WO2012176804A1 - グルコピラノシルオキシピラゾール誘導体 - Google Patents
グルコピラノシルオキシピラゾール誘導体 Download PDFInfo
- Publication number
- WO2012176804A1 WO2012176804A1 PCT/JP2012/065744 JP2012065744W WO2012176804A1 WO 2012176804 A1 WO2012176804 A1 WO 2012176804A1 JP 2012065744 W JP2012065744 W JP 2012065744W WO 2012176804 A1 WO2012176804 A1 WO 2012176804A1
- Authority
- WO
- WIPO (PCT)
- Prior art keywords
- group
- alkyl group
- compound
- acceptable salt
- hydrogen atom
- Prior art date
- Legal status (The legal status is an assumption and is not a legal conclusion. Google has not performed a legal analysis and makes no representation as to the accuracy of the status listed.)
- Ceased
Links
- 0 Bc1ccc(Cc2c(C(C)(C)CC(C)(C)O)[n](*)nc2O[C@@]([C@]([C@]2O)O)O[C@](CO)[C@]2O)c(*)c1* Chemical compound Bc1ccc(Cc2c(C(C)(C)CC(C)(C)O)[n](*)nc2O[C@@]([C@]([C@]2O)O)O[C@](CO)[C@]2O)c(*)c1* 0.000 description 3
- GHAFXBNQMRCWFT-FWRRSADRSA-N CC(C)Oc1ccc(Cc2c(CO[Si](C(C)C)(C(C)C)C(C)C)[nH]nc2O[C@@H]([C@@H]([C@H]2O)O)OC(CO[Si](C(C)C)(C(C)C)C(C)C)[C@H]2O)cc1 Chemical compound CC(C)Oc1ccc(Cc2c(CO[Si](C(C)C)(C(C)C)C(C)C)[nH]nc2O[C@@H]([C@@H]([C@H]2O)O)OC(CO[Si](C(C)C)(C(C)C)C(C)C)[C@H]2O)cc1 GHAFXBNQMRCWFT-FWRRSADRSA-N 0.000 description 1
- VWVIJYWJCVJZAQ-VZWAGXQNSA-N CC(C)[n](c(CO)c1Cc(cc2)ccc2OC(C)C)nc1O[C@@H]([C@@H]([C@H]1O)O)O[C@H](CO)[C@H]1O Chemical compound CC(C)[n](c(CO)c1Cc(cc2)ccc2OC(C)C)nc1O[C@@H]([C@@H]([C@H]1O)O)O[C@H](CO)[C@H]1O VWVIJYWJCVJZAQ-VZWAGXQNSA-N 0.000 description 1
- QGYYMFYFKYQXGZ-LAQAHAPZSA-N CC(C)[n](c(CO[Si](C(C)C)(C(C)C)C(C)C)c1Cc(cc2)ccc2OC(C)C)nc1[O](C1)C1([C@@H]([C@H]1O)O)O[C@H](CO[Si](C(C)C)(C(C)C)C(C)C)[C@H]1O Chemical compound CC(C)[n](c(CO[Si](C(C)C)(C(C)C)C(C)C)c1Cc(cc2)ccc2OC(C)C)nc1[O](C1)C1([C@@H]([C@H]1O)O)O[C@H](CO[Si](C(C)C)(C(C)C)C(C)C)[C@H]1O QGYYMFYFKYQXGZ-LAQAHAPZSA-N 0.000 description 1
Classifications
-
- C—CHEMISTRY; METALLURGY
- C07—ORGANIC CHEMISTRY
- C07H—SUGARS; DERIVATIVES THEREOF; NUCLEOSIDES; NUCLEOTIDES; NUCLEIC ACIDS
- C07H17/00—Compounds containing heterocyclic radicals directly attached to hetero atoms of saccharide radicals
- C07H17/02—Heterocyclic radicals containing only nitrogen as ring hetero atoms
-
- A—HUMAN NECESSITIES
- A61—MEDICAL OR VETERINARY SCIENCE; HYGIENE
- A61K—PREPARATIONS FOR MEDICAL, DENTAL OR TOILETRY PURPOSES
- A61K31/00—Medicinal preparations containing organic active ingredients
- A61K31/13—Amines
- A61K31/155—Amidines (), e.g. guanidine (H2N—C(=NH)—NH2), isourea (N=C(OH)—NH2), isothiourea (—N=C(SH)—NH2)
-
- A—HUMAN NECESSITIES
- A61—MEDICAL OR VETERINARY SCIENCE; HYGIENE
- A61K—PREPARATIONS FOR MEDICAL, DENTAL OR TOILETRY PURPOSES
- A61K31/00—Medicinal preparations containing organic active ingredients
- A61K31/33—Heterocyclic compounds
- A61K31/395—Heterocyclic compounds having nitrogen as a ring hetero atom, e.g. guanethidine or rifamycins
- A61K31/41—Heterocyclic compounds having nitrogen as a ring hetero atom, e.g. guanethidine or rifamycins having five-membered rings with two or more ring hetero atoms, at least one of which being nitrogen, e.g. tetrazole
- A61K31/425—Thiazoles
- A61K31/426—1,3-Thiazoles
-
- A—HUMAN NECESSITIES
- A61—MEDICAL OR VETERINARY SCIENCE; HYGIENE
- A61K—PREPARATIONS FOR MEDICAL, DENTAL OR TOILETRY PURPOSES
- A61K31/00—Medicinal preparations containing organic active ingredients
- A61K31/64—Sulfonylureas, e.g. glibenclamide, tolbutamide, chlorpropamide
-
- A—HUMAN NECESSITIES
- A61—MEDICAL OR VETERINARY SCIENCE; HYGIENE
- A61K—PREPARATIONS FOR MEDICAL, DENTAL OR TOILETRY PURPOSES
- A61K31/00—Medicinal preparations containing organic active ingredients
- A61K31/70—Carbohydrates; Sugars; Derivatives thereof
- A61K31/7042—Compounds having saccharide radicals and heterocyclic rings
- A61K31/7052—Compounds having saccharide radicals and heterocyclic rings having nitrogen as a ring hetero atom, e.g. nucleosides, nucleotides
- A61K31/7056—Compounds having saccharide radicals and heterocyclic rings having nitrogen as a ring hetero atom, e.g. nucleosides, nucleotides containing five-membered rings with nitrogen as a ring hetero atom
-
- A—HUMAN NECESSITIES
- A61—MEDICAL OR VETERINARY SCIENCE; HYGIENE
- A61K—PREPARATIONS FOR MEDICAL, DENTAL OR TOILETRY PURPOSES
- A61K45/00—Medicinal preparations containing active ingredients not provided for in groups A61K31/00 - A61K41/00
- A61K45/06—Mixtures of active ingredients without chemical characterisation, e.g. antiphlogistics and cardiaca
-
- A—HUMAN NECESSITIES
- A61—MEDICAL OR VETERINARY SCIENCE; HYGIENE
- A61P—SPECIFIC THERAPEUTIC ACTIVITY OF CHEMICAL COMPOUNDS OR MEDICINAL PREPARATIONS
- A61P3/00—Drugs for disorders of the metabolism
- A61P3/08—Drugs for disorders of the metabolism for glucose homeostasis
- A61P3/10—Drugs for disorders of the metabolism for glucose homeostasis for hyperglycaemia, e.g. antidiabetics
-
- A—HUMAN NECESSITIES
- A61—MEDICAL OR VETERINARY SCIENCE; HYGIENE
- A61P—SPECIFIC THERAPEUTIC ACTIVITY OF CHEMICAL COMPOUNDS OR MEDICINAL PREPARATIONS
- A61P43/00—Drugs for specific purposes, not provided for in groups A61P1/00-A61P41/00
Definitions
- the present invention relates to a glucopyranosyloxypyrazole derivative or a prodrug thereof useful as a pharmaceutical, or a pharmacologically acceptable salt thereof, and a pharmaceutical use thereof.
- the present invention relates to a glucopyranosyloxypyrazole derivative or a prodrug thereof having human SGLT2 inhibitory activity and useful as a preventive or therapeutic agent for diabetes, diabetes-related diseases or diabetic complications, or the like.
- the present invention relates to a pharmacologically acceptable salt and its pharmaceutical use.
- Diabetes is one of lifestyle-related diseases and is a disease that accompanies various complications as the disease progresses.
- Diabetes treatment methods include diet therapy, exercise therapy, and drug therapy. All the treatment methods are performed mainly for improving blood glucose level.
- the improvement of blood glucose level is used as a guideline for the treatment of diabetes in order to prevent the onset and exacerbation of various diabetic complications caused by hyperglycemia, particularly postprandial hyperglycemia, as well as improving the symptoms of diabetes.
- diabetic complications such as diabetic retinopathy, diabetic nephropathy, diabetic neuropathy, diabetic foot lesions, diabetic macroangiopathy, hypertension, and hyperlipidemia are known. .
- diabetic patients often receive drug treatments in combination with therapeutic agents for these diseases and therapeutic agents for diabetes.
- patient groups from males and females to a wide range of age groups from children to the elderly, and pregnant women. Therefore, as a therapeutic agent for diabetes, a drug having high safety and a characteristic that can be used in combination with multiple drugs is desirable.
- sulfonylurea drugs which is the first choice drug, has a problem of so-called secondary ineffectiveness and hypoglycemia, in which blood sugar levels gradually increase in many patients after long-term use.
- biguanide drugs have serious side effects such as lactose acidosis, ⁇ -glucosidase inhibitors have severe liver damage, and thiazolidine insulin sensitivity improving drugs have side effects such as edema in addition to liver dysfunction.
- refer nonpatent literature 1 Therefore, it is desired to develop a new drug that eliminates the drawbacks of these existing drugs.
- SGLT sodium-dependent glucose transporter
- the subtypes include SGLT1, SGLT2, and the like.
- SGLT2 is expressed specifically in the proximal tubule of the kidney and has been shown to play a major role in glucose reabsorption in raw urine (see, for example, Non-Patent Document 2).
- SGLT1 is known to be expressed in other organs of the kidney.
- SGLT2 inhibition as a drug that can reduce blood glucose level to normal blood glucose level by specifically suppressing the reabsorption of glucose in the body in the kidney and increasing the amount of glucose excreted in urine. Drugs are especially expected.
- a decrease in blood glucose level and recovery of insulin secretion ability have been reported (for example, Non-Patent Document 2).
- SGLT inhibitor a natural product-derived phlorizin, which is one of ⁇ -D-glucopyranoside derivatives, is the first report.
- Various derivatives of phlorizin have been studied.
- phlorizin derivatives were found to be hydrolyzed into aglycone and sugar by ⁇ -glucosidase present in the digestive tract when administered orally.
- the SGLT inhibitory activity of the phlorizin derivative disappears after oral administration.
- attempts have been made to produce prodrugs of phlorizin derivatives (see, for example, Non-Patent Document 3).
- phloretin an aglycone of phlorizin, inhibits the facilitated diffusion sugar transporter (GLUT), thereby inhibiting glucose uptake at the blood-brain barrier (so-called BBB) and lowering the glucose concentration in the brain.
- BBB blood-brain barrier
- SGLT2 inhibitors having various structures have been developed.
- ⁇ -D-glucopyranoside derivatives are disclosed.
- a compound represented by the following formula is known (for example, see Patent Document 1).
- R 1 when Q 1 is a methyl group, R 1 is a hydrogen atom or an isopropyl group, R 2 is an isopropyloxy group, and when Q 1 is a trifluoromethyl group, R 1 is hydrogen.
- the atom, R 2 represents a methoxy group.
- a biologic superior to the parent compound can be obtained by introducing a modifying group: R 2 OCOO— group into the 6-position of the sugar moiety as a prodrug as shown in the following formula. It is known that availability (BA) can be obtained (see, for example, Patent Document 2).
- the ⁇ -D-glucopyranoside derivative SGLT2 inhibitor is orally or parenterally administered as the parent compound itself or a prodrug.
- the ⁇ -D-glucopyranoside derivative has various pharmacological properties as well as pharmacological activity of each compound such as the parent compound, its prodrug and aglycone, such as various pharmacokinetic parameters, drug interaction, safety, It is necessary to control stability, physicochemical properties, etc.
- An object of the present invention is to provide a glucopyranosyloxypyrazole derivative having human SGLT2 inhibitory activity or a prodrug thereof, or a pharmacologically acceptable salt thereof, and a pharmaceutical use thereof.
- the present inventors have intensively studied to find a compound having human SGLT2 inhibitory activity. As a result, the present inventors have found that a glucopyranosyloxypyrazole derivative having a hydroxyl group at the 5-position alkyl group of pyrazole has a strong human SGLT2 inhibitory activity, thereby achieving the present invention.
- R A represents the following a) to o): a) a hydrogen atom, b) a C 1-6 alkyl group, c) a C 2-6 alkenyl group, d) a C 2-6 alkynyl group, e) a halo C 1-6 alkyl group, f) hydroxy C 1-6 alkyl group, g) a C 1-6 alkoxy C 1-6 alkyl group, h) a cyano C 1-6 alkyl group, i) a C 3-6 cycloalkyl group, j) Substitutable phenyl group, k) a C 3-6 cycloalkyl C 1-6 alkyl group, l) Substitutable aralkyl group, m) a C 2-6 acyl group, n) a group selected from the group consisting of a substituted phenylcarbonyl group, and o) a C 1-6 alkoxycarbonyl group; R
- R A is a hydrogen atom, a C 1-6 alkyl group, a C 2-6 alkenyl group, a halo C 1-6 alkyl group, a hydroxy C 2-6 alkyl group, a C 1-6 alkoxy C 1-6 alkyl A group, a substituted phenyl group, a substituted aralkyl group or a C 2-6 acyl group;
- R B is a halogen atom, a C 1-6 alkyl group or a C 1-6 alkoxy group;
- R A is a hydrogen atom, a C 1-6 alkyl group, a C 1-6 alkoxy C 1-6 alkyl group or a C 2-6 acyl group
- R B is a C 1-6 alkyl group or a C 1-6 alkoxy group
- R C and R D are hydrogen atoms
- R A is a hydrogen atom, a C 1-6 alkyl group or a C 2-6 acyl group; The compound or a pharmaceutically acceptable salt thereof according to [3], wherein R B is a C 1-6 alkoxy group.
- the compound is 3- ( ⁇ -D-glucopyranosyloxy) -5-hydroxymethyl-4- (4-isopropoxybenzyl) -1H-pyrazole, or 3- ( ⁇ -D-glucopyranosyloxy) -5
- the compound according to [5] or a drug thereof, wherein the compound is 3- ( ⁇ -D-glucopyranosyloxy) -5-hydroxymethyl-4- (4-isopropoxybenzyl) -1H-pyrazole Physically acceptable salt.
- PG 1 , PG 2 and PG 3 are independently the following a) to d): a) a hydrogen atom, b) a C 2-6 acyl group, a group selected from the group consisting of c) a C 1-6 alkoxycarbonyl group, and d) a substituted aralkyloxycarbonyl group;
- R A1 represents the following e) to t): e) a hydrogen atom, f) a C 1-6 alkyl group, g) a C 2-6 alkenyl group, h) a C 2-6 alkynyl group, i) a halo C 1-6 alkyl group, j) a hydroxy C 1-6 alkyl group, k) a C 1-6 alkoxy C 1-6 alkyl group, l) a cyano C 1-6 alkyl group, m) a C 3-6 cycloalkyl group, n) Substitutable phenyl group,
- PG 1 is a C 2-6 acyl group or a C 1-6 alkoxycarbonyl group
- PG 2 is a hydrogen atom, a C 2-6 acyl group or a C 1-6 alkoxycarbonyl group
- R A1 is a hydrogen atom, a C 1-6 alkyl group or a C 2-6 acyl group
- R B is a C 1-6 alkoxy group
- R C and R D are hydrogen atoms
- the SGLT2 inhibitor according to [14] which is administered in combination with a therapeutic agent for diabetes having a mechanism of action different from that of SGLT2 inhibition, a therapeutic agent for diabetes-related diseases, or a therapeutic agent for diabetic complications.
- the SGLT2 inhibitor according to [15] which is administered as a combination drug.
- a therapeutic agent for diabetes, a therapeutic agent for diabetes-related diseases or a therapeutic agent for diabetic complications having an action mechanism different from that of SGLT2 inhibition is (a) to (f): (A) an ⁇ -glucosidase inhibitor, (B) biguanide drugs, (C) a sulfonylurea drug, (D) a fast-acting insulin secretagogue, (e) a thiazolidine-based insulin sensitivity-improving drug, and (f) one or more drugs selected from the group consisting of DPPIV inhibitors, SGLT2 inhibition according to [15] medicine.
- [18] Use of the compound of [1] or a prodrug thereof, or a pharmacologically acceptable salt thereof for the manufacture of a pharmaceutical composition for the prevention or treatment of diseases caused by hyperglycemia.
- a pharmaceutical composition comprising the compound according to [1] to [13] or a prodrug thereof, or a pharmacologically acceptable salt thereof as an active ingredient.
- the pharmaceutical composition according to [19] which is administered in combination with a therapeutic agent for diabetes, a therapeutic agent for diabetes-related diseases or a therapeutic agent for diabetic complications having an action mechanism different from that of SGLT2 inhibition.
- the pharmaceutical composition according to [20] which is administered as a combination drug.
- a therapeutic agent for diabetes, a therapeutic agent for diabetes-related diseases or a therapeutic agent for diabetic complications having an action mechanism different from that of SGLT2 inhibition is (a) to (f): (A) an ⁇ -glucosidase inhibitor, (B) biguanide drugs, (C) a sulfonylurea drug, (D) a fast-acting insulin secretagogue, (e) a thiazolidine insulin sensitizer, and (f) one or more drugs selected from the group consisting of DPPIV inhibitors Pharmaceutical composition.
- the compound of the present invention showed a strong SGLT2 inhibitory activity in, for example, measurement of methyl- ⁇ -D-glucopyranoside (hereinafter sometimes referred to as ⁇ -MG) uptake inhibition. Therefore, the glucopyranosyloxypyrazole derivative and the prodrug thereof of the present invention can be used for the treatment or prevention of diabetes based on SGLT2 inhibitory activity.
- ⁇ -MG methyl- ⁇ -D-glucopyranoside
- Halogen atom means a fluorine atom, a chlorine atom, a bromine atom or an iodine atom. Preferably it is a fluorine atom or a chlorine atom. More preferably, it is a fluorine atom.
- C 1-6 alkyl group means an optionally branched alkyl group having 1 to 6 carbon atoms.
- examples include methylbutyl group, 2-methylbutyl group, 1,2-dimethylpropyl group, hexyl group, isohexyl group and the like.
- they are a methyl group, an ethyl group, a propyl group or an isopropyl group. More preferably, it is an isopropyl group.
- the “C 2-6 alkenyl group” means a linear or branched unsaturated hydrocarbon group having 2 to 6 carbon atoms having at least one double bond.
- vinyl group, allyl group, 1-propenyl group, isopropenyl group, 2-methyl-1-propenyl and the like can be mentioned.
- C 2-6 alkynyl group means a linear or branched unsaturated hydrocarbon group having 2 to 6 carbon atoms having at least one triple bond. Examples include ethynyl group, 2-propynyl group, 1-butynyl group, 2-butynyl group, 3-butynyl group and the like.
- halo C 1-6 alkyl group means a C 1-6 alkyl group substituted with 1 to 3 same or different halogen atoms.
- trifluoromethyl group 2-chloroethyl group, 2-fluoroethyl group, 2,2-difluoroethyl group, 1,1-difluoroethyl group, 1,2-difluoroethyl group, 2,2,2-trifluoro Ethyl group, 2,2,2-trichloroethyl, 3-fluoropropyl group, 2-fluoropropyl group, 2-fluoropropyl group, 3,3-difluoropropyl group, 2,2-difluoropropyl group, 1,1- A difluoropropyl group etc. are mentioned.
- “Hydroxy C 1-6 alkyl group” means a C 1-6 alkyl group substituted with a hydroxyl group. Examples thereof include a hydroxymethyl group, 2-hydroxyethyl group, 1-hydroxyethyl group, 3-hydroxypropyl group, 2-hydroxypropyl group, 1-hydroxypropyl group, 4-hydroxybutyl group and the like. A 2-hydroxyethyl group, a 3-hydroxypropyl group, a 2-hydroxypropyl group, or a 4-hydroxybutyl group is preferable. More preferred is a 2-hydroxyethyl group or a 3-hydroxypropyl group.
- “Hydroxy C 2-6 alkyl group” means an optionally branched alkyl group having 2 to 6 carbon atoms, which is substituted with a hydroxyl group. Examples thereof include 2-hydroxyethyl group, 1-hydroxyethyl group, 3-hydroxypropyl group, 2-hydroxypropyl group, 1-hydroxypropyl group, 4-hydroxybutyl group and the like. A 2-hydroxyethyl group, a 3-hydroxypropyl group, a 2-hydroxypropyl group, or a 4-hydroxybutyl group is preferable. More preferred is a 2-hydroxyethyl group or a 3-hydroxypropyl group.
- the “C 1-6 alkoxy group” means an optionally branched alkoxy group having 1 to 6 carbon atoms. Examples include methoxy group, ethoxy group, propoxy group, isopropoxy group, butoxy group, isobutoxy group, sec-butoxy group, tert-butoxy group, pentyloxy group, hexyloxy group and the like.
- C 1-6 alkoxy C 1-6 alkyl group means a C 1-6 alkyl group substituted with a C 1-6 alkoxy group.
- methoxymethyl group, ethoxymethyl group, propoxymethyl group, isopropoxymethyl group, butoxymethyl group, tert-butoxymethyl group, 2-methoxyethyl group, 2-ethoxyethyl group, 3-methoxypropyl group, 3-ethoxy A propyl group etc. are mentioned.
- cyano C 1-6 alkyl group means a C 1-6 alkyl group substituted with a cyano group. Examples include cyanomethyl group, 2-cyanoethyl group, 1-cyanoethyl group, 3-cyanopropyl group, 2-cyanopropyl group, 1-cyanopropyl group, 1-cyano-1-methylethyl group and the like.
- C 2-6 acyl group means an optionally branched acyl group having 2 to 6 carbon atoms.
- acetyl group, propionyl group, butyryl group, isobutyryl group, valeryl group, pivaloyl group and the like can be mentioned.
- the “C 3-6 cycloalkyl group” means a monocyclic saturated alicyclic hydrocarbon group having 3 to 6 carbon atoms.
- a cyclopropyl group, a cyclobutyl group, a cyclopentyl group, and a cyclohexyl group can be exemplified.
- substituted phenyl group means a phenyl group which is unsubstituted or substituted with 1 to 5 groups independently selected from the following substituent group ⁇ .
- it is a phenyl group which is unsubstituted or substituted by 1 to 2 groups independently selected from the following substituent group ⁇ .
- (C 1-6 alkyl) NH— means a mono-substituted amino group substituted with a C 1-6 alkyl group. Examples thereof include a methylamino group, an ethylamino group, a propylamino group, an isopropylamino group, a butylamino group, an isobutylamino group, a sec-butylamino group, a pentylamino group, and a hexylamino group.
- (C 1-6 alkyl) 2 N— means a disubstituted amino group substituted by two identical or different C 1-6 alkyl groups. Examples thereof include a dimethylamino group, a diethylamino group, a dipropylamino group, a di (isopropyl) amino group, a dibutylamino group, a diisobutylamino group, a di (sec-butyl) amino group, a dipentylamino group, and a dihexylamino group.
- C 2-5 alicyclic amino group examples include the following:
- C 3-6 cycloalkyl C 1-6 alkyl group means a C 1-6 alkyl group substituted with a C 3-6 cycloalkyl group. Examples thereof include a cyclopropylmethyl group, a cyclobutylmethyl group, a cyclopentylmethyl group, a cyclohexylmethyl group, and a cyclohexylethyl group.
- the “substitutable aralkyl group” is C substituted with an aromatic hydrocarbon having 6 to 10 carbon atoms which may be substituted with 1 to 5 groups independently selected from the above-mentioned substituent ⁇ group.
- a substituted benzyl group is preferable.
- “Substituteable benzyl group” means a benzyl group which may be substituted with 1 to 5 groups independently selected from the above-mentioned substituent ⁇ group. Preferably, it is a benzyl group which is unsubstituted or substituted with 1 to 2 groups independently selected from the substituent ⁇ group. More preferably, it is a benzyl group which is unsubstituted or substituted with one group independently selected from the above-mentioned substituent group ⁇ .
- C 1-6 alkoxycarbonyl group means a carbonyl group substituted with a C 1-6 alkoxy group.
- Substituted phenylcarbonyl group means a carbonyl group substituted with a substituted phenyl group. For example, a benzoyl group etc. are mentioned.
- “Substituteable aralkyloxycarbonyl group” means an oxycarbonyl group substituted with a replaceable aralkyl group.
- substituted benzyloxycarbonyl group, phenethyloxycarbonyl group, 1-phenylethyloxycarbonyl group, 3-phenylpropyloxycarbonyl group, 2-phenylpropyloxycarbonyl group, 1-phenylpropyloxycarbonyl group, 1-methyl- Examples include 2-phenylethyloxycarbonyl group.
- a substituted benzyloxycarbonyl group is preferable.
- trisubstituted silyl group examples include trimethylsilyl group, triethylsilyl group, triisopropylsilyl group, dimethylisopropylsilyl group, dimethyltexylsilyl group, tert-butyldimethylsilyl group, tert-butyldiphenylsilyl group, tribenzylsilyl group And di-tert-butylmethylsilyl group.
- a “prodrug” is a compound in which the hydrogen atom on the oxygen atom or nitrogen atom of the parent compound is substituted with a pharmacologically acceptable modifying group, and the modifying group is cleaved by an enzyme or the like in vivo. Means a compound that is converted to the biologically active parent compound. Prodrugs are imparted with properties such as improved stability and improved gastrointestinal absorbability compared to the parent compound. When a prodrug is administered, it can be expected that desirable blood dynamics can be obtained as compared with the case where a parent compound is administered.
- a compound represented by the general formula (1) can be used.
- 3- ( ⁇ -D-glucopyranosyloxy) -5-hydroxymethyl-4- (4-isopropoxybenzyl) -1H-pyrazole 3- ( ⁇ -D-glucopyranosyloxy)- 5-hydroxymethyl-4- (4-isopropoxybenzyl) -1-isopropylpyrazole.
- Examples of pharmacologically acceptable modifying groups that can be used for prodrugs include “Monthly Pharmacy Clinical Pharmacokinetics for Proper Use of Drugs”, March 2000 Special Issue, Vol. 42, No. 4, p. . 671-678 and “New Drug Delivery System”, issued by CMC Co., Ltd., January 31, 2000, p. And groups described in 123-135.
- Examples of the pharmacologically acceptable modifying group for converting the glucopyranosyloxypyrazole derivative of the present invention into a prodrug include C 2-6 acyl group, C 1-6 alkoxycarbonyl group, C 3-6 cycloalkyl C A 1-6 alkyl group, a substituted aralkyloxycarbonyl group and the like can be mentioned.
- a preferred embodiment of the present invention is a compound represented by the following general formula (1) (hereinafter sometimes abbreviated as compound (1) of the present invention) or a prodrug thereof, or a pharmaceutically acceptable salt thereof. It is.
