WO2007020877A1 - Anthranilamide compounds, process for producing these, and pest control agent comprising any of these - Google Patents
Anthranilamide compounds, process for producing these, and pest control agent comprising any of these Download PDFInfo
- Publication number
- WO2007020877A1 WO2007020877A1 PCT/JP2006/315862 JP2006315862W WO2007020877A1 WO 2007020877 A1 WO2007020877 A1 WO 2007020877A1 JP 2006315862 W JP2006315862 W JP 2006315862W WO 2007020877 A1 WO2007020877 A1 WO 2007020877A1
- Authority
- WO
- WIPO (PCT)
- Prior art keywords
- substituted
- optionally substituted
- alkyl
- halogen
- alkoxy
- Prior art date
- Legal status (The legal status is an assumption and is not a legal conclusion. Google has not performed a legal analysis and makes no representation as to the accuracy of the status listed.)
- Ceased
Links
Classifications
-
- A—HUMAN NECESSITIES
- A01—AGRICULTURE; FORESTRY; ANIMAL HUSBANDRY; HUNTING; TRAPPING; FISHING
- A01N—PRESERVATION OF BODIES OF HUMANS OR ANIMALS OR PLANTS OR PARTS THEREOF; BIOCIDES, e.g. AS DISINFECTANTS, AS PESTICIDES OR AS HERBICIDES; PEST REPELLANTS OR ATTRACTANTS; PLANT GROWTH REGULATORS
- A01N43/00—Biocides, pest repellants or attractants, or plant growth regulators containing heterocyclic compounds
- A01N43/48—Biocides, pest repellants or attractants, or plant growth regulators containing heterocyclic compounds having rings with two nitrogen atoms as the only ring hetero atoms
- A01N43/56—1,2-Diazoles; Hydrogenated 1,2-diazoles
-
- A—HUMAN NECESSITIES
- A61—MEDICAL OR VETERINARY SCIENCE; HYGIENE
- A61P—SPECIFIC THERAPEUTIC ACTIVITY OF CHEMICAL COMPOUNDS OR MEDICINAL PREPARATIONS
- A61P33/00—Antiparasitic agents
-
- A—HUMAN NECESSITIES
- A61—MEDICAL OR VETERINARY SCIENCE; HYGIENE
- A61P—SPECIFIC THERAPEUTIC ACTIVITY OF CHEMICAL COMPOUNDS OR MEDICINAL PREPARATIONS
- A61P33/00—Antiparasitic agents
- A61P33/14—Ectoparasiticides, e.g. scabicides
-
- C—CHEMISTRY; METALLURGY
- C07—ORGANIC CHEMISTRY
- C07D—HETEROCYCLIC COMPOUNDS
- C07D401/00—Heterocyclic compounds containing two or more hetero rings, having nitrogen atoms as the only ring hetero atoms, at least one ring being a six-membered ring with only one nitrogen atom
- C07D401/02—Heterocyclic compounds containing two or more hetero rings, having nitrogen atoms as the only ring hetero atoms, at least one ring being a six-membered ring with only one nitrogen atom containing two hetero rings
- C07D401/04—Heterocyclic compounds containing two or more hetero rings, having nitrogen atoms as the only ring hetero atoms, at least one ring being a six-membered ring with only one nitrogen atom containing two hetero rings directly linked by a ring-member-to-ring-member bond
Definitions
- WO01Z70671 discloses anthranilamide compounds having a certain chemical structure. However, no compound having an alkyl substituted with C3-4 cycloalkyl or a carbonyl substituted with D as a substituent corresponding to A in the following formula (I) is described. .
- WO03Z16284 discloses a compound in which 2-pyridyl or phenyl is substituted at the 1-position of the pyrazole ring
- WO04Z67528 discloses a compound in which 2-pyridyl is substituted at the 1-position of the pyrazole ring.
- the chemical structure is different because 3-pyridyl or 4-pyridyl is substituted at the 1-position of the pyrazole ring of the following formula (I).
- Patent Document 1 International Publication WO01Z70671
- Patent Document 2 International Publication WO03Z16284
- Patent Document 3 International Publication WO04Z67528
- a number of pest control agents have been used for many years, but many have various problems such as insufficient efficacy, pests gaining resistance and limiting their use. Therefore, it is desired to develop a new pest control agent with few disadvantages, for example, a pest control agent capable of controlling various pests that are problematic in the field of agriculture and horticulture, and pests parasitic on animals.
- the present inventors have made various studies on anthranilamide compounds in order to find better pest control agents. As a result, the present inventors have found that a novel anthra-amide compound has an extremely high control effect against pests at a low dose, and completed the present invention. That is, the present invention provides a compound of formula (I):
- A is alkyl substituted with Y or carbo substituted with D
- Q may be substituted with R, 3-pyridyl or R 5 ! , 4-pyridyl
- R 1 is halogen, alkyl optionally substituted with X, alkenyl optionally substituted with X, alkyl optionally substituted with X, hydroxy, substituted with X Alkoxy, formyl, alkyl carbonyl optionally substituted with X, carboxyl, alkoxy carbonyl optionally substituted with X, alkyl sulfonyl optionally substituted with X, substituted with X Alkylsulfuriel, alkylsulfol optionally substituted with X, optionally substituted with X !, alkylsulfuroxy, optionally substituted with X !, alkylsulfieroxy, X Alkylsulfo-luoxy, which may be substituted with Alkylamino, dialkyla
- a pest control agent comprising a novel anthranilamido compound of the formula (I) as an active ingredient is
- each substituent may be the same or different.
- the position of each substituent may be any position.
- the number of substituents Y in A is preferably 1.
- the number of substituents R 5 in Q is preferably 1 to 2.
- the number of substitutions of halogen as a substituent in X, Y or D is 1 or 2 or more. When 2 or more, each halogen may be the same or different. Also, the substitution position of each halogen is! /.
- the number of substituents of halogen, alkyl or haloalkyl as a substituent may be 1 or 2 or more. When 2 or more, each substituent may be the same or different. In addition, the substitution position of each substituent may be a shift position.
- Alkyl is preferably unsubstituted or has 1 to 5 substituents when it has the above-mentioned substituents.
- the halogen in R 2 , R 5 , X, Y or D or the halogen as a substituent includes each atom of fluorine, chlorine, bromine or iodine.
- the alkyl or alkyl moiety in A, R ⁇ R 2 , R 3 , R 4 , R 5 , X or Y may be either linear or branched. Specific examples thereof include methyl, ethyl, propyl, C, such as isopropyl, n-butyl, tert-butyl, pentyl, hexyl and the like.
- the alkenyl or alkenyl moiety in R 1 or D may be straight or branched! /, And examples include bulle, 1-probe, allyl, iso-probe. 1-Butyl, 1,3-Butagel, and 1C Hexane.
- the alkyl or alkyl moiety in R 1 or D may be straight-chain or branched! /, And examples thereof include ethynyl, 2-butulyl, 2-pentyl, 3 —C, such as Hekishur.
- C cycloalkyl or cycloalkyl moiety in Y include cyclopropyl.
- the salt of the anthracamide compound of the formula (I) includes any one that is agriculturally acceptable.
- an alkali metal salt such as a sodium salt or a potassium salt is used.
- Alkaline earth metal salts such as magnesium salts and calcium salts; ammonium salts such as dimethyl ammonium salts and triethyl ammonium salts; such as hydrochlorides, perchlorates, sulfates and nitrates; Inorganic acid salts; organic acid salts such as acetate and methanesulfonate.
- the anthranilamide-based compound of the formula (I) may have different isomers such as optical isomers and geometric isomers. In the present invention, both isomers and isomer mixtures are present. Is included.
- the present invention includes various isomers other than those described above within the scope of common technical knowledge in the technical field. In addition, depending on the type of isomer, there may be a chemical structure different from that of the above formula (I). However, since those skilled in the art can sufficiently recognize that they are related to isomers, Obviously, it is within range.
- the anthracamide compound of the formula (I), its N-oxide, or a salt thereof (hereinafter abbreviated as the present compound) is reacted as follows: [A], [B], [C], [D] And [E] can be produced according to the usual production method of N-oxide or salt.
- A, Q, R 2 , R 3 , R 4 , m and n are as described above, and Z is a chlorine atom, OH or C aranoloxy.
- Reaction [A] can usually be carried out in the presence of a base when Z is a chlorine atom.
- a base examples include alkali metal hydroxides such as sodium hydroxide and potassium hydroxide; alkali metal carbonates such as sodium carbonate and potassium carbonate; alkali metals such as sodium hydride and potassium hydride.
- the base can be used in an amount of 1 to 5 times mol, preferably 1 to 2.5 times mol, of the compound of formula (II).
- the reaction [A] can be carried out in the presence of a solvent, if desired, when Z is a chlorine atom.
- a solvent if desired, when Z is a chlorine atom.
- Any solvent may be used as long as it is inert to the reaction.
- etherols such as diethyl ether, butyl ether, tetrahydrofuran, dioxane, dimethoxyethane; black benzene, dichlorobenzene, dichloromethane, Chlorohonore Halogenated hydrocarbons such as benzene, toluene, xylene; pentane, hexane, heptane, octane, cyclohexane
- Non-polar hydrocarbons such as acetonitrile, propio-tolyl, ⁇ , ⁇ dimethylformamide, dimethyl sulfoxide, hexamethylphosphoric triamide, sulfolane,
- the reaction [ ⁇ ] can be carried out usually at 20 to + 60 ° C, preferably 0 to 30 ° C when ⁇ is a chlorine atom, and the reaction time is usually about 1 to 24 hours, preferably 2 It can be about ⁇ 12 hours.
- reaction [A] can usually be carried out in the presence of a dehydration condensing agent and a solvent when Z is —OH.
- dehydrating condensing agents examples include carbodiimides such as ⁇ , ⁇ '-dicyclohexylcarbodiimide, 1,3 diisopropylcarbodiimide, 1-ethyl 3- (3 dimethylaminopropyl) carbodiimide hydrochloride; , —Carbo-Rubis—1H—Imidazole, phosphoric acid diester, Jetylphosphorus Dart 1,3,5 Triaza 1,2,4,6 Triphosphorin 2,2,4,4,6, 6 Hexachloride, cyanuric chloride, black isobutyl formate, chlorosulfol isocyanate, trifluoroacetic anhydride and the like.
- carbodiimides such as ⁇ , ⁇ '-dicyclohexylcarbodiimide, 1,3 diisopropylcarbodiimide, 1-ethyl 3- (3 dimethylaminopropyl) carbodiimide hydrochloride
- the solvent may be any solvent that is inert to the reaction.
- etherols such as diethyl ether, butyl ether, tetrahydrofuran, dioxane, dimethoxyethane; black benzene, dichlorobenzene , Dichloromethane, Chlorophenol, Carbon tetrachloride, Dichloroethane, Trichloroethane, Dichloroethylene, Halogenated hydrocarbons; Benzene, Toluene, Xylene, Aromatic hydrocarbons; Acetonitrile, Propio-tolyl, ⁇ , ⁇ Polar aprotic solvents such as dimethylformamide, dimethylsulfoxide, hexamethylphosphoric triamide, sulfolane, ⁇ , ⁇ dimethylacetamide, ⁇ -methylpyrrolidone; ES such as methyl acetate, ethyl acetate, propyl acetate Tells; Ke
- Reaction [A] can be carried out usually at 20 to + 60 ° C, preferably 0 to 30 ° C when Z is --OH, and the reaction time is usually about 0.5 to 24 hours, preferably It can be about 1 to 12 hours.
- reaction [A] is usually performed in the presence of a base and a solvent when Z is C alkoxy.
- Bases include alkali metal hydrides such as sodium hydride and potassium hydride; alkali metal alkoxides such as sodium methoxide, sodium ethoxide and potassium tert-butoxide; trimethylamine, triethylamine, triisopropyl Amines, diisopropylethylamine, pyridine, 4 dimethylaminopyridine, 2,6 dimethylviridine, 4 pyrrolidinopyridine, N-methylmorpholine, ⁇ , ⁇ dimethylamine, ⁇ , ⁇ jettilin, ⁇ -ethynole ⁇ - It is possible to select one or more as appropriate from tertiary amines such as methenorea-phosphorus, 1,8 diazabicyclo [5.4.0] -7 undecene, 1,4 diazabicyclo [2.2.2] octane, etc. it can.
- the base can be used in an amount of 1 to 5 times mol, preferably 1 to 2.5 times mol, of the compound
- the solvent may be any solvent that is inert to the reaction.
- etherols such as diethyl ether, butyl ether, tetrahydrofuran, dioxane, dimethoxyethane; black benzene, dichlorobenzene
- Halogenated hydrocarbons such as benzene, toluene, xylene; pentane, hexane, heptane, octane, cyclohexane, halogenated hydrocarbons such as dichloromethane, chlorophenol, carbon tetrachloride, dichloroethane, trichloroethane, dichloroethylene
- Aliphatic hydrocarbons such as hexane; acetonitrile, propio-tolyl, ⁇ , ⁇ dimethylformamide, dimethyl sulfoxide, hexamethylphosphoric triamide, sulfolane, ⁇ , ⁇ dimethylacet
- the reaction [ ⁇ ] is usually 0 to 120 ° C, preferably 20 to 80 when ⁇ is C alkoxy.
- the reaction time can be usually about 0.5 to 24 hours, preferably about 1 to 12 hours.
- A, Q, R ⁇ R 2, R 4, m and n are as defined above.
- Reaction [B] can usually be carried out in the presence of a solvent.
- any solvent may be used as long as it is inert to the reaction.
- etherols such as diethyl ether, butyl ether, tetrahydrofuran, dioxane, dimethoxyethane; black benzene, dichlorobenzene, dichloromethane, Halogenated hydrocarbons such as chloroform, carbon tetrachloride, dichloroethane, trichloroethane, and dichloroethylene; aromatic hydrocarbons such as benzene, toluene, and xylene; pentane, hexane, heptane, octane, and cyclohexane Aliphatic hydrocarbons such as: acetonitrile, propio-tolyl, ⁇ , ⁇ -dimethylformamide, dimethyl sulfoxide, hexamethylphosphoric triamide, sulfolane, ⁇ , ⁇ -dimethylacetamide,
- Reaction [B1 can be carried out in the presence of a base when ⁇ is a carbo substituted with D. it can.
- a base for example, one or more kinds can be appropriately selected from alkali metal hydrides such as sodium hydride and potassium hydride.
- the base can be used in an amount of 1 to 5 times mol, preferably 1 to 2.5 times mol, of the compound of formula (V).
- the reaction [B] can usually be carried out at 0 to 120 ° C, preferably 20 to 80 ° C, and the reaction time is usually about 0.1 to 24 hours, preferably about 0.5 to 12 hours. .
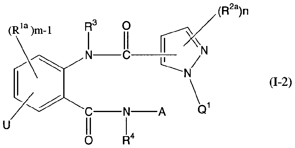
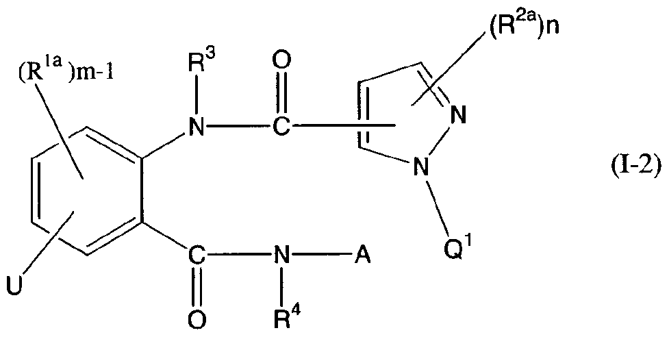
- R 3 , R 4 , m and n are as described above, Q 1 is 3 pyridyl which may be substituted with or 4 pyridyl which may be substituted with R 5a , and R la is fluorine Atom, chlorine atom, bromine atom, alkyl optionally substituted with X, alkaryl optionally substituted with X, alkyl optionally substituted with X, hydroxy, alkoxy optionally substituted with X , Formyl, alkyl carbonyl optionally substituted with X, carboxyl, alkoxy carb optionally substituted with X, alkyl sulfonyl optionally substituted with X, optionally substituted with X Alkylsulfifer, alkylsulfole optionally substituted with X, alkylsulfoxyloxy optionally substituted with X, alkylsulfieroxy optionally substituted with X, optionally substituted with X Alkylsulf
- 5a is a fluorine atom, chlorine atom, bromine atom, alkyl optionally substituted with X, alkoxy optionally substituted with X, alkylsulfuryl optionally substituted with X, and optionally substituted with X Alkylsulfuriel, alkylsulfol optionally substituted with X, substituted with X, alkylsulfuroxy, substituted with X, alkylsulfuroxy, substituted with X Alkylsulfo-oxy, amino-containing alkylamino, dialkylamino, formyl, cyano or -toro (X is as described above), and U is a bromine atom or an iodine atom.
- the metal cyanide in the reaction [C] one or more can be appropriately selected from, for example, copper cyanide, cyanogen zinc, potassium cyanide and the like.
- the metal cyanide can be used in an amount of 1 to 30 times mol, preferably 1 to 15 times mol for the compound of formula (1-2).
- Reaction [C] can usually be carried out in the presence of a solvent.
- a solvent Any solvent may be used as long as it is inert to the reaction.
- ethers such as jetyl ether, butyl ether, tetrahydrofuran, dioxane, dimethoxyethane; acetonitryl, propio-tolyl, ⁇ , ⁇ -Dimethylformamide, dimethyl sulfoxide, hexamethylphosphoric triamide, sulfolane, ⁇ , ⁇ -dimethylacetamide, ⁇ -methylpyrrolidone and other polar aprotic solvents, etc. can do
- the reaction [C] can be carried out in the presence of a palladium catalyst, if desired.
- a palladium catalyst for example, one kind or two or more kinds can be appropriately selected from tetrakistriphenylphosphine palladium, bistriphenylphosphine palladium dichloride, and the like.
- Reaction [C] can be carried out in the presence of a metal iodide, if desired.
- the metal iodide for example, one or more kinds can be appropriately selected from copper iodide, zinc iodide, potassium iodide and the like.
- Reaction [C] is usually 0 to 150 ° C, preferably 10 to: LOO ° C.
- the reaction time is usually about 0.1 to 24 hours, preferably about 0.5 to 12 hours. Can do.
- [0026] [Chemical 5]
- the carbon monoxide in the reaction [D] can be used in an amount of 1 to 200 times mol, preferably 1 to 50 times mol for the compound of the formula (1-2).
- the hydrogen donor in the reaction [D] one or two or more kinds can be appropriately selected from, for example, tryptyl tin hydride, poly (methylhydrosiloxane), trioctylsilyl hydride and the like.
- the hydrogen donor can be used in an amount of 1 to 2 times, preferably 1 to 1.5 times the amount of the compound of the formula (1-2).
- Reaction [D] can usually be carried out in the presence of a palladium catalyst.
- a palladium catalyst for example, one or more kinds can be appropriately selected from those mentioned in the above reaction [C].
- the reaction [D] can be usually performed in the presence of a solvent.
- a solvent Any solvent may be used as long as it is inert to the reaction.
- aromatic hydrocarbons such as benzene, toluene and xylene; like pentane, hexane, heptane, octane and cyclohexane.
- Aliphatic hydrocarbons jetyl ether, butyl ether, tetrahydrofuran, di Ethers such as dioxane and dimethoxyethane; acetonitrile, propio-tolyl, ⁇ , ⁇ — dimethylformamide, dimethyl sulfoxide, hexamethylphosphoric triamide, sulfolane, ⁇ , ⁇ dimethylacetamide, ⁇ -methylpyrrolidone
- polar aprotic solvents can be appropriately selected.
- Reaction [D] is usually 0 to 150 ° C, preferably 10 to: LOO ° C.
- the reaction time is usually about 0.5 to 24 hours, preferably about 1 to 12 hours. Can do.
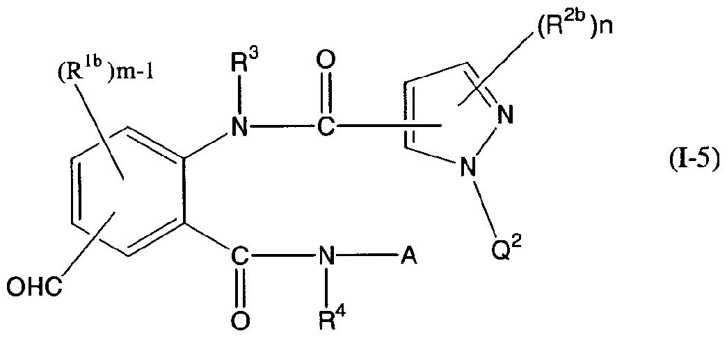
- R 3, R 4, m and n are as defined above, Q 2 is 4-pyridyl which may be substituted with may be 3-pyridyl or R 5b is substituted with R 5b, R lb Is a fluorine atom, a chlorine atom, a bromine atom, an alkyl which may be substituted with X, an alkyl which may be substituted with X, an alkyl which may be substituted with X, a hydroxy, which may be substituted with X Good alkoxy, alkyl carbo optionally substituted with X, carboxyl, alkoxy carbo optionally substituted with X, alkyl sulf optionally substituted with X, alkyl sulf optionally substituted with X -Alkyl, alkylsulfol optionally substituted with X, alkylsulfuroxy optionally substituted with X, alkylsulferoxy optionally substituted with X, alkyls
- fluorine-containing agent in the reaction [E] for example, cetylaminosulfur trifluoride, [bis (2-methoxyethyl) monoamino] sulfur trifluoride, xenon fluoride, 2,2-difluoro-1, 3
- the fluorine-containing agent can be used in an amount of 1 to 10 times mol, preferably 1 to 4 times mol for the compound of formula (1-5).
- the reaction [E] can usually be carried out in the presence of a solvent.
- the solvent may be any solvent inert to the reaction.
- aliphatic hydrocarbons such as pentane, hexane, heptane, octane, isooctane, and cyclohexane; benzene, toluene, xylene Aromatic hydrocarbons such as: Chlorobenzene, dichlorobenzene, dichloromethane, chloroform, carbon tetrachloride, halogenated trichloromethane, dichloroethane, trichloroethane, dichloroethylene; halogenated hydrocarbons;
- one or more kinds can be appropriately selected from ethers such as butyl ether, tetrahydrofuran, dioxane and dimethoxyethane.
- the reaction [E] can be carried out under an inert gas atmosphere if desired.
- the inert gas include nitrogen, helium, and argon.
- Reaction [E] can usually be carried out at ⁇ 78 to 40 ° C., preferably ⁇ 40 to 25 ° C.
- the reaction time is usually about 2 to 24 hours, preferably about 5 to 15 hours. Can do.
- the compound of the formula (II) is a known compound, or can be produced according to known materials.
- the compound of the formula (II) can be produced, for example, according to the method described in Synthesis, 1980, p.
- QR 2 and n are as described above, and B is halogen.
- Halogen includes fluorine, chlorine, bromine and iodine atoms.
- the compound of formula (VI) is a known compound.
- the first step of reaction [F] can usually be carried out in the presence of a base and a solvent.
- the base include alkali metal hydroxides such as sodium hydroxide and potassium hydroxide; alkali metal carbonates such as sodium carbonate and potassium carbonate; alkali metals such as sodium hydride and potassium hydride.
- the solvent may be any solvent inert to the reaction.
- polar aprotic solvents such as sulfolane, ⁇ , ⁇ -dimethylacetamide, and ⁇ -methylbicycloidone can be appropriately selected.
- the first step of the reaction [F] can be carried out under an inert gas atmosphere if desired.
- inert gases include nitrogen, helium, and argon.
- the first step of the reaction [F] can usually be carried out at 0 to 160 ° C, preferably 10 to 130 ° C, and the reaction time is usually about 1 to 72 hours, preferably about 2 to 60 hours. can do.
- the oxidizing agent in the second step of the reaction [F] includes, for example, alkali metal salts of nitrous acid such as sodium chlorite, strong chlorite, sodium bromate; permanganic acid
- alkali metal salts or ammonium salts of permanganate such as potassium, barium permanganate, and ammonium permanganate can be appropriately selected.
- the oxidizing agent can be used in an amount of 1 to 10 times mol, preferably 2 to 8 times mol, of the compound of formula (VII).
- the second step of the reaction [F] can be usually performed in the presence of a solvent.
- a solvent Any solvent may be used as long as it is inert to the reaction.
- halogenated hydrocarbons such as form and dichloroethylene; water and the like can be appropriately selected.
- the second step of reaction [F] can be carried out in the presence of a pH adjusting agent if desired.
- a pH adjusting agent examples include sodium acetate and sodium dihydrogen phosphate dihydrate.
- the second step of reaction [F] can usually be carried out at ⁇ 20 to 130 ° C., preferably ⁇ 5 to 110 ° C., and the reaction time is usually about 1 to 24 hours, preferably 2 to 15 It can be about hours.
- the compound of the above formula (IV) can be produced according to a known compound or a known document.
- the compound of the formula (IV) can be prepared by the method described in Org. Prep. Proceed. Int., 1993, 25, page 589, the method described in schemes 8 to 10 in WO03Z24222, or the like. Can be manufactured.
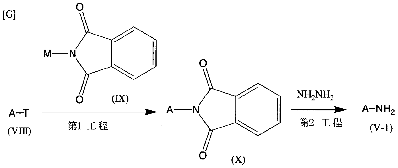
- the compound of the formula (V) includes a novel compound.
- the compound can be produced by the Gabriel method, but those in which R 4 is a hydrogen atom can be produced, for example, according to the following reaction [G].
- A is as described above, T is halogen, —OSO G (G is a sulfonic acid ester residue) or
- T is — OH
- M is a hydrogen atom.
- the sulfonate residue include C alkyl such as methyl and ethyl;
- T is halogen or —OSO G
- M is sodium or
- Any solvent may be used as long as it is inert to the reaction.
- jet ether butyl ether, tetrahydrofuran, dioxane, dimethoxy ester.
- Ethers such as tan; aromatic hydrocarbons such as benzene, toluene, xylene; acetonitrile, propio-tolyl, ⁇ , ⁇ -dimethylformamide, dimethyl sulfoxide, hexamethylphosphoric triamide, sulfolane, ⁇ , Polar aprotic solvents such as ⁇ -dimethylacetamide and ⁇ -methylpyrrolidone; one or more selected from alcohols such as methanol, ethanol, propanol, normal butanol, and tertiary butanol can do.
- ⁇ is halogen or —OSO G
- M is sodium or
- reaction time is usually about 0.5 to 24 hours, preferably about 1 to 12 hours. it can.
- the first step of the reaction [G] is a force that can usually be performed according to the Mitsunobu method when T is —OH and M is a hydrogen atom.
- a dialkylazo It can be carried out using dicarboxylate and triphenylphosphine.
- the dialkylazodicarboxylate and triphenylphosphine can be used in an equimolar amount with respect to the compound of formula (VIII).
- the dialkylazodicarboxylate is a force that can usually be performed according to the Mitsunobu method when T is —OH and M is a hydrogen atom.
- Examples thereof include jetylazodicarboxylate and diisopropylazodicarboxylate.
- any solvent may be used as long as it is inert to the reaction.
