WO2013026695A1 - Isoxazoline derivatives as insecticidal compounds - Google Patents
Isoxazoline derivatives as insecticidal compounds Download PDFInfo
- Publication number
- WO2013026695A1 WO2013026695A1 PCT/EP2012/065421 EP2012065421W WO2013026695A1 WO 2013026695 A1 WO2013026695 A1 WO 2013026695A1 EP 2012065421 W EP2012065421 W EP 2012065421W WO 2013026695 A1 WO2013026695 A1 WO 2013026695A1
- Authority
- WO
- WIPO (PCT)
- Prior art keywords
- spp
- compound
- formula
- chloro
- trifluoromethyl
- Prior art date
- Legal status (The legal status is an assumption and is not a legal conclusion. Google has not performed a legal analysis and makes no representation as to the accuracy of the status listed.)
- Ceased
Links
- 0 CC1C=C(C(C)(C2)ON=C2C(*[*+]2)=*C(*)=C2C(N(*)*)=*)C=C(*)[*-]1 Chemical compound CC1C=C(C(C)(C2)ON=C2C(*[*+]2)=*C(*)=C2C(N(*)*)=*)C=C(*)[*-]1 0.000 description 4
- ZUTREPOTBYVFQD-VGOFMYFVSA-N CC(C)(C)OC(c(ccc(/C=N/O)c1)c1Br)=O Chemical compound CC(C)(C)OC(c(ccc(/C=N/O)c1)c1Br)=O ZUTREPOTBYVFQD-VGOFMYFVSA-N 0.000 description 1
- XPWKWFNAIKDOOA-UHFFFAOYSA-N CC(C)(C)OC(c(ccc(C(C1)=NOC1(C(F)(F)F)c1cc(Cl)cc(Cl)c1)c1)c1Br)=O Chemical compound CC(C)(C)OC(c(ccc(C(C1)=NOC1(C(F)(F)F)c1cc(Cl)cc(Cl)c1)c1)c1Br)=O XPWKWFNAIKDOOA-UHFFFAOYSA-N 0.000 description 1
- RIJUAJZTROUSRH-UHFFFAOYSA-N NCC1CSC1 Chemical compound NCC1CSC1 RIJUAJZTROUSRH-UHFFFAOYSA-N 0.000 description 1
- UWWRNRJXVDVAHP-UHFFFAOYSA-N [O-][N+](c1cc(C(F)(F)F)ccc1C(C1)=NOC1(C(F)(F)F)c1cc(Cl)cc(Cl)c1)=O Chemical compound [O-][N+](c1cc(C(F)(F)F)ccc1C(C1)=NOC1(C(F)(F)F)c1cc(Cl)cc(Cl)c1)=O UWWRNRJXVDVAHP-UHFFFAOYSA-N 0.000 description 1
- CTSYMGKKRHIYIH-UHFFFAOYSA-N [O-][N+](c1cc(C(F)(F)F)ccc1C=O)=O Chemical compound [O-][N+](c1cc(C(F)(F)F)ccc1C=O)=O CTSYMGKKRHIYIH-UHFFFAOYSA-N 0.000 description 1
Classifications
-
- C—CHEMISTRY; METALLURGY
- C07—ORGANIC CHEMISTRY
- C07D—HETEROCYCLIC COMPOUNDS
- C07D331/00—Heterocyclic compounds containing rings of less than five members, having one sulfur atom as the only ring hetero atom
- C07D331/04—Four-membered rings
-
- A—HUMAN NECESSITIES
- A01—AGRICULTURE; FORESTRY; ANIMAL HUSBANDRY; HUNTING; TRAPPING; FISHING
- A01N—PRESERVATION OF BODIES OF HUMANS OR ANIMALS OR PLANTS OR PARTS THEREOF; BIOCIDES, e.g. AS DISINFECTANTS, AS PESTICIDES OR AS HERBICIDES; PEST REPELLANTS OR ATTRACTANTS; PLANT GROWTH REGULATORS
- A01N43/00—Biocides, pest repellants or attractants, or plant growth regulators containing heterocyclic compounds
- A01N43/72—Biocides, pest repellants or attractants, or plant growth regulators containing heterocyclic compounds having rings with nitrogen atoms and oxygen or sulfur atoms as ring hetero atoms
- A01N43/80—Biocides, pest repellants or attractants, or plant growth regulators containing heterocyclic compounds having rings with nitrogen atoms and oxygen or sulfur atoms as ring hetero atoms five-membered rings with one nitrogen atom and either one oxygen atom or one sulfur atom in positions 1,2
-
- C—CHEMISTRY; METALLURGY
- C07—ORGANIC CHEMISTRY
- C07D—HETEROCYCLIC COMPOUNDS
- C07D413/00—Heterocyclic compounds containing two or more hetero rings, at least one ring having nitrogen and oxygen atoms as the only ring hetero atoms
- C07D413/02—Heterocyclic compounds containing two or more hetero rings, at least one ring having nitrogen and oxygen atoms as the only ring hetero atoms containing two hetero rings
- C07D413/12—Heterocyclic compounds containing two or more hetero rings, at least one ring having nitrogen and oxygen atoms as the only ring hetero atoms containing two hetero rings linked by a chain containing hetero atoms as chain links
Definitions
- the present invention relates to certain isoxazolines derivatives, to processes and intermediates for preparing these derivatives, to insecticidal, acaricidal, nematicidal and molluscicidal compositions comprising these derivatives and to methods of using these derivatives to control insect, acarine, nematode and mollusc pests.
- the present invention also relates to use of these compounds in the field of animal health.
- the present invention provides compounds of formula I
- G 1 is oxygen
- R 1 is hydrogen
- L is a bond, methylene or ethylene
- a 1 and A 2 is S, SO or S0 2 and the other is -C(R 4 )R 4 -;
- R 3 is hydrogen or methyl
- each R 4 is independently hydrogen or methyl
- Y 1 , Y 2 and Y 3 are independently CH or nitrogen;
- R 5 is bromo, chloro, fluoro
- X 2 is C-X 6 or nitrogen
- ⁇ ', ⁇ 3 and X 6 are independently hydrogen, halogen or trihalomethyl, wherein at least two of X 1 , X 3 and X 6 are not hydrogen;
- X 4 is trifluoromethyl, difluoromethyl or chlorodifluoromethyl.
- the compounds of formula (I) may exist in different geometric or optical isomers or tautomeric forms. This invention covers all such isomers and tautomers and mixtures thereof in all proportions as well as isotopic forms such as deuterated compounds. The invention also covers salts and N-oxides of the compounds of the invention.
- the compounds of the invention may contain one or more asymmetric carbon atoms, and may exist as enantiomers (or as pairs of diastereoisomers) or as mixtures of such.
- Alkyl groups can be in the form of a straight or branched chain and are, for example, methyl, ethyl, propyl, prop-2-yl, butyl, but-2-yl, 2 -methyl-prop -1-yl or 2-methyl-prop-2- yl.
- the alkyl groups are preferably Ci-C 6 , more preferably Q-C4, most preferably Q-C 3 alkyl groups. Where an alkyl moiety is said to be substituted, the alkyl moiety is preferably substituted by one to four substituents, most preferably by one to three substituents.
- Alkylene groups can be in the form of a straight or branched chain and are, for example, -CH 2 -, -CH 2 -CH 2 -, -CH(CH 3 )-, -CH 2 -CH 2 -CH 2 -, -CH(CH 3 )-CH 2 -, or -CH(CH 2 CH 3 )-.
- the alkylene groups are preferably C 1 -C3, more preferably C r C 2 , most preferably Q alkylene groups.
- Alkenyl groups can be in the form of straight or branched chains, and can be, where appropriate, of either the (E)- or (Z) -configuration. Examples are vinyl and allyl.
- the alkenyl groups are preferably C 2 -C 6 , more preferably C 2 -C 4 , most preferably C 2 -C 3 alkenyl groups.
- Alkynyl groups can be in the form of straight or branched chains. Examples are ethynyl and propargyl.
- the alkynyl groups are preferably C 2 -C6, more preferably C 2 -C4, most preferably C 2 -C 3 alkynyl groups.
- Halogen is fluorine, chlorine, bromine or iodine.
- Haloalkyl groups are alkyl groups which are substituted by one or more of the same or different halogen atoms and are, for example, difluoromethyl, trifluoromethyl,
- Haloalkenyl groups are alkenyl groups which are substituted by one or more of the same or different halogen atoms and are, for example, 2,2-difluoro-vinyl or 1 ,2-dichloro-2-fluoro-vinyl.
- Haloalkynyl groups are alkynyl groups which are substituted by one or more of the same or different halogen atoms and are, for example, l-chloro-prop-2-ynyl.
- Cycloalkyl groups or carbocyclic rings can be in mono- or bi-cyclic form and are, for example, cyclopropyl, cyclobutyl, cyclohexyl and bicyclo[2.2.1]heptan-2-yl.
- the cycloalkyl groups are preferably C 3 -C 8 , more preferably C 3 -C 6 cycloalkyl groups.
- the cycloalkyl moiety is preferably substituted by one to four substituents, most preferably by one to three substituents.
- Aryl groups are aromatic ring systems which can be in mono-, bi- or tricyclic form. Examples of such rings include phenyl, naphthyl, anthracenyl, indenyl or phenanthrenyl. Preferred aryl groups are phenyl and naphthyl, phenyl being most preferred. Where an aryl moiety is said to be substituted, the aryl moiety is preferably substituted by one to four substituents, most preferably by one to three substituents.
- Heteroaryl groups are aromatic ring systems containing at least one heteroatom and consisting either of a single ring or of two or more fused rings.
- single rings will contain up to three heteroatoms and bicyclic systems up to four heteroatoms which will preferably be chosen from nitrogen, oxygen and sulfur.
- monocyclic groups include pyridyl, pyridazinyl, pyrimidinyl, pyrazinyl, pyrrolyl, pyrazolyl, imidazolyl, triazolyl (e.g.
- bicyclic groups include purinyl, quinolinyl, cinnolinyl, quinoxalinyl, indolyl, indazolyl, benzimidazolyl, benzothiophenyl and benzothiazolyl.
- Monocyclic heteroaryl groups are preferred, pyridyl being most preferred. Where a heteroaryl moiety is said to be substituted, the heteroaryl moiety is preferably substituted by one to four substituents, most preferably by one to three substituents.
- Heterocyclyl groups or heterocyclic rings are defined to include heteroaryl groups and in addition their unsaturated or partially unsaturated analogues.
- monocyclic groups include isoxazolyl, thietanyl, pyrrolidinyl, tetrahydrofuranyl, [l,3]dioxolanyl, piperidinyl, piperazinyl, [l,4]dioxanyl, and morpholinyl or their oxidised versions such as 1 -oxo-thietanyl and 1,1-dioxo-thietanyl.
- bicyclic groups examples include 2,3-dihydro-benzofuranyl, benzo[l,4]dioxolanyl, benzo[l,3]dioxolanyl, chromenyl, and 2,3- dihydro-benzo[l,4]dioxinyl.
- a heterocyclyl moiety is said to be substituted, the heterocyclyl moiety is preferably substituted by one to four substituents, most preferably by one to three substituents.
- R 2 , R 5 , Y 1 , Y 2 , Y 3 , X 1 , X 2 , X 3 , X 4 , X 5 and X 6 for compounds of formula I are, in any combination, as set out below.
- R 2 is thietan-3-yl-, l-oxo-thietan-3-yl-, l,l-Dioxo-thietan-3-yl-, 2,2-dimethylthietan-3- yl-, 2,2-dimethyl-l-oxo-thietan-3-yl-, 2,2-dimethyl-l,l -Dioxo-thietan-3-yl-, 3 -Methyl -thietan-3-yl-, 3- Methyl- 1 -oxo-thietan-3 -yl-, 3 -Methyl- 1 , 1 -Dioxo-thietan-3 -yl-, thietan-3 -ylmethyl-, 1 -oxo-thietan-3 - ylmethyl-, 1,1 -Dioxo-thietan-3 -ylmethyl-, thietan-2
- R 2 is thietan-3 -yl-, 1-oxo- thietan-3-yl-, 1,1 -Dioxo-thietan-3 -yl-, thietan-3 -ylmethyl-, 1 -oxo-thietan-3 -ylmethyl-, or 1,1 -Dioxo- thietan-3 -ylmethyl-, most preferably thietan-3 -yl-, 1 -oxo-thietan-3 -yl-, or 1,1 -Dioxo-thietan-3 -yl-.
- Y 1 is CH, Y 2 is CH, Y 3 is CH, or Y 1 is N, Y 2 is CH, Y 3 is CH, or Y 1 is N, Y 2 is N, Y 3 is CH, orY 1 is CH, Y 2 is N, Y 3 is CH, orY 1 is CH, Y 2 is CH, Y 3 is N. More preferably Y 1 is CH, Y 2 is CH, Y 3 is CH.
- X is chloro
- X is CH
- X is chloro
- X is chloro
- X is C-F
- X is hydrogen
- X is hydrogen
- X 1 is chloro, X 2 is N, X 3 is chloro, or X 1 is trifluoromethyl, X 2 is N, X 3 is trifluoromethyl.
- X 1 is chloro, X 2 is CH, X 3 is chloro, or X 1 is chloro, X 2 is C-Cl, X 3 is chloro, or X 1 is chloro, X 2 is C-F, X 3 is chloro, or X 1 is trifluoromethyl, X 2 is CH, X 3 is trifluoromethyl.
- X 1 is chloro, X 2 is CH, X 3 is chloro.
- X 4 is trifluoromethyl.
- the invention provides compounds of formula I wherein R 5 is chloro and G 1 , R 1 , R 2 , Y 1 , Y 2 , Y 3 , X 1 , X 2 , X 3 and X 4 are as defined for the compound of formula I.
- the invention provides compounds of formula I wherein R 5 is bromo and G 1 , R 1 , R 2 , Y 1 , Y 2 , Y 3 , X 1 , X 2 , X 3 and X 4 are as defined for the compound of formula I.
- the invention provides compounds of formula I wherein R 5 is fluoro and G 1 ,
- R 1 , R 2 , Y 1 , Y 2 , Y 3 , X 1 , X 2 , X 3 and X 4 are as defined for the compound of formula I.
- G 1 is oxygen
- R 1 is hydrogen
- R 2 is thietan-3-yl-, l-oxo-thietan-3-yl-, l,l-Dioxo-thietan-3-yl-, thietan-3-ylmethyl-, 1-oxo- thietan-3-ylmethyl-, or l,l-Dioxo-thietan-3-ylmethyl-;
- Y 1 is CH, Y 2 is CH, Y 3 is CH;
- R 5 is bromo, chloro, fluoro
- X 1 is chloro, X 2 is CH, X 3 is chloro, or X 1 is chloro, X 2 is C-Cl, X 3 is chloro, or X 1 is chloro, X 2 is C-F, X 3 is chloro, orX 1 is trifluoromethyl, X 2 is CH, X 3 is trifluoromethyl;
- X 4 is trifluoromethyl.
- G 1 is oxygen
- R 1 is hydrogen
- R 2 is thietan-3-yl-, l-oxo-thietan-3-yl-, l,l-Dioxo-thietan-3-yl-;
- Y 1 is CH, Y 2 is CH, Y 3 is CH;
- R 5 is chloro
- X 1 is chloro, X 2 is CH, X 3 is chloro, X 1 is chloro, X 2 is C-Cl, X 3 is chloro, X 1 is chloro, X 2 is C-F, X 3 is chloro, or X 1 is trifluoromethyl, X 2 is CH, X 3 is trifluoromethyl;
- X 4 is trifluoromethyl.
- the compound of formula I is not be a compound wherein R 2 is thietan-3-yl-, 1-oxo- thietan-3-yl-, l,l-Dioxo-thietan-3-yl-, 3-Methyl-thietan-3-yl-, thietan-3-ylmethyl-, l-oxo-thietan-3- ylmethyl-, l,l-Dioxo-thietan-3-ylmethyl-, thietan-2-ylmethyl-, (l-oxothietan-2-yl)methyl-, (1,1- dioxothietan-2-yl)methyl-, 2-(thietan-3-yl)ethanyl, 2-(l,l-dioxothietan-3-yl)ethanyl, or 2-(l -oxothietan-3- yl)ethanyl, Y 1
- the invention provides a method of controlling insects, acarines, nematodes or molluscs, preferably in a crop of useful plants, which comprises applying to a pest, to a locus of a pest, or to a plant susceptible to attack by a pest an insecticidally, acaricidally, nematicidally or molluscicidally effective amount of a compound of formula I as defined above, including preferences thereof.
- the invention provides a method of protecting useful plants from insects, acarines, nematodes or molluscs, comprising applying to said plants, to the locus thereof, or to plant propagation material thereof, an insecticidally, acaricidally, nematicidally or molluscicidally effective amount of a compound of formula I as defined above, including preferences thereof.
- the compound of formula I is a compound wherein R 2 is thietan-3-yl-, 1 -oxo- thietan-3-yl-, l,l -Dioxo-thietan-3-yl-, 3-Methyl-thietan-3-yl-, thietan-3-ylmethyl-, l-oxo-thietan-3- ylmethyl-, l,l -Dioxo-thietan-3-ylmethyl-, thietan-2-ylmethyl-, (l -oxothietan-2-yl)methyl-, (1,1 - dioxothietan-2-yl)methyl-, 2-(thietan-3-yl)ethanyl, 2-(l,l-dioxothietan-3-yl)ethanyl, or 2-(l -oxothietan-3- yl)ethanyl,
- said methods do not comprise applying the compound of formula I to a crop of soybean plants, the locus thereof, or propagation material thereof, and the method is not for control of stinkbugs.
- the invention also relates to the following intermediates which are useful for the preparation of compounds of formula I:
- G 1 , R 1 , R 2 , R 5 , X 1 , X 2 , X 3 , X 4 , Y 1 , Y 2 , and Y 3 are as defined for the compound of formula I.
- Preferred definitions of G 1 , R 1 , R 2 , R 5 , X 1 , X 2 , X 3 , X 4 , Y 1 , Y 2 , and Y 3 are the same as for the
- G 1 , R 1 , R 2 , R 5 , X 1 , X 2 , X 3 , X 4 , Y 1 , Y 2 , and Y 3 are as defined for the compound of formula I.
- Preferred definitions of G 1 , R 1 , R 2 , R 5 , X 1 , X 2 , X 3 , X 4 , Y 1 , Y 2 , and Y 3 are the same as for the corresponding substituents of compounds of formula I.
- G 1 , R 1 , R 2 , R 5 , X 1 , X 2 , X 3 , X 4 , Y 1 , Y 2 , and Y 3 are as defined for the compound of formula I.
- Preferred definitions of G 1 , R 1 , R 2 , R 5 , X 1 , X 2 , X 3 , X 4 , Y 1 , Y 2 , and Y 3 are the same as for the corresponding substituents of compounds of formula I.
- G 1 , R 1 , R 2 , R 5 , X 1 , X 2 , X 3 , X 4 , Y 1 , Y 2 , and Y 3 are as defined for the compound of formula I.
- Preferred definitions of G 1 , R 1 , R 2 , R 5 , X 1 , X 2 , X 3 , X 4 , Y 1 , Y 2 , and Y 3 are the same as for the corresponding substituents of compounds of formula I.
- Preferred definitions of G 1 , R 1 , R 2 , R 5 , Y 1 , Y 2 , and Y 3 are the same as for the corresponding substituents of compounds of formula I.
- Table IP provides 18 compounds of Formula I-A wherein Gl is oxygen, Rl is hydrogen, XI is chloro, X2 is CH, X3 is chloro, Yl is CH, Y2 is CH, Y3 is CH and X4, R5 and R2 have the values listed in the Table P.
- Table 2P provides 18 compounds of Formula I-A wherein Gl is oxygen, Rl is hydrogen, XI is chloro, X2 is C-F, X3 is hydrogen, Yl is CH, Y2 is CH, Y3 is CH and X4, R5 and R2 have the values listed in the Table P.
- Table 3 ⁇ provides 18 compounds of Formula I-A wherein Gl is oxygen, Rl is hydrogen, XI is fluoro, X2 is C-Cl, X3 is hydrogen, Yl is CH, Y2 is CH, Y3 is CH and X4, R5 and R2 have the values listed in the Table P.
- Table 4 ⁇ provides 18 compounds of Formula I-A wherein Gl is oxygen, Rl is hydrogen, XI is chloro, X2 is C-Cl, X3 is hydrogen, Yl is CH, Y2 is CH, Y3 is CH and X4, R5 and R2 have the values listed in the Table P.
- Table 5P provides 18 compounds of Formula I-A wherein Gl is oxygen, Rl is hydrogen, XI is chloro, X2 is C-F, X3 is chloro, Yl is CH, Y2 is CH, Y3 is CH and X4, R5 and R2 have the values listed in the Table P.
- Table 6P provides 18 compounds of Formula I-A wherein Gl is oxygen, Rl is hydrogen, XI is chloro, X2 is C-Cl, X3 is chloro, Yl is CH, Y2 is CH, Y3 is CH and X4, R5 and R2 have the values listed in the Table P.
- Table 7P provides 18 compounds of Formula I-A wherein Gl is oxygen, Rl is hydrogen, XI is chloro, X2 is C-Br, X3 is chloro, Yl is CH, Y2 is CH, Y3 is CH and X4, R5 and R2 have the values listed in the Table P.
- Table 8P provides 18 compounds of Formula I-A wherein Gl is oxygen, Rl is hydrogen, XI is chloro, X2 is C-I, X3 is chloro, Yl is CH, Y2 is CH, Y3 is CH and X4, R5 and R2 have the values listed in the Table P.
- Table 9P provides 18 compounds of Formula I-A wherein Gl is oxygen, Rl is hydrogen, XI is fluoro, X2 is C-F, X3 is fluoro, Yl is CH, Y2 is CH, Y3 is CH and X4, R5 and R2 have the values listed in the Table P.
- Table 10P provides 18 compounds of Formula I-A wherein Gl is oxygen, Rl is hydrogen, XI is chloro, X2 is CH, X2 is bromo, Yl is CH, Y2 is CH, Y3 is CH and X4, R5 and R2 have the values listed in the Table P.
- Table I IP provides 18 compounds of Formula I-A wherein Gl is oxygen, Rl is hydrogen, XI is chloro, X2 is CH, X3 is fluoro, Yl is CH, Y2 is CH, Y3 is CH and X4, R5 and R2 have the values listed in the Table P.
- Table 12P provides 18 compounds of Formula I-A wherein Gl is oxygen, Rl is hydrogen, XI is chloro, X2 is CH, X3 is trifluoromethyl, Yl is CH, Y2 is CH, Y3 is CH and X4, R5 and R2 have the values listed in the Table P.
- Table 13P provides 18 compounds of Formula I-A wherein Gl is oxygen, Rl is hydrogen, XI is chloro, X2 is C-Cl, X3 is trifluoromehtyl, Yl is CH, Y2 is CH, Y3 is CH and X4, R5 and R2 have the values listed in the Table P.
- Table 14P provides 18 compounds of Formula I-A wherein Gl is oxygen, Rl is hydrogen, XI is trifluoromethyl, X2 is CH, X3 is trifluoromethyl, Yl is CH, Y2 is CH, Y3 is CH and X4, R5 and R2 have the values listed in the Table P.
- Table 15P provides 18 compounds of Formula I-A wherein Gl is oxygen, Rl is hydrogen, XI is trifluoromethyl, X2 is C-CL, X3 is trifluoromethyl, Yl is CH, Y2 is CH, Y3 is CH and X4, R5 and R2 have the values listed in the Table P.
- Table 16P
- Table 16P provides 18 compounds of Formula I-A wherein Gl is oxygen, Rl is hydrogen, XI is trifluoromethyl, X2 is CH, X3 is hydrogen, Yl is CH, Y2 is CH, Y3 is CH and X4, R5 and R2 have the values listed in the Table P.
- Table 17P provides 18 compounds of Formula XI -A wherein Gl is oxygen, Rl is hydrogen, XI is chloro, X2 is CH, X3 is chloro, Yl is CH, Y2 is CH, Y3 is CH and X4, R5 and R2 have the values listed in the Table P.
- Table 18P provides 18 compounds of Formula XI -A wherein Gl is oxygen, Rl is hydrogen, XI is chloro, X2 is C-F, X3 is hydrogen, Yl is CH, Y2 is CH, Y3 is CH and X4, R5 and R2 have the values listed in the Table P.
- Table 19P provides 18 compounds of Formula XI -A wherein Gl is oxygen, Rl is hydrogen, XI is fluoro, X2 is C-Cl, X3 is hydrogen, Yl is CH, Y2 is CH, Y3 is CH and X4, R5 and R2 have the values listed in the Table P.
- Table 20P provides 18 compounds of Formula XI -A wherein Gl is oxygen, Rl is hydrogen, XI is chloro, X2 is C-Cl, X3 is hydrogen, Yl is CH, Y2 is CH, Y3 is CH and X4, R5 and R2 have the values listed in the Table P.
- Table 21P provides 18 compounds of Formula XI -A wherein Gl is oxygen, Rl is hydrogen, XI is chloro, X2 is C-F, X3 is chloro, Yl is CH, Y2 is CH, Y3 is CH and X4, R5 and R2 have the values listed in the Table P.
- Table 22P provides 18 compounds of Formula XI -A wherein Gl is oxygen, Rl is hydrogen, XI is chloro, X2 is C-Cl, X3 is chloro, Yl is CH, Y2 is CH, Y3 is CH and X4, R5 and R2 have the values listed in the Table P.
- Table 23P provides 18 compounds of Formula XI -A wherein Gl is oxygen, Rl is hydrogen, XI is chloro, X2 is C-Br, X3 is chloro, Yl is CH, Y2 is CH, Y3 is CH and X4, R5 and R2 have the values listed in the Table P.
- Table 24P provides 18 compounds of Formula XI -A wherein Gl is oxygen, Rl is hydrogen, XI is chloro, X2 is C-I, X3 is chloro, Yl is CH, Y2 is CH, Y3 is CH and X4, R5 and R2 have the values listed in the Table P.
- Table 25P provides 18 compounds of Formula XI -A wherein Gl is oxygen, Rl is hydrogen, Xlis fluoro, X2 is C-F, X3 is fluoro, Yl is CH, Y2 is CH, Y3 is CH and X4, R5 and R2 have the values listed in the Table P.
- Table 26P provides 18 compounds of Formula XI -A wherein Gl is oxygen, Rl is hydrogen, XI is chloro, X2 is CH, X2 is bromo, Yl is CH, Y2 is CH, Y3 is CH and X4, R5 and R2 have the values listed in the Table P.
- Table 27 ⁇ provides 18 compounds of Formula XI -A wherein Gl is oxygen, Rl is hydrogen, XI is chloro, X2 is CH, X3 is fluoro, Yl is CH, Y2 is CH, Y3 is CH and X4, R5 and R2 have the values listed in the Table P.
- Table 28 ⁇ provides 18 compounds of Formula XI -A wherein Gl is oxygen, Rl is hydrogen, XI is chloro, X2 is CH, X3 is trifluoromethyl, Yl is CH, Y2 is CH, Y3 is CH and X4, R5 and R2 have the values listed in the Table P.
- Table 29P provides 18 compounds of Formula XI -A wherein Gl is oxygen, Rl is hydrogen, XI is chloro, X2 is C-Cl, X3 is trifluoromehtyl, Yl is CH, Y2 is CH, Y3 is CH and X4, R5 and R2 have the values listed in the Table P.
- Table 30P provides 18 compounds of Formula XI -A wherein Gl is oxygen, Rl is hydrogen, XI is trifluoromethyl, X2 is CH, X3 is trifluoromethyl, Yl is CH, Y2 is CH, Y3 is CH and X4, R5 and R2 have the values listed in the Table P.
- Table 3 IP provides 18 compounds of Formula XI -A wherein Gl is oxygen, Rl is hydrogen, XI is trifluoromethyl, X2 is C-CL, X3 is trifluoromethyl, Yl is CH, Y2 is CH, Y3 is CH and X4, R5 and R2 have the values listed in the Table P.
- Table 32P provides 18 compounds of Formula XI -A wherein Gl is oxygen, Rl is hydrogen, XI is
- Table 33P provides 18 compounds of Formula X2-A wherein Gl is oxygen, Rl is hydrogen, XI is chloro, X2 is CH, X3 is chloro, Yl is CH, Y2 is CH, Y3 is CH and X4, R5 and R2 have the values listed in the Table P.
- Table 34P provides 18 compounds of Formula X2-A wherein Gl is oxygen, Rl is hydrogen, XI is chloro, X2 is C-F, X3 is hydrogen, Yl is CH, Y2 is CH, Y3 is CH and X4, R5 and R2 have the values listed in the Table P.
- Table 35P provides 18 compounds of Formula X2-A wherein Gl is oxygen, Rl is hydrogen, XI is fluoro, X2 is C-Cl, X3 is hydrogen, Yl is CH, Y2 is CH, Y3 is CH and X4, R5 and R2 have the values listed in the Table P.
- Table 36P provides 18 compounds of Formula X2-A wherein Gl is oxygen, Rl is hydrogen, XI is chloro, X2 is C-Cl, X3 is hydrogen, Yl is CH, Y2 is CH, Y3 is CH and X4, R5 and R2 have the values listed in the Table P.
- Table 37P provides 18 compounds of Formula X2-A wherein Gl is oxygen, Rl is hydrogen, XI is chloro, X2 is C-F, X3 is chloro, Yl is CH, Y2 is CH, Y3 is CH and X4, R5 and R2 have the values listed in the Table P.
- Table 38 ⁇ provides 18 compounds of Formula X2-A wherein Gl is oxygen, Rl is hydrogen, XI is chloro, X2 is C-Cl, X3 is chloro, Yl is CH, Y2 is CH, Y3 is CH and X4, R5 and R2 have the values listed in the Table P.
- Table 39 ⁇ provides 18 compounds of Formula X2-A wherein Gl is oxygen, Rl is hydrogen, XI is chloro, X2 is C-Br, X3 is chloro, Yl is CH, Y2 is CH, Y3 is CH and X4, R5 and R2 have the values listed in the Table P.
- Table 40P provides 18 compounds of Formula X2-A wherein Gl is oxygen, Rl is hydrogen, XI is chloro, X2 is C-I, X3 is chloro, Yl is CH, Y2 is CH, Y3 is CH and X4, R5 and R2 have the values listed in the Table P.
- Table 41P provides 18 compounds of Formula X2-A wherein Gl is oxygen, Rl is hydrogen, Xlis fluoro, X2 is C-F, X3 is fluoro, Yl is CH, Y2 is CH, Y3 is CH and X4, R5 and R2 have the values listed in the Table P.
- Table 42P provides 18 compounds of Formula X2-A wherein Gl is oxygen, Rl is hydrogen, XI is chloro, X2 is CH, X2 is bromo, Yl is CH, Y2 is CH, Y3 is CH and X4, R5 and R2 have the values listed in the Table P.
- Table 43P provides 18 compounds of Formula X2-A wherein Gl is oxygen, Rl is hydrogen, XI is chloro, X2 is CH, X3 is fluoro, Yl is CH, Y2 is CH, Y3 is CH and X4, R5 and R2 have the values listed in the Table P.
- Table 44P provides 18 compounds of Formula X2-A wherein Gl is oxygen, Rl is hydrogen, XI is chloro, X2 is CH, X3 is trifluoromethyl, Yl is CH, Y2 is CH, Y3 is CH and X4, R5 and R2 have the values listed in the Table P.
- Table 45P provides 18 compounds of Formula X2-A wherein Gl is oxygen, Rl is hydrogen, XI is chloro, X2 is C-Cl, X3 is trifluoromehtyl, Yl is CH, Y2 is CH, Y3 is CH and X4, R5 and R2 have the values listed in the Table P.
- Table 46P provides 18 compounds of Formula X2-A wherein Gl is oxygen, Rl is hydrogen, XI is trifluoromethyl, X2 is CH, X3 is trifluoromethyl, Yl is CH, Y2 is CH, Y3 is CH and X4, R5 and R2 have the values listed in the Table P.
- Table 47P provides 18 compounds of Formula X2-A wherein Gl is oxygen, Rl is hydrogen, XI is trifluoromethyl, X2 is C-CL, X3 is trifluoromethyl, Yl is CH, Y2 is CH, Y3 is CH and X4, R5 and R2 have the values listed in the Table P.
- Table 48P provides 18 compounds of Formula X2-A wherein Gl is oxygen, Rl is hydrogen, XI is trifluoromethyl, X2 is CH, X3 is hydrogen, Yl is CH, Y2 is CH, Y3 is CH and X4, R5 and R2 have the values listed in the Table P.
- Table 49P provides 18 compounds of Formula X3-A wherein Gl is oxygen, Rl is hydrogen, XI is chloro, X2 is CH, X3 is chloro, Yl is CH, Y2 is CH, Y3 is CH and X4, R5 and R2 have the values listed in the Table P.
- Table 50 ⁇ provides 18 compounds of Formula X3-A wherein Gl is oxygen, Rl is hydrogen, XI is chloro, X2 is C-F, X3 is hydrogen, Yl is CH, Y2 is CH, Y3 is CH and X4, R5 and R2 have the values listed in the Table P.
- Table 51P provides 18 compounds of Formula X3-A wherein Gl is oxygen, Rl is hydrogen, XI is fluoro, X2 is C-Cl, X3 is hydrogen, Yl is CH, Y2 is CH, Y3 is CH and X4, R5 and R2 have the values listed in the Table P.
- Table 52P provides 18 compounds of Formula X3-A wherein Gl is oxygen, Rl is hydrogen, XI is chloro, X2 is C-Cl, X3 is hydrogen, Yl is CH, Y2 is CH, Y3 is CH and X4, R5 and R2 have the values listed in the Table P.
- Table 53P provides 18 compounds of Formula X3-A wherein Gl is oxygen, Rl is hydrogen, XI is chloro, X2 is C-F, X3 is chloro, Yl is CH, Y2 is CH, Y3 is CH and X4, R5 and R2 have the values listed in the Table P.
- Table 54P provides 18 compounds of Formula X3-A wherein Gl is oxygen, Rl is hydrogen, XI is chloro, X2 is C-Cl, X3 is chloro, Yl is CH, Y2 is CH, Y3 is CH and X4, R5 and R2 have the values listed in the Table P.
- Table 55P provides 18 compounds of Formula X3-A wherein Gl is oxygen, Rl is hydrogen, XI is chloro, X2 is C-Br, X3 is chloro, Yl is CH, Y2 is CH, Y3 is CH and X4, R5 and R2 have the values listed in the Table P.
- Table 56P provides 18 compounds of Formula X3-A wherein Gl is oxygen, Rl is hydrogen, XI is chloro, X2 is C-I, X3 is chloro, Yl is CH, Y2 is CH, Y3 is CH and X4, R5 and R2 have the values listed in the Table P.
- Table 57P provides 18 compounds of Formula X3-A wherein Gl is oxygen, Rl is hydrogen, Xlis fluoro, X2 is C-F, X3 is fluoro, Yl is CH, Y2 is CH, Y3 is CH and X4, R5 and R2 have the values listed in the Table P.
- Table 58P provides 18 compounds of Formula X3-A wherein Gl is oxygen, Rl is hydrogen, XI is chloro, X2 is CH, X2 is bromo, Yl is CH, Y2 is CH, Y3 is CH and X4, R5 and R2 have the values listed in the Table P.
- Table 59P provides 18 compounds of Formula X3-A wherein Gl is oxygen, Rl is hydrogen, XI is chloro, X2 is CH, X3 is fluoro, Yl is CH, Y2 is CH, Y3 is CH and X4, R5 and R2 have the values listed in the Table P.
- Table 60P
- Table 60P provides 18 compounds of Formula X3-A wherein Gl is oxygen, Rl is hydrogen, XI is chloro, X2 is CH, X3 is trifluoromethyl, Yl is CH, Y2 is CH, Y3 is CH and X4, R5 and R2 have the values listed in the Table P.
- Table 61P provides 18 compounds of Formula X3-A wherein Gl is oxygen, Rl is hydrogen, XI is chloro, X2 is C-Cl, X3 is trifluoromehtyl, Yl is CH, Y2 is CH, Y3 is CH and X4, R5 and R2 have the values listed in the Table P.
- Table 62P provides 18 compounds of Formula X3-A wherein Gl is oxygen, Rl is hydrogen, XI is trifluoromethyl, X2 is CH, X3 is trifluoromethyl, Yl is CH, Y2 is CH, Y3 is CH and X4, R5 and R2 have the values listed in the Table P.
- Table 63P provides 18 compounds of Formula X3-A wherein Gl is oxygen, Rl is hydrogen, XI is trifluoromethyl, X2 is C-CL, X3 is trifluoromethyl, Yl is CH, Y2 is CH, Y3 is CH and X4, R5 and R2 have the values listed in the Table P.
- Table 64P provides 18 compounds of Formula X3-A wherein Gl is oxygen, Rl is hydrogen, XI is
- Table 65P provides 18 compounds of Formula X4-A wherein Gl is oxygen, Rl is hydrogen, XI is chloro, X2 is CH, X3 is chloro, Yl is CH, Y2 is CH, Y3 is CH and X4, R5 and R2 have the values listed in the Table P.
- Table 66P provides 18 compounds of Formula X4-A wherein Gl is oxygen, Rl is hydrogen, XI is chloro, X2 is C-F, X3 is hydrogen, Yl is CH, Y2 is CH, Y3 is CH and X4, R5 and R2 have the values listed in the Table P.
- Table 67P provides 18 compounds of Formula X4-A wherein Gl is oxygen, Rl is hydrogen, XI is fluoro, X2 is C-Cl, X3 is hydrogen, Yl is CH, Y2 is CH, Y3 is CH and X4, R5 and R2 have the values listed in the Table P.
- Table 68P provides 18 compounds of Formula X4-A wherein Gl is oxygen, Rl is hydrogen, XI is chloro, X2 is C-Cl, X3 is hydrogen, Yl is CH, Y2 is CH, Y3 is CH and X4, R5 and R2 have the values listed in the Table P.
- Table 69P provides 18 compounds of Formula X4-A wherein Gl is oxygen, Rl is hydrogen, XI is chloro, X2 is C-F, X3 is chloro, Yl is CH, Y2 is CH, Y3 is CH and X4, R5 and R2 have the values listed in the Table P.
- Table 70P provides 18 compounds of Formula X4-A wherein Gl is oxygen, Rl is hydrogen, XI is chloro, X2 is C-Cl, X3 is chloro, Yl is CH, Y2 is CH, Y3 is CH and X4, R5 and R2 have the values listed in the Table P.
- Table 71P
- Table 71P provides 18 compounds of Formula X4-A wherein Gl is oxygen, Rl is hydrogen, XI is chloro, X2 is C-Br, X3 is chloro, Yl is CH, Y2 is CH, Y3 is CH and X4, R5 and R2 have the values listed in the Table P.
- Table 72 ⁇ provides 18 compounds of Formula X4-A wherein Gl is oxygen, Rl is hydrogen, XI is chloro, X2 is C-I, X3 is chloro, Yl is CH, Y2 is CH, Y3 is CH and X4, R5 and R2 have the values listed in the Table P.
- Table 73P provides 18 compounds of Formula X4-A wherein Gl is oxygen, Rl is hydrogen, Xlis fluoro, X2 is C-F, X3 is fluoro, Yl is CH, Y2 is CH, Y3 is CH and X4, R5 and R2 have the values listed in the Table P.
- Table 74P provides 18 compounds of Formula X4-A wherein Gl is oxygen, Rl is hydrogen, XI is chloro, X2 is CH, X2 is bromo, Yl is CH, Y2 is CH, Y3 is CH and X4, R5 and R2 have the values listed in the Table P.
- Table 75P provides 18 compounds of Formula X4-A wherein Gl is oxygen, Rl is hydrogen, XI is chloro, X2 is CH, X3 is fluoro, Yl is CH, Y2 is CH, Y3 is CH and X4, R5 and R2 have the values listed in the Table P.
- Table 76P provides 18 compounds of Formula X4-A wherein Gl is oxygen, Rl is hydrogen, XI is chloro, X2 is CH, X3 is trifluoromethyl, Yl is CH, Y2 is CH, Y3 is CH and X4, R5 and R2 have the values listed in the Table P.
- Table 77P provides 18 compounds of Formula X4-A wherein Gl is oxygen, Rl is hydrogen, XI is chloro, X2 is C-Cl, X3 is trifluoromehtyl, Yl is CH, Y2 is CH, Y3 is CH and X4, R5 and R2 have the values listed in the Table P.
- Table 78P provides 18 compounds of Formula X4-A wherein Gl is oxygen, Rl is hydrogen, XI is trifluoromethyl, X2 is CH, X3 is trifluoromethyl, Yl is CH, Y2 is CH, Y3 is CH and X4, R5 and R2 have the values listed in the Table P.
- Table 79P provides 18 compounds of Formula X4-A wherein Gl is oxygen, Rl is hydrogen, XI is trifluoromethyl, X2 is C-CL, X3 is trifluoromethyl, Yl is CH, Y2 is CH, Y3 is CH and X4, R5 and R2 have the values listed in the Table P.
- Table 80P provides 18 compounds of Formula X4-A wherein Gl is oxygen, Rl is hydrogen, XI is trifluoromethyl, X2 is CH, X3 is hydrogen, Yl is CH, Y2 is CH, Y3 is CH and X4, R5 and R2 have the values listed in the Table P.
- Table IX provides 18 compounds of Formula X5-A wherein Gl is oxygen, Rl is hydrogen, Yl is CH, Y2 is CH, Y3 is CH, X5 is chloro, R5 and R2 have the values listed in the Table X.
- Table 2X provides 18 compounds of Formula X5-A wherein Gl is oxygen, Rl is hydrogen, Yl is CH, Y2 is CH, Y3 is CH, X5 is bromo, R5 and R2 have the values listed in the Table X.
- Table 3X provides 18 compounds of Formula X5-A wherein Gl is oxygen, Rl is hydrogen, Yl is CH, Y2 is CH, Y3 is CH, X5 is iodo, R5 and R2 have the values listed in the Table X.
- Table 4X provides 18 compounds of Formula X5-A wherein Gl is oxygen, Rl is hydrogen, Yl is CH, Y2 is CH, Y3 is CH, X5 is amino, R5 and R2 have the values listed in the Table X.
- Table 5X provides 18 compounds of Formula X5-A wherein Gl is oxygen, Rl is hydrogen, Yl is CH, Y2 is CH, Y3 is CH, X5 is CHO, R5 and R2 have the values listed in the Table X.
- Table 6X provides 18 compounds of Formula X5-A wherein Gl is oxygen, Rl is hydrogen, Yl is CH, Y2 is CH, Y3 is CH, X5 is CN, R5 and R2 have the values listed in the Table X.
- Table 7X provides 18 compounds of Formula X5-A wherein Gl is oxygen, Rl is hydrogen, Yl is CH, Y2 is CH, Y3 is CH, X5 is OH, R5 and R2 have the values listed in the Table X.
- the invention provides a compound selected from Tables IP to 16P for use in controlling and/or preventing insects of the family Curculionidae, preferably in for use in controlling and/or preventing Anthonomus grandis.
- insects from the family of Curculionidae. are Anthonomus corvulus,
- the invention provides a compound selected from Tables IP to 16P for use against Anthonomus grandis in cotton.
- the invention provides a compound selected from Tables IP to 16P for use in controlling and/or preventing soil pests.
- the invention provides a compound selected from Tables IP to 16P for use in controlling and/or preventing corn rootworm, in particular for use against corn root worm from the genus Diabrotica.
- the invention provides a compound selected from Tables IP to 16P for use in controlling and/or preventing Diabrotica virgifera.
- the invention provides a compound selected from Tables IP to 16P for use in controlling and/or preventing Diabrotica barberi.
- the invention provides a compound selected from Tables IP to 16P for use in controlling and/or preventing Diabrotica undecimpunctata howardi.
- the invention provides a compound selected from Tables IP to 16P for use in controlling and/or preventing wireworms, in particular Agriotes spp.
- the invention provides a compound selected from Tables IP to 16P for use in controlling and/or preventing Agriotes spp. in cereals, potato or corn.
- Agriotes spp. include Agriotes Uneatus, Agriotes obscurus, Agriotes brevis, Agriotes gurgistanus, Agriotes sputator, Agriotes ustulatus, Ctenicera destructor, and Limonius californicus.
- the invention provides a compound selected from Tables IP to 16P for use in controlling and/or preventing grubs, in particular white grubs. In one embodiment the invention provides a compound selected from Tables IP to 16P for use in controlling and/or preventing Phyllophaga spp., particularly on corn, soybean or cotton.
- the invention provides a compound selected from Tables IP to 16P for use in controlling and/or preventing Diloboderus spp. particularly on corn, soybean or cotton.
- the invention provides a compound selected from Tables IP to 16P for use in controlling and/or preventing Popillia japonica, particularly on corn, soybean or cotton.
- white grubs include Phyllophaga anxia, Phyllophaga crinite, Phyllophaga subnitida, Diloboderus abderus.
- the invention provides a compound selected from Tables IP to 16P for use in controlling and/or preventing termites, e.g. on sugarcane.
- termites include Reticulitermes, Coptotermes, Macrotermes, Microtermes, Globitermes.
- specific of subterranean termites include Reticulitermes flavipes, Reticulitermes hesperus, Reticulitermes verginicus, Reticulitermes hageni, Reticulitermes speratus, Reticulitermes lucifugus, Heterotermes aureus, Coptotermes formosanus, Coptotermes acinaciformis, Coptotermes curvignathus, Nasutitermes exitiosus, Nasutitermes walkeri, Mastotermes darwiniensis, Schedorhinotermes spp, Macrotermes bellicosus, Macrotermes spp., Globitermes sulphureus, Odontotermes spp..
- Specific examples of dry wood termites include Incisitermes minor, Marginitermes hubbardi, Cryptotermes brevis, Kalotermes flavicollis. Additional examples of termites include procornitermes
- the invention provides a compound selected from Tables IP to 16P for use in controlling and/or preventing subterraneous stinkbugs, e.g. Scaptocoris spp..
- the invention provides a compound selected from Tables IP to 16P for use in controlling and/or preventing Scaptocoris castaneus, in particular on cereals, soybean or corn.
- the invention provides a compound selected from Tables IP to 16P for use in controlling and/or preventing cutworms, e.g. agrotis spp..
- the invention provides a compound selected from Tables IP to 16P for use in controlling and/or preventing Agrotis ipsilon, particularly on cereals, canola, soybean or corn.
- the invention provides a compound selected from Tables IP to 16P for use in controlling and/or preventing millipedes, e.g. Julus spp..
- the invention provides a compound selected from Tables IP to 16P for use in controlling and/or preventing Julus spp., particularly on cereals, canola, soybean & corn.
- the invention provides a compound selected from Tables IP to 16P for use in controlling and/or preventing broca gigante, e.g. Telchin licus, particularly on sugarcane.
- the invention provides a compound selected from Tables IP to 16P for use in controlling and/or preventing whitefly.
- the invention provides a compound selected from Tables IP to 16P for use in controlling and/or preventing Bemisia tabaci, particularly on vegetables, cotton, soybean, or potatoes. In one embodiment the invention provides a compound selected from Tables IP to 16P for use in controlling and/or preventing Trialeurodes vapor ariorum, particularly on vegetables, cotton, soybean, or potatoes.
- the invention provides a compound selected from Tables IP to 16P for use in controlling and/or preventing stinkbugs, in particular Euschistus spp.
- the invention provides a compound selected from Tables IP to 16P for use in controlling and/or preventing Euschistus spp., particularly in soybean.
- stinkbugs include Nezara spp. (e.g. Nezara viridula, Nezara antennata, Nezara hilare), Piezodorus spp. (e.g. Piezodorus guildinii), Acrosternum spp. Euchistus spp. (e.g. Euchistus heros, Euschistus servus), Halyomorpha halys, Plautia crossota, Riptortus clavatus, Rhopalus msculatus, Antestiopsis orbitalus, Dichelops spp. (e.g. Dichelops furcatus, Dichelops melacanthus), Eurygaster spp. (e.g.
- Eurygaster intergriceps, Eurygaster maura Oebalus spp. (e.g. Oebalus mexicana, Oebalus poecilus, Oebalus pugnase, Scotinophara spp. (e.g. Scotinophara lurida, Scotinophara coarctata).
- Preferred targets include Antestiopsis orbitalus, Dichelops furcatus, Dichelops melacanthus, Euchistus heros, Euschistus servus, Nezara viridula, Nezara hilare, Piezodorus guildinii, Halyomorpha halys.
- the stinkbug target is Nezara viridula, Piezodorus spp., Acrosternum spp, Euchistus heros.
- the invention provides a compound selected from Tables IP to 16P for use against rice pests.
- the invention provides a compound selected from Tables IP to 16P for use against stemborer, particularly in rice.
- Sesamia sp Sesamia inferens.
- the invention provides a compound selected from Tables IP to 16P for use against leaffolder, particularly in rice.
- leaffolders include Cnaphalocrocis spp., Cnaphalocrocis medinalis, Marasmia spp., Marasmia patnalis, Marasmia exigua.
- the invention provides a compound selected from Tables IP to 16P for use against hoppers, particularly in rice.
- Hoppers include Nephotettix spp., Nephotettix virescens, Nephotettix nigropictus, Nephotettix malayanus, Nephotettix cincticeps, Nilaparvata lugens, Sogatella furcifera.
- the invention provides a compound selected from Tables IP to 16P for use against gallmidge, particularly in rice.
- Gall midge examples include Orseolia sp, Orseolia oryzae.
- the invention provides a compound selected from Tables IP to 16P for use against whorl maggot, particularly in rice.
- whorl maggots include Hydrellia sp, Hydrellia philippina.
- the invention provides a compound selected from Tables IP to 16P for use against Rice bugs, particularly in rice.
- rice bugs examples include Leptocorisa sp, Leptocorisa oratorius, Leptocorisa chinensis, Leptocorisa acuta.
- the invention provides a compound selected from Tables IP to 16P for use against Black bugs, particularly in rice.
- Black bugs examples include Scotinophara sp, Scotinophara coarctata, Scotinophara lurida, Scotinophara latiuscula.
- the invention provides a compound selected from Tables IP to 16P for use against plutella spp..
- the invention provides a compound selected from Tables IP to 16P for use against Plutella xylostella, particularly in brassica crops.
- the invention provides a method of controlling insects, acarines, nematodes or molluscs, preferably in a crop of useful plants, which comprises applying to a pest, to a locus of a pest, or to a plant susceptible to attack by a pest an insecticidally, acaricidally, nematicidally or molluscicidally effective amount of a compound of formula ⁇
- G 1 is oxygen
- R 1 is hydrogen
- R 2 is thietan-3-yl-, l-oxo-thietan-3-yl-, l,l -dioxo-thietan-3-yl-, thietan-3-ylmethyl-, l-oxo-thietan-3- ylmethyl-, or l,l -dioxo-thietan-3-ylmethyl-;
- Y 1 , Y 2 and Y 3 are independently CH or nitrogen;
- R 5 is hydrogen, halogen, cyano, nitro, NH 2 , Ci-C 2 alkyl, Ci-C 2 haloalkyl, C3-C 5 cycloalkyl, d- C 2 halocycloalkyl, Ci-C 2 alkoxy, Ci-C 2 haloalkoxy;
- X 2 is C-X 6 ;
- ⁇ ', ⁇ 3 and X 6 are independently halogen or trihalomethyl
- X 4 is trifluoromethyl, difluoromethyl or chlorodifluoromethyl.
- X is C-Cl, X is chloro, or X is chloro, X is C-F, X is chloro, or X is chloro, X is C-Br, X is chloro, or
- X 1 is chloro, X2 is C-Cl, X 3 is trifluoromethyl, or X 1 is trifluoromethyl, X 2 is C-Cl, X 3 is trifluoromethyl, or X 1 is fluoro, X 2 is C-F, X 3 is fluoro, and X 4 is CF 3 , then the method does not comprise applying the compound of formula I to a crop of soybean plants, the locus thereof, or propagation material thereof, and the method is not for control of stinkbugs; and/or
- the compound is not a compound wherein R 2 is thietan-3-yl-, l -oxo-thietan-3-yl-, 1,1 - Dioxo-thietan-3-yl-; Y 1 , Y 2 and Y 3 are CH; R 5 is methyl; X 2 is bromo, X 2 is C-Cl, X 3 is bromo and X 4 is CF 3 .
- the invention provides a method of protecting useful plants from insects, acarines, nematodes or molluscs, comprising applying to said plant, to the locus thereof, or to plant propagation material thereof, an insecticidally, acaricidally, nematicidally or molluscicidally effective amount of a compound of formula ⁇ as defined above, including preferences thereof.
- said methods do not comprise applying the compound of formula ⁇ to a crop of soybean plants, the locus thereof, or propagation material thereof, and the method is not for control of stinkbugs.
- R 2 is thietan-3-yl-, l-oxo-thietan-3-yl-, or l,l -dioxo-thietan-3-yl-.
- R 5 is hydrogen, chloro, bromo, fluoro, trifluoromethyl, methyl, ethyl, methoxy, nitro, trifluoromethoxy, cyano, cyclopropyl, more preferably R 5 is hydrogen, chloro, bromo, fluoro, trifluoromethyl, methyl, ethyl, nitro, cyano, cyclopropyl, even more preferably R 5 is chloro, bromo, fluoro, methyl, trifluoromethyl. Most preferably R 5 is chloro or methyl.
- Y 1 is CH, Y 2 is CH, Y 3 is CH, or Y 1 is N, Y 2 is CH, Y 3 is CH, or Y 1 is N, Y 2 is N, Y 3 is CH, orY 1 is CH, Y 2 is N, Y 3 is CH, orY 1 is CH, Y 2 is CH, Y 3 is N. More preferably Y 1 is CH, Y 2 is CH, Y 3 is CH.
- X is chloro
- X is C-Br
- X is chloro
- X is chloro
- X is C-F
- X is chloro
- X 2 is C-Cl
- X 3 is chloro
- X 1 is chloro
- X 2 is C-I
- X 3 is chloro
- X 1 is fluoro
- X 2 is C-F
- X 3 is
- X is chloro, X is C-Cl, X is chloro, or X is chloro, X is C-F, X is chloro.
- X 4 is trifluoromethyl.
- the invention provides compounds of formula ⁇ wherein
- G 1 is oxygen
- R 1 is hydrogen
- R 2 is thietan-3-yl-, l -oxo-thietan-3-yl-, l,l -Dioxo-thietan-3-yl-, thietan-3-ylmethyl-, 1 -oxo- thietan-3-ylmethyl-, or l,l -Dioxo-thietan-3-ylmethyl-;
- Y 1 is CH, Y 2 is CH, Y 3 is CH; R 5 is chloro, bromo, fluoro, methyl, trifluoromethyl;
- X is chloro, X is C-Cl, X is chloro, or X is chloro, X is C-F, X is chloro;
- X 4 is trifluoromethyl.
- G 1 is oxygen
- R 1 is hydrogen
- R is thietan-3-yl-, l -oxo-thietan-3-yl-, l,l -Dioxo-thietan-3-yl-;
- Y 1 is CH, Y 2 is CH, Y 3 is CH;
- R 5 is chloro, bromo, fluoro, methyl, trifluoromethyl
- X is chloro, X is C-Cl, X is chloro, or X is chloro, X is C-F, X is chloro;
- X is trifluoromethyl
- the invention provides compounds of formula ⁇ wherein X 1 is chloro, X 2 is C-Br,
- X J is chloro and G , R , R R D , Y , Y Y J and X" are as defined for the compound of formula ⁇ .
- the invention provides compounds of formula ⁇ wherein X 1 is chloro, X 2 is C-F,
- X J is chloro and G , R , R R D , Y , Y Y J and X" are as defined for the compound of formula ⁇ .
- the invention provides compounds of formula ⁇ wherein X 1 is chloro, X 2 is C-Cl,
- X J is chloro and G , R , R R Y , Y Y J and X" are as defined for the compound of formula ⁇ .
- the invention provides compounds of formula ⁇ wherein X 1 is chloro, X 2 is C-I,
- X J is chloro and G , R , R R Y , Y Y J and X" are as defined for the compound of formula ⁇ .
- the invention provides compounds of formula ⁇ wherein X 1 is fluoro, X 2 is C-F,
- X J is fluoro and G , R , R R Y , Y Y J and X" are as defined for the compound of formula ⁇ .
- the invention provides compounds of formula ⁇ wherein X 1 is chloro, X 2 is C-Cl,
- X J is trifluoromethyl and G , R , R R Y , Y Y J and X" are as defined for the compound of formula ⁇ .
- the invention provides compounds of formula ⁇ wherein X 1 is trifluoromethyl, X 2 is C-Cl, X 3 is trifluoromethyl and G 1 , R 1 , R 2 , R 5 , Y 1 , Y 2 , Y 3 and X 4 are as defined for the compound of formula ⁇ .
- Table Q indicates compounds of formula Faccording to the above aspect of the invention.
- Table 1Q provides 72 compounds of Formula ⁇ - ⁇ wherein Gl is oxygen, Rl is hydrogen, XI is chloro, X2 is C-F, X3 is chloro, Yl is CH, Y2 is CH, Y3 is CH and X4, R5 and R2 have the values listed in the Table Q.
- Table 2Q provides 72 compounds of Formula ⁇ - ⁇ wherein Gl is oxygen, Rl is hydrogen, XI is chloro, X2 is C-Cl, X3 is chloro, Yl is CH, Y2 is CH, Y3 is CH and X4, R5 and R2 have the values listed in the Table Q.
- Table 3Q provides 72 compounds of Formula ⁇ - ⁇ wherein Gl is oxygen, Rl is hydrogen, XI is chloro, X2 is C-Br, X3 is chloro, Yl is CH, Y2 is CH, Y3 is CH and X4, R5 and R2 have the values listed in the Table Q.
- Table 4Q provides 72 compounds of Formula ⁇ - ⁇ wherein Gl is oxygen, Rl is hydrogen, XI is chloro, X2 is C-I, X3 is chloro, Yl is CH, Y2 is CH, Y3 is CH and X4, R5 and R2 have the values listed in the Table Q.
- Table 5Q provides 72 compounds of Formula ⁇ - ⁇ wherein Gl is oxygen, Rl is hydrogen, Xlis fluoro, X2 is C-F, X3 is fluoro, Yl is CH, Y2 is CH, Y3 is CH and X4, R5 and R2 have the values listed in the Table Q.
- Table 6Q provides 72 compounds of Formula ⁇ - ⁇ wherein Gl is oxygen, Rl is hydrogen, XI is chloro, X2 is C-Cl, X3 is trifluoromethyl, Yl is CH, Y2 is CH, Y3 is CH and X4, R5 and R2 have the values listed in the Table Q.
- Table 7Q provides 72 compounds of Formula ⁇ - ⁇ wherein Gl is oxygen, Rl is hydrogen, XI is trifluoromethyl, X2 is C-CL, X3 is trifluoromethyl, Yl is CH, Y2 is CH, Y3 is CH and X4, R5 and R2 have the values listed in the Table Q.
- the invention provides a compound selected from Tables 1 Q to 7Q for use in controlling and/or preventing insects of the family Curculionidae, preferably in for use in controlling and/or preventing Anthonomus grandis.
- insects from the family of Curculionidae. are Anthonomus corvulus,
- the invention provides a compound selected from Tables 1 Q to 7Q for use against Anthonomus grandis in cotton.
- the invention provides a compound selected from Tables 1 Q to 7Q for use in controlling and/or preventing soil pests.
- the invention provides a compound selected from Tables 1 Q to 7Q for use in controlling and/or preventing corn rootworm, in particular for use against corn root worm from the genus Diabrotica.
- the invention provides a compound selected from Tables 1 Q to 7Q for use in controlling and/or preventing Diabrotica virgifera.
- the invention provides a compound selected from Tables 1 Q to 7Q for use in controlling and/or preventing Diabrotica barberi.
- the invention provides a compound selected from Tables 1 Q to 7Q for use in controlling and/or preventing Diabrotica undecimpunctata howardi.
- the invention provides a compound selected from Tables 1 Q to 7Q for use in controlling and/or preventing wireworms, in particular Agriotes spp.
- the invention provides a compound selected from Tables 1 Q to 7Q for use in controlling and/or preventing Agriotes spp. in cereals, potato or corn.
- Agriotes spp. include Agriotes lineatus, Agriotes obscurus, Agriotes brevis, Agriotes gurgistanus, Agriotes sputator, Agriotes ustulatus, Ctenicera destructor, and Limonius californicus.
- the invention provides a compound selected from Tables 1 Q to 7Q for use in controlling and/or preventing grubs, in particular white grubs.
- the invention provides a compound selected from Tables 1 Q to 7Q for use in controlling and/or preventing Phyllophaga spp., particularly on corn, soybean or cotton.
- the invention provides a compound selected from Tables 1Q to 7Q for use in controlling and/or preventing Diloboderus spp. particularly on corn, soybean or cotton. In one embodiment the invention provides a compound selected from Tables 1 Q to 7Q for use in controlling and/or preventing Popillia japonica, particularly on corn, soybean or cotton.
- white grubs include Phyllophaga anxia, Phyllophaga crinite,
- the invention provides a compound selected from Tables 1 Q to 7Q for use in controlling and/or preventing termites, e.g. on sugarcane.
- termites include Reticulitermes, Coptotermes, Macrotermes, Microtermes,
- Globitermes Specific of subterranean termites include Reticulitermes flavipes, Reticulitermes hesperus, Reticulitermes verginicus, Reticulitermes hageni, Reticulitermes speratus, Reticulitermes lucifugus, Heterotermes aureus, Coptotermes formosanus, Coptotermes acinaciformis, Coptotermes curvignathus, Nasutitermes exitiosus, Nasutitermes walkeri, Mastotermes darwiniensis, Schedorhinotermes spp, Macrotermes bellicosus, Macrotermes spp., Globitermes sulphureus, Odontotermes spp.. Specific examples of dry wood termites include Incisitermes minor, Marginitermes hubbardi, Cryptotermes brevis, Kalotermes flavicollis. Additional examples of termites include procornitermes spp. and procornitermes araujoi
- the invention provides a compound selected from Tables 1 Q to 7Q for use in controlling and/or preventing subterraneous stinkbugs, e.g. Scaptocoris spp..
- the invention provides a compound selected from Tables 1 Q to 7Q for use in controlling and/or preventing Scaptocoris castaneus, in particular on cereals, soybean or corn.
- the invention provides a compound selected from Tables 1 Q to 7Q for use in controlling and/or preventing cutworms, e.g. agrotis spp..
- the invention provides a compound selected from Tables 1 Q to 7Q for use in controlling and/or preventing Agrotis ipsilon, particularly on cereals, canola, soybean or corn.
- the invention provides a compound selected from Tables 1 Q to 7Q for use in controlling and/or preventing millipedes, e.g. Julus spp..
- the invention provides a compound selected from Tables 1 Q to 7Q for use in controlling and/or preventing Julus spp., particularly on cereals, canola, soybean & corn.
- the invention provides a compound selected from Tables 1 Q to 7Q for use in controlling and/or preventing broca gigante, e.g. Telchin licus, particularly on sugarcane.
- the invention provides a compound selected from Tables 1Q to 7Q for use in controlling and/or preventing whitefly.
- the invention provides a compound selected from Tables 1 Q to 7Q for use in controlling and/or preventing Bemisia tabaci, particularly on vegetables, cotton, soybean, or potatoes.
- the invention provides a compound selected from Tables 1 Q to 7Q for use in controlling and/or preventing Trialeurodes vaporariorum, particularly on vegetables, cotton, soybean, or potatoes.
- the invention provides a compound selected from Tables 1 Q to 7Q for use in controlling and/or preventing stinkbugs, in particular Euschis tus spp. In one embodiment the invention provides a compound selected from Tables 1 Q to 7Q for use in controlling and/or preventing Euschistus spp., particularly in soybean.
- stinkbugs include Nezara spp. (e.g. Nezara viridula, Nezara antennata, Nezara hilare), Piezodorus spp. (e.g. Piezodorus guildinii), Acrosternum spp. Euchistus spp. (e.g. Euchistus heros, Euschistus servus), Halyomorpha halys, Plautia crossota, Riptortus clavatus, Rhopalus msculatus, Antestiopsis orbitalus, Dichelops spp. (e.g. Dichelops furcatus, Dichelops melacanthus), Eurygaster spp. (e.g.
- Eurygaster intergriceps, Eurygaster maura Oebalus spp. (e.g. Oebalus mexicana, Oebalus poecilus, Oebalus pugnase, Scotinophara spp. (e.g. Scotinophara lurida, Scotinophara coarctata).
- Preferred targets include Antestiopsis orbitalus, Dichelops furcatus, Dichelops melacanthus, Euchistus heros, Euschistus servus, Nezara viridula, Nezara hilare, Piezodorus guildinii, Halyomorpha halys.
- the stinkbug target is Nezara viridula, Piezodorus spp., Acrosternum spp, Euchistus heros.
- the invention provides a compound selected from Tables 1 Q to 7Q for use against rice pests.
- the invention provides a compound selected from Tables 1 Q to 7Q for use against stemborer, particularly in rice.
- Sesamia sp Sesamia inferens.
- the invention provides a compound selected from Tables 1 Q to 7Q for use against leaffolder, particularly in rice.
- leaffolders include Cnaphalocrocis spp., Cnaphalocrocis medinalis, Marasmia spp., Marasmia patnalis, Marasmia exigua.
- the invention provides a compound selected from Tables 1 Q to 7Q for use against hoppers, particularly in rice.
- Hoppers include Nephotettix spp., Nephotettix virescens, Nephotettix nigropictus, Nephotettix malayanus, Nephotettix cincticeps, Nilaparvata lugens, Sogatella furcifera.
- the invention provides a compound selected from Tables 1 Q to 7Q for use against gallmidge, particularly in rice.
- Gall midge examples include Orseolia sp, Orseolia oryzae.
- the invention provides a compound selected from Tables 1 Q to 7Q for use against whorl maggot, particularly in rice.
- whorl maggots include Hydrellia sp, Hydrellia philippina.
- the invention provides a compound selected from Tables 1 Q to 7Q for use against Rice bugs, particularly in rice.
- rice bugs examples include Leptocorisa sp, Leptocorisa oratorius, Leptocorisa chinensis, Leptocorisa acuta.
- the invention provides a compound selected from Tables 1 Q to 7Q for use against Black bugs, particularly in rice.
- Black bugs examples include Scotinophara sp, Scotinophara coarctata, Scotinophara lurida, Scotinophara latiuscula.
- the invention provides a compound selected from Tables 1 Q to 7Q for use against plutella spp..
- the invention provides a compound selected from Tables 1 Q to 7Q for use against Plutella xylostella, particularly in brassica crops.
- the invention provides a method of controlling insects, acarines, nematodes or molluscs, preferably in a crop of useful plants, which comprises applying to a pest, to a locus of a pest, or to a plant susceptible to attack by a pest an insecticidally, acaricidally, nematicidally or molluscicidally effective amount of a compound of formula (I")
- G 1 is oxygen
- R 1 is hydrogen
- R 2 is thietan-3-ylmethyl-, l -oxo-thietan-3-ylmethyl-, l , l -dioxo-thietan-3-ylmethyl-;
- Y 1 , Y 2 and Y 3 are independently CH or nitrogen;
- R 5 is hydrogen, halogen, cyano, nitro, NH 2 , Ci-C 2 alkyl, Ci-C 2 haloalkyl, C 3 -C 5 cycloalkyl, C r
- X 2 is C-X 6 or nitrogen
- ⁇ ', ⁇ 3 and X 6 are independently hydrogen, halogen or trihalomethyl, wherein at least two of X 1 , X 3 and X 6 are not hydrogen;
- X 4 is trifluoromethyl, difluoromethyl or chlorodifluoromethyl
- X is CH, X is chloro, or X is chloro, X is C-F, X is hydrogen, or X is fluoro, X is C-Cl, X is hydrogen,
- X is chloro, X is C-Cl, X is hydrogen, or X is chloro, X is CH, X is bromo, or X is chloro, X is CH, X 3 is fluoro, or X 1 is chloro, X 2 is CH, X 3 is trifluoromethyl, or X 1 is trifluoromethyl, X 2 is C-H, X 3
- 1 2 3 1 2 3 is trifluoromethyl, or X is trifluoromethyl, X is CH, X is hydrogen, or X is chloro, X is C-Cl, X is 1 2 3 1 2 3 1 2 chloro, or X is chloro, X is C-F, X is chloro, or X is chloro, X is C-Br, X is chloro, or X is fluoro, X is C-F, X 3 is fluoro; or X 1 is chloro, X2 is C-Cl, X 3 is trifluoromethyl, or X 1 is trifluoromethyl, X 2 is C-Cl, X 3 is trifluoromethyl, and X 4 is CF 3 , then the method does not comprise applying the compound of formula I to a crop of soybean plants, the locus thereof, or propagation material thereof, and the method is not for control of stinkbugs.
