WO2010132743A1 - Corticosteroid beta-agonist compounds for use in therapy - Google Patents
Corticosteroid beta-agonist compounds for use in therapy Download PDFInfo
- Publication number
- WO2010132743A1 WO2010132743A1 PCT/US2010/034861 US2010034861W WO2010132743A1 WO 2010132743 A1 WO2010132743 A1 WO 2010132743A1 US 2010034861 W US2010034861 W US 2010034861W WO 2010132743 A1 WO2010132743 A1 WO 2010132743A1
- Authority
- WO
- WIPO (PCT)
- Prior art keywords
- compound according
- pharmaceutically acceptable
- acceptable salt
- alkylene
- human
- Prior art date
- Legal status (The legal status is an assumption and is not a legal conclusion. Google has not performed a legal analysis and makes no representation as to the accuracy of the status listed.)
- Ceased
Links
Classifications
-
- C—CHEMISTRY; METALLURGY
- C07—ORGANIC CHEMISTRY
- C07J—STEROIDS
- C07J51/00—Normal steroids with unmodified cyclopenta(a)hydrophenanthrene skeleton not provided for in groups C07J1/00 - C07J43/00
-
- A—HUMAN NECESSITIES
- A61—MEDICAL OR VETERINARY SCIENCE; HYGIENE
- A61P—SPECIFIC THERAPEUTIC ACTIVITY OF CHEMICAL COMPOUNDS OR MEDICINAL PREPARATIONS
- A61P5/00—Drugs for disorders of the endocrine system
- A61P5/38—Drugs for disorders of the endocrine system of the suprarenal hormones
- A61P5/44—Glucocorticosteroids; Drugs increasing or potentiating the activity of glucocorticosteroids
Definitions
- the instant invention relates to new chemical entities which comprise corticosteroids and phosphorylated ⁇ -agonists for use in therapy and compositions comprising and processes for preparing the same.
- Asthma is a chronic inflammatory disease of the airways produced by the infiltration of pro-inflammatory cells, mostly eosinophils and activated T- lymphocytes (Poston, Am. Rev. Respir. Dis. , 145 (4 Pt 1), 918-921, 1992; Walker, J. Allergy Clin. Immunol., 88 (6), 935-42, 1991 ) into the bronchial mucosa and submucosa.
- the secretion of potent chemical mediators, including cytokines, by these proinflammatory cells alters mucosal permeability, mucus production, and causes smooth muscle contraction. All of these factors lead to an increased reactivity of the airways to a wide variety of irritant stimuli (Kaliner, "Bronchial asthma, Immunologic diseases" E. M. Samter, Boston, Little, Brown and Company: 117-1 18. 1988).
- Glucocorticoids which were first introduced as an asthma therapy in 1950 ⁇ Carryer, Journal of Allergy, 21 , 282-287, 1950), remain the most potent and consistently effective therapy for this disease, although their mechanism of action is not yet fuliy understood (Morris, J. Allergy CHn, Immunol., 75 (1 Pt) 1- 13, 1985).
- oral glucocorticoid therapies are associated with profound undesirable side effects such as truncal obesity, hypertension, glaucoma, glucose intolerance, acceleration of cataract formation, bone mineral loss, and psychological effects, all of which limit their use as long-term therapeutic agents (Goodman and Gilman, 10 th edition, 2001).
- ICS Inhaled corticosteroids
- Combinations of inhaled ⁇ 2 -adrenoreceptor agonist bronchodilators such as formoterol, indacaterol, or salmeterol with ICS's are also used to treat both the bronchoconstriction and the inflammation associated with asthma and COPD (Symbtcort ® and Advair ® , respectively).
- these combinations have the side effects of both the ICS's and the ⁇ 2 -adrenoreceptor agonist because of systemic absorption (tachycardia, ventricular dysrhythmias, hypokalemia) primarily because neither agent is delivered exclusively to the optimal sites of action in the lungs.
- Phenylphosphate based mutual prodrugs of corticosteroids and ⁇ 2 -agonists have been described by Baker et a!. (WO/2006/138212) wherein the component drugs are released at the site of action in the iungs.
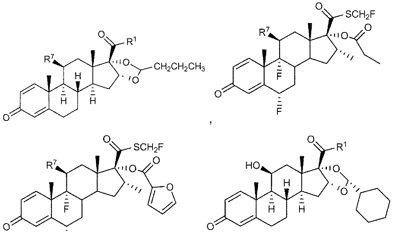
- the present invention provides a compound of Formula I:
- R 6 is H, and R 1 is CH 2 -OH, CH 2 -CI,
- R 10 is H or C 1-4 alkyl
- R 15 is a side chain radical of a ⁇ -agonist
- R 16 is H, methyl or ethyl
- R 19 is H 1 F, OH or methyl; each R 2 , R 3 , R 4 , and R 5 are independently H 1 C h alky! or halo; R 8 is H 1 OH 1 0(CO)R 9 , or 0(CO)OR 9 ; each R 9 is independently R 11 is H or C h alky!; R 12 is H 1 OH, or C 1-4 alkyl; or R 11 and R 12 taken together with the carbon to which they are attached form a
- R 13 and R 14 is H, methyl or ethyl and the other is H, C-i.-ioalkyl, C 2- i ⁇ alkenyl, C 2- - IO a I kynyl, optionally substituted Ca.-iocarbocyclyl or optionally substituted 5-6 ring atom heterocycie wherein one or two ring atoms are selected from N, O and S, and wherein said carbocyclyl and said heterocyclyl are each optionally substituted 1 , 2 or 3 times with a substituent selected from halo, Ci- 4 alkyl, and O-Ci -4 alkyl.
- the compounds of Formula I is defined wherein R 1 is
- R 6 is H, and R 1 is CH 2 -OH, CH 2 -CI, CH 2 -O-C(O)Ci -4 a!kyl, S-C ⁇ alkyl, S-haloC 1-4 alkyi, or CH 2 -O-PO 3 H 2 .
- the compounds of Formula I are defined wherein R 15 is C 1-6 alkyl
- Ci -4 alkyl O-C 1-4 alkyl, O-(CH 2 ) 4 -NH 2 , O ⁇ (CH 2 ) 4 -N(H)C 1-4 aIkyl,
- O-(CH 2 )4-N(Ci -4 aikyl) 2 O-C 1-4 alkyl-C(O)-NH 2 , O-C 1-4 alkyl-C(O)-N(H)C 1-4 alkyl, O-C 1-4 alkyl-C(O)-N(C 1-4 alkyl) 2, or a group represented by formula i, ii, Ni, iv, v, vi, vii, viii, or ix: i: C 6 alkylene-O-R 21 -Ph 4 ; ii: C 2 , 3 aikylene-Ph 1 -O-R 21 -Ph 4 ; iii: C 2 .
- R 21 is C 2 - ealkyiene wherein one carbon of said alkylene is optionally replaced by O;
- Ph 4 is phenyl optionally substituted 1 or 2 times by halo
- Ph 1 is phenylene
- R 22 is a bond or Ci -2 alkylene optionally substituted once by OH or NH 2 ;
- Ph 2 is phenyl optionally substituted 1 or 2 times by O-methyl, -OCH 2 CH(CH S ) 2 CH 2 NH 2 , -SO 2 -NH-(C 6 H 3 XCH 3 )(C 7 H 15 ) or
- Het is 4-10 ring atom heterocyclene wherein 1 , 2 or 3 ring atoms is/are N, O or S optionally substituted once by methyl;
- R 23 is a C 2-4 alkylene wherein one carbon of said alkylene is optionally replaced by O or -C 0-2 alkylene-C(O)N(H)- C 2-4 alkylene;
- Ph 3 is phenyl optionally substituted 1 or 2 times by halo or O-methyi.
- the present invention provides compounds of Formula M:
- the present invention provides compounds of Formula III:
- the present invention provides a composition
- a composition comprising a compound of Formula I or a pharmaceutically acceptable salt thereof and a pharmaceutically acceptable excipient, diluent or carrier, in one embodiment, the composition is suitable for inhalation.
- the present invention provides a method comprising administering to a human, an effective amount of a compound of Formula I or a pharmaceuticaily acceptable salt thereof.
- the present invention provides a method for the treatment of pulmonary inflammation or bronchoconstriction in a human in need thereof. The method comprises administering to the human an effective amount of a compound of Formula I or a pharmaceutically acceptable salt thereof.
- the present invention provides a method for the treatment of a disease associated with reversible airway obstruction in a human in need thereof.
- the method comprises administering to the human an effective amount of a compound of Formula 1 or a pharmaceutically acceptable salt thereof.
- the present invention provides a method for the treatment of asthma in a human in need thereof.
- the method comprises administering to the human an effective amount of a compound of Formula i or a pharmaceutically acceptable salt thereof.
- the present invention provides a method for the treatment of COPD in a human in need thereof.
- the method comprises administering to the human an effective amount of a compound of Formula t or a pharmaceutically acceptable salt thereof.
- the present invention provides a method for the treatment of bronchiectasis in a human in need thereof.
- the method comprises administering to the human an effective amount of a compound of Formula I or a pharmaceutically acceptable salt thereof.
- the present invention provides a method for the treatment of emphysema in a human in need thereof.
- the method comprises administering to the human an effective amount of a compound of Formula ! or a pharmaceutically acceptable salt thereof.
- the present invention provides a compound of Formula I or a pharmaceutically acceptable salt thereof for use as a medicament.
- the present invention provides a compound of Formula i or a pharmaceutically acceptable salt thereof for use in the treatment of pulmonary inflammation or bronchoconstriction in a human.
- the present invention provides a compound of Formula ! or a pharmaceutically acceptable salt thereof for use in the treatment of a disease associated with reversible airway obstruction, asthma, COPD, bronchiectasis, or emphysema in a human.
- the present invention provides the use of a compound of Formula I or a pharmaceutically acceptable salt thereof for the manufacture of a medicament for the treatment of pulmonary inflammation or bronchoconstriction in a human,
- the present invention provides the use of a compound of Formula I or a pharmaceutically acceptable salt thereof for the manufacture of a medicament for the treatment of a disease associated with reversible airway obstruction, asthma, COPD, bronchiectasis, or emphysema in a human.
- the present invention provides a composition comprising a compound of Formula I or a pharmaceutically acceptable salt thereof for use in the preparation of a medicament for the treatment of pulmonary inflammation or bronchoconstriction in a human.
- the present invention provides a composition comprising a compound of Formula ! or a pharmaceutically acceptable salt thereof for use in the preparation of a medicament for the treatment of reversible airway obstruction, asthma, COPD, bronchiectasis, or emphysema in a human.
- a compound of the invention means a compound of Formula I, which includes compounds of formula II, and III, or a salt, particularly a pharmaceutically acceptable salt thereof
- a compound of Formula I means a compound having the structural formula designated herein as Formula I, including compounds of Formulas II, and 111.
- Compounds of Formula I include solvates and hydrates as well as any amorphous and crystalline (polymorphic) forms thereof. In those embodiments wherein a compound of Formula I includes one or more chira! centers, the phrase is intended to encompass each individual stereoisomer including optical isomers (enantiomers and diastereomers) and geometric isomers (cis-/trans-isomerism) and mixtures of stereoisomers.
- a compound of Formula (number) means a compound of that formula and solvates and hydrates as well as amorphous and crystalline (polymorphic) forms thereof, and stereoisomers (where compounds include a chiral center) thereof, "alky! as used herein refers to linear or branched hydrocarbon chains containing from 1 to 8 carbon atoms (i.e., C h alky!), unless a different number of atoms is specified. Examples of "alkyl as used herein include but are not limited to methy!
- alkyiene refers to a linear or branched divalent hydrocarbon chain having from 1 to 8 carbon atoms (i.e., C- ⁇ -8 alkyiene), unless a different number of carbon atoms is specified.
- alkyiene as used herein include but are not limited to methylene, 1 ,1 -ethyi (-CH(CH 3 )-), ethylene, propylene (1 ,3- propyl (-CH 2 CH 2 CH 2 -); 1 ,1 -propyl (-CH(CH 2 CH 3 )-), or 1 ,2-propyl (-CH 2 CH(CH 3 )-)) and butyfene (1 ,4-butyl (-CH 2 CH 2 CH 2 CH 2 -)), and the like.
- alkylenes When the compound of Formula I includes more than one alkyiene, the alkylenes may be the same or different.
- alkenyl "alkenyl” " as used herein refers to linear or branched hydrocarbon chains containing from 2 to 8 carbon atoms (i.e., C 2 . 8 aikenyl), unless a different number of atoms is specified, and at least one carbon-carbon double bond.
- alkenyls When the compound of Formula I includes more than one alkenyl, the alkenyls may be the same or different, "alkynyl” as used herein refers to linear or branched hydrocarbon chains containing from 2 to 8 carbon atoms (i.e., C 2 - 8 a'kynyi), unless a different number of atoms is specified, and at least one carbon-carbon triple bond. Examples of aikynyl groups include, but are not limited to, ethynyl (-C ⁇ CH), propargyl (-CH 2 C ⁇ CH), and the like. When the compound of Formula I includes more than one alkynyl, the alkynyls may be the same or different.
- halo or “halogen” are synonymous and refer to fluoro, chloro, bromo, and iodo.
- haloalkyi refers to a linear or branched hydrocarbon chain containing from 1 to 8 carbon atoms, unless a different number of carbon atoms is specified, wherein at least one carbon atom is substituted by 1 , 2 or 3 halogen atoms which may be the same or different and are selected from fluoro, chloro, bromo and iodo. In those instances where the alkyl group does not contain from 1 to 8 carbon atoms, the number of carbon atoms in the haloalkyi is expressed as, for example "haloC 1-4 a!kyr.
- carbbocycle or “carbocyclyl” refers to a saturated (i.e., cycioalkyl), partially unsaturated (e.g., cycioalkeny!, cycloalkadienyi, etc.) or aromatic (i.e., aryl ring) hydrocarbon rings having 3 to 7 carbon atoms as a monocycie, or 7 to 12 carbon atoms as a bicycle, including spiro-fused rings, unless a different number of carbon atoms is specified.
- Monocyclic carbocycles typically have 3 to 6 ring atoms (“C 3-6 carbocycle”), and in one embodiment, 5 or 6 ring atoms (“Cs-gcarbocycle”).
- Bicyclic carbocycles typically have 7 to 12 ring atoms, e.g., arranged as a bicyclo [4,5], [5,5], [5,6] or [6,6] system, or 9 or 10 ring atoms arranged as a bicyclo [5,6] or [6,6] system, or spiro-fused rings.
- Non-limiting examples of monocyclic carbocycles include cyclopropyl, cyclobutyl, cyclopentyi, 1-cyclopent-1- enyl, i-cyclopent-2-enyl, 1-cyclopent-3-enyl, cyclohexyl, 1-cyclohex-1- enyl, 1-cyclohex-2-enyl, 1-cyclohex-3-enyl, and phenyl.
- Non-limiting examples of bicycio carbocycles includes naphthyl, dihydronaphthyl, tetrahydronaphthyl, indenyl, and indanyl. In those embodiments wherein the compound of Formula I includes more than one carbocycle, the carbocycles may be the same or different.
- aryl refers to a subset of carbocycles, namely those mono- and bi-cyclic aromatic hydrocarbon rings having 6 to 12 carbon atoms. Typical aryl groups include, but are not limited to phenyl, naphthyl, and the like. In those embodiments wherein the compound of Formula i includes more than one aryl, the aryls may be the same or different, in one embodiment, aryi refers to phenyl or naphthyl. In one particular embodiment, ary! is phenyl.
- heterocyclycie or “heterocycly!” are synonymous and refer to monocyclic saturated, partially saturated or aromatic rings having 3 to 7 ring atoms wherein 1 , 2, 3 or 4 ring atoms is/are a heteroatom independently selected from N 1 O and S, and fused or bridged bicyclic saturated, partially saturated, aromatic, or aromatic and non-aromatic ⁇ i.e., mixed functionality) rings having 7 to 12 ring atoms wherein 1 , 2, 3 or 4 ring atoms is/are a heteroatom independently selected from N, O and S. in all embodiments therein the heterocycie includes 2 or more heteroatoms (N, O and S) the heteroatoms may be the same or different.
- heterocyclycie refers to saturated, partially unsaturated or aromatic monocyclic ring having 4, 5 or 6 ring atoms wherein 1 , 2 or 3 of the ring atoms is/are a heteroatom independently selected from N, O and S, and saturated, partially unsaturated, aromatic or mixed functionality bicyclic ring system of 9 or 10 ring atoms wherein 1 , 2, 3 or 4 of the ring atoms is/are a heteroatom independently selected from N, O and S.
- the heterocycies may be the same or different.
- heterocycles include but are not limited to pyridyl, dihydropyridyl, piperidyl, thiazolyl, tetrahydrothiophenyl, sulfur oxidized tetrahydrothiophenyl, pyrimidinyl, furanyl, thienyl, pyrrolyl, pyrazolyl, im ⁇ dazolyl, tetrazolyl, benzofuranyl, thianaphthalenyl, indolyl, indolenyl, quinolinyl, isoquinolinyl, benzim ⁇ dazolyl, piperidinyl, 4-piperidonyl, pyrrolidinyl, 2-pyrrolidonyl, pyrrolinyl, tetrahydrofuranyl, tetrahydroquinolinyl, tetrahydroisoquinolinyl, decahydroquinolinyi, octahydroisoquinolin
- heteroaryl refers to a subset of heterocycles, namely monocyclic aromatic rings having 5 to 7 ring atoms wherein 1 , 2 or 3 ring atoms is/are a heteroatom independently selected from N, O and S, and fused or bridged bicyclic aromatic, or mixed functionality rings having 7 to 12 ring atoms wherein 1 , 2, 3 or 4 ring atoms is/are a heteroatom independently selected from N, O and S.
- heteroaryls include all of aromatic heterocycles listed above, and particularly pyridinyl, pyrrolyl, oxazolyl, indolyl, isoindoiyl, purinyl, furanyl, thienyl, benzofuranyl, benzothiophenyl, imidazoly!, thiazolyl, isoxazolyl, pyrazolyl, isothiazolyl, quinolyl, isoquinolyl, pyridazyl, py ⁇ midyl, pyrazyl, etc.
- the heteroaryls may be the same or different, "heterocyclene" refers to a bivalent heterocycle as defined herein.
- heterocyclenes include:
- the heterocyclenes may be the same or different.
- the invention comprises compounds of Formula I: or a pharmaceutically acceptable salt thereof, wherein:
- R 7 is R 6 is H 1 and R 1 is CH 2 -OH, CH 2 -CI,
- R 10 is H or C 1-4 alkyl
- R 15 is a side chain radical of a ⁇ -agonist
- R 19 is H, F, OH or methyl; each R 2 , R 3 , R 4 , and R 5 are independently H, Ci -4 alkyl or halo; R 8 is H, OH, 0(CO)R 9 , or 0(CO)OR 9 ; each R 9 is independently C ⁇ alkyl; R 11 is H or C 1-4 aikyl; R 12 is H, OH, or Ci_ 4 alkyl; or R 11 and R 12 taken together with the carbon to which they are attached form a
- R 13 and R 14 is H, methyl or ethyl and the other is H, C- M oalkyl, C-2-ioalkenyl, C 2 -ioalkynyl, optionally substituted C 3- iocarbocyclyl or optionally substituted 5-6 ring atom heterocycle wherein one or two ring atoms are selected from N, O and S, and wherein said carbocyclyl and said heterocyclyl are each optionally substituted 1 , 2 or 3 times with a substituent selected from halo, Ci- 4 alkyl, and O-Ci -4 alkyl.
- ⁇ -agonist moiety of the compound of Formula I may be bound at the 11- or 21-oxy of the corticosteroid moiety.
- compounds of the invention include compounds of Formula I wherein
- Such compounds may be referred to as compounds of Formula I-A, and are illustrated as follows:
- the compounds of the invention also include compounds of Formula I wherein
- R 7 is R 6 is H, and R 1 is CH 2 -OH, CH 2 -Ci,
- R 1 is S-Ci -4 alkyl or S-haioC-Malkyl, or any subset thereof. In one particular embodiment, R 1 is S-haloCi -4 alkyl, more particularly S-f!uoroCi- 4 alkyI. In one preferred embodiment, R 1 is -S-CH 2 F.
- each of R 2 , R 3 , R 4 , and R 5 are independently H, methyl, F or Cl, or any subset thereof.
- R 2 , R 3 , R 4 , and R 5 are H.
- R 4 and R 5 are H and R 2 and R 3 are H, F, CI or methyl.
- R 4 and R 5 are H, R 2 is H, F or Cl and R 3 is H, F or methyl.
- R 4 and R 5 are H and R 2 and R 3 are H or F.
- R 4 and R 5 are H and R 2 and R 3 are F.
- R 4 and R 5 are H, R 2 is H and R 3 is F or R 2 is F and R 3 is H.
- R 8 is H, OH 1 0(CO)CH 2 CH 3 , 0(CO)OCH 3 , or 0(CO)OCH 2 CH 3 , or any subset thereof.
- R 10 is H. In one particular embodiment R 10 and R 11 are H. In one embodiment R 10 is H and R 11 is methyi.
- R j12 is H, OH, or methyl.
- R 12 is H or methyl, more particularly H.
- R 11 and R 12 taken together with the carbon to which they are attached form a group.
- R 12 and R 8 taken together with the carbons to which they are attached form a 1 ,3-dioxolane ring represented by formula B:
- R 12 and R 8 form a ring represented by formula B
- one of R 13 and R 14 is H, methyl or ethyl and the other is H, d-ioalkyl, C 2- -soaikenyi, C ⁇ -ioaikynyl, optionally substituted C 3 ⁇ ocarbocycle or optionally substituted 5-6 ring atom heterocycle wherein one or two ring atoms are selected from N, O and S, or any subset thereof, wherein the carbocycle and heterocycle are each optionally substituted 1 , 2 or 3 times with a substituent selected from halo, Ci -4 alkyl, and O-C 1 . 4 alk.yl.
- R 12 and R 8 form a ring represented by formula B
- one of R 13 and R 14 is H, methyl or ethy! and the other is H, Ci_i O a!kyl, C 2- ioaIkenyl, C 2 -ioaIkynyl, or optionally substituted C 3-10 carbocycle, wherein the carbocycle is optionally substituted 1 , 2 or 3 times with a substituent selected from halo, C h alky!, and
- one of R 13 and R 14 is H, methyl or ethyl and the other is H, Ci- l oalkyt, or C 3- iocarbocycle, or any subset thereof.
- one of R 13 and R 14 is H, methy! or ethyl and the other is H, C 1-4 alkyl, or C 3-6 cycloalkyl, or any subset thereof, more particularly cyclohexyl.
- one of R 13 and R 14 is H or methyl, more particularly H, and the other is H, C ⁇ aikyi, or Cs-ecycloalkyl, or any subset thereof, more particularly cyclohexyl.
- R 13 and R 14 are each methyl.
- R 13 is H and R 14 is propyl.
- R 13 is H and R 14 is cyclohexyl.
- the corticosteroid moiety is or , or any subset thereof.
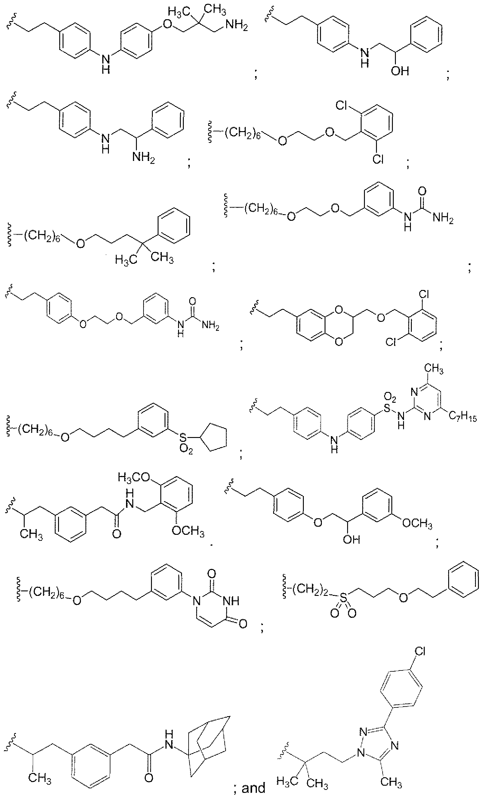
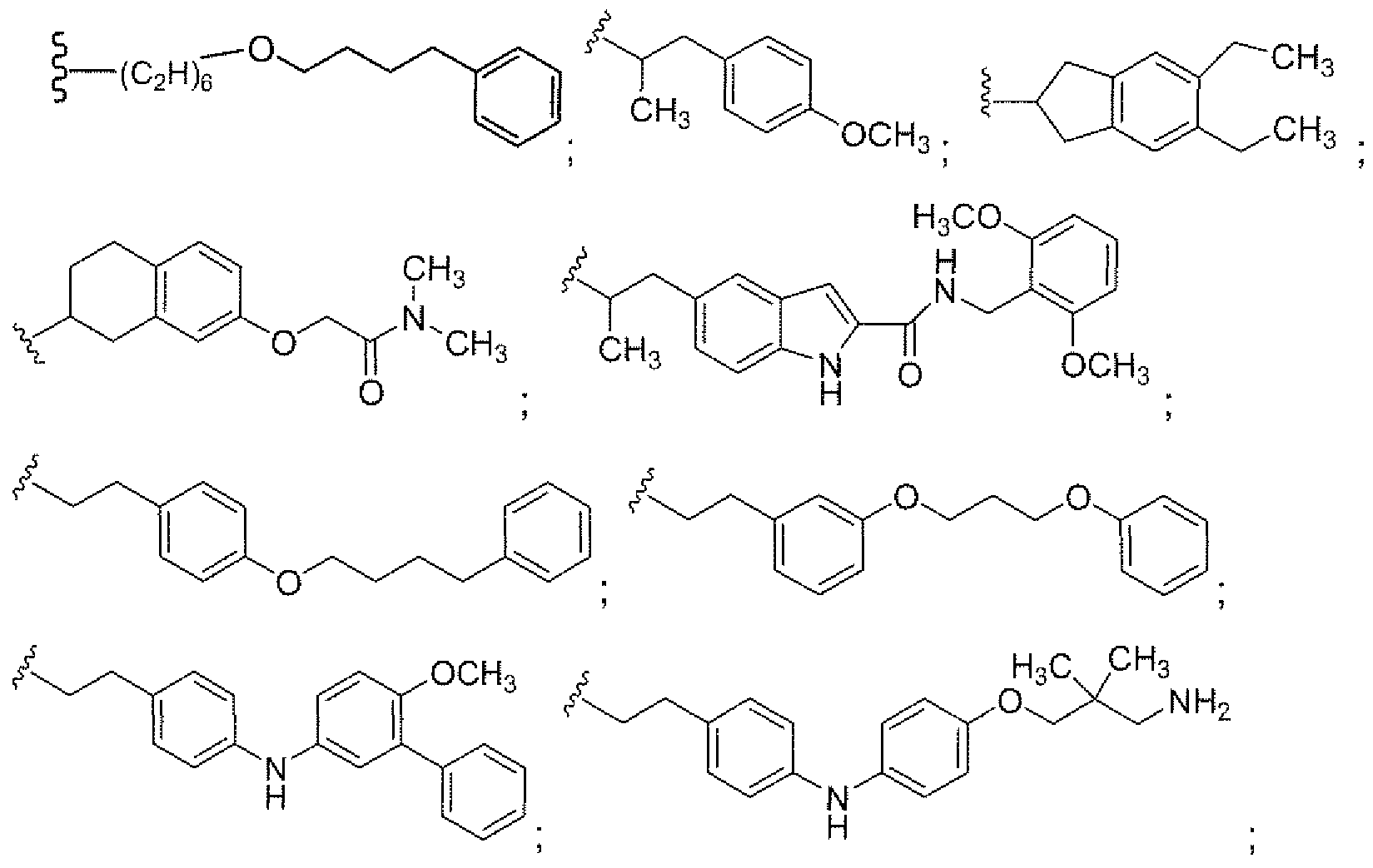
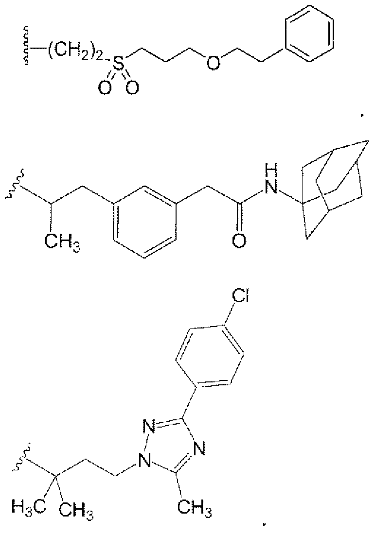
- ⁇ -agonists from which the side chain radical R 15 may be derived include but are not limited to the following compounds:
- R 15 is d-Cealkyl
- C 6 ⁇ C t ocarbocycle optionally substituted 1 or 2 times with halo, C 1 - C 4 alkyl, O-CrC 4 alkyl, O-(CH 2 ) 4 -NH 2 , 0- ⁇ CH 2 ) 4 -N(H)C 1-4 alkyl ! O-(CH 2 )4-N(C 1 . 4 aikyl) 2 , O-C 1-4 afkyl-C(O)-NH 2 ,
- alkylene-Ph 1 -O-R 21 -Ph 4 iii: C 2-3 alkylene-Ph 1 -N(H)-R 22 -Ph 2 ; iv: C 2-3 aikylene-Het-(R 23 )-Ph 3 ; v: C 2-3 alkylene-Ph 1 -Co- 2 a ⁇ kylene-C(O)N(H)-C 1-4 alkyiene-Ph 3 ; vi: C 2-3 alkylene-Ph 3 ; vii: C 2 - 3 alkylene-S(0) 2 -C 2 .