- R A represents the following a) to o): a) a hydrogen atom, b) a C 1-6 alkyl group, c) a C 2-6 alkenyl group, d) a C 2-6 alkynyl group, e) a halo C 1-6 alkyl group, f) hydroxy C 1-6 alkyl group, g) a C 1-6 alkoxy C 1-6 alkyl group, h) a cyano C 1-6 alkyl group, i) a C 3-6 cycloalkyl group, j) Substitutable phenyl group, k) a C 3-6 cycloalkyl C 1-6 alkyl group, l) Substitutable aralkyl group, m) a C 2-6 acyl group, n) a group selected from the group consisting of a substituted phenylcarbonyl group, and o) a C 1-6 alkoxycarbonyl group; R
- R A is preferably a hydrogen atom or a C 1-6 alkyl group.
- R B is preferably a fluorine atom, a methyl group, an ethyl group, a methoxy group, an ethoxy group or an isopropoxy group.
- R C is preferably a hydrogen atom, a halogen atom, a methyl group or a methoxy group. More preferably, they are a hydrogen atom, a fluorine atom, a chlorine atom, or a methyl group. More preferably, they are a hydrogen atom or a fluorine atom.
- R D is preferably a hydrogen atom, a halogen atom, a methyl group or a methoxy group. More preferably, they are a hydrogen atom, a fluorine atom, a chlorine atom, or a methyl group. More preferably, they are a hydrogen atom or a fluorine atom. More preferably, it is a hydrogen atom.
- n is preferably an integer of 1 or 2. More preferably, 1.
- a preferred embodiment of the compound (1) of the present invention or a pharmaceutically acceptable salt thereof is a compound comprising a combination of preferred substituents described in (1-1) to (1-5).
- R A is a hydrogen atom or an isopropyl group
- R B is more preferably a fluorine atom, a methyl group, an ethyl group, a methoxy group, an ethoxy group or an isopropoxy group
- R C is a hydrogen atom or a fluorine atom
- R D is a hydrogen atom or a fluorine atom
- n is 1, a compound or a pharmacologically acceptable salt thereof.
- a preferred embodiment of the present invention is a compound represented by the following general formula (2) (hereinafter sometimes abbreviated as prodrug (2) of the present invention) or a pharmacologically acceptable salt thereof.
- PG 1 , PG 2 and PG 3 are independently the following a) to d): a) a hydrogen atom, b) a C 2-6 acyl group, a group selected from the group consisting of c) a C 1-6 alkoxycarbonyl group, and d) a substituted aralkyloxycarbonyl group;
- R A1 represents the following e) to s): e) a C 1-6 alkyl group, f) a C 2-6 alkenyl group, g) a C 2-6 alkynyl group, h) a halo C 1-6 alkyl group, i) a hydroxy C 1-6 alkyl group, j) C 1-6 alkoxy C 1-6 alkyl group, k) a cyano C 1-6 alkyl group, l) a C 3-6 cycloalkyl group, m) Substitutable phenyl group, n) a C 3-6 cyclo
- R A1 is preferably a C 1-6 alkyl group, a C 1-6 alkoxy C 1-6 alkyl group, a substituted aralkyl group, a C 2-6 acyl group, a C 1-6 alkoxycarbonyl group Or a substituted aralkyloxycarbonyl group.
- R B is preferably a fluorine atom, a methyl group, an ethyl group, a methoxy group, an ethoxy group or an isopropoxy group.
- R C is preferably a hydrogen atom, a halogen atom, a methyl group or a methoxy group. More preferably, they are a hydrogen atom, a fluorine atom, a chlorine atom, or a methyl group. More preferably, they are a hydrogen atom or a fluorine atom. More preferably, it is a hydrogen atom.
- R D is preferably a hydrogen atom, a halogen atom, a methyl group or a methoxy group. More preferably, they are a hydrogen atom, a fluorine atom, a chlorine atom, or a methyl group. More preferably, they are a hydrogen atom or a fluorine atom.
- n is preferably an integer of 1 or 2. More preferably, 1.
- PG 1 is preferably a C 2-6 acyl group, a C 1-6 alkoxycarbonyl group or a substituted benzyloxycarbonyl group. More preferably, they are acetyl group, propionyl group, pivaloyl group, methoxycarbonyl group, ethoxycarbonyl group, propoxycarbonyl group, isopropoxycarbonyl group, butoxycarbonyl group or benzyloxycarbonyl group.
- PG 2 is preferably a hydrogen atom, a C 2-6 acyl group, a C 1-6 alkoxycarbonyl group or a substituted benzyloxycarbonyl group.
- PG 3 is preferably a hydrogen atom, a C 2-6 acyl group, a C 1-6 alkoxycarbonyl group or a substituted benzyloxycarbonyl group. More preferably, they are a hydrogen atom, an acetyl group, a propionyl group, a pivaloyl group or an ethoxycarbonyl group. More preferably, it is a hydrogen atom.
- a preferred embodiment of prodrug (2) or a pharmacologically acceptable salt thereof is a compound comprising a combination of preferred substituents described in (2-1) to (2-8).
- R A1 is an isopropyl group
- R B is a fluorine atom, a methyl group, an ethyl group, a methoxy group, an ethoxy group or an isopropoxy group
- R C is a hydrogen atom or a fluorine atom
- R D is a hydrogen atom or a fluorine atom
- n is 1
- PG 1 is a C 2-6 acyl group, a C 1-6 alkoxycarbonyl group or a benzyloxycarbonyl group
- PG 2 is a hydrogen atom, a C 2-6 acyl group, a C 1-6 alkoxycarbonyl group or a benzyloxycarbonyl group
- PG 3 is a hydrogen atom, a C 2-6 acyl group, a C 1-6 alkoxycarbonyl group or a benzyloxycarbonyl group, a prodrug or a pharmaceutically acceptable salt thereof
- Embodiment 2-2 A more preferred embodiment of Embodiment 2-1 is: PG 1 is a C 1-6 alkoxycarbonyl group; PG 2 is a hydrogen atom or a C 1-6 alkoxycarbonyl group; PG 3 is a prodrug or a pharmacologically acceptable salt thereof, which is a hydrogen atom.
- Embodiment 2-3 Another preferred embodiment of embodiment 2-1 is: PG 1 , PG 2 and PG 3 are a prodrug or a pharmacologically acceptable salt thereof, wherein C 2-6 acyl group or C 1-6 alkoxycarbonyl group.
- “Pharmaceutically acceptable salt” means a pharmaceutically acceptable acid addition salt with a non-toxic acid or a salt with a non-toxic base.
- Such acid addition salts include acid addition salts of mineral acids such as hydrochloric acid, hydrobromic acid, hydroiodic acid, nitric acid, sulfuric acid, phosphoric acid, formic acid, acetic acid, adipic acid, citric acid, fumaric acid, maleic acid. Acid, oleic acid, lactic acid, stearic acid, succinic acid, tartaric acid, propionic acid, butyric acid, oxalic acid, malonic acid, malic acid, carbonic acid, glutamic acid, aspartic acid, methanesulfonic acid, benzenesulfonic acid, p-toluenesulfonic acid, etc.
- mineral acids such as hydrochloric acid, hydrobromic acid, hydroiodic acid, nitric acid, sulfuric acid, phosphoric acid, formic acid, acetic acid, adipic acid, citric acid, fumaric acid, maleic acid.
- Acid addition salts with organic acids alanine, arginine, asparagine, aspartic acid, cysteine, glutamine, glutamic acid, glycine, histidine, isoleucine, leucine, lysine, methionine, phenylalanine, proline, serine, threonine, tryptophan, tyrosine, valine, etc. Can be mentioned.
- salts with bases examples include 2-aminoethanol, piperidine, morpholine, pyrrolidine, N-methyl-D-glucamine, N, N′-dibenzylethylenediamine, tris (hydroxymethyl) aminomethane, arginine, and lysine.
- a salt with an organic base, a salt with an inorganic salt such as a sodium salt, a potassium salt, a calcium salt, or a magnesium salt can be given.
- the compound of the present invention or a prodrug thereof, or a pharmacologically acceptable salt thereof may exist as a hydrate or a solvate. Any hydrates and solvates formed by the compounds of the present invention or prodrugs thereof, or pharmaceutically acceptable salts thereof are all included in the scope of the present invention.
- Solvents that can form solvates include methanol, ethanol, isopropanol, acetone, ethyl acetate, diisopropyl ether, and the like.
- the compound of the present invention or a prodrug thereof, or a pharmacologically acceptable salt thereof includes stereoisomers such as optical isomers and geometric isomers.
- an optical isomer of the prodrug or pharmacologically acceptable salt thereof may have any configuration of R configuration or S configuration at each asymmetric carbon atom.
- any optical isomer is included in the present invention, and a mixture of these optical isomers is also included.
- a racemate consisting of an equal amount of each optical isomer in a mixture of optically active substances is also included in the scope of the present invention.
- the compound of the present invention or a prodrug thereof, or a pharmaceutically acceptable salt thereof is a racemic solid or crystal, a racemate, a racemic mixture and a racemic solid solution are also included in the scope of the present invention.
- the present invention includes any of the geometric isomers.
- the present invention encompasses any of the tautomers.
- SGLT2 inhibition means inhibition of the glucose transport ability of sodium-dependent glucose cotransporter 2 (SGLT2) relating to glucose reabsorption.
- SGLT2 inhibition suppresses sugar reabsorption from the kidney into the blood in the kidney. As a result, excess sugar in the blood is excreted out of the body as urine, so that hyperglycemia can be improved without imposing a load on the pancreatic ⁇ cells.
- SGLT2 inhibitory activity can be evaluated by measuring inhibition of methyl- ⁇ -D-glucopyranoside uptake into human SGLT2 cells.
- the inhibitory activity of the compound (1) of the present invention or a pharmacologically acceptable salt thereof can be confirmed, for example, by measuring according to the method described in Test Example 2 of International Publication No. 01/16147.
- the inhibitory activity of the prodrug (2) of the present invention or a pharmacologically acceptable salt thereof can be confirmed, for example, by measuring according to the method described in Test Example 3 of WO 02/053573.
- R A of compound (1) of the present invention is a hydrogen atom
- compound (1) of the present invention can be produced as compound (H) by the method shown in Scheme 1.
- R A represents a C 1-6 alkyl group, a C 2-6 alkenyl group, a C 2-6 alkynyl group, a halo C 1-6 alkyl group, a hydroxy C 2-6 alkyl group, C 1 -6 alkoxy C 1-6 alkyl group, cyano C 1-6 alkyl group, C 3-6 cycloalkyl group, substituted phenyl group, C 3-6 cycloalkyl C 1-6 alkyl group, substituted aralkyl group, C
- the compound (1) of the present invention can be produced as the compound (L) by the method shown in Scheme 2.
- the prodrug (2) of the present invention can be prepared by the method shown in Schemes 1 and 2 with the protecting group in the compounds (G), (I), (J) and (K). Instead, it can be produced by substituting with a pharmacologically acceptable modifying group.
- Each process in each scheme may be carried out by combining multistage reactions, and a plurality of processes that can be usually selected by those skilled in the art may be combined.
- a protective group when required depending on the type of functional group, it can be carried out by appropriately combining introduction and removal operations according to a conventional method.
- Examples of the type, introduction and removal of the protecting group include the methods described in “Gene's Protective Groups in Organic Synthesis”, fourth edition, Wiley-Interscience, edited by Greene & Wuts.
- G 1 is an ⁇ -D-glucopyranosyl group having PG 1 as a hydroxyl protecting group
- X 1 is a halogen atom, tosyl group or mesyl group
- G 11 is PG 1 having a hydroxyl protecting group.
- ⁇ -D-glucopyranosyl group, G—O— represents a ⁇ -D-glucopyranosyloxy group
- R B , R C , R D , PG 1 and n are as defined above, provided that ⁇ -D-glucosyl group hydroxyl group and pyrazole 5-position hydroxyl group may be different.
- Compound (C) can be produced by dehydration of compound (A) and the aldehyde represented by formula (B) in the presence or absence of an acid catalyst.
- the acid catalyst include hydrochloric acid, sulfuric acid, p-toluenesulfonic acid, trifluoroacetic acid and the like.
- the solvent include tetrahydrofuran, methanol, ethanol, N, N-dimethylformamide, acetonitrile, water, a mixed solvent thereof and the like.
- the reaction temperature is usually from 0 ° C. to reflux temperature, and the reaction time is usually from 1 to 16 hours, although it varies depending on the raw material used, solvent, reaction temperature and the like.
- Compound (A) may be a commercially available product or a method described in Tetrahedron Letters, Vol. 32, p. 3063-3066 (1991) or Canadian Journal of Chemistry, 70, p. 147-1445 (1992). Or a method according to the method.
- Process 2 Compound (D) can be produced by reducing compound (C).
- Compound (D) can be produced by reducing compound (C) with triethylsilane or the like in an organic acid such as trifluoroacetic acid.
- the reaction temperature is usually from 0 ° C. to reflux temperature, and the reaction time is usually from 0.5 to 24 hours, although it varies depending on the raw material used, solvent, catalyst, reaction temperature and the like.
- Compound (D) can be produced by reducing compound (C) in the presence of a metal catalyst in a solvent under a hydrogen atmosphere.
- a metal catalyst include palladium-carbon, palladium black, palladium hydroxide and the like.
- the solvent include alcohol solvents such as methanol and ethanol, ester solvents such as ethyl acetate, ether solvents such as tetrahydrofuran, mixed solvents thereof and the like.
- the pressure is usually normal pressure to 0.5 MPa
- the reaction temperature is usually 0 ° C. to reflux temperature
- the reaction time varies depending on the raw material, solvent, catalyst, reaction temperature, etc., but usually 0.5 to 24 hours.
- Compound (D) can be produced by reducing compound (C) in a solvent using a borane hydride reducing agent.
- the borane hydride reducing agent include sodium borohydride, sodium cyanoborohydride and the like.
- the solvent include ether solvents such as tetrahydrofuran, water, and mixed solvents thereof.
- the reaction temperature is usually from 0 ° C. to reflux temperature, and the reaction time is usually from 0.5 to 24 hours, although it varies depending on the raw material used, solvent, catalyst, reaction temperature and the like.
- Compound (E) can be produced by condensing compound (D) with hydrazine or hydrazine monohydrate in a solvent.
- the solvent include methanol, ethanol, toluene, tetrahydrofuran, N, N-dimethylformamide, acetonitrile, a mixed solvent thereof and the like.
- the reaction temperature is usually from room temperature to reflux temperature, and the reaction time is usually from 1 hour to 24 hours, although it varies depending on the raw material used, solvent, reaction temperature and the like.
- Compound (F) can be produced by protecting the hydroxyl group of compound (E) and the nitrogen atom of pyrazole by using conditions for introducing a protecting group that can be usually employed by those skilled in the art. For example, it can be carried out by the method described in “Green's Protective Groups in Organic Synthesis”, edited by Greene & Wuts, fourth edition, Wiley-Interscience, p.16-366, p.696-926.
- the introduction of the protective group in this step can be performed simultaneously or stepwise by protecting the hydroxyl group and protecting the pyrazole on the nitrogen atom.
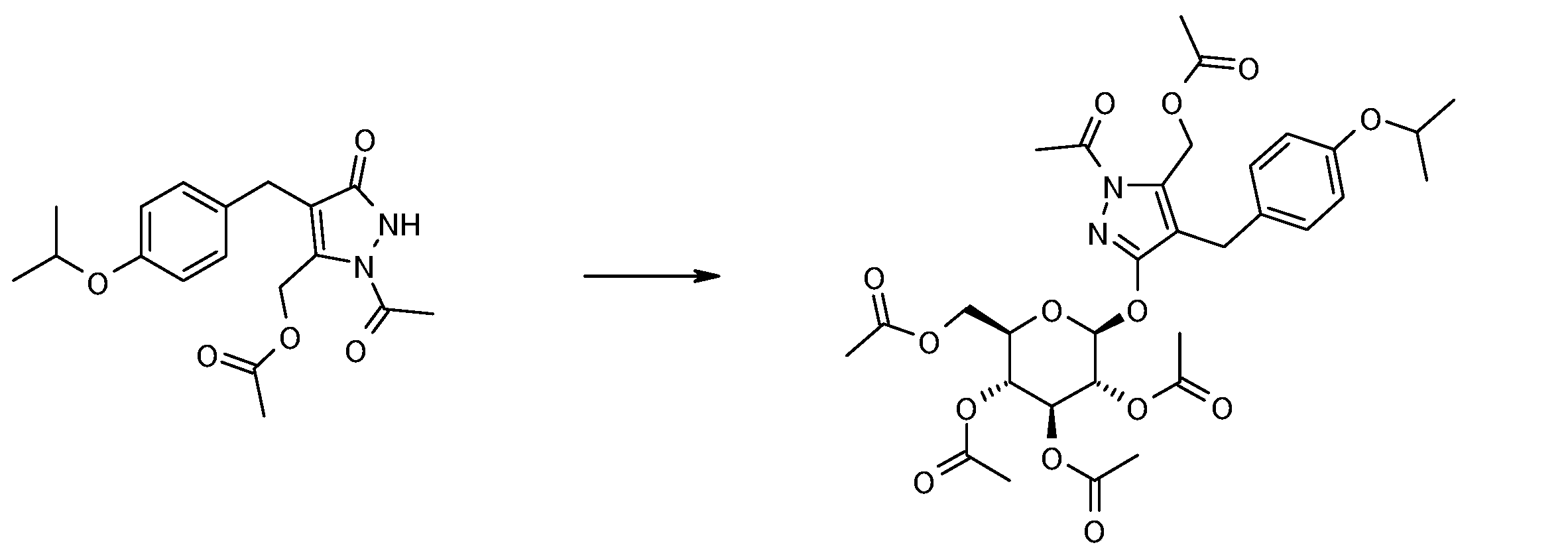
- Process 5 Compound (G) can be produced by the following glycosylation reaction of compound (F).
- Compound (G) can be produced by glycosylation of compound (F) using bromo- ⁇ -D-glucose having a protecting group in a solvent in the presence of a base such as potassium carbonate.
- a base such as potassium carbonate.
- the solvent include acetonitrile, N, N-dimethylformamide, N, N-dimethylacetamide and the like.
- the reaction temperature is usually room temperature to reflux temperature.
- the reaction time varies depending on the raw material used, the solvent, the reaction temperature, etc., but is usually 1 hour to 1 day.
- Compound (G) can be produced by glycosylating compound (F) using bromo- ⁇ -D-glucose having a protecting group in the presence of a base such as silver carbonate in a solvent.
- a base such as silver carbonate
- the solvent include tetrahydrofuran, toluene, ethyl acetate, acetonitrile, methylene chloride and the like.
- the reaction temperature is usually room temperature to reflux temperature.
- the reaction time varies depending on the raw material used, the solvent, the reaction temperature, etc., but is usually 1 hour to 1 day.
- Compound (G) is a glycosylated compound (F) using bromo- ⁇ -D-glucose having a protecting group in an organic solvent-water two-phase solvent using an inorganic base and a phase transfer catalyst.
- inorganic base include sodium hydroxide, potassium hydroxide, potassium carbonate and the like.
- phase transfer catalyst include benzyltri (n-butyl) ammonium bromide, tetra (n-butyl) ammonium hydrogensulfate, and the like.
- the organic solvent include methylene chloride, toluene, benzotrifluoride and the like.
- the reaction temperature is usually from 0 ° C. to reflux temperature, and the reaction time is usually from 1 to 24 hours, although it varies depending on the raw material used, solvent, reaction temperature and the like.
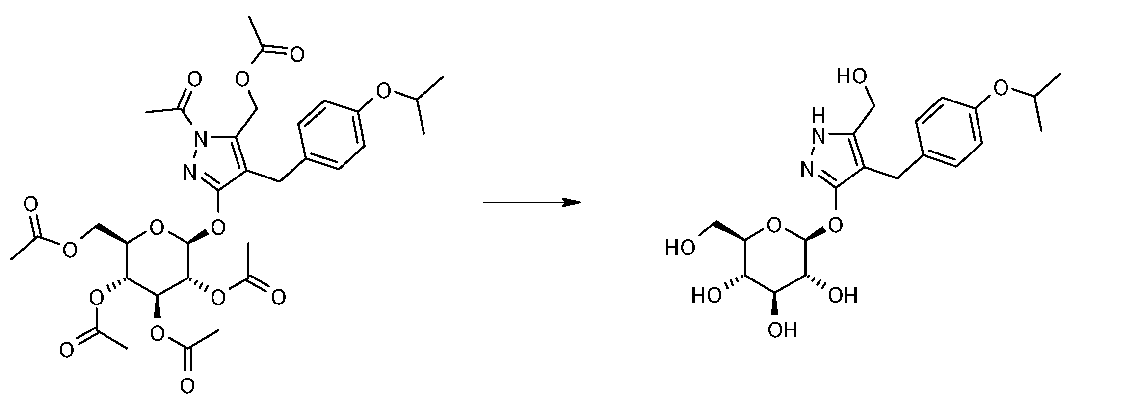
- Step 6 Compound (H) can be produced by deprotecting the protecting group of compound (G).
- the deprotection of the protective group on the hydroxyl group of compound (G) and the nitrogen atom of pyrazole can be carried out using conditions for removing the protective group that can be usually employed by those skilled in the art.
- various protecting groups for example, the methods described in “Green's Protective Groups in Organic Synthesis”, fourth edition, Wiley-Interscience, p. 16-366, p. 696-926, edited by Greene & Wuts. be able to.
- Method 1 When the protecting group of compound (G) is an acyl group, compound (H) can be produced by hydrolysis of compound (G).
- the acyl group include an acetyl group, an isobutyryl group, a pivaloyl group, and a benzoyl group.
- the base include sodium hydroxide and sodium ethoxide.
- the solvent include methanol, ethanol, tetrahydrofuran, water, a mixed solvent thereof and the like.
- the reaction temperature is usually from 0 ° C. to room temperature, and the reaction time is usually from 30 minutes to 6 hours, although it varies depending on the raw material used, solvent, reaction temperature and the like.
- compound (H) can be produced by hydrogenolysis. It can be produced by stirring the compound (G) in a solvent at normal pressure or under pressure under a hydrogen atmosphere.
- the solvent include alcohol solvents such as methanol or ethanol, ester solvents such as ethyl acetate, ether solvents such as tetrahydrofuran, acetic acid, and mixed solvents thereof.
- the catalyst include palladium.
- the pressure is usually under a pressure of 0.1 to 0.5 MPa
- the reaction temperature is usually from 0 ° C. to the reflux temperature
- the reaction time varies depending on the raw material used, solvent, catalyst, pressure, reaction temperature, etc. .5-24 hours.
- the deprotection in this step can be performed simultaneously or stepwise by deprotection of the protective group of the hydroxyl group and deprotection of the protective group on the nitrogen atom of pyrazole.
- Step 7 Compound (I) can be produced by glycosylating compound (E) according to method 2) and method 3) of step 5.
- Process 8 Compound (H) can be produced by deprotecting the protecting group of compound (I) according to the method of Step 6.
- G 2 —O— is a ⁇ -D-glucopyranosyloxy group having an acyl group such as isobutyryl group, pivaloyl group, benzoyl group, etc., and a protecting group such as benzyl group or trisubstituted silyl group at the 6-position.
- R A1 is a C 1-6 alkyl group, a C 2-6 alkenyl group, a C 2-6 alkynyl group, a halo C 1-6 alkyl group, a hydroxy C 1-6 alkyl group, a C 1-6 alkoxy C 1- 6 alkyl group, cyano C 1-6 alkyl group, C 3-6 cycloalkyl group, substituted phenyl group, C 3-6 cycloalkyl C 1-6 alkyl group, substituted aralkyl group, C 2-6 acyl group, a substitutable phenyl group or a C 1-6 alkoxycarbonyl group, R B represents a hydrogen atom, a halogen atom, C 1-6 alkyl groups, C 2-6 alkenyl groups, C 2-6 alkynyl groups, C -6 alkoxy group, halo C 1-6 alkyl group, a hydroxy C 1-6 alkyl group, C 1-6 alkoxy C 1-6 alkyl group,
- Step 9 Compound (J) can be produced by protecting the hydroxyl group of compound (H) using conditions for introducing a protecting group that can be usually employed by those skilled in the art. For example, it can be performed by the method described in “Green's Protective Groups in Organic Synthesis”, edited by Greene & Wuts, fourth edition, Wiley-Interscience, p. 16-366.
- the hydroxyl protecting group include acyl groups such as acetyl group, pivaloyl group and benzoyl group, carbonates such as benzyloxycarbonyl group, or trisubstituted silyl groups such as trimethylsilyl group, triisopropylsilyl group and tert-butyldimethylsilyl group.
- a trisubstituted silyl group is preferable, and a trimethylsilyl group, a triisopropylsilyl group, and a tert-butyldimethylsilyl group are more preferable.
- Step 10 Compound (K) was prepared by using an alkylating agent represented by the general formula (RE2), in the presence of a base, in a solvent, and optionally in the presence of a catalytic amount of sodium iodide.
- a base organic bases such as triethylamine, N, N-diisopropylethylamine, potassium tert-butoxide, lithium diisopropylamide, inorganic bases such as potassium carbonate, cesium carbonate, sodium hydride, sodium hydroxide, and the like can be used.
- the solvent examples include N, N-dimethylformamide, dimethoxyethane, dimethyl sulfoxide, tetrahydrofuran, ethanol, a mixed solvent thereof and the like.
- the reaction temperature is usually from room temperature to reflux temperature, and the reaction time is usually from 30 minutes to 3 days, although it varies depending on the raw material used, solvent, reaction temperature and the like.
- Step 11 Compound (L) can be produced by deprotecting compound (K) according to the method described in Step 6.
- compound (L) can be produced by deprotection using a fluorine ion reagent of compound (K).
- a fluorine ion reagent of compound (K) As the fluorine ion reagent, hydrogen fluoride, hydrogen fluoride pyridine, tetrabutylammonium fluoride, or the like can be used.
- the solvent include tetrahydrofuran, acetonitrile, methanol, water, a mixed solvent thereof and the like.
- the reaction temperature is usually from room temperature to reflux temperature, and the reaction time is usually from 30 minutes to 24 hours, although it varies depending on the raw material used, solvent, reaction temperature and the like.
- the compound represented by the compounds (1) and (2) that can be produced by the method shown in the above scheme can be converted into a pharmacologically acceptable salt according to a conventional method as necessary.
- salts include acid addition salts and salts with bases.
- the scheme shown above is an example of a method for producing the compound of the present invention or a prodrug thereof, or a pharmacologically acceptable salt thereof, or a production intermediate thereof. These can be variously modified into schemes that can be easily understood by those skilled in the art.
- the compound of the present invention or a prodrug thereof, or a pharmacologically acceptable salt thereof, and an intermediate used for producing the same are isolated and well known to those skilled in the art, if necessary. It can be isolated and purified by purification means such as solvent extraction, crystallization / recrystallization, chromatography, preparative high performance liquid chromatography and the like.
- composition containing the compound of the present invention or a prodrug thereof, or a pharmacologically acceptable salt thereof
- the pharmaceutical composition containing the compound of the present invention or a prodrug thereof, or a pharmacologically acceptable salt thereof as an active ingredient may be used in various dosage forms depending on the usage.
- dosage forms include powders, granules, fine granules, dry syrups, tablets, capsules, injections, solutions, ointments, suppositories, patches, sublinguals, etc. It is administered orally or parenterally.
