 (73.0%) 408 (41.5%) 576 (58.5%) 563 (54.9%) 462 (45.1 %) isoleucine biosynthesis
Valine, leucine and
185 (25.3%) 545 (74.7%) 210 (41.2%) 300 (58.8%) 226 (43.0%) 300 (57.0%) isoleucine degradation
Metabolism of other amino acids
beta-Alanine metabolism 87 (35.2%) 160 (64.8%) 97 (42.2%) 133 (57.8%) 218 (76.8%) 66 (23.2%)
Cyanoamino acid
1119 (75.5%) 363 (24.5%) 2020 (81 .0%) 475 (19.0%) 531 (79.6%) 136 (20.4%) metabolism
d-Alanine metabolism 103 (59.5%) 70 (40.5%) 1 13 (66.9%) 56 (33.1 %) 148 (86.0%) 24 (14.0%) d-Glutamine and d-
85 (41.5%) 120 (58.5%) 142 (70.6%) 59 (29.4%) 218 (85.8%) 36 (14.2%) glutamate metabolism
Glutathione metabolism 152 (43.6%) 197 (56.4%) 191 (64.3%) 106 (35.7%) 499 (87.9%) 69 (12.1 %)
Phosphonate and
104 (94.5%) 6 (5.5%) 220 (91.3%) 21 (8.7%) 108 (82.4%) 23 (17.6%) phosphinate metabolism
Selenocompound
277 (39.6%) 423 (60.4%) 397 (60.8%) 256 (39.2%) 487 (67.8%) 231 (32.2%) metabolism
Taurine and hypotaurine
74 (35.4%) 135 (64.6%) 126 (49.2%) 130 (50.8%) 144 (68.9%) 65 (31 .1 %) metabolism
Glycan biosynthesis and metabolism
Glycosaminoglycan
2220 (83.3%) 446 (16.7%) 892 (91.7%) 81 (8.3%) 1481 (89.9%) 166 (10.1 %) degradation
Lipopolysaccharide
349 (53.8%) 300 (46.2%) 550 (72.3%) 21 1 (27.7%) 458 (81 .2%) 106 (18.8%) biosynthesis
Peptidoglycan
908 (60.5%) 594 (39.5%) 800 (73.7%) 285 (26.3%) 1093 (86.6%) 169 (13.4%) biosynthesis
Transcription
RNA polymerase 24 (4.9%) 463 (95.1 %) 122 (24.8%) 369 (75.2%) 190 (39.0%) 297 (61 .0%)
Translation
Aminoacyl-trna
515 (25.2%) 1525 (74.8%) 815 (39.5%) 1248 (60.5%) 1 175 (56.8%) 894 (43.2%) biosynthesis
Ribosome 179 (13.2%) 1173 (86.8%) 269 (20.0%) 1074 (80.0%) 471 (35.9%) 842 (64.1 %)
Folding, sorting and degradation
Protein export 357 (42.4%) 484 (57.6%) 426 (52.3%) 389 (47.7%) 571 (71 .5%) 228 (28.5%)
Replication and repair
DNA replication 608 (42.2%) 833 (57.8%) 1 116 (64.9%) 603 (35.1 %) 1340 (76.5%) 411 (23.5%)
Mismatch repair 607 (38.6%) 966 (61.4%) 1 166 (63.5%) 671 (36.5%) 1256 (74.6%) 427 (25.4%)
Homologous
1069 (45.8%) 1263 (54.2%) 965 (57.5%) 713 (42.5%) 1595 (75.3%) 524 (24.7%) recombination
Membrane transport
ABC transporters 702 (53.1 %) 619 (46.9%) 834 (60.6%) 543 (39.4%) 1568 (86.7%) 240 (13.3%)
Phosphotransferase
10 (32.3%) 21 (67.7%) 22 (71.0%) 9 (29.0%) 25 (69.4%) 11 (30.6%) system (PTS)
Bacterial secretion system 653 (47.7%) 717 (52.3%) 429 (46.8%) 487 (53.2%) 865 (58.3%) 619 (41 .7%)
Signal transduction
Two-component system 3393 (62.8%) 2011 (37.2%) 3458 (70.0%) 1483 (30.0%) 3330 (79.4%) 865 (20.6%)
Cell motility
Bacterial chemotaxis 117 (66.5%) 59 (33.5%) 0 (0%) 0 (0%) 83 (91.2%) 8 (8.8%)
Flagellar assembly 43 (51.2%) 41 (48.8%) 0 (0%) 0 (0%) 22 (78.6%) 6 (21.4%)
C. aerofaciens C. scindens C. spiroforme
KEGG pathway Unique Non-unique Unique Non-unique Unique Non-unique
Carbohydrate metabolism
Amino sugar and
nucleotide sugar 2035 (96.8%) 68 (3.2%) 1 122 (82.3%) 242 (17.7%) 2931 (77.2%) 867 (22.8%) metabolism
Ascorbate and aldarate
115 (91 .3%) 11 (8.7%) 216 (95.6%) 10 (4.4%) 67 (88.2%) 9 (1 1.8%) metabolism
Butanoate metabolism 622 (92.6%) 50 (7.4%) 1 143 (80.3%) 280 (19.7%) 932 (58.7%) 656 (41 .3%)
C5-Branched dibasic acid
0 (0%) 0 (0%) 188 (65.7%) 98 (34.3%) 143 (84.1 %) 27 (15.9%) metabolism
Citrate cycle (TCA cycle) 282 (94.6%) 16 (5.4%) 675 (80.1 %) 168 (19.9%) 253 (93.0%) 19 (7.0%)
Fructose and mannose
1485 (96.1 %) 61 (3.9%) 2343 (88.9%) 293 (11.1 %) 1470 (70.0%) 631 (30.0%) metabolism
Galactose metabolism 1821 (95.6%) 84 (4.4%) 907 (83.0%) 186 (17.0%) 1967 (85.9%) 323 (14.1 %)
Glycolysis /
1802 (94.8%) 98 (5.2%) 1922 (83.6%) 378 (16.4%) 1254 (87.6%) 177 (12.4%) Gluconeogenesis
Glyoxylate and
555 (95.7%) 25 (4.3%) 705 (84.6%) 128 (15.4%) 461 (95.4%) 22 (4.6%) dicarboxylate metabolism
Inositol phosphate
100 (96.2%) 4 (3.8%) 122 (82.4%) 26 (17.6%) 31 (96.9%) 1 (3.1 %) metabolism
Pentose and glucuronate
632 (95.0%) 33 (5.0%) 1404 (93.1 %) 104 (6.9%) 136 (91 .9%) 12 (8.1 %) interconversions
Pentose phosphate
756 (94.1 %) 47 (5.9%) 1799 (87.8%) 250 (12.2%) 713 (95.1 %) 37 (4.9%) pathway
Propanoate metabolism 643 (92.8%) 50 (7.2%) 766 (81.7%) 172 (18.3%) 794 (90.3%) 85 (9.7%)
Pyruvate metabolism 1244 (93.7%) 84 (6.3%) 1696 (78.1 %) 475 (21.9%) 1393 (92.3%) 117 (7.7%)
Starch and sucrose
1852 (94.9%) 100 (5.1 %) 1371 (83.1 %) 278 (16.9%) 1573 (89.3%) 189 (10.7%) metabolism
Lipid metabolism
Biosynthesis of
89 (93.7%) 6 (6.3%) 145 (91.8%) 13 (8.2%) 71 (94.7%) 4 (5.3%) unsaturated fatty acids
Fatty acid biosynthesis 446 (95.1 %) 23 (4.9%) 481 (80.0%) 120 (20.0%) 472 (93.5%) 33 (6.5%)
Fatty acid metabolism 224 (91 .1 %) 22 (8.9%) 195 (74.7%) 66 (25.3%) 11 1 (97.4%) 3 (2.6%)
Glycerolipid metabolism 477 (97.0%) 15 (3.0%) 611 (88.3%) 81 (1 1.7%) 472 (94.2%) 29 (5.8%)
Glycerophospholipid
271 (98.2%) 5 (1.8%) 694 (87.4%) 100 (12.6%) 652 (92.5%) 53 (7.5%) metabolism
Nucleotide metabolism
Purine metabolism 2647 (92.5%) 216 (7.5%) 3331 (72.4%) 1270 (27.6%) 3325 (92.9%) 253 (7.1 %)
Pyrimidine metabolism 1982 (94.0%) 127 (6.0%) 2399 (71 .4%) 963 (28.6%) 2833 (91 .5%) 262 (8.5%)
Amino acid metabolism
Alanine, aspartate and
1336 (94.6%) 76 (5.4%) 1 122 (68.8%) 509 (31.2%) 1786 (91 .5%) 165 (8.5%) glutamate metabolism
Arginine and proline
1104 (85.6%) 186 (14.4%) 1443 (78.3%) 400 (21.7%) 1 165 (93.1 %) 87 (6.9%) metabolism
Cysteine and methionine
965 (94.0%) 62 (6.0%) 1359 (83.7%) 265 (16.3%) 1 162 (94.6%) 66 (5.4%) metabolism
Glycine, serine and
576 (96.8%) 19 (3.2%) 1418 (83.3%) 284 (16.7%) 1017 (93.6%) 69 (6.4%) threonine metabolism
Histidine metabolism 657 (96.9%) 21 (3.1 %) 1461 (85.4%) 249 (14.6%) 1019 (95.0%) 54 (5.0%)
Lysine biosynthesis 789 (97.0%) 24 (3.0%) 960 (78.8%) 259 (21 .2%) 967 (95.3%) 48 (4.7%)
Lysine degradation 58 (95.1 %) 3 (4.9%) 1 13 (95.0%) 6 (5.0%) 160 (96.4%) 6 (3.6%)
Phenylalanine metabolism 161 (97.6%) 4 (2.4%) 464 (84.1 %) 88 (15.9%) 240 (94.1 %) 15 (5.9%)
Phenylalanine, tyrosine
and tryptophan 526 (96.5%) 19 (3.5%) 548 (83.4%) 109 (16.6%) 809 (84.7%) 146 (15.3%) biosynthesis
Tryptophan metabolism 99 (96.1 %) 4 (3.9%) 39 (88.6%) 5 (1 1.4%) 39 (86.7%) 6 (13.3%)
Tyrosine metabolism 543 (94.9%) 29 (5.1 %) 1629 (86.3%) 258 (13.7%) 985 (95.5%) 46 (4.5%)
Valine, leucine and
494 (94.3%) 30 (5.7%) 739 (64.0%) 415 (36.0%) 832 (91 .0%) 82 (9.0%) isoleucine biosynthesis
Valine, leucine and
202 (93.5%) 14 (6.5%) 224 (90.7%) 23 (9.3%) 42 (97.7%) 1 (2.3%) isoleucine degradation
Metabolism of other amino acids
beta-Alanine metabolism 198 (98.5%) 3 (1.5%) 128 (97.0%) 4 (3.0%) 105 (97.2%) 3 (2.8%)
Cyanoamino acid
29 (100.0%) 0 (0.0%) 157 (90.2%) 17 (9.8%) 262 (91 .9%) 23 (8.1 %) metabolism
d-Alanine metabolism 79 (97.5%) 2 (2.5%) 1 10 (91.7%) 10 (8.3%) 107 (93.9%) 7 (6.1 %) d-Glutamine and d-
151 (98.7%) 2 (1.3%) 199 (88.8%) 25 (1 1.2%) 146 (96.7%) 5 (3.3%) glutamate metabolism
Glutathione metabolism 87 (100.0%) 0 (0.0%) 178 (83.2%) 36 (16.8%) 66 (95.7%) 3 (4.3%)
Phosphonate and
24 (100.0%) 0 (0.0%) 0 (0%) 0 (0%) 150 (92.6%) 12 (7.4%) phosphinate metabolism
Selenocompound
883 (96.4%) 33 (3.6%) 701 (84.5%) 129 (15.5%) 671 (94.6%) 38 (5.4%) metabolism
Taurine and hypotaurine
135 (92.5%) 11 (7.5%) 150 (76.5%) 46 (23.5%) 144 (97.3%) 4 (2.7%) metabolism
Glycan biosynthesis and metabolism
Glycosaminoglycan
0 (0%) 0 (0%) 0 (0%) 0 (0%) 3095 (91 .2%) 300 (8.8%) degradation
Lipopolysaccharide
0 (0%) 0 (0%) 0 (0%) 0 (0%) 0 (0%) 0 (0%) biosynthesis
Peptidoglycan
940 (97.2%) 27 (2.8%) 956 (85.1 %) 167 (14.9%) 1 162 (96.0%) 49 (4.0%) biosynthesis
Transcription
RNA polymerase 362 (91 .0%) 36 (9.0%) 155 (35.6%) 280 (64.4%) 383 (88.5%) 50 (11 .5%)
Translation
Aminoacyl-trna
1976 (95.4%) 95 (4.6%) 1862 (70.0%) 798 (30.0%) 2015 (93.3%) 145 (6.7%) biosynthesis
Ribosome 1010 (90.5%) 106 (9.5%) 483 (38.3%) 777 (61.7%) 1056 (88.4%) 139 (11 .6%)
Folding, sorting and degradation
Protein export 425 (92.8%) 33 (7.2%) 637 (77.3%) 187 (22.7%) 421 (94.2%) 26 (5.8%)
Replication and repair
DNA replication 908 (95.5%) 43 (4.5%) 1049 (72.6%) 395 (27.4%) 1292 (95.1 %) 67 (4.9%)
Mismatch repair 964 (95.6%) 44 (4.4%) 1665 (77.7%) 478 (22.3%) 1572 (94.9%) 84 (5.1 %)
Homologous
1256 (94.8%) 69 (5.2%) 1350 (75.8%) 432 (24.2%) 1571 (95.0%) 82 (5.0%) recombination
Membrane transport
ABC transporters 2406 (95.8%) 105 (4.2%) 4694 (91 .5%) 435 (8.5%) 2673 (94.1 %) 168 (5.9%)
Phosphotransferase
181 1 (96.0%) 76 (4.0%) 358 (89.1 %) 44 (10.9%) 858 (72.5%) 325 (27.5%) system (PTS)
Bacterial secretion system 590 (94.1 %) 37 (5.9%) 663 (68.1 %) 310 (31 .9%) 352 (94.1 %) 22 (5.9%)
Signal transduction
Two-component system 1391 (94.4%) 83 (5.6%) 4270 (89.8%) 486 (10.2%) 1550 (94.1 %) 98 (5.9%)
Cell motility
Bacterial chemotaxis 0 (0%) 0 (0%) 352 (96.2%) 14 (3.8%) 91 (98.9%) 1 (1.1 %)
Flagellar assembly 0 (0%) 0 (0%) 0 (0%) 0 (0%) 0 (0%) 0 (0%)
110 (91.7%) 10 (8.3%) 142 (90.4%) 15 (9.6%) 47 (92.2%) 4 (7.8%) unsaturated fatty acids
Fatty acid biosynthesis 490 (81.5%) 111 (18.5%) 714 (89.9%) 80 (10.1 %) 513 (89.2%) 62 (10.8%)
Fatty acid metabolism 286 (81.0%) 67 (19.0%) 335 (95.4%) 16 (4.6%) 315 (87.7%) 44 (12.3%)
Glycerolipid metabolism 488 (87.5%) 70 (12.5%) 701 (91.4%) 66 (8.6%) 699 (92.7%) 55 (7.3%)
Glycerophospholipid
613 (77.9%) 174 (22.1 %) 561 (93.2%) 41 (6.8%) 676 (83.8%) 131 (16.2%) metabolism
Nucleotide metabolism
Purine metabolism 2279 (65.7%) 1190 (34.3%) 3591 (82.0%) 787 (18.0%) 3725 (80.8%) 883 (19.2%)
Pyrimidine metabolism 1902 (67.6%) 912 (32.4%) 2835 (81.4%) 649 (18.6%) 2660 (82.4%) 567 (17.6%)
Amino acid metabolism
Alanine, aspartate and
968 (67.2%) 473 (32.8%) 2205 (76.0%) 695 (24.0%) 1340 (80.7%) 321 (19.3%) glutamate metabolism
Arginine and proline
1120 (74.6%) 381 (25.4%) 1837 (85.3%) 317 (14.7%) 1290 (85.9%) 212 (14.1 %) metabolism
Cysteine and methionine
1471 (82.5%) 311 (17.5%) 1301 (86.6%) 202 (13.4%) 984 (87.5%) 141 (12.5%) metabolism
Glycine, serine and
1043 (79.7%) 265 (20.3%) 1297 (88.3%) 172 (11.7%) 918 (89.8%) 104 (10.2%) threonine metabolism
Histidine metabolism 1123 (82.8%) 233 (17.2%) 967 (86.2%) 155 (13.8%) 1239 (87.9%) 170 (12.1 %)
Lysine biosynthesis 887 (79.6%) 227 (20.4%) 846 (88.7%) 108 (11.3%) 1236 (89.3%) 148 (10.7%)
Lysine degradation 50 (82.0%) 11 (18.0%) 670 (90.8%) 68 (9.2%) 120 (88.9%) 15 (11.1 %)
Phenylalanine metabolism 256 (82.1 %) 56 (17.9%) 260 (79.3%) 68 (20.7%) 334 (89.8%) 38 (10.2%)
Phenylalanine, tyrosine
and tryptophan 592 (84.0%) 113 (16.0%) 848 (86.5%) 132 (13.5%) 927 (89.3%) 111 (10.7%) biosynthesis
Tryptophan metabolism 178 (82.0%) 39 (18.0%) 101 (72.1 %) 39 (27.9%) 90 (86.5%) 14 (13.5%)
Tyrosine metabolism 967 (82.6%) 203 (17.4%) 768 (87.5%) 110 (12.5%) 1130 (87.5%) 162 (12.5%)
Valine, leucine and
788 (63.4%) 454 (36.6%) 844 (75.9%) 268 (24.1 %) 1090 (81.2%) 252 (18.8%) isoleucine biosynthesis
Valine, leucine and
193 (86.5%) 30 (13.5%) 655 (84.7%) 118 (15.3%) 141 (88.7%) 18 (11.3%) isoleucine degradation
Metabolism of other amino acids
beta-Alanine metabolism 195 (91.5%) 18 (8.5%) 183 (79.2%) 48 (20.8%) 196 (90.3%) 21 (9.7%)
Cyanoamino acid
501 (91.4%) 47 (8.6%) 700 (90.6%) 73 (9.4%) 450 (94.9%) 24 (5.1 %) metabolism
d-Alanine metabolism 130 (96.3%) 5 (3.7%) 170 (95.5%) 8 (4.5%) 95 (97.9%) 2 (2.1 %) d-Glutamine and d-
142 (84.5%) 26 (15.5%) 182 (88.8%) 23 (11.2%) 155 (92.8%) 12 (7.2%) glutamate metabolism
Glutathione metabolism 183 (81.3%) 42 (18.7%) 415 (96.3%) 16 (3.7%) 149 (85.6%) 25 (14.4%)
Phosphonate and
92 (91.1 %) 9 (8.9%) 118 (89.4%) 14 (10.6%) 26 (92.9%) 2 (7.1 %) phosphinate metabolism
Selenocompound
906 (85.5%) 154 (14.5%) 519 (76.2%) 162 (23.8%) 534 (84.5%) 98 (15.5%) metabolism
Taurine and hypotaurine
101 (74.3%) 35 (25.7%) 201 (77.6%) 58 (22.4%) 117 (86.0%) 19 (14.0%) metabolism
Glycan biosynthesis and metabolism
Glycosaminoglycan
0 (0%) 0 (0%) 947 (93.2%) 69 (6.8%) 21 (91.3%) 2 (8.7%) degradation
Lipopolysaccharide
0 (0%) 0 (0%) 648 (90.6%) 67 (9.4%) 18 (100.0%) 0 (0.0%) biosynthesis
Peptidoglycan
1082 (86.0%) 176 (14.0%) 1168 (93.7%) 78 (6.3%) 1114 (93.7%) 75 (6.3%) biosynthesis
Transcription
RNA polymerase | 147 (34.2%) | 283 (65.8%) | 369 (68.6%) | 169 (31.4%) | 249 (56.0%) | 196 (44.0%)
Translation
Aminoacyl-trna
1617 (65.3%) 858 (34.7%) 1424 (70.5%) 596 (29.5%) 1804 (77.9%) 511 (22.1 %) biosynthesis
Ribosome 504 (39.7%) 764 (60.3%) 870 (66.5%) 438 (33.5%) 872 (64.5%) 480 (35.5%)
Folding, sorting and degradation
Protein export 504 (74.9%) 169 (25.1 %) 749 (86.5%) 117 (13.5%) 635 (86.2%) 102 (13.8%)
Replication and repair
DNA replication 1024 (75.8%) 327 (24.2%) 1263 (88.2%) 169 (11.8%) 1205 (85.8%) 200 (14.2%)
Mismatch repair 1793 (78.5%) 492 (21.5%) 1385 (88.5%) 180 (11.5%) 1632 (88.0%) 223 (12.0%)
Homologous
1270 (73.5%) 457 (26.5%) 1512 (90.0%) 168 (10.0%) 1993 (88.4%) 262 (11 .6%) recombination
Membrane transport
ABC transporters 2747 (86.4%) 431 (13.6%) 1670 (88.6%) 214 (11.4%) 4848 (93.7%) 326 (6.3%)
Phosphotransferase
1045 (88.8%) 132 (1 1.2%) 0 (0%) 0 (0%) 312 (88.1 %) 42 (11 .9%) system (PTS)
Bacterial secretion system 615 (67.7%) 293 (32.3%) 922 (87.9%) 127 (12.1 %) 814 (73.0%) 301 (27.0%)
Signal transduction
Two-component system 2721 (81 .6%) 615 (18.4%) 4620 (89.8%) 525 (10.2%) 4462 (91 .4%) 422 (8.6%)
Cell motility
Bacterial chemotaxis 448 (93.9%) 29 (6.1 %) 83 (87.4%) 12 (12.6%) 410 (96.2%) 16 (3.8%)
Flagellar assembly 0 (0%) 0 (0%) 71 (85.5%) 12 (14.5%) 38 (92.7%) 3 (7.3%)
Table 9. Number of proteins detected within each cecal sample for each species in our custom SEQUEST database.
Various 44 7.0 15.9 12.0 27.3
Dietary protein sources
Yeast (S. cerevisiae) 6,345 8.0 0.1 5.0 0.1
Rice 66,710 89.0 0.1 32.5 0.0
Host
Mouse 34,966 471.0 1.3 626.5 1.8
TOTAL (SC12) 47,963 4,658.5 9.7 2,776.5 5.8
TOTAL (non-SC12) 118,064 675.0 0.6 820.5 0.7
TOTAL (all) 166,027 5,333.5 3.2 3,597.0 2.2
Table 11. Growth of B. cellulosilyticus WH2 and B. caccae on a panel of structurally diverse carboh drates.
Glucose3 Glc 0.100 ±0.009 1.05 ±0.04 0.08 ±0.018 1.03 ±0.04
Glucuronic acid3 GlcA 0.038 ±0.007 0.67 ±0.06 0.031 ±0.015 0.65 ±0.14
Glucosamine3 GlcNH3 0.055 ±0.002 1.00 ±0.04 0.016 ±0.002 0.66 ±0.10
Mannose3 Man 0.081 ±0.011 1.12±0.07 0.078 ±0.013 1.01 ±0.14
N- acetylgalactosamine3 GalNAc 0.008 ±0.001 0.48 ±0.09 0.051 ±0.008 0.72 ±0.02
N-acetylglucosamine3 GlcNAc 0.036 ±0.005 0.89 ±0.16 0.065 ±0.012 0.85 ±0.02
N-acetylneuraminic
acid NeuNAc No growth No growth 0.026 ± 0.008 0.41 ± 0.03
Rhamnose3 Rha 0.006 ±0.001 0.23 ±0.02 0.012 ±0.009 0.35 ±0.19
Ribose3 Rib 0.084 ± 0.007 1.18 ±0.04 0.046 ±0.010 0.91 ±0.07
Xylose3 Xyl 0.071 ±0.003 1.10±0.06 0.075 ±0.014 0.98 ±0.09
Carrageenan Carr No growth No growth No growth No growth
Porphyran Porph No growth No growth No growth No growth
Other a-Mannan (S.
cerevisiae) a-mann No growth No growth No growth No growth
Alginic acid Alp No growth No growth No growth No growth
Xyl 0.047 ± 0.027 0.80 ± 0.34 0.049 ± 0.005 0.50 ± 0.04 Be
Carr No growth No growth No growth No growth -
Porph No growth No growth No growth No growth - a-mann 0.004 ± 0.001 0.16 ± 0.01 0.035 ± 0.003 0.58 ± 0.02 Bt
Alg No growth No growth No growth No growth -
Values shown represent mean ± s.d.
Values for B. cellulosilyticus WH2 and B. caccae were calculated as part of this study using measurements from six replicates from three experiments (2 growths per experiment).
Values for B. ovatus and B. thetaiotaomicron were calculated in a previously published study (Martens et al., PLoS Biology 2010) using measurements from six replicates from three experiments (2 growths per experiment),
a Substrates on which B. cellulosilyticus WH2 was transcriptionally profiled by RNA-Seq
An asterisk preceding a species' name in the final column of this table denotes that only the species shown was capable of achieving growth on the substrate tested (this field is left blank in cases where data was unavailable for one or more of the four species in this table)
L-Glutamine Sigma G3126 62.5 mg
Glycine Sigma G7126 62.5 mg
L-Histidine Sigma H6034 62.5 mg
L-lsoleucine Sigma I2752 62.5 mg
L-Leucine Sigma L1512 62.5 mg
L-Lysine Sigma L5501 62.5 mg
L-Methionine Sigma M9625 62.5 mg
L-Phenylalanine Sigma P5030 62.5 mg
L-Proline Sigma P0380 62.5 mg
L-Serine Sigma S5511 62.5 mg
L-Threonine Sigma T8625 62.5 mg
L-Tryptophan Sigma T0254 62.5 mg
L-Tyrosine Sigma T1020 62.5 mg
L-Valine Sigma V0513 62.5 mg
Milli-Q water 250 ml
Add amino acids to water (5 mg/ml final stock), heat briefly at IOC to completely dissolve the most insoluble components, filter- sterilize, and store at room temperature.
Purine/pyrimidine solution
Reagent Mfr. item # Amount in 200mL
Adenine Sigma A2786 40 mg
Thymine Sigma T0895 40 mg
Cytosine Sigma C3506 40 mg
Uracil Sigma U1128 40 mg
Milli-Q water 196 ml
Guanine* Sigma G1 1950 40 mg
* Because of its insolubility in water, guanine must be prepared as a 10 mg/ml stock (50 mg in 5 ml 1M NaOH).
Add first four nucleotides to water, heat briefly at IOC to fully dissolve the most insoluble components, add 4 ml of guanine stock, filter-sterilize, and store at room temperature.
Trace minerals solution
Reagent Mfr. item # Amount in 1 L
Ethylenediaminetetraacetic acid disodium salt dihydrate Sigma E1644 0.5 g
Magnesium Sulfate Heptahydrate Fisher M63 3 g
Manganous Sulfate Monohydrate Fisher M1 14 0.5 g
Sodium Chloride Fisher S271 1 g
Iron(ll) sulfate heptahydrate Sigma 215422 0.1 g
Calcium chloride Sigma C5670 0.1 g
Zinc sulfate heptahydrate Sigma Z0251 0.1 g
Copper(ll) sulfate Sigma 451657 0.01 g
Boric acid Sigma B7901 0.01 g
Sodium molybdate MP Biomedicals 218066 0.01 g
Nickel Chloride Hexahydrate Fisher N54 0.02 g
Milli-Q water 1 L
Add trace minerals to water, heat briefly at IOC to completely dissolve the most insoluble components, filter-sterilize, and store at room temperature. Note that the pH of the solution will be fairly acidic (attempting to bring the pH up to neutral is likely to lead to the precipitation of at least one of the minerals in this solution.
Reagent Mfr. item #
Menadione (Vitamin K3) Sigma M5625
1 mg/ml, wrapped in foil, stored at 4C.
(30 mg in 30 ml of 100% EtOH)
Iron(ll) sulfate heptahydrate Sigma 215422
0.4 mg/ml, filter-sterilized, stored at 4C.
(10 mg in 25 ml of 10mM HCI)
Magnesium chloride Sigma M8266
0.1M, filter-sterilized, stored at 4C.
(0.238 g in 25 ml of Milli-Q water)
Calcium chloride Sigma C5670
0.8% (w/v), filter-sterilized, stored at 4C.
(0.2 g in 25 ml of Milli-Q water)
Vitamin Br Sigma V6629
0.01 mg/ml, filter-sterilized, wrapped in foil, stored at 4C.
(5 mg in 500 ml of Milli-Q water)
Histidine-hematin
L-Histidine Sigma H6034
Hematin, porcine Sigma H3281
Dissolve 30 mg hematin in 1 ml NaOH (1M)
Neutralize solution with 1 ml HCI (1M)
Add 23 ml Milli-Q water
Dissolve 776 mg L-Histidine in solution
Final volume: 25 ml
Final concentrations: 1.9mM hematin, 0.2M L-histidine
Filter-sterilized, wrapped in foil, stored at 4C.
GlcNH3 D-(+)-Glucosamine hydrochloride Monosaccharides Sigma G4875 5
Hemicelluloses and
Lam Laminarin (Laminaria digitata) Sigma L9634 5 beta-glucans
Man D-(+)-Mannose Monosaccharides Sigma M4625 5
Hemicelluloses and
OSX Xylan (oat spelt) Fluka 95590 5 beta-glucans
PGA Polygalacturonic acid Pectins Megazyme P-PGACT 5
PGpot Pectic galactan (Potato) Pectins Megazyme P-PGAPT 5
Starches, fructans
Pul Pullulan (Aureobasidium pullulans) Sigma P4516 5 and alpha-glucans
Rha L-Rhamnose monohydrate Monosaccharides Sigma R3875 5
Rib D-(-)-Ribose Monosaccharides Sigma R7500 5
Sue Sucrose Disaccharides Fisher S5 5
Hemicelluloses and
WAX Arabinoxylan (wheat flour; low viscosity) Megazyme P-WAXYL 5 beta-glucans
Hemicelluloses and
XG Xyloglucan (tamarind) Megazyme P-XYGLN 5 beta-glucans
Xyl D-(+)-Xylose Monosaccharides Sigma X3877 5
Table 15. Summary of datasets generated from gnotobiotic mice that received fecal transplants from lean or obese co-twins.
B. Samples collected from humanized gnotobiotic mice for shotgun sequencing of cecal
microbiome.
Sample ID code:twin pair, tp; microbial status at the time of co-housing, GermFree, Obese, Lean; culture collection used from Culture Initiative, CI; Discordant Twins/Frozen human Donor sample DTFD (mice colonized with intact uncultured fecal microbiota from human donors); Twin Study Discordant co-twin ID from MOAFT study, TSDC; Experiment number, E; days post colonization, dpc; animal identifier (e.g. F12)
CI01_20 tp1 .Lean.CI.E01. Cultured. CI20 TSDC.17.2 Lean (23) GZI0BHH 124,413
109,771 ±
AVERAGE ± SD
42,512
%
Number of high
Microbiome
% Reads quality % Microbiome
Sample reads
Mean read length (nt) representing deprelicated reads mapped to
identifier mapped to a host DNA microbiome KEGG ECs
KEGG
sequences
Pathway
C5 415 29 53,885 36 63
C6 419 33 85,912 36 63
C7 41 1 31 53,466 37 63
C8 405 32 38,755 36 62
D10 401 32 48,973 35 61
D1 1 408 34 77,779 35 61
D12 398 36 56,112 34 60
D9 402 35 109,517 31 54
E13 407 35 64,396 33 58
E15 403 32 41 ,091 33 58
E16 401 32 39,51 1 48 85
F1 399 32 55,321 32 56
F3 402 33 52,610 50 88
F4 409 36 78,309 33 26
PM52 359 8 156,726 32 56
PM53 352 7 50,606 32 56
PM54 361 7 173,757 33 57
PM55 364 6 102,988 34 60
PM56 365 6 121 ,396 34 59
PM57 331 31 169,608 31 54
PM58 360 6 172,394 34 61
PM59 329 31 87,020 30 52
PM60 363 6 1 18,958 34 59
PM61 364 7 80,151 33 58
PM63 361 6 78,956 33 58
PM64 323 29 48,337 31 56
PM65 306 15 76,721 32 57
PM66 308 15 143,361 34 60
PM71 245 10 62,817 31 55
PM72 255 10 131 ,013 33 58
PM73 242 10 66,281 32 56
PM74 249 10 1 13,886 31 55
PM75 252 10 1 11 ,401 31 55
PM76 255 10 108,450 32 56
PM77 244 10 72,883 31 56
PM78 238 10 62,310 31 55
PM79 240 10 79,654 32 58
PM80 246 10 108,210 31 55
PM81 254 10 135,708 34 60
PM82 250 10 98,984 33 59
PM83 284 12 68,384 32 56
PM84 287 11 162,901 32 58
PM85 284 12 92,424 34 60
PM86 292 13 132,437 31 56
TSDC.16.2 318 30 73,223 34 60
TSDC.17.2 317 30 85,999 35 62
TSDC19 405 21 137,988 36 64
TSDC20 398 19 56,039 38 67
TSDC22 403 19 68,900 37 64
TSDC23.PTS400
405 19 65,193 39 67 2.3.
TSDC.7.2 330 33 101 ,806 36 63
TSDC.8.2 323 32 56,429 34 60
CI01_01 376 18 52,188 35 61
CI01_02 376 19 126,712 34 60
CI01_03 373 18 42,110 36 64
CI01_04 376 18 157,042 34 60
CI01_05 371 19 105,494 34 61
CI01_06 379 20 35,153 33 58
CI01_07 371 19 49,634 33 59
CI01_08 372 19 99,419 33 57
CI01_09 388 19 45,828 35 62
CI01_10 393 21 78,422 36 64
CI01_11 388 19 65,160 35 60
CI01_12 392 19 129,124 36 62
CI01_13 389 20 1 19,987 34 60
CI01_14 390 20 128,001 34 60
CI01_15 386 19 52,077 34 59
CI01_16 388 19 60,822 34 60
CI01_17 384 19 59,781 34 60
CI01_18 385 20 87,401 34 60
CI01_19 390 21 1 13,844 33 58
CI01_20 374 19 100,582 33 58
AVERAGE ± SD 350 ± 57 19 ± 9 88,871 ± 36,905 34 ± 3 59 ± 7
VKR_6.40B_15dpc 34.74% 0.02% 6,821,848 39,951 19,635,415 3,671,148 18.70%
VKR_7.3V73_15dpc 34.25% 0.01% 4,082,331 28,801 11,920,433 2,097,516 17.60%
VKR_7.40B_15dpc 40.98% 0.00% 11,914,939 28,012 29,073,165 2,321,495 7.99%
VKR_8.3V73_15dpc 30.35% 0.01% 3,108,535 32,227 10,243,789 2,810,533 27.44%
VKR_8.40B_15dpc 42.78% 0.00% 2,622,658 10,886 6,130,769 386,913 6.31%
VKR_9.3V73_15dpc 31.53% 0.01% 9,644,560 41,772 30,584,858 5,896,290 19.28%
VKR_9.40B_15dpc 32.24% 0.00% 2,463,778 20,342 7,641,826 930,121 12.17%
Average 0.3687 0.0001 8,803,629 29,190 23,787,021 3,772,782 16.24%
Standard deviation 0.073 0.000 6,444,169 10,345 16,745,151 2,948,389 0.067
CI 03 1 TSDC.16 Obese (32) uncultured donor community
CI 04 1 TSDC.16 Obese (32) uncultured donor community
CI 05 1 TSDC.16 Obese (32) uncultured donor community
CI 06 1 TSDC.17 Lean (23) uncultured donor community
CI 08 1 TSDC.17 Lean (23) uncultured donor community
CI 09 1 TSDC.17 Lean (23) uncultured donor community
CI 11 1 TSDC.16 Obese (32) non-arrayed cultured donor community
CI 12 1 TSDC.16 Obese (32) non-arrayed cultured donor community
CI 13 1 TSDC.16 Obese (32) non-arrayed cultured donor community
CI 14 1 TSDC.16 Obese (32) non-arrayed cultured donor community
CI 15 1 TSDC.16 Obese (32) non-arrayed cultured donor community
CI 16 1 TSDC.17 Lean (23) non-arrayed cultured donor community
CI 17 1 TSDC.17 Lean (23) non-arrayed cultured donor community
CI 18 1 TSDC.17 Lean (23) non-arrayed cultured donor community
CI 19 1 TSDC.17 Lean (23) non-arrayed cultured donor community
CI 20 1 TSDC.17 Lean (23) non-arrayed cultured donor community
Table 16. Percent representation of bacterial taxa present in human donor fecal microbiota that were captured in recipient gnotobiotic mice.
A. Summary of taxonomic representation at Phylum-, Class-, Order, Family, Genus and Species- levels. The percent of organisms from the indicated taxonomic groups that were present in corresponding transplant recipients is shown (mean + SEM; n= 3-12 mice/donor microbiota).
Bacteroidetes;Other 0.00% 0.00% 0.00% 0.00%
Firmicutes;Bacilli 0.07% 0.00% 0.00% 0.00%
Firmicutes;Clostridia 41 .25% 41.58% 45.24% 47.42%
Firmicutes;Erysipelotrichi 2.24% 2.16% 1 .57% 1 .38%
Firmicutes;Negativicutes 0.00% 0.04% 0.00% 1 .75%
Firmicutes;Other 0.1 1 % 0.58% 0.35% 0.06%
Fusobacteria;Fusobacteriia 0.00% 0.00% 0.00% 0.01 %
Other; Other 0.20% 0.43% 0.55% 0.38%
Proteobacteria;Alphaproteobacteria 0.00% 0.00% 0.00% 0.00%
Proteobacteria;Betaproteobacteria 2.86% 1.96% 0.08% 0.82%
Proteobacteria;Deltaproteobacteria 0.00% 0.16% 0.13% 0.00%
Proteobacteria;Epsilonproteobacteria 0.00% 0.00% 0.00% 0.00%
Proteobacteria;Gammaproteobacteria 0.08% 0.01 % 0.13% 0.06%
Proteobacteria;Other 0.02% 0.03% 0.01 % 0.03%
Verrucomicrobia;Verrucomicrobiae 0.02% 1.18% 1 .59% 0.61 %
Order
Acidobacteria;Acidobacteriia;Acidobacteriales 0.00% 0.00% 0.00% 0.00%
Actinobacteria;1760;Actinomycetales 0.00% 0.00% 0.00% 0.00%
Actinobacteria;1760;Bifidobacteriales 0.01 % 0.02% 0.03% 0.00%
Actinobacteria;1760;Coriobacteriales 0.10% 0.25% 0.14% 0.15%
Actinobacteria;1760;Other 0.00% 0.02% 0.03% 0.00%
Bacteroidetes;Bacteroidia;Bacteroidales 53.04% 51.58% 50.14% 47.33%
Bacteroidetes;Flavobacteriia;Flavobacteriales 0.00% 0.00% 0.00% 0.00%
Bacteroidetes;Other; Other 0.00% 0.00% 0.00% 0.00%
Firmicutes;Bacilli;Bacillales 0.00% 0.00% 0.00% 0.00%
Firmicutes;Bacilli;Lactobacillales 0.07% 0.00% 0.00% 0.00%
Firmicutes;Clostridia;Clostridiales 41 .25% 41.58% 45.07% 47.42%
Firmicutes;Clostridia;Other 0.00% 0.00% 0.18% 0.00%
Firmicutes;Erysipelotrichi;Erysipelotrichales 2.24% 2.16% 1 .57% 1 .38%
Firmicutes;Negativicutes;Selenomonadales 0.00% 0.04% 0.00% 1 .75%
Firmicutes;Other; Other 0.1 1 % 0.58% 0.35% 0.06%
Fusobacteria;Fusobacteriia;Fusobacteriales 0.00% 0.00% 0.00% 0.01 %
Other; Other;Other 0.20% 0.43% 0.55% 0.38%
Proteobacteria;Alphaproteobacteria;Rhizobiales 0.00% 0.00% 0.00% 0.00%
Proteobacteria;Alphaproteobacteria;Sphingomonadales 0.00% 0.00% 0.00% 0.00%
Proteobacteria;Betaproteobacteria;Burkholderiales 2.04% 0.82% 0.08% 0.53%
Proteobacteria;Betaproteobacteria;Other 0.83% 1.14% 0.00% 0.29%
Proteobacteria;Deltaproteobacteria;Desulfovibrionales 0.00% 0.16% 0.13% 0.00%
Proteobacteria;Epsilonproteobacteria;Campylobacterales 0.00% 0.00% 0.00% 0.00%
Proteobacteria;Gammaproteobacteria;Aeromonadales 0.00% 0.00% 0.00% 0.00%
Proteobacteria;Gammaproteobacteria;Enterobacteriales 0.08% 0.01 % 0.13% 0.06%
Proteobacteria;Gammaproteobacteria;Other 0.00% 0.00% 0.00% 0.00%
Proteobacteria;Gammaproteobacteria;Pasteurellales 0.00% 0.00% 0.00% 0.00%
Proteobacteria;Gammaproteobacteria;Pseudomonadales 0.00% 0.00% 0.00% 0.00%
Proteobacteria;Other; Other 0.02% 0.03% 0.01 % 0.03%
Verrucomicrobia;Verrucomicrobiae;Verrucomicrobiales 0.02% 1.18% 1 .59% 0.61 %
Family
Acidobacteria;Acidobacteriia;Acidobacteriales;Acidobacteriaceae 0.00% 0.00% 0.00% 0.00%
Actinobacteria;1760;Actinomycetales;Actinomycetaceae 0.00% 0.00% 0.00% 0.00%
Actinobacteria;1760;Actinomycetales;Corynebacteriaceae 0.00% 0.00% 0.00% 0.00%
Actinobacteria;1760;Actinomycetales;Frankiaceae 0.00% 0.00% 0.00% 0.00%
Actinobacteria;1760;Actinomycetales;Microbacteriaceae 0.00% 0.00% 0.00% 0.00%
Actinobacteria;1760;Actinomycetales;Nocardiaceae 0.00% 0.00% 0.00% 0.00%
Actinobacteria;1760;Actinomycetales;Propionibacteriaceae 0.00% 0.00% 0.00% 0.00%
Actinobacteria;1760;Bifidobacteriales;Bifidobacteriaceae 0.01 % 0.02% 0.03% 0.00%
Actinobacteria;1760;Coriobacteriales;Coriobacteriaceae 0.10% 0.25% 0.14% 0.15%
Actinobacteria;1760;Other; Other 0.00% 0.02% 0.03% 0.00%
Bacteroidetes;Bacteroidia;Bacteroidales;Bacteroidaceae 35.87% 40.70% 49.10% 39.43%
Bacteroidetes;Bacteroidia;Bacteroidales;Other 0.70% 0.69% 0.1 1 % 0.06%
Bacteroidetes;Bacteroidia;Bacteroidales;Porphyromonadaceae 16.46% 6.22% 0.34% 3.30%
Bacteroidetes;Bacteroidia;Bacteroidales;Prevotellaceae 0.01 % 2.72% 0.00% 3.58%
Bacteroidetes;Bacteroidia;Bacteroidales;Rikenellaceae 0.00% 1.25% 0.60% 0.97%
Bacteroidetes;Flavobacteriia;Flavobacteriales;Flavobacteriaceae 0.00% 0.00% 0.00% 0.00%
Bacteroidetes;Other; Other; Other 0.00% 0.00% 0.00% 0.00%
Firmicutes Bacilli;Bacillales;Bacillaceae 0.00% 0.00% 0.00% 0.00%
Firmicutes Bacilli;Bacillales;Paenibacillaceae 0.00% 0.00% 0.00% 0.00%
Firmicutes Bacilli;Bacillales;Staphylococcaceae 0.00% 0.00% 0.00% 0.00%
Firmicutes Bacilli; Lactobacillales; Enterococcaceae 0.07% 0.00% 0.00% 0.00%
Firmicutes Bacilli; Lactobacillales;Lactobacillaceae 0.00% 0.00% 0.00% 0.00%
Firmicutes Bacilli; Lactobacillales;Other 0.00% 0.00% 0.00% 0.00%
Firmicutes Bacilli; Lactobacillales;Streptococcaceae 0.00% 0.00% 0.00% 0.00%
Firmicutes Clostridia;Clostridiales Christensenellaceae 0.00% 0.00% 0.01 % 0.00%
Firmicutes Clostridia;Clostridiales Clostridiaceae 7.86% 6.02% 9.01 % 4.31 %
Firmicutes Clostridia;Clostridiales Clostridiales_Family_XIII_lncertae_Sedis 0.00% 0.02% 0.02% 0.00%
Firmicutes Clostridia;Clostridiales Clostridiales_Family_XI_lncertae_Sedis 0.00% 0.00% 0.00% 0.00%
Firmicutes Clostridia;Clostridiales Eubacteriaceae 0.02% 0.49% 2.27% 0.70%
Firmicutes Clostridia;Clostridiales Lachnospiraceae 0.29% 0.25% 1 .20% 0.46%
Firmicutes Clostridia;Clostridiales Oscillospiraceae 0.01 % 0.27% 0.17% 0.09%
Firmicutes Clostridia;Clostridiales Other 6.88% 13.96% 15.49% 13.46%
Firmicutes Clostridia;Clostridiales Peptococcaceae 0.00% 0.00% 0.00% 0.00%
Firmicutes Clostridia;Clostridiales Ruminococcaceae 3.88% 10.56% 11 .67% 27.37%
Firmicutes Clostridia;Clostridiales unclassified_Clostridiales 22.32% 10.01 % 5.24% 1 .04%
Firmicutes Clostridia;Other;Other 0.00% 0.00% 0.18% 0.00%
Firmicutes Erysipelotrichi;Erysipelotrichales;Erysipelotrichaceae 2.24% 2.16% 1 .57% 1 .38%
Firmicutes Negativicutes;Selenomonadales;Acidaminococcaceae 0.00% 0.04% 0.00% 1 .75%
Firmicutes Negativicutes;Selenomonadales;Veillonellaceae 0.00% 0.00% 0.00% 0.00%
Firmicutes Other; Other;Other 0.1 1 % 0.58% 0.35% 0.06%
Fusobacteria;Fusobacteriia;Fusobacteriales;Fusobacteriaceae 0.00% 0.00% 0.00% 0.01 %
Other; Other;Other;Other 0.20% 0.43% 0.55% 0.38%
Proteobacteria Alphaproteobacteria;Rhizobiales;Bradyrhizobiaceae 0.00% 0.00% 0.00% 0.00%
Proteobacteria Alphaproteobacteria;Rhizobiales;Hyphomicrobiaceae 0.00% 0.00% 0.00% 0.00%
Proteobacteria Alphaproteobacteria;Rhizobiales;Methylobacteriaceae 0.00% 0.00% 0.00% 0.00%
Proteobacteria Alphaproteobacteria;Rhizobiales;Phyllobacteriaceae 0.00% 0.00% 0.00% 0.00%
Proteobacteria Alphaproteobacteria;Rhizobiales;Rhizobiaceae 0.00% 0.00% 0.00% 0.00%
Proteobacteria Alphaproteobacteria;Sphingomonadales;Sphingomonadaceae 0.00% 0.00% 0.00% 0.00%
Proteobacteria Betaproteobacteria;Burkholderiales;Alcaligenaceae 0.00% 0.00% 0.00% 0.00%
Proteobacteria Betaproteobacteria;Burkholderiales;Burkholderiaceae 0.00% 0.00% 0.00% 0.00%
Proteobacteria Betaproteobacteria;Burkholderiales;Comamonadaceae 0.00% 0.00% 0.00% 0.00%
Proteobacteria Betaproteobacteria;Burkholderiales;Other 2.04% 0.82% 0.08% 0.53%
Proteobacteria Betaproteobacteria;Burkholderiales;Sutterellaceae 0.00% 0.00% 0.00% 0.00%
Proteobacteria Betaproteobacteria; Other; Other 0.83% 1.14% 0.00% 0.29%
Proteobacteria Deltaproteobacteria;Desulfovibrionales;Desulfovibrionaceae 0.00% 0.16% 0.13% 0.00%
Proteobacteria Epsilonproteobacteria;Campylobacterales;Campylobacteraceae 0.00% 0.00% 0.00% 0.00%
Proteobacteria Gammaproteobacteria;Aeromonadales;Aeromonadaceae 0.00% 0.00% 0.00% 0.00%
Proteobacteria Gammaproteobacteria;Enterobacteriales;Enterobacteriaceae 0.08% 0.01 % 0.13% 0.06%
Proteobacteria Gammaproteobacteria;Other;Other 0.00% 0.00% 0.00% 0.00%
Proteobacteria Gammaproteobacteria;Pasteurellales;Pasteurellaceae 0.00% 0.00% 0.00% 0.00%
Proteobacteria Gammaproteobacteria;Pseudomonadales;Pseudomonadaceae 0.00% 0.00% 0.00% 0.00%
Proteobacteria Other; Other; Other 0.02% 0.03% 0.01 % 0.03%
Verrucomicrob a;Verrucomicrobiae;Verrucomicrobiales;Verrucomicrobiaceae 0.02% 1.18% 1 .59% 0.61 %
Genus
Acidobacteria;Acidobacteriia;Acidobacteriales;Acidobacteriaceae;Other 0.00% 0.00% 0.00% 0.00%
Actinobacteria;1760;Actinomycetales;Actinomycetaceae;Actinomyces 0.00% 0.00% 0.00% 0.00%
Actinobacteria;1760;Actinomycetales;Corynebacteriaceae;Corynebacterium 0.00% 0.00% 0.00% 0.00%
Actinobacteria;1760;Actinomycetales;Frankiaceae;Frankia 0.00% 0.00% 0.00% 0.00%
Actinobacteria;1760;Actinomycetales;Microbacteriaceae;Other 0.00% 0.00% 0.00% 0.00%
Actinobacteria;1760;Actinomycetales;Nocardiaceae;Rhodococcus 0.00% 0.00% 0.00% 0.00%
Actinobacteria;1760;Actinomycetales;Propionibacteriaceae;Propionibacterium 0.00% 0.00% 0.00% 0.00%
Actinobacteria;1760;Bifidobacteriales;Bifidobacteriaceae;Alloscardovia 0.00% 0.00% 0.00% 0.00%
Actinobacteria;1760;Bifidobacteriales;Bifidobacteriaceae;Bifidobacterium 0.01 % 0.02% 0.03% 0.00%
Actinobacteria;1760;Coriobacteriales;Coriobacteriaceae;Adlercreutzia 0.00% 0.02% 0.08% 0.03%
Actinobacteria;1760;Coriobacteriales;Coriobacteriaceae;Collinsella 0.00% 0.20% 0.06% 0.04%
Actinobacteria;1760;Coriobacteriales;Coriobacteriaceae;Denitrobacterium 0.00% 0.02% 0.00% 0.01 %
Actinobacteria;1760;Coriobacteriales;Coriobacteriaceae;Eggerthella 0.10% 0.02% 0.00% 0.06%
Actinobacteria;1760;Coriobacteriales;Coriobacteriaceae;Other 0.00% 0.00% 0.01 % 0.02%
Actinobacteria;1760;Other;Other;Other 0.00% 0.02% 0.03% 0.00%
Bacteroidetes;Bacteroidia;Bacteroidales;Bacteroidaceae;Bacteroides 35.87% 40.70% 49.10% 39.43%
Bacteroidetes;Bacteroidia;Bacteroidales;Other; Other 0.70% 0.69% 0.1 1 % 0.06%
Bacteroidetes;Bacteroidia;Bacteroidales;Porphyromonadaceae;Barnesiella 0.00% 0.00% 0.00% 0.00%
Bacteroidetes;Bacteroidia;Bacteroidales;Porphyromonadaceae;Butyricimonas 0.00% 0.13% 0.03% 0.29%
Bacteroidetes; Bacteroidia; Bacteroidales; Porphyromonadaceae; Odoribacter 0.00% 0.06% 0.08% 0.02%
Bacteroidetes;Bacteroidia;Bacteroidales;Porphyromonadaceae;Parabacteroides 16.46% 6.03% 0.24% 2.99%
Bacteroidetes;Bacteroidia;Bacteroidales;Prevotellaceae;Paraprevotella 0.01 % 2.72% 0.00% 0.00%
Bacteroidetes;Bacteroidia;Bacteroidales;Prevotellaceae;Prevotella 0.00% 0.00% 0.00% 3.58%
Bacteroidetes;Bacteroidia;Bacteroidales;Rikenellaceae;Alistipes 0.00% 1.25% 0.60% 0.97%
Bacteroidetes;Flavobacteriia;Flavobacteriales;Flavobacteriaceae;Chryseobacterium 0.00% 0.00% 0.00% 0.00%
Bacteroidetes;Other; Other; Other;Other 0.00% 0.00% 0.00% 0.00%
Firmicutes Bacilli;Bacillales;Bacillaceae;Geobacillus 0.00% 0.00% 0.00% 0.00%
Firmicutes Bacilli;Bacillales;Paenibacillaceae;Paenibacillus 0.00% 0.00% 0.00% 0.00%
Firmicutes Bacilli;Bacillales;Staphylococcaceae;Staphylococcus 0.00% 0.00% 0.00% 0.00%
Firmicutes Bacilli; Lactobacillales; Enterococcaceae; Enterococcus 0.07% 0.00% 0.00% 0.00%
Firmicutes Bacilli; Lactobacillales; Lactobacillaceae; Lactobacillus 0.00% 0.00% 0.00% 0.00%
Firmicutes Bacilli; Lactobacillales;Other;Other 0.00% 0.00% 0.00% 0.00%
Firmicutes Bacilli; Lactobacillales;Streptococcaceae;Lactococcus 0.00% 0.00% 0.00% 0.00%
Firmicutes Bacilli; Lactobacillales;Streptococcaceae;Streptococcus 0.00% 0.00% 0.00% 0.00%
Firmicutes Clostridia Clostridiales Christensenellaceae;Christensenella 0.00% 0.00% 0.01 % 0.00%
Firmicutes Clostridia Clostridiales Clostridiaceae;Clostridium 7.86% 6.00% 9.01 % 4.31 %
Firmicutes Clostridia Clostridiales Clostridiaceae;Other 0.00% 0.02% 0.00% 0.00%
Firmicutes Clostridia Clostridiales Clostridiales_Family_XIII_lncertae_Sedis;Anaerovorax 0.00% 0.02% 0.02% 0.00%
Firmicutes Clostridia Clostridiales Clostridiales_Family_XI_lncertae_Sedis;Peptoniphilus 0.00% 0.00% 0.00% 0.00%
Firmicutes Clostridia Clostridiales Eubacteriaceae;Anaerofustis 0.00% 0.00% 0.02% 0.00%
Firmicutes Clostridia Clostridiales Eubacteriaceae;Eubacterium 0.02% 0.49% 2.25% 0.70%
Firmicutes Clostridia Clostridiales Lachnospiraceae;Anaerostipes 0.28% 0.01 % 0.00% 0.14%
Firmicutes Clostridia Clostridiales Lachnospiraceae;Cellulosilyticum 0.00% 0.00% 0.00% 0.00%
Firmicutes Clostridia Clostridiales Lachnospiraceae;Coprococcus 0.00% 0.00% 0.08% 0.08%
Firmicutes Clostridia Clostridiales Lachnospiraceae;Dorea 0.00% 0.00% 0.77% 0.10%
Firmicutes Clostridia Clostridiales Lachnospiraceae;Other 0.00% 0.03% 0.01 % 0.01 %
Firmicutes Clostridia Clostridiales Lachnospiraceae;Roseburia 0.01 % 0.21 % 0.34% 0.12%
Firmicutes Clostridia Clostridiales Oscillospiraceae;Oscillibacter 0.01 % 0.27% 0.17% 0.09%
Firmicutes Clostridia Clostridiales Other;Other 6.88% 13.96% 15.49% 13.46%
Firmicutes Clostridia Clostridiales Peptococcaceae; Peptococcus 0.00% 0.00% 0.00% 0.00%
Firmicutes Clostridia Clostridiales Ruminococcaceae;Anaerofilum 0.00% 0.00% 0.03% 0.01 %
Firmicutes Clostridia Clostridiales Ru mi nococcaceae ; Anaerotru ncus 0.00% 0.02% 0.01 % 0.00%
Firmicutes Clostridia Clostridiales Ruminococcaceae;Faecalibacterium 0.02% 4.30% 5.71 % 8.84%
Firmicutes Clostridia Clostridiales Ru mi nococcaceae ; Other 1 .86% 0.94% 0.40% 0.27%
Firmicutes Clostridia Clostridiales Ru mi nococcaceae ; Rumi nococcus 1 .98% 4.13% 5.39% 11 .55%
Firmicutes Clostridia Clostridiales Ruminococcaceae;Subdoligranulum 0.01 % 1.17% 0.13% 6.70%
Firmicutes;Clostridia;Clostridiales;unclassified_Clostridiales;Blautia 22.32% 10.01 % 5.24% 1 .04%
Firmicutes;Clostridia;Other;Other;Other 0.00% 0.00% 0.18% 0.00%
Firmicutes;Erysipelotrichi;Erysipelotrichales;Erysipelotrichaceae;Catenibacterium 0.00% 0.00% 0.00% 0.00%
Firmicutes;Erysipelotrichi;Erysipelotrichales;Erysipelotrichaceae;Coprobacillus 0.00% 0.21 % 0.00% 0.65%
Firmicutes;Erysipelotrichi;Erysipelotrichales;Erysipelotrichaceae;Holdemania 0.00% 0.05% 0.08% 0.05%
Firmicutes;Erysipelotrichi;Erysipelotrichales;Erysipelotrichaceae;Other 0.00% 0.00% 0.00% 0.00%
Firmicutes;Erysipelotrichi;Erysipelotrichales;Erysipelotrichaceae;Turicibacter 0.00% 0.63% 0.10% 0.09%
Firmicutes;Erysipelotrichi;Erysipelotrichales;Erysipelotrichaceae;unclassified_Erysipelotri
2.24% 1 .26% 1.39% 0.60% chaceae
Firmicutes;Negativicutes;Selenomonadales;Acidaminococcaceae;Acidaminococcus 0.00% 0.00% 0.00% 0.00%
Firmicutes;Negativicutes;Selenomonadales;Acidaminococcaceae;Phascolarctobacteriu
0.00% 0.04% 0.00% 1.75% m
Firmicutes;Negativicutes;Selenomonadales;Veillonellaceae;Dialister 0.00% 0.00% 0.00% 0.00%
Firmicutes;Negativicutes;Selenomonadales;Veillonellaceae;Megamonas 0.00% 0.00% 0.00% 0.00%
Firmicutes;Negativicutes;Selenomonadales;Veillonellaceae;Veillonella 0.00% 0.00% 0.00% 0.00%
Firmicutes;Other;Other;Other; Other 0.1 1 % 0.58% 0.35% 0.06%
Fusobacteria;Fusobacteriia;Fusobacteriales;Fusobacteriaceae;Cetobacterium 0.00% 0.00% 0.00% 0.01 %
Fusobacteria;Fusobacteriia;Fusobacteriales;Fusobacteriaceae;Fusobacterium 0.00% 0.00% 0.00% 0.00%
Other; Other;Other;Other; Other 0.20% 0.43% 0.55% 0.38%
Proteobacteria;Alphaproteobacteria;Rhizobiales;Bradyrhizobiaceae;Other 0.00% 0.00% 0.00% 0.00%
Proteobacteria;Alphaproteobacteria;Rhizobiales;Hyphomicrobiaceae;Hyphomicrobium 0.00% 0.00% 0.00% 0.00%
Proteobacteria;Alphaproteobacteria;Rhizobiales;Methylobacteriaceae;Methylobacterium 0.00% 0.00% 0.00% 0.00%
Proteobacteria;Alphaproteobacteria;Rhizobiales;Phyllobacteriaceae;Mesorhizobium 0.00% 0.00% 0.00% 0.00%
Proteobacteria;Alphaproteobacteria;Rhizobiales;Rhizobiaceae;Agrobacterium 0.00% 0.00% 0.00% 0.00%
Proteobacteria;Alphaproteobacteria;Rhizobiales;Rhizobiaceae;Sinorhizobium 0.00% 0.00% 0.00% 0.00%
Proteobacteria;Alphaproteobacteria;Sphingomonadales;Sphingomonadaceae;Other 0.00% 0.00% 0.00% 0.00%
Proteobacteria;Alphaproteobacteria;Sphingomonadales;Sphingomonadaceae;Sphingobi
0.00% 0.00% 0.00% 0.00% um
Proteobacteria;Alphaproteobacteria;Sphingomonadales;Sphingomonadaceae;Sphingom
0.00% 0.00% 0.00% 0.00% onas
Proteobacteria;Betaproteobacteria;Burkholderiales;Alcaligenaceae;Achromobacter 0.00% 0.00% 0.00% 0.00%
Proteobacteria;Betaproteobacteria;Burkholderiales;Burkholderiaceae;Ralstonia 0.00% 0.00% 0.00% 0.00%
Proteobacteria;Betaproteobacteria;Burkholderiales;Comamonadaceae;Variovorax 0.00% 0.00% 0.00% 0.00%
Proteobacteria;Betaproteobacteria;Burkholderiales;Other; Other 2.04% 0.82% 0.08% 0.53%
Proteobacteria;Betaproteobacteria;Burkholderiales;Sutterellaceae;Sutterella 0.00% 0.00% 0.00% 0.00%
Proteobacteria;Betaproteobacteria;Other;Other;Other 0.83% 1.14% 0.00% 0.29%
Proteobacteria;Deltaproteobacteria;Desulfovibrionales;Desulfovibrionaceae;Bilophila 0.00% 0.00% 0.13% 0.00%
Proteobacteria;Deltaproteobacteria;Desulfovibrionales;Desulfovibrionaceae;Desulfovibri
0.00% 0.01 % 0.00% 0.00%
Proteobacteria;Deltaproteobacteria;Desulfovibrionales;Desulfovibrionaceae;Other 0.00% 0.15% 0.00% 0.00%
Proteobacteria;Epsilonproteobacteria;Campylobacterales;Campylobacteraceae;Campylo
0.00% 0.00% 0.00% 0.00% bacter
Proteobacteria;Gammaproteobacteria;Aeromonadales;Aeromonadaceae;Aeromonas 0.00% 0.00% 0.00% 0.00%
Proteobacteria;Gammaproteobacteria;Enterobacteriales;Enterobacteriaceae;Enterobact
0.00% 0.00% 0.00% 0.00% er
Proteobacteria;Gammaproteobacteria;Enterobacteriales;Enterobacteriaceae;Escherichia 0.00% 0.00% 0.00% 0.00%
Proteobacteria;Gammaproteobacteria;Enterobacteriales;Enterobacteriaceae;Other 0.08% 0.01 % 0.13% 0.06%
Proteobacteria;Gammaproteobacteria;Other;Other; Other 0.00% 0.00% 0.00% 0.00%
Proteobacteria;Gammaproteobacteria;Pasteurellales;Pasteurellaceae; Haemophilus 0.00% 0.00% 0.00% 0.00%
Proteobacteria;Gammaproteobacteria;Pseudomonadales;Pseudomonadaceae;Pseudom
0.00% 0.00% 0.00% 0.00% onas
Proteobacteria;Other; Other; Other;Other 0.02% 0.03% 0.01 % 0.03%
Verrucomicrobia;Verrucomicrobiae;Verrucomicrobiales;Verrucomicrobiaceae;Akkermans
0.02% 1 .18% 1.59% 0.61 % ia
Species
Acidobacteria;Acidobacteriia;Acidobacteriales;Acidobacteriaceae;Other;Other 0.00% 0.00% 0.00% 0.00%
Actinobacteria;1760;Actinomycetales;Actinomycetaceae;Actinomyces;Actinomyces_odo
0.00% 0.00% 0.00% 0.00% ntolyticus
Actinobacteria;1760;Actinomycetales;Actinomycetaceae;Actinomyces;Actinomyces_uro 0.00% 0.00% 0.00% 0.00%
Bacteroidetes;Bacteroidia;Bacteroidales;Bacteroidaceae;Bacteroides;Bacteroides sp X
0.00% 0.00% 0.00% 0.00% B44A
Bacteroidetes;Bacteroidia;Bacteroidales;Bacteroidaceae;Bacteroides;Bacteroides_sterc
0.00% 0.00% 0.03% 0.05% oris
Bacteroidetes;Bacteroidia;Bacteroidales;Bacteroidaceae;Bacteroides;Bacteroides_thetai
0.01 % 3.04% 0.90% 0.87% otaomicron
Bacteroidetes;Bacteroidia;Bacteroidales;Bacteroidaceae;Bacteroides;Bacteroides_unifor
0.01 % 5.23% 10.70% 6.13% mis
Bacteroidetes;Bacteroidia;Bacteroidales;Bacteroidaceae;Bacteroides;Bacteroides_vulga
0.05% 8.51 % 8.08% 10.33% tus
Bacteroidetes;Bacteroidia;Bacteroidales;Bacteroidaceae;Bacteroides;Bacteroides_xylani
0.00% 0.01 % 0.37% 0.06% solvens
Bacteroidetes;Bacteroidia;Bacteroidales;Bacteroidaceae;Bacteroides;Other 0.76% 2.77% 5.62% 4.46%
Bacteroidetes;Bacteroidia;Bacteroidales;Other;Other;Other 0.70% 0.69% 0.1 1 % 0.06%
Bacteroidetes;Bacteroidia;Bacteroidales;Porphyromonadaceae;Barnesiella;Barnesiella_i
0.00% 0.00% 0.00% 0.00% ntestinihominis
Bacteroidetes;Bacteroidia;Bacteroidales;Porphyromonadaceae;Butyricimonas;Butyricim
0.00% 0.13% 0.03% 0.29% onas virosa
Bacteroidetes; Bacteroidia; Bacteroidales; Porphyromonadaceae; Odoribacter; Odoribacter
0.00% 0.06% 0.08% 0.02% splanchnicus
Bacteroidetes;Bacteroidia;Bacteroidales;Porphyromonadaceae;Parabacteroides;Other 0.81 % 0.46% 0.01 % 0.17%
Bacteroidetes;Bacteroidia;Bacteroidales;Porphyromonadaceae;Parabacteroides;Paraba
15.55% 4.78% 0.01 % 2.31 % cteroides distasonis
Bacteroidetes;Bacteroidia;Bacteroidales;Porphyromonadaceae;Parabacteroides;Paraba
0.00% 0.02% 0.00% 0.30% cteroides_goldsteinii
Bacteroidetes;Bacteroidia;Bacteroidales;Porphyromonadaceae;Parabacteroides;Paraba
0.02% 0.71 % 0.22% 0.17% cteroides merdae
Bacteroidetes;Bacteroidia;Bacteroidales;Porphyromonadaceae;Parabacteroides;Paraba
0.09% 0.06% 0.00% 0.04% cteroides sp D13
Bacteroidetes;Bacteroidia;Bacteroidales;Prevotellaceae;Paraprevotella;Paraprevotella_c
0.01 % 2.72% 0.00% 0.00% lara
Bacteroidetes;Bacteroidia;Bacteroidales;Prevotellaceae;Prevotella;Other 0.00% 0.00% 0.00% 0.18%
Bacteroidetes;Bacteroidia;Bacteroidales;Prevotellaceae;Prevotella;Prevotella_copri 0.00% 0.00% 0.00% 3.40%
Bacteroidetes;Bacteroidia;Bacteroidales;Prevotellaceae;Prevotella;Prevotella sp DJF L
0.00% 0.00% 0.00% 0.00% S16
Bacteroidetes;Bacteroidia;Bacteroidales;Prevotellaceae;Prevotella;Prevotella_stercorea 0.00% 0.00% 0.00% 0.00%
Bacteroidetes;Bacteroidia;Bacteroidales;Rikenellaceae;Alistipes;Alistipes_finegoldii 0.00% 0.09% 0.08% 0.01 %
Bacteroidetes;Bacteroidia;Bacteroidales;Rikenellaceae;Alistipes;Alistipes_indistinctus 0.00% 0.04% 0.03% 0.01 %
Bacteroidetes;Bacteroidia;Bacteroidales;Rikenellaceae;Alistipes;Alistipes_onderdonkii 0.00% 0.00% 0.01 % 0.00%
Bacteroidetes;Bacteroidia;Bacteroidales;Rikenellaceae;Alistipes;Alistipes_putredinis 0.00% 1.01 % 0.37% 0.89%
Bacteroidetes;Bacteroidia;Bacteroidales;Rikenellaceae;Alistipes;Alistipes_shahii 0.00% 0.09% 0.04% 0.04%
Bacteroidetes;Bacteroidia;Bacteroidales;Rikenellaceae;Alistipes;Alistipes sp NML05A0
0.00% 0.00% 0.01 % 0.02% 04