- etherols such as diethyl ether, butyl ether, tetrahydrofuran, dioxane, dimethoxyethane; black benzene, dichlorobenzene, dichloromethane,
- halogenated hydrocarbons such as chlorophenol, dichloroethane, trichloroethane, and dichloroethylene
- aromatic hydrocarbons such as benzene, toluene, and xylene can be appropriately selected.
- the first step of the reaction [G] can be carried out usually at 0 to 80 ° C, preferably 20 to 60 ° C, when T is --OH and M is a hydrogen atom.
- the reaction time is usually about 0.5 to 24 hours, preferably about 1 to 16 hours.
- the second step of the reaction [G] can be usually performed by decomposing the compound of the formula (X) with hydrazine in the presence of a solvent.
- the hydrazine is usually against the compound of formula (X).
- ethers such as diethyl ether, butyl ether, tetrahydrofuran, dioxane and dimethoxyethane
- aromatics such as benzene, toluene and xylene.
- One or two or more types can be appropriately selected from group hydrocarbons; alcohols such as methanol, ethanol, propanol, nonolemanolebutanol and tertiary butanol.
- the second step of the reaction [G] can be usually carried out at 0 to 140 ° C, preferably 30 to 100 ° C, and the reaction time is usually about 0.5 to 24 hours, preferably about 2 to 12 hours. can do.
- the pest control agent containing the compound of the present invention includes, for example, various pest control agents that are problematic in the field of agriculture and horticulture, that is, agricultural and horticultural pest control agents, and pest control agents parasitic on animals, that is, animals. It is particularly useful as a parasite control agent.
- Pesticides for agricultural and horticultural use include, for example, power useful as insecticides, acaricides, nematicides, and soil-killing insecticides.
- Plant parasitic mites such as apple hada, chiyanokorida, mandarin orange, mite, etc .
- Stomach pests such as gastropods, isopods such as stag beetle, bark beetle, hygiene pests such as house dust mites, house flies, cayenne powers, cockroaches, etc .; Bataga, Azuki beetle, Kokunosutomodoki, Goomushimodashi Stored pests such as moss; clothing, house pests such as Iga, Himekatsubushimushi, termites, etc .; It is effective for controlling ticks; Among them, the agricultural and horticultural pest control agent containing the compound of the present invention is particularly effective for controlling plant parasitic mites, agricultural pests, plant parasitic nematodes and the like.
- the agricultural and horticultural pest control agent containing the compound of the present invention is also effective in controlling various pests resistant to drugs such as organic phosphorus agents, carbamate agents, and synthetic pyrethroid agents.
- drugs such as organic phosphorus agents, carbamate agents, and synthetic pyrethroid agents.
- the compound of the present invention has excellent osmotic transfer properties, it is possible to treat soil harmful insects, ticks, and the like by treating the soil with an agricultural and horticultural pesticide containing the compound of the present invention.
- it can also control pests on the foliage.
- Another desirable aspect of the pest control agent containing the compound of the present invention is that the plant parasitic mites, agricultural pests, plant parasitic nematodes, gastropods, soil pests, etc. And pesticides for agricultural and horticultural use.
- the agricultural and horticultural pest control agent containing the compound of the present invention is usually a powder, granule, granule wettable powder, wettable powder, aqueous suspension obtained by mixing the compound and various agricultural adjuvants. , Oily suspension, water solvent, emulsion, liquid, paste, aerosol, microspray, etc. Any formulation used in the field can be used.
- Adjuvants used in the formulation include diatomaceous earth, slaked lime, calcium carbonate, talc, white carbon, kaolin, bentonite, mixture of olinite and sericite, clay, sodium carbonate, sodium bicarbonate, sodium nitrate, zeolite, starch, etc.
- Mold carrier water, toluene, xylene, solvent naphtha, dioxane, acetone, isophorone, methyl isobutyl ketone, black benzene, cyclohexane, dimethyl sulfoxide, ⁇ , ⁇ -dimethylformamide, ⁇ , ⁇ -dimethylacetamide, ⁇ ⁇ -Methyl-2-pyrrolidone, alcohol and other solvents; fatty acid salts, benzoates, alkylsulfosuccinates, dialkylsulfosuccinates, polycarboxylates, alkyl sulfates, alkyl sulfates, alkylaryl sulfates, Alkyl diglycol ether Sulfates, alcohol sulfates, alkyl sulfonates, alkyl aryl sulfonates, aryl sulfonates, lignite sulfonates, alkyl diphen
- each component of these adjuvants can be used by appropriately selecting one or two or more types without departing from the object of the present invention.
- they can be appropriately selected from those known in the art, for example, extenders, thickeners, anti-settling agents, antifreeze agents, dispersion stabilizers, phytotoxicity reductions.
- Various commonly used adjuvants such as agents and fungicides can also be used.
- the compounding ratio of the compound of the present invention and various adjuvants is 0.001: 99.999 to 95: 5, preferably 0.005: 99.995 to 90:10.
- the application of agricultural and horticultural pesticides containing the compounds of the present invention cannot be defined unconditionally due to differences in weather conditions, formulation, application time, application location, pest type and occurrence, etc.
- the active ingredient concentration is ⁇ 800,000 ppm, preferably 0.5 to 500,000 ppm.
- the application amount per unit area is 0.05 to 50 000 g, preferably 1 to 30000 g, of the present compound per hectare.
- the pest control agent containing this invention compound The application of the pest control agent for agricultural and horticultural use, which is another desirable embodiment of the above, is performed in accordance with the application of the pest control agent.
- the present invention also includes a method for controlling pests by such an application method, particularly a method for controlling plant parasitic mites, agricultural pests, and plant parasitic nematodes.
- the agricultural and horticultural pesticide containing the compound of the present invention can be mixed or used in combination with other agricultural chemicals, fertilizers, safeners, etc. May show sex.
- Other pesticides include herbicides, insecticides, acaricides, nematicides, soil pesticides, fungicides, antiviral agents, attractants, antibiotics, plant hormones, plant growth regulators, etc. It is done.
- a mixed pest control composition in which the compound of the present invention and one or more active compound compounds of other agricultural chemicals are used in combination or in combination is preferred in terms of application range, timing of chemical treatment, control activity, etc. It is possible to improve.
- the compound of the present invention and the other active ingredient compounds of other agricultural chemicals may be used separately by mixing them at the time of spraying, or may be used by preparing both together.
- the present invention also includes such a mixed pest control composition.
- the mixing ratio between the compound of the present invention and the active ingredient compound of other agricultural chemicals cannot be defined unconditionally due to differences in weather conditions, formulation form, application time, application location, pest type and occurrence, etc. Generally, it is 1: 300 to 300: 1, preferably 1: 100 to 100: 1.
- the appropriate amount to be applied is 0.1 to 50000 g, preferably 1 to 30000 g as the total amount of active ingredient compounds per hectal.
- the present invention also includes a method for controlling pests by a method for applying such a mixed pest control composition.
- insecticides as an active ingredient compound (generic name; including some pending applications) of insecticides, acaricides, nematicides or soil insecticides, that is, pest control agents, for example, profenofos ( Profenofos, Cyclonorevos, Dichlorvos, Fenamithion, Fenitrothion, EPN, Diazinon, Chlorpyrif os-methyl, Acephate, Prothiofos, Phostiazate Fosth iazate), Phosphocarb, Cadusafos, Dislfoton, Chlorpyrifos, Demeton-S-methyl, Dimethoate, Methamidophos, AKD- Organophosphate compounds such as Parathion;
- profenofos Profenofos, Cyclonorevos, Dichlorvos, Fenamithion, Fenitrothion, EPN, Diazinon, Chlorpyrif os-methyl, Acephate, Prothiof
- Nereistoxin derivatives such as Cartap, Thiocyclam, Bensultap;
- Organochlorine compounds such as Dicofol, Tetradifon, Endosulfan;
- Organometallic compounds such as Fenbutatin Oxide
- Fenvalerate Penoremethrin (Permethrin), Cypermethrin (Cypermethr in), Deltamethrin, Deltahalothrin (Cyhalothrin), Tefluthrin, Etofenprox, Fenpropathrin, Fenpropathrin Pyrethroid compounds such as (Bifenthrin);
- Pyridazinone compounds such as Pyridaben
- Fenpyroximate Fipronil, Tebu fenpyrad, Ethiprole, Tolfenpyrad, Acetoprole, Pyrafluprole, Pyriprozole, Pyriprole
- Neo-cotinoids such as Imidacloprid, Nitenpyram, Acetamiprid, Thiacloprid, Thiamethoxam, Clothia nidin, Dinoteforan;
- Hydrazine compounds such as Tebufenozide, Methoxyfenozide, Chromafenozide, and Halofenozide;
- Dinitro compounds, organic sulfur compounds, urea compounds, triazine compounds, hydrazine compounds, and other compounds include Flonicamid, Buprofezin, Hexythiazox, Amitraz ( Amitraz), Chlordimeform (Ch lordimeform), Silafrofen (Silafluofen), Triazamate, Pymetrozine, Pyrimidifen, Chlorfenapyr, Indquinocolyl, Indoxaoc Etoxazole), cyromazine, 1,3-dichloropropene, 1,3-dichloropropene, diafenthiuron, Benclothiaz, Flufenerim, pyridylyl, spirodiclo Firo (Spirodiclofen), Bifenazate (Bifenazate) Spiromesifen, Spirotetramat, Propargite, Clofentezine, Fluacrypyrim, Flubendiamide, DPX-E
- microbial agents such as BT agents, entomopathogenic virus agents, entomopathogenic fungi agents, nematode pathogenic fungi agents, etc .; Avenoremectin (Avermectin), Emamectin- Benzoate, Milbemectin ( Milbemectin), Spinosad, Ivermectin, Antibiotics such as pimectin (Lepimectin) or semi-synthetic substances thereof; natural products such as azadirachtin and rotenone can also be mixed and used together.
- Dithiocarbamate compounds such as Maneb, Zineb, Mancozeb, Polycarba mate, Propineb;
- Organochlorine compounds such as Fthalide, Chlorothalonil, Quintozene;
- Imidazole compounds such as Benomyl, Thiophanate-Methyl, Carbendazim, Cyazofamid;
- Cyanoacetamide compounds such as Cymoxanil
- Phenolic compounds such as Metalaxyl, Oxadixyl, Offorace, Benalaxyl, Furalaxyl, Cyproforam;
- Sulfenic acid compounds such as dichlofluanid
- Copper-based compounds such as cupric hydroxide and organic copper (Oxine Copper); Isoxazole compounds such as hydroxyisoxazole; Fosety ⁇ Al, Torclofos-Methyl, S-Benzyl ⁇ , ⁇ -diisopropylphosphorothioate, O-Ethyl S, S—Organic phosphorus compounds such as diphenylphosphlodithioate and aluminium hydrogen phosphonate;
- N-halogenoalkyl compounds such as Captan, Captafol, Folpet;
- Dicarboximide compounds such as procymidone, Iprodione, Vinclozolin;
- Benth anilide compounds such as Flutol (Flut 0 lanil), Meprol (Mepronil), Zoxamide;
- Piperazine compounds such as Triforine
- Pyridine compounds such as Pyrifenox
- Carbinol compounds such as Fenarimol and Flutriafol Piperidine compounds such as Fenpropidine;
- Morpholine compounds such as Fenpropimorph
- Organotin compounds such as Fentin Hydroxide and Fentin Acetate
- Urea-based compounds such as Pencycuron
- Synamic acid compounds such as Dimethomorph
- Fercarbamate compounds such as Dietophencarb
- Cyanpyrrole compounds such as Fludioxonil and Fenpiclonil
- Oxazolidinone compounds such as Azoxystrobin, Kresoxim-Methyl, Metominofen, Trifloxystrobin, Picoxystrobin (Picoxys Famoxadone); Thiazole carboxamide compounds such as ethaboxam; silylamide compounds such as silthiopham;
- Aminoacid amide carbamate compounds such as Iprovalicarb; Imidazolidine compounds such as Fenamidone;
- Hydoxyxanilide compounds such as fenhexamid
- Benzenesulfonamide compounds such as Flusulfamide; Atolaquinone compounds; Crotonic acid compounds; Antibiotics and other compounds such as I so prothiolane, Tricyclazole, Pyroquilon, Dichromemidine ( Diclomezine), Purobe mystery one / LES (Probenazole), quinoxyfen (Quinoxyf en), Puropamokanorebu hydrochloride (Propamocarb hydrochloride), spiroxamine (Spiroxami n e), chloropicrin (chloropicrin), dazomet (dazomet), meta beam sodium salt ( Metam- sodi um);
- pesticides that can be mixed or used in combination with the compounds of the present invention include, for example, active ingredients of herbicides such as those described in the Farm Chemicals Handbook (2002 edition), particularly those of soil treatment type. There are things.
- animal parasite control agents include ectoparasites that parasitize on the body surface of the host animal (back, armpit, lower abdomen, inner thigh, etc.) and the host animal body (stomach, intestinal tract, lung, It is effective for the control of endoparasites that parasitize the heart, liver, blood vessels, subcutaneous, lymphatic thread, and the like, and is particularly effective for the control of ectoparasites.
- ectoparasites include animal parasitic mite fleas. These types are very difficult to list, so here are some examples.
- Animal parasitic mites include, for example, Boophilus microplus, Rhipicephalus sanguineus, Phytophthora, eu (Haemaphvsalis longicorni s), Kitani tick (Haemaphvsalis flava), burdock mite ph , Chair power zima, 'e (Haemaphvsalis concinna), yamato chimata-(Haemaphvsalis ja ⁇ onica), Haemaphvsalis kitaokai, Haemaphvsalis ias, tick (Ixodes ovatus) Ixodes nipponensis), sur zuemata, ii (Ixodes persulcatus), Takasago Kiramata (Amblvomma testudinarium) Ticks, such as the genius Tematani (Haemaphvsalis megaspinosa), Acarid tick (
- fleas examples include ectoparasite worms belonging to the order Flea (Siphonaotera), and more specifically fleas belonging to the family Flea (Pulicidae), Nagano (CerateDhyllus), etc. .
- Examples of fleas belonging to the family Fleas include: Flea (Ctenoce Dhalides canis), Cono (Ctenocephalides felis), Human flea (Pulex irritans), -Echidnoph aga gallinacea, Xenopsvlla cheopis, Examples include fleas (Leptopsvl la segnis), yosoku tsuno ⁇ nozuno (Nosopsyllus fasciatus), yamanoshino (Monopsvll us mik), etc.
- animal parasite control agents containing the compounds of the present invention include: It is effective for controlling fleas belonging to the family Flea family, especially cynos and cat fleas.
- ectoparasites include, for example, lice such as white lice, white lice, white lice, white lice, head lice; white lice such as white lice; blood sucking such as Usiab, Uinu power, and Thmetgebu Diptera pests.
- endophytic organisms include nematodes such as lungworms, bench beetles, tuberous worms, gastric parasites, roundworms, and filamentous worms; , Persimmon tapeworm, multi-headed tapeworm, single Tapeworms, tapeworms such as polychaete, Japanese schistosomiasis, fluke such as liver cirrhosis; protozoa such as coccidium, malaria parasite, intestinal granulocyst, toxoplasma, cryptosporidium Etc.
- nematodes such as lungworms, bench beetles, tuberous worms, gastric parasites, roundworms, and filamentous worms
- Persimmon tapeworm multi-headed tapeworm, single Tapeworms, tapeworms such as polychaete, Japanese schistosomiasis, fluke such as liver cirrhosis
- protozoa such as coccidium, malaria parasite, intestinal granulocyst, to
- Examples of host animals include various pet animals, livestock, poultry, and the like, and more specifically, dogs, cats, mice, rats, hamsters, guinea pigs, squirrels, rabbits, ferrets, birds (for example, , Pigeons, omme, nine-birds, wild birds, parakeets, pine pine, canary, etc.), sushi, horses, butter, hidge, ducks, etc.
- the animal parasite control agent containing the compound of the present invention is effective for the control of pests parasitic on pet animals or livestock, particularly ectoparasites. It is especially effective for dogs, cats, ushi or horses in pets or livestock.
- the compound of the present invention when used as an animal parasite control agent, it may be used as it is. Also, powders, granules, tablets, powders, capsules, liquid agents, emulsions, aquatic compounds with appropriate adjuvants. It can also be formulated and used in various forms such as a suspension and an oily suspension. In addition to the above-mentioned preparation form, any preparation form that is generally used in this field can be used as long as it is suitable for the purpose of the present invention. Examples of the adjuvant used in the preparation include anionic surfactants and nonionic surfactants exemplified as the aforementioned preparation adjuvants for agricultural and horticultural pest control agents such as cetyltrimethylammonium bromide.
- Cationic surfactants water, acetone, acetonitrile, monomethylacetamide, ⁇ , ⁇ -dimethylacetamide, ⁇ , ⁇ -dimethylformamide, 2-pyrrolidone, ⁇ -methyl-2-pyrrolidone, kerosene, triacetin, Methanol, ethanol, isopropanol, benzyl alcohol, ethylene glycol, propylene glycol, polyethylene glycol, liquid polyoxyethylene glycol nore, butinoresin glycol nore, ethylene glycol nole monomethylenoatenore, ethylene glycolenolemonochinenoatenoate, Diethylene Solvents such as ricono-remonomethino-reinotenole, diethyleneglycolenorenoremanolebutenoreatenore, dipropyleneglycololemonomethinoreate, dipropyleneglycolnormalbutylether; butylhydroxyl-sol, butylhydroxyto
- one or more kinds can be appropriately selected and used.
- auxiliary agents they can be appropriately selected from those known in the field, and further, the various auxiliary agents used in the above-mentioned agricultural and horticultural fields are appropriately selected. Can also be used.
- the compounding ratio of the compound of the present invention and various adjuvants is usually about 0.1: 99.9 to 90:10. In actual use of these preparations, use them as they are or dilute them to a predetermined concentration with a diluent such as water, and add various spreading agents (surfactants, vegetable oils, mineral oils, etc.) as necessary. It can be used as a supplement.
- Administration of the compound of the present invention to the host animal is performed orally or parenterally.
- the oral administration method include a method of administering tablets, liquid agents, capsules, wafers, biscuits, minced meat, and other feeds containing the compound of the present invention.
- the compound of the present invention is prepared in an appropriate formulation and then taken into the body by intravenous injection, intramuscular administration, intradermal administration, subcutaneous administration, etc .; spot-on ) Treatment, pour-on treatment, spray treatment, and the like; and a method of embedding a fat slice containing the compound of the present invention under the skin of a host animal.
- the dose of the compound of the present invention to the host animal varies depending on the administration method, purpose of administration, disease symptoms, etc., but is usually O.Olmg to: L00g to the body weight lKg of the host animal, preferably 0.1 It is appropriate to administer at a rate of mg to 1 Og.
- the present invention also includes a method for controlling pests by the administration method or dosage as described above, particularly a method for controlling ectoparasites or endoparasites.
- the present invention by controlling animal parasitic pests as described above, it may be possible to prevent or treat various diseases of host animals caused by them.
- the present invention also includes a prophylactic or therapeutic agent for parasite-derived animal diseases containing the compound of the present invention as an active ingredient, and a method for preventing or treating parasite-derived animal diseases. included.
- the compound of the present invention when used as an animal parasite control agent, various vitamins, minerals, amino acids, nutrients, enzyme preparations, antipyretics, sedatives, antiphlogistics, bactericides, and coloring agents together with adjuvants. , Fragrances, preservatives and the like can be mixed or used together. If necessary, mix with or use other animal drugs and pesticides such as anthelmintics, anti-coxime, insecticides, acaricides, fleas, nematicides, bactericides, and antibacterials. In this case, the effect may be even better.
- the present invention includes a mixed pest control composition in which various components as described above are mixed or used together, and a pest control method using the composition, particularly control of ectoparasites or endoparasites. A method is also included.
- the organic layer was gradually added dropwise to a mixed solution of 32 g of sodium bisulfite and 400 ml of water at 20 ° C or lower. After stirring for 15 minutes at the same temperature, the organic layer was extracted. After drying over anhydrous magnesium sulfate, the solvent was distilled off under reduced pressure to obtain 1— (3,5 dichloro-4-pyridyl) 3 (trifluoromethyl) 1H pyrazol-5-carboxylic acid with a melting point of 1 27.9 ° C. 4.7g was obtained.
- 0.3 ml of methanesulfuryl chloride was gradually added dropwise to a mixed solution of 1.0 g of 5-strong rubonic acid, 0.42 ml of pyridine and 20 ml of acetonitrile in a nitrogen stream at 0 ° C. After completion of the dropwise addition, stirring was continued for 15 minutes at the same temperature, to which 0.57 g of 2 amino-5 black mouth 3-methylbenzoic acid was added, and then 0.87 ml of pyridine was added. After stirring at 0 ° C for 15 minutes, 0.3 ml of methanesulfonyl chloride was added, and the mixture was allowed to react while gradually returning the solution temperature to room temperature.
- the filtrate was washed with saturated aqueous sodium hydrogen carbonate solution and saturated Japanese brine, dried over anhydrous magnesium sulfate.
- the organic layer was gradually added dropwise to a mixed solution of 30 g of sodium bisulfite and 200 ml of water at 20 ° C or lower. After stirring for 15 minutes at the same temperature, the organic layer was extracted. After drying over sodium sulfate, the solvent is distilled off under reduced pressure, melting point 130—135 ° C 1 — (4 Kuroguchi 1-3 pyridyl) 3 (trifluoromethyl) -1H-pyrazole 5 carboxylic acid 1.5 g Got.
- the NMR spectrum data of this product are as follows.
- Table 1 representative examples of the compounds of the present invention represented by the formula (I) are shown in Table 1, and their physical properties are shown in Table 2. These compounds can be synthesized based on the above synthesis examples or various production methods of the above-described compounds of the present invention.
- No. indicates the compound No., and the position indicates the position at which pyrazole is bonded to the carbocycle.
- A1 is -CH- [c-Pr]
- A2 is -CH (Me)-[c-Pr]
- A3 is -C
- F and A15 each represent —CO—CH ⁇ CH.
- Me is methyl group
- c-Pr is
- a chloropropyl group, c-Bu represents a cyclobutyl group, and Py represents a pyridyl group.
- c-Pr (2-Me) is a cyclopropyl group substituted with a methyl group at the 2-position
- 4-Py (3-Cl, 5-Cl) is A 4-pyridyl group substituted with a chlorine atom at the 3-position and 5-position of the pyridyl group is shown, and other similar descriptions also apply to this.
- Test example 1 Effectiveness test for Lotus monto
- Cabbage leaf pieces were immersed for about 10 seconds in a chemical solution prepared so that the concentration of the compound of the present invention was 50 ppm, and air-dried.
- a wet filter paper was laid on a petri dish with a diameter of 9 cm, and an air-dried piece of cabbage was placed on top of it.
- the mortality was determined and the mortality rate was calculated by the following formula. Abnormal insects were also considered dead.
- Compound Nos Compound Nos.
- Death rate (%) (Number of dead insects Z Number of dead insects) X loo
- Test Example 2 Effect test on silver leaf whitefly
- Silver leaf whitefly adults were allowed to lay eggs for about 8 to 24 hours in a pot-planted cucumber with one leaf left and the other leaves removed. After that, it was left in a constant temperature room at 25 ° C for 7-10 days. After investigating the number of hatched larvae, the chemical solution prepared so that the concentration of the compound of the present invention was 50 ppm was sprayed at a ratio of about 3 ml Z strain and air-dried. After the treatment, the sample was left in a constant temperature room at 25 ° C for 10 to 14 days. Then, the number of old larvae and the number of pupae was examined, and the control value was calculated by the following formula. Compound No. 1, 9, 12, 13, 22, 34, 40, 121, 133, 136, 142, and 144 were determined to have a control value of 50 ppm. High control effect was shown.
- Control value (%) (1— ((Ta X Cb) / (Tb X Ca))) X 100
- Ta Number of old larvae after treatment in the treatment area + number of pupae
- Tb Number of hatching larvae before treatment in the treated area
- a filter paper was placed in a glass petri dish having a diameter of 9 cm, and treated with 1 ml of a chemical solution prepared so that the concentration of the compound of the present invention was 500 ppm. After that, we released 10 termite worker ants and 1 soldier ant, covered them, and left them in a constant temperature room at 25 ° C. Six days after the treatment, the number of ant mortality was investigated, and the death rate was calculated using the following formula. Abnormal insects were also considered dead. When the mortality was determined for the compounds No. 1, 6 and 8, all the compounds showed a high control effect of 80% or more.
- 0.5 ml of an acetone solution of the compound of the present invention prepared at 5.3 ppm is dropped into a glass tube (inner diameter 2.6 cm, bottom area 5.3 cm 2 , height 12 cm) having a smooth bottom surface.
- Acetone is evaporated at room temperature to form a dry film containing the compound of the present invention on the bottom surface.
- the above is uniformly mixed to form a powder.
- a mixture of the above components and the compound of the present invention are mixed at a weight ratio of 4: 1 to obtain a wettable powder.
- the above is uniformly mixed and pulverized to obtain an aqueous suspension.
- the above ingredients are mixed uniformly to form a solution.
- the novel anthranilamide compound of the present invention has a very low control amount and has a very high control effect against pests. For example, it controls various pests that are problematic in the field of agriculture and horticulture and pests that are parasitic on animals It can be widely used as a pest control agent. It should be noted that the entire contents of the specification, claims, drawings and abstract of Japanese Patent Application No. 2005-234214 filed on August 12, 2005 are cited here as disclosure of the specification of the present invention. Incorporate.
Landscapes
- Health & Medical Sciences (AREA)
- Organic Chemistry (AREA)
- Chemical & Material Sciences (AREA)
- Life Sciences & Earth Sciences (AREA)
- Veterinary Medicine (AREA)
- General Health & Medical Sciences (AREA)
- General Chemical & Material Sciences (AREA)
- Nuclear Medicine, Radiotherapy & Molecular Imaging (AREA)
- Medicinal Chemistry (AREA)
- Pharmacology & Pharmacy (AREA)
- Chemical Kinetics & Catalysis (AREA)
- Animal Behavior & Ethology (AREA)
- Tropical Medicine & Parasitology (AREA)
- Public Health (AREA)
- Pest Control & Pesticides (AREA)
- Agronomy & Crop Science (AREA)
- Plant Pathology (AREA)
- Engineering & Computer Science (AREA)
- Dentistry (AREA)
- Wood Science & Technology (AREA)
- Zoology (AREA)
- Environmental Sciences (AREA)
- Agricultural Chemicals And Associated Chemicals (AREA)
Abstract
Description
明 細 書 Specification
アントラニルアミド系化合物、それらの製造方法及びそれらを含有する有 害生物防除剤 Anthranilamides, production methods thereof, and pest control agents containing them
技術分野 Technical field
[0001] WO01Z70671には、一定の化学構造を有するアントラニルアミド系化合物が開 示されている。し力しながら、後記式 (I)中の Aに相当する置換基として C3— 4シクロ アルキルで置換されたアルキル又は Dで置換されたカルボ-ルを有する化合物はど こにも記載されていない。 [0001] WO01Z70671 discloses anthranilamide compounds having a certain chemical structure. However, no compound having an alkyl substituted with C3-4 cycloalkyl or a carbonyl substituted with D as a substituent corresponding to A in the following formula (I) is described. .