- compositions are prepared according to known methods depending on the dosage form, using appropriate excipients, disintegrants, binders, lubricants, diluents, buffers, isotonic agents, preservatives, wetting agents. It can be prepared by appropriately mixing or diluting / dissolving with pharmaceutical additives such as emulsifiers, dispersants, stabilizers, and solubilizing agents.
- pharmaceutical additives such as emulsifiers, dispersants, stabilizers, and solubilizing agents.
- the respective active ingredients are formulated in the same manner as described above. Can be manufactured.
- the compound of the present invention or a prodrug thereof, or a pharmacologically acceptable salt thereof can be administered in appropriate combination with at least one drug other than the SGLT2 inhibitor.
- the drug to be administered in combination is preferably a drug with a mechanism of action different from SGLT2 inhibition.
- a drug having a mechanism of action different from SGLT2 inhibition means a drug for treating diabetes by an action mechanism other than SGLT2 inhibition.
- examples of such drugs include anti-diabetic drugs, diabetic-related disease therapeutic drugs, diabetic complication therapeutic agents, and the like.
- examples thereof include drugs having an action of suppressing absorption of glucose and the like from the gastrointestinal tract, an action of promoting insulin secretion, an action of inhibiting hepatic gluconeogenesis, an action of inhibiting sugar release, and an action of improving peripheral insulin sensitivity.
- Examples of the drug having “inhibition of absorption of glucose and the like from the digestive tract” other than SGLT2 inhibition include SGLT1 inhibitor, ⁇ -glucosidase inhibitor, biguanide drug and the like.
- Examples of the drug having “insulin secretion promoting action” include sulfonylurea (SU) drugs, fast-acting insulin secretagogues, DPPIV inhibitors and the like.
- SU sulfonylurea
- Examples of the drug having “liver gluconeogenesis inhibitory action” or “sugar release inhibitory action” include thiazolidine insulin sensitizers and sulfonylurea (SU) drugs.
- Examples of the drug having “peripheral insulin sensitivity improving action” include biguanide drugs, thiazolidine insulin sensitivity improving drugs, sulfonylurea (SU) drugs, and the like.
- the drug to be administered in combination is preferably a drug selected from the group consisting of an ⁇ -glucosidase inhibitor, a biguanide drug, a sulfonylurea drug, a fast-acting insulin secretagogue, a thiazolidine insulin sensitizer, and a DPPIV inhibitor. More preferably, it is a drug selected from the group consisting of DPPIV inhibitors, biguanides, and ⁇ -glucosidase inhibitors.
- ⁇ -glucosidase inhibitor examples include acarbose, voglibose, miglitol and the like. Voglibose is preferable.
- Biguanide drugs include metformin hydrochloride or buformin hydrochloride. Preferably, it is metformin hydrochloride.
- sulfonylurea (SU) drug examples include tolbutamide, acetohexamide, chlorpropamide, glyclopyramide, glybsol, glibenclamide, gulpizide, gliclazide or glimepiride. Preferred is glibenclamide, glupizide, gliclazide or glimepiride.
- the “rapid-acting insulin secretagogue” repaglinide, nateglinide, mitiglinide calcium hydrate and the like can be mentioned.
- it is mitiglinide calcium hydrate.
- DPPIV inhibitor examples include alogliptin, saxagliptin, sitagliptin, vildagliptin and the like.
- thiazolidine insulin sensitizer examples include rosiglitazone and pioglitazone.
- the drugs administered in combination are specifically exemplified as follows, but the contents of the present invention are not limited to these.
- the present invention includes free forms and other pharmacologically acceptable salts in specific compounds.
- SGLT1 inhibitor insulin sensitivity enhancer, sugar absorption inhibitor, biguanide drug, insulin secretagogue, insulin preparation, insulin receptor kinase stimulant, dipeptidyl peptidase IV (DPPIV) inhibitor, protein tyrosine phosphatase 1B inhibitor, Glycogen phosphorylase inhibitor, fructose-bisphosphatase inhibitor, hepatic gluconeogenesis inhibitor, glycogen synthase kinase-inhibitor, glucagon-like peptide-1 analog, glucagon-like peptide-1 agonist (GLP1 analog), amylin agonist (amylin analog) ), Aldose reductase inhibitor, protein kinase C inhibitor, ⁇ -aminobutyric acid (GABA) receptor antagonist, sodium channel antagonist, transcription factor NF- ⁇ B inhibitor, lipid peroxidase Inhibitors, insulin-like growth factor-I, epidermal growth factor (EGF), nerve growth factor, hydroxymethylgluta
- the present invention includes the following 1) to 5): 1) Simultaneous administration with combination drug, 2) As separate formulations, co-administration by the same route of administration, 3) As separate formulations, co-administration by different routes of administration, Any method of administration, including 4) administration at different times by the same route of administration as separate formulations, and 5) administration at different times by different routes of administration as separate formulations is included.
- the above-mentioned drug administered in combination with the compound of the present invention or a prodrug thereof, or a pharmaceutically acceptable salt thereof is not particularly limited.
- the compound of the present invention or a prodrug thereof, or a pharmacologically acceptable salt thereof can be administered in combination with one or more kinds of the above drugs as appropriate, thereby providing an additive effect in preventing or treating the above diseases.
- the above advantageous effects can be obtained.
- reduce the amount used compared to when administered alone reduce the side effects of drugs other than SGLT2 inhibitors used together, or avoid side effects of drugs other than SGLT2 inhibitors used together Or it can be reduced.
- the compound of the present invention or a prodrug thereof, or a pharmacologically acceptable salt thereof exhibits potent human SGLT2 inhibitory activity in measuring methyl- ⁇ -D-glucopyranoside uptake inhibitory activity. Therefore, the compound of the present invention can suppress or reduce an excessive increase in blood glucose level. Therefore, the pharmaceutical composition containing the compound of the present invention or a prodrug thereof, or a pharmacologically acceptable salt thereof as an active ingredient can be used as a therapeutic or prophylactic agent for diseases caused by hyperglycemia.
- the compound of the present invention or a prodrug thereof, or a pharmacologically acceptable salt thereof is a postprandial hyperglycemia inhibitory or normalization, glucose intolerant (IGT), fasting blood glucose abnormal (IFG) or It is also useful for preventing the transition of patients with metabolic syndrome to diabetes. In particular, it is useful for postprandial hyperglycemia suppression or normalization, or for prevention of transition to diabetes in patients with impaired glucose tolerance (IGT) or metabolic syndrome patients with hyperglycemia.
- Diseases caused by hyperglycemia include diabetes, diabetes-related diseases, diabetic complications, and the like.
- Diabetes includes type 1 diabetes or type 2 diabetes, gestational diabetes, or borderline, insulin-independent, insulin-dependent diabetes, and the like.
- the compounds of the invention or prodrugs thereof, or pharmaceutically acceptable salts thereof are preferably used for the treatment or prevention of type 2 diabetes, or borderline, insulin-independent or insulin-dependent conditions. More preferred is type 2 diabetes or borderline or non-insulin dependent diabetes.
- Diabetes-related diseases include fatty liver, metabolic syndrome, hyperglycemia, insulin resistance, decreased glucose metabolism, diabetic retinopathy, macular degeneration, cataract, diabetic nephropathy, glomerulosclerosis, vascular revascularization Examples include stenosis, ulcerative colitis, obesity, hyperinsulinemia, glucose metabolism disorder, hyperlipidemia, hypercholesterolemia, lipid metabolism disorder, hyperuricemia, gout, hypertension, congestive heart failure, edema, etc. It is done.
- Diabetic complications includes both acute complications and chronic complications. Acute complications include diabetic coma and infections. Examples of chronic complications include diabetic microangiopathy and diabetic macroangiopathy. The compounds of the present invention or prodrugs thereof, or pharmacologically acceptable salts thereof are preferably used for the treatment or prevention of chronic complications. More preferred is diabetic microangiopathy or diabetic macroangiopathy. Examples of diabetic microangiopathy include diabetic retinopathy, diabetic nephropathy, diabetic neuropathy and the like. Examples of diabetic macroangiopathy include diabetic arteriosclerosis, diabetic foot lesions and periodontal disease.
- Diabetic coma includes ketoacidosis coma, hyperosmotic hyperglycemia syndrome, and the like.
- the compound of the present invention or a prodrug thereof, or a pharmacologically acceptable salt thereof is preferably used for the treatment or prevention of hyperosmotic hyperglycemia syndrome.
- “Infectious diseases” as acute complications of diabetes include pulmonary tuberculosis, urinary tract infections, skin infections and the like.
- Diabetic retinopathy includes vitiligo, capillary aneurysm, retinal edema, vitreous hemorrhage, retinal detachment, visual impairment, blindness, and the like.
- Diabetic nephropathy means a pathological condition characterized by increased urinary excretion of albumin, increased blood pressure, and decreased renal function. According to its progress, it is classified into early nephropathy, overt nephropathy, and end stage renal failure.
- the compound of the present invention or a prodrug thereof, or a pharmaceutically acceptable salt thereof is preferably used for the treatment or prevention of nephropathy at any stage.
- Diabetic neuropathy includes multiple neuropathy (pervasive symmetry neuropathy) or single neuropathy.
- Examples of polyneuropathy include sensory / motor nerves and autonomic nerve disorders.
- Diabetic foot lesions include ringworm, wrinkles, foot ulcers, foot gangrene and the like.
- Diabetic arteriosclerosis includes coronary arteriosclerosis, cerebrovascular disorder, lower limb obstructive arteriosclerosis and the like. Coronary arteriosclerosis, cerebrovascular disorder or lower limb obstructive arteriosclerosis is preferable.
- the medicament of the present invention can be administered systemically or locally, orally or parenterally (nasal, pulmonary, intravenous, rectal, subcutaneous, intramuscular, transdermal, etc.).
- the dose of the compound of the present invention or a prodrug thereof, or a pharmacologically acceptable salt thereof, which is the active ingredient depends on the age, sex, body weight of the patient. It is determined appropriately depending on the disease, the degree of treatment, and the like.
- an adult (with a body weight of 60 kg) can be appropriately administered once or in several divided doses within a range of about 5 to 1000 mg / body per day.
- the daily dose is preferably 5 to 100 mg / body.
- parenteral administration it can be appropriately administered in one or several divided doses in the range of about 0.5 to 300 mg / body per day for adults.
- the daily dose is preferably 0.5 to 10 mg / body.
- the dose can be decreased according to the dose of a drug other than the SGLT2 inhibitor.
- the compound of Example 1 was produced by the method described in Steps 1-1 to 1-5.
- Step 1-1 3- [1- (4-Isopropyloxyphenyl) methylidene] furan-2,4-dione
- a catalytic amount of concentrated hydrochloric acid was added to a mixture of tetronic acid (1.6 g) and 4-isopropoxybenzaldehyde (7.8 g), and the mixture was stirred at room temperature for 2 hours. Diethyl ether was added to the reaction mixture, and the mixture was stirred at room temperature for 30 minutes, and a crystalline solid was collected by filtration. The crystals collected by filtration were washed with diethyl ether and dried under reduced pressure to obtain the title compound (1.6 g).
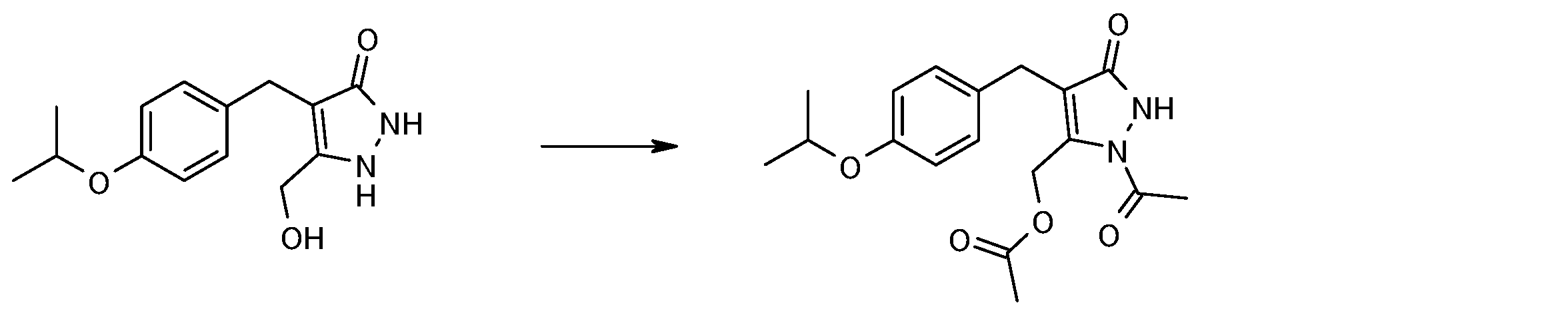
- Step 1-5 5-Acetoxymethyl-1-acetyl-4- (4-isopropoxybenzyl) -3- (2,3,4,6-tetra-O-acetyl- ⁇ -D-glucopyranosyloxy) -1H-pyrazole
- the compound of Example 2 was produced by the method described in Step 2-1.
- Step 2-1 3- ( ⁇ -D-glucopyranosyloxy) -5-hydroxymethyl-4- (4-isopropoxybenzyl) -1H-pyrazole
- the compound of Example 3 was produced by the method described in Steps 3-1 to 3-3.
- Step 3-1 4- (4-Isopropoxybenzyl) -3- (6-O-triisopropylsilyl- ⁇ -D-glucopyranosyloxy) -5-triisopropylsilyloxymethyl-1H-pyrazole
- Step 3-2 4- (4-Isopropoxybenzyl) -1-isopropyl-3- (6-O-triisopropylsilyl- ⁇ -D-glucopyranosyloxy) -5-triisopropylsilyloxymethylpyrazole
- Step 3-3 4- (4-Isopropoxybenzyl) -1-isopropyl-3- ( ⁇ -D-glucopyranosyloxy) -5-hydroxymethylpyrazole
- Example 4-1 3- (6-O-ethoxycarbonyl- ⁇ -D-glucopyranosyloxy) -5-ethoxycarbonyloxymethyl-4- (4-isopropoxybenzyl) -1-isopropylpyrazole
- Example 4-2 3- (6-O-ethoxycarbonyl- ⁇ -D-glucopyranosyloxy) -5-hydroxymethyl-4- (4-isopropoxybenzyl) -1-isopropylpyrazole
- the compounds of Examples 4-1 and 4-2 can be produced by the method described in Step 4-1.
- Test example 1 Human SGLT inhibitory activity confirmation test
- Human SGLT2 or human SGLT1 expression vectors were introduced into COS-7 cells by the lipofection method (Lipofectamine (registered trademark) 2000: manufactured by Invitrogen).
- lipofection method Lipofectamine (registered trademark) 2000: manufactured by Invitrogen.
