WO2008011392A2 - Proline urea ccr1 antagonists for the treatment of autoimmune diseases or inflammation - Google Patents
Proline urea ccr1 antagonists for the treatment of autoimmune diseases or inflammation Download PDFInfo
- Publication number
- WO2008011392A2 WO2008011392A2 PCT/US2007/073656 US2007073656W WO2008011392A2 WO 2008011392 A2 WO2008011392 A2 WO 2008011392A2 US 2007073656 W US2007073656 W US 2007073656W WO 2008011392 A2 WO2008011392 A2 WO 2008011392A2
- Authority
- WO
- WIPO (PCT)
- Prior art keywords
- alkyl
- compound according
- moiety
- substituted
- aromatic ring
- Prior art date
- Legal status (The legal status is an assumption and is not a legal conclusion. Google has not performed a legal analysis and makes no representation as to the accuracy of the status listed.)
- Ceased
Links
- 0 *NCc(cc1)ccc1Cl Chemical compound *NCc(cc1)ccc1Cl 0.000 description 9
- FVSLECVPYWRDFI-GOSISDBHSA-N CN(Cc(cc1)ccc1Cl)C([C@@H](CCC1)N1C(Nc1ccc(C(F)(F)F)cc1)=S)=O Chemical compound CN(Cc(cc1)ccc1Cl)C([C@@H](CCC1)N1C(Nc1ccc(C(F)(F)F)cc1)=S)=O FVSLECVPYWRDFI-GOSISDBHSA-N 0.000 description 1
- LKCDPMQGKFFCLN-UHFFFAOYSA-N CS(C)=Nc1ccc(C(F)(F)F)cc1 Chemical compound CS(C)=Nc1ccc(C(F)(F)F)cc1 LKCDPMQGKFFCLN-UHFFFAOYSA-N 0.000 description 1
- IMVKODTWWSSKIT-UHFFFAOYSA-N CSCc1cc(C(F)(F)F)ccc1N Chemical compound CSCc1cc(C(F)(F)F)ccc1N IMVKODTWWSSKIT-UHFFFAOYSA-N 0.000 description 1
Classifications
-
- C—CHEMISTRY; METALLURGY
- C07—ORGANIC CHEMISTRY
- C07D—HETEROCYCLIC COMPOUNDS
- C07D207/00—Heterocyclic compounds containing five-membered rings not condensed with other rings, with one nitrogen atom as the only ring hetero atom
- C07D207/02—Heterocyclic compounds containing five-membered rings not condensed with other rings, with one nitrogen atom as the only ring hetero atom with only hydrogen or carbon atoms directly attached to the ring nitrogen atom
- C07D207/04—Heterocyclic compounds containing five-membered rings not condensed with other rings, with one nitrogen atom as the only ring hetero atom with only hydrogen or carbon atoms directly attached to the ring nitrogen atom having no double bonds between ring members or between ring members and non-ring members
- C07D207/10—Heterocyclic compounds containing five-membered rings not condensed with other rings, with one nitrogen atom as the only ring hetero atom with only hydrogen or carbon atoms directly attached to the ring nitrogen atom having no double bonds between ring members or between ring members and non-ring members with hetero atoms or with carbon atoms having three bonds to hetero atoms with at the most one bond to halogen, e.g. ester or nitrile radicals, directly attached to ring carbon atoms
- C07D207/16—Carbon atoms having three bonds to hetero atoms with at the most one bond to halogen, e.g. ester or nitrile radicals
-
- A—HUMAN NECESSITIES
- A61—MEDICAL OR VETERINARY SCIENCE; HYGIENE
- A61P—SPECIFIC THERAPEUTIC ACTIVITY OF CHEMICAL COMPOUNDS OR MEDICINAL PREPARATIONS
- A61P1/00—Drugs for disorders of the alimentary tract or the digestive system
- A61P1/16—Drugs for disorders of the alimentary tract or the digestive system for liver or gallbladder disorders, e.g. hepatoprotective agents, cholagogues, litholytics
-
- A—HUMAN NECESSITIES
- A61—MEDICAL OR VETERINARY SCIENCE; HYGIENE
- A61P—SPECIFIC THERAPEUTIC ACTIVITY OF CHEMICAL COMPOUNDS OR MEDICINAL PREPARATIONS
- A61P11/00—Drugs for disorders of the respiratory system
- A61P11/06—Antiasthmatics
-
- A—HUMAN NECESSITIES
- A61—MEDICAL OR VETERINARY SCIENCE; HYGIENE
- A61P—SPECIFIC THERAPEUTIC ACTIVITY OF CHEMICAL COMPOUNDS OR MEDICINAL PREPARATIONS
- A61P13/00—Drugs for disorders of the urinary system
- A61P13/12—Drugs for disorders of the urinary system of the kidneys
-
- A—HUMAN NECESSITIES
- A61—MEDICAL OR VETERINARY SCIENCE; HYGIENE
- A61P—SPECIFIC THERAPEUTIC ACTIVITY OF CHEMICAL COMPOUNDS OR MEDICINAL PREPARATIONS
- A61P15/00—Drugs for genital or sexual disorders; Contraceptives
- A61P15/08—Drugs for genital or sexual disorders; Contraceptives for gonadal disorders or for enhancing fertility, e.g. inducers of ovulation or of spermatogenesis
-
- A—HUMAN NECESSITIES
- A61—MEDICAL OR VETERINARY SCIENCE; HYGIENE
- A61P—SPECIFIC THERAPEUTIC ACTIVITY OF CHEMICAL COMPOUNDS OR MEDICINAL PREPARATIONS
- A61P19/00—Drugs for skeletal disorders
- A61P19/02—Drugs for skeletal disorders for joint disorders, e.g. arthritis, arthrosis
-
- A—HUMAN NECESSITIES
- A61—MEDICAL OR VETERINARY SCIENCE; HYGIENE
- A61P—SPECIFIC THERAPEUTIC ACTIVITY OF CHEMICAL COMPOUNDS OR MEDICINAL PREPARATIONS
- A61P25/00—Drugs for disorders of the nervous system
-
- A—HUMAN NECESSITIES
- A61—MEDICAL OR VETERINARY SCIENCE; HYGIENE
- A61P—SPECIFIC THERAPEUTIC ACTIVITY OF CHEMICAL COMPOUNDS OR MEDICINAL PREPARATIONS
- A61P25/00—Drugs for disorders of the nervous system
- A61P25/28—Drugs for disorders of the nervous system for treating neurodegenerative disorders of the central nervous system, e.g. nootropic agents, cognition enhancers, drugs for treating Alzheimer's disease or other forms of dementia
-
- A—HUMAN NECESSITIES
- A61—MEDICAL OR VETERINARY SCIENCE; HYGIENE
- A61P—SPECIFIC THERAPEUTIC ACTIVITY OF CHEMICAL COMPOUNDS OR MEDICINAL PREPARATIONS
- A61P29/00—Non-central analgesic, antipyretic or antiinflammatory agents, e.g. antirheumatic agents; Non-steroidal antiinflammatory drugs [NSAID]
-
- A—HUMAN NECESSITIES
- A61—MEDICAL OR VETERINARY SCIENCE; HYGIENE
- A61P—SPECIFIC THERAPEUTIC ACTIVITY OF CHEMICAL COMPOUNDS OR MEDICINAL PREPARATIONS
- A61P31/00—Antiinfectives, i.e. antibiotics, antiseptics, chemotherapeutics
- A61P31/04—Antibacterial agents
-
- A—HUMAN NECESSITIES
- A61—MEDICAL OR VETERINARY SCIENCE; HYGIENE
- A61P—SPECIFIC THERAPEUTIC ACTIVITY OF CHEMICAL COMPOUNDS OR MEDICINAL PREPARATIONS
- A61P31/00—Antiinfectives, i.e. antibiotics, antiseptics, chemotherapeutics
- A61P31/12—Antivirals
-
- A—HUMAN NECESSITIES
- A61—MEDICAL OR VETERINARY SCIENCE; HYGIENE
- A61P—SPECIFIC THERAPEUTIC ACTIVITY OF CHEMICAL COMPOUNDS OR MEDICINAL PREPARATIONS
- A61P35/00—Antineoplastic agents
-
- A—HUMAN NECESSITIES
- A61—MEDICAL OR VETERINARY SCIENCE; HYGIENE
- A61P—SPECIFIC THERAPEUTIC ACTIVITY OF CHEMICAL COMPOUNDS OR MEDICINAL PREPARATIONS
- A61P37/00—Drugs for immunological or allergic disorders
- A61P37/02—Immunomodulators
-
- A—HUMAN NECESSITIES
- A61—MEDICAL OR VETERINARY SCIENCE; HYGIENE
- A61P—SPECIFIC THERAPEUTIC ACTIVITY OF CHEMICAL COMPOUNDS OR MEDICINAL PREPARATIONS
- A61P37/00—Drugs for immunological or allergic disorders
- A61P37/02—Immunomodulators
- A61P37/06—Immunosuppressants, e.g. drugs for graft rejection
-
- A—HUMAN NECESSITIES
- A61—MEDICAL OR VETERINARY SCIENCE; HYGIENE
- A61P—SPECIFIC THERAPEUTIC ACTIVITY OF CHEMICAL COMPOUNDS OR MEDICINAL PREPARATIONS
- A61P37/00—Drugs for immunological or allergic disorders
- A61P37/08—Antiallergic agents
-
- A—HUMAN NECESSITIES
- A61—MEDICAL OR VETERINARY SCIENCE; HYGIENE
- A61P—SPECIFIC THERAPEUTIC ACTIVITY OF CHEMICAL COMPOUNDS OR MEDICINAL PREPARATIONS
- A61P43/00—Drugs for specific purposes, not provided for in groups A61P1/00-A61P41/00
-
- C—CHEMISTRY; METALLURGY
- C07—ORGANIC CHEMISTRY
- C07D—HETEROCYCLIC COMPOUNDS
- C07D401/00—Heterocyclic compounds containing two or more hetero rings, having nitrogen atoms as the only ring hetero atoms, at least one ring being a six-membered ring with only one nitrogen atom
- C07D401/02—Heterocyclic compounds containing two or more hetero rings, having nitrogen atoms as the only ring hetero atoms, at least one ring being a six-membered ring with only one nitrogen atom containing two hetero rings
- C07D401/12—Heterocyclic compounds containing two or more hetero rings, having nitrogen atoms as the only ring hetero atoms, at least one ring being a six-membered ring with only one nitrogen atom containing two hetero rings linked by a chain containing hetero atoms as chain links