- the method does not comprise applying the compound of formula I" to a crop of soybean plants, the locus thereof, or propagation material thereof, and the method is not for control of stinkbugs.
- the invention provides a method of protecting useful plants from insects, acarines, nematodes or molluscs, comprising applying to said plant, to the locus thereof, or to plant propagation material thereof, an insecticidally, acaricidally, nematicidally or molluscicidally effective amount of a compound of formula ⁇ ' as defined above, including preferences thereof.
- said methods do not comprise applying the compound of formula ⁇ ' to a crop of soybean plants, the locus thereof, or propagation material thereof, and the method is not for control of stinkbugs.
- R 2 , R 5 , Y 1 , Y 2 , Y 3 , X 1 , X 2 , X 3 , X 4 , X 5 and X 6 for compounds of formula I" are, in any combination, as set out below.
- R 5 is hydrogen, chloro, bromo, fluoro, trifluoromethyl, methyl, ethyl, methoxy, nitro, trifluoromethoxy, cyano, cyclopropyl, more preferably R 5 is hydrogen, chloro, bromo, fluoro, trifluoromethyl, methyl, ethyl, nitro, cyano, cyclopropyl, even more preferably R 5 is chloro, bromo, fluoro, methyl, trifluoromethyl. Most preferably R 5 is chloro or methyl.
- Y 1 is CH, Y 2 is CH, Y 3 is CH, or Y 1 is N, Y 2 is CH, Y 3 is CH, or Y 1 is N, Y 2 is N, Y 3 is CH, orY 1 is CH, Y 2 is N, Y 3 is CH, orY 1 is CH, Y 2 is CH, Y 3 is N. More preferably Y 1 is CH, Y 2 is CH, Y 3 is CH.
- X is chloro
- X is CH
- X is chloro
- X is chloro
- X is C-F
- X is hydrogen
- X is hydrogen
- X is C-I, X is chloro, or X is fluoro, X is C-F, X is fluoro, orX is chloro, X is CH, X is
- X is chloro
- X is CH, X is fluoro, orX is chloro
- X is CH, X is trifluoromethyl, or X is chloro
- X 2 is C-Cl
- X 3 is trifluoromethyl, or X 1 is trifluoromethyl, X 2 is CH, X 3 is trifluoromethyl, or X 1 is trifluoromethyl, X 2 is C-Cl, X 3 is trifluoromethyl, or X 1 is trifluoromethyl, X 2 is CH, X 3 is hydrogen, or
- X 1 is chloro, X 2 is N, X 3 is chloro, or X 1 is trifluoromethyl, X 2 is N, X 3 is trifluoromethyl.
- X 1 is chloro, X 2 is CH, X 3 is chloro, or X 1 is chloro, X 2 is C-Cl, X 3 is chloro, or X 1 is chloro, X 2 is C-F, X 3 is chloro, or X 1 is trifluoromethyl, X 2 is CH, X 3 is trifluoromethyl.
- X 1 is chloro, X 2 is CH, X 3 is chloro.
- X 4 is trifluoromethyl.
- the invention provides compounds of formula I" wherein G 1 is oxygen;
- R 1 is hydrogen
- R 2 is thietan-3 -ylmethyl-, 1 -oxo-thietan-3 -ylmethyl-, or 1,1 -Dioxo-thietan-3 -ylmethyl-;
- Y 1 is CH, Y 2 is CH, Y 3 is CH;
- R 5 is chloro, bromo, fluoro, methyl, trifluoromethyl
- X 1 is chloro, X 2 is CH, X 3 is chloro, X 1 is chloro, X 2 is C-Cl, X 3 is chloro, X 1 is chloro, X 2 is C-F, X 3 is chloro, or X 1 is trifluoromethyl, X 2 is CH, X 3 is trifluoromethyl;
- X 4 is trifluoromethyl.
- the invention provides compounds of formula I" wherein R 2 is thietan-3 - ylmethyl- and G 1 , R 1 , R 5 , Y 1 , Y 2 , Y 3 , X 1 , X 2 , X 3 and X 4 are as defined for the compound of formula I".
- the invention provides compounds of formula I" wherein R 2 is 1 -oxo-thietan-3 - ylmethyl- and G 1 , R 1 , R 5 , Y 1 , Y 2 , Y 3 , X 1 , X 2 , X 3 and X 4 are as defined for the compound of formula I".
- the invention provides compounds of formula I" wherein R 2 is 1,1-Dioxo-thietan- 3-ylmethyl- and G 1 , R 1 , R 5 , Y 1 , Y 2 , Y 3 , X 1 , X 2 , X 3 and X 4 are as defined for the compound of formula I".
- Table S indicates compounds according to the above aspect of the invention.
- Table I S provides 36 compounds of Formula I"-A wherein Gl is oxygen, Rl is hydrogen, XI is chloro, X2 is CH, X3 is chloro, Yl is CH, Y2 is CH, Y3 is CH and X4, R5 and R2 have the values listed in the Table S.
- Table 2S provides 36 compounds of Formula ⁇ '- ⁇ wherein Gl is oxygen, Rl is hydrogen, XI is chloro, X2 is C-F, X3 is hydrogen, Yl is CH, Y2 is CH, Y3 is CH and X4, R5 and R2 have the values listed in the Table S.
- Table 3S provides 36 compounds of Formula ⁇ '- ⁇ wherein Gl is oxygen, Rl is hydrogen, XI is fluoro, X2 is C-Cl, X3 is hydrogen, Yl is CH, Y2 is CH, Y3 is CH and X4, R5 and R2 have the values listed in the Table S.
- Table 4S provides 36 compounds of Formula I"-A wherein Gl is oxygen, Rl is hydrogen, XI is chloro, X2 is C-Cl, X3 is hydrogen, Yl is CH, Y2 is CH, Y3 is CH and X4, R5 and R2 have the values listed in the Table S.
- Table 5S provides 36 compounds of Formula ⁇ '- ⁇ wherein Gl is oxygen, Rl is hydrogen, XI is chloro, X2 is C-F, X3 is chloro, Yl is CH, Y2 is CH, Y3 is CH and X4, R5 and R2 have the values listed in the Table S.
- Table 6S provides 36 compounds of Formula I"-A wherein Gl is oxygen, Rl is hydrogen, XI is chloro, X2 is C-Cl, X3 is chloro, Yl is CH, Y2 is CH, Y3 is CH and X4, R5 and R2 have the values listed in the Table S.
- Table 7S provides 36 compounds of Formula I"-A wherein Gl is oxygen, Rl is hydrogen, XI is chloro, X2 is C-Br, X3 is chloro, Yl is CH, Y2 is CH, Y3 is CH and X4, R5 and R2 have the values listed in the Table S.
- Table 8S provides 36 compounds of Formula I"-A wherein Gl is oxygen, Rl is hydrogen, XI is chloro, X2 is C-I, X3 is chloro, Yl is CH, Y2 is CH, Y3 is CH and X4, R5 and R2 have the values listed in the Table S.
- Table 9S provides 36 compounds of Formula ⁇ '- ⁇ wherein Gl is oxygen, Rl is hydrogen, Xlis fluoro, X2 is C-F, X3 is fluoro, Yl is CH, Y2 is CH, Y3 is CH and X4, R5 and R2 have the values listed in the Table S.
- Table 10S provides 36 compounds of Formula ⁇ '- ⁇ wherein Gl is oxygen, Rl is hydrogen, XI is chloro, X2 is CH, X2 is bromo, Yl is CH, Y2 is CH, Y3 is CH and X4, R5 and R2 have the values listed in the Table S.
- Table 1 I S provides 36 compounds of Formula I"-A wherein Gl is oxygen, Rl is hydrogen, XI is chloro, X2 is CH, X3 is fluoro, Yl is CH, Y2 is CH, Y3 is CH and X4, R5 and R2 have the values listed in the Table S.
- Table 12S provides 36 compounds of Formula ⁇ '- ⁇ wherein Gl is oxygen, Rl is hydrogen, XI is chloro, X2 is CH, X3 is trifluoromethyl, Yl is CH, Y2 is CH, Y3 is CH and X4, R5 and R2 have the values listed in the Table S.
- Table 13S provides 36 compounds of Formula I"-A wherein Gl is oxygen, Rl is hydrogen, XI is chloro, X2 is C-Cl, X3 is trifluoromehtyl, Yl is CH, Y2 is CH, Y3 is CH and X4, R5 and R2 have the values listed in the Table S.
- Table 14S provides 36 compounds of Formula ⁇ '- ⁇ wherein Gl is oxygen, Rl is hydrogen, XI is trifluoromethyl, X2 is CH, X3 is trifluoromethyl, Yl is CH, Y2 is CH, Y3 is CH and X4, R5 and R2 have the values listed in the Table S.
- Table 15S provides 36 compounds of Formula ⁇ '- ⁇ wherein Gl is oxygen, Rl is hydrogen, XI is trifluoromethyl, X2 is C-Cl, X3 is trifluoromethyl, Yl is CH, Y2 is CH, Y3 is CH and X4, R5 and R2 have the values listed in the Table S.
- Table 16S provides 36 compounds of Formula I"-A wherein Gl is oxygen, Rl is hydrogen, XI is trifluoromethyl, X2 is CH, X3 is hydrogen, Yl is CH, Y2 is CH, Y3 is CH and X4, R5 and R2 have the values listed in the Table S.
- the invention provides a compound selected from Tables 1 S to 16S for use in controlling and/or preventing insects of the family Curculionidae, preferably in for use in controlling and/or preventing Anthonomus grandis.
- insects from the family of Curculionidae. are Anthonomus corvulus,
- the invention provides a compound selected from Tables 1 S to 16S for use against Anthonomus grandis in cotton.
- the invention provides a compound selected from Tables 1 S to 16S for use in controlling and/or preventing soil pests. In one embodiment the invention provides a compound selected from Tables 1 S to 16S for use in controlling and/or preventing corn rootworm, in particular for use against corn root worm from the genus Diabrotica.
- the invention provides a compound selected from Tables 1 S to 16S for use in controlling and/or preventing Diabrotica virgifera.
- the invention provides a compound selected from Tables 1 S to 16S for use in controlling and/or preventing Diabrotica barberi.
- the invention provides a compound selected from Tables 1 S to 16S for use in controlling and/or preventing Diabrotica undecimpunctata howardi.
- the invention provides a compound selected from Tables 1 S to 16S for use in controlling and/or preventing wireworms, in particular Agriotes spp.
- the invention provides a compound selected from Tables 1 S to 16S for use in controlling and/or preventing Agriotes spp. in cereals, potato or corn.
- Agriotes spp. include Agriotes Uneatus, Agriotes obscurus, Agriotes brevis, Agriotes gurgistanus, Agriotes sputator, Agriotes ustulatus, Ctenicera destructor, and Limonius californicus.
- the invention provides a compound selected from Tables 1 S to 16S for use in controlling and/or preventing grubs, in particular white grubs.
- the invention provides a compound selected from Tables 1 S to 16S for use in controlling and/or preventing Phyllophaga spp., particularly on corn, soybean or cotton.
- the invention provides a compound selected from Tables 1 S to 16S for use in controlling and/or preventing Diloboderus spp. particularly on corn, soybean or cotton.
- the invention provides a compound selected from Tables 1 S to 16S for use in controlling and/or preventing Popillia japonica, particularly on corn, soybean or cotton.
- white grubs include Phyllophaga anxia, Phyllophaga crinite,
- the invention provides a compound selected from Tables 1 S to 16S for use in controlling and/or preventing termites, e.g. on sugarcane.
- termites include Reticulitermes, Coptotermes, Macrotermes, Microtermes, Globitermes.
- Specific of subterranean termites include Reticulitermes flavipes, Reticulitermes hesperus, Reticulitermes verginicus, Reticulitermes hageni, Reticulitermes speratus, Reticulitermes lucifugus, Heterotermes aureus, Coptotermes formosanus, Coptotermes acinaciformis, Coptotermes curvignathus, Nasutitermes exitiosus, Nasutitermes walkeri, Mastotermes darwiniensis, Schedorhinotermes spp, Macrotermes bellicosus, Macrotermes spp., Globitermes sulphureus, Odontotermes spp..
- dry wood termites include Incisitermes minor, Marginitermes hubbardi, Cryptotermes brevis, Kalotermes flavicollis. Additional examples of termites include procornitermes spp. and procornitermes araujoi In one embodiment the invention provides a compound selected from Tables 1 S to 16S for use in controlling and/or preventing subterraneous stinkbugs, e.g. Scaptocoris spp..
- the invention provides a compound selected from Tables I S to 16S for use in controlling and/or preventing Scaptocoris castaneus, in particular on cereals, soybean or corn.
- the invention provides a compound selected from Tables 1 S to 16S for use in controlling and/or preventing cutworms, e.g. agrotis spp..
- the invention provides a compound selected from Tables 1 S to 16S for use in controlling and/or preventing Agrotis ipsilon, particularly on cereals, canola, soybean or corn.
- the invention provides a compound selected from Tables 1 S to 16S for use in controlling and/or preventing millipedes, e.g. Julus spp..
- the invention provides a compound selected from Tables 1 S to 16S for use in controlling and/or preventing Julus spp., particularly on cereals, canola, soybean & corn.
- the invention provides a compound selected from Tables 1 S to 16S for use in controlling and/or preventing broca gigante, e.g. Telchin licus, particularly on sugarcane.
- the invention provides a compound selected from Tables 1 S to 16S for use in controlling and/or preventing whitefly.
- the invention provides a compound selected from Tables 1 S to 16S for use in controlling and/or preventing Bemisia tabaci, particularly on vegetables, cotton, soybean, or potatoes.
- the invention provides a compound selected from Tables 1 S to 16S for use in controlling and/or preventing Trialeurodes vapor ariorum, particularly on vegetables, cotton, soybean, or potatoes.
- the invention provides a compound selected from Tables 1 S to 16S for use in controlling and/or preventing stinkbugs, in particular Euschistus spp.
- the invention provides a compound selected from Tables 1 S to 16S for use in controlling and/or preventing Euschistus spp., particularly in soybean.
- stinkbugs include Nezara spp. (e.g. Nezara viridula, Nezara antennata, Nezara hilare), Piezodorus spp. (e.g. Piezodorus guildinii), Acrosternum spp. Euchistus spp. (e.g. Euchistus heros, Euschistus servus), Halyomorpha halys, Plautia crossota, Riptortus clavatus, Rhopalus msculatus, Antestiopsis orbitalus, Dichelops spp. (e.g. Dichelops furcatus, Dichelops melacanthus), Eurygaster spp. (e.g.
- Eurygaster intergriceps, Eurygaster maura Oebalus spp. (e.g. Oebalus mexicana, Oebalus poecilus, Oebalus pugnase, Scotinophara spp. (e.g. Scotinophara lurida, Scotinophara coarctata).
- Preferred targets include Antestiopsis orbitalus, Dichelops furcatus, Dichelops melacanthus, Euchistus heros, Euschistus servus, Nezara viridula, Nezara hilare, Piezodorus guildinii, Halyomorpha halys.
- the stinkbug target is Nezara viridula, Piezodorus spp., Acrosternum spp, Euchistus heros.
- the invention provides a compound selected from Tables 1 S to 16S for use against rice pests. In one embodiment the invention provides a compound selected from Tables 1 S to 16S for use against stemborer, particularly in rice.
- Sesamia sp Sesamia inferens.
- the invention provides a compound selected from Tables 1 S to 16S for use against leaffolder, particularly in rice.
- leaffolders include Cnaphalocrocis spp., Cnaphalocrocis medinalis, Marasmia spp., Marasmia patnalis, Marasmia exigua.
- the invention provides a compound selected from Tables 1 S to 16S for use against hoppers, particularly in rice.
- Hoppers include Nephotettix spp., Nephotettix virescens, Nephotettix nigropictus, Nephotettix malayanus, Nephotettix cincticeps, Nilaparvata lugens, Sogatella furcifera.
- the invention provides a compound selected from Tables 1 S to 16S for use against gallmidge, particularly in rice.
- Gall midge examples include Orseolia sp, Orseolia oryzae.
- the invention provides a compound selected from Tables 1 S to 16S for use against whorl maggot, particularly in rice.
- whorl maggots include Hydrellia sp, Hydrellia philippina.
- the invention provides a compound selected from Tables 1 S to 16S for use against Rice bugs, particularly in rice.
- rice bugs examples include Leptocorisa sp, Leptocorisa oratorius, Leptocorisa chinensis, Leptocorisa acuta.
- the invention provides a compound selected from Tables 1 S to 16S for use against Black bugs, particularly in rice.
- Black bugs examples include Scotinophara sp, Scotinophara coarctata, Scotinophara lurida, Scotinophara latiuscula.
- the invention provides a compound selected from Tables 1 S to 16S for use against plutella spp..
- the invention provides a compound selected from Tables 1 S to 16S for use against Plutella xylostella, particularly in brassica crops.
- Compounds of formula I include at least one chiral centre and may exist as compounds of formula I* or compounds of formula I**.
- Compounds I* and I** are enantiomers if there is no other chiral center or epimers otherwise.
- mixtures of compounds I* and I** in any ratio e.g. in a molar ratio of 1 :99 to 99: 1, e.g. 10: 1 to 1 : 10, e.g. a substantially 50:50 molar ratio.
- the molar proportion of compound I** compared to the total amount of both enantiomers is for example greater than 50%, e.g. at least 55, 60, 65, 70, 75, 80, 85, 90, 95, 96, 97, 98, or at least 99%.
- the molar proportion of the compound of formula I* compared to the total amount of both enantiomers (or epimerically) is for example greater than 50%, e.g. at least 55, 60, 65, 70, 75, 80, 85, 90, 95, 96, 97, 98, or at least 99%.
- Enantiomerically (or epimerically) enriched mixtures of formula I** are preferred. Where compounds of formula I contain an SO group, cis SO groups are preferred. When compounds of formula I** contain an SO group, cis SO groups are preferred.
- Each of the compounds disclosed in Tables IP to 270P represents a specific disclosure of a compound with the R configuration (i.e. at the corresponding position indicated for compounds I* and I**) and a specific disclosure of a compound having the S configuration (i.e. at the corresponding position indicated for compounds I* and I**).
- Each compound disclosed in Tables IP to 16P, 1Q to 7Q and I S to 7S represents a specific disclosure of a compound according to the compound of formula I* and a specific disclosure of a compound according to the compound of formula II*.
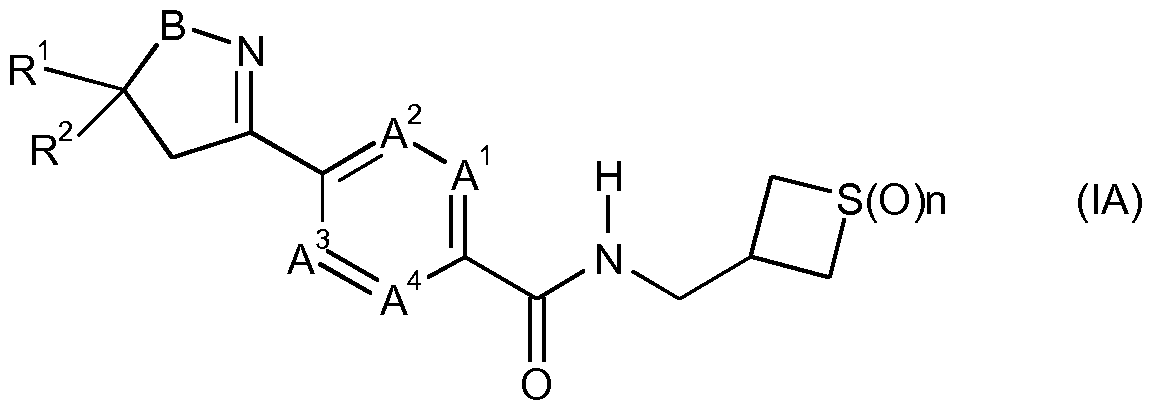
- the invention provides a method of controlling insects, acarines, nematodes or molluscs which comprises applying to a pest, to a locus of a pest, or to a plant susceptible to attack by a pest an insecticidally, acaricidally, nematicidally or molluscicidally effective amount of a compound of
- a 1 , A 2 , A 3 and A 4 are independently of one another C-H, C-R 3 , or nitrogen;
- B is O or CH 2 ;
- R 1 is Ci-Cghaloalkyl
- R 2 is aryl or aryl substituted by one to five R 4 , or heteroaryl or heteroaryl substituted by one to five R 4 ; each R 3 is independently halogen, cyano, nitro, Q-Qalkyl, C 3 -C 8 cycloalkyl, Ci-Cghaloalkyl, C 2 - Qalkenyl, C 2 -C 8 haloalkenyl, C 2 -C 8 alkynyl, C 2 -C 8 haloalkynyl, Ci-C 8 alkoxy, Ci-C 8 haloalkoxy, C r C 8 alkoxycarbonyl-, amino, hydroxy, mercapto, Ci-C 8 alkylthio, Ci-C 8 haloalkylthio, Ci-C 8 alkylsulfinyl, Ci-C 8 haloalkylsulfinyl, Ci-C 8 alkylsulfonyl, Ci-C 8 haloalky
- each R 4 is independently halogen, cyano, nitro, Ci-C 8 alkyl, Ci-C 8 haloalkyl, C 2 -C 8 alkenyl, C 2 - C 8 haloalkenyl, C 2 -C 8 alkynyl, C 2 -C 8 haloalkynyl, hydroxy, Ci-C 8 alkoxy, Ci-C 8 haloalkoxy, mercapto, Cp C 8 alkylthio, Ci-C 8 haloalkylthio, Ci-C 8 alkylsulfinyl, Ci-C 8 haloalkylsulfinyl, Ci-C 8 alkylsulfonyl, Cp Cghaloalkylsulfonyl, Q-Qalkylcarbonyl, CpQalkoxycarbonyl, aryl or aryl substituted by one to five R 5 , or heterocyclyl or heterocyclyl substituted by one to five R 5
- each R 5 is independently halogen, cyano, nitro, Ci-C 4 alkyl, Ci-C 4 alkoxy-, or Q- C 4 haloalkoxy-.
- the invention provides a method of protecting useful plants from insects, acarines, nematodes or molluscs, comprises applying a plant, to the locus thereof, or to plant propagation material thereof, an insecticidally, acaricidally, nematicidally or molluscicidally effective amount of a compound of formula IA.
- said methods do not comprise applying the compound of formula IA to a crop of soybean plants, the locus thereof, or propagation material thereof, and the method is not for control of stinkbugs.
- the invention provides a method of controlling insects, acarines, nematodes or molluscs which comprises applying to a pest, to a locus of a pest, or to a plant susceptible to attack by a ffective amount of a compound of
- a 1 , A 2 , A 3 and A 4 are independently of one another C-H, C-R 3 , or nitrogen;
- B is O or CH 2 ;
- R 1 is Ci-Cghaloalkyl
- R 2 is aryl or aryl substituted by one to five R 4 , or heteroaryl or heteroaryl substituted by one to five R 4 ; each R 3 is independently halogen, cyano, nitro, CpCgalkyl, C3-Cgcycloalkyl, Ci-Cghaloalkyl, C 2 - Cgalkenyl, C 2 -Cghaloalkenyl, C 2 -C 8 alkynyl, C 2 -C 8 haloalkynyl, Q-Qalkoxy, Q-Qhaloalkoxy, C r Cgalkoxycarbonyl-, amino, hydroxy, mercapto, CpCgalkylthio, Ci-Cghaloalkylthio, Ci-Cgalkylsulfinyl, Ci-Cghaloalkylsulfinyl, Q-Cgalkylsulfonyl, CpCghaloalkylsulfonyl, CpCgalky
- each R 4 is independently halogen, cyano, nitro, Q-Cgalkyl, Ci-Cghaloalkyl, C 2 -C 8 alkenyl, C 2 - Cghaloalkenyl, C 2 -C 8 alkynyl, C 2 -C 8 haloalkynyl, hydroxy, Ci-C 8 alkoxy, Ci-C 8 haloalkoxy, mercapto, C r C 8 alkylthio, Ci-C 8 haloalkylthio, Ci-C 8 alkylsulfinyl, Ci-C 8 haloalkylsulfinyl, CpQalkylsulfonyl, C r C 8 haloalkylsulfonyl, Ci-C 8 alkylcarbonyl, Ci-C 8 alkoxycarbonyl, aryl or aryl substituted by one to five R 5 , or heterocyclyl or heterocyclyl substituted by one to five R 5
- each R 5 is independently halogen, cyano, nitro, Ci-C 4 alkyl, Ci-C 4 haloalkyl, Ci-C 4 alkoxy-, or Q-
- n 0,1 or 2.
- said methods do not comprise applying the compound of formula IB to a crop of soybean plants, the locus thereof, or propagation material thereof, and the method is not for control of stinkbugs.
- a 1 is C-H or C-R 3 and no more than two of A 2 , A 3 and A 4 are nitrogen, more preferably no more than two of A 2 , A 3 and A 4 are nitrogen and A 3 and A 4 are not both nitrogen.
- a 1 is C-H or C-R 3
- a 2 is C-H, C-R 3 or nitrogn
- a 1 is C-H or C-R 3 , most preferably A 1 is C-R 3 .
- a 2 is C-H or C-R 3 , most preferably A 2 is C-H.
- a 3 is C-H or C-R 3 , most preferably A 3 is C-H.
- a 4 is C-H or C-R 3 , most preferably A 4 is C-H.
- R 1 is chlorodifluoromethyl, difluoromethyl or trifluoromethyl, more preferably chlorodifluoromethyl or trifluoromethyl, most preferably trifluoromethyl.
- R 2 is aryl or aryl substituted by one to three R 4 , more preferably R 2 is phenyl or phenyl substituted by one to three R 4 , pyridyl or pyridyl substituted by one to three R 4 , more preferably R 2 is phenyl substituted by one to three R 4 or pyridyl substitued by one to three R 4 , more preferably R 2 is group P
- R 2 is 3,5-bis-(trifluoromethyl)-phenyl, 3-chloro-5-trifluoromethyl-phenyl, 3- bromo-5-trifluoromethyl-phenyl, 3,5-dibromo-phenyl, 3,5-dichloro-phenyl, 3,4-dichloro-phenyl, 3- trifluoromethyl-phenyl, 4-bromo-3,5-dichlorophenyl, 3-bromo-5-chlorophenyl, 4-fluoro-3,5- dichlorophenyl or 3,4,5-trichloro-phenyl, 3-chloro-4-fluorophenyl, 3-fluoro-4-chlorophenyl, 4-bromo-3,5- dichlorophenyl, 4-iodo-3,5-dichlorophenyl, 3,4,5-trifluorophenyl, 3 -chloro-5
- each R 4 is independently halogen, cyano, nitro, CpCgalkyl, Q-Cghaloalkyl, C r Cgalkoxy, Ci-Cghaloalkoxy, more preferably iodo, bromo, chloro, fluoro, cyano, nitro, methyl, ethyl, trifluoromethyl, methoxy, difluoromethoxy, or trifluoromethoxy, most preferably bromo, chloro, fluoro, iodo or trifluoromethyl.
- the invention provides a compound of formula IA or IB for use in controlling and/or preventing insects of the family Curculionidae, preferably in for use in controlling and/or preventing Anthonomus grandis.
- insects from the family of Curculionidae. are Anthonomus corvulus,
- the invention provides a compound compound of formula IA or IB for use against Anthonomus grandis in cotton.
- the invention provides a compound compound of formula IA or IB for use in controlling and/or preventing soil pests.
- the invention provides a compound compound of formula IA or IB for use in controlling and/or preventing corn rootworm, in particular for use against corn root worm from the genus Diabrotica. In one embodiment the invention provides a compound compound of formula IA or IB for use in controlling and/or preventing Diabrotica virgifera.
- the invention provides a compound compound of formula IA or IB for use in controlling and/or preventing Diabrotica barberi.
- the invention provides a compound compound of formula IA or IB for use in controlling and/or preventing Diabrotica undecimpunctata howardi.
- the invention provides a compound compound of formula IA or IB for use in controlling and/or preventing wireworms, in particular Agriotes spp.
- the invention provides a compound compound of formula IA or IB for use in controlling and/or preventing Agriotes spp. in cereals, potato or corn.
- Agriotes spp. include Agriotes Uneatus, Agriotes obscurus, Agriotes brevis, Agriotes gurgistanus, Agriotes sputator, Agriotes ustulatus, Ctenicera destructor, and Limonius californicus.
- the invention provides a compound compound of formula IA or IB for use in controlling and/or preventing grubs, in particular white grubs.
- the invention provides a compound compound of formula IA or IB for use in controlling and/or preventing Phyllophaga spp., particularly on corn, soybean or cotton.
- the invention provides a compound compound of formula IA or IB for use in controlling and/or preventing Diloboderus spp. particularly on corn, soybean or cotton.
- the invention provides a compound compound of formula IA or IB for use in controlling and/or preventing Popillia japonica, particularly on corn, soybean or cotton.
- white grubs include Phyllophaga anxia, Phyllophaga crinite, Phyllophaga subnitida, Diloboderus abderus.
- the invention provides a compound compound of formula IA or IB for use in controlling and/or preventing termites, e.g. on sugarcane.
- termites include Reticulitermes, Coptotermes, Macrotermes, Microtermes, Globitermes.
- specific of subterranean termites include Reticulitermes flavipes, Reticulitermes hesperus, Reticulitermes verginicus, Reticulitermes hageni, Reticulitermes speratus, Reticulitermes lucifugus, Heterotermes aureus, Coptotermes formosanus, Coptotermes acinaciformis, Coptotermes curvignathus, Nasutitermes exitiosus, Nasutitermes walkeri, Mastotermes darwiniensis, Schedorhinotermes spp, Macrotermes bellicosus, Macrotermes spp., Globitermes sulphureus, Odontotermes spp..
- Specific examples of dry wood termites include Incisitermes minor, Marginitermes hubbardi, Cryptotermes brevis, Kalotermes flavicollis. Additional examples of termites include procornitermes
- the invention provides a compound compound of formula IA or IB for use in controlling and/or preventing subterraneous stinkbugs, e.g. Scaptocoris spp..
- the invention provides a compound compound of formula IA or IB for use in controlling and/or preventing Scaptocoris castaneus, in particular on cereals, soybean or corn. In one embodiment the invention provides a compound compound of formula IA or IB for use in controlling and/or preventing cutworms, e.g. agrotis spp..
- the invention provides a compound compound of formula IA or IB for use in controlling and/or preventing Agrotis ipsilon, particularly on cereals, canola, soybean or corn.
- the invention provides a compound compound of formula IA or IB for use in controlling and/or preventing millipedes, e.g. Julus spp..
- the invention provides a compound compound of formula IA or IB for use in controlling and/or preventing Julus spp., particularly on cereals, canola, soybean & corn.
- the invention provides a compound compound of formula IA or IB for use in controlling and/or preventing broca gigante, e.g. Telchin licus, particularly on sugarcane.
- the invention provides a compound compound of formula IA or IB for use in controlling and/or preventing whitefly.
- the invention provides a compound compound of formula IA or IB for use in controlling and/or preventing Bemisia tabaci, particularly on vegetables, cotton, soybean, or potatoes.
- the invention provides a compound compound of formula IA or IB for use in controlling and/or preventing Trialeurodes vapor ariorum, particularly on vegetables, cotton, soybean, or potatoes.
- the invention provides a compound compound of formula IA or IB for use in controlling and/or preventing stinkbugs, in particular Euschistus spp.
- the invention provides a compound compound of formula IA or IB for use in controlling and/or preventing Euschistus spp., particularly in soybean.
- stinkbugs include Nezara spp. (e.g. Nezara viridula, Nezara antennata, Nezara hilare), Piezodorus spp. (e.g. Piezodorus guildinii), Acrosternum spp. Euchistus spp. (e.g. Euchistus heros, Euschistus servus), Halyomorpha halys, Plautia crossota, Riptortus clavatus, Rhopalus msculatus, Antestiopsis orbitalus, Dichelops spp. (e.g. Dichelops furcatus, Dichelops melacanthus), Eurygaster spp. (e.g.
- Eurygaster intergriceps, Eurygaster maura Oebalus spp. (e.g. Oebalus mexicana, Oebalus poecilus, Oebalus pugnase, Scotinophara spp. (e.g. Scotinophara lurida, Scotinophara coarctata).
- Preferred targets include Antestiopsis orbitalus, Dichelops furcatus, Dichelops melacanthus, Euchistus heros, Euschistus servus, Nezara viridula, Nezara hilare, Piezodorus guildinii, Halyomorpha halys.
- the stinkbug target is Nezara viridula, Piezodorus spp., Acrosternum spp, Euchistus heros.
- the invention provides a compound compound of formula IA or IB for use against rice pests.
- the invention provides a compound compound of formula IA or IB for use against stemborer, particularly in rice.
- Sesamia sp Sesamia inferens.
- the invention provides a compound compound of formula IA or IB for use against leaffolder, particularly in rice.
- leaffolders include Cnaphalocrocis spp., Cnaphalocrocis medinalis, Marasmia spp., Marasmia patnalis, Marasmia exigua.
- the invention provides a compound compound of formula IA or IB for use against hoppers, particularly in rice.
- Hoppers include Nephotettix spp., Nephotettix virescens, Nephotettix nigropictus, Nephotettix malayanus, Nephotettix cincticeps, Nilaparvata lugens, Sogatella furcifera.
- the invention provides a compound compound of formula IA or IB for use against gallmidge, particularly in rice.
- Gall midge examples include Orseolia sp, Orseolia oryzae.
- the invention provides a compound compound of formula IA or IB for use against whorl maggot, particularly in rice.
- whorl maggots include Hydrellia sp, Hydrellia philippina.
- the invention provides a compound compound of formula IA or IB for use against Rice bugs, particularly in rice.
- rice bugs examples include Leptocorisa sp, Leptocorisa oratorius, Leptocorisa chinensis, Leptocorisa acuta.
- the invention provides a compound compound of formula IA or IB for use against Black bugs, particularly in rice.
- Black bugs examples include Scotinophara sp, Scotinophara coarctata, Scotinophara lurida, Scotinophara latiuscula.
- the invention provides a compound compound of formula IA or IB for use against plutella spp..
- the invention provides a compound compound of formula IA or IB for use against Plutella xylostella, particularly in brassica crops.
- Compounds of formula (I) can be prepared by reacting a compound of formula (V) wherein R is OH, Ci-C 6 alkoxy or CI, F or Br, with an amine of formula (XX), wherein L is methylene or ethylene, as shown in Scheme 1.
- R When R is OH such reactions are usually carried out in the presence of a coupling reagent, such as ⁇ , ⁇ '-dicyclohexylcarbodiimide (“DCC”), l-ethyl-3-(3-dimethylamino-propyl)- carbodiimide hydrochloride (“EDC”) or bis(2-oxo-3-oxazolidinyl)phosphonic chloride (“BOP-Cl”), in the presence of a base, and optionally in the presence of a nucleophilic catalyst, such as hydroxybenzotriazole (“HOBT").
- DCC ⁇ , ⁇ '-dicyclohexylcarbodiimide
- EDC l-ethyl-3-(3-dimethylamino-propyl)- carbodiimide hydrochloride
- BOP-Cl bis(2-oxo-3-oxazolidinyl)phosphonic chloride
- R When R is CI, such reactions are usually carried out in
- Suitable bases include pyridine, triethylamine, 4-(dimethylamino)-pyridine ("DMAP”) or diisopropylethylamine (Hunig's base).
- Preferred solvents are NN-dimethylacetamide, tetrahydrofuran, dioxane, 1 ,2-dimethoxyethane, ethyl acetate and toluene.
- the reaction is carried out at a temperature of from 0°C to 100°C, preferably from 15°C to 30°C, in particular at ambient temperature.
- Amines of formula (XX) are either known in the literature or can be prepared using methods known to a person skilled in the art. Some of these methods are described in the preparation examples.
- Acid halides of formula (V), wherein R is CI, F or Br may be made from carboxylic acids of formula (V), wherein R is OH, under standard conditions, as described for example in WO2008/128711.
- Carboxylic acids of formula (V), wherein R is OH may be formed from esters of formula (V), wherein R is Ci-C 6 alkoxy as described for example in WO2009/072621.
- Compounds of formula (I) can be prepared by reacting a compound of formula (VI) wherein X B is a leaving group, for example a halogen, such as bromo, with carbon monoxide and an amine of formula (X), in the presence of a catalyst, such as palladium(II) acetate or bis-
- triphenylphosphine and a base, such as sodium carbonate, pyridine, triethylamine, 4-(dimethylamino)- pyridine ("DMAP") or diisopropylethylamine (Hunig's base), in a solvent, such as water, NN- dimethylformamide or tetrahydrofuran.
- a base such as sodium carbonate, pyridine, triethylamine, 4-(dimethylamino)- pyridine (“DMAP”) or diisopropylethylamine (Hunig's base)
- DMAP dimethylamino)- pyridine
- Hunig's base diisopropylethylamine
- -OP(0)(OR x ) 2 wherein R x is methyl or ethyl), preferably bromo, iodo, chloro, trifluoromethylsulfoxy, p-toluenesulfoxy, diazonium chloride, preferably halogen, more preferably bromo, can be made by a various of methods, for example as described in WO2009/080250.
- Scheme 2
- Thietan-3-nitrile (III) can be obtained by reaction of epithiochlorhydrin (II) with a cyanide M- CN, such as sodium cyanide or potassium cyanide in the presence of water, preferably as a co-solvent with an organic solvent such as benzene or tetrahydrofuran, at a temperature of 20°C to 100°C, preferably 40-60°C preferably around 50°C.
- a cyanide M- CN such as sodium cyanide or potassium cyanide
- an organic solvent such as benzene or tetrahydrofuran
- Water is preferably used as a solvent, more preferably as a co-solvent with an organic solvent, preferably a water-immiscible organic solvent, e.g. such that the reaction then takes place in a biphasic system.
- the organic co-solvent is preferred to be aprotic, and is more preferably chosen from pentane, hexane, heptane, cyclohexane, benzene, toluene, xylene, tetrahydrofuran, ethyl acetate, diethyl ether, or methyl- tert-butyl ether.
- the reaction can be performed with an excess of epithiochlorhydrin or with an excess of M-CN, preferably in stoechiometric ratio or slight excess of one or the other reagent.
- Compounds of formula (IV) can be prepared by reaction of compounds of formula (III) with a suitable reducing reagent.
- a suitable reducing reagent is the use of metal hydride reagents, such as lithium aluminum hydride or borane, in the presence or not of cocatalysts. Other methods that can be carried out involve the hydrogenation in the presence of Raney Ni, or palladium for instance.
- the most common solvents for this reaction are alcohols such as methanol or ethanol, tetrahydrofuran, toluene, ethers, such as diethyl ether or methyl tert-butyl ether.
- reaction time in most cases is between 30 minutes and 12 hours.
- Compounds of formula (IX) can be prepared by reaction of compounds of formula (VIII) with a suitable reducing reagent.
- a suitable reducing reagent is the use of metal hydride reagents, such as sodium borohydride.
- metal hydride reagents such as sodium borohydride.
- Other methods that can be carried out involve the hydrogenation under a hydrogen atmosphere in the presence of palladium for instance.
- the most common solvents for this reaction are alcohols such as methanol or ethanol. In most cases it is advantageous to conduct the reaction at dilution between 0.1 M to 1 M, preferably 0.3 M to 0.5 M, at a temperature of 0°C to 100°C, preferably 0-80°C preferably around 20°C, and the reaction time in most cases is between 30 minutes and 12 hours.
- Compounds of formula (X) can be prepared by reaction of compounds of formula (IX) with a suitable reducing reagent.
- a suitable reducing reagent is the use of metal hydride reagents, such as lithium aluminum hydride or borane, in the presence or not of cocatalysts. Other methods that can be carried out involve the hydrogenation in the presence of Raney Ni, or palladium for instance.
- the most common solvents for this reaction are alcohols such as methanol or ethanol, tetrahydrofuran, toluene, ethers, such as diethyl ether or methyl tert-butyl ether.
- reaction time in most cases is between 30 minutes and 12 hours.
- compounds of formula (X) may be obtained directly by reduction of compounds of formula (VIII), for example under hydrogenation conditions, e.g. using hydrogen and a metal hydrogenation catalyst, e.g. Palladium, Rhodium, or Plattinum.
- a metal hydrogenation catalyst e.g. Palladium, Rhodium, or Plattinum.
- Compound (IV) may be prepared by reduction of a nitromethylene compound of formula (XI).
- Reducing agents suitable for this reduction include for example metal hydride reagents such as sodium borohydride or lithium aluminium hydride optionally in the presence of a catalyst, for example nichel chloride. Hydrogenation in the presence of metal catalyst such as raney nickel or palladium on charcoal is an alternative for such reductions. Examples of such methods can be found in Journal of the American Chemical Society (2003), 125(40), 12125-12136, US patent n° 20050261327, or in Journal of Medicinal Chemistry (2010), 53(7), 2942-2951.
- the amine of formula (IV) may be obtained from the carboxylic acid of formula (XIII) using Schmidt or Curtius rearrangement.
- Schmidt rearrangement involves treatment with hydrazoic acid under a range of possible conditions known to the person skilled of the art, for example as described in Journal of Organic Chemistry, 58(6), 1372-6; 1993 for the conversion of bicyclo[ 1.1.1 ]pentane-2- carboxylic acid to bicyclo[l . l. l]pentane-2-amine.
- Curtius rearrangement can be carried out under different possible conditions known to the person skilled in the art, for example treatment of (XIII) with diphenylphosphoryl azide followed by heating and reaction with an alcohol such as benzyl alcohol or tert- butanol; the corresponding ester is obtained and subsequently deprotected to the amine by hydrogenolysis (benzyl ester) or treatment with trifluoroacetic acid (tert-butyl ester).
- an alcohol such as benzyl alcohol or tert- butanol
- benzyl ester tert-butanol
- Such conditions are for example described in Journal of Organic Chemistry, 75(17), 5941 -5952, 2010 or Tetrahedron: Asymmetry, 14(23), 3773-3778; 2003.
- the acid of formula (XII) may derive from the ketone of formula (VII) after homologation of the ketone (VII) to an ester of formula (XII) followed by hydride reduction or hydrogenation of the double bond.
- Similar synthetic sequences from related substrates are described for example in Chemical & Pharmaceutical Bulletin, 52(6), 675-687; 2004, Synlett (2005), (10), 1559-1562, WO 2005019221, or WO 2010031735.
- Amines of formula (IV) and (X) may be converted to further amine intermediates of formula (XIV) and (XV) wherein n is 1 or 2.
- the amines may be directly oxidized or first protected, oxidized and then deprotected.
- the amine of formula (XVII) may be obtained from a compound of formula (XVI) wherein each X B is independently hydroxy, halogen or a leaving group such as mesylate, tosylate or triflate.
- the sequence is then similar to that described for example in WO 2007080131 for the conversion of serinol to thietan-3ylamine.
- Compounds of formula (XVI) are either known compounds or can be prepared by known methods to the person skilled in the art.
- Compounds of formula XVII may be oxidised as described in 16).
- amine of formula (IV) and (X) may be obtained from compounds of formula (XVIII) and (XIX) wherein each X B is independently hydroxy, halogen or a leaving group such as mesylate, tosylate or triflate.
- Compounds of formula (XVIII) and (XIX) are either known compounds or can be prepared by known methods to the person skilled in the art.
- Protecting a crop of useful plants from insects, acarines, nematodes or molluscs means e.g. controlling the population of insects, acarines, nematodes or molluscs in said crop of useful plants, e.g. such that the population of said insects, acarines, nematodes or molluscs is less than would be present in the absence of said compound, preferably significantly less, e.g. at least 5, 10, 15, 20, 25, 30, 35, 40, 45 50, 55, 60, 65, 70, 75, 80, 85, 90, 95 or even at least 99% less than in the absence of said compound.
- the compounds of formula (I) can be used to combat and control infestations of insect pests such as Lepidoptera, Diptera, Hemiptera, Thysanoptera, Orthoptera, Dictyoptera, Coleoptera, Siphonaptera, Hymenoptera and Isoptera and also other invertebrate pests, for example, acarine, nematode and mollusc pests. Insects, acarines, nematodes and molluscs are hereinafter collectively referred to as pests.
- the pests which may be combated and controlled by the use of the compounsd of the invention include those pests associated with agriculture (which term includes the growing of crops for food and fiber products), horticulture and animal husbandry, companion animals, forestry and the storage of products of vegetable origin (such as fruit, grain and timber); those pests associated with the damage of man-made structures and the transmission of diseases of man and animals; and also nuisance pests (such as flies).
- the compounds of the invention may be used for example on turf, ornamentals, such as flowers, shrubs, broad-leaved trees or evergreens, for example conifers, as well as for tree injection, pest management and the like.
- Compositions comprising the compound of formula I may be used on ornamental garden plants (e.g.
- compositions comprising the compound of formula I may be used on garden plants (e.g. flowers, shrubs, broad-leaved trees or evergreens), on indoor plants (e.g. flowers and shrubs) and on indoor pest e.g. to control aphids, whitefly, scales, meelybug, beetles and caterpillars.
- the compounds of the invention may be effective against harmful insects, without substantially imposing any harmful side effects to cultivated plants.
- Application of the compounds of the invention may increase the harvest yields, and may improve the quality of the harvested material.
- the compounds of the invention may have favourable properties with respect to amount appled, residue formulation, selectivity, toxicity, production methodology, high activity, wide spectrum of control, safety, control of resistant organisms, e.g. pests that are resistant to organic phosphorus agents and/or carbamate agents.
- pest species which may be controlled by the compounds of formula (I) include: coleopterans, for example, Callosobruchus chinensis, Sitophilus zeamais, Tribolium castaneum,
- Epilachna vigintioctomaculata Agriotes fuscicollis, Anomala rufocuprea, Leptinotarsa decemlineata, Diabrotica spp., Monochamus alternatus, Lissorhoptrus oryzophilus, Lyctus bruneus, Aulacophora femoralis; lepidopterans, for example, Lymantria dispar, Malacosoma neustria), Pieris rapae,
- nematodes for example, Meloidogyne incognita, Bursaphelenchus lignicolus Mamiya et Kiyohara, Aphelenchoides besseyi, Heterodera glycines, Pratylenchus spp..
- Examples of further pest species which may be controlled by the compounds of formula (I) include: from the order of the Anoplura (Phthiraptera), for example, Damalinia spp., Haematopinus spp., Linognathus spp., Pediculus spp., Trichodectes spp.; from the class of the Arachnida, for example, Acarus siro, Aceria sheldoni, Aculops spp., Aculus spp., Amblyomma spp., Argas spp., Boophilus spp., Brevipalpus spp., Bryobia praetiosa, Chorioptes spp., Dermanyssus gallinae, Eotetranychus spp., Epitrimerus pyri, Eutetranychus spp., Eriophyes spp., Hemitarsonemus spp., Hyal
- Pentomidae Piesma quadrata, Piezodorus spp., Psallus seriatus, Pseudacysta persea, Rhodnius spp., Sahlbergella singularis, Scotinophora spp., Stephanitis nashi, Tibraca spp., Triatoma spp.; from the order of the Homoptera, for example, Acyrthosipon spp., Aeneolamia spp., Agonoscena spp., Aleurodes spp., Aleurolobus barodensis, Aleurothrixus spp., Amrasca spp., Anuraphis cardui, Aonidiella spp.,
- Pemphigus spp. Peregrinus maidis, Phenacoccus spp., Phloeomyzus passerinii, Phorodon humuli, Phylloxera spp., Pinnaspis aspidistrae, Planococcus spp., Protopulvinaria pyriformis, Pseudaulacaspis pentagona, Pseudococcus spp., Psylla spp., Pteromalus spp., Pyrilla spp., Quadraspidiotus spp., Quesada gigas, Rastrococcus spp., Rhopalosiphum spp., Saissetia spp., Scaphoides titanus, Schizaphis graminum, Selenaspidus articulatus, Sogata spp., Sogatella furcifera, Sogatodes spp., Stictoce
- Hymenoptera for example, Diprion spp., Hoplocampa spp., Lasius spp., Mono- morium pharaonis, Vespa spp.; from the order of the Isopoda, for example, Armadillidium vulgar e, Oniscus asellus, Porcellio scaber; from the order of the Isoptera, for example, Reticulitermes spp., Odontotermes spp.; from the order of the Lepidoptera, for example, Acronicta major, Aedia leucomelas, Agrotis spp., Alabama argillacea, Anticarsia spp., Barathra brassicae, Bucculatrix thurberiella, Bupalus piniarius, Cacoecia podana, Capua reticulana, Carpocapsa pomonella, Cheimatobia brumata, Chilo spp., Choristoneura fumifer
- Orthoptera for example, Acheta domesticus, Blatta orientalis, Blattella germanica, Gryllotalpa spp., Leucophaea maderae, Locusta spp., Melanoplus spp., Periplaneta americana, Schistocerca gregaria; from the order of the Siphonaptera, for example, Ceratophyllus spp., Xenopsylla cheopis.
- Symphyla for example, Scutigerella immaculata
- Thysanoptera for example, Basothrips biformis, Enneothrips flavens, Frankliniella spp., Heliothrips spp., Hercinothrips femoralis, Kakothrips spp., Rhipiphorothrips cruentatus, Scirtothrips spp., Taeniothrips cardamoni, Thrips spp.
- Thysanura for example, Lepisma saccharina.
- the phytoparasitic nematodes include, for example, Anguina spp., Aphelenchoides spp., Belonoaimus spp., Bursaphelenchus spp., Ditylenchus dipsaci, Globodera spp., Heliocotylenchus spp., Heterodera spp., Longidorus spp.,
- Tylenchorhynchus spp. Tylenchulus spp.
- Tylenchulus semipenetrans Tyiphinema spp.
- the compounds of the invention may be used to control the following pest spcies: Myzus persicae (aphid), Aphis gossypii (aphid), Aphis fabae (aphid), Lygus spp. (capsids), Dysdercus spp. (capsids), Nilaparvata lugens (planthopper), Nephotettixc incticeps (leafhopper), Nezara spp. (stinkbugs), Euschistus spp. (stinkbugs), Leptocorisa spp. (stinkbugs), Frankliniella occidentalis (thrip), Thrips spp.
- Kalotermitidae for example Neotermes spp.
- the Rhinotermitidae for example Coptotermes formosanus, Reticulitermes flavipes, R. speratu, R. virginicus, R. hesperus, and R. santonensis
- the Termitidae for example Globitermes sulfureus
- Solenopsis geminata fire ant
- Monomorium pharaonis pharaoh's ant
- Damalinia spp. and Linognathus spp. biting and sucking lice
- Meloidogyne spp. root knot nematodes
- Globodera spp. and Heterodera spp. cyst nematodes
- Pratylenchus spp. lesion nematodes
- Rhodopholus spp. banana burrowing nematodes
- Tylenchulus spp. citrus nematodes
- Haemonchus contortus barber pole worm
- Caenorhabditis eelworm Trichostrongylus spp.
- Trichostrongylus spp. gastro intestinal nematodes
- Deroceras reticulatum slug
- the compound of formula I may be used for pest control on various plants, including soybean (e.g. in some cases 10-70g/ha), corn (e.g. in some cases 10-70g/ha), sugarcane (e.g. in some cases 20- 200g/ha), alfalfa (e.g. in some cases 10-70g/ha), brassicas (e.g. in some cases 10-50g/ha), oilseed rape (e.g. canola) (e.g. in some cases 20-70g/ha), potatoes (including sweet potatoes) (e.g. in some cases 10- 70g/ha), cotton (e.g. in some cases 10-70g/ha), rice (e.g. in some cases 10-70g/ha), coffee (e.g.
- citrus e.g. in some cases 60-200g/ha
- almonds e.g. in some cases 40-180g/ha
- fruiting vegetables cucurbits and pulses (e.g. tomatoes, pepper, chili, eggplant, cucumber, squash etc.) (e.g. in some cases 10-80g/ha)
- tea e.g. in some cases 20-150g/ha
- bulb vegetables e.g. onion, leek etc.
- grapes e.g. in some cases 30-180g/ha
- pome fruit e.g. apples, pears etc.
- stone fruit e.g. pears, plums etc.
- the compounds of the invention may be used for pest control on various plants, including soybean, corn, sugarcane, alfalfa, brassicas, oilseed rape (e.g. canola), potatoes (including sweet potatoes), cotton, rice, coffee, citrus, almonds, fruiting vegetables, cucurbits and pulses (e.g. tomatoes, pepper, chili, eggplant, cucumber, squash etc.), tea, bulb vegetables (e.g. onion, leek etc.), grapes, pome fruit (e.g. apples, pears etc.), stone fruit (e.g. pears, plums etc.), and cereals.
- the compounds of the invention may be used on soybean to control, for example, Elasmopalpus lignosellus, Diloboderus abderus, Diabrotica speciosa, Trialeurodes spp., Bemisia spp., aphids,
- Sternechus subsignatus Formicidae, Agrotis ypsilon, Julus spp., Murgantia spp., Halyomorpha spp., Thyanta spp., Megascelis ssp., Procornitermes ssp., Gryllotalpidae, Nezara viridula, Piezodorus spp., Acrosternum spp., Neomegalotomus spp., Cerotoma trifurcata, PopilUa japonica, Edessa spp., Liogenys fuscus, stalk borer, Scaptocoris castanea, phyllophaga spp., Migdolus spp., Pseudoplusia includens, Anticarsia gemmatalis, Epinotia spp., Rachiplusia spp., Spodoptera spp.
- the compounds of the invention are preferably used on soybean to control Diloboderus abderus, Diabrotica speciosa, Trialeurodes spp., Bemisia spp., Nezara viridula, Piezodorus spp., Acrosternum spp., Cerotoma trifurcata, Popillia japonica, Euschistus heros, Scaptocoris castanea, phyllophaga spp., Migdolus spp., Agriotes spp., Euschistus spp..
- the compounds of the invention may be used on corn to control, for example, Euschistus spp. (e.g. Euschistus heros), Dichelops furcatus, Diloboderus abderus, Thyanta spp., Elasmopalpus lignosellus, Halyomorpha spp., Spodoptera frugiperda, Nezara viridula, Cerotoma trifurcata, Popillia japonica, Agrotis ypsilon, Diabrotica speciosa, aphids, Heteroptera, Procornitermes spp., Scaptocoris castanea, Formicidae, Julus ssp., Dalbulus maidis, Diabrotica spp.
- Euschistus heros e.g. Euschistus heros
- Dichelops furcatus Diloboderus abderus
- Thyanta spp. Elasmopalpus lignose
- the compounds of the invention are preferably used on corn to control Euschistus spp., (e.g. Diabrotica virgifera), Mods latipes, Bemisia tabaci, heliothis spp., Tetranychus spp., thrips spp., phyllophaga spp., Migdolus spp., scaptocoris spp., Liogenys fuscus, Spodoptera spp., Ostrinia spp., Sesamia spp., wireworms, Agriotes spp., Halotydeus destructor.
- the compounds of the invention are preferably used on corn to control Euschistus spp., (e.g.
- Diabrotica spp. e.g. Diabrotica speciosa, Diabrotica virgifera
- Tetranychus spp. Thrips spp.
- Phyllophaga spp. Migdolus spp.
- Scaptocoris spp. Agriotes spp..
- the compounds of the invention may be used on sugar cane to control, for example,
- Sphenophorus spp. termites, Migdolus spp., Diloboderus spp., Telchin licus, Diatrea saccharalis, Mahanarva spp., Mealybugs, Chilo spp.
- the compounds of the invention may be used on alfalfa to control, for example, Hypera brunneipennis, Hypera postica, Colias eurytheme, Collops spp., Empoasca solana, Epitrix spp., Geocoris spp., Lygus hesperus, Lygus lineolaris, Spissistilus spp., Spodoptera spp., Aphids, Trichoplusia ni.
- the compounds of the invention are preferably used on alfalfa to control Hypera brunneipennis, Hypera postica, Empoasca solana, Epitrix spp., Lygus hesperus, Lygus lineolaris, Trichoplusia ni.
- the compounds of the invention may be used on brassicas to control, for example, Chrysodeixis spp., Plutella xylostella, Pieris spp. (e.g. Pieris brassicae, Pieris rapae, Pieris napi), Mamestra spp. (e.g. Mamestra brassicae), Plusia spp., Trichoplusia spp. (e.g. Trichoplusia ni), Phyllotreta spp. (e.g.
- the compounds of the invention are preferably used on brassicas to control Plutella xylostella, Pieris spp., Plusia spp., Trichoplusia ni, Phyllotreta spp., Thrips spp., Chaetocnema spp..
- the compounds of the invention may be used on oil seed rape, e.g. canola, to control, for example, Meligethes spp. (e.g. Meligethes aeneus), Ceutorhynchus spp., (e.g. Ceutorhynchus assimilis, Ceutorhynchus napi), Halotydeus destructor, Psylloides spp. (e.g. PsylUodes chrysocephala), Phyllotreta spp. (e.g. Phyllotreta cruciferae, Phyllotreta striolata), Chaetocnema spp..
- Meligethes spp. e.g. Meligethes aeneus
- Ceutorhynchus spp. e.g. Ceutorhynchus assimilis, Ceutorhynchus napi
- the compounds of the invention may be used on potatoes, including sweet potatoes, to control, for example, Empoasca spp., Leptinotarsa spp., Diabrotica speciosa, Phthorimaea spp., Paratrioza spp., Maladera matrida, Agriotes spp., Aphids, wireworms.
- the compounds of the invention are preferably used on potatoes, including sweet potatoes, to control Empoasca spp., Leptinotarsa spp., Diabrotica speciosa, Phthorimaea spp., Paratrioza spp., Agriotes spp..
- the compounds of the invention may be used on cotton to control, for example, Anthonomus grandis, Pectinophora spp., heliothis spp., Spodoptera spp., Tetranychus spp. (e.g. Tetranychus urticae), Empoasca spp., Thrips spp. (e.g. Thrips tabaci, Thrips palmi), Bemisia tabaci, Trialeurodes spp., Aphids, Lygus spp. (e.g.
- Polyphagotarsonemus latus The compounds of the invention are preferably used on cotton to control Anthonomus grandis, Tetranychus spp., Empoasca spp., thrips spp., Lygus spp., phyllophaga spp., Scaptocoris spp..
- the compounds of the invention may be used on rice to control, for example, Leptocorisa spp. (e.g. Leptocorisa oratorius, Leptocorisa chinensis, Leptocorisa acuta), Cnaphalocrosis spp., Chilo spp. (e.g. Chilo suppressalis, Chilo polychrysus, Chilo auricilius), Scirpophaga spp. (e.g. Scirpophaga incertulas, Scirpophaga innotata, Scirpophaga surfacela), Lissorhoptrus spp., Oebalus pugnax,
- Leptocorisa spp. e.g. Leptocorisa oratorius, Leptocorisa chinensis, Leptocorisa acuta
- Cnaphalocrosis spp. e.g. Chilo suppressalis, Chilo poly
- Scotinophara spp. e.g. Scotinophara coarctata, Scotinophara lurida, Scotinophara latiuscula
- Nephotettix spp. e.g. Nephotettix malayanus, Nephotettix nigropictus, Nephotettix parvus, Nephottetix virescens, Nephotettix cincticeps), Mealybugs, Sogatella furcifera, Nilaparvata lugens, OrseoUa spp. (e.g. OrseoUa oryzae), Cnaphalocrocis medinalis, Marasmia spp. (e.g.
- the compounds of the invention are preferably used on rice to control Leptocorisa spp., Lissorhoptrus spp., Oebalus pugnax, Nephotettix spp.(e.g.
- the compounds of the invention may be used on coffee to control, for example, Hypothenemus spp. (e.g. Hypothenemus Hampei), Perileucoptera Coffeella, Tetranychus spp., Brevipalpus spp., Mealybugs.
- Hypothenemus spp. e.g. Hypothenemus Hampei
- Perileucoptera Coffeella e.g. Tetranychus spp.
- Brevipalpus spp. e.g. Hypothenemus Hampei
- the compounds of the invention are preferably used on coffee to control Hypothenemus Hampei, Perileucoptera Coffeella.
- the compounds of the invention may be used on citrus to control, for example,
- Panonychus citri Phyllocoptruta oleivora
- Brevipalpus spp. e.g. Brevipalpus californicus, Brevipalpus phoenicis
- Diaphorina citri e.g. Scirtothrips spp.
- Scirtothrips dorsalis e.g. Scirtothrips dorsalis
- Thrips spp. Unaspis spp., Ceratitis capitata
- Phyllocnistis spp. e.g. Phyllocnistis citrella
- Aphids Hardscales, Softscales, Mealybugs.
- the compounds of the invention are preferably used on citrus to control Panonychus citri, Phyllocoptruta oleivora, Brevipalpus spp., Diaphorina citri, Scirtothrips spp., thrips spp., Phyllocnistis spp..
- the compounds of the invention may be used on almonds to control, for example, Amyelois transitella, Tetranychus spp.
- the compounds of the invention may be used on fruiting vegetables, cucurbits and pulses, including tomatoes, pepper, chili, eggplant, cucumber, squash etc., to control, for example, Thrips spp., Tetranychus spp. (e.g. Tetranychus urticae)., Polyphagotarsonemus spp. (e.g. Polyphagotarsonemus latus), Aculops spp. (e.g. Aculops lycopersici), Empoasca spp. (e.g. Empoasca fabae), Spodoptera spp., heliothis spp., Tuta absoluta, Liriomyza spp. (e.g.
- Paratrioza spp. Frankliniella spp. (e.g. Frankliniella occidentalis, Frankliniella intonsa, Frankliniella bispinosa), Spodoptera spp. (e.g. Spodoptera exigua, Spodoptera littoralis, Spodoptera litura, Spodoptera frugiperda, Spodoptera eridanid), Anthonomus spp., Phyllotreta spp., Amrasca spp. (e.g. Amrasca biguttula biguttuld), Epilachna spp., Halyomorpha spp., Scirtothrips spp., Leucinodes spp. (e.g.
- Neoleucinodes orbonalis Leucinodes orbonalis
- Neoleucinodes spp. e.g. Neoleucinodes elegantalis
- Maruca spp. Fruit flies, Stinkbugs, Lepidopteras, Coleopteras, Helicoverpa spp. (e.g. Helicoverpa armigera), Heliothis spp. (e.g. Heliothis virescens), Paratrioza spp. (e.g.
- the compounds of the invention are preferably used on fruiting vegetables, cucurbits and pulses, including tomatoes, pepper, chili, eggplant, cucumber, squash etc., to control Thrips spp., Tetranychus spp., Polyphagotarsonemus spp., Aculops spp., Empoasca spp., Spodoptera spp., heliothis spp., Tuta absolutea, Liriomyza spp., Paratrioza spp.,
- the compounds of the invention may be used on tea to control, for example, Pseudaulacaspis spp., Empoasca spp., Scirtothrips spp., Caloptilia theivora, Tetranychus spp..T e compounds of the invention are preferably used on tea to control Empoasca spp., Scirtothrips spp..
- the compounds of the invention may be used on bulb vegetables, including onion, leek etc. to control, for example, Thrips spp., Spodoptera spp., heliothis spp..
- the compounds of the invention are preferably used on bulb vegetables, including onion, leek etc. to control Thrips spp..
- the compounds of the invention may be used on grapes to control, for example, Empoasca spp.,
- Lobesia spp. Eupoecilia ambiguella, Frankliniella spp., Thrips spp., Tetranychus spp., Rhipiphorothrips Cruentatus, Eotetranychus Willamettei, Erythroneura Elegantula, Scaphoides spp., Scelodonta strigicollis, Mealybugs.
- the compounds of the invention are preferably used on grapes to control Frankliniella spp., Thrips spp., Tetranychus spp., Rhipiphorothrips Cruentatus, Scaphoides spp..
- the compounds of the invention may be used on pome fruit, including apples, pears etc., to control, for example, Cacopsylla spp., Psylla spp., Panonychus ulmi, Cydia pomonella, Lepidopteras, Aphids, Hardscales, Softscales.
- the compounds of the invention are preferably used on pome fruit, including apples, pears etc., to control Cacopsylla spp., Psylla spp., Panonychus ulmi.
- the compounds of the invention may be used on stone fruit to control, for example, Grapholita molesta, Scirtothrips spp., Thrips spp., Frankliniella spp., Tetranychus spp., Aphids, Hardscales, Softscales, Mealybugs.
- the compounds of the invention are preferably used on stone fruit to control Scirtothrips spp., Thrips spp., Frankliniella spp., Tetranychus spp..
- the compounds of the invention may be used on cereals to control, for example, Aphids,
- Stinkbugs earthmites, Eurygaster integriceps, Zabrus tenebrioides, Anisoplia austriaca, Chaetocnema aridula, Phyllotreta spp., Oulema melanopus, Oscinella spp., Delia spp., Mayetiola spp., Contarinia spp., Cephus spp., Steneotarsonemus spp., Apamea spp..
- compounds of formula I may be used on rice to control Baliothrips biformis (Thrips), Chilo spp. (e.g. Chilo polychrysus (Dark headed striped borer), Chilo suppressalis (Rice stemborer), Chilo indicus (Paddy stem borer), Chilo polychrysus (Dark-headed rice borer), Chilo suppressalis (Stripe stem borer)), Cnaphalocrocis medinalis (Rice leaf folder), Dicladispa armigera (Hispa), Hydrellia philipina (Rice whorl-maggot), Laodelphax spp. (Smaller brown planthopper) (e.g.
- Laodelphax striatellus Laodelphax striatellus ), Lema oryzae (Rice leaf eetle), Leptocorsia acuta (Rice bug), Leptocorsia oratorius (rice bug), Lissorhoptrus oryzophilus (rice water weevil), Mythemina separata (armyworm), Nephottetix spp. (Green leafhopper ) (e.g.
- Nephotettix cincticeps Nephotettix malayanus, Nephotettix nigropictus, Nephotettix parvus, Nephottetix virescens), Nilaparvata lugens (Brown Planthopper), Nymphula depunctalis (Rice caseworm), Orseolia oryzae (Rice Gall midge), Oulema oryzae (Rice leafbeetle), Scirpophaga incertulas (Yellow Stemborer), Scirpophaga innotata (White Stemborer), Scotinophara coarctata (Rice black bug), Sogaella frucifera (White-backed planthopper),
- the compounds of the invention may be used to control animal housing pests including: Ants, Bedbugs (adult), Bees, Beetles, Boxelder Bugs, Carpenter Bees, Carpet Beetles, Centipedes, Cigarette, Beetles, Clover Mites, Cockroaches, Confused Flour Beetle, Crickets, Earwigs, Firebrats, Fleas, Flies, Lesser Grain Borers, Millipedes, Mosquitoes, Red Flour Beetles, Rice Weevils, Saw-toothed Grain Beetles, Silverfish, Sowbugs, Spiders, Termites, Ticks, Wasps, Cockroaches, Crickets, Flies, Litter Beetles (such as Darkling, Hide, and Carrion), Mosquitoes, Pillbugs, Scorpions, Spiders, Spider Mites (Twospotted, Spruce), Ticks.
- the compounds of the invention may be used to control ornamental pests including: Ants (Including Imported fire ants), Armyworms, Azalea caterpillars, Aphids, Bagworms, Black vine weevils (adult), Boxelder bugs, Budworms, California oakworms, Cankerworms, Cockroaches, Crickets, Cutworms, Eastern tent caterpillars, Elm leaf beetles, European sawflies, Fall web worms, Flea beetles, Forest tent caterpillars, Gypsy moth larvae, Japanese beetles (adults), June beetles (adults), Lace bugs, Leaf- feeding caterpillars, Leafhoppers, Leafrniners (adults), Leaf rollers, Leaf skeletonizers, Midges, Mosquitoes, Oleander moth larvae, Pillbugs, Pine sawflies, Pine shoot beetles, Pinetip moths, Plant bugs, Root weevils, Sawflies, Scale insects (crawlers), Spiders, Spittlebug
- the compounds of formula (I), in particular those in the tables above, may be used for soil applications, including as a seed application, to target at least the following: sucking pests such as aphids, thrips, brown plant hopper (e.g. on rice), sting bugs, white flies (e.g. on cotton and vegetables), mites; on soil pests such as corn root worm, wireworms, white grubs, zabrus, termites (e.g. on sugar cane, soy, pasture), maggots, cabbage root fly, red legged earth mite; on lepidoptera, such as spodoptera, cutworms, elasmoplpus , plutella (e.g.
- brassica stem borers, leaf miners, flea beetle, Sternechus; on nematicides, such as Heterodera glycines (e.g. on soybean), Pratylenchus brachyurus (e.g. on corn), P. zeae (e.g. oncorn), P. penetrans (e.g. on corn), Meloidogyne incognita (e.g. on vegetables), Heterodera schachtii (e.g. on sugar beet), Rotylenchus reniformis (e.g. on cotton), Heterodera avenae (e.g. on cereals), Pratylenchus neglectus (e.g. on cereals), thornei (e.g. on cereals).