- COS-7 cells were seeded in a 96-well plate at 5 ⁇ 10 4 cells / 100 ⁇ L / well and allowed to stand at 37 ° C. for 2 hours.
- 0.3 ⁇ g of human SGLT2 or SGLT1 expression vector and 0.5 mL of Lipofectamine (registered trademark) 2000 were mixed per 50 mL of the medium to prepare a complex solution.
- This complex solution was added to the COS-7 cells described above at 50 ⁇ L / well, gently stirred and cultured for 2 days.
- cells stably expressing human SGLT2 or human SGLT1 were selected and subjected to measurement of methyl- ⁇ -D-glucopyranoside ( ⁇ -MG) uptake inhibitory activity.
- Pretreatment buffer As pretreatment buffer, 140 mM choline chloride, 2 mM potassium chloride, 1 mM calcium chloride, 1 mM magnesium chloride, 10 mM 2- [4- (2-hydroxyethyl) -1-piperazinyl] ethanesulfonic acid, 5 mM Tris A buffer solution of pH 7.4 containing (hydroxymethyl) aminomethane was prepared.
- Buffer for basal uptake The buffer for basal uptake was prepared by adding 1 mM ⁇ -MG (unlabeled (manufactured by Sigma), label (methyl- ⁇ -D- (U- 14C )) glucopyranoside (GE Health) to the pretreatment buffer. CARE BIO SCIENCE CO., LTD. (Hereinafter abbreviated as [ 14 C] - ⁇ -MG)).
- the concentration of [ 14 C] - ⁇ -MG was 27.75 kBq / mL (for SGLT1). ) Or 123.3 kBq / mL (for SGLT2).
- Double Concentration Uptake Buffer For the double concentration uptake buffer, a basic uptake buffer containing sodium chloride instead of choline chloride was prepared at a double concentration.
- Buffer solution for test compound measurement A test compound is dissolved in dimethyl sulfoxide (DMSO) to prepare a 10 mmol / L solution, which is then appropriately diluted with distilled water to give a concentration of 2 nM, 6 nM, 20 nM, 60 nM, 200 nM, 600 nM, 2 ⁇ M, 6 ⁇ M. 20 ⁇ M, 60 ⁇ M, and 200 ⁇ M test compound solutions were prepared. A test compound solution at each concentration was added to an equal volume of a double concentration uptake buffer to prepare a test compound measurement buffer.
- DMSO dimethyl sulfoxide
- Buffer solution for control group As a buffer solution for the control group, a test compound-measuring buffer solution containing no test compound was prepared and used.
- washing buffer As the washing buffer, a pretreatment buffer containing 10 mM ⁇ -MG (unlabeled) was prepared and used.
- the compound of the present invention showed a stronger SGLT2 inhibitory activity than SGLT1.
- Table 1 shows the inhibitory activity against SGLT2 and SGLT1 of representative compounds of the present invention as IC 50 values.
- Test example 2 Urinary glucose excretion promoting action confirmation test (intravenous administration) The action of promoting urinary glucose excretion by intravenous administration of the compounds of Example 2 and Example 3 in SD rats can be confirmed according to the method described in International Publication No. 01/16147, Test Example 2, Method B).
- Test example 3 Urinary glucose excretion promoting action confirmation test (subcutaneous administration) The action of promoting the excretion of urinary glucose by subcutaneous administration of the compounds of Example 2 and Example 3 in SD rats can be confirmed according to the method described in International Publication No. 01/16147, Test Example 2, Method A).
- Test example 4 Urinary glucose excretion promoting test (oral administration) The action of promoting the urinary glucose excretion by oral administration of the compounds of Example 1, Example 4-1 and Example 4-2 in SD rats should be confirmed according to the method described in Test Example 3 of WO 02/053573. Can do.
- Test Example 5 Bioavailability (BA) confirmation test
- the BA in the oral administration of a prodrug can be confirmed according to the method described in Test Example 2 of WO 02/053573. That is, BA can be confirmed using the compound of Example 1, Example 4-1 or Example 4-2 as a prodrug and the compound of Example 2 or 3 as a parent compound.
- the compound of the present invention or a prodrug thereof, or a pharmacologically acceptable salt thereof is provided as a human SGLT2 inhibitor.
- the compounds of the present invention can also be used as preventive or therapeutic agents for diabetes, diabetes-related diseases or diabetic complications.
Landscapes
- Health & Medical Sciences (AREA)
- Chemical & Material Sciences (AREA)
- Life Sciences & Earth Sciences (AREA)
- General Health & Medical Sciences (AREA)
- Animal Behavior & Ethology (AREA)
- Pharmacology & Pharmacy (AREA)
- Public Health (AREA)
- Veterinary Medicine (AREA)
- Medicinal Chemistry (AREA)
- Epidemiology (AREA)
- Organic Chemistry (AREA)
- Engineering & Computer Science (AREA)
- Diabetes (AREA)
- General Chemical & Material Sciences (AREA)
- Bioinformatics & Cheminformatics (AREA)
- Chemical Kinetics & Catalysis (AREA)
- Nuclear Medicine, Radiotherapy & Molecular Imaging (AREA)
- Molecular Biology (AREA)
- Hematology (AREA)
- Obesity (AREA)
- Endocrinology (AREA)
- Emergency Medicine (AREA)
- Biochemistry (AREA)
- Biotechnology (AREA)
- Genetics & Genomics (AREA)
- Pharmaceuticals Containing Other Organic And Inorganic Compounds (AREA)
Abstract
本発明は、ヒトSGLT2阻害活性を有する化合物もしくはそのプロドラッグ、またはその薬理学的に許容される塩、およびその医薬用途を提供することを課題とする。本発明は、ヒトSGLT2阻害活性を有する、一般式(1)〔式中、RAは水素原子またはC1-6アルキル基等、RBはC1-6アルコキシ基等、RCおよびRDは独立して、水素原子、ハロゲン原子等、nは1~3を表す〕で表される化合物もしくはそのプロドラッグ、またはその薬理学的に許容される塩を提供するものである。更に、本発明の化合物は、高血糖に起因する疾患の治療薬または予防薬として利用できる。
Description
本発明は、医薬品として有用なグルコピラノシルオキシピラゾール誘導体もしくはそのプロドラッグ、またはその薬理学的に許容される塩、およびその医薬用途に関するものである。
さらに詳しく述べれば、本発明は、ヒトSGLT2阻害活性を有し、糖尿病、糖尿病関連疾患または糖尿病性合併症等の予防または治療剤として有用なグルコピラノシルオキシピラゾール誘導体もしくはそのプロドラッグ、またはその薬理学的に許容される塩、およびその医薬用途に関するものである。
糖尿病は生活習慣病の一つであり、病気の進行と共に種々の合併症を併発する疾患である。糖尿病の治療方法としては、食餌療法、運動療法および薬物療法等がある。何れの治療方法も血糖値の改善を主な目的および指針として行われている。血糖値の改善が糖尿病治療の指針とされるのは、糖尿病の症状を改善することはもとより、高血糖、特に食後高血糖に起因する各種糖尿病性合併症の発症や増悪を防ぐ為である。
糖尿病性合併症としては、糖尿病性網膜症、糖尿病性腎症、糖尿病性神経障害、糖尿病性足病変、糖尿病性大血管症、高血圧、高脂血症等の多様な合併症が知られている。そのため、糖尿病患者は、これら疾患の治療薬と糖尿病治療薬との併用による薬物治療を受けることも多い。さらに、患者層は、男・女を問わず小児から高齢者までの幅広い年齢層、あるいは妊婦等の多岐に渡る。したがって、糖尿病治療薬としては、安全性が高くかつ多剤併用が可能な特性を有する薬剤が望ましい。
現在市販されている糖尿病薬としては、スルホニル尿素薬、ビグアナイド薬、インスリン感受性増強薬、ジペプジルペプチダーゼIV(DPPIV)阻害薬等がある。第一選択薬であるスルホニル尿素薬は、長時間の使用により多くの患者で血糖値が次第に上昇してくる、所謂二次無効および低血糖という問題がある。ビグアナイド薬には重篤な副作用である乳糖アシドーシス、α-グルコシダーゼ阻害薬には重篤な肝障害、チアゾリジン系インスリン感受性改善薬には肝機能障害の他に浮腫などの副作用が報告されている(例えば、非特許文献1参照)。したがって、これら既存薬の欠点を解消した新規な薬剤の開発が望まれている。
こうした背景から、ナトリウム依存性グルコース輸送担体(以下、SGLTと略す)阻害薬が、副作用の少ない高血糖改善のためのメカニズム、すなわち糖尿病治療薬のメカニズムとして着目されている。SGLTは、生体内のグルコース取り込み機構の一つである。そのサブタイプとしては、SGLT1、SGLT2等がある。SGLT2は、腎臓の近位尿細管に特異的に発現し、原尿中のグルコース再吸収に大きな役割を果たすことが明らかになっている(例えば、非特許文献2参照)。一方、SGLT1は腎臓の他の臓器にも発現していることが知られている。よって、特異的に腎臓でのグルコースの生体内への再吸収を抑制し、尿中へのグルコース排泄量を増加させることにより、血糖値を低下させて正常な血糖値にできる薬剤として、SGLT2阻害薬が特に期待されている。実際、SGLT2阻害薬を糖尿病モデルマウスに投与した結果、血糖値の低下およびインスリン分泌能の回復が報告されている(例えば、非特許文献2)。
さて、SGLT阻害薬としては、β-D-グルコピラノシド誘導体の一つである、天然物由来のフロリジンが最初の報告である。このフロリジンについては、種々の誘導体が研究されてきた。しかし、フロリジン誘導体は、経口投与した際に消化管に存在するβ-グルコシダーゼにより、アグリコンと糖に加水分解される事が明らかになった。この結果、経口投与では、フロリジン誘導体のSGLT阻害活性が消失してしまうことが知られている。これを克服するために、フロリジン誘導体のプロドラッグ化が試みられてきた(例えば、非特許文献3参照)。また、例えば、フロリジンのアグリコンであるフロレチンは、促進拡散型糖輸送体(GLUT)を阻害する為、血液脳関門(所謂BBB)でのグルコース取り込みを阻害し、脳内のグルコース濃度を低下させてしまうことが知られている(例えば、非特許文献4参照)。
これら欠点を克服すべく様々な構造のSGLT2阻害薬が開発されている。その中の一つとして、β-D-グルコピラノシド誘導体が開示されている。この中には、例えば、下記式で表される化合物が知られている(例えば、特許文献1参照)。
〔式中、Q1がメチル基である時、R1が水素原子またはイソプロピル基等であり、R2がイソプロピルオキシ基である化合物、Q1がトリフルオロメチル基である時、R1が水素原子、R2がメトキシ基を表す。〕
また、β-D-グルコピラノシド誘導体を経口投与する場合、下記式のように糖部分の6位に修飾基:R2OCOO-基を導入してプロドラッグとすることにより、親化合物より優れたバイオアベイラビリティ(BA)が得られること知られている(例えば、特許文献2参照)。
また、β-D-グルコピラノシド誘導体を経口投与する場合、下記式のように糖部分の6位に修飾基:R2OCOO-基を導入してプロドラッグとすることにより、親化合物より優れたバイオアベイラビリティ(BA)が得られること知られている(例えば、特許文献2参照)。
〔式中、R1が水素原子である場合は、R2はメチル基またはエチル基を表し、R1がイソプロピル基である場合は、R2はメチル基、エチル基またはイソブチル基を表す。〕
以上のように、β-D-グルコピラノシド誘導体のSGLT2阻害薬は、親化合物そのものまたはプロドラッグとして、経口または非経口により投与される。即ち、β-D-グルコピラノシド誘導体は、親化合物、そのプロドラッグおよびアグリコン等の各化合物の薬理活性の他、医薬としての様々な特性:例えば、薬物動態的各種パラメータ、薬物相互作用、安全性、安定性、物理化学的特性等を制御する必要がある。
以上のように、β-D-グルコピラノシド誘導体のSGLT2阻害薬は、親化合物そのものまたはプロドラッグとして、経口または非経口により投与される。即ち、β-D-グルコピラノシド誘導体は、親化合物、そのプロドラッグおよびアグリコン等の各化合物の薬理活性の他、医薬としての様々な特性:例えば、薬物動態的各種パラメータ、薬物相互作用、安全性、安定性、物理化学的特性等を制御する必要がある。
翻って、グルコピラノシルオキシピラゾール誘導体において、ピラゾールの5位アルキル基に、置換基として水酸基を有する化合物の開示は無い。また、それらがSGLT2阻害活性を有するとの開示および示唆は全くない。
国際公開2001/16147号
国際公開2002/53573号
日本糖尿病学会編「科学的根拠に基づく糖尿病診療ガイドライン」、南江堂、2004年5月25日、p.38-39
Yoshikatsu Kanai, et al., 「The Journal of Clinical Investigation」, 93巻, p. 397-404, 1994年
Mitsuya Hongu, et al., 「Chemical and Pharmaceutical Bulletin」, 46巻, p. 1545-1555, 1998年
William H. Oldendorf, et al., 「Stroke」, 14巻, p. 388-393, 1983年
本発明は、ヒトSGLT2阻害活性を有するグルコピラノシルオキシピラゾール誘導体もしくはそのプロドラッグ、またはその薬理学的に許容される塩、およびその医薬用途を提供することを課題とする。
本発明者らは、ヒトSGLT2阻害活性を有する化合物を見出すべく鋭意検討した。その結果、ピラゾールの5位アルキル基に水酸基を有するグルコピラノシルオキシピラゾール誘導体が強力なヒトSGLT2阻害活性があることを見出し、本発明をなすに至った。
即ち、前記課題を解決する為の手段は下記の通りである。
〔1〕一般式(1)で表される化合物もしくはそのプロドラッグ、またはその薬理学的に許容される塩
〔1〕一般式(1)で表される化合物もしくはそのプロドラッグ、またはその薬理学的に許容される塩
〔式中、
RAは、以下のa)~o):
a)水素原子、
b)C1-6アルキル基、
c)C2-6アルケニル基、
d)C2-6アルキニル基、
e)ハロC1-6アルキル基、
f)ヒドロキシC1-6アルキル基、
g)C1-6アルコキシC1-6アルキル基、
h)シアノC1-6アルキル基、
i)C3-6シクロアルキル基、
j)置換可フェニル基、
k)C3-6シクロアルキルC1-6アルキル基、
l)置換可アラルキル基、
m)C2-6アシル基、
n)置換可フェニルカルボニル基、および
o)C1-6アルコキシカルボニル基
からなる群から選択される基であり;
RBは、以下のp)~ab):
p)水素原子、
q)ハロゲン原子、
r)C1-6アルキル基、
s)C2-6アルケニル基、
t)C2-6アルキニル基、
u)C1-6アルコキシ基、
v)ハロC1-6アルキル基、
w)ヒドロキシC1-6アルキル基、
x)C1-6アルコキシC1-6アルキル基、
y)シアノC1-6アルキル基、
z)C3-6シクロアルキル基、
aa)置換可フェニル基、および
ab)C3-6シクロアルキルC1-6アルキル基
からなる群から選択される基であり;
RCおよびRDは、独立して、水素原子、ハロゲン原子、C1-6アルキル基またはC1-6アルコキシ基であり;
nは、1から3の整数を表す。〕。
RAは、以下のa)~o):
a)水素原子、
b)C1-6アルキル基、
c)C2-6アルケニル基、
d)C2-6アルキニル基、
e)ハロC1-6アルキル基、
f)ヒドロキシC1-6アルキル基、
g)C1-6アルコキシC1-6アルキル基、
h)シアノC1-6アルキル基、
i)C3-6シクロアルキル基、
j)置換可フェニル基、
k)C3-6シクロアルキルC1-6アルキル基、
l)置換可アラルキル基、
m)C2-6アシル基、
n)置換可フェニルカルボニル基、および
o)C1-6アルコキシカルボニル基
からなる群から選択される基であり;
RBは、以下のp)~ab):
p)水素原子、
q)ハロゲン原子、
r)C1-6アルキル基、
s)C2-6アルケニル基、
t)C2-6アルキニル基、
u)C1-6アルコキシ基、
v)ハロC1-6アルキル基、
w)ヒドロキシC1-6アルキル基、
x)C1-6アルコキシC1-6アルキル基、
y)シアノC1-6アルキル基、
z)C3-6シクロアルキル基、
aa)置換可フェニル基、および
ab)C3-6シクロアルキルC1-6アルキル基
からなる群から選択される基であり;
RCおよびRDは、独立して、水素原子、ハロゲン原子、C1-6アルキル基またはC1-6アルコキシ基であり;
nは、1から3の整数を表す。〕。
〔2〕RAが、水素原子、C1-6アルキル基、C2-6アルケニル基、ハロC1-6アルキル基、ヒドロキシC2-6アルキル基、C1-6アルコキシC1-6アルキル基、置換可フェニル基、置換可アラルキル基またはC2-6アシル基であり;
RBが、ハロゲン原子、C1-6アルキル基またはC1-6アルコキシ基であり;
RCおよびRDが、一方が水素原子であり、他方が水素原子、ハロゲン原子またはC1-6アルキル基である、〔1〕記載の化合物またはその薬理学的に許容される塩。
〔3〕RAが、水素原子、C1-6アルキル基、C1-6アルコキシC1-6アルキル基またはC2-6アシル基であり;
RBが、C1-6アルキル基またはC1-6アルコキシ基であり;
RCおよびRDが、水素原子であり;
nが、1または2である、〔2〕記載の化合物またはその薬理学的に許容される塩。
〔4〕RAが、水素原子、C1-6アルキル基またはC2-6アシル基であり;
RBが、C1-6アルコキシ基である、〔3〕記載の化合物またはその薬理学的に許容される塩。
〔5〕化合物が、
3-(β-D-グルコピラノシルオキシ)-5-ヒドロキシメチル-4-(4-イソプロポキシベンジル)-1H-ピラゾール、または
3-(β-D-グルコピラノシルオキシ)-5-ヒドロキシメチル-4-(4-イソプロポキシベンジル)-1-イソプロピルピラゾール
から選択される、〔4〕記載の化合物またはその薬理学的に許容される塩。
〔6〕化合物が、3-(β-D-グルコピラノシルオキシ)-5-ヒドロキシメチル-4-(4-イソプロポキシベンジル)-1H-ピラゾールである、〔5〕記載の化合物またはその薬理学的に許容される塩。
〔7〕化合物が、3-(β-D-グルコピラノシルオキシ)-5-ヒドロキシメチル-4-(4-イソプロポキシベンジル)-1-イソプロピルピラゾールである、〔5〕記載の化合物またはその薬理学的に許容される塩。
〔8〕一般式(2)で表される、〔1〕記載のプロドラッグまたはその薬理学的に許容される塩
RBが、ハロゲン原子、C1-6アルキル基またはC1-6アルコキシ基であり;
RCおよびRDが、一方が水素原子であり、他方が水素原子、ハロゲン原子またはC1-6アルキル基である、〔1〕記載の化合物またはその薬理学的に許容される塩。
〔3〕RAが、水素原子、C1-6アルキル基、C1-6アルコキシC1-6アルキル基またはC2-6アシル基であり;
RBが、C1-6アルキル基またはC1-6アルコキシ基であり;
RCおよびRDが、水素原子であり;
nが、1または2である、〔2〕記載の化合物またはその薬理学的に許容される塩。
〔4〕RAが、水素原子、C1-6アルキル基またはC2-6アシル基であり;
RBが、C1-6アルコキシ基である、〔3〕記載の化合物またはその薬理学的に許容される塩。
〔5〕化合物が、
3-(β-D-グルコピラノシルオキシ)-5-ヒドロキシメチル-4-(4-イソプロポキシベンジル)-1H-ピラゾール、または
3-(β-D-グルコピラノシルオキシ)-5-ヒドロキシメチル-4-(4-イソプロポキシベンジル)-1-イソプロピルピラゾール
から選択される、〔4〕記載の化合物またはその薬理学的に許容される塩。
〔6〕化合物が、3-(β-D-グルコピラノシルオキシ)-5-ヒドロキシメチル-4-(4-イソプロポキシベンジル)-1H-ピラゾールである、〔5〕記載の化合物またはその薬理学的に許容される塩。
〔7〕化合物が、3-(β-D-グルコピラノシルオキシ)-5-ヒドロキシメチル-4-(4-イソプロポキシベンジル)-1-イソプロピルピラゾールである、〔5〕記載の化合物またはその薬理学的に許容される塩。
〔8〕一般式(2)で表される、〔1〕記載のプロドラッグまたはその薬理学的に許容される塩
〔式中、
PG1、PG2およびPG3は、独立して、以下のa)~d):
a)水素原子、
b)C2-6アシル基、
c)C1-6アルコキシカルボニル基、および
d)置換可アラルキルオキシカルボニル基
からなる群から選択される基であり;
RA1は、以下のe)~t):
e)水素原子、
f)C1-6アルキル基、
g)C2-6アルケニル基、
h)C2-6アルキニル基、
i)ハロC1-6アルキル基、
j)ヒドロキシC1-6アルキル基、
k)C1-6アルコキシC1-6アルキル基、
l)シアノC1-6アルキル基、
m)C3-6シクロアルキル基、
n)置換可フェニル基、
o)C3-6シクロアルキルC1-6アルキル基、
p)置換可アラルキル基、
q)C2-6アシル基、
r)置換可フェニルカルボニル基、
s)C1-6アルコキシカルボニル基、および
t)置換可アラルキルオキシカルボニル基
からなる群から選択される基であり;
RB、RCおよびRDは、〔1〕と同じ意味を表す。
ただし、PG1、PG2およびPG3は、同時に水素原子ではない。〕。
PG1、PG2およびPG3は、独立して、以下のa)~d):
a)水素原子、
b)C2-6アシル基、
c)C1-6アルコキシカルボニル基、および
d)置換可アラルキルオキシカルボニル基
からなる群から選択される基であり;
RA1は、以下のe)~t):
e)水素原子、
f)C1-6アルキル基、
g)C2-6アルケニル基、
h)C2-6アルキニル基、
i)ハロC1-6アルキル基、
j)ヒドロキシC1-6アルキル基、
k)C1-6アルコキシC1-6アルキル基、
l)シアノC1-6アルキル基、
m)C3-6シクロアルキル基、
n)置換可フェニル基、
o)C3-6シクロアルキルC1-6アルキル基、
p)置換可アラルキル基、
q)C2-6アシル基、
r)置換可フェニルカルボニル基、
s)C1-6アルコキシカルボニル基、および
t)置換可アラルキルオキシカルボニル基
からなる群から選択される基であり;
RB、RCおよびRDは、〔1〕と同じ意味を表す。
ただし、PG1、PG2およびPG3は、同時に水素原子ではない。〕。
〔9〕PG1が、C2-6アシル基またはC1-6アルコキシカルボニル基であり;
PG2が、水素原子、C2-6アシル基またはC1-6アルコキシカルボニル基であり;
PG3が、水素原子である、〔8〕記載のプロドラッグまたはその薬理学的に許容される塩。
〔10〕RA1が、水素原子、C1-6アルキル基またはC2-6アシル基であり;
RBが、C1-6アルコキシ基であり;
RCおよびRDが、水素原子であり;
nが、1または2である、〔9〕記載のプロドラッグまたはその薬理学的に許容される塩。
〔11〕RA1が、C1-6アルキル基またはC2-6アシル基である、〔10〕記載のプロドラッグまたはその薬理学的に許容される塩。
〔12〕PG1が、C1-6アルコキシカルボニル基であり;
PG2が、水素原子またはC1-6アルコキシカルボニル基である、〔11〕記載のプロドラッグまたはその薬理学的に許容される塩。
〔13〕PG2が、水素原子である、〔12〕記載のプロドラッグまたはその薬理学的に許容される塩。
〔14〕〔1〕~〔13〕記載の化合物もしくはそのプロドラッグ、またはその薬理学的に許容される塩を有効成分として含む、SGLT2阻害薬。
〔15〕SGLT2阻害とは異なる作用機序の糖尿病治療薬、糖尿病関連疾患治療薬または糖尿病性合併症治療薬と組み合わせて投与される、〔14〕記載のSGLT2阻害薬。
〔16〕配合剤として投与される、〔15〕記載のSGLT2阻害薬。
PG2が、水素原子、C2-6アシル基またはC1-6アルコキシカルボニル基であり;
PG3が、水素原子である、〔8〕記載のプロドラッグまたはその薬理学的に許容される塩。
〔10〕RA1が、水素原子、C1-6アルキル基またはC2-6アシル基であり;
RBが、C1-6アルコキシ基であり;
RCおよびRDが、水素原子であり;
nが、1または2である、〔9〕記載のプロドラッグまたはその薬理学的に許容される塩。
〔11〕RA1が、C1-6アルキル基またはC2-6アシル基である、〔10〕記載のプロドラッグまたはその薬理学的に許容される塩。
〔12〕PG1が、C1-6アルコキシカルボニル基であり;
PG2が、水素原子またはC1-6アルコキシカルボニル基である、〔11〕記載のプロドラッグまたはその薬理学的に許容される塩。
〔13〕PG2が、水素原子である、〔12〕記載のプロドラッグまたはその薬理学的に許容される塩。
〔14〕〔1〕~〔13〕記載の化合物もしくはそのプロドラッグ、またはその薬理学的に許容される塩を有効成分として含む、SGLT2阻害薬。
