WO2018108958A1 - Process for treating keratin fibres using a homopolymer of acrylamidoalkyltrialkylammonium type and an amino silicone - Google Patents
Process for treating keratin fibres using a homopolymer of acrylamidoalkyltrialkylammonium type and an amino silicone Download PDFInfo
- Publication number
- WO2018108958A1 WO2018108958A1 PCT/EP2017/082507 EP2017082507W WO2018108958A1 WO 2018108958 A1 WO2018108958 A1 WO 2018108958A1 EP 2017082507 W EP2017082507 W EP 2017082507W WO 2018108958 A1 WO2018108958 A1 WO 2018108958A1
- Authority
- WO
- WIPO (PCT)
- Prior art keywords
- group
- weight
- alkyl
- process according
- cationic
- Prior art date
- Legal status (The legal status is an assumption and is not a legal conclusion. Google has not performed a legal analysis and makes no representation as to the accuracy of the status listed.)
- Ceased
Links
Classifications
-
- A—HUMAN NECESSITIES
- A61—MEDICAL OR VETERINARY SCIENCE; HYGIENE
- A61Q—SPECIFIC USE OF COSMETICS OR SIMILAR TOILETRY PREPARATIONS
- A61Q5/00—Preparations for care of the hair
- A61Q5/12—Preparations containing hair conditioners
-
- A—HUMAN NECESSITIES
- A61—MEDICAL OR VETERINARY SCIENCE; HYGIENE
- A61K—PREPARATIONS FOR MEDICAL, DENTAL OR TOILETRY PURPOSES
- A61K8/00—Cosmetics or similar toiletry preparations
- A61K8/18—Cosmetics or similar toiletry preparations characterised by the composition
- A61K8/72—Cosmetics or similar toiletry preparations characterised by the composition containing organic macromolecular compounds
- A61K8/81—Cosmetics or similar toiletry preparations characterised by the composition containing organic macromolecular compounds obtained by reactions involving only carbon-to-carbon unsaturated bonds
- A61K8/8141—Compositions of homopolymers or copolymers of compounds having one or more unsaturated aliphatic radicals, each having only one carbon-to-carbon double bond, and at least one being terminated by only one carboxyl radical, or of salts, anhydrides, esters, amides, imides or nitriles thereof; Compositions of derivatives of such polymers
- A61K8/8158—Homopolymers or copolymers of amides or imides, e.g. (meth) acrylamide; Compositions of derivatives of such polymers
-
- A—HUMAN NECESSITIES
- A61—MEDICAL OR VETERINARY SCIENCE; HYGIENE
- A61K—PREPARATIONS FOR MEDICAL, DENTAL OR TOILETRY PURPOSES
- A61K8/00—Cosmetics or similar toiletry preparations
- A61K8/18—Cosmetics or similar toiletry preparations characterised by the composition
- A61K8/72—Cosmetics or similar toiletry preparations characterised by the composition containing organic macromolecular compounds
- A61K8/84—Cosmetics or similar toiletry preparations characterised by the composition containing organic macromolecular compounds obtained by reactions otherwise than those involving only carbon-carbon unsaturated bonds
- A61K8/89—Polysiloxanes
- A61K8/896—Polysiloxanes containing atoms other than silicon, carbon, oxygen and hydrogen, e.g. dimethicone copolyol phosphate
- A61K8/898—Polysiloxanes containing atoms other than silicon, carbon, oxygen and hydrogen, e.g. dimethicone copolyol phosphate containing nitrogen, e.g. amodimethicone, trimethyl silyl amodimethicone or dimethicone propyl PG-betaine
-
- A—HUMAN NECESSITIES
- A61—MEDICAL OR VETERINARY SCIENCE; HYGIENE
- A61Q—SPECIFIC USE OF COSMETICS OR SIMILAR TOILETRY PREPARATIONS
- A61Q5/00—Preparations for care of the hair
- A61Q5/02—Preparations for cleaning the hair
Definitions
- the present invention relates to a process for treating keratin fibres, in particular human keratin fibres such as the hair, using a cosmetic composition comprising a particular cationic homopolymer and an amino silicone.
- the present invention also relates to the use of said cosmetic composition as a pre-shampoo.
- Hair is generally damaged and embrittled by the action of external atmospheric agents such as light and bad weather, and by mechanical or chemical treatments, such as brushing, combing, dyeing, bleaching, permanent- waving and/or relaxing.
- These haircare compositions are generally compositions to be applied after shampooing and may be in the form of gels, hair lotions or more or less thick creams.
- the conditioning properties imparted by these hair-conditioning treatments remain insufficient and have a tendency to fade out after washing the hair with a standard shampoo.
- the hair is made lank, lacks lightness, and may have a greasy feel or become greasy again more quickly.
- One subject of the present invention is especially a process for treating keratin fibres, in particular human keratin fibres such as the hair, comprising the following steps:
- a cosmetic composition comprising: - one or more cationic homopolymers resulting from the polymerization of monomers of acrylamidoalkyltrialkylammonium type, and
- a detergent composition comprising one or more surfactants chosen from anionic surfactants and amphoteric or zwitterionic surfactants, and mixtures thereof.
- a subject of the present invention is also the use of a cosmetic composition
- a cosmetic composition comprising:
- the process according to the present invention makes it possible to obtain improved conditioning properties, especially in terms of suppleness, smoothness and lightness, and also greater ease of disentangling, without making the hair lank.
- the hair is lighter, more supple and has a less greasy look and feel.
- the properties afforded by the treatment according to the invention are visible immediately after the treatment, and are maintained over time. They are in particular persistent with respect to shampooing, and especially after two shampoo washes. Other subjects, characteristics, aspects and advantages of the invention will emerge even more clearly on reading the description and the examples that follow.
- the process for treating keratin fibres according to the present invention comprises a first step of applying to said keratin fibres a cosmetic composition comprising:
- the cosmetic composition used in the first step of the process according to the invention is preferably non-detergent.
- non-detergent composition means a composition not intended for washing keratin fibres, i.e. a composition which cannot remove from said fibres, especially the hair, the soiling adhering thereto by placing said soiling in dispersion or in solution.
- a composition therefore does not contain a washing base constituted of anionic and/or amphoteric surfactants, or, when such a washing base is present, its content is moderate, preferably less than 4% by weight, relative to the total weight of the composition.
- the non-detergent compositions according to the invention contain less than 3% in total weight of anionic and amphoteric or zwitterionic surfactants, relative to the total weight of the composition.
- the non- detergent compositions according to the invention do not contain any (0%) anionic surfactants and amphoteric or zwitterionic surfactants.
- anionic and amphoteric or zwitterionic surfactants are as described below.
- the cosmetic composition used in the first step of the keratin fibre treatment process according to the present invention comprises one or more cationic homopolymers resulting from the polymerization of monomers of acrylamidoalkyltrialkylammonium type.
- these cationic homopolymers have a viscosity of less than or equal to 0.2 Pa.s in solution at 1 % by weight of active material in water, at 25°C and at a shear rate of 200 s "1 .
- the viscosity may be measured using a cone/plate viscometer, a Haake R600 rheometer or the like.
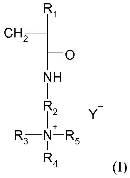
- the cationic homopolymer(s) result from the polymerization of monomers of formula (I):
- - Ri denotes a hydrogen atom or a methyl group
- R 2 denotes a linear or branched, saturated or unsaturated Ci to C 6 and preferably Ci to C 4 alkylene group, optionally substituted with a hydroxyl group,
- R3, R4 and R5 which may be identical or different, denote a linear or branched, saturated or unsaturated, optionally cyclic Ci to C 18 and preferably Ci to C4 alkyl group, and
- - Y " is an anion such as a halide, for instance bromide or chloride, an acetate, a borate, a citrate, a tartrate, a bisulfate, a bisulfite, a sulfate or a phosphate, preferably a chloride anion.
- a halide for instance bromide or chloride
- an acetate, a borate, a citrate, a tartrate, a bisulfate, a bisulfite, a sulfate or a phosphate preferably a chloride anion.
- R 2 denotes a linear or branched C1-C4 alkylene group
- R3, R4 and R5 denote a linear or branched Ci to C4 alkyl group; and Y " is a halide anion, and especially a chloride.
- X " is a halide anion, and especially a chloride.
- - Ri denotes a hydrogen atom
- R 3 , P 4 and R 5 denote a methyl group
- the cationic homopolymers resulting from the polymerization of monomers of acrylamidoalkyltrialkylammonium type according to the invention may be crosslinked or non-crosslinked.
- the content of cationic homopolymer(s) resulting from the polymerization of monomers of acrylamidoalkyltrialkylammonium type, present in the cosmetic composition according to the invention preferably ranges from 0.05% to 20% by weight, more preferentially from 0.1% to 15% by weight and better still from 0.5% to 10% by weight, relative to the total weight of the cosmetic composition.
- the cosmetic composition used in the first step of the keratin fibre treatment process according to the present invention also comprises one or more amino silicones.
- amino silicone means any silicone comprising at least one primary, secondary or tertiary amine function or a quaternary ammonium group.
- the amino silicone(s) used in the cosmetic composition according to the present invention comprise in their structure at least 4 silicon atoms.
- sicone is intended to denote, in accordance with what is generally accepted, any organosilicon polymers or oligomers of linear or cyclic, branched or crosslinked structure, of variable molecular weight, obtained by polymerization and/or polycondensation of suitably functionalized silanes, and constituted essentially of a repetition of main units in which the silicon atoms are linked together via oxygen atoms (siloxane bond -Si-O- Si-), optionally substituted hydrocarbon-based groups being directly linked via a carbon atom to said silicon atoms.
- hydrocarbon-based groups that are the most common are alkyl groups, especially Ci-Cio alkyl groups and in particular methyl, fluoroalkyl groups the alkyl part of which is Ci-Cio, and aryl groups and in particular phenyl.
- amino silicones used in the non-detergent cosmetic composition according to the present invention may be chosen from:
- - T is a hydrogen atom or a phenyl, hydroxyl (-OH), or Ci-Cs alkyl, and preferably methyl, or Ci-Cs alkoxy, preferably methoxy, group,
- - a denotes the number 0 or an integer from 1 to 3, and preferably 0,
- - b denotes 0 or 1 , and in particular 1 ,
- n + m and n are numbers such that the sum (n + m) can range especially from 1 to 2000 and in particular from 50 to 150, it being possible for n to denote a number from 0 to 1999 and especially from 49 to 149, and for m to denote a number from 1 to 2000 and especially from 1 to 10,
- R 1 is a monovalent group of formula -C q H 2q L in which q is a number from 2 to 8 and L is an optionally quaternized amine group chosen from the following groups:
- R 2 may denote a hydrogen atom, a phenyl group, a benzyl group or a saturated monovalent hydrocarbon-based group, for example a Ci-C 2 o alkyl group, and Q " represents a halide ion, for instance fluoride, chloride, bromide or iodide.
- amino silicones corresponding to the definition of formula (II) are chosen from the compounds corresponding to formula (III) below:
- R, R' and R which may be identical or different, denote a C1-C4 alkyl group, preferably CH3; a C1-C4 alkoxy group, preferably methoxy; or OH;
- A represents a linear or branched, C3-C8 and preferably C3-C6, alkylene group;
- m and n are integers dependent on the molecular weight and the sum of which is between 1 and 2000.
- R, R and R which may be identical or different, each represent a C1-C4 alkyl or hydroxyl group, A represents a C3 alkylene group and m and n are such that the weight-average molecular weight of the compound is between approximately 5000 and 500 000.
- the compounds of this type are named "amodimethicone" in the CTFA dictionary.
- R, R and R which may be identical or different, each represent a C1-C4 alkoxy or hydroxyl group, at least one of the groups R and R" is an alkoxy group and A represents a C3 alkylene group.
- the hydroxy 1/alkoxy mole ratio is preferably between 0.2/1 and 0.4/1 and advantageously equal to 0.3/1.
- m and n are such that the weight-average molecular weight of the compound is between 2000 and 10 6 . More particularly, n is between 0 and 999 and m is between 1 and 1000, the sum of n and m being between 1 and 1000.
- R and R" which are different, each represent a C1-C4 alkoxy or hydroxyl group, at least one of the groups R and R" being an alkoxy group, R representing a methyl group and A representing a C3 alkylene group.
- the hydro xyl/alkoxy mole ratio is preferably between 1/0.8 and 1/1.1 and advantageously is equal to 1/0.95.
- m and n are such that the weight- average molecular weight of the compound is between 2000 and 200 000. More particularly, n is between 0 and 999 and m is between 1 and 1000, the sum of n and m being between 1 and 1000.
- the molecular weight of these silicones is determined by gel permeation chromatography (room temperature, polystyrene standard, ⁇ styragem columns, eluent THF, flow rate of 1 mm/m, 200 ⁇ of a solution containing 0.5% by weight of silicone in THF are injected, and detection is performed by refractometry and UV-metry).
- a product corresponding to the definition of formula (II) is in particular the polymer known in the CTFA dictionary as "trimethylsilyl amodimethicone", corresponding to formula (IV) below:
- a compound of formula (II) is sold, for example, under the name Q2-8220 by the company OSI.
- R 3 represents a monovalent Ci-Cis hydrocarbon-based group, and in particular a Ci-Cis alkyl or C2-C18 alkenyl group, for example methyl,
- R 4 represents a divalent hydrocarbon-based group, especially a Ci-Cis alkylene group or a divalent Ci-Cis, for example Ci-Cs, alkyleneoxy group,
- - Q " is a halide ion, especially chloride
- - r represents a mean statistical value from 2 to 20 and in particular from 2 to 8,
- - s represents a mean statistical value from 20 to 200 and in particular from 20 to 50.
- - R7 which may be identical or different, represent a monovalent hydrocarbon- based group containing from 1 to 18 carbon atoms, and in particular a Ci-Cis alkyl group, a C2-C18 alkenyl group or a ring comprising 5 or 6 carbon atoms, for example methyl
- - Re represents a divalent hydrocarbon-based group, especially a d-ds alkylene group or a divalent d-d 8, for example d-d, alkyleneoxy group linked to the Si via an Si-C bond,
- R-8 which may be identical or different, each represent a hydrogen atom, a monovalent hydrocarbon-based group containing from 1 to 18 carbon atoms, and in particular a d-ds alkyl group, a C 2 -ds alkenyl group or an -R6-NHCOR7 group,
- - X " is an anion such as a halide ion, especially chloride, or an organic acid salt (acetate, etc.),
- - r represents a mean statistical value from 2 to 200 and in particular from 5 to 100.
- R 2 , R3 and R 4 which may be identical or different, each denote a Ci-C 4 alkyl group or a phenyl group,
- R5 denotes a Ci-C 4 alkyl group or a hydroxyl group
- - n is an integer ranging from 1 to 5
- - m is an integer ranging from 1 to 5
- - x is chosen such that the amine number is between 0.01 and 1 meq/g
- one particularly advantageous embodiment involves their combined use with cationic and/or nonionic surfactants.
- Cationic Emulsion DC939 by the company Dow Corning, which comprises, besides amodimethicone, a cationic surfactant, namely trimethylcetylammonium chloride, and a nonionic surfactant of formula Ci3H27-(OC2H4)i2-OH, known under the CTFA name Trideceth-12.
- Another commercial product that may be used according to the invention is the product sold under the name Dow Corning Q2 7224 by the company Dow Corning, comprising, in combination, the trimethylsilyl amodimethicone of formula (IV) described above, a nonionic surfactant of formula: C8Hi7-CeH4-(OCH2CH2)40- OH, known under the CTFA name Octoxynol-40, a second nonionic surfactant of formula: Ci2H25-(OCH2-CH2)6-OH, known under the CTFA name Isolaureth-6, and propylene glycol.
- Wacker-Belsil ADM LOG 1 Another commercial product that may be used according to the invention is the product sold under the name Wacker-Belsil ADM LOG 1, sold by the company Wacker, comprising, in microemulsion form, an amodimethicone of formula (III) in combination with Trideceth-5 and Trideceth-10.
- amino silicone(s) used in the cosmetic composition according to the present invention are chosen from the amino silicones of formula
- the cosmetic composition according to the present invention comprises an amino silicone chosen from the amodimethicones of formula
- (III) such as the product sold under the name Wacker-Belsil ADM Log 1 by the company Wacker, or those sold under the trade name Xiameter MEM 8299 Emulsion by the company Dow Corning.
- the content of the amino silicone(s) present in the cosmetic composition according to the invention preferably ranges from 0.05% to 20% by weight, more preferentially from 0.1% to 15% by weight and better still from 0.5% to 10% by weight, relative to the total weight of the cosmetic composition.
- the weight ratio between the weight amount of amino silicone(s) and the weight amount of cationic homopolymer(s) resulting from the polymerization of monomers of acrylamidoalkyltrialkylammonium type, present in the cosmetic composition according to the invention ranges from 0.01 to 15, more preferentially from 0.1 to 10 and better still from 0.5 to 5.
- the cosmetic composition used in the first step of the keratin fibre treatment process according to the present invention may optionally also comprise one or more cationic surfactants.
- cationic surfactant means a surfactant that is positively charged when it is contained in the compositions according to the invention. This surfactant may bear one or more positive permanent charges or may contain one or more cationizable functions in the compositions according to the invention.
- the cationic surfactant(s) are preferably chosen from primary, secondary or tertiary fatty amines, which are optionally polyoxyalkylenated, or salts thereof, and quaternary ammonium salts, and mixtures thereof.
- the fatty amines generally comprise at least one Cs to C30 hydrocarbon- based chain.
- quaternary ammonium salts examples include:
- the groups R28 to R31 which may be identical or different, represent a linear or branched aliphatic group comprising from 1 to 30 carbon atoms, or an aromatic group such as aryl or alkylaryl, at least one of the groups R28 to R31 denoting a group comprising from 8 to 30 carbon atoms, preferably from 12 to 24 carbon atoms.
- the aliphatic groups may comprise heteroatoms especially such as oxygen, nitrogen, sulfur and halogens.
- the aliphatic groups are chosen, for example, from Ci to C30 alkyl, Ci to C30 alkoxy, polyoxy(C2-C6)alkylene, Ci to C30 alkylamide, (C12- C22)alkylamido(C2-C6)alkyl, (Ci2-C22)alkyl acetate, and Ci to C30 hydroxyalkyl groups;
- X " is an anion chosen from the group of halides, phosphates, acetates, lactates, (Ci-C4)alkyl sulfates, and (Ci-C4)alkyl- or (Ci-C4)alkylarylsulfo nates.
- quaternary ammonium salts of formula (VIII) are, on the one hand, tetraalkylammonium salts, for instance dialkyldimethylammonium or alkyltrimethylammonium salts in which the alkyl group comprising approximately from 12 to 22 carbon atoms, in particular behenyltrimethylammonium, distearyldimethylammonium, cetyltrimethylammonium or benzyldimethylstearylammonium salts, or, on the other hand, the palmitylamidopropyltrimethylammonium salt, the stearamidopropyltrimethylammonium salt, the stearamidopropyldimethylcetearylammonium salts, or the stearamidopropyldimethyl(myristyl acetate)ammonium salts sold under the name Ceraphyl ® 70 by the company Van Dyk. It is preferred in particular to use the chloride salts of these compounds;
- R32 represents an alkenyl or alkyl group comprising from 8 to 30 carbon atoms, for example derivatives of tallow fatty acids,
- R33 represents a hydrogen atom, a Ci to C 4 alkyl group or an alkenyl or alkyl group comprising from 8 to 30 carbon atoms,
- R34 represents a Ci to C 4 alkyl group
- R35 represents a hydrogen atom or a Ci to C 4 alkyl group
- - X " is an anion chosen from the group of halides, phosphates, acetates, lactates, alkyl sulfates and alkyl- or alkylarylsulfonates, the alkyl and aryl groups of which preferably comprise, respectively, from 1 to 20 carbon atoms and from 6 to 30 carbon atoms.
- R32 and R33 denote a mixture of alkenyl or alkyl groups comprising from 12 to 21 carbon atoms, for example derivatives of tallow fatty acids, R34 denotes a methyl group and R35 denotes a hydrogen atom.
- R32 and R33 denote a mixture of alkenyl or alkyl groups comprising from 12 to 21 carbon atoms, for example derivatives of tallow fatty acids
- R34 denotes a methyl group
- R35 denotes a hydrogen atom.
- Such a product is sold, for example, under the name Rewoquat ® W 75 by the company Rewo;
- R36 denotes an alkyl group comprising approximately from 16 to 30 carbon atoms, which is optionally hydroxylated and/or interrupted with one or more oxygen atoms;
- R37 is chosen from hydrogen, an alkyl radical comprising from 1 to 4 carbon atoms or an (R36a)(R37a)(R38a)N-(CH 2 )3 group,
- R36a, R37a, R38a, R38, R39, R40 and R41 which may be identical or different, are chosen from hydrogen and an alkyl radical comprising from 1 to 4 carbon atoms, and
- X " is an anion chosen from the group of halides, acetates, phosphates, nitrates and methyl sulfates.
- Such compounds are, for example, Finquat CT-P, sold by the company Finetex (Quatemium 89), and Finquat CT, sold by the company Finetex (Quatemium 75);
- R42 is chosen from Ci to C 6 alkyl groups and Ci to C 6 hydroxyalkyl or dihydroxyalkyl groups;
- - R43 is chosen from:
- - R45 is chosen from:
- R44, R46 and R48 which may be identical or different, are chosen from linear or branched, saturated or unsaturated C7 to C21 hydrocarbon-based groups;
- - r, s and t which may be identical or different, are integers ranging from 2 to 6;
- - y is an integer ranging from 1 to 10;
- - x and z which may be identical or different, are integers ranging from 0 to 10;
- the alkyl groups R42 may be linear or branched, and more particularly linear.
- R42 denotes a methyl, ethyl, hydroxyethyl or dihydroxypropyl group, and more particularly a methyl or ethyl group.
- the sum x + y + z ranges from 1 to 10.
- R43 is a hydrocarbon-based group R47, it may be long and contain from 12 to 22 carbon atoms, or may be short and contain from 1 to 3 carbon atoms.
- R45 is a hydrocarbon-based group R49, it preferably contains 1 to 3 carbon atoms.
- R44, R46 and R48 which may be identical or different, are chosen from linear or branched, saturated or unsaturated Cn to C21 hydrocarbon- based groups, and more particularly from linear or branched, saturated or unsaturated Cn to C21 alkyl and alkenyl groups.
- x and z which may be identical or different, are equal to 0 or 1.
- y is equal to 1.
- r, s and t which may be identical or different, are equal to 2 or 3, and even more particularly are equal to 2.
- the anion X " is preferably a halide (chloride, bromide or iodide) or an alkyl sulfate, more particularly methyl sulfate.
- halide chloride, bromide or iodide
- alkyl sulfate more particularly methyl sulfate.
- methanesulfonate, phosphate, nitrate, tosylate an anion derived from an organic acid, such as acetate or lactate, or any other anion that is compatible with the ammonium bearing an ester function.
- the anion X " is even more particularly chloride or methyl sulfate.
- R42 denotes a methyl or ethyl group
- x and y are equal to 1 ;
- z is equal to 0 or 1 ;
- r, s and t are equal to 2;
- R43 is chosen from:
- R45 is chosen from:
- R44, R 4 6 and R 4 8, which may be identical or different, are chosen from saturated or unsaturated and linear or branched C13 to C 17 hydrocarbon-based groups and preferably from saturated or unsaturated and linear or branched C13 to C 17 alkyl and alkenyl groups.
- the hydrocarbon-based groups are linear.
- Examples that may be mentioned include the compounds of formula (XI) such as the diacyloxyethyldimethylammonium, diacyloxyethylhydroxyethylmethylammonium,
- acyl groups preferably contain 14 to 18 carbon atoms and are obtained more particularly from a plant oil such as palm oil or sunflower oil. When the compound contains several acyl groups, these groups may be identical or different.
- These products are obtained, for example, by direct esterification of triethanolamine, triisopropanolamine, alkyldiethanolamine or alkyldiisopropanolamine, which are optionally oxyalkylenated, with C10 to C30 fatty acids or with mixtures of C10 to C30 fatty acids of plant or animal origin, or by transesterification of their methyl esters.
- This esterification is followed by a quaternization using an alkylating agent such as an alkyl halide (preferably a methyl or ethyl halide), a dialkyl sulfate (preferably a methyl or ethyl sulfate), methyl methanesulfonate, methyl para-toluenesulfonate, glycol chlorohydrin or glycerol chlorohydrin.
- an alkylating agent such as an alkyl halide (preferably a methyl or ethyl halide), a dialkyl sulfate (preferably a methyl or ethyl sulfate), methyl methanesulfonate, methyl para-toluenesulfonate, glycol chlorohydrin or glycerol chlorohydrin.
- Such compounds are sold, for example, under the names Dehyquart ® by the company Henkel, Stepanquat ® by the company Stepan, Noxamium ® by the company CECA or Rewoquat ® WE 18 by the company Rewo-Witco.
- composition according to the present invention may contain, for example, a mixture of quaternary ammonium monoester, diester and triester salts with a weight majority of diester salts. Use may also be made of the ammonium salts containing at least one ester functional group that are described in patents US-A-4 874 554 and US-A-4 137 180.
- Use may be made of behenoylhydroxypropyltrimethylammonium chloride sold by KAO under the name Quatarmin BTC 131.
- the ammonium salts containing at least one ester function contain two ester functions.
- quaternary ammonium salts containing at least one ester function which may be used, it is preferred to use dipalmitoylethylhydroxyethyl- methylammonium salts.
- the cationic surfactants that may be present in the cosmetic composition of the invention are preferably chosen from those of formula (VIII) and those of formula (XI), and more preferentially from dipalmitoylethylhydroxyethylmethylammonium methosulfate, behenyltrimethylammonium chloride and cetyltrimethylammonium chloride, and mixtures thereof.
- Non-silicone fatty substances preferably ranges from 0.1% to 15% by weight and more preferentially from 0.5% to 10% by weight, relative to the total weight of the cosmetic composition.
- the cosmetic composition used in the first step of the keratin fibre treatment process according to the present invention may optionally also comprise one or more non-silicone fatty substances.
- fatty substance means an organic compound that is insoluble in water at ordinary room temperature (25°C) and at atmospheric pressure (760 mmHg), with a solubility in water of less than 5%, preferably less than 1% and even more preferentially less than 0.1%.
- Non-silicone fatty substances generally have in their structure a hydrocarbon-based chain comprising at least 6 carbon atoms.
- the fatty substances are generally soluble in organic solvents under the same temperature and pressure conditions, for instance chloroform, ethanol, benzene, liquid petroleum jelly or decamethylcyclopentasiloxane.
- non-silicone fatty substances of the invention are moreover non- polyoxyethylenated and non-polyglycerolated.
- non-silicone fatty substance means a fatty substance not comprising in its structure any Si-O-Si sequences.
- the fatty substance(s) may be liquid or non-liquid at room temperature and at atmospheric pressure.
