WO2014056962A2 - Cosmetic composition comprising a bacterial lysate, a thickener and a particular surfactant system, and cosmetic treatment process - Google Patents
Cosmetic composition comprising a bacterial lysate, a thickener and a particular surfactant system, and cosmetic treatment process Download PDFInfo
- Publication number
- WO2014056962A2 WO2014056962A2 PCT/EP2013/071009 EP2013071009W WO2014056962A2 WO 2014056962 A2 WO2014056962 A2 WO 2014056962A2 EP 2013071009 W EP2013071009 W EP 2013071009W WO 2014056962 A2 WO2014056962 A2 WO 2014056962A2
- Authority
- WO
- WIPO (PCT)
- Prior art keywords
- alkyl
- weight
- salts
- chosen
- composition according
- Prior art date
- Legal status (The legal status is an assumption and is not a legal conclusion. Google has not performed a legal analysis and makes no representation as to the accuracy of the status listed.)
- Ceased
Links
- 0 **1(C(*)=*CC1)N Chemical compound **1(C(*)=*CC1)N 0.000 description 1
Classifications
-
- A—HUMAN NECESSITIES
- A61—MEDICAL OR VETERINARY SCIENCE; HYGIENE
- A61K—PREPARATIONS FOR MEDICAL, DENTAL OR TOILETRY PURPOSES
- A61K8/00—Cosmetics or similar toiletry preparations
- A61K8/18—Cosmetics or similar toiletry preparations characterised by the composition
- A61K8/30—Cosmetics or similar toiletry preparations characterised by the composition containing organic compounds
- A61K8/40—Cosmetics or similar toiletry preparations characterised by the composition containing organic compounds containing nitrogen
- A61K8/41—Amines
- A61K8/416—Quaternary ammonium compounds
-
- A—HUMAN NECESSITIES
- A61—MEDICAL OR VETERINARY SCIENCE; HYGIENE
- A61K—PREPARATIONS FOR MEDICAL, DENTAL OR TOILETRY PURPOSES
- A61K8/00—Cosmetics or similar toiletry preparations
- A61K8/18—Cosmetics or similar toiletry preparations characterised by the composition
- A61K8/30—Cosmetics or similar toiletry preparations characterised by the composition containing organic compounds
- A61K8/46—Cosmetics or similar toiletry preparations characterised by the composition containing organic compounds containing sulfur
- A61K8/463—Cosmetics or similar toiletry preparations characterised by the composition containing organic compounds containing sulfur containing sulfuric acid derivatives, e.g. sodium lauryl sulfate
-
- A—HUMAN NECESSITIES
- A61—MEDICAL OR VETERINARY SCIENCE; HYGIENE
- A61K—PREPARATIONS FOR MEDICAL, DENTAL OR TOILETRY PURPOSES
- A61K8/00—Cosmetics or similar toiletry preparations
- A61K8/18—Cosmetics or similar toiletry preparations characterised by the composition
- A61K8/72—Cosmetics or similar toiletry preparations characterised by the composition containing organic macromolecular compounds
- A61K8/73—Polysaccharides
- A61K8/731—Cellulose; Quaternized cellulose derivatives
-
- A—HUMAN NECESSITIES
- A61—MEDICAL OR VETERINARY SCIENCE; HYGIENE
- A61K—PREPARATIONS FOR MEDICAL, DENTAL OR TOILETRY PURPOSES
- A61K8/00—Cosmetics or similar toiletry preparations
- A61K8/18—Cosmetics or similar toiletry preparations characterised by the composition
- A61K8/72—Cosmetics or similar toiletry preparations characterised by the composition containing organic macromolecular compounds
- A61K8/73—Polysaccharides
- A61K8/737—Galactomannans, e.g. guar; Derivatives thereof
-
- A—HUMAN NECESSITIES
- A61—MEDICAL OR VETERINARY SCIENCE; HYGIENE
- A61K—PREPARATIONS FOR MEDICAL, DENTAL OR TOILETRY PURPOSES
- A61K8/00—Cosmetics or similar toiletry preparations
- A61K8/18—Cosmetics or similar toiletry preparations characterised by the composition
- A61K8/72—Cosmetics or similar toiletry preparations characterised by the composition containing organic macromolecular compounds
- A61K8/81—Cosmetics or similar toiletry preparations characterised by the composition containing organic macromolecular compounds obtained by reactions involving only carbon-to-carbon unsaturated bonds
- A61K8/8141—Compositions of homopolymers or copolymers of compounds having one or more unsaturated aliphatic radicals, each having only one carbon-to-carbon double bond, and at least one being terminated by only one carboxyl radical, or of salts, anhydrides, esters, amides, imides or nitriles thereof; Compositions of derivatives of such polymers
- A61K8/8147—Homopolymers or copolymers of acids; Metal or ammonium salts thereof, e.g. crotonic acid, (meth)acrylic acid; Compositions of derivatives of such polymers
-
- A—HUMAN NECESSITIES
- A61—MEDICAL OR VETERINARY SCIENCE; HYGIENE
- A61Q—SPECIFIC USE OF COSMETICS OR SIMILAR TOILETRY PREPARATIONS
- A61Q5/00—Preparations for care of the hair
- A61Q5/02—Preparations for cleaning the hair
-
- A—HUMAN NECESSITIES
- A61—MEDICAL OR VETERINARY SCIENCE; HYGIENE
- A61K—PREPARATIONS FOR MEDICAL, DENTAL OR TOILETRY PURPOSES
- A61K2800/00—Properties of cosmetic compositions or active ingredients thereof or formulation aids used therein and process related aspects
- A61K2800/40—Chemical, physico-chemical or functional or structural properties of particular ingredients
- A61K2800/59—Mixtures
- A61K2800/596—Mixtures of surface active compounds
Definitions
- Cosmetic composition comprising a bacterial lysate, a thickener and a particular surfactant system, and cosmetic treatment process
- the present invention relates to a cosmetic composition
- a cosmetic composition comprising an active agent derived from a microorganism belonging to the Vitreoscilla sp. genus (in particular the species: Vitreoscilla filiformis), a thickener and a particular surfactant system, and also to a cosmetic treatment process using the said composition.
- Dandruff problems affect up to 50% of the world's population. They affect both men and women and are perceived as having a very negative psychosocial impact. The appearance of dandruff is bothersome both aesthetically and because of the trouble it causes (for example itching and redness), and as such many people confronted with this problem to variable degrees wish to eliminate it efficiently and permanently.
- Dandruff corresponds to excessive and visible desquamation of the scalp resulting from excessively rapid multiplication of the epidermal cells and their abnormal maturation.
- This phenomenon can be caused in particular by microtraumas of physical or chemical nature, such as hair treatments which are too aggressive, extreme climatic conditions, nervousness, diet, fatigue or pollution, but it has been demonstrated that dandruff most commonly results from a disorder of the microflora of the scalp, and more particularly from excessive colonization by a fungus which belongs to the family of yeasts of the Malassezia genus (formerly known as Pityrosporum) and which is naturally present on the scalp.
- the Applicant has now discovered, surprisingly, that by combining an active agent derived from a microorganism belonging to the genus Vitreoscilla sp. with a particular surfactant system as defined below, in the presence of a thickener, it is possible to obtain a hair composition for washing or caring for the hair and/or the scalp, which is stable over time and which has good detergency and working properties, allowing good distribution of the composition and especially of the active agent over the hair and/or the scalp, and which is particularly efficient, espe- daily as an antidandruff composition.
- composition according to the invention also has particularly noteworthy anti- dandruff efficacy, especially with repeat applications.
- composition according to the invention also shows satisfactory stability on storage, both at room temperature (25°C) and at elevated temperature (45°C, for example).
- a subject of the present invention is thus a cosmetic composition
- a cosmetic composition comprising:
- a system B comprising one or more anionic surfactants chosen from ethoxy- lated alkyl sulfates and salts thereof; and one or more anionic surfactants other than the said ethoxylated alkyl sulfates and salts thereof; or
- composition according to the invention thus comprises at least one lysate of bacteria belonging to the Vitreoscilla sp. genus (in particular species: Vitreoscilla filiformis) in a complete fermentation medium.
- the expression "lysate in a complete fermentation medium” means that the lysate is used and is present, in the cosmetic composition containing it, formulated in its complete culture medium of origin as defined hereinafter, which complete culture medium is the medium in which the bacteria were cultured until after the microbial growth phase having resulted in the use of the nutritive substrates initially present in the culture medium.
- the expression "complete fermentation medium” denotes a medium resulting from the culturing process which was used for the growth and cell lysis of the microorganism, the said medium not otherwise having undergone any additional manipulation aimed at separating out and/or removing all or part of its non-aqueous constituents.
- an extract of non-photosynthetic, non-fruiting filamentous bacteria like bacteria of the Vitreoscilla sp. genus (in particular the species Vitreoscilla filiformis), as an active agent for modulating and preferably inhibiting the adhesion and/or proliferation of pathogenic microorganisms on the skin and the scalp
- the extract under consideration in this document consists of either the supernatant of the fermentation medium of the said bacterium, or the biomass obtained after culturing the said bacteria, or the envelopes or envelope fractions, or else the extracts obtained following a supplementary treatment of the biomass.
- compositions comprising a total extract of Vitreoscilla filiformis have been described in EP 1 400 237, which describes various extracts of Vitreoscilla filiformis, respectively (i) bacterial cells separated from the biomass, for example by centrifugation, (ii) the biomass, which is an acellular suspension that may contain cell debris, and (iii) the supernatant fraction of this biomass.
- the active agent under consideration according to the invention consists of all the components present in the fermentation medium.
- the surprising effect of the use according to the invention therefore results from the use, as active agent, for the first time by the inventors of a microorganism lys- ate in its complete fermentation medium. Indeed, it has been found that the active agent in accordance with the invention shows regulatory activity on the scalp microflora which is greater than that noted for a biomass-type extract of the same bacterium. In particular, it has been observed that, after a cosmetic treatment according to the invention, the balance of the microflora and the barrier properties of the scalp are reinforced.
- this gain in efficacy could be the result of a synergistic effect between constituents of the bacterium, which are normally separated from each other, for example its water- soluble metabolites, generated during its proliferation in its fermentation medium and conventionally present in the aqueous supernatant, and its components such as water-insoluble cell envelopes or cell envelope fractions constituting all or part of the biomass of its culture medium, or even its isolated lysate.
- a cosmetic composition comprising an active agent according to the invention (a lysate of bacteria belonging to the Vitreoscilla sp. genus in a complete fermentation medium) has dandruff-reducing properties which are equal to or even greater than those of known antidandruff active agents.
- a cosmetic composition comprising an active agent of the invention is active against dandruff of the scalp at much lower doses than the doses of conventional antidandruff active agents required for obtaining the same effects on dandruff of the scalp.
- the expression "complete fermentation medium” denotes a fermentation or else culture medium which has the same composition, at least in terms of non-aqueous constituents, or even completely, as the fermentation medium in which there was successively carried out the fermentation and cell lysis of the microorganism devoted to forming the lysate required in parallel according to the invention.
- this medium has undergone, moreover, no secondary manipulation aimed at separating and/or removing all or part of its non-aqueous constituents.
- the active agent under consideration according to the invention is formed from the microorganisms lysate and from all or part, in terms of amount, of the culture medium which was used for the fermentation of the said bacterium and in which its cell lysis was consecutively carried out (i.e. complete fermentation medium).
- the active agent formed according to the invention from the lysate and from the "complete" fermentation medium contains the cytoplasmic and cytosolic fractions, the cell wall fragments and the metabolites formed and/or released during the cell lysis of the said microorganism, and all of the biological entities capable of being generated and released spontaneously by the bacterium during its fermentation process and therefore already present in the fermentation medium before the cell lysis of the said bacterium. Consequently, an active agent according to the invention, i.e. formed from a lysate of a bacterium belonging to the Vitreoscilla sp.
- genus in particular the species: Vitreoscilla filiformis
- Vitreoscilla filiformis in a complete fermentation medium according to the invention is clearly different than the supernatant of a fermentation medium of a bacterium belonging longing to the Vitreoscilla sp. genus (in particular the species: Vitreoscilla filiformis).
- the active agent under consideration according to the invention contains cell fragments of the said bacterium represented by the lysate.
- An active agent according to the invention i.e. formed from a lysate of a bacteria belonging to the Vitreoscilla sp. genus (in particular species: Vitreoscilla filiformis) in a complete fermentation medium according to the invention, is also different from the biomass or biomass fraction, or even from a lysate or lysate fraction, isolated from a fermentation medium of a bacterium belonging to the Vitreoscilla sp. genus (in particular species: Vitreoscilla filiformis).
- the active agent under consideration according to the invention as opposed to this biomass or biomass fraction, or this lysate or lysate fraction, contains a significant amount of water-soluble metabolites naturally released into the culture medium during the proliferation of the said bacterium.
- non-aqueous constituents implies that water, which is a major constituent of conventional fermentation media, is not part of the constituents that must remain as such, i.e. in equal amount, in the complete culture medium according to the invention.
- complete medium is also understood to be a form of complete medium termed "concentrated” owing to the fact that it is obtained at the end of a partial evaporation of the water constituting a fermentation medium in which the culturing of the corresponding microorganism and the cell lysis thereof were consecutively carried out.
- this evaporation is carried out under operating conditions adjusted so as not to impair the integrity of the non-aqueous constituents forming this complete medium.
- a fermentation or else culture medium is a support which enables the culture and therefore, as appropriate, the growth of cells, bacteria and yeast.
- the cells find in this medium the components essential for them to multi- ply in large number rapidly, but also sometimes elements which will make it possible to favour the growth of a specific bacterial genus or of a particular family, in this case a bacterium belonging to the Vitreoscilla sp. genus (in particular the species: Vitreoscilla filiformis).
- composition must therefore meet the nutritive requirements of the microorgan- ism under consideration and necessary for the proliferation thereof.
- composition of this culture medium must:
- the medium may be isotonic, but this is not obligatory.
- composition of a fermentation medium suitable for the invention comprises at least:
- a carbon and energy source generally represented by a sugar and advanta- geously glucose
- potassium and phosphorus source like, for example, K 2 HPO 4 ,
- magnesium source such as, for example, MgC ,
- an iron source and more particularly iron citrate, the role of the citrate being to keep the iron in solution,
- a source of trace elements chosen in particular from salts of Cu, Zn, Co, Ni, B, Ti,
- pH buffer which can be represented by KH 2 PO 4 .
- Example 1 By way of illustration of a fermentation medium suitable for the growth of a micro- organism in accordance with the invention, mention may particularly made of the medium represented in Example 1 hereinafter.
- An effective amount of the microorganism under consideration according to the invention is introduced therein and the whole mixture is placed under conditions suitable for the proliferation of the said microorganism.
- Example 1 To obtain a lysate of bacteria belonging to the Vitreoscilla sp. genus in a complete fermentation medium, according to a process comprising a step of culturing the said bacteria, a person skilled in the art may refer in particular to Example 1 .
- an active agent according to the invention i.e. a lysate of bacteria belonging to the Vitreoscilla sp. genus in a complete fermentation medium
- the biomass bacterial cells after the growth phase, present in the medium in which they were cultured
- the biomass sterilization step may be performed by autoclaving, for example at a temperature of 121 °C.
- a lysate commonly denotes a material obtained after the destruction or dissolution of biological cells via a phenomenon known as cell lysis, thus causing the release of the intracellular and cellular biological constituents naturally contained in the biological cells under consideration.
- lysate denotes all of the lysate obtained by lysis of the microorganism concerned, namely a bacterium belonging to the Vitreoscilla sp. genus (in particular of the species: Vitreoscilla filiformis).
- the lysate used is therefore formed from all of its intracellular biological constitu- ents, in particular its metabolites and the constituents of the cell walls and membranes generated during its cell lysis.
- the term "metabolite” denotes any substance resulting from the metabolism of the microorganism under consideration according to the invention.
- This cell lysis may be accomplished via various techniques, such as, for example, an osmotic shock, a heat shock, via ultrasonication, or alternatively under a mechanical stress of centrifugation type.
- this lysate may be obtained according to the technique described in patent US 4 464 362, and especially according to the protocol described below.
- the fermentation medium which was used to culture the microorganism under consideration and therefore containing the said microorganism is subjected to disintegration by ultrasound in order to release therein the cytoplasmic and cytosolic fractions, the cell wall fragments and the products resulting from the metabolism of this microorganism. All these components are then preserved therein in their natural distribution in a stabilized form in the "complete" fermentation medium.
- the active agent under consideration according to the invention can be obtained via a process consisting of:
- Vitreoscilla sp. genus in particular the species: Vitreoscilla filiformis
- a fermentation medium under conditions suitable for the proliferation of the said bacterium
- Vitreoscilla sp. genus Bacteria belonging to the Vitreoscilla sp. genus (in particular the species: Vitreoscilla filiformis)
- the microorganism under consideration according to the invention in the lysate form is a non-synthetic filamentous bacterium as defined in the classification of Bergey's Manual of Systematic Bacteriology (Vol. 3, sections 22 and 23, 9 th edition, 1989), and belonging to the Vitreoscilla sp. genus (in particular the species: Vitreoscilla filiformis). More particularly, it is a bacterium belonging to the Beggiatoa, Vitreoscilla, Flexithrix or Leucothrix genus. Among the bacteria that may be used, mention may be made, for example, of Vitreoscilla fili- formis (ATCC 15551 ). According to one preferred variant of the invention, it is the bacterium Vitreoscilla filiformis.
- the cosmetic composition according to the invention preferably comprises from 0.001 % to 20% by weight, more preferentially from 0.01 % to 10% by weight and in particular from 0.1 % to 5% by weight of lysate of bacteria belonging to the genus Vitreoscilla sp. in a complete fermentation medium, relative to the total weight of the composition.
- the surfactant system according to the invention comprises one or more anionic surfactants and one or more amphoteric or zwitterionic surfactants.
- anionic surfactant means a surfactant comprising, as ionic or ionizable groups, only anionic groups. These anionic groups are selected preferably from the groups CO2H, CO2 " , SO3H, SO3 " , OSO3H, OSO3 " , O2PO2H, O2PO2H “ and O2PO2 2" .
- anionic surfactants which can be used in the composition according to the invention, of alkyl sulfates, alkyl ether sulfates, alkylamido ether sulfates, alkylaryl polyether sulfates, monoglyceride sulfates, alkyl sulfonates, alkylamide sulfonates, alkylaryl sulfonates, a-olefin sulfonates, par- affin sulfonates, alkyl sulfosuccinates, alkyl ether sulfosuccinates, alkylamide sul- fosuccinates, alkyl sulfoacetates, acyl sarcosinates, acyl glutamates, alkyl sulfo- succinamates, acyl isethionates and N-acyl taurates; salts of alkyl monoesters of polyg
- These compounds can be oxyethylenated and then preferably comprise from 1 to 50 ethylene oxide units.
- the salts of Ce-24 alkyl monoesters and polyglycoside- polycarboxylic acids may be selected from Ce-24 alkyl polyglycoside-citrates, Ce-24 alkyl polyglycoside-tartrates and C6-24 alkyl polyglycoside-sulfosuccinates.
- anionic surfactants when they are in salt form, they may be chosen from alkali metal salts such as the sodium or potassium salt and preferably the sodium salt, ammonium salts, amine salts and in particular amino alcohol salts or alkaline-earth metal salts such as the magnesium salt.
- amino alcohol salts of monoethanolamine, diethanolamine and triethanolamine salts, monoisopropanolamine, diisopropa- nolamine or triisopropanolamine salts, 2-amino-2-methyl-1 -propanol salts, 2- amino-2-methyl-1 ,3-propanediol salts and tris(hydroxymethyl)aminomethane salts.
- Alkali metal or alkaline-earth metal salts and in particular the sodium or magnesium salts are preferably used.
- Use is preferably made, among the anionic surfactants mentioned, of (C6-C24)alkyl sulfates, (C6-C24)alkyl ether sulfates comprising from 2 to 50 ethylene oxide units, especially in the form of alkali metal, ammonium, amino alcohol and alkaline-earth metal salts, or a mixture of these compounds.
- (Ci2-C2o)alkyl sulfates (Ci2-C2o)alkyl ether sulfates comprising from 2 to 20 ethylene oxide units, especially in the form of alkali metal, ammonium, amino alcohol and alkaline-earth metal salts, or a mixture of these compounds.
- (Ci2-C2o)alkyl sulfates comprising from 2 to 20 ethylene oxide units, especially in the form of alkali metal, ammonium, amino alcohol and alkaline-earth metal salts, or a mixture of these compounds.
- sodium lauryl ether sulfate containing 2.2 mol of ethylene oxide.
- amphoteric or zwitterionic surfactant(s) that may be used in the present invention may especially be derivatives of optionally quaternized secondary or tertiary aliphatic amines comprising at least one anionic group, for instance a carboxylate, sulfonate, sulfate, phosphate or phosphonate group, and in which the aliphatic group or at least one of the aliphatic groups is a linear or branched chain comprising from 8 to 22 carbon atoms.
- the betaine amphoteric or zwitterionic surfactant(s) (iii) are chosen from (C8-2o)alkylbetaines and (Cs-2o alkyl )amido(C2-8 alkyl)betaines.
- R a represents a C10-C30 alkyl or alkenyl group derived from an acid R a - COOH preferably present in hydrolysed coconut oil, a heptyl group, a nonyl group or an undecyl group, R b represents a ⁇ -hydroxyethyl group and R c represents a carboxymethyl group;
- X' represents the group -CH 2 -COOH, CH 2 -COOZ', -CH 2 CH 2 -COOH or -CH 2 CH 2 - COOZ', or a hydrogen atom
- Y' represents -COOH, -COOZ', the group -CH 2 -CHOH-SO 3 H or -CH 2 -CHOH-
- Z' represents an ion derived from an alkali or alkaline-earth metal, such as sodium, potassium or magnesium; an ammonium ion; or an ion derived from an organic amine and in particular from an amino alcohol, such as mono-, di- and trietha- nolamine, mono-, di- or triisopropanolamine, 2-amino-2-methyl-1 -propanol, 2- amino-2-methyl-1 ,3-propanediol and tris(hydroxymethyl)aminomethane,
- R a ' represents a C 10-C30 alkyl or alkenyl group of an acid R a 'COOH preferably present in hydrolysed linseed oil or coconut oil, an alkyl group, in particular a C17 alkyl group, and its iso form, or an unsaturated C17 group.
- the compounds corresponding to formula (A3) are classified in the CTFA dictionary, 5th edition, 1993, under the names disodium cocoamphodiacetate, disodium lauroamphodiacetate, disodium caprylamphodiacetate, disodium caprylamphodi- acetate, disodium cocoamphodipropionate, disodium lauroamphodipropionate, disodium caprylamphodipropionate, disodium caprylamphodipropionate, lauroam- phodipropionic acid and cocoamphodipropionic acid.
- Y represents the group -C(O)OH, -C(O)OZ", -CH 2 -CH(OH)-SO 3 H or the group - CH 2 -CH(OH)-SO 3 -Z";
- Rd and Re independently of each other, represent a Ci-C 4 alkyl or hydroxyalkyl radical
- Z" represents a cationic counterion derived from an alkali metal or alkaline-earth metal, such as sodium, an ammonium ion or an ion derived from an organic amine;
- Ra represents a C10-C30 alkyl or alkenyl group of an acid Ra"-C(O)OH preferably present in coconut oil or in hydrolysed linseed oil;
- n and n' denote, independently of each other, an integer ranging from 1 to 3.
- amphoteric or zwitterionic surfactants mentioned above that are pref- erably used are (Cs-2o alkyl)betaines and (Cs-2o alkyl )amido(C2-8 alkyl)betaines, and mixtures thereof. More preferably, the amphoteric or zwitterionic surfactant(s) are chosen from cocoylamidopropylbetaine and cocoylbetaine.
- the anionic surfactant(s) are chosen from (C6-C2 4 )alkyl sulfates and (C6-C2 4 )alkyl ether sulfates comprising from 2 to 50 ethylene oxide units; and the amphoteric or zwitterionic surfactant(s) are chosen from (Cs-2o al- kyl)betaines, (Cs-2o alkyl )amido(C2-8 alkyl)betaines and cocoamphodiacetates.
- the anionic surfactant(s) are chosen from (Ci6)alkyl sulfates and (Ci6)alkyl ether sulfates especially in the form of sodium salts, comprising from 2 to 10 ethylene oxide units; and the amphoteric or zwitterionic surfactant(s) are chosen from cocoylamidopropylbetaine and cocoylbetaine.
- the composition according to the invention preferably comprises from 0.1 % to 50% by weight, in particular from 4% to 30% by weight and better still from 8% to 20% by weight of anionic surfactant(s) relative to the total weight of the composition.
- It preferably comprises from 0.01 % to 20% by weight, in particular from 0.1 % to 10% by weight or even from 1 % to 5% by weight of amphoteric or zwitterionic surfactants) relative to the total weight of the composition.
- the composition according to the invention may comprise a weight ratio of the amount of anionic surfactant(s) to the amount of amphoteric or zwitterionic surfactant(s) of greater than 1 and better still greater than 3.
- the weight ratio of the amount of anionic surfactant(s) to the amount of amphoteric or zwitterionic surfactant(s) is less than or equal to 100, better still less than or equal to 50, even better still less than or equal to 20 and even more preferentially less than 10.
- composition according to the invention may also comprise one or more cationic surfactants, especially as defined below, in the amounts as defined below.
- the surfactant system according to the invention comprises one or more anionic surfactants chosen from ethoxylated alkyl sulfates and salts thereof, and mixtures thereof, and one or more anionic surfactants other than the said ethoxylated alkyl sulfates and salts thereof.
- the ethoxylated alkyl sulfate(s) that may be used in the composition according to the invention may be chosen from ethoxylated (C6-C2 4 )alkyl sulfates, in particular from ethoxylated (Cs-C 2 o)alkyl sulfates, and better still from ethoxylated (Ci2-i 4 )alkyl sulfates such as ethoxylated lauryl sulfate.
- the alkyl group of these compounds may be linear or branched.
- the alkyl group is lin- ear.
- the number of ethylene oxide groups per ethoxylated alkyl sulfate molecule preferably ranges from 1 to 50, better still from 1 to 10 and even better still from 1 to 5. Even more preferentially, this number ranges from 2 to 3.