Bacteroidetes;Bacteroidia;Bacteroidales;Rikenellaceae;Alistipes;Other 0.00% 0.01 % 0.05% 0.01 %
Bacteroidetes;Flavobacteriia;Flavobacteriales;Flavobacteriaceae;Chryseobacterium;Oth
0.00% 0.00% 0.00% 0.00% er
Bacteroidetes;Other; Other; Other;Other;Other 0.00% 0.00% 0.00% 0.00%
Firmicutes;Bacilli;Bacillales;Bacillaceae;Geobacillus;Other 0.00% 0.00% 0.00% 0.00%
Firmicutes;Bacilli;Bacillales;Paenibacillaceae;Paenibacillus;Paenibacillus_barengoltzii 0.00% 0.00% 0.00% 0.00%
Firmicutes;Bacilli;Bacillales;Staphylococcaceae;Staphylococcus;Staphylococcus_epider
0.00% 0.00% 0.00% 0.00% midis
Firmicutes;Bacilli;Lactobacillales;Enterococcaceae;Enterococcus;Enterococcus_cecoru
0.00% 0.00% 0.00% 0.00% m
Firmicutes;Bacilli;Lactobacillales;Enterococcaceae;Enterococcus;Enterococcus_faecalis 0.00% 0.00% 0.00% 0.00%
Firmicutes;Bacilli;Lactobacillales;Enterococcaceae;Enterococcus;Enterococcus_faecium 0.04% 0.00% 0.00% 0.00%
Firmicutes;Bacilli;Lactobacillales;Enterococcaceae;Enterococcus;Other 0.03% 0.00% 0.00% 0.00%
Firmicutes;Bacilli;Lactobacillales;Lactobacillaceae;Lactobacillus;Lactobacillus_salivarius 0.00% 0.00% 0.00% 0.00%
Firmicutes;Bacilli;Lactobacillales;Other;Other;Other 0.00% 0.00% 0.00% 0.00%
Firmicutes;Bacilli;Lactobacillales;Streptococcaceae;Lactococcus;Other 0.00% 0.00% 0.00% 0.00%
Firmicutes;Bacilli;Lactobacillales;Streptococcaceae;Streptococcus;Other 0.00% 0.00% 0.00% 0.00%
Firmicutes;Clostridia;Clostridiales;Christensenellaceae;Christensenella;Christensenella_
0.00% 0.00% 0.01 % 0.00% minuta
Firmicutes;Clostridia;Clostridiales;Clostridiaceae;Clostridium;Clostridium aff difficile AA
0.00% 0.00% 0.00% 0.00% 1
Firmicutes Clostridia Clostridiales Clostridiaceae Clostridium Clostridium_aldenense 0.01 % 0.00% 0.01 % 0.00%
Firmicutes Clostridia Clostridiales Clostridiaceae Clostridium Clostridium_asparagiforme 0.09% 0.08% 0.18% 0.1 1 %
Firmicutes Clostridia Clostridiales Clostridiaceae Clostridium Clostridium_baratii 0.00% 0.00% 0.00% 0.00%
Firmicutes Clostridia Clostridiales Clostridiaceae Clostridium Clostridium_bartlettii 0.00% 0.01 % 0.01 % 0.00%
Firmicutes Clostridia Clostridiales Clostridiaceae Clostridium Clostridium_bolteae 0.00% 0.00% 0.00% 0.00%
Firmicutes Clostridia Clostridiales Clostridiaceae Clostridium Clostridium_butyricum 0.00% 0.00% 0.00% 0.00%
Firmicutes Clostridia Clostridiales Clostridiaceae Clostridium Clostridium_citroniae 0.00% 0.00% 0.01 % 0.00%
Firmicutes Clostridia Clostridiales Clostridiaceae Clostridium Clostridium_clostridioforme 0.01 % 0.36% 1.28% 0.30%
Firmicutes Clostridia Clostridiales Clostridiaceae Clostridium Clostridium_difficile 0.70% 0.01 % 0.10% 0.13%
Firmicutes Clostridia Clostridiales Clostridiaceae Clostridium Clostridium_disporicum 0.17% 0.01 % 0.03% 0.03%
Firmicutes Clostridia Clostridiales Clostridiaceae Clostridium Clostridium_glycolicum 0.00% 0.00% 0.03% 0.03%
Firmicutes Clostridia Clostridiales Clostridiaceae Clostridium Clostridium_hathewayi 0.75% 0.18% 1 .13% 0.50%
Firmicutes Clostridia Clostridiales Clostridiaceae Clostridium Clostridium_hylemonae 0.00% 0.00% 0.01 % 0.04%
Firmicutes Clostridia Clostridiales Clostridiaceae Clostridium Clostridiumjactatifermenta
0.44% 0.21 % 0.00% 0.03% ns
Firmicutes;Clostridia;Clostridiales;Clostridiaceae;Clostridium;Clostridium_leptum 0.00% 0.01 % 0.00% 0.00%
Firmicutes;Clostridia;Clostridiales;Clostridiaceae;Clostridium;Clostridium_lituseburense 0.00% 0.00% 0.00% 0.00%
Firmicutes;Clostridia;Clostridiales;Clostridiaceae;Clostridium;Clostridium_methylpentosu
0.00% 0.00% 0.00% 0.00% m
Firmicutes;Clostridia;Clostridiales;Clostridiaceae;Clostridium;Clostridium_paraputrificum 0.00% 0.00% 0.01 % 0.00%
Firmicutes;Clostridia;Clostridiales;Clostridiaceae;Clostridium;Clostridium_perfringens 0.00% 0.00% 0.00% 0.00%
Firmicutes;Clostridia;Clostridiales;Clostridiaceae;Clostridium;Clostridium_scindens 0.00% 0.04% 0.03% 0.00%
Firmicutes;Clostridia;Clostridiales;Clostridiaceae;Clostridium;Clostridium_sordellii 0.00% 0.00% 0.00% 0.00%
Firmicutes;Clostridia;Clostridiales;Clostridiaceae;Clostridium;Clostridium_sp_14505 0.00% 0.00% 0.00% 0.02%
Firmicutes;Clostridia;Clostridiales;Clostridiaceae;Clostridium;Clostridium_sp_CM_C52 0.00% 0.00% 0.00% 0.00%
Firmicutes;Clostridia;Clostridiales;Clostridiaceae;Clostridium;Clostridium_sp_ID5 0.00% 0.00% 0.00% 0.00%
Firmicutes;Clostridia;Clostridiales;Clostridiaceae;Clostridium;Clostridium_sp_L2_50 0.00% 0.00% 0.00% 1 .33%
Firmicutes;Clostridia;Clostridiales;Clostridiaceae;Clostridium;Clostridium_sp_MLG480 0.00% 0.00% 0.00% 0.04%
Firmicutes;Clostridia;Clostridiales;Clostridiaceae;Clostridium;Clostridium sp NML 04A0
0.01 % 0.10% 0.07% 0.03% 32
Firmicutes;Clostridia;Clostridiales;Clostridiaceae;Clostridium;Clostridium_sp_SH_C52 0.00% 0.00% 0.00% 0.00%
Firmicutes;Clostridia;Clostridiales;Clostridiaceae;Clostridium;Clostridium_sp_SS2_1 0.00% 0.00% 0.00% 0.00%
Firmicutes;Clostridia;Clostridiales;Clostridiaceae;Clostridium;Clostridium_sp_TM_40 1 .93% 0.27% 0.42% 0.02%
Firmicutes;Clostridia;Clostridiales;Clostridiaceae;Clostridium;Clostridium_sp_YIT_12070 0.00% 0.00% 0.00% 0.01 %
Firmicutes;Clostridia;Clostridiales;Clostridiaceae;Clostridium;Clostridium_sporogenes 0.00% 0.00% 0.00% 0.00%
Firmicutes;Clostridia;Clostridiales;Clostridiaceae;Clostridium;Clostridium_sporosphaeroi
0.00% 0.00% 0.00% 0.00% des
Firmicutes;Clostridia;Clostridiales;Clostridiaceae;Clostridium;Clostridium_symbiosum 0.17% 0.04% 0.31 % 0.23%
Firmicutes;Clostridia;Clostridiales;Clostridiaceae;Clostridium;Clostridium_tertium 0.00% 0.00% 0.00% 0.00%
Firmicutes;Clostridia;Clostridiales;Clostridiaceae;Clostridium;Other 3.57% 4.67% 5.39% 1 .47%
Firmicutes;Clostridia;Clostridiales;Clostridiaceae;Other; Other 0.00% 0.02% 0.00% 0.00%
Firmicutes;Clostridia;Clostridiales;Clostridiales_Family_XIII_lncertae_Sedis;Anaerovorax
0.00% 0.02% 0.02% 0.00% ;Anaerovorax odorimutans
Firmicutes;Clostridia;Clostridiales;Clostridiales Family XI Incertae Sedis;Peptoniphilus
0.00% 0.00% 0.00% 0.00% ;Other
Firmicutes;Clostridia;Clostridiales;Eubacteriaceae;Anaerofustis;Anaerofustis_stercoriho
0.00% 0.00% 0.02% 0.00% minis
Firmicutes;Clostridia;Clostridiales;Eubacteriaceae;Eubacterium;Eubacterium_callanderi 0.00% 0.00% 0.00% 0.00%
Firmicutes;Clostridia;Clostridiales;Eubacteriaceae;Eubacterium;Eubacterium_coprostan
0.00% 0.01 % 0.00% 0.10% oligenes
Firmicutes;Clostridia;Clostridiales;Eubacteriaceae;Eubacterium;Eubacterium_desmolans 0.01 % 0.19% 0.25% 0.15%
Firmicutes;Clostridia;Clostridiales;Eubacteriaceae;Eubacterium;Eubacterium_eligens 0.00% 0.00% 0.00% 0.00%
Firmicutes;Clostridia;Clostridiales;Eubacteriaceae;Eubacterium;Eubacterium_fissicatena 0.00% 0.00% 0.00% 0.00%
Firmicutes;Clostridia;Clostridiales;Eubacteriaceae;Eubacterium;Eubacterium_hallii 0.00% 0.00% 0.00% 0.00%
Firmicutes;Clostridia;Clostridiales;Eubacteriaceae;Eubacterium;Eubacterium_limosum 0.00% 0.21 % 0.17% 0.00%
Firmicutes;Clostridia;Clostridiales;Eubacteriaceae;Eubacterium;Eubacterium_ramulus 0.00% 0.02% 0.00% 0.00%
Firmicutes;Clostridia;Clostridiales;Eubacteriaceae;Eubacterium;Eubacterium_rectale 0.01 % 0.01 % 1 .82% 0.28%
Firmicutes;Clostridia;Clostridiales;Ruminococcaceae;Ruminococcus;Ruminococcus sp
0.00% 0.00% 0.04% 0.00% MLG080 3
Firmicutes;Clostridia;Clostridiales;Ruminococcaceae;Ruminococcus;Ruminococcus sp
0.00% 1 .41 % 0.05% 0.01 % WAL 17306
Firmicutes;Clostridia;Clostridiales;Ruminococcaceae;Ruminococcus;Ruminococcus_torq
1.01 % 0.33% 0.01 % 0.22% ues
Firmicutes;Clostridia;Clostridiales;Ruminococcaceae;Subdoligranulum;Other 0.00% 0.02% 0.01 % 0.05%
Firmicutes;Clostridia;Clostridiales;Ruminococcaceae;Subdoligranulum;Subdoligranulum
0.01 % 1 .15% 0.13% 6.66% variabile
Firmicutes;Clostridia;Clostridiales;unclassified_Clostridiales;Blautia;Blautia_glucerasea 16.73% 9.16% 4.33% 0.66%
Firmicutes;Clostridia;Clostridiales;unclassified_Clostridiales;Blautia;Blautia_hansenii 0.51 % 0.00% 0.02% 0.02%
Firmicutes;Clostridia;Clostridiales;unclassified_Clostridiales;Blautia;Blautia_hydrogenotr
0.00% 0.00% 0.13% 0.07% ophica
Firmicutes;Clostridia;Clostridiales;unclassified_Clostridiales;Blautia;Blautia_producta 4.96% 0.79% 0.73% 0.27%
Firmicutes;Clostridia;Clostridiales;unclassified_Clostridiales;Blautia;Blautia_sp_M25 0.00% 0.00% 0.00% 0.00%
Firmicutes;Clostridia;Clostridiales;unclassified_Clostridiales;Blautia;Other 0.12% 0.05% 0.03% 0.03%
Firmicutes;Clostridia;Other;Other;Other; Other 0.00% 0.00% 0.18% 0.00%
Firmicutes;Erysipelotrichi;Erysipelotrichales;Erysipelotrichaceae;Catenibacterium;Cateni
0.00% 0.00% 0.00% 0.00% bacterium mitsuokai
Firmicutes;Erysipelotrichi;Erysipelotrichales;Erysipelotrichaceae;Coprobacillus;Coprobac
0.00% 0.21 % 0.00% 0.65% illus cateniformis
Firmicutes;Erysipelotrichi;Erysipelotrichales;Erysipelotrichaceae;Holdemania;Holdemani
0.00% 0.05% 0.08% 0.05% a filiformis
Firmicutes;Erysipelotrichi;Erysipelotrichales;Erysipelotrichaceae;Other;Other 0.00% 0.00% 0.00% 0.00%
Firmicutes;Erysipelotrichi;Erysipelotrichales;Erysipelotrichaceae;Turicibacter;Turicibacter
0.00% 0.63% 0.10% 0.09% _sanguinis
Firmicutes;Erysipelotrichi;Erysipelotrichales;Erysipelotrichaceae;unclassified_Erysipelotri
2.08% 0.16% 0.28% 0.44% chaceae;Clostridium innocuum
Firmicutes;Erysipelotrichi;Erysipelotrichales;Erysipelotrichaceae;unclassified_Erysipelotri
0.01 % 0.74% 0.87% 0.05% chaceae;Clostridium ramosum
Firmicutes;Erysipelotrichi;Erysipelotrichales;Erysipelotrichaceae;unclassified_Erysipelotri
0.15% 0.01 % 0.00% 0.00% chaceae;Clostridium_spiroforme
Firmicutes;Erysipelotrichi;Erysipelotrichales;Erysipelotrichaceae;unclassified_Erysipelotri
0.00% 0.00% 0.00% 0.07% chaceae;Eubacterium_biforme
Firmicutes;Erysipelotrichi;Erysipelotrichales;Erysipelotrichaceae;unclassified_Erysipelotri
0.00% 0.35% 0.01 % 0.05% chaceae;Eubacterium cylindroides
Firmicutes;Erysipelotrichi;Erysipelotrichales;Erysipelotrichaceae;unclassified_Erysipelotri
0.00% 0.00% 0.24% 0.00% chaceae;Other
Firmicutes;Negativicutes;Selenomonadales;Acidaminococcaceae;Acidaminococcus;Acid
0.00% 0.00% 0.00% 0.00% aminococcus_sp_DJF_RP55
Firmicutes;Negativicutes;Selenomonadales;Acidaminococcaceae;Acidaminococcus;Oth
0.00% 0.00% 0.00% 0.00% er
Firmicutes;Negativicutes;Selenomonadales;Acidaminococcaceae;Phascolarctobacteriu
0.00% 0.04% 0.00% 1.75% m;Phascolarctobacterium faecium
Firmicutes;Negativicutes;Selenomonadales;Acidaminococcaceae;Phascolarctobacteriu
0.00% 0.00% 0.00% 0.00% m;Phascolarctobacterium succinatutens
Firmicutes;Negativicutes;Selenomonadales;Veillonellaceae;Dialister;Dialister_invisus 0.00% 0.00% 0.00% 0.00%
Firmicutes;Negativicutes;Selenomonadales;Veillonellaceae;Megamonas;Other 0.00% 0.00% 0.00% 0.00%
Firmicutes;Negativicutes;Selenomonadales;Veillonellaceae;Veillonella;Veillonella_parvul
0.00% 0.00% 0.00% 0.00% a
Firmicutes;Other;Other;Other; Other; Other 0.1 1 % 0.58% 0.35% 0.06%
Fusobacteria;Fusobacteriia;Fusobacteriales;Fusobacteriaceae;Cetobacterium;Cetobacte
0.00% 0.00% 0.00% 0.01 % rium somerae
Fusobacteria;Fusobacteriia;Fusobacteriales;Fusobacteriaceae;Fusobacterium;Fusobact
0.00% 0.00% 0.00% 0.00% erium mortiferum
Fusobacteria;Fusobacteriia;Fusobacteriales;Fusobacteriaceae;Fusobacterium;Fusobact
0.00% 0.00% 0.00% 0.00% erium nucleatum
Fusobacteria;Fusobacteriia;Fusobacteriales;Fusobacteriaceae;Fusobacterium;Other 0.00% 0.00% 0.00% 0.00%
Other; Other;Other;Other; Other; Other 0.20% 0.43% 0.55% 0.38%
Proteobacteria;Alphaproteobacteria;Rhizobiales;Bradyrhizobiaceae;Other; Other 0.00% 0.00% 0.00% 0.00%
Proteobacteria;Alphaproteobacteria;Rhizobiales;Hyphomicrobiaceae;Hyphomicrobium;H
0.00% 0.00% 0.00% 0.00% yphomicrobium facile
Proteobacteria;Alphaproteobacteria;Rhizobiales;Hyphomicrobiaceae;Hyphomicrobium;H
0.00% 0.00% 0.00% 0.00% yphomicrobium zavarzinii
Proteobacteria;Alphaproteobacteria;Rhizobiales;Methylobacteriaceae;Methylobacterium;
0.00% 0.00% 0.00% 0.00% Methylobacterium organophilum
Proteobacteria;Alphaproteobacteria;Rhizobiales;Phyllobacteriaceae;Mesorhizobium;Oth
0.00% 0.00% 0.00% 0.00% er
Proteobacteria;Alphaproteobacteria;Rhizobiales;Rhizobiaceae;Agrobacterium;Agrobacte
0.00% 0.00% 0.00% 0.00% rium tumefaciens
Proteobacteria;Alphaproteobacteria;Rhizobiales;Rhizobiaceae;Sinorhizobium;Other 0.00% 0.00% 0.00% 0.00%
Proteobacteria;Alphaproteobacteria;Sphingomonadales;Sphingomonadaceae;Other;Oth
0.00% 0.00% 0.00% 0.00% er
Proteobacteria;Alphaproteobacteria;Sphingomonadales;Sphingomonadaceae;Sphingobi
0.00% 0.00% 0.00% 0.00% um;Sphingobium yanoikuyae
Proteobacteria;Alphaproteobacteria;Sphingomonadales;Sphingomonadaceae;Sphingom
0.00% 0.00% 0.00% 0.00% onas;Other
Proteobacteria;Alphaproteobacteria;Sphingomonadales;Sphingomonadaceae;Sphingom
0.00% 0.00% 0.00% 0.00% onas;Sphingomonas_oligophenolica
Proteobacteria;Betaproteobacteria;Burkholderiales;Alcaligenaceae;Achromobacter;Achr
0.00% 0.00% 0.00% 0.00% omobacter denitrificans
Proteobacteria;Betaproteobacteria;Burkholderiales;Burkholderiaceae;Ralstonia;Other 0.00% 0.00% 0.00% 0.00%
Proteobacteria;Betaproteobacteria;Burkholderiales;Comamonadaceae;Variovorax;Vario
0.00% 0.00% 0.00% 0.00% vorax soli
Proteobacteria;Betaproteobacteria;Burkholderiales;Other; Other; Other 2.04% 0.82% 0.08% 0.53%
Proteobacteria;Betaproteobacteria;Burkholderiales;Sutterellaceae;Sutterella;Other 0.00% 0.00% 0.00% 0.00%
Proteobacteria; Betaproteobacteria; Other; Other;Other; Other 0.83% 1.14% 0.00% 0.29%
Proteobacteria;Deltaproteobacteria;Desulfovibrionales;Desulfovibrionaceae;Bilophila;Bil
0.00% 0.00% 0.13% 0.00% ophila wadsworthia
Proteobacteria;Deltaproteobacteria;Desulfovibrionales;Desulfovibrionaceae;Desulfovibri
0.00% 0.01 % 0.00% 0.00% o;Other
Proteobacteria;Deltaproteobacteria;Desulfovibrionales;Desulfovibrionaceae;Other;Other 0.00% 0.15% 0.00% 0.00%
Proteobacteria;Epsilonproteobacteria;Campylobacterales;Campylobacteraceae;Campylo
0.00% 0.00% 0.00% 0.00% bacter;Campylobacter_showae
Proteobacteria;Gammaproteobacteria;Aeromonadales;Aeromonadaceae;Aeromonas;Ot
0.00% 0.00% 0.00% 0.00% her
Proteobacteria;Gammaproteobacteria;Enterobacteriales;Enterobacteriaceae;Enterobact
0.00% 0.00% 0.00% 0.00% er; Other
Proteobacteria;Gammaproteobacteria;Enterobacteriales;Enterobacteriaceae;Escherichia
0.00% 0.00% 0.00% 0.00% ;Escherichia coli
Proteobacteria;Gammaproteobacteria;Enterobacteriales;Enterobacteriaceae;Other;Othe
0.08% 0.01 % 0.13% 0.06% r
Proteobacteria;Gammaproteobacteria;Other;Other;Other;Other 0.00% 0.00% 0.00% 0.00%
Proteobacteria;Gammaproteobacteria;Pasteurellales;Pasteurellaceae; Haemophilus; Hae
0.00% 0.00% 0.00% 0.00% mophilus parainfluenzae
Proteobacteria;Gammaproteobacteria;Pseudomonadales;Pseudomonadaceae;Pseudom
0.00% 0.00% 0.00% 0.00% onas;Other
Proteobacteria;Gammaproteobacteria;Pseudomonadales;Pseudomonadaceae;Pseudom
0.00% 0.00% 0.00% 0.00% onas;Pseudomonas balearica
Proteobacteria;Other; Other; Other;Other;Other 0.02% 0.03% 0.01 % 0.03%
Verrucomicrobia;Verrucomicrobiae;Verrucomicrobiales;Verrucomicrobiaceae;Akkermans
0.02% 1 .18% 1.59% 0.61 % ia;Akkermansia_muciniphila
Twin pair 3 Twin pair 4
Obese Lean Obese Lean
Phylum
Acidobacteria 0.00% 0.00% 0.00% 0.00%
Actinobacteria 0.01 % 0.01 % 0.26% 0.28%
Bacteroidetes 64.64% 62.21 % 45.89% 50.53%
Firmicutes 32.01 % 36.95% 52.02% 45.41 %
Fusobacteria 0.00% 0.00% 0.00% 0.00%
Other 0.36% 0.21 % 0.26% 0.37%
Proteobacteria 2.1 1 % 0.24% 0.63% 1 .90%
Verrucomicrobia 0.87% 0.39% 0.94% 1 .50%
Class
Acidobacteria;Acidobacteriia 0.00% 0.00% 0.00% 0.00%
Actinobacteria;1760 0.01 % 0.01 % 0.26% 0.28%
Bacteroidetes;Bacteroidia 64.64% 62.21 % 45.89% 50.53%
Bacteroidetes;Flavobacteriia 0.00% 0.00% 0.00% 0.00%
Bacteroidetes;Other 0.00% 0.00% 0.00% 0.00%
Firmicutes;Bacilli 0.00% 0.00% 0.00% 0.00%
Firmicutes;Clostridia 31 .68% 34.62% 50.74% 39.50%
Firmicutes;Erysipelotrichi 0.33% 0.13% 0.95% 4.27%
Firmicutes;Negativicutes 0.00% 1.56% 0.00% 1 .61 %
Firmicutes;Other 0.00% 0.63% 0.33% 0.03%
Fusobacteria;Fusobacteriia 0.00% 0.00% 0.00% 0.00%
Other; Other 0.36% 0.21 % 0.26% 0.37%
Proteobacteria;Alphaproteobacteria 0.00% 0.00% 0.00% 0.00%
Proteobacteria;Betaproteobacteria 1 .68% 0.04% 0.20% 1 .82%
Proteobacteria;Deltaproteobacteria 0.38% 0.20% 0.38% 0.00%
Proteobacteria;Epsilonproteobacteria 0.00% 0.00% 0.00% 0.00%
Proteobacteria;Gammaproteobacteria 0.04% 0.01 % 0.05% 0.05%
Proteobacteria;Other 0.01 % 0.00% 0.00% 0.03%
Verrucomicrobia;Verrucomicrobiae 0.87% 0.39% 0.94% 1.50%
Order
Actinobacteria;1760;Coriobacteriales 0.01 % 0.01 % 0.20% 0.28%
Actinobacteria;1760;Other 0.00% 0.00% 0.06% 0.00%
50.53
Bacteroidetes;Bacteroidia;Bacteroidales 64.64% 62.21 % 45.89%
%
39.50
Firmicutes;Clostridia;Clostridiales 31 .68% 34.62% 50.42%
%
Firmicutes;Clostridia;Other 0.00% 0.00% 0.32% 0.00%
Firmicutes;Erysipelotrichi;Erysipelotrichales 0.33% 0.13% 0.95% 4.27%
Firmicutes;Negativicutes;Selenomonadales 0.00% 1.56% 0.00% 1.61 %
Firmicutes;Other; Other 0.00% 0.63% 0.33% 0.03%
Other; Other;Other 0.36% 0.21 % 0.26% 0.37%
Proteobacteria;Betaproteobacteria;Burkholderiales 1 .48% 0.04% 0.20% 1.31 %
Proteobacteria;Betaproteobacteria;Other 0.20% 0.00% 0.00% 0.51 %
Proteobacteria;Deltaproteobacteria;Desulfovibrionales 0.38% 0.20% 0.38% 0.00%
Proteobacteria;Gammaproteobacteria;Enterobacteriales 0.04% 0.01 % 0.05% 0.05%
Proteobacteria;Other; Other 0.01 % 0.00% 0.00% 0.03%
Verrucomicrobia;Verrucomicrobiae;Verrucomicrobiales 0.87% 0.39% 0.94% 1.50%
Family
Actinobacteria;1760;Bifidobacteriales;Bifidobacteriaceae 0.00% 0.00% 0.00% 0.00%
Actinobacteria;1760;Coriobacteriales;Coriobacteriaceae 0.01 % 0.01 % 0.20% 0.28%
Actinobacteria;1760;Other; Other 0.00% 0.00% 0.06% 0.00%
44.55
Bacteroidetes;Bacteroidia;Bacteroidales;Bacteroidaceae 61 .75% 59.13% 43.63%
%
Bacteroidetes;Bacteroidia;Bacteroidales;Other 0.00% 0.10% 0.07% 0.16%
Bacteroidetes;Bacteroidia;Bacteroidales;Porphyromonadaceae 0.99% 2.97% 0.64% 5.01 %
Bacteroidetes;Bacteroidia;Bacteroidales;Prevotellaceae 0.00% 0.00% 0.00% 0.02%
Bacteroidetes;Bacteroidia;Bacteroidales;Rikenellaceae 1 .90% 0.01 % 1 .55% 0.79%
Firmicutes;Clostridia;Clostridiales Christensenellaceae 0.00% 0.00% 0.01 % 0.00%
Firmicutes;Clostridia;Clostridiales Clostridiaceae 11 .67% 4.89% 6.43% 5.97%
Firmicutes;Clostridia;Clostridiales Clostridiales_Family_XIII_lncertae_Sedis 0.00% 0.00% 0.01 % 0.03%
Firmicutes;Clostridia;Clostridiales Clostridiales_Family_XI_lncertae_Sedis 0.00% 0.00% 0.00% 0.00%
Firmicutes;Clostridia;Clostridiales Eubacteriaceae 0.19% 0.34% 7.99% 0.20%
Firmicutes;Clostridia;Clostridiales Lachnospiraceae 0.69% 0.04% 1 .22% 0.03%
Firmicutes;Clostridia;Clostridiales Oscillospiraceae 0.15% 0.13% 0.22% 0.15%
Firmicutes;Clostridia;Clostridiales Other 7.71 % 10.25% 16.59% 11 .20%
Firmicutes;Clostridia;Clostridiales Peptococcaceae 0.00% 0.00% 0.00% 0.00%
Firmicutes;Clostridia;Clostridiales Ruminococcaceae 4.83% 14.96% 17.02% 20.63%
Firmicutes;Clostridia;Clostridiales unclassified_Clostridiales 6.43% 4.00% 0.93% 1 .30%
Firmicutes;Clostridia;Other;Other 0.00% 0.00% 0.32% 0.00%
Firmicutes;Erysipelotrichi;Erysipelotrichales;Erysipelotrichaceae 0.33% 0.13% 0.95% 4.27%
Firmicutes;Negativicutes;Selenomonadales;Acidaminococcaceae 0.00% 1.56% 0.00% 1 .61 %
Firmicutes;Negativicutes;Selenomonadales;Veillonellaceae 0.00% 0.00% 0.00% 0.00%
Firmicutes;Other;Other;Other 0.00% 0.63% 0.33% 0.03%
Other; Other;Other;Other 0.36% 0.21 % 0.26% 0.37%
Proteobacteria;Betaproteobacteria;Burkholderiales;Other 1 .48% 0.00% 0.20% 1 .31 %
Proteobacteria;Betaproteobacteria;Burkholderiales;Sutterellaceae 0.00% 0.04% 0.00% 0.00%
Proteobacteria; Betaproteobacteria; Other; Other 0.20% 0.00% 0.00% 0.51 %
Proteobacteria;Deltaproteobacteria;Desulfovibrionales;Desulfovibrionaceae 0.38% 0.20% 0.38% 0.00%
Proteobacteria;Epsilonproteobacteria;Campylobacterales;Campylobacteraceae 0.00% 0.00% 0.00% 0.00%
Proteobacteria;Gammaproteobacteria;Aeromonadales;Aeromonadaceae 0.00% 0.00% 0.00% 0.00%
Proteobacteria;Gammaproteobacteria;Enterobacteriales;Enterobacteriaceae 0.04% 0.01 % 0.05% 0.05%
Proteobacteria;Gammaproteobacteria;Other;Other 0.00% 0.00% 0.00% 0.00%
Proteobacteria;Other; Other; Other 0.01 % 0.00% 0.00% 0.03%
Verrucomicrobia;Verrucomicrobiae;Verrucomicrobiales;Verrucomicrobiaceae 0.87% 0.39% 0.94% 1 .50%
Genus
Actinobacteria;1760;Coriobacteriales;Coriobacteriaceae;Adlercreutzia 0.00% 0.01 % 0.10% 0.09%
Actinobacteria;1760;Coriobacteriales;Coriobacteriaceae;Collinsella 0.00% 0.00% 0.10% 0.14%
Actinobacteria;1760;Coriobacteriales;Coriobacteriaceae;Denitrobacterium 0.00% 0.00% 0.00% 0.00%
Actinobacteria;1760;Coriobacteriales;Coriobacteriaceae;Eggerthella 0.00% 0.00% 0.01 % 0.02%
Actinobacteria;1760;Coriobacteriales;Coriobacteriaceae;Other 0.01 % 0.00% 0.00% 0.03%
Actinobacteria;1760;Other;Other;Other 0.00% 0.00% 0.06% 0.00%
Bacteroidetes;Bacteroidia;Bacteroidales;Bacteroidaceae;Bacteroides 61 .75% 59.13% 43.63% 44.55%
Bacteroidetes;Bacteroidia;Bacteroidales;Other; Other 0.00% 0.10% 0.07% 0.16%
Bacteroidetes;Bacteroidia;Bacteroidales;Porphyromonadaceae;Barnesiella 0.00% 0.36% 0.00% 0.00%
Bacteroidetes;Bacteroidia;Bacteroidales;Porphyromonadaceae;Butyricimonas 0.00% 0.00% 0.03% 0.09%
Bacteroidetes; Bacteroidia; Bacteroidales; Porphyromonadaceae; Odoribacter 0.00% 0.03% 0.1 1 % 0.12%
Bacteroidetes;Bacteroidia;Bacteroidales;Porphyromonadaceae;Parabacteroides 0.99% 2.59% 0.51 % 4.80%
Bacteroidetes;Bacteroidia;Bacteroidales;Prevotellaceae;Paraprevotella 0.00% 0.00% 0.00% 0.02%
Bacteroidetes;Bacteroidia;Bacteroidales;Rikenellaceae;Alistipes 1 .90% 0.01 % 1 .55% 0.79%
Firmicutes Clostridia Clostridiales Christensenellaceae;Christensenella 0.00% 0.00% 0.01 % 0.00%
Firmicutes Clostridia Clostridiales Clostridiaceae;Clostridium 11 .63% 4.89% 6.43% 5.97%
Firmicutes Clostridia Clostridiales Clostridiaceae;Other 0.04% 0.00% 0.00% 0.00%
Firmicutes Clostridia Clostridiales Clostridiales_Family_XIII_lncertae_Sedis;Anaerovorax 0.00% 0.00% 0.01 % 0.03%
Firmicutes Clostridia Clostridiales Eubacteriaceae;Eubacterium 0.19% 0.34% 7.99% 0.20%
Firmicutes Clostridia Clostridiales Lachnospiraceae;Anaerostipes 0.04% 0.01 % 0.00% 0.00%
Firmicutes Clostridia Clostridiales Lachnospiraceae;Coprococcus 0.00% 0.00% 0.10% 0.00%
Firmicutes Clostridia Clostridiales Lachnospiraceae;Dorea 0.02% 0.01 % 0.75% 0.01 %
Firmicutes Clostridia Clostridiales Lachnospiraceae;Other 0.00% 0.03% 0.03% 0.00%
Firmicutes Clostridia Clostridiales Lachnospiraceae;Roseburia 0.63% 0.00% 0.34% 0.02%
Firmicutes Clostridia Clostridiales Oscillospiraceae;Oscillibacter 0.15% 0.13% 0.22% 0.15%
Firmicutes Clostridia Clostridiales Other;Other 7.71 % 10.25% 16.59% 11 .20%
Firmicutes Clostridia Clostridiales Ruminococcaceae;Anaerofilum 0.00% 0.01 % 0.01 % 0.02%
Firmicutes Clostridia Clostridiales Ru mi nococcaceae ; Anaerotru ncus 0.04% 0.01 % 0.01 % 0.00%
Firmicutes Clostridia Clostridiales Ruminococcaceae;Faecalibacterium 0.00% 10.22% 10.41 % 1 .76%
Firmicutes Clostridia Clostridiales Ru mi nococcaceae ; Other 0.06% 0.21 % 0.31 % 0.33%
Firmicutes Clostridia Clostridiales Ru mi nococcaceae ; Rumi nococcus 4.67% 3.25% 5.89% 3.53%
Firmicutes Clostridia Clostridiales Ruminococcaceae;Subdoligranulum 0.07% 1.26% 0.40% 15.00%
Firmicutes Clostridia Clostridiales unclassified_Clostridiales;Blautia 6.43% 4.00% 0.93% 1 .30%
Firmicutes Clostridia Other;Other;Other 0.00% 0.00% 0.32% 0.00%
Firmicutes Erysipelotrichi;Erysipelotrichales;Erysipelotrichaceae;Coprobacillus 0.05% 0.00% 0.00% 2.20%
Firmicutes Erysipelotrichi;Erysipelotrichales;Erysipelotrichaceae;Holdemania 0.07% 0.04% 0.10% 0.13%
Firmicutes Erysipelotrichi;Erysipelotrichales;Erysipelotrichaceae;Other 0.00% 0.00% 0.00% 0.00%
Firmicutes Erysipelotrichi;Erysipelotrichales;Erysipelotrichaceae;Turicibacter 0.02% 0.00% 0.34% 0.04%
Firmicutes Erysipelotrichi;Erysipelotrichales;Erysipelotrichaceae;unclassified_Erysipelotri 0.19% 0.09% 0.51 % 1 .90%
chaceae
Firmicutes;Negativicutes;Selenomonadales;Acidaminococcaceae;Acidaminococcus 0.00% 0.00% 0.00% 0.00%
Firmicutes;Negativicutes;Selenomonadales;Acidaminococcaceae;Phascolarctobacteriu
0.00% 1 .56% 0.00% 1.61 % m
Firmicutes;Other;Other;Other; Other 0.00% 0.63% 0.33% 0.03%
Fusobacteria;Fusobacteriia;Fusobacteriales;Fusobacteriaceae;Cetobacterium 0.00% 0.00% 0.00% 0.00%
Other; Other;Other;Other; Other 0.36% 0.21 % 0.26% 0.37%
Proteobacteria;Betaproteobacteria;Burkholderiales;Other; Other 1 .48% 0.00% 0.20% 1 .31 %
Proteobacteria;Betaproteobacteria;Burkholderiales;Sutterellaceae;Sutterella 0.00% 0.04% 0.00% 0.00%
Proteobacteria;Betaproteobacteria;Other;Other;Other 0.20% 0.00% 0.00% 0.51 %
Proteobacteria;Deltaproteobacteria;Desulfovibrionales;Desulfovibrionaceae;Bilophila 0.38% 0.20% 0.38% 0.00%
Proteobacteria;Gammaproteobacteria;Enterobacteriales;Enterobacteriaceae;Escherichia 0.00% 0.00% 0.00% 0.00%
Proteobacteria;Gammaproteobacteria;Enterobacteriales;Enterobacteriaceae;Other 0.04% 0.01 % 0.05% 0.05%
Proteobacteria;Gammaproteobacteria;Other;Other; Other 0.00% 0.00% 0.00% 0.00%
Proteobacteria;Other; Other; Other;Other 0.01 % 0.00% 0.00% 0.03%
Verrucomicrobia;Verrucomicrobiae;Verrucomicrobiales;Verrucomicrobiaceae;Akkermans
0.87% 0.39% 0.94% 1.50% ia
Species
Actinobacteria;1760;Coriobacteriales;Coriobacteriaceae;Adlercreutzia;Adlercreutzia_equ
0.00% 0.01 % 0.10% 0.09% olifaciens
Actinobacteria;1760;Coriobacteriales;Coriobacteriaceae;Collinsella;Collinsella_aerofacie
0.00% 0.00% 0.10% 0.14% ns
Actinobacteria;1760;Coriobacteriales;Coriobacteriaceae;Eggerthella;Eggerthella_lenta 0.00% 0.00% 0.01 % 0.02%
Actinobacteria;1760;Coriobacteriales;Coriobacteriaceae;Other; Other 0.01 % 0.00% 0.00% 0.03%
Actinobacteria;1760;Other;Other;Other;Other 0.00% 0.00% 0.06% 0.00%
Bacteroidetes;Bacteroidia;Bacteroidales;Bacteroidaceae;Bacteroides;Bacteroides_cacca
2.57% 0.00% 0.00% 0.30% e
Bacteroidetes;Bacteroidia;Bacteroidales;Bacteroidaceae;Bacteroides;Bacteroides_cellul
0.00% 0.00% 0.01 % 0.08% osilyticus
Bacteroidetes;Bacteroidia;Bacteroidales;Bacteroidaceae;Bacteroides;Bacteroides egger
0.00% 0.00% 7.30% 0.52% thii
Bacteroidetes;Bacteroidia;Bacteroidales;Bacteroidaceae;Bacteroides;Bacteroides_fineg
0.00% 2.48% 0.28% 0.21 % oldii
Bacteroidetes;Bacteroidia;Bacteroidales;Bacteroidaceae;Bacteroides;Bacteroides_intesti
0.00% 0.00% 4.46% 20.55% nalis
Bacteroidetes;Bacteroidia;Bacteroidales;Bacteroidaceae;Bacteroides;Bacteroides_massi
0.00% 2.23% 1.06% 0.00% liensis
Bacteroidetes;Bacteroidia;Bacteroidales;Bacteroidaceae;Bacteroides;Bacteroides_nordii 0.00% 0.00% 0.08% 0.00%
Bacteroidetes;Bacteroidia;Bacteroidales;Bacteroidaceae;Bacteroides;Bacteroides_ovatu
1.62% 1 .20% 2.05% 4.82% s
Bacteroidetes;Bacteroidia;Bacteroidales;Bacteroidaceae;Bacteroides;Bacteroides_salye
1.56% 0.00% 1.16% 0.72% rsiae
Bacteroidetes;Bacteroidia;Bacteroidales;Bacteroidaceae;Bacteroides;Bacteroides sp 1
0.00% 0.00% 0.01 % 0.01 % 1 6
Bacteroidetes;Bacteroidia;Bacteroidales;Bacteroidaceae;Bacteroides;Bacteroides sp 3
0.00% 0.00% 0.00% 0.00% 1 19
Bacteroidetes;Bacteroidia;Bacteroidales;Bacteroidaceae;Bacteroides;Bacteroides sp 4
0.00% 0.01 % 0.03% 0.02% 3 47FAA
Bacteroidetes;Bacteroidia;Bacteroidales;Bacteroidaceae;Bacteroides;Bacteroides sp D
0.17% 0.03% 0.00% 0.00% JF B097
Bacteroidetes;Bacteroidia;Bacteroidales;Bacteroidaceae;Bacteroides;Bacteroides sp X
0.00% 0.00% 0.01 % 0.00% B44A
Bacteroidetes;Bacteroidia;Bacteroidales;Bacteroidaceae;Bacteroides;Bacteroides_sterc
29.68% 30.01 % 0.03% 0.08% oris
Bacteroidetes;Bacteroidia;Bacteroidales;Bacteroidaceae;Bacteroides;Bacteroides_thetai
0.00% 0.02% 2.44% 1.63% otaomicron
Bacteroidetes;Bacteroidia;Bacteroidales;Bacteroidaceae;Bacteroides;Bacteroides_unifor
5.15% 6.89% 7.05% 4.38% mis
Bacteroidetes;Bacteroidia;Bacteroidales;Bacteroidaceae;Bacteroides;Bacteroides_vulga
13.37% 3.64% 10.94% 7.62% tus
Bacteroidetes;Bacteroidia;Bacteroidales;Bacteroidaceae;Bacteroides;Bacteroides_xylani
0.19% 0.18% 0.30% 0.10% solvens
Bacteroidetes;Bacteroidia;Bacteroidales;Bacteroidaceae;Bacteroides;Other 7.44% 12.44% 6.46% 3.50%
Bacteroidetes;Bacteroidia;Bacteroidales;Other;Other;Other 0.00% 0.10% 0.07% 0.16%
Bacteroidetes;Bacteroidia;Bacteroidales;Porphyromonadaceae;Barnesiella;Barnesiella_i
0.00% 0.36% 0.00% 0.00% ntestinihominis
Bacteroidetes;Bacteroidia;Bacteroidales;Porphyromonadaceae;Butyricimonas;Butyricim
0.00% 0.00% 0.03% 0.09% onas virosa
Bacteroidetes; Bacteroidia; Bacteroidales; Porphyromonadaceae; Odoribacter; Odoribacter
0.00% 0.03% 0.11 % 0.12% _splanchnicus
Bacteroidetes;Bacteroidia;Bacteroidales;Porphyromonadaceae;Parabacteroides;Other 0.02% 0.08% 0.02% 0.35%
Bacteroidetes;Bacteroidia;Bacteroidales;Porphyromonadaceae;Parabacteroides;Paraba
0.00% 2.26% 0.02% 3.83% cteroides distasonis
Bacteroidetes;Bacteroidia;Bacteroidales;Porphyromonadaceae;Parabacteroides;Paraba
0.00% 0.00% 0.00% 0.49% cteroides goldsteinii
Bacteroidetes;Bacteroidia;Bacteroidales;Porphyromonadaceae;Parabacteroides;Paraba
0.96% 0.24% 0.48% 0.05% cteroides merdae
Bacteroidetes;Bacteroidia;Bacteroidales;Porphyromonadaceae;Parabacteroides;Paraba
0.00% 0.01 % 0.00% 0.08% cteroides_sp_D13
Bacteroidetes;Bacteroidia;Bacteroidales;Prevotellaceae;Paraprevotella;Paraprevotella_c
0.00% 0.00% 0.00% 0.02% lara
Bacteroidetes;Bacteroidia;Bacteroidales;Rikenellaceae;Alistipes;Alistipes_finegoldii 1 .06% 0.00% 0.1 1 % 0.03%
Bacteroidetes;Bacteroidia;Bacteroidales;Rikenellaceae;Alistipes;Alistipes_indistinctus 0.00% 0.00% 0.05% 0.02%
Bacteroidetes;Bacteroidia;Bacteroidales;Rikenellaceae;Alistipes;Alistipes_onderdonkii 0.00% 0.01 % 0.03% 0.00%
Bacteroidetes;Bacteroidia;Bacteroidales;Rikenellaceae;Alistipes;Alistipes_putredinis 0.65% 0.00% 1 .13% 0.73%
Bacteroidetes;Bacteroidia;Bacteroidales;Rikenellaceae;Alistipes;Alistipes_shahii 0.00% 0.00% 0.00% 0.00%
Bacteroidetes;Bacteroidia;Bacteroidales;Rikenellaceae;Alistipes;Alistipes sp NML05A0
0.00% 0.00% 0.02% 0.00% 04
Bacteroidetes;Bacteroidia;Bacteroidales;Rikenellaceae;Alistipes;Other 0.19% 0.00% 0.22% 0.00%
Firmicutes;Clostridia;Clostridiales;Christensenellaceae;Christensenella;Christensenella_
0.00% 0.00% 0.01 % 0.00% minuta
Firmicutes;Clostridia;Clostridiales;Clostridiaceae;Clostridium Clostridium_aldenense 0.02% 0.00% 0.00% 0.00%
Firmicutes;Clostridia;Clostridiales;Clostridiaceae;Clostridium Clostridium_asparagiforme 0.26% 0.10% 0.02% 0.18%
Firmicutes;Clostridia;Clostridiales;Clostridiaceae;Clostridium Clostridium_baratii 0.00% 0.00% 0.00% 0.00%
Firmicutes;Clostridia;Clostridiales;Clostridiaceae;Clostridium Clostridium_bartlettii 0.00% 0.02% 0.00% 0.00%
Firmicutes;Clostridia;Clostridiales;Clostridiaceae;Clostridium Clostridium_bolteae 0.01 % 0.00% 0.00% 0.00%
Firmicutes;Clostridia;Clostridiales;Clostridiaceae;Clostridium Clostridium_clostridioforme 0.31 % 1.51 % 0.15% 0.01 %
Firmicutes;Clostridia;Clostridiales;Clostridiaceae;Clostridium Clostridium_difficile 0.00% 0.00% 0.00% 0.49%
Firmicutes;Clostridia;Clostridiales;Clostridiaceae;Clostridium Clostridium_disporicum 0.00% 0.00% 0.03% 0.00%
Firmicutes;Clostridia;Clostridiales;Clostridiaceae;Clostridium Clostridium_glycolicum 0.00% 0.00% 0.03% 0.00%
Firmicutes;Clostridia;Clostridiales;Clostridiaceae;Clostridium Clostridium_hathewayi 3.74% 0.46% 0.15% 0.35%
Firmicutes;Clostridia;Clostridiales;Clostridiaceae;Clostridium Clostridium_hylemonae 0.00% 0.00% 0.03% 0.00%
Firmicutes;Clostridia;Clostridiales;Clostridiaceae;Clostridium Clostridiumjactatifermenta
0.32% 0.00% 0.00% 0.00% ns
Firmicutes;Clostridia;Clostridiales;Clostridiaceae;Clostridium;Clostridium_paraputrificum 0.00% 0.00% 0.01 % 0.00%
Firmicutes;Clostridia;Clostridiales;Clostridiaceae;Clostridium;Clostridium_scindens 0.00% 0.01 % 0.00% 0.01 %
Firmicutes;Clostridia;Clostridiales;Clostridiaceae;Clostridium;Clostridium_sp_14505 0.00% 0.01 % 0.00% 0.00%
Firmicutes;Clostridia;Clostridiales;Clostridiaceae;Clostridium;Clostridium_sp_CM_C52 0.00% 0.00% 0.01 % 0.00%
Firmicutes;Clostridia;Clostridiales;Clostridiaceae;Clostridium;Clostridium_sp_ID5 0.00% 0.00% 0.00% 0.01 %
Firmicutes;Clostridia;Clostridiales;Clostridiaceae;Clostridium;Clostridium_sp_MLG480 0.04% 0.03% 0.04% 0.00%
Firmicutes;Clostridia;Clostridiales;Clostridiaceae;Clostridium;Clostridium sp NML 04A0
0.08% 0.02% 0.14% 0.12% 32
Firmicutes;Clostridia;Clostridiales;Clostridiaceae;Clostridium;Clostridium_sp_TM_40 0.00% 0.04% 0.67% 0.00%
Firmicutes;Clostridia;Clostridiales;Clostridiaceae;Clostridium;Clostridium_sp_YIT_12070 0.00% 0.03% 0.00% 0.01 %
Firmicutes;Clostridia;Clostridiales;Clostridiaceae;Clostridium;Clostridium_symbiosum 0.57% 0.15% 0.11 % 0.24%
Firmicutes;Clostridia;Clostridiales;Clostridiaceae;Clostridium;Clostridium_tertium 0.00% 0.00% 0.00% 0.00%
Firmicutes;Clostridia;Clostridiales;Clostridiaceae;Clostridium;Other 6.27% 2.53% 5.07% 4.51 %
Firmicutes;Clostridia;Clostridiales;Clostridiaceae;Other; Other 0.04% 0.00% 0.00% 0.00%
Firmicutes;Clostridia;Clostridiales;Clostridiales_Family_XIII_lncertae_Sedis;Anaerovorax
0.00% 0.00% 0.01 % 0.03% ;Anaerovorax odorimutans
Firmicutes;Clostridia;Clostridiales;Eubacteriaceae;Eubacterium;Eubacterium_callanderi 0.00% 0.00% 0.01 % 0.00%
Firmicutes;Clostridia;Clostridiales;Eubacteriaceae;Eubacterium;Eubacterium_desmolans 0.13% 0.25% 0.02% 0.04%
Firmicutes;Clostridia;Clostridiales;Eubacteriaceae;Eubacterium;Eubacterium_fissicatena 0.01 % 0.00% 0.00% 0.00%
Firmicutes;Clostridia;Clostridiales;Ruminococcaceae;Subdoligranulum;Other 0.01 % 0.04% 0.01 % 0.08%
Firmicutes;Clostridia;Clostridiales;Ruminococcaceae;Subdoligranulum;Subdoligranulum
0.06% 1 .22% 0.39% 14.91 % variabile
Firmicutes;Clostridia;Clostridiales;unclassified_Clostridiales;Blautia;Blautia_glucerasea 5.62% 3.14% 0.65% 0.95%
Firmicutes;Clostridia;Clostridiales;unclassified_Clostridiales;Blautia;Blautia_hansenii 0.00% 0.01 % 0.00% 0.00%
Firmicutes;Clostridia;Clostridiales;unclassified_Clostridiales;Blautia;Blautia_hydrogenotr
0.00% 0.00% 0.26% 0.01 % ophica
Firrnicutes;Clostridia;Clostridiales;unclassified_Clostridiales;Blautia;Blautia_producta 0.77% 0.79% 0.01 % 0.25%
Firmicutes;Clostridia;Clostridiales;unclassified_Clostridiales;Blautia;Blautia_sp_M25 0.00% 0.00% 0.01 % 0.00%
Firmicutes;Clostridia;Clostridiales;unclassified_Clostridiales;Blautia;Other 0.04% 0.06% 0.01 % 0.09%
Firmicutes;Clostridia;Other;Other;Other; Other 0.00% 0.00% 0.32% 0.00%
Firmicutes;Erysipelotrichi;Erysipelotrichales;Erysipelotrichaceae;Coprobacillus;Coprobac
0.05% 0.00% 0.00% 2.20% illus cateniformis
Firmicutes;Erysipelotrichi;Erysipelotrichales;Erysipelotrichaceae;Holdemania;Holdemani
0.07% 0.04% 0.10% 0.13% a filiformis
Firmicutes;Erysipelotrichi;Erysipelotrichales;Erysipelotrichaceae;Turicibacter;Turicibacter
0.02% 0.00% 0.34% 0.04% _sanguinis
Firmicutes;Erysipelotrichi;Erysipelotrichales;Erysipelotrichaceae;unclassified_Erysipelotri
0.00% 0.01 % 0.34% 0.95% chaceae;Clostridium innocuum
Firmicutes;Erysipelotrichi;Erysipelotrichales;Erysipelotrichaceae;unclassified_Erysipelotri
0.14% 0.03% 0.14% 0.76% chaceae;Clostridium ramosum
Firmicutes;Erysipelotrichi;Erysipelotrichales;Erysipelotrichaceae;unclassified_Erysipelotri
0.01 % 0.00% 0.01 % 0.00% chaceae;Clostridium_spiroforme
Firmicutes;Erysipelotrichi;Erysipelotrichales;Erysipelotrichaceae;unclassified_Erysipelotri
0.04% 0.05% 0.02% 0.20% chaceae;Eubacterium_cylindroides
Firmicutes;Negativicutes;Selenomonadales;Acidaminococcaceae;Phascolarctobacteriu
0.00% 1 .56% 0.00% 1.61 % m;Phascolarctobacterium faecium
Firmicutes;Other;Other;Other; Other; Other 0.00% 0.63% 0.33% 0.03%
Other; Other;Other;Other; Other; Other 0.36% 0.21 % 0.26% 0.37%
Proteobacteria;Betaproteobacteria;Burkholderiales;Other; Other; Other 1 .48% 0.00% 0.20% 1 .31 %
Proteobacteria;Betaproteobacteria;Burkholderiales;Sutterellaceae;Sutterella;Other 0.00% 0.04% 0.00% 0.00%
Proteobacteria; Betaproteobacteria; Other; Other;Other; Other 0.20% 0.00% 0.00% 0.51 %
Proteobacteria;Deltaproteobacteria;Desulfovibrionales;Desulfovibrionaceae;Bilophila;Bil
0.38% 0.20% 0.38% 0.00% ophila wadsworthia
Proteobacteria;Gammaproteobacteria;Enterobacteriales;Enterobacteriaceae;Other;Othe
0.04% 0.01 % 0.05% 0.05% r
Proteobacteria;Other; Other; Other;Other;Other 0.01 % 0.00% 0.00% 0.03%
Verrucomicrobia;Verrucomicrobiae;Verrucomicrobiales;Verrucomicrobiaceae;Akkermans
0.87% 0.39% 0.94% 1.50% ia;Akkermansia muciniphila
Category 1 Category 2 p - value p - value p - value p - value
Self-Self Mouse-Mouse (same human donor) 0.03 0.31 0.82 0.78
Mouse-Fecal microbiota from
Mouse-Mouse (same human donor) 1.36E-16 2.21E-05 1.59E-36 1.61E-21 human donor
Mouse-Fecal microbiota from
Mouse-Mouse (same human donor) 5.83E-52 2.34E-28 1.08E-101 1.98E-130 unrelated donors
Mouse-Fecal microbiota from Mouse-Fecal microbiota from
0.003 0.02 0.02 0.0002 human donor unrelated donors
Bacteria;Other;Other;Other 0.40 0.32% 0.37%
Bacteria; Actinobacteria; 1760; Other 0.06 0.03% 0.01 %
Bacteria; Proteobacteria; Gammaproteobacteria; Enterobacteriales 0.05 0.07% 0.03%
Bacteria; Proteobacteria;Other;Other 0.08 0.01 % 0.02%
Family
Bacteria Firmicutes;Negativicutes;Selenomonadales;Acidaminococcaceae .39E-18 0.00% 1.08%
Bacteria Bacteroidetes;Bacteroidia;Bacteroidales;Porphyromonadaceae 0.64 5.23% 4.80%
Bacteria Bacteroidetes;Bacteroidia;Bacteroidales;Prevotellaceae 2 22E-06 0.00% 1.52%
Bacteria Firmicutes;Clostridia;Clostridiales;Ruminococcaceae 1 .70£-0?" 10.19% 17.28%
Bacteria Firmicutes;Clostridia;Clostridiales;unclassified_Clostridiales .89E-04 8.92% 4.72%
Bacteria Firmicutes;Clostridia;Clostridiales;Eubacteriaceae .',) ji-.-Oi; 3.25% 0.40%
Bacteria Proteobacteria; Betaproteobacteria;Other; Other 0.27% 0.60%
Bacteria Bacteroidetes;Bacteroidia;Bacteroidales;Rikenellaceae 0.46 0.95% 0.84%
Bacteria Firmicutes;Clostridia;Other; Other 0.15% 0.00%
Bacteria Firmicutes;Clostridia;Clostridiales;Lachnospiraceae 734E-0? 0.86% 0.18%
Bacteria Firmicutes;Clostridia;Clostridiales;Clostridiaceae 2 9^-06 8.20% 5.53%
Bacteria Firmicutes;Clostridia;Clostridiales;Other 0.86 12.18% 12.35%
Bacteria Verrucomicrobia;Verrucomicrobiae;Verrucomicrobiales;Verrucomicrobiaceae 0.29 0.80% 1.06%
Bacteria Proteobacteria; Betaproteobacteria;Burkholderiales;Other 0.46 0.90% 0.79%
Bacteria Bacteroidetes;Bacteroidia;Bacteroidales;Other 0.29 0.25% 0.31 %
Bacteria Bacteroidetes;Bacteroidia;Bacteroidales;Bacteroidaceae 0.82 45.30% 44.91 %
Bacteria Proteobacteria; Deltaproteobacteria;Desulfovibrionales;Desulfovibrionaceae &.23Ε-0Ί 0.22% 0.09%
Bacteria Firmicutes;Erysipelotrichi;Erysipelotrichales;Erysipelotrichaceae δ.:55Ε-0^ 1.36% 2.37%
Bacteria Firmicutes;Other;Other;Other 0.07 0.22% 0.33%
Bacteria Firmicutes;Clostridia;Clostridiales;Oscillospiraceae 0.30 0.14% 0.18%
Bacteria Actinobacteria;1760;Coriobacteriales;Coriobacteriaceae 0.06 0.13% 0.20%
Bacteria Actinobacteria;1760;Other; Other 0.06 0.03% 0.01 %
Bacteria Proteobacteria;Other;Other;Other 0.10 0.01 % 0.02%
Bacteria Proteobacteria;Gammaproteobacteria;Enterobacteriales;Enterobacteriaceae 0.05 0.07% 0.03%
Bacteria Firmicutes;Clostridia;Clostridiales;Clostridiales_Family_XIII_lncertae_Sedis 0.29 0.01 % 0.02%
Bacteria Other;Other;Other; Other 0.43 0.32% 0.37%
Genus
Bacteria; Firmicutes;Negativicutes;Selenomonadales;Acidaminococcaceae;Phascolarctobacte
4 8E- i8 0.00% 1.08% rium
Bacteria Bacteroidetes;Bacteroidia;Bacteroidales;Porphyromonadaceae;Parabacteroides 0.55 5.17% 4.55%
Bacteria Firmicutes;Clostridia;Clostridiales;Ruminococcaceae;Subdoligranulum 8.01 £- 1 0.18% 6.54%
Bacteria Bacteroidetes;Bacteroidia;Bacteroidales;Prevotellaceae;Paraprevotella 1.42&'-0ί' 0.00% 0.94%
Bacteria Firmicutes;Erysipelotrichi;Erysipelotrichales;Erysipelotrichaceae;Coprobacillus 7.80£:·-08 0.01 % 0.89%
Bacteria Firmicutes;Clostridia;Clostridiales;Ruminococcaceae;Faecalibacterium 0.69 4.79% 5.23%
Bacteria Firmicutes;Clostridia;Clostridiales;unclassified_Clostridiales;Blautia 1.45Ε-0'·3 8.92% 4.72%
Bacteria Firmicutes;Clostridia;Other; Other; Other 1. 3E-07 0.15% 0.00%
Bacteria Proteobacteria; Deltaproteobacteria;Desulfovibrionales;Desulfovibrionaceae;Bilophila .73E-0? 0.22% 0.03%
Bacteria Bacteroidetes;Bacteroidia;Bacteroidales;Rikenellaceae;Alistipes 0.54 0.95% 0.84%
Bacteria Firmicutes;Clostridia;Clostridiales;Eubacteriaceae;Eubacterium 1 41 E-0S 3.25% 0.40%
Bacteria Proteobacteria; Betaproteobacteria;Other;Other;Other 3.12E-04 0.27% 0.60%
Bacteria Firmicutes;Clostridia;Clostridiales;Lachnospiraceae;Dorea 5.60&'-0S 0.43% 0.02%
Bacteria Firmicutes;Clostridia;Clostridiales;Clostridiaceae;Clostridium 8.19% 5.53%
Bacteria Bacteroidetes;Bacteroidia;Bacteroidales;Other;Other 0.36 0.25% 0.31 %
Bacteria Verrucomicrobia;Verrucomicrobiae;Verrucomicrobiales;Verrucomicrobiaceae;Akker
0.35 0.80% 1.06% mansia
Bacteria; Bacteroidetes;Bacteroidia;Bacteroidales;Porphyromonadaceae;Butyricimonas 4.31 E-06 0.01 % 0.12%
Bacteria; Firmicutes;Clostridia;Clostridiales;Other;Other 0.88 12.18% 12.35%
Bacteria; Proteobacteria; Betaproteobacteria;Burkholderiales;Other;Other 0.54 0.90% 0.79%
Bacteria; Proteobacteria; Deltaproteobacteria;Desulfovibrionales;Desulfovibrionaceae;Other 3.07E-04 0.00% 0.05%
Bacteria; Firmicutes;Other;Other;Other; Other 0.09 0.22% 0.33%
Bacteria; Firmicutes;Clostridia;Clostridiales;Ruminococcaceae;Ruminococcus;Ruminococcus_ ·1 0.12% 0.04% gauvreauii
Bacteria;Actinobacteria;1760;Coriobacteriales;Coriobacteriaceae;Other; Other 0.15 0.00% 0.01 %
Bacteria; Firmicutes;Clostridia;Clostridiales;unclassified_Clostridiales;Blautia;Other 0.59 0.05% 0.06%
Bacteria; Firmicutes;Clostridia;Clostridiales;Clostridiaceae;Clostridium;Clostridium_scindens 0.34 0.01 % 0.02%
Bacteria; Firmicutes;Clostridia;Clostridiales;Ruminococcaceae;Anaerofilum;Other 0.83 0.01 % 0.01 %
Bacteria; Firmicutes;Clostridia;Clostridiales;Eubacteriaceae;Eubacterium;Eubacterium_ventrio
0.37 0.01 % 0.01 % sum
Bacteria; Bacteroidetes;Bacteroidia;Bacteroidales;Rikenellaceae;Alistipes;Alistipes_indistinctu
0.96 0.02% 0.02% s
Bacteria;Actinobacteria;1760;Coriobacteriales;Coriobacteriaceae;Eggerthella;Eggerthella len
0.53 0.03% 0.02% ta
Bacteria; Firmicutes;Clostridia;Clostridiales;Clostridiales_Family_XIII_lncertae_Sedis;Anaerov
0.32 0.01 % 0.02% orax;Anaerovorax odorimutans
Bacteria; Firmicutes;Clostridia;Clostridiales;Clostridiaceae;Clostridium;Clostridium sp MLG48
0.57 0.02% 0.01 % 0
Bacteria; Proteobacteria;Gammaproteobacteria;Enterobacteriales;Enterobacteriaceae;Other;
0 05 0.07% 0.03% Other
Bacteria; Firmicutes;Clostridia;Clostridiales;Ruminococcaceae;Anaerotruncus;Anaerotruncus_
0.85 0.01 % 0.01 % colihominis
Bacteria;Other;Other;Other;Other;Other;Other 0.47 0.32% 0.37%
biosynthesis , purine nucleotides de novo biosynthesis I , inosine-5'- phosphate biosynthesis I glycine, serine, and thronine
Glycine C-acetyltransferase EC2.3.1.29 -1 .36 -0.31 1538 5.39E-84 0.00%
metabolism
Aminomethyl transferase EC2.1.2.10 -1 .26 -0.23 1928 6.50E-32 0.00% glycine cleavage complex catalyzes the reversible oxidative deamination of L-
Alanine dehydrogenase EC1.4.1.1 -1 .54 -0.43 1450 2.06E-101 0.02%
alanine, and reductive amination of pyruvate arginine, ornithine and proline interconversion ,
D-proline reductase (dithiol) EC1.21 .4.1 -1 .66 -0.51 4374 6.48E-151 0.02%
ornithine degradation II (Stickland reaction)
Glycolysis
glycolysis; Homolactic
Triose-phosphate isomerase EC5.3.1.1 -1 .19 -0.17 2121 3.41 E-42 0.00%
fermentation (LAB) superpathway of glycolysis
Oxaloacetate decarboxylase EC4.1.1.3 -1 .21 -0.19 1947 3.50E-82 0.00%
and Entner-Doudoroff
Phosphoglycerate kinase EC2.7.2.3 -1 .31 -0.27 4157 2.01 E-121 0.00% glycolysis
Glucokinase EC2.7.1.2 -1 .19 -0.17 2157 1.38E-36 0.00% glycolysis
Butyrate production (Butyryl-CoA:acetate CoA-transferase Pathway)
3-hydroxybutyryl-CoA butyrate metabolism
EC4.2.1.55 -2.97 -1 .09 2669 O.OOE+00 0.00%
dehydratase (crotonase)
Acetyl-CoA C- butyrate metabolism
EC2.3.1.9 -1.97 -0.68 2316 2.26E-231 0.00%
acetyltransferase (THIOLASE)
Butyryl-CoA dehydrogenase EC1.3.99.2 -1 .77 -0.57 2158 7.02E-159 0.02% butyrate biosynthesis
3-hydroxybutyryl-CoA EC1 .1 .1.15
-2.34 -0.85 2622 O.OOE+00 0.24% butyrate biosynthesis dehydrogenase 7
Degradation of carbohydrates
Xylose isomerase catalyzes
Xylose isomerase EC5.3.1.5 -1 .35 -0.30 3783 1.40E-51 0.00% the first reaction in the
catabolism of D-xylose
L-arabinose isomerase catalyzes the first step in the
L-arabinose isomerase EC5.3.1.4 -1 .22 -0.20 2175 5.07E-35 0.00%
degradation of L-arabinose, its isomerization to L-ribulose. fucose and rhamnose
L-fucose isomerase EC5.3.1.25 -1 .57 -0.45 3606 3.89E-212 0.00% degradation , fucose
degradation
4-deoxy-L-threo-5- glucuronate/galacturonate hexosulose-uronate ketol- EC5.3.1.17 -1.32 -0.28 1277 5.81 E-39 0.00%
degradation
isomerase
Arabinan endo-1 ,5-alpha-L-
EC3.2.1.99 -1.59 -0.47 2618 4.83E-120 0.00% GH
arabinosidase
Alpha-N-
EC3.2.1.55 -1.33 -0.29 4371 3.54E-115 0.00% GH
arabinofuranosidase
Cellulase EC3.2.1.4 -1 .92 -0.65 3310 4.59E-177 0.00%
EC3.2.1.13
Alpha-glucuronidase -1.99 -0.69 1280 1.77E-60 0.00% GH
9
L-idonate degradation
Gluconate 5-dehydrogenase EC1.1.1.69 -1 .71 -0.54 1614 2.57E-191 0.07% (SUGAR ACID, PRESENT IN
FRUIT, HONEY)
Succinate/propionate pathway
Methylmalonyl-CoA mutase EC5.4.99.2 -1 .25 -0.22 2692 2.09E-41 fermentation to propionate
0.02%
Phosphoenolpyruvate production of succinate in
EC4.1 .1.32 -2.18 -0.78 1267 1 .95E-83 0.00%
carboxykinase (GTP) Btheta
production of succinate from
Succinate dehydrogenase
EC1 .3.99.1 -1.16 -0.15 3414 2.81 E-41 0.02% fumarate in Btheta, TCA (or fumarate reductase)
cycle
Glycine-tRNA ligase EC6.1.1.14 -1 .50 -0.40 3032 3.33E-1 14 -
0.02%
lnositol-3-phosphate
EC5.5.1.4 -1.42 -0.35 2950 1 .43E-66 de novo generation of inositol synthase 0.02%
Phosphomannomutase EC5.4.2.8 -1 .29 -0.26 4495 3.93E-105 capsule biosynthesis?