- R 21 is C 2- 6 alkylene wherein one carbon of said alkylene is optionally replaced by O; Ph 4 is phenyl optionally substituted 1 or 2 times by halo,
- Ph 1 is phenylene
- R 22 is a bond or Ci -2 alkylene optionally substituted once by OH or NH 2 ; Ph 2 is phenyl optionally substituted 1 or 2 times by O-methyl,
- Het is 4-10 ring atom heterocyclene wherein 1 , 2 or 3 ring atoms is/are N, O or S (e.g., indolene or benzodioxolene);
- R 23 is a C- 2 -C 4 alkylene wherein one carbon of said alkylene is optionally replaced by O or -C 0 - 2 aikyiene-C(O)N(H)-C 2-4 alkylene; and
- Ph 3 is phenyl optionally substituted 1 or 2 times by halo or O- rnethyl.
- R 15 is Ci -6 alkyl. More particularly R 15 is C ⁇ alkyl. In one preferred embodiment, R 15 is isopropyl or t-butyl.
- R 15 is Cg--I ocarbocycle optionally substituted 1 or 2 times with C 1-4 alkyl, O-C 1-4 alkyl, or O-Ci -4 alkyl-C(O)-NH 2 , or any subset thereof.
- R 15 is Cg.-i ⁇ carbocycle optionally substituted 1 or 2 times with C 1-4 alkyl, O-Ci» 4 alkyl, or O-Ci. 4 aikyl-C(O)-NH 2> or any subset thereof.
- R 15 is
- R 15 is a group represented by formula i:
- R 15 is a group represented by formula i and R 21 is C 4 alkylene.
- R 15 is a group represented by formula i and R 21 is C 4 afkylene and Ph 4 is phenyl, particularly unsubstituted phenyl.
- R 15 is - ⁇ CH 2 ) 6 ⁇ (CH 2 ) 4 -pheny!, i.e.,
- R is a group represented by formula i and R is C 4 alkylene wherein one C is replaced by O; more particularly, R 21 is -(CH 2 J 2 -O-CH 2 -. in one particular embodiment R 21 is -(CH 2 J 2 -O-CH 2 - and Ph 4 is phenyl optionally substituted 1 or 2 times with halo, particularly Cl, or 1 time with -N(H)-C(O)-NH 2 .
- R 15 is a group represented by formula ii: C 2-3 alkylene-Ph 1 -O-R 21 -Ph 4 .
- R 15 is a group represented by formula ii and R 21 is C 4 alkylene wherein one C is optionally replaced by O and Ph 4 is unsubstituted phenyl.
- R 15 is a group represented by formula ii and R 21 is -(CH 2 J 4 - or -(CH 2 ⁇ -O-CH 2 - and Ph 4 is unsubstituted phenyl.
- R 15 is a group represented by formula iii: C 2-3 alkylene-Ph 1 -N(H)-R 22 -Ph 2 .
- R 15 is a group represented by formula iii and R 22 is a bond or C 2 alkylene substituted once by OH or NH.
- R 15 is a group represented by formula iii, R 22 is a bond and Ph 2 is phenyl substituted by O-methyl and unsubstituted phenyl or Ph 2 is phenyl substituted by -OCH 2 CH(CH 3 ) 2 CH 2 NH 2.
- R 15 is a group represented by formula iii, R 22 is C 2a ⁇ k ylene substituted once by OH or NH, and Ph 2 is unsubstituted phenyl.
- R 15 is a group represented by formula iv: C 2-3 alkylene-Het-(R 23 )-Ph 3 .
- R 15 is a group represented by formula iv and Het is a 9 or 10 ring atom heterocyclene wherein 1 or 2 ring atoms is N, O or S.
- R 16 is a group represented by formula iv and Het is indolene or benzodioxolene.
- R 15 is a group represented by formula iv and R 23 is -CH 2 -O-CH 2 - or -C(O)N(H)-CH 2 -.
- R 15 is a group represented by formula iv and Ph 3 is unsubstituted phenyl, phenyl substituted twice by halo (particularly CI) or O-methyl, or any subset thereof.
- R 15 is a group represented by formula v: C 2-3 a!kylene-Ph 1 -C 0 -C 2 alky!ene-C(O)N(H)-C 1-4 alky!ene-Ph 3 .
- R 15 is a group represented by formula v and Ph 3 is phenyl substituted twice by halo (particularly Cl) or O-methyl.
- R 15 is C 2-3 aikylene-Ph 1 -CH 2 -C(O)N(H)-CH 2 -Ph 3 .
- R 15 is a group represented by formula vi: C 2 - 3 alkylene-Ph 3 . in one embodiment, R 15 is a group represented by formula vi and Ph 3 is phenyl substituted once by O-methyl.
- R 15 is a group represented by formuia vii: C 2 - 3 alkylene-S(O) 2 -C 2 - 4 alkylene ⁇ O » C2- 4 alkylene-Ph 3 .
- R 15 is a group represented by formula vii and Ph 3 is unsubstituted phenyl
- R 15 is a group represented by formula viii: C 3- 6alky!ene-Ph 1 -Co -2 a[kylene-C(0)N(H)-Cio-i2 bicyclic carbocycle. In one embodiment, R 15 is a group represented by formuia viii-a: (branched) C 3 alky!ene-Ph 1 -CH 2 C(O)N(H)-adamanty!.
- R 15 is a group represented by formula ix: C 3-6 alkylene-Het-Ph 4 .
- R 15 is a group represented by formula ix wherein Het is a 5 or 6 ring atom heterocyciene wherein 1 , 2 or 3 atoms are N and the remaining atoms are C, wherein said heterocyciene is optionally substituted once by methyl and Ph 4 is halo-substituted, particularly Cl-su bstituted phenyl.
- R 15 is selected from:
- R 15 is selected from t-butyl, isopropyl,
- R 15 is
- R 15 is In one preferred embodiment, R 15 is
- R in one preferred embodiment, R 15 is
- R 15 is
- R 15 is
- R )16 is H or methyl. In one preferred embodiment, R 16 is H
- R 19 is OH.
- the invention provides compounds of Formula II:
- the invention provides compounds of Formula III:
- R 20 is ethyl or furanyl and all other variables are as defined above, including all embodiments of each variable as described hereinabove.
- Specific embodiments, including particular and preferred embodiments of R 15 are as described above for compounds of Formula I. For the sake of brevity, the disclosure of those embodiments, including particular and preferred embodiments is not repeated. Any of the previously disclosed embodiments, particular embodiments and preferred embodiments of R 15 are contemplated for combination in any of the foregoing Formula.
- the compounds of Formula I may be in the form of a sait, particularly a pharmaceutically acceptable salt.
- pharmaceutically acceptable salts of the compounds of the Formula I include salts derived from an appropriate base, such as an alkali metal or an alkaiine earth (for example,
- salts of a nitrogen atom or an amino group include (a) acid addition salts formed with inorganic acids, for example, hydrochloric acid, hydrobromic acid, sulfuric acid, sulfamic acids, phosphoric acid, nitric acid and the like; (b) salts formed with organic acids such as, for example, acetic acid, oxalic acid, tartaric acid, succinic acid, maleic acid, fumaric acid, gluconic acid, citric acid, malic acid, ascorbic acid, benzoic acid, isethionic acid, lactobionic acid, tannic acid, palmitic acid, alginic acid, polygiutamic acid, naphthalenesulfonic acid, methanesulfonic acid, p- toluenesulfonic acid, benz
- salts of active ingredients of the compounds of Formula I will be pharmaceutically acceptable, i.e. they will be salts derived from a pharmaceutically acceptable acid or base.
- salts of acids or bases which are not pharmaceutically acceptable may also find use, for example, in the preparation or purification of a pharmaceutically acceptable compound. All salts, whether or not derived from a pharmaceutically acceptable acid or base, are within the scope of the present invention.
- compositions herein comprise compounds of the invention in their un-ionized, as well as zwitterionic form, and combinations with stoichiometric amounts of water as in hydrates.
- chiral refers to molecules which have the property of non- superimposability of the mirror image partner, while the term “achiral” refers to molecules which are superimposable on their mirror image partner.
- stereoisomers refers to compounds which have identical chemical constitution, but differ with regard to the arrangement of the atoms or groups in space.
- Diastereomer refers to a stereoisomer with two or more centers of chirality and whose molecules are not mirror images of one another. Diastereomers have different physical properties, e.g. melting points, boiling points, spectral properties, and reactivities. Mixtures of diastereomers may separate under high resolution analytical procedures such as electrophoresis and chromatography.
- Enantiomers refer to two stereoisomers of a compound which are non- superimposable mirror images of one another.
- optically active forms i.e., they have the ability to rotate the plane of plane-polarized light.
- D and L or R and S are used to denote the absolute configuration of the molecule about its chira! center(s).
- a specific stereoisomer may also be referred to as an enantiomer, and a mixture of such isomers is often called an enantiomeric mixture.
- a 50:50 mixture of enantiomers is referred to as a racemic mixture or a racemate, which may occur where there has been no stereoselection or stereospecificity in a chemical reaction or process.
- racemic mixture and “racemate” refer to an equimolar mixture of two enantiomeric species. It is to be noted that all enantiomers, diastereomers, and racemic mixtures, tautomers, polymorphs, pseudopoiymorphs of compounds within the scope of Formula I and pharmaceutically acceptable salts thereof are embraced by the present invention. All mixtures of such enantiomers and diastereomers, including enantiomerically enriched mixtures and diastereomericaliy enriched mixtures are within the scope of the present invention. Enantionmerically enriched mixtures are mixtures of enantiomers wherein the ratio of the specified enantiomer to the alternative enantiomer is greater than 50:50.
- an enantiomerically enriched mixture comprises at least about 75% of the specified enantiomer, and preferably at least about 85% of the specified enantiomer. In one embodiment, the enantiomerically enriched mixture is substantially free of the other enantiomer.
- diastereomericaliy enriched mixtures are mixtures of diastereomers wherein amount of the specified diastereomer is greater than the amount of each alternative diastereomer. More particularly, a diastereomericaliy enriched mixture comprises at least about 75% of the specified diastereomer, and preferably at least about 85% of the specified diastereomer. In one embodiment, the diastereomericaliy enriched mixture is substantially free of all other diastereomers.
- the present invention provides an enantiomericaily enriched mixture comprising
- the present invention provides an enantiomerically enriched mixture comprising
- a compound of Formula I and pharmaceutically acceptable salts thereof may exist as different polymorphs or pseudopolymorphs.
- crystalline polymorphism means the ability of a crystalline compound to exist in different crystal structures.
- the crystalline polymorphism may result from differences in crystal packing (packing polymorphism) or differences in packing between different conformers of the same molecule (conformational polymorphism).
- crystalline pseudopolymorphism also includes the ability of a hydrate or solvate of a compound to exist in different crystal structures.
- the pseudopolymorphs of the instant invention may exist due to differences in crystal packing (packing pseudopolymorphism) or due to differences in packing between different conformers of the same molecule (conformational pseudopolymorphism).
- the instant invention comprises all polymorphs and pseudopolymorphs of the compounds of Formula I and pharmaceutically acceptable salts thereof.
- a compound of Formula I and pharmaceutically acceptable salts thereof may also exist as an amorphous solid.
- an amorphous solid is a solid in which there is no long-range order of the positions of the atoms in the solid. This definition applies as well when the crystal size is two nanometers or less.
- Additives, including solvents, may be used to create the amorphous forms of the instant invention.
- the instant invention comprises all amorphous forms of the compounds of Formula I and pharmaceutically acceptable salts thereof.
- the compounds of the invention are useful as a medicament and more particularly, are useful for the treatment of clinical conditions for which a corticosteroid and/or selective ⁇ -agonists, and particularly ⁇ 2 -agonists, are indicated.
- Such conditions may involve pulmonary inflammation and/or bronchoconstriction, and include diseases associated with reversible or irreversible airway obstruction. More particularly, such conditions include asthma, chronic obstructive pulmonary diseases (COPD), chronic bronchitis, bronchiectasis, emphysema, respiratory tract infection and upper respiratory tract diseases (e.g., rhinitis, including seasonal and allergic rhinitis).
- COPD chronic obstructive pulmonary diseases
- COPD chronic bronchitis
- bronchiectasis bronchiectasis
- emphysema respiratory tract infection
- upper respiratory tract diseases e.g., rhinitis, including seasonal and allergic rhinitis.
- the present invention provides a method for the treatment of a condition in a mammal, such as a human, for which a corticosteroid and/or ⁇ -agonist is indicated.
- treating refers to reversing, alleviating, inhibiting the progress of, or preventing the disorder or condition or one or more symptoms of such disorder or condition.
- All therapeutic methods described herein are carried out by administering an effective amount of a compound of the invention, i.e., a compound of Formula I or a pharmaceutically acceptable salt thereof, to a subject (typically mammal and preferably human) in need of treatment.
- a subject typically mammal and preferably human
- the invention provides a method for the treatment of pulmonary inflammation and bronchoconstriction in a mammal, particularly a human, in need thereof.
- the present invention provides a method for the treatment of a condition associated with reversible airway obstruction in a mammal, particularly a human in need thereof.
- the invention provides a method for the treatment of asthma in a mammal, particularly a human, in need thereof.
- the invention provides a method for the treatment of chronic obstructive pulmonary disease in a mammal, particularly a human, in need thereof.
- the invention provides a method for the treatment of bronchitis, including chronic bronchitis in a mammal, particularly a human, in need thereof, in one embodiment the invention provides a method for the treatment of bronchiectasis in a mammal, particularly a human, in need thereof, in one embodiment the invention provides a method for the treatment of emphysema in a mammal, particularly a human in need thereof.
- the invention provides a method for the treatment of a respiratory tract infection or upper respiratory tract disease in a mammal, particularly a human in need thereof.
- a compound of the invention for use in medical therapy, particularly for use in the treatment of condition in a mammal, such as a human, for which a corticosteroid and/or ⁇ -agonist is indicated.
- Ail therapeutic uses described herein are carried out by administering an effective amount of a compound of the invention to the subject in need of treatment.
- a compound of the invention for use in the treatment of pulmonary inflammation and bronchoconstriction in a mammal, particularly a human, in need thereof.
- a compound of the invention for use in the treatment of a condition associated with reversible airway obstruction in a mammal, particularly a human in need thereof.
- a compound of the invention for use in the treatment of asthma in a mammal, particularly a human, in need thereof.
- a compound of the invention for use in the treatment of chronic obstructive pulmonary disease in a mammal, particularly a human, in need thereof in need thereof.
- a compound for use in the treatment of bronchitis including chronic bronchitis in a mammal, particularly a human, in need thereof.
- a compound for use in the treatment of emphysema in a mammal, particularly a human in need thereof In one embodiment there is provided a compound of the invention for use in the treatment of a respiratory tract infection or upper respiratory tract disease in a mammal, particularly a human, in need thereof.
- the present invention also provides the use of a compound of the invention in the manufacture of a medicament for the treatment of a condition in a mamma!, such as a human, for which a corticosteroid and/or ⁇ -agonist is indicated.
- a compound of the invention in the manufacture of a medicament for the treatment of pulmonary inflammation and bronchoconstriction in a mammal, particularly a human, in need thereof.
- a compound of the invention in the manufacture of a medicament for the treatment of a condition associated with reversible airway obstruction in a mammal, particularly a human in need thereof, In one embodiment is provided a compound of the invention in the manufacture of a medicament for the treatment of asthma in a mammal, particularly a human, in need thereof. In one embodiment is provided the use of a compound of the invention in the manufacture of a medicament for the treatment of chronic obstructive pulmonary disease in a mammal, particularly a human, in need thereof.
- a compound of the invention in the manufacture of a medicament for the treatment of bronchitis, including chronic bronchitis in a mammal, particularly a human, in need thereof.
- a compound of the invention in the manufacture of a medicament for the treatment of bronchiectasis in a mammal, particularly a human, in need thereof.
- a compound of the invention for the manufacture of a medicament for the treatment of emphysema in a mammal, particularly a human in need thereof.
- a compound of the invention for the manufacture of a medicament for the treatment of a respiratory tract infection or upper respiratory tract disease in a mammal, particularly a human in need thereof.
- an effective amount is an amount of compound of the invention which is sufficient in the subject to which it is administered, to elicit the biological or medical response of a ceil culture, tissue, system, mammal (including human) that is being sought, for instance by a researcher or clinician.
- the term also includes within its scope, amounts effective to enhance normal physiological function.
- the effective amount is the amount needed to provide a desired level of drug in the secretions and tissues of the airways and lungs, or alternatively, in the bloodstream of a subject to be treated to give an anticipated physiological response or desired biological effect when such a composition is administered by inhalation.
- an effective amount of a compound of the invention for the treatment of a condition for which a corticosteroid and/or ⁇ -agonist is indicated is sufficient in the subject to which it is administered to treat the particular condition.
- an effective amount is an amount of a compound of the invention which is sufficient for the treatment of asthma, or COPD in a human.
- the precise effective amount of the compounds of the invention will depend on a number of factors including but not limited to the species, age and weight of the subject being treated, the precise condition requiring treatment and its severity, the bioavailability, potency, and other properties of the specific compound being administered, the nature of the formulation, the route of administration, and the delivery device, and will ultimately be at the discretion of the attendant physician or veterinarian.
- An estimated dose (for inhalation) of a compound of the invention for treatment of a 70 kg human may be in the range of from about 10 to about 5000 ⁇ g.
- the selection of the specific dose for a patient will be determined by the attendant physician, clinician or veterinarian of ordinary skill in the art based upon a number of factors including those noted above.
- the dose of a compound of the invention for the treatment of a 70 kg human will be in the range of from about 50 to about 2500 ⁇ g.
- the dose of a compound of the invention for the treatment of a 70 kg human will be in the range of from about 100 to about 1000 ⁇ g. Doses may be adjusted if the compound is administered via a different route.
- Delivery of an effective amount of a compound of the invention may entail delivery of a single dosage form or multiple unit doses which may be delivered contemporaneously or separate in time over a designated period, such as 24 hours.
- a compound of the invention (alone or in the form of a composition comprising the same) will be administered four, three, two, or most preferably once per day (24 hours).
- the invention provides compositions, and particularly pharmaceutical compositions (such as an inhalable pharmaceutical composition) comprising a compound of the invention as an active ingredient and a pharmaceutically acceptable excipient, diluent or carrier.
- active ingredient refers to any of a compound of Formula I, II, or II! or a pharmaceutically acceptable salt of any of the foregoing.
- the composition is a novel, efficacious, safe, nonirritating and physiologically compatible inhalable composition comprising the active ingredient.
- the composition is preferably suitable for treating asthma, bronchitis, or COPD.
- compositions according to the invention include those suitable for oral administration; parenteral administration, including subcutaneous, intradermal, intramuscular, intravenous and intraarticular; and administration to the respiratory tract, including the nasal cavities and sinuses, oral and extrathoracic airways, and the lungs, including by use of aerosols which may be delivered by means of various types of dry powder inhalers, pressurized metered dose inhalers, softmist inhalers, nebulizers, or insufflators.
- the most suitable route of administration may depend upon, several factors including the patient and the condition or disorder being treated.
- the formulations may be presented in unit dosage form or in bulk form as for example in the case of formulations to be metered by an inhaler and may be prepared by any of the methods well known in the art of pharmacy. All methods include the step of bringing the active ingredient into association with the carrier, diluent or excipient and optionally one or more accessory ingredients. In general the formulations are prepared by uniformly and intimately bringing into association the active ingredient with one or more liquid carriers, diluents or excipients or finely divided solid carriers, diluents or excipients, or both, and then, if necessary, shaping the product into the desired formulation.
- the composition is an inhalable pharmaceutical composition which is suitable for inhalation and delivery to the endobronchial space.
- such composition is in the form of an aerosol comprising particles for delivery using a nebulizer, pressurized metered dose inhaler (pMDI), softmist inhaler, or dry powder inhaler (DPI).
- pMDI pressurized metered dose inhaler
- DPI dry powder inhaler
- Aerosols used to administer medicaments to the respiratory tract are typically polydisperse, that is they are comprised of particles of many different sizes.
- the particle size distribution is typically described by the Mass Median Aerodynamic Diameter (MMAD) and the Geometric Standard Deviation (GSD).
- MMAD Mass Median Aerodynamic Diameter
- GSD Geometric Standard Deviation
- Aerosols having a MMAD above 10 ⁇ m are generally too large when inhaled to reach the lungs. Aerosols with a GSD greater than about 3 are not preferred for lung delivery as they deliver a high percentage of the medicament to the oral cavity.
- the particles of the active ingredient as produced may be size reduced using conventional techniques such as micronisation.
- processes or techniques that can be used to produce respirabie particles include spray drying, precipitation, supercritical fluid, and freeze drying.
- the desired fraction may be separated out by air classification or sieving.
- the particles will be crystalline.
- Aerosoi particle size distributions are determined using devices well known in the art. For example a multi-stage Anderson cascade impactor or other suitable method such as those specifically cited within the US Pharmacopoeia Chapter 601 as characterizing devices for aerosols emitted from metered-dose and dry powder inhalers.
- Dry powder compositions for topical delivery to the lung by inhalation contain a mix of the active ingredient and a suitable powder base (carrier/diluent/excipient substance) such as mono-, di- or poly-saccharides (e.g., lactose or starch). Lactose is typically preferred. When a solid excipient such as lactose is employed, generally the particle size of the excipient will be much greater than the active ingredient to aid the dispersion of the formulation in the inhaler.
- carrier/diluent/excipient substance such as mono-, di- or poly-saccharides (e.g., lactose or starch). Lactose is typically preferred.
- lactose lactose
- the particle size of the excipient will be much greater than the active ingredient to aid the dispersion of the formulation in the inhaler.
- Non-limiting examples of dry powder inhalers include reservoir multi-dose inhalers and pre-metered multi-dose inhalers.
- a reservoir inhaler contains a large number of doses (e.g. 60) in one container.
- the patient actuates the inhaler which causes the inhaler to meter one dose of medicament from the reservoir and prepare it for inhalation.
- a pre-metered multi-dose inhaler each individual dose has been manufactured in a separate container, and actuation of the inhaier prior to inhalation causes a new dose of drug to be released from its container and prepared for inhalation.
- the inspiratory flow of the patient accelerates the powder out of the device and into the oral cavity.
- a compound of the invention is delivered as a dry powder using a dry powder inhaler wherein the particles emitted from the inhaler have an MMAD in the range of about 1 ⁇ r ⁇ to about 5 ⁇ m and a GSD about less than 2.
- dry powder inhalers and dry powder dispersion devices for use in the delivery of compounds and compositions according to the present invention include but are not limited to those disclosed in US7520278; US7322354; US7246617; US7231920; US7219665; US7207330; US6880555; US5,522,385; US6845772; US6637431 ; US6329034; US5,458,135; US4.805.811.
- the pharmaceutical formulation according to the invention is a dry powder for inhalation which is formulated for delivery by a Diskus®-type device.
- the Diskus® device comprises an eiongate strip formed from a base sheet having a plurality of recesses spaced along its length and a lid sheet hermetically but peelably sealed thereto to define a plurality of containers, each container having therein an inhalable formulation containing a predetermined amount active ingredient either alone or in admixture with one or more carriers or excipients (e.g., lactose) and/or other therapeutically active agents.
- the strip is sufficiently flexible to be wound into a roll.
- the Nd sheet and base sheet will preferably have leading end portions which are not sealed to one another and at least one of the leading end portions is constructed to be attached to a winding means. Also, preferably the hermetic seal between the base and lid sheets extends over their whole width.
- the lid sheet may preferably be peeled from the base sheet in a longitudinal direction from a first end of the base sheet.
- the pharmaceutical formulation according to the invention is a dry powder for inhalation wherein the dry powder is formulated into microparticles as described in PCT Publication No. WO2009/015286 or WO2007/114881 , both to NexBio.
- microparticles are generally formed by adding a counterion to a solution containing a compound of the invention in a solvent, adding an antisolvent to the solution; and gradually cooling the solution to a temperature below about 25 0 C, to form a composition containing microparticles comprising the compound.
- the microparticles comprising the compound may then be separated from the solution by any suitable means such as sedimentation, filtration or lyophilization.
- suitable counterions, solvents and antisolvents for preparing microparticles of the compounds of the invention are described in WO2009/015286.
- Spray compositions for topical delivery to the endobronchial space or lung by inhalation may for example be formulated as aqueous solutions or suspensions or as aerosols delivered from pressurized packs, such as metered dose inhalers, with the use of suitable liquefied propellants, softmist inhalers, or nebulizers.
- aerosol compositions suitable for inhalation can be either a suspension or a solution and generally contain the active ingredient together with a pharmaceutically acceptable carrier or diluent (e.g., water, saline, or ethanol) and optionally one or more therapeutically active agents.
- Aerosol compositions for delivery by pressurized metered dose inhalers typically further comprise a pharmaceutically acceptable propellant.
- propellants include fluorocarbon or hydrogen-containing chforofluorocarbon or mixtures thereof, particularly hydroffuoroalkanes, e.g., dichlorodifluoromethane, trichlorofluoromethane, dichJorotetrafluoroethane, especially 1 ,1 ,1 ,2-tetraf!uoroethane, 1 ,1 ,1 ,2,3,3,3,-heptafluoro-n-propane or a mixture thereof.
- the aerosol composition may be excipient free or may optionally contain additional formulation excipients well known in the art such as surfactants e.g., oleic acid or lecithin and cosolvents e.g., ethanol.
- additional formulation excipients well known in the art such as surfactants e.g., oleic acid or lecithin and cosolvents e.g., ethanol.
- Pressurized formulations will generally be retained in a canister (e.g., an aluminum canister) closed with a valve (e.g., a metering valve) and fitted into an actuator provided with a mouthpiece.
- a pharmaceutical composition according to the invention is delivered as a dry powder using a metered dose inhaler.
- metered dose inhalers and devices include those disclosed in US5,261 ,538; US5,544,647; US5,622,163; US4,955,371 ; US3,565,070; US3,361306 and US6.116,234.
- a compound of the invention is delivered as a dry powder using a metered dose inhaler wherein the emitted particles have an MMAD that is in the range of about 1 ⁇ m to about 5 ⁇ m and a GSD that is less than about 2.
- a pharmaceutical composition comprising an effective amount of a compound of the invention in a dosage form suitable for delivery via a nebulizer, metered dose inhaler, or dry powder inhaler.
- a pharmaceutical composition comprising an effective amount of a compound of the invention in a dosage form suitable for aerosolization by metered-dose inhaler; or jet, ultrasonic, or vibrating porous plate nebulizer.
- Such liquid inhalable solutions for nebulization may be generated by solubilizing or reconstituting a solid particle formulation or may be formuiated with an aqueous vehicle with the addition of agents such as acid or alkali, buffer salts, and isotonicity adjusting agents. They may be sterilized by in process techniques such as filtration, or terminal processes such as heating in an autoclave or gamma irradiation. They may also be presented in non-sterile form.
- Such formulations may be administered using commercially available nebulizers or other atomizer that can break the formulation into particles or droplets suitable for deposition in the nasal cavities or respiratory tract.
- nebuiizers which may be employed for the aerosol delivery of a composition of the invention include pneumatic jet nebulizers, vented or breath enhanced jet nebulizers, or ultrasonic nebulizers including static or vibrating porous plate nebulizers,
- a jet nebulizer utilizes a high velocity stream of air blasting up through a column of water to generate droplets. Particles unsuitable for inhalation impact on walls or aerodynamic baffles.
- a vented or breath enhanced nebulizer works the same as a jet nebulizer except that inhaled air passes through the primary droplet generation area to increase the output rate of the nebulizer while the patient inhales.
- vibration of a piezoelectric crystal creates surface instabilities in the drug reservoir that cause droplets to be formed
- porous plate nebulizers pressure fields generated by sonic energy force liquid through the mesh pores where it breaks into droplets by Rayleigh breakup.
- the sonic energy may be supplied by a vibrating horn or plate driven by a piezoelectric crystal, or by the mesh itself vibrating.
- Non-iimiting examples of atomizers include any single or twin fluid atomizer or nozzle that produces droplets of an appropriate size.
- a single fluid atomizer works by forcing a liquid through one or more holes, where the jet of liquid breaks up into droplets.
- Twin fluid atomizers work by either forcing both a gas and liquid through one or more holes, or by impinging a jet of liquid against another jet of either liquid or gas.
- the nebulizer which aerosolizes the formulation of the active ingredient is important in the administration of the active ingredient.
- Different nebulizers have differing efficiencies based their design and operation principle and are sensitive to the physical and chemical properties of the formulation. For example, two formulations with different surface tensions may have different particle size distributions. Additionally, formulation properties such as phi, osmolality, and permeant ion content can affect tolerability of the medication, so preferred embodiments conform to certain ranges of these properties.
