WO2009050281A1 - Übergangsmetallkomplexe mit verbrückten carbenliganden und deren verwendung in oleds - Google Patents
Übergangsmetallkomplexe mit verbrückten carbenliganden und deren verwendung in oleds Download PDFInfo
- Publication number
- WO2009050281A1 WO2009050281A1 PCT/EP2008/064064 EP2008064064W WO2009050281A1 WO 2009050281 A1 WO2009050281 A1 WO 2009050281A1 EP 2008064064 W EP2008064064 W EP 2008064064W WO 2009050281 A1 WO2009050281 A1 WO 2009050281A1
- Authority
- WO
- WIPO (PCT)
- Prior art keywords
- substituted
- unsubstituted
- radicals
- alkyl
- carbene
- Prior art date
- Legal status (The legal status is an assumption and is not a legal conclusion. Google has not performed a legal analysis and makes no representation as to the accuracy of the status listed.)
- Ceased
Links
Classifications
-
- H—ELECTRICITY
- H10—SEMICONDUCTOR DEVICES; ELECTRIC SOLID-STATE DEVICES NOT OTHERWISE PROVIDED FOR
- H10K—ORGANIC ELECTRIC SOLID-STATE DEVICES
- H10K85/00—Organic materials used in the body or electrodes of devices covered by this subclass
- H10K85/30—Coordination compounds
- H10K85/341—Transition metal complexes, e.g. Ru(II)polypyridine complexes
- H10K85/342—Transition metal complexes, e.g. Ru(II)polypyridine complexes comprising iridium
-
- C—CHEMISTRY; METALLURGY
- C07—ORGANIC CHEMISTRY
- C07F—ACYCLIC, CARBOCYCLIC OR HETEROCYCLIC COMPOUNDS CONTAINING ELEMENTS OTHER THAN CARBON, HYDROGEN, HALOGEN, OXYGEN, NITROGEN, SULFUR, SELENIUM OR TELLURIUM
- C07F15/00—Compounds containing elements of Groups 8, 9, 10 or 18 of the Periodic Table
- C07F15/0006—Compounds containing elements of Groups 8, 9, 10 or 18 of the Periodic Table compounds of the platinum group
- C07F15/0033—Iridium compounds
-
- C—CHEMISTRY; METALLURGY
- C09—DYES; PAINTS; POLISHES; NATURAL RESINS; ADHESIVES; COMPOSITIONS NOT OTHERWISE PROVIDED FOR; APPLICATIONS OF MATERIALS NOT OTHERWISE PROVIDED FOR
- C09K—MATERIALS FOR MISCELLANEOUS APPLICATIONS, NOT PROVIDED FOR ELSEWHERE
- C09K11/00—Luminescent, e.g. electroluminescent, chemiluminescent materials
- C09K11/06—Luminescent, e.g. electroluminescent, chemiluminescent materials containing organic luminescent materials
-
- H—ELECTRICITY
- H05—ELECTRIC TECHNIQUES NOT OTHERWISE PROVIDED FOR
- H05B—ELECTRIC HEATING; ELECTRIC LIGHT SOURCES NOT OTHERWISE PROVIDED FOR; CIRCUIT ARRANGEMENTS FOR ELECTRIC LIGHT SOURCES, IN GENERAL
- H05B33/00—Electroluminescent light sources
- H05B33/12—Light sources with substantially two-dimensional radiating surfaces
- H05B33/14—Light sources with substantially two-dimensional radiating surfaces characterised by the chemical or physical composition or the arrangement of the electroluminescent material, or by the simultaneous addition of the electroluminescent material in or onto the light source
-
- C—CHEMISTRY; METALLURGY
- C09—DYES; PAINTS; POLISHES; NATURAL RESINS; ADHESIVES; COMPOSITIONS NOT OTHERWISE PROVIDED FOR; APPLICATIONS OF MATERIALS NOT OTHERWISE PROVIDED FOR
- C09K—MATERIALS FOR MISCELLANEOUS APPLICATIONS, NOT PROVIDED FOR ELSEWHERE
- C09K2211/00—Chemical nature of organic luminescent or tenebrescent compounds
- C09K2211/10—Non-macromolecular compounds
- C09K2211/1003—Carbocyclic compounds
- C09K2211/1007—Non-condensed systems
-
- C—CHEMISTRY; METALLURGY
- C09—DYES; PAINTS; POLISHES; NATURAL RESINS; ADHESIVES; COMPOSITIONS NOT OTHERWISE PROVIDED FOR; APPLICATIONS OF MATERIALS NOT OTHERWISE PROVIDED FOR
- C09K—MATERIALS FOR MISCELLANEOUS APPLICATIONS, NOT PROVIDED FOR ELSEWHERE
- C09K2211/00—Chemical nature of organic luminescent or tenebrescent compounds
- C09K2211/10—Non-macromolecular compounds
- C09K2211/1018—Heterocyclic compounds
- C09K2211/1025—Heterocyclic compounds characterised by ligands
- C09K2211/1029—Heterocyclic compounds characterised by ligands containing one nitrogen atom as the heteroatom
-
- C—CHEMISTRY; METALLURGY
- C09—DYES; PAINTS; POLISHES; NATURAL RESINS; ADHESIVES; COMPOSITIONS NOT OTHERWISE PROVIDED FOR; APPLICATIONS OF MATERIALS NOT OTHERWISE PROVIDED FOR
- C09K—MATERIALS FOR MISCELLANEOUS APPLICATIONS, NOT PROVIDED FOR ELSEWHERE
- C09K2211/00—Chemical nature of organic luminescent or tenebrescent compounds
- C09K2211/10—Non-macromolecular compounds
- C09K2211/1018—Heterocyclic compounds
- C09K2211/1025—Heterocyclic compounds characterised by ligands
- C09K2211/1059—Heterocyclic compounds characterised by ligands containing three nitrogen atoms as heteroatoms
-
- C—CHEMISTRY; METALLURGY
- C09—DYES; PAINTS; POLISHES; NATURAL RESINS; ADHESIVES; COMPOSITIONS NOT OTHERWISE PROVIDED FOR; APPLICATIONS OF MATERIALS NOT OTHERWISE PROVIDED FOR
- C09K—MATERIALS FOR MISCELLANEOUS APPLICATIONS, NOT PROVIDED FOR ELSEWHERE
- C09K2211/00—Chemical nature of organic luminescent or tenebrescent compounds
- C09K2211/18—Metal complexes
- C09K2211/185—Metal complexes of the platinum group, i.e. Os, Ir, Pt, Ru, Rh or Pd
Definitions
- the present invention relates to bridged cyclometall founded carbene complexes, a method for producing the bridged cyclometall striv carbene complexes, the use of the bridged cyclometall striv carbene in organic light emitting diodes, organic light-emitting diodes containing at least one bridged cyclometall striv carbene complex, a light-emitting layer containing at least one inventive bridged cyclometall studying carbene complex , Organic light-emitting diodes, containing at least one light-emitting layer according to the invention and devices containing at least one organic light emitting diode according to the invention.
- OLEDs organic light emitting diodes
- the property of materials is used to emit light when excited by electric current.
- OLEDs are of particular interest as an alternative to cathode ray tubes and liquid crystal displays for the production of flat panel displays. Due to the very compact design and the intrinsically low power consumption, the devices containing OLEDs are particularly suitable for mobile applications, for example for applications in mobile phones, laptops, etc.
- WO 2005/019373 discloses for the first time the use of neutral transition metal complexes which contain at least one carbene ligand in OLEDs. These transition metal complexes can be used according to WO 2005/019373 in each layer of an OLED, wherein the ligand skeleton or central metal can be varied to adapt to desired properties of the transition metal complexes. For example, it is possible to use the transition metal complexes in a block layer for electrons, a block layer for excitons, a block layer for holes or the light-emitting layer of the OLED, the transition metal complexes preferably being used as emitter molecules in OLEDs.
- Suitable bridged carbene ligands have the following general formula:
- star is the N-linked vinylic carbon ⁇ -terminal carbon or suitable heteroatom of bridge A
- B is selected from alkyl, alkenyl, alkynyl, aryl, or heteroaryl (Y 1 ) and a single chemical bond, C (Y 4 ) 2 , C (O), O, S, S (O), SO 2 or NY 5 composite bridge referred to.
- WO 2005/1 13704 relates to carbene metal complexes for use in OLEDs.
- suitable carbene ligands are two bridged ligands:
- the carbene ligands may be bridged carbene ligands, including, inter alia, bridged carbene ligands of the following formulas:
- WO 2007/0951 relates to metal complexes of cyclometalated imidazo [1,2-f] phenanthridine and diimidazo [1,2-a: 1 ', 2'-c] quinazoline ligands and isoelectronic and benzanellated analogs thereof.
- WO 2007/095118 blue-phosphorescent OLEDs with an extended service life are already to be provided.
- bridged carbene complexes are already known which are suitable for use in OLEDs, in particular as light-emitting substances, it is desirable to provide more stable and / or more efficient compounds which can be used industrially.
- electroluminescence is to be understood as meaning both electrofluorescence and electrophosphorescence.
- the object of the present application is therefore the provision of bridged carbene complexes which are suitable for use in OLEDs.
- M is a metal atom selected from the group consisting of metals of Group IB, IIB, HIB, IVB, VB, VIB, VIIB, VIIIB, the lanthanides and INA of the Periodic Table of the Elements (CAS version) in any oxidation state possible for the corresponding metal atom; preferably Fe, Os, Co, Rh, Ir, Ni, Ru, Pd and Pt, Cu, Au, Ce, Tb, Eu, more preferably Os, Ru, Rh, Ir and Pt and most preferably Ir, Os and Pt;
- K neutral mono- or bidentate ligand L mono or dianionic ligand, preferably monoanionic ligand, which may be mono- or didentate;
- X is CR 1 or N, preferably N;
- A, D, G, E, A ', D ⁇ G' or E ' are independently CH, CR 3 or N;
- R 1 is F, CN, C 1 -C 20 -alkoxy, C 6 -C 30 -aryloxy, C 1 -C 20 -alkylthio, C 6 -C 30 -arylthio, substituted or unsubstituted C 6 -C 30 -alkyl or substituted or unsubstituted heteroaryl having 5 to 30 ring atoms;
- R 2 , R 3 independently substituted or unsubstituted dC 20 alkyl, substituted or unsubstituted C 5 -C 20 cycloalkyl, substituted or unsubstituted C 5 -C 20 cycloalkenyl, substituted or unsubstituted heterocycloalkyl having 5 to 30 ring atoms, substituted or unsubstituted Heterocycloalkenyl having 5 to 30 ring atoms, substituted or unsubstituted C 2 -
- R 4, R 5, R 6 are independently H, substituted or unsubstituted C 2 o alkyl or substituted or unsubstituted C 6 -C 3 O--aryl or substituted or unsubstituted heteroaryl having 5 to 30 ring atoms;
- n number of carbene ligands where n is at least 1 and the carbene ligands in the complex of formula I may be the same or different at n> 1;
- n 0 or> 1
- ligands K can be the same or different at m> 1
- o Number of ligands L, where o can be 0 or> 1, and the ligands L can be the same or different at o> 1;
- n + m + o depends on the oxidation state and coordination number of the metal atom used and on the denticity of the ligands L and K as well as on the charge of the ligands L, with the proviso that n is at least 1.
- the bridged cyclometallated carbene complexes of the formula I according to the invention are characterized in that they have a bridging of the carbene ligand (s) and in particular at the position X an N atom or a -CF 1 -C-CN, -C-C 1 -C 20 -alkoxy radical , -CC 6 -C 3 o-Aryloxy, -C-CrC 2 o-alkylthio, -CC 6 -C 30 arylthio, substituted or unsubstituted -CC 6 -C 30 -Al ⁇ l or substituted or unsubstituted -C-heteroaryl having 5 to 30 ring atoms.
- the carbene complexes according to the invention are distinguished by good stability and, with the aid of the carbene complexes of the formula I according to the invention, OLEDs having an improved property spectrum, eg improved efficiencies and / or an improved service life, are obtainable.
- C 1 -C 20 -alkyl is to be understood as meaning alkyl radicals having 1 to 20 carbon atoms. D- to C ⁇ alkyl radicals are preferred, particularly preferred
- the alkyl radicals can be both straight-chain and branched.
- Haloalkyl for example CF 3 , and C 6 -C 30 -aryl, which in turn may be substituted or unsubstituted, be substituted.
- both the n-isomers of said radicals and branched isomers such as isopropyl, isobutyl, isopentyl, sec-butyl, tert-butyl, neopentyl, 3,3-dimethylbutyl, 3-ethylhexyl, etc. are included.
- Preferred alkyl groups are methyl, ethyl, isopropyl, tert-butyl and CF 3 .
- cycloalkyl groups having 5 to 20, preferably 5 to 10, more preferably to understand 5 to 8 carbon atoms in the backbone (ring).
- Suitable substituents are the substituents mentioned with respect to the alkyl groups.
- suitable cycloalkyl groups which may be unsubstituted or substituted by the radicals mentioned above with respect to the alkyl groups are cyclopentyl, cyclohexyl, cycloheptyl, cyclooctyl, cyclononyl and cyclodecyl.
- it may also be polycyclic ring systems, such as decalinyl, norbornyl, bornanyl or adamantyl.
- C 5 -C 2 o-cycloalkenyl are cycloalkenyl groups having from 5 to 20, preferably 5 to 10, more preferably to understand 5 to 8 carbon atoms in the backbone (ring). Suitable substituents are the substituents mentioned with respect to the alkyl groups.
- the cycloalkenyl groups may have one or, depending on the ring size, several double bonds within the cycloalkenyl ring. The double bonds can be conjugated or non-conjugated.
- the cycloalkenyl groups have a double bond within the cycloalkenyl ring.
- Suitable cycloalkenyl groups which may be unsubstituted or substituted by the radicals mentioned above with regard to the alkyl groups are cyclopentenyl, cyclohexenyl, cycloheptenyl, cyclooctenyl, cyclononenyl and cyclodecenyl.
- it may also be polycyclic ring systems, wherein at least one of the rings is a cycloalkenyl ring.
- Heterocycloalkyl groups having 5 to 30, preferably 5 to 10, particularly preferably 5 to 8 ring atoms to understand, wherein in the heterocycloalkyl backbone at least one
- Carbon atom is replaced by a heteroatom.
- Preferred heteroatoms are N, O and S.
- Suitable substituents are the substituents mentioned with respect to the alkyl groups.
- heterocycloalkyl groups which may be unsubstituted or substituted by the radicals mentioned above with regard to the alkyl groups are radicals derived from the following heterocycles: pyrrolidine, thiolane, tetrahydrofuran, 1, 2
- it may also be polycyclic ring systems.
- heterocycloalkenyl having 5 to 30 ring atoms are heterocycloalkenyl groups having 5 to 30, preferably 5 to 10, particularly preferably 5 to 8
- the heterocycloalkenyl groups may have one or, depending on the ring size, several double bonds within the heterocycloalkenyl ring. The double bonds can be conjugated or non-conjugated.
- the heterocycloalkenyl groups have a double bond within the heterocycloalkenyl ring.
- Preferred heteroatoms are N, O and S. Suitable substituents are the substituents mentioned with respect to the alkyl groups.
- C 2 -C 2 o-alkenyl is to be understood as meaning alkenyl radicals having 2 to 20 carbon atoms. Preference is given to C 2 - to Cio-alkenyl radicals, more preferably C 2 - to C ⁇ -alkenyl radicals.
- the alkenyl radicals can be both straight-chain and branched. Furthermore, the alkenyl radicals may be substituted by one or more of the substituents referred to the alkyl radicals. Depending on the chain length, the alkenyl radicals can have one or more double bonds, it being possible for the double bonds to be conjugated to one another or isolated from one another.
- alkenyl groups examples include ethenyl, propenyl, butenyl, pentenyl, hexenyl, heptenyl and Octentyl, wherein the double bond may be present at any position in the above-mentioned residues, as well as Ci-C 20 alkyl, -C 20 haloalkyl, C 6 C 3 o-aryl, Ci-C 20 alkoxy and / or halogen, in particular F, substituted derivatives of said alkenyl groups.
- C 2 -C 20 -alkynyl are to be understood as meaning alkynyl radicals having 2 to 20 carbon atoms. Preference is given to C 2 - to Cio-alkynyl radicals, particularly preferably C 2 - to C 6 -alkynyl radicals.
- the alkynyl radicals can be both straight-chain and branched. Furthermore, the alkynyl radicals may be substituted with one or more of the substituents referred to the alkyl radicals.
- the alkynyl radicals can have one or more triple bonds, depending on the chain length, whereby the triple bonds can be conjugated to one another or isolated from one another.
- alkynyl groups are ethynyl, propynyl, butynyl, pentynyl, hexynyl, heptynyl and octintyl, where the triple bond may be present at any position in the abovementioned radicals, as well as with dC 2 o-alkyl, dC 2 o-haloalkyl, C 6 C 3 o-aryl, Ci-C 20 alkoxy and / or halogen, in particular F, substituted derivatives of said alkynyl groups.
- Suitable C 1 -C 20 -alkoxy and C 1 -C 20 -alkylthio groups are derived in a corresponding manner from the abovementioned C 1 -C 20 -alkyl radicals.