-
- C—CHEMISTRY; METALLURGY
- C07—ORGANIC CHEMISTRY
- C07D—HETEROCYCLIC COMPOUNDS
- C07D403/00—Heterocyclic compounds containing two or more hetero rings, having nitrogen atoms as the only ring hetero atoms, not provided for by group C07D401/00
- C07D403/02—Heterocyclic compounds containing two or more hetero rings, having nitrogen atoms as the only ring hetero atoms, not provided for by group C07D401/00 containing two hetero rings
- C07D403/12—Heterocyclic compounds containing two or more hetero rings, having nitrogen atoms as the only ring hetero atoms, not provided for by group C07D401/00 containing two hetero rings linked by a chain containing hetero atoms as chain links
-
- C—CHEMISTRY; METALLURGY
- C07—ORGANIC CHEMISTRY
- C07D—HETEROCYCLIC COMPOUNDS
- C07D405/00—Heterocyclic compounds containing both one or more hetero rings having oxygen atoms as the only ring hetero atoms, and one or more rings having nitrogen as the only ring hetero atom
- C07D405/02—Heterocyclic compounds containing both one or more hetero rings having oxygen atoms as the only ring hetero atoms, and one or more rings having nitrogen as the only ring hetero atom containing two hetero rings
- C07D405/12—Heterocyclic compounds containing both one or more hetero rings having oxygen atoms as the only ring hetero atoms, and one or more rings having nitrogen as the only ring hetero atom containing two hetero rings linked by a chain containing hetero atoms as chain links
-
- C—CHEMISTRY; METALLURGY
- C07—ORGANIC CHEMISTRY
- C07D—HETEROCYCLIC COMPOUNDS
- C07D409/00—Heterocyclic compounds containing two or more hetero rings, at least one ring having sulfur atoms as the only ring hetero atoms
- C07D409/02—Heterocyclic compounds containing two or more hetero rings, at least one ring having sulfur atoms as the only ring hetero atoms containing two hetero rings
- C07D409/12—Heterocyclic compounds containing two or more hetero rings, at least one ring having sulfur atoms as the only ring hetero atoms containing two hetero rings linked by a chain containing hetero atoms as chain links
-
- C—CHEMISTRY; METALLURGY
- C07—ORGANIC CHEMISTRY
- C07D—HETEROCYCLIC COMPOUNDS
- C07D409/00—Heterocyclic compounds containing two or more hetero rings, at least one ring having sulfur atoms as the only ring hetero atoms
- C07D409/14—Heterocyclic compounds containing two or more hetero rings, at least one ring having sulfur atoms as the only ring hetero atoms containing three or more hetero rings
-
- C—CHEMISTRY; METALLURGY
- C07—ORGANIC CHEMISTRY
- C07D—HETEROCYCLIC COMPOUNDS
- C07D413/00—Heterocyclic compounds containing two or more hetero rings, at least one ring having nitrogen and oxygen atoms as the only ring hetero atoms
- C07D413/02—Heterocyclic compounds containing two or more hetero rings, at least one ring having nitrogen and oxygen atoms as the only ring hetero atoms containing two hetero rings
- C07D413/12—Heterocyclic compounds containing two or more hetero rings, at least one ring having nitrogen and oxygen atoms as the only ring hetero atoms containing two hetero rings linked by a chain containing hetero atoms as chain links
-
- C—CHEMISTRY; METALLURGY
- C07—ORGANIC CHEMISTRY
- C07D—HETEROCYCLIC COMPOUNDS
- C07D413/00—Heterocyclic compounds containing two or more hetero rings, at least one ring having nitrogen and oxygen atoms as the only ring hetero atoms
- C07D413/14—Heterocyclic compounds containing two or more hetero rings, at least one ring having nitrogen and oxygen atoms as the only ring hetero atoms containing three or more hetero rings
-
- C—CHEMISTRY; METALLURGY
- C07—ORGANIC CHEMISTRY
- C07D—HETEROCYCLIC COMPOUNDS
- C07D417/00—Heterocyclic compounds containing two or more hetero rings, at least one ring having nitrogen and sulfur atoms as the only ring hetero atoms, not provided for by group C07D415/00
- C07D417/02—Heterocyclic compounds containing two or more hetero rings, at least one ring having nitrogen and sulfur atoms as the only ring hetero atoms, not provided for by group C07D415/00 containing two hetero rings
- C07D417/12—Heterocyclic compounds containing two or more hetero rings, at least one ring having nitrogen and sulfur atoms as the only ring hetero atoms, not provided for by group C07D415/00 containing two hetero rings linked by a chain containing hetero atoms as chain links
Definitions
- the present invention relates to proline urea CCRl antagonists which are useful for the treatment and prevention of inflammatory and autoimmune diseases.
- CCRl which is a receptor for CC chemokines, such as CCL5 (RANTES) and CCL3 (MIP- l ⁇ ).
- CCRl is a therapeutic target for a variety of diseases.
- CCRl-mediated leukocyte recruitment is important for interstitial inflammation in the kidney and that CCRl blockade late in renal disease can halt disease progression and improve renal function (J Am Soc Nephrol 15: 1504-1513, 2004).
- an animal model of neutrophil recruitment in response to MIP- l ⁇ demonstrates the positive biological and pharmacodynamic activity of CCRl antagonists (US 2005/0288319 Al).
- proline urea CCRl antagonists are provided. These compounds are useful for the treatment and prevention of inflammatory and autoimmune diseases.
- compounds of the formula I wherein
- B is halo-substituted phenyl or halo-substituted monocyclic heteroaryl;
- R 1 is chosen from (Ci-C 3 )alkyl and hydro xy(C 2 -C 3 )alkyl , or R 1 is bonded to B so as to form a five- to seven- membered ring which is fused to B;
- R 2a is H or lower alkyl;
- R 8 is H or methyl; or Y, R 8 and the carbon atom to which R 8 is attached combine to form a three-membered carbocyclic ring;
- X is chosen from O, S, CH-NO 2
- a ⁇ is a bicyclic carbocyclic moiety in which one ring is aromatic and the other ring is a 5-7 membered non-aromatic ring, wherein in the non-aromatic ring portion of the moiety one carbon atom has been replaced with a heteroatom, the moiety being substituted in the aromatic ring portion thereof with from 0-3 substituents selected from halogen, C 1-6 alkyl, - 0-C 1 - ⁇ alkyl and perfluoroC ⁇ alkyl, the moiety being substituted in the non-aromatic ring portion thereof with from 0-3 substituents selected from Ci ⁇ alkyl, OH and -OCi ⁇ alkyl, the moiety being connected to
- the compound of formula I is of the formula IA:
- R 1 is selected from (C 1-3 )alkyl, hydro XyI(C 1 -3 )alkyl, and (C 1-3 )oxaalkyl; and R 2 is halogen.
- the compound of formula I is of the formula IB:
- A is a group A 1 . In some embodiments, when A is a group
- a 1 , A 1 is substituted with from 1 to 3 electron- withdrawing substituents.
- the electron-withdrawing substituents are selected from the group consisting of
- C 1-6 alkyl aryl, heteroaryl, halogen, perfluoroCi ⁇ alkyl, -O-Ci ⁇ alkyl, -O-perfluoroCi.
- A is 4-chloro-2,6-difluorophenyl. In some embodiments A is 4- trifiuoromethyl-2,6-dimethylphenyl.
- A is a group A 11 In some embodiments, when A is a group
- a 11 is substituted by at least one of the following substituents: C ⁇ alkyl and substituted phenyl.
- a 11 is 5-(6-fluorophenyl)-isoxazol-4-yl, R 1 is methyl, R 2 is
- A is a group A m
- a 111 is l-[2-chlorophenyl]-ethyl
- R 1 is methyl
- R 2 is Cl
- R 8 is H.
- A is a group A IV .
- ATM is a group AP / ⁇ .
- ATM* is
- a IVa is selected from the group
- R 1 is methyl
- R 2 is Cl
- R 8 is H.
- a . IVa has the following stereochemistry:
- a Ivb is wherein one of W 1 and W 2 is CH 2 CH 2 ,
- R and R" are each independently lower alkyl, and Z , Z and Z are each independently selected from H, halogen, C h alky!, Ci ⁇ alkoxy, and perfluoroCi-ealkyl.
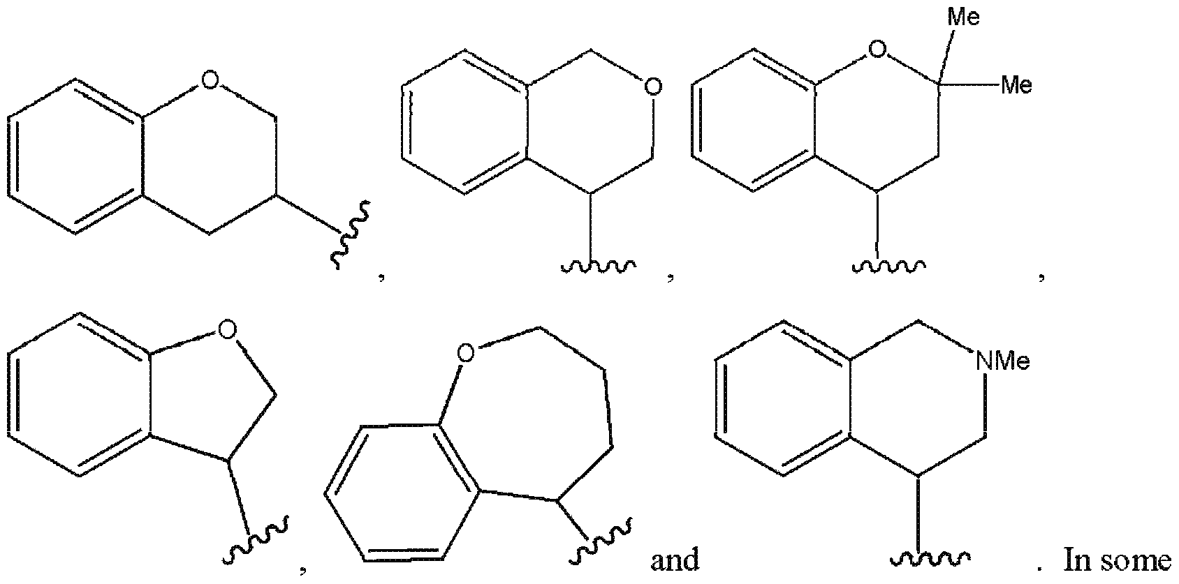
- ATM is 6-chlorochroman-3-yl
- R 1 is methyl
- R 2 is Cl
- R 8 is H.