WO03Z16284には、ピラゾール環の 1位に 2 ピリジル又はフエ-ルが置換して いる化合物が開示され、一方、 WO04Z67528には、ピラゾール環の 1位に 2 ピリ ジルが置換している化合物が開示されている。これらに対し、後記式 (I)のピラゾール 環の 1位には 3 ピリジル又は 4 ピリジルが置換していることから、化学構造が異な る。 WO03Z16284 discloses a compound in which 2-pyridyl or phenyl is substituted at the 1-position of the pyrazole ring, while WO04Z67528 discloses a compound in which 2-pyridyl is substituted at the 1-position of the pyrazole ring. ing. On the other hand, the chemical structure is different because 3-pyridyl or 4-pyridyl is substituted at the 1-position of the pyrazole ring of the following formula (I).
[0002] 特許文献 1 :国際公開公報 WO01Z70671 [0002] Patent Document 1: International Publication WO01Z70671
特許文献 2:国際公開公報 WO03Z16284 Patent Document 2: International Publication WO03Z16284
特許文献 3:国際公開公報 WO04Z67528 Patent Document 3: International Publication WO04Z67528
発明の開示 Disclosure of the invention
発明が解決しょうとする課題 Problems to be solved by the invention
[0003] 長年にわたり、多数の有害生物防除剤が使用されているが、効力が不十分、有害 生物が抵抗性を獲得しその使用が制限される等、種々の課題を有するものが少なく ない。従って、力かる欠点の少ない新規な有害生物防除剤、例えば、農園芸分野で 問題となる各種有害生物や、動物に寄生する有害生物を防除できる有害生物防除 剤の開発が望まれている。 [0003] A number of pest control agents have been used for many years, but many have various problems such as insufficient efficacy, pests gaining resistance and limiting their use. Therefore, it is desired to develop a new pest control agent with few disadvantages, for example, a pest control agent capable of controlling various pests that are problematic in the field of agriculture and horticulture, and pests parasitic on animals.
課題を解決するための手段 Means for solving the problem
[0004] 本発明者らは、より優れた有害生物防除剤を見出すべくアントラニルアミド系化合 物につき種々検討した。その結果、新規なアントラ-ルアミド系化合物が、低薬量で 有害生物に対して極めて高い防除効果を有することを見出し、本発明を完成した。 すなわち本発明は、式 (I) : [0004] The present inventors have made various studies on anthranilamide compounds in order to find better pest control agents. As a result, the present inventors have found that a novel anthra-amide compound has an extremely high control effect against pests at a low dose, and completed the present invention. That is, the present invention provides a compound of formula (I):
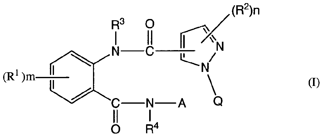
[0005] [化 1] [0005] [Chemical 1]
[0006] (式中、 Aは Yで置換されたアルキル又は Dで置換されたカルボ-ルであり、 Qは R で置換されてもょ 、3 -ピリジル又は R5で置換されてもよ!、4 -ピリジルであり、 R1は ハロゲン、 Xで置換されてもよいアルキル、 Xで置換されてもよいァルケ-ル、 Xで置 換されてもよいアルキ-ル、ヒドロキシ、 Xで置換されてもよいアルコキシ、ホルミル、 X で置換されてもよいアルキルカルボ-ル、カルボキシル、 Xで置換されてもよいアルコ キシカルボ-ル、 Xで置換されてもよいアルキルスルフエ-ル、 Xで置換されてもよい アルキルスルフィエル、 Xで置換されてもよいアルキルスルホ -ル、 Xで置換されても よ!、アルキルスルフエ-ルォキシ、 Xで置換されてもよ!、アルキルスルフィエルォキシ 、 Xで置換されてもよいアルキルスルホ -ルォキシ、アミ入アルキルァミノ、ジアルキ ルァミノ、ァミノカルボニル、アルキルアミノカルボニル、ジアルキルアミノカルボニル、 ハロゲンで置換されてもよいアルコキシィミノアルキル、シァノ又は-トロであり、 R2及 び R5は各々ハロゲン、 Xで置換されてもよいアルキル、 Xで置換されてもよいアルコキ シ、 Xで置換されてもよいアルキルスルフエ-ル、 Xで置換されてもよいアルキルスル フィエル、 Xで置換されてもよいアルキルスルホ -ル、 Xで置換されてもよいアルキル スルフエ-ルォキシ、 Xで置換されてもよいアルキルスルフィエルォキシ、 Xで置換さ れてもよいアルキルスルホ -ルォキシ、アミ入アルキルァミノ、ジアルキルァミノ、ホル ミル、シァノ又は-トロであり、 R3及び R4は各々水素原子又はアルキルであり、 Xはハ ロゲン、ハロゲンで置換されてもよいアルコキシ、ハロゲンで置換されてもよいアルキ ルスルフエ-ル、ハロゲンで置換されてもよいアルキルスルフィエル、ハロゲンで置換 されてもよいアルキルスルホ-ル又はシァノであり、 Yはハロゲン、アルキル及びハロ アルキルよりなる群力 選ばれる少なくとも 1つの置換基で置換されてもよい C シク ロアノレキノレ;ノヽロアノレキノレスノレフエ二ノレ;ノヽロアノレキノレスノレフィニノレ又はノヽロアノレキノレ スルホ-ルであり、 Dはハロゲンで置換されてもよいアルケ-ル、ハロゲンで置換され てもよ ヽァルケ-ルォキシ、ハロゲンで置換されてもょ 、アルキ-ル又はハロゲンで 置換されてもよいアルキ-ルォキシであり、 mは 0〜4の整数であり、 nは 1〜2の整数 である)で表されるアントラ-ルアミド系化合物、その N—ォキシド、又はその塩、それ らの製造方法並びにそれらを含有する有害生物防除剤などに関する。 [0006] wherein A is alkyl substituted with Y or carbo substituted with D, Q may be substituted with R, 3-pyridyl or R 5 ! , 4-pyridyl, R 1 is halogen, alkyl optionally substituted with X, alkenyl optionally substituted with X, alkyl optionally substituted with X, hydroxy, substituted with X Alkoxy, formyl, alkyl carbonyl optionally substituted with X, carboxyl, alkoxy carbonyl optionally substituted with X, alkyl sulfonyl optionally substituted with X, substituted with X Alkylsulfuriel, alkylsulfol optionally substituted with X, optionally substituted with X !, alkylsulfuroxy, optionally substituted with X !, alkylsulfieroxy, X Alkylsulfo-luoxy, which may be substituted with Alkylamino, dialkylamino, aminocarbonyl, alkylaminocarbonyl, dialkylaminocarbonyl, alkoxyiminoalkyl optionally substituted with halogen, cyano or -tro, and R 2 and R 5 are each substituted with halogen, X Alkyl optionally substituted with X, alkylsulfur optionally substituted with X, alkylsulfuryl optionally substituted with X, alkylsulfol optionally substituted with X , Alkylsulfuroxy which may be substituted with X, alkylsulferoxy which may be substituted with X, alkylsulfoloxy which may be substituted with X, amide-containing alkylamino, dialkylamino, formyl, Shiano or - Toro, R 3 and R 4 are each hydrogen atom or alkyl, X is c androgenic, halogen Alkyl which may be substituted with alkyl, alkylsulfur which may be substituted with halogen, alkylsulfuryl which may be substituted with halogen, alkylsulfol which may be substituted with halogen or cyano, Y is halogen A group consisting of alkyl, haloalkyl and C cycloalkyl optionally substituted with at least one selected substituent Roanorequinole; Noroanorequinoles Norefuenole; Noroanorequinoles Nolefininore or Noroanorequinoleolol, D is an alkenyl which may be substituted with halogen, may be substituted with halogen Alkyloxy, substituted with halogen, alkyl or alkyloxy optionally substituted with halogen, m is an integer of 0-4, and n is an integer of 1-2) The present invention relates to an anthracamide compound represented by the formula, an N-oxide thereof, or a salt thereof, a production method thereof, a pest control agent containing them, and the like.
発明の効果 The invention's effect
[0007] 前記式 (I)の新規アントラニルアミド系化合物を有効成分とする有害生物防除剤は [0007] A pest control agent comprising a novel anthranilamido compound of the formula (I) as an active ingredient is
、低薬量で有害生物に対して極めて高い防除効果を有する。 It has a very high control effect against pests at a low dose.
発明を実施するための最良の形態 BEST MODE FOR CARRYING OUT THE INVENTION
[0008] A中の置換基 Y、 Q中の置換基 R5、或いは R1 R2又は R5中の置換基 Xの置換数は[0008] The number of substitutions of the substituent Y in A, the substituent R 5 in Q, or the substituent X in R 1 R 2 or R 5 is
、 1又は 2以上であってよぐ 2以上の場合、各置換基は同一でも相異なってもよい。 また、各置換基の置換位置はいずれの位置でもよい。 In the case of 2 or more, each substituent may be the same or different. Moreover, the position of each substituent may be any position.
A中の置換基 Yの置換数は、望ましくは 1である。 Q中の置換基 R5の置換数は、望 ましくは 1〜2である。 The number of substituents Y in A is preferably 1. The number of substituents R 5 in Q is preferably 1 to 2.
X、 Y又は D中の置換基としてのハロゲンの置換数は、 1又は 2以上であってよ ぐ 2以上の場合、各ハロゲンは同一でも相異なってもよい。また、各ハロゲンの置換 位置は!、ずれの位置でもよ!/、。 The number of substitutions of halogen as a substituent in X, Y or D is 1 or 2 or more. When 2 or more, each halogen may be the same or different. Also, the substitution position of each halogen is! /.
Y中の C シクロアルキルの Of C cycloalkyl in Y
3-4 置換基であるハロゲン、アルキル又はハロアルキルの 置換数は、 1又は 2以上であってよぐ 2以上の場合、各置換基は同一でも相異なつ てもよ 、。また、各置換基の置換位置は 、ずれの位置でもよ 、。 Y中の C シクロア 3-4 The number of substituents of halogen, alkyl or haloalkyl as a substituent may be 1 or 2 or more. When 2 or more, each substituent may be the same or different. In addition, the substitution position of each substituent may be a shift position. C cycloa in Y
3-4 ルキルは、望ましくは無置換であるか、或は前述の置換基を有する場合、その置換 数は 1〜5が望ましい。 3-4 Alkyl is preferably unsubstituted or has 1 to 5 substituents when it has the above-mentioned substituents.
[0009] R2、 R5、 X、 Y又は D中のハロゲン又は置換基としてのハロゲンとしては、フッ素 、塩素、臭素又はヨウ素の各原子が挙げられる。 [0009] The halogen in R 2 , R 5 , X, Y or D or the halogen as a substituent includes each atom of fluorine, chlorine, bromine or iodine.
A、 R\ R2、 R3、 R4、 R5、 X又は Y中のアルキル又はアルキル部分は、直鎖又は分 枝状のいずれでもよぐその具体例としては、メチル、ェチル、プロピル、イソプロピル 、 n-ブチル、 tert-ブチル、ペンチル、へキシルのような C のものなどが挙げられる。 R1又は D中のァルケ-ル又はアルケニル部分は、直鎖又は分枝状の!/、ずれでもよ く、その具体例としては、ビュル、 1—プロべ-ル、ァリル、イソプロべ-ル、 1—ブテ- ル、 1,3—ブタジェ -ル、 1一へキセ -ルのような C のものなどが挙げられる。 The alkyl or alkyl moiety in A, R \ R 2 , R 3 , R 4 , R 5 , X or Y may be either linear or branched. Specific examples thereof include methyl, ethyl, propyl, C, such as isopropyl, n-butyl, tert-butyl, pentyl, hexyl and the like. The alkenyl or alkenyl moiety in R 1 or D may be straight or branched! /, And examples include bulle, 1-probe, allyl, iso-probe. 1-Butyl, 1,3-Butagel, and 1C Hexane.
2-6 2-6
R1又は D中のアルキ-ル又はアルキ-ル部分は、直鎖又は分枝状の!/、ずれでもよ く、その具体例としては、ェチニル、 2—ブチュル、 2—ペンチ-ル、 3—へキシュル のような C のものなどが挙げられる。 The alkyl or alkyl moiety in R 1 or D may be straight-chain or branched! /, And examples thereof include ethynyl, 2-butulyl, 2-pentyl, 3 —C, such as Hekishur.
2- 6 2- 6
Y中の C シクロアルキル又はシクロアルキル部分の具体例としては、シクロプロピ Specific examples of C cycloalkyl or cycloalkyl moiety in Y include cyclopropyl.
3- 4 3- 4
ル又はシクロブチルが挙げられ、中でもシクロプロピルが望まし!/、。 Or cyclobutyl, with cyclopropyl being the most desirable! /.
[0010] 前記式 (I)のアントラ-ルアミド系化合物の塩としては、農業上許容されるものであ ればあらゆるものが含まれるが、例えば、ナトリウム塩、カリウム塩のようなアルカリ金 属塩;マグネシウム塩、カルシウム塩のようなアルカリ土類金属塩;ジメチルアンモニゥ ム塩、トリェチルアンモ -ゥム塩のようなアンモ-ゥム塩;塩酸塩、過塩素酸塩、硫酸 塩、硝酸塩のような無機酸塩;酢酸塩、メタンスルホン酸塩のような有機酸塩などが挙 げられる。 [0010] The salt of the anthracamide compound of the formula (I) includes any one that is agriculturally acceptable. For example, an alkali metal salt such as a sodium salt or a potassium salt is used. Alkaline earth metal salts such as magnesium salts and calcium salts; ammonium salts such as dimethyl ammonium salts and triethyl ammonium salts; such as hydrochlorides, perchlorates, sulfates and nitrates; Inorganic acid salts; organic acid salts such as acetate and methanesulfonate.
[0011] 前記式 (I)のアントラニルアミド系化合物には、光学異性体、幾何異性体のような異 性体が存在する場合があるが、本発明には各異性体及び異性体混合物の双方が含 まれる。尚、本発明には、当該技術分野における技術常識の範囲内において、前記 したもの以外の各種異性体も含まれる。また、異性体の種類によっては、前記式 (I)と は異なる化学構造となる場合があるが、当業者であればそれらが異性体の関係にあ ることが十分認識できる為、本発明の範囲内であることは明らかである。 [0011] The anthranilamide-based compound of the formula (I) may have different isomers such as optical isomers and geometric isomers. In the present invention, both isomers and isomer mixtures are present. Is included. The present invention includes various isomers other than those described above within the scope of common technical knowledge in the technical field. In addition, depending on the type of isomer, there may be a chemical structure different from that of the above formula (I). However, since those skilled in the art can sufficiently recognize that they are related to isomers, Obviously, it is within range.
前記式 (I)のアントラ-ルアミド系化合物、その N—ォキシド、又はその塩 (以下本発 明化合物と略す)は、以下の反応: [A]、 [B]、 [C]、 [D]及び [E]と、通常の N—ォキシ ド又は塩の製造方法に従って製造することができる。 The anthracamide compound of the formula (I), its N-oxide, or a salt thereof (hereinafter abbreviated as the present compound) is reacted as follows: [A], [B], [C], [D] And [E] can be produced according to the usual production method of N-oxide or salt.
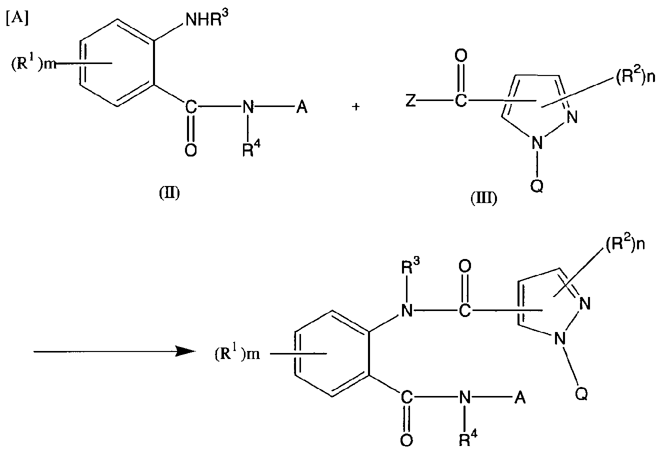
[0012] [化 2] [0012] [Chemical 2]
(I) (I)
[0013] A、 Q、 R2、 R3、 R4、 m及び nは前述の通りであり、 Zは塩素原子、 OH又は C ァノレコキシである。 [0013] A, Q, R 2 , R 3 , R 4 , m and n are as described above, and Z is a chlorine atom, OH or C aranoloxy.
-4 -Four
反応 [A]は、 Zが塩素原子である場合、通常塩基の存在下で行うことができる。 塩基としては、例えば、水酸化ナトリウム、水酸ィ匕カリウムのようなアルカリ金属水酸 化物;炭酸ナトリウム、炭酸カリウムのようなアルカリ金属炭酸塩;水素化ナトリウム、水 素化カリウムのようなアルカリ金属水素化物;トリメチルァミン、トリェチルァミン、トリイソ プロピルァミン、ジイソプロピルェチルァミン、ピリジン、 4ージメチルァミノピリジン、 2, 6—ジメチルビリジン、 4 ピロリジノピリジン、 N—メチルモルホリン、 Ν,Ν ジメチル ァニリン、 Ν,Ν ジェチルァニリン、 Ν ェチル—Ν—メチルァニリン、 1,8 ジァザビ シクロ〔5.4.0〕 7 ゥンデセン、 1,4ージァザビシクロ〔2.2.2〕オクタンのような第三 級ァミン類; η ブチルリチウム、 tert ブチルリチウムのようなアルキルリチウム類など 力 1種又は 2種以上を適宜選択することができる。塩基は、式 (II)の化合物に対して 1〜 5倍モル、望ましくは 1〜 2.5倍モル使用することができる。 Reaction [A] can usually be carried out in the presence of a base when Z is a chlorine atom. Examples of the base include alkali metal hydroxides such as sodium hydroxide and potassium hydroxide; alkali metal carbonates such as sodium carbonate and potassium carbonate; alkali metals such as sodium hydride and potassium hydride. Hydrides: trimethylamine, triethylamine, triisopropylamine, diisopropylethylamine, pyridine, 4-dimethylaminopyridine, 2,6-dimethylpyridine, 4-pyrrolidinopyridine, N-methylmorpholine, Ν, Ν dimethylaniline, Tertiary amines such as Ν, Ν Jetylaniline, Ν Ethyl-Ν-Methylaniline, 1,8 Diazabicyclo [5.4.0] 7 Undecene, 1,4-Diazabicyclo [2.2.2] octane; η butyllithium, tert butyl Alkyl lithiums such as lithium, etc. It is possible. The base can be used in an amount of 1 to 5 times mol, preferably 1 to 2.5 times mol, of the compound of formula (II).
[0014] 反応 [A]は、 Zが塩素原子である場合、所望により溶媒の存在下で行うことができる 。溶媒としては、反応に不活性な溶媒であればいずれのものでもよぐ例えば、ジェ チルエーテル、ブチルェチルエーテル、テトラヒドロフラン、ジォキサン、ジメトキシェ タンのようなエーテノレ類;クロ口ベンゼン、ジクロロベンゼン、ジクロロメタン、クロロホノレ ム、四塩化炭素、ジクロロエタン、トリクロロェタン、ジクロロエチレンのようなハロゲン 化炭化水素類;ベンゼン、トルエン、キシレンのような芳香族炭化水素類;ペンタン、 へキサン、ヘプタン、オクタン、シクロへキサンのような脂肪族炭化水素類;ァセトニト リル、プロピオ-トリル、 Ν,Ν ジメチルホルムアミド、ジメチルスルホキシド、へキサメ チルホスホリックトリアミド、スルホラン、 Ν,Ν ジメチルァセトアミド、 Ν—メチルピロリド ンのような極性非プロトン性溶媒;酢酸メチル、酢酸ェチル、酢酸プロピルのようなェ ステル類;アセトン、ジェチルケトン、メチルェチルケトン、メチルイソブチルケトンのよ うなケトン類などから 1種又は 2種以上を適宜選択することができる。 [0014] The reaction [A] can be carried out in the presence of a solvent, if desired, when Z is a chlorine atom. Any solvent may be used as long as it is inert to the reaction. For example, etherols such as diethyl ether, butyl ether, tetrahydrofuran, dioxane, dimethoxyethane; black benzene, dichlorobenzene, dichloromethane, Chlorohonore Halogenated hydrocarbons such as benzene, toluene, xylene; pentane, hexane, heptane, octane, cyclohexane Non-polar hydrocarbons such as acetonitrile, propio-tolyl, Ν, Ν dimethylformamide, dimethyl sulfoxide, hexamethylphosphoric triamide, sulfolane, Ν, Ν dimethylacetamide, Ν-methylpyrrolidone Protic solvents; esters such as methyl acetate, ethyl acetate, propyl acetate; ketones such as acetone, jetyl ketone, methyl ethyl ketone, methyl isobutyl ketone, etc. may be appropriately selected. it can.
反応 [Α]は、 Ζが塩素原子である場合、通常 20〜 + 60°C、望ましくは 0〜30°Cで 行うことができ、その反応時間は、通常 1〜24時間程度、望ましくは 2〜12時間程度 とすることができる。 The reaction [Α] can be carried out usually at 20 to + 60 ° C, preferably 0 to 30 ° C when Ζ is a chlorine atom, and the reaction time is usually about 1 to 24 hours, preferably 2 It can be about ~ 12 hours.
[0015] 反応 [A]は、 Zがー OHである場合、通常、脱水縮合剤及び溶媒の存在下で行うこ とがでさる。 [0015] The reaction [A] can usually be carried out in the presence of a dehydration condensing agent and a solvent when Z is —OH.
脱水縮合剤としては、 Ν,Ν'—ジシクロへキシルカルボジイミド、 1,3 ジイソプロピ ルカルボジイミド、 1—ェチル 3— (3 ジメチルァミノプロピル)カルボジイミド塩酸 塩のようなカルボジイミド類;その他に、 1, 1,—カルボ-ルービス—1H—イミダゾー ル、リン酸ジクロリドフエ-ルエステル、ジェチルホスホロシア-ダート、 1,3, 5 トリア ザ一 2,4,6 トリホスホリン一 2,2,4,4,6,6 へキサクロリド、シァヌリッククロリド、クロ口 ギ酸イソブチル、クロロスルホ-ルイソシァネート、トリフルォロ酢酸無水物などが挙げ られる。 Examples of dehydrating condensing agents include carbodiimides such as Ν, Ν'-dicyclohexylcarbodiimide, 1,3 diisopropylcarbodiimide, 1-ethyl 3- (3 dimethylaminopropyl) carbodiimide hydrochloride; , —Carbo-Rubis—1H—Imidazole, phosphoric acid diester, Jetylphosphorus Dart 1,3,5 Triaza 1,2,4,6 Triphosphorin 2,2,4,4,6, 6 Hexachloride, cyanuric chloride, black isobutyl formate, chlorosulfol isocyanate, trifluoroacetic anhydride and the like.
[0016] 溶媒としては、反応に不活性な溶媒であればいずれのものでもよぐ例えば、ジェ チルエーテル、ブチルェチルエーテル、テトラヒドロフラン、ジォキサン、ジメトキシェ タンのようなエーテノレ類;クロ口ベンゼン、ジクロロベンゼン、ジクロロメタン、クロロホノレ ム、四塩化炭素、ジクロロエタン、トリクロロェタン、ジクロロエチレンのようなハロゲン 化炭化水素類;ベンゼン、トルエン、キシレンのような芳香族炭化水素類;ァセトニトリ ル、プロピオ-トリル、 Ν,Ν ジメチルホルムアミド、ジメチルスルホキシド、へキサメチ ルホスホリックトリアミド、スルホラン、 Ν,Ν ジメチルァセトアミド、 Ν—メチルピロリドン のような極性非プロトン性溶媒;酢酸メチル、酢酸ェチル、酢酸プロピルのようなエス テル類;アセトン、ジェチルケトン、メチルェチルケトン、メチルイソブチルケトンのよう なケトン類;ペンタン、へキサン、ヘプタン、オクタン、シクロへキサンのような脂肪族炭 化水素類などから 1種又は 2種以上を適宜選択することができる。 [0016] The solvent may be any solvent that is inert to the reaction. For example, etherols such as diethyl ether, butyl ether, tetrahydrofuran, dioxane, dimethoxyethane; black benzene, dichlorobenzene , Dichloromethane, Chlorophenol, Carbon tetrachloride, Dichloroethane, Trichloroethane, Dichloroethylene, Halogenated hydrocarbons; Benzene, Toluene, Xylene, Aromatic hydrocarbons; Acetonitrile, Propio-tolyl, Ν, Ν Polar aprotic solvents such as dimethylformamide, dimethylsulfoxide, hexamethylphosphoric triamide, sulfolane, Ν, Ν dimethylacetamide, Ν-methylpyrrolidone; ES such as methyl acetate, ethyl acetate, propyl acetate Tells; Ketones such as acetone, jetyl ketone, methyl ethyl ketone, methyl isobutyl ketone; one or more from aliphatic hydrocarbons such as pentane, hexane, heptane, octane, cyclohexane, etc. Can be appropriately selected.
反応 [A]は、 Zがー OHである場合、通常 20〜 + 60°C、望ましくは 0〜30°Cで行 うことができ、その反応時間は、通常 0.5〜24時間程度、望ましくは 1〜12時間程度 とすることができる。 Reaction [A] can be carried out usually at 20 to + 60 ° C, preferably 0 to 30 ° C when Z is --OH, and the reaction time is usually about 0.5 to 24 hours, preferably It can be about 1 to 12 hours.
[0017] 反応 [A]は、 Zが C アルコキシである場合、通常、塩基及び溶媒の存在下で行う [0017] The reaction [A] is usually performed in the presence of a base and a solvent when Z is C alkoxy.
1-4 1-4
ことができる。 be able to.
塩基としては、水素化ナトリウム、水素化カリウムのようなアルカリ金属水素化物;ナ トリウムメトキシド、ナトリウムエトキシド、カリウム tert-ブトキシドのようなアルカリ金属ァ ルコキシド;トリメチルァミン、トリエチルァミン、トリイソプロピルァミン、ジイソプロピルェ チルァミン、ピリジン、 4 ジメチルァミノピリジン、 2,6 ジメチルビリジン、 4 ピロリジ ノピリジン、 N—メチルモルホリン、 Ν,Ν ジメチルァ-リン、 Ν,Ν ジェチルァ-リン 、 Ν—ェチノレ一 Ν—メチノレア-リン、 1,8 ジァザビシクロ〔5.4.0〕一7 ゥンデセン、 1,4 ジァザビシクロ〔2.2.2〕オクタンのような第三級ァミン類などから 1種又は 2種以 上を適宜選択することができる。塩基は、式 (II)の化合物に対して 1〜5倍モル、望ま しくは 1〜2.5倍モル使用することができる。 Bases include alkali metal hydrides such as sodium hydride and potassium hydride; alkali metal alkoxides such as sodium methoxide, sodium ethoxide and potassium tert-butoxide; trimethylamine, triethylamine, triisopropyl Amines, diisopropylethylamine, pyridine, 4 dimethylaminopyridine, 2,6 dimethylviridine, 4 pyrrolidinopyridine, N-methylmorpholine, Ν, Ν dimethylamine, Ν, Ν jettilin, Ν-ethynole Ν- It is possible to select one or more as appropriate from tertiary amines such as methenorea-phosphorus, 1,8 diazabicyclo [5.4.0] -7 undecene, 1,4 diazabicyclo [2.2.2] octane, etc. it can. The base can be used in an amount of 1 to 5 times mol, preferably 1 to 2.5 times mol, of the compound of formula (II).