- the liquid fatty substances of the invention preferably have a viscosity of less than or equal to 2 Pa.s, better still less than or equal to 1 Pa.s and even better still less than or equal to 0.1 Pa.s at a temperature of 25°C and at a shear rate of 1 s "1 .
- the non-silicone fatty substance(s) are chosen from C 6 to Ci6 hydrocarbons, hydrocarbons containing more than 16 carbon atoms, oils of plant or animal origin, triglycerides of plant or synthetic origin, fluoro oils, fatty alcohols, esters of fatty acids and/or of fatty alcohols other than triglycerides, non-silicone waxes other than solid fatty alcohols and solid synthetic esters, ceramides, and mixtures thereof.
- Fatty acid and fatty alcohol denote an acid and an alcohol, respectively, containing from 6 to 30 carbon atoms, and preferably from 8 to 22 carbon atoms.
- Plant oils that may especially be mentioned include sweet almond oil, avocado oil, castor oil, olive oil, liquid jojoba wax, sunflower oil, wheatgerm oil, sesame oil, groundnut oil, grapeseed oil, soybean oil, rapeseed oil, safflower oil, coconut oil, corn oil, hazelnut oil, palm oil, apricot kernel oil, beauty-leaf oil, evening primrose oil, shea butter, rice bran oil, corn germ oil, passion flower oil and rye oil.
- sweet almond oil avocado oil, castor oil, olive oil, liquid jojoba wax, sunflower oil, wheatgerm oil, sesame oil, groundnut oil, grapeseed oil, soybean oil, rapeseed oil, safflower oil, coconut oil, corn oil, hazelnut oil, palm oil, apricot kernel oil, beauty-leaf oil, evening primrose oil, shea butter, rice bran oil, corn germ oil, passion flower oil and rye oil.
- An animal oil that may especially be mentioned is perhydrosqualene.
- Liquid paraffin or liquid petroleum jelly may especially be mentioned as mineral oil.
- Synthetic oils that may especially be mentioned include squalane, poly(a- olefins), for instance isododecane or isohexadecane, transesterified plant oils, fluoro oils and fatty esters.
- fatty esters denotes compounds of formula RaCOORb in which Ra represents a linear or branched, hydroxylated or non-hydroxylated, saturated or unsaturated higher acid residue, comprising from 4 to 29 carbon atoms, and Rb represents a linear or branched, saturated or unsaturated hydrocarbon-based chain containing from 3 to 30 carbon atoms, the total number of carbon atoms in the ester being greater than 10.
- Non- limiting examples that may especially be mentioned include Purcellin oil (stearyl octanoate), isopropyl myristate, isopropyl palmitate, butyl stearate, hexyl laurate, isononyl isononanoate, 2-ethylhexyl palmitate, 2- hexyldecyl laurate, 2-octyldecyl palmitate, 2-octyldodecyl myristate, isostearyl neopentanoate and tridecyl neopentanoate.
- Purcellin oil stearyl octanoate
- isopropyl myristate isopropyl palmitate
- butyl stearate hexyl laurate
- isononyl isononanoate 2-ethylhexyl palmitate
- 2-octyldecyl laurate 2-octy
- the fluoro oils may be partially hydrocarbon-based and/or silicone-based fluoro oils, for instance those described in document JP-A-2-295 912.
- the fatty alcohols may be chosen from fatty alcohols that are solid at room temperature and at atmospheric pressure (25°C, 1 atm) and fatty alcohols that are liquid at room temperature and at atmospheric pressure (25°C, 1 atm) and mixtures thereof.
- fatty alcohol means a long-chain aliphatic alcohol comprising from 8 to 40 carbon atoms and comprising at least one hydroxyl group OH. These fatty alcohols are neither oxyalkylenated nor glycerolated.
- the solid fatty alcohols have the structure R-OH with R denoting a linear alkyl group, optionally substituted with one or more hydroxyl groups, comprising from 8 to 40, better still from 10 to 30, or even from 12 to 24 and even better still from 14 to 22 carbon atoms.
- the solid fatty alcohols that may be used may be chosen, alone or as a mixture, from:
- the solid fatty alcohol is chosen from cetyl alcohol, stearyl alcohol, behenyl alcohol and mixtures thereof such as cetylstearyl alcohol or cetearyl alcohol.
- the liquid fatty alcohols in particular the Cio to C34 alcohols, preferably have branched carbon-based chains or have one or more, preferably 1 to 3, unsaturations. They are more preferentially branched and/or unsaturated, and comprise from 12 to 40 carbon atoms, and are non-oxyalkylenated and non- glycerolated.
- R-OH preferably denotes a branched C 12 to C 24 alkyl group or C 12 to C 24 alkenyl group, R possibly being substituted with one or more hydroxyl groups.
- the liquid fatty alcohol of the invention is a branched saturated alcohol. More preferentially, R does not contain any hydroxyl groups.
- the liquid fatty alcohol is 2-octyl-l-dodecanol.
- a wax is a lipophilic compound, which is solid at room temperature (about 25°C), with a reversible solid/liquid change of state, having a melting point greater than about 40°C, which may be up to 200°C, and having in the solid state anisotropic crystal organization.
- Animal and plant waxes comprise, as essential constituents, long-chain esters of carboxylic acids and of alcohols.
- the size of the wax crystals is such that the crystals diffract and/or scatter light, giving the composition that comprises them a more or less opaque cloudy appearance.
- waxes of use in the composition according to the present invention mention may be made of waxes of animal origin such as beeswax, spermaceti, lanolin wax and lanolin derivatives; plant waxes such as sunflower wax, rice wax, apple wax, carnauba wax, candelilla wax, ouricury wax, Japan wax, cocoa butter, cork fibre wax or sugar cane wax; mineral waxes, for example paraffin wax, petroleum jelly wax, lignite wax, or microcrystalline waxes, ceresin or ozokerite; synthetic waxes such as polyethylene waxes and Fischer-Tropsch waxes, and mixtures thereof.
- animal origin such as beeswax, spermaceti, lanolin wax and lanolin derivatives
- plant waxes such as sunflower wax, rice wax, apple wax, carnauba wax, candelilla wax, ouricury wax, Japan wax, cocoa butter, cork fibre wax or sugar cane wax
- mineral waxes for example paraffin
- the non-silicone fatty substance(s), present in the cosmetic composition of the present invention are chosen from fatty alcohols, esters of fatty acids and/or of fatty alcohols other than triglycerides, and mixtures thereof, and more preferentially from cetyl alcohol, myristyl alcohol, cetearyl alcohol, myristyl stearate, myristyl palmitate, and mixtures thereof.
- the content of non-silicone fatty substance(s), when they are present in the cosmetic composition according to the invention preferably ranges from 0.1% to 20% by weight, more preferentially from 0.5% to 15% by weight and better still from 1% to 10% by weight, relative to the total weight of the cosmetic composition.
- the cosmetic composition used in the first step of the keratin fibre treatment process according to the present invention may optionally also comprise one or more additional cationic polymers other than the cationic homopolymer(s) resulting from the polymerization of monomers of acrylamidoalkyltrialkylammonium type.
- the additional cationic polymer(s) are chosen from cationic polymers with a cationic charge density of less than or equal to 5.5 meq/g, better still ranging from 0.05 to 5.5 meq/g and especially ranging from 2 to 5 meq/g.
- cationic polymer means any polymer containing cationic groups and/or groups that can be ionized to cationic groups; the cationic polymers do not comprise any silicon atoms.
- the cationic polymers that may be used in accordance with the present invention may be chosen from those that contain units comprising primary, secondary, tertiary and/or quaternary amine groups which may either form part of the main polymer chain or which may be borne by a side substituent directly connected thereto.
- the cationic polymers preferably have a weight-average molecular mass of greater than 10 5 , preferably greater than 10 6 and better still of between 10 6 and 10 8 .
- cationic polymers that may be used in accordance with the invention, mention may be made more particularly of polymers of polyamine, polyaminoamide and polyquaternary ammonium type.
- polymers of polyamine, polyaminoamide and polyquaternary ammonium type that may be used in the composition according to the present invention are especially those described in French patents 2 505 348 and 2 542 997.
- R7 which may be identical or different, represent a hydrogen atom or an alkyl group containing from 1 to 6 carbon atoms, and preferably a methyl or ethyl group,
- - Ri which may be identical or different, denote a hydrogen atom or a CH3 group
- R 2 which may be identical or different, represent a linear or branched alkyl group of 1 to 6 carbon atoms, preferably of 2 or 3 carbon atoms, or a hydroxyalkyl group comprising from 1 to 4 carbon atoms,
- R3, R4 and R5 which may be identical or different, represent an alkyl group containing from 1 to 18 carbon atoms or a benzyl group, and preferably an alkyl group containing from 1 to 6 carbon atoms, and - Y " denotes an anion derived from a mineral or organic acid, preferably a methosulfate anion, or a halide, and better still a chloride or bromide.
- the copolymers of family (1) may also contain one or more units derived from co monomers which may be chosen from the family of acryl amides, methacrylamides, diacetone acrylamides, acrylamides and methacrylamides substituted on the nitrogen atom with lower (C1-C4) alkyls, acrylic or methacrylic acids or esters thereof, vinyllactams such as vinylpyrrolidone or vinylcaprolactam, and vinyl esters.
- co monomers may be chosen from the family of acryl amides, methacrylamides, diacetone acrylamides, acrylamides and methacrylamides substituted on the nitrogen atom with lower (C1-C4) alkyls, acrylic or methacrylic acids or esters thereof, vinyllactams such as vinylpyrrolidone or vinylcaprolactam, and vinyl esters.
- copolymers of family (1) of: - copolymers of acrylamide and dimethylaminoethyl methacrylate quaternized with dimethyl sulfate or with a dimethyl halide, such as that sold under the name Hercofloc by the company Hercules,
- crosslinked polymers of methacryloyloxy(Ci-C4)alkyltri(Ci- C4)alkylammonium salts such as the polymers obtained by homopolymerization of dimethylaminoethyl methacrylate quatemized with methyl chloride, or by copolymerization of acrylamide with dimethylaminoethyl methacrylate quatemized with methyl chloride, the homo- or copolymerization being followed by crosslinking with an olefmically unsaturated compound, in particular methylenebisacrylamide.
- Use may be made more particularly of a crosslinked acrylamide/methacryloyloxyethyltrimethylammonium chloride copolymer (20/80 by weight) in the form of a dispersion containing 50% by weight of said copolymer in mineral oil.
- This dispersion is sold under the name Salcare ® SC 92 by the company Ciba.
- Use may also be made of a crosslinked methacryloyloxyethyltrimethylammonium chloride homopolymer (INCI name Polyquaternium-37), for example the polymer sold under the name Cosmedia Ultragel 300 by the company Cognis; or as a dispersion in mineral oil or in a liquid ester; these dispersions are sold under the names Salcare ® SC 95 and Salcare ® SC 96 by the company Ciba.
- a crosslinked methacryloyloxyethyltrimethylammonium chloride homopolymer (INCI name Polyquaternium-37), for example the polymer sold under the name Cosmedia Ultragel 300 by the company Cognis; or as a dispersion in mineral oil or in a liquid ester; these dispersions are sold under the names Salcare ® SC 95 and Salcare ® SC 96 by the company Ciba.
- polymers constituted of piperazinyl units and divalent alkylene or hydroxy alky lene radicals containing straight or branched chains, optionally interrupted with oxygen, sulfur or nitrogen atoms or with aromatic or heterocyclic rings, and also the oxidation and/or quaternization products of these polymers.
- Such polymers are especially described in French patents 2 162 025 and 2 280 361.
- polyamino amides prepared in particular by polycondensation of an acidic compound with a polyamine.
- These polyaminoamides may be crosslinked with an epihalohydrin, a diepoxide, a dianhydride, an unsaturated dianhydride, a bis-unsaturated derivative, a bis-halohydrin, a bis-azetidinium, a bis- haloacyldiamine, a bis-alkyl halide or alternatively with an oligomer resulting from the reaction of a difunctional compound which is reactive with a bis-halohydrin, a bis-azetidinium, a bis-haloacyldiamine, a bis-alkyl halide, an epihalohydrin, a diepoxide or a bis-unsaturated derivative, the crosslinking agent being used in proportions ranging from 0.025 to 0.35 mol per amine group of the polyaminoamide.
- polyaminoamide derivatives resulting from the condensation of polyalkylene polyamines with polycarboxylic acids followed by alkylation with difunctional agents Mention may be made, for example, of adipic acid/dialkylamino hydroxy alky ldialkylenetriamine polymers in which the alkyl group contains from 1 to 4 carbon atoms and preferably denotes a methyl, ethyl or propyl group. Such polymers are especially described in French patent 1 583 363.
- the mole ratio between the polyalkylene polyamine and the dicarboxylic acid is between 0.8: 1 and 1.4: 1, the polyammoamide resulting therefrom being reacted with epichlorohydrin in a mole ratio of epichlorohydrin relative to the secondary amine group of the polyammoamide of between 0.5: 1 and 1.8: 1.
- Such polymers are described in particular in US patents 3227615 and 2961347.
- Polymers of this type are sold in particular under the name Hercosett 57 by the company Hercules Inc. or alternatively under the name PD 170 or Delsette 101 by the company Hercules in the case of the adipic acid/epoxypropyl-diethylenetriamine copolymer.
- - Ri2 denotes a hydrogen atom or a methyl group
- Rio and Rn independently of each other, denote an alkyl group containing from 1 to 6 carbon atoms, a hydroxyalkyl group in which the alkyl group contains preferably 1 to 5 carbon atoms, a lower (C1-C4) amidoalkyl group; or Rio and Rn may denote, together with the nitrogen atom to which they are attached, heterocyclic groups such as piperidyl or morpholinyl, and
- - Y " is an anion such as bromide, chloride, acetate, borate, citrate, tartrate, bisulfate, bisulfite, sulfate or phosphate.
- Rio and Rn independently of each other, preferably denote an alkyl group containing from 1 to 4 carbon atoms.
- Ri3, Ri4, Ri5 and Ri 6 which may be identical or different, represent aliphatic, alicyclic or arylaliphatic groups containing from 1 to 20 carbon atoms or lower hydroxyalkylaliphatic radicals, or alternatively R13, R14, R15 and Ri6, together or separately, constitute, with the nitrogen atoms to which they are attached, heterocycles optionally containing a second heteroatom other than nitrogen, or alternatively R13, R14, R15 and Ri6 represent a linear or branched Ci-C 6 alkyl group substituted with a nitrile, ester, acyl or amide group or a group -CO-O-R17-D or -CO- NH-R17-D where R17 is an alkylene and D is a quaternary ammonium group;
- Ai and Bi represent polymethylene groups containing from 2 to 20 carbon atoms, which may be linear or branched, saturated or unsaturated, and which may contain, linked to or inserted in the main chain, one or more aromatic rings, or one or more oxygen or sulfur atoms or sulfoxide, sulfone, disulfide, amino, alkylamino, hydroxyl, quaternary ammonium, ureido, amide or ester groups, and
- X denotes an anion derived from a mineral or organic acid
- Ai, Ri3 and R15 can form, with the two nitrogen atoms to which they are attached, a piperazine ring.
- Bi may also denote a group (CH2) n -CO-D-OC- n and p are integers ranging from 2 to 20 approximately,
- x and y denote an integer from 1 to 4, representing a defined and unique degree of polymerization or any number from 1 to 4 representing an average degree of polymerization
- a bis-secondary diamine residue such as a piperazine derivative
- X " is an anion, such as chloride or bromide.
- These polymers have a number-average molecular weight generally between 1000 and 100 000.
- Ri8, Ri9, R20 and R21 which may be identical or different, denote an alkyl or hydroxyalkyl group containing from 1 to 4 carbon atoms approximately,
- r and s are integers ranging from 2 to 20 approximately, and
- X " is an anion derived from a mineral or organic acid.
- R22, R23, R24 and R25 which may be identical or different, represent a hydrogen atom or a methyl, ethyl, propyl, ⁇ -hydroxyethyl, ⁇ -hydroxypropyl or -CH2CH2(OCH2CH2)pOH group, where p is equal to 0 or to an integer of between 1 and 6, with the proviso that R22, R23, R24 and R25 do not simultaneously represent a hydrogen atom,
- t and u which may be identical or different, are integers between 1 and 6, v is equal to 0 or to an integer between 1 and 34,
- A denotes a dihalide radical or preferably represents -CH2-CH2-O-CH2-CH2-.
- Mirapol ® A 15 Mirapol ® AD1, Mirapol ® AZ1 and Mirapol ® 175 products sold by the company Miranol.
- cationic polysaccharides preferably cationic celluloses and galactomannan gums.
- cationic polysaccharides mention may be made more particularly of cellulose ether derivatives comprising quaternary ammonium groups, cationic cellulose copolymers or cellulose derivatives grafted with a water-soluble quaternary ammonium monomer and cationic galactomannan gums.
- cellulose ether derivatives comprising quaternary ammonium groups are described in French patent 1 492 597. These polymers are also defined in the CTFA dictionary as quaternary ammoniums of hydroxyethylcellulose that have reacted with an epoxide substituted with a trimethylammonium group.
- cationic cellulose copolymers or the cellulose derivatives grafted with a water-soluble quaternary ammonium monomer are described especially in patent US 4 131 576, such as hydroxyalkyl celluloses, for instance hydroxymethyl, hydroxyethyl or hydroxypropyl celluloses grafted especially with a methacryloylethyltrimethylammonium, methacrylamidopropyltrimethylammonium or dimethyldiallylammonium salt.
- a cationic cellulose copolymer that may especially be mentioned is polyquaternium-4, which is a copolymer of hydroxyethylcellulose and of diallyldimethylammonium chloride.
- associative celluloses such as quaternized alkylhydroxyethylcelluloses bearing Cs to C30 fatty chains, for instance the product Quatrisoft LM 200 ® sold by the company
- Softcat Polymer SL ® such as SL-100, SL-60, SL-30 and SL-5 from the company Amerchol/Dow Chemical of INCI name Polyquaternium-67.
- the cationic galactomannan gums are described more particularly in US patents 3 589 578 and 4 031 307, in particular guar gums containing cationic trialkylammonium groups. Guar gums modified with a salt such as 2,3- epoxypropyltrimethylammonium chloride are used, for example.
- the fatty-chain hydroxyethylcellulose derivative of INCI name Polyquaternium-67 is particularly preferred.
- cationic proteins or cationic protein hydrolysates polyalkyleneimines, in particular polyethyleneimines, polymers containing vinylpyridine or vinylpyridinium units, condensates of polyamines and of epichlorohydrin, quaternary polyureylenes and chitin derivatives.
- the cationic proteins or protein hydrolysates are, in particular, chemically modified polypeptides bearing quaternary ammonium groups at the end of the chain, or grafted thereon. Their molecular mass may vary, for example, from 1500 to 10 000 and in particular from 2000 to 5000 approximately. Among these compounds, mention may be made in particular of: - collagen hydrolysates bearing triethylammonium groups, such as the products sold under the name Quat-Pro E by the company Maybrook and referred to in the CTFA dictionary as Triethonium Hydrolyzed Collagen Ethosulfate,
- - protein hydrolysates bearing quaternary ammonium groups on the polypeptide chain said ammonium groups comprising at least one alkyl radical containing from 1 to 18 carbon atoms.
- quaternary ammonium groups comprise C 10 -C 18 alkyl groups
- quaternary ammonium groups comprise at least one alkyl group containing from 1 to 18 carbon atoms.
- quaternized proteins or hydrolysates are, for example, those corresponding to the formula (XXI):
- X " is an anion of a mineral or organic acid
- A denotes a protein residue derived from collagen protein hydrolysates
- R26 denotes a lipophilic group comprising up to 30 carbon atoms
- R27 represents an alkylene group containing 1 to 6 carbon atoms.
- Hydrotriticum WQ or QM referred to in the CTFA dictionary as Cocodimonium hydrolysed wheat protein
- Hydrotriticum QL Hydrotriticum QL
- Laurdimonium hydrolysed wheat protein or else Hydrotriticum QS, referred to in the CTFA dictionary as Steardimonium hydrolysed wheat protein.
- these polymers may be chosen in particular from homopolymers or copolymers comprising one or more units derived from vinylamine and optionally one or more units derived from vinylformamide.
- these cationic polymers are chosen from polymers comprising, in their structure, from 5 mol% to 100 mol% of units corresponding to the formula (Al) and from 0 to 95 mol% of units corresponding to the formula (A2), preferably from 10 mol% to 100 mol% of units corresponding to the formula (Al) and from 0 to 90 mol% of units corresponding to the formula (A2).
- These polymers may be obtained, for example, by partial hydrolysis of polyvinylformamide.
- the weight-average molecular mass of said polymer may range from 1000 to 3 000 000 g/mol, preferably from 10 000 to 1 000 000 g/mol and more particularly from 100 000 to 500 000 g/mol.
- the polymers comprising units of formula (Al) and optionally units of formula (A2) are sold especially under the name Lupamin by the company BASF, for instance, and in a non-limiting manner, the products sold under the names Lupamin 9095, Lupamin 5095, Lupamin 1095, Lupamin 9030 and Lupamin 9010.
- the additional cationic polymers other than the cationic homopolymers resulting from the polymerization of monomers of acrylamidoalkyltrialkylammonium type, are chosen from the polymers of family (1) mentioned above, and in particular the additional cationic polymer is the crosslinked ethyltrimethylammonium methacrylate chloride homopolymer.
- the content of additional cationic polymer(s), when they are present in the cosmetic composition according to the present invention preferably ranges from 0.05% to 15% by weight and more preferentially from 0.1 % to 10%> by weight, relative to the total weight of the cosmetic composition.
- the cosmetic composition used in the first step of the keratin fibre treatment process according to the present invention may optionally also comprise one or more additional non-amino silicones.
- non-amino silicone means any silicone which does not comprise any primary, secondary, tertiary or quaternary amine groups, namely any silicone other than the amino silicones mentioned above.
- the additional non-amino silicones that may be used in the composition according to the invention are in particular polyorganosiloxanes, which may be in the form of aqueous solutions, i.e. dissolved, or optionally in the form of dispersions or microdispersions, or of aqueous emulsions.
- the polyorganosiloxanes may also be in the form of oils, waxes, resins or gums.
- Organopolysiloxanes are defined in greater detail in Walter Noll's
- the additional non-amino silicones may be volatile or non-volatile. When they are volatile, the non-amino silicones are more particularly chosen from those having a boiling point between 60°C and 260°C, and even more particularly from:
- cyclic silicones comprising from 3 to 7 and preferably 4 to 5 silicon atoms.
- organosilicon compounds such as the mixture of octamethylcyclotetrasiloxane and tetrakis(trimethylsilyl)pentaerythritol (50/50) and the mixture of octamethylcyclotetrasiloxane and oxy-l,l '-bis(2,2,2',2',3,3'- hexatrimethy lsily lo xy)ne
- non-amino silicones are non- volatile, use is preferably made of polyalkylsiloxanes, polyarylsiloxanes, polyalkylarylsiloxanes, silicone gums and resins, and polyorganosiloxanes modified with organofunctional groups, and mixtures thereof.
- These non-amino silicones are more particularly chosen from polyalkylsiloxanes, among which mention may be made mainly of polydimethylsiloxanes containing trimethylsilyl end groups (Dimethicone according to the CTFA name) having a viscosity of from 5x 10 "6 to 2.5 m 2 /s at 25°C and preferably l x lO "5 to 1 m 2 /s.
- the viscosity of the silicones is measured, for example, at 25°C according to standard ASTM 445 Appendix C.
- oils of the 200 series from the company Dow Corning such as, more particularly, DC200 with a viscosity of 60 000 cSt,
- the polyalkylarylsiloxanes are particularly chosen from linear and/or branched polydimethylmethylphenylsiloxanes and polydimethyldiphenylsiloxanes with a viscosity of from 1 x 10 "5 to 5x 10 ⁇ 2 m 2 /s at 25°C.
- silicone gums that may be present in the composition according to the invention are especially polydiorganosiloxanes having high number-average molecular weights of between 200 000 and 1 000 000, used alone or as a mixture in a solvent.
- This solvent may be chosen from volatile silicones, polydimethylsiloxane (PDMS) oils, polyphenylmethylsiloxane (PPMS) oils, isoparaffms, polyisobutylenes, methylene chloride, pentane, dodecane and tridecane, or mixtures thereof.
- a polydimethylsiloxane gum with a cyclic silicone such as the product SF 1214 Silicone Fluid from the company General Electric, this product being an SF 30 gum corresponding to a dimethicone, having a number-average molecular weight of 500 000, dissolved in the oil SF 1202 Silicone Fluid corresponding to decamethylcyclopentasiloxane,
- the product SF 1236 is the mixture of a gum SE 30 defined above, with a viscosity of 20 m 2 /s and of an oil SF 96 with a viscosity of 5 x 10 ⁇ 6 m 2 /s.
- This product preferably includes 15% of gum SE 30 and 85% of an oil SF 96.
- the organopolysiloxane resins that may be present in the composition according to the invention are crosslinked siloxane systems containing the following units: R2S1O2/2, R3S1O1/2, RS1O3/2 and S1O4/2 in which R represents a hydrocarbon- based group containing 1 to 16 carbon atoms or a phenyl group.
- R represents a hydrocarbon- based group containing 1 to 16 carbon atoms or a phenyl group.
- R denotes a Ci to C 4 alkyl group, more particularly methyl, or a phenyl group.
- organomodified non-amino silicones optionally present in the composition according to the invention are non-amino silicones as defined above and comprising in their structure one or more organofunctional groups attached via a hydrocarbon-based group.
- organomodified non-amino silicones mention may be made of polyorganosiloxanes comprising:
- polyethyleneoxy and/or polypropyleneoxy groups optionally comprising C 6 to C 24 alkyl groups, such as the products known as dimethicone copolyol sold by the company Dow Corning under the name DC 1248 or the oils Silwet L 722, L 7500, L 77 and L 71 1 by the company Union Carbide, and the (Ci 2 )alkylmethicone copolyol sold by the company Dow Corning under the name Q2 5200,
- 2-hydroxyalkyl sulfonate 2-hydroxyalkyl thiosulfate such as the products sold by the company Goldschmidt under the names Abil S201 and Abil S255, - hydroxyacylamino groups, for instance the polyorganosiloxanes described in patent application EP 342 834. Mention may be made, for example, of the product Q2-8413 from the company Dow Corning.
- the cosmetic composition used in the first step of the keratin fibre treatment process according to the present invention may optionally also comprise one or more thickening polymers chosen from nonionic non-associative polymers, cationic non- associative polymers, nonionic associative polymers and cationic associative polymers.
- This viscosity may be measured using a cone/plate viscometer (Haake R600 rheo meter or the like).
- these polymers increase, by virtue of their presence, the viscosity of the compositions into which they are introduced by at least 50 cps and preferably 200 cps, at 25°C and at a shear rate of 1 s- 1 .
- non-associative thickening polymers are thickening polymers not containing any Cs to C30 fatty chains.