- a ⁇ is a group A ⁇ 0 .
- W 3 and W 4 wherein (a) one of W 3 and W 4 is N and the other of W 3 and W 4 is CH, or (b) one of W 3 and W 4 is NH, O or S and the other of W 3 and W 4 is a bond, and Z 1 , Z 2 and Z 3 are each independently selected from H, halogen, Ci-ealkyl, C ⁇ alkoxy, and perfluoroCi-ealkyl.
- W 3 is CH and W 4 is N.
- a ⁇ 0 has the structure:
- ATM is selected from: and wherein one ofW 1 and W 2 is O, S or N(loweralkyl), and the other of W 1 and W 2 is CH 2 ; and wherein (a) one of W 3 and W 4 is N and the other of W 3 and W 4 is CH, or (b) one of W 3 and W 4 is NH, O or S and the other of W 3 and W 4 is a bond, and Z 1 , Z 2 and Z 3 are each independently selected from H, halogen, C ⁇ alkyl, Ci ⁇ alkoxy, and perfluoroCi ⁇ alkyl.
- ATM is 3,4-dihydro-2H-pyrano [2,3-b]pyridine-4-yl.
- A is a group A . In some embodiments, A is cycloalkyl. [0018] In some embodiments, Y is chosen from -CHOH- and -O-. In some embodiments Y is -CH 2 -.
- X 2 is O.
- A is chosen from (C 1 -Ce) linear alkyl, (C 1 -C O ) branched alkyl, (C 3 -C 1O )CyClOaIlCyI and substituted (C 3 -C 1O )CyClOaIlCyI.
- A is chosen from benzene, naphthalene, indane, tetralin and their substituted counterparts.
- A is chosen from isoxazole, thiophene, furan, pyrrole, pyridine, piperidine, oxazole, thiazole, pyrazole, and their substituted counterparts.
- A is chosen from benzopyran, dihydrobenzopyran, indole, benzofuran, benzothiene, quinoline, isoquinoline, naphthyridine, benzimidazole, benzoxadiazole and benzothiadiazole and their substituted counterparts. In some embodiments A is chosen from
- R 5 is chosen from (C 1 -C 6 )alkyl, phenyl, benzyl, -CH 2 OH, -
- R 6 is chosen from hydrogen, (Ci-C 6 )alkyl, phenyl, benzyl, and when attached to carbon, - CH 2 OH;
- X 5 is S or O;
- X 6 is -CH- or -N-, and X 7 is -CH 2 - or -O-.
- the compound of formula I is of the formula Id.
- A is chosen from phenyl, benzyl, lndanyl, pyridinyl, cyclohexyl and their mono and di-substituted counterparts. In some embodiments, when the compound is of formula Id, A is chosen from phenyl and benzyl, each optionally substituted with one or two substituents chosen from halogen, CF 3 ,
- R 1 is methyl
- R 2 is chosen from Cl and F In some embodiments R 2 is 4-
- compositions comprising one or more compounds of formulae I or II and a pharmaceutically acceptable carrier.
- inflammatory or autoimmune diseases comprising administering a compound of formulae I or II.
- the inflammatory disease or autoimmune disease is rheumatoid arthritis or multiple sclerosis.
- the cancer is multiple myeloma.
- a disease disease or condition selected from the group consisting of hepatocellular carcinoma, respiratory synctial virus (RSV), kidney disease, allergic asthma, Alport disease (which includes glumerulosclerosis and progressive renal fibrosis), prion diseases, sepsis, T-cell mediated liver diseases, severe respiratory viruses, chronic renal injury, and transplant and cardio allograft vascalopathy (chronic rejection) comprising administering a compound of formula I or II.
- a disease disease or condition selected from the group consisting of hepatocellular carcinoma, respiratory synctial virus (RSV), kidney disease, allergic asthma, Alport disease (which includes glumerulosclerosis and progressive renal fibrosis), prion diseases, sepsis, T-cell mediated liver diseases, severe respiratory viruses, chronic renal injury, and transplant and cardio allograft vascalopathy (chronic rejection) comprising administering a compound of formula I or II.
- the Alport disease is renal fibrosis.
- Alkyl is intended to include linear, branched, or cyclic hydrocarbon structures and combinations thereof.
- Lower alkyl refers to alkyl groups of from 1 to 6 carbon atoms.
- lower alkyl groups include methyl, ethyl, propyl, isopropyl, butyl, s-and t- butyl and the like.
- Preferred alkyl and alkylene groups are those of C 20 or below.
- Cycloalkyl is a subset of alkyl and includes cyclic hydrocarbon groups of from 3 to 8 carbon atoms.
- Examples of cycloalkyl groups include c-propyl, c-butyl, c-pentyl, norbornyl, adamantyl and the like.
- C 1 to C 2 o hydrocarbon includes alkyl, cycloalkyl, alkenyl, alkynyl, aryl and combinations thereof. Examples include benzyl, phenethyl, cyclohexylmethyl, camphoryl and naphthylethyl.
- carbocycle refers to a cyclic structure, the ring or rings of which are composed only of carbon.
- phenyl, naphthyl, cyclopentyl and cycloheptadienyl are carbocycle residues, pyrolidinyl is not.
- Alkoxy or alkoxyl refers to groups of from 1 to 8 carbon atoms of a straight, branched, cyclic configuration and combinations thereof attached to the parent structure through an oxygen. Examples include methoxy, ethoxy, propoxy, isopropoxy, cyclopropyloxy, cyclohexyloxy and the like. Lower-alkoxy refers to groups containing one to four carbons.
- Oxaalkyl refers to alkyl residues in which one or more carbons (and their associated hydrogens) have been replaced by oxygen. Examples include methoxypropoxy,
- thiaalkyl and azaalkyl refer to alkyl residues in which one or more carbons have been replaced by sulfur or nitrogen, respectively. Examples include ethylamino ethyl and methylthiopropyl.
- Acyl refers to groups of from 1 to 8 carbon atoms of a straight, branched, cyclic configuration, saturated, unsaturated and aromatic and combinations thereof, attached to the parent structure through a carbonyl functionality.
- One or more carbons in the acyl residue may be replaced by nitrogen, oxygen or sulfur as long as the point of attachment to the parent remains at the carbonyl. Examples include formyl, acetyl, propionyl, isobutyryl, t- butoxycarbonyl, benzoyl, benzyloxycarbonyl and the like.
- Lower-acyl refers to groups containing one to four carbons.
- Aryl and heteroaryl refer to aromatic or heteroaromatic rings, respectively, as substituents.
- Heteroaryl contains 0-3 heteroatoms selected from O, N, or S. Both refer to monocyclic 5- or 6-membered aromatic or heteroaromatic rings, bicyclic 9- or 10- membered aromatic or heteroaromatic rings and tricyclic 13- or 14-membered aromatic or heteroaromatic rings.
- Aromatic 6- to 14-membered carbocyclic rings include, e.g., benzene, naphthalene, indane, tetralin, and fiuorene and the 5- to 10-membered aromatic heterocyclic rings include, e.g., imidazole, pyridine, indole, 4,5,6,7-tetrahydrobenzofuran, thiophene, benzopyranone, thiazole, furan, benzimidazole, quinoline, isoquinoline, quinoxaline, pyrimidine, pyrazine, tetrazole and pyrazole.
- the terms "unsaturated aryl” or “unsaturated heteroaryl” refer to aryl and heteroaryl moieties, respectively, which are aromatic in all rings of the moiety.
- Arylalkyl refers to a substituent in which an aryl residue is attached to the parent structure through alkyl. Examples are benzyl, phenethyl and the like. Hetero arylalkyl refers to a substituent in which a heteroaryl residue is attached to the parent structure through alkyl. Examples include, e.g., pyridinylmethyl, pyrimidinylethyl and the like. [0039] Heterocycle means a carbocycle in which from one to four carbons is replaced by a heteroatom selected from the group consisting of N, O and S. The nitrogen and sulfur heteroatoms may optionally be oxidized, and the nitrogen heteroatom may optionally be quaternized.
- heterocycles that fall within the scope of embodiments of the invention include pyrrolidine, pyrazole, pyrrole, indole, quinoline, isoquinoline, tetrahydroisoquinoline, benzofuran, isobenzofuran, dihydrobenzofuran, tetrahydrobenzofiiran, benzothiophene, benzothiophene oxide, benzothiophene dioxide, benzodioxan, benzodioxole (commonly referred to as methylenedioxyphenyl, when occurring as a substituent), tetrazole, morpholine, thiazole, pyridine, pyridazine, pyrimidine, thiophene, furan, oxazole, oxazoline, isoxazole, dioxane, tetrahydrofuran, benzooxadiazole, dihydrobenzooxadiazole, benzothiadiazole,
- heteroaryl is a subset of heterocycle in which the heterocycle is aromatic.
- heterocyclyl residues additionally include piperazinyl, 2- oxopiperazinyl, 2-oxopiperidinyl, 2-oxo-pyrrolidinyl, 2-oxoazepinyl, azepinyl, 4- piperidinyl, pyrazolidinyl, imidazolyl, imidazolinyl, imidazolidinyl, pyrazinyl, oxazolidinyl, isoxazolidinyl, thiazolidinyl, isothiazolyl, quinuclidinyl, isothiazolidinyl, benzimidazolyl, thiadiazolyl, benzopyranyl, benzothiazolyl, tetrahydrofuryl, tetrahydropyranyl, thienyl, benzothienyl, thiamorpholinyl, thia
- Substituted alkyl, aryl, cycloalkyl, heterocyclyl etc. refer to alkyl, aryl, cycloalkyl, or heterocyclyl wherein up to six H atoms in each residue are replaced with halogen, haloalkyl (which includes monohaloalkyl up to perhaloalkyl), hydroxy, loweralkoxy, haloloweralkoxy (which includes monohaloalkoxy up to perhaloalkoxy), carboalkoxy (also referred to as alkoxycarbonyl), carboxamido (also referred to as alkylaminocarbonyl), cyano, acyl, acyloxy (also referred to as alkylcarbonyloxy), -COOH, oxaalkyl, thiaalkyl, nitro, amino, alkylamino, dialkylamino, mercapto, alkylthio, haloloweralkylthiol (which includes
- the substituent group is aryl, cycloalkyl, heterocyclyl, aryloxy, cycloalkyloxy or heterocyclyloxy, e.g. when in a "substituted alkyl" moiety one of the hydrogen atoms is replaced by aryl, cycloalkyl, heterocyclyl, aryloxy, cycloalkyloxy or heterocyclyloxy, the substituent group itself many be further substituted with one to three groups selected from alkyl, halogen, haloalkyl, hydroxy, alkoxy, haloalkoxy, oxaalkyl, thiaalkyl, alkyl-SO 2 - and -S0 2 -heterocycle.
