WO2012059363A1 - A detergent composition having shading dyes and lipase - Google Patents
A detergent composition having shading dyes and lipase Download PDFInfo
- Publication number
- WO2012059363A1 WO2012059363A1 PCT/EP2011/068621 EP2011068621W WO2012059363A1 WO 2012059363 A1 WO2012059363 A1 WO 2012059363A1 EP 2011068621 W EP2011068621 W EP 2011068621W WO 2012059363 A1 WO2012059363 A1 WO 2012059363A1
- Authority
- WO
- WIPO (PCT)
- Prior art keywords
- dye
- dyes
- lipase
- fabrics
- preferred
- Prior art date
- Legal status (The legal status is an assumption and is not a legal conclusion. Google has not performed a legal analysis and makes no representation as to the accuracy of the status listed.)
- Ceased
Links
Classifications
-
- C—CHEMISTRY; METALLURGY
- C11—ANIMAL OR VEGETABLE OILS, FATS, FATTY SUBSTANCES OR WAXES; FATTY ACIDS THEREFROM; DETERGENTS; CANDLES
- C11D—DETERGENT COMPOSITIONS; USE OF SINGLE SUBSTANCES AS DETERGENTS; SOAP OR SOAP-MAKING; RESIN SOAPS; RECOVERY OF GLYCEROL
- C11D3/00—Other compounding ingredients of detergent compositions covered in group C11D1/00
- C11D3/16—Organic compounds
- C11D3/38—Products with no well-defined composition, e.g. natural products
- C11D3/386—Preparations containing enzymes, e.g. protease or amylase
- C11D3/38627—Preparations containing enzymes, e.g. protease or amylase containing lipase
-
- C—CHEMISTRY; METALLURGY
- C11—ANIMAL OR VEGETABLE OILS, FATS, FATTY SUBSTANCES OR WAXES; FATTY ACIDS THEREFROM; DETERGENTS; CANDLES
- C11D—DETERGENT COMPOSITIONS; USE OF SINGLE SUBSTANCES AS DETERGENTS; SOAP OR SOAP-MAKING; RESIN SOAPS; RECOVERY OF GLYCEROL
- C11D3/00—Other compounding ingredients of detergent compositions covered in group C11D1/00
- C11D3/40—Dyes ; Pigments
-
- C—CHEMISTRY; METALLURGY
- C11—ANIMAL OR VEGETABLE OILS, FATS, FATTY SUBSTANCES OR WAXES; FATTY ACIDS THEREFROM; DETERGENTS; CANDLES
- C11D—DETERGENT COMPOSITIONS; USE OF SINGLE SUBSTANCES AS DETERGENTS; SOAP OR SOAP-MAKING; RESIN SOAPS; RECOVERY OF GLYCEROL
- C11D2111/00—Cleaning compositions characterised by the objects to be cleaned; Cleaning compositions characterised by non-standard cleaning or washing processes
- C11D2111/10—Objects to be cleaned
- C11D2111/12—Soft surfaces, e.g. textile
Definitions
- the present invention relates to detergent compositions having shading dyes and lipase.
- White clothes are very popular. They may be made from a variety of fabrics such as 100 % cotton, polyester-cotton blends (poly cotton), 100 % polyester or nylon. It is known that fabrics, especially white fabrics, tend to develop a yellowish tinge over a period. This may happen due to incomplete removal of soil, deposition of oily skin residues, and oxidation of sebum. Yellowing of white fabrics is not an instant or short term phenomenon. White fabrics have to be washed and worn several times to perceive the yellowish tinge.
- fluorescers absorb ultra violet light and emit visible light causing yellowed garments to look brighter.
- the problem may also be solved by using shading dyes. These dyes add a blue tint to fabrics, thereby masking the yellowish tinge and making the fabrics look whiter and brighter. Shading dyes help maintain and re-invigorate whiteness.
- Fluorescers and shading dyes are known to deposit on fabrics. Some shading dyes deposit only on some specific types of fabrics. This may depend on chemical interactions between fabrics and dyes. For example, hydrophobic shading dyes deposit on hydrophobic fabrics. Direct and acid dyes, which are blue and violet, show particular utility on cotton.
- Solvent and disperse dyes give benefits on polyester, nylon and elastane fabrics. It has been noticed that accumulation of soil or sebum on fabrics prevents, or at least reduces the deposition of shading dyes. This may be due to incomplete removal of soil or sebum during washing. Detergent compositions having a combination of shading dyes are known.
- compositions include dyes that may deposit on variety of fabrics.
- EP1921 132 A2 discloses a laundry treatment composition having a surfactant and a combination of dyes which together have a visual effect on the human eye as a single dye having a peak absorption wavelength on cotton of from 540 nm to 650 nm.
- One of the dyes is a photostable dye which is substantive to cotton.
- WO 2010/145887 A1 discloses laundry treatment composition having an anionic dye-polymer which provides for improved shading of fabrics and
- the application teaches a composition having surfactant and a dye-polymer obtained by polymerisation of a dye monomer and an alkene co-monomer. This application is silent about the effect of a combination of shading dye and lipase on lowering the redeposition of soil.
- Enzymes particularly lipase have been used in detergent compositions for enhanced cleaning. It is known that lipase aids grease removal. Lipase catalyses hydrolysis of triglycerides which form a major component of many commonly encountered fatty soils such as sebum, animal fats (e.g. lard, ghee, butter) and vegetable oils (e.g. olive oil, sunflower oil, peanut oil). Detergent compositions having lipase and shading dyes have also been disclosed.
- US2007191250 A1 discloses detergent compositions which include certain lipase variants and shading dyes selected from dyes and dye-clay conjugates.
- This application discloses that the action of lipase results in malodour because of hydrolysis of triglycerides functionalized with short chain fatty acyl units. Such triglycerides release malodorous volatile fatty acids after lipolysis.
- This problem has been solved in the past by using a combination of a shading dye with certain lipase variants, which is believed to increase the level of grease removal leading to better accessibility of the shading dye to the fabric surface and hence, improved deposition.
- combination of lipase with specific shading dyes provides lower redeposition of soil. This is manifested as higher reflectance and lower yellowing, especially over multiple washes on knitted cotton, knitted polyester and polyester fabrics. Summary of the Invention
- the invention provides a detergent composition which includes a surfactant, a hydrophobic dye, a direct dye; an acid dye and lipase.
- a method of laundering fabrics which includes a step of treating the fabrics with a composition according to the first aspect.
- the invention provides a method of treating fabrics, the method comprising the steps of:
- the invention provides use of a composition of the first aspect to reduce redeposition of soil on fabrics.
- weight percent, percent by weight, % by weight, wt%, and the like are synonyms that refer to the concentration of a substance as the weight of that substance divided by the weight of the composition and multiplied by 100.
- detergent composition includes granular or powder
- the detergent compositions include 2 wt% to 70 wt % surfactant, most preferably 10 to 30 wt%.
- Preferred compositions include anionic or non-ionic surfactants. More preferred compositions include a mixture of the two.
- nonionic and anionic surfactants of the surfactant system may be chosen from the surfactants described in "Surface Active Agents” Vol. 1 , by Schwartz & Perry, Interscience 1949, Vol. 2 by Schwartz, Perry & Berch, Interscience 1958, in the current edition of "McCutcheon's Emulsifiers and Detergents” published by Manufacturing
- Suitable anionic surfactants which may be used are usually water-soluble alkali metal salts of organic sulphates and sulphonates having alkyi radicals containing from about 8 to about 22 carbon atoms, the term alkyi being used to include the alkyi portion of higher acyl radicals.