- Heterodera glycines e.g. on soybean
- Pratylenchus brachyurus e.g. on corn
- P. zeae e.g.
- the compounds of formula (I), in particular those in the tables above may be used for seed applications at least on the following: soil grubs for corn, soybeans, sugarcane: Migdolus spp;
- Sphenophorus levis & Metamasius hemipterus Sphenophorus levis & Metamasius hemipterus; termites for soybeans, sugarcane, pasture, others:
- Heterotermes tenuis Heterotermes longiceps
- Cornitermes cumulans Procornitermes triacifer ;
- Neocapritermes opacus Neocapritermes parvus
- corn root worms for corn and potatoes Diabrotica spp., seed Maggot: Delia platura; soil stinkbugs: Scaptocoris castanea; wireworms: Agriotes spp; Athous spp Hipnodes bicolor; Ctenicera destructor; Limonius canu; Limonius californicus; rice water weevil:
- Lissorhoptrus oryzophilus Red Legged earth mites: Halotydeus destructor.
- the invention therefore provides a method of combating and/or controlling an animal pest, e.g. an invertebrate animal pest, which comprises applying to the pest, to a locus of the pest, or to a plant susceptible to attack by the pest a pesticidally effective amount of a compound of formula (I).
- an animal pest e.g. an invertebrate animal pest
- applying to the pest to a locus of the pest, or to a plant susceptible to attack by the pest a pesticidally effective amount of a compound of formula (I).
- the invention provides a method of combating and/or controlling insects, acarines, nematodes or molluscs which comprises applying an insecticidally, acaricidally, nematicidally or molluscicidally effective amount of a compound of formula (I), or a composition containing a compound of formula (I), to a pest, a locus of pest, preferably a plant, or to a plant susceptible to attack by a pest,
- the compounds of formula (I) are preferably used against insects, acarines or nematodes.
- plants as used herein includes seedlings, bushes and trees. Crops are to be understood as also including those crops which have been rendered tolerant to herbicides or classes of herbicides (e.g. ALS-, GS-, EPSPS-, PPO- and HPPD-inhibitors) by conventional methods of breeding or by genetic engineering.
- herbicides or classes of herbicides e.g. ALS-, GS-, EPSPS-, PPO- and HPPD-inhibitors
- crops that have been rendered tolerant to herbicides by genetic engineering methods include e.g. glyphosate- and glufosinate- resistant maize varieties commercially available under the trade names RoundupReady® and
- Plant parts are to be understood as meaning all parts and organs of plants above and below the ground, such as shoot, leaf, flower and root, examples which may be mentioned being leaves, needles, stalks, stems, flowers, fruit bodies, fruits, seeds, roots, tubers and rhizomes.
- the plant parts also include harvested material, and vegetative and generative propagation material, for example cuttings, tubers, rhizomes, offshoots and seeds.
- Treatment according to the invention of the plants and plant parts with the active compounds is carried out directly or by allowing the compounds to act on their surroundings, habitat or storage space by the customary treatment methods, for example by immersion, spraying, evaporation, fogging, scattering, painting on, injecting and, in the case of propagation material, in particular in the case of seed, also by applying one or more coats.
- Compounds of formula I may be used on transgenic plants (including cultivars) obtained by genetic engineering methods and/or by conventional methods. These are understood as meaning plants having novel properties ("traits") which have been obtained by conventional breeding, by mutagenesis or by recombinant DNA techniques. Depending on the plant species or plant cultivars, their location and growth conditions (soils, climate, vegetation period, diet), the treatment according to the invention may also result in superadditive "synergistic") effects.
- the preferred transgenic plants or plant cultivars which are to be treated according to the invention include all plants which, by virtue of the genetic modification, received genetic material which imparts particularly advantageous, useful traits to these plants. Examples of such traits are better plant growth, increased tolerance to high or low temperatures, increased tolerance to drought or to water or soil salt content, increased flowering performance, easier harvesting, accelerated maturation, higher harvest yields, higher quality and/or a higher nutritional value of the harvested products, better storage stability and/or processability of the harvested products.
- transgenic plants which may be mentioned are the important crop plants, such as cereals (wheat, rice), maize, soybean, potatoes, sugar beet, tomatoes, peas and other vegetable varieties, cotton, tobacco, oilseed rape and also fruit plants (with the fruits apples, pears, citrus fruits and grapes).
- Compounds of formula I may be used on transgenic plants that are capable of producing one or more pesticidal proteins which confer upon the transgenic plant tolerance or resistance to harmful pests, e.g. insect pests, nematode pests and the like.
- pesticidal proteins include, without limitation, Cry proteins from Bacillus thuringiensis CrylAb, CrylAc, CrylF, Cry2Ab, Cry2Ae, Cry3A, Cry3Bb, or Cry9C; engineered proteins such as modified Cry3A ( US Patent 7,030,295) or CrylA.105; or vegetative insecticidal proteins such as Vipl, Vip2 or Vip3.
- Cry proteins from Bacillus thuringiensis CrylAb, CrylAc, CrylF, Cry2Ab, Cry2Ae, Cry3A, Cry3Bb, or Cry9C engineered proteins such as modified Cry3A ( US Patent 7,030,295) or CrylA.105
- vegetative insecticidal proteins such as Vipl, Vip2 or Vip3.
- Bt Cry proteins and VIPs useful in the invention can be found on the worldwide web at Bacillus thuringiensis Toxin Nomenclature Database maintained by the University of
- pesticidal proteins useful in the invention include proteins of bacteria colonizing nematodes, e.g. Photorhabdus spp. or Xenorhabdus spp.; toxins produced by animals, such as scorpion toxins, arachnid toxins, wasp toxins, or other insect-specific neurotoxins; toxins produced by fungi, such Streptomycetes toxins, plant lectins, such as pea or barley lectins; agglutinins; proteinase inhibitors, such as trypsin inhibitors, serine protease inhibitors, patatin, cystatin or papain inhibitors; ribosome- inactivating proteins (RIP), such as ricin, maize-RIP, abrin, luffin, saporin or bryodin; steroid metabolism enzymes, such as 3-hydroxysteroid oxidase, ecdysteroid-IDP-glycosyl-transferase, cholesterol oxidases, ec
- pesticidal proteins or transgenic plants capable of synthesizing such proteins are disclosed, e.g., in EP-A 374753, WO 93/007278, WO 95/34656, EP-A 427529, EP-A 451878, WO 03/18810 and WO 03/52073.
- Agrisure®CB (PI) (corn producing CrylAb), Agrisure®RW (P2) (corn producing mCry3A), Agrisure® Viptera (P3) (corn hybrids producing Vip3Aa); Agrisure300GT (P4) (corn hybrids producing CrylAb and mCry3A); YieldGard® (P5) (corn hybrids producing the CrylAb protein), YieldGard® Plus (P6) (corn hybrids producing CrylAb and Cry3Bbl), Genuity® SmartStax® (P7) (corn hybrids with CrylA.105, Cry2Ab2, CrylF, Cry34/35, Cry3Bb) ; Herculex® I (P8) (corn hybrids producing CrylFa) and Herculex®RW (P9) (corn hybrids producing Cry34Abl, Cry35Abl and the enzyme Phosphinothricin-N-
- transgenic crops are:
- MIR604 Maize from Syngenta Seeds SAS, Chemin de l'Hobit 27, F-31 790 St. Sauveur, France, registration number C/FR/96/05/10 (PI 8). Maize which has been rendered insect-resistant by transgenic expression of a modified CrylllA toxin. This toxin is Cry3A055 modified by insertion of a cathepsin-D-protease recognition sequence. The preparation of such transgenic maize plants is described in WO 03/018810.
- MON 863 Maize from Monsanto Europe S.A. 270-272 Avenue de Tervuren, B-l 150 Brussels, Belgium, registration number C/DE/02/9 (P19). MON 863 expresses a CrylllB(bl) toxin and has resistance to certain Coleoptera insects.
- NK603 x MON 810 Maize from Monsanto Europe S.A. 270-272 Avenue de Tervuren,
- NK603 ⁇ MON 810 Maize transgenically expresses the protein CP4 EPSPS, obtained from Agrobacterium sp. strain CP4, which imparts tolerance to the herbicide Roundup® (contains glyphosate), and also a CrylA(b) toxin obtained from Bacillus thuringiensis subsp. kurstaki which brings about tolerance to certain Lepidoptera, include the European corn borer.
- transgenic plants and of very high interest, are those carrying traits conferring resistance to 2.4D (e.g. Enlist®) (e.g. WO 2011066384) (P23), glyphosate (e.g. Roundup Ready® (P24), Roundup Ready 2 Yield® (P25)), sulfonylurea (e.g. STS®) (P26), glufosinate (e.g.
- soybean plants carrying trains conferring resistance to 2.4D e.g. Enlist®
- glyphosate e.g.
- sulfonylurea e.g. STS®
- glufosinate e.g. Liberty Link®, Ignite®
- Dicamba e.g. isoxaflutole herbicide
- Double or triple stack in soybean plants of any of the traits described here are also of interest, including glyphosate and sulfonyl-urea tolerance (e.g. Optimum GAT®, plants stacked with STS® and Roundup Ready® or Roundup Ready 2 Yield®), dicamba and glyphosate tolerance (Monsanto).
- a compound of formula (I) is usually formulated into a composition which includes, in addition to the compound of formula (I), a suitable inert diluent or carrier and, optionally, a surface active agent (SFA).
- SFAs are chemicals which are able to modify the properties of an interface (for example, liquid/solid, liquid/air or liquid/liquid interfaces) by lowering the interfacial tension and thereby leading to changes in other properties (for example dispersion, emulsification and wetting).
- compositions both solid and liquid formulations
- the composition is generally used for the control of pests such that a compound of formula (I) is applied at a rate of from 0.1 g to 10kg per hectare, preferably from 1 g to 6kg per hectare, more preferably from lg to 1kg per hectare.
- a compound of formula (I) When used in a seed dressing, a compound of formula (I) is generally used at a rate of O.OOOlg to lOg (for example O.OOlg or 0.05g), preferably 0.005g to lOg, more preferably 0.005g to 4g, per kilogram of seed.
- the present invention provides a composition
- molluscicidal composition comprising an insecticidally, acaricidally, nematicidally or molluscicidally effective amount of a compound of formula (I) and a suitable carrier or diluent therefor.
- the composition is preferably an insecticidal, acaricidal, nematicidal or molluscicidal composition.
- compositions can be chosen from a number of formulation types, including dustable powders (DP), soluble powders (SP), water soluble granules (SG), water dispersible granules (WG), wettable powders (WP), granules (GR) (slow or fast release), soluble concentrates (SL), oil miscible liquids (OL), ultra low volume liquids (UL), emulsifiable concentrates (EC), dispersible concentrates (DC), emulsions (both oil in water (EW) and water in oil (EO)), micro-emulsions (ME), suspension concentrates (SC), aerosols, fogging/smoke formulations, capsule suspensions (CS) and seed treatment formulations.
- the formulation type chosen in any instance will depend upon the particular purpose envisaged and the physical, chemical and biological properties of the compound of formula (I).
- Dustable powders may be prepared by mixing a compound of formula (I) with one or more solid diluents (for example natural clays, kaolin, pyrophyllite, bentonite, alumina, montmorillonite, kieselguhr, chalk, diatomaceous earths, calcium phosphates, calcium and magnesium carbonates, sulfur, lime, flours, talc and other organic and inorganic solid carriers) and mechanically grinding the mixture to a fine powder.
- solid diluents for example natural clays, kaolin, pyrophyllite, bentonite, alumina, montmorillonite, kieselguhr, chalk, diatomaceous earths, calcium phosphates, calcium and magnesium carbonates, sulfur, lime, flours, talc and other organic and inorganic solid carriers
- Soluble powders may be prepared by mixing a compound of formula (I) with one or more water-soluble inorganic salts (such as sodium bicarbonate, sodium carbonate or magnesium sulfate) or one or more water-soluble organic solids (such as a polysaccharide) and, optionally, one or more wetting agents, one or more dispersing agents or a mixture of said agents to improve water
- water-soluble inorganic salts such as sodium bicarbonate, sodium carbonate or magnesium sulfate
- water-soluble organic solids such as a polysaccharide
- compositions may also be granulated to form water soluble granules (SG).
- WP Wettable powders
- WG Water dispersible granules
- Granules may be formed either by granulating a mixture of a compound of formula (I) and one or more powdered solid diluents or carriers, or from pre-formed blank granules by absorbing a compound of formula (I) (or a solution thereof, in a suitable agent) in a porous granular material (such as pumice, attapulgite clays, fuller's earth, kieselguhr, diatomaceous earths or ground corn cobs) or by adsorbing a compound of formula (I) (or a solution thereof, in a suitable agent) on to a hard core material (such as sands, silicates, mineral carbonates, sulfates or phosphates) and drying if necessary.
- a hard core material such as sands, silicates, mineral carbonates, sulfates or phosphates
- Agents which are commonly used to aid absorption or adsorption include solvents (such as aliphatic and aromatic petroleum solvents, alcohols, ethers, ketones and esters) and sticking agents (such as polyvinyl acetates, polyvinyl alcohols, dextrins, sugars and vegetable oils).
- solvents such as aliphatic and aromatic petroleum solvents, alcohols, ethers, ketones and esters
- sticking agents such as polyvinyl acetates, polyvinyl alcohols, dextrins, sugars and vegetable oils.
- One or more other additives may also be included in granules (for example an emulsifying agent, wetting agent or dispersing agent).
- DC Dispersible Concentrates
- a compound of formula (I) may be prepared by dissolving a compound of formula (I) in water or an organic solvent, such as a ketone, alcohol or glycol ether.
- organic solvent such as a ketone, alcohol or glycol ether.
- surface active agent for example to improve water dilution or prevent crystallization in a spray tank.
- Emulsifiable concentrates or oil-in-water emulsions (EW) may be prepared by dissolving a compound of formula (I) in an organic solvent (optionally containing one or more wetting agents, one or more emulsifying agents or a mixture of said agents).
- Suitable organic solvents for use in ECs include aromatic hydrocarbons (such as alkylbenzenes or alkylnaphthalenes, exemplified by SOLVES SO 100, SOLVESSO 150 and SOLVESSO 200; SOLVESSO is a Registered Trade Mark), ketones (such as cyclohexanone or methylcyclohexanone) and alcohols (such as benzyl alcohol, furfuryl alcohol or butanol), N-alkylpyrrolidones (such as N-methylpyrrolidone or N-octylpyrrolidone), dimethyl amides of fatty acids (such as Cg-Qo fatty acid dimethylamide) and chlorinated hydrocarbons.
- aromatic hydrocarbons such as alkylbenzenes or alkylnaphthalenes, exemplified by SOLVES SO 100, SOLVESSO 150 and SOLVESSO 200; SOLVESSO is a Registered Trade Mark
- ketones such as cyclo
- An EC product may spontaneously emulsify on addition to water, to produce an emulsion with sufficient stability to allow spray application through appropriate equipment.
- Preparation of an EW involves obtaining a compound of formula (I) either as a liquid (if it is not a liquid at room temperature, it may be melted at a reasonable temperature, typically below 70°C) or in solution (by dissolving it in an appropriate solvent) and then emulsifiying the resultant liquid or solution into water containing one or more SFAs, under high shear, to produce an emulsion.
- Suitable solvents for use in EWs include vegetable oils, chlorinated hydrocarbons (such as chlorobenzenes), aromatic solvents (such as alkylbenzenes or alkylnaphthalenes) and other appropriate organic solvents which have a low solubility in water.
- Microemulsions (ME) may be prepared by mixing water with a blend of one or more solvents with one or more SFAs, to produce spontaneously a thermodynamically stable isotropic liquid formulation.
- a compound of formula (I) is present initially in either the water or the solvent/SFA blend.
- Suitable solvents for use in MEs include those hereinbefore described for use in ECs or in EWs.
- An ME may be either an oil-in-water or a water-in-oil system (which system is present may be determined by conductivity measurements) and may be suitable for mixing water-soluble and oil-soluble pesticides in the same formulation.
- An ME is suitable for dilution into water, either remaining as a microemulsion or forming a conventional oil-in-water emulsion.
- SC Suspension concentrates
- SCs may comprise aqueous or non-aqueous suspensions of finely divided insoluble solid particles of a compound of formula (I).
- SCs may be prepared by ball or bead milling the solid compound of formula (I) in a suitable medium, optionally with one or more dispersing agents, to produce a fine particle suspension of the compound.
- One or more wetting agents may be included in the composition and a suspending agent may be included to reduce the rate at which the particles settle.
- a compound of formula (I) may be dry milled and added to water, containing agents hereinbefore described, to produce the desired end product.
- Aerosol formulations comprise a compound of formula (I) and a suitable propellant (for example « -butane).
- a compound of formula (I) may also be dissolved or dispersed in a suitable medium (for example water or a water miscible liquid, such as n-propanol) to provide compositions for use in non- pressurized, hand-actuated spray pumps.
- a compound of formula (I) may be mixed in the dry state with a pyrotechnic mixture to form a composition suitable for generating, in an enclosed space, a smoke containing the compound.
- Capsule suspensions may be prepared in a manner similar to the preparation of EW formulations but with an additional polymerization stage such that an aqueous dispersion of oil droplets is obtained, in which each oil droplet is encapsulated by a polymeric shell and contains a compound of formula (I) and, optionally, a carrier or diluent therefor.
- the polymeric shell may be produced by either an interfacial polycondensation reaction or by a coacervation procedure.
- the compositions may provide for controlled release of the compound of formula (I) and they may be used for seed treatment.
- a compound of formula (I) may also be formulated in a biodegradable polymeric matrix to provide a slow, controlled release of the compound.
- a composition may include one or more additives to improve the biological performance of the composition (for example by improving wetting, retention or distribution on surfaces; resistance to rain on treated surfaces; or uptake or mobility of a compound of formula (I)).
- additives include surface active agents, spray additives based on oils, for example certain mineral oils or natural plant oils (such as soy bean and rape seed oil), and blends of these with other bio-enhancing adjuvants (ingredients which may aid or modify the action of a compound of formula (I)).
- a compound of formula (I) may also be formulated for use as a seed treatment, for example as a powder composition, including a powder for dry seed treatment (DS), a water soluble powder (SS) or a water dispersible powder for slurry treatment (WS), or as a liquid composition, including a flowable concentrate (FS), a solution (LS) or a capsule suspension (CS).
- DS powder for dry seed treatment
- SS water soluble powder
- WS water dispersible powder for slurry treatment
- CS capsule suspension
- the preparations of DS, SS, WS, FS and LS compositions are very similar to those of, respectively, DP, SP, WP, SC and DC compositions described above.
- Compositions for treating seed may include an agent for assisting the adhesion of the composition to the seed (for example a mineral oil or a film-forming barrier).
- Wetting agents, dispersing agents and emulsifying agents may be surface SFAs of the cationic, anionic, amphoteric or non-ionic type.
- Suitable SFAs of the cationic type include quaternary ammonium compounds (for example cetyltrimethyl ammonium bromide), imidazolines and amine salts.
- Suitable anionic SFAs include alkali metals salts of fatty acids, salts of aliphatic monoesters of sulfuric acid (for example sodium lauryl sulfate), salts of sulfonated aromatic compounds (for example sodium dodecylbenzenesulfonate, calcium dodecylbenzenesulfonate, butylnaphthalene sulfonate and mixtures of sodium di-z ' opropyl- and tri-wopropyl-naphthalene sulfonates), ether sulfates, alcohol ether sulfates (for example sodium laureth-3 -sulfate), ether carboxylates (for example sodium laureth-3- carboxylate), phosphate esters (products from the reaction between one or more fatty alcohols and phosphoric acid (predominately mono-esters) or phosphorus pentoxide (predominately di-esters), for example the reaction between lauryl alcohol and
- Suitable SFAs of the amphoteric type include betaines, propionates and glycinates.
- Suitable SFAs of the non-ionic type include condensation products of alkylene oxides, such as ethylene oxide, propylene oxide, butylene oxide or mixtures thereof, with fatty alcohols (such as oleyl alcohol or cetyl alcohol) or with alkylphenols (such as octylphenol, nonylphenol or octylcresol); partial esters derived from long chain fatty acids or hexitol anhydrides; condensation products of said partial esters with ethylene oxide; block polymers (comprising ethylene oxide and propylene oxide);
- alkylene oxides such as ethylene oxide, propylene oxide, butylene oxide or mixtures thereof
- fatty alcohols such as oleyl alcohol or cetyl alcohol
- alkylphenols such as octylphenol, nonylphenol or octylcresol
- partial esters derived from long chain fatty acids or hexitol anhydrides condensation products of said partial esters with ethylene oxide
- alkanolamides alkanolamides
- simple esters for example fatty acid polyethylene glycol esters
- amine oxides for example lauryl dimethyl amine oxide
- lecithins alkanolamides
- simple esters for example fatty acid polyethylene glycol esters
- amine oxides for example lauryl dimethyl amine oxide
- lecithins lecithins
- Suitable suspending agents include hydrophilic colloids (such as polysaccharides,
- polyvinylpyrrolidone or sodium carboxymethylcellulose and swelling clays (such as bentonite or attapulgite).
- a compound of formula (I) may be applied by any of the known means of applying pesticidal compounds. For example, it may be applied, formulated or unformulated, to the pests or to a locus of the pests (such as a habitat of the pests, or a growing plant liable to infestation by the pests) or to any part of the plant, including the foliage, stems, branches or roots, to the seed before it is planted or to other media in which plants are growing or are to be planted (such as soil surrounding the roots, the soil generally, paddy water or hydroponic culture systems), directly or it may be sprayed on, dusted on, applied by dipping, applied as a cream or paste formulation, applied as a vapor or applied through distribution or incorporation of a composition (such as a granular composition or a composition packed in a water- soluble bag) in soil or an aqueous environment.
- a compound of formula (I) may also be injected into plants or sprayed onto vegetation using electrodynamic spraying techniques or other low volume methods, or applied by
- compositions for use as aqueous preparations are generally supplied in the form of a concentrate containing a high proportion of the active ingredient, the concentrate being added to water before use.
- These concentrates which may include DCs, SCs, ECs, EWs, MEs, SGs, SPs, WPs, WGs and CSs, are often required to withstand storage for prolonged periods and, after such storage, to be capable of addition to water to form aqueous preparations which remain homogeneous for a sufficient time to enable them to be applied by conventional spray equipment.
- Such aqueous preparations may contain varying amounts of a compound of formula (I) (for example 0.0001 to 10%, by weight) depending upon the purpose for which they are to be used.
- a compound of formula (I) may be used in mixtures with fertilizers (for example nitrogen-, potassium- or phosphorus-containing fertilizers). Suitable formulation types include granules of fertilizer. The mixtures preferably contain up to 25% by weight of the compound of formula (I).
- fertilizers for example nitrogen-, potassium- or phosphorus-containing fertilizers.
- Suitable formulation types include granules of fertilizer.
- the mixtures preferably contain up to 25% by weight of the compound of formula (I).
- the invention therefore also provides a fertilizer composition comprising a fertilizer and a compound of formula (I).
- compositions of this invention may contain other compounds having biological activity, for example micronutrients or compounds having fungicidal activity or which possess plant growth regulating, herbicidal, insecticidal, nematicidal or acaricidal activity.
- the compound of formula (I) may be the sole active ingredient of the composition or it may be admixed with one or more additional active ingredients such as a pesticide, e.g. a insecticide, fungicide or herbicide, or a synergist or plant growth regulator where appropriate.
- a pesticide e.g. a insecticide, fungicide or herbicide, or a synergist or plant growth regulator where appropriate.
- An additional active ingredient may provide a composition having a broader spectrum of activity or increased persistence at a locus; synergize the activity or complement the activity (for example by increasing the speed of effect or overcoming repellency) of the compound of formula (I); or help to overcome or prevent the development of resistance to individual components.
- suitable pesticides include the following:
- a) Pyrethroids such as permethrin, cypermethrin, fenvalerate, esfenvalerate, deltamethrin, cyhalothrin (in particular lambda-cyhalothrin and gamma cyhalothrin), bifenthrin, fenpropathrin, cyfluthrin, tefluthrin, fish safe pyrethroids (for example ethofenprox), natural pyrethrin, tetramethrin, S-bioallethrin, fenfluthrin, prallethrin, acrinathirin, etofenprox or 5-benzyl-3-furylmethyl-(E)-(lR,3S)-2,2-dimethyl- 3-(2-oxothiolan-3-ylidenemethyl)cyclopropane carboxylate;
- Organophosphates such as profenofos, sulprofos, acephate, methyl parathion, azinphos-methyl, demeton-s -methyl, heptenophos, thiometon, fenamiphos, monocrotophos, profenofos, triazophos, methamidophos, dimethoate, phosphamidon, malathion, chlorpyrifos, phosalone, terbufos, fensulfothion, fonofos, phorate, phoxim, pirimiphos-methyl, pirimiphos-ethyl, fenitrothion, fosthiazate or diazinon; c) Carbamates (including aryl carbamates), such as pirimicarb, triazamate, cloethocarb, carbofuran, furathiocarb, ethiofencarb,
- Benzoyl ureas such as diflubenzuron, triflumuron, hexaflumuron, flufenoxuron, diafenthiuron, lufeneron, novaluron, noviflumuron or chlorfluazuron;
- Organic tin compounds such as cyhexatin, fenbutatin oxide or azocyclotin;
- Pyrazoles such as tebufenpyrad, tolfenpyrad, ethiprole, pyriprole, fipronil, and fenpyroximate;
- Macrolides such as avermectins or milbemycins, for example abamectin, emamectin benzoate, ivermectin, milbemycin, spinosad, azadirachtin, milbemectin, lepimectin or spinetoram;
- Organochlorine compounds such as endosulfan (in particular alpha-endosulfan), benzene hexachloride,
- Amidines such as chlordimeform or amitraz
- Fumigant agents such as chloropicrin, dichloropropane, methyl bromide or metam
- Neonicotinoid compounds such as imidacloprid, thiacloprid, acetamiprid, nitenpyram, dinotefuran, thiamethoxam, clothianidin, or nithiazine;
- Diacylhydrazines such as tebufenozide, chromafenozide or methoxyfenozide
- Diphenyl ethers such as diofenolan or pyriproxifen
- Ketoenols such as Spirotetramat, spirodiclofen or spiromesifen
- Diamides such as flubendiamide, chlorantraniliprole (Rynaxypyr®) or cyantraniliprole;
Landscapes
- Organic Chemistry (AREA)
- Chemical & Material Sciences (AREA)
- Life Sciences & Earth Sciences (AREA)
- Health & Medical Sciences (AREA)
- Plant Pathology (AREA)
- Engineering & Computer Science (AREA)
- Dentistry (AREA)
- General Health & Medical Sciences (AREA)
- Wood Science & Technology (AREA)
- Zoology (AREA)
- Environmental Sciences (AREA)
- Pest Control & Pesticides (AREA)
- Agronomy & Crop Science (AREA)
- Agricultural Chemicals And Associated Chemicals (AREA)
- Heterocyclic Carbon Compounds Containing A Hetero Ring Having Nitrogen And Oxygen As The Only Ring Hetero Atoms (AREA)
- Plural Heterocyclic Compounds (AREA)
Abstract
The present invention provides compounds of formula (I) wherein G1 is oxygen; R1 is hydrogen; R2 is group P, L is a bond, methylene or ethylene; one of A1 and A2 is S, SO or SO2 and the other is -C(R4)R4-; R3 is hydrogen or methyl; each R4 is independently hydrogen or methyl; Y1, Y2 and Y3 are independently CH or nitrogen; wherein no more than two of Y1, Y2 and Y3 are nitrogen and wherein Y2 and Y3 are not both nitrogen; R5 is chloro, bromo, fluoro; X2 is C-X6 or nitrogen; Χ1, Χ3 and X6 are independently hydrogen, halogen or trihalomethyl, wherein at least two of X1, X3 and X6 are not hydrogen; X4 is trifluoromethyl, difluoromethyl or chlorodifluoromethyl. The invention also relates to methods of using the compounds to control insects, acarines, nematodes or molluscs, as well as intermediates usefor the the sysnthesis of the compounds.
Description
ISOXAZOLINE DERIVATIVES AS I SECTICIDAL COMPOUNDS The present invention relates to certain isoxazolines derivatives, to processes and intermediates for preparing these derivatives, to insecticidal, acaricidal, nematicidal and molluscicidal compositions comprising these derivatives and to methods of using these derivatives to control insect, acarine, nematode and mollusc pests. The present invention also relates to use of these compounds in the field of animal health.
Certain isoxazoline derivatives with insecticidal properties are disclosed, for example, in WO2009/08050. There is an ongoing need to find compounds that exhibit higher levels of activity, broader spectrum of control, higher levels of activity against specific pests, increased safety, reduced impact on the environment. The present invention seeks to address these needs at least in part.
The present invention provides compounds of formula I
wherein
G1 is oxygen;
R1 is hydrogen;
2 is group P
L is a bond, methylene or ethylene;
one of A1 and A2 is S, SO or S02 and the other is -C(R4)R4-;
R3 is hydrogen or methyl;
each R4 is independently hydrogen or methyl;
Y1, Y2 and Y3 are independently CH or nitrogen;
wherein no more than two of Y1, Y2 and Y3 are nitrogen and wherein Y2 and Y3 are not both nitrogen; R5 is bromo, chloro, fluoro;
X2 is C-X6 or nitrogen;
Χ', Χ3 and X6 are independently hydrogen, halogen or trihalomethyl, wherein at least two of X1, X3 and X6 are not hydrogen;
X4 is trifluoromethyl, difluoromethyl or chlorodifluoromethyl.
The compounds of formula (I) may exist in different geometric or optical isomers or tautomeric forms. This invention covers all such isomers and tautomers and mixtures thereof in all proportions as well as isotopic forms such as deuterated compounds. The invention also covers salts and N-oxides of the compounds of the invention.
The compounds of the invention may contain one or more asymmetric carbon atoms, and may exist as enantiomers (or as pairs of diastereoisomers) or as mixtures of such.
Alkyl groups (either alone or as part of a larger group, such as alkoxy-, alkylthio-, alkylsulfinyl-, alkylsulfonyl-, alkylcarbonyl- or alkoxycarbonyl-) can be in the form of a straight or branched chain and are, for example, methyl, ethyl, propyl, prop-2-yl, butyl, but-2-yl, 2 -methyl-prop -1-yl or 2-methyl-prop-2- yl. The alkyl groups are preferably Ci-C6, more preferably Q-C4, most preferably Q-C3 alkyl groups. Where an alkyl moiety is said to be substituted, the alkyl moiety is preferably substituted by one to four substituents, most preferably by one to three substituents.
Alkylene groups can be in the form of a straight or branched chain and are, for example, -CH2-, -CH2-CH2-, -CH(CH3)-, -CH2-CH2-CH2-, -CH(CH3)-CH2-, or -CH(CH2CH3)-. The alkylene groups are preferably C1-C3, more preferably CrC2, most preferably Q alkylene groups.
Alkenyl groups can be in the form of straight or branched chains, and can be, where appropriate, of either the (E)- or (Z) -configuration. Examples are vinyl and allyl. The alkenyl groups are preferably C2-C6, more preferably C2-C4, most preferably C2-C3 alkenyl groups.
Alkynyl groups can be in the form of straight or branched chains. Examples are ethynyl and propargyl. The alkynyl groups are preferably C2-C6, more preferably C2-C4, most preferably C2-C3 alkynyl groups.
Halogen is fluorine, chlorine, bromine or iodine.
Haloalkyl groups (either alone or as part of a larger group, such as haloalkoxy-, haloalkylthio-, haloalkylsulfinyl- or haloalkylsulfonyl-) are alkyl groups which are substituted by one or more of the same or different halogen atoms and are, for example, difluoromethyl, trifluoromethyl,
chlorodifluoromethyl or 2,2,2-trifluoro-ethyl.
Haloalkenyl groups are alkenyl groups which are substituted by one or more of the same or different halogen atoms and are, for example, 2,2-difluoro-vinyl or 1 ,2-dichloro-2-fluoro-vinyl.
Haloalkynyl groups are alkynyl groups which are substituted by one or more of the same or different halogen atoms and are, for example, l-chloro-prop-2-ynyl.
Cycloalkyl groups or carbocyclic rings can be in mono- or bi-cyclic form and are, for example, cyclopropyl, cyclobutyl, cyclohexyl and bicyclo[2.2.1]heptan-2-yl. The cycloalkyl groups are preferably C3-C8, more preferably C3-C6 cycloalkyl groups. Where a cycloalkyl moiety is said to be substituted, the cycloalkyl moiety is preferably substituted by one to four substituents, most preferably by one to three substituents.
Aryl groups (either alone or as part of a larger group, such as aryl-alkylene-) are aromatic ring systems which can be in mono-, bi- or tricyclic form. Examples of such rings include phenyl, naphthyl, anthracenyl, indenyl or phenanthrenyl. Preferred aryl groups are phenyl and naphthyl, phenyl being most
preferred. Where an aryl moiety is said to be substituted, the aryl moiety is preferably substituted by one to four substituents, most preferably by one to three substituents.
Heteroaryl groups (either alone or as part of a larger group, such as heteroaryl-alkylene-) are aromatic ring systems containing at least one heteroatom and consisting either of a single ring or of two or more fused rings. Preferably, single rings will contain up to three heteroatoms and bicyclic systems up to four heteroatoms which will preferably be chosen from nitrogen, oxygen and sulfur. Examples of monocyclic groups include pyridyl, pyridazinyl, pyrimidinyl, pyrazinyl, pyrrolyl, pyrazolyl, imidazolyl, triazolyl (e.g. 1.2.4 triazoyl), furanyl, thiophenyl, oxazolyl, isoxazolyl, oxadiazolyl, thiazolyl, isothiazolyl and thiadiazolyl. Examples of bicyclic groups include purinyl, quinolinyl, cinnolinyl, quinoxalinyl, indolyl, indazolyl, benzimidazolyl, benzothiophenyl and benzothiazolyl. Monocyclic heteroaryl groups are preferred, pyridyl being most preferred. Where a heteroaryl moiety is said to be substituted, the heteroaryl moiety is preferably substituted by one to four substituents, most preferably by one to three substituents.
Heterocyclyl groups or heterocyclic rings (either alone or as part of a larger group, such as heterocyclyl-alkylene-) are defined to include heteroaryl groups and in addition their unsaturated or partially unsaturated analogues. Examples of monocyclic groups include isoxazolyl, thietanyl, pyrrolidinyl, tetrahydrofuranyl, [l,3]dioxolanyl, piperidinyl, piperazinyl, [l,4]dioxanyl, and morpholinyl or their oxidised versions such as 1 -oxo-thietanyl and 1,1-dioxo-thietanyl. Examples of bicyclic groups include 2,3-dihydro-benzofuranyl, benzo[l,4]dioxolanyl, benzo[l,3]dioxolanyl, chromenyl, and 2,3- dihydro-benzo[l,4]dioxinyl. Where a heterocyclyl moiety is said to be substituted, the heterocyclyl moiety is preferably substituted by one to four substituents, most preferably by one to three substituents.
Preferred values of R2, R5, Y1, Y2, Y3, X1, X2, X3, X4, X5 and X6 for compounds of formula I are, in any combination, as set out below.
Preferably R2 is thietan-3-yl-, l-oxo-thietan-3-yl-, l,l-Dioxo-thietan-3-yl-, 2,2-dimethylthietan-3- yl-, 2,2-dimethyl-l-oxo-thietan-3-yl-, 2,2-dimethyl-l,l -Dioxo-thietan-3-yl-, 3 -Methyl -thietan-3-yl-, 3- Methyl- 1 -oxo-thietan-3 -yl-, 3 -Methyl- 1 , 1 -Dioxo-thietan-3 -yl-, thietan-3 -ylmethyl-, 1 -oxo-thietan-3 - ylmethyl-, 1,1 -Dioxo-thietan-3 -ylmethyl-, thietan-2-ylmethyl-, (l -oxothietan-2-yl)methyl-, (1,1 - dioxothietan-2-yl)methyl-, 2-(thietan-3-yl)ethanyl, 2-(l,l-dioxothietan-3-yl)ethanyl, or 2-(l -oxothietan-3- yl)ethanyl more preferably R2 is 2-(thietan-3-yl)ethanyl, 2-(l,l-dioxothietan-3-yl)ethanyl, 2-(l - oxothietan-3-yl)ethanyl, thietan-3 -ylmethyl-, 1 -oxo-thietan-3 -ylmethyl-, 1,1 -Dioxo-thietan-3 -ylmethyl-, thietan-3 -yl-, 1 -oxo-thietan-3 -yl-, l,l -Dioxo-thietan-3-yl-. More preferably R2 is thietan-3 -yl-, 1-oxo- thietan-3-yl-, 1,1 -Dioxo-thietan-3 -yl-, thietan-3 -ylmethyl-, 1 -oxo-thietan-3 -ylmethyl-, or 1,1 -Dioxo- thietan-3 -ylmethyl-, most preferably thietan-3 -yl-, 1 -oxo-thietan-3 -yl-, or 1,1 -Dioxo-thietan-3 -yl-.
Preferably Y1 is CH, Y2 is CH, Y3 is CH, or Y1 is N, Y2 is CH, Y3 is CH, or Y1 is N, Y2 is N, Y3 is CH, orY1 is CH, Y2 is N, Y3 is CH, orY1 is CH, Y2 is CH, Y3 is N. More preferably Y1 is CH, Y2 is CH, Y3 is CH.
1 2 3 1 2 3 1
Preferably X is chloro, X is CH, X is chloro, or X is chloro, X is C-F, X is hydrogen, or X
2 3 1 2 3 1 2 is fluoro, X is C-Cl, X is hydrogen, or X is chloro, X is C-Cl, X is hydrogen, or X is chloro, X is C-
Br, X 3 is chloro, or X 1 is chloro, X2 is C-F, X3 is chloro, or X 1 is chloro, X2 is C-Cl, X3 is chloro, or X 1 is chloro, X 2 is C-I, X3 is chloro, or X 1 is fluoro, X 2 is C-F, X3 is fluoro, orX 1 is chloro, X 2 is CH, X3 is bromo, or X 1 is chloro, X 2 is CH, X 3 is fluoro, orX 1 is chloro, X 2 is CH, X 3 is trifluoromethyl, or X 1 is chloro, X 2 is C-Cl, X 3 is trifluoromethyl, or X 1 is trifluoromethyl, X 2 is CH, X 3 is trifluoromethyl, or X 1 is trifluoromethyl, X2 is C-Cl, X3 is trifluoromethyl, or X1 is trifluoromethyl, X2 is CH, X3 is hydrogen, or
X 1 is chloro, X 2 is N, X 3 is chloro, or X 1 is trifluoromethyl, X 2 is N, X 3 is trifluoromethyl. Preferably X 1 is chloro, X2 is CH, X3 is chloro, or X1 is chloro, X2 is C-Cl, X3 is chloro, or X1 is chloro, X2 is C-F, X3 is chloro, or X1 is trifluoromethyl, X2 is CH, X3 is trifluoromethyl. Most preferably X1 is chloro, X2 is CH, X3 is chloro.
Preferably X4 is trifluoromethyl. In one embodiment the invention provides compounds of formula I wherein R5 is chloro and G1, R1, R2, Y1, Y2, Y3, X1, X2, X3 and X4 are as defined for the compound of formula I.
In one embodiment the invention provides compounds of formula I wherein R5 is bromo and G1, R1, R2, Y1, Y2, Y3, X1, X2, X3 and X4 are as defined for the compound of formula I.
In one embodiment the invention provides compounds of formula I wherein R5 is fluoro and G1,
R1, R2, Y1, Y2, Y3, X1, X2, X3 and X4 are as defined for the compound of formula I.
In one embodiment the invention provides compounds of formula I wherein
G1 is oxygen;
R1 is hydrogen;
R2 is thietan-3-yl-, l-oxo-thietan-3-yl-, l,l-Dioxo-thietan-3-yl-, thietan-3-ylmethyl-, 1-oxo- thietan-3-ylmethyl-, or l,l-Dioxo-thietan-3-ylmethyl-;
Y1 is CH, Y2 is CH, Y3 is CH;
R5 is bromo, chloro, fluoro;
X1 is chloro, X2 is CH, X3 is chloro, or X1 is chloro, X2 is C-Cl, X3 is chloro, or X1 is chloro, X2 is C-F, X3 is chloro, orX1 is trifluoromethyl, X2 is CH, X3 is trifluoromethyl; and
X4 is trifluoromethyl.
In one embodiment the invention provides compounds of formula I wherein
G1 is oxygen;
R1 is hydrogen;
R2 is thietan-3-yl-, l-oxo-thietan-3-yl-, l,l-Dioxo-thietan-3-yl-;
Y1 is CH, Y2 is CH, Y3 is CH;
R5 is chloro;
X1 is chloro, X2 is CH, X3 is chloro, X1 is chloro, X2 is C-Cl, X3 is chloro, X1 is chloro, X2 is C-F, X3 is chloro, or X1 is trifluoromethyl, X2 is CH, X3 is trifluoromethyl; and
X4 is trifluoromethyl.
Optionally, the compound of formula I is not be a compound wherein R2 is thietan-3-yl-, 1-oxo- thietan-3-yl-, l,l-Dioxo-thietan-3-yl-, 3-Methyl-thietan-3-yl-, thietan-3-ylmethyl-, l-oxo-thietan-3- ylmethyl-, l,l-Dioxo-thietan-3-ylmethyl-, thietan-2-ylmethyl-, (l-oxothietan-2-yl)methyl-, (1,1-
dioxothietan-2-yl)methyl-, 2-(thietan-3-yl)ethanyl, 2-(l,l-dioxothietan-3-yl)ethanyl, or 2-(l -oxothietan-3- yl)ethanyl, Y1, Y2 and Y3 are CH; R5 is chloro, X1 is chloro, X2 is CH, X3 is chloro, and X4 is trifluoromethyl.
In a further aspect the invention provides a method of controlling insects, acarines, nematodes or molluscs, preferably in a crop of useful plants, which comprises applying to a pest, to a locus of a pest, or to a plant susceptible to attack by a pest an insecticidally, acaricidally, nematicidally or molluscicidally effective amount of a compound of formula I as defined above, including preferences thereof.
In a further aspect the invention provides a method of protecting useful plants from insects, acarines, nematodes or molluscs, comprising applying to said plants, to the locus thereof, or to plant propagation material thereof, an insecticidally, acaricidally, nematicidally or molluscicidally effective amount of a compound of formula I as defined above, including preferences thereof.
Optionally when the compound of formula I is a compound wherein R2 is thietan-3-yl-, 1 -oxo- thietan-3-yl-, l,l -Dioxo-thietan-3-yl-, 3-Methyl-thietan-3-yl-, thietan-3-ylmethyl-, l-oxo-thietan-3- ylmethyl-, l,l -Dioxo-thietan-3-ylmethyl-, thietan-2-ylmethyl-, (l -oxothietan-2-yl)methyl-, (1,1 - dioxothietan-2-yl)methyl-, 2-(thietan-3-yl)ethanyl, 2-(l,l-dioxothietan-3-yl)ethanyl, or 2-(l -oxothietan-3- yl)ethanyl, Y1, Y2 and Y3 are CH; R5 is chloro, X1 is chloro, X2 is C-H, X3 is chloro, and X4 is trifluoromethyl, the method does not comprise applying the compound of formula I to a crop of soybean plants, the locus thereof, or propagation material thereof, and the method is not for control of stinkbugs.
Optionally, said methods do not comprise applying the compound of formula I to a crop of soybean plants, the locus thereof, or propagation material thereof, and the method is not for control of stinkbugs.
The invention also relates to the following intermediates which are useful for the preparation of compounds of formula I:
Compounds of formula XI
wherein G1, R1, R2, R5, X1, X2, X3, X4, Y1, Y2, and Y3 are as defined for the compound of formula I. Preferred definitions of G1, R1, R2, R5, X1, X2, X3, X4, Y1, Y2, and Y3 are the same as for the
wherein G1, R1, R2, R5, X1, X2, X3, X4, Y1, Y2, and Y3 are as defined for the compound of formula I. Preferred definitions of G1, R1, R2, R5, X1, X2, X3, X4, Y1, Y2, and Y3 are the same as for the corresponding substituents of compounds of formula I.
wherein G1, R1, R2, R5, X1, X2, X3, X4, Y1, Y2, and Y3 are as defined for the compound of formula I. Preferred definitions of G1, R1, R2, R5, X1, X2, X3, X4, Y1, Y2, and Y3 are the same as for the corresponding substituents of compounds of formula I.
wherein G1, R1, R2, R5, X1, X2, X3, X4, Y1, Y2, and Y3 are as defined for the compound of formula I. Preferred definitions of G1, R1, R2, R5, X1, X2, X3, X4, Y1, Y2, and Y3 are the same as for the corresponding substituents of compounds of formula I.
Compound of formula X5
1 1 2 1 2 3 5
wherein G , R , R\ Y , Y and YJ are as defined for the compound of formula I and X is chloro, bromo, iodo, amino, CHO, CN, OH, C(=0)OH, C(=NOH)H, C(=NOH)Cl, C(=NOH) NH2, C(=0)CH3, C(=NOH)CH3, C(=0)CH2C1, or C(=0)CH2Br. Preferred definitions of G1, R1, R2, R5, Y1, Y2, and Y3 are the same as for the corresponding substituents of compounds of formula I.
The compounds in the Tables below illustrates compounds of the invention
Table P
Table IP
Table IP provides 18 compounds of Formula I-A wherein Gl is oxygen, Rl is hydrogen, XI is chloro, X2 is CH, X3 is chloro, Yl is CH, Y2 is CH, Y3 is CH and X4, R5 and R2 have the values listed in the Table P.
Table 2P
Table 2P provides 18 compounds of Formula I-A wherein Gl is oxygen, Rl is hydrogen, XI is chloro, X2 is C-F, X3 is hydrogen, Yl is CH, Y2 is CH, Y3 is CH and X4, R5 and R2 have the values listed in the Table P.
Table 3Ρ
Table 3Ρ provides 18 compounds of Formula I-A wherein Gl is oxygen, Rl is hydrogen, XI is fluoro, X2 is C-Cl, X3 is hydrogen, Yl is CH, Y2 is CH, Y3 is CH and X4, R5 and R2 have the values listed in the Table P.
Table 4Ρ
Table 4Ρ provides 18 compounds of Formula I-A wherein Gl is oxygen, Rl is hydrogen, XI is chloro, X2 is C-Cl, X3 is hydrogen, Yl is CH, Y2 is CH, Y3 is CH and X4, R5 and R2 have the values listed in the Table P.
Table 5P
Table 5P provides 18 compounds of Formula I-A wherein Gl is oxygen, Rl is hydrogen, XI is chloro, X2 is C-F, X3 is chloro, Yl is CH, Y2 is CH, Y3 is CH and X4, R5 and R2 have the values listed in the Table P.
Table 6P
Table 6P provides 18 compounds of Formula I-A wherein Gl is oxygen, Rl is hydrogen, XI is chloro, X2 is C-Cl, X3 is chloro, Yl is CH, Y2 is CH, Y3 is CH and X4, R5 and R2 have the values listed in the Table P.
Table 7P
Table 7P provides 18 compounds of Formula I-A wherein Gl is oxygen, Rl is hydrogen, XI is chloro, X2 is C-Br, X3 is chloro, Yl is CH, Y2 is CH, Y3 is CH and X4, R5 and R2 have the values listed in the Table P.
Table 8P
Table 8P provides 18 compounds of Formula I-A wherein Gl is oxygen, Rl is hydrogen, XI is chloro, X2 is C-I, X3 is chloro, Yl is CH, Y2 is CH, Y3 is CH and X4, R5 and R2 have the values listed in the Table P.
Table 9P
Table 9P provides 18 compounds of Formula I-A wherein Gl is oxygen, Rl is hydrogen, XI is fluoro, X2 is C-F, X3 is fluoro, Yl is CH, Y2 is CH, Y3 is CH and X4, R5 and R2 have the values listed in the Table P.
Table 10P
Table 10P provides 18 compounds of Formula I-A wherein Gl is oxygen, Rl is hydrogen, XI is chloro, X2 is CH, X2 is bromo, Yl is CH, Y2 is CH, Y3 is CH and X4, R5 and R2 have the values listed in the Table P.
Table I IP
Table I IP provides 18 compounds of Formula I-A wherein Gl is oxygen, Rl is hydrogen, XI is chloro, X2 is CH, X3 is fluoro, Yl is CH, Y2 is CH, Y3 is CH and X4, R5 and R2 have the values listed in the Table P.
Table 12P
Table 12P provides 18 compounds of Formula I-A wherein Gl is oxygen, Rl is hydrogen, XI is chloro, X2 is CH, X3 is trifluoromethyl, Yl is CH, Y2 is CH, Y3 is CH and X4, R5 and R2 have the values listed in the Table P.
Table 13P
Table 13P provides 18 compounds of Formula I-A wherein Gl is oxygen, Rl is hydrogen, XI is chloro, X2 is C-Cl, X3 is trifluoromehtyl, Yl is CH, Y2 is CH, Y3 is CH and X4, R5 and R2 have the values listed in the Table P.
Table 14P
Table 14P provides 18 compounds of Formula I-A wherein Gl is oxygen, Rl is hydrogen, XI is trifluoromethyl, X2 is CH, X3 is trifluoromethyl, Yl is CH, Y2 is CH, Y3 is CH and X4, R5 and R2 have the values listed in the Table P.
Table 15P
Table 15P provides 18 compounds of Formula I-A wherein Gl is oxygen, Rl is hydrogen, XI is trifluoromethyl, X2 is C-CL, X3 is trifluoromethyl, Yl is CH, Y2 is CH, Y3 is CH and X4, R5 and R2 have the values listed in the Table P.
Table 16P
Table 16P provides 18 compounds of Formula I-A wherein Gl is oxygen, Rl is hydrogen, XI is trifluoromethyl, X2 is CH, X3 is hydrogen, Yl is CH, Y2 is CH, Y3 is CH and X4, R5 and R2 have the values listed in the Table P.
C ar interest.
Table 17P
Table 17P provides 18 compounds of Formula XI -A wherein Gl is oxygen, Rl is hydrogen, XI is chloro, X2 is CH, X3 is chloro, Yl is CH, Y2 is CH, Y3 is CH and X4, R5 and R2 have the values listed in the Table P.
Table 18P
Table 18P provides 18 compounds of Formula XI -A wherein Gl is oxygen, Rl is hydrogen, XI is chloro, X2 is C-F, X3 is hydrogen, Yl is CH, Y2 is CH, Y3 is CH and X4, R5 and R2 have the values listed in the Table P.
Table 19P
Table 19P provides 18 compounds of Formula XI -A wherein Gl is oxygen, Rl is hydrogen, XI is fluoro, X2 is C-Cl, X3 is hydrogen, Yl is CH, Y2 is CH, Y3 is CH and X4, R5 and R2 have the values listed in the Table P.
Table 20P
Table 20P provides 18 compounds of Formula XI -A wherein Gl is oxygen, Rl is hydrogen, XI is chloro, X2 is C-Cl, X3 is hydrogen, Yl is CH, Y2 is CH, Y3 is CH and X4, R5 and R2 have the values listed in the Table P.
Table 21P
Table 21P provides 18 compounds of Formula XI -A wherein Gl is oxygen, Rl is hydrogen, XI is chloro, X2 is C-F, X3 is chloro, Yl is CH, Y2 is CH, Y3 is CH and X4, R5 and R2 have the values listed in the Table P.
Table 22P
Table 22P provides 18 compounds of Formula XI -A wherein Gl is oxygen, Rl is hydrogen, XI is chloro, X2 is C-Cl, X3 is chloro, Yl is CH, Y2 is CH, Y3 is CH and X4, R5 and R2 have the values listed in the Table P.
Table 23P
Table 23P provides 18 compounds of Formula XI -A wherein Gl is oxygen, Rl is hydrogen, XI is chloro, X2 is C-Br, X3 is chloro, Yl is CH, Y2 is CH, Y3 is CH and X4, R5 and R2 have the values listed in the Table P.
Table 24P
Table 24P provides 18 compounds of Formula XI -A wherein Gl is oxygen, Rl is hydrogen, XI is chloro, X2 is C-I, X3 is chloro, Yl is CH, Y2 is CH, Y3 is CH and X4, R5 and R2 have the values listed in the Table P.
Table 25P
Table 25P provides 18 compounds of Formula XI -A wherein Gl is oxygen, Rl is hydrogen, Xlis fluoro, X2 is C-F, X3 is fluoro, Yl is CH, Y2 is CH, Y3 is CH and X4, R5 and R2 have the values listed in the Table P.
Table 26P
Table 26P provides 18 compounds of Formula XI -A wherein Gl is oxygen, Rl is hydrogen, XI is chloro, X2 is CH, X2 is bromo, Yl is CH, Y2 is CH, Y3 is CH and X4, R5 and R2 have the values
listed in the Table P.
Table 27P
Table 27Ρ provides 18 compounds of Formula XI -A wherein Gl is oxygen, Rl is hydrogen, XI is chloro, X2 is CH, X3 is fluoro, Yl is CH, Y2 is CH, Y3 is CH and X4, R5 and R2 have the values listed in the Table P.
Table 28Ρ
Table 28Ρ provides 18 compounds of Formula XI -A wherein Gl is oxygen, Rl is hydrogen, XI is chloro, X2 is CH, X3 is trifluoromethyl, Yl is CH, Y2 is CH, Y3 is CH and X4, R5 and R2 have the values listed in the Table P.
Table 29P
Table 29P provides 18 compounds of Formula XI -A wherein Gl is oxygen, Rl is hydrogen, XI is chloro, X2 is C-Cl, X3 is trifluoromehtyl, Yl is CH, Y2 is CH, Y3 is CH and X4, R5 and R2 have the values listed in the Table P.
Table 3 OP
Table 30P provides 18 compounds of Formula XI -A wherein Gl is oxygen, Rl is hydrogen, XI is trifluoromethyl, X2 is CH, X3 is trifluoromethyl, Yl is CH, Y2 is CH, Y3 is CH and X4, R5 and R2 have the values listed in the Table P.
Table 3 IP
Table 3 IP provides 18 compounds of Formula XI -A wherein Gl is oxygen, Rl is hydrogen, XI is trifluoromethyl, X2 is C-CL, X3 is trifluoromethyl, Yl is CH, Y2 is CH, Y3 is CH and X4, R5 and R2 have the values listed in the Table P.
Table 32P
Table 32P provides 18 compounds of Formula XI -A wherein Gl is oxygen, Rl is hydrogen, XI is
H, Y3 is CH and X4, R5 and R2 have
Table 33P
Table 33P provides 18 compounds of Formula X2-A wherein Gl is oxygen, Rl is hydrogen, XI is chloro, X2 is CH, X3 is chloro, Yl is CH, Y2 is CH, Y3 is CH and X4, R5 and R2 have the values listed in the Table P.
Table 34P
Table 34P provides 18 compounds of Formula X2-A wherein Gl is oxygen, Rl is hydrogen, XI is chloro, X2 is C-F, X3 is hydrogen, Yl is CH, Y2 is CH, Y3 is CH and X4, R5 and R2 have the values listed in the Table P.
Table 35P
Table 35P provides 18 compounds of Formula X2-A wherein Gl is oxygen, Rl is hydrogen, XI is fluoro, X2 is C-Cl, X3 is hydrogen, Yl is CH, Y2 is CH, Y3 is CH and X4, R5 and R2 have the values listed in the Table P.
Table 36P
Table 36P provides 18 compounds of Formula X2-A wherein Gl is oxygen, Rl is hydrogen, XI is chloro, X2 is C-Cl, X3 is hydrogen, Yl is CH, Y2 is CH, Y3 is CH and X4, R5 and R2 have the values listed in the Table P.
Table 37P
Table 37P provides 18 compounds of Formula X2-A wherein Gl is oxygen, Rl is hydrogen, XI is chloro, X2 is C-F, X3 is chloro, Yl is CH, Y2 is CH, Y3 is CH and X4, R5 and R2 have the values
listed in the Table P.
Table 38P
Table 38Ρ provides 18 compounds of Formula X2-A wherein Gl is oxygen, Rl is hydrogen, XI is chloro, X2 is C-Cl, X3 is chloro, Yl is CH, Y2 is CH, Y3 is CH and X4, R5 and R2 have the values listed in the Table P.
Table 39Ρ
Table 39Ρ provides 18 compounds of Formula X2-A wherein Gl is oxygen, Rl is hydrogen, XI is chloro, X2 is C-Br, X3 is chloro, Yl is CH, Y2 is CH, Y3 is CH and X4, R5 and R2 have the values listed in the Table P.
Table 40P
Table 40P provides 18 compounds of Formula X2-A wherein Gl is oxygen, Rl is hydrogen, XI is chloro, X2 is C-I, X3 is chloro, Yl is CH, Y2 is CH, Y3 is CH and X4, R5 and R2 have the values listed in the Table P.
Table 41P
Table 41P provides 18 compounds of Formula X2-A wherein Gl is oxygen, Rl is hydrogen, Xlis fluoro, X2 is C-F, X3 is fluoro, Yl is CH, Y2 is CH, Y3 is CH and X4, R5 and R2 have the values listed in the Table P.
Table 42P
Table 42P provides 18 compounds of Formula X2-A wherein Gl is oxygen, Rl is hydrogen, XI is chloro, X2 is CH, X2 is bromo, Yl is CH, Y2 is CH, Y3 is CH and X4, R5 and R2 have the values listed in the Table P.
Table 43P
Table 43P provides 18 compounds of Formula X2-A wherein Gl is oxygen, Rl is hydrogen, XI is chloro, X2 is CH, X3 is fluoro, Yl is CH, Y2 is CH, Y3 is CH and X4, R5 and R2 have the values listed in the Table P.
Table 44P
Table 44P provides 18 compounds of Formula X2-A wherein Gl is oxygen, Rl is hydrogen, XI is chloro, X2 is CH, X3 is trifluoromethyl, Yl is CH, Y2 is CH, Y3 is CH and X4, R5 and R2 have the values listed in the Table P.
Table 45P
Table 45P provides 18 compounds of Formula X2-A wherein Gl is oxygen, Rl is hydrogen, XI is chloro, X2 is C-Cl, X3 is trifluoromehtyl, Yl is CH, Y2 is CH, Y3 is CH and X4, R5 and R2 have the values listed in the Table P.
Table 46P
Table 46P provides 18 compounds of Formula X2-A wherein Gl is oxygen, Rl is hydrogen, XI is trifluoromethyl, X2 is CH, X3 is trifluoromethyl, Yl is CH, Y2 is CH, Y3 is CH and X4, R5 and R2 have the values listed in the Table P.
Table 47P
Table 47P provides 18 compounds of Formula X2-A wherein Gl is oxygen, Rl is hydrogen, XI is trifluoromethyl, X2 is C-CL, X3 is trifluoromethyl, Yl is CH, Y2 is CH, Y3 is CH and X4, R5 and R2 have the values listed in the Table P.
Table 48P
Table 48P provides 18 compounds of Formula X2-A wherein Gl is oxygen, Rl is hydrogen, XI is trifluoromethyl, X2 is CH, X3 is hydrogen, Yl is CH, Y2 is CH, Y3 is CH and X4, R5 and R2 have the values listed in the Table P.
Table 49P
Table 49P provides 18 compounds of Formula X3-A wherein Gl is oxygen, Rl is hydrogen, XI is chloro, X2 is CH, X3 is chloro, Yl is CH, Y2 is CH, Y3 is CH and X4, R5 and R2 have the values listed in the Table P.
Table 50Ρ
Table 50Ρ provides 18 compounds of Formula X3-A wherein Gl is oxygen, Rl is hydrogen, XI is chloro, X2 is C-F, X3 is hydrogen, Yl is CH, Y2 is CH, Y3 is CH and X4, R5 and R2 have the values listed in the Table P.
Table 5 IP
Table 51P provides 18 compounds of Formula X3-A wherein Gl is oxygen, Rl is hydrogen, XI is fluoro, X2 is C-Cl, X3 is hydrogen, Yl is CH, Y2 is CH, Y3 is CH and X4, R5 and R2 have the values listed in the Table P.
Table 52P
Table 52P provides 18 compounds of Formula X3-A wherein Gl is oxygen, Rl is hydrogen, XI is chloro, X2 is C-Cl, X3 is hydrogen, Yl is CH, Y2 is CH, Y3 is CH and X4, R5 and R2 have the values listed in the Table P.
Table 53P
Table 53P provides 18 compounds of Formula X3-A wherein Gl is oxygen, Rl is hydrogen, XI is chloro, X2 is C-F, X3 is chloro, Yl is CH, Y2 is CH, Y3 is CH and X4, R5 and R2 have the values listed in the Table P.
Table 54P
Table 54P provides 18 compounds of Formula X3-A wherein Gl is oxygen, Rl is hydrogen, XI is chloro, X2 is C-Cl, X3 is chloro, Yl is CH, Y2 is CH, Y3 is CH and X4, R5 and R2 have the values listed in the Table P.
Table 55P
Table 55P provides 18 compounds of Formula X3-A wherein Gl is oxygen, Rl is hydrogen, XI is chloro, X2 is C-Br, X3 is chloro, Yl is CH, Y2 is CH, Y3 is CH and X4, R5 and R2 have the values listed in the Table P.
Table 56P
Table 56P provides 18 compounds of Formula X3-A wherein Gl is oxygen, Rl is hydrogen, XI is chloro, X2 is C-I, X3 is chloro, Yl is CH, Y2 is CH, Y3 is CH and X4, R5 and R2 have the values listed in the Table P.
Table 57P
Table 57P provides 18 compounds of Formula X3-A wherein Gl is oxygen, Rl is hydrogen, Xlis fluoro, X2 is C-F, X3 is fluoro, Yl is CH, Y2 is CH, Y3 is CH and X4, R5 and R2 have the values listed in the Table P.
Table 58P
Table 58P provides 18 compounds of Formula X3-A wherein Gl is oxygen, Rl is hydrogen, XI is chloro, X2 is CH, X2 is bromo, Yl is CH, Y2 is CH, Y3 is CH and X4, R5 and R2 have the values listed in the Table P.
Table 59P
Table 59P provides 18 compounds of Formula X3-A wherein Gl is oxygen, Rl is hydrogen, XI is chloro, X2 is CH, X3 is fluoro, Yl is CH, Y2 is CH, Y3 is CH and X4, R5 and R2 have the values listed in the Table P.
Table 60P
Table 60P provides 18 compounds of Formula X3-A wherein Gl is oxygen, Rl is hydrogen, XI is chloro, X2 is CH, X3 is trifluoromethyl, Yl is CH, Y2 is CH, Y3 is CH and X4, R5 and R2 have the values listed in the Table P.
Table 61P
Table 61P provides 18 compounds of Formula X3-A wherein Gl is oxygen, Rl is hydrogen, XI is chloro, X2 is C-Cl, X3 is trifluoromehtyl, Yl is CH, Y2 is CH, Y3 is CH and X4, R5 and R2 have the values listed in the Table P.
Table 62P
Table 62P provides 18 compounds of Formula X3-A wherein Gl is oxygen, Rl is hydrogen, XI is trifluoromethyl, X2 is CH, X3 is trifluoromethyl, Yl is CH, Y2 is CH, Y3 is CH and X4, R5 and R2 have the values listed in the Table P.
Table 63P
Table 63P provides 18 compounds of Formula X3-A wherein Gl is oxygen, Rl is hydrogen, XI is trifluoromethyl, X2 is C-CL, X3 is trifluoromethyl, Yl is CH, Y2 is CH, Y3 is CH and X4, R5 and R2 have the values listed in the Table P.
Table 64P
Table 64P provides 18 compounds of Formula X3-A wherein Gl is oxygen, Rl is hydrogen, XI is
H, Y3 is CH and X4, R5 and R2 have
Table 65P
Table 65P provides 18 compounds of Formula X4-A wherein Gl is oxygen, Rl is hydrogen, XI is chloro, X2 is CH, X3 is chloro, Yl is CH, Y2 is CH, Y3 is CH and X4, R5 and R2 have the values listed in the Table P.
Table 66P
Table 66P provides 18 compounds of Formula X4-A wherein Gl is oxygen, Rl is hydrogen, XI is chloro, X2 is C-F, X3 is hydrogen, Yl is CH, Y2 is CH, Y3 is CH and X4, R5 and R2 have the values listed in the Table P.
Table 67P
Table 67P provides 18 compounds of Formula X4-A wherein Gl is oxygen, Rl is hydrogen, XI is fluoro, X2 is C-Cl, X3 is hydrogen, Yl is CH, Y2 is CH, Y3 is CH and X4, R5 and R2 have the values listed in the Table P.
Table 68P
Table 68P provides 18 compounds of Formula X4-A wherein Gl is oxygen, Rl is hydrogen, XI is chloro, X2 is C-Cl, X3 is hydrogen, Yl is CH, Y2 is CH, Y3 is CH and X4, R5 and R2 have the values listed in the Table P.
Table 69P
Table 69P provides 18 compounds of Formula X4-A wherein Gl is oxygen, Rl is hydrogen, XI is chloro, X2 is C-F, X3 is chloro, Yl is CH, Y2 is CH, Y3 is CH and X4, R5 and R2 have the values listed in the Table P.
Table 70P
Table 70P provides 18 compounds of Formula X4-A wherein Gl is oxygen, Rl is hydrogen, XI is chloro, X2 is C-Cl, X3 is chloro, Yl is CH, Y2 is CH, Y3 is CH and X4, R5 and R2 have the values listed in the Table P.
Table 71P
Table 71P provides 18 compounds of Formula X4-A wherein Gl is oxygen, Rl is hydrogen, XI is chloro, X2 is C-Br, X3 is chloro, Yl is CH, Y2 is CH, Y3 is CH and X4, R5 and R2 have the values listed in the Table P.
Table 72Ρ
Table 72Ρ provides 18 compounds of Formula X4-A wherein Gl is oxygen, Rl is hydrogen, XI is chloro, X2 is C-I, X3 is chloro, Yl is CH, Y2 is CH, Y3 is CH and X4, R5 and R2 have the values listed in the Table P.
Table 73P
Table 73P provides 18 compounds of Formula X4-A wherein Gl is oxygen, Rl is hydrogen, Xlis fluoro, X2 is C-F, X3 is fluoro, Yl is CH, Y2 is CH, Y3 is CH and X4, R5 and R2 have the values listed in the Table P.
Table 74P
Table 74P provides 18 compounds of Formula X4-A wherein Gl is oxygen, Rl is hydrogen, XI is chloro, X2 is CH, X2 is bromo, Yl is CH, Y2 is CH, Y3 is CH and X4, R5 and R2 have the values listed in the Table P.
Table 75P
Table 75P provides 18 compounds of Formula X4-A wherein Gl is oxygen, Rl is hydrogen, XI is chloro, X2 is CH, X3 is fluoro, Yl is CH, Y2 is CH, Y3 is CH and X4, R5 and R2 have the values listed in the Table P.
Table 76P
Table 76P provides 18 compounds of Formula X4-A wherein Gl is oxygen, Rl is hydrogen, XI is chloro, X2 is CH, X3 is trifluoromethyl, Yl is CH, Y2 is CH, Y3 is CH and X4, R5 and R2 have the values listed in the Table P.
Table 77P
Table 77P provides 18 compounds of Formula X4-A wherein Gl is oxygen, Rl is hydrogen, XI is chloro, X2 is C-Cl, X3 is trifluoromehtyl, Yl is CH, Y2 is CH, Y3 is CH and X4, R5 and R2 have the values listed in the Table P.
Table 78P
Table 78P provides 18 compounds of Formula X4-A wherein Gl is oxygen, Rl is hydrogen, XI is trifluoromethyl, X2 is CH, X3 is trifluoromethyl, Yl is CH, Y2 is CH, Y3 is CH and X4, R5 and R2 have the values listed in the Table P.
Table 79P
Table 79P provides 18 compounds of Formula X4-A wherein Gl is oxygen, Rl is hydrogen, XI is trifluoromethyl, X2 is C-CL, X3 is trifluoromethyl, Yl is CH, Y2 is CH, Y3 is CH and X4, R5 and R2 have the values listed in the Table P.
Table 80P
Table 80P provides 18 compounds of Formula X4-A wherein Gl is oxygen, Rl is hydrogen, XI is trifluoromethyl, X2 is CH, X3 is hydrogen, Yl is CH, Y2 is CH, Y3 is CH and X4, R5 and R2 have the values listed in the Table P.