〔15〕SGLT2阻害とは異なる作用機序の糖尿病治療薬、糖尿病関連疾患治療薬または糖尿病性合併症治療薬と組み合わせて投与される、〔14〕記載のSGLT2阻害薬。
〔16〕配合剤として投与される、〔15〕記載のSGLT2阻害薬。
〔17〕SGLT2阻害とは異なる作用機序の糖尿病治療薬、糖尿病関連疾患治療薬または糖尿病性合併症治療薬が、(a)~(f):
(a)α-グルコシダーゼ阻害薬、
(b)ビグアナイド薬、
(c)スルホニル尿素薬、
(d)速効型インスリン分泌促進薬
(e)チアゾリジン系インスリン感受性改善薬、および
(f)DPPIV阻害薬
からなる群から選択される1種またはそれ以上の医薬を含む、〔15〕記載のSGLT2阻害薬。
〔18〕高血糖に起因する疾患の予防または治療の為の医薬組成物を製造する為の、〔1〕記載の化合物もしくはそのプロドラッグ、またはその薬理学的に許容される塩の使用。
〔19〕〔1〕~〔13〕記載の化合物もしくはそのプロドラッグ、またはその薬理学的に許容される塩を有効成分として含む、医薬組成物。
〔20〕SGLT2阻害とは異なる作用機序の糖尿病治療薬、糖尿病関連疾患治療薬または糖尿病性合併症治療薬と組み合わせて投与される、〔19〕記載の医薬組成物。
〔21〕配合剤として投与される、〔20〕記載の医薬組成物。
〔22〕SGLT2阻害とは異なる作用機序の糖尿病治療薬、糖尿病関連疾患治療薬または糖尿病性合併症治療薬が、(a)~(f):
(a)α-グルコシダーゼ阻害薬、
(b)ビグアナイド薬、
(c)スルホニル尿素薬、
(d)速効型インスリン分泌促進薬
(e)チアゾリジン系インスリン感受性改善薬、および
(f)DPPIV阻害薬
からなる群から選択される1種またはそれ以上の医薬を含む、請求項〔20〕記載の医薬組成物。
(a)α-グルコシダーゼ阻害薬、
(b)ビグアナイド薬、
(c)スルホニル尿素薬、
(d)速効型インスリン分泌促進薬
(e)チアゾリジン系インスリン感受性改善薬、および
(f)DPPIV阻害薬
からなる群から選択される1種またはそれ以上の医薬を含む、〔15〕記載のSGLT2阻害薬。
〔18〕高血糖に起因する疾患の予防または治療の為の医薬組成物を製造する為の、〔1〕記載の化合物もしくはそのプロドラッグ、またはその薬理学的に許容される塩の使用。
〔19〕〔1〕~〔13〕記載の化合物もしくはそのプロドラッグ、またはその薬理学的に許容される塩を有効成分として含む、医薬組成物。
〔20〕SGLT2阻害とは異なる作用機序の糖尿病治療薬、糖尿病関連疾患治療薬または糖尿病性合併症治療薬と組み合わせて投与される、〔19〕記載の医薬組成物。
〔21〕配合剤として投与される、〔20〕記載の医薬組成物。
〔22〕SGLT2阻害とは異なる作用機序の糖尿病治療薬、糖尿病関連疾患治療薬または糖尿病性合併症治療薬が、(a)~(f):
(a)α-グルコシダーゼ阻害薬、
(b)ビグアナイド薬、
(c)スルホニル尿素薬、
(d)速効型インスリン分泌促進薬
(e)チアゾリジン系インスリン感受性改善薬、および
(f)DPPIV阻害薬
からなる群から選択される1種またはそれ以上の医薬を含む、請求項〔20〕記載の医薬組成物。
本発明の化合物は、例えば、メチル-α-D-グルコピラノシド(以下、α-MGと称することもある)取り込み阻害の測定において、強力なSGLT2阻害活性を示した。そのため、本発明のグルコピラノシルオキシピラゾール誘導体およびそのプロドラッグは、SGLT2阻害活性に基づく、糖尿病の治療または予防に使用することができる。
本明細書における用語について説明する。
「ハロゲン原子」とは、フッ素原子、塩素原子、臭素原子またはヨウ素原子を意味する。好ましくはフッ素原子または塩素原子である。より好ましくは、フッ素原子である。
「C1-6アルキル基」とは、炭素数1~6の分枝していても良いアルキル基を意味する。例えば、メチル基、エチル基、プロピル基、イソプロピル基、n-ブチル基、イソブチル基、sec-ブチル基、tert-ブチル基、n-ペンチル基、イソペンチル基、ネオペンチル基、tert-ペンチル基、1-メチルブチル基、2-メチルブチル基、1,2-ジメチルプロピル基、ヘキシル基、イソヘキシル基等が挙げられる。好ましくは、メチル基、エチル基、プロピル基またはイソプロピル基である。より好ましくは、イソプロピル基である。
「C2-6アルケニル基」とは、少なくとも1個の二重結合を有する、直鎖または分岐鎖状の炭素数2~6個の不飽和炭化水素基を意味する。例えば、ビニル基、アリル基、1-プロペニル基、イソプロペニル基、2-メチル-1-プロペニル等が挙げられる。
「C2-6アルキニル基」とは、少なくとも1個の三重結合を有する、直鎖または分岐鎖状の炭素数2~6個の不飽和炭化水素基を意味する。例えば、エチニル基、2-プロピニル基、1-ブチニル基、2-ブチニル基、3-ブチニル基等が挙げられる。
「ハロC1-6アルキル基」とは、1~3個の同種または異種のハロゲン原子で置換されたC1-6アルキル基を意味する。例えば、トリフルオロメチル基、2-クロロエチル基、2-フルオロエチル基、2,2-ジフルオロエチル基、1,1-ジフルオロエチル基、1,2-ジフルオロエチル基、2,2,2-トリフルオロエチル基、2,2,2-トリクロロエチル、3-フルオロプロピル基、2-フルオロプロピル基、2-フルオロプロピル基、3,3-ジフルオロプロピル基、2,2-ジフルオロプロピル基、1,1-ジフルオロプロピル基等が挙げられる。
「ヒドロキシC1-6アルキル基」とは、水酸基で置換されたC1-6アルキル基を意味する。例えば、ヒドロキシメチル基、2-ヒドロキシエチル基、1-ヒドロキシエチル基、3-ヒドロキシプロピル基、2-ヒドロキシプロピル基、1-ヒドロキシプロピル基、4-ヒドロキシブチル基等が挙げられる。好ましくは、2-ヒドロキシエチル基、3-ヒドロキシプロピル基、2-ヒドロキシプロピル基または4-ヒドロキシブチル基である。より好ましくは、2-ヒドロキシエチル基または3-ヒドロキシプロピル基である。
「ヒドロキシC2-6アルキル基」とは、水酸基で置換された炭素数2~6の分枝していても良いアルキル基を意味する。例えば、2-ヒドロキシエチル基、1-ヒドロキシエチル基、3-ヒドロキシプロピル基、2-ヒドロキシプロピル基、1-ヒドロキシプロピル基、4-ヒドロキシブチル基等が挙げられる。好ましくは、2-ヒドロキシエチル基、3-ヒドロキシプロピル基、2-ヒドロキシプロピル基または4-ヒドロキシブチル基である。より好ましくは、2-ヒドロキシエチル基または3-ヒドロキシプロピル基である。
「C1-6アルコキシ基」とは、炭素数1~6の分枝していても良いアルコキシ基を意味する。例えば、メトキシ基、エトキシ基、プロポキシ基、イソプロポキシ基、ブトキシ基、イソブトキシ基、sec-ブトキシ基、tert-ブトキシ基、ペンチルオキシ基、ヘキシルオキシ基等が挙げられる。
「C1-6アルコキシC1-6アルキル基」とは、C1-6アルコキシ基で置換されたC1-6アルキル基を意味する。例えば、メトキシメチル基、エトキシメチル基、プロポキシメチル基、イソプロポキシメチル基、ブトキシメチル基、tert-ブトキシメチル基、2-メトキシエチル基、2-エトキシエチル基、3-メトキシプロピル基、3-エトキシプロピル基等が挙げられる。
「シアノC1-6アルキル基」とは、シアノ基で置換されたC1-6アルキル基を意味する。例えば、シアノメチル基、2-シアノエチル基、1-シアノエチル基、3-シアノプロピル基、2-シアノプロピル基、1-シアノプロピル基、1-シアノ-1-メチルエチル基等が挙げられる。
「C2-6アシル基」とは、炭素数2~6の分枝していても良いアシル基を意味する。例えば、アセチル基、プロピオニル基、ブチリル基、イソブチリル基、バレリル基、ピバロイル基等が挙げられる。
「C3-6シクロアルキル基」とは、炭素数3~6個の単環性飽和脂環式炭化水素基を意味する。例えば、シクロプロピル基、シクロブチル基、シクロペンチル基、シクロヘキシル基を挙げることができる。
「置換可フェニル基」とは、非置換または以下の置換基α群から独立して選択される1~5個の基で置換される、フェニル基を意味する。好ましくは、非置換または下記置換基α群から独立して選択される1~2個の基で置換されるフェニル基である。
(置換基α群):ハロゲン原子、水酸基、シアノ基、C1-6アルキル基、ハロC1-6アルキル基、C1-6アルコキシ基、カルボキシ基、C1-6アルコキシカルボニル基、アミノ基、(C1-6アルキル)NH-、(C1-6アルキル)2N-、ヒドロキシC1-6アルキル基およびC2-5脂環式アミノ基である。
(置換基α群):ハロゲン原子、水酸基、シアノ基、C1-6アルキル基、ハロC1-6アルキル基、C1-6アルコキシ基、カルボキシ基、C1-6アルコキシカルボニル基、アミノ基、(C1-6アルキル)NH-、(C1-6アルキル)2N-、ヒドロキシC1-6アルキル基およびC2-5脂環式アミノ基である。
「(C1-6アルキル)NH-」とは、C1-6アルキル基で置換されたモノ置換アミノ基を意味する。例えば、メチルアミノ基、エチルアミノ基、プロピルアミノ基、イソプロピルアミノ基、ブチルアミノ基、イソブチルアミノ基、sec-ブチルアミノ基、ペンチルアミノ基、ヘキシルアミノ基等を挙げられる。
「(C1-6アルキル)2N-」とは、同一または異なる2つのC1-6アルキル基で置換されたジ置換アミノ基を意味する。例えば、ジメチルアミノ基、ジエチルアミノ基、ジプロピルアミノ基、ジ(イソプロピル)アミノ基、ジブチルアミノ基、ジイソブチルアミノ基、ジ(sec-ブチル)アミノ基、ジペンチルアミノ基、ジヘキシルアミノ基等を挙げられる。
「C2-5脂環式アミノ基」としては、以下:
等が挙げられる。
ただし、(※)が付された結合は、フェニル基と結合する結合を表す。
ただし、(※)が付された結合は、フェニル基と結合する結合を表す。
「C3-6シクロアルキルC1-6アルキル基」とは、C3-6シクロアルキル基で置換されたC1-6アルキル基を意味する。例えば、シクロプロピルメチル基、シクロブチルメチル基、シクロペンチルメチル基、シクロヘキシルメチル基、シクロヘキシルエチル基等が挙げられる。
「置換可アラルキル基」とは、前記置換基α群から独立して選択される1~5個の基で置換されていてもよい炭素数6~10個の芳香族炭化水素で置換されたC1-6アルキル基を意味する。例えば、置換可ベンジル基、置換可フェネチル基、置換可1-フェニルエチル基、3-フェニルプロピル基、2-フェニルプロピル基、1-フェニルプロピル基、1-メチル-2-フェニルエチル基、ナフチルメチル基等が挙げられる。好ましくは、置換可ベンジル基である。
「置換可ベンジル基」とは、前記置換基α群から独立して選択される1~5個の基で置換されていてもよいベンジル基を意味する。好ましくは、非置換または前記置換基α群から独立して選択される1~2個の基で置換されるベンジル基である。より好ましくは、非置換または前記置換基α群から独立して選択される1個の基で置換されるベンジル基である。
「C1-6アルコキシカルボニル基」とは、C1-6アルコキシ基で置換されたカルボニル基を意味する。例えば、メトキシカルボニル基、エトキシカルボニル基、プロポキシカルボニル基、イソプロポキシカルボニル基、ブトキシカルボニル基、イソブトキシカルボニル基、sec-ブトキシカルボニル基、tert-ブトキシカルボニル基、ペンチルオキシカルボニル基、ヘキシルオキシカルボニル基等が挙げられる。
「置換可フェニルカルボニル基」とは、置換可フェニル基で置換されたカルボニル基を意味する。例えば、ベンゾイル基等が挙げられる。
「置換可アラルキルオキシカルボニル基」とは、置換可アラルキル基で置換されたオキシカルボニル基を意味する。例えば、置換可ベンジルオキシカルボニル基、フェネチルオキシカルボニル基、1-フェニルエチルオキシカルボニル基、3-フェニルプロピルオキシカルボニル基、2-フェニルプロピルオキシカルボニル基、1-フェニルプロピルオキシカルボニル基、1-メチル-2-フェニルエチルオキシカルボニル基等が挙げられる。好ましくは、置換可ベンジルオキシカルボニル基である。
「三置換シリル基」としては、トリメチルシリル基、トリエチルシリル基、トリイソプロピルシリル基、ジメチルイソプロピルシリル基、ジメチルテキシルシリル基、tert-ブチルジメチルシリル基、tert-ブチルジフェニルシリル基、トリベンジルシリル基、ジ-tert-ブチルメチルシリル基等が挙げられる。
「プロドラッグ」とは、親化合物の酸素原子または窒素原子上の水素原子を薬理学的に許容な修飾基で置換した化合物であり、その修飾基が生体内で酵素等により切断されることにより、生物学的に活性な親化合物に変換される化合物を意味する。プロドラッグは、親化合物に比べ、より優れた安定性や消化管吸収性の改善等の特性が付与される。プロドラッグを投与した場合、親化合物を投与した場合と比較して望ましい血中動態を得ることが期待できる。
本発明の親化合物としては、一般式(1)で表される化合物を用いることができる。好ましくは、3-(β-D-グルコピラノシルオキシ)-5-ヒドロキシメチル-4-(4-イソプロポキシベンジル)-1H-ピラゾール、3-(β-D-グルコピラノシルオキシ)-5-ヒドロキシメチル-4-(4-イソプロポキシベンジル)-1-イソプロピルピラゾールである。
プロドラッグのために使用できる薬理学的に許容な修飾基としては、「月刊薬事 医薬品適正使用のための臨床薬物動態」,2000年3月号臨時増刊号,第42巻,第4号,p.671-678および「新・ドラッグデリバリーシステム」,株式会社シーエムシー発行,2000年1月31日,p.123-135記載の基等を挙げることができる。本発明のグルコピラノシルオキシピラゾール誘導体をプロドラッグ化する為の薬理学的に許容な修飾基としては、C2-6アシル基、C1-6アルコキシカルボニル基、C3-6シクロアルキルC1-6アルキル基、置換可アラルキルオキシカルボニル基等を挙げることができる。好ましくは、アセチル基、プロピオニル基、ブチリル基、イソブチリル基、バレリル基、ピバロイル基、メトキシカルボニル基、エトキシカルボニル基、プロポキシカルボニル基、イソプロポキシカルボニル基、ブトキシカルボニル基、イソブトキシカルボニル基、sec-ブトキシカルボニル基またはtert-ブトキシカルボニル基である。より好ましくは、アセチル基、イソブチリル基、ピバロイル基、エトキシカルボニル基、プロポキシカルボニル基、イソプロポキシカルボニル基、ブトキシカルボニル基、イソブトキシカルボニル基、sec-ブトキシカルボニル基またはtert-ブトキシカルボニル基である。
以下、本発明をより詳細に説明する。
本発明の好ましい実施態様は、下記一般式(1)で表される化合物(以下、本発明の化合物(1)と略すこともある)もしくはそのプロドラッグ、またはその薬理学的に許容される塩である。
〔式中、
RAは、以下のa)~o):
a)水素原子、
b)C1-6アルキル基、
c)C2-6アルケニル基、
d)C2-6アルキニル基、
e)ハロC1-6アルキル基、
f)ヒドロキシC1-6アルキル基、
g)C1-6アルコキシC1-6アルキル基、
h)シアノC1-6アルキル基、
i)C3-6シクロアルキル基、
j)置換可フェニル基、
k)C3-6シクロアルキルC1-6アルキル基、
l)置換可アラルキル基、
m)C2-6アシル基、
n)置換可フェニルカルボニル基、および
o)C1-6アルコキシカルボニル基
からなる群から選択される基であり;
RBは、以下のp)~ab):
p)水素原子、
q)ハロゲン原子、
r)C1-6アルキル基、
s)C2-6アルケニル基、
t)C2-6アルキニル基、
u)C1-6アルコキシ基、
v)ハロC1-6アルキル基、
w)ヒドロキシC1-6アルキル基、
x)C1-6アルコキシC1-6アルキル基、
y)シアノC1-6アルキル基、
z)C3-6シクロアルキル基、
aa)置換可フェニル基、および
ab)C3-6シクロアルキルC1-6アルキル基
からなる群から選択される基であり;
RCおよびRDは、独立して、水素原子、ハロゲン原子、C1-6アルキル基またはC1-6アルコキシ基であり;
nは、1から3の整数を表す。〕
RAは、以下のa)~o):
a)水素原子、
b)C1-6アルキル基、
c)C2-6アルケニル基、
d)C2-6アルキニル基、
e)ハロC1-6アルキル基、
f)ヒドロキシC1-6アルキル基、
g)C1-6アルコキシC1-6アルキル基、
h)シアノC1-6アルキル基、
i)C3-6シクロアルキル基、
j)置換可フェニル基、
k)C3-6シクロアルキルC1-6アルキル基、
l)置換可アラルキル基、
m)C2-6アシル基、
n)置換可フェニルカルボニル基、および
o)C1-6アルコキシカルボニル基
からなる群から選択される基であり;
RBは、以下のp)~ab):
p)水素原子、
q)ハロゲン原子、
r)C1-6アルキル基、
s)C2-6アルケニル基、
t)C2-6アルキニル基、
u)C1-6アルコキシ基、
v)ハロC1-6アルキル基、
w)ヒドロキシC1-6アルキル基、
x)C1-6アルコキシC1-6アルキル基、
y)シアノC1-6アルキル基、
z)C3-6シクロアルキル基、
aa)置換可フェニル基、および
ab)C3-6シクロアルキルC1-6アルキル基
からなる群から選択される基であり;
RCおよびRDは、独立して、水素原子、ハロゲン原子、C1-6アルキル基またはC1-6アルコキシ基であり;
nは、1から3の整数を表す。〕
本発明の化合物(1)またはその薬理学的に許容される塩において、好ましい置換基は次の通りである。
(1-1)RAとして、好ましくは、水素原子またはC1-6アルキル基である。
(1-2)RBとして、好ましくは、フッ素原子、メチル基、エチル基、メトキシ基、エトキシ基またはイソプロポキシ基である。
(1-3)RCとして、好ましくは、水素原子、ハロゲン原子、メチル基またはメトキシ基である。より好ましくは、水素原子、フッ素原子、塩素原子またはメチル基である。より好ましくは、水素原子またはフッ素原子である。更に好ましくは、水素原子である。
(1-4)RDとして、好ましくは、水素原子、ハロゲン原子、メチル基またはメトキシ基である。より好ましくは、水素原子、フッ素原子、塩素原子またはメチル基である。より好ましくは、水素原子またはフッ素原子である。更に好ましくは、水素原子である。
(1-5)nとして、好ましくは、1または2の整数である。より好ましくは、1である。
(1-1)RAとして、好ましくは、水素原子またはC1-6アルキル基である。
(1-2)RBとして、好ましくは、フッ素原子、メチル基、エチル基、メトキシ基、エトキシ基またはイソプロポキシ基である。
(1-3)RCとして、好ましくは、水素原子、ハロゲン原子、メチル基またはメトキシ基である。より好ましくは、水素原子、フッ素原子、塩素原子またはメチル基である。より好ましくは、水素原子またはフッ素原子である。更に好ましくは、水素原子である。
(1-4)RDとして、好ましくは、水素原子、ハロゲン原子、メチル基またはメトキシ基である。より好ましくは、水素原子、フッ素原子、塩素原子またはメチル基である。より好ましくは、水素原子またはフッ素原子である。更に好ましくは、水素原子である。
(1-5)nとして、好ましくは、1または2の整数である。より好ましくは、1である。
本発明の化合物(1)またはその薬理学的に許容される塩の好ましい実施態様としては、(1-1)~(1-5)に記載の好ましい置換基の組み合わせからなる化合物である。
実施態様1-1
本発明の好ましい実施態様としては、
RAが、水素原子またはイソプロピル基であり;
RBが、より好ましくは、フッ素原子、メチル基、エチル基、メトキシ基、エトキシ基またはイソプロポキシ基であり;
RCが、水素原子またはフッ素原子であり;
RDが、水素原子またはフッ素原子であり;
nが、1である、化合物またはその薬理学的に許容される塩である。
本発明の好ましい実施態様としては、
RAが、水素原子またはイソプロピル基であり;
RBが、より好ましくは、フッ素原子、メチル基、エチル基、メトキシ基、エトキシ基またはイソプロポキシ基であり;
RCが、水素原子またはフッ素原子であり;
RDが、水素原子またはフッ素原子であり;
nが、1である、化合物またはその薬理学的に許容される塩である。
本実施態様に含まれる化合物としては、
1)3-(β-D-グルコピラノシルオキシ)-5-ヒドロキシメチル-4-(4-イソプロポキシベンジル)-1H-ピラゾール
2)3-(β-D-グルコピラノシルオキシ)-5-ヒドロキシメチル-4-(4-イソプロポキシベンジル)-1-イソプロピルピラゾール
等が例示できる。
1)3-(β-D-グルコピラノシルオキシ)-5-ヒドロキシメチル-4-(4-イソプロポキシベンジル)-1H-ピラゾール
2)3-(β-D-グルコピラノシルオキシ)-5-ヒドロキシメチル-4-(4-イソプロポキシベンジル)-1-イソプロピルピラゾール
等が例示できる。
本発明の好ましい実施態様は、下記一般式(2)で表される化合物(以下、本発明のプロドラッグ(2)と略すこともある)またはその薬理学的に許容される塩である。
〔式中、
PG1、PG2およびPG3は、独立して、以下のa)~d):
a)水素原子、
b)C2-6アシル基、
c)C1-6アルコキシカルボニル基、および
d)置換可アラルキルオキシカルボニル基
からなる群から選択される基であり;
RA1は、以下のe)~s):
e)C1-6アルキル基、
f)C2-6アルケニル基、
g)C2-6アルキニル基、
h)ハロC1-6アルキル基、
i)ヒドロキシC1-6アルキル基、
j)C1-6アルコキシC1-6アルキル基、
k)シアノC1-6アルキル基、
l)C3-6シクロアルキル基、
m)置換可フェニル基、
n)C3-6シクロアルキルC1-6アルキル基、
o)置換可アラルキル基、
p)C2-6アシル基、
q)置換可フェニルカルボニル基、
r)C1-6アルコキシカルボニル基、および
s)置換可アラルキルオキシカルボニル基
からなる群から選択される基を表す。
ただし、PG1、PG2およびPG3は、同時に水素原子ではない。〕
PG1、PG2およびPG3は、独立して、以下のa)~d):
a)水素原子、
b)C2-6アシル基、
c)C1-6アルコキシカルボニル基、および
d)置換可アラルキルオキシカルボニル基
からなる群から選択される基であり;
RA1は、以下のe)~s):
e)C1-6アルキル基、
f)C2-6アルケニル基、
g)C2-6アルキニル基、
h)ハロC1-6アルキル基、
i)ヒドロキシC1-6アルキル基、
j)C1-6アルコキシC1-6アルキル基、
k)シアノC1-6アルキル基、
l)C3-6シクロアルキル基、
m)置換可フェニル基、
n)C3-6シクロアルキルC1-6アルキル基、
o)置換可アラルキル基、
p)C2-6アシル基、
q)置換可フェニルカルボニル基、
r)C1-6アルコキシカルボニル基、および
s)置換可アラルキルオキシカルボニル基
からなる群から選択される基を表す。
ただし、PG1、PG2およびPG3は、同時に水素原子ではない。〕
本発明のプロドラッグ(2)またはその薬理学的に許容される塩において、好ましい置換基は次の通りである。
(2-1)RA1として、好ましくは、C1-6アルキル基、C1-6アルコキシC1-6アルキル基、置換可アラルキル基、C2-6アシル基、C1-6アルコキシカルボニル基または置換可アラルキルオキシカルボニル基である。
(2-2)RBとして好ましくは、フッ素原子、メチル基、エチル基、メトキシ基、エトキシ基またはイソプロポキシ基である。
(2-3)RCとして、好ましくは、水素原子、ハロゲン原子、メチル基またはメトキシ基である。より好ましくは、水素原子、フッ素原子、塩素原子またはメチル基である。より好ましくは、水素原子またはフッ素原子である。更に好ましくは、水素原子である。
(2-4)RDとして、好ましくは、水素原子、ハロゲン原子、メチル基またはメトキシ基である。より好ましくは、水素原子、フッ素原子、塩素原子またはメチル基である。より好ましくは、水素原子またはフッ素原子である。更に好ましくは、水素原子である。
(2-5)nとして、好ましくは、1または2の整数である。より好ましくは、1である。
(2-6)PG1として、好ましくは、C2-6アシル基、C1-6アルコキシカルボニル基または置換可ベンジルオキシカルボニル基である。より好ましくは、アセチル基、プロピオニル基、ピバロイル基、メトキシカルボニル基、エトキシカルボニル基、プロポキシカルボニル基、イソプロポキシカルボニル基、ブトキシカルボニル基またはベンジルオキシカルボニル基である。より好ましくは、アセチル基、エトキシカルボニル基、プロポキシカルボニル基、イソプロポキシカルボニル基またはブトキシカルボニル基である。更に好ましくは、アセチル基またはエトキシカルボニル基である。
(2-7)PG2として、好ましくは、水素原子、C2-6アシル基、C1-6アルコキシカルボニル基または置換可ベンジルオキシカルボニル基である。より好ましくは、水素原子、アセチル基、プロピオニル基、ピバロイル基、メトキシカルボニル基、エトキシカルボニル基、プロポキシカルボニル基、イソプロポキシカルボニル基、ブトキシカルボニル基またはベンジルオキシカルボニル基である。より好ましくは、水素原子、アセチル基、エトキシカルボニル基、プロポキシカルボニル基、イソプロポキシカルボニル基またはブトキシカルボニル基である。更に好ましくは、水素原子、アセチル基またはエトキシカルボニル基である。
(2-8)PG3として、好ましくは、水素原子、C2-6アシル基、C1-6アルコキシカルボニル基または置換可ベンジルオキシカルボニル基である。より好ましくは、水素原子、アセチル基、プロピオニル基、ピバロイル基またはエトキシカルボニル基である。さらに好ましくは、水素原子である。
(2-1)RA1として、好ましくは、C1-6アルキル基、C1-6アルコキシC1-6アルキル基、置換可アラルキル基、C2-6アシル基、C1-6アルコキシカルボニル基または置換可アラルキルオキシカルボニル基である。
(2-2)RBとして好ましくは、フッ素原子、メチル基、エチル基、メトキシ基、エトキシ基またはイソプロポキシ基である。
(2-3)RCとして、好ましくは、水素原子、ハロゲン原子、メチル基またはメトキシ基である。より好ましくは、水素原子、フッ素原子、塩素原子またはメチル基である。より好ましくは、水素原子またはフッ素原子である。更に好ましくは、水素原子である。
(2-4)RDとして、好ましくは、水素原子、ハロゲン原子、メチル基またはメトキシ基である。より好ましくは、水素原子、フッ素原子、塩素原子またはメチル基である。より好ましくは、水素原子またはフッ素原子である。更に好ましくは、水素原子である。
(2-5)nとして、好ましくは、1または2の整数である。より好ましくは、1である。
(2-6)PG1として、好ましくは、C2-6アシル基、C1-6アルコキシカルボニル基または置換可ベンジルオキシカルボニル基である。より好ましくは、アセチル基、プロピオニル基、ピバロイル基、メトキシカルボニル基、エトキシカルボニル基、プロポキシカルボニル基、イソプロポキシカルボニル基、ブトキシカルボニル基またはベンジルオキシカルボニル基である。より好ましくは、アセチル基、エトキシカルボニル基、プロポキシカルボニル基、イソプロポキシカルボニル基またはブトキシカルボニル基である。更に好ましくは、アセチル基またはエトキシカルボニル基である。
(2-7)PG2として、好ましくは、水素原子、C2-6アシル基、C1-6アルコキシカルボニル基または置換可ベンジルオキシカルボニル基である。より好ましくは、水素原子、アセチル基、プロピオニル基、ピバロイル基、メトキシカルボニル基、エトキシカルボニル基、プロポキシカルボニル基、イソプロポキシカルボニル基、ブトキシカルボニル基またはベンジルオキシカルボニル基である。より好ましくは、水素原子、アセチル基、エトキシカルボニル基、プロポキシカルボニル基、イソプロポキシカルボニル基またはブトキシカルボニル基である。更に好ましくは、水素原子、アセチル基またはエトキシカルボニル基である。
(2-8)PG3として、好ましくは、水素原子、C2-6アシル基、C1-6アルコキシカルボニル基または置換可ベンジルオキシカルボニル基である。より好ましくは、水素原子、アセチル基、プロピオニル基、ピバロイル基またはエトキシカルボニル基である。さらに好ましくは、水素原子である。
プロドラッグ(2)またはその薬理学的に許容される塩の好ましい実施態様としては、(2-1)~(2-8)に記載の好ましい置換基の組み合わせからなる化合物である。
実施態様2-1
本発明の好ましい実施態様としては、
RA1が、イソプロピル基、;
RBが、フッ素原子、メチル基、エチル基、メトキシ基、エトキシ基またはイソプロポキシ基であり;
RCが、水素原子またはフッ素原子であり;
RDが、水素原子またはフッ素原子であり;
nが、1であり;
PG1が、C2-6アシル基、C1-6アルコキシカルボニル基またはベンジルオキシカルボニル基であり;
PG2が、水素原子、C2-6アシル基、C1-6アルコキシカルボニル基またはベンジルオキシカルボニル基であり;
PG3が、水素原子、C2-6アシル基、C1-6アルコキシカルボニル基またはベンジルオキシカルボニル基である、プロドラッグまたはその薬理学的に許容される塩である。
本発明の好ましい実施態様としては、
RA1が、イソプロピル基、;
RBが、フッ素原子、メチル基、エチル基、メトキシ基、エトキシ基またはイソプロポキシ基であり;
RCが、水素原子またはフッ素原子であり;
RDが、水素原子またはフッ素原子であり;
nが、1であり;
PG1が、C2-6アシル基、C1-6アルコキシカルボニル基またはベンジルオキシカルボニル基であり;
PG2が、水素原子、C2-6アシル基、C1-6アルコキシカルボニル基またはベンジルオキシカルボニル基であり;
PG3が、水素原子、C2-6アシル基、C1-6アルコキシカルボニル基またはベンジルオキシカルボニル基である、プロドラッグまたはその薬理学的に許容される塩である。
実施態様2-2
実施態様2-1のより好ましい実施態様は、
PG1が、C1-6アルコキシカルボニル基であり;
PG2が、水素原子またはC1-6アルコキシカルボニル基であり;
PG3が、水素原子である、プロドラッグまたはその薬理学的に許容される塩である。
実施態様2-1のより好ましい実施態様は、
PG1が、C1-6アルコキシカルボニル基であり;
PG2が、水素原子またはC1-6アルコキシカルボニル基であり;
PG3が、水素原子である、プロドラッグまたはその薬理学的に許容される塩である。
本実施態様に含まれる化合物としては、
1)3-(6-O-エトキシカルボニル-β-D-グルコピラノシルオキシ)-5-エトキシカルボニルオキシメチル-4-(4-イソプロポキシベンジル)-1-イソプロピルピラゾール、
2)3-(6-O-エトキシカルボニル-β-D-グルコピラノシルオキシ)-5-ヒドロキシメチル-4-(4-イソプロポキシベンジル)-1-イソプロピルピラゾール
等が例示できる。
1)3-(6-O-エトキシカルボニル-β-D-グルコピラノシルオキシ)-5-エトキシカルボニルオキシメチル-4-(4-イソプロポキシベンジル)-1-イソプロピルピラゾール、
2)3-(6-O-エトキシカルボニル-β-D-グルコピラノシルオキシ)-5-ヒドロキシメチル-4-(4-イソプロポキシベンジル)-1-イソプロピルピラゾール