- suitable synthetic anionic detergent compounds are sodium and potassium alkyi sulphates, especially those obtained by sulphating higher C 5 to Ci 5 alcohols, produced for example from tallow or coconut oil, sodium and potassium alkyi C 8 to C 2 o benzene sulphonates, particularly sodium linear secondary alkyi C1 0 to C15 benzene sulphonates; and sodium alkyi glyceryl ether sulphates, especially those ethers of the higher alcohols derived from tallow or coconut oil and synthetic alcohols derived from petroleum.
- the preferred anionic detergent compounds are sodium C 6 to C15 alkyi benzene sulphonates and sodium Ci 2 to C15 alkyi sulphates.
- surfactants such as those described in EP-A-328 177 (Unilever), which show resistance to salting-out, the alkyi polyglycoside surfactants described in EP-A-070 074, and alkyi monoglycosides.
- Suitable nonionic surfactants which may be used include, in particular, the reaction products of compounds having a hydrophobic group and a reactive hydrogen atom, for example, aliphatic alcohols, acids, amides or alkyi phenols with alkylene oxides, especially ethylene oxide (EO) either alone or with propylene oxide.
- Specific nonionic detergent compounds are C 6 to C22 alkyi phenol-ethylene oxide condensates, generally 5 to 25 EO, i.e. 5 to 25 units of ethylene oxide per molecule, and the condensation products of aliphatic C 6 to Ci 8 primary or secondary linear or branched alcohols with ethylene oxide, generally 5 to 40 EO.
- Preferred surfactant systems are mixtures of anionic with nonionic surfactants, in particular the groups and examples of anionic and nonionic surfactants pointed out in EP- A-346 995 (Unilever).
- surfactant system that is a mixture of an alkali metal salt of a C 6 to C 22 primary alcohol sulphates together with a C 12 to Ci 8 primary alcohol 3 to 7 EO ethoxylate.
- compositions may include 4 wt% to 25 wt% nonionic surfactants.
- Shading dyes means dyes which when formulated in detergent compositions can deposit onto fabrics when the fabrics are contacted with wash liquor having the detergent compositions thus altering the tint of the fabric through absorption of visible light. Shading dyes are also known as hueing agents. Shading dyes deposit onto fabric during the wash or rinse step of the washing process providing a visible hue to the fabric.
- Shading of white fabrics may be done with any colour depending on consumer preference.
- Blue and Violet are particularly preferred shades and consequently preferred dyes or mixtures of dyes are ones that give a blue or violet shade on white fabrics.
- shading dyes are blue or violet. Such dyes give a blue or violet colour to white fabrics.
- the hue angle is 240° to 345°, more preferably 260° to 320° and most preferably 270° to 300°.
- Shading dyes may be classified into several classes and in several ways. One way is to classify the dyes depends on their structures. Examples include Azo dyes and
- Anthraquinone dyes Another way is to classify them according to their mode of application. Examples include direct dyes and acid dyes, disperse, vat, and solvent dyes. According to another method of classification, dyes are called Hydrophobic or Hydrophilic depending on their affinity for fabrics. Yet another way of classifying shading dyes depends on whether the dyes deposit onto fabrics after a single-wash to show their effect, or whether they deposit after multiple washes. Dyes that deposit in a single-wash are called one-wash dyes. Examples include Acid Violet 50 (AV50).
- AV50 Acid Violet 50
- compositions according to the invention include three dyes:
- the composition includes one or more hydrophobic dye.
- Hydrophobic dyes have been found to be substantive to polyester fibres under normal domestic wash conditions. At low levels this provides a shading whiteness benefit.
- Hydrophobic dyes are defined as organic compounds with a maximum extinction coefficient greater than 1000 L/mol/cm in the wavelength range of 400 to 750 nm and that are uncharged in aqueous solution at a pH in the range from 7 to 1 1.
- the hydrophobic dyes are devoid of polar solubilising groups. In particular the hydrophobic dye does not contain any sulphonic acid, carboxylic acid or quaternary ammonium groups.
- Such dyes may be selected from the chemical classes of benzodifuranes, methine, triphenylmethanes, napthalimides, pyrazole, phthalocyanine napthoquinone,
- hydrophobic dyes are Disperse dyes and Solvent dyes. Many examples of hydrophobic dyes are found in the classes of solvent and disperse dyes.
- the hydrophobic dye is incorporated into the detergent compositions by dissolution in slurry of a surfactant, or by granulation using nonionic surfactants. This has been described in WO/2006/053598 A1 (Unilever). Disperse dye
- the disperse dye is an Anthraquinone dye.
- Preferred Anthraquinone dyes may be represented by the following structure:
- R1 , R4, R5, and R8 are independently selected from the groups consisting of -H, -OH, -NH 2 , NHCOCH 3 and -N0 2 , such that a maximum of only one -N0 2 group and a maximum of two -H are present as R1 , R4, R5, and R8 substituents; and R2, R3, R6, and R7 is selected from -H, F, Br, CI or -N0 2 , and -Oaryl.
- Disperse Violet 27 Disperse Violet 26 (DV26), Disperse Violet 28 (DV28), Disperse Violet 63 (DV63) and Disperse Violet 77 (DV77).
- Disperse Violet 28 (DV28) is the most preferred disperse dye.
- Solvent Violet 13 is a synthetic anthraquinone dye with bright bluish violet hue. It is insoluble in water and soluble in acetone, toluene, and benzene. Its chemical formula is C 2 i H 15 N0 3 , and its structure is 1- hydroxy-4-(p-tolylamino)-anthraquinone, or 1-hydroxy-4-[(4-methylphenyl)amino]-9, 10- anthracenedione or 1-hydroxy-4-(4-methylanilino) anthraquinone.
- Solvent Violet 13 SV13
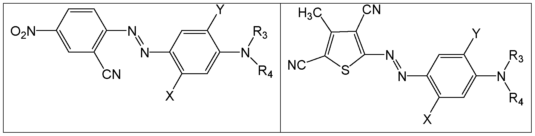
- Mono-azo dyes are also preferred hydrophobic dyes. They may be represented by the following structure:
- R3 and R4 are optionally substituted C 2 to C12 alkyl chains having optionally therein ether (-0-) or ester links, the chain being optionally substituted with -CI, -Br, -CN, - N0 2 , and -SO2CH 3 ; and, D denotes an aromatic or hetroaromatic group.
- the aromatic rings may be further substituted preferably by -CI, -Br, -CN, -N0 2 , -S0 2 CH 3 and -NHCOR; and R is selected from -CH 3 , -C 2 H 5 , and -CH 2 CI.
- X and Y are selected from -CI, -Br, -CN, -N0 2 , -S0 2 CH 3 and -NHCOR and R is selected form -CH 3 , -C 2 H 5 , and -CH 2 CI groups.
- X is NHCOCH 3 or
- hydrophobic dyes are SV13 and DV28; and DV28 is the most preferred hydrophobic dye.
- DV28 may be sourced from DyStar.