- the formulation for nebulization is delivered to the endobronchial space as an aerosol having an MMAD between about 1 ⁇ m and about 5 ⁇ m and a GSD less than 2 using an appropriate nebulizer.
- the aerosol should not have a MMAD greater than about 5 ⁇ m and should not have a GSD greater than about 2. If an aerosol has an MIvIAD larger than about 5 ⁇ m or a GSD greater than about 2, a large percentage of the dose may be deposited in the upper airways decreasing the amount of drug delivered to the site of inflammation and bronchoconstriction in the lower respiratory tract. If the MMAD of the aerosol is smaller than about 1 ⁇ m. then the particles may remain suspended in the inhaled air and may then be exhaled during expiration.
- Formulations suitable for oral administration may be presented as discrete units such as capsules, cachets or tablets, each containing a predetermined amount of the active ingredient; as a powder or granules; as a solution or suspension in an aqueous liquid or a non-aqueous liquid; or as an oil-in-water liquid emulsion or a water-in-oil liquid emulsion.
- the active ingredient may also be presented as a sachet, bolus, electuary or paste.
- a tablet may be made by compression or molding, optionally with one or more accessory ingredients.
- Compressed tablets may be prepared by compressing in a suitable machine the active ingredient in a free-flowing form such as a powder or granules, optionally mixed with a binders, lubricant, inert diluent, surface active or dispersing agent. Molded tablets may be made by molding in a suitable machine a mixture of the powdered compound moistened with an inert liquid diluent. The tablets may optionally be coated or scored and may be formulated so as to provide slow or controlled release of the active ingredient therein.
- a suitable machine such as a powder or granules, optionally mixed with a binders, lubricant, inert diluent, surface active or dispersing agent.
- Molded tablets may be made by molding in a suitable machine a mixture of the powdered compound moistened with an inert liquid diluent.
- the tablets may optionally be coated or scored and may be formulated so as to provide slow or controlled release of the active ingredient
- Formulations for topical administration in the mouth include lozenges, comprising the active ingredient in a flavored base such as sucrose and acacia or tragacanth, and pastilles comprising the active ingredient in a base such as gelatin and glycerin or sucrose and acacia.
- Formulations for parenteral administration include aqueous and non-aqueous sterile injection solutions which may contain anti-oxidants, buffers, bacteriostats and solutes which render the formulation isotonic with the blood of the intended recipient; and aqueous and non-aqueous sterile suspensions which may include suspending agents and thickening agents.
- the formulations may be presented in unit-dose or multi-dose containers, for example sealed ampoules and vials, and may be stored in a freeze-dried (lyophilized) condition requiring only the addition of the sterile liquid carrier, for example saline or water-for- injection, immediateiy prior to use.
- sterile liquid carrier for example saline or water-for- injection, immediateiy prior to use.
- Extemporaneous injection solutions and suspensions may be prepared from sterile powders, granules and tablets of the kind previously described.
- the aerosolizable formulation of a compound of the invention delivers an effective amount of the compound ranging from about 1 to about 5000 ⁇ g to the lungs wherein the composition produces plasma concentrations of the ⁇ -agonist and/or corticosteroid of less than about 10 nanograms/mL one hour after administration of said composition.
- the plasma concentrations of the ⁇ - agonist and/or corticosteroid produced are less than about 5 nanograms/mL one hour after administration of the composition.
- the plasma concentrations of the ⁇ -agonist and/or corticosteroid produced are iess than about 2 nanograms/mL one hour after administration of the composition.
- the invention provides a method of treating pulmonary inflammation and bronchoconstriction comprising treating a subject in need thereof with an effective amount of an inhaiable pharmaceutical composition of a compound of the invention wherein the inhaiable pharmaceutical composition produces plasma concentrations of the ⁇ -agonist and/or corticosteroid comprising the compound of the invention of less than 10 nanograms/mL one hour after administration of said composition.
- the plasma concentrations of the ⁇ -agonist and/or corticosteroid produced are less than about 5 nanograms/mL one hour after administration of said formulation.
- the plasma concentrations of the ⁇ -agonist and/or corticosteroid produced are less than about 2 nanograms/mL one hour after administration of said formulation.
- the invention provides a method of treating asthma, COPD, bronchitis, bronchiectasis, emphysema or rhinitis in a human subject asthma, bronchitis or COPD comprising treating a the subject with an effective amount of a inhaiable pharmaceutical composition of a compound of the invention wherein the inhaiable pharmaceutical composition produces plasma concentrations of the ⁇ -agontst and/or corticosteroid of less than 10 nanograms/mL one hour after administration of said composition.
- the plasma concentrations of the ⁇ - agonist and/or corticosteroid produced are iess than about 5 nanograms/mL one hour after administration of said formulation, in a particularly preferred embodiment of the method, the plasma concentrations of the ⁇ -agonist and/or corticosteroid produced are less than about 2 nanograms/mL one hour after administration of said formulation.
- Preferred unit dosage formuiations for the compounds of the invention are those containing an effective amount of the active ingredient or an appropriate fraction thereof.
- the formuiations of this invention may include other agents conventional in the art having regard to the type of formulation in question for example those suitable for oral administration may include flavoring agents.
- the compounds of the invention may be formulated and/or used in combination with other therapeutically active agents.
- therapeutically active agents which may be formulated or used in combination with the compounds of the invention include but are not limited to antiinflammatory agents, anticholinergic agents, ⁇ -agonists (including selective ⁇ 2 - agonists), peroxisome proiiferator-activated receptor (PPAR) gamma agonists, PPAR delta agonists, epithelial sodium channel blockers (ENaC receptor blockers), kinase inhibitors, antiinfective agents and antihistamines.
- ⁇ -agonists including selective ⁇ 2 - agonists
- PPAR peroxisome proiiferator-activated receptor
- EaC receptor blockers epithelial sodium channel blockers
- kinase inhibitors antiinfective agents and antihistamines.
- the present invention thus provides, as another aspect, a composition
- a composition comprising an effective amount of compound of the invention and another therapeutically active agent selected from anti-inflammatory agents, anticholinergic agents, ⁇ - agonists (including selective ⁇ 2 -agonists), PPAR gamma agonists, PPAR delta agonists, ENaC receptor blockers, kinase inhibitors, antiinfective agents and antihistamines.
- another therapeutically active agent selected from anti-inflammatory agents, anticholinergic agents, ⁇ - agonists (including selective ⁇ 2 -agonists), PPAR gamma agonists, PPAR delta agonists, ENaC receptor blockers, kinase inhibitors, antiinfective agents and antihistamines.
- Suitable anti-inflammatory agents for use in combination with the compounds of the invention include corticosteroids and non-steroidal anti-inflammatory drugs (NSAIDs), particularly phosphodiesterase (PDE) inhibitors.
- NSAIDs non-steroidal anti-inflammatory drugs
- PDE phosphodiesterase
- Examples of corticosteroids for use in the present invention include oral or inhaled corticosteroids or prodrugs thereof.
- ester 6 ⁇ ,9 ⁇ -difluoro-11 ⁇ -hydroxy-16 ⁇ -methyl-3-oxo-1 Ia- propionyloxy-androsta-1 ,4-diene-17 ⁇ -carbothioic acid S-(2-oxo-tetrahydro- furan-3S-yi) ester, beclomethasone esters (e.g., the 17-propionate ester or the 17,21-dipropionate ester, fluoromethy! ester, triamcinolone acetonide, rofleponide, or any combination or subset thereof.
- beclomethasone esters e.g., the 17-propionate ester or the 17,21-dipropionate ester, fluoromethy! ester, triamcinolone acetonide, rofleponide, or any combination or subset thereof.
- Preferred corticosteroids for formulation or use in combination with the compounds of the invention are selected from ciciesonide, desisobutyryl-ciclesonide, budesonide, mometasone, fluticasone propionate, and fluticasone furoate, or any combination or subset thereof.
- NSAlDs for use in the present invention include but are not limited to sodium cromoglycate, nedocromil sodium, phosphodiesterase (PDE) inhibitors (e.g., theophylline, PDE4 inhibitors, mixed PDE3/PDE4 inhibitors or mixed PDE4/PDE7 inhibitors), leukotriene antagonists, inhibitors of leukotriene synthesis (e.g., 5 LO and FLAP inhibitors), nitric oxide synthase ( ⁇ NOS) inhibitors, protease inhibitors (e.g., tryptase inhibitors, neutrophil elastase inhibitors, and metalloprotease inhibitors) ⁇ 2-integrin antagonists and adenosine receptor agonists or antagonists (e.g., adenosine 2a agonists), cytokine antagonists (e.g., chemokine antagonists) or inhibitors of cytokine synthesis (e.g., prostaglandin D2 (CR
- the PDE4 inhibitor, mixed PDE3/PDE4 inhibitor or mixed PDE4/PDE7 inhibitor may be any compound that is known to inhibit the PDE4 enzyme or which is discovered to act as a PDE4 inhibitor, and which are selective PDE4 inhibitors (i.e., compounds which do not appreciably inhibit other members of the PDE family).
- PDE4 inhibitors for formulation and use in combination with the compounds of the present invention include but are not limited to roflumilast, pumafentrine, arofylline, cilomilast, tofimilast, oglemiiast, tolafentrine, piclamilast, ibudiiast, apremilast, 2-[4-[6,7-diethoxy ⁇ 2,3 ⁇ bis(hydroxymethyl)-1-naphthalenyl]-2-pyridinyl]-4-(3-pyridiny!-1(2H)- phthalazinone (T2585), N-(3,5-dichioro-4-py ⁇ dinyi)-1-[(4-fluorophenyl)methyl]-5- hydroxy- ⁇ -oxo-1 H-indo!e-3-acetamide (AWD- 12-281 , 4-[(2R)-2-[3- (cyclopentyloxy)-4-methoxyphenyl]-2-
- Leukotriene antagonists and inhibitors of leukotriene synthesis include zafirlukast, montelukast sodium, ziieuton, and pranlukast.
- Anticholinergic agents for formulation or use in combination with the compounds of the invention include but are not limited to muscarinic receptor antagonists, particularly including pan antagonists and antagonists of the M 3 receptors.
- Exemplary compounds include the alkaloids of the belladonna plants, such as atropine, scopolamine, homatropine, hyoscyamine, and the various forms including saits thereof ⁇ e.g., anhydrous atropine atropine sulfate, atropine oxide or HCI, methylatropine nitrate, homatropine hydrobromide, homatropine methyl bromide, hyoscyamine hydrobromide, hyoscyamine sulfate, scopolamine hydrobromide, scopolamine methyl bromide), tolterodine, revatropate, solifenacine, darifenacin, or any combination or subset thereof.
- Additional anticholinergics for formulation and use in combination with the methantheline, propantheline bromide, anisotropine methyl bromide or Valpin 50, aclidinium bromide, glycopyrrolate (Robinul), isopropamide iodide, mepenzolate bromide, tridihexethyl chloride, hexocyclium methylsulfate, cyclopentolate HCf, tropicamide, trihexyphenidyl CCI, pirenzepine, telenzepine, and methoctramine, or any combination or subset thereof.
- aclidinium bromide glycopyrrolate (Robinul)
- isopropamide iodide mepenzolate bromide
- mepenzolate bromide tridihexethyl chloride
- hexocyclium methylsulfate cyclopentolate HCf
- tropicamide trihexyphenidyl CCI
- Preferred anticholinergics for formulation and use in combination with the compounds of the invention include ipratropium (bromide), oxitropium (bromide) and tiotropium (bromide), or any combination or subset thereof.
- ⁇ -agonists for formulation and use in combination with the compounds of the invention include but are not limited to salmeterol, R- salmeterol, and xinafoate salts thereof, albuterol or R-albuterol (free base or sulfate), indacaterol, formoterol (fumarate), fenoterol, terbutaline and salts thereof, and any combination or subset thereof.
- Examples of PPAR gamma agonists for formulation and use in combination with the compounds of the invention include but are not limited to thiazolidinediones, rosiglitazone, pioglitazone, and troglitazone.
- ENaC receptor blockers for formulation and use in combination with the compounds of the invention include but are not iimited to amiloride and derivatives thereof such as those compounds described in US Patent Nos. 6858615 to Parion Sciences, Inc.
- kinase inhibitors include inhibitors of NFkB, PI3K (phosphatidylinositol 3-kinase), p38-MAP kinase and Rho kinase.
- Antiinfective agents for formulation and use in combination with the compounds of the invention include antivirais and antibiotics.
- suitable antivirals include Tamiflu® and Relenza®.
- suitable antibiotics include but are not limited to aztreonam (arginine or lysine), fosfomycin, and tobramycin, or any combination or subset thereof.
- Antihistamines for formulation and use in combination with the compounds of the invention include but are not limited to: Ethanolamines, ethylenediamines, alkyiamines, pyridines, piperazines, piperidines, tri- and tetracyclics and combinations thereof.
- antihistamines for formulation and use in combination with the compounds of the invention include but are not limited to diphenhydramine HCI 1 carbinoxamine maleate, doxylamine, clemastine fumarate, diphenylhydramine HCI, dimenhydrinate, pyrilamine maleate (metpyramine), tripeiennamine HCI, tripelennamine citrate, antazoline pheniramine, chloropheniramine, bromopheniramine, dexchlorpheniramine, triprolidine, acrivastine methapyhlene, hydroxyzine HCI, hydroxyzine pamoate, cyclizine HCI, cyclizine lactate, meclizine HCl, cetirizine HCI astemisole, levocabastine HCI, loratadine, descarboethoxy loratadine, terfenadine, fexofenadine HCl, promethazine, chlorpromethazine, chlor
- the present invention provides a composition comprising a compound of the invention and an anti-inflammatory agent.
- the composition comprises a compound of the invention and a corticosteroid.
- the composition comprises a compound of the invention and a corticosteroid selected from ciciesonide, desisobutyryl-ciciesonide, budesonide mometasone, fluticasone propionate, and fluticasone furoate.
- the composition comprises a compound of the invention and cidesonide or desisobutyryl- ciciesonide.
- the present invention provides a composition comprising a compound of the invention and a PDE4 inhibitor. In one aspect, the present invention provides a composition comprising a compound of the invention and a ⁇ 2-agonist. In one embodiment, the composition comprises a compound of the invention and salmeterol, R- salmeterol, indacaterol, or formoterol. In one particular embodiment, the composition comprises a compound of the invention and salmeterol or R- salmeterol.
- the present invention provides a composition comprising a compound of the invention and an anticholinergic agent, in one embodiment, the composition comprises a compound of the invention and tiotropium. in one aspect, the present invention provides a composition comprising a compound of the invention and anti-histamine.
- a compound of the invention may be employed alone, or in combination with one or more other therapeutically active agents.
- any therapeutically active agent that has a therapeutic effect in the disease or condition being treated with the compound of the invention may be utilized in combination with the compounds of the invention, provided that the particular therapeutically active agent is compatible with therapy employing a compound of the invention.
- Typical therapeutically active agents which are suitable for use in combination with the compounds of the invention include the anti-inflammatory agents, anticholinergic agents, ⁇ -agonists, antiinfective agents and antihistamines described above.
- the invention provides methods for treatment and uses as described above, which comprise administering an effective amount of a compound of the invention and at least one other therapeutically active agent.
- the compounds of the invention and at least one additional therapeutically active agent may be employed in combination concomitantly or sequentially in any therapeutically appropriate combination.
- the administration of a compound of the invention with one or more other therapeutically active agents may be by administration concomitantly in 1 ) a unitary pharmaceutical composition, such as the compositions described above, or 2) separate pharmaceutical compositions each including one or more of the component active ingredients.
- the components of the combination may be administered separately in a sequential manner wherein the compound of the invention is administered first and the other therapeutically active agent is administered second or vice versa.
- each compound of the invention When a compound of the invention is used in combination with another therapeutically active agent, the dose of each compound may differ from that when the compound of the invention is used alone. Appropriate doses will be readily determined by one of ordinary skili in the art. The appropriate dose of the compound of the invention, the other therapeutically active agent(s) and the relative timings of administration will be selected in order to achieve the desired combined therapeutic effect, and are within the expertise and discretion of the attendant physician, clinician or veterinarian.
- the present invention provides methods for treating any of the conditions enumerated above, comprising administering an effective amount of a compound of the invention and an anti-inflammatory agent, in one embodiment, the method comprises administering an effective amount of a compound of the invention and a corticosteroid. In one particular embodiment, the method comprises administering an effective amount of a compound of the invention and a corticosteroid selected from ciclesonide, desisobutyryl- ciclesonide, budesonide mometasone, fluticasone propionate, and fluticasone furoate. In one particular embodiment, the method comprises administering an effective amount of a compound of the invention and ciciesonide or desisobutyryl-ciclesonide,
- the present invention provides a method for treating any of the conditions enumerated above comprising administering an effective amount of a compound of the invention and a PDE4 inhibitor. In one embodiment the present invention provides a method for treating any of the conditions enumerated above comprising administering an effective amount of a compound of the invention and a ⁇ -agonist, particularly a selective (J 2 - agonist. In one embodiment, the method comprises administering an effective amount of a compound of the invention and salmeteroi, R-salmeterol, indacaterol, or formoterol. In one particular embodiment, the method comprises administering an effective amount of a compound of the invention and salmeteroi or R-salmeterol.
- the present invention provides a method for treating any of the conditions enumerated above by administering an effective amount of a compound of the invention and an anticholinergic agent.
- the method comprises administering an effective amount of a compound of the invention and tiotropium.
- the present invention provides a method for treating any of the conditions enumerated above by administering an effective amount of a compound of the invention and anti-histamine.
- the present invention provides a combination comprising a compound of the invention and an anti-inflammatory agent for the treatment of any condition enumerated above; and also the use of such combination for the manufacture of a medicament for the treatment of any of the conditions enumerated above.
- the combination comprises a compound of the invention and a corticosteroid selected from ciciesonide, desisobutyryl-ciclesonide, budesonide mometasone, fluticasone propionate, and fluticasone furoate.
- the combination comprises a compound of the invention and ciciesonide or desisobutyryl- ciclesonide.
- the present invention provides a combination comprising a compound of the invention and a PDE4 inhibitor for the treatment of any condition enumerated above; and also the use of such combination for the manufacture of a medicament for the treatment of any of the conditions enumerated above.
- the present invention provides a combination comprising a compound of the invention and a ⁇ -agonist for the treatment of any condition enumerated above; and also the use of such combination for the manufacture of a medicament for the treatment of any of the conditions enumerated above.
- the combination comprises a compound of the invention and salmeterol, R-salmeterol, indacaterof, or formoterol.
- the combination comprises a compound of the invention and salmeterol or R-salmeterol.
- the present invention provides a combination comprising a compound of the invention and an anticholinergic agent for the treatment of any condition enumerated above; and also the use of such combination for the manufacture of a medicament for the treatment of any of the conditions enumerated above, in one embodiment the combination comprises a compound of the invention and tiotropium.
- the present invention provides a combination comprising a compound of the invention and an antihistamine for the treatment of any condition enumerated above; and also the use of such combination for the manufacture of a medicament for the treatment of any of the conditions enumerated above.
- the present invention also provides processes for preparing the compounds of the invention and to the synthetic intermediates useful in such processes, as described in detail below.
- R 1a is selected from CHR 10 -OH,CH 2 -OH, CH 2 -Cl, CH 2 -O-C(O)C 1-4 alkyl,
- S-Ci -4 alky!, S-haloC 1-4 alkyl, or CH 2 -O-PO 3 H 2 R 7a is H or OH, each PG is H or Boc, and all other variables are as defined herein.
- the process comprises the steps of: a) reacting a compound of formula 1 with phosphorous trichloride followed by a base, adding to a compound of formula 2 and base and then oxidizing in a one-pot reaction to prepare a compound of formula 3-A or 3-B or a pharmaceutically acceptable salt thereof; and b) deprotecting the compound of formula 3-A or 3-B to prepare a compound of Formula I or a pharmaceutically acceptable salt thereof.
- the first step is carried out in a manner analogous to that described in C. Meter et al., J. Med. Chem., 2007, 50(6), 1335-1346. More specifically, the process comprises reacting the alcohol of formula 1 with phosphorous trichloride then a base, such as triethylamine, or DIPEA in a suitable solvent. Suitable solvents include but are not limited to diethyl ether, tetrahydrofuran, and dichloromethane. The reaction is typically carried out at reduced temperature, from about -20 to about -80°C, particularly at about -78 0 C 1 then warmed to ambient temperature if required.
- reaction is then added to a solution at, from about -20 to about -8O 0 C, particularly at about -78 0 C, of the compound of formula 2 and additional base and then the solution is allowed to warm to room temperature.
- a suitable oxidizing agent such as terf-butyl hydroperoxide, iodine, MCPBA or oxone is then added to prepare a compound of formula 3-A or 3-B or a pharmaceutically acceptable salt thereof.
- the substitution on the steroid occurs on the 11 or 21 position is dependent upon the steric hindrance around the 11 and 21 position.
- the substitution may be driven toward one over the other through the use of protecting groups on the steroid.
- the selection, installation and removal of protecting groups on the steroid is within the ordinary skill of those in the art.
- the resulting compound of formula 3-A or 3-B may be deprotected using conventional processes, including acidic conditions, either by brief treatment with HCI in dioxane or by low-temperature treatment with trifluoroacetic acid in dichloromethane at about 0 ° C.
- the choice of protecting groups on the compound of formula 3-A or 3-B will be based at least in part on the steric bulk of the particular ⁇ -agonist side chain (R 15 ) selected.
- the foregoing process may be utilized to prepare the corresponding R-isomer of a compound of Formula I-A by substituting the R-enantiomer of the N-Boc- protected compound of formuia 2 starting material for the racemate.
- the corresponding S-isomer of a compound of Formuia I-A may be made by using the S-enantiomer of the N-Boc-protected compound of formula 2.
- This same approach may be utilized to prepare enantiomericaify enriched mixtures of any of the compounds of Formula I which contain a chiral center, and pharmaceuticaliy acceptable salts thereof.
- Example 2 (6 ⁇ ,113,16 ⁇ ,17 ⁇ ) 6 1 9-difluoro-16-methyi-11-rr2-oxido-7-r2-[f6-(4- phenylbutyoxy)hexynamino1-1 (R)-hydroxyethv ⁇ -4H-1 ,3,2- benzodioxaphosphorin-2-yl1oxy1-3-oxo-17-(1-oxopropoxy)androsta-1 ,4-diene- 17-carbothioic acid, S-(fluoromethyi) ester
- Example 7 Method for Evaluating Stability of Compounds of the Invention and Metabolites thereof in Rat Lung Homogenate Preparation of rat lung homogenate
- Lungs from Fischer 344 rats are obtainable fresh by overnight delivery at 4°C from BioReciamation Inc. (Hicksvilie, NY). Lungs are weighed and homogenized in a 1 :3 w/v ratio with sterile phosphate buffered saline (PBS, 1OmM, pH 7.4) in glass vials on ice. After centrifugation at 3,000 x g for 10 min at 4°C the supernatant is decanted into sterile conical tubes and placed on ice. The total protein content of the supernatant is determined by the bicinchoninic acid (BCA) method (Pierce Biotechnology, Rockford, IL), using bovine serum albumin (BSA) as the standard. Lung homogenates are prepared to a final concentration of 1 mg total protein/mL in 1OmM PBS, pH 7.4.
- BCA bicinchoninic acid
- BSA bovine serum albumin
- DMSO 2.7 ⁇ L added to 3 mL of temperature-equilibrated homogenate serves as a control.
- the glyburide serves as an internal LC/MS/MS standard.
- the remainder of each drug + homogenate solution is aliquoted into a 96-well tissue culture plates. After an additional 30 min and 120 min incubation at 37 0 C, 100 ⁇ L aliquots are added to 400 ⁇ L quenching solution.
- Denatured proteins in the quenching solution are separated by centrifugation at 3000 x gravity for 2 min at 4°C, and 160 ⁇ L of the supematants are transferred to new 96-weil piate for analysis by LC/MS/MS. Collection plates are covered with plastic film and kept on ice. For storage, covered plates are kept stored at -80 0 C until further use.
- LC/MS/MS Liquid chromatography and mass spectrometry analysis
- An aliquot (50 ⁇ l_) of each sample is diluted with 50 ⁇ l_ of water containing internal standard at 4 0 C.
- the diluted samples are then centrifuged for 20 min at 3000 rpm at 4 0 C.
- An aliquot of 20 ⁇ L of the solution is injected into the TSQ Ultra Quantum LC/MS/MS system.
- the compounds are separated by HPLC using a HyPurity C18 HPLC column (30 X 2.1 mm, 5 ⁇ ) from ThermoHypersil.
- a Multiplex LX-2 HPLC system (Cohesive Technologies, Franklin, MA) with two identical Agilent 1100 series binary pumps (P/N G1312A) are used for elution and separation. Samples are maintained at 4 0 C in an HTS Pal autosampler (LEAP Technologies, Carrboro, NC) in order to reduce any potential spontaneous hydrolysis of the compounds before injection onto the HPLC.
- the analytes are eiuted using the following mobile phases: Mobile phase A contains 1 % acetonitrile in 10 mM ammonium formate aqueous solution with 1 % formic acid. Mobile phase B contains 80% acetonitriie in 10 mM ammonium formate with 1 % formic acid.
- the HPLC elution program used to elute the analytes is as follows:
- the samples are further analyzed by tandem mass spectrometry using a TSQ Quantum Ultra triple quadrupole mass spectrometer (Thermo Finnigan, San Jose, CA) using a selective reaction monitoring (SRM) scan type,
- SRM selective reaction monitoring
- Example 8 Pharmacokinetic Analysis of Drug Levels of Beta-agonist, Steroid and Compounds of the Invention Conducted in Lung, Bronchoalveolar Lavage
- the animals are anesthetized with an intramuscular (IM) injection of a ketamine/xylazine/acepromazine (80/10/2 mg/kg) cocktail at a dose volume of 1.1 mL/kg.
- IM intramuscular
- a cannula modified Bard® infant feeding tube
- Warmed sterile saline is injected into the lungs.
- the lungs are gently massaged by palpation of the chest for approximately 45 seconds.
- the fluid (BALF) is recovered and placed on ice. The procedure is repeated two more times, and all three BALF samples are pooled.
- the fluid is centrifuged under refrigerated conditions at 350 g for 10 min.
- the supernatant and cell pellet are collected and stored at approximately -70 0 C until shipped for analysis.
- An LC/MS/MS method is used to measure the concentration of compound in plasma.
- IxPBS buffer 90:10-PBS:ACN
- the sample is homogenized with Polytron (PT1200) and a 5OuL supernatant sample is injected to an LC/MSMS.
- a HyPurity C18 HPLC column ⁇ 30 X 2.1 mm, 5 ⁇ ) from ThermoHypersiS (Part #: 22105-032130) is used.
- Mobile phase A contains 1 % ACN in 10 mM ammonium formate aqueous solution with 1 % formic acid.
- Mobile phase B contains 80% ACN in 10 mM ammonium formate with 1 % formic acid.
- An Agilent 1100 series binary pump (P/N G1312A Bin Pump) is used for elution and separation.
- HTS Pa! autosampler from LEAP Technologies, Carrboro, NC is used.
- passage 1 ceils are cultured in bronchial epithelial growth medium (Fulcher, M. L., et al., Well-differentiated human airway epithelial cell cultures. Methods MoI Med, 2005. 107: p. 183-206) on 100 mm Type i collagen-coated plastic dishes. At 70% confluence, passage 2 ceils are transferred to type IV collagen-coated Millicell membranes (Millipore, Bedford, MA) in medium that supports growth at an air-liquid-interface (ALi) (Fulcher et al., 2005). Cells are maintained at an AL! and allowed to differentiate fully for approximately 28 days.
- bronchial epithelial growth medium Fulcher, M. L., et al., Well-differentiated human airway epithelial cell cultures. Methods MoI Med, 2005. 107: p. 183-206
- passage 2 ceils are transferred to type IV collagen-coated Millicell membranes (Millipore, Bedford, MA) in medium
- the apical surfaces of the cells are washed with sterile phosphate buffered saline (PBS, 1OmM, pH 7.4) and the basolatera! media is replaced with fresh ALI media.
- PBS sterile phosphate buffered saline
- the apical surfaces of the cells are washed once again with PBS and the basolateral media replaced with fresh ALI media.
- the test article is diluted from a 10 mM stock solution in DMSO to a 40 ⁇ M solution in ALi media/PBS/10% EtOH/water (v/v).
- the resulting 40 ⁇ M solution is immediately added to the apicai surface of the cells.
- 200 ⁇ l of the dosing solution is also added to 800 ⁇ l of 100% ACN and frozen immediately on dry ice.
- the remaining dosing solution is placed in the incubator with the cells.
- the three washes from each millicell cell culture insert are pooled.
- the entire basolateral medium from each milliceli cell culture insert is also collected as are the airway epithelial cells which are excised from each millicell cell culture insert and added to 300 ⁇ l of 90% ACN/0.1 % formic acid/9.9% water and immediately frozen on dry ice.
- the cells are thawed and lysed for 2 mins with a sonicator (Misonix, Farmingdale, NY) set at 30 Amp.