- C 1 -C 20 -alkyl radicals for example, here are OCH 3 ,
- Alkoxy or alkylthio groups are methoxy, ethoxy, n-octyloxy, 2-ethylhexyloxy and SCH 3 .
- Suitable halogen radicals or halogen substituents for the purposes of the present application are fluorine, chlorine, bromine and iodine, preferably fluorine, chlorine and bromine, particularly preferably fluorine and chlorine, very particularly preferably fluorine.
- Suitable pseudohalogen radicals in the context of the present application are CN, SCN, OCN, N 3 and SeCN, CN and SCN being preferred. Most preferred is CN.
- radicals are referred to, which are derived from monocyclic, bicyclic or tricyclic aromatics, the no
- aryl for the second ring also the saturated form (perhydroform) or the partially unsaturated form (for example, the dihydroform or tetrahydroform), if the respective forms are known and stable, possible. That is, the term aryl in the present invention includes, for example, bicyclic or tricyclic
- Particularly preferred are C 6 -C 0 -aryl, for example phenyl or naphthyl, very particularly preferably C 6 -aryl, for example phenyl.
- the C 6 -C 30 -aryl radicals may be unsubstituted or substituted by a plurality of further radicals. Suitable further radicals are selected from the group consisting of C 1 -C 20 -alkyl, C 6 -C 30 -aryl or substituents with donor or acceptor action, suitable substituents with donor or acceptor action being mentioned below.
- the C 6 -C 30 are preferably unsubstituted aryl radicals or with one or more C 20 - alkyl groups, Ci-C20 alkoxy, CN, CF 3, F or amino (NR 4 R 5, wherein suitable R 4 and R 5 mentioned above) substituted. Further preferred substitutions of the C 6 -C 30 aryl radicals are dependent on the intended use of the compounds of the general formula (I) and are mentioned below.
- Suitable C 6 -C 30 aryloxy, C 6 -C 30 -Arylthioreste are derived respectively from the above-mentioned C6-C 30 -aryl radicals from. Particularly preferred are phenoxy and phenylthio.
- Unsubstituted or substituted heteroaryl having 5 to 30 ring atoms are to be understood as meaning monocyclic, bicyclic or tricyclic heteroaromatics, some of which can be derived from the abovementioned aryl in which at least one carbon atom in the aryl skeleton is replaced by a heteroatom.
- Preferred heteroatoms are N, O and S.
- the heteroaryl radicals have 5 to 13 ring atoms.
- the skeleton of the heteroaryl radicals is selected from systems such as pyridine and five-membered heteroaromatics such as thiophene, pyrrole, imidazole, thiazole, oxazole or Furan.
- backbones may optionally be fused with one or two six-membered aromatic radicals.
- Suitable fused heteroaromatics are carbazolyl, benzimidazolyl, benzofuryl, benzthiazole, benzoxazole, dibenzofuryl or dibenzothiophenyl.
- the backbone may be substituted at one, several or all substitutable positions, suitable substituents being the same as those already mentioned under the definition of Ce- C 30 -aryl.
- the heteroaryl radicals are unsubstituted.
- Suitable heteroaryl radicals are, for example, pyridin-2-yl, pyridin-3-yl, pyridin-4-yl, thiophen-2-yl, thiophen-3-yl, pyrrol-2-yl, pyrrol-3-yl, furan-2 -yl, furan-3-yl, thiazol-2-yl, oxazol-2-yl and imidazol-2-yl and the corresponding benzanell faced radicals, in particular carbazolyl, benzimidazolyl, benzofuryl, benzothiazole, benzoxazole, dibenzofuryl or dibenzothiophenyl.
- Preferred substituents with donor or acceptor action are selected from the group consisting of:
- C 1 to C 20 alkoxy preferably C 1 -C 6 alkoxy, particularly preferably ethoxy or methoxy
- Ce Cso-aryloxy preferably C 6 -C 0 aryloxy, most preferably phenyloxy
- SiR 4 R 5 R 6 wherein R 4 , R 5 and R 6 are preferably each independently substituted or unsubstituted alkyl or substituted or unsubstituted phenyl, suitable substituents being mentioned above;
- Halogen radicals preferably F, Cl, Br, more preferably F or Cl, most preferably F, halogenated CrC 20 alkyl radicals, preferably halogenated CrC ⁇ alkyl radicals, very particularly preferably fluorinated CrC ⁇ alkyl radicals, for.
- CF 3 CH 2 F, CHF 2 or C 2 F 5 ;
- Amino preferably dimethylamino, diethylamino or diphenylamino;
- OH pseudohalogen radicals, preferably CN, SCN or OCN, particularly preferably CN, -C (O) O-C 4 -alkyl, preferably -C (O) OMe, P (O) R 2 , preferably P (O) Ph 2 and SO 2 R 2 , preferably SO 2 Ph.
- Very particularly preferred substituents with donor or acceptor action are selected from the group consisting of methoxy, phenoxy, halogenated C 1 -C 4 -alkyl, preferably CF 3 , CH 2 F, CHF 2 , C 2 F 5 , halogen, preferably F, CN, SiR 4 R 5 R 6 , where appropriate Radicals R 4 , R 5 and R 6 are already mentioned, diphenylamino, -C (O) OCrC 4 alkyl, preferably -C (O) OMe, P (O) Ph 2 and SO 2 Ph.
- the abovementioned groups with donor or acceptor action it should not be ruled out that further of the abovementioned radicals and groups may also have a donor or acceptor action.
- the above-mentioned heteroaryl radicals are also donor or acceptor groups and the dC 2 o-alkyl radicals are donor-donating groups.
- radicals R 4 , R 5 and R 6 mentioned in the abovementioned groups with donor or acceptor action have the meanings already mentioned above, ie R 4 , R 5 , R 6 independently of one another
- the metal atom M in the bridged cyclometallated carbene complexes of the general formula I according to the invention is selected from the group consisting of metals of the group IB, IIB, HIB, IVB, VIB, VIB, VIIB, VIIIB, the lanthanides and INA of the Periodic Table of the Elements (CAS) Version) in each oxidation state possible for the corresponding metal atom; preferably Fe, Os, Co, Rh, Ir, Ni, Ru, Pd and Pt, Cu, Au, Ce, Tb, Eu, particularly preferably Os, Ru, Rh, Ir and Pt and very particularly preferably Ir, Os and Pt, in any oxidation state possible for the corresponding metal atom.
- the metal M is selected from the group consisting of Ir, Os and Pt, with Os (II), Ir (III) and Pt (II) being preferred. Particularly preferred is Ir (III).
- the number of carbene ligands n and the numbers m and o of the optionally present ligands K and L are dependent on the oxidation state and the coordination number of the metal M, the denticity and the charge of the ligands L, wherein in the carbene complexes of the formula I at least one carbene ligand is present, ie n is at least 1.
- the carbene complexes of the formula I according to the invention have one or two carbene ligands, ie, n is 1 or 2, in which case, when n is 1 and M is one Metal having a coordination number of 4, in the carbene complexes according to the invention a monoanionic bidentate ligand L is present next to the carbene ligand, ie o is 1.
- the carbene complexes of the formula I according to the invention preferably have one, two or three, preferably two or three carbene ligands of the general formula Formula I, which may be the same or different, ie n is 1, 2 or 3, preferably 2 or 3.
- n is generally 1 or 2
- n 1, an additional monoanionic bidentate ligand L and a
- the abovementioned carbene complexes have an additional neutral bidentate ligand K, ie m is 1.
- the carbene complexes of the general formula I may have either one or more further carbene ligands and / or one or more additional ligands K and / or L in addition to one, two or three carbene ligands.
- a and B are each a binding site of a ligand, with only bidentate ligands being present.
- a bidentate ligand has two groups A and two groups B according to the general composition mentioned above.
- cis isomerism means that for complexes of the composition MA 2 B 2 both the two groups A and the two groups B occupy adjacent corners of a square, while both the two groups A and the two groups B in the trans -lsomerie each occupy the two diagonally opposite corners of a square.
- cis / trans isomers in square planar metal complexes see, for example, J. Huheey, E. Keiter, R, Keiter, Inorganic Chemistry: Principles of Structure and Reactivity, 2nd, revised edition, translated and expanded by Ralf Stendel , Berlin; New York: de Gruyter, 1995, pages 557 to 559.
- the various isomers of the carbene complexes of the formula I according to the invention can be separated by methods known to those skilled in the art, for example by chromatography, sublimation or crystallization.
- the present invention thus relates in each case both to the individual isomers of the carbene complexes of the formula I and to mixtures of different isomers in any desired mixing ratio.
- the number n of carbene ligands in the bridged cyclometallated carbene complexes according to the invention is of the formula I wherein the transition metal atom M has a coordination number of 6 and the oxidation state III, with Ir (III) being particularly preferred, preferably 3 and the numbers m and o of the additional ligands K and L are 0 in these complexes.
- the number n of carbene ligands in the bridged cyclometallated carbene complexes according to the invention is of the formula I in which the transition metal atom M has a coordination number of 6 and the oxidation state II, where Os (II) is particularly preferred, preferably 2, with an additional neutral bidentate ligand K present ie m is preferably 1. o is preferably 0 in these complexes.
- M in the carbene complexes of the formula I is Ir (III), n is 3 and m and o are zero.
- Suitable mono- or dianionic ligands L are the ligands commonly used as mono- or bidentate mono- or dianionic ligands.
- Suitable monoanionic monodentate ligands are, for example, halides, in particular Cl “ and Br “ , pseudohalides, in particular CN “ , cyclopentadienyl (Cp " ), hydride, alkoxy, aryloxy, alkyl radicals which are linked to the transition metal M via a sigma bond, for example CH 3 , alkylaryl groups linked to the transition metal M 1 via a sigma bond, for example benzyl.
- Suitable monoanionic bidentate ligands are, for example, acetylacetonate and its derivatives, picolinate, Schiff's bases, amino acids, arylazoles, eg phenylpyridine and the other bidentate monoanionic ligands mentioned in WO 02/15645, acetylacetonate, and picolinate being preferred.
- Suitable dianionic bidentate ligands are, for example, dialcoholates, dicarbonates,
- Dicarboxylates diamides, diimides, dithiolates, biscyclopentadienyls, bisphosphonates, bis-sulfonates and 3-phenylpyrazole.
- Suitable neutral mono- or bidentate ligands K are preferably selected from the group consisting of phosphines, both mono- and bisphosphines; Phosphonates, both mono- and bisphosphonates, and derivatives thereof, arsenates, both mono- and bis-arsenates, and derivatives thereof; Phosphites, both mono- and bis-phosphites; CO; Pyridines, both mono- and bispyridines; Nitriles, dinitriles, AIIyI, diimines, non-conjugated dienes, and conjugated dienes that form a ⁇ complex with M 1 .
- Particularly preferred neutral mono- or bidentate K ligands are selected from the group consisting of phosphines, both mono- and bisphosphines, preferably trialkyl, triaryl or alkylarylphosphines, more preferably PAr 3 , wherein Ar is a substituted or unsubstituted aryl radical and the three Aryl radicals in PAr 3 may be identical or different, particularly preferably PPh 3 , PEt 3 , PnBu 3 , PEt 2 Ph, PMe 2 Ph, PnBu 2 Ph; Phosphonates and derivatives thereof, arsenates and derivatives thereof, phosphites, CO; Pyridines, both mono- and bispyridines, where the pyridines may be substituted with alkyl or aryl groups; Nitriles and dienes which form a ⁇ -complex with M 1 , preferably ⁇ 4 -diphenyl-1,3-butadiene, ⁇ 4 -1, 3-pentadiene,
- Very particularly preferred neutral monodentate ligands are selected from the group consisting of PPh 3 , P (OPh) 3 , AsPh 3 , CO, pyridine, nitriles and derivatives thereof.
- Suitable neutral mono- or bidentate ligands are preferably 1, 4-diphenyl-1, 3-butadiene, 1-phenyl-1, 3-pentadiene, 2,4-hexadiene, ⁇ 4 -cyclooctadiene and ⁇ 2 -cyclooctadiene (each 1 , 3 and 1, 5 each).
- the radical R 1 of the group X is in the cyclometall investigating carbene complexes of the formula IF, CN, Ci-C 20 alkoxy, C 6 -C 30 -aryloxy, C r C 20 alkylthio, C 6 -C 30 arylthio, substituted or unsubstituted C 6 -C 30 -aryl or substituted or unsubstituted heteroaryl of 5 to 30
- C 4 -alkylthio particularly preferably SCH 3 , C 6 - to C 10 -arylthio, substituted or unsubstituted phenyl, particularly preferably unsubstituted phenyl, ToIyI, dimethylphenyl,
- Trimethylphenyl phenyl substituted by F, CN, methoxy and / or CF 3 , or substituted or unsubstituted heteroaryl having from 5 to 13 ring atoms, particularly preferably pyridyl,
- the radical R 1 is F, CN or methoxy, phenyl, pyridyl.
- the group X in the cyclometall investigating carbene complexes of the formula IN, ie the radical R 1 is absent.
- the radicals R 2 and R 3 in the bridged cyclometallated carbene complexes of formula I are independently substituted or unsubstituted C 2 o alkyl, substituted or unsubstituted C 5 -C 2 o-cycloalkyl substituted or unsubstituted C 5 - C 2 o-cycloalkenyl , substituted or unsubstituted heterocycloalkyl having 5 to 30 ring atoms, substituted or unsubstituted heterocycloalkenyl having 5 to 30 ring atoms, substituted or unsubstituted C 2 -C 2 o-alkenyl, substituted or unsubstituted C 2 -C 2 O-Al kiny I substituted or unsubstituted C 6 -C 3 o-aryl, substituted or unsubstituted
- the radicals R 3 at the positions G 'and A together form a saturated or unsaturated substituted or unsubstituted bridge of 1 to 4 atoms, so that the radicals R 3 together with the element -G'-CCA- a 5- to 8-membered Form a ring;
- the bridges are unsubstituted (ie, all substitutable positions are substituted with hydrogen) or with one or more radicals selected from the group consisting of C 1 to C 4 alkyl, more preferably methyl, ethyl, n-propyl, isopropyl, n-butyl , Isobutyl, sec-butyl or tert-butyl, substituted or unsubstituted phenyl, preferably unsubstituted phenyl, ToIyI, dimethylphenyl, trimethylphenyl, F, CN, methoxy and / or CF 3 substituted phenyl, substituted or unsubstituted hetero
- R 2 and R 3 are independently selected from the group consisting of substituted or unsubstituted Ci-C 2 o alkyl, substituted or unsubstituted C 2 -C 2 o-alkenyl, substituted or unsubstituted C 2 - C 2 o alkynyl, substituted or unsubstituted C 6 -C 30 aryl, substituted or unsubstituted heteroaryl group having 5 to 30 ring atoms, Ci-C2o-alkoxy, C 6 -C 30 aryloxy, -C 20 - alkylthio, C 6 -C 30 Arylthio, SiR 4 R 5 R 6 , halogen radicals, halogenated C 1 -C 20 -alkyl radicals and pseudohalogen radicals.
- R 2 and R 3 are independently selected from the group consisting of substituted or unsubstituted -C 20 - alkyl, preferably d- to C4 alkyl, particularly preferably methyl, ethyl, n-propyl, isopropyl, n-butyl, isobutyl , sec-butyl or tert-butyl, substituted or unsubstituted C 6 -C 30 -aryl, preferably substituted or unsubstituted phenyl, more preferably unsubstituted phenyl, ToIyI, dimethylphenyl, trimethylphenyl, with F, CN, methoxy and / or CF 3 substituted phenyl, substituted or unsubstituted heteroaryl having from 5 to 30 ring atoms, preferably substituted or unsubstituted heteroaryl having from 5 to 13 ring atoms, particularly preferably pyridyl, thienyl
- the radicals R 3 at the positions G 'and A together form a saturated or unsaturated bridge of 1 or 2 carbon atoms which is substituted or unsubstituted by methyl, phenyl, methoxy, SiMe 3 , SiPh 3 , F, CF 3 or CN, such that the radicals R 3 together with the element -G'-CCA- form a 5- or ⁇ -membered ring.
- R 1 (when R 1 is present) and R 3 have the meanings given above for R 1 and R 3, and R 2 is selected from the group consisting of substituted or unsubstituted dC 20 -alkyl which is described in Is branched, preferably isopropyl, isobutyl, isopentyl, sec-butyl or tert-butyl; substituted or unsubstituted C 6 -aryl, preferably unsubstituted phenyl or phenyl which is substituted in the 2- and / or 6-position, preferably with methyl, methoxy, CF 3 , CN and / or F; more preferably 2-ToIyI, 2-methoxyphenyl, 2-cyanophenyl, 2-trifluoromethylphenyl, 2,6-difluorophenyl, 2,3-, 2,4-, 2,5- or 2,6-dimethylphenyl or 2,4,6 -, 2,3,4- or 2,3,
- the present invention relates to bridged cyclometallated carbene complexes of the formula I in which X is N.
- Y is preferably NR 2 , suitable radicals R 2 being mentioned above.
- Particular preference is thus given to carbene complexes of the formula I in which:
- Y is NR 2 , where R 2 has the abovementioned meanings.
- the groups A, D, G, E, A ', D', G 'and E' in the carbene complexes of the formula I independently of one another are CH, CR 3 or N.
- Preferred are 0, 1 or 2, particularly preferably 0 or 1 Group selected from the groups A, D, G and E or selected from the groups A ', D', G 'and E' N.
