WO2013006792A1 - Antiviral compounds - Google Patents
Antiviral compounds Download PDFInfo
- Publication number
- WO2013006792A1 WO2013006792A1 PCT/US2012/045761 US2012045761W WO2013006792A1 WO 2013006792 A1 WO2013006792 A1 WO 2013006792A1 US 2012045761 W US2012045761 W US 2012045761W WO 2013006792 A1 WO2013006792 A1 WO 2013006792A1
- Authority
- WO
- WIPO (PCT)
- Prior art keywords
- compound
- alkyl
- cycloalkyl
- independently
- phenyl
- Prior art date
- Legal status (The legal status is an assumption and is not a legal conclusion. Google has not performed a legal analysis and makes no representation as to the accuracy of the status listed.)
- Ceased
Links
- 0 C*(C([C@](Cc1ccccc1)*(C)(C)C(CC(F)(F)F)=O)=O)c(cc1)cc2c1OCO2 Chemical compound C*(C([C@](Cc1ccccc1)*(C)(C)C(CC(F)(F)F)=O)=O)c(cc1)cc2c1OCO2 0.000 description 4
- JDYSMMLVEKFSIF-UHFFFAOYSA-N C=Cc1cc(CC(C(F)(F)F)=O)ccc1 Chemical compound C=Cc1cc(CC(C(F)(F)F)=O)ccc1 JDYSMMLVEKFSIF-UHFFFAOYSA-N 0.000 description 1
- KUCOGTMSXXOPMA-DEOSSOPVSA-N CC(C)(C(N[C@@H](Cc1ccccc1)C(N(C)c1ccc2OCOc2c1)=O)=O)[n]1nc(C2CC2)c(CCO)c1C Chemical compound CC(C)(C(N[C@@H](Cc1ccccc1)C(N(C)c1ccc2OCOc2c1)=O)=O)[n]1nc(C2CC2)c(CCO)c1C KUCOGTMSXXOPMA-DEOSSOPVSA-N 0.000 description 1
- AISVZOAYJVIHHK-FQEVSTJZSA-N Cc1c(CCO)c(C(F)(F)F)n[n]1CC(N[C@@H](Cc1ccccc1)C(N(C)c1ccc2OCOc2c1)=O)=O Chemical compound Cc1c(CCO)c(C(F)(F)F)n[n]1CC(N[C@@H](Cc1ccccc1)C(N(C)c1ccc2OCOc2c1)=O)=O AISVZOAYJVIHHK-FQEVSTJZSA-N 0.000 description 1
- UTAQSCXPUIZDRN-LPECGTQYSA-M Cc1c(CCO)c(C2CC2)n[n]1CC(N[C@@H](Cc1ccccc1)C(N(C)[AlH2])=O)=O Chemical compound Cc1c(CCO)c(C2CC2)n[n]1CC(N[C@@H](Cc1ccccc1)C(N(C)[AlH2])=O)=O UTAQSCXPUIZDRN-LPECGTQYSA-M 0.000 description 1
- UGAFCCZPMICRJT-UHFFFAOYSA-N Cc1c(CO)nc(C2CC2)[nH]1 Chemical compound Cc1c(CO)nc(C2CC2)[nH]1 UGAFCCZPMICRJT-UHFFFAOYSA-N 0.000 description 1
- ADPRIAVYIGHFSO-UHFFFAOYSA-N Fc1nccc(I)c1 Chemical compound Fc1nccc(I)c1 ADPRIAVYIGHFSO-UHFFFAOYSA-N 0.000 description 1
Classifications
-
- C—CHEMISTRY; METALLURGY
- C07—ORGANIC CHEMISTRY
- C07D—HETEROCYCLIC COMPOUNDS
- C07D405/00—Heterocyclic compounds containing both one or more hetero rings having oxygen atoms as the only ring hetero atoms, and one or more rings having nitrogen as the only ring hetero atom
- C07D405/02—Heterocyclic compounds containing both one or more hetero rings having oxygen atoms as the only ring hetero atoms, and one or more rings having nitrogen as the only ring hetero atom containing two hetero rings
- C07D405/12—Heterocyclic compounds containing both one or more hetero rings having oxygen atoms as the only ring hetero atoms, and one or more rings having nitrogen as the only ring hetero atom containing two hetero rings linked by a chain containing hetero atoms as chain links
-
- A—HUMAN NECESSITIES
- A61—MEDICAL OR VETERINARY SCIENCE; HYGIENE
- A61P—SPECIFIC THERAPEUTIC ACTIVITY OF CHEMICAL COMPOUNDS OR MEDICINAL PREPARATIONS
- A61P31/00—Antiinfectives, i.e. antibiotics, antiseptics, chemotherapeutics
- A61P31/12—Antivirals
-
- A—HUMAN NECESSITIES
- A61—MEDICAL OR VETERINARY SCIENCE; HYGIENE
- A61P—SPECIFIC THERAPEUTIC ACTIVITY OF CHEMICAL COMPOUNDS OR MEDICINAL PREPARATIONS
- A61P31/00—Antiinfectives, i.e. antibiotics, antiseptics, chemotherapeutics
- A61P31/12—Antivirals
- A61P31/14—Antivirals for RNA viruses
-
- A—HUMAN NECESSITIES
- A61—MEDICAL OR VETERINARY SCIENCE; HYGIENE
- A61P—SPECIFIC THERAPEUTIC ACTIVITY OF CHEMICAL COMPOUNDS OR MEDICINAL PREPARATIONS
- A61P31/00—Antiinfectives, i.e. antibiotics, antiseptics, chemotherapeutics
- A61P31/12—Antivirals
- A61P31/14—Antivirals for RNA viruses
- A61P31/16—Antivirals for RNA viruses for influenza or rhinoviruses
-
- A—HUMAN NECESSITIES
- A61—MEDICAL OR VETERINARY SCIENCE; HYGIENE
- A61P—SPECIFIC THERAPEUTIC ACTIVITY OF CHEMICAL COMPOUNDS OR MEDICINAL PREPARATIONS
- A61P31/00—Antiinfectives, i.e. antibiotics, antiseptics, chemotherapeutics
- A61P31/12—Antivirals
- A61P31/14—Antivirals for RNA viruses
- A61P31/18—Antivirals for RNA viruses for HIV
-
- A—HUMAN NECESSITIES
- A61—MEDICAL OR VETERINARY SCIENCE; HYGIENE
- A61P—SPECIFIC THERAPEUTIC ACTIVITY OF CHEMICAL COMPOUNDS OR MEDICINAL PREPARATIONS
- A61P31/00—Antiinfectives, i.e. antibiotics, antiseptics, chemotherapeutics
- A61P31/12—Antivirals
- A61P31/20—Antivirals for DNA viruses
-
- C—CHEMISTRY; METALLURGY
- C07—ORGANIC CHEMISTRY
- C07D—HETEROCYCLIC COMPOUNDS
- C07D317/00—Heterocyclic compounds containing five-membered rings having two oxygen atoms as the only ring hetero atoms
- C07D317/08—Heterocyclic compounds containing five-membered rings having two oxygen atoms as the only ring hetero atoms having the hetero atoms in positions 1 and 3
- C07D317/44—Heterocyclic compounds containing five-membered rings having two oxygen atoms as the only ring hetero atoms having the hetero atoms in positions 1 and 3 ortho- or peri-condensed with carbocyclic rings or ring systems
- C07D317/46—Heterocyclic compounds containing five-membered rings having two oxygen atoms as the only ring hetero atoms having the hetero atoms in positions 1 and 3 ortho- or peri-condensed with carbocyclic rings or ring systems condensed with one six-membered ring
- C07D317/48—Methylenedioxybenzenes or hydrogenated methylenedioxybenzenes, unsubstituted on the hetero ring
- C07D317/62—Methylenedioxybenzenes or hydrogenated methylenedioxybenzenes, unsubstituted on the hetero ring with hetero atoms or with carbon atoms having three bonds to hetero atoms with at the most one bond to halogen, e.g. ester or nitrile radicals, directly attached to atoms of the carbocyclic ring
- C07D317/66—Nitrogen atoms not forming part of a nitro radical
-
- C—CHEMISTRY; METALLURGY
- C07—ORGANIC CHEMISTRY
- C07D—HETEROCYCLIC COMPOUNDS
- C07D401/00—Heterocyclic compounds containing two or more hetero rings, having nitrogen atoms as the only ring hetero atoms, at least one ring being a six-membered ring with only one nitrogen atom
- C07D401/02—Heterocyclic compounds containing two or more hetero rings, having nitrogen atoms as the only ring hetero atoms, at least one ring being a six-membered ring with only one nitrogen atom containing two hetero rings
- C07D401/12—Heterocyclic compounds containing two or more hetero rings, having nitrogen atoms as the only ring hetero atoms, at least one ring being a six-membered ring with only one nitrogen atom containing two hetero rings linked by a chain containing hetero atoms as chain links
-
- C—CHEMISTRY; METALLURGY
- C07—ORGANIC CHEMISTRY
- C07D—HETEROCYCLIC COMPOUNDS
- C07D403/00—Heterocyclic compounds containing two or more hetero rings, having nitrogen atoms as the only ring hetero atoms, not provided for by group C07D401/00
- C07D403/02—Heterocyclic compounds containing two or more hetero rings, having nitrogen atoms as the only ring hetero atoms, not provided for by group C07D401/00 containing two hetero rings
- C07D403/12—Heterocyclic compounds containing two or more hetero rings, having nitrogen atoms as the only ring hetero atoms, not provided for by group C07D401/00 containing two hetero rings linked by a chain containing hetero atoms as chain links
-
- C—CHEMISTRY; METALLURGY
- C07—ORGANIC CHEMISTRY
- C07D—HETEROCYCLIC COMPOUNDS
- C07D417/00—Heterocyclic compounds containing two or more hetero rings, at least one ring having nitrogen and sulfur atoms as the only ring hetero atoms, not provided for by group C07D415/00
- C07D417/02—Heterocyclic compounds containing two or more hetero rings, at least one ring having nitrogen and sulfur atoms as the only ring hetero atoms, not provided for by group C07D415/00 containing two hetero rings
- C07D417/12—Heterocyclic compounds containing two or more hetero rings, at least one ring having nitrogen and sulfur atoms as the only ring hetero atoms, not provided for by group C07D415/00 containing two hetero rings linked by a chain containing hetero atoms as chain links
-
- C—CHEMISTRY; METALLURGY
- C07—ORGANIC CHEMISTRY
- C07D—HETEROCYCLIC COMPOUNDS
- C07D471/00—Heterocyclic compounds containing nitrogen atoms as the only ring hetero atoms in the condensed system, at least one ring being a six-membered ring with one nitrogen atom, not provided for by groups C07D451/00 - C07D463/00
- C07D471/02—Heterocyclic compounds containing nitrogen atoms as the only ring hetero atoms in the condensed system, at least one ring being a six-membered ring with one nitrogen atom, not provided for by groups C07D451/00 - C07D463/00 in which the condensed system contains two hetero rings
- C07D471/04—Ortho-condensed systems
Definitions
- This invention relates to novel compounds as anti-viral agents, which can be useful in the treatment of viral infections such as HIV, HBV and HCV; to processes for their preparation; to pharmaceutical compositions comprising them; and to methods of using them.
- HIV is released from the infected cells as an immature, non-infectious particle containing a spherical protein shell of approximately 5,000 Gag molecules underneath the viral membrane.
- MA matrix
- CA capsid
- NC nucleocapsid
- the last but critical proteolytic cleavage step of CA-SPl generates a mature p24 CA protein, which is capable of forming the higher-order complexes that comprise the mature viral core. In the absence of this maturation, viral particles remain to be non-infectious.
- the resent invention provides a compound of formula I,
- W is 5 to 7-membered monocyclic carbocycle or heterocycle; each of Ri and R 2 is independently H, (Ci-C4)alkyl, (C 3 -C 5 )cycloalkyl, hydroxyl, fluoro, or NR b R c , or Ri and R 2 together form (C 3 -C 5 )cycloalkyl; R 3 is phenyl, or heteroaryl;
- R4 is H, (Ci-C 4 )alkyl, or (C 3 -C 7 )cycloalkyl;
- R 5 is (CRgR q-cycloalkyl, (CRgRc>)q-aryl, or (CRgR 9 ) q -heterocycle; each of Rg and R 9 is independently H, (Ci-C 4 )alkyl, hydroxyl, fluoro, or NRbRc, or R 8 and R 9 together form (C 3 -C5)cycloalkyl; each of Rb and R c is independently hydrogen or alkyl, or said Rb and Rc together with the N to which they are bonded optionally form a heterocycle; each q is independently 0, 1, 2, 3, or 4; and n is 1 or 2.
- the present invention provides a pharmaceutical composition
- a pharmaceutical composition comprising at least one compound as described herein and a pharmaceutically-acceptable carrier.
- the present invention provides a method for treating or preventing a viral infection in a mammalian species in need thereof, the method comprising administering to the mammalian species a therapeutically effective amount of at least one compound as described herein.
- the present invention provides a method for treating or preventing HIV infection in a mammalian species in need thereof, the method comprising administering to the mammalian species a therapeutically effective amount of at least one compound as described herein.
- alkyl and “alk” refer to a straight or branched chain alkane
- hydrocarbon radical containing from 1 to 12 carbon atoms, preferably 1 to 6 carbon atoms.
- alkyl groups include methyl, ethyl, propyl, isopropyl, n-butyl, t-butyl, isobutyl pentyl, hexyl, isohexyl, heptyl, 4,4-dimethylpentyl, octyl, 2,2,4-trimethylpentyl, nonyl, decyl, undecyl, dodecyl, and the like.
- (Ci-C4)alkyl refers to a straight or branched chain alkane (hydrocarbon) radical containing from 1 to 4 carbon atoms, such as methyl, ethyl, propyl, isopropyl, n-butyl, t-butyl, and isobutyl.
- alkyl and alk may include substituted alkyl.
- Substituted alkyl refers to an alkyl group substituted with one or more substituents, preferably 1 to 4 substituents, at any available point of attachment. Exemplary substituents include but are not limited to one or more of the following groups: hydrogen, halogen (e.g.
- each occurrence of R a is independently hydrogen, alkyl, cycloalkyl, alkenyl, cycloalkenyl, alkynyl, heterocycle, or aryl; each occurrence of R b , R c and R d is independently hydrogen, alkyl, cycloalkyl, heterocycle, aryl, or said R b and R c together with the N to which they are bonded optionally form a heterocycle; and each occurrence of R s is independently alkyl, cycloalkyl, alkenyl, cycloalkenyl, alkynyl, heterocycle, or aryl.
- groups such as alkyl, cycloalkyl, alkenyl, alkynyl, cycloalkenyl, heterocycle and aryl can themselves be optionally substituted.
- alkenyl refers to a straight or branched chain hydrocarbon radical containing from 2 to 12 carbon atoms and at least one carbon-carbon double bond.
- C 2 -C 6 alkenyl refers to a straight or branched chain hydrocarbon radical containing from 2 to 6 carbon atoms and at least one carbon-carbon double bond, such as ethylenyl, propenyl, 2-propenyl, (E)-but-2-enyl, (Z)-but- 2-enyl, 2-methy(E)-but-2-enyl, 2-methy(Z)-but-2-enyl, 2,3-dimethy-but-2-enyl, (Z)-pent-2- enyl, (E)-pent-l-enyl, (Z)-hex-l-enyl, (E)-pent-2-enyl, (Z)-hex-2-enyl, (E)-hex-2-enyl, (Z)- hex-l-enyl, (E)-hex-l-enyl, (E)-hex-l-enyl, (E)-hex
- alkenyl may include substituted alkenyl.
- substituted alkenyl refers to an alkenyl group substituted with one or more substituents, preferably 1 to 4 substituents, at any available point of attachment.
- substituents include but are not limited to one or more of the following groups: hydrogen, halogen (e.g.
- each occurrence of R a is independently hydrogen, alkyl, cycloalkyl, alkenyl, cycloalkenyl, alkynyl, heterocycle, or aryl; each occurrence of R b , Rc and Rj is independently hydrogen, alkyl, cycloalkyl, heterocycle, aryl, or said R b and Rc together with the N to which they are bonded optionally form a heterocycle; and each occurrence of R e is independently alkyl, cycloalkyl, alkenyl, cycloalkenyl, alkynyl, heterocycle, or aryl.
- the exemplary substitutents can themselves be optionally substituted.
- alkynyl refers to a straight or branched chain hydrocarbon radical containing from 2 to 12 carbon atoms and at least one carbon to carbon triple bond.
- Exemplary such groups include ethynyl.
- C 2 -C 6 alkynyl refers to a straight or branched chain hydrocarbon radical containing from 2 to 6 carbon atoms and at least one carbon-carbon triple bond, such as ethynyl, prop-l-ynyl, prop-2-ynyl, but-l-ynyl, but-2-ynyl, pent-l-ynyl, pent-2-ynyl, hex-l-ynyl, hex-2-ynyl, hex-3-ynyl.
- alkynyl may include substituted alkynyl.
- Substituted alkynyl refers to an alkynyl group substituted with one or more substituents, preferably 1 to 4 substituents, at any available point of attachment.
- cycloalkyl refers to a fully saturated cyclic hydrocarbon group containing from 1 to 4 rings and 3 to 8 carbons per ring.
- C3-C7 cycloalkyl refers to cyclopropyl, cyclobutyl, cyclopentyl, cyclohexyl, or cycloheptyl.
- cycloalkyl may include substituted cycloalkyl.
- Substituted cycloalkyl refers to a cycloalkyl group substituted with one or more substituents, preferably 1 to 4 substituents, at any available point of attachment.
- each occurrence of R a is independently hydrogen, alkyl, cycloalkyl, alkenyl, cycloalkenyl, alkynyl, heterocycle, or aryl; each occurrence of R b , Rc and Rj is independently hydrogen, alkyl, cycloalkyl, heterocycle, aryl, or said R b and Rc together with the N to which they are bonded optionally form a heterocycle; and each occurrence of R e is independently alkyl, cycloalkyl, alkenyl, cycloalkenyl, alkynyl, heterocycle, or aryl.
- exemplary substitutents can themselves be optionally substituted.
- exemplary substituents also include spiro-attached or fused cylic substituents, especially spiro-attached cycloalkyl, spiro-attached cycloalkenyl, spiro-attached heterocycle (excluding heteroaryl), fused cycloalkyl, fused cycloalkenyl, fused heterocycle, or fused aryl, where the aforementioned cycloalkyl, cycloalkenyl, heterocycle and aryl substitutents can themselves be optionally substituted.
- cycloalkenyl refers to a partially unsaturated cyclic hydrocarbon group containing 1 to 4 rings and 3 to 8 carbons per ring. Exemplary such groups include cyclobutenyl, cyclopentenyl, cyclohexenyl, etc.
- cycloalkenyl may include substituted cycloalkenyl.
- substituted cycloalkenyl refers to a cycloalkenyl group substituted with one more substituents, preferably 1 to 4 substituents, at any available point of attachment.
- each occurrence of R a is independently hydrogen, alkyl, cycloalkyl, alkenyl, cycloalkenyl, alkynyl, heterocycle, or aryl; each occurrence of R b , Rc and Rj is independently hydrogen, alkyl, cycloalkyl, heterocycle, aryl, or said R b and Rc together with the N to which they are bonded optionally form a heterocycle; and each occurrence of R e is independently alkyl, cycloalkyl, alkenyl, cycloalkenyl, alkynyl, heterocycle, or aryl.
- exemplary substitutents can themselves be optionally substituted.
- exemplary substituents also include spiro-attached or fused cylic substituents, especially spiro-attached cycloalkyl, spiro-attached cycloalkenyl, spiro-attached heterocycle (excluding heteroaryl), fused cycloalkyl, fused cycloalkenyl, fused heterocycle, or fused aryl, where the aforementioned cycloalkyl, cycloalkenyl, heterocycle and aryl substituents can themselves be optionally substituted.
- aryl refers to cyclic, aromatic hydrocarbon groups that have 1 to 5 aromatic rings, especially monocyclic or bicyclic groups such as phenyl, biphenyl or naphthyl. Where containing two or more aromatic rings (bicyclic, etc.), the aromatic rings of the aryl group may be joined at a single point (e.g., biphenyl), or fused (e.g., naphthyl, phenanthrenyl and the like).
- aryl may include substituted aryl.
- substituted aryl refers to an aryl group substituted by one or more substituents, preferably 1 to 3 substituents, at any available point of attachment.
- each occurrence of R a is independently hydrogen, alkyl, cycloalkyl, alkenyl, cycloalkenyl, alkynyl, heterocycle, or aryl; each occurrence of R b , Rc and Rj is independently hydrogen, alkyl, cycloalkyl, heterocycle, aryl, or said R b and R c together with the N to which they are bonded optionally form a heterocycle; and each occurrence of R e is independently alkyl, cycloalkyl, alkenyl, cycloalkenyl, alkynyl, heterocycle, or aryl.
- exemplary substitutents can themselves be optionally substituted.
- exemplary substituents also include fused cylic groups, especially fused cycloalkyl, fused cycloalkenyl, fused heterocycle, or fused aryl, where the aforementioned cycloalkyl, cycloalkenyl, heterocycle and aryl substituents can themselves be optionally substituted.
- carrier refers to a fully saturated or partially saturated cyclic hydrocarbon group containing from 1 to 4 rings and 3 to 8 carbons per ring, or cyclic, aromatic hydrocarbon groups that have 1 to 5 aromatic rings, especially monocyclic or bicyclic groups such as phenyl, biphenyl or naphthyl.
- carrier encompasses cycloalkyl, cycloalkenyl, cycloalkynyl and aryl as defined hereinabove.
- Carbocycle may include substituted carbocycle.
- substituted carbocycle refers to carbocycle or carbocyclic groups substituted with one or more substituents, preferably 1 to 4 substituents, at any available point of attachment.
- substituents include, but are not limited to, those described above for substituted cycloalkyl, substituted cycloalkenyl, substituted cycloalkynyl and substituted aryl.
- substituents also include spiro- attached or fused cyclic substituents at any available point or points of attachment, especially spiro-attached cycloalkyl, spiro-attached cycloalkenyl, spiro-attached heterocycle (excluding heteroaryl), fused cycloalkyl, fused cycloalkenyl, fused heterocycle, or fused aryl, where the aforementioned cycloalkyl, cycloalkenyl, heterocycle and aryl substituents can themselves be optionally substituted.
- heterocycle and “heterocyclic” refer to fully saturated, or partially or fully unsaturated, including aromatic (i.e., “heteroaryl”) cyclic groups (for example, 4 to 7 membered monocyclic, 7 to 11 membered bicyclic, or 8 to 16 membered tricyclic ring systems) which have at least one heteroatom in at least one carbon atom-containing ring.
- aromatic i.e., "heteroaryl”
- cyclic groups for example, 4 to 7 membered monocyclic, 7 to 11 membered bicyclic, or 8 to 16 membered tricyclic ring systems
- Each ring of the heterocyclic group containing a heteroatom may have 1, 2, 3, or 4
- heteroatoms selected from nitrogen atoms, oxygen atoms and/or sulfur atoms, where the nitrogen and sulfur heteroatoms may optionally be oxidized and the nitrogen heteroatoms may optionally be quaternized.
- heteroarylium refers to a heteroaryl group bearing a quaternary nitrogen atom and thus a positive charge.
- the heterocyclic group may be attached to the remainder of the molecule at any heteroatom or carbon atom of the ring or ring system.
- Exemplary monocyclic heterocyclic groups include azetidinyl, pyrrolidinyl, pyrrolyl, pyrazolyl, oxetanyl, pyrazolinyl, imidazolyl, imidazolinyl, imidazolidinyl, oxazolyl, oxazolidinyl, isoxazolinyl, isoxazolyl, thiazolyl, thiadiazolyl, thiazolidinyl, isothiazolyl, isothiazolidinyl, furyl, tetrahydrofuryl, thienyl, oxadiazolyl, piperidinyl, piperazinyl, 2- oxopiperazinyl, 2-oxopiperidinyl, 2-oxopyrrolodinyl, 2-oxoazepinyl, azepinyl,
- hexahydrodiazepinyl 4-piperidonyl, pyridyl, pyrazinyl, pyrimidinyl, pyridazinyl, triazinyl, triazolyl, tetrazolyl, tetrahydropyranyl, morpholinyl, thiamorpholinyl, thiamorpholinyl sulfoxide, thiamorpholinyl sulfone, 1,3-dioxolane and tetrahydro-l,l-dioxothienyl, and the like.
- bicyclic heterocyclic groups include indolyl, isoindolyl, benzothiazolyl, benzoxazolyl, benzoxadiazolyl, benzothienyl, benzo[d][l,3]dioxolyl, 2,3- dihydrobenzo[b][l,4]dioxinyl, quinuclidinyl, quinolinyl, tetrahydroisoquinolinyl,
- Exemplary tricyclic heterocyclic groups include carbazolyl, benzindolyl, phenanthrolinyl, acridinyl, phenanthridinyl, xanthenyl and the like.
- heterocycle may include substituted heterocycle.
- Substituted heterocycle and “substituted heterocyclic” (such as “substituted heteroaryl”) refer to heterocycle or heterocyclic groups substituted with one or more substituents, preferably 1 to 4 substituents, at any available point of attachment.
- substituents include but are not limited to one or more of the following groups: hydrogen, halogen (e.g.
- each occurrence of R a is independently hydrogen, alkyl, cycloalkyl, alkenyl, cycloalkenyl, alkynyl, heterocycle, or aryl; each occurrence of R b , R c and R d is independently hydrogen, alkyl, cycloalkyl, heterocycle, aryl, or said R b and R c together with the N to which they are bonded optionally form a heterocycle; and each occurrence of R» is independently alkyl, cycloalkyl, alkenyl, cycloal
- exemplary substitutents can themselves be optionally substituted.
- exemplary substituents also include spiro-attached or fused cyclic substituents at any available point or points of attachment, especially spiro-attached cycloalkyl, spiro-attached cycloalkenyl, spiro-attached heterocycle (excluding heteroaryl), fused cycloalkyl, fused cycloalkenyl, fused heterocycle, or fused aryl, where the aforementioned cycloalkyl, cycloalkenyl, heterocycle and aryl substituents can themselves be optionally substituted.
- alkylamino refers to a group having the structure -NHR', wherein R' is hydrogen, alkyl or substituted alkyl, cycloalkyl or substituted cyclolakyl, as defined herein.
- alkylamino groups include, but are not limited to, methylamino, ethylamino, n- propylamino, iso-propylamino, cyclopropylamino, n-butylamino, tert-butylamino, neopentylamino, n-pentylamino, hexylamino, cyclohexylamino, and the like.
- dialkylamino refers to a group having the structure -NRR', wherein R and R' are each independently alkyl or substituted alkyl, cycloalkyl or substituted cycloalkyl, cycloalkenyl or substituted cyclolalkenyl, aryl or substituted aryl, heterocylyl or susbstituted heterocyclyl, as defined herein. R and R' may be the same or different in an dialkyamino moiety.
- dialkylamino groups include, but are not limited to, dimethylamino, methyl ethylamino, diethylamino, methylpropylamino, di(n-propyl)amino, di(iso- propyl)amino, di(cyclopropyl)amino, di(n-butyl)amino, di(tert-butyl)amino,
- R and R' are linked to form a cyclic structure.
- the resulting cyclic structure may be aromatic or non-aromatic.
- Examples of cyclic diaminoalkyl groups include, but are not limited to, aziridinyl, pyrrolidinyl, piperidinyl, morpholinyl, pyrrolyl, imidazolyl, 1,3,4-trianolyl, and tetrazolyl.
- halogen or halo refer to chlorine, bromine, fluorine or iodine.
- any heteroatom with unsatisfied valences is assumed to have hydrogen atoms sufficient to satisfy the valences.
- the compounds of the present invention may form salts which are also within the scope of this invention.
- Reference to a compound of the present invention is understood to include reference to salts thereof, unless otherwise indicated.
- the term "salt(s)" denotes acidic and/or basic salts formed with inorganic and/or organic acids and bases.
- zwitterions inner salts
- inner salts may be formed and are included within the term “salt(s)" as used herein.
- Salts of the compounds of the present invention may be formed, for example, by reacting a compound I with an amount of acid or base, such as an equivalent amount, in a medium such as one in which the salt precipitates or in an aqueous medium followed by lyophilization.
- the compounds of the present invention which contain a basic moiety may form salts with a variety of organic and inorganic acids.
- Exemplary acid addition salts include acetates (such as those formed with acetic acid or trihaloacetic acid, for example, trifluoroacetic acid), adipates, alginates, ascorbates, aspartates, benzoates, benzenesulfonates, bisulfates, borates, butyrates, citrates, camphorates, camphorsulfonates, cyclopentanepropionates, digluconates, dodecylsulfates, ethanesulfonates, fumarates, glucoheptanoates, glycerophosphates, hemisulfates, heptanoates, hexanoates, hydrochlorides, hydrobromides, hydroiodides,
- methanesulfonates methanesulfonates, naphthalenesulfonates (e.g., 2-naphthalenesulfonates), nicotinates, nitrates, oxalates, pectinates, persulfates, phenylpropionates (e.g., 3-phenylpropionates), phosphates, picrates, pivalates, propionates, salicylates, succinates, sulfates (such as those formed with sulfuric acid), sulfonates, tartrates, thiocyanates, toluenesulfonates such as tosylates, undecanoates, and the like.
- naphthalenesulfonates e.g., 2-naphthalenesulfonates
- nicotinates e.g., nitrates, oxalates
- pectinates persulfates
- the compounds of the present invention which contain an acidic moiety may form salts with a variety of organic and inorganic bases.
- Exemplary basic salts include ammonium salts, alkali metal salts such as sodium, lithium and potassium salts, alkaline earth metal salts such as calcium and magnesium salts, salts with organic bases (for example, organic amines) such as benzathines, dicyclohexylamines, hydrabamines (formed with N,N-bis(dehydroabietyl) ethylenediamine), N-methyl-D- glucamines, N-methyl-D-glycamides, t-butyl amines, and salts with amino acids such as arginine, lysine and the like.
- Basic nitrogen-containing groups may be quaternized with agents such as lower alkyl halides (e.g., methyl, ethyl, propyl, and butyl chlorides, bromides and iodides), dialkyl sulfates (e.g., dimethyl, diethyl, dibutyl, and diamyl sulfates), long chain halides (e.g., decyl, lauryl, myristyl and stearyl chlorides, bromides and iodides), aralkyl halides (e.g., benzyl and phenethyl bromides), and others.
- prodrugs and solvates of the compounds of the invention are also contemplated herein.
- the term "prodrug" as employed herein denotes a compound that, upon
- Solvates of the compounds of the present invention include, for example, hydrates.
- All stereoisomers of the present compounds are contemplated within the scope of this invention.
- Individual stereoisomers of the compounds of the invention may, for example, be substantially free of other isomers (e.g., as a pure or substantially pure optical isomer having a specified activity), or may be admixed, for example, as racemates or with all other, or other selected, stereoisomers.
- the chiral centers of the present invention may have the S or R configuration as defined by the International Union of Pure and Applied Chemistry (IUPAC) 1974
- racemic forms can be resolved by physical methods, such as, for example, fractional crystallization, separation or crystallization of diastereomeric derivatives or separation by chiral column chromatography.
- the individual optical isomers can be obtained from the racemates by any suitable method, including without limitation, conventional methods, such as, for example, salt formation with an optically active acid followed by crystallization.
- Compounds of the present invention are, subsequent to their preparation, preferably isolated and purified to obtain a composition containing an amount by weight equal to or greater than 90%, for example, equal to greater than 95%, equal to or greater than 99% of the compounds ("substantially pure” compounds), which is then used or formulated as described herein. Such “substantially pure” compounds of the present invention are also contemplated herein as part of the present invention.
- Certain compounds of the present invention may exist in particular geometric or stereoisomeric forms.
- the present invention contemplates all such compounds, including cis- and trans-isomers, R- and S-enantiomers, diastereomers, (D)-isomers, (L)-isomers, the racemic mixtures thereof, and other mixtures thereof, as falling within the scope of the invention.
- Additional asymmetric carbon atoms may be present in a substituent such as an alkyl group. All such isomers, as well as mixtures thereof, are intended to be included in this invention.
- Isomeric mixtures containing any of a variety of isomer ratios may be utilized in accordance with the present invention. For example, where only two isomers are combined, mixtures containing 50:50, 60:40, 70:30, 80:20, 90: 10, 95:5, 96:4, 97:3, 98:2, 99: 1, or 100:0 isomer ratios are all contemplated by the present invention. Those of ordinary skill in the art will readily appreciate that analogous ratios are contemplated for more complex isomer mixtures.
- the present invention also includes isotopically labeled compounds, which are identical to the compounds disclosed herein, but for the fact that one or more atoms are replaced by an atom having an atomic mass or mass number different from the atomic mass or mass number usually found in nature.
- isotopes that can be incorporated into compounds of the present invention include isotopes of hydrogen, carbon, nitrogen, oxygen, phosphorous, sulfur, fluorine and chlorine, such as 2 H, 3 H, 13 C, U C, 14 C, 15 N, 18 0, 17 0, 31 P,
- isotopically labeled compounds can generally be prepared by carrying out the procedures disclosed in the Schemes and/or in the Examples below, by substituting a readily available isotopically labeled reagent for a non-isotopically labeled reagent.
- a particular enantiomer of a compound of the present invention may be prepared by asymmetric synthesis, or by derivation with a chiral auxiliary, where the resulting diastereomeric mixture is separated and the auxiliary group cleaved to provide the pure desired enantiomers.
- the molecule contains a basic functional group, such as amino, or an acidic functional group, such as carboxyl,
- diastereomeric salts are formed with an appropriate optically-active acid or base, followed by resolution of the diastereomers thus formed by fractional crystallization or chromatographic means well known in the art, and subsequent recovery of the pure enantiomers.
- the compounds, as described herein, may be substituted with any number of substituents or functional moieties.
- substituted refers to the replacement of hydrogen radicals in a given structure with the radical of a specified substituent.
- substituents may be either the same or different at every position.
- substituted is contemplated to include all permissible substituents of organic compounds.
- the permissible substituents include acyclic and cyclic, branched and unbranched, carbocyclic and heterocyclic, aromatic and nonaromatic substituents of organic compounds.
- heteroatoms such as nitrogen may have hydrogen substituents and/or any permissible substituents of organic compounds described herein which satisfy the valencies of the heteroatoms.
- this invention is not intended to be limited in any manner by the permissible substituents of organic compounds.
- Combinations of substituents and variables envisioned by this invention are preferably those that result in the formation of stable compounds useful in the treatment, for example, of infectious diseases or proliferative disorders.
- stable as used herein, preferably refers to compounds which possess stability sufficient to allow manufacture and which maintain the integrity of the compound for a sufficient period of time to be detected and preferably for a sufficient period of time to be useful for the purposes detailed herein.
- the present invention provides a compound of the formula (I):
- W is 5 to 7-membered monocyclic carbocycle or heterocycle; each of Ri and R 2 is independently H, (Ci-C 4 )alkyl, (C 3 -C 5 )cycloalkyl, hydroxyl, fluoro, or NR b R c , or Ri and R 2 together form (C 3 -C 5 )cycloalkyl;
- R 3 is phenyl, or heteroaryl
- R4 is H, (Ci-C 4 )alkyl, or (C 3 -C 7 )cycloalkyl;
- R 5 is (CRgR 9 ) q -cycloalkyl, (CRgR 9 ) q -aryl, or (CR 8 Rc)) q -heterocycle; each of Rg and R9 is independently H, (Ci-C 4 )alkyl, hydroxyl, fluoro, or NR b R c , or Rg and R9 together form (C 3 -C5)cycloalkyl; each of R b and R c is independently hydrogen or alkyl, or said R b and R c together with the N to which they are bonded optionally form a heterocycle; each q is independently 0, 1, 2, 3, or 4; and n is 1 or 2.
- W is 5-membered heteroaryl, 6-membered heteroaryl, or phenyl, in which said heteroaryl and phenyl are each independently substituted with (R 6 ) m ; each of Ri and R 2 is independently H or (Ci-C 4 )alkyl; R 3 is phenyl, or heteroaryl;
- R4 is H, (Ci-C 4 )alkyl, or (C 3 -C 7 )cycloalkyl;
- the compound of Formula (I) has the structure of
- W is 5-membered heteroaryl, in which said heteroaryl is substituted with (Re) m - In certain other embodiments, wherein W is 6- membered heteroaryl, in which said heteroaryl is substituted with ( ⁇ m - In yet other embodiments, W is phenyl, in which said phenyl is independently substituted with (R ⁇ ),
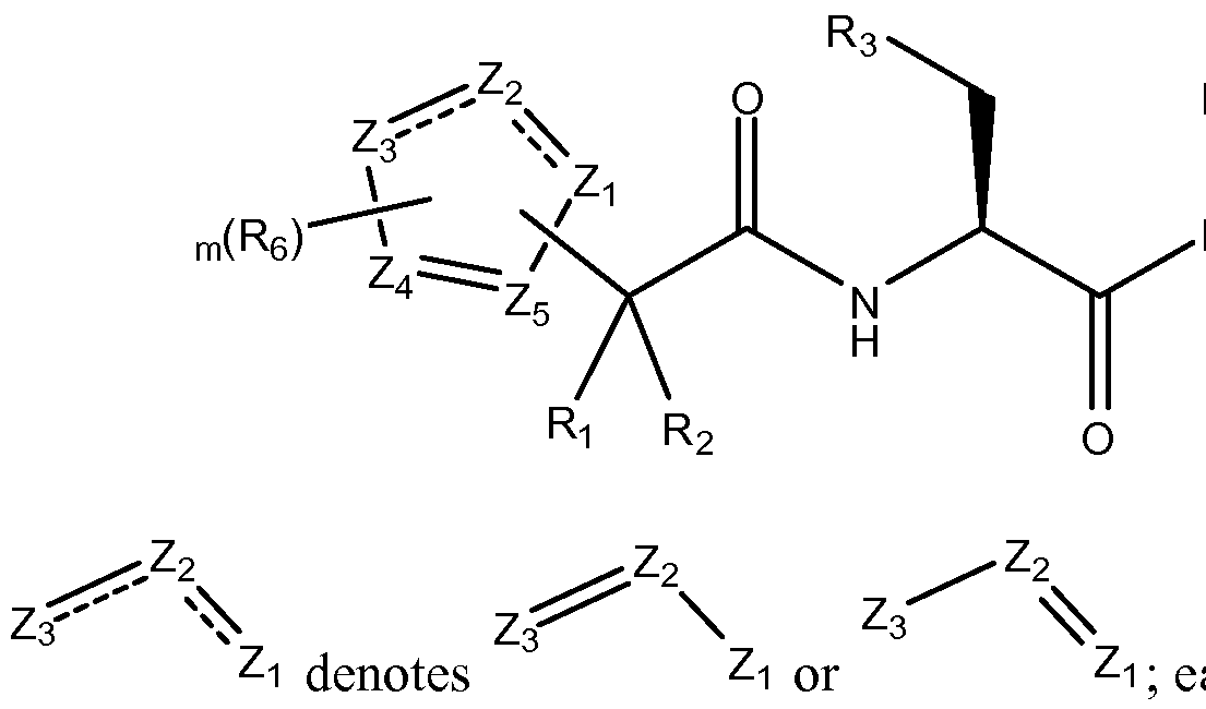
- the compound of Formula (I) has the structure of Formula (III): wherein denotes ; each of Zl, Z2, Z3, Z4 and Z5 is independently carbon or nitrogen, provided that at least one of Z ls Z 2 , Z 3 , Z 4 and Z 5 is nitrogen; and Ri, R 2 , R 3 , R4, R 5 , and R 6 are as defined in claim 2, and m is 0, 1 , 2, or 3.
- the compound of Formula (I) has the structure of Formula (IV):
- each of Z 2 , Z 3 , Z 4 and Z 5 is independently carbon or nitrogen; Yi is oxygen or sulfur; and Ri, R 2 , R 3 , R4, R5, and R 6 are as defined in claim 2, and m is 0, 1, 2, or 3.
- the compound of Formula (I) has the structure of Formula (IVa):
- R ls R 2 , R 3 , R4, R 5 , and R 6 are as defined in claim 2, and m is 0, 1, 2, or 3.
- the compound of Formula (I) has the structure of Formula (IVb):
- R ls R 2 , R3, R4, R5, and R 6 are as defined in claim 2, and m is 0, 1, 2, or 3.
- the compound of Formula (I) has the structure of Formula (IVc):
- R ls R 2 , R3, R4, R5, and R 6 are as defined in claim 2, and m is 0, 1, 2, or 3.
- the compound of Formula (I) has the structure of Formula (IVd):
- R ls R 2 , R3, R4, R 5 , and R 6 are as defined in claim 2, and m is 0, 1, 2, or 3.
- the compound of Formula (I) has the structure of Formula (V):
- R ls R 2 , R3, R4, R5, and R 6 are as defined in claim 2, and m is 1, 2, or 3.
- the compound of Formula (I) has the structure of Formula (VI):
- R ls R 2 , R3, R4, R 5 , and R 6 are as defined in claim 2, and m is 0, 1, 2, or 3.
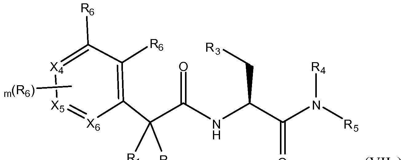
- the compound of Formula (I) has the structure of Formula (VII):
- each of Xi, X 2 , X 3 , X 4 , X5 and X 6 is independently carbon or nitrogen, provided that at least one of Xi, X 2 , X 3 , X 4 , X5 and X 6 is nitrogen; and Ri, R 2 , R3, R 4 , R5, and 5 are as defined in claim 2, and m is 0, 1, 2, or 3.
- the compound of Formula (I) has the structure of Formula (Vila):
- each of X 4 , X5 and X 6 is independently carbon or nitrogen, provided that only one of X 4 , X5 and X 6 is nitrogen, and the remaining of X 4 , X5 and X 6 is carbon; and Ri, R 2 , R3, R4, R5, and R6 are as defined in claim 2, and m is 0, 1 , or 2.