0.02%
Formyltetrahydrofolate
EC3.5.1.10 -1.80 -0.59 1313 1 .22E-104 0.00% formyl-THF biosynthesis deformylase
EC3.4.24.3
Neutrophil collagenase -2.43 -0.89 1408 7.08E-38 0.00%
4
Inactivates bleomycin B2 (a cytotoxic
glycometallopeptide) by
EC3.4.22.4
Bleomycin hydrolase -1.33 -0.29 1045 2.84E-38 0.00% hydrolysis of a carboxyamide
0
bond of b-aminoalanine, but also shows general aminopeptidase activity.
Enteropeptidase EC3.4.21 .9 -5.30 -1.67 2724 3.91 E-130 0.00% Serine endopeptidases
Dipeptidyl-peptidase III EC3.4.14.4 -1 .40 -0.33 1456 1.26E-41 0.00%
EC3.4.13.2
Dipeptidase E -2.34 -0.85 1710 9.07E-101 0.00%
1
Sphingomyelin
EC3.1 .4.12 -1.71 -0.54 983 3.84E-42 0.00%
phosphodiesterase
L-seryl-tRNA(Sec) selenium
EC2.9.1.1 -3.25 -1 .18 1643 8.56E-148 0.00%
transferase
Polyribonucleotide metabolism→ degradation of
EC2.7.7.8 -1.90 -0.64 3734 1 .18E-277 0.00%
nucleotidyltransferase macromolecules→ RNA
Thiamine-phosphate kinase EC2.7.4.16 -1 .54 -0.43 904 7.98E-43 0.00% thiamin biosynthesis/salvage
Arginine kinase EC2.7.3.3 -3.94 -1 .37 1807 3.88E-40 0.00% signaling?
Dual-specificity kinase EC2.7.12.1 -5.49 -1 .70 1002 2.40E-55 0.00%
salvage pathways of
Uridine kinase EC2.7.1.48 -1 .55 -0.44 4083 1.49E-130 0.00%
pyrimidine ribonucleotides
Starch synthase EC2.4.1.21 -1 .39 -0.33 2292 3.05E-96 0.00%
Beta-ketoacyl-acyl-carrier- EC2.3.1.18
-1.34 -0.29 1388 8.56E-58 0.00% biotin biosynthesis I protein synthase III 0
Phosphoribosylaminoimidaz
nucleotide and nucleoside olecarboxamide EC2.1 .2.3 -1.37 -0.32 2026 4.57E-72 0.00%
conversions
formyl transferase
Dihydrofolate reductase EC1.5.1.3 -1 .59 -0.46 2822 3.59E-246 0.00% formyl-THF biosynthesis arginine, ornithine and proline interconversion ,
Pyrroline-5-carboxylate
EC1 .5.1.2 -1.30 -0.27 3853 4.40E-35 0.01 % ornithine degradation II reductase
(Stickland reaction), proline biosynthesis
phenylethylamine
Primary-amine oxidase EC1.4.3.21 -2.75 -1 .01 1240 9.11 E-38 0.02% degradation, threonine degradation
Amines and Polyamines
Succinate-semialdehyde
EC1 .2.1.16 -2.18 -0.78 1752 2.34E-56 0.03% Degradation→ 4- dehydrogenase (NAD(P)(+))
Aminobutyrate Degradation
Coenzyme F420 EC1 .12.98.
-1.65 -0.50 1324 1.25E-43 0.05% methanogens
hydrogenase 1
Peroxidase EC1.11 .1 .7 -82.91 ^.42 1220 3.40E-141 0.05%
Table 19. Microbial RNA-Seq analysis of fecal meta-transcriptomes sampled 15 days after colonization of gnotobiotic mice with intact uncultured gut communities from the lean and obese co-twins in discordant twin pairs.
ShotgunFunctionalizeR was used to identify KEGG pathways whose proportional representation in fecal meta-transcriptomes were significantly different between recipients of microbiome transplants from members of a given twin pair. A positive Poisson coefficient indicates that a particular KEGG pathway was enriched in the meta-transcriptome of mice harboring the obese co-twin's microbiome. A negative coefficient indicates that a particular KEGG pathway was enriched in gnotobiotic recipients of her lean co- twin's microbiome. AIC indicates the goodness of fit of the Poisson model.
A. KEGG level 2 pathways differentially represented in gnotobiotic mice harboring the uncultured gut communities from DZ twin pair 1.
Adjusted p-value
KEGG level 2 pathway Poisson coefficient AIC
(Benjamin-Hochberg)
Synthesis and degradation of ketone bodies 0 -1.53 857
Naphthalene and anthracene degradation 3.55E-237 -0.29 4606
Aminophosphonate metabolism 2.12E-227 -0.27 4539
Inositol phosphate metabolism 6.60E-176 0.57 2675
Anthocyanin biosynthesis 1.41 E-167 -0.20 4711
Pantothenate and CoA biosynthesis 1.17E-161 0.34 3474
Glycan structures - degradation 3.06E-144 0.29 3400
Taurine and hypotaurine metabolism 8.60E-144 -0.41 3265
Glycosaminoglycan degradation 6.90E-129 0.30 1669
Insect hormone biosynthesis 1.56E-121 -0.17 4867
C5-Branched dibasic acid metabolism 3.81 E-96 0.40 1695
Fatty acid elongation in mitochondria 2.95E-72 0.76 285
1 ,4-Dichlorobenzene degradation 2.69E-71 0.40 2207
Streptomycin biosynthesis 1 .09E-62 -0.25 1289
Bile acid biosynthesis 3.51 E-53 0.22 3832
Vitamin B6 metabolism 2.03E-48 0.25 1972
Polyketide sugar unit biosynthesis 6.19E-48 -0.30 596
Caprolactam degradation 1 .1 1 E-38 0.22 1817
Photosynthesis 5.29E-33 0.09 2574
Nicotinate and nicotinamide metabolism 1 .19E-31 0.15 3037
Sphingolipid metabolism 1 .02E-30 0.12 4262
Biotin metabolism 3.04E-27 0.21 826
Fluorene degradation 8.25E-27 0.36 696
Inositol metabolism 1 .72E-26 0.13 1491
Lysine degradation 2.06E-24 0.1 1 3691
Biphenyl degradation 1 .62E-23 0.51 557
Keratan sulfate biosynthesis 4.27E-22 -0.16 454
O-Glycan biosynthesis 5.01 E-22 -0.17 320
Metabolism of xenobiotics by cytochrome P450 1 .35E-21 -0.45 728
Ethylbenzene degradation 1 .72E-21 0.18 815
N-Glycan biosynthesis 5.52E-21 -0.14 1847
Glycosylphosphatidylinositol(GPI)-anchor biosynthesis 4.36E-189 0.48 3661
Fluorene degradation 1.02E-187 1 .17 979
Heparan sulfate biosynthesis 1.07E-183 1 .71 1684
D-Glutamine and D-glutamate metabolism 3.49E-162 0.89 1854
Keratan sulfate biosynthesis 1.47E-138 0.45 4590 alpha-Linolenic acid metabolism 1.17E-130 0.39 4344
Glycosphingolipid biosynthesis - globoseries 4.06E-129 0.39 3762
High-mannose type N-glycan biosynthesis 6.97E-129 0.40 4472
Arachidonic acid metabolism 1.19E-120 0.98 11 13
Chondroitin sulfate biosynthesis 2.23E-120 1 .58 1952
Thiamine metabolism 1.74E-1 15 0.50 3703
Glycosaminoglycan degradation 4.97E-1 13 0.35 4412
Caprolactam degradation 4.78E-1 10 0.45 3407
Flavone and flavonol biosynthesis 2.00E-106 0.39 2973
N-Glycan biosynthesis 1 .95E-94 0.34 4392
Glycosphingolipid biosynthesis - neo-lactoseries 1 .89E-85 0.36 3064 gamma-Hexachlorocyclohexane degradation 1 .36E-84 0.53 1814
Glycosphingolipid biosynthesis - lactoseries 3.08E-82 0.35 2913
O-Glycan biosynthesis 3.76E-82 0.35 2914
N-Glycan degradation 3.39E-72 0.34 2795
Retinol metabolism 1 .50E-69 0.38 2365
Riboflavin metabolism 1 .72E-67 0.40 3251
1 ,4-Dichlorobenzene degradation 2.06E-58 0.44 2447
Metabolism of xenobiotics by cytochrome P450 2.18E-50 0.82 807
Lipoic acid metabolism 3.94E-50 0.80 708
Synthesis and degradation of ketone bodies 3.94E-46 0.39 4171
Photosynthesis 2.73E-45 -0.13 2787
2,4-Dichlorobenzoate degradation 2.07E-44 1 .00 448
Drug metabolism - cytochrome P450 6.95E-44 0.81 874
Bisphenol A degradation 9.92E-36 0.29 1607
Bile acid biosynthesis 1 .66E-34 0.20 4356
Biphenyl degradation 9.79E-29 0.73 762
Tetrachloroethene degradation 1 .22E-27 0.29 1327
D-Alanine metabolism 1 .39E-24 0.39 800
Linoleic acid metabolism 7.32E-24 0.27 1294
Biotin metabolism 2.20E-23 0.21 2987
Inositol metabolism 3.85E-20 0.14 4302
Benzoate degradation via hydroxylation 5.21 E-18 0.22 3691
Phosphatidylinositol signaling system 3.27E-16 0.28 2233
1 ,2-Dichloroethane degradation 5.77E-16 -0.45 658
Biosynthesis of ansamycins 5.54E-15 -0.21 805
Phenylpropanoid biosynthesis 2.06E-13 0.20 2142
Brassinosteroid biosynthesis 8.1 1 E-11 0.32 692
C21 -Steroid hormone metabolism 1 .61 E-10 1 .40 166
Fatty acid elongation in mitochondria 2.60E-10 0.42 496
Inositol phosphate metabolism 4.72E-10 0.18 21 11
Taurine and hypotaurine metabolism 3.78E-09 0.1 1 4530
Polyketide sugar unit biosynthesis 1 .96E-08 0.13 1963
Toluene and xylene degradation 4.22E-08 0.33 1182
Caffeine metabolism 6.31 E-07 0.55 276
Novobiocin biosynthesis 7.44E-07 -0.15 1795
Alkaloid biosynthesis I 8.07E-07 -0.19 1122
Cyanoamino acid metabolism 4.92E-06 0.10 1817
Styrene degradation 3.36E-05 0.21 1456
Carbazole degradation 3.36E-05 -0.44 487
Vitamin B6 metabolism 7.83E-05 0.08 2663
Terpenoid biosynthesis 0.000263584 0.13 1024
Streptomycin biosynthesis 0.000849471 -0.05 4218
Zeatin biosynthesis 0.004523339 20.09 21
D-Arginine and D-ornithine metabolism 0.008522394 0.54 124
Atrazine degradation 0.041464662 0.09 1000
Flavonoid biosynthesis 0.047042792 0.35 125
Geraniol degradation 0.142861 143 0.05 1072
3-Chloroacrylic acid degradation 0.320428822 0.04 1292
C. KEGG level 2 Pathways differentially represented in gnotobiotic mice harboring the uncultured gut communities from DZ twin pair 3.
Adjusted p-value
KEGG level 2 pathway Poisson coefficient AIC
(Benjamin-Hochberg)
Glycosphingolipid biosynthesis - ganglioseries 0 0.49 4671
High-mannose type N-glycan biosynthesis 0 0.63 3280
N-Glycan biosynthesis 0 0.67 3853
Glycan structures - biosynthesis 2 0 0.60 4147
Flavone and flavonol biosynthesis 1.27E-302 0.66 2567
Glycosylphosphatidylinositol(GPI)-anchor biosynthesis 3.01 E-300 0.60 3096
Glycosphingolipid biosynthesis - neo-lactoseries 2.31 E-294 0.66 2605
O-Glycan biosynthesis 5.22E-292 0.66 2510
Glycosphingolipid biosynthesis - lactoseries 5.83E-290 0.66 2493
Biosynthesis of unsaturated fatty acids 1.12E-242 0.38 3534
Biosynthesis of siderophore group nonribosomal peptides 5.48E-232 0.40 2752
Nicotinate and nicotinamide metabolism 3.22E-208 0.41 4776
Limonene and pinene degradation 7.37E-206 0.41 3355
Benzoate degradation via hydroxylation 7.96E-205 0.67 4004
Glycan structures - degradation 1.23E-201 0.41 3670
Insect hormone biosynthesis 2.37E-193 0.23 4678
Carbazole degradation 1.33E-186 1 .43 1825
Biotin metabolism 1.60E-178 0.56 2222 alpha-Linolenic acid metabolism 8.60E-177 0.43 2547
Ether lipid metabolism 4.98E-168 0.44 2624
Biosynthesis of type II polyketide backbone 5.33E-157 0.41 1948
1- and 2-Methylnaphthalene degradation 1.55E-156 0.35 3383
1 ,4-Dichlorobenzene degradation 3.40E-152 0.52 3219
Alkaloid biosynthesis II 6.14E-148 0.42 2135
Riboflavin metabolism 2.21 E-141 0.57 1953
Glycosaminoglycan degradation 5.03E-136 0.37 2407
Drug metabolism - other enzymes 1.79E-128 0.32 3389
Thiamine metabolism 2.81 E-128 0.50 2667
Styrene degradation 1.15E-122 0.80 2797
Toluene and xylene degradation 5.94E-1 18 0.82 2577
N-Glycan degradation 2.07E-1 15 0.44 1768
Ethylbenzene degradation 1.25E-1 14 0.40 1606
Aminophosphonate metabolism 1.27E-1 10 0.20 4645
Diterpenoid biosynthesis 1.12E-104 0.36 1852
Retinol metabolism 9.73E-104 0.43 1664
Pantothenate and CoA biosynthesis 5.95E-99 0.28 4022
Phenylalanine metabolism 2.88E-98 0.28 3936
Caprolactam degradation 1 .20E-81 0.32 2099
Inositol metabolism 8.27E-79 0.26 2442
Naphthalene and anthracene degradation 8.91 E-78 0.17 3777
Biosynthesis of steroids 2.36E-76 0.31 3557
Arachidonic acid metabolism 2.19E-69 0.88 1001
Valine, leucine and isoleucine biosynthesis 1 .70E-65 0.20 3834
Polyketide sugar unit biosynthesis 1 .21 E-61 0.38 1063
Cyanoamino acid metabolism 2.07E-61 0.31 21 12
Bisphenol A degradation 7.96E-59 0.33 1214
Chondroitin sulfate biosynthesis 1 .71 E-54 1 .38 772
Tetrachloroethene degradation 2.63E-51 0.36 71 1
Linoleic acid metabolism 3.45E-50 0.36 696
Photosynthesis 6.20E-49 0.13 2865
Metabolism of xenobiotics by cytochrome P450 1 .26E-44 0.79 589
Atrazine degradation 1 .42E-44 0.62 617
Phosphatidylinositol signaling system 2.33E-44 0.46 1287
Heparan sulfate biosynthesis 9.80E-42 0.87 728 gamma-Hexachlorocyclohexane degradation 9.01 E-41 0.34 1872
Drug metabolism - cytochrome P450 6.99E-40 0.76 620
C5-Branched dibasic acid metabolism 7.99E-37 0.28 1262
Lipoic acid metabolism 1 .36E-30 0.58 455
Terpenoid biosynthesis 1 .03E-28 0.37 856
3-Chloroacrylic acid degradation 3.55E-23 0.45 522
Vitamin B6 metabolism 6.40E-22 0.19 2450
2,4-Dichlorobenzoate degradation 4.33E-21 0.65 438
D. KEGG level 2 Pathways differentially represented in gnotobiotic mice harboring the uncultured gut communities from MZ twin pair 4.
Adjusted p-value
KEGG level 2 pathway Poisson coefficient AIC
(Benjamin-Hochberg)
Valine, leucine and isoleucine biosynthesis 5.50E-249 0.34 4466
Toluene and xylene degradation 5.42E-191 1 .13 3391
Styrene degradation 2.81 E-183 1 .03 3740
Carbazole degradation 5.56E-167 1 .27 2611
C5-Branched dibasic acid metabolism 1.19E-1 18 0.44 1791
1 ,4-Dichlorobenzene degradation 5.52E-83 0.36 4531
Ethylbenzene degradation 1 .68E-78 0.29 4079
Diterpenoid biosynthesis 8.50E-75 0.28 41 10
Biosynthesis of type II polyketide backbone 8.17E-65 0.22 4610
Phosphatidylinositol signaling system 1 .55E-56 0.42 2074
Arachidonic acid metabolism 1 .41 E-46 0.49 1249
Drug metabolism - cytochrome P450 2.06E-44 0.68 1128
Inositol phosphate metabolism 1 .24E-43 -0.26 3005 alpha-Linolenic acid metabolism 4.21 E-41 0.16 4460
Glycosaminoglycan degradation 9.49E-40 -0.14 4054
Fluorene degradation 4.21 E-38 0.30 2044
Bile acid biosynthesis 7.54E-37 0.16 3894
Thiamine metabolism 2.89E-36 0.22 4462
Fluorobenzoate degradation 2.78E-35 0.31 1662
Atrazine degradation 7.10E-34 0.51 944
1 ,2-Dichloroethane degradation 4.63E-33 0.80 469
1 ,1 ,1-Trichloro-2,2-bis(4-chlorophenyl)ethane (DDT) degradation 6.71 E-33 0.28 1949
Cysteine metabolism 4.86E-32 0.16 3223
3-Chloroacrylic acid degradation 5.26E-32 0.44 830
Peptidoglycan biosynthesis 1 .39E-29 0.10 4915
D-Glutamine and D-glutamate metabolism 2.25E-26 0.27 1229
Vitamin B6 metabolism 2.42E-25 -0.14 4191
Flavone and flavonol biosynthesis 1 .43E-24 -0.13 2627
Glycosphingolipid biosynthesis - globoseries 2.29E-23 -0.12 3742
Table 20. Mass spectrometric analysis of serum and cecal contents from gnotobiotic recipients of uncultured microbiota from obese versus lean co-twins.
A. Targeted MS/MS analysis of serum amino acid profiles from mouse recipients of uncultured fecal communities from discordant twin pairs DZ1 and MZ4. Amino acids that were significantly different after
Bonferroni correction for multiple hypotheses are highlighted in yellow and indicated with an asterisk.
a Sample ID number (see Table 15)
All obese co-twin microbiota All lean co-twin microbiota recipients
Amino acid recipients (MeaniSD) (MeaniSD)
μΜ
Gly 361.8 ± 71.7 377.9 ± 72.2
Ala 364.1 ± 188.9 340.0 ± 144.7
Ser* 153.5 ± 54.1 142.3 ± 32.5
Pro 99.3 ± 65.5 77.2 ± 38.2
Val* 416.5 ± 103.9 407.0 ± 108.9
Leu/lle* 382.1 ± 109.0 376.1 ± 115.9
Met* 35.4 ± 12.3 33.9 ± 10.6
His 81.7 ± 12.5 79.8 ± 7.0
Phe 120.4 ± 26.6 107.2 ± 14.0
Tyr 90.7 ± 29.6 77.1 ± 10.3
Asx 32.6 ± 9.6 28.2 ± 9.2
Glx* 130.3 ± 26.9 117.6 ± 25.3
Orn 117.2 ± 32.6 93.2 ± 31.6
Cit 66.8 ± 18.6 59.5 ± 13.5
Arg 88.7 ± 44.5 80.3 ± 30.7
DZ twin pair 1
Amino
Lean co-twin donor (TSDC.17.2)
acid
PM55 PM56 PM57 PM58 PM63 PM64 PM66 PM95 PM98
Gly 328.5 346.2 340.1 317.0 345.2 331.7 383.1 494.2 460.7
Ala 190.8 241.3 195.3 212.5 230.4 245.1 240.7 516.9 476.7
Ser* 109.1 124.9 111.6 113.4 143.1 123.5 130.4 169.7 165.0
Pro 55.6 57.5 51.5 47.3 55.8 55.2 51.1 119.8 82.6
Val* 471.7 549.6 470.2 471.7 410.5 479.9 566.5 279.3 232.2
Leu/lle* 473.6 509.4 491.7 463.7 425.6 446.1 563.0 238.9 209.7
Met* 26.5 32.2 24.7 22.6 26.3 29.9 29.5 47.9 40.8
His 77.4 93.7 86.1 78.7 79.6 78.7 82.8 80.3 72.0
Phe 93.5 110.5 104.8 103.9 105.5 102.2 108.5 116.4 85.2
Tyr 78.9 85.4 77.9 65.3 75.9 72.0 91.4 73.3 60.1
Asx 23.0 19.0 20.2 18.8 22.8 27.7 22.3 39.1 34.8
Glx* 101.5 97.0 92.4 84.8 111.2 101.3 114.5 149.7 155.4
Orn 118.8 112.0 81.5 89.5 119.0 137.6 81.8 53.3 40.4
Cit 58.2 61.9 44.7 51.4 50.2 51.6 58.6 64.9 65.0
Arg 67.8 73.9 75.9 73.0 59.7 46.7 49.3 125.0 102.6
B. Metabolites whose levels were significantly different in cecal samples obtained from gnotobiotic recipients of uncultured microbiota from obese versus lean co-twins belonging to four discordant pairs. Metabolites were identified using non-targeted GC/MS. Student's t-test and Benjamini-Hochberg correction was used to calculate an adjusted p-value.
3 Sample ID number (see Table 15)
Adjusted p-
Retentio Feature
Reverse match value
Metabolite n time p-value importance score score (Benjamini- (min) (Random Forests)
Hochberg)
Tagatose or similar ketohexose 17.01 79.5 0.17 0.42 0.0127
D-lyxosylamine 14.74 81.1 0.38 0.62 0.0078
Altrose or similar aldohexose 17.40 75.1 0.022 0.09 0.0069
Disaccharide resembling lactulose 24.53 7 59E-04 0 03 0.0054
3-(3-Hydroxyphenyl)propionic acid 15.60 89.8 0.91 0.94 0.0049
Cellobiose or similar disaccharide 24.44 66.3 ■ 51 E-03 0 OS 0.0045
Allose or similar aldohexose 17.28 97.8 0.02 0.09 0.0044
Gluconic acid lactone 17.30 69.8 0.01 0.07 0.0043
Talose or similar aldohexose 17.40 98.8 0.02 0.08 0.0034
Phenylalanine 14.29 83.3 0.53 0.66 0.0033
Coniferyl alcohol 17.85 88.0 0.35 0.62 0.0033
Fumaric acid 10.96 89.3 0.93 0.94 0.0022
Acetoacetate 7.87 75.8 0.17 0.42 0.0019
Cholesterol 27.56 84.1 0.45 0.62 0.0010
Oxalic acid 7.88 78.0 0.44 0.62 0.0004
5-Hydroxylysine 18.59 84.5 0.50 0.65 0.0003
Succinic acid 10.32 69.4 0.90 0.94 0.0003
Alanine 7.50 99.1 0.35 0.62 <0.0001 fteia-Hydroxybutyric acid 7.85 65.0 0.34 0.62 <0.0001
Glycine 10.46 69.5 6.32E-03 0.07 <0.0001
Glutamic acid 14.40 89.7 0.15 0.40 <0.0001
5-Aminovaleric acid 14.44 92.4 8.90E-03 0.07 <0.0001
Ribose 15.11 86.4 0.66 0.77 <0.0001
Xylose/lyxose 14.74 79.5 0.43 0.62 <0.0001
2-amino-1 -phenylethanol 15.67 79.2 0.33 0.62 <0.0001
Putrescine 15.71 78.9 0.13 0.38 <0.0001
Myristic Acid 16.73 98.9 0.27 0.60 <0.0001
Sorbose or similar ketohexose 17.19 80.8 0.62 0.74 <0.0001
Fructose or similar ketohexose 17.18 73.4 0.94 0.94 <0.0001
Mannose or similar aldohexose 17.29 98.3 0.03 0.12 <0.0001
Glucose or similar aldohexose 17.43 97.3 0.01 0.07 <0.0001
Inosine 23.40 80.4 0.42 0.62 <0.0001
Glutamic acid 22 21 21 21 22 22 21
5-Aminovaleric acid 18 17 18 17 18 17 17
Ribose 17 17 0 18 0 18 16
Xylose/lyxose 17 17 16 18 0 16 16
2-amino-1 -phenylethanol 0 15 15 15 0 15 15
Putrescine 15 15 15 15 15 15 15
Myristic Acid 25 25 25 25 25 25 25
Sorbose or similar ketohexose 0 0 17 15 17 0 0
Fructose or similar ketohexose 17 0 17 17 17 16 0
Mannose or similar aldohexose 21 20 21 22 19 21 21
Glucose or similar aldohexose 21 20 21 22 18 21 21
Inosine 14 16 16 17 17 16 13
Log2 transform of raw spectral peak area
Lean donors
Metabolite Twin pair 2 Twin pair 3
E1
E15 E16 C5 C6 C7 C8 3
Tagatose or similar ketohexose 13 12 16 15 16 15 17
D-lyxosylamine 16 16 17 19 17 17 17
Altrose or similar aldohexose 16 21 17 21 21 21 22
Disaccharide resembling lactulose 13 15 13 0 0 1 1 0
3-(3-Hydroxyphenyl)propionic acid 18 19 18 19 19 18 19
Cellobiose or similar disaccharide 14 14 14 0 0 1 1 0
Allose or similar aldohexose 16 21 17 21 21 21 22
Gluconic acid lactone 16 21 17 21 21 21 22
Talose or similar aldohexose 16 21 17 21 21 21 22
Phenylalanine 17 19 16 18 16 19 0
Coniferyl alcohol 17 17 17 17 17 17 17
Fumaric acid 12 15 12 13 13 13 15
Acetoacetate 0 18 19 18 18 18 18
Cholesterol 15 15 16 17 18 17 17
Oxalic acid 20 14 20 20 20 20 20
5-Hydroxylysine 0 15 15 0 15 14 15
Succinic acid 18 18 17 19 19 18 19
Alanine 0 14 0 14 14 14 14 fteia-Hydroxybutyric acid 20 0 20 20 20 20 20
Glycine 17 17 17 18 17 18 18
Glutamic acid 21 21 21 21 21 21 21
5-Aminovaleric acid 20 17 17 19 18 18 18
Ribose 0 0 17 19 17 17 18
Xylose/lyxose 16 17 17 19 17 17 17
2-amino-1 -phenylethanol 0 15 18 15 15 0 16
Putrescine 0 12 14 13 12 0 13
Myristic Acid 25 24 24 25 25 25 24
Sorbose or similar ketohexose 15 0 16 15 18 17 17
Fructose or similar ketohexose 0 0 14 15 17 16 17
Mannose or similar aldohexose 22 21 17 21 21 21 22
Glucose or similar aldohexose 21 21 20 21 21 21 22
Inosine 16 15 15 17 15 15 16
Log2 transform of raw spectral peak area
Lean donors Obese donors
Twin pair 4 Twin pair 1
Log2 transform of raw spectral peak area
Obese donors
Metabolite Twin pair 2 Twin pair 3 Twin pair 4
Acetoacetate 18 18 19 18 18 18 18 19 20 20 20 20 20
Cholesterol 18 16 17 17 17 16 16 15 16 17 16 17 15
Oxalic acid 16 20 20 15 19 20 20 19 20 17 19 19 19
5-Hydroxylysine 0 12 0 16 16 16 16 0 0 15 15 0 16
Succinic acid 20 20 19 20 20 20 19 15 0 19 18 22 19
Alanine 14 15 16 15 14 15 15 17 0 17 17 18 16 fteia-Hydroxybutyric acid 0 20 20 0 19 20 20 19 20 0 19 19 19
Glycine 18 18 19 18 17 18 18 17 17 18 17 19 17
Glutamic acid 23 22 22 22 21 22 21 21 22 21 21 21 21
5-Aminovaleric acid 17 17 17 20 20 20 19 19 19 18 16 18 17
Ribose 17 17 18 17 17 18 18 0 19 20 18 18 0
Xylose/lyxose 17 17 18 17 17 18 17 0 19 16 16 18 17
2-amino-1 -phenylethanol 0 0 0 17 17 17 18 0 0 0 0 0 0
Putrescine 0 0 0 14 14 14 15 0 0 14 0 14 14
Myristic Acid 25 24 25 25 25 25 24 25 25 25 25 26 25
Sorbose or similar ketohexose 15 16 16 19 16 16 16 16 17 16 18 18 16
Fructose or similar ketohexose 15 15 16 18 18 16 16 16 17 16 16 18 14
Mannose or similar aldohexose 22 22 22 22 21 22 21 23 24 24 23 23 24
Glucose or similar aldohexose 22 22 22 22 21 22 21 23 24 24 23 23 24
Inosine 14 15 16 15 15 16 16 17 17 17 16 16 0
B. The efficiency of capture of taxa in mice colonized with culture collections from obese and lean co-twins belonging to DZ twin pair 1. Relative abundance for each taxon is shown as percentage of total
community composition. An ANOVA was used to identify taxa whose representation was significantly different between recipients of transplanted uncultured fecal microbiota versus those who received the corresponding culture collection. Benajamini-Hochberg adjusted p-values < 0.05 are highlighted in yellow. Mean values ± SEM are shown. ND, Not Detectable. NA, not applicable
Recipients of obese co-twin's gut community
Taxa Uncultured Culture collection adjusted p- community (%) (%) value
Phylum
Root Bacteria;Acidobacteria ND ND NA
Root Bacteria;Actinobacteria 0.03 ± 0.06% 0.02 ± 0.05% 0.57
Root Bacteria; Bacteroidetes 54.98 ± 5.08% 57.28 ± 13.05% 0.70
Root Bacteria; Firmicutes 43.43 ± 4.99% 41 .14 ± 12.82% 0.92
Root Bacteria; Fusobacteria ND ND NA
Root Bacteria;Other 0.08 ± 0.14% 0.32 ± 0.28% 0.06
Root Bacteria; Proteobacteria 1 .48 ± 0.92% 1.24 ± 0.87% 1.23
Root Bacteria;Verrucomicrobia ND ND NA
Class
Root Bacteria Acidobacteria;Acidobacteriia ND ND NA
Root Bacteria Actinobacteria; 1760 0.03 ± 0.06% 0.02 ± 0.05% 0.65
Root Bacteria Bacteroidetes;Bacteroidia 54.98 ± 5.08% 57.28 ± 13.05% 0.72
Root Bacteria Bacteroidetes;Flavobacteriia ND ND NA
Root Bacteria Bacteroidetes;Other ND ND NA
Root Bacteria Firmicutes;Bacilli 0.07 ± 0.20% 0.38 ± 0.52% 0.24
Root Bacteria Firmicutes;Clostridia 41.54 ± 4.53% 39.65 ± 12.08% 0.60
Root Bacteria Firmicutes;Erysipelotrichi 1.77 ± 1.18% 1.11 ± 0.95% 0.27
Root Bacteria Firmicutes;Negativicutes ND ND NA
Root Bacteria Firmicutes;Other 0.05 ± 0.11 % ND 0.22
Root Bacteria Fusobacteria; Fusobacteriia ND ND NA
Root Bacteria Other;Other 0.08 ± 0.14% 0.32 ± 0.28% 0.08
Root Bacteria Proteobacteria;Alphaproteobacteria ND ND NA
Root Bacteria Proteobacteria;Betaproteobacteria 1.46 ± 0.93% 1.24 ± 0.87% 0.80
Root Bacteria Proteobacteria; Deltaproteobacteria ND ND NA
Root Bacteria Proteobacteria;Gammaproteobacteria 0.02 ± 0.08% ND 0.56
Order
Root Bacteria Actinobacteria; 1760; Bif idobacteriales 0.03 ± 0.06% 0.02 ± 0.05% 0.72
Root Bacteria Bacteroidetes;Bacteroidia;Bacteroidales 54.98 ± 5.08% 57.28 ± 13.05% 0.80
Root Bacteria Firmicutes;Bacilli;Lactobacillales 0.07 ± 0.20% 0.38 ± 0.52% 0.27
Root Bacteria Firmicutes;Bacilli;Other ND ND NA
Root Bacteria Firmicutes;Clostridia;Clostridiales 41.54 ± 4.53% 39.65 ± 12.08% 0.67
Root Bacteria Firmicutes;Clostridia;Other ND ND NA
Root Bacteria Firmicutes;Erysipelotrichi;Erysipelotrichales 1.77 ± 1.18% 1 .1 1 ± 0.95% 0.31
Root Bacteria Firmicutes;Negativicutes;Selenomonadales ND ND NA
Root Bacteria Firmicutes;Other; Other 0.05 ± 0.11 % ND 0.24
Root Bacteria Fusobacteria; Fusobacteriia; Fusobacteriales ND ND NA
Root Bacteria Other;Other; Other 0.08 ± 0.14% 0.32 ± 0.28% 0.09
Root Bacteria Proteobacteria;Betaproteobacteria;Burkholderiales 1.04 ± 0.72% 0.81 ± 0.58% 0.59
Root Bacteria Proteobacteria;Betaproteobacteria;Other 0.42 ± 0.28% 0.44 ± 0.34% 0.86
Root Bacteria Proteobacteria;Gammaproteobacteria;Enterobacter
0.02 ± 0.08% ND 0.62 iales
Family
Root; Bacteria;Actinobacteria; 1760; Bif idobacteriales; Bifidobacteria
0.03 ± 0.06% 0.02 ± 0.05% 0.68 ceae
Root;Bacteria;Bacteroidetes;Bacteroidia;Bacteroidales;Bacteroida
34.01 ± 8.57% 42.6 ± 11 .57% 0.19 ceae
Root;Bacteria;Bacteroidetes;Bacteroidia;Bacteroidales;Other 1.03 ± 0.55% 0.81 ± 0.41 % 0.41
Root;Bacteria;Bacteroidetes;Bacteroidia;Bacteroidales;Porphyro
19.93 ± 9.38% 13.87 ± 2.65% 0.18 monadaceae
Root;Bacteria;Firmicutes;Bacilli;Lactobacillales;Enterococcaceae 0.07 ± 0.20% 0.38 ± 0.52% 0.21
Root;Bacteria;Firmicutes;Clostridia;Clostridiales;Clostridiaceae 6.8 ± 1 .64% 10.79 ± 6.96% 0.15
Root;Bacteria;Firmicutes;Clostridia;Clostridiales;Clostridiales_Fa
ND 0.04 ± 0.09% 0.22 mily XI Incertae Sedis
Root;Bacteria;Firmicutes;Clostridia;Clostridiales;Eubacteriaceae 0.01 ± 0.04% ND 0.45
Root;Bacteria;Firmicutes;Clostridia;Clostridiales;Lachnospiraceae 0.3 ± 0.21 % 0.23 ± 0.27% 0.65
Root;Bacteria;Firmicutes;Clostridia;Clostridiales;Other 9.79 ± 5.10% 5.72 ± 1 .64% 0.17
Root;Bacteria;Firmicutes;Clostridia;Clostridiales;Peptococcaceae ND 0.09 ± 0.16% 0.17
Root;Bacteria;Firmicutes;Clostridia;Clostridiales;Ruminococcacea
1.3 ± 0.62% 1.22 ± 0.55% 0.79 e
Root;Bacteria;Firmicutes;Clostridia;Clostridiales;unclassified_Clo
23.34 ± 4.62% 21 .55 ± 12.22% 0.70 stridiales
Root;Bacteria;Firmicutes;Erysipelotrichi;Erysipelotrichales;Erysip
1.77 ± 1.18% 1.11 ± 0.95% 0.23 elotrichaceae
Root; Bacteria; Firmicutes;Other; Other; Other 0.05 ± 0.11 % ND 0.17
Root;Bacteria;Other;Other;Other;Other 0.08 ± 0.14% 0.32 ± 0.28% 0.09
Root;Bacteria;Proteobacteria;Betaproteobacteria;Burkholderiales;
1.04 ± 0.72% 0.81 ± 0.58% 0.48 Other
Root; Bacteria;Proteobacteria;Betaproteobacteria;Other; Other 0.42 ± 0.28% 0.44 ± 0.34% 0.86
Root;Bacteria;Proteobacteria;Gammaproteobacteria;Enterobacter
0.02 ± 0.08% ND 0.49 iales;Enterobacteriaceae
Genus
Root; Bacteria;Actinobacteria; 1760; Bif idobacteriales; Bifidobacteria
0.03 ± 0.06% 0.02 ± 0.05% 0.66 ceae; Bifidobacterium
Root;Bacteria;Bacteroidetes;Bacteroidia;Bacteroidales;Bacteroida
34.01 ± 8.57% 42.6 ± 11 .57% 0.18 ceae;Bacteroides
Root;Bacteria;Bacteroidetes;Bacteroidia;Bacteroidales;Other;Oth
1.03 ± 0.55% 0.81 ± 0.41 % 0.39 er
Root;Bacteria;Bacteroidetes;Bacteroidia;Bacteroidales;Porphyro
ND 0.01 ± 0.04% 0.44 monadaceae;Butyricimonas
Root;Bacteria;Bacteroidetes;Bacteroidia;Bacteroidales;Porphyro
19.93 ± 9.38% 13.86 ± 2.65% 0.16 monadaceae;Parabacteroides
Root;Bacteria;Firmicutes;Bacilli;Lactobacillales;Enterococcaceae;
0.07 ± 0.20% 0.38 ± 0.52% 0.21 Enterococcus
Root;Bacteria;Firmicutes;Clostridia;Clostridiales;Clostridiaceae;CI
6.79 ± 1.65% 10.79 ± 6.96% 0.18 ostridium
Root;Bacteria;Firmicutes;Clostridia;Clostridiales;Clostridiaceae;Ot
0.01 ± 0.04% ND 0.47 her
Root;Bacteria;Firmicutes;Clostridia;Clostridiales;Clostridiales_Fa
ND 0.04 ± 0.09% 0.22 mily XI Incertae Sedis;Peptoniphilus
Root;Bacteria;Firmicutes;Clostridia;Clostridiales;Eubacteriaceae;
0.01 ± 0.04% ND 0.44 Eubacterium
Root;Bacteria;Firmicutes;Clostridia;Clostridiales;Lachnospiraceae
0.21 ± 0.23% 0.19 ± 0.25% 0.87 ;Anaerostipes
Root;Bacteria;Firmicutes;Clostridia;Clostridiales;Lachnospiraceae
0.09 ± 0.09% 0.04 ± 0.07% 0.25 ;Roseburia
Root;Bacteria;Firmicutes;Clostridia;Clostridiales;Other;Other 9.79 ± 5.10% 5.72 ± 1 .64% 0.21
Root;Bacteria;Firmicutes;Clostridia;Clostridiales;Peptococcaceae;
ND 0.09 ± 0.16% 0.16 Peptococcus
Root;Bacteria;Firmicutes;Clostridia;Clostridiales;Ruminococcacea
0.71 ± 0.65% 0.32 ± 0.41 % 0.17 e;Other
Root;Bacteria;Firmicutes;Clostridia;Clostridiales;Ruminococcacea
0.58 ± 0.31 % 0.91 ± 0.40% 0.21 e;Ruminococcus
Root;Bacteria;Firmicutes;Clostridia;Clostridiales;unclassified_Clo
23.34 ± 4.62% 21 .55 ± 12.22% 0.68 stridiales;Blautia
Root;Bacteria;Firmicutes;Erysipelotrichi;Erysipelotrichales;Erysip
1.77 ± 1.18% 1.11 ± 0.95% 0.23 elotrichaceae; unclassified Erysipelotrichaceae
Root; Bacteria; Firmicutes;Other; Other; Other; Other 0.05 ± 0.11 % ND 0.17
Root;Bacteria;Other;Other;Other;Other;Other 0.08 ± 0.14% 0.32 ± 0.28% 0.11
Root;Bacteria;Proteobacteria;Betaproteobacteria;Burkholderiales;
1.04 ± 0.72% 0.81 ± 0.58% 0.43 Other; Other
Root; Bacteria; Proteobacteria; Betaproteobacteria;Other; Other; Oth
0.42 ± 0.28% 0.44 ± 0.34% 0.90 er
Root;Bacteria;Proteobacteria;Gammaproteobacteria;Enterobacter 0.02 ± 0.08% ND 0.42
iales;Enterobacteriaceae;Other
Species
Root; Bacteria;Actinobacteria; 1760; Bif idobacteriales; Bifidobacteria
0.03 ± 0.06% 0.02 ± 0.05% 0.74 ceae; Bifidobacterium; Bifidobacterium longum
Root;Bacteria;Bacteroidetes;Bacteroidia;Bacteroidales;Bacteroida
8.77 ± 2.25% 13.87 ± 1 .62%
ceae;Bacteroides;Bacteroides massiliensis
Root;Bacteria;Bacteroidetes;Bacteroidia;Bacteroidales;Bacteroida
24.45 ± 8.96% 27.67 ± 10.94% 0.56 ceae;Bacteroides;Bacteroides ovatus
Root;Bacteria;Bacteroidetes;Bacteroidia;Bacteroidales;Bacteroida
0.04 ± 0.09% 0.03 ± 0.06% 0.80 ceae;Bacteroides;Bacteroides sp 3 1 19
Root;Bacteria;Bacteroidetes;Bacteroidia;Bacteroidales;Bacteroida
ND 0.01 ± 0.04% 0.53 ceae;Bacteroides;Bacteroides sp D2
Root;Bacteria;Bacteroidetes;Bacteroidia;Bacteroidales;Bacteroida
0.01 ± 0.04% 0.01 ± 0.04% 0.96 ceae;Bacteroides;Bacteroides vulgatus
Root;Bacteria;Bacteroidetes;Bacteroidia;Bacteroidales;Bacteroida
ND 0.01 ± 0.04% 0.52 ceae;Bacteroides;Bacteroides xylanisolvens
Root;Bacteria;Bacteroidetes;Bacteroidia;Bacteroidales;Bacteroida
0.74 ± 0.45% 1 ± 0.53% 0.44 ceae;Bacteroides;Other
Root;Bacteria;Bacteroidetes;Bacteroidia;Bacteroidales;Other;Oth
1.03 ± 0.55% 0.81 ± 0.41 % 0.47 er; Other
Root;Bacteria;Bacteroidetes;Bacteroidia;Bacteroidales;Porphyro
ND 0.01 ± 0.04% 0.55 monadaceae;Butyricimonas;Butyricimonas virosa
Root;Bacteria;Bacteroidetes;Bacteroidia;Bacteroidales;Porphyro
0.62 ± 0.37% 0.46 ± 0.23% 0.44 monadaceae;Parabacteroides;Other
Root;Bacteria;Bacteroidetes;Bacteroidia;Bacteroidales;Porphyro
18.93 ± 8.95% 13.19 ± 2.58% 0.15 monadaceae;Parabacteroides;Parabacteroides distasonis
Root;Bacteria;Bacteroidetes;Bacteroidia;Bacteroidales;Porphyro
0.21 ± 0.24% 0.16 ± 0.21 % 0.75 monadaceae;Parabacteroides;Parabacteroides merdae
Root;Bacteria;Bacteroidetes;Bacteroidia;Bacteroidales;Porphyro
0.18 ± 0.13% 0.04 ± 0.09% o.o:; monadaceae;Parabacteroides;Parabacteroides_sp_D13
Root;Bacteria;Firmicutes;Bacilli;Lactobacillales;Enterococcaceae;
0.03 ± 0.12% 0.26 ± 0.42% 0.25 Enterococcus;Enterococcus faecium
Root;Bacteria;Firmicutes;Bacilli;Lactobacillales;Enterococcaceae;
ND 0.03 ± 0.08% 0.42 Enterococcus;Enterococcus gallinarum
Root;Bacteria;Firmicutes;Bacilli;Lactobacillales;Enterococcaceae;
0.03 ± 0.09% 0.09 ± 0.13% 0.44 Enterococcus;Other
Root;Bacteria;Firmicutes;Clostridia;Clostridiales;Clostridiaceae;CI
0.02 ± 0.08% ND 0.52 ostridium;Clostridium aff difficile AA1
Root;Bacteria;Firmicutes;Clostridia;Clostridiales;Clostridiaceae;CI
0.01 ± 0.04% 0.01 ± 0.04% 0.98 ostridium;Clostridium aldenense
Root;Bacteria;Firmicutes;Clostridia;Clostridiales;Clostridiaceae;CI
0.01 ± 0.04% 0.02 ± 0.08% 0.82 ostridium;Clostridium clostridioforme
Root;Bacteria;Firmicutes;Clostridia;Clostridiales;Clostridiaceae;CI
0.27 ± 0.35% ND 0.06 ostridium;Clostridium difficile
Root;Bacteria;Firmicutes;Clostridia;Clostridiales;Clostridiaceae;CI
0.07 ± 0.09% ND 0.08 ostridium;Clostridium disporicum
Root;Bacteria;Firmicutes;Clostridia;Clostridiales;Clostridiaceae;CI
0.82 ± 0.81 % 6.55 ± 5.74% 0.03 ostridium;Clostridium hathewayi
Root;Bacteria;Firmicutes;Clostridia;Clostridiales;Clostridiaceae;CI
0.35 ± 0.24% 0.46 ± 0.34% 0.51 ostridium;Clostridium lactatifermentans
Root;Bacteria;Firmicutes;Clostridia;Clostridiales;Clostridiaceae;CI
0.01 ± 0.04% ND 0.60 ostridium;Clostridium saccharolyticum
Root;Bacteria;Firmicutes;Clostridia;Clostridiales;Clostridiaceae;CI
1.51 ± 0.90% ND
ostridium;Clostridium sp TM 40
Root;Bacteria;Firmicutes;Clostridia;Clostridiales;Clostridiaceae;CI
ND 0.04 ± 0.09% 0.28 ostridium;Clostridium sporosphaeroides
Root;Bacteria;Firmicutes;Clostridia;Clostridiales;Clostridiaceae;CI
0.23 ± 0.30% ND 0.06 ostridium;Clostridium symbiosum
Root;Bacteria;Firmicutes;Clostridia;Clostridiales;Clostridiaceae;CI
3.48 ± 1.04% 3.7 ± 1.68% 0.83 ostridium;Other
Root;Bacteria;Firmicutes;Clostridia;Clostridiales;Clostridiaceae;Ot
0.01 ± 0.04% ND 0.57 her;Other
Root;Bacteria;Firmicutes;Clostridia;Clostridiales;Clostridiales_Fa
ND 0.04 ± 0.09% 0.30 mily XI Incertae Sedis;Peptoniphilus;Other
Root;Bacteria;Firmicutes;Clostridia;Clostridiales;Eubacteriaceae;
0.01 ± 0.04% ND 0.54 Eubacterium;Eubacterium desmolans
Root;Bacteria;Firmicutes;Clostridia;Clostridiales;Lachnospiraceae
0.21 ± 0.23% 0.19 ± 0.25% 0.96 ;Anaerostipes;Anaerostipes caccae
Root;Bacteria;Firmicutes;Clostridia;Clostridiales;Lachnospiraceae
0.08 ± 0.07% 0.04 ± 0.07% 0.41 ;Roseburia;Other
Root;Bacteria;Firmicutes;Clostridia;Clostridiales;Lachnospiraceae
0.01 ± 0.04% ND 0.50 ;Roseburia;Roseburia faecis
Root;Bacteria;Firmicutes;Clostridia;Clostridiales;Other;Other;Othe
9.79 ± 5.10% 5.72 ± 1 .64% 0.06 r
Root;Bacteria;Firmicutes;Clostridia;Clostridiales;Peptococcaceae;
ND 0.09 ± 0.16% 0.23 Peptococcus;Peptococcus niger
Root;Bacteria;Firmicutes;Clostridia;Clostridiales;Ruminococcacea
0.71 ± 0.65% 0.32 ± 0.41 % 0.26 e;Other; Other
Root;Bacteria;Firmicutes;Clostridia;Clostridiales;Ruminococcacea
0.03 ± 0.09% 0.01 ± 0.04% 0.52 e;Ruminococcus;Other
Root;Bacteria;Firmicutes;Clostridia;Clostridiales;Ruminococcacea
0.08 ± 0.09% 0.08 ± 0.1 1 % 0.96 e; Ruminococcus; Ruminococcus gnavus
Root;Bacteria;Firmicutes;Clostridia;Clostridiales;Ruminococcacea
0.01 ± 0.04% 0.01 ± 0.04% 1 .00 e; Ruminococcus; Ruminococcus sp 16442
Root;Bacteria;Firmicutes;Clostridia;Clostridiales;Ruminococcacea
0.11 ± 0.23% ND 0.25 e; Ruminococcus; Ruminococcus sp ID8
Root;Bacteria;Firmicutes;Clostridia;Clostridiales;Ruminococcacea
0.35 ± 0.27% 0.81 ± 0.38% 0.02 e; Ruminococcus; Ruminococcus torques
Root;Bacteria;Firmicutes;Clostridia;Clostridiales;unclassified_Clo
17.07 ± 6.30% 16.58 ± 10.27% 0.96 stridiales;Blautia;Blautia qlucerasea
Root;Bacteria;Firmicutes;Clostridia;Clostridiales;unclassified_Clo
1.35 ± 1.61% 0.32 ± 0.50% 0.14 stridiales;Blautia;Blautia hansenii
Root;Bacteria;Firmicutes;Clostridia;Clostridiales;unclassified_Clo
4.71 ± 2.44% 4.4 ± 2.01 % 0.82 stridiales;Blautia;Blautia producta
Root;Bacteria;Firmicutes;Clostridia;Clostridiales;unclassified_Clo
0.21 ± 0.19% 0.26 ± 0.23% 0.75 stridiales;Blautia;Other
Root;Bacteria;Firmicutes;Erysipelotrichi;Erysipelotrichales;Erysip
elotrichaceae;unclassified_Erysipelotrichaceae;Clostridium_innoc 1.71 ± 1.22% 1.11 ± 0.95% 0.42 uum
Root;Bacteria;Firmicutes;Erysipelotrichi;Erysipelotrichales;Erysip
elotrichaceae;unclassified_Erysipelotrichaceae;Clostridium_spirof 0.05 ± 0.11 % ND 0.24 orme
Root; Bacteria;Firmicutes;Other; Other; Other; Other;Other 0.05 ± 0.1 1 % ND 0.26
Root;Bacteria;Other;Other;Other;Other;Other;Other 0.08 ± 0.14% 0.32 ± 0.28% 0.06
Root;Bacteria;Proteobacteria;Betaproteobacteria;Burkholderiales;
1.04 ± 0.72% 0.81 ± 0.58% 0.50 Other; Other;Other
Root; Bacteria; Proteobacteria; Betaproteobacteria ;Other; Other; Oth
0.42 ± 0.28% 0.44 ± 0.34% 0.97 er; Other
Root;Bacteria;Proteobacteria;Gammaproteobacteria;Enterobacter
0.02 ± 0.08% ND 0.56 iales;Enterobacteriaceae;Other;Other
Recipients of lean co-twin's gut community
Taxa Uncultured Culture collection adjusted community (%) (%) p-value
Phylum
Root; Bacteria;Actinobacteria 0.11 ± 0.13% 0.11 ± 0.14% 0.97
Root; Bacteria; Bacteroidetes 48.95 ± 5.28% 52.34 ± 6.27% 0.25
Root; Bacteria; Firmicutes 48.86 ± 5.91 % 45.84 ± 5.61 % 0.20
Root; Bacteria;Other 0.41 ± 0.35% 0.22 ± 0.21 % 0.29
Root; Bacteria; Proteobacteria 1.31 ± 0.91 % 0.73 ± 0.59% 0.32
Root; Bacteria;Verrucomicrobia 0.35 ± 0.41 % 0.76 ± 1.01 % 0.25
Class
Root; Bacteria;Actinobacteria; 1760 0.11 ± 0.13% 0.11 ± 0.14% 0.97
Root;Bacteria;Bacteroidetes;Bacteroidia 48.95 ± 5.28% 52.34 ± 6.27% 0.35
Root;Bacteria;Firmicutes;Clostridia 46.11 ± 6.11 % 43.32 ± 5.01 % 0.35
Root;Bacteria;Firmicutes;Erysipelotrichi 2.12 ± 1.51 % 1.88 ± 1.00% 0.75
Root;Bacteria;Firmicutes;Negativicutes ND 0.01 ± 0.04% 0.49
Root;Bacteria;Firmicutes;Other 0.62 ± 0.43% 0.63 ± 0.46% 1 .03
Root; Bacteria;Other;Other 0.41 ± 0.35% 0.22 ± 0.21 % 0.54
Root; Bacteria; Proteobacteria; Betaproteobacteria 0.91 ± 0.76% 0.69 ± 0.60% 0.55
Root; Bacteria; Proteobacteria; Deltaproteobacteria 0.04 ± 0.07% ND 0.42
Root;Bacteria;Proteobacteria;Gammaproteobacteria 0.36 ± 0.73% 0.04 ± 0.10% 0.42
Root;Bacteria;Verrucomicrobia;Verrucomicrobiae 0.35 ± 0.41 % 0.76 ± 1.01 % 0.37
Order
Root Bacteria Acidobacteria;Acidobacteriia;Acidobacteriales ND ND NA
Root Bacteria Actinobacteria;1760;Actinomycetales 0.01 ± 0.04% ND 0.47
Root Bacteria Actinobacteria; 1760; Bif idobacteriales 0.08 ± 0.09% 0.01 ± 0.04% 0.28
Root Bacteria Actinobacteria; 1760; Coriobacteriales 0.02 ± 0.05% 0.1 ± 0.14% 0.21
Root Bacteria Actinobacteria; 1760; Other 0.01 ± 0.04% ND 0.43
Root Bacteria Bacteroidetes;Bacteroidia;Bacteroidales 48.95 ± 5.28% 52.34 ± 6.27% 0.27
Root Bacteria Firmicutes;Clostridia;Clostridiales 46.11 ± 6.11 % 43.32 ± 5.01 % 0.32
Root Bacteria Firmicutes;Erysipelotrichi;Erysipelotrichales 2.12 ± 1.51 % 1 .88 ± 1 .00% 0.71
Root Bacteria Firmicutes;Negativicutes;Selenomonadales ND 0.01 ± 0.04% 0.46
Root Bacteria Firmicutes;Other; Other 0.62 ± 0.43% 0.63 ± 0.46% 0.94
Root Bacteria Other;Other; Other 0.41 ± 0.35% 0.22 ± 0.21 % 0.36
Root Bacteria Proteobacteria;Betaproteobacteria;Burkholderiales 0.44 ± 0.35% 0.27 ± 0.19% 0.29
Root Bacteria Proteobacteria;Betaproteobacteria;Other 0.48 ± 0.46% 0.43 ± 0.52% 0.85
Root Bacteria Proteobacteria; Deltaproteobacteria;Desulfovibrionales 0.04 ± 0.07% ND 0.29
Root Bacteria Proteobacteria;Gammaproteobacteria;Enterobacteriales 0.36 ± 0.73% 0.04 ± 0.10% 0.34
Root Bacteria Verrucomicrobia;Verrucomicrobiae;Verrucomicrobiales 0.35 ± 0.41 % 0.76 ± 1 .01 % 0.31
Family
Root; Bacteria;Actinobacteria; 1760;Actinomycetales; Propionibacteriace
0.01 ± 0.04% ND 0.49 ae
Root; Bacteria;Actinobacteria; 1760; Bif idobacteriales; Bif idobacteriaceae 0.08 ± 0.09% 0.01 ± 0.04% 0.08
Root;Bacteria;Actinobacteria;1760;Coriobacteriales;Coriobacteriaceae 0.02 ± 0.05% 0.1 ± 0.14% 0.14
Root; Bacteria;Actinobacteria; 1760; Other; Other 0.01 ± 0.04% ND 0.51
Root;Bacteria;Bacteroidetes;Bacteroidia;Bacteroidales;Bacteroidaceae 40.97 ± 4.54% 48.07 ± 5.00% 2.»'3£-0S
Root;Bacteria;Bacteroidetes;Bacteroidia;Bacteroidales;Other 0.35 ± 0.27% 0.22 ± 0.24% 0.38
Root;Bacteria;Bacteroidetes;Bacteroidia;Bacteroidales;Porphyromona
4.79 ± 2.92% 3.66 ± 1 .75% 0.40 daceae
Root;Bacteria;Bacteroidetes;Bacteroidia;Bacteroidales;Prevotellaceae 2.36 ± 1.10% ND 1.63EO?