- compositions include 0.0001 wt % to 0.008 wt%, preferably 0.0003 wt% to 0.006 wt% hydrophobic dye.
- the hydrophobic dye is DV28
- the preferred range is 0.001 wt% to 0.006 wt%.
- the hydrophobic dye is SV13
- the preferred range is
- adjunct may preferably be made of inorganic carriers like soda ash, Sodium sulphate or zeolite.
- the adjunct may also include a dispersant e.g. lignin sulphonate.
- Preferred direct dyes are bis-azo direct violet dyes of the formula:
- the A ring is preferably substituted by a methyl and methoxy group at the positions indicated by arrows, the A ring may also be a naphthyl ring, the Y group is a phenyl or naphthyl ring, which is substituted by sulphate group and may be mono or disubstituted by methyl groups.
- Non-limiting examples of these dyes are Direct Violet 5, 7, 9, 1 1 , 26, 31 , 35, 41 and 51 and DV99. Further non-limiting examples of these dyes are also Direct Blue 34, 70, 71 , 72, 75, 78, 82, and 120. The most preferred direct dye is Direct Violet 9 (DV9). DV99 is also preferred. Such dyes have been described in WO2005/003274 A1 (Unilever). DV9 may be sourced from BASF.
- the C ring may be substituted at the 5 position by an NH 2 or NHPh group
- X is a phenyl or napthyl ring substituted with upto 2 sulphonate groups and may be substituted at 2 position with a OH group and may also be substituted with an NH 2 or NHPh group
- compositions include 0.00001 wt% to 0.004 wt%, preferably 0.0001 wt% to 0.004 wt% direct dye.
- direct dye is DV9
- the preferred range is 0.00001 wt% to 0.004 wt%.
- DV9 is included in the form of an adjunct.
- the adjunct may preferably be made of inorganic carriers like soda ash, Sodium sulphate or zeolite.
- the adjunct may also include a surfactant or dispersant e.g. nonionic surfactants.
- the direct dye may be covalently linked to a photobleach, for example as described in WO2006/024612 A1 (Ciba SC Holding AG).
- the detergent compositions also include an acid dye
- Cotton substantive acid dyes give benefits to fabrics which contain cotton.
- Preferred dyes and mixes of dyes are blue or violet.
- Preferred acid dyes are azine dyes.
- Their core structure as follows:
- R a , R b , R c and R d are selected from: H, an branched or linear Ci to C 7 alkyl chain, benzyl a phenyl, and a naphthyl; the dye is substituted with at least one -S0 3 " or -COO " group; the B ring does not carry a negatively charged group or salt thereof; and the A ring may further substituted to form a naphthyl;
- the dye is optionally substituted by groups selected from: amine, methyl, ethyl, hydroxyl, methoxy, ethoxy, phenoxy, CI, Br, I, F, and N02.
- groups selected from: amine, methyl, ethyl, hydroxyl, methoxy, ethoxy, phenoxy, CI, Br, I, F, and N02.
- the A ring is further substituted to form a naphthyl.
- the dye is preferably substituted by two -S0 3 " groups and there is no other charged substituent.
- the metal cation that is exemplified as Sodium may be easily varied and such is within the scope of the invention, for example, such as alkali earth metals and alkaline earth metals and these are preferred, in particular Potassium and Calcium.
- the azine dye is substituted with at least one S0 3 " or -COO " group and that the B ring does not carry a negatively charged group or salt thereof the latitude to vary substituents is large without affecting the efficacy of the dye to deposit on cotton as required.
- the groups R a , R b , R c and R d as specified above may carry other substituents. With respect to the B ring not carrying a negatively charged group B this in particular a S03- or COO-.
- R ⁇ R 2 , R3 and R 4 is selected from the group consisting of: H, Me, Et, n-Pr and Pr; and the dye is optionally substituted by a methoxy group.
- a further preferred dye is of the following structure:
- Preferred azine dyes are: Acid Blue 98, Acid Violet 50, and Acid Blue 59, more preferably Acid Violet 50 (CAS No. 6837-46-3; C.I. 50325) and Acid Blue 98. Most preferably the azine dye is Acid Violet 50 (AV50).
- This dye may be sourced from Clariant.
- Preferred compositions include 0.00001 wt% to 0.1 wt%, preferably 0.0001 wt% to 0.01 wt%, and most preferably 0.0005 wt% to 0.005 wt% azine dye. When the dye is AV50, the preferred range is 0.0001 wt% to 0.005 wt%. It is preferred that AV50 dye is included in the form of an adjunct.
- the adjunct may preferably be made of inorganic carriers like soda ash, Sodium sulphate or zeolite.
- the adjunct may also include a surfactant or dispersant and a binder.
- Non-azine acid dyes are Acid Violet 17, Acid Black 1 , Acid Red 51 , Acid Red 17 and Acid Blue 29.
- the dyes may be incorporated in a variety of ways. For example dyes which are not sensitive to heat may be included in the slurry which is to be spray dried.
- Another way of incorporating dyes into particulate detergent products is to add them to adjunct granules which are post-dosed to a base powder.
- concentration of dye in the granules which could present the risk of spotting and dye damage on the fabrics. This can be avoided if the concentration of dye in the granules is less than 0.1 wt%.
- the dyes may be incorporated in the form of granules, which are made of carriers such as light soda ash, bentonite, zeolite and sodium sulphate. Such carriers are also very commonly used in detergent compositions. Use of such granules may help reduce staining and spotting. For liquid products the dyes may be simply added to the liquid and blended in substantially homogeneously.
- Lipase The detergent compositions according to the invention include lipase.
- Lipase also known as esterase
- esterase is an enzyme which catalyses hydrolysis of ester bonds of edible fats and oils, i.e. triglycerides, into free fatty acids, mono- and diglycerides and glycerol. It is believed that the primary function of lipase is to reduce build-up of sebum.
- the use of lipase is of special interest for low temperature washes as then oils and fats are in the solid state and therefore more difficult to remove. It is also believed that the action of lipase is not manifested during the main-wash, but in between washes.
- lipase gets adsorbed on top of soil during main-wash, but its action is inhibited by surfactants. During the rinse stage, lipase remains adsorbed and degrades the soil matrix. Lipase is also suitable for detergent compositions that contain higher amount of anionic surfactants, typically 20 to 40 wt%. Lipase is also believed to remove difficult stains like tomato oil, pasta sauce, pesto, motor oil, colourless oils like olive oil and corn oil. It is believed that lipase continues its action during the drying stage forming fatty acids, diglycerides and monoglycerides. When clothes are soiled again, some lipase is already present on the cloth.
- lipase enzymes include those of bacterial or fungal origin. Chemically modified or protein engineered mutants are included. Examples of useful lipases include lipases from Humicola, more preferably ones which include a polypeptide having an amino acid sequence which has at least 90 % sequence identity with the wild-type lipase derived from Humicola lanuginose, most preferably strain DSM 4109.
- lipases examples include lipases from Humicola (synonym Thermomyces), e.g. from H. lanuginose (T. lanuginosus) as described in EP258068 and EP305216 or from H. insolens as described in WO96/13580, a Pseudomonas lipase, e.g. from P. alcaligenes or P. pseudoalcaligenes (EP218272), P. cepacia (EP331376), P. stutzeri (GB 1 ,372,034), P. fluorescens, Pseudomonas sp. strain SD 705 (WO95/06720 and WO96/27002), P.