- the cell suspension is then centrifuged at 18,000 g for 2 min and 50 ⁇ l of the supernatant is added to 200 ⁇ l of acetonitrile containing 100 ng ml "1 glyburide.
- Untreated control cells dosed at the apical surface with 50 ⁇ l of test article vehicle (ALI media/PBS/10% EtOH/water (v/v) are also included to provide apical, basolateral and cellular matrices for LC/MS/MS analytical standards.
- Samples are maintained at 4°C in an HTS Pal autosampler (LEAP Technologies, Carrboro, NC) in order to reduce any potential spontaneous hydrolysis of the compounds before injection onto the HPLC.
- the analytes are eluted using the following mobile phases: Mobile phase A contains 1 % ACN in 10 mM ammonium formate aqueous solution with 1 % formic acid. Mobile phase B contains 80% ACN in 10 mM ammonium formate with 1 % formic acid.
- the HPLC elution program used to elute the analytes is as follows:
- the samples are further analyzed by tandem mass spectrometry using an ABI/Sciex API 5000 triple quadrupoie mass spectrometer (Applied Biosystems, Foster City, CA) using a selective reaction monitoring (SRM) scan type.
- SRM selective reaction monitoring
- Eleven-point standard curves for each test compound are prepared and analyzed in heat-inactivated lung homogenate, the concentration ranged from 1 nM to 10 ⁇ M.
- the calibration curves of the compounds of the invention and their metabolites are prepared by quadratic regression analysis.
- the results indicate the amount of each of 1 ) the parent compound of the invention, 2) beta-agonist and 3) steroid in the apicai and cellular compartments and whether the amount in each compartment increases or decreases over time. It is expected that the amount of the compound of the invention will decrease over time in both the apical and cellular compartments while the amount of beta-agonist and steroid will increase in the cellular compartment.
- Example 1 gives the expected breakdown
- Example 10 In vivo Efficacy of Compound of the Invention in the Mouse Ovalbumin Model of Lung inflammation
- mice are immunized by intraperitoneal injection of ovalbumin (10 ⁇ g OVA suspended in 2 mg aluminum hydroxide) on day 0 and 7.
- One group is sensitized and treated with vehicle (NSV).
- One group is immunized with sterile water only and treated with vehicle, e.g. to serve as a nonsensitized (negative) control (Vehicle).
- Steroid (positive contro! treatment; 1X per day (day 14 and 15; 3 mg/kg), Compound of the invention at 1 , 3, and 6 mg/kg) or vehicle is delivered by intratracheal (iT) instillation 1X/day (day 14 and 15), 1 hour prior to OVA inhalation challenge.
- mice On days 14 and 15, the animals are exposed to OVA by inhalation (3 h; 5 mg/m 3 ). Forty eight hours following the last OVA challenge (day 17) mice are sacrificed. Bronchoalveoiar lavage (BAL) is taken from each animal to collect cells and fluid. Cell numbers and differentials were calculated from BAL.
- BAL Bronchoalveoiar lavage
- Compound of the invention is evaluated in an LPS-induced airway inflammation mode! in rats.
- Lungs are lavaged for bronchoalveoiar lavage cell differentials and cytokine analysis by Luminex multiplex immunoassay, it is believed that compounds of the invention will inhibit LPS-induced airway inflammation measured as neutrophil influx and TNF ⁇ production at doses tested (p ⁇ -0.05 versus vehicle control).
- Example 12 Tobacco Smoke Model of Airway inflammation in Mice
- Mice are exposed to cigarette smoke for 6 hours per day, 5 days per week for 3 weeks, in H 1000 or H2000 chambers.
- Type 2R4F research cigarettes (Kentucky Tobacco Research and Development Center) are used in the study.
- Total particulate material (TPM) exposure is kept at 100 TPM/m 3 for the first week to allow animals to reduce adverse effects during adaptation to smoke exposure.
- TPM exposure is maintained between 100 and 250 mg TPM/m 3 during the remainder of the study.
- animals are euthanized and bronchoalveoiar lavage fluid is obtained for cell differentials and cytokine analysis by Luminex multiplex immunoassay.
- Luminex multiplex immunoassay In a 20-plex Luminex assay for cytokines and growth factors, it is expected that the compounds of the invention will exhibit inhibition of tobacco-smoke-induced IL-1 ⁇ and IVlIP-I ⁇ production (p ⁇ 0.05 versus vehicle controi at 1.0 and 0.6 mg/kg doses).
- Example 13 Ragweed-Induced Bronchoconstriction in Dogs
- the compound of the invention may be assesed for bronchodilator activity in a ragweed-induced bronchoconstriction model in beagle dogs. Dogs are mechanically ventilated during each experiment. Airflow and tidal volume are measured using a differential pressure transducer located in front of the endotracheal tube. An esophageal bailoon catheter placed in the esophagus is used to determine transpulmonary pressure. Pulmonary resistance and dynamic Sung compliance are calculated from the simultaneous measurement of transpuimonary pressure and respiratory flow.
- the canine exposure system is designed to expose an anesthetized animal via an intubation tube.
- ragweed antigen ragweed short, Ambrosia artemisifolia, Greer, Lenoir, NC
- an inhibition of ragweed-induced increases in pulmonary resistance is expected.
- An inhibition of increased pulmonary resistance change following antigen challenge may also be observed at 10 mg/kg of salmeterol xinafoate (10 mg/kg).
- Example 14 Ascaris suum-m ⁇ uce ⁇ Pulmonary Responses in Sheep
- the compound of the invention is assessed for inhibition of early and late phase bronchoconstriction and development of airway hyperreactivity in sheep sensitized to Ascaris suum antigen as previously described (Abraham, W. M., A. Ahmed, I Serebriakov, IT. Lauredo, J. Bassuk, J.A. Adams, and M.A. Sackner. Am. J. Respir. Crit. Care. Med. 2006; 174:743-752).
- Early and late phase responses are measured as a function of increased pulmonary resistance during the 8 h period following antigen.
- Airway hyperreactivity is evaluated as a function of PC400, the number of carbachol breath units required to induce a four-fold increase in bronchoconstriction measured 24 h after antigen challenge.
- One breath unit is defined as one breath of a 1 % w/v carbachol solution.
- Test compound is administered either by a pre-dosing or duration of action protocol. In the pre-dosing regimen, animals are dosed once daily for four days, with the last dose administered 1 h before antigen. In the duration of action regimen, animals are dosed once daily for four days, with the last dose administered 24 h before antigen. Test compound, Ascaris antigen, and carbachol are administered by nebulized aerosol to intubated sheep.
- Example 15 Carbachol-induced bronchoconstriction in sheep
- the compounds of the invention may be assessed for inhibition of carbachol- induced bronchoconstriction as previously described (Abraham, W. M., A. Ahmed, I Serebrlakov, A.N. Carmillo, J. Ferrant, A.R. de Fougerolies, E.A. Garber, P. J. Gowals, V.E. Koteliansky, F. Taylor, R. R. Lobb. Am. J. Respir. Crit. Care. Med. 2004; 169:97-104). Bronchoconstriction is evaluated as a function of increased pulmonary resistance following carbachol challenge.
- Measurements of R L are repeated immediately after inhalation of buffer and after each administration of 10 breaths of increasing concentrations of carbachol solution (0.25%, 0.5%, 1.0%, and 2.0% w/v).
- Test compound is administered either by a pre-dosing or duration of action protocol.
- animals are dosed once daily for four days, with the last dose administered 1 hr before carbachol challenge.
- duration of action regimen animals are dosed once daily for four days, with the last dose administered 24 hours before carbachol challenge.
- Test article and carbachoi are administered by nebulized aerosol to intubated sheep.
- API 500 ⁇ g micronized compound of Formula I
- Micronize the API using a mill e.g. jet mill
- a mass median aerodynamic diameter from about 1 to about 10 ⁇ m, and preferably a MMAD from about 1 to about 5 ⁇ m.
- lactose may be milled or sieved. Suitable commercial sources of lactose include DMV-Fonterra Excipients (Lactohaie®) and Frieslandfoods Domo (Respotise®).
- 500 mg of APi is blended with 15 g of lactose using an appropriate mixer (e.g. Turbula® Powder Blender). Additional fine lactose particles of less than 10 ⁇ m may be added. The blended product is filled into capsules or blister strips.
- an appropriate mixer e.g. Turbula® Powder Blender. Additional fine lactose particles of less than 10 ⁇ m may be added.
- the blended product is filled into capsules or blister strips.
- Each canister is to contain 120 dose equivalents of API and propellant + 10% overage.
- Each canister is filled with 33 mg of API and sealed with a metering valve. The canister is then pressurized with 19.8 mi_ of propellant.
Landscapes
- Health & Medical Sciences (AREA)
- Chemical & Material Sciences (AREA)
- Organic Chemistry (AREA)
- General Health & Medical Sciences (AREA)
- Engineering & Computer Science (AREA)
- Bioinformatics & Cheminformatics (AREA)
- Chemical Kinetics & Catalysis (AREA)
- Endocrinology (AREA)
- Diabetes (AREA)
- General Chemical & Material Sciences (AREA)
- Medicinal Chemistry (AREA)
- Nuclear Medicine, Radiotherapy & Molecular Imaging (AREA)
- Pharmacology & Pharmacy (AREA)
- Life Sciences & Earth Sciences (AREA)
- Animal Behavior & Ethology (AREA)
- Public Health (AREA)
- Veterinary Medicine (AREA)
- Pharmaceuticals Containing Other Organic And Inorganic Compounds (AREA)
Abstract
New chemical entities which comprise corticosteroids and phosphorylated β-agonists for use in therapy and compositions comprising and processes for preparing the same are provided.
Description
CORTICOSTEROID BETA-AGONIST COMPOUNDS FOR USE IN THERAPY
Field of the Invention
The instant invention relates to new chemical entities which comprise corticosteroids and phosphorylated β-agonists for use in therapy and compositions comprising and processes for preparing the same.
Background of the Invention
Asthma is a chronic inflammatory disease of the airways produced by the infiltration of pro-inflammatory cells, mostly eosinophils and activated T- lymphocytes (Poston, Am. Rev. Respir. Dis. , 145 (4 Pt 1), 918-921, 1992; Walker, J. Allergy Clin. Immunol., 88 (6), 935-42, 1991 ) into the bronchial mucosa and submucosa. The secretion of potent chemical mediators, including cytokines, by these proinflammatory cells alters mucosal permeability, mucus production, and causes smooth muscle contraction. All of these factors lead to an increased reactivity of the airways to a wide variety of irritant stimuli (Kaliner, "Bronchial asthma, Immunologic diseases" E. M. Samter, Boston, Little, Brown and Company: 117-1 18. 1988).
Glucocorticoids, which were first introduced as an asthma therapy in 1950 {Carryer, Journal of Allergy, 21 , 282-287, 1950), remain the most potent and consistently effective therapy for this disease, although their mechanism of action is not yet fuliy understood (Morris, J. Allergy CHn, Immunol., 75 (1 Pt) 1- 13, 1985). Unfortunately, oral glucocorticoid therapies are associated with profound undesirable side effects such as truncal obesity, hypertension, glaucoma, glucose intolerance, acceleration of cataract formation, bone mineral loss, and psychological effects, all of which limit their use as long-term therapeutic agents (Goodman and Gilman, 10th edition, 2001). A solution to systemic side effects is to deliver steroid drugs directly to the site of inflammation. Inhaled corticosteroids (ICS) have been developed to mitigate
the severe adverse effects of oral steroids. While ICS are very effective in controlling inflammation in asthma, they too are not precisely delivered to the optimal site of action in the lungs and produce unwanted side effects in the mouth and pharynx (candidiasis, sore throat, dysphonia).
Combinations of inhaled β2-adrenoreceptor agonist bronchodilators such as formoterol, indacaterol, or salmeterol with ICS's are also used to treat both the bronchoconstriction and the inflammation associated with asthma and COPD (Symbtcort® and Advair®, respectively). However, these combinations have the side effects of both the ICS's and the β2-adrenoreceptor agonist because of systemic absorption (tachycardia, ventricular dysrhythmias, hypokalemia) primarily because neither agent is delivered exclusively to the optimal sites of action in the lungs. !n consideration of all problems and disadvantages connected with the adverse side effect profile of ICS and of β-agonists it would be highly advantageous to provide a drug which masks the pharmacological properties of both steroids and β-agonists until such a drug reaches the optimal site of action.
Phenylphosphate based mutual prodrugs of corticosteroids and β2-agonists have been described by Baker et a!. (WO/2006/138212) wherein the component drugs are released at the site of action in the iungs.
Summary of the Invention
In one aspect, the present invention provides a compound of Formula I:
or a pharmaceutically acceptable salt thereof, wherein:
R1 is
and one of R6 and R7 is OH and the other is H; or R6 and R7 taken together with the carbon to which they are attached form a >C=O group; or
CH2-O-C(O)C1 -4alkyl, S-C^alkyl, S-haioC1-4alkyl, or CH2-O-PO3H2; wherein,
R10 is H or C1-4alkyl;
R15 is a side chain radical of a β-agonist;
R16 is H, methyl or ethyl;
R19 is H1 F, OH or methyl; each R2, R3, R4, and R5 are independently H1 Chalky! or halo; R8 is H1 OH1 0(CO)R9, or 0(CO)OR9; each R9 is independently
R11 is H or Chalky!; R12 is H1 OH, or C1-4alkyl; or R11 and R12 taken together with the carbon to which they are attached form a
>=CH2 group; or R12 and R8 taken together with the carbons to which they are attached form a
1 ,3-dioxolane ring represented by formula B:
B;
wherein one of R13 and R14 is H, methyl or ethyl and the other is H, C-i.-ioalkyl, C2-iøalkenyl, C2--IOa I kynyl, optionally substituted Ca.-iocarbocyclyl or optionally substituted 5-6 ring atom heterocycie wherein one or two ring atoms are selected from N, O and S, and wherein said carbocyclyl and said heterocyclyl are each optionally substituted 1 , 2 or 3 times with a substituent selected from halo, Ci-4alkyl, and O-Ci-4alkyl.
In one embodiment, the compounds of Formula I is defined wherein R1 is
and either one of R6 and R7 is OH and the other is H; or R6 and R7 taken together with the carbon to which they are attached form a >C=O group.
In another embodiment, the compounds of Formula I is defined wherein R7 is
In one embodiment, the compounds of Formula I are defined wherein R15 is C1-6alkyl;
C6-i0carbocycle optionaily substituted 1 or 2 times with halo, Ci-4alkyl, O-C1-4alkyl, O-(CH2)4-NH2, O~(CH2)4-N(H)C1-4aIkyl,
O-(CH2)4-N(Ci-4aikyl)2, O-C1-4alkyl-C(O)-NH2, O-C1-4alkyl-C(O)-N(H)C1-4alkyl, O-C1-4alkyl-C(O)-N(C1-4alkyl)2, or a group represented by formula i, ii, Ni, iv, v, vi, vii, viii, or ix: i: C6alkylene-O-R21-Ph4; ii: C2,3aikylene-Ph1-O-R21-Ph4;
iii: C2.3aIkyiene-Ph1-N(H)-R22-Ph2; iv; C2-3aikyiene-Het-(R23)-Ph3; v: C2-3alkylene-Ph1-Co.2alkylene-C(0)N(H)-Ci-4alkylene-Ph3; vi: C2-3aikyIene-Ph3; vii: C2-3alkylene-S{O)2-C2-4alkylene-O-C2.4aikylene-Ph3; viii: C3-6alkylene-Ph1-Co-2alkylene-C(0)N(H)-Cio-i2 bicyciic carbocycle; ix: C3.6alkyiene-Het-Ph4; wherein:
R21 is C2- ealkyiene wherein one carbon of said alkylene is optionally replaced by O;
Ph4 is phenyl optionally substituted 1 or 2 times by halo,
N(H)C(O)NH2, SO2NH2 or S-cyclopentyl, Ph1 is phenylene;
R22 is a bond or Ci-2alkylene optionally substituted once by OH or NH2;
Ph2 is phenyl optionally substituted 1 or 2 times by O-methyl, -OCH2CH(CHS)2CH2NH2, -SO2-NH-(C6H3XCH3)(C7H15) or
Het is 4-10 ring atom heterocyclene wherein 1 , 2 or 3 ring atoms is/are N, O or S optionally substituted once by methyl;
R23 is a C2-4alkylene wherein one carbon of said alkylene is optionally replaced by O or -C0-2alkylene-C(O)N(H)- C2-4alkylene; and
Ph3 is phenyl optionally substituted 1 or 2 times by halo or O-methyi.
As another aspect, the present invention provides compounds of Formula M:
As another aspect, the present invention provides compounds of Formula III:
In another aspect, the present invention provides a composition comprising a compound of Formula I or a pharmaceutically acceptable salt thereof and a pharmaceutically acceptable excipient, diluent or carrier, in one embodiment, the composition is suitable for inhalation.
As another aspect, the present invention provides a method comprising administering to a human, an effective amount of a compound of Formula I or a pharmaceuticaily acceptable salt thereof.
As another aspect, the present invention provides a method for the treatment of pulmonary inflammation or bronchoconstriction in a human in need thereof. The method comprises administering to the human an effective amount of a compound of Formula I or a pharmaceutically acceptable salt thereof.
As another aspect, the present invention provides a method for the treatment of a disease associated with reversible airway obstruction in a human in need thereof. The method comprises administering to the human an effective amount of a compound of Formula 1 or a pharmaceutically acceptable salt thereof.
As another aspect, the present invention provides a method for the treatment of asthma in a human in need thereof. The method comprises administering to the human an effective amount of a compound of Formula i or a pharmaceutically acceptable salt thereof.
As another aspect, the present invention provides a method for the treatment of COPD in a human in need thereof. The method comprises administering to the human an effective amount of a compound of Formula t or a pharmaceutically acceptable salt thereof.
As another aspect, the present invention provides a method for the treatment of bronchiectasis in a human in need thereof. The method comprises administering to the human an effective amount of a compound of Formula I or a pharmaceutically acceptable salt thereof.
As another aspect, the present invention provides a method for the treatment of emphysema in a human in need thereof. The method comprises administering to the human an effective amount of a compound of Formula ! or a pharmaceutically acceptable salt thereof.
As another aspect, the present invention provides a compound of Formula I or a pharmaceutically acceptable salt thereof for use as a medicament.
As another aspect, the present invention provides a compound of Formula i or a pharmaceutically acceptable salt thereof for use in the treatment of pulmonary inflammation or bronchoconstriction in a human.
As another aspect, the present invention provides a compound of Formula ! or a pharmaceutically acceptable salt thereof for use in the treatment of a disease associated with reversible airway obstruction, asthma, COPD, bronchiectasis, or emphysema in a human.
As another aspect, the present invention provides the use of a compound of Formula I or a pharmaceutically acceptable salt thereof for the manufacture of a medicament for the treatment of pulmonary inflammation or bronchoconstriction in a human,
As another aspect, the present invention provides the use of a compound of Formula I or a pharmaceutically acceptable salt thereof for the manufacture of a medicament for the treatment of a disease associated with reversible airway obstruction, asthma, COPD, bronchiectasis, or emphysema in a human.
As another aspect, the present invention provides a composition comprising a compound of Formula I or a pharmaceutically acceptable salt thereof for use in the preparation of a medicament for the treatment of pulmonary inflammation or bronchoconstriction in a human.
As another aspect, the present invention provides a composition comprising a compound of Formula ! or a pharmaceutically acceptable salt thereof for use in the preparation of a medicament for the treatment of reversible airway obstruction, asthma, COPD, bronchiectasis, or emphysema in a human.
Detailed Description of the Invention
Headings are employed throughout the disclosure solely for ease of reference and are in no way to be construed as indicating that all subject matter in the
passages below a particular heading constitute the sole disclosure relevant to the topic.
DEFINITIONS When trade names are used herein, applicants intend to independently include the trade name product and the active pharmaceutical ingredient(s) of the trade name product.
Unless stated otherwise, the foiiowing terms and phrases as used herein are intended to have the following meanings:
"a compound of the invention" means a compound of Formula I, which includes compounds of formula II, and III, or a salt, particularly a pharmaceutically acceptable salt thereof, "a compound of Formula I" means a compound having the structural formula designated herein as Formula I, including compounds of Formulas II, and 111. Compounds of Formula I include solvates and hydrates as well as any amorphous and crystalline (polymorphic) forms thereof. In those embodiments wherein a compound of Formula I includes one or more chira! centers, the phrase is intended to encompass each individual stereoisomer including optical isomers (enantiomers and diastereomers) and geometric isomers (cis-/trans-isomerism) and mixtures of stereoisomers. Similarly, with respect to other compounds referred to herein, such as compounds of Formula II, 111, and isolatable intermediates, the phrase "a compound of Formula (number)" means a compound of that formula and solvates and hydrates as well as amorphous and crystalline (polymorphic) forms thereof, and stereoisomers (where compounds include a chiral center) thereof, "alky!" as used herein refers to linear or branched hydrocarbon chains containing from 1 to 8 carbon atoms (i.e., Chalky!), unless a different number of atoms is specified. Examples of "alkyl as used herein include but are not limited to methy! (Me), ethyl (Et), n-propyl (1 -Pr, 1-propyl), isopropyl Q-Pr, 2-propyi), n-butyl (n-Bu, 1 -buty!), isobuty!, (i-Bu, 2-methyl-1 -propyl), sec-butyl (s-Bu, 2-butyl), tert-butyl (t-butyl, t-Bu, 2-
methyl-2-propyl), n~pentyl (1-pentyl), 2-pentyl, 3-pentyl (-CH(CH2CHs)2), 2-methyl-2-butyl (-C(CH3J2CH2CH3), 3-methyl-2-butyl (-CH(CH3)CH(CH3)2), 3-methyM -butyl (-CH2CH2CH(CHs)2), 2-methyl-1- butyl (-CH2CH(CH3)CH2CH3), 1-hβxyl, 2-hexyl, 3-hexyl (-CH(CH2CHSXCH2CH2CH3)), 2-methyl-2-pentyl (-C(CHa)2CH2CH2CH3),
3-methyl-2-penty! (-CH(CH3)CH(CH3)CH2CH3), 4-methyl-2-pentyl (-CH(CH3)CH2CH(CH3)2), 3-methy!-3-pentyl (-C(CH3)(CH2CHs)2), 2~methyl-3-pentyl (-CH(CH2CH3)CH(CHs)2), 2,3-dimethyi-2-butyl (-C(CHs)2CH(CHs)2), 3,3-dimethy!-2-butyl (-CH(CH3)C(CH3)3! and octyl (-(CH2J7CH3). When the compound of Formula I includes more than one alkyl, the aikyis may be the same or different.
"alkyiene" refers to a linear or branched divalent hydrocarbon chain having from 1 to 8 carbon atoms (i.e., C-ι-8alkyiene), unless a different number of carbon atoms is specified. Examples of "alkyiene" as used herein include but are not limited to methylene, 1 ,1 -ethyi (-CH(CH3)-), ethylene, propylene (1 ,3- propyl (-CH2CH2CH2-); 1 ,1 -propyl (-CH(CH2CH3)-), or 1 ,2-propyl (-CH2CH(CH3)-)) and butyfene (1 ,4-butyl (-CH2CH2CH2CH2-)), and the like. When the compound of Formula I includes more than one alkyiene, the alkylenes may be the same or different. "alkenyl" " as used herein refers to linear or branched hydrocarbon chains containing from 2 to 8 carbon atoms (i.e., C2.8aikenyl), unless a different number of atoms is specified, and at least one carbon-carbon double bond. Examples of suitable alkenyl groups include, but are not limited to, ethenyl or vinyl (-CH=CH2), 2-propenyl or ally! (-CH2CH=CH2), and 5- hexeny! (-CH2CH2CH2CH2CH=CH2). When the compound of Formula I includes more than one alkenyl, the alkenyls may be the same or different, "alkynyl" as used herein refers to linear or branched hydrocarbon chains containing from 2 to 8 carbon atoms (i.e., C2-8a'kynyi), unless a different number of atoms is specified, and at least one carbon-carbon triple bond. Examples of aikynyl groups include, but are not limited to, ethynyl (-C≡CH), propargyl (-CH2C≡CH), and the like. When the compound of
Formula I includes more than one alkynyl, the alkynyls may be the same or different.
"halo" or "halogen" are synonymous and refer to fluoro, chloro, bromo, and iodo. "haloalkyi" as used herein refers to a linear or branched hydrocarbon chain containing from 1 to 8 carbon atoms, unless a different number of carbon atoms is specified, wherein at least one carbon atom is substituted by 1 , 2 or 3 halogen atoms which may be the same or different and are selected from fluoro, chloro, bromo and iodo. In those instances where the alkyl group does not contain from 1 to 8 carbon atoms, the number of carbon atoms in the haloalkyi is expressed as, for example "haloC1-4a!kyr.
"oxo" as used herein refers to the group =0 attached directly to a carbon atom of a hydrocarbon ring or a C, N or S of a heterocyclic ring to result in oxides, - N-oxides, sulfones and sulfoxides, "carbocycle" or "carbocyclyl" refers to a saturated (i.e., cycioalkyl), partially unsaturated (e.g., cycioalkeny!, cycloalkadienyi, etc.) or aromatic (i.e., aryl ring) hydrocarbon rings having 3 to 7 carbon atoms as a monocycie, or 7 to 12 carbon atoms as a bicycle, including spiro-fused rings, unless a different number of carbon atoms is specified. Monocyclic carbocycles typically have 3 to 6 ring atoms ("C3-6carbocycle"), and in one embodiment, 5 or 6 ring atoms ("Cs-gcarbocycle"). Bicyclic carbocycles typically have 7 to 12 ring atoms, e.g., arranged as a bicyclo [4,5], [5,5], [5,6] or [6,6] system, or 9 or 10 ring atoms arranged as a bicyclo [5,6] or [6,6] system, or spiro-fused rings. Non-limiting examples of monocyclic carbocycles include cyclopropyl, cyclobutyl, cyclopentyi, 1-cyclopent-1- enyl, i-cyclopent-2-enyl, 1-cyclopent-3-enyl, cyclohexyl, 1-cyclohex-1- enyl, 1-cyclohex-2-enyl, 1-cyclohex-3-enyl, and phenyl. Non-limiting examples of bicycio carbocycles includes naphthyl, dihydronaphthyl, tetrahydronaphthyl, indenyl, and indanyl. In those embodiments wherein the compound of Formula I includes more than one carbocycle, the carbocycles may be the same or different.
"aryl" refers to a subset of carbocycles, namely those mono- and bi-cyclic aromatic hydrocarbon rings having 6 to 12 carbon atoms. Typical aryl groups include, but are not limited to phenyl, naphthyl, and the like. In
those embodiments wherein the compound of Formula i includes more than one aryl, the aryls may be the same or different, in one embodiment, aryi refers to phenyl or naphthyl. In one particular embodiment, ary! is phenyl. "heterocycie" or "heterocycly!" are synonymous and refer to monocyclic saturated, partially saturated or aromatic rings having 3 to 7 ring atoms wherein 1 , 2, 3 or 4 ring atoms is/are a heteroatom independently selected from N1 O and S, and fused or bridged bicyclic saturated, partially saturated, aromatic, or aromatic and non-aromatic {i.e., mixed functionality) rings having 7 to 12 ring atoms wherein 1 , 2, 3 or 4 ring atoms is/are a heteroatom independently selected from N, O and S. in all embodiments therein the heterocycie includes 2 or more heteroatoms (N, O and S) the heteroatoms may be the same or different. In one particular embodiment, "heterocycie" or "heterocycly!" refers to saturated, partially unsaturated or aromatic monocyclic ring having 4, 5 or 6 ring atoms wherein 1 , 2 or 3 of the ring atoms is/are a heteroatom independently selected from N, O and S, and saturated, partially unsaturated, aromatic or mixed functionality bicyclic ring system of 9 or 10 ring atoms wherein 1 , 2, 3 or 4 of the ring atoms is/are a heteroatom independently selected from N, O and S. In all embodiments wherein the compound of Formula ! includes 2 or more heterocycles, the heterocycies may be the same or different. Examples of heterocycles include but are not limited to pyridyl, dihydropyridyl, piperidyl, thiazolyl, tetrahydrothiophenyl, sulfur oxidized tetrahydrothiophenyl, pyrimidinyl, furanyl, thienyl, pyrrolyl, pyrazolyl, imϊdazolyl, tetrazolyl, benzofuranyl, thianaphthalenyl, indolyl, indolenyl, quinolinyl, isoquinolinyl, benzimϊdazolyl, piperidinyl, 4-piperidonyl, pyrrolidinyl, 2-pyrrolidonyl, pyrrolinyl, tetrahydrofuranyl, tetrahydroquinolinyl, tetrahydroisoquinolinyl, decahydroquinolinyi, octahydroisoquinolinyi, azocinyl, triazinyl, 6H-1 ,2,5- thiadiazinyl, 2H,6H-1 ,5,2-dithiazinyI, thienyl, pyranyl, isobenzofuranyl, chromenyl, 2H-pyrroiyl, isothiazoiyl, isoxazolyl, pyrazinyl, pyridazinyl, indoiizinyl, isoindolyl, 3H-indolyl, 1 H-indazoly, purinyi, 4H-quinolizinyl, phthalazinyi, naphthyridiny!, quinoxalinyl, quinazolinyl, cinnolinyl,
pteridinyl, 4H-phenanthridinyl, acridinyi, pyrimidinyl, phenanthrolinyl, furazanyl, isochromanyl, chromanyl, imidazolidinyi, imidazolinyl, pyrazolidinyl, pyrazolinyl, piperazinyl, indoliπyl, isoindoiinyl, quinuclidinyl, morpholinyi, oxazolidinyi, benzotriazolyl, benzisoxazolyl, oxindolyl, benzoxazolinyl, and bis-tetrahydrofuranyl:
"heteroaryl" refers to a subset of heterocycles, namely monocyclic aromatic rings having 5 to 7 ring atoms wherein 1 , 2 or 3 ring atoms is/are a heteroatom independently selected from N, O and S, and fused or bridged bicyclic aromatic, or mixed functionality rings having 7 to 12 ring atoms wherein 1 , 2, 3 or 4 ring atoms is/are a heteroatom independently selected from N, O and S. Non-limiting examples of heteroaryls include all of aromatic heterocycles listed above, and particularly pyridinyl, pyrrolyl, oxazolyl, indolyl, isoindoiyl, purinyl, furanyl, thienyl, benzofuranyl, benzothiophenyl, imidazoly!, thiazolyl, isoxazolyl, pyrazolyl, isothiazolyl, quinolyl, isoquinolyl, pyridazyl, pyπmidyl, pyrazyl, etc. In those embodiments wherein the compounds of Formula I include more than one heteroaryl, the heteroaryls may be the same or different, "heterocyclene" refers to a bivalent heterocycle as defined herein. For example, heterocyclenes include:
In those embodiments wherein the compounds of Formula 1, include more than one heterocyclene, the heterocyclenes may be the same or different.