- the groups A, D, G, E, A, D ', G' and E ' are CH or CR 3 , most preferably CH. Suitable radicals R 3 are mentioned above.
- carbene complexes of the formula are selected from carbene complexes of the formulas Ia and Ib:
- A, D, G, E, A ', D', G 'and E' independently of one another CH, CR 3 or N, preferably CH or CR 3 , more preferably CH;
- R 2, R 3 are each independently substituted or unsubstituted C 2 o alkyl, substituted or unsubstituted C 5 -C 2 o-cycloalkyl, substituted or unsubstituted C 5 -C 2 o-cycloalkenyl, substituted or unsubstituted heterocycloalkyl having 5 to 30 ring atoms, substituted or unsubstituted heterocycloalkenyl having 5 to 30 ring atoms, substituted or unsubstituted C 2 - C 2 o-alkenyl, substituted or unsubstituted C 2 -C 2 o-alkynyl substituted or unsubstituted C 6 -C 3 o-aryl, substituted or unsubstituted heteroaryl with 5 to 30
- radicals R 3 at the positions G 'and A together form a saturated or unsaturated substituted or unsubstituted bridge of 1 to 4 atoms, so that the radicals R 3 together with the element -G'-CCA- a 5- to 8-membered Form a ring;
- R 2 is preferably selected from the group consisting of substituted or unsubstituted dC 2 o-alkyl which is branched in the 1-position, preferably isopropyl, isobutyl, isopentyl, sec-butyl or tert-butyl; substituted or unsubstituted C 6 aryl, preferably unsubstituted phenyl or phenyl which is substituted in the 2- and / or 6-position, preferably with methyl, methoxy, CF 3 , CN and / or F; more preferably 2-ToIyI, 2-methoxyphenyl, 2-cyanophenyl, 2-trifluoromethylphenyl, 2,6-difluorophenyl, 2,3-, 2,4-, 2,5- or 2,6-dimethylphenyl or 2,4,6 -, 2,3,4- or 2,3,5-trimethylphenyl; substituted or unsubstituted heteroaryl having 5 to 13 ring atom
- R 4, R 5, R 6 are independently H, substituted or unsubstituted C 2 o alkyl or substituted or unsubstituted C 6 -C 3 o-aryl or substituted or unsubstituted
- M Ir, Os or Pt preferably Ir (III), Os (II) or Pt (II), more preferably Ir (III);
- L monoanionic bidentate ligand L monoanionic bidentate ligand; n number of carbene ligands, where n is 3 in the case of Ir, 2 in the case of Os and 1 or 2 in the case of Pt, and the carbene ligands in the complex of the formulas Ia, Ib, Ic, and Id are the same or different can;
- radicals, groups and indices M, R 2 , R 3 , R 4 , R 5 , R 6 , A, D, G, E, A ', D', G ', E', Y, M, K, L, n, m and o are mentioned above.
- M in the carbene complexes of the formulas Ia, Ib, Ic and Id is Ir (III), n is 3 and m and o are 0.
- the bridged cyclometallated carbene complexes of the formula I according to the invention can in principle be prepared analogously to processes known to those skilled in the art. Suitable methods for the preparation of carbene complexes are described, for example, in the review articles WA Hermann et al., Advances in Organometallic Chemistry, 2001 Vol. 48, 1 to 69, WA Hermann et al., Angew. Chem. 1997, 109, 2256-2282 and G. Bertrand et al. Chem. Rev. 2000, 100, 39 to 91 and the literature cited therein, as well as in WO 2005/1 13704, WO 2005/019373 and in WO 2007/088093.
- the bridged cyclometallated carbene complexes of the formula I according to the invention are prepared from ligand precursors corresponding to the carbene ligands and suitable metal complexes containing the desired metal.
- Suitable ligand precursors of the carbene ligands are known to the person skilled in the art. Preference is given to cationic precursors of the carbene ligands of the general formula III
- Q " is a monoanionic counterion, preferably halide, pseudohalide, BF 4 " , BPh 4 " ,
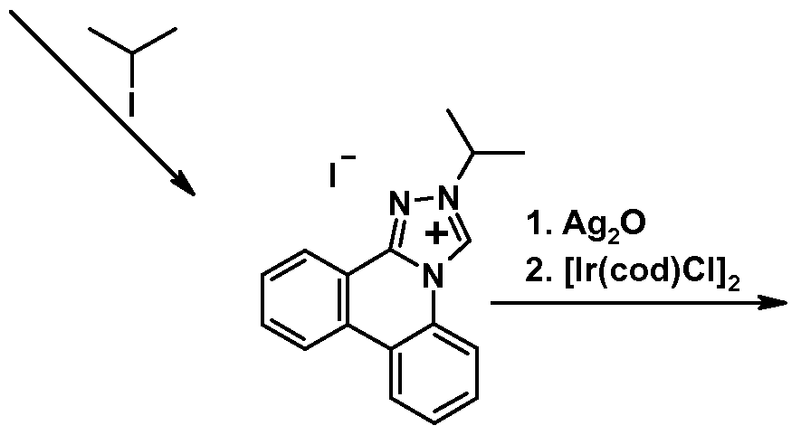
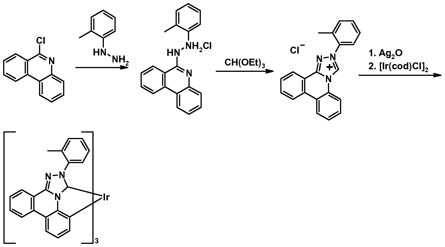
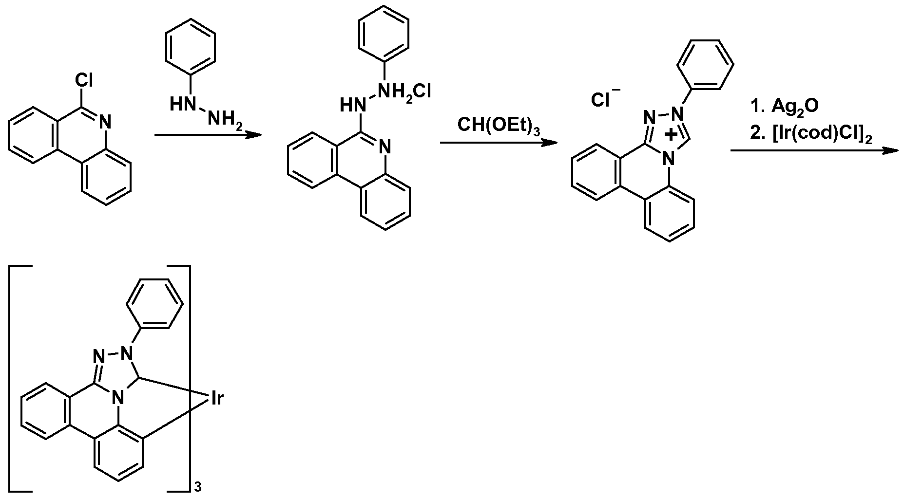
- the ligand precursors of the general formula III can be prepared analogously to processes known to the person skilled in the art. Suitable methods are e.g. in WO 2005/019373 and the literature cited therein, e.g. Organic Letters, 1999, 1, 953-956; Angewandte Chemie, 2000, 112, 1672-1674. Other suitable methods are e.g. in T. Weskamp et al., J. Organometal. Chem. 2000, 600, 12-22; G. Xu et al., Org. Lett. 2005, 7, 4605-4608; V. Lavallo et al., Angew. Chem. Int. Ed. 2005, 44, 5705-5709.
- the present invention relates to a process for the preparation of the cyclometallated bridged carbene complexes of the general formula I according to the invention, the preparation comprising the following step:
- Q " is a monoanionic counterion, preferably halide, pseudohalide, BF 4 " , BPh 4 " , PF 6 “ , AsF 6 “ or SbF 6 " ; means; and the other symbols in the ligand precursor of general formula II are as follows
- X is CR 1 or N, preferably N;
- A, D, G, E, A ', D', G 'or E' are independently CH, CR 3 or N;
- R 1 is F, CN, C 1 -C 20 -alkoxy, C 6 -C 30 -aryloxy, C 1 -C 20 -alkylthio, C 6 -C 30 -arylthio, substituted or unsubstituted C 6 -C 30 -aryl or substituted or unsubstituted Heteroaryl having 5 to 30 ring atoms;
- R 2 , R 3 are independently substituted or unsubstituted dC 20 alkyl, substituted or unsubstituted C 5 -C 20 cycloalkyl, substituted or unsubstituted C 5 -C 20 cycloalkenyl, substituted or unsubstituted
- R 4, R 5, R 6 are independently H, substituted or unsubstituted Ci-C 20 alkyl or substituted or unsubstituted C 6 -C 3 o-aryl or substituted or unsubstituted
- M has the following meanings:
- M is a metal atom selected from the group consisting of metals of Group IB, IIB, HIB, IVB, VB, VIB, VIIB, VIIIB, the lanthanides and INA of the Periodic Table of the Elements (CAS version) in any oxidation state possible for the corresponding metal atom; preferably Fe, Os, Co, Rh, Ir, Ni, Ru, Pd and Pt, Cu, Au, Ce, Tb, Eu, particularly preferably Os, Ru, Rh, Ir and Pt and most preferably Ir, Os and
- radicals, groups and indices M, R 2 , R 3 , R 4 , R 5 , R 6 , A, D, G, E, A ', D', G ', E', Y, M, K, L, n, m and o are mentioned above.
- the reaction according to the invention of the ligand precursors of the formula III with the metal complex takes place in the presence of suitable ligand precursors of the ligands K and / or L ("one-pot process"), if m and / or o in the carbene complexes of the formula I are not 0.
- Suitable ligand precursors of Ligands K and L are known to the person skilled in the art or, if m and / or o are not 0, a sequential reaction is carried out either by reacting the metal complex with at least one carbene ligand precursor of the general formula III in a first step, wherein a carbene complex is first prepared as an intermediate, the has at least one carbene ligand in cyclometallierter or non-cyclometallierter form and at least one further coordination option (wherein the further coordination option is present either by a free coordination site on the metal M or by the displacement of other ligands) for at least one further bidentate ligand K and / or L.
- the respective complex obtained in the first step is reacted with at least one ligand precursor of the ligands K and / or L (if at least one carbene ligand precursor was used in the first step) or with at least one carbene ligand precursor of the general formula III (if in the first step at least one ligand precursor of the ligands K and / or L was used).
- a reaction takes place with one or several carbene ligand precursors of the formula III.
- the reaction can be carried out in the form of a "one-pot reaction” or sequentially-as described above with reference to a carbene ligand precursor and ligand precursors for the ligands K and L.
- the carbene ligands in the carbene complex of the formula I are preferably identical in that the carbene ligand precursor of the formula III is reacted with a suitable metal complex.
- the stoichiometry of metal: ligand precursor is generally 1: 3 to 1: 9, preferably 1: 3 to 1: 6.
- the stoichiometry of metal: ligand precursor is generally 1: 1 to 1: 3 , preferably 1: 1 to 1: 2.
- the metal complex containing at least one metal M is a metal complex containing at least one metal selected from the group consisting of
- Periodic Table of the Elements in each oxidation state possible for the corresponding metal atom; preferably Fe, Os, Co, Rh, Ir, Ni, Ru, Pd and Pt, Cu, Au, Ce, Tb,
- suitable metal complexes are Pt (cod) Cl 2, Pt (cod) Me 2, Pt (acac) 2, Pt (PPIs) 2 Cl 2, PtCl 2, [Rh (COD) Cl] 2, Rh (acac) CO (PPh 3 ), Rh (acac) (CO) 2 , Rh (cod) 2 BF 4 , RhCl (PPh 3 ) S, RhCl 3 xn H 2 O, Rh (acac) 3 , [Os (CO) 3 I 2 J 2 , [Os 3 (CO) 12 ], OsH 4 (PPH 3 ) 3 , Cp 2 Os,
- iridium (III) complexes of general formula I M in formula I is Ir
- the abovementioned iridium (I) or (III) complexes can be used, in particular [( ⁇ -Cl) lr ( ⁇ 4 -1, 5-cod)] 2 , [( ⁇ -Cl) lr ( ⁇ 2 -coe) 2 ] 2 , Ir (acac) 3 , IrCl 3 xn H 2 O.
- the inventive reaction of the carbene ligand precursor of the formula III with the suitable metal complex in the presence of a base and an auxiliary reagent or a basic auxiliary reagent is particularly preferably carried out, the basic auxiliary reagent or the auxiliary reagent being at least one metal selected from the group consisting of Ag, Hg, Sb, Mg, B and Al contain, the reaction according to the invention preferably takes place in the presence of Ag 2 O.
- a suitable process which can be used correspondingly for the preparation of the carbene complexes of the formula I according to the invention is disclosed, for example, in WO 2007/088093.
- the preparation of the suitable ligand precursor of the formula III is carried out, for example, starting from ligand precursors of the formula IVa by alkylation, for example by methylation with MeI or Me 3 OBF 4 or starting from ligand precursors of the formula IVb by cyclization, for example with CH (OEt) 3 .
- R phenyl, o-tolyl, p-pyridyl 2 - phenyl 2 - o-tolyl 2 - p-pyridyl
- the cyclometallated bridged carbene complex of the formula I according to the invention is worked up by methods known to the person skilled in the art and optionally purified. Usually, the workup and purification by extraction, column chromatography and / or recrystallization carried out according to methods known in the art.
- the cyclometallated bridged carbene complexes of the formula I according to the invention are outstandingly suitable as phosphorescent emitter substances, since they have an emission (electroluminescence) in the visible region of the electromagnetic spectrum, preferably in the blue region of the electromagnetic spectrum.
- emission electroluminescence
- the carbene complexes according to the invention being distinguished by good stability in the device.
- the quantum yield is high.
- carbene complexes of the formula I according to the invention are suitable as electron, exciton or hole blockers or hole conductors, electron conductors, hole injection layer or matrix material in OLEDs, generally depending on the ligands used and the central metal used.
- a further subject of the present invention is therefore the use of the cyclometallated bridged carbene complexes of the formula I according to the invention in organic light-emitting diodes, preferably as emitter material, matrix material, charge blocker material and / or charge transport material, particularly preferably as emitter material, very particularly preferably as blue emitter.
- OLEDs Organic light-emitting diodes
- OLEDs are basically composed of several layers, for example: 1. anode (1)
- Electron-transporting layer (4) Electron-transporting layer (4) 5.
- the OLED does not have all of the layers mentioned, for example an OLED with the layers (1) (anode), (3) (light-emitting layer) and (5) (cathode) is also suitable. wherein the functions of the layers (2) (hole-transporting layer) and (4) (electron-transporting layer) are taken over by the adjacent layers. OLEDs comprising layers (1), (2), (3) and (5) or layers (1), (3), (4) and (5) are also suitable.
- the cyclometallated bridged carbene complexes of the formula I according to the invention can be used in various layers of an OLED.
- a carbene complex of the formula I can be used in a layer of an OLED, but it is also possible that two or more different carbene complexes of the formula I are used in one or more layers of the OLED.
- both the emitter material and the matrix material in the light-emitting layer of the OLED can have a carbene complex of the formula I, the carbene complex of the formula I used as emitter material and as matrix material generally being different.
- the emitter material and the hole conductor material have a carbene complex of the formula I, wherein the carbene complexes of the formula I are generally different.
- Another object of the present invention is therefore an OLED containing at least one cyclometallated bridged carbene complex of the formula I.
- the cyclometall convinced bridged carbene complexes of the formula I according to the invention are preferably in the light-emitting layer, e.g. used as matrix molecules or emitter molecules, particularly preferably as emitter molecules.
- Another object of the present invention is therefore a light-emitting layer containing at least one inventive cyclometallated bridged carbene complex of the formula I, preferably as an emitter molecule.
- Preferred cyclometallated bridged carbene complexes of the formula I according to the invention are mentioned above.
- the cyclometallated bridged carbene complexes of the formula I according to the invention can be present in the substance-without further additives-in the light-emitting layer or another layer of the OLED, preferably in the light-emitting layer.
- a fluorescent dye may be present in the light-emitting layer in order to change the emission color of the cyclometallated bridged carbene complex of the formula I used as the emitter molecule according to the invention.
- a diluent material can be used.
- This diluent material may be a polymer, for example poly (N-vinylcarbazole) or polysilane.
- the carbene complex of the formula I can be used in the light-emitting layer together with a matrix material, suitable matrix materials being mentioned below.
- the individual of the abovementioned layers of the OLED can in turn be composed of 2 or more layers.
- the hole-transporting layer may be composed of a layer into which holes are injected from the electrode and a layer that transports the holes away from the hole-injecting layer into the light-emitting layer.
- the electron-transporting layer may also consist of several layers, for example a layer in which electrons are injected through the electrode and a layer which receives electrons from the electron-injection layer and transports them into the light-emitting layer.
- the person skilled in the art is able to select the structure of the OLEDs in such a way that it is optimally adapted to the carbene complexes of the formula I used according to the invention, preferably as emitter substances.
- the HOMO (highest occupied molecular orbital) of the hole-transporting layer should be aligned with the work function of the anode and the LUMO (lowest unoccupied molecular orbital) of the electron-transporting layer should be aligned with the work function of the cathode.
- a further subject of the present application is an OLED containing at least one light-emitting layer according to the invention.