- the compound of Formula (I) has the structure of Formula (VIII):
- R l s R 2 , R3, R4, R5, and R 6 are as defined in claim 2, and m is 0, 1 , 2, or 3.
- each of Ri and R 2 is independently H.
- R 3 is phenyl.
- R 3 is phenyl substituted with one to three substituents selected from H, (Ci-C 4 )alkyl, 0-(Ci-C 4 )alkyl, halogen, nitro, CN, CF 3 , and OCF 3 .
- R3 is unsubstituted phenyl.
- R3 is heteroaryl substituted with one to three substituents selected from H, (Ci-C 4 )alkyl, 0-(Ci- C 4 )alkyl, halogen, nitro, CN, CF 3 , and OCF 3 . In yet other embodiments, R 3 is unsubstituted heteroaryl.
- R4 is H. In certain other embodiments, R 4 is (Ci- C 4 )alkyl. In yet other embodiments, R 4 is methyl.
- R 5 is (CH 2 ) q -cycloalkyl, (CH 2 ) q -aryl, or (CH 2 ) q - heteroaryl, in which q is 0 or 1.
- R 5 is aryl, or heteroaryl.
- R 5 is phenyl.
- R 5 is pyridyl.
- R 5 is aryl (e.g., phenyl) or heteroaryl (e.g., pyridyl,
- each of R 8 and R 9 is independently H or (Ci-C 4 )alkyl
- each occurrence of R a , R b , and R c is independently hydrogen, alkyl, alkenyl, alkynyl, cycloalkyl, cycloalkenyl, heterocycle, or aryl, or said R b and R c together with the N to which they are bonded optionally form a heterocycle; and
- each q is independently 0, 1, 2, 3, or 4.
- R 5 is phenyl or heteroaryl substituted with one to four substituents selected from hydrogen, halogen, cyano, nitro, CF 3 , OCF 3 , (Ci-C 4 )alkyl, (C 3 - Cy)cycloalkyl, 3-10 membered monocyclic or bicyclic heterocycle containing at least one heteroatom selected from N, O and S, phenyl, naphthyl, (CH 2 ) q -OH, (CH 2 ) q -0-(Ci-C 4 )alkyl, (CH 2 ) q -NR b R c , (CH 2 ) q -(C 3 -C 7 )cycloalkyl, , (CH 2 ) q -phenyl, and (CH 2 ) q -heteroaryl;
- each occurrence of R b , and R c is independently hydrogen, (Ci-C 4 )alkyl, (C 3 -C 7 )cycloalkyl, 3- 10 membered monocyclic or bicyclic heterocycle containing at least one heteroatom selected from N, O and S, or aryl, or said R b and R c together with the N to which they are bonded optionally form a heterocycle; and
- each q is independently 0, 1, 2, 3, or 4.
- each of R 8 and R 9 is independently H or (Ci-C 4 )alkyl
- each occurrence of R a , R b , and R c is independently hydrogen, alkyl, alkenyl, alkynyl, cycloalkyl, cycloalkenyl, heterocycle, or aryl, or said R b and R c together with the N to which they are bonded optionally form a heterocycle; and each q is independently 0, 1, 2, 3, or 4.
- each occurrence of R b , and R c is independently hydrogen, (Ci-C 4 )alkyl, (C 3 -C 7 )cycloalkyl, 3- 10 membered monocyclic or bicyclic heterocycle containing at least one heteroatom selected from N, O and S, or aryl, or said R b and R c together with the N to which they are bonded optionally form a heterocycle; and each q is independently 0, 1, 2, 3, or 4.
- each occurrence of R b , and R c is independently hydrogen or (Ci-C 4 )alkyl, or said R b and R c together with the N to which they are bonded optionally form a 3-8 membered heterocycle.
- the present invention provides a compound selected from Examples 1 through 52 as described herein.
- the present invention provides a pharmaceutical composition
- a pharmaceutical composition comprising at least one compound described herein and a pharmaceutically-acceptable carrier or diluent.
- the present invention provides a method for treating or preventing a viral infection in a mammalian species in need thereof, the method comprising administering to the mammalian species a therapeutically effective amount of at least one compound described herein.
- the viral infection is HIV infection.
- the viral infection is HBV infection.
- the viral infection is HCV infection.
- the viral infection is influenza A virus infection, severe acute respiratory syndrome coronavirus infection or vaccinia virus infection.
- the present invention provides a method for treating or preventing HIV infection in a mammalian species in need thereof, the method comprising administering to the mammalian species a therapeutically effective amount of at least one compound described herein.
- the compounds of the present invention may be synthesized using conventional techniques known in the art. Advantageously, these compounds are conveniently synthesized from readily available starting materials. Following are general synthetic schemes for manufacturing compounds of the present invention. These schemes are illustrative and are not meant to limit the possible techniques one skilled in the art may use to manufacture compounds disclosed herein. Different methods will be evident to those skilled in the art. Additionally, the various steps in the synthesis may be performed in an alternate sequence or order to give the desired compound(s). All documents cited herein are incorporated herein by reference in their entirety.
- Step 1 Reaction of ketone I with a base, such as sodium hydride, potassium tert-butoxide or sodium tert-butoxide, followed by treatment with the ester R 2 COOR', affords the carbonyl ketone intermediate II.
- a base such as sodium hydride, potassium tert-butoxide or sodium tert-butoxide
- intermediate XII Treatment of intermediate XII with a base, such as n-BuLi, LDA, LiHMDS, in the solvent such as DME, dioxane, THF and so on, and then diethyl carbonate was added when Y is methyl, or MeCN was added when Y is halogen followed by treatment with TMSC1 and ethanol, affords the intermediate XXII.
- a base such as n-BuLi, LDA, LiHMDS
- bromoethane and so on in the presence of a base, such as sodium hydride, potassium carbonate, followed by addition of another base, such as lithium hydroxide, or sodium hydroxide, or potassium hydroxide, affords the intermediate XXIX.
- a base such as sodium hydride, potassium carbonate
- another base such as lithium hydroxide, or sodium hydroxide, or potassium hydroxide
- Step 3 Treatment of intermediate XXIX with a chlorination reagent, such as thionyl chloride, affords chloromethylpyrazole intermediate XXX.
- a chlorination reagent such as thionyl chloride
- intermediate XXX Treatment of intermediate XXX with a cyanidation reagent, such as NaCN, KCN, TMSCN, in the presence of a base, such as sodium carbonate, potassium carbonate, affords the intermediateXXXI.
- a cyanidation reagent such as NaCN, KCN, TMSCN
- a base such as sodium carbonate, potassium carbonate
- Step 2 Reaction of the amine XXXV and N-Boc-Phenylalanine in the presence of a condensating agent, such as HOBT/EDCI, HATU, HBTU, PyBOP, BOPC1, or a BOP reagent, and a base such as TEA, DIPEA or DMAP, in the solvent such as DCM, DMF, THF and so on, affords the amide compounds XXXVI.
- a condensating agent such as HOBT/EDCI, HATU, HBTU, PyBOP, BOPC1, or a BOP reagent
- a base such as TEA, DIPEA or DMAP
- This invention also provides a pharmaceutical composition
- a pharmaceutical composition comprising at least one of the compounds as described herein or a pharmaceutically-acceptable salt or solvate thereof, and a pharmaceutically-acceptable carrier.
- pharmaceutically-acceptable carrier means a pharmaceutically-acceptable material, composition or vehicle, such as a liquid or solid filler, diluent, excipient, solvent or encapsulating material, involved in carrying or transporting the subject pharmaceutical agent from one organ, or portion of the body, to another organ, or portion of the body.
- a pharmaceutically-acceptable material such as a liquid or solid filler, diluent, excipient, solvent or encapsulating material, involved in carrying or transporting the subject pharmaceutical agent from one organ, or portion of the body, to another organ, or portion of the body.
- Each carrier must be “acceptable” in the sense of being compatible with the other ingredients of the formulation and not injurious to the patient.
- materials which can serve as pharmaceutically-acceptable carriers include: sugars, such as lactose, glucose and sucrose; starches, such as corn starch and potato starch; cellulose, and its derivatives, such as sodium carboxymethyl cellulose, ethyl cellulose and cellulose acetate; powdered tragacanth; malt; gelatin; talc; excipients, such as cocoa butter and suppository waxes; oils, such as peanut oil, cottonseed oil, safflower oil, sesame oil, olive oil, corn oil and soybean oil; glycols, such as butylene glycol; polyols, such as glycerin, sorbitol, mannitol and polyethylene glycol; esters, such as ethyl oleate and ethyl laurate; agar; buffering agents, such as magnesium hydroxide and aluminum hydroxide; alginic acid; pyrogen-free water; isotonic saline; Ring
- certain embodiments of the present pharmaceutical agents may be provided in the form of pharmaceutically-acceptable salts.
- pharmaceutically-acceptable salt refers to the relatively non-toxic, inorganic and organic acid addition salts of compounds of the present invention. These salts can be prepared in situ during the final isolation and purification of the compounds of the invention, or by separately reacting a purified compound of the invention in its free base form with a suitable organic or inorganic acid, and isolating the salt thus formed.
- Representative salts include the hydrobromide, hydrochloride, sulfate, bisulfate, phosphate, nitrate, acetate, valerate, oleate, palmitate, stearate, laurate, benzoate, lactate, phosphate, tosylate, citrate, maleate, fumarate, succinate, tartrate, napthylate, mesylate, glucoheptonate, lactobionate, and laurylsulphonate salts and the like.
- lactate lactate
- phosphate tosylate
- citrate maleate, fumarate, succinate, tartrate, napthylate, mesylate, glucoheptonate, lactobionate, and laurylsulphonate salts and the like.
- the pharmaceutically acceptable salts of the subject compounds include the conventional nontoxic salts or quaternary ammonium salts of the compounds, e.g., from nontoxic organic or inorganic acids.
- such conventional nontoxic salts include those derived from inorganic acids such as hydrochloride, hydrobromic, sulfuric, sulfamic, phosphoric, nitric, and the like; and the salts prepared from organic acids such as acetic, butionic, succinic, glycolic, stearic, lactic, malic, tartaric, citric, ascorbic, palmitic, maleic, hydroxymaleic, phenylacetic, glutamic, benzoic, salicyclic, sulfanilic, 2-acetoxybenzoic, fumaric, toluenesulfonic, methanesulfonic, ethane disulfonic, oxalic, isothionic, and the like.
- the compounds of the present invention may contain one or more acidic functional groups and, thus, are capable of forming pharmaceutically-acceptable salts with pharmaceutically-acceptable bases.
- pharmaceutically-acceptable salts refers to the relatively non-toxic, inorganic and organic base addition salts of compounds of the present invention. These salts can likewise be prepared in situ during the final isolation and purification of the compounds, or by separately reacting the purified compound in its free acid form with a suitable base, such as the hydroxide, carbonate or bicarbonate of a pharmaceutically-acceptable metal cation, with ammonia, or with a pharmaceutically-acceptable organic primary, secondary or tertiary amine.
- a suitable base such as the hydroxide, carbonate or bicarbonate of a pharmaceutically-acceptable metal cation, with ammonia, or with a pharmaceutically-acceptable organic primary, secondary or tertiary amine.
- Representative alkali or alkaline earth salts include the lithium, sodium, potassium, calcium, magnesium, and aluminum salts and the like.
- Representative organic amines useful for the formation of base addition salts include ethylamine, diethylamine, ethylenediamine, ethanolamine,
- wetting agents, emulsifiers and lubricants such as sodium lauryl sulfate, magnesium stearate, and polyethylene oxide-polybutylene oxide copolymer as well as coloring agents, release agents, coating agents, sweetening, flavoring and perfuming agents, preservatives and antioxidants can also be present in the compositions.
- Formulations of the present invention include those suitable for oral, nasal, topical (including buccal and sublingual), rectal, vaginal and/or parenteral administration.
- the formulations may conveniently be presented in unit dosage form and may be prepared by any method well known in the art of pharmacy.
- the amount of active ingredient which can be combined with a carrier material to produce a single dosage form will vary depending upon the host being treated and the particular mode of administration.
- the amount of active ingredient, which can be combined with a carrier material to produce a single dosage form will generally be that amount of the compound which produces a therapeutic effect.
- this amount will range from about 1% to about 99% of active ingredient, preferably from about 5% to about 70%, most preferably from about 10% to about 30%.
- Methods of preparing these formulations or compositions include the step of bringing into association a compound of the present invention with the carrier and, optionally, one or more accessory ingredients.
- the formulations are prepared by uniformly and intimately bringing into association a compound of the present invention with liquid carriers, or finely divided solid carriers, or both, and then, if necessary, shaping the product.
- Formulations of the invention suitable for oral administration may be in the form of capsules, cachets, pills, tablets, lozenges (using a flavored basis, usually sucrose and acacia or tragacanth), powders, granules, or as a solution or a suspension in an aqueous or nonaqueous liquid, or as an oil-in-water or water-in-oil liquid emulsion, or as an elixir or syrup, or as pastilles (using an inert base, such as gelatin and glycerin, or sucrose and acacia) and/or as mouthwashes and the like, each containing a predetermined amount of a compound of the present invention as an active ingredient.
- a compound of the present invention may also be administered as a bolus, electuary or paste.
- the active ingredient is mixed with one or more pharmaceutically-acceptable carriers, such as sodium citrate or dicalcium phosphate, and/or any of the following: fillers or extenders, such as starches, lactose, sucrose, glucose, mannitol, and/or silicic acid; binders, such as, for example, carboxymethylcellulose, alginates, gelatin, polyvinyl pyrrolidone, sucrose and/or acacia; humectants, such as glycerol;
- pharmaceutically-acceptable carriers such as sodium citrate or dicalcium phosphate
- fillers or extenders such as starches, lactose, sucrose, glucose, mannitol, and/or silicic acid
- binders such as, for example, carboxymethylcellulose, alginates, gelatin, polyvinyl pyrrolidone, sucrose and/or acacia
- humectants such as glycerol
- disintegrating agents such as agar-agar, calcium carbonate, potato or tapioca starch, alginic acid, certain silicates, sodium carbonate, and sodium starch glycolate; solution retarding agents, such as paraffin; absorption accelerators, such as quaternary ammonium compounds; wetting agents, such as, for example, cetyl alcohol, glycerol monostearate, and polyethylene oxide-polybutylene oxide copolymer; absorbents, such as kaolin and bentonite clay;
- compositions such as talc, calcium stearate, magnesium stearate, solid polyethylene glycols, sodium lauryl sulfate, and mixtures thereof; and coloring agents.
- the pharmaceutical compositions may also comprise buffering agents.
- Solid compositions of a similar type may also be employed as fillers in soft and hard-filled gelatin capsules using such excipients as lactose or milk sugars, as well as high molecular weight polyethylene glycols and the like.
- a tablet may be made by compression or molding, optionally with one or more accessory ingredients.
- Compressed tablets may be prepared using binder (for example, gelatin or hydroxybutylmethyl cellulose), lubricant, inert diluent, preservative, disintegrant (for example, sodium starch glycolate or cross-linked sodium carboxymethyl cellulose), surface-active or dispersing agent.
- Molded tablets may be made by molding in a suitable machine a mixture of the powdered compound moistened with an inert liquid diluent.
- the tablets, and other solid dosage forms of the pharmaceutical compositions of the present invention may optionally be scored or prepared with coatings and shells, such as enteric coatings and other coatings well known in the pharmaceutical-formulating art. They may also be formulated so as to provide slow or controlled release of the active ingredient therein using, for example, hydroxybutylmethyl cellulose in varying butortions to provide the desired release profile, other polymer matrices, liposomes and/or microspheres.
- compositions may be sterilized by, for example, filtration through a bacteria-retaining filter, or by incorporating sterilizing agents in the form of sterile solid compositions, which can be dissolved in sterile water, or some other sterile injectable medium immediately before use.
- These compositions may also optionally contain opacifying agents and may be of a composition that they release the active ingredient(s) only, or preferentially, in a certain portion of the gastrointestinal tract, optionally, in a delayed manner.
- embedding compositions which can be used include polymeric substances and waxes.
- the active ingredient can also be in micro-encapsulated form with one or more of the above-described excipients.
- Liquid dosage forms for oral administration of the compounds of the invention include pharmaceutically acceptable emulsions, microemulsions, solutions, suspensions, syrups and elixirs.
- the liquid dosage forms may contain inert diluents commonly used in the art, such as, for example, water or other solvents, solubilizing agents and emulsifiers, such as ethyl alcohol, isobutyl alcohol, ethyl carbonate, ethyl acetate, benzyl alcohol, benzyl benzoate, butylene glycol, 1,3-butylene glycol, oils (in particular, cottonseed, groundnut, corn, germ, olive, castor and sesame oils), glycerol, tetrahydrofuryl alcohol, polyethylene glycols and fatty acid esters of sorbitan, and mixtures thereof.
- cyclodextrins e.g., hydroxybutyl-beta-
- the oral compositions can also include adjuvants such as wetting agents, emulsifying and suspending agents, sweetening, flavoring, coloring, perfuming and preservative agents.
- adjuvants such as wetting agents, emulsifying and suspending agents, sweetening, flavoring, coloring, perfuming and preservative agents.
- Suspensions in addition to the active compounds, may contain suspending agents as, for example, ethoxylated isostearyl alcohols, polyoxyethylene sorbitol and sorbitan esters, microcrystalline cellulose, aluminum metahydroxide, bentonite, agar-agar and tragacanth, and mixtures thereof.
- suspending agents as, for example, ethoxylated isostearyl alcohols, polyoxyethylene sorbitol and sorbitan esters, microcrystalline cellulose, aluminum metahydroxide, bentonite, agar-agar and tragacanth, and mixtures thereof.
- Formulations of the pharmaceutical compositions of the invention for rectal or vaginal administration may be presented as a suppository, which may be prepared by mixing one or more compounds of the invention with one or more suitable nonirritating excipients or carriers comprising, for example, cocoa butter, polyethylene glycol, a suppository wax or a salicylate, and which is solid at room temperature, but liquid at body temperature and, therefore, will melt in the rectum or vaginal cavity and release the active pharmaceutical agents of the invention.
- suitable nonirritating excipients or carriers comprising, for example, cocoa butter, polyethylene glycol, a suppository wax or a salicylate, and which is solid at room temperature, but liquid at body temperature and, therefore, will melt in the rectum or vaginal cavity and release the active pharmaceutical agents of the invention.
- administration also include pessaries, tampons, creams, gels, pastes, foams or spray formulations.
- Dosage forms for the topical or transdermal administration of a compound of this invention include powders, sprays, ointments, pastes, creams, lotions, gels, solutions, patches and inhalants.
- the active compound may be mixed under sterile conditions with a pharmaceutically-acceptable carrier and with any preservatives or buffers which may be required.
- the ointments, pastes, creams and gels may contain, in addition to an active compound of this invention, excipients, such as animal and vegetable fats, oils, waxes, paraffins, starch, tragacanth, cellulose derivatives, polyethylene glycols, silicones, bentonites, silicic acid, talc and zinc oxide, or mixtures thereof.
- Powders and sprays can contain, in addition to a compound of this invention, excipients such as lactose, talc, silicic acid, aluminum hydroxide, calcium silicates and polyamide powder, or mixtures of these substances.
- Sprays can additionally contain customary butellants, such as chlorofluorohydrocarbons and volatile unsubstituted
- hydrocarbons such as butane and butene.
- Transdermal patches have the added advantage of providing controlled delivery of a compound of the present invention to the body.
- dosage forms can be made by dissolving, or dispersing the pharmaceutical agents in the buter medium.
- Absorption enhancers can also be used to increase the flux of the pharmaceutical agents of the invention across the skin. The rate of such flux can be controlled, by either providing a rate controlling membrane or dispersing the compound in a polymer matrix or gel.
- Ophthalmic formulations are also contemplated as being within the scope of this invention.
- compositions of this invention suitable for parenteral
- administration comprise one or more compounds of the invention in combination with one or more pharmaceutically-acceptable sterile isotonic aqueous or nonaqueous solutions, dispersions, suspensions or emulsions, or sterile powders which may be reconstituted into sterile injectable solutions or dispersions just prior to use, which may contain antioxidants, buffers, bacteriostats, solutes which render the formulation isotonic with the blood of the intended recipient or suspending or thickening agents.
- the absorption of the drug in order to prolong the effect of a drug, it is desirable to slow the absorption of the drug from subcutaneous or intramuscular injection. This may be accomplished by the use of a liquid suspension of crystalline or amorphous material having poor water solubility. The rate of absorption of the drug then depends upon its rate of dissolution, which, in turn, may depend upon crystal size and crystalline form. Alternatively, delayed absorption of a parenterally-administered drug form is accomplished by dissolving or suspending the drug in an oil vehicle.
- One strategy for depot injections includes the use of polyethylene oxide-polybutylene oxide copolymers wherein the vehicle is fluid at room temperature and solidifies at body temperature.
- Injectable depot forms are made by forming microencapsule matrices of the subject compounds in biodegradable polymers such as polylactide-polyglycolide. Depending on the ratio of drug to polymer, and the nature of the particular polymer employed, the rate of drug release can be controlled. Examples of other biodegradable polymers include poly (orthoesters) and poly (anhydrides). Depot injectable formulations are also prepared by entrapping the drug in liposomes or microemulsions, which are compatible with body tissue.
- biodegradable polymers such as polylactide-polyglycolide.
- Depot injectable formulations are also prepared by entrapping the drug in liposomes or microemulsions, which are compatible with body tissue.
- compositions containing, for example, 0.1% to 99.5% (more preferably, 0.5%> to 90%>) of active ingredient in combination with a pharmaceutically acceptable carrier.
- the compounds and pharmaceutical compositions of the present invention can be employed in combination therapies, that is, the compounds and pharmaceutical compositions can be administered concurrently with, prior to, or subsequent to, one or more other desired therapeutics or medical procedures.
- the particular combination of therapies (therapeutics or procedures) to employ in a combination regimen will take into account compatibility of the desired therapeutics and/or procedures and the desired therapeutic effect to be achieved. It will also be appreciated that the therapies employed may achieve a desired effect for the same disorder (for example, the compound of the present invention may be administered concurrently with another anti-HCV agent), or they may achieve different effects (e.g., control of any adverse effects).
- the compounds of the invention may be administered intravenously,
- the compounds may be used to treat arthritic conditions in mammals (i.e., humans, livestock, and domestic animals), birds, lizards, and any other organism, which can tolerate the compounds.
- the invention also provides a pharmaceutical pack or kit comprising one or more containers filled with one or more of the ingredients of the pharmaceutical compositions of the invention.
- a pharmaceutical pack or kit comprising one or more containers filled with one or more of the ingredients of the pharmaceutical compositions of the invention.
- Optionally associated with such container(s) can be a notice in the form prescribed by a governmental agency regulating the manufacture, use or sale of
- Example 30 1H NMR (400 MHz, CDC1 3 ) ⁇ 7.28 - 7.28 (m, 1H), 7.26 - 7.20 (m, 3H), 6.95
- MT2rep assay MT2 cells are pelleted by centrifugation and re-suspended with appropriate volume of RPMI 1640 (10%> FBS) to give a cell density about 1.34x l0 5 /ml.
- HIV-l(NL4-3) stock is added to the above MT2 cells to give a MOI about 0.01 TCID50 per cell.
- 90 ⁇ of MT2 cells/HIV-1 mixture is added to 384-well antiviral assay plates containing compounds and 45 ⁇ , of MT2 cells (1.34> ⁇ 10 5 /ml, without virus addition) is added to 384-well cytotoxicity assay plates containing compounds.
- the assay plates are incubated in a 5% C0 2 incubator at 37°C for 3 days. Three days post MT2 infection, ⁇ per well of supernatant from 384-well antiviral assay plates is transferred to a new 384-well plate and 40 ⁇ .
- JC53BL cells 0.4xl0 6 cells/ml
- ⁇ -Gal activity is measured as following.
- the compound cytotoxicity is measured three days post MT2 seeding by Celltiter Glo kit with conditions recommended by Promega except that 10 ⁇ ⁇ per well of reagent is added.
- IC50 and CC50 is calculated with GraphPadPrism5.00 (four-parameter logistic equation).
Landscapes
- Organic Chemistry (AREA)
- Chemical & Material Sciences (AREA)
- Health & Medical Sciences (AREA)
- Life Sciences & Earth Sciences (AREA)
- Virology (AREA)
- Animal Behavior & Ethology (AREA)
- Pharmacology & Pharmacy (AREA)
- Veterinary Medicine (AREA)
- Communicable Diseases (AREA)
- Oncology (AREA)
- Chemical Kinetics & Catalysis (AREA)
- General Chemical & Material Sciences (AREA)
- Medicinal Chemistry (AREA)
- Nuclear Medicine, Radiotherapy & Molecular Imaging (AREA)
- Public Health (AREA)
- General Health & Medical Sciences (AREA)
- Molecular Biology (AREA)
- Engineering & Computer Science (AREA)
- Biotechnology (AREA)
- Pulmonology (AREA)
- AIDS & HIV (AREA)
- Tropical Medicine & Parasitology (AREA)
- Pharmaceuticals Containing Other Organic And Inorganic Compounds (AREA)
Abstract
The present invention relates to a compound of formula: (I) or a pharmaceutically acceptable salt thereof, wherein the symbols are as defined in the specification; a pharmaceutical composition comprising the same, a method for treating or preventing a viral infection such as HIV using the same.
Description
ANTIVIRAL COMPOUNDS
CROSS REFERENCE TO RELATED APPLICATIONS
[0001] This application claims the benefit of Chinese Application No. 201110190069.1 , filed July 7, 2011, and U.S. Provisional Patent Application No. 61/507,309, filed July 13, 2011, the entire contents of which are hereby incorporated by reference herein.
FIELD OF THE INVENTION
[0002] This invention relates to novel compounds as anti-viral agents, which can be useful in the treatment of viral infections such as HIV, HBV and HCV; to processes for their preparation; to pharmaceutical compositions comprising them; and to methods of using them.
BACKGROUND OF THE INVENTION
[0003] Despite the significant success of the blockading of AIDS progression in HIV- infected patients by the development of various anti-retroviral drugs targeting the envelope protein, reverse transcriptase (RT), integrase (IN) and protease (PR), there is a continuing and urgent need for novel therapy due to the emergence of acquired drug resistance and the serious side effects or intolerance of the existing drugs. Among the 20+ drugs currently on the market for treatment of HIV- 1 infection, 19 of them target one of two viral enzymes, reverse transcriptase (RT) or protease (PR). Viral isolates resistant to the approved drugs eventually emerge, which reduce the choice and effectiveness of treatment options. As such, there is a major unmet need for new classes of drugs with unique mode(s) of action with activity against HIV strains resistant to currently approved therapies.
[0004] The discovery of a new class of drugs aiming at inhibition of the HIV replication cycle via new mechanism(s) offers the best hope to patients carrying resistant HIV variants, as the new drug class will not confer cross-resistance to the existing classes of drugs, and therefore will provide value to the novel combination therapies. In addition, since the current standard of care requires lifetime therapy for HIV-infected patients, novel drugs with an improved activity/toxicity/safety profile (improved therapeutic window) will provide added benefits to the AIDS patients regardless of carrying wide -type or mutant/resistant viral strains.
[0005] Virus assembly is a particularly attractive target for antiviral intervention because viral structures are formed by multiple, relatively weak non-covalent interactions. However, few assembly inhibitors have been identified to date in any viral systems, mainly due to insufficient information regarding particle structure and inter-subunit interactions and the lack of suitable assays.
[0006] HIV is released from the infected cells as an immature, non-infectious particle containing a spherical protein shell of approximately 5,000 Gag molecules underneath the viral membrane. Concomitant with the release, sequential proteolytic processing of Gag polyprotein by the viral protease leads to the formation of a mature infectious virus with a conical capsid containing individual structural proteins including matrix (MA), capsid (CA), nucleocapsid (NC), and the p6 protein in addition to two spacer peptides SP1 and SP2.
Importantly, the last but critical proteolytic cleavage step of CA-SPl generates a mature p24 CA protein, which is capable of forming the higher-order complexes that comprise the mature viral core. In the absence of this maturation, viral particles remain to be non-infectious.
[0007] Several antiviral drugs of novel mechanism targeting virion maturation are currently under clinic evaluation.1"6 Inhibitors that target HIV-1 capsid have been reported to include a helical peptide inhibitor (CAI),7"9 two small molecule inhibitors CAP-1 and CAP- 210 and several thiaurea-based inhibitors.11 In addition, compounds that act on capsid have been disclosed in patent applications.12"16
SUMMARY OF THE INVENTION
[0008] In one aspect, the resent invention provides a compound of formula I,
or pharmaceutically acceptable salt thereof, wherein:
W is 5 to 7-membered monocyclic carbocycle or heterocycle; each of Ri and R2 is independently H, (Ci-C4)alkyl, (C3-C5)cycloalkyl, hydroxyl, fluoro, or NRbRc, or Ri and R2 together form (C3-C5)cycloalkyl;
R3 is phenyl, or heteroaryl;
R4 is H, (Ci-C4)alkyl, or (C3-C7)cycloalkyl;
R5 is (CRgR q-cycloalkyl, (CRgRc>)q-aryl, or (CRgR9)q-heterocycle; each of Rg and R9 is independently H, (Ci-C4)alkyl, hydroxyl, fluoro, or NRbRc, or R8 and R9 together form (C3-C5)cycloalkyl; each of Rb and Rc is independently hydrogen or alkyl, or said Rb and Rc together with the N to which they are bonded optionally form a heterocycle; each q is independently 0, 1, 2, 3, or 4; and n is 1 or 2.
[0009] In another aspect, the present invention provides a pharmaceutical composition comprising at least one compound as described herein and a pharmaceutically-acceptable carrier.
[0010] In yet another aspect, the present invention provides a method for treating or preventing a viral infection in a mammalian species in need thereof, the method comprising administering to the mammalian species a therapeutically effective amount of at least one compound as described herein.
[0011] In a further aspect, the present invention provides a method for treating or preventing HIV infection in a mammalian species in need thereof, the method comprising administering to the mammalian species a therapeutically effective amount of at least one compound as described herein.
DETAILED DESCRIPTION OF THE INVENTION
Definitions
[0012] The following are definitions of terms used in the present specification. The initial definition provided for a group or term herein applies to that group or term throughout the present specification individually or as part of another group, unless otherwise indicated.
[0013] The terms "alkyl" and "alk" refer to a straight or branched chain alkane
(hydrocarbon) radical containing from 1 to 12 carbon atoms, preferably 1 to 6 carbon atoms. Exemplary "alkyl" groups include methyl, ethyl, propyl, isopropyl, n-butyl, t-butyl, isobutyl pentyl, hexyl, isohexyl, heptyl, 4,4-dimethylpentyl, octyl, 2,2,4-trimethylpentyl, nonyl, decyl,
undecyl, dodecyl, and the like. The term "(Ci-C4)alkyl" refers to a straight or branched chain alkane (hydrocarbon) radical containing from 1 to 4 carbon atoms, such as methyl, ethyl, propyl, isopropyl, n-butyl, t-butyl, and isobutyl. The terms "alkyl" and "alk" may include substituted alkyl. "Substituted alkyl" refers to an alkyl group substituted with one or more substituents, preferably 1 to 4 substituents, at any available point of attachment. Exemplary substituents include but are not limited to one or more of the following groups: hydrogen, halogen (e.g. , a single halogen substituent or multiple halo substitutents forming, in the latter case, groups such as CF3 or an alkyl group bearing Cl3), cyano, nitro, oxo (i.e., =0), CF3, OCF3, cycloalkyl, alkenyl, cycloalkenyl, alkynyl, heterocycle, aryl, ORa, SRa, S(=0)Rs, S(=0)2Re,
S(=0)2NRbRc, P(=0)2NRbRe, C(=0)ORd, C(=0)Ra, C(=0)NRbRc, OC(=0)Ra,
NRbC(=0)Ra, or NRbP(=0)2Rs, wherein each occurrence of Ra is independently hydrogen, alkyl, cycloalkyl, alkenyl, cycloalkenyl, alkynyl, heterocycle, or aryl; each occurrence of Rb, Rc and Rd is independently hydrogen, alkyl, cycloalkyl, heterocycle, aryl, or said Rb and Rc together with the N to which they are bonded optionally form a heterocycle; and each occurrence of Rs is independently alkyl, cycloalkyl, alkenyl, cycloalkenyl, alkynyl, heterocycle, or aryl. In the aforementioned exemplary substitutents, groups such as alkyl, cycloalkyl, alkenyl, alkynyl, cycloalkenyl, heterocycle and aryl can themselves be optionally substituted.
[0014] The term "alkenyl" refers to a straight or branched chain hydrocarbon radical containing from 2 to 12 carbon atoms and at least one carbon-carbon double bond.
Exemplary such groups include ethenyl or allyl. The term "C2-C6 alkenyl" refers to a straight or branched chain hydrocarbon radical containing from 2 to 6 carbon atoms and at least one carbon-carbon double bond, such as ethylenyl, propenyl, 2-propenyl, (E)-but-2-enyl, (Z)-but- 2-enyl, 2-methy(E)-but-2-enyl, 2-methy(Z)-but-2-enyl, 2,3-dimethy-but-2-enyl, (Z)-pent-2- enyl, (E)-pent-l-enyl, (Z)-hex-l-enyl, (E)-pent-2-enyl, (Z)-hex-2-enyl, (E)-hex-2-enyl, (Z)- hex-l-enyl, (E)-hex-l-enyl, , (Z)-hex-3-enyl, (E)-hex-3-enyl, and (E)-hex-l ,3-dienyl. The term "alkenyl" may include substituted alkenyl. "Substituted alkenyl" refers to an alkenyl group substituted with one or more substituents, preferably 1 to 4 substituents, at any available point of attachment. Exemplary substituents include but are not limited to one or more of the following groups: hydrogen, halogen (e.g. , a single halogen substituent or
multiple halo substitutents forming, in the latter case, groups such as CF3 or an alkyl group bearing Cl3), cyano, nitro, oxo (i.e., =0), CF3, OCF3, cycloalkyl, alkenyl, cycloalkenyl, alkynyl, heterocycle, aryl, ORa, SRa, S(=0)Re, S(=0)2Re, P(=0)2Re, S(=0)2ORe, P(=0)2ORe, NRbRc,
C(=0)ORd, C(=0)Ra, C(=0)NRbRc, OC(=0)Ra, OC(=0)NRbRc, NRbC(=0)ORe, NRdC(=0)NRbRc,
NRdS(=0)2NRbRc,
NRbC(=0)Ra, or wherein each occurrence of Ra is independently hydrogen, alkyl, cycloalkyl, alkenyl, cycloalkenyl, alkynyl, heterocycle, or aryl; each occurrence of Rb, Rc and Rj is independently hydrogen, alkyl, cycloalkyl, heterocycle, aryl, or said Rb and Rc together with the N to which they are bonded optionally form a heterocycle; and each occurrence of Re is independently alkyl, cycloalkyl, alkenyl, cycloalkenyl, alkynyl, heterocycle, or aryl. The exemplary substitutents can themselves be optionally substituted.
[0015] The term "alkynyl" refers to a straight or branched chain hydrocarbon radical containing from 2 to 12 carbon atoms and at least one carbon to carbon triple bond.
Exemplary such groups include ethynyl. The term "C2-C6 alkynyl" refers to a straight or branched chain hydrocarbon radical containing from 2 to 6 carbon atoms and at least one carbon-carbon triple bond, such as ethynyl, prop-l-ynyl, prop-2-ynyl, but-l-ynyl, but-2-ynyl, pent-l-ynyl, pent-2-ynyl, hex-l-ynyl, hex-2-ynyl, hex-3-ynyl. The term "alkynyl" may include substituted alkynyl. "Substituted alkynyl" refers to an alkynyl group substituted with one or more substituents, preferably 1 to 4 substituents, at any available point of attachment. Exemplary substituents include but are not limited to one or more of the following groups: hydrogen, halogen (e.g., a single halogen substituent or multiple halo substitutents forming, in the latter case, groups such as CF3 or an alkyl group bearing Cl3), cyano, nitro, oxo (i.e., =0), CF3, OCF3, cycloalkyl, alkenyl, cycloalkenyl, alkynyl, heterocycle, aryl, ORa, SRa,
NRbP(=0)2Re, S(=0)2NRbRc, P(=0)2NRbRc, C(=0)ORd, C(=0)Ra, C(=0)NRbRc, OC(=0)Ra, OC(=0)NRbRc, NRbC(=0)ORe, NRdC(=0)NRbRc, NRdS(=0)2NRbRc, NRdP(=0)2NRbRc, NRbC(=0)Ra, or NRbP(=0)2Rs, wherein each occurrence of Ra is independently hydrogen, alkyl, cycloalkyl, alkenyl, cycloalkenyl, alkynyl, heterocycle, or aryl; each occurrence of Rb, Rc and Rd is independently hydrogen, alkyl, cycloalkyl, heterocycle, aryl, or said Rb and Rc together with the N to which they are bonded optionally form a heterocycle; and each
occurrence of Re is independently alkyl, cycloalkyl, alkenyl, cycloalkenyl, alkynyl, heterocycle, or aryl. The exemplary substitutents can themselves be optionally substituted.
[0016] The term "cycloalkyl" refers to a fully saturated cyclic hydrocarbon group containing from 1 to 4 rings and 3 to 8 carbons per ring. "C3-C7 cycloalkyl" refers to cyclopropyl, cyclobutyl, cyclopentyl, cyclohexyl, or cycloheptyl. The term "cycloalkyl" may include substituted cycloalkyl. "Substituted cycloalkyl" refers to a cycloalkyl group substituted with one or more substituents, preferably 1 to 4 substituents, at any available point of attachment. Exemplary substituents include but are not limited to one or more of the following groups: hydrogen, halogen (e.g., a single halogen substituent or multiple halo substitutents forming, in the latter case, groups such as CF3 or an alkyl group bearing Cl3), cyano, nitro, oxo (i.e., =0), CF3, OCF3, cycloalkyl, alkenyl, cycloalkenyl, alkynyl, heterocycle, aryl, ORa, SRa, S(=0)Re, S(=0)2Re, P(=0)2Re, S(=0)2ORe, P(=0)2ORe, NRbRc, NRbS(=0)2Re, NRbP(=0)2Re, S(=0)2NRbRc, P(=0)2NRbRc, C(=0)ORd, C(=0)Ra,
NRdS(=0)2NRbRc, NRdP(=0)2NRbRc, NRbC(=0)Ra, or NRbP(=0)2Re, wherein each occurrence of Ra is independently hydrogen, alkyl, cycloalkyl, alkenyl, cycloalkenyl, alkynyl, heterocycle, or aryl; each occurrence of Rb, Rc and Rj is independently hydrogen, alkyl, cycloalkyl, heterocycle, aryl, or said Rb and Rc together with the N to which they are bonded optionally form a heterocycle; and each occurrence of Re is independently alkyl, cycloalkyl, alkenyl, cycloalkenyl, alkynyl, heterocycle, or aryl. The exemplary substitutents can themselves be optionally substituted. Exemplary substituents also include spiro-attached or fused cylic substituents, especially spiro-attached cycloalkyl, spiro-attached cycloalkenyl, spiro-attached heterocycle (excluding heteroaryl), fused cycloalkyl, fused cycloalkenyl, fused heterocycle, or fused aryl, where the aforementioned cycloalkyl, cycloalkenyl, heterocycle and aryl substitutents can themselves be optionally substituted.
[0017] The term "cycloalkenyl" refers to a partially unsaturated cyclic hydrocarbon group containing 1 to 4 rings and 3 to 8 carbons per ring. Exemplary such groups include cyclobutenyl, cyclopentenyl, cyclohexenyl, etc. The term "cycloalkenyl" may include substituted cycloalkenyl. "Substituted cycloalkenyl" refers to a cycloalkenyl group substituted with one more substituents, preferably 1 to 4 substituents, at any available point of attachment. Exemplary substituents include but are not limited to one or more of the following groups: hydrogen, halogen (e.g., a single halogen substituent or multiple halo
substitutents forming, in the latter case, groups such as CF3 or an alkyl group bearing Cl3), cyano, nitro, oxo (i.e., =0), CF3, OCF3, cycloalkyl, alkenyl, cycloalkenyl, alkynyl, heterocycle, aryl, ORa, SRa, S(=0)Re, S(=0)2Re,
NRbRc, NRbS(=0)2Re,
C(=0)ORd, C(=0)Ra,
C(=0)NRbRc, OC( NRbC(=0)O
NRdS(=0)2NRbRc,
bC(=0)Ra, or n each occurrence of Ra is independently hydrogen, alkyl, cycloalkyl, alkenyl, cycloalkenyl, alkynyl, heterocycle, or aryl; each occurrence of Rb, Rc and Rj is independently hydrogen, alkyl, cycloalkyl, heterocycle, aryl, or said Rb and Rc together with the N to which they are bonded optionally form a heterocycle; and each occurrence of Re is independently alkyl, cycloalkyl, alkenyl, cycloalkenyl, alkynyl, heterocycle, or aryl. The exemplary substitutents can themselves be optionally substituted. Exemplary substituents also include spiro-attached or fused cylic substituents, especially spiro-attached cycloalkyl, spiro-attached cycloalkenyl, spiro-attached heterocycle (excluding heteroaryl), fused cycloalkyl, fused cycloalkenyl, fused heterocycle, or fused aryl, where the aforementioned cycloalkyl, cycloalkenyl, heterocycle and aryl substituents can themselves be optionally substituted.