COMPOUNDS
One skilled in the art wii! recognize that substituents and other moieties of the compounds of Formula I should be selected in order to avoid embodiments which would be recognized by one of ordinary skilf in the art as obviously inoperative.
In some chemical structure representations where carbon atoms do not have a sufficient number of variables attached to produce a valence of four, the remaining carbon substituents needed to provide a valence of four should be assumed to be hydrogen.
Similarly, in some chemical structures where a bond is drawn without specifying the terminal group, such bond is indicative of a methyl group, as is conventional in the art. Thus,
is the same as
For ease of reference, the constituent moieties of the compounds of Formula may be referred to herein from time to time as follows: "corticosteroid moiety" "β-agonist moiety"
In one aspect, the invention comprises compounds of Formula I:
or a pharmaceutically acceptable salt thereof, wherein:
R1 JS
and one of R6 and R7 is OH and the other is H; or R6 and R7 taken together with the carbon to which they are attached form a >C=O group; or
CH2-O-C(O )C1 -4alkyl, S-C1-4aikyl, S-haloC1-4alkyl, or CH2-O-PO3H2; wherein,
R10 is H or C1-4alkyl;
R15 is a side chain radical of a β-agonist;
R16 Js H, methyl or ethyl;
R19 is H, F, OH or methyl; each R2, R3, R4, and R5 are independently H, Ci-4alkyl or halo; R8 is H, OH, 0(CO)R9, or 0(CO)OR9; each R9 is independently C^alkyl; R11 is H or C1-4aikyl; R12 is H, OH, or Ci_4alkyl; or
R11 and R12 taken together with the carbon to which they are attached form a
>=CH2 group; or R12 and R8 taken together with the carbons to which they are attached form a
1 ,3-dioxolane ring represented by formula B:
formula B; wherein one of R13 and R14 is H, methyl or ethyl and the other is H, C-Moalkyl, C-2-ioalkenyl, C2-ioalkynyl, optionally substituted C3-iocarbocyclyl or optionally substituted 5-6 ring atom heterocycle wherein one or two ring atoms are selected from N, O and S, and wherein said carbocyclyl and said heterocyclyl are each optionally substituted 1 , 2 or 3 times with a substituent selected from halo, Ci-4alkyl, and O-Ci-4alkyl.
For the sake of brevity, the description of embodiments below may reference "compounds of Formula I", it should be understood that the definitions of variables and embodiments thereof apply equally to the same variable in compounds of Formula I! and III, as if the disclosure referenced all, since such compounds are also compounds of Formula I.
The β-agonist moiety of the compound of Formula I may be bound at the 11- or 21-oxy of the corticosteroid moiety. Thus, compounds of the invention include compounds of Formula I wherein
R1 is
and either one of R6 and R7 is OH and the other is H; or R6 and R7 taken together with the carbon to which they are attached form a >C=O group. Such compounds may be referred to as compounds of Formula I-A, and are illustrated as follows:
In one preferred embodiment, the compounds of Formula ! are compounds of Formula I-A, wherein one of R6 and R7 is OH and the other is H; or R6 and R7 taken together with the carbon to which they are attached form a >C=O group, in one particular embodiment R6 and R7 taken together with the carbon to which they are attached form a >C=O group, in one preferred embodiment R6 is H and R7 is OH.
The compounds of the invention also include compounds of Formula I wherein
CH2-O-C(O)C1-4alkyl, S-Ci-4alkyi, S-haloC^alkyl, Or CH2-O-PO3H2, or any subset thereof. Such compounds may be referred to as compounds of Formula I-B, and are iliustrated as follows:
In one embodiment, R1 is S-Ci-4alkyl or S-haioC-Malkyl, or any subset thereof. In one particular embodiment, R1 is S-haloCi-4alkyl, more particularly S-f!uoroCi-4alkyI. In one preferred embodiment, R1 is -S-CH2F.
In one embodiment the compounds of the invention are defined wherein each of R2, R3, R4, and R5 are independently H, methyl, F or Cl, or any subset thereof. In one preferred embodiment R2, R3, R4, and R5 are H. In one embodiment R4 and R5 are H and R2 and R3 are H, F, CI or methyl. In one embodiment R4 and R5 are H, R2 is H, F or Cl and R3 is H, F or methyl. In one particular embodiment R4 and R5 are H and R2 and R3 are H or F. In one particular embodiment R4 and R5 are H and R2 and R3 are F. In one particular embodiment R4 and R5 are H, R2 is H and R3 is F or R2 is F and R3 is H. In one embodiment R8 is H, OH1 0(CO)CH2CH3, 0(CO)OCH3, or 0(CO)OCH2CH3, or any subset thereof.
In one embodiment R10 is H. In one particular embodiment R10 and R11 are H. In one embodiment R10 is H and R11 is methyi.
in one embodiment R j12 is H, OH, or methyl. In one particular embodiment R 12 is H or methyl, more particularly H.
In one embodiment R11 and R12 taken together with the carbon to which they are attached form a
group.
In one preferred embodiment R12 and R8 taken together with the carbons to which they are attached form a 1 ,3-dioxolane ring represented by formula B:
In one embodiment wherein R12 and R8 form a ring represented by formula B, one of R13 and R14 is H, methyl or ethyl and the other is H, d-ioalkyl, C2- -soaikenyi, C^-ioaikynyl, optionally substituted C3^ocarbocycle or optionally substituted 5-6 ring atom heterocycle wherein one or two ring atoms are selected from N, O and S, or any subset thereof, wherein the carbocycle and heterocycle are each optionally substituted 1 , 2 or 3 times with a substituent selected from halo, Ci-4alkyl, and O-C1.4alk.yl. in one embodiment wherein R12 and R8 form a ring represented by formula B, one of R13 and R14 is H, methyl or ethy! and the other is H, Ci_iOa!kyl, C2-ioaIkenyl, C2-ioaIkynyl, or optionally substituted C3-10carbocycle, wherein the carbocycle is optionally substituted 1 , 2 or 3 times with a substituent selected from halo, Chalky!, and
In one embodiment one of R13 and R14 is H, methyl or ethyl and the other is H, Ci- loalkyt, or C3-iocarbocycle, or any subset thereof. In one embodiment one of R13 and R14 is H, methy! or ethyl and the other is H, C1-4alkyl, or C3-6cycloalkyl, or any subset thereof, more particularly cyclohexyl. In one embodiment one of R13 and R14 is H or methyl, more particularly H, and the other is H, C^aikyi, or Cs-ecycloalkyl, or any subset thereof, more particularly cyclohexyl. In one embodiment R13 and R14 are each methyl. In one embodiment R13 is H and R14 is propyl. In one preferred embodiment R13 is H and R14 is cyclohexyl.
In one preferred embodiment the corticosteroid moiety is
In one particular embodiment, the corticosteroid moiety is
Specific examples of known β-agonists from which the side chain radical R15 may be derived include but are not limited to the following compounds:
t-butyl; isopropyl; -(CH2)6θ(CH2)4-phenyl;
C6~Ctocarbocycle optionally substituted 1 or 2 times with halo, C1- C4alkyl, O-CrC4alkyl, O-(CH2)4-NH2, 0-{CH2)4-N(H)C1-4alkyl! O-(CH2)4-N(C1.4aikyl)2, O-C1-4afkyl-C(O)-NH2,
O-Ci-4aikyl-C(O)-N(H)Ci-4alkyl, O-C1-4alkyl-C(O)-N(C1-4alkyl)2i or a group represented by formula i, ii, iii, iv, v, vi, vii, viii or ix: i: C6alkylene-O-R21-Ph4; ii: C2.3alkylene-Ph1-O-R21-Ph4; iii: C2-3alkylene-Ph1-N(H)-R22-Ph2; iv: C2-3aikylene-Het-(R23)-Ph3; v: C2-3alkylene-Ph1-Co-2aϊkylene-C(O)N(H)-C1-4alkyiene-Ph3; vi: C2-3alkylene-Ph3; vii: C2-3alkylene-S(0)2-C2.4alkylene-O-C2-4alkylene-Ph3; viii: Ca-ealkylene-Ph^Co^aikylene-C^NfHJ-C-io--^ bicyclic carbocycle; ix: C3-6alkyiene-Het-Ph4; wherein:
R21 is C2- 6alkylene wherein one carbon of said alkylene is optionally replaced by O; Ph4 is phenyl optionally substituted 1 or 2 times by halo,
N(H)C(O)NH2, SO2NH2 or S-cyclopentyl, Ph1 is phenylene;
R22 is a bond or Ci-2alkylene optionally substituted once by OH or NH2; Ph2 is phenyl optionally substituted 1 or 2 times by O-methyl,
-OCHZCH(CH3)2CH2NH2, -SO2-NH(C6H3XCH3XC7H15), or
Het is 4-10 ring atom heterocyclene wherein 1 , 2 or 3 ring atoms is/are N, O or S (e.g., indolene or benzodioxolene); R23 is a C-2-C4alkylene wherein one carbon of said alkylene is optionally replaced by O or
-C0-2aikyiene-C(O)N(H)-C2-4alkylene; and Ph3 is phenyl optionally substituted 1 or 2 times by halo or O- rnethyl.
in one embodiment, R15 is Ci-6alkyl. More particularly R15 is C^alkyl. In one preferred embodiment, R15 is isopropyl or t-butyl.
in one embodiment, R15 is Cg--I ocarbocycle optionally substituted 1 or 2 times with C1-4alkyl, O-C1-4alkyl, or O-Ci-4alkyl-C(O)-NH2, or any subset thereof. In one embodiment, R15 is Cg.-iøcarbocycle optionally substituted 1 or 2 times with C1-4alkyl, O-Ci»4alkyl, or O-Ci.4aikyl-C(O)-NH2> or any subset thereof. In one embodiment, R15 is
In one embodiment, R15 is a group represented by formula i:
C6alky!ene-O-R21-Ph4. In one embodiment R15 is a group represented by formula i and R21 is C4alkylene. In one particular embodiment, R15 is a group represented by formula i and R21 is C4afkylene and Ph4 is phenyl, particularly unsubstituted phenyl. According to one preferred embodiment, R15 is -<CH2)6θ(CH2)4-pheny!, i.e.,
In one embodiment R is a group represented by formula i and R is C4alkylene wherein one C is replaced by O; more particularly, R21 is -(CH2J2-O-CH2-. in one particular embodiment R21 is -(CH2J2-O-CH2- and Ph4 is phenyl optionally substituted 1 or 2 times with halo, particularly Cl, or 1 time with -N(H)-C(O)-NH2.
In one embodiment R15 is a group represented by formula ii:
C2-3alkylene-Ph1-O-R21-Ph4. In one embodiment R15 is a group represented by formula ii and R21 is C4alkylene wherein one C is optionally replaced by O and Ph4 is unsubstituted phenyl. In one particular embodiment R15 is a group represented by formula ii and R21 is -(CH2J4- or -(CH2^-O-CH2- and Ph4 is unsubstituted phenyl.
in one embodiment R15 is a group represented by formula iii: C2-3alkylene-Ph1-N(H)-R22-Ph2. In one embodiment R15 is a group represented by formula iii and R22 is a bond or C2alkylene substituted once by OH or NH. In one embodiment R15 is a group represented by formula iii, R22 is a bond and Ph2 is phenyl substituted by O-methyl and unsubstituted phenyl or Ph2 is phenyl substituted by -OCH2CH(CH3)2CH2NH2. in one embodiment R15 is a group represented by formula iii, R22 is C2aιkylene substituted once by OH or NH, and Ph2 is unsubstituted phenyl.
In one embodiment R15 is a group represented by formula iv: C2-3alkylene-Het-(R23)-Ph3. In one embodiment R15 is a group represented by formula iv and Het is a 9 or 10 ring atom heterocyclene wherein 1 or 2 ring atoms is N, O or S. In one embodiment, R16 is a group represented by formula iv and Het is indolene or benzodioxolene. In one embodiment, R15 is a group represented by formula iv and R23 is -CH2-O-CH2- or -C(O)N(H)-CH2-. In one embodiment, R15 is a group represented by formula iv and Ph3 is unsubstituted phenyl, phenyl substituted twice by halo (particularly CI) or O-methyl, or any subset thereof.
In one embodiment R15 is a group represented by formula v: C2-3a!kylene-Ph1-C0-C2alky!ene-C(O)N(H)-C1-4alky!ene-Ph3. in one embodiment, R15 is a group represented by formula v and Ph3 is phenyl substituted twice by halo (particularly Cl) or O-methyl. In one embodiment, R15 is C2-3aikylene-Ph1-CH2-C(O)N(H)-CH2-Ph3.
In one embodiment R15 is a group represented by formula vi: C2-3alkylene-Ph3. in one embodiment, R15 is a group represented by formula vi and Ph3 is phenyl
substituted once by O-methyl.
in one embodiment, R15 is a group represented by formuia vii: C2-3alkylene-S(O)2-C2-4alkylene~O»C2-4alkylene-Ph3. In one embodiment, R15 is a group represented by formula vii and Ph3 is unsubstituted phenyl
In one embodiment, R15 is a group represented by formula viii: C3-6alky!ene-Ph1-Co-2a[kylene-C(0)N(H)-Cio-i2 bicyclic carbocycle. In one embodiment, R15 is a group represented by formuia viii-a: (branched) C3alky!ene-Ph1-CH2C(O)N(H)-adamanty!.
In one embodiment, R15 is a group represented by formula ix: C3-6alkylene-Het-Ph4. In one embodiment, R15 is a group represented by formula ix wherein Het is a 5 or 6 ring atom heterocyciene wherein 1 , 2 or 3 atoms are N and the remaining atoms are C, wherein said heterocyciene is optionally substituted once by methyl and Ph4 is halo-substituted, particularly Cl-su bstituted phenyl.
In one particular embodiment, R15 is selected from:
or any subset thereof, wherein the wavy bond indicates the point of attachment. in one preferred embodiment, R 15 is selected from
t-butyl, isopropyl,
In one preferred embodiment, R15 is
In one preferred embodiment, R
In one preferred embodiment, R15 is
In one embodiment R )16 is H or methyl. In one preferred embodiment, R 16 is H
In one preferred embodiment, R19 is OH.
In one embodiment, the invention provides compounds of Formula II:
and pharmaceutically acceptable salts thereof, or any subset thereof, wherein all variables are as defined above, including all embodiments of each variable as described hereinabove. Specific embodiments, including particular and preferred embodiments of R2, R3, and R15 are as described above for compounds of Formula I. For the sake of brevity, the disclosure of those embodiments, including particular and preferred embodiments is not repeated. Any of the previously disclosed embodiments, particular embodiments and
preferred embodiments of R2, R3, and R15 are contemplated for combination in any of the foregoing Formula.
In one embodiment, the invention provides compounds of Formula III:
and pharmaceutically acceptable salts thereof, or any subset thereof, wherein R20 is ethyl or furanyl and all other variables are as defined above, including all embodiments of each variable as described hereinabove. Specific embodiments, including particular and preferred embodiments of R15 are as described above for compounds of Formula I. For the sake of brevity, the disclosure of those embodiments, including particular and preferred embodiments is not repeated. Any of the previously disclosed embodiments, particular embodiments and preferred embodiments of R15 are contemplated for combination in any of the foregoing Formula.
It is to be understood that the present invention includes all combinations and subsets of the particular variable definitions defined hereinabove in the compounds of the invention.
Specific examples of compounds of the invention include the compounds set forth in the examples below (and free base and pharmaceutically acceptable salt forms thereof).
The compounds of Formula I, may be in the form of a sait, particularly a
pharmaceutically acceptable salt. Examples of pharmaceutically acceptable salts of the compounds of the Formula I include salts derived from an appropriate base, such as an alkali metal or an alkaiine earth (for example,
Na+, Li+, K+. Ca2+ and Mg2+), ammonium and N(C1^aIKyI)4 +, Pharmaceutically acceptable salts of a nitrogen atom or an amino group include (a) acid addition salts formed with inorganic acids, for example, hydrochloric acid, hydrobromic acid, sulfuric acid, sulfamic acids, phosphoric acid, nitric acid and the like; (b) salts formed with organic acids such as, for example, acetic acid, oxalic acid, tartaric acid, succinic acid, maleic acid, fumaric acid, gluconic acid, citric acid, malic acid, ascorbic acid, benzoic acid, isethionic acid, lactobionic acid, tannic acid, palmitic acid, alginic acid, polygiutamic acid, naphthalenesulfonic acid, methanesulfonic acid, p- toluenesulfonic acid, benzenesulfonic acid, naphthalenedisulfonic acid, naphthalene-1 ,5-disulfonic acid, polygalacturonic acid, malonic acid, sulfosalicylic acid, glycolic acid, 2-hydroxy-3-naphthoate, 1-hydroxy-2- naphthoate pamoate, salicylic acid, stearic acid, phthalic acid, mandelic acid, lactic acid, ctnnamic acid, ethanesulfonic acid, lysine, arginine, glutamic acid, glycine, serine, threonine, alanine, isoleucine, leucine and the like; and (c) salts formed from elemental anions for example, chlorine, bromine, and iodine.
For therapeutic use, salts of active ingredients of the compounds of Formula I will be pharmaceutically acceptable, i.e. they will be salts derived from a pharmaceutically acceptable acid or base. However, salts of acids or bases which are not pharmaceutically acceptable may also find use, for example, in the preparation or purification of a pharmaceutically acceptable compound. All salts, whether or not derived from a pharmaceutically acceptable acid or base, are within the scope of the present invention.
Finally, it is to be understood that the compositions herein comprise compounds of the invention in their un-ionized, as well as zwitterionic form, and combinations with stoichiometric amounts of water as in hydrates.
The term "chiral" refers to molecules which have the property of non- superimposability of the mirror image partner, while the term "achiral" refers to molecules which are superimposable on their mirror image partner.
The term "stereoisomers" refers to compounds which have identical chemical constitution, but differ with regard to the arrangement of the atoms or groups in space.
"Diastereomer" refers to a stereoisomer with two or more centers of chirality and whose molecules are not mirror images of one another. Diastereomers have different physical properties, e.g. melting points, boiling points, spectral properties, and reactivities. Mixtures of diastereomers may separate under high resolution analytical procedures such as electrophoresis and chromatography.
"Enantiomers" refer to two stereoisomers of a compound which are non- superimposable mirror images of one another.
Stereochemical definitions and conventions used herein generally follow S. P. Parker, Ed., MCGRAW-HILL DICTIONARY OF CHEMICAL TERMS (1984) McGraw-Hill Book Company, New York; and Elief, E. and Wilen, S., STEREOCHEMISTRY OF ORGANIC COMPOUNDS (1994) John Wiley & Sons, Inc., New York.
Many organic compounds exist in optically active forms, i.e., they have the ability to rotate the plane of plane-polarized light. In describing an optically active compound, the prefixes D and L or R and S are used to denote the absolute configuration of the molecule about its chira! center(s). A specific stereoisomer may also be referred to as an enantiomer, and a mixture of such isomers is often called an enantiomeric mixture. A 50:50 mixture of enantiomers is referred to as a racemic mixture or a racemate, which may occur where there has been no stereoselection or stereospecificity in a chemical reaction or process. The terms "racemic mixture" and "racemate" refer to an equimolar mixture of two enantiomeric species.
It is to be noted that all enantiomers, diastereomers, and racemic mixtures, tautomers, polymorphs, pseudopoiymorphs of compounds within the scope of Formula I and pharmaceutically acceptable salts thereof are embraced by the present invention. All mixtures of such enantiomers and diastereomers, including enantiomerically enriched mixtures and diastereomericaliy enriched mixtures are within the scope of the present invention. Enantionmerically enriched mixtures are mixtures of enantiomers wherein the ratio of the specified enantiomer to the alternative enantiomer is greater than 50:50. More particularly, an enantiomerically enriched mixture comprises at least about 75% of the specified enantiomer, and preferably at least about 85% of the specified enantiomer. In one embodiment, the enantiomerically enriched mixture is substantially free of the other enantiomer. Similariy, diastereomericaliy enriched mixtures are mixtures of diastereomers wherein amount of the specified diastereomer is greater than the amount of each alternative diastereomer. More particularly, a diastereomericaliy enriched mixture comprises at least about 75% of the specified diastereomer, and preferably at least about 85% of the specified diastereomer. In one embodiment, the diastereomericaliy enriched mixture is substantially free of all other diastereomers.
For illustrative purposes, specific examples of enantiomers within the scope of the present invention include:
In one embodiment, the present invention provides an enantiomericaily enriched mixture comprising
a pharmaceutically acceptable salt thereof, as the predominant isomer.
In one embodiment, the present invention provides an enantiomerically enriched mixture comprising
A compound of Formula I and pharmaceutically acceptable salts thereof may exist as different polymorphs or pseudopolymorphs. As used herein, crystalline polymorphism means the ability of a crystalline compound to exist in different crystal structures. The crystalline polymorphism may result from differences in crystal packing (packing polymorphism) or differences in packing between different conformers of the same molecule (conformational polymorphism). As used herein, crystalline pseudopolymorphism also includes the ability of a hydrate or solvate of a compound to exist in different crystal structures. The pseudopolymorphs of the instant invention may exist due to differences in crystal packing (packing pseudopolymorphism) or due to differences in packing between different conformers of the same molecule (conformational pseudopolymorphism). The instant invention comprises all polymorphs and pseudopolymorphs of the compounds of Formula I and pharmaceutically acceptable salts thereof.
A compound of Formula I and pharmaceutically acceptable salts thereof may also exist as an amorphous solid. As used herein, an amorphous solid is a solid in which there is no long-range order of the positions of the atoms in the solid. This definition applies as well when the crystal size is two nanometers or
less. Additives, including solvents, may be used to create the amorphous forms of the instant invention. The instant invention comprises all amorphous forms of the compounds of Formula I and pharmaceutically acceptable salts thereof.
The modifier "about" used in connection with a quantity is inclusive of the stated value and has the meaning dictated by the context (e.g., includes the degree of error associated with measurement of the particular quantity).
USES
The compounds of the invention are useful as a medicament and more particularly, are useful for the treatment of clinical conditions for which a corticosteroid and/or selective β-agonists, and particularly β2-agonists, are indicated. Such conditions may involve pulmonary inflammation and/or bronchoconstriction, and include diseases associated with reversible or irreversible airway obstruction. More particularly, such conditions include asthma, chronic obstructive pulmonary diseases (COPD), chronic bronchitis, bronchiectasis, emphysema, respiratory tract infection and upper respiratory tract diseases (e.g., rhinitis, including seasonal and allergic rhinitis).
Accordingly, in one aspect, the present invention provides a method for the treatment of a condition in a mammal, such as a human, for which a corticosteroid and/or β-agonist is indicated.
The terms "treating" and "treatment", as used herein refers to reversing, alleviating, inhibiting the progress of, or preventing the disorder or condition or one or more symptoms of such disorder or condition.
All therapeutic methods described herein are carried out by administering an effective amount of a compound of the invention, i.e., a compound of Formula I or a pharmaceutically acceptable salt thereof, to a subject (typically mammal and preferably human) in need of treatment.
In one embodiment the invention provides a method for the treatment of pulmonary inflammation and bronchoconstriction in a mammal, particularly a human, in need thereof. In one particular embodiment the present invention provides a method for the treatment of a condition associated with reversible airway obstruction in a mammal, particularly a human in need thereof. In one embodiment the invention provides a method for the treatment of asthma in a mammal, particularly a human, in need thereof. In one embodiment the invention provides a method for the treatment of chronic obstructive pulmonary disease in a mammal, particularly a human, in need thereof. In one embodiment the invention provides a method for the treatment of bronchitis, including chronic bronchitis in a mammal, particularly a human, in need thereof, in one embodiment the invention provides a method for the treatment of bronchiectasis in a mammal, particularly a human, in need thereof, in one embodiment the invention provides a method for the treatment of emphysema in a mammal, particularly a human in need thereof. In one embodiment the invention provides a method for the treatment of a respiratory tract infection or upper respiratory tract disease in a mammal, particularly a human in need thereof.
There is also provided a compound of the invention for use in medical therapy, particularly for use in the treatment of condition in a mammal, such as a human, for which a corticosteroid and/or β-agonist is indicated. Ail therapeutic uses described herein are carried out by administering an effective amount of a compound of the invention to the subject in need of treatment. In one embodiment there is provided a compound of the invention for use in the treatment of pulmonary inflammation and bronchoconstriction in a mammal, particularly a human, in need thereof. In one particular embodiment there is provided a compound of the invention for use in the treatment of a condition associated with reversible airway obstruction in a mammal, particularly a human in need thereof. In one embodiment, there is provided a compound of the invention for use in the treatment of asthma in a mammal, particularly a human, in need thereof. In one embodiment there is provided a compound of the invention for use in the treatment of chronic obstructive pulmonary disease
in a mammal, particularly a human, in need thereof. In one embodiment there is provided a compound for use in the treatment of bronchitis, including chronic bronchitis in a mammal, particularly a human, in need thereof. In one embodiment there is provided a compound for use in the treatment of bronchiectasis in a mammal, particularly a human, in need thereof. In one embodiment there is provided a compound for use in the treatment of emphysema in a mammal, particularly a human in need thereof. In one embodiment there is provided a compound of the invention for use in the treatment of a respiratory tract infection or upper respiratory tract disease in a mammal, particularly a human, in need thereof.
The present invention also provides the use of a compound of the invention in the manufacture of a medicament for the treatment of a condition in a mamma!, such as a human, for which a corticosteroid and/or β-agonist is indicated. In one embodiment is provided the use of a compound of the invention in the manufacture of a medicament for the treatment of pulmonary inflammation and bronchoconstriction in a mammal, particularly a human, in need thereof. In one particular embodiment is provided the use of a compound of the invention in the manufacture of a medicament for the treatment of a condition associated with reversible airway obstruction in a mammal, particularly a human in need thereof, In one embodiment is provided a compound of the invention in the manufacture of a medicament for the treatment of asthma in a mammal, particularly a human, in need thereof. In one embodiment is provided the use of a compound of the invention in the manufacture of a medicament for the treatment of chronic obstructive pulmonary disease in a mammal, particularly a human, in need thereof. In one embodiment is provided the use of a compound of the invention in the manufacture of a medicament for the treatment of bronchitis, including chronic bronchitis in a mammal, particularly a human, in need thereof. In one embodiment is provided the use of a compound of the invention in the manufacture of a medicament for the treatment of bronchiectasis in a mammal, particularly a human, in need thereof. In one embodiment is provided the use of a compound of the invention for the manufacture of a medicament for the treatment of emphysema in a mammal,
particularly a human in need thereof. In one embodiment is provided the use of a compound of the invention for the manufacture of a medicament for the treatment of a respiratory tract infection or upper respiratory tract disease in a mammal, particularly a human in need thereof.
The term "effective amount", as used herein, is an amount of compound of the invention which is sufficient in the subject to which it is administered, to elicit the biological or medical response of a ceil culture, tissue, system, mammal (including human) that is being sought, for instance by a researcher or clinician. The term also includes within its scope, amounts effective to enhance normal physiological function. In one embodiment, the effective amount is the amount needed to provide a desired level of drug in the secretions and tissues of the airways and lungs, or alternatively, in the bloodstream of a subject to be treated to give an anticipated physiological response or desired biological effect when such a composition is administered by inhalation. For example an effective amount of a compound of the invention for the treatment of a condition for which a corticosteroid and/or β-agonist is indicated is sufficient in the subject to which it is administered to treat the particular condition. In one embodiment an effective amount is an amount of a compound of the invention which is sufficient for the treatment of asthma, or COPD in a human.