Table X
R5 R2
X.1 bromo 1 , 1 -Dioxo-thietan-3 -yl-
X.2 chloro 1 , 1 -Dioxo-thietan-3 -yl-
X.3 fluoro 1 , 1 -Dioxo-thietan-3 -yl-
X.4 bromo 1 , 1 -Dioxo-thietan-3 -ylmethyl-
X.5 chloro 1 , 1 -Dioxo-thietan-3 -ylmethyl-
X.6 fluoro 1 , 1 -Dioxo-thietan-3 -ylmethyl-
X.7 bromo cis- 1 -oxo-thietan-3 -yl-
X.8 chloro cis- 1 -oxo-thietan-3 -yl-
X.9 fluoro cis- 1 -oxo-thietan-3 -yl-
X.10 bromo cis- 1 -oxo-thietan-3 -ylmethyl-
X.11 chloro cis- 1 -oxo-thietan-3 -ylmethyl-
X.12 fluoro cis- 1 -oxo-thietan-3 -ylmethyl-
X.13 bromo thietan-3-yl-
X.14 chloro thietan-3-yl-
X.15 fluoro thietan-3-yl-
X.16 bromo thietan-3 -ylmethyl-
X.17 chloro thietan-3 -ylmethyl- -3 -ylmethyl-
Table IX
Table IX provides 18 compounds of Formula X5-A wherein Gl is oxygen, Rl is hydrogen, Yl is CH, Y2 is CH, Y3 is CH, X5 is chloro, R5 and R2 have the values listed in the Table X.
Table 2X
Table 2X provides 18 compounds of Formula X5-A wherein Gl is oxygen, Rl is hydrogen, Yl is CH, Y2 is CH, Y3 is CH, X5 is bromo, R5 and R2 have the values listed in the Table X.
Table 3X
Table 3X provides 18 compounds of Formula X5-A wherein Gl is oxygen, Rl is hydrogen, Yl is CH, Y2 is CH, Y3 is CH, X5 is iodo, R5 and R2 have the values listed in the Table X.
Table 4X
Table 4X provides 18 compounds of Formula X5-A wherein Gl is oxygen, Rl is hydrogen, Yl is CH, Y2 is CH, Y3 is CH, X5 is amino, R5 and R2 have the values listed in the Table X.
Table 5X
Table 5X provides 18 compounds of Formula X5-A wherein Gl is oxygen, Rl is hydrogen, Yl is CH, Y2 is CH, Y3 is CH, X5 is CHO, R5 and R2 have the values listed in the Table X.
Table 6X
Table 6X provides 18 compounds of Formula X5-A wherein Gl is oxygen, Rl is hydrogen, Yl is CH, Y2 is CH, Y3 is CH, X5 is CN, R5 and R2 have the values listed in the Table X.
Table 7X
Table 7X provides 18 compounds of Formula X5-A wherein Gl is oxygen, Rl is hydrogen, Yl is CH, Y2 is CH, Y3 is CH, X5 is OH, R5 and R2 have the values listed in the Table X.
Table 8X
Table 8X provides 18 compounds of Formula X5-A wherein Gl is oxygen, Rl is hydrogen, Yl is CH, Y2 is CH, Y3 is CH, X5 is C(=0)OH, R5 and R2 have the values listed in the Table X.
Table 9X
Table 9X provides 18 compounds of Formula X5-A wherein Gl is oxygen, Rl is hydrogen, Yl is CH, Y2 is CH, Y3 is CH, X5 is C(=NOH)H, R5 and R2 have the values listed in the Table X.
Table IPX
Table 10X provides 18 compounds of Formula X5-A wherein Gl is oxygen, Rl is hydrogen, Yl is CH, Y2 is CH, Y3 is CH, X5 is C(=NOH)Cl, R5 and R2 have the values listed in the Table X.
Table 11X
Table 1 IX provides 18 compounds of Formula X5-A wherein Gl is oxygen, Rl is hydrogen, Yl is CH, Y2 is CH, Y3 is CH, X5 is C(=NOH)NH2, R5 and R2 have the values listed in the Table X.
Table 12X
Table 12X provides 18 compounds of Formula X5-A wherein Gl is oxygen, Rl is hydrogen, Yl is CH, Y2 is CH, Y3 is CH, X5 is C(=0)CH3, R5 and R2 have the values listed in the Table X.
Table 13X
Table 13X provides 18 compounds of Formula X5-A wherein Gl is oxygen, Rl is hydrogen, Yl is CH, Y2 is CH, Y3 is CH, X5 is C(=NOH)CH3, R5 and R2 have the values listed in the Table X.
Table 14X
Table 14X provides 18 compounds of Formula X5-A wherein Gl is oxygen, Rl is hydrogen, Yl is CH, Y2 is CH, Y3 is CH, X5 is C(=0)CH2C1, R5 and R2 have the values listed in the Table X.
Table 15X
Table 15X provides 18 compounds of Formula X5-A wherein Gl is oxygen, Rl is hydrogen, Yl is CH, Y2 is CH, Y3 is CH, X5 is C(=0)CH2Br, R5 and R2 have the values listed in the Table X.
In one embodiment the invention provides a compound selected from Tables IP to 16P for use in controlling and/or preventing insects of the family Curculionidae, preferably in for use in controlling and/or preventing Anthonomus grandis.
Additional examples of insects from the family of Curculionidae. are Anthonomus corvulus,
Anthonomus elutus, Anthonomus elongatus, Anthonomus eugenii, Anthonomus consors, Anthonomus haematopus, Anthonomus lecontei, Anthonomus molochinus, Anthonomus morticinus, Anthonomus musculus, Anthonomus nigrinus, Anthonomus phyllocola, Anthonomus pictus, Anthonomus pomorum, Anthonomus quadrigibbus, Anthonomus rectirostris, Anthonomus rubi, Anthonomus santacruzi, Anthonomus signatus, Anthonomus subfasciatus, and Anthonomus tenebrosus.
In one embodiment the invention provides a compound selected from Tables IP to 16P for use against Anthonomus grandis in cotton.
In one embodiment the invention provides a compound selected from Tables IP to 16P for use in controlling and/or preventing soil pests.
In one embodiment the invention provides a compound selected from Tables IP to 16P for use in controlling and/or preventing corn rootworm, in particular for use against corn root worm from the genus Diabrotica.
In one embodiment the invention provides a compound selected from Tables IP to 16P for use in controlling and/or preventing Diabrotica virgifera.
In one embodiment the invention provides a compound selected from Tables IP to 16P for use in controlling and/or preventing Diabrotica barberi.
In one embodiment the invention provides a compound selected from Tables IP to 16P for use in controlling and/or preventing Diabrotica undecimpunctata howardi.
In one embodiment the invention provides a compound selected from Tables IP to 16P for use in controlling and/or preventing wireworms, in particular Agriotes spp.
In one embodiment the invention provides a compound selected from Tables IP to 16P for use in controlling and/or preventing Agriotes spp. in cereals, potato or corn.
Additional examples of Agriotes spp. include Agriotes Uneatus, Agriotes obscurus, Agriotes brevis, Agriotes gurgistanus, Agriotes sputator, Agriotes ustulatus, Ctenicera destructor, and Limonius californicus.
In one embodiment the invention provides a compound selected from Tables IP to 16P for use in controlling and/or preventing grubs, in particular white grubs.
In one embodiment the invention provides a compound selected from Tables IP to 16P for use in controlling and/or preventing Phyllophaga spp., particularly on corn, soybean or cotton.
In one embodiment the invention provides a compound selected from Tables IP to 16P for use in controlling and/or preventing Diloboderus spp. particularly on corn, soybean or cotton.
In one embodiment the invention provides a compound selected from Tables IP to 16P for use in controlling and/or preventing Popillia japonica, particularly on corn, soybean or cotton.
Additional examples of white grubs include Phyllophaga anxia, Phyllophaga crinite, Phyllophaga subnitida, Diloboderus abderus.
In one embodiment the invention provides a compound selected from Tables IP to 16P for use in controlling and/or preventing termites, e.g. on sugarcane.
Examples of termites include Reticulitermes, Coptotermes, Macrotermes, Microtermes, Globitermes. Specific of subterranean termites include Reticulitermes flavipes, Reticulitermes hesperus, Reticulitermes verginicus, Reticulitermes hageni, Reticulitermes speratus, Reticulitermes lucifugus, Heterotermes aureus, Coptotermes formosanus, Coptotermes acinaciformis, Coptotermes curvignathus, Nasutitermes exitiosus, Nasutitermes walkeri, Mastotermes darwiniensis, Schedorhinotermes spp, Macrotermes bellicosus, Macrotermes spp., Globitermes sulphureus, Odontotermes spp.. Specific examples of dry wood termites include Incisitermes minor, Marginitermes hubbardi, Cryptotermes brevis, Kalotermes flavicollis. Additional examples of termites include procornitermes spp. and procornitermes araujoi.
In one embodiment the invention provides a compound selected from Tables IP to 16P for use in controlling and/or preventing subterraneous stinkbugs, e.g. Scaptocoris spp..
In one embodiment the invention provides a compound selected from Tables IP to 16P for use in controlling and/or preventing Scaptocoris castaneus, in particular on cereals, soybean or corn.
In one embodiment the invention provides a compound selected from Tables IP to 16P for use in controlling and/or preventing cutworms, e.g. agrotis spp..
In one embodiment the invention provides a compound selected from Tables IP to 16P for use in controlling and/or preventing Agrotis ipsilon, particularly on cereals, canola, soybean or corn.
In one embodiment the invention provides a compound selected from Tables IP to 16P for use in controlling and/or preventing millipedes, e.g. Julus spp..
In one embodiment the invention provides a compound selected from Tables IP to 16P for use in controlling and/or preventing Julus spp., particularly on cereals, canola, soybean & corn.
In one embodiment the invention provides a compound selected from Tables IP to 16P for use in controlling and/or preventing broca gigante, e.g. Telchin licus, particularly on sugarcane.
In one embodiment the invention provides a compound selected from Tables IP to 16P for use in controlling and/or preventing whitefly.
In one embodiment the invention provides a compound selected from Tables IP to 16P for use in controlling and/or preventing Bemisia tabaci, particularly on vegetables, cotton, soybean, or potatoes.
In one embodiment the invention provides a compound selected from Tables IP to 16P for use in controlling and/or preventing Trialeurodes vapor ariorum, particularly on vegetables, cotton, soybean, or potatoes.
In one embodiment the invention provides a compound selected from Tables IP to 16P for use in controlling and/or preventing stinkbugs, in particular Euschistus spp.
In one embodiment the invention provides a compound selected from Tables IP to 16P for use in controlling and/or preventing Euschistus spp., particularly in soybean.
Examples of stinkbugs include Nezara spp. (e.g. Nezara viridula, Nezara antennata, Nezara hilare), Piezodorus spp. (e.g. Piezodorus guildinii), Acrosternum spp. Euchistus spp. (e.g. Euchistus heros, Euschistus servus), Halyomorpha halys, Plautia crossota, Riptortus clavatus, Rhopalus msculatus, Antestiopsis orbitalus, Dichelops spp. (e.g. Dichelops furcatus, Dichelops melacanthus), Eurygaster spp. (e.g. Eurygaster intergriceps, Eurygaster maura), Oebalus spp. (e.g. Oebalus mexicana, Oebalus poecilus, Oebalus pugnase, Scotinophara spp. (e.g. Scotinophara lurida, Scotinophara coarctata).
Preferred targets include Antestiopsis orbitalus, Dichelops furcatus, Dichelops melacanthus, Euchistus heros, Euschistus servus, Nezara viridula, Nezara hilare, Piezodorus guildinii, Halyomorpha halys. In one embodiment the stinkbug target is Nezara viridula, Piezodorus spp., Acrosternum spp, Euchistus heros.
In one embodiment the invention provides a compound selected from Tables IP to 16P for use against rice pests.
In one embodiment the invention provides a compound selected from Tables IP to 16P for use against stemborer, particularly in rice.
Examples of stemborers include Chilo sp, Chilo suppressalis, Chilo polychrysus, Chilo auricilius, Scirpophaga spp., Scirpophaga incertulas, Scirpophaga innotata, Scirpophaga nivella
Sesamia sp, Sesamia inferens.
In one embodiment the invention provides a compound selected from Tables IP to 16P for use against leaffolder, particularly in rice.
Examples of leaffolders include Cnaphalocrocis spp., Cnaphalocrocis medinalis, Marasmia spp., Marasmia patnalis, Marasmia exigua.
In one embodiment the invention provides a compound selected from Tables IP to 16P for use against hoppers, particularly in rice.
Examples of Hoppers include Nephotettix spp., Nephotettix virescens, Nephotettix nigropictus, Nephotettix malayanus, Nephotettix cincticeps, Nilaparvata lugens, Sogatella furcifera.
In one embodiment the invention provides a compound selected from Tables IP to 16P for use against gallmidge, particularly in rice.
Examples of Gall midge include Orseolia sp, Orseolia oryzae.
In one embodiment the invention provides a compound selected from Tables IP to 16P for use against whorl maggot, particularly in rice.
Examples of whorl maggots include Hydrellia sp, Hydrellia philippina.
In one embodiment the invention provides a compound selected from Tables IP to 16P for use against Rice bugs, particularly in rice.
Examples of rice bugs include Leptocorisa sp, Leptocorisa oratorius, Leptocorisa chinensis, Leptocorisa acuta.
In one embodiment the invention provides a compound selected from Tables IP to 16P for use against Black bugs, particularly in rice.
Examples of Black bugs include Scotinophara sp, Scotinophara coarctata, Scotinophara lurida, Scotinophara latiuscula.
In one embodiment the invention provides a compound selected from Tables IP to 16P for use against plutella spp..
In one embodiment the invention provides a compound selected from Tables IP to 16P for use against Plutella xylostella, particularly in brassica crops.
In a further aspect the invention provides a method of controlling insects, acarines, nematodes or molluscs, preferably in a crop of useful plants, which comprises applying to a pest, to a locus of a pest, or to a plant susceptible to attack by a pest an insecticidally, acaricidally, nematicidally or molluscicidally effective amount of a compound of formula Γ
wherein
G1 is oxygen;
R1 is hydrogen;
R2 is thietan-3-yl-, l-oxo-thietan-3-yl-, l,l -dioxo-thietan-3-yl-, thietan-3-ylmethyl-, l-oxo-thietan-3- ylmethyl-, or l,l -dioxo-thietan-3-ylmethyl-;
Y1, Y2 and Y3 are independently CH or nitrogen;
wherein no more than two of Y1, Y2 and Y3 are nitrogen and wherein Y2 and Y3 are not both nitrogen; R5 is hydrogen, halogen, cyano, nitro, NH2, Ci-C2alkyl, Ci-C2haloalkyl, C3-C5cycloalkyl, d- C2halocycloalkyl, Ci-C2alkoxy, Ci-C2haloalkoxy;
X2 is C-X6;
Χ', Χ3 and X6 are independently halogen or trihalomethyl;
X4 is trifluoromethyl, difluoromethyl or chlorodifluoromethyl.
preferably with the provisos that:
when the compound is a compound wherein Y1, Y2 and Y3 are CH; R5 is methyl; X1 is chloro, X2
3 1 2 3 1 2 3
is C-Cl, X is chloro, or X is chloro, X is C-F, X is chloro, or X is chloro, X is C-Br, X is chloro, or
X 1 is chloro, X2 is C-Cl, X 3 is trifluoromethyl, or X 1 is trifluoromethyl, X 2 is C-Cl, X 3 is trifluoromethyl, or X1 is fluoro, X2 is C-F, X3 is fluoro, and X4 is CF3, then the method does not comprise applying the compound of formula I to a crop of soybean plants, the locus thereof, or propagation material thereof, and the method is not for control of stinkbugs; and/or
wherein the compound is not a compound wherein R2 is thietan-3-yl-, l -oxo-thietan-3-yl-, 1,1 - Dioxo-thietan-3-yl-; Y1, Y2 and Y3 are CH; R5 is methyl; X2 is bromo, X2 is C-Cl, X3 is bromo and X4 is CF3.
In a further aspect the invention provides a method of protecting useful plants from insects, acarines, nematodes or molluscs, comprising applying to said plant, to the locus thereof, or to plant propagation material thereof, an insecticidally, acaricidally, nematicidally or molluscicidally effective amount of a compound of formula Γ as defined above, including preferences thereof.
Optionally, said methods do not comprise applying the compound of formula Γ to a crop of soybean plants, the locus thereof, or propagation material thereof, and the method is not for control of stinkbugs.
Preferred values of R2, R5, Y1, Y2, Y3, X1, X2, X3, X4, X5 and X6 for the compound of formula Fare, in any combination, as set out below.
Preferably R2 is thietan-3-yl-, l-oxo-thietan-3-yl-, or l,l -dioxo-thietan-3-yl-.
Preferably R5 is hydrogen, chloro, bromo, fluoro, trifluoromethyl, methyl, ethyl, methoxy, nitro, trifluoromethoxy, cyano, cyclopropyl, more preferably R5 is hydrogen, chloro, bromo, fluoro, trifluoromethyl, methyl, ethyl, nitro, cyano, cyclopropyl, even more preferably R5 is chloro, bromo, fluoro, methyl, trifluoromethyl. Most preferably R5 is chloro or methyl.
Preferably Y1 is CH, Y2 is CH, Y3 is CH, or Y1 is N, Y2 is CH, Y3 is CH, or Y1 is N, Y2 is N, Y3 is CH, orY1 is CH, Y2 is N, Y3 is CH, orY1 is CH, Y2 is CH, Y3 is N. More preferably Y1 is CH, Y2 is CH, Y3 is CH.
1 2 3 1 2 3 1
Preferably X is chloro, X is C-Br, X is chloro, or X is chloro, X is C-F, X is chloro, or X is chloro, X2 is C-Cl, X3 is chloro, or X1 is chloro, X2 is C-I, X3 is chloro, or X1 is fluoro, X2 is C-F, X3 is
1 2 3 1 2 3 fluoro, or X is chloro, X is C-Cl, X is trifluoromethyl, or X is trifluoromethyl, X is C-Cl, X is
1 2 3 1 2 3 trifluoromethyl. More preferably X is chloro, X is C-Cl, X is chloro, or X is chloro, X is C-F, X is chloro.
Preferably X4 is trifluoromethyl.
In one embodiment the invention provides compounds of formula Γ wherein
G1 is oxygen;
R1 is hydrogen;
R2 is thietan-3-yl-, l -oxo-thietan-3-yl-, l,l -Dioxo-thietan-3-yl-, thietan-3-ylmethyl-, 1 -oxo- thietan-3-ylmethyl-, or l,l -Dioxo-thietan-3-ylmethyl-;
Y1 is CH, Y2 is CH, Y3 is CH;
R5 is chloro, bromo, fluoro, methyl, trifluoromethyl;
1 2 3 1 2 3
X is chloro, X is C-Cl, X is chloro, or X is chloro, X is C-F, X is chloro; and
X4 is trifluoromethyl.
In another embodiment the invention provides compounds of formula I wherein
G1 is oxygen;
R1 is hydrogen;
R is thietan-3-yl-, l -oxo-thietan-3-yl-, l,l -Dioxo-thietan-3-yl-;
Y1 is CH, Y2 is CH, Y3 is CH;
R5 is chloro, bromo, fluoro, methyl, trifluoromethyl;
1 2 3 1 2 3
X is chloro, X is C-Cl, X is chloro, or X is chloro, X is C-F, X is chloro; and
X is trifluoromethyl.
In embodiment the invention provides compounds of formula Γ wherein X1 is chloro, X2 is C-Br,
3 1 1 2 5 1 2 3 4
XJ is chloro and G , R , R RD, Y , Y YJ and X" are as defined for the compound of formula Γ.
In embodiment the invention provides compounds of formula Γ wherein X1 is chloro, X2 is C-F,
3 1 1 2 5 1 2 3 4
XJ is chloro and G , R , R RD, Y , Y YJ and X" are as defined for the compound of formula Γ.
In embodiment the invention provides compounds of formula Γ wherein X1 is chloro, X2 is C-Cl,
3 1 1 2 5 1 2 3 4
XJ is chloro and G , R , R R Y , Y YJ and X" are as defined for the compound of formula Γ.
In embodiment the invention provides compounds of formula Γ wherein X1 is chloro, X2 is C-I,
3 1 1 2 5 1 2 3 4
XJ is chloro and G , R , R R Y , Y YJ and X" are as defined for the compound of formula Γ.
In embodiment the invention provides compounds of formula Γ wherein X1 is fluoro, X2 is C-F,
3 1 1 2 5 1 2 3 4
XJ is fluoro and G , R , R R Y , Y YJ and X" are as defined for the compound of formula Γ.
In embodiment the invention provides compounds of formula Γ wherein X1 is chloro, X2 is C-Cl,
3 1 1 2 5 1 2 3 4
XJ is trifluoromethyl and G , R , R R Y , Y YJ and X" are as defined for the compound of formula Γ .
In embodiment the invention provides compounds of formula Γ wherein X1 is trifluoromethyl, X2 is C-Cl, X3 is trifluoromethyl and G1, R1, R2, R5, Y1, Y2, Y3 and X4 are as defined for the compound of formula Γ .
Table Q indicates compounds of formula Faccording to the above aspect of the invention.
Table O
X4 R5 R2
Q.l trifluoromethyl bromo 1 , 1 -Dioxo-thietan-3-yl-
Q.2 trifluoromethyl chloro 1 , 1 -Dioxo-thietan-3-yl-
Q.3 trifluoromethyl cyano 1 , 1 -Dioxo-thietan-3-yl-
Q.4 trifluoromethyl cyclopropyl 1 , 1 -Dioxo-thietan-3-yl-
Q.5 trifluoromethyl ethyl 1 , 1 -Dioxo-thietan-3-yl-
Q.6 trifluoromethyl fluoro 1 , 1 -Dioxo-thietan-3-yl-
Q.7 trifluoromethyl hydrogen 1 , 1 -Dioxo-thietan-3-yl-
Q.8 trifluoromethyl methoxy 1 , 1 -Dioxo-thietan-3-yl-
Q.9 trifluoromethyl methyl 1 , 1 -Dioxo-thietan-3-yl-
Q.10 trifluoromethyl nitro 1 , 1 -Dioxo-thietan-3-yl-
Q.l l trifluoromethyl trifluoromethoxy 1 , 1 -Dioxo-thietan-3-yl-
Q.12 trifluoromethyl trifluoromethyl 1 ,1 -Dioxo-thietan-3 -yl-
Q.13 trifluoromethyl bromo l ,l-Dioxo-thietan-3-ylmethyl-
Q.14 trifluoromethyl chloro 1 , 1 -Dioxo-thietan-3 -ylmethyl -
Q.15 trifluoromethyl cyano 1 , 1 -Dioxo-thietan-3 -ylmethyl-
Q.16 trifluoromethyl cyclopropyl 1 , 1 -Dioxo-thietan-3 -ylmethyl-
Q.17 trifluoromethyl ethyl 1 , 1 -Dioxo-thietan-3 -ylmethyl-
Q.18 trifluoromethyl fluoro 1 ,1 -Dioxo-thietan-3-ylmethyl-
Q.19 trifluoromethyl hydrogen 1 ,1 -Dioxo-thietan-3-ylmethyl-
Q.20 trifluoromethyl methoxy 1 ,1 -Dioxo-thietan-3-ylmethyl-
Q.21 trifluoromethyl methyl l ,l-Dioxo-thietan-3-ylmethyl-
Q.22 trifluoromethyl nitro 1 , 1 -Dioxo-thietan-3 -ylmethyl -
Q.23 trifluoromethyl trifluoromethoxy 1 , 1 -Dioxo-thietan-3 -ylmethyl-
Q.24 trifluoromethyl trifluoromethyl 1 , 1 -Dioxo-thietan-3 -ylmethyl-
Q.25 trifluoromethyl bromo cis- 1 -oxo-thietan-3-yl-
Q.26 trifluoromethyl chloro cis-1 -oxo-thietan-3-yl-
Q.27 trifluoromethyl cyano cis-1 -oxo-thietan-3-yl-
Q.28 trifluoromethyl cyclopropyl cis-l-oxo-thietan-3-yl-
Q.29 trifluoromethyl ethyl cis-l-oxo-thietan-3-yl-
Q.30 trifluoromethyl fluoro cis-l-oxo-thietan-3-yl-
Q.31 trifluoromethyl hydrogen cis-l-oxo-thietan-3-yl-
Q.32 trifluoromethyl methoxy cis- 1 -oxo-thietan-3-yl-
Q.33 trifluoromethyl methyl cis- 1 -oxo-thietan-3-yl-
Q.34 trifluoromethyl nitro cis-1 -oxo-thietan-3-yl-
Q.35 trifluoromethyl trifluoromethoxy cis-1 -oxo-thietan-3-yl-
Q.36 trifluoromethyl trifluoromethyl cis-l-oxo-thietan-3-yl-
Q.37 trifluoromethyl bromo cis-l-oxo-thietan-3-ylmethyl-
Q.38 trifluoromethyl chloro cis-l-oxo-thietan-3-ylmethyl-
Q.39 trifluoromethyl cyano cis-l-oxo-thietan-3-ylmethyl-
Q.40 trifluoromethyl cyclopropyl cis- 1 -oxo-thietan-3-ylmethyl-
Q.41 trifluoromethyl ethyl cis- 1 -oxo-thietan-3-ylmethyl-
Q.42 trifluoromethyl fluoro cis-1 -oxo-thietan-3-ylmethyl-
Q.43 trifluoromethyl hydrogen cis-1 -oxo-thietan-3-ylmethyl-
Q.44 trifluoromethyl methoxy cis-l-oxo-thietan-3-ylmethyl-
Q.45 trifluoromethyl methyl cis-l-oxo-thietan-3-ylmethyl-
Q.46 trifluoromethyl nitro cis-l-oxo-thietan-3-ylmethyl-
Q.47 trifluoromethyl trifluoromethoxy cis- 1 -oxo-thietan-3-ylmethyl-
Q.48 trifluoromethyl trifluoromethyl cis- 1 -oxo-thietan-3-ylmethyl-
Q.49 trifluoromethyl bromo thietan-3-yl-
Q.50 trifluoromethyl chloro thietan-3-yl-
Q.51 trifluoromethyl cyano thietan-3-yl-
Q.52 trifluoromethyl cyclopropyl thietan-3-yl-
Q.53 trifluoromethyl ethyl thietan-3-yl-
Q.54 trifluoromethyl fluoro thietan-3-yl-
Q.55 trifluoromethyl hydrogen thietan-3-yl-
Q.56 trifluoromethyl methoxy thietan-3-yl-
Q.57 trifluoromethyl methyl thietan-3-yl-
Q.58 trifluoromethyl nitro thietan-3-yl-
Table 10
Table 1Q provides 72 compounds of Formula Γ-Α wherein Gl is oxygen, Rl is hydrogen, XI is chloro, X2 is C-F, X3 is chloro, Yl is CH, Y2 is CH, Y3 is CH and X4, R5 and R2 have the values listed in the Table Q.
Table 20
Table 2Q provides 72 compounds of Formula Γ-Α wherein Gl is oxygen, Rl is hydrogen, XI is chloro, X2 is C-Cl, X3 is chloro, Yl is CH, Y2 is CH, Y3 is CH and X4, R5 and R2 have the values listed in the Table Q.
Table 30
Table 3Q provides 72 compounds of Formula Γ-Α wherein Gl is oxygen, Rl is hydrogen, XI is chloro, X2 is C-Br, X3 is chloro, Yl is CH, Y2 is CH, Y3 is CH and X4, R5 and R2 have the values listed in the Table Q.
Table 40
Table 4Q provides 72 compounds of Formula Γ-Α wherein Gl is oxygen, Rl is hydrogen, XI is chloro, X2 is C-I, X3 is chloro, Yl is CH, Y2 is CH, Y3 is CH and X4, R5 and R2 have the values listed in the Table Q.
Table 50
Table 5Q provides 72 compounds of Formula Γ-Α wherein Gl is oxygen, Rl is hydrogen, Xlis fluoro, X2 is C-F, X3 is fluoro, Yl is CH, Y2 is CH, Y3 is CH and X4, R5 and R2 have the values listed in the Table Q.
Table 60
Table 6Q provides 72 compounds of Formula Γ-Α wherein Gl is oxygen, Rl is hydrogen, XI is chloro, X2 is C-Cl, X3 is trifluoromethyl, Yl is CH, Y2 is CH, Y3 is CH and X4, R5 and R2 have the values listed in the Table Q.
Table 70
Table 7Q provides 72 compounds of Formula Γ-Α wherein Gl is oxygen, Rl is hydrogen, XI is trifluoromethyl, X2 is C-CL, X3 is trifluoromethyl, Yl is CH, Y2 is CH, Y3 is CH and X4, R5 and R2
have the values listed in the Table Q.
Compounds in Tables 1Q and 2Q are of particular interest.
In one embodiment the invention provides a compound selected from Tables 1 Q to 7Q for use in controlling and/or preventing insects of the family Curculionidae, preferably in for use in controlling and/or preventing Anthonomus grandis.
Additional examples of insects from the family of Curculionidae. are Anthonomus corvulus,
Anthonomus elutus, Anthonomus elongatus, Anthonomus eugenii, Anthonomus consors, Anthonomus haematopus, Anthonomus lecontei, Anthonomus molochinus, Anthonomus morticinus, Anthonomus musculus, Anthonomus nigrinus, Anthonomus phyllocola, Anthonomus pictus, Anthonomus pomorum, Anthonomus quadrigibbus, Anthonomus rectirostris, Anthonomus rubi, Anthonomus santacruzi, Anthonomus signatus, Anthonomus subfasciatus, and Anthonomus tenebrosus.
In one embodiment the invention provides a compound selected from Tables 1 Q to 7Q for use against Anthonomus grandis in cotton.
In one embodiment the invention provides a compound selected from Tables 1 Q to 7Q for use in controlling and/or preventing soil pests.
In one embodiment the invention provides a compound selected from Tables 1 Q to 7Q for use in controlling and/or preventing corn rootworm, in particular for use against corn root worm from the genus Diabrotica.
In one embodiment the invention provides a compound selected from Tables 1 Q to 7Q for use in controlling and/or preventing Diabrotica virgifera.
In one embodiment the invention provides a compound selected from Tables 1 Q to 7Q for use in controlling and/or preventing Diabrotica barberi.
In one embodiment the invention provides a compound selected from Tables 1 Q to 7Q for use in controlling and/or preventing Diabrotica undecimpunctata howardi.
In one embodiment the invention provides a compound selected from Tables 1 Q to 7Q for use in controlling and/or preventing wireworms, in particular Agriotes spp.
In one embodiment the invention provides a compound selected from Tables 1 Q to 7Q for use in controlling and/or preventing Agriotes spp. in cereals, potato or corn.
Additional examples of Agriotes spp. include Agriotes lineatus, Agriotes obscurus, Agriotes brevis, Agriotes gurgistanus, Agriotes sputator, Agriotes ustulatus, Ctenicera destructor, and Limonius californicus.
In one embodiment the invention provides a compound selected from Tables 1 Q to 7Q for use in controlling and/or preventing grubs, in particular white grubs.
In one embodiment the invention provides a compound selected from Tables 1 Q to 7Q for use in controlling and/or preventing Phyllophaga spp., particularly on corn, soybean or cotton.
In one embodiment the invention provides a compound selected from Tables 1Q to 7Q for use in controlling and/or preventing Diloboderus spp. particularly on corn, soybean or cotton.
In one embodiment the invention provides a compound selected from Tables 1 Q to 7Q for use in controlling and/or preventing Popillia japonica, particularly on corn, soybean or cotton.
Additional examples of white grubs include Phyllophaga anxia, Phyllophaga crinite,
Phyllophaga subnitida, Diloboderus abderus.
In one embodiment the invention provides a compound selected from Tables 1 Q to 7Q for use in controlling and/or preventing termites, e.g. on sugarcane.
Examples of termites include Reticulitermes, Coptotermes, Macrotermes, Microtermes,
Globitermes. Specific of subterranean termites include Reticulitermes flavipes, Reticulitermes hesperus, Reticulitermes verginicus, Reticulitermes hageni, Reticulitermes speratus, Reticulitermes lucifugus, Heterotermes aureus, Coptotermes formosanus, Coptotermes acinaciformis, Coptotermes curvignathus, Nasutitermes exitiosus, Nasutitermes walkeri, Mastotermes darwiniensis, Schedorhinotermes spp, Macrotermes bellicosus, Macrotermes spp., Globitermes sulphureus, Odontotermes spp.. Specific examples of dry wood termites include Incisitermes minor, Marginitermes hubbardi, Cryptotermes brevis, Kalotermes flavicollis. Additional examples of termites include procornitermes spp. and procornitermes araujoi
In one embodiment the invention provides a compound selected from Tables 1 Q to 7Q for use in controlling and/or preventing subterraneous stinkbugs, e.g. Scaptocoris spp..
In one embodiment the invention provides a compound selected from Tables 1 Q to 7Q for use in controlling and/or preventing Scaptocoris castaneus, in particular on cereals, soybean or corn.
In one embodiment the invention provides a compound selected from Tables 1 Q to 7Q for use in controlling and/or preventing cutworms, e.g. agrotis spp..
In one embodiment the invention provides a compound selected from Tables 1 Q to 7Q for use in controlling and/or preventing Agrotis ipsilon, particularly on cereals, canola, soybean or corn.
In one embodiment the invention provides a compound selected from Tables 1 Q to 7Q for use in controlling and/or preventing millipedes, e.g. Julus spp..
In one embodiment the invention provides a compound selected from Tables 1 Q to 7Q for use in controlling and/or preventing Julus spp., particularly on cereals, canola, soybean & corn.
In one embodiment the invention provides a compound selected from Tables 1 Q to 7Q for use in controlling and/or preventing broca gigante, e.g. Telchin licus, particularly on sugarcane.
In one embodiment the invention provides a compound selected from Tables 1Q to 7Q for use in controlling and/or preventing whitefly.
In one embodiment the invention provides a compound selected from Tables 1 Q to 7Q for use in controlling and/or preventing Bemisia tabaci, particularly on vegetables, cotton, soybean, or potatoes.
In one embodiment the invention provides a compound selected from Tables 1 Q to 7Q for use in controlling and/or preventing Trialeurodes vaporariorum, particularly on vegetables, cotton, soybean, or potatoes.
In one embodiment the invention provides a compound selected from Tables 1 Q to 7Q for use in controlling and/or preventing stinkbugs, in particular Euschis tus spp.
In one embodiment the invention provides a compound selected from Tables 1 Q to 7Q for use in controlling and/or preventing Euschistus spp., particularly in soybean.
Examples of stinkbugs include Nezara spp. (e.g. Nezara viridula, Nezara antennata, Nezara hilare), Piezodorus spp. (e.g. Piezodorus guildinii), Acrosternum spp. Euchistus spp. (e.g. Euchistus heros, Euschistus servus), Halyomorpha halys, Plautia crossota, Riptortus clavatus, Rhopalus msculatus, Antestiopsis orbitalus, Dichelops spp. (e.g. Dichelops furcatus, Dichelops melacanthus), Eurygaster spp. (e.g. Eurygaster intergriceps, Eurygaster maura), Oebalus spp. (e.g. Oebalus mexicana, Oebalus poecilus, Oebalus pugnase, Scotinophara spp. (e.g. Scotinophara lurida, Scotinophara coarctata).
Preferred targets include Antestiopsis orbitalus, Dichelops furcatus, Dichelops melacanthus, Euchistus heros, Euschistus servus, Nezara viridula, Nezara hilare, Piezodorus guildinii, Halyomorpha halys. In one embodiment the stinkbug target is Nezara viridula, Piezodorus spp., Acrosternum spp, Euchistus heros.
In one embodiment the invention provides a compound selected from Tables 1 Q to 7Q for use against rice pests.
In one embodiment the invention provides a compound selected from Tables 1 Q to 7Q for use against stemborer, particularly in rice.
Examples of stemborers include Chilo sp, Chilo suppressalis, Chilo polychrysus, Chilo auricilius, Scirpophaga spp., Scirpophaga incertulas, Scirpophaga innotata, Scirpophaga nivella
Sesamia sp, Sesamia inferens.
In one embodiment the invention provides a compound selected from Tables 1 Q to 7Q for use against leaffolder, particularly in rice.
Examples of leaffolders include Cnaphalocrocis spp., Cnaphalocrocis medinalis, Marasmia spp., Marasmia patnalis, Marasmia exigua.
In one embodiment the invention provides a compound selected from Tables 1 Q to 7Q for use against hoppers, particularly in rice.
Examples of Hoppers include Nephotettix spp., Nephotettix virescens, Nephotettix nigropictus, Nephotettix malayanus, Nephotettix cincticeps, Nilaparvata lugens, Sogatella furcifera.
In one embodiment the invention provides a compound selected from Tables 1 Q to 7Q for use against gallmidge, particularly in rice.
Examples of Gall midge include Orseolia sp, Orseolia oryzae.
In one embodiment the invention provides a compound selected from Tables 1 Q to 7Q for use against whorl maggot, particularly in rice.
Examples of whorl maggots include Hydrellia sp, Hydrellia philippina.
In one embodiment the invention provides a compound selected from Tables 1 Q to 7Q for use against Rice bugs, particularly in rice.
Examples of rice bugs include Leptocorisa sp, Leptocorisa oratorius, Leptocorisa chinensis, Leptocorisa acuta.
In one embodiment the invention provides a compound selected from Tables 1 Q to 7Q for use against Black bugs, particularly in rice.
Examples of Black bugs include Scotinophara sp, Scotinophara coarctata, Scotinophara lurida, Scotinophara latiuscula.
In one embodiment the invention provides a compound selected from Tables 1 Q to 7Q for use against plutella spp..
In one embodiment the invention provides a compound selected from Tables 1 Q to 7Q for use against Plutella xylostella, particularly in brassica crops.
In a further aspect the invention provides a method of controlling insects, acarines, nematodes or molluscs, preferably in a crop of useful plants, which comprises applying to a pest, to a locus of a pest, or to a plant susceptible to attack by a pest an insecticidally, acaricidally, nematicidally or molluscicidally effective amount of a compound of formula (I")
wherein
G1 is oxygen;
R1 is hydrogen;
R2 is thietan-3-ylmethyl-, l -oxo-thietan-3-ylmethyl-, l , l -dioxo-thietan-3-ylmethyl-;
Y1, Y2 and Y3 are independently CH or nitrogen;
wherein no more than two of Y1, Y2 and Y3 are nitrogen and wherein Y2 and Y3 are not both nitrogen; R5 is hydrogen, halogen, cyano, nitro, NH2, Ci-C2alkyl, Ci-C2haloalkyl, C3-C5cycloalkyl, Cr
C2halocycloalkyl, Ci-C2alkoxy, Ci-C2haloalkoxy;
X2 is C-X6 or nitrogen;
Χ', Χ3 and X6 are independently hydrogen, halogen or trihalomethyl, wherein at least two of X1, X3 and X6 are not hydrogen;
X4 is trifluoromethyl, difluoromethyl or chlorodifluoromethyl;
preferably with the proviso that:
when the compound is a compound wherein Y1, Y2 and Y3 are CH; R5 is methyl; X1 is chloro, X2
3 1 2 3 1 2 3
is CH, X is chloro, or X is chloro, X is C-F, X is hydrogen, or X is fluoro, X is C-Cl, X is hydrogen,
1 2 3 1 2 3 1 2 or X is chloro, X is C-Cl, X is hydrogen, or X is chloro, X is CH, X is bromo, or X is chloro, X is CH, X3 is fluoro, or X1 is chloro, X2 is CH, X3 is trifluoromethyl, or X1 is trifluoromethyl, X2 is C-H, X3
1 2 3 1 2 3 is trifluoromethyl, or X is trifluoromethyl, X is CH, X is hydrogen, or X is chloro, X is C-Cl, X is
1 2 3 1 2 3 1 2 chloro, or X is chloro, X is C-F, X is chloro, or X is chloro, X is C-Br, X is chloro, or X is fluoro, X is C-F, X 3 is fluoro; or X 1 is chloro, X2 is C-Cl, X 3 is trifluoromethyl, or X 1 is trifluoromethyl, X 2 is C-Cl, X3 is trifluoromethyl, and X4 is CF3, then the method does not comprise applying the compound of formula I to a crop of soybean plants, the locus thereof, or propagation material thereof, and the method is not for control of stinkbugs.
Optionally when the compound of formula I" is a compound wherein Y1, Y2 and Y3 are CH; R5 is chloro, X1 is chloro, X2 is CH, X3 is chloro, and X4 is trifluoromethyl, then the method does not comprise applying the compound of formula I" to a crop of soybean plants, the locus thereof, or propagation material thereof, and the method is not for control of stinkbugs.
In a further aspect the invention provides a method of protecting useful plants from insects, acarines, nematodes or molluscs, comprising applying to said plant, to the locus thereof, or to plant propagation material thereof, an insecticidally, acaricidally, nematicidally or molluscicidally effective amount of a compound of formula Γ ' as defined above, including preferences thereof.
Optionally, said methods do not comprise applying the compound of formula Γ ' to a crop of soybean plants, the locus thereof, or propagation material thereof, and the method is not for control of stinkbugs.
Preferred values of R2, R5, Y1, Y2, Y3, X1, X2, X3, X4, X5 and X6 for compounds of formula I" are, in any combination, as set out below.
Preferably R5 is hydrogen, chloro, bromo, fluoro, trifluoromethyl, methyl, ethyl, methoxy, nitro, trifluoromethoxy, cyano, cyclopropyl, more preferably R5 is hydrogen, chloro, bromo, fluoro, trifluoromethyl, methyl, ethyl, nitro, cyano, cyclopropyl, even more preferably R5 is chloro, bromo, fluoro, methyl, trifluoromethyl. Most preferably R5 is chloro or methyl.
Preferably Y1 is CH, Y2 is CH, Y3 is CH, or Y1 is N, Y2 is CH, Y3 is CH, or Y1 is N, Y2 is N, Y3 is CH, orY1 is CH, Y2 is N, Y3 is CH, orY1 is CH, Y2 is CH, Y3 is N. More preferably Y1 is CH, Y2 is CH, Y3 is CH.
1 2 3 1 2 3 1
Preferably X is chloro, X is CH, X is chloro, or X is chloro, X is C-F, X is hydrogen, or X
2 3 1 2 3 1 2 is fluoro, X is C-Cl, X is hydrogen, or X is chloro, X is C-Cl, X is hydrogen, or X is chloro, X is C-
3 1 2 3 1 2 3 1
Br, X is chloro, or X is chloro, X is C-F, X is chloro, or X is chloro, X is C-Cl, X is chloro, or X is
2 3 1 2 3 1 2 3 chloro, X is C-I, X is chloro, or X is fluoro, X is C-F, X is fluoro, orX is chloro, X is CH, X is
1 2 3 1 2 3 1 bromo, or X is chloro, X is CH, X is fluoro, orX is chloro, X is CH, X is trifluoromethyl, or X is chloro, X 2 is C-Cl, X 3 is trifluoromethyl, or X 1 is trifluoromethyl, X 2 is CH, X 3 is trifluoromethyl, or X 1 is trifluoromethyl, X2 is C-Cl, X3 is trifluoromethyl, or X1 is trifluoromethyl, X2 is CH, X3 is hydrogen, or
X 1 is chloro, X 2 is N, X 3 is chloro, or X 1 is trifluoromethyl, X 2 is N, X 3 is trifluoromethyl. Preferably X 1 is chloro, X2 is CH, X3 is chloro, or X1 is chloro, X2 is C-Cl, X3 is chloro, or X1 is chloro, X2 is C-F, X3 is chloro, or X1 is trifluoromethyl, X2 is CH, X3 is trifluoromethyl. Most preferably X1 is chloro, X2 is CH, X3 is chloro.
Preferably X4 is trifluoromethyl.
In one embodiment the invention provides compounds of formula I" wherein
G1 is oxygen;
R1 is hydrogen;
R2 is thietan-3 -ylmethyl-, 1 -oxo-thietan-3 -ylmethyl-, or 1,1 -Dioxo-thietan-3 -ylmethyl-;
Y1 is CH, Y2 is CH, Y3 is CH;
R5 is chloro, bromo, fluoro, methyl, trifluoromethyl;
X1 is chloro, X2 is CH, X3 is chloro, X1 is chloro, X2 is C-Cl, X3 is chloro, X1 is chloro, X2 is C-F, X3 is chloro, or X1 is trifluoromethyl, X2 is CH, X3 is trifluoromethyl; and
X4 is trifluoromethyl.
In embodiment the invention provides compounds of formula I" wherein R2 is thietan-3 - ylmethyl- and G1, R1, R5, Y1, Y2, Y3, X1, X2, X3 and X4 are as defined for the compound of formula I".
In embodiment the invention provides compounds of formula I" wherein R2 is 1 -oxo-thietan-3 - ylmethyl- and G1, R1, R5, Y1, Y2, Y3, X1, X2, X3 and X4 are as defined for the compound of formula I".
In embodiment the invention provides compounds of formula I" wherein R2 is 1,1-Dioxo-thietan- 3-ylmethyl- and G1, R1, R5, Y1, Y2, Y3, X1, X2, X3 and X4 are as defined for the compound of formula I".
Table S indicates compounds according to the above aspect of the invention.
Table S
X4 R5 R2
S.l trifluoromethyl bromo 1 , 1 -Dioxo-thietan-3 -ylmethyl-
S.2 trifluoromethyl chloro 1 , 1 -Dioxo-thietan-3 -ylmethyl-
S.3 trifluoromethyl cyano 1 , 1 -Dioxo-thietan-3 -ylmethyl-
S.4 trifluoromethyl cyclopropyl 1 , 1 -Dioxo-thietan-3 -ylmethyl-
S.5 trifluoromethyl ethyl 1 , 1 -Dioxo-thietan-3 -ylmethyl-
S.6 trifluoromethyl fluoro 1 , 1 -Dioxo-thietan-3 -ylmethyl-
S.7 trifluoromethyl hydrogen 1 , 1 -Dioxo-thietan-3 -ylmethyl-
S.8 trifluoromethyl methoxy 1 , 1 -Dioxo-thietan-3 -ylmethyl-
S.9 trifluoromethyl methyl 1 , 1 -Dioxo-thietan-3 -ylmethyl-
S.10 trifluoromethyl nitro 1 , 1 -Dioxo-thietan-3 -ylmethyl-
S.l l trifluoromethyl trifluoromethoxy 1 , 1 -Dioxo-thietan-3 -ylmethyl-
S.12 trifluoromethyl trifluoromethyl 1 , 1 -Dioxo-thietan-3 -ylmethyl-
S.13 trifluoromethyl bromo cis-1 -oxo -thietan-3 -ylmethyl-
S.14 trifluoromethyl chloro cis-1 -oxo -thietan-3 -ylmethyl-
S.15 trifluoromethyl cyano cis-1 -oxo -thietan-3 -ylmethyl-
S.16 trifluoromethyl cyclopropyl cis-1 -oxo -thietan-3 -ylmethyl-
S.17 trifluoromethyl ethyl cis-1 -oxo -thietan-3 -ylmethyl-
S.18 trifluoromethyl fluoro cis-1 -oxo -thietan-3 -ylmethyl-
S.19 trifluoromethyl hydrogen cis-1 -oxo -thietan-3 -ylmethyl-
S.20 trifluoromethyl methoxy cis-1 -oxo -thietan-3 -ylmethyl-
S.21 trifluoromethyl methyl cis-1 -oxo -thietan-3 -ylmethyl-
S.22 trifluoromethyl nitro cis-1 -oxo -thietan-3 -ylmethyl-
S.23 trifluoromethyl trifluoromethoxy cis-1 -oxo -thietan-3 -ylmethyl-
S.24 trifluoromethyl trifluoromethyl cis-1 -oxo -thietan-3 -ylmethyl-
S.25 trifluoromethyl bromo thietan-3 -ylmethyl-
S.26 trifluoromethyl chloro thietan-3 -ylmethyl-
Table I S
Table I S provides 36 compounds of Formula I"-A wherein Gl is oxygen, Rl is hydrogen, XI is chloro, X2 is CH, X3 is chloro, Yl is CH, Y2 is CH, Y3 is CH and X4, R5 and R2 have the values listed in the Table S.
Table 2S
Table 2S provides 36 compounds of Formula Γ '-Α wherein Gl is oxygen, Rl is hydrogen, XI is chloro, X2 is C-F, X3 is hydrogen, Yl is CH, Y2 is CH, Y3 is CH and X4, R5 and R2 have the values listed in the Table S.
Table 3S
Table 3S provides 36 compounds of Formula Γ '-Α wherein Gl is oxygen, Rl is hydrogen, XI is fluoro, X2 is C-Cl, X3 is hydrogen, Yl is CH, Y2 is CH, Y3 is CH and X4, R5 and R2 have the values listed in the Table S.
Table 4S
Table 4S provides 36 compounds of Formula I"-A wherein Gl is oxygen, Rl is hydrogen, XI is chloro, X2 is C-Cl, X3 is hydrogen, Yl is CH, Y2 is CH, Y3 is CH and X4, R5 and R2 have the values listed in the Table S.
Table 5S
Table 5S provides 36 compounds of Formula Γ '-Α wherein Gl is oxygen, Rl is hydrogen, XI is chloro, X2 is C-F, X3 is chloro, Yl is CH, Y2 is CH, Y3 is CH and X4, R5 and R2 have the values listed in the Table S.
Table 6S
Table 6S provides 36 compounds of Formula I"-A wherein Gl is oxygen, Rl is hydrogen, XI is chloro, X2 is C-Cl, X3 is chloro, Yl is CH, Y2 is CH, Y3 is CH and X4, R5 and R2 have the values listed in the Table S.
Table 7S
Table 7S provides 36 compounds of Formula I"-A wherein Gl is oxygen, Rl is hydrogen, XI is chloro, X2 is C-Br, X3 is chloro, Yl is CH, Y2 is CH, Y3 is CH and X4, R5 and R2 have the values listed in the Table S.
Table 8S
Table 8S provides 36 compounds of Formula I"-A wherein Gl is oxygen, Rl is hydrogen, XI is chloro,
X2 is C-I, X3 is chloro, Yl is CH, Y2 is CH, Y3 is CH and X4, R5 and R2 have the values listed in the Table S.
Table 9S
Table 9S provides 36 compounds of Formula Γ '-Α wherein Gl is oxygen, Rl is hydrogen, Xlis fluoro, X2 is C-F, X3 is fluoro, Yl is CH, Y2 is CH, Y3 is CH and X4, R5 and R2 have the values listed in the Table S.
Table IPS
Table 10S provides 36 compounds of Formula Γ'-Α wherein Gl is oxygen, Rl is hydrogen, XI is chloro, X2 is CH, X2 is bromo, Yl is CH, Y2 is CH, Y3 is CH and X4, R5 and R2 have the values listed in the Table S.
Table U S
Table 1 I S provides 36 compounds of Formula I"-A wherein Gl is oxygen, Rl is hydrogen, XI is chloro, X2 is CH, X3 is fluoro, Yl is CH, Y2 is CH, Y3 is CH and X4, R5 and R2 have the values listed in the Table S.
Table 12S
Table 12S provides 36 compounds of Formula Γ'-Α wherein Gl is oxygen, Rl is hydrogen, XI is chloro, X2 is CH, X3 is trifluoromethyl, Yl is CH, Y2 is CH, Y3 is CH and X4, R5 and R2 have the values listed in the Table S.
Table 13S
Table 13S provides 36 compounds of Formula I"-A wherein Gl is oxygen, Rl is hydrogen, XI is chloro, X2 is C-Cl, X3 is trifluoromehtyl, Yl is CH, Y2 is CH, Y3 is CH and X4, R5 and R2 have the values listed in the Table S.
Table 14S
Table 14S provides 36 compounds of Formula Γ'-Α wherein Gl is oxygen, Rl is hydrogen, XI is trifluoromethyl, X2 is CH, X3 is trifluoromethyl, Yl is CH, Y2 is CH, Y3 is CH and X4, R5 and R2 have the values listed in the Table S.
Table 15S
Table 15S provides 36 compounds of Formula Γ'-Α wherein Gl is oxygen, Rl is hydrogen, XI is trifluoromethyl, X2 is C-Cl, X3 is trifluoromethyl, Yl is CH, Y2 is CH, Y3 is CH and X4, R5 and R2 have the values listed in the Table S.
Table 16S
Table 16S provides 36 compounds of Formula I"-A wherein Gl is oxygen, Rl is hydrogen, XI is trifluoromethyl, X2 is CH, X3 is hydrogen, Yl is CH, Y2 is CH, Y3 is CH and X4, R5 and R2 have the values listed in the Table S.
Compounds disclosed in Tables I S, 5S, 6S and 14S are of particular interest.
In one embodiment the invention provides a compound selected from Tables 1 S to 16S for use in controlling and/or preventing insects of the family Curculionidae, preferably in for use in controlling and/or preventing Anthonomus grandis.
Additional examples of insects from the family of Curculionidae. are Anthonomus corvulus,
Anthonomus elutus, Anthonomus elongatus, Anthonomus eugenii, Anthonomus consors, Anthonomus haematopus, Anthonomus lecontei, Anthonomus molochinus, Anthonomus morticinus, Anthonomus musculus, Anthonomus nigrinus, Anthonomus phyllocola, Anthonomus pictus, Anthonomus pomorum, Anthonomus quadrigibbus, Anthonomus rectirostris, Anthonomus rubi, Anthonomus santacruzi, Anthonomus signatus, Anthonomus subfasciatus, and Anthonomus tenebrosus.
In one embodiment the invention provides a compound selected from Tables 1 S to 16S for use against Anthonomus grandis in cotton.
In one embodiment the invention provides a compound selected from Tables 1 S to 16S for use in controlling and/or preventing soil pests.
In one embodiment the invention provides a compound selected from Tables 1 S to 16S for use in controlling and/or preventing corn rootworm, in particular for use against corn root worm from the genus Diabrotica.
In one embodiment the invention provides a compound selected from Tables 1 S to 16S for use in controlling and/or preventing Diabrotica virgifera.
In one embodiment the invention provides a compound selected from Tables 1 S to 16S for use in controlling and/or preventing Diabrotica barberi.
In one embodiment the invention provides a compound selected from Tables 1 S to 16S for use in controlling and/or preventing Diabrotica undecimpunctata howardi.
In one embodiment the invention provides a compound selected from Tables 1 S to 16S for use in controlling and/or preventing wireworms, in particular Agriotes spp.
In one embodiment the invention provides a compound selected from Tables 1 S to 16S for use in controlling and/or preventing Agriotes spp. in cereals, potato or corn.
Additional examples of Agriotes spp. include Agriotes Uneatus, Agriotes obscurus, Agriotes brevis, Agriotes gurgistanus, Agriotes sputator, Agriotes ustulatus, Ctenicera destructor, and Limonius californicus.
In one embodiment the invention provides a compound selected from Tables 1 S to 16S for use in controlling and/or preventing grubs, in particular white grubs.
In one embodiment the invention provides a compound selected from Tables 1 S to 16S for use in controlling and/or preventing Phyllophaga spp., particularly on corn, soybean or cotton.
In one embodiment the invention provides a compound selected from Tables 1 S to 16S for use in controlling and/or preventing Diloboderus spp. particularly on corn, soybean or cotton.
In one embodiment the invention provides a compound selected from Tables 1 S to 16S for use in controlling and/or preventing Popillia japonica, particularly on corn, soybean or cotton.
Additional examples of white grubs include Phyllophaga anxia, Phyllophaga crinite,
Phyllophaga subnitida, Diloboderus abderus.
In one embodiment the invention provides a compound selected from Tables 1 S to 16S for use in controlling and/or preventing termites, e.g. on sugarcane.
Examples of termites include Reticulitermes, Coptotermes, Macrotermes, Microtermes, Globitermes. Specific of subterranean termites include Reticulitermes flavipes, Reticulitermes hesperus, Reticulitermes verginicus, Reticulitermes hageni, Reticulitermes speratus, Reticulitermes lucifugus, Heterotermes aureus, Coptotermes formosanus, Coptotermes acinaciformis, Coptotermes curvignathus, Nasutitermes exitiosus, Nasutitermes walkeri, Mastotermes darwiniensis, Schedorhinotermes spp, Macrotermes bellicosus, Macrotermes spp., Globitermes sulphureus, Odontotermes spp.. Specific examples of dry wood termites include Incisitermes minor, Marginitermes hubbardi, Cryptotermes brevis, Kalotermes flavicollis. Additional examples of termites include procornitermes spp. and procornitermes araujoi
In one embodiment the invention provides a compound selected from Tables 1 S to 16S for use in controlling and/or preventing subterraneous stinkbugs, e.g. Scaptocoris spp..
In one embodiment the invention provides a compound selected from Tables I S to 16S for use in controlling and/or preventing Scaptocoris castaneus, in particular on cereals, soybean or corn.
In one embodiment the invention provides a compound selected from Tables 1 S to 16S for use in controlling and/or preventing cutworms, e.g. agrotis spp..
In one embodiment the invention provides a compound selected from Tables 1 S to 16S for use in controlling and/or preventing Agrotis ipsilon, particularly on cereals, canola, soybean or corn.
In one embodiment the invention provides a compound selected from Tables 1 S to 16S for use in controlling and/or preventing millipedes, e.g. Julus spp..
In one embodiment the invention provides a compound selected from Tables 1 S to 16S for use in controlling and/or preventing Julus spp., particularly on cereals, canola, soybean & corn.
In one embodiment the invention provides a compound selected from Tables 1 S to 16S for use in controlling and/or preventing broca gigante, e.g. Telchin licus, particularly on sugarcane.
In one embodiment the invention provides a compound selected from Tables 1 S to 16S for use in controlling and/or preventing whitefly.
In one embodiment the invention provides a compound selected from Tables 1 S to 16S for use in controlling and/or preventing Bemisia tabaci, particularly on vegetables, cotton, soybean, or potatoes.
In one embodiment the invention provides a compound selected from Tables 1 S to 16S for use in controlling and/or preventing Trialeurodes vapor ariorum, particularly on vegetables, cotton, soybean, or potatoes.
In one embodiment the invention provides a compound selected from Tables 1 S to 16S for use in controlling and/or preventing stinkbugs, in particular Euschistus spp.
In one embodiment the invention provides a compound selected from Tables 1 S to 16S for use in controlling and/or preventing Euschistus spp., particularly in soybean.
Examples of stinkbugs include Nezara spp. (e.g. Nezara viridula, Nezara antennata, Nezara hilare), Piezodorus spp. (e.g. Piezodorus guildinii), Acrosternum spp. Euchistus spp. (e.g. Euchistus heros, Euschistus servus), Halyomorpha halys, Plautia crossota, Riptortus clavatus, Rhopalus msculatus, Antestiopsis orbitalus, Dichelops spp. (e.g. Dichelops furcatus, Dichelops melacanthus), Eurygaster spp. (e.g. Eurygaster intergriceps, Eurygaster maura), Oebalus spp. (e.g. Oebalus mexicana, Oebalus poecilus, Oebalus pugnase, Scotinophara spp. (e.g. Scotinophara lurida, Scotinophara coarctata).
Preferred targets include Antestiopsis orbitalus, Dichelops furcatus, Dichelops melacanthus, Euchistus heros, Euschistus servus, Nezara viridula, Nezara hilare, Piezodorus guildinii, Halyomorpha halys. In one embodiment the stinkbug target is Nezara viridula, Piezodorus spp., Acrosternum spp, Euchistus heros.
In one embodiment the invention provides a compound selected from Tables 1 S to 16S for use against rice pests.
In one embodiment the invention provides a compound selected from Tables 1 S to 16S for use against stemborer, particularly in rice.
Examples of stemborers include Chilo sp, Chilo suppressalis, Chilo polychrysus, Chilo auricilius, Scirpophaga spp., Scirpophaga incertulas, Scirpophaga innotata, Scirpophaga nivella
Sesamia sp, Sesamia inferens.
In one embodiment the invention provides a compound selected from Tables 1 S to 16S for use against leaffolder, particularly in rice.
Examples of leaffolders include Cnaphalocrocis spp., Cnaphalocrocis medinalis, Marasmia spp., Marasmia patnalis, Marasmia exigua.
In one embodiment the invention provides a compound selected from Tables 1 S to 16S for use against hoppers, particularly in rice.
Examples of Hoppers include Nephotettix spp., Nephotettix virescens, Nephotettix nigropictus, Nephotettix malayanus, Nephotettix cincticeps, Nilaparvata lugens, Sogatella furcifera.
In one embodiment the invention provides a compound selected from Tables 1 S to 16S for use against gallmidge, particularly in rice.
Examples of Gall midge include Orseolia sp, Orseolia oryzae.
In one embodiment the invention provides a compound selected from Tables 1 S to 16S for use against whorl maggot, particularly in rice.
Examples of whorl maggots include Hydrellia sp, Hydrellia philippina.
In one embodiment the invention provides a compound selected from Tables 1 S to 16S for use against Rice bugs, particularly in rice.
Examples of rice bugs include Leptocorisa sp, Leptocorisa oratorius, Leptocorisa chinensis, Leptocorisa acuta.
In one embodiment the invention provides a compound selected from Tables 1 S to 16S for use against Black bugs, particularly in rice.
Examples of Black bugs include Scotinophara sp, Scotinophara coarctata, Scotinophara lurida, Scotinophara latiuscula.
In one embodiment the invention provides a compound selected from Tables 1 S to 16S for use against plutella spp..
In one embodiment the invention provides a compound selected from Tables 1 S to 16S for use against Plutella xylostella, particularly in brassica crops.
Compounds of formula I (including Γ and I") include at least one chiral centre and may exist as compounds of formula I* or compounds of formula I**. Compounds I* and I** are enantiomers if there is no other chiral center or epimers otherwise.
mixtures of compounds I* and I** in any ratio e.g. in a molar ratio of 1 :99 to 99: 1, e.g. 10: 1 to 1 : 10, e.g. a substantially 50:50 molar ratio. In an enantiomerically (or epimerically) enriched mixture of formula I**, the molar proportion of compound I** compared to the total amount of both enantiomers is for example greater than 50%, e.g. at least 55, 60, 65, 70, 75, 80, 85, 90, 95, 96, 97, 98, or at least 99%. Likewise, in enantiomerically (or epimerically) enriched mixture of formula I*, the molar proportion of the compound of formula I* compared to the total amount of both enantiomers (or epimerically) is for example greater than 50%, e.g. at least 55, 60, 65, 70, 75, 80, 85, 90, 95, 96, 97, 98, or at least 99%. Enantiomerically (or epimerically) enriched mixtures of formula I** are preferred. Where compounds of formula I contain an SO group, cis SO groups are preferred. When compounds of formula I** contain an SO group, cis SO groups are preferred. Each of the compounds disclosed in Tables IP to 270P represents a specific disclosure of a compound with the R configuration (i.e. at the corresponding position indicated for compounds I* and I**) and a specific disclosure of a compound having the S configuration (i.e. at the corresponding position indicated for compounds I* and I**).
Each compound disclosed in Tables IP to 16P, 1Q to 7Q and I S to 7S represents a specific disclosure of a compound according to the compound of formula I* and a specific disclosure of a compound according to the compound of formula II*.
The structures of R indicated in the Tables above is indicated in the table below:
structure
R2
0 o
(1,1 -dioxothietan-2-yl)methyl-
l,l -Dioxo-thietan-3-yl-
l,l -Dioxo-thietan-3-ylmethyl- cis-1 -oxo-thietan-3-yl- cis-1 -oxo-thietan-3-ylmethyl-
2-( 1 , 1 -dioxothietan-3 -yl)ethanyl
2-( 1 -oxothietan-3 -yl)ethanyl
2-(thietan-3 -yl)ethanyl
2,2-dimethyl- 1 , 1 -Dioxo-thietan-3 -yl-
2,2-dimethyl- 1 -oxo-thietan-3 -yl-
2,2-dimethylthietan-3-yl-
3 -Methyl- 1,1 -Dioxo-thietan-3 -yl-
3 -Methyl- 1 -oxo-thietan-3 -yl-
thietan-3-yl-
thietan-3 -ylmethyl-
trans-1 -oxo-thietan-3-yl-
trans - 1 -oxo -thietan-3 -ylmethyl-
In a further aspect the invention provides a method of controlling insects, acarines, nematodes or molluscs which comprises applying to a pest, to a locus of a pest, or to a plant susceptible to attack by a pest an insecticidally, acaricidally, nematicidally or molluscicidally effective amount of a compound of
A1, A2, A3 and A4 are independently of one another C-H, C-R3, or nitrogen;
B is O or CH2;
R1 is Ci-Cghaloalkyl;
R2 is aryl or aryl substituted by one to five R4, or heteroaryl or heteroaryl substituted by one to five R4; each R3 is independently halogen, cyano, nitro, Q-Qalkyl, C3-C8cycloalkyl, Ci-Cghaloalkyl, C2- Qalkenyl, C2-C8haloalkenyl, C2-C8alkynyl, C2-C8haloalkynyl, Ci-C8alkoxy, Ci-C8haloalkoxy, Cr C8alkoxycarbonyl-, amino, hydroxy, mercapto, Ci-C8alkylthio, Ci-C8haloalkylthio, Ci-C8alkylsulfinyl, Ci-C8haloalkylsulfinyl, Ci-C8alkylsulfonyl, Ci-C8haloalkylsulfonyl, Ci-C8alkylcarbonyl, or two R3 on adjacent carbon atoms together form a -CH=CH-CH=CH- bridge or a -N=CH-CH=CH- bridge;
each R4 is independently halogen, cyano, nitro, Ci-C8alkyl, Ci-C8haloalkyl, C2-C8alkenyl, C2- C8haloalkenyl, C2-C8alkynyl, C2-C8haloalkynyl, hydroxy, Ci-C8alkoxy, Ci-C8haloalkoxy, mercapto, Cp C8alkylthio, Ci-C8haloalkylthio, Ci-C8alkylsulfinyl, Ci-C8haloalkylsulfinyl, Ci-C8alkylsulfonyl, Cp
Cghaloalkylsulfonyl, Q-Qalkylcarbonyl, CpQalkoxycarbonyl, aryl or aryl substituted by one to five R5, or heterocyclyl or heterocyclyl substituted by one to five R5;
In a further aspect the invention provides a method of protecting useful plants from insects, acarines, nematodes or molluscs, comprises applying a plant, to the locus thereof, or to plant propagation material thereof, an insecticidally, acaricidally, nematicidally or molluscicidally effective amount of a compound of formula IA.
Optionally, said methods do not comprise applying the compound of formula IA to a crop of soybean plants, the locus thereof, or propagation material thereof, and the method is not for control of stinkbugs.
In a further aspect the invention provides a method of controlling insects, acarines, nematodes or molluscs which comprises applying to a pest, to a locus of a pest, or to a plant susceptible to attack by a ffective amount of a compound of
wherein
A1, A2, A3 and A4 are independently of one another C-H, C-R3, or nitrogen;
B is O or CH2;
R1 is Ci-Cghaloalkyl;
R2 is aryl or aryl substituted by one to five R4, or heteroaryl or heteroaryl substituted by one to five R4; each R3 is independently halogen, cyano, nitro, CpCgalkyl, C3-Cgcycloalkyl, Ci-Cghaloalkyl, C2- Cgalkenyl, C2-Cghaloalkenyl, C2-C8alkynyl, C2-C8haloalkynyl, Q-Qalkoxy, Q-Qhaloalkoxy, Cr Cgalkoxycarbonyl-, amino, hydroxy, mercapto, CpCgalkylthio, Ci-Cghaloalkylthio, Ci-Cgalkylsulfinyl, Ci-Cghaloalkylsulfinyl, Q-Cgalkylsulfonyl, CpCghaloalkylsulfonyl, CpCgalkylcarbonyl, or two R3 on adjacent carbon atoms together form a -CH=CH-CH=CH- bridge or a -N=CH-CH=CH- bridge;
each R4 is independently halogen, cyano, nitro, Q-Cgalkyl, Ci-Cghaloalkyl, C2-C8alkenyl, C2- Cghaloalkenyl, C2-C8alkynyl, C2-C8haloalkynyl, hydroxy, Ci-C8alkoxy, Ci-C8haloalkoxy, mercapto, Cr C8alkylthio, Ci-C8haloalkylthio, Ci-C8alkylsulfinyl, Ci-C8haloalkylsulfinyl, CpQalkylsulfonyl, Cr C8haloalkylsulfonyl, Ci-C8alkylcarbonyl, Ci-C8alkoxycarbonyl, aryl or aryl substituted by one to five R5, or heterocyclyl or heterocyclyl substituted by one to five R5;
each R5 is independently halogen, cyano, nitro, Ci-C4alkyl, Ci-C4haloalkyl, Ci-C4alkoxy-, or Q-
C4haloalkoxy-;
n is 0,1 or 2.
In a further aspect the invention provides a method of protecting useful plants from insects, acarines, nematodes or molluscs, comprises applying a plant, to the locus thereof, or to plant propagation material thereof, an insecticidally, acaricidally, nematicidally or molluscicidally effective amount of a compound of formula IB.
Optionally, said methods do not comprise applying the compound of formula IB to a crop of soybean plants, the locus thereof, or propagation material thereof, and the method is not for control of stinkbugs.