[0018] 溶媒としては、反応に不活性な溶媒であればいずれのものでもよぐ例えば、ジェ チルエーテル、ブチルェチルエーテル、テトラヒドロフラン、ジォキサン、ジメトキシェ タンのようなエーテノレ類;クロ口ベンゼン、ジクロロベンゼン、ジクロロメタン、クロロホノレ ム、四塩化炭素、ジクロロエタン、トリクロロェタン、ジクロロエチレンのようなハロゲン 化炭化水素類;ベンゼン、トルエン、キシレンのような芳香族炭化水素類;ペンタン、 へキサン、ヘプタン、オクタン、シクロへキサンのような脂肪族炭化水素類;ァセトニト リル、プロピオ-トリル、 Ν,Ν ジメチルホルムアミド、ジメチルスルホキシド、へキサメ チルホスホリックトリアミド、スルホラン、 Ν,Ν ジメチルァセトアミド、 Ν—メチルピロリド ンのような極性非プロトン性溶媒などから 1種又は 2種以上を適宜選択することができ る。 [0018] The solvent may be any solvent that is inert to the reaction. For example, etherols such as diethyl ether, butyl ether, tetrahydrofuran, dioxane, dimethoxyethane; black benzene, dichlorobenzene Halogenated hydrocarbons such as benzene, toluene, xylene; pentane, hexane, heptane, octane, cyclohexane, halogenated hydrocarbons such as dichloromethane, chlorophenol, carbon tetrachloride, dichloroethane, trichloroethane, dichloroethylene; Aliphatic hydrocarbons such as hexane; acetonitrile, propio-tolyl, Ν, Ν dimethylformamide, dimethyl sulfoxide, hexamethylphosphoric triamide, sulfolane, Ν, Ν dimethylacetamide, Ν-methylpyrrolidone Non polar Ru can be like a protic solvent appropriately selecting one type or two or more types.
反応〔Α〕は、 Ζが C アルコキシである場合、通常 0〜120°C、望ましくは 20〜80 °Cで行うことができ、その反応時間は、通常 0.5〜24時間程度、望ましくは 1〜12時 間程度とすることができる。 The reaction [Α] is usually 0 to 120 ° C, preferably 20 to 80 when Ζ is C alkoxy. The reaction time can be usually about 0.5 to 24 hours, preferably about 1 to 12 hours.
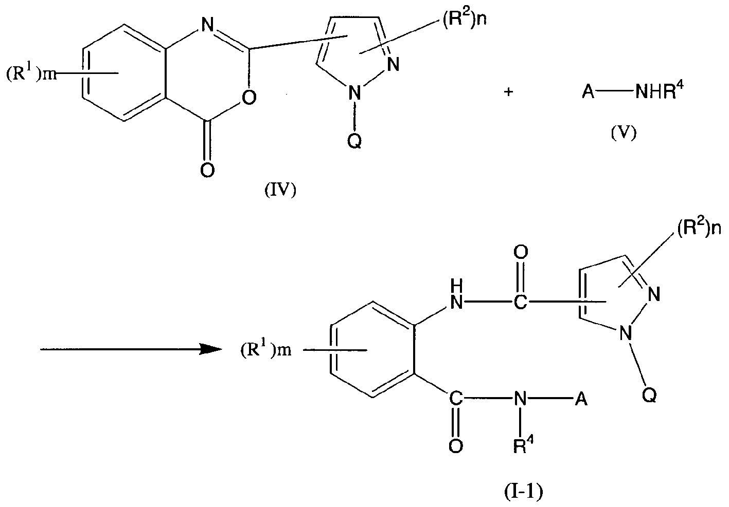
[化 3] [Chemical 3]
[B] [B]
[0020] A、 Q、 R\ R2、 R4、 m及び nは前述の通りである。 [0020] A, Q, R \ R 2, R 4, m and n are as defined above.
反応 [B]は、通常、溶媒の存在下で行うことができる。 Reaction [B] can usually be carried out in the presence of a solvent.
溶媒としては、反応に不活性な溶媒であればいずれのものでもよぐ例えば、ジェ チルエーテル、ブチルェチルエーテル、テトラヒドロフラン、ジォキサン、ジメトキシェ タンのようなエーテノレ類;クロ口ベンゼン、ジクロロベンゼン、ジクロロメタン、クロロホノレ ム、四塩化炭素、ジクロロエタン、トリクロロェタン、ジクロロエチレンのようなハロゲン 化炭化水素類;ベンゼン、トルエン、キシレンのような芳香族炭化水素類;ペンタン、 へキサン、ヘプタン、オクタン、シクロへキサンのような脂肪族炭化水素類;ァセトニト リル、プロピオ-トリル、 Ν,Ν—ジメチルホルムアミド、ジメチルスルホキシド、へキサメ チルホスホリックトリアミド、スルホラン、 Ν,Ν—ジメチルァセトアミド、 Ν—メチルピロリド ンのような極性非プロトン性溶媒などから 1種又は 2種以上を適宜選択することができ る。 Any solvent may be used as long as it is inert to the reaction. For example, etherols such as diethyl ether, butyl ether, tetrahydrofuran, dioxane, dimethoxyethane; black benzene, dichlorobenzene, dichloromethane, Halogenated hydrocarbons such as chloroform, carbon tetrachloride, dichloroethane, trichloroethane, and dichloroethylene; aromatic hydrocarbons such as benzene, toluene, and xylene; pentane, hexane, heptane, octane, and cyclohexane Aliphatic hydrocarbons such as: acetonitrile, propio-tolyl, Ν, Ν-dimethylformamide, dimethyl sulfoxide, hexamethylphosphoric triamide, sulfolane, Ν, Ν-dimethylacetamide, Ν-methylpyrrolidone Polar polarity Such as from tons solvent Ru can be appropriately selecting one type or two or more types.
[0021] 反応 [B1は、 Αが Dで置換されたカルボ-ルであるとき、塩基の存在下で行うことが できる。塩基としては、例えば、水素化ナトリウム、水素化カリウムのようなアルカリ金 属水素化物などから 1種又は 2種以上を適宜選択することができる。塩基は、式 (V) の化合物に対して 1〜5倍モル、望ましくは 1〜2.5倍モル使用することができる。 反応 [B]は、通常 0〜120°C、望ましくは 20〜80°Cで行うことができ、その反応時間 は、通常 0.1〜24時間程度、望ましくは 0.5〜12時間程度とすることができる。 [0021] Reaction [B1 can be carried out in the presence of a base when Α is a carbo substituted with D. it can. As the base, for example, one or more kinds can be appropriately selected from alkali metal hydrides such as sodium hydride and potassium hydride. The base can be used in an amount of 1 to 5 times mol, preferably 1 to 2.5 times mol, of the compound of formula (V). The reaction [B] can usually be carried out at 0 to 120 ° C, preferably 20 to 80 ° C, and the reaction time is usually about 0.1 to 24 hours, preferably about 0.5 to 12 hours. .
[0022] [化 4] [0022] [Chemical 4]
[0023] A、 R3、 R4、 m及び nは前述の通りであり、 Q1は で置換されてもよい 3 ピリジル 又は R5aで置換されてもよい 4 ピリジルであり、 Rlaはフッ素原子、塩素原子、臭素原 子、 Xで置換されてもよいアルキル、 Xで置換されてもよいァルケ-ル、 Xで置換され てもよいアルキ-ル、ヒドロキシ、 Xで置換されてもよいアルコキシ、ホルミル、 Xで置 換されてもよいアルキルカルボ-ル、カルボキシル、 Xで置換されてもよいアルコキシ カルボ-ル、 Xで置換されてもよいアルキルスルフエ-ル、 Xで置換されてもよいアル キルスルフィエル、 Xで置換されてもよいアルキルスルホ -ル、 Xで置換されてもよい アルキルスルフエ-ルォキシ、 Xで置換されてもよいアルキルスルフィエルォキシ、 X で置換されてもよいアルキルスルホ -ルォキシ、アミ入アルキルァミノ、ジアルキルァ ミノ、ァミノカルボニル、アルキルアミノカルボニル、ジアルキルアミノカルボニル、ハロ ゲンで置換されてもよいアルコキシィミノアルキル、シァノ又は-トロであり、 R2a及び R[0023] A, R 3 , R 4 , m and n are as described above, Q 1 is 3 pyridyl which may be substituted with or 4 pyridyl which may be substituted with R 5a , and R la is fluorine Atom, chlorine atom, bromine atom, alkyl optionally substituted with X, alkaryl optionally substituted with X, alkyl optionally substituted with X, hydroxy, alkoxy optionally substituted with X , Formyl, alkyl carbonyl optionally substituted with X, carboxyl, alkoxy carb optionally substituted with X, alkyl sulfonyl optionally substituted with X, optionally substituted with X Alkylsulfifer, alkylsulfole optionally substituted with X, alkylsulfoxyloxy optionally substituted with X, alkylsulfieroxy optionally substituted with X, optionally substituted with X Alkylsulfo-luoxy, amino Kiruamino, dialkyla Mino, aminocarbonyl, alkylaminocarbonyl, dialkylaminocarbonyl, alkoxyiminoalkyl optionally substituted with halogen, cyano or -tro, R 2a and R
5aは各々フッ素原子、塩素原子、臭素原子、 Xで置換されてもよいアルキル、 Xで置 換されてもよいアルコキシ、 Xで置換されてもよいアルキルスルフヱ-ル、 Xで置換さ れてもよいアルキルスルフィエル、 Xで置換されてもよいアルキルスルホ -ル、 Xで置 換されてもょ 、アルキルスルフエ-ルォキシ、 Xで置換されてもょ 、アルキルスルフィ -ルォキシ、 Xで置換されてもよいアルキルスルホ -ルォキシ、アミ入アルキルアミノ 、ジアルキルァミノ、ホルミル、シァノ又は-トロ(Xは前述の通り)であり、 Uは臭素原 子又はヨウ素原子である。 5a is a fluorine atom, chlorine atom, bromine atom, alkyl optionally substituted with X, alkoxy optionally substituted with X, alkylsulfuryl optionally substituted with X, and optionally substituted with X Alkylsulfuriel, alkylsulfol optionally substituted with X, substituted with X, alkylsulfuroxy, substituted with X, alkylsulfuroxy, substituted with X Alkylsulfo-oxy, amino-containing alkylamino, dialkylamino, formyl, cyano or -toro (X is as described above), and U is a bromine atom or an iodine atom.
[0024] 反応 [C]中の金属シァノ化物としては、例えば、シアン化銅、シアンィ匕亜鉛、シアン 化カリウムなどから 1種又は 2種以上を適宜選択することができる。金属シァノ化物は 、式(1-2)の化合物に対して 1〜30倍モル、望ましくは 1〜 15倍モル使用することが できる。 [0024] As the metal cyanide in the reaction [C], one or more can be appropriately selected from, for example, copper cyanide, cyanogen zinc, potassium cyanide and the like. The metal cyanide can be used in an amount of 1 to 30 times mol, preferably 1 to 15 times mol for the compound of formula (1-2).
反応 [C]は、通常溶媒の存在下で行うことができる。溶媒としては、反応に不活性な 溶媒であればいずれのものでもよぐ例えば、ジェチルエーテル、ブチルェチルエー テル、テトラヒドロフラン、ジォキサン、ジメトキシェタンのようなエーテル類;ァセトニトリ ル、プロピオ-トリル、 Ν,Ν—ジメチルホルムアミド、ジメチルスルホキシド、へキサメチ ルホスホリックトリアミド、スルホラン、 Ν,Ν—ジメチルァセトアミド、 Ν—メチルピロリドン のような極性非プロトン性溶媒などから 1種又は 2種以上を適宜選択することができる Reaction [C] can usually be carried out in the presence of a solvent. Any solvent may be used as long as it is inert to the reaction.For example, ethers such as jetyl ether, butyl ether, tetrahydrofuran, dioxane, dimethoxyethane; acetonitryl, propio-tolyl, Ν, Ν-Dimethylformamide, dimethyl sulfoxide, hexamethylphosphoric triamide, sulfolane, 非, Ν-dimethylacetamide, Ν-methylpyrrolidone and other polar aprotic solvents, etc. can do
[0025] 反応 [C]は、所望によりパラジウム触媒の存在下で行うことができる。パラジウム触媒 としては、例えば、テトラキストリフエ-ルホスフィンパラジウム、ビストリフエニルホスフィ ンパラジウムジクロライドなどから 1種又は 2種以上を適宜選択することができる。 反応 [C]は、所望により金属ヨウ化物の存在下で行うことができる。金属ヨウ化物とし ては、例えば、ヨウ化銅、ヨウ化亜鉛、ヨウ化カリウムなどから 1種又は 2種以上を適宜 選択することができる。 [0025] The reaction [C] can be carried out in the presence of a palladium catalyst, if desired. As the palladium catalyst, for example, one kind or two or more kinds can be appropriately selected from tetrakistriphenylphosphine palladium, bistriphenylphosphine palladium dichloride, and the like. Reaction [C] can be carried out in the presence of a metal iodide, if desired. As the metal iodide, for example, one or more kinds can be appropriately selected from copper iodide, zinc iodide, potassium iodide and the like.
反応 [C]は、通常 0〜150°C、望ましくは 10〜: LOO°Cで行うことができ、その反応時 間は、通常 0.1〜24時間程度、望ましくは 0.5〜12時間程度とすることができる。 [0026] [化 5] Reaction [C] is usually 0 to 150 ° C, preferably 10 to: LOO ° C. The reaction time is usually about 0.1 to 24 hours, preferably about 0.5 to 12 hours. Can do. [0026] [Chemical 5]
[0027] A、 Q\ R 、 R 、 R、 R、 m、 n及び Uは前述の通りである。 [0027] A, Q \ R, R, R, R, m, n, and U are as described above.
反応 [D]中の一酸ィ匕炭素は、式 (1-2)の化合物に対して 1〜200倍モル、望ましくは 1〜50倍モル使用することができる。 The carbon monoxide in the reaction [D] can be used in an amount of 1 to 200 times mol, preferably 1 to 50 times mol for the compound of the formula (1-2).
反応 [D]中の水素供与体としては、例えば、トリプチルスズヒドリド、ポリ (メチルヒドロ シロキサン)、トリオクチルシリルヒドリドなどから 1種又は 2種以上を適宜選択すること ができる。水素供与体は、式 (1-2)の化合物に対して 1〜2倍モル、望ましくは 1〜1.5 倍モル使用することができる。 As the hydrogen donor in the reaction [D], one or two or more kinds can be appropriately selected from, for example, tryptyl tin hydride, poly (methylhydrosiloxane), trioctylsilyl hydride and the like. The hydrogen donor can be used in an amount of 1 to 2 times, preferably 1 to 1.5 times the amount of the compound of the formula (1-2).
反応 [D]は、通常パラジウム触媒の存在下で行うことができる。ノ ラジウム触媒として は、例えば、前記反応 [C]で挙げたものなどから 1種又は 2種以上を適宜選択すること ができる。 Reaction [D] can usually be carried out in the presence of a palladium catalyst. As the radium catalyst, for example, one or more kinds can be appropriately selected from those mentioned in the above reaction [C].
[0028] 反応 [D]は、通常溶媒の存在下で行うことができる。溶媒としては、反応に不活性な 溶媒であればいずれのものでもよぐ例えば、ベンゼン、トルエン、キシレンのような芳 香族炭化水素類;ペンタン、へキサン、ヘプタン、オクタン、シクロへキサンのような脂 肪族炭化水素類;ジェチルエーテル、ブチルェチルエーテル、テトラヒドロフラン、ジ ォキサン、ジメトキシェタンのようなエーテル類;ァセトニトリル、プロピオ-トリル、 Ν,Ν —ジメチルホルムアミド、ジメチルスルホキシド、へキサメチルホスホリックトリアミド、ス ルホラン、 Ν,Ν ジメチルァセトアミド、 Ν—メチルピロリドンのような極性非プロトン性 溶媒などから 1種又は 2種以上を適宜選択することができる。 [0028] The reaction [D] can be usually performed in the presence of a solvent. Any solvent may be used as long as it is inert to the reaction. For example, aromatic hydrocarbons such as benzene, toluene and xylene; like pentane, hexane, heptane, octane and cyclohexane. Aliphatic hydrocarbons; jetyl ether, butyl ether, tetrahydrofuran, di Ethers such as dioxane and dimethoxyethane; acetonitrile, propio-tolyl, Ν, Ν — dimethylformamide, dimethyl sulfoxide, hexamethylphosphoric triamide, sulfolane, Ν, Ν dimethylacetamide, Ν-methylpyrrolidone One or two or more kinds of polar aprotic solvents can be appropriately selected.
反応 [D]は、通常 0〜150°C、望ましくは 10〜: LOO°Cで行うことができ、その反応時 間は、通常 0.5〜24時間程度、望ましくは 1〜12時間程度とすることができる。 Reaction [D] is usually 0 to 150 ° C, preferably 10 to: LOO ° C. The reaction time is usually about 0.5 to 24 hours, preferably about 1 to 12 hours. Can do.
[0029] [化 6] [0029] [Chemical 6]
[0030] A、 R3、 R4、 m及び nは前述の通りであり、 Q2は R5bで置換されてもよい 3 ピリジル 又は R5bで置換されてもよい 4 ピリジルであり、 Rlbはフッ素原子、塩素原子、臭素原 子、 Xで置換されてもよいアルキル、 Xで置換されてもよいァルケ-ル、 Xで置換され てもよいアルキ-ル、ヒドロキシ、 Xで置換されてもよいアルコキシ、 Xで置換されても よいアルキルカルボ-ル、カルボキシル、 Xで置換されてもよいアルコキシカルボ-ル 、 Xで置換されてもよいアルキルスルフエ-ル、 Xで置換されてもよいアルキルスルフ ィ -ル、 Xで置換されてもよいアルキルスルホ -ル、 Xで置換されてもよいアルキルス ルフエ-ルォキシ、 Xで置換されてもよいアルキルスルフィエルォキシ、 Xで置換され てもよいアルキルスルホ -ルォキシ、アミ入アルキルァミノ、ジアルキルァミノ、ハロゲ ンで置換されてもょ 、アルコキシィミノアルキル、シァノ又は-トロ(Xは前述の通り)で あり、 R2b及び R5bは各々ハロゲン、 Xで置換されてもよいアルキル、 Xで置換されても よいアルコキシ、 Xで置換されてもよいアルキルスルフエ-ル、 Xで置換されてもよい アルキルスルフィエル、 Xで置換されてもよいアルキルスルホ -ル、 Xで置換されても よ!、アルキルスルフエ-ルォキシ、 Xで置換されてもよ!、アルキルスルフィエルォキシ 、 Xで置換されてもよいアルキルスルホ -ルォキシ、アミ入アルキルァミノ、ジアルキ ルアミ入シァノ又はニトロである。 [0030] A, R 3, R 4, m and n are as defined above, Q 2 is 4-pyridyl which may be substituted with may be 3-pyridyl or R 5b is substituted with R 5b, R lb Is a fluorine atom, a chlorine atom, a bromine atom, an alkyl which may be substituted with X, an alkyl which may be substituted with X, an alkyl which may be substituted with X, a hydroxy, which may be substituted with X Good alkoxy, alkyl carbo optionally substituted with X, carboxyl, alkoxy carbo optionally substituted with X, alkyl sulf optionally substituted with X, alkyl sulf optionally substituted with X -Alkyl, alkylsulfol optionally substituted with X, alkylsulfuroxy optionally substituted with X, alkylsulferoxy optionally substituted with X, alkylsulfo optionally substituted with X -Luoxy, Ami-containing alkylami , Dialkylamino, halogen Or an alkoxyiminoalkyl, cyano or -tro (wherein X is as described above), R 2b and R 5b are each halogen, alkyl optionally substituted with X, substituted with X Alkoxy, optionally substituted with X, alkylsulfur, optionally substituted with X, alkylsulfur, optionally substituted with X, substituted with X !, alkyl Sulfuroxy, optionally substituted with X !, alkylsulferoxy, optionally substituted alkylsulfooxy, amide-containing alkylamino, dialkylaminate-ciano or nitro.
[0031] 反応 [E]中のフッ素ィ匕剤としては、例えば、三フッ化ジェチルァミノ硫黄、〔ビス(2— メトキシェチル)一ァミノ〕硫黄トリフルオリド、フッ化キセノン、 2,2—ジフルォロ一 1,3 ジメチルイミダゾリジン、四フッ化硫黄などから 1種又は 2種以上を適宜選択するこ とができる。フッ素ィ匕剤は、式 (1-5)の化合物に対して 1〜10倍モル、望ましくは 1〜4 倍モル使用することができる。 [0031] As the fluorine-containing agent in the reaction [E], for example, cetylaminosulfur trifluoride, [bis (2-methoxyethyl) monoamino] sulfur trifluoride, xenon fluoride, 2,2-difluoro-1, 3 One or more of dimethylimidazolidine and sulfur tetrafluoride can be selected as appropriate. The fluorine-containing agent can be used in an amount of 1 to 10 times mol, preferably 1 to 4 times mol for the compound of formula (1-5).
[0032] 反応 [E]は、通常溶媒の存在下で行うことができる。溶媒としては、反応に不活性な 溶媒であればいずれのものでもよぐ例えば、ペンタン、へキサン、ヘプタン、オクタン 、イソオクタン、シクロへキサンのような脂肪族炭化水素類;ベンゼン、トルエン、キシ レンのような芳香族炭化水素類;クロ口ベンゼン、ジクロロベンゼン、ジクロロメタン、ク ロロホルム、四塩化炭素、フツイ匕トリクロロメタン、ジクロロエタン、トリクロロェタン、ジク ロロエチレンのようなハロゲン化炭化水素類;ジェチルエーテル、ブチルェチルエー テル、テトラヒドロフラン、ジォキサン、ジメトキシェタンのようなエーテル類などから 1 種又は 2種以上を適宜選択することができる。 [0032] The reaction [E] can usually be carried out in the presence of a solvent. The solvent may be any solvent inert to the reaction.For example, aliphatic hydrocarbons such as pentane, hexane, heptane, octane, isooctane, and cyclohexane; benzene, toluene, xylene Aromatic hydrocarbons such as: Chlorobenzene, dichlorobenzene, dichloromethane, chloroform, carbon tetrachloride, halogenated trichloromethane, dichloroethane, trichloroethane, dichloroethylene; halogenated hydrocarbons; In addition, one or more kinds can be appropriately selected from ethers such as butyl ether, tetrahydrofuran, dioxane and dimethoxyethane.
反応 [E]は、所望により不活性ガスの雰囲気下で行うことができる。不活性ガスとし ては、窒素、ヘリウム、アルゴンのような各ガスが挙げられる。 The reaction [E] can be carried out under an inert gas atmosphere if desired. Examples of the inert gas include nitrogen, helium, and argon.
反応 [E]は、通常— 78〜40°C、望ましくは— 40〜25°Cで行うことができ、その反応 時間は、通常 2〜24時間程度、望ましくは 5〜 15時間程度とすることができる。 Reaction [E] can usually be carried out at −78 to 40 ° C., preferably −40 to 25 ° C. The reaction time is usually about 2 to 24 hours, preferably about 5 to 15 hours. Can do.
[0033] 前記式 (II)の化合物は、公知化合物であるか、或は公知資料に準じて製造すること ができる。式 (II)の化合物は、例えば Synthesis、 1980年、 505頁に記載された方法又 はそれに準じて製造することができる。 [0033] The compound of the formula (II) is a known compound, or can be produced according to known materials. The compound of the formula (II) can be produced, for example, according to the method described in Synthesis, 1980, p.
前記式 (III)の化合物は、多くのものが公知化合物である力 或は公知資料に準じ て製造することができる。式(III)の化合物は、例えば WO03Z24222中のスキーム 9 〜22に記載された方法又はそれに準じて製造することができる。また、式 (III)の化合 物中、ピラゾール環の 5位に COOHが置換した化合物は、例えば以下の反応 [F] に従って製造することができる。 Most of the compounds of the formula (III) are known compounds or according to known materials. Can be manufactured. The compound of the formula (III) can be produced, for example, according to the method described in Schemes 9 to 22 in WO03Z24222 or a modification thereof. In the compound of formula (III), a compound in which COOH is substituted at the 5-position of the pyrazole ring can be produced, for example, according to the following reaction [F].
[0034] [化 7] [0034] [Chemical 7]
[0035] Q R2及び nは前述の通りであり、 Bはハロゲンである。ハロゲンとしては、フッ素、塩 素、臭素、ヨウ素の各原子が挙げられる。式 (VI)の化合物は、公知化合物である。 反応 [F]の第 1工程は、通常塩基及び溶媒の存在下で行うことができる。 塩基としては、例えば、水酸化ナトリウム、水酸ィ匕カリウムのようなアルカリ金属水酸 化物;炭酸ナトリウム、炭酸カリウムのようなアルカリ金属炭酸塩;水素化ナトリウム、水 素化カリウムのようなアルカリ金属水素化物;ナトリウムメトキシド、ナトリウムエトキシド 、カリウム tert-ブトキシドのようなアルカリ金属アルコキシド;トリメチルァミン、トリェチ ルァミン、トリイソプロピルァミン、ジイソプロピルェチルァミン、ピリジン、 4—ジメチル アミノビリジン、 2,6 ジメチルビリジン、 4 ピロリジノピリジン、 N—メチルモルホリン、 Ν,Ν ジメチルァニリン、 Ν,Ν ジェチルァニリン、 Ν ェチルー Ν—メチルァニリン 、 1,8 ジァザビシクロ〔5.4.0〕一 7 ゥンデセン、 1,4ージァザビシクロ〔2.2.2〕オタ タンのような第三級ァミン類; η ブチルリチウム、 tert ブチルリチウムのようなアルキ ルリチウム類などから 1種又は 2種以上を適宜選択することができる。塩基は、式 (VI) の化合物に対して 1〜 10倍モル、望ましくは 1.2〜 5倍モル使用することができる。 [0035] QR 2 and n are as described above, and B is halogen. Halogen includes fluorine, chlorine, bromine and iodine atoms. The compound of formula (VI) is a known compound. The first step of reaction [F] can usually be carried out in the presence of a base and a solvent. Examples of the base include alkali metal hydroxides such as sodium hydroxide and potassium hydroxide; alkali metal carbonates such as sodium carbonate and potassium carbonate; alkali metals such as sodium hydride and potassium hydride. Hydrides; sodium methoxide, sodium ethoxide, alkali metal alkoxides such as potassium tert-butoxide; trimethylamine, triethylamine, triisopropylamine, diisopropylethylamine, pyridine, 4-dimethylaminoviridine, 2, 6 Dimethylviridine, 4 Pyrrolidinopyridine, N-Methylmorpholine, Ν, ジ メ チ ル Dimethylaniline, Ν, Ν Jetylaniline, ェ EthyruΝ-Methylaniline, 1,8 Diazabicyclo [5.4.0] 1 7 2.2.2] Tertiary amin like Otatan Η Alkyls such as butyl lithium and tert butyl lithium One or more types can be appropriately selected from rutiles. The base can be used in an amount of 1 to 10 moles, preferably 1.2 to 5 moles based on the compound of the formula (VI).