等が例示できる。
実施態様2-3
実施態様2-1の別の好ましい実施態様は、
PG1、PG2およびPG3が、C2-6アシル基またはC1-6アルコキシカルボニル基である、プロドラッグまたはその薬理学的に許容される塩である。
実施態様2-1の別の好ましい実施態様は、
PG1、PG2およびPG3が、C2-6アシル基またはC1-6アルコキシカルボニル基である、プロドラッグまたはその薬理学的に許容される塩である。
本実施態様に含まれる化合物としては、
5-アセトキシメチル-1-アセチル-4-(4-イソプロポキシベンジル)-3-(2,3,4,6-テトラ-O-アセチル-β-D-グルコピラノシルオキシ)-1H-ピラゾール
等が例示できる。
5-アセトキシメチル-1-アセチル-4-(4-イソプロポキシベンジル)-3-(2,3,4,6-テトラ-O-アセチル-β-D-グルコピラノシルオキシ)-1H-ピラゾール
等が例示できる。
「薬理学的に許容される塩」とは、薬学上許容な非毒性酸との酸付加塩、または非毒性塩基との塩を意味する。
このような酸付加塩としては、塩酸、臭化水素酸、ヨウ化水素酸、硝酸、硫酸、リン酸などの鉱酸の酸付加塩、ギ酸、酢酸、アジピン酸、クエン酸、フマル酸、マレイン酸、オレイン酸、乳酸、ステアリン酸、コハク酸、酒石酸、プロピオン酸、酪酸、シュウ酸、マロン酸、リンゴ酸、炭酸、グルタミン酸、アスパラギン酸、メタンスルホン酸、ベンゼンスルホン酸、p-トルエンスルホン酸等の有機酸との酸付加塩、アラニン、アルギニン、アスパラギン、アスパラギン酸、システイン、グルタミン、グルタミン酸、グリシン、ヒスチジン、イソロイシン、ロイシン、リジン、メチオニン、フェニルアラニン、プロリン、セリン、トレオニン、トリプトファン、チロシン、バリン等のL-アミノ酸を挙げることができる。
また、塩基との塩としては、2-アミノエタノール、ピペリジン、モルホリン、ピロリジン、N-メチル-D-グルカミン、N,N’-ジベンジルエチレンジアミン、トリス(ヒドロキシメチル)アミノメタン、アルギニン、リジン等の有機塩基との塩、ナトリウム塩、カリウム塩、カルシウム塩、マグネシウム塩等の無機塩との塩を挙げることができる。
さらに、本発明の化合物もしくはそのプロドラッグ、またはその薬理学的に許容される塩は、水和物または溶媒和物として存在することもある。本発明の化合物もしくはそのプロドラッグ、またはその薬理学的に許容される塩が形成する任意の水和物および溶媒和物は、いずれも本発明の範囲に包含される。溶媒和物を形成し得る溶媒としては、メタノール、エタノール、イソプロパノール、アセトン、酢酸エチル、ジイソプロピルエーテル等が挙げられる。
本発明の化合物もしくはそのプロドラッグ、またはその薬理学的に許容される塩には、光学異性体、幾何異性体等のような立体異性体も含まれる。
本発明の化合物もしくはそのプロドラッグ、またはその薬理学的に許容される塩が、グルコピラノシルオキシ部分を除き1つ以上の不斉炭素原子を有する光学異性体である場合、本発明の化合物もしくはそのプロドラッグ、またはその薬理学的に許容される塩の光学異性体は、各不斉炭素原子における立体配置がR配置またはS配置のいずれの立体配置であってもよい。また、いずれの光学異性体も本発明に含まれ、それらの光学異性体の混合物も含まれる。さらに、光学活性体の混合物において、等量の各光学異性体からなるラセミ体も本発明の範囲に含まれる。本発明の化合物もしくはそのプロドラッグ、またはその薬理学的に許容される塩がラセミ体の固体または結晶である場合、ラセミ化合物、ラセミ混合物およびラセミ固溶体も本発明の範囲に含まれる。
本発明の化合物もしくはそのプロドラッグ、またはその薬理学的に許容される塩において、幾何異性体が存在する場合、本発明はその幾何異性体のいずれも包含する。
また、本発明の化合物もしくはそのプロドラッグ、またはその薬理学的に許容される塩において、互変異性体が存在する場合、本発明はその互変異性体のいずれも包含する。
本発明でいう「SGLT2阻害」とは、グルコース再吸収に関するナトリウム依存性グルコース共輸送体2(SGLT2)のグルコース輸送能に対する阻害を意味する。SGLT2阻害により、腎臓において腎臓から血中への糖の再吸収が抑制される。その結果、血中の余分な糖が尿として体外へ排出されるため、膵臓β細胞に負荷を与えずに高血糖を改善することができる。
SGLT2阻害活性は、ヒトSGLT2細胞へのメチル-α-D-グルコピラノシドの取り込み阻害を測定することによって評価することができる。本発明の化合物(1)またはその薬理学的に許容される塩の阻害活性は、例えば、国際公開01/16147号試験例2記載の方法に準じて測定することにより確認することができる。本発明のプロドラッグ(2)またはその薬理学的に許容される塩の阻害活性は、例えば、国際公開02/053573号試験例3記載の方法に準じて測定することにより確認することができる。
本発明の化合物、そのプロドラッグまたはその薬理学的に許容な塩の製造方法
本発明の化合物(1)の製造方法
本発明の化合物(1)は、以下のスキーム1および2に示した方法若しくはそれに準じた方法、またはその他文献記載の方法若しくはそれらに準じた方法等に従って製造することができる。
本発明の化合物(1)は、以下のスキーム1および2に示した方法若しくはそれに準じた方法、またはその他文献記載の方法若しくはそれらに準じた方法等に従って製造することができる。
本発明の化合物(1)のRAが水素原子である場合、本発明の化合物(1)は、スキーム1に示した方法により、化合物(H)として製造することができる。本発明の化合物(1)のRAがC1-6アルキル基、C2-6アルケニル基、C2-6アルキニル基、ハロC1-6アルキル基、ヒドロキシC2-6アルキル基、C1-6アルコキシC1-6アルキル基、シアノC1-6アルキル基、C3-6シクロアルキル基、置換可フェニル基、C3-6シクロアルキルC1-6アルキル基、置換可アラルキル基、C2-6アシル基、置換可フェニルカルボニル基またはC1-6アルコキシカルボニル基である場合、本発明の化合物(1)は、スキーム2に示した方法により、化合物(L)として製造することができる。
本発明のプロドラッグ(2)の製造
本発明のプロドラッグ(2)は、スキーム1および2に示した方法により、化合物(G)、(I)、(J)および(K)における保護基の代わりに薬理学的に許容な修飾基で置換することによって製造することができる。
本発明のプロドラッグ(2)の製造
本発明のプロドラッグ(2)は、スキーム1および2に示した方法により、化合物(G)、(I)、(J)および(K)における保護基の代わりに薬理学的に許容な修飾基で置換することによって製造することができる。
以下に代表的な製造方法を示す。各スキームにおける各工程は、多段階の反応を組み合わせて実施される場合もあり、当業者が通常選択しうる複数の工程を組み合わせても良い。
また、官能基の種類により保護基が必要な場合は、常法に従って適宜導入および除去の操作を組み合わせて実施することができる。保護基の種類、導入、除去に関しては、例えば、Greene&Wuts著編、「Greene’s Protective Groups in Organic Synthesis」、fourth edition、Wiley-Interscienceに記載の方法を挙げることができる。
(式中、G1はPG1を水酸基の保護基として有するα-D-グルコピラノシル基であり、X1はハロゲン原子、トシル基またはメシル基であり、G11はPG1を水酸基の保護基として有するβ‐D-グルコピラノシル基を表し、G-O-はβ-D-グルコピラノシルオキシ基を表し、RB、RC、RD、PG1およびnは前記と同義である。ただし、α-D-グルコシル基水酸基とピラゾール5位の水酸基は異なっていてもよい。)
工程1
化合物(C)は、化合物(A)と一般式(B)で表されるアルデヒドとの脱水により、酸触媒存在下または非存在下、製造することができる。酸触媒としては、塩酸、硫酸、p-トルエンスルホン酸、トリフルオロ酢酸等が挙げられる。溶媒としては、テトラヒドロフラン、メタノール、エタノール、N,N-ジメチルホルムアミド、アセトニトリル、水、それらの混合溶媒等が挙げられる。反応温度としては通常0℃~還流温度であり、反応時間は使用する原料物質、溶媒、反応温度等により異なるが、通常1~16時間である。
化合物(C)は、化合物(A)と一般式(B)で表されるアルデヒドとの脱水により、酸触媒存在下または非存在下、製造することができる。酸触媒としては、塩酸、硫酸、p-トルエンスルホン酸、トリフルオロ酢酸等が挙げられる。溶媒としては、テトラヒドロフラン、メタノール、エタノール、N,N-ジメチルホルムアミド、アセトニトリル、水、それらの混合溶媒等が挙げられる。反応温度としては通常0℃~還流温度であり、反応時間は使用する原料物質、溶媒、反応温度等により異なるが、通常1~16時間である。
尚、化合物(A)は市販品を用いるか、Tetrahedron Letters, 32巻, p.3063-3066(1991年)またはCanadian Journal of Chemistry, 70巻, p.1427-1445(1992年)に記載の方法、またはそれに準ずる方法により製造することができる。
工程2
化合物(D)は、化合物(C)を還元することにより製造することができる。
化合物(D)は、化合物(C)を還元することにより製造することができる。
方法1)
化合物(D)は、トリフロロ酢酸等の有機酸中、トリエチルシラン等により、化合物(C)を還元することにより製造することができる。反応温度としては通常0℃~還流温度であり、反応時間は使用する原料物質や溶媒、触媒、反応温度などにより異なるが、通常0.5~24時間である。
化合物(D)は、トリフロロ酢酸等の有機酸中、トリエチルシラン等により、化合物(C)を還元することにより製造することができる。反応温度としては通常0℃~還流温度であり、反応時間は使用する原料物質や溶媒、触媒、反応温度などにより異なるが、通常0.5~24時間である。
方法2)
化合物(D)は、水素雰囲気下、溶媒中、金属触媒存在下、化合物(C)を還元することにより製造することができる。金属触媒としては、パラジウム-炭素、パラジウムブラック、水酸化パラジウム等を挙げることができる。溶媒としては、メタノール、エタノール等のアルコール系溶媒、酢酸エチル等のエステル系溶媒、テトラヒドロフラン等のエーテル系溶媒、それらの混合溶媒等を挙げることができる。圧力としては通常常圧~0.5MPaであり、反応温度としては通常0℃~還流温度であり、反応時間は使用する原料物質、溶媒、触媒、反応温度などにより異なるが、通常0.5~24時間である。
化合物(D)は、水素雰囲気下、溶媒中、金属触媒存在下、化合物(C)を還元することにより製造することができる。金属触媒としては、パラジウム-炭素、パラジウムブラック、水酸化パラジウム等を挙げることができる。溶媒としては、メタノール、エタノール等のアルコール系溶媒、酢酸エチル等のエステル系溶媒、テトラヒドロフラン等のエーテル系溶媒、それらの混合溶媒等を挙げることができる。圧力としては通常常圧~0.5MPaであり、反応温度としては通常0℃~還流温度であり、反応時間は使用する原料物質、溶媒、触媒、反応温度などにより異なるが、通常0.5~24時間である。
方法3)
化合物(D)は、溶媒中、ボラン系ヒドリド還元剤を用いて、化合物(C)を還元することにより製造することができる。ボラン系ヒドリド還元剤としては、水素化ホウ素ナトリウム、水素化シアノホウ素ナトリウム等が挙げられる。溶媒としては、テトラヒドロフラン等のエーテル系溶媒、水、それらの混合溶媒が挙げられる。反応温度は通常0℃~還流温度であり、反応時間は使用する原料物質、溶媒、触媒、反応温度等により異なるが、通常0.5~24時間である。
化合物(D)は、溶媒中、ボラン系ヒドリド還元剤を用いて、化合物(C)を還元することにより製造することができる。ボラン系ヒドリド還元剤としては、水素化ホウ素ナトリウム、水素化シアノホウ素ナトリウム等が挙げられる。溶媒としては、テトラヒドロフラン等のエーテル系溶媒、水、それらの混合溶媒が挙げられる。反応温度は通常0℃~還流温度であり、反応時間は使用する原料物質、溶媒、触媒、反応温度等により異なるが、通常0.5~24時間である。
工程3
化合物(E)は、溶媒中、化合物(D)とヒドラジンまたはヒドラジン一水和物とを縮合させることにより製造することができる。溶媒としては、メタノール、エタノール、トルエン、テトラヒドロフラン、N,N-ジメチルホルムアミド、アセトニトリル、それらの混合溶媒等を挙げることができる。反応温度は通常室温~還流温度であり、反応時間は使用する原料物質、溶媒、反応温度などにより異なるが、通常1時間~24時間である。
化合物(E)は、溶媒中、化合物(D)とヒドラジンまたはヒドラジン一水和物とを縮合させることにより製造することができる。溶媒としては、メタノール、エタノール、トルエン、テトラヒドロフラン、N,N-ジメチルホルムアミド、アセトニトリル、それらの混合溶媒等を挙げることができる。反応温度は通常室温~還流温度であり、反応時間は使用する原料物質、溶媒、反応温度などにより異なるが、通常1時間~24時間である。
工程4
化合物(F)は、当業者が通常採択し得る保護基導入の条件を用いることにより、化合物(E)の水酸基およびピラゾールの窒素原子を保護することにより製造することができる。例えば、Greene&Wuts著編、「Greene’s Protective Groups in Organic Synthesis」、fourth edition、Wiley-Interscience、p.16-366、p.696-926記載の方法により行うことができる。
化合物(F)は、当業者が通常採択し得る保護基導入の条件を用いることにより、化合物(E)の水酸基およびピラゾールの窒素原子を保護することにより製造することができる。例えば、Greene&Wuts著編、「Greene’s Protective Groups in Organic Synthesis」、fourth edition、Wiley-Interscience、p.16-366、p.696-926記載の方法により行うことができる。
尚、本工程の保護基の導入は、水酸基の保護とピラゾールの窒素原子上の保護とを、同時または段階的に行うことが可能である。
工程5
化合物(G)は、化合物(F)の以下の配糖化反応により、製造することができる。
化合物(G)は、化合物(F)の以下の配糖化反応により、製造することができる。
方法1)
化合物(G)は、溶媒中、炭酸カリウム等の塩基の存在下、保護基を有するブロモ-α-D-グルコースを用いて、化合物(F)を配糖化することにより製造することができる。溶媒としては、アセトニトリル、N,N-ジメチルホルムアミド、N,N-ジメチルアセトアミド等を挙げることができる。反応温度は通常室温~還流温度である。反応時間は使用する原料物質、溶媒、反応温度等により異なるが、通常1時間~1日間である。
化合物(G)は、溶媒中、炭酸カリウム等の塩基の存在下、保護基を有するブロモ-α-D-グルコースを用いて、化合物(F)を配糖化することにより製造することができる。溶媒としては、アセトニトリル、N,N-ジメチルホルムアミド、N,N-ジメチルアセトアミド等を挙げることができる。反応温度は通常室温~還流温度である。反応時間は使用する原料物質、溶媒、反応温度等により異なるが、通常1時間~1日間である。
方法2)
化合物(G)は、溶媒中、炭酸銀等の塩基の存在下、保護基を有するブロモ-α-D-グルコースを用いて、化合物(F)を配糖化することにより製造することができる。溶媒としては、テトラヒドロフラン、トルエン、酢酸エチル、アセトニトリル、塩化メチレン等を挙げることができる。反応温度は通常室温~還流温度である。反応時間は使用する原料物質、溶媒、反応温度等により異なるが、通常1時間~1日間である。
化合物(G)は、溶媒中、炭酸銀等の塩基の存在下、保護基を有するブロモ-α-D-グルコースを用いて、化合物(F)を配糖化することにより製造することができる。溶媒としては、テトラヒドロフラン、トルエン、酢酸エチル、アセトニトリル、塩化メチレン等を挙げることができる。反応温度は通常室温~還流温度である。反応時間は使用する原料物質、溶媒、反応温度等により異なるが、通常1時間~1日間である。
方法3)
化合物(G)は、無機塩基および相間移動触媒を用い、有機溶媒-水の二相系溶媒中、保護基を有するブロモ-α-D-グルコースを用いて、化合物(F)を配糖化することにより製造することができる。無機塩基としては、水酸化ナトリウム、水酸化カリウム、炭酸カリウム等が挙げられる。相間移動触媒としては、ベンジルトリ(n-ブチル)アンモニウムブロミド、テトラ(n-ブチル)アンモニウム硫酸水素塩等が挙げられる。有機溶媒としては、塩化メチレン、トルエン、ベンゾトリフルオリド等を挙げることができる。その反応温度は通常0℃~還流温度であり、反応時間は使用する原料物質、溶媒、反応温度等により異なるが、通常1~24時間である。
化合物(G)は、無機塩基および相間移動触媒を用い、有機溶媒-水の二相系溶媒中、保護基を有するブロモ-α-D-グルコースを用いて、化合物(F)を配糖化することにより製造することができる。無機塩基としては、水酸化ナトリウム、水酸化カリウム、炭酸カリウム等が挙げられる。相間移動触媒としては、ベンジルトリ(n-ブチル)アンモニウムブロミド、テトラ(n-ブチル)アンモニウム硫酸水素塩等が挙げられる。有機溶媒としては、塩化メチレン、トルエン、ベンゾトリフルオリド等を挙げることができる。その反応温度は通常0℃~還流温度であり、反応時間は使用する原料物質、溶媒、反応温度等により異なるが、通常1~24時間である。
工程6
化合物(H)は、化合物(G)の保護基を脱保護することにより製造することができる。
化合物(H)は、化合物(G)の保護基を脱保護することにより製造することができる。
化合物(G)の水酸基およびピラゾールの窒素原子上の保護基の脱保護は、当業者が通常採択し得る保護基の除去条件を用いることができる。各種保護基の脱保護に関しては、例えば、Greene&Wuts著編、「Greene’s Protective Groups in Organic Synthesis」、fourth edition、Wiley-Interscience、p.16-366、p.696-926に記載の方法を挙げることができる。
方法1)
化合物(G)の保護基がアシル基である場合、化合物(H)は、化合物(G)の加水分解により製造することができる。アシル基としては、アセチル基、イソブチリル基、ピバロイル基、ベンゾイル基等を挙げることができる。塩基としては、水酸化ナトリウム、ナトリウムエトキシド等を挙げることができる。溶媒としては、メタノール、エタノール、テトラヒドロフラン、水、それらの混合溶媒等を挙げることができる。反応温度は通常0℃~室温であり、反応時間は使用する原料物質、溶媒、反応温度等により異なるが、通常30分間~6時間である。
化合物(G)の保護基がアシル基である場合、化合物(H)は、化合物(G)の加水分解により製造することができる。アシル基としては、アセチル基、イソブチリル基、ピバロイル基、ベンゾイル基等を挙げることができる。塩基としては、水酸化ナトリウム、ナトリウムエトキシド等を挙げることができる。溶媒としては、メタノール、エタノール、テトラヒドロフラン、水、それらの混合溶媒等を挙げることができる。反応温度は通常0℃~室温であり、反応時間は使用する原料物質、溶媒、反応温度等により異なるが、通常30分間~6時間である。
方法2)
化合物(G)の保護基がベンジル基である場合の脱保護としては、加水素分解により、化合物(H)を製造することができる。溶媒中、常圧または加圧下、水素雰囲気下、化合物(G)を撹拌することにより製造することができる。溶媒としては、メタノールまたはエタノール等のアルコール系溶媒、酢酸エチル等のエステル系溶媒、テトラヒドロフラン等のエーテル系溶媒、酢酸、それらの混合溶媒等を挙げることができる。触媒としては、パラジウム等を挙げることができる。圧力は通常0.1~0.5MPa加圧下であり、反応温度は通常0℃~還流温度であり、反応時間は使用する原料物質、溶媒、触媒、圧力、反応温度等により異なるが、通常0.5~24時間である。
化合物(G)の保護基がベンジル基である場合の脱保護としては、加水素分解により、化合物(H)を製造することができる。溶媒中、常圧または加圧下、水素雰囲気下、化合物(G)を撹拌することにより製造することができる。溶媒としては、メタノールまたはエタノール等のアルコール系溶媒、酢酸エチル等のエステル系溶媒、テトラヒドロフラン等のエーテル系溶媒、酢酸、それらの混合溶媒等を挙げることができる。触媒としては、パラジウム等を挙げることができる。圧力は通常0.1~0.5MPa加圧下であり、反応温度は通常0℃~還流温度であり、反応時間は使用する原料物質、溶媒、触媒、圧力、反応温度等により異なるが、通常0.5~24時間である。
尚、本工程の脱保護は、水酸基の保護基の脱保護とピラゾールの窒素原子上の保護基の脱保護とを、同時または段階的に行うことが可能である。
工程7
化合物(I)は、化合物(E)を工程5の方法2)および方法3)に従って配糖化することにより、製造することができる。
化合物(I)は、化合物(E)を工程5の方法2)および方法3)に従って配糖化することにより、製造することができる。
工程8
化合物(H)は、化合物(I)の保護基を工程6の方法に従って脱保護することにより製造することができる。
化合物(H)は、化合物(I)の保護基を工程6の方法に従って脱保護することにより製造することができる。
(式中、G2-O-はイソブチリル基、ピバロイル基、ベンゾイル基等のアシル基、ベンジル基もしくは三置換シリル基等の保護基を6位に有するβ-D-グルコピラノシルオキシ基であり、RA1がC1-6アルキル基、C2-6アルケニル基、C2-6アルキニル基、ハロC1-6アルキル基、ヒドロキシC1-6アルキル基、C1-6アルコキシC1-6アルキル基、シアノC1-6アルキル基、C3-6シクロアルキル基、置換可フェニル基、C3-6シクロアルキルC1-6アルキル基、置換可アラルキル基、C2-6アシル基、置換可フェニルカルボニル基またはC1-6アルコキシカルボニル基であり、RBは水素原子、ハロゲン原子、C1-6アルキル基、C2-6アルケニル基、C2-6アルキニル基、C1-6アルコキシ基、ハロC1-6アルキル基、ヒドロキシC1-6アルキル基、C1-6アルコキシC1-6アルキル基、シアノC1-6アルキル基、C3-6シクロアルキル基、置換可フェニル基またはC3-6シクロアルキルC1-6アルキル基であり、PG4はC2-6アシル基、C1-6アルコキシカルボニル基、置換可アラルキルオキシカルボニル基もしくは三置換シリル基を表し、RB、RC、RDおよびX1は前記と同義である。)
工程9
化合物(J)は、当業者が通常採択し得る保護基導入の条件を用い、化合物(H)の水酸基の保護することにより、製造することができる。例えば、Greene&Wuts著編、「Greene’s Protective Groups in Organic Synthesis」、fourth edition、Wiley-Interscience、p.16-366記載の方法により行うことができる。水酸基の保護基としては、アセチル基、ピバロイル基、ベンゾイル基等のアシル基、ベンジルオキシカルボニル基等のカルボナート、またはトリメチルシリル基、トリイソプロピルシリル基、tert-ブチルジメチルシリル基等の三置換シリル基を挙げることができる。好ましくは、三置換シリル基であり、より好ましくはトリメチルシリル基、トリイソプロピルシリル基およびtert-ブチルジメチルシリル基である。
化合物(J)は、当業者が通常採択し得る保護基導入の条件を用い、化合物(H)の水酸基の保護することにより、製造することができる。例えば、Greene&Wuts著編、「Greene’s Protective Groups in Organic Synthesis」、fourth edition、Wiley-Interscience、p.16-366記載の方法により行うことができる。水酸基の保護基としては、アセチル基、ピバロイル基、ベンゾイル基等のアシル基、ベンジルオキシカルボニル基等のカルボナート、またはトリメチルシリル基、トリイソプロピルシリル基、tert-ブチルジメチルシリル基等の三置換シリル基を挙げることができる。好ましくは、三置換シリル基であり、より好ましくはトリメチルシリル基、トリイソプロピルシリル基およびtert-ブチルジメチルシリル基である。
工程10
化合物(K)は、一般式(RE2)で表されるアルキル化剤を用いて、塩基の存在下、溶媒中、必要に応じ、触媒量のヨウ化ナトリウムの存在下、化合物(J)をアルキル化させることにより、製造することができる。塩基としては、トリエチルアミン、N,N-ジイソプロピルエチルアミン、カリウムtert-ブトキシド、リチウムジイソプロピルアミド等の有機塩基、炭酸カリウム、炭酸セシウム、水素化ナトリム、水酸化ナトリウム等の無機塩基等を用いることができる。溶媒としては、N,N-ジメチルホルムアミド、ジメトキシエタン、ジメチルスルホキシド、テトラヒドロフラン、エタノール、それらの混合溶媒等を挙げることができる。反応温度は通常室温~還流温度であり、反応時間は使用する原料物質、溶媒、反応温度などにより異なるが、通常30分~3日間である。
化合物(K)は、一般式(RE2)で表されるアルキル化剤を用いて、塩基の存在下、溶媒中、必要に応じ、触媒量のヨウ化ナトリウムの存在下、化合物(J)をアルキル化させることにより、製造することができる。塩基としては、トリエチルアミン、N,N-ジイソプロピルエチルアミン、カリウムtert-ブトキシド、リチウムジイソプロピルアミド等の有機塩基、炭酸カリウム、炭酸セシウム、水素化ナトリム、水酸化ナトリウム等の無機塩基等を用いることができる。溶媒としては、N,N-ジメチルホルムアミド、ジメトキシエタン、ジメチルスルホキシド、テトラヒドロフラン、エタノール、それらの混合溶媒等を挙げることができる。反応温度は通常室温~還流温度であり、反応時間は使用する原料物質、溶媒、反応温度などにより異なるが、通常30分~3日間である。
工程11
化合物(L)は、化合物(K)を工程6記載の方法に従って脱保護することにより製造することができる。
化合物(L)は、化合物(K)を工程6記載の方法に従って脱保護することにより製造することができる。
化合物(K)の保護基が三置換シリル基である場合、化合物(L)は化合物(K)のフッ素イオン試薬を用いる脱保護により製造することができる。フッ素イオン試薬としては、フッ化水素、フッ化水素ピリジン、テトラブチルアンモニウムフルオリド等を用いることができる。溶媒としては、テトラヒドロフラン、アセトニトリル、メタノール、水、それらの混合溶媒等を挙げることができる。反応温度は通常室温~還流温度であり、反応時間は使用する原料物質、溶媒、反応温度等により異なるが、通常30分から24時間である。
上記スキームに示す方法により製造することのできる化合物(1)および(2)で表される化合物は、必要に応じて常法に従い、その薬理学的に許容される塩とすることができる。このような塩としては、酸付加塩または塩基との塩を挙げることができる。
上記に示したスキームは、本発明の化合物もしくはそのプロドラッグ、またはその薬理学的に許容される塩、またはその製造中間体を製造する為の方法の例示である。これらは、当業者の容易に理解され得るようなスキームへの様々な改変が可能である。
本発明の化合物もしくはそのプロドラッグ、またはその薬理学的に許容される塩、およびそれを製造する為に使用される中間体は、必要に応じて、当該分野における当業者にとって周知の単離・精製手段である、溶媒抽出、晶析・再結晶、クロマトグラフィー、分取高速液体クロマトグラフィー等により、単離・精製することができる。
本発明の化合物もしくはそのプロドラッグ、またはその薬理学的に許容される塩を含む医薬組成物
本発明の化合物もしくはそのプロドラッグ、またはその薬理学的に許容される塩を有効成分として含む医薬組成物は、用法に応じ種々の剤形のものが使用される。このような剤形としては、例えば、散剤、顆粒剤、細粒剤、ドライシロップ剤、錠剤、カプセル剤、注射剤、液剤、軟膏剤、坐剤、貼付剤、舌下剤等を挙げることができ、経口または非経口的に投与される。
これらの医薬組成物は、その剤形に応じて公知の手法により、適切な賦形剤、崩壊剤、結合剤、滑沢剤、希釈剤、緩衝剤、等張化剤、防腐剤、湿潤剤、乳化剤、分散剤、安定化剤、溶解補助剤等の医薬品添加物と適宜混合または希釈・溶解することにより調剤することができる。また、SGLT2阻害とは異なる作用機序の薬剤(「SGLT2阻害薬以外の薬剤」と称する事もある)と組み合わせて使用する場合は、それぞれの活性成分を同時または別々に、前述と同様に製剤化することにより製造することができる。
本発明の化合物もしくはそのプロドラッグ、またはその薬理学的に許容される塩の併用および合剤
本発明の化合物もしくはそのプロドラッグ、またはその薬理学的に許容される塩は、SGLT2阻害薬以外の少なくとも1種の薬剤と適宜組み合わせて投与することもできる。組み合わせて投与するための薬剤は、SGLT2阻害とは異なる作用機序の薬剤が好ましい。
「SGLT2阻害とは異なる作用機序の薬剤」とは、SGLT2阻害以外の作用機序により糖尿病を治療する薬剤を意味する。このような薬剤としては、糖尿病治療薬、糖尿病関連疾患治療薬、糖尿病性合併症治療剤等が挙げられる。例えば、消化管からのグルコース等の吸収抑制作用、インスリン分泌促進作用、肝糖新生抑制作用、糖放出抑制作用、末梢インスリン感受性改善作用等の作用を有する薬剤が挙げられる。
SGLT2阻害以外の「消化管からのグルコース等の吸収抑制作用」を有する薬剤としては、SGLT1阻害薬、α-グルコシダーゼ阻害薬およびビグアナイド薬等が挙げられる。
「インスリン分泌促進作用」を有する薬剤としては、スルホニル尿素(SU)薬および速効型インスリン分泌促進薬、DPPIV阻害薬等が挙げられる。
「肝糖新生抑制作用」または「糖放出抑制作用」を有する薬剤としては、チアゾリジン系インスリン感受性改善薬およびスルホニル尿素(SU)薬等が挙げられる。
「末梢インスリン感受性改善作用」を有する薬剤としては、ビグアナイド薬、チアゾリジン系インスリン感受性改善薬およびスルホニル尿素(SU)薬等が挙げられる。
組み合わせて投与する薬剤として好ましくは、α-グルコシダーゼ阻害薬、ビグアナイド薬、スルホニル尿素薬、速効型インスリン分泌促進薬、チアゾリジン系インスリン感受性改善薬およびDPPIV阻害薬からなる群から選択される薬剤である。より好ましくは、DPPIV阻害薬、ビグアナイド薬およびα-グルコシダーゼ阻害薬からなる群から選択される薬剤である。
「α-グルコシダーゼ阻害薬」としては、アカルボース、ボグリボースまたはミグリトール等が挙げられる。好ましくは、ボグリボースである。
「ビグアナイド薬」としては、塩酸メトホルミンまたは塩酸ブホルミン等が挙げられる。好ましくは、塩酸メトホルミンである。