Preferred values of A1, A2, A3, A4, B, R1, R2, R3, R4 and R5 for compounds of formula IA and IB are, in any combination, as set out below.
In one group of compounds B is O.
In one group of compounds B is CH2.
Preferably A1 is C-H or C-R3 and no more than two of A2, A3 and A4 are nitrogen, more preferably no more than two of A2, A3 and A4 are nitrogen and A3 and A4 are not both nitrogen. Even more preferably A 1 is C-H or C-R 3 , A 2 is C-H, C-R 3 or nitrogn, A 3 and A 4 are independently C-H or nitrogen, wherein no more than two of A2, A3 and A4 are nitrogen, and A3 and A4 are not both nitrogen, and wherein when A2 is C-R3 then the R3 of A1 and the R3 of A2 together form a -CH=CH-CH=CH-
1 3 2 3 3 4
bridge. Yet even more preferably A is C-R , A is C-H, C-R or nitrogen, A and A are independently C- H or nitrogen, wherein no more than two of A2, A3 and A4 are nitrogen, and A3 and A4 are not both nitrogen, and wherein when A 2 is C-R 3 then the R 3 of A 1 and the R 3 of A 2 together form a -CH=CH- CH=CH- bridge. Yet even more preferably A1 is C-R3, A2 is C-H, and one of A3 and A4 is C-H and the other is nitrogen.
In one group of compounds A1 is C-H or C-R3, most preferably A1 is C-R3.
In one group of compounds A2 is C-H or C-R3, most preferably A2 is C-H.
In one group of compounds A3 is C-H or C-R3, most preferably A3 is C-H.
In one group of compounds A4 is C-H or C-R3, most preferably A4 is C-H.
Preferably R1 is chlorodifluoromethyl, difluoromethyl or trifluoromethyl, more preferably chlorodifluoromethyl or trifluoromethyl, most preferably trifluoromethyl.
Preferably R2 is aryl or aryl substituted by one to three R4, more preferably R2 is phenyl or phenyl substituted by one to three R4, pyridyl or pyridyl substituted by one to three R4, more preferably R2 is phenyl substituted by one to three R4 or pyridyl substitued by one to three R4, more preferably R2 is group P
wherein X is N or C-R , preferably X is C-R .
More preferably R2 is 3,5-bis-(trifluoromethyl)-phenyl, 3-chloro-5-trifluoromethyl-phenyl, 3- bromo-5-trifluoromethyl-phenyl, 3,5-dibromo-phenyl, 3,5-dichloro-phenyl, 3,4-dichloro-phenyl, 3- trifluoromethyl-phenyl, 4-bromo-3,5-dichlorophenyl, 3-bromo-5-chlorophenyl, 4-fluoro-3,5- dichlorophenyl or 3,4,5-trichloro-phenyl, 3-chloro-4-fluorophenyl, 3-fluoro-4-chlorophenyl, 4-bromo-3,5- dichlorophenyl, 4-iodo-3,5-dichlorophenyl, 3,4,5-trifluorophenyl, 3 -chloro-5 -fluorophenyl, 3,4-dichloro- 5-trifluoromethylphenyl or 4-chloro-3,5-bis-(trifluoromethyl)-phenyl, more preferably 3,5-bis- (trifluoromethyl) -phenyl, 3-chloro-5-trifluoromethyl-phenyl, 3,5-dichloro-phenyl, 3-trifluoromethyl- phenyl, 4-bromo-3,5-dichlorophenyl, 3-bromo-5-chlorophenyl, 4-fluoro-3,5-dichlorophenyl, 3,4,5- trichloro-phenyl, 4-iodo-3,5-dichlorophenyl, 3,4-dichloro-5-trifluoromethylphenyl, 4-chloro-3,5-bis- (trifluoromethyl) -phenyl, most preferably R2 is 3,5-dichloro-phenyl.
Preferably each R3 is independently halogen, cyano, nitro, CpCgalkyl, C3-C8cycloalkyl, Cr Cghaloalkyl, C2-C8alkenyl, Q-Cgalkoxy or Q-Cghaloalkoxy, or two R7 on adjacent carbon atoms together form a -CH=CH-CH=CH- bridge, more preferably halogen, cyano, nitro, CrC8alkyl, C2-C8 alkenyl, C3- Cgcycloalkyl, Q-Cghaloalkyl, Q-Cgalkoxy or Q-Cghaloalkoxy, even more preferably bromo, chloro, fluoro, cyano, nitro, methyl, ethyl, trifluoromethyl, cyclopropyl, vinyl, methoxy, trifluoromethoxy, yet even more preferably bromo, chloro, fluoro, cyclopropyl, trifluoromethyl, vinyl, or methyl, ethyl, nitro, cyano, most preferably bromo, chloro, fluoro, or methyl.
Preferably each R4 is independently halogen, cyano, nitro, CpCgalkyl, Q-Cghaloalkyl, Cr Cgalkoxy, Ci-Cghaloalkoxy, more preferably iodo, bromo, chloro, fluoro, cyano, nitro, methyl, ethyl, trifluoromethyl, methoxy, difluoromethoxy, or trifluoromethoxy, most preferably bromo, chloro, fluoro, iodo or trifluoromethyl.
In one embodiment the invention provides a compound of formula IA or IB for use in controlling and/or preventing insects of the family Curculionidae, preferably in for use in controlling and/or preventing Anthonomus grandis.
Additional examples of insects from the family of Curculionidae. are Anthonomus corvulus,
Anthonomus elutus, Anthonomus elongatus, Anthonomus eugenii, Anthonomus consors, Anthonomus haematopus, Anthonomus lecontei, Anthonomus molochinus, Anthonomus morticinus, Anthonomus musculus, Anthonomus nigrinus, Anthonomus phyllocola, Anthonomus pictus, Anthonomus pomorum, Anthonomus quadrigibbus, Anthonomus rectirostris, Anthonomus rubi, Anthonomus santacruzi,
Anthonomus signatus, Anthonomus subfasciatus, and Anthonomus tenebrosus.
In one embodiment the invention provides a compound compound of formula IA or IB for use against Anthonomus grandis in cotton.
In one embodiment the invention provides a compound compound of formula IA or IB for use in controlling and/or preventing soil pests.
In one embodiment the invention provides a compound compound of formula IA or IB for use in controlling and/or preventing corn rootworm, in particular for use against corn root worm from the genus Diabrotica.
In one embodiment the invention provides a compound compound of formula IA or IB for use in controlling and/or preventing Diabrotica virgifera.
In one embodiment the invention provides a compound compound of formula IA or IB for use in controlling and/or preventing Diabrotica barberi.
In one embodiment the invention provides a compound compound of formula IA or IB for use in controlling and/or preventing Diabrotica undecimpunctata howardi.
In one embodiment the invention provides a compound compound of formula IA or IB for use in controlling and/or preventing wireworms, in particular Agriotes spp.
In one embodiment the invention provides a compound compound of formula IA or IB for use in controlling and/or preventing Agriotes spp. in cereals, potato or corn.
Additional examples of Agriotes spp. include Agriotes Uneatus, Agriotes obscurus, Agriotes brevis, Agriotes gurgistanus, Agriotes sputator, Agriotes ustulatus, Ctenicera destructor, and Limonius californicus.
In one embodiment the invention provides a compound compound of formula IA or IB for use in controlling and/or preventing grubs, in particular white grubs.
In one embodiment the invention provides a compound compound of formula IA or IB for use in controlling and/or preventing Phyllophaga spp., particularly on corn, soybean or cotton.
In one embodiment the invention provides a compound compound of formula IA or IB for use in controlling and/or preventing Diloboderus spp. particularly on corn, soybean or cotton.
In one embodiment the invention provides a compound compound of formula IA or IB for use in controlling and/or preventing Popillia japonica, particularly on corn, soybean or cotton.
Additional examples of white grubs include Phyllophaga anxia, Phyllophaga crinite, Phyllophaga subnitida, Diloboderus abderus.
In one embodiment the invention provides a compound compound of formula IA or IB for use in controlling and/or preventing termites, e.g. on sugarcane.
Examples of termites include Reticulitermes, Coptotermes, Macrotermes, Microtermes, Globitermes. Specific of subterranean termites include Reticulitermes flavipes, Reticulitermes hesperus, Reticulitermes verginicus, Reticulitermes hageni, Reticulitermes speratus, Reticulitermes lucifugus, Heterotermes aureus, Coptotermes formosanus, Coptotermes acinaciformis, Coptotermes curvignathus, Nasutitermes exitiosus, Nasutitermes walkeri, Mastotermes darwiniensis, Schedorhinotermes spp, Macrotermes bellicosus, Macrotermes spp., Globitermes sulphureus, Odontotermes spp.. Specific examples of dry wood termites include Incisitermes minor, Marginitermes hubbardi, Cryptotermes brevis, Kalotermes flavicollis. Additional examples of termites include procornitermes spp. and procornitermes araujoi
In one embodiment the invention provides a compound compound of formula IA or IB for use in controlling and/or preventing subterraneous stinkbugs, e.g. Scaptocoris spp..
In one embodiment the invention provides a compound compound of formula IA or IB for use in controlling and/or preventing Scaptocoris castaneus, in particular on cereals, soybean or corn.
In one embodiment the invention provides a compound compound of formula IA or IB for use in controlling and/or preventing cutworms, e.g. agrotis spp..
In one embodiment the invention provides a compound compound of formula IA or IB for use in controlling and/or preventing Agrotis ipsilon, particularly on cereals, canola, soybean or corn.
In one embodiment the invention provides a compound compound of formula IA or IB for use in controlling and/or preventing millipedes, e.g. Julus spp..
In one embodiment the invention provides a compound compound of formula IA or IB for use in controlling and/or preventing Julus spp., particularly on cereals, canola, soybean & corn.
In one embodiment the invention provides a compound compound of formula IA or IB for use in controlling and/or preventing broca gigante, e.g. Telchin licus, particularly on sugarcane.
In one embodiment the invention provides a compound compound of formula IA or IB for use in controlling and/or preventing whitefly.
In one embodiment the invention provides a compound compound of formula IA or IB for use in controlling and/or preventing Bemisia tabaci, particularly on vegetables, cotton, soybean, or potatoes.
In one embodiment the invention provides a compound compound of formula IA or IB for use in controlling and/or preventing Trialeurodes vapor ariorum, particularly on vegetables, cotton, soybean, or potatoes.
In one embodiment the invention provides a compound compound of formula IA or IB for use in controlling and/or preventing stinkbugs, in particular Euschistus spp.
In one embodiment the invention provides a compound compound of formula IA or IB for use in controlling and/or preventing Euschistus spp., particularly in soybean.
Examples of stinkbugs include Nezara spp. (e.g. Nezara viridula, Nezara antennata, Nezara hilare), Piezodorus spp. (e.g. Piezodorus guildinii), Acrosternum spp. Euchistus spp. (e.g. Euchistus heros, Euschistus servus), Halyomorpha halys, Plautia crossota, Riptortus clavatus, Rhopalus msculatus, Antestiopsis orbitalus, Dichelops spp. (e.g. Dichelops furcatus, Dichelops melacanthus), Eurygaster spp. (e.g. Eurygaster intergriceps, Eurygaster maura), Oebalus spp. (e.g. Oebalus mexicana, Oebalus poecilus, Oebalus pugnase, Scotinophara spp. (e.g. Scotinophara lurida, Scotinophara coarctata).
Preferred targets include Antestiopsis orbitalus, Dichelops furcatus, Dichelops melacanthus, Euchistus heros, Euschistus servus, Nezara viridula, Nezara hilare, Piezodorus guildinii, Halyomorpha halys. In one embodiment the stinkbug target is Nezara viridula, Piezodorus spp., Acrosternum spp, Euchistus heros.
In one embodiment the invention provides a compound compound of formula IA or IB for use against rice pests.
In one embodiment the invention provides a compound compound of formula IA or IB for use against stemborer, particularly in rice.
Examples of stemborers include Chilo sp, Chilo suppressalis, Chilo polychrysus, Chilo auricilius, Scirpophaga spp., Scirpophaga incertulas, Scirpophaga innotata, Scirpophaga nivella
Sesamia sp, Sesamia inferens.
In one embodiment the invention provides a compound compound of formula IA or IB for use against leaffolder, particularly in rice.
Examples of leaffolders include Cnaphalocrocis spp., Cnaphalocrocis medinalis, Marasmia spp., Marasmia patnalis, Marasmia exigua.
In one embodiment the invention provides a compound compound of formula IA or IB for use against hoppers, particularly in rice.
Examples of Hoppers include Nephotettix spp., Nephotettix virescens, Nephotettix nigropictus, Nephotettix malayanus, Nephotettix cincticeps, Nilaparvata lugens, Sogatella furcifera.
In one embodiment the invention provides a compound compound of formula IA or IB for use against gallmidge, particularly in rice.
Examples of Gall midge include Orseolia sp, Orseolia oryzae.
In one embodiment the invention provides a compound compound of formula IA or IB for use against whorl maggot, particularly in rice.
Examples of whorl maggots include Hydrellia sp, Hydrellia philippina.
In one embodiment the invention provides a compound compound of formula IA or IB for use against Rice bugs, particularly in rice.
Examples of rice bugs include Leptocorisa sp, Leptocorisa oratorius, Leptocorisa chinensis, Leptocorisa acuta.
In one embodiment the invention provides a compound compound of formula IA or IB for use against Black bugs, particularly in rice.
Examples of Black bugs include Scotinophara sp, Scotinophara coarctata, Scotinophara lurida, Scotinophara latiuscula.
In one embodiment the invention provides a compound compound of formula IA or IB for use against plutella spp..
In one embodiment the invention provides a compound compound of formula IA or IB for use against Plutella xylostella, particularly in brassica crops.
Compounds of the invention can be prepared according to the schemes illustrated in
WO2009/08050, which is incorporated herein by reference. Further details regarding possible routes to the compounds of the invention are given below. Scheme 1
1) Compounds of formula (I) can be prepared by reacting a compound of formula (V) wherein R is OH, Ci-C6alkoxy or CI, F or Br, with an amine of formula (XX), wherein L is methylene or ethylene, as shown in Scheme 1. When R is OH such reactions are usually carried out in the presence of a coupling reagent, such as Ν,Ν'-dicyclohexylcarbodiimide ("DCC"), l-ethyl-3-(3-dimethylamino-propyl)- carbodiimide hydrochloride ("EDC") or bis(2-oxo-3-oxazolidinyl)phosphonic chloride ("BOP-Cl"), in the presence of a base, and optionally in the presence of a nucleophilic catalyst, such as hydroxybenzotriazole ("HOBT"). When R is CI, such reactions are usually carried out in the presence of a base, and optionally in the presence of a nucleophilic catalyst. It is possible to conduct the reaction in a biphasic system comprising an organic solvent, preferably ethyl acetate, and an aqueous solvent, preferably a solution of sodium hydrogen carbonate. When R is CpCealkoxy it is sometimes possible to convert the ester directly to the amide by heating the ester and amine together in a thermal process. Suitable bases include pyridine, triethylamine, 4-(dimethylamino)-pyridine ("DMAP") or diisopropylethylamine (Hunig's base). Preferred solvents are NN-dimethylacetamide, tetrahydrofuran, dioxane, 1 ,2-dimethoxyethane, ethyl acetate and toluene. The reaction is carried out at a temperature of from 0°C to 100°C, preferably from 15°C to 30°C, in particular at ambient temperature. Amines of formula (XX) are either known in the literature or can be prepared using methods known to a person skilled in the art. Some of these methods are described in the preparation examples.
2) Acid halides of formula (V), wherein R is CI, F or Br, may be made from carboxylic acids of formula (V), wherein R is OH, under standard conditions, as described for example in WO2008/128711.
3) Carboxylic acids of formula (V), wherein R is OH, may be formed from esters of formula (V), wherein R is Ci-C6alkoxy as described for example in WO2009/072621.
4) Compounds of formula (I) can be prepared by reacting a compound of formula (VI) wherein XB is a leaving group, for example a halogen, such as bromo, with carbon monoxide and an amine of formula (X), in the presence of a catalyst, such as palladium(II) acetate or bis-
(triphenylphosphine)palladium(II) dichloride, optionally in the presence of a ligand, such as
triphenylphosphine, and a base, such as sodium carbonate, pyridine, triethylamine, 4-(dimethylamino)-
pyridine ("DMAP") or diisopropylethylamine (Hunig's base), in a solvent, such as water, NN- dimethylformamide or tetrahydrofuran. The reaction is carried out at a temperature from 50°C to 200°C, preferably from 100°C to 150°C. The reaction is carried out at a pressure of from 50 to 200 bar, preferably from 100 to 150 bar.
5) Compounds of formula (VI) wherein XB is a leaving group, e.g. halogen, d-Cgalkoxy, Cp
Cgalkylsulfonyloxy, CpCghaloalkylsulfonyloxy, Ci-Cgarylsulfonyloxy, optionally substituted Cp Cgarylsulfonyloxy (aryl is preferably phenyl), diazonium salts (e.g. XB is -N2 + CI", -N2 + BF4 ", -N2 + Br", - N2 + PF6 _), phosphonate esters (e.g. -OP(0)(ORx)2; wherein Rx is methyl or ethyl), preferably bromo, iodo, chloro, trifluoromethylsulfoxy, p-toluenesulfoxy, diazonium chloride, preferably halogen, more preferably bromo, can be made by a various of methods, for example as described in WO2009/080250. Scheme 2
(I I) (I I I) (IV)
6) Thietan-3-nitrile (III) can be obtained by reaction of epithiochlorhydrin (II) with a cyanide M- CN, such as sodium cyanide or potassium cyanide in the presence of water, preferably as a co-solvent with an organic solvent such as benzene or tetrahydrofuran, at a temperature of 20°C to 100°C, preferably 40-60°C preferably around 50°C.
Water is preferably used as a solvent, more preferably as a co-solvent with an organic solvent, preferably a water-immiscible organic solvent, e.g. such that the reaction then takes place in a biphasic system. The organic co-solvent is preferred to be aprotic, and is more preferably chosen from pentane, hexane, heptane, cyclohexane, benzene, toluene, xylene, tetrahydrofuran, ethyl acetate, diethyl ether, or methyl- tert-butyl ether. The reaction can be performed with an excess of epithiochlorhydrin or with an excess of M-CN, preferably in stoechiometric ratio or slight excess of one or the other reagent.
7) Compounds of formula (IV) can be prepared by reaction of compounds of formula (III) with a suitable reducing reagent. The most suitable, but not exclusive, method is the use of metal hydride reagents, such as lithium aluminum hydride or borane, in the presence or not of cocatalysts. Other methods that can be carried out involve the hydrogenation in the presence of Raney Ni, or palladium for instance. The most common solvents for this reaction are alcohols such as methanol or ethanol, tetrahydrofuran, toluene, ethers, such as diethyl ether or methyl tert-butyl ether. In most cases it is advantageous to conduct the reaction at dilution between 0.1 M to 1 M, preferably 0.3 M to 0.5 M, at a temperature of 0°C to 100°C, preferably 0-80°C preferably around 20°C, and the reaction time in most cases is between 30 minutes and 12 hours.
(VII) (VIII) (IX) (χ)
8) Compounds of formula (VIII) can be obtained by various methods from the thietanone (VII). For example, they can be prepared by performing a wittig reaction or a related reaction, using
(triphenylphosphoranylidene)acetonitrile or (Cyanomethyl)diethoxyphosphine oxide as a reagent or following a procedure in analogy to the one described in Organic Letters 2010, 12(9), 1944-1947 and Journal of the American Chemical Society 2009, 131(8), 2786-2787. Such reactions are usually performed in a solvent, such as toluene or dichloromethane, at a temperature of from 0°C to 150°C, preferably from 0°C to 50°C. Thietan-3-one (VII) can be prepared according to known methods, for example described in Synlett, (11), 783-4; 1991 or in WO 2007046548.
9) Compounds of formula (IX) can be prepared by reaction of compounds of formula (VIII) with a suitable reducing reagent. The most suitable, but not exclusive, method is the use of metal hydride reagents, such as sodium borohydride. Other methods that can be carried out involve the hydrogenation under a hydrogen atmosphere in the presence of palladium for instance. The most common solvents for this reaction are alcohols such as methanol or ethanol. In most cases it is advantageous to conduct the reaction at dilution between 0.1 M to 1 M, preferably 0.3 M to 0.5 M, at a temperature of 0°C to 100°C, preferably 0-80°C preferably around 20°C, and the reaction time in most cases is between 30 minutes and 12 hours.
10) Compounds of formula (X) can be prepared by reaction of compounds of formula (IX) with a suitable reducing reagent. The most suitable, but not exclusive, method is the use of metal hydride reagents, such as lithium aluminum hydride or borane, in the presence or not of cocatalysts. Other methods that can be carried out involve the hydrogenation in the presence of Raney Ni, or palladium for instance. The most common solvents for this reaction are alcohols such as methanol or ethanol, tetrahydrofuran, toluene, ethers, such as diethyl ether or methyl tert-butyl ether. In most cases it is advantageous to conduct the reaction at dilution between 0.1 M to 1 M, preferably 0.3 M to 0.5 M, at a temperature of 0°C to 100°C, preferably 0-80°C preferably around 20°C, and the reaction time in most cases is between 30 minutes and 12 hours.
11) Alternatively, compounds of formula (X) may be obtained directly by reduction of compounds of formula (VIII), for example under hydrogenation conditions, e.g. using hydrogen and a metal hydrogenation catalyst, e.g. Palladium, Rhodium, or Plattinum.
For the preparation of the amines, a few other routes can be followed, some of which are represented in schemes 4,5, 6 and 7
(XI I) (XI I I)
12) Compound (IV) may be prepared by reduction of a nitromethylene compound of formula (XI). Reducing agents suitable for this reduction include for example metal hydride reagents such as sodium borohydride or lithium aluminium hydride optionally in the presence of a catalyst, for example nichel chloride. Hydrogenation in the presence of metal catalyst such as raney nickel or palladium on charcoal is an alternative for such reductions. Examples of such methods can be found in Journal of the American Chemical Society (2003), 125(40), 12125-12136, US patent n° 20050261327, or in Journal of Medicinal Chemistry (2010), 53(7), 2942-2951.
13) Compounds of formula (XI) can be prepared by reaction of the ketone of formula (VII) with nitromethane under standard conditions (Henry reaction), as described for example in Angewandte
Chemie, International Edition, 45(46), 7736-7739; 2006 or in Journal of Medicinal Chemistry, 53(8), 3227-3246; 2010.
14) Alternatively, the amine of formula (IV) may be obtained from the carboxylic acid of formula (XIII) using Schmidt or Curtius rearrangement. Schmidt rearrangement involves treatment with hydrazoic acid under a range of possible conditions known to the person skilled of the art, for example as described in Journal of Organic Chemistry, 58(6), 1372-6; 1993 for the conversion of bicyclo[ 1.1.1 ]pentane-2- carboxylic acid to bicyclo[l . l. l]pentane-2-amine. Curtius rearrangement can be carried out under different possible conditions known to the person skilled in the art, for example treatment of (XIII) with diphenylphosphoryl azide followed by heating and reaction with an alcohol such as benzyl alcohol or tert- butanol; the corresponding ester is obtained and subsequently deprotected to the amine by hydrogenolysis (benzyl ester) or treatment with trifluoroacetic acid (tert-butyl ester). Such conditions are for example described in Journal of Organic Chemistry, 75(17), 5941 -5952, 2010 or Tetrahedron: Asymmetry, 14(23), 3773-3778; 2003.
15) The acid of formula (XII) may derive from the ketone of formula (VII) after homologation of the ketone (VII) to an ester of formula (XII) followed by hydride reduction or hydrogenation of the double bond. Similar synthetic sequences from related substrates are described for example in Chemical & Pharmaceutical Bulletin, 52(6), 675-687; 2004, Synlett (2005), (10), 1559-1562, WO 2005019221, or WO 2010031735.
Scheme 5
16) Amines of formula (IV) and (X) may be converted to further amine intermediates of formula (XIV) and (XV) wherein n is 1 or 2. The amines may be directly oxidized or first protected, oxidized and then deprotected.
(XVI) (XVII)
17) The amine of formula (XVII) may be obtained from a compound of formula (XVI) wherein each XB is independently hydroxy, halogen or a leaving group such as mesylate, tosylate or triflate. The sequence is then similar to that described for example in WO 2007080131 for the conversion of serinol to thietan-3ylamine. Compounds of formula (XVI) are either known compounds or can be prepared by known methods to the person skilled in the art. Compounds of formula XVII may be oxidised as described in 16).
(XIX)
18) Similarly, the amine of formula (IV) and (X) may be obtained from compounds of formula (XVIII) and (XIX) wherein each XB is independently hydroxy, halogen or a leaving group such as mesylate, tosylate or triflate. Compounds of formula (XVIII) and (XIX) are either known compounds or can be prepared by known methods to the person skilled in the art.
Protecting a crop of useful plants from insects, acarines, nematodes or molluscs, means e.g. controlling the population of insects, acarines, nematodes or molluscs in said crop of useful plants, e.g. such that the population of said insects, acarines, nematodes or molluscs is less than would be present in the absence of said compound, preferably significantly less, e.g. at least 5, 10, 15, 20, 25, 30, 35, 40, 45 50, 55, 60, 65, 70, 75, 80, 85, 90, 95 or even at least 99% less than in the absence of said compound.
The compounds of formula (I) can be used to combat and control infestations of insect pests such as Lepidoptera, Diptera, Hemiptera, Thysanoptera, Orthoptera, Dictyoptera, Coleoptera, Siphonaptera, Hymenoptera and Isoptera and also other invertebrate pests, for example, acarine, nematode and mollusc pests. Insects, acarines, nematodes and molluscs are hereinafter collectively referred to as pests. The pests which may be combated and controlled by the use of the compounsd of the invention include those pests associated with agriculture (which term includes the growing of crops for food and fiber products), horticulture and animal husbandry, companion animals, forestry and the storage of products of vegetable origin (such as fruit, grain and timber); those pests associated with the damage of man-made structures and the transmission of diseases of man and animals; and also nuisance pests (such as flies). The compounds of the invention may be used for example on turf, ornamentals, such as flowers, shrubs, broad-leaved trees or evergreens, for example conifers, as well as for tree injection, pest management and the like. Compositions comprising the compound of formula I may be used on ornamental garden plants (e.g. flowers, shrubs, broad-leaved trees or evergreens), e.g. to control aphids, whitefly, scales, meelybug, beetles and caterpillars. Compositions comprising the compound of formula I may be used on garden plants (e.g. flowers, shrubs, broad-leaved trees or evergreens), on indoor plants (e.g. flowers and shrubs) and on indoor pest e.g. to control aphids, whitefly, scales, meelybug, beetles and caterpillars.
Furthermore, the compounds of the invention may be effective against harmful insects, without substantially imposing any harmful side effects to cultivated plants. Application of the compounds of the invention may increase the harvest yields, and may improve the quality of the harvested material. The compounds of the invention may have favourable properties with respect to amount appled, residue formulation, selectivity, toxicity, production methodology, high activity, wide spectrum of control, safety, control of resistant organisms, e.g. pests that are resistant to organic phosphorus agents and/or carbamate agents.
Examples of pest species which may be controlled by the compounds of formula (I) include: coleopterans, for example, Callosobruchus chinensis, Sitophilus zeamais, Tribolium castaneum,
Epilachna vigintioctomaculata, Agriotes fuscicollis, Anomala rufocuprea, Leptinotarsa decemlineata, Diabrotica spp., Monochamus alternatus, Lissorhoptrus oryzophilus, Lyctus bruneus, Aulacophora femoralis; lepidopterans, for example, Lymantria dispar, Malacosoma neustria), Pieris rapae,
Spodoptera litura, Mamestra brassicae, Chilo suppressalis), Pyrausta nubilalis, Ephestia cautella,
Adoxophyes orana, Carpocapsa pomonella, Agrotisfucosa, Galleria mellonella, Plutella maculipennis, Heliothis virescens, Phyllocnistis citrella; hemipterans, for example, Nephotettix cincticeps, Nilaparvata lugens, Pseudococcus comstocki, Unaspis yanonensis, Myzus persicas, Aphis pomi, Aphis gossypii, Rhopalosiphum pseudobrassicas, Stephanitis nashi, Nezara spp., Trialeurodes vaporariorm, Psylla spp.; thysanopterans, for example, Thrips palmi, Franklinella occidental; orthopterans, for example, Blatella germanica, Periplaneta americana, Gryllotalpa Africana, Locusta migratoria migratoriodes ; isopterans, for example, Reticulitermes speratus, Coptotermes formosanus; dipterans, for example, Musca domestica, Aedes aegypti, Hylemia platura, Culex pipiens, Anopheles sinensis, Culex tritaeniorhynchus, Liriomyza trifolii; acari, for example, Tetranychus cinnabarinus, Tetranychus urticae, Panonychus citri, Aculops pelekassi, Tarsonemus spp. ; nematodes, for example, Meloidogyne incognita, Bursaphelenchus lignicolus Mamiya et Kiyohara, Aphelenchoides besseyi, Heterodera glycines, Pratylenchus spp..
Examples of further pest species which may be controlled by the compounds of formula (I) include: from the order of the Anoplura (Phthiraptera), for example, Damalinia spp., Haematopinus spp., Linognathus spp., Pediculus spp., Trichodectes spp.; from the class of the Arachnida, for example, Acarus siro, Aceria sheldoni, Aculops spp., Aculus spp., Amblyomma spp., Argas spp., Boophilus spp., Brevipalpus spp., Bryobia praetiosa, Chorioptes spp., Dermanyssus gallinae, Eotetranychus spp., Epitrimerus pyri, Eutetranychus spp., Eriophyes spp., Hemitarsonemus spp., Hyalomma spp., Ixodes spp., Latrodectus mactans, Metatetranychus spp., Oligonychus spp., Ornithodoros spp., Panonychus spp., Phyllocoptruta oleivora, Polyphagotarsonemus latus, Psoroptes spp., Rhipicephalus spp., Rhizoglyphus spp., Sarcoptes spp., Scorpio maurus, Stenotarsonemus spp., Tarsonemus spp., Tetranychus spp., Vasates lycopersici; from the class of the Bivalva, for example, Dreissena spp.; from the order of the Chilopoda, for example, Geophilus spp., Scutigera spp.; from the order of the Coleoptera, for example,
Acanthoscehdes obtectus, Adoretus spp., Agelastica alni, Agriotes spp., Amphimallon solstitialis, Anobium punctatum, Anoplophora spp., Anthonomus spp., Anthrenus spp., Apogonia spp., Atomaria spp., Attagenus spp., Bruchidius obtectus, Bruchus spp., Ceuthorhynchus spp., Cleonus mendicus, Conoderus spp., Cosmopolites spp., Costelytra zealandica, Curculio spp., Cryptorhynchus lapathi, Dermestes spp., Diabrotica spp., Epilachna spp., Faustinus cubae, Gibbium psylloides, Heteronychus arator,
Hylamorpha elegans, Hylotrupes bajulus, Hypera postica, Hypothenemus spp., Lachnosterna
consanguinea, Leptinotarsa decemlineata, Lissorhoptrus oryzophilus, Lixus spp., Lyctus spp., Meligethes aeneus, Melolontha melolontha, Migdolus spp., Monochamus spp., Naupactus xanthographus, Niptus hololeucus, Oryctes rhinoceros, Oryzaephilus surinamensis, Otiorrhynchus sulcatus, Oxycetonia jucunda, Phaedon cochleariae, Phyllophaga spp., Popillia japonica, Premnotrypes spp., Psylliodes chrysocephala, Ptinus spp., Rhizobius ventralis, Rhizopertha dominica, Sitophilus spp., Sphenophorus spp., Sternechus spp., Symphyletes spp., Tenebrio molitor, Tribolium spp., Trogoderma spp., Tychius spp., Xylotrechus spp., Zabrus spp.; from the order of the Collembola, for example, Onychiurus armatus; from the order of the Dermaptera, for example, Forficula auricularia; from the order of the Diplopoda, for example, Blaniulus guttulatus; from the order of the Diptera, for example, Aedes spp., Anopheles spp., Bibio hortulanus, Calliphora erythrocephala, Ceratitis capitata, Chrysomyia spp., Cochliomyia spp.,
Cordylobia anthropophaga, Culex spp., Cuterebra spp., Dacus oleae, Dermatobia hominis, Drosophila spp., Fannia spp., Gastrophilus spp., Hylemyia spp., Hyppobosca spp., Hypoderma spp., Liriomyza spp., Lucilia spp., Musca spp., Nezara spp., Oestrus spp., Oscinella frit, Pegomyia hyoscyami, Phorbia spp., Stomoxys spp., Tabanus spp., Tannia spp., Tipula paludosa, Wohlfahrtia spp.; from the class of the Gastropoda, for example, Arion spp., Biomphalaria spp., Bulinus spp., Deroceras spp., Galba spp., Lymnaea spp., Oncomelania spp., Succinea spp.; from the class of the helminths, for example,
Ancylostoma duodenale, Ancylostoma ceylanicum, Acylostoma braziliensis, Ancylostoma spp., Ascaris lubricoides, Ascaris spp., Brugia malayi, Brugia timori, Bunostomum spp., Chabertia spp., Clonorchis spp., Cooperia spp., Dicrocoelium spp, Dictyocaulus filaria, Diphyllobothrium latum, Dracunculus medinensis, Echinococcus granulosus, Echinococcus multilocularis, Enterobius vermicularis, Faciola spp., Haemonchus spp., Heterakis spp., Hymenolepis nana, Hyostrongulus spp., Loa Loa, Nematodirus spp., Oesophagostomum spp., Opisthorchis spp., Onchocerca volvulus, Ostertagia spp., Paragonimus spp., Schistosomen spp., Strongyloides fuelleborni, Strongyloides stercoralis, Stronyloides spp., Taenia saginata, Taenia solium, Trichinella spiralis, Trichinella nativa, Trichinella britovi, Trichinella nelsoni, Trichinella pseudopsiralis, Trichostrongulus spp., Trichuris trichuria, Wuchereria bancrofti; ft may be furthermore possible to control protozoa, such as Eimeria; from the order of the Heteroptera, for example, Anasa tristis, Antestiopsis spp., Blissus spp., Calocoris spp., Campylomma livida, Cavelerius spp., Cimex spp., Creontiades dilutus, Dasynus piperis, Dichelops furcatus, Diconocoris hewetti, Dysdercus spp., Euschistus spp., Eurygaster spp., Heliopeltis spp., Horcias nobilellus, Leptocorisa spp., Leptoglossus phyllopus, Lygus spp., Macropes excavatus, Miridae, Nezara spp., Oebalus spp.,
Pentomidae, Piesma quadrata, Piezodorus spp., Psallus seriatus, Pseudacysta persea, Rhodnius spp., Sahlbergella singularis, Scotinophora spp., Stephanitis nashi, Tibraca spp., Triatoma spp.; from the order of the Homoptera, for example, Acyrthosipon spp., Aeneolamia spp., Agonoscena spp., Aleurodes spp., Aleurolobus barodensis, Aleurothrixus spp., Amrasca spp., Anuraphis cardui, Aonidiella spp.,
Aphanostigma piri, Aphis spp., Arboridia apicalis, Aspidiella spp., Aspidiotus spp., Atanus spp.,
Aulacorthum solani, Bemisia spp., Brachycaudus helichrysii, Brachycolus spp., Brevicoryne brassicae, Calligypona marginata, Carneocephala fulgida, Ceratovacuna lanigera, Cercopidae, Ceroplastes spp., Chaetosiphon fragaefolii, Chionaspis tegalensis, Chlorita onukii, Chromaphis juglandicola,
Chrysomphalus ficus, Cicadulina mbila, Coccomytilus halli, Coccus spp., Cryptomyzus ribis, Dalbulus spp., Dialeurodes spp., Diaphorina spp., Diaspis spp., Doralis spp., Drosicha spp., Dysaphis spp., Dysmicoccus spp., Empoasca spp., Eriosoma spp., Erythroneura spp., Euscelis bilobatus, Geococcus coffeae, Homalodisca coagulata, Hyalopterus arundinis, Icerya spp., Idiocerus spp., Idioscopus spp., Laodelphax striatellus, Lecanium spp., Lepidosaphes spp., Lipaphis erysimi, Macrosiphum spp., Mahanarva fimbriolata, Melanaphis sacchari, Metcalfiella spp., Metopolophium dirhodum, Monellia costalis, MonelUopsis pecanis, Myzus spp., Nasonovia ribisnigri, Nephotettix spp., Nilaparvata lugens, Oncometopia spp., Orthezia praelonga, Parabemisia myricae, Paratrioza spp., Parlatoria spp.,
Pemphigus spp., Peregrinus maidis, Phenacoccus spp., Phloeomyzus passerinii, Phorodon humuli, Phylloxera spp., Pinnaspis aspidistrae, Planococcus spp., Protopulvinaria pyriformis, Pseudaulacaspis
pentagona, Pseudococcus spp., Psylla spp., Pteromalus spp., Pyrilla spp., Quadraspidiotus spp., Quesada gigas, Rastrococcus spp., Rhopalosiphum spp., Saissetia spp., Scaphoides titanus, Schizaphis graminum, Selenaspidus articulatus, Sogata spp., Sogatella furcifera, Sogatodes spp., Stictocephala festina, Tenalaphara malayensis, Tinocallis caryaefoliae, Tomaspis spp., Toxoptera spp., Trialeurodes vaporariorum, Trioza spp., Typhlocyba spp., Unaspis spp., Viteus vitifolii; from the order of the
Hymenoptera, for example, Diprion spp., Hoplocampa spp., Lasius spp., Mono- morium pharaonis, Vespa spp.; from the order of the Isopoda, for example, Armadillidium vulgar e, Oniscus asellus, Porcellio scaber; from the order of the Isoptera, for example, Reticulitermes spp., Odontotermes spp.; from the order of the Lepidoptera, for example, Acronicta major, Aedia leucomelas, Agrotis spp., Alabama argillacea, Anticarsia spp., Barathra brassicae, Bucculatrix thurberiella, Bupalus piniarius, Cacoecia podana, Capua reticulana, Carpocapsa pomonella, Cheimatobia brumata, Chilo spp., Choristoneura fumiferana, Clysia ambiguella, Cnaphalocerus spp., Earias insulana, Ephestia kuehniella, Euproctis chrysorrhoea, Euxoa spp., Feltia spp., Galleria mellonella, Helicoverpa spp., Heliothis spp., Hofmannophila pseudospretella, Homona magnanima, Hyponomeuta padella, Laphygma spp.,
Lithocolletis blancardella, Lithophane antennata, Loxagrotis albicosta, Lymantria spp., Malacosoma neustria, Mamestra brassicae, Mods repanda, Mythimna separata, Oria spp., Oulema oryzae, Panolis flammea, Pectinophora gossypiella, Phyllocnistis citrella, Pieris spp., Plutella xylostella, Prodenia spp., Pseudaletia spp., Pseudoplusia includens, Pyrausta nubilalis, Spodoptera spp., Thermesia gemmatalis, Tinea pellionella, Tineola bisselliella, Tortrix viridana, Trichoplusia spp.; from the order of the
Orthoptera, for example, Acheta domesticus, Blatta orientalis, Blattella germanica, Gryllotalpa spp., Leucophaea maderae, Locusta spp., Melanoplus spp., Periplaneta americana, Schistocerca gregaria; from the order of the Siphonaptera, for example, Ceratophyllus spp., Xenopsylla cheopis. From the order of the Symphyla, for example, Scutigerella immaculata; from the order of the Thysanoptera, for example, Baliothrips biformis, Enneothrips flavens, Frankliniella spp., Heliothrips spp., Hercinothrips femoralis, Kakothrips spp., Rhipiphorothrips cruentatus, Scirtothrips spp., Taeniothrips cardamoni, Thrips spp.; from the order of the Thysanura, for example, Lepisma saccharina. The phytoparasitic nematodes include, for example, Anguina spp., Aphelenchoides spp., Belonoaimus spp., Bursaphelenchus spp., Ditylenchus dipsaci, Globodera spp., Heliocotylenchus spp., Heterodera spp., Longidorus spp.,
Meloidogyne spp., Pratylenchus spp., Radopholus similis, Rotylenchus spp., Trichodorus spp.,
Tylenchorhynchus spp., Tylenchulus spp., Tylenchulus semipenetrans, Xiphinema spp.
In particular, the compounds of the invention may be used to control the following pest spcies: Myzus persicae (aphid), Aphis gossypii (aphid), Aphis fabae (aphid), Lygus spp. (capsids), Dysdercus spp. (capsids), Nilaparvata lugens (planthopper), Nephotettixc incticeps (leafhopper), Nezara spp. (stinkbugs), Euschistus spp. (stinkbugs), Leptocorisa spp. (stinkbugs), Frankliniella occidentalis (thrip), Thrips spp. (thrips), Leptinotarsa decemlineata (Colorado potato beetle), Anthonomus grandis (boll weevil), Aonidiella spp. (scale insects), Trialeurodes spp. (white flies), Bemisia tabaci (white fly), Ostrinia nubilalis (European corn borer), Spodoptera littoralis (cotton leafworm), Heliothis virescens (tobacco budworm), Helicoverpa armigera (cotton bollworm), Helicoverpa zea (cotton bollworm),
Sylepta derogata (cotton leaf roller), Pieris brassicae (white butterfly), Plutella xylostella (diamond back moth), Agrotis spp. (cutworms), Chilo suppressalis (rice stem borer), Locusta migratoria (locust), Chortiocetes terminifera (locust), Diabrotica spp. (rootworms), Panonychus ulmi (European red mite), Panonychus citri (citrus red mite), Tetranychus urticae (two-spotted spider mite), Tetranychus cinnabarinus (carmine spider mite), Phyllocoptruta oleivora (citrus rust mite), Polyphagotarsonemus latus (broad mite), Brevipalpus spp. (flat mites), Boophilus microplus (cattle tick), Dermacentor variabilis (American dog tick), Ctenocephalides felis (cat flea), Liriomyza spp. (leafminer), Musca domestica (housefly), Aedes aegypti (mosquito), Anopheles spp. (mosquitoes), Culex spp. (mosquitoes), Lucillia spp. (blowflies), Blattella germanica (cockroach), Periplaneta americana (cockroach), Blatta orientalis (cockroach), termites of the Mastotermitidae (for example Mastotermes spp.), the
Kalotermitidae (for example Neotermes spp.), the Rhinotermitidae (for example Coptotermes formosanus, Reticulitermes flavipes, R. speratu, R. virginicus, R. hesperus, and R. santonensis) and the Termitidae (for example Globitermes sulfureus), Solenopsis geminata (fire ant), Monomorium pharaonis (pharaoh's ant), Damalinia spp. and Linognathus spp. (biting and sucking lice), Meloidogyne spp. (root knot nematodes), Globodera spp. and Heterodera spp. (cyst nematodes), Pratylenchus spp. (lesion nematodes),
Rhodopholus spp. (banana burrowing nematodes), Tylenchulus spp. (citrus nematodes), Haemonchus contortus (barber pole worm), Caenorhabditis
eelworm), Trichostrongylus spp. (gastro intestinal nematodes) and Deroceras reticulatum (slug).
The compound of formula I may be used for pest control on various plants, including soybean (e.g. in some cases 10-70g/ha), corn (e.g. in some cases 10-70g/ha), sugarcane (e.g. in some cases 20- 200g/ha), alfalfa (e.g. in some cases 10-70g/ha), brassicas (e.g. in some cases 10-50g/ha), oilseed rape (e.g. canola) (e.g. in some cases 20-70g/ha), potatoes (including sweet potatoes) (e.g. in some cases 10- 70g/ha), cotton (e.g. in some cases 10-70g/ha), rice (e.g. in some cases 10-70g/ha), coffee (e.g. in some cases 30-150g/ha), citrus (e.g. in some cases 60-200g/ha), almonds (e.g. in some cases 40-180g/ha), fruiting vegetables, cucurbits and pulses (e.g. tomatoes, pepper, chili, eggplant, cucumber, squash etc.) (e.g. in some cases 10-80g/ha), tea (e.g. in some cases 20-150g/ha), bulb vegetables (e.g. onion, leek etc.) (e.g. in some cases 30-90g/ha), grapes (e.g. in some cases 30-180g/ha), pome fruit (e.g. apples, pears etc.) (e.g. in some cases 30-180g/ha), and stone fruit (e.g. pears, plums etc.) (e.g. in some cases 30-180g/ha).
The compounds of the invention may be used for pest control on various plants, including soybean, corn, sugarcane, alfalfa, brassicas, oilseed rape (e.g. canola), potatoes (including sweet potatoes), cotton, rice, coffee, citrus, almonds, fruiting vegetables, cucurbits and pulses (e.g. tomatoes, pepper, chili, eggplant, cucumber, squash etc.), tea, bulb vegetables (e.g. onion, leek etc.), grapes, pome fruit (e.g. apples, pears etc.), stone fruit (e.g. pears, plums etc.), and cereals.
The compounds of the invention may be used on soybean to control, for example, Elasmopalpus lignosellus, Diloboderus abderus, Diabrotica speciosa, Trialeurodes spp., Bemisia spp., aphids,
Sternechus subsignatus, Formicidae, Agrotis ypsilon, Julus spp., Murgantia spp., Halyomorpha spp., Thyanta spp., Megascelis ssp., Procornitermes ssp., Gryllotalpidae, Nezara viridula, Piezodorus spp., Acrosternum spp., Neomegalotomus spp., Cerotoma trifurcata, PopilUa japonica, Edessa spp., Liogenys
fuscus, stalk borer, Scaptocoris castanea, phyllophaga spp., Migdolus spp., Pseudoplusia includens, Anticarsia gemmatalis, Epinotia spp., Rachiplusia spp., Spodoptera spp. (e.g. Spodoptera frugiperda), Bemisia tabaci, Tetranychus spp., Agriotes spp. , Euschistus spp. (e.g. Euschistus heros). The compounds of the invention are preferably used on soybean to control Diloboderus abderus, Diabrotica speciosa, Trialeurodes spp., Bemisia spp., Nezara viridula, Piezodorus spp., Acrosternum spp., Cerotoma trifurcata, Popillia japonica, Euschistus heros, Scaptocoris castanea, phyllophaga spp., Migdolus spp., Agriotes spp., Euschistus spp..
The compounds of the invention may be used on corn to control, for example, Euschistus spp. (e.g. Euschistus heros), Dichelops furcatus, Diloboderus abderus, Thyanta spp., Elasmopalpus lignosellus, Halyomorpha spp., Spodoptera frugiperda, Nezara viridula, Cerotoma trifurcata, Popillia japonica, Agrotis ypsilon, Diabrotica speciosa, aphids, Heteroptera, Procornitermes spp., Scaptocoris castanea, Formicidae, Julus ssp., Dalbulus maidis, Diabrotica spp. (e.g. Diabrotica virgifera), Mods latipes, Bemisia tabaci, heliothis spp., Tetranychus spp., thrips spp., phyllophaga spp., Migdolus spp., scaptocoris spp., Liogenys fuscus, Spodoptera spp., Ostrinia spp., Sesamia spp., wireworms, Agriotes spp., Halotydeus destructor. The compounds of the invention are preferably used on corn to control Euschistus spp., (e.g. Euschistus heros), Dichelops furcatus, Diloboderus abderus, Nezara viridula, Cerotoma trifurcata, Popillia japonica, Diabrotica spp. (e.g. Diabrotica speciosa, Diabrotica virgifera), Tetranychus spp., Thrips spp., Phyllophaga spp., Migdolus spp., Scaptocoris spp., Agriotes spp..
The compounds of the invention may be used on sugar cane to control, for example,
Sphenophorus spp., termites, Migdolus spp., Diloboderus spp., Telchin licus, Diatrea saccharalis, Mahanarva spp., Mealybugs, Chilo spp.
The compounds of the invention may be used on alfalfa to control, for example, Hypera brunneipennis, Hypera postica, Colias eurytheme, Collops spp., Empoasca solana, Epitrix spp., Geocoris spp., Lygus hesperus, Lygus lineolaris, Spissistilus spp., Spodoptera spp., Aphids, Trichoplusia ni. The compounds of the invention are preferably used on alfalfa to control Hypera brunneipennis, Hypera postica, Empoasca solana, Epitrix spp., Lygus hesperus, Lygus lineolaris, Trichoplusia ni.
The compounds of the invention may be used on brassicas to control, for example, Chrysodeixis spp., Plutella xylostella, Pieris spp. (e.g. Pieris brassicae, Pieris rapae, Pieris napi), Mamestra spp. (e.g. Mamestra brassicae), Plusia spp., Trichoplusia spp. (e.g. Trichoplusia ni), Phyllotreta spp. (e.g.
Phyllotreta cruciferae, Phyllotreta striolata), Spodoptera spp., Empoasca spp., thrips spp., Delia spp., Murgantia spp., Trialeurodes spp., Bemisia spp., Microtheca spp., Aphids, Chaetocnema spp., PsylUodes spp. (e.g. PsylUodes chrysocephala). The compounds of the invention are preferably used on brassicas to control Plutella xylostella, Pieris spp., Plusia spp., Trichoplusia ni, Phyllotreta spp., Thrips spp., Chaetocnema spp..
The compounds of the invention may be used on oil seed rape, e.g. canola, to control, for example, Meligethes spp. (e.g. Meligethes aeneus), Ceutorhynchus spp., (e.g. Ceutorhynchus assimilis, Ceutorhynchus napi), Halotydeus destructor, Psylloides spp. (e.g. PsylUodes chrysocephala), Phyllotreta spp. (e.g. Phyllotreta cruciferae, Phyllotreta striolata), Chaetocnema spp..
The compounds of the invention may be used on potatoes, including sweet potatoes, to control, for example, Empoasca spp., Leptinotarsa spp., Diabrotica speciosa, Phthorimaea spp., Paratrioza spp., Maladera matrida, Agriotes spp., Aphids, wireworms. The compounds of the invention are preferably used on potatoes, including sweet potatoes, to control Empoasca spp., Leptinotarsa spp., Diabrotica speciosa, Phthorimaea spp., Paratrioza spp., Agriotes spp..
The compounds of the invention may be used on cotton to control, for example, Anthonomus grandis, Pectinophora spp., heliothis spp., Spodoptera spp., Tetranychus spp. (e.g. Tetranychus urticae), Empoasca spp., Thrips spp. (e.g. Thrips tabaci, Thrips palmi), Bemisia tabaci, Trialeurodes spp., Aphids, Lygus spp. (e.g. Lygus lineolaris, Lygus Hesperus), phyllophaga spp., Scaptocoris spp., Austroasca viridigrisea, Creontiades spp., Nezara spp., Piezodorus spp., Halotydeus destructor, Oxycaraenus hyalinipennis, Dysdercus cingulatus, Amrasca spp. ( e.g. Amrasca biguttula biguttula), Frankliniella spp. (e.g. Frankliniella schultzei), Scirtothrips spp. (e.g. Scirtothrips dorsali), Anaphothrips spp.,
Polyphagotarsonemus latus. The compounds of the invention are preferably used on cotton to control Anthonomus grandis, Tetranychus spp., Empoasca spp., thrips spp., Lygus spp., phyllophaga spp., Scaptocoris spp..
The compounds of the invention may be used on rice to control, for example, Leptocorisa spp. (e.g. Leptocorisa oratorius, Leptocorisa chinensis, Leptocorisa acuta), Cnaphalocrosis spp., Chilo spp. (e.g. Chilo suppressalis, Chilo polychrysus, Chilo auricilius), Scirpophaga spp. (e.g. Scirpophaga incertulas, Scirpophaga innotata, Scirpophaga nivella), Lissorhoptrus spp., Oebalus pugnax,
Scotinophara spp. (e.g. Scotinophara coarctata, Scotinophara lurida, Scotinophara latiuscula),
Nephotettix spp. (e.g. Nephotettix malayanus, Nephotettix nigropictus, Nephotettix parvus, Nephottetix virescens, Nephotettix cincticeps), Mealybugs, Sogatella furcifera, Nilaparvata lugens, OrseoUa spp. (e.g. OrseoUa oryzae), Cnaphalocrocis medinalis, Marasmia spp. (e.g. Marasmia patnalis, Marasmia exigua), Stenchaetothrips biformis, Thrips spp., Hydrellia spp. (e.g. Hydrellia philippina), Grasshoppers, Pomacea canaliculata, Scirpophaga innotata, Sesamia inferens, Laodelphax striatellus, Nymphula depunctalis, Oulema oryzae, Stinkbugs. The compounds of the invention are preferably used on rice to control Leptocorisa spp., Lissorhoptrus spp., Oebalus pugnax, Nephotettix spp.(e.g. Nephotettix malayanus, Nephotettix nigropictus, Nephotettix parvus, Nephottetix virescens, Nephotettix cincticeps), Sogatella furcifera, Stenchaetothrips biformis, Thrips spp., Hydrellia spp. (e.g. Hydrellia philippina),
Grasshoppers, Pomacea canaliculata, Scirpophaga innotata, Chilo spp., Oulema oryzae.
The compounds of the invention may be used on coffee to control, for example, Hypothenemus spp. (e.g. Hypothenemus Hampei), Perileucoptera Coffeella, Tetranychus spp., Brevipalpus spp., Mealybugs. The compounds of the invention are preferably used on coffee to control Hypothenemus Hampei, Perileucoptera Coffeella.
The compounds of the invention may be used on citrus to control, for example,
Panonychus citri, Phyllocoptruta oleivora, Brevipalpus spp. (e.g. Brevipalpus californicus, Brevipalpus phoenicis), Diaphorina citri, Scirtothrips spp. (e.g. Scirtothrips dorsalis), Thrips spp., Unaspis spp., Ceratitis capitata, Phyllocnistis spp. (e.g. Phyllocnistis citrella), Aphids, Hardscales, Softscales,
Mealybugs. The compounds of the invention are preferably used on citrus to control Panonychus citri, Phyllocoptruta oleivora, Brevipalpus spp., Diaphorina citri, Scirtothrips spp., thrips spp., Phyllocnistis spp..
The compounds of the invention may be used on almonds to control, for example, Amyelois transitella, Tetranychus spp.
The compounds of the invention may be used on fruiting vegetables, cucurbits and pulses, including tomatoes, pepper, chili, eggplant, cucumber, squash etc., to control, for example, Thrips spp., Tetranychus spp. (e.g. Tetranychus urticae)., Polyphagotarsonemus spp. (e.g. Polyphagotarsonemus latus), Aculops spp. (e.g. Aculops lycopersici), Empoasca spp. (e.g. Empoasca fabae), Spodoptera spp., heliothis spp., Tuta absoluta, Liriomyza spp. (e.g. Liriomyza brassicae, Liriomyza bryoniae, Liriomyza huidobrensis, Liriomyza sativae, Liriomyza trifolu), Bemisia tabaci, Trialeurodes spp., Aphids,
Paratrioza spp., Frankliniella spp. (e.g. Frankliniella occidentalis, Frankliniella intonsa, Frankliniella bispinosa), Spodoptera spp. (e.g. Spodoptera exigua, Spodoptera littoralis, Spodoptera litura, Spodoptera frugiperda, Spodoptera eridanid), Anthonomus spp., Phyllotreta spp., Amrasca spp. (e.g. Amrasca biguttula biguttuld), Epilachna spp., Halyomorpha spp., Scirtothrips spp., Leucinodes spp. (e.g.
Leucinodes orbonalis), Neoleucinodes spp. (e.g. Neoleucinodes elegantalis) , Maruca spp., Fruit flies, Stinkbugs, Lepidopteras, Coleopteras, Helicoverpa spp. (e.g. Helicoverpa armigera), Heliothis spp. (e.g. Heliothis virescens), Paratrioza spp. (e.g. Paratrioza cockerelli), The compounds of the invention are preferably used on fruiting vegetables, cucurbits and pulses, including tomatoes, pepper, chili, eggplant, cucumber, squash etc., to control Thrips spp., Tetranychus spp., Polyphagotarsonemus spp., Aculops spp., Empoasca spp., Spodoptera spp., heliothis spp., Tuta absoluta, Liriomyza spp., Paratrioza spp.,
Frankliniella occidentalis, Frankliniella spp., Amrasca spp., Scirtothrips spp., Leucinodes spp.,
Neoleucinodes spp..
The compounds of the invention may be used on tea to control, for example, Pseudaulacaspis spp., Empoasca spp., Scirtothrips spp., Caloptilia theivora, Tetranychus spp..T e compounds of the invention are preferably used on tea to control Empoasca spp., Scirtothrips spp..
The compounds of the invention may be used on bulb vegetables, including onion, leek etc. to control, for example, Thrips spp., Spodoptera spp., heliothis spp.. The compounds of the invention are preferably used on bulb vegetables, including onion, leek etc. to control Thrips spp..
The compounds of the invention may be used on grapes to control, for example, Empoasca spp.,
Lobesia spp., Eupoecilia ambiguella, Frankliniella spp., Thrips spp., Tetranychus spp., Rhipiphorothrips Cruentatus, Eotetranychus Willamettei, Erythroneura Elegantula, Scaphoides spp., Scelodonta strigicollis, Mealybugs. The compounds of the invention are preferably used on grapes to control Frankliniella spp., Thrips spp., Tetranychus spp., Rhipiphorothrips Cruentatus, Scaphoides spp..
The compounds of the invention may be used on pome fruit, including apples, pears etc., to control, for example, Cacopsylla spp., Psylla spp., Panonychus ulmi, Cydia pomonella, Lepidopteras, Aphids, Hardscales, Softscales. The compounds of the invention are preferably used on pome fruit, including apples, pears etc., to control Cacopsylla spp., Psylla spp., Panonychus ulmi.
The compounds of the invention may be used on stone fruit to control, for example, Grapholita molesta, Scirtothrips spp., Thrips spp., Frankliniella spp., Tetranychus spp., Aphids, Hardscales, Softscales, Mealybugs. The compounds of the invention are preferably used on stone fruit to control Scirtothrips spp., Thrips spp., Frankliniella spp., Tetranychus spp..
The compounds of the invention may be used on cereals to control, for example, Aphids,
Stinkbugs, earthmites, Eurygaster integriceps, Zabrus tenebrioides, Anisoplia austriaca, Chaetocnema aridula, Phyllotreta spp., Oulema melanopus, Oscinella spp., Delia spp., Mayetiola spp., Contarinia spp., Cephus spp., Steneotarsonemus spp., Apamea spp..
In another embodiment compounds of formula I may be used on rice to control Baliothrips biformis (Thrips), Chilo spp. (e.g. Chilo polychrysus (Dark headed striped borer), Chilo suppressalis (Rice stemborer), Chilo indicus (Paddy stem borer), Chilo polychrysus (Dark-headed rice borer), Chilo suppressalis (Stripe stem borer)), Cnaphalocrocis medinalis (Rice leaf folder), Dicladispa armigera (Hispa), Hydrellia philipina (Rice whorl-maggot), Laodelphax spp. (Smaller brown planthopper) (e.g. Laodelphax striatellus ), Lema oryzae (Rice leaf eetle), Leptocorsia acuta (Rice bug), Leptocorsia oratorius (rice bug), Lissorhoptrus oryzophilus (rice water weevil), Mythemina separata (armyworm), Nephottetix spp. (Green leafhopper ) (e.g. Nephotettix cincticeps, Nephotettix malayanus, Nephotettix nigropictus, Nephotettix parvus, Nephottetix virescens), Nilaparvata lugens (Brown Planthopper), Nymphula depunctalis (Rice caseworm), Orseolia oryzae (Rice Gall midge), Oulema oryzae (Rice leafbeetle), Scirpophaga incertulas (Yellow Stemborer), Scirpophaga innotata (White Stemborer), Scotinophara coarctata (Rice black bug), Sogaella frucifera (White-backed planthopper),
Steneotarsonemus spinki.
The compounds of the invention may be used to control animal housing pests including: Ants, Bedbugs (adult), Bees, Beetles, Boxelder Bugs, Carpenter Bees, Carpet Beetles, Centipedes, Cigarette, Beetles, Clover Mites, Cockroaches, Confused Flour Beetle, Crickets, Earwigs, Firebrats, Fleas, Flies, Lesser Grain Borers, Millipedes, Mosquitoes, Red Flour Beetles, Rice Weevils, Saw-toothed Grain Beetles, Silverfish, Sowbugs, Spiders, Termites, Ticks, Wasps, Cockroaches, Crickets, Flies, Litter Beetles (such as Darkling, Hide, and Carrion), Mosquitoes, Pillbugs, Scorpions, Spiders, Spider Mites (Twospotted, Spruce), Ticks.
The compounds of the invention may be used to control ornamental pests including: Ants (Including Imported fire ants), Armyworms, Azalea caterpillars, Aphids, Bagworms, Black vine weevils (adult), Boxelder bugs, Budworms, California oakworms, Cankerworms, Cockroaches, Crickets, Cutworms, Eastern tent caterpillars, Elm leaf beetles, European sawflies, Fall web worms, Flea beetles, Forest tent caterpillars, Gypsy moth larvae, Japanese beetles (adults), June beetles (adults), Lace bugs, Leaf- feeding caterpillars, Leafhoppers, Leafrniners (adults), Leaf rollers, Leaf skeletonizers, Midges, Mosquitoes, Oleander moth larvae, Pillbugs, Pine sawflies, Pine shoot beetles, Pinetip moths, Plant bugs, Root weevils, Sawflies, Scale insects (crawlers), Spiders, Spittlebugs, Striped beetles, Striped oakworms, Thrips, Tip moths, Tussock moth larvae, Wasps, Broadmites, Brown softscales, California redscales (crawlers), Clover mites, Mealybugs, Pineneedlescales (crawlers), Spider mites, Whiteflies
The compounds of the invention may be used to control turf pests including: Ants (Including Imported fire ants, Armyworms, Centipedes, Crickets, Cutworms, Earwigs, Fleas (adult), Grasshoppers, Japanese beetles (adult), Millipedes, Mites, Mosquitoes (adult), Pillbugs, Sod webworms, Sow bugs, Ticks (including species which transmit Lyme disease), Bluegrass billbugs (adult), Black turfgrass ataenius (adult), Chiggers, Fleas (adult), Grubs (suppression), Hyperodes weevils (adult), Mole crickets (nymphs and young adults), Mole Crickets (mature adults), Chinch Bugs.
The compounds of formula (I), in particular those in the tables above, may be used for soil applications, including as a seed application, to target at least the following: sucking pests such as aphids, thrips, brown plant hopper (e.g. on rice), sting bugs, white flies (e.g. on cotton and vegetables), mites; on soil pests such as corn root worm, wireworms, white grubs, zabrus, termites (e.g. on sugar cane, soy, pasture), maggots, cabbage root fly, red legged earth mite; on lepidoptera, such as spodoptera, cutworms, elasmoplpus , plutella (e.g. brassica), stem borers, leaf miners, flea beetle, Sternechus; on nematicides, such as Heterodera glycines (e.g. on soybean), Pratylenchus brachyurus (e.g. on corn), P. zeae (e.g. oncorn), P. penetrans (e.g. on corn), Meloidogyne incognita (e.g. on vegetables), Heterodera schachtii (e.g. on sugar beet), Rotylenchus reniformis (e.g. on cotton), Heterodera avenae (e.g. on cereals), Pratylenchus neglectus (e.g. on cereals), thornei (e.g. on cereals).
The compounds of formula (I), in particular those in the tables above may be used for seed applications at least on the following: soil grubs for corn, soybeans, sugarcane: Migdolus spp;
Phyllophaga spp.; Diloboderus spp; Cyclocephala spp; Lyogenys fuscus; sugarcane weevils:
Sphenophorus levis & Metamasius hemipterus; termites for soybeans, sugarcane, pasture, others:
Heterotermes tenuis; Heterotermes longiceps; Cornitermes cumulans; Procornitermes triacifer ;
Neocapritermes opacus; Neocapritermes parvus; corn root worms for corn and potatoes: Diabrotica spp., seed Maggot: Delia platura; soil stinkbugs: Scaptocoris castanea; wireworms: Agriotes spp; Athous spp Hipnodes bicolor; Ctenicera destructor; Limonius canu; Limonius californicus; rice water weevil:
Lissorhoptrus oryzophilus; Red Legged earth mites: Halotydeus destructor.
The invention therefore provides a method of combating and/or controlling an animal pest, e.g. an invertebrate animal pest, which comprises applying to the pest, to a locus of the pest, or to a plant susceptible to attack by the pest a pesticidally effective amount of a compound of formula (I). In particular, the invention provides a method of combating and/or controlling insects, acarines, nematodes or molluscs which comprises applying an insecticidally, acaricidally, nematicidally or molluscicidally effective amount of a compound of formula (I), or a composition containing a compound of formula (I), to a pest, a locus of pest, preferably a plant, or to a plant susceptible to attack by a pest, The compounds of formula (I) are preferably used against insects, acarines or nematodes.
The term "plant" as used herein includes seedlings, bushes and trees. Crops are to be understood as also including those crops which have been rendered tolerant to herbicides or classes of herbicides (e.g. ALS-, GS-, EPSPS-, PPO- and HPPD-inhibitors) by conventional methods of breeding or by genetic engineering. An example of a crop that has been rendered tolerant to imidazolinones, e.g. imazamox, by conventional methods of breeding is Clearfield® summer rape (canola). Examples of crops that have been
rendered tolerant to herbicides by genetic engineering methods include e.g. glyphosate- and glufosinate- resistant maize varieties commercially available under the trade names RoundupReady® and
LibertyLink®.
The compounds of the invention may be applied to plant parts. Plant parts are to be understood as meaning all parts and organs of plants above and below the ground, such as shoot, leaf, flower and root, examples which may be mentioned being leaves, needles, stalks, stems, flowers, fruit bodies, fruits, seeds, roots, tubers and rhizomes. The plant parts also include harvested material, and vegetative and generative propagation material, for example cuttings, tubers, rhizomes, offshoots and seeds. Treatment according to the invention of the plants and plant parts with the active compounds is carried out directly or by allowing the compounds to act on their surroundings, habitat or storage space by the customary treatment methods, for example by immersion, spraying, evaporation, fogging, scattering, painting on, injecting and, in the case of propagation material, in particular in the case of seed, also by applying one or more coats.
Compounds of formula I may be used on transgenic plants (including cultivars) obtained by genetic engineering methods and/or by conventional methods. These are understood as meaning plants having novel properties ("traits") which have been obtained by conventional breeding, by mutagenesis or by recombinant DNA techniques. Depending on the plant species or plant cultivars, their location and growth conditions (soils, climate, vegetation period, diet), the treatment according to the invention may also result in superadditive "synergistic") effects.
Thus, for example, reduced application rates and/or a widening of the activity spectrum and/or an increase in the activity of the substances and compositions which can be used according to the invention, better plant growth, increased tolerance to high or low temperatures, increased tolerance to drought or to water or soil salt content, increased flowering performance, easier harvesting, accelerated maturation, higher harvest yields, higher quality and/or a higher nutritional value of the harvested products, better storage stability and/or processability of the harvested products are possible, which exceed the effects which were actually to be expected.
The preferred transgenic plants or plant cultivars which are to be treated according to the invention include all plants which, by virtue of the genetic modification, received genetic material which imparts particularly advantageous, useful traits to these plants. Examples of such traits are better plant growth, increased tolerance to high or low temperatures, increased tolerance to drought or to water or soil salt content, increased flowering performance, easier harvesting, accelerated maturation, higher harvest yields, higher quality and/or a higher nutritional value of the harvested products, better storage stability and/or processability of the harvested products.
Further and particularly emphasized examples of such traits are a better defence of the plants against animal and microbial pests, such as against insects, mites, phytopathogenic fungi, bacteria and/or viruses, and also increased tolerance of the plants to certain herbicidally active compounds.
Examples of transgenic plants which may be mentioned are the important crop plants, such as cereals (wheat, rice), maize, soybean, potatoes, sugar beet, tomatoes, peas and other vegetable varieties, cotton, tobacco, oilseed rape and also fruit plants (with the fruits apples, pears, citrus fruits and grapes).