- non-associative thickening polymers mention may be made of:
- gums of biopoly saccharides of microbial origin gums derived from plant exudates
- celluloses in particular hydroxy ethyl-, hydroxypropyl- or carboxymethylcelluloses
- the composition may comprise, as non-associative thickening polymers, ammonium acrylate homopolymers or copolymers of ammonium acrylate and of acrylamide, other than the cationic homopolymer(s) resulting from the polymerization of monomers of acrylamidoalkyltrialkylammonium type.
- ammonium acrylate homopolymers that may be mentioned is the product sold under the name Microsap PAS 5193 by the company Hoechst.
- copolymers of ammonium acrylate and of acrylamide that may be mentioned is the product sold under the name Bozepol C Wunsch or the product PAS 5193 sold by the company Hoechst.
- composition may also comprise homopolymers of dimethylamino ethyl methacrylate quaternized with methyl chloride or copolymers of dimethylaminoethyl methacrylate and acrylamide quaternized with methyl chloride.
- non-associative thickening polymers By way of non-associative thickening polymers, mention may be made of nonionic guar gums, for instance the non-modified, nonionic guar gums sold under the name Vidogum GH 175 by the company Uni Pectin and under the name Jaguar C by the company Meyhall.
- the nonionic guar gums that may be used according to the invention are preferably modified with Ci to C 6 hydroxyalkyl groups.
- hydroxy alky 1 groups that may be mentioned, for example, are hydroxymethyl, hydroxyethyl, hydroxypropyl and hydroxybutyl groups.
- guar gums are well known in the prior art and may be prepared, for example, by reacting the corresponding alkene oxides, for instance propylene oxides, with the guar gum so as to obtain a guar gum modified with hydroxypropyl groups.
- the degree of hydroxy alky lation which corresponds to the number of alkylene oxide molecules consumed by the number of free hydroxyl functions present on the guar gum, preferably ranges from 0.4 to 1.2.
- nonionic guar gums optionally modified with hydroxyalkyl groups are sold, for example, under the trade names Jaguar HP8, Jaguar HP60 and Jaguar HP 120, Jaguar DC 293 and Jaguar HP 105 by the company Meyhall or under the name Galactasol 4H4FD2 by the company Aqualon.
- non-associative thickening polymers By way of suitable non-associative thickening polymers, mention may also be made of biopolysaccharide gums of microbial origin, such as scleroglucan or xanthan gums.
- gums derived from plant exudates such as gum arabic, gum ghatti, karaya gum and gum tragacanth; celluloses, in particular hydroxy ethyl-, hydroxypropyl- or carboxymethylcelluloses; pectins and alginates.
- associative polymers are hydrophilic polymers that are capable, in an aqueous medium, of reversibly associating with each other or with other molecules.
- Their chemical structure more particularly comprises at least one hydrophilic region and at least one hydrophobic region.
- hydrophobic group means a radical or polymer with a saturated or unsaturated, linear or branched hydrocarbon-based chain, comprising at least 8 carbon atoms, preferably from 10 to 30 carbon atoms, in particular from 12 to 30 carbon atoms and more preferentially from 18 to 30 carbon atoms.
- the hydrocarbon-based group is derived from a mono functional compound.
- the hydrophobic group may be derived from a fatty alcohol such as stearyl alcohol, dodecyl alcohol or decyl alcohol.
- hydrocarbon-based polymer for instance polybutadiene.
- cationic or nonionic associative polymers that are suitable for use in the invention, mention may be made of:
- alkyl radicals borne by the above quaternized celluloses or hydroxyethylcelluloses preferably comprise from 8 to 30 carbon atoms.
- the aryl radicals preferably denote phenyl, benzyl, naphthyl or anthryl groups.
- Examples of quaternized alkylhydroxyethylcelluloses containing Cs to C30 fatty chains that may be indicated include the products Quatrisoft LM 200 ® , Quatrisoft LM-X 529-18-A ® , Quatrisoft LM-X 529- 18B ® (C12 alkyl) and Quatrisoft LM-X 529-8 ® (Ci8 alkyl) sold by the company Amerchol and the products Crodacel QM ® , Crodacel QL ® (C12 alkyl) and Crodacel QS ® (Cis alkyl) sold by the company Croda.
- Polyacrylate- 1 Crosspolymer is the product of polymerization of a monomer mixture comprising:
- nonionic associative celluloses modified with groups containing at least one fatty chain containing from 8 to 30 carbon atoms and preferably from 10 to 22 carbon atoms, such as alkyl, arylalkyl or alkylaryl groups, or mixtures thereof, and in which the alkyl groups are preferably Cs to C22, for instance the product Natrosol Plus Grade 330 CS ® (C 16 alkyls) sold by the company Aqualon, or the product Bermocoll EHM 100 ® sold by the company Berol Nobel.
- groups containing at least one fatty chain containing from 8 to 30 carbon atoms and preferably from 10 to 22 carbon atoms such as alkyl, arylalkyl or alkylaryl groups, or mixtures thereof, and in which the alkyl groups are preferably Cs to C22, for instance the product Natrosol Plus Grade 330 CS ® (C 16 alkyls) sold by the company Aqualon, or the product Bermocoll EHM 100 ®
- Celluloses modified with alkylphenyl polyalkylene glycol ether groups such as the product Amercell Polymer HM-1500 ® (polyethylene glycol (15) nonylphenyl ether) sold by the company Amerchol, are also suitable for use.
- Amercell Polymer HM-1500 ® polyethylene glycol (15) nonylphenyl ether
- groups comprising at least one fatty chain containing from 8 to 30 carbon atoms and preferably from 10 to 22 carbon atoms, such as the product Esaflor HM 22 (C22 alkyl chain) sold by the company Lamberti, and the products RE210-18 ® (C 14 alkyl chain) and RE205-1 ® (C20 alkyl chain) sold by the company Rhodia.
- associative nonionic polyurethane polyethers comprising, in their chain, both hydrophilic blocks, which are preferably polyoxyethylenated, and hydrophobic blocks, which may be aliphatic sequences alone and/or eye lo aliphatic and/or aromatic sequences comprising from 8 to 30 carbon atoms and preferably from 10 to 22 carbon atoms;
- the keratin fibre treatment process according to the present invention also comprises a second step of applying to said keratin fibres a detergent composition comprising one or more surfactants chosen from anionic surfactants and amphoteric or zwitterionic surfactants, and mixtures thereof.
- the second step follows the first step.
- the cosmetic composition as defined above is applied before the detergent composition.
- the term "detergent composition” means a composition intended for washing keratin fibres, i.e. a composition which makes it possible to remove from said fibres, especially the hair, the soiling adhering thereto by placing said soiling in dispersion or in solution.
- a detergent composition contains a washing base, constituted of anionic and/or amphoteric detergent surfactants, preferably in a total amount of greater than 4% by weight.
- the detergent composition used in the second step of the keratin fibre treatment process according to the present invention comprises one or more surfactants chosen from anionic surfactants and amphoteric or zwitterionic surfactants, and mixtures thereof.
- the detergent composition comprises one or more anionic surfactants.
- anionic surfactant means a surfactant comprising, as ionic or ionizable groups, only anionic groups. These anionic groups are preferably chosen from the groups C0 2 H, CO2 " , SO3H, SO3 " , OSO3H, OSO3-, H2PO3, HPO3-, PO3 2" , H2PO2, HPO2 " , PO2 2” , POH and PO ⁇
- the anionic surfactants used in the composition according to the invention are chosen from anionic surfactants comprising in their structure one or more sulfate and/or sulfonate and/or phosphate and/or carboxylate groups, and/or mixtures thereof.
- the composition according to the invention comprises one or more carboxylic alkyl ether anionic surfactants.
- the composition according to the invention comprises a mixture of anionic surfactants and especially one or more anionic surfactants comprising in their structure one or more sulfate and/or sulfonate and/or phosphate groups and one or more carboxylic alkyl ether anionic surfactants.
- the anionic surfactant(s) comprising in their structure one or more sulfate and/or sulfonate and/or phosphate groups may be oxyethylenated and/or oxypropylenated.
- the total average number of ethylene oxide (EO) and/or propylene oxide (PO) groups may then range from 1 to 50 and especially from 1 to 10.
- the anionic surfactant(s) comprising in their structure one or more sulfate and/or sulfonate and/or phosphate groups may be chosen from alkyl sulfates, alkylamido sulfates, alkyl ether sulfates, alkylamido ether sulfates, alkylaryl ether sulfates, alkyl ether sulfosuccinates, acyl isethionates and methyl acyl taurates, olefin sulfonates, and salts thereof; the alkyl or acyl group of all these various compounds preferably comprising from 8 to 24 carbon atoms, and the aryl group preferably denoting a phenyl or benzyl group.
- anionic surfactants comprising in their structure one or more sulfate and/or sulfonate and/or phosphate groups
- anionic sulfated surfactants preferentially chosen from Cs to C 14 and more particularly C 12 to C 14 alkyl (ether) sulfates, and/or one or more olefin sulfonates.
- the anionic surfactant(s) comprising in their structure one or more sulfate and/or sulfonate and/or phosphate groups are in the form of salts, and in particular of alkaline salts, especially sodium salts, ammonium salts, amine salts, including amino alcohol salts, and/or magnesium salts.
- These salts preferably comprise from 2 to 5 ethylene oxide groups.
- sodium, triethanolamine, magnesium or ammonium (C 12 - C 14 )alkyl sulfates and/or sodium, ammonium or magnesium (C 12 -C 14 )alkyl ether sulfates, which are oxyethylenated, for example with 1 or 2.2 mol of ethylene oxide, or sodium olefin sulfonates, are more preferably used.
- the surfactant(s) comprising in their structure one or more sulfate and/or sulfonate and/or phosphate groups are chosen from sodium, ammonium or magnesium (C 12 -C 14 )alkyl ether sulfates oxyethylenated with 2.2 mol of ethylene oxide, as sold under the name Texapon N702 by the company Cognis.
- anionic surfactants comprising in their structure one or more sulfate and/or sulfonate and/or phosphate groups, it is preferred to use sodium or ammonium lauryl ether sulfates or sodium olefin sulfonates.
- the carboxylic alkyl ether anionic surfactant(s) that may be used according to the invention preferably comprise a C6-C24 alkyl chain.
- the carboxylic alkyl ether anionic surfactant(s) may be chosen, alone or as a mixture or mixtures, from:
- the carboxylic alkyl ether anionic surfactant(s) may be oxyalkylenated, preferably oxyethylenated and/or oxypropylenated.
- the total average number of alkylene oxide groups then preferably ranges from 2 to 50, in particular from 2 to 24 and better still from 2 to 15.
- carboxylic alkyl ether anionic surfactant(s) are oxyalkylenated, they preferably comprise from 2 to 50 alkylene oxide groups and in particular from 2 to 50 ethylene oxide (EO) groups.
- the carboxylic alkyl ether anionic surfactant(s) are neutralized with one or more salts.
- the salts are chosen in particular from alkaline salts and especially sodium salts, ammonium salts, amine salts, including amino alcohol salts such as triethanolamine or monoethanolamine salts, and magnesium salts.
- polyethoxylated carboxylic anionic surfactants more preferably used are those corresponding to formula (XXII) below:
- Ri represents a linear or branched Cs-C 22 alkyl or alkenyl group or mixture of groups, a (Cs-C ⁇ alkylphenyl group, a group R 2 CONH-CH 2 -CH 2 - with R 2 denoting a linear or branched Cn-C 21 alkyl or alkenyl group,
- - n is an integer or decimal number (average value) that may range from 2 to 24 and preferably from 2 to 15,
- Ri denotes a group or a mixture of groups chosen from C 12 -C 14 alkyl, cocoyl, oleyl, nonylphenyl and octylphenyl groups;
- A denotes a hydrogen or sodium atom; and n ranges from 2 to 20 and preferably from 2 to 10.
- Ri denotes a C 12 alkyl group;
- A denotes a hydrogen or sodium atom; and n ranges from 2 to 10.
- carboxylic alkyl ether anionic surfactants use is preferably made of lauryl ether carboxylic acids or sodium lauryl ether carboxylates.
- the anionic surfactants are chosen from Cs to Ci 4 alkyl (ether) sulfates, olefin sulfonates and carboxylic alkyl ether surfactants especially of formula (XXII).
- the composition according to the invention comprises one or more carboxylic alkyl ether surfactants corresponding to formula (XXII). More preferentially, the composition according to the invention comprises a mixture of sulfate anionic surfactants, chosen especially from Cs to C 14 and more particularly C 12 to C 14 alkyl (ether) sulfates, and carboxylic alkyl ether surfactants corresponding to formula (XXII) as described previously.
- the detergent composition comprises one or more amphoteric or zwitterionic surfactants.
- amphoteric or zwitterionic surfactant(s), which are preferably non-silicone, used in the detergent composition according to the present invention may in particular be derivatives of optionally quaternized, secondary or tertiary aliphatic amines, in which derivatives the aliphatic group is a linear or branched chain comprising from 8 to 22 carbon atoms, said amine derivatives containing at least one anionic group, for instance a carboxylate, sulfonate, sulfate, phosphate or phosphonate group.
- Ra represents a Cio to C30 alkyl or alkenyl group derived from an acid RaCOOH preferably present in hydrolysed coconut oil, or a heptyl, nonyl or undecyl group;
- - Rb represents a beta-hydroxyethyl group
- - M + represents a cationic counterion derived from an alkali metal or alkaline-earth metal, such as sodium, an ammonium ion or an ion derived from an organic amine;
- - X " represents an organic or mineral anionic counterion, such as that chosen from halides, acetates, phosphates, nitrates, (Ci-C4)alkyl sulfates, (Ci-C4)alkyl- or (Ci- C4)alkylarylsulfonates, in particular methyl sulfate and ethyl sulfate; or alternatively M + and X " are absent; Ra ' -CONHCH2CH2-N(B)(B') (XXIV) in which formula:
- - B represents the group -CH2CH2OX
- - X represents the group -CH2COOH, -CH2-COOZ', -CH2CH2COOH or CH2CH2- COOZ', or a hydrogen atom;
- - Y * represents the group -COOH, -COOZ * or -CH 2 CH(OH)S0 3 H or the group CH 2 CH(OH)S0 3 -Z';
- - Z' represents a cationic counterion resulting from an alkali metal or alkaline-earth metal, such as sodium, an ammonium ion or an ion resulting from an organic amine;
- Ra' represents a C10 to C 3 o alkyl or alkenyl group of an acid Ra'-COOH which is preferably present in coconut oil or in hydrolysed linseed oil, or an alkyl group, especially a C 17 group, and its iso form, or an unsaturated C 17 group.
- cocoamphodiacetate sold by the company Rhodia under the trade name Miranol ® C2M Concentrate.
- - Y represents the group -COOH, -COOZ" or -CH 2 -CH(OH)S0 3 H or the group CH 2 CH(OH)S0 3 -Z";
- Rd and R e represent, independently of each other, a Ci to C 4 alkyl or hydroxyalkyl radical
- - Z" represents a cationic counterion derived from an alkali metal or alkaline- earth metal, such as sodium, an ammonium ion or an ion derived from an organic amine;
- - Ra" represents a Cio to C30 alkyl or alkenyl group of an acid Ra"-COOH which is preferably present in coconut oil or in hydrolysed linseed oil;
- n denote, independently of each other, an integer ranging from 1 to 3.
- amphoteric or zwitterionic surfactants use is preferably made of (C8-C2o)alkylbetaines such as cocobetaine, (C 8 - C2o)alkylamido(C3-C8)alkylbetaines such as cocamidopropylbetaine, and mixtures thereof, and the compounds of formula (XXV) such as the sodium salt of diethylaminopropyl laurylaminosuccinamate (INCI name: sodium diethylaminopropyl cocoaspartamide).
- amphoteric or zwitterionic surfactants are chosen from
- (C8-C2o)alkylamido(C3-C8)alkylbetaines such as cocamidopropyl betaine.
- the total content of surfactants chosen from anionic surfactants and amphoteric or zwitterionic surfactants, and mixtures thereof, present in the detergent composition according to the present invention preferably ranges from 4% to 35% by weight, more preferentially from 5% to 30% by weight and better still from 5% to 25% by weight, relative to the total weight of the detergent composition.
- the detergent composition used in the second step of the keratin fibre treatment process according to the present invention may optionally also comprise one or more nonionic surfactants.
- nonionic surfactant(s) that may be present in the detergent composition according to the invention are described, for example, in the Handbook of Surfactants by M.R. Porter, published by Blackie & Son (Glasgow and London), 1991 , pages 1 16-178.
- nonionic surfactants examples include the following nonionic surfactants:
- - oxyalkylenated (C8-C 2 4)alkylphenols - saturated or unsaturated, linear or branched, oxyalkylenated or glycerolated Cs to C40 alcohols, preferably comprising one or two fatty chains;
- the oxyalkylene units are more particularly oxyethylene or oxypropylene units, or a combination thereof, preferably oxyethylene units.
- the number of moles of ethylene oxide and/or of propylene oxide preferably ranges from 1 to 250, more particularly from 2 to 100 and better still from 2 to 50; the number of moles of glycerol ranges in particular from 1 to 50 and better still from 1 to 10.
- nonionic surfactants according to the invention do not comprise any oxypropylene units.
- glycerolated nonionic surfactants use is preferably made of monoglycerolated or polyglycerolated Cs to C40 alcohols, comprising from 1 to 50 mol of glycerol and preferably from 1 to 10 mol of glycerol.
- lauryl alcohol containing 4 mol of glycerol (INCI name: Polyglyceryl-4 Lauryl Ether), lauryl alcohol containing 1.5 mol of glycerol, oleyl alcohol containing 4 mol of glycerol (INCI name: Polyglyceryl-4 Oleyl Ether), oleyl alcohol containing 2 mol of glycerol (INCI name: Polyglyceryl-2 Oleyl Ether), cetearyl alcohol containing 2 mol of glycerol, cetearyl alcohol containing 6 mol of glycerol, oleocetyl alcohol containing 6 mol of glycerol and octadecanol containing 6 mol of glycerol.
- glycerolated alcohols it is more particularly preferred to use the
- the nonionic surfactant(s) used in the detergent composition according to the invention are preferentially chosen from:
- - saturated or unsaturated, linear or branched, oxyethylenated Cs to C40 alcohols comprising from 1 to 100 mol of ethylene oxide, preferably from 2 to 50 and more particularly from 2 to 40 mol of ethylene oxide and preferably comprising one or two fatty chains;
- - monoglycerolated or polyglycerolated Cs to C40 alcohols comprising from 1 to 50 mol of glycerol and preferably from 1 to 10 mol of glycerol;
- the detergent composition used in the second step of the keratin fibre treatment process according to the present invention may optionally also comprise one or more cationic polymers, such as those described previously.
- the detergent composition used in the second step of the keratin fibre treatment process according to the present invention may optionally also comprise one or more amino silicones and/or one or more non-amino silicones, such as those described previously.
- the detergent composition used in the second step of the keratin fibre treatment process according to the present invention may optionally also comprise one or more non-silicone fatty substances, such as those described previously.
- the cosmetic composition and the detergent composition used in the process according to the present invention may optionally also comprise one or more additives, other than the compounds of the invention and among which mention may be made of anionic, nonionic or amphoteric polymers or mixtures thereof, antidandruff agents, anti-seborrhoea agents, agents for preventing hair loss and/or for promoting hair regrowth, vitamins and provitamins including panthenol, sunscreens, mineral or organic pigments, sequestrants, plasticizers, solubilizers, acidifying agents, mineral or organic thickeners, in particular polymeric thickeners, opacifiers or nacreous agents, antioxidants, hydroxy acids, fragrances, preserving agents, pigments and ceramides.
- additives other than the compounds of the invention and among which mention may be made of anionic, nonionic or amphoteric polymers or mixtures thereof, antidandruff agents, anti-seborrhoea agents, agents for preventing hair loss and/or for promoting
- the above additives may generally be present in an amount, for each of them, of between 0 and 20% by weight relative to the total weight of the ready-to-use composition.
- the cosmetic composition is applied before the detergent composition.
- the cosmetic composition according to the invention may be applied to wet or dry, preferably wet, keratin fibres.
- the cosmetic composition according to the invention is applied for a leave- on time that may range from 1 to 15 minutes and preferably from 2 to 10 minutes.
- the detergent composition is applied directly to the keratin fibres on conclusion of this leave-on time, without intermediate rinsing.
- the detergent composition is applied to the keratin fibres directly after applying the cosmetic composition (without intermediate rinsing).
- the keratin fibres are then rinsed and then optionally dried or left to dry.
- the keratin fibres are rinsed with water before applying the detergent composition. After applying the detergent composition, the fibres are rinsed, and then optionally dried or left to dry.
- the time between the application of the cosmetic composition according to the invention and the application of the detergent composition according to the invention is less than 1 hour, preferentially less than 30 minutes, better still less than 15 minutes and even better still less than 10 minutes.
- the fibres are optionally rinsed with water before being dried or left to dry.
- the present invention also relates to the use of a cosmetic composition
- a cosmetic composition comprising;
- one or more cationic homopolymers resulting from the polymerization of monomers of acrylamidoalkyltrialkylammonium type, in a content ranging from 0.05% to 20% by weight, relative to the total weight of the cosmetic composition, and
- the present invention also relates to the use of a cosmetic composition as described above, for giving keratin fibres, in particular human keratin fibres such as the hair, good cosmetic properties that are persistent on shampoo washing at least three times.
- keratin fibres means human keratin fibres and more particularly the hair.
- composition (Al), according to the invention, and comparative composition (Bl) were prepared using the ingredients whose contents are indicated in the table below (amounts expressed in g).
- compositions (Al) and (Bl) above as pre- shampoo were evaluated in the following manner.
- Each of the compositions (Al) and (Bl) was applied to 2.7 g locks of wet sensitized hair, at a rate of 1 g of composition per lock.
- the locks are washed directly with a standard commercial shampoo (DOP ® Camomile product, which comprises, as anionic and amphoteric surfactants, 12% by weight of active material of sodium lauryl ether sulfate and 10% by weight of active material of cocoylbetaine), before being rinsed and wrung dry.
- DOP ® Camomile product which comprises, as anionic and amphoteric surfactants, 12% by weight of active material of sodium lauryl ether sulfate and 10% by weight of active material of cocoylbetaine
- each expert attributed a score ranging from 0 to 5, in increments of 0.5; the score 0 corresponding to a "very poor” evaluation concerning the criterion, and the score 5 to an "excellent” evaluation concerning the criterion.
- hair treated by means of the process according to the invention has a smoother feel and is easier to disentangle than hair treated by means of the comparative process.
- the hairs are also more individualized, which means that they are more detached, less in clumps.
- the conditioning properties obtained by means of the process according to the invention are also persistent with respect to shampooing. Specifically, even after three shampoo washes, hair treated by means of the process according to the invention conserves its conditioning properties, remains smoother, more detached, and is easier to disentangle than hair treated by means of the comparative process.
- Example II Example II.
- Example II a Cosmetic compositions
- composition (A2) according to the invention, and comparative composition (B2) were prepared using the ingredients whose contents are indicated in the table below.
- composition A2 Composition B2 (invention) (comparative)
- methacrylate chloride homopolymer as a 0.5 AM 0.5 AM 50% dispersion in a mixture of esters Polydimethylsiloxane bearing aminoethyl
- compositions (A2) and (B2) above as pre- shampoo were evaluated in the following manner.
- compositions (A2) and (B2) were applied to 2.7 g locks of wet sensitized hair, at a rate of 1 g of composition per lock. After a leave-on time of 5 minutes, without rinsing, the locks are washed directly with a standard commercial shampoo (DOP ® Camomile product, which comprises, as anionic and amphoteric surfactants, 12% by weight of active material of sodium lauryl ether sulfate and 10% by weight of active material of cocoylbetaine), before being rinsed and wrung dry.
- DOP ® Camomile product which comprises, as anionic and amphoteric surfactants, 12% by weight of active material of sodium lauryl ether sulfate and 10% by weight of active material of cocoylbetaine
- a panel of three experts then evaluated the following conditioning properties: disentangling, smoothness, suppleness and individualized nature. The disentangling, the smoothness and the suppleness were evaluated on wet locks (after wringing dry),
- each expert attributed a score ranging from 0 to 5, in increments of 0.5; the score 0 corresponding to a "very poor” evaluation concerning the criterion, and the score 5 to an "excellent” evaluation concerning the criterion.
- hair treated by means of the process according to the invention has a smoother feel, is more supple and is easier to disentangle than hair treated by means of the comparative process.
- the hairs are also more individualized, which means that they are more detached, less in clumps.
- the conditioning properties obtained by means of the process according to the invention are also persistent with respect to shampooing. Specifically, even after three shampoo washes, hair treated by means of the process according to the invention conserves its conditioning properties, remains smoother, more supple, lighter, and is easier to disentangle than hair treated by means of the comparative process.
Landscapes
- Health & Medical Sciences (AREA)
- Life Sciences & Earth Sciences (AREA)
- Animal Behavior & Ethology (AREA)
- General Health & Medical Sciences (AREA)
- Public Health (AREA)
- Veterinary Medicine (AREA)
- Birds (AREA)
- Epidemiology (AREA)
- Dermatology (AREA)
- Cosmetics (AREA)
Abstract
Process for treating keratin fibres using a homopolymer of acrylamidoalkyltrialkylammonium type and an amino silicone The present invention relates to a process for treating keratin fibres, in particular human keratin fibres such as the hair, using a composition comprising a particular cationic homopolymer and an amino silicone. The present invention also relates to the use of said cosmetic composition as a pre-shampoo.
Description
Process for treating keratin fibres using a homopolymer of acrylamidoalkyltrialkylammonium type
and an amino silicone
The present invention relates to a process for treating keratin fibres, in particular human keratin fibres such as the hair, using a cosmetic composition comprising a particular cationic homopolymer and an amino silicone.
The present invention also relates to the use of said cosmetic composition as a pre-shampoo.
Hair is generally damaged and embrittled by the action of external atmospheric agents such as light and bad weather, and by mechanical or chemical treatments, such as brushing, combing, dyeing, bleaching, permanent- waving and/or relaxing.
To remedy these drawbacks, it is now common practice to pursue haircare treatments involving the use of care compositions that can condition the hair after these treatments to give it in particular sheen, softness, suppleness, lightness, a natural feel and disentangling properties.
These haircare compositions are generally compositions to be applied after shampooing and may be in the form of gels, hair lotions or more or less thick creams.
However, the conditioning properties imparted by these hair-conditioning treatments remain insufficient and have a tendency to fade out after washing the hair with a standard shampoo. Moreover, the hair is made lank, lacks lightness, and may have a greasy feel or become greasy again more quickly.
Now, consumers are increasingly in search of care or treatment products that are capable of conditioning the hair satisfactorily without making it lank, and which have effects that are visible not only throughout the day, but also after shampooing one or more times.
Thus, there is a real need to develop care products for keratin fibres, in particular human keratin fibres such as the hair, which do not have the drawbacks mentioned above, i.e. which are especially capable of affording conditioning properties that are not only satisfactory but also persistent on washing, for example persistent after at least two shampoo washes.
The Applicant has discovered, surprisingly, that a process for treating keratin fibres, comprising the application of a cosmetic composition comprising a particular cationic homopolymer and an amino silicone, followed by the application of a detergent composition, makes it possible to achieve the objectives presented above.