Root;Bacteria;Bacteroidetes;Bacteroidia;Bacteroidales;Rikenellaceae 0.48 ± 0.37% 0.38 ± 0.34% 0.63
Root;Bacteria;Firmicutes;Clostridia;Clostridiales;Clostridiaceae 7.42 ± 3.81 % 7.69 ± 3.28% 0.90
Root;Bacteria;Firmicutes;Clostridia;Clostridiales;Clostridiales_Family_
ND 0.01 ± 0.04% 0.52 XIII Incertae Sedis
Root;Bacteria;Firmicutes;Clostridia;Clostridiales;Eubacteriaceae 0.59 ± 0.57% 0.6 ± 0.36% 0.95
Root;Bacteria;Firmicutes;Clostridia;Clostridiales;Lachnospiraceae 0.42 ± 0.41 % 0.52 ± 0.91 % 0.82
Root;Bacteria;Firmicutes;Clostridia;Clostridiales;Oscillospiraceae 0.18 ± 0.15% 0.15 ± 0.14% 0.78
Root;Bacteria;Firmicutes;Clostridia;Clostridiales;Other 13.69 ± 3.67% 9.87 ± 2.27% oi
Root;Bacteria;Firmicutes;Clostridia;Clostridiales;Peptococcaceae 0.01 ± 0.04% 0.09 ± 0.19% 0.30
Root;Bacteria;Firmicutes;Clostridia;Clostridiales;Ruminococcaceae 12.22 ± 3.02% 3.93 ± 2.19%
Root;Bacteria;Firmicutes;Clostridia;Clostridiales;unclassified_Clostridia
11.59 ± 4.92% 20.45 ± 3.17% 4.0QE-05 les
Root;Bacteria;Firmicutes;Erysipelotrichi;Erysipelotrichales;Erysipelotric
2.12 ± 1.51 % 1.88 ± 1 .00% 0.75 haceae
Root;Bacteria;Firmicutes;Negativicutes;Selenomonadales;Veillonellac
ND 0.01 ± 0.04% 0.49 eae
Root; Bacteria; Firmicutes;Other; Other; Other 0.62 ± 0.43% 0.63 ± 0.46% 0.97
Root;Bacteria;Other;Other;Other;Other 0.41 ± 0.35% 0.22 ± 0.21 % 0.29
Root;Bacteria;Proteobacteria;Betaproteobacteria;Burkholderiales;Othe
0.44 ± 0.35% 0.27 ± 0.19% 0.26 r
Root; Bacteria;Proteobacteria;Betaproteobacteria;Other; Other 0.48 ± 0.46% 0.43 ± 0.52% 0.90
Root;Bacteria;Proteobacteria;Deltaproteobacteria;Desulfovibrionales;D
0.04 ± 0.07% ND 0.15 esulfovibrionaceae
Root;Bacteria;Proteobacteria;Gammaproteobacteria;Enterobacteriales
0.36 ± 0.73% 0.04 ± 0.10% 0.28 ; Enterobacteriaceae
Root;Bacteria;Verrucomicrobia;Verrucomicrobiae;Verrucomicrobiales;
0.35 ± 0.41 % 0.76 ± 1 .01 % 0.35 Verrucomicrobiaceae
Genus
Root; Bacteria;Actinobacteria; 1760;Actinomycetales; Propionibacteriace
0.01 ± 0.04% ND 0.50 ae;Propionibacterium
Root; Bacteria;Actinobacteria; 1760; Bif idobacteriales; Bif idobacteriaceae
0.08 ± 0.09% 0.01 ± 0.04% 0.11 ;Bifidobacterium
Root;Bacteria;Actinobacteria;1760;Coriobacteriales;Coriobacteriaceae;
ND 0.02 ± 0.05% 0.36 Adlercreutzia
Root;Bacteria;Actinobacteria;1760;Coriobacteriales;Coriobacteriaceae;
0.02 ± 0.05% 0.06 ± 0.1 1 % 0.41 Collinsella
Root;Bacteria;Actinobacteria;1760;Coriobacteriales;Coriobacteriaceae;
ND 0.01 ± 0.04% 0.50 Denitrobacterium
Root;Bacteria;Actinobacteria;1760;Coriobacteriales;Coriobacteriaceae;
ND 0.01 ± 0.04% 0.52 Eggerthella
Root; Bacteria;Actinobacteria; 1760; Other; Other;Other 0.01 ± 0.04% ND 0.48
Root;Bacteria;Bacteroidetes;Bacteroidia;Bacteroidales;Bacteroidaceae
40.97 ± 4.54% 48.07 ± 5.00% 4.58£»0S ;Bacteroides
Root;Bacteria;Bacteroidetes;Bacteroidia;Bacteroidales;Other;Other 0.35 ± 0.27% 0.22 ± 0.24% 0.41
Root;Bacteria;Bacteroidetes;Bacteroidia;Bacteroidales;Porphyromona
0.05 ± 0.07% 0.04 ± 0.12% 0.92 daceae; Butyricimonas
Root;Bacteria;Bacteroidetes;Bacteroidia;Bacteroidales;Porphyromona
0.1 ± 0.12% 0.02 ± 0.05% 0.17 daceae; Odoribacter
Root;Bacteria;Bacteroidetes;Bacteroidia;Bacteroidales;Porphyromona
4.65 ± 2.82% 3.6 ± 1.71 % 0.48 daceae; Parabacteroides
Root;Bacteria;Bacteroidetes;Bacteroidia;Bacteroidales;Prevotellaceae;
2.36 ± 1.10% ND
Paraprevotella
Root;Bacteria;Bacteroidetes;Bacteroidia;Bacteroidales;Rikenellaceae;
0.48 ± 0.37% 0.38 ± 0.34% 0.61 Alistipes
Root;Bacteria;Firmicutes;Clostridia;Clostridiales;Clostridiaceae;Clostri
7.4 ± 3.81 % 7.69 ± 3.28% 0.91 dium
Root;Bacteria;Firmicutes;Clostridia;Clostridiales;Clostridiaceae;Other 0.02 ± 0.05% ND 0.39
Root;Bacteria;Firmicutes;Clostridia;Clostridiales;Clostridiales_Family_
ND 0.01 ± 0.04% 0.54 XIII_lncertae_Sedis;Anaerovorax
Root;Bacteria;Firmicutes;Clostridia;Clostridiales;Eubacteriaceae;Anaer
0.01 ± 0.04% ND 0.53 ofustis
Root;Bacteria;Firmicutes;Clostridia;Clostridiales;Eubacteriaceae;Euba
0.58 ± 0.58% 0.6 ± 0.36% 0.93 cterium
Root; Bacteria;Firmicutes;Clostridia;Clostridiales;Lachnospiraceae; Dor
0.12 ± 0.38% 0.19 ± 0.26% 0.72 ea
Root;Bacteria;Firmicutes;Clostridia;Clostridiales;Lachnospiraceae;Oth
0.01 ± 0.04% ND 0.51 er
Root;Bacteria;Firmicutes;Clostridia;Clostridiales;Lachnospiraceae;Ros
0.29 ± 0.30% 0.33 ± 0.90% 0.91 eburia
Root;Bacteria;Firmicutes;Clostridia;Clostridiales;Oscillospiraceae;Oscil 0.18 ± 0.15% 0.15 ± 0.14% 0.75
libacter
Root;Bacteria;Firmicutes;Clostridia;Clostridiales;Other;Other 13.69 ± 3.67% 9.87 ± 2.27% 0 0
Root;Bacteria;Firmicutes;Clostridia;Clostridiales;Peptococcaceae;Pept
0.01 ± 0.04% 0.09 ± 0.19% 0.36 ococcus
Root;Bacteria;Firmicutes;Clostridia;Clostridiales;Ruminococcaceae;An
ND 0.01 ± 0.04% 0.56 aerotruncus
Root;Bacteria;Firmicutes;Clostridia;Clostridiales;Ruminococcaceae;Fa
2.31 ± 2.28% 0.02 ± 0.05% 0.01 ecalibacterium
Root;Bacteria;Firmicutes;Clostridia;Clostridiales;Ruminococcaceae;Ot
1.78 ± 1.43% 0.78 ± 0.63% 0.12 her
Root;Bacteria;Firmicutes;Clostridia;Clostridiales;Ruminococcaceae;Ru
6.9 ± 4.32% 1.72 ± 1.52%
minococcus
Root;Bacteria;Firmicutes;Clostridia;Clostridiales;Ruminococcaceae;Su
1.22 ± 1.28% 1.4 ± 1.15% 0.84 bdoligranulum
Root;Bacteria;Firmicutes;Clostridia;Clostridiales;unclassified_Clostridia
11.59 ± 4.92% 20.45 ± 3.17% 0 00 les;Blautia
Root;Bacteria;Firmicutes;Erysipelotrichi;Erysipelotrichales;Erysipelotric
0.1 ± 0.20% ND 0.33 haceae;Coprobacillus
Root;Bacteria;Firmicutes;Erysipelotrichi;Erysipelotrichales;Erysipelotric
0.06 ± 0.11 % 0.03 ± 0.06% 0.57 haceae;Holdemania
Root;Bacteria;Firmicutes;Erysipelotrichi;Erysipelotrichales;Erysipelotric
1.97 ± 1.44% 1.85 ± 0.99% 0.92 haceae; unclassified Erysipelotrichaceae
Root;Bacteria;Firmicutes;Negativicutes;Selenomonadales;Veillonellac
ND 0.01 ± 0.04% 0.59 eae;Dialister
Root; Bacteria; Firmicutes;Other; Other; Other; Other 0.62 ± 0.43% 0.63 ± 0.46% 0.94
Root;Bacteria;Other;Other;Other;Other;Other 0.41 ± 0.35% 0.22 ± 0.21 % 0.34
Root;Bacteria;Proteobacteria;Betaproteobacteria;Burkholderiales;Othe
0.44 ± 0.35% 0.27 ± 0.19% 0.33 r;Other
Root; Bacteria; Proteobacteria; Betaproteobacteria;Other; Other; Other 0.48 ± 0.46% 0.43 ± 0.52% 0.90
Root;Bacteria;Proteobacteria;Deltaproteobacteria;Desulfovibrionales;D
0.04 ± 0.07% ND 0.16 esulfovibrionaceae;Other
Root;Bacteria;Proteobacteria;Gammaproteobacteria;Enterobacteriales
0.36 ± 0.73% 0.04 ± 0.10% 0.34 ; Enterobacteriaceae; Other
Root;Bacteria;Verrucomicrobia;Verrucomicrobiae;Verrucomicrobiales;
0.35 ± 0.41 % 0.76 ± 1.01 % 0.41 Verrucomicrobiaceae;Akkermansia
Species
Root; Bacteria;Actinobacteria; 1760;Actinomycetales; Propionibacteriace
0.01 ± 0.04% ND 0.52 ae;Propionibacterium;Propionibacterium acnes
Root; Bacteria;Actinobacteria; 1760; Bif idobacteriales; Bif idobacteriaceae
0.07 ± 0.09% ND 0.11 ;Bifidobacterium;Bifidobacterium catenulatum
Root; Bacteria;Actinobacteria; 1760; Bif idobacteriales; Bif idobacteriaceae
0.01 ± 0.04% 0.01 ± 0.04% 0.98 ;Bifidobacterium;Bifidobacterium longum
Root;Bacteria;Actinobacteria; 1760;Coriobacteriales;Coriobacteriaceae;
ND 0.02 ± 0.05% 0.39 Adlercreutzia;Adlercreutzia equolifaciens
Root;Bacteria;Actinobacteria;1760;Coriobacteriales;Coriobacteriaceae;
0.02 ± 0.05% 0.06 ± 0.11 % 0.43 Collinsella;Collinsella aerofaciens
Root;Bacteria;Actinobacteria; 1760;Coriobacteriales;Coriobacteriaceae;
ND 0.01 ± 0.04% 0.60 Denitrobacterium;Denitrobacterium sp CCUG 45665
Root;Bacteria;Actinobacteria; 1760;Coriobacteriales;Coriobacteriaceae;
ND 0.01 ± 0.04% 0.59 Eggerthella;Eggerthella lenta
Root; Bacteria;Actinobacteria; 1760; Other; Other;Other; Other 0.01 ± 0.04% ND 0.60
Root;Bacteria;Bacteroidetes;Bacteroidia;Bacteroidales;Bacteroidaceae
0.37 ± 0.35% 0.33 ± 0.38% 0.88 ;Bacteroides;Bacteroides caccae
Root;Bacteria;Bacteroidetes;Bacteroidia;Bacteroidales;Bacteroidaceae
7.38 ± 4.16% 4.84 ± 1.75% 0.23 ; Bacteroides; Bacteroides cellulosilyticus
Root;Bacteria;Bacteroidetes;Bacteroidia;Bacteroidales;Bacteroidaceae
0.03 ± 0.06% 0.65 ± 0.51 % • Ο : Ε· 3 -.Bacteroides; Bacteroides finegoldii
Root;Bacteria;Bacteroidetes;Bacteroidia;Bacteroidales;Bacteroidaceae
0.04 ± 0.08% 0.06 ± 0.07% 0.61 ; Bacteroides; Bacteroides intestinalis
Root;Bacteria;Bacteroidetes;Bacteroidia;Bacteroidales;Bacteroidaceae
0.53 ± 0.33% 0.5 ± 0.33% 0.93 ; Bacteroides; Bacteroides massiliensis
Root;Bacteria;Bacteroidetes;Bacteroidia;Bacteroidales;Bacteroidaceae
10.23 ± 2.12% 15.83 ± 3.28% 2.S9E-0 ; Bacteroides; Bacteroides ovatus
Root;Bacteria;Bacteroidetes;Bacteroidia;Bacteroidales;Bacteroidaceae
0.01 ± 0.04% 0.04 ± 0.09% 0.46 ; Bacteroides; Bacteroides sp 1 1 6
Root; Bacteria;Bacteroidetes;Bacteroidia; Bacteroidales;Bacteroidaceae
0.01 ± 0.04% 0.04 ± 0.09% 0.47 ;Bacteroides; Bacteroides sp 4 3 47FAA
Root; Bacteria;Bacteroidetes;Bacteroidia; Bacteroidales;Bacteroidaceae
0.01 ± 0.04% 0.01 ± 0.04% 0.97 ;Bacteroides; Bacteroides sp D2
Root; Bacteria;Bacteroidetes;Bacteroidia; Bacteroidales;Bacteroidaceae
1 .99 ± 0.91 % 3.13 ± 1 .65% 0.20 ;Bacteroides; Bacteroides t etaiotaomicron
Root; Bacteria;Bacteroidetes;Bacteroidia; Bacteroidales;Bacteroidaceae
8.29 ± 5.55% 4.21 ± 2.68% 0.16 .Bacteroides; Bacteroides uniformis
Root; Bacteria;Bacteroidetes;Bacteroidia; Bacteroidales;Bacteroidaceae
7.54 ± 2.71 % 12.91 ± 5.18% Ο. ; Bacteroides; Bacteroides vulgatus
Root; Bacteria;Bacteroidetes;Bacteroidia; Bacteroidales;Bacteroidaceae
ND 0.03 ± 0.06% 0.27 ; Bacteroides; Bacteroides xylanisolvens
Root; Bacteria;Bacteroidetes;Bacteroidia; Bacteroidales;Bacteroidaceae
4.54 ± 1 .67% 5.49 ± 1 .76% 0.41 ; Bacteroides; Other
Root; Bacteria;Bacteroidetes;Bacteroidia; Bacteroidales;Other;Other;Ot
0.35 ± 0.27% 0.22 ± 0.24% 0.44 her
Root; Bacteria;Bacteroidetes;Bacteroidia; Bacteroidales;Porphyromona
0.05 ± 0.07% 0.04 ± 0.12% 0.92 daceae; Butyricimonas;Butyricimonas virosa
Root; Bacteria;Bacteroidetes;Bacteroidia; Bacteroidales;Porphyromona
0.1 ± 0.12% 0.02 ± 0.05% 0.23 daceae;Odoribacter;Odoribacter splanchnicus
Root;Bacteria;Bacteroidetes;Bacteroidia;Bacteroidales;Porphyromona
0.28 ± 0.34% 0.19 ± 0.16% 0.60 daceae; Parabacteroides; Other
Root; Bacteria;Bacteroidetes;Bacteroidia; Bacteroidales;Porphyromona
3.81 ± 2.36% 2.66 ± 1 .72% 0.40 daceae; Parabacteroides; Parabacteroides distasonis
Root; Bacteria;Bacteroidetes;Bacteroidia; Bacteroidales;Porphyromona
0.52 ± 0.42% 0.71 ± 0.35% 0.44 daceae; Parabacteroides; Parabacteroides merdae
Root; Bacteria;Bacteroidetes;Bacteroidia; Bacteroidales;Porphyromona
0.04 ± 0.08% 0.03 ± 0.06% 0.92 daceae; Parabacteroides; Parabacteroides sp D1 3
Root; Bacteria;Bacteroidetes;Bacteroidia; Bacteroidales;Prevotellaceae;
2.36 ± 1 .10% ND
Paraprevotella;Paraprevotella clara
Root; Bacteria;Bacteroidetes;Bacteroidia; Bacteroidales;Rikenellaceae;
0.05 ± 0.07% 0.02 ± 0.05% 0.51 Alistipes;Alistipes finegoldii
Root;Bacteria;Bacteroidetes;Bacteroidia;Bacteroidales;Rikenellaceae;
0.03 ± 0.06% 0.03 ± 0.06% 0.97 Alistipes;Alistipes indistinctus
Root; Bacteria;Bacteroidetes;Bacteroidia; Bacteroidales;Rikenellaceae;
0.37 ± 0.30% 0.29 ± 0.33% 0.63 Alistipes;Alistipes putredinis
Root; Bacteria;Bacteroidetes;Bacteroidia; Bacteroidales;Rikenellaceae;
0.03 ± 0.08% 0.04 ± 0.07% 0.81 Alistipes;Alistipes shahii
Root Bacteria;Firmicutes;Clostridia;Clostridiales;Clostridiaceae;Clostri
0.03 ± 0.08% 0.01 ± 0.04% 0.61 dium Clostridium aldenense
Root Bacteria;Firmicutes;Clostridia;Clostridiales;Clostridiaceae;Clostri
0.04 ± 0.08% ND 0.35 dium Clostridium bartlettii
Root Bacteria;Firmicutes;Clostridia;Clostridiales;Clostridiaceae;Clostri
0.01 ± 0.04% 0.03 ± 0.06% 0.54 dium Clostridium citroniae
Root Bacteria;Firmicutes;Clostridia;Clostridiales;Clostridiaceae;Clostri
0.43 ± 0.80% 2.41 ± 1 .70% 0 0 : dium Clostridium clostridioforme
Root Bacteria;Firmicutes;Clostridia;Clostridiales;Clostridiaceae;Clostri
0.01 ± 0.04% ND 0.54 dium Clostridium difficile
Root Bacteria;Firmicutes;Clostridia;Clostridiales;Clostridiaceae;Clostri
0.01 ± 0.04% ND 0.58 dium Clostridium glycolicum
Root Bacteria;Firmicutes;Clostridia;Clostridiales;Clostridiaceae;Clostri
0.33 ± 0.29% 0.26 ± 0.19% 0.58 dium Clostridium hathewayi
Root Bacteria;Firmicutes;Clostridia;Clostridiales;Clostridiaceae;Clostri
0.17 ± 0.19% 0.17 ± 0.20% 0.98 dium Clostridium lactatifermentans
Root Bacteria;Firmicutes;Clostridia;Clostridiales;Clostridiaceae;Clostri
0.1 ± 0.1 7% 0.09 ± 0.1 1 % 0.92 dium Clostridium saccharolyticum
Root Bacteria;Firmicutes;Clostridia;Clostridiales;Clostridiaceae;Clostri
0.07 ± 0.13% ND 0.28 dium Clostridium scindens
Root Bacteria;Firmicutes;Clostridia;Clostridiales;Clostridiaceae;Clostri
ND 0.01 ± 0.04% 0.57 dium Clostridium sp 14505
Root Bacteria;Firmicutes;Clostridia;Clostridiales;Clostridiaceae;Clostri
0.07 ± 0.1 1 % 0.01 ± 0.04% 0.28 dium Clostridium sp MLG480
Root Bacteria;Firmicutes;Clostridia;Clostridiales;Clostridiaceae;Clostri
0.07 ± 0.13% 0.09 ± 0.09% 0.72 dium Clostridium sp NML 04A032
Root Bacteria;Firmicutes;Clostridia;Clostridiales;Clostridiaceae;Clostri
0.05 ± 0.07% ND 0.15 dium Clostridium sp TM 40
Root;Bacteria;Firmicutes;Clostridia;Clostridiales;Clostridiaceae;Clostri
0.01 ± 0.04% ND 0.52 dium;Clostridium sp YIT 12070
Root;Bacteria;Firmicutes;Clostridia;Clostridiales;Clostridiaceae;Clostri
0.15 ± 0.17% 0.23 ± 0.28% 0.52 dium;Clostridium symbiosum
Root;Bacteria;Firmicutes;Clostridia;Clostridiales;Clostridiaceae;Clostri
5.86 ± 3.76% 4.38 ± 2.66% 0.49 dium;Other
Root;Bacteria;Firmicutes;Clostridia;Clostridiales;Clostridiaceae;Other;
0.02 ± 0.05% ND 0.42 Other
Root;Bacteria;Firmicutes;Clostridia;Clostridiales;Clostridiales_Family_
ND 0.01 ± 0.04% 0.61 XIII Incertae Sedis;Anaerovorax;Anaerovorax odorimutans
Root;Bacteria;Firmicutes;Clostridia;Clostridiales;Eubacteriaceae;Anaer
0.01 ± 0.04% ND 0.53 ofustis;Anaerofustis stercorihominis
Root;Bacteria;Firmicutes;Clostridia;Clostridiales;Eubacteriaceae;Euba
0.01 ± 0.04% ND 0.55 cterium;Eubacterium coprostanoligenes
Root;Bacteria;Firmicutes;Clostridia;Clostridiales;Eubacteriaceae;Euba
0.35 ± 0.37% 0.27 ± 0.26% 0.63 cterium;Eubacterium desmolans
Root;Bacteria;Firmicutes;Clostridia;Clostridiales;Eubacteriaceae;Euba
0.19 ± 0.23% 0.24 ± 0.23% 0.69 cterium;Eubacterium limosum
Root;Bacteria;Firmicutes;Clostridia;Clostridiales;Eubacteriaceae;Euba
0.02 ± 0.05% 0.02 ± 0.05% 0.97 cterium;Eubacterium ramulus
Root;Bacteria;Firmicutes;Clostridia;Clostridiales;Eubacteriaceae;Euba
ND 0.05 ± 0.09% 0.22 cterium;Eubacterium ventriosum
Root;Bacteria;Firmicutes;Clostridia;Clostridiales;Eubacteriaceae;Euba
0.01 ± 0.04% 0.02 ± 0.08% 0.79 cterium;Other
Root; Bacteria;Firmicutes;Clostridia;Clostridiales;Lachnospiraceae; Dor
ND 0.03 ± 0.11 % 0.56 ea;Dorea formicigenerans
Root; Bacteria;Firmicutes;Clostridia;Clostridiales;Lachnospiraceae; Dor
0.12 ± 0.38% 0.16 ± 0.17% 0.87 ea;Dorea longicatena
Root;Bacteria;Firmicutes;Clostridia;Clostridiales;Lachnospiraceae;Oth
0.01 ± 0.04% ND 0.59 er; Other
Root;Bacteria;Firmicutes;Clostridia;Clostridiales;Lachnospiraceae;Ros
0.21 ± 0.28% 0.24 ± 0.60% 0.92 eburia;Other
Root;Bacteria;Firmicutes;Clostridia;Clostridiales;Lachnospiraceae;Ros
0.07 ± 0.12% 0.08 ± 0.31% 0.92 eburia;Roseburia faecis
Root;Bacteria;Firmicutes;Clostridia;Clostridiales;Lachnospiraceae;Ros
0.01 ± 0.04% ND 0.56 eburia;Roseburia hominis
Root;Bacteria;Firmicutes;Clostridia;Clostridiales;Oscillospiraceae;Oscil
0.02 ± 0.05% ND 0.43 libacter;Oscillibacter valericigenes
Root;Bacteria;Firmicutes;Clostridia;Clostridiales;Oscillospiraceae;Oscil
0.16 ± 0.14% 0.15 ± 0.14% 0.92 libacter; Other
Root; Bacteria;Firmicutes;Clostridia;Clostridiales;Other;Other; Other 13.69 ± 3.67% 9.87 ± 2.27% 0.03
Root;Bacteria;Firmicutes;Clostridia;Clostridiales;Peptococcaceae;Pept
0.01 ± 0.04% 0.09 ± 0.19% 0.35 ococcus;Peptococcus niger
Root;Bacteria;Firmicutes;Clostridia;Clostridiales;Ruminococcaceae;An
ND 0.01 ± 0.04% 0.58 aerotruncus;Anaerotruncus colihominis
Root;Bacteria;Firmicutes;Clostridia;Clostridiales;Ruminococcaceae;Fa
1.84 ± 1.93% ND
ecalibacterium;Faecalibacterium prausnitzii
Root;Bacteria;Firmicutes;Clostridia;Clostridiales;Ruminococcaceae;Fa
0.48 ± 0.46% 0.02 ± 0.05% 0.01 ecalibacterium;Other
Root;Bacteria;Firmicutes;Clostridia;Clostridiales;Ruminococcaceae;Ot
1.78 ± 1.43% 0.78 ± 0.63% 0.17 her;Other
Root;Bacteria;Firmicutes;Clostridia;Clostridiales;Ruminococcaceae;Ru
1.74 ± 1.87% 0.68 ± 0.91 % 0.28 minococcus;Other
Root;Bacteria;Firmicutes;Clostridia;Clostridiales;Ruminococcaceae;Ru
0.12 ± 0.21 % ND 0.23 minococcus;Ruminococcus bromii
Root;Bacteria;Firmicutes;Clostridia;Clostridiales;Ruminococcaceae;Ru
0.65 ± 0.63% ND 0 0': minococcus;Ruminococcus callidus
Root;Bacteria;Firmicutes;Clostridia;Clostridiales;Ruminococcaceae;Ru
1.87 ± 3.00% 0.19 ± 0.37% 0.23 minococcus;Ruminococcus gnavus
Root;Bacteria;Firmicutes;Clostridia;Clostridiales;Ruminococcaceae;Ru
0.22 ± 0.30% 0.08 ± 0.1 1 % 0.36 minococcus;Ruminococcus obeum
Root;Bacteria;Firmicutes;Clostridia;Clostridiales;Ruminococcaceae;Ru
0.06 ± 0.09% 0.05 ± 0.07% 0.92 minococcus;Ruminococcus sp 14531
Root;Bacteria;Firmicutes;Clostridia;Clostridiales;Ruminococcaceae;Ru
0.49 ± 0.71 % 0.13 ± 0.21 % 0.32 minococcus;Ruminococcus sp 5 1 39BFAA
Root;Bacteria;Firmicutes;Clostridia;Clostridiales;Ruminococcaceae;Ru ND 0.03 ± 0.06% 0.29
minococcus;Ruminococcus_sp_CCUG_37327_A
Root;Bacteria;Firmicutes;Clostridia;Clostridiales;Ruminococcaceae;Ru
0.11 ± 0.25% ND 0.36 minococcus;Ruminococcus sp CE2
Root;Bacteria;Firmicutes;Clostridia;Clostridiales;Ruminococcaceae;Ru
0.11 ± 0.21 % 0.02 ± 0.05% 0.34 minococcus;Ruminococcus_sp_DJF_VR70k1
Root;Bacteria;Firmicutes;Clostridia;Clostridiales;Ruminococcaceae;Ru
0.1 ± 0.13% 0.07 ± 0.12% 0.78 minococcus;Ruminococcus_sp_ID8
Root;Bacteria;Firmicutes;Clostridia;Clostridiales;Ruminococcaceae;Ru
1.01 ± 2.70% ND 0.41 minococcus;Ruminococcus sp WAL 17306
Root;Bacteria;Firmicutes;Clostridia;Clostridiales;Ruminococcaceae;Ru
0.43 ± 0.25% 0.46 ± 0.42% 0.92 minococcus;Ruminococcus torques
Root;Bacteria;Firmicutes;Clostridia;Clostridiales;Ruminococcaceae;Su
0.05 ± 0.10% 0.03 ± 0.06% 0.77 bdoligranulum;Other
Root;Bacteria;Firmicutes;Clostridia;Clostridiales;Ruminococcaceae;Su
1.17 ± 1.24% 1.37 ± 1 .10% 0.82 bdoligranulum;Subdoligranulum_variabile
Root;Bacteria;Firmicutes;Clostridia;Clostridiales;unclassified_Clostridia
10.33 ± 4.90% 19.22 ± 3.32% 2.66 -04 les;Blautia;Blautia glucerasea
Root;Bacteria;Firmicutes;Clostridia;Clostridiales;unclassified_Clostridia
0.01 ± 0.04% ND 0.57 les;Blautia;Blautia hansenii
Root;Bacteria;Firmicutes;Clostridia;Clostridiales;unclassified_Clostridia
1.01 ± 0.99% 1.07 ± 0.52% 0.93 les;Blautia;Blautia_producta
Root;Bacteria;Firmicutes;Clostridia;Clostridiales;unclassified_Clostridia
0.24 ± 0.26% 0.15 ± 0.23% 0.52 les;Blautia;Other
Root;Bacteria;Firmicutes;Erysipelotrichi;Erysipelotrichales;Erysipelotric
0.1 ± 0.20% ND 0.33 haceae;Coprobacillus;Coprobacillus cateniformis
Root;Bacteria;Firmicutes;Erysipelotrichi;Erysipelotrichales;Erysipelotric
0.06 ± 0.11 % 0.03 ± 0.06% 0.60 haceae;Holdemania;Holdemania filiformis
Root;Bacteria;Firmicutes;Erysipelotrichi;Erysipelotrichales;Erysipelotric
0.24 ± 0.22% 0.43 ± 0.47% 0.41 haceae;unclassified_Erysipelotrichaceae;Clostridium_innocuum
Root;Bacteria;Firmicutes;Erysipelotrichi;Erysipelotrichales;Erysipelotric
1.56 ± 1.50% 1.39 ± 0.84% 0.86 haceae; unclassified Erysipelotrichaceae;Clostridium ramosum
Root;Bacteria;Firmicutes;Erysipelotrichi;Erysipelotrichales;Erysipelotric
0.01 ± 0.04% ND 0.56 haceae; unclassified Erysipelotrichaceae;Clostridium spiroforme
Root;Bacteria;Firmicutes;Erysipelotrichi;Erysipelotrichales;Erysipelotric
0.16 ± 0.23% 0.03 ± 0.06% 0.24 haceae; unclassified Erysipelotrichaceae;Eubacterium cylindroides
Root;Bacteria;Firmicutes;Negativicutes;Selenomonadales;Veillonellac
ND 0.01 ± 0.04% 0.55 eae; Dialister; Dialisterjn visus
Root; Bacteria;Firmicutes;Other; Other; Other; Other;Other 0.62 ± 0.43% 0.63 ± 0.46% 0.97
Root;Bacteria;Other;Other;Other;Other;Other;Other 0.41 ± 0.35% 0.22 ± 0.21 % 0.35
Root;Bacteria;Proteobacteria;Betaproteobacteria;Burkholderiales;Othe
0.44 ± 0.35% 0.27 ± 0.19% 0.35 r;Other;Other
Root; Bacteria;Proteobacteria;Betaproteobacteria;Other; Other; Other;Ot
0.48 ± 0.46% 0.43 ± 0.52% 0.92 her
Root;Bacteria;Proteobacteria;Deltaproteobacteria;Desulfovibrionales;D
0.04 ± 0.07% ND 0.22 esulfovibrionaceae;Other;Other
Root;Bacteria;Proteobacteria;Gammaproteobacteria;Enterobacteriales
0.36 ± 0.73% 0.04 ± 0.10% 0.35 ; Enterobacteriaceae; Other;Other
Root;Bacteria;Verrucomicrobia;Verrucomicrobiae;Verrucomicrobiales;
0.35 ± 0.41 % 0.76 ± 1 .01 % 0.44 Verrucomicrobiaceae;Akkermansia;Akkermansia_muciniphila
Table 22. Analysis of invasion of species-level taxa during co-housing experiments.
A. Invasion analysis of species-level taxa during co-housing of Obcn and Lncn mice colonized with the culture collection from DZ twin pair 1 and fed a LF/HPP mouse chow.
Invading species were characterized based on: (i) the 'direction' of their invasion, as defined by the log odds ratio of the Bayesian estimate that a species comes from a Ln or Ob source; (ii) the 'success' of invasion, as defined by their invasion score (the sum of the log odds ratios of the average relative abundance of a taxon before and after co-housing ); and (iii) the 'reproducibility' of invasion of each type of cagemate at 7d and 10d after initiation of co-housing. Invaders derived from Ln and Ob communities are colored in red and blue respectively. A taxon was designated as a successful invader if it had a significant invasion score, with a reproducibility≥ 0.75 and a relative abundance before co-housing≤ 0.1 % and after co-housing≥ 0.5%. Nl, not invasive.
Direction of invasion
(Average log odds ratio of
Taxonomy
all samples 10d after co-
(Phylum; Class; Order; Family; Genus; Species)
housing)
Ob' Lnc GF'
Bacteroidetes;Bacteroidia;Bacteroidales;Rikenellaceae;Alistipes;Alistipes_putredinis 19.93 19.93 19.93
Bacteroidetes;Bacteroidia;Bacteroidales;Bacteroidaceae;Bacteroides;Bacteroides_uniformis 19.93 19.93 19.93
Bacteroidetes;Bacteroidia;Bacteroidales;Bacteroidaceae;Bacteroides;Bacteroides_caccae 19.93 19.93 19.93
Bacteroidetes;Bacteroidia;Bacteroidales;Bacteroidaceae;Bacteroides;Bacteroides_cellulosilyticus 19.93 19.93 19.93
Bacteroidetes;Bacteroidia;Bacteroidales;Porphyromonadaceae;Parabacteroides;Parabacteroides_me
19.93 19.93 19.93 rdae
Bacteroidetes;Bacteroidia;Bacteroidales;Bacteroidaceae;Bacteroides;Bacteroides_vulgatus 19.93 19.93 19.93
Bacteroidetes;Bacteroidia;Bacteroidales;Bacteroidaceae;Bacteroides;Bacteroides_thetaiotaomicron 19.93 19.93 19.93
Firmicutes;Bacilli;Lactobacillales;Enterococcaceae;Enterococcus;Enterococcus_faecium 16.61 8.30 9.71
Firmicutes;Clostridia;Clostridiales;Ruminococcaceae;Ruminococcus;Ruminococcus_gnavus -19.66 -14.08 NA
Proteobacteria;Gammaproteobacteria;Enterobacteriales;Enterobacteriaceae;Other;Other 19.61 NA NA
Firmicutes;Clostridia;Clostridiales;unclassified_Clostridiales;Blautia;Blautia_hansenii NA -19.61 NA
Firmicutes;Clostridia;Clostridiales;Clostridiaceae;Clostridium;Clostridium_hathewayi 19.93 9.83 4.18
Firmicutes;Other;Other;Other; Other; Other 12.80 10.75 9.06
Firmicutes;Erysipelotrichi;Erysipelotrichales;Erysipelotrichaceae;Holdemania;Holdemania_filfc 19.75 19.84 19.58
Firmicutes;Clostridia;Clostridiales;Ruminococcaceae;Ruminococcus;Ruminococcus_torques 5.84 4.14 0.60
Firmicutes;Clostridia;Clostridiales;unclassified_Clostridiales;Blautia;Blautia_producta 5.38 4.50 4.18
Firmicutes;Clostridia;Clostridiales;Clostridiaceae;Clostridium;Other 8.28 7.85 7.40
Proteobacteria; Betaproteobacteria; Other; Other;Other; Other 11 .81 18.07 19.93
Bacteroidetes;Bacteroidia;Bacteroidales;Bacteroidaceae;Bacteroides;Other 11 .75 13.51 1 1.53
Bacteroidetes;Bacteroidia;Bacteroidales;Bacteroidaceae;Bacteroides;Bacteroides_massiliensis 5.00 6.13 2.77
Firmicutes;Clostridia;Clostridiales;Ruminococcaceae;Ruminococcus;Ruminococcus sp DJF VR70k
19.91 19.93 19.93 1
Bacteroidetes;Bacteroidia;Bacteroidales;Bacteroidaceae;Bacteroides;Bacteroides_finegoldii NA 19.93 19.92
Firmicutes;Clostridia;Clostridiales;Clostridiaceae;Clostridium;Clostridium_sp_NML_04A032 19.88 19.88 19.93
Firmicutes;Clostridia;Clostridiales;Eubacteriaceae;Eubacterium;Eubacterium_limosum 19.93 19.93 19.93
Firmicutes;Clostridia;Clostridiales;Clostridiaceae;Clostridium;Clostridium_symbiosum 19.93 19.93 19.90
Firmicutes;Clostridia;Clostridiales;Lachnospiraceae;Roseburia;Roseburia_faecis 19.81 19.91 19.74
Verrucomicrobia;Verrucomicrobiae;Verrucomicrobiales;Verrucomicrobiaceae;Akkermansia;Akkerman
19.93 19.93 19.93 sia muciniphila
Bacteroidetes;Bacteroidia;Bacteroidales;Porphyromonadaceae;Butyricimonas;Butyricimonas_virosa 19.93 19.91 19.86
Firmicutes;Clostridia;Clostridiales;Clostridiaceae;Clostridium;Clostridium_sp_MLG480 19.93 NA 19.93
Bacteroidetes;Bacteroidia;Bacteroidales;Porphyromonadaceae;Odoribacter;Odoribacter_splanchnicu
19.93 19.93 19.93 s
Bacteroidetes;Bacteroidia;Bacteroidales;Rikenellaceae;Alistipes;Alistipes_finegoldii 19.93 19.93 19.86
Bacteroidetes;Bacteroidia;Bacteroidales;Rikenellaceae;Alistipes;Alistipes_indistinctus 19.93 19.93 NA
Firmicutes;Clostridia;Clostridiales;Oscillospiraceae;Oscillibacter; Other 19.93 19.93 19.86
Firmicutes;Clostridia;Clostridiales;Ruminococcaceae;Anaerotruncus;Anaerotruncus_colihominis 19.93 19.78 NA
Firmicutes;Erysipelotrichi;Erysipelotrichales;Erysipelotrichaceae;unclassified_Erysipelotrichaceae;Clo
15.61 -19.61 NA stridium spiroforme
Bacteroidetes;Bacteroidia;Bacteroidales;Rikenellaceae;Alistipes;Alistipes_shahii 19.61 19.78 19.78
Bacteroidetes;Bacteroidia;Bacteroidales;Bacteroidaceae;Bacteroides;Bacteroides_intestinalis 16.61 NA NA
Proteobacteria;Other; Other; Other;Other;Other 1 .00 NA 0.00
Bacteroidetes;Bacteroidia;Bacteroidales;Rikenellaceae;Alistipes;Other 0.00 NA NA
Firmicutes;Clostridia;Clostridiales;Clostridiales_Family_XIII_lncertae_Sedis;Anaerovorax;Anaerovora
19.19 0.00 NA x odorimutans
Firmicutes;Clostridia;Clostridiales;Lachnospiraceae;Dorea;Dorea_formicigenerans NA NA NA
Firmicutes;Clostridia;Clostridiales;Ruminococcaceae;Ruminococcus;Ruminococcus_sp_ID8 NA 19.93 19.93
Firmicutes;Clostridia;Clostridiales;Lachnospiraceae;Roseburia;Other 19.93 19.91 19.86
Firmicutes;Clostridia;Clostridiales;Ruminococcaceae;Ruminococcus;Ruminococcus sp CCUG 3732
19.93 NA NA 7 A
Bacteroidetes;Bacteroidia;Bacteroidales;Bacteroidaceae;Bacteroides;Bacteroides_sp_1_1_6 -16.61 NA NA
Firmicutes;Erysipelotrichi;Erysipelotrichales;Erysipelotrichaceae;unclassified_Erysipelotrichaceae;Eu
0.00 NA 0.00 bacterium cylindroides
Bacteroidetes;Bacteroidia;Bacteroidales;Bacteroidaceae;Bacteroides;Bacteroides_sp_4_3_47FAA 18.19 8.80 0.00
Firmicutes;Clostridia;Clostridiales;Eubacteriaceae;Eubacterium;Eubacterium_desmolans 19.93 19.93 19.91
Firmicutes;Clostridia;Clostridiales;Ruminococcaceae;Ruminococcus;Ruminococcus_obeum 19.93 19.93 19.61
Firmicutes;Clostridia;Clostridiales;Ruminococcaceae;Ruminococcus;Ruminococcus_sp_5 0.00 NA NA
Proteobacteria;Deltaproteobacteria;Desulfovibrionales;Desulfovibrionaceae;Other;Other 19.93 NA NA
Firmicutes;Clostridia;Clostridiales;Ruminococcaceae;Subdoligranulum;Subdoligranulum_variabil^ NA 19.77 19.77
Firmicutes;Clostridia;Clostridiales;Oscillospiraceae;Oscillibacter;Oscillibacter_valericigenes NA 0.00 16.61
Firmicutes;Clostridia;Clostridiales;Lachnospiraceae;Roseburia;Roseburia_intestinalis NA NA 0.00
Bacteroidetes;Bacteroidia;Bacteroidales;Bacteroidaceae;Bacteroides;Bacteroides_sp_D2 NA 19.93 NA
Actinobacteria;1760;Coriobacteriales;Coriobacteriaceae;Eggerthella;Eggerthella_lenta NA -16.61 NA
Firmicutes;Clostridia;Clostridiales;Eubacteriaceae;Eubacterium;Other NA NA 19.93
Firmicutes;Clostridia;Clostridiales;Eubacteriaceae;Eubacterium;Eubacterium_ventriosum NA NA 0.00
Actinobacteria;1760;Coriobacteriales;Coriobacteriaceae;Collinsella;Collinsella_aerofaciens NA NA 18.93
Firmicutes;Clostridia;Clostridiales;Clostridiaceae;Clostridium;Clostridium_bolteae NA NA 18.19
Firmicutes;Clostridia;Clostridiales;Eubacteriaceae;Anaerofustis;Anaerofustis_stercorihominis NA 0.00 NA
Firmicutes;Clostridia;Clostridiales;Lachnospiraceae;Dorea;Dorea_longicatena NA 19.93 19.93
Firmicutes;Clostridia;Clostridiales;Ruminococcaceae;Ruminococcus;Ruminococcus_sp_14531 NA NA 0.00
Firmicutes;Clostridia;Clostridiales;Clostridiaceae;Clostridium;Clostridium_asparagiforme 19.93 19.93 19.92
Firmicutes;Clostridia;Clostridiales;Clostridiaceae;Clostridium;Clostridium_aldenense 1 .22 4.17 NA
Firmicutes;Clostridia;Clostridiales;Peptococcaceae;Peptococcus;Peptococcus_niger NA NA -18.05
Firmicutes;Clostridia;Clostridiales;Ruminococcaceae;Ruminococcus;Ruminococcus_sp_16442 NA NA NA
Firmicutes;Clostridia;Clostridiales;Clostridiaceae;Clostridium;Clostridium_citroniae NA NA NA
Firmicutes;Clostridia;Clostridiales;Clostridiales_Family_XI_lncertae_Sedis;Peptoniphilus;Other NA NA NA
Bacteroidetes;Bacteroidia;Bacteroidales;Bacteroidaceae;Bacteroides;Bacteroides_sp_3_1_19 NA NA NA
Firmicutes;Clostridia;Clostridiales;Clostridiaceae;Clostridium;Clostridium_tertium NA NA NA
Firmicutes;Erysipelotrichi;Erysipelotrichales;Erysipelotrichaceae;unclassified_Erysipelotrichaceae;Clo
19.93 19.93 19.92 stridium ramosum
Firmicutes;Clostridia;Clostridiales;Ruminococcaceae;Ruminococcus;Other 19.88 19.93 19.93
Bacteroidetes;Bacteroidia;Bacteroidales;Porphyromonadaceae;Parabacteroides;Parabacteroides sp
0.00 -19.93 NA D13
Actinobacteria;1760;Bifidobacteriales;Bifidobacteriaceae;Bifidobacterium;BifidobacteriumJongum 1 .90 NA 3.17
Firmicutes;Clostridia;Clostridiales;unclassified_Clostridiales;Blautia;Other NA -16.61 NA
Firmicutes;Clostridia;Clostridiales;Clostridiaceae;Clostridium;Clostridium_clostridioforme 19.93 19.93 19.93
Other; Other;Other;Other; Other; Other 9.17 11 .41 1 1.49
Firmicutes;Bacilli;Lactobacillales;Enterococcaceae;Enterococcus;Other NA -0.16 NA
Firmicutes;Clostridia;Clostridiales;Clostridiaceae;Clostridium;Clostridium_sp_TM_40 -19.88 -19.81 NA
Firmicutes;Clostridia;Clostridiales;Clostridiaceae;Clostridium;ClostridiumJactatifermentan 19.93 19.91 2.10
Firmicutes;Clostridia;Clostridiales;Lachnospiraceae;Anaerostipes;Anaerostipes_caccae -19.83 -19.42 -13.36
Bacteroidetes;Bacteroidia;Bacteroidales;Porphyromonadaceae;Parabacteroides;Other 6.85 16.55 19.93
Proteobacteria;Betaproteobacteria;Burkholderiales;Other; Other; Other 10.65 12.27 13.35
Bacteroidetes;Bacteroidia;Bacteroidales;Other;Other;Other 12.91 14.56 13.49
Firmicutes;Clostridia;Clostridiales;Ruminococcaceae;Other;Other 7.73 9.11 1 1.76
Firmicutes;Erysipelotrichi;Erysipelotrichales;Erysipelotrichaceae;unclassified_Erysipelotrichaceae;Clo
6.61 7.67 5.94 stridium innocuum
Firmicutes;Clostridia;Clostridiales;Other;Other;Other 8.46 9.17 7.94
Firmicutes;Clostridia;Clostridiales;unclassified_Clostridiales;Blautia;Blautia_glucerasea 13.99 9.44 6.46
Bacteroidetes;Bacteroidia;Bacteroidales;Porphyromonadaceae;Parabacteroides;Parabacteroides_dis
7.49 6.18 5.98 tasonis
Bacteroidetes;Bacteroidia;Bacteroidales;Bacteroidaceae;Bacteroides;Bacteroides_ovatus 7.28 6.49 6.45
12087EidlRikllAliiAliihhii Bidi d Bttdtt eroaeseneaceaespesspessaa aceroaeacero;;;-._
000 87EidlBidBidBidiili Bidi d Btttttdtt eroaesaceroaceaeaceroesaceroesnesnasa aceroaeacero;;;-._
039 87EOhOhOh Oh Ol Pbttttttt nererer aerer acroeo;;;;; --.
o p p 000 87EidlRikllAliiOh Bidi d Bcttdtt eroaeseneaceaespesera aceroaeacero;;;p-. cp cp cp cp cp cp cp cp cp cp cp cp cp cp cp cp q q q q q q q q q q q q q q q q q
O O o o 026 87EClidilFilXIIIlSdiAAdiidiidiCl Fiiottt!l esosraesamnceraeesnaerooranaerooraoormans ra raos esrmc;y;vx;vxu;;u-._____ o o o o o o o o o o o o o o o o o o o o o o o o o o o σ> σ> σ> σ> CD C > σ> σ> σ> σ> σ> σ> σ> σ> σ> σ> σ> σ> σ> σ> σ> σ> σ> σ> σ> σ> σ> σ> σ> σ>
088 87ELhiDDfiiidiidiCl Fii!l esacnospraceaeoreaoreaormcgenerans ra raos esrmc;;;;;uD- _ CD σ> σ> σ> σ> σ 6 o o o o
d CD CD CD CD -. CD d d d d d d d d d d d d d d d d d d d d d d d d d d d d d
045 87 E Ri Ri Ril D8idiidiCl Fii!l es m nococcaceaem nococcs m nococcssp ra raos esrmc ;u ;uu ;uu;;u --.__
094 87ELhiRbiOhidiidiCl Fiittl esacnospraceaeoseraer ra raos esrmc;;u;;;u-.
147 87ERiRiRiCCUG37327AidiidiCl Fiitl esmnococcaceaemnococcsmnococcssp ra raos esrmc;u;uu;uu;;u-.____
013 87EidlBidBidBid116 Bidi d Btttdtt eroaesaceroaceaeaceroesaceroesspa aceroaeacero;;; --.____
171 87 ElihlEilihlifidEilihEbilidid Eilihii Fiitttttl peorcaesrspeorcaceaencasserspeorcaceaeacermcnroesrs peorcs esrmc;y;uy;uuyy; y;u-.__
024 87EidlBidBidBid4347FAA Bidi d Btttdtt eroaesaceroaceaeaceroesaceroesspa aceroaeacero;;; --.____
o o o o o o o o o o o o o o o o o o o o o o o o o o o o o o o o o o o o o o o o
006 87EEbiEbiEbidlidiidiCl Fiitttll esaceraceaeacermacermesmoans ra raos esrmc;u;uu;uu;;u --._
045 87 ERiRiRibidiidiCl Fiill esmnococcaceaemnococcsmnococcsoem ra raos esrmc;u;uu;uuu;;u --._
σ> σ> CD CD CD σ> σ> σ> σ> σ> σ> σ> σ> σ> σ> σ> σ> σ> σ> σ> σ> σ> σ> σ> σ> σ> σ> σ> σ> σ> σ> σ>
000 87 E Ri Ri Ri5idiidiCl Fiill es m nococcaceaem nococcs m nococcssp ra raos esrmc ;u ;uu ;uu;;u-.__
026 87EiDlfibilDlfibiOhOhbDl Pb ttttttteraesoronaesesoronaceaeerer oac aeaproe acroeo;uv;uv;;;i-.
CD 8 027RiSbdlilSbdlilibilidiidiCl Fiill esmnococcaceaeogranmogranmarae ra raos esrmc;u;uuu;uuuv;;u-._ o o o o o o o o o o q 7E o o o o o o o o o o d d d d d d d d d d d 085 87 EdOilliOillibOillibliiidiidiCl Fiittll esscospraceaescacerscaceraercgenes ra raos esrmc;;;v;;u-._ d d d d d d d d d d cp d d d d d d d d d d d
^ 000 87EhlChbhAdliAdlilifi b 760Ci Aibttttt 3aesooaceaceaeercreaercreaeqoacensacoro ecno;;uz;uzui;;-._
013 87EEbiEbiEbilidiidiCl Fiitttll esaceraceaeacermacermrams ra raos esrmc;u;uu;uuuu;;u --._
577 87 EClidiClidiClidilliidiidiCl Fiitttll esosraceaeosrmosrmgcocm ra raos esrmc;;u;uyu;;u --._
419 87 EClidiClidiClididiiidiidiCl Fiitttll esosraceaeosrmosrmsporcm ra raos esrmc;;u;uu;;u --._
190 87 ERiRiRi5139BFAAidiidiCl Fiill esmnococcaceaemnococcsmnococcssp ra raos esrmc;u;uu;uu;;u --.____
927 87 ElihlEilihTiibTiibii Eilihii Fiitttttl peorcaesrspeorcaceaercacerrcacersangnsrs peorcs esrmc;y;u;uuy; y;u --._
084 87ELhiRbiRbiiiliidiidiCl Fiittll esacnospraceaeoseraoseranesnas ra raos esrmc;;u;u;;u-._
225 87 E iLbilllEEEfli Bil Fiittttlacoacaesnerococcaceaenerococcsnerococcsaecasac esrmc;;;u;u;u --._
070 87E iLbilllLbillLbillLbilllii Bil Fiittttlacoacaesacoacaceaeacoacsacoacssaarsac esrmc;;;u;uvu;u --._
070 87EEbiEbiEbilidiidiCl Fiittttll esaceraceaeacermacermrecae ra raos esrmc;u;uu;uu;;u --._
085 87EidlBidBidBidD2 Bidi d Btttdtt eroaesaceroaceaeaceroesaceroesspa aceroaeacero;;;-.__
048 87EhlChbhEhllEhlll b 760Ci Aibtttttt 3aesooaceaceaeggereaggereaenaacoro ecno;;;i;;-._
067 87EEbhEbh0hidiidiCl Fiitttll esaceaceaeacemer ra raos esrmc;u;uu;;;u-.
044 87EEbiEbiEbiiidiidiCl Fiittttll esaceraceaeacermacermenrosm ra raos esrmc;u;uu;uuvu;;u --._
044 87EilBifidbiBifidbiOh b 760Bifid Aibttttt eraesoaceraceaeoacermeracc ecno;;u;;; --.
070 87 EClidiClidiClidiididiidiCl Fiitttll esosraceaeosrmosrmscnens ra raos esrmc;;u;u;;u --._
095 87ELhiOhOhidiidiCl Fiittll esacnospraceaeerer ra raos esrmc;;;;;u --.
044 87ERiSbdlilOhidiidiCl Fiitll esmnococcaceaeogranmer ra raos esrmc;u;uuu;;;u --.
039 87EdlVillllDiliDi liii iiSl Fiit t ttl omonaaeseoneaceaeaserasernss 3gaceseer esrmc;;;vuvu;;u --._
113 87EhlChbhCllillCllillfi b 760Cii Aibttt 3aesooaceaceaeonseaonseaaeroacensacoro ercno;;;i;; --._
000 87EClidiClidiCl idibl idiidiCl Fiitttt ll esosraceaeosrmosrmoeae ra raos esrmc;;u;u;;u-._
000 87EidbilAidbiOhOh iiAidb Aidbtt tt t coaceraescoaceraceaeerera coacercos; ;; ;-.
m m m m m m
o o o o o o o o o o o" o o o o o o o" o o o" o o o o" o <
o o
o o o o o o o o o o o o o o o o o
B. Invasion analysis of species-level taxa during co-housing of Obch and Ln39ch mice from DZ twin pair 1 (LF/HPP mouse chow).
Direction of invasion (Average log odds
Line Taxonomy ratio score of all # (Phylum; Class; Order; Family; Genus; Species) samples 10 d after co -housing)
Ln39ch
1 Bacteroidetes;Bacteroidia;Bacteroidales;Bacteroidaceae;Bacteroides;Bacteroides_finegoldii 19.93 19.93
2 Proteobacteria;Gammaproteobacteria;Enterobacteriales;Enterobacteriaceae;Other; Other 19.93 19.93
3 Bacteroidetes;Bacteroidia;Bacteroidales;Bacteroidaceae;Bacteroides;Bacteroides_cellulosilyticus 19.93 19.93
4 Bacteroidetes;Bacteroidia;Bacteroidales;Bacteroidaceae;Bacteroides;Bacteroides_vulgatus 19.93 19.93
5 Bacteroidetes;Bacteroidia;Bacteroidales;Bacteroidaceae;Bacteroides;Bacteroides_thetaiotaomicron 19.93 19.93
6 Bacteroidetes;Bacteroidia;Bacteroidales;Bacteroidaceae;Bacteroides;Bacteroides_caccae 19.92 19.93
7 Firmicutes;Clostridia;Clostridiales;Peptococcaceae;Peptococcus;Peptococcus_niger -2.92 3.00
8 Firmicutes;Clostridia;Clostridiales;unclassified_Clostridiales;Blautia;Blautia_producta -19.93 -19.93
Firmicutes;Erysipelotrichi;Erysipelotrichales;Erysipe^
9 -19.89 -19.89 lostridium innocuum
10 Firmicutes;Clostridia;Clostridiales;Clostridiaceae;Clostridium;Other -19.93 -17.90
11 Firmicutes;Clostridia;Clostridiales;Ruminococcaceae;Ruminococcus;Other 19.90 19.93
12 Firmicutes;Clostridia;Clostridiales;Ruminococcaceae;Anaerofilum;Other NA NA
13 Actinobacteria;1760;Coriobacteriales;Coriobacteriaceae;Other; Other 19.61 NA
14 Actinobacteria;1760;Coriobacteriales;Coriobacteriaceae;Collinsella;Collinsella_aerofaciens NA 19.78
Proteobacteria;Gammaproteobacteria;Enterobacteriales;Enterobacteriaceae;Escherichia;Escherichi
15 NA NA a coli
16 Firm icutes;Clostridia;Clostridiales;Oscillospiraceae;Oscillibacter; Other NA NA
17 Firmicutes;Clostridia;Clostridiales;Ruminococcaceae;Ruminococcus;Ruminococcus_torques NA NA
18 Firmicutes;Clostridia;Clostridiales;Ruminococcaceae;Ruminococcus;Ruminococcus_gnavus -19.93 -19.91
19 Bacteroidetes;Bacteroidia;Bacteroidales;Bacteroidaceae;Bacteroides;Bacteroides_sp_1_1_6 NA 0.00
20 Firmicutes;Bacilli;Lactobacillales;Enterococcaceae;Enterococcus;Enterococcus_faecium -19.93 NA
21 Firmicutes;Clostridia;Clostridiales;unclassified_Clostridiales;Blautia;Blautia_hansenii -19.93 -19.93
22 Bacteroidetes;Bacteroidia;Bacteroidales;Bacteroidaceae;Bacteroides;Bacteroides_massiliensis -19.93 -19.93
23 Firmicutes;Clostridia;Clostridiales;Ruminococcaceae;Faecalibacterium;Other NA NA
24 Actinobacteria;1760;Coriobacteriales;Coriobacteriaceae;Eggerthella;Eggerthella_lenta NA NA
Bacteroidetes;Bacteroidia;Bacteroidales;Porphyromonadaceae;Parabacteroides;Parabacteroides_
25 -19.93 NA merdae
26 Firmicutes;Clostridia;Clostridiales;Ruminococcaceae;Anaerotruncus;Anaerotruncus_colihominis NA NA
27 Firmicutes;Clostridia;Clostridiales;Clostridiaceae;Clostridium;Clostridium_disporicum NA NA
28 Firmicutes;Clostridia;Clostridiales;Clostridiaceae;Clostridium;Clostridium_bolteae NA 0.00
29 Bacteroidetes;Bacteroidia;Bacteroidales;Other; Other; Other -0.77 -0.60
Firmicutes;Clostridia;Clostridiales;Ruminococcaceae;Faecalibacterium;Faecalibacterium sp DJF
30 NA NA VR20
31 Firm icutes;Other;Other; Other; Other; Other 2.48 3.38
32 Bacteroidetes;Bacteroidia;Bacteroidales;Porphyromonadaceae;Butyricimonas;Butyricimonas_virosa 19.75 19.77
33 Bacteroidetes;Bacteroidia;Bacteroidales;Bacteroidaceae;Bacteroides;Other 4.52 4.48
34 Firm icutes;Clostridia;Clostridiales;Other;Other; Other -2.92 -2.64
35 Actinobacteria;1760;Bifidobacteriales;Bifidobacteriaceae;Bifidobacterium;Bifidobacterium_longum NA NA
36 Firmicutes;Bacilli;Lactobacillales;Enterococcaceae;Enterococcus;Other -19.93 -19.93
37 Bacteroidetes;Bacteroidia;Bacteroidales;Bacteroidaceae;Bacteroides;Bacteroides_intestinalis 0.00 NA
38 Bacteroidetes;Bacteroidia;Bacteroidales;Bacteroidaceae;Bacteroides;Bacteroides_xylanisolvens NA NA
39 Firmicutes;Clostridia;Clostridiales;Clostridiaceae;Clostridium;Clostridium_aldenense NA NA
40 Bacteroidetes;Bacteroidia;Bacteroidales;Bacteroidaceae;Bacteroides;Bacteroides_ovatus 2.14 2.29
41 Bacteroidetes;Bacteroidia;Bacteroidales;Bacteroidaceae;Bacteroides;Bacteroides_sp_3_1_19 NA NA
42 Bacteroidetes;Bacteroidia;Bacteroidales;Bacteroidaceae;Bacteroides;Bacteroides_sp_4_3_47FAA NA 19.78
43 Bacteroidetes;Bacteroidia;Bacteroidales;Rikenellaceae;Alistipes;Alistipes_putredinis 0.00 NA
44 Other;Other;Other;Other; Other; Other -0.54 1.27
45 Firmicutes;Clostridia;Clostridiales;Lachnospiraceae;Anaerostipes;Anaerostipes_caccae -19.89 -19.86
46 Firmicutes;Clostridia;Clostridiales;Clostridiaceae;Clostridium;Clostridium_clostridioforme -19.93 -19.86
Bacteroidetes;Bacteroidia;Bacteroidales;Porphyromonadaceae;Parabacteroides;Parabacteroides_d
47 -1.84 -1.73 istasonis
48 Bacteroidetes;Bacteroidia;Bacteroidales;Bacteroidaceae;Bacteroides;Bacteroides_sp_D2 NA 0.00
102 Firmicutes Bacilli;Lactobacillales;Enterococcaceae;Enterococcus;Enterococcus_cecorum NA NA
103 Firmicutes Bacilli;Lactobacillales;Enterococcaceae;Enterococcus;Enterococcus_faecalis NA NA
104 Firmicutes Bacilli;Lactobacillales;Lactobacillaceae;Lactobacillus;Lactobacillus_salivarius NA NA
105 Firmicutes Bacilli;Lactobacillales;Other;Other;Other NA NA
106 Firmicutes Bacilli;Lactobacillales;Streptococcaceae;Lactococcus;Other NA NA
107 Firmicutes Bacilli;Lactobacillales;Streptococcaceae;Streptococcus;Other NA NA
108 Firmicutes Clostridia Clostridiales Christensenellaceae;Christensenella;Christensenella_minuta NA NA
109 Firmicutes Clostridia Clostridiales Clostridiaceae Clostridium Clostridium_aff_difficile_AA1 NA NA
110 Firmicutes Clostridia Clostridiales Clostridiaceae Clostridium Clostridium_baratii NA NA
111 Firmicutes Clostridia Clostridiales Clostridiaceae Clostridium Clostridium_bartlettii NA NA
112 Firmicutes Clostridia Clostridiales Clostridiaceae Clostridium Clostridium_butyricum NA NA
113 Firmicutes Clostridia Clostridiales Clostridiaceae Clostridium Clostridium_citroniae NA NA
114 Firmicutes Clostridia Clostridiales Clostridiaceae Clostridium Clostridium_difficile NA NA
115 Firmicutes Clostridia Clostridiales Clostridiaceae Clostridium Clostridium_glycolicum NA NA
116 Firmicutes Clostridia Clostridiales Clostridiaceae Clostridium Clostridium_hathewayi NA NA
117 Firmicutes Clostridia Clostridiales Clostridiaceae Clostridium Clostridium_hylemonae NA NA
118 Firmicutes Clostridia Clostridiales Clostridiaceae Clostridium Clostridiumjactatifermentans NA NA
119 Firmicutes Clostridia Clostridiales Clostridiaceae Clostridium Clostridiumjituseburense NA NA
120 Firmicutes Clostridia Clostridiales Clostridiaceae Clostridium Clostridium_methylpentosum NA NA
121 Firmicutes Clostridia Clostridiales Clostridiaceae Clostridium Clostridium_paraputrificum NA NA
122 Firmicutes Clostridia Clostridiales Clostridiaceae Clostridium Clostridium_perfringens NA NA
123 Firmicutes Clostridia Clostridiales Clostridiaceae Clostridium Clostridium_scindens NA NA
124 Firmicutes Clostridia Clostridiales Clostridiaceae Clostridium Clostridium_sordellii NA NA
125 Firmicutes Clostridia Clostridiales Clostridiaceae Clostridium Clostridium_sp_14505 NA NA
126 Firmicutes Clostridia Clostridiales Clostridiaceae Clostridium Clostridium_sp_CM_C52 NA NA
127 Firmicutes Clostridia Clostridiales Clostridiaceae Clostridium Clostridium_sp_ID5 NA NA
128 Firmicutes Clostridia Clostridiales Clostridiaceae Clostridium Clostridium_sp_L2_50 NA NA
129 Firmicutes Clostridia Clostridiales Clostridiaceae Clostridium Clostridium_sp_MLG480 NA NA
130 Firmicutes Clostridia Clostridiales Clostridiaceae Clostridium Clostridium_sp_NML_04A032 NA NA
131 Firmicutes Clostridia Clostridiales Clostridiaceae Clostridium Clostridium_sp_SH_C52 NA NA
132 Firmicutes Clostridia Clostridiales Clostridiaceae Clostridium Clostridium_sp_SS2_1 NA NA
133 Firmicutes Clostridia Clostridiales Clostridiaceae Clostridium Clostridium_sp_TM_40 NA NA
134 Firmicutes Clostridia Clostridiales Clostridiaceae Clostridium Clostridium_sp_YIT_12070 NA NA
135 Firmicutes Clostridia Clostridiales Clostridiaceae Clostridium Clostridium_sporogenes NA NA
136 Firmicutes Clostridia Clostridiales Clostridiaceae Clostridium Clostridium_sporosphaeroides NA NA
137 Firmicutes Clostridia Clostridiales Clostridiaceae Clostridium Clostridium_symbiosum NA NA
138 Firmicutes Clostridia Clostridiales Clostridiaceae Clostridium Clostridium_tertium NA NA
139 Firmicutes Clostridia Clostridiales Clostridiaceae Other;Other NA NA
Firmicutes Clostridia Clostridiales Clostridiales_Family_XIII_lncertae_Sedis;Anaerovorax;Anaerovor
140 NA NA ax odorim utans
141 Firmicutes Clostridia Clostridiales Clostridiales_Family_XI_lncertae_Sedis;Peptoniphilus;Other NA NA
142 Firmicutes Clostridia Clostridiales Eubacteriaceae;Anaerofustis;Anaerofustis_stercorihominis NA NA
143 Firmicutes Clostridia Clostridiales Eubacteriaceae;Eubacterium;Eubacterium_callanderi NA NA
144 Firmicutes Clostridia Clostridiales Eubacteriaceae;Eubacterium;Eubacterium_coprostanoligenes NA NA
145 Firmicutes Clostridia Clostridiales Eubacteriaceae;Eubacterium;Eubacterium_desmolans NA NA
146 Firmicutes Clostridia Clostridiales Eubacteriaceae;Eubacterium;Eubacterium_eligens NA NA
147 Firmicutes Clostridia Clostridiales Eubacteriaceae;Eubacterium;Eubacterium_fissicatena NA NA
148 Firmicutes Clostridia Clostridiales Eubacteriaceae;Eubacterium;Eubacterium_hallii NA NA
149 Firmicutes Clostridia Clostridiales Eubacteriaceae;Eubacterium;Eubacterium_limosum NA NA
150 Firmicutes Clostridia Clostridiales Eubacteriaceae;Eubacterium;Eubacterium_ramulus NA NA
151 Firmicutes Clostridia Clostridiales Eubacteriaceae;Eubacterium;Eubacterium_rectale NA NA
152 Firmicutes Clostridia Clostridiales Eubacteriaceae;Eubacterium;Eubacterium_siraeum NA NA
153 Firmicutes Clostridia Clostridiales Eubacteriaceae;Eubacterium;Eubacterium_sp_WAL_18692 NA NA
154 Firmicutes Clostridia Clostridiales Eubacteriaceae;Eubacterium;Eubacterium_sulci NA NA
155 Firmicutes Clostridia Clostridiales Eubacteriaceae;Eubacterium;Eubacterium_ventriosum NA NA
156 Firmicutes Clostridia Clostridiales Eubacteriaceae;Eubacterium;Eubacterium_xylanophilum NA NA
157 Firmicutes Clostridia Clostridiales Eubacteriaceae;Eubacterium;Other NA NA
158 Firmicutes Clostridia Clostridiales Lachnospiraceae;Cellulosilyticum;Other NA NA
159 Firmicutes Clostridia Clostridiales Lachnospiraceae;Coprococcus;Coprococcus_catus NA NA
160 Firmicutes Clostridia Clostridiales Lachnospiraceae;Coprococcus;Coprococcus_comes NA NA
210 Proteobacteria;Alphaproteobacteria;Rhizobiales;Bradyrhizobiaceae;Other; Other NA NA
Proteobacteria;Alphaproteobacteria;Rhizobiales;Hyphomicrobiaceae;Hyphomicrobium;Hyphomicro
211 NA NA bium facile
Proteobacteria;Alphaproteobacteria;Rhizobiales;Hyphomicrobiaceae;Hyphomicrobium;Hyphomicro
212 NA NA bium zavarzinii
Proteobacteria;Alphaproteobacteria;Rhizobiales;Methylobacteriaceae;Methylobacterium;Methyloba
213 NA NA cterium organophilum
214 Proteobacteria;Alphaproteobacteria;Rhizobiales;Phyllobacteriaceae;Mesorhizobium;Other NA NA
Proteobacteria;Alphaproteobacteria;Rhizobiales;Rhizobiaceae;Agrobacterium;Agrobacterium_tumef
215 NA NA aciens
216 Proteobacteria;Alphaproteobacteria;Rhizobiales;Rhizobiaceae;Sinorhizobium;Other NA NA
217 Proteobacteria;Alphaproteobacteria;Sphingomonadales;Sphingomonadaceae;Other;Other NA NA
Proteobacteria;Alphaproteobacteria;Sphingomonadales;Sphingomonadaceae;Sphingobium;Sphing
218 NA NA obium_yanoikuyae
219 Proteobacteria;Alphaproteobacteria;Sphingomonadales;Sphingomonadaceae;Sphingomonas;Other NA NA
Proteobacteria;Alphaproteobacteria;Sphingomonadales;Sphingomonadaceae;Sphingomonas;Sphin
220 NA NA gomonas_oligophenolica
Proteobacteria;Betaproteobacteria;Burkholderiales;Alcaligenaceae;Achromobacter;Achromobacter_
221 NA NA denitrificans
222 Proteobacteria;Betaproteobacteria;Burkholderiales;Burkholderiaceae;Ralstonia;Other NA NA
223 Proteobacteria;Betaproteobacteria;Burkholderiales;Comamonadaceae;Variovorax;Variovorax_soli NA NA
224 Proteobacteria;Betaproteobacteria;Burkholderiales;Other;Other;Other NA NA
225 Proteobacteria;Betaproteobacteria;Burkholderiales;Sutterellaceae;Sutterella;Other NA NA
226 Proteobacteria;Betaproteobacteria;Other; Other; Other;Other NA NA
Proteobacteria;Deltaproteobacteria;Desulfovibrionales;Desulfovibrionaceae;Bilophila;Bilophila_wad
227 NA NA sworthia
228 Proteobacteria;Deltaproteobacteria;Desulfovibrionales;Desulfovibrionaceae;Desulfovibrio;Other NA NA
229 Proteobacteria;Deltaproteobacteria;Desulfovibrionales;Desulfovibrionaceae;Other; Other NA NA
Proteobacteria;Epsilonproteobacteria;Campylobacterales;Campylobacteraceae;Campylobacter;Ca
230 NA NA mpylobacter showae
231 Proteobacteria;Gammaproteobacteria;Aeromonadales;Aeromonadaceae;Aeromonas;Other NA NA
232 Proteobacteria;Gammaproteobacteria;Enterobacteriales;Enterobacteriaceae;Enterobacter; Other NA NA
233 Proteobacteria;Gammaproteobacteria;Other;Other;Other;Other NA NA
Proteobacteria;Gammaproteobacteria;Pasteurellales;Pasteurellaceae; Haemophilus; Haemophilus_p
234 NA NA arainfluenzae
235 Proteobacteria;Gammaproteobacteria;Pseudomonadales;Pseudomonadaceae;Pseudomonas;Other NA NA
Proteobacteria;Gammaproteobacteria;Pseudomonadales;Pseudomonadaceae;Pseudomonas;Pseu
236 NA NA domonas balearica
237 Proteobacteria;Other;Other;Other;Other;Other NA NA
Verrucomicrobia;Verrucomicrobiae;Verrucomicrobiales;Verrucomicrobiaceae;Akkermansia;Akkerm
238 NA NA ansia_muciniphila
Firmicutes;Clostridia;Clostridiales;Ruminococcaceae;Ruminococcus;Ruminococcus sp DJF VR70
239 NA NA k1
240 Firmicutes;Clostridia;Clostridiales;Ruminococcaceae;Ruminococcus;Ruminococcus_sp_16442 -16.61 NA
241 Firmicutes;Clostridia;Clostridiales;Ruminococcaceae;Faecalibacterium;Faecalibacterium_prausnitzii NA NA
0.00 9.85E-01 0.00 9.90E-01 0 0
0.00 9.85E-01 -0.58 9.90E-01 0 0
-2.80 1.25E-01 2.96 3.26E-01 0 8 0.3
0.00 9.85E-01 0.76 9.90E-01 0 0.1
-7.25 .; 2.36 9.90E-01 0.2 0
-2.22 4.89E-01 3.46 1.40E-01 0.2 0.2
-2.43 3.10E-01 1.15 9.90E-01 0.7 0.1
0.00 9.85E-01 0.00 9.90E-01 0 0
-0.17 9.85E-01 0.00 9.90E-01 0 0
-0.26 9.85E-01 1.02 9.90E-01 0.1 0.1
0.00 9.85E-01 0.00 9.90E-01 0 0
-8.06 2.¾SE-"! 2 0.00 9.90E-01 0 0
0.42 9.85E-01 0.76 9.90E-01 0.1 0.2
-0.26 9.85E-01 1.62 9.90E-01 0 9 S
0.00 9.85E-01 0.00 9.90E-01 0 0
3.07 7.67E-02 2.02 9.90E-01 0 9 O S
3.74 ■ ^-02 1.87 9.90E-01 0.7 O.