- Substituted alkyl, aryl, cycloalkyl, heterocyclyl etc. also refer to perhalogenated alkyl, aryl, cycloalkyl, or heterocyclyl, i.e. where all the hydrogen atoms on the alkyl, aryl, cycloalkyl, or heterocyclyl moiety are replaced with halogen.
- substituted aryl or substituted heteroaryl and said aryl or heteroaryl moiety contains a non- aromatic portion (e.g.
- the substituent may be attached to either the aromatic or the non-aromatic portion of the aryl or heteroaryl moiety.
- Substituted counterparts means the named substituent, but substituted. For instance, if A is chosen from benzene or naphthalene and their substituted counterparts, then the substituted counterpart for benzene is substituted benzene, and the substituted counterpart for naphthalene is substituted napthalene. In particular, for instance, where A is pyridinyl, a mono-substituted counterpart is and where Q is benzene (i.e. phenyl), a di-substituted counterpart is
- halogen means fluorine, chlorine, bromine or iodine.
- prodrug refers to a compound that is made more active in vivo. Commonly the conversion of prodrug to drug occurs by enzymatic processes in the liver or blood of the mammal. Many of the compounds in accordance with embodiments of the invention may be chemically modified without absorption into the systemic circulation, and in those cases, activation in vivo may come about by chemical action (as in the acid- catalyzed cleavage in the stomach) or through the intermediacy of enzymes and microflora in the gastrointestinal GI tract.
- R 1 is always chosen from (C 1 -C 3 )alkyl and hydroxy(C 2 -C 3 )alkyl although, in accordance with standard patent practice, in dependent claims it may be restricted to a subset of these values.
- the compounds in accordance with embodiments of this invention can exist in radiolabeled form, i.e., the compounds may contain one or more atoms containing an atomic mass or mass number different from the atomic mass or mass number usually found in nature.
- Radioisotopes of hydrogen, carbon, phosphorous, fluorine, and chlorine include H, C, S, F, and Cl, respectively.
- Compounds that contain those radioisotopes and/or other radioisotopes of other atoms are within the scope of this invention. Tritiated, i.e. 3 H, and carbon- 14, i.e., 14 C, radioisotopes are particularly known for their ease in preparation and detectability.
- Radiolabeled compounds of Formulas I- II and prodrugs thereof can generally be prepared by methods well known to those skilled in the art. Conveniently, such radiolabeled compounds can be prepared by carrying out the procedures disclosed in the Examples and Schemes by substituting a readily available radiolabeled reagent for a non-radiolabeled reagent.
- the terms "methods of treating or preventing” mean amelioration, prevention or relief from the symptoms and/or effects associated with lipid disorders.
- the term "preventing” as used herein refers to administering a medicament beforehand to forestall or obtund an acute episode or, in the case of a chronic condition to diminish the likelihood or seriousness of the condition.
- the term "mammal” is used in its dictionary sense.
- the term “mammal” includes, for example, mice, hamsters, rats, cows, sheep, pigs, goats, and horses, monkeys, dogs (e.g., Car ⁇ sfamiliaris), cats, rabbits, guinea pigs, and primates, including humans.
- the compounds described herein contain at least one asymmetric center and may thus give rise to enantiomers, diastereomers, and other stereoisomer ⁇ forms. Each chiral center may be defined, in terms of absolute stereochemistry, as (R)- or (S)-.
- Optically active (R)- and (S)- isomers may be prepared using chiral synthons or chiral reagents, or resolved using conventional techniques.
- R optically active
- S secondary reagents
- the compounds described herein contain olefinic double bonds or other centers of geometric asymmetry, and unless specified otherwise, it is intended that the compounds include both E and Z geometric isomers.
- all tautomeric forms are also intended to be included, unless indicated otherwise.
- the graphic representations of racemic, ambiscalemic and scalemic or enantiomerically pure compounds used herein are taken from Maehr I Chem. Ed. 62.
- any carbon-carbon double bond appearing herein is selected for convenience only and is not intended to designate a particular configuration; thus a carbon-carbon double bond depicted arbitrarily herein as E may be Z, E, or a mixture of the two in any proportion, unless noted otherwise.
- a protecting group refers to a group which is used to mask a functionality during a process step in which it would otherwise react, but in which reaction is undesirable.
- the protecting group prevents reaction at that step, but may be subsequently removed to expose the original functionality. The removal or "deprotection” occurs after the completion of the reaction or reactions in which the functionality would interfere.
- solvate refers to a compound of Formulae I or II in the solid state, wherein molecules of a suitable solvent are incorporated in the crystal lattice.
- a suitable solvent for therapeutic administration is physiologically tolerable at the dosage administered.
- suitable solvents for therapeutic administration are ethanol and water. When water is the solvent, the solvate is referred to as a hydrate.
- solvates are formed by dissolving the compound in the appropriate solvent and isolating the solvate by cooling or using an antisolvent. The solvate is typically dried or azeotroped under ambient conditions.
- Inclusion complexes are described in Remington: The Science and Practice of Pharmacy 19* Ed. (1995) volume 1, page 176-177, which is incorporated herein by reference. The most commonly employed inclusion complexes are those with cyclodextrins, and all cyclodextrin complexes, natural and synthetic, are specifically encompassed within the claims.
- salts refers to salts prepared from pharmaceutically acceptable non-toxic acids or bases including inorganic acids and bases and organic acids and bases.
- salts may be prepared from pharmaceutically acceptable non-toxic acids including inorganic and organic acids.
- Suitable pharmaceutically acceptable acid addition salts for the compounds of the present invention include acetic, benzenesulfomc (besylate), benzoic, camphorsulfonic, citric, ethenesulfonic, fumaric, gluconic, glutamic, hydrobromic, hydrochloric, isethionic, lactic, maleic, malic, mandelic, methanesulfonic, mucic, nitric, pamoic, pantothenic, phosphoric, succinic, sulfuric, tartaric acid, p-toluenesulfonic, and the like.
- suitable pharmaceutically acceptable base addition salts for the compounds of the present invention include metallic salts made from aluminum, calcium, lithium, magnesium, potassium, sodium and zinc or organic salts made from lysine, N,N'-dibenzylethylenediamine, chloroprocaine, choline, diethanolamine, ethylenediamine, meglumine (N-methylglucamine) and procaine.
- Me, Et, Ph, Tf, Ts, Ac, Boc and Ms represent methyl, ethyl, phenyl, trifluoromethanesulfonyl, toluenesulfonyl, acyl, butyloxycarbonyl and methanesulfonyl respectively.
- HPLC, THF, DCM and DMSO represent high performance liquid chromatography, tetrahydrofuran, dichloromethane and dimethylsulfoxide, respectively.
- a comprehensive list of abbreviations utilized by organic chemists i.e. persons of ordinary skill in the art appears in the first issue of each volume of the Journal of Organic Chemistry. The list, which is typically presented in a table entitled "Standard List of Abbreviations" is incorporated herein by reference.
- the compounds of formulae I and II may be administered as the raw chemical, in other embodiments of the invention they may be presented as a pharmaceutical composition.
- a pharmaceutical compositions comprising a compound of formulae I or II or a pharmaceutically acceptable salt or solvate thereof, together with one or more pharmaceutically carriers thereof and optionally one or more other therapeutic ingredients.
- the carrier(s) must be "acceptable” in the sense of being compatible with the other ingredients of the formulation and not deleterious to the recipient thereof.
- the formulations include those suitable for oral, parenteral (including subcutaneous, intradermal, intramuscular, intravenous and intraarticular), rectal and topical (including dermal, buccal, sublingual and intraocular) administration.
- the most suitable route may depend upon the condition and disorder of the recipient.
- the formulations may conveniently be presented in unit dosage form and may be prepared by any of the methods well known in the art of pharmacy. All methods include the step of bringing into association a compound of general formula I or a pharmaceutically acceptable salt or solvate thereof ("active ingredient”) with the carrier, which constitutes one or more accessory ingredients.
- Formulations in accordance with embodiments of the present invention suitable for oral administration may be presented as discrete units such as capsules, cachets or tablets each containing a predetermined amount of the active ingredient; as a powder or granules; as a solution or a suspension in an aqueous liquid or a non-aqueous liquid; or as an oil-in- water liquid emulsion or a water-in-oil liquid emulsion.
- the active ingredient may also be presented as a bolus, electuary or paste.
- a tablet may be made by compression or molding, optionally with one or more accessory ingredients.
- Compressed tablets may be prepared by compressing in a suitable machine the active ingredient in a free-flowing form such as a powder or granules, optionally mixed with a binder, lubricant, inert diluent, lubricating, surface active or dispersing agent.
- Molded tablets may be made by molding in a suitable machine a mixture of the powdered compound moistened with an inert liquid diluent.
- the tablets may optionally be coated or scored and may be formulated so as to provide sustained, delayed or controlled release of the active ingredient therein.
- the pharmaceutical compositions may include a "pharmaceutically acceptable inert carrier", and this expression is intended to include one or more inert excipients, which include starches, polyols, granulating agents, microcrystalline cellulose, diluents, lubricants, binders, disintegrating agents, and the like. If desired, tablet dosages of the disclosed compositions may be coated by standard aqueous or nonaqueous techniques, "Pharmaceutically acceptable carrier” also encompasses controlled release means.
- compositions in accordance with embodiments of the present invention may also optionally include other therapeutic ingredients, anti-caking agents, preservatives, sweetening agents, colorants, flavors, desiccants, plasticizers, dyes, and the like. Any such optional ingredient must, of course, be compatible with the active ingredient to insure the stability of the formulation.
- the dose range for adult humans is generally from 0.005 mg to 10 g/day orally. Tablets or other forms of presentation provided in discrete units may conveniently contain an amount of compound of formulae I or II, or a combination thereof, which is effective at such dosage or as a multiple of the same, for instance, units containing 5 mg to 500 mg, usually around 10 mg to 200 mg.
- the precise amount of compound administered to a patient will be the responsibility of the attendant physician. However, the dose employed will depend on a number of factors, including the age and sex of the patient, the precise disorder being treated, and its severity.