One subject of the present invention is especially a process for treating keratin fibres, in particular human keratin fibres such as the hair, comprising the following steps:
1) a first step of applying to said keratin fibres a cosmetic composition comprising: - one or more cationic homopolymers resulting from the polymerization of monomers of acrylamidoalkyltrialkylammonium type, and
- one or more amino silicones;
followed by
2) a second step of applying to said keratin fibres a detergent composition comprising one or more surfactants chosen from anionic surfactants and amphoteric or zwitterionic surfactants, and mixtures thereof.
A subject of the present invention is also the use of a cosmetic composition comprising:
- one or more cationic homopolymers resulting from the polymerization of monomers of acrylamido alky Itrialkylammonium type, in a content ranging from
0.05% to 20% by weight, relative to the total weight of the cosmetic composition, and
- one or more amino silicones,
as a pre-shampoo.
Unlike conventional hair-conditioning treatments, the process according to the present invention makes it possible to obtain improved conditioning properties, especially in terms of suppleness, smoothness and lightness, and also greater ease of disentangling, without making the hair lank. The hair is lighter, more supple and has a less greasy look and feel.
Moreover, the properties afforded by the treatment according to the invention are visible immediately after the treatment, and are maintained over time. They are in particular persistent with respect to shampooing, and especially after two shampoo washes.
Other subjects, characteristics, aspects and advantages of the invention will emerge even more clearly on reading the description and the examples that follow.
In the text hereinbelow, and unless otherwise indicated, the limits of a range of values are included within that range, especially in the expressions "between" and "ranging from ... to
Moreover, the expressions "at least one", "at least two" and "at least" used in the present description are equivalent to the expressions "one or more", "two or more" and "greater than or equal to", respectively. A) Cosmetic composition
The process for treating keratin fibres according to the present invention comprises a first step of applying to said keratin fibres a cosmetic composition comprising:
- one or more cationic homopolymers resulting from the polymerization of monomers of acrylamidoalkyltrialkylammonium type, and
- one or more amino silicones.
The cosmetic composition used in the first step of the process according to the invention is preferably non-detergent.
For the purposes of the present invention, the term "non-detergent composition" means a composition not intended for washing keratin fibres, i.e. a composition which cannot remove from said fibres, especially the hair, the soiling adhering thereto by placing said soiling in dispersion or in solution. Such a composition therefore does not contain a washing base constituted of anionic and/or amphoteric surfactants, or, when such a washing base is present, its content is moderate, preferably less than 4% by weight, relative to the total weight of the composition. In particular, the non-detergent compositions according to the invention contain less than 3% in total weight of anionic and amphoteric or zwitterionic surfactants, relative to the total weight of the composition. Preferably, the non- detergent compositions according to the invention do not contain any (0%) anionic surfactants and amphoteric or zwitterionic surfactants.
The anionic and amphoteric or zwitterionic surfactants are as described below.
Cationic homopolymers
The cosmetic composition used in the first step of the keratin fibre treatment process according to the present invention comprises one or more cationic homopolymers resulting from the polymerization of monomers of acrylamidoalkyltrialkylammonium type.
Preferably, these cationic homopolymers have a viscosity of less than or equal to 0.2 Pa.s in solution at 1 % by weight of active material in water, at 25°C and at a shear rate of 200 s"1. The viscosity may be measured using a cone/plate viscometer, a Haake R600 rheometer or the like.
Advantageously, the cationic homopolymer(s) result from the polymerization of monomers of formula (I):
- Ri denotes a hydrogen atom or a methyl group,
- R2 denotes a linear or branched, saturated or unsaturated Ci to C6 and preferably Ci to C4 alkylene group, optionally substituted with a hydroxyl group,
- R3, R4 and R5, which may be identical or different, denote a linear or branched, saturated or unsaturated, optionally cyclic Ci to C18 and preferably Ci to C4 alkyl group, and
- Y" is an anion such as a halide, for instance bromide or chloride, an acetate, a borate, a citrate, a tartrate, a bisulfate, a bisulfite, a sulfate or a phosphate, preferably a chloride anion.
More preferentially, R2 denotes a linear or branched C1-C4 alkylene group;
R3, R4 and R5 denote a linear or branched Ci to C4 alkyl group; and Y" is a halide anion, and especially a chloride.
Better still, the cationic homopolymers result from the polymerization of acrylamidopropyltrimethylammonium chloride (APTAC), namely the monomer of structure (I) for which:
- Ri denotes a hydrogen atom,
- P 2 denotes a linear C3 alkylene group,
- R3, P 4 and R5 denote a methyl group, and
- Y" denotes a chloride anion.
The cationic homopolymers resulting from the polymerization of monomers of acrylamidoalkyltrialkylammonium type according to the invention may be crosslinked or non-crosslinked.
Among the homopolymers resulting from the polymerization of acrylamidopropyltrimethylammonium chloride (APTAC), mention may be made especially of the polymers having the INCI name: Polyacrylamidopropyltrimonium chloride; and especially the product N-DurHance™ A- 1000 sold by the company Ashland Inc.
The content of cationic homopolymer(s) resulting from the polymerization of monomers of acrylamidoalkyltrialkylammonium type, present in the cosmetic composition according to the invention, preferably ranges from 0.05% to 20% by weight, more preferentially from 0.1% to 15% by weight and better still from 0.5% to 10% by weight, relative to the total weight of the cosmetic composition.
Amino silicones
The cosmetic composition used in the first step of the keratin fibre treatment process according to the present invention also comprises one or more amino silicones.
The term "amino silicone" means any silicone comprising at least one primary, secondary or tertiary amine function or a quaternary ammonium group.
Preferably, the amino silicone(s) used in the cosmetic composition according to the present invention comprise in their structure at least 4 silicon atoms.
Throughout the text hereinbelow, the term "silicone" is intended to denote, in accordance with what is generally accepted, any organosilicon polymers or oligomers of linear or cyclic, branched or crosslinked structure, of variable molecular weight, obtained by polymerization and/or polycondensation of suitably functionalized silanes, and constituted essentially of a repetition of main units in
which the silicon atoms are linked together via oxygen atoms (siloxane bond -Si-O- Si-), optionally substituted hydrocarbon-based groups being directly linked via a carbon atom to said silicon atoms. The hydrocarbon-based groups that are the most common are alkyl groups, especially Ci-Cio alkyl groups and in particular methyl, fluoroalkyl groups the alkyl part of which is Ci-Cio, and aryl groups and in particular phenyl.
The amino silicones used in the non-detergent cosmetic composition according to the present invention may be chosen from:
(a) the compounds corresponding to formula (II) below:
(R1)a(T)3-a-Si[OSi(T)2]„-[OSi(T)b(R1)2-b]m-OSi(T)3-a-(R1)a (II) in which:
- T is a hydrogen atom or a phenyl, hydroxyl (-OH), or Ci-Cs alkyl, and preferably methyl, or Ci-Cs alkoxy, preferably methoxy, group,
- a denotes the number 0 or an integer from 1 to 3, and preferably 0,
- b denotes 0 or 1 , and in particular 1 ,
- m and n are numbers such that the sum (n + m) can range especially from 1 to 2000 and in particular from 50 to 150, it being possible for n to denote a number from 0 to 1999 and especially from 49 to 149, and for m to denote a number from 1 to 2000 and especially from 1 to 10,
- R1 is a monovalent group of formula -CqH2qL in which q is a number from 2 to 8 and L is an optionally quaternized amine group chosen from the following groups:
-N(R2)-CH2-CH2-N(R2)2,
-N(R2)2,
-N+(R2)3 Q ,
-N+(R2) (H)2 Q-,
-N+(R2)2HQ-,
-N(R2)-CH2-CH2-N+(R2)(H)2 Q ,
in which R2 may denote a hydrogen atom, a phenyl group, a benzyl group or a saturated monovalent hydrocarbon-based group, for example a Ci-C2o alkyl group, and Q" represents a halide ion, for instance fluoride, chloride, bromide or iodide.
In particular, the amino silicones corresponding to the definition of formula (II) are chosen from the compounds corresponding to formula (III) below:
(III) in which R, R' and R", which may be identical or different, denote a C1-C4 alkyl group, preferably CH3; a C1-C4 alkoxy group, preferably methoxy; or OH; A represents a linear or branched, C3-C8 and preferably C3-C6, alkylene group; m and n are integers dependent on the molecular weight and the sum of which is between 1 and 2000.
According to a first possibility, R, R and R", which may be identical or different, each represent a C1-C4 alkyl or hydroxyl group, A represents a C3 alkylene group and m and n are such that the weight-average molecular weight of the compound is between approximately 5000 and 500 000. The compounds of this type are named "amodimethicone" in the CTFA dictionary.
According to a second possibility, R, R and R", which may be identical or different, each represent a C1-C4 alkoxy or hydroxyl group, at least one of the groups R and R" is an alkoxy group and A represents a C3 alkylene group. The hydroxy 1/alkoxy mole ratio is preferably between 0.2/1 and 0.4/1 and advantageously equal to 0.3/1. Moreover, m and n are such that the weight-average molecular weight of the compound is between 2000 and 106. More particularly, n is between 0 and 999 and m is between 1 and 1000, the sum of n and m being between 1 and 1000.
In this category of compounds, mention may be made, inter alia, of the product Belsil®ADM 652 sold by the company Wacker.
According to a third possibility, R and R", which are different, each represent a C1-C4 alkoxy or hydroxyl group, at least one of the groups R and R" being an alkoxy group, R representing a methyl group and A representing a C3 alkylene group. The hydro xyl/alkoxy mole ratio is preferably between 1/0.8 and 1/1.1
and advantageously is equal to 1/0.95. Moreover, m and n are such that the weight- average molecular weight of the compound is between 2000 and 200 000. More particularly, n is between 0 and 999 and m is between 1 and 1000, the sum of n and m being between 1 and 1000.
More particularly, mention may be made of the product FluidWR® 1300 sold by the company Wacker.
It should be noted that the molecular weight of these silicones is determined by gel permeation chromatography (room temperature, polystyrene standard, μ styragem columns, eluent THF, flow rate of 1 mm/m, 200 μΐ of a solution containing 0.5% by weight of silicone in THF are injected, and detection is performed by refractometry and UV-metry).
A product corresponding to the definition of formula (II) is in particular the polymer known in the CTFA dictionary as "trimethylsilyl amodimethicone", corresponding to formula (IV) below:
ChL ChL
I
(CH3)3 SiO -SiO SiO— Si(ChL 3)/3
I I
ChL ChL
I
CHCH,
I
ChL
NH
m
(CH2)2
NH.
(IV) in which n and m have the meanings given above in accordance with the formula (II).
Such compounds are described, for example, in patent EP 95238. A compound of formula (II) is sold, for example, under the name Q2-8220 by the company OSI.
- R3 represents a monovalent Ci-Cis hydrocarbon-based group, and in particular a Ci-Cis alkyl or C2-C18 alkenyl group, for example methyl,
- R4 represents a divalent hydrocarbon-based group, especially a Ci-Cis alkylene group or a divalent Ci-Cis, for example Ci-Cs, alkyleneoxy group,
- Q" is a halide ion, especially chloride,
- r represents a mean statistical value from 2 to 20 and in particular from 2 to 8,
- s represents a mean statistical value from 20 to 200 and in particular from 20 to 50.
Such compounds are described more particularly in patent US 4 185 087. A compound falling within this class is the product sold by the company Union Carbide under the name Ucar Silicone ALE 56.
(c) the quaternary ammonium silicones especially of formula (VI):
- R7, which may be identical or different, represent a monovalent hydrocarbon- based group containing from 1 to 18 carbon atoms, and in particular a Ci-Cis alkyl group, a C2-C18 alkenyl group or a ring comprising 5 or 6 carbon atoms, for example methyl,
- Re represents a divalent hydrocarbon-based group, especially a d-ds alkylene group or a divalent d-d 8, for example d-d, alkyleneoxy group linked to the Si via an Si-C bond,
- R-8, which may be identical or different, each represent a hydrogen atom, a monovalent hydrocarbon-based group containing from 1 to 18 carbon atoms, and in particular a d-ds alkyl group, a C2-ds alkenyl group or an -R6-NHCOR7 group,
- X" is an anion such as a halide ion, especially chloride, or an organic acid salt (acetate, etc.),
- r represents a mean statistical value from 2 to 200 and in particular from 5 to 100.
These silicones are described, for example, in patent application EP-A 0 530
974.
(d) the amino silicones of formula (VII):
(CmH2m)
(VII) in which:
- Ri, R2, R3 and R4, which may be identical or different, each denote a Ci-C4 alkyl group or a phenyl group,
- R5 denotes a Ci-C4 alkyl group or a hydroxyl group,
- n is an integer ranging from 1 to 5,
- m is an integer ranging from 1 to 5, and
- x is chosen such that the amine number is between 0.01 and 1 meq/g, and
(e) mixtures thereof.
When these compounds are used, one particularly advantageous embodiment involves their combined use with cationic and/or nonionic surfactants.
By way of example, use may be made of the product sold under the name Cationic Emulsion DC939 by the company Dow Corning, which comprises, besides amodimethicone, a cationic surfactant, namely trimethylcetylammonium chloride, and a nonionic surfactant of formula Ci3H27-(OC2H4)i2-OH, known under the CTFA name Trideceth-12.
Another commercial product that may be used according to the invention is the product sold under the name Dow Corning Q2 7224 by the company Dow Corning, comprising, in combination, the trimethylsilyl amodimethicone of formula (IV) described above, a nonionic surfactant of formula: C8Hi7-CeH4-(OCH2CH2)40- OH, known under the CTFA name Octoxynol-40, a second nonionic surfactant of formula: Ci2H25-(OCH2-CH2)6-OH, known under the CTFA name Isolaureth-6, and propylene glycol.
Another commercial product that may be used according to the invention is the product sold under the name Wacker-Belsil ADM LOG 1, sold by the company Wacker, comprising, in microemulsion form, an amodimethicone of formula (III) in combination with Trideceth-5 and Trideceth-10.
It is also possible to use the product sold under the trade name Xiameter MEM 8299 emulsion by the company Dow Corning.
Other amino silicones may be used within the context of the invention, such as the product which is referenced in the CTFA dictionary under the name Polysilicone-9.
Preferably, the amino silicone(s) used in the cosmetic composition according to the present invention are chosen from the amino silicones of formula
(II) .
More preferentially, the cosmetic composition according to the present invention comprises an amino silicone chosen from the amodimethicones of formula
(III) , such as the product sold under the name Wacker-Belsil ADM Log 1 by the company Wacker, or those sold under the trade name Xiameter MEM 8299 Emulsion by the company Dow Corning.
The content of the amino silicone(s) present in the cosmetic composition according to the invention preferably ranges from 0.05% to 20% by weight, more preferentially from 0.1% to 15% by weight and better still from 0.5% to 10% by weight, relative to the total weight of the cosmetic composition.
Preferably, the weight ratio between the weight amount of amino silicone(s) and the weight amount of cationic homopolymer(s) resulting from the polymerization of monomers of acrylamidoalkyltrialkylammonium type, present in the cosmetic composition according to the invention, ranges from 0.01 to 15, more preferentially from 0.1 to 10 and better still from 0.5 to 5.
Cationic surfactants
The cosmetic composition used in the first step of the keratin fibre treatment process according to the present invention may optionally also comprise one or more cationic surfactants.
The term "cationic surfactant" means a surfactant that is positively charged when it is contained in the compositions according to the invention. This surfactant may bear one or more positive permanent charges or may contain one or more cationizable functions in the compositions according to the invention.
The cationic surfactant(s) are preferably chosen from primary, secondary or tertiary fatty amines, which are optionally polyoxyalkylenated, or salts thereof, and quaternary ammonium salts, and mixtures thereof.
The fatty amines generally comprise at least one Cs to C30 hydrocarbon- based chain.
Examples of quaternary ammonium salts that may especially be mentioned include:
- those corresponding to the general formula (VIII) below:
(VIII)
in which the groups R28 to R31 , which may be identical or different, represent a linear or branched aliphatic group comprising from 1 to 30 carbon atoms, or an aromatic group such as aryl or alkylaryl, at least one of the groups R28 to R31 denoting a group comprising from 8 to 30 carbon atoms, preferably from 12 to 24 carbon atoms. The aliphatic groups may comprise heteroatoms especially such as oxygen, nitrogen, sulfur and halogens. The aliphatic groups are chosen, for example, from Ci to C30
alkyl, Ci to C30 alkoxy, polyoxy(C2-C6)alkylene, Ci to C30 alkylamide, (C12- C22)alkylamido(C2-C6)alkyl, (Ci2-C22)alkyl acetate, and Ci to C30 hydroxyalkyl groups; X" is an anion chosen from the group of halides, phosphates, acetates, lactates, (Ci-C4)alkyl sulfates, and (Ci-C4)alkyl- or (Ci-C4)alkylarylsulfo nates.
Among the quaternary ammonium salts of formula (VIII), the ones that are preferred are, on the one hand, tetraalkylammonium salts, for instance dialkyldimethylammonium or alkyltrimethylammonium salts in which the alkyl group comprising approximately from 12 to 22 carbon atoms, in particular behenyltrimethylammonium, distearyldimethylammonium, cetyltrimethylammonium or benzyldimethylstearylammonium salts, or, on the other hand, the palmitylamidopropyltrimethylammonium salt, the stearamidopropyltrimethylammonium salt, the stearamidopropyldimethylcetearylammonium salts, or the stearamidopropyldimethyl(myristyl acetate)ammonium salts sold under the name Ceraphyl® 70 by the company Van Dyk. It is preferred in particular to use the chloride salts of these compounds;
- quaternary ammonium salts of imidazoline, for instance those of formula (IX) below:
R 33
N( R35 )— CO R 32
N X
\ / R 34
c- C
(IX) in which:
R32 represents an alkenyl or alkyl group comprising from 8 to 30 carbon atoms, for example derivatives of tallow fatty acids,
- R33 represents a hydrogen atom, a Ci to C4 alkyl group or an alkenyl or alkyl group comprising from 8 to 30 carbon atoms,
R34 represents a Ci to C4 alkyl group,
R35 represents a hydrogen atom or a Ci to C4 alkyl group,
- X" is an anion chosen from the group of halides, phosphates, acetates, lactates, alkyl sulfates and alkyl- or alkylarylsulfonates, the alkyl and aryl groups of which preferably comprise, respectively, from 1 to 20 carbon atoms and from 6 to 30 carbon atoms.
Preferably, R32 and R33 denote a mixture of alkenyl or alkyl groups comprising from 12 to 21 carbon atoms, for example derivatives of tallow fatty acids, R34 denotes a methyl group and R35 denotes a hydrogen atom. Such a product is sold, for example, under the name Rewoquat® W 75 by the company Rewo;
- di- or tri-quaternary ammonium salts, in particular of formula (X):
+ +
FL '37 739
— (CH2)3— N— 41 2X
R 38 R 40
(X) in which:
R36 denotes an alkyl group comprising approximately from 16 to 30 carbon atoms, which is optionally hydroxylated and/or interrupted with one or more oxygen atoms;
R37 is chosen from hydrogen, an alkyl radical comprising from 1 to 4 carbon atoms or an (R36a)(R37a)(R38a)N-(CH2)3 group,
R36a, R37a, R38a, R38, R39, R40 and R41 , which may be identical or different, are chosen from hydrogen and an alkyl radical comprising from 1 to 4 carbon atoms, and
X" is an anion chosen from the group of halides, acetates, phosphates, nitrates and methyl sulfates.
Such compounds are, for example, Finquat CT-P, sold by the company Finetex (Quatemium 89), and Finquat CT, sold by the company Finetex (Quatemium 75);
- quaternary ammonium salts containing at least one ester function, such as those of formula (XI) below:
in which:
- R42 is chosen from Ci to C6 alkyl groups and Ci to C6 hydroxyalkyl or dihydroxyalkyl groups;
- R43 is chosen from:
- groups R47, which are linear or branched, saturated or unsaturated Ci to C22 hydrocarbon-based groups,
- a hydrogen atom;
- R45 is chosen from:
O
R,
- the group 48
- groups R49, which are linear or branched, saturated or unsaturated Ci to C6 hydrocarbon-based groups,
- a hydrogen atom;
- R44, R46 and R48, which may be identical or different, are chosen from linear or branched, saturated or unsaturated C7 to C21 hydrocarbon-based groups;
- r, s and t, which may be identical or different, are integers ranging from 2 to 6;
- y is an integer ranging from 1 to 10;
- x and z, which may be identical or different, are integers ranging from 0 to 10;
- X" is a simple or complex and organic or inorganic anion;
with the proviso that the sum x + y + z is from 1 to 15, that when x is 0 then R43 denotes R47, and that when z is 0 then R45 denotes R49.
The alkyl groups R42 may be linear or branched, and more particularly linear.
Preferably, R42 denotes a methyl, ethyl, hydroxyethyl or dihydroxypropyl group, and more particularly a methyl or ethyl group.
Advantageously, the sum x + y + z ranges from 1 to 10.
When R43 is a hydrocarbon-based group R47, it may be long and contain from 12 to 22 carbon atoms, or may be short and contain from 1 to 3 carbon atoms.
When R45 is a hydrocarbon-based group R49, it preferably contains 1 to 3 carbon atoms.
Advantageously, R44, R46 and R48, which may be identical or different, are chosen from linear or branched, saturated or unsaturated Cn to C21 hydrocarbon- based groups, and more particularly from linear or branched, saturated or unsaturated Cn to C21 alkyl and alkenyl groups.
Preferably, x and z, which may be identical or different, are equal to 0 or 1.
Advantageously, y is equal to 1.
Preferably, r, s and t, which may be identical or different, are equal to 2 or 3, and even more particularly are equal to 2.
The anion X" is preferably a halide (chloride, bromide or iodide) or an alkyl sulfate, more particularly methyl sulfate. However, use may be made of methanesulfonate, phosphate, nitrate, tosylate, an anion derived from an organic acid, such as acetate or lactate, or any other anion that is compatible with the ammonium bearing an ester function.
The anion X" is even more particularly chloride or methyl sulfate.
Use is made more particularly in the dye composition according to the invention of the ammonium salts of formula (XI) in which:
R42 denotes a methyl or ethyl group;
x and y are equal to 1 ;
z is equal to 0 or 1 ;
r, s and t are equal to 2;
R43 is chosen from:
O
R„
- the group 46
- methyl, ethyl or C14 to C22 hydrocarbon-based groups,
- a hydrogen atom;
R45 is chosen from:
O
R„
- the group 8
- a hydrogen atom;
R44, R46 and R48, which may be identical or different, are chosen from saturated or unsaturated and linear or branched C13 to C17 hydrocarbon-based groups and preferably from saturated or unsaturated and linear or branched C13 to C17 alkyl and alkenyl groups.
Advantageously, the hydrocarbon-based groups are linear.
Examples that may be mentioned include the compounds of formula (XI) such as the diacyloxyethyldimethylammonium, diacyloxyethylhydroxyethylmethylammonium,
monoacyloxyethyldihydroxyethylmethylammonium,
triacyloxyethylmethylammonium and monoacyloxyethylhydroxyethyldimethylammonium salts (chloride or methyl sulfate in particular), and mixtures thereof. The acyl groups preferably contain 14 to 18 carbon atoms and are obtained more particularly from a plant oil such as palm oil or sunflower oil. When the compound contains several acyl groups, these groups may be identical or different.
These products are obtained, for example, by direct esterification of triethanolamine, triisopropanolamine, alkyldiethanolamine or alkyldiisopropanolamine, which are optionally oxyalkylenated, with C10 to C30 fatty acids or with mixtures of C10 to C30 fatty acids of plant or animal origin, or by transesterification of their methyl esters. This esterification is followed by a quaternization using an alkylating agent such as an alkyl halide (preferably a methyl or ethyl halide), a dialkyl sulfate (preferably a methyl or ethyl sulfate), methyl methanesulfonate, methyl para-toluenesulfonate, glycol chlorohydrin or glycerol chlorohydrin.
Such compounds are sold, for example, under the names Dehyquart® by the company Henkel, Stepanquat® by the company Stepan, Noxamium® by the company CECA or Rewoquat® WE 18 by the company Rewo-Witco.
Among these compounds, mention may be made especially of dipalmitoylethylhydroxyethylmethylammonium methosulfate.
The composition according to the present invention may contain, for example, a mixture of quaternary ammonium monoester, diester and triester salts with a weight majority of diester salts.
Use may also be made of the ammonium salts containing at least one ester functional group that are described in patents US-A-4 874 554 and US-A-4 137 180.
Use may be made of behenoylhydroxypropyltrimethylammonium chloride sold by KAO under the name Quatarmin BTC 131.
Preferably, the ammonium salts containing at least one ester function contain two ester functions.
Among the quaternary ammonium salts containing at least one ester function, which may be used, it is preferred to use dipalmitoylethylhydroxyethyl- methylammonium salts.
The cationic surfactants that may be present in the cosmetic composition of the invention are preferably chosen from those of formula (VIII) and those of formula (XI), and more preferentially from dipalmitoylethylhydroxyethylmethylammonium methosulfate, behenyltrimethylammonium chloride and cetyltrimethylammonium chloride, and mixtures thereof.
The content of cationic surfactant(s), when they are present in the cosmetic composition according to the invention, preferably ranges from 0.1% to 15% by weight and more preferentially from 0.5% to 10% by weight, relative to the total weight of the cosmetic composition. Non-silicone fatty substances
The cosmetic composition used in the first step of the keratin fibre treatment process according to the present invention may optionally also comprise one or more non-silicone fatty substances.
The term "fatty substance" means an organic compound that is insoluble in water at ordinary room temperature (25°C) and at atmospheric pressure (760 mmHg), with a solubility in water of less than 5%, preferably less than 1% and even more preferentially less than 0.1%. Non-silicone fatty substances generally have in their structure a hydrocarbon-based chain comprising at least 6 carbon atoms. In addition, the fatty substances are generally soluble in organic solvents under the same temperature and pressure conditions, for instance chloroform, ethanol, benzene, liquid petroleum jelly or decamethylcyclopentasiloxane.
The non-silicone fatty substances of the invention are moreover non- polyoxyethylenated and non-polyglycerolated.
The term "non-silicone fatty substance" means a fatty substance not comprising in its structure any Si-O-Si sequences.
The fatty substance(s) may be liquid or non-liquid at room temperature and at atmospheric pressure. The liquid fatty substances of the invention preferably have a viscosity of less than or equal to 2 Pa.s, better still less than or equal to 1 Pa.s and even better still less than or equal to 0.1 Pa.s at a temperature of 25°C and at a shear rate of 1 s"1.
Advantageously, the non-silicone fatty substance(s) are chosen from C6 to Ci6 hydrocarbons, hydrocarbons containing more than 16 carbon atoms, oils of plant or animal origin, triglycerides of plant or synthetic origin, fluoro oils, fatty alcohols, esters of fatty acids and/or of fatty alcohols other than triglycerides, non-silicone waxes other than solid fatty alcohols and solid synthetic esters, ceramides, and mixtures thereof.