The precise effective amount of the compounds of the invention will depend on a number of factors including but not limited to the species, age and weight of the subject being treated, the precise condition requiring treatment and its severity, the bioavailability, potency, and other properties of the specific compound being administered, the nature of the formulation, the route of administration, and the delivery device, and will ultimately be at the discretion of the attendant physician or veterinarian.
An estimated dose (for inhalation) of a compound of the invention for treatment of a 70 kg human may be in the range of from about 10 to about 5000μg. The selection of the specific dose for a patient will be determined by the attendant physician, clinician or veterinarian of ordinary skill in the art based upon a number of factors including those noted above. In one particular embodiment,
the dose of a compound of the invention for the treatment of a 70 kg human will be in the range of from about 50 to about 2500 μg. In one preferred embodiment the dose of a compound of the invention for the treatment of a 70 kg human will be in the range of from about 100 to about 1000 μg. Doses may be adjusted if the compound is administered via a different route.
Determination of an appropriate dose for administration by other routes is within the skill of those in the art in light of the foregoing description and the general knowledge in the art.
Delivery of an effective amount of a compound of the invention may entail delivery of a single dosage form or multiple unit doses which may be delivered contemporaneously or separate in time over a designated period, such as 24 hours. Typically, a compound of the invention (alone or in the form of a composition comprising the same) will be administered four, three, two, or most preferably once per day (24 hours).
COMPOSITIONS
While it is possible for a compound of the invention to be administered alone, it is preferable to present it in the form of a composition, particularly a pharmaceutical composition (formulation). Thus, in another aspect, the invention provides compositions, and particularly pharmaceutical compositions (such as an inhalable pharmaceutical composition) comprising a compound of the invention as an active ingredient and a pharmaceutically acceptable excipient, diluent or carrier. The term "active ingredient" as employed herein refers to any of a compound of Formula I, II, or II! or a pharmaceutically acceptable salt of any of the foregoing. In a particular embodiment, the composition is a novel, efficacious, safe, nonirritating and physiologically compatible inhalable composition comprising the active ingredient. The composition is preferably suitable for treating asthma, bronchitis, or COPD.
Pharmaceutical compositions according to the invention include those suitable for oral administration; parenteral administration, including subcutaneous, intradermal, intramuscular, intravenous and intraarticular; and administration to the respiratory tract, including the nasal cavities and sinuses, oral and
extrathoracic airways, and the lungs, including by use of aerosols which may be delivered by means of various types of dry powder inhalers, pressurized metered dose inhalers, softmist inhalers, nebulizers, or insufflators. The most suitable route of administration may depend upon, several factors including the patient and the condition or disorder being treated.
The formulations may be presented in unit dosage form or in bulk form as for example in the case of formulations to be metered by an inhaler and may be prepared by any of the methods well known in the art of pharmacy. All methods include the step of bringing the active ingredient into association with the carrier, diluent or excipient and optionally one or more accessory ingredients. In general the formulations are prepared by uniformly and intimately bringing into association the active ingredient with one or more liquid carriers, diluents or excipients or finely divided solid carriers, diluents or excipients, or both, and then, if necessary, shaping the product into the desired formulation.
In one preferred embodiment, the composition is an inhalable pharmaceutical composition which is suitable for inhalation and delivery to the endobronchial space. Typically, such composition is in the form of an aerosol comprising particles for delivery using a nebulizer, pressurized metered dose inhaler (pMDI), softmist inhaler, or dry powder inhaler (DPI).
Aerosols used to administer medicaments to the respiratory tract are typically polydisperse, that is they are comprised of particles of many different sizes. The particle size distribution is typically described by the Mass Median Aerodynamic Diameter (MMAD) and the Geometric Standard Deviation (GSD). For optimum drug delivery to the endobronchial space the MMAD is in the range from about 1 to about 10 μm and preferably from about 1 to about 5μm, and the GSD is less than 3, and preferably less than about 2. Aerosols having a MMAD above 10 μm are generally too large when inhaled to reach the lungs. Aerosols with a GSD greater than about 3 are not preferred for lung delivery as they deliver a high percentage of the medicament to the oral cavity. To achieve these particle sizes the particles of the active ingredient as produced may be size reduced using conventional techniques such as micronisation. Non limiting
examples of other processes or techniques that can be used to produce respirabie particles include spray drying, precipitation, supercritical fluid, and freeze drying. The desired fraction may be separated out by air classification or sieving. In one embodiment, the particles will be crystalline.
Aerosoi particle size distributions are determined using devices well known in the art. For example a multi-stage Anderson cascade impactor or other suitable method such as those specifically cited within the US Pharmacopoeia Chapter 601 as characterizing devices for aerosols emitted from metered-dose and dry powder inhalers.
Dry powder compositions for topical delivery to the lung by inhalation generaliy contain a mix of the active ingredient and a suitable powder base (carrier/diluent/excipient substance) such as mono-, di- or poly-saccharides (e.g., lactose or starch). Lactose is typically preferred. When a solid excipient such as lactose is employed, generally the particle size of the excipient will be much greater than the active ingredient to aid the dispersion of the formulation in the inhaler.
Non-limiting examples of dry powder inhalers include reservoir multi-dose inhalers and pre-metered multi-dose inhalers. A reservoir inhaler contains a large number of doses (e.g. 60) in one container. Prior to inhalation, the patient actuates the inhaler which causes the inhaler to meter one dose of medicament from the reservoir and prepare it for inhalation. In a pre-metered multi-dose inhaler, each individual dose has been manufactured in a separate container, and actuation of the inhaier prior to inhalation causes a new dose of drug to be released from its container and prepared for inhalation. During inhalation, the inspiratory flow of the patient accelerates the powder out of the device and into the oral cavity. Turbulent flow characteristics of the powder path cause the excipient-drug aggregates to disperse, and the particles of active ingredient are deposited deep in the lungs. In preferred embodiments, a compound of the invention is delivered as a dry powder using a dry powder inhaler wherein the particles emitted from the inhaler have an MMAD in the range of about 1 μrη to about 5 μm and a GSD about less than 2.
Examples of suitable dry powder inhalers and dry powder dispersion devices for use in the delivery of compounds and compositions according to the present invention include but are not limited to those disclosed in US7520278; US7322354; US7246617; US7231920; US7219665; US7207330; US6880555; US5,522,385; US6845772; US6637431 ; US6329034; US5,458,135; US4.805.811.
In one embodiment, the pharmaceutical formulation according to the invention is a dry powder for inhalation which is formulated for delivery by a Diskus®-type device. The Diskus® device comprises an eiongate strip formed from a base sheet having a plurality of recesses spaced along its length and a lid sheet hermetically but peelably sealed thereto to define a plurality of containers, each container having therein an inhalable formulation containing a predetermined amount active ingredient either alone or in admixture with one or more carriers or excipients (e.g., lactose) and/or other therapeutically active agents. Preferably, the strip is sufficiently flexible to be wound into a roll. The Nd sheet and base sheet will preferably have leading end portions which are not sealed to one another and at least one of the leading end portions is constructed to be attached to a winding means. Also, preferably the hermetic seal between the base and lid sheets extends over their whole width. To prepare the dose for inhalation, the lid sheet may preferably be peeled from the base sheet in a longitudinal direction from a first end of the base sheet.
in another embodiment, the pharmaceutical formulation according to the invention is a dry powder for inhalation wherein the dry powder is formulated into microparticles as described in PCT Publication No. WO2009/015286 or WO2007/114881 , both to NexBio. Such microparticles are generally formed by adding a counterion to a solution containing a compound of the invention in a solvent, adding an antisolvent to the solution; and gradually cooling the solution to a temperature below about 250C, to form a composition containing microparticles comprising the compound. The microparticles comprising the compound may then be separated from the solution by any suitable means such as sedimentation, filtration or lyophilization. Suitable counterions, solvents
and antisolvents for preparing microparticles of the compounds of the invention are described in WO2009/015286.
Spray compositions for topical delivery to the endobronchial space or lung by inhalation may for example be formulated as aqueous solutions or suspensions or as aerosols delivered from pressurized packs, such as metered dose inhalers, with the use of suitable liquefied propellants, softmist inhalers, or nebulizers. Such aerosol compositions suitable for inhalation can be either a suspension or a solution and generally contain the active ingredient together with a pharmaceutically acceptable carrier or diluent (e.g., water, saline, or ethanol) and optionally one or more therapeutically active agents.
Aerosol compositions for delivery by pressurized metered dose inhalers typically further comprise a pharmaceutically acceptable propellant. Examples of such propellants include fluorocarbon or hydrogen-containing chforofluorocarbon or mixtures thereof, particularly hydroffuoroalkanes, e.g., dichlorodifluoromethane, trichlorofluoromethane, dichJorotetrafluoroethane, especially 1 ,1 ,1 ,2-tetraf!uoroethane, 1 ,1 ,1 ,2,3,3,3,-heptafluoro-n-propane or a mixture thereof. The aerosol composition may be excipient free or may optionally contain additional formulation excipients well known in the art such as surfactants e.g., oleic acid or lecithin and cosolvents e.g., ethanol. Pressurized formulations will generally be retained in a canister (e.g., an aluminum canister) closed with a valve (e.g., a metering valve) and fitted into an actuator provided with a mouthpiece.
In another embodiment, a pharmaceutical composition according to the invention is delivered as a dry powder using a metered dose inhaler. Non- limiting examples of metered dose inhalers and devices include those disclosed in US5,261 ,538; US5,544,647; US5,622,163; US4,955,371 ; US3,565,070; US3,361306 and US6.116,234. In a preferred embodiment, a compound of the invention is delivered as a dry powder using a metered dose inhaler wherein the emitted particles have an MMAD that is in the range of about 1 μm to about 5 μm and a GSD that is less than about 2.
In one embodiment is provided a pharmaceutical composition comprising an effective amount of a compound of the invention in a dosage form suitable for delivery via a nebulizer, metered dose inhaler, or dry powder inhaler. In one particular embodiment is provided a pharmaceutical composition comprising an effective amount of a compound of the invention in a dosage form suitable for aerosolization by metered-dose inhaler; or jet, ultrasonic, or vibrating porous plate nebulizer.
Such liquid inhalable solutions for nebulization may be generated by solubilizing or reconstituting a solid particle formulation or may be formuiated with an aqueous vehicle with the addition of agents such as acid or alkali, buffer salts, and isotonicity adjusting agents. They may be sterilized by in process techniques such as filtration, or terminal processes such as heating in an autoclave or gamma irradiation. They may also be presented in non-sterile form.
Such formulations may be administered using commercially available nebulizers or other atomizer that can break the formulation into particles or droplets suitable for deposition in the nasal cavities or respiratory tract. Non- limiting examples of nebuiizers which may be employed for the aerosol delivery of a composition of the invention include pneumatic jet nebulizers, vented or breath enhanced jet nebulizers, or ultrasonic nebulizers including static or vibrating porous plate nebulizers, A jet nebulizer utilizes a high velocity stream of air blasting up through a column of water to generate droplets. Particles unsuitable for inhalation impact on walls or aerodynamic baffles. A vented or breath enhanced nebulizer works the same as a jet nebulizer except that inhaled air passes through the primary droplet generation area to increase the output rate of the nebulizer while the patient inhales. In an ultrasonic nebulizer, vibration of a piezoelectric crystal creates surface instabilities in the drug reservoir that cause droplets to be formed, In porous plate nebulizers pressure fields generated by sonic energy force liquid through the mesh pores where it breaks into droplets by Rayleigh breakup. The sonic energy may be supplied by a vibrating horn or plate driven by a piezoelectric crystal, or by the mesh
itself vibrating. Non-iimiting examples of atomizers include any single or twin fluid atomizer or nozzle that produces droplets of an appropriate size. A single fluid atomizer works by forcing a liquid through one or more holes, where the jet of liquid breaks up into droplets. Twin fluid atomizers work by either forcing both a gas and liquid through one or more holes, or by impinging a jet of liquid against another jet of either liquid or gas.
The nebulizer which aerosolizes the formulation of the active ingredient is important in the administration of the active ingredient. Different nebulizers have differing efficiencies based their design and operation principle and are sensitive to the physical and chemical properties of the formulation. For example, two formulations with different surface tensions may have different particle size distributions. Additionally, formulation properties such as phi, osmolality, and permeant ion content can affect tolerability of the medication, so preferred embodiments conform to certain ranges of these properties. in a preferred embodiment, the formulation for nebulization is delivered to the endobronchial space as an aerosol having an MMAD between about 1 μm and about 5 μm and a GSD less than 2 using an appropriate nebulizer. To be optimally effective and to avoid upper respiratory and systemic side effects, the aerosol should not have a MMAD greater than about 5 μm and should not have a GSD greater than about 2. If an aerosol has an MIvIAD larger than about 5 μm or a GSD greater than about 2, a large percentage of the dose may be deposited in the upper airways decreasing the amount of drug delivered to the site of inflammation and bronchoconstriction in the lower respiratory tract. If the MMAD of the aerosol is smaller than about 1 μm. then the particles may remain suspended in the inhaled air and may then be exhaled during expiration.
Formulations suitable for oral administration may be presented as discrete units such as capsules, cachets or tablets, each containing a predetermined amount of the active ingredient; as a powder or granules; as a solution or suspension in an aqueous liquid or a non-aqueous liquid; or as an oil-in-water liquid emulsion or a water-in-oil liquid emulsion. The active ingredient may also be presented as a sachet, bolus, electuary or paste.
A tablet may be made by compression or molding, optionally with one or more accessory ingredients. Compressed tablets may be prepared by compressing in a suitable machine the active ingredient in a free-flowing form such as a powder or granules, optionally mixed with a binders, lubricant, inert diluent, surface active or dispersing agent. Molded tablets may be made by molding in a suitable machine a mixture of the powdered compound moistened with an inert liquid diluent. The tablets may optionally be coated or scored and may be formulated so as to provide slow or controlled release of the active ingredient therein.
Formulations for topical administration in the mouth, for example buccally or sublingually, include lozenges, comprising the active ingredient in a flavored base such as sucrose and acacia or tragacanth, and pastilles comprising the active ingredient in a base such as gelatin and glycerin or sucrose and acacia. Formulations for parenteral administration include aqueous and non-aqueous sterile injection solutions which may contain anti-oxidants, buffers, bacteriostats and solutes which render the formulation isotonic with the blood of the intended recipient; and aqueous and non-aqueous sterile suspensions which may include suspending agents and thickening agents. The formulations may be presented in unit-dose or multi-dose containers, for example sealed ampoules and vials, and may be stored in a freeze-dried (lyophilized) condition requiring only the addition of the sterile liquid carrier, for example saline or water-for- injection, immediateiy prior to use. Extemporaneous injection solutions and suspensions may be prepared from sterile powders, granules and tablets of the kind previously described.
In another aspect of the invention, the aerosolizable formulation of a compound of the invention delivers an effective amount of the compound ranging from about 1 to about 5000 μg to the lungs wherein the composition produces plasma concentrations of the β-agonist and/or corticosteroid of less than about 10 nanograms/mL one hour after administration of said composition. In a preferred embodiment of the invention, the plasma concentrations of the β- agonist and/or corticosteroid produced are less than about 5 nanograms/mL
one hour after administration of the composition. In a particularly preferred embodiment of the invention, the plasma concentrations of the β-agonist and/or corticosteroid produced are iess than about 2 nanograms/mL one hour after administration of the composition.
In another aspect, the invention provides a method of treating pulmonary inflammation and bronchoconstriction comprising treating a subject in need thereof with an effective amount of an inhaiable pharmaceutical composition of a compound of the invention wherein the inhaiable pharmaceutical composition produces plasma concentrations of the β-agonist and/or corticosteroid comprising the compound of the invention of less than 10 nanograms/mL one hour after administration of said composition. In a preferred embodiment of the method, the plasma concentrations of the β-agonist and/or corticosteroid produced are less than about 5 nanograms/mL one hour after administration of said formulation. In a particularly preferred embodiment of the method, the plasma concentrations of the β -agonist and/or corticosteroid produced are less than about 2 nanograms/mL one hour after administration of said formulation. In another aspect, the invention provides a method of treating asthma, COPD, bronchitis, bronchiectasis, emphysema or rhinitis in a human subject asthma, bronchitis or COPD comprising treating a the subject with an effective amount of a inhaiable pharmaceutical composition of a compound of the invention wherein the inhaiable pharmaceutical composition produces plasma concentrations of the β-agontst and/or corticosteroid of less than 10 nanograms/mL one hour after administration of said composition. In a preferred embodiment of the method, the plasma concentrations of the β - agonist and/or corticosteroid produced are iess than about 5 nanograms/mL one hour after administration of said formulation, in a particularly preferred embodiment of the method, the plasma concentrations of the β-agonist and/or corticosteroid produced are less than about 2 nanograms/mL one hour after administration of said formulation.
Preferred unit dosage formuiations for the compounds of the invention are those containing an effective amount of the active ingredient or an appropriate fraction thereof.
it should be understood that in addition to the ingredients particularly mentioned above, the formuiations of this invention may include other agents conventional in the art having regard to the type of formulation in question for example those suitable for oral administration may include flavoring agents.
As noted above, the compounds of the invention may be formulated and/or used in combination with other therapeutically active agents. Examples of other therapeutically active agents which may be formulated or used in combination with the compounds of the invention include but are not limited to antiinflammatory agents, anticholinergic agents, β-agonists (including selective β2- agonists), peroxisome proiiferator-activated receptor (PPAR) gamma agonists, PPAR delta agonists, epithelial sodium channel blockers (ENaC receptor blockers), kinase inhibitors, antiinfective agents and antihistamines. The present invention thus provides, as another aspect, a composition comprising an effective amount of compound of the invention and another therapeutically active agent selected from anti-inflammatory agents, anticholinergic agents, β- agonists (including selective β2-agonists), PPAR gamma agonists, PPAR delta agonists, ENaC receptor blockers, kinase inhibitors, antiinfective agents and antihistamines.
Suitable anti-inflammatory agents for use in combination with the compounds of the invention include corticosteroids and non-steroidal anti-inflammatory drugs (NSAIDs), particularly phosphodiesterase (PDE) inhibitors. Examples of corticosteroids for use in the present invention include oral or inhaled corticosteroids or prodrugs thereof. Specific examples include but are not limited to ciclesonide, desisobutyryl-ciclesonide, budesonide, flunisolide, mometasone and esters thereof (e.g., mometasone furoate), fluticasone propionate, fluticasone furoate, beciomethasone, methyl prednisolone, prednisolone, dexamethasone, 6α,9α-difluoro-17a-[(2-furanylcarbonyl)oxy]-
11 β-hydroxy-16α-methyl-3-oxo-androsta-1 ,4-diene-17β-carbothioic acid S- fluoromethy! ester, 6α,9α-difluoro-11 β-hydroxy-16α-methyl-3-oxo-1 Ia- propionyloxy-androsta-1 ,4-diene-17β-carbothioic acid S-(2-oxo-tetrahydro- furan-3S-yi) ester, beclomethasone esters (e.g., the 17-propionate ester or the 17,21-dipropionate ester, fluoromethy! ester, triamcinolone acetonide, rofleponide, or any combination or subset thereof. Preferred corticosteroids for formulation or use in combination with the compounds of the invention are selected from ciciesonide, desisobutyryl-ciclesonide, budesonide, mometasone, fluticasone propionate, and fluticasone furoate, or any combination or subset thereof.
NSAlDs for use in the present invention include but are not limited to sodium cromoglycate, nedocromil sodium, phosphodiesterase (PDE) inhibitors (e.g., theophylline, PDE4 inhibitors, mixed PDE3/PDE4 inhibitors or mixed PDE4/PDE7 inhibitors), leukotriene antagonists, inhibitors of leukotriene synthesis (e.g., 5 LO and FLAP inhibitors), nitric oxide synthase (ΪNOS) inhibitors, protease inhibitors (e.g., tryptase inhibitors, neutrophil elastase inhibitors, and metalloprotease inhibitors) β2-integrin antagonists and adenosine receptor agonists or antagonists (e.g., adenosine 2a agonists), cytokine antagonists (e.g., chemokine antagonists) or inhibitors of cytokine synthesis (e.g., prostaglandin D2 (CRTh2) receptor antagonists).
The PDE4 inhibitor, mixed PDE3/PDE4 inhibitor or mixed PDE4/PDE7 inhibitor may be any compound that is known to inhibit the PDE4 enzyme or which is discovered to act as a PDE4 inhibitor, and which are selective PDE4 inhibitors (i.e., compounds which do not appreciably inhibit other members of the PDE family). Examples of specific PDE4 inhibitors for formulation and use in combination with the compounds of the present invention include but are not limited to roflumilast, pumafentrine, arofylline, cilomilast, tofimilast, oglemiiast, tolafentrine, piclamilast, ibudiiast, apremilast, 2-[4-[6,7-diethoxy~2,3~ bis(hydroxymethyl)-1-naphthalenyl]-2-pyridinyl]-4-(3-pyridiny!)-1(2H)- phthalazinone (T2585), N-(3,5-dichioro-4-pyπdinyi)-1-[(4-fluorophenyl)methyl]-5- hydroxy-α-oxo-1 H-indo!e-3-acetamide (AWD- 12-281 , 4-[(2R)-2-[3-
(cyclopentyloxy)-4-methoxyphenyl]-2-pheπyiethyl]-pyridiπe (CDP-840), 2-[4- [[[^-(I .S-benzodioxol-δ-yloxyJ-S-pyridiny^carbonyljaminolmethyll-S- fiuorophenoxy]-(2R)-propanoic acid (CP-671305), N-(4,6-dimethyl-2- pyrimidinyl)-4-[4,5,6,7-tetrahydro-2-(4-methoxy-3-methy!phenyl)-5-(4-methyl-1- piperazinyl)-1 H-indol-1-yl]- benzenesulfonamide, (2E)-2-butenedioate (YM- 393059), 9-[(2-fluorophenyl)methyl]-N-methyI-2-(trifluoromethyl)-9H-purin-6- amine (NCS-613), !Ni-(2,5-d!chloro-3-pyridinyl)-8-methoxy-5- quinolinecarboxamide (D-4418), N-[(3R)-9-amino-3,4,6,7-tetrahydro-4-oxo-1 - phenylpyrroio[3,2,1-][1 ,4]benzodiazepin-3-yl]-3H-purin-6-amine (PD-168787), 3- [^-(cyclopentyloxy^-methoxyphenyllmethyQ-N-ethyf-δ-ti-methyiethylJ-SH- purin-6-amine hydrochloride (V-11294A), N-(3,5-dich!oro-1-oxido-4-pyridiny!)-8~ methoxy-2-(trifiuoromethyl)-5-quinoliriecarboxamide (Sch351591 ), 5-[3- (cyclopentyloxy)-4-methoxypheny!]-3-[{3-methylpheny!)methyl]-(3S,5S)- 2- piperidinone ( HT-0712), 5-(2-((1 R,4R)-4-amino-1-(3-(cyclopentyloxy)-4- methyoxyphenyt)cyclo-hexyl)ethynyl)pyrimidine-2-amine, 6-[3- (dimethylcarbamoyi)pheny!sulfonyl]-4-(3-methoxyphenylamino)-8- methylquinolirιe-3-carboxamide {GSK-256066),ciε-[4-cyano-4-(3- cyclopropylmethoxy-4-difiuoromethoxyphenyi)cyclohexan-1 -ol], and 4-[6,7- diethoxy-2,3-bis(hydroxymethyl)-1 -naphthalenyi]»1 -{2-methoxyethyl)-2(1 H)- pyridinone (T-440), and any combination or subset thereof.
Leukotriene antagonists and inhibitors of leukotriene synthesis include zafirlukast, montelukast sodium, ziieuton, and pranlukast.
Anticholinergic agents for formulation or use in combination with the compounds of the invention include but are not limited to muscarinic receptor antagonists, particularly including pan antagonists and antagonists of the M3 receptors. Exemplary compounds include the alkaloids of the belladonna plants, such as atropine, scopolamine, homatropine, hyoscyamine, and the various forms including saits thereof {e.g., anhydrous atropine atropine sulfate, atropine oxide or HCI, methylatropine nitrate, homatropine hydrobromide, homatropine methyl bromide, hyoscyamine hydrobromide, hyoscyamine
sulfate, scopolamine hydrobromide, scopolamine methyl bromide), tolterodine, revatropate, solifenacine, darifenacin, or any combination or subset thereof. Additional anticholinergics for formulation and use in combination with the methantheline, propantheline bromide, anisotropine methyl bromide or Valpin 50, aclidinium bromide, glycopyrrolate (Robinul), isopropamide iodide, mepenzolate bromide, tridihexethyl chloride, hexocyclium methylsulfate, cyclopentolate HCf, tropicamide, trihexyphenidyl CCI, pirenzepine, telenzepine, and methoctramine, or any combination or subset thereof.
Preferred anticholinergics for formulation and use in combination with the compounds of the invention include ipratropium (bromide), oxitropium (bromide) and tiotropium (bromide), or any combination or subset thereof.
Examples of β-agonists for formulation and use in combination with the compounds of the invention include but are not limited to salmeterol, R- salmeterol, and xinafoate salts thereof, albuterol or R-albuterol (free base or sulfate), indacaterol, formoterol (fumarate), fenoterol, terbutaline and salts thereof, and any combination or subset thereof.
Examples of PPAR gamma agonists for formulation and use in combination with the compounds of the invention include but are not limited to thiazolidinediones, rosiglitazone, pioglitazone, and troglitazone.
Examples of ENaC receptor blockers for formulation and use in combination with the compounds of the invention include but are not iimited to amiloride and derivatives thereof such as those compounds described in US Patent Nos. 6858615 to Parion Sciences, Inc.
Examples of kinase inhibitors include inhibitors of NFkB, PI3K (phosphatidylinositol 3-kinase), p38-MAP kinase and Rho kinase.
Antiinfective agents for formulation and use in combination with the compounds of the invention include antivirais and antibiotics. Examples of suitable antivirals include Tamiflu® and Relenza®. Examples of suitable antibiotics
include but are not limited to aztreonam (arginine or lysine), fosfomycin, and tobramycin, or any combination or subset thereof.
Antihistamines (i.e., H1 -receptor antagonists) for formulation and use in combination with the compounds of the invention include but are not limited to: Ethanolamines, ethylenediamines, alkyiamines, pyridines, piperazines, piperidines, tri- and tetracyclics and combinations thereof. Specific examples of antihistamines for formulation and use in combination with the compounds of the invention include but are not limited to diphenhydramine HCI1 carbinoxamine maleate, doxylamine, clemastine fumarate, diphenylhydramine HCI, dimenhydrinate, pyrilamine maleate (metpyramine), tripeiennamine HCI, tripelennamine citrate, antazoline pheniramine, chloropheniramine, bromopheniramine, dexchlorpheniramine, triprolidine, acrivastine methapyhlene, hydroxyzine HCI, hydroxyzine pamoate, cyclizine HCI, cyclizine lactate, meclizine HCl, cetirizine HCI astemisole, levocabastine HCI, loratadine, descarboethoxy loratadine, terfenadine, fexofenadine HCl, promethazine, chlorpromethazine, trimeprazine, azatadine, and azelastine HCI, or any combination or subset thereof.
In one aspect, the present invention provides a composition comprising a compound of the invention and an anti-inflammatory agent. In one embodiment, the composition comprises a compound of the invention and a corticosteroid. In one particular embodiment, the composition comprises a compound of the invention and a corticosteroid selected from ciciesonide, desisobutyryl-ciciesonide, budesonide mometasone, fluticasone propionate, and fluticasone furoate. In one particular embodiment, the composition comprises a compound of the invention and cidesonide or desisobutyryl- ciciesonide.
In one aspect, the present invention provides a composition comprising a compound of the invention and a PDE4 inhibitor.
In one aspect, the present invention provides a composition comprising a compound of the invention and a β2-agonist. in one embodiment, the composition comprises a compound of the invention and salmeterol, R- salmeterol, indacaterol, or formoterol. In one particular embodiment, the composition comprises a compound of the invention and salmeterol or R- salmeterol.
In one aspect, the present invention provides a composition comprising a compound of the invention and an anticholinergic agent, in one embodiment, the composition comprises a compound of the invention and tiotropium. in one aspect, the present invention provides a composition comprising a compound of the invention and anti-histamine.
In the above-described methods of treatment and uses, a compound of the invention may be employed alone, or in combination with one or more other therapeutically active agents. Typically, any therapeutically active agent that has a therapeutic effect in the disease or condition being treated with the compound of the invention may be utilized in combination with the compounds of the invention, provided that the particular therapeutically active agent is compatible with therapy employing a compound of the invention. Typical therapeutically active agents which are suitable for use in combination with the compounds of the invention include the anti-inflammatory agents, anticholinergic agents, β-agonists, antiinfective agents and antihistamines described above.
In another aspect, the invention provides methods for treatment and uses as described above, which comprise administering an effective amount of a compound of the invention and at least one other therapeutically active agent. The compounds of the invention and at least one additional therapeutically active agent may be employed in combination concomitantly or sequentially in any therapeutically appropriate combination. The administration of a compound of the invention with one or more other therapeutically active agents may be by administration concomitantly in 1 ) a unitary pharmaceutical
composition, such as the compositions described above, or 2) separate pharmaceutical compositions each including one or more of the component active ingredients. The components of the combination may be administered separately in a sequential manner wherein the compound of the invention is administered first and the other therapeutically active agent is administered second or vice versa.