「スルホニル尿素(SU)薬」としては、トルブタミド、アセトヘキサミド、クロルプロパミド、グリクロピラミド、グリブゾール、グリベンクラミド、グルピジド、グリクラジドまたはグリメピリド等が挙げられる。好ましくは、グリベンクラミド、グルピジド、グリクラジドまたはグリメピリドである。
「速効型インスリン分泌促進薬」としては、レパグリニド、ナテグリニドまたはミチグリニドカルシウム水和物等が挙げられる。好ましくは、ミチグリニドカルシウム水和物である。
「DPPIV阻害薬」としては、アログリプチン、サキサグリプチン、シタグリプチン、ビルダグリプチン等が挙げられる
「チアゾリジン系インスリン感受性改善薬」としては、ロシグリタゾン、ピオグリタゾン等が挙げられる。
「チアゾリジン系インスリン感受性改善薬」としては、ロシグリタゾン、ピオグリタゾン等が挙げられる。
また、組み合わせて投与される薬剤を以下の通り具体的に例示するが、本発明の内容はこれらに限定されるものではない。また、本発明は、具体的な化合物においてはそのフリー体、およびその他の薬理学的に許容される塩を含む。
SGLT1阻害薬、インスリン感受性増強薬、糖吸収阻害薬、ビグアナイド薬、インスリン分泌促進薬、インスリン製剤、インスリン受容体キナーゼ刺激薬、ジペプジルペプチダーゼIV(DPPIV)阻害薬、プロテインチロシンホスファターゼ1B阻害薬、グリコーゲンホスホリラーゼ阻害薬、フルクトース-ビスホスファターゼ阻害薬、肝糖新生阻害薬、グリコーゲン合成酵素キナーゼ-阻害薬、グルカゴン様ペプチド-1類縁体、グルカゴン様ペプチド-1アゴニスト(GLP1アナログ)、アミリンアゴニスト(アミリンアナログ)、アルドース還元酵素阻害薬、プロテインキナーゼC阻害薬、γ-アミノ酪酸(GABA)受容体アンタゴニスト、ナトリウムチャンネルアンタゴニスト、転写因子NF-κB阻害薬、脂質過酸化酵素阻害薬、インスリン様成長因子-I、上皮増殖因子(EGF)、神経成長因子、ヒドロキシメチルグルタリルコエンザイムA(HMG-CoA)還元酵素阻害薬、β3-アドレナリン受容体アゴニスト、アシルコエンザイムA:コレステロールアシル基転移酵素(ACAT)阻害薬、プロブコール、甲状腺ホルモン受容体アゴニスト、コレステロール吸収阻害薬、リパーゼ阻害薬、ミクロソームトリグリセリドトランスファープロテイン阻害薬、カルニチンパルミトイルトランスフェラーゼ阻害薬、ニコチン酸誘導体、胆汁酸吸着薬、ナトリウム共役胆汁酸トランスポーター阻害薬、コレステロールエステル転送タンパク(CETP)阻害薬、食欲抑制薬、アンジオテンシンII受容体拮抗薬、エンドセリン変換酵素阻害薬、エンドセリン受容体アンタゴニスト、利尿薬、カルシウム拮抗薬、血管拡張性降圧薬、交感神経遮断薬、中枢性降圧薬、α2-アドレナリン受容体アゴニスト、抗血小板薬、尿酸産生阻害薬、尿酸排出促進薬、尿アルカリ化薬等が挙げられる。
本発明の化合物もしくはそのプロドラッグ、またはその薬理学的に許容される塩と上記薬剤の1種類またはそれ以上とを組み合わせて投与する場合、本発明は、以下の1)~5):
1)配合剤による同時投与、
2)別個の製剤として、同一投与経路による同時投与、
3)別個の製剤として、異なる投与経路による同時投与、
4)別個の製剤として、同一投与経路による異なる時間での投与、および
5)別個の製剤として、異なる投与経路による異なる時間での投与
の何れの投与方法も含まれる。また、4)または5)のような別個の製剤として異なる時間に投与する場合、本発明の化合物もしくはそのプロドラッグ、またはその薬理学的に許容される塩と、組み合わせて投与される上記の薬剤との投与順序については特に制限されない。
1)配合剤による同時投与、
2)別個の製剤として、同一投与経路による同時投与、
3)別個の製剤として、異なる投与経路による同時投与、
4)別個の製剤として、同一投与経路による異なる時間での投与、および
5)別個の製剤として、異なる投与経路による異なる時間での投与
の何れの投与方法も含まれる。また、4)または5)のような別個の製剤として異なる時間に投与する場合、本発明の化合物もしくはそのプロドラッグ、またはその薬理学的に許容される塩と、組み合わせて投与される上記の薬剤との投与順序については特に制限されない。
また、本発明の化合物もしくはそのプロドラッグ、またはその薬理学的に許容される塩は、1種類またはそれ以上の上記薬剤と適宜組み合わせて投与することにより、上記疾患の予防または治療上相加効果以上の有利な効果を得ることができる。あるいは、同様に、単独に投与する場合と比較してその使用量を減少させたり、併用するSGLT2阻害薬以外の薬剤の副作用を減少させたり、または併用するSGLT2阻害薬以外の薬剤の副作用を回避もしくは軽減させることができる。
本発明の化合物もしくはそのプロドラッグ、またはその薬理学的に許容される塩の医薬用途
本発明の化合物もしくはそのプロドラッグ、またはその薬理学的に許容される塩は、メチル-α-D-グルコピラノシド取り込み阻害活性の測定において強力なヒトSGLT2阻害活性を示す。ゆえに、本発明の化合物は、血糖値の過剰な上昇を抑制または低下させることができる。したがって、本発明の化合物もしくはそのプロドラッグ、またはその薬理学的に許容される塩を有効成分として含む医薬組成物は、高血糖に起因する疾患の治療剤または予防剤として使用することができる。
また、本発明の化合物もしくはそのプロドラッグ、またはその薬理学的に許容される塩は、食後高血糖抑制または正常化、或いは、耐糖能異常(IGT)者、空腹時血糖異常(IFG)者またはメタボリックシンドローム患者の糖尿病への移行阻止等にも有用である。特に、食後高血糖抑制または正常化、或いは耐糖能異常(IGT)者または高血糖症を伴うメタボリックシンドローム患者の糖尿病への移行阻止等に有用である。
「高血糖に起因する疾患」としては、糖尿病、糖尿病関連疾患、糖尿病性合併症等が含まれる。
「糖尿病」としては、1型糖尿病もしくは2型糖尿病、妊娠糖尿病、または境界領域、インスリン非依存状態、インスリン依存状態の糖尿病等が含まれる。本発明の化合物もしくはそのプロドラッグ、またはその薬理学的に許容される塩は、2型糖尿病、または境界領域、インスリン非依存状態もしくはインスリン依存状態の治療または予防のために使用するのが好ましい。より好ましくは、2型糖尿病または境界領域あるいは非インスリン依存状態の糖尿病である。
「糖尿病関連疾患」としては、脂肪肝、メタボリックシンドローム、高血糖症、インスリン抵抗性、グルコース代謝の減少、糖尿病性網膜症、黄斑変性症、白内障、糖尿病性腎症、糸球体硬化症、血管再狭窄、潰瘍性大腸炎、肥満症、高インスリン血症、糖代謝異常、高脂血症、高コレステロール血症、脂質代謝異常、高尿酸血症、痛風、高血圧、うっ血性心不全、浮腫等が挙げられる。
「糖尿病性合併症」には、急性合併症および慢性合併症の何れもが含まれる。急性合併症としては、糖尿病性昏睡、感染症等が挙げられる。慢性合併症としては、糖尿病性細小血管症、糖尿病性大血管症等が挙げられる。本発明の化合物もしくはそのプロドラッグ、またはその薬理学的に許容される塩は、慢性合併症のための治療または予防の為に使用するのが好ましい。より好ましくは、糖尿病性細小血管症または糖尿病性大血管症である。糖尿病性細小血管症としては、糖尿病性網膜症、糖尿病性腎症、糖尿病性神経障害等が挙げられる。糖尿病性大血管症としては、糖尿病性動脈硬化症、糖尿病性足病変および歯周病等が挙げられる。
「糖尿病昏睡」としては、ケトアシドーシス昏睡、高浸透圧高血糖症候群等が挙げられる。本発明の化合物もしくはそのプロドラッグ、またはその薬理学的に許容される塩は、高浸透圧高血糖症候群の治療または予防のために使用するのが好ましい。
糖尿病の急性合併症としての「感染症」としては、肺結核、尿路感染症、皮膚感染症等が挙げられる。
「糖尿病性網膜症」としては、白斑、毛細管瘤、網膜浮腫、硝子体出血、網膜剥離、視力障害、失明等が挙げられる。
「糖尿病性腎症」とは、アルブミンの尿中排泄増加、血圧上昇および腎機能低下を特徴とする病態を意味する。その進展により、早期腎症、顕性腎症および末期腎不全に分類される。本発明の化合物もしくはそのプロドラッグ、またはその薬理学的に許容される塩は、何れの病期の腎症の治療または予防の為に使用するのが好ましい。
「糖尿病性神経障害」としては、多発性神経障害(広汎性左右対称性神経障害)または単発性神経障害が挙げられる。多発性神経障害としては、感覚・運動神経、自立神経障害等が挙げられる。
「糖尿病性足病変」としては、白癬症、胼胝、足潰瘍、足壊疽等が挙げられる。
「糖尿病性動脈硬化症」としては、冠動脈硬化症、脳血管障害、下肢閉塞性動脈硬化症等が挙げられる。好ましくは、冠動脈硬化症、脳血管障害または下肢閉塞性動脈硬化症である。
本発明の化合物もしくはそのプロドラッグ、またはその薬理学的に許容される塩の用法・用量
本発明の医薬は、全身的あるいは局所的に、経口あるいは非経口(経鼻、経肺、静脈内、直腸内、皮下、筋肉内、経皮等)により投与することができる。
本発明の医薬組成物を実際の治療に用いる場合、その有効成分である本発明の化合物もしくはそのプロドラッグ、またはその薬理学的に許容される塩の投与量は、患者の年齢、性別、体重、疾患、治療の程度等により適宜決定される。例えば、経口投与の場合、成人(体重60kgとする)1日当たり概ね5~1000mg/体の範囲で一回または数回に分けて適宜投与することができる。経口投与の場合、1日当たりの投与量は、5~100mg/体が好ましい。非経口投与の場合、成人1日当たり概ね0.5~300mg/体の範囲で、一回または数回に分けて適宜投与することができる。非経口投与の場合、1日当たりの投与量は、0.5~10mg/体が好ましい。また、SGLT2阻害薬以外の薬剤の投与量に応じて減量することができる。
以下、本発明を実施例にて更に詳細に説明するが、本発明の範囲はこれらに限定されるものではない。
実施例1
5-アセトキシメチル-1-アセチル-4-(4-イソプロポキシベンジル)-3-(2,3,4,6-テトラ-O-アセチル-β-D-グルコピラノシルオキシ)-1H-ピラゾール
5-アセトキシメチル-1-アセチル-4-(4-イソプロポキシベンジル)-3-(2,3,4,6-テトラ-O-アセチル-β-D-グルコピラノシルオキシ)-1H-ピラゾール
実施例1の化合物は、工程1-1~1-5記載の方法により製造した。
工程1-1
3-[1-(4-イソプロピルオキシフェニル)メチリデン]フラン―2,4-ジオン
3-[1-(4-イソプロピルオキシフェニル)メチリデン]フラン―2,4-ジオン
テトロン酸(1.6g)と4-イソプロポキシベンズアルデヒド(7.8g)の混合物に触媒量の濃塩酸を加え、室温で2時間撹拌した。反応混合物にジエチルエーテルを加え、室温で30分間撹拌し、結晶性の固体をろ取した。ろ取した結晶をジエチルエーテルで洗浄後、減圧下乾燥して標記化合物(1.6g)を得た。
1H-NMR (CDCl3) δ ppm:
1.41 (6H, d, J=6.3Hz), 4.60 (2H, s), 4.65-4.80 (1H, m), 6.95-7.05 (2H, m), 7.92 (1H, s), 8.50-8.60 (2H, s)
1H-NMR (CDCl3) δ ppm:
1.41 (6H, d, J=6.3Hz), 4.60 (2H, s), 4.65-4.80 (1H, m), 6.95-7.05 (2H, m), 7.92 (1H, s), 8.50-8.60 (2H, s)
工程1-2
3-(4-イソプロポキシベンジル)テトロン酸
3-(4-イソプロポキシベンジル)テトロン酸
3-[1-(4-イソプロポキシフェニル)メチリデン]フラン―2,4-ジオン(0.65g)と触媒量の10%パラジウム炭素末のテトラヒドロフラン(20mL)懸濁液を水素雰囲気下室温にて30分間撹拌した。不溶物をろ去し、ろ液を減圧下濃縮した。残渣をシリカゲルカラムクロマトグラフィー(溶出溶媒;塩化メチレン/メタノール=20/1-1/1)で精製して標記化合物(0.59g)を得た。
1H-NMR (CDCl3) δ ppm:
1.30 (6H, d, J=6.0Hz), 3.44 (2H, s), 4.40-4.55 (1H, m), 4.53 (2H, s), 6.75-6.85 (2H, m), 7.10-7.20 (2H, m)
1H-NMR (CDCl3) δ ppm:
1.30 (6H, d, J=6.0Hz), 3.44 (2H, s), 4.40-4.55 (1H, m), 4.53 (2H, s), 6.75-6.85 (2H, m), 7.10-7.20 (2H, m)
工程1-3
5-ヒドロキシメチル-4-(イソプロポキシベンジル)-1,2-ジヒドロ-3H-ピラゾール-3-オン
5-ヒドロキシメチル-4-(イソプロポキシベンジル)-1,2-ジヒドロ-3H-ピラゾール-3-オン
3-(4‐イソプロポキシベンジル)テトロン酸(0.30g)のテトラヒロドフラン(10mL)溶液にヒドラジン一水和物(0.35mL)を加え、この混合物を5時間加熱還流した。反応混合物を減圧下濃縮し、残渣に水を加えた。この混合物を室温下に一晩撹拌した。結晶性の固体をろ取し、減圧下乾燥して標記化合物(0.18g)を得た。
1H-NMR (DMSO-d6) δ ppm:
1.12 (6H, d, J=5.7Hz), 3.51 (2H, s), 4.28 (2H, d, J=5.1Hz), 4.45-4.55 (1H, m), 4.95-5.10 (1H, br m), 6.70-6.80 (2H, m), 7.00-7.10 (2H, m), 8.50-10.00 (1H, br s), 10.50-12.00 (1H, br s)
1H-NMR (DMSO-d6) δ ppm:
1.12 (6H, d, J=5.7Hz), 3.51 (2H, s), 4.28 (2H, d, J=5.1Hz), 4.45-4.55 (1H, m), 4.95-5.10 (1H, br m), 6.70-6.80 (2H, m), 7.00-7.10 (2H, m), 8.50-10.00 (1H, br s), 10.50-12.00 (1H, br s)
工程1-4
5-アセトキシメチル-1-アセチル-4-(イソプロポキシベンジル)-1,2-ジヒドロ-3H-ピラゾール-3-オン
5-アセトキシメチル-1-アセチル-4-(イソプロポキシベンジル)-1,2-ジヒドロ-3H-ピラゾール-3-オン
5-ヒドロキシメチル-4-(イソプロポキシベンジル)-1,2-ジヒドロ-3H-ピラゾール-3-オン(0.17g)の1,2-ジメトキシエタン(5mL)懸濁液に室温でトリエチルアミン(0.22mL)、無水酢酸(0.15mL)およびN,N-ジメチル-4-アミノピリジン(0.013g)を加え、この混合物を室温で4時間撹拌した。反応混合物を減圧下濃縮し、残渣をシリカゲルカラムクロマトグラフィー(リニアグラージェント;塩化メチレン~塩化メチレン/メタノール=85/15)で精製して標記化合物(0.19g)を得た。
1H-NMR (DMSO-d6) δ ppm:
1.93 (3H, s), 2.48 (3H, s), 3.63 (2H, s), 4.48-4.58 (1H, m), 5.26 (2H, s), 6.75-6.85 (2H, m), 7.02-7.08 (2H, m), 11.2 (1H, s)
1H-NMR (DMSO-d6) δ ppm:
1.93 (3H, s), 2.48 (3H, s), 3.63 (2H, s), 4.48-4.58 (1H, m), 5.26 (2H, s), 6.75-6.85 (2H, m), 7.02-7.08 (2H, m), 11.2 (1H, s)
工程1-5
5-アセトキシメチル-1-アセチル-4-(4-イソプロポキシベンジル)-3-(2,3,4,6-テトラ-O-アセチル-β-D-グルコピラノシルオキシ)-1H-ピラゾール
5-アセトキシメチル-1-アセチル-4-(4-イソプロポキシベンジル)-3-(2,3,4,6-テトラ-O-アセチル-β-D-グルコピラノシルオキシ)-1H-ピラゾール
5-アセトキシメチル-1-アセチル-4-(イソプロポキシベンジル)-1,2-ジヒドロ-3H-ピラゾール-3-オン(0.19g)およびアセトブロモ-α-D-グルコース(0.25g)のアセトニトリル(5mL)懸濁液に室温で炭酸カリウム(0.39g)を加え、この混合物を一晩撹拌した。反応混合物に水を加え、酢酸エチルで抽出した。有機層を水および飽和食塩水で洗浄し、硫酸マグネシウムで乾燥した。溶媒を減圧下留去した。残渣をシリカゲルカラムクロマトグラフィー(リニアグラージェント;ヘキサン/酢酸エチル=7/3-1/1)で精製して標記化合物(0.16g)を得た。
1H-NMR (CDCl3) δ ppm:
1.29 (3H, d, J=5.6Hz), 1.30 (3H, d, J=6.0Hz), 1.87 (3H, s), 2.00 (3H, s), 2.02 (3H, s), 2.04 (3H, s), 2.07 (3H, s), 2.58 (3H, s), 3.66 (1H, d, J=15.5Hz), 3.67 (1H, d, J=15.4Hz), 3.89 (ddd, J=2.4, 4.7, 10.0Hz), 4.16 (1H, d, J=2.4, 12.5Hz), 4.27 (1H, d, J=4.7, 12.5Hz), 4.40-4.55 (1H, m),5.15-5.33 (3H, m), 5.33 (1H, d, J=13.1), 5.39 (1H, d, J=13.1Hz), 5.71 (1H, d, J=7.6Hz), 6.70-6.80 (2H, m), 6.98-7.04 (2H, m)
1H-NMR (CDCl3) δ ppm:
1.29 (3H, d, J=5.6Hz), 1.30 (3H, d, J=6.0Hz), 1.87 (3H, s), 2.00 (3H, s), 2.02 (3H, s), 2.04 (3H, s), 2.07 (3H, s), 2.58 (3H, s), 3.66 (1H, d, J=15.5Hz), 3.67 (1H, d, J=15.4Hz), 3.89 (ddd, J=2.4, 4.7, 10.0Hz), 4.16 (1H, d, J=2.4, 12.5Hz), 4.27 (1H, d, J=4.7, 12.5Hz), 4.40-4.55 (1H, m),5.15-5.33 (3H, m), 5.33 (1H, d, J=13.1), 5.39 (1H, d, J=13.1Hz), 5.71 (1H, d, J=7.6Hz), 6.70-6.80 (2H, m), 6.98-7.04 (2H, m)
実施例2
3-(β-D-グルコピラノシルオキシ)-5-ヒドロキシメチル-4-(4-イソプロポキシベンジル)-1H-ピラゾール
3-(β-D-グルコピラノシルオキシ)-5-ヒドロキシメチル-4-(4-イソプロポキシベンジル)-1H-ピラゾール
実施例2の化合物は、工程2-1記載の方法により製造した。
工程2-1
3-(β-D-グルコピラノシルオキシ)-5-ヒドロキシメチル-4-(4-イソプロポキシベンジル)-1H-ピラゾール
3-(β-D-グルコピラノシルオキシ)-5-ヒドロキシメチル-4-(4-イソプロポキシベンジル)-1H-ピラゾール
5-アセトキシメチル-1-アセチル-4-(4‐イソプロポキシベンジル)-3-(2,3,4,6-テトラ-O-アセチル-β-D-グルコピラノシルオキシ)-1H-ピラゾール(0.16g)のエタノール(5mL)溶液に室温で1mol/L水酸化ナトリウム水溶液(1.7mL)を加え、この混合物を30分間室温で撹拌した。反応混合物を減圧下濃縮し、残渣をシリカゲルカラムクロマトグラフィー(リニアグラージェント;塩化メチレン/メタノール=5/1-4/1)で精製した。目的物を含む分画を減圧下に濃縮した。得られた化合物をジエチルエーテルで洗浄後、減圧下乾燥して標記化合物(0.043g)を得た。
1H-NMR (CD3OD) δ ppm:
1.26 (6H, d, J=6.1Hz), 3.25-3.45 (4H, m), 3.67 (1H, dd, J=5.1, 12.2Hz), 3.71 (1H, d, J=15.7Hz), 3.75 (1H, d, J=15.7Hz), 3.82 (1H, dd, J=1.7, 12.2Hz), 4.40 (2H, s), 4.46-4.56 (1H, m), 5.00-5.15 (1H, m), 6.72-6.80 (2H, m), 7.08-7.16 (2H, m)
1H-NMR (CD3OD) δ ppm:
1.26 (6H, d, J=6.1Hz), 3.25-3.45 (4H, m), 3.67 (1H, dd, J=5.1, 12.2Hz), 3.71 (1H, d, J=15.7Hz), 3.75 (1H, d, J=15.7Hz), 3.82 (1H, dd, J=1.7, 12.2Hz), 4.40 (2H, s), 4.46-4.56 (1H, m), 5.00-5.15 (1H, m), 6.72-6.80 (2H, m), 7.08-7.16 (2H, m)
実施例3
3-(β-D-グルコピラノシルオキシ)-5-ヒドロキシメチル-4-(4-イソプロポキシベンジル)-1-イソプロピルピラゾール
3-(β-D-グルコピラノシルオキシ)-5-ヒドロキシメチル-4-(4-イソプロポキシベンジル)-1-イソプロピルピラゾール
実施例3の化合物は、工程3-1~3-3記載の方法により製造した。
工程3-1
4-(4-イソプロポキシベンジル)-3-(6-O-トリイソプロピルシリル-β-D-グルコピラノシルオキシ)-5-トリイソプロピルシリルオキシメチル-1H-ピラゾール
4-(4-イソプロポキシベンジル)-3-(6-O-トリイソプロピルシリル-β-D-グルコピラノシルオキシ)-5-トリイソプロピルシリルオキシメチル-1H-ピラゾール
3-(β-D-グルコピラノシルオキシ)-5-ヒドロキシメチル-4-(4-イソプロピルオキシベンジル)-1H-ピラゾール(0.49g)およびイミダゾール(0.19g)のN,N-ジメチルホルムアミド(20mL)溶液に-40℃でトリイソプロピルシリルクロリド(0.49g)を加え、この混合物を室温で一晩撹拌した。反応混合物を0℃でイミダゾール(0.066g)およびトリイソプロピルシリルクロリド(0.16g)を加え、室温で一晩撹拌した。反応混合物に水を加え、酢酸エチルで抽出した。有機層を水および飽和食塩水で洗浄し、無水硫酸マグネシウムで乾燥した。溶媒を減圧下留去した。残渣をシリカゲルカラムクロマトグラフィー(リニアグラージェント;ヘキサン/酢酸エチル=1/1-1/9)で精製して標記化合物(0.42g)を得た。
1H-NMR (CD3OD) δ ppm:
0.95-1.00 (42H, m), 1.27 (6H, d, J=6.4Hz), 3.25-3.35 (4H, m), 3.73 (2H, s), 3.89 (1H, dd, J=4.7, 11.1Hz), 3.99 (1H, dd, J=2.42, 11.1Hz), 4.45-4.55 (3H, m), 5.14-5.24 (1H, m), 6.72-6.78 (2H, m), 7.06-7.12 (2H, m)
1H-NMR (CD3OD) δ ppm:
0.95-1.00 (42H, m), 1.27 (6H, d, J=6.4Hz), 3.25-3.35 (4H, m), 3.73 (2H, s), 3.89 (1H, dd, J=4.7, 11.1Hz), 3.99 (1H, dd, J=2.42, 11.1Hz), 4.45-4.55 (3H, m), 5.14-5.24 (1H, m), 6.72-6.78 (2H, m), 7.06-7.12 (2H, m)
工程3-2
4-(4-イソプロポキシベンジル)-1-イソプロピル-3-(6-O-トリイソプロピルシリル-β-D-グルコピラノシルオキシ)-5-トリイソプロピルシリルオキシメチルピラゾール
4-(4-イソプロポキシベンジル)-1-イソプロピル-3-(6-O-トリイソプロピルシリル-β-D-グルコピラノシルオキシ)-5-トリイソプロピルシリルオキシメチルピラゾール
4-(4-イソプロポキシベンジル)-3-(6-O-トリイソプロピルシリル-β-D-グルコピラノシルオキシ)-5-トリイソプロピルシリルオキシメチル-1H-ピラゾール(0.2g)のN,N-ジメチルホルムアミド(5mL)溶液に75℃で炭酸セシウム(0.35g)および2-ヨードプロパン(0.16g)を加えた。この混合物を同温で1時間撹拌した。反応混合物を室温まで冷却し、水を加えた。この混合物を酢酸エチルで抽出した。有機層を水および飽和食塩水で洗浄後、無水硫酸マグネシウムで乾燥した。溶媒を減圧下留去した。残渣をシリカゲルカラムクロマトグラフィー(リニアグラージェント;ヘキサン/酢酸エチル=1/1-1/3)で精製して標記化合物(0.14g)を得た。
1H-NMR (CD3OD) δ ppm:
0.95-1.15 (42H, m), 1.27 (6H, d, J=6.0Hz), 1.41 (3H, d, J=6.7Hz), 1.41 (3H, d, J=6.6Hz), 3.20-3.30 (1H, m), 3.32-3.48 (3H, m), 3.70 (1H, d, J=16.3Hz), 3.75 (1H, d, J=16.3Hz), 3.85 (1H, dd, J=5.1, 11.1Hz), 3.96 (1H, dd, J=2.1, 11.1Hz), 4.45-4.53 (1H, m), 4.60 (2H, s), 4.62-4.74 (1H, m), 5.10-5.18 (1H, m), 6.70-6.78 (2H, m), 7.00-7.08 (2H, m)
1H-NMR (CD3OD) δ ppm:
0.95-1.15 (42H, m), 1.27 (6H, d, J=6.0Hz), 1.41 (3H, d, J=6.7Hz), 1.41 (3H, d, J=6.6Hz), 3.20-3.30 (1H, m), 3.32-3.48 (3H, m), 3.70 (1H, d, J=16.3Hz), 3.75 (1H, d, J=16.3Hz), 3.85 (1H, dd, J=5.1, 11.1Hz), 3.96 (1H, dd, J=2.1, 11.1Hz), 4.45-4.53 (1H, m), 4.60 (2H, s), 4.62-4.74 (1H, m), 5.10-5.18 (1H, m), 6.70-6.78 (2H, m), 7.00-7.08 (2H, m)
工程3-3
4-(4-イソプロポキシベンジル)-1-イソプロピル-3-(β-D-グルコピラノシルオキシ)-5-ヒドロキシメチルピラゾール
4-(4-イソプロポキシベンジル)-1-イソプロピル-3-(β-D-グルコピラノシルオキシ)-5-ヒドロキシメチルピラゾール
4-(4-イソプロポキシベンジル)-1-イソプロピル-3-(6-O-トリイソプロピルシリル-β-D-グルコピラノシルオキシ)-5-トリイソプロピルシリルオキシメチルピラゾール(0.14g)のテトラヒドロフラン(15mL)溶液に室温でテトラブチルアンモニウムフルオリド(1mol/Lテトラヒドロフラン溶液、0.4mL)を加え、この混合物を室温で1時間撹拌した。反応混合物を減圧下濃縮し、残渣をシリカゲルカラムクロマトグラフィー(リニアグラージェント;塩化メチレン/メタノール=88/12-80/20)で精製して標記化合物(0.049g)を得た。
1H-NMR (CD3OD) δppm:
1.26 (6H, d, J=5.8Hz), 1.41 (3H, d, J=6.5Hz), 1.41 (3H, d, J=6.6Hz), 3.20-3.26 (1H, m), 3.32-3.43 (3H, m), 3.65 (1H, dd, J=5.4, 11.9Hz), 3.72 (1H, d, J=16.1Hz), 3.76 (1H, d, J=16.1Hz), 3.77 (1H, dd, J=2.4, 11.9Hz), 4.46 (2H, s), 4.46-4.56 (1H, m), 4.56-4.66 (1H, m), 5.02-5.10 (1H, m), 6.72-6.80 (2H, m), 7.06-7.14 (2H, m)
1H-NMR (CD3OD) δppm:
1.26 (6H, d, J=5.8Hz), 1.41 (3H, d, J=6.5Hz), 1.41 (3H, d, J=6.6Hz), 3.20-3.26 (1H, m), 3.32-3.43 (3H, m), 3.65 (1H, dd, J=5.4, 11.9Hz), 3.72 (1H, d, J=16.1Hz), 3.76 (1H, d, J=16.1Hz), 3.77 (1H, dd, J=2.4, 11.9Hz), 4.46 (2H, s), 4.46-4.56 (1H, m), 4.56-4.66 (1H, m), 5.02-5.10 (1H, m), 6.72-6.80 (2H, m), 7.06-7.14 (2H, m)
実施例4-1
3-(6-O-エトキシカルボニル-β-D-グルコピラノシルオキシ)-5-エトキシカルボニルオキシメチル-4-(4-イソプロポキシベンジル)-1-イソプロピルピラゾール
3-(6-O-エトキシカルボニル-β-D-グルコピラノシルオキシ)-5-エトキシカルボニルオキシメチル-4-(4-イソプロポキシベンジル)-1-イソプロピルピラゾール
実施例4-2
3-(6-O-エトキシカルボニル-β-D-グルコピラノシルオキシ)-5-ヒドロキシメチル-4-(4-イソプロポキシベンジル)-1-イソプロピルピラゾール
3-(6-O-エトキシカルボニル-β-D-グルコピラノシルオキシ)-5-ヒドロキシメチル-4-(4-イソプロポキシベンジル)-1-イソプロピルピラゾール
実施例4-1および4-2の化合物は、工程4-1記載の方法により製造することができる。
工程4-1
4-(4-イソプロポキシベンジル)-1-イソプロピル-3-(β-D-グルコピラノシルオキシ)-5-ヒドロキシメチルピラゾール(0.1g)、2,6-ジメチルピリジン(0.063g)のアセトニトリル(1mL)溶液に-40℃でクロロギ酸エチル(0.064g)を加え、この混合物を室温で一晩撹拌する。反応混合物に水を加え、酢酸エチルで抽出する。有機層を水および飽和食塩水で洗浄する。抽出液を、無水硫酸マグネシウムで乾燥し、減圧下濃縮する。残渣をシリカゲルカラムクロマトグラフィーで精製して実施例4-1および4-2の化合物を得ることができる。
試験例1
ヒトSGLT阻害活性確認試験
ヒトSGLT阻害活性確認試験
1)ヒトSGLT2のクローニングおよび発現ベクターへの組み換え
ヒト腎臓由来の総RNA(OriGene Technologies社製)をオリゴdTをプライマーとして逆転写し、PCR増幅用cDNAライブラリーを作成した。このcDNAライブラリーを鋳型として、R.G.Wellsらにより報告されたヒトSGLT2(ACCESSION:M95549、M95299)の2番から2039番までの塩基配列をPCR法により増幅し、pcDNA3.1(-)(Invitrogen社製)のマルチクローニング部位に挿入した。挿入したDNAの塩基配列は、報告されていたヒトSGLT2の塩基配列と一致していた。