- Combination therapy can be achieved by administering two or more agents, each of which is formulated and administered separately, or by administering two or more agents in a single formulation.
- combination therapy two agents can be formulated together and administered in conjunction with a separate formulation containing a third agent. While the two or more agents in the combination therapy can be administered simultaneously, they need not be.
- administration of a first agent (or combination of agents) can precede administration of a second agent (or combination of agents) by minutes, hours, days, or weeks.
- the two or more agents can be administered within minutes of each other or within 1, 2, 3, 6, 9, 12, 15, 18, or 24 hours of each other or within 1, 2, 3, 4, 5, 6, 7, 8, 9, 10, 12, 14 days of each other or within 2, 3, 4, 5, 6, 7, 8, 9, or 10 weeks of each other. In some cases even longer intervals are possible.
- Combination therapy can also include two or more administrations of one or more of the agents used in the combination. For example, if agent X and agent Y are used in a combination, one could administer them sequentially in any combination one or more times, e.g., in the order X-Y-X, X-X-Y, Y-X-Y, Y-Y-X, X-X-Y-Y, etc.
- CCRl antagonists As such, they have utility in treating and preventing autoimmune disease and inflammatory diseases.
- CCRl antagonists are therapeutic targets for the treatment and prevention of a variety of diseases, including autoimmune diseases (such as rheumatoid arthritis, Takayasu arthritis, psoriatic arthritis, ankylosing spondylitis, type 1 diabetes (recent onset), lupus, inflammatory bowel disease, Crohn's disease, optic neuritis, psoriasis, multiple sclerosis, polymyalgia rheumatica, uveitis, thyroiditis and vasculitis); fibrosis (e.g. pulmonary fibrosis (i.e.
- idiopathic pulmonary fibrosis interstitial pulmonary fibrosis
- fibrosis associated with end-stage renal disease fibrosis caused by radiation, tubulo interstitial fibrosis, subepithelial fibrosis, scleroderma (progressive systemic sclerosis), hepatic fibrosis (including that caused by alcoholic or viral hepatitis), primary and secondary biliary cirrhosis); diabetic nephropathy; allergic conditions (such as asthma, contact dermatitis and atopic dermatitis); acute and chronic lung inflammation (such as chronic bronchitis, chronic obstructive pulmonary disease, adult Respiratory Distress Syndrome, Respiratory Distress Syndrome of infancy, immune complex alveolitis); atherosclerosis; vascular inflammation resulting from tissue transplant or during restenosis (including, but not limited to restenosis following angioplasty and/or stent insertion); other acute and chronic inflammatory conditions (such as synovial inflammation caused by arth
- Compounds of formula I and II may also inhibit the production of metallo proteinases and cytokines at inflammatory sites (including but not limited to MMP9, TNF, IL-I, and IL-6) either directly or indirectly (as a consequence of decreasing cell infiltration) thus providing benefit for diseases or conditions linked to these cytokines (such as joint tissue damage, hyperplasia, pannus formation and bone resorption, hepatic failure, Kawasaki syndrome, myocardial infarction, acute liver failure, septic shock, congestive heart failure, pulmonary emphysema or dyspnea associated therewith).
- cytokines such as joint tissue damage, hyperplasia, pannus formation and bone resorption, hepatic failure, Kawasaki syndrome, myocardial infarction, acute liver failure, septic shock, congestive heart failure, pulmonary emphysema or dyspnea associated therewith.
- Compounds of formula I and II may also prevent tissue damage caused by inflammation induced by infectious agents (such as viral induced encephalomyelitis or demyelination, viral inflammation of the lung or liver (e.g. caused by influenza or hepatitis or respiratory syncytial virus), gastrointestinal inflammation (for example, resulting from H.
- infectious agents such as viral induced encephalomyelitis or demyelination, viral inflammation of the lung or liver (e.g. caused by influenza or hepatitis or respiratory syncytial virus), gastrointestinal inflammation (for example, resulting from H.
- pylori infection inflammation resulting from: bacterial meningitis, HIV- 1, HIV-2, HIV-3, cytomegalovirus (CMV), adenoviruses, Herpes viruses (Herpes zoster and Herpes simplex) fungal meningitis, lyme disease, malaria), arterial remodeling characterized by neointima formation and medial thickening for mediating inflammatory cell recruitment and endothelial dysfunction.
- CMV cytomegalovirus
- Herpes viruses Herpes zoster and Herpes simplex fungal meningitis, lyme disease, malaria
- arterial remodeling characterized by neointima formation and medial thickening for mediating inflammatory cell recruitment and endothelial dysfunction.
- R 1 is methyl. In some embodiments, R 1 is bonded to B to form a fused bicyclic ring such as:
- X 2 is chosen from O, S and NCN. In some embodiments X 2 is O. In some embodiments Y is -CH 2 -.
- A is a group A 1 , i.e. a mono- or bicyclic unsaturated aryl which is substituted with from 0 to 3 substituents.
- the substituents are selected from the group consisting of C 1 ⁇ alkyl, aryl, heteroaryl, halogen, perfluoroCi.
- A is a group A 11 , i.e. a mono- or bicyclic unsaturated heteroaryl which is substituted with from 0 to 3 substituents.
- the substituents are selected from the group consisting Of C 1-6 alkyl, aryl, heteroaryl, halogen, perfluoroCi ⁇ alkyl, -O-C ⁇ alkyl, -O-perfluoroCi-ealkyl, -S-C ⁇ alkyl, -S-perfluoroC ⁇ alkyl, -
- A is a group A
- A is a group A IV .
- ATM is a group
- ATM is a group A ⁇ . In some embodiments, ATM is a group
- a IVc is a group ATM .
- the compound is of formula I, and A is a group A v , i.e. A is selected from the group consisting of optionally substituted alkyl, optionally substituted cycloalkyl and optionally substituted non-aromatic heterocyclyl.
- the compound is of formula II, and A is a group A v , i.e. A is selected from the group consisting of optionally substituted cycloalkyl and optionally substituted non-aromatic heterocyclyl.
- A is chosen from the following structures : wherein
- R 6 is chosen from hydrogen, (C 1 -C 6 )alkyl, phenyl, benzyl, and, when attached to carbon, - CH 2 OH;
- X 5 is S or O;
- X 6 is -CH- or -N-, and X 7 is -CH 2 - or -O-.
- R 2 is chosen from Cl and F In some embodiments, R 2 is 4- Cl. In some embodiments, R 2 is chosen from Cl and F, and when Y is CH 2 , the carbon at position 2 of the pyrolidine ring is of the R configuration. In some embodiments A is substituted phenyl or benzyl.
- compositions comprising one or more compounds of formula I or II and a pharmaceutically acceptable carrier, which can be administered to a patient in need of such treatment or prevention.
- Pharmaceutical formulations comprising the aforementioned genera act to antagonize the CCRl receptor.
- the pharmaceutical formulations may be administered alone or in combination with another agent, hormone, or drug, and may be administered by any number of acceptable routes.
- Pharmaceutical formulations suitable for the use in accordance with embodiments of the invention include formulations wherein the active ingredients are contained in an effective amount to achieve the intended purpose. The determination of an effective dose is well within the capability of those skilled in the art.
- tert-Butyl-4-isocyanatopiperidine-l-carboxylate To a stirred solution of triphosgene (0.22 g, 0.74 mmol) in dichloromethane (5 ml) cooled to O 0 C was added dropwise a premixed solution of 4-aminopiperidine-l-carboxylic acid tert- butyl ester (0.40 g, 1.99 mmol) and N,N-diisopropylethylamine (0.76 ml, 4.36 mmol) dissolved in dichloromethane (8 ml) slowly via a syringe. The reaction mixture was stirred for an hour at room temperature. The isocyanate thereby generated was used directly in the next step without any further manipulation or purification.
- (S)-8-fluoro-4-isocyanatochroman To a stirred solution of triphosgene (22 mg, 0.074 mmol) in DCM (0.5 ml) cooled to O 0 C was added dropwise a premixed solution of (S)-8-fluorochroman-4-amine (33 mg, 0.20 mmol) and DIEA (0.077 ml, 0.44 mmol) dissolved in DCM (0.8 ml) slowly via a syringe. The reaction mixture was stirred for an hour at room temperature. The isocyanate thereby generated was used directly in next step without any further manipulation or purification.
- reaction mixture was evaporated to dryness, diluted with EtOAc, washed with 10% aqueous KHSO 4 , 5% aquesous NaHCO 3 , and brine, dried over Na 2 SO 4 filtered and then concentrated in vacuo.
- Preparative HPLC purification provided the desired compound as a white solid (65.4 mg, 72%).
- Step B (y)-2-(4-(trifluoroinethyl)benzylideneaiiiino)-2-phenylethane-triiiiethylsilylether.
- (S)-2- [(S)-l-(4-(trifluoromethyl)phenyl] propylamino-2-phenylethane- trimethylsilylether To a 100 mL round bottom flask (flame-dried at -5O 0 C) were added anhydrous THF (12.5 mL) and EtMgCl (2.0 M in Et 2 O, 14.4 mL). At -5O 0 C, half of the material from Step B in anhydrous THF (12.5 mL) was added dropwise.
- Step D [00112] (i?)-l-(l-isocyanato-2-methylpropyl)-4-(trifluoromethyl)benzene.
- Triphosgene (43.5 mg, 0.15 mmol) in dichloromethane (1 niL) was added dropwise to (S)- 2- methyl- 1- [4-(trifluoromethyl)phenyl]propan-l-amine (95.9 mg, 0.44 mmol) in dichloromethane (1 niL). The mixture was stirred at room temperature for 3 h; precipitate formed. This material was used directly to the next step.
- Step B [00134] ⁇ -chloro-S ⁇ -dihydro-lH-chromen-S-amine. 6-chloro-3-nitro-2H-chromene (1.055 g) was dissolved in Et 2 O (100 mL). Lithium aluminum hydride (LA ⁇ ) (605 mg, 3.2 eq) was added in several portions. The reaction mixture was refluxed overnight under argon. It was then cooled down, and the reaction quenched by adding dropwise H 2 O (2 mL), 2 N NaOH (1.25 mL), and more H 2 O (6 mL). The mixture was filtered and the filtrate was collected. The aqueous phase was extracted with Et 2 O. The combined organic phase was dried over Na 2 SO 4 , and concentrated.