When a compound of the invention is used in combination with another therapeutically active agent, the dose of each compound may differ from that when the compound of the invention is used alone. Appropriate doses will be readily determined by one of ordinary skili in the art. The appropriate dose of the compound of the invention, the other therapeutically active agent(s) and the relative timings of administration will be selected in order to achieve the desired combined therapeutic effect, and are within the expertise and discretion of the attendant physician, clinician or veterinarian.
In another aspect, the present invention provides methods for treating any of the conditions enumerated above, comprising administering an effective amount of a compound of the invention and an anti-inflammatory agent, in one embodiment, the method comprises administering an effective amount of a compound of the invention and a corticosteroid. In one particular embodiment, the method comprises administering an effective amount of a compound of the invention and a corticosteroid selected from ciclesonide, desisobutyryl- ciclesonide, budesonide mometasone, fluticasone propionate, and fluticasone furoate. In one particular embodiment, the method comprises administering an effective amount of a compound of the invention and ciciesonide or desisobutyryl-ciclesonide,
In one embodiment the present invention provides a method for treating any of the conditions enumerated above comprising administering an effective amount of a compound of the invention and a PDE4 inhibitor.
In one embodiment the present invention provides a method for treating any of the conditions enumerated above comprising administering an effective amount of a compound of the invention and a β-agonist, particularly a selective (J2- agonist. In one embodiment, the method comprises administering an effective amount of a compound of the invention and salmeteroi, R-salmeterol, indacaterol, or formoterol. In one particular embodiment, the method comprises administering an effective amount of a compound of the invention and salmeteroi or R-salmeterol.
In one embodiment the present invention provides a method for treating any of the conditions enumerated above by administering an effective amount of a compound of the invention and an anticholinergic agent. In one embodiment, the method comprises administering an effective amount of a compound of the invention and tiotropium.
In one embodiment the present invention provides a method for treating any of the conditions enumerated above by administering an effective amount of a compound of the invention and anti-histamine.
In another aspect the present invention provides a combination comprising a compound of the invention and an anti-inflammatory agent for the treatment of any condition enumerated above; and also the use of such combination for the manufacture of a medicament for the treatment of any of the conditions enumerated above. In one embodiment, the combination comprises a compound of the invention and a corticosteroid selected from ciciesonide, desisobutyryl-ciclesonide, budesonide mometasone, fluticasone propionate, and fluticasone furoate. In one particular embodiment, the combination comprises a compound of the invention and ciciesonide or desisobutyryl- ciclesonide.
In another aspect the present invention provides a combination comprising a compound of the invention and a PDE4 inhibitor for the treatment of any condition enumerated above; and also the use of such combination for the
manufacture of a medicament for the treatment of any of the conditions enumerated above.
In another aspect the present invention provides a combination comprising a compound of the invention and a β-agonist for the treatment of any condition enumerated above; and also the use of such combination for the manufacture of a medicament for the treatment of any of the conditions enumerated above. In one embodiment the combination comprises a compound of the invention and salmeterol, R-salmeterol, indacaterof, or formoterol. In one particular embodiment, the combination comprises a compound of the invention and salmeterol or R-salmeterol.
In another aspect the present invention provides a combination comprising a compound of the invention and an anticholinergic agent for the treatment of any condition enumerated above; and also the use of such combination for the manufacture of a medicament for the treatment of any of the conditions enumerated above, in one embodiment the combination comprises a compound of the invention and tiotropium.
In another aspect the present invention provides a combination comprising a compound of the invention and an antihistamine for the treatment of any condition enumerated above; and also the use of such combination for the manufacture of a medicament for the treatment of any of the conditions enumerated above.
The present invention also provides processes for preparing the compounds of the invention and to the synthetic intermediates useful in such processes, as described in detail below.
Having generally described this invention, a further understanding can be obtained by reference to certain specific examples which are provided herein for purposes of illustration only and are not intended to be limiting unless otherwise specified.
Certain abbreviations and acronyms are used in describing the experimental details. Although most of these would be understood by one skilled in the art, the following table contains a list of many of these abbreviations and acronyms.
Compounds of Formula I may be prepared according to the processes illustrated in Scheme 1.
Scheme 1
R1a is selected from CHR10-OH,CH2-OH, CH2-Cl, CH2-O-C(O)C1-4alkyl,
S-Ci-4alky!, S-haloC1-4alkyl, or CH2-O-PO3H2 R7a is H or OH, each PG is H or Boc, and all other variables are as defined herein.
In general, the process comprises the steps of:
a) reacting a compound of formula 1 with phosphorous trichloride followed by a base, adding to a compound of formula 2 and base and then oxidizing in a one-pot reaction to prepare a compound of formula 3-A or 3-B or a pharmaceutically acceptable salt thereof; and b) deprotecting the compound of formula 3-A or 3-B to prepare a compound of Formula I or a pharmaceutically acceptable salt thereof.
The first step is carried out in a manner analogous to that described in C. Meter et al., J. Med. Chem., 2007, 50(6), 1335-1346. More specifically, the process comprises reacting the alcohol of formula 1 with phosphorous trichloride then a base, such as triethylamine, or DIPEA in a suitable solvent. Suitable solvents include but are not limited to diethyl ether, tetrahydrofuran, and dichloromethane. The reaction is typically carried out at reduced temperature, from about -20 to about -80°C, particularly at about -780C1 then warmed to ambient temperature if required. The reaction is then added to a solution at, from about -20 to about -8O0C, particularly at about -780C, of the compound of formula 2 and additional base and then the solution is allowed to warm to room temperature. A suitable oxidizing agent such as terf-butyl hydroperoxide, iodine, MCPBA or oxone is then added to prepare a compound of formula 3-A or 3-B or a pharmaceutically acceptable salt thereof.
Whether the substitution on the steroid occurs on the 11 or 21 position is dependent upon the steric hindrance around the 11 and 21 position. The substitution may be driven toward one over the other through the use of protecting groups on the steroid. The selection, installation and removal of protecting groups on the steroid is within the ordinary skill of those in the art. The resulting compound of formula 3-A or 3-B may be deprotected using conventional processes, including acidic conditions, either by brief treatment with HCI in dioxane or by low-temperature treatment with trifluoroacetic acid in dichloromethane at about 0°C. As will be apparent to those skilled in the art, the choice of protecting groups on the compound of formula 3-A or 3-B will be based at least in part on the steric bulk of the particular β-agonist side chain (R15) selected.
The foregoing process may be utilized to prepare the corresponding R-isomer of a compound of Formula I-A by substituting the R-enantiomer of the N-Boc- protected compound of formuia 2 starting material for the racemate. Similarly the corresponding S-isomer of a compound of Formuia I-A may be made by using the S-enantiomer of the N-Boc-protected compound of formula 2. This same approach may be utilized to prepare enantiomericaify enriched mixtures of any of the compounds of Formula I which contain a chiral center, and pharmaceuticaliy acceptable salts thereof.
Compounds of formulas 1 and 2 are commercially available or may be prepared using conventional techniques and commercially available reagents, including conventional techniques for the installation of protecting groups.
EXAMPLES The foregoing may be better understood from the following exam pies, which are presented for the purposes of illustration and are not intended to limit the scope of the inventive concepts. The invention is defined solely by the claims which follow.
In the following examples, compounds are named using standard iUPAC naming principles where possible. The naming convention employed for the novel compounds are exemplified by the following name, [[11 β,16α]-[16,17- ((R)-cyclohexyimethy!ene)bis(oxy)]-11 -hydroxy-21 -[[2-oxido-7-[2-[6-(4~ phenylbutyoxy)hexyl]amino]-1 (R)-hydroxyethyl]-4H-1 ,3,2- benzodioxaphosphorin-2-yl]oxy]pregna-1 ,4-diene-3,20-dione.
21-rr2-oxido-7-[2-f6-(4-ρhenylbutvoxy)hexyl1amino1-1(RVhvdroxvethy]1-4H-
1 ,3,2-benzodioxaphosphorin-2-vπoxy1pregna-1 ,4-diene-3,20-dione
To a stirred, cooled (dry ice/acetone bath) solution of ctes-/so-butyry! ciclesonide (100 mg, 0.212 mmo!) in DCM (2 mL) was added PCI3 (19.5 μL, 0.223 mmol) in DCM (1 mL) and TEA (31.1 μL, 0.223 mmol) in DCM (1 mL). The solution was added to a stirring cooled (dry ice/acetone bath) solution of (R)-2-(3-hydroxymethyl-4-hydroxyphenyl)-2-hydroxyethyi][6-(4- phenylbutoxy)hexyl]carbamic acid tert-butyl ester (99 mg, 0.193 mmol) and TEA (147.7 μL, 1.060 mmoi) in DCM (3 mL). . After 10 min, the bath was removed and allowed to warm to ambient temperature while stirring continued for 1 h, then ferf-butyl hydrogen peroxide (1 mL, 5.5 M in nonanes) was added and stirred. After 10 minutes, the solution was washed with water (20 mL x 3), brine (20 mL), dried (MgSO4) and concentrated to provide the crude material (266 mg). Chromatography [C18 column (16 gram), H2O/ACN (both with 0.1 % AcOH) gradient 5:95 to 0:1] fractions were dried (MgSO4) to afford the protected analog (52 mg, 26 % yield) as a white foam. ES/MS calcd. for C58H80NOi3P 1029.5, found mlz = 1052.5 (M+Na).
To a solution of the protected analog (120 mg, 0.116 mmol) in DCM (2 mL) was added HCi (1 mL, 4 M in dioxane). The solution was stirred for 2 h then concentrated. The oil was dissolved in DCM (1 mL) then Et2O (20 mL) was added and the suspension was vigorously stirred and sonicated, then filtered to provide crude solid (85 mg). To a solution of the crude solid in DCM (10 mL), activated carbon was added, stirred 5 min, filtered, and concentrated to provide
the title compound (55 mg, 51 % yield) as a white solid. ES/MS calcd. for C53H72NO11P 929.5, found m/z - 930.5 <M+H).
Example 2: (6α,113,16α,17α) 619-difluoro-16-methyi-11-rr2-oxido-7-r2-[f6-(4- phenylbutyoxy)hexynamino1-1 (R)-hydroxyethvπ-4H-1 ,3,2- benzodioxaphosphorin-2-yl1oxy1-3-oxo-17-(1-oxopropoxy)androsta-1 ,4-diene- 17-carbothioic acid, S-(fluoromethyi) ester
A solution of (6α,11β,16α,17α)-6,9-difluoro-11-hydroxy-16-methyl~3~oxo-17-(1- oxopropoxy)-androsta-1 ,4-diene-17-carbothioic acid, S-(fluoromethyl) ester
(fluticasone propionate) (500 mg, 0.999 mmol) in DCM (10 ml_) was cooled (dry ice/acetone bath) while stirring, then PCI3 (91.5 μl_, 1.049 mmol) in DCM (2 ml_) and TEA (146 μL, 1.049 mmol) in DCM (2 ml_) were added sequentially and stirred 5 min. The bath was removed and the reaction was allowed to warm to ambient temperature while stirring 2 h. To a cooled solution (dry ice/acetone bath) of (R)-2-(3-hydroxymethyl-4-hydroxyphenyi)-2-hydroxyethylj[6-(4- phenylbutoxy)hexy!]carbamic acid tert-butyl ester (464 mg, 0.899 mmol) and TEA (696 μL, 4.995 mmol) in DCM (5 ml_), the steroid solution was added dropwise with stirring. After 10 min, the bath was removed and the reaction was allowed to warm to ambient temperature while stirring continued 1 h. tert- Butyl hydrogen peroxide (3 ml_, 5.5 M in nonanes) was added and stirred for 10 minutes. The solution was washed with water (20 ml_ x 3), brine (20 ml_), dried (MgSO4) and concentrated to provide the crude phosphate (1064 mg). Chromatography [C18 column (16 gram), H2O/ACN eluant with 0.1 % AcOH (gradient 1 :1 to 0:1 )] fractions were repeatedly extracted with DCM. Combined
extractions were dried (MgSO,*), treated with activated carbon, filtered and concentrated to afford the product (357 mg, 37 % yield) as a white foam. ES/MS calcd for C55H73F3NOi2PS 1059.5, found m/z = 1082.5 (M+Na)
To a solution of the product (177 mg, 0 167 mmol) in DCM (3 mL), HCI (1 mL, 4 M in dioxane) was added and stirred 2 h then concentrated The oil was triturated with Et2O (20 mL) then filtered to provide the title compound (147 mg, 92 % yield) as a white solid ES/MS calcd for C5OH6SF3NO10PS 959 4, found m/z = 960 4 (M+H)
Example 3 2-Methylpropanoιc acid, M 1 β,16αH16,17-ffR)- cyclohexylmethylene)bιs(oxy)1-11 -[f2-oxιdo-7-|"2-[6-(4- phenylbutvoxy)hexyflamιnoH (R)~hydroxyethyl1~4H~1 ,3,2- benzodipxaphosphorιn-2-yπoxy]-21-(2-methvl-1-oxopropoxv)-preqna-1 ,4-diene- 3,20-dιone ester
Example 3 was prepared in a manner similar to example 2 ES/MS caicd for C57H78NO12P 999 5, found m/z = 1000 5 (M+H)
Examples 4-6
The following compounds may be made using the general techniques described herein and methods analogous to those employed for making Examples 1 and 2.
Example 7: Method for Evaluating Stability of Compounds of the Invention and Metabolites thereof in Rat Lung Homogenate Preparation of rat lung homogenate
Lungs from Fischer 344 rats are obtainable fresh by overnight delivery at 4°C from BioReciamation Inc. (Hicksvilie, NY). Lungs are weighed and homogenized in a 1 :3 w/v ratio with sterile phosphate buffered saline (PBS, 1OmM, pH 7.4) in glass vials on ice. After centrifugation at 3,000 x g for 10 min at 4°C the supernatant is decanted into sterile conical tubes and placed on ice. The total protein content of the supernatant is determined by the bicinchoninic acid (BCA) method (Pierce Biotechnology, Rockford, IL), using bovine serum albumin (BSA) as the standard. Lung homogenates are prepared to a final concentration of 1 mg total protein/mL in 1OmM PBS, pH 7.4.
In vitro metabolism of Compounds of the Invention and Metabolites thereof in rat lung homogenate
Compounds are incubated with active or heat-inactivated rat lung homogenate in 1OmM PBS (pH 7.4). Heat-inactivation is achieved by incubation at 80°C for 30 min, after which the homogenate is allowed to cool to rt, stored overnight at 4°C. The homogenate is used for the assay and standard curve preparations. Before use, each homogenate preparation is equilibrated for 15 min in a 37°C water bath. The metabolism reactions are initiated by the addition of stock solutions of compounds of the invention and their metabolites in 1 mM dimethyl sulfoxide (DMSO) to a final concentration of 900 nM. DMSO (2.7 μL) added to 3 mL of temperature-equilibrated homogenate serves as a control. Aliquots (100 μL) of homogenate + compound are added to 400 μL quenching solution consisting of 100% HPLC-grade acetonitrile + 500 ng/mL glyburide for the zero time point (n = 3 for each time point). The glyburide serves as an internal LC/MS/MS standard. The remainder of each drug + homogenate solution is aliquoted into a 96-well tissue culture plates. After an additional 30 min and 120 min incubation at 370C, 100 μL aliquots are added to 400 μL quenching solution. Denatured proteins in the quenching solution are separated by centrifugation at 3000 x gravity for 2 min at 4°C, and 160 μL of the supematants are transferred to new 96-weil piate for analysis by LC/MS/MS.
Collection plates are covered with plastic film and kept on ice. For storage, covered plates are kept stored at -800C until further use.
Liquid chromatography and mass spectrometry analysis (LC/MS/MS) An aliquot (50 μl_) of each sample is diluted with 50 μl_ of water containing internal standard at 40C. The diluted samples are then centrifuged for 20 min at 3000 rpm at 40C. An aliquot of 20 μL of the solution is injected into the TSQ Ultra Quantum LC/MS/MS system. The compounds are separated by HPLC using a HyPurity C18 HPLC column (30 X 2.1 mm, 5 μ) from ThermoHypersil. A Multiplex LX-2 HPLC system (Cohesive Technologies, Franklin, MA) with two identical Agilent 1100 series binary pumps (P/N G1312A) are used for elution and separation. Samples are maintained at 40C in an HTS Pal autosampler (LEAP Technologies, Carrboro, NC) in order to reduce any potential spontaneous hydrolysis of the compounds before injection onto the HPLC. The analytes are eiuted using the following mobile phases: Mobile phase A contains 1 % acetonitrile in 10 mM ammonium formate aqueous solution with 1 % formic acid. Mobile phase B contains 80% acetonitriie in 10 mM ammonium formate with 1 % formic acid. The HPLC elution program used to elute the analytes is as follows:
Time Step Comments Flow Rate Mobile Mobile
(sec) (mL/min) Phase A (%) Phase B (%)
90 Sample Loading 0.50 100 0
150 Ramp 0.50 50 50
180 Elution 0,50 0 100
120 Re-equilibrium 0.50 100 0
The samples are further analyzed by tandem mass spectrometry using a TSQ Quantum Ultra triple quadrupole mass spectrometer (Thermo Finnigan, San Jose, CA) using a selective reaction monitoring (SRM) scan type, The mass spectrometry parameters used are as foϋows:
Capillary
Ion Source Spray Sheath gas Aux gas temperature
Source CID (V) voltage (V) pressure (Arb) pressure (Arb)
(0C)
ESI + 10 4000 40 15 350
Data analysis
Nine-point standard curves for each test compound are prepared and analyzed in heat-inactivated lung homogenate. The concentration range is from 1 nM to 10 μM. The calibration curves of the compounds of the invention and their metabolites are evaluated by linear regression analysis. The data represent the mean percent remaining compound in both types of homogenate at 2 hours, 37°C and the value for mean concentration remaining of the parent compound and steroid at 2 h, 370C.
Example 8: Pharmacokinetic Analysis of Drug Levels of Beta-agonist, Steroid and Compounds of the Invention Conducted in Lung, Bronchoalveolar Lavage
Fluid and Plasma After IT Administration in the Rat
Dosing
Compounds of the invention are formulated for intratracheal (IT) dosing in
10%EtOH, 90% Sterile Water, and are dosed in male Sprague-Dawley rats at 3 mg/kg or 1 mg/kg. Each dosing group consists of 3 male, naϊve purebred
Sprague-Dawley rats. At dosing, the animals are weighed. The animals are fasted overnight prior to dose administration and up to 2 h after dosing. The compounds are administered IT using a Penn Century Microsprayer (Model 1A-
1 B).
Sample Collection and Analysis A. Plasma Blood samples are collected at 0.5, 2, and 4 h post-dose. Each blood sample (0.5-0.6 mL per sample) is collected via the orbital sinus (following anesthesia for BAL procedure) into tubes containing EDTA anti-coagulant in containers surrounded by dry ice at 0.5, 2 and 4 hr (mean, n=6). Blood samples are stored at -20 ± 5 0C until shipped for analysis.
B. BALF
The animals are anesthetized with an intramuscular (IM) injection of a ketamine/xylazine/acepromazine (80/10/2 mg/kg) cocktail at a dose volume of 1.1 mL/kg. A cannula (modified Bard® infant feeding tube) is inserted into the trachea. Warmed sterile saline is injected into the lungs. The lungs are gently massaged by palpation of the chest for approximately 45 seconds. The fluid (BALF) is recovered and placed on ice. The procedure is repeated two more times, and all three BALF samples are pooled. The fluid is centrifuged under refrigerated conditions at 350 g for 10 min. The supernatant and cell pellet are collected and stored at approximately -700C until shipped for analysis.
C. Lung tissue Collection immediately following each BAL procedure, the lungs from each animal are removed, blotted dry, weighed, and stored frozen at -700C until shipped for analysis.
D. Assay Methods
An LC/MS/MS method is used to measure the concentration of compound in plasma.
Bioanalytical Method
1. Lung homogenate
A 3x w/v of IxPBS buffer (90:10-PBS:ACN) is added to each lung tissue. The sample is homogenized with Polytron (PT1200) and a 5OuL supernatant sample is injected to an LC/MSMS.
2. Sample Processing
An aliquot of 50 μL of each plasma sample is treated with 100 μL of acetonitrile (ACN) containing internal standard. After the protein precipitation, an aliquot of 100 μL of the supernatant is transferred to a clean 96-well plate and mixed with 100 μL of water. An aliquot of 30 μL of the above solution is injected to the TSQ Ultra Quantum LC/MS/MS system.
3. HPLC Condition
A HyPurity C18 HPLC column {30 X 2.1 mm, 5 μ) from ThermoHypersiS (Part #: 22105-032130) is used. Mobile phase A contains 1 % ACN in 10 mM ammonium formate aqueous solution with 1 % formic acid. Mobile phase B contains 80% ACN in 10 mM ammonium formate with 1 % formic acid. An Agilent 1100 series binary pump (P/N G1312A Bin Pump) is used for elution and separation. HTS Pa! autosampler from LEAP Technologies, Carrboro, NC is used.
HPLC elution program:
Time (sec) Step Comments Flow Rate Mobile Phase Mobile Phase
(mL/min) A (%) B (%)
90 Sample 0.50 100 0
Loading
150 Ramp 0.50 50 50
180 Eiution 0.50 0 100
120 Re-equilibrium 0.50 100 0
4. Mass Spectrometry
TSQ Quantum Ultra triple quadrupole mass spectrometer from Thermo
Finnigan, San Jose, CA is used in selective reaction monitoring (SRM) operation mode, Tune file: ESI_tune112807_BL.
Mass spectrometry parameters:
Results
The results will demonstrate whether the compounds of the invention are metabolized to beta-agonist and steroid in the lung following IT administration. Based upon the structure of the compounds of the invention, it is believed that the results will demonstrate that the compounds of the invention are metabolized to beta-agonist and steroid.
Example 9: Drug Metabolism Studies Using Airway Epithelial Cells Cultured at an Air-Liquid interface
Cryopreserved passage 1 ceils are cultured in bronchial epithelial growth medium (Fulcher, M. L., et al., Well-differentiated human airway epithelial cell cultures. Methods MoI Med, 2005. 107: p. 183-206) on 100 mm Type i collagen-coated plastic dishes. At 70% confluence, passage 2 ceils are transferred to type IV collagen-coated Millicell membranes (Millipore, Bedford, MA) in medium that supports growth at an air-liquid-interface (ALi) (Fulcher et al., 2005). Cells are maintained at an AL! and allowed to differentiate fully for approximately 28 days. Approximately 24 hrs prior to the start of the experiment, the apical surfaces of the cells are washed with sterile phosphate buffered saline (PBS, 1OmM, pH 7.4) and the basolatera! media is replaced with fresh ALI media. Approximately 1 hour prior to the start of the experiment, the apical surfaces of the cells are washed once again with PBS and the basolateral media replaced with fresh ALI media. At time = 0 hrs, the test article is diluted from a 10 mM stock solution in DMSO to a 40 μM solution in ALi media/PBS/10% EtOH/water (v/v). 50 μl of the resulting 40 μM solution is immediately added to the apicai surface of the cells. 200 μl of the dosing solution is also added to 800 μl of 100% ACN and frozen immediately on dry ice. The remaining dosing solution is placed in the incubator with the cells. The dosing solution and cells are allowed to incubate for 10, 120 and 240 min at which points the apical surfaces of cells from 4 millicell cell culture inserts (n = 4) are washed with 3 x 100 μl of PBS or 10% EtOH/water (v/v) per millicell. The three washes from each millicell cell culture insert are pooled. The entire basolateral medium from each milliceli cell culture insert is also collected as are the airway epithelial cells which are excised from each millicell cell culture insert and added to 300 μl of 90% ACN/0.1 % formic acid/9.9% water and immediately frozen on dry ice. The cells are thawed and lysed for 2 mins with a sonicator (Misonix, Farmingdale, NY) set at 30 Amp. The cell suspension is then centrifuged at 18,000 g for 2 min and 50 μl of the supernatant is added to 200 μl of acetonitrile containing 100 ng ml"1 glyburide. 50 μl of the pooled apical washes and basoiatera! medium is also added to 200 μl of ACN
containing 100 ng ml"1 giyburide. These samples are then frozen on dry ice and kept at -80 0C for their analysts by LC/MS/MS. At the same 10, 120 and 240 min time points, 200 μl of the dosing solution is added to 800 μl of ACN and immediately frozen on dry ice. These dosing solution samples are also kept at -80 0C for analysis by LC/MS/MS. Untreated control cells dosed at the apical surface with 50 μl of test article vehicle (ALI media/PBS/10% EtOH/water (v/v) are also included to provide apical, basolateral and cellular matrices for LC/MS/MS analytical standards.
The above samples are thawed prior to centrifugation for 10 minutes at 3000 rpm at 40C. An aliquot of 150 μL of the above solution is mixed with 150 μL of water. 10 μL of the acetonitrile/water mix are injected into the Applied Biosystems/ Sciex API 5000 LC/MS/MS system. The compounds are separated by HPLC using a Zorbax Extend C18 HPLC column (50 X 2.1 mm, 3.5 μ) from Agilent Technologies. An Aria Transcend duplexed HPLC system (Thermo Fisher, Franklin, MA) with two identical Agilent 1100 series binary pumps (P/N G1312B) are used for elution and separation. Samples are maintained at 4°C in an HTS Pal autosampler (LEAP Technologies, Carrboro, NC) in order to reduce any potential spontaneous hydrolysis of the compounds before injection onto the HPLC. The analytes are eluted using the following mobile phases: Mobile phase A contains 1 % ACN in 10 mM ammonium formate aqueous solution with 1 % formic acid. Mobile phase B contains 80% ACN in 10 mM ammonium formate with 1 % formic acid. The HPLC elution program used to elute the analytes is as follows:
The samples are further analyzed by tandem mass spectrometry using an ABI/Sciex API 5000 triple quadrupoie mass spectrometer (Applied Biosystems, Foster City, CA) using a selective reaction monitoring (SRM) scan type. The mass spectrometry parameters are as follows:
Eleven-point standard curves for each test compound are prepared and analyzed in heat-inactivated lung homogenate, the concentration ranged from 1 nM to 10 μM. The calibration curves of the compounds of the invention and their metabolites are prepared by quadratic regression analysis.
The results indicate the amount of each of 1 ) the parent compound of the invention, 2) beta-agonist and 3) steroid in the apicai and cellular compartments and whether the amount in each compartment increases or decreases over time. It is expected that the amount of the compound of the invention will decrease over time in both the apical and cellular compartments while the amount of beta-agonist and steroid will increase in the cellular compartment. Example 1 gives the expected breakdown
Example 10: In vivo Efficacy of Compound of the Invention in the Mouse Ovalbumin Model of Lung inflammation
Mice (Balb/c) are immunized by intraperitoneal injection of ovalbumin (10 μg OVA suspended in 2 mg aluminum hydroxide) on day 0 and 7. One group is sensitized and treated with vehicle (NSV). One group is immunized with sterile water only and treated with vehicle, e.g. to serve as a nonsensitized (negative) control (Vehicle). Steroid (positive contro! treatment; 1X per day (day 14 and 15; 3 mg/kg), Compound of the invention at 1 , 3, and 6 mg/kg) or vehicle is delivered by intratracheal (iT) instillation 1X/day (day 14 and 15), 1 hour prior to OVA inhalation challenge. On days 14 and 15, the animals are exposed to OVA by inhalation (3 h; 5 mg/m3). Forty eight hours following the last OVA
challenge (day 17) mice are sacrificed. Bronchoalveoiar lavage (BAL) is taken from each animal to collect cells and fluid. Cell numbers and differentials were calculated from BAL.
Example 11 : LPS-lnduced Airway Inflammation in Rats
Compound of the invention is evaluated in an LPS-induced airway inflammation mode! in rats. Male Fischer 344 rats (n = 8/group) are treated with either vehicle or test article by intratracheal instillation in 400 μl volume 1 hour prior to LPS challenge. Animals are then exposed to LPS by nose-only inhalation exposure for 10 min at 5 mg/m3, resulting in an estimated 5 μg lung deposition. Animals are sacrificed 4 h after LPS exposure. Lungs are lavaged for bronchoalveoiar lavage cell differentials and cytokine analysis by Luminex multiplex immunoassay, it is believed that compounds of the invention will inhibit LPS-induced airway inflammation measured as neutrophil influx and TNFα production at doses tested (p<-0.05 versus vehicle control).
Example 12: Tobacco Smoke Model of Airway inflammation in Mice Compounds of the invention may be evaluated in a tobacco-smoke-induced airway inflammation mode! in female C3H mice. Vehicle and test compounds are delivered by intratracheal instiliation in 10% ethanoi:water to animals anesthetized with 3-5% isoflurane (n=8 animals per test article group). All compounds will be delivered on a daily (5 days per week) schedule for 3 weeks during the smoke exposures. Mice are exposed to cigarette smoke for 6 hours per day, 5 days per week for 3 weeks, in H 1000 or H2000 chambers. Type 2R4F research cigarettes (Kentucky Tobacco Research and Development Center) are used in the study. Total particulate material (TPM) exposure is kept at 100 TPM/m3for the first week to allow animals to reduce adverse effects during adaptation to smoke exposure. TPM exposure is maintained between 100 and 250 mg TPM/m3 during the remainder of the study. After 3 weeks, animals are euthanized and bronchoalveoiar lavage fluid is obtained for cell differentials and cytokine analysis by Luminex multiplex immunoassay. In a 20-plex Luminex assay for cytokines and growth factors, it is expected that the compounds of the invention will exhibit inhibition of tobacco-smoke-induced
IL-1α and IVlIP-I α production (p<0.05 versus vehicle controi at 1.0 and 0.6 mg/kg doses).