[0036] 溶媒としては、反応に不活性な溶媒であればいずれのものでもよぐ例えば、ァセト -トリル、プロピオ-トリル、 Ν,Ν—ジメチルホルムアミド、ジメチルスルホキシド、へキ サメチルホスホリックトリアミド、スルホラン、 Ν, Ν—ジメチルァセトアミド、 Ν—メチルビ 口リドンのような極性非プロトン性溶媒などから 1種又は 2種以上を適宜選択すること ができる。 [0036] The solvent may be any solvent inert to the reaction. For example, aceto-tolyl, propio-tolyl, Ν, ジ メ チ ル -dimethylformamide, dimethyl sulfoxide, hexamethylphosphoric triamide One or two or more polar aprotic solvents such as sulfolane, Ν, Ν-dimethylacetamide, and 、 -methylbicycloidone can be appropriately selected.
反応 [F]の第 1工程は、所望により不活性ガスの雰囲気下で行うことができる。不活 '性ガスとしては、窒素、ヘリウム、アルゴンのような各ガスが挙げられる。 The first step of the reaction [F] can be carried out under an inert gas atmosphere if desired. Examples of inert gases include nitrogen, helium, and argon.
反応 [F]の第 1工程は、通常 0〜160°C、望ましくは 10〜130°Cで行うことができ、 その反応時間は、通常 1〜72時間程度、望ましくは 2〜60時間程度とすることができ る。 The first step of the reaction [F] can usually be carried out at 0 to 160 ° C, preferably 10 to 130 ° C, and the reaction time is usually about 1 to 72 hours, preferably about 2 to 60 hours. can do.
[0037] 反応 [F]の第 2工程中の酸化剤としては、例えば、亜塩素酸ナトリウム、亜塩素酸力 リウム、亜臭素酸ナトリウムのような亜ノヽロゲン酸のアルカリ金属塩;過マンガン酸カリ ゥム、過マンガン酸バリウム、過マンガン酸アンモニゥムのような過マンガン酸のアル カリ金属塩又はアンモニゥム塩などから 1種又は 2種以上を適宜選択することができ る。酸化剤は、式 (VII)の化合物に対して 1〜 10倍モル、望ましくは 2〜8倍モル使用 することができる。 [0037] The oxidizing agent in the second step of the reaction [F] includes, for example, alkali metal salts of nitrous acid such as sodium chlorite, strong chlorite, sodium bromate; permanganic acid One or more kinds of alkali metal salts or ammonium salts of permanganate such as potassium, barium permanganate, and ammonium permanganate can be appropriately selected. The oxidizing agent can be used in an amount of 1 to 10 times mol, preferably 2 to 8 times mol, of the compound of formula (VII).
[0038] 反応 [F]の第 2工程は、通常溶媒の存在下で行うことができる。溶媒としては、反応 に不活性な溶媒であればいずれのものでもよぐ例えば、ァセトニトリル、プロピオ-ト リル、 Ν,Ν—ジメチルホルムアミド、ジメチルスルホキシド、へキサメチルホスホリックト リアミド、スルホラン、 Ν, Ν—ジメチルァセトアミド、 Ν—メチルピロリドンのような極性 非プロトン性溶媒;メタノール、エタノール、 tert—ブタノールのようなアルコール類;ァ セトン、ェチルメチルケトンのようなケトン類;塩化メチレン、クロ口ホルム、ジクロロェチ レンのようなハロゲンィ匕炭化水素類;水などから 1種又は 2種以上を適宜選択すること ができる。 [0038] The second step of the reaction [F] can be usually performed in the presence of a solvent. Any solvent may be used as long as it is inert to the reaction.For example, acetonitrile, propio-tolyl, Ν, Ν-dimethylformamide, dimethyl sulfoxide, hexamethylphosphoric triamide, sulfolane, Ν, Ν -Polar aprotic solvents such as dimethylacetamide and Ν-methylpyrrolidone; Alcohols such as methanol, ethanol and tert-butanol; Ketones such as acetone and ethylmethylketone; Methylene chloride and black mouth One or two or more of halogenated hydrocarbons such as form and dichloroethylene; water and the like can be appropriately selected.
反応 [F]の第 2工程は、所望により pH調整剤の存在下で行うことができる。 pH調整 剤としては、例えば、酢酸ナトリウム、リン酸二水素ナトリウム二水和物などが挙げられ る。 The second step of reaction [F] can be carried out in the presence of a pH adjusting agent if desired. Examples of the pH adjuster include sodium acetate and sodium dihydrogen phosphate dihydrate. The
反応 [F]の第 2工程は、通常— 20〜130°C、望ましくは— 5〜110°Cで行うことがで き、その反応時間は、通常 1〜24時間程度、望ましくは 2〜15時間程度とすることが できる。 The second step of reaction [F] can usually be carried out at −20 to 130 ° C., preferably −5 to 110 ° C., and the reaction time is usually about 1 to 24 hours, preferably 2 to 15 It can be about hours.
[0039] 前記式 (IV)の化合物は、公知化合物である力 或は公知資料に準じて製造するこ とができる。例えば、式(IV)の化合物は、 Org. Prep. Proceed. Int., 1993年、 25卷 、 589頁に記載された方法、 WO03Z24222中のスキーム 8〜10に記載された方法 又はそれらに準じて製造することができる。 [0039] The compound of the above formula (IV) can be produced according to a known compound or a known document. For example, the compound of the formula (IV) can be prepared by the method described in Org. Prep. Proceed. Int., 1993, 25, page 589, the method described in schemes 8 to 10 in WO03Z24222, or the like. Can be manufactured.
前記式 (V)の化合物には新規化合物が含まれる。当該化合物は Gabriel法にて製 造可能であるが、 R4が水素原子であるものは、例えば以下の反応 [G]に従って製造 することができる。 The compound of the formula (V) includes a novel compound. The compound can be produced by the Gabriel method, but those in which R 4 is a hydrogen atom can be produced, for example, according to the following reaction [G].
[0040] [化 8] [0040] [Chemical 8]
[0041] Aは前述の通りであり、 Tはハロゲン、—OSO G (Gはスルホン酸エステル残基)又 [0041] A is as described above, T is halogen, —OSO G (G is a sulfonic acid ester residue) or
2 2
は OHであり、 Tがハロゲン又は OSO Gのとき、 Mはナトリウム又はカリウムであ Is OH and when T is halogen or OSO G, M is sodium or potassium.
2 2
り、 Tが— OHのとき、 Mは水素原子である。前記スルホン酸エステル残基としては、 例えばメチル、ェチルなどのような C のアルキル; C のアルキルで置換されても When T is — OH, M is a hydrogen atom. Examples of the sulfonate residue include C alkyl such as methyl and ethyl;
1-6 1-6 1-6 1-6
よ 、フエ-ルなどが挙げられる。 Well, for example.
[0042] 反応 (G)の第 1工程は、 Tがハロゲン又は— OSO Gであり、且つ Mがナトリウム又は [0042] In the first step of the reaction (G), T is halogen or —OSO G, and M is sodium or
2 2
カリウムである場合、通常溶媒の存在下で行うことができる。 In the case of potassium, it can usually be carried out in the presence of a solvent.
溶媒としては、反応に不活性な溶媒であればいずれのものでもよぐ例えば、ジェ チルエーテル、ブチルェチルエーテル、テトラヒドロフラン、ジォキサン、ジメトキシェ タンのようなエーテル類;ベンゼン、トルエン、キシレンのような芳香族炭化水素類;ァ セトニトリル、プロピオ-トリル、 Ν,Ν—ジメチルホルムアミド、ジメチルスルホキシド、 へキサメチルホスホリックトリアミド、スルホラン、 Ν,Ν—ジメチルァセトアミド、 Ν—メチ ルピロリドンのような極性非プロトン性溶媒;メタノール、エタノール、プロパノール、ノ ルマルブタノール、ターシャリーブタノールのようなアルコール類などから 1種又は 2 種以上を適宜選択することができる。 Any solvent may be used as long as it is inert to the reaction. For example, jet ether, butyl ether, tetrahydrofuran, dioxane, dimethoxy ester. Ethers such as tan; aromatic hydrocarbons such as benzene, toluene, xylene; acetonitrile, propio-tolyl, Ν, Ν-dimethylformamide, dimethyl sulfoxide, hexamethylphosphoric triamide, sulfolane, Ν, Polar aprotic solvents such as Ν-dimethylacetamide and Ν-methylpyrrolidone; one or more selected from alcohols such as methanol, ethanol, propanol, normal butanol, and tertiary butanol can do.
反応〔G〕の第 1工程は、 Τがハロゲン又は— OSO Gであり、且つ Mがナトリウム又 In the first step of the reaction [G], Τ is halogen or —OSO G, and M is sodium or
2 2
はカリウムである場合、通常 0〜150°C、望ましくは 30〜110°Cで行うことができ、そ の反応時間は、通常 0.5〜24時間程度、望ましくは 1〜12時間程度とすることができ る。 In the case of potassium, it can be carried out usually at 0 to 150 ° C, preferably 30 to 110 ° C, and the reaction time is usually about 0.5 to 24 hours, preferably about 1 to 12 hours. it can.
[0043] 反応 [G]の第 1工程は、 Tがー OHであり、且つ Mが水素原子である場合、通常、光 延法に従って行うことができる力 例えば、溶媒の存在下、ジアルキルァゾジカルボ キシレート及びトリフエ-ルホスフィンを用いて行うことができる。前記ジアルキルァゾ ジカルボキシレートとトリフエ-ルホスフィンは、通常、式 (VIII)の化合物に対し、それ ぞれ等モル程度用いることができる。前記ジアルキルァゾジカルボキシレートとしては [0043] The first step of the reaction [G] is a force that can usually be performed according to the Mitsunobu method when T is —OH and M is a hydrogen atom. For example, in the presence of a solvent, a dialkylazo It can be carried out using dicarboxylate and triphenylphosphine. The dialkylazodicarboxylate and triphenylphosphine can be used in an equimolar amount with respect to the compound of formula (VIII). As the dialkylazodicarboxylate,
、例えばジェチルァゾジカルボキシレート、ジイソプロピルァゾジカルボキシレートな どが挙げられる。 Examples thereof include jetylazodicarboxylate and diisopropylazodicarboxylate.
溶媒としては、反応に不活性な溶媒であればいずれのものでもよぐ例えば、ジェ チルエーテル、ブチルェチルエーテル、テトラヒドロフラン、ジォキサン、ジメトキシェ タンのようなエーテノレ類;クロ口ベンゼン、ジクロロベンゼン、ジクロロメタン、クロロホノレ ム、ジクロロエタン、トリクロロェタン、ジクロロエチレンのようなハロゲン化炭化水素類; ベンゼン、トルエン、キシレンのような芳香族炭化水素類などから 1種又は 2種以上を 適宜選択することができる。 Any solvent may be used as long as it is inert to the reaction. For example, etherols such as diethyl ether, butyl ether, tetrahydrofuran, dioxane, dimethoxyethane; black benzene, dichlorobenzene, dichloromethane, One or more kinds of halogenated hydrocarbons such as chlorophenol, dichloroethane, trichloroethane, and dichloroethylene; aromatic hydrocarbons such as benzene, toluene, and xylene can be appropriately selected.
[0044] 反応 [G]の第 1工程は、 Tがー OHであり、且つ Mが水素原子である場合、通常 0〜 80°C、望ましくは 20〜60°Cで行うことができ、その反応時間は、通常 0.5〜24時間 程度、望ましくは 1〜 16時間程度とすることができる。 [0044] The first step of the reaction [G] can be carried out usually at 0 to 80 ° C, preferably 20 to 60 ° C, when T is --OH and M is a hydrogen atom. The reaction time is usually about 0.5 to 24 hours, preferably about 1 to 16 hours.
[0045] 反応 [G]の第 2工程は、通常、溶媒の存在下、式 (X)の化合物を、ヒドラジンを用い て分解することにより行うことができる。前記ヒドラジンは、通常、式 (X)の化合物に対 し、等モル程度用いることができる。 [0045] The second step of the reaction [G] can be usually performed by decomposing the compound of the formula (X) with hydrazine in the presence of a solvent. The hydrazine is usually against the compound of formula (X). About equimolar amounts.
溶媒としては、反応に不活性な溶媒であればいずれのものでもよぐ例えば、ジェ チルエーテル、ブチルェチルエーテル、テトラヒドロフラン、ジォキサン、ジメトキシェ タンのようなエーテル類;ベンゼン、トルエン、キシレンのような芳香族炭化水素類;メ タノ一ノレ、エタノーノレ、プロパノーノレ、ノノレマノレブタノ一ノレ、ターシャリーブタノールの ようなアルコール類などから 1種又は 2種以上を適宜選択することができる。 Any solvent may be used as long as it is inert to the reaction. For example, ethers such as diethyl ether, butyl ether, tetrahydrofuran, dioxane and dimethoxyethane; aromatics such as benzene, toluene and xylene. One or two or more types can be appropriately selected from group hydrocarbons; alcohols such as methanol, ethanol, propanol, nonolemanolebutanol and tertiary butanol.
反応 [G]の第 2工程は、通常 0〜140°C、望ましくは 30〜100°Cで行うことができ、 その反応時間は、通常 0.5〜24時間程度、望ましくは 2〜12時間程度とすることがで きる。 The second step of the reaction [G] can be usually carried out at 0 to 140 ° C, preferably 30 to 100 ° C, and the reaction time is usually about 0.5 to 24 hours, preferably about 2 to 12 hours. can do.
[0046] 本発明化合物を含有する有害生物防除剤の望ましい態様について以下に記述す る。本発明化合物を含有する有害生物防除剤は、例えば農園芸分野で問題となる 各種有害生物の防除剤、即ち農園芸用有害生物防除剤や、動物に寄生する有害生 物の防除剤、即ち動物寄生生物防除剤として特に有用である。 [0046] Desirable embodiments of the pest control agent containing the compound of the present invention will be described below. The pest control agent containing the compound of the present invention includes, for example, various pest control agents that are problematic in the field of agriculture and horticulture, that is, agricultural and horticultural pest control agents, and pest control agents parasitic on animals, that is, animals. It is particularly useful as a parasite control agent.
[0047] 農園芸用有害生物防除剤としては、例えば、殺虫、殺ダニ、殺線虫、殺土壌害虫 剤として有用である力 具体的には、ナミハダ-、 -セナミハダ-、カンザヮハダ-、ミ カンハダ二、リンゴハダ-、チヤノホコリダ-、ミカンサビダ-、ネダニなどのような植物 寄生性ダニ類;コナガ、ョトウムシ、ハスモンョトウ、コドリンガ、ボールワーム、タバコバ ッドワーム、マイマイガ、コブノメイガ、チヤノコカクモンハマキ、リンゴコカクモンハマキ 、モモシンタイガ、ナシヒメシンクイ、タマナヤガ、力ブラャガ、コロラドハムシ、ゥリハム シ、ボールウイ一ビル、アブラムシ類、ゥンカ類、ョコバイ類、カイガラムシ類、カメムシ 類、コナジラミ類、ァザミゥマ類、ノ ッタ類、ハナバエ類、コガネムシ類、ァリ類、ハモグ リバェ類などのような農業害虫類;ネコブセンチユウ類、シストセンチユウ類、ネグサレ センチユウ類、イネシンガレセンチユウ、イチゴメセンチユウ、マツノザィセンチユウなど のような植物寄生性線虫類;ナメクジ、マイマイなどのような腹足類;ダンゴムシ、ワラ ジムシのような等脚類などのような土壌害虫類;イエダニ、イエバエ、了カイエ力、ゴキ プリ類などのような衛生害虫類;バタガ、ァズキゾゥムシ、コクヌストモドキ、ゴミムシダ マシ類などのような貯穀害虫類;ィガ、ヒメカツォブシムシ、シロアリ類などのような衣 類、家屋害虫類;ケナガコナダニ、コナヒヨウダニ、ミナミッメダニなどのような屋内塵 性ダニ類;などの防除に有効である。なかでも、本発明化合物を含有する農園芸用 有害生物防除剤は、植物寄生性ダニ類、農業害虫類、植物寄生性線虫類などの防 除に特に有効である。また、本発明化合物を含有する農園芸用有害生物防除剤は、 有機リン剤、カーバメート剤、合成ピレスロイド剤などの薬剤に対する各種抵抗性害 虫の防除にも有効である。さらに本発明化合物は、優れた浸透移行性を有しているこ とから、本発明化合物を含有する農園芸用有害生物防除剤を土壌に処理すること〖こ よって土壌有害昆虫類、ダニ類、線虫類、腹脚類、等脚類の防除と同時に茎葉部の 害虫類をも防除することができる。 [0047] Pesticides for agricultural and horticultural use include, for example, power useful as insecticides, acaricides, nematicides, and soil-killing insecticides. Specifically, Namihada, -Senamihada, Kanzahadada, Mikanhada Plant parasitic mites such as apple hada, chiyanokorida, mandarin orange, mite, etc .; diamondback moth, weevil, lotus root, codling moth, ball worm, cigarette budworm, maiiga, kono noiga, chinokokakumonhamaki , Momoshin Taiga, Nashihime Shinchii, Tamanayaga, Power Braga, Colorado potato beetle, Urihamushi, Ballui bilbil, Aphids, Pruners, leafhoppers, scale insects, stink bugs, whiteflies, thrips, beetles, beetles Such as moss, ants, and clams Agricultural insect pests; plant parasitic nematodes such as root-knot sentin, cyst-scented, Nesare sentinu, rice singale-scented, strawberry sentinu, pine-nosed sentry, etc .; slugs, maimai, etc. Stomach pests such as gastropods, isopods such as stag beetle, bark beetle, hygiene pests such as house dust mites, house flies, cayenne powers, cockroaches, etc .; Bataga, Azuki beetle, Kokunosutomodoki, Goomushimodashi Stored pests such as moss; clothing, house pests such as Iga, Himekatsubushimushi, termites, etc .; It is effective for controlling ticks; Among them, the agricultural and horticultural pest control agent containing the compound of the present invention is particularly effective for controlling plant parasitic mites, agricultural pests, plant parasitic nematodes and the like. In addition, the agricultural and horticultural pest control agent containing the compound of the present invention is also effective in controlling various pests resistant to drugs such as organic phosphorus agents, carbamate agents, and synthetic pyrethroid agents. Furthermore, since the compound of the present invention has excellent osmotic transfer properties, it is possible to treat soil harmful insects, ticks, and the like by treating the soil with an agricultural and horticultural pesticide containing the compound of the present invention. At the same time as controlling nematodes, gastropods and isopods, it can also control pests on the foliage.
[0048] 本発明化合物を含有する有害生物防除剤の別の望ま 、態様としては、前記した 植物寄生性ダニ類、農業害虫類、植物寄生性線虫類、腹足類、土壌害虫類などを 総合的に防除する農園芸用有害生物防除剤が挙げられる。 [0048] Another desirable aspect of the pest control agent containing the compound of the present invention is that the plant parasitic mites, agricultural pests, plant parasitic nematodes, gastropods, soil pests, etc. And pesticides for agricultural and horticultural use.
[0049] 本発明化合物を含有する農園芸用有害生物防除剤は、通常該化合物と各種農業 上の補助剤とを混合して粉剤、粒剤、顆粒水和剤、水和剤、水性懸濁剤、油性懸濁 剤、水溶剤、乳剤、液剤、ペースト剤、エアゾール剤、微量散布剤などの種々の形態 に製剤して使用されるが、本発明の目的に適合する力ぎり、通常の当該分野で用い られているあらゆる製剤形態にすることができる。製剤に使用する補助剤としては、珪 藻土、消石灰、炭酸カルシウム、タルク、ホワイトカーボン、カオリン、ベントナイト、力 オリナイト及びセリサイトの混合物、クレー、炭酸ナトリウム、重曹、芒硝、ゼォライト、 澱粉などの固型担体;水、トルエン、キシレン、ソルベントナフサ、ジォキサン、ァセト ン、イソホロン、メチルイソブチルケトン、クロ口ベンゼン、シクロへキサン、ジメチルス ルホキシド、 Ν,Ν—ジメチルホルムアミド、 Ν,Ν—ジメチルァセトアミド、 Ν—メチルー 2 —ピロリドン、アルコールなどの溶剤;脂肪酸塩、安息香酸塩、アルキルスルホコハク 酸塩、ジアルキルスルホコハク酸塩、ポリカルボン酸塩、アルキル硫酸エステル塩、ァ ルキル硫酸塩、アルキルァリール硫酸塩、アルキルジグリコールエーテル硫酸塩、ァ ルコール硫酸エステル塩、アルキルスルホン酸塩、アルキルァリールスルホン酸塩、 ァリールスルホン酸塩、リグ-ンスルホン酸塩、アルキルジフヱ-ルエーテルジスルホ ン酸塩、ポリスチレンスルホン酸塩、アルキルリン酸エステル塩、アルキルァリールリン 酸塩、スチリルァリールリン酸塩、ポリオキシエチレンアルキルエーテル硫酸エステル 塩、ポリオキシエチレンアルキルァリールエーテル硫酸塩、ポリオキシエチレンアルキ ルァリールエーテル硫酸エステル塩、ポリオキシエチレンアルキルエーテルリン酸塩 、ポリオキシエチレンアルキルァリールリン酸エステル塩、ナフタレンスルホン酸ホル マリン縮合物の塩のような陰イオン系の界面活性剤ゃ展着剤;ソルビタン脂肪酸エス テル、グリセリン脂肪酸エステル、脂肪酸ポリダリセライド、脂肪酸アルコールポリダリ コールエーテル、アセチレングリコール、アセチレンアルコール、ォキシァノレキレンブ ロックポリマー、ポリオキシエチレンアルキルエーテル、ポリオキシエチレンアルキルァ リールエーテル、ポリオキシエチレンスチリルァリールエーテル、ポリオキシエチレン グリコールアルキルエーテル、ポリエチレングリコール、ポリオキシエチレン脂肪酸ェ ステル、ポリオキシエチレンソルビタン脂肪酸エステル、ポリオキシエチレングリセリン 脂肪酸エステル、ポリオキシエチレン硬化ヒマシ油、ポリオキシプロピレン脂肪酸エス テルのような非イオン系の界面活性剤ゃ展着剤;ォリーブ油、カポック油、ひまし油、 シュロ油、椿油、ヤシ油、ごま油、トウモロコシ油、米ぬか油、落花生油、綿実油、大 豆油、菜種油、亜麻仁油、きり油、液状パラフィンなどの植物油や鉱物油などが挙げ られる。これら補助剤の各成分は、本発明の目的力 逸脱しないかぎり、 1種又は 2種 以上を適宜選択して使用することができる。また、前記した補助剤以外にも当該分野 で知られたものの中から適宜選んで使用することもでき、例えば、増量剤、増粘剤、 沈降防止剤、凍結防止剤、分散安定剤、薬害軽減剤、防黴剤など通常使用される各 種補助剤も使用することができる。本発明化合物と各種補助剤との配合割合は 0.001 : 99.999〜95 : 5、望ましくは 0.005 : 99.995〜90: 10である。これら製剤の実際の使用に 際しては、そのまま使用するか、または水等の希釈剤で所定濃度に希釈し、必要に 応じて各種展着剤 (界面活性剤、植物油、鉱物油など)を添加して使用することがで きる。 [0049] The agricultural and horticultural pest control agent containing the compound of the present invention is usually a powder, granule, granule wettable powder, wettable powder, aqueous suspension obtained by mixing the compound and various agricultural adjuvants. , Oily suspension, water solvent, emulsion, liquid, paste, aerosol, microspray, etc. Any formulation used in the field can be used. Adjuvants used in the formulation include diatomaceous earth, slaked lime, calcium carbonate, talc, white carbon, kaolin, bentonite, mixture of olinite and sericite, clay, sodium carbonate, sodium bicarbonate, sodium nitrate, zeolite, starch, etc. Mold carrier: water, toluene, xylene, solvent naphtha, dioxane, acetone, isophorone, methyl isobutyl ketone, black benzene, cyclohexane, dimethyl sulfoxide, Ν, Ν-dimethylformamide, Ν, Ν-dimethylacetamide,溶 剤 -Methyl-2-pyrrolidone, alcohol and other solvents; fatty acid salts, benzoates, alkylsulfosuccinates, dialkylsulfosuccinates, polycarboxylates, alkyl sulfates, alkyl sulfates, alkylaryl sulfates, Alkyl diglycol ether Sulfates, alcohol sulfates, alkyl sulfonates, alkyl aryl sulfonates, aryl sulfonates, lignite sulfonates, alkyl diphenyl ether disulfonates, polystyrene sulfonates, alkyl phosphates Ester salt, alkylaryl phosphate, styryl aryl phosphate, polyoxyethylene alkyl ether sulfate Salt, polyoxyethylene alkylaryl ether sulfate, polyoxyethylene alkylaryl ether sulfate, polyoxyethylene alkyl ether phosphate, polyoxyethylene alkylaryl phosphate, naphthalenesulfonic acid formalin condensate Anionic surfactant spreader such as salt of sorbitan; sorbitan fatty acid ester, glycerin fatty acid ester, fatty acid polydaricelide, fatty acid alcohol polydaryl alcohol ether, acetylene glycol, acetylene alcohol, oxyalkylene block polymer , Polyoxyethylene alkyl ether, polyoxyethylene alkyl ether, polyoxyethylene styryl ether, polyoxyethylene glycol alkyl ether, polyester Nonionic surfactants such as lenglycol, polyoxyethylene fatty acid ester, polyoxyethylene sorbitan fatty acid ester, polyoxyethylene glycerin fatty acid ester, polyoxyethylene hydrogenated castor oil, polyoxypropylene fatty acid ester Agents: olive oil, kapok oil, castor oil, palm oil, straw oil, coconut oil, sesame oil, corn oil, rice bran oil, peanut oil, cottonseed oil, soybean oil, rapeseed oil, linseed oil, cut oil, liquid oil, vegetable oil and mineral oil And so on. Each component of these adjuvants can be used by appropriately selecting one or two or more types without departing from the object of the present invention. In addition to the above-mentioned adjuvants, they can be appropriately selected from those known in the art, for example, extenders, thickeners, anti-settling agents, antifreeze agents, dispersion stabilizers, phytotoxicity reductions. Various commonly used adjuvants such as agents and fungicides can also be used. The compounding ratio of the compound of the present invention and various adjuvants is 0.001: 99.999 to 95: 5, preferably 0.005: 99.995 to 90:10. In actual use of these preparations, use them as they are, or dilute them to a predetermined concentration with a diluent such as water, and add various spreading agents (surfactants, vegetable oils, mineral oils, etc.) as necessary. It can be added and used.