Fatty acid and fatty alcohol denote an acid and an alcohol, respectively, containing from 6 to 30 carbon atoms, and preferably from 8 to 22 carbon atoms.
Plant oils that may especially be mentioned include sweet almond oil, avocado oil, castor oil, olive oil, liquid jojoba wax, sunflower oil, wheatgerm oil, sesame oil, groundnut oil, grapeseed oil, soybean oil, rapeseed oil, safflower oil, coconut oil, corn oil, hazelnut oil, palm oil, apricot kernel oil, beauty-leaf oil, evening primrose oil, shea butter, rice bran oil, corn germ oil, passion flower oil and rye oil.
An animal oil that may especially be mentioned is perhydrosqualene.
Liquid paraffin or liquid petroleum jelly may especially be mentioned as mineral oil.
Synthetic oils that may especially be mentioned include squalane, poly(a- olefins), for instance isododecane or isohexadecane, transesterified plant oils, fluoro oils and fatty esters.
The term "fatty esters" denotes compounds of formula RaCOORb in which Ra represents a linear or branched, hydroxylated or non-hydroxylated, saturated or unsaturated higher acid residue, comprising from 4 to 29 carbon atoms, and Rb represents a linear or branched, saturated or unsaturated hydrocarbon-based chain containing from 3 to 30 carbon atoms, the total number of carbon atoms in the ester being greater than 10. Non- limiting examples that may especially be mentioned include Purcellin oil (stearyl octanoate), isopropyl myristate, isopropyl palmitate, butyl stearate, hexyl laurate, isononyl isononanoate, 2-ethylhexyl palmitate, 2-
hexyldecyl laurate, 2-octyldecyl palmitate, 2-octyldodecyl myristate, isostearyl neopentanoate and tridecyl neopentanoate.
The fluoro oils may be partially hydrocarbon-based and/or silicone-based fluoro oils, for instance those described in document JP-A-2-295 912.
The fatty alcohols may be chosen from fatty alcohols that are solid at room temperature and at atmospheric pressure (25°C, 1 atm) and fatty alcohols that are liquid at room temperature and at atmospheric pressure (25°C, 1 atm) and mixtures thereof.
The term "fatty alcohol" means a long-chain aliphatic alcohol comprising from 8 to 40 carbon atoms and comprising at least one hydroxyl group OH. These fatty alcohols are neither oxyalkylenated nor glycerolated.
Preferably, the solid fatty alcohols have the structure R-OH with R denoting a linear alkyl group, optionally substituted with one or more hydroxyl groups, comprising from 8 to 40, better still from 10 to 30, or even from 12 to 24 and even better still from 14 to 22 carbon atoms.
The solid fatty alcohols that may be used may be chosen, alone or as a mixture, from:
- lauryl alcohol (1-dodecanol);
- myristyl alcohol (1-tetradecanol);
- cetyl alcohol (1-hexadecanol);
- stearyl alcohol (1-octadecanol);
- arachidyl alcohol (1-eicosanol);
- behenyl alcohol (1-docosanol);
- lignoceryl alcohol (1-tetracosanol);
- ceryl alcohol (1-hexacosanol);
- montanyl alcohol (1-octacosanol);
- myricyl alcohol (1-triacontanol).
Preferentially, the solid fatty alcohol is chosen from cetyl alcohol, stearyl alcohol, behenyl alcohol and mixtures thereof such as cetylstearyl alcohol or cetearyl alcohol.
The liquid fatty alcohols, in particular the Cio to C34 alcohols, preferably have branched carbon-based chains or have one or more, preferably 1 to 3, unsaturations. They are more preferentially branched and/or unsaturated, and
comprise from 12 to 40 carbon atoms, and are non-oxyalkylenated and non- glycerolated.
They preferably have the structure R-OH, in which R preferably denotes a branched C12 to C24 alkyl group or C12 to C24 alkenyl group, R possibly being substituted with one or more hydroxyl groups.
Preferably, the liquid fatty alcohol of the invention is a branched saturated alcohol. More preferentially, R does not contain any hydroxyl groups.
Mention may in particular be made of oleyl alcohol, linoleyl alcohol, linolenyl alcohol, isocetyl alcohol, isostearyl alcohol, 2-octyl-l-dodecanol, 2- butyloctanol, 2-hexyl-l-decanol, 2-decyl-l-tetradecanol and 2-tetradecyl-l-cetanol, and mixtures thereof.
Preferentially, the liquid fatty alcohol is 2-octyl-l-dodecanol.
For the purposes of the present invention, a wax is a lipophilic compound, which is solid at room temperature (about 25°C), with a reversible solid/liquid change of state, having a melting point greater than about 40°C, which may be up to 200°C, and having in the solid state anisotropic crystal organization. Animal and plant waxes comprise, as essential constituents, long-chain esters of carboxylic acids and of alcohols. In general, the size of the wax crystals is such that the crystals diffract and/or scatter light, giving the composition that comprises them a more or less opaque cloudy appearance. By bringing the wax to its melting point, it is possible to make it miscible with oils and to form a microscopically homogeneous mixture.
As waxes of use in the composition according to the present invention, mention may be made of waxes of animal origin such as beeswax, spermaceti, lanolin wax and lanolin derivatives; plant waxes such as sunflower wax, rice wax, apple wax, carnauba wax, candelilla wax, ouricury wax, Japan wax, cocoa butter, cork fibre wax or sugar cane wax; mineral waxes, for example paraffin wax, petroleum jelly wax, lignite wax, or microcrystalline waxes, ceresin or ozokerite; synthetic waxes such as polyethylene waxes and Fischer-Tropsch waxes, and mixtures thereof.
Preferably, the non-silicone fatty substance(s), present in the cosmetic composition of the present invention, are chosen from fatty alcohols, esters of fatty acids and/or of fatty alcohols other than triglycerides, and mixtures thereof, and more preferentially from cetyl alcohol, myristyl alcohol, cetearyl alcohol, myristyl stearate, myristyl palmitate, and mixtures thereof.
The content of non-silicone fatty substance(s), when they are present in the cosmetic composition according to the invention, preferably ranges from 0.1% to 20% by weight, more preferentially from 0.5% to 15% by weight and better still from 1% to 10% by weight, relative to the total weight of the cosmetic composition.
Additional cationic polymers
The cosmetic composition used in the first step of the keratin fibre treatment process according to the present invention may optionally also comprise one or more additional cationic polymers other than the cationic homopolymer(s) resulting from the polymerization of monomers of acrylamidoalkyltrialkylammonium type.
Preferably, the additional cationic polymer(s) are chosen from cationic polymers with a cationic charge density of less than or equal to 5.5 meq/g, better still ranging from 0.05 to 5.5 meq/g and especially ranging from 2 to 5 meq/g.
It is, however, possible to use cationic polymers with a higher charge density, especially greater than 5.5 meq/g.
The term "cationic polymer" means any polymer containing cationic groups and/or groups that can be ionized to cationic groups; the cationic polymers do not comprise any silicon atoms.
The cationic polymers that may be used in accordance with the present invention may be chosen from those that contain units comprising primary, secondary, tertiary and/or quaternary amine groups which may either form part of the main polymer chain or which may be borne by a side substituent directly connected thereto.
The cationic polymers preferably have a weight-average molecular mass of greater than 105, preferably greater than 106 and better still of between 106 and 108.
Among the cationic polymers that may be used in accordance with the invention, mention may be made more particularly of polymers of polyamine, polyaminoamide and polyquaternary ammonium type.
The polymers of polyamine, polyaminoamide and polyquaternary ammonium type that may be used in the composition according to the present invention are especially those described in French patents 2 505 348 and 2 542 997.
Among these polymers, mention may be made especially of:
(1) homopolymers or copolymers derived from acrylic or methacrylic esters or amides other than the homopolymers (a) and comprising at least one of the monomers of formulae (XII), (XIII), (XIV) and (XV) below:
- Re and R7, which may be identical or different, represent a hydrogen atom or an alkyl group containing from 1 to 6 carbon atoms, and preferably a methyl or ethyl group,
- Ri, which may be identical or different, denote a hydrogen atom or a CH3 group,
- R2, which may be identical or different, represent a linear or branched alkyl group of 1 to 6 carbon atoms, preferably of 2 or 3 carbon atoms, or a hydroxyalkyl group comprising from 1 to 4 carbon atoms,
- R3, R4 and R5, which may be identical or different, represent an alkyl group containing from 1 to 18 carbon atoms or a benzyl group, and preferably an alkyl group containing from 1 to 6 carbon atoms, and
- Y" denotes an anion derived from a mineral or organic acid, preferably a methosulfate anion, or a halide, and better still a chloride or bromide.
The copolymers of family (1) may also contain one or more units derived from co monomers which may be chosen from the family of acryl amides, methacrylamides, diacetone acrylamides, acrylamides and methacrylamides substituted on the nitrogen atom with lower (C1-C4) alkyls, acrylic or methacrylic acids or esters thereof, vinyllactams such as vinylpyrrolidone or vinylcaprolactam, and vinyl esters.
Thus, mention may be made, among these copolymers of family (1), of: - copolymers of acrylamide and dimethylaminoethyl methacrylate quaternized with dimethyl sulfate or with a dimethyl halide, such as that sold under the name Hercofloc by the company Hercules,
copolymers of acrylamide and of methacryloyloxyethyltrimethylammonium chloride, described, for example, in patent application EP-A-080 976 and sold under the name Bina Quat P 100 by the company Ciba-Geigy,
the copolymer of acrylamide and of methacryloyloxyethyltrimethylammonium methosulfate sold under the name Reten by the company Hercules,
- quaternized or non-quaternized vinylpyrrolidone/dialkylaminoalkyl acrylate or methacrylate copolymers, such as the products sold under the name Gafquat by the company ISP, for instance Gafquat 734 or Gafquat 755, or alternatively the products known as Copolymer 845, 958 and 937. These polymers are described in detail in French patents 2 077 143 and 2 393 573,
- dimethylaminoethyl methacrylate/vinylcaprolactam/vinylpyrrolidone terpolymers, such as the product sold under the name Gaffix VC 713 by the company ISP,
- vinylpyrrolidone/methacrylamidopropyldimethylamine copolymers sold in particular under the name Styleze CC 10 by ISP,
- quaternized vinylpyrrolidone/dimethylaminopropylmethacrylamide copolymers such as the product sold under the name Gafquat HS 100 by the company ISP, and
crosslinked polymers of methacryloyloxy(Ci-C4)alkyltri(Ci- C4)alkylammonium salts, such as the polymers obtained by homopolymerization of
dimethylaminoethyl methacrylate quatemized with methyl chloride, or by copolymerization of acrylamide with dimethylaminoethyl methacrylate quatemized with methyl chloride, the homo- or copolymerization being followed by crosslinking with an olefmically unsaturated compound, in particular methylenebisacrylamide. Use may be made more particularly of a crosslinked acrylamide/methacryloyloxyethyltrimethylammonium chloride copolymer (20/80 by weight) in the form of a dispersion containing 50% by weight of said copolymer in mineral oil. This dispersion is sold under the name Salcare® SC 92 by the company Ciba. Use may also be made of a crosslinked methacryloyloxyethyltrimethylammonium chloride homopolymer (INCI name Polyquaternium-37), for example the polymer sold under the name Cosmedia Ultragel 300 by the company Cognis; or as a dispersion in mineral oil or in a liquid ester; these dispersions are sold under the names Salcare® SC 95 and Salcare® SC 96 by the company Ciba.
(2) polymers constituted of piperazinyl units and divalent alkylene or hydroxy alky lene radicals containing straight or branched chains, optionally interrupted with oxygen, sulfur or nitrogen atoms or with aromatic or heterocyclic rings, and also the oxidation and/or quaternization products of these polymers. Such polymers are especially described in French patents 2 162 025 and 2 280 361.
(3) water-soluble polyamino amides prepared in particular by polycondensation of an acidic compound with a polyamine. These polyaminoamides may be crosslinked with an epihalohydrin, a diepoxide, a dianhydride, an unsaturated dianhydride, a bis-unsaturated derivative, a bis-halohydrin, a bis-azetidinium, a bis- haloacyldiamine, a bis-alkyl halide or alternatively with an oligomer resulting from the reaction of a difunctional compound which is reactive with a bis-halohydrin, a bis-azetidinium, a bis-haloacyldiamine, a bis-alkyl halide, an epihalohydrin, a diepoxide or a bis-unsaturated derivative, the crosslinking agent being used in proportions ranging from 0.025 to 0.35 mol per amine group of the polyaminoamide. These polyaminoamides can be alkylated or, if they comprise one or more tertiary amine functions, they can be quatemized. Such polymers are especially described in French patents 2 252 840 and 2 368 508.
(4) polyaminoamide derivatives resulting from the condensation of polyalkylene polyamines with polycarboxylic acids followed by alkylation with difunctional agents. Mention may be made, for example, of adipic
acid/dialkylamino hydroxy alky ldialkylenetriamine polymers in which the alkyl group contains from 1 to 4 carbon atoms and preferably denotes a methyl, ethyl or propyl group. Such polymers are especially described in French patent 1 583 363.
Among these derivatives, mention may be made more particularly of the adipic acid/dimethylaminohydroxypropyl/diethylenetriamine polymers sold under the name Cartaretine F, F4 or F8 by the company Sandoz.
(5) the polymers obtained by reaction of a polyalkylene polyamine containing two primary amine groups and at least one secondary amine group with a dicarboxylic acid chosen from diglycolic acid and saturated aliphatic dicarboxylic acids containing from 3 to 8 carbon atoms. The mole ratio between the polyalkylene polyamine and the dicarboxylic acid is between 0.8: 1 and 1.4: 1, the polyammoamide resulting therefrom being reacted with epichlorohydrin in a mole ratio of epichlorohydrin relative to the secondary amine group of the polyammoamide of between 0.5: 1 and 1.8: 1. Such polymers are described in particular in US patents 3227615 and 2961347.
Polymers of this type are sold in particular under the name Hercosett 57 by the company Hercules Inc. or alternatively under the name PD 170 or Delsette 101 by the company Hercules in the case of the adipic acid/epoxypropyl-diethylenetriamine copolymer.
(6) cyclopolymers of alkyldiallylamine or of dialkyldiallylammonium, such as homopolymers or copolymers comprising, as main constituent of the chain, units corresponding to formula (XVI) or (XVII):
(XVII) in which:
- k and t are equal to 0 or 1 , the sum k + t being equal to 1 ,
- Ri2 denotes a hydrogen atom or a methyl group,
- Rio and Rn , independently of each other, denote an alkyl group containing from 1 to 6 carbon atoms, a hydroxyalkyl group in which the alkyl group contains preferably 1 to 5 carbon atoms, a lower (C1-C4) amidoalkyl group; or Rio and Rn may denote, together with the nitrogen atom to which they are attached, heterocyclic groups such as piperidyl or morpholinyl, and
- Y" is an anion such as bromide, chloride, acetate, borate, citrate, tartrate, bisulfate, bisulfite, sulfate or phosphate.
These polymers are in particular described in French patent 2 080 759 and in its Certificate of Addition 2 190 406.
Rio and Rn , independently of each other, preferably denote an alkyl group containing from 1 to 4 carbon atoms.
Among the polymers defined above, mention may be made more particularly of the dimethyldiallylammonium chloride homopolymer sold under the name Merquat 100 by the company Nalco and its homologues of low weight-average molecular masses, and the copolymers of diallyldimethylammonium chloride and of acrylamide sold under the name Merquat 550.
(7) the quaternary diammonium polymer especially containing repeating units corresponding to the formula (XVIII):
Ri3, Ri4, Ri5 and Ri6, which may be identical or different, represent aliphatic, alicyclic or arylaliphatic groups containing from 1 to 20 carbon atoms or lower hydroxyalkylaliphatic radicals, or alternatively R13, R14, R15 and Ri6, together or separately, constitute, with the nitrogen atoms to which they are attached, heterocycles optionally containing a second heteroatom other than nitrogen, or alternatively R13, R14, R15 and Ri6 represent a linear or branched Ci-C6 alkyl group substituted with a nitrile, ester, acyl or amide group or a group -CO-O-R17-D or -CO- NH-R17-D where R17 is an alkylene and D is a quaternary ammonium group;
Ai and Bi represent polymethylene groups containing from 2 to 20 carbon atoms, which may be linear or branched, saturated or unsaturated, and which may contain, linked to or inserted in the main chain, one or more aromatic rings, or one or more oxygen or sulfur atoms or sulfoxide, sulfone, disulfide, amino, alkylamino, hydroxyl, quaternary ammonium, ureido, amide or ester groups, and
X" denotes an anion derived from a mineral or organic acid;
Ai, Ri3 and R15 can form, with the two nitrogen atoms to which they are attached, a piperazine ring.
In addition, if Ai denotes a linear or branched, saturated or unsaturated alkylene or hydroxyalkylene radical, Bi may also denote a group (CH2)n-CO-D-OC- n and p are integers ranging from 2 to 20 approximately,
in which D denotes:
a) a glycol residue of formula: -O-Z-O-, where Z denotes a linear or branched hydrocarbon-based radical or a group corresponding to one of the following formulae:
-(CH2-CH2-0)x -CH2-CH2-,
-[CH2-CH(CH3)-0]y-CH2-CH(CH3)-,
in which x and y denote an integer from 1 to 4, representing a defined and unique degree of polymerization or any number from 1 to 4 representing an average degree of polymerization,
b) a bis-secondary diamine residue such as a piperazine derivative,
c) a bis-primary diamine residue of formula: -NH-Y-NH-, in which Y denotes a linear or branched hydrocarbon-based radical, or alternatively the divalent radical -CH2-CH2-S-S-CH2-CH2-,
d) a ureylene group of formula -NH-CO-NH-.
Preferably, X" is an anion, such as chloride or bromide.
These polymers have a number-average molecular weight generally between 1000 and 100 000.
Polymers of this type are especially described in French patents 2 320 330, 2 270 846, 2 316 271, 2 336 434 and 2 413 907 and US patents 2 273 780, 2 375 853,
2 388 614, 2 454 547, 3 206 462, 2 261 002, 2 271 378, 3 874 870, 4 001 432,
3 929 990, 3 966 904, 4 005 193, 4 025 617, 4 025 627, 4 025 653, 4 026 945 and
4 027 020.
Use may be made more particularly of polymers that are constituted of repeating units corresponding to formula (XIX):
Ri8, Ri9, R20 and R21 , which may be identical or different, denote an alkyl or hydroxyalkyl group containing from 1 to 4 carbon atoms approximately,
r and s are integers ranging from 2 to 20 approximately, and
X" is an anion derived from a mineral or organic acid.
A compound of formula (XIX) that is particularly preferred is the one for which Ri8, Ri9, R20 and R21 represent a methyl radical and r = 3, s = 6 and X = CI, known as Hexadimethrine chloride in the INCI nomenclature (CTFA).
(8) poly quaternary ammonium polymers constituted especially of units of formula (XX):
^22 R24
— (CH2)— NH— CO— (CH2)— CO— NH (CH2)— N+— A
R23 * Ft v2,5 X
(XX)
in which:
R22, R23, R24 and R25, which may be identical or different, represent a hydrogen atom or a methyl, ethyl, propyl, β-hydroxyethyl, β-hydroxypropyl or -CH2CH2(OCH2CH2)pOH group, where p is equal to 0 or to an integer of between 1 and 6, with the proviso that R22, R23, R24 and R25 do not simultaneously represent a hydrogen atom,
t and u, which may be identical or different, are integers between 1 and 6, v is equal to 0 or to an integer between 1 and 34,
- X" denotes an anion, such as a halide, and
A denotes a dihalide radical or preferably represents -CH2-CH2-O-CH2-CH2-.
Such compounds are especially described in patent application EP-A-
122 324.
Mention may be made among these, for example, of the Mirapol® A 15, Mirapol® AD1, Mirapol® AZ1 and Mirapol® 175 products sold by the company Miranol.
(9) quaternary polymers of vinylpyrrolidone and/or of vinylimidazole, for instance the products sold under the names Luviquat® FC 905, FC 550 and FC 370 and Luviquat Excellence by the company BASF.
(10) cationic polysaccharides, preferably cationic celluloses and galactomannan gums.
Among cationic polysaccharides, mention may be made more particularly of cellulose ether derivatives comprising quaternary ammonium groups, cationic cellulose copolymers or cellulose derivatives grafted with a water-soluble quaternary ammonium monomer and cationic galactomannan gums.
The cellulose ether derivatives comprising quaternary ammonium groups are described in French patent 1 492 597. These polymers are also defined in the CTFA dictionary as quaternary ammoniums of hydroxyethylcellulose that have reacted with an epoxide substituted with a trimethylammonium group.
The cationic cellulose copolymers or the cellulose derivatives grafted with a water-soluble quaternary ammonium monomer are described especially in patent US 4 131 576, such as hydroxyalkyl celluloses, for instance hydroxymethyl, hydroxyethyl or hydroxypropyl celluloses grafted especially with a
methacryloylethyltrimethylammonium, methacrylamidopropyltrimethylammonium or dimethyldiallylammonium salt.
A cationic cellulose copolymer that may especially be mentioned is polyquaternium-4, which is a copolymer of hydroxyethylcellulose and of diallyldimethylammonium chloride.
Mention may also be made of associative celluloses such as quaternized alkylhydroxyethylcelluloses bearing Cs to C30 fatty chains, for instance the product Quatrisoft LM 200® sold by the company Amerchol/Dow Chemical (INCI name: Polyquaternium-24) and the products Crodacel QM® (INCI name: PG- Hydroxyethylcellulose cocodimonium chloride), Crodacel QL® (C12 alkyl) (INCI name: PG-Hydroxyethylcellulose lauryldimonium chloride) and Crodacel QS® (C18 alkyl) (INCI name: PG-Hydroxyethylcellulose stearyldimonium chloride) sold by the company Croda.
Mention may also be made of other fatty-chain hydroxyethylcellulose derivatives such as the commercial products Softcat Polymer SL® such as SL-100, SL-60, SL-30 and SL-5 from the company Amerchol/Dow Chemical of INCI name Polyquaternium-67.
The cationic galactomannan gums are described more particularly in US patents 3 589 578 and 4 031 307, in particular guar gums containing cationic trialkylammonium groups. Guar gums modified with a salt such as 2,3- epoxypropyltrimethylammonium chloride are used, for example.
Among this family of cationic polymers, the fatty-chain hydroxyethylcellulose derivative of INCI name Polyquaternium-67 is particularly preferred.
(11) cationic proteins or cationic protein hydrolysates, polyalkyleneimines, in particular polyethyleneimines, polymers containing vinylpyridine or vinylpyridinium units, condensates of polyamines and of epichlorohydrin, quaternary polyureylenes and chitin derivatives.
The cationic proteins or protein hydrolysates are, in particular, chemically modified polypeptides bearing quaternary ammonium groups at the end of the chain, or grafted thereon. Their molecular mass may vary, for example, from 1500 to 10 000 and in particular from 2000 to 5000 approximately. Among these compounds, mention may be made in particular of:
- collagen hydrolysates bearing triethylammonium groups, such as the products sold under the name Quat-Pro E by the company Maybrook and referred to in the CTFA dictionary as Triethonium Hydrolyzed Collagen Ethosulfate,
- collagen hydrolysates bearing trimethylammonium chloride and trimethylstearylammonium chloride groups, which are sold under the name Quat-Pro
S by the company Maybrook and are referred to in the CTFA dictionary as Steartrimonium Hydrolyzed Collagen,
- animal protein hydrolysates bearing trimethylbenzylammonium groups, such as the products sold under the name Crotein BTA by the company Croda and referred to in the CTFA dictionary as Benzyltrimonium hydrolyzed animal protein,
- protein hydrolysates bearing quaternary ammonium groups on the polypeptide chain, said ammonium groups comprising at least one alkyl radical containing from 1 to 18 carbon atoms.
Among these protein hydrolysates, mention may be made, inter alia, of: - Croquat L, in which the quaternary ammonium groups comprise a C12 alkyl group,
- Croquat M, in which the quaternary ammonium groups comprise C10-C18 alkyl groups,
- Croquat S, in which the quaternary ammonium groups comprise a C18 alkyl group,
- Crotein Q, in which the quaternary ammonium groups comprise at least one alkyl group containing from 1 to 18 carbon atoms.
These various products are sold by the company Croda.
Other quaternized proteins or hydrolysates are, for example, those corresponding to the formula (XXI):
X" is an anion of a mineral or organic acid,
A denotes a protein residue derived from collagen protein hydrolysates,
R26 denotes a lipophilic group comprising up to 30 carbon atoms, and
R27 represents an alkylene group containing 1 to 6 carbon atoms.
Mention may be made, for example, of the products sold by the company Inolex, under the name Lexein QX 3000, referred to in the CTFA dictionary as Cocotrimonium Collagen Hydrolysate.
Mention may also be made of quaternized plant proteins such as wheat, corn or soybean proteins, for instance quaternized wheat proteins. Mention may be made of those sold by the company Croda under the names Hydrotriticum WQ or QM, referred to in the CTFA dictionary as Cocodimonium hydrolysed wheat protein, Hydrotriticum QL, referred to in the CTFA dictionary as Laurdimonium hydrolysed wheat protein, or else Hydrotriticum QS, referred to in the CTFA dictionary as Steardimonium hydrolysed wheat protein.
(12) Polyamines such as Poly quart R H sold by Cognis, referred to under the name Polyethylene glycol (15) tallow polyamine in the CTFA dictionary.
(13) polymers comprising in their structure:
- one or more units corresponding to formula (Al) below:
- optionally one or more units corresponding to formula (A2) below:
CH2CHNHCOH (A2)
In other words, these polymers may be chosen in particular from homopolymers or copolymers comprising one or more units derived from vinylamine and optionally one or more units derived from vinylformamide.
Preferably, these cationic polymers are chosen from polymers comprising, in their structure, from 5 mol% to 100 mol% of units corresponding to the formula (Al) and from 0 to 95 mol% of units corresponding to the formula (A2), preferably from 10 mol% to 100 mol% of units corresponding to the formula (Al) and from 0 to 90 mol% of units corresponding to the formula (A2).
These polymers may be obtained, for example, by partial hydrolysis of polyvinylformamide.
This hydrolysis may take place in acidic or basic medium.
The weight-average molecular mass of said polymer, measured by light scattering, may range from 1000 to 3 000 000 g/mol, preferably from 10 000 to 1 000 000 g/mol and more particularly from 100 000 to 500 000 g/mol.
The polymers comprising units of formula (Al) and optionally units of formula (A2) are sold especially under the name Lupamin by the company BASF, for instance, and in a non-limiting manner, the products sold under the names Lupamin 9095, Lupamin 5095, Lupamin 1095, Lupamin 9030 and Lupamin 9010.
Preferably, the additional cationic polymers, other than the cationic homopolymers resulting from the polymerization of monomers of acrylamidoalkyltrialkylammonium type, are chosen from the polymers of family (1) mentioned above, and in particular the additional cationic polymer is the crosslinked ethyltrimethylammonium methacrylate chloride homopolymer.