- the constituent salts of the ethoxylated alkyl sulfate may be chosen from alkali metal salts such as the sodium salt, ammonium salts, amine salts and in particular amino alcohol salts, and alkaline-earth metal salts such as the magnesium salt.
- alkali metal salts such as the sodium salt, ammonium salts, amine salts and in particular amino alcohol salts
- alkaline-earth metal salts such as the magnesium salt.
- alkali metal salts such as the sodium salt, ammonium salts, amine salts and in particular amino alcohol salts
- alkaline-earth metal salts such as the magnesium salt.
- alkali metal salts such as the sodium salt, ammonium salts, amine salts and in particular amino alcohol salts
- alkaline-earth metal salts such as the magnesium salt.
- alkali metal salts such as the sodium salt, ammonium salts, amine salts and in particular amino alcohol salts
- composition according to the invention also comprises one or more anionic surfactants, other than the said ethoxylated alkyl sulfates and salts thereof.
- anionic surfactant means a surfactant comprising, as ionic or ionizable groups, only anionic groups. These anionic groups are selected preferably from the groups CO 2 H, CO 2 " , SO 3 H, SO 3 " , OSO 3 H, OSO 3 " , O 2 PO 2 H, O 2 PO 2 H " and O 2 PO 2 2 ⁇
- the said anionic surfactants may be chosen from non-ethoxylated alkyl sulfates, alkylamido ether sulfates, alkylaryl polyether sulfates, monoglyceride sulfates, alkyl sulfonates, alkylamide sulfonates, alkylaryl sulfonates, a-olefin sulfonates, par- affin sulfonates, alkyl sulfosuccinates, alkyl ether sulfosuccinates, alkylamide sul- fosuccinates, alkyl sulfoacetates, acyl sarcosinates, acyl glutamates, alkyl sulfo- succinamates, acyl isethionates and N-acyl taurates; salts of alkyl monoesters of polyglycoside-polycarboxylic acids, acyl lactylate
- Some of these compounds may be oxyethylenated and then preferably comprise from 1 to 50 and more particularly from 1 to 10 ethylene oxide units.
- the salts of Ce-24 alkyl monoesters and polyglycoside-polycarboxylic acids may be selected from Ce-24 alkyl polyglycoside-citrates, Ce-24 alkyl polyglycoside-tartrates and Ce-24 alkyl polyglycoside-sulfosuccinates.
- anionic surfactants when they are in salt form, they may be chosen from alkali metal salts such as the sodium or potassium salt and preferably the sodium salt, ammonium (NH + ) salts, amine salts and in particular amino alcohol salts, and alkaline-earth metal salts such as the magnesium salt.
- alkali metal salts such as the sodium or potassium salt and preferably the sodium salt, ammonium (NH + ) salts, amine salts and in particular amino alcohol salts, and alkaline-earth metal salts such as the magnesium salt.
- amino alcohol salts that may especially be mentioned include the salts of mono-, di- and trietha- nolamine, the salts of mono-, di- or triisopropanolamine, and the salts of 2-amino- 2-methyl-1 -propanol, of 2-amino-2-methyl-1 ,3-propanediol and of tris(hydroxymethyl)aminomethane.
- salts of (Ce-24 alkyl)ether carboxylic acids and non-ethoxylated (C6-24)alkyl sulfates are particularly preferred.
- non- ethoxylated (C6-24)alkyl sulfates and in particular sodium, magnesium or ammonium lauryl sulfates.
- Sodium lauryl sulfate is more preferentially used.
- the composition comprises one or more anionic surfactants chosen from ethoxylated (C6-C24)alkyl sulfates comprising from 1 to 50, preferably from 1 to 10, in particular from 1 to 5 and better still from 2 to 3 ethylene oxide units; and one or more anionic surfactants chosen from (C6-C24)alkyl sulfates.
- anionic surfactants chosen from ethoxylated (C6-C24)alkyl sulfates comprising from 1 to 50, preferably from 1 to 10, in particular from 1 to 5 and better still from 2 to 3 ethylene oxide units.
- the composition according to the invention preferably comprises from 0.1 % to 50% by weight, in particular from 2% to 20% by weight, better still from 4% to 15% and even better still from 5% to 15% by weight of anionic surfactants chosen from ethoxylated alkyl sulfates and salts thereof, relative to the total weight of the composition.
- It preferably comprises from 0.1 % to 30% by weight, in particular from 1 % to 20% by weight and better still from 2% to 15% by weight of anionic surfactants other than the said ethoxylated alkyl sulfates and salts thereof, relative to the total weight of the composition.
- the weight ratio of the amount of anionic surfactant(s) of the type such as ethoxylated alkyl sulfates and salts thereof to the amount of anionic surfactant(s) other than the said ethoxylated alkylsulfonates and salts thereof ranges from 0.25 to 20, preferably from 0.5 to 10, better still from 1 to 5 and even better still from 1 to 2.5.
- the composition according to the invention may also comprise one or more cationic surfactants especially as defined below, and/or one or more amphoteric or zwitterionic surfactants especially as defined above, in the amounts as defined below or above.
- the surfactant system according to the invention comprises one or more cationic surfactants comprising one or more per- manent positive charges.
- a cationic surfactant may bear one or more permanent positive charges or may comprise one or more cationizable functions in the composition according to the invention.
- the cationic surfactants of the invention are those bearing one or more permanent positive charges, i.e. one or more quaternized nitrogen atoms.
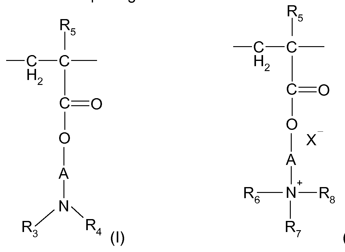
- the cationic surfactants that may be used in the composition according to the invention comprise quaternary ammonium salts, and mixtures thereof.
- quaternary ammonium salts that may especially be mentioned include:
- the radicals R8 to R1 1 which may be identical or different, represent a linear or branched aliphatic hydrocarbon-based radical comprising from 1 to 30 carbon atoms, or an aromatic radical such as aryl or alkylaryl, at least one of the radicals R8 to R1 1 comprising from 8 to 30 carbon atoms and preferably from 12 to 24 carbon atoms; it being possible for the aliphatic radicals to comprise heteroatoms such as oxygen, nitrogen, sulfur or halogens.
- the aliphatic radicals are chosen, for example, from C1 -C30 alkyl, C1 -C30 alkoxy, polyoxy(C2-C6)alkylene, C1 -C30 alkylamide, (C12-C22)alkylamido(C2-C6)alkyl and C1 -C30 hydroxyalkyl radicals;
- - X " is an anion chosen from the group of halides, phosphates, acetates, lactates, (C1 -C4)alkyl sulfates or (C1 -C4)alkyl sulfonates or (C1 -C4)alkylaryl sulfonates.
- quaternary ammonium salts of formula (I) preference is firstly given especially to tetraalkylammonium chlorides, for instance dialkyldimethylammonium or alkyltrimethylammonium chlorides in which the alkyl radical comprises approximately from 12 to 22 carbon atoms, in particular the salts, especially behenyl- trimethylammonium, distearyldimethylammonium, cetyltrimethylammonium, dicetyldimethylammonium and benzyldimethylstearylammonium chlorides, or else, secondly, to palmitylamidopropyltrimethylammonium chloride or stearamidopro- pyldimethyl(myristyl acetate)ammonium chloride, which is sold under the name Ceraphyl® 70 by the company Van Dyk.
- tetraalkylammonium chlorides for instance dialkyldimethylammonium or alkyltrimethylammonium chlorides in which the alkyl radical
- R12 represents an alkenyl or alkyl radical comprising from 8 to 30 carbon atoms, for example tallow fatty acid derivatives,
- R13 represents a hydrogen atom, a Ci-C 4 alkyl radical or an alkenyl or alkyl radical comprising from 8 to 30 carbon atoms,
- R14 represents a Ci-C 4 alkyl radical
- R15 represents a hydrogen atom or a Ci-C 4 alkyl radical
- R12 and R13 denote a mixture of alkenyl or alkyl radicals comprising from 12 to 21 carbon atoms, for example fatty acid derivatives of tallow, R14 denotes a methyl radical and R15 denotes a hydrogen atom.
- Such a product is sold, for example, under the name Varisoft W 575 PG N by the company Evonik Gold- schmidt;
- R16 denotes an alkyl radical comprising approximately from 16 to 30 carbon atoms, which is optionally hydroxylated and/or interrupted with one or more oxygen atoms;
- R17 is chosen from hydrogen or an alkyl radical comprising from 1 to 4 carbon atoms or a group -(CH 2 ) 3 -N+(R16a)(R17a)(R18a),
- R16a, R17a, R18a, R18, R19, R20 and R21 which may be identical or different, are chosen from hydrogen and an alkyl radical comprising from 1 to 4 carbon atoms
- - X " is an anion chosen from the group of halides, acetates, phosphates, nitrates, (C1 -C4)alkyl sulfates, (C1 -C4)alkyl sulfonates or (C1 -C4)alkylaryl sulfonates, in particular methyl sulfate and ethyl sulfate.
- Such compounds are, for example, Finquat CT-P, sold by the company Innospec Active Chemicals (Quaternium 89), and Condicare CT sold by the company Innospec Active Chemicals (Quaternium 75);
- R22 is chosen from C1 -C6 alkyl radicals and C1 -C6 hydroxyalkyl or dihydroxyal- kyl radicals;
- - R23 is chosen from:
- - R25 is chosen from:
- R24, R26 and R28 which may be identical or different, are chosen from linear or branched, saturated or unsaturated C7-C21 hydrocarbon-based radicals;
- - r, s and t which may be identical or different, are integers ranging from 2 to 6;
- - r1 and t1 which may be identical or different, are equal to 0 or 1 ;
- - y is an integer ranging from 1 to 10;
- - x and z which may be identical or different, are integers ranging from 0 to 10;
- - X " is a simple or complex, organic or mineral anion
- R22 may be linear or branched, and more particularly linear.
- R22 preferably denotes a methyl, ethyl, hydroxyethyl or dihydroxypropyl radical, and more particularly a methyl or ethyl radical.
- the sum x + y + z is from 1 to 10.
- R23 is a hydrocarbon-based radical R27, it may be long and may contain from 12 to 22 carbon atoms, or may be short and may contain from 1 to 3 carbon atoms.
- R25 is a hydrocarbon-based radical R29, it preferably contains 1 to 3 carbon atoms.
- R24, R26 and R28 which may be identical or different, are chosen from linear or branched, saturated or unsaturated C1 1 -C21 hydrocarbon- based radicals, and more particularly from linear or branched, saturated or unsaturated C1 1 -C21 alkyl and alkenyl radicals.
- x and z which may be identical or different, are equal to 0 or 1 .
- y is equal to 1 .
- r, s and t which may be identical or different, are equal to 2 or 3, and even more particularly are equal to 2.
- the anion X " is preferably a halide, preferably chloride, bromide or iodide, a (C1 - C4)alkyl sulfate or a (C1 -C4)alkyl- or (C1 -C4)alkylaryl-sulfonate.
- use may be made of methanesulfonate, phosphate, nitrate, tosylate, an anion derived from an organic acid, such as acetate or lactate, or any other anion compatible with ammonium bearing an ester function.
- the anion X " is more particularly chlo- ride, methyl sulfate or ethyl sulfate.
- R22 denotes a methyl or ethyl radical
- - z is equal to 0 or 1 ;
- R23 is chosen from methyl, ethyl or C14-C22 hydrocarbon-based radicals and a hydrogen atom, or
- R25 is chosen from a hydrogen atom, or
- R24, R26 and R28 which may be identical or different, are selected from linear or branched, saturated or unsaturated C13-C17 hydrocarbon-based radicals, and preferably from linear or branched, saturated or unsaturated C13-C17 alkyl and alkenyl radicals.
- hydrocarbon-based radicals are linear.
- acyl radicals preferably contain 14 to 18 carbon atoms and are obtained more particularly from a plant oil such as palm oil or sunflower oil. When the compound contains several acyl radicals, these radicals may be identical or different.
- This esterification is followed by a quaternization by means of an alkylating agent such as an alkyl halide, preferably a methyl or ethyl halide, a dialkyl sulfate, preferably a methyl or ethyl sulfate, methyl methanesulfonate, methyl para-toluenesulfonate, glycol chlorohydrin or glycerol chlorohydrin.
- an alkylating agent such as an alkyl halide, preferably a methyl or ethyl halide, a dialkyl sulfate, preferably a methyl or ethyl sulfate, methyl methanesulfonate, methyl para-toluenesulfonate, glycol chlorohydrin or glycerol chlorohydrin.
- composition according to the invention may contain, for example, a mixture of quaternary ammonium monoester, diester and triester salts with a weight majority of diester salts.
- ammonium salts containing at least one ester function that are described in patents US-A-4 874 554 and US-A-4 137 180.
- Use may be made of behenoylhydroxypropyltrimethylammonium chloride, sold by Kao under the name Quartamin BTC 131 .
- the ammonium salts containing at least one ester function contain two ester functions.
- the cationic surfactants that may be used in the composition according to the invention, the ones more particularly preferred are cetyltrimethylammonium, behenyltrimethylammonium or dipalmitoylethylhydroxyethylmethylammonium salts, and mixtures thereof, and more particularly behenyltrimethylammonium chloride, sold for example by the company Clariant under the trade name Genamin KDMP or Genamin BTLF or by the company Evonik Goldschmidt under the name Varisoft BT 85, cetyltrimethylammonium chloride sold, for example, under the trade name Dehyquart A OR by the company Cognis or Quartamin 60 W25 by the company Kao or alternatively Genamin CTAC 25 by the company Clariant, di- palmitoylethylhydroxyethylmethylammonium methosulfate, such as the commercial product Dehyquart F 30 sold
- the cationic surfactants of the invention are chosen from the com- pounds of formula (I) or (IV).
- composition according to the invention preferably comprises the cationic surfactants) bearing one or more permanent positive charges in an amount ranging from 0.1 % to 10% by weight, preferably from 0.2% to 6% by weight and better still from 1 % to 5% by weight, relative to the total weight of the composition.
- composition according to the invention may also comprise one or more anionic surfactants and/or one or more amphoteric or zwitterionic surfactants especially as defined above, in the amounts as de- fined above.
- the composition according to the invention comprises one or more thickeners.
- thickener means an agent which, by virtue of its presence in the composition, makes it possible to increase the viscosity of the said composition by at least 10 cPs and preferably by at least 200 cPs, at 25°C and at a shear rate of 1 s ⁇ 1 .
- This viscosity may be measured using a cone/plate viscometer (Haake R600 rheometer or the like).
- the thickener(s) may be chosen from sodium chloride, fatty acid amides obtained from C10-C30 carboxylic acid (coconut acid monoisopropanolamide, diethanolamide or monoethanolamide, oxyethylenated alkyl ether carboxylic acid monoethanola- mide), polymeric thickeners and in particular nonionic cellulose-based polymers (hydroxyethylcellulose, hydroxypropylcellulose, carboxymethylcellulose), guar gum and nonionic derivatives thereof (hydroxypropylguar), gums of microbial origin (xanthan gum, scleroglucan gum), crosslinked or non-crossl inked homopolymers and copolymers based on acrylic acid, methacrylic acid or acrylamidopropanesul- fonic acid, and associative polymers as described below, and mixtures thereof.
- nonionic cellulose-based polymers hydroxyethylcellulose, hydroxypropylcellulose, carboxymethylcellulose
- the associative polymer(s) that may be used according to the invention are water- soluble polymers that are capable, in an aqueous medium, of reversibly associating with each other or with other molecules.
- Their chemical structure comprises hydrophilic zones and hydrophobic zones characterized by at least one fatty chain preferably comprising from 10 to 30 carbon atoms.
- the associative polymer(s) that may be used according to the invention may be of anionic, cationic, amphoteric or nonionic type, such as the polymers sold under the names Pemulen TR1 or TR2 by the company Goodrich (INCI: Acrylates/CI O-30 Alkyl Acrylate Crosspolymer), Salcare SC90 by the company Ciba, Aculyn 22, 28, 33, 44 or 46 by the company Rohm & Haas and Elfacos T210 and T212 by the company Akzo.
- Pemulen TR1 or TR2 by the company Goodrich (INCI: Acrylates/CI O-30 Alkyl Acrylate Crosspolymer), Salcare SC90 by the company Ciba, Aculyn 22, 28, 33, 44 or 46 by the company Rohm & Haas and Elfacos T210 and T212 by the company Akzo.
- Pemulen TR1 or TR2 by the company Goodrich (INCI: Acrylates/CI O-30 Alkyl Acrylate Crosspolymer
- the thickener(s) are chosen from polymeric thickeners, preferentially from homopolymers and copolymers based on acrylic acid or methacrylic acid, which are preferably crosslinked, and/or fatty acid amides obtained from C10-C30 carboxylic acids.
- the cosmetic composition comprises from 0.5% to 20% by weight, better still from 0.1 % to 10% by weight, or even from 0.2% to 10% by weight, of thick- ener(s), relative to the total weight of the composition.
- composition according to the invention may also comprise one or more additional surfactants chosen from nonionic surfactants.
- They may be chosen especially from alcohols, a-diols, (Ci_2o)alkylphenols or fatty acids which are polyethoxylated, polypropoxylated and/or polyglycerolated, containing a fatty chain comprising, for example, from 8 to 18 carbon atoms, the number of ethylene oxide and/or propylene oxide groups possibly ranging in particular from 2 to 50 and the number of glycerol groups possibly ranging in particular from 2 to 30.
- fatty compound for example a fatty acid
- fatty acid denotes a compound comprising, in its main chain, at least one saturated or unsaturated alkyl chain containing at least 8 carbon atoms, preferably from 8 to 30 carbon atoms, and even better still from 10 to 22 carbon atoms.
- the amount of the nonionic surfactant(s) preferably ranges from 0.01 % to 20% by weight and better still from 0.2% to 10% by weight, relative to the total weight of the composition.
- composition according to the invention may also comprise one or more conditioning agents.
- conditioning agent denotes any compound that can improve the cosmetic properties of the hair, in particular the softness, disentangling, feel and static electricity.
- the conditioning agent is preferably chosen from the group comprising cationic polymers, silicones, linear or branched C8-C30 hydrocarbons, linear or branched C8-C30 fatty alcohols, esters of C8-C30 fatty acids and C1-C30 alcohols, and especially esters of C8-C30 fatty acids and C8-C30 fatty alcohols, esters of C1-C7 acids or diacids and C8-C30 fatty alcohols, ceramides or ceramide analogues, and mixtures of these compounds.
- cationic polymer means a polymer that is positively charged when it is contained in the composition according to the invention. This polymer may bear one or more positive permanent charges or may contain one or more cationizable functions in the composition according to the invention.
- the cationic polymer(s) that may be used as conditioning agents according to the present invention are preferably chosen from polymers comprising primary, secondary, tertiary and/or quaternary amine groups forming part of the polymer chain or directly attached thereto, and having a molecular weight of between 500 and about 5 000 000 and preferably between 1000 and 3 000 000.
- the conditioning agent is a cationic polymer
- it is preferably chosen from those that contain units comprising primary, secondary, tertiary and/or quaternary amine groups that may either form part of the main polymer chain, or may be borne by a side substituent directly attached thereto.
- cationic polymers that may more particularly be mentioned are poly- mers of the polyamine, polyaminoamide and polyquaternary ammonium type. These are known products. They are described, for example, in French patents 2 505 348 and 2 542 997.
- R3 and R 4 which may be identical or different, represent a hydrogen atom or an alkyl group having from 1 to 6 carbon atoms, and preferably methyl or ethyl;
- R 5 which may be identical or different, denote a hydrogen atom or a CH 3 group
- A which are identical or different, represent a linear or branched alkyl group having from 1 to 6 carbon atoms, preferably 2 or 3 carbon atoms, or a hydroxyalkyl group having from 1 to 4 carbon atoms;
- R6, R7 and Rs which may be identical or different, represent an alkyl group having from 1 to 18 carbon atoms or a benzyl group, and preferably an alkyl group having from 1 to 6 carbon atoms;
- X denotes an anion derived from a mineral or organic acid, such as a methosul- fate anion, or a halide such as chloride or bromide.
- the copolymers of family (1 ) may also contain one or more units deriving from comonomers which may be chosen from the family of acrylamides, methacryla- mides, diacetone acrylamides, acrylamides and methacrylamides substituted on the nitrogen with (Ci-C 4 ) lower alkyls, acrylic acids or methacrylic acids or esters thereof, vinyllactams such as vinylpyrrolidone or vinylcaprolactam, and vinyl es- ters.
- comonomers which may be chosen from the family of acrylamides, methacryla- mides, diacetone acrylamides, acrylamides and methacrylamides substituted on the nitrogen with (Ci-C 4 ) lower alkyls, acrylic acids or methacrylic acids or esters thereof, vinyllactams such as vinylpyrrolidone or vinylcaprolactam, and vinyl es- ters.
- the crosslinked polymers of methacryloyloxy(Ci-C 4 )alkyl tri(Ci-C 4 )alkylammonium salts such as the polymers obtained by homopolymerization of dimethylaminoethyl methacrylate quaternized with methyl chloride, or by copolymerization of acrylamide with dimethylaminoethyl methacrylate quaternized with methyl chloride, the homo- or copolymerization being followed by crosslinking with an olefinically unsaturated compound, more particularly methylenebisacrylamide.
- Use may more particularly be made of a crosslinked acryla- mide/methacryloyloxyethyltrimethylammonium chloride copolymer (20/80 by weight) in the form of a dispersion containing 50% by weight of said copolymer in mineral oil.
- This dispersion is sold under the name Salcare® SC 92 by the company Ciba.
- Use may also be made of a crosslinked homopolymer of methacryloy- loxyethyltrimethylammonium chloride, for example as a dispersion in mineral oil or in a liquid ester. These dispersions are sold under the names Salcare® SC 95 and Salcare® SC 96 by the company Ciba;
- Water-soluble polyaminoamides prepared in particular by polycondensation of an acidic compound with a polyamine; these polyaminoamides can be crosslinked with an epihalohydrin, a diepoxide, a dianhydride, an unsaturated dianhydride, a bis-unsaturated derivative, a bis-halohydrin, a bis-azetidinium, a bis- haloacyldiamine, a bis-alkyl halide or alternatively with an oligomer resulting from the reaction of a bifunctional compound which is reactive towards a bis-halohydrin, a bis-azetidinium, a bis-haloacyldiamine, a bis-alkyl halide, an epihalohydrin, a diepoxide or a bis-unsaturated derivative; the crosslinking agent being used in proportions ranging from 0.025 to 0.35 mol per amine group of the polyamino- amide; these polyamin
- Polyaminoamide derivatives resulting from the condensation of polyalkylene polyamines with polycarboxylic acids followed by alkylation with difunctional agents Mention may be made, for example, of adipic acid dialkylaminohydroxyal- kyldialkylenetriamine polymers in which the alkyl groups contain from 1 to 4 car- bon atoms and preferably denote a methyl, ethyl or propyl group, and the alkylene groups contain from 1 to 4 carbon atoms and preferably denote the ethylene group.
- Such polymers are especially described in French patent 1 583 363.
- the mole ratio between the polyalkylene polyamine and the dicarboxylic acid is between 0.8:1 and 1 .4:1 . 1 ; the polyamino amide resulting therefrom is reacted with epichlorohydrin in a mole ratio of epichlorohydrin relative to the secondary amine group of the polyamino amide of between 0.5:1 and 1 .8:1 .
- Such polymers are especially described in particular in US patents 3 227 615 and 2 961 347.
- Polymers of this type are sold in particular under the name Hercosett 57 by the company Hercules Inc. or alternatively under the name PD 170 or Delsette 101 by the company Hercules in the case of the adipic acid/epoxypropyl/diethylenetriamine copolymer;
- R 12 denotes a hydrogen atom or a methyl group
- R 1 0 and Rn independently of each other, denote an alkyl group having from 1 to 6 carbon atoms, a hydroxyalkyl group in which the alkyl group preferably has 1 to 5 carbon atoms, a lower (Ci-C 4 ) amidoalkyl group, or R 10 and Rn can denote, together with the nitrogen atom to which they are attached, heterocyclic groups such as piperidyl or morpholinyl
- Y " is an anion such as bromide, chloride, acetate, borate, citrate, tartrate, bisulfate, bisulfite, sulfate or phosphate.
- R 1 0 and Rn independently of each other, preferably denote an alkyl group having from 1 to 4 carbon atoms.
- the polymers defined above mention may be made more particularly of the dimethyldiallylammonium chloride homopolymer sold under the name Merquat 100 by the company Nalco (and its homologues of low weight-average molecular weights) and the copolymers of diallyldimethylammonium chloride and of acryla- mide, sold under the name Merquat 550.
- Ri3, Ri 4 , Ri 5 and Ri6 which may be identical or different, represent aliphatic, ali- cyclic or arylaliphatic groups containing from 1 to 20 carbon atoms or lower (Ci-C 4 ) hydroxyalkylaliphatic groups, or alternatively R13, Ri 4 , R15 and R16, together or separately, constitute, with the nitrogen atoms to which they are attached, hetero- cycles optionally containing a second heteroatom other than nitrogen, or alterna- tively R13, Ri 4 , R15 and R16 represent a linear or branched C 1 -C6 alkyl group substituted with a nitrile, ester, acyl or amide group or a -CO-O-R17-D or -CO-NH-R17-D group where R17 is an alkylene having from 1 to 10 carbon atoms and D is a quaternary ammonium group;
- Ai and Bi represent polymethylene groups containing from 2 to 20 carbon atoms which may be linear or branched, and saturated or unsaturated, and which may contain, linked to or inserted in the main chain, one or more aromatic rings, or one or more oxygen or sulfur atoms or sulfoxide, sulfone, disulfide, amino, alkylamino, hydroxyl, quaternary ammonium, ureido, amide or ester groups, and
- X denotes an anion derived from a mineral or organic acid
- Ai, Ri3 and R15 may, with the two nitrogen atoms to which they are attached, form a piperazine ring; moreover, if Ai denotes a linear or branched, saturated or unsaturated alkylene or hydroxyalkylene group, Bi may also denote a group
- n and p are integers ranging from 2 to 20 approximately,
- a bis-secondary diamine residue such as a piperazine derivative
- X " is an anion such as chloride or bromide.