ヒト腎臓由来の総RNA(OriGene Technologies社製)をオリゴdTをプライマーとして逆転写し、PCR増幅用cDNAライブラリーを作成した。このcDNAライブラリーを鋳型として、R.G.Wellsらにより報告されたヒトSGLT2(ACCESSION:M95549、M95299)の2番から2039番までの塩基配列をPCR法により増幅し、pcDNA3.1(-)(Invitrogen社製)のマルチクローニング部位に挿入した。挿入したDNAの塩基配列は、報告されていたヒトSGLT2の塩基配列と一致していた。
2)ヒトSGLT1のクローニングおよび発現ベクターへの組み換え
ヒト小腸由来の総RNA(OriGene Technologies社製)にオリゴdTをプライマーとして逆転写し、PCR増幅用cDNAを作成した。このcDNAライブラリーを鋳型として、Hedigerらにより報告されたヒトSGLT1(ACCESSION:M24847)の1番から2005番までの塩基配列をPCR法により増幅し、pcDNA3.1(-)(Invitrogen社製)のマルチクローニング部位に挿入した。挿入したDNAの塩基配列は、報告されていたヒトSGLT1の塩基配列と完全に一致した。
ヒト小腸由来の総RNA(OriGene Technologies社製)にオリゴdTをプライマーとして逆転写し、PCR増幅用cDNAを作成した。このcDNAライブラリーを鋳型として、Hedigerらにより報告されたヒトSGLT1(ACCESSION:M24847)の1番から2005番までの塩基配列をPCR法により増幅し、pcDNA3.1(-)(Invitrogen社製)のマルチクローニング部位に挿入した。挿入したDNAの塩基配列は、報告されていたヒトSGLT1の塩基配列と完全に一致した。
3)ヒトSGLT2またはヒトSGLT1発現細胞の作成
ヒトSGLT2またはヒトSGLT1発現ベクターをCOS-7細胞にリポフェクション法(Lipofectamine(登録商標)2000:Invitrogen社製)にて導入した。まず、96穴プレートにCOS-7細胞を5×104個/100μL/穴で播種し、37℃で2時間静置した。これとは別に、培地50mL当たり0.3μgのヒトSGLT2またはSGLT1発現ベクターと0.5mLのLipofectoamine(登録商標)2000を混合し、複合体溶液を調製した。この複合体溶液を先述のCOS-7細胞に50μL/穴ずつ添加して緩やかに撹拌し、2日間培養した。これらの中からヒトSGLT2またはヒトSGLT1を安定発現する細胞を選択し、メチル-α-D-グルコピラノシド(α-MG)取り込み阻害活性の測定に供した。
ヒトSGLT2またはヒトSGLT1発現ベクターをCOS-7細胞にリポフェクション法(Lipofectamine(登録商標)2000:Invitrogen社製)にて導入した。まず、96穴プレートにCOS-7細胞を5×104個/100μL/穴で播種し、37℃で2時間静置した。これとは別に、培地50mL当たり0.3μgのヒトSGLT2またはSGLT1発現ベクターと0.5mLのLipofectoamine(登録商標)2000を混合し、複合体溶液を調製した。この複合体溶液を先述のCOS-7細胞に50μL/穴ずつ添加して緩やかに撹拌し、2日間培養した。これらの中からヒトSGLT2またはヒトSGLT1を安定発現する細胞を選択し、メチル-α-D-グルコピラノシド(α-MG)取り込み阻害活性の測定に供した。
4)メチル-α-D-グルコピラノシド(α-MG)取り込み阻害の測定
4-1)緩衝液の調製
4-2)記載のメチル-α-D-グルコピラノシド(α-MG)取り込み阻害の測定のために、以下の緩衝液を調製した。
4-2)記載のメチル-α-D-グルコピラノシド(α-MG)取り込み阻害の測定のために、以下の緩衝液を調製した。
前処置用緩衝液
前処置用緩衝液として、140mM塩化コリン、2mM塩化カリウム、1mM塩化カルシウム、1mM塩化マグネシウム、10mM2-〔4-(2-ヒドロキシエチル)-1-ピペラジニル〕エタンスルホン酸、5mMトリス(ヒドロキシメチル)アミノメタンを含むpH7.4の緩衝液を調製した。
前処置用緩衝液として、140mM塩化コリン、2mM塩化カリウム、1mM塩化カルシウム、1mM塩化マグネシウム、10mM2-〔4-(2-ヒドロキシエチル)-1-ピペラジニル〕エタンスルホン酸、5mMトリス(ヒドロキシメチル)アミノメタンを含むpH7.4の緩衝液を調製した。
基礎取り込み用緩衝液
基礎取り込み用緩衝液は、前処置用緩衝液に1mMα-MG(非標識体(Sigma社製)、標識体(メチル-α-D-(U-14C)グルコピラノシド(GEヘルスケア バイオサイエンス株式会社製、以下[14C]-α-MGと略す)の混合)が含まれるように調製した。[14C]-α-MGの濃度は、27.75kBq/mL(SGLT1用)もしくは123.3kBq/mL(SGLT2用)で調製した。
基礎取り込み用緩衝液は、前処置用緩衝液に1mMα-MG(非標識体(Sigma社製)、標識体(メチル-α-D-(U-14C)グルコピラノシド(GEヘルスケア バイオサイエンス株式会社製、以下[14C]-α-MGと略す)の混合)が含まれるように調製した。[14C]-α-MGの濃度は、27.75kBq/mL(SGLT1用)もしくは123.3kBq/mL(SGLT2用)で調製した。
2倍濃度取り込み用緩衝液
2倍濃度取り込み用緩衝液は、塩化コリンの代わりに塩化ナトリウムを含む基礎取り込み用緩衝液を2倍濃度で調製した。
2倍濃度取り込み用緩衝液は、塩化コリンの代わりに塩化ナトリウムを含む基礎取り込み用緩衝液を2倍濃度で調製した。
試験化合物測定用緩衝液
試験化合物をジメチルスルホキシド(DMSO)に溶解して10mmol/L溶液を調製後、蒸留水にて適宜希釈して濃度2nM、6nM、20nM、60nM、200nM、600nM、2μM、6μM、20μM、60μM、200μMの試験化合物の溶液を調製した。各濃度の試験化合物の溶液を等量の2倍濃度取り込み用緩衝液に添加し、試験化合物測定用緩衝液として調製した。
試験化合物をジメチルスルホキシド(DMSO)に溶解して10mmol/L溶液を調製後、蒸留水にて適宜希釈して濃度2nM、6nM、20nM、60nM、200nM、600nM、2μM、6μM、20μM、60μM、200μMの試験化合物の溶液を調製した。各濃度の試験化合物の溶液を等量の2倍濃度取り込み用緩衝液に添加し、試験化合物測定用緩衝液として調製した。
対照群用緩衝液
対照群用緩衝液としては、試験化合物を含まない試験化合物測定用緩衝液を調製して用いた。
対照群用緩衝液としては、試験化合物を含まない試験化合物測定用緩衝液を調製して用いた。
洗浄用緩衝液
洗浄用緩衝液は、10mMα-MG(非標識)を含む前処置用緩衝液を調製して用いた。
洗浄用緩衝液は、10mMα-MG(非標識)を含む前処置用緩衝液を調製して用いた。
4-2)α-MG取り込み阻害の測定方法
培養したヒトSGLT2(またはヒトSGLT1)発現細胞の培地を除去し、前処置用緩衝液を1穴当たり170μL加え、37℃で10分間静置した。同一操作をもう一度繰り返した後、前処置用緩衝液を除去し、試験化合物測定用緩衝液を1穴当たり75μLずつ加え、37℃で1時間静置した。試験化合物測定用緩衝液を除去し、1穴当たり170μLの洗浄用緩衝液で各穴を3回洗浄した。1穴当たり50μLの0.2mol/L水酸化ナトリウムを加えて細胞を溶解し、その溶液をピコプレート(パッカード社製)に移した。150μLのマイクロシンチ(登録商標)40(パッカード社製)を加えて混和し、これを試験化合物群のサンプルとした。また、試験化合物測定用緩衝液の代わりに対照群用緩衝液を用いて以上と同様の操作を行った群を対照群サンプルとし、試験化合物測定用緩衝液の代わりに基礎取り込み用緩衝液を用いて以上と同様の操作を行った群を基礎取り込み群サンプルとした。マイクロシンチレーションカウンター トップカウント(パッカード社製)にて、試験化合物群、対照群および基礎取り込み群のサンプルの各放射活性を計測した。対照群の[14C]-α-MG取り込み量から基礎取り込み群の[14C]-α-MG取り込み量を差し引いた値を100%として、試験化合物群の各濃度における[14C]-α-MGの取り込み量を算出し、各試験化合物が[14C]-α-MGの取り込みを50%阻害した濃度(IC50値)を、ロジットプロットにより算出した。
培養したヒトSGLT2(またはヒトSGLT1)発現細胞の培地を除去し、前処置用緩衝液を1穴当たり170μL加え、37℃で10分間静置した。同一操作をもう一度繰り返した後、前処置用緩衝液を除去し、試験化合物測定用緩衝液を1穴当たり75μLずつ加え、37℃で1時間静置した。試験化合物測定用緩衝液を除去し、1穴当たり170μLの洗浄用緩衝液で各穴を3回洗浄した。1穴当たり50μLの0.2mol/L水酸化ナトリウムを加えて細胞を溶解し、その溶液をピコプレート(パッカード社製)に移した。150μLのマイクロシンチ(登録商標)40(パッカード社製)を加えて混和し、これを試験化合物群のサンプルとした。また、試験化合物測定用緩衝液の代わりに対照群用緩衝液を用いて以上と同様の操作を行った群を対照群サンプルとし、試験化合物測定用緩衝液の代わりに基礎取り込み用緩衝液を用いて以上と同様の操作を行った群を基礎取り込み群サンプルとした。マイクロシンチレーションカウンター トップカウント(パッカード社製)にて、試験化合物群、対照群および基礎取り込み群のサンプルの各放射活性を計測した。対照群の[14C]-α-MG取り込み量から基礎取り込み群の[14C]-α-MG取り込み量を差し引いた値を100%として、試験化合物群の各濃度における[14C]-α-MGの取り込み量を算出し、各試験化合物が[14C]-α-MGの取り込みを50%阻害した濃度(IC50値)を、ロジットプロットにより算出した。
その結果、本発明の化合物はSGLT1に比べて強力なSGLT2阻害活性を示した。本発明の代表的な化合物のSGLT2およびSGLT1に対する阻害活性をIC50値として表1に示す。
尚、SGLT阻害率は、以下の式で算出した。
〔計算式中、
DUQ:試験化合物群の[14C]-α-MGの取り込み量、
CUQ:対照群(薬物無添加時)の[14C]-α-MGの取り込み量、
BUQ:基礎取り込み群(Na+非存在下)の[14C]-α-MGの取り込み量、
を意味する。〕
本計算式により、試験化合物の各濃度におけるヒトSGLT2およびヒトSGLT1の阻害率を求め、各試験化合物がα-MGの取り込み量を50%阻害した濃度(IC50値)をロジットプロットにより求めた。その結果を表1に示す。
DUQ:試験化合物群の[14C]-α-MGの取り込み量、
CUQ:対照群(薬物無添加時)の[14C]-α-MGの取り込み量、
BUQ:基礎取り込み群(Na+非存在下)の[14C]-α-MGの取り込み量、
を意味する。〕
本計算式により、試験化合物の各濃度におけるヒトSGLT2およびヒトSGLT1の阻害率を求め、各試験化合物がα-MGの取り込み量を50%阻害した濃度(IC50値)をロジットプロットにより求めた。その結果を表1に示す。
表1に示したように、本発明の化合物は、ヒトSGLT1と比較してヒトSGLT2を選択的かつ強力に阻害することが明らかとなった。
試験例2
尿糖排泄促進作用確認試験(静脈内投与)
実施例2および実施例3の化合物のSD系ラットにおける静脈内投与による尿糖排泄促進作用は、国際公開01/16147号試験例2方法B)記載の方法に準じて確認することができる。
尿糖排泄促進作用確認試験(静脈内投与)
実施例2および実施例3の化合物のSD系ラットにおける静脈内投与による尿糖排泄促進作用は、国際公開01/16147号試験例2方法B)記載の方法に準じて確認することができる。
試験例3
尿糖排泄促進作用確認試験(皮下投与)
実施例2および実施例3の化合物のSD系ラットにおける皮下投与による尿糖排泄促進作用は、国際公開01/16147号試験例2方法A)記載の方法に準じて確認することができる。
尿糖排泄促進作用確認試験(皮下投与)
実施例2および実施例3の化合物のSD系ラットにおける皮下投与による尿糖排泄促進作用は、国際公開01/16147号試験例2方法A)記載の方法に準じて確認することができる。
試験例4
尿糖排泄促進作用確認試験(経口投与)
実施例1、実施例4-1および実施例4-2の化合物のSD系ラットにおける経口投与による尿糖排泄促進作用は、国際公開02/053573号試験例3記載の方法に準じて確認することができる。
尿糖排泄促進作用確認試験(経口投与)
実施例1、実施例4-1および実施例4-2の化合物のSD系ラットにおける経口投与による尿糖排泄促進作用は、国際公開02/053573号試験例3記載の方法に準じて確認することができる。
試験例5
バイオアベイラビリティ(BA)確認試験
プロドラッグの経口投与におけるBAは、国際公開02/053573号試験例2記載の方法に準じて確認することができる。即ち、プロドラッグとして実施例1、実施例4-1または実施例4-2の化合物を用い、親化合物として実施例2または3の化合物を用いてBAを確認することができる。
バイオアベイラビリティ(BA)確認試験
プロドラッグの経口投与におけるBAは、国際公開02/053573号試験例2記載の方法に準じて確認することができる。即ち、プロドラッグとして実施例1、実施例4-1または実施例4-2の化合物を用い、親化合物として実施例2または3の化合物を用いてBAを確認することができる。
本発明の化合物もしくはそのプロドラッグ、またはその薬理学的に許容される塩は、ヒトSGLT2阻害薬として提供される。また、本発明の化合物は、糖尿病、糖尿病関連疾患または糖尿病性合併症の予防または治療薬として利用できる。
Claims (21)
- 一般式(1)で表される化合物もしくはそのプロドラッグ、またはその薬理学的に許容される塩
〔式中、
RAは、以下のa)~o):
a)水素原子、
b)C1-6アルキル基、
c)C2-6アルケニル基、
d)C2-6アルキニル基、
e)ハロC1-6アルキル基、
f)ヒドロキシC1-6アルキル基、
g)C1-6アルコキシC1-6アルキル基、
h)シアノC1-6アルキル基、
i)C3-6シクロアルキル基、
j)置換可フェニル基、
k)C3-6シクロアルキルC1-6アルキル基、
l)置換可アラルキル基、
m)C2-6アシル基、
n)置換可フェニルカルボニル基、および
o)C1-6アルコキシカルボニル基
からなる群から選択される基であり;
RBは、以下のp)~ab):
p)水素原子、
q)ハロゲン原子、
r)C1-6アルキル基、
s)C2-6アルケニル基、
t)C2-6アルキニル基、
u)C1-6アルコキシ基、
v)ハロC1-6アルキル基、
w)ヒドロキシC1-6アルキル基、
x)C1-6アルコキシC1-6アルキル基、
y)シアノC1-6アルキル基、
z)C3-6シクロアルキル基、
aa)置換可フェニル基、および
ab)C3-6シクロアルキルC1-6アルキル基
からなる群から選択される基であり;
RCおよびRDは、独立して、水素原子、ハロゲン原子、C1-6アルキル基またはC1-6アルコキシ基であり;
nは、1から3の整数を表す。〕。 - RAが、水素原子、C1-6アルキル基、C2-6アルケニル基、ハロC1-6アルキル基、ヒドロキシC2-6アルキル基、C1-6アルコキシC1-6アルキル基、置換可フェニル基、置換可アラルキル基またはC2-6アシル基であり;
RBが、ハロゲン原子、C1-6アルキル基またはC1-6アルコキシ基であり;
RCおよびRDが、一方が水素原子であり、他方が水素原子、ハロゲン原子またはC1-6アルキル基である、請求項1記載の化合物またはその薬理学的に許容される塩。 - RAが、水素原子、C1-6アルキル基、C1-6アルコキシC1-6アルキル基またはC2-6アシル基であり;
RBが、C1-6アルキル基またはC1-6アルコキシ基であり;
RCおよびRDが、水素原子であり;
nが、1または2である、請求項2記載の化合物またはその薬理学的に許容される塩。 - RAが、水素原子、C1-6アルキル基またはC2-6アシル基であり;
RBが、C1-6アルコキシ基である、請求項3記載の化合物またはその薬理学的に許容される塩。 - 化合物が、
3-(β-D-グルコピラノシルオキシ)-5-ヒドロキシメチル-4-(4-イソプロポキシベンジル)-1H-ピラゾール、または
3-(β-D-グルコピラノシルオキシ)-5-ヒドロキシメチル-4-(4-イソプロポキシベンジル)-1-イソプロピルピラゾール
から選択される、請求項4記載の化合物またはその薬理学的に許容される塩。 - 化合物が、3-(β-D-グルコピラノシルオキシ)-5-ヒドロキシメチル-4-(4-イソプロポキシベンジル)-1H-ピラゾールである、請求項5記載の化合物またはその薬理学的に許容される塩。
- 化合物が、3-(β-D-グルコピラノシルオキシ)-5-ヒドロキシメチル-4-(4-イソプロポキシベンジル)-1-イソプロピルピラゾールである、請求項5記載の化合物またはその薬理学的に許容される塩。
- 一般式(2)で表される、請求項1記載のプロドラッグまたはその薬理学的に許容される塩
〔式中、
PG1、PG2およびPG3は、独立して、以下のa)~d):
a)水素原子、
b)C2-6アシル基、
c)C1-6アルコキシカルボニル基、および
d)置換可アラルキルオキシカルボニル基
からなる群から選択される基であり;
RA1は、以下のe)~t):
e)水素原子、
f)C1-6アルキル基、
g)C2-6アルケニル基、
h)C2-6アルキニル基、
i)ハロC1-6アルキル基、
j)ヒドロキシC1-6アルキル基、
k)C1-6アルコキシC1-6アルキル基、
l)シアノC1-6アルキル基、
m)C3-6シクロアルキル基、
n)置換可フェニル基、
o)C3-6シクロアルキルC1-6アルキル基、
p)置換可アラルキル基、
q)C2-6アシル基、
r)置換可フェニルカルボニル基、
s)C1-6アルコキシカルボニル基、および
t)置換可アラルキルオキシカルボニル基
からなる群から選択される基であり;
RB、RCおよびRDは、請求項1と同じ意味を表す。
ただし、PG1、PG2およびPG3は、同時に水素原子ではない。〕。 - PG1が、C2-6アシル基またはC1-6アルコキシカルボニル基であり;
PG2が、水素原子、C2-6アシル基またはC1-6アルコキシカルボニル基であり;
PG3が、水素原子である、請求項8記載のプロドラッグまたはその薬理学的に許容される塩。 - RA1が、水素原子、C1-6アルキル基またはC2-6アシル基であり;
RBが、C1-6アルコキシ基であり;
RCおよびRDが、水素原子であり;
nが、1または2である、請求項9記載のプロドラッグまたはその薬理学的に許容される塩。 - RA1が、C1-6アルキル基またはC2-6アシル基である、請求項10記載のプロドラッグまたはその薬理学的に許容される塩。
- PG1が、C1-6アルコキシカルボニル基であり;
PG2が、水素原子またはC1-6アルコキシカルボニル基である、請求項11記載のプロドラッグまたはその薬理学的に許容される塩。 - PG2が、水素原子である、請求項12記載のプロドラッグまたはその薬理学的に許容される塩。
- 請求項1~13記載の化合物もしくはそのプロドラッグ、またはその薬理学的に許容される塩を有効成分として含む、SGLT2阻害薬。
- SGLT2阻害とは異なる作用機序の糖尿病治療薬、糖尿病関連疾患治療薬または糖尿病性合併症治療薬と組み合わせて投与される、請求項14記載のSGLT2阻害薬。
- 配合剤として投与される、請求項15記載のSGLT2阻害薬。
- SGLT2阻害とは異なる作用機序の糖尿病治療薬、糖尿病関連疾患治療薬または糖尿病性合併症治療薬が、(a)~(f):
(a)α-グルコシダーゼ阻害薬、
(b)ビグアナイド薬、
(c)スルホニル尿素薬、
(d)速効型インスリン分泌促進薬
(e)チアゾリジン系インスリン感受性改善薬、および
(f)DPPIV阻害薬
からなる群から選択される1種またはそれ以上の医薬を含む、請求項15記載のSGLT2阻害薬。 - 請求項1~13記載の化合物もしくはそのプロドラッグ、またはその薬理学的に許容される塩を有効成分として含む、医薬組成物。
- SGLT2阻害とは異なる作用機序の糖尿病治療薬、糖尿病関連疾患治療薬または糖尿病性合併症治療薬と組み合わせて投与される、請求項18記載の医薬組成物。
- 配合剤として投与される、請求項19記載の医薬組成物。
- SGLT2阻害とは異なる作用機序の糖尿病治療薬、糖尿病関連疾患治療薬または糖尿病性合併症治療薬が、(a)~(f):
(a)α-グルコシダーゼ阻害薬、
(b)ビグアナイド薬、
(c)スルホニル尿素薬、
(d)速効型インスリン分泌促進薬
(e)チアゾリジン系インスリン感受性改善薬、および
(f)DPPIV阻害薬
からなる群から選択される1種またはそれ以上の医薬を含む、請求項19記載の医薬組成物。
Applications Claiming Priority (2)
| Application Number | Priority Date | Filing Date | Title |
|---|---|---|---|
| JP2011136554 | 2011-06-20 | ||
| JP2011-136554 | 2011-06-20 |
Publications (1)
| Publication Number | Publication Date |
|---|---|
| WO2012176804A1 true WO2012176804A1 (ja) | 2012-12-27 |
Family
ID=47422636
Family Applications (1)
| Application Number | Title | Priority Date | Filing Date |
|---|---|---|---|
| PCT/JP2012/065744 Ceased WO2012176804A1 (ja) | 2011-06-20 | 2012-06-20 | グルコピラノシルオキシピラゾール誘導体 |
Country Status (1)
| Country | Link |
|---|---|
| WO (1) | WO2012176804A1 (ja) |
Citations (5)
| Publication number | Priority date | Publication date | Assignee | Title |
|---|---|---|---|---|
| WO2002098893A1 (en) * | 2001-05-30 | 2002-12-12 | Kissei Pharmaceutical Co., Ltd. | Glucopyranosyloxypyrazole derivative, medicinal composition containing the same, medicinal use thereof, and intermediate therefor |
| WO2004014932A1 (ja) * | 2002-08-08 | 2004-02-19 | Kissei Pharmaceutical Co., Ltd. | ピラゾール誘導体、それを含有する医薬組成物、その医薬用途及びその製造中間体 |
| WO2004019958A1 (ja) * | 2002-08-27 | 2004-03-11 | Kissei Pharmaceutical Co., Ltd. | ピラゾール誘導体、それを含有する医薬組成物及びその医薬用途 |
| JP2006510644A (ja) * | 2002-12-12 | 2006-03-30 | サノフィ−アベンティス・ドイチュラント・ゲゼルシャフト・ミット・ベシュレンクテル・ハフツング | 新しい複素環フルオログリコシド誘導体、該化合物を含有する医薬品、およびその使用 |
| JP2009203230A (ja) * | 2008-01-31 | 2009-09-10 | Daiichi Sankyo Co Ltd | ベンジルフェニルグルコピラノシド誘導体を含有する医薬組成物 |
-
2012
- 2012-06-20 WO PCT/JP2012/065744 patent/WO2012176804A1/ja not_active Ceased
Patent Citations (5)
| Publication number | Priority date | Publication date | Assignee | Title |
|---|---|---|---|---|
| WO2002098893A1 (en) * | 2001-05-30 | 2002-12-12 | Kissei Pharmaceutical Co., Ltd. | Glucopyranosyloxypyrazole derivative, medicinal composition containing the same, medicinal use thereof, and intermediate therefor |
| WO2004014932A1 (ja) * | 2002-08-08 | 2004-02-19 | Kissei Pharmaceutical Co., Ltd. | ピラゾール誘導体、それを含有する医薬組成物、その医薬用途及びその製造中間体 |
| WO2004019958A1 (ja) * | 2002-08-27 | 2004-03-11 | Kissei Pharmaceutical Co., Ltd. | ピラゾール誘導体、それを含有する医薬組成物及びその医薬用途 |
| JP2006510644A (ja) * | 2002-12-12 | 2006-03-30 | サノフィ−アベンティス・ドイチュラント・ゲゼルシャフト・ミット・ベシュレンクテル・ハフツング | 新しい複素環フルオログリコシド誘導体、該化合物を含有する医薬品、およびその使用 |
| JP2009203230A (ja) * | 2008-01-31 | 2009-09-10 | Daiichi Sankyo Co Ltd | ベンジルフェニルグルコピラノシド誘導体を含有する医薬組成物 |
Similar Documents
| Publication | Publication Date | Title |
|---|---|---|
| JP7155315B2 (ja) | Acc阻害剤およびその固体形態を調製するためのプロセス | |
| US20200061095A1 (en) | Compounds for the Treatment of Systemic Insulin Resistance Disorders and the Use Thereof | |
| EP2940031B1 (en) | Nucleoside phosphoramidate compounds for use in the treatment of hcv | |
| US20100063124A1 (en) | New pyrazole derivatives and diabetic medicine containing them | |
| CN1418219A (zh) | 吡喃葡萄糖氧基苄基苯衍生物、包含该物质的药用组合物及制备该衍生物用的中间体 | |
| JP2011016722A (ja) | チアゾリジンジオン化合物 | |
| KR20220079690A (ko) | 말과 동물에서 대사 장애의 치료 | |
| CN103228668B (zh) | 抗糖尿病的苯基丙酮酸烯醇糖苷 | |
| JP6862428B6 (ja) | アミノグリコシド誘導体および遺伝性疾患の治療におけるその使用 | |
| WO2004050122A1 (ja) | 高血糖症に起因する疾患の予防又は治療剤 | |
| EP4435104A1 (en) | Sirna targeting angiotensinogen and pharmaceutical use of sirna | |
| WO2010018435A1 (en) | Amide glycosides | |
| KR101068180B1 (ko) | 세로토닌성 및/또는 노르에피네프린성 활성을 갖는 치환된펜에틸아민 | |
| JPWO2009096455A1 (ja) | 脂肪性肝疾患の治療用医薬組成物 | |
| US11773077B2 (en) | Compounds containing carbon-carbon linker as GPR120 agonists | |
| WO2010018438A2 (en) | Tetrazole glycosides | |
| WO2023138659A1 (zh) | 一种dsRNA、其应用及制备方法 | |
| CN103626826A (zh) | 含偶氮键的糖原磷酸化酶抑制剂胆酸类衍生物、其制备方法及医药用途 | |
| WO2012176804A1 (ja) | グルコピラノシルオキシピラゾール誘導体 | |
| US20230331760A1 (en) | Aryl glucoside derivative and use thereof in drug | |
| US20230331761A1 (en) | Aryl Glucoside Derivative, Preparation Method Therefor And Application Thereof | |
| JP2019535824A (ja) | 胃腸ポリープの処置のための組成物及び方法 | |
| CN112480100B (zh) | 吡咯烷酮衍生物 | |
| WO2018053587A1 (en) | Compositions for the treatment of hypertension and/or fibrosis | |
| TWI720307B (zh) | 吳茱萸次鹼類似物及其應用 |
Legal Events
| Date | Code | Title | Description |
|---|---|---|---|
| 121 | Ep: the epo has been informed by wipo that ep was designated in this application |
Ref document number: 12802224 Country of ref document: EP Kind code of ref document: A1 |
|
| NENP | Non-entry into the national phase |
Ref country code: DE |
|
| 122 | Ep: pct application non-entry in european phase |
Ref document number: 12802224 Country of ref document: EP Kind code of ref document: A1 |
|
| NENP | Non-entry into the national phase |
Ref country code: JP |


