The content of additional cationic polymer(s), when they are present in the cosmetic composition according to the present invention, preferably ranges from 0.05% to 15% by weight and more preferentially from 0.1 % to 10%> by weight, relative to the total weight of the cosmetic composition.
Additional non-amino silicones
The cosmetic composition used in the first step of the keratin fibre treatment process according to the present invention may optionally also comprise one or more additional non-amino silicones.
The term "non-amino silicone" means any silicone which does not comprise any primary, secondary, tertiary or quaternary amine groups, namely any silicone other than the amino silicones mentioned above.
The additional non-amino silicones that may be used in the composition according to the invention are in particular polyorganosiloxanes, which may be in the form of aqueous solutions, i.e. dissolved, or optionally in the form of dispersions or microdispersions, or of aqueous emulsions. The polyorganosiloxanes may also be in the form of oils, waxes, resins or gums.
Organopolysiloxanes are defined in greater detail in Walter Noll's
Chemistry and Technology of Silicones (1968), Academic Press.
The additional non-amino silicones may be volatile or non-volatile.
When they are volatile, the non-amino silicones are more particularly chosen from those having a boiling point between 60°C and 260°C, and even more particularly from:
(i) cyclic silicones comprising from 3 to 7 and preferably 4 to 5 silicon atoms.
These are, for example, octamethylcyclotetrasiloxane sold especially under the name Volatile Silicone 7207 by the company Union Carbide or Silbione 70045 V 2 by the company Rhodia, decamethylcyclopentasiloxane sold under the name Volatile Silicone 7158 by the company Union Carbide, and Silbione 70045 V 5 by the company Rhodia, and mixtures thereof.
Mention may also be made of cyclocopolymers of the dimethylsiloxane/methylalkylsiloxane type, such as Volatile Silicone FZ 3109 sold by the company Union Carbide, of chemical structure:
I— D"— D' D" - D'■
CH CH3 with D" : — Si - O— with D' : - Si - O—
CH3 C8H17
Mention may also be made of mixtures of cyclic silicones with organosilicon compounds, such as the mixture of octamethylcyclotetrasiloxane and tetrakis(trimethylsilyl)pentaerythritol (50/50) and the mixture of octamethylcyclotetrasiloxane and oxy-l,l '-bis(2,2,2',2',3,3'- hexatrimethy lsily lo xy)neopentane .
(ii) linear volatile silicones containing 2 to 9 silicon atoms and having a viscosity of less than or equal to 5x 10"6 m2/s at 25°C. An example is decamethyltetrasiloxane sold especially under the name SH 200 by the company Toray Silicone. Silicones belonging to this category are also described in the article published in Cosmetics and Toiletries, Vol. 91, Jan. 76, pp. 27-32, Todd & Byers "Volatile Silicone Fluids for Cosmetics".
When the non-amino silicones are non- volatile, use is preferably made of polyalkylsiloxanes, polyarylsiloxanes, polyalkylarylsiloxanes, silicone gums and resins, and polyorganosiloxanes modified with organofunctional groups, and mixtures thereof.
These non-amino silicones are more particularly chosen from polyalkylsiloxanes, among which mention may be made mainly of polydimethylsiloxanes containing trimethylsilyl end groups (Dimethicone according to the CTFA name) having a viscosity of from 5x 10"6 to 2.5 m2/s at 25°C and preferably l x lO"5 to 1 m2/s. The viscosity of the silicones is measured, for example, at 25°C according to standard ASTM 445 Appendix C.
Among these polyalkylsiloxanes, mention may be made, in a non-limiting manner, of the following commercial products:
- the Silbione oils of the 47 and 70 047 series or the Mirasil oils sold by the company Rhodia, for instance the oil 70 047 V 500 000,
- the oils of the Mirasil series sold by the company Rhodia,
- the oils of the 200 series from the company Dow Corning, such as, more particularly, DC200 with a viscosity of 60 000 cSt,
- the Viscasil oils from the company General Electric and certain oils of the SF series (SF 96, SF 18) from the company General Electric.
Mention may also be made of polydimethylsiloxanes containing alpha- omega silanol groups (Dimethiconol according to the CTFA name) such as the oils of the 48 series from the company Rhodia.
In this category of polyalkylsiloxanes, mention may also be made of the products sold under the names Abil Wax 9800 and 9801 by the company Goldschmidt, which are poly(Ci-C2o)alkylsiloxanes.
The polyalkylarylsiloxanes are particularly chosen from linear and/or branched polydimethylmethylphenylsiloxanes and polydimethyldiphenylsiloxanes with a viscosity of from 1 x 10"5 to 5x 10~2 m2/s at 25°C.
Among these polyalkylarylsiloxanes, examples that may be mentioned include the products sold under the following names:
- Silbione oils of the 70 641 series from the company Rhodia,
- the oils of the Rhodorsil 70 633 and 763 series from the company Rhodia,
- the oil Dow Corning 556 Cosmetic Grade Fluid from the company Dow Corning, - the silicones of the PK series from the company Bayer, such as the product PK20,
- the silicones of the PN and PH series from the company Bayer, such as the products PN 1000 and PHI 000,
- certain oils of the SF series from the company General Electric, such as SF 1023, SF 1 154, SF 1250 and SF 1265.
The silicone gums that may be present in the composition according to the invention are especially polydiorganosiloxanes having high number-average molecular weights of between 200 000 and 1 000 000, used alone or as a mixture in a solvent. This solvent may be chosen from volatile silicones, polydimethylsiloxane (PDMS) oils, polyphenylmethylsiloxane (PPMS) oils, isoparaffms, polyisobutylenes, methylene chloride, pentane, dodecane and tridecane, or mixtures thereof.
Mention may be made more particularly of the following products:
- polydimethylsiloxane gums,
- polydimethylsiloxane/methylvinylsiloxane gums,
- polydimethylsiloxane/diphenylsiloxane gums,
- polydimethylsiloxane/phenylmethylsiloxane gums,
- poly dimethy lsilo xane/ dipheny lsilo xane/methy lvinylsilo xane gums .
Products that may be used more particularly are the following mixtures:
- mixtures formed from a polydimethylsiloxane hydroxylated at the end of the chain (known as dimethiconol according to the nomenclature of the CTFA dictionary) and from a cyclic polydimethylsiloxane (known as cyclomethicone according to the nomenclature of the CTFA dictionary), such as the product Q2 1401 sold by the company Dow Corning,
- mixtures formed from a polydimethylsiloxane gum with a cyclic silicone, such as the product SF 1214 Silicone Fluid from the company General Electric, this product being an SF 30 gum corresponding to a dimethicone, having a number-average molecular weight of 500 000, dissolved in the oil SF 1202 Silicone Fluid corresponding to decamethylcyclopentasiloxane,
- mixtures of two PDMSs with different viscosities, and more particularly of a PDMS gum and a PDMS oil, such as the product SF 1236 from the company General
Electric. The product SF 1236 is the mixture of a gum SE 30 defined above, with a viscosity of 20 m2/s and of an oil SF 96 with a viscosity of 5 x 10~6m2/s. This product preferably includes 15% of gum SE 30 and 85% of an oil SF 96.
The organopolysiloxane resins that may be present in the composition according to the invention are crosslinked siloxane systems containing the following units: R2S1O2/2, R3S1O1/2, RS1O3/2 and S1O4/2 in which R represents a hydrocarbon- based group containing 1 to 16 carbon atoms or a phenyl group. Among these products, the ones that are particularly preferred are those in which R denotes a Ci to C4 alkyl group, more particularly methyl, or a phenyl group.
Among these resins, mention may be made of the product sold under the name Dow Corning 593 or those sold under the names Silicone Fluid SS 4230 and SS 4267 by the company General Electric, which are silicones of dimethy 1/trimethylsilo xane structure .
Mention may also be made of the trimethyl siloxysilicate-type resins sold especially under the names X22-4914, X21-5034 and X21-5037 by the company Shin-Etsu.
The organomodified non-amino silicones optionally present in the composition according to the invention are non-amino silicones as defined above and comprising in their structure one or more organofunctional groups attached via a hydrocarbon-based group.
Among the organomodified non-amino silicones, mention may be made of polyorganosiloxanes comprising:
- polyethyleneoxy and/or polypropyleneoxy groups optionally comprising C6 to C24 alkyl groups, such as the products known as dimethicone copolyol sold by the company Dow Corning under the name DC 1248 or the oils Silwet L 722, L 7500, L 77 and L 71 1 by the company Union Carbide, and the (Ci2)alkylmethicone copolyol sold by the company Dow Corning under the name Q2 5200,
- thiol groups, such as the products sold under the names GP 72 A and GP 71 from the company Genesee,
- alkoxylated groups, such as the product sold under the name Silicone Copolymer F- 755 by SWS Silicones and Abil Wax 2428, 2434 and 2440 by the company Goldschmidt,
- hydroxylated groups, such as the polyorganosiloxanes containing a hydroxyalkyl function, described in French patent application FR 2 589 476,
- acyloxyalkyl groups, for instance the polyorganosiloxanes described in patent US- A-4 957 732,
- anionic groups of the carboxylic type, for instance in the products described in patent EP 186 507 from the company Chisso Corporation, or of the alkylcarboxylic type, such as those present in the product X-22-3701E from the company Shin-Etsu;
2-hydroxyalkyl sulfonate; 2-hydroxyalkyl thiosulfate such as the products sold by the company Goldschmidt under the names Abil S201 and Abil S255,
- hydroxyacylamino groups, for instance the polyorganosiloxanes described in patent application EP 342 834. Mention may be made, for example, of the product Q2-8413 from the company Dow Corning. Nonionic or cationic thickening polymers
The cosmetic composition used in the first step of the keratin fibre treatment process according to the present invention may optionally also comprise one or more thickening polymers chosen from nonionic non-associative polymers, cationic non- associative polymers, nonionic associative polymers and cationic associative polymers.
For the purpose of the present invention, the term "thickening polymer" means a polymer which, when introduced at 1% in a pure aqueous solution or an aqueous-alcoholic solution containing 30% ethanol, and at pH = 7, makes it possible to achieve a viscosity of at least 100 cps and preferably of at least 500 cps, at 25°C and at a shear rate of 1 s"1. This viscosity may be measured using a cone/plate viscometer (Haake R600 rheo meter or the like). Preferably, these polymers increase, by virtue of their presence, the viscosity of the compositions into which they are introduced by at least 50 cps and preferably 200 cps, at 25°C and at a shear rate of 1 s-1.
As regards the non-associative thickening polymers, it is first recalled that, for the purposes of the present invention, non-associative thickening polymers are thickening polymers not containing any Cs to C30 fatty chains.
Among the non-associative thickening polymers present, mention may be made of:
a) ammonium acrylate homopolymers or copolymers of ammonium acrylate and of acrylamide, other than the cationic homopolymer(s) resulting from the polymerization of monomers of acrylamidoalkyltrialkylammonium type,
b) nonionic guar gums,
c) gums of biopoly saccharides of microbial origin, gums derived from plant exudates, d) celluloses, in particular hydroxy ethyl-, hydroxypropyl- or carboxymethylcelluloses,
e) mixtures thereof.
The composition may comprise, as non-associative thickening polymers, ammonium acrylate homopolymers or copolymers of ammonium acrylate and of
acrylamide, other than the cationic homopolymer(s) resulting from the polymerization of monomers of acrylamidoalkyltrialkylammonium type.
Among the examples of ammonium acrylate homopolymers that may be mentioned is the product sold under the name Microsap PAS 5193 by the company Hoechst. Among the copolymers of ammonium acrylate and of acrylamide that may be mentioned is the product sold under the name Bozepol C Nouveau or the product PAS 5193 sold by the company Hoechst. Reference may be made especially to FR 2 416 723, US 2 798 053 and US 2 923 692 as regards the description and preparation of such compounds.
The composition may also comprise homopolymers of dimethylamino ethyl methacrylate quaternized with methyl chloride or copolymers of dimethylaminoethyl methacrylate and acrylamide quaternized with methyl chloride.
Among the homopolymers of this type, mention may be made of the products sold under the names Salcare SC95 and Salcare SC96 by the company Ciba. Among the copolymers of this family, mention may be made of the product Salcare SC92 sold by Ciba or the product PAS 5194 sold by Hoechst. These polymers are especially described and prepared in document EP 395 282, to which reference may be made.
By way of non-associative thickening polymers, mention may be made of nonionic guar gums, for instance the non-modified, nonionic guar gums sold under the name Vidogum GH 175 by the company Uni Pectin and under the name Jaguar C by the company Meyhall.
The nonionic guar gums that may be used according to the invention are preferably modified with Ci to C6 hydroxyalkyl groups. Among the hydroxy alky 1 groups that may be mentioned, for example, are hydroxymethyl, hydroxyethyl, hydroxypropyl and hydroxybutyl groups.
These guar gums are well known in the prior art and may be prepared, for example, by reacting the corresponding alkene oxides, for instance propylene oxides, with the guar gum so as to obtain a guar gum modified with hydroxypropyl groups.
The degree of hydroxy alky lation, which corresponds to the number of alkylene oxide molecules consumed by the number of free hydroxyl functions present on the guar gum, preferably ranges from 0.4 to 1.2.
Such nonionic guar gums optionally modified with hydroxyalkyl groups are sold, for example, under the trade names Jaguar HP8, Jaguar HP60 and
Jaguar HP 120, Jaguar DC 293 and Jaguar HP 105 by the company Meyhall or under the name Galactasol 4H4FD2 by the company Aqualon.
By way of suitable non-associative thickening polymers, mention may also be made of biopolysaccharide gums of microbial origin, such as scleroglucan or xanthan gums.
Also suitable are gums derived from plant exudates, such as gum arabic, gum ghatti, karaya gum and gum tragacanth; celluloses, in particular hydroxy ethyl-, hydroxypropyl- or carboxymethylcelluloses; pectins and alginates.
These polymers are well known to those skilled in the art and are especially described in the book by Robert L. Davidson entitled Handbook of water-soluble gums and resins published by McGraw Hill Book Company (1980).
It is recalled that associative polymers are hydrophilic polymers that are capable, in an aqueous medium, of reversibly associating with each other or with other molecules.
Their chemical structure more particularly comprises at least one hydrophilic region and at least one hydrophobic region.
The term "hydrophobic group" means a radical or polymer with a saturated or unsaturated, linear or branched hydrocarbon-based chain, comprising at least 8 carbon atoms, preferably from 10 to 30 carbon atoms, in particular from 12 to 30 carbon atoms and more preferentially from 18 to 30 carbon atoms.
Preferentially, the hydrocarbon-based group is derived from a mono functional compound. By way of example, the hydrophobic group may be derived from a fatty alcohol such as stearyl alcohol, dodecyl alcohol or decyl alcohol.
It may also denote a hydrocarbon-based polymer, for instance polybutadiene.
Among the cationic or nonionic associative polymers that are suitable for use in the invention, mention may be made of:
a) associative celluloses modified with groups comprising at least one fatty chain, such as alkyl, arylalkyl or alkylaryl groups comprising from 8 to 30 carbon atoms.
b) quaternized hydroxyethylcelluloses modified with groups comprising at least one fatty chain, such as alkyl, arylalkyl or alkylaryl groups comprising from 8 to 30 carbon atoms.
The alkyl radicals borne by the above quaternized celluloses or hydroxyethylcelluloses preferably comprise from 8 to 30 carbon atoms. The aryl radicals preferably denote phenyl, benzyl, naphthyl or anthryl groups.
Examples of quaternized alkylhydroxyethylcelluloses containing Cs to C30 fatty chains that may be indicated include the products Quatrisoft LM 200®, Quatrisoft LM-X 529-18-A®, Quatrisoft LM-X 529- 18B® (C12 alkyl) and Quatrisoft LM-X 529-8® (Ci8 alkyl) sold by the company Amerchol and the products Crodacel QM®, Crodacel QL® (C12 alkyl) and Crodacel QS® (Cis alkyl) sold by the company Croda.
c) the cationic polymers obtained by polymerization of a monomer mixture comprising one or more vinyl monomers substituted with one or more amino groups, one or more hydrophobic nonionic vinyl monomers, and one or more associative vinyl monomers.
In particular, among these cationic polymers, mention may be made especially of the compound sold by the company Noveon under the name Aqua CC and which corresponds to the INCI name Polyacrylate-1 Crosspolymer. Polyacrylate- 1 Crosspolymer is the product of polymerization of a monomer mixture comprising:
- a di(Ci to C4 alkyl) amino(Ci to C6 alkyl) methacrylate,
- one or more Ci to C30 alkyl esters of (meth)acrylic acid,
- a polyethoxylated C10 to C30 alkyl methacrylate (20-25 mol of ethylene oxide units),
- a 30/5 polyethylene glycol/polypropylene glycol allyl ether,
- a hydroxy(C2 to Cs alkyl) methacrylate, and
- an ethylene glycol dimethacrylate.
d) nonionic associative celluloses modified with groups containing at least one fatty chain containing from 8 to 30 carbon atoms and preferably from 10 to 22 carbon atoms, such as alkyl, arylalkyl or alkylaryl groups, or mixtures thereof, and in which the alkyl groups are preferably Cs to C22, for instance the product Natrosol Plus Grade 330 CS® (C16 alkyls) sold by the company Aqualon, or the product Bermocoll EHM 100® sold by the company Berol Nobel.
Celluloses modified with alkylphenyl polyalkylene glycol ether groups, such as the product Amercell Polymer HM-1500® (polyethylene glycol (15) nonylphenyl ether) sold by the company Amerchol, are also suitable for use.
e) associative nonionic hydroxypropyl guars modified with groups comprising at least one fatty chain containing from 8 to 30 carbon atoms and
preferably from 10 to 22 carbon atoms, such as the product Esaflor HM 22 (C22 alkyl chain) sold by the company Lamberti, and the products RE210-18® (C14 alkyl chain) and RE205-1® (C20 alkyl chain) sold by the company Rhodia.
f) associative nonionic copolymers of vinylpyrrolidone and of fatty-chain hydrophobic monomers containing from 8 to 30 carbon atoms and preferably from 10 to 22 carbon atoms, of which examples that may be mentioned include:
- the products Antaron V216® or Ganex V216® (vinylpyrrolidone/hexadecene copolymer) sold by the company ISP,
- the products Antaron V220® or Ganex V220® (vinylpyrrolidone/eicosene copolymer) sold by the company ISP,
g) associative nonionic copolymers of Ci to C6 alkyl methacrylates or acrylates and of amphiphilic monomers comprising at least one fatty chain containing from 8 to 30 carbon atoms and preferably from 10 to 22 carbon atoms, which are preferably oxyethylenated, for instance the oxyethylenated methyl acrylate/stearyl acrylate copolymer sold by the company Goldschmidt under the name Antil 208®; h) associative nonionic copolymers of hydrophilic methacrylates or acrylates and of hydrophobic monomers comprising at least one fatty chain containing from 8 to 30 carbon atoms and preferably from 10 to 22 carbon atoms, for instance the polyethylene glycol methacrylate/lauryl methacrylate copolymer.
i) associative nonionic polyurethane polyethers comprising, in their chain, both hydrophilic blocks, which are preferably polyoxyethylenated, and hydrophobic blocks, which may be aliphatic sequences alone and/or eye lo aliphatic and/or aromatic sequences comprising from 8 to 30 carbon atoms and preferably from 10 to 22 carbon atoms;
j) associative nonionic polymers with an aminoplast ether backbone bearing at least one fatty chain comprising from 8 to 30 carbon atoms and preferably from 10 to 22 carbon atoms, such as the compounds Pure Thix® sold by the company Sud- Chemie; and
k) mixtures thereof.
B) Detergent composition
The keratin fibre treatment process according to the present invention also comprises a second step of applying to said keratin fibres a detergent composition
comprising one or more surfactants chosen from anionic surfactants and amphoteric or zwitterionic surfactants, and mixtures thereof.
The second step follows the first step. In other words, the cosmetic composition as defined above is applied before the detergent composition.
According to the present invention, the term "detergent composition" means a composition intended for washing keratin fibres, i.e. a composition which makes it possible to remove from said fibres, especially the hair, the soiling adhering thereto by placing said soiling in dispersion or in solution. Contrary to a non-detergent composition, a detergent composition contains a washing base, constituted of anionic and/or amphoteric detergent surfactants, preferably in a total amount of greater than 4% by weight.
Surfactants
The detergent composition used in the second step of the keratin fibre treatment process according to the present invention comprises one or more surfactants chosen from anionic surfactants and amphoteric or zwitterionic surfactants, and mixtures thereof.
Preferably, the detergent composition comprises one or more anionic surfactants.
For the purposes of the present invention, the term "anionic surfactant" means a surfactant comprising, as ionic or ionizable groups, only anionic groups. These anionic groups are preferably chosen from the groups C02H, CO2", SO3H, SO3" , OSO3H, OSO3-, H2PO3, HPO3-, PO32", H2PO2, HPO2", PO22", POH and PO\
Preferably, the anionic surfactants used in the composition according to the invention are chosen from anionic surfactants comprising in their structure one or more sulfate and/or sulfonate and/or phosphate and/or carboxylate groups, and/or mixtures thereof.
Preferentially, the composition according to the invention comprises one or more carboxylic alkyl ether anionic surfactants.
More preferentially, the composition according to the invention comprises a mixture of anionic surfactants and especially one or more anionic surfactants comprising in their structure one or more sulfate and/or sulfonate and/or phosphate groups and one or more carboxylic alkyl ether anionic surfactants.
The anionic surfactant(s) comprising in their structure one or more sulfate and/or sulfonate and/or phosphate groups may be oxyethylenated and/or oxypropylenated. The total average number of ethylene oxide (EO) and/or propylene oxide (PO) groups may then range from 1 to 50 and especially from 1 to 10.
The anionic surfactant(s) comprising in their structure one or more sulfate and/or sulfonate and/or phosphate groups may be chosen from alkyl sulfates, alkylamido sulfates, alkyl ether sulfates, alkylamido ether sulfates, alkylaryl ether sulfates, alkyl ether sulfosuccinates, acyl isethionates and methyl acyl taurates, olefin sulfonates, and salts thereof; the alkyl or acyl group of all these various compounds preferably comprising from 8 to 24 carbon atoms, and the aryl group preferably denoting a phenyl or benzyl group.
Among the anionic surfactants comprising in their structure one or more sulfate and/or sulfonate and/or phosphate groups, it is preferred to use one or more anionic sulfated surfactants, preferentially chosen from Cs to C14 and more particularly C12 to C14 alkyl (ether) sulfates, and/or one or more olefin sulfonates.
Preferably, the anionic surfactant(s) comprising in their structure one or more sulfate and/or sulfonate and/or phosphate groups are in the form of salts, and in particular of alkaline salts, especially sodium salts, ammonium salts, amine salts, including amino alcohol salts, and/or magnesium salts. These salts preferably comprise from 2 to 5 ethylene oxide groups.
Among these salts, sodium, triethanolamine, magnesium or ammonium (C12- C14)alkyl sulfates and/or sodium, ammonium or magnesium (C12-C14)alkyl ether sulfates, which are oxyethylenated, for example with 1 or 2.2 mol of ethylene oxide, or sodium olefin sulfonates, are more preferably used.
Better still, the surfactant(s) comprising in their structure one or more sulfate and/or sulfonate and/or phosphate groups are chosen from sodium, ammonium or magnesium (C12-C14)alkyl ether sulfates oxyethylenated with 2.2 mol of ethylene oxide, as sold under the name Texapon N702 by the company Cognis.
Among the anionic surfactants comprising in their structure one or more sulfate and/or sulfonate and/or phosphate groups, it is preferred to use sodium or ammonium lauryl ether sulfates or sodium olefin sulfonates.
The carboxylic alkyl ether anionic surfactant(s) that may be used according to the invention preferably comprise a C6-C24 alkyl chain.
The carboxylic alkyl ether anionic surfactant(s) may be chosen, alone or as a mixture or mixtures, from:
- (C6-C24)alkyl ether carboxylic acids,
- (C6-C24)alkylaryl ether carboxylic acids,
- (C6-C24)alkylamido ether carboxylic acids,
- and salts thereof.
The carboxylic alkyl ether anionic surfactant(s) may be oxyalkylenated, preferably oxyethylenated and/or oxypropylenated. The total average number of alkylene oxide groups then preferably ranges from 2 to 50, in particular from 2 to 24 and better still from 2 to 15.
When the carboxylic alkyl ether anionic surfactant(s) are oxyalkylenated, they preferably comprise from 2 to 50 alkylene oxide groups and in particular from 2 to 50 ethylene oxide (EO) groups.
Preferably, the carboxylic alkyl ether anionic surfactant(s) are neutralized with one or more salts. The salts are chosen in particular from alkaline salts and especially sodium salts, ammonium salts, amine salts, including amino alcohol salts such as triethanolamine or monoethanolamine salts, and magnesium salts.
The polyethoxylated carboxylic anionic surfactants more preferably used are those corresponding to formula (XXII) below:
Ri(OC2H4)nOCH2COOA (XXII) in which:
- Ri represents a linear or branched Cs-C22 alkyl or alkenyl group or mixture of groups, a (Cs-C^alkylphenyl group, a group R2CONH-CH2-CH2- with R2 denoting a linear or branched Cn-C21 alkyl or alkenyl group,
- n is an integer or decimal number (average value) that may range from 2 to 24 and preferably from 2 to 15,
- A denotes H, NH4, Na, K, Li, Mg or a monoethanolamine or triethanolamine residue. Mixtures of compounds of formula (XXII) may also be used, in particular mixtures in which the groups Ri are different.
Preferably, Ri denotes a group or a mixture of groups chosen from C12-C14 alkyl, cocoyl, oleyl, nonylphenyl and octylphenyl groups; A denotes a hydrogen or sodium atom; and n ranges from 2 to 20 and preferably from 2 to 10.
Even more preferentially, use is made of compounds of formula (XXII) in which Ri denotes a C12 alkyl group; A denotes a hydrogen or sodium atom; and n ranges from 2 to 10.
Among the commercial products that may preferably be used are the products sold by the company KAO under the names:
Akypo® NP 70 (Ri = nonylphenyl, n = 7, A = H)
Akypo® NP 40 (Ri = nonylphenyl, n = 4, A = H)
Akypo® OP 40 (Ri = octylphenyl, n = 4, A = H)
Akypo® OP 80 (Ri = octylphenyl, n = 8, A = H)
Akypo® OP 190 (Ri = octylphenyl, n = 19, A = H)
Akypo® RLM 38 (Ri = (Ci2-Ci4)alkyl, n = 4, A = H)
Akypo® RLM 38 NV (Ri = (Ci2-Ci4)alkyl, n = 4, A = Na)
Akypo® RLM 45 CA (Ri = (Ci2-Ci4)alkyl, n = 4.5, A = H)
Akypo® RLM 45 NV (Ri = (Ci2-Ci4)alkyl, n = 4.5, A = Na)
Akypo® RLM 100 (Ri = (Ci2-Ci4)alkyl, n = 10, A = H)
Akypo® RLM 100 NV (Ri = (Ci2-Ci4)alkyl, n = 10, A = Na)
Akypo® RLM 130 (Ri = (Ci2-Ci4)alkyl, n = 13, A = H)
Akypo® RLM 160 NV (Ri = (Ci2-Ci4)alkyl, n = 16, A = Na)
or by the company Sandoz under the names:
Sandopan DTC-Acid (Ri = (Ci3)alkyl, n = 6, A = H)
Sandopan DTC (Ri = (Ci3)alkyl, n = 6, A = Na)
Sandopan LS 24 (Ri = (Ci2-Ci4)alkyl, n = 12, A = Na)
Sandopan JA 36 (Ri = (Ci3)alkyl, n = 18, A = H),
and more particularly the products sold under the following names:
Akypo® RLM 45 (INCI: Laureth-5 carboxylic acid)
Akypo® RLM 100
Akypo® RLM 38.