[0018] The term "aryl" refers to cyclic, aromatic hydrocarbon groups that have 1 to 5 aromatic rings, especially monocyclic or bicyclic groups such as phenyl, biphenyl or naphthyl. Where containing two or more aromatic rings (bicyclic, etc.), the aromatic rings of the aryl group may be joined at a single point (e.g., biphenyl), or fused (e.g., naphthyl, phenanthrenyl and the like). The term "aryl" may include substituted aryl. "Substituted aryl" refers to an aryl group substituted by one or more substituents, preferably 1 to 3 substituents, at any available point of attachment. Exemplary substituents include but are not limited to one or more of the following groups: hydrogen, halogen (e.g., a single halogen substituent or multiple halo substitutents forming, in the latter case, groups such as CF3 or an alkyl group bearing Cl3), cyano, nitro, oxo (i.e., =0), CF3, OCF3, cycloalkyl, alkenyl, cycloalkenyl, alkynyl, heterocycle, aryl, ORa, SRa, S(=0)Re,
S(=0)2ORe, P(=0)2ORe, NRbRc,
S(=0)2NRbRc, P(=0)2NRbRc, C(=0)ORd, C(=0)Ra, C(=0)NRbRc, OC(=0)Ra, OC(=0)NRbRc, NRbC(=0)ORe, NRdC(=0)NRbRc,
NRdS(=0)2NRbRc, NRdP(=0)2NRbRc, NRbC(=0)Ra, or
wherein each occurrence of Ra is independently hydrogen, alkyl, cycloalkyl, alkenyl, cycloalkenyl, alkynyl, heterocycle, or aryl; each occurrence of Rb, Rc and Rj is independently hydrogen, alkyl,
cycloalkyl, heterocycle, aryl, or said Rb and Rc together with the N to which they are bonded optionally form a heterocycle; and each occurrence of Re is independently alkyl, cycloalkyl, alkenyl, cycloalkenyl, alkynyl, heterocycle, or aryl. The exemplary substitutents can themselves be optionally substituted. Exemplary substituents also include fused cylic groups, especially fused cycloalkyl, fused cycloalkenyl, fused heterocycle, or fused aryl, where the aforementioned cycloalkyl, cycloalkenyl, heterocycle and aryl substituents can themselves be optionally substituted.
[0019] The term "carbocycle" refers to a fully saturated or partially saturated cyclic hydrocarbon group containing from 1 to 4 rings and 3 to 8 carbons per ring, or cyclic, aromatic hydrocarbon groups that have 1 to 5 aromatic rings, especially monocyclic or bicyclic groups such as phenyl, biphenyl or naphthyl. The term "carbocycle" encompasses cycloalkyl, cycloalkenyl, cycloalkynyl and aryl as defined hereinabove. The term
"carbocycle" may include substituted carbocycle. The term "substituted carbocycle" refers to carbocycle or carbocyclic groups substituted with one or more substituents, preferably 1 to 4 substituents, at any available point of attachment. Exemplary substituents include, but are not limited to, those described above for substituted cycloalkyl, substituted cycloalkenyl, substituted cycloalkynyl and substituted aryl. Exemplary substituents also include spiro- attached or fused cyclic substituents at any available point or points of attachment, especially spiro-attached cycloalkyl, spiro-attached cycloalkenyl, spiro-attached heterocycle (excluding heteroaryl), fused cycloalkyl, fused cycloalkenyl, fused heterocycle, or fused aryl, where the aforementioned cycloalkyl, cycloalkenyl, heterocycle and aryl substituents can themselves be optionally substituted.
[0020] The terms "heterocycle" and "heterocyclic" refer to fully saturated, or partially or fully unsaturated, including aromatic (i.e., "heteroaryl") cyclic groups (for example, 4 to 7 membered monocyclic, 7 to 11 membered bicyclic, or 8 to 16 membered tricyclic ring systems) which have at least one heteroatom in at least one carbon atom-containing ring. Each ring of the heterocyclic group containing a heteroatom may have 1, 2, 3, or 4
heteroatoms selected from nitrogen atoms, oxygen atoms and/or sulfur atoms, where the nitrogen and sulfur heteroatoms may optionally be oxidized and the nitrogen heteroatoms may optionally be quaternized. (The term "heteroarylium" refers to a heteroaryl group bearing a quaternary nitrogen atom and thus a positive charge.) The heterocyclic group may be attached to the remainder of the molecule at any heteroatom or carbon atom of the ring or ring system. Exemplary monocyclic heterocyclic groups include azetidinyl, pyrrolidinyl,
pyrrolyl, pyrazolyl, oxetanyl, pyrazolinyl, imidazolyl, imidazolinyl, imidazolidinyl, oxazolyl, oxazolidinyl, isoxazolinyl, isoxazolyl, thiazolyl, thiadiazolyl, thiazolidinyl, isothiazolyl, isothiazolidinyl, furyl, tetrahydrofuryl, thienyl, oxadiazolyl, piperidinyl, piperazinyl, 2- oxopiperazinyl, 2-oxopiperidinyl, 2-oxopyrrolodinyl, 2-oxoazepinyl, azepinyl,
hexahydrodiazepinyl, 4-piperidonyl, pyridyl, pyrazinyl, pyrimidinyl, pyridazinyl, triazinyl, triazolyl, tetrazolyl, tetrahydropyranyl, morpholinyl, thiamorpholinyl, thiamorpholinyl sulfoxide, thiamorpholinyl sulfone, 1,3-dioxolane and tetrahydro-l,l-dioxothienyl, and the like. Exemplary bicyclic heterocyclic groups include indolyl, isoindolyl, benzothiazolyl, benzoxazolyl, benzoxadiazolyl, benzothienyl, benzo[d][l,3]dioxolyl, 2,3- dihydrobenzo[b][l,4]dioxinyl, quinuclidinyl, quinolinyl, tetrahydroisoquinolinyl,
isoquinolinyl, benzimidazolyl, benzopyranyl, indolizinyl, benzofuryl, benzofurazanyl, chromonyl, coumarinyl, benzopyranyl, cinnolinyl, quinoxalinyl, indazolyl, pyrrolopyridyl, furopyridinyl (such as furo[2,3-c]pyridinyl, furo[3,2-b]pyridinyl] or furo[2,3-b]pyridinyl), dihydroisoindolyl, dihydroquinazolinyl (such as 3,4-dihydro-4-oxo-quinazolinyl), triazinylazepinyl, tetrahydroquinolinyl and the like. Exemplary tricyclic heterocyclic groups include carbazolyl, benzindolyl, phenanthrolinyl, acridinyl, phenanthridinyl, xanthenyl and the like. The terms "heterocycle" may include substituted heterocycle.
[0021] "Substituted heterocycle" and "substituted heterocyclic" (such as "substituted heteroaryl") refer to heterocycle or heterocyclic groups substituted with one or more substituents, preferably 1 to 4 substituents, at any available point of attachment. Exemplary substituents include but are not limited to one or more of the following groups: hydrogen, halogen (e.g. , a single halogen substituent or multiple halo substitutents forming, in the latter case, groups such as CF3 or an alkyl group bearing Cl3), cyano, nitro, oxo (i.e., =0), CF3, OCF3, cycloalkyl, alkenyl, cycloalkenyl, alkynyl, heterocycle, aryl, ORa, SRa, S(=0)Re,
OC(=0)NRbRc, NRbC(=0)ORe, NRdC(=0)NRbRc, NRdS(=0)2NRbRc, NRdP(=0)2NRbRc, NRbC(=0)Ra, or NRbP(=0)2Rs, wherein each occurrence of Ra is independently hydrogen, alkyl, cycloalkyl, alkenyl, cycloalkenyl, alkynyl, heterocycle, or aryl; each occurrence of Rb, Rc and Rd is independently hydrogen, alkyl, cycloalkyl, heterocycle, aryl, or said Rb and Rc together with the N to which they are bonded optionally form a heterocycle; and each occurrence of R» is independently alkyl, cycloalkyl, alkenyl, cycloalkenyl, alkynyl,
heterocycle, or aryl. The exemplary substitutents can themselves be optionally substituted. Exemplary substituents also include spiro-attached or fused cyclic substituents at any available point or points of attachment, especially spiro-attached cycloalkyl, spiro-attached cycloalkenyl, spiro-attached heterocycle (excluding heteroaryl), fused cycloalkyl, fused cycloalkenyl, fused heterocycle, or fused aryl, where the aforementioned cycloalkyl, cycloalkenyl, heterocycle and aryl substituents can themselves be optionally substituted.
[0022] The term "alkylamino" refers to a group having the structure -NHR', wherein R' is hydrogen, alkyl or substituted alkyl, cycloalkyl or substituted cyclolakyl, as defined herein. Examples of alkylamino groups include, but are not limited to, methylamino, ethylamino, n- propylamino, iso-propylamino, cyclopropylamino, n-butylamino, tert-butylamino, neopentylamino, n-pentylamino, hexylamino, cyclohexylamino, and the like.
[0023] The term "dialkylamino" refers to a group having the structure -NRR', wherein R and R' are each independently alkyl or substituted alkyl, cycloalkyl or substituted cycloalkyl, cycloalkenyl or substituted cyclolalkenyl, aryl or substituted aryl, heterocylyl or susbstituted heterocyclyl, as defined herein. R and R' may be the same or different in an dialkyamino moiety. Examples of dialkylamino groups include, but are not limited to, dimethylamino, methyl ethylamino, diethylamino, methylpropylamino, di(n-propyl)amino, di(iso- propyl)amino, di(cyclopropyl)amino, di(n-butyl)amino, di(tert-butyl)amino,
di(neopentyl)amino, di(n-pentyl)amino, di(hexyl)amino, di(cyclohexyl)amino, and the like. In certain embodiments, R and R' are linked to form a cyclic structure. The resulting cyclic structure may be aromatic or non-aromatic. Examples of cyclic diaminoalkyl groups include, but are not limited to, aziridinyl, pyrrolidinyl, piperidinyl, morpholinyl, pyrrolyl, imidazolyl, 1,3,4-trianolyl, and tetrazolyl.
[0024] The terms "halogen" or "halo" refer to chlorine, bromine, fluorine or iodine.
[0025] Unless otherwise indicated, any heteroatom with unsatisfied valences is assumed to have hydrogen atoms sufficient to satisfy the valences.
[0026] The compounds of the present invention may form salts which are also within the scope of this invention. Reference to a compound of the present invention is understood to include reference to salts thereof, unless otherwise indicated. The term "salt(s)", as employed herein, denotes acidic and/or basic salts formed with inorganic and/or organic acids and bases. In addition, when a compound of the present invention contains both a basic moiety, such as but not limited to a pyridine or imidazole, and an acidic moiety such as but not limited to a carboxylic acid, zwitterions ("inner salts") may be formed and are included
within the term "salt(s)" as used herein. Pharmaceutically acceptable (i.e., non-toxic, physiologically acceptable) salts are preferred, although other salts are also useful, e.g., in isolation or purification steps which may be employed during preparation. Salts of the compounds of the present invention may be formed, for example, by reacting a compound I with an amount of acid or base, such as an equivalent amount, in a medium such as one in which the salt precipitates or in an aqueous medium followed by lyophilization.
[0027] The compounds of the present invention which contain a basic moiety, such as but not limited to an amine or a pyridine or imidazole ring, may form salts with a variety of organic and inorganic acids. Exemplary acid addition salts include acetates (such as those formed with acetic acid or trihaloacetic acid, for example, trifluoroacetic acid), adipates, alginates, ascorbates, aspartates, benzoates, benzenesulfonates, bisulfates, borates, butyrates, citrates, camphorates, camphorsulfonates, cyclopentanepropionates, digluconates, dodecylsulfates, ethanesulfonates, fumarates, glucoheptanoates, glycerophosphates, hemisulfates, heptanoates, hexanoates, hydrochlorides, hydrobromides, hydroiodides, hydroxyethanesulfonates (e.g., 2-hydroxyethanesulfonates), lactates, maleates,
methanesulfonates, naphthalenesulfonates (e.g., 2-naphthalenesulfonates), nicotinates, nitrates, oxalates, pectinates, persulfates, phenylpropionates (e.g., 3-phenylpropionates), phosphates, picrates, pivalates, propionates, salicylates, succinates, sulfates (such as those formed with sulfuric acid), sulfonates, tartrates, thiocyanates, toluenesulfonates such as tosylates, undecanoates, and the like.
[0028] The compounds of the present invention which contain an acidic moiety, such but not limited to a carboxylic acid, may form salts with a variety of organic and inorganic bases. Exemplary basic salts include ammonium salts, alkali metal salts such as sodium, lithium and potassium salts, alkaline earth metal salts such as calcium and magnesium salts, salts with organic bases (for example, organic amines) such as benzathines, dicyclohexylamines, hydrabamines (formed with N,N-bis(dehydroabietyl) ethylenediamine), N-methyl-D- glucamines, N-methyl-D-glycamides, t-butyl amines, and salts with amino acids such as arginine, lysine and the like. Basic nitrogen-containing groups may be quaternized with agents such as lower alkyl halides (e.g., methyl, ethyl, propyl, and butyl chlorides, bromides and iodides), dialkyl sulfates (e.g., dimethyl, diethyl, dibutyl, and diamyl sulfates), long chain halides (e.g., decyl, lauryl, myristyl and stearyl chlorides, bromides and iodides), aralkyl halides (e.g., benzyl and phenethyl bromides), and others.
[0029] Prodrugs and solvates of the compounds of the invention are also contemplated herein. The term "prodrug" as employed herein denotes a compound that, upon
administration to a subject, undergoes chemical conversion by metabolic or chemical processes to yield a compound of the present invention, or a salt and/or solvate thereof. Solvates of the compounds of the present invention include, for example, hydrates.
[0030] Compounds of the present invention, and salts or solvates thereof, may exist in their tautomeric form (for example, as an amide or imino ether). All such tautomeric forms are contemplated herein as part of the present invention.
[0031] All stereoisomers of the present compounds (for example, those which may exist due to asymmetric carbons on various substituents), including enantiomeric forms and diastereomeric forms, are contemplated within the scope of this invention. Individual stereoisomers of the compounds of the invention may, for example, be substantially free of other isomers (e.g., as a pure or substantially pure optical isomer having a specified activity), or may be admixed, for example, as racemates or with all other, or other selected, stereoisomers. The chiral centers of the present invention may have the S or R configuration as defined by the International Union of Pure and Applied Chemistry (IUPAC) 1974
Recommendations. The racemic forms can be resolved by physical methods, such as, for example, fractional crystallization, separation or crystallization of diastereomeric derivatives or separation by chiral column chromatography. The individual optical isomers can be obtained from the racemates by any suitable method, including without limitation, conventional methods, such as, for example, salt formation with an optically active acid followed by crystallization.
[0032] Compounds of the present invention are, subsequent to their preparation, preferably isolated and purified to obtain a composition containing an amount by weight equal to or greater than 90%, for example, equal to greater than 95%, equal to or greater than 99% of the compounds ("substantially pure" compounds), which is then used or formulated as described herein. Such "substantially pure" compounds of the present invention are also contemplated herein as part of the present invention.
[0033] All configurational isomers of the compounds of the present invention are contemplated, either in admixture or in pure or substantially pure form. The definition of compounds of the present invention embraces both cis (Z) and trans (E) alkene isomers, as well as cis and trans isomers of cyclic hydrocarbon or heterocyclic rings.
[0034] Throughout the specifications, groups and substituents thereof may be chosen to provide stable moieties and compounds.
[0035] Definitions of specific functional groups and chemical terms are described in more detail below. For purposes of this invention, the chemical elements are identified in accordance with the Periodic Table of the Elements, CAS version, Handbook of Chemistry and Physics, 75th Ed., inside cover, and specific functional groups are generally defined as described therein. Additionally, general principles of organic chemistry, as well as specific functional moieties and reactivity, are described in "Organic Chemistry", Thomas Sorrell, University Science Books, Sausalito: 1999, the entire contents of which are incorporated herein by reference.
[0036] Certain compounds of the present invention may exist in particular geometric or stereoisomeric forms. The present invention contemplates all such compounds, including cis- and trans-isomers, R- and S-enantiomers, diastereomers, (D)-isomers, (L)-isomers, the racemic mixtures thereof, and other mixtures thereof, as falling within the scope of the invention. Additional asymmetric carbon atoms may be present in a substituent such as an alkyl group. All such isomers, as well as mixtures thereof, are intended to be included in this invention.
[0037] Isomeric mixtures containing any of a variety of isomer ratios may be utilized in accordance with the present invention. For example, where only two isomers are combined, mixtures containing 50:50, 60:40, 70:30, 80:20, 90: 10, 95:5, 96:4, 97:3, 98:2, 99: 1, or 100:0 isomer ratios are all contemplated by the present invention. Those of ordinary skill in the art will readily appreciate that analogous ratios are contemplated for more complex isomer mixtures.
[0038] The present invention also includes isotopically labeled compounds, which are identical to the compounds disclosed herein, but for the fact that one or more atoms are replaced by an atom having an atomic mass or mass number different from the atomic mass or mass number usually found in nature. Examples of isotopes that can be incorporated into compounds of the present invention include isotopes of hydrogen, carbon, nitrogen, oxygen, phosphorous, sulfur, fluorine and chlorine, such as 2H, 3H, 13C, UC, 14C, 15N, 180, 170, 31P,
32 35 18 36
P, S, F, and CI, respectively. Compounds of the present invention, or an enantiomer, diastereomer, tautomer, or pharmaceutically acceptable salt or solvate thereof, which contain the aforementioned isotopes and/or other isotopes of other atoms are within the scope of this invention. Certain isotopically labeled compounds of the present invention, for example
those into which radioactive isotopes such as 3H and 14C are incorporated, are useful in drug and/or substrate tissue distribution assays. Tritiated, i.e., 3H, and carbon-14, i.e., 14C, isotopes are particularly preferred for their ease of preparation and detectability. Further, substitution with heavier isotopes such as deuterium, i.e., 2H, can afford certain therapeutic advantages resulting from greater metabolic stability, for example increased in vivo half-life or reduced dosage requirements and, hence, may be preferred in some circumstances. Isotopically labeled compounds can generally be prepared by carrying out the procedures disclosed in the Schemes and/or in the Examples below, by substituting a readily available isotopically labeled reagent for a non-isotopically labeled reagent.
[0039] If, for instance, a particular enantiomer of a compound of the present invention is desired, it may be prepared by asymmetric synthesis, or by derivation with a chiral auxiliary, where the resulting diastereomeric mixture is separated and the auxiliary group cleaved to provide the pure desired enantiomers. Alternatively, where the molecule contains a basic functional group, such as amino, or an acidic functional group, such as carboxyl,
diastereomeric salts are formed with an appropriate optically-active acid or base, followed by resolution of the diastereomers thus formed by fractional crystallization or chromatographic means well known in the art, and subsequent recovery of the pure enantiomers.
[0040] It will be appreciated that the compounds, as described herein, may be substituted with any number of substituents or functional moieties. In general, the term "substituted", whether preceded by the term "optionally" or not, and substituents contained in formulas of this invention, refer to the replacement of hydrogen radicals in a given structure with the radical of a specified substituent. When more than one position in any given structure may be substituted with more than one substituent selected from a specified group, the substituent may be either the same or different at every position. As used herein, the term "substituted" is contemplated to include all permissible substituents of organic compounds. In a broad aspect, the permissible substituents include acyclic and cyclic, branched and unbranched, carbocyclic and heterocyclic, aromatic and nonaromatic substituents of organic compounds. For purposes of this invention, heteroatoms such as nitrogen may have hydrogen substituents and/or any permissible substituents of organic compounds described herein which satisfy the valencies of the heteroatoms. Furthermore, this invention is not intended to be limited in any manner by the permissible substituents of organic compounds. Combinations of substituents and variables envisioned by this invention are preferably those that result in the formation of stable compounds useful in the treatment, for example, of infectious diseases or proliferative
disorders. The term "stable", as used herein, preferably refers to compounds which possess stability sufficient to allow manufacture and which maintain the integrity of the compound for a sufficient period of time to be detected and preferably for a sufficient period of time to be useful for the purposes detailed herein.
Compounds
[0041] In one aspect, the present invention provides a compound of the formula (I):
or pharmaceutically acceptable salt thereof, wherein:
W is 5 to 7-membered monocyclic carbocycle or heterocycle; each of Ri and R2 is independently H, (Ci-C4)alkyl, (C3-C5)cycloalkyl, hydroxyl, fluoro, or NRbRc, or Ri and R2 together form (C3-C5)cycloalkyl;
R3 is phenyl, or heteroaryl;
R4 is H, (Ci-C4)alkyl, or (C3-C7)cycloalkyl;
R5 is (CRgR9)q-cycloalkyl, (CRgR9)q-aryl, or (CR8Rc))q-heterocycle; each of Rg and R9 is independently H, (Ci-C4)alkyl, hydroxyl, fluoro, or NRbRc, or Rg and R9 together form (C3-C5)cycloalkyl; each of Rb and Rc is independently hydrogen or alkyl, or said Rb and Rc together with the N to which they are bonded optionally form a heterocycle; each q is independently 0, 1, 2, 3, or 4; and n is 1 or 2.
[0042] In certain embodiments, W is 5-membered heteroaryl, 6-membered heteroaryl, or phenyl, in which said heteroaryl and phenyl are each independently substituted with (R6)m; each of Ri and R2 is independently H or (Ci-C4)alkyl;
R3 is phenyl, or heteroaryl;
R4 is H, (Ci-C4)alkyl, or (C3-C7)cycloalkyl;
R5 is (CRgR q-cycloalkyl, (CR8R9)q-aryl, or (CR8R9)q-heteroaryl; each R6 is independently hydrogen, halogen, cyano, nitro, CF3, OCF3, alkyl, alkenyl, alkynyl, cycloalkyl, cycloalkenyl, heterocyclyl, aryl, ORa, SRa, S(=0)Ra, S(=0)2Ra, S(=0)2ORa, NRbRc, C(=0)ORa, C(=0)Ra, C(=0)NRbRc, OC(=0)Ra, OC(=0)NRbRc, NRbC(=0)ORa, NRaC(=0)NRbRc, NRbC(=0)Ra, (CR8R9)q-OH, (CR8R9)q-0-(Ci-C4)alkyl, (CR8R9)q-(C=0)0- (d-C4)alkyl, (CR8R9)q-(C=0)0-aryl, (CR8R9)q-(C=0)OH, (CR8R9)q-NRbRc, (CR8R9)q- cycloalkyl, (CR8R9)q-phenyl, or (CR8R9)q-heteroaryl; each of R8 and R9 is independently H or (Ci-C4)alkyl; each occurrence of Ra, Rb, and Rc is independently hydrogen, alkyl, alkenyl, alkynyl, cycloalkyl, cycloalkenyl, heterocycle, or aryl, or said Rb and Rc together with the N to which they are bonded optionally form a heterocycle; m and q are each independently 0, 1, 2, 3, or 4; and n is 1 or 2.
In certain other embodiments, the compound of Formula (I) has the structure of
wherein W, Ri, R2, R3, R4, and R5 are as defined in claim 1 or 2.
[0044] In certain other embodiments, W is 5-membered heteroaryl, in which said heteroaryl is substituted with (Re)m- In certain other embodiments, wherein W is 6- membered heteroaryl, in which said heteroaryl is substituted with ( ^m- In yet other embodiments, W is phenyl, in which said phenyl is independently substituted with (R^),
[0045] In yet other embodiments, the compound of Formula (I) has the structure of Formula (III):
wherein
denotes ; each of Zl, Z2, Z3, Z4 and Z5 is independently carbon or nitrogen, provided that at least one of Zls Z2, Z3, Z4 and Z5 is nitrogen; and Ri, R2, R3, R4, R5, and R6 are as defined in claim 2, and m is 0, 1 , 2, or 3.
[0046] In yet other embodiments, the compound of Formula (I) has the structure of Formula (IV):
wherein each of Z2, Z3, Z4 and Z5 is independently carbon or nitrogen; Yi is oxygen or sulfur; and Ri, R2, R3, R4, R5, and R6 are as defined in claim 2, and m is 0, 1, 2, or 3.
[0047] In yet other embodiments, the compound of Formula (I) has the structure of Formula (IVa):
wherein Rls R2, R3, R4, R5, and R6 are as defined in claim 2, and m is 0, 1, 2, or 3.
wherein Rls R2, R3, R4, R5, and R6 are as defined in claim 2, and m is 0, 1, 2, or 3.
[0049] In yet other embodiments, the compound of Formula (I) has the structure of Formula (IVc):
wherein Rls R2, R3, R4, R5, and R6 are as defined in claim 2, and m is 0, 1, 2, or 3.
[0050] In yet other embodiments, the compound of Formula (I) has the structure of Formula (IVd):
wherein Rls R2, R3, R4, R5, and R6 are as defined in claim 2, and m is 0, 1, 2, or 3.
[0051] In yet other embodiments, the compound of Formula (I) has the structure of Formula (V):
[0052] In yet other embodiments, the compound of Formula (I) has the structure of Formula (VI):
wherein Rls R2, R3, R4, R5, and R6 are as defined in claim 2, and m is 0, 1, 2, or 3.
[0053] In yet other embodiments, the compound of Formula (I) has the structure of Formula (VII):
each of Xi, X2, X3, X4 , X5 and X6 is independently carbon or nitrogen, provided that at least one of Xi, X2, X3, X4 , X5 and X6 is nitrogen; and Ri, R2, R3, R4, R5, and 5 are as defined in claim 2, and m is 0, 1, 2, or 3.
[0054] In yet other embodiments, the compound of Formula (I) has the structure of Formula (Vila):
each of X4 , X5 and X6 is independently carbon or nitrogen, provided that only one of X4 , X5 and X6 is nitrogen, and the remaining of X4 , X5 and X6 is carbon; and Ri, R2, R3, R4, R5, and R6 are as defined in claim 2, and m is 0, 1 , or 2.
[0055] In yet other embodiments, the compound of Formula (I) has the structure of Formula (VIII):
wherein Rl s R2, R3, R4, R5, and R6 are as defined in claim 2, and m is 0, 1 , 2, or 3.
[0056] In certain embodiments, each of Ri and R2 is independently H. In certain other embodiments, R3 is phenyl. In yet other embodiments, R3 is phenyl substituted with one to three substituents selected from H, (Ci-C4)alkyl, 0-(Ci-C4)alkyl, halogen, nitro, CN, CF3, and OCF3. In yet other embodiments, R3 is unsubstituted phenyl. In yet other embodiments, R3 is heteroaryl substituted with one to three substituents selected from H, (Ci-C4)alkyl, 0-(Ci- C4)alkyl, halogen, nitro, CN, CF3, and OCF3. In yet other embodiments, R3 is unsubstituted heteroaryl.
[0057] In certain embodiments, R4 is H. In certain other embodiments, R4 is (Ci- C4)alkyl. In yet other embodiments, R4 is methyl.
[0058] In certain embodiments, R5 is (CH2)q-cycloalkyl, (CH2)q-aryl, or (CH2)q- heteroaryl, in which q is 0 or 1. In certain other embodiments, R5 is aryl, or heteroaryl. In yet other embodiments, R5 is phenyl. In yet other embodiments, R5 is pyridyl.
[0059] In certain embodiments, R5 is aryl (e.g., phenyl) or heteroaryl (e.g., pyridyl,
substituted with one to four substituents selected from hydrogen, halogen, cyano, nitro, CF3, OCF3, (Ci-C4)alkyl, (C2-C6)alkenyl, (C2- C6)alkynyl, (C3-Cv)cycloalkyl, (C3-Cv)cycloalkenyl, 3-10 membered monocyclic or bicyclic heterocycle containing at least one heteroatom selected from N, O and S, phenyl, naphthyl, ORa, SRa, S(=0)Ra, S(=0)2Ra, S(=0)2ORa, NRbRc, C(=0)ORa, C(=0)Ra, C(=0)NRbRc,
OC(=0)Ra,
NRbC(=0)ORa, NRaC(=0)NRbRc, NRbC(=0)Ra, (CR8R9)q-OH, (CR8R9)q-0-(Ci-C4)alkyl, (CR8R9)q-NRbRc, (CR8R9)q-cycloalkyl, (CR8R9)q-phenyl, and
(CR8R9)q-heteroaryl;
each of R8 and R9 is independently H or (Ci-C4)alkyl;
each occurrence of Ra, Rb, and Rc is independently hydrogen, alkyl, alkenyl, alkynyl, cycloalkyl, cycloalkenyl, heterocycle, or aryl, or said Rb and Rc together with the N to which they are bonded optionally form a heterocycle; and
each q is independently 0, 1, 2, 3, or 4.
[0060] In certain embodiments, R5 is phenyl or heteroaryl substituted with one to four substituents selected from hydrogen, halogen, cyano, nitro, CF3, OCF3, (Ci-C4)alkyl, (C3- Cy)cycloalkyl, 3-10 membered monocyclic or bicyclic heterocycle containing at least one heteroatom selected from N, O and S, phenyl, naphthyl, (CH2)q-OH, (CH2)q-0-(Ci-C4)alkyl, (CH2)q-NRbRc, (CH2)q-(C3-C7)cycloalkyl, , (CH2)q-phenyl, and (CH2)q-heteroaryl;
each occurrence of Rb, and Rc is independently hydrogen, (Ci-C4)alkyl, (C3-C7)cycloalkyl, 3- 10 membered monocyclic or bicyclic heterocycle containing at least one heteroatom selected from N, O and S, or aryl, or said Rb and Rc together with the N to which they are bonded optionally form a heterocycle; and
each q is independently 0, 1, 2, 3, or 4.
[0061] In certain embodiments, each R6 is independently hydrogen, halogen, cyano, nitro, CF3, OCF3, (Ci-C4)alkyl, (C2-C6)alkenyl, (C2-C6)alkynyl, (C3-C7)cycloalkyl, (C3- C7)cycloalkenyl, 3-10 membered monocyclic or bicyclic heterocycle containing at least one heteroatom selected from N, O and S, phenyl, naphthyl, ORa, SRa, S(=0)Ra, S(=0)2Ra, S(=0)2ORa, NRbRc, C(=0)ORa, C(=0)Ra, C(=0)NRbRc, OC(=0)Ra, OC(=0)NRbRc, NRbC(=0)ORa, NRaC(=0)NRbRc, NRbC(=0)Ra, (CR8R9)q-OH, (Ci-C4)alkyl substituted with one or more halogen, (CR8R9)q-0-(Ci-C4)alkyl, (CR8R9)q-(C=0)0-(C C4)alkyl, (CR8R9)q- (C=0)0-aryl, (CR8R9)q-(C=0)OH, (CR8R9)q-NRbRc, (CR8R9)q-cycloalkyl, (CR8R9)q-phenyl, or (CR8R9)q-heteroaryl;
each of R8 and R9 is independently H or (Ci-C4)alkyl;
each occurrence of Ra, Rb, and Rc is independently hydrogen, alkyl, alkenyl, alkynyl, cycloalkyl, cycloalkenyl, heterocycle, or aryl, or said Rb and Rc together with the N to which they are bonded optionally form a heterocycle; and
each q is independently 0, 1, 2, 3, or 4.
[0062] In certain other embodiments, each R6 is independently hydrogen, halogen, cyano, nitro, CF3, OCF3, (Ci-C4)alkyl, (C3-Cv)cycloalkyl, 3-10 membered monocyclic or bicyclic heterocycle containing at least one heteroatom selected from N, O and S, phenyl, naphthyl, (CH2)q-OH, (CH2)q-0-(Ci-C4)alkyl, (CH2)q-(C=0)0-(Ci-C4)alkyl, (CH2)q-(C=0)0-aryl, (CH2)q-(C=0)OH, (CH2)q-NRbRc, (CH2)q-(C3-C7)cycloalkyl or (CH2)q-substituted (C3- C7)cycloalkyl, (CH2)q-phenyl, or (CH2)q-heteroaryl;
each occurrence of Rb, and Rc is independently hydrogen, (Ci-C4)alkyl, (C3-C7)cycloalkyl, 3- 10 membered monocyclic or bicyclic heterocycle containing at least one heteroatom selected from N, O and S, or aryl, or said Rb and Rc together with the N to which they are bonded optionally form a heterocycle; and each q is independently 0, 1, 2, 3, or 4.
[0063] In certain other embodiments, each occurrence of Rb, and Rc is independently hydrogen or (Ci-C4)alkyl, or said Rb and Rc together with the N to which they are bonded optionally form a 3-8 membered heterocycle.
[0064] In one aspect, the present invention provides a compound selected from Examples 1 through 52 as described herein.
[0065] In another aspect, the present invention provides a pharmaceutical composition comprising at least one compound described herein and a pharmaceutically-acceptable carrier or diluent.
[0066] In a further aspect, the present invention provides a method for treating or preventing a viral infection in a mammalian species in need thereof, the method comprising administering to the mammalian species a therapeutically effective amount of at least one compound described herein. In certain embodiments, the viral infection is HIV infection. In certain other embodiments, the viral infection is HBV infection. In yet other embodiments, the viral infection is HCV infection. In yet other embodiments, the viral infection is influenza A virus infection, severe acute respiratory syndrome coronavirus infection or vaccinia virus infection.
[0067] In another aspect, the present invention provides a method for treating or preventing HIV infection in a mammalian species in need thereof, the method comprising administering to the mammalian species a therapeutically effective amount of at least one compound described herein.
Abbreviations
ACN Acetonitrile
EA Ethyl acetate
DMF Dimethyl formamide
PE Petroleum ether
DCM Dichloromethane
THF Tetrahydrofuran
HOBT 1-Hydroxybenzotriazole
EDCI 1 -Ethyl-3-(3-dimethylaminopropyl)carbodiimide
HBTU 2-( 1 H-Benzotriazole- 1 -y 1)- 1 , 1 ,3 ,3-tetramethyluronium
hexafluorophosphate
HATU 2-(7-Azabenzotriazol)-N,N,N',N'-tetramethyluronium
hexafluorophosphate
PyBOP 1 H-Benzotriazol- 1 -yloxytripyrrolidinophosphoniumhexafluorophosphate
BOPC1 Bis(2-oxo-3-oxazolidinyl)phosphinic chloride
BOP Benzotriazol- 1 -yloxytris(diethylamino)phosphonium hexafluorophospahte
TEA Triethylamine
DIPEA Diisopropylethylamine
DMAP 4-Dimethylaminopyridine
9-BBN 9-Borabicyclo[3.3.1]nonane
TFA Trifluoroacetic acid
TMSC1 Trimethylsilyl chloride
TLC Thin layer chromatography
NMP N-Methylpyrrolidinone
Boc t-Butoxy carbonyl
DME 1 ,2-Dimethoxyethane
LiHMDS Lithium hexamethyldisilazide
LDA Lithium diisopropylamide
CAN Cerium (IV) ammonium nitrate
n-BuLi n-Butyl lithium
METHODS OF PREPARA TION
[0068] The compounds of the present invention may be synthesized using conventional techniques known in the art. Advantageously, these compounds are conveniently synthesized from readily available starting materials. Following are general synthetic schemes for manufacturing compounds of the present invention. These schemes are illustrative and are not meant to limit the possible techniques one skilled in the art may use to manufacture compounds disclosed herein. Different methods will be evident to those skilled in the art. Additionally, the various steps in the synthesis may be performed in an alternate sequence or order to give the desired compound(s). All documents cited herein are incorporated herein by reference in their entirety.
[0069] Compounds of formula I may generally be prepared according to the following schemes and the knowledge of one skilled in the art. Schemes 1-7 describe various methods for the synthesis of intermediates that may be used to prepare compounds of formula I- VIII described in this invention. Various modifications to these methods may be envisioned by those skilled in the art to achieve similar results to that of the authors given below.
[0070] The compounds VI and VII are prepared as shown in Scheme 1.
Scheme 1
Step 1
[0071] Reaction of ketone I with a base, such as sodium hydride, potassium tert-butoxide or sodium tert-butoxide, followed by treatment with the ester R2COOR', affords the carbonyl ketone intermediate II.
Step 2
[0072] Treatment of intermediate II with halide, such as iodomethane, bromoethane ethyl bromoacetate and so on, in the presence of a base, such as sodium hydride, potassium carbonate, in the solvent such as DME, dioxane, THF and so on, affords the intermediate III. Step 3
[0073] Reaction of intermediate III with hydrazine or its hydrate in the solvent, such as THF, alcohol, or acetic acid, affords pyrazole IV.
Step 4
[0074] If R3 group of IV was ester or acid, reaction of IV with reducing reagents, such as lithium aluminium hydride or borane, affords alcohol intermediate V.
Step S
[0075] Reaction of the pyrazole IV or V and haloacetic amide in the presence of a base such as K2C03, TEA, DIPEA or DMAP, in the solvent such as DCM, DMF, THF and so on, affords the final compounds VI or VII.
[0076] The compounds XII are prepared as shown in Scheme 2.
Scheme 2
Step 1
[0077] Reaction of intermediate II with hydrazine or its hydrate in the solvent, such as THF, alcohol, or acetic acid, affords pyrazole VIII.
Step 2
[0078] Reaction of pyrazole intermediate VIII with halogenation reagent, such as NBS, NCS, NIS, I2 or Br2, in DMF or THF, affords the halide IX.
Step 3
[0079] Reaction of the intermediate IX with the vinyl coupling reagent, such as boronic acid, organotin reagents, Grignard reagents or organozinc reagents, in the presence of a catalyst, such as palladium reagents, in the solvent such as THF, DMF or DME, affords the coupling product X.
Step 4
[0080] Reaction of the intermediate X with borane or 9-BBN, in the solvent such as THF, DME, followed by treatment with hydrogen peroxide in the presence of a base, such as sodium hydroxide, or potassium hydroxide, affords the product XI.
Step S
[0081] Reaction of the amine XI and haloacetamide in the presence of a base such as K2C03, TEA, DIPEA or DMAP, in the solvent such as DCM, DMF or THF, affords the final compounds XII.
[0082] The compounds XV are prepared as shown in Scheme 3.
Scheme 3
Step 1
[0083] Treatment of intermediate II with ethyl bromoacetate, in the presence of a base, such as sodium hydride, potassium carbonate, in the solvent such as DME, dioxane, THF and so on, affords the intermediate XII.
Step 2
[0084] Reaction of intermediate XII with hydrazine or its hydrate in the solvent, such as THF, alcohol, or acetic acid, affords pyrazole XIII.
Step 3
[0085] Treatment of intermediate XIII with halide, such as iodomethane, bromoethane and so on, in the presence of a base, such as sodium hydride, potassium carbonate, followed by saponification with another base, such as lithium hydroxide, or sodium hydroxide, or potassium hydroxide, affords indole acid XIV.
Step 4
[0086] Reaction of the acid XIV and the corresponding amines in the present of a coupling agent, such as HOBT/EDCI, HATU, HBTU, PyBOP, BOPCl, or a BOP reagent, and a base such as TEA, DIPEA or DMAP, in the solvent such as DCM, DMF, THF and so on, affords compounds XV.
[0087] The compounds XX are prepared as shown in Scheme 4.
Scheme 4
Step 1
[0088] Treatment of intermediate XVI with a base, such as NaH, and followed by addition of another base, such as n-BuLi, and subsequent reaction with Weinreb amide containing R2 group, affords the intermediate XVII.
Step 2
[0089] Reaction of intermediate XVII with hydrazine hydrate in the solvent, such as THF, alcohol, or acetic acid, affords pyrazole XVIII.
Step 3
[0090] Treatment of intermediate XVIII with halide, such as iodomethane, bromoethane and so on, in the presence of a base, such as sodium hydride, potassium carbonate, followed by adding another base, such as lithium hydroxide, or sodium hydroxide, or potassium hydroxide, affords indole acid XIX.
Step 4
[0091] Reaction of the acid XIX and the corresponding amine in the present of a coupling agent, such as HOBT/EDCI, HATU, HBTU, PyBOP, BOPC1, or a BOP reagent, and a base such as TEA, DIPEA or DMAP, in the solvent such as DCM, DMF, THF and so on, affords compounds XX.
[0092] The compounds XXV can be prepared as shown in Scheme 5.
Scheme 5
(where A, B = CH or N independently or in combination, Y = Me or halogen)
Step 1
[0093] Treatment of intermediate XII with a base, such as n-BuLi, LDA, LiHMDS, in the solvent such as DME, dioxane, THF and so on, and then diethyl carbonate was added when Y is methyl, or MeCN was added when Y is halogen followed by treatment with TMSC1 and ethanol, affords the intermediate XXII.
Step 2
[0094] Reaction of the intermediate XXII with the vinyl coupling reagents, such as boronic acid, organotin reagents, Grignard reagents or organozinc reagents, in the presence of
a catalyst, such as palladium reagents, in the solvent such as THF, DMF or DME, affords the coupled product XXIII.
Step 3
[0095] Reaction of the intermediate XXIII with reagent like borane or 9-BBN, in the solvent such as THF, DME, followed by treatment with hydrogen peroxide in the presence of a base, such as sodium hydroxide, or potassium hydroxide, affords the product XXIV.
Step 4
[0096] Reaction of the acid XXIV and the corresponding amine in the presence of a coupling agent, such as HOBT/EDCI, HATU, HBTU, PyBOP, BOPCl, or a BOP reagent, and a base such as TEA, DIPEA or DMAP, in the solvent such as DCM, DMF, THF and so on, affords the amide compounds XXV.
[0097] The compounds XXXIII are prepared as shown in Scheme 6.
Scheme 6
Step 1
[0098] Condensation of intermediate XXVI with amidine intermediate XXVII in the presence of a base, such as sodium acetate, potassium acetate, affords the intermediate
XXVIII.
Step 2
[0099] Treatment of intermediate XXVIII with halide, such as iodomethane,
bromoethane and so on, in the presence of a base, such as sodium hydride, potassium carbonate, followed by addition of another base, such as lithium hydroxide, or sodium hydroxide, or potassium hydroxide, affords the intermediate XXIX.
Step 3
[0100] Treatment of intermediate XXIX with a chlorination reagent, such as thionyl chloride, affords chloromethylpyrazole intermediate XXX.
Step 4
[0101] Treatment of intermediate XXX with a cyanidation reagent, such as NaCN, KCN, TMSCN, in the presence of a base, such as sodium carbonate, potassium carbonate, affords the intermediateXXXI.