- wisconsinensis (WO96/12012), a Bacillus lipase, e.g. from B. subtilis (Dartois et al.
- Lipase enzymes are available under the trademarks LIPOCLEAN ® , LIPOLASE ® , LIPOLASE ® Ultra and LIPEX ® LIPEX ® is particularly preferred, and LIPEX® 100 TB is further particularly preferred.
- Preferred compositions include lipase having 5 to 20000 LU/g.
- the granulates contain lipase concentrate, inorganic salt, binders and coating materials. They are free-flowing so that there is no lumping, and the granulates dissolve faster. On the other hand, lipases fit for liquid detergents are available in liquid form. An example is LIPEX ® 100 L.
- compositions have 0.0001 wt% to 0.1 wt% lipase. Further preferred
- compositions have 0.0009 wt% to 0.00186 wt% lipase.
- the detergent compositions may also include other known ingredients. These ingredients include:
- hydrophilility generally means a compound with the ability to increase solubility, preferably aqueous solubility of certain slightly soluble organic compounds. Examples include sodium xylene sulfonate.
- the compositions may include a solvent such as water or an organic solvent such as isopropyl alcohol or glycol ethers.
- Metal chelation agents The compositions may include a metal chelating agent such as carbonates, bicarbonates, and sesquicarbonates.
- the metal chelating agent can be a bleach stabiliser (i.e. heavy metal sequestrant).
- Suitable metal chelation agents include ethylenediamine tetraacetate (EDTA), diethylenetriamine pentaacetate (DTPA), ethylenediamine disuccinate (EDDS), and the polyphosphonates such as the DEQUESTS ® , ethylenediamine tetramethylene phosphonate (EDTMP) and diethylenetriamine pentamethylene phosphate (DETPMP).
- EDTA ethylenediamine tetraacetate
- DTPA diethylenetriamine pentaacetate
- EDDS ethylenediamine disuccinate
- polyphosphonates such as the DEQUESTS ® , ethylenediamine tetramethylene phosphonate (EDTMP) and diethylenetriamine pentamethylene phosphate (DETPMP).
- Builders may be selected from calcium sequestrant materials, precipitating materials, calcium ion-exchange materials and mixtures thereof.
- Examples of calcium sequestrant builders include alkali metal polyphosphates, such as sodium tripolyphosphate and organic sequestrants, such as ethylene diamine tetra-acetic acid.
- Examples of precipitating builders include sodium orthophosphate and sodium carbonate.
- Examples of calcium ion-exchange builder materials include the various types of water-insoluble crystalline or amorphous aluminosilicates, of which zeolites are the best known representatives, e.g. zeolite A, zeolite B (also known as zeolite P), zeolite C, zeolite X, zeolite Y and also the zeolite P-type as described in EP 0384070.
- Low cost formulations preferably include carbonate (including bicarbonate and
- sesquicarbonate and/or citrates as builders.
- compositions may suitably contain less than 20 wt %, preferably less than 10 wt% by weight, and most preferably less than 10 wt% builders.
- Other shading dyes are particularly preferred.
- compositions may also include other dyes.
- dyes may be selected from: Basic dyes
- Basic dyes are organic dyes which carry a net positive charge. They deposit onto cotton. They are of particular utility for used in compositions that contain predominantly cationic surfactants. Dyes may be selected from the basic violet and basic blue dyes listed in the Colour Index International. Preferred examples include triarylmethane basic dyes, methane basic dye, anthraquinone basic dyes, Basic Blue 16, Basic Blue 71 , Basic Blue 159, Basic Blue 19, Basic Blue 35, Basic Violet 38, Basic Violet 48; Basic Violet 3, Basic Violet 75, Basic Violet 95, Basic Violet 122, Basic Violet 124, Basic Violet 141. Thiazolium dyes may also be used. Examples include Basic Blue 41 , 54, 65, 66, 67, 162 and 164.
- Reactive dyes are dyes which contain an organic group capable of reacting with cellulose and linking the dye to cellulose with a covalent bond. They deposit onto cotton.
- the reactive group is hydrolysed or reactive group of the dyes have been reacted with an organic species such as a polymer, so as to the link the dye to this species.
- Dyes may be selected from the reactive violet and reactive blue dyes listed in the Colour Index International.
- Preferred examples include Reactive Blue 19, Reactive Blue 163, Reactive Blue 182 and Reactive Blue 96.
- Dye conjugates are formed by binding direct, acid or basic dyes to polymers or particles via physical forces.
- compositions may include a photo-bleach, preferably phthalocyanines at 0.00001 wt% to 1 wt%.
- lipase In addition to lipase, one or more other enzymes may also be present in preferred compositions.
- enzymes include proteases, alpha-amylases, cellulases,
- peroxidases/oxidases peroxidases/oxidases, pectate lyases, and mannanases.
- proteases include those of animal, vegetable or microbial origin. Microbial origin is preferred. Chemically modified or protein engineered mutants are included.
- the protease may be a serine protease or a metallo protease, preferably an alkaline microbial protease or a trypsin-like protease.
- Preferred commercially available protease enzymes include ALCALASE ® , SAVINASE ® , PRIMASE ® , DURALASE ® , DYRAZYM ® ,
- Suitable amylases include those of bacterial or fungal origin.
- Amylases include, for example, alpha-amylases obtained from Bacillus, e.g. a special strain of B. lichenformis.
- Commercially available amylases are DURAMYL ® , TERMAMYL ® , TERMAMYL ® Ultra, NATALASE ® , STAINZYME ® , FUNGAMYL ® BAN ® , RAPIDASE ® and PURASTAR ®
- Suitable cellulases include those of bacterial or fungal origin. Chemically modified or protein engineered mutants may also be used. Suitable cellulases include cellulases from the genera Bacillus, Pseudomonas, Humicola, Fusarium, Thielavia, Acremonium, e.g. the fungal cellulases produced from Humicola insolens, Thielavia terrestris, Myceliophthora thermophila , and Fusarium oxysporum. Commercially available cellulases include CELLUZYME ® , CAREZYME ® , ENDOLASE ® , RENOZYME ® , CLAZINASE ® and
- Suitable peroxidases/oxidases include those of plant, bacterial or fungal origin. Chemically modified or protein engineered mutants may also be used. Examples of useful peroxidases include peroxidases from Coprinus, e.g. from C. cinereus, and variants thereof as those described in WO 93/24618, WO 95/10602, and WO 98/15257. Commercially available peroxidases include GUARDZYME ® and NOVOZYM ® 51004. Enzyme stabilizer
- Any enzyme present in the composition may be stabilized using conventional means
- stabilizing agents e.g., a polyol such as propylene glycol or glycerol, a sugar or sugar alcohol, lactic acid, boric acid, or a boric acid derivative, e.g., an aromatic hydroxide, a polyol such as propylene glycol or glycerol, a sugar or sugar alcohol, lactic acid, boric acid, or a boric acid derivative, e.g., an aromatic
- alkyl groups are sufficiently long to form branched or cyclic chains, the alkyl groups encompass branched, cyclic and linear alkyl chains.
- the alkyl groups are preferably linear or branched, most preferably linear.
- compositions may also include perfumes.
- the perfumes could be of natural origin or synthetic. They include single compounds and mixtures. Specific examples of such components may be found in Perfume and Flavor Chemicals by S. Arctander 1969, Montclair, N.J. (USA).