- the other layers in the OLED may be constructed of any material commonly employed in such layers and known to those skilled in the art.
- Suitable materials for the aforementioned layers are known to those skilled in the art, e.g. in H. Meng, N. Herron, Organic Small Molecule Materials for Organic Light-Emitting Devices in Organic Light-Emitting Materials and Devices, Ed .: Z. Li, H. Meng, Taylor & Francis, 2007, Chapter 3, p. 295 called to 411.
- the anode (1) is an electrode that provides positive charge carriers.
- it may be constructed of materials including a metal, a mixture of various metals, a metal alloy, a metal oxide, or a mixture of various metal oxides.
- the anode may be a conductive polymer. Suitable metals include the metals of Groups 11, 4, 5 and 6 of the Periodic Table of Elements and the transition metals of Groups 8 to 10.
- ITO indium tin oxide
- the anode (1) contains an organic material, for example polyaniline, as described for example in Nature, Vol. 357, pages 477 to 479 (June 11, 1992). At least either the anode or the cathode should be at least partially transparent in order to be able to decouple the light formed.
- Suitable hole transport materials for the layer (2) of the OLED according to the invention are disclosed, for example, in Kirk-Othmer Encyclopedia of Chemical Technology, 4th Edition, Vol. 18, pages 837 to 860, 1996. Both hole transporting molecules and polymers can be used as hole transport material.
- Commonly used hole transporting molecules are selected from the group consisting of 4,4'-bis [N- (1-naphthyl) -N-phenyl-amino] biphenyl ( ⁇ -NPD), N, N'-diphenyl-N, N Bis (3-methylphenyl) - [1,1'-biphenyl] -4,4'-diamine (TPD), 1,1-bis [(di-4-tolylamino) phenyl] cyclohexane (TAPC), N, N'-bis (4-methylphenyl) -N, N'-bis (4-ethylphenyl) - [1, 1 '- (3,3'-dimethyl) biphenyl] -4,4'-diamine (ETPD), Tetrakis - (3-methylphenyl) -N, N, N ', N'-2,5-phenylenediamine (PDA), ⁇ -phenyl-4-N, N-dipheny
- Hole-transporting polymers commonly used are selected from the group consisting of polyvinylcarbazoles, (phenylmethyl) polysilanes, PEDOT (poly (3,4-ethylenedioxythiophene), preferably PEDOT doped with PSS (polystyrenesulfonate), and polyanilines It is also possible to obtain hole-transporting polymers by doping hole transporting molecules into polymers such as polystyrene and polycarbonate Suitable hole-transporting molecules are those already described above called molecules.
- Suitable electron transport materials for the layer (4) of the OLEDs according to the invention comprise chelated metals with oxinoid compounds, such as tris (8-hydroxyquinolato) aluminum (Alq 3 ) or bis (2-methyl-8-quinolato) - (p-phenyl-phenolato) aluminum ( BAIq), phenanthroline based compounds such as 2,9-dimethyl, 4,7-
- Diphenyl-1,10-phenanthroline BCP
- 4,7-diphenyl-1,10-phenanthroline BPhen
- azole compounds such as 2- (4-biphenylyl) -5- (4-t-butylphenyl) -1, 3,4-oxadiazole (PBD) and 3- (4-biphenylyl) -4-phenyl-5- (4-t-butylphenyl) -1, 2,4-triazole (TAZ), 1, 3-bis (4- tert-butylphenyl
- the layer (4) can serve both to facilitate the electron transport and as a buffer layer or as a barrier layer to quench the exciton at the
- the layer (4) improves the mobility of the electrons and reduces quenching of the exciton.
- hole transporting materials and electron transporting materials some may fulfill several functions.
- some of the electron-conducting materials are simultaneously hole-blocking materials if they have a deep HOMO.
- the charge transport layers can also be electronically doped in order to improve the transport properties of the materials used, on the one hand to make the layer thicknesses more generous (avoidance of pinholes / short circuits) and on the other hand to minimize the operating voltage of the device.
- the hole transport materials can be doped with electron acceptors, for example phthalocyanines or arylamines such as TPD or TDTA can be doped with tetrafluorotetracyanoquinodimethane (F4-TCNQ).
- the electron transport materials may be doped with alkali metals, for example Alq 3 with lithium.
- the electronic doping is known to the person skilled in the art and for example in W. Gao, A. Kahn, J. Appl.
- the materials mentioned as hole and electron transport materials as well as carbene complexes e.g. the carbene complexes of the formula I or the carbene complexes mentioned in WO 2005/019373.
- Particularly suitable are carbazole derivatives, e.g. 4,4'-Bis (carbazol-9-yl) -2,2'-dimethyl-biphenyl (CDBP), 4,4'-bis (carbazol-9-yl) -biphenyl (CBP), 1, 3-bis (N-carbazolyl) benzene (mCP), as well as in the non-prepublished applications with the following references mentioned matrix materials: PCT / EP2007 / 059648, EP 07 11 1 824.4.
- the proportion of the at least one matrix material in the light-emitting layer of the inventive OLED is generally 10 to 99 wt .-%, preferably 50 to 99% by weight, more preferably 70 to 97% by weight.
- the proportion of the at least one emitter material in the light-emitting layer is generally from 1 to 90 wt .-%, preferably 1 to 50 wt .-%, particularly preferably 3 to 30 wt .-%, wherein the proportions of the at least a matrix material and the at least one emitter material 100% by weight.
- the light-emitting layer in addition to the at least one matrix material and the at least one emitter material contains further substances, for. B. further diluent material, wherein further diluent material has been mentioned above.
- the cathode (5) is an electrode which serves to introduce electrons or negative charge carriers.
- the cathode may be any metal or non-metal that has a lower work function than the anode.
- Suitable materials for the cathode are selected from the group consisting of Group 1 alkali metals, for example Li, Cs, Group 2 alkaline earth metals, Group 12 metals of the Periodic Table of the Elements comprising the rare earth metals and the lanthanides and actinides.
- metals such as aluminum, indium, calcium, barium, samarium and magnesium and combinations thereof can be used.
- lithium-containing organometallic compounds or LiF can be applied between the organic layer and the cathode to reduce the operating voltage.
- the OLED according to the present invention may additionally contain further layers which are known to the person skilled in the art.
- a layer can be applied between the layer (2) and the light-emitting layer (3), which facilitates the transport of the positive charge and / or adapts the band gap of the layers to one another.
- this further layer can serve as a protective layer.
- additional layers may be present between the light-emitting layer (3) and the layer (4) to facilitate the transport of the negative charge and / or to match the band gap between the layers.
- this layer can serve as a protective layer.
- the OLED according to the invention contains at least one of the further layers mentioned below:
- the OLED does not have all of the mentioned layers (1) to (5), for example an OLED with the layers (1) (anode), (3) (light-emitting Layer) and (5) (cathode) are also suitable, wherein the functions of the layers (2) (hole-transporting layer) and (4) (electron-transporting layer) are taken over by the adjacent layers.
- OLEDs comprising layers (1), (2), (3) and (5) or layers (1), (3), (4) and (5) are also suitable.
- each of the mentioned layers of the OLED according to the invention can be composed of two or more layers. Further, it is possible that some or all of the layers (1), (2), (3), (4) and (5) are surface treated to increase the efficiency of charge carrier transport. The selection of materials for each of said layers is preferably determined by obtaining an OLED having a high efficiency.
- the preparation of the OLEDs according to the invention can be carried out by methods known to the person skilled in the art.
- the OLED is by consecutive Vapor deposition of the individual layers on a suitable substrate.
- Suitable substrates are, for example, glass or polymer films.
- vapor deposition conventional techniques can be used such as thermal evaporation, chemical vapor deposition and others.
- the organic layers may be coated from solutions or dispersions in suitable solvents using coating techniques known to those skilled in the art.
- compositions which, in addition to the at least one cyclometallated bridged carbene complex of the formula I according to the invention, comprise a polymeric material in one of the layers of the OLED, preferably in the light-emitting layer, are generally applied as a layer by means of solution-processing methods.
- the various layers have the following thicknesses: anode (2) 500 to 5000 ⁇ , preferably 1000 to 2000 ⁇ ; Hole-transporting layer (3) 50 to 1000 ⁇ , preferably 200 to 800 ⁇ , light-emitting layer (4) 10 to 1000 ⁇ , preferably 100 to 800 ⁇ , Electron-transporting layer (5) 50 to 1000 ⁇ , preferably 200 to 800 ⁇ , cathode (7) 200 to 10,000 ⁇ , preferably 300 to 5000 ⁇ .
- the location of the recombination zone of holes and electrons in the OLED according to the invention and thus the emission spectrum of the OLED can be influenced by the relative thickness of each layer.
- the thickness of the electron transport layer should preferably be selected so that the electron / holes recombination zone is in the light-emitting layer.
- the ratio of the layer thicknesses of the individual layers in the OLED depends on the materials used.
- the layer thicknesses of optionally used additional layers are known to the person skilled in the art.
- the cyclometalated bridged carbene complexes of the formula I according to the invention in at least one layer of the OLED according to the invention, preferably as emitter molecule in the light-emitting layer of the OLEDs according to the invention, it is possible to obtain OLEDs with high efficiency and a long service life.
- the efficiency of the OLEDs according to the invention can be further improved by optimizing the other layers.
- highly efficient cathodes such as Ca, Ba or LiF can be used.
- Shaped substrates and new hole-transporting materials which bring about a reduction in the operating voltage or an increase in the external quantum efficiency can also be used in the OLEDs according to the invention.
- additional layers may be present in the OLEDs to adjust the energy levels of the various layers and to facilitate electroluminescence.
- the OLEDs according to the invention can be used in all devices in which electroluminescence is useful. Suitable devices are preferably selected from stationary and mobile screens and lighting equipment. Stationary screens include computer screens, televisions, screens in printers, kitchen appliances, and billboards, lights, and billboards. Mobile screens include screens in cell phones, laptops, digital cameras, vehicles, and destination displays on buses and trains. Illuminants are, for example, backlights of LCDs, illuminated surfaces, eg luminous wallpapers.
- the cyclometallated carbene complexes of the formula I according to the invention in particular the preferred and particularly preferred embodiments of the cyclometallated carbene complexes of the formula I according to the invention, can be used in an OLED in a preferred embodiment as described in the non-prepublished application with the file reference PCT / EP2008 / 058106, wherein the cyclometallated carbene complex of the formula I according to the invention preferably replaces the carbene complex of general formula I which is present in PCT / EP2008 / 058106 and is present in the light-emitting layer.
- the cyclometallated carbene complexes according to the invention can be used in the OLED according to PCT / EP2008 / 058106 as phosphorescent emitter substances.
- the cyclometallated carbene complexes of the formula I according to the invention to act as electron, exciton or hole blockers or hole conductors, electron conductors, hole injection layer or matrix material, depending on the central metal used and the ligands used and on the other materials used in the OLED (In particular, as a matrix material in the light-emitting layer) are used.
- the cyclometallated bridged carbene complexes of the formula I according to the invention can be used in OLEDs with inverse structure.
- the cyclometalated bridged carbene complexes of the formula I according to the invention are preferably used in these inverse OLEDs in turn in the light-emitting layer.
- the construction of inverse OLEDs and the materials usually used therein are known to the person skilled in the art.
- cyclometallated bridged carbene complexes of the formula I according to the invention can be used in addition to the use in OLEDs as colorants which emit when exposed to light in the visible range of the electromagnetic spectrum (photoluminescence).
- Suitable polymeric materials are polyvinyl chloride, cellulose acetate, polycarbonates, polyamides, polyurethanes, polyimides, polybenzimidazoles, melamine resins, silicones, polyesters, polyethers, polystyrene, polymethyl methacrylate, polyethylene, polypropylene, polyvinyl acetate, polyacrylonitrile, polybutadiene, polychlorobutadiene, polyisoprene or the copolymers of the listed monomers ,
- cyclometalated bridged carbene complexes of the formula I according to the invention as or in vat dyes, for example for dyeing natural products; examples are paper, wood, straw, leather, hides or natural fiber materials such as cotton, wool, silk, jute, sisal, Hemp, flax or animal hair (for example horsehair) and their transformation products such as viscose fiber, nitrate silk or copper rayon (rayon)
- cyclometalated bridged carbene complexes of the formula I according to the invention as colorants, for example for coloring paints, lacquers and other paints, paper inks, printing inks, inks and other colors for painting and writing purposes.
- cyclometalated bridged carbene complexes of the formula I according to the invention as pigmentary dyes, for example for coloring paints, varnishes and other paints, paper inks, printing inks, inks and other inks for writing and writing purposes.
- cyclometalated bridged carbene complexes of the formula I according to the invention as pigments in electrophotography: for example for dry copying systems (Xerox process) and laser printers.
- cyclometalated bridged carbene complexes of the formula I according to the invention for safety marking purposes, the great chemical and photochemical stability and optionally also the luminescence of the substances being of importance. This is preferred for checks, check cards, banknotes coupons, documents, identity documents and the like, in which a special, unmistakable color impression is to be achieved.
- cyclometallated bridged carbene complexes of the formula I according to the invention as an additive to other colors, in which a certain color shade is to be achieved, preferred are particularly bright shades.
- Articles about the luminescence preferred is the machine detection of objects for sorting, for example, for the recycling of plastics.
- cyclometalated bridged carbene complexes of the formula I according to the invention as luminescent dyes for machine-readable markings, preferred are alphanumeric imprints or barcodes.
- cyclometalated bridged carbene complexes of the formula I according to the invention for the frequency conversion of light, for example to make longer-wavelength, visible light from short-wave light.
- cyclometalated bridged carbene complexes of the formula I in display elements for a variety of display, reference and marking purposes, for example in passive display elements, information and traffic signs, such as traffic lights.
- the dyes may be covalently linked to substrates or via secondary valences such as hydrogen bonds or hydrophobic
- cyclometalated bridged carbene complexes of the formula I according to the invention as dyes or luminescent dyes for material testing, for example in the production of semiconductor circuits.
- cyclometallated bridged carbene complexes of the formula I according to the invention as dyes or luminescent dyes in photoconductors.
- Radiation takes place, for example in luminescence displays, Braun tubes or fluorescent tubes.
- cyclometallated bridged carbene complexes of the formula I according to the invention as dyes or luminescent dyes as signal colors, preferably for the visual highlighting of lettering and drawings or other graphic products, for identifying signs and other objects in which a particular optical color impression is to be achieved.
- cyclometalated bridged carbene complexes of the formula I according to the invention as dyes or luminescent dyes in dye lasers, preferably as luminescent dyes for generating laser beams.
- Phenylhydrazine (1.3 g, 12 mmol) is dissolved in ethanol (50 ml) and 6-chlorphenanthridine (A.G. Mikhailovskii, V.S. Shklyaev, Chem. Heterocycl Comp., 1992, 445) (2.1 g, 10 mmol) is added under argon. The mixture is stirred at reflux for 16 h. After cooling to room temperature, the mixture is concentrated and the precipitate formed is filtered off and washed with methyl-tert-butyl ether. Yield: 2.6 g (82%).
- the complex 2-p-pyridyl is prepared analogously to the synthesis of 2-phenyl from chlorphenanthridine (AG Mikhailovskii, VS Shklyaev, Chem. Heterocycl Comp., 1992, 445) and 4-hydrazinopyridine * EM Isin, M. Jonge, N. Castagnoli , J. Org. Chem. 2001, 66, 4220).
- the photoluminescence of the emitting complexes was carried out in thin PMMA films (polymethyl methacrylate) with an emitter doping of 2%.
- the films were made as follows: 2mg / l emitters were dissolved in a 10% PMMA solution in DCM (Mw 12OkD) and knife-coated onto a microscope slide with a 60 ⁇ m doctor blade.
- the excitation was carried out at a wavelength of 325 nm (HeCd laser) perpendicular to the slide and the detection of the emission at an angle of 45 ° by means of fiber optics in the diode array spectrometer.
- the ITO substrate used as the anode is first cleaned with commercial cleaning agents for LCD production (Deconex® 20NS and neutralizing agent 25ORGAN-ACID®) and then in an acetone / isopropanol mixture in an ultrasonic bath. To remove possible organic residues, the substrate is exposed to a continuous flow of ozone for another 25 minutes in an ozone furnace. This treatment also improves hole injection of the ITO.
- organic materials are vapor-deposited on the cleaned substrate at a rate of 0.5-5.0 nm / min at about 10 -8 mbar
- compound V1 is first applied to the substrate in a layer thickness of 45 nm ,
- electroluminescence spectra are recorded at different currents or voltages. Furthermore, the current-voltage characteristic is measured in combination with the radiated light output. The light output can be converted by calibration with a luminance meter into photometric quantities. To determine the lifetime, the OLED is operated at a constant current density and recorded the decrease in light output. Lifespan is defined as the time that elapses to one-half of the initial luminance to decrease the luminance.
- the ITO substrate used as the anode is first cleaned with commercial cleaning agents for LCD production (Deconex 20NS ® and neutralizing agent 25ORGAN-ACID ®) and subsequently cleaned in an acetone / isopropanol mixture in an ultrasonic bath. To remove possible organic residues, the substrate is exposed to a continuous flow of ozone for another 25 minutes in an ozone furnace. This treatment further improves the hole injection properties of the ITO.
- the former compound acts as an emitter, the latter as a matrix material.