- LA ⁇ Lithium aluminum hydride
- a mixture including scintillation proximity assay (SPA) beads and cell membrane expressing human CCRl, was prepared in assay buffer (130 mM NaCl + 5 niM KCl + ImM MnCl + 50 niM Tris HCl at pH 7.4 + 0.1% bovine serum albumin (BSA)) at the ratio of 50 ⁇ g/ml membrane to 10 mg/ml SPA beads. 10 ⁇ l of the mixture was transferred to each well of a 384- well assay plate yielding a final concentration for the membrane and SPA beads of 0.5 ⁇ g/well and 100 ⁇ g/well, respectively
- Human monocyte cell line THPl and a 5 mM chemotaxis plate from Chemicon were used. Cells were resuspended at 2 x 10 6 cells/ml in assay buffer (RPMI with 0.1% BSA). Compounds were initially diluted in DMSO and then with the assay buffer. Compounds were preincubated with the cells at 37 0 C for 15 minutes. A solution of 1 nM MIP- l ⁇ in the assay buffer was prepared. 150 ⁇ l of InM MIP- l ⁇ solution was then added to the bottom chamber ofthe assay plate, the insert re-placed into the assay plate and the plate allowed to equilibrate for 15 minutes at 37°C.
Landscapes
- Health & Medical Sciences (AREA)
- Chemical & Material Sciences (AREA)
- Organic Chemistry (AREA)
- Life Sciences & Earth Sciences (AREA)
- Pharmacology & Pharmacy (AREA)
- Public Health (AREA)
- General Chemical & Material Sciences (AREA)
- Medicinal Chemistry (AREA)
- Nuclear Medicine, Radiotherapy & Molecular Imaging (AREA)
- Veterinary Medicine (AREA)
- Chemical Kinetics & Catalysis (AREA)
- General Health & Medical Sciences (AREA)
- Animal Behavior & Ethology (AREA)
- Engineering & Computer Science (AREA)
- Bioinformatics & Cheminformatics (AREA)
- Immunology (AREA)
- Biomedical Technology (AREA)
- Pulmonology (AREA)
- Neurosurgery (AREA)
- Neurology (AREA)
- Rheumatology (AREA)
- Oncology (AREA)
- Reproductive Health (AREA)
- Communicable Diseases (AREA)
- Pregnancy & Childbirth (AREA)
- Endocrinology (AREA)
- Pain & Pain Management (AREA)
- Transplantation (AREA)
- Gynecology & Obstetrics (AREA)
- Virology (AREA)
- Hospice & Palliative Care (AREA)
- Psychiatry (AREA)
- Gastroenterology & Hepatology (AREA)
- Urology & Nephrology (AREA)
- Orthopedic Medicine & Surgery (AREA)
- Physical Education & Sports Medicine (AREA)
- Pharmaceuticals Containing Other Organic And Inorganic Compounds (AREA)
- Plural Heterocyclic Compounds (AREA)
- Pyrrole Compounds (AREA)
Abstract
Description
Claims
Priority Applications (4)
| Application Number | Priority Date | Filing Date | Title |
|---|---|---|---|
| EP07799631A EP2059502A2 (en) | 2006-07-20 | 2007-07-17 | Proline urea ccr1 antagonists for the treatment of autoimmune diseases or inflammation |
| JP2009520949A JP2009544620A (en) | 2006-07-20 | 2007-07-17 | Prolineurea CCR1 antagonists for autoimmune diseases and inflammation |
| AU2007275415A AU2007275415A1 (en) | 2006-07-20 | 2007-07-17 | Proline urea CCR1 antagonists for the treatment of autoimmune diseases or inflammation |
| IL196510A IL196510A0 (en) | 2006-07-20 | 2009-01-14 | Proline urea ccr1 antagonists for autoimmune diseases & inflammation |
Applications Claiming Priority (2)
| Application Number | Priority Date | Filing Date | Title |
|---|---|---|---|
| US80783706P | 2006-07-20 | 2006-07-20 | |
| US60/807,837 | 2006-07-20 |
Publications (3)
| Publication Number | Publication Date |
|---|---|
| WO2008011392A2 true WO2008011392A2 (en) | 2008-01-24 |
| WO2008011392A3 WO2008011392A3 (en) | 2008-05-22 |
| WO2008011392A8 WO2008011392A8 (en) | 2008-07-24 |
Family
ID=38814356
Family Applications (1)
| Application Number | Title | Priority Date | Filing Date |
|---|---|---|---|
| PCT/US2007/073656 Ceased WO2008011392A2 (en) | 2006-07-20 | 2007-07-17 | Proline urea ccr1 antagonists for the treatment of autoimmune diseases or inflammation |
Country Status (5)
| Country | Link |
|---|---|
| EP (1) | EP2059502A2 (en) |
| JP (1) | JP2009544620A (en) |
| AU (1) | AU2007275415A1 (en) |
| IL (1) | IL196510A0 (en) |
| WO (1) | WO2008011392A2 (en) |
Cited By (43)
| Publication number | Priority date | Publication date | Assignee | Title |
|---|---|---|---|---|
| WO2010051561A1 (en) | 2008-11-03 | 2010-05-06 | Chemocentryx, Inc. | Compounds for the treatment of osteoporosis and cancers |
| WO2013060865A1 (en) | 2011-10-28 | 2013-05-02 | Galderma Research & Development | New leukocyte infiltrate markers for rosacea and uses thereof |
| WO2013106646A3 (en) * | 2012-01-12 | 2013-09-06 | Yale University | Compounds and methods for the inhibition of vcb e3 ubiquitin ligase |
| WO2016026772A1 (en) * | 2014-08-19 | 2016-02-25 | Iomet Pharma Ltd | Pharmaceutical compound |
| US9938264B2 (en) | 2015-11-02 | 2018-04-10 | Yale University | Proteolysis targeting chimera compounds and methods of preparing and using same |
| US9988376B2 (en) | 2013-07-03 | 2018-06-05 | Glaxosmithkline Intellectual Property Development Limited | Benzothiophene derivatives as estrogen receptor inhibitors |
| US9993514B2 (en) | 2013-07-03 | 2018-06-12 | Glaxosmithkline Intellectual Property Development Limited | Compounds |
| RU2666530C2 (en) * | 2012-01-12 | 2018-09-11 | Йейл Юниверсити | Compounds and methods for enhanced degradation of target proteins and other polypeptides by an e3 ubiquitin ligase |
| US10584101B2 (en) | 2016-10-11 | 2020-03-10 | Arvinas, Inc. | Compounds and methods for the targeted degradation of androgen receptor |
| US10604506B2 (en) | 2017-01-26 | 2020-03-31 | Arvinas Operations, Inc. | Modulators of estrogen receptor proteolysis and associated methods of use |
| US10647698B2 (en) | 2016-12-01 | 2020-05-12 | Arvinas Operations, Inc. | Tetrahydronaphthalene and tetrahydroisoquinoline derivatives as estrogen receptor degraders |
| US10723717B2 (en) | 2016-12-23 | 2020-07-28 | Arvinas Operations, Inc. | Compounds and methods for the targeted degradation of rapidly accelerated fibrosarcoma polypeptides |
| US10730870B2 (en) | 2015-03-18 | 2020-08-04 | Arvinas Operations, Inc. | Compounds and methods for the enhanced degradation of targeted proteins |
| US10772962B2 (en) | 2015-08-19 | 2020-09-15 | Arvinas Operations, Inc. | Compounds and methods for the targeted degradation of bromodomain-containing proteins |
| US10806737B2 (en) | 2016-12-23 | 2020-10-20 | Arvinas Operations, Inc. | Compounds and methods for the targeted degradation of fetal liver kinase polypeptides |
| CN111960991A (en) * | 2020-07-23 | 2020-11-20 | 宿迁联盛科技股份有限公司 | Auxiliary agent and preparation method thereof |
| US10865202B2 (en) | 2016-09-15 | 2020-12-15 | Arvinas Operations, Inc. | Indole derivatives as estrogen receptor degraders |
| US10946017B2 (en) | 2015-06-05 | 2021-03-16 | Arvinas Operations, Inc. | Tank-binding kinase-1 PROTACs and associated methods of use |
| US10994015B2 (en) | 2016-12-23 | 2021-05-04 | Arvinas Operations, Inc. | EGFR proteolysis targeting chimeric molecules and associated methods of use |
| US11065231B2 (en) | 2017-11-17 | 2021-07-20 | Arvinas Operations, Inc. | Compounds and methods for the targeted degradation of interleukin-1 receptor- associated kinase 4 polypeptides |
| US11084807B2 (en) | 2016-08-18 | 2021-08-10 | Vidac Pharama Ltd. | Piperazine derivatives, pharmaceutical compositions and methods of use thereof |
| US11161841B2 (en) | 2018-04-04 | 2021-11-02 | Arvinas Operations, Inc. | Modulators of proteolysis and associated methods of use |
| US11173211B2 (en) | 2016-12-23 | 2021-11-16 | Arvinas Operations, Inc. | Compounds and methods for the targeted degradation of rapidly accelerated Fibrosarcoma polypeptides |
| US11191741B2 (en) | 2016-12-24 | 2021-12-07 | Arvinas Operations, Inc. | Compounds and methods for the targeted degradation of enhancer of zeste homolog 2 polypeptide |
| US11352351B2 (en) | 2015-01-20 | 2022-06-07 | Arvinas Operations, Inc. | Compounds and methods for the targeted degradation of androgen receptor |
| US11427548B2 (en) | 2015-01-20 | 2022-08-30 | Arvinas Operations, Inc. | Compounds and methods for the targeted degradation of androgen receptor |
| US11458123B2 (en) | 2016-11-01 | 2022-10-04 | Arvinas Operations, Inc. | Tau-protein targeting PROTACs and associated methods of use |
| RU2781452C2 (en) * | 2012-01-12 | 2022-10-12 | Йейл Юниверсити | Compounds and methods for enhancing degradation of target proteins and other polypeptides, using e3 ubiquitin ligase |
| US11707452B2 (en) | 2018-08-20 | 2023-07-25 | Arvinas Operations, Inc. | Modulators of alpha-synuclein proteolysis and associated methods of use |
| US11883393B2 (en) | 2019-12-19 | 2024-01-30 | Arvinas Operations, Inc. | Compounds and methods for the targeted degradation of androgen receptor |
| US11912699B2 (en) | 2019-07-17 | 2024-02-27 | Arvinas Operations, Inc. | Tau-protein targeting compounds and associated |
| US11957759B1 (en) | 2022-09-07 | 2024-04-16 | Arvinas Operations, Inc. | Rapidly accelerated fibrosarcoma (RAF) degrading compounds and associated methods of use |