Among the carboxylic alkyl ether anionic surfactants, use is preferably made of lauryl ether carboxylic acids or sodium lauryl ether carboxylates.
Preferably, the anionic surfactants are chosen from Cs to Ci4 alkyl (ether) sulfates, olefin sulfonates and carboxylic alkyl ether surfactants especially of formula (XXII).
Preferentially, the composition according to the invention comprises one or more carboxylic alkyl ether surfactants corresponding to formula (XXII).
More preferentially, the composition according to the invention comprises a mixture of sulfate anionic surfactants, chosen especially from Cs to C14 and more particularly C12 to C14 alkyl (ether) sulfates, and carboxylic alkyl ether surfactants corresponding to formula (XXII) as described previously.
Preferably, the detergent composition comprises one or more amphoteric or zwitterionic surfactants.
In particular, the amphoteric or zwitterionic surfactant(s), which are preferably non-silicone, used in the detergent composition according to the present invention may in particular be derivatives of optionally quaternized, secondary or tertiary aliphatic amines, in which derivatives the aliphatic group is a linear or branched chain comprising from 8 to 22 carbon atoms, said amine derivatives containing at least one anionic group, for instance a carboxylate, sulfonate, sulfate, phosphate or phosphonate group.
Mention may in particular be made of (C8-C2o)alkylbetaines, (C8-C2o)alkyl sulfobetaines, (C8-C2o)alkylamido(C3-C8)alkylbetaines and (C8-C2o)alkylamido(C6- C8)alkyl sulfobetaines.
Among the optionally quaternized derivatives of secondary or tertiary aliphatic amines that can be used, as defined above, mention may also be made of the compounds having the respective structures (XXIII) and (XXIV) below:
Ra-CONHCH2CH2-N+(Rb)(Rc)-CH2COO-, M+, X" (XXIII) in which formula:
- Ra represents a Cio to C30 alkyl or alkenyl group derived from an acid RaCOOH preferably present in hydrolysed coconut oil, or a heptyl, nonyl or undecyl group;
- Rb represents a beta-hydroxyethyl group; and
- Rc represents a carboxymethyl group;
- M+ represents a cationic counterion derived from an alkali metal or alkaline-earth metal, such as sodium, an ammonium ion or an ion derived from an organic amine; and
- X" represents an organic or mineral anionic counterion, such as that chosen from halides, acetates, phosphates, nitrates, (Ci-C4)alkyl sulfates, (Ci-C4)alkyl- or (Ci- C4)alkylarylsulfonates, in particular methyl sulfate and ethyl sulfate; or alternatively M+ and X" are absent;
Ra'-CONHCH2CH2-N(B)(B') (XXIV) in which formula:
- B represents the group -CH2CH2OX;
- B' represents the group -(CH2)ZY', with z = 1 or 2;
- X represents the group -CH2COOH, -CH2-COOZ', -CH2CH2COOH or CH2CH2- COOZ', or a hydrogen atom;
- Y* represents the group -COOH, -COOZ* or -CH2CH(OH)S03H or the group CH2CH(OH)S03-Z';
- Z' represents a cationic counterion resulting from an alkali metal or alkaline-earth metal, such as sodium, an ammonium ion or an ion resulting from an organic amine;
- Ra' represents a C10 to C3o alkyl or alkenyl group of an acid Ra'-COOH which is preferably present in coconut oil or in hydrolysed linseed oil, or an alkyl group, especially a C17 group, and its iso form, or an unsaturated C17 group.
These compounds are classified in the CTFA dictionary, 5th edition, 1993, under the names disodium cocoamphodiacetate, disodium lauroamphodiacetate, disodium caprylamphodiacetate, disodium capryloamphodiacetate, disodium cocoamphodipropionate, disodium lauroamphodipropionate, disodium caprylamphodipropionate, disodium capryloamphodipropionate, lauroamphodipropionic acid and cocoamphodipropionic acid.
By way of example, mention may be made of the cocoamphodiacetate sold by the company Rhodia under the trade name Miranol® C2M Concentrate.
Use may also be made of the compounds of formula (XXV):
Ra»- HCH(Y")-(CH2)nCO H(CH2)n'-N(Rd)(Re) (XXV) in which formula (XXV):
- Y" represents the group -COOH, -COOZ" or -CH2-CH(OH)S03H or the group CH2CH(OH)S03-Z";
- Rd and Re represent, independently of each other, a Ci to C4 alkyl or hydroxyalkyl radical;
- Z" represents a cationic counterion derived from an alkali metal or alkaline- earth metal, such as sodium, an ammonium ion or an ion derived from an organic amine;
- Ra" represents a Cio to C30 alkyl or alkenyl group of an acid Ra"-COOH which is preferably present in coconut oil or in hydrolysed linseed oil;
- n and n' denote, independently of each other, an integer ranging from 1 to 3.
Among the compounds of formula (XXIII), mention may be made of the compound classified in the CTFA dictionary under the name sodium diethylaminopropyl cocoaspartamide and sold by the company Chimex under the name Chimexane HB.
These compounds may be used alone or as mixtures.
Among the amphoteric or zwitterionic surfactants mentioned above, use is preferably made of (C8-C2o)alkylbetaines such as cocobetaine, (C8- C2o)alkylamido(C3-C8)alkylbetaines such as cocamidopropylbetaine, and mixtures thereof, and the compounds of formula (XXV) such as the sodium salt of diethylaminopropyl laurylaminosuccinamate (INCI name: sodium diethylaminopropyl cocoaspartamide).
Preferentially, the amphoteric or zwitterionic surfactants are chosen from
(C8-C2o)alkylamido(C3-C8)alkylbetaines such as cocamidopropyl betaine.
The total content of surfactants chosen from anionic surfactants and amphoteric or zwitterionic surfactants, and mixtures thereof, present in the detergent composition according to the present invention, preferably ranges from 4% to 35% by weight, more preferentially from 5% to 30% by weight and better still from 5% to 25% by weight, relative to the total weight of the detergent composition.
Nonionic surfactants
The detergent composition used in the second step of the keratin fibre treatment process according to the present invention may optionally also comprise one or more nonionic surfactants.
The nonionic surfactant(s) that may be present in the detergent composition according to the invention are described, for example, in the Handbook of Surfactants by M.R. Porter, published by Blackie & Son (Glasgow and London), 1991 , pages 1 16-178.
Examples of nonionic surfactants that may be mentioned include the following nonionic surfactants:
- oxyalkylenated (C8-C24)alkylphenols;
- saturated or unsaturated, linear or branched, oxyalkylenated or glycerolated Cs to C40 alcohols, preferably comprising one or two fatty chains;
- saturated or unsaturated, linear or branched, oxyalkylenated Cs to C30 fatty acid amides;
- esters of saturated or unsaturated, linear or branched, Cs to C30 acids and of polyethylene glycols;
- preferably oxyethylenated esters of saturated or unsaturated, linear or branched, Cs to C30 acids and of sorbitol;
- esters of fatty acids and of sucrose;
- (C8-C3o)alkyl(poly)glucosides, (Cs-C3o)alkenyl(poly)glucosides, which are optionally oxyalkylenated (0 to 10 oxyalkylene units) and comprising from 1 to 15 glucose units, (Cs-C3o)alkyl(poly)glucoside esters;
- saturated or unsaturated oxyethylenated plant oils;
- condensates of ethylene oxide and/or of propylene oxide;
- N-(C8-C3o)alkylglucamine and N-(Cs-C3o)acylmethylglucamine derivatives;
- aldobionamides;
- amine oxides;
- oxyethylenated and/or oxypropylenated silicones;
- and mixtures thereof.
The oxyalkylene units are more particularly oxyethylene or oxypropylene units, or a combination thereof, preferably oxyethylene units.
The number of moles of ethylene oxide and/or of propylene oxide preferably ranges from 1 to 250, more particularly from 2 to 100 and better still from 2 to 50; the number of moles of glycerol ranges in particular from 1 to 50 and better still from 1 to 10.
Advantageously, the nonionic surfactants according to the invention do not comprise any oxypropylene units.
As examples of glycerolated nonionic surfactants, use is preferably made of monoglycerolated or polyglycerolated Cs to C40 alcohols, comprising from 1 to 50 mol of glycerol and preferably from 1 to 10 mol of glycerol.
Mention may be made, as examples of compounds of this type, of lauryl alcohol containing 4 mol of glycerol (INCI name: Polyglyceryl-4 Lauryl Ether), lauryl alcohol containing 1.5 mol of glycerol, oleyl alcohol containing 4 mol of
glycerol (INCI name: Polyglyceryl-4 Oleyl Ether), oleyl alcohol containing 2 mol of glycerol (INCI name: Polyglyceryl-2 Oleyl Ether), cetearyl alcohol containing 2 mol of glycerol, cetearyl alcohol containing 6 mol of glycerol, oleocetyl alcohol containing 6 mol of glycerol and octadecanol containing 6 mol of glycerol.
Among the glycerolated alcohols, it is more particularly preferred to use the
C8 to Cio alcohol containing 1 mol of glycerol, the Cio to C12 alcohol containing 1 mol of glycerol and the C12 alcohol containing 1.5 mol of glycerol.
The nonionic surfactant(s) used in the detergent composition according to the invention are preferentially chosen from:
- saturated or unsaturated, linear or branched, oxyethylenated Cs to C40 alcohols comprising from 1 to 100 mol of ethylene oxide, preferably from 2 to 50 and more particularly from 2 to 40 mol of ethylene oxide and preferably comprising one or two fatty chains;
- saturated or unsaturated oxyethylenated plant oils comprising from 1 to 100 and preferably from 2 to 50 mol of ethylene oxide;
- (C8-C3o)alkyl(poly)glucosides, which are optionally oxyalkylenated (0 to 10 OE) and comprising 1 to 15 glucose units;
- monoglycerolated or polyglycerolated Cs to C40 alcohols, comprising from 1 to 50 mol of glycerol and preferably from 1 to 10 mol of glycerol;
- saturated or unsaturated, linear or branched, oxyalkylenated Cs to C30 fatty acid amides;
- esters of saturated or unsaturated, linear or branched, Cs to C30 acids and of polyethylene glycols;
- preferably oxyethylenated esters of saturated or unsaturated, linear or branched, Cs to C30 acids and of sorbitol;
- and mixtures thereof.
The detergent composition used in the second step of the keratin fibre treatment process according to the present invention may optionally also comprise one or more cationic polymers, such as those described previously.
The detergent composition used in the second step of the keratin fibre treatment process according to the present invention may optionally also comprise one or more amino silicones and/or one or more non-amino silicones, such as those described previously.
The detergent composition used in the second step of the keratin fibre treatment process according to the present invention may optionally also comprise one or more non-silicone fatty substances, such as those described previously. The cosmetic composition and the detergent composition used in the process according to the present invention may optionally also comprise one or more additives, other than the compounds of the invention and among which mention may be made of anionic, nonionic or amphoteric polymers or mixtures thereof, antidandruff agents, anti-seborrhoea agents, agents for preventing hair loss and/or for promoting hair regrowth, vitamins and provitamins including panthenol, sunscreens, mineral or organic pigments, sequestrants, plasticizers, solubilizers, acidifying agents, mineral or organic thickeners, in particular polymeric thickeners, opacifiers or nacreous agents, antioxidants, hydroxy acids, fragrances, preserving agents, pigments and ceramides.
Needless to say, a person skilled in the art will take care to select this or these optional additional compound(s) such that the advantageous properties intrinsically associated with the compositions in accordance with the invention are not, or are not substantially, adversely affected by the envisaged addition(s).
The above additives may generally be present in an amount, for each of them, of between 0 and 20% by weight relative to the total weight of the ready-to-use composition.
According to the treatment process of the invention, the cosmetic composition is applied before the detergent composition.
The cosmetic composition according to the invention may be applied to wet or dry, preferably wet, keratin fibres.
The cosmetic composition according to the invention is applied for a leave- on time that may range from 1 to 15 minutes and preferably from 2 to 10 minutes.
According to a first embodiment, the detergent composition is applied directly to the keratin fibres on conclusion of this leave-on time, without intermediate rinsing.
More preferentially, the detergent composition is applied to the keratin fibres directly after applying the cosmetic composition (without intermediate rinsing). The keratin fibres are then rinsed and then optionally dried or left to dry.
According to a second embodiment, on conclusion of the leave-on time, the keratin fibres are rinsed with water before applying the detergent composition. After applying the detergent composition, the fibres are rinsed, and then optionally dried or left to dry.
Preferably, the time between the application of the cosmetic composition according to the invention and the application of the detergent composition according to the invention is less than 1 hour, preferentially less than 30 minutes, better still less than 15 minutes and even better still less than 10 minutes.
On conclusion of the treatment, the fibres are optionally rinsed with water before being dried or left to dry.
The present invention also relates to the use of a cosmetic composition comprising;
- one or more cationic homopolymers resulting from the polymerization of monomers of acrylamidoalkyltrialkylammonium type, in a content ranging from 0.05% to 20% by weight, relative to the total weight of the cosmetic composition, and
- one or more amino silicones,
as a pre-shampoo.
The present invention also relates to the use of a cosmetic composition as described above, for giving keratin fibres, in particular human keratin fibres such as the hair, good cosmetic properties that are persistent on shampoo washing at least three times.
According to the present invention, the term "keratin fibres" means human keratin fibres and more particularly the hair.
The examples that follow serve to illustrate the invention without, however, being limiting in nature.
EXAMPLES
In the examples that follow, all the amounts are indicated as weight percentages relative to the total weight of the composition.
I. Example 1 a. Cosmetic compositions
Composition (Al), according to the invention, and comparative composition (Bl) were prepared using the ingredients whose contents are indicated in the table below (amounts expressed in g).
AM: active material
^ Xiameter MEM-8299 Emulsion sold by the company Dow Corning
(2) N-DurHance™ A- 1000 sold by the company Ashland Inc. b. Procedure
The performance qualities of compositions (Al) and (Bl) above as pre- shampoo were evaluated in the following manner.
Each of the compositions (Al) and (Bl) was applied to 2.7 g locks of wet sensitized hair, at a rate of 1 g of composition per lock. After a leave-on time of 5 minutes, without rinsing, the locks are washed directly with a standard commercial shampoo (DOP® Camomile product, which comprises, as anionic and amphoteric surfactants, 12% by weight of active material of sodium lauryl ether sulfate and 10% by weight of active material of cocoylbetaine), before being rinsed and wrung dry.
A panel of three experts then evaluated the following conditioning properties: disentangling, smoothness and individualized nature. The disentangling and the smoothness were evaluated on wet locks (after wringing dry), whereas the individualized nature was evaluated on wet locks (after wringing dry) and on dry locks (after drying with a hairdryer).
Moreover, the disentangling was evaluated using a comb, whereas the other properties were scored on feel. For each composition, each expert attributed a score ranging from 0 to 5, in increments of 0.5; the score 0 corresponding to a "very poor" evaluation concerning the criterion, and the score 5 to an "excellent" evaluation concerning the criterion.
The persistence of each of these properties after two and three shampoo washes was then evaluated according to the same criteria as previously. c. Results
The results for the cosmetic properties obtained are given in tables 1 and 2 below (mean value of the scores attributed by the three experts, each expert having evaluated one lock, i.e. mean value for three different locks).
'able 1 : wet hair
After 1 After 2 After 3 shampoo wash shampoo shampoo washes washes
Disentangling Al 5 5 4
Bl 2 2 1
Smoothness of feel Al 4 4 3
Bl 1 1 0.5
Individualized nature Al 4 4 3
Bl 0.5 0.5 0
Table 2: dried hair
The above results show that the treatment process according to the present invention, using a cosmetic composition (Al) comprising a combination of a particular cationic homopolymer with an amino silicone, makes it possible to obtain better conditioning properties than with the comparative process, in which the cosmetic composition (Bl) does not comprise such a cationic homopolymer.
Specifically, hair treated by means of the process according to the invention has a smoother feel and is easier to disentangle than hair treated by means of the comparative process. The hairs are also more individualized, which means that they are more detached, less in clumps.
The conditioning properties obtained by means of the process according to the invention are also persistent with respect to shampooing. Specifically, even after three shampoo washes, hair treated by means of the process according to the invention conserves its conditioning properties, remains smoother, more detached, and is easier to disentangle than hair treated by means of the comparative process.
II. Example II a. Cosmetic compositions
Composition (A2), according to the invention, and comparative composition (B2) were prepared using the ingredients whose contents are indicated in the table below.
Composition A2 Composition B2 (invention) (comparative)
Crosslinked ethyltrimethylammonium
methacrylate chloride homopolymer, as a 0.5 AM 0.5 AM 50% dispersion in a mixture of esters
Polydimethylsiloxane bearing aminoethyl
aminopropyl groups as a nonionic 1.4 AM 1.4 AM microemulsion
Polyacrylamidopropyltrimonium
2 AM - chloride 2)
Preserving agents qs qs
Water qs 100 qs 100
AM: active material
(1) Belsil ADM LOG 1 sold by the company Wacker
(2) N-DurHance™ A- 1000 sold by the company Ashland Inc. b. Procedure
The performance qualities of compositions (A2) and (B2) above as pre- shampoo were evaluated in the following manner.
Each of the compositions (A2) and (B2) was applied to 2.7 g locks of wet sensitized hair, at a rate of 1 g of composition per lock. After a leave-on time of 5 minutes, without rinsing, the locks are washed directly with a standard commercial shampoo (DOP® Camomile product, which comprises, as anionic and amphoteric surfactants, 12% by weight of active material of sodium lauryl ether sulfate and 10% by weight of active material of cocoylbetaine), before being rinsed and wrung dry. A panel of three experts then evaluated the following conditioning properties: disentangling, smoothness, suppleness and individualized nature. The disentangling, the smoothness and the suppleness were evaluated on wet locks (after wringing dry), whereas the individualized nature was evaluated on wet locks (after wringing dry) and on dry locks (after drying with a hairdryer).
Moreover, the disentangling was evaluated using a comb, whereas the other properties were scored on feel. For each composition, each expert attributed a score ranging from 0 to 5, in increments of 0.5; the score 0 corresponding to a "very poor" evaluation concerning the criterion, and the score 5 to an "excellent" evaluation concerning the criterion.
The persistence of each of these properties after two and three shampoo washes was then evaluated according to the same criteria as previously.
c. Results
The results for the cosmetic properties obtained are given in tables 1 and 2 below (mean value of the scores attributed by the three experts, each expert having evaluated one lock, i.e. mean value for three different locks). able 1 : wet hair
The above results show that the treatment process according to the present invention, using a cosmetic composition (A2) comprising a combination of a particular cationic homopolymer with an amino silicone, makes it possible to obtain better conditioning properties than with the comparative process, in which the cosmetic composition (B2) does not comprise such a cationic homopolymer.
Specifically, hair treated by means of the process according to the invention has a smoother feel, is more supple and is easier to disentangle than hair treated by means of the comparative process. The hairs are also more individualized, which means that they are more detached, less in clumps.
The conditioning properties obtained by means of the process according to the invention are also persistent with respect to shampooing. Specifically, even after three shampoo washes, hair treated by means of the process according to the invention conserves its conditioning properties, remains smoother, more supple, lighter, and is easier to disentangle than hair treated by means of the comparative process.
Claims
1. Process for treating keratin fibres, in particular human keratin fibres such as the hair, comprising the following steps:
1) a first step of applying to said keratin fibres a cosmetic composition comprising: - one or more cationic homopolymers resulting from the polymerization of monomers of acrylamidoalkyltrialkylammonium type, and
- one or more amino silicones;
followed by
2) a second step of applying to said keratin fibres a detergent composition comprising one or more surfactants chosen from anionic surfactants and amphoteric or zwitterionic surfactants, and mixtures thereof.
2. Process according to Claim 1, characterized in that the cationic homopolymer(s) resulting from the polymerization of monomers of acrylamidoalkyltrialkylammonium type have a viscosity of less than or equal to 0.2 Pa.s in solution at 1% by weight of active material in water, at 25°C and at a shear rate of 200 s"1.
3. Process according to either one of Claims 1 and 2, characterized in that the cationic homopolymer(s) result from the polymerization of monomers of formula (I):
- Pvi denotes a hydrogen atom or a methyl group,
- R2 denotes a linear or branched, saturated or unsaturated Ci to C6 and preferably Ci to C4 alkylene group, optionally substituted with a hydroxyl group,
- R3, R4 and R5, which may be identical or different, denote a linear or branched, saturated or unsaturated, optionally cyclic Ci to C18 and preferably Ci to C4 alkyl group, and
- Y" is an anion such as a halide, for instance bromide or chloride, an acetate, a borate, a citrate, a tartrate, a bisulfate, a bisulfite, a sulfate or a phosphate, preferably a chloride anion.
4. Process according to any one of the preceding claims, characterized in that the cationic homopolymer(s) result from the polymerization of acrylamidopropyltrimethylammonium chloride.
5. Process according to any one of the preceding claims, characterized in that the content of cationic homopolymer(s) resulting from the polymerization of monomers of acrylamidoalkyltrialkylammonium type ranges from 0.05% to 20% by weight, preferably from 0.1% to 15% by weight and more preferentially from 0.5% to 10% by weight, relative to the total weight of the cosmetic composition.
6. Process according to any one of the preceding claims, characterized in that the amino silicone(s) are chosen from:
(a) the amino silicones of formula (II):
(R1)a(T)3-a-Si[OSi(T)2]„-[OSi(T)b(R1)2-b]m-OSi(T)3-a-(R1)a (II) in which:
- T is a hydrogen atom or a phenyl, hydroxyl (-OH), or Ci-Cs alkyl, and preferably methyl, or Ci-Cs alkoxy, preferably methoxy, group,
- a denotes the number 0 or an integer from 1 to 3, and preferably 0,
- b denotes 0 or 1 , and in particular 1 ,
- m and n are numbers such that the sum (n + m) can range especially from 1 to 2000 and in particular from 50 to 150, it being possible for n to denote a number from 0 to 1999 and especially from 49 to 149, and for m to denote a number from 1 to 2000 and especially from 1 to 10,
- R1 is a monovalent group of formula -CqH2qL in which q is a number from 2 to 8 and L is an optionally quatemized amine group chosen from the following groups:
-N(R2)-CH2-CH2-N(R2)2,
-N(R2)2,
-N+(R2)3 Q ,
-N+(R2) (H)2 Q-,
-N+(R2)2HQ-,
-N(R2)-CH2-CH2-N+(R2)(H)2 Q ,
in which R2 may denote a hydrogen atom, a phenyl group, a benzyl group or a saturated monovalent hydrocarbon-based group, for example a Ci-C2o alkyl group, and Q" represents a halide ion, for instance fluoride, chloride, bromide or iodide; (b) the amino silicones of formula (V):
- R3 represents a monovalent Ci-Cis hydrocarbon-based group, and in particular a C1-C18 alkyl or C2-Cis alkenyl group, for example methyl,
- R4 represents a divalent hydrocarbon-based group, especially a Ci-Cis alkylene group or a divalent Ci-Cis, for example Ci-Cs, alkyleneoxy group,
- Q" is a halide ion, especially chloride,
- r represents a mean statistical value from 2 to 20 and in particular from 2 to 8,
- s represents a mean statistical value from 20 to 200 and in particular from 20 to 50;
in which:
- R7, which may be identical or different, represent a monovalent hydrocarbon- based group containing from 1 to 18 carbon atoms, and in particular a d-d 8 alkyl group, a C2-C18 alkenyl group or a ring comprising 5 or 6 carbon atoms, for example methyl,
- Re represents a divalent hydrocarbon-based group, especially a Ci-Cis alkylene group or a divalent d-d 8, for example d-d, alkyleneoxy group linked to the Si via a Si-C bond,
- R8, which may be identical or different, each represent a hydrogen atom, a monovalent hydrocarbon-based group containing from 1 to 18 carbon atoms, and in particular a Ci-Cis alkyl group, a C2-C18 alkenyl group or an -R6-NHCOR7 group,
- X" is an anion such as a halide ion, especially chloride, or an organic acid salt (acetate, etc.),
- r represents a mean statistical value from 2 to 200 and in particular from 5 to 100; (d) the amino silicones of formula (VII):
(CmH2m)
NhL
(VII) in which:
- Ri , R2, R3 and R4, which may be identical or different, each denote a Ci-C4 alkyl group or a phenyl group,
- R5 denotes a Ci-C4 alkyl group or a hydroxyl group,
- n is an integer ranging from 1 to 5,
- m is an integer ranging from 1 to 5, and
- x is chosen such that the amine number is between 0.01 and 1 meq/g, and
(e) mixtures thereof.
7. Process according to Claim 6, characterized in that the amino silicone(s) are chosen from the amino silicones of formula (II), and preferably from the amodimethicones of formula (III)
(III) in which R, R' and R", which may be identical or different, denote a C1-C4 alkyl group, preferably CH3; a C1-C4 alkoxy group, preferably methoxy; or OH; A represents a linear or branched, C3-C8 and preferably C3-C6, alkylene group; m and n are integers dependent on the molecular weight and the sum of which is between 1 and 2000.
8. Process according to any one of the preceding claims, characterized in that the content of the amino silicone(s) ranges from 0.05% to 20% by weight, preferably from 0.1% to 15% by weight and more preferentially from 0.5% to 10% by weight, relative to the total weight of the cosmetic composition.
9. Process according to any one of the preceding claims, characterized in that the weight ratio between the weight amount of amino silicone(s) and the weight amount of cationic homopolymer(s) resulting from the polymerization of monomers
of acrylamidoalkyltrialkylammonium type ranges from 0.01 to 15, preferably from 0.1 to 10 and more preferentially from 0.5 to 5.
10. Process according to any one of the preceding claims, characterized in that the cosmetic composition also comprises one or more cationic surfactants.
11. Process according to Claim 10, characterized in that the content of cationic surfactant(s) ranges from 0.1% to 15% by weight and preferably from 0.5% to 10% by weight, relative to the total weight of the cosmetic composition.
12. Process according to any one of the preceding claims, characterized in that the cosmetic composition also comprises one or more non-silicone fatty substances.