本発明化合物を含有する農園芸用有害生物防除剤の施用は、気象条件、製剤形 態、施用時期、施用場所、病害虫の種類や発生状況などの相違により一概に規定で きないが、一般に 0.05〜800000ppm、望ましくは 0.5〜500000ppmの有効成分濃度で 行ない、その単位面積あたりの施用量は、 1ヘクタール当り本発明化合物が 0.05〜50 000g、望ましくは l〜30000gである。また、本発明化合物を含有する有害生物防除剤 の別の望ましい態様である農園芸用の有害生物防除剤の施用は、前記有害生物防 除剤の施用に準じて行われる。本発明には、このような施用方法による有害生物の 防除方法、特に植物寄生性ダニ類、農業害虫類、植物寄生性線虫類の防除方法も 含まれる。 The application of agricultural and horticultural pesticides containing the compounds of the present invention cannot be defined unconditionally due to differences in weather conditions, formulation, application time, application location, pest type and occurrence, etc. The active ingredient concentration is ˜800,000 ppm, preferably 0.5 to 500,000 ppm. The application amount per unit area is 0.05 to 50 000 g, preferably 1 to 30000 g, of the present compound per hectare. Moreover, the pest control agent containing this invention compound The application of the pest control agent for agricultural and horticultural use, which is another desirable embodiment of the above, is performed in accordance with the application of the pest control agent. The present invention also includes a method for controlling pests by such an application method, particularly a method for controlling plant parasitic mites, agricultural pests, and plant parasitic nematodes.
[0051] 本発明化合物を含有する農園芸用有害生物防除剤の種々の製剤、またはその希 釈物の施用は、通常一般に行なわれている施用方法すなわち、散布 (例えば散布、 噴霧、ミスティング、アトマイジング、散粒、水面施用等)、土壌施用(混入、灌注等)、 表面施用(塗布、粉衣、被覆等)、浸漬毒餌等により行うことができる。また、家畜に対 して前記有効成分を飼料に混合して与え、その排泄物での有害虫、特に有害昆虫 の発生及び生育を阻害することも可能である。また!、わゆる超高濃度少量散布法 (ult ra low volume)により施用することもできる。この方法においては、活性成分を 100% 含有することが可能である。 [0051] Various formulations of agricultural and horticultural pesticides containing the compound of the present invention, or their dilutions, are usually applied by a commonly used application method, ie, spraying (eg spraying, spraying, misting, Atomizing, dusting, water surface application, etc.), soil application (mixing, irrigation, etc.), surface application (application, powder coating, coating, etc.), immersion poison bait, etc. It is also possible to give livestock a mixture of the above-mentioned active ingredients in feed to inhibit the occurrence and growth of harmful insects, particularly harmful insects, in their excreta. It can also be applied by the ultra-low volume method. In this method, it is possible to contain 100% of the active ingredient.
[0052] また、本発明化合物を含有する農園芸用有害生物防除剤は、他の農薬、肥料、薬 害軽減剤などと混用或は併用することができ、この場合に一層優れた効果、作用性 を示すことがある。他の農薬としては、除草剤、殺虫剤、殺ダニ剤、殺線虫剤、殺土 壌害虫剤、殺菌剤、抗ウィルス剤、誘引剤、抗生物質、植物ホルモン、植物成長調整 剤などが挙げられる。特に、本発明化合物と他の農薬の有効成分化合物の 1種又は 2種以上とを混用或は併用した混合有害生物防除組成物は、適用範囲、薬剤処理 の時期、防除活性等を好ましい方向へ改良することが可能である。尚、本発明化合 物と他の農薬の有効成分化合物は各々別々に製剤したものを散布時に混合して使 用しても、両者を一緒に製剤して使用してもよい。本発明には、このような混合有害 生物防除組成物も含まれる。 [0052] In addition, the agricultural and horticultural pesticide containing the compound of the present invention can be mixed or used in combination with other agricultural chemicals, fertilizers, safeners, etc. May show sex. Other pesticides include herbicides, insecticides, acaricides, nematicides, soil pesticides, fungicides, antiviral agents, attractants, antibiotics, plant hormones, plant growth regulators, etc. It is done. In particular, a mixed pest control composition in which the compound of the present invention and one or more active compound compounds of other agricultural chemicals are used in combination or in combination is preferred in terms of application range, timing of chemical treatment, control activity, etc. It is possible to improve. The compound of the present invention and the other active ingredient compounds of other agricultural chemicals may be used separately by mixing them at the time of spraying, or may be used by preparing both together. The present invention also includes such a mixed pest control composition.
[0053] 本発明化合物と他の農薬の有効成分化合物との混合比は、気象条件、製剤形態、 施用時期、施用場所、病害虫の種類や発生状況などの相違により一概に規定できな いが、一般に 1 : 300〜300 : 1、望ましくは 1 : 100〜100 : 1である。また、施用適量は 1へ クタール当りの総有効成分化合物量として 0.1〜50000g、望ましくは l〜30000gである 。本発明には、このような混合有害生物防除組成物の施用方法による有害生物の防 除方法も含まれる。 上記他の農薬中の、殺虫剤、殺ダニ剤、殺線虫剤或いは殺土壌害虫剤、すなわち 害虫防除剤の有効成分化合物 (一般名;一部申請中を含む)としては、例えばプロフ エノホス (Profenofos)、シクロノレボス (Dichlorvos)、フエナ^ホス (Fenamiphos入フエ-トロ チオン (Fenitrothion)、 EPN、ダイアジノン (Diazinon)、クロルピリホスメチル (Chlorpyrif os-methyl),ァセフェート (Acephate)、プロチォホス (Prothiofos)、ホスチアゼート (Fosth iazate)、ホスホカルブ (Phosphocarb)、カズサホス (Cadusafos)、ジスルホトン (Dislfoton) 、クロルピリホス (Chlorpyrifos)、デメトン- S-メチル(Demeton- S- methyl)、ジメトエート( Dimethoate)、メタミドホス(Methamidophos)、 AKD- 3088、パラチオン (Parathion)のよ うな有機リン酸エステル系化合物; [0053] The mixing ratio between the compound of the present invention and the active ingredient compound of other agricultural chemicals cannot be defined unconditionally due to differences in weather conditions, formulation form, application time, application location, pest type and occurrence, etc. Generally, it is 1: 300 to 300: 1, preferably 1: 100 to 100: 1. The appropriate amount to be applied is 0.1 to 50000 g, preferably 1 to 30000 g as the total amount of active ingredient compounds per hectal. The present invention also includes a method for controlling pests by a method for applying such a mixed pest control composition. In the above-mentioned other agricultural chemicals, as an active ingredient compound (generic name; including some pending applications) of insecticides, acaricides, nematicides or soil insecticides, that is, pest control agents, for example, profenofos ( Profenofos, Cyclonorevos, Dichlorvos, Fenamithion, Fenitrothion, EPN, Diazinon, Chlorpyrif os-methyl, Acephate, Prothiofos, Phostiazate Fosth iazate), Phosphocarb, Cadusafos, Dislfoton, Chlorpyrifos, Demeton-S-methyl, Dimethoate, Methamidophos, AKD- Organophosphate compounds such as Parathion;
力ルバリル (Carbaryl)、プロボキスル (Propoxur)、アルジカルプ (Aldicarb)、カルボフラ ン (Carboforan)、チォジカルプ (Thiodicarb)、メソミル (Methomyl)、ォキサミル (Oxamyl) 、ェチォフェンカルプ (Ethiofencarb)、ピリミカルブ (Pirimicarb)、フエノブカルプ (Fenob ucarb)、カルボスルファン (Carbosulfan)、ベンフラカルブ (Benforacarb)のようなカーノ メート系化合物; Power Barbaryl, Propoxur, Aldicarb, Carboforan, Thiodicarb, Methomyl, Oxamyl, Ethiofencarb, Pirimicarb, Pirimicarb Carnomate compounds such as Fenob ucarb, Carbosulfan, Benforacarb;
カルタップ (Cartap)、チオシクラム (Thiocyclam)、ベンスノレタップ (Bensultap)のような ネライストキシン誘導体; Nereistoxin derivatives such as Cartap, Thiocyclam, Bensultap;
ジコホル (Dicofol)、テトラジホン (Tetradifon)、エンドスルファン(Endosulfan)のような 有機塩素系化合物; Organochlorine compounds such as Dicofol, Tetradifon, Endosulfan;
酸化フェンブタスズ (Fenbutatin Oxide)のような有機金属系化合物; Organometallic compounds such as Fenbutatin Oxide;
フェンノ レレート (Fenvalerate)、ぺノレメトリン (Permethrin)、シぺノレメトリン (Cypermethr in)、デルタメトリン (Deltamethrin)、シハロトリン (Cyhalothrin)、テフルトリン (Tefluthrin)、 エトフェンプロックス (Ethofenprox)、フェンプロパトリン(Fenpropathrin)、ビフェントリン( Bifenthrin)のようなピレスロイド系化合物; Fenvalerate, Penoremethrin (Permethrin), Cypermethrin (Cypermethr in), Deltamethrin, Deltahalothrin (Cyhalothrin), Tefluthrin, Etofenprox, Fenpropathrin, Fenpropathrin Pyrethroid compounds such as (Bifenthrin);
ジフルべンズロン (Diflubenzuron)、クロルフルァズロン (Chlorfluazuron)、テフノレベン ズロン (Teflubenzuron)、フルフエノクスロン (Flufenoxuron)、ルフェヌロン(Lufenuron)、 ノバルロン(Novaluron)、ビストリフルロン(Bistrifluron)、ノビフルムロン(Noviflumuron )のようなべンゾィルゥレア系化合物; Diflubenzuron, Chlorfluazuron, Teflubenzuron, Flufenoxuron, Lufenuron, Novaluron, Bistrifluron, Novifluron Benzo Lurea compounds such as
メトプレン (Methoprene)、ピリプロキシフェン (Pyriproxyfen)、フエノキシカルブ(Fenox ycarb)のような幼若ホルモン様化合物; Metohoprene, Pyriproxyfen, Phenoxycarb (Fenox) juvenile hormone-like compounds such as ycarb);
ピリダベン (Pyridaben)のようなピリダジノン系化合物; Pyridazinone compounds such as Pyridaben;
フェンピロキシメート (Fenpyroximate)、フィプロニル (Fipronil)、テブフェンピラド (Tebu fenpyrad)、ェチプロール (Ethiprole)、トルフェンピラド (Tolfenpyrad)、ァセトプロール( Acetoprole)、ピラフルプロール(Pyrafluprole)、ピリプロール(Pyriprole)のようなピラ ゾール系化合物; Fenpyroximate, Fipronil, Tebu fenpyrad, Ethiprole, Tolfenpyrad, Acetoprole, Pyrafluprole, Pyriprozole, Pyriprole
イミダクロプリド (Imidacloprid)、二テンビラム (Nitenpyram)、ァセタミプリド (Acetamiprid )、チアクロプリド (Thiacloprid)、チアメトキサム (Thiamethoxam)、クロチア-ジン (Clothia nidin)、ジノテフラン(Dinoteforan)などのネオ-コチノイド; Neo-cotinoids such as Imidacloprid, Nitenpyram, Acetamiprid, Thiacloprid, Thiamethoxam, Clothia nidin, Dinoteforan;
テブフエノジド (Tebufenozide)、メトキシフエノジド (Methoxyfenozide)、クロマフエノジド (Chromafenozide)、ノヽロフエノジド(Halofenozide)などのヒドラジン系化合物; Hydrazine compounds such as Tebufenozide, Methoxyfenozide, Chromafenozide, and Halofenozide;
ジニトロ系化合物、有機硫黄化合物、尿素系化合物、トリアジン系化合物、ヒドラゾ ン系化合物また、その他の化合物として、フ口-力ミド (Flonicamid)、ブプロフエジン (B uprofezin)、へキシチアゾクス (Hexythiazox)、アミトラズ (Amitraz)、クロルジメホルム (Ch lordimeform),シラフルォフェン (Silafluofen)、トリァザメイト (Triazamate)、ピメトロジン (P ymetrozine)、ピリミジフェン (Pyrimidifen)、クロルフエナビル (Chlorfenapyr)、インドキサ カノレブ (Indoxacarb)、ァセキノシノレ (Acequinocyl)、エトキサゾ一ノレ (Etoxazole)、シロマ ジン (Cyromazine)、 1,3—ジクロロプロペン (1 ,3- dichloropropene)、ジァフェンチウロン (Diafenthiuron)、ベンクロチアズ(Benclothiaz)、フノレフェンリム(Flufenerim)、ピリダリ ル(Pyridalyl)、スピロジクロフェン(Spirodiclofen)、ビフエナゼート(Bifenazate)、スピロ メシフェン (Spiromesifen)、スピロテトラマット (Spirotetramat)、プロノ レギット (Proparg ite)、クロフエンテジン(Clofentezine)、フルアタリピリム(Fluacrypyrim)、フルべンジァ ミド(Flubendiamide)、 DPX- E2Y45、シフルメトフェン(Cyflumetofen)、シエノピラフェン (Cyenopyrafen)、 NNI- 0101、フエナザキン(fenazaquin)、メタフルミゾン(Metaflumizo ne)、アミドフルメット(Amidoflumet)のような化合物;などが挙げられる。更に、 BT剤、 昆虫病原ウィルス剤、昆虫病原糸状菌剤、線虫病原糸状菌剤などのような微生物農 薬;アベノレメクチン (Avermectin)、エマメクチンべンゾエート (Emamectin- Benzoate)、ミ ルべメクチン(Milbemectin)、スピノサッド (Spinosad)、ィベルメクチン(Ivermectin)、レ ピメクチン (Lepimectin)のような抗生物質或 、はその半合成物質;ァザデイラクチン( Azadirachtin)、ロテノン(Rotenone)のような天然物などと、混用、併用することもでき る。 Dinitro compounds, organic sulfur compounds, urea compounds, triazine compounds, hydrazine compounds, and other compounds include Flonicamid, Buprofezin, Hexythiazox, Amitraz ( Amitraz), Chlordimeform (Ch lordimeform), Silafrofen (Silafluofen), Triazamate, Pymetrozine, Pyrimidifen, Chlorfenapyr, Indquinocolyl, Indoxaoc Etoxazole), cyromazine, 1,3-dichloropropene, 1,3-dichloropropene, diafenthiuron, Benclothiaz, Flufenerim, pyridylyl, spirodiclo Firo (Spirodiclofen), Bifenazate (Bifenazate) Spiromesifen, Spirotetramat, Propargite, Clofentezine, Fluacrypyrim, Flubendiamide, DPX-E2Y45, Cyflumetofen (Cyflumetofen) (Cyenopyrafen), NNI-0101, compounds such as fenazaquin, Metaflumizone, Amidoflumet; and the like. In addition, microbial agents such as BT agents, entomopathogenic virus agents, entomopathogenic fungi agents, nematode pathogenic fungi agents, etc .; Avenoremectin (Avermectin), Emamectin- Benzoate, Milbemectin ( Milbemectin), Spinosad, Ivermectin, Antibiotics such as pimectin (Lepimectin) or semi-synthetic substances thereof; natural products such as azadirachtin and rotenone can also be mixed and used together.
上記他の農薬中の、殺菌剤の有効成分化合物 (一般名;一部申請中を含む)として は、例えば、メパ-ピリム (Mepanipyrim)、ピリメサ -ル (Pyrimethanil)、シプロジ-ル (Cy prodinil)のようなピリミジナミン系化合物; In the above-mentioned other agricultural chemicals, as an active ingredient compound (generic name; including some applications), for example, mepa-pyrim (Mepanipyrim), pyrimethanil, cyprodil (Cy prodinil) ) Pyrimidinamine compounds such as
トリアジメホン (Triadimefon)、ビテルタノール (Bitertanol)、トリフルミゾール (Triflumizol e)、エタコナゾ一ノレ (Etaconazole)、プロピコナゾーノレ (Propiconazole)、ペンコナゾ一ノレ (Penconazole)、フノレシラゾーノレ (Flusilazole)、マイクロブタニノレ (Myclobutanil)、シプロ コナゾ一ノレ (Cyproconazole)、ターブコナゾーノレ (Terbuconazole)、へキサコナゾーノレ ( Hexaconazole)、ファ ~~コナン ~~ノレンス (Furconazole— cis)、プロクロフズ (Prochloraz)、メ トコナゾーノレ (Metconazole)、エポキシコナゾ一ノレ (Epoxiconazole)、テトラコナゾ一ノレ (T etraconazole入ォキスホコナゾーノレ (Oxpoconazole)、シプコナゾーノレ (Sipconazole)の ようなァゾール系化合物; Triadimefon, Bitertanol, Triflumizol e , Etaconazole, Propiconazole, Penconazole, Flusilazole, Micros Butaninole (Myclobutanil), Cyproconazonole (Cyproconazole), Terbuconazole (Terbuconazole), Hexaconazole (Hexaconazole), Fa ~~ Conan ~~ Norens (Furconazole—cis), Prochloraz (Metconazonole) ), Epoxideconazonore (Epoxiconazole), tetraconazonore (Tetraconazole), azole compounds such as sipconazole (Sipconazole);
キノメチォネート (Quinomethionate)のようなキノキサリン系化合物; Quinoxaline compounds such as quinomethionate;
マンネブ (Maneb)、ジネブ (Zineb)、マンゼブ (Mancozeb)、ポリカーバメート (Polycarba mate),プロピネブ (Propineb)のようなジチォカーバメート系ィ匕合物; Dithiocarbamate compounds such as Maneb, Zineb, Mancozeb, Polycarba mate, Propineb;
フサライド (Fthalide)、クロロタ口-ル (Chlorothalonil)、キントゼン (Quintozene)のよう な有機塩素系化合物; Organochlorine compounds such as Fthalide, Chlorothalonil, Quintozene;
べノミル (Benomyl)、チオファネートメチル (Thiophanate- Methyl)、カーベンダジム (Ca rbendazim)、シァゾフアミド (Cyazofamid)のようなイミダゾール系化合物; Imidazole compounds such as Benomyl, Thiophanate-Methyl, Carbendazim, Cyazofamid;
フルアジナム (Fluazinam)のようなピリジナミン系化合物; Pyridinamine compounds such as Fluazinam;
シモキサ-ル (Cymoxanil)のようなシァノアセトアミド系化合物; Cyanoacetamide compounds such as Cymoxanil;
メタラキシル (Metalaxyl)、ォキサジキシル (Oxadixyl)、オフレース (Oforace)、ベナラキ シル (Benalaxyl)、フララキシル (Furalaxyl)、シプロフラム (Cyproforam)のようなフエ-ル アミド系化合物; Phenolic compounds such as Metalaxyl, Oxadixyl, Offorace, Benalaxyl, Furalaxyl, Cyproforam;
ジクロフルアニド (Dichlofluanid)のようなスルフェン酸系化合物; Sulfenic acid compounds such as dichlofluanid;
水酸化第二銅 (Cupric hydroxide),有機銅 (Oxine Copper)のような銅系化合物; ヒドロキシイソキサゾール (Hydroxyisoxazole)のようなイソキサゾール系化合物; ホセチルアルミニウム (Fosety卜 Al)、トルク口ホスメチル (Tolclofos- Methyl)、 S—ベン ジル Ο,Ο—ジイソプロピルホスホロチォエート、 O—ェチル S,S—ジフエ-ルホス ホロジチォエート、アルミニウムェチルハイドロゲンホスホネートのような有機リン系化 合物; Copper-based compounds such as cupric hydroxide and organic copper (Oxine Copper); Isoxazole compounds such as hydroxyisoxazole; Fosety 卜 Al, Torclofos-Methyl, S-Benzyl Ο, Ο-diisopropylphosphorothioate, O-Ethyl S, S—Organic phosphorus compounds such as diphenylphosphlodithioate and aluminium hydrogen phosphonate;
キヤプタン (Captan)、キヤプタホル (Captafol)、フォノレペット (Folpet)のような N—ハロ ゲノチォアルキル系化合物; N-halogenoalkyl compounds such as Captan, Captafol, Folpet;
プロシミドン (procymidone)、ィプロジオン (Iprodione)、ビンクロゾリン (Vinclozolin)のよ うなジカルボキシイミド系化合物; Dicarboximide compounds such as procymidone, Iprodione, Vinclozolin;
フルトラ-ル (Flut0lanil)、メプロ-ル (Mepronil)、ゾキサミド (Zoxamide)のようなべンズ ァニリド系化合物; Benth anilide compounds such as Flutol (Flut 0 lanil), Meprol (Mepronil), Zoxamide;
トリホリン (Triforine)のようなピペラジン系化合物; Piperazine compounds such as Triforine;
ピリフエノックス (Pyrifenox)のようなピリジン系化合物; Pyridine compounds such as Pyrifenox;
フエナリモル (Fenarimol)、フルトリアフオル (Flutriafol)のようなカルビノール系化合物 フェンプロビジン (Fenpropidine)のようなピペリジン系化合物; Carbinol compounds such as Fenarimol and Flutriafol Piperidine compounds such as Fenpropidine;
フェンプロピモルフ (Fenpropimorph)のようなモルフオリン系化合物; Morpholine compounds such as Fenpropimorph;
フェンチンヒドロキシド (Fentin Hydroxide),フェンチンアセテート (Fentin Acetate) のような有機スズ系化合物; Organotin compounds such as Fentin Hydroxide and Fentin Acetate;
ペンシキュロン (Pencycuron)のような尿素系化合物; Urea-based compounds such as Pencycuron;
ジメトモルフ (Dimethomorph)のようなシンナミック酸系化合物; Synamic acid compounds such as Dimethomorph;
ジエトフェンカルプ (Diethofencarb)のようなフエ-ルカーバメート系化合物; フルジォキソ-ル (Fludioxonil)、フェンピクロ-ル (Fenpiclonil)のようなシァノピロール 系化合物; Fercarbamate compounds such as Dietophencarb; Cyanpyrrole compounds such as Fludioxonil and Fenpiclonil;
ァゾキシストロビン (Azoxystrobin)、クレソキシムメチル (Kresoxim- Methyl)、メトミノフ ェン (Metominofen)、トリフロキシストロビン (Trifloxystrobin)、ピコキシストロビン (Picoxys ファモキサドン (Famoxadone)のようなォキサゾリジノン系化合物; エタボキサム (Ethaboxam)のようなチアゾールカルボキサミド系化合物; シノレチオフアム (Silthiopham)のようなシリルアミド系化合物; Oxazolidinone compounds such as Azoxystrobin, Kresoxim-Methyl, Metominofen, Trifloxystrobin, Picoxystrobin (Picoxys Famoxadone); Thiazole carboxamide compounds such as ethaboxam; silylamide compounds such as silthiopham;
ィプロバリカルプ (Iprovalicarb)のようなァミノアシッドアミドカーバメート系化合物; フエナミドン (Fenamidone)のようなイミダゾリジン系化合物; Aminoacid amide carbamate compounds such as Iprovalicarb; Imidazolidine compounds such as Fenamidone;
フェンへキサミド (Fenhexamid)のようなハイド口キシァ二リド系化合物; Hydoxyxanilide compounds such as fenhexamid;
フルスルフアミド (Flusulfamide)のようなベンゼンスルホンアミド系化合物; アトラキノン系化合物;クロトン酸系化合物;抗生物質またその他の化合物として、ィ ソプロチオラン (Isoprothiolane)、トリシクラゾール (Tricyclazole)、ピロキロン (Pyroquilon )、ジクロメジン (Diclomezine)、プロべナゾ一/レ (Probenazole)、キノキシフェン (Quinoxyf en)、プロパモカノレブ塩酸塩 (Propamocarb Hydrochloride)、スピロキサミン (Spiroxami ne)、クロロピクリン (Chloropicrin)、ダゾメット (Dazomet)、メタムナトリウム塩 (Metam- sodi um) ;などが挙げられる。 Benzenesulfonamide compounds such as Flusulfamide; Atolaquinone compounds; Crotonic acid compounds; Antibiotics and other compounds such as I so prothiolane, Tricyclazole, Pyroquilon, Dichromemidine ( Diclomezine), Purobe mystery one / LES (Probenazole), quinoxyfen (Quinoxyf en), Puropamokanorebu hydrochloride (Propamocarb hydrochloride), spiroxamine (Spiroxami n e), chloropicrin (chloropicrin), dazomet (dazomet), meta beam sodium salt ( Metam- sodi um);
[0056] その他、本発明化合物と混用或いは併用することが可能な農薬としては、例えは、 Farm Chemicals Handbook (2002年版)に記載されているような除草剤の有効成分 化合物、特に土壌処理型のものなどがある。 [0056] Other pesticides that can be mixed or used in combination with the compounds of the present invention include, for example, active ingredients of herbicides such as those described in the Farm Chemicals Handbook (2002 edition), particularly those of soil treatment type. There are things.
[0057] 動物寄生生物防除剤としては、例えば、宿主動物の体表 (背、腋下、下腹部、内股 部など)に寄生する外部寄生生物や、宿主動物の体内(胃、腸管、肺、心臓、肝臓、 血管、皮下、リンパ糸且織など)に寄生する内部寄生生物の防除に有効であるが、なか でも、外部寄生生物の防除に有効である。 [0057] Examples of animal parasite control agents include ectoparasites that parasitize on the body surface of the host animal (back, armpit, lower abdomen, inner thigh, etc.) and the host animal body (stomach, intestinal tract, lung, It is effective for the control of endoparasites that parasitize the heart, liver, blood vessels, subcutaneous, lymphatic thread, and the like, and is particularly effective for the control of ectoparasites.
外部寄生生物としては、例えば、動物寄生性のダニゃノミなどが挙げられる。これら の種類は非常に多ぐ全てを列記することが困難であるので、その一例を挙げる。 Examples of ectoparasites include animal parasitic mite fleas. These types are very difficult to list, so here are some examples.