- the material 9- (4-phenyl) -3,6-bis (triphenylsilyl) -9H-carbazole is evaporated with a thickness of 10 nm as exciton and hole blocker.
- electroluminescence spectra are recorded at different currents or voltages. Furthermore, the current-voltage characteristic is measured in combination with the radiated light output. The light output can be converted by calibration with a luminance meter into photometric quantities.
Landscapes
- Chemical & Material Sciences (AREA)
- Organic Chemistry (AREA)
- Engineering & Computer Science (AREA)
- Materials Engineering (AREA)
- Crystallography & Structural Chemistry (AREA)
- Inorganic Chemistry (AREA)
- Electroluminescent Light Sources (AREA)
- Nitrogen Condensed Heterocyclic Rings (AREA)
Abstract
Description
Claims
Priority Applications (5)
| Application Number | Priority Date | Filing Date | Title |
|---|---|---|---|
| US12/738,104 US8258297B2 (en) | 2007-10-17 | 2008-10-17 | Transition metal complexes with bridged carbene ligands and use thereof in OLEDs |
| JP2010529402A JP5615178B2 (ja) | 2007-10-17 | 2008-10-17 | 架橋カルベンリガンドを有する遷移金属錯体およびoledにおけるその使用 |
| CN200880120186.7A CN101896493B (zh) | 2007-10-17 | 2008-10-17 | 具有桥连碳烯配体的过渡金属配合物及其在oled中的用途 |
| AT08840571T ATE554095T1 (de) | 2007-10-17 | 2008-10-17 | Übergangsmetallkomplexe mit verbrückten carbenliganden und deren verwendung in oleds |
| EP08840571A EP2205615B1 (de) | 2007-10-17 | 2008-10-17 | Übergangsmetallkomplexe mit verbrückten carbenliganden und deren verwendung in oleds |
Applications Claiming Priority (4)
| Application Number | Priority Date | Filing Date | Title |
|---|---|---|---|
| EP07118675 | 2007-10-17 | ||
| EP07118675.3 | 2007-10-17 | ||
| EP08153303 | 2008-03-26 | ||
| EP08153303.6 | 2008-03-26 |
Publications (1)
| Publication Number | Publication Date |
|---|---|
| WO2009050281A1 true WO2009050281A1 (de) | 2009-04-23 |
Family
ID=40206483
Family Applications (1)
| Application Number | Title | Priority Date | Filing Date |
|---|---|---|---|
| PCT/EP2008/064064 Ceased WO2009050281A1 (de) | 2007-10-17 | 2008-10-17 | Übergangsmetallkomplexe mit verbrückten carbenliganden und deren verwendung in oleds |
Country Status (7)
| Country | Link |
|---|---|
| US (1) | US8258297B2 (de) |
| EP (1) | EP2205615B1 (de) |
| JP (1) | JP5615178B2 (de) |
| KR (1) | KR101612135B1 (de) |
| CN (1) | CN101896493B (de) |
| AT (1) | ATE554095T1 (de) |
| WO (1) | WO2009050281A1 (de) |
Cited By (129)
| Publication number | Priority date | Publication date | Assignee | Title |
|---|---|---|---|---|
| WO2011051404A1 (de) | 2009-10-28 | 2011-05-05 | Basf Se | Heteroleptische carben-komplexe und deren verwendung in der organischen elektronik |
| WO2011155507A1 (ja) | 2010-06-08 | 2011-12-15 | 出光興産株式会社 | 有機エレクトロルミネッセンス素子 |
| WO2011155508A1 (ja) | 2010-06-08 | 2011-12-15 | 出光興産株式会社 | 有機エレクトロルミネッセンス素子 |
| WO2012017842A1 (en) * | 2010-08-02 | 2012-02-09 | Semiconductor Energy Laboratory Co., Ltd. | Triazole derivative, heterocyclic compound, light-emitting element, light-emitting device, electronic device and lighting device |
| WO2012130709A1 (en) | 2011-03-25 | 2012-10-04 | Basf Se | 4h-imidazo[1,2-a]imidazoles for electronic applications |
| WO2013068376A1 (en) | 2011-11-10 | 2013-05-16 | Basf Se | 4h-imidazo[1,2-a]imidazoles for electronic applications |
| WO2014009317A1 (en) | 2012-07-10 | 2014-01-16 | Basf Se | Benzimidazo[1,2-a]benzimidazole derivatives for electronic applications |
| WO2014019711A1 (en) * | 2012-08-02 | 2014-02-06 | Roche Diagnostics Gmbh | New iridium-based complexes for ecl |
| WO2014147134A1 (en) | 2013-03-20 | 2014-09-25 | Basf Se | Azabenzimidazole carbene complexes as efficiency booster in oleds |
| WO2015000955A1 (en) | 2013-07-02 | 2015-01-08 | Basf Se | Monosubstituted diazabenzimidazole carbene metal complexes for use in organic light emitting diodes |
| WO2015063046A1 (en) | 2013-10-31 | 2015-05-07 | Basf Se | Azadibenzothiophenes for electronic applications |
| US9067919B2 (en) | 2010-07-08 | 2015-06-30 | Basf Se | Use of dibenzofurans and dibenzothiophenes substituted by nitrogen-bonded five-membered heterocyclic rings in organic electronics |
| WO2016016791A1 (en) | 2014-07-28 | 2016-02-04 | Idemitsu Kosan Co., Ltd (Ikc) | 2,9-functionalized benzimidazolo[1,2-a]benzimidazoles as hosts for organic light emitting diodes (oleds) |
| EP2982676A1 (de) | 2014-08-07 | 2016-02-10 | Idemitsu Kosan Co., Ltd. | Benzimidazo[2,1-b]benzoxazole für elektronische Anwendungen |
| EP2993215A1 (de) | 2014-09-04 | 2016-03-09 | Idemitsu Kosan Co., Ltd. | Azabenzimidazo[2,1-a]benzimidazole für elektronische Anwendungen |
| EP3015469A1 (de) | 2014-10-30 | 2016-05-04 | Idemitsu Kosan Co., Ltd. | 5-((benz)imidazol-2-yl)benzimidazo[1,2-a]benzimidazole für elektronische anwendungen |
| WO2016079667A1 (en) | 2014-11-17 | 2016-05-26 | Idemitsu Kosan Co., Ltd. | Indole derivatives for electronic applications |
| EP3034506A1 (de) | 2014-12-15 | 2016-06-22 | Idemitsu Kosan Co., Ltd | 4-funktionalisierte Carbazolderivate für elektronische Anwendungen |
| EP3034507A1 (de) | 2014-12-15 | 2016-06-22 | Idemitsu Kosan Co., Ltd | 1-funktionalisierte Dibenzofurane und Dibenzothiophene für organische Leuchtdioden (OLEDS) |
| US9399654B2 (en) | 2012-08-02 | 2016-07-26 | Roche Diagnostics Operations, Inc. | Iridium-based complexes for ECL |
| US9403859B2 (en) | 2012-08-02 | 2016-08-02 | Roche Diagnostics Operations, Inc. | Iridium-based complexes for ECL |
| EP3054498A1 (de) | 2015-02-06 | 2016-08-10 | Idemitsu Kosan Co., Ltd. | Bisimidazodiazozine |
| EP3053918A1 (de) | 2015-02-06 | 2016-08-10 | Idemitsu Kosan Co., Ltd | 2-Carbazol substituierte Benzimidazole für elektronische Anwendungen |
| US9416150B2 (en) | 2012-08-02 | 2016-08-16 | Roche Diagnostics Operations, Inc. | Iridium-based complexes for ECL |
| EP3056504A1 (de) | 2015-02-16 | 2016-08-17 | Universal Display Corporation | Organische elektrolumineszente materialien und vorrichtungen |
| EP3061759A1 (de) | 2015-02-24 | 2016-08-31 | Idemitsu Kosan Co., Ltd | Nitrilsubstituierte dibenzofurane |
| EP3061763A1 (de) | 2015-02-27 | 2016-08-31 | Universal Display Corporation | Organische elektrolumineszente materialien und vorrichtungen |
| EP3070144A1 (de) | 2015-03-17 | 2016-09-21 | Idemitsu Kosan Co., Ltd. | Siebengliedrige ringverbindungen |
| EP3072943A1 (de) | 2015-03-26 | 2016-09-28 | Idemitsu Kosan Co., Ltd. | Dibenzofuran/carbazol-substituierte benzonitrile |
| EP3075737A1 (de) | 2015-03-31 | 2016-10-05 | Idemitsu Kosan Co., Ltd | Benzimidazolo[1,2-a]benzimidazol mit aryl- oder heteroarylnitrilgruppen für organische leuchtdioden |
| EP3098229A1 (de) | 2015-05-15 | 2016-11-30 | Universal Display Corporation | Organische elektrolumineszente materialien und vorrichtungen |
| EP3101021A1 (de) | 2015-06-01 | 2016-12-07 | Universal Display Corporation | Organische elektrolumineszente materialien und vorrichtungen |
| WO2016193243A1 (en) | 2015-06-03 | 2016-12-08 | Udc Ireland Limited | Highly efficient oled devices with very short decay times |
| EP3124488A1 (de) | 2015-07-29 | 2017-02-01 | Universal Display Corporation | Organische elektrolumineszente materialien und vorrichtungen |
| EP3150606A1 (de) | 2015-10-01 | 2017-04-05 | Idemitsu Kosan Co., Ltd. | Benzimidazolo[1,2-a]benzimidazole mit benzofuran- oder benzothiophen- gruppen für organische licht emittierende dioden. |
| EP3150604A1 (de) | 2015-10-01 | 2017-04-05 | Idemitsu Kosan Co., Ltd. | Benzimidazolo[1,2-a]benzimidazol mit benzimidazolo[1,2-a]benzimidazolylgruppen, carbazolylgruppen, benzofurangruppen oder benzothiophengruppen für organische leuchtdioden |
| WO2017056053A1 (en) | 2015-10-01 | 2017-04-06 | Idemitsu Kosan Co., Ltd. | Benzimidazolo[1,2-a]benzimidazole carrying benzimidazolo[1,2-a]benzimidazolyl groups, carbazolyl groups, benzofurane groups or benzothiophene groups for organic light emitting diodes |
| WO2017056055A1 (en) | 2015-10-01 | 2017-04-06 | Idemitsu Kosan Co., Ltd. | Benzimidazolo[1,2-a]benzimidazole carrying triazine groups for organic light emitting diodes |
| EP3159350A1 (de) | 2015-09-03 | 2017-04-26 | Universal Display Corporation | Organische elektrolumineszente materialien und vorrichtungen |
| WO2017078182A1 (en) | 2015-11-04 | 2017-05-11 | Idemitsu Kosan Co., Ltd. | Benzimidazole fused heteroaryls |
| WO2017093958A1 (en) | 2015-12-04 | 2017-06-08 | Idemitsu Kosan Co., Ltd. | Benzimidazolo[1,2-a]benzimidazole derivatives for organic light emitting diodes |
| EP3205658A1 (de) | 2016-02-09 | 2017-08-16 | Universal Display Corporation | Organische elektrolumineszenzmaterialien und vorrichtungen |
| EP3231809A2 (de) | 2016-04-11 | 2017-10-18 | Universal Display Corporation | Organische elektrolumineszente materialien und vorrichtungen |
| WO2017178864A1 (en) | 2016-04-12 | 2017-10-19 | Idemitsu Kosan Co., Ltd. | Seven-membered ring compounds |
| US9806270B2 (en) | 2011-03-25 | 2017-10-31 | Udc Ireland Limited | 4H-imidazo[1,2-a]imidazoles for electronic applications |
| EP3239161A1 (de) | 2013-07-31 | 2017-11-01 | UDC Ireland Limited | Lumineszente diazabenzimidazol-carben-metall-komplexe |
| EP3261147A1 (de) | 2016-06-20 | 2017-12-27 | Universal Display Corporation | Organische elektrolumineszente materialien und vorrichtungen |
| EP3261146A2 (de) | 2016-06-20 | 2017-12-27 | Universal Display Corporation | Organische elektrolumineszente materialien und vorrichtungen |
| US9862739B2 (en) | 2014-03-31 | 2018-01-09 | Udc Ireland Limited | Metal complexes, comprising carbene ligands having an O-substituted non-cyclometalated aryl group and their use in organic light emitting diodes |
| EP3270435A2 (de) | 2016-06-20 | 2018-01-17 | Universal Display Corporation | Organische elektrolumineszente materialien und vorrichtungen |
| EP3297051A1 (de) | 2016-09-14 | 2018-03-21 | Universal Display Corporation | Organische elektrolumineszente materialien und vorrichtungen |
| EP3301088A1 (de) | 2016-10-03 | 2018-04-04 | Universal Display Corporation | Kondensierte pyridine als organische elektrolumineszente materialien und vorrichtungen |
| EP3305796A1 (de) | 2016-10-07 | 2018-04-11 | Universal Display Corporation | Organische elektrolumineszente materialien und vorrichtungen |
| EP3318566A1 (de) | 2012-09-20 | 2018-05-09 | UDC Ireland Limited | Azadibenzofurane für elektronische anwendungen |
| EP3321258A1 (de) | 2016-11-09 | 2018-05-16 | Universal Display Corporation | 4-phenylbenzo[g]quinazolin oder 4-(3,5-dimethylphenylbenzo[g]quinazoline iridiumkomplexe zur verwendung als nah-infrarot oder infrarot emittierende materialien in oleds |
| EP3323822A1 (de) | 2016-09-23 | 2018-05-23 | Universal Display Corporation | Organische elektrolumineszente materialien und vorrichtungen |
| EP3345914A1 (de) | 2017-01-09 | 2018-07-11 | Universal Display Corporation | Organische elektrolumineszente materialien und vorrichtungen |
| EP3354654A2 (de) | 2016-11-11 | 2018-08-01 | Universal Display Corporation | Organische elektrolumineszente materialien und vorrichtungen |
| EP3381927A1 (de) | 2017-03-29 | 2018-10-03 | Universal Display Corporation | Organische elektrolumineszente materialien und vorrichtungen |
| EP3401318A1 (de) | 2017-05-11 | 2018-11-14 | Universal Display Corporation | Organische elektrolumineszente materialien und vorrichtungen |
| EP3418286A1 (de) | 2017-06-23 | 2018-12-26 | Universal Display Corporation | Organische elektrolumineszente materialien und vorrichtungen |
| EP3444258A2 (de) | 2017-08-10 | 2019-02-20 | Universal Display Corporation | Organische elektrolumineszente materialien und vorrichtungen |
| US10227366B2 (en) | 2012-08-02 | 2019-03-12 | Roche Diagnostics Operations, Inc. | Bis-iridium-complexes for manufacturing of ECL-labels |
| EP3489243A1 (de) | 2017-11-28 | 2019-05-29 | University of Southern California | Carbenverbindungen und organische elektrolumineszente vorrichtungen |
| EP3492480A2 (de) | 2017-11-29 | 2019-06-05 | Universal Display Corporation | Organische elektrolumineszente materialien und vorrichtungen |
| EP3492528A1 (de) | 2017-11-30 | 2019-06-05 | Universal Display Corporation | Organische elektrolumineszente materialien und vorrichtungen |
| US10347851B2 (en) | 2013-12-20 | 2019-07-09 | Udc Ireland Limited | Highly efficient OLED devices with very short decay times |
| EP3613751A1 (de) | 2018-08-22 | 2020-02-26 | Universal Display Corporation | Organische elektrolumineszente materialien und vorrichtungen |
| WO2020053150A1 (en) | 2018-09-12 | 2020-03-19 | Merck Patent Gmbh | Materials for organic electroluminescent devices |
| WO2020053314A1 (de) | 2018-09-12 | 2020-03-19 | Merck Patent Gmbh | Elektrolumineszierende vorrichtungen |
| WO2020053315A1 (de) | 2018-09-12 | 2020-03-19 | Merck Patent Gmbh | Elektrolumineszierende vorrichtungen |
| EP3689889A1 (de) | 2019-02-01 | 2020-08-05 | Universal Display Corporation | Organische elektrolumineszente materialien und vorrichtungen |
| EP3690973A1 (de) | 2019-01-30 | 2020-08-05 | University Of Southern California | Organische elektrolumineszente materialien und vorrichtungen |
| WO2020178230A1 (en) | 2019-03-04 | 2020-09-10 | Merck Patent Gmbh | Ligands for nano-sized materials |
| EP3715353A1 (de) | 2019-03-26 | 2020-09-30 | Universal Display Corporation | Organische elektrolumineszente materialien und vorrichtungen |
| WO2020208051A1 (en) | 2019-04-11 | 2020-10-15 | Merck Patent Gmbh | Materials for organic electroluminescent devices |
| EP3750897A1 (de) | 2019-06-10 | 2020-12-16 | Universal Display Corporation | Organische elektrolumineszente materialien und geräte |
| EP3771717A1 (de) | 2019-07-30 | 2021-02-03 | Universal Display Corporation | Organische elektrolumineszente materialien und vorrichtungen |
| EP3778614A1 (de) | 2019-08-16 | 2021-02-17 | Universal Display Corporation | Organische elektrolumineszente materialien und vorrichtungen |
| EP3816175A1 (de) | 2019-11-04 | 2021-05-05 | Universal Display Corporation | Organische elektrolumineszente materialien und vorrichtungen |
| WO2021089450A1 (en) | 2019-11-04 | 2021-05-14 | Merck Patent Gmbh | Materials for organic electroluminescent devices |
| WO2021094269A1 (en) | 2019-11-12 | 2021-05-20 | Merck Patent Gmbh | Materials for organic electroluminescent devices |