13. Process according to Claim 12, characterized in that the non-silicone fatty substance(s) are chosen from C6 to C16 hydrocarbons, hydrocarbons containing more than 16 carbon atoms, oils of plant or animal origin, triglycerides of plant or synthetic origin, fluoro oils, fatty alcohols, esters of fatty acids and/or of fatty alcohols other than triglycerides, non-silicone waxes other than solid fatty alcohols and solid synthetic esters, ceramides, and mixtures thereof; preferably from fatty alcohols, esters of fatty acids and/or of fatty alcohols other than triglycerides, and mixtures thereof; and more preferentially from cetyl alcohol, myristyl alcohol, cetearyl alcohol, myristyl stearate, myristyl palmitate, and mixtures thereof.
14. Process according to either of Claims 12 and 13, characterized in that the content of non-silicone fatty substance(s) ranges from 0.1 % to 20%> by weight, preferably from 0.5% to 15% by weight and more preferentially from 1% to 10% by weight, relative to the total weight of the cosmetic composition.
15. Process according to any one of the preceding claims, characterized in that the cosmetic composition also comprises one or more additional cationic polymers other than the cationic homopolymer(s) resulting from the polymerization of monomers of acrylamidoalkyltrialkylammonium type.
16. Process according to any one of the preceding claims, characterized in that the total content of surfactants chosen from anionic surfactants and amphoteric
or zwitterionic surfactants, and mixtures thereof, ranges from 4% to 35% by weight, preferably from 5% to 30% by weight and more preferentially from 5% to 25% by weight, relative to the total weight of the detergent composition.
17. Use of a cosmetic composition comprising;
- one or more cationic homopolymers resulting from the polymerization of monomers of acrylamidoalkyltrialkylammonium type, in a content ranging from 0.05%) to 20%) by weight, relative to the total weight of the cosmetic composition, and
- one or more amino silicones,
as a pre-shampoo.
Applications Claiming Priority (2)
| Application Number | Priority Date | Filing Date | Title |
|---|---|---|---|
| FR1662639A FR3060370B1 (en) | 2016-12-16 | 2016-12-16 | PROCESS FOR TREATING KERATIN FIBERS USING AN ACRYLAMIDOALKYLTRIALKYLAMMONIUM HOMOPOLYMER AND AN AMINE SILICONE |
| FR1662639 | 2016-12-16 |
Publications (1)
| Publication Number | Publication Date |
|---|---|
| WO2018108958A1 true WO2018108958A1 (en) | 2018-06-21 |
Family
ID=58054324
Family Applications (1)
| Application Number | Title | Priority Date | Filing Date |
|---|---|---|---|
| PCT/EP2017/082507 Ceased WO2018108958A1 (en) | 2016-12-16 | 2017-12-13 | Process for treating keratin fibres using a homopolymer of acrylamidoalkyltrialkylammonium type and an amino silicone |
Country Status (2)
| Country | Link |
|---|---|
| FR (1) | FR3060370B1 (en) |
| WO (1) | WO2018108958A1 (en) |
Cited By (1)
| Publication number | Priority date | Publication date | Assignee | Title |
|---|---|---|---|---|
| CN116600783A (en) * | 2020-12-01 | 2023-08-15 | 莱雅公司 | Compositions for keratin fibers |
Citations (56)
| Publication number | Priority date | Publication date | Assignee | Title |
|---|---|---|---|---|
| US2261002A (en) | 1941-06-17 | 1941-10-28 | Du Pont | Organic nitrogen compounds |
| US2271378A (en) | 1939-08-30 | 1942-01-27 | Du Pont | Pest control |
| US2273780A (en) | 1939-12-30 | 1942-02-17 | Du Pont | Wax acryalte ester blends |
| US2375853A (en) | 1942-10-07 | 1945-05-15 | Du Pont | Diamine derivatives |
| US2388614A (en) | 1942-05-05 | 1945-11-06 | Du Pont | Disinfectant compositions |
| US2454547A (en) | 1946-10-15 | 1948-11-23 | Rohm & Haas | Polymeric quaternary ammonium salts |
| US2798053A (en) | 1952-09-03 | 1957-07-02 | Goodrich Co B F | Carboxylic polymers |
| US2923692A (en) | 1954-01-25 | 1960-02-02 | Goodrich Co B F | Mucilaginous composition comprising salt of crosslinked carboxylic polymer and method of preparing same |
| US2961347A (en) | 1957-11-13 | 1960-11-22 | Hercules Powder Co Ltd | Process for preventing shrinkage and felting of wool |
| US3206462A (en) | 1962-10-31 | 1965-09-14 | Dow Chemical Co | Quaternary poly(oxyalkylene)alkylbis(diethylenetriamine) compounds |
| US3227615A (en) | 1962-05-29 | 1966-01-04 | Hercules Powder Co Ltd | Process and composition for the permanent waving of hair |
| FR1492597A (en) | 1965-09-14 | 1967-08-18 | Union Carbide Corp | New cellulose ethers containing quaternary nitrogen |
| FR1583363A (en) | 1967-09-28 | 1969-10-24 | ||
| US3589578A (en) | 1968-01-20 | 1971-06-29 | Monforts Fa A | Tension-relieving device for stretchable sheet material |
| FR2077143A5 (en) | 1970-01-30 | 1971-10-15 | Gaf Corp | |
| FR2080759A1 (en) | 1970-02-25 | 1971-11-19 | Gillette Co | |
| FR2162025A1 (en) | 1971-11-29 | 1973-07-13 | Oreal | |
| FR2190406A2 (en) | 1972-06-29 | 1974-02-01 | Gillette Co | |
| US3874870A (en) | 1973-12-18 | 1975-04-01 | Mill Master Onyx Corp | Microbiocidal polymeric quarternary ammonium compounds |
| FR2252840A1 (en) | 1973-11-30 | 1975-06-27 | Oreal | |
| FR2270846A1 (en) | 1974-05-16 | 1975-12-12 | Oreal | |
| US3929990A (en) | 1973-12-18 | 1975-12-30 | Millmaster Onyx Corp | Microbiocidal polymeric quaternary ammonium compounds |
| FR2280361A2 (en) | 1974-08-02 | 1976-02-27 | Oreal | HAIR TREATMENT AND CONDITIONING COMPOSITIONS |
| US3966904A (en) | 1974-10-03 | 1976-06-29 | Millmaster Onyx Corporation | Quaternary ammonium co-polymers for controlling the proliferation of bacteria |
| US4001432A (en) | 1974-10-29 | 1977-01-04 | Millmaster Onyx Corporation | Method of inhibiting the growth of bacteria by the application thereto of capped polymers |
| US4005193A (en) | 1974-08-07 | 1977-01-25 | Millmaster Onyx Corporation | Microbiocidal polymeric quaternary ammonium compounds |
| FR2316271A1 (en) | 1975-07-04 | 1977-01-28 | Oreal | NEW QUATERNIZED POLYMERS, THEIR PREPARATION PROCESS, AND THEIR APPLICATION |
| FR2320330A1 (en) | 1974-01-25 | 1977-03-04 | Calgon Corp | COMPOSITION OF FUNCTIONAL IONEN POLYMERS AND THEIR USE |
| US4025653A (en) | 1975-04-07 | 1977-05-24 | Millmaster Onyx Corporation | Microbiocidal polymeric quaternary ammonium compounds |
| US4025617A (en) | 1974-10-03 | 1977-05-24 | Millmaster Onyx Corporation | Anti-microbial quaternary ammonium co-polymers |
| US4025627A (en) | 1973-12-18 | 1977-05-24 | Millmaster Onyx Corporation | Microbiocidal polymeric quaternary ammonium compounds |
| US4027020A (en) | 1974-10-29 | 1977-05-31 | Millmaster Onyx Corporation | Randomly terminated capped polymers |
| US4026945A (en) | 1974-10-03 | 1977-05-31 | Millmaster Onyx Corporation | Anti-microbial quaternary ammonium co-polymers |
| US4031307A (en) | 1976-05-03 | 1977-06-21 | Celanese Corporation | Cationic polygalactomannan compositions |
| FR2336434A1 (en) | 1975-12-23 | 1977-07-22 | Ciba Geigy Ag | QUATERNARY POLYMERIC AMMONIUM SALTS, THEIR PREPARATION PROCESS AND THEIR USE |
| FR2368508A2 (en) | 1977-03-02 | 1978-05-19 | Oreal | HAIR CONDITIONING COMPOSITION |
| US4131576A (en) | 1977-12-15 | 1978-12-26 | National Starch And Chemical Corporation | Process for the preparation of graft copolymers of a water soluble monomer and polysaccharide employing a two-phase reaction system |
| FR2393573A1 (en) | 1977-06-10 | 1979-01-05 | Gaf Corp | HAIR PREPARATIONS CONTAINING A VINYLPYRROLIDONE COPOLYMER |
| US4137180A (en) | 1976-07-02 | 1979-01-30 | Lever Brothers Company | Fabric treatment materials |
| FR2413907A1 (en) | 1977-09-20 | 1979-08-03 | Oreal | COSMETIC COMPOSITIONS BASED ON QUATERNARY POLYAMMONIUM POLYMERS |
| FR2416723A1 (en) | 1978-02-14 | 1979-09-07 | Hoechst Ag | USE OF CROSS-LINKED POLYMERS TO RAISE THE VISCOSITY OF COSMETIC, PHARMACEUTICAL OR TECHNICAL PRODUCTS |
| US4185087A (en) | 1977-12-28 | 1980-01-22 | Union Carbide Corporation | Hair conditioning compositions containing dialkylamino hydroxy organosilicon compounds and their derivatives |
| FR2505348A1 (en) | 1981-05-08 | 1982-11-12 | Oreal | COMPOSITION IN THE FORM OF AEROSOL FOAM BASED ON CATIONIC POLYMER AND ANIONIC POLYMER |
| EP0080976A1 (en) | 1981-11-30 | 1983-06-08 | Ciba-Geigy Ag | Mixtures of quaternary polymeric acrylic ammonium salts, quaternary mono- or oligomeric ammonium salts and surfactants, their preparation and their use in cosmetic compositions |
| EP0095238A2 (en) | 1982-05-20 | 1983-11-30 | Dow Corning Corporation | Compositions used to condition hair |
| FR2542997A1 (en) | 1983-03-23 | 1984-09-28 | Oreal | A THICKENED OR GELIFIED HAIR CONDITIONING COMPOSITION CONTAINING AT LEAST ONE CATIONIC POLYMER, AT LEAST ONE ANIONIC POLYMER AND AT LEAST ONE XANTHAN GUM |
| EP0122324A1 (en) | 1983-04-15 | 1984-10-24 | Miranol Inc. | Polyquaternary ammonium compounds and cosmetic compositions containing them |
| US4529586A (en) * | 1980-07-11 | 1985-07-16 | Clairol Incorporated | Hair conditioning composition and process |
| EP0186507A2 (en) | 1984-12-22 | 1986-07-02 | Chisso Corporation | Carboxyl group-containing siloxane compounds |
| FR2589476A1 (en) | 1985-10-30 | 1987-05-07 | Rhone Poulenc Spec Chim | SILICONE ADDITIVE FOR VINYL POLYHLORIDE |
| US4874554A (en) | 1986-07-10 | 1989-10-17 | Henkel Kommanditgesellschaft Auf Aktien | Quaternary ammonium compounds |
| EP0342834A2 (en) | 1988-05-17 | 1989-11-23 | Dow Corning Limited | Treatment of fibrous materials |
| US4957732A (en) | 1988-12-29 | 1990-09-18 | L'oreal | Shaving composition for the skin based on polyorgano-siloxanes containing an acyloxyalkyl group and process for use |
| EP0395282A2 (en) | 1989-04-21 | 1990-10-31 | Ciba Specialty Chemicals Water Treatments Limited | Thickened aqueous compositions |
| JPH02295912A (en) | 1989-05-10 | 1990-12-06 | Shiseido Co Ltd | Cosmetic |
| EP0530974A1 (en) | 1991-08-05 | 1993-03-10 | Unilever Plc | Hair care composition |
-
2016
- 2016-12-16 FR FR1662639A patent/FR3060370B1/en not_active Expired - Fee Related
-
2017
- 2017-12-13 WO PCT/EP2017/082507 patent/WO2018108958A1/en not_active Ceased
Patent Citations (56)
| Publication number | Priority date | Publication date | Assignee | Title |
|---|---|---|---|---|
| US2271378A (en) | 1939-08-30 | 1942-01-27 | Du Pont | Pest control |
| US2273780A (en) | 1939-12-30 | 1942-02-17 | Du Pont | Wax acryalte ester blends |
| US2261002A (en) | 1941-06-17 | 1941-10-28 | Du Pont | Organic nitrogen compounds |
| US2388614A (en) | 1942-05-05 | 1945-11-06 | Du Pont | Disinfectant compositions |
| US2375853A (en) | 1942-10-07 | 1945-05-15 | Du Pont | Diamine derivatives |
| US2454547A (en) | 1946-10-15 | 1948-11-23 | Rohm & Haas | Polymeric quaternary ammonium salts |
| US2798053A (en) | 1952-09-03 | 1957-07-02 | Goodrich Co B F | Carboxylic polymers |
| US2923692A (en) | 1954-01-25 | 1960-02-02 | Goodrich Co B F | Mucilaginous composition comprising salt of crosslinked carboxylic polymer and method of preparing same |
| US2961347A (en) | 1957-11-13 | 1960-11-22 | Hercules Powder Co Ltd | Process for preventing shrinkage and felting of wool |
| US3227615A (en) | 1962-05-29 | 1966-01-04 | Hercules Powder Co Ltd | Process and composition for the permanent waving of hair |
| US3206462A (en) | 1962-10-31 | 1965-09-14 | Dow Chemical Co | Quaternary poly(oxyalkylene)alkylbis(diethylenetriamine) compounds |
| FR1492597A (en) | 1965-09-14 | 1967-08-18 | Union Carbide Corp | New cellulose ethers containing quaternary nitrogen |
| FR1583363A (en) | 1967-09-28 | 1969-10-24 | ||
| US3589578A (en) | 1968-01-20 | 1971-06-29 | Monforts Fa A | Tension-relieving device for stretchable sheet material |
| FR2077143A5 (en) | 1970-01-30 | 1971-10-15 | Gaf Corp | |
| FR2080759A1 (en) | 1970-02-25 | 1971-11-19 | Gillette Co | |
| FR2162025A1 (en) | 1971-11-29 | 1973-07-13 | Oreal | |
| FR2190406A2 (en) | 1972-06-29 | 1974-02-01 | Gillette Co | |
| FR2252840A1 (en) | 1973-11-30 | 1975-06-27 | Oreal | |
| US3874870A (en) | 1973-12-18 | 1975-04-01 | Mill Master Onyx Corp | Microbiocidal polymeric quarternary ammonium compounds |
| US3929990A (en) | 1973-12-18 | 1975-12-30 | Millmaster Onyx Corp | Microbiocidal polymeric quaternary ammonium compounds |
| US4025627A (en) | 1973-12-18 | 1977-05-24 | Millmaster Onyx Corporation | Microbiocidal polymeric quaternary ammonium compounds |
| FR2320330A1 (en) | 1974-01-25 | 1977-03-04 | Calgon Corp | COMPOSITION OF FUNCTIONAL IONEN POLYMERS AND THEIR USE |
| FR2270846A1 (en) | 1974-05-16 | 1975-12-12 | Oreal | |
| FR2280361A2 (en) | 1974-08-02 | 1976-02-27 | Oreal | HAIR TREATMENT AND CONDITIONING COMPOSITIONS |
| US4005193A (en) | 1974-08-07 | 1977-01-25 | Millmaster Onyx Corporation | Microbiocidal polymeric quaternary ammonium compounds |
| US4025617A (en) | 1974-10-03 | 1977-05-24 | Millmaster Onyx Corporation | Anti-microbial quaternary ammonium co-polymers |
| US3966904A (en) | 1974-10-03 | 1976-06-29 | Millmaster Onyx Corporation | Quaternary ammonium co-polymers for controlling the proliferation of bacteria |
| US4026945A (en) | 1974-10-03 | 1977-05-31 | Millmaster Onyx Corporation | Anti-microbial quaternary ammonium co-polymers |
| US4001432A (en) | 1974-10-29 | 1977-01-04 | Millmaster Onyx Corporation | Method of inhibiting the growth of bacteria by the application thereto of capped polymers |
| US4027020A (en) | 1974-10-29 | 1977-05-31 | Millmaster Onyx Corporation | Randomly terminated capped polymers |
| US4025653A (en) | 1975-04-07 | 1977-05-24 | Millmaster Onyx Corporation | Microbiocidal polymeric quaternary ammonium compounds |
| FR2316271A1 (en) | 1975-07-04 | 1977-01-28 | Oreal | NEW QUATERNIZED POLYMERS, THEIR PREPARATION PROCESS, AND THEIR APPLICATION |
| FR2336434A1 (en) | 1975-12-23 | 1977-07-22 | Ciba Geigy Ag | QUATERNARY POLYMERIC AMMONIUM SALTS, THEIR PREPARATION PROCESS AND THEIR USE |
| US4031307A (en) | 1976-05-03 | 1977-06-21 | Celanese Corporation | Cationic polygalactomannan compositions |
| US4137180A (en) | 1976-07-02 | 1979-01-30 | Lever Brothers Company | Fabric treatment materials |
| FR2368508A2 (en) | 1977-03-02 | 1978-05-19 | Oreal | HAIR CONDITIONING COMPOSITION |
| FR2393573A1 (en) | 1977-06-10 | 1979-01-05 | Gaf Corp | HAIR PREPARATIONS CONTAINING A VINYLPYRROLIDONE COPOLYMER |
| FR2413907A1 (en) | 1977-09-20 | 1979-08-03 | Oreal | COSMETIC COMPOSITIONS BASED ON QUATERNARY POLYAMMONIUM POLYMERS |
| US4131576A (en) | 1977-12-15 | 1978-12-26 | National Starch And Chemical Corporation | Process for the preparation of graft copolymers of a water soluble monomer and polysaccharide employing a two-phase reaction system |
| US4185087A (en) | 1977-12-28 | 1980-01-22 | Union Carbide Corporation | Hair conditioning compositions containing dialkylamino hydroxy organosilicon compounds and their derivatives |
| FR2416723A1 (en) | 1978-02-14 | 1979-09-07 | Hoechst Ag | USE OF CROSS-LINKED POLYMERS TO RAISE THE VISCOSITY OF COSMETIC, PHARMACEUTICAL OR TECHNICAL PRODUCTS |
| US4529586A (en) * | 1980-07-11 | 1985-07-16 | Clairol Incorporated | Hair conditioning composition and process |
| FR2505348A1 (en) | 1981-05-08 | 1982-11-12 | Oreal | COMPOSITION IN THE FORM OF AEROSOL FOAM BASED ON CATIONIC POLYMER AND ANIONIC POLYMER |
| EP0080976A1 (en) | 1981-11-30 | 1983-06-08 | Ciba-Geigy Ag | Mixtures of quaternary polymeric acrylic ammonium salts, quaternary mono- or oligomeric ammonium salts and surfactants, their preparation and their use in cosmetic compositions |
| EP0095238A2 (en) | 1982-05-20 | 1983-11-30 | Dow Corning Corporation | Compositions used to condition hair |
| FR2542997A1 (en) | 1983-03-23 | 1984-09-28 | Oreal | A THICKENED OR GELIFIED HAIR CONDITIONING COMPOSITION CONTAINING AT LEAST ONE CATIONIC POLYMER, AT LEAST ONE ANIONIC POLYMER AND AT LEAST ONE XANTHAN GUM |
| EP0122324A1 (en) | 1983-04-15 | 1984-10-24 | Miranol Inc. | Polyquaternary ammonium compounds and cosmetic compositions containing them |
| EP0186507A2 (en) | 1984-12-22 | 1986-07-02 | Chisso Corporation | Carboxyl group-containing siloxane compounds |
| FR2589476A1 (en) | 1985-10-30 | 1987-05-07 | Rhone Poulenc Spec Chim | SILICONE ADDITIVE FOR VINYL POLYHLORIDE |
| US4874554A (en) | 1986-07-10 | 1989-10-17 | Henkel Kommanditgesellschaft Auf Aktien | Quaternary ammonium compounds |
| EP0342834A2 (en) | 1988-05-17 | 1989-11-23 | Dow Corning Limited | Treatment of fibrous materials |
| US4957732A (en) | 1988-12-29 | 1990-09-18 | L'oreal | Shaving composition for the skin based on polyorgano-siloxanes containing an acyloxyalkyl group and process for use |
| EP0395282A2 (en) | 1989-04-21 | 1990-10-31 | Ciba Specialty Chemicals Water Treatments Limited | Thickened aqueous compositions |
| JPH02295912A (en) | 1989-05-10 | 1990-12-06 | Shiseido Co Ltd | Cosmetic |
| EP0530974A1 (en) | 1991-08-05 | 1993-03-10 | Unilever Plc | Hair care composition |
Non-Patent Citations (8)
| Title |
|---|
| "Cosmetics and Toiletries", vol. 91, TODD & BYERS, article "Volatile Silicone Fluids for Cosmetics", pages: 27 - 32 |
| ANONYMOUS: "AG hair Moisture mask pre-Shampoo Treatment", XP002768973, Retrieved from the Internet <URL:https://www.beautybrands.com/product/1002576.do?utm_source=SSIDE&utm_medium=NaturalSS&utm_campaign=SSIDE> [retrieved on 20170322] * |
| ANONYMOUS: "New! Moisture Mask", June 2016 (2016-06-01), pages 4PP, XP002768549, Retrieved from the Internet <URL:https://www.aghair.com/2016/06/new-moisture-mask/> [retrieved on 20170322] * |
| DATABASE GNPD [online] MINTEL; April 2016 (2016-04-01), "Hair Cleansing Cream", XP002768972, Database accession no. 3912485 * |
| DATABASE GNPD MINTEL; May 2016 (2016-05-01), "Pre-Shampoo Treatment", XP002768550, Database accession no. 3999457 * |
| M.R. PORTER: "Handbook of Surfactants", 1991, BLACKIE & SON, pages: 116 - 178 |
| ROBERT L. DAVIDSON: "Handbook of water-soluble gums and resins", 1980, MCGRAW HILL BOOK COMPANY |
| WALTER NOLL'S: "Chemistry and Technology of Silicones", 1968, ACADEMIC PRESS |
Cited By (1)
| Publication number | Priority date | Publication date | Assignee | Title |
|---|---|---|---|---|
| CN116600783A (en) * | 2020-12-01 | 2023-08-15 | 莱雅公司 | Compositions for keratin fibers |
Also Published As
| Publication number | Publication date |
|---|---|
| FR3060370B1 (en) | 2019-07-19 |
| FR3060370A1 (en) | 2018-06-22 |
Similar Documents
| Publication | Publication Date | Title |
|---|---|---|
| US11077047B2 (en) | Cosmetic composition comprising a combination of surfactants of carboxylate, acylisethionate and alkyl(poly)glycoside type | |
| US20110155163A1 (en) | Cosmetic composition comprising at least one organosilicon compound, at least one anionic surfactant and at least one nonionic thickener, and process using the composition | |
| AU7239700A (en) | Detergent cosmetic compositions containing a specific amphoteric starch, and uses thereof | |
| US9566220B2 (en) | Composition containing a volatile linear alkane and a nonionic associative polymer, useful for conditioning the hair | |
| EP2645984A1 (en) | Cosmetic composition containing a non-amino silicone, a liquid fatty ester and an amino silicone, process and use | |
| US11246824B2 (en) | Cosmetic composition comprising a particular combination of surfactants, a silicone, a cationic polymer, a fatty alcohol and a clay | |
| EP2542210A2 (en) | Cosmetic antidandruff composition based on ellagic acid or a derivative thereof and a second, different active compound in a specific weight ratio | |
| US11071703B2 (en) | Cosmetic composition comprising a combination of anionic surfactants of carboxylate and acylisethionate type | |
| MX2012010046A (en) | Use of ellagic acid as an anti-dandruff agent. | |
| WO2011107432A2 (en) | Composition comprising ellagic acid and a particular cationic surfactant, and cosmetic use thereof | |
| WO2017182401A1 (en) | Cosmetic composition comprising a particular combination of surfactants, a polyol, a cationic or amphoteric polymer and optionally a silicone. | |
| WO2018108958A1 (en) | Process for treating keratin fibres using a homopolymer of acrylamidoalkyltrialkylammonium type and an amino silicone | |
| US20060025318A1 (en) | Composition for washing and conditioning keratin materials, comprising a carboxyalkyl starch, and process for the use thereof | |
| US11147758B2 (en) | Cosmetic composition comprising non-amino polyalkylsiloxanes, oxyethylenated polymers and fatty alcohols | |
| WO2013092608A2 (en) | Cosmetic composition comprising a hydrophobically modified cellulose, a sulfated or sulfonated anionic surfactant and a branched fatty alcohol | |
| WO2010112734A1 (en) | Cosmetic hair treatment method comprising the application of a composition comprising a cationic polymer followed by the application of a composition comprising a zwitterionic surfactant | |
| WO2018211069A1 (en) | Cosmetic hair treatment process using a cationic acrylic copolymer and a conditioning agent | |
| FR3046070A1 (en) | COMPOSITION COMPRISING ONE OR MORE ACRYLAMIDOALKYLTRIALKYLAMMONIUM-LIKE HOMOPOLYMERS AND ONE OR MORE ADDITIONAL CATIONIC AND / OR AMPHOTERIC POLYMERS | |
| WO2013092722A1 (en) | Cosmetic composition comprising a hydrophobically modified cellulose and an anionic surfactant comprising one or more carboxylate group(s) | |
| WO2025051913A1 (en) | Cosmetic composition comprising a solid fatty alcohol, a cationic surfactant, an amphoteric surfactant, a particular nonionic polysaccharide and a cationic polymer | |
| EP4532028A1 (en) | Hair treatment method comprising the application of a composition comprising amino acids and hydroxylated (poly)carboxylic acids, followed by washing the hair, and use as a pre-shampoo | |
| FR3145092A1 (en) | METHOD FOR TREATMENT OF KERATINOUS FIBERS COMPRISING THE APPLICATION OF GUANIDINE CARBONATE, ALKALINE AND/OR ALKALINE EARTH METAL HYDROXIDE AND FATTY ACID TRIGLYCERIDE (C6-C16) | |
| WO2020002523A1 (en) | Cosmetic composition comprising surfactants, a polymer comprising at least one (meth)acrylic unit and a silicone | |
| US20130085177A1 (en) | Cosmetic composition based on ellagic acid or a derivative thereof and on a particular mixture of surfactants | |
| WO2014044660A1 (en) | Cosmetic assembly and cosmetic composition comprising an anionic surfactant, a solid fatty alcohol and a cationic polymer, cosmetic treatment process and conditioning device |
Legal Events
| Date | Code | Title | Description |
|---|---|---|---|
| 121 | Ep: the epo has been informed by wipo that ep was designated in this application |
Ref document number: 17825158 Country of ref document: EP Kind code of ref document: A1 |
|
| NENP | Non-entry into the national phase |
Ref country code: DE |
|
| 122 | Ep: pct application non-entry in european phase |
Ref document number: 17825158 Country of ref document: EP Kind code of ref document: A1 |





