[0058] 動物寄生性のダニとしては、例えばォゥシマダニ (Boophilus microplus)、タリイロコ イタマダニ (Rhipicephalus sanguineus)、フタトゲチマタ、、ュ (Haemaphvsalis longicorni s)、キチマダニ (Haemaphvsalis flava)、ッリカ不チマタ - (Haemaphvsalis campanula ta)、イス力チマタ、'ェ (Haemaphvsalis concinna)、ャマトチマタ - (Haemaphvsalis ja^ onica)、ヒゲナガチマダニ (Haemaphvsalis kitaokai)、ィヤスチマタ二 (Haemaphvsalis ias)、ャマ卜マダニ (Ixodes ovatus)、タネ 7タマタ二 (Ixodes nipponensis)、シュル ツエマタ、、二 (Ixodes persulcatus )、タカサゴキララマタ二 (Amblvomma testudinarium) 、才才トゲチマダニ (Haemaphvsalis megaspinosa)、アミノカクマダニ (Dermacentor r eticulatus)、タイワンカクマダニ (Dermacentor taiwanesis)のようなマダニ類;ワクモ ( Dermanvssus gallinae :トリサンタ - (Ornithonvssus svlviarum 、 ナ トリサンタ二 ( Ornithonvssus bursa)のようなトリサシダニ類:ナンョウッツガムシ(Eutrombicula wic hmanni)、ァカッツガムシ (Leptotrombidium akamushi)、フトゲッッガムシ (Leptotrom bidium pallidum)、フジッッガムシ(Leptotrombidium luii) ,トサッッガムシ(Leptotro mbidium tosa)、ヨーロッパアキダ - (Neotrombicula autumnalis)、アメリカッッガムシ (Eutrombicula alfreddugesi)、 ャガワタマッッカムシ(Helenicula mivagawai)のよつ なッッガムシ類:ィヌッメダニ (Chevletiella vasguri)、ゥサギッメダニ (Chevletiella m rasitivorax)、ネコッメダニ (Chevletiella blakei)のようなッメダニ類;ゥサギキユウセン ダニ (Psoroptes cuniculi)、ゥシショクヒダニ (Chorioptes bovis)、ィヌミミヒゼンダニ ( Otodectes cvnotis)、ヒゼンダニ (Sarcoptes scabiei)、ネコショウセンコゥヒゼンダニ( Notoedres cati)のようなヒゼンダニ街:ィヌニキビダ二 (Demodex canis)のようなニキ ビダ二類などが挙げられる。なかでも、本発明化合物を含有する動物寄生生物防除 剤は、マダニ類などの防除に特に有効である。 [0058] Animal parasitic mites include, for example, Boophilus microplus, Rhipicephalus sanguineus, Phytophthora, eu (Haemaphvsalis longicorni s), Kitani tick (Haemaphvsalis flava), burdock mite ph , Chair power zima, 'e (Haemaphvsalis concinna), yamato chimata-(Haemaphvsalis ja ^ onica), Haemaphvsalis kitaokai, Haemaphvsalis ias, tick (Ixodes ovatus) Ixodes nipponensis), sur zuemata, ii (Ixodes persulcatus), Takasago Kiramata (Amblvomma testudinarium) Ticks, such as the genius Tematani (Haemaphvsalis megaspinosa), Acarid tick (Dermacentor r eticulatus), Dermacentor taiwanesis; Duck (Dermanvssus gallinae): Trisanta Birds such as Eustrombicula wic hmanni, Leptotrombidium akamushi, Leptotrom bidium pallidum, Leptotrombidium luii, trosaula, trosaula mtro Cuckoo beetle (Eutrombicula alfreddugesi), crested reptile of Helenicula mivagawai: Chinlet tick (Chevletiella m rasitivorax); Hymenidic towns such as Psoroptes cuniculi, Chorioptes bovis, Otodectes cvnotis, Sarcoptes scabiei, Notoedres cati: Demodex canis Among them, the animal parasite control agent containing the compound of the present invention is particularly effective for controlling ticks.
[0059] ノミとしては、例えば、ノミ目 (Siphonaotera)に属する外部寄生性無翅昆虫、より具 体的には、ヒトノミ科(Pulicidae)、ナガノミ科(CerateDhyllus)などに属するノミ街が举 げられる。ヒトノミ科に属するノミ類としては、例えば、ィヌノミ(CtenoceDhalides canis) 、 コノ (Ctenocephalides felis 、ヒトノ (Pulex irritans)、 -ヮトリフトノ (Echidnoph aga gallinacea)、ケ才プス不ズ ノミ (Xenopsvlla cheopis)、メクフ不ス ノミ (Leptopsvl la segnis)、 ョ一口ッノヽネズ ノ (Nosopsyllus fasciatus)、ャマ卜ネス ノ (Monopsvll us mik )などが挙げられる。なかでも、本発明化合物を含有する動物寄生生物防 除剤は、ヒトノミ科に属するノミ類、特にィヌノミ、ネコノミなどの防除に有効である。 [0059] Examples of fleas include ectoparasite worms belonging to the order Flea (Siphonaotera), and more specifically fleas belonging to the family Flea (Pulicidae), Nagano (CerateDhyllus), etc. . Examples of fleas belonging to the family Fleas include: Flea (Ctenoce Dhalides canis), Cono (Ctenocephalides felis), Human flea (Pulex irritans), -Echidnoph aga gallinacea, Xenopsvlla cheopis, Examples include fleas (Leptopsvl la segnis), yosoku tsuno ヽ nozuno (Nosopsyllus fasciatus), yamanoshino (Monopsvll us mik), etc. Among them, animal parasite control agents containing the compounds of the present invention include: It is effective for controlling fleas belonging to the family Flea family, especially cynos and cat fleas.
[0060] その他の外部寄生生物としては、例えば、ゥシジラミ、ゥマジラミ、ヒッジジラミ、ゥシ ホソジラミ、ァタマジラミのようなシラミ類;ィヌハジラミのようなハジラミ類;ゥシアブ、ゥ アイヌ力力、ッメトゲブュのような吸血性双翅目害虫などが挙げられる。また、内部寄 生生物としては、例えば、肺虫、ベンチユウ、結節状ウォーム、胃内寄生虫、回虫、糸 状虫類のような線虫類;マンソン裂頭条虫、広節裂頭条虫、瓜実条虫、多頭条虫、単 包条虫、多包条虫のような条虫類;日本住血吸虫、肝蛭のような吸虫類;コクシジゥム 、マラリア原虫、腸内肉胞子虫、トキソプラズマ、クリプトスポリジゥムのような原生動物 などが挙げられる。 [0060] Other ectoparasites include, for example, lice such as white lice, white lice, white lice, white lice, head lice; white lice such as white lice; blood sucking such as Usiab, Uinu power, and Thmetgebu Diptera pests. Examples of endophytic organisms include nematodes such as lungworms, bench beetles, tuberous worms, gastric parasites, roundworms, and filamentous worms; , Persimmon tapeworm, multi-headed tapeworm, single Tapeworms, tapeworms such as polychaete, Japanese schistosomiasis, fluke such as liver cirrhosis; protozoa such as coccidium, malaria parasite, intestinal granulocyst, toxoplasma, cryptosporidium Etc.
[0061] 宿主動物としては、種々の愛玩動物、家畜、家禽などが挙げられ、より具体的には 、ィヌ、ネコ、マウス、ラット、ハムスター、モルモット、リス、ゥサギ、フェレット、鳥(例え ば、ハト、ォゥム、九官鳥、文鳥、インコ、ジユウシマツ、カナリアなど)、ゥシ、ゥマ、ブ タ、ヒッジ、ァヒル、 -ヮトリなどが挙げられる。なかでも、本発明化合物を含有する動 物寄生生物防除剤は、愛玩動物又は家畜に寄生する有害生物、特に外部寄生生物 の防除に有効である。愛玩動物又は家畜の中ではィヌ、ネコ、ゥシ又はゥマに特に有 効である。 [0061] Examples of host animals include various pet animals, livestock, poultry, and the like, and more specifically, dogs, cats, mice, rats, hamsters, guinea pigs, squirrels, rabbits, ferrets, birds (for example, , Pigeons, omme, nine-birds, wild birds, parakeets, pine pine, canary, etc.), sushi, horses, butter, hidge, ducks, etc. Among these, the animal parasite control agent containing the compound of the present invention is effective for the control of pests parasitic on pet animals or livestock, particularly ectoparasites. It is especially effective for dogs, cats, ushi or horses in pets or livestock.
[0062] 本発明化合物を動物寄生生物防除剤として使用する際、そのまま使用してもよぐ また、適当な補助剤と共に粉剤、粒剤、錠剤、散剤、カプセル剤、液状剤、乳剤、水 生懸濁剤、油性懸濁剤などの種々の形態に製剤して使用することもできる。尚、前記 製剤形態以外にも、本発明の目的に適合する力ぎり、通常の当該分野で用いられて いるあらゆる製剤形態にすることができる。製剤に使用する補助剤としては、前記した 農園芸用有害生物防除剤の製剤用補助剤として例示した陰イオン系の界面活性剤 や非イオン系の界面活性剤;セチルトリメチルアンモ-ゥムブロミドのような陽イオン系 の界面活性剤;水、アセトン、ァセトニトリル、モノメチルァセトアミド、 Ν,Ν—ジメチル ァセトアミド、 Ν,Ν—ジメチルホルムアミド、 2-ピロリドン、 Ν-メチル -2-ピロリドン、ケロ シン、トリァセチン、メタノール、エタノール、イソプロパノール、ベンジルアルコール、 エチレングリコール、プロピレングリコール、ポリエチレングリコール、液体ポリオキシ エチレングリコーノレ、ブチノレジグリコーノレ、エチレングリコーノレモノメチノレエーテノレ、ェ チレングリコーノレモノェチノレエーテノレ、ジエチレングリコーノレモノェチノレエーテノレ、ジ エチレングリコーノレノノレマノレブチノレエーテノレ、ジプロピレングリコーノレモノメチノレエー テル、ジプロピレングリコールノルマルブチルエーテルのような溶剤;ブチルヒドロキシ ァ-ソール、ブチルヒドロキシトルエン、ァスコルビン酸、メタ亜硫酸水素ナトリウム、プ 口ピル没食子酸塩、チォ硫酸ナトリウムのような酸ィ匕防止剤;ポリビュルピロリドン、ポ リビ -ルアルコール、酢酸ビュルとビュルピロリドンのコポリマーのような被膜形成剤; 前記した農園芸用有害生物防除剤の製剤用補助剤として例示した植物油や鉱物油 ;乳糖、蔗糖、ブドウ糖、澱粉、麦粉、コーン粉、大豆油粕、脱脂米糠、炭酸カルシゥ ム、その他市販の飼料原料のような担体などが挙げられる。これら補助剤の各成分は[0062] When the compound of the present invention is used as an animal parasite control agent, it may be used as it is. Also, powders, granules, tablets, powders, capsules, liquid agents, emulsions, aquatic compounds with appropriate adjuvants. It can also be formulated and used in various forms such as a suspension and an oily suspension. In addition to the above-mentioned preparation form, any preparation form that is generally used in this field can be used as long as it is suitable for the purpose of the present invention. Examples of the adjuvant used in the preparation include anionic surfactants and nonionic surfactants exemplified as the aforementioned preparation adjuvants for agricultural and horticultural pest control agents such as cetyltrimethylammonium bromide. Cationic surfactants: water, acetone, acetonitrile, monomethylacetamide, Ν, Ν-dimethylacetamide, Ν, Ν-dimethylformamide, 2-pyrrolidone, Ν-methyl-2-pyrrolidone, kerosene, triacetin, Methanol, ethanol, isopropanol, benzyl alcohol, ethylene glycol, propylene glycol, polyethylene glycol, liquid polyoxyethylene glycol nore, butinoresin glycol nore, ethylene glycol nole monomethylenoatenore, ethylene glycolenolemonochinenoatenoate, Diethylene Solvents such as ricono-remonomethino-reinotenole, diethyleneglycolenorenoremanolebutenoreatenore, dipropyleneglycololemonomethinoreate, dipropyleneglycolnormalbutylether; butylhydroxyl-sol, butylhydroxytoluene , Anticorrosive agents such as ascorbic acid, sodium metabisulfite, pour pill gallate, sodium thiosulfate; film formation such as polybulurpyrrolidone, polyvinyl alcohol, copolymer of bull pyrrolidone acetate and bull pyrrolidone Agent; Vegetable oils and mineral oils exemplified as the above-mentioned adjuvants for formulation of agricultural and horticultural pesticides; lactose, sucrose, glucose, starch, wheat flour, corn flour, soybean oil cake, defatted rice bran, calcium carbonate, and other commercially available feed materials And the like. Each component of these adjuvants
、本発明の目的力も逸脱しないかぎり、 1種又は 2種以上を適宜選択して使用するこ とができる。また、前記した補助剤以外にも当該分野で知られたものの中から適宜選 択して使用することもでき、更には、前記した農園芸分野で使用される各種補助剤な ど力 適宜選択して使用することもできる。 As long as the object power of the present invention is not deviated, one or more kinds can be appropriately selected and used. In addition to the above-mentioned auxiliary agents, they can be appropriately selected from those known in the field, and further, the various auxiliary agents used in the above-mentioned agricultural and horticultural fields are appropriately selected. Can also be used.
[0063] 本発明化合物と各種補助剤との配合割合は、通常 0.1 : 99.9〜90: 10程度である。こ れら製剤の実際の使用に際しては、そのまま使用するか、または水等の希釈剤で所 定濃度に希釈し、必要に応じて各種展着剤 (界面活性剤、植物油、鉱物油など)を添 カロして使用することができる。 [0063] The compounding ratio of the compound of the present invention and various adjuvants is usually about 0.1: 99.9 to 90:10. In actual use of these preparations, use them as they are or dilute them to a predetermined concentration with a diluent such as water, and add various spreading agents (surfactants, vegetable oils, mineral oils, etc.) as necessary. It can be used as a supplement.
宿主動物への本発明化合物の投与は、経口又は非経口によって行われる。経口 投与法としては、例えば本発明化合物を含有する錠剤、液状剤、カプセル剤、ゥェ ハース、ビスケット、ミンチ肉、その他の飼料等を投与する方法などが挙げられる。非 経口投与方法としては、例えば本発明化合物を適当な製剤に調製した上で、静注投 与、筋肉内投与、皮内投与、皮下投与等により体内に取り込ませる方法;スポットオン (spot-on)処理、ポヮオン (pour-on)処理、スプレー処理等により体表面に投与する 方法;宿主動物の皮下に本発明化合物を含有する榭脂片等を埋め込む方法などが 挙げられる。 Administration of the compound of the present invention to the host animal is performed orally or parenterally. Examples of the oral administration method include a method of administering tablets, liquid agents, capsules, wafers, biscuits, minced meat, and other feeds containing the compound of the present invention. As a parenteral administration method, for example, the compound of the present invention is prepared in an appropriate formulation and then taken into the body by intravenous injection, intramuscular administration, intradermal administration, subcutaneous administration, etc .; spot-on ) Treatment, pour-on treatment, spray treatment, and the like; and a method of embedding a fat slice containing the compound of the present invention under the skin of a host animal.
[0064] 宿主動物への本発明化合物の投与量は、投与方法、投与目的、疾病症状等によ つて異なるが、通常、宿主動物の体重 lKgに対して O.Olmg〜: L00g、望ましくは 0.1 mg〜 1 Ogの割合で投与するのが適当である。 [0064] The dose of the compound of the present invention to the host animal varies depending on the administration method, purpose of administration, disease symptoms, etc., but is usually O.Olmg to: L00g to the body weight lKg of the host animal, preferably 0.1 It is appropriate to administer at a rate of mg to 1 Og.
本発明には、前記したような投与方法又は投与量による有害生物の防除方法、特 に外部寄生生物又は内部寄生生物の防除方法も含まれる。 The present invention also includes a method for controlling pests by the administration method or dosage as described above, particularly a method for controlling ectoparasites or endoparasites.
また、本発明においては、前述のようにして動物寄生性の有害生物を防除すること により、それらに起因する宿主動物の各種疾患を予防又は治療できる場合がある。こ のように、本発明には、本発明化合物を有効成分として含有する寄生生物起因動物 疾患の予防又は治療剤並びに、寄生生物起因動物疾患を予防又は治療する方法も 含まれる。 Further, in the present invention, by controlling animal parasitic pests as described above, it may be possible to prevent or treat various diseases of host animals caused by them. Thus, the present invention also includes a prophylactic or therapeutic agent for parasite-derived animal diseases containing the compound of the present invention as an active ingredient, and a method for preventing or treating parasite-derived animal diseases. included.
[0065] 本発明化合物を動物寄生生物防除剤として使用する際、補助剤と共に各種ビタミ ン類、ミネラル類、アミノ酸類、栄養剤、酵素製剤、解熱剤、鎮静剤、消炎剤、殺菌剤 、着色剤、芳香剤、保存剤等と混用又は併用することができる。また、必要に応じて 他の各種動物薬や農薬、例えば駆虫剤、抗コクシジゥム剤、殺虫剤、殺ダニ剤、殺ノ ミ剤、殺線虫剤、殺菌剤、抗菌剤などと混用又は併用することができ、この場合に一 層優れた効果を示すこともある。本発明には、前記したような各種成分を混用又は併 用した混合有害生物防除組成物が含まれ、また、それを使用した有害生物の防除方 法、特に外部寄生生物又は内部寄生生物の防除方法も含まれる。 [0065] When the compound of the present invention is used as an animal parasite control agent, various vitamins, minerals, amino acids, nutrients, enzyme preparations, antipyretics, sedatives, antiphlogistics, bactericides, and coloring agents together with adjuvants. , Fragrances, preservatives and the like can be mixed or used together. If necessary, mix with or use other animal drugs and pesticides such as anthelmintics, anti-coxime, insecticides, acaricides, fleas, nematicides, bactericides, and antibacterials. In this case, the effect may be even better. The present invention includes a mixed pest control composition in which various components as described above are mixed or used together, and a pest control method using the composition, particularly control of ectoparasites or endoparasites. A method is also included.
実施例 Example
[0066] 次に本発明の実施例を記載するが、本発明はこれらに限定されるものではない。ま ず本発明化合物の合成例を記載する。 Next, examples of the present invention will be described, but the present invention is not limited thereto. First, synthesis examples of the compound of the present invention will be described.
合成例 1 Synthesis example 1
N— [4 クロ口 2— [[(1 -シクロプロピルェチル)ァミノ]カルボ-ル] - 6 メチルフエ -ル] 1— (3,5 ジクロロ一 4 ピリジル) 3 (トリフルォロメチル) - 1H-ピラゾー ルー 5 カルボキサミド (後記化合物 No.1)の合成 N— [4 Black mouth 2— [[(1-Cyclopropylethyl) amino] carbol]-6 Methylphenol] 1— (3,5 Dichloro-4-pyridyl) 3 (Trifluoromethyl)-1H -Synthesis of Pyrazolu 5 Carboxamide (Compound No. 1 below)
(1) 5— (2 フリル)一 3 トリフルォロメチルピラゾール 5.0g、 3,4,5 トリクロ口ピリジ ン 4.5g、炭酸カリウム 6.8g及び Ν,Ν ジメチルホルムアミド 50mlの混合溶液を、窒 素気流下 110°Cで 48時間反応させた。反応終了後、反応液を冷却し、酢酸ェチルと 水とを加えて抽出した。有機層を水及び飽和食塩水で洗浄後、無水硫酸マグネシゥ ムで乾燥した。溶媒を減圧下で留去後、残渣をシリカゲルカラムクロマトグラフィー( 溶離液: n へキサン Z酢酸ェチル = 3Z 1 )で精製して、油状の 1 (3 , 5 ジクロ口 — 4 ピリジル) 5— (2—フリル) 3 (トリフルォロメチル) - 1H-ピラゾール 5.5g を得た。このものの NMR ^ベクトルデータは以下の通りである。 (1) 5- (2 furyl) 1-3 trifluoromethylpyrazole 5.0 g, 3,4,5 trichloro-orthopyridin 4.5 g, potassium carbonate 6.8 g and Ν, Ν dimethylformamide 50 ml mixed with nitrogen stream The reaction was carried out at 110 ° C for 48 hours. After completion of the reaction, the reaction solution was cooled and extracted by adding ethyl acetate and water. The organic layer was washed with water and saturated brine, and then dried over anhydrous magnesium sulfate. After distilling off the solvent under reduced pressure, the residue was purified by silica gel column chromatography (eluent: n-hexane Z-ethyl acetate = 3Z 1) to give oily 1 (3, 5 dicloate — 4 pyridyl) 5— ( 5.5 g of 2-furyl) 3 (trifluoromethyl) -1H-pyrazole was obtained. The NMR vector data of this product are as follows.
NMR S ppm (Solvent : CDC1 /300MHz) NMR S ppm (Solvent: CDC1 / 300MHz)
3 Three
8.72(s,2H)、 7.37(d,lH、J= 1.5Hz)ゝ 6.96(s,lH)、 6.40(dd,lH、 J= 1.8Hz)、 6.1 7(d, lHゝ J = 3.6Hz) 8.72 (s, 2H), 7.37 (d, lH, J = 1.5Hz) ゝ 6.96 (s, lH), 6.40 (dd, lH, J = 1.8Hz), 6.1 7 (d, lH ゝ J = 3.6Hz)
[0067] (2) 1— (3,5 ジクロロ一 4 ピリジル) 5— (2—フリル) 3— (トリフルォロメチル) - 1H ピラゾール 5.5g、リン酸二水素ナトリウム二水和物 14.9g及びァセトニトリル 7 Omlの混合溶液を室温で 30分間攪拌後、 0°Cに冷却しながら、亜塩素酸ナトリウム 2 1.5g及び水 70mlの混合溶液を徐々に滴下した。滴下終了後、液温を徐々に室温 に戻しながら、 12時間反応させた。反応終了後、反応液を濃塩酸で pH 1.0に調整し 、酢酸ェチルをカ卩えて繰り返し抽出を行った。有機層を重亜硫酸ナトリウム 32g及び 水 400mlの混合溶液に 20°C以下で徐々に滴下した。同温度で 15分間攪拌後、有 機層を抽出した。無水硫酸マグネシウムで乾燥後、溶媒を減圧下に留去して、融点 1 27.9°Cの 1— (3,5 ジクロロ一 4 ピリジル) 3 (トリフルォロメチル) 1H ピラゾ ール— 5—カルボン酸 4.7gを得た。 [0067] (2) 1— (3,5 Dichloro-4-pyridyl) 5— (2-Furyl) 3— (Trifluoromethyl) -1H pyrazole 5.5g, sodium dihydrogen phosphate dihydrate 14.9g and acetonitrile 7Oml stirred at room temperature for 30 minutes and then cooled to 0 ° C, while sodium chlorite 2 1.5g and water 70ml The mixed solution was gradually added dropwise. After completion of the dropwise addition, the reaction was continued for 12 hours while gradually returning the solution temperature to room temperature. After completion of the reaction, the reaction solution was adjusted to pH 1.0 with concentrated hydrochloric acid, extracted repeatedly by adding ethyl acetate. The organic layer was gradually added dropwise to a mixed solution of 32 g of sodium bisulfite and 400 ml of water at 20 ° C or lower. After stirring for 15 minutes at the same temperature, the organic layer was extracted. After drying over anhydrous magnesium sulfate, the solvent was distilled off under reduced pressure to obtain 1— (3,5 dichloro-4-pyridyl) 3 (trifluoromethyl) 1H pyrazol-5-carboxylic acid with a melting point of 1 27.9 ° C. 4.7g was obtained.
[0068] (3) 1— (3,5 ジクロロ一 4 ピリジル) 3 (トリフルォロメチル) 1H ピラゾール[0068] (3) 1— (3,5 Dichloro-4-pyridyl) 3 (trifluoromethyl) 1H pyrazole
5—力ルボン酸 1.0g、ピリジン 0.42ml及びァセトニトリル 20mlの混合溶液に、窒 素気流下 0°Cで、メタンスルホユルクロリド 0.3mlを徐々に滴下した。滴下終了後、 15 分間、同温度で攪拌を続け、そこへ 2 アミノー 5 クロ口 3—メチル安息香酸 0.57 gをカ卩えた後、ピリジン 0.87mlをカ卩えた。 0°Cで 15分間攪拌した後、メタンスルホニル クロリド 0.3mlを加え、液温を徐々に室温に戻しながら、ー晚反応させた。反応終了 後、反応液を氷水 200mlに投入し、析出した結晶を濾取した。ァセトニトリル 20ml及 び水 10mlの混合溶液で洗浄して、 6 クロ口一 2— [1— (3,5 ジクロロ一 4 -ピリジ ル)一 3 (トリフルォロメチル) 1 H ピラゾール 5 ィル] 8 メチル 4H— 3 , 1 一べンゾォキサジンー4 オン l.Ogを得た。このものの NMR ^ベクトルデータは以下 の通りである。 0.3 ml of methanesulfuryl chloride was gradually added dropwise to a mixed solution of 1.0 g of 5-strong rubonic acid, 0.42 ml of pyridine and 20 ml of acetonitrile in a nitrogen stream at 0 ° C. After completion of the dropwise addition, stirring was continued for 15 minutes at the same temperature, to which 0.57 g of 2 amino-5 black mouth 3-methylbenzoic acid was added, and then 0.87 ml of pyridine was added. After stirring at 0 ° C for 15 minutes, 0.3 ml of methanesulfonyl chloride was added, and the mixture was allowed to react while gradually returning the solution temperature to room temperature. After completion of the reaction, the reaction solution was poured into 200 ml of ice water, and the precipitated crystals were collected by filtration. Wash with a mixed solution of 20 ml of acetonitrile and 10 ml of water. 6 2 2 [1— (3,5 dichloro 1 -4-pyridyl) 1 3 (trifluoromethyl) 1 H pyrazole 5 yl] 8 Methyl 4H-3,1 benzoxazine-4-one l.Og was obtained. The NMR vector data of this product are as follows.
NMR S ppm (Solvent : CDC1 /300MHz) NMR S ppm (Solvent: CDC1 / 300MHz)
3 Three
9.05(s,2H)ゝ 8.05(s, lH)、 7.92(s,lH)、 7.81(s,lH)、 1.70(s,3H) 9.05 (s, 2H) ゝ 8.05 (s, lH), 7.92 (s, lH), 7.81 (s, lH), 1.70 (s, 3H)
[0069] (4) 1ーシクロプロピルェチルァミン塩酸塩 0.77g及びテトラヒドロフラン 20mlの混合 液に、トリェチルァミン 1.30gを徐々に滴下した後、室温で 1時間攪拌した。そこへ、 6 —クロ口一 2— [1— (3,5 ジクロロ一 4 ピリジル) 3 (トリフルォロメチル) 1H— ピラゾール 5 ィル] 8 メチル 4H— 3 , 1 ベンゾォキサジン 4—オン 1.30g 及びテトラヒドロフラン 15mlの混合液を徐々に滴下した。滴下終了後、混合液を還流 下に 30分間反応させた。反応終了後、反応液にシリカゲルを加え、溶媒を減圧下に 留去した。残渣をシリカゲルカラムクロマトグラフィー(溶離液: n—へキサン Z酢酸ェ チル =1Z2)で精製して、融点 275.1°Cの目的物 0.60gを得た。 [0069] (4) 1.30 g of triethylamine was gradually added dropwise to a mixed solution of 0.77 g of 1-cyclopropylethylamine hydrochloride and 20 ml of tetrahydrofuran, followed by stirring at room temperature for 1 hour. There, 6 — black mouth 2— [1— (3,5 dichloro 1 4 pyridyl) 3 (trifluoromethyl) 1H— pyrazole 5 yl] 8 methyl 4H— 3, 1 benzoxazin 4-one 1.30 g and A mixture of 15 ml of tetrahydrofuran was gradually added dropwise. After completion of the dropwise addition, the mixture was reacted for 30 minutes under reflux. After completion of the reaction, silica gel is added to the reaction solution and the solvent is removed under reduced pressure. Distilled off. The residue was purified by silica gel column chromatography (eluent: n-hexane Z ethyl acetate = 1Z2) to obtain 0.60 g of the desired product having a melting point of 275.1 ° C.