4.04 3.80E- 3 0.52 9.90E-01
-0.57 9.85E-01 2.99 3.26E-01 1
-3.17 5.33E-02 1.02 9.90E-01 0 0
-7.73 ί;.17ίΥ"'ί "ί 1.02 9.90E-01 0.1 0.2
1.58 9.85E-01 0.76 9.90E-01 0.4 0.1
1.00 9.85E-01 -0.58 9.90E-01 0.1 0
1.22 9.85E-01 0.00 9.90E-01 0.1 0
1.23 9.85E-01 0.93 9.90E-01
0.42 9.85E-01 0.00 9.90E-01 0.1 0
1.00 9.85E-01 -1.97 9.90E-01 0.1 0.2
0.42 9.85E-01 0.00 9.90E-01 0.1 0
0.74 9.85E-01 1.30 9.90E-01 0.2 0.5
-0.96 9.85E-01 4.05 2.96ΕΌ2 0.9 0.4
0.35 9.85E-01 1.91 9.90E-01 0.5 0.4
-0.53 9.85E-01 1.07 9.90E-01 1
0.42 9.85E-01 0.76 9.90E-01 0 0.1
-0.17 9.85E-01 1.25 9.90E-01 0 0
0.00 9.85E-01 0.76 9.90E-01 0 0.1
-0.36 9.85E-01 1.45 9.90E-01 0.2 0.1
0.00 9.85E-01 0.00 9.90E-01 0 0
0.00 9.85E-01 0.00 9.90E-01 0 0
0.00 9.85E-01 0.00 9.90E-01 0 0
0.00 9.85E-01 0.00 9.90E-01 0 0
0.00 9.85E-01 0.00 9.90E-01 0 0
0.00 9.85E-01 0.00 9.90E-01 0 0
0.00 9.85E-01 0.00 9.90E-01 0 0
0.00 9.85E-01 0.00 9.90E-01 0 0
0.00 9.85E-01 0.00 9.90E-01 0 0
0.00 9.85E-01 0.00 9.90E-01 0 0
0.00 9.85E-01 0.00 9.90E-01 0 0
0.00 9.85E-01 0.00 9.90E-01 0 0
0.00 9.85E-01 0.00 9.90E-01 0 0
0.00 9.85E-01 0.00 9.90E-01 0 0
0.00 9.85E-01 0.00 9.90E-01 0 0
0.00 9.85E-01 0.00 9.90E-01 0 0
0.00 9.85E-01 0.00 9.90E-01 0 0
0.00 9.85E-01 0.00 9.90E-01 0 0
0.00 9.85E-01 0.00 9.90E-01 0 0
0.00 9.85E-01 0.00 9.90E-01 0 0
0.00 9.85E-01 0.00 9.90E-01 0 0
0.00 9.85E-01 0.00 9.90E-01 0 0
0.00 9.85E-01 0.00 9.90E-01 0 0
75 0.00 9.85E-01 0.00 9.90E-01 0 0
76 0.00 9.85E-01 0.00 9.90E-01 0 0
77 0.00 9.85E-01 0.00 9.90E-01 0 0
78 0.00 9.85E-01 0.00 9.90E-01 0 0
79 0.00 9.85E-01 0.00 9.90E-01 0 0
80 0.00 9.85E-01 0.43 9.90E-01 0 0
81 0.00 9.85E-01 0.00 9.90E-01 0 0
82 0.00 9.85E-01 0.00 9.90E-01 0 0
83 -0.48 9.85E-01 -0.09 9.90E-01 0.7 0.4
84 0.00 9.85E-01 0.00 9.90E-01 0 0
85 0.31 9.85E-01 0.62 9.90E-01 0 0.2
86 0.00 9.85E-01 0.00 9.90E-01 0 0
87 0.00 9.85E-01 0.00 9.90E-01 0 0
88 0.00 9.85E-01 0.00 9.90E-01 0 0
89 0.00 9.85E-01 0.00 9.90E-01 0 0
90 0.00 9.85E-01 0.00 9.90E-01 0 0
91 0.00 9.85E-01 0.00 9.90E-01 0 0
92 0.00 9.85E-01 0.00 9.90E-01 0 0
93 0.00 9.85E-01 0.00 9.90E-01 0 0
94 0.00 9.85E-01 0.00 9.90E-01 0 0
95 0.00 9.85E-01 0.00 9.90E-01 0 0
96 0.00 9.85E-01 0.00 9.90E-01 0 0
97 0.00 9.85E-01 0.00 9.90E-01 0 0
98 0.00 9.85E-01 0.00 9.90E-01 0 0
99 0.00 9.85E-01 0.00 9.90E-01 0 0
100 0.00 9.85E-01 0.00 9.90E-01 0 0
101 0.00 9.85E-01 0.00 9.90E-01 0 0
102 0.00 9.85E-01 0.00 9.90E-01 0 0
103 0.00 9.85E-01 0.00 9.90E-01 0 0
104 0.00 9.85E-01 0.00 9.90E-01 0 0
105 -1.00 9.85E-01 0.00 9.90E-01 0 0
106 0.00 9.85E-01 0.00 9.90E-01 0 0
107 0.00 9.85E-01 0.00 9.90E-01 0 0
108 0.00 9.85E-01 0.00 9.90E-01 0 0
109 0.00 9.85E-01 0.00 9.90E-01 0 0
110 0.00 9.85E-01 0.00 9.90E-01 0 0
111 0.00 9.85E-01 0.00 9.90E-01 0 0
112 0.00 9.85E-01 0.00 9.90E-01 0 0
113 0.00 9.85E-01 0.00 9.90E-01 0 0
114 0.00 9.85E-01 0.00 9.90E-01 0 0
115 0.00 9.85E-01 0.00 9.90E-01 0 0
116 0.00 9.85E-01 0.00 9.90E-01 0 0
117 0.00 9.85E-01 0.00 9.90E-01 0 0
118 -0.58 9.85E-01 0.00 9.90E-01 0 0
119 0.00 9.85E-01 0.00 9.90E-01 0 0
120 0.00 9.85E-01 0.00 9.90E-01 0 0
121 0.00 9.85E-01 0.00 9.90E-01 0 0
122 0.00 9.85E-01 0.00 9.90E-01 0 0
123 0.00 9.85E-01 0.00 9.90E-01 0 0
124 0.00 9.85E-01 0.00 9.90E-01 0 0
125 0.00 9.85E-01 0.00 9.90E-01 0 0
126 0.00 9.85E-01 0.00 9.90E-01 0 0
127 0.00 9.85E-01 0.00 9.90E-01 0 0
128 0.00 9.85E-01 0.00 9.90E-01 0 0
129 0.00 9.85E-01 0.00 9.90E-01 0 0
130 0.00 9.85E-01 0.00 9.90E-01 0 0
131 0.00 9.85E-01 0.00 9.90E-01 0 0
132 0.00 9.85E-01 0.00 9.90E-01 0 0
133 0.00 9.85E-01 0.00 9.90E-01 0 0
134 0.00 9.85E-01 0.00 9.90E-01 0 0
135 0.00 9.85E-01 0.00 9.90E-01 0 0
136 0.00 9.85E-01 0.00 9.90E-01 0 0
137 0.00 9.85E-01 0.00 9.90E-01 0 0
138 0.00 9.85E-01 0.00 9.90E-01 0 0
139 0.00 9.85E-01 0.00 9.90E-01 0 0
140 0.00 9.85E-01 0.00 9.90E-01 0 0
141 0.00 9.85E-01 0.00 9.90E-01 0 0
142 0.00 9.85E-01 0.00 9.90E-01 0 0
143 0.00 9.85E-01 0.00 9.90E-01 0 0
144 0.00 9.85E-01 0.00 9.90E-01 0 0
145 0.00 9.85E-01 0.00 9.90E-01 0 0
146 0.00 9.85E-01 0.00 9.90E-01 0 0
147 0.00 9.85E-01 0.00 9.90E-01 0 0
148 0.00 9.85E-01 0.00 9.90E-01 0 0
149 0.00 9.85E-01 0.00 9.90E-01 0 0
150 0.00 9.85E-01 0.00 9.90E-01 0 0
151 0.00 9.85E-01 0.00 9.90E-01 0 0
152 0.00 9.85E-01 0.00 9.90E-01 0 0
153 0.00 9.85E-01 0.00 9.90E-01 0 0
154 0.00 9.85E-01 0.00 9.90E-01 0 0
155 0.00 9.85E-01 0.00 9.90E-01 0 0
156 0.00 9.85E-01 0.00 9.90E-01 0 0
157 0.00 9.85E-01 0.00 9.90E-01 0 0
158 0.00 9.85E-01 0.00 9.90E-01 0 0
159 0.00 9.85E-01 0.00 9.90E-01 0 0
160 0.00 9.85E-01 0.00 9.90E-01 0 0
161 0.00 9.85E-01 0.00 9.90E-01 0 0
162 0.00 9.85E-01 0.00 9.90E-01 0 0
163 0.00 9.85E-01 0.00 9.90E-01 0 0
164 0.00 9.85E-01 0.00 9.90E-01 0 0
165 0.00 9.85E-01 0.00 9.90E-01 0 0
166 0.00 9.85E-01 0.43 9.90E-01 0 0
167 0.00 9.85E-01 0.00 9.90E-01 0 0
168 0.92 9.85E-01 0.53 9.90E-01
169 0.00 9.85E-01 0.00 9.90E-01 0 0
170 0.00 9.85E-01 0.00 9.90E-01 0 0
171 0.00 9.85E-01 0.00 9.90E-01 0 0
172 0.00 9.85E-01 0.00 9.90E-01 0 0
173 0.00 9.85E-01 0.00 9.90E-01 0 0
174 0.00 9.85E-01 0.00 9.90E-01 0 0
175 0.00 9.85E-01 0.00 9.90E-01 0 0
176 0.00 9.85E-01 0.00 9.90E-01 0 0
177 0.00 9.85E-01 0.00 9.90E-01 0 0
178 0.00 9.85E-01 0.00 9.90E-01 0 0
179 0.00 9.85E-01 0.00 9.90E-01 0 0
180 -1.00 9.85E-01 0.00 9.90E-01 0 0
181 0.00 9.85E-01 0.00 9.90E-01 0 0
182 0.00 9.85E-01 0.00 9.90E-01 0 0
183 0.00 9.85E-01 0.00 9.90E-01 0 0
184 0.00 9.85E-01 0.00 9.90E-01 0 0
185 -0.58 9.85E-01 0.00 9.90E-01 0 0
186 0.00 9.85E-01 0.00 9.90E-01 0 0
187 0.00 9.85E-01 0.00 9.90E-01 0 0
188 0.00 9.85E-01 0.00 9.90E-01 0 0
189 0.00 9.85E-01 0.00 9.90E-01 0 0
190 0.00 9.85E-01 0.00 9.90E-01 0 0
191 0.00 9.85E-01 0.00 9.90E-01 0 0
192 0.00 9.85E-01 0.00 9.90E-01 0 0
193 0.00 9.85E-01 0.00 9.90E-01 0 0
194 0.00 9.85E-01 0.00 9.90E-01 0 0
195 0.00 9.85E-01 0.00 9.90E-01 0 0
196 0.00 9.85E-01 0.00 9.90E-01 0 0
197 0.00 9.85E-01 0.00 9.90E-01 0 0
198 0.00 9.85E-01 0.00 9.90E-01 0 0
199 0.00 9.85E-01 0.00 9.90E-01 0 0
200 0.00 9.85E-01 0.00 9.90E-01 0 0
201 0.00 9.85E-01 0.00 9.90E-01 0 0
202 0.00 9.85E-01 0.00 9.90E-01 0 0
203 0.00 9.85E-01 0.00 9.90E-01 0 0
204 0.00 9.85E-01 0.00 9.90E-01 0 0
205 0.00 9.85E-01 0.00 9.90E-01 0 0
206 0.00 9.85E-01 0.00 9.90E-01 0 0
207 0.00 9.85E-01 0.00 9.90E-01 0 0
208 0.00 9.85E-01 0.00 9.90E-01 0 0
209 0.00 9.85E-01 0.00 9.90E-01 0 0
210 0.00 9.85E-01 0.00 9.90E-01 0 0
211 0.00 9.85E-01 0.00 9.90E-01 0 0
212 0.00 9.85E-01 0.00 9.90E-01 0 0
213 0.00 9.85E-01 0.00 9.90E-01 0 0
214 0.00 9.85E-01 0.00 9.90E-01 0 0
215 0.00 9.85E-01 0.00 9.90E-01 0 0
216 0.00 9.85E-01 0.00 9.90E-01 0 0
217 0.00 9.85E-01 0.00 9.90E-01 0 0
218 0.00 9.85E-01 0.00 9.90E-01 0 0
219 0.00 9.85E-01 0.00 9.90E-01 0 0
220 0.00 9.85E-01 0.00 9.90E-01 0 0
221 0.00 9.85E-01 0.00 9.90E-01 0 0
222 0.00 9.85E-01 0.00 9.90E-01 0 0
223 0.00 9.85E-01 0.00 9.90E-01 0 0
224 0.00 9.85E-01 0.00 9.90E-01 0 0
225 0.00 9.85E-01 0.00 9.90E-01 0 0
226 0.00 9.85E-01 0.00 9.90E-01 0 0
227 0.00 9.85E-01 0.00 9.90E-01 0 0
228 0.00 9.85E-01 0.00 9.90E-01 0 0
229 0.00 9.85E-01 0.00 9.90E-01 0 0
230 0.00 9.85E-01 0.00 9.90E-01 0 0
231 0.00 9.85E-01 0.00 9.90E-01 0 0
232 0.00 9.85E-01 0.00 9.90E-01 0 0
233 0.00 9.85E-01 0.00 9.90E-01 0 0
234 0.00 9.85E-01 0.00 9.90E-01 0 0
235 0.00 9.85E-01 0.00 9.90E-01 0 0
236 0.00 9.85E-01 0.00 9.90E-01 0 0
237 0.00 9.85E-01 0.00 9.90E-01 0 0
238 0.00 9.85E-01 0.00 9.90E-01 0 0
239 -0.58 9.85E-01 0.00 9.90E-01 0 0
240 0.58 9.85E-01 1.25 9.90E-01 0.1 0.1
241 0.00 9.85E-01 0.00 9.90E-01 0 0
19.21% 0.00% 13.64% 11.31 % Invasive
0.00% 2.80% 0.11 % 0.16% Nl Nl displaced
0.00% 0.00% 0.00% 0.00% Nl Nl
0.00% 0.01% 0.01 % 0.00% Nl Nl
0.00% 0.09% 0.01 % 0.04% Nl Nl
0.00% 0.03% 0.00% 0.00% Nl Nl
0.00% 0.00% 0.00% 0.00% Nl Nl
0.00% 0.01% 0.00% 0.00% Nl Nl
3.81 % 0.00% 0.53% 0.10% Nl Nl
0.00% 0.00% 0.00% 0.01 % Nl Nl
1.29% 0.00% 0.03% 0.00% Nl Nl displaced
1.93% 0.00% 0.10% 0.09% Nl Nl displaced
23.27% 0.01% 0.29% 0.04% Nl Nl displaced
0.00% 0.00% 0.00% 0.00% Nl Nl
0.01 % 0.00% 0.00% 0.00% Nl Nl
0.03% 0.00% 0.01 % 0.01 % Nl Nl
0.00% 0.00% 0.00% 0.00% Nl Nl
0.67% 0.00% 0.00% 0.00% Nl Nl
0.00% 0.00% 0.01 % 0.03% Nl Nl
0.46% 0.07% 0.20% 0.26% Nl Nl
0.00% 0.00% 0.00% 0.00% Nl Nl
0.01 % 0.24% 0.47% 0.41 % Nl Nl
0.00% 0.04% 0.24% 0.21 % Nl Nl
0.36% 5.19% 4.67% 4.81 % Nl Nl
5.07% 0.31% 2.24% 2.10% Nl Nl
0.09% 0.00% 0.00% 0.00% Nl Nl
0.37% 0.00% 0.01 % 0.04% Nl Nl
0.00% 0.00% 0.06% 0.01 % Nl Nl
0.00% 0.01% 0.01 % 0.00% Nl Nl
0.00% 0.00% 0.01 % 0.00% Nl Nl
8.10% 15.37% 17.76% 21.93% Nl Nl
0.00% 0.00% 0.01 % 0.00% Nl Nl
0.00% 0.07% 0.01 % 0.03% Nl Nl
0.00% 0.00% 0.01 % 0.00% Nl Nl
0.01 % 0.04% 0.04% 0.10% Nl Nl
0.56% 0.00% 0.24% 0.16% Nl Nl
0.11 % 0.00% 0.11 % 0.07% Nl Nl
23.06% 3.47% 9.61 % 8.99% Nl Nl
0.00% 0.00% 0.00% 0.01 % Nl Nl
0.00% 0.00% 0.00% 0.00% Nl Nl
0.00% 0.00% 0.00% 0.01 % Nl Nl
0.09% 0.00% 0.03% 0.01 % Nl Nl
0.00% 0.00% 0.00% 0.00% Nl Nl
0.00% 0.00% 0.00% 0.00% Nl Nl
0.00% 0.00% 0.00% 0.00% Nl Nl
0.00% 0.00% 0.00% 0.00% Nl Nl
0.00% 0.00% 0.00% 0.00% Nl Nl
0.00% 0.00% 0.00% 0.00% Nl Nl
0.00% 0.00% 0.00% 0.00% Nl Nl
0.00% 0.00% 0.00% 0.00% Nl Nl
0.00% 0.00% 0.00% 0.00% Nl Nl
0.00% 0.00% 0.00% 0.00% Nl Nl
0.00% 0.00% 0.00% 0.00% Nl Nl
0.00% 0.00% 0.00% 0.00% Nl Nl
0.00% 0.00% 0.00% 0.00% Nl Nl
0.00% 0.00% 0.00% 0.00% Nl Nl
0.00% 0.00% 0.00% 0.00% Nl Nl
0.00% 0.00% 0.00% 0.00% Nl Nl
0.00% 0.00% 0.00% 0.00% Nl Nl
0.00% 0.00% 0.00% 0.00% Nl Nl
0.00% 0.00% 0.00% 0.00% Nl Nl
0.00% 0.00% 0.00% 0.00% Nl Nl
0.00% 0.00% 0.00% 0.00% Nl Nl
0.00% 0.00% 0.00% 0.00% Nl Nl
0.00% 0.00% 0.00% 0.00% Nl Nl
0.00% 0.00% 0.00% 0.00% Nl Nl
0.00% 0.00% 0.00% 0.00% Nl Nl
0.00% 0.00% 0.00% 0.00% Nl Nl
0.00% 0.00% 0.00% 0.00% Nl Nl
0.00% 0.00% 0.00% 0.00% Nl Nl
0.00% 0.00% 0.00% 0.00% Nl Nl
0.00% 0.00% 0.00% 0.00% Nl Nl
0.00% 0.00% 0.00% 0.00% Nl Nl
0.41 % 0.14% 0.21 % 0.13% Nl Nl
0.00% 0.00% 0.00% 0.00% Nl Nl
0.07% 0.01% 0.00% 0.03% Nl Nl
0.00% 0.00% 0.00% 0.00% Nl Nl
0.00% 0.00% 0.00% 0.00% Nl Nl
0.00% 0.00% 0.00% 0.00% Nl Nl
0.00% 0.00% 0.00% 0.00% Nl Nl
0.00% 0.00% 0.00% 0.00% Nl Nl
0.00% 0.00% 0.00% 0.00% Nl Nl
0.00% 0.00% 0.00% 0.00% Nl Nl
0.00% 0.00% 0.00% 0.00% Nl Nl
0.00% 0.00% 0.00% 0.00% Nl Nl
0.00% 0.00% 0.00% 0.00% Nl Nl
0.00% 0.00% 0.00% 0.00% Nl Nl
0.00% 0.00% 0.00% 0.00% Nl Nl
0.00% 0.00% 0.00% 0.00% Nl Nl
0.00% 0.00% 0.00% 0.00% Nl Nl
0.00% 0.00% 0.00% 0.00% Nl Nl
0.00% 0.00% 0.00% 0.00% Nl Nl
0.00% 0.00% 0.00% 0.00% Nl Nl
0.00% 0.00% 0.00% 0.00% Nl Nl
0.00% 0.00% 0.00% 0.00% Nl Nl
0.00% 0.00% 0.00% 0.00% Nl Nl
0.00% 0.00% 0.00% 0.00% Nl Nl
0.00% 0.00% 0.00% 0.00% Nl Nl
0.00% 0.00% 0.00% 0.00% Nl Nl
0.00% 0.00% 0.00% 0.00% Nl Nl
0.00% 0.00% 0.00% 0.00% Nl Nl
0.00% 0.00% 0.00% 0.00% Nl Nl
0.00% 0.00% 0.00% 0.00% Nl Nl
0.00% 0.00% 0.00% 0.00% Nl Nl
0.00% 0.00% 0.00% 0.00% Nl Nl
0.00% 0.00% 0.00% 0.00% Nl Nl
0.00% 0.00% 0.00% 0.00% Nl Nl
0.00% 0.00% 0.00% 0.00% Nl Nl
0.00% 0.00% 0.00% 0.00% Nl Nl
0.00% 0.00% 0.00% 0.00% Nl Nl
0.00% 0.00% 0.00% 0.00% Nl Nl
0.00% 0.00% 0.00% 0.00% Nl Nl
0.00% 0.00% 0.00% 0.00% Nl Nl
0.00% 0.00% 0.00% 0.00% Nl Nl
0.00% 0.00% 0.00% 0.00% Nl Nl
0.00% 0.00% 0.00% 0.00% Nl Nl
0.00% 0.00% 0.00% 0.00% Nl Nl
0.00% 0.00% 0.00% 0.00% Nl Nl
0.00% 0.00% 0.00% 0.00% Nl Nl
129 0.00% 0.00% 0.00% 0.00% Nl Nl
130 0.00% 0.00% 0.00% 0.00% Nl Nl
131 0.00% 0.00% 0.00% 0.00% Nl Nl
132 0.00% 0.00% 0.00% 0.00% Nl Nl
133 0.00% 0.00% 0.00% 0.00% Nl Nl
134 0.00% 0.00% 0.00% 0.00% Nl Nl
135 0.00% 0.00% 0.00% 0.00% Nl Nl
136 0.00% 0.00% 0.00% 0.00% Nl Nl
137 0.00% 0.00% 0.00% 0.00% Nl Nl
138 0.00% 0.00% 0.00% 0.00% Nl Nl
139 0.00% 0.00% 0.00% 0.00% Nl Nl
140 0.00% 0.00% 0.00% 0.00% Nl Nl
141 0.00% 0.00% 0.00% 0.00% Nl Nl
142 0.00% 0.00% 0.00% 0.00% Nl Nl
143 0.00% 0.00% 0.00% 0.00% Nl Nl
144 0.00% 0.00% 0.00% 0.00% Nl Nl
145 0.00% 0.00% 0.00% 0.00% Nl Nl
146 0.00% 0.00% 0.00% 0.00% Nl Nl
147 0.00% 0.00% 0.00% 0.00% Nl Nl
148 0.00% 0.00% 0.00% 0.00% Nl Nl
149 0.00% 0.00% 0.00% 0.00% Nl Nl
150 0.00% 0.00% 0.00% 0.00% Nl Nl
151 0.00% 0.00% 0.00% 0.00% Nl Nl
152 0.00% 0.00% 0.00% 0.00% Nl Nl
153 0.00% 0.00% 0.00% 0.00% Nl Nl
154 0.00% 0.00% 0.00% 0.00% Nl Nl
155 0.00% 0.00% 0.00% 0.00% Nl Nl
156 0.00% 0.00% 0.00% 0.00% Nl Nl
157 0.00% 0.00% 0.00% 0.00% Nl Nl
158 0.00% 0.00% 0.00% 0.00% Nl Nl
159 0.00% 0.00% 0.00% 0.00% Nl Nl
160 0.00% 0.00% 0.00% 0.00% Nl Nl
161 0.00% 0.00% 0.00% 0.00% Nl Nl
162 0.00% 0.00% 0.00% 0.00% Nl Nl
163 0.00% 0.00% 0.00% 0.00% Nl Nl
164 0.00% 0.00% 0.00% 0.00% Nl Nl
165 0.00% 0.00% 0.00% 0.00% Nl Nl
166 0.00% 0.00% 0.00% 0.00% Nl Nl
167 0.00% 0.00% 0.00% 0.00% Nl Nl
168 1.36% 1.64% 1.27% 2.10% Nl Nl
169 0.00% 0.00% 0.00% 0.00% Nl Nl
170 0.00% 0.00% 0.00% 0.00% Nl Nl
171 0.00% 0.00% 0.00% 0.00% Nl Nl
172 0.00% 0.00% 0.00% 0.00% Nl Nl
173 0.00% 0.00% 0.00% 0.00% Nl Nl
174 0.00% 0.00% 0.00% 0.00% Nl Nl
175 0.00% 0.00% 0.00% 0.00% Nl Nl
176 0.00% 0.00% 0.00% 0.00% Nl Nl
177 0.00% 0.00% 0.00% 0.00% Nl Nl
178 0.00% 0.00% 0.00% 0.00% Nl Nl
179 0.00% 0.00% 0.00% 0.00% Nl Nl
180 0.00% 0.00% 0.00% 0.00% Nl Nl
181 0.00% 0.00% 0.00% 0.00% Nl Nl
182 0.00% 0.00% 0.00% 0.00% Nl Nl
183 0.00% 0.00% 0.00% 0.00% Nl Nl
184 0.00% 0.00% 0.00% 0.00% Nl Nl
185 0.00% 0.00% 0.00% 0.00% Nl Nl
186 0.00% 0.00% 0.00% 0.00% Nl Nl
187 0.00% 0.00% 0.00% 0.00% Nl Nl
188 0.00% 0.00% 0.00% 0.00% Nl Nl
189 0.00% 0.00% 0.00% 0.00% Nl Nl
190 0.00% 0.00% 0.00% 0.00% Nl Nl
191 0.00% 0.00% 0.00% 0.00% Nl Nl
192 0.00% 0.00% 0.00% 0.00% Nl Nl
193 0.00% 0.00% 0.00% 0.00% Nl Nl
194 0.00% 0.00% 0.00% 0.00% Nl Nl
195 0.00% 0.00% 0.00% 0.00% Nl Nl
196 0.00% 0.00% 0.00% 0.00% Nl Nl
197 0.00% 0.00% 0.00% 0.00% Nl Nl
198 0.00% 0.00% 0.00% 0.00% Nl Nl
199 0.00% 0.00% 0.00% 0.00% Nl Nl
200 0.00% 0.00% 0.00% 0.00% Nl Nl
201 0.00% 0.00% 0.00% 0.00% Nl Nl
202 0.00% 0.00% 0.00% 0.00% Nl Nl
203 0.00% 0.00% 0.00% 0.00% Nl Nl
204 0.00% 0.00% 0.00% 0.00% Nl Nl
205 0.00% 0.00% 0.00% 0.00% Nl Nl
206 0.00% 0.00% 0.00% 0.00% Nl Nl
207 0.00% 0.00% 0.00% 0.00% Nl Nl
208 0.00% 0.00% 0.00% 0.00% Nl Nl
209 0.00% 0.00% 0.00% 0.00% Nl Nl
210 0.00% 0.00% 0.00% 0.00% Nl Nl
211 0.00% 0.00% 0.00% 0.00% Nl Nl
212 0.00% 0.00% 0.00% 0.00% Nl Nl
213 0.00% 0.00% 0.00% 0.00% Nl Nl
214 0.00% 0.00% 0.00% 0.00% Nl Nl
215 0.00% 0.00% 0.00% 0.00% Nl Nl
216 0.00% 0.00% 0.00% 0.00% Nl Nl
217 0.00% 0.00% 0.00% 0.00% Nl Nl
218 0.00% 0.00% 0.00% 0.00% Nl Nl
219 0.00% 0.00% 0.00% 0.00% Nl Nl
220 0.00% 0.00% 0.00% 0.00% Nl Nl
221 0.00% 0.00% 0.00% 0.00% Nl Nl
222 0.00% 0.00% 0.00% 0.00% Nl Nl
223 0.00% 0.00% 0.00% 0.00% Nl Nl
224 0.00% 0.00% 0.00% 0.00% Nl Nl
225 0.00% 0.00% 0.00% 0.00% Nl Nl
226 0.00% 0.00% 0.00% 0.00% Nl Nl
227 0.00% 0.00% 0.00% 0.00% Nl Nl
228 0.00% 0.00% 0.00% 0.00% Nl Nl
229 0.00% 0.00% 0.00% 0.00% Nl Nl
230 0.00% 0.00% 0.00% 0.00% Nl Nl
231 0.00% 0.00% 0.00% 0.00% Nl Nl
232 0.00% 0.00% 0.00% 0.00% Nl Nl
233 0.00% 0.00% 0.00% 0.00% Nl Nl
234 0.00% 0.00% 0.00% 0.00% Nl Nl
235 0.00% 0.00% 0.00% 0.00% Nl Nl
236 0.00% 0.00% 0.00% 0.00% Nl Nl
237 0.00% 0.00% 0.00% 0.00% Nl Nl
238 0.00% 0.00% 0.00% 0.00% Nl Nl
239 0.01 % 0.00% 0.00% 0.00% Nl Nl
240 0.03% 0.00% 0.01 % 0.01 % Nl Nl
241 0.00% 0.00% 0.00% 0.00% Nl Nl
Bacteroidetes;Bacteroidia;Bacteroidales;Bacteroidaceae;Bacteroides;Bacteroides_uniformis 18.1876406 12.6044125
Bacteroidetes;Bacteroidia;Bacteroidales;Bacteroidaceae;Bacteroides;Bacteroides_cellulosil
19.9104278 19.9046777 yticus
Bacteroidetes;Bacteroidia;Bacteroidales;Bacteroidaceae;Bacteroides;Bacteroides_vulgatus 14.8509799 16.9744446
Firmicutes;Clostridia;Clostridiales;Clostridiaceae;Clostridium;Clostridium_clostridioforme -3.4916608 -3.7432176
Proteobacteria;Betaproteobacteria;Burkholderiales;Other;Other;Other 19.8822554 19.8886061
Bacteroidetes;Bacteroidia;Bacteroidales;Bacteroidaceae;Bacteroides;Bacteroides_thetaiota
19.9037036 19.9159419 omicron
Bacteroidetes;Bacteroidia;Bacteroidales;Prevotellaceae;Paraprevotella;Paraprevotella_clara 19.9141861 19.9128643
Bacteroidetes;Bacteroidia;Bacteroidales;Bacteroidaceae;Bacteroides;Bacteroides_caccae 19.8975183 19.8907304
Bacteroidetes;Bacteroidia;Bacteroidales;Rikenellaceae;Alistipes;Alistipes_putredinis 19.8592361 19.8450842
Bacteroidetes;Bacteroidia;Bacteroidales;Rikenellaceae;Alistipes;Alistipes_finegoldii 5.99314558 6.03430701
Verrucomicrobia;Verrucomicrobiae;Verrucomicrobiales;Verrucomicrobiaceae;Akkermansia;
19.2764182 19.2759234 Akkermansiajmuciniphila
Firmicutes;Clostridia;Clostridiales;Clostridiaceae;Clostridium;Clostridium_disporicum NA NA
Firmicutes;Erysipelotrichi;Ei sipelotrichales;Ei sipeto
1.11998711 0 iformis
Firmicutes;Bacilli;Lactobacillales;Enterococcaceae;Enterococcus;Enterococcus_faecium -17.902239 -16.182653
Firmicutes;Clostridia;Clostridiales;Ruminococcaceae;Ruminococcus;Ruminococcus sp DJ
19.6398483 19.5957264 F VR70k1
Actinobacteria;1 60;Coriobacteriales;Coriobacteriaceae;Collinsella;Collinsella_aerofaciens 19.8267216 19.8653079
Proteobacteria;Gammaproteobacteria;Enterobacteriales;Enterobacteriaceae;Shigella;Other 19.697105 18.3972363
Bacteroidetes;Bacteroidia;Bacteroidales;Porphyromonadaceae;Butyricimonas;Butyricimona
19.5612955 19.6988053 s virosa
Proteobacteria;Gammaproteobacteria;Enterobacteriales;Enterobacteriaceae;Other; Other NA 18.7149968
Firmicutes;Bacilli;Lactobacillales;Enterococcaceae;Enterococcus;Other NA -19.516707
Bacteroidetes;Bacteroidia;Bacteroidales;Rikenellaceae;Alistipes;Alistipes_shahii 19.2933209 16.9748529
Bacteroidetes;Bacteroidia;Bacteroidales;Porphyromonadaceae;Parabacteroides;Parabacter
19.8193687 19.895739 oides merdae
Firmicutes;Clostridia;Clostridiales;Ruminococcaceae;Ruminococcus;Ruminococcus_gnavus -1.9176284 -2.1410496
Firmicutes;Clostridia;Clostridiales;Clostridiaceae;Clostridium;Clostridium_sp_MLG480 0 0
Firmicutes;Clostridia;Clostridiales;Clostridiaceae;Clostridium;Clostridium_hathewayi 4.40712688 6.51757339
Proteobacteria;Other; Other; Other;Other;Other 0 0
Firmicutes;Clostridia;Clostridiales;Oscillospiraceae;Oscillibacter;Oscillibacter_valericigenes 19.6051109 19.7009721
Firmicutes;Clostridia;Clostridiales;Clostridiaceae;Clostridium;Clostridium_lituseburense NA NA
Firmicutes;Clostridia;Clostridiales;unclassified_Clostridiales;Blautia;Blautia_glucerasea 0 0
Firmicutes;Clostridia;Clostridiales;Clostridiaceae;Clostridium;Clostridium_difficile -19.244064 -19.297803
Firmicutes;Clostridia;Clostridiales;Eubacteriaceae;Eubacterium;Eubacterium_desmolans 19.0319055 19.4598623
Firmicutes;Clostridia;Clostridiales;Eubacteriaceae;Eubacterium;Other 18.4119425 18.8716801
Firmicutes;Clostridia;Clostridiales;Ruminococcaceae;Ruminococcus;Ruminococcus_sp_ID8 18.6171005 19.1069276
Bacteroidetes;Bacteroidia;Bacteroidales;Bacteroidaceae;Bacteroides;Other 4.47017204 4.48355053
Firmicutes;Clostridia;Clostridiales;Clostridiaceae;Clostridium;Clostridium_sp_SH_C52 4.7003981 19.6096423
Bacteroidetes;Bacteroidia;Bacteroidales;Porphyromonadaceae;Odoribacter;Odoribacter_spl
19.3058014 NA anchnicus
Bacteroidetes;Bacteroidia;Bacteroidales;Rikenellaceae;Alistipes;Other 0 0
Bacteroidetes;Bacteroidia;Bacteroidales;Rikenellaceae;Alistipes;Alistipes_indistinctus 17.1096513 18.4169995
Proteobacteria;Betaproteobacteria;Other; Other; Other; Other 18.8058026 18.6946066
Firmicutes;Clostridia;Clostridiales;unclassified_Clostridiales;Blautia;Blautia_coccoides NA 0
Other;Other;Other;Other;Other; Other 6.85164643 4.77230041
Bacteroidetes;Bacteroidia;Bacteroidales;Bacteroidaceae;Bacteroides;Bacteroides sp 1 1
0 NA 6
Firmicutes;Erysipelotrichi;Erysipelotrichales;Erysipelotrichaceae;Turicibacter;Turicibacter_s
NA NA
anguinis
Firmicutes;Clostridia;Clostridiales;unclassified_Clostridiales;Blautia;Other -19.783622 -19.768749
Firmicutes;Clostridia;Clostridiales;Clostridiaceae;Clostridium;Clostridium_symbiosum -3.3917458 -5.4626094
Firmicutes;Clostridia;Clostridiales;unclassified_Clostridiales;Blautia;Blautia_producta -18.47614 -19.151733
Firmicutes;Clostridia;Clostridiales;Ruminococcaceae;Ruminococcus;Ruminococcus_torque
-19.772756 -19.754859 s
Proteobacteria;Gammaproteobacteria;Enterobacteriales;Enterobacteriaceae;Shigella;Shigel
NA 0 la sonnei
Proteobacteria;Gammaproteobacteria;Enterobacteriales;Enterobacteriaceae;Enterobacter;0
0 NA ther
Firmicutes;Clostridia;Clostridiales;Lachnospiraceae;Anaerostipes;Anaerostipes_caccae -17.995371 -18.617913
Actinobacteria;1 60;Actinomycetales;Actinomycetaceae;Actinomyces;Actinomyces_turicens
NA NA
Invasion score Reproducibility of invasion (after cohousing)
Obcn Obcnp Lncn Lncnp Obcn Lncn adjusted adjusted
1 10.340 0.181 0.979 0.700
2 10.042 ΟΛ.Ό0 1.501 0.979 0,767 0.750
3 7.834 ΟΛ.Ό0 -0.738 0.979 o,9i r
4 1.256 0.932 6.946 0 00 '! , .I
5 9.161 0.568 0.979 0.683 0.750
6 8.575 0.000 1.232 0.979 0.550 0.583
7 8.425 0.000 0.648 0.979 0.617 0.750
8 7.568 0,000 0.189 0.979 0.617 0.750
9 7.418 0,000 2.221 0.979 0.617 0.667
10 7.226 0,000 4.092 0.145 0.617 0.750
11 6.521 0,000 1.808 0.979 0.550 0.583
12 -5.962 0.000 -3.087 0.259 0.000 0.083
13 6.259 0.000 3.359 0.393 0.333 0.583
14 -5.849 0.000 4.660 0.066 0.550 0.333
15 6.074 0.001 1.250 0.979 0.367 0.500
16 5.860 0.873 0.979 0.617 0.667
17 5.443 0.003 -5.035 0. 11 0.217 0.417
18 5.372 0.003 0.702 0.979 0.617 0.667
19 5.030 0.007 -5.272 0.008 0.367 0.333
20 -4.417 0.013 3.147 0.506 0.617 0.417
21 4.723 1.234 0.979 0.483 0.667
22 4.244 0.006 0.966 0.979 0.633 0.667
23 -3.846 3.690 0.259 1.000
24 4.037 0.050 -0.080 0.979 0.083 0.083
25 4.013 0.050 1.001 0.979 0.550 0.0
26 3.962 0.054 0.420 0.979 0.383 0.167
27 3.883 0.060 1.179 0.979 0.317 0.250
28 3.015 0.262 -7.165 0.000 0.083 0.083
29 3.015 0.262 4.759 0.061 0.000 0.000
30 2.972 0.270 6.164 0.005 0.567 0.417
31 2.939 0.276 1.269 0.979 0.317 0.417
32 2.858 0.293 0.613 0.979 0.167 0.083
33 2.858 0.293 0.404 0.979 0.250 0.417
34 2.781 0.319 0.348 0.979 ϊ .000 0.017
35 2.722 0.338 -6.518 0.283 0.417
36 2.682 0.348 1.555 0.979 0.167 0.333
37 2.585 0.389 2.668 0.897 0.233 0.167
38 2.248 0.582 2.193 0.979 0.067 0.167
39 2.248 0.582 1.023 0.979 0.167 0.333
40 2.115 0.670 0.778 0.979 0.083 0.000
41 1.882 0.863 0.217 0.979 0.750
42 1.807 0.915 2.301 0.979 0.133 0.167
43 0.585 0.932 -10.173 0 i. 00 0.067 0.167
44 1.016 0.932 7.416 00 0.350 0.750
45 0.770 0.932 6.207 00 0.383 0.583
46 0.458 0.932 6.037 00 0.633 0.667
47 -1.049 0.932 5.778 00 ϋ .767 0.667
48 0.503 0.932 -4.055 0.066 0.000 0.000
49 0.874 0.932 -3.994 0.069 0.000 0.167
50 0.647 0.932 4.342 0.099 0.700 0.667
51 0.000 0.932 1.280 0.979 0.000 0.000
52 0.000 0.932 0.000 0.979 0.067 0.167
53 0.000 0.932 0.000 0.979 0.150 0.167
54 0.000 0.932 0.000 0.979 0.000 0.000
55 0.000 0.932 0.000 0.979 0.000 0.000
56 0.000 0.932 0.000 0.979 0.000 0.000
57 0.000 0.932 0.441 0.979 0.000 0.000
58 0.000 0.932 0.778 0.979 0.000 0.000
0.503 0.932 0.778 0.979 0.000 0.000
-1.222 0.932 0.441 0.979 0.000 0.000
0.000 0.932 0.441 0.979 0.083 0.000
0.000 0.932 0.000 0.979 0.150 0.083
1.624 0.932 0.248 0.979 0.317 0.250
0.000 0.932 0.000 0.979 0.000 0.000
0.000 0.932 0.000 0.979 0.067 0.083
-0.481 0.932 0.338 0.979 'ί .000 1.000
-0.760 0.932 0.119 0.979 'ί .000 1.000
-0.170 0.932 -0.119 0.979 0.367 0.333
0.503 0.932 0.441 0.979 0.000 0.000
0.874 0.932 0.000 0.979 0.083 0.167
1.624 0.932 -0.557 0.979 0.167 0.083
0.874 0.932 0.441 0.979 0.000 0.083
-0.035 0.932 0.572 0.979
1.089 0.932 0.543 0.979 1 ,000
-0.614 0.932 1.046 0.979 1 ,000 1 ,000
0.000 0.932 0.000 0.979 0.000 0.000
0.503 0.932 0.778 0.979 0.000 0.000
0.000 0.932 0.000 0.979 0.000 0.000
0.000 0.932 0.000 0.979 0.000 0.000
0.000 0.932 0.000 0.979 0.000 0.000
0.000 0.932 0.000 0.979 0.000 0.000
0.000 0.932 0.000 0.979 0.000 0.000
0.000 0.932 0.000 0.979 0.000 0.000
0.000 0.932 0.000 0.979 0.000 0.000
1.170 0.932 0.000 0.979 0.000 0.000
0.000 0.932 0.000 0.979 0.000 0.000
0.000 0.932 0.000 0.979 0.000 0.000
0.000 0.932 0.000 0.979 0.000 0.000
0.000 0.932 0.000 0.979 0.000 0.000
0.000 0.932 0.000 0.979 0.000 0.000
0.000 0.932 0.000 0.979 0.000 0.000
0.000 0.932 0.000 0.979 0.000 0.000
0.000 0.932 1.051 0.979 0.000 0.083
1.273 0.932 1.723 0.979 0.250 0.167
0.000 0.932 0.000 0.979 0.000 0.000
1.070 0.932 2.496 0.979 0.467 0.250
0.000 0.932 0.000 0.979 0.000 0.000
0.000 0.932 0.350 0.979 0.150 0.167
1.418 0.932 1.074 0.979 1.000 1.000
0.000 0.932 0.000 0.979 0.000 0.000
0.000 0.932 0.000 0.979 0.067 0.083
1.293 0.932 1.545 0.979 ϊ .000 ϊ .000
-0.737 0.932 1.702 0.979 0.067 0.250
0.000 0.932 0.077 0.979 0.133 0.167
-0.737 0.932 0.000 0.979 0.000 0.000
-0.737 0.932 0.000 0.979 0.000 0.000
0.000 0.932 0.000 0.979 0.000 0.000
0.000 0.932 0.441 0.979 0.000 0.000
1.170 0.932 0.441 0.979 0.000 0.000
0.886 0.932 2.362 0.979 ,000
0.000 0.932 0.000 0.979 0.067 0.083
0.000 0.932 0.000 0.979 0.000 0.000
0.943 0.932 0.734 0.979 ,000
0.941 0.932 1.757 0.979 0.700 0.667
0.000 0.932 0.000 0.979 0.083 0.000
-0.348 0.932 2.325 0.979 0.250 0.167
0.000 0.932 0.778 0.979 0.000 0.000
0.000 0.932 0.000 0.979 0.000 0.000
0.503 0.932 0.000 0.979 0.000 0.000
0.000 0.932 0.441 0.979 0.133 0.250
0.503 0.932 0.000 0.979 0.000 0.000
0.000 0.932 1.807 0.979 0.067 0.083
0.000 0.932 1.280 0.979 0.000 0.083
0.000 0.932 -0.700 0.979 0.083 0.000
125 1.168 0.932 0.833 0.979 1.000 1.000
126 0.000 0.932 0.000 0.979 0.000 0.083
127 0.503 0.932 0.000 0.979 0.000 0.000
128 0.796 0.932 2.102 0.979 0.617 0.750
129 0.000 0.932 0.000 0.979 0.000 0.000
130 0.000 0.932 0.000 0.979 0.000 0.000
131 0.000 0.932 0.000 0.979 0.000 0.000
132 0.000 0.932 0.000 0.979 0.000 0.000
133 0.000 0.932 0.000 0.979 0.000 0.000
134 0.000 0.932 0.000 0.979 0.000 0.000
135 0.874 0.932 1.478 0.979 0.000 0.083
136 1.415 0.932 1.885 0.979 0.167 0.167
137 0.000 0.932 0.000 0.979 0.000 0.000
138 0.000 0.932 0.778 0.979 0.000 0.000
139 0.000 0.932 0.000 0.979 0.000 0.000
140 0.000 0.932 -0.700 0.979 0.000 0.000
141 0.000 0.932 0.000 0.979 0.000 0.000
142 0.000 0.932 0.000 0.979 0.000 0.000
143 0.000 0.932 0.441 0.979 0.000 0.000
144 0.000 0.932 0.000 0.979 0.000 0.000
145 0.138 0.994 -0.260 0.979 0.083 0.083
146 0.138 0.994 1.478 0.979 0.083 0.250
2.24792751 0.58199422 2.19264508 0.97861812 0.06666667 0.16666667
2.24792751 0.58199422 1.02272008 0.97861812 0.16666667 0.33333333
2.11547722 0.67008708 0.77760758 0.97861812 0.08333333 0
1.88185404 0.86252603 0.21669055 0.97861812 0 9·! 06 6 ? 0.75
1.80735492 0.91537526 2.30116953 0.97861812 0.13333333 0.16666667
0.5849625 0.93212997 -10.173495 7 0 F .;;·¾ 0.06666667 0.16666667
1.01605985 0.93212997 7.41553285 .¾5 0.75
0.76967631 0.93212997 6.20666555 0 0040 232 0.38333333 0.58333333
0.45845978 0.93212997 6.03656613 0.00557489 0.63333333 0.66666667
-1.0493558 0.93212997 5.7781442 0 00329892 0.66666667
0.50250034 0.93212997 -4.0552824 0.06576055 0 0
0.87446912 0.93212997 -3.9940556 0.06893141 0 0.16666667
0.64669149 0.93212997 4.3423922 0.09944837 0.7 0.66666667
0 0.93212997 1.28010792 0.97861812 0 0
0 0.93212997 0 0.97861812 0.06666667 0.16666667
0 0.93212997 0 0.97861812 0.15 0.16666667
0 0.93212997 0 0.97861812 0 0
0 0.93212997 0 0.97861812 0 0
0 0.93212997 0 0.97861812 0 0
0 0.93212997 0.44057259 0.97861812 0 0
0 0.93212997 0.77760758 0.97861812 0 0
0.50250034 0.93212997 0.77760758 0.97861812 0 0
-1.2223924 0.93212997 0.44057259 0.97861812 0 0
0 0.93212997 0.44057259 0.97861812 0.08333333 0
0 0.93212997 0 0.97861812 0.15 0.08333333
1.62449086 0.93212997 0.24849831 0.97861812 0.31666667 0.25
0 0.93212997 0 0.97861812 0 0
0 0.93212997 0 0.97861812 0.06666667 0.08333333
-0.4810156 0.93212997 0.33773709 0.97861812
-0.759694 0.93212997 0.11905898 0.97861812 1
-0.169925 0.93212997 -0.1192989 0.97861812 0.36666667 0.33333333
0.50250034 0.93212997 0.44057259 0.97861812 0 0
0.87446912 0.93212997 0 0.97861812 0.08333333 0.16666667
1.62449086 0.93212997 -0.5568115 0.97861812 0.16666667 0.08333333
0.87446912 0.93212997 0.44057259 0.97861812 0 0.08333333
-0.0348538 0.93212997 0.57162291 0.97861812 1
1.08919373 0.93212997 0.54250411 0.97861812 1
-0.614205 0.93212997 1.04612651 0.97861812
0 0.93212997 0 0.97861812 0 0
0.50250034 0.93212997 0.77760758 0.97861812 0 0
0 0.93212997 0 0.97861812 0 0
0 0.93212997 0 0.97861812 0 0
0 0.93212997 0 0.97861812 0 0
0 0.93212997 0 0.97861812 0 0
0 0.93212997 0 0.97861812 0 0
0 0.93212997 0 0.97861812 0 0
0 0.93212997 0 0.97861812 0 0
1.169925 0.93212997 0 0.97861812 0 0
0 0.93212997 0 0.97861812 0 0
0 0.93212997 0 0.97861812 0 0
0 0.93212997 0 0.97861812 0 0
0 0.93212997 0 0.97861812 0 0
0 0.93212997 0 0.97861812 0 0
0 0.93212997 0 0.97861812 0 0
0 0.93212997 0 0.97861812 0 0
0 0.93212997 1.05062607 0.97861812 0 0.08333333
1.27301849 0.93212997 1.72315979 0.97861812 0.25 0.16666667
0 0.93212997 0 0.97861812 0 0
1.07038933 0.93212997 2.49642583 0.97861812 0.46666667 0.25
97 0 0.93212997 0 0.97861812 0 0
98 0 0.93212997 0.35018635 0.97861812 0.15 0.16666667
99 1.41820896 0.93212997 1 .07419748 0.97861812 1
100 0 0.93212997 0 0.97861812 0 0
101 0 0.93212997 0 0.97861812 0.06666667 0.08333333
102 1.29284264 0.93212997 1 .54459626 0.97861812 ϊ 1
103 -0.7369656 0.93212997 1 .70165873 0.97861812 0.06666667 0.25
104 0 0.93212997 0.07716786 0.97861812 0.13333333 0.16666667
105 -0.7369656 0.93212997 0 0.97861812 0 0
106 -0.7369656 0.93212997 0 0.97861812 0 0
107 0 0.93212997 0 0.97861812 0 0
108 0 0.93212997 0.44057259 0.97861812 0 0
109 1.169925 0.93212997 0.44057259 0.97861812 0 0
110 0.8859824 0.93212997 2.36203742 0.97861812 1
111 0 0.93212997 0 0.97861812 0.06666667 0.08333333
112 0 0.93212997 0 0.97861812 0 0
113 0.94346745 0.93212997 0.73359081 0.97861812 ■i
114 0.94089949 0.93212997 1.7567567 0.97861812 0.7 0.66666667
115 0 0.93212997 0 0.97861812 0.08333333 0
116 -0.3479233 0.93212997 2.32509537 0.97861812 0.25 0.16666667
117 0 0.93212997 0.77760758 0.97861812 0 0
118 0 0.93212997 0 0.97861812 0 0
119 0.50250034 0.93212997 0 0.97861812 0 0
120 0 0.93212997 0.44057259 0.97861812 0.13333333 0.25
121 0.50250034 0.93212997 0 0.97861812 0 0
122 0 0.93212997 1 .80735492 0.97861812 0.06666667 0.08333333
123 0 0.93212997 1 .28010792 0.97861812 0 0.08333333
124 0 0.93212997 -0.7004397 0.97861812 0.08333333 0
125 1.16778609 0.93212997 0.83336007 0.97861812 1 ■i
126 0 0.93212997 0 0.97861812 0 0.08333333
127 0.50250034 0.93212997 0 0.97861812 0 0
128 0.79596517 0.93212997 2.10211537 0.97861812 0.61666667 0.75
129 0 0.93212997 0 0.97861812 0 0
130 0 0.93212997 0 0.97861812 0 0
131 0 0.93212997 0 0.97861812 0 0
132 0 0.93212997 0 0.97861812 0 0
133 0 0.93212997 0 0.97861812 0 0
134 0 0.93212997 0 0.97861812 0 0
135 0.87446912 0.93212997 1.4780473 0.97861812 0 0.08333333
136 1.4150375 0.93212997 1 .88452278 0.97861812 0.16666667 0.16666667
137 0 0.93212997 0 0.97861812 0 0
138 0 0.93212997 0.77760758 0.97861812 0 0
139 0 0.93212997 0 0.97861812 0 0
140 0 0.93212997 -0.7004397 0.97861812 0 0
141 0 0.93212997 0 0.97861812 0 0
142 0 0.93212997 0 0.97861812 0 0
143 0 0.93212997 0.44057259 0.97861812 0 0
144 0 0.93212997 0 0.97861812 0 0
145 0.13750352 0.99416805 -0.2598671 0.97861812 0.08333333 0.08333333
146 0.13750352 0.99416805 1.4780473 0.97861812 0.08333333 0.25
0.00% 4.64% 4.02% 4.44% Nl Nl
0.00% 2.78% 1.34% 3.24% Nl Nl
0.00% 0.53% 1.33% 1.20% Nl Nl
0.00% 0.09% 1.24% 1.32% Nl Nl
0.00% 0.22% 0.63% 0.21% Nl Nl
0.04% 0.00% 0.00% 0.00% Nl Nl
0.01% 0.11% 1.23% 1.16% Nl Nl
0.71% 0.00% 0.23% 0.18% Nl Nl
0.00% 1.59% 1.36% 2.75% Nl Nl
0.00% 0.52% 0.46% 0.48% Nl Nl
0.00% 0.71% 0.44% 0.00% Nl Nl
0.00% 0.28% 0.27% 0.30% Nl Nl
0.00% 0.74% 0.31 % 0.00% Nl Nl
0.48% 0.00% 0.11 % 0.03% Nl Nl
0.00% 0.11% 0.24% 0.20% Nl Nl
0.01% 0.45% 0.51 % 0.96% Nl Nl
3.39% 0.09% 0.86% 1.14% Nl Nl
0.00% 0.16% 0.11 % 0.17% Nl Nl
0.01% 0.33% 0.31 % 0.53% Nl Nl
0.00% 0.03% 0.08% 0.04% Nl Nl
0.00% 0.07% 0.09% 0.10% Nl Nl
0.00% 0.26% 0.00% 0.00% Nl Nl
0.22% 0.00% 1.54% 0.35% Nl Nl
0.06% 0.00% 0.57% 0.54% Nl Nl
0.00% 0.06% 0.05% 0.11% Nl Nl
0.00% 0.12% 0.07% 0.07% Nl Nl
0.00% 0.05% 0.05% 0.07% Nl Nl
0.61% 5.04% 3.44% 3.66% Nl Nl
0.00% 0.63% 0.02% 0.01% Nl Nl
0.00% 0.03% 0.01 % 0.06% Nl Nl
0.00% 0.00% 0.05% 0.05% Nl Nl
0.00% 0.00% 0.02% 0.01% Nl Nl
0.00% 0.00% 0.02% 0.02% Nl Nl
0.00% 0.00% 0.02% 0.00% Nl Nl
0.08% 0.20% 0.21 % 0.14% Nl Nl
0.00% 0.00% 0.00% 0.01% Nl Nl
0.01% 0.18% 0.00% 0.00% Nl Nl
2.24% 0.01% 3.43% 2.49% Nl Nl
0.33% 0.00% 0.46% 0.58% Nl Nl
0.33% 0.00% 0.40% 0.52% Nl Nl
3.08% 0.01% 1.15% 1.45% Nl Nl
0.00% 0.01% 0.01 % 0.00% Nl Nl
0.00% 0.01% 0.00% 0.00% Nl Nl
0.13% 0.00% 0.18% 0.20% Nl Nl
0.00% 0.00% 0.00% 0.00% Nl Nl
0.00% 0.00% 0.00% 0.00% Nl Nl
0.00% 0.00% 0.00% 0.00% Nl Nl
0.00% 0.00% 0.00% 0.00% Nl Nl
0.00% 0.00% 0.00% 0.00% Nl Nl
0.00% 0.00% 0.00% 0.00% Nl Nl
0.00% 0.00% 0.00% 0.00% Nl Nl
0.00% 0.00% 0.00% 0.00% Nl Nl
0.00% 0.00% 0.00% 0.00% Nl Nl
0.01% 0.00% 0.00% 0.00% Nl Nl
0.00% 0.00% 0.00% 0.00% Nl Nl
0.00% 0.00% 0.00% 0.00% Nl Nl
0.00% 0.04% 0.01 % 0.02% Nl Nl
0.00% 0.00% 0.00% 0.00% Nl Nl
0.00% 0.00% 0.00% 0.00% Nl Nl
41.87% 4.20% 940% 3.39% Nl Nl
18.80% 16.15% 7.31% 10.Scj% Nl Nl
0.02% 0.01% 0.01 % 0.00% Nl Nl
0.00% 0.00% 0.01 % 0.00% Nl Nl
0.00% 0.00% 0.01 % 0.00% Nl Nl
0.00% 0.06% 0.02% 0.02% Nl Nl
0.00% 0.00% 0.01 % 0.00% Nl Nl
0.60% 0.19% 0.35% 0.29% Nl Nl
0.12% 0.09% 0.24% 0.19% Nl Nl
16.34% 2.58% 5.δ:'ί% 5.09% Nl Nl
0.00% 0.00% 0.00% 0.00% Nl Nl
0.00% 0.00% 0.01 % 0.00% Nl Nl
0.00% 0.00% 0.00% 0.00% Nl Nl
0.00% 0.00% 0.00% 0.00% Nl Nl
0.00% 0.00% 0.00% 0.00% Nl Nl
0.00% 0.00% 0.00% 0.00% Nl Nl
0.00% 0.00% 0.00% 0.00% Nl Nl
0.00% 0.00% 0.00% 0.00% Nl Nl
0.00% 0.00% 0.00% 0.00% Nl Nl
0.00% 0.00% 0.01 % 0.00% Nl Nl
0.00% 0.00% 0.00% 0.00% Nl Nl
0.00% 0.00% 0.00% 0.00% Nl Nl
0.00% 0.00% 0.00% 0.00% Nl Nl
0.00% 0.00% 0.00% 0.00% Nl Nl
0.00% 0.00% 0.00% 0.00% Nl Nl
0.00% 0.00% 0.00% 0.00% Nl Nl
0.00% 0.00% 0.00% 0.00% Nl Nl
0.00% 0.00% 0.00% 0.00% Nl Nl
0.02% 0.01% 0.05% 0.05% Nl Nl
0.00% 0.00% 0.00% 0.00% Nl Nl
0.01% 0.00% 0.02% 0.06% Nl Nl
0.00% 0.00% 0.00% 0.00% Nl Nl
0.00% 0.01% 0.00% 0.01% Nl Nl
0.73% 0.72% 1.07% 0.95% Nl Nl
0.00% 0.00% 0.00% 0.00% Nl Nl
0.00% 0.00% 0.00% 0.00% Nl Nl
2.74% 1.91% 4.26% 5.12¾ Nl Nl
0.00% 0.01% 0.00% 0.00% Nl Nl
0.00% 0.01% 0.00% 0.00% Nl Nl
0.00% 0.00% 0.00% 0.00% Nl Nl
0.01% 0.00% 0.00% 0.00% Nl Nl
0.00% 0.00% 0.00% 0.00% Nl Nl
0.00% 0.00% 0.00% 0.00% Nl Nl
0.00% 0.00% 0.01 % 0.00% Nl Nl
2.10% 1.18% 3.46% 4.16% Nl Nl
0.00% 0.00% 0.00% 0.00% Nl Nl
0.00% 0.00% 0.00% 0.00% Nl Nl
0.90% 1.79% 0.73% 1.36% Nl Nl
0.14% 0.49% 0.74% 1.24% Nl Nl
0.00% 0.00% 0.00% 0.00% Nl Nl
0.01% 0.01% 0.01 % 0.03% Nl Nl
0.00% 0.00% 0.00% 0.01% Nl Nl
0.00% 0.00% 0.00% 0.00% Nl Nl
0.00% 0.00% 0.00% 0.00% Nl Nl
0.00% 0.00% 0.00% 0.00% Nl Nl
0.00% 0.00% 0.00% 0.00% Nl Nl
0.04% 0.00% 0.03% 0.03% Nl Nl
0.00% 0.00% 0.00% 0.00% Nl Nl
0.00% 0.01% 0.00% 0.00% Nl Nl
0.56% 0.41% 0.85% 0.59% Nl Nl
126 0.00% 0.00% 0.00% 0.00% Nl Nl
127 0.00% 0.00% 0.01 % 0.00% Nl Nl
128 0.05% 0.40% 0.36% 0.83% Nl Nl
129 0.00% 0.00% 0.00% 0.00% Nl Nl
130 0.00% 0.00% 0.00% 0.00% Nl Nl
131 0.00% 0.00% 0.00% 0.00% Nl Nl
132 0.00% 0.00% 0.00% 0.00% Nl Nl
133 0.00% 0.00% 0.00% 0.00% Nl Nl
134 0.00% 0.00% 0.00% 0.00% Nl Nl
135 0.00% 0.00% 0.00% 0.01% Nl Nl
136 0.00% 0.01% 0.00% 0.03% Nl Nl
137 0.00% 0.00% 0.00% 0.00% Nl Nl
138 0.00% 0.00% 0.00% 0.00% Nl Nl
139 0.00% 0.00% 0.00% 0.00% Nl Nl
140 0.00% 0.00% 0.00% 0.00% Nl Nl
141 0.00% 0.00% 0.00% 0.00% Nl Nl
142 0.00% 0.00% 0.00% 0.00% Nl Nl
143 0.00% 0.00% 0.00% 0.00% Nl Nl
144 0.00% 0.00% 0.00% 0.00% Nl Nl
145 0.00% 0.01% 0.01 % 0.00% Nl Nl
146 0.01% 0.00% 0.00% 0.01% Nl Nl
NA iVC4 2.-.- -1.72 0.846647597 108.978436 7.43E-14
Uroporphyrinogen-lll synthase 74.2 1 75 -1.15 0.845162014 286.5236315 1.01 E-54
Diacylglycerol kinase 2'C 7.1.107 1.43 0.833437925 483.3977542 4.58E-26
Pyridoxal kinase C2.7 1 35 1.37 0.823324762 188.4802423 4.84E-27
Phosphopyruvate hydratase 1.70 0.815358836 307.2477078 2.42E-109
Glucose-6-phosphate dehydrogenase 1.47 0.804351311 119.7480667 7.81 E-46
Thymidine kinase ;:C 7.1.2'· -1.13 0.801549046 271.3153552 1.53E-30
Histidine kinase B02.7.13.3 -1.00 0.792231579 416.7719062 7.74E-128
UDP-galactopyranose mutase EC5 4 99.0 1.12 0.79135357 86.66731741 4.06E-17
NA ECO .3.4,- -1.22 0.789630916 127.5337845 2.11 E-28
Anthranilate phosphoribosyltransferase EC2.4 2.10 1.10 0.764078865 103.5934271 1.94E-13
Glutamate-ammonia ligase EC6.3.1 2 -1.30 0.75652738 504.4766539 1.01 E-185
Exodeoxyribonuclease III £'(^·¾ < v 1.17 0.728735131 240.1379466 2.70E-34
NA EC1.1 1 ■ -1.08 0.712294665 163.4316757 1.86E-41 tRNA (guanine-N(7)-)-methyltransferase 1 33 -1.09 0.688299159 228.4793241 1.1 E-34
Site-specific DNA-methyltransferase (adenine- -,-·> 1.09 0.66257227 145.7248826 1.36E-36 specific)
Maltose O-acetyltransferase EC2 3.1.70 1.25 0.654789774 31 .60308 2.87E-31
S-ribosylhomocysteine lyase EC4.4.1. 1 -1.06 0.648955038 134.6093551 1.90E-12
Crossover junction endodeoxyribonuclease ^- .-. 1 22.4 1.14 0.63360082 192.9838361 1.80E-24
L-rhamnose isomerase EC5.3.1.1 1.15 0.627294457 174.2992613 4.37E-22
CDP-diacylglycerol-glycerol-3-phosphate 3- 2'C2 7 .3.5 1.18 0.59536282 211.8725273 2.95E-21 phosphatidyltransferase
Biotin-[acetyl-CoA-carboxylase] ligase EC6.0 4 15 1.08 0.580203816 269.9266288 1.08E-15
Phosphoserine phosphatase 2'CO 1 .3.0 -1.21 0.574590291 158.535131 4.60E-20
Iron-chelate-transporting ATPase EC3.6.0 34 1.39 0.569972743 122.718093 1.24E-20
Anthranilate synthase EC4 1.3.27 1.17 0.569829366 99.66828939 1.13E-15
Mannonate dehydratase EDI .2.1 8 -1.35 0.568152292 163.8162197 4.86E-58
Thiamine diphosphokinase EC2 J .6.2 1.82 0.567119326 318.2775777 4.04E-11
NA EC3.1 33.- -1.32 0.563529357 231.706898 3.04E-20
Nicotinate-nucleotide adenylyltransferase EC2.7 7.10 -1.13 0.554964792 137.4726501 1.46E-16
1-acylglycerol-3-phosphate O-acyltransferase 1.01 0.544033813 225.8589133 3.18E-22 dGTPase EG3.1 5,1 1.21 0.5432871 1 646.2280315 1.82E-31
N-carbamoylputrescine amidase EC3 S.1.53 -1.20 0.542746332 164.3228068 1.26E-15
Dephospho-CoA kinase 1 24 1.16 0.530888579 241.580798 8.56E-18
Glutamate racemase 1.06 0.526340297 98.58726862 3.93E-13
Nitrite reductase (cytochrome; ammonia-forming) EC : .: 2 2 -1.36 0.52424852 362.0897093 2.90E-18
NA EC2.5 1 ■■ -1.23 0.511838676 259.4344729 6.43E-46
Tagaturonate reductase -1.16 0.510087549 146.1907456 5.34E-41
Succinate-CoA ligase (ADP-forming) ECO 2.1.5 1.56 0.505062899 164.3639291 1.77E-13
Aspartate carbamoyltransferase EC2.1.3 2 -1.11 0.502989935 172.3686479 7.13E-44
O-sialoglycoprotein endopeptidase ECO .4 24.57 -1.00 0.501198499 248.6990881 8.45E-19
Methionine synthase EC2.1.1 13 -1.57 0.486774167 177.5192337 3.78E-17
L-serine ammonia-lyase C 3.1.17 1.04 0.484167863 140.494061 6.56E-22
Coproporphyrinogen dehydrogenase G 3 ;0 22 1.45 0.480503575 223.9031498 7.58E-14
Tryptophan synthase EC4.2 1.20 -1.07 0.477821453 300.5914465 1.46E-47
Dihydropteroate synthase !■"■■"··.> - 1.1S 1.13 0.474801522 282.5656874 1.32E-14
Glucose-1 -phosphate thymidylyltransferase bv!-i. 7 24 -1.16 0.473745469 195.1015784 1.38E-35
3-dehydroquinate dehydratase E . 2.1.1 G 1.06 0.470002927 291.6356684 8.21 E-16
Polyphosphate kinase EG2. 4.1 1.02 0.45950151 158.4459537 1.24E-13
NA ί'-ί^'ί f. " .. -1.00 0.454394636 305.5470521 3.48E-101
Methionyl-tRNA formyltransferase C2.1 2 9 1.07 0.453534239 1 4.4609919 1.38E-13
Galactokinase C2 7.1.0 -1.56 0.446288468 398.2390201 1.43E-86
Chorismate synthase C4.2 3 5 -1.03 0.43827236 151.1576641 1.01 E-40
Shikimate kinase s7C2 7.1.71 1.07 0.425880036 243.6644769 3.54E-21
NA '?1 - -1.08 0.419797826 239.2791898 5.15E-53
2-C-methyl-D-erythritol 2,4-cyclodiphosphate
i7C4 6.1.12 -1.08 0.4111 6899 164.8781906 1.17E-12 synthase
4-hydroxythreonine-4-phosphate dehydrogenase EC 1.1. 262 -1.12 0.384407728 254.548416 2.11 E-28 tRNA (5-methylaminomethyl-2-thiouridylate)- EG2 1.1.01 -1.05 0.367673306 161.5093858 1.72E-12
methyltransferase
DNA topoisomerase EC5 99.1.2 -1.00 0.352309788 199.9308876 6.67E-23
N-succinylornithine carbamoyltransferase >2C2.1.3 1 -1.19 0.349131844 289.4017418 3.91 E-15
Signal peptidase 1 EC¾ 4.21.¾9 -1.07 0.340923661 213.3953945 1.27E-22
Deoxyribose-phosphate aldolase EC4.1 2 4 1.03 0.33504026 219.174718 7.72E-16
Ribulose-phosphate 3-epimerase tVC':- 1.3.1 -1.00 0.333914642 108.6252071 9.28E-14
NA 1.08 0.332501749 460.1477842 1.46E-42
NA ECl 17.7.1 -1.06 0.33229236 134.2587593 1.29E-13
Alpha-L-fucosidase EC3.2.1 51 -1.31 0.329658969 132.6198113 7.48E-17
Inorganic diphosphatase tVC'i 6.1.1 -1.26 0.318071613 245.8808676 2.39E-24
Peptide deformylase -1.02 0.305433883 351.6153247 3.74E-12
NA ECS.3.1. - 1.07 0.30304959 174.0522304 8.64E-23
Glucosamine-6-phosphate deaminase C3.5.&9 6 1.12 0.299733298 230.1014396 4.72E-53
NA EC2.¾ 1 75 -1.06 0.297442191 176.4755111 5.94E-11
Exodeoxyribonuclease VII EG 3 1. 1 8 1.18 0.293224844 385.3346023 8.82E-13