- These polymers have a number-average molecular mass generally of between 1000 and 100 000.
- Polymers of this type are especially described in French patents 2 320 330, 2 270 846, 2 316 271 , 2 336 434 and 2 413 907 and US patents 2 273 780, 2 375 853, 2 388 614, 2 454 547, 3 206 462, 2 261 002, 2 271 378, 3 874 870, 4 001 432, 3 929 990, 3 966 904, 4 005 193, 4 025 617, 4 025 627, 4 025 653, 4 026 945 and 4 027 020.
- Ri 8 , R19, R20 and R21 which may be identical or different, denote an alkyl or hydroxyalkyi group containing from 1 to 4 carbon atoms approximately, r and s are integers ranging from from 2 to 20 approximately, and X " is an anion derived from a mineral or organic acid.
- R22, R23, R24 and R25 which are identical or different, represent a hydrogen atom or a methyl, ethyl, propyl, ⁇ -hydroxyethyl, ⁇ -hydroxypropyl or CH2CH2(OCH 2 CH2)pOH group, where p is 0 or an integer between 1 and 6, with the proviso that R22, R23, R24 and R25 do not simultaneously represent a hydrogen atom,
- t and u which may be identical or different, are integers between 1 and 6, v is equal to 0 or to an integer between 1 and 34,
- X denotes an anion such as a halide
- A denotes a dihalide group or preferably represents -CH2-CH2-O-CH2-CH2-.
- cationic polysaccharides mention may be made more particularly of cellulose ether derivatives comprising quaternary ammonium groups, cationic cellulose copolymers or cellulose derivatives grafted with a water-soluble quaternary ammonium monomer and cationic galactomannan gums.
- cellulose ether derivatives comprising quaternary ammonium groups are described in French patent 1 492 597. These polymers are also defined in the CTFA dictionary as quaternary ammoniums of hydroxyethylcellulose that have reacted with an epoxide substituted with a trimethylammonium group.
- cationic cellulose copolymers or the cellulose derivatives grafted with a water- soluble quaternary ammonium monomer are described especially in patent US 4 131 576, such as hydroxyalkyl celluloses, for instance hydroxymethyl, hy- droxyethyl or hydroxypropyl celluloses grafted especially with a methacryloylethyl- trimethylammonium, methacrylamidopropyltrimethylammonium or dimethyldial- lylammonium salt.
- cationic galactomannan gums are described more particularly in US patents 3 589 578 and 4 031 307, in particular guar gums containing cationic trialkylam- monium groups. Use is made, for example, of guar gums modified with a 2,3- epoxypropyltrimethylammonium salt (for example, chloride).
- a 2,3- epoxypropyltrimethylammonium salt for example, chloride
- cationic polymers that may be used in the context of the invention are cationic proteins or cationic protein hydrolysates, polyalkyleneimines, in particular polyethyleneimines, polymers containing vinylpyridine or vinylpyridinium units, condensates of polyamines and of epichlorohydrin, quaternary polyureylenes and chitin derivatives.
- the cationic proteins or protein hydrolysates are, in particular, chemically modified polypeptides bearing quaternary ammonium groups at the end of the chain, or grafted thereon.
- Their molecular mass may vary, for example, from 1500 to 10 000 and in particular from 2000 to 5000 approximately.
- - animal protein hydrolysates bearing trimethylbenzylammonium groups such as the products sold under the name Crotein BTA by the company Croda and re- ferred to in the CTFA dictionary as Benzylt monium hydrolysed animal protein; - protein hydrolysates bearing quaternary ammonium groups on the polypeptide chain, said ammonium groups containing at least one alkyl group having from 1 to 18 carbon atoms.
- Croquat L in which the quaternary ammonium groups comprise a C12 alkyl group
- Croquat M in which the quaternary ammonium groups comprise C10-C18 alkyl groups
- Croquat S in which the quaternary ammonium groups comprise a C18 alkyl group
- Crotein Q in which the quaternary ammonium groups comprise at least one alkyl group contain- ing from 1 to 18 carbon atoms.
- quaternized proteins or hydrolysates are, for example, those corresponding to the formula (X):
- X " is an anion of an organic or mineral acid
- A denotes a protein residue derived from collagen protein hydrolysates
- R29 denotes a lipophilic group comprising up to 30 carbon atoms
- R30 represents an alkylene group containing 1 to 6 carbon atoms. Mention may, for example, be made of the products sold by the company Inolex, under the name Lexein QX 3000, called, in the CTFA dictionary, Co- cotrimonium Collagen hydrolysate.
- quaternized plant proteins such as wheat, corn or soybean proteins
- quaternized wheat proteins that may be mentioned include those sold by the company Croda under the names Hydrotriticum WQ or QM, which in the CTFA dictionary are called Cocodimonium Hydrolysed wheat protein, or Hydrotriticum QL, which in the CTFA dictionary is called Laurdimonium hydrolysed wheat protein, or else Hydrotriticum QS, which in the CTFA dictionary is called Steardimonium hydrolysed wheat protein.
- cationic polymers such as defined above, in particular the dimethyldiallylammonium chloride homopolymers or copolymers sold under the names Merquat 100, Merquat 550 and Merquat S by the company Nalco, and quaternary vinylpyrrolidone and vinylimidazole polymers, cationic polysaccharides and mixtures thereof.
- the conditioning agent(s) that may be used according to the invention may be chosen from silicones, and especially:
- cyclic silicones comprising from 3 to 7, and preferably 4 to 5, silicon atoms.
- cyclic silicones comprising from 3 to 7, and preferably 4 to 5, silicon atoms.
- these are, for example, the octamethylcyclotetrasiloxane sold especially under the name Volatile Silicone 7207® by the company Union Carbide, or Silbione 70045 V2® by the company Rhone-Poulenc, the decamethylcyclopentasiloxane sold especially under the name Volatile Silicone 7158® by the company Union Carbide or Silbione 70045 V5® by the company Rhone-Poulenc; cyclopolymers of the di- methylsiloxane/methylalkylsiloxane type, such as the Volatile silicone FZ 3109® sold by the company Union Carbide, which is a dimethylsilox- ane/methyloctylsiloxane cyclocopolymer;
- An example is hexamethyldisiloxane sold especially under the name Silbione 70041 V0.65® by the company Rhone- Poulenc.
- non-volatile silicones especially polyalkylsiloxanes, polyarylsiloxanes, polyal- kylarylsiloxanes and organomodified polysiloxanes, and also mixtures thereof. They may be in the form of oils, gums and resins.
- polyalkylsiloxanes with a viscosity of greater than 5*10 "6 m 2 /s and preferably less than 2.6 m 2 /s, which may either contain trimethylsilyl end groups, for instance the Silbione® oils of the 70047 series sold by Rhone-Poulenc, the oil Wacker Belsil DM 60 000 from Wacker or certain Viscasil® products from the company General Electric; or contain trihydroxysilyl end groups, such as the oils of the 48 V® series from the company Rhone-Poulenc.
- trimethylsilyl end groups for instance the Silbione® oils of the 70047 series sold by Rhone-Poulenc, the oil Wacker Belsil DM 60 000 from Wacker or certain Viscasil® products from the company General Electric; or contain trihydroxysilyl end groups, such as the oils of the 48 V® series from the company Rhone-Poulenc.
- polyalkylsiloxanes sold by the company Goldschmidt under the names Abilwax 9800® and Abilwax 9801®, which are poly(Ci-2o)- alkylsiloxanes.
- polyalkylarylsiloxanes mention may be made of linear and/or branched polydimethylphenylsiloxanes and polydimethyldiphenylsiloxanes, with a viscosity from 10 "5 to 5x 10 "2 m 2 /s, for instance the oil Rhodorsil® 763 from Rhone-Poulenc, the Silbione® oils of the 70641 series from Rhone-Poulenc, such as the oils Silbione 70641 V30® and Silbione 70641 V200®, the product DC 556® Cosmetic Grade Fluid from Dow Corning, the silicones of the PK series from Bayer, such as PK20®, the silicones of the PN and PH series from Bayer, such as the products PN 1000® and PH 1000®; certain oils of the SF series from General Electric, such as SF 1250®, SF 1265®, SF 1 154® and SF 1023®.
- SF series from General Electric
- the silicone gums in accordance with the present invention are polydiorganosilox- anes with a number-average molecular mass of between 200 000 and 1 000 000, used alone or as a mixture in a solvent chosen from volatile silicones, polydi- methylsiloxane (PDMS) oils, polyphenylmethylsiloxane (PPMS) oils, isoparaffins, methylene chloride, pentane, dodecane, tridecane and tetradecane, or mixtures thereof.
- PDMS polydi- methylsiloxane
- PPMS polyphenylmethylsiloxane
- isoparaffins methylene chloride
- pentane dodecane
- tridecane and tetradecane or mixtures thereof.
- Mention may be made of the Mirasil DM 300 000 gum from the company Rhodia. Mention may also be made, for example, in a nonlimiting manner, of the following mixtures:
- the product SF 1236® is a mixture of an SE 30® gum defined above, with a viscosity of 20 m 2 /s, and of an SF 96® oil with a viscosity of 5x10 6 m 2 /s (15% SE 30® gum and 85% SF 96® oil).
- the product CF 1241® is a mixture of an SE 30® gum (33%) and of a PDMS (67%), with a viscosity of 10 "3 m 2 /s.
- the organopolysiloxane resins that may be used in accordance with the invention are crosslinked siloxane systems containing the following units: R2S1O2/2, RS1O3/2 and SiO 4 /2 in which R represents a hydrocarbon-based group containing 1 to 6 carbon atoms or a phenyl group.
- R represents a hydrocarbon-based group containing 1 to 6 carbon atoms or a phenyl group.
- the ones that are particu- larly preferred are those in which R denotes a lower (Ci-C 4 ) alkyl group or a phenyl group.
- organomodified silicones in accordance with the present invention are silicones as defined above, comprising, in their general structure, one or more or- ganofunctional groups directly attached to the siloxane chain or attached via a hydrocarbon-based group.
- silicones comprising:
- - perfluoro groups such as trifluoroalkyls, for instance those sold by the company General Electric under the names FF.150 Fluorosilicone Fluid® or by the company Shin-Etsu under the names X " 22-819®, X " 22-82®, X " 22-821® and X " 22-822®;
- - thiol groups as in the silicones X 2-8360® from the company Dow Corning or GP 72A® and GP 71® from Genesee; - non-quaternized amine groups, such as GP 4 Silicone Fluid® from Genesee, GP 7100® from Genesee, Q2 8220® from Dow Corning, AFL 40® from Union Carbide or the silicone known as Amodimethicone in the CTFA dictionary;
- the groups Ri which may be identical or different, are chosen from methyl and phenyl groups; at least 60 mol% of the groups Ri denoting methyl; the group R'i is a divalent C2-C18 hydrocarbon-based alkylene chain unit; p is between 1 and 30 inclusive; q is between 1 and 150 inclusive.
- R2 denotes methyl, phenyl, OCOR" or hydroxyl, but only one R2 per silicon atom may be OH;
- R'2 denotes methyl or phenyl, at least 60 mol% of all the R2 and R'2 groups being methyl;
- - R" denotes C8-C20 alkyl or alkenyl
- R denotes a linear or branched, divalent C2-C18 hydrocarbon-based alkylene
- - r is between 1 and 120 inclusive; - p is between 1 and 30 inclusive; q is 0 or is less than 0.5 p, p + q being between 1 and 30 inclusive:
- polyorganosiloxanes of formula (XVI) can comprise the groups:
- C6-C2 4 alkyl groups such as the products known as dimethicone copolyol sold by the company Dow Corning under the name DC 1248 or the oils Silwet L 722, L 7500, L 77 and L 71 1 by the company Union Carbide, and the (Ci2)alkylmethicone copolyol sold by the company Dow Corning under the name Q2 5200.
- silicones comprising a polysi- loxane portion and a portion composed of a non-silicone organic chain, with one of the two portions making up the main chain of the polymer and the other being grafted onto the said main chain.
- These polymers are described, for example, in patent applications EP-A-412 704, EP-A-412 707, EP-A-640 105 and WO 95/00578, EP-A-582 152 and WO 93/23009 and patents US 4 693 935, US 4 728 571 and US 4 972 037.
- These polymers are preferably anionic or nonionic.
- Such polymers are, for example, copolymers that may be obtained by free-radical polymerization from the monomer mixture formed from:
- v is a number ranging from 5 to 700; the weight percentages being calculated relative to the total weight of the monomers.
- grafted silicone polymers are, in particular, polydimethylsilox- anes (PDMSs) onto which are grafted, by means of a connecting link of thiopro- pylene type, mixed polymer units of the poly((meth)acrylic acid) type and of the poly(alkyl (meth)acrylate) type; and polydimethylsiloxanes (PDMSs) onto which are grafted, by means of a connecting link of thiopropylene type, polymer units of the poly(isobutyl (meth)acrylate) type.
- PDMSs polydimethylsilox- anes
- PDMSs polydimethylsilox- anes
- PDMSs polydimethylsilox- anes
- PDMSs polydimethylsilox- anes
- the polyorganosiloxanes that are particularly preferred are:
- non-volatile silicones chosen from the family of polyalkylsiloxanes with trimethyl- silyl end groups, such as oils having a viscosity of between 0.2 and 2.5 m 2 /s at
- oils of the DC200 series from Dow Corning in particular the one with a viscosity of 60 000 cSt, or of the Silbione 70047 and 47 series, and more particularly the oil 70 047 V 500 000 sold by the company Rhodia Chimie, and polyalkylsiloxanes with dimethylsilanol end groups, such as dimethiconols, or polyalkylarylsiloxanes, for instance the oil Silbione 70641 V 200 sold by the company Rhodia Chimie;
- - polysiloxanes containing amino groups such as amodimethicones or trimethyl- silylamodimethicones.
- the viscosities of the silicones may especially be determined by the standard ASTM D445-97 (viscometry).
- the conditioning agent of the composition according to the invention is a hydrocarbon
- it is a linear or branched C8-C30 hydrocarbon.
- hydrocarbons which are liquid at ambient temperature and which correspond to this defini- tion
- isododecane isohexadecane and its isomers (such as 2,2,4,4,6,6-heptamethylnonane), isoeicosane, isotetracosane, the isomers of said compounds, n-nonadecane, n-dodecane, n-undecane, n- tridecane, n-pentadecane, and mixtures of these hydrocarbons.
- Use is preferably made according to the invention of isododecane or an isomer thereof.
- the conditioning agent is a fatty alcohol
- this alcohol is a linear or branched, saturated or unsaturated C8-C30 alcohol. Examples that may be mentioned include 2-butyloctanol, lauryl alcohol, 2-octyldodecanol, oleyl alcohol, isocetyl alcohol, isostearyl alcohol and behenyl alcohol, and mixtures thereof.
- said fatty ester may be either an ester of a C8-C30 fatty acid and of a C1-C30 alcohol, and in particular an ester of a C8-C30 fatty acid and of a C8-C30 fatty alcohol, or an ester of a C1-C7 acid or diacid and of a C8-C30 fatty alcohol.
- esters mention may, for example, be made of ethyl, isopropyl, 2-ethylhexyl and 2-octyldecyl palmitate, isopropyl, butyl, cetyl and 2-octyldecyl myristate, butyl and hexyl stearate, hexyl and 2-hexyldecyl laurate, isononyl isononanoate, dioctyl malate, myristyl myristate, cetyl palmitate, and mixtures thereof.
- the ceramides or ceramide analogues, such as glycoceramides, that may be used as conditioning agent in the compositions according to the invention are known per se and are natural or synthetic molecules that may correspond to the general formula (XVIII) below:
- - Ri denotes a linear or branched, saturated or unsaturated alkyl group which de- rives from C14-C30 fatty acids, it being possible for this group to be substituted in alpha position by a hydroxyl group, or in omega position by a hydroxyl group which is esterified with a saturated or unsaturated C16-C30 fatty acid;
- R2 denotes a hydrogen atom or a (glycosyl) n , (galactosyl ⁇ or sulfogalactosyl group, where n is an integer from 1 to 4 and m is an integer from 1 to 8;
- R3 denotes a C15-C26 hydrocarbon-based group which is saturated or unsaturated in the a position, this group possibly being substituted with one or more Ci- Ci4 alkyl groups; it being understood that, in the case of natural ceramides or gly- coceramides, R3 can also denote a C15-C26 a-hydroxyalkyl group, the hydroxyl group being optionally esterified with a C16-C30 a-hydroxy acid.
- ceramides that are preferred in the context of the present invention are those described by Downing in Arch. Dermatol., Vol. 123, 1381 -1384, 1987, or those described in French patent FR 2 673 179.
- the ceramide(s) that are more particularly preferred according to the invention are the compounds for which Ri denotes a saturated or unsaturated alkyl derived from C16-C22 fatty acids; R2 denotes a hydrogen atom; and R3 denotes a saturated linear Ci 5 group.
- Such compounds are, for example, N-linoleoyldihydrosphingosine, N-oleyldihydrosphingosine, N-palmitoyldihydrosphingosine, N- stearyldihydrosphingosine or N-behenoyldihydrosphingosine, or mixtures of these compounds.
- Examples that may be mentioned include the product consisting of a mixture of these compounds and sold under the trade name Glycocer by the company Wai- taki International Biosciences.
- composition according to the invention contains at least one cationic polymer.
- the cosmetic composition according to the invention preferably contains from 0.01 % to 20% by weight and better still from 0.05% to 10% by weight of conditioning agents relative to the total weight of the composition.
- the composition according to the invention is generally used in topical application.
- the composition according to the invention may be in any galenical form normally used for topical application.
- the composition according to the invention may be a rinse-out or leave-in composition.
- it may be a sham- poo, a haircare cream, a hair conditioner, a hair gel, a hair emulsion or a hair lotion.
- the composition according to the invention is a shampoo.
- composition according to the invention preferably comprises water and optionally one or more organic solvents.
- the organic solvent(s) may be chosen from Ci-C 4 lower alcohols, such as ethanol, isopropanol, tert-butanol or n-butanol; polyols such as glycerol, propylene glycol, hexylene glycol (or 2-methyl-2,4-pentanediol) and polyethylene glycols; polyol ethers, for instance dipropylene glycol monomethyl ether; and mixtures thereof.
- the composition comprises at least one organic solvent, the latter may be present in a proportion of from 0.1 % to 30% by weight and preferably from 0.2% to 15% by weight, relative to the total weight of the composition.
- the cosmetic composition according to the invention may have a pH ranging from 3 to 10 and preferentially from 5 to 7. This pH may be adjusted by means of acidifying and basifying agents conventionally used in cosmetics.
- the cosmetic composition used according to the invention may also contain one or more adjuvants that are common in the cosmetics field, such as hair-loss counter- actants, oxidizing agents, vitamins and provitamins including panthenol, plant, animal, mineral or synthetic oils, waxes, sunscreens, mineral or organic, coloured or uncoloured pigments, dyes, nacreous agents and opacifiers, sequestrants, plas- ticizers, solubilizers, antioxidants, hydroxy acids, fragrances and preserving agents, and mixtures thereof.
- the amounts of these various adjuvants are those conventionally used in the fields under consideration.
- the composition also comprises one or more additional antidandruff agents chosen from ellagic acid and ethers thereof, ellagic acid salts and ethers thereof, pyrithione salts, 1 -hydroxy-2-pyridone derivatives and selenium (poly)sulfides, and also mixtures thereof.
- Ellagic acid or 2,3,7,8-tetrahydroxy-1 -benzopyrano[5,4,3-cde]-1 -benzopyran-5,10- dione, is a well-known molecule that is present in the plant kingdom.
- Ellagic acid has the following chemical formula:
- the ellagic acid ether(s) that may be used according to the invention are preferably chosen from the mono-, di-, tri- or polyethers obtained by etherification of one or more hydroxyl groups (one of the four OH groups of ellagic acid) of ellagic acid to one or more groups OR, R being selected from C2-C20 alkyl groups, polyoxyal- kylene groups, and more particularly polyoxyethylene and/or polyoxypropylene groups, and groups derived from one or more mono- or polysaccharides, for instance the group of the formula below:
- the R groups as defined above may be identical or different.
- these ethers of ellagic acid are chosen from 3,4-di-O-methyl ellagic acid, 3,3'-4-tri-O-methyl ellagic acid and 3,3'-di-O-methyl ellagic acid.
- the salt(s) of ellagic acid and/or of ethers thereof that may be used according to the invention are preferably chosen from alkali metal or alkaline-earth metal salts, such as the sodium, potassium, calcium and magnesium salt, the ammonium salt and the salts of amines such as triethanolamine, monoethanolamine, arginine and lysine salts.
- the salt(s) of ellagic acid and/or of its ethers that can be used according to the invention are chosen from alkali metal or alkaline-earth metal salts, in particular the sodium, potassium, calcium or magnesium salts.
- Pyrithione is the compound 1 -hydroxy-2(1 H)-pyridinethione or 2-pyridinethiol 1 - oxide.
- the pyrithione salts that may be used in the context of the invention are, in particular, the monovalent metal salts and divalent metal salts, such as the sodium, calcium, magnesium, barium, strontium, zinc, cadmium, tin and zirconium salts.
- the divalent metal salts and more particularly the zinc salt (zinc pyrithione) are particularly preferred.
- the 1 -hydroxy-2-pyridone derivatives are preferably chosen from compounds of formula (A1 ) or salts thereof:
- R1 denotes a hydrogen atom; a linear or branched alkyl group having from 1 to 17 carbon atoms; a cycloalkyl group having 5 to 8 carbon atoms; a cycloalkyl-alkyl group, the cycloalkyl group having 5 to 8 carbon atoms and the alkyl group having from 1 to 4 carbon atoms; an aryl or aralkyi group, the aryl group having from 6 to 30 carbon atoms and the alkyl group having from 1 to 4 carbon atoms; an aryl- alkenyl group, the aryl group having from 6 to 30 carbon atoms and the alkenyl group having from 2 to 4 carbon atoms; the cycloalkyl and aryl groups as defined above may be substituted by one or more alkyl groups having 1 to 4 carbon atoms or else one or more alkoxy groups having from 1 to 4 carbon atoms;
- R2 denotes a hydrogen atom; an alkyl group having from 1 to 4 carbon atoms; an alkenyl group having from 2 to 4 carbon atoms; a halogen atom or a benzyl group;
- R3 denotes a hydrogen atom, an alkyl group having from 1 to 4 carbon atoms or a phenyl group
- R4 denotes a hydrogen atom; an alkyl group having from 1 to 4 carbon atoms; an alkenyl group having from 2 to 4 carbon atoms; a methoxymethyl group; a halogen atom or a benzyl group.
- those which are particularly preferred are 1 -hydroxy-4- methyl-6-(2,4,4-trimethylpentyl)-2-(1 H)-pyridone and 6-cyclohexyl-1 -hydroxy-4- methyl-2-(1 H)-pyridone.
- lower alkanolamines such as ethanolamine and diethanolamine, amine or al- kylamine salts
- mineral cations for instance ammonium salts and the salts of alkali metals or alkaline-earth metals.
- Selenium disulfide is in the form of a powder whose particles gener- ally have a particle size of less than 200 ⁇ and preferably less than 25 ⁇ .
- the antidandruff agent is chosen from ellagic acid, zinc pyrithione, piroctone olamine and selenium disulfide, and also a mixture thereof.
- the composition according to the invention preferably comprises from 0.001 % to 20% by weight, more preferentially from 0.01 % to 10% by weight, in particular from 0.02% to 5% by weight and better still from 0.04% to 2% by weight of additional antidandruff agent, alone or as a mixture, relative to the total weight of the composition.
- the weight ratio of the amount of bacterial lysate in its complete medium to the amount of additional antidandruff agents is between 0.1 and 100 and better still between 0.2 and 20.
- Another subject of the invention consists of a cosmetic process for treating the scalp and keratin fibres, in particular the hair, comprising the application of a composition according to the invention to the scalp and/or to the said keratin fibres.
- the step of application of the composition may or may not be followed by a leave- on time, preferably ranging from 1 to 15 minutes, and/or a step of rinsing, for example with water.
- it is a process for washing the said keratin fibres and/or the scalp.
- It may also be a cosmetic treatment process for removing and/or reducing dandruff, in particular that caused by yeasts of the genus Malassezia.
- Example 1 Preparation of an active agent in accordance with the invention
- the complete fermentation medium is prepared by means of a culture of the Vit- reoscilla filiformis strain, in its complete culture medium.
- the initial culture medium for obtaining the complete fermentation medium has the composition described in the table below.
- the Vitreoscilla filiformis strain was obtained from the ATCC (strain 15551 ). This strain is cultured in a particular culture medium, 2BHG2, the composition of which is given above.
- the fermentation medium is the complete culture, obtained during the continuous fermentation.
- the glucose in the starting medium was consumed by the microorganisms (micro-controlled by the carbon source), as were various elements of the peptones and yeast extract provided at the start.
- the fermentation medium cur- rently tested is taken directly from the fermenter, and then undergoes the sterilization scheme.
- the FM which is the unconcentrated complete culture (0.7 to 0.9% of DM), is autoclaved (30 min, 121 °C), as is the lysate (4.0 to 4.5% of DM).
- Example 2 Shampoo
- composition is prepared. The amounts are indicated as weight per- centages of active material (A.M.) relative to the total weight of the composition.
- composition is prepared. The amounts are indicated as weight percentages of active material (A.M.) relative to the total weight of the composition.
- Carboxyvinyl polymer (Carbopol 980 from Lubrizol) 0.3
- compositions are prepared. The amounts are indicated as weight percentages of active material (A.M.) relative to the total weight of the composi- tion.