Ste S
[0102] Hydrolysis of the intermediate XXXI with an acid, such as concentrated HC1, TMSC1, or a base, such as NaOH, KOH, and so on, affords the acid XXXII.
Step 6
[0103] Reaction of the acid XXXII and the corresponding amine in the presence of a condensating agent, such as HOBT/EDCI, HATU, HBTU, PyBOP, BOPC1, or a BOP reagent, and a base such as TEA, DIPEA or DMAP, in the solvent such as DCM, DMF, THF and so on, affords the amide compounds XXXIII.
[0104] The intermediates XXXVII and XXXVIII are prepared as shown in Scheme 7.
Scheme 7
Step 1
[0105] Reaction of primary amine XXXIV with aldehyde, such as paraformaldehyde, acetaldehyde and so on in the presence of a base, such as sodium methoxide, or Lewis acid, in the solvent of alcohol, followed by treatment with reductive reagents, such as NaBH4, NaBH3CN or NaBH3OAc, affords the secondary amine XXXVIII.
Step 2
[0106] Reaction of the amine XXXV and N-Boc-Phenylalanine in the presence of a condensating agent, such as HOBT/EDCI, HATU, HBTU, PyBOP, BOPC1, or a BOP reagent, and a base such as TEA, DIPEA or DMAP, in the solvent such as DCM, DMF, THF and so on, affords the amide compounds XXXVI.
Step 3
[0107] Treatment of the intermediates XXXVI with HC1 solution such as HC1 in MeOH, HC1 in THF and so on, affords the amine intermediates XXXVII.
Step 4
[0108] Reaction of the amine XXXVII and haloacetyl halide in the presence of a base such as TEA, DIPEA or DMAP, in the solvent such as DCM, DMF, THF and so on, affords the amide compounds XXXVIII.
Pharmaceutical Compositions
[0109] This invention also provides a pharmaceutical composition comprising at least one of the compounds as described herein or a pharmaceutically-acceptable salt or solvate thereof, and a pharmaceutically-acceptable carrier.
[0110] The phrase "pharmaceutically-acceptable carrier" as used herein means a pharmaceutically-acceptable material, composition or vehicle, such as a liquid or solid filler, diluent, excipient, solvent or encapsulating material, involved in carrying or transporting the subject pharmaceutical agent from one organ, or portion of the body, to another organ, or portion of the body. Each carrier must be "acceptable" in the sense of being compatible with the other ingredients of the formulation and not injurious to the patient. Some examples of materials which can serve as pharmaceutically-acceptable carriers include: sugars, such as lactose, glucose and sucrose; starches, such as corn starch and potato starch; cellulose, and its derivatives, such as sodium carboxymethyl cellulose, ethyl cellulose and cellulose acetate; powdered tragacanth; malt; gelatin; talc; excipients, such as cocoa butter and suppository waxes; oils, such as peanut oil, cottonseed oil, safflower oil, sesame oil, olive oil, corn oil and soybean oil; glycols, such as butylene glycol; polyols, such as glycerin, sorbitol, mannitol and polyethylene glycol; esters, such as ethyl oleate and ethyl laurate; agar; buffering agents, such as magnesium hydroxide and aluminum hydroxide; alginic acid; pyrogen-free water; isotonic saline; Ringer's solution; ethyl alcohol; phosphate buffer solutions; and other non-toxic compatible substances employed in pharmaceutical formulations.
[0111] As set out above, certain embodiments of the present pharmaceutical agents may be provided in the form of pharmaceutically-acceptable salts. The term "pharmaceutically- acceptable salt", in this respect, refers to the relatively non-toxic, inorganic and organic acid addition salts of compounds of the present invention. These salts can be prepared in situ during the final isolation and purification of the compounds of the invention, or by separately reacting a purified compound of the invention in its free base form with a suitable organic or inorganic acid, and isolating the salt thus formed. Representative salts include the hydrobromide, hydrochloride, sulfate, bisulfate, phosphate, nitrate, acetate, valerate, oleate, palmitate, stearate, laurate, benzoate, lactate, phosphate, tosylate, citrate, maleate, fumarate, succinate, tartrate, napthylate, mesylate, glucoheptonate, lactobionate, and laurylsulphonate salts and the like. (See, for example, Berge et ah, (1977) "Pharmaceutical Salts", J. Pharm. Sci. 66: 1-19.)
[0112] The pharmaceutically acceptable salts of the subject compounds include the conventional nontoxic salts or quaternary ammonium salts of the compounds, e.g., from nontoxic organic or inorganic acids. For example, such conventional nontoxic salts include those derived from inorganic acids such as hydrochloride, hydrobromic, sulfuric, sulfamic, phosphoric, nitric, and the like; and the salts prepared from organic acids such as acetic, butionic, succinic, glycolic, stearic, lactic, malic, tartaric, citric, ascorbic, palmitic, maleic, hydroxymaleic, phenylacetic, glutamic, benzoic, salicyclic, sulfanilic, 2-acetoxybenzoic, fumaric, toluenesulfonic, methanesulfonic, ethane disulfonic, oxalic, isothionic, and the like.
[0113] In other cases, the compounds of the present invention may contain one or more acidic functional groups and, thus, are capable of forming pharmaceutically-acceptable salts with pharmaceutically-acceptable bases. The term "pharmaceutically-acceptable salts" in these instances refers to the relatively non-toxic, inorganic and organic base addition salts of compounds of the present invention. These salts can likewise be prepared in situ during the final isolation and purification of the compounds, or by separately reacting the purified compound in its free acid form with a suitable base, such as the hydroxide, carbonate or bicarbonate of a pharmaceutically-acceptable metal cation, with ammonia, or with a pharmaceutically-acceptable organic primary, secondary or tertiary amine. Representative alkali or alkaline earth salts include the lithium, sodium, potassium, calcium, magnesium, and aluminum salts and the like. Representative organic amines useful for the formation of base addition salts include ethylamine, diethylamine, ethylenediamine, ethanolamine,
diethanolamine, piperazine and the like. (See, for example, Berge et ah, supra.)
[0114] Wetting agents, emulsifiers and lubricants, such as sodium lauryl sulfate, magnesium stearate, and polyethylene oxide-polybutylene oxide copolymer as well as coloring agents, release agents, coating agents, sweetening, flavoring and perfuming agents, preservatives and antioxidants can also be present in the compositions.
[0115] Formulations of the present invention include those suitable for oral, nasal, topical (including buccal and sublingual), rectal, vaginal and/or parenteral administration. The formulations may conveniently be presented in unit dosage form and may be prepared by any method well known in the art of pharmacy. The amount of active ingredient which can be combined with a carrier material to produce a single dosage form will vary depending upon the host being treated and the particular mode of administration. The amount of active ingredient, which can be combined with a carrier material to produce a single dosage form, will generally be that amount of the compound which produces a therapeutic effect.
Generally, out of 100%, this amount will range from about 1% to about 99% of active ingredient, preferably from about 5% to about 70%, most preferably from about 10% to about 30%.
[0116] Methods of preparing these formulations or compositions include the step of bringing into association a compound of the present invention with the carrier and, optionally, one or more accessory ingredients. In general, the formulations are prepared by uniformly and intimately bringing into association a compound of the present invention with liquid carriers, or finely divided solid carriers, or both, and then, if necessary, shaping the product.
[0117] Formulations of the invention suitable for oral administration may be in the form of capsules, cachets, pills, tablets, lozenges (using a flavored basis, usually sucrose and acacia or tragacanth), powders, granules, or as a solution or a suspension in an aqueous or nonaqueous liquid, or as an oil-in-water or water-in-oil liquid emulsion, or as an elixir or syrup, or as pastilles (using an inert base, such as gelatin and glycerin, or sucrose and acacia) and/or as mouthwashes and the like, each containing a predetermined amount of a compound of the present invention as an active ingredient. A compound of the present invention may also be administered as a bolus, electuary or paste.
[0118] In solid dosage forms of the invention for oral administration (capsules, tablets, pills, dragees, powders, granules and the like), the active ingredient is mixed with one or more pharmaceutically-acceptable carriers, such as sodium citrate or dicalcium phosphate, and/or any of the following: fillers or extenders, such as starches, lactose, sucrose, glucose, mannitol, and/or silicic acid; binders, such as, for example, carboxymethylcellulose, alginates,
gelatin, polyvinyl pyrrolidone, sucrose and/or acacia; humectants, such as glycerol;
disintegrating agents, such as agar-agar, calcium carbonate, potato or tapioca starch, alginic acid, certain silicates, sodium carbonate, and sodium starch glycolate; solution retarding agents, such as paraffin; absorption accelerators, such as quaternary ammonium compounds; wetting agents, such as, for example, cetyl alcohol, glycerol monostearate, and polyethylene oxide-polybutylene oxide copolymer; absorbents, such as kaolin and bentonite clay;
lubricants, such a talc, calcium stearate, magnesium stearate, solid polyethylene glycols, sodium lauryl sulfate, and mixtures thereof; and coloring agents. In the case of capsules, tablets and pills, the pharmaceutical compositions may also comprise buffering agents. Solid compositions of a similar type may also be employed as fillers in soft and hard-filled gelatin capsules using such excipients as lactose or milk sugars, as well as high molecular weight polyethylene glycols and the like.
[0119] A tablet may be made by compression or molding, optionally with one or more accessory ingredients. Compressed tablets may be prepared using binder (for example, gelatin or hydroxybutylmethyl cellulose), lubricant, inert diluent, preservative, disintegrant (for example, sodium starch glycolate or cross-linked sodium carboxymethyl cellulose), surface-active or dispersing agent. Molded tablets, may be made by molding in a suitable machine a mixture of the powdered compound moistened with an inert liquid diluent.
[0120] The tablets, and other solid dosage forms of the pharmaceutical compositions of the present invention, such as dragees, capsules, pills and granules, may optionally be scored or prepared with coatings and shells, such as enteric coatings and other coatings well known in the pharmaceutical-formulating art. They may also be formulated so as to provide slow or controlled release of the active ingredient therein using, for example, hydroxybutylmethyl cellulose in varying butortions to provide the desired release profile, other polymer matrices, liposomes and/or microspheres. They may be sterilized by, for example, filtration through a bacteria-retaining filter, or by incorporating sterilizing agents in the form of sterile solid compositions, which can be dissolved in sterile water, or some other sterile injectable medium immediately before use. These compositions may also optionally contain opacifying agents and may be of a composition that they release the active ingredient(s) only, or preferentially, in a certain portion of the gastrointestinal tract, optionally, in a delayed manner. Examples of embedding compositions which can be used include polymeric substances and waxes. The active ingredient can also be in micro-encapsulated form with one or more of the above-described excipients.
[0121] Liquid dosage forms for oral administration of the compounds of the invention include pharmaceutically acceptable emulsions, microemulsions, solutions, suspensions, syrups and elixirs. In addition to the active ingredient, the liquid dosage forms may contain inert diluents commonly used in the art, such as, for example, water or other solvents, solubilizing agents and emulsifiers, such as ethyl alcohol, isobutyl alcohol, ethyl carbonate, ethyl acetate, benzyl alcohol, benzyl benzoate, butylene glycol, 1,3-butylene glycol, oils (in particular, cottonseed, groundnut, corn, germ, olive, castor and sesame oils), glycerol, tetrahydrofuryl alcohol, polyethylene glycols and fatty acid esters of sorbitan, and mixtures thereof. Additionally, cyclodextrins, e.g., hydroxybutyl-beta-cyclodextrin, may be used to solubilize compounds.
[0122] Besides inert diluents, the oral compositions can also include adjuvants such as wetting agents, emulsifying and suspending agents, sweetening, flavoring, coloring, perfuming and preservative agents.
[0123] Suspensions, in addition to the active compounds, may contain suspending agents as, for example, ethoxylated isostearyl alcohols, polyoxyethylene sorbitol and sorbitan esters, microcrystalline cellulose, aluminum metahydroxide, bentonite, agar-agar and tragacanth, and mixtures thereof.
[0124] Formulations of the pharmaceutical compositions of the invention for rectal or vaginal administration may be presented as a suppository, which may be prepared by mixing one or more compounds of the invention with one or more suitable nonirritating excipients or carriers comprising, for example, cocoa butter, polyethylene glycol, a suppository wax or a salicylate, and which is solid at room temperature, but liquid at body temperature and, therefore, will melt in the rectum or vaginal cavity and release the active pharmaceutical agents of the invention.
[0125] Formulations of the present invention which are suitable for vaginal
administration also include pessaries, tampons, creams, gels, pastes, foams or spray formulations.
[0126] Dosage forms for the topical or transdermal administration of a compound of this invention include powders, sprays, ointments, pastes, creams, lotions, gels, solutions, patches and inhalants. The active compound may be mixed under sterile conditions with a pharmaceutically-acceptable carrier and with any preservatives or buffers which may be required.
[0127] The ointments, pastes, creams and gels may contain, in addition to an active compound of this invention, excipients, such as animal and vegetable fats, oils, waxes, paraffins, starch, tragacanth, cellulose derivatives, polyethylene glycols, silicones, bentonites, silicic acid, talc and zinc oxide, or mixtures thereof.
[0128] Powders and sprays can contain, in addition to a compound of this invention, excipients such as lactose, talc, silicic acid, aluminum hydroxide, calcium silicates and polyamide powder, or mixtures of these substances. Sprays can additionally contain customary butellants, such as chlorofluorohydrocarbons and volatile unsubstituted
hydrocarbons, such as butane and butene.
[0129] Transdermal patches have the added advantage of providing controlled delivery of a compound of the present invention to the body. Such dosage forms can be made by dissolving, or dispersing the pharmaceutical agents in the buter medium. Absorption enhancers can also be used to increase the flux of the pharmaceutical agents of the invention across the skin. The rate of such flux can be controlled, by either providing a rate controlling membrane or dispersing the compound in a polymer matrix or gel.
[0130] Ophthalmic formulations, eye ointments, powders, solutions and the like, are also contemplated as being within the scope of this invention.
[0131] Pharmaceutical compositions of this invention suitable for parenteral
administration comprise one or more compounds of the invention in combination with one or more pharmaceutically-acceptable sterile isotonic aqueous or nonaqueous solutions, dispersions, suspensions or emulsions, or sterile powders which may be reconstituted into sterile injectable solutions or dispersions just prior to use, which may contain antioxidants, buffers, bacteriostats, solutes which render the formulation isotonic with the blood of the intended recipient or suspending or thickening agents.
[0132] In some cases, in order to prolong the effect of a drug, it is desirable to slow the absorption of the drug from subcutaneous or intramuscular injection. This may be accomplished by the use of a liquid suspension of crystalline or amorphous material having poor water solubility. The rate of absorption of the drug then depends upon its rate of dissolution, which, in turn, may depend upon crystal size and crystalline form. Alternatively, delayed absorption of a parenterally-administered drug form is accomplished by dissolving or suspending the drug in an oil vehicle. One strategy for depot injections includes the use of polyethylene oxide-polybutylene oxide copolymers wherein the vehicle is fluid at room temperature and solidifies at body temperature.
[0133] Injectable depot forms are made by forming microencapsule matrices of the subject compounds in biodegradable polymers such as polylactide-polyglycolide. Depending on the ratio of drug to polymer, and the nature of the particular polymer employed, the rate of drug release can be controlled. Examples of other biodegradable polymers include poly (orthoesters) and poly (anhydrides). Depot injectable formulations are also prepared by entrapping the drug in liposomes or microemulsions, which are compatible with body tissue.
[0134] When the compounds of the present invention are administered as
pharmaceuticals, to humans and animals, they can be given per se or as a pharmaceutical composition containing, for example, 0.1% to 99.5% (more preferably, 0.5%> to 90%>) of active ingredient in combination with a pharmaceutically acceptable carrier.
[0135] The compounds and pharmaceutical compositions of the present invention can be employed in combination therapies, that is, the compounds and pharmaceutical compositions can be administered concurrently with, prior to, or subsequent to, one or more other desired therapeutics or medical procedures. The particular combination of therapies (therapeutics or procedures) to employ in a combination regimen will take into account compatibility of the desired therapeutics and/or procedures and the desired therapeutic effect to be achieved. It will also be appreciated that the therapies employed may achieve a desired effect for the same disorder (for example, the compound of the present invention may be administered concurrently with another anti-HCV agent), or they may achieve different effects (e.g., control of any adverse effects).
[0136] The compounds of the invention may be administered intravenously,
intramuscularly, intraperitoneally, subcutaneously, topically, orally, or by other acceptable means. The compounds may be used to treat arthritic conditions in mammals (i.e., humans, livestock, and domestic animals), birds, lizards, and any other organism, which can tolerate the compounds.
[0137] The invention also provides a pharmaceutical pack or kit comprising one or more containers filled with one or more of the ingredients of the pharmaceutical compositions of the invention. Optionally associated with such container(s) can be a notice in the form prescribed by a governmental agency regulating the manufacture, use or sale of
pharmaceuticals or biological products, which notice reflects approval by the agency of manufacture, use or sale for human administration.
Equivalents
[0138] The representative examples which follow are intended to help illustrate the invention, and are not intended to, nor should they be construed to, limit the scope of the invention. Indeed, various modifications of the invention and many further embodiments thereof, in addition to those shown and described herein, will become apparent to those skilled in the art from the full contents of this document, including the examples which follow and the references to the scientific and patent literature cited herein. It should further be appreciated that the contents of those cited references are incorporated herein by reference to help illustrate the state of the art. The following examples contain important additional information, exemplification and guidance which can be adapted to the practice of this invention in its various embodiments and equivalents thereof.
EXAMPLES
EXAMPLE 1
(5)- V-(benzo[i ] [l,3]dioxol-5-yl)-2-(2-(4-(2-hydroxyethyl)-3-isopropyl-5-methyl-lH- pyrazol-l-yl)acetamido)-N-methyl-3-phenylpropanamide
[0139] Tert-BuOK (20 g, 178 mmol, 1.5 eq) was added in portions to 3,3-dimethylbutan- 2-one(10 g, 119 mmol, 1.0 eq) and stirred for 30min. Then ethyl acetate (35 mL, 357 mmol, 3.0 eq) was added dropwise at 55 °C. The solution was stirred at 55 °C for 12h. TLC analysis (petroleum ether/EtOAc = 1 : 1) showed the reaction was completed. Then the solution was poured over ice/hydrochloric acid and extracted with EtOAc (2x100 mL). The
organic layer was then washed with 4M hydrochloric acid (2x30 mL) and brine (30 mL). The crude product was purified by column chromatography to give 5-methylhexane-2,4- dione (4.0 g, yield: 26%).LC/MS: m/z(M++l) = 129.
IB. Preparation of ethyl 3-acetyl-5-methyl-4-oxohexanoate
[0140] To a solution of 5-methylhexane-2,4-dione(2 g, 10.7 mmol, 1.0 eq) in dioxane (20 mL) and H20 (10 mL) was added KOH (0.6 g, 10.7 mmol, 1.0 eq) in portions at 0 °C. The mixture was stirred at room temperature for 30 minutes. To the resulting mixture was added ethyl 2-bromoacetate (1.77 g, 10.7 mmol, 1 eq) dropwise at 0 °C, and the mixture was stirred at room temperature for 12 hours. TLC (petroleum ether/EtOAc = 1 :1) showed the reaction was completed. The reaction mixture was extracted with EtOAc (2x50 mL). The combined organic extracts were washed with brine (3x20 mL), dried over Na2S04 and concentrated in vacuum to give crude product, which was purified by column chromatography on silica gel to give compound ethyl 3-acetyl-5-methyl-4-oxohexanoate (1.5 g, yield: 75%). LC/MS: m/z (M++l) = 215.
1C. Preparation of ethyl 2-(3-isopropyl-5-methyl-lH-pyrazol-4-yl)acetate
[0141] A mixture of ethyl 3-acetyl-5-methyl-4-oxohexanoate (1.5 g, 8 mmol, 1.0 eq) in hydrazine hydrate (0.43 g, 8 mmol, 1.0 eq) and acetic acid (0.5 mL) were stirred at reflux for 3 h. TLC analysis (petroleum ether/EtOAc =1 :1) showed the reaction was completed. The reaction was concentrated in vacuum to give ethyl 2-(3-isopropyl-5 -methyl- lH-pyrazol-4- yl)acetate (1.3 g, yield: 83%).LC/MS: m/z (M++l) = 211.
[0142] To a stirred suspension of L1AIH4 (84 mg, 2 mmol, 2 eq) in dry THF (50 mL), was added dropwise a solution of ethyl 2-(3 -isopropyl-5 -methyl- lH-pyrazol-4-yl)acetate (0.2g, lmmol, leq) in dry THF (100 mL) at 0 °C. The resulting mixture was stirred at room temperature for 3 hours. TLC (petroleum ether/EtOAc =1 : 1) indicated the reaction was complete. The reaction mixture was quenched with 10% aqueous NaOH (20 mL) and diluted with EtOAc (100 mL). The organic layer was washed with brine (20 mL), dried over Na2S04 and concentrated in vacuum to yield crude product, which was purified by column
chromatography to give 2-(3 -isopropyl-5 -methyl- lH-pyrazol-4-yl)ethanol (0.11 g, yield: 65%). LC/MS: m/z( M++l) = 169.
[0143] To a solution of sodium methoxide (4.13 g, 76.5 mmol, 5.0 eq) in methanol (50 mL), paraformaldehyde (4.59 g, 153 mmol, 10.0 eq) and benzo[d][l,3]dioxol-5-amine (2.10 g, 15.3 mmol, 1.0 eq) were added. The mixture was stirred at R.T. for 24 h until TLC indicated the SM had disappeared. Then sodium borohydride (1.74 g, 45.9 mmol, 3.0 eq) was added portionwise slowly, and the mixture was stirred at 40°C for an additional 3h. The resulting mixture was filtrated, concentrated and dissolved in EtOAc, washed with water and brine, and dried over anhydrous Na2S04. The solvent was evaporated, and the residue was purified by silica gel chromatography to give the desired product N- methylbenzo[ ][l,3]dioxol-5-amine(2.27 g, 15.0 mmol, yield: 98%). LC/MS: m/z (M++l) =
152.
IF. Preparation of (5)-tert-butyll-(benzo[i ] [l,3]dioxol-5-yl(methyl)amino)-l- phenylpropan-2-ylcarbamate
[0144] (S)-2-(tert-butoxycarbonyl)-3-phenylpropanoicacid (2.17 g, 8.18 mmol, 1.3 eq),N- methylbenzo[d][l ,3]dioxol-5-amine (950 mg,6.29 mmol, 1.0 eq), EDCI (1.8 g, 9.43 mmol, 1.5 eq), HOBt (1.7 g, 12.6 mmol, 2.0 eq) and DIPEA (1.62 g,12.6 mmol, 2.0 eq) were dissolved in DMF (20 mL). The resulting mixture was stirred at r.t overnight. Water was added and the mixture was extracted by EA (2x25 mL), washed with aqueous LiCl solution (3x40 mL). The organic layer was dried and concentrated, and the residue was purified by silica gel chromatography column with PE and EA to give the titled product (2.2 g, yield: 88%); LC/MS: m/z (M++l) = 399.
1G. Preparation of (5)-2-amino- V-(benzo[i ] [l,3]dioxol-5-yl)- V-methyl-3- phenylpropanamide hydrochloride
[0145] (5)-tert-butyll -(benzo[<i] [ 1 ,3]dioxol-5-yl(methyl)amino)- 1 -oxo-3-phenylpropaN- 2-ylcarbamate (2.2 g, 5.52 mmol, 1.0 eq) was dissolved in MeOH/HCl (1 M, 6 mL). The mixture was stirred at r.t for lh until the TLC indicated the SM had disappeared. The solvent was removed under reduced pressure to give the product (2.2 g, yield: 98%); LC/MS: m/z (M++l) = 299.
1H. Preparation of (5)- V-(benzo[i ] [l,3]dioxol-5-yl)-2-(2-bromoacetamido)- V-methyl-3- phenylpropanamide
[0146] To a solution of (5)-2-amino-N-(benzo[ ] [ 1 ,3]dioxol-5-yl)-N-methyl-3- phenylpropamide (3.0 g, 10.0 mmol, 1.0 eq) and DIPEA (2.5 mL, 15.0 mmol, 1.5 eq) in anhydrous DCM, 2-bromoacetyl bromide (2.6 mL, 30.0 mmol, 3.0 eq) was added at 0 °C over 15 min. The mixture was stirred at R.T. for 30 min until TLC indicated the SM had disappeared. The resulting reaction mixture was quenched by water, extracted with EtOAc. The organic extract was dried over Na2S04 and concentrated, the residue was recrystallized form PE and EA to give (5)-N-(benzo[<i][l,3]dioxol-5-yl)-2-(2-bromoacetamido)-N-methyl- 3-phenylpropanamide (1.6 g, 3.8 mmol, yield: 38.1%); LC/MS: m/z (M++l) = 419.
II. Preparation of (S)-7V-(benzo[</] [l,3]dioxol-5-yl)-2-(2-(4-(2-hydroxyethyl)-3- isopropyl-5-methyl-lH-pyrazol-l-yl)acetamido)- V-methyl-3-phenylpropanamide
[0147] A mixture of 2-(3-isopropyl-5 -methyl- lH-pyrazol-4-yl)ethanol (110 mg, 0.65 mmol, 1 eq), (5)-N-(benzo[<i][l,3]dioxol-5-yl)-2-(2-bromoacetamido)-N-methyl-3- phenylpropanamide (410 mg, 0.98 mmol, 1.5 eq) and K2CO3 (269 mg, 1.95 mmol, 3 eq) in DMF (10 mL) was stirred at 80 °C for 12h. TLC (petroleum ether: ethyl acetate = 10: 1) showed the material was consumed completely. The reaction mixture was poured into ice water and extracted with EtOAc (2x30 mL). The combined organic extracts were washed with brine (3x10 mL), dried over Na2S04 and concentrated in vacuum to give crude product, which was purified by prep-HPLC to give the final product (5)-N-(benzo[<i][l,3]dioxol-5-yl)- 2-(2-(4-(2-hydroxyethyl)-3 -isopropyl-5 -methyl- lH-pyrazol- 1 -yl)acetamido)-N-methyl-3 - phenylpropanamide (36.7 mg, yield: 11%); LC/MS: m/z (M++l) = 507, HPLC retention time = 2.61 min (HPLC condition: see below); 1H NMR (400 MHz, MeOD) δ 7.28 - 7.21 (m, 4H), 6.94 (dd, J= 6.6, 2.9 Hz, 2H), 6.72 (d, J= 8.3 Hz, 1H), 6.10 (d, J= 8.3 Hz, 1H), 6.02 (s, 2H), 4.73 (dd, J= 13.8, 6.8 Hz, 1H), 4.64 (t, J= 13.8 Hz, 2H), 3.76 (dd, J= 10.8, 5.9 Hz, 2H), 3.07 (d, J= 17.2 Hz, 3H), 3.03 (d, J= 6.9 Hz, 1H), 2.80 (dd, J= 13.3, 7.8 Hz, 1H), 2.67 (dd, J= 12.7, 6.7 Hz, 3H), 2.14 (s, 3H), 1.34 (dd, J= 13.0, 6.9 Hz, 6H).
[0148] Compounds 2-10 were prepared using a similar process as the Example 1 utilizing the corresponding pyrazoles.
EXAMPLES 2 TO 10
FA in 10% MeCN/H20; Solvent B: 0.05% FA in 90% MeCN/H20; flow rate: 3 mL/min; run time: 0.8 min@10% B, 2.7 min gradient (10-95% B), then 0.8 min @95%B; wavelength: 254/220 nm.
Example 2: 1H NMR(400 MHz, CDC13) δ 7.26 (dd, J= 9.8, 6.8 Hz, 4H), 6.96 (dd, J= 6.4, 3.0 Hz, 2H), 6.71 (d, J= 8.1 Hz, 1H), 6.13 (d, J= 8.1 Hz, 1H), 6.02 (s, 2H), 4.82 - 4.69 (m, 1H), 4.70 - 4.56 (m, 2H), 3.73 (dq, J= 10.8, 4.8 Hz, 2H), 3.09 (s, 3H), 2.81 (dd, J= 13.2, 7.9 Hz, 1H), 2.75 - 2.68 (m, 1H), 2.63 (t, J= 5.8 Hz, 2H), 2.39 (ddd, J= 22.0, 14.8, 7.1 Hz, 2H), 2.28 (s, 3H), 1.76 (d, J= 6.9 Hz, 1H), 0.91 (dd, J= 10.6, 6.6 Hz, 6H).
Example 3: 1H NMR (400 MHz, CDC13) δ 7.25 (dd, J= 11.0, 8.5 Hz, 4H), 6.93 (dd, J= 6.5,
2.8 Hz, 2H), 6.71 (d, J= 8.1 Hz, 1H), 6.02 (s, 2H), 5.99 (d, J= 8.6 Hz, 1H), 4.75 (dd, J = 14.2, 7.1 Hz, 1H), 4.65 (t, J= 13.4 Hz, 2H), 3.80 - 3.67 (m, 2H), 3.09 (s, 3H), 2.80 (dd, J = 13.2, 7.9 Hz, 1H), 2.66 (dt, J= 11.9, 6.2 Hz, 3H), 2.48 (dd, J= 14.5, 7.4 Hz, 2H), 2.15 (d, J = 8.7 Hz, 3H), 2.03 (d, J= 6.7 Hz, 1H), 0.98 (t, J= 10.5 Hz, 6H).
Example 4: 1H NMR (400 MHz, CDC13) δ 7.25 (dd, J= 11.8, 9.1 Hz, 4H), 6.93 (dd, J= 6.5,
2.9 Hz, 2H), 6.72 (d, J= 8.1 Hz, 1H), 6.11 (d, J= 8.4 Hz, 1H), 6.02 (s, 2H), 4.76 (dd, J =
14.7, 7.7 Hz, 1H), 4.72 - 4.56 (m, 2H), 3.81 - 3.66 (m, 2H), 3.10 (d, J= 5.5 Hz, 3H), 2.82 (dd, J= 13.2, 7.7 Hz, 1H), 2.73 - 2.58 (m, 5H), 2.12 (s, 3H), 1.29 (t, J= 7.6 Hz, 3H).
Example 5: 1H NMR (400 MHz, CDC13) δ 7.26 (dd, J= 10.8, 8.0 Hz, 4H), 6.94 (dd, J= 6.5, 3.0 Hz, 2H), 6.71 (d, J= 8.2 Hz, 1H), 6.20 (d, J= 7.5 Hz, 1H), 6.02 (s, 2H), 4.76 (dd, J =
14.8, 7.9 Hz, 1H), 4.72 - 4.57 (m, 2H), 3.74 (td, J= 6.2, 2.1 Hz, 2H), 3.22 - 3.01 (m, 3H), 2.95 - 2.80 (m, 1H), 2.70 (dd, J= 13.2, 6.3 Hz, 1H), 2.63 (t, J= 6.1 Hz, 2H), 2.54 (dt, J = 17.0, 7.5 Hz, 2H), 2.27 (s, 3H), 1.09 (t, J= 7.6 Hz, 3H).
Example 6: 1H NMR (400 MHz, MeOD) δ 7.28 - 7.22 (m, 4H), 6.97 (d, J= 3.8 Hz, 2H), 6.69 (s, 1H), 6.06 (d, J= 8.5 Hz, 1H), 6.02 (s, 2H), 4.82 - 4.62 (m, 3H), 3.77 (t, J= 5.5 Hz, 2H), 3.12 (dd, J= 16.9, 8.7 Hz, 1H), 3.07 (s, 3H), 2.81 (dd, J= 13.2, 8.6 Hz, 1H), 2.71 (dd, J = 8.3, 5.2 Hz, 3H), 2.28 (s, 3H), 1.26 (dd, J= 7.2, 3.5 Hz, 6H).
Example 7: 1H NMR (400 MHz, CDC13) δ 7.26 (dd, J= 10.5, 7.4 Hz, 4H), 6.93 (dd, J= 6.0, 3.1 Hz, 2H), 6.73 (d, J= 8.1 Hz, 1H), 6.14 (d, J= 8.4 Hz, 1H), 6.03 (s, 2H), 4.76 (dt, J= 14.9,
5.3 Hz, 1H), 4.67 - 4.43 (m, 2H), 3.81 (t, J= 6.0 Hz, 2H), 3.11 (s, 3H), 2.74 (tdd, J= 19.8, 13.3, 7.1 Hz, 4H), 2.11 (s, 3H), 1.87 - 1.79 (m, 1H), 0.96 - 0.87 (m, 4H).
Example 8: 1H NMR (400 MHz, DMSO) δ 8.41 (d, J= 7.8 Hz, 1H), 7.30 - 7.14 (m, 3H), 6.92 (t, J= 7.9 Hz, 3H), 6.69 (d, J= 24.1 Hz, 2H), 6.08 (s, 2H), 4.58 - 4.45 (m, 3H), 3.39 (s, 2H), 3.09 (s, 3H), 2.90 (dd, J= 13.4, 5.2 Hz, 1H), 2.66 (dd, J= 13.4, 9.0 Hz, 1H), 2.40 (t, J =
7.4 Hz, 2H), 2.01 (s, 3H), 1.92 (s, 3H).
Example 9: 1H NMR(400 MHz, DMSO) δ 8.47 (d, J= 7.7 Hz, 1H), 7.28 (s, 1H), 7.22 (q, J = 6.2 Hz, 3H), 6.92 (dt, J= 5.3, 1.8 Hz, 3H), 6.66 (s, 2H), 6.08 (d, J= 1.7 Hz, 2H), 4.68 - 4.51 (m, 3H), 4.50 - 4.37 (m, 1H), 3.52 - 3.40 (m, 2H), 3.08 (s, 3H), 2.90 (dd, J= 13.5, 5.3 Hz, 1H), 2.74 - 2.62 (m, 1H), 2.45 (t, J= 7.2 Hz, 2H), 1.94 (s, 3H).
Example 10: 1H NMR(400 MHz, DMSO) δ 8.47 (d, J= 7.7 Hz, 1H), 7.28 (s, 1H), 7.22 (q, J = 6.2 Hz, 3H), 6.92 (dt, J= 5.3, 1.8 Hz, 3H), 6.66 (s, 2H), 6.08 (d, J= 1.7 Hz, 2H), 4.68 - 4.51 (m, 3H), 4.50 - 4.37 (m, 1H), 3.52 - 3.40 (m, 2H), 3.08 (s, 3H), 2.90 (dd, J= 13.5, 5.3 Hz, 1H), 2.74 - 2.62 (m, 1H), 2.45 (t, J= 7.2 Hz, 2H), 2.04 (s, 3H).
EXAMPLE 11
(5)- V-(benzo[i ] [l,3]dioxol-5-yl)- V-methyl-2-(2-(5-methyl-3-(trifluoromethyl)-lH- pyrazol-l-yl)acetamido)-3-phenylpropanamide
11A. Preparation of 5-methyl-3-(trifluoromethyl)-lH-pyrazole
[0149] A mixture of methyl l,l,l-trifluoropentane-2,4-dione (10 g, 65 mmol, 1 eq) in hydrazine hydrate (3.5 g, 65 mmol, 1 eq) and EtOH (30 mL) was stirred at reflux for 3 h. TLC (petroleum ether/EtOAc = 1 : 1) analysis showed the reaction was completed. The reaction was concentrated in vacuum to give 5-methyl-3-(trifluoromethyl)-lH-pyrazole (6.0 g, yield: 61%); LC/MS: m/z (M++l) = 151.
11B. Preparation of (5)- V-(benzo[i ] [l,3]dioxol-5-yl)-7V-methyl-2-(2-(5-methyl-3- (trifluoromethyl)-lH-pyrazol-l-yl)acetamido)-3-phenylpropanamide
[0150] The procedure was similar to II utilizing the 5-methyl-3-(trifluoromethyl)-lH- pyrazoleas as starting materials to give the product; LC/MS: m/z M++l = 489; HPLC retention time = 3.00 min; 1H NMR (400 MHz, DMSO) δ 8.76 (d, J= 7.9 Hz, 1H), 7.27 - 7.14 (m, 3H), 6.96 - 6.86 (m, 3H), 6.70 (s, 1H), 6.64 (s, 1H), 6.45 (s, 1H), 6.07 (s, 2H), 4.81 (dd, J= 34.5, 16.7 Hz, 2H), 4.50 (dd, J= 13.5, 8.5 Hz, 1H), 3.09 (d, J= 5.0 Hz, 3H), 2.94 (dd, J= 13.5, 5.1 Hz, 1H), 2.69 (dd, J= 13.5, 9.1 Hz, 1H), 2.08 (s, 3H).
EXAMPLE 12
(5)-/V-(benzo[i ] [l,3]dioxol-5-yl)-/V-methyl-2-(2-(5-methyl-3-(trifluoromethyl)-4-vinyl- lH-pyrazol-l-yl)acetamido)-3-phenylpropanamide
12A. Preparation of 4-iodo-5-methyl-3-(trifluoromethyl)-lH-pyrazole
[0151] To a solution of 5-methyl-3-(trifluoromethyl)-lH-pyrazole (6.0 g, 30 mmol, 1 eq) in CH3CN (60 mL), were added I2 (7.6 g, 30 mmol, 1 eq) and CAN (8.22 g, 15 mmol, 0.5 eq) in one portion. Then the mixture was stirred at room temperature overnight. TLC indicated the reaction was completed. The reaction mixture was poured into ice water and extracted
with EtOAc (2x100 mL). The combined organic layers were washed with brine (3x40 mL), aq.Na2S03 (2x30 mL), dried over Na2S04 and concentrated in vacuum to give crude product, which was purified by column chromatography on silica gel to give4-iodo-5-methyl-3- (trifluoromethyl)-lH-pyrazole (5.0 g, yield: 60.6%); LC/MS: m/z (M++l) = 277.
12B. Preparation of 5-methyl-3-(trifluoromethyl)-4-vinyl-lH-pyrazole
[0152] A mixture of 4-iodo-3-methyl-5-(trifiuoromethyl)-4H-pyrazole (3.0 g, 10 mmol, 1 eq), tributyl(vinyl)stannane (12.68 g, 40 mmol, 4 eq) and Pd(PPh3)4 (200 mg) in DMF (30 mL) was stirred at reflux for overnight under N2 atmosphere. TLC (Petroleum ether:EtOAc = 1 : 1) indicated the reaction was completed. The reaction mixture was poured into ice water and extracted with EtOAc (2xl00mL). The combined organic extracts were washed with brine (3x30mL), dried over Na2S04 and concentrated in vacuum to give crude product, which was purified by column chromatography on silica gel to give 5-methyl-3-(trifluoromethyl)-4- vinyl-lH-pyrazole (1.4 g, yield: 70%); LC/MS: m/z (M++l) = 177.
12C. Preparation of (5)-/V-(benzo[i ] [l,3]dioxol-5-yl)- V-methyl-2-(2-(5-methyl-3- (trifluoromethyl)-4-vinyl-lH-pyrazol-l-yl)acetamido)-3-phenylpropanamide
[0153] The procedure was similar to II utilizing the 5-methyl-3-(trifluoromethyl)-4- vinyl-lH-pyrazole as starting material to give the titled product, LC/MS: m/z (M++l) = 515; HPLC retention time = 3.20 min; 1H NMR (400 MHz, CDC13) δ 7.25 - 7.20 (m, 3H), 6.88 (dd, J= 6.6, 2.9 Hz, 2H), 6.77 (d, J= 8.1 Hz, 1H), 6.59 (dd, J= 18.0, 11.5 Hz, 1H), 6.38 (d, J = 7.9 Hz, 1H), 6.04 (s, 2H), 5.47 - 5.35 (m, 2H), 4.81 (d, J= 7.6 Hz, 1H), 4.73 (d, J= 7.5 Hz, 2H), 3.19 (s, 3H), 2.92 (dd, J= 13.4, 6.8 Hz, 1H), 2.71 (dd, J= 13.4, 7.5 Hz, 1H), 2.21 (s,
3H).
EXAMPLE 13
(5)- V-(benzo[i ] [l,3]dioxol-5-yl)-2-(2-(4-(2-hydroxyethyl)-5-methyl-3-(trifluoromethyl)- lH-pyrazol-l-yl)acetamido)- V-methyl-3-phenylpropanamide
13A. Preparation of 2-(5-methyl-3-(trifluoromethyl)-lH-pyrazol-4-yl)ethanol
[0154] To a solution of 5-methyl-3-(trifluoromethyl)-4-vinyl-lH-pyrazole (0.30 g, 1.7 mmol, 1 eq) in THF (20 mL), was added 1 M BH3/THF (5.1 mL, 5.1 mmol, 3 eq) under N2 atmosphere. After addition, the mixture was stirred at room temperature for 5 hours. TLC (Petroleum ether :EtO Ac = 1 : 1) indicated that the reaction was completed. The mixture was concentrated in vacuum to give the residue, which was dissolved in H202 (10 mL) and concentrated aqueous NaOH (2 mL, 40%) stirred at room temperature for 5 hours, TLC (Petroleum ether :EtO Ac = 1 : 1) indicated the reaction was completed. The reaction mixture was extracted with EtOAc (3x50 mL). The combined organic extracts were washed with 6M Na2S03 (2x10 mL) and brine (30 mL), dried over Na2S04 and concentrated in vacuum. The residue was purified by column chromatography to give 2-(5-methyl-3-(trifluoromethyl)-lH- pyrazol-4-yl)ethanol (80 mg, yield: 24%); LC/MS: m/z (M++l) = 195.