- perfume in this context is not only meant a fully formulated product fragrance, but also selected components of that fragrance, particularly those which are prone to loss, such as the so-called top notes.
- the perfume may be used in the form of neat oil or an
- Fluorescent agents In order to further improve whiteness, preferred compositions may include a_fluorescent agent (also called optical brightener). Fluorescent agents are well known and many such fluorescent agents are available commercially. Usually, these fluorescent agents are supplied and used in the form of their alkali metal salts, for example, the Sodium salts. Total amount of the fluorescent agent or agents which may be used in preferred compositions is generally from 0.005 wt% to 2 wt %, more preferably 0.01 wt% to 0.1 wt %.
- Preferred classes of fluorescer include di-styryl biphenyl compounds, e.g. TINOPAL ® CBS-X, Di-amine stilbene di-sulphonic acid compounds, e.g.
- fluorescers are: sodium 2 (4-styryl-3- sulfophenyl) -2H-napthol [ 1 , 2-d] trazole, disodium 4,4'- bis ⁇ [ (4-anilino-6- (N methyl-N-2 hydroxyethyl) amino 1 ,3,5- triazin-2-yl) ] amino ⁇ stilbene-2-2 ' disulfonate, disodium 4, 4 ' -bis ⁇ [ (4-anilino-6-morpholino-l, 3,5-triazin-2-yl) ] amino ⁇ stilbene-2-2' disulfonate, and disodium 4, 4 '-bis (2- sulfoslyryl) biphenyl .
- compositions may include one or more polymers. Examples are
- poly(vinylpyrrolidone) poly(ethylene glycol), polyvinyl alcohol), poly(vinylpyridine- N-oxide) , poly(vinylimidazole) , polycarboxylates such as
- polyacrylates maleic/acrylic acid copolymers and lauryl methacrylate/acrylic acid copolymers.
- Modern detergent compositions typically employ polymers as dye-transfer inhibitors. These prevent migration of dyes, especially during long soak times. Any suitable dye- transfer inhibitor may be used in preferred compositions. Generally, such dye-transfer inhibitors include polyvinyl pyrrolidone polymers, polyamine N-oxide polymers, copolymers of N-vinylpyrrolidone and N-vinylimidazole, manganese pthalocyanine, peroxidases, and mixtures thereof.
- Nitrogen-containing, dye binding, DTI polymers are preferred. Of these polymers and copolymers of cyclic amines such as vinyl pyrrolidone, and/or vinyl imidazole are preferred. Copolymers of N-vinylpyrrolidone and N-vinylimidazole polymers (as a class, referred to as "PVPVI”) are also preferred. These copolymers can be either linear or branched. Suitable PVPVI polymers include SOKALAN ® HP56, available commercially from BASF. The invention will now be explained in greater details with non-limiting examples of preferred compositions.
- Example 1 Effect of preferred and control compositions on redeposition of soil
- a control NTR (Non-Tower Route) base detergent composition was made.
- Another control composition (C-1) was made. This contained three shading dyes; DV9, DV28 and AV50, but did not contain lipase. The shading dyes were post-dosed.
- Two more control compositions (C-2 and C-3) were made. These contained lipase at varying levels, but no shading dye.
- a preferred composition was made by further post-doing lipase into control composition C-1. The formulations have been described in table-1.
- NDOM* means: Non Detergent Organic Matter
- LIPEX® 100 TB contains about 0.00093 g lipase
- each cloth test monitor size of each piece - 10 cm X 10 cm
- ballast of cotton: polyester 50:50
- the cloth test monitors were allowed to soak in the detergent solution containing the soils for 30 minutes. The solution was manually stirred for one minute, after every 10 minutes.
- Soil redeposition was measured as the difference between the R460 values at the end of 1 wash, 3 washes and 5 washes.
- AR 46 o R 4 6o(unwashed) - R 46 o(washed)
- Higher values of AR*460 indicate higher difference in whiteness of the unwashed cloth and the washed cloth. Therefore, higher difference indicates that the clothes were lesser white after wash. In other words, it indicates higher levels of soil redeposition. Therefore, compositions that provided lower values of AR*460 were preferred. Fabrics on which the suspended dirt deposits during wash normally appear dull, grey or yellow. Positive values of b* indicates yellowness, which occurs due to higher soil redeposition; whereas negative values indicate blue hue. Higher values of b* indicate yellowing.
- the difference between b* values of washed and unwashed cloth is calculated as follows:
- compositions that provided lower values of Ab* were preferred.
- compositions are the ones that provide lower values of AR*460 and lower values of Ab* on all fabrics.
- Table-2 is the ones that provide lower values of AR*460 and lower values of Ab* on all fabrics.
- compositions of the various formulations tested in the machine wash study are included in Table 3.
- NDOM* means: Non Detergent Organic Matter
- Detergent powder at a dosage level of 1.5 grams/litre was added to dispenser of a washing machine.
- Three types of soils strips used in Example-1 were added to the machine.
- the cloth test monitors were soaked in 24 °F.H. (French Hardness) water at ambient temperature for 20 minutes.
- the washing cycle was set at 20 minutes.
- the cloth to liquor ratio in the washing machine was 1 :20.
- all the cloth test monitors were rinsed twice with 24 °F.H. water.
- this process was carried out once and the rinsed cloth test monitors were dried in shade. Thereafter, the b* values were determined again as described earlier. These values were noted as b*(washed). For some cloth test monitors, this procedure was repeated two more times (i.e.
- the illustrated examples provide a detergent composition having a combination of lipase with specific shading dyes provides lower redeposition of soil on fabrics, which is manifested as higher reflectance and lower yellowing, especially over multiple washes on knitted cotton, knitted polyester and polyester fabrics.