Compounds of formula I may be used on transgenic plants that are capable of producing one or more pesticidal proteins which confer upon the transgenic plant tolerance or resistance to harmful pests, e.g. insect pests, nematode pests and the like. Such pesticidal proteins include, without limitation, Cry proteins from Bacillus thuringiensis CrylAb, CrylAc, CrylF, Cry2Ab, Cry2Ae, Cry3A, Cry3Bb, or Cry9C; engineered proteins such as modified Cry3A ( US Patent 7,030,295) or CrylA.105; or vegetative insecticidal proteins such as Vipl, Vip2 or Vip3. A full list of Bt Cry proteins and VIPs useful in the invention can be found on the worldwide web at Bacillus thuringiensis Toxin Nomenclature Database maintained by the University of Sussex {see also, Crickmore et al. (1998) Microbiol. Mol. Biol. Rev. 62:807-813). Other pesticidal proteins useful in the invention include proteins of bacteria colonizing nematodes, e.g. Photorhabdus spp. or Xenorhabdus spp.; toxins produced by animals, such as scorpion toxins, arachnid toxins, wasp toxins, or other insect-specific neurotoxins; toxins produced by fungi, such Streptomycetes toxins, plant lectins, such as pea or barley lectins; agglutinins; proteinase inhibitors, such as trypsin inhibitors, serine protease inhibitors, patatin, cystatin or papain inhibitors; ribosome- inactivating proteins (RIP), such as ricin, maize-RIP, abrin, luffin, saporin or bryodin; steroid metabolism enzymes, such as 3-hydroxysteroid oxidase, ecdysteroid-IDP-glycosyl-transferase, cholesterol oxidases, ecdysone inhibitors or HMG-CoA-reductase; ion channel blockers, such as blockers of sodium or calcium channels; juvenile hormone esterase; diuretic hormone receptors (helicokinin receptors); stilben synthase, bibenzyl synthase, chitinases or glucanases. Further examples of such pesticidal proteins or transgenic plants capable of synthesizing such proteins are disclosed, e.g., in EP-A 374753, WO 93/007278, WO 95/34656, EP-A 427529, EP-A 451878, WO 03/18810 and WO 03/52073. The methods for producing such transgenic plants are generally known to the person skilled in the art and some of which are commercially available such as Agrisure®CB (PI) (corn producing CrylAb), Agrisure®RW (P2) (corn producing mCry3A), Agrisure® Viptera (P3) (corn hybrids producing Vip3Aa); Agrisure300GT (P4) (corn hybrids producing CrylAb and mCry3A); YieldGard® (P5) (corn hybrids producing the CrylAb protein), YieldGard® Plus (P6) (corn hybrids producing CrylAb and Cry3Bbl), Genuity® SmartStax® (P7) (corn hybrids with CrylA.105, Cry2Ab2, CrylF, Cry34/35, Cry3Bb) ; Herculex® I (P8) (corn hybrids producing CrylFa) and Herculex®RW (P9) (corn hybrids producing Cry34Abl, Cry35Abl and the enzyme Phosphinothricin-N-Acetyltransferase [PAT]) ; NuCOTN®33B (P10) (cotton cultivars producing CrylAc), Bollgard®I (PI 1) (cotton cultivars producing CrylAc), Bollgard®II (PI 2) (cotton cultivars producing CrylAc and Cry2Ab2) and VIPCOT® (P13) (cotton cultivars producing a Vip3Aa). Soybean Cyst Nematode resistance soybean (SCN® - Syngenta (PI 4)) and soybean with Aphid resistant trait (AMT® (PI 5)) are also of interest.
Further examples of such transgenic crops are:
1. Btll Maize from Syngenta Seeds SAS, Chemin de l'Hobit 27, F-31 790 St. Sauveur, France, registration number C/FR/96/05/10 (PI 6). Genetically modified Zea mays which has been rendered resistant to attack by the European corn borer {Ostrinia nubilalis and Sesamia nonagrioides) by transgenic expression of a truncated CrylA(b) toxin. Btl 1 maize also transgenically expresses the enzyme PAT to achieve tolerance to the herbicide glufosinate ammonium.
2. Btl76 Maize from Syngenta Seeds SAS, Chemin de l'Hobit 27, F-31 790 St. Sauveur, France, registration number C/FR/96/05/10 (PI 7). Genetically modified Zea mays which has been rendered resistant to attack by the European corn borer (Ostrinia nubilalis and Sesamia nonagrioides) by transgenic expression of a CrylA(b) toxin. Btl76 maize also transgenically expresses the enzyme PAT to achieve tolerance to the herbicide glufosinate ammonium.
3. MIR604 Maize from Syngenta Seeds SAS, Chemin de l'Hobit 27, F-31 790 St. Sauveur, France, registration number C/FR/96/05/10 (PI 8). Maize which has been rendered insect-resistant by transgenic expression of a modified CrylllA toxin. This toxin is Cry3A055 modified by insertion of a cathepsin-D-protease recognition sequence. The preparation of such transgenic maize plants is described in WO 03/018810.
4. MON 863 Maize from Monsanto Europe S.A. 270-272 Avenue de Tervuren, B-l 150 Brussels, Belgium, registration number C/DE/02/9 (P19). MON 863 expresses a CrylllB(bl) toxin and has resistance to certain Coleoptera insects.
5. IPC 531 Cotton from Monsanto Europe S.A. 270-272 Avenue de Tervuren, B-l 150 Brussels, Belgium, registration number C/ES/96/02. (P20)
6. 1507 Maize from Pioneer Overseas Corporation, Avenue Tedesco, 7 B-l 160 Brussels, Belgium, registration number C/NL/00/10. (P21) Genetically modified maize for the expression of the protein Cry IF for achieving resistance to certain Lepidoptera insects and of the PAT protein for achieving tolerance to the herbicide glufosinate ammonium.
7. NK603 x MON 810 Maize from Monsanto Europe S.A. 270-272 Avenue de Tervuren,
B-l 150 Brussels, Belgium, registration number C/GB/02/M3/03 (P22). Consists of conventionally bred hybrid maize varieties by crossing the genetically modified varieties NK603 and MON 810. NK603 χ MON 810 Maize transgenically expresses the protein CP4 EPSPS, obtained from Agrobacterium sp. strain CP4, which imparts tolerance to the herbicide Roundup® (contains glyphosate), and also a CrylA(b) toxin obtained from Bacillus thuringiensis subsp. kurstaki which brings about tolerance to certain Lepidoptera, include the European corn borer.
Further examples of transgenic plants, and of very high interest, are those carrying traits conferring resistance to 2.4D (e.g. Enlist®) (e.g. WO 2011066384) (P23), glyphosate (e.g. Roundup Ready® (P24), Roundup Ready 2 Yield® (P25)), sulfonylurea (e.g. STS®) (P26), glufosinate (e.g.
Liberty Link® (P27), Ignite® (P28)), Dicamba (P29) (Monsanto), HPPD tolerance (P30) (e.g.
isoxaflutole herbicide) (Bayer CropScience, Syngenta). Double or triple stacks of any of the traits described here are also of interest, including glyphosate and sulfonyl-urea tolerance ((e.g. Optimum GAT®) (P31), plants stacked with STS® and Roundup Ready® (P32) or plants stacked with STS® and Roundup Ready 2 Yield® (P33)), dicamba and glyphosate tolerance (P34) (Monsanto). Of particular interest are soybean plants carrying trains conferring resistance to 2.4D (e.g. Enlist®), glyphosate (e.g. Roundup Ready®, Roundup Ready 2 Yield®), sulfonylurea (e.g. STS®), glufosinate (e.g. Liberty Link®, Ignite®), Dicamba (Monsanto) HPPD tolerance (e.g. isoxaflutole herbicide) (Bayer CropScience, Syngenta). Double or triple stack in soybean plants of any of the traits described here are also of interest,
including glyphosate and sulfonyl-urea tolerance (e.g. Optimum GAT®, plants stacked with STS® and Roundup Ready® or Roundup Ready 2 Yield®), dicamba and glyphosate tolerance (Monsanto).
Transgenic crops of insect-resistant plants are also described in BATS (Zentrum fur Biosicherheit und Nachhaltigkeit, Zentrum BATS, Clarastrasse 13, 4058 Basel, Switzerland) Report 2003, (http://bats.ch).
In order to apply a compound of formula (I) as an insecticide, acaricide, nematicide or molluscicide to a pest, a locus of pest, or to a plant susceptible to attack by a pest, a compound of formula (I) is usually formulated into a composition which includes, in addition to the compound of formula (I), a suitable inert diluent or carrier and, optionally, a surface active agent (SFA). SFAs are chemicals which are able to modify the properties of an interface (for example, liquid/solid, liquid/air or liquid/liquid interfaces) by lowering the interfacial tension and thereby leading to changes in other properties (for example dispersion, emulsification and wetting). It is preferred that all compositions (both solid and liquid formulations) comprise, by weight, 0.0001 to 95%, more preferably 1 to 85%, for example 5 to 60%>, of a compound of formula (I). The composition is generally used for the control of pests such that a compound of formula (I) is applied at a rate of from 0.1 g to 10kg per hectare, preferably from 1 g to 6kg per hectare, more preferably from lg to 1kg per hectare.
When used in a seed dressing, a compound of formula (I) is generally used at a rate of O.OOOlg to lOg (for example O.OOlg or 0.05g), preferably 0.005g to lOg, more preferably 0.005g to 4g, per kilogram of seed.
In another aspect the present invention provides a composition comprising a pesticidally effective amount of a compound of formula (I), in particular an insecticidal, acaricidal, nematicidal or
molluscicidal composition comprising an insecticidally, acaricidally, nematicidally or molluscicidally effective amount of a compound of formula (I) and a suitable carrier or diluent therefor. The composition is preferably an insecticidal, acaricidal, nematicidal or molluscicidal composition.
The compositions can be chosen from a number of formulation types, including dustable powders (DP), soluble powders (SP), water soluble granules (SG), water dispersible granules (WG), wettable powders (WP), granules (GR) (slow or fast release), soluble concentrates (SL), oil miscible liquids (OL), ultra low volume liquids (UL), emulsifiable concentrates (EC), dispersible concentrates (DC), emulsions (both oil in water (EW) and water in oil (EO)), micro-emulsions (ME), suspension concentrates (SC), aerosols, fogging/smoke formulations, capsule suspensions (CS) and seed treatment formulations. The formulation type chosen in any instance will depend upon the particular purpose envisaged and the physical, chemical and biological properties of the compound of formula (I).
Dustable powders (DP) may be prepared by mixing a compound of formula (I) with one or more solid diluents (for example natural clays, kaolin, pyrophyllite, bentonite, alumina, montmorillonite, kieselguhr, chalk, diatomaceous earths, calcium phosphates, calcium and magnesium carbonates, sulfur, lime, flours, talc and other organic and inorganic solid carriers) and mechanically grinding the mixture to a fine powder.
Soluble powders (SP) may be prepared by mixing a compound of formula (I) with one or more water-soluble inorganic salts (such as sodium bicarbonate, sodium carbonate or magnesium sulfate) or
one or more water-soluble organic solids (such as a polysaccharide) and, optionally, one or more wetting agents, one or more dispersing agents or a mixture of said agents to improve water
dispersibility/solubility. The mixture is then ground to a fine powder. Similar compositions may also be granulated to form water soluble granules (SG).
Wettable powders (WP) may be prepared by mixing a compound of formula (I) with one or more solid diluents or carriers, one or more wetting agents and, preferably, one or more dispersing agents and, optionally, one or more suspending agents to facilitate the dispersion in liquids. The mixture is then ground to a fine powder. Similar compositions may also be granulated to form water dispersible granules (WG).
Granules (GR) may be formed either by granulating a mixture of a compound of formula (I) and one or more powdered solid diluents or carriers, or from pre-formed blank granules by absorbing a compound of formula (I) (or a solution thereof, in a suitable agent) in a porous granular material (such as pumice, attapulgite clays, fuller's earth, kieselguhr, diatomaceous earths or ground corn cobs) or by adsorbing a compound of formula (I) (or a solution thereof, in a suitable agent) on to a hard core material (such as sands, silicates, mineral carbonates, sulfates or phosphates) and drying if necessary. Agents which are commonly used to aid absorption or adsorption include solvents (such as aliphatic and aromatic petroleum solvents, alcohols, ethers, ketones and esters) and sticking agents (such as polyvinyl acetates, polyvinyl alcohols, dextrins, sugars and vegetable oils). One or more other additives may also be included in granules (for example an emulsifying agent, wetting agent or dispersing agent).
Dispersible Concentrates (DC) may be prepared by dissolving a compound of formula (I) in water or an organic solvent, such as a ketone, alcohol or glycol ether. These solutions may contain a surface active agent (for example to improve water dilution or prevent crystallization in a spray tank).
Emulsifiable concentrates (EC) or oil-in-water emulsions (EW) may be prepared by dissolving a compound of formula (I) in an organic solvent (optionally containing one or more wetting agents, one or more emulsifying agents or a mixture of said agents). Suitable organic solvents for use in ECs include aromatic hydrocarbons (such as alkylbenzenes or alkylnaphthalenes, exemplified by SOLVES SO 100, SOLVESSO 150 and SOLVESSO 200; SOLVESSO is a Registered Trade Mark), ketones (such as cyclohexanone or methylcyclohexanone) and alcohols (such as benzyl alcohol, furfuryl alcohol or butanol), N-alkylpyrrolidones (such as N-methylpyrrolidone or N-octylpyrrolidone), dimethyl amides of fatty acids (such as Cg-Qo fatty acid dimethylamide) and chlorinated hydrocarbons. An EC product may spontaneously emulsify on addition to water, to produce an emulsion with sufficient stability to allow spray application through appropriate equipment. Preparation of an EW involves obtaining a compound of formula (I) either as a liquid (if it is not a liquid at room temperature, it may be melted at a reasonable temperature, typically below 70°C) or in solution (by dissolving it in an appropriate solvent) and then emulsifiying the resultant liquid or solution into water containing one or more SFAs, under high shear, to produce an emulsion. Suitable solvents for use in EWs include vegetable oils, chlorinated hydrocarbons (such as chlorobenzenes), aromatic solvents (such as alkylbenzenes or alkylnaphthalenes) and other appropriate organic solvents which have a low solubility in water.
Microemulsions (ME) may be prepared by mixing water with a blend of one or more solvents with one or more SFAs, to produce spontaneously a thermodynamically stable isotropic liquid formulation. A compound of formula (I) is present initially in either the water or the solvent/SFA blend. Suitable solvents for use in MEs include those hereinbefore described for use in ECs or in EWs. An ME may be either an oil-in-water or a water-in-oil system (which system is present may be determined by conductivity measurements) and may be suitable for mixing water-soluble and oil-soluble pesticides in the same formulation. An ME is suitable for dilution into water, either remaining as a microemulsion or forming a conventional oil-in-water emulsion.
Suspension concentrates (SC) may comprise aqueous or non-aqueous suspensions of finely divided insoluble solid particles of a compound of formula (I). SCs may be prepared by ball or bead milling the solid compound of formula (I) in a suitable medium, optionally with one or more dispersing agents, to produce a fine particle suspension of the compound. One or more wetting agents may be included in the composition and a suspending agent may be included to reduce the rate at which the particles settle. Alternatively, a compound of formula (I) may be dry milled and added to water, containing agents hereinbefore described, to produce the desired end product.
Aerosol formulations comprise a compound of formula (I) and a suitable propellant (for example « -butane). A compound of formula (I) may also be dissolved or dispersed in a suitable medium (for example water or a water miscible liquid, such as n-propanol) to provide compositions for use in non- pressurized, hand-actuated spray pumps.
A compound of formula (I) may be mixed in the dry state with a pyrotechnic mixture to form a composition suitable for generating, in an enclosed space, a smoke containing the compound.
Capsule suspensions (CS) may be prepared in a manner similar to the preparation of EW formulations but with an additional polymerization stage such that an aqueous dispersion of oil droplets is obtained, in which each oil droplet is encapsulated by a polymeric shell and contains a compound of formula (I) and, optionally, a carrier or diluent therefor. The polymeric shell may be produced by either an interfacial polycondensation reaction or by a coacervation procedure. The compositions may provide for controlled release of the compound of formula (I) and they may be used for seed treatment. A compound of formula (I) may also be formulated in a biodegradable polymeric matrix to provide a slow, controlled release of the compound.
A composition may include one or more additives to improve the biological performance of the composition (for example by improving wetting, retention or distribution on surfaces; resistance to rain on treated surfaces; or uptake or mobility of a compound of formula (I)). Such additives include surface active agents, spray additives based on oils, for example certain mineral oils or natural plant oils (such as soy bean and rape seed oil), and blends of these with other bio-enhancing adjuvants (ingredients which may aid or modify the action of a compound of formula (I)).
A compound of formula (I) may also be formulated for use as a seed treatment, for example as a powder composition, including a powder for dry seed treatment (DS), a water soluble powder (SS) or a water dispersible powder for slurry treatment (WS), or as a liquid composition, including a flowable
concentrate (FS), a solution (LS) or a capsule suspension (CS). The preparations of DS, SS, WS, FS and LS compositions are very similar to those of, respectively, DP, SP, WP, SC and DC compositions described above. Compositions for treating seed may include an agent for assisting the adhesion of the composition to the seed (for example a mineral oil or a film-forming barrier).
Wetting agents, dispersing agents and emulsifying agents may be surface SFAs of the cationic, anionic, amphoteric or non-ionic type.
Suitable SFAs of the cationic type include quaternary ammonium compounds (for example cetyltrimethyl ammonium bromide), imidazolines and amine salts.
Suitable anionic SFAs include alkali metals salts of fatty acids, salts of aliphatic monoesters of sulfuric acid (for example sodium lauryl sulfate), salts of sulfonated aromatic compounds (for example sodium dodecylbenzenesulfonate, calcium dodecylbenzenesulfonate, butylnaphthalene sulfonate and mixtures of sodium di-z' opropyl- and tri-wopropyl-naphthalene sulfonates), ether sulfates, alcohol ether sulfates (for example sodium laureth-3 -sulfate), ether carboxylates (for example sodium laureth-3- carboxylate), phosphate esters (products from the reaction between one or more fatty alcohols and phosphoric acid (predominately mono-esters) or phosphorus pentoxide (predominately di-esters), for example the reaction between lauryl alcohol and tetraphosphoric acid; additionally these products may be ethoxylated), sulfosuccinamates, paraffin or olefine sulfonates, taurates and lignosulfonates.
Suitable SFAs of the amphoteric type include betaines, propionates and glycinates.
Suitable SFAs of the non-ionic type include condensation products of alkylene oxides, such as ethylene oxide, propylene oxide, butylene oxide or mixtures thereof, with fatty alcohols (such as oleyl alcohol or cetyl alcohol) or with alkylphenols (such as octylphenol, nonylphenol or octylcresol); partial esters derived from long chain fatty acids or hexitol anhydrides; condensation products of said partial esters with ethylene oxide; block polymers (comprising ethylene oxide and propylene oxide);
alkanolamides; simple esters (for example fatty acid polyethylene glycol esters); amine oxides (for example lauryl dimethyl amine oxide); and lecithins.
Suitable suspending agents include hydrophilic colloids (such as polysaccharides,
polyvinylpyrrolidone or sodium carboxymethylcellulose) and swelling clays (such as bentonite or attapulgite).
A compound of formula (I) may be applied by any of the known means of applying pesticidal compounds. For example, it may be applied, formulated or unformulated, to the pests or to a locus of the pests (such as a habitat of the pests, or a growing plant liable to infestation by the pests) or to any part of the plant, including the foliage, stems, branches or roots, to the seed before it is planted or to other media in which plants are growing or are to be planted (such as soil surrounding the roots, the soil generally, paddy water or hydroponic culture systems), directly or it may be sprayed on, dusted on, applied by dipping, applied as a cream or paste formulation, applied as a vapor or applied through distribution or incorporation of a composition (such as a granular composition or a composition packed in a water- soluble bag) in soil or an aqueous environment.
A compound of formula (I) may also be injected into plants or sprayed onto vegetation using electrodynamic spraying techniques or other low volume methods, or applied by land or aerial irrigation systems.
Compositions for use as aqueous preparations (aqueous solutions or dispersions) are generally supplied in the form of a concentrate containing a high proportion of the active ingredient, the concentrate being added to water before use. These concentrates, which may include DCs, SCs, ECs, EWs, MEs, SGs, SPs, WPs, WGs and CSs, are often required to withstand storage for prolonged periods and, after such storage, to be capable of addition to water to form aqueous preparations which remain homogeneous for a sufficient time to enable them to be applied by conventional spray equipment. Such aqueous preparations may contain varying amounts of a compound of formula (I) (for example 0.0001 to 10%, by weight) depending upon the purpose for which they are to be used.
A compound of formula (I) may be used in mixtures with fertilizers (for example nitrogen-, potassium- or phosphorus-containing fertilizers). Suitable formulation types include granules of fertilizer. The mixtures preferably contain up to 25% by weight of the compound of formula (I).
The invention therefore also provides a fertilizer composition comprising a fertilizer and a compound of formula (I).
The compositions of this invention may contain other compounds having biological activity, for example micronutrients or compounds having fungicidal activity or which possess plant growth regulating, herbicidal, insecticidal, nematicidal or acaricidal activity.
The compound of formula (I) may be the sole active ingredient of the composition or it may be admixed with one or more additional active ingredients such as a pesticide, e.g. a insecticide, fungicide or herbicide, or a synergist or plant growth regulator where appropriate. An additional active ingredient may provide a composition having a broader spectrum of activity or increased persistence at a locus; synergize the activity or complement the activity (for example by increasing the speed of effect or overcoming repellency) of the compound of formula (I); or help to overcome or prevent the development of resistance to individual components. The particular additional active ingredient will depend upon the intended utility of the composition. Examples of suitable pesticides include the following:
a) Pyrethroids, such as permethrin, cypermethrin, fenvalerate, esfenvalerate, deltamethrin, cyhalothrin (in particular lambda-cyhalothrin and gamma cyhalothrin), bifenthrin, fenpropathrin, cyfluthrin, tefluthrin, fish safe pyrethroids (for example ethofenprox), natural pyrethrin, tetramethrin, S-bioallethrin, fenfluthrin, prallethrin, acrinathirin, etofenprox or 5-benzyl-3-furylmethyl-(E)-(lR,3S)-2,2-dimethyl- 3-(2-oxothiolan-3-ylidenemethyl)cyclopropane carboxylate;
b) Organophosphates, such as profenofos, sulprofos, acephate, methyl parathion, azinphos-methyl, demeton-s -methyl, heptenophos, thiometon, fenamiphos, monocrotophos, profenofos, triazophos, methamidophos, dimethoate, phosphamidon, malathion, chlorpyrifos, phosalone, terbufos, fensulfothion, fonofos, phorate, phoxim, pirimiphos-methyl, pirimiphos-ethyl, fenitrothion, fosthiazate or diazinon;
c) Carbamates (including aryl carbamates), such as pirimicarb, triazamate, cloethocarb, carbofuran, furathiocarb, ethiofencarb, aldicarb, thiofurox, carbosulfan, bendiocarb, fenobucarb, propoxur, methomyl or oxamyl;
d) Benzoyl ureas, such as diflubenzuron, triflumuron, hexaflumuron, flufenoxuron, diafenthiuron, lufeneron, novaluron, noviflumuron or chlorfluazuron;
e) Organic tin compounds, such as cyhexatin, fenbutatin oxide or azocyclotin;
f) Pyrazoles, such as tebufenpyrad, tolfenpyrad, ethiprole, pyriprole, fipronil, and fenpyroximate;
g) Macrolides, such as avermectins or milbemycins, for example abamectin, emamectin benzoate, ivermectin, milbemycin, spinosad, azadirachtin, milbemectin, lepimectin or spinetoram;
h) Hormones or pheromones;
i) Organochlorine compounds, such as endosulfan (in particular alpha-endosulfan), benzene hexachloride,
DDT, chlordane or dieldrin;
j) Amidines, such as chlordimeform or amitraz;
k) Fumigant agents, such as chloropicrin, dichloropropane, methyl bromide or metam;
1) Neonicotinoid compounds, such as imidacloprid, thiacloprid, acetamiprid, nitenpyram, dinotefuran, thiamethoxam, clothianidin, or nithiazine;
m) Diacylhydrazines, such as tebufenozide, chromafenozide or methoxyfenozide;
n) Diphenyl ethers, such as diofenolan or pyriproxifen;
o) Pyrazolines such as Indoxacarb or metaflumizone;
p) Ketoenols, such as Spirotetramat, spirodiclofen or spiromesifen;
q) Diamides, such as flubendiamide, chlorantraniliprole (Rynaxypyr®) or cyantraniliprole;
r) Essential oils such as Bugoil® - (Plantlmpact); or
s) a comopund selected from buprofezine, flonicamid, acequinocyl, bifenazate, cyenopyrafen, cyflumetofen, etoxazole, flometoquin, fluacrypyrim, fluensulfone, flufenerim, flupyradifuone, harpin, iodomethane, dodecadienol, pyridaben, pyridalyl, pyrimidifen, flupyradifurone, 4-[(6-Chloro-pyridin-3- ylmethyl)-(2,2-difluoro-ethyl)-amino]-5H-furan-2-one (DE 102006015467), CAS: 915972-17-7
(WO 2006129714; WO2011/147953; WO2011/147952), CAS: 26914-55-8 (WO 2007020986), chlorfenapyr, pymetrozine, sulfoxaflor and pyrifluqinazon.
In addition to the major chemical classes of pesticide listed above, other pesticides having particular targets may be employed in the composition, if appropriate for the intended utility of the composition. For instance, selective insecticides for particular crops, for example stemborer specific insecticides (such as cartap) or hopper specific insecticides (such as buprofezin) for use in rice may be employed. Alternatively insecticides or acaricides specific for particular insect species/stages may also be included in the compositions (for example acaricidal ovo-larvicides, such as clofentezine, flubenzimine, hexythiazox or tetradifon; acaricidal motilicides, such as dicofol or propargite; acaricides, such as bromopropylate or chlorobenzilate; or growth regulators, such as hydramethylnon, cyromazine, methoprene, chlorfluazuron or diflubenzuron).
Examples of fungicidal compounds which may be included in the composition of the invention are (E)-N-methyl-2-[2-(2,5-dimethylphenoxymethyl)phenyl]-2-methoxy-iminoacetamide (SSF-129), 4-bromo-2-cyano-N,N-dimethyl-6-trifluoromethylbenzimidazole-l -sulfonamide,
-[N-(3-chloro-2,6-xylyl)-2-methoxyacetamido]-y-butyrolactone, 4-chloro-2-cyano-N,N-dimethyl-5-/ tolylimidazole-1 -sulfonamide (IKF-916, cyamidazosulfamid), 3-5-dichloro-N-(3-chloro-l-ethyl-l -methyl-
2- oxopropyl)-4-methylbenzamide (RH-7281 , zoxamide), N-allyl-4,5,-dimethyl-2-trimethylsilylthiophene-
3- carboxamide (MON65500), N-(l -cyano-1 ,2-dimethylpropyl)-2-(2,4-dichlorophenoxy)propionamide (AC382042), N-(2-methoxy-5-pyridyl)-cyclopropane carboxamide, acibenzolar (CGA245704) (e.g. acibenzolar-S-methyl), alanycarb, aldimorph, anilazine, azaconazole, azoxystrobin, benalaxyl, benomyl, benthiavalicarb, biloxazol, bitertanol, bixafen, blasticidin S, boscalid, bromuconazole, bupirimate, captafol, captan, carbendazim, carbendazim chlorhydrate, carboxin, carpropamid, carvone, CGA41396, CGA41397, chinomethionate, chlorothalonil, chlorozolinate, clozylacon, copper containing compounds such as copper oxychloride, copper oxyquinolate, copper sulfate, copper tallate and Bordeaux mixture, cyclufenamid, cymoxanil, cyproconazole, cyprodinil, debacarb, di-2-pyridyl disulfide 1,1 '-dioxide, dichlofluanid, diclomezine, dicloran, diethofencarb, difenoconazole, difenzoquat, diflumetorim,
OjO-di-wo-propyl-S-benzyl thiophosphate, dimefluazole, dimetconazole, dimethomorph, dimethirimol, diniconazole, dinocap, dithianon, dodecyl dimethyl ammonium chloride, dodemorph, dodine, doguadine, edifenphos, epoxiconazole, ethirimol, ethyl-(Z)-N-benzyl-N-([methyl(methyl-thioethylideneamino- oxycarbonyl)amino]thio)- -alaninate, etridiazole, famoxadone, fenamidone (RPA407213), fenarimol, fenbuconazole, fenfuram, fenhexamid (KBR2738), fenpiclonil, fenpropidin, fenpropimorph, fentin acetate, fentin hydroxide, ferbam, ferimzone, fluazinam, fludioxonil, flumetover, fluopyram,
fluoxastrobin, fluoroimide, fluquinconazole, flusilazole, flutolanil, flutriafol, fluxapyroxad, folpet, fuberidazole, furalaxyl, furametpyr, guazatine, hexaconazole, hydroxyisoxazole, hymexazole, imazalil, imibenconazole, iminoctadine, iminoctadine triacetate, ipconazole, iprobenfos, iprodione, iprovalicarb (SZX0722), isopropanyl butyl carbamate, isoprothiolane, isopyrazam, kasugamycin, kresoxim-methyl, LY186054, LY211795, LY248908, mancozeb, mandipropamid, maneb, mefenoxam, metalaxyl, mepanipyrim, mepronil, metalaxyl, metconazole, metiram, metiram-zinc, metominostrobin, myclobutanil, neoasozin, nickel dimethyldithiocarbamate, nitrothal-wopropyl, nuarimol, ofurace, organomercury compounds, oxadixyl, oxasulfuron, oxolinic acid, oxpoconazole, oxycarboxin, pefurazoate, penconazole, pencycuron, penflufen, penthiopyrad, phenazin oxide, phosetyl-Al, phosphorus acids, phthalide, picoxystrobin (ZA1963), polyoxinD, polyram, probenazole, prochloraz, procymidone, propamocarb, propiconazole, propineb, propionic acid, prothioconazole, pyrazophos, pyrifenox, pyrimethanil, pyraclostrobin, pyroquilon, pyroxyfur, pyrrolnitrin, quaternary ammonium compounds, quinomethionate, quinoxyfen, quintozene, sedaxane, sipconazole (F-155), sodium pentachlorophenate, spiroxamine, streptomycin, sulfur, tebuconazole, tecloftalam, tecnazene, tetraconazole, thiabendazole, thifluzamid, 2-(thiocyanomethylthio)benzothiazole, thiophanate -methyl, thiram, timibenconazole, tolclofos-methyl, tolylfluanid, triadimefon, triadimenol, triazbutil, triazoxide, tricyclazole, tridemorph, trifloxystrobin (CGA279202), triforine, triflumizole, triticonazole, validamycin A, vapam, vinclozolin, zineb and ziram,
N- [9 -(dichloromethylene) -1,2,3,4 -tetrahydro- 1 ,4 -methanonaphthalen-5 -yl] -3 -(difluoromethyl) - 1 -methyl- lH-pyrazole-4-carboxamide [1072957-71 -1], l-methyl-3 -difluoromethyl- lH-pyrazole-4-carboxylic acid (2-dichloromethylene-3 -ethyl- 1 -methyl -indan-4-yl) -amide, and l -methyl-3-difluoromethyl-4H-pyrazole- 4-carboxylic acid [2-(2,4-dichloro-phenyl)-2-methoxy- 1 -methyl-ethyl] -amide.
In addition, biological agents may be included in the composition of the invention e.g. Baciullus species such as Bacillus firmus, Bacillus cereus, Bacillus subtilis, and Pasteuria species such as Pasteuria penetrans and Pasteuria nishizawae. A suitable Bacillus firmus strain is strain CNCM 1-1582 which is commercially available as BioNem™. A suitable Bacillus cereus strain is strain CNCM 1-1562. Of both Bacillus strains more details can be found in US 6,406,690. Other biological organisms that may be included in the compositions of the invention are bacteria such as Streptomyces spp. such as S.
avermitilis, and fungi such as Pochonia spp. such as P. chlamydosporia. Also of interest are Metarhizium spp. such as M. anisopliae; Pochonia spp. such as P. chlamydosporia.
The compounds of formula (I) may be mixed with soil, peat or other rooting media for the protection of plants against seed-borne, soil-borne or foliar fungal diseases.
Examples of suitable synergists for use in the compositions include piperonyl butoxide, sesamex, safroxan and dodecyl imidazole.
Suitable herbicides and plant-growth regulators for inclusion in the compositions will depend upon the intended target and the effect required.
An example of a rice selective herbicide which may be included is propanil. An example of a plant growth regulator for use in cotton is PIX™.
Some mixtures may comprise active ingredients which have significantly different physical, chemical or biological properties such that they do not easily lend themselves to the same conventional formulation type. In these circumstances other formulation types may be prepared. For example, where one active ingredient is a water insoluble solid and the other a water insoluble liquid, it may nevertheless be possible to disperse each active ingredient in the same continuous aqueous phase by dispersing the solid active ingredient as a suspension (using a preparation analogous to that of an SC) but dispersing the liquid active ingredient as an emulsion (using a preparation analogous to that of an EW). The resultant composition is a suspoemulsion (SE) formulation.
The compounds of the invention are also useful in the field of animal health, e.g. they may be used against parasitic invertebrate pests, more preferably against parasitic invertebrate pests in or on an animal. Examples of pests include nematodes, trematodes, cestodes, flies, mites, tricks, lice, fleas, true bugs and maggots. The animal may be a non-human animal, e.g. an animal associated with agriculture, e.g. a cow, a pig, a sheep, a goat, a horse, or a donkey, or a companion animal, e.g. a dog or a cat.
In a further aspect the invention provides a compound of the invention for use in a method of therapeutic treatment.
In a further aspect the invention relates to a method of controlling parasitic invertebrate pests in or on an animal comprising administering a pesticidally effective amount of a compound of the invention. The administration may be for example oral administration, parenteral administration or external
administration, e.g. to the surface of the animal body. In a further aspect the invention relates to a compound of the invention for controlling parasitic invertebrate pests in or on an animal. In a further aspect the invention relates to use of a compound of the invention in the manufacture of a medicament for controlling parasitic invertebrate pests in or on an animal
In a further aspect, the invention relates to a method of controlling parasitic invertebrate pests comprising administering a pesticidally effective amount of a compound of the invention to the environment in which an animal resides.
In a further aspect the invention relates to a method of protecting an animal from a parasitic invertebrate pest comprising administering to the animal a pesticidally effective amount of a compound of the invention. In a further aspect the invention relates to a compound of the invention for use in protecting an animal from a parasitic invertebrate pest. In a further aspect the invention relates to use of a compound of the invention in the manufacture of a medicament for protecting an animal from a parasitic invertebrate pest.
In a further aspect the invention provides a method of treating an animal suffering from a parasitic invertebrate pest comprising administering to the animal a pesticidally effective amount of a compound of the invention. In a further aspect the invention relates to a compound of the invention for use in treating an animal suffering from a parasitic invertebrate pest. In a further aspect the invention relates to use of a compound of the invention in the manufacture of a medicament for treating an animal suffering from a parasitic invertebrate pest.
In a further aspect, the invention provides a pharmaceutical composition comprising a compound of the invention and a pharmaceutically suitable excipient.
The compounds of the invention may be used alone or in combination with one or more other biologically active ingredients.
In one aspect the invention provides a combination product comprising a pesticidally effective amount of a component A and a pesticidally effective amount of component B wherein component A is a compound of the invention and component B is a compound as described below.
The compounds of the invention may be used in combination with anthelmintic agents. Such anthelmintic agents include, compounds selected from the macrocyclic lactone class of compounds such as ivermectin, avermectin, abamectin, emamectin, eprinomectin, doramectin, selamectin, moxidectin, nemadectin and milbemycin derivatives as described in EP- 357460, EP-444964 and EP-594291.
Additional anthelmintic agents include semisynthetic and biosynthetic avermectin/milbemycin derivatives such as those described in US-5015630, WO-9415944 and WO-9522552. Additional anthelmintic agents include the benzimidazoles such as albendazole, cambendazole, fenbendazole, flubendazole,
mebendazole, oxfendazole, oxibendazole, parbendazole, and other members of the class. Additional anthelmintic agents include imidazothiazoles and tetrahydropyrimidines such as tetramisole, levamisole, pyrantel pamoate, oxantel or morantel. Additional anthelmintic agents include flukicides, such as triclabendazole and clorsulon and the cestocides, such as praziquantel and epsiprantel.
The compounds of the invention may be used in combination with derivatives and analogues of the paraherquamide/marcfortine class of anthelmintic agents, as well as the antiparasitic oxazolines such as those disclosed in US-5478855, US- 4639771 and DE-19520936.
The compounds of the invention may be used in combination with derivatives and analogues of the general class of dioxomorpholine antiparasitic agents as described in WO-9615121 and also with anthelmintic active cyclic depsipeptides such as those described in WO-9611945, WO-9319053, WO- 9325543, EP-626375, EP-382173, WO-9419334, EP-382173, and EP-503538.
The compounds of the invention may be used in combination with other ectoparasiticides; for example, fipronil; pyrethroids; organophosphates; insect growth regulators such as lufenuron; ecdysone agonists such as tebufenozide and the like; neonicotinoids such as imidacloprid and the like.
The compounds of the invention may be used in combination with terpene alkaloids, for example those described in International Patent Application Publication Numbers W095/19363 or WO04/72086, particularly the compounds disclosed therein.
Other examples of such biologically active compounds that the compounds of the invention may be used in combination with include but are not restricted to the following:
Organophosphates: acephate, azamethiphos, azinphos-ethyl, azinphos- methyl, bromophos, bromophos-ethyl, cadusafos, chlorethoxyphos, chlorpyrifos, chlorfenvinphos, chlormephos, demeton, demeton-S-methyl, demeton-S-methyl sulphone, dialifos, diazinon, dichlorvos, dicrotophos, dimethoate, disulfoton, ethion, ethoprophos, etrimfos, famphur, fenamiphos, fenitrothion, fensulfothion, fenthion, flupyrazofos, fonofos, formothion, fosthiazate, heptenophos, isazophos, isothioate, isoxathion, malathion, methacriphos, methamidophos, methidathion, methyl- parathion, mevinphos, monocrotophos, naled, omethoate, oxydemeton-methyl, paraoxon, parathion, parathion-methyl, phenthoate, phosalone, phosfolan, phosphocarb, phosmet, phosphamidon, phorate, phoxim, pirimiphos, pirimiphos- methyl, profenofos, propaphos, proetamphos, prothiofos, pyraclofos, pyridapenthion, quinalphos, sulprophos, temephos, terbufos, tebupirimfos, tetrachlorvinphos, thimeton, triazophos, trichlorfon, vamidothion.
Carbamates: alanycarb, aldicarb, 2-sec-butylphenyl methylcarbamate, benfuracarb, carbaryl, carbofuran, carbosulfan, cloethocarb, ethiofencarb, fenoxycarb, fenthiocarb, furathiocarb, HCN-801, isoprocarb, indoxacarb, methiocarb, methomyl, 5-methyl-m-cumenylbutyryl(methyl)carbamate, oxamyl, pirimicarb, propoxur, thiodicarb, thiofanox, triazamate, UC-51717.
Pyrethroids: acrinathin, allethrin, alphametrin, 5-benzyl-3-furylmethyl (E) -
(1 R)-cis-2,2-dimethyl-3-(2-oxothiolan-3-ylidenemethyl)cyclopropanecarboxylate, bifenthrin, beta - cyfluthrin, cyfluthrin, a-cypermethrin, beta -cypermethrin, bioallethrin, bioallethrin((S)- cyclopentylisomer), bioresmethrin, bifenthrin, NCI-85193, cycloprothrin, cyhalothrin, cythithrin, cyphenothrin, deltamethrin, empenthrin, esfenvalerate, ethofenprox, fenfluthrin, fenpropathrin, fenvalerate, flucythrinate, flumethrin, fluvalinate (D isomer), imiprothrin, cyhalothrin, lambda- cyhalothrin, permethrin, phenothrin, prallethrin, pyrethrins (natural products), resmethrin, tetramethrin, transfluthrin, theta-cypermethrin, silafluofen, t-fluvalinate, tefluthrin, tralomethrin, Zeta-cypermethrin.
Arthropod growth regulators: a) chitin synthesis inhibitors: benzoylureas: chlorfluazuron, diflubenzuron, fluazuron, flucycloxuron, flufenoxuron, hexaflumuron, lufenuron, novaluron,
teflubenzuron, triflumuron, buprofezin, diofenolan, hexythiazox, etoxazole, chlorfentazine; b) ecdysone antagonists: halofenozide, methoxyfenozide, tebufenozide; c) juvenoids: pyriproxyfen, methoprene (including S-methoprene), fenoxycarb; d) lipid biosynthesis inhibitors: spirodiclofen.
Other antiparasitics: acequinocyl, amitraz, AKD-1022, ANS-118, azadirachtin, Bacillus thuringiensis, bensultap, bifenazate, binapacryl, bromopropylate, BTG-504, BTG-505, camphechlor, cartap, chlorobenzilate, chlordimeform, chlorfenapyr, chromafenozide, clothianidine, cyromazine, diacloden, diafenthiuron, DBI-3204, dinactin, dihydroxymethyldihydroxypyrrolidine, dinobuton, dinocap, endosulfan, ethiprole, ethofenprox, fenazaquin, flumite, MTI- 800, fenpyroximate, fluacrypyrim, flubenzimine, flubrocythrinate, flufenzine, flufenprox, fluproxyfen, halofenprox, hydramethylnon, IKI- 220, kanemite, NC-196, neem guard, nidinorterfuran, nitenpyram, SD-35651, WL-108477, pirydaryl, propargite, protrifenbute, pymethrozine, pyridaben, Buprofezine pyrimidifen, NC-1111, R-195,RH-0345, RH-2485, RYI-210, S-1283, S-1833, SI-8601, silafluofen, silomadine, spinosad, tebufenpyrad, tetradifon, tetranactin, thiacloprid, thiocyclam, thiamethoxam, tolfenpyrad, triazamate, triethoxyspinosyn, trinactin, verbutin, vertalec, YI-5301.
Fungicides: acibenzolar, aldimorph, ampropylfos, andoprim, azaconazole, azoxystrobin, benalaxyl, benomyl, bialaphos, blasticidin-S, Bordeaux mixture, bromuconazole, bupirimate, carpropamid, captafol, captan, carbendazim, chlorfenazole, chloroneb, chloropicrin, chlorothalonil, chlozolinate, copper oxychloride, copper salts, cyflufenamid, cymoxanil, cyproconazole, cyprodinil, cyprofuram, RH-7281, diclocymet, diclobutrazole, diclomezine, dicloran, difenoconazole, RP-407213, dimethomorph, domoxystrobin, diniconazole, diniconazole-M, dodine, edifenphos, epoxiconazole, famoxadone, fenamidone, fenarimol, fenbuconazole, fencaramid, fenpiclonil, fenpropidin,
fenpropimorph, fentin acetate, fluazinam, fludioxonil, flumetover, flumorf/flumorlin, fentin hydroxide, fluoxastrobin, fluquinconazole, flusilazole, flutolanil, flutriafol, folpet, fosetyl- aluminium, furalaxyl, furametapyr, hexaconazole, ipconazole, iprobenfos, iprodione, isoprothiolane, kasugamycin, krsoxim- methyl, mancozeb, maneb, mefenoxam, mepronil, metalaxyl, metconazole,
metominostrobin/fenominostrobin, metrafenone, myclobutanil, neo-asozin, nicobifen, orysastrobin, oxadixyl, penconazole, pencycuron, probenazole, prochloraz, propamocarb, propioconazole, proquinazid, prothioconazole, pyrifenox, pyraclostrobin, pyrimethanil, pyroquilon, quinoxyfen, spiroxamine, sulfur, tebuconazole, tetrconazole, thiabendazole, thifluzamide, thiophanate -methyl, thiram, tiadinil, triadimefon, triadimenol, tricyclazole, trifloxystrobin, triticonazole, validamycin, vinclozin.
Biological agents: Bacillus thuringiensis ssp aizawai, kurstaki, Bacillus thuringiensis delta endotoxin, baculovirus, entomopathogenic bacteria, virus and fungi.
Bactericides: chlortetracycline, oxytetracycline, streptomycin.
Other biological agents: enrofloxacin, febantel, penethamate, moloxicam, cefalexin, kanamycin, pimobendan, clenbuterol, omeprazole, tiamulin, benazepril, pyriprole, cefquinome, florfenicol, buserelin, cefovecin, tulathromycin, ceftiour, carprofen, metaflumizone, praziquarantel, triclabendazole.
When used in combination with other active ingredients, the compounds of the invention are preferably used in combination with the following: imidacloprid, enrofloxacin, praziquantel, pyrantel embonate, febantel, penethamate, moloxicam, cefalexin, kanamycin, pimobendan, clenbuterol, fipronil, ivermectin, omeprazole, tiamulin, benazepril, milbemycin, cyromazine, thiamethoxam, pyriprole, deltamethrin, cefquinome, florfenicol, buserelin, cefovecin, tulathromycin, ceftiour, selamectin, carprofen, metaflumizone, moxidectin, methoprene (including S-methoprene), clorsulon, pyrantel, amitraz, triclabendazole, avermectin, abamectin, emamectin, eprinomectin, doramectin selamectin, nemadectin, albendazole, cambendazole, fenbendazole, flubendazole, mebendazole, oxfendazole, oxibendazole, parbendazole, tetramisole, levamisole, pyrantel pamoate, oxantel, morantel,
triclabendazole, epsiprantel, fipronil, lufenuron, ecdysone or tebufenozide ; more preferably, enrofloxacin , praziquantel , pyrantel embonate, febantel, penethamate, moloxicam, cefalexin, kanamycin, pimobendan, clenbuterol, omeprazole, tiamulin, benazepril, pyriprole, cefquinome , florfenicol , buserelin , cefovecin , tulathromycin , ceftiour , selamectin , carprofen , moxidectin, clorsulon, pyrantel, eprinomectin, doramectin, selamectin, nemadectin, albendazole, cambendazole, fenbendazole, flubendazole, mebendazole, oxfendazole, oxibendazole, parbendazole, tetramisole, levamisole, pyrantel pamoate, oxantel, morantel, triclabendazole, epsiprantel, lufenuron or ecdysone; even more preferably enrofloxacin, praziquantel, pyrantel embonate, febantel, penethamate, moloxicam, cefalexin, kanamycin, pimobendan, clenbuterol, omeprazole, tiamulin, benazepril, pyriprole, cefquinome, florfenicol, buserelin, cefovecin, tulathromycin, ceftiour, selamectin, carprofen, moxidectin, clorsulon or pyrantel .
Examples of ratios in respect of any mixing partner mentioned herein include 100: 1 to 1 :6000,
50: 1 to 1 :50, 20: 1 to 1 :20, even more especially from 10: 1 to 1 : 10, 5:1 to 1 :5, 2: 1 to 1 :2, 4: 1 to 2: 1, 1 : 1, or 5: 1, or 5:2, or 5:3, or 5:4, or 4: 1, or 4:2, or 4:3, or 3:1, or 3:2, or 2: 1, or 1 :5, or 2:5, or 3:5, or 4:5, or 1 :4, or 2:4, or 3:4, or 1 :3, or 2:3, or 1 :2, or 1 :600, or 1 :300, or 1 : 150, or 1 :35, or 2:35, or 4:35, or 1 :75, or 2:75, or 4:75, or 1 :6000, or 1 :3000, or 1 : 1500, or 1 :350, or 2:350, or 4:350, or 1 :750, or 2:750, or 4:750. Those mixing ratios are understood to include, on the one hand, ratios by weight and also, on other hand, molar ratios.
Of particular note is a combination where the additional active ingredient has a different site of action from the compound of formula I. In certain instances, a combination with at least one other parasitic invertebrate pest control active ingredient having a similar spectrum of control but a different site of action will be particularly advantageous for resistance management. Thus, a combination product of the invention may comprise a pesticidally effective amount of a compound of formula I and pesticidally effective amount of at least one additional parasitic invertebrate pest control active ingredient having a similar spectrum of control but a different site of action.
One skilled in the art recognizes that because in the environment and under physiological conditions salts of chemical compounds are in equilibrium with their corresponding non salt forms, salts share the biological utility of the non salt forms.
Thus a wide variety of salts of compounds of the invention (and active ingredients used in combination with the active ingredients of the invention) may be useful for control of invertebrate pests
and animal parasites. Salts include acid-addition salts with inorganic or organic acids such as
hydrobromic, hydrochloric, nitric, phosphoric, sulfuric, acetic, butyric, fumaric, lactic, maleic, malonic, oxalic, propionic, salicylic, tartaric, 4-toluenesulfonic or valeric acids.
The compounds of the invention also include N-oxides. Accordingly, the invention comprises combinations of compounds of the invention including N-oxides and salts thereof and an additional active ingredient including N-oxides and salts thereof.
The compositions for use in animal health may also contain formulation auxiliaries and additives, known to those skilled in the art as formulation aids (some of which may be considered to also function as solid diluents, liquid diluents or surfactants). Such formulation auxiliaries and additives may control: pH (buffers), foaming during processing (antifoams such polyorganosiloxanes), sedimentation of active ingredients (suspending agents), viscosity (thixotropic thickeners), in-container microbial growth (antimicrobials), product freezing (antifreezes), color (dyes/pigment dispersions), wash-off (film formers or stickers), evaporation (evaporation retardants), and other formulation attributes. Film formers include, for example, polyvinyl acetates, polyvinyl acetate copolymers, polyvinylpyrrolidone -vinyl acetate copolymer, polyvinyl alcohols, polyvinyl alcohol copolymers and waxes. Examples of formulation auxiliaries and additives include those listed in McCutcheon 's Volume 2: Functional Materials, annual International and North American editions published by McCutcheon's Division, The Manufacturing Confectioner Publishing Co.; and PCT Publication WO 03/024222.
The compounds of the invention can be applied without other adjuvants, but most often application will be of a formulation comprising one or more active ingredients with suitable carriers, diluents, and surfactants and possibly in combination with a food depending on the contemplated end use. One method of application involves spraying a water dispersion or refined oil solution of the combination products. Compositions with spray oils, spray oil concentrations, spreader stickers, adjuvants, other solvents, and synergists such as piperonyl butoxide often enhance compound efficacy. Such sprays can be applied from spray containers such as a can, a bottle or other container, either by means of a pump or by releasing it from a pressurized container, e.g., a pressurized aerosol spray can. Such spray compositions can take various forms, for example, sprays, mists, foams, fumes or fog. Such spray compositions thus can further comprise propellants, foaming agents, etc. as the case may be. Of note is a spray composition comprising a pesticidally effective amount of a compound of the invention and a carrier. One
embodiment of such a spray composition comprises a pesticidally effective amount of a compound of the invention and a propellant. Representative propellants include, but are not limited to, methane, ethane, propane, butane, isobutane, butene, pentane, isopentane, neopentane, pentene, hydrofluorocarbons, chlorofluorocarbons, dimethyl ether, and mixtures of the foregoing. Of note is a spray composition (and a method utilizing such a spray composition dispensed from a spray container) used to control at least one parasitic invertebrate pest selected from the group consisting of mosquitoes, black flies, stable flies, deer flies, horse flies, wasps, yellow jackets, hornets, ticks, spiders, ants, gnats, and the like, including individually or in combinations.
The controlling of animal parasites includes controlling external parasites that are parasitic to the surface of the body of the host animal (e.g., shoulders, armpits, abdomen, inner part of the thighs) and internal parasites that are parasitic to the inside of the body of the host animal (e.g., stomach, intestine, lung, veins, under the skin, lymphatic tissue). External parasitic or disease transmitting pests include, for example, chiggers, ticks, lice, mosquitoes, flies, mites and fleas. Internal parasites include heartworms, hookworms and helminths. The compounds of the invention may be particularly suitable for combating external parasitic pests. The compounds of the invention may be suitable for systemic and/or non- systemic control of infestation or infection by parasites on animals.
The compounds of the invention may be suitable for combating parasitic invertebrate pests that infest animal subjects including those in the wild, livestock and agricultural working animals. Livestock is the term used to refer (singularly or plurally) to a domesticated animal intentionally reared in an agricultural setting to make produce such as food or fiber, or for its labor; examples of livestock include cattle, sheep, goats, horses, pigs, donkeys, camels, buffalo, rabbits, hens, turkeys, ducks and geese (e.g., raised for meat, milk, butter, eggs, fur, leather, feathers and/or wool), cultured fish, honeybees. By combating parasites, fatalities and performance reduction (in terms of meat, milk, wool, skins, eggs, etc.) are reduced, so that applying the compounds of the invention allows more economic and simple husbandry of animals.
By controlling these pests it is intended to reduce deaths and improve performance (in the case of meat, milk, wool, hides, eggs, honey and the like) and health of the host animal. Also, controlling parasites may help to prevent the transmittance of infectious agents, the term "controlling" referring to the veterinary field, meaning that the active compounds are effective in reducing the incidence of the respective parasite in an animal infected with such parasites to innocuous levels, e.g. the active compound is effective in killing the respective parasite, inhibiting its growth, or inhibiting its proliferation.
The compounds of the invention may be suitable for combating parasitic invertebrate pests that infest companion animals and pets (e.g., dogs, cats, pet birds and aquarium fish), research and experimental animals (e.g., hamsters, guinea pigs, rats and mice), as well as animals raised for/in zoos, wild habitats and/or circuses.
In an embodiment of this invention, the animal is preferably a vertebrate, and more preferably a mammal, avian or fish. In a particular embodiment, the animal subject is a mammal (including great apes, such as humans). Other mammalian subjects include primates (e.g., monkeys), bovine (e.g., cattle or dairy cows), porcine (e.g., hogs or pigs), ovine (e.g., goats or sheep), equine (e.g., horses), canine (e.g., dogs), feline (e.g., house cats), camels, deer, donkeys, buffalos, antelopes, rabbits, and rodents (e.g., guinea pigs, squirrels, rats, mice, gerbils, and hamsters). Avians include Anatidae (swans, ducks and geese),
Columbidae (e.g., doves and pigeons), Phasianidae (e.g., partridges, grouse and turkeys), Thesienidae (e.g., domestic chickens), Psittacines (e.g., parakeets, macaws, and parrots), game birds, and ratites (e.g., ostriches).
Birds treated or protected by the compounds of the invention can be associated with either commercial or noncommercial aviculture. These include Anatidae, such as swans, geese, and ducks,
Columbidae, such as doves and domestic pigeons, Phasianidae, such as partridge, grouse and turkeys, Thesienidae, such as domestic chickens, and Psittacines, such as parakeets, macaws and parrots raised for the pet or collector market, among others.
For purposes of the present invention, the term "fish" is understood to include without limitation, the Teleosti grouping of fish, i.e., teleosts. Both the Salmoniformes order (which includes the Salmonidae family) and the Perciformes order (which includes the Centrarchidae family) are contained within the Teleosti grouping. Examples of potential fish recipients include the Salmonidae, Serranidae, Sparidae, Cichlidae, and Centrarchidae, among others.
Other animals are also contemplated to benefit from the inventive methods, including marsupials (such as kangaroos), reptiles (such as farmed turtles), and other economically important domestic animals for which the inventive methods are safe and effective in treating or preventing parasite infection or infestation.
Examples of parasitic invertebrate pests controlled by administering a pesticidally effective amount of the compounds of the invention to an animal to be protected include ectoparasites (arthropods, acarines, etc.) and endoparasites (helminths, e.g., nematodes, trematodes, cestodes, acanthocephalans, etc. and protozoae, such as coccidia).
The disease or group of diseases described generally as helminthiasis is due to infection of an animal host with parasitic worms known as helminths. The term 'helminths' is meant to include nematodes, trematodes, cestodes and acanthocephalans. Helminthiasis is a prevalent and serious economic problem with domesticated animals such as swine, sheep, horses, cattle, goats, dogs, cats and poultry.
Among the helminths, the group of worms described as nematodes causes widespread and at times serious infection in various species of animals.
Nematodes that are contemplated to be treated by the compounds of the invention include, without limitation, the following genera: Acanthocheilonema, Aelurostrongylus , Ancylostoma,
Angiostrongylus , Ascaridia, Ascaris, Brugia, Bunostomum, Capillaria, Chabertia, Cooperia, Crenosoma, Dictyocaulus, Dioctophyme, Dipetalonema, Diphyllobothrium, Dirofilaria, Dracunculus, Enterobius, Filaroides, Haemonchus, Heterakis, Lagochilascaris, Loa, Mansonella, Muellerius, Necator,
Nematodirus , Oesophagostomum, Ostertagia, Oxyuris, Parafilaria, Parascaris, Physaloptera,
Protostrongylus, Setaria, Spirocerca, Stephanofilaria, Strongy ides, Strongylus, Thelazia, Toxascaris, Toxocara, Trichinella, Trichonema, Trichostrongylus, Trichuris, Uncinaria and Wuchereria.
Of the above, the most common genera of nematodes infecting the animals referred to above are Haemonchus, Trichostrongylus, Ostertagia, Nematodirus, Cooperia, Ascaris, Bunostomum,
Oesophagostomum, Chabertia, Trichuris, Strongylus, Trichonema, Dictyocaulus, Capillaria, Heterakis, Toxocara, Ascaridia, Oxyuris, Ancylostoma, Uncinaria, Toxascaris and Parascaris. Certain of these, such as Nematodirus, Cooperia and Oesophagostomum attack primarily the intestinal tract while others, such as Haemonchus and Ostertagia, are more prevalent in the stomach while others such as
Dictyocaulus are found in the lungs. Still other parasites may be located in other tissues such as the heart and blood vessels, subcutaneous and lymphatic tissue and the like.
Trematodes that are contemplated to be treated by the invention and by the inventive methods include, without limitation, the following genera: Alaria, Fasciola, Nanophyetus, Opisthorchis , Paragonimus and Schistosoma.
Cestodes that are contemplated to be treated by the invention and by the inventive methods include, without limitation, the following genera: Diphyllobothrium, Diplydium, Spirometra and Taenia.
The most common genera of parasites of the gastrointestinal tract of humans are
Ancylostoma, Necator, Ascaris, Strongy hides, Trichinella, Capillaria, Trichuris and Enterobius. Other medically important genera of parasites which are found in the blood or other tissues and organs outside the gastrointestinal tract are the filarial worms such as Wuchereria, Brugia, Onchocerca and Loa, as well as Dracunculus and extra intestinal stages of the intestinal worms Strongyloides and Trichinella.
Numerous other helminth genera and species are known to the art, and are also contemplated to be treated by the compounds of the invention. These are enumerated in great detail in Textbook of Veterinary Clinical Parasitology, Volume 1, Helminths, E. J. L. Soulsby, F. A. Davis Co., Philadelphia, Pa.; Helminths, Arthropods and Protozoa, (6thEdition of Monnig's Veterinary Helminthology and Entomology), E. J. L. Soulsby, Williams and Wilkins Co., Baltimore, Md.
The compounds of the invention may be effective against a number of animal ectoparasites (e.g., arthropod ectoparasites of mammals and birds in particular insects such as flies (stinging and licking), parasitic fly larvae, lice, hair lice, bird lice, fleas and the like; or acarids, such as ticks, for examples hard ticks or soft ticks, or mites, such as scab mites, harvest mites, bird mites and the like).
Insect and acarine pests include, e.g., biting insects such as flies and mosquitoes, mites, ticks, lice, fleas, true bugs, parasitic maggots, and the like.
Adult flies include, e.g., the horn fly or Haematobia irritans, the horse fly or Tabanus spp., the stable fly or Stomoxys calcitrans, the black fly or Simulium spp., the deer fly or Chrysops spp., the louse fly or Melophagus ovinus, and the tsetse fly or Glossina spp. Parasitic fly maggots include, e.g., the bot fly (Oestrus ovis and Cuterebra spp.), the blow fly or Phaenicia spp., the screwworm or Cochliomyia hominivorax, the cattle grub or Hypoderma spp., the fleeceworm and the Gastrophilus of horses.
Mosquitoes include, for example, Culex spp., Anopheles spp. and Aedes spp.
Mites include Mesostigmalphatalpha spp. e.g., mesostigmatids such as the chicken mite,
Dermalphanyssus galphallinalphae; itch or scab mites such as Sarcoptidae spp. for example,
Salpharcoptes scalphabiei; mange mites such as Psoroptidae spp. including Chorioptes bovis and Psoroptes ovis; chiggers e.g., Trombiculidae spp. for example the North American chigger,
Trombiculalpha alphalfreddugesi.
Ticks include, e.g., soft-bodied ticks including Argasidae spp. for example Argalphas spp. and
Ornithodoros spp.; hard-bodied ticks including Ixodidae spp., for example Rhipicephalphalus sanguineus, Dermacentor variabilis, Dermacentor andersoni, Amblyomma americanum, Ixodes scapularis and other Rhipicephalus spp. (including the former Boophilus genera).
Lice include, e.g., sucking lice, e.g., Menopon spp.
and Bovicola spp.; biting lice, e.g., Haematopinus spp., Linognathus spp. and Solenopotes spp.
Fleas include, e.g., Ctenocephalides spp., such as dog flea {Ctenocephalides canis) and cat flea (Ctenocephalides felis); Xenopsylla spp. such as oriental rat flea (Xenopsylla cheopis); and Pulex spp. such as human flea (Pulex irritans).
True bugs include, e.g., Cimicidae or e.g., the common bed bug (Cimex lectularius); Triatominae spp. including triatomid bugs also known as kissing bugs; for example Rhodnius prolixus and Triatoma spp.
Generally, flies, fleas, lice, mosquitoes, gnats, mites, ticks and helminths cause tremendous losses to the livestock and companion animal sectors. Arthropod parasites also are a nuisance to humans and can vector disease-causing organisms in humans and animals.
Numerous other parasitic invertebrate pests are known to the art, and are also contemplated to be treated by the compounds of the invention. These are enumerated in great detail in Medical and
Veterinary Entomology, D. S. Kettle, John Wiley AND Sons, New York and Toronto; Control of Arthropod Pests of Livestock: A Review of Technology, R. O. Drummand, J. E. George, and S. E. Kunz, CRC Press, Boca Raton, Fla.
The compounds of the invention may also be effective against ectoparasites, e.g. insects such as flies (stinging and licking), parasitic fly larvae, lice, hair lice, bird lice, fleas and the like; or acarids, such as ticks, for examples hard ticks or soft ticks, or mites, such as scab mites, harvest mites, bird mites and the like. These include e.g. flies such as Haematobia (Lyperosia) irritans (horn fly), Simulium spp.
(blackfly), Glossina spp. (tsetse flies), Hydrotaea irritans (head fly), Musca autumnalis (face fly), Musca domestica (house fly), Morellia simplex (sweat fly), Tabanus spp. (horse fly), Hypoderma bovis, Hypoderma lineatum, Lucilia sericata, Lucilia cuprina (green blowfly), Calliphora spp. (blowfly), Protophormia spp., Oestrus ovis (nasal botfly), Culicoides spp. (midges), Hippobosca equine,
Gastrophilus intestinalis, Gastrophilus haemorrhoidalis and Gastrophilus nasalis; lice such as Bovicola (Damalinia) bovis, Bovicola equi, Haematopinus asini, Felicola subrostratus, Heterodoxus spiniger, Lignonathus setosus and Trichodectes canis; keds such as Melophagus ovinus; and mites such as Psoroptes spp., Sarcoptes scabei, Chorioptes bovis, Demodex equi, Cheyletiella spp., Notoedres cati, Trombicula spp. and Otodectes cyanotis (ear mites).
Examples of species of animal health pesets include those from the order of the Anoplurida, for example Haematopinus spp., Linognathus spp., Pediculus spp., Phtirus spp., Solenopotes spp.; particular examples are: Linognathus setosus, Linognathus vituli, Linognathus ovillus, Linognathus oviformis, Linognathus pedalis, Linognathus stenopsis, Haematopinus asini macrocephalus, Haematopinus eurysternus, Haematopinus suis, Pediculus humanus capitis, Pediculus humanus corporis, Phylloera vastatrix, Phthirus pubis, Solenopotes capillatus; from the order of the Mallophagida and the suborders Amblycerina and Ischnocerina, for example Trimenopon spp., Menopon spp., Trinoton spp., Bovicola spp., Werneckiella spp., Lepikentron spp., Damalina spp., Trichodectes spp., Felicola spp.; particular examples are: Bovicola bovis, Bovicola ovis, Bovicola limbata, Damalina bovis, Trichodectes canis,
Felicola subrostratus, Bovicola caprae, Lepikentron ovis, Werneckiella equi; from the order of the Diptera and the suborders Nematocerina and Brachycerina, for example Aedes spp., Anopheles spp., Culex spp., Simulium spp., Eusimulium spp., Phlebotomus spp., Lutzomyia spp., Culicoides spp., Chrysops spp., Odagmia spp., Wilhelmia spp., Hybomitra spp., Atylotus spp., Tabanus spp., Haematopota spp., Philipomyia spp., Braula spp., Musca spp., Hydrotaea spp., Stomoxys spp., Haematobia spp., Morellia spp., Fannia spp., Glossina spp., Calliphora spp., Lucilia spp., Chrysomyia spp., Wohlfahrtia spp., Sarcophaga spp., Oestrus spp., Hypoderma spp., Gasterophilus spp., Hippobosca spp., Lipoptena spp., Melophagus spp., Rhinoestrus spp., Tipula spp.; particular examples are: Aedes aegypti, Aedes albopictus, Aedes taeniorhynchus, Anopheles gambiae, Anopheles maculipennis, Calliphora
erythrocephala, Chrysozona pluvialis, Culex quinquefasciatus, Culex pipiens, Culex tarsalis, Fannia canicularis, Sarcophaga carnaria, Stomoxys calcitrans, Tipula paludosa, Lucilia cuprina, Lucilia sericata, Simulium reptans, Phlebotomus papatasi, Phlebotomus longipalpis, Odagmia ornata, Wilhelmia equina, Boophthora erythrocephala, Tabanus bromius, Tabanus spodopterus, Tabanus atratus, Tabanus sudeticus, Hybomitra ciurea, Chrysops caecutiens, Chrysops relictus, Haematopota pluvialis,
Haematopota italica, Musca autumnalis, Musca domestica, Haematobia irritans irritans, Haematobia irritans exigua, Haematobia stimulans, Hydrotaea irritans, Hydrotaea albipuncta, Chrysomya chloropyga, Chrysomya bezziana, Oestrus ovis, Hypoderma bovis, Hypoderma lineatum, Przhevalskiana silenus, Dermatobia hominis, Melophagus ovinus, Lipoptena capreoli, Lipoptena cervi, Hippobosca variegata, Hippobosca equina, Gasterophilus intestinalis, Gasterophilus haemorroidalis, Gasterophilus inermis, Gasterophilus nasalis, Gasterophilus nigricornis, Gasterophilus pecorum, Braula coeca; from the order of the Siphonapterida, for example Pulex spp., Ctenocephalides spp., Tunga spp., Xenopsylla spp., Ceratophyllus spp.; particular examples are: Ctenocephalides canis, Ctenocephalides felis, Pulex irritans, Tunga penetrans, Xenopsylla cheopis; from the order of the Heteropterida, for example Cimex spp., Triatoma spp., Rhodnius spp., Panstrongylus spp; from the order of the Blattarida, for example Blatta orientalis, Periplaneta americana, Blattela germanica, Supella spp. (e.g. Suppella longipalpa); from the subclass of the Acari (Acarina) and the orders of the Meta- and Mesostigmata, for example Argas spp., Ornithodorus spp., Otobius spp., Ixodes spp., Amblyomma spp., Rhipicephalus (Boophilus) spp Dermacentor spp., Haemophysalis spp., Hyalomma spp., Dermanyssus spp., Rhipicephalus spp. (the original genus of multi host ticks) Ornithonyssus spp., Pneumonyssus spp., RailUetia spp., Pneumonyssus spp., Sternostoma spp., Varroa spp., Acarapis spp.; particular examples are: Argas persicus, Argas reflexus, Ornithodorus moubata, Otobius megnini, Rhipicephalus (Boophilus) microplus, Rhipicephalus (Boophilus) decoloratus, Rhipicephalus (Boophilus) annulatus, Rhipicephalus (Boophilus) calceratus, Hyalomma anatolicum, Hyalomma aegypticum, Hyalomma marginatum, Hyalomma transiens,
Rhipicephalus evertsi, Ixodes ricinus, Ixodes hexagonus, Ixodes canisuga, Ixodes pilosus, Ixodes rubicundus, Ixodes scapularis, Ixodes holocyclus, Haemaphysalis concinna, Haemaphysalis punctata, Haemaphysalis cinnabarina, Haemaphysalis otophila, Haemaphysalis leachi, Haemaphysalis longicorni, Dermacentor marginatus, Dermacentor reticulatus, Dermacentor pictus, Dermacentor albipictus, Dermacentor andersoni, Dermacentor variabilis, Hyalomma mauritanicum, Rhipicephalus sanguineus,
Rhipicephalus bursa, Rhipicephalus appendiculatus, Rhipicephalus capensis, Rhipicephalus turanicus, Rhipicephalus zambeziensis, Amblyomma americanum, Amblyomma variegatum, Amblyomma maculatum, Amblyomma hebraeum, Amblyomma cajennense, Dermanyssus gallinae, Ornithonyssus bursa, Ornithonyssus sylviarum, Varroa jacobsoni; from the order of the Actinedida (Prostigmata) and Acaridida (Astigmata), for example Acarapis spp., Cheyletiella spp., Omithocheyletia spp., Myobia spp., Psorergates spp., Demodex spp., Trombicula spp., Listrophorus spp., Acarus spp., Tyrophagus spp., Caloglyphus spp., Hypodectes spp., Pterolichus spp., Psoroptes spp., Chorioptes spp., Otodectes spp., Sarcoptes spp., Notoedres spp., Knemidocoptes spp., Cytodites spp., Laminosioptes spp. ; particular examples are: Cheyletiella yasguri, Cheyletiella blakei, Demodex canis, Demodex bovis, Demodex ovis, Demodex caprae, Demodex equi, Demodex caballi, Demodex suis, Neotrombicula autumnalis,
Neotrombicula desaleri, Neoschongastia xerothermobia, Trombicula akamushi, Otodectes cynotis, Notoedres cati, Sarcoptis canis, Sarcoptes bovis, Sarcoptes ovis, Sarcoptes rupicaprae (S. caprae), Sarcoptes equi, Sarcoptes suis, Psoroptes ovis, Psoroptes cuniculi, Psoroptes equi, Chorioptes bovis, Psoergates ovis, Pneumonyssoidic mange, Pneumonyssoides caninum, Acarapis woodi; Gasterophilus spp., Stomoxys spp., Trichodectes spp., Rhodnius spp., Ctenocephalides canis, Cimx lecturius,
Ctenocephalides felis, Lucilia cuprina; examples of acari include Ornithodoros spp., Ixodes spp., Boophilus spp..