13B. Preparation of (S)- V-(benzo[i/] [l,3]dioxol-5-yl)-2-(2-(4-(2-hydroxyethyl)-5-methyl- 3-(trifluoromethyl)-lH-pyrazol-l-yl)acetamido)- V-methyl-3-phenylpropanamide
[0155] The procedure was similar to II utilizing the 2-(5-methyl-3-(trifluoromethyl)-lH- pyrazol-4-yl)ethanol as starting materials to give the product, LC/MS: m/z (M++l) = 533, HPLC retention time = 3.22 min; 1H NMR (400 MHz, CDC13) δ 7.28 - 7.20 (m, 4H), 6.91 (dd, J= 6.3, 3.1 Hz, 2H), 6.76 (d, J= 8.1 Hz, 1H), 6.03 (d, J= 8.6 Hz, 2H), 5.93 (d, J= 8.7 Hz, 1H), 4.83 (t, J= 11.6 Hz, 1H), 4.80 - 4.67 (m, 2H), 3.79 (s, 2H), 3.11 (d, J= 23.9 Hz, 3H), 2.85 (dd, J= 13.4, 7.2 Hz, 1H), 2.76 (dd, J= 11.7, 6.1 Hz, 2H), 2.71 - 2.65 (m, 1H), 2.25 - 2.15 (m, 3H).
EXAMPLE 14
(S)-2-(l-(2-((l-(benzo[i ] [l,3]dioxol-5-yl(methyl)amino)-l-oxo-3-phenylpropan-2- yl)amino)-2-oxoethyl)-3-cyclopropyl-5-methyl-lH-pyrazol-4-yl)ethyl acetate
[0156] A mixture of (5)-N-(benzo[d][l,3]dioxol-5-yl)-2-(2-(3-cyclopropyl-4-(2- hydroxyethyl)-5 -methyl- 1 H-pyrazol- 1 -yl)acetamido)-N-methyl-3 -phenylpropanamide (25 mg, 0.05 mmol, 1.0 eq) and acetic anhydride (10 mg, 0.1 mmol, 2.0 eq) in pyridine (1 ml) was stirred at r.t overnight. The resulting mixture was washed with water and extracted with EA, the organic extract was evaporated to give the crude product which was purified by column chromatography on silica gel (PE:EA=3:1) to give (5)-2-(l-(2-((l- (benzo[d][l,3]dioxol-5-yl(methyl)amino)-l-oxo-3-phenylpropan-2-yl)amino)-2-oxoethyl)-3- cyclopropyl-5-methyl-lH-pyrazol-4-yl)ethyl acetate (16 mg, yield: 60%); LC/MS: m/z (M++l) = 547; HPLC retention time = 2.91 min; 1H NMR (400 MHz, CDC13) δ 7.29 - 7.18
(m, 4H), 6.91 (dd, J= 6.4, 2.9 Hz, 2H), 6.73 (d, J= 8.0 Hz, 1H), 6.62 (d, J= 8.1 Hz, 1H), 6.03 (s, 2H), 4.75 (dd, J= 15.6, 6.5 Hz, 1H), 4.56 (q, J= 17.1 Hz, 2H), 4.15 (q, J= 7.6 Hz, 2H), 3.14 (s, 3H), 2.83 (dq, J= 30.3, 7.6 Hz, 3H), 2.69 (td, J= 13.2, 6.8 Hz, 1H), 2.08 (s, 3H), 1.81 (dt, J= 10.7, 6.9 Hz, 1H), 0.93 (dd, J= 8.9, 5.6 Hz, 4H).
EXAMPLE 15
(S)-2-(l-(2-((l-(benzo[i ] [l,3]dioxol-5-yl(methyl)amino)-l-oxo-3-phenylpropan-2- yl)amino)-2-oxoethyl)-5-methyl-3-(trifluoromethyl)-lH-pyrazol-4-yl)ethyl acetate
[0157] The procedure of synthesis of (S)-2-(l-(2-((l-(benzo[d][l,3]dioxol-5- yl(methyl)amino)- 1 -oxo-3 -phenylpropan-2-yl)amino)-2-oxoethyl)-5 -methyl-3 - (trifluoromethyl)-lH-pyrazol-4-yl)ethyl acetate is similar to Example 14; LC/MS: m/z (M++l) = 575; HPLC retention time = 3.00 min; 1H NMR (400 MHz, CDC13) δ 7.25 (dd, J = 12.5, 10.2 Hz, 4H), 6.90 (dd, J= 6.3, 2.8 Hz, 2H), 6.76 (d, J= 8.1 Hz, 1H), 6.52 (d, J= 7.9 Hz, 1H), 6.03 (s, J = 8.3 Hz, 2H), 4.89 - 4.76 (m, 1H), 4.71 (d, J= 16.7 Hz, 2H), 4.14 (t, J = 6.8 Hz, 2H), 3.18 (s, 3H), 2.92 (dd, J= 13.4, 7.0 Hz, 1H), 2.84 (t, J= 6.8 Hz, 2H), 2.72 (dd, J = 13.4, 7.4 Hz, 2H), 2.17 (s, 3H), 2.06 (s, 3H).
EXAMPLE 16
(5)- V-(benzo[i ] [l,3]dioxol-5-yl)-2-(2-(3-cyclopropyl-4-(2-hydroxyethyl)-5-methyl-lH- pyrazol-l-yl)-2-methylpropanamido)- V-methyl-3-phenylpropanamide
16A. Preparation of (5)- V-(benzo[i ] [l,3]dioxol-5-yl)-2-(2-bromo-2- methylpropanamido)- V-methyl-3-phenylpropanamide
[0158] 2-bromo-2-methylpropanoyl bromide (1.5 g, 6.68 mmol, 2.0 eq) was added dropwise to the mixture of (5)-2-amino-N-(benzo[d] [1,3] dioxol-5-yl)-N -methyl-3 - phenylpropanamide (1.0 g, 3.34 mmol, 1.0 eq) and DIPEA (1.30 g, 10.02 mmol, 3.0 eq) in anhydrous DCM (10 mL). The mixture was stirred at RT overnight. Then water was added to quench the reaction, the mixture was extracted with DCM (2x100 mL). The combined organic extracts were washed with diluted HC1, water and brine, dried over anhydrous Na2S04, purified by column chromatography to give (5)-N-(benzo[d][l,3]dioxol-5-yl)-2-(2-
bromo-2-methylpropanamido)-N-methyl-3-phenylpropanamide (1.2 g, yield: 80.4%);
LC/MS: m/z (M++l) = 447.
16B. Preparation of (S)- V-(benzo[i/] [l,3]dioxol-5-yl)-2-(2-(3-cyclopropyl-4-(2- hydroxyethyl)-5-methyl-lH-pyrazol-l-yl)-2-methylpropanamido)- V-methyl-3- phenylpropanamide
[0159] (5)-N-(benzo[d][l,3]dioxol-5-yl)-2-(2-bromo-2-methylpropanamido)-N-methyl-3- phenylpropanamide (100 mg, 0.22 mmol, 1.0 eq) was added dropwise to the suspension of sodium hydride (44 mg, 1.10 mmol, 5.0 eq, 60%>) in anhydrous DMF (5 mL). The mixture was stirred at RT for 30 min until TLC indicated the reaction was completed. Ice water was added to quench the reaction, the mixture was extracted with EtOAc (2x10 mL) and the combined organic extracts were washed with aq. LiCl (10%>) solution, water and brine, dried over anhydrous Na2S04, purified by prepare TLC (PE:EA = 2: 1) to give (S)-N- (benzo[d][l,3]dioxol-5-yl)-2-(2-(3-cyclopropyl-4-(2-hydroxyethyl)-5-methyl-lH-pyrazol-l- yl)-2-methylpropanamido)-N-methyl-3-phenylpropanamide (15 mg, yield: 12.8%); LC/MS: m/z (M++l) = 533; HPLC retention time = 2.85 min; 1H NMR (400 MHz, CDC13) δ 7.25 (dd, J= 13.5, 10.4 Hz, 4H), 6.93 - 6.85 (m, 2H), 6.76 (d, J= 8.1 Hz, 1H), 6.34 (s, 1H), 6.03 (s, 2H), 5.55 (d, J= 8.7 Hz, 1H), 4.75 (q, J= 7.5 Hz, 1H), 3.82 (t, J= 5.8 Hz, 2H), 3.12 (s, 3H), 2.79 (dd, J= 13.2, 7.1 Hz, 1H), 2.75 - 2.63 (m, 2H), 2.60 (dd, J= 13.3, 7.4 Hz, 1H), 2.07 (d, J= 6.0 Hz, 3H), 1.85 - 1.75 (m, 1H), 1.70 (d, J= 7.1 Hz, 6H), 0.92 - 0.85 (m, 4H).
[0160] Compounds 17-21 were prepared using a similar process as the Example 16 utilizing the corresponding acids.
EXAMPLES 17 TO 21
Example 17: 1H NMR(400 MHz, CDC13) δ 7.23 (ddd, J= 10.7, 7.1, 2.7 Hz, 4H), 6.91 (ddd, J= 9.3, 7.6, 3.3 Hz, 2H), 6.72 (t, J= 9.6 Hz, 1H), 6.35 (d, J= 8.6 Hz, 1H), 6.03 (s, 2H), 4.73 - 4.62 (m, 2H), 3.92 - 3.74 (m, 2H), 3.21 - 3.05 (m, 3H), 2.85 - 2.78 (m, 1H), 2.73 (ddd, J = 14.6, 9.1, 3.8 Hz, 2H), 2.67 - 2.59 (m, 1H), 2.11 (d, J= 32.4 Hz, 3H), 1.89 - 1.79 (m, 1H), 1.67 (d, J= 7.2 Hz, 4H), 1.08 - 0.98 (m, 1H), 0.97 - 0.84 (m, 3H).
Example 18: 1H NMR(400 MHz, CDC13) δ 7.28 - 7.27 (m, 1H), 7.22 - 7.16 (m, 3H), 6.85 (dd, J = 7.3, 2.0 Hz, 2H), 6.72 (dd, J= 14.1, 8.0 Hz, 2H), 6.03 (s, 2H), 4.71 - 4.63 (m, 2H), 3.78 (tt, J= 10.6, 5.3 Hz, 2H), 3.15 (s, 3H), 2.81 (dd, J= 13.3, 7.5 Hz, 1H), 2.74 (td, J= 6.3, 3.3 Hz, 2H), 2.63 (dd, J= 13.2, 6.7 Hz, 1H), 2.07 (s, 3H), 1.84 - 1.80 (m, 1H), 1.74 (d, J =
7.3 Hz, 3H), 1.05 - 0.96 (m, 1H), 0.93 - 0.86 (m, 3H).
Example 19: 1H NMR(400 MHz, CDC13) δ 7.26 (dd, J= 5.1, 1.8 Hz, 4H), 6.99 (dd, J= 7.0,
2.4 Hz, 2H), 6.86 (d, J= 8.5 Hz, 1H), 6.73 (d, J= 8.1 Hz, 1H), 6.02 (s, 2H), 4.69 (dd, J = 15.8, 7.4 Hz, 1H), 4.41 (dd, J= 10.0, 4.9 Hz, 1H), 3.88 - 3.78 (m, 2H), 3.08 (s, 3H), 2.84 (dt,
J= 13.1, 6.6 Hz, 1H), 2.74 (qd, J = 9.2, 3.0 Hz, 2H), 2.66 (dd, J= 12.6, 6.5 Hz, 1H), 2.19 - 2.12 (m, 4H), 2.10 - 1.95 (m, 2H), 1.85 (tt, J= 7.7, 5.2 Hz, 1H), 1.03 (dt, J= 14.2, 5.8 Hz, 1H), 0.97 - 0.87 (m, 3H), 0.83 (t, J= 7.3 Hz, 3H).
Example 20: 1H NMR (400 MHz, CDC13) δ 7.31 (d, J= 6.5 Hz, 1H), 7.20 (t, J= 5.9 Hz, 4H), 6.91 - 6.82 (m, 2H), 6.73 (d, J= 8.0 Hz, 1H), 6.02 (s, 2H), 4.65 (dd, J = 14.5, 7.5 Hz, 1H), 4.40 (dd, J= 9.9, 5.2 Hz, 1H), 3.75 (dd, J= 13.5, 6.6 Hz, 3H), 3.16 (s, 3H), 2.83 (dd, J = 13.2, 7.6 Hz, 1H), 2.75 (t, J= 6.5 Hz, 2H), 2.63 (dd, J= 13.2, 6.8 Hz, 1H), 2.27 - 2.15 (m, 2H), 2.08 (d, J= 5.5 Hz, 3H), 1.82 (td, J= 8.1, 4.2 Hz, 1H), 1.03 - 0.98 (m, 1H), 0.90 (ddd, J = 13.2, 8.3, 4.6 Hz, 3H), 0.83 (d, J= 7.3 Hz, 3H).
Example 21: 1H NMR (400 MHz, CDC13) δ 7.26 (dd, J= 5.0, 1.7 Hz, 4H), 7.00 - 6.90 (m, 2H), 6.73 (d, J= 7.9 Hz, 1H), 6.20 (d, J= 9.1 Hz, 1H), 6.02 (s, 2H), 4.91 (dd, J= 10.6, 4.7 Hz, 1H), 4.70 (dd, J= 15.7, 7.4 Hz, 1H), 3.81 (t, J= 5.1 Hz, 2H), 3.07 (s, 3H), 2.85 - 2.77 (m, 2H), 2.70 - 2.59 (m, 2H), 2.36 - 2.25 (m, 4H), 2.21 - 2.11 (m, 1H), 1.03 - 0.99 (m, 2H), 0.96 - 0.89 (m, 3H), 0.73 (d, J= 5.6 Hz, 1H), 0.65 (d, J= 5.6 Hz, 1H).
EXAMPLE 22
(5)- V-(benzo[i ] [l,3]dioxol-5-yl)-2-(2-(3-isopropyl-5-methyl-4-(2-(4- methylphenylsulfonamido)-2-oxoethyl)-lH-pyrazol-l-yl)acetamido)- V-methyl-3- phenylpropanamide
22A. Preparation of (5)-ethyl 2-(l-(2-((l-(benzo[i ] [l,3]dioxol-5-yl(methyl)amino)-l- oxo-3-phenylpropan-2-yl)amino)-2-oxoethyl)-3-isopropyl-5-methyl-lH-pyrazol-4- yl)acetate
[0161] The procedure was similar to II utilizing the ethyl 2-(3-isopropyl-5-methyl-lH- pyrazol-4-yl)acetate as starting materials to give the product; LC/MS: m/z M++l = 549; HPLC retention time = 3.00 min.
22B. Preparation of (S)-2-(l-(2-((l-(benzo[i/] [l,3]dioxol-5-yl(methyl)amino)-l-oxo-3- phenylpropan-2-yl)amino)-2-oxoethyl)-3-isopropyl-5-methyl-lH-pyrazol-4-yl)acetic acid
[0162] To a solution of (S)-ethyl 2-(l-(2-((l-(benzo[ ][l,3]dioxol-5-yl(methyl)amino)-l- oxo-3-phenylpropan-2-yl)amino)-2-oxoethyl)-3-isopropyl-5 -methyl- lH-pyrazol-4-yl)acetate (200 mg, 0.36 mmol, 1.0 eq) in methanol (5 mL), was added dropwise aqueous solution of sodium hydroxide (1.0 mL, 1.0 mmol, 1M, 2.7 eq). The mixture was stirred at R.T. for 30 min until TLC (PE:EA = 1 :1) indicated the SM was disappeared. Water (10 mL) was added and the mixture was extracted with EtOAc (2x5 mL). The organic extracts were evaporated to give the residue which was purified by prep-HPLC to give (5)-2-(l-(2-((l- (benzo[<i][l,3]dioxol-5-yl(methyl)amino)-l-oxo-3-phenylpropan-2-yl)amino)-2-oxoethyl)-3- isopropyl-5-methyl-lH-pyrazol-4-yl)acetic acid (150 mg,0.29 mmol, 79%); LC/MS: m/z (M++l) = 521; HPLC retention time = 2.58 min.
22C. Preparation of (5)-/V-(benzo[i ] [l,3]dioxol-5-yl)-7V-methyl-2-(2-(5-methyl-3- (trifluoromethyl)-4-vinyl-lH-pyrazol-l-yl)acetamido)-3-phenylpropanamide
[0163] (S)-2-(l -(2-((l -(benzo[<i][ 1 ,3]dioxol-5-yl(methyl)amino)- 1 -oxo-3-phenylpropan- 2-yl)amino)-2-oxoethyl)-3-isopropyl-5-methyl-lH-pyrazol-4-yl)acetic acid (80 mg, 0.15 mmol, 1.0 eq), EDCI (57 mg, 0.30 mmol, 2.0 eq), DMAP (8 mg) and 4- methylbenzenesulfonamide (31 mg, 0.18 mmol, 1.2 eq) were dissolved in DMF (3mL). The mixture was stirred at r.t overnight under N2 atmosphere. The resulting solution was washed with water (2x3 mL), dried and concentrated, and the residue was purified by prep-HPLC to give (5)-N-(benzo[ ][l,3]dioxol-5-yl)-2-(2-(3-isopropyl-5-methyl-4-(2-(4- methylphenylsulfonamido)-2-oxoethyl)-lH-pyrazol-l-yl)acetamido)-N-methyl-3- phenylpropanamide (20 mg, yield: 23%); LC/MS: m/z (M++l) = 674; HPLC retention time =
2.92 min; 1H NMR (400 MHz, CDC13) δ 7.95 (d, J= 7.8 Hz, 2H), 7.69 (s, 1H), 7.31 (d, J = 7.7 Hz, 2H), 7.26 (d, J= 22.0 Hz, 4H), 6.99 (s, 2H), 6.73 (d, J= 7.4 Hz, 1H), 6.41 (s, 1H), 6.01 (d, J= 2.0 Hz, 2H), 5.12 (s, 1H), 4.81 (d, J= 49.8 Hz, 2H), 3.53 (s, 2H), 3.17 (s, 3H), 2.99 (s, 1H), 2.93 - 2.67 (m, 2H), 2.43 (s, 3H), 2.09(s, 3H), 1.35 - 1.08 (m, J= 18.4, 10.3 Hz, 6H).
[0164] Compounds 23-35 were prepared using a similar process to Example 22 utilizing the corresponding acids and amines.
EXAMPLES 23 TO 35
phenylpropanamide
Example 23: 1H NMR (400 MHz, DMSO) δ 7.27 - 7.15 (m, J= 4.9 Hz, 4H), 6.96 - 6.88 (m, 2H), 6.73 (d, J= 8.7 Hz, 1H), 6.65 (d, J= 7.5 Hz, 1H), 6.09 - 5.98 (m, 3H), 4.76 (dd, J = 16.4, 9.3 Hz, 1H), 4.68 - 4.54 (m, 2H), 4.16 (q, J= 7.1 Hz, 2H), 3.38 (d, J= 4.4 Hz, 2H), 3.14 (d, J= 4.1 Hz, 3H), 2.88 (dd, J= 12.9, 7.6 Hz, 1H), 2.67 (ddd, J= 22.8, 14.2, 7.0 Hz, 3H), 2.12 (s,3H), 1.28 (dd, J= 7.8, 6.2 Hz, 6H).
Example 24: 1H NMR (400 MHz, DMSO) δ 7.27 - 7.15 (m, J = 4.9 Hz, 4H), 6.96 - 6.88 (m, 2H), 6.73 (d, J= 8.7 Hz, 1H), 6.65 (d, J= 7.5 Hz, 1H), 6.09 - 5.98 (m, 3H), 4.76 (dd, J = 16.4, 9.3 Hz, 1H), 4.68 - 4.54 (m, 2H), 4.16 (q, J= 7.1 Hz, 2H), 3.38 (d, J= 4.4 Hz, 2H), 3.14 (d, J= 4.1 Hz, 3H), 2.88 (dd, J= 12.9, 7.6 Hz, 1H), 2.67 (ddd, J= 22.8, 14.2, 7.0 Hz, 3H), 2.27(s,3H), 1.28 (dd, J= 7.8, 6.2 Hz, 6H).
Example 25: 1H NMR (400 MHz, CDC13) δ 7.29 - 7.19 (m, 4H), 6.97 - 6.88 (m, 2H), 6.70 (d, J= 7.8 Hz, 1H), 6.54 (d, J= 8.2 Hz, 1H), 6.02 (s, 2H), 4.75 (d, J= 7.5 Hz, 1H), 4.69 (d, J = 1.8 Hz, 2H), 3.52 (s, 2H), 3.11 (s, 3H), 3.03 - 2.97 (m, 1H), 2.86 (dd, J= 13.1, 8.0 Hz, 1H), 2.70 (dd, J= 13.2, 6.7 Hz, 1H), 2.25 (s, 3H), 1.25 (dd, J= 7.1, 2.3 Hz, 6H).
Example 26: 1H NMR (400 MHz, CDC13) δ 7.29 (s, 1H), 7.26 - 7.16 (m, 3H), 6.91 (dd, J = 6.4, 2.8 Hz, 2H), 6.84 (d, J= 8.2 Hz, 1H), 6.72 (d, J= 8.1 Hz, 1H), 6.02 (s, 2H), 4.75 (q, J = 7.4 Hz, 1H), 4.60 (q, J= 17.0 Hz, 2H), 3.45 (s, 2H), 3.13 (s, 3H), 3.01 (dd, J= 13.8, 6.9 Hz, 1H), 2.87 (dd, J= 13.2, 7.6 Hz, 1H), 2.67 (dd, J= 13.2, 7.0 Hz, lH), 2.10 (s, 3H), 1.31 (dd, J = 6.9, 3.5 Hz, 6H).
Example 27: 1H NMR (400 MHz, CDC13) δ 7.28 - 7.20 (m, 4H), 6.94 (dd, J= 6.4, 3.3 Hz, 2H), 6.70 (d, J= 8.2 Hz, 1H), 6.50 (d, J= 7.7 Hz, 1H), 6.02 (s, 2H), 4.72 (dd, J= 24.7, 7.4 Hz, 3H), 4.17 (q, J = 7.1 Hz, 2H), 3.47 (s, 2H), 3.13 (d, J = 10.6 Hz, 3H), 3.05 - 2.99 (m, 1H), 2.88 - 2.83 (m, 1H), 2.73 - 2.66 (m, 1H), 2.25 (s, 3H), 1.28 - 1.21 (m, 9H).
Example 28: 1H NMR (400 MHz, CDC13) δ 7.23 - 7.17 (m, 2H), 7.08 - 6.88 (m, 3H), 6.76 (dd, J= 32.4, 8.1 Hz, 2H), 6.02 (s, 3H), 4.62 (q, J= 17.1 Hz, 2H), 4.26 - 4.09 (m, 2H), 4.00 - 3.86 (m, 1H), 3.41 (s, 2H), 3.17 - 3.11 (m, 3H), 3.01 - 2.97 (m, 1H), 2.89 - 2.82 (m, 1H), 2.67 (dd, J= 13.1, 6.8 Hz, 1H), 2.13 (s, 3H), 1.34 - 1.23 (m, 9H).
Example 29: 1H NMR (400 MHz, CDC13) δ 7.28 - 7.28 (m, 1H), 7.26 - 7.20 (m, 3H), 6.95 - 6.87 (m, 2H), 6.73 (d, J= 8.0 Hz, 1H), 6.61 (d, J= 8.0 Hz, 1H), 6.03 (s, 2H), 4.83 - 4.67
(m, 2H), 4.56 (q, J= 17.1 Hz, 2H), 3.54 (s, 2H), 3.14 (s, 3H), 2.86 (dd, J= 13.3, 7.5 Hz, 1H), 2.67 (dd, J= 13.3, 6.9 Hz, 1H), 2.11 (s,3H), 0.91 (dd, J= 14.1, 6.3 Hz, 4H).
Example 30: 1H NMR (400 MHz, CDC13) δ 7.28 - 7.28 (m, 1H), 7.26 - 7.20 (m, 3H), 6.95
- 6.87 (m, 2H), 6.73 (d, J= 8.0 Hz, 1H), 6.61 (d, J= 8.0 Hz, 1H), 6.03 (s, 2H), 4.83 - 4.67 (m, 2H), 4.56 (q, J= 17.1 Hz, 2H), 3.54 (s, 2H), 3.14 (s, 3H), 2.86 (dd, J= 13.3, 7.5 Hz, 1H), 2.67 (dd, J= 13.3, 6.9 Hz, 1H), 2.24 (s,3H), 0.91 (dd, J= 14.1, 6.3 Hz, 4H).
Example 31: 1H NMR (400 MHz, CDC13) δ 7.28 - 7.28 (m, 1H), 7.26 - 7.20 (m, 3H), 6.91 (dd, J= 6.6, 3.0 Hz, 2H), 6.73 (d, J= 7.9 Hz, 1H), 6.67 (d, J= 7.8 Hz, 1H), 6.03 (s, 2H), 4.84
- 4.70 (m, 2H), 4.56 (q, J= 17.0 Hz, 2H), 4.17 (q, J = 7.2 Hz, 2H), 3.48 (s, 2H), 3.14 (s, 3H), 2.87 (dd, J= 13.2, 7.6 Hz, 1H), 2.69 (td, J= 13.1, 6.9 Hz, 1H), 2.11 (s,3H), 1.28 (td, J= 7.1, 1.5 Hz, 3H), 0.92 (dd, J= 8.8, 5.2 Hz, 4H).
Example 32: 1H NMR (400 MHz, CDC13) δ 7.28 - 7.28 (m, 1H), 7.26 - 7.20 (m, 3H), 6.91 (dd, J= 6.6, 3.0 Hz, 2H), 6.73 (d, J= 7.9 Hz, 1H), 6.67 (d, J= 7.8 Hz, 1H), 6.03 (s, 2H), 4.84
- 4.70 (m, 2H), 4.56 (q, J= 17.0 Hz, 2H), 4.17 (q, J = 7.2 Hz, 2H), 3.48 (s, 2H), 3.14 (s, 3H), 2.87 (dd, J= 13.2, 7.6 Hz, 1H), 2.69 (td, J= 13.1, 6.9 Hz, 1H), 2.23 (s,3H), 1.28 (td, J= 7.1, 1.5 Hz, 3H), 0.92 (dd, J= 8.8, 5.2 Hz, 4H).
Example 33: 1H NMR (400 MHz, CDC13) δ 7.95 (d, J= 8.3 Hz, 2H), 7.32 (d, J= 8.2 Hz, 2H), 7.25 (dd, J= 11.3, 8.3 Hz, 4H), 6.94 (dd, J= 6.3, 3.0 Hz, 2H), 6.74 (d, J= 8.1 Hz, 1H), 6.64 (d, J= 8.1 Hz, 1H), 6.02 (s, 2H), 4.79 (t, J= 7.7 Hz, 1H), 4.67 - 4.41 (m, 2H), 3.46 (s, 2H), 3.17 (s, 3H), 3.02 - 2.87 (m, 1H), 2.70 (dd, J= 13.4, 7.3 Hz, 1H), 2.44 (s, 3H), 2.01(s, 3H), 1.62 - 1.47 (m, 1H), 0.93 - 0.68 (m, 4H).
Example 34: 1H NMR (400 MHz, CDC13) δ 7.95 (d, J= 8.3 Hz, 2H), 7.32 (d, J= 8.2 Hz, 2H), 7.25 (dd, J= 11.3, 8.3 Hz, 4H), 6.94 (dd, J= 6.3, 3.0 Hz, 2H), 6.74 (d, J= 8.1 Hz, 1H), 6.64 (d, J= 8.1 Hz, 1H), 6.02 (s, 2H), 4.79 (t, J= 7.7 Hz, 1H), 4.67 - 4.41 (m, 2H), 3.46 (s, 2H), 3.17 (s, 3H), 3.02 - 2.87 (m, 1H), 2.70 (dd, J= 13.4, 7.3 Hz, 1H), 2.44 (s, 3H), 2.03(s, 3H), 1.62 - 1.47 (m, 1H), 0.93 - 0.68 (m, 4H).
Example 35: 1H NMR(400 MHz, CDC13) δ 7.95 (d, J= 7.8 Hz, 2H), 7.69 (s, 1H), 7.31 (d, J = 7.7 Hz, 2H), 7.26 (d, J= 22.0 Hz, 4H), 6.99 (s, 2H), 6.73 (d, J= 7.4 Hz, 1H), 6.41 (s, 1H), 6.01 (d, J= 2.0 Hz, 2H), 5.12 (s, 1H), 4.81 (d, J= 49.8 Hz, 2H), 3.53 (s, 2H), 3.17 (s, 3H), 2.99 (s, 1H), 2.93 - 2.67 (m, 2H), 2.43 (s, 3H), 2.19(s, 3H), 1.35 - 1.08 (m, J= 18.4, 10.3 Hz, 6H).
EXAMPLE 36
(5)- V-(benzo[i ] [l,3]dioxol-5-yl)-2-(2-(l-(2-hydroxyethyl)-3-isopropyl-5-methyl-lH- pyrazol-4-yl)acetamido)- V-methyl-3-phenylpropanamide
36A. Preparation of ethyl 2-(l-(2-hydroxyethyl)-3-isopropyl-5-methyl-lH-pyrazol-4- yl)acetate
[0165] A mixture of ethyl 2-(3-isopropyl-5-methyl-4H-pyrazol-4-yl)acetate (200 mg, 0.95 mmol, 1.0 eq) and K2CO3 (196 mg, 1.4 mmol, 1.5 eq) in 2-bromoethanol was stirred at 100 °C for 2 hours until LC-MS indicated the SM had disappeared, and the reaction mixture was evaporated to give the residue which was purified by prep-HPLC to give ethyl 2-(l-(2- hydroxyethyl)-3-isopropyl-5-methyl-lH-pyrazol-4-yl)acetate (150 mg, yield: 62%); LC/MS: m/z (M++l) = 255.
36B. Preparation of2-(l-(2-hydroxyethyl)-3-isopropyl-5-methyl-lH-pyrazol-4-yl)acetic acid
[0166] A solution of ethyl 2-(l-(2-hydroxyethyl)-3-isopropyl-5-methyl-lH-pyrazol-4- yl)acetate (150 mg, 0.6 mmol, 1.0 eq) and NaOH (48 mg, 1.2 mmol, 2.0 eq) in MeOH (5 mL) and H20 (10 mL) was stirred at room temperature for 3 hours. TLC (petroleum ether/EtOAc = 1 : 1) showed the reaction was completed. The reaction mixture was concentrated to remove MeOH. The residue was acidified to pH 6-7 and extracted with EtOAc (2x20 mL) and THF (2x10 mL). The combined organic layers were washed with brine (10 mL), dried over
Na2S04, and concentrated to give2-(l-(2-hydroxyethyl)-3-isopropyl-5-methyl-lH-pyrazol-4- yl)acetic acid (lOOmg, yield: 75%); LC/MS: m/z (M++l) = 227.
36C. Preparation of (S)- V-(benzo[</] [l,3]dioxol-5-yl)-2-(2-(l-(2-hydroxyethyl)-3- isopropyl-5-methyl-lH-pyrazol-4-yl)acetamido)- V-methyl-3-phenylpropanamide
[0167] A mixture of 2-(l-(2-hydroxyethyl)-3-isopropyl-5-methyl-lH-pyrazol-4-yl)acetic acid (100 mg, 0.44 mmol, 1.0 eq), (5)-2-amino-N-(benzo[ ][l,3]dioxol-5-yl)-N-methyl-3- phenylpropanamide ( 157 mg, 0.53 mmol, 1.2 eq), EDCI ( 168 mg, 0.88 mmol, 2.0 eq), HOBt (119 mg, 0.88 mmol, 2.0 eq) and DIPEA (0.29 ml, 1.76 mmol, 4.0 eq) in DCM (3 mL), was stirred at r.t overnight under N2 atmosphere. The resulting solution was washed with water 3 times, dried and concentrated, and the residue was purified by prep-HPLC to give the final product (5)-N-(benzo[<i][l,3]dioxol-5-yl)-2-(2-(l-(2-hydroxyethyl)-3-isopropyl-5- methyl-lH-pyrazol-4-yl)acetamido)-N-methyl-3-phenylpropanamide (22 mg, yield: 11%); LC/MS: m/z (M++l) = 507; 1H NMR (400 MHz, CDC13) δ 7.29 - 7.22 (m, 4H), 6.93 (dd, J = 6.5, 2.8 Hz, 2H), 6.73 (d, J= 8.1 Hz, 1H), 6.14 (d, J= 8.4 Hz, 1H), 6.03 (s, 2H), 4.81 (dd, J = 15.0, 7.7 Hz, 1H), 4.19 - 4.07 (m, 2H), 4.07 - 3.92 (m, 2H), 3.30 (s, 2H), 3.13 (s, 3H), 2.86 (dt, J= 13.6, 7.0 Hz, 2H), 2.70 (dd, J= 13.3, 6.7 Hz, 1H), 2.10 (d, J= 14.2 Hz, 3H), 1.23 (M, J= 6.9, 5.0 Hz, 6H).
[0168] Compounds 37-41 were prepared using a similar process to Example 36 utilizing the corresponding pyrazoles.
EXAMPLES 37 TO 41
phenylpropanamide
Example 37: 1H NMR(400 MHz, CDC13) δ 7.29 - 7.22 (m, 4H), 6.92 (d, J= 3.1 Hz, 2H), 6.74 (d,J=8.4 Hz, 1H), 6.11 (s, 1H), 6.03 (s, 2H),4.81 (d,J=7.2 Hz, 1H),4.11 (d,J=3.5 Hz, 2H), 4.01 (dd,J= 9.0, 4.3 Hz, 2H), 3.37-3.21 (m, 2H), 3.14 (d,J= 1.4 Hz, 3H), 2.86 (dd, J= 13.0, 7.7 Hz, 1H), 2.69 (dd, J= 13.3, 6.9 Hz, 1H), 2.52 (dt, J= 22.8, 7.6 Hz, 2H), 2.10(s, 3H), 1.23- 1.09 (m, 3H).
Example 38: 1H NMR(400 MHz, CDC13) δ 7.29 - 7.22 (m, 4H), 6.92 (d, J= 3.1 Hz, 2H), 6.74 (d,J=8.4 Hz, 1H), 6.11 (s, 1H), 6.03 (s, 2H),4.81 (d,J=7.2 Hz, 1H),4.11 (d,J=3.5 Hz, 2H), 4.01 (dd,J= 9.0, 4.3 Hz, 2H), 3.37-3.21 (m, 2H), 3.14 (d,J= 1.4 Hz, 3H), 2.86 (dd, J= 13.0, 7.7 Hz, 1H), 2.69 (dd, J= 13.3, 6.9 Hz, 1H), 2.52 (dt, J= 22.8, 7.6 Hz, 2H), 2.12(s, 3H), 1.23- 1.09 (m, 3H).
Example 39: 1H NMR(400 MHz, CDC13) δ 7.28 - 7.22 (m, 4H), 6.93 (s, 2H), 6.73 (d, J = 8.1 Hz, 1H), 6.11 (d,J= 8.4 Hz, 1H), 6.03 (s, 2H), 4.80 (d,J= 7.7 Hz, 1H), 4.16 (s, 2H), 4.07 - 3.98 (m, 2H), 3.35 (q, J= 17.6 Hz, 2H), 3.13 (s, 3H), 3.09 (M, J= 7.1 Hz, 1H), 2.87 (dd,J= 13.0,7.6 Hz, 1H), 2.70 (dd,J= 13.3, 7.0 Hz, 1H), 2.08 (s, 3H), 1.29 - 1.22 (m, 6H).
Example 40: 1H NMR(400 MHz, CDC13) δ 7.28 - 7.21 (m, 4H), 6.93 (dd, J= 6.1, 2.5 Hz, 2H), 6.78 - 6.71 (m, 1H), 6.15 (d, J= 8.7 Hz, 1H), 6.03 (s, 2H), 4.82 (dd, J= 15.1, 7.4 Hz, 1H), 4.34-4.26 (m, 1H), 4.09-4.06 (m, 1H), 4.03 - 3.96 (m, 2H), 3.40-3.31 (m, 2H), 3.14 (d, J= 2.3 Hz, 3H), 2.87 (dd, J= 13.3, 7.7 Hz, 1H), 2.76 - 2.66 (m, 1H), 2.10 (s, 3H), 0.98 - 0.79 (m, 4H), 0.60 (d, J= 5.4 Hz, 1H).
Example 41: 1H NMR (400 MHz, CDC13) δ 7.28 - 7.21 (m, 4H), 6.93 (dd, J= 6.1, 2.5 Hz, 2H), 6.78 - 6.71 (m, 1H), 6.15 (d, J= 8.7 Hz, 1H), 6.03 (s, 2H), 4.82 (dd, J= 15.1, 7.4 Hz, 1H), 4.34 - 4.26 (m, 1H), 4.09 - 4.06 (m, 1H), 4.03 - 3.96 (m, 2H), 3.40 - 3.31 (m, 2H), 3.14 (d, J= 2.3 Hz, 3H), 2.87 (dd, J= 13.3, 7.7 Hz, 1H), 2.76 - 2.66 (m, 1H), 2.12(s, 3H), 0.98 - 0.79 (m, 4H), 0.60 (d, J= 5.4 Hz, 1H).
EXAMPLE 42
(S)-2-(2-(3-cyclopropyl-4-(2-hydroxyethyl)-5-methyl-lH-pyrazol-l-yl)acetamido)- V- methyl-3-phenyl- V-(quinoxalin-6-yl)propanamide
[0169] To a solution of 4-nitrobenzene-l,2-diamine (2.0 g, 13.07 mmol, 1.0 eq) in water (80 mL), was added dropwise glyoxal (4.0 mL, 31.37 mmol, 40% in H20, 2.4 eq). The mixture was heated to 100 °C for 2 h under N2. After cooling, the mixture was filtrated and the solid was washed with water, dissolved in DCM, dried over Na2S04 and concentrated under vacuo to give the product (2.2 g, yield: 96.17%); LC/MS: m/z (M++l) = 176.
[0170] To a solution of 6-nitroquinoxaline (2.2 g, 12.57 mmol, 1.0 eq) in MeOH, was added dropwise Ranney-Ni (0.7 mL) and hydrazine hydrate (5 mL) was added at 0 °C. The mixture was stirred for 2 h at RT. The mixture was filtered and washed with MeOH. The solid was dried under vacuo to give the product (1.8 g, yield: 98.75%>). LC/MS: m/z (M++l) = 146.
42C. Preparation of N-methylquinoxalin-6-amine
[0171] To a solution of NaOCH3 (3.35 g, 62.07 mmol, 5.0 eq) in MeOH (60 mL), was added quinoxalin-6-amine (1.8 g, 12.41 mmol, 1.0 eq) and (HCHO)n (558.6 mg, 18.62 mmol, 1.5 eq). The mixture was heated to 50 °C overnight. After cooling, NaBH4 (943.5 mg, 24.83 mmol, 2.0 eq) was added portwise, and the mixture was stirred at RT for 2 h. The resulting mixture was concentrated and the residue was dissolved in EtOAc, washed with water (3 times), dried over Na2S04 and concentrated under vacuo. The crude product was purified by chromatograph on silica gel (PE:EA = from 5: 1, to 0: 1, gradient ) to give the product (700 mg, yield: 35.5%); LC/MS: m/z (M++l) = 160.
42D. Preparation of (S)-2-(l,3-dioxoisoindolin-2-yl)-3-phenylpropanoic acid
[0172] A mixture of isobenzofuran-l,3-dione ( 9.0 g , 6.1 mmol, 1.0 eq) and (S)-2- amino-3-phenylpropanoic acid (10.0 g, 6.1 mmol, 1.0 eq) in pyridine (30 ml) was refluxed for lh. The reaction mixture was added to ice-cooled HCl (150 mL H20 and 50 mL cone. HCl). The solid precipitate that formed was collected by filtration, washed with water (3x30 mL), and dried to give (5)-2-(l,3-dioxoisoindolin-2-yl)-3-phenylpropanoic acid (16.5 g, yield: 90%); LC/MS: m/z (M++l) = 296.
42E. Preparation of (S)-2-(l,3-dioxoisoindolin-2-yl)-3-phenylpropanoyl chloride
[0173] A solution of (S)-2-(l,3-dioxoisoindolin-2-yl)-3-phenylpropanoic acid (7 g, 2.4 mmol, 1.0 eq) in thionyl chloride (15 ml) was stirred at 45 °C for 2 hours, then the reaction
mixture was evaporated to give (S)-2-(l ,3-dioxoisoindolin-2-yl)-3-phenylpropanoyl chloride (7 g, yield: 91%).
42F. Preparation of (S)-2-(l,3-dioxoisoindolin-2-yl)- V-methyl-3-phenyl- V-(quinoxalin- 6-yl)propanamide
[0174] (5)-2-(l ,3-dioxoisoindolin-2-yl)-3-phenylpropanoyl chloride (200 mg, 0.64 mmol, 1.02 eq), N-methylquinoxalin-6-amine(100 mg,0.63 mmol, 1.0 eq) and DIPEA (81 mg, 0.63 mmol, 1.0 eq) were dissolved in dioxane (5 mL). The mixture was stirred at r.t for 2 hours. The resulting solution was washed with water 3 times, dried and concentrated, and the residue was purified by column chromatography on silica gel to give (5)-2-(l ,3- dioxoisoindolin-2-yl)-N-methyl-3-phenyl-N-(quinoxalin-6-yl)propanamide (200 mg, yield: 73%); LC/MS: m/z (M++l) = 437.
42G. Preparation of (S)-2-amino- V-methyl-3-phenyl- V-(quinoxalin-6-yl)propanamide
[0175] To a solution of (5)-2-(l ,3-dioxoisoindolin-2-yl)-N-methyl-3-phenyl-N- (quinoxalin-6-yl)propanamide (130 mg, 0.46 mmol, 1.0 eq) in ethanol (5 ml), was added hydrazine hydrate (1 ml). The mixture was refluxed for 30min. After cooled to r.t, the white precipitate was filtered off, the filtrate was evaporated to give (5)-2-amino-N-methyl-3- phenyl-N-(quinoxalin-6-yl)propanamide (130 mg, yield: 92%); LC/MS: m/z (M++l) = 307.
[0176] To a mixture of 2-(3-isopropyl-5-methyl-lH-pyrazol-4-yl)ethanol (200 mg, 1.2 mmol, 1.0 eq) and Cs2C03 (782 mg, 2.4 mmol, 2.0 eq) in DMF (5 ml), was added ethyl 2- bromoacetate (400mg, 2.4mmol, 2.0eq). The mixture was stirred at 60 °C overnight. After cooled to r.t, water was addd and the mixture was extracted with EtOAc twice. The combined organic extracts were washed with water and brine, dried over anhydrous Na2S04, concentrated to give ethyl 2-(3-cyclopropyl-4-(2-hydroxyethyl)-5-methyl-lH-pyrazol-l- yl)acetate (200 mg, yield: 66%); LC/MS: m/z (M++l) = 253.