Landscapes
- Chemical & Material Sciences (AREA)
- Life Sciences & Earth Sciences (AREA)
- Engineering & Computer Science (AREA)
- Chemical Kinetics & Catalysis (AREA)
- Oil, Petroleum & Natural Gas (AREA)
- Wood Science & Technology (AREA)
- Organic Chemistry (AREA)
- Detergent Compositions (AREA)
Abstract
Description
Claims
Priority Applications (5)
| Application Number | Priority Date | Filing Date | Title |
|---|---|---|---|
| CN2011800519516A CN103168095A (en) | 2010-11-01 | 2011-10-25 | A detergent composition having shading dyes and lipase |
| ES11773287.5T ES2520646T3 (en) | 2010-11-01 | 2011-10-25 | Detergent composition that has matting and lipase dyes |
| BR112013010879A BR112013010879A2 (en) | 2010-11-01 | 2011-10-25 | detergent composition, method of treating fabrics and their uses |
| EP11773287.5A EP2635666B1 (en) | 2010-11-01 | 2011-10-25 | A detergent composition having shading dyes and lipase |
| ZA2013/03954A ZA201303954B (en) | 2010-11-01 | 2013-05-30 | A detergent composition having shading dyes and lipase |
Applications Claiming Priority (4)
| Application Number | Priority Date | Filing Date | Title |
|---|---|---|---|
| IN3021MU2010 | 2010-11-01 | ||
| IN3021/MUM/2010 | 2010-11-01 | ||
| EP11151057 | 2011-01-17 | ||
| EP11151057.4 | 2011-01-17 |
Publications (1)
| Publication Number | Publication Date |
|---|---|
| WO2012059363A1 true WO2012059363A1 (en) | 2012-05-10 |
Family
ID=44863025
Family Applications (1)
| Application Number | Title | Priority Date | Filing Date |
|---|---|---|---|
| PCT/EP2011/068621 Ceased WO2012059363A1 (en) | 2010-11-01 | 2011-10-25 | A detergent composition having shading dyes and lipase |
Country Status (8)
| Country | Link |
|---|---|
| EP (2) | EP2787066A1 (en) |
| CN (1) | CN103168095A (en) |
| BR (1) | BR112013010879A2 (en) |
| CL (1) | CL2013001145A1 (en) |
| ES (1) | ES2520646T3 (en) |
| MY (1) | MY163259A (en) |
| WO (1) | WO2012059363A1 (en) |
| ZA (1) | ZA201303954B (en) |
Cited By (6)
| Publication number | Priority date | Publication date | Assignee | Title |
|---|---|---|---|---|
| WO2014090940A1 (en) * | 2012-12-14 | 2014-06-19 | Novozymes A/S | Removal of skin-derived body soils |
| CN105073972A (en) * | 2013-02-19 | 2015-11-18 | 宝洁公司 | Ways to Wash Fabrics |
| US20150353869A1 (en) * | 2014-06-06 | 2015-12-10 | The Procter & Gamble Company | Detergent composition comprising polyalkyleneimine polymers |
| WO2018172090A1 (en) * | 2017-03-24 | 2018-09-27 | Unilever Plc | Detergent compositions |
| WO2020074141A1 (en) | 2018-10-11 | 2020-04-16 | Henkel Ag & Co. Kgaa | Use of transition metal-free tinting dyes in combination with catechol derivatives |
| WO2020200600A1 (en) | 2019-04-04 | 2020-10-08 | Henkel Ag & Co. Kgaa | Use of a mannanase enzyme in combination with catechol derivatives |
Citations (41)
| Publication number | Priority date | Publication date | Assignee | Title |
|---|---|---|---|---|
| GB1372034A (en) | 1970-12-31 | 1974-10-30 | Unilever Ltd | Detergent compositions |
| EP0070074A2 (en) | 1981-07-13 | 1983-01-19 | THE PROCTER & GAMBLE COMPANY | Foaming surfactant compositions |
| EP0218272A1 (en) | 1985-08-09 | 1987-04-15 | Gist-Brocades N.V. | Novel lipolytic enzymes and their use in detergent compositions |
| EP0258068A2 (en) | 1986-08-29 | 1988-03-02 | Novo Nordisk A/S | Enzymatic detergent additive |
| EP0260105A2 (en) | 1986-09-09 | 1988-03-16 | Genencor, Inc. | Preparation of enzymes having altered activity |
| EP0305216A1 (en) | 1987-08-28 | 1989-03-01 | Novo Nordisk A/S | Recombinant Humicola lipase and process for the production of recombinant humicola lipases |
| EP0328177A2 (en) | 1988-02-10 | 1989-08-16 | Unilever N.V. | Liquid detergents |
| EP0331376A2 (en) | 1988-02-28 | 1989-09-06 | Amano Pharmaceutical Co., Ltd. | Recombinant DNA, bacterium of the genus pseudomonas containing it, and process for preparing lipase by using it |
| EP0346995A2 (en) | 1988-06-13 | 1989-12-20 | Unilever N.V. | Liquid detergents |
| EP0384070A2 (en) | 1988-11-03 | 1990-08-29 | Unilever Plc | Zeolite P, process for its preparation and its use in detergent compositions |
| EP0407225A1 (en) | 1989-07-07 | 1991-01-09 | Unilever Plc | Enzymes and enzymatic detergent compositions |
| WO1991016422A1 (en) | 1990-04-14 | 1991-10-31 | Kali-Chemie Aktiengesellschaft | Alkaline bacillus lipases, coding dna sequences therefor and bacilli which produce these lipases |
| WO1992005249A1 (en) | 1990-09-13 | 1992-04-02 | Novo Nordisk A/S | Lipase variants |
| WO1992019708A1 (en) | 1991-04-30 | 1992-11-12 | The Procter & Gamble Company | Liquid detergents with aromatic borate ester to inhibit proteolytic enzyme |
| WO1992019709A1 (en) | 1991-04-30 | 1992-11-12 | The Procter & Gamble Company | Built liquid detergents with boric-polyol complex to inhibit proteolytic enzyme |
| WO1993024618A1 (en) | 1992-06-01 | 1993-12-09 | Novo Nordisk A/S | Peroxidase variants with improved hydrogen peroxide stability |
| WO1994001541A1 (en) | 1992-07-06 | 1994-01-20 | Novo Nordisk A/S | C. antarctica lipase and lipase variants |
| WO1994025578A1 (en) | 1993-04-27 | 1994-11-10 | Gist-Brocades N.V. | New lipase variants for use in detergent applications |
| WO1995006720A1 (en) | 1993-08-30 | 1995-03-09 | Showa Denko K.K. | Novel lipase, microorganism producing the lipase, process for producing the lipase, and use of the lipase |
| WO1995010602A1 (en) | 1993-10-13 | 1995-04-20 | Novo Nordisk A/S | H2o2-stable peroxidase variants |
| WO1995014783A1 (en) | 1993-11-24 | 1995-06-01 | Showa Denko K.K. | Lipase gene and variant lipase |
| WO1995022615A1 (en) | 1994-02-22 | 1995-08-24 | Novo Nordisk A/S | A method of preparing a variant of a lipolytic enzyme |
| WO1995030744A2 (en) | 1994-05-04 | 1995-11-16 | Genencor International Inc. | Lipases with improved surfactant resistance |
| WO1995035381A1 (en) | 1994-06-20 | 1995-12-28 | Unilever N.V. | Modified pseudomonas lipases and their use |
| WO1996000292A1 (en) | 1994-06-23 | 1996-01-04 | Unilever N.V. | Modified pseudomonas lipases and their use |
| WO1996012012A1 (en) | 1994-10-14 | 1996-04-25 | Solvay S.A. | Lipase, microorganism producing same, method for preparing said lipase and uses thereof |