Treatments of the invention are by conventional means such as by enteral administration in the form of, for example, tablets, capsules, drinks, drenching preparations, granulates, pastes, boli, feed- through procedures, or suppositories; or by parenteral administration, such as, for example, by injection (including intramuscular, subcutaneous, intravenous, intraperitoneal) or implants; or by nasal administration; or by dermal application in the form of, for example, bathing or dipping, spraying, pouring-on and spotting-on, washing, dusting, and with the aid of active -compound-comprising shaped articles such as collars, ear tags, tail tags, limb bands, halters, marking devices and the like.
When compounds of the invention are applied in combination with an additional biologically active ingredient, they may be administered separately e.g. as separate compositions. In this case, the biologically active ingredients may be administered simultaneously or sequentially. Alternatively, the biologically active ingredients may be components of one composition.
The compounds of the invention may be administered in a controlled release form, for example in subcutaneous or orally adminstered slow release formulations.
Typically a parasiticidal composition according to the present invention comprises a compound of the invention, optionally in combination with an additional biologically active ingredient, or N-oxides or salts thereof, with one or more pharmaceutically or veterinarily acceptable carriers comprising excipients and auxiliaries selected with regard to the intended route of administration (e.g., oral or parenteral administration such as injection) and in accordance with standard practice. In addition, a suitable carrier is selected on the basis of compatibility with the one or more active ingredients in the composition, including such considerations as stability relative to pH and moisture content. Therefore of note are compounds of the invention for protecting an animal from an invertebrate parasitic pest
comprising a parasitically effective amount of a compound of the invention, optionally in combination with an additional biologically active ingredient and at least one carrier.
For parenteral administration including intravenous, intramuscular and subcutaneous injection, the compounds of the invention can be formulated in suspension, solution or emulsion in oily or aqueous vehicles, and may contain adjuncts such as suspending, stabilizing and/or dispersing agents.
The compounds of the invention may also be formulated for bolus injection or continuous infusion. Pharmaceutical compositions for injection include aqueous solutions of water-soluble forms of active ingredients (e.g., a salt of an active compound), preferably in physiologically compatible buffers containing other excipients or auxiliaries as are known in the art of pharmaceutical formulation.
Additionally, suspensions of the active compounds may be prepared in a lipophilic vehicle. Suitable lipophilic vehicles include fatty oils such as sesame oil, synthetic fatty acid esters such as ethyl oleate and triglycerides, or materials such as liposomes.
Aqueous injection suspensions may contain substances that increase the viscosity of the suspension, such as sodium carboxymethyl cellulose, sorbitol, or dextran. Formulations for injection may be presented in unit dosage form, e.g., in ampoules or in multi-dose containers. Alternatively, the active ingredient may be in powder form for constitution with a suitable vehicle, e.g., sterile, pyrogen-free water, before use.
In addition to the formulations described supra, the compounds of the invention may also be formulated as a depot preparation. Such long acting formulations may be administered by implantation (for example, subcutaneously or intramuscularly) or by intramuscular or subcutaneous injection.
The compounds of the invention may be formulated for this route of administration with suitable polymeric or hydrophobic materials (for instance, in an emulsion with a pharmacologically acceptable oil), with ion exchange resins, or as a sparingly soluble derivative such as, without limitation, a sparingly soluble salt.
For administration by inhalation, the compounds of the invention can be delivered in the form of an aerosol spray using a pressurized pack or a nebulizer and a suitable propellant, e.g., without limitation, dichlorodifluoromethane, trichlorofluoromethane, dichlorotetrafluoroethane or carbon dioxide. In the case of a pressurized aerosol, the dosage unit may be controlled by providing a valve to deliver a metered amount. Capsules and cartridges of, for example, gelatin for use in an inhaler or insufflator may be formulated containing a powder mix of the compound and a suitable powder base such as lactose or starch.
The compounds of the invention may have favourable pharmacokinetic and pharmacodynamic properties providing systemic availability from oral administration and ingestion. Therefore after ingestion by the animal to be protected, parasiticidally effective concentrations of a compound of the invention in the bloodstream may protect the treated animal from blood-sucking pests such as fleas, ticks and lice. Therefore of note is a composition for protecting an animal from an invertebrate parasite pest in a form for oral administration (i.e. comprising, in addition to a parasiticidally effective amount of a
compound of the invention, one or more carriers selected from binders and fillers suitable for oral administration and feed concentrate carriers).
For oral administration in the form of solutions (the most readily available form for absorption), emulsions, suspensions, pastes, gels, capsules, tablets, boluses, powders, granules, rumen-retention and feed/water/lick blocks, the compounds of the invention can be formulated with binders/fillers known in the art to be suitable for oral administration compositions, such as sugars and sugar derivatives (e.g., lactose, sucrose, mannitol, sorbitol), starch (e.g., maize starch, wheat starch, rice starch, potato starch), cellulose and derivatives (e.g., methylcellulose, carboxymethylcellulose, ethylhydroxycellulose), protein derivatives (e.g., zein, gelatin), and synthetic polymers (e.g., polyvinyl alcohol, polyvinylpyrrolidone). If desired, lubricants (e.g., magnesium stearate), disintegrating agents (e.g., cross-linked
polyvinylpyrrolidinone, agar, alginic acid) and dyes or pigments can be added. Pastes and gels often also contain adhesives (e.g., acacia, alginic acid, bentonite, cellulose, xanthan gum, colloidal magnesium aluminum silicate) to aid in keeping the composition in contact with the oral cavity and not being easily ejected.
In one embodiment a composition of the present invention is formulated into a chewable and/or edible product (e.g., a chewable treat or edible tablet). Such a product would ideally have a taste, texture and/or aroma favored by the animal to be protected so as to facilitate oral administration of the compounds of the invention.
If the parasiticidal compositions are in the form of feed concentrates, the carrier is typically selected from high-performance feed, feed cereals or protein concentrates.
Such feed concentrate-containing compositions can, in addition to the parasiticidal active ingredients, comprise additives promoting animal health or growth, improving quality of meat from animals for slaughter or otherwise useful to animal husbandry.
These additives can include, for example, vitamins, antibiotics, chemotherapeutics, bacteriostats, fungistats, coccidiostats and hormones.
The compound of the invention may also be formulated in rectal compositions such as suppositories or retention enemas, using, e.g., conventional suppository bases such as cocoa butter or other glycerides.
The formulations for the method of this invention may include an antioxidant, such asBHT (butylated hydroxytoluene). The antioxidant is generally present in amounts of at 0.1 - 5 percent (wt/vol). Some of the formulations require a solubilizer, such as oleic acid, to dissolve the active agent, particularly if spinosad is included. Common spreading agents used in these pour-on formulations include isopropyl myristate, isopropyl palmitate, caprylic/capric acid esters of saturated
fatty alcohols, oleic acid, oleyl ester, ethyl oleate, triglycerides, silicone oils and dipropylene glycol methyl ether. The pour-on formulations for the method of this invention are prepared according to known techniques. Where the pour-on is a solution, the parasiticide/insecticide is mixed with the carrier or vehicle, using heat and stirring if required. Auxiliary or additional ingredients can be added to the mixture of active agent and
carrier, or they can be mixed with the active agent prior to the addition of the carrier. Pour-on formulations in the form of emulsions or suspensions are similarly prepared using known techniques.
Other delivery systems for relatively hydrophobic pharmaceutical compounds may be employed. Liposomes and emulsions are well-known examples of delivery vehicles or carriers for hydrophobic 5 drugs. In addition, organic solvents such as dimethylsulfoxide may be used, if needed.
The rate of application required for effective parasitic invertebrate pest control (e.g. "pesticidally effective amount") will depend on such factors as the species of parasitic invertebrate pest to be controlled, the pest's life cycle, life stage, its size, location, time of year, host crop or animal, feeding behavior, mating behavior, ambient moisture, temperature, and the like. One skilled in the art can easily 10 determine the pesticidally effective amount necessary for the desired level of parasitic invertebrate pest control.
In general for veterinary use, the compounds of the invention are administered in a pesticidally effective amount to an animal, particularly a homeothermic animal, to be protected from parasitic invertebrate pests.
15 A pesticidally effective amount is the amount of active ingredient needed to achieve an
observable effect diminishing the occurrence or activity of the target parasitic invertebrate pest. One skilled in the art will appreciate that the pesticidally effective dose can vary for the various compounds and compositions useful for the method of the present invention, the desired pesticidal effect and duration, the target parasitic invertebrate pest species, the animal to be protected, the mode of application
20 and the like, and the amount needed to achieve a particular result can be determined through simple experimentation.
For oral or parenteral administration to animals, a dose of the compositions of the present invention administered at suitable intervals typically ranges from about 0.01 mg/kg to aboutlOO mg/kg, and preferably from about 0.01 mg/kg to about 30 mg/kg of animal body weight.
25 Suitable intervals for the administration of the compositions of the present invention to animals range from about daily to about yearly. Of note are administration intervals ranging from about weekly to about once every 6 months. Of particular note are monthly adminstration intervals (i.e. administering the compounds to the animal once every month).
The following Examples illustrate, but do not limit, the invention. Documents referred to herein
30 are incorporated by reference.
Examples
Exam le 1 : Preparation of f-butyl 4-hvdroxyiminomethyl-2-bromobenzoate
To a solution of i-butyl 4-formyl-2-bromobenzoate (23 g, 80mmol) in isopropanokwater (8:2, 160ml) at 35 10°C was slowly added a solution of sodium acetate (8.2 g, 100 mmol) in water (20 ml) and
hydroxylamine hydrochloride (7.23 g, 100 mmol) in water (20 ml). The reaction mixture was stirred for 3 hours at room temperature. After completion of reaction (monitored by TLC) the solvent was evaporated under reduced pressure. The reaction mixture was diluted with water (40 ml) and the aqueous layer was extracted with ethyl acetate (3 x 150 ml). The combined organic layers were dried over sodium sulphate and concentrated to give 4-hydroxyiminomethyl-2-bromobenzoate which was purified by column chromatography (24 g, Yield 99%). H' NIVIR (400 MHz, CDC13) 1.63 (s, 9H), 7.52 (dd, 1H), 7.69 (d, 1H), 7.84 (d, 1H), 8.06 (s, 1H) ppm.
Example 2: Preparation of ?-butyl-4-[5-(3.5-dichlorophenyl)-5-trifluoromethyl-4.5-dihydro-isoxazol-5- yll -2-bromobenzoate
To a solution of /-butyl 4-hydroxyiminomethyl-2-bromobenzoate (24 g, 8 mmol) in N,N- dimethylformamide (180 ml) was added N-chlorosuccinimide (1 1.7 g, 84 mmol) and the reaction mixture was stirred at 50°C for 3 hours under a nitrogen atmosphere. The reaction mixture was then cooled to room temperature, treated with l ,3-dichloro-5-(3,3,3-trifluoroprop-l -en-2-yl)benzene (23.1 g, 96 mmol, in 50 ml of Ν,Ν-dimethylformamide) (prepared according to WO 2005/085216) and triethylamine (22ml,160mmol, dissolved in 22 ml of Ν,Ν-dimethylformamide) and stirred for 16 hours. The reaction mixture was then diluted with water (40ml) and extracted with ethyl acetate (3 x 150 ml). The combined organic layers were dried over sodium sulphate, concentrated under reduced pressure and purified by column chromatography to give t-butyl 4-[5-(3,5-dichlorophenyl)-5-trifluoromethyl-4,5-dihydro- isoxazol-5-yl] -2-bromobenzoate (30 g, Yield 69.7 %). H' NIVIR (400 MHz, CDC13); 1.59 (s, 9H), 3.68 (d, 1H), 4.06 (d, 1H), 7.43 (d, 2H), 7.50 (d, 1H), 7.68 (dd, 1H), 7.72 (dd, 1H), 7.87 (d, 1H) ppm.
Example 3 : Preparation of /-butyl 4-[5-(3.5-dichlorophenyl)-5-trifluoromethyl-4.5-dihydro-isoxazol-5- yll-2-ethylbenzoate (Reference)
To the solution of i-butyl 4-[5-(3,5-dichlorophenyl)-5-trifluoromethyl-4,5-dihydro-isoxazol-5-yl]-2- bromobenzoate (1.5 g, 2.7 mmol) in tetrahydrofuran (30 ml), cesium carbonate (1.8 g, 5.5 mmol) and l,l'-Bis(diphenylphosphino) ferrocene] dichloropalladium(II) (0.12 g, 0.13 mmol) were added. A triethylborane solution (1M in THF) (5.5 ml , 5.5 mmol) was then slowly added and the reaction mixture was stirred at 75 °C for 4 hours. After completion of the reaction, the solvent was evaporated under reduced pressure. The reaction mixture was diluted with water (40ml) and extracted with ethyl acetate (2 x 50 ml). The combined organic layers were dried over sodium sulphate, concentrated under reduced pressure and purified by column chromatography to give t-butyl 4-[5-(3,5-dichlorophenyl)-5- trifluoromethyl-4,5-dihydro-isoxazol-5-yl]-2-ethylbenzoate (1 g, Yield 74%). H' NMR (400 MHz, CDC13);1.28 (t, 3H), 1.58 (s, 9H), 2.90 (q, 2H), 3.70 (d, IH), 4.10 (d, IH), 7.42-7.53 (m, 5H), 7.78 (d, IH) ppm.
Example 4: Preparation of 4-r5-(3,5-dichlorophenyl)-5-trifluoromethyl-4,5-dihydro-isoxazol-5-yl1-2- ethylbenzoic acid (Reference)
To a solution of i-butyl 4-[5-(3,5-dichlorophenyl)-5-trifluoromethyl-4,5-dihydro-isoxazol-5-yl]-2- ethylbenzoate (lg, 2 mmol) in dichloromethane (15ml) at 0°C was added trifluoroacetic acid (1.28 ml, 16mmol) under a nitrogen atmosphere. The reaction mixture was stirred for 24 hours at room temperature. After completion of the reaction, the solvent was evaporated under reduced pressure. The reaction mixture was diluted with water (40ml) and extracted with dichloromethane (2 x 50 ml). The combined organic layer were dried over sodium sulphate, concentrated under reduced pressure and purified by column chromatography to give 4-[5-(3,5-dichlorophenyl)-5-trifluoromethyl-4,5-dihydro- isoxazol-5-yl]-2-ethylbenzoic acid (0.88 g, Yield 100%). H' NMR (400 MHz, CDC13);1.28 (t, 3H), 3.02 (q, 2H), 3.49 (d, IH), 3.72 (d, IH), 7.43-7.60 (m, 5H), 8.05 (d, IH) ppm.
Example 5: Preparation of 4-r5-(3,5-dichlorophenyl)-5-trifluoromethyl-4H-isoxazol-3-yl1-2-ethyl-N- (thietan-3 -vDbenzamide (Reference)
To a solution of 4-[5-(3,5-dichlorophenyl)-5 rifluoromethyl-4,5-dihydro-isoxazol-5-yl]-2-ethylbenzoic acid (0.3 g, 0.69 mmol) in dichloromethane (30 ml) containing 1 drop of Ν,Ν-dimethylformamide cooled at 0 °C, was added oxalyl chloride (0.07 ml, 0.83 mmol). The reaction mixture was stirred for 2 hours at room temperature under nitrogen and then was concentrated to dryness. The residue was dissolved in dichloromethane (30 ml) and treated with thietan-3 -amine (0.074 g, 0.83 mmol) and triethylamine (0.23 ml, 1.7 mmol) in dichloromethane (20 ml) at 0 °C. The reaction mixture was stirred at room temperature overnight. After completion of the reaction (monitored by TLC), the reaction mixture was diluted with water (40 ml). The aqueous layer was extracted with dichloromethane (2 x 50 ml). The combined organic layer was dried over sodium sulphate and concentrated under reduced pressure. The compound was purified by column chromatography to give the title compound B69 as solid (0.24 g, Yield 68.7 %). H1 NMR (400 MHz, CDC13);1.25 (t, 3H), 2.80 (2H, q), 3.35 (t, 2H), 3.50 (t, 2H), 3.70 (d, IH), 4.10 (d, IH), 5.35-5.46 (IH, m), 6.25 (d, IH), 7.35 (d, IH), 7.39-7.43 (IH, m), 7.46-7.55 (3H, m), 7.62 (IH, s) ppm.
Example 6: Nitration of 4-formylbenzoic acid:
Major Minor
A solution of 4-formylbenzoic acid (0.2 g, 1.3mmol) in sulfuric acid (0.5 ml) was cooled to 0°C, treated with nitric acid (0.1 ml) over 5 min, and stirred for 20 hours at room temperature. The mixture was poured into an ice-cooled water and filtered to give a white solid. Purification by chromatography (hexane/ethyl acetate 1 :4 as eluent) provided two regio-isomers; 4-formyl-2-nitrobenzoic acid (major) and 4-formyl-3-nitrobenzoic acid (minor).
Data for the major isomer: 'H-NMR (400 MHz, DMSO): 10.28 (IH, s), 8.48 (IH, d), 8.33-8.35 (IH, d), 7.93 (IH, d) ppm.
Data for the minor isomer: ¾-NMR (400 MHz, DMSO): 10.03 (IH, s), 8.07 (IH, s), 8.05-8.06 (IH, m), 7.72 (IH, d) ppm.
Example 7: Preparation of methyl 4-dimethoxymethyl-2-nitrobenzoate
A solution of 4-formyl-2-nitrobenzoic acid (0.1 g, 0.5 mmol) in thionyl chloride (2 ml) was refluxed for 2 hours. The reaction mixture was then cooled, the solvent was evaporated then methanol (1 ml) was added. The reaction mixture was stirred for 10 min at room temperature. Evaporation of excess of methanol gave methyl 4-dimethoxymethyl-2-nitrobenzoate (0.1 g). 'H-NMR (400 MHz, CDC13): 8.41 (1H, d), 8.22 (1H, m), 7.86 (1H, d), 5.90 (1H, s), 3.94 (3H, s), 3.38 (6H, s) ppm.
Example 8: Preparation of methyl 4-formyl-2-nitrobenzoate
A solution of methyl 4-dimethoxymethyl-2-nitrobenzoate (2 g, 7.8 mmol) in acetone (25 ml) was treated dropwise with hydrochloric acid (6M, 20 ml) and stirred for 2 hours. The solvent was removed under vacuo, the residue was then treated with water (25 ml) and extracted with ethyl acetate (2 X 50 ml). The combined organic layers were dried over sodium sulfate and concentrated to give methyl 4-formyl-2- nitrobenzoate (1.5 g). 'H-NMR (400 MHz, CDC13): 10.10 (1H, s), 8.39-8.41 (1H, m), 8.16 (1H, d), 7.88 (1H, d), 3.94 (3H, s) ppm.
Example 9: Preparation of methyl 4-hvdroxyiminomethyl-2-nitrobenzoate
A solution of methyl 4-formyl-2-nitrobenzoate (2.0 g, 9.4 mmol) in isopropanol (50 ml) and water (25 ml) was treated with hydroxylamine hydrochloride (0.7 g) and sodium acetate (0.72 g) and stirred for 2 hours at room temperature. The solvent was then evaporated and the residue was treated with water (25 ml) and extracted with ethyl acetate (2 X 50 ml). The combined organic layers were dried over sodium sulfate and concentrated to give methyl 4-hydroxylimino-2-nitrobenzoate (1.8 g). 'H-NMR (400 MHz, CDC13): 11.90 (1H, s), 8.20 (1H, d), 8.00 (1H, d), 7.89 (1H, d), 3.85 (3H, s) ppm. Example 10: Preparation of methyl 4-[3-(3.5-dichlorophenyl)-5-trifluoromethyl-4.5-dihydro-isoxazol-5- yl] -2-nitrobenzoate
A solution of methyl 4-(hydroxyiminomethyl-2-nitrobenzoate (1.0 g, 4.4 mmol) in N,N- dimethylformamide (10 ml) was treated with N-chlorosuccinimide (0.85 g, 4.9 mmol) and stirred at 50 °C for 3 hours under a nitrogen atmosphere. The reaction mixture was cooled to room temperature, treated with l,3-dichloro-5-(3,3,3-trifluoroprop-l -en-2-yl)benzene (1.18g, 4.9 mmol) (prepared according to WO 2005/085216) and triethylamine (0.5ml), stirred at room temperature for 16 hours, treated with water (30 ml), and extracted with ethyl acetate (2 X 50 ml). The combined organic layers were dried over sodium sulfate, concentrated and purified by column chromatography (hexane/ethyl acetate 1 :4 as eluent) to give methyl 4-[3-(3,5-dichlorophenyl)-5-trifluoromethyl-4,5-dihydro-isoxazol-5-yl]-2-nitrobenzoate (1.2 g). 'H-NMR (400 MHz, CDC13): 8.13 (1H, d), 7.95-7.98 (1H, m), 7.68 (1H, d), 7.50 (2H, m), 7.44-7.46 (1H, m), 4.10 (1H, d), 3.95 (3H, s), 3.73 (1H, d) ppm.
Example 11 : Preparation of 4-r3-(3,5-dichlorophenyl)-5-trifluoromethyl-4,5-dihvdro-isoxazol-5-yl1-2- nitrobenzoic acid
A solution of methyl 4-[3-(3,5-dichlorophenyl)-5-trifluoromethyl-4,5-dihydro-isoxazol-5-yl]-2- nitrobenzoate (1 g, 0.43 mmol) and lithium hydroxide (73 mg) in tetrahydrofuran (20 ml) and water (10 ml) was stirred for 1 hour at room temperature. Tetrahydrofuran was then removed and the residue was extracted with ethyl acetate (2 x 25 ml). The combined organic layers were dried over sodium sulfate and concentrated to give 4-[3-(3,5-dichlorophenyl)-5-trifluoromethyl-4,5-dihydro-isoxazol-5-yl]-2- nitrobenzoic acid (0.75 g), 'H-NMR (400 MHz, DMSO): 7.85-7.87 (2H, m), 7.82 (1H, m), 7.66-7.69 (1H, m), 7.61-7.62 (2H, m), 4.22-4.46 (2H, m) ppm.
Example 12: Preparation of 4-[5-(3.5-dichlorophenyl)-5-trifluoromethyl-4H-isoxazol-3-yll-2-nitro-N- (thietan-3 -yPbenzamide
Oxalyl chloride (2 ml) was added dropwise to a solution of 4-[3-(3,5-dichlorophenyl)-5-trifluoromethyl- 4,5-dihydro-isoxazol-5-yl]-2-nitrobenzoic acid (0.1 g, 2.00 mmol) in dichloromethane (5 ml) containing 1 drop of Ν,Ν-dimethylformamide, stirred at room temperature under a nitrogen atmosphere for 4-6 hours, and concentrated. The residue was dissolved in tetrahydrofuran (10 ml), treated with thietan-3 -amine (1 equivalent), triethylamine (2 equivalents) and stirred for 16 hours under a nitrogen atmosphere. The reaction mixture was concentrated and purified by column chromatography to get 4-[5-(3,5- dichlorophenyl)-5-trifluoromethyl-4H-isoxazol-3-yl]-2-nitro-N-(thietan-3-yl)benzamide (0.47 g). lH- NMR (400 MHz, CDC13): 8.2 (1H, d), 8.01 (1H, m), 7.57 (1H, d), 7.45-7.50 (3H, m), 6.58 (1H, d), 5.33- 5.40 (1H, m), 4.12 (1H, d), 3.75 (1H, d), 3.38-3.50 (4H, m) ppm.
Example 13: Preparation of 4-[5-(3.5-dichlorophenyl)-5-trifluoromethyl-4H-isoxazol-3-yll-2-amino-N- (thietan-3 -vDbenzamide (Reference)
A suspension of 4-[5-(3,5-dichlorophenyl)-5-trifluoromethyl-4H-isoxazol-3-yl]-2-nitro-N-(thietan-3- yl)benzamide (40 mg, 0.07 mmol) and iron powder (26 mg) in isopropanol (10 ml) and acetic acid (1ml) was heated at 70°C for 3 hours. Isopropanol was evaporated and the residue was treated with water (10 ml) and extracted with dichloromethane (25 ml). The combined organic layers were dried over sodium sulfate, concentrated, and purified by column chromatography (hexane/ethyl acetate as eluent) to give 4- [5-(3,5-dichlorophenyl)-5-trifluoromethyl-4H-isoxazol-3-yl]-2-amino-N-(thietan-3-yl)benzamide (15 mg). 'H-NMR (400 MHz, CDC13): 7.49 (2H, d), 7.42 (1H, m), 7.34 (1H, d), 6.92-6.94 (2H, m), 6.48 (1H, d) 5.18-5.20 (1H, m), 4.03 (1H, d), 3.64 (1H, d), 3.31-3.41 (4H, m), 0.82 (3H, m) ppm.
Following the same procedure as described for the preparation of methyl 4-formyl-2-nitrobenzoate, methyl 4-formyl-3-nitrobenzoate could be prepared. 'H-NMR (400 MHz, CDC13): 10.44 (1H, s), 8.75 (1H, d), 8.16 (1H, d), 8.39-8.42 (1H, m), 7.99 (1H, d), 4.00 (3H, s) ppm.
Example 15: Preparation of methyl 4-hydroxyiminomethyl-3-nitrobenzoate
O H
Following the same procedure as described for the preparation of methyl 4-hydroxyiminomethyl-2- nitrobenzoate, methyl 4-hydroxyiminomethyl-3-nitrobenzoate was obtained. 'H-NMR (400 MHz, CDC13): 12.08 (1H s), 8.45 (2H, m), 8.23-8.25 (1H, m), 8.03-8.05 (1H, m), 3.91 (3H, s) ppm.
Example 16: Preparation of methyl 4-[3-(3.5-dichlorophenyl -5-trifluoromethyl-4.5-dihydro-isoxazol-5- yll-3-nitrobenzoate (Reference)
Following the same procedure as described for the preparation of methyl 4-[3-(3,5-dichlorophenyl)-5- trifluoromethyl-4,5-dihydro-isoxazol-5-yl]-2-nitrobenzoate, the title compound could be obtained. lH- NMR (400 MHz, CDC13): 8.73 (1H, d), 8.33-8.36 (1H, m), 7.68 (1H, d), 7.44-7.46 (3H, m), 3.96-4.01 (4H, m), 3.69 (1H, d) ppm. Example 17: Preparation of 4-r3-(3,5-dichlorophenyl -5-trifluoromethyl-4,5-dihydro-isoxazol-5-yl1-3- nitro-benzoic acid (Reference)
Following the same procedure as described for the preparation of 4-[3-(3,5-dichlorophenyl)-5- trifluoromethyl-4,5-dihydro-isoxazol-5-yl]-2-nitro-benzoic acid, the title compound could be obtained. ¾-NMR (400 MHz, DMSO): 8.40 (1H, d), 8.19-8.21 (1H, m), 7.81-7.82 (1H, m), 7.70 (1H, d), 7.61 (2H, d), 4.17-4.32 (2H, m) ppm.
Example 18: Preparation of 4-[5-f3.5-dichlorophenyl -5-trifluoromethyl-4H-isoxazol-3-yll-3-nitro-N- (thietan-3 -yPbenzamide (Reference)
Following the same procedure as described for the preparation of 4-[5-(3,5-dichlorophenyl)-5- trifluoromethyl-4H-isoxazol-3-yl]-2-nitro-N-(thietan-3-yl)benzamide, the title compound could be obtained. 'H-NMR (400 MHz,CDCl3): 8.47 (1H, d), 8.11-8.13(1H, m), 7.66 (1H, d), 7.45 (3H, d), 6.98 (1H, d), 5.40-5.46 (1H, m), 4.11 (1H, d), 3.98 (1H, d), 3.39-3.48 (4H, m) ppm.
To a solution of epithiochlorohydrine (2.7 g) in benzene (10 ml) was added at room temperature a solution of potassium cyanide (4 g) in water (10 ml). The resulting mixture was heated to 50°C for 12 hours. The mixture was extracted with benzene then the organic phase was washed with aqueous saturated sodium hydrogenocarbonate solution then water and brine. The organic phase was dried with sodium sulphate then the solvent was evaporated to dryness to give the crude residue as a yellow oil (1.76g). 1 g of the crude was purified by a flash chromatography to obtain the title product as a brown solid (0.5 g). 'H-NMR (CDC13, 400 MHz): 3.25-3.35 (m, 2H), 3.65-3.75 (m, 2H), 4.10-4.25 (m,lH). lU- NMR (CDC13, 100 MHz) 27.3 (1C), 28.7 (2C), 119.7(1C). GCMS (Method C): rt =5.07 min (87%) m/z: [M-CN]+= 73; [M+l]+ = 100.
Example 20: Preparation of 4 thietane-3-carbonitrile
To a solution of epithiochlorohydrine (5.4 g) in tetrahydrofuran (20 ml) was added at room temperature a solution of potassium cyanide (4.9 g) in water (20 ml). The resulting mixture was heated to 50°C for 12 hr. The mixture was extracted with tetrahydrofuran then the organic phase was washed with aqueous saturated sodium hydrogenocarbonate solution then water and brine. The organic phase was dried with sodium sulphate then the solvent was evaporated to dryness to give the crude title product as a violet oil (3.75g), which was analysed by NMR and GCMS and contained ca 10% of 2-aminothiophene.
Example 21 : Preparation of thietan-3-ylmethanamine
To a solution of lithium aluminium hydride (540 mg) in diethyl ether (30ml) was added in a suspension of thietane-3-carbonitrile (1.4 g) in diethyl ether (30ml) at 0°C then the mixture was stirred at room temperature for 30 min. The mixture was then diluted with ether (50ml), cooled to 0°C then water (0.55 ml), 15% aqueous sodium hydroxide (0.55ml) and water (1.60 ml) were added. The mixture was allowed to warm to room temperature and stirred for 15 min. Anhydrous magnesium sulphate was added and stirring was continued for 15 min, then the suspension was filtered on a celite pad. The solvent was evaporated to dryness to give the crude title product as an oil (980 mg). 'H-NMR (CDC13, 400 MHz): 3.21 (m, 3H); 3.00 (m, 2H); 2.86 (m, 2H).
To a solution of thietan-3-one (900 mg) in 10 ml of dry methylene chloride was added a solution of (triphenylphosphoranylidene)acetonitrile (3.31 g) in 20 ml of dry methylene chloride at 0°C. The solution was allowed to warm to room temperature and after stirring for 15 min the solvent was removed under reduced pressure. The residue was purified by a flash chromatography (silica gel: Dichloromethane as an eluant) to give the title compound (785 mg) as a yellow-brown oil. GC/MS (Method C): rt =2.89 min (54.7 %) m/z: [M+l]+ = 112. 'H-NMR (CDC13, 400 MHz): 5.11 (m, 1H), 4.15 (m, 2H), 4.03 (m, 2H).
Example 23: Preparation of 2-(thietan-3-yl)acetonitrile
N
To a stirred solution of 2-(thietan-3-ylidene)acetonitrile (2.775 g) in dry methanol (250 mL), cooled to 0°C, was added sodium borohydride (9.250 g) in small portions over 30 min. The reaction mixture was allowed to warm to room temperature and stirred for a further hour.
The solvent was removed under reduced pressure. The purple residue was dissolved in ethyl acetate (50 ml) and extracted with saturated sodium hydrogenocarbonate (2x50 ml). The organic layer, dried over sodium sulphate, filtered and the solvent was removed under reduced pressure to yield a oil yellow. The residue was purified by a flash chromatography (silica gel: cyclohexane/ethyl acetate as an eluant) to give the title compound (2.2 g) as a yellow oil. GC/MS (Method C): rt =5.99 min (100 %) m/z: [M+l]+ = 114. 'H-NMR (CDCI3, 400 MHz): 3.56 (m, 1H), 3.35 (dd, 2H), 3.09 (dd, 2H), 2.55 (d, 2H).
To a solution of lithium aluminium hydride (76 mg) in diethyl ether (4 ml) was added in a suspension of 2-(thietan-3-yl)acetonitrile (226 mg) in diethyl ether (30ml) at 0°C then the mixture was stirred at room temperature until the end of the gas evolution. The mixture was then diluted with ether (6 ml), cooled to 0°C then water (0.08 ml), 15% aqueous sodium hydroxide (0.08ml) and water (0.25 ml) were added. The mixture was allowed to warm to room temperature and stirred for 15 min. Anhydrous magnesium sulphate was added and stirring was continued for 15 min, then the suspension was filtered on a celite pad. The solvent was evaporated to dryness to give the crude title product as a brown oil (196 mg). 'H- NMR (CDCI3, 400 MHz): 3.4-3.35 (m, 1H); 3.20-3.10 (2H); 3.1 -3.0 (m, 2H); 2.6 (m, 2H). GC/MS (Method C): rt =5.80 min (90 %) m/z: [M+l]+ = 118.
To a solution of 4-amino-3-hydroxybutyric acid (1.9 g) in aqueous 1M sodium hydroxide (35 ml) di-tert- butyl dicarbonate dissolve in dioxane (10ml) was added drop wise. The reaction mixture was stirred at ambient temperature for72 hours. Dioxane was evaporated and the pH was adjusted to 2-3 by adding 1M hydrochloric acid . The mixture was extracted three times with ethyl acetate. The organic phases were combined, dried over anhydrous sodium sulfate and concentrated. The residue was purified over silica gel (ethyl acetate / methanol 1 : 1) to give 4-tert-butoxycarbonylamino-3-hydroxy-butyric acid (3.42 g).
'H-NMR (CDCI3, 400 MHz): 5.05 (s, 1H), 4.07 (s, 1H), 3.28 (m, 1H), 3.10 (s, 1H), 2.48 (m, 2H), 1.40 (s, 9H).
Example 26: Preparation of (2.4-Dihydroxy-butyl)-carbamic acid tert-butyl ester
To a borane tetrahydroiuran complex solution IM in tetrahydroiuran (15ml) was added at 0°C under an atmosphere of argon a solution of 4-tert-butoxycarbonylamino-3-hydroxy-butyric acid (1.5 g) in tetrahydroiuran (35ml). The reaction mixture was stirred at 0°C for 3 hours. The reaction was quenched by drop wise addition of 10% acetic acid in methanol (30ml). Ethyl acetate was added (250ml) and the mixture was washed with IM hydrochloric acid (60ml) and IM sodium hydrogenocarbonate (80ml). The organic phase was dried over anhydrous sodium sulfate and concentrated. The residue was purified over silica gel (ethyl acetate / methanol 9:1) to give (2,4-dihydroxy-butyl)-carbamic acid tert-butyl ester (0.83 g).
'H-NMR (CDCI3, 400 MHz): 5.02 (s, 1H), 3.95 (s, 1H), 3.88 (m, 2H), 3.25 (m, 1H), 3.15 (m, 1H), 1.70 (m, 2H), 1.45 (s, 9H). Example 27: Preparation of methanesulfonic acid l-(tert-butoxycarbonylamino-methyl)-3- methanesulfonyloxy-propyl ester
To a solution of (2,4-Dihydroxy-butyl)-carbamic acid tert-butyl ester in dichloromethane (15 ml) was added triethylamine (1.96 ml). The reaction mixture was cooled to 0°C and methanesulfonyl chloride (0.82 ml) was added drop wise. The mixture was stirred at 0°C for 2 hours. The mixture was filtered and dichloromethane was added (200ml). The mixture was washed with 0.2M hydrochloric acid (50 ml), water (30 ml) and 0.2M sodium carbonate (50ml). The organic phase was dried over anhydrous sodium sulfate and concentrated to give crude methanesulfonic acid l-(tert-butoxycarbonylamino-methyl)-3- methanesulfonyloxy-propyl ester (1.24 g) which was used in the next step without further purification. 'H-NMR (CDCI3, 400 MHz): 4.95 (m, 1H), 3.85 (m, 2H), 3.95 (m, 2H), 3.10 (m, 6H), 2.15 (m, 2H), 1.45
(s, 9H).
Example 28: Preparation of thietan-2-ylmethyl-carbamic acid tert-butyl ester
To a solution of crude methanesulfonic acid l-(tert-butoxycarbonylamino-methyl)-3- methanesulfonyloxy-propyl ester (1.24 g) in methanol (25 ml) was added sodium sulfide monohydrate (0.84 g). The reaction mixture was stirred at 40°C for 3 hours. The methanol was partially removed by distillation. Water was added and the mixture was extracted three times with ethyl acetate. The organic phases were combined, dried over anhydrous sodium sulfate and concentrated. The residue was purified over silica gel (ethyl acetate / heptanes, from 1 :4 to 1 : 1) to give thietan-2-ylmethyl-carbamic acid tert- butyl ester (0.15 g).
'H-NMR (CDCI3, 400 MHz): 4.95 (s, 1H), 3.70 (m, 1H), 3.40 (m, 2H), 3.15 (m, 1H), 3.05 (m, 1H), 2.95 (m, 1H), 2.60 (m, 1H), 1.45 (s, 9H).
To a solution of thietan-2-ylmethyl-carbamic acid tert-butyl ester (2 g) in diethyl ether (20 ml) was added 2M hydrochloric acid in diethyl ether (24.5 ml) at 0°C. The reaction mixture was allowed to warm to ambient and stirred for 72 hours. The diethyl ether was removed by distillation. The residue was washed with hexane and filtered to give thietan-2-yl-methylamine hydrochloride (1.11 g).
'H-NMR (D2O, 400 MHz): 4.95 (m, 1H), 3.35 (m, 2H), 3.25-3.05 (m, 3H), 2.65 (m, 1H).
Example 30: Method for preparing compounds of the invention from a carboxylic acid
4-[5-(3.5-dichlorophenyl)-5-(trifluoromethyl)-4H-isoxazol-3-yll-2-methyl-N-(thietan-3- ylmethyPbenzamide
To a suspension of 4-[5-(3,5-dichloro-phenyl)-5-trifluoromethyl-4,5-dihydro-isoxazol-3-yl
]-benzoic acid (836 mg, prepared as described for example in WO200/9080250) in dichloromethane (30 ml) was added oxalyl chloride (280 mg) and then one drop of Ν,Ν-dimethylformamide. The reaction mixture stirred at room temperature until the solids were dissolved, and the solvent was evaporated in vacuo to give a solid, which was dissolved in dichloromethane (10 ml) and the resulting solution added dropwise to a solution of triethylamine (0.5 ml) and thietan-3ylmethanamine (example B, 250 mg) in dichloromethane (20ml) at room temperature, under argon. The reaction was stirred overnight at room temperature, diluted with water, and the organic layer washed with IN hydrochloric acid solution, then with IN sodium hydroxide solution, then with brine. The organic phase dried over anhydrous sodium sulfate, filtered and concentrated in vacuo. Purification by column chromatography (eluent heptane / ethyl acetate) afforded the title compound as a solid (570 mg). 'H-NMR (CDCI3, 400 MHz): 7.60-7.40 (m, 6H),
6.02 (m, 1H), 4.10 (d, 1H), 3.70 (d, 1H), 3.65 (t, 2H), 3.55 (m, 1H), 3.33 (t, 2H), 3.05 (dd, 2H), 2.50 (s, 3H).
Example 31 : Preparation of 4-[5-f3.5-dichlorophenyl -5-ftrifluoromethylN)-4H-isoxazol-3-yll-2-methyl-N- (1.1 -dioxo hietan-3-ylmethyl)benzamide
To a solution of 4-[5-(3,5-dichlorophenyl)-5-(trifluoromethyl)-4H-isoxazol-3-yl]-2-methyl-N-(thietan-3- ylmethyl)benzamide (505 mg) in dichloromethane (50 ml) at 0°C was added a solution of sodium hydrogenocarbonate (504 mg) in water (10 ml) then 3-chloroperbenzoic acid (70% w/w, 615 mg). The resulting mixture was allowed to stir at room temperature for 1 hour. The reaction mixture was then extracted with dichloromethane then the organic phase was washed twice with water, dried over anhydrous sodium sulfate, filtered and evaporated to give the crude product as a solid. Purification by chromatography using the ISCO Rf machine (dichloromethane then 5% methanol) afforded the title product (300 mg) as a white solid. 'H-NMR (CDC13, 400 MHz): 7.60-7.40 (m, 6H), 6.25 (m, 1H), 4.30 (dd, 2H), 4.10 (d, 1H), 4.00 (dd, 2H), 3.75 (t, 2H), 3.72 (d, 1H), 3.00 (m, 1H), 2.50 (s, 3H).
Example 32: General method BOP T°C for preparing the compounds of the invention in parallel
This general method was used to prepare a number of compounds in parallel.
To a solution of the appropriate carboxylic acid (30 μτηοΐ), for example 4-[5-[3,5- bis(trifluoromethyl)phenyl]-5-(trifluoromethyl)-4H-isoxazol-3-yl]-2-methyl-benzoic acid
(made as described in WO2009080250) for Compound Al of Table A, in NN-dimethylacetamide ("DMA") (0.4 ml) was added a solution of the appropriate amine (36 μτηοΐ), for example 3-methyl- thietan-3-ylamine (made as described in WO 2007/080131) for Compound Al of Table A, in NN- dimethylacetamide (0.145 ml) followed by diisopropylethylamine (Hunig's base) (0.04 ml, 60 μιηοΐ) and a solution of bis(2-oxo-3-oxazolidinyl)phosphonic chloride ("BOP-C1") (15.3 mg) in NN- dimethylacetamide (0.2 ml). The reaction mixture was stirred for 16 hours at T°C. Then the mixture was diluted with acetonitrile (0.6 ml) and a sample was used for the LC-MS analysis. The remaining mixture was further diluted with acetonitrile / NN-dimethylformamide (4: 1) (0.8 ml) and purified by HPLC to give the desired compound.
Example 33: General Suzuki method for preparing the compounds of the invention in parallel
This general method was used to prepare a number of compounds in parallel.
In a microwave vial, the appropriate boronic acid (2eq.), for example (3-ethoxyphenyl)boronic acid, is introduced. Then, a suspension of the appropriate halogeno compound (0.5 mL from a solution of 0.019 mmol in 9.5mL of acetonitrile), for example 4-[5-(3-bromo-5-chloro-phenyl)-5-(trifluoromethyl)-4H- isoxazol-3-yl]-2-methyl-N-(l -oxothietan-3-yl)benzamide is added followed by 0.3mL of acetonitrile, potassium carbonate (14eq.) and a suspension of PdCl2(PPh3)2 (0.2 mL from a solution of 56.7 mg in 5mL of acetonitrile).The vials are flushed with argon and sealed, the suspension was heated for 700s at 120°C in a microwave.After removing the solvent of the reaction, the crude residue as extracted with 2 mL of ethyl acetate and 2 mL of water. The organic layer is then filtered and then concentrated under vacuo. The crude residue was dissolved in 0.8mL of DMF and purified on preparative chromatography to give the desired compound.
Example 34: Preparation of 2-methyl-N-(l -oxothietan-3-yl)-4-r(5S)-5-(3,4,5-trichlorophenyl)-5-
Step A: tert-butyl 2-methyl-4-[(5S)-5-(3,4,5-trichlorophenyl)-5-(trifluoromethyl)-4H-isoxazol-3- yl]benzoate
A 1500 mL reaction- vessel was charged at RT with l-Anthracen-9-ylmethyl quininium chloride 13.77 mmol, 7.59 g) and tert-butyl 2-methyl-4-[(Z)-4,4,4-trifluoro-3-(3,4,5-trichlorophenyl)but- 2-enoyl]benzoate (68.87 mmol, 34 g) and dissolved in chloroform (700 mL). The mixture cooled down to -30°C. Then, a solution of hydroxylamine (50 mass% in H20, 9.1 g) in water (50.9 mL) and cesium hydroxide hydrate (185.9 mmol, 32.88 g) in water (60 mL) were added simultaneously dropwise to the reaction mixture over 30 min. After the addition the reaction was kept 16h at -30°C after which time the conversion was complete.
The reaction was brought to room temperature diluted with dichloromethane and washed three times with water. The organic phase was dried over MgS04 and evaporated to yield crude title product. The product was purified over a silica gel column (eluent: EtOAc /Heptane) to obtain 39.0 g of the title product. LCMS (Method GR): RT 1.44 min, no ionisation: 1H NMR (400 MHz, CDC13) 16.0 (s, 9H), 2.60 (s, 3H), 3.70 (d, 1H), 4.10-4.20 (m, 2H), 7.25-7.90 (m, 5H), 19F- NMR (CDCI3, 376 MHz): -79.40.
Step B: 2-methyl-4-[(5S)-5-(3,4,5 richlorophenyl)-5-(trifluoromethyl)-4H-isoxazol-3-yl]benzoic acid
To a solution of tert-butyl 2-methyl-4-[(5S)-5-(3,4,5-trichlorophenyl)-5-(trifluoromethyl)-4H- isoxazol-3-yl]benzoate (64.87 mmol, 33 g) in dichloromethane (300 mL) was added
trif uoroacetic acid (389.2 mmol, 44.6 g) at 0°C. After addition the reaction was brought to room temperature and the mixture stirred over night after which time LC-MS analysis showed a complete conversion. The crude mixture was concentrated and the residue dissolved in 300 mL of ethylacetate, washed with brine, dried over MgS04 and evaporated to yield crude title product which was purified over a silica gel column (eluent: CH2C12 / EtOAc) to obtain the desired product as pale yellow foam. LCMS (Method GR) RT 1.23 min, [M+H]+ 450/452; 1H-NMR (CDCI3, 400 MHz): 2.7 (s, 3H), 3.70 (d, 2H), 4.10 (d, 2H), 7.60 (s, 3H), 7.01 (d, IH), 8.15 (d, 2H), 7.01 (d, IH), 8.15 (d, 2H), 11.40 (s, IH); 19F-NMR (CDC13, 376 MHz): -79.38. Step C: 2-methyl-N-(thietan-3-yl)-4-[(5S)-5-(3,4,5-trichlorophenyl)-5-(trifluoromethyl)-4H-isoxazol-3- ljbenzamide
To a solution of 2-methyl-4-[(5S)-5-(3,4,5-trichlorophenyl)-5-(trifluoromethyl)-4H-isoxazol-3- yljbenzoic acid (28.72 mmol, 13 g) in dichloromethane (lOOmL) and N,N-dimethylformamide (0.2867 mmol, 0.0210 g) was added oxalyl chloride (4.836 g) dropwise at room temperature and under argon (the liberated hydrochloric acid gas was scrubbed with a sodium hydroxide 0.5N solution). The mixture was stirred at room temperature for 1 h and at 30°C for 20 min until the gas evolution ceased. The reaction mixture was concentrated to dryness and redissolved in dichloromethane (lOOmL), triethylamine (71.81 mmol, 7.340 g) was added at 0-5 °C under argon followed by dropwise addition of thietan-3 -amine (28.72 mmol, 2.561 g). The mixture was allowed to warm to room temperature and stirred for 16 h. The mixture was extracted with aqueous hydrochloric acid (0.5N), water, brine, dried over MgS04, filtered and evaporated affording the crude product. Purification over silica gel (eluent: CH2C12 / EtOAc) yielded the title compound. LCMS (Method GR) RT 1.25 min, [M+H]+ 523/525; 1H-NMR (CDC13, 400 MHz): 2.45 (s, 3H), 3.35 (m, 2H), 3.50 (m, 2H), 3.60 (d, IH), 74.10 (d, IH), 5.40 (q, IH), 6.20 (d, NH), 7.40 (s, IH), 7.51 (d, IH), 7.40 (s, IH), 7.50 (s, 2H), 7.65 (s, 2H). 19F-NMR (CDC13, 376 MHz): -79.43.
Step D: 2-methyl-N-(l-oxidothietan-l-ium-3-yl)-4-[(5S)-5-(3,4,5-trichlorophenyl)-5-(trifluorom
To a suspension of 2-methyl-N-(thietan-3-yl)-4-[(5S)-5-(3,4,5-trichlorophenyl)-5- (trifluoromethyl)-4H-isoxazol-3-yl]benzamide in dichloromethane (92 mL) was added m-CPBA (24.3 mmol, 5.58 g) portion wise at 0-5 °C, and the reaction mixture was stirred for 10 min. A saturated Na2S203 solution was added, and the mixture was stirred for 10 min. The organic layer was washed with sat. NaHC03 solution, water and brine, dried over MgS04, filtered and evaporated. Purification over silica gel (eluent: CH2C12 / EtOAc) yielded the title compound. LCMS (Method GR) 1.13 min, M+ 539/541 ; 1H NMR (400 MHz, CDC13) 2.50 (s, 3H), 3.28 (m, 1H), 3.70 (d, 1H), 4.10-4.20 (m, 4H), 4.70 (m, 1H), 6.50 (d, 1H), 7.40-7.70 (Id + 4s, 5H), 19F- NMR (CDC13, 376 MHz): -79.43.
Chiral HPLC method
Column: Daicel CHIRALPAK® IB, 3μιη, 0.46cm x 10cm
Mobile phase: Heptan/EtOH 80/20
Retention times of eluting isomers: 4.85 min (8.2%) 5.66 min (91.8%).
Similarly, N-(l ,l-dioxothietan-3-yl)-2-methyl-4-[(5S)-5-(3,4,5-trichlorophenyl)-5- (trifluoromethyl)-4H-isoxazol-3-yl]benzamide could be obtained: LCMS (Method GR) 1.17 min, M+ 553/555; 19F-NMR (CDC13, 376 MHz): -79.44.
Example 35: Preparation of 4-[f5S -5-f3.5-dichloro-4-fluoro-phenyl -5-ftrifluoromethylN)-4H-isoxazol-3- yl] -N-( 1.1 -dioxothietan-3 -yl -2-methyl-benzamide
Step A: tert-butyl 4-[(£')-3-(3,5-dichloro-4-fluoro-phenyl)-4,4,4-trifluoro-but-2-enoyl]-2-methyl-benzoate
A 250 niL reaction-vessel equipped with a Dean-Stark apparatus was charged with tert-butyl 4-[(E)-3- (3,5-dichloro-4-fluoro-phenyl)-4,4,4-trifluoro-but-2-enoyl]-2-methyl-benzoate (19.7 g, 45.3 mmol) and dissolved in toluene (120 mL) followed by addition of tert-butyl 4-acetyl-2-methyl-benzoate (11.7 g, 49.8 mmol) and triethylamine (0.638 mL). Then potassium carbonate (4 g) was added reaction stirred at reflux for 4 h at which time another portion of potassium carbonate (4 g) was added and the reaction mixture was stirred over night at reflux. LC-MS showed an almost complete conversion to desired product. The reaction mixture was concentrated to 50 mL and diluted with 500mL dichloromethane and washed with water two times. The organic layer was dried over MgSO i, evaporated to yield 24.2 g of the crude title product. The product was purified over a silica gel column (eluent: EtOAc /Heptane) to obtain 12.8 g of the title product.
LCMS (Method GR) RT 1.38 min; 'H-NMR (CDC13, 400 MHz): 1.6 (s, 9H), 2.6 (s, 3H), H), 7.2 (d, 2H), 7.40 (s, 1H), 7.6 (s, 2H), 7.8 (d, 1H). 19F NMR (CDC13, 376 MHz): -66.68, -113.
Step B: tert-butyl 4-[(5S)-5-(3,5-dichloro-4-fluoro-phenyl)-5-(trifluoromethyl)-4H-isoxazol-3-yl]-2- meth l-benzoate
A 1500 mL reaction- vessel was charged at room temperature with 1 -Anthracen-9-ylmethyl quininium chloride (2.93 g, 5.32 mmol) and tert-butyl 4-[(E)-3-(3,5-dichloro-4-fluoro-phenyl)-4,4,4-trifluoro-but-2- enoyl]-2-methyl-benzoate (12.7 g, 26.6 mmol) and dissolved in chloroform (700 mL). The mixture cooled down to -20°C. Then, a solution hydroxylamine (50 mass% in water, 3.3 mL) in water (16.7 mL) and cesium hydroxide (10.8 g, 71.8 mmol) in water (20 mL) were added simultaneously dropwise to the
reaction mixture over 12 min. After the addition the reaction was kept 1.5 h at -20°C after which time the conversion was complete.
The reaction was brought to room temperature diluted with dichloromethane and washed three times with water. The organic phase was dried over MgSC^ and evaporated to yield 24.2 g of the crude title product. The product was purified over a silica gel column (eluent: EtOAc /Heptane) to obtain 12.6gr of the title product.
LCMS (Method GR) Rt 1.4 min.; 'H-NMR (CDC13, 400 MHz): 1.6 (s, 9H), 2.6 (s, 3H), 3.7 (d, 1H), 4.2 (d, 1H), 7.40 (d, 2H), 7.6 (d, 2H), 7.8 (d, 1H). "F-NMR (CDC13, 376 MHz): -79.6, -113. EtOAc /Heptane 4-[(5S)-5-(3,5-dichloro-4-fluoro-phenyl)-5-(trifluoromethyl)-4H-isoxazol-3-yl]-2- meth l-benzoic acid
A lOOmL vessel was charged with tert-butyl 4-[(5S)-5-(3,5-dichloro-4-fluoro-phenyl)-5- (trifluoromethyl)-4H-isoxazol-3-yl]-2-methyl-benzoate (3.1 g, 6.3 mmol) and dissolved in CH2C12 (30 mL) and then cooled down to 0°C. To this mixture 2,2,2-trifluoroacetic acid (4.3 g, 38 mmol) was added over 1 Omin. After addition the reaction was brought to room temperature and the mixture stirred over night after which time LC-MS analysis showed a complete conversion.
The crude mixture was concentrated and the residue dissolved in 300mL of ethylacetate, washed with brine, dried over MgSC^ and evaporated to yield 2.7g of the crude title product which was directly used for the step D.
LCMS (Method GR) RT 1.19 min, [M-H]+434; 'H-NMR (CDC13, 400 MHz): 2.6 (s, 3H), 3.68 (d, 1H), 4.10 (d, 1H), 7.6 (t, 4H), 8.2 (d, 1H), 11.5(s,lH) "F-NMR (CDC13, 376 MHz): -79.6, -114.
Ste D: 4-[(5S)-5-(3,5-dichloro-4-fluoro-phenyl)-5-(trifluoromethyl)-4H-isoxazol-3-yl]-N-(l,l- dioxothietan-3 - l) -2 -methyl -benzamide
A lOOmL vessel was charged with 1,1 -dioxothietan-3 -amine hydrochloride (1.2g) in 25mL of N,N- dimethylformamide followed by successive addition of triethylamine (2.1 mL), hydroxyazabenzotriazole (lg), l-Ethyl-3-(3-dimethylaminopropyl)carbodiimide (1.4g) and 4-[(5S)-5-(3,5-dichloro-4-fluoro- phenyl)-5-(trifluoromethyl)-4H-isoxazol-3-yl]-2-methyl-benzoic acid (2.6g) dissolved in N,N-
dimethylformamide (5mL). The mixture was then stirred overnight at room temperature. The reaction mixture was diluted in 600mL of ethyl acetate, washed 3-times with 500mL of brine, then with 0.5N HCl cold, dried over MgS04 and evaporated to yield 4.6g of the crude title compound. The product was purified over a silica gel column (eluent: CH2CI2 / EtOAc) to yield 2g of the title compound.
LCMS (Method GR) RT 1.13 min, [M-H] 536,537,539,541
1H-NMR (CDCI3, 400 MHz): 2.50 (s, 3H), 3.7 (d, 1H), 4.02 (m, 3H), 4.7 (m, 2H), 4.9 (m, 1H), 6.5 (d, 1H), 7.4 (d, 1H), 7.5 (d, 2H), 7.6 (d, 2H). 19F-NMR (CDC13, 376 MHz): -79.4, -1 15. Mp: 134°-136°C. Chiral HPLC method
Column: Daicel CHIRALPAK® IB, 3μιη, 0.46cm x 10cm
Mobile phase: Hept/EtOH/DEA: 80/20 /0.1%
Flow rate: l .O ml/min
Retention times of eluting isomers: 7.15min (11.3%) 9.31min (87.1%).
Example 36: Preparation of 2-chloro-4-r(5S -5-(3,5-dichlorophenyl -5-(trifluoromethyl -4H-isoxazol-3- yll -Ν-Π -oxidothietan- 1 -ium-3 -yl benzamide
lU NMR (DMSO-d6 ,400MHz): δ = 9.17 (d, J=7.3 Hz, 1 H), 7.82 - 7.87 (m, 2 H), 7.79 (dd, J=7.9, 1.7 Hz, 1 H), 7.56 - 7.67 (m, 3 H), 4.44 (s, 1 H), 4.38 (s, 2 H), 4.05 - 4.19 (m, 2 H), 3.22 ppm (dd, J=12.3, 10.1 Hz, 2 H).
Chiral HPLC analysis:
HPLC:Waters UPLC - HClass
DAD Detector Waters UPLC
Column: Daicel CHIRALPAK® IB, 3μιη, 0.46cm x 10cm
Mobile phase: Heptan/EtOH 90/10
Flow rate: 1 ml/min
Detection: 266nm
Sample concentration: lmg/mL in Heptan/2-Propanol 50/50
Injection: 2μΕ
1st eluting isomer: 13.99 min (25.9 %), 2nd eluting isomer: 15.51 min (74.1%)
Example 37: Preparation of 5-r(5S -5-(3,5-dichlorophenyl -5-(trifluoromethyl -4H-isoxazol-3-yl1-3- meth l-N-fl -oxidothietan-l-ium-3-yl pyridine-2-carboxamide (Reference)
lU NMR (CDC13, 400MHz): δ = 8.69 (d, J=1.5 Hz, 1 H), 8.52 (d, J=8.1 Hz, 1 H), 7.83 - 7.94 (m, 1 H), 7.48 - 7.57 (m, 2 H), 7.40 - 7.48 (m, 1 H), 4.58 (d, J=7.7 Hz, 1 H), 4.05 - 4.24 (m, 3 H), 3.74 (d, J=17.2 Hz, 1 H), 3.25 - 3.43 (m, 2 H), 2.77 ppm (s, 3 H). m.p.=221-240°C.
Chiral HPLC analysis:
HPLC: Waters UPLC - HClass
DAD Detector Waters UPLC
Column: Daicel CHIRALPAK® IB, 3μιη, 0.46cm x 10cm
Mobile phase: EtOH/MeOH 50/50
Flow rate: 1 ml/min
Detection: 266nm
Sample concentration: lmg/mL in Heptan/2-Propanol 50/50
Injection: 2μΕ
1st eluting isomer: 2.82 min (83.6 %), 2nd eluting isomer: 4.10 min (16.4%)
LC/MS methods:
Method A:
ACQUITY SQD Mass Spectrometer from Waters (Single quadrupole mass spectrometer)
Ionisation method: Electrospray
Polarity: positive ions
Capillary (kV) 3.00, Cone (V) 20.00, Extractor (V) 3.00, Source Temperature (°C) 150, Desolvation Temperature (°C) 400, Cone Gas Flow (L/Hr) 60, Desolvation Gas Flow (L/Hr) 700
Mass range: 100 to 800 Da
DAD Wavelength range (nm): 210 to 400
5 Method Waters ACQUITY UPLC with the following HPLC gradient conditions
(Solvent A: Water/Methanol 9:1,0.1% formic acid and Solvent B: Acetonitrile,0.1 % formic acid ) Type of column: Waters ACQUITY UPLC HSS T3; Column length: 30 mm; Internal diameter of column: 2.1 mm; Particle Size: 1.8 micron; Temperature: 60°C.
Time (minutes) A (%) B (%) Flow rate (ml/min)
0 100 0 0.75
2.5 0 100 0.75
2.8 0 100 0.75
3 100 0 0.75
10 Method B:
ZQ Mass Spectrometer from Waters (single quadrupole mass spectrometer), ionization method:
electrospray, polarity: positive ionization, capillary (kV) 3.00, cone (V) 30.00, extractor (V) 3.00, source temperature (°C) 100, desolvation temperature (°C) 200, cone gas flow (L/Hr) 200, desolvation gas flow (L/Hr) 250, mass range: 150 to 800 Da.
15 11 OOer Series HPLC from Agilent: quaternary pump, heated column compartment and diode-array detector.
Column: Waters Atlantis del 8; length: 20 mm; internal diameter: 3 mm; particle size: 3 μιη, temperature (°C) 40, DAD wavelength range (nm): 200 to 500, solvent gradient: A = 0.1% of formic acid in water and B: 0.1%> of formic acid in acetonitrile.
Time (minutes) A (%) B (%) Flow rate (ml/min)
0.0 90 10 1.7
5.5 0.0 100 1.7
5.8 0.0 100 1.7
5.9 90 10 1.7
20
Method C:
ZMD Mass Spectrometer from Waters (Single quadrupole mass spectrometer)
Ionisation method: Electrospray
Polarity: positive ions
25 Capillary (kV) 3.00, Cone (V) 30.00, Extractor (V) 3.00, Source Temperature (°C) 150, Desolvation Temperature (°C) 320, Cone Gas Flow (L/Hr) 50, Desolvation Gas Flow (L/Hr) 400
Mass range: 150 to 800 Da
Column: Waters Atlantis del 8; length: 20 mm; internal diameter: 3 mm; particle size: 3 μιη, temperature (°C) 40, DAD wavelength range (nm): 200 to 500,
Waters Alliance 2795 LC with the following HPLC gradient conditions (Solvent A: 0.1% of formic acid in water and Solvent B: 0.1% of formic acid in acetonitrile)
Time (minutes) A (%>) B (%>) Flow rate (ml/min)
0 80 20 1.7
5 0 100 1.7
5.6 0 100 1.7
6 80 20 1.7
Method D:
ZQ Mass Spectrometer from Waters (single quadrupole mass spectrometer), ionization method:
electrospray, polarity: positive ionization, capillary (kV) 3.00, cone (V) 30.00, extractor (V) 3.00, source temperature (°C) 100, desolvation temperature (°C) 200, cone gas flow (L/Hr) 200, desolvation gas flow (L/Hr) 250, mass range: 150 to 800 Da.
11 OOer Series HPLC from Agilent: quaternary pump, heated column compartment and diode-array detector.
Column: Waters Atlantis del 8; length: 20 mm; internal diameter: 3 mm; particle size: 3 μιη, temperature (°C) 40, DAD wavelength range (nm): 200 to 500, solvent gradient: A = 0.1%> of formic acid in water and B: 0.1%> of formic acid in acetonitrile.
Time (minutes) A (%>) B (%>) Flow rate (ml/min)
0 80 20 1.7
2.5 0 100 1.7
2.8 0 100 1.7
2.9 80 20 1.7
Method E:
ZMD Mass Spectrometer from Waters (Single quadrupole mass spectrometer)
Ionisation method: Electrospray
Polarity: positive ions
Capillary (kV) 3.00, Cone (V) 30.00, Extractor (V) 3.00, Source Temperature (°C) 150, Desolvation Temperature (°C) 320, Cone Gas Flow (L/Hr) 50, Desolvation Gas Flow (L/Hr) 400
Mass range: 150 to 800 Da
Column: Waters Atlantis del 8; length: 20 mm; internal diameter: 3 mm; particle size: 3 μιη, temperature (°C) 40, DAD wavelength range (nm): 200 to 500,
Waters Alliance 2795 LC with the following HPLC gradient conditions (Solvent A: 0.1 % of formic acid in water and Solvent B: 0.1 %> of formic acid in acetonitrile)
Time (minutes) A (%>) B (%>) Flow rate (ml/min)
0 80 20 1.7
2.5 0 100 1.7
2.8 0 100 1.7
2.9 80 20 1.7
Method e:
ZQ Mass Spectrometer from Waters (Single quadrupole mass spectrometer)
Instrument Parameter:
Ionisation method: Electrospray
Polarity: positive ions
Capillary (kV) 3.00, Cone (V) 30.00, Extractor (V) 2.00, Source Temperature (°C) 100, Desolvation Temperature (°C) 250, Cone Gas Flow (L/Hr) 50, Desolvation Gas Flow (L/Hr) 400
Mass range: 150 to 1000 Da
HP 1100 HPLC from Agilent: solvent degasser, quaternary pump (ZCQ) / binary pump (ZDQ), heated column compartment and diode-array detector.
Column: Phenomenex Gemini CI 8, 3 μιη, 30 x 3 mm,
Temp: 60 °C
DAD Wavelength range (nm): 200 to 500
Solvent Gradient:
A = water + 0.05 % HCOOH
B= Acetonitril/Methanol (4: 1, v:v) + 0.04 % HCOOH
Time A% B% Flow (ml/min)
0.00 95.0 5.0 1.700
2.00 0.0 100.0 1.700
2.80 0.0 100.0 1.700
2.90 95.0 5.0 1.700
3.00 95.0 5.0 1.700 Method h:
ZMD Mass Spectrometer from Waters (Single quadrupole mass spectrometer)
Instrument Parameter:
Ionisation method: Electrospray
Polarity: positive (negative) ions
Capillary (kV) 3.80, Cone (V) 30.00, Extractor (V) 3.00, Source Temperature (°C) 150, Desolvation Temperature (°C) 350, Cone Gas Flow (L/Hr) OFF, Desolvation Gas Flow (L/Hr) 600
Mass range: 100 to 900 Da
HP 1100 HPLC from Agilent: solvent degasser, binary pump, heated column compartment and diode- array detector.
Column: Phenomenex Gemini CI 8, 3 μιη, 30 x 3 mm,
Temp: 60 °C
DAD Wavelength range (nm): 200 to 500
Solvent Gradient:
A = water + 0.05 % HCOOH
B= Acetonitril/Methanol (4: 1, v:v) + 0.04 % HCOOH
Time A% B% Flow (ml/min)
0.00 95.0 5.0 1.700
2.00 0.0 100.0 1.700
2.80 0.0 100.0 1.700
2.90 95.0 5.0 1.700
3.00 95.0 5.0 1.700
Method i:
ZQ Mass Spectrometer from Waters (Single quadrupole mass spectrometer)
Instrument Parameter:
Ionisation method: Electrospray
Polarity: positive or negative ions
Capillary (kV) 3.00, Cone (V) 30.00 V, Extractor (V) 2.00, Source Temperature (°C) 100, Desolvation Temperature (°C) 250, Cone Gas Flow (L/Hr) 50, Desolvation Gas Flow (L/Hr) 400
Mass range: 100 to 900 Da
HP 1100 HPLC from Agilent: solvent degasser, quaternary pump (ZCQ) / binary pump (ZDQ), heated column compartment and diode-array detector.
Column: Phenomenex Gemini CI 8, 3 ~m, 30 x 3 mm,
Temp: 60 °C
DAD Wavelength range (nm): 200 to 500
Solvent Gradient:
A = water + 0.05 % HCOOH
B= Acetonitril/Methanol (4: 1, v:v) + 0.04 % HCOOH
Time A% B% Flow (ml/min)
0.00 95.0 5.0 1.700
2.00 0.0 100.0 1.700
2.80 0.0 100.0 1.700
2.90 95.0 5.0 1.700
3.00 95.0 5.0 1.700
Method k:
SQD Mass Spectrometer from Waters (Single quadrupole mass spectrometer)
Instrument Parameter:
Ionization method: Electrospray
Polarity: positive and negative ions
Capillary: 3.00 kV
Cone: 45.00 V
Extractor: 2.00 V
Source Temperature: 150°C,
Desolvation Temperature: 250°C
Cone Gas Flow: 0 L/Hr
Desolvation Gas Flow: 650 L/Hr
Mass range: 100 to 900 Da
Acquity UPLC from Waters:
Binary pump, heated column compartment and diode-array detector.
Solvent degasser, binary pump, heated column compartment and diode-array detector.