421. Preparation of 2-(3-cyclopropyl-4-(2-hydroxyethyl)-5-methyl-lH-pyrazol-l- yl)acetic acid
[0177] To a solution of ethyl 2-(3-cyclopropyl-4-(2-hydroxyethyl)-5-methyl-lH-pyrazol- l-yl)acetate (200 mg, 0.79 mmol, 1.0 eq) in methanol (2 ml), was added KOH (232 mg, 4.0 mmol, 5.0 eq) in water (2 ml). The mixture was stirred at RT for 2h. Then the resulting solution was adjusted pH to 5-6, extracted with EA 3 times. The combined organic extracts were washed with water and brine, dried over anhydrous Na2S04, concentrated to give 2-(3- cyclopropyl-4-(2-hydroxyethyl)-5-methyl-lH-pyrazol-l-yl)acetic acid (130 mg, yield:
72.5%); LC/MS: m/z (M++l) = 225.
42J. Preparation of(S)-2-(2-(3-cyclopropyl-4-(2-hydroxyethyl)-5-methyl-lH-pyrazol-l- yl)acetamido)- V-methyl-3-phenyl- V-(quinoxalin-6-yl)propanamide
[0178] A mixture of 2-(3-cyclopropyl-4-(2-hydroxyethyl)-5-methyl-lH-pyrazol-l- yl)acetic acid (36 mg, 0.16 mmol, 1.0 eq), (S)-2-(l,3-dioxoisoindolin-2-yl)-N-methyl-3- phenyl-N-(quinoxalin-6-yl)propanamide (50 mg, 0.16 mmol, 1.0 eq), EDCI ( 61 mg, 0.32 mmol, 2.0 eq), HOBt (43 mg, 0.32 mmol, 2.0 eq) and DIPEA (41 mg, 0.32 mmol, 2.0 eq) in DCM (2 mL) was stirred at r.t overnight under N2 atmosphere. The resulting solution was washed with water 3 times, dried and concentrated, and the residue was purified by prep-
HPLC to give the final product (S)-2-(2-(3-cyclopropyl-4-(2-hydroxyethyl)-5-methyl-lH- pyrazol- 1 -yl)acetamido)-N-methyl-3-phenyl-N-(quinoxalin-6-yl)propanamide (20 mg, isolated yield: 25%); LC/MS: m/z M++l = 513; HPLC retention time = 2.22 min; 1H NMR (400 MHz, CDC13) δ 8.90 (s, 2H), 8.06 (d, J= 8.9 Hz, 1H), 7.53 (s, 1H), 7.26 (s, 1H), 7.20 (t, J= 7.4 Hz, 3H), 6.86 (d, J= 7.2 Hz, 2H), 6.34 (d, J= 8.2 Hz, 1H), 4.79 (d, J= 7.3 Hz, 1H), 4.63 (s, 2H), 3.83 (s, 2H), 3.27 (s, 3H), 2.89 - 2.63 (m, 4H), 2.16 (s, 3H), 1.89 - 1.79 (m, 1H), 0.92 (t, J = 9.2 Hz, 4H).
[0179] Compounds 43-48 were prepared using a similar process to Example 42 utilizing the corresponding N-methyl anilines (MeNHAr).
EXAMPLES 43 TO 48
phenylpropanamide
Example 43: 1H NMR(400 MHz, CDC13): δ 8.12 (d, J= 8.5 Hz, 1H), 7.80 - 7.68 (m, 2H), 7.60 (t, J= 7.5 Hz, 1H), 7.34 (t, J= 7.2 Hz, 1H), 7.26 (dd, J= 13.3, 5.7 Hz, 3H), 6.92 (d, J = 7.4 Hz, 2H), 6.44 (d, J= 7.9 Hz, 1H), 4.70 - 4.57 (m, 3H), 3.83 (t, J= 6.1 Hz, 2H), 3.22 (s, 3H), 2.85 - 2.70 (m, 4H), 2.16 (s, 3H), 1.83 (td, J= 7.8, 4.0 Hz, 1H), 0.92 (t, J= 6.8 Hz, 4H).
Example 44: 1H NMR(400 MHz, CDC13) δ 8.98 (ddd, J= 14.4, 4.2, 1.6 Hz, 1H), 8.19 (dd, J = 20.8, 8.6 Hz, 0.5H), 8.02 (d, J= 8.6 Hz, 0.5H), 7.64 - 7.48 (m, 2H), 7.33 (dd, J= 8.5, 4.2 Hz, 1H), 7.27 - 7.22 (m, 1H), 7.17 - 7.04 (m, 1H), 6.85 (dd, J= 7.5, 1.7 Hz, 1H), 6.56 (dd, J = 19.4, 6.8 Hz, 1H), 6.17 (dd, J= 51.5, 8.3 Hz, 1H), 4.69 - 4.61 (m, 0.5H), 4.60 - 4.41 (m, 2H), 4.22 - 4.15 (m, 0.5H), 3.83 (dd, J= 13.6, 6.7 Hz, 2H), 3.29 (d, J= 5.7 Hz, 3H), 2.91- 2.85 (m, 0.5H), 2.79 - 2.64 (m, 2H), 2.50 (d, J= 7.6 Hz, 0.5H), 2.10 (s, 3H), 1.90- 1.78 (m, 1H), 0.98 - 0.84 (m, 4H).
Example 45: 1H NMR(400 MHz, CDC13) 58.98 (dd, J= 4.2, 1.5 Hz, 1H), 8.06 (d, J= 8.8 Hz, 2H), 7.47 (dd, J = 8.3, 4.2 Hz, 1H), 7.23 (dd, J= 18.9, 11.3 Hz, 3H), 7.09 (s, 1H), 6.87 (d, J= 7.2 Hz, 2H), 6.26 (d, J= 8.2 Hz, 1H), 4.75 (dd, J= 14.4, 8.3 Hz, 1H), 4.62 (d, J= 1.0 Hz, 2H), 3.83 (t, J= 6.1 Hz, 2H), 3.24 (s, 3H), 2.88 - 2.60 (m, 4H), 2.15 (s, 3H), 1.92 - 1.79 (m, 1H), 0.93 (t, J = 6.0 Hz, 4H).
Example 46: 1H NMR(400 MHz, CDC13) δ 7.77 (d, J= 8.4 Hz, 1H), 7.40 (s, 1H), 7.18 - 7.30 (m, 3H), 6.85 (d, J= 6.4, 2.8 Hz, 2H), 6.24 (d, J= 8.4 Hz, 1H), 4.75 (dd, J= 8.0, 15.2 Hz, 2H), 4.59 (d, J = 1.6 Hz), 3.80 (t, J= 6.0 Hz, 1H), 3.22 (s, 3H), 2.87 (s, 3H), 2.6-2.85 (m, 4H), 2.12 (s, 3H), 1.78-1.85 (m, 1H), 0.80-0.85 (m, 4H).
Example 47: 1H NMR (400 MHz, CDC13) δ 8.39 (s, 1H), 7.65 (d, J= 9.2 Hz, 1H), 7.39 (t, J = 7.5 Hz, 1H), 7.33 - 7.29 (m, 2H), 7.27 (s, 1H), 6.97 (d, J= 7.4 Hz, 2H), 6.58 (d, J= 7.9 Hz, 1H), 4.64 (d, J= 3.1 Hz, 2H), 4.61 - 4.54 (m, 1H), 3.83 (t, J= 6.2 Hz, 2H), 3.16 (s, 3H), 2.89 - 2.82 (m, 1H), 2.77 (dd, J= 7.7, 4.0 Hz, 2H), 2.75 - 2.69 (m, 1H), 2.18 (s, 3H), 1.84 (ddd, J = 13.3, 8.3, 5.3 Hz, 1H), 0.96 - 0.89 (m, 4H).
Example 48: 1H NMR (400 MHz, CDC13) 57.33 - 7.28 (m, 3H), 7.27 - 7.24 (m, 1H), 7.00 - 6.92 (m, 3H), 6.26 (d, J= 8.2 Hz, 1H), 4.68 - 4.56 (m, 3H), 3.82 (t, J= 6.0 Hz, 2H), 3.10 (s,
3H), 2.79 (dd, J= 10.6, 6.2 Hz, 1H), 2.77 - 2.72 (m, 2H), 2.72 - 2.67 (m, 1H), 2.15 (s, 3H), 1.83 (ddd, J = 13.4, 6.4, 4.0 Hz, 1H), 0.96 - 0.89 (m, 4H).
EXAMPLE 49
(5)- V-(benzo[i ] [l,3]dioxol-5-yl)-2-(2-(3-(2-hydroxyethyl)phenyl)acetamido)- V-methyl-3- phenylpropanamide
[0180] To a solution of 2-(3-bromophenyl)acetic acid (5.0 g, 23.3 mmol) in CH3OH (30 mL), was added SOCl2 (3.2 g, 27.0 mmol) at 0 °C. Then the mixture was stirred at 80 °C for 3 hours. The solvent was removed under reduced pressure to give methyl 2-(3- bromophenyl)acetate (5.0 g, yield: 94%); LC/MS: m/z (M++l) = 231.
[0181] A mixture of methyl 2-(3-bromophenyl)acetate (1.0 g, 4.4 mmol),
tributyl(vinyl)stannane (5.6 g, 17.5 mmol) and tetrakis(triphenylphosphine)palladium(250 mg, 0.2 mmol) in N,N-dimethylformamide (15 mL) was stirred at 80 °C overnight. The mixture was poured into water, extracted with ethyl acetate, and the combined organic extracts were washed with brine, dried over anhydrous Na2S04 and then concentrated under vacuo. The residue was purification by column chromatography to afford methyl 2-(3- vinylphenyl)acetate (600 mg, yield: 79% ); LC/MS: m/z (M++l) = 177.
[0182] Methyl 2-(3-vinylphenyl)acetate (300 mg, 1.7 mmol) was dissolved in THF solution of 9-BBN, then the resulting mixture was stirred at room temperature overnight. The mixture was quenched with MeOH and the solvent was removed under reduced pressure. The residue was dissolved in H202 and two drops of saturated NaOH solution were added, and the resulting mixture was stirred at room temperature for 2 hours. The mixture was diluted with water and extracted with EtOAc. The combined organic extracts were dried over Na2S04, concentrated in vacuo and the crude product was purified by column
chromatography to give 2-(3-(2-hydroxyethyl)phenyl)acetic acid (100 mg, yield: 33%);
LC/MS: m/z (M++l) = 181.
49D. Preparation of (5)- V-(benzo[i ] [l,3]dioxol-5-yl)-2-(2-(3-(2- hydroxyethyl)phenyl)acetamido)- V-methyl-3-phenylpropanamide
[0183] A mixture of 2-(3-(2-hydroxyethyl)phenyl)acetic acid (70 mg, 0.39 mmol), (5)-2- amino-N-(benzo[(i][l ,3]dioxol-5-yl)-N-methyl-3-phenylpropanamide (1 16 mg, 0.39 mmol), l-(3-dimethylaminopropyl)-3-ethylcarbodiimide hydrochloride (190 mg, 1.0 mmol), hydroxybenzotriazole (105 mg, 0.78 mmol) and N, N-diisopropylethylamine (200 mg, 1.6 mmol) in N,N-dimethylformamide was stirred at room temperature overnight. The mixture was diluted with water and extracted with EtOAc. The combined organic extracts were dried over Na2S04, concentrated in vacuo and the crude product was purification by prep-HFLC to give (iS)-N-(benzo[d] [ 1 ,3]dioxol-5-yl)-2-(2-(3-(2-hydroxyethyl)phenyl)acetamido)-N-methyl- 3-phenylpropanamide (12 mg, yield: 7%); LC/MS: m/z (M++l) = 461 ; 1H NMR (400 MHz, CDC13) δ 7.32 (d, J = 7.6 Hz, 1H), 7.29 (s, 2H), 7.26 - 7.20 (m, 3H), 7.18 (d, J = 7.7 Hz, 1H), 7.13 (s, 1H), 7.07 (d, J= 7.5 Hz, 1H), 6.91 (dd, J= 7.1 , 2.2 Hz, 2H), 6.73 (d, J = 8.1 Hz, 1H), 6.1 1 (d, J= 8.4 Hz, 1H), 6.02 (s, 2H), 4.82 (dd, J= 14.8, 7.7 Hz, 1H), 3.94 - 3.81 (m, 2H), 3.52 (s, 2H), 3.14 (s, 3H), 2.86 (dd, J = 13.8, 7.5 Hz, 3H), 2.70 (dd, J = 13.2, 6.5 Hz, 1H).
EXAMPLE 50
(5)- V-(benzo[i ] [l,3]dioxol-5-yl)-2-(2-(4,5-dimethyl-lH-pyrazol-3-yl)acetamido)- V- methyl-3-phenylpropanamide
[0184] To an ice-cooled suspension of NaH (2.8 g, 70 mmol, 60% suspension in mineral oil) in anhydrous THF, was added methyl 3-oxopentanoate (3.0 g, 23 mmol) dropwise and the mixture was stirred for an additional 10 min. The solution was cooled to -10 °C and n- BuLi (10.2 mL, 25 mmol, 2.1 M in hexane) was added dropwise. After stirring for an additional 10 min, N-methoxy-N-methylacetamide (2.4 g, 23 mmol) was added at -10 °C. The solution was stirred at this temperature for 15 mins, warmed to room temperature, and stirred for another 30 min. Hydrolysis was carried out by pouring the solution into a ice- cooled solution of NH4C1, the aqueous phase was separated and extracted twice with ethyl acetate. The combined organic extracts were washed with brine and water. After drying, the solvent was removed and the residue was purified to give methyl 4-methyl-3,5- dioxohexanoate (1.3 g, yield 33%); LC/MS: m/z (M++l) = 173.
[0185] To a mixture of methyl 4-methyl-3,5-dioxohexanoate (800 mg, 4.7 mmol) in MeOH was added hydrazine hydrate (310 mg, 4.7 mmol) and AcOH (280 mg, 4.7 mmol). The solution was refluxed for 20 min. The solvent was removed and the residue was dissolved in water, basified to pH 9, extracted with ethyl acetate and concentrated to give methyl 2-(4,5-dimethyl-lH-pyrazol-3-yl)acetate (700 mg, 95%>), which was used to next step without further purification; LC/MS: m/z (M++l) = 169.
[0186] A mixture of methyl 2-(4,5-dimethyl-lH-pyrazol-3-yl)acetate (700 mg, 4.1 mmol) in MeOH and sat NaOH solution was stirred at room temperature for 1 hour. MeOH was removed and the aqueous residue was acidified to pH 3, extracted with ethyl acetate and concentrated to give 2-(4,5-dimethyl-lH-pyrazol-3-yl)acetic acid (500 mg, yield: 78%); LC/MS: m/z M++l = 155.
50D. Preparation of (5)- V-(benzo[</] [l,3]dioxol-5-yl)-2-(2-(4,5-dimethyl-lH-pyrazol-3- yl)acetamido)- V-methyl-3-phenylpropanamide
[0187] A mixture of 2-(4,5-dimethyl-lH-pyrazol-3-yl)acetic acid (100 mg, 0.65 mmol), (5)-2-amino-N-(benzo[(i][l,3]dioxol-5-yl)-N-methyl-3-phenylpropanamide (195 mg, 0.65 mmol), l-(3-dimethylaminopropyl)-3-ethylcarbodiimide hydrochloride (310 mg, 1.6 mmol), hydroxybenzotriazole (175 mg, 1.3 mmol) and N, N -diisopropylethylamine (340 mg, 2.6 mmol) in N,N-dimethylformamide was stirred at room temperature overnight. The mixture was diluted with water and extracted with EtOAc. The combined organic extracts were dried over Na2S04, concentrated in vacuo and the crude product was purification by prep-HFLC to give (5)-N-(benzo[<i][l,3]dioxol-5-yl)-2-(2-(4,5-dimethyl-lH-pyrazol-3-yl)acetamido)-N- methyl-3-phenylpropanamide (50 mg, 28%); LC/MS: m/z (M++l) = 435; 1H NMR (400 MHz, CDCls) δ 7.42 (d, J= 7.3 Hz, 1H), 7.28 (s, 1H), 7.26 - 7.17 (m, 3H), 6.95 (dd, J= 6.3, 2.8 Hz, 2H), 6.70 (d, J= 7.5 Hz, 1H), 6.01 (d, J= 3.9 Hz, 2H), 4.80 (dd, J= 14.8, 7.9 Hz, 1H), 3.52 (dd, J= 35.4, 16.3 Hz, 2H), 3.14 (s, 3H), 2.98 - 2.88 (m, 1H), 2.75 (dd, J= 13.0, 6.4 Hz, 1H), 2.23 (s, 3H), 1.90 (s, 3H).
EXAMPLE 51
(S)- V-(benzo[d] [l,3]dioxol-5-yl)- V-methyl-3-phenyl-2-(2-(4-vinylpyridin-2- yl)acetamido)propanamide
[0188] To a solution of 2-fluoropyridine (5.0 g, 51.5 mmol) in dry THF (50 mL) was added LDA (25.8 mL of a 2M solution in THF, 51.5 mmol) dropwise at -78 °C. The mixture was then stirred at -78 °C for 1 hour. A solution of I2 (13.07 g, 51.5 mmol) in THF (30 mL) was added dropwise at -78 °C to the mixture. After stirring for 3 hours at -78°C, the reaction was quenched by addition of H20 (10 mL) and slowly warmed to room temperature. A solution of Na2S03 (50 mL, 2M in H20) was added. The organic layer was separated, washed with brine, dried over anhydrous Na2S04 and then concentrated to give crude product, which was purified via column chromatography to give 2-fluoro-3-iodopyridine (9.6 g, yield 83.6%) as a white solid. LC/MS: m/z (M++H) = 224.
51B. Preparation of 2-fluoro-4-iodopyridine
[0189] To a solution of 2-fluoro-3-iodopyridine (4.0 g, 17.9 mmol) in dry THF (50 mL), was added LDA (8.96 mL of a 2M solution in THF, 17.9 mmol) dropwise at -78 °C. After stirring for 4 hours at -78 °C, H20 (0.5 mL) in THF (1 mL) was added. The mixture was slowly warmed to room temperature, followed by addition of brine (30 mL). The organic layer was separated, washed with brine, dried over anhydrous Na2S04 and then concentrated to give crude product, which was purified by column chromatography to give 2-fluoro-4- iodopyridine (3.5 g, yield : 87.5%) as a white solid. LC/MS: m/z (M++H) = 224.
[0190] To a solution of 2-fluoro-4-iodopyridine (1.3 g, 5.83 mmol) and CH3CN (0.57 g, 11.6 mmol) in THF (20 mL), was added LiHMDS (11.6 mL of a 1M solution in THF, 11.6 mmol) dropwise at -78°C. After stirring for 2 hours at -78 °C, the mixture was slowly warmed to room temperature for 2 hours. Saturated aq. NH4CI (10 mL) and EtOAc (20 mL) were then added. The organic layer was separated, washed with brine, dried over anhydrous Na2S04 and then concentrated to give crude product, which was purified by column chromatography to give 2-(4-iodopyridin-2-yl)acetonitrile (0.61 g, yield : 42.9%). LC/MS: m/z (M++H) = 245.
51D. Preparation of methyl methyl 2-(4-iodopyridin-2-yl)acetate
[0191] To a mixture of TMSC1 (0.73 g, 6.72 mmol) in MeOH (10 mL) was added, 2-(4- iodopyridin-2-yl)acetonitrile (0.41 g, 1.68 mmol). The mixture was then stirred at 50 °C overnight. The resulting mixture was concentrated to dryness and the residue was dissolved in saturated NaHC03 (10 mL) and extracted with EtOAC (20 mL). The organic layers were combined, washed with brine, dried over anhydrous Na2S04 and then concentrated to give methyl 2-(4-iodopyridin-2-yl)acetate (0.39 g, yield : 83.8%). LC/MS: m/z (M++H) = 278.
51E. Preparation of methyl 2-(4-vinylpyridin-2-yl)acetate
[0192] A mixture of methyl 2-(4-iodopyridin-2-yl)-acetate (0.36 g, 1.3 mmol), tributyl(vinyl)stannane (1.23 g, 3.9 mmol) and tetrakis(triphenylphosphine)palladium (20 mg) in toluene (8 mL) was degassed under N2 for three times and stirred at 110 °C under N2 atmosphere overnight. The resulting mixture was poured into water and extracted with ethyl acetate. The combined organic layers were washed with brine, dried over anhydrous Na2S04
and then concentrated in vacuum, the residue was purified by column chromatography to afford methyl 2-(4-vinylpyridin-2-yl)acetate (110 mg, yield: 47.7% ). LC/MS: m/z (M++H) = 178.
51F. Preparation of 2-(4-vinylpyridin-2-yl)acetic acid
[0193] To a solution of methyl 2-(4-vinylpyridin-2-yl)-acetate (110 mg, 0.62 mmol) in THF (4 mL), was added KOH solution (69 mg in 1 mL H20). The mixture was then stirred at 50 °C for 3h. The mixture was acidified with 1 N HCl and concentrated to dryness to give crude 2-(4-vinylpyridin-2-yl)-acetic acid (120 mg), which was directly used to the next reaction. LC/MS: m/z (M++H) = 164.
51G. Preparation of (5)-7V-(benzo[d] [l,3]dioxol-5-yl)-7V-methyl-3-phenyl-2-(2-(4- vinylpyridin-2-yl)acetamido)propanamide
[0194] A mixture of 2-(4-vinylpyridin-2-yl)acetic acid (60 mg, 0.37 mmol), (5)-2-amino- N-(benzo[<i][l,3]dioxol-5-yl)-N-methyl-3-phenylpropanamide (116 mg, 0.39 mmol), EDCI (190 mg, 1.0 mmol), HOBt (105 mg, 0.78 mmol) and DIPEA (200 mg, 1.6 mmol) in DMF (4 mL) was stirred at room temperature overnight. The mixture was diluted with water and extracted with EtOAc. The combined organic layers were dried over Na2S04, then concentrated in vacuum. The residue was purification by column chromatography to afford (5)-N-(benzo [d] [ 1 ,3 ]dioxol-5 -yl)-N-methyl-3 -phenyl-2-(2-(4-vinylpyridin-2- yl)acetamido)propanamide (9 mg, yield: 5.5%). LC/MS: m/z (M++H) = 444; 1H NMR (400 MHz, CDCls) δ 7.32 (d, J= 7.6 Hz, 1H), 7.29 (s, 2H), 7.26 - 7.20 (m, 3H), 7.18 (d, J = 7.7 Hz, 1H), 7.13 (s, 1H), 7.07 (d, J= 7.5 Hz, 1H), 6.91 (dd, J= 7.1, 2.2 Hz, 2H), 6.73 (d, J= 8.1 Hz, 1H), 6.11 (d, J= 8.4 Hz, 1H), 6.02 (s, 2H), 4.82 (dd, J= 14.8, 7.7 Hz, 1H), 3.94 - 3.81
(m, 2H), 3.52 (s, 2H), 3.14 (s, 3H), 2.86 (dd, J= 13.8, 7.5 Hz, 3H), 2.70 (dd, J= 13.2, 6.5 Hz, 1H).
EXAMPLE 52
(5)- V-(benzo[d] [l,3]dioxol-5-yl)-2-(2-(2-cyclopropyl-l-ethyl-5-methyl-lH-imidazol-4- yl)acetamido)- V-methyl-3-phenylpropanamide
52A. Preparation of (2-cyclopropyl-5-methyl-lH-imidazol-4-yl)methanol
[0195] To a solution of cyclopropanecarboximidamide hydrochloride (6.0g, 50.3 mmol) in water at 0 °C was added l-hydroxybutane-2,3-dione (3.6 g, 1.0 eq) and a solution of CH3COOK (1.5 eq) in water (20 mL). The mixture was stirred at r.t for 2h, followed by addition of a.q NaOH to pH ~8. The mixture was then extracted with DCM:'PrOH (V:V = 3: 1). The organic layers were combined, dried over Na2S04 and concentrated in vacuo. The residue was purified by column chromatography on silica gel to give compound as a white solid (3.0 g, yield: 47.0%). LC/MS: m/z (M++H) =153.
52B. Preparation of (2-cyclopropyl-l-ethyl-5-methyl-lH-imidazol-4-yl)methanol
[0196] K2CO3 (3.0eq) was added to a solution of (2-cyclopropyl-5 -methyl- lH-imidazol - 4-yl)methanol (3g, 19.7mmol, 1.0 eq) and EtI (1.2eq) in DMF. The mixture was stirred at 80
°C overnight. The mixture was then quenched with water and extracted with EA. The organic layers were combined, dried over anhydrous NaS04 and purified by column chromatography on silica gel to give a yellow oil (1.2 g, yield: 30.7%). LC/MS: m/z (M++H)
181.
52C. Preparation of 4-(chloromethyl)-2-cyclopropyl-l-ethyl-5-methyl-lH-imidazole
[0197] (2-cyclopropyl-l-ethyl-5 -methyl- lH-imidazol-4-yl)methanol (1.0 g, 5.56 mmol, 1.0 eq) was added to SOCl2 (10 mL) at 0 °C. The reaction mixture was stirred at r.t for 50 min. Excess SOCl2 was removed to afford a crude product as a yellow solid. (1.0 g, yield: 90.8%). LC/MS: m/z (M++H) =199..
52D. Preparation of 2-(2-cyclopropyl-l-ethyl-5-methyl-lH-imidazol-4-yl)acetonitrile
[0198] To a solution of 4-(chloromethyl)-2-cyclopropyl-l-ethyl-5 -methyl- lH-imidazole (200 mg, 1.0, 1.0 eq) in MeCN, was added to a solution of TMSCN (1.5 eq) and CsC03 (2.0 eq) in MeCN. The mixture was stirred at 65 °C under nitrogen atmosphere for 2h. The reaction was quenched with water and extracted with ethyl acetate. The organic layers were combined, dried and concentrated. The residue was purified by column chromatography on silica gel to give a yellow oil (90 mg, yield: 53%). LC/MS: m/z (M++H) =190.
52E. Preparation of 2-(2-cyclopropyl-l-ethyl-5-methyl-lH-imidazol-4-yl)acetic acid
[0199] NaOH (5 eq) was added to a solution of 2-(2-cyclopropyl-l-ethyl-5 -methyl- 1H - imidazol-4-yl)acetonitrile(90 mg, 1.0 eq) in EtOH. The mixture was stirred at 90 °C and
refluxed for 4h. Excess EtOH was removed. The residue was titrated with acetone, and filtered. The filtrate was concentrated to afford the crude product as a yellow solid. (100 mg, yield: 96.0%). LC/MS: m/z (M++H) =209.
52F. Preparation of (5)- V-(benzo[d] [l,3]dioxol-5-yl)-2-(2-(2-cyclopropyl-l-ethyl-5- methyl-lH-imidazol-4-yl)acetamido)- V-methyl-3-phenylpropanamide
[0200] To a solution of EDCI (1.5eq), HOBt (2.0 eq), DIPEA (4.0 eq) and DMAP (0.1 eq) in DMF, was added to a solution of 2-(2-cyclopropyl-l-ethyl-5 -methyl -lH-imidazol -4 - yl)-acetic acid (50 mg, 0.24 mmol, 1.0 eq) in DMF. After stirring at r.t about lh, (5)-2- amino-N-(benzo[d][l,3]dioxol-5-yl)-N-methyl-3-phenylpropanamide(10 7 mg, 1.5 eq) was added to the mixture. The resulting mixture was stirred at r.t overnight. The reaction was quenched with water and extracted with ethyl acetate. The organic layers were combined, washed with aq. LiCl (10%>), dried and concentrated. The residue was purified by column chromatography on silica gel to give a yellow solid (75mg, yield: 64%>). LC/MS: m/z (M++H) = 489; 1H NMR (400 MHz, DMSO-d6): δ 7.27 - 7.19 (m, 3H), 6.85 (dd, J= 5.9, 3.5 Hz, 2H), 6.78 (d, J= 8.1 Hz, 1H), 6.04 (s, 2H), 6.01 (d, J= 8.1 Hz, 1H), 4.77 (dd, J= 14.8, 7.5 Hz, 1H), 3.80 (q, J= 7.2 Hz, 2H), 3.48 - 3.30 (m, 2H), 3.18 (s, 3H), 2.89 (dd, J= 13.5, 6.7 Hz, 1H), 2.64 (dd, J= 13.4, 8.0 Hz, 1H), 2.09 (s, 3H), 1.74 (d, J= 3.2 Hz, 1H), 1.22 (t, J = 7.3 Hz, 3H), 1.07 (d, J= 5.3 Hz, 2H), 0.97 (dd, J= 8.0, 3.9 Hz, 2H).
Biological Assays
[0201] MT2rep assay: MT2 cells are pelleted by centrifugation and re-suspended with appropriate volume of RPMI 1640 (10%> FBS) to give a cell density about 1.34x l05/ml.
Appropriate volume HIV-l(NL4-3) stock is added to the above MT2 cells to give a MOI about 0.01 TCID50 per cell. 90μΕ of MT2 cells/HIV-1 mixture is added to 384-well antiviral assay plates containing compounds and 45μΙ, of MT2 cells (1.34>< 105/ml, without virus addition) is added to 384-well cytotoxicity assay plates containing compounds. The assay
plates are incubated in a 5% C02 incubator at 37°C for 3 days. Three days post MT2 infection, ΙΟμΙ per well of supernatant from 384-well antiviral assay plates is transferred to a new 384-well plate and 40 μΐ. of JC53BL cells (0.4xl06 cells/ml) is added to this plate. 24 hours later β-Gal activity is measured as following. Add 30μΙ^ of the FluorAce solution to each well of the assay plate. Incubate the plates in 5% (v/v) C02 incubator at 37°C for 2 hours. Add lOul stop solution to each well and read plates with PE Victor 3 under the umbelliferone channel. The compound cytotoxicity is measured three days post MT2 seeding by Celltiter Glo kit with conditions recommended by Promega except that 10 μΐ^ per well of reagent is added. IC50 and CC50 is calculated with GraphPadPrism5.00 (four-parameter logistic equation).
[0202] The following are biological data obtained for compounds of Examples 1-52 using the biological assays described hereinabove.
Note: °Compounds were tested as a mixture of two regio-isomers in a ratio below: xEx. 9:10 = 1 :3 ; 2Ex.23:24 = 2: 1; 3Ex.29:30 = 3: 1; 4Ex.30:31 = 2.6: 1; 5Ex.33:34 = 4: 1; 6Ex.22:35 = 5: 1; 7Ex.37:38 = 1 :2; 8Ex.40:41 = 1.5:1.
References:
1) Salzwedel, K., D. E. Matin, and M. Sakalian, "Maturation inhibitors: a new therapeutic class targets the virus structure", 2007, AIDS Rev. 9, 162-172;
2) Smith, P. E., A. Ogundele, A. Forrest, J. Wilton, K. Salzwedel, J. Doto, G. P. AUaway, and D. E. Martin, "Phase I and II study of the safety, virologic effect, and pharmacokinetics/pharmacodynamics of single-dose 3-0-(3,3'-dimethylsuccinyl) betulinic acid (bevirimat) against human immunodeficiency virus infection", Antimacrob. Agents Chemother. 2007, 51, 3574-3581;
3) Baichwal, V., H. Austin, B. Brown, R. McKinnon, K. Yager, V. Kumar, D. Gerrish, M. Anderson, and R. Carlson, "Anti-viral characterization in vitro of anovel maturation inhibitor, MPC-9055," 2009, Poster 561, 16th Conf. Retrovir. Opport. Infect., Montreal, Canada;
4) Beelen, A., J. Otto, M. Fidler, E. Sanguinetti, P. Smiley, A. Balch, M. Medlock, M.
Jackson, and E. Swabb, "Phase- 1 single ascending oral dose study of the safety, tolerability, and pharmacokinetics of a novel HIV-1 maturation inhibitor in HIV negative, healthy volunteers", 2009, Poster 570, 16th Conf. Retrovir. Opport. Infect., Montreal, Canada;
5) Li, F., R. Goila-Gaur, K. Salzwedel, N. R. Kilgore, M. Reddick, C. Matallana, A.
Castillo, D. Zoumplis, D. E. Martin, J. M. Orenstein, G. P. AUaway, E. O. Freed, and
C. T. Wild, "PA-457: a potent HIV inhibitor that disrupts core condensation by targeting a late step in Gag processing", 2003, Proc. Natl. Acad. Sci., USA 100, 13555-13560;
) Martin, D., J. Jacobson, D. Schurmann, E. Osswald, J. Doto, C. Wild, and G. P. Allaway, "PA-457: the first-in-class maturation inhibitor, exhibits antiviral activity ollowing a single oral dose in HIV-1 infected patients", 2005, Oral presentation 159, 12th Conf. Retrovir. Opport. Infect., Boston, MA, USA;
) Ganser-Pornillos, B. K., Cheng, A., Yeager, M., Cell 2007, 131, 70;
) Sundquist, W. I., Hill, P.C., Cell 2007, 131, 17;
) Ternois, F.; Sticht, J., Duquerroy, S., Krausslich, H. G.; Rey, F. A., Nat. Struct. Mol. Biol. 2005, 12, 678;
0) Tang, C, Loeliger, E., Kinde, I., Kyere, S., Mayo, K., Barklis, E., Sun, Y., Huang, M., Summers, M. F. J. Mol, Biol, 2003, 327, 1013;
1) Li, J., Tan, Z., Tang, S., Hewlett, I., Pang, R., He, M., He, S., Tian, B. Chen, K., Yang, M. Bioorg. Med. Chem. 2009, 17, 3177-3188;
2) Prevelige, P. Jr., "Small molecule inhibitors of HIV-1 capsid assembly", PCT Int. Appl. 2007, WO2007048042A2;
3) Yang, M., He, S., Yuan, D., "Preparation of phenylthiourea derivatives as capsid protein inhibitors for treatment of HIV", Faming Zhuanli Shenqing Gongkai Shuomingshu, 2006, CN1793120A;
4) Summers, M. F., Agarwal, A., Chen, X., Deshpande, M. F. "Preparation of thiazole derevatives as inhibitors of HIV-1 capsid formation", U.S. Pat. Appl. Publ. 2006, US2006100232A1;
5) Salzwedel, K., Li, F., Wild, C. T., Allaway, G. P., Freed, E. O., "Inhibition of HIV-1 replication by disruption of the processing of the viral capsid-spacer peptide 1 protein", PCT Int. Appl. 2005, WO2005113059 A2;
6) Summers, M. F., Tang, C, Huang, M., "Antiviral inhibitions of capsid proteins", PCT Int. Appl. 2003, WO2003089615A2;
Claims
We claim:
1. A compound of formula I:
or pharmaceutically acceptable salt thereof, wherein: W is 5 to 7-membered monocyclic carbocycle or heterocycle; each of Ri and R2 is independently H, (Ci-C4)alkyl, (C3-C5)cycloalkyl, hydroxyl, fluoro, or NRbRc, or Ri and R2 together form (C3-C5)cycloalkyl;
R3 is phenyl, or heteroaryl;
R4 is H, (Ci-C4)alkyl, or (C3-C7)cycloalkyl;
R5 is (CRgR q-cycloalkyl, (CRgR9)q-aryl, or (CRgR9)q-heterocycle; each of Rg and R9 is independently H, (Ci-C4)alkyl, hydroxyl, fluoro, or NRbRc, or Rg and R9 together form (C3-C5)cycloalkyl; each of Rb and Rc is independently hydrogen or alkyl, or said Rb and Rc together with the N to which they are bonded optionally form a heterocycle; each q is independently 0, 1, 2, 3, or 4; and n is 1 or 2.
2. The compound of claim 1, wherein W is 5-membered heteroaryl, 6-membered heteroaryl, or phenyl, in which said heteroaryl and phenyl are each independently substituted with (R6)m;
each of Ri and R2 is independently H or (Ci-C4)alkyl;
R3 is phenyl, or heteroaryl;
R4 is H, (Ci-C4)alkyl, or (C3-C7)cycloalkyl;
R5 is (CRgR9)q-cycloalkyl, (CRgR9)q-aryl, or (CRgRgVheteroaryl;
each R6 is independently hydrogen, halogen, cyano, nitro, CF3, OCF3, alkyl, alkenyl, alkynyl, cycloalkyl, cycloalkenyl, heterocyclyl, aryl, ORa, SRa, S(=0)Ra, S(=0)2Ra, S(=0)2ORa, NRbRc, C(=0)ORa, C(=0)Ra, C(=0)NRbRc, OC(=0)Ra, OC(=0)NRbRc, NRbC(=0)ORa, NRaC(=0)NRbRc, NRbC(=0)Ra, (CR8R9)q-OH, (CR8R9)q-0-(C1-C4)alkyl, (CR8R9)q-(C=0)0- (Ci-C4)alkyl, (CR8R9)q-(C=0)0-aryl, (CR8R9)q-(C=0)OH, (CR8R9)q-NRbRc, (CR8R9)q- cycloalkyl, (CR8R9)q-phenyl, or (CR8R9)q-heteroaryl;
each of R8 and R9 is independently H or (Ci-C4)alkyl;
each occurrence of Ra, Rb, and Rc is independently hydrogen, alkyl, alkenyl, alkynyl, cycloalkyl, cycloalkenyl, heterocycle, or aryl, or said Rb and Rc together with the N to which they are bonded optionally form a heterocycle;
m and q are each independently 0, 1, 2, 3, or 4; and
n is 1 or 2.
3. The compound of claim 1 or 2, having the structure of Formula (II):
wherein W, Rls R2, R3, R4, and R5 are as defined in claim 1 or 2.
4. The compound of claim 3, wherein W is 5-membered heteroaryl, in which said heteroaryl is substituted with ( ^m-
5. The compound of claim 3, wherein W is 6-membered heteroaryl, in which said heteroaryl is substituted with ( ^m-
6. The compound of claim 3, wherein W is phenyl, in which said phenyl is
independently substituted with ( ^m-
7. The compound of claim 3, having the structure of Formula (III):
wherein
denotes ; each of Zls Z2, Z3, Z4 and Z5 is independently carbon or nitrogen, provided that at least one of Zls Z2, Z3, Z4 and Z5 is nitrogen; and Ri, R2, R3, R4, R5, and R6 are as defined in claim 2, and m is 0, 1 , 2, or 3.
8. The compound of claim 3, having the structure of Formula (IV):
wherein each of Z2, Z3, Z4 and Z5 is independently carbon or nitrogen; Y1 is oxygen or sulfur; and Ri, R2, R3, R4, R5, and R6 are as defined in claim 2, and m is 0, 1, 2, or 3.
9. The compound of claim 3, having the structure of Formula (IVa):
wherein Rls R2, R3, R4, R5, and R6 are as defined in claim 2, and m is 0, 1, 2, or 3. 10. The compound of claim 3, having the structure of Formula (IVb):
wherein Rls R2, R3, R4, R5, and R6 are as defined in claim 2, and m is 0, 1, 2, or 3. 11. The compound of claim 3, having the structure of Formula (IVc):
wherein Rls R2, R3, R4, R5, and R6 are as defined in claim 2, and m is 0, 1, 2, or 3. 12. The compound of claim 3, having the structure of Formula (IVd):
wherein Rls R2, R3, R4, R5, and R6 are as defined in claim 2, and m is 0, 1, 2, or 3. 13. The compound of claim 7, having the structure of Formula (V)
wherein Rls R2, R3, R4, R5, and R6 are as defined in claim 2, and m is 1, 2, or 3. 14. The compound of claim 7, having the structure of Formula (Va)
Ri R2 O (VI), wherein Rls R2, R3, R4, R5, and R6 are as defined in claim 2, and m is 0, 1, 2, or 3. 16. The compound of claim 3, having the structure of Formula (VII):
each of Xi, X2, X3, X4 , X5 and X6 is independently carbon or nitrogen, provided that at least one of Xi, X2, X3, X4 , X5 and X6 is nitrogen; and Ri, R2, R3, R4, R5, and 5 are as defined in claim 2, and m is 0, 1, 2, or 3.
17. The compound of claim 16, wherein one of Xi, X2, X3, X4 , X5 and X6 is nitrogen and the remaining of Xi, X2, X3, X4 , X5 and X6 is carbon.
(Vila), each of X4 , X5 and X6 is independently carbon or nitrogen, provided that only one of X4 , X5 and X6 is nitrogen, and the remaining of X4 , X5 and X6 is carbon; and Ri, R2, R3, R4, R5, and R6 are as defined in claim 2, and m is 0, 1, or 2.
19. The compound of claim 3, having the structure of Formula (VIII):
wherein Rls R2, R3, R4, R5, and R6 are as defined in claim 2, and m is 0, 1, 2, or 3.
20. The compound of any one of claims 1-19, wherein each of Ri and R2 is independently H.
21. The compound of any one of claims 1-20, wherein R3 is phenyl.
22. The compound of any one of claims 1-20, wherein R3 is phenyl substituted with one to three substituents selected from H, (Ci-C4)alkyl, 0-(Ci-C4)alkyl, halogen, nitro, CN, CF3, and OCF3.
23. The compound of any one of claims 1-20, wherein R3 is unsubstituted phenyl.
24. The compound of any one of claims 1-23, wherein R3 is heteroaryl substituted with one to three substituents selected from H, (Ci-C4)alkyl, 0-(Ci-C4)alkyl, halogen, nitro, CN, CF3, and OCF3.
25. The compound of any one of claims 1-24, wherein R3 is unsubstituted heteroaryl.
26. The compound of any one of claims 1-25, wherein R4 is H.
27. The compound of any one of claims 1-25, wherein R4 is (Ci-C4)alkyl.
28. The compound of any one of claims 1-25, wherein R4 is methyl.
29. The compound of any one of claims 1-28, wherein R5 is (CH2)q-cycloalkyl, (CH2)q- aryl, or (CH2)q-heteroaryl, in which q is 0 or 1.