| WO2021110741A1 (en) | 2019-12-04 | 2021-06-10 | Merck Patent Gmbh | Materials for organic electroluminescent devices |
| EP3845545A1 (de) | 2020-01-06 | 2021-07-07 | Universal Display Corporation | Organische elektrolumineszente materialien und vorrichtungen |
| EP3858945A1 (de) | 2020-01-28 | 2021-08-04 | Universal Display Corporation | Organische elektrolumineszente materialien und vorrichtungen |
| WO2021151922A1 (de) | 2020-01-29 | 2021-08-05 | Merck Patent Gmbh | Benzimidazol-derivate |
| WO2021191058A1 (en) | 2020-03-23 | 2021-09-30 | Merck Patent Gmbh | Materials for organic electroluminescent devices |
| EP3937268A1 (de) | 2020-07-10 | 2022-01-12 | Universal Display Corporation | Plasmonische oleds und vertikale dipolstrahler |
| EP4001286A1 (de) | 2020-11-24 | 2022-05-25 | Universal Display Corporation | Organische elektrolumineszente materialien und vorrichtungen |
| EP4001287A1 (de) | 2020-11-24 | 2022-05-25 | Universal Display Corporation | Organische elektrolumineszente materialien und vorrichtungen |
| EP4016659A1 (de) | 2020-11-16 | 2022-06-22 | Universal Display Corporation | Organische elektrolumineszente materialien und vorrichtungen |
| EP4019526A1 (de) | 2018-01-26 | 2022-06-29 | Universal Display Corporation | Organische elektrolumineszente materialien und vorrichtungen |
| EP4039692A1 (de) | 2021-02-03 | 2022-08-10 | Universal Display Corporation | Organische elektrolumineszente materialien und vorrichtungen |
| EP4053137A1 (de) | 2021-03-05 | 2022-09-07 | Universal Display Corporation | Organische elektrolumineszente materialien und vorrichtungen |
| EP4056578A1 (de) | 2021-03-12 | 2022-09-14 | Universal Display Corporation | Organische elektrolumineszente materialien und vorrichtungen |
| EP4060758A2 (de) | 2021-02-26 | 2022-09-21 | Universal Display Corporation | Organische elektrolumineszente materialien und vorrichtungen |
| EP4059915A2 (de) | 2021-02-26 | 2022-09-21 | Universal Display Corporation | Organische elektrolumineszente materialien und vorrichtungen |
| EP4059941A1 (de) | 2021-03-15 | 2022-09-21 | Universal Display Corporation | Organische elektrolumineszente materialien und vorrichtungen |
| EP4075531A1 (de) | 2021-04-13 | 2022-10-19 | Universal Display Corporation | Plasmonische oleds und vertikale dipolstrahler |
| EP4074723A1 (de) | 2021-04-05 | 2022-10-19 | Universal Display Corporation | Organische elektrolumineszente materialien und vorrichtungen |
| EP4075530A1 (de) | 2021-04-14 | 2022-10-19 | Universal Display Corporation | Organische elektrolumineszente materialien und vorrichtungen |
| EP4079743A1 (de) | 2021-04-23 | 2022-10-26 | Universal Display Corporation | Organische elektrolumineszente materialien und vorrichtungen |
| EP4086266A1 (de) | 2021-04-23 | 2022-11-09 | Universal Display Corporation | Organische elektrolumineszente materialien und vorrichtungen |
| EP4112701A2 (de) | 2021-06-08 | 2023-01-04 | University of Southern California | Molekulare ausrichtung homoleptischer iridiumphosphore |
| EP4151699A1 (de) | 2021-09-17 | 2023-03-22 | Universal Display Corporation | Organische elektrolumineszente materialien und vorrichtungen |
| EP4185086A1 (de) | 2017-07-26 | 2023-05-24 | Universal Display Corporation | Organische elektrolumineszente materialien und vorrichtungen |
| EP4212539A1 (de) | 2021-12-16 | 2023-07-19 | Universal Display Corporation | Organische elektrolumineszente materialien und vorrichtungen |
| EP4231804A2 (de) | 2022-02-16 | 2023-08-23 | Universal Display Corporation | Organische elektrolumineszente materialien und vorrichtungen |
| EP4242285A1 (de) | 2022-03-09 | 2023-09-13 | Universal Display Corporation | Organische elektrolumineszente materialien und vorrichtungen |
| EP4265626A2 (de) | 2022-04-18 | 2023-10-25 | Universal Display Corporation | Organische elektrolumineszente materialien und vorrichtungen |
| EP4282863A1 (de) | 2022-05-24 | 2023-11-29 | Universal Display Corporation | Organische elektrolumineszente materialien und vorrichtungen |
| EP4293001A1 (de) | 2022-06-08 | 2023-12-20 | Universal Display Corporation | Organische elektrolumineszente materialien und vorrichtungen |
| EP4299693A1 (de) | 2022-06-28 | 2024-01-03 | Universal Display Corporation | Organische elektrolumineszente materialien und vorrichtungen |
| EP4326030A1 (de) | 2022-08-17 | 2024-02-21 | Universal Display Corporation | Organische elektrolumineszente materialien und vorrichtungen |
| EP4362631A2 (de) | 2022-10-27 | 2024-05-01 | Universal Display Corporation | Organische elektrolumineszente materialien und vorrichtungen |
| EP4362645A2 (de) | 2022-10-27 | 2024-05-01 | Universal Display Corporation | Organische elektrolumineszente materialien und vorrichtungen |
| EP4362630A2 (de) | 2022-10-27 | 2024-05-01 | Universal Display Corporation | Organische elektrolumineszente materialien und vorrichtungen |
| EP4369898A1 (de) | 2022-10-27 | 2024-05-15 | Universal Display Corporation | Organische elektrolumineszente materialien und vorrichtungen |
| WO2024105066A1 (en) | 2022-11-17 | 2024-05-23 | Merck Patent Gmbh | Materials for organic electroluminescent devices |
| EP4376583A2 (de) | 2022-10-27 | 2024-05-29 | Universal Display Corporation | Organische elektrolumineszente materialien und vorrichtungen |
| EP4386065A1 (de) | 2022-12-14 | 2024-06-19 | Universal Display Corporation | Organische elektrolumineszente materialien und vorrichtungen |
| US12187748B2 (en) | 2020-11-02 | 2025-01-07 | Universal Display Corporation | Organic electroluminescent materials and devices |
| EP4489555A2 (de) | 2018-03-12 | 2025-01-08 | Universal Display Corporation | Organische elektrolumineszente materialien und vorrichtungen |
| EP4580378A1 (de) | 2023-12-15 | 2025-07-02 | Universal Display Corporation | Organische elektrolumineszente materialien und vorrichtungen |
| EP4592303A1 (de) | 2023-12-15 | 2025-07-30 | Universal Display Corporation | Organische elektrolumineszente materialien und vorrichtungen |
| US12428599B2 (en) | 2021-03-09 | 2025-09-30 | Universal Display Corporation | Organic electroluminescent materials and devices |
| US12473318B2 (en) | 2021-10-08 | 2025-11-18 | Universal Display Corporation | Organic electroluminescent materials and devices |
| US12480042B2 (en) | 2021-04-09 | 2025-11-25 | Universal Display Corporation | Organic electroluminescent materials and devices |
| US12550611B2 (en) | 2022-08-03 | 2026-02-10 | Universal Display Corporation | Organic electroluminescent materials and devices |
Families Citing this family (11)
| Publication number | Priority date | Publication date | Assignee | Title |
|---|---|---|---|---|
| KR101600624B1 (ko) * | 2006-02-10 | 2016-03-21 | 유니버셜 디스플레이 코포레이션 | 시클로금속화 이미다조[1,2-f]페난트리딘 및디이미다조[1,2-a:1',2'-c]퀴나졸린 리간드, 및 이의등전자성 및 벤즈고리화된 유사체의 금속 착체 |
| JP2011500648A (ja) * | 2007-10-17 | 2011-01-06 | ビーエーエスエフ ソシエタス・ヨーロピア | 架橋カルベンリガンドを有する遷移金属錯体およびoledにおけるその使用 |
| WO2014156922A1 (ja) | 2013-03-29 | 2014-10-02 | コニカミノルタ株式会社 | 異性体混合金属錯体組成物、有機エレクトロルミネッセンス素子、照明装置及び表示装置 |
| AU2015201628A1 (en) * | 2014-03-31 | 2015-10-15 | Commonwealth Scientific And Industrial Research Organisation | Phenylenediamine compounds for phosphorescent diazaborole metal complexes |
| KR102526927B1 (ko) * | 2017-08-24 | 2023-04-28 | 바스프 에스이 | 데이터를 전송하고 가시 스펙트럼 범위에서의 전자기 방사선을 방출하기 위한 전송기 및 데이터 전송 시스템 |
| CN111278842B (zh) * | 2017-12-28 | 2023-06-06 | 广州华睿光电材料有限公司 | 一种有机金属配合物,包含其的聚合物、混合物和组合物,及其在电子器件中的应用 |
| CN112585144A (zh) * | 2018-11-02 | 2021-03-30 | 广州华睿光电材料有限公司 | 有机金属配合物、包含其的高聚物、混合物、组合物及有机电子器件 |
| CN112533930B (zh) * | 2018-11-02 | 2024-02-13 | 广州华睿光电材料有限公司 | 有机金属配合物、包含其的高聚物、混合物、组合物及有机电子器件 |
| CN109762019B (zh) * | 2019-02-22 | 2021-03-16 | 成都欣科医药有限公司 | 一种具有抗肿瘤活性的炔基膦酸双苄基锡配合物 |
| CN111134359B (zh) * | 2019-12-25 | 2022-09-13 | 云南中烟工业有限责任公司 | 一种天然氮-硫杂环化合物在降低卷烟烟气重金属中的应用 |
| KR102822074B1 (ko) * | 2022-07-22 | 2025-06-17 | 고려대학교 세종산학협력단 | 트리아졸로페난트리딘 킬레이트 리간드가 배위된 이리듐 착물을 포함하는 청색 인광 화합물 및 이를 이용한 유기발광소자 |
Citations (2)
| Publication number | Priority date | Publication date | Assignee | Title |
|---|---|---|---|---|
| WO2005113704A2 (en) * | 2004-05-18 | 2005-12-01 | The University Of Southern California | Luminescent compounds with carbene ligands |
| WO2007088093A1 (de) * | 2006-01-31 | 2007-08-09 | Basf Se | Verfahren zur herstellung von übergangsmetall-carbenkomplexen |
Family Cites Families (10)
| Publication number | Priority date | Publication date | Assignee | Title |
|---|---|---|---|---|
| CN101924190B (zh) | 2000-08-11 | 2012-07-04 | 普林斯顿大学理事会 | 有机金属化合物和发射转换有机电致磷光 |
| DE10338550A1 (de) * | 2003-08-19 | 2005-03-31 | Basf Ag | Übergangsmetallkomplexe mit Carbenliganden als Emitter für organische Licht-emittierende Dioden (OLEDs) |
| US7601436B2 (en) * | 2004-05-18 | 2009-10-13 | The University Of Southern California | Carbene metal complexes as OLED materials |
| DE102004057072A1 (de) | 2004-11-25 | 2006-06-01 | Basf Ag | Verwendung von Übergangsmetall-Carbenkomplexen in organischen Licht-emittierenden Dioden (OLEDs) |
| KR101600624B1 (ko) * | 2006-02-10 | 2016-03-21 | 유니버셜 디스플레이 코포레이션 | 시클로금속화 이미다조[1,2-f]페난트리딘 및디이미다조[1,2-a:1',2'-c]퀴나졸린 리간드, 및 이의등전자성 및 벤즈고리화된 유사체의 금속 착체 |
| KR20090007389A (ko) * | 2006-04-04 | 2009-01-16 | 바스프 에스이 | 1개의 비카르벤 리간드 및 1 또는 2 개의 카르벤 리간드를 포함하는 전이 금속 착체 및 이의 oled에서의 용도 |
| US8241764B2 (en) | 2006-09-21 | 2012-08-14 | Basf Aktiengesellschaft | OLED display with extended lifetime |
| US8373159B2 (en) * | 2007-07-05 | 2013-02-12 | Basf Se | Organic light-emitting diodes comprising carbene-transition metal complex emitter, and at least one compound selected from disilylcarbazoles, disilyldibenzofurans, disilyldibenzothiophenes, disilyldibenzophospholes, disilyldibenzothiophene s-oxides and disilyldibe |
| EP3345983B1 (de) | 2007-07-05 | 2020-08-26 | UDC Ireland Limited | Verbindungen enthaltend mindestens eine disilylverbindung ausgewählt aus disilylcarbazolen, disilyldibenzofuranen, disilyldibenzothiophenen, disilyldibenzophospholen, disilyldibenzothiophen-s-oxiden und disilyldibenzothiophen-s, s-dioxiden |
| JP2011500648A (ja) * | 2007-10-17 | 2011-01-06 | ビーエーエスエフ ソシエタス・ヨーロピア | 架橋カルベンリガンドを有する遷移金属錯体およびoledにおけるその使用 |
-
2008
- 2008-10-17 KR KR1020107010659A patent/KR101612135B1/ko active Active
- 2008-10-17 US US12/738,104 patent/US8258297B2/en active Active
- 2008-10-17 JP JP2010529402A patent/JP5615178B2/ja active Active
- 2008-10-17 AT AT08840571T patent/ATE554095T1/de active
- 2008-10-17 CN CN200880120186.7A patent/CN101896493B/zh active Active
- 2008-10-17 EP EP08840571A patent/EP2205615B1/de active Active
- 2008-10-17 WO PCT/EP2008/064064 patent/WO2009050281A1/de not_active Ceased
Patent Citations (2)
| Publication number | Priority date | Publication date | Assignee | Title |
|---|---|---|---|---|
| WO2005113704A2 (en) * | 2004-05-18 | 2005-12-01 | The University Of Southern California | Luminescent compounds with carbene ligands |
| WO2007088093A1 (de) * | 2006-01-31 | 2007-08-09 | Basf Se | Verfahren zur herstellung von übergangsmetall-carbenkomplexen |
Cited By (198)
| Publication number | Priority date | Publication date | Assignee | Title |
|---|---|---|---|---|
| US11871654B2 (en) | 2009-10-28 | 2024-01-09 | Udc Ireland Limited | Heteroleptic carbene complexes and the use thereof in organic electronics |
| US11189806B2 (en) | 2009-10-28 | 2021-11-30 | Udc Ireland Limited | Heteroleptic carbene complexes and the use thereof in organic electronics |
| WO2011051404A1 (de) | 2009-10-28 | 2011-05-05 | Basf Se | Heteroleptische carben-komplexe und deren verwendung in der organischen elektronik |
| US12376484B2 (en) | 2009-10-28 | 2025-07-29 | Basf Se | Heteroleptic carbene complexes and the use thereof in organic electronics |
| WO2011155507A1 (ja) | 2010-06-08 | 2011-12-15 | 出光興産株式会社 | 有機エレクトロルミネッセンス素子 |
| WO2011155508A1 (ja) | 2010-06-08 | 2011-12-15 | 出光興産株式会社 | 有機エレクトロルミネッセンス素子 |
| US9067919B2 (en) | 2010-07-08 | 2015-06-30 | Basf Se | Use of dibenzofurans and dibenzothiophenes substituted by nitrogen-bonded five-membered heterocyclic rings in organic electronics |
| JP2014212345A (ja) * | 2010-08-02 | 2014-11-13 | 株式会社半導体エネルギー研究所 | 発光素子、発光装置、電子機器、及び照明装置 |
| US9034486B2 (en) | 2010-08-02 | 2015-05-19 | Semiconductor Energy Laboratory Co., Ltd | Triazole derivative, heterocyclic compound, light-emitting element, light-emitting device, electronic device and lighting device |
| JP2012054542A (ja) * | 2010-08-02 | 2012-03-15 | Semiconductor Energy Lab Co Ltd | トリアゾール誘導体、複素環化合物、発光素子、発光装置、電子機器、及び照明装置 |
| WO2012017842A1 (en) * | 2010-08-02 | 2012-02-09 | Semiconductor Energy Laboratory Co., Ltd. | Triazole derivative, heterocyclic compound, light-emitting element, light-emitting device, electronic device and lighting device |
| US12538704B2 (en) | 2011-03-25 | 2026-01-27 | Udc Ireland Limited | 4H-imidazo[1,2-a]imidazoles for electronic applications |
| WO2012130709A1 (en) | 2011-03-25 | 2012-10-04 | Basf Se | 4h-imidazo[1,2-a]imidazoles for electronic applications |
| US9806270B2 (en) | 2011-03-25 | 2017-10-31 | Udc Ireland Limited | 4H-imidazo[1,2-a]imidazoles for electronic applications |
| US10431750B2 (en) | 2011-03-25 | 2019-10-01 | Udc Ireland Limited | 4H-imidazo[1,2-a]imidazoles for electronic applications |
| US11450812B2 (en) | 2011-03-25 | 2022-09-20 | Udc Ireland Limited | 4H-imidazo[1,2-a]imidazoles for electronic applications |
| EP3034508A1 (de) | 2011-03-25 | 2016-06-22 | Basf Se | 4h-imidazo[1,2-a]imidazole für elektronische anwendungen |
| EP3640252A1 (de) | 2011-03-25 | 2020-04-22 | UDC Ireland Limited | 4h-imidazo[1,2-a]imidazole für elektronische anwendungen |
| US9502664B2 (en) | 2011-11-10 | 2016-11-22 | Udc Ireland Limited | 4H-imidazo[1,2-a]imidazoles for electronic applications |
| WO2013068376A1 (en) | 2011-11-10 | 2013-05-16 | Basf Se | 4h-imidazo[1,2-a]imidazoles for electronic applications |
| US9620724B2 (en) | 2012-07-10 | 2017-04-11 | Udc Ireland Limited | Benzimidazo[1,2-A]benzimidazole derivatives for electronic applications |
| EP3232485A1 (de) | 2012-07-10 | 2017-10-18 | UDC Ireland Limited | Benzimidazo[1,2-a]benzimidazol-derivate für elektronische anwendungen |