Column: Phenomenex Gemini CI 8, 3 μιη, 30 x 2 mm,
Temp: 60 °C
DAD Wavelength range (nm): 210 to 500
Solvent Gradient:
A = H20 + 5% MeOH + 0.05 % HCOOH
B= Acetonitril + 0.05 % HCOOH
Time A% B% Flow (ml/min)
0.00 100 0 0.850
1.2 0 100.0 0.850
1.50 0 100.0 0.850
Method GR
MS ACQUITY SQD Mass Spectrometer from Waters (Single quadrupole mass
spectrometer)
Ionisation method: Electrospray
Polarity: positive ions
Capillary (kV) 3.00, Cone (V) 20.00, Extractor (V) 3.00, Source Temperature (°C)
150, Desolvation Temperature (°C) 400, Cone Gas Flow (L/Hr) 60, Desolvation
Gas Flow (L/Hr) 700
Mass range: 100 to 800 Da
DAD Wavelength range (nm): 210 to 400
LC Method Waters ACQUITY UPLC with the following HPLC gradient conditions
(Solvent A: Water/Methanol 9:1,0.1% formic acid and Solvent B: Acetonitrile,0.1%>
formic acid )
Time (min) A% B% Flow (ml/min)
0 100 0 0.75
2.5 0 100 0.75
2.8 0 100 0.75
3.0 100 0 0.75
Tables A, B and C disclose compounds of the invention.
Table A-1 :
Table A-1 discloses compounds of formula (I-a) where X1 and X3 are C-Cl, X2 is CH, X4 is trifluoromethyl, G1 is oxygen and R1 is hydrogen.
LC/MS retention observed Preparation
R2 Yl Y2 Y3 R5
Method time (min) mass method
3-Methyl-
Al CH CH CH Br E 2.09 566.81 BOP 100°C thietan-3-yl-
A2 thietan-3-yl- CH CH CH Br *
1,1-Dioxo-
A3 CH CH CH F B 3.11 524.84 BOP 80°C thietan-3-yl-
3-Methyl-
A4 CH CH CH F B 3.61 506.88 BOP 80°C thietan-3-yl-
1-oxo-thietan-
A5 CH CH CH F B 2.92 508.86 BOP 80°C 3-yl-
A6 thietan-3-yl- CH CH CH F *
1,1-Dioxo-
A7 CH CH CH CI B 3.37 540.82 BOP 100°C thietan-3-yl-
3-Methyl-
A8 CH CH CH CI B 3.89 522.79 BOP 100°C thietan-3-yl-
1-oxo-thietan-
A9 CH CH CH CI B 3.13 524.74 BOP 100°C
3-yl-
*: NMR data as follows: 'H-NMR (400 MHz, CDC13, in ppm)
A2: 7.9 (s, 1H), 7.65 (m, 1H), 7.60 (m, 1H), 7.5 (m, 2H), 7.45 (m, 1H), 6.5 (dd br, 1H), 5.4 (m, 1H), 4.1 - 4.05 (d, 1H), 3.75-3.65 (d, 1H), 3.5-3.4 (m, 4H).
A6: 8.1 (m, 1H), 7.5-7.35 (m, 4H), 7.0 (m, 1H), 5.45-5.35 (m, 1H), 4.0 (d, 1H), 3.6 (d, 1H), 3.45-3.25 (m, 4H).
Table A-2
Table B-1
Table B-1 discloses compounds of formula (I-a) where R5 is methyl, Y1, Y2, Y3 are CH, G1 is oxygen and R1 is hydrogen.
LC/MS retention observed Preparation
XI X2 X3 X4 R2
Method time (min) mass method thietan-3-
Bl C-Cl C-Br C-Cl CF3 *
yl-
1,1-Dioxo-
B2 C-Cl C-Br C-Cl CF3 thietan-3- *
yl-
1-oxo-
B3 C-Cl C-Br C-Cl CF3 thietan-3- *
yi-
1,1-Dioxo-
B4 C-Cl C-Cl C-Cl CF3 thietan-3- B 3.8 554.98 BOP 90°C yl-
3-Methyl-
B5 C-Cl C-Cl C-Cl CF3 thietan-3- B 4.34 537 BOP 90°C yi- l-oxo-
B6 C-Cl C-Cl C-Cl CF3 thietan-3- B 3.61 538.92 BOP 90°C yl-(cis)
thietan-3-
B7 C-Cl C-Cl C-Cl CF3 B 4.04 522.98 BOP 90°C yi- thietan-3-
B8 C-Cl C-I C-Cl CF3 A 2.11 615.14 BOP 80°C yi-
1,1-Dioxo-
B9 C-Cl C-F C-Cl CF3 thietan-3- A 1.85 539.37 BOP 80°C yi-
3-Methyl-
BIO C-Cl C-F C-Cl CF3 thietan-3- A 2.12 520.65 BOP 80°C yi- thietan-3-
Bl l C-Cl C-F C-Cl CF3 A 2.02 507.38 BOP 80°C yi- l-oxo-
B12 C-Cl C-I C-Cl CF3 thietan-3- A 1.84 630.99 BOP 80°C yl-(cis)
1-oxo-
B13 C-Cl C-F C-Cl CF3 thietan-3- A 1.75 523.12 BOP 80°C yl-(cis)
1,1-Dioxo-
B14 C-Cl C-Cl C-CF3 CF3 thietan-3- A 1.95 589.49 BOP 80°C yi-
3-Methyl-
B15 C-Cl C-Cl C-CF3 CF3 thietan-3- A 2.19 570.65 BOP 80°C yi- l-oxo-
B16 C-Cl C-Cl C-CF3 CF3 A 1.86 573.14 BOP 80°C thietan-3-
yl-(cis) thietan-3-
B17 C-Cl C-Cl C-CF3 CF3 A 2.11 557.39 BOP 80°C yl-
1,1-Dioxo-
C-
B18 C-Cl C-CF3 CF3 thietan-3- A 1.96 623.35 BOP 80°C
CF3
yl-
3-Methyl-
C-
B19 C-Cl C-CF3 CF3 thietan-3- A 2.18 605.18 BOP 80°C
CF3
yl-
1-oxo-
C-
B20 C-Cl C-CF3 CF3 thietan-3- A 1.88 607.24 BOP 80°C
CF3
yl-(cis)
C- thietan-3-
B21 C-Cl C-CF3 CF3 A 2.11 591.22 BOP 80°C
CF3 yl-
*: NMR data as follows: 'H-NMR (400 MHz, CDC13, in ppm)
Bl : 2.44 (s, 3H), 3.39 (t, 2H), 3.46 (t, 2H), 3.70 (d, 1H), 4.09 (d, 1H), 5.39 (m, 1H), 6.41 (d, 1H), 7.38 (d, 1H), 7.49 (m, 2H), 7.63 (s, 2H).
B2: 2.49 (s, 3H), 3.70 (d, 1H), 4.05 (m, 2H), 4.09 (d, 1H), 4.63 (m, 2H), 4.90 (m, 1H), 6.53 (d, 1H), 7.45 (d, 1H), 7.54 (d, 1H), 7.55 (s, 1H), 7.64 (s, 2H).
B3: 2.48 (s, 3H), 3.23 (m, 2H), 3.70 (d, 1H), 4.09 (d, 1H), 4.22 (m, 2H), 4.69 (m, 1H), 6.25 (d, 1H), 7.44 (d, 1H), 7.54 (m, 2H), 7.63 (s, 2H). Table B-2
The NMR data for B22, B23 and B24 is above.
Tabe C-1
Table C-1 discloses compounds of formula (I-a) where R5 is methyl, Y1, Y2, Y3 are CH, G1 is oxygen and R1 is hydrogen.
LC/MS retention observed
XI X2 X3 X4 R2
Method time (min) mass
thietan-3-
CI C-Cl CH C-Cl CF3 *
ylmethyl-
2-(thietan-
C2 C-Cl CH C-Cl CF3 3- *
yl)ethanyl
1,1-Dioxo-
C3 C-Cl CH C-Cl CF3 thietan-3- *
ylmethyl
2-(l,l - dioxothieta
C4 C-Cl CH C-Cl CF3 *
n-3- yl)ethanyl
2-(3- methoxyth
C5 C-Cl CH C-Cl CF3
ietan-3- ES+:
yl)ethyl i 2.22 547/549
1-oxo-
C6 C-Cl CH C-Cl CF3 thietan-3- ES-:
ylmethyl- k 1.02 519/521
*: NMR data as follows: 'H-NMR (400 MHz, CDC13, in ppm)
CI : 7.55 (m, 4H), 7.50-7.40(m, 2H), 6.0(t br, IH), 4.15-4.10(d, IH), 3.75-3.70(d, IH), 3.65-3.6(m, 2H CH2), 3.55-3.5(m, IH), 3.40-3.30(t, 2H), 3.10-3.05(q, 2H), 2.50 (s, 3H)
C2: 7.55(m, 4H), 7.50-7.40(m, 2H), 5.80(t br, IH), 4.10(d, 2H), 3.40(m, 3H), 3.25(t, 2H), 3.10(t, 2H), 2.50 (s, 3H), 1.90(q, 2H),
C3: 7.55-7.50(m, 4H), 7.45-7.40(m, 2H), 6.20 (t br, IH), 4.30-4.25 (m, 2H), 4.10-4.05(d, IH), 4.0-3.9 (m, 2H), 3.75-3.65 (m, 3H), 3.0 (m, IH), 2.50 (s, 3H)
C4: 7.55-7.50(m, 4H), 7.45-7.40(m, IH), 7.35(m, IH), 5.9(t br, IH), 4.30-4.25(m, 2H), 4.10-4.05(d, IH), 3.9-3.8(m, 2H), 3.75-3.65(d, IH), 3.5-3.4(q, 2H), 2.6(m, IH), 2.45 (s, 3H), 2.0 (q, 2H).
Table C-2
Chemical name
4-[(5S)-5-(3,5-dichlorophenyl)-5-(trifluoromethyl)-4H-isoxazol-3-yl]-N-[(l,l -dioxothietan-
C7
3 -yl)methyl] -2-methyl-benzamide
4 (5S)-5-(3,5-dichlorophenyl)-5-(trifluoro
C8
ylmethyl)benzamide
NMR data for compounds C7 and C8 is as follows: 'H-NMR (400 MHz, CDC13, in ppm)
C7: 2.38 (s, 3H), 2.90 (m, 1H), 3.60-3.70 (m, 3H), 3.85-3.92 (m, 2H), 4.00 (d, 1H) ,4.19 (m, 2H), 6.20 (br t, 1H), 7.30-7.50 (m, 6H)
5 C8: 2.48 (s, 3H), 3.07 (m, 2H), 3.32 (m, 2H), 3.55 (m, 1H), 3.64 (t, 2H), 3.71 (d, 1H), 4.11 (d, 1H), 6.10 (br t, 1H), 7.40-7.60 (m, 6H)
Biological examples
This Example illustrates the insecticidal and acaricidal properties of compounds of formula (I). Tests 10 were performed as follows:
Spodoptera littoralis (Egyptian cotton leafworm):
Cotton leaf discs were placed on agar in a 24-well microtiter plate and sprayed with test solutions at an application rate of 200 ppm. After drying, the leaf discs were infested with 5 LI larvae. The samples were 15 checked for mortality, feeding behavior, and growth regulation 3 days after treatment (DAT).
The following compounds gave at least 80% control of Spodoptera littoralis:
Al, A2, A3, A4, A5, A6, A7, A8, A9, A10, Bl, B2, B3, B4, B5, B6, B7, B8, B9, B10, Bl 1, B12, B13, B14, B15, B16, B17, B18, B19, B20, B21, B22, B23, CI, C2, C3, C4, C5, C6, C7
20 Heliothis virescens (Tobacco budworm) :
Eggs (0-24 h old) were placed in 24-well microtiter plate on artificial diet and treated with test solutions at an application rate of 200 ppm (concentration in well 18 ppm) by pipetting. After an incubation period of 4 days, samples were checked for egg mortality, larval mortality, and growth regulation.
The following compounds gave at least 80% control of Heliothis virescens:
25 Al, A2, A3, A4, A5, A6, A7, A8, A9, A10, Bl, B2, B3, B4, B5, B6, B7, B8, B9, B10, Bl 1, B12, B13, B14, B15, B16, B17, B18, B19, B20, B21, B22, B23, CI, C2, C3, C4, C5, C6, C7
Plutella xylostella (Diamond back moth):
24-well microtiter plate (MTP) with artificial diet was treated with test solutions at an application rate of 30 200 ppm (concentration in well 18 ppm) by pipetting. After drying, the MTP's were infested with L2 larvae (7-12 per well). After an incubation period of 6 days, samples were checked for larval mortality and growth regulation.
The following compounds gave at least 80%> control of Plutella xylostella:
Al, A2, A3, A4, A5, A6, A7, A8, A9, A10, Bl, B2, B3, B4, B5, B6, B7, B8, B9, B10, Bl 1, B12, B13, 35 B14, B15, B16, B17, B18, B19, B20, B21, B22, B23, CI, C2, C3, C4, C5, C6, C7
Diabrotica balteata (Corn root worm):
A 24-well microtiter plate (MTP) with artificial diet was treated with test solutions at an application rate of 200 ppm (concentration in well 18 ppm) by pipetting. After drying, the MTP's were infested with L2 larvae (6-10 per well). After an incubation period of 5 days, samples were checked for larval mortality and growth regulation.
The following compounds gave at least 80% control of Diabrotica balteata:
Al, A2, A3, A4, A5, A6, A7, A8, A9, A10, Bl, B2, B3, B4, B5, B6, B7, B8, B9, B10, Bl 1, B12, B13, B14, B15, B16, B17, B18, B19, B20, B21, B22, B23, CI, C2, C3, C4, C5, C6, C7 Thrips tabaci (Onion thrips):
Sunflower leaf discs were placed on agar in a 24-well microtiter plate and sprayed with test solutions at an application rate of 200 ppm. After drying, the leaf discs were infested with a thrip population of mixed ages. After an incubation period of 7 days, samples were checked for mortality.
The following compounds gave at least 80% control of Thrips tabaci:
Al, A2, A3, A4, A5, A6, A7, A8, A9, A10, Bl, B2, B3, B4, B5, B6, B7, B8, B9, B10, Bl l, B12, B13, B14, B15, B16, B17, B18, B19, B20, B21, B22, B23, CI, C2, C3, C4, C5, C6, C7
Tetranychus urticae (Two-spotted spider mite):
Bean leaf discs on agar in 24-well microtiter plates were sprayed with test solutions at an application rate of 200 ppm. After drying, the leaf discs are infested with mite populations of mixed ages. 8 days later, discs are checked for egg mortality, larval mortality, and adult mortality.
The following compounds gave at least 80%> control of Tetranychus urticae:
Al, A2, A3, A4, A5, A6, A7, A8, A9, A10, Bl, B2, B3, B4, B5, B6, B7, B8, B9, B10, Bl 1, B12, B13, B14, B15, B16, B17, B18, B19, B20, B21, B22, B23, CI, C2, C3, C4, C5, C6, C7
Myzus persicae (sachet) (Green peach aphid) mixed population
Test compounds were applied by pipette into 24 well plates and mixed with Sucrose solution. The plates were closed with a stretched Parafilm. A plastic stencil with 24 holes is placed onto the plate and infested pea seedlings were placed directly on the Parafilm. The infested plate is closed with a gel blotting paper and another plastic stencil and then turned upside down. 5 days after infestation the samples were checked on mortality. Application rate: 12.5ppm.
The following compounds gave at least 80%> control of Myzus persicae :
A2, A5, A6, A9, A10, Bl, B2, B3, B4, B6, B7, B9, B12, B22, B23, C3, C4, C7 Euschistus heros (Neotropical brown stink bug)
(contact/feeding activity)
2 week old Soybean plants were sprayed in a turn table spray chamber with the diluted spray solution at an application rate of 50 ppm. After drying, 2 soybean seeds were added and plants were infested with 10
N-2 nymphs of the neotropical brown stink bug Euschistus heros in plastic test boxes. Boxes were incubated in a climate chamber at 25°C and 60 % RH. Evaluation is done 5 days after infestation on mortality and growth effect.
The following compound gave at least 80% control of Euschistus heros:
A10, B22, B23, C7
Nilaparvata lugens (Brown plant hopper)
(larvicide, feeding/contact)
Rice seedlings are treated with the diluted test solutions in a spray chamber an application rate of 200 ppm. After drying, plants are infested with 20 N3 nymphs (2 replicates). 6-12 days after the treatment samples are checked for mortality. The following compound gave at least 80% control of Nilaparvata lugens:
A2, A9, A10, Bl, B3, B6, B7, B22, B23, C4, C7
Anthonomus grandis (Cotton boll weevil)
(adulticide, feeding/contact)
Cotton plants are treated with the diluted test solutions in a spray chamber at an application rate of 50ppm. After drying, plants are infested with 10 adult weevils (2 replicates). 5 days after the treatment samples are checked for mortality. The following compound gave at least 80%> control of Anthonomus grandis:
A10, B22, B23, C7 Comparative Examples
In the comparative test Tables below the tests were performed as described below with the application rates indicated in the Tables.
Heliothis virescens (Tobacco budworm):
30-35 fresh eggs (0-24 h old), deposited on filter paper, are placed in petri dishes on top of a layer of artificial diet and 0.8 ml of diluted test solutions are pipetted onto them. After an incubation period of 6 days, samples are checked for egg mortality
Plutella xylostella (Diamond back moth)
Soybean plants are sprayed with diluted test solutions in an application chamber. 1 day after treatment, excised leaves are placed in petri dishes and infested with 10 L2 (2 replicates). Samples are checked 5 days after infestation for mortality.
Diabrotica balteata (Corn root worm)
Maize seedlings are placed on filter paper in plastic cups, and 3 ml of diluted test solutions are pipetted onto them. The cups are infested with 10 L2 larvae. The samples are checked for mortality 6 days after treatment.
Comparative test Table 1A
In this Example compound Al 1 of the present invention is compared with compound A6 + A7 of WO2009/080250. It can be seen that the structures are identical apart from replacement of a methyl group with chloro.
Comparative test Table 2A
In this Example compound A6 of the present invention is compared with a close analogue. It can be seen that the structures are identical apart from replacement of a methyl group with hydrogen on the thietane moiety.
/ ppm %
Close analogue Plutella xylostella (Diamond 200 50 back moth) 50 0
Compound 2 Plutella xylostella (Diamond 200 100 CSCD682950 back moth) 50 100
Close analogue Diabrotica balteata (Corn root 50 100 worm) 12.5 0
Compound 2 Diabrotica balteata (Corn root 50 100 CSCD682950 worm) 12.5 100
Comparative test Table 3A
In this Example compound A2 of the present invention is compared with a close analogue. It can be seen that the structures are identical apart from replacement of a methyl group with hydrogen on the thietane moiety.
In this Example compound B17 of the present invention is compared with a close analogue . It can be seen that the structures are identical apart from replacement of a methyl group with hydrogen on the thietane moiety.
Comparative test Table 2B
In this Example compound B21 of the present invention is compared with a close analogue. It can be seen that the structures are identical apart from replacement of a methyl group with hydrogen on the thietane moiety.
Compound B21 of the present Plutella xylostella (Diamond 3 100 invention back moth) 0.8 80
Close analogue Diabrotica balteata (Corn root 12.5 100 worm) 3 50
Compound B21 of the present Diabrotica balteata (Corn root 12.5 100 invention worm) 3 90
Comparative test Table 3B
In this Example compound B8 of the present invention is compared with a close analogue. It can be seen that the structures are identical apart from replacement of a methyl group with hydrogen on the thietane moiety.
Comparative test Table 4B
In this Example compound B7 of the present invention is compared with a close analogue. It can be seen that the structures are identical apart from replacement of a methyl group with hydrogen on the thietane moiety.
Comparative test Table 5B
In this Example compound Bl 1 of the present invention is compared with a close analogue. It can be seen that the structures are identical apart from replacement of a methyl group with hydrogen on the thietane moiety.
Close analogue Diabrotica balteata (Corn root 12.5 100
worm) 3 65
Compound B 11 of the present Diabrotica balteata (Corn root 12.5 100 invnetion worm) 3 75
From the results above it can be derived that the insecticidal activity of the compounds of the invention is clearly superior to the structurally close compounds at low application rates. In many cases the compounds of the present invention provide complete or almost complete control of important pests, whilst at the same rate close analogues provide little or even zero control.
This superior performance is important because it allows a more efficient disease control of the pests at significantly lower application rates. In the light of the structural similarities of the tested compounds, this surprising improvement in the insecticidal properties is completely unexpected and cannot be derived from what is known from the prior art.
Claims
1. A compound of formula I
wherein
G1 is oxygen;
R1 is hydrogen;
2 is group P
L is a bond, methylene or ethylene;
one of A1 and A2 is S, SO or S02 and the other is -C(R4)R4-;
R3 is hydrogen or methyl;
each R4 is independently hydrogen or methyl;
Y1, Y2 and Y3 are independently CH or nitrogen;
wherein no more than two of Y1, Y2 and Y3 are nitrogen and wherein Y2 and Y3 are not both nitrogen; R5 is chloro, bromo, fluoro;
X2 is C-X6 or nitrogen;
Χ', Χ3 and X6 are independently hydrogen, halogen or trihalomethyl, wherein at least two of X1, X3 and X6 are not hydrogen;
X4 is trifluoromethyl, difluoromethyl or chlorodifluoromethyl.
2. A compound according to claim 1, wherein R2 is thietan-3-yl-, l-oxo-thietan-3-yl-, 1,1-dioxo- thietan-3-yl-, thietan-3-ylmethyl-, l-oxo-thietan-3-ylmethyl-, l,l -dioxo-thietan-3-ylmethyl-.
3. A compound according to claim 1, wherein R2 is thietan-3-yl-, l-oxo-thietan-3-yl-, 1,1-dioxo- thietan-3-yl-.
4. A compound according to any one of claims 1 to 3, wherein
Y1 is CH, Y2 is CH, Y3 is CH.
5. A compound according to any one of claims 1 to 4, wherein
X1 is chloro, X2 is CH, X3 is chloro, or
X1 is chloro, X2 is C-F, X3 is chloro, or
X1 is chloro, X2 is C-Cl, X3 is chloro, or
X1 is trifluoromethyl, X2 is CH, X3 is trifluoromethyl.
6. A compound according to any one of claims 1 to 5, wherein X4 is trifluoromethyl.
7. A compound of formula XI
1 1 2 5 1 2 3 4 1 2 3
wherein G , R , R R X1, X X X Y , Y and YJ are as defined for the compound of formula I in any one of claims 1 to 6; or
a compound of formula X2
1 1 2 5 1 2 3 4 1 2 3
wherein G , R , R R X1, X X X Y , Y and YJ are as defined for the compound of formula I in any one of claims 1 to 6; or
a compound of formula X3
1 1 2 5 1 2 3 4 1 2 3
wherein G , R , R\ R\ X1, X , X X Y , Y , and YJ are as defined for the compound of formula I in any one of claims 1 to 6; or
a compound of formula X5
1 1 2 5 1 2 3
wherein G , R , R\ R\ Y , Y and YJ are as defined for the compound of formula I in any one of claims 1 to 6, and X5 is chloro, bromo, iodo, amino, CHO, CN, OH, C(=0)OH, C(=NOH)H, C(=NOH)Cl, C(=NOH)NH2, C(=0)CH3, C(=NOH)CH3, C(=0)CH2C1, or C(=0)CH2Br.
8. A method of controlling insects, acarines, nematodes or molluscs which comprises applying to a pest, to a locus of a pest, or to a plant susceptible to attack by a pest an insecticidally, acaricidally, nematicidally or molluscicidally effective amount of a compound of formula (I) as defined in any one of claims 1 to 6.
9. An insecticidal, acaricidal, nematicidal or molluscicidal composition comprising an insecticidally, acaricidally, nematicidally or molluscicidally effective amount of a compound of formula (I) as defined in any one of claims 1 to 6.
10. An insecticidal, acaricidal, nematicidal or molluscicidal composition according to claim 9 comprising at least one additional compound having biological activity.
1 1. A combination product comprising a pesticidally effective amount of a component A and a pesticidally effective amount of component B, wherein component A is a compound of formula (I) as defined in any one of claims 1 to 6, wherein component B is enrofloxacin, praziquantel, pyrantel embonate, febantel, penethamate, moloxicam, cefalexin, kanamycin, pimobendan, clenbuterol, omeprazole, tiamulin, benazepril, pyriprole, cefquinome, florfenicol, buserelin, cefovecin, tulathromycin, ceftiour, selamectin, carprofen, moxidectin, clorsulon, pyrantel, eprinomectin, doramectin, selamectin, nemadectin, albendazole, cambendazole, fenbendazole, flubendazole, mebendazole, oxfendazole, oxibendazole, parbendazole, tetramisole, levamisole, pyrantel pamoate, oxantel, morantel,
triclabendazole, epsiprantel, lufenuron or ecdysone.
12. A method of controlling insects, acarines, nematodes or molluscs which comprises applying to a pest, to a locus of a pest, or to a plant susceptible to attack by a pest an insecticidally, acaricidally, nematicidally or molluscicidally effective amount of a compound of formula Γ
wherein
G1 is oxygen;
R1 is hydrogen;
R2 is thietan-3-yl-, l -oxo-thietan-3-yl-, l ,l -dioxo-thietan-3-yl-, thietan-3-ylmethyl-, l -oxo-thietan-3- ylmethyl-, or l ,l -dioxo-thietan-3-ylmethyl-;
Y1, Y2 and Y3 are independently CH or nitrogen;
wherein no more than two of Y1, Y2 and Y3 are nitrogen and wherein Y2 and Y3 are not both nitrogen; R5 is hydrogen, halogen, cyano, nitro, NH2, Ci-C2alkyl, Ci-C2haloalkyl, C3-C5cycloalkyl, d- C2halocycloalkyl, Ci-C2alkoxy, Ci-C2haloalkoxy;
X2 is C-X6; Χ', Χ3 and X6 are independently halogen or trihalomethyl;
X4 is trifluoromethyl, difluoromethyl or chlorodifluoromethyl.
13. A method according to claim 12, wherein when the compound is a compound wherein Y1, Y2 and 5 Y3 are CH; R5 is methyl; X1 is chloro, X2 is C-Cl, X3 is chloro, or X1 is chloro, X2 is C-F, X3 is chloro, or
1 2 3 1 2 3 1
X is chloro, X is C-Br, X is chloro, or X is chloro, X is C-Cl, X is trifluoromethyl, or X is trifluoromethyl, X 2 is C-Cl, X 3 is trifluoromethyl, or X 1 is fluoro, X 2 is C-F, X 3 is fluoro, and X 4 is CF3, then the method does not comprise applying the compound of formula I to a crop of soybean plants, the locus thereof, or propagation material thereof, and the method is not for control of stinkbugs; and/or 10 wherein the compound is not a compound wherein R2 is thietan-3-yl-, l -oxo-thietan-3-yl-, 1,1 - dioxo-thietan-3-yl-; Y1, Y2 and Y3 are CH; R5 is methyl; X2 is bromo, X2 is C-Cl, X3 is bromo and X4 is CF3.
14. A method according to claim 12 or claim 13, wherein X1 is chloro, X2 is C-Br, X3 is chloro, or X1 15 is chloro, X2 is C-F, X3 is chloro, or X1 is chloro, X2 is C-Cl, X3 is chloro, or X1 is chloro, X2 is C-I, X3 is
1 2 3 1 2 3 1 chloro, or X is fluoro, X is C-F, X is fluoro, or X is chloro, X is C-Cl, X is trifluoromethyl, or X is trifluoromethyl, X2 is C-Cl, X3 is trifluoromethyl.
15. A method according to any one of claims 12 to 14, wherein X1 is chloro, X2 is C-Cl, X3 is chloro, 20 or X1 is chloro, X2 is C-F, X3 is chloro.
16. A method according to any one of claims 12 to 15, wherein R2 is thietan-3-yl-, l -oxo-thietan-3- yl-, or l,l -dioxo-thietan-3-yl-.
25 17. A method according to any one of claims 12 to 16, wherein Y1 is CH, Y2 is CH, Y3 is CH.
18. A method according to any one of claims 12 to 17, wherein R5 is chloro, bromo, fluoro, methyl, trifluoromethyl.
30 19. A method according to any one of claims 12 to 18, wherein X4 is trifluoromethyl.
20. A method of controlling insects, acarines, nematodes or molluscs which comprises applying to a pest, to a locus of a pest, or to a plant susceptible to attack by a pest an insecticidally, acaricidally, nematicidally or molluscicidally effective amount of a compound of formula Γ '
wherein
G1 is oxygen;
R1 is hydrogen;
5 R is thietan-3-ylmethyl-, l -oxo-thietan-3-ylmethyl-, l , l -dioxo-thietan-3-ylmethyl-;
Y1, Y2 and Y3 are independently CH or nitrogen;
wherein no more than two of Y1, Y2 and Y3 are nitrogen and wherein Y2 and Y3 are not both nitrogen; R5 is hydrogen, halogen, cyano, nitro, NH2, Ci-C2alkyl, Ci-C2haloalkyl, C3-C5cycloalkyl, d- C2halocycloalkyl, Ci-C2alkoxy, Ci-C2haloalkoxy;
10 X2 is C-X6 or nitrogen;
Χ', Χ3 and X6 are independently hydrogen, halogen or trihalomethyl, wherein at least two of X1, X3 and X6 are not hydrogen;
X4 is trifluoromethyl, difluoromethyl or chlorodifluoromethyl.
15 21. A method according to claim 20, wherein when the compound is a compound wherein Y1, Y2 and Y3 are CH; R5 is methyl; X1 is chloro, X2 is CH, X3 is chloro, or X1 is chloro, X2 is C-F, X3 is hydrogen,
1 2 3 1 2 3 1 2 or X is fluoro, X is C-Cl, X is hydrogen, or X is chloro, X is C-Cl, X is hydrogen, or X is chloro, X
3 1 2 3 1 2 3
is CH, X is bromo, or X is chloro, X is CH, X is fluoro, or X is chloro, X is CH, X is
trifluoromethyl, or X1 is trifluoromethyl, X2 is C-H, X3 is trifluoromethyl, or X1 is trifluoromethyl, X2 is
3 1 2 3 1 2 3
20 CH, X is hydrogen, or X is chloro, X is C-Cl, X is chloro, or X is chloro, X is C-F, X is chloro, or X1 is chloro, X2 is C-Br, X3 is chloro, or X1 is fluoro, X2 is C-F, X3 is fluoro; or X1 is chloro, X2 is C-Cl, X3 is trifluoromethyl, or X1 is trifluoromethyl, X2 is C-Cl, X3 is trifluoromethyl, and X4 is CF3, then the method does not comprise applying the compound of formula I to a crop of soybean plants, the locus thereof, or propagation material thereof, and the method is not for control of stinkbugs.
25
22. A method according to claim 20 or 21 , wherein R is thietan-3-ylmethyl-, l -oxo-thietan-3- ylmethyl-, 1 , 1 -dioxo-thietan-3 -ylmethyl-.
23. A method according to any one of claims 20 to 22, wherein Y1 is CH, Y2 is CH, Y3 is CH.
30
24. A method according to any one of claims 20 to 23, wherein R5 is chloro, bromo, fluoro, methyl, trifluoromethyl.
25. A method according to any one of claims 20 to 24, wherein X1 is chloro, X2 is CH, X3 is chloro, 5 or X1 is chloro, X2 is C-F, X3 is chloro, or X1 is chloro, X2 is C-Cl, X3 is chloro, or X1 is trifluoromethyl,
X2 is CH, X3 is trifluoromethyl.
26. A method according to any one of claims 20 to 25, wherein X4 is trifluoromethyl.
10 27. A method of controlling and/or preventing infestation of insects of the genus Plutella in a crop of useful plants comprising applying to a crop of useful plants, the locus thereof, or propagation material thereof, a compound of formula I, Γ or I" as defined in any one of claims 1 to 26.
28. Use of a compound of formula I, Γ or I" as defined in any one of claims 1 to 26 for control of 15 insects of the genus Plutella in a crop of useful plants.
29. A method of controlling and/or preventing infestation of insects the genus Diabrotica. in a crop of useful plants comprising applying to a crop of useful plants, the locus thereof, or propagation material thereof, a compound of formula I, Γ or I" as defined in any one of claims 1 to 26.
20
30. Use of a compound of formula I, Γ or Γ ' as defined in any one of claims 1 to 26 for control of insects of the genus Diabrotica in a crop of useful plants.
31. A method comprising applying to a crop of cotton plants, the locus thereof, or propagation 25 material thereof, a compound of formula I, Γ or I" as defined in any one of claims 1 to 26.
32. A method according to claim 31 , wherein the method is a method of controlling and/or preventing infestation of insects of the family Curculionidae in cotton comprising applying to a crop of cotton plants, the locus thereof, or propagation material thereof, a compound of formula I, Γ or Γ ' as defined in any one
30 of claims 1 to 26.
33. A method of controlling and/or preventing infestation of insects the family Curculionidae in a crop of useful plants comprising applying to a crop of useful plants, the locus thereof, or propagation material thereof, a compound of formula I, Γ or I" as defined in any one of claims 1 to 26.
35
34. Use of a compound of formula I, Γ or Γ ' as defined in any one of claims 1 to 26 for control of insects of the family Curculionidae in a crop of useful plants.
35. A method or use according to any one of claims 32 to 34, wherein the insects are of the genus Anthonomus, preferably of the species Anthonomus grandis.
36. A method of controlling and/or preventing soil-dwelling pests in useful plants comprising
5 applying to the locus of the useful plant or treating plant propagation material thereof a compound of formula I, Γ or I" as defined in any one of claims 1 to 26.
37. Use of a compound of formula I compound of formula I, Γ or I" as defined in any one of claims 1 to 26 for the control of a soil-dwelling pest in useful plants.
10
38. A method or use according to claim 36 or claim 37, wherein the soil-dwelling pest is corn rootworm.
39. A method or use according to claim 36 or claim 37, wherein the soil-dwelling pests are 15 wireworms.
40. A method or use according to claim 36 or claim 37, wherein the soil-dwelling pests are grubs, in particular white grubs (e.g. Phyllophaga sp., Diloboderus sp., Popillia japonica).
20 41. A method or use according to claim 36 or claim 37, wherein the soil-dwelling pests are
termites (in particular for sugar cane).
42. A method or use according to claim 36 or claim 37, wherein the soil-dwelling pests are subterraneous stinkbugs (e.g. Scaptocoris sp.) .
25
43. A method or use according to claim 36 or claim 37, wherein the soil-dwelling pests are cutworms (e.g. agrotis sp.).
44. A method or use according to claim 36 or claim 37, wherein the soil-dwelling pests are 30 millipedes (e.g. Julus sp.).
45. A method or use according to claim 36 or claim 37, wherein the soil-dwelling pest is broca gigante (e.g. Telchin licus).
35 46. A method or use according to any one of claims 36 to 45, wherein the compound of formula I is applied directly to soil.
47. A method or use according to any one of claims 36 to 45, wherein the compound of formula I is applied to soil by treatment of a seed with a compound of formula I as defined in any one of claims 1 to 26.
5 48. A method comprising applying to a crop of rice plants, the locus thereof, or propagation material thereof, a compound of formula I, Γ or I" as defined in any one of claims 1 to 26.
49. A method according to claim 48, wherein the method is a method of controlling and/or preventing infestation stemborer in rice comprising applying to a crop of rice plants, the locus thereof, or propagation
10 material thereof, a compound of formula I, Γ or I" as defined in any one of claims 1 to 26.
50. A method of controlling and/or preventing infestation of stemborer in a crop of useful plants comprising applying to a crop of useful plants, the locus thereof, or propagation material thereof, a compound of formula I, Γ or I" as defined in any one of claims 1 to 26.
15
51. A method according to claim 48, wherein the method is a method of controlling and/or preventing infestation leaffolder in rice comprising applying to a crop of rice plants, the locus thereof, or propagation material thereof, a compound of formula I as defined in claim 28.
20 52. A method of controlling and/or preventing infestation of leaffolder in a crop of useful plants comprising applying to a crop of useful plants, the locus thereof, or propagation material thereof, a compound of formula I, Γ or I" as defined in any one of claims 1 to 26.
53. A method according to claim 48, wherein the method is a method of controlling and/or preventing 25 infestation hoppers in rice comprising applying to a crop of rice plants, the locus thereof, or propagation material thereof, a compound of formula I, Γ or I" as defined in any one of claims 1 to 26.
54. A method of controlling and/or preventing infestation of hoppers in a crop of useful plants comprising applying to a crop of useful plants, the locus thereof, or propagation material thereof, a
30 compound of formula I, Γ or I" as defined in any one of claims 1 to 26.
55. A method according to claim 48, wherein the method is a method of controlling and/or preventing infestation gallmidge in rice comprising applying to a crop of rice plants, the locus thereof, or propagation material thereof, a compound of formula I, Γ or I" as defined in any one of claims 1 to 26.
35
56. A method of controlling and/or preventing infestation of gallmidge in a crop of useful plants comprising applying to a crop of useful plants, the locus thereof, or propagation material thereof, a compound of formula I, Γ or I" as defined in any one of claims 1 to 26.
57. A method according to claim 48, wherein the method is a method of controlling and/or preventing infestation whorl maggot in rice comprising applying to a crop of rice plants, the locus thereof, or propagation material thereof, a compound of formula I, Γ or I" as defined in any one of claims 1 to 26.
5
58. A method of controlling and/or preventing infestation of whorl maggot in a crop of useful plants comprising applying to a crop of useful plants, the locus thereof, or propagation material thereof, a compound of formula I, Γ or I" as defined in any one of claims 1 to 26.
10 59. A method according to claim 48, wherein the method is a method of controlling and/or preventing infestation Rice bugs in rice comprising applying to a crop of rice plants, the locus thereof, or propagation material thereof, a compound of formula I, Γ or I" as defined in any one of claims 1 to 26.
60. A method of controlling and/or preventing infestation of Rice bugs in a crop of useful plants 15 comprising applying to a crop of useful plants, the locus thereof, or propagation material thereof, a
compound of formula I, Γ or I" as defined in any one of claims 1 to 26.
61. A method according to claim 48, wherein the method is a method of controlling and/or preventing infestation Black bugs in rice comprising applying to a crop of rice plants, the locus thereof, or
20 propagation material thereof, a compound of formula I, Γ or I" as defined in any one of claims 1 to 26.
62. A method of controlling and/or preventing infestation of Black bugs in a crop of useful plants comprising applying to a crop of useful plants, the locus thereof, or propagation material thereof, a compound of formula I, Γ or I" as defined in any one of claims 1 to 26.
25
63. A compound, method or use according to any one of claims 1 to 62, wherein the compound of formula I, Γ or I" is a mixture comprising a compound of formula I* and a compound of formula I**
30 and wherein the mixture is enriched for the compound of formula Γ
64. A method of protecting useful plants from insects, acarines, nematodes or molluscs, comprising applying to said plants, to the locus thereof, or to plant propagation material thereof, an insecticidally, acaricidally, nematicidally or molluscicidally effective amount of a compound of formula I, Γ or Γ ' as defined in any one of claims 1 to 26.
65. A method or use according to any one of claims 8 and 12 to 64, wherein the method or use does not comprise applying the compound of formula I, Γ or I" to a crop of soybean plants, the locus thereof, or propagation material thereof, and whrein the method or use is not for control of stinkbugs.
Priority Applications (11)
| Application Number | Priority Date | Filing Date | Title |
|---|---|---|---|
| MX2014002092A MX2014002092A (en) | 2011-08-25 | 2012-08-24 | Isoxazoline derivatives as insecticidal compounds. |
| BR112014004235A BR112014004235A2 (en) | 2011-08-25 | 2012-08-24 | isoxazoline derivatives as insecticide compounds |
| AU2012298448A AU2012298448A1 (en) | 2011-08-25 | 2012-08-24 | Isoxazoline derivatives as insecticidal compounds |
| KR1020147007321A KR20140054302A (en) | 2011-08-25 | 2012-08-24 | Isoxazoline derivatives as insecticidal compounds |
| JP2014526519A JP6061934B2 (en) | 2011-08-25 | 2012-08-24 | Isoxazoline derivatives as insecticidal compounds |
| CN201610356475.3A CN106045962A (en) | 2011-08-25 | 2012-08-24 | Isoxazoline derivatives as insecticidal compounds |
| PCT/EP2012/066554 WO2013026931A1 (en) | 2011-08-25 | 2012-08-24 | Isoxazoline derivatives as insecticidal compounds |
| EP12748717.1A EP2748155B1 (en) | 2011-08-25 | 2012-08-24 | Isoxazoline derivatives as insecticidal compounds |
| CN201280041298.XA CN103764644A (en) | 2011-08-25 | 2012-08-24 | Isoxazoline derivatives as insecticidal compounds |
| CO14036579A CO6890111A2 (en) | 2011-08-25 | 2014-02-21 | Isoxazoline derivatives as insecticidal compounds |
| CL2014000439A CL2014000439A1 (en) | 2011-08-25 | 2014-02-24 | Compounds derived from isoxazoline insecticides; method to control insects, accharides, nematodes or mollusks; method for controlling insects, accharides, nematodes or mollusks comprising applying to a pest; acaricidal insecticidal composition |
Applications Claiming Priority (8)
| Application Number | Priority Date | Filing Date | Title |
|---|---|---|---|
| EP11178921 | 2011-08-25 | ||
| EP11178929 | 2011-08-25 | ||
| EP11178929.3 | 2011-08-25 | ||
| EP11178921.0 | 2011-08-25 | ||
| EP12179257 | 2012-08-03 | ||
| EP12179257.6 | 2012-08-03 | ||
| EP12179385.5 | 2012-08-06 | ||
| EP12179385 | 2012-08-06 |
Publications (1)
| Publication Number | Publication Date |
|---|---|
| WO2013026695A1 true WO2013026695A1 (en) | 2013-02-28 |
Family
ID=46604355
Family Applications (1)
| Application Number | Title | Priority Date | Filing Date |
|---|---|---|---|
| PCT/EP2012/065421 Ceased WO2013026695A1 (en) | 2011-08-25 | 2012-08-07 | Isoxazoline derivatives as insecticidal compounds |
Country Status (3)
| Country | Link |
|---|---|
| AR (1) | AR087494A1 (en) |
| UY (1) | UY34251A (en) |
| WO (1) | WO2013026695A1 (en) |
Cited By (13)
| Publication number | Priority date | Publication date | Assignee | Title |
|---|---|---|---|---|
| WO2014019951A1 (en) * | 2012-08-03 | 2014-02-06 | Syngenta Participations Ag | Methods of controlling insects |
| WO2015091900A1 (en) * | 2013-12-20 | 2015-06-25 | Intervet International B.V. | Use of isoxazoline derivatives for the treatment or prevention of arthropod infestations in poultry |
| WO2017050922A1 (en) | 2015-09-23 | 2017-03-30 | Syngenta Participations Ag | Isoxazoline-substituted benzamides and analogues as insecticides |
| WO2018039508A1 (en) * | 2016-08-25 | 2018-03-01 | Merial, Inc. | Method for reducing unwanted effects in parasiticidal treatments |
| WO2018172471A1 (en) | 2017-03-22 | 2018-09-27 | Syngenta Participations Ag | Pesticidally active cyclopropyl methyl amide derivatives |
| WO2018197466A1 (en) | 2017-04-26 | 2018-11-01 | Basf Se | Substituted succinimide derivatives as pesticides |
| US10456358B2 (en) | 2013-12-20 | 2019-10-29 | Intervet Inc. | Isoxazoline compositions and use thereof in the prevention or treatment of parasite infestations in animals |
| EP3613736A1 (en) | 2018-08-22 | 2020-02-26 | Basf Se | Substituted glutarimide derivatives |
| EP3696177A1 (en) | 2019-02-12 | 2020-08-19 | Basf Se | Heterocyclic compounds for the control of invertebrate pests |
| CN112174904A (en) * | 2019-07-01 | 2021-01-05 | 沈阳化工大学 | Isoxazoline compound and application thereof |
| US11179372B2 (en) | 2015-06-23 | 2021-11-23 | Intervet Inc. | Isoxazoline solution containing vitamin E for use with sanitized drinking water |
| RU2796536C2 (en) * | 2013-12-20 | 2023-05-25 | Интервет Интернэшнл Б.В. | Use of isoxazoline compounds in poultry |
| US12497370B2 (en) | 2019-12-18 | 2025-12-16 | Elanco Tiergesundheit Ag | Isoxazoline derivatives |
Citations (45)
| Publication number | Priority date | Publication date | Assignee | Title |
|---|---|---|---|---|
| US4639771A (en) | 1984-10-31 | 1987-01-27 | Kabushiki Kaisha Toshiba | Image processing system |
| EP0357460A2 (en) | 1988-09-02 | 1990-03-07 | Sankyo Company Limited | 13-Substituted milbemycin derivatives, their preparation and use |
| EP0374753A2 (en) | 1988-12-19 | 1990-06-27 | American Cyanamid Company | Insecticidal toxines, genes coding therefor, antibodies binding them, transgenic plant cells and plants expressing these toxines |
| EP0382173A2 (en) | 1989-02-07 | 1990-08-16 | Meiji Seika Kaisha Ltd. | PF 1022 substance, method of producing same and anthelmintic composition containing same |
| US5015630A (en) | 1989-01-19 | 1991-05-14 | Merck & Co., Inc. | 5-oxime avermectin derivatives |
| EP0427529A1 (en) | 1989-11-07 | 1991-05-15 | Pioneer Hi-Bred International, Inc. | Larvicidal lectins and plant insect resistance based thereon |
| EP0444964A1 (en) | 1990-03-01 | 1991-09-04 | Sankyo Company Limited | Milbemycin ether derivatives, their preparation and their anthelmintic uses |
| EP0451878A1 (en) | 1985-01-18 | 1991-10-16 | Plant Genetic Systems, N.V. | Modifying plants by genetic engineering to combat or control insects |
| EP0503538A1 (en) | 1991-03-08 | 1992-09-16 | Meiji Seika Kaisha Ltd. | Medicinal composition containing an anthelmintic cyclic depsipeptide |
| WO1993007278A1 (en) | 1991-10-04 | 1993-04-15 | Ciba-Geigy Ag | Synthetic dna sequence having enhanced insecticidal activity in maize |
| WO1993019053A1 (en) | 1992-03-17 | 1993-09-30 | Fujisawa Pharmaceutical Co., Ltd. | Depsipeptide derivative, production thereof and use thereof |
| WO1993025543A2 (en) | 1992-06-11 | 1993-12-23 | Bayer Aktiengesellschaft | Enniatines and enniatine derivates used to control endoparasites |
| EP0594291A1 (en) | 1992-09-01 | 1994-04-27 | Sankyo Company Limited | Novel processes for the production of 13-ether derivatives of milbemycins, and novel intermediates therefor |
| WO1994015944A1 (en) | 1993-01-18 | 1994-07-21 | Pfizer Limited | New antiparasitic agents related to the milbemycins and avermectins |
| WO1994019334A1 (en) | 1993-02-19 | 1994-09-01 | Meiji Seika Kaisha, Ltd. | Pf1022 derivative, cyclic depsipeptide |
| EP0626375A1 (en) | 1993-05-26 | 1994-11-30 | Bayer Ag | Octacyclodepsipeptides having endoparasiticidal activity |
| WO1995019363A1 (en) | 1994-01-14 | 1995-07-20 | Pfizer Inc. | Antiparasitic pyrrolobenzoxazine compounds |
| WO1995022552A1 (en) | 1994-02-16 | 1995-08-24 | Pfizer Limited | Antiparasitic agents |
| WO1995034656A1 (en) | 1994-06-10 | 1995-12-21 | Ciba-Geigy Ag | Novel bacillus thuringiensis genes coding toxins active against lepidopteran pests |
| US5478855A (en) | 1992-04-28 | 1995-12-26 | Yashima Chemical Industry Co., Ltd. | 2-(2,6-difluorophenyl)-4-(2-ethoxy-4-tert-butylphenyl)-2-oxazoline |
| WO1996011945A2 (en) | 1994-10-18 | 1996-04-25 | Bayer Aktiengesellschaft | Cyclic depsipeptide sulfonylation, sulfenylation and phosphorylation process |
| WO1996015121A1 (en) | 1994-11-10 | 1996-05-23 | Bayer Aktiengesellschaft | Use of dioxomorpholines to combat endoparasites, novel dioxomorpholines and process for their production |
| DE19520936A1 (en) | 1995-06-08 | 1996-12-12 | Bayer Ag | Ectoparasiticides means |
| US6406690B1 (en) | 1995-04-17 | 2002-06-18 | Minrav Industries Ltd. | Bacillus firmus CNCM I-1582 or Bacillus cereus CNCM I-1562 for controlling nematodes |
| WO2003018810A2 (en) | 2001-08-31 | 2003-03-06 | Syngenta Participations Ag | Modified cry3a toxins and nucleic acid sequences coding therefor |
| WO2003024222A1 (en) | 2001-09-21 | 2003-03-27 | E. I. Du Pont De Nemours And Company | Anthranilamide arthropodicide treatment |
| WO2003052073A2 (en) | 2001-12-17 | 2003-06-26 | Syngenta Participations Ag | Novel corn event |
| WO2004072086A2 (en) | 2003-02-14 | 2004-08-26 | Pfizer Limited | Antiparasitic terpene alkaloids |
| WO2005019221A1 (en) | 2003-08-15 | 2005-03-03 | Merck & Co., Inc. | 4-cycloalkylaminopyrazolo pyrimidine nmda/nr2b antagonists |
| WO2005085216A1 (en) | 2004-03-05 | 2005-09-15 | Nissan Chemical Industries, Ltd. | Isoxazoline-substituted benzamide compound and noxious organism control agent |
| US20050261327A1 (en) | 2004-05-20 | 2005-11-24 | Bock Mark G | 2-(Bicyclo)alkylamino-derivatives as mediatores of chronic pain and inflammation |
| WO2006129714A1 (en) | 2005-06-01 | 2006-12-07 | Meiji Seika Kaisha, Ltd. | Pest control agent |
| WO2007020986A1 (en) | 2005-08-12 | 2007-02-22 | Nihon Nohyaku Co., Ltd. | Substituted pyrazolecarboxylic acid anilide derivative or salt thereof, intermediate thereof, agent for agricultural and horticultural use, and use thereof |
| WO2007046548A1 (en) | 2005-10-21 | 2007-04-26 | Mitsubishi Tanabe Pharma Corporation | Pyrazolo[1,5-a]pyrimidine compounds as cannabinoid receptor antagonists |
| WO2007080131A2 (en) | 2006-01-16 | 2007-07-19 | Syngenta Participations Ag | Anthranilamide derivatives and their use for the control of insects and acari |
| DE102006015467A1 (en) | 2006-03-31 | 2007-10-04 | Bayer Cropscience Ag | New cyclic enamine ketone derivatives useful for controlling pests, especially insects |
| WO2008128711A1 (en) | 2007-04-23 | 2008-10-30 | Bayer Cropscience Ag | Insecticidal aryl pyrrolidines |
| WO2009008050A1 (en) | 2007-07-09 | 2009-01-15 | Hiroko Ishize | Holding device |
| WO2009072621A1 (en) | 2007-12-07 | 2009-06-11 | Nissan Chemical Industries, Ltd. | Substituted dihydroazole compound and pest control agent |
| WO2009080250A2 (en) | 2007-12-24 | 2009-07-02 | Syngenta Participations Ag | Insecticidal compounds |
| WO2010020521A1 (en) * | 2008-08-22 | 2010-02-25 | Syngenta Participations Ag | Insceticidal compounds |
| WO2010031735A1 (en) | 2008-09-22 | 2010-03-25 | F. Hoffmann-La Roche Ag | Piperazine d3 and 5-ht2a receptor modulators |
| WO2011066384A1 (en) | 2009-11-24 | 2011-06-03 | Dow Agrosciences Llc | Aad-12 event 416, related transgenic soybean lines, and event-specific identification thereof |
| WO2011147952A1 (en) | 2010-05-28 | 2011-12-01 | Basf Se | Pesticidal mixtures |
| WO2011147953A1 (en) | 2010-05-28 | 2011-12-01 | Basf Se | Pesticidal mixtures |
-
2012
- 2012-08-07 WO PCT/EP2012/065421 patent/WO2013026695A1/en not_active Ceased
- 2012-08-09 AR ARP120102906 patent/AR087494A1/en unknown
- 2012-08-09 UY UY34251A patent/UY34251A/en not_active Application Discontinuation
Patent Citations (46)
| Publication number | Priority date | Publication date | Assignee | Title |
|---|---|---|---|---|
| US4639771A (en) | 1984-10-31 | 1987-01-27 | Kabushiki Kaisha Toshiba | Image processing system |
| EP0451878A1 (en) | 1985-01-18 | 1991-10-16 | Plant Genetic Systems, N.V. | Modifying plants by genetic engineering to combat or control insects |
| EP0357460A2 (en) | 1988-09-02 | 1990-03-07 | Sankyo Company Limited | 13-Substituted milbemycin derivatives, their preparation and use |
| EP0374753A2 (en) | 1988-12-19 | 1990-06-27 | American Cyanamid Company | Insecticidal toxines, genes coding therefor, antibodies binding them, transgenic plant cells and plants expressing these toxines |
| US5015630A (en) | 1989-01-19 | 1991-05-14 | Merck & Co., Inc. | 5-oxime avermectin derivatives |
| EP0382173A2 (en) | 1989-02-07 | 1990-08-16 | Meiji Seika Kaisha Ltd. | PF 1022 substance, method of producing same and anthelmintic composition containing same |
| EP0427529A1 (en) | 1989-11-07 | 1991-05-15 | Pioneer Hi-Bred International, Inc. | Larvicidal lectins and plant insect resistance based thereon |
| EP0444964A1 (en) | 1990-03-01 | 1991-09-04 | Sankyo Company Limited | Milbemycin ether derivatives, their preparation and their anthelmintic uses |
| EP0503538A1 (en) | 1991-03-08 | 1992-09-16 | Meiji Seika Kaisha Ltd. | Medicinal composition containing an anthelmintic cyclic depsipeptide |
| WO1993007278A1 (en) | 1991-10-04 | 1993-04-15 | Ciba-Geigy Ag | Synthetic dna sequence having enhanced insecticidal activity in maize |
| WO1993019053A1 (en) | 1992-03-17 | 1993-09-30 | Fujisawa Pharmaceutical Co., Ltd. | Depsipeptide derivative, production thereof and use thereof |
| US5478855A (en) | 1992-04-28 | 1995-12-26 | Yashima Chemical Industry Co., Ltd. | 2-(2,6-difluorophenyl)-4-(2-ethoxy-4-tert-butylphenyl)-2-oxazoline |
| WO1993025543A2 (en) | 1992-06-11 | 1993-12-23 | Bayer Aktiengesellschaft | Enniatines and enniatine derivates used to control endoparasites |
| EP0594291A1 (en) | 1992-09-01 | 1994-04-27 | Sankyo Company Limited | Novel processes for the production of 13-ether derivatives of milbemycins, and novel intermediates therefor |
| WO1994015944A1 (en) | 1993-01-18 | 1994-07-21 | Pfizer Limited | New antiparasitic agents related to the milbemycins and avermectins |
| WO1994019334A1 (en) | 1993-02-19 | 1994-09-01 | Meiji Seika Kaisha, Ltd. | Pf1022 derivative, cyclic depsipeptide |
| EP0626375A1 (en) | 1993-05-26 | 1994-11-30 | Bayer Ag | Octacyclodepsipeptides having endoparasiticidal activity |
| WO1995019363A1 (en) | 1994-01-14 | 1995-07-20 | Pfizer Inc. | Antiparasitic pyrrolobenzoxazine compounds |
| WO1995022552A1 (en) | 1994-02-16 | 1995-08-24 | Pfizer Limited | Antiparasitic agents |
| WO1995034656A1 (en) | 1994-06-10 | 1995-12-21 | Ciba-Geigy Ag | Novel bacillus thuringiensis genes coding toxins active against lepidopteran pests |
| WO1996011945A2 (en) | 1994-10-18 | 1996-04-25 | Bayer Aktiengesellschaft | Cyclic depsipeptide sulfonylation, sulfenylation and phosphorylation process |
| WO1996015121A1 (en) | 1994-11-10 | 1996-05-23 | Bayer Aktiengesellschaft | Use of dioxomorpholines to combat endoparasites, novel dioxomorpholines and process for their production |
| US6406690B1 (en) | 1995-04-17 | 2002-06-18 | Minrav Industries Ltd. | Bacillus firmus CNCM I-1582 or Bacillus cereus CNCM I-1562 for controlling nematodes |
| DE19520936A1 (en) | 1995-06-08 | 1996-12-12 | Bayer Ag | Ectoparasiticides means |
| WO2003018810A2 (en) | 2001-08-31 | 2003-03-06 | Syngenta Participations Ag | Modified cry3a toxins and nucleic acid sequences coding therefor |
| US7030295B2 (en) | 2001-08-31 | 2006-04-18 | Syngenta Participations Ag | Modified Cry3A toxins and nucleic acid sequences coding therefor |
| WO2003024222A1 (en) | 2001-09-21 | 2003-03-27 | E. I. Du Pont De Nemours And Company | Anthranilamide arthropodicide treatment |
| WO2003052073A2 (en) | 2001-12-17 | 2003-06-26 | Syngenta Participations Ag | Novel corn event |
| WO2004072086A2 (en) | 2003-02-14 | 2004-08-26 | Pfizer Limited | Antiparasitic terpene alkaloids |
| WO2005019221A1 (en) | 2003-08-15 | 2005-03-03 | Merck & Co., Inc. | 4-cycloalkylaminopyrazolo pyrimidine nmda/nr2b antagonists |
| WO2005085216A1 (en) | 2004-03-05 | 2005-09-15 | Nissan Chemical Industries, Ltd. | Isoxazoline-substituted benzamide compound and noxious organism control agent |
| US20050261327A1 (en) | 2004-05-20 | 2005-11-24 | Bock Mark G | 2-(Bicyclo)alkylamino-derivatives as mediatores of chronic pain and inflammation |
| WO2006129714A1 (en) | 2005-06-01 | 2006-12-07 | Meiji Seika Kaisha, Ltd. | Pest control agent |
| WO2007020986A1 (en) | 2005-08-12 | 2007-02-22 | Nihon Nohyaku Co., Ltd. | Substituted pyrazolecarboxylic acid anilide derivative or salt thereof, intermediate thereof, agent for agricultural and horticultural use, and use thereof |
| WO2007046548A1 (en) | 2005-10-21 | 2007-04-26 | Mitsubishi Tanabe Pharma Corporation | Pyrazolo[1,5-a]pyrimidine compounds as cannabinoid receptor antagonists |
| WO2007080131A2 (en) | 2006-01-16 | 2007-07-19 | Syngenta Participations Ag | Anthranilamide derivatives and their use for the control of insects and acari |
| DE102006015467A1 (en) | 2006-03-31 | 2007-10-04 | Bayer Cropscience Ag | New cyclic enamine ketone derivatives useful for controlling pests, especially insects |
| WO2008128711A1 (en) | 2007-04-23 | 2008-10-30 | Bayer Cropscience Ag | Insecticidal aryl pyrrolidines |
| WO2009008050A1 (en) | 2007-07-09 | 2009-01-15 | Hiroko Ishize | Holding device |
| WO2009072621A1 (en) | 2007-12-07 | 2009-06-11 | Nissan Chemical Industries, Ltd. | Substituted dihydroazole compound and pest control agent |
| WO2009080250A2 (en) | 2007-12-24 | 2009-07-02 | Syngenta Participations Ag | Insecticidal compounds |
| WO2010020521A1 (en) * | 2008-08-22 | 2010-02-25 | Syngenta Participations Ag | Insceticidal compounds |
| WO2010031735A1 (en) | 2008-09-22 | 2010-03-25 | F. Hoffmann-La Roche Ag | Piperazine d3 and 5-ht2a receptor modulators |
| WO2011066384A1 (en) | 2009-11-24 | 2011-06-03 | Dow Agrosciences Llc | Aad-12 event 416, related transgenic soybean lines, and event-specific identification thereof |
| WO2011147952A1 (en) | 2010-05-28 | 2011-12-01 | Basf Se | Pesticidal mixtures |
| WO2011147953A1 (en) | 2010-05-28 | 2011-12-01 | Basf Se | Pesticidal mixtures |
Non-Patent Citations (18)
| Title |
|---|
| "McCutcheon's Volume 2: Functional Materials, annual International and North American", vol. 2, MCCUTCHEON'S DIVISION, THE MANUFACTURING CONFECTIONER PUBLISHING CO. |
| ANGEWANDTE CHEMIE, INTERNATIONAL EDITION, vol. 45, no. 46, 2006, pages 7736 - 7739 |
| CHEMICAL & PHARMACEUTICAL BULLETIN, vol. 52, no. 6, 2004, pages 675 - 687 |
| CRICKMORE ET AL., MICROBIOL. MOL. BIOL. REV., vol. 62, 1998, pages 807 - 813 |
| D. S. KETTLE: "Medical and Veterinary Entomology", JOHN WILEY AND SONS |
| HELMINTHS, E. J. L.; SOULSBY, F. A.: "Textbook of Veterinary Clinical Parasitology", vol. 1, DAVIS CO. |
| HELMINTHS: "Arthropods and Protozoa", WILLIAMS AND WILKINS CO. |
| JOURNAL OF MEDICINAL CHEMISTRY, vol. 53, no. 7, 2010, pages 2942 - 2951 |
| JOURNAL OF MEDICINAL CHEMISTRY, vol. 53, no. 8, 2010, pages 3227 - 3246 |
| JOURNAL OF ORGANIC CHEMISTRY, vol. 58, no. 6, 1993, pages 1372 - 6 |
| JOURNAL OF ORGANIC CHEMISTRY, vol. 75, no. 17, 2010, pages 5941 - 5952 |
| JOURNAL OF THE AMERICAN CHEMICAL SOCIETY, vol. 125, no. 40, 2003, pages 12125 - 12136 |
| JOURNAL OF THE AMERICAN CHEMICAL SOCIETY, vol. 131, no. 8, 2009, pages 2786 - 2787 |
| ORGANIC LETTERS, vol. 12, no. 9, 2010, pages 1944 - 1947 |
| R. O. DRUMMAND; J. E. GEORGE; S. E. KUNZ: "Control of Arthropod Pests of Livestock: A Review of Technology", CRC PRESS |
| SYNLETT, no. 10, 2005, pages 1559 - 1562 |
| SYNLETT, no. 11, 1991, pages 783 - 4 |
| TETRAHEDRON: ASYMMETRY, vol. 14, no. 23, 2003, pages 3773 - 3778 |
Cited By (25)
| Publication number | Priority date | Publication date | Assignee | Title |
|---|---|---|---|---|
| WO2014019951A1 (en) * | 2012-08-03 | 2014-02-06 | Syngenta Participations Ag | Methods of controlling insects |
| RU2796536C2 (en) * | 2013-12-20 | 2023-05-25 | Интервет Интернэшнл Б.В. | Use of isoxazoline compounds in poultry |
| US12128032B2 (en) | 2013-12-20 | 2024-10-29 | Intervet Inc. | Use of isoxazoline derivatives for the treatment or prevention of arthropod infestations in poultry |
| RU2796536C9 (en) * | 2013-12-20 | 2023-07-12 | Интервет Интернэшнл Б.В. | Use of isoxazoline compounds in poultry |
| WO2015091900A1 (en) * | 2013-12-20 | 2015-06-25 | Intervet International B.V. | Use of isoxazoline derivatives for the treatment or prevention of arthropod infestations in poultry |
| US11883530B2 (en) | 2013-12-20 | 2024-01-30 | Intervet Inc. | Isoxazoline compositions and use thereof in the prevention or treatment of parasite infestations in animals |
| US10272071B2 (en) | 2013-12-20 | 2019-04-30 | Intervet Inc. | Use of isoxazoline derivatives for the treatment or prevention of arthropod infestations in poultry |
| US10653675B2 (en) | 2013-12-20 | 2020-05-19 | Intervet Inc. | Use of isoxazoline derivatives for the treatment or prevention of arthropod infestations in poultry |
| US10456358B2 (en) | 2013-12-20 | 2019-10-29 | Intervet Inc. | Isoxazoline compositions and use thereof in the prevention or treatment of parasite infestations in animals |
| EP3878281A1 (en) * | 2013-12-20 | 2021-09-15 | Intervet International B.V. | Use of isoxazoline compounds in poultry |
| US11304934B2 (en) | 2013-12-20 | 2022-04-19 | Intervet Inc. | Use of isoxazoline derivatives for the treatment or prevention of arthropod infestations in poultry |
| RU2688167C1 (en) * | 2013-12-20 | 2019-05-20 | Интервет Интернэшнл Б.В. | Use of isoxazoline compounds on poultry |
| US11878006B2 (en) | 2015-06-23 | 2024-01-23 | Intervet Inc. | Isoxazoline solution containing vitamin E for use with sanitized drinking water |
| US11179372B2 (en) | 2015-06-23 | 2021-11-23 | Intervet Inc. | Isoxazoline solution containing vitamin E for use with sanitized drinking water |
| WO2017050922A1 (en) | 2015-09-23 | 2017-03-30 | Syngenta Participations Ag | Isoxazoline-substituted benzamides and analogues as insecticides |
| WO2018039508A1 (en) * | 2016-08-25 | 2018-03-01 | Merial, Inc. | Method for reducing unwanted effects in parasiticidal treatments |
| WO2018172471A1 (en) | 2017-03-22 | 2018-09-27 | Syngenta Participations Ag | Pesticidally active cyclopropyl methyl amide derivatives |
| WO2018197466A1 (en) | 2017-04-26 | 2018-11-01 | Basf Se | Substituted succinimide derivatives as pesticides |
| WO2020038821A1 (en) | 2018-08-22 | 2020-02-27 | Basf Se | Substituted glutarimide derivatives |
| EP3613736A1 (en) | 2018-08-22 | 2020-02-26 | Basf Se | Substituted glutarimide derivatives |
| EP3696177A1 (en) | 2019-02-12 | 2020-08-19 | Basf Se | Heterocyclic compounds for the control of invertebrate pests |
| WO2020164938A1 (en) | 2019-02-12 | 2020-08-20 | Basf Se | Heterocyclic compounds for the control of invertebrate pests |
| CN112174904B (en) * | 2019-07-01 | 2023-08-18 | 沈阳化工大学 | Isoxazoline compound and application thereof |
| CN112174904A (en) * | 2019-07-01 | 2021-01-05 | 沈阳化工大学 | Isoxazoline compound and application thereof |
| US12497370B2 (en) | 2019-12-18 | 2025-12-16 | Elanco Tiergesundheit Ag | Isoxazoline derivatives |
Also Published As
| Publication number | Publication date |
|---|---|
| AR087494A1 (en) | 2014-03-26 |
| UY34251A (en) | 2013-04-05 |
Similar Documents
| Publication | Publication Date | Title |
|---|---|---|
| US10869477B2 (en) | Insecticidal compounds | |
| EP2755969B1 (en) | Isothiazoline derivatives as insecticidal compounds | |
| EP2748155B1 (en) | Isoxazoline derivatives as insecticidal compounds | |
| EP2763970A1 (en) | Isoxazoline derivatives as insecticidal compounds | |
| EP2917201B1 (en) | Dihydrothiophene derivatives as insecticidal compounds | |
| US9675073B2 (en) | Insecticidal compounds based on N-arylsulfanylmethylcarboxamidearylthiosulfonamides derivatives | |
| WO2013026695A1 (en) | Isoxazoline derivatives as insecticidal compounds | |
| US9307766B2 (en) | Isoxazoline derivatives as insecticidal compounds | |
| WO2014079935A9 (en) | Insecticidal compounds based on arylthioacetamide derivatives | |
| WO2013026929A1 (en) | Dihydropyrrole derivatives as insecticidal compounds | |
| US9686988B2 (en) | Pesticidal compounds based on arylthiosulfonamide derivatives | |
| WO2014001120A1 (en) | Isothiazole derivatives as insecticidal compounds | |
| WO2014001121A1 (en) | Isothiazole derivatives as insecticidal compounds | |
| US10287281B2 (en) | Pyrazoline derivatives as insecticidal compounds | |
| WO2013135674A1 (en) | Insecticidal 2-aryl-acetamide compounds | |
| WO2014172871A1 (en) | Dihydrobenzofuran derivatives as insecticidal compounds |
Legal Events
| Date | Code | Title | Description |
|---|---|---|---|
| 121 | Ep: the epo has been informed by wipo that ep was designated in this application |
Ref document number: 12743187 Country of ref document: EP Kind code of ref document: A1 |
|
| NENP | Non-entry into the national phase |
Ref country code: DE |
|
| 122 | Ep: pct application non-entry in european phase |
Ref document number: 12743187 Country of ref document: EP Kind code of ref document: A1 |


































































