| US11986532B2 (en) | 2021-04-16 | 2024-05-21 | Arvinas Operations, Inc. | Modulators of BCL6 proteolysis and associated methods of use |
| US12043612B2 (en) | 2020-05-09 | 2024-07-23 | Arvinas Operations, Inc. | Methods of manufacturing a bifunctional compound, ultrapure forms of the bifunctional compound, and dosage forms comprising the same |
| US12162859B2 (en) | 2020-09-14 | 2024-12-10 | Arvinas Operations, Inc. | Crystalline and amorphous forms of a compound for the targeted degradation of estrogen receptor |
| US12180193B2 (en) | 2020-08-28 | 2024-12-31 | Arvinas Operations, Inc. | Accelerating fibrosarcoma protein degrading compounds and associated methods of use |
| US12208095B2 (en) | 2019-08-26 | 2025-01-28 | Arvinas Operations, Inc. | Methods of treating breast cancer with tetrahydronaphthalene derivatives as estrogen receptor degraders |
| US12239711B2 (en) | 2014-04-14 | 2025-03-04 | Arvinas Operations, Inc. | Cereblon ligands and bifunctional compounds comprising the same |
| US12310975B2 (en) | 2019-10-17 | 2025-05-27 | Arvinas Operations, Inc. | Modulators of BCL6 proteolysis and associated methods of use |
| US12441708B2 (en) | 2017-01-31 | 2025-10-14 | Arvinas Operations, Inc. | Cereblon ligands and bifunctional compounds comprising the same |
| US12448399B2 (en) | 2023-01-26 | 2025-10-21 | Arvinas Operations, Inc. | Cereblon-based KRAS degrading PROTACs and uses related thereto |
| US12496301B2 (en) | 2023-12-08 | 2025-12-16 | Arvinas Operations, Inc. | Use of androgen receptor degrader for the treatment of spinal and bulbar muscular atrophy |
| US12539292B2 (en) | 2018-04-01 | 2026-02-03 | Arvinas Operations, Inc. | BRM targeting compounds and associated methods of use |
Families Citing this family (4)
| Publication number | Priority date | Publication date | Assignee | Title |
|---|---|---|---|---|
| EP2867224B1 (en) * | 2012-06-28 | 2017-07-26 | Novartis AG | Pyrrolidine derivatives and their use as complement pathway modulators |
| JP6154897B2 (en) * | 2012-06-28 | 2017-06-28 | ノバルティス アーゲー | Pyrrolidine derivatives and their use as complement pathway regulators |
| WO2014002054A1 (en) * | 2012-06-28 | 2014-01-03 | Novartis Ag | Pyrrolidine derivatives and their use as complement pathway modulators |
| US10071164B2 (en) | 2014-08-11 | 2018-09-11 | Yale University | Estrogen-related receptor alpha based protac compounds and associated methods of use |
Family Cites Families (3)
| Publication number | Priority date | Publication date | Assignee | Title |
|---|---|---|---|---|
| WO2002018335A1 (en) * | 2000-08-28 | 2002-03-07 | Yamanouchi Pharmaceutical Co., Ltd. | Cyclic amine derivatives |
| CA2542064A1 (en) * | 2003-10-24 | 2005-05-06 | Exelixis, Inc. | Tao kinase modulators and methods of use |
| WO2005080371A1 (en) * | 2004-02-12 | 2005-09-01 | Merck & Co., Inc. | Amino heterocyclic modulators of chemokine receptor activity |
-
2007
- 2007-07-17 WO PCT/US2007/073656 patent/WO2008011392A2/en not_active Ceased
- 2007-07-17 EP EP07799631A patent/EP2059502A2/en not_active Withdrawn
- 2007-07-17 JP JP2009520949A patent/JP2009544620A/en active Pending
- 2007-07-17 AU AU2007275415A patent/AU2007275415A1/en not_active Abandoned
-
2009
- 2009-01-14 IL IL196510A patent/IL196510A0/en unknown
Cited By (69)
| Publication number | Priority date | Publication date | Assignee | Title |
|---|---|---|---|---|
| EP2352501A4 (en) * | 2008-11-03 | 2012-01-18 | Chemocentryx Inc | Compounds for the treatment of osteoporosis and cancers |
| WO2010051561A1 (en) | 2008-11-03 | 2010-05-06 | Chemocentryx, Inc. | Compounds for the treatment of osteoporosis and cancers |
| WO2013060865A1 (en) | 2011-10-28 | 2013-05-02 | Galderma Research & Development | New leukocyte infiltrate markers for rosacea and uses thereof |
| RU2666530C2 (en) * | 2012-01-12 | 2018-09-11 | Йейл Юниверсити | Compounds and methods for enhanced degradation of target proteins and other polypeptides by an e3 ubiquitin ligase |
| WO2013106646A3 (en) * | 2012-01-12 | 2013-09-06 | Yale University | Compounds and methods for the inhibition of vcb e3 ubiquitin ligase |
| RU2781452C2 (en) * | 2012-01-12 | 2022-10-12 | Йейл Юниверсити | Compounds and methods for enhancing degradation of target proteins and other polypeptides, using e3 ubiquitin ligase |
| US10730862B2 (en) | 2012-01-12 | 2020-08-04 | Yale University | Compounds and methods for the enhanced degradation of targeted proteins and other polypeptides by an E3 ubiquitin ligase |
| US9988376B2 (en) | 2013-07-03 | 2018-06-05 | Glaxosmithkline Intellectual Property Development Limited | Benzothiophene derivatives as estrogen receptor inhibitors |
| US9993514B2 (en) | 2013-07-03 | 2018-06-12 | Glaxosmithkline Intellectual Property Development Limited | Compounds |
| US12239711B2 (en) | 2014-04-14 | 2025-03-04 | Arvinas Operations, Inc. | Cereblon ligands and bifunctional compounds comprising the same |
| US10047074B2 (en) | 2014-08-19 | 2018-08-14 | Merck Sharp & Dohme Corp. | Pharmaceutical compound |
| WO2016026772A1 (en) * | 2014-08-19 | 2016-02-25 | Iomet Pharma Ltd | Pharmaceutical compound |
| US12312316B2 (en) | 2015-01-20 | 2025-05-27 | Arvinas Operations, Inc. | Compounds and methods for the targeted degradation of androgen receptor |
| US11427548B2 (en) | 2015-01-20 | 2022-08-30 | Arvinas Operations, Inc. | Compounds and methods for the targeted degradation of androgen receptor |
| US11352351B2 (en) | 2015-01-20 | 2022-06-07 | Arvinas Operations, Inc. | Compounds and methods for the targeted degradation of androgen receptor |
| US11512083B2 (en) | 2015-03-18 | 2022-11-29 | Arvinas Operations, Inc. | Compounds and methods for the enhanced degradation of targeted proteins |
| US12264157B2 (en) | 2015-03-18 | 2025-04-01 | Arvinas Operations, Inc. | Compounds and methods for the enhanced degradation of targeted proteins |
| US10730870B2 (en) | 2015-03-18 | 2020-08-04 | Arvinas Operations, Inc. | Compounds and methods for the enhanced degradation of targeted proteins |
| US10946017B2 (en) | 2015-06-05 | 2021-03-16 | Arvinas Operations, Inc. | Tank-binding kinase-1 PROTACs and associated methods of use |
| US12171831B2 (en) | 2015-08-19 | 2024-12-24 | Arvinas Operations, Inc. | Compounds and methods for the targeted degradation of bromodomain- containing proteins |
| US11554171B2 (en) | 2015-08-19 | 2023-01-17 | Arvinas Operations, Inc. | Compounds and methods for the targeted degradation of bromodomain-containing proteins |
| US10772962B2 (en) | 2015-08-19 | 2020-09-15 | Arvinas Operations, Inc. | Compounds and methods for the targeted degradation of bromodomain-containing proteins |
| US9938264B2 (en) | 2015-11-02 | 2018-04-10 | Yale University | Proteolysis targeting chimera compounds and methods of preparing and using same |
| US12162868B2 (en) | 2016-08-18 | 2024-12-10 | Vidac Pharma Ltd.. | Piperazine derivatives, pharmaceutical compositions and methods of use thereof |
| US11084807B2 (en) | 2016-08-18 | 2021-08-10 | Vidac Pharama Ltd. | Piperazine derivatives, pharmaceutical compositions and methods of use thereof |
| US11584743B2 (en) | 2016-09-15 | 2023-02-21 | Arvinas Operations, Inc. | Indole derivatives as estrogen receptor degraders |
| US10865202B2 (en) | 2016-09-15 | 2020-12-15 | Arvinas Operations, Inc. | Indole derivatives as estrogen receptor degraders |
| US12077509B2 (en) | 2016-10-11 | 2024-09-03 | Arvinas Operations, Inc. | Compounds and methods for the targeted degradation of androgen receptor |
| US11964945B2 (en) | 2016-10-11 | 2024-04-23 | Arvinas Operations, Inc. | Compounds and methods for the targeted degradation of androgen receptor |
| US11236051B2 (en) | 2016-10-11 | 2022-02-01 | Arvinas Operations, Inc. | Compounds and methods for the targeted degradation of androgen receptor |
| US11952347B2 (en) | 2016-10-11 | 2024-04-09 | Arvinas Operations, Inc. | Compounds and methods for the targeted degradation of androgen receptor |
| US10584101B2 (en) | 2016-10-11 | 2020-03-10 | Arvinas, Inc. | Compounds and methods for the targeted degradation of androgen receptor |
| US10844021B2 (en) | 2016-10-11 | 2020-11-24 | Arvinas Operations, Inc. | Compounds and methods for the targeted degradation of androgen receptor |
| US11458123B2 (en) | 2016-11-01 | 2022-10-04 | Arvinas Operations, Inc. | Tau-protein targeting PROTACs and associated methods of use |
| US11104666B2 (en) | 2016-12-01 | 2021-08-31 | Arvinas Operations, Inc. | Tetrahydronaphthalene and tetrahydroisoquinoline derivatives as estrogen receptor degraders |
| US11597720B2 (en) | 2016-12-01 | 2023-03-07 | Arvinas Operations, Inc. | Tetrahydronaphthalene and tetrahydroisoquinoline derivatives as estrogen receptor degraders |
| US12172981B2 (en) | 2016-12-01 | 2024-12-24 | Arvinas Operations, Inc. | Tetrahydronaphthalene and tetrahydroisoquinoline derivatives as estrogen receptor degraders |