UMP kinase EC2.7 4 22 -1.02 0.290591826 287.6239269 1.03E-15
Beta-galactosidase EG 3 2.1.23 1.17 0.279205394 335.9363292 1.56E-63
NA EC3 2.2.- -1.03 0.271847448 213.7870992 6.40E-15
NA EC';. 1.·.· 1.02 0.253489308 371.1722565 8.52E-30
Branched-chain-amino-acid transaminase EC2.f,.1 42 -1.12 0.201617431 296.4511549 2.38E-12
Peroxiredoxin ECl 1 1.1.15 1.15 0.189318105 302.8219018 2.05E-15
NA EC2 1.1.- -1.04 0.177804477 218.5120906 2.80E-31
Orotate phosphoribosyltransferase EC2 4.2.1 -1.06 0.174685729 529.0917739 2.60E-15
NA EC; 6.1.- -1.11 0.122697534 198.9301287 1.86E-15
H(+)-transporting two-sector ATPase 1.12 0.100352381 1418.265681 6.78E-41
Inulin fructotransferase (DFA-l-forming) EC4.2.2.17 6.79 19.45303113 132.8167152 6.40E-15
NA EC2.7.10.- -1.81 2.99800172 85.29887144 6.09E-11
Galactonate dehydratase EC4.2.1.6 1.42 2.111269791 75.97818005 2.87E-16
3-hydroxydecanoyl-[acyl-carrier-protein]
EC4.2.1.60 1.66 2.052723451 168.4942584 6.99E-11 dehydratase
2-dehydro-3-deoxy-6-phosphogalactonate aldolase EC4.1.2.21 1.57 1.942448921 165.4295003 6.50E-13
Levanase EC3.2.1.65 1.80 1.840966018 1514.69556 0
Citrate (pro-3S)-lyase EC4.1.3.6 -1.23 1.536983813 88.12694791 4.36E-25
Nitrate reductase EC1.7.99.4 1.49 1.49812601 109.2654666 8.74E-12
Ribonuclease M5 EC3.1.26.8 1.38 1.490346502 150.4103337 1.46E-16
Acetyl-CoA hydrolase EC3.1.2.1 1.65 1.469393326 726.7408988 3.44E-229
3-dehydro-L-gulonate 2-dehydrogenase ECU .1.130 1.87 1.412280334 99.44903161 4.58E-13
Glucarate dehydratase EC4.2.1.40 1.77 1.344357715 178.0813128 1.46E-16
Alpha-glucosidase EC3.2.1.20 1.06 1.025021884 126.7578334 3.27E-70
Asparagine synthase (glutamine-hydrolyzing) EC6.3.5.4 1.17 1.0000041 4 515.4591469 1.96E-60
NA EC3.1.3.- 1.80 0.994659522 256.6821134 1.14E-17 dTMP kinase EC2.7.4.9 1.19 0.986728468 125.1398223 1.56E-11
Pyruvate dehydrogenase (cytochrome) EC1.2.2.2 2.08 0.952498259 132.0091377 9.15E-14
Beta-ketoacyl-acyl-carrier-protein synthase 1 EC2.3.1.41 -1.51 0.91039948 242.360496 7.01 E-40
Dethiobiotin synthase EC6.3.3.3 1.38 0.841036817 244.403733 2.60E-15
3-oxoacid CoA-transferase EC2.8.3.5 1.64 0.780574435 407.6920806 4.53E-26
Acetate CoA-transferase EC2.8.3.8 1.40 0.756093075 284.2446814 1.48E-23
NAD(+) kinase EC2.7.1.23 -1.03 0.730254195 221.4608102 2.38E-28
Alpha-galactosidase EC3.2.1.22 -1.07 0.72400227 575.817129 1.47E-144
L-aspartate oxidase EC1.4.3.16 -1.22 0.674534608 1 1.5705894 3.04E-44
Nucleoside-triphosphatase EC3.6.1.15 1.13 0.669928997 702.7537604 7.68E-35
Nicotinate-nucleotide-dimethylbenzimidazole
EC2.4.2.21 1.06 0.642618442 100.3390224 2.36E-15 phosphoribosyltransferase
6-phospho-beta-glucosidase EC3.2.1.86 1.33 0.64078666 217.7700196 8.74E-12
Copper-exporting ATPase EC3.6.3.4 1.46 0.623036792 190.2668863 2.19E-22
Fructokinase EC2.7.1.4 -1.06 0.615427639 1833.668463 5.27E-153
4-alpha-glucanotransferase EC2.4.1.25 1.03 0.575342236 186.0364312 9.71 E-46
CDP-diacylglycerol-serine O-
EC2.7.8.8 -1.01 0.566738542 166.8178478 1.64E-17 phosphatidyltransferase
Carboxylesterase EC3.1.1.1 -1.65 0.560447649 405.246057 8.05E-19
Alanine racemase EC5.1.1.1 -1.04 0.5265079 151.6433838 1.24E-14
N-acetyl-gamma-glutamyl-phosphate reductase EC1.2.1.38 -1.22 0.5071965 527.4068631 1.40E-41
NA EC3.4.99.- -1.15 0.500836495 731.3942937 2.61 E-55
NA EC2.7.-.- 1.35 0.491298621 4296.617378 1.53E-215
2',3'-cyclic-nucleotide 2'-phosphodiesterase EC3.1.4.16 1.18 0.476308051 94.12013905 7.14E-14
Dihydroorotase EC3.5.2.3 1.16 0.435307882 127.7473786 1.53E-18
Indolepyruvate ferredoxin oxidoreductase EC1.2.7.8 -1.02 0.432112102 378.2277605 5.15E-68
UDP-N-acetylmuramoyl-tri peptide-- D-alanyl-D-
EC6.3.2.10 1.09 0.424450553 137.3225139 7.92E-13 alanine ligase
Phosphatidylserine decarboxylase EC4.1.1.65 -1.29 0.416375015 143.2942149 9.38E-18
NA EC2.1.-.- -1.00 0.413797606 212.5944294 1.00E-15
NAD(+) synthase (glutamine-hydrolyzing) EC6.3.5.1 -1.22 0.393189969 229.1519874 9.50E-16
Arabinose-5-phosphate isomerase EC5.3.1.13 -1.42 0.386529394 139.2054936 4.23E-15
Uracil phosphoribosyltransferase EC2.4.2.9 1.19 0.372099491 338.3622063 1.46E-18
3-methyl-2-oxobutanoate hydroxymethyltransferase EC2.1.2.11 -1.06 0.37138284 208.3715911 1.89E-13
Acetate-CoA ligase EC6.2.1.1 -1.16 0.370440983 202.9321685 2.14E-15
Arginine-tRNA ligase EC6.1.1.19 -1.36 0.367593991 161.8844143 6.27E-17 tRNA-guanine transglycosylase EC2.4.2.29 -1.12 0.359744071 203.452866 4.28E-14
Catalase EC1.11.1.6 2.06 0.358354247 449.2700565 1.36E-13
5'-nucleotidase EC3.1.3.5 -1.07 0.35672368 275.7724062 2.58E-11
Aminoacyl-tRNA hydrolase EC3.1.1.29 1.22 0.355531165 311.7767055 6.73E-11
Phenylacetate-CoA ligase EC6.2.1.30 -1.15 0.336348876 302.7274631 1.03E-30
Tyrosine-tRNA ligase EC6.1.1.1 -1.19 0.318658589 207.7789667 8.42E-19
[Acyl-carrier-protein] S-malonyltransferase EC2.3.1.39 -1.58 0.317185628 348.7902647 1.13E-18
Proline-tRNA ligase EC6.1.1.15 -1.20 0.313108233 195.3945457 2.67E-15
Acetolactate synthase EC2.2.1.6 -1.04 0.310480879 193.447917 3.96E-26
Alanine-tRNA ligase EC6.1.1.7 -1.18 0.304857538 235.0406653 8.99E-16
Imidazoleglycerol-phosphate dehydratase EC4.2.1.19 -1.23 0.303228721 265.2855262 1.09E-11
Aspartate transaminase EC2.6.1.1 -1.23 0.302093416 311.820919 6.98E-28
Amidophosphoribosyltransferase EC2.4.2.14 1.03 0.30038936 199.4715283 7.18E-13
Serine-tRNA ligase EC6.1.1.11 -1.13 0.298615731 291.7247585 1.78E-18
Pyruvate kinase EC2.7.1.40 -1.01 0.292982973 126.8088301 1.12E-13
Adenylosuccinate synthase EC6.3.4.4 -1.18 0.287000794 271.8794677 2.14E-20
Aspartate-tRNA ligase EC6.1.1.12 -1.20 0.284199805 222.5480782 2.32E-19
Carbamoyl-phosphate synthase (glutamine-
EC6.3.5.5 1.02 0.269341471 457.0495777 6.00E-28 hydrolyzing)
Ribose-phosphate diphosphokinase EC2.7.6.1 -1.23 0.250138437 378.628322 5.03E-20
Beta-ketoacyl-acyl-carrier-protein synthase II EC2.3.1.179 -1.59 0.232965838 1309.299769 3.04E-44
UDP-glucose 4-epimerase EC5.1.3.2 -1.26 0.229666975 252.6642755 7.47E-20
3-isopropylmalate dehydrogenase ECU .1.85 1.10 0.227247198 287.9094915 4.05E-11
Pyruvate carboxylase EC6.4.1.1 -1.84 0.219895948 247.0146873 4.73E-15
Phenylalanine-tRNA ligase EC6.1.1.20 -1.21 0.19619655 331.5193451 1.63E-15
GMP synthase (glutamine-hydrolyzing) EC6.3.5.2 -1.18 0.189355186 218.6349562 2.50E-14
Aldose 1-epimerase EC5.1.3.3 -1.29 0.188669867 523.6750293 9.85E-22
NA EC3.4.24.- 1.01 0.150713661 150.4859757 1.07E-13
2-oxoglutarate synthase EC1.2.7.3 -1.16 0.129111154 776.0079989 1.25E-21
B. ECs enrriched in the cecal meta-transcriptomes of dually-housed Ob-Ob versus dually-housed Ln-Ln controls
Fold Adjusted
EC assigned difference Poisson p-value
Annotation AIC
to transcript to Ln-Ln coefficient (Benjamin- controls Hochberg)
Enrriched in Ob-Ob versus Ln-Ln and in Ob-Ob versus Obch animals (49/90 ECs ~ 54%)
Sorbitol-6-phosphate 2-dehydrogenase 3.12 -3.886570223 73.64479419 3.37E-144
Glycerol dehydratase 2.84 -2.919995675 96.25734526 9.15E-59
Propanediol dehydratase 1.27 -2.802407589 71.98848432 2.33E-77
Amylosucrase 2.49 -1.942524008 89.09455208 3.99E-33
Inositol 2-dehydrogenase 1.46 -1.890031252 524.6727708 5.06E-37
Formate-tetrahydrofolate ligase 1.23 -1.402893399 3666.920127 0
1-pyrroline-5-carboxylate dehydrogenase 2.04 -1.190694072 142.5640711 4.22E-105
Proline dehydrogenase 1.95 -1.180197153 208.0428813 5.43E-36
Superoxide reductase -3.76 -1.122875587 384.5911378 5.08E-96
Phosphoenolpyruvate-protein phosphotransferase 1.22 -0.942269177 324.1948989 2.12E-76
Pyruvate, phosphate dikinase -2.78 -0.935488881 677.1585725 0
Protein-N(pi)-phosphohistidine-sugar
1.82 -0.901570874 3041.399564 0 phosphotransferase
Ribonucleoside-triphosphate reductase 1.31 -0.893348714 184.8481872 1.62E-96
Cytochrome-c peroxidase 1.33 -0.73949053 150.6127386 1.55E-42
Hydrogenase (acceptor) 2.22 -0.726250124 179.8025672 8.89E-15
Butyryl-CoA dehydrogenase 1.13 -0.713291674 483.2350968 7.68E-135
Propionate CoA-transferase 3.32 -0.698909906 213.468352 4.66E-22
Glyceraldehyde-3-phosphate dehydrogenase
-1.13 -0.616882847 1359.029066 0 (phosphorylating)
NA -1.10 -0.595532441 520.0409429 8.88E-84
L-fuculose-phosphate aldolase -1.06 -0.577882883 777.1676105 4.22E-27
GDP-mannose 4,6-dehydratase 1.02 -0.562008354 421.6605334 1.11 E-70
Phosphoenolpyruvate carboxykinase (ATP) -1.14 -0.505196908 1060.651988 0
Triose-phosphate isomerase -1.11 -0.49531998 539.9071841 2.19E-136
Ferredoxin-NADP(+) reductase 1.20 -0.482607653 230.7067215 3.21 E-29
Nucleoside-diphosphate kinase 1.07 -0.464052619 530.9674894 8.49E-88
Diphosphate-fructose-6-phosphate 1 -
1.16 -0.447139587 434.4917328 7.66E-85 phosphotransferase
NA 1.72 -0.422123671 267.3468548 6.72E-18
Exo-alpha-sialidase 1.16 -0.419658897 173.5811154 1.03E-37
Fructose-bisphosphate aldolase 1.18 -0.419158103 572.9219142 0
Ribonucleoside-diphosphate reductase 1.14 -0.402648295 358.7106769 4.61 E-42
Acetyl-CoA C-acetyltransferase 1.02 -0.392000286 542.2344656 1.38E-19
Protein-synthesizing GTPase -1.24 -0.383698137 1745.929651 0
Endo-1 ,4-beta-xylanase -2.10 -0.365276427 417.2065085 1.71 E-34
NA -1.06 -0.354575783 198.5476576 7.54E-12
Starch synthase -1.19 -0.327417353 468.0126993 2.31 E-40
Sialate O-acetylesterase -1.01 -0.304197783 330.4011666 6.37E-30
NA -1.58 -0.29070031 1003.023726 8.54E-92
Ketol-acid reductoisomerase 1.03 -0.276535627 430.5234953 3.65E-41
3-hydroxybutyryl-CoA dehydrogenase -1.08 -0.273122123 422.3201949 1.95E-12
DNA-directed RNA polymerase -1.31 -0.268804638 1563.11823 1.58E-134
Phosphorylase 1.02 -0.265950509 291.1637661 3.21 E-27
Methionyl aminopeptidase -1.21 -0.262517679 1624.582922 2.49E-54
Transketolase 1.10 -0.22367953 597.5278477 1.66E-41
Beta-glucosidase 1.02 -0.218898164 958.7397902 1.50E-45
L-ribulose-5-phosphate 4-epimerase -1.01 -0.206679144 952.5383475 7.92E-14
Phosphoglycerate kinase -1.09 -0.189938462 487.5304521 2.07E-27
Succinate dehydrogenase -1.18 -0.17313452 1169.785848 3.22E-54
NA -1.20 -0.142300166 2382.590991 7.38E-36
NADH dehydrogenase (ubiquinone) -1.03 -0.11277655 863.9603374 2.30E-12
Glycine reductase EC1.21.4.2 1.61 -2.658889371 378.5397462 0
NA EC3.1.1- 2.79 -2.587997717 94.28876449 1.83E-76
Butyrate-acetoacetate CoA-transferase EC2.8.3.9 2.76 -2.509070459 248.7462241 2.06E-64
NA EC1.6.-.- 1.33 -2.060489595 78.95464604 1.71E-21
4-nitrophenylphosphatase EC3.1.3.41 2.64 -2.045423397 63.97282234 6.88E-13
NA EC3.4.23.- 1.19 -1.914193501 211.2581491 2.88E-62
Fructan beta-fructosidase EC3.2.1.80 27.27 -1.871554976 115.5108893 3.95E-18
S-methyl-5-thioribose kinase EC2.7.1.100 -1.20 -1.761319146 135.5161636 1.71E-32
Glutamate dehydrogenase (NAD(P)(+)) EC1.4.1.3 1.87 -1.751062646 153.3511877 1.45E-16
Tagatose-bisphosphate aldolase EC4.1.2.40 1.53 -1.479187504 104.145842 4.36E-36
Glucose-1 -phosphate adenylyltransferase EC2.7.7.27 1.46 -1.445884686 2160.980617 0
Glycerol-1 -phosphate dehydrogenase (NAD(P)(+)) ECU .1.261 1.44 -1.352934327 107.8290122 1.44E-18
Tagatose-6-phosphate kinase EC2.7.1.144 2.12 -1.284204579 92.08249298 9.45E-40
NA EC1.8.1- 2.66 -1.078324337 136.2286092 3.83E-12
Monosaccharide-transporting ATPase EC3.6.3.17 1.19 -1.02742391 483.867747 2.11E-252
Hyaluronoglucosaminidase EC3.2.1.35 1.17 -1.006040184 114.2148858 3.63E-69
Pyrimidine-nucleoside phosphatase EC2.4.2.2 3.13 -0.939996772 155.3670638 2.55E-14
Choline-phosphate cytidylyltransferase EC2.7.7.15 1.77 -0.888703477 144.4221319 3.17E-13
NA EC2.7.11.- 1.46 -0.824164956 170.9080671 2.24E-20
NA EC2.7.4.- 1.46 -0.824164956 170.9080671 2.24E-20
NA EC3.4.11- 1.66 -0.823870188 151.9215129 1.13E-15
Thioredoxin-disulfide reductase EC1.8.1.9 1.54 -0.726031071 303.3607048 5.54E-145
Phosphopentomutase EC5.4.2.7 1.46 -0.698811862 149.7185411 6.13E-15
Phosphoglucosamine mutase EC5.4.2.10 1.85 -0.695005234 164.1100596 2.86E-19
Carbamate kinase EC2.7.2.2 1.50 -0.622074814 235.8748652 2.95E-13
Glucose-6-phosphate isomerase EC5.3.1.9 1.16 -0.529088933 406.4074564 3.63E-118
NA EC1.1.5.3 1.93 -0.506259965 166.6246245 1.15E-11
Glycerol-3-phosphate O-acyltransferase EC2.3.1.15 1.28 -0.496286085 122.103095 5.25E-25
Phosphoprotein phosphatase EC3.1.3.16 1.08 -0.482891809 253.0391301 5.83E-14
NA EC3.5.1.- 1.12 -0.477074039 294.9519395 1.14E-31
N-acetylneuraminate lyase EC4.1.3.3 1.04 -0.403876744 589.5283627 5.45E-39
Methylglyoxal synthase EC4.2.3.3 1.52 -0.39347485 515.735307 2.90E-38
Ribonuclease P EC3.1.26.5 1.16 -0.383841547 284.3640902 2.50E-22
Acetyl-CoA carboxylase EC6.4.1.2 1.52 -0.346833801 138.1290191 1.97E-12
N-acylglucosamine 2-epimerase EC5.1.3.8 1.41 -0.308646062 694.2302553 7.16E-26
Alkaline phosphatase EC3.1.3.1 1.12 -0.304692777 417.3967748 2.78E-20
UDP-N-acetylglucosamine 1-
EC2.5.1.7 1.10 -0.26476032 204.9001243 4.43E-13 carboxyvinyltransferase
Nicotinate-nucleotide diphosphorylase
EC2.4.2.19 -1.17 -0.259955455 272.7896222 1.26E-19 (carboxylating)
6-phosphofructokinase EC2.7.1.11 1.01 -0.259278481 374.2636379 5.86E-35
Endopeptidase Clp EC3.4.21.92 1.07 -0.205017917 491.9537334 9.42E-14
Beta-N-acetylhexosaminidase EC3.2.1.52 -1.03 -0.15268331 172.2907675 1.23E-12
NA EC1.10.3 - -0.565399212 332.9303974 1.05E-119
Peroxiredoxin EC1.11.1 15 -1.012056322 529.8681493 0
Glutathione peroxidase EC'! .11.1.9 -2.717018341 124.7634698 3.93E-171
NA EC1.17.7.1 -0.374529949 133.3951645 2.17E-15
Glycolaldehyde dehydrogenase EC I .2,1.2 -1.885284997 103.907094 6.45E-42
Lactaldehyde dehydrogenase EC1.2.1.22 -1.885284997 103.907094 6.45E-42
3-methyl-2-oxobutanoate dehydrogenase (2-methylpropanoyl-
EC1.2.4.4 -1.083277896 87.74904028 5.18E-22 transferring)
Arsenate reductase (glutaredoxin) EC1.20.4.1 -1.122627358 161.7960132 8.99E-24
Coproporphyrinogen dehydrogenase EC'! .3 99.22 -0.673013391 259.9533528 2.32E-25
3-oxo-5-alpha-steroid 4-dehydrogenase EC1.3.99.5 -2.544602314 585.8560855 0
Pyridoxal 5'-phosphate synthase EC ! .4.3.5 -1.414348963 122.2078273 1.96E-38
NA ECU.- - -1.297228025 94.40565717 2.33E-28
Nitrite reductase (cytochrome; ammonia-forming) ECU. .2 -0.925755027 223.7837774 8.14E-59
CoB-CoM heterodisulfide reductase EC1.8.9S.1 -1.557781431 75.25686527 2.59E-16
NA EC2.1.1.- -0.31123709 268.6410969 1.35E-87
Methionine synthase EC2.1.1.13 -0.420101226 199.3706587 2.32E-11 tRNA (guanine-N(7)-)-methyltransferase EC2.1 1.33 -0.657322164 144.3203561 7.69E-28 tRNA (5-methylaminomethyl-2-thiouridylate)-methyltransferase EC2.1.1.61 -0.542105446 174.7208712 8.35E-25
Site-specific DNA-methyltransferase (adenine-specific) EC2.1.1.72 -0.858480384 226.7781491 2.77E-59
Methionyl-tRNA formyltransferase EC2.1.2.9 -0.434612659 113.8122007 3.80E-11
N-succinylornithine carbamoyltransferase EC2.1.3.1 1 -0.647282444 122.9339901 3.71 E-50
Aspartate carbamoyltransferase EC2, 1.3.2 -0.359443714 136.8095066 3.96E-19
NA EC2.3.1.- -0.371601133 212.1378708 8.80E-31
Dihydrolipoyllysine-residue acetyltransferase EC2.3.1.12 -1.800727609 73.94361168 6.32E-14
1-acylglycerol-3-phosphate O-acyltransferase EC2.3.1 51 -0.556168763 157.0406054 8.59E-21
Maltose O-acetyltransferase EC2.3.1.79 -0.917097819 460.6990932 7.96E-61
Leucyltransferase EC2.3.2 6 -1.544228464 68.24017288 2.08E-15
Orotate phosphoribosyltransferase EC2.4.2.10 -0.228011658 241.0627228 7.31 E-23
Anthranilate phosphoribosyltransferase EC2.4.2.18 -0.887107106 159.835952 8.38E-17
NA EC2.5.1.- -0.384498749 253.812711 3.89E-22
Dihydropteroate synthase EC2.5.1.15 -0.745251835 204.6700577 1.32E-34
NA EC2.5.U5 -0.41133247 160.5696691 1.35E-18
Glutamine-fructose-6-phosphate transaminase (isomerizing) EC2.6.1.16 -0.662506182 161.8395844 4.94E-21
Branched-chain-amino-acid transaminase EC2.6.1.42 -0.315781231 305.2198687 1.33E-26
LL-diaminopimelate aminotransferase EC2.6.1.83 -0.575980832 153.170658 9.08E-11
Diacylglycerol kinase EC2.7.1.107 -1.13771017 339.3225795 2.82E-49
Thymidine kinase EC2.7.1.21 -0.625190618 198.5160865 1.01 E-15
Dephospho-CoA kinase EC2.7.1 24 -0.572216573 142.4786721 1.25E-18
Glycerate kinase EC2.7.1.31 -1.264604839 126.3176688 1.85E-47
Pyridoxal kinase EC2.7.1 35 -0.88429943 199.2597301 1.49E-28
Rhamnulokinase EC2.7.1.5 -1.309417685 127.6662075 1.08E-69
Galactokinase EC2.7.1 6 -0.185871845 203.772032 1.17E-12
Shikimate kinase EC2.7.U'! -0.547729319 125.0754011 3.34E-32
Histidine kinase EC2.7.13.3 -1.090250765 274.1728235 4.81 E-249
Butyrate kinase EC2.7.2.7 -1.076681987 128.7885377 1.60E-37
Polyphosphate kinase EC2.7.4.1 -0.565208361 125.980456 1.02E-18
UMP kinase EC2.7 4.22 -0.463822031 101.1505443 1.09E-36
Phosphomethylpyrimidine kinase EC2.7.4.7 -0.997123433 119.6163254 4.46E-29
Thiamine diphosphokinase EC2.7.6.2 -0.932197529 309.0803091 1.01 E-29
Nicotinate-nucleotide adenylyltransferase EC2.7.7.18 -0.674255241 108.9257681 1.60E-22
Glucose-1 -phosphate thymidylyltransferase EC2.7.7.24 -0.337966711 145.1203076 1.25E-15
CDP-diacylglycerol-glycerol-3-phosphate 3-
EC2.7.8.5 -0.607467722 241.3572959 7.79E-20 phosphatidyltransferase
NA EC3.1 .-.- -0.300754063 237.0610396 2.25E-37
Exodeoxyribonuclease III EC3.1.11.2 -0.701633044 149.0065879 4.65E-28
Exodeoxyribonuclease VII EC3.1.11.6 -0.574079202 376.5165996 4.43E-46
Deoxyribonuclease IV (phage-T(4)-induced) EC3.1.21.2 -1.224189657 133.3695845 2.77E-69
Type I site-specific deoxyribonuclease EC3.1.21.3 -1.072273615 223.0518134 5.81 E-98
Crossover junction endodeoxyribonuclease EC3.1.22.4 -0.466912196 112.5816618 1.65E-11
Phosphoserine phosphatase EC3.1.3.3 -0.546094189 168.8387252 4.43E-16
NA EC3.1.30 - -0.79904806 182.5757805 2.47E-39 dGTPase EC3.1.5 1 -0.41380822 247.5954116 9.56E-16
Chitinase EfC3.2 1.14 -1.963246539 71.38855748 1.57E-27
Lysozyme EC3.2.1.17 -1.898708008 318.8251822 1.05E-52
Beta-galactosidase EC3.2 1.23 -0.147512339 278.3536119 1.62E-15
Alpha-L-rhamnosidase EC3.2.1.40 -1.121167594 98.11466916 3.79E-21
Pullulanase EC3.2.1.41 -2.211526063 69.37075332 1.15E-18
Alpha-N-acetylglucosaminidase EC3.2.1.50 -2.578432178 55.1652176 5.77E-17
Alpha-L-fucosidase EC3.2.1.51 -0.635570091 138.3170159 6.48E-61
NA EC3.2.2.- -0.30038458 349.3162634 3.88E-16
NA EC3.4.13.- -1.446450743 94.62740693 2.34E-20
Muramoyltetrapeptide carboxypeptidase EC3.4.17.13 -0.769357853 120.3542857 1.02E-14
NA EC3.4.21.- -0.756276729 221.2161847 4.33E-177
Signal peptidase 1 EC3.4.21.8S -0.478195699 146.5821177 6.13E-41
Signal peptidase II EC3.4.23.36 -0.766007766 138.1109663 6.16E-48
Prepilin peptidase EC3.4.23.43 -1.046955807 167.700805 3.13E-22
O-sialoglycoprotein endopeptidase EC3.4.24 57 -0.433182214 189.2050563 1.91 E-12
N-carbamoylputrescine amidase EC3.5.1.53 -0.683454898 167.2431387 6.17E-23
Peptide deformylase EC3.5.1.88 -0.517789253 157.9188152 5.47E-32
Beta-lactamase EC3.5.2.6 -1.279149194 81.70497771 5.74E-30
Cytidine deaminase EC3.5.4.5 -0.980126333 336.8572677 3.41 E-73
Glucosamine-6-phosphate deaminase EC3.5.99.6 -0.673721592 507.0355297 8.08E-280
NA EC3.6.1.- -0.255816881 135.2958132 3.37E-59
Inorganic diphosphatase EC3.6.1.1 -0.393240258 212.2198363 1.56E-33
NAD(+) diphosphatase EC3.6.1.22 -0.84196545 122.3153458 5.89E-21
NA EC3.6.3.- -0.236044851 214.2422993 1.68E-22
Potassium-transporting ATPase EC3.6.3.12 -1.229908477 364.5515265 1.67E-59
H(+)-transporting two-sector ATPase EC3.6.3.14 -0.130991808 792.2237988 3.21 E-61
Phosphate-transporting ATPase EC3.8.3.27 -1.26214703 150.9722752 4.71 E-33
Iron-chelate-transporting ATPase EC3.6.3.34 -0.549202265 218.7778681 5.01 E-17
Aspartate 4-decarboxylase EC4.1.1.12 -1.718530502 73.5070151 1.58E-31
Glutamate decarboxylase EC4.1.1.15 -3.263677714 254.2816067 0
Uroporphyrinogen decarboxylase EC4.1 .1.37 -1.796925323 109.7277178 2.50E-27
Dihydroneopterin aldolase EC4.1.2.25 -1.13616547 272.9793961 3.24E-52
Deoxyribose-phosphate aldolase EC4.1.2.4 -0.546315208 124.9028313 2.62E-39
Anthranilate synthase EC4.1.3.27 -0.835776615 291.7876305 1.03E-32
NA EC4.2.-.- -1.255710621 67.74286194 1.04E-31
3-dehydroquinate dehydratase EC4.2.1.10 -0.438549855 164.1076608 2.79E-12
Phosphopyruvate hydratase EC4.2.1.11 -1.044082831 317.9111601 3.30E-178
Tryptophan synthase EC4.2.1.20 -0.288676457 236.3317018 8.58E-15
Altronate dehydratase EC4.2.1.7 -0.858513192 166.7559902 1.57E-61
Uroporphyrinogen-lll synthase EC4.2.1.75 -0.463546566 160.1791156 5.07E-13
Mannonate dehydratase EC4.2.1.8 -0.305242051 139.9543755 6.50E-14
Oligogalacturonide lyase EC4.2.2.6 -3.33696211 80.92267499 2.48E-21
Chorismate synthase EC4.2.3.5 -0.676891844 163.1285985 5.47E-95
L-serine ammonia-lyase EC4.3.1.17 -0.585123827 191.9850785 2.48E-29
S-ribosylhomocysteine lyase EC4.4.1.21 -0.941083913 135.4223437 1.69E-25
2-C-methyl-D-erythritol 2,4-cyclodiphosphate synthase EC4.6.1.12 -0.716339237 150.2287311 6.29E-37
Glutamate racemase EC5.1.1 3 -0.743013213 103.7039091 1.18E-24
Diaminopimelate epimerase ECS.1.1.7 -0.825882814 175.6694938 1.99E-22
NA EC5.1.3.- -1.82739152 388.8664525 0
Ribulose-phosphate 3-epimerase EC5.1.3.1 -0.361271347 144.7564479 2.52E-14
UDP-N-acetylglucosamine 2-epimerase EC5.1.3.14 -1.343643261 87.78615551 1.21 E-43
Methylmalonyl-CoA epimerase EC5.1.99.1 -0.40173668 520.3164588 5.11 E-32
L-rhamnose isomerase EC5.3.1.14 -0.784858275 154.567083 1.37E-32
Phosphoribosylanthranilate isomerase EC5.3.1.24 -0.972532526 115.4535902 5.99E-21
UDP-galactopyranose mutase EC5.4.99.9 -0.981037023 129.0268779 3.58E-25
DNA topoisomerase EC5.99.1.2 -0.288297185 133.6883692 1.28E-13
Succinate-CoA ligase (ADP-forming) EC6.2.1.5 -0.831225188 123.2813546 8.13E-36
Glutamate-ammonia ligase EC6.3.1.2 -0.525404592 134.2855085 3.07E-71
5-formyltetrahydrofolate cyclo-ligase EC6.3.3.2 -1.051410157 118.3144587 1.04E-50
NA EC6.3.4.- -0.781121674 132.6817367 8.73E-25
Biotin-[acetyl-CoA-carboxylase] ligase EC6.3.4.15 -0.843831123 223.7176245 3.34E-32
NA EC1 -0.440725801 199.8466177 7.66E-35
NA EC1.1.-.- -0.651853486 169.1477256 7.70E-38
3-oxoacyl-[acyl-carrier-protein] reductase EC1.1.1.100 -0.157107765 228.9976651 4.42E-14
Ureidoglycolate dehydrogenase ECU .1.154 -3.205959171 154.4435037 1.32E-58
UDP-N-acetylmuramate dehydrogenase ECU .1.158 -0.639866003 125.3123835 1.60E-28
5-amino-6-(5-phosphoribosylamino)uracil reductase ECU .1.193 -3.061858827 61.23149052 7.14E-11
Isocitrate dehydrogenase (NAD(+)) ECU .1.41 -2.551033204 68.9024333 2.43E-11
Isocitrate dehydrogenase (NADP(+)) ECU .1.42 -0.256665084 208.0707875 4.36E-13
NA EC1.1.5.3 -0.722991229 562.6419274 1.96E-35
Superoxide dismutase EC1.15.1.1 -1.119401829 844.9285489 0
Xanthine dehydrogenase EC1.17.1.4 -1.737321344 579.3912315 2.77E-104
Formate dehydrogenase EC1.2.1.2 -1.135509204 105.8509905 1.27E-20
Pyruvate dehydrogenase (acetyl-transferring) EC1.2.4.1 -1.708354289 190.8612548 5.00E-23
NA EC1.3.1- -0.468285874 170.3309443 7.12E-16
Dihydroorotate oxidase EC1.3.3.1 -0.342112586 207.3586772 3.32E-31
Aspartate dehydrogenase EC1.4.1.21 -0.517117037 307.8681364 4.57E-31
Methylenetetrahydrofolate reductase (NAD(P)H) EC1.5.1.20 -0.37674839 114.1942082 1.84E-11
Peptide-methionine (S)-S-oxide reductase EC1.8.4.11 -1.60084092 94.61711738 2.60E-16
Phosphoadenylyl-sulfate reductase (thioredoxin) EC1.8.4.8 -2.464021827 61.20976531 1.75E-12
[Formate-C-acetyltransferase]-activating enzyme EC1.97.1.4 -0.343582094 299.3469965 6.20E-24
Thymidylate synthase (FAD) EC2.1.1.148 -2.067606554 114.0814484 1.68E-20 rRNA (guanine-N(2)-)-methyltransferase EC2.1.1.52 -1.220088937 103.1992222 4.78E-13
Methylated-DNA-[protein]-cysteine S-methyltransferase EC2.1.1.63 -0.628551771 132.793184 3.86E-27
Transaldolase EC2.2.1.2 -0.611557707 475.198631 1.32E-61
Ribosomal-protein-alanine N-acetyltransferase EC2.3.1.128 -0.873578507 227.7774736 6.05E-33
Acyl-[acyl-carrier-protein]-UDP-N-acetylglucosamine O-
EC2.3.1.129 -0.360485434 254.6475996 2.88E-41 acyltransferase
Glucosamine-1 -phosphate N-acetyltransferase EC2.3.1.157 -0.908309313 89.09698691 1.11E-12
Galactoside O-acetyltransferase EC2.3.1.18 -1.439175687 94.94084207 8.04E-27
Lipoyl(octanoyl) transferase EC2.3.1.181 -0.52653278 145.9535811 1.35E-12
Phosphinothricin acetyltransferase EC2.3.1.183 -1.657864885 135.9875188 3.44E-39
Diamine N-acetyltransferase EC2.3.1.57 -0.854583914 157.388857 8.68E-39
Dihydrolipoyllysine-residue succinyltransferase EC2.3.1.61 -1.467688387 100.5808497 5.23E-32
Citrate (Si)-synthase EC2.3.3.1 -0.536465247 234.8856002 1.01E-74
2-isopropylmalate synthase EC2.3.3.13 -0.551861256 194.0600552 1.01E-29
1 ,4-alpha-glucan branching enzyme EC2.4.1.18 -0.353689287 160.84545 6.23E-34
N-acetylglucosaminyldiphosphoundecaprenol N-acetyl-beta-D- EC2.4.1.187 -1.408935803 156.7009249 3.82E-21
Purine-nucleoside phosphorylase EC2.4.2.1 -0.366950294 175.739197 1.66E-26
Nicotinate phosphoribosyltransferase EC2.4.2.11 -0.617426285 160.9125233 3.10E-16
Nicotinate-nucleotide diphosphorylase (carboxylating) EC2.4.2.19 -0.238852601 211.2048686 1.34E-18
Uridine phosphorylase EC2.4.2.3 -0.461761715 211.462688 3.75E-26
Adenine phosphoribosyltransferase EC2.4.2.7 -0.848267272 200.8342843 1.72E-54
Thiamine-phosphate diphosphorylase EC2.5.1.3 -0.627662344 185.9235692 7.98E-14
6-phosphofructokinase EC2.7.1.11 -0.222109754 282.3528601 1.34E-28
Tetraacyldisaccharide 4'-kinase EC2.7.1.130 -0.656948122 114.2574602 6.68E-22
4-(cytidine 5'-diphospho)-2-C-methyl-D-erythritol kinase EC2.7.1.148 -0.366100265 231.9998396 9.42E-11
Ribokinase EC2.7.1.15 -1.02124745 165.8234189 3.50E-37
Glycerol kinase EC2.7.1.30 -0.609569482 1908.668626 5.06E-100
Homoserine kinase EC2.7.1.39 -0.870499369 157.0435403 9.15E-14
2-dehydro-3-deoxygluconokinase EC2.7.1.45 -0.298691845 156.8586339 5.50E-12
Carbamate kinase EC2.7.2.2 -0.639886849 228.1416091 5.68E-22
Cytidylate kinase EC2.7.4.14 -0.494103435 257.453284 1.44E-38
Mannose-1 -phosphate guanylyltransferase (GDP) EC2.7.7.22 -0.2457223 164.8758174 7.79E-11
UDP-N-acetylglucosamine diphosphorylase EC2.7.7.23 -0.919824436 90.48066225 9.42E-14
Glucose-1 -phosphate adenylyltransferase EC2.7.7.27 -0.221892387 2583.136563 2.56E-40
Pantetheine-phosphate adenylyltransferase EC2.7.7.3 -0.513071138 210.5764817 4.56E-25
Glucose-1 -phosphate cytidylyltransferase EC2.7.7.33 -0.944196073 172.6772271 7.93E-11
Glycerol-3-phosphate cytidylyltransferase EC2.7.7.39 -1.493242908 142.0032536 4.64E-28
Phosphatidate cytidylyltransferase EC2.7.7.41 -0.477456781 233.0893322 7.70E-22
Lipoate-protein ligase EC2.7.7.63 -1.30008019 137.7162343 2.09E-40
DNA-directed DNA polymerase EC2.7.7.7 -0.205952578 270.9703702 7.13E-38
NA EC2.7.8.- -0.60164479 174.4262352 5.46E-59
Biotin synthase EC2.8.1.6 -0.509101511 228.5088161 2.39E-14
Cysteine desulfurase EC2.8.1.7 -0.427458084 178.8036097 1.58E-21
6-phosphogluconolactonase EC3.1.1.31 -0.959868795 458.9228198 3.02E-95
NA EC3.1.21- -0.447580905 153.9963512 5.80E-16
NA EC3.1.26.- -0.273032316 204.6729275 5.47E-18
Ribonuclease Z EC3.1.26.11 -0.450177567 90.60172501 9.08E-14
Phosphoglycolate phosphatase EC3.1.3.18 -0.621652356 248.9244709 7.27E-40
Inositol-phosphate phosphatase EC3.1.3.25 -0.515190546 141.8427334 1.14E-14
NA EC3.2.-.- -1.072146056 80.01428465 2.42E-11
Alpha-amylase EC3.2.1.1 -0.255836007 525.53337 1.36E-19
Beta-mannosidase EC3.2.1.25 -0.60720023 105.2377538 1.71E-28
Arabinogalactan endo-1 ,4-beta-galactosidase EC3.2.1.89 -0.477242088 323.720302 4.04E-42
DNA-3-methyladenine glycosylase I EC3.2.2.20 -0.513601068 202.1764669 1.19E-15
AMP nucleosidase EC3.2.2.4 -0.537826536 241.4029739 1.38E-24
Tripeptide aminopeptidase EC3.4.11.4 -0.30600902 213.4669566 1.31E-14
Beta-aspartyl-peptidase EC3.4.19.5 -0.502898566 276.0873994 7.42E-11
Repressor lexA EC3.4.21.88 -0.423996003 341.1186215 6.68E-13
NA EC3.5.1.- -0.382704779 359.1379698 2.42E-27
Aminoacylase EC3.5.1.14 -2.477910939 138.6888638 4.77E-31
Glutaminase EC3.5.1.2 -2.686119899 232.7802087 1.86E-264
Choloylglycine hydrolase EC3.5.1.24 -1.011899639 271.080941 1.67E-46
N-acetylmuramoyl-L-alanine amidase EC3.5.1.28 -0.526417373 435.491265 8.06E-59
Allantoinase EC3.5.2.5 -3.807191761 260.2991653 1.79E-81
Agmatinase EC3.5.3.11 -1.372378207 139.5558464 1.78E-11
Allantoate deiminase EC3.5.3.9 -3.436291826 190.7482805 1.68E-91 dCMP deaminase EC3.5.4.12 -0.638918901 187.8313594 7.25E-40 dCTP deaminase EC3.5.4.13 -1.288117864 104.7955755 3.28E-12
Guanine deaminase EC3.5.4.3 -1.148628022 244.5217562 3.44E-37
Adenosine deaminase EC3.5.4.4 -1.452420915 114.9861872 8.22E-12
Nucleoside-triphosphate diphosphatase EC3.6.1.19 -0.472394552 180.1587328 1.66E-13
NA EC4.2.1- -0.780664925 165.8514202 1.05E-18
Carbonate dehydratase EC4.2.1.1 -0.485284989 243.5490742 3.89E-14
Enoyl-CoA hydratase EC4.2.1.17 -1.010588163 118.1140237 2.14E-22
Aconitate hydratase EC4.2.1.3 -0.596908781 203.1239656 4.27E-78
CDP-glucose 4,6-dehydratase EC4.2.1.45 -0.962214578 112.4172177 8.23E-14
6-pyruvoyltetrahydropterin synthase EC4.2.3.12 -0.524701487 635.010486 6.53E-24
3-dehydroquinate synthase EC4.2.3.4 -0.404728717 152.3913671 1.79E-12
Diaminopropionate ammonia-lyase EC4.3.1.15 -1.170144261 144.3871845 5.13E-33
Selenocysteine lyase EC4.4.1.16 -0.557348176 129.8707542 2.74E-20
Lactoylglutathione lyase EC4.4.1.5 -0.659802084 378.6687981 1.23E-77 dTDP-4-dehydrorhamnose 3,5-epimerase EC5.1.3.13 -0.368976848 210.2820743 5.41E-13
L-ribulose-5-phosphate 3-epimerase EC5.1.3.22 -1.424250038 91.34766685 6.19E-17
Glucuronate isomerase EC5.3.1.12 -0.283530032 281.1198157 6.27E-25
Beta-phosphoglucomutase EC5.4.2.6 -2.368711647 225.6693063 5.23E-21
DNA topoisomerase (ATP-hydrolyzing) EC5.99.1.3 -0.182928139 189.1793063 3.04E-14
D-alanine-D-alanine ligase EC6.3.2.4 -0.354302575 245.755179 4.32E-17
Asparaginyl-tRNA synthase (glutamine-hydrolyzing) EC6.3.5.6 -0.720532906 362.9526987 9.42E-21
Glutaminyl-tRNA synthase (glutamine-hydrolyzing) EC6.3.5.7 -0.720532906 362.9526987 9.42E-21
Propionyl-CoA carboxylase EC6.4.1.3 -1.737945489 241.8918637 1.25E-67
DNA ligase (ATP) EC6.5.1.1 -1.827114364 72.09670735 6.09E-11
D. ECs enrriched in the cecal meta-transcriptomes of dually-housed Ob-Ob controls versus Obch animals
Adenylate kinase EC2.7.4.3 0.215907014 272.5770217 3.08E-11 tRNA-pseudouridine synthase 1 EC5.4.99.12 0.22729078 385.5900737 2.32E-37
Aspartate kinase EC2.7.2.4 0.22872296 147.4007703 2.36E-12
Glutamate dehydrogenase (NADP(+)) EC1.4.1.4 0.229733357 378.4990221 6.16E-40
Pyruvate carboxylase EC6.4.1.1 0.234024508 311.5656568 3.67E-12
Xylulokinase EC2.7.1.17 0.236386299 245.7213179 2.39E-14
Adenylosuccinate lyase EC4.3.2.2 0.249768229 127.259735 5.46E-13
Acetylornithine transaminase EC2.6.1.11 0.261024285 395.810655 6.13E-11
Oxaloacetate decarboxylase EC4.1.1.3 0.274265335 292.3049871 4.06E-43
Peptidyl-dipeptidase Dcp EC3.4.15.5 0.277433722 199.398257 4.34E-13
Glycine hydroxymethyltransferase EC2.1.2.1 0.277803766 149.5204207 2.48E-19
NA EC2.7.1- 0.279331267 566.9680921 7.41 E-27
Glutamine-tRNA ligase EC6.1.1.18 0.291294381 109.6062359 1.78E-11
Isoleucine-tRNA ligase EC6.1.1.5 0.313937762 154.514943 8.31E-12
Glutamate synthase (NADPH) EC1.4.1.13 0.334868274 129.5312886 8.76E-18
Glutamate synthase (NADH) EC1.4.1.14 0.334868274 129.5312886 8.76E-18
Valine-tRNA ligase EC6.1.1.9 0.343455481 129.080571 7.98E-14
Asparagine-tRNA ligase EC6.1.1.22 0.343465675 256.4364717 2.22E-26
CTP synthase EC6.3.4.2 0.35086606 219.1918541 5.03E-20
Beta-ketoacyl-acyl-carrier-protein synthase II EC2.3.1.179 0.355159246 1686.953152 2.10E-66
Adenosylhomocysteinase EC3.3.1.1 0.357143179 211.0068162 2.10E-15
Arginine decarboxylase EC4.1.1.19 0.359315247 150.3660299 1.96E-15
[Acyl-carrier-protein] S-malonyltransferase EC2.3.1.39 0.362066805 311.3115625 1.98E-15
Aspartate-semialdehyde dehydrogenase EC1.2.1.11 0.376538838 146.5831912 2.26E-27
Argininosuccinate synthase EC6.3.4.5 0.402314857 406.7675947 3.60E-24
Enoyl-[acyl-carrier-protein] reductase (NADH) EC1.3.1.9 0.404762423 243.6026879 1.92E-26
NA EC4.1.2.- 0.44248668 126.3380693 4.63E-11
Malate dehydrogenase (oxaloacetate-decarboxylating) (NADP(+)) EC1.1.1.40 0.47210425 229.4664923 1.42E-28
GDP-L-fucose synthase ECU .1.271 0.495280814 176.4353717 2.63E-26
Methylmalonyl-CoA mutase EC5.4.99.2 0.505694273 874.1630962 6.07E-190
Alpha-glucuronidase EC3.2.1.139 0.51596209 173.3216624 1.79E-21
Chorismate mutase EC5.4.99.5 0.517871676 270.0938623 9.34E-31
Xylose isomerase EC5.3.1.5 0.519162664 390.0065016 1.66E-96
Diaminopimelate dehydrogenase EC1.4.1.16 0.531189116 400.03627 4.32E-60
Prephenate dehydratase EC4.2.1.51 0.587681212 272.5637572 1.34E-18
Alpha-galactosidase EC3.2.1.22 0.654143071 213.0768015 9.07E-53
Naphthoate synthase EC4.1.3.36 0.714032003 169.563404 3.69E-18
Levanase EC3.2.1.65 0.738133795 163.5615889 9.91 E-22
S-adenosylhomocysteine deaminase EC3.5.4.28 0.788863652 67.76741195 1.30E-12
3-hydroxybutyryl-CoA dehydratase EC4.2.1.55 1.005086761 121.3818716 3.22E-49
Fructose-6-phosphate phosphoketolase EC4.1.2.22 1.054108199 96.16916246 5.68E-14
Myo-inosose-2 dehydratase EC4.2.1.44 1.163105917 293.6687961 8.83E-13
NA EC6.3.2.- 1.166833787 89.0744344 4.81E-15
Hydroxypyruvate isomerase EC5.3.1.22 1.235130763 86.55844569 1.12E-15
1ob.11 Ob-Ob Ob Ob 205.34 200.30
1ob.12 Ob-Ob Ob Ob 259.98 212.33
1ob.13 Ob-Ob Ob Ob 195.34 199.10
1ob.14 Ob-Ob Ob Ob 261.86 234.37
1ob.15 Ob-Ob Ob Ob 264.50 252.55
1ob.16 Ob-Ob Ob Ob 286.06 255.01
1.4LN Ln-Ob Ln Ln* 225.47 223.49
2.4LN Ln-Ob Ln Ln* 172.55 157.79
3.4LN Ln-Ob Ln Ln* 186.63 159.30
4.4LN Ln-Ob Ln Ln* 251.74 226.75
5.4LN Ln-Ob Ln Ln* 196.63 187.10
6.40B Ln-Ob Ob Ob* 289.02 294.60
7.40B Ln-Ob Ob Ob* 284.06 255.37
8.40B Ln-Ob Ob Ob* 173.40 193.31
9.40B Ln-Ob Ob Ob* 297.15 302.57
10.4OB Ln-Ob Ob Ob* 234.77 221.27
ANOVA table SS DF MS F (DFn, DFd) p value
F (3.000, 21.00) =
Treatment (between columns) 12378 3 4126 p = 0.0004
9.467
Individual (between rows) 648226 7 92604 F (7, 21) = 212.5 p < 0.0001
Residual (random) 9153 21 435.8
L(+)/D(-
818944 971328 766400 701184 814464.0 )arabinose
ribose 42600 41656 42384 72672 49828.0 putrescine 52024 80192 64624 30152 56748.0 fucose 26280 40656 16378 17920 25308.5 glycerol
7867 5900 3469 6707 5985.8 phosphate
hypoxanthine 4584 5645 6083 6689 5750.3 ornithine 15333 9888 9162 10896 11319.8 cadaverine 11465 17928 14079 12484 13989.0 myristate 1642 1834 1820 1956 1813.0 adenine 127328 169408 66392 96768 114974.0
D-(-)-tagatose 25608 32504 31192 31112 30104.0
L-(-)-sorbose 18008 21616 19528 20952 20026.0 mannose 4840 6276 3460 5891 5116.8 histidine 11242 9148 7388 9809 9396.8 glucose 9979 6870 4787 20520 10539.0 lysine 93928 69480 53736 71176 72080.0 tyrosine 58880 24424 20088 44184 36894.0 chiro-inositol 2595 1999 4129 7249 3993.0 palmitate 49352 49792 47936 53488 50142.0 myo-lnositol 8017 2932 3451 19688 8522.0 tryptophan 4262 2110 2242 2769 2845.8 stearate 19264 20000 18416 17416 18774.0 inosine 3224 2464 2233 3111 2758.0 dissacharide
similar to 16197 18848 13576 12471 15273.0 maltose
cellobiose 17256 20240 13670 12686 15963.0 gentiobiose 9837 12748 8609 6817 9502.8 maltose 3257 3413 2645 3190 3126.3
4-Hydroxyphenylacetic acid 0 0 0 0 0.0
D-(-)-lyxose/xylose 0 0 0 0 0.0
L(+)/D(-)arabinose 786752 674944 458944 764032 671168.0 ribose 24808 33128 59088 36808 38458.0 putrescine 11479 12632 11690 11551 11838.0 fucose 39752 44840 44112 56128 46208.0 glycerol phosphate 2853 3206 2509 2168 2684.0 hypoxanthine 3649 3429 5355 4629 4265.5 ornithine 6081 6365 7592 5312 6337.5 cadaverine 14363 12658 15449 14518 14247.0 myristate 0 0 0 0 0.0 adenine 144448 120896 52528 101808 104920.0
D-(-)-tagatose 22704 26384 33912 23728 26682.0
L-(-)-sorbose 15470 16896 19576 14638 16645.0 mannose 5184 6115 7560 6731 6397.5 histidine 7144 7104 8393 6764 7351.3 glucose 7924 10410 17280 10157 11442.8 lysine 50968 50928 58232 45240 51342.0 tyrosine 10847 12129 13743 10994 11928.3 chiro-inositol 1048 996 992 770 951.5 palmitate 45176 42800 38392 39864 41558.0 myo-lnositol 1874 10020 10644 4772 6827.5 tryptophan 1452 1325 1443 1018 1309.5 stearate 16888 15323 13869 12494 14643.5 inosine 2645 1593 1796 670 1676.0 dissacharide similar to
0 0 0 0 0.0 maltose
cellobiose 0 0 0 0 0.0 gentiobiose 0 0 0 0 0.0 maltose 1672 1099 1224 650 1161.3
amino-butyrate 8096 7144 28984 14741.33333 18928 16383 9137 14816.0 cysteine 10675 5777 7365 7939 6712 6808 6514 6678.0
Aspartic acid 28248 28536 26184 27656 124888 47552 37576 70005.3
16243
Glutamate 119480 174976 152296 265600 158016 136256 186624.0
2
Phenylalanine 10320 7525 5564 7803 7569 9478 8509 8518.7
4-
Hydroxyphenylac 2914 2419 0 1777.666667 0 0 0 0.0 etic acid
D-(-)-
0 0 0 0 0 0 0 0.0 lyxose/xylose
L(+)/D(- 85331
856089 829568 846323 517440 519936 656960 564778.7 )arabinose 2
ribose 36072 23736 51856 37221.33333 53824 22488 24480 33597.3 putrescine 12770 9087 13182 11679.66667 11639 11055 11338 11344.0 fucose 62904 36120 51472 50165.33333 39200 24496 33472 32389.3 glycerol
4937 1427 2838 3067.333333 1678 1540 1463 1560.3 phosphate
hypoxanthine 4619 3275 5285 4393 3908 3919 3552 3793.0 ornithine 8171 4137 8315 6874.333333 9880 5038 4367 6428.3 cadaverine 9476 9186 19840 12834 13114 11091 10455 11553.3 myristate 0 0 0 0 0 0 0 0.0
16096
adenine 47352 135808 114706.6667 59728 43872 61944 55181.3
0
D-(-)-tagatose 46712 28944 38000 37885.33333 54024 34824 26056 38301.3
L-(-)-sorbose 31136 16872 23800 23936 30920 21560 15325 22601.7 mannose 10165 5980 11676 9273.666667 7083 9028 7124 7745.0 histidine 8720 5329 8205 7418 9635 5942 6107 7228.0 glucose 13818 18384 31064 21088.66667 18376 30912 19728 23005.3 lysine 66432 35288 58856 53525.33333 68688 39672 40832 49730.7 tyrosine 19192 14456 9718 14455.33333 18608 14303 13868 15593.0 chiro-inositol 3050 723 1085 1619.333333 1089 3469 630 1729.3 palmitate 47192 43768 44984 45314.66667 39080 44792 42840 42237.3 myo-lnositol 2040 1650 3100 2263.333333 4849 1962 1137 2649.3 tryptophan 2076 1128 1031 1411.666667 2335 1272 1093 1566.7 stearate 18632 13979 16480 16363.66667 15405 15185 13712 14767.3 inosine 2538 1109 1621 1756 1969 1276 990 1411.7 dissacharide
similar to 0 0 0 0 0 0 0 0.0 maltose
cellobiose 0 0 0 0 0 0 0 0.0 gentiobiose 0 0 0 0 0 0 0 0.0 maltose 1565 1199 1613 1459 1592 1688 1066 1448.7
threonine 10568.66667 11457 8719 10676 11123 8901 8459 β-amino isobutyrate 1477.666667 1598 2131 0 2274 1343 2275 malate 2121 1584 2208 2397 4600 1330 1877 di-hydrouracil 5696 7764 6148 2649 7499 4394 5028 methionine 7192.666667 8352 6989 5474 7585 4883 6506 glutamine 356821.3333 342016 355008 394240 420288 306944 430912 amino-butyrate 14816 6586 9827 6316 16560 5876 9380 cysteine 6678 7865 7208 6362 8183 5214 6464
Aspartic acid 70005.33333 27168 43600 23438 26688 31088 43312
Glutamate 186624 180736 175616 125024 195264 127128 207168
Phenylalanine 8518.666667 9105 9403 7408 10034 7332 9283
4-Hydroxyphenylacetic
0 0 0 0 0 0 0 acid
D-(-)-lyxose/xylose 0 0 0 0 0 0 0
L(+)/D(-)arabinose 564778.6667 717440 608256 771456 745600 554432 852288 ribose 33597.33333 31792 49176 15840 44520 17432 49488 putrescine 11344 12726 15217 10146 12985 11759 15516 fucose 32389.33333 22840 51144 25068 40528 31512 88576 glycerol phosphate 1560.333333 1977 1557 2050 3068 1001 2117 hypoxanthine 3793 4332 5427 1631 9833 3456 4363 ornithine 6428.333333 6699 11107 8092 8921 4582 8956 cadaverine 11553.33333 11987 21600 11530 16098 10362 15865 myristate 0 0 0 0 0 0 0 adenine 55181.33333 85000 60808 66512 113120 39296 129864
D-(-)-tagatose 38301.33333 27688 47192 25746 32048 32424 38776
L-(-)-sorbose 22601.66667 16042 26920 14766 21680 18072 23976 mannose 7745 4866 13167 3746 9379 5890 8777 histidine 7228 7777 9564 5712 7488 5255 7830 glucose 23005.33333 11515 24008 7310 23336 14546 8750 lysine 49730.66667 55888 71776 35040 52376 34800 56944 tyrosine 15593 17952 19360 10018 14824 9410 15287 chiro-inositol 1729.333333 847 1054 690 1211 1069 895 palmitate 42237.33333 42480 39488 41152 48464 42792 45024 myo-lnositol 2649.333333 1498 2877 2480 2503 1681 2602 tryptophan 1566.666667 1845 1838 1300 1629 987 1273 stearate 14767.33333 15750 13854 26040 16384 13497 14692 inosine 1411.666667 1960 1313 1138 2410 1200 1426 dissacharide similar to
0 0 0 0 0 0 0 maltose
cellobiose 0 0 0 0 0 0 0 gentiobiose 0 0 0 0 0 0 0 maltose 1448.666667 1069 1546 870 1645 1210 970
serine 0.0643 0.1003 0.0870 threonine 0.0283 0.0796 0.0668 β-amino isobutyrate 0.0011 0.0032 0 0061 malate 0.0443 0.0435 0.0403 di-hydrouracil 0 0099 0.01 : 7 0.0837 methionine 0.0104 0.0379 0.0247 glutamine 0.0023 0.0020 0 0004 amino-butyrate 0.0014 0.0039 0.0643 cysteine 0.0065 0.0071 0.2343
Aspartic acid 0.0000 0.0012 1.2 E-05
Glutamate 0.0060 0.0325 0.0030
Phenylalanine 0.0555 0.1238 0.1098
4-Hydroxyphenylacetic acid 0.0064 0.0158 0.0339
D-(-)-lyxose/xylose #DIV/0! #DIV/0! #DIV/0!