- the following shampoo composition is prepared:
Landscapes
- Life Sciences & Earth Sciences (AREA)
- Health & Medical Sciences (AREA)
- Animal Behavior & Ethology (AREA)
- General Health & Medical Sciences (AREA)
- Public Health (AREA)
- Veterinary Medicine (AREA)
- Birds (AREA)
- Epidemiology (AREA)
- Cosmetics (AREA)
Description
Cosmetic composition comprising a bacterial lysate, a thickener and a particular surfactant system, and cosmetic treatment process
The present invention relates to a cosmetic composition comprising an active agent derived from a microorganism belonging to the Vitreoscilla sp. genus (in particular the species: Vitreoscilla filiformis), a thickener and a particular surfactant system, and also to a cosmetic treatment process using the said composition. Dandruff problems affect up to 50% of the world's population. They affect both men and women and are perceived as having a very negative psychosocial impact. The appearance of dandruff is bothersome both aesthetically and because of the trouble it causes (for example itching and redness), and as such many people confronted with this problem to variable degrees wish to eliminate it efficiently and permanently.
Dandruff corresponds to excessive and visible desquamation of the scalp resulting from excessively rapid multiplication of the epidermal cells and their abnormal maturation. This phenomenon can be caused in particular by microtraumas of physical or chemical nature, such as hair treatments which are too aggressive, extreme climatic conditions, nervousness, diet, fatigue or pollution, but it has been demonstrated that dandruff most commonly results from a disorder of the microflora of the scalp, and more particularly from excessive colonization by a fungus which belongs to the family of yeasts of the Malassezia genus (formerly known as Pityrosporum) and which is naturally present on the scalp.
There remains a need for novel cosmetic treatments for preventing, reducing and/or treating dandruff of the scalp, which are efficient and free of side effects liable to adversely affect good adherence to the treatment. There is also a need for a cosmetic treatment for dandruff of the scalp that does not adversely affect the scalp ecoflora, or even that reinforces the presence of a healthy ecoflora. There is also a need for cosmetic treatments for dandruff that are capable of maintaining, or even reinforcing, the barrier properties of the scalp. Finally, there is a need for an efficient cosmetic treatment for dandruff of the scalp, which has good working qualities such as easy application, good cosmetic properties and easy removal. The aim of the present invention is to satisfy these needs.
The Applicant has now discovered, surprisingly, that by combining an active agent derived from a microorganism belonging to the genus Vitreoscilla sp. with a particular surfactant system as defined below, in the presence of a thickener, it is possible to obtain a hair composition for washing or caring for the hair and/or the scalp, which is stable over time and which has good detergency and working properties, allowing good distribution of the composition and especially of the active agent over the hair and/or the scalp, and which is particularly efficient, espe-
daily as an antidandruff composition.
In particular, it has been found that when using such a cosmetic composition, it spreads easily over the hair and the scalp, generating an abundant and soft foam that is easy to remove with water, leaving the hair clean, shiny, sleek and soft. The composition according to the invention also has particularly noteworthy anti- dandruff efficacy, especially with repeat applications.
The composition according to the invention also shows satisfactory stability on storage, both at room temperature (25°C) and at elevated temperature (45°C, for example).
A subject of the present invention is thus a cosmetic composition comprising:
- a lysate of bacteria belonging to the genus Vitreoscilla sp. in a complete fermentation medium,
- one or more thickeners, and
- a surfactant system chosen from:
(a) a system A comprising one or more anionic surfactants and one or more amphoteric or zwitterionic surfactants;
(b) a system B comprising one or more anionic surfactants chosen from ethoxy- lated alkyl sulfates and salts thereof; and one or more anionic surfactants other than the said ethoxylated alkyl sulfates and salts thereof; or
(c) a system C comprising one or more cationic surfactants comprising one or more permanent positive charges.
Bacterial lysate
The composition according to the invention thus comprises at least one lysate of bacteria belonging to the Vitreoscilla sp. genus (in particular species: Vitreoscilla filiformis) in a complete fermentation medium.
For the purposes of the present invention, the expression "lysate in a complete fermentation medium" means that the lysate is used and is present, in the cosmetic composition containing it, formulated in its complete culture medium of origin as defined hereinafter, which complete culture medium is the medium in which the bacteria were cultured until after the microbial growth phase having resulted in the use of the nutritive substrates initially present in the culture medium.
For the purposes of the present invention, the expression "complete fermentation medium" denotes a medium resulting from the culturing process which was used for the growth and cell lysis of the microorganism, the said medium not otherwise having undergone any additional manipulation aimed at separating out and/or removing all or part of its non-aqueous constituents.
The application of an extract of non-photosynthetic, non-fruiting filamentous bacteria, like bacteria of the Vitreoscilla sp. genus (in particular the species Vitreoscilla filiformis), as an active agent for modulating and preferably inhibiting the adhesion
and/or proliferation of pathogenic microorganisms on the skin and the scalp has already been proposed in document FR 2 879 452. However, the extract under consideration in this document consists of either the supernatant of the fermentation medium of the said bacterium, or the biomass obtained after culturing the said bacteria, or the envelopes or envelope fractions, or else the extracts obtained following a supplementary treatment of the biomass. Consequently, all of the abovementioned extracts are obtained only after a supplementary operation such as, for example, filtration or centrifugation, applied to the fermentation medium for the purpose of separating the extract under consideration from the other constitu- ents of this fermentation medium. The active agent under consideration according to the invention is therefore entirely different from the extract described in FR 2 879 452 or described in FR 2 956 812.
Cosmetic or dermatological compositions comprising a total extract of Vitreoscilla filiformis have been described in EP 1 400 237, which describes various extracts of Vitreoscilla filiformis, respectively (i) bacterial cells separated from the biomass, for example by centrifugation, (ii) the biomass, which is an acellular suspension that may contain cell debris, and (iii) the supernatant fraction of this biomass.
As opposed to the extract described in FR 2 879 452 or to those described in EP 1 400 237, the active agent under consideration according to the invention consists of all the components present in the fermentation medium.
The surprising effect of the use according to the invention therefore results from the use, as active agent, for the first time by the inventors of a microorganism lys- ate in its complete fermentation medium. Indeed, it has been found that the active agent in accordance with the invention shows regulatory activity on the scalp microflora which is greater than that noted for a biomass-type extract of the same bacterium. In particular, it has been observed that, after a cosmetic treatment according to the invention, the balance of the microflora and the barrier properties of the scalp are reinforced. Without wishing to be bound by what follows, this gain in efficacy could be the result of a synergistic effect between constituents of the bacterium, which are normally separated from each other, for example its water- soluble metabolites, generated during its proliferation in its fermentation medium and conventionally present in the aqueous supernatant, and its components such as water-insoluble cell envelopes or cell envelope fractions constituting all or part of the biomass of its culture medium, or even its isolated lysate.
It has thus been shown that a cosmetic composition comprising an active agent according to the invention (a lysate of bacteria belonging to the Vitreoscilla sp. genus in a complete fermentation medium) has dandruff-reducing properties which are equal to or even greater than those of known antidandruff active agents. In particular, a cosmetic composition comprising an active agent of the invention is active against dandruff of the scalp at much lower doses than the doses of conventional antidandruff active agents required for obtaining the same effects on dandruff of the scalp.
Complete fermentation medium
As previously stated, the expression "complete fermentation medium" denotes a fermentation or else culture medium which has the same composition, at least in terms of non-aqueous constituents, or even completely, as the fermentation medium in which there was successively carried out the fermentation and cell lysis of the microorganism devoted to forming the lysate required in parallel according to the invention.
In other words, this medium has undergone, moreover, no secondary manipulation aimed at separating and/or removing all or part of its non-aqueous constituents. More particularly, the active agent under consideration according to the invention is formed from the microorganisms lysate and from all or part, in terms of amount, of the culture medium which was used for the fermentation of the said bacterium and in which its cell lysis was consecutively carried out (i.e. complete fermentation medium).
With regard to the foregoing, it emerges that the active agent formed according to the invention from the lysate and from the "complete" fermentation medium contains the cytoplasmic and cytosolic fractions, the cell wall fragments and the metabolites formed and/or released during the cell lysis of the said microorganism, and all of the biological entities capable of being generated and released spontaneously by the bacterium during its fermentation process and therefore already present in the fermentation medium before the cell lysis of the said bacterium. Consequently, an active agent according to the invention, i.e. formed from a lysate of a bacterium belonging to the Vitreoscilla sp. genus (in particular the species: Vitreoscilla filiformis) in a complete fermentation medium according to the invention is clearly different than the supernatant of a fermentation medium of a bacterium belonging longing to the Vitreoscilla sp. genus (in particular the species: Vitreoscilla filiformis).
Indeed, the active agent under consideration according to the invention, as op- posed to the supernatant, contains cell fragments of the said bacterium represented by the lysate.
An active agent according to the invention, i.e. formed from a lysate of a bacteria belonging to the Vitreoscilla sp. genus (in particular species: Vitreoscilla filiformis) in a complete fermentation medium according to the invention, is also different from the biomass or biomass fraction, or even from a lysate or lysate fraction, isolated from a fermentation medium of a bacterium belonging to the Vitreoscilla sp. genus (in particular species: Vitreoscilla filiformis).
Indeed, the active agent under consideration according to the invention, as opposed to this biomass or biomass fraction, or this lysate or lysate fraction, contains a significant amount of water-soluble metabolites naturally released into the culture medium during the proliferation of the said bacterium.
For the purposes of the present invention, the expression "non-aqueous constituents" implies that water, which is a major constituent of conventional fermentation
media, is not part of the constituents that must remain as such, i.e. in equal amount, in the complete culture medium according to the invention.
Thus, the expression "complete medium" is also understood to be a form of complete medium termed "concentrated" owing to the fact that it is obtained at the end of a partial evaporation of the water constituting a fermentation medium in which the culturing of the corresponding microorganism and the cell lysis thereof were consecutively carried out. Of course, this evaporation is carried out under operating conditions adjusted so as not to impair the integrity of the non-aqueous constituents forming this complete medium.
Fermentation medium composition
By definition, a fermentation or else culture medium is a support which enables the culture and therefore, as appropriate, the growth of cells, bacteria and yeast. In principle, the cells find in this medium the components essential for them to multi- ply in large number rapidly, but also sometimes elements which will make it possible to favour the growth of a specific bacterial genus or of a particular family, in this case a bacterium belonging to the Vitreoscilla sp. genus (in particular the species: Vitreoscilla filiformis).
Its composition must therefore meet the nutritive requirements of the microorgan- ism under consideration and necessary for the proliferation thereof.
More specifically, the composition of this culture medium must:
- cover the needs in terms of mineral ions and growth factors, and provide the carbon and energy source;
- have a pH close to the optimum pH; and
- have an optimum ionic strength (the medium may be isotonic, but this is not obligatory).
Thus, the composition of a fermentation medium suitable for the invention comprises at least:
- a carbon and energy source, generally represented by a sugar and advanta- geously glucose,
- a potassium and phosphorus source, like, for example, K2HPO4,
- a nitrogen and sulfur source which can be represented by the compound (NH4)2SO4,
- a magnesium source such as, for example, MgC ,
- a calcium source such as, for example, CaC^,
- an iron source, and more particularly iron citrate, the role of the citrate being to keep the iron in solution,
- a source of trace elements chosen in particular from salts of Cu, Zn, Co, Ni, B, Ti,
- a source of water, generally sterile, essential for all forms of life,
- a pH buffer which can be represented by KH2PO4.
If one of these components is not present, the bacteria do not grow because they cannot by themselves compensate for its absence.
By way of illustration of a fermentation medium suitable for the growth of a micro-
organism in accordance with the invention, mention may particularly made of the medium represented in Example 1 hereinafter.
An effective amount of the microorganism under consideration according to the invention is introduced therein and the whole mixture is placed under conditions suitable for the proliferation of the said microorganism.
To obtain a lysate of bacteria belonging to the Vitreoscilla sp. genus in a complete fermentation medium, according to a process comprising a step of culturing the said bacteria, a person skilled in the art may refer in particular to Example 1 .
Advantageously, to obtain an active agent according to the invention, i.e. a lysate of bacteria belonging to the Vitreoscilla sp. genus in a complete fermentation medium, the biomass (bacterial cells after the growth phase, present in the medium in which they were cultured) is frozen, for example at a temperature of -20°C, and then sterilized, preferably by heat, in particular by subjecting the previously frozen biomass to a step of heating at a temperature above 100°C. By way of illustration, the biomass sterilization step may be performed by autoclaving, for example at a temperature of 121 °C.
As emerges from the aforementioned, at the end of this culturing of said microorganism, the latter is converted into lysate form directly in the fermentation medium that was used to culture it.
Lysis of bacteria in order to obtain an active agent according to the invention
A lysate commonly denotes a material obtained after the destruction or dissolution of biological cells via a phenomenon known as cell lysis, thus causing the release of the intracellular and cellular biological constituents naturally contained in the biological cells under consideration.
For the purposes of the present invention, the term "lysate" denotes all of the lysate obtained by lysis of the microorganism concerned, namely a bacterium belonging to the Vitreoscilla sp. genus (in particular of the species: Vitreoscilla filiformis). The lysate used is therefore formed from all of its intracellular biological constitu- ents, in particular its metabolites and the constituents of the cell walls and membranes generated during its cell lysis.
For the purposes of the invention, the term "metabolite" denotes any substance resulting from the metabolism of the microorganism under consideration according to the invention.
This cell lysis may be accomplished via various techniques, such as, for example, an osmotic shock, a heat shock, via ultrasonication, or alternatively under a mechanical stress of centrifugation type.
More particularly, this lysate may be obtained according to the technique described in patent US 4 464 362, and especially according to the protocol described below.
The fermentation medium which was used to culture the microorganism under consideration and therefore containing the said microorganism is subjected to disintegration by ultrasound in order to release therein the cytoplasmic and cytosolic
fractions, the cell wall fragments and the products resulting from the metabolism of this microorganism. All these components are then preserved therein in their natural distribution in a stabilized form in the "complete" fermentation medium.
Consequently, the active agent under consideration according to the invention can be obtained via a process consisting of:
- the culturing of at least one bacterium belonging to the Vitreoscilla sp. genus (in particular the species: Vitreoscilla filiformis) on a fermentation medium under conditions suitable for the proliferation of the said bacterium, and
- the cell lysis of the said bacteria in the said fermentation medium.
Bacteria belonging to the Vitreoscilla sp. genus (in particular the species: Vitreoscilla filiformis)
As specified above, the microorganism under consideration according to the invention in the lysate form is a non-synthetic filamentous bacterium as defined in the classification of Bergey's Manual of Systematic Bacteriology (Vol. 3, sections 22 and 23, 9th edition, 1989), and belonging to the Vitreoscilla sp. genus (in particular the species: Vitreoscilla filiformis). More particularly, it is a bacterium belonging to the Beggiatoa, Vitreoscilla, Flexithrix or Leucothrix genus. Among the bacteria that may be used, mention may be made, for example, of Vitreoscilla fili- formis (ATCC 15551 ). According to one preferred variant of the invention, it is the bacterium Vitreoscilla filiformis.
The cosmetic composition according to the invention preferably comprises from 0.001 % to 20% by weight, more preferentially from 0.01 % to 10% by weight and in particular from 0.1 % to 5% by weight of lysate of bacteria belonging to the genus Vitreoscilla sp. in a complete fermentation medium, relative to the total weight of the composition.
Particular surfactant system
1/ First embodiment
In a first embodiment of the invention, the surfactant system according to the invention comprises one or more anionic surfactants and one or more amphoteric or zwitterionic surfactants.
In this first embodiment of the invention, the term "anionic surfactant" means a surfactant comprising, as ionic or ionizable groups, only anionic groups. These anionic groups are selected preferably from the groups CO2H, CO2", SO3H, SO3", OSO3H, OSO3", O2PO2H, O2PO2H" and O2PO22".
Mention may be made, as examples of anionic surfactants which can be used in the composition according to the invention, of alkyl sulfates, alkyl ether sulfates, alkylamido ether sulfates, alkylaryl polyether sulfates, monoglyceride sulfates, alkyl sulfonates, alkylamide sulfonates, alkylaryl sulfonates, a-olefin sulfonates, par-
affin sulfonates, alkyl sulfosuccinates, alkyl ether sulfosuccinates, alkylamide sul- fosuccinates, alkyl sulfoacetates, acyl sarcosinates, acyl glutamates, alkyl sulfo- succinamates, acyl isethionates and N-acyl taurates; salts of alkyl monoesters of polyglycoside-polycarboxylic acids, acyl lactylates, salts of D-galactosideuronic acids, salts of alkyl ether carboxylic acids, salts of alkylaryl ether carboxylic acids, salts of alkylamido ether carboxylic acids; and the corresponding non-salified forms of all these compounds; the alkyl and acyl groups of all these compounds comprising from 6 to 24 carbon atoms and the aryl group denoting a phenyl group. These compounds can be oxyethylenated and then preferably comprise from 1 to 50 ethylene oxide units. The salts of Ce-24 alkyl monoesters and polyglycoside- polycarboxylic acids may be selected from Ce-24 alkyl polyglycoside-citrates, Ce-24 alkyl polyglycoside-tartrates and C6-24 alkyl polyglycoside-sulfosuccinates.
When the anionic surfactants are in salt form, they may be chosen from alkali metal salts such as the sodium or potassium salt and preferably the sodium salt, ammonium salts, amine salts and in particular amino alcohol salts or alkaline-earth metal salts such as the magnesium salt.
Mention may be made, as examples of amino alcohol salts, of monoethanolamine, diethanolamine and triethanolamine salts, monoisopropanolamine, diisopropa- nolamine or triisopropanolamine salts, 2-amino-2-methyl-1 -propanol salts, 2- amino-2-methyl-1 ,3-propanediol salts and tris(hydroxymethyl)aminomethane salts. Alkali metal or alkaline-earth metal salts and in particular the sodium or magnesium salts are preferably used.
Use is preferably made, among the anionic surfactants mentioned, of (C6-C24)alkyl sulfates, (C6-C24)alkyl ether sulfates comprising from 2 to 50 ethylene oxide units, especially in the form of alkali metal, ammonium, amino alcohol and alkaline-earth metal salts, or a mixture of these compounds.
It is in particular preferred to use (Ci2-C2o)alkyl sulfates, (Ci2-C2o)alkyl ether sulfates comprising from 2 to 20 ethylene oxide units, especially in the form of alkali metal, ammonium, amino alcohol and alkaline-earth metal salts, or a mixture of these compounds. Better still, it is preferred to use sodium lauryl ether sulfate containing 2.2 mol of ethylene oxide.
In this embodiment, the amphoteric or zwitterionic surfactant(s) that may be used in the present invention may especially be derivatives of optionally quaternized secondary or tertiary aliphatic amines comprising at least one anionic group, for instance a carboxylate, sulfonate, sulfate, phosphate or phosphonate group, and in which the aliphatic group or at least one of the aliphatic groups is a linear or branched chain comprising from 8 to 22 carbon atoms.
Mention may be made in particular of (C8-C20) alkylbetaines, sulfobetaines, (C8-C20 alkyl)amido(C2-8 alkyl)betaines or (C8-C20 alkyl )amido(C2-Cs alkyl)sulfobetaines. Preferably, the betaine amphoteric or zwitterionic surfactant(s) (iii) are chosen from (C8-2o)alkylbetaines and (Cs-2o alkyl )amido(C2-8 alkyl)betaines.
Among the derivatives of optionally quaternized secondary or tertiary aliphatic
amines that may be used, as defined above, mention may also be made of the products with respective structures (A2) and (A3) below:
Ra-CONHCH2CH2-N+(Rb)(Rc)(CH2COO") (A2)
in which Ra represents a C10-C30 alkyl or alkenyl group derived from an acid Ra- COOH preferably present in hydrolysed coconut oil, a heptyl group, a nonyl group or an undecyl group, Rb represents a β-hydroxyethyl group and Rc represents a carboxymethyl group;
and
Ra-CONHCH2CH2-N(B)(B') (A3)
in which:
B represents -CH2CH2OX',
B' represents -(CH2)Z-Y\ with z = 1 or 2,
X' represents the group -CH2-COOH, CH2-COOZ', -CH2CH2-COOH or -CH2CH2- COOZ', or a hydrogen atom,
Y' represents -COOH, -COOZ', the group -CH2-CHOH-SO3H or -CH2-CHOH-
Z' represents an ion derived from an alkali or alkaline-earth metal, such as sodium, potassium or magnesium; an ammonium ion; or an ion derived from an organic amine and in particular from an amino alcohol, such as mono-, di- and trietha- nolamine, mono-, di- or triisopropanolamine, 2-amino-2-methyl-1 -propanol, 2- amino-2-methyl-1 ,3-propanediol and tris(hydroxymethyl)aminomethane,
Ra' represents a C 10-C30 alkyl or alkenyl group of an acid Ra'COOH preferably present in hydrolysed linseed oil or coconut oil, an alkyl group, in particular a C17 alkyl group, and its iso form, or an unsaturated C17 group.
The compounds corresponding to formula (A3) are classified in the CTFA dictionary, 5th edition, 1993, under the names disodium cocoamphodiacetate, disodium lauroamphodiacetate, disodium caprylamphodiacetate, disodium caprylamphodi- acetate, disodium cocoamphodipropionate, disodium lauroamphodipropionate, disodium caprylamphodipropionate, disodium caprylamphodipropionate, lauroam- phodipropionic acid and cocoamphodipropionic acid.
Mention may be made, by way of example, of the cocoamphodiacetate sold by Rhodia under the trade name Miranol® C2M Concentrate. Use may also be made of compounds of formula (A'3):
Ra"-NH-CH(Y")-(CH2)n-C(O)-NH-(CH2)n'-N(Rd)(Re) (A'3)
in which formula:
Y" represents the group -C(O)OH, -C(O)OZ", -CH2-CH(OH)-SO3H or the group - CH2-CH(OH)-SO3-Z";
Rd and Re, independently of each other, represent a Ci-C4 alkyl or hydroxyalkyl radical;
Z" represents a cationic counterion derived from an alkali metal or alkaline-earth metal, such as sodium, an ammonium ion or an ion derived from an organic
amine;
Ra" represents a C10-C30 alkyl or alkenyl group of an acid Ra"-C(O)OH preferably present in coconut oil or in hydrolysed linseed oil;
n and n' denote, independently of each other, an integer ranging from 1 to 3.
Among the compounds of formula (B'2), mention may be made of the compound classified in the CTFA dictionary under the name sodium diethylaminopropyl co- coaspartamide and sold by the company Chimex under the name Chimexane HB.
Among the amphoteric or zwitterionic surfactants mentioned above that are pref- erably used are (Cs-2o alkyl)betaines and (Cs-2o alkyl )amido(C2-8 alkyl)betaines, and mixtures thereof. More preferably, the amphoteric or zwitterionic surfactant(s) are chosen from cocoylamidopropylbetaine and cocoylbetaine.
In a preferred embodiment, the anionic surfactant(s) are chosen from (C6-C24)alkyl sulfates and (C6-C24)alkyl ether sulfates comprising from 2 to 50 ethylene oxide units; and the amphoteric or zwitterionic surfactant(s) are chosen from (Cs-2o al- kyl)betaines, (Cs-2o alkyl )amido(C2-8 alkyl)betaines and cocoamphodiacetates. In a particularly preferred embodiment, the anionic surfactant(s) are chosen from (Ci6)alkyl sulfates and (Ci6)alkyl ether sulfates especially in the form of sodium salts, comprising from 2 to 10 ethylene oxide units; and the amphoteric or zwitterionic surfactant(s) are chosen from cocoylamidopropylbetaine and cocoylbetaine.
According to the first embodiment, the composition according to the invention preferably comprises from 0.1 % to 50% by weight, in particular from 4% to 30% by weight and better still from 8% to 20% by weight of anionic surfactant(s) relative to the total weight of the composition.
It preferably comprises from 0.01 % to 20% by weight, in particular from 0.1 % to 10% by weight or even from 1 % to 5% by weight of amphoteric or zwitterionic surfactants) relative to the total weight of the composition.
Advantageously, the composition according to the invention may comprise a weight ratio of the amount of anionic surfactant(s) to the amount of amphoteric or zwitterionic surfactant(s) of greater than 1 and better still greater than 3. Preferably, the weight ratio of the amount of anionic surfactant(s) to the amount of amphoteric or zwitterionic surfactant(s) is less than or equal to 100, better still less than or equal to 50, even better still less than or equal to 20 and even more preferentially less than 10.
According to this first embodiment, the composition according to the invention may also comprise one or more cationic surfactants, especially as defined below, in the amounts as defined below.
21 Second embodiment
In a second embodiment of the invention, the surfactant system according to the
invention comprises one or more anionic surfactants chosen from ethoxylated alkyl sulfates and salts thereof, and mixtures thereof, and one or more anionic surfactants other than the said ethoxylated alkyl sulfates and salts thereof. In this embodiment, the ethoxylated alkyl sulfate(s) that may be used in the composition according to the invention may be chosen from ethoxylated (C6-C24)alkyl sulfates, in particular from ethoxylated (Cs-C2o)alkyl sulfates, and better still from ethoxylated (Ci2-i4)alkyl sulfates such as ethoxylated lauryl sulfate. The alkyl group of these compounds may be linear or branched. Preferably, the alkyl group is lin- ear. The number of ethylene oxide groups per ethoxylated alkyl sulfate molecule preferably ranges from 1 to 50, better still from 1 to 10 and even better still from 1 to 5. Even more preferentially, this number ranges from 2 to 3.
The constituent salts of the ethoxylated alkyl sulfate may be chosen from alkali metal salts such as the sodium salt, ammonium salts, amine salts and in particular amino alcohol salts, and alkaline-earth metal salts such as the magnesium salt. Examples of amino alcohol salts that may especially be mentioned include the salts of mono-, di- and triethanolamine, the salts of mono-, di- or triisopropanola- mine, and the salts of 2-amino-2-methyl-1 -propanol, of 2-amino-2-methyl-1 ,3- propanediol and of tris(hydroxymethyl)aminomethane. Alkali metal or alkaline- earth metal salts and in particular the sodium or magnesium salts are preferably used.
It is most particularly preferred to use ethoxylated sodium lauryl sulfate comprising from 2 to 3 mol of ethylene oxide. In this second embodiment, the composition according to the invention also comprises one or more anionic surfactants, other than the said ethoxylated alkyl sulfates and salts thereof.