| WO2014009317A1 (en) | 2012-07-10 | 2014-01-16 | Basf Se | Benzimidazo[1,2-a]benzimidazole derivatives for electronic applications |
| US11744152B2 (en) | 2012-07-10 | 2023-08-29 | Udc Ireland Limited | Benzimidazo[1,2-a]benzimidazole derivatives for electronic applications |
| US10243150B2 (en) | 2012-07-10 | 2019-03-26 | Udc Ireland Limited | Benzimidazo[1,2-a]benzimidazole derivatives for electronic applications |
| US10862051B2 (en) | 2012-07-10 | 2020-12-08 | Udc Ireland Limited | Benzimidazo[1,2-a]benzimidazole derivatives for electronic applications |
| US10227366B2 (en) | 2012-08-02 | 2019-03-12 | Roche Diagnostics Operations, Inc. | Bis-iridium-complexes for manufacturing of ECL-labels |
| US9403859B2 (en) | 2012-08-02 | 2016-08-02 | Roche Diagnostics Operations, Inc. | Iridium-based complexes for ECL |
| WO2014019711A1 (en) * | 2012-08-02 | 2014-02-06 | Roche Diagnostics Gmbh | New iridium-based complexes for ecl |
| US9499573B2 (en) | 2012-08-02 | 2016-11-22 | Roche Diagnostics Operations, Inc. | Iridium-based complexes for ECL |
| US9416150B2 (en) | 2012-08-02 | 2016-08-16 | Roche Diagnostics Operations, Inc. | Iridium-based complexes for ECL |
| US9399654B2 (en) | 2012-08-02 | 2016-07-26 | Roche Diagnostics Operations, Inc. | Iridium-based complexes for ECL |
| EP3318566A1 (de) | 2012-09-20 | 2018-05-09 | UDC Ireland Limited | Azadibenzofurane für elektronische anwendungen |
| US10249827B2 (en) | 2012-09-20 | 2019-04-02 | Udc Ireland Limited | Azadibenzofurans for electronic applications |
| WO2014147134A1 (en) | 2013-03-20 | 2014-09-25 | Basf Se | Azabenzimidazole carbene complexes as efficiency booster in oleds |
| EP3266789A1 (de) | 2013-07-02 | 2018-01-10 | UDC Ireland Limited | Monosubstituierte diazabenzimidazolcarben-metall-komplexe zur verwendung in organischen leuchtdioden |
| WO2015000955A1 (en) | 2013-07-02 | 2015-01-08 | Basf Se | Monosubstituted diazabenzimidazole carbene metal complexes for use in organic light emitting diodes |
| EP3608329A1 (de) | 2013-07-02 | 2020-02-12 | UDC Ireland Limited | Monosubstituierte diazabenzimidazolcarben-metall-komplexe zur verwendung in organischen leuchtdioden |
| EP3239161A1 (de) | 2013-07-31 | 2017-11-01 | UDC Ireland Limited | Lumineszente diazabenzimidazol-carben-metall-komplexe |
| US10290817B2 (en) | 2013-07-31 | 2019-05-14 | Udc Ireland Limited | Luminescent diaza-monoaza-and benzimidazole metal carbene complexes for use in electronic devices such as OLEDs |
| WO2015063046A1 (en) | 2013-10-31 | 2015-05-07 | Basf Se | Azadibenzothiophenes for electronic applications |
| US10347851B2 (en) | 2013-12-20 | 2019-07-09 | Udc Ireland Limited | Highly efficient OLED devices with very short decay times |
| EP3916822A1 (de) | 2013-12-20 | 2021-12-01 | UDC Ireland Limited | Hocheffiziente oled-vorrichtungen mit sehr kurzer abklingzeit |
| US11075346B2 (en) | 2013-12-20 | 2021-07-27 | Udc Ireland Limited | Highly efficient OLED devices with very short decay times |
| US12342715B2 (en) | 2013-12-20 | 2025-06-24 | Udc Ireland Limited | Highly efficient OLED devices with very short decay times |
| EP4600326A2 (de) | 2013-12-20 | 2025-08-13 | UDC Ireland Limited | Hocheffiziente oled-bauelemente mit sehr kurzen zerfallszeiten |
| US11765967B2 (en) | 2013-12-20 | 2023-09-19 | Udc Ireland Limited | Highly efficient OLED devices with very short decay times |
| US10370396B2 (en) | 2014-03-31 | 2019-08-06 | Udc Ireland Limited | Metal complexes, comprising carbene ligands having an O-substituted non-cyclometallated aryl group and their use in organic light emitting diodes |
| US10118939B2 (en) | 2014-03-31 | 2018-11-06 | Udc Ireland Limited | Metal complexes, comprising carbene ligands having an o-substituted non-cyclometalated aryl group and their use in organic light emitting diodes |
| US9862739B2 (en) | 2014-03-31 | 2018-01-09 | Udc Ireland Limited | Metal complexes, comprising carbene ligands having an O-substituted non-cyclometalated aryl group and their use in organic light emitting diodes |
| WO2016016791A1 (en) | 2014-07-28 | 2016-02-04 | Idemitsu Kosan Co., Ltd (Ikc) | 2,9-functionalized benzimidazolo[1,2-a]benzimidazoles as hosts for organic light emitting diodes (oleds) |
| EP2982676A1 (de) | 2014-08-07 | 2016-02-10 | Idemitsu Kosan Co., Ltd. | Benzimidazo[2,1-b]benzoxazole für elektronische Anwendungen |
| EP2993215A1 (de) | 2014-09-04 | 2016-03-09 | Idemitsu Kosan Co., Ltd. | Azabenzimidazo[2,1-a]benzimidazole für elektronische Anwendungen |
| WO2016067261A1 (en) | 2014-10-30 | 2016-05-06 | Idemitsu Kosan Co., Ltd. | 5-((benz)imidazol-2-yl)benzimidazo[1,2-a]benzimidazoles for electronic applications |
| EP3015469A1 (de) | 2014-10-30 | 2016-05-04 | Idemitsu Kosan Co., Ltd. | 5-((benz)imidazol-2-yl)benzimidazo[1,2-a]benzimidazole für elektronische anwendungen |
| WO2016079667A1 (en) | 2014-11-17 | 2016-05-26 | Idemitsu Kosan Co., Ltd. | Indole derivatives for electronic applications |
| EP3034506A1 (de) | 2014-12-15 | 2016-06-22 | Idemitsu Kosan Co., Ltd | 4-funktionalisierte Carbazolderivate für elektronische Anwendungen |
| EP3034507A1 (de) | 2014-12-15 | 2016-06-22 | Idemitsu Kosan Co., Ltd | 1-funktionalisierte Dibenzofurane und Dibenzothiophene für organische Leuchtdioden (OLEDS) |
| WO2016097983A1 (en) | 2014-12-15 | 2016-06-23 | Idemitsu Kosan Co., Ltd. | 1-functionalized dibenzofurans and dibenzothiophenes for organic light emitting diodes (oleds) |
| WO2016125110A1 (en) | 2015-02-06 | 2016-08-11 | Idemitsu Kosan Co., Ltd. | Bisimidazolodiazocines |
| EP3054498A1 (de) | 2015-02-06 | 2016-08-10 | Idemitsu Kosan Co., Ltd. | Bisimidazodiazozine |
| EP3053918A1 (de) | 2015-02-06 | 2016-08-10 | Idemitsu Kosan Co., Ltd | 2-Carbazol substituierte Benzimidazole für elektronische Anwendungen |
| EP3056504A1 (de) | 2015-02-16 | 2016-08-17 | Universal Display Corporation | Organische elektrolumineszente materialien und vorrichtungen |
| EP3061759A1 (de) | 2015-02-24 | 2016-08-31 | Idemitsu Kosan Co., Ltd | Nitrilsubstituierte dibenzofurane |
| EP3061763A1 (de) | 2015-02-27 | 2016-08-31 | Universal Display Corporation | Organische elektrolumineszente materialien und vorrichtungen |
| EP3070144A1 (de) | 2015-03-17 | 2016-09-21 | Idemitsu Kosan Co., Ltd. | Siebengliedrige ringverbindungen |
| EP3072943A1 (de) | 2015-03-26 | 2016-09-28 | Idemitsu Kosan Co., Ltd. | Dibenzofuran/carbazol-substituierte benzonitrile |
| EP3075737A1 (de) | 2015-03-31 | 2016-10-05 | Idemitsu Kosan Co., Ltd | Benzimidazolo[1,2-a]benzimidazol mit aryl- oder heteroarylnitrilgruppen für organische leuchtdioden |
| WO2016157113A1 (en) | 2015-03-31 | 2016-10-06 | Idemitsu Kosan Co., Ltd. | Benzimidazolo[1,2-a]benzimidazole carrying aryl- or heteroarylnitril groups for organic light emitting diodes |
| EP3098229A1 (de) | 2015-05-15 | 2016-11-30 | Universal Display Corporation | Organische elektrolumineszente materialien und vorrichtungen |
| EP3101021A1 (de) | 2015-06-01 | 2016-12-07 | Universal Display Corporation | Organische elektrolumineszente materialien und vorrichtungen |
| WO2016193243A1 (en) | 2015-06-03 | 2016-12-08 | Udc Ireland Limited | Highly efficient oled devices with very short decay times |
| EP4060757A1 (de) | 2015-06-03 | 2022-09-21 | UDC Ireland Limited | Hocheffiziente oled-vorrichtungen mit sehr kurzer abklingzeit |
| EP3124488A1 (de) | 2015-07-29 | 2017-02-01 | Universal Display Corporation | Organische elektrolumineszente materialien und vorrichtungen |
| EP3159350A1 (de) | 2015-09-03 | 2017-04-26 | Universal Display Corporation | Organische elektrolumineszente materialien und vorrichtungen |
| EP3760635A1 (de) | 2015-09-03 | 2021-01-06 | Universal Display Corporation | Organische elektrolumineszente materialien und vorrichtungen |
| WO2017056052A1 (en) | 2015-10-01 | 2017-04-06 | Idemitsu Kosan Co., Ltd. | Benzimidazolo[1,2-a]benzimidazole carrying benzimidazolo[1,2-a]benzimidazolyl groups, carbazolyl groups, benzofurane groups or benzothiophene groups for organic light emitting diodes |
| EP3150606A1 (de) | 2015-10-01 | 2017-04-05 | Idemitsu Kosan Co., Ltd. | Benzimidazolo[1,2-a]benzimidazole mit benzofuran- oder benzothiophen- gruppen für organische licht emittierende dioden. |
| EP3150604A1 (de) | 2015-10-01 | 2017-04-05 | Idemitsu Kosan Co., Ltd. | Benzimidazolo[1,2-a]benzimidazol mit benzimidazolo[1,2-a]benzimidazolylgruppen, carbazolylgruppen, benzofurangruppen oder benzothiophengruppen für organische leuchtdioden |
| WO2017056053A1 (en) | 2015-10-01 | 2017-04-06 | Idemitsu Kosan Co., Ltd. | Benzimidazolo[1,2-a]benzimidazole carrying benzimidazolo[1,2-a]benzimidazolyl groups, carbazolyl groups, benzofurane groups or benzothiophene groups for organic light emitting diodes |
| WO2017056055A1 (en) | 2015-10-01 | 2017-04-06 | Idemitsu Kosan Co., Ltd. | Benzimidazolo[1,2-a]benzimidazole carrying triazine groups for organic light emitting diodes |
| WO2017078182A1 (en) | 2015-11-04 | 2017-05-11 | Idemitsu Kosan Co., Ltd. | Benzimidazole fused heteroaryls |
| WO2017093958A1 (en) | 2015-12-04 | 2017-06-08 | Idemitsu Kosan Co., Ltd. | Benzimidazolo[1,2-a]benzimidazole derivatives for organic light emitting diodes |
| EP3858842A1 (de) | 2016-02-09 | 2021-08-04 | Universal Display Corporation | Organische elektrolumineszente materialien und vorrichtungen |
| EP3205658A1 (de) | 2016-02-09 | 2017-08-16 | Universal Display Corporation | Organische elektrolumineszenzmaterialien und vorrichtungen |
| EP4122941A1 (de) | 2016-04-11 | 2023-01-25 | Universal Display Corporation | Organische elektrolumineszente materialien und vorrichtungen |
| EP3231809A2 (de) | 2016-04-11 | 2017-10-18 | Universal Display Corporation | Organische elektrolumineszente materialien und vorrichtungen |
| WO2017178864A1 (en) | 2016-04-12 | 2017-10-19 | Idemitsu Kosan Co., Ltd. | Seven-membered ring compounds |
| EP3758084A1 (de) | 2016-06-20 | 2020-12-30 | Universal Display Corporation | Organische elektrolumineszente materialien und vorrichtungen |
| EP3843171A1 (de) | 2016-06-20 | 2021-06-30 | Universal Display Corporation | Organische elektrolumineszente materialien und vorrichtungen |
| EP3261147A1 (de) | 2016-06-20 | 2017-12-27 | Universal Display Corporation | Organische elektrolumineszente materialien und vorrichtungen |
| EP3261146A2 (de) | 2016-06-20 | 2017-12-27 | Universal Display Corporation | Organische elektrolumineszente materialien und vorrichtungen |
| EP3270435A2 (de) | 2016-06-20 | 2018-01-17 | Universal Display Corporation | Organische elektrolumineszente materialien und vorrichtungen |
| EP3920254A1 (de) | 2016-06-20 | 2021-12-08 | Universal Display Corporation | Organische elektrolumineszente materialien und vorrichtungen |
| EP4349935A2 (de) | 2016-06-20 | 2024-04-10 | Universal Display Corporation | Organische elektrolumineszente materialien und vorrichtungen |
| EP3297051A1 (de) | 2016-09-14 | 2018-03-21 | Universal Display Corporation | Organische elektrolumineszente materialien und vorrichtungen |
| EP3323822A1 (de) | 2016-09-23 | 2018-05-23 | Universal Display Corporation | Organische elektrolumineszente materialien und vorrichtungen |
| EP4477647A1 (de) | 2016-10-03 | 2024-12-18 | Universal Display Corporation | Kondensierte pyridine als organische elektrolumineszente materialien und vorrichtungen |
| EP3301088A1 (de) | 2016-10-03 | 2018-04-04 | Universal Display Corporation | Kondensierte pyridine als organische elektrolumineszente materialien und vorrichtungen |
| EP3858844A1 (de) | 2016-10-07 | 2021-08-04 | Universal Display Corporation | Organische elektrolumineszente materialien und vorrichtungen |
| EP3305796A1 (de) | 2016-10-07 | 2018-04-11 | Universal Display Corporation | Organische elektrolumineszente materialien und vorrichtungen |
| EP3321258A1 (de) | 2016-11-09 | 2018-05-16 | Universal Display Corporation | 4-phenylbenzo[g]quinazolin oder 4-(3,5-dimethylphenylbenzo[g]quinazoline iridiumkomplexe zur verwendung als nah-infrarot oder infrarot emittierende materialien in oleds |
| EP3789379A1 (de) | 2016-11-09 | 2021-03-10 | Universal Display Corporation | 4-phenylbenzo[g]quinazolin oder 4-(3,5-dimethylphenylbenzo[g]quinazoline iridiumkomplexe zur verwendung als nah-infrarot oder infrarot emittierende materialien in oleds |
| EP4092036A1 (de) | 2016-11-11 | 2022-11-23 | Universal Display Corporation | Organische elektrolumineszente materialien und vorrichtungen |
| EP3354654A2 (de) | 2016-11-11 | 2018-08-01 | Universal Display Corporation | Organische elektrolumineszente materialien und vorrichtungen |
| EP4212540A1 (de) | 2017-01-09 | 2023-07-19 | Universal Display Corporation | Organische elektrolumineszente materialien und vorrichtungen |
| EP3689890A1 (de) | 2017-01-09 | 2020-08-05 | Universal Display Corporation | Organische elektrolumineszente materialien und vorrichtungen |
| EP3345914A1 (de) | 2017-01-09 | 2018-07-11 | Universal Display Corporation | Organische elektrolumineszente materialien und vorrichtungen |
| EP3381927A1 (de) | 2017-03-29 | 2018-10-03 | Universal Display Corporation | Organische elektrolumineszente materialien und vorrichtungen |
| EP3985012A1 (de) | 2017-03-29 | 2022-04-20 | Universal Display Corporation | Organische elektrolumineszente materialien und vorrichtungen |
| EP3730506A1 (de) | 2017-03-29 | 2020-10-28 | Universal Display Corporation | Organische elektrolumineszente materialien und vorrichtungen |
| EP3401318A1 (de) | 2017-05-11 | 2018-11-14 | Universal Display Corporation | Organische elektrolumineszente materialien und vorrichtungen |
| EP4141010A1 (de) | 2017-05-11 | 2023-03-01 | Universal Display Corporation | Organische elektrolumineszente materialien und vorrichtungen |
| EP3418286A1 (de) | 2017-06-23 | 2018-12-26 | Universal Display Corporation | Organische elektrolumineszente materialien und vorrichtungen |
| EP4633344A2 (de) | 2017-07-26 | 2025-10-15 | Universal Display Corporation | Organische elektrolumineszente materialien und vorrichtungen |
| EP4185086A1 (de) | 2017-07-26 | 2023-05-24 | Universal Display Corporation | Organische elektrolumineszente materialien und vorrichtungen |
| EP3444258A2 (de) | 2017-08-10 | 2019-02-20 | Universal Display Corporation | Organische elektrolumineszente materialien und vorrichtungen |