30. The compound of any one of claims 1-29, wherein R5 is aryl, or heteroaryl.
31. The compound of any one of claims 1-29, wherein R5 is phenyl.
32. The compound of any one of claims 1-29, wherein R5 is pyridyl.
33. The compound of any one of claims 1-29, wherein:
substituted with one to four substituents selected from hydrogen, halogen, cyano, nitro, CF3, OCF3, (C i-C4)alkyl, (C2-C6)alkenyl, (C2-Ce)alkynyl, (C3- C7)cycloalkyl, (C3-C7)cycloalkenyl, 3-10 membered monocyclic or bicyclic heterocycle containing at least one heteroatom selected from N, O and S, phenyl, naphthyl, ORa, SRa, S(=0)Ra, S(=0)2Ra, S(=0)2ORa, NRbRc, C(=0)ORa, C(=0)Ra, C(=0)NRbRc, OC(=0)Ra, OC(=0)NRbRc, NRbC(=0)ORa, NRaC(=0)NRbRc, NRbC(=0)Ra, (CR8R9)q-OH, (CR8R9)q-0- (Ci-C4)alkyl, (CR8R9)q-NRbRc, (CR8R9)q-cycloalkyl, (CR8R9)q-phenyl, and (CR8R9)q- heteroaryl; each of R8 and R9 is independently H or (Ci-C4)alkyl; each occurrence of Ra, Rb, and Rc is independently hydrogen, alkyl, alkenyl, alkynyl, cycloalkyl, cycloalkenyl, heterocycle, or aryl, or said Rb and Rc together with the N to which they are bonded optionally form a heterocycle; and each q is independently 0, 1, 2, 3, or 4.
34. The compound of any one of claims 1-33, wherein:
R5 is phenyl or heteroaryl substituted with one to four substituents selected from hydrogen, halogen, cyano, nitro, CF3, OCF3, (Ci-C4)alkyl, (C3-Cy)cycloalkyl, 3-10 membered monocyclic or bicyclic heterocycle containing at least one heteroatom selected from N, O and S, phenyl, naphthyl, (CH2)q-OH, (CH2)q-0-(Ci-C4)alkyl, (CH2)q-NRbRc, (CH2)q-(C3- Cy)cycloalkyl, , (CH2)q-phenyl, and (CH2)q-heteroaryl; each occurrence of Rb, and Rc is independently hydrogen, (Ci-C4)alkyl, (C3-Cy)cycloalkyl, 3- 10 membered monocyclic or bicyclic heterocycle containing at least one heteroatom selected from N, O and S, or aryl, or said Rb and Rc together with the N to which they are bonded optionally form a heterocycle; and each q is independently 0, 1, 2, 3, or 4.
35. The compound of any one of claims 2-34, wherein: each R6 is independently hydrogen, halogen, cyano, nitro, CF3, OCF3, (Ci-C4)alkyl, (C2- C6)alkenyl, (C2-C6)alkynyl, (C3-Cy)cycloalkyl, (C3-Cy)cycloalkenyl, 3-10 membered monocyclic or bicyclic heterocycle containing at least one heteroatom selected from N, O and S, phenyl, naphthyl, ORa, SRa, S(=0)Ra, S(=0)2Ra, S(=0)2ORa, NRbRc, C(=0)ORa, C(=0)Ra, C(=0)NRbRc, OC(=0)Ra, OC(=0)NRbRc, NRbC(=0)ORa, NRaC(=0)NRbRc, NRbC(=0)Ra, (CR8R9)q-OH, (Ci-C4)alkyl substituted with one or more halogen, (CR8R9)q-0-(Ci-C4)alkyl,
NRbRc, (CR8R9)q-cycloalkyl, (CR8R9)q-phenyl, or (CR8R9)q-heteroaryl; each of R8 and R9 is independently H or (Ci-C4)alkyl; each occurrence of Ra, Rb, and Rc is independently hydrogen, alkyl, alkenyl, alkynyl, cycloalkyl, cycloalkenyl, heterocycle, or aryl, or said Rb and Rc together with the N to which they are bonded optionally form a heterocycle; and each q is independently 0, 1, 2, 3, or 4.
36. The compound of any one of claims 2-35, wherein: each R6 is independently hydrogen, halogen, cyano, nitro, CF3, OCF3, (Ci-C4)alkyl, (C3- Cy)cycloalkyl, 3-10 membered monocyclic or bicyclic heterocycle containing at least one heteroatom selected from N, O and S, phenyl, naphthyl, (CH2)q-OH, (CH2)q-0-(Ci-C4)alkyl, (CH2)q-(C=0)0-(CrC4)alkyl, (CH2)q-(C=0)0-aryl, (CH2)q-(C=0)OH, (CH2)q-NRbRc,
(CH2)q-(C3-C7)cycloalkyl or (CH2)q-substituted (C3-C7)cycloalkyl, (CH2)q-phenyl, or (CH2)q- heteroaryl; each occurrence of Rb, and Rc is independently hydrogen, (Ci-C4)alkyl, (C3-C7)cycloalkyl, 3- 10 membered monocyclic or bicyclic heterocycle containing at least one heteroatom selected from N, O and S, or aryl, or said Rb and Rc together with the N to which they are bonded optionally form a heterocycle; and each q is independently 0, 1, 2, 3, or 4.
37. The compound of any one of claims 2-36, wherein: each occurrence of Rb, and Rc is independently hydrogen or (Ci-C4)alkyl, or said Rb and Rc together with the N to which they are bonded optionally form a 3-8 membered heterocycle.
38. The compound of claim 1 selected from Examples 1 through 52.
39. A pharmaceutical composition comprising at least one compound according to any one of claims 1-38 and a pharmaceutically-acceptable carrier or diluent.
40. A method for treating or preventing a viral infection in a mammalian species in need thereof, the method comprising administering to the mammalian species a therapeutically effective amount of at least one compound according to any one of claims 1-38.
41. A method for treating or preventing HIV infection in a mammalian species in need thereof, the method comprising administering to the mammalian species a therapeutically effective amount of at least one compound according to any one of claims 1-38.
Applications Claiming Priority (4)
| Application Number | Priority Date | Filing Date | Title |
|---|---|---|---|
| CN201110190069.1A CN102863512B (en) | 2011-07-07 | 2011-07-07 | Antiviral compound |
| CN201110190069.1 | 2011-07-07 | ||
| US201161507309P | 2011-07-13 | 2011-07-13 | |
| US61/507,309 | 2011-07-13 |
Publications (1)
| Publication Number | Publication Date |
|---|---|
| WO2013006792A1 true WO2013006792A1 (en) | 2013-01-10 |
Family
ID=47437468
Family Applications (1)
| Application Number | Title | Priority Date | Filing Date |
|---|---|---|---|
| PCT/US2012/045761 Ceased WO2013006792A1 (en) | 2011-07-07 | 2012-07-06 | Antiviral compounds |
Country Status (2)
| Country | Link |
|---|---|
| CN (1) | CN102863512B (en) |
| WO (1) | WO2013006792A1 (en) |
Cited By (146)
| Publication number | Priority date | Publication date | Assignee | Title |
|---|---|---|---|---|
| WO2014110297A1 (en) | 2013-01-09 | 2014-07-17 | Gilead Sciences, Inc. | (hetero) arylacetamide derivatives as antiretroviral agents |
| WO2014110296A1 (en) | 2013-01-09 | 2014-07-17 | Gilead Sciences, Inc. | Therapeutic compounds for the treatment of viral infections |
| WO2014110298A1 (en) | 2013-01-09 | 2014-07-17 | Gilead Sciences, Inc. | 5-membered heteroaryls and their use as antiviral agents |
| WO2014134566A2 (en) | 2013-03-01 | 2014-09-04 | Gilead Sciences, Inc. | Therapeutic compounds |
| WO2015006731A1 (en) | 2013-07-12 | 2015-01-15 | Gilead Sciences, Inc. | Polycyclic-carbamoylpyridone compounds and their use for the treatment of hiv infections |
| WO2015006733A1 (en) | 2013-07-12 | 2015-01-15 | Gilead Sciences, Inc. | Polycyclic-carbamoylpyridone compounds and their use for the treatment of hiv infections |
| WO2016036759A1 (en) | 2014-09-04 | 2016-03-10 | Gilead Sciences, Inc. | Methods of treating or preventing hiv in patients using a combination of tenofovir alafenamide and dolutegravir |
| WO2016105564A1 (en) | 2014-12-24 | 2016-06-30 | Gilead Sciences, Inc. | Quinazoline derivatives used to treat hiv |
| WO2016105532A1 (en) | 2014-12-24 | 2016-06-30 | Gilead Sciences, Inc. | Fused pyrimidine compounds for the treatment of hiv |
| WO2016105534A1 (en) | 2014-12-24 | 2016-06-30 | Gilead Sciences, Inc. | Isoquinoline compounds for the treatment of hiv |
| WO2016106237A1 (en) | 2014-12-23 | 2016-06-30 | Gilead Sciences, Inc. | Polycyclic-carbamoylpyridone compounds and their pharmaceutical use |
| WO2016141092A1 (en) | 2015-03-04 | 2016-09-09 | Gilead Sciences, Inc. | Toll-like receptor modulating 4,6-diamino-pyrido[3,2-d]pyrimidine compounds |
| WO2016161382A1 (en) | 2015-04-02 | 2016-10-06 | Gilead Sciences, Inc. | Polycyclic-carbamoylpyridone compounds and their pharmaceutical use |
| WO2017035230A1 (en) | 2015-08-26 | 2017-03-02 | Gilead Sciences, Inc. | Deuterated toll-like receptor modulators |
| WO2017059120A1 (en) | 2015-09-30 | 2017-04-06 | Gilead Sciences, Inc. | Compounds and combinations for the treatment of hiv |
| WO2017106346A2 (en) | 2015-12-15 | 2017-06-22 | Gilead Sciences, Inc. | Human immunodeficiency virus neutralizing antibodies |
| WO2018035359A1 (en) | 2016-08-19 | 2018-02-22 | Gilead Sciences, Inc. | Therapeutic compounds useful for the prophylactic or therapeutic treatment of an hiv virus infection |
| WO2018045144A1 (en) | 2016-09-02 | 2018-03-08 | Gilead Sciences, Inc. | Toll like receptor modulator compounds |
| WO2018042332A1 (en) | 2016-08-31 | 2018-03-08 | Glaxosmithkline Intellectual Property (No.2) Limited | Combinations and uses and treatments thereof |
| WO2018045150A1 (en) | 2016-09-02 | 2018-03-08 | Gilead Sciences, Inc. | 4,6-diamino-pyrido[3,2-d]pyrimidine derivaties as toll like receptor modulators |
| WO2018042331A1 (en) | 2016-08-31 | 2018-03-08 | Glaxosmithkline Intellectual Property (No.2) Limited | Combinations and uses and treatments thereof |
| WO2018051250A1 (en) | 2016-09-14 | 2018-03-22 | Viiv Healthcare Company | Combination comprising tenofovir alafenamide, bictegravir and 3tc |
| WO2018064080A1 (en) | 2016-09-28 | 2018-04-05 | Gilead Sciences, Inc. | Benzothiazol-6-yl acetic acid derivatives and their use for treating hiv infection |
| WO2018081292A1 (en) | 2016-10-27 | 2018-05-03 | Gilead Sciences, Inc. | Crystalline forms of darunavir free base, hydrate, solvates and salts |
| EP3321270A1 (en) | 2014-06-20 | 2018-05-16 | Gilead Sciences, Inc. | Sodium (2r, 5s, 13ar) -7, 9-dioxo-10- ( (2,4,6-trifluorobenzyl) carbamoyl) -2, 3, 4, 5, 7, 9, 13, 13a-octahydro-2, 5-methanopyrido [1',2' : 4.5] pyrazino [2, 1-b] oxazepin-8-olate |
| WO2018127801A1 (en) | 2017-01-03 | 2018-07-12 | VIIV Healthcare UK (No.5) Limited | Pyridin-3-yl acetic acid derivatives as inhibitors of human immunodeficiency virus replication |
| WO2018127800A1 (en) | 2017-01-03 | 2018-07-12 | VIIV Healthcare UK (No.5) Limited | Pyridin-3-yl acetic acid derivatives as inhibitors of human immunodeficiency virus replication |
| WO2018144390A1 (en) | 2017-01-31 | 2018-08-09 | Gilead Sciences, Inc. | Crystalline forms of tenofovir alafenamide |
| WO2018145021A1 (en) | 2017-02-06 | 2018-08-09 | Gilead Sciences, Inc. | Atazanavir (atv) analogues for treating hiv infections |
| WO2018203235A1 (en) | 2017-05-02 | 2018-11-08 | VIIV Healthcare UK (No.5) Limited | Inhibitors of human immunodeficiency virus replication |
| WO2018237148A1 (en) | 2017-06-21 | 2018-12-27 | Gilead Sciences, Inc. | Multispecific antibodies that target hiv gp120 and cd3 |
| WO2019003150A2 (en) | 2017-06-30 | 2019-01-03 | Viiv Healthcare Company | Combination and uses and treatments thereof |
| WO2019027920A1 (en) | 2017-08-01 | 2019-02-07 | Gilead Sciences, Inc. | Crystalline forms of ethyl ((s)-((((2r,5r)-5-(6-amino-9h-purin-9-yl)-4-fluoro-2,5-dihydrofuran-2-yl)oxy)methyl)(phenoxy)phosphoryl)-l-alaninate (gs-9131) for treating viral infections |
| US10202353B2 (en) | 2014-02-28 | 2019-02-12 | Gilead Sciences, Inc. | Therapeutic compounds |
| WO2019035904A1 (en) | 2017-08-17 | 2019-02-21 | Gilead Sciences, Inc. | Solid forms of an hiv capsid inhibitor |
| WO2019035973A1 (en) | 2017-08-17 | 2019-02-21 | Gilead Sciences, Inc | Choline salt forms of an hiv capsid inhibitor |
| WO2019040102A1 (en) | 2017-08-22 | 2019-02-28 | Gilead Sciences, Inc. | Therapeutic heterocyclic compounds |
| WO2019057946A1 (en) | 2017-09-25 | 2019-03-28 | F. Hoffmann-La Roche Ag | Multi-cyclic aromatic compounds as factor d inhibitors |
| WO2019075291A1 (en) | 2017-10-13 | 2019-04-18 | Gilead Sciences, Inc. | 1-benzyl-2-imino-4-phenyl-5-oxoimidazolidine derivatives as hiv protease inhibitors |
| WO2019084020A1 (en) | 2017-10-24 | 2019-05-02 | Gilead Sciences, Inc. | Methods of treating patients co-infected with a virus and tuberculosis |
| CN109824756A (en) * | 2019-03-19 | 2019-05-31 | 山东大学 | Phenylalanine derivatives containing 4-(phenylsulfonyl)piperazin-2-one and preparation method and application thereof |
| WO2019144015A1 (en) | 2018-01-19 | 2019-07-25 | Gilead Sciences, Inc. | Metabolites of bictegravir |
| US10370358B2 (en) | 2011-07-06 | 2019-08-06 | Gilead Sciences, Inc. | Compounds for the treatment of HIV |
| WO2019161017A1 (en) | 2018-02-15 | 2019-08-22 | Gilead Sciences, Inc. | Pyridine derivatives and their use for treating hiv infection |
| WO2019193543A1 (en) | 2018-04-06 | 2019-10-10 | Institute Of Organic Chemistry And Biochemistry Ascr, V.V.I. | 3'3'-cyclic dinucleotides |
| WO2019193542A1 (en) | 2018-04-06 | 2019-10-10 | Institute Of Organic Chemistry And Biochemistry Ascr, V.V.I. | 2'3'-cyclic dinucleotides |
| WO2019193533A1 (en) | 2018-04-06 | 2019-10-10 | Institute Of Organic Chemistry And Biochemistry Ascr, V.V.I. | 2'2'-cyclic dinucleotides |
| WO2019198024A1 (en) | 2018-04-11 | 2019-10-17 | VIIV Healthcare UK (No.5) Limited | 4-oxo-3,4-dihydroquinazoline compounds as inhibitors of human immunodeficiency virus replication |
| EP3564244A1 (en) | 2014-06-20 | 2019-11-06 | Gilead Sciences, Inc. | Crystalline forms of (2r,5s,13ar)-8-hydroxy-7,9-dioxo-n-(2,4,6-trifluorobenzyl)-2,3,4,5,7,9,13,13a-octahydro-2,5-methanopyrido [1',2':4,5]pyrazino [2,1-b][1,3]oxazepine-10-carboxamide |
| WO2019211799A1 (en) | 2018-05-03 | 2019-11-07 | Institute Of Organic Chemistry And Biochemistry Ascr, V.V.I. | 2'3'-cyclic dinucleotide analogue comprising a cyclopentanyl modified nucleotide |
| WO2019244066A2 (en) | 2018-06-19 | 2019-12-26 | VIIV Healthcare UK (No.5) Limited | Pyridin-3-yl acetic acid derivatives as inhibitors of human immunodeficiency virus replication |
| WO2020003093A1 (en) | 2018-06-25 | 2020-01-02 | VIIV Healthcare UK (No.5) Limited | Pyridin-3-yl acetic acid derivatives as inhibitors of human immunodeficiency virus replication |
| WO2020010223A1 (en) | 2018-07-06 | 2020-01-09 | Gilead Sciences, Inc. | Therapeutic heterocyclic compounds |
| WO2020010107A1 (en) | 2018-07-03 | 2020-01-09 | Gilead Sciences, Inc. | Antibodies that target hiv gp120 and methods of use |
| WO2020010200A1 (en) | 2018-07-06 | 2020-01-09 | Gilead Sciences, Inc. | Therapeutic heterocyclic compounds |
| WO2020018459A1 (en) | 2018-07-16 | 2020-01-23 | Gilead Sciences, Inc. | Capsid inhibitors for the treatment of hiv |
| WO2020028272A1 (en) | 2018-07-30 | 2020-02-06 | Gilead Sciences, Inc. | Anti-hiv compounds |
| WO2020031112A1 (en) | 2018-08-09 | 2020-02-13 | VIIV Healthcare UK (No.5) Limited | Inhibitors of human immunodeficiency virus replication |
| WO2020053811A1 (en) | 2018-09-14 | 2020-03-19 | VIIV Healthcare UK (No.5) Limited | Inhibitors of human immunodeficiency virus replication |
| WO2020061163A1 (en) | 2018-09-19 | 2020-03-26 | Gilead Sciences, Inc. | Integrase inhibitors for the prevention of hiv |
| WO2020058844A1 (en) | 2018-09-20 | 2020-03-26 | VIIV Healthcare UK (No.5) Limited | Inhibitors of human immunodeficiency virus replication |
| WO2020072656A1 (en) | 2018-10-03 | 2020-04-09 | Gilead Sciences, Inc. | Imidozopyrimidine derivatives |
| US10633375B2 (en) | 2016-08-31 | 2020-04-28 | Jinagsu Hengrui Medicine Co., Ltd | Oxopicolinamide derivative, preparation method therefor and pharmaceutical use thereof |
| WO2020084492A1 (en) | 2018-10-24 | 2020-04-30 | VIIV Healthcare UK (No.5) Limited | Inhibitors of human immunodeficiency virus replication |
| WO2020084480A1 (en) | 2018-10-25 | 2020-04-30 | VIIV Healthcare UK (No.5) Limited | Inhibitors of human immunodeficiency virus replication |
| WO2020084491A1 (en) | 2018-10-24 | 2020-04-30 | VIIV Healthcare UK (No.5) Limited | Inhibitors of human immunodeficiency virus replication |
| WO2020089778A1 (en) | 2018-10-29 | 2020-05-07 | VIIV Healthcare UK (No.5) Limited | Quinazolinyl-indazole derivatives and their use as inhibitors of human immunodeficiency virus replication |
| WO2020092528A1 (en) | 2018-10-31 | 2020-05-07 | Gilead Sciences, Inc. | Substituted 6-azabenzimidazole compounds having hpk1 inhibitory activity |
| WO2020092621A1 (en) | 2018-10-31 | 2020-05-07 | Gilead Sciences, Inc. | Substituted 6-azabenzimidazole compounds as hpk1 inhibitors |
| WO2020095176A1 (en) | 2018-11-05 | 2020-05-14 | VIIV Healthcare UK (No.5) Limited | Inhibitors of human immunodeficiency virus replication |
| WO2020095177A1 (en) | 2018-11-05 | 2020-05-14 | VIIV Healthcare UK (No.5) Limited | Inhibitors of human immunodeficiency virus replication |
| US10696657B2 (en) | 2018-02-16 | 2020-06-30 | Gilead Sciences, Inc. | Methods and intermediates for preparing therapeutic compounds |
| WO2020157692A1 (en) | 2019-02-01 | 2020-08-06 | VIIV Healthcare UK (No.5) Limited | Inhibitors of human immunodeficiency virus replication |
| WO2020176510A1 (en) | 2019-02-25 | 2020-09-03 | Gilead Sciences, Inc. | Protein kinase c agonists |
| WO2020176505A1 (en) | 2019-02-25 | 2020-09-03 | Gilead Sciences, Inc. | Protein kinase c agonists |
| WO2020178770A1 (en) | 2019-03-07 | 2020-09-10 | Institute Of Organic Chemistry And Biochemistry Ascr, V.V.I. | 3'3'-cyclic dinucleotides and prodrugs thereof |
| WO2020178768A1 (en) | 2019-03-07 | 2020-09-10 | Institute Of Organic Chemistry And Biochemistry Ascr, V.V.I. | 3'3'-cyclic dinucleotide analogue comprising a cyclopentanyl modified nucleotide as sting modulator |
| WO2020178769A1 (en) | 2019-03-07 | 2020-09-10 | Institute Of Organic Chemistry And Biochemistry Ascr, V.V.I. | 2'3'-cyclic dinucleotides and prodrugs thereof |
| WO2020197991A1 (en) | 2019-03-22 | 2020-10-01 | Gilead Sciences, Inc. | Bridged tricyclic carbamoylpyridone compounds and their pharmaceutical use |
| WO2020214663A1 (en) | 2019-04-17 | 2020-10-22 | Gilead Sciences, Inc. | Solid forms of a toll-like receptor modulator |
| WO2020214652A1 (en) | 2019-04-17 | 2020-10-22 | Gilead Sciences, Inc. | Solid forms of a toll-like receptor modulator |
| WO2020214647A1 (en) | 2019-04-17 | 2020-10-22 | Gilead Sciences, Inc. | Solid forms of an hiv protease inhibitor |
| WO2020214716A1 (en) | 2019-04-17 | 2020-10-22 | Gilead Sciences, Inc. | 2-imino-5-oxo-imidazolidine inhibitors of hiv protease |
| WO2020222108A1 (en) | 2019-04-30 | 2020-11-05 | VIIV Healthcare UK (No.5) Limited | Inhibitors of human immunodeficiency virus replication |
| WO2020237025A1 (en) | 2019-05-23 | 2020-11-26 | Gilead Sciences, Inc. | Substituted exo-methylene-oxindoles which are hpk1/map4k1 inhibitors |
| WO2020236753A1 (en) | 2019-05-21 | 2020-11-26 | Gilead Sciences, Inc. | Methods of identifying hiv patients sensitive to therapy with gp120 v3 glycan-directed antibodies |
| WO2020246910A1 (en) | 2019-06-03 | 2020-12-10 | Александл Васильевич ИВАЩЕНКО | ANNELATED 9-HYDROXY-1,8-DIOXO-1,3,4,8-TETRAHYDRO-2Н-PYRIDO[1,2-α]PYRAZINE-7-CARBOXAMIDES AS HIV INTEGRASE INHIBITORS |
| WO2020254985A1 (en) | 2019-06-19 | 2020-12-24 | VIIV Healthcare UK (No.5) Limited | Pyrido[2,3-d]pyrimidine derivatives as inhibitors of human immunodeficiency virus replication |
| WO2020255038A1 (en) | 2019-06-18 | 2020-12-24 | Janssen Sciences Ireland Unlimited Company | Combination of hepatitis b virus (hbv) vaccines and pyridopyrimidine derivatives |
| WO2020263830A1 (en) | 2019-06-25 | 2020-12-30 | Gilead Sciences, Inc. | Flt3l-fc fusion proteins and methods of use |
| WO2021011891A1 (en) | 2019-07-18 | 2021-01-21 | Gilead Sciences, Inc. | Long-acting formulations of tenofovir alafenamide |
| WO2021011544A1 (en) | 2019-07-16 | 2021-01-21 | Gilead Sciences, Inc. | Hiv vaccines and methods of making and using |
| WO2021034804A1 (en) | 2019-08-19 | 2021-02-25 | Gilead Sciences, Inc. | Pharmaceutical formulations of tenofovir alafenamide |
| US10966999B2 (en) | 2017-12-20 | 2021-04-06 | Institute Of Organic Chemistry And Biochemistry Ascr, V.V.I. | 3′3′ cyclic dinucleotides with phosphonate bond activating the sting adaptor protein |
| WO2021064571A1 (en) | 2019-10-01 | 2021-04-08 | VIIV Healthcare UK (No.5) Limited | N-substituted-4-oxo-3,4-dihydropyrido[2,3-d]pyrimidin-2-yl derivatives as inhibitors of the human immunodeficiency virus replication |
| WO2021064677A1 (en) | 2019-10-04 | 2021-04-08 | VIIV Healthcare UK (No.5) Limited | Inhibitors of human immunodeficiency virus replication |
| WO2021064570A1 (en) | 2019-10-01 | 2021-04-08 | VIIV Healthcare UK (No.5) Limited | N-substututed-6-oxo-1,6-dihydropyrimidine-2-yl derivatives as inhibitors of the human immunodeficiency virus replication |
| WO2021070054A1 (en) | 2019-10-08 | 2021-04-15 | VIIV Healthcare UK (No.5) Limited | Inhibitors of human immunodeficiency virus replication |
| WO2021108544A1 (en) | 2019-11-26 | 2021-06-03 | Gilead Sciences, Inc. | Capsid inhibitors for the prevention of hiv |
| WO2021130638A1 (en) | 2019-12-24 | 2021-07-01 | Carna Biosciences, Inc. | Diacylglycerol kinase modulating compounds |
| WO2021173522A1 (en) | 2020-02-24 | 2021-09-02 | Gilead Sciences, Inc. | Tetracyclic compounds for treating hiv infection |
| WO2021176367A1 (en) | 2020-03-06 | 2021-09-10 | VIIV Healthcare UK (No.5) Limited | Inhibitors of human immunodeficiency virus replication |
| WO2021176366A1 (en) | 2020-03-06 | 2021-09-10 | VIIV Healthcare UK (No.5) Limited | Inhibitors of human immunodeficiency virus replication |
| WO2021188959A1 (en) | 2020-03-20 | 2021-09-23 | Gilead Sciences, Inc. | Prodrugs of 4'-c-substituted-2-halo-2'-deoxyadenosine nucleosides and methods of making and using the same |
| WO2021209900A1 (en) | 2020-04-15 | 2021-10-21 | VIIV Healthcare UK (No.5) Limited | Inhibitors of human immunodeficiency virus replication |
| WO2021236944A1 (en) | 2020-05-21 | 2021-11-25 | Gilead Sciences, Inc. | Pharmaceutical compositions comprising bictegravir |
| US11203610B2 (en) | 2017-12-20 | 2021-12-21 | Institute Of Organic Chemistry And Biochemistry Ascr, V.V.I. | 2′3′ cyclic dinucleotides with phosphonate bond activating the sting adaptor protein |
| WO2021262990A1 (en) | 2020-06-25 | 2021-12-30 | Gilead Sciences, Inc. | Capsid inhibitors for the treatment of hiv |
| WO2022031894A1 (en) | 2020-08-07 | 2022-02-10 | Gilead Sciences, Inc. | Prodrugs of phosphonamide nucleotide analogues and their pharmaceutical use |
| WO2022072520A1 (en) | 2020-09-30 | 2022-04-07 | Gilead Sciences, Inc. | Bridged tricyclic carbamoylpyridone compounds and uses thereof |
| WO2022087149A2 (en) | 2020-10-22 | 2022-04-28 | Gilead Sciences, Inc. | Interleukin-2-fc fusion proteins and methods of use |
| WO2022103758A1 (en) | 2020-11-11 | 2022-05-19 | Gilead Sciences, Inc. | METHODS OF IDENTIFYING HIV PATIENTS SENSITIVE TO THERAPY WITH gp120 CD4 BINDING SITE-DIRECTED ANTIBODIES |
| WO2022159387A1 (en) | 2021-01-19 | 2022-07-28 | Gilead Sciences, Inc. | Substituted pyridotriazine compounds and uses thereof |
| WO2022245671A1 (en) | 2021-05-18 | 2022-11-24 | Gilead Sciences, Inc. | Methods of using flt3l-fc fusion proteins |
| WO2022271677A1 (en) | 2021-06-23 | 2022-12-29 | Gilead Sciences, Inc. | Diacylglyercol kinase modulating compounds |
| WO2022271659A1 (en) | 2021-06-23 | 2022-12-29 | Gilead Sciences, Inc. | Diacylglyercol kinase modulating compounds |
| WO2022271650A1 (en) | 2021-06-23 | 2022-12-29 | Gilead Sciences, Inc. | Diacylglyercol kinase modulating compounds |
| WO2022271684A1 (en) | 2021-06-23 | 2022-12-29 | Gilead Sciences, Inc. | Diacylglyercol kinase modulating compounds |
| US11548901B2 (en) | 2012-12-21 | 2023-01-10 | Gilead Sciences, Inc. | Substituted 1,4-methanopyrido[1′,2′:4,5]pyrazino[1,2-a]pyrimidines for treating viral infections |
| WO2023102523A1 (en) | 2021-12-03 | 2023-06-08 | Gilead Sciences, Inc. | Therapeutic compounds for hiv virus infection |
| WO2023102239A1 (en) | 2021-12-03 | 2023-06-08 | Gilead Sciences, Inc. | Therapeutic compounds for hiv virus infection |
| WO2023102529A1 (en) | 2021-12-03 | 2023-06-08 | Gilead Sciences, Inc. | Therapeutic compounds for hiv virus infection |
| WO2023196875A1 (en) | 2022-04-06 | 2023-10-12 | Gilead Sciences, Inc. | Bridged tricyclic carbamoylpyridone compounds and uses thereof |
| WO2024006982A1 (en) | 2022-07-01 | 2024-01-04 | Gilead Sciences, Inc. | Therapeutic compounds useful for the prophylactic or therapeutic treatment of an hiv virus infection |
| WO2024015741A1 (en) | 2022-07-12 | 2024-01-18 | Gilead Sciences, Inc. | Hiv immunogenic polypeptides and vaccines and uses thereof |
| WO2024044477A1 (en) | 2022-08-26 | 2024-02-29 | Gilead Sciences, Inc. | Dosing and scheduling regimen for broadly neutralizing antibodies |
| WO2024076915A1 (en) | 2022-10-04 | 2024-04-11 | Gilead Sciences, Inc. | 4'-thionucleoside analogues and their pharmaceutical use |
| US12030879B2 (en) | 2018-03-02 | 2024-07-09 | Inflazome Limited | Sulfonyl acetamides as NLRP3 inhibitors |
| WO2024220624A1 (en) | 2023-04-19 | 2024-10-24 | Gilead Sciences, Inc. | Dosing regimen of capsid inhibitor |
| WO2024249517A1 (en) | 2023-05-31 | 2024-12-05 | Gilead Sciences, Inc. | Anti-hiv compounds |
| WO2024249573A1 (en) | 2023-05-31 | 2024-12-05 | Gilead Sciences, Inc. | Solid forms of compounds useful in the treatment of hiv |
| WO2024249592A1 (en) | 2023-05-31 | 2024-12-05 | Gilead Sciences, Inc. | Quinazolinyl-indazole derivatives as therapeutic compounds for hiv |
| WO2024257009A1 (en) | 2023-06-15 | 2024-12-19 | VIIV Healthcare UK (No.5) Limited | Methods and intermediates for preparing compounds |
| WO2025029247A1 (en) | 2023-07-28 | 2025-02-06 | Gilead Sciences, Inc. | Weekly regimen of lenacapavir for the treatment and prevention of hiv |
| WO2025042394A1 (en) | 2023-08-23 | 2025-02-27 | Gilead Sciences, Inc. | Dosing regimen of hiv capsid inhibitor |
| WO2025076542A1 (en) | 2023-10-05 | 2025-04-10 | Jones R Brad | Atovaquone as an ros inducer for use in the elimination of hiv-infected t-cells |
| WO2025080879A1 (en) | 2023-10-11 | 2025-04-17 | Gilead Sciences, Inc. | Bridged tricyclic carbamoylpyridone compounds and uses thereof |
| WO2025080850A1 (en) | 2023-10-11 | 2025-04-17 | Gilead Sciences, Inc. | Bridged tricyclic carbamoylpyridone compounds and uses thereof |
| WO2025080863A1 (en) | 2023-10-11 | 2025-04-17 | Gilead Sciences, Inc. | Bridged tricyclic carbamoylpyridone compounds and uses thereof |
| WO2025137245A1 (en) | 2023-12-22 | 2025-06-26 | Gilead Sciences, Inc. | Solid forms of hiv integrase inhibitors |
| WO2025169059A1 (en) | 2024-02-05 | 2025-08-14 | VIIV Healthcare UK (No.5) Limited | Inhibitors of human immunodeficiency virus replication |
| WO2025184609A1 (en) | 2024-03-01 | 2025-09-04 | Gilead Sciences, Inc. | Antiviral compounds |
| WO2025184447A1 (en) | 2024-03-01 | 2025-09-04 | Gilead Sciences, Inc. | Pharmaceutical compositions comprising hiv integrase inhibitors |
| WO2025184452A1 (en) | 2024-03-01 | 2025-09-04 | Gilead Sciences, Inc. | Solid forms of hiv integrase inhibitors |
| WO2025212814A1 (en) | 2024-04-03 | 2025-10-09 | Gilead Sciences, Inc. | Anti-hiv compounds |
| WO2025260028A1 (en) | 2024-06-14 | 2025-12-18 | Gilead Sciences, Inc. | Pharmaceutical compositions comprising hiv integrase inhibitors |
Family Cites Families (1)
| Publication number | Priority date | Publication date | Assignee | Title |
|---|---|---|---|---|
| TWI429436B (en) * | 2007-04-10 | 2014-03-11 | Helsinn Therapeutics Us Inc | Methods of treating or preventing emesis using growth hormone secretagogues |
-
2011
- 2011-07-07 CN CN201110190069.1A patent/CN102863512B/en active Active
-
2012
- 2012-07-06 WO PCT/US2012/045761 patent/WO2013006792A1/en not_active Ceased
Non-Patent Citations (2)
| Title |
|---|
| PORNILLOS ET AL.: "X-ray Structures of the Hexameric Building Block of the HIV Capsid", CELL, vol. 137, 2009, pages 1282 - 1292 * |
| SHI ET AL.: "Small-Molecule Inhibition of Human Immunodeficiency Virus Type 1 Infection by Virus Capsid Destabilization", JOURNAL OF VIROLOGY, vol. 85, January 2011 (2011-01-01), pages 542 - 549 * |
Cited By (251)
| Publication number | Priority date | Publication date | Assignee | Title |
|---|---|---|---|---|
| US10370358B2 (en) | 2011-07-06 | 2019-08-06 | Gilead Sciences, Inc. | Compounds for the treatment of HIV |
| US11034668B2 (en) | 2011-07-06 | 2021-06-15 | Gilead Sciences, Inc. | Compounds for the treatment of HIV |
| US11548901B2 (en) | 2012-12-21 | 2023-01-10 | Gilead Sciences, Inc. | Substituted 1,4-methanopyrido[1′,2′:4,5]pyrazino[1,2-a]pyrimidines for treating viral infections |
| WO2014110296A1 (en) | 2013-01-09 | 2014-07-17 | Gilead Sciences, Inc. | Therapeutic compounds for the treatment of viral infections |
| WO2014110298A1 (en) | 2013-01-09 | 2014-07-17 | Gilead Sciences, Inc. | 5-membered heteroaryls and their use as antiviral agents |
| US9789089B2 (en) | 2013-01-09 | 2017-10-17 | Gilead Sciences, Inc. | Therapeutic compounds |
| WO2014110297A1 (en) | 2013-01-09 | 2014-07-17 | Gilead Sciences, Inc. | (hetero) arylacetamide derivatives as antiretroviral agents |
| US9012441B2 (en) | 2013-01-09 | 2015-04-21 | Gilead Sciences, Inc. | Therapeutic compounds |
| US9050344B2 (en) | 2013-01-09 | 2015-06-09 | Gilead Sciences, Inc. | Therapeutic compounds |
| US9220710B2 (en) | 2013-01-09 | 2015-12-29 | Gilead Sciences, Inc. | Therapeutic compounds |
| EP3954679A3 (en) * | 2013-03-01 | 2022-04-20 | Gilead Sciences, Inc. | Amide compounds for the treatment of hiv infections |
| JP2016510038A (en) * | 2013-03-01 | 2016-04-04 | ギリアード サイエンシーズ, インコーポレイテッド | Amide compounds for the treatment of HIV |
| JP2022009742A (en) * | 2013-03-01 | 2022-01-14 | ギリアード サイエンシーズ, インコーポレイテッド | Amide compound for treatment of hiv |
| EP3409667A1 (en) | 2013-03-01 | 2018-12-05 | Gilead Sciences, Inc. | Amide compounds for the treatment of hiv infections |
| EP3954679A2 (en) | 2013-03-01 | 2022-02-16 | Gilead Sciences, Inc. | Amide compounds for the treatment of hiv infections |
| US9951043B2 (en) | 2013-03-01 | 2018-04-24 | Gilead Sciences, Inc. | Therapeutic compounds |
| WO2014134566A3 (en) * | 2013-03-01 | 2014-12-24 | Gilead Sciences, Inc. | Amide compounds for the treatment of hiv |
| EA035127B1 (en) * | 2013-03-01 | 2020-04-30 | Джилид Сайэнс, Инк. | Therapeutic compounds for treating an hiv infection |
| WO2014134566A2 (en) | 2013-03-01 | 2014-09-04 | Gilead Sciences, Inc. | Therapeutic compounds |
| JP2018141018A (en) * | 2013-03-01 | 2018-09-13 | ギリアード サイエンシーズ, インコーポレイテッド | Amide compounds for the treatment of HIV |
| US9458159B2 (en) | 2013-07-12 | 2016-10-04 | Gilead Sciences, Inc. | Substituted pyrido[1′,2′:4,5]pyrazino[1,2-a]azepines for treating viral infections |
| US11213523B2 (en) | 2013-07-12 | 2022-01-04 | Gilead Sciences, Inc. | Substituted pyrido[1,2-a]pyrrolo[1,2-d]pyrazines for treating viral infections |
| WO2015006731A1 (en) | 2013-07-12 | 2015-01-15 | Gilead Sciences, Inc. | Polycyclic-carbamoylpyridone compounds and their use for the treatment of hiv infections |
| WO2015006733A1 (en) | 2013-07-12 | 2015-01-15 | Gilead Sciences, Inc. | Polycyclic-carbamoylpyridone compounds and their use for the treatment of hiv infections |
| US10668064B2 (en) | 2013-07-12 | 2020-06-02 | Gilead Sciences, Inc. | Polycyclic-carbamoylpyridone compounds and their pharmaceutical use |
| US10456395B2 (en) | 2013-07-12 | 2019-10-29 | Gilead Sciences, Inc. | Substituted dipyrido[1,2-a:1′,2′-d]pyrazines for treating viral infections |
| US11883397B2 (en) | 2013-07-12 | 2024-01-30 | Gilead Sciences, Inc. | Substituted pyrido[1,2-a]pyrrolo[1,2-d]pyrazines for treating viral infections |
| EP3252053A1 (en) | 2013-07-12 | 2017-12-06 | Gilead Sciences, Inc. | Polycyclic-carbamoylpyridone compounds and their use for the treatment of hiv infections |
| EP3252058A1 (en) | 2013-07-12 | 2017-12-06 | Gilead Sciences, Inc. | Polycyclic-carbamoylpyridone compounds and their use for the treatment of hiv infections |
| US12521388B2 (en) | 2013-07-12 | 2026-01-13 | Gilead Sciences, Inc. | Substituted dipyrido[1,2-a:1′,2′-d]pyrazines for treating viral infections |
| US9421214B2 (en) | 2013-07-12 | 2016-08-23 | Gilead Sciences, Inc. | Polycyclic-carbamoylpyridone compounds and their pharmaceutical use |
| US10202353B2 (en) | 2014-02-28 | 2019-02-12 | Gilead Sciences, Inc. | Therapeutic compounds |
| EP3321270A1 (en) | 2014-06-20 | 2018-05-16 | Gilead Sciences, Inc. | Sodium (2r, 5s, 13ar) -7, 9-dioxo-10- ( (2,4,6-trifluorobenzyl) carbamoyl) -2, 3, 4, 5, 7, 9, 13, 13a-octahydro-2, 5-methanopyrido [1',2' : 4.5] pyrazino [2, 1-b] oxazepin-8-olate |
| EP4309736A2 (en) | 2014-06-20 | 2024-01-24 | Gilead Sciences, Inc. | Crystalline forms of (2r,5s,13ar)-8-hydroxy-7,9-dioxo-n-(2,4,6-trifluorobenzyl)-2,3,4,5,7,9,13,13a-octahydro-2,5-methanopyrido [1',2':4,5]pyrazino [2,1-b][1,3]oxazepine-10-carboxamide |
| EP3564244A1 (en) | 2014-06-20 | 2019-11-06 | Gilead Sciences, Inc. | Crystalline forms of (2r,5s,13ar)-8-hydroxy-7,9-dioxo-n-(2,4,6-trifluorobenzyl)-2,3,4,5,7,9,13,13a-octahydro-2,5-methanopyrido [1',2':4,5]pyrazino [2,1-b][1,3]oxazepine-10-carboxamide |