| WO1996013580A1 (en) | 1994-10-26 | 1996-05-09 | Novo Nordisk A/S | An enzyme with lipolytic activity |
| WO1996027002A1 (en) | 1995-02-27 | 1996-09-06 | Novo Nordisk A/S | Novel lipase gene and process for the production of lipase with the use of the same |
| WO1997004079A1 (en) | 1995-07-14 | 1997-02-06 | Novo Nordisk A/S | A modified enzyme with lipolytic activity |
| WO1997007202A1 (en) | 1995-08-11 | 1997-02-27 | Novo Nordisk A/S | Novel lipolytic enzymes |
| WO1998015257A1 (en) | 1996-10-08 | 1998-04-16 | Novo Nordisk A/S | Diaminobenzoic acid derivatives as dye precursors |
| WO2000060063A1 (en) | 1999-03-31 | 2000-10-12 | Novozymes A/S | Lipase variant |
| WO2005003274A1 (en) | 2003-06-18 | 2005-01-13 | Unilever Plc | Laundry treatment compositions |
| WO2006024612A1 (en) | 2004-08-30 | 2006-03-09 | Ciba Specialty Chemicals Holding Inc. | Shading process |
| WO2006055787A1 (en) | 2004-11-19 | 2006-05-26 | The Procter & Gamble Company | Whiteness perception compositions |
| WO2006053598A1 (en) | 2004-11-22 | 2006-05-26 | Unilever Plc | Laundry treatment compositions |
| US20070191249A1 (en) * | 2006-01-23 | 2007-08-16 | The Procter & Gamble Company | Enzyme and photobleach containing compositions |
| US20070191250A1 (en) | 2006-01-23 | 2007-08-16 | The Procter & Gamble Company | Enzyme and fabric hueing agent containing compositions |
| WO2009107091A2 (en) | 2008-02-29 | 2009-09-03 | The Procter & Gamble Company | Detergent composition comprising lipase |
| WO2009111258A2 (en) | 2008-02-29 | 2009-09-11 | The Procter & Gamble Company | Detergent composition comprising lipase |
| WO2010145887A1 (en) | 2009-06-15 | 2010-12-23 | Unilever Plc | Anionic dye polymers |
Family Cites Families (7)
| Publication number | Priority date | Publication date | Assignee | Title |
|---|---|---|---|---|
| US4006092A (en) | 1971-08-05 | 1977-02-01 | The Procter & Gamble Company | Laundering aid |
| JPS6474992A (en) | 1987-09-16 | 1989-03-20 | Fuji Oil Co Ltd | Dna sequence, plasmid and production of lipase |
| GB0421145D0 (en) | 2004-09-23 | 2004-10-27 | Unilever Plc | Laundry treatment compositions |
| CN101374934B (en) * | 2006-01-23 | 2013-07-17 | 宝洁公司 | Enzyme and fabric hueing agent containing compositions |
| CN101501173B (en) * | 2006-01-23 | 2011-12-14 | 宝洁公司 | Compositions comprising enzymes and photobleaches |
| DE602007002544D1 (en) * | 2006-08-10 | 2009-11-05 | Unilever Plc | NUANCIERUNGSMITTEL |
| EP2534237B1 (en) * | 2010-02-12 | 2014-11-12 | Unilever PLC | Laundry treatment composition comprising bis-azo shading dyes |
-
2011
- 2011-10-25 EP EP14172363.5A patent/EP2787066A1/en not_active Withdrawn
- 2011-10-25 ES ES11773287.5T patent/ES2520646T3/en active Active
- 2011-10-25 MY MYPI2013700689A patent/MY163259A/en unknown
- 2011-10-25 BR BR112013010879A patent/BR112013010879A2/en not_active IP Right Cessation
- 2011-10-25 CN CN2011800519516A patent/CN103168095A/en active Pending
- 2011-10-25 EP EP11773287.5A patent/EP2635666B1/en active Active
- 2011-10-25 WO PCT/EP2011/068621 patent/WO2012059363A1/en not_active Ceased
-
2013
- 2013-04-26 CL CL2013001145A patent/CL2013001145A1/en unknown
- 2013-05-30 ZA ZA2013/03954A patent/ZA201303954B/en unknown
Patent Citations (42)
| Publication number | Priority date | Publication date | Assignee | Title |
|---|---|---|---|---|
| GB1372034A (en) | 1970-12-31 | 1974-10-30 | Unilever Ltd | Detergent compositions |
| EP0070074A2 (en) | 1981-07-13 | 1983-01-19 | THE PROCTER & GAMBLE COMPANY | Foaming surfactant compositions |
| EP0218272A1 (en) | 1985-08-09 | 1987-04-15 | Gist-Brocades N.V. | Novel lipolytic enzymes and their use in detergent compositions |
| EP0258068A2 (en) | 1986-08-29 | 1988-03-02 | Novo Nordisk A/S | Enzymatic detergent additive |
| EP0260105A2 (en) | 1986-09-09 | 1988-03-16 | Genencor, Inc. | Preparation of enzymes having altered activity |
| EP0305216A1 (en) | 1987-08-28 | 1989-03-01 | Novo Nordisk A/S | Recombinant Humicola lipase and process for the production of recombinant humicola lipases |
| EP0328177A2 (en) | 1988-02-10 | 1989-08-16 | Unilever N.V. | Liquid detergents |
| EP0331376A2 (en) | 1988-02-28 | 1989-09-06 | Amano Pharmaceutical Co., Ltd. | Recombinant DNA, bacterium of the genus pseudomonas containing it, and process for preparing lipase by using it |
| EP0346995A2 (en) | 1988-06-13 | 1989-12-20 | Unilever N.V. | Liquid detergents |
| EP0384070A2 (en) | 1988-11-03 | 1990-08-29 | Unilever Plc | Zeolite P, process for its preparation and its use in detergent compositions |
| EP0407225A1 (en) | 1989-07-07 | 1991-01-09 | Unilever Plc | Enzymes and enzymatic detergent compositions |
| WO1991016422A1 (en) | 1990-04-14 | 1991-10-31 | Kali-Chemie Aktiengesellschaft | Alkaline bacillus lipases, coding dna sequences therefor and bacilli which produce these lipases |
| WO1992005249A1 (en) | 1990-09-13 | 1992-04-02 | Novo Nordisk A/S | Lipase variants |
| WO1992019708A1 (en) | 1991-04-30 | 1992-11-12 | The Procter & Gamble Company | Liquid detergents with aromatic borate ester to inhibit proteolytic enzyme |
| WO1992019709A1 (en) | 1991-04-30 | 1992-11-12 | The Procter & Gamble Company | Built liquid detergents with boric-polyol complex to inhibit proteolytic enzyme |
| WO1993024618A1 (en) | 1992-06-01 | 1993-12-09 | Novo Nordisk A/S | Peroxidase variants with improved hydrogen peroxide stability |
| WO1994001541A1 (en) | 1992-07-06 | 1994-01-20 | Novo Nordisk A/S | C. antarctica lipase and lipase variants |
| WO1994025578A1 (en) | 1993-04-27 | 1994-11-10 | Gist-Brocades N.V. | New lipase variants for use in detergent applications |
| WO1995006720A1 (en) | 1993-08-30 | 1995-03-09 | Showa Denko K.K. | Novel lipase, microorganism producing the lipase, process for producing the lipase, and use of the lipase |
| WO1995010602A1 (en) | 1993-10-13 | 1995-04-20 | Novo Nordisk A/S | H2o2-stable peroxidase variants |
| WO1995014783A1 (en) | 1993-11-24 | 1995-06-01 | Showa Denko K.K. | Lipase gene and variant lipase |
| WO1995022615A1 (en) | 1994-02-22 | 1995-08-24 | Novo Nordisk A/S | A method of preparing a variant of a lipolytic enzyme |
| WO1995030744A2 (en) | 1994-05-04 | 1995-11-16 | Genencor International Inc. | Lipases with improved surfactant resistance |