Example 13: Ragweed-Induced Bronchoconstriction in Dogs The compound of the invention may be assesed for bronchodilator activity in a ragweed-induced bronchoconstriction model in beagle dogs. Dogs are mechanically ventilated during each experiment. Airflow and tidal volume are measured using a differential pressure transducer located in front of the endotracheal tube. An esophageal bailoon catheter placed in the esophagus is used to determine transpulmonary pressure. Pulmonary resistance and dynamic Sung compliance are calculated from the simultaneous measurement of transpuimonary pressure and respiratory flow. The canine exposure system is designed to expose an anesthetized animal via an intubation tube. Dogs are administered vehicle or test article by inhalation 30 min before ragweed antigen exposure (n=4). Dogs are challenged with ragweed antigen (ragweed short, Ambrosia artemisifolia, Greer, Lenoir, NC) by inhalation {5 breaths). Immediately following ragweed challenge, changes in pulmonary resistance and compliance are measured for up to 30 min.
At doses of 20 mg/kg of the compound of the invention, an inhibition of ragweed-induced increases in pulmonary resistance (p<0.05 versus vehicle control) is expected. An inhibition of increased pulmonary resistance change following antigen challenge (p<0.05 versus vehicle control) may also be observed at 10 mg/kg of salmeterol xinafoate (10 mg/kg).
Example 14: Ascaris suum-mάuceά Pulmonary Responses in Sheep The compound of the invention is assessed for inhibition of early and late phase bronchoconstriction and development of airway hyperreactivity in sheep sensitized to Ascaris suum antigen as previously described (Abraham, W. M., A. Ahmed, I Serebriakov, IT. Lauredo, J. Bassuk, J.A. Adams, and M.A. Sackner. Am. J. Respir. Crit. Care. Med. 2006; 174:743-752). Early and late phase responses are measured as a function of increased pulmonary resistance during the 8 h period following antigen. Airway hyperreactivity is evaluated as
a function of PC400, the number of carbachol breath units required to induce a four-fold increase in bronchoconstriction measured 24 h after antigen challenge. One breath unit is defined as one breath of a 1 % w/v carbachol solution. Test compound is administered either by a pre-dosing or duration of action protocol. In the pre-dosing regimen, animals are dosed once daily for four days, with the last dose administered 1 h before antigen. In the duration of action regimen, animals are dosed once daily for four days, with the last dose administered 24 h before antigen. Test compound, Ascaris antigen, and carbachol are administered by nebulized aerosol to intubated sheep.
Using the predosing regimen, inhibition of late phase bronchoconstriction and development of airway hyperreactivity is expected with both compounds of the invention and steroid.
In the duration of action regimen a reduction of early phase bronchoconstriction and complete inhibition of late phase bronchoconstriction and development of airway hyperreactivity is expected with compounds of the invention.
Example 15: Carbachol-induced bronchoconstriction in sheep The compounds of the invention may be assessed for inhibition of carbachol- induced bronchoconstriction as previously described (Abraham, W. M., A. Ahmed, I Serebrlakov, A.N. Carmillo, J. Ferrant, A.R. de Fougerolies, E.A. Garber, P. J. Gowals, V.E. Koteliansky, F. Taylor, R. R. Lobb. Am. J. Respir. Crit. Care. Med. 2004; 169:97-104). Bronchoconstriction is evaluated as a function of increased pulmonary resistance following carbachol challenge. Measurements of RL are repeated immediately after inhalation of buffer and after each administration of 10 breaths of increasing concentrations of carbachol solution (0.25%, 0.5%, 1.0%, and 2.0% w/v). Test compound is administered either by a pre-dosing or duration of action protocol. In the pre- dosing regimen, animals are dosed once daily for four days, with the last dose administered 1 hr before carbachol challenge. In the duration of action regimen, animals are dosed once daily for four days, with the last dose
administered 24 hours before carbachol challenge. Test article and carbachoi are administered by nebulized aerosol to intubated sheep.
Using the predosing regimen, inhibition of carbachof-induced bronchoconstriction may be observed with the compounds of the Invention and salmeterol xinafoate. Inhibition (p<0.05) of carbachol-induced bronchoconstriction may also be observed with the compounds of the invention in the duration of action regimen.
Exampie 16: Pharmaceutical Formulations:
A. DPI Formulation for Multidose Blister Strip or Capsule Based Inhaler Target Unit Dose:
500 μg micronized compound of Formula I ("API")
15 mg lactose monohydrate for inhalation.
Micronize the API using a mill (e.g. jet mill) to a mass median aerodynamic diameter (MMAD) from about 1 to about 10 μm, and preferably a MMAD from about 1 to about 5μm.
The lactose may be milled or sieved. Suitable commercial sources of lactose include DMV-Fonterra Excipients (Lactohaie®) and Frieslandfoods Domo (Respotise®).
500 mg of APi is blended with 15 g of lactose using an appropriate mixer (e.g. Turbula® Powder Blender). Additional fine lactose particles of less than 10 μm may be added. The blended product is filled into capsules or blister strips.
B. pMD! Liquid Suspension or Liquid Solution Formulation Target Unit Dose: 250 μg of micronized API
150 μl of propellant (e.g., HFA 134a or 227)
Each canister is to contain 120 dose equivalents of API and propellant + 10% overage. Each canister is filled with 33 mg of API and sealed with a metering valve. The canister is then pressurized with 19.8 mi_ of propellant.
Claims
1. A compound of Formula !:
R15 j
R1 I i« R10 a anndd r of R6 and R7 is OH and the other is H; or R6 and R7 taken together with the carbon to which they are attached form a >C=O group; or
CH2-O-C(O)C1-4a!kyl, S-C1-4alkyi, S-haloC1-4alkyl, or CH2-O-PO3H2; wherein,
R10 is H or Ci-4alkyl;
R15 is a side chain radical of a β-agonist; R16 Ss H, methyl or ethyl;
R19 is H, F, OH or methyl; each R2, R3, R4, and R5 are independently H, C-^alkyl or halo; R8 is H, OH, 0(CO)R9, or 0(CO)OR9; each R9 is independently C-i-4alkyi; R11 is H or d.4alkyl; R12 is H, OH, or C1-4alkyl; or
R11 and R12 taken together with the carbon to which they are attached form a
>=CH2 group; or
R12 and R8 taken together with the carbons to which they are attached form a 1 ,3-dioxolane ring represented by formuia B:
wherein one of R13 and R14 is H, methyl or ethyl and the other is H, C-Moalky!, C2-ioalkenyl, C2-ioalkynyl, optionally substituted C3-iocarbocyc!yi or optionally substituted 5-6 ring atom heterocycle wherein one or two ring atoms are selected from N, O and S, and wherein said carbocyclyl and said heterocyclyl are each optionally substituted 1 , 2 or 3 times with a substituent selected from halo, Ci-4alkyl, and O~Ci-4alkyl.
2. The compound according to Claim 1 or a pharmaceutically acceptable
OH and the other is H; or R6 and R7 taken together with the carbon to which they are attached form a >C=O group.
3. The compound according to any Claim 1 or 2 or a pharmaceutically acceptable salt thereof, wherein R6 is H and R7 is OH.
4. The compound according to Claim 1 or a pharmaceutically acceptable
OH, CH2-Ci, CH2-O-C(O)C1.4alkyl, S-C1-4a!kyl, S-haloC1-4a!kyi, or CH2-O- PO3H2.
5. The compound according to any of Claims 1-4 or a pharmaceutically acceptable salt thereof, wherein R2, R3, R4, and R5 are independently H, methyl, F or CL
6. The compound according to any of Claims 1-5 or a pharmaceutically acceptable salt thereof, wherein R2, R3, R4, and R5 are H.
7. The compound according to any of Claims 1-6 or a pharmaceutically acceptable salt thereof, wherein R10 and R11 are H.
8. The compound according to any of Claims 1-7 or a pharmaceutically acceptable salt thereof, wherein R12 and R8 taken together with the carbons to which they are attached form a 1 ,3-dioxolane ring represented by formula B:
9. The compound according to any of Claims 1-8 or a pharmaceutically acceptable sait thereof, wherein R12 and R8 taken together with the carbons to which they are attached form a 1 ,3-dioxolane ring represented by formula B, and one of R13 and R14 is H, methyl or ethyl and the other is H, CrC-joalkyi, or C3-C-I ocarbocycie.
10. The compound according to any of Ciaims 1 -9 or a pharmaceutically acceptable salt thereof, wherein R2, R3, R4, R5, R6, R8, R11, R12, R13, and R14 are defined as
1 1. The compound according to claim any of claims 1 -10 or a pharmaceuticaily acceptable salt thereof wherein R15 is d-βalkyl;
Ce-iocarbocycle optionally substituted 1 or 2 times with halo, Chalky!, O-d^alkyl, O-(CH2)4-NH2J O-(CH2)4-N(H)C1 -4alkyl,
0-{CH2)4-N(C1-4alkyl)2, O-C1-4alkyl-C(O)-NH2, O-d.4alkyl-C(O)-N(H)C1-4alkyl, O-d.4alkyl-C(O)-N(Ci-4alkyl)2, or a group represented by formula i, ii, iii, iv, v, vi, vii, viii, or ix: i: C6alkylene-O-R21-Ph4; ii: C2.3aikylene-Ph1-O-R21-Ph4; iii: C2-3alkylene-Ph1-N(H)-R22-Ph2; iv: C2-3alkylene-Het-(R23)-Ph3; v: C2-3aikylene-Ph1-C0-2alkyiene-C(O)N(H)-C1-4alky[ene-Ph3; vi: C^alkylene-Ph3; vii: C2-3alkylene-S(O)2-C2.4alkyiene-O-C2-4alkylene-Ph3; viii: C3-6alkylene-Ph1-Co-2aikylene-C(0)N(H)-C1o-12 bicyclic carbocycle; ix: C3-6alkylene-Het-Ph4; wherein:
R21 is C2- 6aikylene wherein one carbon of said alkylene is optionally replaced by O;
Ph4 is phenyl optionally substituted 1 or 2 times by halo,
N(H)C(O)NH2, SO2NH2 or S-cyciopentyi, Ph1 is phenyiene; R22 is a bond or Ci-2alkylene optionaliy substituted once by OH or NH2;
Ph2 is phenyl optionaliy substituted 1 or 2 times by O-methyl, -OCH2CH(CHa)2CH2NH2, -SO2-NH-(C6H3)(CH3)(C7H15) or
Het is 4-10 ring atom heterocyclene wherein 1 , 2 or 3 ring atoms is/are N1 O or S optionally substituted once by methyl;
R23 is a C2-4alkylene wherein one carbon of said alkylene is optionally replaced by O or -C0-2alkylene-C(O)N(H)-C2. 4alkylene; and
Ph3 is phenyl optionally substituted 1 or 2 times by halo or O- methyi.
12. The compound according to any of claims 1-11 or a pharmaceutically acceptable salt thereof, wherein R15 is Chalky!.
13. The compound according to any of claims 1-11 or a pharmaceutically acceptable salt thereof, wherein R15 is a Ce-iocarbocycle optionally substituted 1 or 2 times with Chalky!, O-C^alkyl, or O-Ci-4alkyi-C(O)-NH2.
14. The compound according to any of claims 1-11 or a pharmaceutically acceptable salt thereof, wherein R15 is a group represented by formuia i: Cealkylene-O-R^-Ph4, wherein R21 is C4alkylene and Ph4 is unsubstituted phenyl.
15. The compound according to any of claims 1-11 or a pharmaceutically acceptable salt thereof, wherein R15 is a group represented by formula ii: C2-3alkylene-Ph1-O-R21-Ph4, wherein R21 is C4alkylene wherein one C is optionally replaced by O and Ph4 is unsubstituted phenyl.
16. The compound according to any of claims 1-11 or a pharmaceutically acceptable salt thereof, wherein R15 is a group represented by formula iii: C2-3alkylene-Ph1-N(H)-R22-Ph2, wherein R22 is a bond or C2alkylene substituted once by OH or NH, Ph2 is pheny! optionally substituted once by O-methy! or -OCH2CH(CHa)2CH2NH2.
17. The compound according to any of claims 1-11 or a pharmaceutically acceptable salt thereof, wherein R15 is a group represented by formula iv: C2-3alkylene~Het-(R23)-Ph3, wherein Het is a 9 or 10 ring atom heterocyclene wherein 1 or 2 ring atoms is N, O or S, R23 is -CH2-O-CH2- or -C(O)N(H)-CH2-, and Ph3 is unsubstituted phenyl, or phenyl substituted twice by halo or O- methyl.
18. The compound according to any of claims 1-11 or a pharmaceutically acceptable salt thereof, wherein R15 is a group represented by formula v: C^alkylene-Ph^Co^alkylene-CfOJNtHJ-d^alkylene-Ph3, wherein Ph3 is phenyl substituted twice by halo or O-methyl.
19. The compound according to any of claims 1-11 or a pharmaceutically acceptable salt thereof, wherein R15 is a group represented by formula vi: C2.
3a!kylene-Ph3, wherein Ph3 is phenyl substituted once by O-methyi.
20. The compound according to any of claims 1-11 or a pharmaceutically acceptable salt thereof, wherein R15 is a group selected from
21. The compound according to any of Claims 1 -20 or a pharmaceutically acceptable salt thereof wherein R16 is H.
22. The compound according to any of Claims 1-21 or a pharmaceutically acceptable salt thereof wherein R19 is OH.
23. The compound according to any of Claims 1-22 or a pharmaceutically acceptable salt thereof, which is a compound of Formula Ii;
24, The compound according to any of claims 1-22 or a pharmaceutically acceptable salt thereof, which is a compound of Formula HI:
25. A composition comprising a compound according to any one of claims 1- 24 or a pharmaceutically acceptable salt thereof and a pharmaceutically acceptable excipient, diluent or carrier.
26. The composition according to Claim 25, wherein said composition is suitable for inhalation,
27. The composition according to any of Claims 25-26, wherein said excipient, diluent or carrier is water, saline or lactose.
28. The composition according to any of claims 25-27, wherein said composition is a solution for aerosolization and administration by nebulizer.
29. The composition according to any of claims 25-27, wherein said composition is suitable for administration by metered dose inhaler.
30. The composition according to any of claims 25-27 wherein said composition is a dry powder.
31. The composition according to any of claims 25-32 further comprising a therapeutically active agent selected from anti-inflammatory agents, anticholinergic agents, β-agonists, peroxisome proliferator-activated receptor agonists, epithelial sodium channel blockers, kinase inhibitors, antiinfective agents and antihistamines
32. The composition according to Claim 33, wherein said therapeutically active agent is a corticosteroid.
33. A method comprising administering to a human, an effective amount of a compound according to any of Claims 1-24 or a pharmaceutically acceptable salt thereof.
34. A method for the treatment of pulmonary inflammation or bronchoconstriction in a human in need thereof, comprising administering to said human an effective amount of a compound according to any of Ciaims 1- 24 or a pharmaceutically acceptable salt thereof.
35. A method for the treatment of a disease associated with reversible airway obstruction in a human in need thereof, comprising administering to said human an effective amount of a compound according to any of Claims 1-24 or a pharmaceutically acceptable salt thereof.
36. A method for the treatment of asthma in a human in need thereof, comprising administering to said human an effective amount of a compound according to any of Claims 1-24 or a pharmaceutically acceptable salt thereof.
37. A method for the treatment of COPD in a human in need thereof, comprising administering to said human an effective amount of a compound according to any of Claims 1-24 or a pharmaceutically acceptable salt thereof,
38. A method for the treatment of bronchiectasis in a human in need thereof, comprising administering to said human an effective amount of a compound according to any of Claims 1-24 or a pharmaceutically acceptable salt thereof.
39. A method for the treatment of emphysema in a human in need thereof, comprising administering to said human an effective amount of a compound according to any of Ciaims 1-24 or a pharmaceutically acceptable sait thereof.
40. A compound according to any of claims 1-24 for use as a medicament.
41. A compound according to any of claims 1-24 for use in the treatment of pulmonary inflammation or bronchoconstriction in a human.
42. A compound according to any of claims 1-24 for use in the treatment of a disease associated with reversible airway obstruction, asthma, COPD, bronchiectasis, or emphysema in a human.
43. A compound according to any of claims 1-24 for use in the treatment of asthma or COPD in a human.
44. The use of a compound according to any one of claims 1-24 for the manufacture of a medicament for the treatment of pulmonary inflammation or bronchoconstriction in a human.
45. The use of a compound according to any one of claims 1-24 for the manufacture of a medicament for the treatment of a disease associated with reversible airway obstruction, asthma, COPD, bronchiectasis, or emphysema in a human.
46. A composition comprising a compound according to any one of claims 1 - 24 for use in the preparation of a medicament for the treatment of pulmonary inflammation or bronchoconstriction in a human.
47. A composition comprising a compound according to any one of claims 1- 24 for use in the preparation of a medicament for the treatment of reversible airway obstruction, asthma, COPD, bronchiectasis, or emphysema in a human.
Applications Claiming Priority (2)
| Application Number | Priority Date | Filing Date | Title |
|---|---|---|---|
| US17879009P | 2009-05-15 | 2009-05-15 | |
| US61/178,790 | 2009-05-15 |
Publications (1)
| Publication Number | Publication Date |
|---|---|
| WO2010132743A1 true WO2010132743A1 (en) | 2010-11-18 |
Family
ID=42617448
Family Applications (1)
| Application Number | Title | Priority Date | Filing Date |
|---|---|---|---|
| PCT/US2010/034861 Ceased WO2010132743A1 (en) | 2009-05-15 | 2010-05-14 | Corticosteroid beta-agonist compounds for use in therapy |
Country Status (1)
| Country | Link |
|---|---|
| WO (1) | WO2010132743A1 (en) |
Cited By (9)
| Publication number | Priority date | Publication date | Assignee | Title |
|---|---|---|---|---|
| WO2019136487A3 (en) * | 2018-01-08 | 2019-09-12 | Regeneron Pharmaceuticals, Inc. | Steroids and antibody-conjugates thereof |
| US10668167B2 (en) | 2016-06-02 | 2020-06-02 | Abbvie Inc. | Glucocorticoid receptor agonist and immunoconjugates thereof |
| US10711032B2 (en) | 2016-11-08 | 2020-07-14 | Regeneron Pharmaceuticals, Inc. | Steroids and protein-conjugates thereof |
| US10772970B2 (en) | 2017-12-01 | 2020-09-15 | Abbvie Inc. | Glucocorticoid receptor agonist and immunoconjugates thereof |
| IT201900014178A1 (en) * | 2019-08-06 | 2021-02-06 | Genetic S P A | ESTERS OF MONTELUKAST AND THEIR PHARMACEUTICAL FORMULATIONS |
| US11377502B2 (en) | 2018-05-09 | 2022-07-05 | Regeneron Pharmaceuticals, Inc. | Anti-MSR1 antibodies and methods of use thereof |
| US11491237B2 (en) | 2017-05-18 | 2022-11-08 | Regeneron Pharmaceuticals, Inc. | Cyclodextrin protein drug conjugates |
| US12134631B2 (en) | 2017-11-07 | 2024-11-05 | Regeneron Pharmaceuticals, Inc. | Hydrophilic linkers for antibody drug conjugates |
| RU2855994C2 (en) * | 2019-08-06 | 2026-02-09 | Дженетик С.П.А. | Esters of montelukast and pharmaceutical compositions containing the specified compounds |
Citations (3)
| Publication number | Priority date | Publication date | Assignee | Title |
|---|---|---|---|---|
| WO2005063777A1 (en) * | 2003-12-23 | 2005-07-14 | Corus Pharma | Benzylphosphate and substituted benzylphosphate prodrugs for the treatment of pulmonary inflammation |
| WO2006138212A1 (en) * | 2005-06-14 | 2006-12-28 | Gilead Sciences, Inc. | SUBSTITUTED PHENYLPHOSPHATES AS MUTUAL PRODRUGS OF STEROIDS AND β -AGONISTS FOR THE TREATMENT OF PULMONARY INFLAMMATION AND BRONCHOCONSTRICTION |
| WO2009152171A1 (en) * | 2008-06-10 | 2009-12-17 | Gilead Sciences, Inc. | Corticosteroid linked beta-agonist compounds for use in therapy |
-
2010
- 2010-05-14 WO PCT/US2010/034861 patent/WO2010132743A1/en not_active Ceased
Patent Citations (3)
| Publication number | Priority date | Publication date | Assignee | Title |
|---|---|---|---|---|
| WO2005063777A1 (en) * | 2003-12-23 | 2005-07-14 | Corus Pharma | Benzylphosphate and substituted benzylphosphate prodrugs for the treatment of pulmonary inflammation |
| WO2006138212A1 (en) * | 2005-06-14 | 2006-12-28 | Gilead Sciences, Inc. | SUBSTITUTED PHENYLPHOSPHATES AS MUTUAL PRODRUGS OF STEROIDS AND β -AGONISTS FOR THE TREATMENT OF PULMONARY INFLAMMATION AND BRONCHOCONSTRICTION |
| WO2009152171A1 (en) * | 2008-06-10 | 2009-12-17 | Gilead Sciences, Inc. | Corticosteroid linked beta-agonist compounds for use in therapy |
Non-Patent Citations (8)
| Title |
|---|
| ABRAHAM, W.M.; A. AHMED; I SEREBRLAKOV; A.N. CARMILLO; J. FERRANT; A.R. DE FOUGEROLLES; E.A. GARBER; P. J. GOWALS; V.E. KOTELLANSK, AM. J. RESPIR. CRIT. CARE. MED., vol. 169, 2004, pages 97 - 104 |
| ABRAHAM, W.M.; A. AHMED; I SEREBRLAKOV; I.T. LAUREDO; J. BASSUK; J.A. ADAMS; M.A. SACKNER, AM. J. RESPIR. CRIT. CARE. MED., vol. 174, 2006, pages 743 - 752 |
| C. MEIER ET AL., J. MED. CHEM., vol. 50, no. 6, 2007, pages 1335 - 1346 |
| CARRYER, JOURNAL OF ALLERGY, vol. 21, 1950, pages 282 - 287 |
| FULCHER, M.L. ET AL.: "Well-differentiated human airway epithelial cell cultures", METHODS MOL MED, vol. 107, 2005, pages 183 - 206 |
| MORRIS, J. ALLERGY CLIN. IMMUNOL., vol. 75, 1985, pages 1 - 13 |
| POSTON, AM. REV. RESPIR. DIS., vol. 145, 1992, pages 918 - 921 |
| WALKER, J. ALLERGY CLIN. IMMUNOL., vol. 88, no. 6, 1991, pages 935 - 42 |
Cited By (19)
| Publication number | Priority date | Publication date | Assignee | Title |
|---|---|---|---|---|
| US10668167B2 (en) | 2016-06-02 | 2020-06-02 | Abbvie Inc. | Glucocorticoid receptor agonist and immunoconjugates thereof |
| US10711032B2 (en) | 2016-11-08 | 2020-07-14 | Regeneron Pharmaceuticals, Inc. | Steroids and protein-conjugates thereof |
| US12377159B2 (en) | 2016-11-08 | 2025-08-05 | Regeneron Pharmaceuticals, Inc. | Steroids and protein-conjugates thereof |
| US11760775B2 (en) | 2016-11-08 | 2023-09-19 | Regeneron Pharmaceuticals, Inc. | Steroids and protein-conjugates thereof |
| US11491237B2 (en) | 2017-05-18 | 2022-11-08 | Regeneron Pharmaceuticals, Inc. | Cyclodextrin protein drug conjugates |
| US12134631B2 (en) | 2017-11-07 | 2024-11-05 | Regeneron Pharmaceuticals, Inc. | Hydrophilic linkers for antibody drug conjugates |
| US10772970B2 (en) | 2017-12-01 | 2020-09-15 | Abbvie Inc. | Glucocorticoid receptor agonist and immunoconjugates thereof |
| JP2024009905A (en) * | 2018-01-08 | 2024-01-23 | レゲネロン ファーマシューティカルス,インコーポレーテッド | Steroids and their antibody conjugates |
| JP2021509908A (en) * | 2018-01-08 | 2021-04-08 | レゲネロン ファーマシューティカルス,インコーポレーテッド | Steroids and their antibody conjugates |
| JP7366028B2 (en) | 2018-01-08 | 2023-10-20 | レゲネロン ファーマシューティカルス,インコーポレーテッド | Steroids and their antibody conjugates |
| WO2019136487A3 (en) * | 2018-01-08 | 2019-09-12 | Regeneron Pharmaceuticals, Inc. | Steroids and antibody-conjugates thereof |
| US12070506B2 (en) | 2018-01-08 | 2024-08-27 | Regeneron Pharmaceuticals, Inc. | Steroids and antibody-conjugates thereof |
| CN112004557A (en) * | 2018-01-08 | 2020-11-27 | 里珍纳龙药品有限公司 | Steroid compounds and their antibody conjugates |
| US11377502B2 (en) | 2018-05-09 | 2022-07-05 | Regeneron Pharmaceuticals, Inc. | Anti-MSR1 antibodies and methods of use thereof |
| US12497460B2 (en) | 2018-05-09 | 2025-12-16 | Regeneron Pharmaceuticals, Inc. | Anti-MSR1 antibodies and methods of use thereof |
| WO2021023751A1 (en) * | 2019-08-06 | 2021-02-11 | Genetic S.P.A. | Montelukast esters and pharmaceutical compositions containing the same |
| IT201900014178A1 (en) * | 2019-08-06 | 2021-02-06 | Genetic S P A | ESTERS OF MONTELUKAST AND THEIR PHARMACEUTICAL FORMULATIONS |
| US12338266B2 (en) | 2019-08-06 | 2025-06-24 | Genetic S.P.A. | Montelukast esters and pharmaceutical compositions containing the same |
| RU2855994C2 (en) * | 2019-08-06 | 2026-02-09 | Дженетик С.П.А. | Esters of montelukast and pharmaceutical compositions containing the specified compounds |
Similar Documents
| Publication | Publication Date | Title |
|---|---|---|
| WO2010126953A1 (en) | Corticosteroid linked beta-agonist compounds for use in therapy | |
| US20090318396A1 (en) | Corticosteroid linked beta-agonist compounds for use in therapy | |
| WO2010132743A1 (en) | Corticosteroid beta-agonist compounds for use in therapy | |
| US9278975B2 (en) | Pyrazolo[1,5-A]pyrimidines as antiviral agents | |
| WO2011081937A1 (en) | Corticosteroid-beta-agonist-muscarinic antagonist compounds for use in therapy | |
| US10174038B2 (en) | Compounds and methods for antiviral treatment | |
| JP4446661B2 (en) | Anti-inflammatory, 17β-carbothioate derivative of androstane having a cyclic ester group at the 17α position | |
| US8524697B2 (en) | C20-C21 substituted glucocorticoid receptor agonists | |
| EP1893220A1 (en) | Substituted phenylphosphates as mutual prodrugs of steroids and beta -agonists for the treatment of pulmonary inflammation and bronchoconstriction | |
| WO2011098746A1 (en) | Crystalline acid addition salts of ( 5r) -enanti0mer of pioglitazone | |
| PT1981872T (en) | Succinic acid salt of biphenyl-2-ylcarbamic acid 1-[2-(2-chloro-4-{[ (r)-2-hydroxy-2- (8-hydroxy-2-oxo-1, 2-dihydroquinolin-5-yl) eth ylaminoimethyl]} -5-methoxyphenylcarbamoyl) ethyl]piperidin-4-yl ester and its use for the treatment of pulmonary disorders | |
| US8450490B2 (en) | Bi-functional pyrazolopyridine compounds | |
| AU2019374731A1 (en) | Compounds and compositions for the treatment of respiratory diseases | |
| SG188575A1 (en) | Novel combinations | |
| CN102834406A (en) | Novel [3.2-c] heteroaryl steroids as glucocorticoid receptor agonists, compositions and uses thereof | |
| MX2007016094A (en) | Substituted phenylphosphates as mutual prodrugs of steroids andî²-agonists for the treatment of pulmonary inflammation and bronchoconstriction |
Legal Events
| Date | Code | Title | Description |
|---|---|---|---|
| 121 | Ep: the epo has been informed by wipo that ep was designated in this application |
Ref document number: 10720098 Country of ref document: EP Kind code of ref document: A1 |
|
| NENP | Non-entry into the national phase |
Ref country code: DE |
|
| 122 | Ep: pct application non-entry in european phase |
Ref document number: 10720098 Country of ref document: EP Kind code of ref document: A1 |





































