L(+)/D(-)arabinose 0.0898 G 0121 0.3307 ribose 0.1616 0.1233 0.1576 putrescine 0.0G27 0.0075 0.0079 fucose 0 0095 0.1939 0.0217 glycerol phosphate 0.0068 0.0051 0.0452 hypoxanthine 0 0233 0.0073 0.0593 ornithine 0.0072 0.0379 0.0384 cadaverine 0.4360 0.1179 0.3732 myristate 6.81E-08 1.25E-06 1.25E-06 adenine 0.3721 0.0307 0.4974
D-(-)-tagatose 0.1457 0.1515 0.0779
L-(-)-sorbose 0.0229 0.2695 0.1619 mannose 0.0814 0.0177
histidine 0.0291 0.0887 0.0934 glucose 0.4152 0.0689 lysine 0.0272 0.0682 0.0996 tyrosine G O': 64 0.0520 0,0474 chiro-inositol 0.0207 0.1048 0.0890 palmitate G 0021 0.0052 0 0158 myo-lnositol 0.3576 0.1335 0.1168 tryptophan 0 0112 0.0567 0.0387 stearate 0.0047 0.0020 0.0618 inosine 0.0309 0.0079 0 0387 dissacharide similar to maltose 1.95E-05 1.37E-04 1.37E-04 cellobiose 4 59E-05 2.79E-04 2.79E-04 gentiobiose 1.33E-04 6.70E-04 6.70E-04 maltose 1.66E-04 6.14E-0 3 59E-04
Experiment 2
Ln-Ln controls
Metabolite Animal Average Ln-Ln
1Ln.1 1Ln.2 1Ln.3 1Ln.4 1Ln.5 1 Ln.6 controls
2-(methoxyimino)-propanoate 3875.0 3243.0 4067.0 4985.0 4904.0 4971.0 4340.8 glycolate 1713 1631 1230 1546 2014 1367 1583.5 alanine 17152 17704 10665 12457 25872 12729 16096.5
12271
oxalate 95328 91176 106528 116416 114736 107816.0
2
malonate 10665 10082 6400 10162 15639 9501 10408.2 valine 7887 7884 6317 5369 10636 5663 7292.7 leucine 4812 4645 7010 2345 4767 3031 4435.0 nicotinate 4775 3763 4000 4359 5434 3084 4235.8 isoleucine 3088 3001 3890 1821 3619 2004 2903.8
17139
proline 326784 302272 197696 152896 321792 245472.0
2
glycine 24608 18944 13123 19360 35864 20256 22025.8 glycerate 2084 1544 2184 1451 2458 1291 1835.3 uracil 4722 4453 5203 6188 8967 7125 6109.7
maleate 5784 5088 4802 5870 8464 5630 5939.7 serine 6436 4689 5670 2750 5501 3822 4811.3 threonine 3412 2956 2316 1853 4943 2538 3003.0
5-methyl-2,4-
1196 2312 1034 1137 1796 1216 1448.5 bis[(trimethylsilyl)oxy]-pyrimidine
β-amino isobutyate 1509 1102 0 1233 2317 0 1026.8 malate 1798 1490 1157 1569 2078 2037 1688.2 di-hydrouracil 9281 8073 6931 8565 14720 8379 9324.8 methionine 2376 2036 2146 1794 4033 1780 2360.8
20787
glutamine 136128 127208 138496 156096 226112 165318.7
2
amino-butyrate 7685 6649 4205 7456 11757 6355 7351.2 cysteine 3834 3557 2552 3508 6324 3363 3856.3 aspartate 98000 81600 39552 88792 152576 61504 87004.0
10551
glutamate 70248 58776 59984 69744 113320 79597.3
2
phenylalanine 3820 3350 3409 3149 5162 3015 3650.8
4-Hydroxy-phenylacetate 0 0 0 0 0 0 0.0
53292
L(+)/D(-)arabinose 838080 665536 499840 673856 835968 674368.0
8
ribose 16584 11278 7361 7305 15077 6404 10668.2 putrescine 7496 7285 3253 6325 11170 5855 6897.3 fructose 33128 23648 15323 19376 38136 19192 24800.5 glycerol phosphate 4523 3470 1648 2473 5768 2278 3360.0 hypoxanthine 2948 1864 1240 0 2188 0 1373.3 ornithine 2348 2270 1563 2192 4670 1888 2488.5 cadaverine 5277 4702 2582 4234 6829 3488 4518.7 myristate 1360 1215 0 1112 1286 1104 1012.8 adenine 125080 103376 41264 80520 178176 57744 97693.3
D-(-)-tagatose 11450 12530 10690 19248 17616 17888 14903.7
L-(-)-Sorbose 8079 8611 6629 12047 11901 10845 9685.3 mannose 31048 21072 8466 11146 22624 9269 17270.8 glucose 16248 14126 9272 8629 14455 8505 11872.5 lysine 18120 17032 10456 16400 30552 11779 17389.8 tyrosine 6617 6472 4320 5087 11590 4249 6389.2 chiro-inositol 4009 5601 2806 5493 4773 6739 4903.5 palmitate 37528 38448 40040 38960 39464 41416 39309.3 myo-lnositol 1943 1671 0 1439 3110 2931 1849.0 stearate 13454 14063 14998 17824 16712 17576 15771.2 dissacharide similar to maltose 6701 6011 3683 5800 10473 5802 6411.7 cellobiose 5941 5863 4440 6747 11026 6589 6767.7 gentiobiose 2242 2000 2107 2489 3541 2380 2459.8
Ob-Ob controls
Metabolite Animal
Average Ob-Ob
10b.1
10b.11 10b.12 10b.13 10b.14 10b.15 controls
6
2-(methoxyimino)-propanoate 6269.0 4958.0 4484.0 4798.0 5728.0 4480.0 5119.5 glycolate 1813 1252 1593 1655 1786 1832 1655.2 alanine 47120 10632 50696 36752 39984 59864 40841.3
13433
oxalate 125192 111496 114256 111192 130840 121218.7
6
malonate 12521 3035 10627 11693 10460 10720 9842.7 valine 17096 4784 15995 11944 8727 14101 12107.8 leucine 6430 1178 10063 4939 7632 5310 5925.3 nicotinate 3515 0 4121 1112 3167 1776 2281.8 isoleucine 5285 1018 9194 4826 6107 6984 5569.0
32403
proline 57824 21792 290688 107984 198976 166882.7
2
glycine 32880 5917 27216 25728 28168 24944 24142.2 glycerate 5456 1953 4038 2512 3600 3276 3472.5 uracil 15703 2536 18672 15000 26680 23488 17013.2
maleate 7682 9528 21552 8691 18488 25160 15183.5 serine 6992 0 18136 9014 6479 16920 9590.2 threonine 3541 1553 5532 3541 3244 5074 3747.5
5-methyl-2,4-
1949 1202 5450 5514 7052 5853 4503.3 bis[(trimethylsilyl)oxy]-pyrimidine
β-amino isobutyate 2361 0 2569 2777 2834 2966 2251.2 malate 5821 7437 16093 5281 17720 21184 12256.0 di-hydrouracil 3741 0 5336 3407 1658 7065 3534.5 methionine 3393 0 3761 2060 1534 2936 2280.7
14758
glutamine 172992 55608 174592 150848 169920 145257.3
4
amino-butyrate 14156 2547 14304 11042 14774 14303 11854.3 cysteine 4043 0 4240 4035 2281 4131 3121.7 aspartate 148352 19272 124448 98992 46640 73304 85168.0 glutamate 81960 26992 78312 66200 54880 59416 61293.3 phenylalanine 7173 2002 6485 4725 4394 4803 4930.3
4-Hydroxy-phenylacetate 3072 5872 2478 1416 3320 1227 2897.5
90924
L(+)/D(-)arabinose 971520 852608 550208 1191424 796800 878634.7
8
ribose 36632 17504 27200 25504 30736 23240 26802.7 putrescine 13308 1543 15190 14281 15250 26488 14343.3 fructose 66056 82760 61512 56928 61952 57928 64522.7 glycerol phosphate 7375 4125 5454 9330 5878 6246 6401.3 hypoxanthine 6287 1143 5785 3270 5235 5666 4564.3 ornithine 5459 3214 6493 4835 5294 6632 5321.2 cadaverine 5032 0 6465 5033 4698 7443 4778.5 myristate 1135 0 0 1459 1205 0 633.2
26387
adenine 244800 87160 236800 232192 241792 217769.3
2
D-(-)-tagatose 15326 10962 26064 13384 23152 20912 18300.0
L-(-)-Sorbose 11071 7360 15670 9970 14650 14764 12247.5 mannose 30928 55416 28112 34024 41896 47384 39626.7 glucose 19400 22928 13249 10995 20152 21368 18015.3 lysine 25448 21324 20064 21536 21440 19160 21495.3 tyrosine 8744 5421 7098 5234 6419 4778 6282.3 chiro-inositol 3905 2483 8303 2043 2917 12095 5291.0 palmitate 44896 29448 41712 54704 48456 42072 43548.0 myo-lnositol 3311 2103 3435 2983 4392 4048 3378.7 stearate 17616 11666 17016 22152 17552 16968 17161.7 dissacharide similar to maltose 12711 9139 13708 10873 15131 11623 12197.5 cellobiose 14662 10439 14519 12498 15311 10578 13001.2 gentiobiose 3039 2155 3685 2410 2759 3923 2995.2
Obch
Metabolite Animal Average Obch
40b.6 40b.7 40b.8 40b.9 4Ob.10
2-(methoxyimino)-propanoate 1924.0 3144.0 0.0 5869.0 6163.0 3420.0 glycolate 0 1067 2122 2482 1987 1531.6
alanine 13626 12224 21608 41768 55856 29016.4 oxalate 120160 108792 113096 153088 121408 123308.8 malonate 6439 1805 18296 17888 17544 12394.4 valine 5630 2847 4683 17816 17344 9664.0 leucine 4921 1906 2430 12655 12184 6819.2 nicotinate 1380 0 3807 6116 1575 2575.6 isoleucine 3131 1920 2015 1615 9804 3697.0 proline 303616 124616 183936 339200 951488 380571.2 glycine 13016 16728 28576 55304 38096 30344.0 glycerate 1020 1243 2691 5021 2853 2565.6 uracil 17616 19008 20840 41384 23192 24408.0 maleate 5795 7051 9802 11005 9329 8596.4 serine 6127 2083 6428 19688 17320 10329.2 threonine 2773 1425 3096 9431 9644 5273.8
5-methyl-2,4-
2653 2835 3567 6439 4505 3999.8 bis[(trimethylsilyl)oxy]-pyrimidine
β-amino isobutyate 0 0 1049 1127 1237 682.6 malate 0 1636 1830 3942 2571 1995.8 di-hydrouracil 3080 1887 3851 6140 9902 4972.0 methionine 0 0 1458 4310 3243 1802.2 glutamine 128224 154048 222016 292864 277184 214867.2 amino-butyrate 5257 7342 13947 16020 21800 12873.2 cysteine 2136 1871 3834 7201 7933 4595.0 aspartate 40600 48032 116712 200128 197696 120633.6 glutamate 44648 49008 83472 146816 153984 95585.6 phenylalanine 2790 2146 4456 8371 6273 4807.2
4-Hydroxy-phenylacetate 0 0 0 0 0 0.0
L(+)/D(-)arabinose 467008 456640 281280 849536 384576 487808.0 ribose 14936 13120 22440 48080 26136 24942.4 putrescine 6731 8184 19992 20064 50368 21067.8 fructose 17600 47584 72136 55144 69616 52416.0 glycerol phosphate 1866 2241 2531 12516 5055 4841.8 hypoxanthine 1777 1226 4965 10816 5759 4908.6 ornithine 1804 1795 4387 7434 8198 4723.6 cadaverine 2607 2548 6192 5788 14240 6275.0 myristate 0 0 1063 1013 1364 688.0 adenine 94280 129232 88904 312064 176960 160288.0
D-(-)-tagatose 8827 9112 11285 11098 14781 11020.6
L-(-)-Sorbose 5407 5724 7421 8267 9510 7265.8 mannose 7906 9602 21680 34896 31464 21109.6 glucose 5889 8696 25656 21064 39144 20089.8 lysine 9749 13682 33496 39336 52784 29809.4 tyrosine 3870 5082 11485 13535 16032 10000.8 chiro-inositol 2773 2975 3275 3469 8537 4205.8 palmitate 39344 41280 42240 41440 43184 41497.6 myo-lnositol 0 1900 2291 5911 2881 2596.6 stearate 15075 14177 16744 16010 16225 15646.2 dissacharide similar to maltose 5106 5718 8275 15303 9528 8786.0 cellobiose 5229 5348 7498 13336 8795 8041.2 gentiobiose 1123 1056 1188 3271 2641 1855.8
nicotinate 0.0228 0.4064 0.087462868 isoleucine 0.0443 0.1700 0.192957286 proline 0.2224 0.0872 0.033754238 glycine 0.6779 0.2317 0.187164392 glycerate 0.0122 0.1574 0.032828784 uracil 0.0110 0.1042 0.286334588 maleate 0,0460 0.102878437 serine 0.1251 0.4350 0.307742985 threonine 0.3326 0.1985 0.166839956
5-methyl-2,4-bis[(trimethylsilyl)oxy]-pyrimidine 0.3461 0.189096991 β-amino isobutyate 0.0638 0.000810981 malate 0.G038 0.0051 0.008136594 di-hydrouracil 0,0035 0.2112 0.179146696 methionine 0.9065 0.3222 0.273513055 glutamine 0.4430 0.0420 0.108711645 amino-butyrate 0.0669 0.3873 0.404851004 cysteine 0.4176 0.1559 0.44431872 aspartate 0.9434 0.1882 0.315449335 glutamate 0.1774 0.0845 0.152476893 phenylalanine 0.1435 0.4637 0.106938746
4-Hydroxy-phenylacetate 0.001 S 0.0021 0.00208595
L(+)/D(-)arabinose 0.0785 0.0071 0.0013-10675 ribose 0.3884 0.461431236 putrescine 0.0535 0.2094 0.214882141 fructose 0.1250 0.057551834 glycerol phosphate 0.2251 0.071627802 hypoxanthine 0.0070 0.4258 0.075617198 ornithine 0.002G 0.3337 0.013050852 cadaverine 0.8340 0.2611 0.186635128 myristate 0.3077 0.4482 0.460058662 adenine 0.0049 0.1273 0.215732108
D-(-)-tagatose 0.2648 0.0156 0.0382596 1
L-(-)-Sorbose 0.1459 0.0071 0.017885084 mannose 0.0028 0.0123 0.0 139524? glucose 0.0286 0.3655 0.395067328 lysine 0.2069 0.1429 0.468170481 tyrosine 0.9347 0.0660 0.167768894 chiro-inositol 0.8282 0.3063 0.42696551 palmitate 0.2514 0.3034 0.317366459 myo-lnositol 0.0225 0.2133 0.150226786 stearate 0.3929 0.1783 0.189070586 dissacharide similar to maltose 0.0010 0.0533 0.0 7081011 cellobiose 0,0006 0.0075 0.001955352 gentiobiose 0.1735 0.0284 0.070410443
Hyodeoxycholic acid 5.52 5.31 5.12 5.00 5.64 5.64 5.93 5.76
Ursodeoxycholic acid 5.52 5.31 5.12 5.00 5.64 5.64 5.93 5.76
7-Ketodeoxycholic acid 5.64 5.54 5.23 5.33 5.70 5.72 6.03 6.01
Allocholic acid 5.47 5.47 5.31 5.26 6.07 6.02 6.22 6.12
Chenodeoxycholic acid 5.28 5.23 5.00 4.90 5.52 5.24 5.58 5.41
Ob-Ob vs. Ob* -0.8079 < 0.0001 ****
Ob-Ob vs. Ln* -0.4608 0.0041 **
Deoxycholic acid
Ob-Ob vs. Ln-Ln -1.672 < 0.0001 ****
Ob-Ob vs. Ob* -0.2747 0.063 ns
Ob-Ob vs. Ln* -1.072 < 0.0001 ****
Hyodeoxycholic acid
Ob-Ob vs. Ln-Ln -0.5062 0.0003 ***
Ob-Ob vs. Ob* -0.6961 < 0.0001 ****
Ob-Ob vs. Ln* -0.5761 0.0003 ***
Ursodeoxycholic acid
Ob-Ob vs. Ln-Ln -0.5062 0.0003 ***
Ob-Ob vs. Ob* -0.6961 < 0.0001 ****
Ob-Ob vs. Ln* -0.5761 0.0003 ***
7-Ketodeoxycholic acid
Ob-Ob vs. Ln-Ln -0.4269 0.0061 **
Ob-Ob vs. Ob* -0.3432 0.0409 *
Ob-Ob vs. Ln* -0.3395 0.0409 *
Allocholic acid
Ob-Ob vs. Ln-Ln -0.7308 < 0.0001 ****
Ob-Ob vs. Ob* -0.5796 0.0001 ***
Ob-Ob vs. Ln* -0.6028 0.0001 ***
Chenodeoxycholic acid
Ob-Ob vs. Ln-Ln -0.3363 0.0144 *
Ob-Ob vs. Ob* -0.7903 < 0.0001 ****
Ob-Ob vs. Ln* -0.7363 < 0.0001 ****
Table 26. Summary of genome assemblies for the 39 bacterial taxa from the culture collection produced from the lean co-twin in DZ pair 1 that were transfered to gnotobiotic mice in co- housing experiments.
A. Summary of genome assemblies, number of contigs, N50 contig size, fold coverage, genome length and predicted number of protein coding genes. Strain ID nomenclature: TSDC17.2, lean co- twin ID in MOAFT study; V2, region of the 16S rRNA gene sequenced; the number of times the strain was identified in the collection; and the number of strains with 100% identity in their V2 16S rRNA sequences identified in different wells of the clonally arrayed collection.
Bacteroides_vulgatus_TSDC17.2_V2.1.5 431 93,644 127 5.2 4,758
Bacteroides_vulgatus_TSDC17.2_V2.2.12 739 68,507 113 5.2 4,795
Collinsella_aerofaciens_TSDC17.2_V2.1.10 198 62,105 135 2.2 1 ,948
Collinsella_aerofaciens_TSDC17.2_V2.1.9 191 61 ,462 138 2.2 1 ,943
Collinsella_aerofaciens_TSDC17.2_V2.2.24 203 58,238 163 2.2 1 ,988
Collinsella_aerofaciens_TSDC17.2_V2.3.20 225 58,421 109 2.2 1 ,966
Collinsella_aerofaciens_TSDC17.2_V2.3.23 204 64,405 207 2.2 1 ,935
Collinsella_aerofaciens_TSDC17.2_V2.4.22 194 63,400 142 2.2 1 ,913
Ruminococcaceae_TSDC17.2_V2.1.1 785 44,401 111 3.9 4,232
Rum i nococcaceae_TS DC 17.2_V2.2.1 610 31 ,657 164 2.8 2,036
Rum i nococcaceae_TS DC 17.2_V2.3.1 332 95,726 53 3.4 3,800
Rum i nococcaceae_TS DC 17.2_V2.3.2 508 93,384 44 3.5 3,954
Ruminococcus_albus_TSDC17.2_V2.1.16 447 30,665 35 2.9 2,856
Ruminococcus_albus_TSDC17.2_V2.1.6 397 42,581 70 2.9 2,750
Ruminococcus_albus_TSDC17.2_V2.1.7 407 37,013 160 2.9 2,765
Ruminococcus_albus_TSDC17.2_V2.2.8 435 41 ,990 39 3.0 2,793
Ruminococcus_bromii_TSDC17.2_V2.1.7 158 95,461 37 2.4 2,427
Ruminococcus_bromii_TSDC17.2_V2.2.2 159 130,729 70 2.4 2,319
Ruminococcus_bromii_TSDC17.2_V2.2.5 191 84,494 55 2.3 2,319
B. Summary of encoded carbohydrate active enzymes (CAZymes).
CAZy families abbreviations: GH, Glycoside Hydrolases; GT, GlycosylTransferases; PL, Polysaccharide L ases; CBM, Carboh drate-Bindin Module
NC_Ruminococcus_bromii_TSDC17-2_V2-1-7 0 0 1 0 0 0 0 0 18
NC_Ruminococcus_bromii_TSDC17-2_V2-2-2 0 0 1 0 0 0 0 0 17
NC_Ruminococcus_bromii_TSDC17-2_V2-2-5 0 0 1 0 0 0 0 0 17
NC_Bacteroides_ovatus_TSDC17-2_V2-3-1 13 5 3 11 4 6 5 3 1
NC_Bacteroides_thetaiotaomicron_TSDC17-2_V2-1-3 12 9 3 7 4 3 3 4 4
NC_Bacteroides_thetaiotaomicron_TSDC17-2_V2-2-4 8 8 3 6 4 3 3 4 3
NC_Bacteroides_thetaiotaomicron_TSDC17-2_V2-2-5 8 8 3 6 4 3 4 4 3
NC_Bacteroides_thetaiotaomicron_TSDC17-2_V2-3-1 12 9 3 7 4 3 3 4 3
NC_Bacteroides_vulgatus_TSDC17-2_V2-1-11 14 8 2 3 1 4 1 2 0
NC_Bacteroides_vulgatus_TSDC17-2_V2-1-5 11 9 3 4 1 4 1 3 0
NC_Bacteroides_vulgatus_TSDC17-2_V2-2-12 11 7 4 4 1 4 1 2 0
NC_Clostridiaceae_TSDC17-2_V2-1-3 0 0 0 1 0 3 0 2 4
NC_Clostridiaceae_TSDC17-2_V2-2-5 1 0 0 0 0 1 0 0 0
NC_Clostridium_leptum_TSDC17-2_V2-1-1 0 0 1 1 4 2 1 0 2
NC_Clostridium_leptum_TSDC17-2_V2-1-3 0 3 1 3 5 0 1 2 1
NC_Collinsella_aerofaciens_TSDC17-2_V2-1-10 0 0 0 0 4 0 0 0 0
NC_Collinsella_aerofaciens_TSDC17-2_V2-1-9 0 0 0 0 4 0 0 0 0
NC_Collinsella_aerofaciens_TSDC17-2_V2-2-24 0 0 0 0 3 0 0 0 0
NC_Collinsella_aerofaciens_TSDC17-2_V2-3-20 0 0 0 0 4 0 0 0 0
NC_Collinsella_aerofaciens_TSDC17-2_V2-3-23 0 0 0 0 4 0 0 0 0
NC_Collinsella_aerofaciens_TSDC17-2_V2-4-22 0 0 0 0 4 0 0 0 0
NC_Ruminococcus_albus_TSDC17-2_V2-1-16 0 0 0 1 1 0 0 2 0
NC_Ruminococcus_albus_TSDC17-2_V2-1-6 0 0 0 1 1 0 0 2 0
NC_Ruminococcus_albus_TSDC17-2_V2-1-7 0 0 0 1 1 0 0 2 0
NC_Ruminococcus_albus_TSDC17-2_V2-2-8 0 0 0 1 1 0 0 2 0
NC_Ruminococcus_bromii_TSDC17-2_V2-1-7 0 0 0 1 0 0 0 0 0
NC_Ruminococcus_bromii_TSDC17-2_V2-2-2 0 0 0 1 0 0 0 0 0
NC_Ruminococcus_bromii_TSDC17-2_V2-2-5 0 0 0 1 0 0 0 0 0
NC_Ruminococcus_albus_TSDC17-2_V2-1-7 0 0 2 0 2 0 0 0 1
NC_Ruminococcus_albus_TSDC17-2_V2-2-8 0 0 1 0 2 0 0 0 1
NC_Ruminococcus_bromii_TSDC17-2_V2-1-7 0 0 0 0 0 0 0 0 0
NC_Ruminococcus_bromii_TSDC17-2_V2-2-2 0 0 0 0 0 0 0 0 0
NC_Ruminococcus_bromii_TSDC17-2_V2-2-5 0 0 0 0 0 0 0 0 0
NC_Bacteroides_massiliensis_TSDC17-2_V2-1-3 0 1 2 3 0 2 0 0 4
NC_Bacteroides_ovatus_TSDC17-2_V2-2-2 0 0 6 6 0 22 0 0 7
NC_Bacteroides_ovatus_TSDC17-2_V2-3-1 0 0 6 6 0 21 0 0 8
NC_Bacteroides_thetaiotaomicron_TSDC17-2_V2-1-3 0 1 3 4 0 23 0 0 4
NC_Bacteroides_thetaiotaomicron_TSDC17-2_V2-2-4 0 1 4 3 0 25 1 0 6
NC_Bacteroides_thetaiotaomicron_TSDC17-2_V2-2-5 0 1 4 3 0 25 1 0 6
NC_Bacteroides_thetaiotaomicron_TSDC17-2_V2-3-1 0 1 3 4 0 23 0 0 5
NC_Bacteroides_vulgatus_TSDC17-2_V2-1-11 0 1 4 3 0 8 0 0 4
NC_Bacteroides_vulgatus_TSDC17-2_V2-1-5 0 1 3 2 0 9 0 0 5
NC_Bacteroides_vulgatus_TSDC17-2_V2-2-12 0 1 2 2 0 8 0 0 4
NC_Clostridiaceae_TSDC17-2_V2-1-3 0 0 1 0 0 0 0 2 2
NC_Clostridiaceae_TSDC17-2_V2-2-5 0 0 0 0 0 0 0 0 5
NC_Clostridium_leptum_TSDC17-2_V2-1-1 0 0 0 0 0 0 0 0 3
NC_Clostridium_leptum_TSDC17-2_V2-1-3 0 0 0 0 0 0 0 0 2
NC_Collinsella_aerofaciens_TSDC17-2_V2-1-10 0 0 0 0 0 0 0 0 0
NC_Collinsella_aerofaciens_TSDC17-2_V2-1-9 0 0 0 0 0 0 0 0 0
NC_Collinsella_aerofaciens_TSDC17-2_V2-2-24 0 0 0 0 0 0 0 0 0
NC_Collinsella_aerofaciens_TSDC17-2_V2-3-20 0 0 0 0 0 0 0 0 0
NC_Collinsella_aerofaciens_TSDC17-2_V2-3-23 0 0 0 0 0 0 0 0 0
NC_Collinsella_aerofaciens_TSDC17-2_V2-4-22 0 0 0 0 0 0 0 0 0
NC_Ruminococcus_albus_TSDC17-2_V2-1-16 0 0 0 0 0 0 0 2 1
NC_Ruminococcus_albus_TSDC17-2_V2-1-6 0 0 0 0 0 0 0 2 1
NC_Ruminococcus_albus_TSDC17-2_V2-1-7 0 0 0 0 0 0 0 2 1
NC_Ruminococcus_albus_TSDC17-2_V2-2-8 0 0 0 0 0 0 0 2 1
NC_Ruminococcus_bromii_TSDC17-2_V2-1-7 0 0 0 0 0 0 0 0 0
NC_Ruminococcus_bromii_TSDC17-2_V2-2-2 0 0 0 0 0 0 0 0 0
NC_Ruminococcus_bromii_TSDC17-2_V2-2-5 0 0 0 0 0 0 0 0 0
NC_Ruminococcus_albus_TSDC17-2_V2-1-16 0 0 0 0 0 0 0 1 0
NC_Ruminococcus_albus_TSDC17-2_V2-1-6 0 0 0 0 0 0 0 1 0
NC_Ruminococcus_albus_TSDC17-2_V2-1-7 0 0 0 0 0 0 0 1 0
NC_Ruminococcus_albus_TSDC17-2_V2-2-8 0 0 0 0 0 0 0 1 0
NC_Ruminococcus_bromii_TSDC17-2_V2-1-7 0 0 0 0 0 0 0 0 0
NC_Ruminococcus_bromii_TSDC17-2_V2-2-2 0 0 0 0 0 0 0 0 0
NC_Ruminococcus_bromii_TSDC17-2_V2-2-5 0 0 0 0 0 0 0 0 0
GH GH GH GH GH GH GH GH GH
Bacterial genomes
116 117 120 121 123 125 127 130 13a
NC_Bacteroides_acidifaciens_TSDC17-2_V2-1-3 1 1 0 0 0 6 4 5 0
NC_Bacteroides_acidifaciens_TSDC17-2_V2-1-8 1 1 0 0 0 5 3 5 0
NC_Bacteroides_caccae_TSDC17-2_V2-1-1 1 0 1 0 1 0 2 2 0
NC_Bacteroides_caccae_TSDC17-2_V2-1-3 1 0 1 0 1 0 2 2 0
NC_Bacteroides_caccae_TSDC17-2_V2-1-6 1 0 1 0 1 0 2 2 0
NC_Bacteroides_caccae_TSDC17-2_V2-1-7 2 0 1 0 1 0 2 2 0
NC_Bacteroides_finegoldii_TSDC17-2_V2-1-2 0 1 0 1 1 3 0 5 0
NC_Bacteroides_finegoldii_TSDC17-2_V2-1-4 0 1 0 1 2 3 1 5 0
NC_Bacteroides_intestinalis_TSDC17-2_V2-1-5 2 1 0 1 0 1 9 4 0
NC_Bacteroides_intestinalis_TSDC17-2_V2-1-7 2 1 0 1 0 1 11 3 0
NC_Bacteroides_intestinalis_TSDC17-2_V2-1-9 2 1 0 1 0 1 9 4 0
NC_Bacteroides_massiliensis_TSDC17-2_V2-1-2 1 0 2 0 2 0 0 2 0
NC_Bacteroides_massiliensis_TSDC17-2_V2-1-3 1 0 1 0 2 0 0 2 0
NC_Bacteroides_ovatus_TSDC17-2_V2-2-2 0 0 0 1 2 3 4 7 0
NC_Bacteroides_ovatus_TSDC17-2_V2-3-1 0 0 0 1 2 3 4 7 0
NC_Bacteroides_thetaiotaomicron_TSDC17-2_V2-1-3 0 0 0 1 2 2 6 5 0
NC_Bacteroides_thetaiotaomicron_TSDC17-2_V2-2-4 1 0 0 1 1 2 5 4 1
NC_Bacteroides_thetaiotaomicron_TSDC17-2_V2-2-5 1 0 0 1 1 2 3 4 0
NC_Bacteroides_thetaiotaomicron_TSDC17-2_V2-3-1 0 0 0 1 2 2 7 5 0
NC_Bacteroides_vulgatus_TSDC17-2_V2-1-11 0 0 0 1 1 0 4 2 0
NC_Bacteroides_vulgatus_TSDC17-2_V2-1-5 0 0 0 1 1 0 3 2 0
NC_Bacteroides_vulgatus_TSDC17-2_V2-2-12 0 0 0 1 1 0 4 2 0
NC_Clostridiaceae_TSDC17-2_V2-1-3 0 0 0 0 2 1 1 0 0
NC_Clostridiaceae_TSDC17-2_V2-2-5 1 0 0 0 0 0 0 0 0
NC_Clostridium_leptum_TSDC17-2_V2-1-1 1 0 1 0 0 0 3 0 0
NC_Clostridium_leptum_TSDC17-2_V2-1-3 3 0 1 0 0 0 3 0 0
NC_Collinsella_aerofaciens_TSDC17-2_V2-1-10 0 0 0 0 0 0 0 0 0
NC_Collinsella_aerofaciens_TSDC17-2_V2-1-9 0 0 0 0 0 0 0 0 0
NC_Collinsella_aerofaciens_TSDC17-2_V2-2-24 0 0 0 0 0 0 0 0 0
NC_Collinsella_aerofaciens_TSDC17-2_V2-3-20 0 0 0 0 0 0 0 0 0
NC_Collinsella_aerofaciens_TSDC17-2_V2-3-23 0 0 0 0 0 0 0 0 0
NC_Collinsella_aerofaciens_TSDC17-2_V2-4-22 0 0 0 0 0 0 0 0 0
NC_Ruminococcus_albus_TSDC17-2_V2-1-16 0 0 0 0 0 0 0 2 0
NC_Ruminococcus_albus_TSDC17-2_V2-1-6 0 0 0 0 0 0 0 2 0
NC_Ruminococcus_albus_TSDC17-2_V2-1-7 0 0 0 0 0 0 0 2 0
NC_Ruminococcus_albus_TSDC17-2_V2-2-8 0 0 0 0 0 0 0 2 0
NC_Ruminococcus_bromii_TSDC17-2_V2-1-7 0 0 0 0 0 0 0 0 0
NC_Ruminococcus_bromii_TSDC17-2_V2-2-2 0 0 0 0 0 0 0 0 0
NC_Ruminococcus_bromii_TSDC17-2_V2-2-5 0 0 0 0 0 0 0 0 0
GH
Bacterial genomes GT1 GT2 GT3 GT4 GT5 GT6 GT8 GT9
13b
NC_Bacteroides_acidifaciens_TSDC17-2_V2-1-3 0 1 25 1 27 1 0 0 1
NC_Bacteroides_acidifaciens_TSDC17-2_V2-1-8 0 1 27 1 28 1 0 0 1
NC_Bacteroides_caccae_TSDC17-2_V2-1-1 0 0 29 1 18 1 1 0
NC_Bacteroides_caccae_TSDC17-2_V2-1-3 0 0 29 1 17 1 1 0 1
NC_Bacteroides_caccae_TSDC17-2_V2-1-6 0 0 28 1 19 1 0 1
NC_Bacteroides_caccae_TSDC17-2_V2-1-7 0 0 29 1 18 1 1 0 1
NC_Bacteroides_finegoldii_TSDC17-2_V2-1-2 0 1 25 1 27 1 0 0 1
NC_Bacteroides_finegoldii_TSDC17-2_V2-1-4 0 1 23 2 24 1 0 0 1
NC_Bacteroides_intestinalis_TSDC17-2_V2-1-5 0 0 44 1 26 1 0 0 1
NC_Bacteroides_intestinalis_TSDC17-2_V2-1-7 0 1 46 1 27 1 0 0 1
NC_Bacteroides_intestinalis_TSDC17-2_V2-1-9 0 0 43 1 26 1 0 0 1
NC_Bacteroides_massiliensis_TSDC17-2_V2-1-2 0 0 21 1 24 1 1 0 1
NC_Bacteroides_massiliensis_TSDC17-2_V2-1-3 0 0 21 1 23 1 1 1 1
NC_Bacteroides_ovatus_TSDC17-2_V2-2-2 0 2 26 1 26 1 0 2 3
NC_Bacteroides_ovatus_TSDC17-2_V2-3-1 0 2 26 1 26 1 0 2 2
NC_Bacteroides_thetaiotaomicron_TSDC17-2_V2-1-3 0 2 28 1 29 1 0 0 1
NC_Bacteroides_thetaiotaomicron_TSDC17-2_V2-2-4 1 1 34 1 25 1 0 1 1
NC_Bacteroides_thetaiotaomicron_TSDC17-2_V2-2-5 0 1 34 1 25 1 0 1 1
NC_Bacteroides_thetaiotaomicron_TSDC17-2_V2-3-1 0 2 28 1 29 1 0 0 1
NC_Bacteroides_vulgatus_TSDC17-2_V2-1-11 0 0 32 1 31 1 0 0 1
NC_Bacteroides_vulgatus_TSDC17-2_V2-1-5 0 0 38 1 30 1 0 0 1
NC_Bacteroides_vulgatus_TSDC17-2_V2-2-12 0 1 39 1 37 1 0 0 1
NC_Clostridiaceae_TSDC17-2_V2-1-3 0 0 20 0 5 1 0 0 0
NC_Clostridiaceae_TSDC17-2_V2-2-5 0 0 10 0 4 1 0 0 0
NC_Clostridium_leptum_TSDC17-2_V2-1-1 0 0 16 0 3 1 0 0 0
NC_Clostridium_leptum_TSDC17-2_V2-1-3 0 0 15 0 3 1 0 0 0
NC_Collinsella_aerofaciens_TSDC17-2_V2-1-10 0 0 18 0 6 1 0 0 0
NC_Collinsella_aerofaciens_TSDC17-2_V2-1-9 0 0 17 0 6 1 0 0 0
NC_Collinsella_aerofaciens_TSDC17-2_V2-2-24 0 2 17 0 5 1 0 0 0
NC_Collinsella_aerofaciens_TSDC17-2_V2-3-20 0 0 17 0 7 1 0 0 0
NC_Collinsella_aerofaciens_TSDC17-2_V2-3-23 0 0 17 0 6 1 0 0 0
NC_Collinsella_aerofaciens_TSDC17-2_V2-4-22 0 0 14 0 6 1 0 0 0
NC_Ruminococcus_albus_TSDC17-2_V2-1-16 0 0 8 0 2 2 0 0 0
NC_Ruminococcus_albus_TSDC17-2_V2-1-6 0 0 9 0 2 2 0 0 0
NC_Ruminococcus_albus_TSDC17-2_V2-1-7 0 0 8 0 2 2 0 0 0
NC_Ruminococcus_albus_TSDC17-2_V2-2-8 0 0 7 0 1 3 0 0 0
NC_Ruminococcus_bromii_TSDC17-2_V2-1-7 0 0 8 0 3 1 0 1 0
NC_Ruminococcus_bromii_TSDC17-2_V2-2-2 0 0 8 0 1 3 0 1 0
NC_Ruminococcus_bromii_TSDC17-2_V2-2-5 0 0 8 0 3 1 0 1 0
NC_Collinsella_aerofaciens_TSDC17-2_V2-3-23 0 0 0 0 0 0 0 2 0
NC_Collinsella_aerofaciens_TSDC17-2_V2-4-22 0 1 0 0 0 0 0 2 0
NC_Ruminococcus_albus_TSDC17-2_V2-1-16 0 0 0 0 0 0 0 1 0
NC_Ruminococcus_albus_TSDC17-2_V2-1-6 0 0 0 0 0 0 0 1 0
NC_Ruminococcus_albus_TSDC17-2_V2-1-7 0 0 0 0 0 0 0 1 0
NC_Ruminococcus_albus_TSDC17-2_V2-2-8 0 0 0 0 0 0 0 1 0
NC_Ruminococcus_bromii_TSDC17-2_V2-1-7 0 0 0 0 0 0 1 3 0
NC_Ruminococcus_bromii_TSDC17-2_V2-2-2 0 0 0 0 0 0 1 2 0
NC_Ruminococcus_bromii_TSDC17-2_V2-2-5 0 0 0 0 0 0 1 2 0
NC_Bacteroides_intestinalis_TSDC17-2_V2-1-7 8 1 2 4 2 1 1 1 0
NC_Bacteroides_intestinalis_TSDC17-2_V2-1-9 7 1 2 2 2 1 1 1 0
NC_Bacteroides_massiliensis_TSDC17-2_V2-1-2 1 1 0 0 0 0 0 0 0
NC_Bacteroides_massiliensis_TSDC17-2_V2-1-3 1 1 0 0 0 0 0 0 0
NC_Bacteroides_ovatus_TSDC17-2_V2-2-2 2 1 1 4 2 1 3 1 0
NC_Bacteroides_ovatus_TSDC17-2_V2-3-1 2 1 1 3 2 1 3 1 0
NC_Bacteroides_thetaiotaomicron_TSDC17-2_V2-1-3 3 2 1 2 2 1 1 0 0
NC_Bacteroides_thetaiotaomicron_TSDC17-2_V2-2-4 4 2 1 2 2 1 1 0 0
NC_Bacteroides_thetaiotaomicron_TSDC17-2_V2-2-5 4 2 1 2 2 1 1 0 0
NC_Bacteroides_thetaiotaomicron_TSDC17-2_V2-3-1 3 2 1 2 2 1 1 0 0
NC_Bacteroides_vulgatus_TSDC17-2_V2-1-11 0 1 2 3 0 0 0 1 1
NC_Bacteroides_vulgatus_TSDC17-2_V2-1-5 0 1 2 3 1 0 0 0 1
NC_Bacteroides_vulgatus_TSDC17-2_V2-2-12 0 0 3 3 0 0 0 0 1
NC_Clostridiaceae_TSDC17-2_V2-1-3 0 0 0 0 1 0 0 0 0
NC_Clostridiaceae_TSDC17-2_V2-2-5 0 2 0 1 0 0 0 0 0
NC_Clostridium_leptum_TSDC17-2_V2-1-1 0 0 0 0 0 0 0 0 0
NC_Clostridium_leptum_TSDC17-2_V2-1-3 0 1 0 0 0 0 0 0 0
NC_Collinsella_aerofaciens_TSDC17-2_V2-1-10 0 0 0 0 0 0 0 0 0
NC_Collinsella_aerofaciens_TSDC17-2_V2-1-9 0 0 0 0 0 0 0 0 0
NC_Collinsella_aerofaciens_TSDC17-2_V2-2-24 0 0 0 0 0 0 0 0 0
NC_Collinsella_aerofaciens_TSDC17-2_V2-3-20 0 0 0 0 0 0 0 0 0
NC_Collinsella_aerofaciens_TSDC17-2_V2-3-23 0 0 0 0 0 0 0 0 0
NC_Collinsella_aerofaciens_TSDC17-2_V2-4-22 0 0 0 0 0 0 0 0 0
NC_Ruminococcus_albus_TSDC17-2_V2-1-16 0 0 0 0 0 0 0 0 0
NC_Ruminococcus_albus_TSDC17-2_V2-1-6 0 0 0 0 0 0 0 0 0
NC_Ruminococcus_albus_TSDC17-2_V2-1-7 0 0 0 0 0 0 0 0 0
NC_Ruminococcus_albus_TSDC17-2_V2-2-8 0 0 0 0 0 0 0 0 0
NC_Ruminococcus_bromii_TSDC17-2_V2-1-7 0 0 0 0 0 0 0 0 0
NC_Ruminococcus_bromii_TSDC17-2_V2-2-2 0 0 0 0 0 0 0 0 0
NC_Ruminococcus_bromii_TSDC17-2_V2-2-5 0 0 0 0 0 0 0 0 0
NC_Collinsella_aerofaciens_TSDC17-2_V2-3-20 0 0 0 0 0 0 0 0 0
NC_Collinsella_aerofaciens_TSDC17-2_V2-3-23 0 0 0 0 0 0 0 0 0
NC_Collinsella_aerofaciens_TSDC17-2_V2-4-22 0 0 0 0 0 0 0 0 0
NC_Ruminococcus_albus_TSDC17-2_V2-1-16 3 1 0 2 0 1 0 0 0
NC_Ruminococcus_albus_TSDC17-2_V2-1-6 3 1 0 2 0 1 0 0 0
NC_Ruminococcus_albus_TSDC17-2_V2-1-7 3 1 0 2 0 1 0 0 0
NC_Ruminococcus_albus_TSDC17-2_V2-2-8 3 1 0 2 0 1 0 0 0
NC_Ruminococcus_bromii_TSDC17-2_V2-1-7 0 0 0 0 0 1 0 0 0
NC_Ruminococcus_bromii_TSDC17-2_V2-2-2 0 0 0 0 0 0 0 0 0
NC_Ruminococcus_bromii_TSDC17-2_V2-2-5 0 0 0 0 0 1 0 0 0
NC_Bacteroides_finegoldii_TSDC17-2_V2-1-4 0 1 0 0 2
NC_Bacteroides_intestinalis_TSDC17-2_V2-1-5 3 1 0 0 9
NC_Bacteroides_intestinalis_TSDC17-2_V2-1-7 2 2 0 0 9
NC_Bacteroides_intestinalis_TSDC17-2_V2-1-9 3 1 0 0 9
NC_Bacteroides_massiliensis_TSDC17-2_V2-1-2 1 0 0 0 1
NC_Bacteroides_massiliensis_TSDC17-2_V2-1-3 1 0 0 0 1
NC_Bacteroides_ovatus_TSDC17-2_V2-2-2 1 2 0 1 0
NC_Bacteroides_ovatus_TSDC17-2_V2-3-1 1 2 0 1 0
NC_Bacteroides_thetaiotaomicron_TSDC17-2_V2-1-3 0 1 0 0 5
NC_Bacteroides_thetaiotaomicron_TSDC17-2_V2-2-4 1 1 1 0 3
NC_Bacteroides_thetaiotaomicron_TSDC17-2_V2-2-5 1 1 0 0 3
NC_Bacteroides_thetaiotaomicron_TSDC17-2_V2-3-1 0 1 0 0 5
NC_Bacteroides_vulgatus_TSDC17-2_V2-1-11 0 1 1 0 2
NC_Bacteroides_vulgatus_TSDC17-2_V2-1-5 0 1 1 0 2
NC_Bacteroides_vulgatus_TSDC17-2_V2-2-12 0 1 0 0 2
NC_Clostridiaceae_TSDC17-2_V2-1-3 0 0 0 0 0
NC_Clostridiaceae_TSDC17-2_V2-2-5 0 0 0 0 0
NC_Clostridium_leptum_TSDC17-2_V2-1-1 0 0 0 0 0
NC_Clostridium_leptum_TSDC17-2_V2-1-3 0 0 0 0 0
NC_Collinsella_aerofaciens_TSDC17-2_V2-1-10 0 0 0 0 0
NC_Collinsella_aerofaciens_TSDC17-2_V2-1-9 0 0 0 0 0
NC_Collinsella_aerofaciens_TSDC17-2_V2-2-24 0 0 0 0 0
NC_Collinsella_aerofaciens_TSDC17-2_V2-3-20 0 0 0 0 0
NC_Collinsella_aerofaciens_TSDC17-2_V2-3-23 0 0 0 0 0
NC_Collinsella_aerofaciens_TSDC17-2_V2-4-22 0 0 0 0 0
NC_Ruminococcus_albus_TSDC17-2_V2-1-16 0 0 0 0 0
NC_Ruminococcus_albus_TSDC17-2_V2-1-6 0 0 0 0 0
NC_Ruminococcus_albus_TSDC17-2_V2-1-7 0 0 0 0 0
NC_Ruminococcus_albus_TSDC17-2_V2-2-8 0 0 0 0 0
NC_Ruminococcus_bromii_TSDC17-2_V2-1-7 0 0 0 0 0
NC_Ruminococcus_bromii_TSDC17-2_V2-2-2 0 0 0 0 0
NC_Ruminococcus_bromii_TSDC17-2_V2-2-5 0 0 0 0 0
Calcium, mg 246 313
Phosphorus, mg 272 378
Magnesium, mg 68 50
Sodium, mg 347 984
Potassium, mg 692 400
Iron, mg 3.5 3.5
Zinc, mg 2.2 2.8
Mixtures mainly meat, Double cheeseburger (2 patties),
27510330 131 51 7.3 poultry, fish with tomato and/or catsup, on bun
Eggs 31105000 Egg, whole, fried 37 18 2.6
3. Grain Products
Yeast breads and rolls 51150000 Roll, white, soft 64 23 3.3
Quick breads,
52215200 Tortilla, flour (wheat) 26 8 1.2 pancakes, french toast
Cakes, cookies,
53206000 Cookie, chocolate chip 58 12 1.7 pastries, pies
Crackers, popcorn, Salty snacks, corn or cornmeal
54401080 33 7 0.9 pretzels, corn chips base, tortilla chips
Mixtures mainly grain 58106520 Pizza with meat, thin crust 193 65 9.2
4. Vegetables
White potatoes 71201010 White potato, chips 32 6 0.8
5. Fats and Oils
Salad dressings 83107000 Mayonnaise, regular 29 4 0.6
6. Sugars and Sweets
Candy 91705010 Milk chocolate candy, plain 46 9 1.2
7. Beverages
Beer and ale 93102000 Beer, lite 20 70 9.9
Fruit juice drinks and Fruit flavored drink, made from
92541010 18 51 7.2 fruit flavored drinks powdered mix
Carbonated soft drinks 92410310 Soft drink, cola-type 71 192 27.1
Total Characterizing Diet 1000 707 100
-0.48 ± 1.62 0.31 ± 1.47 ns 1.95 ± 0.54 -0.04 ± 0.52 ns vs. Ln-Ln
Ob-Ob
-0.48 ± 1.62 -0.32 ± 1.34 ns 1.95 ± 0.54 0.39 ± 0.61 ns vs. Ob*
Ob-Ob
-0.48 ± 1.62 -1.28 ± 1.55 ns 1.95 ± 0.54 -0.21 ± 0.66 Ns vs. Lnch
Twin pair 1 - Culture collection - NHANES-based LoSF/HiFV diet
Ob-Ob
6.01 ± 2.56 -1.08 ± 0.88 *** 2.11 ± 0.56 -0.94 ± 0.57 ns vs. Ln-Ln
Ob-Ob
6.01 ± 2.56 1.30 ± 3.16 * 2.11 ± 0.56 -0.31 ± 1.17 ns vs. Ob*
Ob-Ob
6.01 ± 2.56 0.29 ± 2.80 * 2.11 ± 0.56 1.70 ± 1.07 ns vs. Lnch
Twin pair 2 - Uncultured - NHANES-based HiSF/LoFV diet
Ob-Ob
7.62 ± 1.90 2.03 ± 1.26 ** 6.31 ± 1.18 5.729 ± 1.16 ns vs. Ln-Ln
Ob-Ob
7.62 ± 1.90 6.51 ± 2.13 ns 6.31 ± 1.18 8.39 ± 0.78 ns vs. Ob*
Ob-Ob
7.62 ± 1.90 3.64 ± 0.59 ns (0.07) 6.31 ± 1.18 5.34 ± 0.66 ns vs. Lnch
Table 29. Tageted MS/MS analysis of acylcarnitine profiles of samples collected 15 d after colonization from gnotobiotic mice harboring culture collections from Ln or Ob co-twins from DZ twin pair 1 and fed either a LF/HPP mouse chow or a NHANES-based LoSF/HiFV diet.
A. Short, odd and even-chain acylcarnitines. Targeted MS/MS was used to measure the concentration of short, odd- and even-chain acylcarnitines in cecal contents, skeletal muscle, liver and serum collected at the time of sacrifice from animals colonized with the Ln or Ob culture collection from DZ twin pair 1 and fed a LF/HPP mouse chow or NHANES-based LoSF/HiFV diet. Concentrations of acylcarnitines in liver, skeletal muscle and cecal contents are expressed as nM/g of tissue wet weight or nM/g of cecal contents. Serum concentrations are expressed in nM. Two-way ANOVA with Holm-Sidak's correction for multiple comparisons was performed to determine if levels of acylcarnitines were significantly different between dually-housed Ob-Ob controls and Lnch, Obch or dually-housed Ln-Ln controls. Significant differences are highlighted in yellow *, p≤ 0.05; **, p≤ 0.01 ; ***, p≤ 0.001 ; ****, p≤ 0.0001 ; ns, not significant.
B. Medium, even-chain acylcarnitines. Targeted MS/MS was used to measure the concentration of medium, even-chain acylcarnitines in cecal contents, skeletal muscle, liver and serum collected at the time of sacrifice from animals colonized with the Ln or Ob culture collection from DZ twin pair 1 and fed a LF/HPP mouse chow or NHANES-based LoSF/HiFV diet. Concentrations of acylcarnitines in liver, skeletal muscle and cecal contents are expressed as nM/g of tissue wet weight or nM/g of cecal contents. Serum concentrations are expressed in nM. Two-way ANOVA with Holm-Sidak's correction for multiple comparisons was performed to determine if levels of acylcarnitines were significantly different between dually-housed Ob-Ob controls and Lnch, Obch or dually-housed Ln-Ln controls. Significant differences are highlighted in yellow *, p≤ 0.05; **, p≤ 0.01 ; ***, p≤ 0.001 ; ****, p≤ 0.0001 ; ns, not significant.
LoSF/HiFV
(33% fat)
Cecal contents
2-way ANOVA, Holm-Sidak's nM/g
multiple comparissons
Ln-
Lnch Obch Ln
vs. vs.
Acyl carnitine Ln-Ln Lnch Ob-Ob Obch vs.
Ob- Ob- Ob- Ob Ob Ob
C6 Hexanoyl carnitine 1.34±0.37 1.51±0.27 2.05±0.46 1.84±0.41 ns ns ns
C8:1 Octenoyl carnitine 1.83±0.22 1.31±0.15 1.30±0.26 1.42±0.48 ns ns ns
C8 Octanoyl carnitine 2.95±0.51 2.25±0.39 3.28±0.64 3.21±0.80 ns * ns
3-Hydroxy-cis-5-
C8:1- octenoyl carnitine or 2.12±0.55 1.71±0.08 1.79±0.15 1.86±0.49 ns ns ns
OH/C6:1-DC
Hexenedioyl carnitine
C6-DC/C8-OH 2.51±0.45 2.63±0.55 3.19±0.60 3.82±1.37 ns ns ns
C10:3 DecatrienoyI carnitine 1.49±0.27 1.40±0.10 2.73±0.55 1.86±0.14 ** ** *
C10:2 Decadienoyl carnitine 0.85±0.13 0.81±0.15 0.93±0.21 0.98±0.44 ns ns ns
C10:1 Decenoyl carnitine 1.01±0.25 0.89±0.22 0.88±0.16 1.03±0.50 ns ns ns
C10 Decanoyl carnitine 2.62±0.49 2.06±0.45 2.51±0.33 2.24±0.64 ns ns ns
C8:1-DC Octenedioyl carnitine 1.41±0.19 1.35±0.36 2.04±0.46 1.87±0.80 ns ns ns
3-Hydroxy-decanoyl
C10-OH/C8- carnitine or Suberoyl 1.27±0.27 1.30±0.33 2.27±0.96 2.16±1.16 * * ns DC
carnitine
C12:2 0.62±0.17 0.60±0.03 0.65±0.14 0.71±0.29 ns ns ns
C12:1 Dodecenoyl carnitine 0.85±0.16 0.84±0.12 0.99±0.15 1.07±0.21 ns ns ns
C12 Lauroyl carnitine 1.79±0.44 0.98±0.25 2.63±0.86 1.33±0.52 * *** **
C12:2-
0.55±0.34 0.53±0.05 1.06±0.29 0.77±0.21 ns ns ns
OH/C10:2-DC
C12:1-
2.27±0.89 1.46±0.15 3.26±1.31 1.72±0.45 ** **** ***
OH/C10:1-DC
3-Hydroxy-
C12-OH/C10- dodecanoyl carnitine 1.12±0.28 4.38±1.52 1.68±0.58 6.24±3.99 ns **** **** DC
or Sebacoyl carnitine
C14:3 0.92±0.14 1.00±0.03 0.78±0.26 1.21 ±0.11 ns ns ns
Tetradecadienoyl
C14:2 0.57±0.24 0.29±0.25 0.71±0.31 0.28±0.48 ns ns ns carnitine
Tetradecenoyl
C14:1 0.72±0.26 0.91±0.18 1.43±0.83 0.93±0.40 ns ns ns carnitine
C14 Myristoyl carnitine 1.38±0.36 1.41±0.32 2.03±0.93 1.32±0.89 ns ns ns
C14:3-
0.97±0.26 0.87±0.16 1.02±0.30 1.13±0.07 ns ns ns
OH/C12:3-DC
C14:2-
0.81±0.10 0.81±0.22 1.14±0.56 1.09±0.22 ns ns ns
OH/C12:2-DC
C14:1-
1.03±0.59 1.19±0.33 1.50±0.59 1.00±0.32 ns ns ns
OH/C12:1-DC
3-Hydroxy- tetradecanoyl
C14-OH/C12- carnitine or 0.54±0.14 0.30±0.27 0.57±0.25 0.56±0.39 ns ns ns DC
Dodecanedioyl
carnitine
C8:1- octenoyl carnitine or 0.73±0.12 0.63±0.07 0.80±0.21 0.53±0.28 ns ns ns
OH/C6:1-DC
Hexenedioyl carnitine
C6-DC/C8-OH 0.69±0.37 1.18±0.85 1.69±0.80 0.55±0.26 ns ns ns
C10:3 DecatrienoyI carnitine 0.11±0.12 0.15±0.09 0.18±0.11 0.16±0.12 ns ns ns
C10:2 Decadienoyl carnitine 0.15±0.06 0.15±0.07 0.19±0.10 0.14±0.06 ns ns ns
C10:1 Decenoyl carnitine 0.44±0.20 0.60±0.23 1.02±0.51 0.41 ±0.26 ns ns ns
C10 Decanoyl carnitine 1.04±0.86 2.37±1.45 2.92±2.32 0.88±0.79 ns ns ns
C8:1-DC Octenedioyl carnitine 0.16±0.07 0.13±0.09 0.24±0.11 0.11±0.02 ns ns ns
3-Hydroxy-decanoyl
C10-OH/C8- carnitine or Suberoyl 0.47±0.43 0.83±0.45 0.99±0.42 0.36±0.26 ns ns ns DC
carnitine
C12:2 0.11±0.09 0.16±0.09 0.25±0.14 0.14±0.05 ns ns ns
C12:1 Dodecenoyl carnitine 0.76±0.46 1.47±0.91 1.84±1.01 0.64±0.40 ns ns ns
C12 Lauroyl carnitine 2.06±1.79 4.75±3.02 5.25±3.84 1.60±1.29 * ns *
C12:2-
0.16±0.09 0.33±0.05 0.45±0.19 0.19±0.07 ns ns ns
OH/C10:2-DC
C12:1-
0.29±0.23 0.66±0.25 0.85±0.51 0.27±0.20 ns ns ns
OH/C10:1-DC
3-Hydroxy-
C12-OH/C10- dodecanoyl carnitine 0.27±0.19 0.66±0.28 0.75±0.32 0.31±0.21 ns ns ns DC
or Sebacoyl carnitine
C14:3 0.07±0.03 0.18±0.08 0.23±0.13 0.12±0.03 ns ns ns
Tetradecadienoyl
C14:2 1.05±0.78 2.22±1.06 2.69±1.44 0.80±0.46 ns ns ns carnitine
Tetradecenoyl
C14:1 4.30±3.91 9.21±5.17 10.82±7.29 3.34±3.31 **** ns **** carnitine
C14 Myristoyl carnitine 5.29±4.69 13.30±7.53 14.63±10.43 4.53±4.31 **** ns ****
C14:3-
0.09±0.06 0.08±0.03 0.08±0.06 0.05±0.04 ns ns ns
OH/C12:3-DC
C14:2-
0.31±0.13 0.69±0.08 0.63±0.32 0.30±0.18 ns ns ns
OH/C12:2-DC
C14:1-
0.78±0.68 1.50±0.38 1.71±0.97 0.58±0.35 ns ns ns
OH/C12:1-DC
3-Hydroxy- tetradecanoyl
C14-OH/C12- carnitine or 0.50±0.32 0.93±0.42 1.22±0.67 0.39±0.27 ns ns ns DC
Dodecanedioyl
carnitine
C12:2-
1.07±0.39 0.64±0.19 1.00±0.28 0.64±0.15 ns ns ns
OH/C10:2-DC
C12:1-
1.87±0.71 1.13±0.19 1.85±0.40 0.99±0.39 ns ns ns
OH/C10:1-DC
3-Hydroxy-
C12-OH/C10- dodecanoyl carnitine 2.12±0.60 1.35±0.24 2.03±0.48 1.19±0.21 ns ns ns DC
or Sebacoyl carnitine
C14:3 0.22±0.15 0.20±0.18 0.27±0.11 0.25±0.22 ns ns ns
Tetradecadienoyl
C14:2 1.70±0.63 1.40±0.81 2.36±0.65 1.46±0.09 ns ns ns carnitine
Tetradecenoyl
C14:1 9.41±3.68 8.69±4.46 14.31±4.14 8.33±1.60 ns ns ns carnitine
C14 Myristoyl carnitine 12.80±4.86 13.12±6.25 18.86±6.76 13.68±1.05 * ns ns
C14:3-
0.99±0.61 0.51±0.23 0.59±0.38 0.32±0.14 ns ns ns
OH/C12:3-DC
C14:2-
0.76±0.37 0.89±0.26 0.91±0.39 0.63±0.09 ns ns ns
OH/C12:2-DC
C14:1-
2.57±1.25 2.25±1.00 3.32±1.03 2.26±0.08 ns ns ns
OH/C12:1-DC
3-Hydroxy- tetradecanoyl
C14-OH/C12- carnitine or 1.11±0.47 1.12±0.36 1.41±0.59 1.00±0.07 ns ns ns DC
Dodecanedioyl
carnitine
OH/C12:3-DC
C14:2- ns ns ns
OH/C12:2-DC
C14:1-
2.37±0.69 1.93±0.21 1.94±0.34 1.97±0.11 ns ns ns
OH/C12:1-DC
3-Hydroxy- tetradecanoyl
C14-OH/C12- carnitine or 0.96±0.35 1.36±0.45 1.02±0.23 1.18±0.11 ns ns ns DC
Dodecanedioyl
carnitine
C. Long, even-chain acylcarnitines. Targeted MS/MS was used to measure the concentration of long, even-chain acylcarnitines in cecal contents, skeletal muscle, liver and serum collected at the time of sacrifice from animals colonized with the Ln or Ob culture collection from DZ twin pair 1 and fed a LF/HPP mouse chow or NHANES-based LoSF/HiFV diet. Concentrations of acylcarnitines in liver, skeletal muscle and cecal contents are expressed as nM/g of tissue wet weight or nM/g of cecal contents. Serum concentrations are expressed in nM. Two-way ANOVA with Holm-Sidak's correction for multiple comparisons was performed to determine if levels of acylcarnitines were significantly different between dually-housed Ob-Ob controls and Lnch, Obch or dually-housed Ln-Ln controls. Significant differences are hi hli hted in ellow *, ≤ 0.05; < 0.01 ; ***, < 0.001 ; ****, < 0.0001 ; ns, not si nificant.
C20:3 0.66±0.21 1.37±0.14 1.19±0.32 1.22±0.31 ns ns ns
C20:2 3.49±1.12 4.93±0.85 3.34±0.61 3.24±0.51 ns ns ns
C20:1 6.32±1.58 8.95±1.63 4.54±1.34 6.24±1.14 ns ns ns
Arachidoyl carnitine,
C20 1.76±0.35 3.20±0.46 2.72±0.58 2.74±0.39 ns ns ns eicosanoyl carnitine
C20:3-
0.25±0.07 0.36±0.11 0.25±0.07 0.31 ±0.09 ns ns ns
OH/C18:3-DC
C20:2-
0.58±0.10 0.52±0.23 0.47±0.20 0.62±0.17 ns ns ns
OH/C18:2-DC
C20:1-
0.81±0.18 0.35±0.30 0.69±0.08 0.41 ±0.22 ns ns ns
OH/C18:1-DC
C20-OH/C18-
0.15±0.08 0.46±0.18 0.19±0.10 0.41±0.14 ns ns ns DC/C22-6
C22:5 0.31±0.10 0.33±0.10 0.26±0.07 0.35±0.17 ns ns ns
C22:4 0.20±0.06 0.30±0.09 0.37±0.06 0.50±0.05 ns ns ns
C22:3 0.17±0.09 0.12±0.05 0.22±0.07 0.24±0.03 ns ns ns
C22:2 0.27±0.09 0.42±0.15 0.54±0.10 0.39±0.08 ns ns ns
C22:1 1.10±0.11 2.07±0.18 1.58±0.09 2.03±0.09 ns ns ns
Behenoyl carnitine,
C22 0.30±0.08 0.49±0.22 0.32±0.11 0.45±0.19 ns ns ns docosanoyl carnitine
C20:3 0.17±0.18 0 0.14±0.22 0 ns ns ns
C20:2 0.12±0.17 0 0.16±0.18 0 ns ns ns
C20:1 0.09±0.20 0 0.28±0.36 0 ns ns ns
Arachidoyl carnitine,
C20 0.58±0.82 0.97±0.21 0.80±0.68 0.44±0.76 ns ns ns eicosanoyl carnitine
C20:3-
0.11±0.11 0.18±0.16 0.04±0.09 0.20±0.22 ns ns ns
OH/C18:3-DC
C20:2-
0.36±0.35 0.27±0.26 0.13±0.20 0.12±0.20 ns ns ns
OH/C18:2-DC
C20:1-
2.21±1.52 2.14±0.09 2.79±0.32 2.22±0.68 ns ns ns
OH/C18:1-DC
C20-OH/C18-
0.80±0.21 0.83±0.26 0.10±0.25 0.19±0.33 ns ns ns DC/C22-6
C22:5 0.05±0.12 0.44±0.34 0.21±0.21 0.15±0.13 ns ns ns
C22:4 0.32±0.37 0.25±0.21 0.36±0.24 0.35±0.32 ns ns ns
C22:3 0.06±0.13 0.06±0.10 0 0.04±0.06 ns ns ns
C22:2 0 0.07±0.13 0.15±0.18 0 ns ns ns
C22:1 0.03±0.04 0.07±0.12 0.07±0.16 0 ns ns ns
Behenoyl carnitine,
C22 0.02±0.05 0 0.02±0.05 0 ns ns ns docosanoyl carnitine
C20:3 0.25±0.30 0.70±0.41 0.85±0.86 0.21±0.21 ns ns ns
C20:2 0.59±0.44 1.58±0.98 2.06±1.44 0.44±0.33 ns ns ns
C20:1 1.27±1.08 3.55±2.07 4.56±2.93 0.85±0.68 ns ns ns
Arachidoyl carnitine,
C20 0.40±0.28 0.85±0.50 1.22±0.70 0.21±0.21 ns ns ns eicosanoyl carnitine
C20:3-
0.04±0.04 0.11±0.10 0.14±0.09 0.13±0.09 ns ns ns
OH/C18:3-DC
C20:2-
0.24±0.13 0.48±0.14 0.34±0.33 0.21±0.18 ns ns ns
OH/C18:2-DC
C20:1-
0.10±0.09 0.26±0.24 0.50±0.24 0.08±0.07 ns ns ns
OH/C18:1-DC
C20-OH/C18-
0.11±0.13 0.49±0.43 0.31±0.49 0.05±0.05 ns ns ns DC/C22-6
C22:5 0.06±0.07 0.03±0.05 0.53±0.57 0.09±0.10 ns ns ns
C22:4 0.09±0.08 0.12±0.21 0.29±0.35 0 ns ns Ns
C22:3 0.03±0.03 0.01±0.02 0.07±0.08 0.05±0.03 ns ns ns
C22:2 0.01±0.01 0.04±0.03 0.07±0.08 0.04±0.01 ns ns ns
C22:1 0.24±0.10 0.30±0.12 0.36±0.21 0.23±0.04 ns ns ns
Behenoyl carnitine,
C22 0.09±0.03 0.10±0.03 0.25±0.13 0.07±0.07 ns ns ns docosanoyl carnitine
C20:3 1.91±1.38 1.93±0.98 2.36±0.79 1.80±0.31 ns ns ns
C20:2 4.31±2.18 4.30±2.31 5.71±2.32 4.05±1.13 ns ns ns
C20:1 11.46±6.71 11.04±6.28 14.29±6.14 8.28±2.36 ns ns ns
Arachidoyl carnitine,
C20 5.43±1.90 4.35±4.02 6.82±2.12 4.23±0.76 ns ns ns eicosanoyl carnitine
C20:3-
0.49±0.12 0.26±0.26 0.29±0.24 0.31 ±0.27 ns ns ns
OH/C18:3-DC
C20:2-
0.98±0.11 0.84±0.73 1.33±0.34 1.11+0.11 ns ns ns
OH/C18:2-DC
C20:1-
1.09±1.04 1.13±0.79 1.24±1.13 0.70±0.61 ns ns ns
OH/C18:1-DC
C20-OH/C18-
0.26±0.28 0.28±0.24 0.50±0.32 0.28±0.24 ns ns ns DC/C22-6
C22:5 0.05±0.11 0.21±0.16 0.05±0.07 0.07±0.12 ns ns ns
C22:4 0.37±0.22 0.32±0.21 0.27±0.21 0.27±0.07 ns ns ns
C22:3 0.12±0.13 0.14±0.12 0.16±0.16 0 ns ns ns
C22:2 0.43±0.27 0.41±0.16 0.42±0.25 0.14±0.23 ns ns ns
C22:1 2.15±0.32 2.61±0.52 2.32±0.45 1.90±0.22 ns ns ns
Behenoyl carnitine,
C22 1.08±0.30 0.72±0.74 1.12±0.78 0.99±0.39 ns ns ns docosanoyl carnitine
C20:3 ns ns ns
C20:2 ns ns ns
C20:1 ns ns ns
Arachidoyl carnitine,
C20 0.77±0.25 0.65±0.19 0.63±0.13 0.70±0.20 ns ns ns eicosanoyl carnitine
C20:3- ns ns ns
OH/C18:3-DC
C20:2- ns ns ns
OH/C18:2-DC
C20:1- ns ns ns
OH/C18:1-DC
C20-OH/C18-
0.20±0.12 0.37±0.17 0.38±0.18 0.34±0.06 ns ns ns DC/C22-6
C22:5 ns ns ns
C22:4 ns ns ns
C22:3 ns ns ns
C22:2 ns ns ns
C22:1 ns ns ns
Behenoyl carnitine,
C22 0.36±0.25 0.73±0.51 0.45±0.11 0.26±0.28 ns ns ns docosanoyl carnitine
RDP 2.4 trained on modified
Greengenes 'Isolated named strains Greengenes taxonomy
16S1 (19% correct assignment)
(90% correct assignment)
Escherichia coli K12 X
Bacteroides thetaiotaomicron VPI-5482 X
Bacteroides vulgatus X
Akkermansia muciniphila X X
Escherichia fergusonii X
Eubacterium eligens X
Alistipes indistinctus X
Bifidobacterium bifidum X
Blautia lutia
Bacteroides thetaiotaomicron 3731 X
Bacteroides thetaiotaomicron 7330 X
Bacteroides xylanisolvens X
Clostridium nexile-related A2-232 X
Enterobacter cancerogenus
Eubacterium ventriosum X
Ruminococcus torques X X
Dorea formicigenerans X X
Dorea longicatena X
Bacteroides ovatus X
Ruminococcus gnavus X X
Bacteroides uniformis X
Clostridium leptum X X
Faecalibacterium prausnitzii M21/2 X X
Anaerotruncus colihominis X X
Streptococcus infantarius X
Bacteroides intestinalis X
Clostridium sporogenes X
Ruminococcus lactaris X
Bacteroides eggerthii X
Proteus penneri
Coprococcus comes X
Clostridium nexile X
Bacteroides dorei X
Anaerococcus hydrogenalis X
Collinsella intestinalis X
Bacteroides finegoldii X
Providencia alcalifaciens X X
Bifidobacterium pseudocatenulatum X
Parabacteroides johnsonii X
Roseburia intestinalis X
Eubacterium biforme X X
Blautia hansenii X
Subdoligranulum variabile X
Bacteroides cellulosilyticus X
Clostridium asparagiforme X
Clostridium saccharolyticum-related
Clostridium hathewayi X
Edwardsiella tarda
Table 31. 48 member 'mock community' used for in silico validation of taxonomy assignment using DP2.4 trained on Greengenes 'Isolated named strains 16S'.