The term "anionic surfactant" means a surfactant comprising, as ionic or ionizable groups, only anionic groups. These anionic groups are selected preferably from the groups CO2H, CO2 ", SO3H, SO3 ", OSO3H, OSO3 ", O2PO2H, O2PO2H" and O2PO2 2\
The said anionic surfactants may be chosen from non-ethoxylated alkyl sulfates, alkylamido ether sulfates, alkylaryl polyether sulfates, monoglyceride sulfates, alkyl sulfonates, alkylamide sulfonates, alkylaryl sulfonates, a-olefin sulfonates, par- affin sulfonates, alkyl sulfosuccinates, alkyl ether sulfosuccinates, alkylamide sul- fosuccinates, alkyl sulfoacetates, acyl sarcosinates, acyl glutamates, alkyl sulfo- succinamates, acyl isethionates and N-acyl taurates; salts of alkyl monoesters of polyglycoside-polycarboxylic acids, acyl lactylates, salts of D-galactosideuronic acids, salts of alkyl ether carboxylic acids, salts of alkylaryl ether carboxylic acids, salts of alkylamido ether carboxylic acids; and the corresponding non-salified forms of all these compounds; the alkyl and acyl groups of all these compounds comprising from 6 to 24 carbon atoms, and the aryl group denoting a phenyl group. Some of these compounds may be oxyethylenated and then preferably
comprise from 1 to 50 and more particularly from 1 to 10 ethylene oxide units. The salts of Ce-24 alkyl monoesters and polyglycoside-polycarboxylic acids may be selected from Ce-24 alkyl polyglycoside-citrates, Ce-24 alkyl polyglycoside-tartrates and Ce-24 alkyl polyglycoside-sulfosuccinates.
When these anionic surfactants are in salt form, they may be chosen from alkali metal salts such as the sodium or potassium salt and preferably the sodium salt, ammonium (NH +) salts, amine salts and in particular amino alcohol salts, and alkaline-earth metal salts such as the magnesium salt. Examples of amino alcohol salts that may especially be mentioned include the salts of mono-, di- and trietha- nolamine, the salts of mono-, di- or triisopropanolamine, and the salts of 2-amino- 2-methyl-1 -propanol, of 2-amino-2-methyl-1 ,3-propanediol and of tris(hydroxymethyl)aminomethane. Alkali metal or alkaline-earth metal salts and in particular the sodium or magnesium salts are preferably used.
It is most particularly preferred to use salts of (Ce-24 alkyl)ether carboxylic acids and non-ethoxylated (C6-24)alkyl sulfates. In particular, it is preferred to use non- ethoxylated (C6-24)alkyl sulfates, and in particular sodium, magnesium or ammonium lauryl sulfates. Sodium lauryl sulfate is more preferentially used.
In a preferred embodiment of this second embodiment, the composition comprises one or more anionic surfactants chosen from ethoxylated (C6-C24)alkyl sulfates comprising from 1 to 50, preferably from 1 to 10, in particular from 1 to 5 and better still from 2 to 3 ethylene oxide units; and one or more anionic surfactants chosen from (C6-C24)alkyl sulfates. In this second embodiment of the invention, the composition according to the invention preferably comprises from 0.1 % to 50% by weight, in particular from 2% to 20% by weight, better still from 4% to 15% and even better still from 5% to 15% by weight of anionic surfactants chosen from ethoxylated alkyl sulfates and salts thereof, relative to the total weight of the composition.
It preferably comprises from 0.1 % to 30% by weight, in particular from 1 % to 20% by weight and better still from 2% to 15% by weight of anionic surfactants other than the said ethoxylated alkyl sulfates and salts thereof, relative to the total weight of the composition.
Advantageously, in the composition according to the invention, the weight ratio of the amount of anionic surfactant(s) of the type such as ethoxylated alkyl sulfates and salts thereof to the amount of anionic surfactant(s) other than the said ethoxylated alkylsulfonates and salts thereof ranges from 0.25 to 20, preferably from 0.5 to 10, better still from 1 to 5 and even better still from 1 to 2.5. According to this second embodiment, the composition according to the invention may also comprise one or more cationic surfactants especially as defined below, and/or one or more amphoteric or zwitterionic surfactants especially as defined above, in the amounts as defined below or above.
3/ Third embodiment
In a third embodiment of the invention, the surfactant system according to the invention comprises one or more cationic surfactants comprising one or more per- manent positive charges.
Generally, a cationic surfactant may bear one or more permanent positive charges or may comprise one or more cationizable functions in the composition according to the invention. The cationic surfactants of the invention are those bearing one or more permanent positive charges, i.e. one or more quaternized nitrogen atoms.
The cationic surfactants that may be used in the composition according to the invention comprise quaternary ammonium salts, and mixtures thereof. Examples of quaternary ammonium salts that may especially be mentioned include:
- (A) those corresponding to formula (I) below:
in which:
- the radicals R8 to R1 1 , which may be identical or different, represent a linear or branched aliphatic hydrocarbon-based radical comprising from 1 to 30 carbon atoms, or an aromatic radical such as aryl or alkylaryl, at least one of the radicals R8 to R1 1 comprising from 8 to 30 carbon atoms and preferably from 12 to 24 carbon atoms; it being possible for the aliphatic radicals to comprise heteroatoms such as oxygen, nitrogen, sulfur or halogens.
The aliphatic radicals are chosen, for example, from C1 -C30 alkyl, C1 -C30 alkoxy, polyoxy(C2-C6)alkylene, C1 -C30 alkylamide, (C12-C22)alkylamido(C2-C6)alkyl and C1 -C30 hydroxyalkyl radicals;
- X" is an anion chosen from the group of halides, phosphates, acetates, lactates, (C1 -C4)alkyl sulfates or (C1 -C4)alkyl sulfonates or (C1 -C4)alkylaryl sulfonates.
Among the quaternary ammonium salts of formula (I), preference is firstly given especially to tetraalkylammonium chlorides, for instance dialkyldimethylammonium or alkyltrimethylammonium chlorides in which the alkyl radical comprises approximately from 12 to 22 carbon atoms, in particular the salts, especially behenyl- trimethylammonium, distearyldimethylammonium, cetyltrimethylammonium, dicetyldimethylammonium and benzyldimethylstearylammonium chlorides, or else, secondly, to palmitylamidopropyltrimethylammonium chloride or stearamidopro- pyldimethyl(myristyl acetate)ammonium chloride, which is sold under the name
Ceraphyl® 70 by the company Van Dyk.
- (B) quaternary ammonium salts of imidazoline, for instance those of formula (II) below:
- R12 represents an alkenyl or alkyl radical comprising from 8 to 30 carbon atoms, for example tallow fatty acid derivatives,
- R13 represents a hydrogen atom, a Ci-C4 alkyl radical or an alkenyl or alkyl radical comprising from 8 to 30 carbon atoms,
- R14 represents a Ci-C4 alkyl radical,
- R15 represents a hydrogen atom or a Ci-C4 alkyl radical,
- X" is an anion chosen from the group of halides, phosphates, acetates, lactates, (C1 -C4)alkyl sulfates and (C1 -C4)alkyl sulfonates or (C1 -C4)alkylaryl sulfonates. Preferably, R12 and R13 denote a mixture of alkenyl or alkyl radicals comprising from 12 to 21 carbon atoms, for example fatty acid derivatives of tallow, R14 denotes a methyl radical and R15 denotes a hydrogen atom. Such a product is sold, for example, under the name Varisoft W 575 PG N by the company Evonik Gold- schmidt;
- (C) diquaternary or triquaternary ammonium salts, in particular of formula (III) below:
2+
f?17 R 19
R16— — (CH2)3— N— R. 2X
R, R 2. 0 in which:
- R16 denotes an alkyl radical comprising approximately from 16 to 30 carbon atoms, which is optionally hydroxylated and/or interrupted with one or more oxygen atoms;
- R17 is chosen from hydrogen or an alkyl radical comprising from 1 to 4 carbon atoms or a group -(CH2)3-N+(R16a)(R17a)(R18a),
- R16a, R17a, R18a, R18, R19, R20 and R21 , which may be identical or different, are chosen from hydrogen and an alkyl radical comprising from 1 to 4 carbon atoms, and
- X" is an anion chosen from the group of halides, acetates, phosphates, nitrates, (C1 -C4)alkyl sulfates, (C1 -C4)alkyl sulfonates or (C1 -C4)alkylaryl sulfonates, in particular methyl sulfate and ethyl sulfate.
Such compounds are, for example, Finquat CT-P, sold by the company Innospec Active Chemicals (Quaternium 89), and Condicare CT sold by the company Innospec Active Chemicals (Quaternium 75);
- (D) quaternary ammonium salts containing one or more ester functions, such as those of formula (IV) below:
in which:
- R22 is chosen from C1 -C6 alkyl radicals and C1 -C6 hydroxyalkyl or dihydroxyal- kyl radicals;
- R23 is chosen from:
O II
- the radical R26— C—
- linear or branched, saturated or unsaturated C1 -C22 hydrocarbon-based radicals R27,
- a hydrogen atom,
- R25 is chosen from:
O II
- the radical I½— C—
- saturated or unsaturated, linear or branched C1 -C6 hydrocarbon-based radicals R29,
- a hydrogen atom,
- R24, R26 and R28, which may be identical or different, are chosen from linear or branched, saturated or unsaturated C7-C21 hydrocarbon-based radicals;
- r, s and t, which may be identical or different, are integers ranging from 2 to 6;
- r1 and t1 , which may be identical or different, are equal to 0 or 1 ;
- r2+r1 =2r and t1 +t2=2t
- y is an integer ranging from 1 to 10;
- x and z, which may be identical or different, are integers ranging from 0 to 10;
- X" is a simple or complex, organic or mineral anion;
with the proviso that the sum x + y + z is from 1 to 15, that when x is 0, then R23 denotes R27 and that when z is 0, then R25 denotes R29.
The alkyl radicals R22 may be linear or branched, and more particularly linear. R22 preferably denotes a methyl, ethyl, hydroxyethyl or dihydroxypropyl radical, and more particularly a methyl or ethyl radical.
Advantageously, the sum x + y + z is from 1 to 10.
When R23 is a hydrocarbon-based radical R27, it may be long and may contain from 12 to 22 carbon atoms, or may be short and may contain from 1 to 3 carbon atoms.
When R25 is a hydrocarbon-based radical R29, it preferably contains 1 to 3 carbon atoms.
Advantageously, R24, R26 and R28, which may be identical or different, are chosen from linear or branched, saturated or unsaturated C1 1 -C21 hydrocarbon- based radicals, and more particularly from linear or branched, saturated or unsaturated C1 1 -C21 alkyl and alkenyl radicals.
Preferably, x and z, which may be identical or different, are equal to 0 or 1 .
Advantageously, y is equal to 1 .
Preferably, r, s and t, which may be identical or different, are equal to 2 or 3, and even more particularly are equal to 2. The anion X" is preferably a halide, preferably chloride, bromide or iodide, a (C1 - C4)alkyl sulfate or a (C1 -C4)alkyl- or (C1 -C4)alkylaryl-sulfonate. However, use may be made of methanesulfonate, phosphate, nitrate, tosylate, an anion derived from an organic acid, such as acetate or lactate, or any other anion compatible with ammonium bearing an ester function. The anion X" is more particularly chlo- ride, methyl sulfate or ethyl sulfate.
Use is made more particularly, in the composition according to the invention, of the ammonium salts of formula (IV) in which:
- R22 denotes a methyl or ethyl radical,
- x and y are equal to 1 ;
- z is equal to 0 or 1 ;
- r, s and t are equal to 2;
- R23 is chosen from methyl, ethyl or C14-C22 hydrocarbon-based radicals and a hydrogen atom, or
O II
- the radical R26— C—
- R25 is chosen from a hydrogen atom, or
O II
- the radical R2s— C—
- R24, R26 and R28, which may be identical or different, are selected from linear
or branched, saturated or unsaturated C13-C17 hydrocarbon-based radicals, and preferably from linear or branched, saturated or unsaturated C13-C17 alkyl and alkenyl radicals.
Advantageously, the hydrocarbon-based radicals are linear.
Among the compounds of formula (IV), examples that may be mentioned include salts, especially the chloride or methyl sulfate, of diacyloxyethyldimethylammo- nium, diacyloxyethylhydroxyethylmethylammonium, monoacyloxyethyldihy- droxyethylmethylammonium, triacyloxyethylmethylammonium or monoacy- loxyethylhydroxyethyldimethylammonium, and mixtures thereof. The acyl radicals preferably contain 14 to 18 carbon atoms and are obtained more particularly from a plant oil such as palm oil or sunflower oil. When the compound contains several acyl radicals, these radicals may be identical or different.
Mention may be made more particularly of salts, and especially distearoylethylhy- droxyethylmethylammonium, dipalmitoylethylhydroxyethylammonium or distearoylethylhydroxyethylammonium methosulfate.
These products are obtained, for example, by direct esterification of triethanola- mine, triisopropanolamine, an alkyldiethanolamine or an alkyldiisopropanolamine, which are optionally oxyalkylenated, with fatty acids or with mixtures of fatty acids of plant or animal origin, or by transesterification of the methyl esters thereof. This esterification is followed by a quaternization by means of an alkylating agent such as an alkyl halide, preferably a methyl or ethyl halide, a dialkyl sulfate, preferably a methyl or ethyl sulfate, methyl methanesulfonate, methyl para-toluenesulfonate, glycol chlorohydrin or glycerol chlorohydrin.
The composition according to the invention may contain, for example, a mixture of quaternary ammonium monoester, diester and triester salts with a weight majority of diester salts.
It is also possible to use the ammonium salts containing at least one ester function that are described in patents US-A-4 874 554 and US-A-4 137 180.
Use may be made of behenoylhydroxypropyltrimethylammonium chloride, sold by Kao under the name Quartamin BTC 131 .
Preferably, the ammonium salts containing at least one ester function contain two ester functions. Among the cationic surfactants that may be used in the composition according to the invention, the ones more particularly preferred are cetyltrimethylammonium, behenyltrimethylammonium or dipalmitoylethylhydroxyethylmethylammonium salts, and mixtures thereof, and more particularly behenyltrimethylammonium chloride, sold for example by the company Clariant under the trade name Genamin KDMP or Genamin BTLF or by the company Evonik Goldschmidt under the name Varisoft BT 85, cetyltrimethylammonium chloride sold, for example, under the trade name Dehyquart A OR by the company Cognis or Quartamin 60 W25 by the company Kao or alternatively Genamin CTAC 25 by the company Clariant, di-
palmitoylethylhydroxyethylmethylammonium methosulfate, such as the commercial product Dehyquart F 30 sold by the company Cognis, and mixtures thereof.
Preferably, the cationic surfactants of the invention are chosen from the com- pounds of formula (I) or (IV).
The composition according to the invention preferably comprises the cationic surfactants) bearing one or more permanent positive charges in an amount ranging from 0.1 % to 10% by weight, preferably from 0.2% to 6% by weight and better still from 1 % to 5% by weight, relative to the total weight of the composition.
According to this third embodiment, the composition according to the invention may also comprise one or more anionic surfactants and/or one or more amphoteric or zwitterionic surfactants especially as defined above, in the amounts as de- fined above.
Thickeners
The composition according to the invention comprises one or more thickeners. For the purposes of the present invention, the term "thickener" means an agent which, by virtue of its presence in the composition, makes it possible to increase the viscosity of the said composition by at least 10 cPs and preferably by at least 200 cPs, at 25°C and at a shear rate of 1 s~1. This viscosity may be measured using a cone/plate viscometer (Haake R600 rheometer or the like).
The thickener(s) may be chosen from sodium chloride, fatty acid amides obtained from C10-C30 carboxylic acid (coconut acid monoisopropanolamide, diethanolamide or monoethanolamide, oxyethylenated alkyl ether carboxylic acid monoethanola- mide), polymeric thickeners and in particular nonionic cellulose-based polymers (hydroxyethylcellulose, hydroxypropylcellulose, carboxymethylcellulose), guar gum and nonionic derivatives thereof (hydroxypropylguar), gums of microbial origin (xanthan gum, scleroglucan gum), crosslinked or non-crossl inked homopolymers and copolymers based on acrylic acid, methacrylic acid or acrylamidopropanesul- fonic acid, and associative polymers as described below, and mixtures thereof.
The associative polymer(s) that may be used according to the invention are water- soluble polymers that are capable, in an aqueous medium, of reversibly associating with each other or with other molecules. Their chemical structure comprises hydrophilic zones and hydrophobic zones characterized by at least one fatty chain preferably comprising from 10 to 30 carbon atoms. The associative polymer(s) that may be used according to the invention may be of anionic, cationic, amphoteric or nonionic type, such as the polymers sold under the names Pemulen TR1 or TR2 by the company Goodrich (INCI: Acrylates/CI O-30 Alkyl Acrylate Crosspolymer),
Salcare SC90 by the company Ciba, Aculyn 22, 28, 33, 44 or 46 by the company Rohm & Haas and Elfacos T210 and T212 by the company Akzo.
Preferably, the thickener(s) are chosen from polymeric thickeners, preferentially from homopolymers and copolymers based on acrylic acid or methacrylic acid, which are preferably crosslinked, and/or fatty acid amides obtained from C10-C30 carboxylic acids.
Preferably, the cosmetic composition comprises from 0.5% to 20% by weight, better still from 0.1 % to 10% by weight, or even from 0.2% to 10% by weight, of thick- ener(s), relative to the total weight of the composition.
Additional ingredients
The composition according to the invention may also comprise one or more additional surfactants chosen from nonionic surfactants.
They may be chosen especially from alcohols, a-diols, (Ci_2o)alkylphenols or fatty acids which are polyethoxylated, polypropoxylated and/or polyglycerolated, containing a fatty chain comprising, for example, from 8 to 18 carbon atoms, the number of ethylene oxide and/or propylene oxide groups possibly ranging in particular from 2 to 50 and the number of glycerol groups possibly ranging in particular from 2 to 30. Mention may also be made of copolymers of ethylene oxide and propylene oxide, optionally oxyethylenated sorbitan fatty acid esters, sucrose fatty acid esters, polyoxyalkylenated fatty acid esters, optionally oxyalkylenated alkyl polygly- cosides, alkyl glucoside esters, derivatives of N-alkylglucamine and of N- acylmethylglucamine, aldobionamides and amine oxides. Unless otherwise men- tioned, the term "fatty" compound (for example a fatty acid) denotes a compound comprising, in its main chain, at least one saturated or unsaturated alkyl chain containing at least 8 carbon atoms, preferably from 8 to 30 carbon atoms, and even better still from 10 to 22 carbon atoms.
When they are present, the amount of the nonionic surfactant(s) preferably ranges from 0.01 % to 20% by weight and better still from 0.2% to 10% by weight, relative to the total weight of the composition.
The composition according to the invention may also comprise one or more conditioning agents.
According to the present invention, the term "conditioning agent" denotes any compound that can improve the cosmetic properties of the hair, in particular the softness, disentangling, feel and static electricity.
The conditioning agent is preferably chosen from the group comprising cationic polymers, silicones, linear or branched C8-C30 hydrocarbons, linear or branched C8-C30 fatty alcohols, esters of C8-C30 fatty acids and C1-C30 alcohols, and especially esters of C8-C30 fatty acids and C8-C30 fatty alcohols, esters of C1-C7 acids or diacids and C8-C30 fatty alcohols, ceramides or ceramide analogues, and mixtures of these compounds.
The term "cationic polymer" means a polymer that is positively charged when it is contained in the composition according to the invention. This polymer may bear one or more positive permanent charges or may contain one or more cationizable functions in the composition according to the invention.
The cationic polymer(s) that may be used as conditioning agents according to the present invention are preferably chosen from polymers comprising primary, secondary, tertiary and/or quaternary amine groups forming part of the polymer chain or directly attached thereto, and having a molecular weight of between 500 and about 5 000 000 and preferably between 1000 and 3 000 000.
When the conditioning agent is a cationic polymer, it is preferably chosen from those that contain units comprising primary, secondary, tertiary and/or quaternary amine groups that may either form part of the main polymer chain, or may be borne by a side substituent directly attached thereto.
Among the cationic polymers that may more particularly be mentioned are poly- mers of the polyamine, polyaminoamide and polyquaternary ammonium type. These are known products. They are described, for example, in French patents 2 505 348 and 2 542 997.
Among these polymers, mention may be made of:
(1 ) Homopolymers or copolymers derived from acrylic or methacrylic esters or am ides and comprising at least one of the units of the following formulae:
R3 and R4, which may be identical or different, represent a hydrogen atom or an alkyl group having from 1 to 6 carbon atoms, and preferably methyl or ethyl;
R5, which may be identical or different, denote a hydrogen atom or a CH3 group; A, which are identical or different, represent a linear or branched alkyl group having from 1 to 6 carbon atoms, preferably 2 or 3 carbon atoms, or a hydroxyalkyl group having from 1 to 4 carbon atoms;
R6, R7 and Rs, which may be identical or different, represent an alkyl group having from 1 to 18 carbon atoms or a benzyl group, and preferably an alkyl group having from 1 to 6 carbon atoms;
X" denotes an anion derived from a mineral or organic acid, such as a methosul- fate anion, or a halide such as chloride or bromide.
The copolymers of family (1 ) may also contain one or more units deriving from comonomers which may be chosen from the family of acrylamides, methacryla- mides, diacetone acrylamides, acrylamides and methacrylamides substituted on the nitrogen with (Ci-C4) lower alkyls, acrylic acids or methacrylic acids or esters thereof, vinyllactams such as vinylpyrrolidone or vinylcaprolactam, and vinyl es- ters.
Thus, among these copolymers of family (1 ), mention may be made of:
- copolymers of acrylamide and of dimethylaminoethyl methacrylate quaternized with dimethyl sulfate or with a dimethyl halide, such as the product sold under the name Hercofloc by the company Hercules,
- copolymers of acrylamide and of methacryloyloxyethyltrimethylammonium chloride, described, for example, in patent application EP-A-080 976 and sold under the name Bina Quat P 100 by the company Ciba Geigy,
- the copolymer of acrylamide and of methacryloyloxyethyltrimethylammonium methosulfate sold under the name Reten by the company Hercules,
- quaternized or non-quaternized vinylpyrrolidone/dialkylaminoalkyl acrylate or methacrylate copolymers, such as the products sold under the name Gafquat by the company ISP, such as, for example, Gafquat 734 or Gafquat 755, or alternatively the products known as Copolymer 845, 958 and 937. These polymers are
described in detail in French patents 2 077 143 and 2 393 573,
- dimethylaminoethyl methacrylate/vinylcaprolactam/vinylpyrrolidone terpolymers, such as the product sold under the name Gaffix VC 713 by the company ISP,
- vinylpyrrolidone/methacrylamidopropyldimethylamine copolymers sold in particu- lar under the name Styleze CC 10 by the company ISP,
- quaternized vinylpyrrolidone/dimethylaminopropyl methacrylamide copolymers, such as the product sold under the name Gafquat HS 100 by the company ISP, and
- the crosslinked polymers of methacryloyloxy(Ci-C4)alkyl tri(Ci-C4)alkylammonium salts, such as the polymers obtained by homopolymerization of dimethylaminoethyl methacrylate quaternized with methyl chloride, or by copolymerization of acrylamide with dimethylaminoethyl methacrylate quaternized with methyl chloride, the homo- or copolymerization being followed by crosslinking with an olefinically unsaturated compound, more particularly methylenebisacrylamide. Use may more particularly be made of a crosslinked acryla- mide/methacryloyloxyethyltrimethylammonium chloride copolymer (20/80 by weight) in the form of a dispersion containing 50% by weight of said copolymer in mineral oil. This dispersion is sold under the name Salcare® SC 92 by the company Ciba. Use may also be made of a crosslinked homopolymer of methacryloy- loxyethyltrimethylammonium chloride, for example as a dispersion in mineral oil or in a liquid ester. These dispersions are sold under the names Salcare® SC 95 and Salcare® SC 96 by the company Ciba;
(2) Polymers composed of piperazinyl units and of divalent alkylene or hydroxyal- kylene groups containing straight or branched chains, optionally interrupted by oxygen, sulfur or nitrogen atoms or by aromatic or heterocyclic rings, and also the oxidation and/or quaternization products of these polymers. Such polymers are especially described in French patents 2 162 025 and 2 280 361 ;
(3) Water-soluble polyaminoamides prepared in particular by polycondensation of an acidic compound with a polyamine; these polyaminoamides can be crosslinked with an epihalohydrin, a diepoxide, a dianhydride, an unsaturated dianhydride, a bis-unsaturated derivative, a bis-halohydrin, a bis-azetidinium, a bis- haloacyldiamine, a bis-alkyl halide or alternatively with an oligomer resulting from the reaction of a bifunctional compound which is reactive towards a bis-halohydrin, a bis-azetidinium, a bis-haloacyldiamine, a bis-alkyl halide, an epihalohydrin, a diepoxide or a bis-unsaturated derivative; the crosslinking agent being used in proportions ranging from 0.025 to 0.35 mol per amine group of the polyamino- amide; these polyaminoamides can be alkylated or, if they comprise one or more tertiary amine functions, they can be quaternized. Such polymers are especially described in French patents 2 252 840 and 2 368 508;
(4) Polyaminoamide derivatives resulting from the condensation of polyalkylene polyamines with polycarboxylic acids followed by alkylation with difunctional agents. Mention may be made, for example, of adipic acid dialkylaminohydroxyal- kyldialkylenetriamine polymers in which the alkyl groups contain from 1 to 4 car-
bon atoms and preferably denote a methyl, ethyl or propyl group, and the alkylene groups contain from 1 to 4 carbon atoms and preferably denote the ethylene group. Such polymers are especially described in French patent 1 583 363.
Among these derivatives, mention may be made more particularly of the adipic acid/dimethylaminohydroxypropyl/diethylenetriamine polymers sold under the name Cartaretine F, F4 or F8 by the company Sandoz.
(5) The polymers obtained by reaction of a polyalkylene polyamine containing two primary amine groups and at least one secondary amine group with a dicarboxylic acid selected from diglycolic acid and saturated aliphatic dicarboxylic acids having from 3 to 8 carbon atoms. The mole ratio between the polyalkylene polyamine and the dicarboxylic acid is between 0.8:1 and 1 .4:1 . 1 ; the polyamino amide resulting therefrom is reacted with epichlorohydrin in a mole ratio of epichlorohydrin relative to the secondary amine group of the polyamino amide of between 0.5:1 and 1 .8:1 . Such polymers are especially described in particular in US patents 3 227 615 and 2 961 347.