| EP3783006A1 (de) | 2017-08-10 | 2021-02-24 | Universal Display Corporation | Organische elektrolumineszente materialien und vorrichtungen |
| EP3878855A1 (de) | 2017-11-28 | 2021-09-15 | University of Southern California | Carbenverbindungen und organische elektrolumineszente vorrichtungen |
| EP3489243A1 (de) | 2017-11-28 | 2019-05-29 | University of Southern California | Carbenverbindungen und organische elektrolumineszente vorrichtungen |
| EP3492480A2 (de) | 2017-11-29 | 2019-06-05 | Universal Display Corporation | Organische elektrolumineszente materialien und vorrichtungen |
| EP3492528A1 (de) | 2017-11-30 | 2019-06-05 | Universal Display Corporation | Organische elektrolumineszente materialien und vorrichtungen |
| EP4550995A2 (de) | 2017-11-30 | 2025-05-07 | Universal Display Corporation | Organische elektrolumineszente materialien und vorrichtungen |
| EP4019526A1 (de) | 2018-01-26 | 2022-06-29 | Universal Display Corporation | Organische elektrolumineszente materialien und vorrichtungen |
| EP4489555A2 (de) | 2018-03-12 | 2025-01-08 | Universal Display Corporation | Organische elektrolumineszente materialien und vorrichtungen |
| EP3613751A1 (de) | 2018-08-22 | 2020-02-26 | Universal Display Corporation | Organische elektrolumineszente materialien und vorrichtungen |
| EP4206210A1 (de) | 2018-08-22 | 2023-07-05 | Universal Display Corporation | Organische elektrolumineszente materialien und vorrichtungen |
| DE202019005923U1 (de) | 2018-09-12 | 2023-06-27 | MERCK Patent Gesellschaft mit beschränkter Haftung | Elektrolumineszierende Vorrichtungen |
| DE202019005924U1 (de) | 2018-09-12 | 2023-05-10 | MERCK Patent Gesellschaft mit beschränkter Haftung | Elektrolumineszierende Vorrichtungen |
| WO2020053315A1 (de) | 2018-09-12 | 2020-03-19 | Merck Patent Gmbh | Elektrolumineszierende vorrichtungen |
| WO2020053314A1 (de) | 2018-09-12 | 2020-03-19 | Merck Patent Gmbh | Elektrolumineszierende vorrichtungen |
| WO2020053150A1 (en) | 2018-09-12 | 2020-03-19 | Merck Patent Gmbh | Materials for organic electroluminescent devices |
| EP3690973A1 (de) | 2019-01-30 | 2020-08-05 | University Of Southern California | Organische elektrolumineszente materialien und vorrichtungen |
| EP3689889A1 (de) | 2019-02-01 | 2020-08-05 | Universal Display Corporation | Organische elektrolumineszente materialien und vorrichtungen |
| EP4301117A2 (de) | 2019-02-01 | 2024-01-03 | Universal Display Corporation | Organische elektrolumineszente materialien und vorrichtungen |
| WO2020178230A1 (en) | 2019-03-04 | 2020-09-10 | Merck Patent Gmbh | Ligands for nano-sized materials |
| EP3715353A1 (de) | 2019-03-26 | 2020-09-30 | Universal Display Corporation | Organische elektrolumineszente materialien und vorrichtungen |
| EP4134371A2 (de) | 2019-03-26 | 2023-02-15 | Universal Display Corporation | Organische elektrolumineszente materialien und vorrichtungen |
| WO2020208051A1 (en) | 2019-04-11 | 2020-10-15 | Merck Patent Gmbh | Materials for organic electroluminescent devices |
| EP3750897A1 (de) | 2019-06-10 | 2020-12-16 | Universal Display Corporation | Organische elektrolumineszente materialien und geräte |
| EP3771717A1 (de) | 2019-07-30 | 2021-02-03 | Universal Display Corporation | Organische elektrolumineszente materialien und vorrichtungen |
| EP4219515A1 (de) | 2019-07-30 | 2023-08-02 | Universal Display Corporation | Organische elektrolumineszente materialien und vorrichtungen |
| EP3778614A1 (de) | 2019-08-16 | 2021-02-17 | Universal Display Corporation | Organische elektrolumineszente materialien und vorrichtungen |
| EP4472386A2 (de) | 2019-11-04 | 2024-12-04 | Universal Display Corporation | Organische elektrolumineszente materialien und vorrichtungen |
| EP3816175A1 (de) | 2019-11-04 | 2021-05-05 | Universal Display Corporation | Organische elektrolumineszente materialien und vorrichtungen |
| WO2021089450A1 (en) | 2019-11-04 | 2021-05-14 | Merck Patent Gmbh | Materials for organic electroluminescent devices |
| WO2021094269A1 (en) | 2019-11-12 | 2021-05-20 | Merck Patent Gmbh | Materials for organic electroluminescent devices |
| WO2021110741A1 (en) | 2019-12-04 | 2021-06-10 | Merck Patent Gmbh | Materials for organic electroluminescent devices |
| EP4151644A1 (de) | 2020-01-06 | 2023-03-22 | Universal Display Corporation | Organische elektrolumineszente materialien und vorrichtungen |
| EP3845545A1 (de) | 2020-01-06 | 2021-07-07 | Universal Display Corporation | Organische elektrolumineszente materialien und vorrichtungen |
| EP3858945A1 (de) | 2020-01-28 | 2021-08-04 | Universal Display Corporation | Organische elektrolumineszente materialien und vorrichtungen |
| EP4294157A2 (de) | 2020-01-28 | 2023-12-20 | Universal Display Corporation | Organische elektrolumineszente materialien und vorrichtungen |
| WO2021151922A1 (de) | 2020-01-29 | 2021-08-05 | Merck Patent Gmbh | Benzimidazol-derivate |
| WO2021191058A1 (en) | 2020-03-23 | 2021-09-30 | Merck Patent Gmbh | Materials for organic electroluminescent devices |
| EP3937268A1 (de) | 2020-07-10 | 2022-01-12 | Universal Display Corporation | Plasmonische oleds und vertikale dipolstrahler |
| US12187748B2 (en) | 2020-11-02 | 2025-01-07 | Universal Display Corporation | Organic electroluminescent materials and devices |
| EP4016659A1 (de) | 2020-11-16 | 2022-06-22 | Universal Display Corporation | Organische elektrolumineszente materialien und vorrichtungen |
| EP4001287A1 (de) | 2020-11-24 | 2022-05-25 | Universal Display Corporation | Organische elektrolumineszente materialien und vorrichtungen |
| EP4329463A2 (de) | 2020-11-24 | 2024-02-28 | Universal Display Corporation | Organische elektrolumineszente materialien und vorrichtungen |
| EP4001286A1 (de) | 2020-11-24 | 2022-05-25 | Universal Display Corporation | Organische elektrolumineszente materialien und vorrichtungen |
| EP4039692A1 (de) | 2021-02-03 | 2022-08-10 | Universal Display Corporation | Organische elektrolumineszente materialien und vorrichtungen |
| EP4059915A2 (de) | 2021-02-26 | 2022-09-21 | Universal Display Corporation | Organische elektrolumineszente materialien und vorrichtungen |
| EP4060758A2 (de) | 2021-02-26 | 2022-09-21 | Universal Display Corporation | Organische elektrolumineszente materialien und vorrichtungen |
| EP4053137A1 (de) | 2021-03-05 | 2022-09-07 | Universal Display Corporation | Organische elektrolumineszente materialien und vorrichtungen |
| US12428599B2 (en) | 2021-03-09 | 2025-09-30 | Universal Display Corporation | Organic electroluminescent materials and devices |
| EP4056578A1 (de) | 2021-03-12 | 2022-09-14 | Universal Display Corporation | Organische elektrolumineszente materialien und vorrichtungen |
| EP4059941A1 (de) | 2021-03-15 | 2022-09-21 | Universal Display Corporation | Organische elektrolumineszente materialien und vorrichtungen |
| EP4074723A1 (de) | 2021-04-05 | 2022-10-19 | Universal Display Corporation | Organische elektrolumineszente materialien und vorrichtungen |
| US12480042B2 (en) | 2021-04-09 | 2025-11-25 | Universal Display Corporation | Organic electroluminescent materials and devices |
| EP4075531A1 (de) | 2021-04-13 | 2022-10-19 | Universal Display Corporation | Plasmonische oleds und vertikale dipolstrahler |
| EP4401530A2 (de) | 2021-04-14 | 2024-07-17 | Universal Display Corporation | Organische elektrolumineszente materialien und vorrichtungen |
| EP4075530A1 (de) | 2021-04-14 | 2022-10-19 | Universal Display Corporation | Organische elektrolumineszente materialien und vorrichtungen |
| EP4079743A1 (de) | 2021-04-23 | 2022-10-26 | Universal Display Corporation | Organische elektrolumineszente materialien und vorrichtungen |
| EP4086266A1 (de) | 2021-04-23 | 2022-11-09 | Universal Display Corporation | Organische elektrolumineszente materialien und vorrichtungen |
| EP4610330A2 (de) | 2021-04-23 | 2025-09-03 | Universal Display Corporation | Organische elektrolumineszente materialien und vorrichtungen |
| EP4112701A2 (de) | 2021-06-08 | 2023-01-04 | University of Southern California | Molekulare ausrichtung homoleptischer iridiumphosphore |
| EP4471041A2 (de) | 2021-06-08 | 2024-12-04 | University of Southern California | Molekulare ausrichtung von homoleptischen iridium-leuchtstoffen |
| EP4151699A1 (de) | 2021-09-17 | 2023-03-22 | Universal Display Corporation | Organische elektrolumineszente materialien und vorrichtungen |
| US12473318B2 (en) | 2021-10-08 | 2025-11-18 | Universal Display Corporation | Organic electroluminescent materials and devices |
| EP4212539A1 (de) | 2021-12-16 | 2023-07-19 | Universal Display Corporation | Organische elektrolumineszente materialien und vorrichtungen |
| EP4604707A2 (de) | 2021-12-16 | 2025-08-20 | Universal Display Corporation | Organische elektrolumineszente materialien und vorrichtungen |
| EP4231804A2 (de) | 2022-02-16 | 2023-08-23 | Universal Display Corporation | Organische elektrolumineszente materialien und vorrichtungen |
| EP4242285A1 (de) | 2022-03-09 | 2023-09-13 | Universal Display Corporation | Organische elektrolumineszente materialien und vorrichtungen |
| EP4265626A2 (de) | 2022-04-18 | 2023-10-25 | Universal Display Corporation | Organische elektrolumineszente materialien und vorrichtungen |
| EP4282863A1 (de) | 2022-05-24 | 2023-11-29 | Universal Display Corporation | Organische elektrolumineszente materialien und vorrichtungen |
| EP4293001A1 (de) | 2022-06-08 | 2023-12-20 | Universal Display Corporation | Organische elektrolumineszente materialien und vorrichtungen |
| EP4299693A1 (de) | 2022-06-28 | 2024-01-03 | Universal Display Corporation | Organische elektrolumineszente materialien und vorrichtungen |
| US12550611B2 (en) | 2022-08-03 | 2026-02-10 | Universal Display Corporation | Organic electroluminescent materials and devices |
| EP4326030A1 (de) | 2022-08-17 | 2024-02-21 | Universal Display Corporation | Organische elektrolumineszente materialien und vorrichtungen |
| EP4376583A2 (de) | 2022-10-27 | 2024-05-29 | Universal Display Corporation | Organische elektrolumineszente materialien und vorrichtungen |
| EP4369898A1 (de) | 2022-10-27 | 2024-05-15 | Universal Display Corporation | Organische elektrolumineszente materialien und vorrichtungen |
| EP4362630A2 (de) | 2022-10-27 | 2024-05-01 | Universal Display Corporation | Organische elektrolumineszente materialien und vorrichtungen |
| EP4362645A2 (de) | 2022-10-27 | 2024-05-01 | Universal Display Corporation | Organische elektrolumineszente materialien und vorrichtungen |
| EP4362631A2 (de) | 2022-10-27 | 2024-05-01 | Universal Display Corporation | Organische elektrolumineszente materialien und vorrichtungen |
| WO2024105066A1 (en) | 2022-11-17 | 2024-05-23 | Merck Patent Gmbh | Materials for organic electroluminescent devices |
| EP4386065A1 (de) | 2022-12-14 | 2024-06-19 | Universal Display Corporation | Organische elektrolumineszente materialien und vorrichtungen |
| EP4592303A1 (de) | 2023-12-15 | 2025-07-30 | Universal Display Corporation | Organische elektrolumineszente materialien und vorrichtungen |
| EP4580378A1 (de) | 2023-12-15 | 2025-07-02 | Universal Display Corporation | Organische elektrolumineszente materialien und vorrichtungen |
Also Published As
| Publication number | Publication date |
|---|---|
| US20100264405A1 (en) | 2010-10-21 |
| EP2205615A1 (de) | 2010-07-14 |
| KR20100090259A (ko) | 2010-08-13 |
| CN101896493A (zh) | 2010-11-24 |
| KR101612135B1 (ko) | 2016-04-12 |
| US8258297B2 (en) | 2012-09-04 |
| EP2205615B1 (de) | 2012-04-18 |
| CN101896493B (zh) | 2015-04-08 |
| JP2011500644A (ja) | 2011-01-06 |
| JP5615178B2 (ja) | 2014-10-29 |
| ATE554095T1 (de) | 2012-05-15 |
Similar Documents
| Publication | Publication Date | Title |
|---|---|---|
| EP2205615B1 (de) | Übergangsmetallkomplexe mit verbrückten carbenliganden und deren verwendung in oleds | |
| EP2203461B1 (de) | Übergangsmetallkomplexe mit verbrückten carbenliganden und deren verwendung in oleds | |
| EP2007779B1 (de) | Heteroleptische übergangsmetall-carben-komplexe und deren verwendung in organischen leuchtdioden (oleds) | |
| EP2007781B1 (de) | Übergangsmetallkomplexe, enthaltend einen nicht-carben- und ein oder zwei carbenliganden und deren verwendung in oleds | |
| EP2288671B1 (de) | Neue übergangsmetall-komplexe und deren verwendung in organischen leuchtdioden - iii | |
| EP2082447B1 (de) | Oled-anzeige mit verlängerter lebensdauer | |
| EP2035526B1 (de) | Verwendung von übergangsmetallcarbenkomplexen, die keine cyclometallierung über nicht-carbene enthalten, in oleds | |
| EP1658349B1 (de) | VERWENDUNG VON ÜBERGANGSMETALLKOMPLEXEN MIT CARBENLIGANDEN ALS EMITTER FÜR ORGANISCHE LICHT-EMITTIERENDE DIODEN (OLEDs) UND OLEDs | |
| EP2297800B1 (de) | Deuterierte übergangsmetall- komplexe und deren verwendung in organischen leuchtdioden | |
| DE102004057072A1 (de) | Verwendung von Übergangsmetall-Carbenkomplexen in organischen Licht-emittierenden Dioden (OLEDs) | |
| EP2044169A1 (de) | Verwendung von pt- und pd-bis- und tetracarbenkomplexen mit verbrückten carbenliganden in oleds | |
| WO2009150140A1 (de) | Neue übergangsmetall-komplexe und deren verwendung in organischen leuchtdioden - iv |
Legal Events
| Date | Code | Title | Description |
|---|---|---|---|
| WWE | Wipo information: entry into national phase |
Ref document number: 200880120186.7 Country of ref document: CN |
|
| 121 | Ep: the epo has been informed by wipo that ep was designated in this application |
Ref document number: 08840571 Country of ref document: EP Kind code of ref document: A1 |
|
| WWE | Wipo information: entry into national phase |
Ref document number: 12738104 Country of ref document: US |
|
| WWE | Wipo information: entry into national phase |
Ref document number: 2010529402 Country of ref document: JP |
|
| NENP | Non-entry into the national phase |
Ref country code: DE |
|
| ENP | Entry into the national phase |
Ref document number: 20107010659 Country of ref document: KR Kind code of ref document: A |
|
| WWE | Wipo information: entry into national phase |
Ref document number: 2008840571 Country of ref document: EP |









