| WO1995035381A1 (en) | 1994-06-20 | 1995-12-28 | Unilever N.V. | Modified pseudomonas lipases and their use |
| WO1996000292A1 (en) | 1994-06-23 | 1996-01-04 | Unilever N.V. | Modified pseudomonas lipases and their use |
| WO1996012012A1 (en) | 1994-10-14 | 1996-04-25 | Solvay S.A. | Lipase, microorganism producing same, method for preparing said lipase and uses thereof |
| WO1996013580A1 (en) | 1994-10-26 | 1996-05-09 | Novo Nordisk A/S | An enzyme with lipolytic activity |
| WO1996027002A1 (en) | 1995-02-27 | 1996-09-06 | Novo Nordisk A/S | Novel lipase gene and process for the production of lipase with the use of the same |
| WO1997004079A1 (en) | 1995-07-14 | 1997-02-06 | Novo Nordisk A/S | A modified enzyme with lipolytic activity |
| WO1997007202A1 (en) | 1995-08-11 | 1997-02-27 | Novo Nordisk A/S | Novel lipolytic enzymes |
| WO1998015257A1 (en) | 1996-10-08 | 1998-04-16 | Novo Nordisk A/S | Diaminobenzoic acid derivatives as dye precursors |
| WO2000060063A1 (en) | 1999-03-31 | 2000-10-12 | Novozymes A/S | Lipase variant |
| WO2005003274A1 (en) | 2003-06-18 | 2005-01-13 | Unilever Plc | Laundry treatment compositions |
| EP1921132A2 (en) | 2003-06-18 | 2008-05-14 | Unilever Plc | Laundry treatment composition |
| WO2006024612A1 (en) | 2004-08-30 | 2006-03-09 | Ciba Specialty Chemicals Holding Inc. | Shading process |
| WO2006055787A1 (en) | 2004-11-19 | 2006-05-26 | The Procter & Gamble Company | Whiteness perception compositions |
| WO2006053598A1 (en) | 2004-11-22 | 2006-05-26 | Unilever Plc | Laundry treatment compositions |
| US20070191249A1 (en) * | 2006-01-23 | 2007-08-16 | The Procter & Gamble Company | Enzyme and photobleach containing compositions |
| US20070191250A1 (en) | 2006-01-23 | 2007-08-16 | The Procter & Gamble Company | Enzyme and fabric hueing agent containing compositions |
| WO2009107091A2 (en) | 2008-02-29 | 2009-09-03 | The Procter & Gamble Company | Detergent composition comprising lipase |
| WO2009111258A2 (en) | 2008-02-29 | 2009-09-11 | The Procter & Gamble Company | Detergent composition comprising lipase |
| WO2010145887A1 (en) | 2009-06-15 | 2010-12-23 | Unilever Plc | Anionic dye polymers |
Non-Patent Citations (7)
| Title |
|---|
| "McCutcheon's Emulsifiers and Detergents", MANUFACTURING CONFECTIONERS COMPANY |
| DARTOIS ET AL., BIOCHEMICA ET BIOPHYSICA ACTA, vol. 1131, 1993, pages 253 - 360 |
| H. STACHE: "Tenside-Taschenbuch, 2nd Edn.,", 1981, CARL HAUSER VERLAG |
| S. ARCTANDER: "Perfume and Flavor Chemicals", 1969, MONTCLAIR |
| SCHWARTZ, PERRY, BERCH: "SURFACE ACTIVE AGENTS", vol. 2, 1958, INTERSCIENCE |
| SCHWARTZ, PERRY: "Surface Active Agents", vol. 1, 1949, INTERSCIENCE |
| See also references of EP2635666A1 |
Cited By (8)
| Publication number | Priority date | Publication date | Assignee | Title |
|---|---|---|---|---|
| WO2014090940A1 (en) * | 2012-12-14 | 2014-06-19 | Novozymes A/S | Removal of skin-derived body soils |
| CN105073972A (en) * | 2013-02-19 | 2015-11-18 | 宝洁公司 | Ways to Wash Fabrics |
| US10717948B2 (en) | 2013-02-19 | 2020-07-21 | The Procter & Gamble Company | Method of laundering a fabric |
| US20150353869A1 (en) * | 2014-06-06 | 2015-12-10 | The Procter & Gamble Company | Detergent composition comprising polyalkyleneimine polymers |
| WO2018172090A1 (en) * | 2017-03-24 | 2018-09-27 | Unilever Plc | Detergent compositions |
| US10927325B2 (en) | 2017-03-24 | 2021-02-23 | Conopco, Inc. | Detergent compositions |
| WO2020074141A1 (en) | 2018-10-11 | 2020-04-16 | Henkel Ag & Co. Kgaa | Use of transition metal-free tinting dyes in combination with catechol derivatives |
| WO2020200600A1 (en) | 2019-04-04 | 2020-10-08 | Henkel Ag & Co. Kgaa | Use of a mannanase enzyme in combination with catechol derivatives |
Also Published As
| Publication number | Publication date |
|---|---|
| ZA201303954B (en) | 2014-07-30 |
| EP2787066A1 (en) | 2014-10-08 |
| BR112013010879A2 (en) | 2016-08-09 |
| ES2520646T3 (en) | 2014-11-11 |
| CL2013001145A1 (en) | 2014-02-21 |
| MY163259A (en) | 2017-08-30 |
| CN103168095A (en) | 2013-06-19 |
| EP2635666A1 (en) | 2013-09-11 |
| EP2635666B1 (en) | 2014-07-23 |
Similar Documents
| Publication | Publication Date | Title |
|---|---|---|
| EP2714878B2 (en) | Liquid laundry composition | |
| JP2019073715A (en) | Method of laundering fabrics | |
| EP2635666B1 (en) | A detergent composition having shading dyes and lipase | |
| CN111511842B (en) | Leuco compounds, colorant compounds and compositions containing the same | |
| MX2014012872A (en) | A laundry detergent composition comprising a particle having hueing agent and clay. | |
| EP2992054B1 (en) | Alkoxylated bis azo dyes | |
| WO2011107397A1 (en) | Laundry detergent compositions comprising amino silicone antifoam agent | |
| EP2734610A1 (en) | Liquid laundry composition | |
| EP2767582A1 (en) | Method of laundering a fabric | |
| WO2015139903A1 (en) | Long alkyl chain azo-dye and laundry detergent composition | |
| WO2012098046A1 (en) | Dye polymer for laundry treatment | |
| EP3914682B1 (en) | Laundry detergent | |
| EP3752589B1 (en) | Laundry detergent | |
| WO2011134685A1 (en) | Bis-heterocyclic azo dyes | |
| CN102414307B (en) | masking composition | |
| WO2020020703A1 (en) | Laundry detergent | |
| EP3402868B1 (en) | Laundry treatment composition | |
| WO2016110378A1 (en) | Laundry treatment composition comprising a dye |
Legal Events
| Date | Code | Title | Description |
|---|---|---|---|
| 121 | Ep: the epo has been informed by wipo that ep was designated in this application |
Ref document number: 11773287 Country of ref document: EP Kind code of ref document: A1 |
|
| WWE | Wipo information: entry into national phase |
Ref document number: 2011773287 Country of ref document: EP |
|
| WWE | Wipo information: entry into national phase |
Ref document number: 2013001145 Country of ref document: CL |
|
| NENP | Non-entry into the national phase |
Ref country code: DE |
|
| REG | Reference to national code |
Ref country code: BR Ref legal event code: B01A Ref document number: 112013010879 Country of ref document: BR |
|
| ENP | Entry into the national phase |
Ref document number: 112013010879 Country of ref document: BR Kind code of ref document: A2 Effective date: 20130502 |