Draft genomes for the 44 species in the 'mock community' were trimmed to the length of variable region 2 of the 16S rRNA gene (335±23 nt). Complete 16S rRNA sequences were not available in the draft assemblies of 4 of the 48 community members used for sequenced 'mock community'. Red denote species that had a smaller trimmed V2 16S rRNA than expected. The assigned taxonomy for each method is shown. An 'X' indicates that a species or genus was correctly assigned by each of the methods
used.
Phylum Genus Species Accession SeqName
Verrucomicrob AmucR0019 Akkermansia muciniphila ATCC
Akkermansia muciniphila NC_010655
ia BAA-835 RC:1..1503
Bacteroidetes Alistipes indistinctus NZ_ADLD00000000.1 Aindist3r_Alistipes indistinctus 1..1460
ANHYDRO01560 Anaerococcus hydrogenalis
Firmicute Anaerococcus hydrogenalis NZ_ABXA00000000
DSM 7454 1..1514
ANACOL04208 Anaerotruncus colihominis DSM
Firmicute Anaerotruncus colihominis NZ_ABGD00000000
17241 RC:1..1512
BACCELL01150 Bacteroides cellulosilyticus
Bacteroidetes Bacteroides cellulosilyticus NZ_ACCH00000000
DSM 14838 RC:1..1510
B ovatus ATCC-8483 deepdraft 703130-
Bacteroidetes Bacteroides ovatus NZ_AAXF00000000
704646 1..1517
B uniformis ATCC-8492 deepdraft 152993-
Bacteroidetes Bacteroides uniform is NZ_AAYH00000000
154507 1..1515
BACDOR04982 Bacteroides dorei DSM 17855
Bacteroidetes Bacteroides dorei NZ_ABWZ00000000
RC:1..1519
BACEGG02884 Bacteroides eggerthii DSM
Bacteroidetes Bacteroides eggerthii NZ_ABVO00000000
20697 RC:1..1514
Bacteroidetes Bacteroides finegoldii
BACINT04870 Bacteroides intestinalis DSM
Bacteroidetes Bacteroides intestinalis NZ_ABJL00000000
17393 RC:1..1510
thetaiotaomicron
Bacteroidetes Bacteroides
3731
thetaiotaomicron
Bacteroidetes Bacteroides
7330
thetaiotaomicron BTr13 Bacteroides thetaiotaomicron VPI-5482
Bacteroidetes Bacteroides NC_004663
VPI-5482 5..1482
BVU3841 Bacteroides vulgatus ATCC 8482
Bacteroidetes Bacteroides vulgatus NC_009614
RC:4..1509
NC BxylanisolvensXBIA Bacteroides 1603053-
Bacteroidetes Bacteroides xylanisolvens NC_FP929033.1
1604569 1..1517
pseudocatenulat BIFPSEUDO03402 Bifidobacterium
Actinobacteria Bifidobacterium NZ_ABXX00000000
urn pseudocatenulatum DSM 20438 RC:1..1516
Bbif204563r Bifidobacterium bifidum 20456
Actinobacteria Bifidobacterium bifidum NC_FP929033.1
1..1515
NZ ABYU00000000 Blautia 2352766-2354151
Firmicute Blautia hansenii NZ_ABYU00000000
1 .1386
FirriiioMts
NZ ABCB00000000 Clostridium 1180792-
Firmicute Clostridium leptum NZ_ABCB00000000
1182329 1..1538
nexile-relatedA2-
Firmicute Clostridium
232
saccharolyticum- CIM62020100r17840 Clostridium sp. M62/1
Firmicute Clostridium NZ_ACFX00000000
related RC:3..1528
CLOSTASPAR06136 Clostridium asparagiforme
Firmicute Clostridium asparagiforme NZ_ACCJ00000000
DSM 15981 RC:1..1517
CLOSTHATH07476 Clostridium hathewayi DSM
Firmicute Clostridium hathewayi NZ_ACIO00000000
13479 RC:1..493
Firmicute Clostridium nexile NZ_ABWO00000000
CLOSPO01094 Clostridium sporogenes ATCC
Firmicute Clostridium sporogenes NZ_ABKW00000000
15579 1..1499
COLINT03465 Collinsella intestinalis DSM
Actinobacteria Collinsella intestinalis NZ_ABXH00000000
13280 RC:1..1495
COPCOM01107 Coprococcus comes ATCC
Firmicute Coprococcus comes NZ_ABVR00000000
27758 RC:1..1518
DORFOR03348 Dorea formicigenerans ATCC
Firmicute Dorea formicigenerans NZ_AAXA00000000
27755 RC:1..1518
D longicatena DSM-13814 deepdraft 2882450-
Firmicute Dorea longicatena NZ_AAXB00000000
2883969 1..1520
ProtsoiMoie-is EDWATA03619 Edwardsiella tarda ATCC 23685
&J*ardsielia tarda ^ ADGKO OOOOO
RC:1..1455
NC Ecancerogenus Enterobacter 218784-
Proteobacteria Enterobacter cancerogenus NZ_ABWM00000000
220265 1..1482
rrsE Escherichia coli str. K-12 substr. MG1655
Proteobacteria Escherichia CONK12 NC_000913
8..1541
EFER16S 7 Escherichia fergusonii ATCC 35469
Proteobacteria Escherichia fergusonii NC_011740
8..1541
EUBELI01968 Eubacterium eligens ATCC
Firmicute Eubacterium eligens NC_012778
27750 RC:1..1518
EUBIFOR00002 Eubacterium biforme DSM
Firmicute Eubacterium biforme NZ_ABYT00000000
3989 RC:1..1527
NZ AAVL00000000 Eubacterium ventriosum 2
Firmicute Eubacterium ventriosum NZ_AAVL00000000
0212-21733 1..1522
Faecalibacteriu F prausnitzii M21 2 deepdraft 133129-134627
Firmicute prausnitziiM21/2 NZ_ABED00000000
m 1..1499
Parabacteroide PRABACTJOHN 04575 Parabacteroides
Bacteroidetes johnsonii NZ_ABYH00000000
s johnsonii DSM 18315 1..1518
PROPEN00608 Proteus penneri ATCC 35198
Proteobacteria Proteus penneri NZ_ABVP00000000
RC:1..1531
PROVALCAL03763 Providencia alcalifaciens
Proteobacteria Providencia alcalifaciens NZ_ABXW00000000
DSM 30120 RC:1..1528
NZ ABYJ00000000 Roseburia Intestinalis 257
Firmicute Roseburia intestinalis NZ_ABYJ00000000
8255-2580159 1..1905
NZ AAYG00000000 Ruminococcus gnavus258
Firmicute Ruminococcus gnavus NZ_AAYG00000000
0909-2582427 1..1519
RUMLAC02296 Ruminococcus lactaris ATCC
Firmicute Ruminococcus lactaris NZ_ABOU00000000
29176 RC:1..1520
R torques ATCC-27756 deepdraft 2673644-
Firmicute Ruminococcus torques NZ_AAVP00000000
2675163 1..1520
STRINF00085 Streptococcus infantarius subsp.
Firmicute Streptococcus infantarius NZ_ABJK00000000
infantarius ATCC BAA-102 RC:1..1536
Subdoligranulu NZ ACBY00000000 Subdoligranulum 2557332-
Firmicute variabile NZ_ACBY00000000
m 2559006 DIR 89..1675
cancerogenus 315 Root
Root;p Proteobacteria;c Gammaproteobacteria;o Enterobacteriales;f Enterobacteriacea
CONK12 352
e
Root;p Proteobacteria;c Gammaproteobacteria;o Enterobacteriales;f Enterobacteriacea fergusonii 352
e;q Enterobacter
eligens 367 Root;p Firmicutes;c Clostridia;o Clostridiales;f Lachnospiraceae;g Lachnospira biforme 357 Root;p Tenericutes;c Erysipelotrichi;o Erysipelotrichales;f Erysipelotrichaceae;g ventriosum 368 Root;p Firmicutes;c Clostridia;o Clostridiales;f Lachnospiraceae
prausnitziiM21/2 353 Root;p Firmicutes;c Clostridia;o Clostridiales;f Ruminococcaceae;g Faecalibacterium
Root;p Bacteroidetes;c Bacteroidia;o Bacteroidales;f Porphyromonadaceae;g Paraba johnsonii 358
cteroides
Root;p Proteobacteria;c Gammaproteobacteria;o Enterobacteriales;f Enterobacteriacea penneri 352
e;q Proteus
Root;p Proteobacteria;c Gammaproteobacteria;o Enterobacteriales;f Enterobacteriacea alcalifaciens 349
e;q Providencia
intestinalis 366 Root;p Firmicutes;c Clostridia;o Clostridiales;f Lachnospiraceae;g Roseburia gnavus 366 Root;p Firmicutes;c Clostridia;o Clostridiales;f Lachnospiraceae;g Ruminococcus lactaris 367 Root;p Firmicutes;c Clostridia;o Clostridiales;f Lachnospiraceae;g Ruminococcus torques 366 Root;p Firmicutes;c Clostridia;o Clostridiales;f Lachnospiraceae;g Ruminococcus infantarius 357 Root;p Firmicutes;c Bacilli ;o Lactobacillales;f Streptococcaceae;g Streptococcus variabile 411 Root
Species Greengenes taxonomy
k Bacteria;p Verrucomicrobia;c Verrucomicrobiae;o Verrucomicrobiales;f Verrucomicrobiaceae;g muciniphila
Akkermansia;s Akkermansiamuciniphila
indistinctus k Bacteria;p Bacteroidetes;c Bacteroidia;o Bacteroidales;f Rikenellaceae;q ;s
k Bacteria;p Firmicutes;c Clostridia;o Clostridiales;f ClostridialesFamilyXl.lncertaeSedis;g Anaero hydrogenalis
coccus;s Anaerococcushydrogenalis
k Bacteria;p Firmicutes;c Clostridia;o Clostridiales;f Ruminococcaceae;g Anaerotruncus;s Anaer colihominis
otruncuscolihominis
cellulosilyticus k Bacteria;p Bacteroidetes;c Bacteroidia;o Bacteroidales;f Bacteroidaceae;q Bacteroides;s k Bacteria;p Bacteroidetes;c Bacteroidia;o Bacteroidales;f Bacteroidaceae;g Bacteroides;s Bact ovatus
eroidesovatus
k Bacteria;p Bacteroidetes;c Bacteroidia;o Bacteroidales;f Bacteroidaceae;g Bacteroides;s Bact uniform is
eroidesuniformis
k Bacteria;p Bacteroidetes;c Bacteroidia;o Bacteroidales;f Bacteroidaceae;g Bacteroides;s Bact dorei
eroidesdorei
k Bacteria;p Bacteroidetes;c Bacteroidia;o Bacteroidales;f Bacteroidaceae;g Bacteroides;s Bact eggerthii
eroideseggerthii
finegoldii
intestinalis k Bacteria;p Bacteroidetes;c Bacteroidia;o Bacteroidales;f Bacteroidaceae;q Bacteroides;s thetaiotaomicron37
31
thetaiotaomicron73
30
thetaiotaomicronVP
I-5482 k Bacteria;p Bacteroidetes;c Bacteroidia;o Bacteroidales;f Bacteroidaceae;q Bacteroides;s vulgatus k Bacteria;p Bacteroidetes;c Bacteroidia;o Bacteroidales;f Bacteroidaceae;q Bacteroides;s xylanisolvens k Bacteria;p Bacteroidetes;c Bacteroidia;o Bacteroidales;f Bacteroidaceae;q Bacteroides;s k Bacteria;p Actinobacteria;c Actinobacteria;o Bifidobacteriales;f Bifidobacteriaceae;g Bifidobacter pseudocatenulatum
ium ;s Bifidobacteriumpseudocatenulatum
k Bacteria;p Actinobacteria;c Actinobacteria;o Bifidobacteriales;f Bifidobacteriaceae;g Bifidobacter bifid urn
ium;s Bifidobacteriumbifidum
k Bacteria;p Firmicutes;c Clostridia;o Clostridiales;f Lachnospiraceae;g Blautia;s Blautiaproduct hansenii
a
i t\
k Bacteria;p Firmicutes;c Clostridia^ Clostridiales;f Ruminococcaceae;g Clostridium;s Clostridiu leptum
mleptum
nexile-relatedA2- 232
saccharolyticum- related k Bacteria;p Firmicutes;c Clostridia;o Clostridiales;f Lachnospiraceae;q Clostridium;s asparagiforme k Bacteria;p Firmicutes;c Clostridia;o Clostridiales;f Lachnospiraceae;q Clostridium;s hathewayi k Bacteria;p Firmicutes;c Clostridia;o Clostridiales;f Lachnospiraceae;q Clostridium;s nexile
sporogenes k Bacteria;p Firmicutes;c Clostridia;o Clostridiales;f Clostridiaceae;g Clostridium;s intestinalis k Bacteria;p Actinobacteria;c Actinobacteria;o Coriobacteriales;f Coriobacteriaceae;q Collinsella;s
comes k Bacteria;p Firmicutes;c Clostridia;o Clostridiales;f Lachnospiraceae;q Ruminococcus;s formicigenerans k Bacteria;p Firmicutes;c Clostridia;o Clostridiales;f Lachnospiraceae;q Roseburia;s longicatena k Bacteria;p Firmicutes;c Clostridia;o Clostridiales;f Lachnospiraceae;q Clostridium;s
k Bacteria;p Proteobacteria;c Gammaproteobacteria;o Enterobacteriales;f Enterobacteriaceae;g E dwardsiella;s Edwardsiellaictaluri
cancerogenus No blast hit
k Bacteria;p Proteobacteria;c Gammaproteobacteria;o Enterobacteriales;f Enterobacteriaceae;g ;
CONK12
s
k Bacteria;p Proteobacteria;c Gammaproteobacteria;o Enterobacteriales;f Enterobacteriaceae;g fergusonii
Raoultella;s
eligens k Bacteria;p Firmicutes;c Clostridia;o Clostridiales;f Lachnospiraceae;q Lachnospira;s
k Bacteria;p Tenericutes;c Erysipelotrichi;o Erysipelotrichales;f Erysipelotrichaceae;g ;s Eubacte biforme
riumbiforme
ventriosum k Bacteria;p Firmicutes;c Clostridia;o Clostridiales;f Lachnospiraceae;q ;s
prausnitziiM21/2 k Bacteria;p Firmicutes;c Clostridia;o Clostridiales;f Ruminococcaceae;q Faecalibacterium;s k Bacteria;p Bacteroidetes;c Bacteroidia;o Bacteroidales;f Porphyromonadaceae;g Parabacteroid johnsonii
es;s Parabacteroidesjohnsonii
k Bacteria;p Proteobacteria;c Gammaproteobacteria;o Enterobacteriales;f Enterobacteriaceae;g P penneri
roteus;s Proteusvulgaris
k Bacteria;p Proteobacteria;c Gammaproteobacteria;o Enterobacteriales;f Enterobacteriaceae;g P alcalifaciens
rovidencia;s Providenciaalcalifaciens
intestinalis k Bacteria;p Firmicutes;c Clostridia;o Clostridiales;f Lachnospiraceae;q ;s
k Bacteria;p Firmicutes;c Clostridia;o Clostridiales;f Lachnospiraceae;g Ruminococcus;s Rumin gnavus
ococcusgnavus
lactaris k Bacteria;p Firmicutes;c Clostridia;o Clostridiales;f Lachnospiraceae;q ;s
k Bacteria;p Firmicutes;c Clostridia;o Clostridiales;f Lachnospiraceae;g Ruminococcus;s Rumin torques
ococcustorques
infantarius k Bacteria;p Firmicutes;c Bacilli;o Lactobacillales;f Streptococcaceae;g Streptococcus;s variabile No blast hit
Species RDP 2.4 trained on modified Greengenes 'Isolated named strains 16S'
Root;Bacteria;Verrucomicrobia;Verrucomicrobiae;Verrucomicrobiales;Verrucomicrobiaceae;Akkermansia;Ak muciniphila
kermansia muciniphila
indistinctus Root;Bacteria;Bacteroidetes;Bacteroidia;Bacteroidales;Rikenellaceae;Alistipes;Alistipes_indistinctus
Root;Bacteria;Firmicutes;Clostridia;Clostridiales;Clostridiales_Family_XI_lncertae_Sedis;Anaerococcus;Ana hydrogenalis
erococcus hydrogenalis
Root;Bacteria;Firmicutes;Clostridia;Clostridiales;Ruminococcaceae;Anaerotruncus;Anaerotruncus_colihomini colihominis
s
Root;Bacteria;Bacteroidetes;Bacteroidia;Bacteroidales;Bacteroidaceae;Bacteroides;Bacteroides_cellulosilytic cellulosilyticus
us
ovatus Root;Bacteria;Bacteroidetes;Bacteroidia;Bacteroidales;Bacteroidaceae;Bacteroides;Bacteroides_ovatus uniform is Root;Bacteria;Bacteroidetes;Bacteroidia;Bacteroidales;Bacteroidaceae;Bacteroides;Bacteroides uniformis dorei Root;Bacteria;Bacteroidetes;Bacteroidia;Bacteroidales;Bacteroidaceae;Bacteroides;Bacteroides_dorei eggerthii Root;Bacteria;Bacteroidetes;Bacteroidia;Bacteroidales;Bacteroidaceae;Bacteroides;Bacteroides eggerthii finegoldii
intestinalis Root;Bacteria;Bacteroidetes;Bacteroidia;Bacteroidales;Bacteroidaceae;Bacteroides;Bacteroides_intestinalis thetaiotaomicron37
31
thetaiotaomicron73
30
thetaiotaomicronVP Root;Bacteria;Bacteroidetes;Bacteroidia;Bacteroidales;Bacteroidaceae;Bacteroides;Bacteroides_thetaiotaom I-5482 icron
vulgatus Root;Bacteria;Bacteroidetes;Bacteroidia;Bacteroidales;Bacteroidaceae;Bacteroides;Bacteroides vulgatus
Root;Bacteria;Bacteroidetes;Bacteroidia;Bacteroidales;Bacteroidaceae;Bacteroides;Bacteroides_xylanisolve xylanisolvens
ns
Root;Bacteria;Actinobacteria;1760;Bifidobacteriales;Bifidobacteriaceae;Bifidobacterium;Bifidobacterium_pse pseudocatenulatum
udocatenulatum
Root;Bacteria;Actinobacteria;1760;Bifidobacteriales;Bifidobacteriaceae;Bifidobacterium;Bifidobacterium_bifi bifid urn
urn
hansenii Root;Bacteria;Firmicutes;Clostridia;Clostridiales;unclassified_Clostridiales;Blautia;Blautia_hansenii
!. (
leptum Root;Bacteria;Firmicutes;Clostridia;Clostridiales;Clostridiaceae;Clostridium;Clostridium_leptum nexile-relatedA2- 232
saccharolyticum- related Root;Bacteria;Firmicutes;Clostridia;Clostridiales;Clostridiaceae;Clostridium;Clostridium_sp_M62_1 asparagiforme Root;Bacteria;Firmicutes;Clostridia;Clostridiales;Clostridiaceae;Clostridium;Clostridium asparagiforme
hathewayi Root;Bacteria;Firmicutes;Clostridia;Clostridiales;Clostridiaceae;Clostridium;Clostridium_hathewayi nexile
sporogenes Root;Bacteria;Firmicutes;Clostridia;Clostridiales;Clostridiaceae;Clostridium;Clostridium sporogenes intestinalis Root;Bacteria;Actinobacteria;1760;Coriobacteriales;Coriobacteriaceae;Collinsella;Collinsella_intestinalis comes Root;Bacteria;Firmicutes;Clostridia;Clostridiales;Lachnospiraceae;Coprococcus;Coprococcus_comes formicigenerans Root;Bacteria;Firmicutes;Clostridia;Clostridiales;Lachnospiraceae;Dorea;Dorea formicigenerans longicatena Root;Bacteria;Firmicutes;Clostridia;Clostridiales;Lachnospiraceae;Dorea;Dorea longicatena
tares Root;Bacteria;Proteobacteria;Gammaproteobacteria;Enterobacteriales;Enterobacteriaceae;Edwardsiella;Edw ardsiella ictaluri
cancerogenus Root;Bacteria
Root;Bacteria;Proteobacteria;Gammaproteobacteria;Enterobacteriales;Enterobacteriaceae;Escherichia;Esch
CONK12
erichia coli
Root;Bacteria;Proteobacteria;Gammaproteobacteria;Enterobacteriales;Enterobacteriaceae;Escherichia;Esch fergusonii
erichia fergusonii
eligens Root;Bacteria;Firmicutes;Clostridia;Clostridiales;Eubacteriaceae;Eubacterium;Eubacterium eligens
Root;Bacteria;Firmicutes;Erysipelotrichi;Erysipelotrichales;Erysipelotrichaceae;unclassified_Erysipelot biforme
ae;Eubacterium_biforme
ventriosum Root;Bacteria;Firmicutes;Clostridia;Clostridiales;Eubacteriaceae;Eubacterium;Eubacterium_ventriosum
Root;Bacteria;Firmicutes;Clostridia;Clostridiales;Ruminococcaceae;Faecalibacterium;Faecalibacterium_prau prausnitziiM21/2
snitzii
Root;Bacteria;Bacteroidetes;Bacteroidia;Bacteroidales;Porphyromonadaceae;Parabacteroides;Parabacteroid johnsonii
esjohnsonii
penneri Root;Bacteria;Proteobacteria;Gammaproteobacteria;Enterobacteriales;Enterobacteriaceae;Proteus
Root;Bacteria;Proteobacteria;Gammaproteobacteria;Enterobacteriales;Enterobacteriaceae;Providencia;Provi alcalifaciens
dencia alcalifaciens
intestinalis Root;Bacteria;Firmicutes;Clostridia;Clostridiales;Lachnospiraceae;Roseburia;Roseburia_intestinalis gnavus Root;Bacteria;Firmicutes;Clostridia;Clostridiales;Ruminococcaceae;Ruminococcus;Ruminococcus gnavus lactaris Root;Bacteria;Firmicutes;Clostridia;Clostridiales;Ruminococcaceae;Ruminococcus;Ruminococcus_lactaris torques Root;Bacteria;Firmicutes;Clostridia;Clostridiales;Ruminococcaceae;Ruminococcus;Ruminococcus_torques infantarius Root;Bacteria;Firmicutes;Bacilli;Lactobacillales;Streptococcaceae;Streptococcus;Streptococcus_infantarius variabile Root;Bacteria
Anaerococcus_hydrogenalis X X
Anaerotruncus_colihominis X X
Bacteroides_cellulosilyticus X
Bacteroides_ovatus X X
Bacteroides_uniformis X X
Bacteroides dorei X X
Bacteroides eggerthii X X
Bacteroides finegoldii
Bacteroidesjntestinalis X
Bacteroides_thetaiotaomicron3731 X
Bacteroides_thetaiotaomicron7330
Bacteroides_thetaiotaomicronVPI-5482 X
Bacteroides_vulgatus X
Bacteroides_xylanisolvens X
Bifidobacterium_pseudocatenulatum X X
Bifidobacterium_bifidum X X
Blautia_hansenii X
E5:ai.iSia.. i;iii X
Clostridiumjeptum X X
Clostridium nexile-relatedA2-232
Clostridium_saccharolyticum-related
Clostridium_asparagiforme X
Clostridium_hathewayi X
Clostridium_nexile
Clostridium_sporogenes X
Collinsellajntestinalis X
Coprococcus comes X
Dorea_formicigenerans X
Doreajongicatena X
B -sr sisiiaJsrca
Enterobacter_cancerogenus
Escherichia coliKI 2 X
Escherichia_fergusonii X
Eubacterium_eligens X
Eubacterium_biforme X X
Eubacterium_ventriosum X
Faecalibacterium_prausnitziiM21/2
Parabacteroidesjohnsonii X X
Proteus_penneri
Providencia_alcalifaciens X X
Roseburiajntestinalis X
Ruminococcus_gnavus X X
Ru m inococcusjactaris X
Ruminococcus_torques X X
Streptococcusjnfantarius X
Subdoligranulum_variabile
370
Claims
1 . A method for identifying a candidate dietary supplement, the method comprising:
(a) identifying one or more nucleic acids expressed by one or more bacterial strains of the same bacterial species when the bacterial strain is in the gut of one or more subjects, wherein the one or more nucleic acids are differentially expressed when the one or more subjects consume a first diet, compared to a reference diet, and wherein the nucleic acids encode enzymes that degrade, modify or create glycosidic bonds;
(b) defining the in vitro growth of the one or more bacterial strains of the same bacterial species in a plurality of conditions, each condition corresponding to media supplemented with one or more polysaccharides; wherein defining in vitro growth comprises
(i) identifying one or more poslysaccharides that support greater in vitro
growth in supplemented medium compared to unsupplemented medum; and
(ii) determining the in vitro expression level of a set of nucleic acids from step (a) when the bacterium is grown in vitro in medium supplement with a polysaccharide identified in step (b)(i) and in unsupplemented medium; and
(c) selecting at least one candidate dietary supplement comprising a
polysaccharide from step (b)(i) that resulted in a statistically significant increase in expression of one or more nucleic acids from (b)(ii), compared to the unsupplemented medium.
2. A method for identifying a candidate dietary supplement, the method comprising:
(a) identifying one or more nucleic acids expressed by one or more bacterial strains of the same bacterial species when the bacterial strain is in the gut of one or more subjects, wherein the one or more nucleic acids are differentially expressed when the one or more subjects consume a first diet, but not differentially expressed by a plurality of the same subject species
administered a reference diet, and wherein the nucleic acids encode enzymes that degrade, modify or create glycosidic bonds;
(b) defining in vitro growth of the bacterial species in a plurality of conditions, each condition corresponding to media supplemented with one or more polysaccharides; wherein defining in vitro growth comprises
(i) identifying one or more poslysaccharides that support greater high in vitro growth in supplemented medium compared to unsupplemented medium; and
(ii) determining the in vitro expression level of a set of nucleic acids from step (a) when the bacterium is grown in vitro in medium supplement with a polysaccharide identified in step (b)(i) and in unsupplemented medium; and
(c) selecting at least one candidate dietary supplement comprising a
polysaccharide from step (b)(i) that resulted in a statistically significant increase in expression of one or more nucleic acids from (b)(ii), compared to the unsupplemented medium.
3. The method of any of the preceding claims, wherein the subject of step 1 (a) is a gnotobiotic animal or an animal with an established gut microbiota.
4. The method of any of the preceding claims, wherein the subject has a
monogastric digestive system
5. The method of any of the claims 1 to 3, wherein the subject has a ruminant
digestive system.
6. The method of any of the claims 1 to 3, wherein the subject has an avian
digestive system.
7. The method of any of the claims 1 to 3, wherein the subject is a fish.
8. The method of any of the preceding claims, wherein the bacterial strain is one member of a bacterial consortium colonizing the gut of the subject.
9. The method of any of the preceding claims, wherein the nucleic acids expressed by a bacterial strain are identified by screening for in vivo fitness determinants or expression profiling.
10. The method of any of the preceding claims, wherein the set of nucleic acids from step (b)(ii) of claim 1 or claim 2 is selected from the group consisting of:
(a) a set consisting of the top 10 deciles of expressed nucleic acids from step (a) of claim 1 or claim 2;
(b) a set consisting of the top 9 deciles of expressed nucleic acids from step (a) of claim 1 or claim 2;
(c) a set consisting of the top 8 deciles of expressed nucleic acids from step (a) of claim 1 or claim 2;
(d) a set consisting of the top 7 deciles of expressed nucleic acids from step (a) of claim 1 or claim 2;
(e) a set consisting of the top 6 deciles of expressed nucleic acids from step (a) of claim 1 or claim 2;
(f) a set consisting of the top 5 deciles of expressed nucleic acids from step (a) of claim 1 or claim 2;
(g) a set consisting of the top 4 deciles of expressed nucleic acids from step (a) of claim 1 or claim 2;
(h) a set consisting of the top 3 deciles of expressed nucleic acids from step (a) of claim 1 or claim 2;
(i) a set consisting of the top 2 deciles of expressed nucleic acids from step (a) of claim 1 or claim 2; and
(j) a set consisting of the top decile of expressed nucleic acids from step (a) of claim 1 or claim 2.
1 1 . The method of any of the preceding claims, wherein step (c) of claim 1 or claim 2 further comprises selecting at least one candidate dietary supplement comprising a polysaccharide from step (b)(i) that resulted in a statistically significant increase in expression of two or more nucleic acids that belong to the same Carbohydrate- Active Enzyme family.
12. The method of any of the claims 1 to 10, wherein step (c) of claim 1 or claim 2 further comprises selecting at least one candidate dietary supplement comprising
a polysaccharide from step (b)(i) that resulted in a statistically significant increase in expression of two or more nucleic acids that are of the same polysaccharide utilization locus (PUL).
13. The method of any of the claims 1 to 10, wherein step (c) of claim 1 or claim 2 further comprises selecting at least one candidate dietary supplement comprising a polysaccharide from step (b)(i) that resulted in a statistically significant increase in expression of two or more nucleic acids that are of the same Enzyme
Commission family number.
14. The method of any of the preceding claims, wherein the nucleic acids expressed by the bacterial strain are identified by INSeq or RNA-Seq.
15. The method of any of the preceding claims, wherein the isolated bacterial strain is a member of the genus Bacteroides.
16. The method of any of the preceding claims, the method further determining if the candidate dietary supplement increases colonization of the isolated bacterial strain into a microbial community in the gut of a subject in need thereof, wherein the subject in need thereof is the same species as the subject in step (a) of claim 1 or claim 2.
17. A combination comprising: (i) an effective amount of an isolated Bacteroides species selected from the group consisting of B. cellulosilyticus or a Bacteroides species that prioritizes utilization of carbohydrates in vivo in the gut of a subject the same way as B. cellulosilyticus WH2, and (ii) at least one supplement in an amount effective for increasing colonization of the isolated Bacteroides species into an existing microbial community in the gut of a subject when administered to the subject.
18. The combination of claim 17, wherein the at least one supplement is a host- derived carbohydrate.
19. The combination of any of the claims 17 to 18, wherein at least one supplement is a plant-derived carbohydrate.
20. The combination of any of the claims 17 to 19, wherein at least one supplement is xylan or a xylan derivative.
21 . The combination of any of the claims 17 to 20, wherein at least one supplement is selected from the group consisting of xylan, arabinoxylan, arabinan, N-acetyl- D-galactosamine, xyloglucan, glucomannan, galactomannan, D-(+)-cellobiose, pectic galactan and chondroitin sulfate.
22. The combination of any of the claims 17 to 21 , wherein the composition further comprises a symbiotic bacterial strain.
23. The combination of any of the claims 17 to 22, further comprising an effective amount of at least one bacterial strain selected from the group consisting of B. uniformis, B. vulgatus, B. thetaiotaomicron, B. caccae, Alistipes putredinis, and Parabacteroides merdae.
24. The combination of any of the claims 17 to 23 for use in increasing the
colonization of a Bacteroides species into an existing microbial community in the gut of a subject consuming a diet low in plant-derived carbohydrates.
25. The combination for use of claim 24, wherein the Bacteroides species is
Bacteroides cellulosilyticus.
26. The combination of any of the claims 17 to 25, wherein the combination is
administered to a non-human monogastric subject.
27. The combination of any of the claims 17 to 25, wherein upon administration to a non-human monogastric subject, the combination confers a desired outcome selected from the group consisting of decreased total weight, reduced body mass index, decreased adiposity, increased lean body mass, decreased metabolic dysfunction, improved early life nutrition, reduced incidence of metabolic diseases such as diabetes, insulin resistance, and metabolic syndrome, reduced triglycerides, increased HDL levels, decreased LDL levels, decreased blood pressure, decreased fasting plasma glucose and a combination thereof.
28. The combination of any of the claims 17 to 25, wherein upon administration to a non-human monogastric subject, the combination confers a desired outcome
selected from increased feed conversion efficiency, increased weight gain, increased lean body mass, reduced incidence of diarrhea, reduced incidence of intestinal pathologies, reduced fecal output, reduced need for the administration of antibiotics, improved early life nutrition, and reduced stress during
development.
29. The combination of any of the claims 17 to 28 wherein the subject is swine or poultry.
30. The combination of any of the claims 17 to 25 wherein the combination is
administered to a human.
31 . The combination of any of the claims 17 to 25, wherein upon administration to a human, the combination confers a desired outcome selected from the group consisting of decreased total weight, reduced body mass index, decreased adiposity, increased lean body mass, decreased metabolic dysfunction, improved early life nutrition, reduced incidence of metabolic diseases such as diabetes, insulin resistance, and metabolic syndrome, reduced triglycerides, increased HDL levels, decreased LDL levels, decreased blood pressure, decreased fasting plasma glucose and combination thereof.
32. A composition comprising at least three bacterial species selected from the
group consisting of Bacteroides cellulosilyticus, B. uniformis, B. vulgatus, B. thetaiotaomicron, B. caccae, Alistipes putredinis, and Parabacteroides merdae.
33. The composition of claim 32, wherein the composition comprises at least four bacterial species selected from the group consisting of Bacteroides
cellulosilyticus, B. uniformis, B. vulgatus, B. thetaiotaomicron, B. caccae, Alistipes putredinis, and Parabacteroides merdae.
34. The composition of claim 32, wherein the composition comprises at least five bacterial species selected from the group consisting of Bacteroides
cellulosilyticus, B. uniformis, B. vulgatus, B. thetaiotaomicron, B. caccae, Alistipes putredinis, and Parabacteroides merdae.
35. The composition of claim 32, wherein the composition comprises at least six bacterial species selected from the group consisting of Bacteroides
cellulosilyticus, B. uniformis, B. vulgatus, B. thetaiotaomicron, B. caccae, Alistipes putredinis, and Parabacteroides merdae.
36. The composition of claim 32, wherein the composition comprises at least seven bacterial species selected from the group consisting of Bacteroides
cellulosilyticus, B. uniformis, B. vulgatus, B. thetaiotaomicron, B. caccae, Alistipes putredinis, and Parabacteroides merdae.
37. The composition of claim 32, wherein the composition consists of at least seven bacterial species selected from the group consisting of Bacteroides
cellulosilyticus, B. uniformis, B. vulgatus, B. thetaiotaomicron, B. caccae, Alistipes putredinis, and Parabacteroides merdae.
38. The composition of any of the claims 32-37, wherein the composition further comprises a prebiotic.
39. The composition of claim 37, wherein the prebiotic is selected from the group consisting of xylan, arabinoxylan, arabinan, N-acetyl-D-galactosamine, xyloglucan, glucomannan, galactomannan, D-(+)-cellobiose, pectic galactan and chondroitin sulfate.
40. The composition of any of the claims 32-39, wherein the composition is
administered to a non-human monogastric subject.
41 . The composition of claim 39, wherein upon administration to a non-human
monogastric subject, the composition confers a desired outcome selected from the group consisting of decreased total weight, reduced body mass index, decreased adiposity, increased lean body mass, decreased metabolic
dysfunction, improved early life nutrition, reduced incidence of metabolic diseases such as diabetes, insulin resistance, and metabolic syndrome, reduced triglycerides, increased HDL levels, decreased LDL levels, decreased blood pressure and decreased fasting plasma glucose.
42. The composition of claim 39, wherein upon administration to a non-human
monogastric subject, the composition confers a benefit selected from increased feed conversion efficiency, increased weight gain, increased lean body mass,
reduced incidence of diarrhea, reduced incidence of intestinal pathologies, reduced fecal output, reduced need for the administration of antibiotics, improved early life nutrition, and reduced stress during development.
43. The composition of any of the claims 32-41 , wherein the subject is swine or
poultry.
44. The composition of any of the claims 32-39, wherein the composition is
administered to a human.
45. The composition of claim 44, wherein upon administration to a human, the
composition confers a desired outcome selected from the group consisting of decreased total weight, reduced body mass index, decreased adiposity, increased lean body mass, decreased metabolic dysfunction, improved early life nutrition, reduced incidence of metabolic diseases such as diabetes, insulin resistance, and metabolic syndrome, reduced triglycerides, increased HDL levels, decreased LDL levels, decreased blood pressure and decreased fasting plasma glucose.
46. A method for increasing colonization of an isolated Bacteroides species into an existing microbial community in the gut of a subject, the method comprising administering to the subject a combination comprising an isolated Bacteroides strain and at least one carbohydrate that is preferentially utilized by the
Bacteroides strain when grown in the gut of a reference subject consuming a diet that supports efficacious levels of colonization.
Applications Claiming Priority (6)
| Application Number | Priority Date | Filing Date | Title |
|---|---|---|---|
| US201361841786P | 2013-07-01 | 2013-07-01 | |
| US61/841,786 | 2013-07-01 | ||
| US201361867600P | 2013-08-19 | 2013-08-19 | |
| US61/867,600 | 2013-08-19 | ||
| US201361867946P | 2013-08-20 | 2013-08-20 | |
| US61/867,946 | 2013-08-20 |
Publications (1)
| Publication Number | Publication Date |
|---|---|
| WO2015003001A1 true WO2015003001A1 (en) | 2015-01-08 |
Family
ID=52144175
Family Applications (1)
| Application Number | Title | Priority Date | Filing Date |
|---|---|---|---|
| PCT/US2014/045141 Ceased WO2015003001A1 (en) | 2013-07-01 | 2014-07-01 | Methods for identifying supplements that increase gut colonization by an isolated bacterial species, and compositions derived therefrom |
Country Status (1)
| Country | Link |
|---|---|
| WO (1) | WO2015003001A1 (en) |
Cited By (44)
| Publication number | Priority date | Publication date | Assignee | Title |
|---|---|---|---|---|
| EP3095877A1 (en) * | 2015-05-20 | 2016-11-23 | Universitat de València | Methods and means for managing extended-spectrum beta-lactamase (esbl)-producing enterobacteriaceae colonization |
| WO2018023003A1 (en) * | 2016-07-29 | 2018-02-01 | Isothrive Llc | Optimized individualized prebiotic compositions |
| WO2018112194A1 (en) | 2016-12-15 | 2018-06-21 | The Board Of Trustees Of The Leland Stanford Junior University | Compositions and methods for modulating growth of a genetically modified gut bacterial cell |
| WO2019041141A1 (en) * | 2017-08-29 | 2019-03-07 | 深圳华大基因研究院 | Application of bacteroides cellulosityticus in preparing a preparation for preventing and/or treating lipid metabolism related diseases |
| US10322151B2 (en) | 2015-06-15 | 2019-06-18 | 4D Pharma Research Limited | Compositions comprising bacterial strains |
| CN109946405A (en) * | 2019-04-19 | 2019-06-28 | 贵阳市环境监测中心站 | A kind of method for measuring trace amount of phthalate pollutants in surface water |
| US10391128B2 (en) | 2015-11-23 | 2019-08-27 | 4D Pharma Research Limited | Compositions comprising bacterial strains |
| US10391130B2 (en) | 2015-06-15 | 2019-08-27 | 4D Pharma Research Limited | Compositions comprising bacterial strains |
| RU2699283C1 (en) * | 2018-08-07 | 2019-09-04 | Атлас Биомед Груп Лимитед | Method and system for individual food ration formation after microbiota transplantation |
| US10456444B2 (en) | 2014-12-23 | 2019-10-29 | 4D Pharma Research Limited | Pirin polypeptide and immune modulation |
| US10471108B2 (en) | 2015-11-20 | 2019-11-12 | 4D Pharma Research Limited | Compositions comprising bacterial strains |
| US10485830B2 (en) | 2016-12-12 | 2019-11-26 | 4D Pharma Plc | Compositions comprising bacterial strains |
| US10493112B2 (en) | 2015-06-15 | 2019-12-03 | 4D Pharma Research Limited | Compositions comprising bacterial strains |
| US10500237B2 (en) | 2015-06-15 | 2019-12-10 | 4D Pharma Research Limited | Compositions comprising bacterial strains |
| CN110753966A (en) * | 2017-03-10 | 2020-02-04 | 普罗皮肤检测股份有限公司 | Customized skin care products and personal care products based on skin flora analysis |
| US10583158B2 (en) | 2016-03-04 | 2020-03-10 | 4D Pharma Plc | Compositions comprising bacterial strains |
| US10610548B2 (en) | 2016-07-13 | 2020-04-07 | 4D Pharma Plc | Compositions comprising bacterial strains |
| US10610550B2 (en) | 2015-11-20 | 2020-04-07 | 4D Pharma Research Limited | Compositions comprising bacterial strains |
| CN111057697A (en) * | 2019-12-27 | 2020-04-24 | 浙江工业大学 | Heat-resistant TIM barrel protein mutants and their applications |
| US10736926B2 (en) | 2015-06-15 | 2020-08-11 | 4D Pharma Research Limited | Compositions comprising bacterial strains |
| US10744166B2 (en) | 2015-11-23 | 2020-08-18 | 4D Pharma Research Limited | Compositions comprising bacterial strains |
| US10851137B2 (en) | 2013-04-10 | 2020-12-01 | 4D Pharma Research Limited | Polypeptide and immune modulation |
| US10987387B2 (en) | 2017-05-24 | 2021-04-27 | 4D Pharma Research Limited | Compositions comprising bacterial strain |
| US11007233B2 (en) | 2017-06-14 | 2021-05-18 | 4D Pharma Research Limited | Compositions comprising a bacterial strain of the genus Megasphera and uses thereof |
| US11013773B2 (en) | 2011-07-14 | 2021-05-25 | 4D Pharma Research Limited | Lactic acid bacterial strains |
| CN113015790A (en) * | 2018-09-10 | 2021-06-22 | 国立研究开发法人理化学研究所 | Composition for inhibiting trypsin activity comprising bacterium belonging to the genus Palapia as active ingredient |
| CN113106082A (en) * | 2021-05-27 | 2021-07-13 | 云南师范大学 | Alanine racemase from animal manure metagenome as well as preparation and application thereof |
| US11123379B2 (en) | 2017-06-14 | 2021-09-21 | 4D Pharma Research Limited | Compositions comprising bacterial strains |
| US11123378B2 (en) | 2017-05-22 | 2021-09-21 | 4D Pharma Research Limited | Compositions comprising bacterial strains |
| WO2021237162A1 (en) * | 2020-05-21 | 2021-11-25 | Chan Zuckerberg Biohub, Inc. | High-complexity synthetic gut bacterial communities |
| US11224620B2 (en) | 2016-07-13 | 2022-01-18 | 4D Pharma Plc | Compositions comprising bacterial strains |
| US20220023354A1 (en) * | 2018-11-21 | 2022-01-27 | Chan Zuckerberg Biohub, Inc. | High complexity synthetic gut bacterial communities |
| WO2022040090A1 (en) * | 2020-08-17 | 2022-02-24 | The Regents Of The University Of California | Application of microbial glycosidase as an anti-viral therapeutic, prognostic, and diagnostic |
| US11266698B2 (en) | 2011-10-07 | 2022-03-08 | 4D Pharma Research Limited | Bacterium for use as a probiotic for nutritional and medical applications |
| WO2022081428A1 (en) * | 2020-10-16 | 2022-04-21 | Nubiyota Llc | Bacterial compositions and methods of use thereof for treatment of metabolic syndrome |
| US20220218761A1 (en) * | 2019-05-06 | 2022-07-14 | The General Hospital Corporation | Monitoring and altering the gut microbiome in disease |
| WO2022162089A1 (en) * | 2021-02-01 | 2022-08-04 | Rheinisch-Westfälische Technische Hochschule (Rwth) Aachen | Poultry feed containing a composition that contains at least three bacterial strains |
| US11723933B2 (en) | 2014-12-23 | 2023-08-15 | Cj Bioscience, Inc. | Composition of bacteroides thetaiotaomicron for immune modulation |
| US11766461B2 (en) | 2016-04-20 | 2023-09-26 | The Board of Trustees of the Stanford Junior | Compositions and methods for nucleic acid expression and protein secretion in Bacteroides |
| CN117384788A (en) * | 2023-10-10 | 2024-01-12 | 广东悦创生物科技有限公司 | Saliva combined lactobacillus SM4 and application thereof in preparation of whitening and cholesterol lowering foods and medicines |
| WO2024115631A1 (en) * | 2022-12-01 | 2024-06-06 | Institut National de la Santé et de la Recherche Médicale | Bacteroides faecichinchillae and its use in the treatment of metabolic disorders |
| US12048720B2 (en) | 2017-06-14 | 2024-07-30 | Cj Bioscience, Inc. | Compositions comprising bacterial strains |
| CN120485036A (en) * | 2025-05-14 | 2025-08-15 | 中国医学科学院北京协和医院 | Application of polysaccharide in promotion of proliferation of bacteroides simplex |
| US12421518B2 (en) | 2018-12-10 | 2025-09-23 | Tenza, Inc. | Methods and compositions for treating hyperoxaluria |
Citations (3)
| Publication number | Priority date | Publication date | Assignee | Title |
|---|---|---|---|---|
| US20100311686A1 (en) * | 2009-06-03 | 2010-12-09 | Kasper Lloyd H | Nutraceutical composition and methods for preventing or treating multiple sclerosis |
| WO2011096808A1 (en) * | 2010-02-05 | 2011-08-11 | Friesland Brands B.V. | Use of sialyl oligosaccharides in weight management |
| US20120121753A1 (en) * | 2009-03-10 | 2012-05-17 | Jinis Biopharmaceuticals Co. | Compositions and methods for prevention and treatment of obesity and obesity related metabolic syndrome |
-
2014
- 2014-07-01 WO PCT/US2014/045141 patent/WO2015003001A1/en not_active Ceased
Patent Citations (3)
| Publication number | Priority date | Publication date | Assignee | Title |
|---|---|---|---|---|
| US20120121753A1 (en) * | 2009-03-10 | 2012-05-17 | Jinis Biopharmaceuticals Co. | Compositions and methods for prevention and treatment of obesity and obesity related metabolic syndrome |
| US20100311686A1 (en) * | 2009-06-03 | 2010-12-09 | Kasper Lloyd H | Nutraceutical composition and methods for preventing or treating multiple sclerosis |
| WO2011096808A1 (en) * | 2010-02-05 | 2011-08-11 | Friesland Brands B.V. | Use of sialyl oligosaccharides in weight management |
Non-Patent Citations (2)
| Title |
|---|
| SONNEMBURG, ERICA D. ET AL.: "Specificity of polysaccharide use in intestinal bacteroides species determines diet-induced microbiota alterations", CELL, vol. 141, no. 7, 2010, pages 1241 - 1252 * |
| TURNBAUGH, PETER J. ET AL.: "The effect of diet on the human gut microbiome : a metagenomic analysis in humanized gnotobiotic mice", SCIENCE TRANSLATIONAL MEDICINE, vol. 1, no. 6, 2009, pages 1 - 10 * |
Cited By (76)
| Publication number | Priority date | Publication date | Assignee | Title |
|---|---|---|---|---|
| US11013773B2 (en) | 2011-07-14 | 2021-05-25 | 4D Pharma Research Limited | Lactic acid bacterial strains |
| US11266698B2 (en) | 2011-10-07 | 2022-03-08 | 4D Pharma Research Limited | Bacterium for use as a probiotic for nutritional and medical applications |
| US11414463B2 (en) | 2013-04-10 | 2022-08-16 | 4D Pharma Research Limited | Polypeptide and immune modulation |
| US10851137B2 (en) | 2013-04-10 | 2020-12-01 | 4D Pharma Research Limited | Polypeptide and immune modulation |
| US10973872B2 (en) | 2014-12-23 | 2021-04-13 | 4D Pharma Research Limited | Pirin polypeptide and immune modulation |
| US11723933B2 (en) | 2014-12-23 | 2023-08-15 | Cj Bioscience, Inc. | Composition of bacteroides thetaiotaomicron for immune modulation |
| US10456444B2 (en) | 2014-12-23 | 2019-10-29 | 4D Pharma Research Limited | Pirin polypeptide and immune modulation |
| EP3095877A1 (en) * | 2015-05-20 | 2016-11-23 | Universitat de València | Methods and means for managing extended-spectrum beta-lactamase (esbl)-producing enterobacteriaceae colonization |
| US10391130B2 (en) | 2015-06-15 | 2019-08-27 | 4D Pharma Research Limited | Compositions comprising bacterial strains |
| US10322151B2 (en) | 2015-06-15 | 2019-06-18 | 4D Pharma Research Limited | Compositions comprising bacterial strains |
| US11331352B2 (en) | 2015-06-15 | 2022-05-17 | 4D Pharma Research Limited | Compositions comprising bacterial strains |
| US10780134B2 (en) | 2015-06-15 | 2020-09-22 | 4D Pharma Research Limited | Compositions comprising bacterial strains |
| US10493112B2 (en) | 2015-06-15 | 2019-12-03 | 4D Pharma Research Limited | Compositions comprising bacterial strains |
| US10500237B2 (en) | 2015-06-15 | 2019-12-10 | 4D Pharma Research Limited | Compositions comprising bacterial strains |
| US11389493B2 (en) | 2015-06-15 | 2022-07-19 | 4D Pharma Research Limited | Compositions comprising bacterial strains |
| US10744167B2 (en) | 2015-06-15 | 2020-08-18 | 4D Pharma Research Limited | Compositions comprising bacterial strains |
| US10736926B2 (en) | 2015-06-15 | 2020-08-11 | 4D Pharma Research Limited | Compositions comprising bacterial strains |
| US11433106B2 (en) | 2015-06-15 | 2022-09-06 | 4D Pharma Research Limited | Compositions comprising bacterial strains |
| US11273185B2 (en) | 2015-06-15 | 2022-03-15 | 4D Pharma Research Limited | Compositions comprising bacterial strains |
| US10864236B2 (en) | 2015-06-15 | 2020-12-15 | 4D Pharma Research Limited | Compositions comprising bacterial strains |
| US11040075B2 (en) | 2015-06-15 | 2021-06-22 | 4D Pharma Research Limited | Compositions comprising bacterial strains |
| US10610550B2 (en) | 2015-11-20 | 2020-04-07 | 4D Pharma Research Limited | Compositions comprising bacterial strains |
| US11058732B2 (en) | 2015-11-20 | 2021-07-13 | 4D Pharma Research Limited | Compositions comprising bacterial strains |
| US10471108B2 (en) | 2015-11-20 | 2019-11-12 | 4D Pharma Research Limited | Compositions comprising bacterial strains |
| US10744166B2 (en) | 2015-11-23 | 2020-08-18 | 4D Pharma Research Limited | Compositions comprising bacterial strains |
| US10391128B2 (en) | 2015-11-23 | 2019-08-27 | 4D Pharma Research Limited | Compositions comprising bacterial strains |
| US10583158B2 (en) | 2016-03-04 | 2020-03-10 | 4D Pharma Plc | Compositions comprising bacterial strains |
| US11766461B2 (en) | 2016-04-20 | 2023-09-26 | The Board of Trustees of the Stanford Junior | Compositions and methods for nucleic acid expression and protein secretion in Bacteroides |
| US11224620B2 (en) | 2016-07-13 | 2022-01-18 | 4D Pharma Plc | Compositions comprising bacterial strains |
| US10610548B2 (en) | 2016-07-13 | 2020-04-07 | 4D Pharma Plc | Compositions comprising bacterial strains |
| US10960031B2 (en) | 2016-07-13 | 2021-03-30 | 4D Pharma Plc | Compositions comprising bacterial strains |
| US10967010B2 (en) | 2016-07-13 | 2021-04-06 | 4D Pharma Plc | Compositions comprising bacterial strains |
| US10610549B2 (en) | 2016-07-13 | 2020-04-07 | 4D Pharma Plc | Composition comprising bacterial strains |
| WO2018023003A1 (en) * | 2016-07-29 | 2018-02-01 | Isothrive Llc | Optimized individualized prebiotic compositions |
| US10898526B2 (en) | 2016-12-12 | 2021-01-26 | 4D Pharma Plc | Compositions comprising bacterial strains |
| US10485830B2 (en) | 2016-12-12 | 2019-11-26 | 4D Pharma Plc | Compositions comprising bacterial strains |
| US10543238B2 (en) | 2016-12-12 | 2020-01-28 | 4D Pharma Plc | Compositions comprising bacterial strains |
| AU2017376780B2 (en) * | 2016-12-15 | 2024-12-12 | Novome Biotechnologies, Inc. | Compositions and methods for modulating growth of a genetically modified gut bacterial cell |
| US11566238B2 (en) | 2016-12-15 | 2023-01-31 | The Board Of Trustees Of The Leland Stanford Junior University | Compositions and methods for modulating growth of a genetically modified gut bacterial cell |
| US11254918B2 (en) | 2016-12-15 | 2022-02-22 | The Board Of Trustees Of The Leland Stanford Junior University | Compositions and methods for modulating growth of a genetically modified gut bacterial cell |
| WO2018112194A1 (en) | 2016-12-15 | 2018-06-21 | The Board Of Trustees Of The Leland Stanford Junior University | Compositions and methods for modulating growth of a genetically modified gut bacterial cell |
| EP3554518A4 (en) * | 2016-12-15 | 2020-07-29 | The Board of Trustees of the Leland Stanford Junior University | COMPOSITIONS AND METHOD FOR MODULATING THE GROWTH OF A GENETICALLY MODIFIED COLORED BOWTER CELL |
| CN110753966A (en) * | 2017-03-10 | 2020-02-04 | 普罗皮肤检测股份有限公司 | Customized skin care products and personal care products based on skin flora analysis |
| US11123378B2 (en) | 2017-05-22 | 2021-09-21 | 4D Pharma Research Limited | Compositions comprising bacterial strains |
| US11376284B2 (en) | 2017-05-22 | 2022-07-05 | 4D Pharma Research Limited | Compositions comprising bacterial strains |
| US11382936B2 (en) | 2017-05-22 | 2022-07-12 | 4D Pharma Research Limited | Compositions comprising bacterial strains |
| US10987387B2 (en) | 2017-05-24 | 2021-04-27 | 4D Pharma Research Limited | Compositions comprising bacterial strain |
| US11123379B2 (en) | 2017-06-14 | 2021-09-21 | 4D Pharma Research Limited | Compositions comprising bacterial strains |
| US11660319B2 (en) | 2017-06-14 | 2023-05-30 | 4D Pharma Research Limited | Compositions comprising bacterial strains |
| US11779613B2 (en) | 2017-06-14 | 2023-10-10 | Cj Bioscience, Inc. | Compositions comprising a bacterial strain of the genus Megasphera and uses thereof |
| US12048720B2 (en) | 2017-06-14 | 2024-07-30 | Cj Bioscience, Inc. | Compositions comprising bacterial strains |
| US11007233B2 (en) | 2017-06-14 | 2021-05-18 | 4D Pharma Research Limited | Compositions comprising a bacterial strain of the genus Megasphera and uses thereof |
| US11273186B2 (en) | 2017-08-29 | 2022-03-15 | Bgi Shenzhen | Application of bacteroides cellulosityticus in preparing a preparation for preventing and/or treating lipid metabolism related diseases |
| WO2019041141A1 (en) * | 2017-08-29 | 2019-03-07 | 深圳华大基因研究院 | Application of bacteroides cellulosityticus in preparing a preparation for preventing and/or treating lipid metabolism related diseases |
| WO2020032826A1 (en) * | 2018-08-07 | 2020-02-13 | Атлас Биомед Груп Лимитед | Method and system for forming a personalized diet of foodstuffs following a microbiota transplant |
| RU2699283C1 (en) * | 2018-08-07 | 2019-09-04 | Атлас Биомед Груп Лимитед | Method and system for individual food ration formation after microbiota transplantation |
| CN113015790A (en) * | 2018-09-10 | 2021-06-22 | 国立研究开发法人理化学研究所 | Composition for inhibiting trypsin activity comprising bacterium belonging to the genus Palapia as active ingredient |
| EP3851517A4 (en) * | 2018-09-10 | 2022-06-15 | Riken | Composition for inhibiting trypsin activity, containing, as active ingredient, bacterium belonging to genus paraprevotella |
| US20220023354A1 (en) * | 2018-11-21 | 2022-01-27 | Chan Zuckerberg Biohub, Inc. | High complexity synthetic gut bacterial communities |
| EP3883384A4 (en) * | 2018-11-21 | 2023-03-15 | Chan Zuckerberg Biohub, Inc. | HIGH COMPLEXITY SYNTHETIC INTESTINAL BACTERIAL COMMUNITIES |
| JP2022513104A (en) * | 2018-11-21 | 2022-02-07 | チャン ザッカーバーグ バイオハブ, インコーポレイテッド | Highly complex synthetic intestinal bacterial community |
| US12421518B2 (en) | 2018-12-10 | 2025-09-23 | Tenza, Inc. | Methods and compositions for treating hyperoxaluria |
| CN109946405A (en) * | 2019-04-19 | 2019-06-28 | 贵阳市环境监测中心站 | A kind of method for measuring trace amount of phthalate pollutants in surface water |
| US20220218761A1 (en) * | 2019-05-06 | 2022-07-14 | The General Hospital Corporation | Monitoring and altering the gut microbiome in disease |
| CN111057697B (en) * | 2019-12-27 | 2023-03-31 | 浙江工业大学 | High-temperature-resistant TIM barrel protein mutant and application thereof |
| CN111057697A (en) * | 2019-12-27 | 2020-04-24 | 浙江工业大学 | Heat-resistant TIM barrel protein mutants and their applications |
| WO2021237162A1 (en) * | 2020-05-21 | 2021-11-25 | Chan Zuckerberg Biohub, Inc. | High-complexity synthetic gut bacterial communities |
| WO2022040090A1 (en) * | 2020-08-17 | 2022-02-24 | The Regents Of The University Of California | Application of microbial glycosidase as an anti-viral therapeutic, prognostic, and diagnostic |
| WO2022081428A1 (en) * | 2020-10-16 | 2022-04-21 | Nubiyota Llc | Bacterial compositions and methods of use thereof for treatment of metabolic syndrome |
| WO2022162089A1 (en) * | 2021-02-01 | 2022-08-04 | Rheinisch-Westfälische Technische Hochschule (Rwth) Aachen | Poultry feed containing a composition that contains at least three bacterial strains |
| CN113106082B (en) * | 2021-05-27 | 2022-11-04 | 云南师范大学 | Animal waste metagenome-derived alanine racemase and preparation and application thereof |
| CN113106082A (en) * | 2021-05-27 | 2021-07-13 | 云南师范大学 | Alanine racemase from animal manure metagenome as well as preparation and application thereof |
| WO2024115631A1 (en) * | 2022-12-01 | 2024-06-06 | Institut National de la Santé et de la Recherche Médicale | Bacteroides faecichinchillae and its use in the treatment of metabolic disorders |
| CN117384788B (en) * | 2023-10-10 | 2024-03-22 | 广东悦创生物科技有限公司 | Saliva combined lactobacillus SM4 and application thereof in preparation of whitening and cholesterol lowering foods and medicines |
| CN117384788A (en) * | 2023-10-10 | 2024-01-12 | 广东悦创生物科技有限公司 | Saliva combined lactobacillus SM4 and application thereof in preparation of whitening and cholesterol lowering foods and medicines |
| CN120485036A (en) * | 2025-05-14 | 2025-08-15 | 中国医学科学院北京协和医院 | Application of polysaccharide in promotion of proliferation of bacteroides simplex |
Similar Documents
| Publication | Publication Date | Title |
|---|---|---|
| WO2015003001A1 (en) | Methods for identifying supplements that increase gut colonization by an isolated bacterial species, and compositions derived therefrom | |
| McNulty et al. | Effects of diet on resource utilization by a model human gut microbiota containing Bacteroides cellulosilyticus WH2, a symbiont with an extensive glycobiome | |
| Ioannou et al. | Akkermansia muciniphila: biology, microbial ecology, host interactions and therapeutic potential | |
| Medvecky et al. | Whole genome sequencing and function prediction of 133 gut anaerobes isolated from chicken caecum in pure cultures | |
| Fehlner-Peach et al. | Distinct polysaccharide utilization profiles of human intestinal Prevotella copri isolates | |
| Pudlo et al. | Symbiotic human gut bacteria with variable metabolic priorities for host mucosal glycans | |
| Ferrer et al. | Microbiota from the distal guts of lean and obese adolescents exhibit partial functional redundancy besides clear differences in community structure | |
| Tasse et al. | Functional metagenomics to mine the human gut microbiome for dietary fiber catabolic enzymes | |
| US10076546B2 (en) | Network-based microbial compositions and methods | |
| US20160271188A1 (en) | Probiotic and prebiotic compositions, and methods of use thereof for treatment of gastrointestinal disorders | |
| Wan et al. | Effects of differences in resistant starch content of rice on intestinal microbial composition | |
| Buzun et al. | A bacterial sialidase mediates early-life colonization by a pioneering gut commensal | |
| US20160000837A1 (en) | Compositions and methods to alter gut microbial fermentation using sulfate-reducing bacteria | |
| Tannock | Modulating the gut microbiota of humans by dietary intervention with plant glycans | |
| US20240301345A1 (en) | Bifidobacterium longum transitional microorganisms, compositions and uses thereof | |
| CN114072071A (en) | Compositions and methods for affecting human intestinal microorganisms | |
| Kijner et al. | CRISPR-Cas-based identification of a sialylated human milk oligosaccharides utilization cluster in the infant gut commensal Bacteroides dorei | |
| Laville et al. | Investigating host microbiota relationships through functional metagenomics | |
| Tian et al. | Effect of inulin, galacto-oligosaccharides, and polyphenols on the gut microbiota, with a focus on Akkermansia muciniphila | |
| CN114269897A (en) | Lactobacillus reuteri | |
| US20250255909A1 (en) | Prevotella copri formulations and methods of use | |
| US20240066072A1 (en) | Clostrodioides difficile treatment | |
| Chen et al. | Screening of xylo-oligosaccharide-utilizing lactic acid bacteria from yak calves and characterization of Limosilactobacillus mucosae YT200 | |
| McNulty et al. | Effects of diet on resource utilization by a model human gut microbiota containing | |
| Tochilina et al. | Results of the Study of Biological and Molecular Genetic Properties of Bifidobacterium Strains–Probiotic Producers |
Legal Events
| Date | Code | Title | Description |
|---|---|---|---|
| 121 | Ep: the epo has been informed by wipo that ep was designated in this application |
Ref document number: 14819863 Country of ref document: EP Kind code of ref document: A1 |
|
| NENP | Non-entry into the national phase |
Ref country code: DE |
|
| 122 | Ep: pct application non-entry in european phase |
Ref document number: 14819863 Country of ref document: EP Kind code of ref document: A1 |
























































































































