| WO2016036759A1 (en) | 2014-09-04 | 2016-03-10 | Gilead Sciences, Inc. | Methods of treating or preventing hiv in patients using a combination of tenofovir alafenamide and dolutegravir |
| WO2016106237A1 (en) | 2014-12-23 | 2016-06-30 | Gilead Sciences, Inc. | Polycyclic-carbamoylpyridone compounds and their pharmaceutical use |
| EP3388431A1 (en) | 2014-12-23 | 2018-10-17 | Gilead Sciences, Inc. | Polycyclic-carbamoylpyridone compounds and their pharmaceutical use |
| WO2016105564A1 (en) | 2014-12-24 | 2016-06-30 | Gilead Sciences, Inc. | Quinazoline derivatives used to treat hiv |
| US10548898B2 (en) | 2014-12-24 | 2020-02-04 | Gilead Sciences Inc. | Quinazoline compounds |
| US11304948B2 (en) | 2014-12-24 | 2022-04-19 | Gilead Sciences, Inc. | Quinazoline compounds |
| EP3960735A1 (en) | 2014-12-24 | 2022-03-02 | Gilead Sciences, Inc. | Quinazoline derivatives used to treat hiv |
| US10206926B2 (en) | 2014-12-24 | 2019-02-19 | Gilead Sciences, Inc. | Quinazoline compounds |
| EP3521282A1 (en) | 2014-12-24 | 2019-08-07 | Gilead Sciences, Inc. | Quinazoline derivatives used to treat hiv |
| US9730936B2 (en) | 2014-12-24 | 2017-08-15 | Gilead Sciences, Inc. | Quinazoline compounds |
| US9701677B2 (en) | 2014-12-24 | 2017-07-11 | Gilead Sciences, Inc. | Fused pyrimidine compounds |
| US9624195B2 (en) | 2014-12-24 | 2017-04-18 | Gilead Sciences, Inc. | Isoquinoline compounds |
| WO2016105534A1 (en) | 2014-12-24 | 2016-06-30 | Gilead Sciences, Inc. | Isoquinoline compounds for the treatment of hiv |
| WO2016105532A1 (en) | 2014-12-24 | 2016-06-30 | Gilead Sciences, Inc. | Fused pyrimidine compounds for the treatment of hiv |
| EP4302830A2 (en) | 2014-12-24 | 2024-01-10 | Gilead Sciences, Inc. | Quinazoline derivatives used to treat hiv |
| EP3321265A1 (en) | 2015-03-04 | 2018-05-16 | Gilead Sciences, Inc. | 4,6-diamino-pyrido[3,2-d]pyrimidine compounds and their utilisation as modulators of toll-like receptors |
| WO2016141092A1 (en) | 2015-03-04 | 2016-09-09 | Gilead Sciences, Inc. | Toll-like receptor modulating 4,6-diamino-pyrido[3,2-d]pyrimidine compounds |
| EP3722297A1 (en) | 2015-03-04 | 2020-10-14 | Gilead Sciences, Inc. | Toll-like receptor modulating 4,6-diamino-pyrido[3,2-d]pyrimidine compounds |
| WO2016161382A1 (en) | 2015-04-02 | 2016-10-06 | Gilead Sciences, Inc. | Polycyclic-carbamoylpyridone compounds and their pharmaceutical use |
| EP3736274A1 (en) | 2015-04-02 | 2020-11-11 | Gilead Sciences, Inc. | Polycyclic-carbamoylpyridone compounds and their pharmaceutical use |
| WO2017035230A1 (en) | 2015-08-26 | 2017-03-02 | Gilead Sciences, Inc. | Deuterated toll-like receptor modulators |
| WO2017059120A1 (en) | 2015-09-30 | 2017-04-06 | Gilead Sciences, Inc. | Compounds and combinations for the treatment of hiv |
| WO2017106346A2 (en) | 2015-12-15 | 2017-06-22 | Gilead Sciences, Inc. | Human immunodeficiency virus neutralizing antibodies |
| EP3992206A1 (en) | 2015-12-15 | 2022-05-04 | Gilead Sciences, Inc. | Human immunodeficiency virus neutralizing antibodies |
| US11993583B2 (en) | 2016-08-19 | 2024-05-28 | Gilead Sciences, Inc. | Therapeutic compounds |
| EP4265299A2 (en) | 2016-08-19 | 2023-10-25 | Gilead Sciences, Inc. | Therapeutic compounds useful for the prophylactic or therapeutic treatment of an hiv virus infection |
| US10071985B2 (en) | 2016-08-19 | 2018-09-11 | Gilead Sciences, Inc. | Therapeutic compounds |
| EP3597646A1 (en) | 2016-08-19 | 2020-01-22 | Gilead Sciences, Inc. | Therapeutic compounds useful for the prophylactic or therapeutic treatment of an hiv virus infection |
| US10654827B2 (en) | 2016-08-19 | 2020-05-19 | Gilead Sciences, Inc. | Therapeutic compounds |
| WO2018035359A1 (en) | 2016-08-19 | 2018-02-22 | Gilead Sciences, Inc. | Therapeutic compounds useful for the prophylactic or therapeutic treatment of an hiv virus infection |
| WO2018042331A1 (en) | 2016-08-31 | 2018-03-08 | Glaxosmithkline Intellectual Property (No.2) Limited | Combinations and uses and treatments thereof |
| WO2018042332A1 (en) | 2016-08-31 | 2018-03-08 | Glaxosmithkline Intellectual Property (No.2) Limited | Combinations and uses and treatments thereof |
| US11084808B2 (en) | 2016-08-31 | 2021-08-10 | Jiangsu Hengrui Medicine Co., Ltd. | Oxopicolinamide derivative, preparation method therefor and pharmaceutical use thereof |
| US10633375B2 (en) | 2016-08-31 | 2020-04-28 | Jinagsu Hengrui Medicine Co., Ltd | Oxopicolinamide derivative, preparation method therefor and pharmaceutical use thereof |
| WO2018045144A1 (en) | 2016-09-02 | 2018-03-08 | Gilead Sciences, Inc. | Toll like receptor modulator compounds |
| WO2018045150A1 (en) | 2016-09-02 | 2018-03-08 | Gilead Sciences, Inc. | 4,6-diamino-pyrido[3,2-d]pyrimidine derivaties as toll like receptor modulators |
| WO2018051250A1 (en) | 2016-09-14 | 2018-03-22 | Viiv Healthcare Company | Combination comprising tenofovir alafenamide, bictegravir and 3tc |
| WO2018064080A1 (en) | 2016-09-28 | 2018-04-05 | Gilead Sciences, Inc. | Benzothiazol-6-yl acetic acid derivatives and their use for treating hiv infection |
| WO2018081292A1 (en) | 2016-10-27 | 2018-05-03 | Gilead Sciences, Inc. | Crystalline forms of darunavir free base, hydrate, solvates and salts |
| WO2018127800A1 (en) | 2017-01-03 | 2018-07-12 | VIIV Healthcare UK (No.5) Limited | Pyridin-3-yl acetic acid derivatives as inhibitors of human immunodeficiency virus replication |
| WO2018127801A1 (en) | 2017-01-03 | 2018-07-12 | VIIV Healthcare UK (No.5) Limited | Pyridin-3-yl acetic acid derivatives as inhibitors of human immunodeficiency virus replication |
| WO2018144390A1 (en) | 2017-01-31 | 2018-08-09 | Gilead Sciences, Inc. | Crystalline forms of tenofovir alafenamide |
| EP4424374A2 (en) | 2017-01-31 | 2024-09-04 | Gilead Sciences, Inc. | Crystalline forms of tenofovir alafenamide |
| US11078208B1 (en) | 2017-02-06 | 2021-08-03 | Gilead Sciences, Inc. | HIV inhibitor compounds |
| WO2018145021A1 (en) | 2017-02-06 | 2018-08-09 | Gilead Sciences, Inc. | Atazanavir (atv) analogues for treating hiv infections |
| US12479853B2 (en) | 2017-02-06 | 2025-11-25 | Gilead Sciences, Inc. | HIV inhibitor compounds |
| US10752636B2 (en) | 2017-02-06 | 2020-08-25 | Gilead Sciences, Inc. | HIV inhibitor compounds |
| US12084455B2 (en) | 2017-02-06 | 2024-09-10 | Gilead Sciences, Inc. | HIV inhibitor compounds |
| EP3909949A1 (en) | 2017-02-06 | 2021-11-17 | Gilead Sciences, Inc. | Atazanavir (atv) analogues for treating hiv infections |
| WO2018203235A1 (en) | 2017-05-02 | 2018-11-08 | VIIV Healthcare UK (No.5) Limited | Inhibitors of human immunodeficiency virus replication |
| WO2018237148A1 (en) | 2017-06-21 | 2018-12-27 | Gilead Sciences, Inc. | Multispecific antibodies that target hiv gp120 and cd3 |
| WO2019003150A2 (en) | 2017-06-30 | 2019-01-03 | Viiv Healthcare Company | Combination and uses and treatments thereof |
| EP3960740A1 (en) | 2017-08-01 | 2022-03-02 | Gilead Sciences, Inc. | Crystalline forms of ethyl ((s)-((((2r,5r)-5-(6-amino-9h-purin-9-yl)-4-fluoro-2,5-dihydrofuran-2-yl)oxy)methyl)(phenoxy)phosphoryl)-l-alaninate (gs-9131) vanillate for treating viral infections |
| US10851125B2 (en) | 2017-08-01 | 2020-12-01 | Gilead Sciences, Inc. | Crystalline forms of ethyl ((S)-((((2R,5R)-5-(6-amino-9H-purin-9-yl)-4-fluoro-2,5-dihydrofuran-2-yl)oxy)methyl)(phenoxy)phosphoryl(-L-alaninate |
| WO2019027920A1 (en) | 2017-08-01 | 2019-02-07 | Gilead Sciences, Inc. | Crystalline forms of ethyl ((s)-((((2r,5r)-5-(6-amino-9h-purin-9-yl)-4-fluoro-2,5-dihydrofuran-2-yl)oxy)methyl)(phenoxy)phosphoryl)-l-alaninate (gs-9131) for treating viral infections |
| EP4382105A2 (en) | 2017-08-17 | 2024-06-12 | Gilead Sciences, Inc. | Choline salt forms of an hiv capsid inhibitor |
| US10849892B2 (en) | 2017-08-17 | 2020-12-01 | Gilead Sciences, Inc. | Choline salt forms of an HIV capsid inhibitor |
| US11833143B2 (en) | 2017-08-17 | 2023-12-05 | Gilead Sciences, Inc. | Choline salt forms of an HIV capsid inhibitor |
| US11267799B2 (en) | 2017-08-17 | 2022-03-08 | Gilead Sciences, Inc. | Solid forms of an HIV capsid inhibitor |
| US11266638B2 (en) | 2017-08-17 | 2022-03-08 | Gilead Sciences, Inc. | Choline salt forms of an HIV capsid inhibitor |
| WO2019035973A1 (en) | 2017-08-17 | 2019-02-21 | Gilead Sciences, Inc | Choline salt forms of an hiv capsid inhibitor |
| US12492189B2 (en) | 2017-08-17 | 2025-12-09 | Gilead Sciences, Inc. | Solid forms of an HIV capsid inhibitor |
| US11845739B2 (en) | 2017-08-17 | 2023-12-19 | Gilead Sciences, Inc. | Solid forms of an HIV capsid inhibitor |
| WO2019035904A1 (en) | 2017-08-17 | 2019-02-21 | Gilead Sciences, Inc. | Solid forms of an hiv capsid inhibitor |
| EP4046994A1 (en) | 2017-08-17 | 2022-08-24 | Gilead Sciences, Inc. | Choline salt forms of an hiv capsid inhibitor |
| EP4092020A1 (en) | 2017-08-17 | 2022-11-23 | Gilead Sciences, Inc. | Solid forms of an hiv capsid inhibitor |
| EP4458415A2 (en) | 2017-08-17 | 2024-11-06 | Gilead Sciences, Inc. | Solid forms of an hiv capsid inhibitor |
| WO2019040102A1 (en) | 2017-08-22 | 2019-02-28 | Gilead Sciences, Inc. | Therapeutic heterocyclic compounds |
| WO2019057946A1 (en) | 2017-09-25 | 2019-03-28 | F. Hoffmann-La Roche Ag | Multi-cyclic aromatic compounds as factor d inhibitors |
| WO2019075291A1 (en) | 2017-10-13 | 2019-04-18 | Gilead Sciences, Inc. | 1-benzyl-2-imino-4-phenyl-5-oxoimidazolidine derivatives as hiv protease inhibitors |
| WO2019084020A1 (en) | 2017-10-24 | 2019-05-02 | Gilead Sciences, Inc. | Methods of treating patients co-infected with a virus and tuberculosis |
| US10966999B2 (en) | 2017-12-20 | 2021-04-06 | Institute Of Organic Chemistry And Biochemistry Ascr, V.V.I. | 3′3′ cyclic dinucleotides with phosphonate bond activating the sting adaptor protein |
| US11203610B2 (en) | 2017-12-20 | 2021-12-21 | Institute Of Organic Chemistry And Biochemistry Ascr, V.V.I. | 2′3′ cyclic dinucleotides with phosphonate bond activating the sting adaptor protein |
| US11253524B2 (en) | 2018-01-19 | 2022-02-22 | Gilead Sciences, Inc. | Metabolites of bictegravir |
| WO2019144015A1 (en) | 2018-01-19 | 2019-07-25 | Gilead Sciences, Inc. | Metabolites of bictegravir |
| US10836746B2 (en) | 2018-02-15 | 2020-11-17 | Gilead Sciences, Inc. | Therapeutic compounds |
| US11753399B2 (en) | 2018-02-15 | 2023-09-12 | Gilead Sciences, Inc. | Therapeutic compounds |
| WO2019161017A1 (en) | 2018-02-15 | 2019-08-22 | Gilead Sciences, Inc. | Pyridine derivatives and their use for treating hiv infection |
| US11267801B2 (en) | 2018-02-15 | 2022-03-08 | Gilead Sciences, Inc. | Therapeutic compounds |
| US11117886B2 (en) | 2018-02-16 | 2021-09-14 | Gilead Sciences, Inc. | Methods and intermediates for preparing therapeutic compounds |
| US11760746B2 (en) | 2018-02-16 | 2023-09-19 | Gilead Sciences, Inc. | Methods and intermediates for preparing therapeutic compounds |
| US10696657B2 (en) | 2018-02-16 | 2020-06-30 | Gilead Sciences, Inc. | Methods and intermediates for preparing therapeutic compounds |
| US12122765B2 (en) | 2018-02-16 | 2024-10-22 | Gilead Sciences, Inc. | Methods and intermediates for preparing therapeutic compounds |
| US12030879B2 (en) | 2018-03-02 | 2024-07-09 | Inflazome Limited | Sulfonyl acetamides as NLRP3 inhibitors |
| US11149052B2 (en) | 2018-04-06 | 2021-10-19 | Institute Of Organic Chemistry And Biochemistry Ascr, V.V.I. | 2′3′-cyclic dinucleotides |
| WO2019193543A1 (en) | 2018-04-06 | 2019-10-10 | Institute Of Organic Chemistry And Biochemistry Ascr, V.V.I. | 3'3'-cyclic dinucleotides |
| WO2019193533A1 (en) | 2018-04-06 | 2019-10-10 | Institute Of Organic Chemistry And Biochemistry Ascr, V.V.I. | 2'2'-cyclic dinucleotides |
| WO2019193542A1 (en) | 2018-04-06 | 2019-10-10 | Institute Of Organic Chemistry And Biochemistry Ascr, V.V.I. | 2'3'-cyclic dinucleotides |
| US11292812B2 (en) | 2018-04-06 | 2022-04-05 | Institute Of Organic Chemistry And Biochemistry Ascr, V.V.I. | 3′3′-cyclic dinucleotides |
| WO2019198024A1 (en) | 2018-04-11 | 2019-10-17 | VIIV Healthcare UK (No.5) Limited | 4-oxo-3,4-dihydroquinazoline compounds as inhibitors of human immunodeficiency virus replication |
| WO2019211799A1 (en) | 2018-05-03 | 2019-11-07 | Institute Of Organic Chemistry And Biochemistry Ascr, V.V.I. | 2'3'-cyclic dinucleotide analogue comprising a cyclopentanyl modified nucleotide |
| WO2019244066A2 (en) | 2018-06-19 | 2019-12-26 | VIIV Healthcare UK (No.5) Limited | Pyridin-3-yl acetic acid derivatives as inhibitors of human immunodeficiency virus replication |
| WO2020003093A1 (en) | 2018-06-25 | 2020-01-02 | VIIV Healthcare UK (No.5) Limited | Pyridin-3-yl acetic acid derivatives as inhibitors of human immunodeficiency virus replication |
| EP4257600A2 (en) | 2018-07-03 | 2023-10-11 | Gilead Sciences, Inc. | Antibodies that target hiv gp120 and methods of use |
| WO2020010107A1 (en) | 2018-07-03 | 2020-01-09 | Gilead Sciences, Inc. | Antibodies that target hiv gp120 and methods of use |
| EP4624491A2 (en) | 2018-07-03 | 2025-10-01 | Gilead Sciences, Inc. | Antibodies that target hiv gp120 and methods of use |
| US11098027B2 (en) | 2018-07-06 | 2021-08-24 | Gilead Sciences, Inc. | Therapeutic heterocyclic compounds |
| WO2020010200A1 (en) | 2018-07-06 | 2020-01-09 | Gilead Sciences, Inc. | Therapeutic heterocyclic compounds |
| WO2020010223A1 (en) | 2018-07-06 | 2020-01-09 | Gilead Sciences, Inc. | Therapeutic heterocyclic compounds |
| US11186579B2 (en) | 2018-07-06 | 2021-11-30 | Gilead Sciences, Inc. | Therapeutic heterocyclic compounds |
| US11944611B2 (en) | 2018-07-16 | 2024-04-02 | Gilead Sciences, Inc. | Capsid inhibitors for the treatment of HIV |
| WO2020018459A1 (en) | 2018-07-16 | 2020-01-23 | Gilead Sciences, Inc. | Capsid inhibitors for the treatment of hiv |
| US11052087B2 (en) | 2018-07-30 | 2021-07-06 | Gilead Sciences, Inc. | Anti-HIV compounds |
| WO2020028272A1 (en) | 2018-07-30 | 2020-02-06 | Gilead Sciences, Inc. | Anti-hiv compounds |
| WO2020031112A1 (en) | 2018-08-09 | 2020-02-13 | VIIV Healthcare UK (No.5) Limited | Inhibitors of human immunodeficiency virus replication |
| WO2020053811A1 (en) | 2018-09-14 | 2020-03-19 | VIIV Healthcare UK (No.5) Limited | Inhibitors of human immunodeficiency virus replication |
| WO2020061163A1 (en) | 2018-09-19 | 2020-03-26 | Gilead Sciences, Inc. | Integrase inhibitors for the prevention of hiv |
| WO2020058844A1 (en) | 2018-09-20 | 2020-03-26 | VIIV Healthcare UK (No.5) Limited | Inhibitors of human immunodeficiency virus replication |
| WO2020072656A1 (en) | 2018-10-03 | 2020-04-09 | Gilead Sciences, Inc. | Imidozopyrimidine derivatives |
| WO2020084492A1 (en) | 2018-10-24 | 2020-04-30 | VIIV Healthcare UK (No.5) Limited | Inhibitors of human immunodeficiency virus replication |
| WO2020084491A1 (en) | 2018-10-24 | 2020-04-30 | VIIV Healthcare UK (No.5) Limited | Inhibitors of human immunodeficiency virus replication |
| WO2020084480A1 (en) | 2018-10-25 | 2020-04-30 | VIIV Healthcare UK (No.5) Limited | Inhibitors of human immunodeficiency virus replication |
| WO2020089778A1 (en) | 2018-10-29 | 2020-05-07 | VIIV Healthcare UK (No.5) Limited | Quinazolinyl-indazole derivatives and their use as inhibitors of human immunodeficiency virus replication |
| WO2020092621A1 (en) | 2018-10-31 | 2020-05-07 | Gilead Sciences, Inc. | Substituted 6-azabenzimidazole compounds as hpk1 inhibitors |
| WO2020092528A1 (en) | 2018-10-31 | 2020-05-07 | Gilead Sciences, Inc. | Substituted 6-azabenzimidazole compounds having hpk1 inhibitory activity |
| EP4671244A1 (en) | 2018-10-31 | 2025-12-31 | Gilead Sciences, Inc. | SUBSTITUTED 6-AZABENZIMIDAZOLE COMPOUNDS AS HPK1 HIBITORS |
| EP4371987A1 (en) | 2018-10-31 | 2024-05-22 | Gilead Sciences, Inc. | Substituted 6-azabenzimidazole compounds as hpk1 inhibitors |
| WO2020095176A1 (en) | 2018-11-05 | 2020-05-14 | VIIV Healthcare UK (No.5) Limited | Inhibitors of human immunodeficiency virus replication |
| WO2020095177A1 (en) | 2018-11-05 | 2020-05-14 | VIIV Healthcare UK (No.5) Limited | Inhibitors of human immunodeficiency virus replication |
| WO2020157692A1 (en) | 2019-02-01 | 2020-08-06 | VIIV Healthcare UK (No.5) Limited | Inhibitors of human immunodeficiency virus replication |
| WO2020176510A1 (en) | 2019-02-25 | 2020-09-03 | Gilead Sciences, Inc. | Protein kinase c agonists |
| WO2020176505A1 (en) | 2019-02-25 | 2020-09-03 | Gilead Sciences, Inc. | Protein kinase c agonists |
| WO2020178769A1 (en) | 2019-03-07 | 2020-09-10 | Institute Of Organic Chemistry And Biochemistry Ascr, V.V.I. | 2'3'-cyclic dinucleotides and prodrugs thereof |
| US12318403B2 (en) | 2019-03-07 | 2025-06-03 | Institute Of Organic Chemistry And Biochemistry Ascr, V.V.I. | 2′3′-cyclic dinucleotides and prodrugs thereof |
| US11766447B2 (en) | 2019-03-07 | 2023-09-26 | Institute Of Organic Chemistry And Biochemistry Ascr, V.V.I. | 3′3′-cyclic dinucleotide analogue comprising a cyclopentanyl modified nucleotide as sting modulator |
| WO2020178768A1 (en) | 2019-03-07 | 2020-09-10 | Institute Of Organic Chemistry And Biochemistry Ascr, V.V.I. | 3'3'-cyclic dinucleotide analogue comprising a cyclopentanyl modified nucleotide as sting modulator |
| WO2020178770A1 (en) | 2019-03-07 | 2020-09-10 | Institute Of Organic Chemistry And Biochemistry Ascr, V.V.I. | 3'3'-cyclic dinucleotides and prodrugs thereof |
| CN109824756B (en) * | 2019-03-19 | 2022-03-22 | 山东大学 | Phenylalanine derivative containing 4- (benzenesulfonyl) piperazine-2-ketone and preparation method and application thereof |
| CN109824756A (en) * | 2019-03-19 | 2019-05-31 | 山东大学 | Phenylalanine derivatives containing 4-(phenylsulfonyl)piperazin-2-one and preparation method and application thereof |
| US12227520B2 (en) | 2019-03-22 | 2025-02-18 | Gilead Sciences, Inc. | Bridged tricyclic carbamoylpyridone compounds and their pharmaceutical use |
| EP4122537A1 (en) | 2019-03-22 | 2023-01-25 | Gilead Sciences, Inc. | Bridged tricyclic carbamoylpyridone compounds and their pharmaceutical use |
| WO2020197991A1 (en) | 2019-03-22 | 2020-10-01 | Gilead Sciences, Inc. | Bridged tricyclic carbamoylpyridone compounds and their pharmaceutical use |
| WO2020214647A1 (en) | 2019-04-17 | 2020-10-22 | Gilead Sciences, Inc. | Solid forms of an hiv protease inhibitor |
| WO2020214716A1 (en) | 2019-04-17 | 2020-10-22 | Gilead Sciences, Inc. | 2-imino-5-oxo-imidazolidine inhibitors of hiv protease |
| EP4458416A2 (en) | 2019-04-17 | 2024-11-06 | Gilead Sciences, Inc. | Solid forms of a toll-like receptor modulator |
| WO2020214663A1 (en) | 2019-04-17 | 2020-10-22 | Gilead Sciences, Inc. | Solid forms of a toll-like receptor modulator |
| WO2020214652A1 (en) | 2019-04-17 | 2020-10-22 | Gilead Sciences, Inc. | Solid forms of a toll-like receptor modulator |
| WO2020222108A1 (en) | 2019-04-30 | 2020-11-05 | VIIV Healthcare UK (No.5) Limited | Inhibitors of human immunodeficiency virus replication |
| WO2020236753A1 (en) | 2019-05-21 | 2020-11-26 | Gilead Sciences, Inc. | Methods of identifying hiv patients sensitive to therapy with gp120 v3 glycan-directed antibodies |
| EP4513188A2 (en) | 2019-05-21 | 2025-02-26 | Gilead Sciences, Inc. | Methods of identifying hiv patients sensitive to therapy with gp120 v3 glycan-directed antibodies |
| WO2020237025A1 (en) | 2019-05-23 | 2020-11-26 | Gilead Sciences, Inc. | Substituted exo-methylene-oxindoles which are hpk1/map4k1 inhibitors |
| WO2020246910A1 (en) | 2019-06-03 | 2020-12-10 | Александл Васильевич ИВАЩЕНКО | ANNELATED 9-HYDROXY-1,8-DIOXO-1,3,4,8-TETRAHYDRO-2Н-PYRIDO[1,2-α]PYRAZINE-7-CARBOXAMIDES AS HIV INTEGRASE INHIBITORS |
| WO2020255038A1 (en) | 2019-06-18 | 2020-12-24 | Janssen Sciences Ireland Unlimited Company | Combination of hepatitis b virus (hbv) vaccines and pyridopyrimidine derivatives |
| WO2020254985A1 (en) | 2019-06-19 | 2020-12-24 | VIIV Healthcare UK (No.5) Limited | Pyrido[2,3-d]pyrimidine derivatives as inhibitors of human immunodeficiency virus replication |
| WO2020263830A1 (en) | 2019-06-25 | 2020-12-30 | Gilead Sciences, Inc. | Flt3l-fc fusion proteins and methods of use |
| WO2021011544A1 (en) | 2019-07-16 | 2021-01-21 | Gilead Sciences, Inc. | Hiv vaccines and methods of making and using |
| WO2021011891A1 (en) | 2019-07-18 | 2021-01-21 | Gilead Sciences, Inc. | Long-acting formulations of tenofovir alafenamide |
| WO2021034804A1 (en) | 2019-08-19 | 2021-02-25 | Gilead Sciences, Inc. | Pharmaceutical formulations of tenofovir alafenamide |
| WO2021064571A1 (en) | 2019-10-01 | 2021-04-08 | VIIV Healthcare UK (No.5) Limited | N-substituted-4-oxo-3,4-dihydropyrido[2,3-d]pyrimidin-2-yl derivatives as inhibitors of the human immunodeficiency virus replication |
| WO2021064570A1 (en) | 2019-10-01 | 2021-04-08 | VIIV Healthcare UK (No.5) Limited | N-substututed-6-oxo-1,6-dihydropyrimidine-2-yl derivatives as inhibitors of the human immunodeficiency virus replication |
| WO2021064677A1 (en) | 2019-10-04 | 2021-04-08 | VIIV Healthcare UK (No.5) Limited | Inhibitors of human immunodeficiency virus replication |
| WO2021070054A1 (en) | 2019-10-08 | 2021-04-15 | VIIV Healthcare UK (No.5) Limited | Inhibitors of human immunodeficiency virus replication |
| EP4674417A1 (en) | 2019-11-26 | 2026-01-07 | Gilead Sciences, Inc. | Capsid inhibitors for the prevention of hiv |
| WO2021108544A1 (en) | 2019-11-26 | 2021-06-03 | Gilead Sciences, Inc. | Capsid inhibitors for the prevention of hiv |
| US11807625B2 (en) | 2019-11-26 | 2023-11-07 | Gilead Sciences, Inc. | Capsid inhibitors for the prevention of HIV |
| EP4643882A2 (en) | 2019-11-26 | 2025-11-05 | Gilead Sciences, Inc. | Capsid inhibitors for the prevention of hiv |
| EP4445902A2 (en) | 2019-12-24 | 2024-10-16 | Carna Biosciences, Inc. | Diacylglycerol kinase modulating compounds |
| WO2021130638A1 (en) | 2019-12-24 | 2021-07-01 | Carna Biosciences, Inc. | Diacylglycerol kinase modulating compounds |
| WO2021173522A1 (en) | 2020-02-24 | 2021-09-02 | Gilead Sciences, Inc. | Tetracyclic compounds for treating hiv infection |
| US12122776B2 (en) | 2020-02-24 | 2024-10-22 | Gilead Sciences, Inc. | Tetracyclic compounds and uses thereof |
| WO2021176367A1 (en) | 2020-03-06 | 2021-09-10 | VIIV Healthcare UK (No.5) Limited | Inhibitors of human immunodeficiency virus replication |
| WO2021176366A1 (en) | 2020-03-06 | 2021-09-10 | VIIV Healthcare UK (No.5) Limited | Inhibitors of human immunodeficiency virus replication |
| WO2021188959A1 (en) | 2020-03-20 | 2021-09-23 | Gilead Sciences, Inc. | Prodrugs of 4'-c-substituted-2-halo-2'-deoxyadenosine nucleosides and methods of making and using the same |
| WO2021209900A1 (en) | 2020-04-15 | 2021-10-21 | VIIV Healthcare UK (No.5) Limited | Inhibitors of human immunodeficiency virus replication |
| WO2021236944A1 (en) | 2020-05-21 | 2021-11-25 | Gilead Sciences, Inc. | Pharmaceutical compositions comprising bictegravir |
| US12077537B2 (en) | 2020-06-25 | 2024-09-03 | Gilead Sciences, Inc. | Capsid inhibitors for the treatment of HIV |
| WO2021262990A1 (en) | 2020-06-25 | 2021-12-30 | Gilead Sciences, Inc. | Capsid inhibitors for the treatment of hiv |
| US11680064B2 (en) | 2020-06-25 | 2023-06-20 | Gilead Sciences, Inc. | Capsid inhibitors for the treatment of HIV |
| WO2022031894A1 (en) | 2020-08-07 | 2022-02-10 | Gilead Sciences, Inc. | Prodrugs of phosphonamide nucleotide analogues and their pharmaceutical use |
| EP4667477A2 (en) | 2020-08-07 | 2025-12-24 | Gilead Sciences, Inc. | Prodrugs of phosphonamide nucleotide analogues and their pharmaceutical use |
| WO2022072520A1 (en) | 2020-09-30 | 2022-04-07 | Gilead Sciences, Inc. | Bridged tricyclic carbamoylpyridone compounds and uses thereof |
| WO2022087149A2 (en) | 2020-10-22 | 2022-04-28 | Gilead Sciences, Inc. | Interleukin-2-fc fusion proteins and methods of use |
| EP4667499A2 (en) | 2020-10-22 | 2025-12-24 | Gilead Sciences, Inc. | Interleukin-2-fc fusion proteins and methods of use |
| WO2022103758A1 (en) | 2020-11-11 | 2022-05-19 | Gilead Sciences, Inc. | METHODS OF IDENTIFYING HIV PATIENTS SENSITIVE TO THERAPY WITH gp120 CD4 BINDING SITE-DIRECTED ANTIBODIES |
| EP4660325A2 (en) | 2020-11-11 | 2025-12-10 | Gilead Sciences, Inc. | Methods of identifying hiv patients sensitive to therapy with gp120 cd4 binding site-directed antibodies |
| EP4321217A2 (en) | 2021-01-19 | 2024-02-14 | Gilead Sciences, Inc. | Substituted pyridotriazine compounds and uses thereof |
| WO2022159387A1 (en) | 2021-01-19 | 2022-07-28 | Gilead Sciences, Inc. | Substituted pyridotriazine compounds and uses thereof |
| WO2022245671A1 (en) | 2021-05-18 | 2022-11-24 | Gilead Sciences, Inc. | Methods of using flt3l-fc fusion proteins |
| WO2022271677A1 (en) | 2021-06-23 | 2022-12-29 | Gilead Sciences, Inc. | Diacylglyercol kinase modulating compounds |
| WO2022271659A1 (en) | 2021-06-23 | 2022-12-29 | Gilead Sciences, Inc. | Diacylglyercol kinase modulating compounds |
| WO2022271650A1 (en) | 2021-06-23 | 2022-12-29 | Gilead Sciences, Inc. | Diacylglyercol kinase modulating compounds |
| WO2022271684A1 (en) | 2021-06-23 | 2022-12-29 | Gilead Sciences, Inc. | Diacylglyercol kinase modulating compounds |
| WO2023102239A1 (en) | 2021-12-03 | 2023-06-08 | Gilead Sciences, Inc. | Therapeutic compounds for hiv virus infection |
| US11787825B2 (en) | 2021-12-03 | 2023-10-17 | Gilead Sciences, Inc. | Therapeutic compounds for HIV virus infection |
| WO2023102523A1 (en) | 2021-12-03 | 2023-06-08 | Gilead Sciences, Inc. | Therapeutic compounds for hiv virus infection |
| EP4445900A2 (en) | 2021-12-03 | 2024-10-16 | Gilead Sciences, Inc. | Therapeutic compounds for hiv virus infection |
| US12187753B2 (en) | 2021-12-03 | 2025-01-07 | Gilead Sciences, Inc. | Therapeutics compounds for HIV virus infection |
| WO2023102529A1 (en) | 2021-12-03 | 2023-06-08 | Gilead Sciences, Inc. | Therapeutic compounds for hiv virus infection |
| US12084467B2 (en) | 2021-12-03 | 2024-09-10 | Gilead Sciences, Inc. | Therapeutic compounds for HIV virus infection |
| US12404262B2 (en) | 2021-12-03 | 2025-09-02 | Gilead Sciences, Inc. | Therapeutic compounds for HIV virus infection |
| EP4566608A2 (en) | 2021-12-03 | 2025-06-11 | Gilead Sciences, Inc. | Therapeutic compounds for hiv virus infection |
| WO2023196875A1 (en) | 2022-04-06 | 2023-10-12 | Gilead Sciences, Inc. | Bridged tricyclic carbamoylpyridone compounds and uses thereof |
| EP4310087A1 (en) | 2022-04-06 | 2024-01-24 | Gilead Sciences, Inc. | Bridged tricyclic carbamoylpyridone compounds and uses thereof |
| EP4438123A2 (en) | 2022-04-06 | 2024-10-02 | Gilead Sciences, Inc. | Bridged tricyclic carbamoylpyridone compounds and uses thereof |
| WO2024006982A1 (en) | 2022-07-01 | 2024-01-04 | Gilead Sciences, Inc. | Therapeutic compounds useful for the prophylactic or therapeutic treatment of an hiv virus infection |
| WO2024015741A1 (en) | 2022-07-12 | 2024-01-18 | Gilead Sciences, Inc. | Hiv immunogenic polypeptides and vaccines and uses thereof |
| WO2024044477A1 (en) | 2022-08-26 | 2024-02-29 | Gilead Sciences, Inc. | Dosing and scheduling regimen for broadly neutralizing antibodies |
| WO2024076915A1 (en) | 2022-10-04 | 2024-04-11 | Gilead Sciences, Inc. | 4'-thionucleoside analogues and their pharmaceutical use |
| WO2024220624A1 (en) | 2023-04-19 | 2024-10-24 | Gilead Sciences, Inc. | Dosing regimen of capsid inhibitor |
| WO2024249517A1 (en) | 2023-05-31 | 2024-12-05 | Gilead Sciences, Inc. | Anti-hiv compounds |
| WO2024249573A1 (en) | 2023-05-31 | 2024-12-05 | Gilead Sciences, Inc. | Solid forms of compounds useful in the treatment of hiv |
| WO2024249592A1 (en) | 2023-05-31 | 2024-12-05 | Gilead Sciences, Inc. | Quinazolinyl-indazole derivatives as therapeutic compounds for hiv |
| WO2024257009A1 (en) | 2023-06-15 | 2024-12-19 | VIIV Healthcare UK (No.5) Limited | Methods and intermediates for preparing compounds |
| WO2025029247A1 (en) | 2023-07-28 | 2025-02-06 | Gilead Sciences, Inc. | Weekly regimen of lenacapavir for the treatment and prevention of hiv |
| WO2025042394A1 (en) | 2023-08-23 | 2025-02-27 | Gilead Sciences, Inc. | Dosing regimen of hiv capsid inhibitor |
| WO2025076542A1 (en) | 2023-10-05 | 2025-04-10 | Jones R Brad | Atovaquone as an ros inducer for use in the elimination of hiv-infected t-cells |
| WO2025080863A1 (en) | 2023-10-11 | 2025-04-17 | Gilead Sciences, Inc. | Bridged tricyclic carbamoylpyridone compounds and uses thereof |
| WO2025080879A1 (en) | 2023-10-11 | 2025-04-17 | Gilead Sciences, Inc. | Bridged tricyclic carbamoylpyridone compounds and uses thereof |
| WO2025080850A1 (en) | 2023-10-11 | 2025-04-17 | Gilead Sciences, Inc. | Bridged tricyclic carbamoylpyridone compounds and uses thereof |
| WO2025137245A1 (en) | 2023-12-22 | 2025-06-26 | Gilead Sciences, Inc. | Solid forms of hiv integrase inhibitors |
| WO2025169059A1 (en) | 2024-02-05 | 2025-08-14 | VIIV Healthcare UK (No.5) Limited | Inhibitors of human immunodeficiency virus replication |
| WO2025184452A1 (en) | 2024-03-01 | 2025-09-04 | Gilead Sciences, Inc. | Solid forms of hiv integrase inhibitors |
| WO2025184447A1 (en) | 2024-03-01 | 2025-09-04 | Gilead Sciences, Inc. | Pharmaceutical compositions comprising hiv integrase inhibitors |
| WO2025184609A1 (en) | 2024-03-01 | 2025-09-04 | Gilead Sciences, Inc. | Antiviral compounds |
| WO2025212814A1 (en) | 2024-04-03 | 2025-10-09 | Gilead Sciences, Inc. | Anti-hiv compounds |
| WO2025260028A1 (en) | 2024-06-14 | 2025-12-18 | Gilead Sciences, Inc. | Pharmaceutical compositions comprising hiv integrase inhibitors |
Also Published As
| Publication number | Publication date |
|---|---|
| CN102863512B (en) | 2016-04-20 |
| CN102863512A (en) | 2013-01-09 |
Similar Documents
| Publication | Publication Date | Title |
|---|---|---|
| WO2013006792A1 (en) | Antiviral compounds | |
| WO2012065062A1 (en) | Novel antiviral compounds | |
| EP3268003B1 (en) | Thienopyrazine inhibitors of irak4 activity | |
| CA3074459A1 (en) | Inhibitors of egfr and/or her2 and methods of use | |
| US20020016309A1 (en) | Imidazopyridine and imidazopyrimidine antiviral agents | |
| RU2601742C2 (en) | Novel cyclosporin derivatives for treatment and prevention of viral infections | |
| EP3215511A1 (en) | Substituted pyrazolo(1,5-a)pyrimidines and their use in the treatment of medical disorders | |
| EP3268006A1 (en) | Pyrrolotriazine inhibitors of irak4 activity | |
| WO2012021796A2 (en) | Novel cyclosporin derivatives for the treatment and prevention of a viral infection | |
| CA3083061A1 (en) | 1,2,4-oxadiazole derivatives as histone deacetylase 6 inhibitors | |
| WO2017192841A1 (en) | Methods of treatment and combination therapies using gcase activator heterobicyclic and related compounds | |
| AU2001272906A1 (en) | Imidazopyridine and imidazopyrimidine antiviral agents | |
| US10246414B2 (en) | Allosteric modulators of CB1 cannabinoid receptors | |
| CA3081324A1 (en) | Antagonists of the muscarinic acetylcholine receptor m4 | |
| AU2015336035A1 (en) | Ethyl n-boc piperidinyl pyrazolo pyridones as Janus kinase inhibitors | |
| CA2585373A1 (en) | Substituted 5-carboxyamide pyrazoles and [1,2,4]triazoles as antiviral agents | |
| CA3180803A1 (en) | Condensed substituted hydropyrroles as antagonists of the muscarinic acetylcholine receptor m4 | |
| AU2024202195A1 (en) | Chemokine CXCR4 receptor modulators and uses related thereto | |
| ES2820585T3 (en) | Anti-HCMV compositions and methods | |
| JP2022505827A (en) | Substituted indole dimer compound | |
| AU2022246798A1 (en) | ARYL HETEROCYCLIC COMPOUNDS AS Kv1.3 POTASSIUM SHAKER CHANNEL BLOCKERS | |
| CA2946062C (en) | Compounds for treating viral infections | |
| CN105367472B (en) | Indoline derivatives and their application in medicine | |
| WO2025114399A1 (en) | Flavivirus inhibitors | |
| ZA200210104B (en) | Imidazopyridine and imidazopyrimidine antiviral agents. |
Legal Events
| Date | Code | Title | Description |
|---|---|---|---|
| 121 | Ep: the epo has been informed by wipo that ep was designated in this application |
Ref document number: 12808071 Country of ref document: EP Kind code of ref document: A1 |
|
| NENP | Non-entry into the national phase |
Ref country code: DE |
|
| 122 | Ep: pct application non-entry in european phase |
Ref document number: 12808071 Country of ref document: EP Kind code of ref document: A1 |



















































































