Polymers of this type are sold in particular under the name Hercosett 57 by the company Hercules Inc. or alternatively under the name PD 170 or Delsette 101 by the company Hercules in the case of the adipic acid/epoxypropyl/diethylenetriamine copolymer;
(6) Cyclopolymers of alkyldiallylamine or of dialkyldiallylammonium, such as the homopolymers or copolymers containing, as main constituent of the chain, units corresponding to formula (V) or (VI):
(V) (VI)
in which formulae: k and t are equal to 0 or 1 , the sum k + t being equal to 1 ; R12 denotes a hydrogen atom or a methyl group; R10 and Rn, independently of each other, denote an alkyl group having from 1 to 6 carbon atoms, a hydroxyalkyl group in which the alkyl group preferably has 1 to 5 carbon atoms, a lower (Ci-C4) amidoalkyl group, or R10 and Rn can denote, together with the nitrogen atom to which they are attached, heterocyclic groups such as piperidyl or morpholinyl; Y" is an anion such as bromide, chloride, acetate, borate, citrate, tartrate, bisulfate, bisulfite, sulfate or phosphate. These polymers are in particular described in French patent 2 080 759 and in its Certificate of Addition 2 190 406.
R10 and Rn, independently of each other, preferably denote an alkyl group having from 1 to 4 carbon atoms.
Among the polymers defined above, mention may be made more particularly of the dimethyldiallylammonium chloride homopolymer sold under the name Merquat 100 by the company Nalco (and its homologues of low weight-average molecular weights) and the copolymers of diallyldimethylammonium chloride and of acryla- mide, sold under the name Merquat 550.
(7) The di(quaternary ammonium) polymer containing repeating units corresponding to formula
in which formula (VII):
Ri3, Ri4, Ri5 and Ri6, which may be identical or different, represent aliphatic, ali- cyclic or arylaliphatic groups containing from 1 to 20 carbon atoms or lower (Ci-C4) hydroxyalkylaliphatic groups, or alternatively R13, Ri4, R15 and R16, together or separately, constitute, with the nitrogen atoms to which they are attached, hetero- cycles optionally containing a second heteroatom other than nitrogen, or alterna- tively R13, Ri4, R15 and R16 represent a linear or branched C1 -C6 alkyl group substituted with a nitrile, ester, acyl or amide group or a -CO-O-R17-D or -CO-NH-R17-D group where R17 is an alkylene having from 1 to 10 carbon atoms and D is a quaternary ammonium group;
Ai and Bi represent polymethylene groups containing from 2 to 20 carbon atoms which may be linear or branched, and saturated or unsaturated, and which may contain, linked to or inserted in the main chain, one or more aromatic rings, or one or more oxygen or sulfur atoms or sulfoxide, sulfone, disulfide, amino, alkylamino, hydroxyl, quaternary ammonium, ureido, amide or ester groups, and
X" denotes an anion derived from a mineral or organic acid;
Ai, Ri3 and R15 may, with the two nitrogen atoms to which they are attached, form a piperazine ring; moreover, if Ai denotes a linear or branched, saturated or unsaturated alkylene or hydroxyalkylene group, Bi may also denote a group
-(CH2)n-CO-D-OC-(CH2)p- in which:
n and p are integers ranging from 2 to 20 approximately,
D denotes:
a) a glycol residue of formula: -O-Z-O-, where Z denotes a linear or branched hydrocarbon-based group or a group corresponding to one of the following formulae: -(CH2-CH2-O)x -CH2-CH2- -[CH2-CH(CH3)-O]y-CH2-CH(CH3)- where x and y denote an integer from 1 to 4, representing a defined and unique degree of polymerization, or any number from 1 to 4, representing an average degree of polymerization;
b) a bis-secondary diamine residue such as a piperazine derivative;
c) a bis-primary diamine residue of formula: -NH-Y-NH-, in which Y denotes a lin-
ear or branched hydrocarbon group, or else the divalent group -CH2-CH2-S-S-CH2- CH2-;
d) a ureylene group of formula: -NH-CO-NH-.
Preferably, X" is an anion such as chloride or bromide.
These polymers have a number-average molecular mass generally of between 1000 and 100 000.
Polymers of this type are especially described in French patents 2 320 330, 2 270 846, 2 316 271 , 2 336 434 and 2 413 907 and US patents 2 273 780, 2 375 853, 2 388 614, 2 454 547, 3 206 462, 2 261 002, 2 271 378, 3 874 870, 4 001 432, 3 929 990, 3 966 904, 4 005 193, 4 025 617, 4 025 627, 4 025 653, 4 026 945 and 4 027 020.
Use may more particularly be made of the polymers which consist of repeating units corresponding to formula (VIII):
in which: Ri8, R19, R20 and R21 , which may be identical or different, denote an alkyl or hydroxyalkyi group containing from 1 to 4 carbon atoms approximately, r and s are integers ranging from from 2 to 20 approximately, and X" is an anion derived from a mineral or organic acid.
A compound of formula (VIII) which is particularly preferred is the compound for which R18, Rig, R20 and R21 represent a methyl group and r = 3, s = 6 and X = CI, referred to as hexadimethrine chloride according to the INCI nomenclature (CTFA).
(8) Polyquaternary ammonium polymers composed of units of formula (IX):
in which formula:
R22, R23, R24 and R25, which are identical or different, represent a hydrogen atom or a methyl, ethyl, propyl, β-hydroxyethyl, β-hydroxypropyl or CH2CH2(OCH2CH2)pOH group, where p is 0 or an integer between 1 and 6, with the proviso that R22, R23, R24 and R25 do not simultaneously represent a hydrogen atom,
t and u, which may be identical or different, are integers between 1 and 6, v is equal to 0 or to an integer between 1 and 34,
X" denotes an anion such as a halide,
A denotes a dihalide group or preferably represents -CH2-CH2-O-CH2-CH2-.
Such compounds are especially described in patent application EP-A-122 324.
Among these, mention may be made, for example, of the products Mirapol® A 15,
Mirapol® AD1 , Mirapol® AZ1 and Mirapol® 175, sold by the company Miranol. (9) Quaternary polymers of vinylpyrrolidone and of vinylimidazole, for instance the products sold under the names Luviquat® FC 905, FC 550 and FC 370 by the company BASF.
(10) Cationic polysaccharides, in particular cationic celluloses and cationic cellulose derivatives and cationic galactomannan gums.
Among the cationic polysaccharides, mention may be made more particularly of cellulose ether derivatives comprising quaternary ammonium groups, cationic cellulose copolymers or cellulose derivatives grafted with a water-soluble quaternary ammonium monomer and cationic galactomannan gums.
The cellulose ether derivatives comprising quaternary ammonium groups are described in French patent 1 492 597. These polymers are also defined in the CTFA dictionary as quaternary ammoniums of hydroxyethylcellulose that have reacted with an epoxide substituted with a trimethylammonium group.
The cationic cellulose copolymers or the cellulose derivatives grafted with a water- soluble quaternary ammonium monomer are described especially in patent US 4 131 576, such as hydroxyalkyl celluloses, for instance hydroxymethyl, hy- droxyethyl or hydroxypropyl celluloses grafted especially with a methacryloylethyl- trimethylammonium, methacrylamidopropyltrimethylammonium or dimethyldial- lylammonium salt.
The cationic galactomannan gums are described more particularly in US patents 3 589 578 and 4 031 307, in particular guar gums containing cationic trialkylam- monium groups. Use is made, for example, of guar gums modified with a 2,3- epoxypropyltrimethylammonium salt (for example, chloride).
Other cationic polymers that may be used in the context of the invention are cationic proteins or cationic protein hydrolysates, polyalkyleneimines, in particular polyethyleneimines, polymers containing vinylpyridine or vinylpyridinium units, condensates of polyamines and of epichlorohydrin, quaternary polyureylenes and chitin derivatives.
The cationic proteins or protein hydrolysates are, in particular, chemically modified polypeptides bearing quaternary ammonium groups at the end of the chain, or grafted thereon. Their molecular mass may vary, for example, from 1500 to 10 000 and in particular from 2000 to 5000 approximately. Among these compounds, mention may in particular be made of:
- collagen hydrolysates bearing triethylammonium groups, such as the products sold under the name Quat-Pro E by the company Maybrook and referred to in the CTFA dictionary as Triethonium Hydrolysed Collagen Ethosulfate;
- collagen hydrolysates bearing trimethylammonium chloride and trimethyl- stearylammonium chloride groups, which are sold under the name Quat-Pro S by the company Maybrook and are referred to in the CTFA dictionary as Steartrimo- nium Hydrolysed Collagen;
- animal protein hydrolysates bearing trimethylbenzylammonium groups, such as the products sold under the name Crotein BTA by the company Croda and re-
ferred to in the CTFA dictionary as Benzylt monium hydrolysed animal protein; - protein hydrolysates bearing quaternary ammonium groups on the polypeptide chain, said ammonium groups containing at least one alkyl group having from 1 to 18 carbon atoms.
Among these protein hydrolysates, mention may be made of Croquat L in which the quaternary ammonium groups comprise a C12 alkyl group; Croquat M in which the quaternary ammonium groups comprise C10-C18 alkyl groups; Croquat S in which the quaternary ammonium groups comprise a C18 alkyl group; Crotein Q in which the quaternary ammonium groups comprise at least one alkyl group contain- ing from 1 to 18 carbon atoms. These various products are sold by the company Croda.
Other quaternized proteins or hydrolysates are, for example, those corresponding to the formula (X):
in which X" is an anion of an organic or mineral acid, A denotes a protein residue derived from collagen protein hydrolysates, R29 denotes a lipophilic group comprising up to 30 carbon atoms, R30 represents an alkylene group containing 1 to 6 carbon atoms. Mention may, for example, be made of the products sold by the company Inolex, under the name Lexein QX 3000, called, in the CTFA dictionary, Co- cotrimonium Collagen hydrolysate.
Mention may also be made of quaternized plant proteins such as wheat, corn or soybean proteins: quaternized wheat proteins that may be mentioned include those sold by the company Croda under the names Hydrotriticum WQ or QM, which in the CTFA dictionary are called Cocodimonium Hydrolysed wheat protein, or Hydrotriticum QL, which in the CTFA dictionary is called Laurdimonium hydrolysed wheat protein, or else Hydrotriticum QS, which in the CTFA dictionary is called Steardimonium hydrolysed wheat protein.
Among all the cationic polymers that may be used in the context of the present invention, it is preferred to use cationic cyclopolymers, such as defined above, in particular the dimethyldiallylammonium chloride homopolymers or copolymers sold under the names Merquat 100, Merquat 550 and Merquat S by the company Nalco, and quaternary vinylpyrrolidone and vinylimidazole polymers, cationic polysaccharides and mixtures thereof. The conditioning agent(s) that may be used according to the invention may be chosen from silicones, and especially:
(1 ) volatile silicones, with a boiling point of between 60°C and 260°C, among which mention may be made of:
(a) cyclic silicones comprising from 3 to 7, and preferably 4 to 5, silicon atoms. These are, for example, the octamethylcyclotetrasiloxane sold especially under the
name Volatile Silicone 7207® by the company Union Carbide, or Silbione 70045 V2® by the company Rhone-Poulenc, the decamethylcyclopentasiloxane sold especially under the name Volatile Silicone 7158® by the company Union Carbide or Silbione 70045 V5® by the company Rhone-Poulenc; cyclopolymers of the di- methylsiloxane/methylalkylsiloxane type, such as the Volatile silicone FZ 3109® sold by the company Union Carbide, which is a dimethylsilox- ane/methyloctylsiloxane cyclocopolymer;
(b) linear volatile silicones containing 2 to 9 silicon atoms and having a viscosity of less than or equal to 5x 10"6 m2/s at 25°C. An example is hexamethyldisiloxane sold especially under the name Silbione 70041 V0.65® by the company Rhone- Poulenc.
(2) non-volatile silicones, especially polyalkylsiloxanes, polyarylsiloxanes, polyal- kylarylsiloxanes and organomodified polysiloxanes, and also mixtures thereof. They may be in the form of oils, gums and resins.
Among the polyalkylsiloxanes, mention may primarily be made of linear polydi- methylsiloxanes with a viscosity of greater than 5*10"6 m2/s and preferably less than 2.6 m2/s, which may either contain trimethylsilyl end groups, for instance the Silbione® oils of the 70047 series sold by Rhone-Poulenc, the oil Wacker Belsil DM 60 000 from Wacker or certain Viscasil® products from the company General Electric; or contain trihydroxysilyl end groups, such as the oils of the 48 V® series from the company Rhone-Poulenc. In this class of polyalkylsiloxanes, mention may also be made of the polyalkylsiloxanes sold by the company Goldschmidt under the names Abilwax 9800® and Abilwax 9801®, which are poly(Ci-2o)- alkylsiloxanes.
Among the polyalkylarylsiloxanes, mention may be made of linear and/or branched polydimethylphenylsiloxanes and polydimethyldiphenylsiloxanes, with a viscosity from 10"5 to 5x 10"2 m2/s, for instance the oil Rhodorsil® 763 from Rhone-Poulenc, the Silbione® oils of the 70641 series from Rhone-Poulenc, such as the oils Silbione 70641 V30® and Silbione 70641 V200®, the product DC 556® Cosmetic Grade Fluid from Dow Corning, the silicones of the PK series from Bayer, such as PK20®, the silicones of the PN and PH series from Bayer, such as the products PN 1000® and PH 1000®; certain oils of the SF series from General Electric, such as SF 1250®, SF 1265®, SF 1 154® and SF 1023®.
The silicone gums in accordance with the present invention are polydiorganosilox- anes with a number-average molecular mass of between 200 000 and 1 000 000, used alone or as a mixture in a solvent chosen from volatile silicones, polydi- methylsiloxane (PDMS) oils, polyphenylmethylsiloxane (PPMS) oils, isoparaffins, methylene chloride, pentane, dodecane, tridecane and tetradecane, or mixtures thereof.
Mention is made, for example, of the compounds having the following structures:
- poly[(dimethylsiloxane)/(methylvinylsiloxane)] gums,
- poly[(dimethylsiloxane)/(diphenylsiloxane)] gums,
- poly[(dihydrogenodimethylsiloxane)/(divinylsiloxane)] gums,
- poly[(dimethylsiloxane)/(phenylnnethylsiloxane)] gums,
- poly[(dimethylsiloxane)/(diphenylsiloxane)/(methylvinylsiloxane)] gums.
Mention may be made of the Mirasil DM 300 000 gum from the company Rhodia. Mention may also be made, for example, in a nonlimiting manner, of the following mixtures:
- mixtures formed from a hydroxyl-terminated polydimethylsiloxane (dimethiconol according to CTFA nomenclature) and from a cyclic polydimethylsiloxane (cyc- lomethicone according to CTFA nomenclature), such as the products Q2 1401® or Dow Corning 1501 Fluid sold by the company Dow Corning;
- mixtures formed from a polydimethylsiloxane gum with a cyclic silicone, such as the product SF 1214 Silicone Fluid® from General Electric, which is a gum SE 30® of MW 500 000 (-Mn) dissolved in SF 1202 Silicone Fluid® (decamethylcyclopen- tasiloxane);
- mixtures of two PDMSs of different viscosities, especially of a PDMS gum and a PDMS oil, such as the products SF 1236® and CF 1241® from the company General Electric. The product SF 1236® is a mixture of an SE 30® gum defined above, with a viscosity of 20 m2/s, and of an SF 96® oil with a viscosity of 5x106 m2/s (15% SE 30® gum and 85% SF 96® oil).
The product CF 1241® is a mixture of an SE 30® gum (33%) and of a PDMS (67%), with a viscosity of 10"3 m2/s.
The organopolysiloxane resins that may be used in accordance with the invention are crosslinked siloxane systems containing the following units: R2S1O2/2, RS1O3/2 and SiO4/2 in which R represents a hydrocarbon-based group containing 1 to 6 carbon atoms or a phenyl group. Among these products, the ones that are particu- larly preferred are those in which R denotes a lower (Ci-C4) alkyl group or a phenyl group.
Among these resins, mention may be made of the product sold under the name Dow Corning 593® or those sold under the names Silicone Fluid SS 4230 and Silicone Fluid SS 4267 by the company General Electric, which are di- methyl/trimethylpolysiloxanes.
The organomodified silicones in accordance with the present invention are silicones as defined above, comprising, in their general structure, one or more or- ganofunctional groups directly attached to the siloxane chain or attached via a hydrocarbon-based group.
Mention may be made, for example, of the silicones comprising:
- perfluoro groups such as trifluoroalkyls, for instance those sold by the company General Electric under the names FF.150 Fluorosilicone Fluid® or by the company Shin-Etsu under the names X"22-819®, X"22-82®, X"22-821® and X"22-822®;
- hydroxyacylamino groups, for instance those described in patent application EP 0 342 834 and in particular the silicone sold by the company Dow Corning under the name Q2-8413®;
- thiol groups, as in the silicones X 2-8360® from the company Dow Corning or GP 72A® and GP 71® from Genesee;
- non-quaternized amine groups, such as GP 4 Silicone Fluid® from Genesee, GP 7100® from Genesee, Q2 8220® from Dow Corning, AFL 40® from Union Carbide or the silicone known as Amodimethicone in the CTFA dictionary;
- carboxylate groups, for instance the products described in patent EP 186 507 from Chisso Corporation;
- hydroxyl groups, for instance the hydroxyalkyl-functional polyorganosiloxanes described in patent application FR 85 16334, corresponding to formula (XV) bel
in which the groups Ri , which may be identical or different, are chosen from methyl and phenyl groups; at least 60 mol% of the groups Ri denoting methyl; the group R'i is a divalent C2-C18 hydrocarbon-based alkylene chain unit; p is between 1 and 30 inclusive; q is between 1 and 150 inclusive.
Mention may be made most particularly of the product sold by Dow Corning under the name DC 190;
- alkoxylated groups, as in the silicone copolymer F 755® from SWS Silicones and the products Abil Wax 2428®, Abil Wax 2434® and Abil Wax 2440® from the company Goldschmidt;
- acyloxyalkyl groups, for instance the polyorganopolysiloxanes described in patent a lication FR 88 17433, conforming to formula (XVI) below:
in which:
- R2 denotes methyl, phenyl, OCOR" or hydroxyl, but only one R2 per silicon atom may be OH;
- R'2 denotes methyl or phenyl, at least 60 mol% of all the R2 and R'2 groups being methyl;
- R" denotes C8-C20 alkyl or alkenyl;
- R denotes a linear or branched, divalent C2-C18 hydrocarbon-based alkylene;
- r is between 1 and 120 inclusive;
- p is between 1 and 30 inclusive; q is 0 or is less than 0.5 p, p + q being between 1 and 30 inclusive:
the polyorganosiloxanes of formula (XVI) can comprise the groups:
CH-Si-OH
3 I
°2/ 2
in proportions not exceeding 15% of the sum p + q + r;
- quaternary ammonium groups, as in the products X2 8108® and X2 8109® and the product Abil K3270® from the company Goldschmidt;
- amphoteric or betaine groups, such as in the product sold by the company Gold- schmidt under the name Abil B 9950®;
- bisulfite groups, as in the products sold by the company Goldschmidt under the names Abil S 201® and Abil S 255®;
- polyethyleneoxy and/or polypropyleneoxy groups optionally comprising C6-C24 alkyl groups, such as the products known as dimethicone copolyol sold by the company Dow Corning under the name DC 1248 or the oils Silwet L 722, L 7500, L 77 and L 71 1 by the company Union Carbide, and the (Ci2)alkylmethicone copolyol sold by the company Dow Corning under the name Q2 5200.
According to the invention, it is also possible to use silicones comprising a polysi- loxane portion and a portion composed of a non-silicone organic chain, with one of the two portions making up the main chain of the polymer and the other being grafted onto the said main chain. These polymers are described, for example, in patent applications EP-A-412 704, EP-A-412 707, EP-A-640 105 and WO 95/00578, EP-A-582 152 and WO 93/23009 and patents US 4 693 935, US 4 728 571 and US 4 972 037. These polymers are preferably anionic or nonionic. Such polymers are, for example, copolymers that may be obtained by free-radical polymerization from the monomer mixture formed from:
a) 50% to 90% by weight of tert-butyl acrylate;
b) 0 to 40% by weight of acrylic acid;
where v is a number ranging from 5 to 700; the weight percentages being calculated relative to the total weight of the monomers.
Other examples of grafted silicone polymers are, in particular, polydimethylsilox- anes (PDMSs) onto which are grafted, by means of a connecting link of thiopro- pylene type, mixed polymer units of the poly((meth)acrylic acid) type and of the poly(alkyl (meth)acrylate) type; and polydimethylsiloxanes (PDMSs) onto which are grafted, by means of a connecting link of thiopropylene type, polymer units of the poly(isobutyl (meth)acrylate) type.
According to the invention, all the silicones can also be used in the form of emulsions, nanoemulsions or microemulsions.
The polyorganosiloxanes that are particularly preferred are:
- non-volatile silicones chosen from the family of polyalkylsiloxanes with trimethyl- silyl end groups, such as oils having a viscosity of between 0.2 and 2.5 m2/s at
25°C, for instance the oils of the DC200 series from Dow Corning, in particular the one with a viscosity of 60 000 cSt, or of the Silbione 70047 and 47 series, and more particularly the oil 70 047 V 500 000 sold by the company Rhodia Chimie, and polyalkylsiloxanes with dimethylsilanol end groups, such as dimethiconols, or polyalkylarylsiloxanes, for instance the oil Silbione 70641 V 200 sold by the company Rhodia Chimie;
- polysiloxanes containing amino groups, such as amodimethicones or trimethyl- silylamodimethicones.
The viscosities of the silicones may especially be determined by the standard ASTM D445-97 (viscometry).
When the conditioning agent of the composition according to the invention is a hydrocarbon, it is a linear or branched C8-C30 hydrocarbon. Among the hydrocarbons which are liquid at ambient temperature and which correspond to this defini- tion, mention may in particular be made of isododecane, isohexadecane and its isomers (such as 2,2,4,4,6,6-heptamethylnonane), isoeicosane, isotetracosane, the isomers of said compounds, n-nonadecane, n-dodecane, n-undecane, n- tridecane, n-pentadecane, and mixtures of these hydrocarbons. Use is preferably made according to the invention of isododecane or an isomer thereof.
When the conditioning agent is a fatty alcohol, this alcohol is a linear or branched, saturated or unsaturated C8-C30 alcohol. Examples that may be mentioned include 2-butyloctanol, lauryl alcohol, 2-octyldodecanol, oleyl alcohol, isocetyl alcohol, isostearyl alcohol and behenyl alcohol, and mixtures thereof.
When the conditioning agent is a fatty ester, said fatty ester may be either an ester of a C8-C30 fatty acid and of a C1-C30 alcohol, and in particular an ester of a C8-C30 fatty acid and of a C8-C30 fatty alcohol, or an ester of a C1-C7 acid or diacid and of a C8-C30 fatty alcohol. Among these esters, mention may, for example, be made of ethyl, isopropyl, 2-ethylhexyl and 2-octyldecyl palmitate, isopropyl, butyl, cetyl and 2-octyldecyl myristate, butyl and hexyl stearate, hexyl and 2-hexyldecyl laurate, isononyl isononanoate, dioctyl malate, myristyl myristate, cetyl palmitate, and mixtures thereof. The ceramides or ceramide analogues, such as glycoceramides, that may be used as conditioning agent in the compositions according to the invention, are known per se and are natural or synthetic molecules that may correspond to the general formula (XVIII) below:
Rl (XVIII)
in which:
- Ri denotes a linear or branched, saturated or unsaturated alkyl group which de- rives from C14-C30 fatty acids, it being possible for this group to be substituted in alpha position by a hydroxyl group, or in omega position by a hydroxyl group which is esterified with a saturated or unsaturated C16-C30 fatty acid;
- R2 denotes a hydrogen atom or a (glycosyl)n, (galactosyl^ or sulfogalactosyl group, where n is an integer from 1 to 4 and m is an integer from 1 to 8;
- R3 denotes a C15-C26 hydrocarbon-based group which is saturated or unsaturated in the a position, this group possibly being substituted with one or more Ci- Ci4 alkyl groups; it being understood that, in the case of natural ceramides or gly- coceramides, R3 can also denote a C15-C26 a-hydroxyalkyl group, the hydroxyl group being optionally esterified with a C16-C30 a-hydroxy acid.
The ceramides that are preferred in the context of the present invention are those described by Downing in Arch. Dermatol., Vol. 123, 1381 -1384, 1987, or those described in French patent FR 2 673 179.
The ceramide(s) that are more particularly preferred according to the invention are the compounds for which Ri denotes a saturated or unsaturated alkyl derived from C16-C22 fatty acids; R2 denotes a hydrogen atom; and R3 denotes a saturated linear Ci5 group. Such compounds are, for example, N-linoleoyldihydrosphingosine, N-oleyldihydrosphingosine, N-palmitoyldihydrosphingosine, N- stearyldihydrosphingosine or N-behenoyldihydrosphingosine, or mixtures of these compounds.
Even more preferentially, ceramides are used for which Ri denotes a saturated or unsaturated alkyl group derived from fatty acids; R2 denotes a galactosyl or sulfogalactosyl group; and R3 denotes a CH=CH-(CH2)i2-CH3 group.
Examples that may be mentioned include the product consisting of a mixture of these compounds and sold under the trade name Glycocer by the company Wai- taki International Biosciences.
Use is preferably made of one or more conditioning agents chosen from cationic polymers and silicones; preferentially, the composition according to the invention contains at least one cationic polymer.
The cosmetic composition according to the invention preferably contains from 0.01 % to 20% by weight and better still from 0.05% to 10% by weight of conditioning agents relative to the total weight of the composition.
The composition according to the invention is generally used in topical application. In particular, the composition according to the invention may be in any galenical form normally used for topical application. The composition according to the invention may be a rinse-out or leave-in composition. In particular, it may be a sham- poo, a haircare cream, a hair conditioner, a hair gel, a hair emulsion or a hair lotion. Preferably, the composition according to the invention is a shampoo.