| US10647698B2 (en) | 2016-12-01 | 2020-05-12 | Arvinas Operations, Inc. | Tetrahydronaphthalene and tetrahydroisoquinoline derivatives as estrogen receptor degraders |
| US10899742B1 (en) | 2016-12-01 | 2021-01-26 | Arvinas Operations, Inc. | Tetrahydronaphthalene and tetrahydroisoquinoline derivatives as estrogen receptor degraders |
| US10806737B2 (en) | 2016-12-23 | 2020-10-20 | Arvinas Operations, Inc. | Compounds and methods for the targeted degradation of fetal liver kinase polypeptides |
| US10723717B2 (en) | 2016-12-23 | 2020-07-28 | Arvinas Operations, Inc. | Compounds and methods for the targeted degradation of rapidly accelerated fibrosarcoma polypeptides |
| US11986531B2 (en) | 2016-12-23 | 2024-05-21 | Arvinas Operations, Inc. | Compounds and methods for the targeted degradation of rapidly accelerated fibrosarcoma polypeptides |
| US10994015B2 (en) | 2016-12-23 | 2021-05-04 | Arvinas Operations, Inc. | EGFR proteolysis targeting chimeric molecules and associated methods of use |
| US11173211B2 (en) | 2016-12-23 | 2021-11-16 | Arvinas Operations, Inc. | Compounds and methods for the targeted degradation of rapidly accelerated Fibrosarcoma polypeptides |
| US11857519B2 (en) | 2016-12-24 | 2024-01-02 | Arvinas Operations, Inc. | Compounds and methods for the targeted degradation of enhancer of zeste homolog 2 polypeptide |
| US11191741B2 (en) | 2016-12-24 | 2021-12-07 | Arvinas Operations, Inc. | Compounds and methods for the targeted degradation of enhancer of zeste homolog 2 polypeptide |
| US12275716B2 (en) | 2017-01-26 | 2025-04-15 | Arvinas Operations, Inc. | Modulators of estrogen receptor proteolysis and associated methods of use |
| US11384063B2 (en) | 2017-01-26 | 2022-07-12 | Arvinas Operations, Inc. | Modulators of estrogen receptor proteolysis and associated methods of use |
| US10604506B2 (en) | 2017-01-26 | 2020-03-31 | Arvinas Operations, Inc. | Modulators of estrogen receptor proteolysis and associated methods of use |
| US12441708B2 (en) | 2017-01-31 | 2025-10-14 | Arvinas Operations, Inc. | Cereblon ligands and bifunctional compounds comprising the same |
| US11065231B2 (en) | 2017-11-17 | 2021-07-20 | Arvinas Operations, Inc. | Compounds and methods for the targeted degradation of interleukin-1 receptor- associated kinase 4 polypeptides |
| US12036209B2 (en) | 2017-11-17 | 2024-07-16 | Arvinas Operations, Inc. | Compounds and methods for the targeted degradation of Interleukin-1 receptor-associated kinase 4 polypeptides |
| US12539292B2 (en) | 2018-04-01 | 2026-02-03 | Arvinas Operations, Inc. | BRM targeting compounds and associated methods of use |
| US11161841B2 (en) | 2018-04-04 | 2021-11-02 | Arvinas Operations, Inc. | Modulators of proteolysis and associated methods of use |
| US11707452B2 (en) | 2018-08-20 | 2023-07-25 | Arvinas Operations, Inc. | Modulators of alpha-synuclein proteolysis and associated methods of use |
| US11912699B2 (en) | 2019-07-17 | 2024-02-27 | Arvinas Operations, Inc. | Tau-protein targeting compounds and associated |
| US12208095B2 (en) | 2019-08-26 | 2025-01-28 | Arvinas Operations, Inc. | Methods of treating breast cancer with tetrahydronaphthalene derivatives as estrogen receptor degraders |
| US12310975B2 (en) | 2019-10-17 | 2025-05-27 | Arvinas Operations, Inc. | Modulators of BCL6 proteolysis and associated methods of use |
| US12427144B2 (en) | 2019-12-19 | 2025-09-30 | Arvinas Operations, Inc. | Compounds and methods for the targeted degradation of androgen receptor |
| US11883393B2 (en) | 2019-12-19 | 2024-01-30 | Arvinas Operations, Inc. | Compounds and methods for the targeted degradation of androgen receptor |
| US12043612B2 (en) | 2020-05-09 | 2024-07-23 | Arvinas Operations, Inc. | Methods of manufacturing a bifunctional compound, ultrapure forms of the bifunctional compound, and dosage forms comprising the same |
| CN111960991A (en) * | 2020-07-23 | 2020-11-20 | 宿迁联盛科技股份有限公司 | Auxiliary agent and preparation method thereof |
| US12180193B2 (en) | 2020-08-28 | 2024-12-31 | Arvinas Operations, Inc. | Accelerating fibrosarcoma protein degrading compounds and associated methods of use |
| US12162859B2 (en) | 2020-09-14 | 2024-12-10 | Arvinas Operations, Inc. | Crystalline and amorphous forms of a compound for the targeted degradation of estrogen receptor |
| US11986532B2 (en) | 2021-04-16 | 2024-05-21 | Arvinas Operations, Inc. | Modulators of BCL6 proteolysis and associated methods of use |
| US12156916B2 (en) | 2022-09-07 | 2024-12-03 | Arvinas Operations, Inc. | Rapid accelerated fibrosarcoma (RAF) degrading compounds and associated methods of use |
| US11957759B1 (en) | 2022-09-07 | 2024-04-16 | Arvinas Operations, Inc. | Rapidly accelerated fibrosarcoma (RAF) degrading compounds and associated methods of use |
| US12448399B2 (en) | 2023-01-26 | 2025-10-21 | Arvinas Operations, Inc. | Cereblon-based KRAS degrading PROTACs and uses related thereto |
| US12496301B2 (en) | 2023-12-08 | 2025-12-16 | Arvinas Operations, Inc. | Use of androgen receptor degrader for the treatment of spinal and bulbar muscular atrophy |
Also Published As
| Publication number | Publication date |
|---|---|
| AU2007275415A2 (en) | 2009-03-12 |
| WO2008011392A8 (en) | 2008-07-24 |
| JP2009544620A (en) | 2009-12-17 |
| AU2007275415A1 (en) | 2008-01-24 |
| EP2059502A2 (en) | 2009-05-20 |
| IL196510A0 (en) | 2009-11-18 |
| WO2008011392A3 (en) | 2008-05-22 |
Similar Documents
| Publication | Publication Date | Title |
|---|---|---|
| EP2059502A2 (en) | Proline urea ccr1 antagonists for the treatment of autoimmune diseases or inflammation | |
| DK2928885T3 (en) | MODULATORS OF THE RETINOID-RELATED ORPHAN RECEPTOR GAMMA (ROR-GAMMA) FOR USE IN TREATMENT OF AUTOIMMUNE AND INFLAMMATORY DISEASES | |
| KR20020067554A (en) | New p2x7 receptor antagonists for use in the treatment of inflammatory, immune or cardiovascular diseases | |
| WO2010075380A1 (en) | Anti-viral compounds | |
| EP2958921A1 (en) | Pyrrolo [2, 3 -d]pyrimidine derivatives as inhibitors of janus- related kinases (jak) | |
| CN1407971A (en) | Substituted 2-thio-3,5-dicyano-4-aryl-6-aminopyridines and the use thereof | |
| US8288371B2 (en) | Ortho pyrrolidine, benzyl-substituted heterocycle CCR1 antagonists for autoimmune diseases and inflammation | |
| JPS58180481A (en) | Novel piperidine derivative | |
| WO2010059922A1 (en) | Pyrrolidine carboxamide compounds | |
| KR930004648B1 (en) | 1,4-dihydropyidine derivatives | |
| JP2002161084A (en) | Heterocyclic derivatives | |
| CA3188350A1 (en) | Processes for making serd tricyclic compounds having a substituted phenyl or pyridinyl moiety | |
| US8168634B2 (en) | Thiazole derivatives as kinase inhibitors | |
| OA12293A (en) | 3-Azabicyclo(3.1.0)hexane derivatives having opioid receptor affinity. | |
| JP2016522240A (en) | Aryl sultam derivatives as RORc modulators | |
| TWI360540B (en) | Tetrahydroisoquinolylsulphonamide derivatives, the | |
| EP2514748B1 (en) | 2,4-diaminoquinazolines for spinal muscular atrophy | |
| CA2294581C (en) | Angiogenesis inhibiting 5-substituted-1,2,4-thiadiazolyl derivatives | |
| TW202233620A (en) | Cftr modulator compounds, compositions, and uses thereof | |
| AU2017321791B2 (en) | Substituted ureas and methods of making and using same | |
| KR20170067728A (en) | Aminosulfonyl compound, preparation method therefor and use thereof | |
| EA026161B1 (en) | 3,4-disubstituted oxazolidinone derivatives and their use as inhibitors of calcium activated potassium channels | |
| JP2001525398A (en) | Selective β3 adrenergic agonist | |
| MXPA05001624A (en) | Mcp-1 receptor antagonists and method of use thereof. | |
| AU2018217664B2 (en) | Sulphamoylaryl derivatives and use thereof as medicaments for the treatment of liver fibrosis |
Legal Events
| Date | Code | Title | Description |
|---|---|---|---|
| 121 | Ep: the epo has been informed by wipo that ep was designated in this application |
Ref document number: 07799631 Country of ref document: EP Kind code of ref document: A2 |
|
| DPE1 | Request for preliminary examination filed after expiration of 19th month from priority date (pct application filed from 20040101) | ||
| WWE | Wipo information: entry into national phase |
Ref document number: 2009520949 Country of ref document: JP |
|
| NENP | Non-entry into the national phase |
Ref country code: DE |
|
| WWE | Wipo information: entry into national phase |
Ref document number: 2007275415 Country of ref document: AU |
|
| WWE | Wipo information: entry into national phase |
Ref document number: 2007799631 Country of ref document: EP |
|
| NENP | Non-entry into the national phase |
Ref country code: RU |
|
| ENP | Entry into the national phase |
Ref document number: 2007275415 Country of ref document: AU Date of ref document: 20070717 Kind code of ref document: A |














































































































