The composition according to the invention preferably comprises water and optionally one or more organic solvents.
The organic solvent(s) may be chosen from Ci-C4 lower alcohols, such as ethanol, isopropanol, tert-butanol or n-butanol; polyols such as glycerol, propylene glycol, hexylene glycol (or 2-methyl-2,4-pentanediol) and polyethylene glycols; polyol ethers, for instance dipropylene glycol monomethyl ether; and mixtures thereof. When the composition comprises at least one organic solvent, the latter may be present in a proportion of from 0.1 % to 30% by weight and preferably from 0.2% to 15% by weight, relative to the total weight of the composition.
The cosmetic composition according to the invention may have a pH ranging from 3 to 10 and preferentially from 5 to 7. This pH may be adjusted by means of acidifying and basifying agents conventionally used in cosmetics.
The cosmetic composition used according to the invention may also contain one or more adjuvants that are common in the cosmetics field, such as hair-loss counter- actants, oxidizing agents, vitamins and provitamins including panthenol, plant, animal, mineral or synthetic oils, waxes, sunscreens, mineral or organic, coloured or uncoloured pigments, dyes, nacreous agents and opacifiers, sequestrants, plas- ticizers, solubilizers, antioxidants, hydroxy acids, fragrances and preserving agents, and mixtures thereof. The amounts of these various adjuvants are those conventionally used in the fields under consideration. Of course, the person skilled in the art will take care to choose the optional compound or compounds to be added to the composition according to the invention so that the advantageous properties intrinsically attached to the composition in accordance with the invention are not, or not substantially, adversely affected by the envisaged addition or additions. In one particular embodiment of the invention, the composition also comprises one or more additional antidandruff agents chosen from ellagic acid and ethers thereof, ellagic acid salts and ethers thereof, pyrithione salts, 1 -hydroxy-2-pyridone derivatives and selenium (poly)sulfides, and also mixtures thereof.
Specifically, it has been found that by combining at least one active agent derived from a microorganism belonging to the genus Vitreoscilla sp. with at least another particular antidandruff agent, it is possible to obtain a composition for more efficiently removing and/or reducing dandruff on the hair and the scalp, especially that caused by yeasts of the genus Malassezia, while at the same time appreciably
reducing scalp irritation and itching; in addition, the said composition does not impair the cosmetic properties of hair treated in conjunction, especially in terms of softness.
Ellagic acid, or 2,3,7,8-tetrahydroxy-1 -benzopyrano[5,4,3-cde]-1 -benzopyran-5,10- dione, is a well-known molecule that is present in the plant kingdom.
Ellagic acid has the following chemical formula:
which comprises four fused rings.
The ellagic acid ether(s) that may be used according to the invention are preferably chosen from the mono-, di-, tri- or polyethers obtained by etherification of one or more hydroxyl groups (one of the four OH groups of ellagic acid) of ellagic acid to one or more groups OR, R being selected from C2-C20 alkyl groups, polyoxyal- kylene groups, and more particularly polyoxyethylene and/or polyoxypropylene groups, and groups derived from one or more mono- or polysaccharides, for instance the group of the formula below:
In the case of the di-, tri- or polyethers of ellagic acid, the R groups as defined above may be identical or different.
Preferably, these ethers of ellagic acid are chosen from 3,4-di-O-methyl ellagic acid, 3,3'-4-tri-O-methyl ellagic acid and 3,3'-di-O-methyl ellagic acid.
The salt(s) of ellagic acid and/or of ethers thereof that may be used according to the invention are preferably chosen from alkali metal or alkaline-earth metal salts, such as the sodium, potassium, calcium and magnesium salt, the ammonium salt and the salts of amines such as triethanolamine, monoethanolamine, arginine and
lysine salts. Preferably, the salt(s) of ellagic acid and/or of its ethers that can be used according to the invention are chosen from alkali metal or alkaline-earth metal salts, in particular the sodium, potassium, calcium or magnesium salts. Pyrithione is the compound 1 -hydroxy-2(1 H)-pyridinethione or 2-pyridinethiol 1 - oxide.
The pyrithione salts that may be used in the context of the invention are, in particular, the monovalent metal salts and divalent metal salts, such as the sodium, calcium, magnesium, barium, strontium, zinc, cadmium, tin and zirconium salts. The divalent metal salts and more particularly the zinc salt (zinc pyrithione) are particularly preferred.
The 1 -hydroxy-2-pyridone derivatives are preferably chosen from compounds of formula (A1 ) or salts thereof:
OH
in which:
- R1 denotes a hydrogen atom; a linear or branched alkyl group having from 1 to 17 carbon atoms; a cycloalkyl group having 5 to 8 carbon atoms; a cycloalkyl-alkyl group, the cycloalkyl group having 5 to 8 carbon atoms and the alkyl group having from 1 to 4 carbon atoms; an aryl or aralkyi group, the aryl group having from 6 to 30 carbon atoms and the alkyl group having from 1 to 4 carbon atoms; an aryl- alkenyl group, the aryl group having from 6 to 30 carbon atoms and the alkenyl group having from 2 to 4 carbon atoms; the cycloalkyl and aryl groups as defined above may be substituted by one or more alkyl groups having 1 to 4 carbon atoms or else one or more alkoxy groups having from 1 to 4 carbon atoms;
- R2 denotes a hydrogen atom; an alkyl group having from 1 to 4 carbon atoms; an alkenyl group having from 2 to 4 carbon atoms; a halogen atom or a benzyl group;
- R3 denotes a hydrogen atom, an alkyl group having from 1 to 4 carbon atoms or a phenyl group; and
- R4 denotes a hydrogen atom; an alkyl group having from 1 to 4 carbon atoms; an alkenyl group having from 2 to 4 carbon atoms; a methoxymethyl group; a halogen atom or a benzyl group.
Among these compounds, those which are particularly preferred are 1 -hydroxy-4- methyl-6-(2,4,4-trimethylpentyl)-2-(1 H)-pyridone and 6-cyclohexyl-1 -hydroxy-4- methyl-2-(1 H)-pyridone.
Among the salts which can be used, mention may be made of the salts of lower (Ci-C4) alkanolamines, such as ethanolamine and diethanolamine, amine or al-
kylamine salts, and also salts with mineral cations, for instance ammonium salts and the salts of alkali metals or alkaline-earth metals.
Very particular preference is given to the monoethanolamine salt of 1 -hydroxy-4- methyl-6-(2,4,4-trimethylpentyl)-2(1 H)-pyridinone (or piroctone), more commonly referred to as piroctone olamine or octopirox.
Among the selenium (poly)sulfides, mention may be made of selenium disulfide and the selenium polysulfides of formula SexSy in which x and y are numbers such that x + y = 8. Selenium disulfide is in the form of a powder whose particles gener- ally have a particle size of less than 200 μιτι and preferably less than 25 μιτι.
Preferably, the antidandruff agent is chosen from ellagic acid, zinc pyrithione, piroctone olamine and selenium disulfide, and also a mixture thereof. The composition according to the invention preferably comprises from 0.001 % to 20% by weight, more preferentially from 0.01 % to 10% by weight, in particular from 0.02% to 5% by weight and better still from 0.04% to 2% by weight of additional antidandruff agent, alone or as a mixture, relative to the total weight of the composition.
Preferably, the weight ratio of the amount of bacterial lysate in its complete medium to the amount of additional antidandruff agents is between 0.1 and 100 and better still between 0.2 and 20.
Another subject of the invention consists of a cosmetic process for treating the scalp and keratin fibres, in particular the hair, comprising the application of a composition according to the invention to the scalp and/or to the said keratin fibres. The step of application of the composition may or may not be followed by a leave- on time, preferably ranging from 1 to 15 minutes, and/or a step of rinsing, for example with water.
Preferably, it is a process for washing the said keratin fibres and/or the scalp.
It may also be a cosmetic treatment process for removing and/or reducing dandruff, in particular that caused by yeasts of the genus Malassezia.
The examples that follow are intended to illustrate the invention without, however, being limiting in nature.
Example 1 : Preparation of an active agent in accordance with the invention
The complete fermentation medium is prepared by means of a culture of the Vit- reoscilla filiformis strain, in its complete culture medium.
The initial culture medium for obtaining the complete fermentation medium has the composition described in the table below.
To obtain a lysate of Vitreoscilla filiformis bacteria in a complete fermentation medium, the process was performed as described below.
The Vitreoscilla filiformis strain was obtained from the ATCC (strain 15551 ). This strain is cultured in a particular culture medium, 2BHG2, the composition of which is given above.
The biomass is obtained by continuous culture in a bioreactor with a working capacity of 3000 litres. A growth rate of approximately 70% of the Mmax (M = 0.12 H- 1 ) is recorded during the continuous production phase. During this step, the pH (7.00), the temperature (26°C) and the dissolved oxygen (0/5%) are controlled. The extraction and the separation of the cells is obtained by centrifugation (10 000 g/20 min). The biomass is frozen at -20°C and is then packaged in pouches (breaking of sterility) and is stabilized by sterilization at 121 °C for 30 min. The biomass is then known as Vfe.
The biomass specification analyses are the following:
- Fixed residue at 105°C (g/100 g): 4.0 to 4.5%
- Total nitrogen content relative to AM: 10.0 to 14.0%
- Microbiology: 0 microorganism/g
- 3-hydroxybutyric acid content: 2 to 10 g/l (< 10 g/l)
- pH of the solution as it is: 4 to 5.
The fermentation medium is the complete culture, obtained during the continuous fermentation. The glucose in the starting medium was consumed by the microorganisms (micro-controlled by the carbon source), as were various elements of the peptones and yeast extract provided at the start. The fermentation medium cur- rently tested is taken directly from the fermenter, and then undergoes the sterilization scheme.
The FM, which is the unconcentrated complete culture (0.7 to 0.9% of DM), is autoclaved (30 min, 121 °C), as is the lysate (4.0 to 4.5% of DM). Example 2: Shampoo
The following composition is prepared. The amounts are indicated as weight per-
centages of active material (A.M.) relative to the total weight of the composition.
Example 3: Shampoo
The following composition is prepared. The amounts are indicated as weight percentages of active material (A.M.) relative to the total weight of the composition.
Composition weight% AM
Active agent according to Example 1 0.3
Sodium lauryl sulfate 6.75
Sodium lauryl ether sulfate containing 2.2 mol of eth8.25
ylene oxide
Coconut acid monoisopropanolamide (Comperlan 2
100 from Cognis)
Carboxyvinyl polymer (Carbopol 980 from Lubrizol) 0.3
Hydroxypropyl guar trimethylammonium chloride 0.05
(Jaguar C13-S from Rhodia)
Polydimethylsiloxane (Mirasil DM 300 000 from Rho0.4
dia)
Glycerol 2
Sodium chloride 1 .2
Ethylene glycol distearate 1
Salicylic acid 0.2
Sodium benzoate 0.5
Fragrance, dye qs
Water qs 100%
Example 4: Haircare product
The following compositions are prepared. The amounts are indicated as weight percentages of active material (A.M.) relative to the total weight of the composi- tion.
Example 5
Claims
1 . Cosmetic composition comprising:
- a lysate of bacteria belonging to the genus Vitreoscilla sp. in a complete fermentation medium,
- one or more thickeners, and
- a surfactant system chosen from:
(a) a system A comprising one or more anionic surfactants and one or more am- photeric or zwitterionic surfactants;
(b) a system B comprising one or more anionic surfactants chosen from ethoxy- lated alkyl sulfates and salts thereof; and one or more anionic surfactants other than the said ethoxylated alkyl sulfates and salts thereof; or
(c) a system C comprising one or more cationic surfactants comprising one or more permanent positive charges.
2. Composition according to Claim 1 , in which the complete fermentation medium is all or part, in terms of amount, of the fermentation medium which was used for the fermentation of the said bacterium and in which its cell lysis was consecutively carried out.
3. Composition according to either of the preceding claims, in which the lysate and complete fermentation medium mixture contains the cytoplasmic fractions, the cell wall fragments and the metabolites formed and/or released during the cell lysis of the said bacterium and the water-soluble metabolites generated and released spontaneously by the bacterium during its fermentation process.
4. Composition according to any one of the preceding claims, in which the said bacterium is the Vitreoscilla filiformis strain, and especially the strain Vitreoscilla filiformis (ATCC 15551 ).
5. Composition according to any one of the preceding claims, comprising from 0.001 % to 20% by weight, more preferentially from 0.01 % to 10% by weight and in particular from 0.1 % to 5% by weight of lysate of bacteria belonging to the genus Vitreoscilla sp. in a complete fermentation medium.
6. Composition according to any one of the preceding claims, in which the thickeners) are chosen from sodium chloride, fatty acid amides obtained from C10-C30 carboxylic acid such as coconut acid monoisopropanolamide, diethanolamide or monoethanolamide, oxyethylenated alkyl ether carboxylic acid monoethanolamide, polymeric thickeners and in particular nonionic cellulose-based polymers such as hydroxyethylcellulose, hydroxypropylcellulose and carboxymethylcellulose, guar gum and nonionic derivatives thereof such as hydroxypropylguar, gums of micro-
bial origin such as xanthan gum and scleroglucan gum, crosslinked or non- crosslinked homopolymers and copolymers based on acrylic acid, methacrylic acid or acrylamidopropanesulfonic acid; associative polymers, and mixtures thereof.
7. Composition according to any one of the preceding claims, in which the thickeners) are chosen from polymeric thickeners, preferentially from homopolymers and copolymers based on acrylic acid or methacrylic acid, which are preferably crosslinked, and/or fatty acid amides obtained from C10-C30 carboxylic acids.
8. Composition according to any one of the preceding claims, comprising from 0.05% to 20% by weight, better still from 0.1 % to 10% by weight or even from 0.2% to 10% by weight, of thickener(s), relative to the total weight of the composition.
9. Composition according to any one of the preceding claims, in which the surfactant system comprises one or more anionic surfactants and one or more amphoteric or zwitterionic surfactants.
10. Composition according to Claim 9, in which the anionic surfactants are chosen from (C6-24)alkyl sulfates, (C6-24)alkyl ether sulfates comprising from 2 to 50 ethylene oxide units, especially in the form of alkali metal, ammonium, amino alcohol and alkaline-earth metal salts, or a mixture of these compounds; in particular from (Ci2-2o)alkyl sulfates, (Ci2-2o)alkyl ether sulfates comprising from 2 to 20 ethylene oxide units, especially in the form of alkali metal, ammonium, amino alcohol and alkaline-earth metal salts, or a mixture of these compounds; better still, the anionic surfactant is sodium lauryl ether sulfate containing 2.2 mol of ethylene oxide.
1 1 . Composition according to either of Claims 9 and 10, in which the amphoteric or zwitterionic surfactants are chosen from (C8-2o)alkylbetaines, (Cs-2o alkyl)amido(C2- Cs alkyl)betaines and mixtures thereof; better still from cocoylamidopropylbetaine and cocoylbetaine.
12. Composition according to one of Claims 9 to 1 1 , comprising from 0.1 % to 50% by weight, in particular from 4% to 30% by weight and better still from 8% to 20% by weight of anionic surfactant(s) relative to the total weight of the composition; and/or from 0.01 % to 20% by weight, in particular from 0.1 % to 10% by weight or even from 1 % to 5% by weight of amphoteric or zwitterionic surfactant(s) relative to the total weight of the composition.
13. Composition according to one of Claims 1 to 8, in which the surfactant system comprises one or more anionic surfactants chosen from ethoxylated alkyl sulfates and salts thereof, and one or more anionic surfactants other than the said ethoxylated alkyl sulfates and salts thereof.
14. Composition according to Claim 13, in which the ethoxylated alkyl sulfates and salts thereof are chosen from ethoxylated (C6-C24)alkyl sulfates, in particular from ethoxylated (Cs-C2o)alkyl sulfates, and better still from ethoxylated (Ci2-i4)alkyl sul- fates such as ethoxylated lauryl sulfate; the number of ethylene oxide groups per ethoxylated alkyl sulfate molecule preferably ranging from 1 to 50, better still from 1 to 10, even better still from 1 to 5 or even from 2 to 3; and most particularly from ethoxylated sodium lauryl sulfate comprising from 2 to 3 mol of ethylene oxide.
15. Composition according to either of Claims 13 and 14, comprising from 0.1 % to 50% by weight, in particular from 2% to 20% by weight, better still from 4% to 15% by weight and even better still from 5% to 15% by weight of anionic surfactants chosen from ethoxylated alkyl sulfates and salts thereof, relative to the total weight of the composition.
16. Composition according to one of Claims 13 to 15, in which the anionic surfactants other than the said ethoxylated alkyl sulfates and salts thereof are chosen from non-ethoxylated alkyl sulfates, alkylamido ether sulfates, alkylaryl polyether sulfates, monoglyceride sulfates, alkyl sulfonates, alkylamide sulfonates, alkylaryl sulfonates, a-olefin sulfonates, paraffin sulfonates, alkyl sulfosuccinates, alkyl ether sulfosuccinates, alkylamide sulfosuccinates, alkyl sulfoacetates, acyl sar- cosinates, acyl glutamates, alkyl sulfosuccinamates, acyl isethionates and N-acyl taurates; salts of alkyl monoesters of polyglycoside-polycarboxylic acids, acyl lac- tylates, salts of D-galactosideuronic acids, salts of alkyl ether carboxylic acids, salts of alkylaryl ether carboxylic acids, salts of alkylamido ether carboxylic acids; and the corresponding non-salified forms of all these compounds; the alkyl and acyl groups of all these compounds comprising from 6 to 24 carbon atoms, and the aryl group denoting a phenyl group and most particularly from salts of non- ethoxylated (C6-24 alkyl) ether carboxylic acids and (C6-24)alkyl sulfates, and preferably from non-ethoxylated (C6-24)alkyl sulfates.
17. Composition according to one of Claims 13 to 16, comprising from 0.1 % to 30% by weight, in particular from 1 % to 20% by weight and better still from 2% to 15% by weight of anionic surfactants other than the said ethoxylated alkyl sulfates and salts thereof.
18. Composition according to one of Claims 1 to 8, in which the surfactant system comprises one or more cationic surfactants comprising one or more permanent positive charges.
19. Composition according to Claim 18, in which the cationic surfactants comprising one or more permanent positive charges are chosen from the following quaternary ammonium salts:
- (A) those corresponding to formula (I) below:
in which:
- the radicals R8 to R1 1 , which may be identical or different, represent a linear or branched aliphatic hydrocarbon-based radical comprising from 1 to 30 carbon atoms, or an aromatic radical such as aryl or alkylaryl, at least one of the radicals R8 to R1 1 comprising from 8 to 30 carbon atoms and preferably from 12 to 24 carbon atoms; it being possible for the aliphatic radicals to comprise heteroatoms such as oxygen, nitrogen, sulfur or halogens.
The aliphatic radicals are chosen, for example, from C1 -C30 alkyl, C1 -C30 alkoxy, polyoxy(C2-C6)alkylene, C1 -C30 alkylamide, (C12-C22)alkylamido(C2-C6)alkyl and C1 -C30 hydroxyalkyl radicals;
- X" is an anion chosen from the group of halides, phosphates, acetates, lactates, (C1 -C4)alkyl sulfates or (C1 -C4)alkyl sulfonates or (C1 -C4)alkylaryl sulfonates.
- (B) quaternary ammonium salts of imidazoline, for instance those of formula (II) below:
- R12 represents an alkenyl or alkyl radical comprising from 8 to 30 carbon atoms, for example tallow fatty acid derivatives,
- R13 represents a hydrogen atom, a Ci-C4 alkyl radical or an alkenyl or alkyl radical comprising from 8 to 30 carbon atoms,
- R14 represents a Ci-C4 alkyl radical,
- R15 represents a hydrogen atom or a Ci-C4 alkyl radical,
- X" is an anion chosen from the group of halides, phosphates, acetates, lactates, (C1 -C4)alkyl sulfates or (C1 -C4)alkyl sulfonates or (C1 -C4)alkylaryl sulfonates.
- (C) diquaternary or triquaternary ammonium salts, in particular of formula (III) below:
2+
^17 R 19
R16— — (CH2)3— N— R. 2X
R 2. 0 in which:
- R16 denotes an alkyl radical comprising approximately from 16 to 30 carbon atoms, which is optionally hydroxylated and/or interrupted with one or more oxygen atoms;
- R17 is chosen from hydrogen or an alkyl radical comprising from 1 to 4 carbon atoms or a group -(CH2)3-N+(R16a)(R17a)(R18a),
- R16a, R17a, R18a, R18, R19, R20 and R21 , which may be identical or different, are chosen from hydrogen and an alkyl radical comprising from 1 to 4 carbon atoms, and
- X" is an anion chosen from the group of halides, acetates, phosphates, nitrates, (C1 -C4)alkyl sulfates, (C1 -C4)alkyl sulfonates or (C1 -C4)alkylaryl sulfonates, in particular methyl sulfate and ethyl sulfate.
- (D) quaternary ammonium salts containing one or more ester functions, such as those of formula (IV) below:
in which:
- R22 is chosen from C1 -C6 alkyl radicals and C1 -C6 hydroxyalkyl or dihydroxyal kyl radicals;
- R23 is chosen from:
O II
- the radical R26— C—
- linear or branched, saturated or unsaturated C1 -C22 hydrocarbon-based radicals R27,
- a hydrogen atom,
- R25 is chosen from:
O II
- the radical I½— C—
- saturated or unsaturated, linear or branched C1 -C6 hydrocarbon-based radicals R29,
- a hydrogen atom,
- R24, R26 and R28, which may be identical or different, are chosen from linear or branched, saturated or unsaturated C7-C21 hydrocarbon-based radicals;
- r, s and t, which may be identical or different, are integers ranging from 2 to 6;
- r1 and t1 , which may be identical or different, are equal to 0 or 1 ;
- r2+r1 =2r and t1 +t2=2t
- y is an integer ranging from 1 to 10;
- x and z, which may be identical or different, are integers ranging from 0 to 10;
- X" is a simple or complex, organic or mineral anion;
with the proviso that the sum x + y + z is from 1 to 15, that when x is 0, then R23 denotes R27 and that when z is 0, then R25 denotes R29.
20. Composition according to either of Claims 18 and 19, in which the cationic surfactants comprising one or more permanent positive charges are chosen from cetyltrimethylammonium, behenyltrimethylammonium or dipalmitoyl ethyl hy- droxyethylmethylammonium salts, and mixtures thereof, and more particularly behenyltrimethylammonium chloride, cetyltrimethylammonium chloride or dipalmi- toylethylhydroxyethyl methyl ammonium methosulfate, and mixtures thereof.
21 . Composition according to one of Claims 18 to 20, in which the cationic surfactants comprising one or more permanent positive charges are present in an amount ranging from 0.1 % to 10% by weight, especially from 0.2% to 6% by weight and better still from 1 % to 5% by weight relative to the total weight of the composition.
22. Composition according to any one of the preceding claims, also comprising one or more conditioning agents, chosen especially from the group comprising cationic polymers, silicones, linear or branched C8-C30 hydrocarbons, linear or branched C8-C30 fatty alcohols, esters of C8-C30 fatty acids and C1-C30 alcohols, and especially esters of C8-C30 fatty acids and C8-C30 fatty alcohols, esters of Ci- C7 acids or diacids and C8-C30 fatty alcohols, ceramides or ceramide analogues, and mixtures of these compounds; preferably chosen from cationic polymers.
23. Composition according to any one of the preceding claims, also comprising one or more antidandruff agents chosen from ellagic acid and ethers thereof, el- lagic acid salts and ethers thereof, pyrithione salts, 1 -hydroxy-2-pyridone derivatives and selenium (poly)sulfides, and also mixtures thereof.
24. Composition according to Claim 23, comprising from 0.001 % to 20% by weight, more preferentially from 0.01 % to 10% by weight, in particular from 0.02% to 5% by weight and better still from 0.04% to 2% by weight of antidandruff agents,
relative to the total weight of the composition.
25. Cosmetic process for treating the scalp and/or keratin fibres, in particular the hair, comprising the application to the scalp and/or the said keratin fibres of a cosmetic composition as defined in one of Claims 1 to 24.
Applications Claiming Priority (8)
| Application Number | Priority Date | Filing Date | Title |
|---|---|---|---|
| FR1259718A FR2996770B1 (en) | 2012-10-11 | 2012-10-11 | COSMETIC COMPOSITION COMPRISING A LYSATE OF BACTERIA AND A PARTICULAR MIXTURE OF ANIONIC SURFACTANTS, AND COSMETIC TREATMENT METHOD |
| FR1259719A FR2996771B1 (en) | 2012-10-11 | 2012-10-11 | COSMETIC COMPOSITION COMPRISING A LYSATE OF BACTERIA AND A CATIONIC SURFACTANT AND COSMETIC TREATMENT METHOD |
| FR1259717 | 2012-10-11 | ||
| FR1259720A FR2996772B1 (en) | 2012-10-11 | 2012-10-11 | COSMETIC COMPOSITION COMPRISING LYSATE OF BACTERIA AND ANTIPELLICULAR AGENT, AND METHOD OF COSMETIC TREATMENT |
| FR1259719 | 2012-10-11 | ||
| FR1259720 | 2012-10-11 | ||
| FR1259717A FR2996769B1 (en) | 2012-10-11 | 2012-10-11 | COSMETIC COMPOSITION COMPRISING A LYSATE OF BACTERIA, ANIONIC SURFACTANT, AN AMPHOTERIC OR ZWITTERIONIC SURFACTANT AND A THICKENING AGENT |
| FR1259718 | 2012-10-11 |
Publications (2)
| Publication Number | Publication Date |
|---|---|
| WO2014056962A2 true WO2014056962A2 (en) | 2014-04-17 |
| WO2014056962A3 WO2014056962A3 (en) | 2014-10-09 |
Family
ID=49304997
Family Applications (1)
| Application Number | Title | Priority Date | Filing Date |
|---|---|---|---|
| PCT/EP2013/071009 Ceased WO2014056962A2 (en) | 2012-10-11 | 2013-10-09 | Cosmetic composition comprising a bacterial lysate, a thickener and a particular surfactant system, and cosmetic treatment process |
Country Status (1)
| Country | Link |
|---|---|
| WO (1) | WO2014056962A2 (en) |
Cited By (6)
| Publication number | Priority date | Publication date | Assignee | Title |
|---|---|---|---|---|
| WO2016094973A1 (en) | 2014-12-16 | 2016-06-23 | L'oreal | Cosmetic conditioning composition including a fixative |
| FR3060996A1 (en) * | 2016-12-23 | 2018-06-29 | L'oreal | COSMETIC COMPOSITION COMPRISING A LYSATE OF BACTERIUM (S) VITREOSCILLA SP, A POLYMER AND A FOAMING SURFACTANT |
| US12280131B2 (en) | 2018-12-19 | 2025-04-22 | Conopco, Inc. | Deposition system for hair |
| US12285507B2 (en) | 2018-12-19 | 2025-04-29 | Conopco, Inc. | Deposition system for hair |
| US12458574B2 (en) | 2018-12-19 | 2025-11-04 | Conopco, Inc. | Deposition system for hair |
| US12502343B2 (en) | 2019-07-26 | 2025-12-23 | Conopco, Inc. | Hair treatment composition |
Citations (58)
| Publication number | Priority date | Publication date | Assignee | Title |
|---|---|---|---|---|
| US2261002A (en) | 1941-06-17 | 1941-10-28 | Du Pont | Organic nitrogen compounds |
| US2271378A (en) | 1939-08-30 | 1942-01-27 | Du Pont | Pest control |
| US2273780A (en) | 1939-12-30 | 1942-02-17 | Du Pont | Wax acryalte ester blends |
| US2375853A (en) | 1942-10-07 | 1945-05-15 | Du Pont | Diamine derivatives |
| US2388614A (en) | 1942-05-05 | 1945-11-06 | Du Pont | Disinfectant compositions |
| US2454547A (en) | 1946-10-15 | 1948-11-23 | Rohm & Haas | Polymeric quaternary ammonium salts |
| US2961347A (en) | 1957-11-13 | 1960-11-22 | Hercules Powder Co Ltd | Process for preventing shrinkage and felting of wool |
| US3206462A (en) | 1962-10-31 | 1965-09-14 | Dow Chemical Co | Quaternary poly(oxyalkylene)alkylbis(diethylenetriamine) compounds |
| US3227615A (en) | 1962-05-29 | 1966-01-04 | Hercules Powder Co Ltd | Process and composition for the permanent waving of hair |
| FR1492597A (en) | 1965-09-14 | 1967-08-18 | Union Carbide Corp | New cellulose ethers containing quaternary nitrogen |
| FR1583363A (en) | 1967-09-28 | 1969-10-24 | ||
| US3589578A (en) | 1968-01-20 | 1971-06-29 | Monforts Fa A | Tension-relieving device for stretchable sheet material |
| FR2077143A5 (en) | 1970-01-30 | 1971-10-15 | Gaf Corp | |
| FR2080759A1 (en) | 1970-02-25 | 1971-11-19 | Gillette Co | |
| FR2162025A1 (en) | 1971-11-29 | 1973-07-13 | Oreal | |
| FR2190406A2 (en) | 1972-06-29 | 1974-02-01 | Gillette Co | |
| US3874870A (en) | 1973-12-18 | 1975-04-01 | Mill Master Onyx Corp | Microbiocidal polymeric quarternary ammonium compounds |
| FR2252840A1 (en) | 1973-11-30 | 1975-06-27 | Oreal | |
| FR2270846A1 (en) | 1974-05-16 | 1975-12-12 | Oreal | |
| US3929990A (en) | 1973-12-18 | 1975-12-30 | Millmaster Onyx Corp | Microbiocidal polymeric quaternary ammonium compounds |
| FR2280361A2 (en) | 1974-08-02 | 1976-02-27 | Oreal | HAIR TREATMENT AND CONDITIONING COMPOSITIONS |
| US3966904A (en) | 1974-10-03 | 1976-06-29 | Millmaster Onyx Corporation | Quaternary ammonium co-polymers for controlling the proliferation of bacteria |
| US4001432A (en) | 1974-10-29 | 1977-01-04 | Millmaster Onyx Corporation | Method of inhibiting the growth of bacteria by the application thereto of capped polymers |
| US4005193A (en) | 1974-08-07 | 1977-01-25 | Millmaster Onyx Corporation | Microbiocidal polymeric quaternary ammonium compounds |
| FR2316271A1 (en) | 1975-07-04 | 1977-01-28 | Oreal | NEW QUATERNIZED POLYMERS, THEIR PREPARATION PROCESS, AND THEIR APPLICATION |
| FR2320330A1 (en) | 1974-01-25 | 1977-03-04 | Calgon Corp | COMPOSITION OF FUNCTIONAL IONEN POLYMERS AND THEIR USE |
| US4025617A (en) | 1974-10-03 | 1977-05-24 | Millmaster Onyx Corporation | Anti-microbial quaternary ammonium co-polymers |
| US4025653A (en) | 1975-04-07 | 1977-05-24 | Millmaster Onyx Corporation | Microbiocidal polymeric quaternary ammonium compounds |
| US4025627A (en) | 1973-12-18 | 1977-05-24 | Millmaster Onyx Corporation | Microbiocidal polymeric quaternary ammonium compounds |
| US4027020A (en) | 1974-10-29 | 1977-05-31 | Millmaster Onyx Corporation | Randomly terminated capped polymers |
| US4026945A (en) | 1974-10-03 | 1977-05-31 | Millmaster Onyx Corporation | Anti-microbial quaternary ammonium co-polymers |
| US4031307A (en) | 1976-05-03 | 1977-06-21 | Celanese Corporation | Cationic polygalactomannan compositions |
| FR2336434A1 (en) | 1975-12-23 | 1977-07-22 | Ciba Geigy Ag | QUATERNARY POLYMERIC AMMONIUM SALTS, THEIR PREPARATION PROCESS AND THEIR USE |
| FR2368508A2 (en) | 1977-03-02 | 1978-05-19 | Oreal | HAIR CONDITIONING COMPOSITION |
| US4131576A (en) | 1977-12-15 | 1978-12-26 | National Starch And Chemical Corporation | Process for the preparation of graft copolymers of a water soluble monomer and polysaccharide employing a two-phase reaction system |
| FR2393573A1 (en) | 1977-06-10 | 1979-01-05 | Gaf Corp | HAIR PREPARATIONS CONTAINING A VINYLPYRROLIDONE COPOLYMER |
| US4137180A (en) | 1976-07-02 | 1979-01-30 | Lever Brothers Company | Fabric treatment materials |
| FR2413907A1 (en) | 1977-09-20 | 1979-08-03 | Oreal | COSMETIC COMPOSITIONS BASED ON QUATERNARY POLYAMMONIUM POLYMERS |
| FR2505348A1 (en) | 1981-05-08 | 1982-11-12 | Oreal | COMPOSITION IN THE FORM OF AEROSOL FOAM BASED ON CATIONIC POLYMER AND ANIONIC POLYMER |
| EP0080976A1 (en) | 1981-11-30 | 1983-06-08 | Ciba-Geigy Ag | Mixtures of quaternary polymeric acrylic ammonium salts, quaternary mono- or oligomeric ammonium salts and surfactants, their preparation and their use in cosmetic compositions |
| US4464362A (en) | 1980-06-27 | 1984-08-07 | Estee Lauder Inc. | Topical skin repair composition |
| FR2542997A1 (en) | 1983-03-23 | 1984-09-28 | Oreal | A THICKENED OR GELIFIED HAIR CONDITIONING COMPOSITION CONTAINING AT LEAST ONE CATIONIC POLYMER, AT LEAST ONE ANIONIC POLYMER AND AT LEAST ONE XANTHAN GUM |
| EP0122324A1 (en) | 1983-04-15 | 1984-10-24 | Miranol Inc. | Polyquaternary ammonium compounds and cosmetic compositions containing them |
| EP0186507A2 (en) | 1984-12-22 | 1986-07-02 | Chisso Corporation | Carboxyl group-containing siloxane compounds |
| US4693935A (en) | 1986-05-19 | 1987-09-15 | Minnesota Mining And Manufacturing Company | Polysiloxane-grafted copolymer pressure sensitive adhesive composition and sheet materials coated therewith |
| US4728571A (en) | 1985-07-19 | 1988-03-01 | Minnesota Mining And Manufacturing Company | Polysiloxane-grafted copolymer release coating sheets and adhesive tapes |
| US4874554A (en) | 1986-07-10 | 1989-10-17 | Henkel Kommanditgesellschaft Auf Aktien | Quaternary ammonium compounds |
| US4972037A (en) | 1989-08-07 | 1990-11-20 | Minnesota Mining And Manufacturing Company | Polysiloxane-grafted copolymer topical binder composition with novel fluorochemical comonomer and method of coating therewith |
| EP0412707A1 (en) | 1989-08-07 | 1991-02-13 | The Procter & Gamble Company | Hair conditioning and styling compositions |
| EP0412704A2 (en) | 1989-08-07 | 1991-02-13 | The Procter & Gamble Company | Hair conditioning and styling compositions |
| FR2673179A1 (en) | 1991-02-21 | 1992-08-28 | Oreal | CERAMIDES, PROCESS FOR PREPARING THEM AND THEIR APPLICATIONS IN COSMETICS AND DERMOPHARMACY. |
| WO1993023009A1 (en) | 1992-05-12 | 1993-11-25 | Minnesota Mining And Manufacturing Company | Polymers in cosmetics and personal care products |
| EP0582152A2 (en) | 1992-07-28 | 1994-02-09 | Mitsubishi Chemical Corporation | A hair cosmetic composition |
| WO1995000578A1 (en) | 1993-06-24 | 1995-01-05 | The Procter & Gamble Company | Siloxane modified polyolefin copolymers |
| EP0640105A1 (en) | 1992-05-15 | 1995-03-01 | The Procter & Gamble Company | Adhesive agent containing polysiloxane-grafted polymer, and cosmetic compositions thereof |
| EP1400237A2 (en) | 2002-09-06 | 2004-03-24 | L'oreal | Use of a protectin activator to improve skin resistance |
| FR2879452A1 (en) | 2004-12-21 | 2006-06-23 | Oreal | USE OF NON-PHOTOSYNTHETIC NON-FRUCTIFIANT FILAMENTARY BACTERIUM EXTRACT AS AN AGENT MODULATING THE ADHESION OF SKIN MICROORGANISMS |
| FR2956812A1 (en) | 2010-03-01 | 2011-09-02 | Oreal | COSMETIC COMPOSITION BASED ON ELLAGIC ACID OR ONE OF ITS DERIVATIVES AND A BACTERIA EXTRACT. |
Family Cites Families (2)
| Publication number | Priority date | Publication date | Assignee | Title |
|---|---|---|---|---|
| FR2762782B1 (en) * | 1997-05-05 | 1999-06-11 | Oreal | COMPOSITION COMPRISING A MICROORGANISM CULTURE MEDIUM AND USE THEREOF |
| EP2149368B1 (en) * | 2008-07-29 | 2018-05-30 | L'Oréal | Cosmetic and dermatological use of probiotic Lactobacillus paracasei microorganisms for the treatment of greasy scalp disorders |
-
2013
- 2013-10-09 WO PCT/EP2013/071009 patent/WO2014056962A2/en not_active Ceased
Patent Citations (58)
| Publication number | Priority date | Publication date | Assignee | Title |
|---|---|---|---|---|
| US2271378A (en) | 1939-08-30 | 1942-01-27 | Du Pont | Pest control |
| US2273780A (en) | 1939-12-30 | 1942-02-17 | Du Pont | Wax acryalte ester blends |
| US2261002A (en) | 1941-06-17 | 1941-10-28 | Du Pont | Organic nitrogen compounds |
| US2388614A (en) | 1942-05-05 | 1945-11-06 | Du Pont | Disinfectant compositions |
| US2375853A (en) | 1942-10-07 | 1945-05-15 | Du Pont | Diamine derivatives |
| US2454547A (en) | 1946-10-15 | 1948-11-23 | Rohm & Haas | Polymeric quaternary ammonium salts |
| US2961347A (en) | 1957-11-13 | 1960-11-22 | Hercules Powder Co Ltd | Process for preventing shrinkage and felting of wool |
| US3227615A (en) | 1962-05-29 | 1966-01-04 | Hercules Powder Co Ltd | Process and composition for the permanent waving of hair |
| US3206462A (en) | 1962-10-31 | 1965-09-14 | Dow Chemical Co | Quaternary poly(oxyalkylene)alkylbis(diethylenetriamine) compounds |
| FR1492597A (en) | 1965-09-14 | 1967-08-18 | Union Carbide Corp | New cellulose ethers containing quaternary nitrogen |
| FR1583363A (en) | 1967-09-28 | 1969-10-24 | ||
| US3589578A (en) | 1968-01-20 | 1971-06-29 | Monforts Fa A | Tension-relieving device for stretchable sheet material |
| FR2077143A5 (en) | 1970-01-30 | 1971-10-15 | Gaf Corp | |
| FR2080759A1 (en) | 1970-02-25 | 1971-11-19 | Gillette Co | |
| FR2162025A1 (en) | 1971-11-29 | 1973-07-13 | Oreal | |
| FR2190406A2 (en) | 1972-06-29 | 1974-02-01 | Gillette Co | |
| FR2252840A1 (en) | 1973-11-30 | 1975-06-27 | Oreal | |
| US3929990A (en) | 1973-12-18 | 1975-12-30 | Millmaster Onyx Corp | Microbiocidal polymeric quaternary ammonium compounds |
| US3874870A (en) | 1973-12-18 | 1975-04-01 | Mill Master Onyx Corp | Microbiocidal polymeric quarternary ammonium compounds |
| US4025627A (en) | 1973-12-18 | 1977-05-24 | Millmaster Onyx Corporation | Microbiocidal polymeric quaternary ammonium compounds |
| FR2320330A1 (en) | 1974-01-25 | 1977-03-04 | Calgon Corp | COMPOSITION OF FUNCTIONAL IONEN POLYMERS AND THEIR USE |
| FR2270846A1 (en) | 1974-05-16 | 1975-12-12 | Oreal | |
| FR2280361A2 (en) | 1974-08-02 | 1976-02-27 | Oreal | HAIR TREATMENT AND CONDITIONING COMPOSITIONS |
| US4005193A (en) | 1974-08-07 | 1977-01-25 | Millmaster Onyx Corporation | Microbiocidal polymeric quaternary ammonium compounds |
| US3966904A (en) | 1974-10-03 | 1976-06-29 | Millmaster Onyx Corporation | Quaternary ammonium co-polymers for controlling the proliferation of bacteria |
| US4026945A (en) | 1974-10-03 | 1977-05-31 | Millmaster Onyx Corporation | Anti-microbial quaternary ammonium co-polymers |
| US4025617A (en) | 1974-10-03 | 1977-05-24 | Millmaster Onyx Corporation | Anti-microbial quaternary ammonium co-polymers |
| US4027020A (en) | 1974-10-29 | 1977-05-31 | Millmaster Onyx Corporation | Randomly terminated capped polymers |
| US4001432A (en) | 1974-10-29 | 1977-01-04 | Millmaster Onyx Corporation | Method of inhibiting the growth of bacteria by the application thereto of capped polymers |
| US4025653A (en) | 1975-04-07 | 1977-05-24 | Millmaster Onyx Corporation | Microbiocidal polymeric quaternary ammonium compounds |
| FR2316271A1 (en) | 1975-07-04 | 1977-01-28 | Oreal | NEW QUATERNIZED POLYMERS, THEIR PREPARATION PROCESS, AND THEIR APPLICATION |
| FR2336434A1 (en) | 1975-12-23 | 1977-07-22 | Ciba Geigy Ag | QUATERNARY POLYMERIC AMMONIUM SALTS, THEIR PREPARATION PROCESS AND THEIR USE |
| US4031307A (en) | 1976-05-03 | 1977-06-21 | Celanese Corporation | Cationic polygalactomannan compositions |
| US4137180A (en) | 1976-07-02 | 1979-01-30 | Lever Brothers Company | Fabric treatment materials |
| FR2368508A2 (en) | 1977-03-02 | 1978-05-19 | Oreal | HAIR CONDITIONING COMPOSITION |
| FR2393573A1 (en) | 1977-06-10 | 1979-01-05 | Gaf Corp | HAIR PREPARATIONS CONTAINING A VINYLPYRROLIDONE COPOLYMER |
| FR2413907A1 (en) | 1977-09-20 | 1979-08-03 | Oreal | COSMETIC COMPOSITIONS BASED ON QUATERNARY POLYAMMONIUM POLYMERS |
| US4131576A (en) | 1977-12-15 | 1978-12-26 | National Starch And Chemical Corporation | Process for the preparation of graft copolymers of a water soluble monomer and polysaccharide employing a two-phase reaction system |
| US4464362A (en) | 1980-06-27 | 1984-08-07 | Estee Lauder Inc. | Topical skin repair composition |
| FR2505348A1 (en) | 1981-05-08 | 1982-11-12 | Oreal | COMPOSITION IN THE FORM OF AEROSOL FOAM BASED ON CATIONIC POLYMER AND ANIONIC POLYMER |
| EP0080976A1 (en) | 1981-11-30 | 1983-06-08 | Ciba-Geigy Ag | Mixtures of quaternary polymeric acrylic ammonium salts, quaternary mono- or oligomeric ammonium salts and surfactants, their preparation and their use in cosmetic compositions |
| FR2542997A1 (en) | 1983-03-23 | 1984-09-28 | Oreal | A THICKENED OR GELIFIED HAIR CONDITIONING COMPOSITION CONTAINING AT LEAST ONE CATIONIC POLYMER, AT LEAST ONE ANIONIC POLYMER AND AT LEAST ONE XANTHAN GUM |
| EP0122324A1 (en) | 1983-04-15 | 1984-10-24 | Miranol Inc. | Polyquaternary ammonium compounds and cosmetic compositions containing them |
| EP0186507A2 (en) | 1984-12-22 | 1986-07-02 | Chisso Corporation | Carboxyl group-containing siloxane compounds |
| US4728571A (en) | 1985-07-19 | 1988-03-01 | Minnesota Mining And Manufacturing Company | Polysiloxane-grafted copolymer release coating sheets and adhesive tapes |
| US4693935A (en) | 1986-05-19 | 1987-09-15 | Minnesota Mining And Manufacturing Company | Polysiloxane-grafted copolymer pressure sensitive adhesive composition and sheet materials coated therewith |
| US4874554A (en) | 1986-07-10 | 1989-10-17 | Henkel Kommanditgesellschaft Auf Aktien | Quaternary ammonium compounds |
| EP0412704A2 (en) | 1989-08-07 | 1991-02-13 | The Procter & Gamble Company | Hair conditioning and styling compositions |
| EP0412707A1 (en) | 1989-08-07 | 1991-02-13 | The Procter & Gamble Company | Hair conditioning and styling compositions |
| US4972037A (en) | 1989-08-07 | 1990-11-20 | Minnesota Mining And Manufacturing Company | Polysiloxane-grafted copolymer topical binder composition with novel fluorochemical comonomer and method of coating therewith |
| FR2673179A1 (en) | 1991-02-21 | 1992-08-28 | Oreal | CERAMIDES, PROCESS FOR PREPARING THEM AND THEIR APPLICATIONS IN COSMETICS AND DERMOPHARMACY. |
| WO1993023009A1 (en) | 1992-05-12 | 1993-11-25 | Minnesota Mining And Manufacturing Company | Polymers in cosmetics and personal care products |
| EP0640105A1 (en) | 1992-05-15 | 1995-03-01 | The Procter & Gamble Company | Adhesive agent containing polysiloxane-grafted polymer, and cosmetic compositions thereof |
| EP0582152A2 (en) | 1992-07-28 | 1994-02-09 | Mitsubishi Chemical Corporation | A hair cosmetic composition |
| WO1995000578A1 (en) | 1993-06-24 | 1995-01-05 | The Procter & Gamble Company | Siloxane modified polyolefin copolymers |
| EP1400237A2 (en) | 2002-09-06 | 2004-03-24 | L'oreal | Use of a protectin activator to improve skin resistance |
| FR2879452A1 (en) | 2004-12-21 | 2006-06-23 | Oreal | USE OF NON-PHOTOSYNTHETIC NON-FRUCTIFIANT FILAMENTARY BACTERIUM EXTRACT AS AN AGENT MODULATING THE ADHESION OF SKIN MICROORGANISMS |
| FR2956812A1 (en) | 2010-03-01 | 2011-09-02 | Oreal | COSMETIC COMPOSITION BASED ON ELLAGIC ACID OR ONE OF ITS DERIVATIVES AND A BACTERIA EXTRACT. |
Non-Patent Citations (3)
| Title |
|---|
| "Bergey's Manual of Systematic Bacteriology, 9th edition,", vol. 3, 1989, article "sections 22 and 23," |
| "CTFA diction- ary", 1993 |
| DOWNING, ARCH. DERMATOL., vol. 123, 1987, pages 1381 - 1384 |
Cited By (6)
| Publication number | Priority date | Publication date | Assignee | Title |
|---|---|---|---|---|
| WO2016094973A1 (en) | 2014-12-16 | 2016-06-23 | L'oreal | Cosmetic conditioning composition including a fixative |
| FR3060996A1 (en) * | 2016-12-23 | 2018-06-29 | L'oreal | COSMETIC COMPOSITION COMPRISING A LYSATE OF BACTERIUM (S) VITREOSCILLA SP, A POLYMER AND A FOAMING SURFACTANT |
| US12280131B2 (en) | 2018-12-19 | 2025-04-22 | Conopco, Inc. | Deposition system for hair |
| US12285507B2 (en) | 2018-12-19 | 2025-04-29 | Conopco, Inc. | Deposition system for hair |
| US12458574B2 (en) | 2018-12-19 | 2025-11-04 | Conopco, Inc. | Deposition system for hair |
| US12502343B2 (en) | 2019-07-26 | 2025-12-23 | Conopco, Inc. | Hair treatment composition |
Also Published As
| Publication number | Publication date |
|---|---|
| WO2014056962A3 (en) | 2014-10-09 |
Similar Documents
| Publication | Publication Date | Title |
|---|---|---|
| US11077047B2 (en) | Cosmetic composition comprising a combination of surfactants of carboxylate, acylisethionate and alkyl(poly)glycoside type | |
| US6534455B1 (en) | Composition for washing keratin materials, based on a detergent surfactant, a dialkyldiallylammonium homopolymer and an acrylic terpolymer | |
| US6383996B1 (en) | Antidandruff composition for treating the hair and the scalp, based on an antidandruff agent and an acrylic terpolymer | |
| US6383995B1 (en) | Composition for washing keratin materials, based on a detergent surfactant, a polyorganosiloxane, a cationic polymer and a acrylic terpolymer | |
| US20170340540A1 (en) | Cosmetic composition containing linear olefin sulfonates, non-oxyalkylated anionic surfactants, and non-ionic and/or amphoteric surfactants, and cosmetic treatment method | |
| US20160367461A1 (en) | Cosmetic antidandruff composition based on ellagic acid or a derivative thereof and a second, different active compound in a specific weight ratio | |
| WO2014056962A2 (en) | Cosmetic composition comprising a bacterial lysate, a thickener and a particular surfactant system, and cosmetic treatment process | |
| US20150174025A1 (en) | Composition comprising ellagic acid and a particular cationic surfactant, and cosmetic use thereof | |
| US20130112218A1 (en) | Use of ellagic acid as an anti-dandruff agent | |
| CN102858314B (en) | Cosmetic composition based on ellagic acid or a derivative thereof and a bacterial extract | |
| EP3481507A1 (en) | Cosmetic composition comprising a particular combination of surfactants, a silicone, a cationic polymer, a fatty alcohol and a clay | |
| US11071703B2 (en) | Cosmetic composition comprising a combination of anionic surfactants of carboxylate and acylisethionate type | |
| US20150182437A1 (en) | Cosmetic composition comprising an anionic surfactant, a solid fatty alcohol and a solid fatty ester, and cosmetic treatment process | |
| WO2018108958A1 (en) | Process for treating keratin fibres using a homopolymer of acrylamidoalkyltrialkylammonium type and an amino silicone | |
| US20130085177A1 (en) | Cosmetic composition based on ellagic acid or a derivative thereof and on a particular mixture of surfactants | |
| FR2996770A1 (en) | Cosmetic composition, useful for treating dandruff in the scalp and/or damaged hair, comprises a lysate of bacterium belonging Vitreoscilla species, first anionic surface-active agents, and second anionic surface-active agents | |
| FR2956810A1 (en) | Cosmetic composition, useful for e.g. the treatment of scalp, preferably human keratin fibers such as hair, comprises compound having ellagic acid, anionic surfactant and amphoteric or zwitterionic surfactant | |
| WO2013092722A1 (en) | Cosmetic composition comprising a hydrophobically modified cellulose and an anionic surfactant comprising one or more carboxylate group(s) | |
| FR2996772A1 (en) | Cosmetic composition, useful for treating dandruff in the scalp and/or damaged hair, comprises a lysate of bacterium belonging to Vitreoscilla species and anti-dandruff agents consisting of e.g. ellagic acid and its ethers and salts | |
| FR2996769A1 (en) | Cosmetic composition, used for treating dandruff in scalp and/or damaged hair, comprises lysate of bacterium belonging to Vitreoscilla, anionic surface-active agents, amphoteric or zwitterionic surface-active agents, and thickening agents | |
| WO2014044660A1 (en) | Cosmetic assembly and cosmetic composition comprising an anionic surfactant, a solid fatty alcohol and a cationic polymer, cosmetic treatment process and conditioning device | |
| FR2956807A1 (en) | Composition, useful for e.g. the treatment of scalp, preferably human keratin fibers such as hair, comprises compound having ellagic acid, anionic surfactant (A) having ethoxylated alkyl sulfate and anionic surfactant different from (A) |
Legal Events
| Date | Code | Title | Description |
|---|---|---|---|
| 121 | Ep: the epo has been informed by wipo that ep was designated in this application |
Ref document number: 13773800 Country of ref document: EP Kind code of ref document: A2 |
|
| 122 | Ep: pct application non-entry in european phase |
Ref document number: 13773800 Country of ref document: EP Kind code of ref document: A2 |