[0070] 合成例 2 [0070] Synthesis Example 2
N— [6— [[( 1 シクロプロピルェチル)ァミノ]カルボ-ル] 4 ョード 2—メチルフ ェ -ル] 1— (3, 5 ジクロロ 4 ピリジル) 3 (トリフルォロメチル) 1H ピラゾ 一ルー 5—カルボキサミド (後記化合物 No.7)の合成 N— [6— [[(1 Cyclopropylethyl) amino] carbol] 4 — 2-methylphenyl] 1— (3, 5 dichloro4-pyridyl) 3 (trifluoromethyl) 1H pyrazo Synthesis of 5-carboxamide (Compound No. 7 below)
1—シクロプロピルェチルァミンの 50%エーテル溶液 2.7g及びテトラヒドロフラン 25 mlの混合液に、 2— [ 1— (3 , 5 ジクロロ一 4 ピリジル) 3 (トリフルォロメチル) - 1 H -ピラゾール 5 ィル] 6 ョード 8—メチル 4H— 3 , 1 ベンゾォキサジン —4—オン 1.3g及びテトラヒドロフラン 5mlの混合液を徐々に滴下した。滴下終了後、 混合液を還流下に 1時間反応させた。反応終了後、溶媒を減圧下に留去し、残渣を シリカゲルカラムクロマトグラフィー(溶離液: n—へキサン Z酢酸ェチル =3Zl)で精 製して、融点 273.1°Cの目的物 0.15gを得た。 To a mixed solution of 2.7 g of 50% ether solution of 1-cyclopropylethylamine and 25 ml of tetrahydrofuran, add 2- [1- (3,5 dichloro-4-pyridyl) 3 (trifluoromethyl)-1 H -pyrazole 5 yl] 6-odd 8-methyl 4H-3,1 benzoxazin-4-one 1.3 g and tetrahydrofuran 5 ml were gradually added dropwise. After completion of dropping, the mixture was reacted for 1 hour under reflux. After completion of the reaction, the solvent was distilled off under reduced pressure, and the residue was purified by silica gel column chromatography (eluent: n-hexane Z ethyl acetate = 3Zl) to obtain 0.15 g of the desired product having a melting point of 273.1 ° C. It was.
[0071] 合成例 3 [0071] Synthesis Example 3
N— [4 シァノ 6— [[(1 -シクロプロピルェチル)ァミノ]カルボ-ル] - 2 メチルフ ェ -ル] 1— (3, 5 ジクロロ 4 ピリジル) 3 (トリフルォロメチル) - 1H-ピラゾ 一ルー 5—カルボキサミド (後記化合物 No.8)の合成 N— [4 Cyan 6— [[(1-Cyclopropylethyl) amino] carbol] -2 methylphenyl] 1— (3,5 dichloro 4 pyridyl) 3 (trifluoromethyl)-1H- Synthesis of Pyrazo Iru 5-Carboxamide (Compound No. 8 below)
N— [6— [[( 1 シクロプロピルェチル)ァミノ]カルボ-ル] 4 ョード 2—メチルフ ェ -ル] 1— (3, 5 ジクロロ 4 ピリジル) 3 (トリフルォロメチル) 1H ピラゾ ール一 5—カルボキサミド 1.2g及びテトラヒドロフラン 30mlの混合液に、ヨウ化第一 銅 0.06g、テトラキストリフエ-ルホスフィンパラジウム 0.15g及びシアン化第一銅 1.6 5gを加えた。混合液を還流下に 5時間反応させた。反応終了後、反応液をセライト濾 過し、酢酸ェチルで十分に洗净した。濾液を飽和炭酸水素ナトリウム水溶液及び飽 和食塩水で洗浄し、無水硫酸マグネシウムを加えて乾燥した。溶媒を減圧下に留去 し、残渣をシリカゲルカラムクロマトグラフィー(溶離液: n—へキサン Z酢酸ェチル = 2Z1〜: LZDで精製して、融点 246.3°Cの目的物 0.7gを得た。 N— [6— [[((1 Cyclopropylethyl) amino] carbol] 4) 2-methylphenyl] 1— (3,5 dichloro 4-pyridyl) 3 (trifluoromethyl) 1H pyrazole To a mixture of 1.2 g of 1-carboxamide and 30 ml of tetrahydrofuran, 0.06 g of cuprous iodide, 0.15 g of tetrakistriphenylphosphine palladium and 1.65 g of cuprous cyanide were added. The mixture was reacted under reflux for 5 hours. After completion of the reaction, the reaction solution was filtered through celite and thoroughly washed with ethyl acetate. The filtrate was washed with saturated aqueous sodium hydrogen carbonate solution and saturated Japanese brine, dried over anhydrous magnesium sulfate. The solvent was distilled off under reduced pressure, and the residue was purified by silica gel column chromatography (eluent: n-hexane Z ethyl acetate = 2Z1-: LZD) to obtain 0.7 g of the desired product having a melting point of 246.3 ° C.
[0072] 合成例 4 [0072] Synthesis Example 4
N— [4 クロ口一 2— [[(1 -シクロプロピルェチル)ァミノ]カルボ-ル] - 6 メチルフ ェ -ル] 1— (4—クロ口一 3 ピリジル) 3 (トリフルォロメチル) - 1H-ピラゾール 5 カルボキサミド (後記化合物 No.22)の合成 N— [4 Black mouth 2— [[(1-Cyclopropylethyl) amino] carbole] -6 methyl 1] (4—Black 1-Pyridyl) 3 (Trifluoromethyl) -1H-pyrazole 5 Carboxamide (Compound No. 22 below)
(1) 3 クロ口ピリジン 25g及び酢酸 15mlの混合溶液に、 0°C冷却下 30%過酸化水 素水 50mlを徐々に滴下した。滴下終了後、 50°Cで 40分間反応させ、次いで 120°C で 22時間反応させた。反応終了後、反応液を室温まで冷却し、炭酸カリウムで中和 後 100mlの水をカ卩えた。次いで酢酸ェチルで 11回、ジクロロメタンで 7回抽出し、硫 酸ナトリウムで乾燥した。溶媒を減圧下で留去して、 3—クロ口ピリジン— N—ォキシド 29.64gを得た。このものの NMR ^ベクトルデータは以下の通りである。 (1) 3 ml of 30% aqueous hydrogen peroxide was gradually added dropwise to a mixed solution of 25 g of pyridine and 15 ml of acetic acid under cooling at 0 ° C. After completion of the dropwise addition, the mixture was reacted at 50 ° C for 40 minutes, and then reacted at 120 ° C for 22 hours. After completion of the reaction, the reaction solution was cooled to room temperature, neutralized with potassium carbonate, and 100 ml of water was added. Subsequently, extraction was carried out 11 times with ethyl acetate and 7 times with dichloromethane, and dried over sodium sulfate. The solvent was distilled off under reduced pressure to obtain 29.64 g of 3-chloropyridine-N-oxide. The NMR vector data of this product are as follows.
NMR S ppm (Solvent : CDC1 /300MHz) NMR S ppm (Solvent: CDC1 / 300MHz)
3 Three
8.22(t,lHゝ J= 1.2Hz)ゝ 8.09(td,lH、 J= 1.2、 6.4Hz)、 7.25(m,lH)ゝ 7.19(m,l H) 8.22 (t, lH ゝ J = 1.2Hz) ゝ 8.09 (td, lH, J = 1.2, 6.4Hz), 7.25 (m, lH) ゝ 7.19 (m, l H)
[0073] (2) 3 クロ口ピリジン—N—ォキシド 13gに、 0°C冷却下、濃硫酸 30mlを徐々に滴下 した。次いで、発煙硝酸 22. 5mlを徐々に滴下し、室温で 10分間反応させ、次いで 1 00°Cで 3時間反応させた。反応終了後、反応液を氷水 500mlへ投入し、炭酸水素 ナトリウムで中和した。次いで酢酸ェチルで抽出し、有機層を水及び飽和食塩水で 洗浄後、硫酸ナトリウムで乾燥した。生成した固体をジェチルエーテルで洗浄して、 3 —クロ口一 4 二トロピリジン一 N—ォキシド 9. 65gを得た。このものの NMR ^ベクトル データは以下の通りである。 [0073] (2) 30 ml of concentrated sulfuric acid was gradually added dropwise to 13 g of 3-chloropyridine-N-oxide under cooling at 0 ° C. Next, 25.5 ml of fuming nitric acid was gradually added dropwise and reacted at room temperature for 10 minutes, and then reacted at 100 ° C for 3 hours. After completion of the reaction, the reaction solution was poured into 500 ml of ice water and neutralized with sodium bicarbonate. Next, extraction was performed with ethyl acetate, and the organic layer was washed with water and saturated brine, and then dried over sodium sulfate. The resulting solid was washed with jetyl ether to obtain 9.65 g of 3-chlorodibutyl 4-ditropyridine N-oxide. The NMR vector data of this product are as follows.
NMR S ppm (Solvent : CDC1 /300MHz) NMR S ppm (Solvent: CDC1 / 300MHz)
3 Three
8.30 (s, lH)、 8.11 (d,lHゝ J = 7.2Hz)、 7.98 (d,lHゝ J = 7.6Hz) 8.30 (s, lH), 8.11 (d, lH ゝ J = 7.2Hz), 7.98 (d, lH ゝ J = 7.6Hz)
[0074] (3) 5— (2 フリル)一 3 トリフルォロメチルピラゾール 10. lg、 3 クロ口一 4—二トロ ピリジン— N—ォキシド 8.78g、炭酸カリウム 13.8g、 Ν,Ν ジメチルホルムアミド 30m 1及びテトラヒドロフラン 30mlの混合溶液を、 80°Cで 2時間反応させた。反応終了後、 反応液を冷却し、酢酸ェチルと水とを加えて抽出した。有機層を水及び飽和食塩水 で洗浄後、硫酸ナトリウムで乾燥した。溶媒を減圧下で留去後、残渣をシリカゲル力 ラムクロマトグラフィー (溶離液: n へキサン Z酢酸ェチル = 2Z 1〜 1 Z 1 )で精製し て、融点 115— 120°Cの 3— [5— (2—フリル) 3 (トリフルォロメチル) 1H—ビラ ゾリル]— 4—二トロピリジン N—ォキシド 5.88gを得た。このものの NMR ^ベクトルデ ータは以下の通りである。 [0074] (3) 5— (2 Furyl) -3 Trifluoromethylpyrazole 10. lg, 3 Black mouth 4-Nitropyridine—N-oxide 8.78 g, Potassium carbonate 13.8 g, Ν, Ν Dimethylformamide 30 m A mixed solution of 1 and 30 ml of tetrahydrofuran was reacted at 80 ° C. for 2 hours. After completion of the reaction, the reaction solution was cooled and extracted by adding ethyl acetate and water. The organic layer was washed with water and saturated brine, and dried over sodium sulfate. After distilling off the solvent under reduced pressure, the residue was purified by silica gel chromatography (eluent: n-hexane Z ethyl acetate = 2Z 1-1 Z 1), with a melting point of 115—120 ° C 3— [5 — (2-Furyl) 3 (trifluoromethyl) 1H-villazolyl] — 4-ditropyridine N-oxide 5.88 g was obtained. NMR ^ vector vector of this thing The data is as follows.
NMR S ppm (Solvent : CDC1 /300MHz) NMR S ppm (Solvent: CDC1 / 300MHz)
3 Three
8.34 (s, lH)、 8.33 (dd,lHゝ J= 1.6、 8.8Hz)、 8.10 (d, lHゝ J = 6.8Hz)、 7.33 (d, lH、J = 2.4Hz)、 6.89 (s,lH)、 6.54 (d,lH、J = 3.6Hz)、 6.45 (dd, lH、J = 2.0、 3.6Hz) 8.34 (s, lH), 8.33 (dd, lH ゝ J = 1.6, 8.8Hz), 8.10 (d, lH ゝ J = 6.8Hz), 7.33 (d, lH, J = 2.4Hz), 6.89 (s, lH ), 6.54 (d, lH, J = 3.6 Hz), 6.45 (dd, lH, J = 2.0, 3.6 Hz)
[0075] (4) 3— [5— (2—フリル) 3 (トリフルォロメチル) 1H ピラゾリル] - 4 ニトロピリ ジン N—ォキシド 3.89g、ジクロロメタン 30ml及び三塩化リン 4mlを室温で 2時間反 応させた。反応終了後、反応液にジクロロメタンと水とを加えて抽出した。有機層を水 及び飽和食塩水で洗浄後、硫酸ナトリウムで乾燥した。溶媒を減圧下で留去後、残 渣をシリカゲルカラムクロマトグラフィー(溶離液: n—へキサン Z酢酸ェチル = 2Z 1 〜1/1)で精製して、油状の 1— (4 クロ口一 3 ピリジル) 5— (2 フリル)一 3 (ト リフルォロメチル) 1H ピラゾール 2.99gを得た。このものの NMR ^ベクトルデータ は以下の通りである。 [0075] (4) 3— [5— (2-Furyl) 3 (trifluoromethyl) 1H pyrazolyl]-4 Nitropyridine N-oxide 3.89 g, dichloromethane 30 ml and phosphorus trichloride 4 ml at room temperature for 2 hours I let you. After completion of the reaction, the reaction solution was extracted with dichloromethane and water. The organic layer was washed with water and saturated brine, and then dried over sodium sulfate. After the solvent was distilled off under reduced pressure, the residue was purified by silica gel column chromatography (eluent: n-hexane Z ethyl acetate = 2Z 1-1 / 1) to give oily 1- (4 Pyridyl) 5- (2 furyl) 1-3 (trifluoromethyl) 1H pyrazole 2.99 g was obtained. The NMR ^ vector data of this is as follows.
NMR S ppm (Solvent : CDC1 /300MHz) NMR S ppm (Solvent: CDC1 / 300MHz)
3 Three
8.73 (s, lH)ゝ 8.69 (d,lHゝ J = 5.2Hz)、 7.56 (d,lHゝ J = 5.2Hz)、 7.35 (t,lH、J = 1.2Hz)、 6.94 (s,lH)ゝ 6.35 (dd, lH、 J= 1.6、 3.6Hz)、 6.05 (d,lH、 J = 3.6Hz 8.73 (s, lH) ゝ 8.69 (d, lH ゝ J = 5.2Hz), 7.56 (d, lH ゝ J = 5.2Hz), 7.35 (t, lH, J = 1.2Hz), 6.94 (s, lH) ゝ6.35 (dd, lH, J = 1.6, 3.6Hz), 6.05 (d, lH, J = 3.6Hz
) )
[0076] (5) 1— (4 クロ口一 3 ピリジル) 5— (2—フリル) 3 (トリフルォロメチル) 1H —ピラゾール 2.99g、リン酸二水素ナトリウム二水和物 7.4g及びァセトニトリル 100ml の混合溶液を室温で 30分間攪拌後、 0°Cに冷却しながら、亜塩素酸ナトリウム 16g及 び水 50mlの混合溶液を徐々に滴下した。滴下終了後、液温を徐々に室温に戻しな がら、 12時間反応させた。反応終了後、反応液を濃塩酸で pHl.Oに調整し、酢酸ェ チルを加えて繰り返し抽出を行った。有機層を重亜硫酸ナトリウム 30g及び水 200ml の混合溶液に 20°C以下で徐々に滴下した。同温度で 15分間攪拌後、有機層を抽 出した。硫酸ナトリウムで乾燥後、溶媒を減圧下に留去して、融点 130— 135°Cの 1 — (4 クロ口一 3 ピリジル) 3 (トリフルォロメチル) - 1H-ピラゾール 5 カル ボン酸 1.5gを得た。このものの NMRスペクトルデータは以下の通りである。 [0076] (5) 1— (4 Chlo-one 3-pyridyl) 5— (2-Furyl) 3 (trifluoromethyl) 1H —Pyrazole 2.99 g, Sodium dihydrogen phosphate dihydrate 7.4 g and Acetonitrile 100 ml After the mixture solution was stirred at room temperature for 30 minutes, a solution mixture of 16 g of sodium chlorite and 50 ml of water was gradually added dropwise while cooling to 0 ° C. After completion of the dropwise addition, the solution was allowed to react for 12 hours while gradually returning the solution temperature to room temperature. After completion of the reaction, the reaction solution was adjusted to pHl.O with concentrated hydrochloric acid, and ethyl acetate was added for repeated extraction. The organic layer was gradually added dropwise to a mixed solution of 30 g of sodium bisulfite and 200 ml of water at 20 ° C or lower. After stirring for 15 minutes at the same temperature, the organic layer was extracted. After drying over sodium sulfate, the solvent is distilled off under reduced pressure, melting point 130—135 ° C 1 — (4 Kuroguchi 1-3 pyridyl) 3 (trifluoromethyl) -1H-pyrazole 5 carboxylic acid 1.5 g Got. The NMR spectrum data of this product are as follows.
NMR S ppm (Solvent : DMSO/300MHz) 8.86 (s, lH)、 8.73 (d,lHゝ J = 5.6Hz)、 7.85 (d,lHゝ J = 5.2Hz)、 7.63 (s,lH) [0077] (6)メタンスルホユルクロリド 0.064ml及びァセトニトリル 3mlの混合溶液に、 0°Cで、 1— (4—クロ口一 3—ピリジル) 3— (トリフルォロメチル) - 1H-ピラゾール 5—力 ルボン酸 0.23g、トリェチルァミン 0.1 lml及びァセトニトリル 3mlの混合溶液を滴下し た。滴下終了後、 30分間、同温度で攪拌を続け、そこへ 2 アミノー 5 クロロー 3— メチル安息香酸 0.15gをカ卩えた後、トリェチルァミン 0.22mlをカ卩えた。 0°Cで 1.5時間 攪拌した後、更にメタンスルホユルクロリド 0.064mlをカ卩え、液温を徐々に室温に戻し ながら、一晩反応させた。反応終了後、反応液に酢酸ェチルと水とを加えて抽出した 。有機層を水及び飽和食塩水で洗浄後、硫酸ナトリウムで乾燥した。溶媒を減圧下 で留去後、残渣をシリカゲルカラムクロマトグラフィー (溶離液: n—へキサン Z酢酸ェ チル =4Zl)で精製して、 6 クロ口一 2— [1— (4 クロ口一 3 ピリジル) 3 (トリフ ルォロメチル) - 1H-ピラゾール 5 ィル] 8 メチル 4H— 3 , 1 ベンゾォキ サジン一 4 オン 0.15gを得た。このものの NMRスペクトルデータは以下の通りである NMR S ppm (Solvent: DMSO / 300MHz) 8.86 (s, lH), 8.73 (d, lH ゝ J = 5.6Hz), 7.85 (d, lH ゝ J = 5.2Hz), 7.63 (s, lH) [0077] (6) 0.064 ml of methanesulfuryl chloride and In a mixed solution of 3 ml of acetonitrile, 0 ° C, 1— (4-chlorodiethyl 3-pyridyl) 3— (trifluoromethyl) -1H-pyrazole 5-force rubonic acid 0.23 g, triethylamine 0.1 lml and acetonitrile 3 ml Was added dropwise. After completion of the dropwise addition, stirring was continued for 30 minutes at the same temperature, and 0.15 g of 2-amino-5-chloro-3-methylbenzoic acid was added thereto, followed by 0.22 ml of triethylamine. After stirring at 0 ° C for 1.5 hours, 0.064 ml of methanesulfur chloride was further added, and the reaction was allowed to proceed overnight while gradually returning the liquid temperature to room temperature. After completion of the reaction, the reaction solution was extracted by adding ethyl acetate and water. The organic layer was washed with water and saturated brine, and then dried over sodium sulfate. After distilling off the solvent under reduced pressure, the residue was purified by silica gel column chromatography (eluent: n-hexane Z ethyl acetate = 4Zl). 0.15 g of pyridyl) 3 (trifluoromethyl) -1H-pyrazole 5yl] 8 methyl 4H-3,1 benzoxazine 1 4 on was obtained. The NMR spectrum data of this product is as follows
NMR S ppm (Solvent : CDC1 /300MHz) NMR S ppm (Solvent: CDC1 / 300MHz)
3 Three
8.74 (s, lH)、 8.68 (d,lH、J = 5.2Hz)、 7.99 (d,lH、J = 2.4Hz)、 7.55 (d,lH、J = 5.2Hz)、 7.52 (s,lH)、 7.50 (d, lH、J = 2.4Hz)、 1.82 (s,3H) 8.74 (s, lH), 8.68 (d, lH, J = 5.2Hz), 7.99 (d, lH, J = 2.4Hz), 7.55 (d, lH, J = 5.2Hz), 7.52 (s, lH), 7.50 (d, lH, J = 2.4Hz), 1.82 (s, 3H)
[0078] (7) 1ーシクロプロピルェチルァミン塩酸塩 0.064g及びテトラヒドロフラン 2mlの混合 液に、トリェチルァミン 0.15mlを徐々に滴下した後、室温で 1時間攪拌した。そこへ、 6 クロ口一 2— [1— (4—クロ口一 3 ピリジノレ)一 3 (トリフノレオロメチノレ)一 1H—ビラ ゾール—5—ィル]—8—メチル—4H— 3,1 ベンゾォキサジン— 4—オン 0.077g及 びテトラヒドロフラン 2mlの混合液を徐々に滴下した。滴下終了後、混合液を還流下 に 1時間反応させた。反応終了後、反応液にシリカゲルを加え、溶媒を減圧下に留 去した。残渣をシリカゲルカラムクロマトグラフィー(溶離液: n—へキサン Z酢酸ェチ ル =2Zl)で精製して、融点 162— 164°Cの目的物 0.090gを得た。 (7) 0.15 ml of triethylamine was gradually added dropwise to a mixed solution of 0.064 g of 1-cyclopropylethylamine hydrochloride and 2 ml of tetrahydrofuran, followed by stirring at room temperature for 1 hour. There, 6 Black mouth 2— [1— (4— Black mouth 3 Pyridinole) 1 3 (Trifunoleolomethinole) 1 1H-Vilasol-5-yl] -8-Methyl-4H— 3, 1 A mixture of benzoxazine-4-one 0.077 g and tetrahydrofuran 2 ml was gradually added dropwise. After completion of the dropwise addition, the mixture was reacted for 1 hour under reflux. After completion of the reaction, silica gel was added to the reaction solution, and the solvent was removed under reduced pressure. The residue was purified by silica gel column chromatography (eluent: n-hexane Z ethyl acetate = 2Zl) to obtain 0.090 g of the desired product having a melting point of 162-164 ° C.
[0079] 次に、前記式 (I)で表される本発明化合物の代表例を第 1表に記載し、それらの物 性を第 2表に記載する。これら化合物は前記合成例或は前記した本発明化合物の種 々の製造方法に基づ 、て合成することができる。 第 1表中、 No.は化合物 No.を示し、位置とはピラゾールがカルボ-ルと結合する位 置を示す。また、第 1表中、 A1は- CH - [c- Pr]を、 A2は- CH(Me)- [c- Pr]を、 A3は- C Next, representative examples of the compounds of the present invention represented by the formula (I) are shown in Table 1, and their physical properties are shown in Table 2. These compounds can be synthesized based on the above synthesis examples or various production methods of the above-described compounds of the present invention. In Table 1, No. indicates the compound No., and the position indicates the position at which pyrazole is bonded to the carbocycle. In Table 1, A1 is -CH- [c-Pr], A2 is -CH (Me)-[c-Pr], A3 is -C
2 2
H - [c- Pr(2- Me)]を、 A4は- CH - [c- Pr(2,2- CI - 1- Me)]を、 A5は- CH - [c- Pr(l- Me)] H-[c-Pr (2-Me)], A4 is -CH- [c-Pr (2,2-CI-1-Me)], A5 is -CH- [c-Pr (l-Me) )]
2 2 2 2 2 2 2 2
を、 A6は— CH(Me)— [c— Bu]を、 A7は— CH(Me)— CH SCHFを、 A8は— (CH )— SCHFを A6—CH (Me) — [c—Bu], A7—CH (Me) —CH SCHF, A8— (CH) —SCHF
2 2 2 2 2 2 2 2 2 2
、 A9は— (CH )— SOCHFを、 A10は— (CH )—SO CHFを、 Al lは— CH CH(Me)— SCH , A9 — (CH) — SOCHF, A10 — (CH) —SO CHF, Al l — CH CH (Me) — SCH
2 2 2 2 2 2 2 2 2 2 2 2 2 2 2 2
Fを、 A12は— CHOを、 A13は— CH— [c— Pr(2— CF )]を、 A14は— CH(Me)— CH SCH CF, A12—CHO, A13—CH— [c—Pr (2—CF)], A14—CH (Me) —CH SCH C
2 2 3 2 22 2 3 2 2
Fを、 A15は- CO- CH=CHを各々示す。また、第 1表中、 Meはメチル基を、 c-PrはシF and A15 each represent —CO—CH═CH. In Table 1, Me is methyl group, c-Pr is
3 2 3 2
クロプロピル基を、 c-Buはシクロブチル基を、 Pyはピリジル基を各々示す。 A chloropropyl group, c-Bu represents a cyclobutyl group, and Py represents a pyridyl group.
第 1表中、 c-Pr(2-Me)とあるのは、 2位にメチル基が置換したシクロプロピル基を示 し、 4-Py(3-Cl,5-Cl)とあるのは、ピリジル基の 3位と 5位に各々塩素原子が置換した 4 ピリジル基を示し、他の同様の記載もこれに準じる。 In Table 1, c-Pr (2-Me) is a cyclopropyl group substituted with a methyl group at the 2-position, and 4-Py (3-Cl, 5-Cl) is A 4-pyridyl group substituted with a chlorine atom at the 3-position and 5-position of the pyridyl group is shown, and other similar descriptions also apply to this.
[表 1] [table 1]
Z98STC/900Zdf/X3d ζε ..80Z0/.00Z OAV 第 1表 (つづき) Z98STC / 900Zdf / X3d ζε ..80Z0 / .00Z OAV Table 1 (continued)
3] 第 1表 (つづき) 3] Table 1 (continued)
4] 第 1表 (つづき) Four] Table 1 (continued)
5] 第 2表 Five] Table 2
次に試験例を記載する。 Next, test examples are described.
試験例 1 ハスモンョトウに対する効果試験 Test example 1 Effectiveness test for Lotus monto
本発明化合物の濃度が 50ppmとなるよう調製した薬液に、キャベツの葉片を約 10 秒間浸漬処理し、風乾した。直径 9cmのペトリ皿に湿った濾紙を敷き、その上に風乾 したキャベツの葉片を置いた。そこへ、 2〜3令のハスモンョトウ幼虫 10頭を放ち、ふ たをして 25°Cの照明付恒温室内に放置した。放虫後 5日目に生死を判定し、下記計 算式により死虫率を求めた。尚、異常虫も死亡とみなした。前記化合物 No.l〜10、 1 2〜26、 28〜30、 32、 34、 40、 81、 119、 121、 130、 131及び 133〜149【こつ!ヽ て死虫率を求めたところ、全ての化合物が 90%以上の高い防除効果を示した。 死虫率(%) = (死虫数 Z放虫数) X loo Cabbage leaf pieces were immersed for about 10 seconds in a chemical solution prepared so that the concentration of the compound of the present invention was 50 ppm, and air-dried. A wet filter paper was laid on a petri dish with a diameter of 9 cm, and an air-dried piece of cabbage was placed on top of it. To that end, we released 10 larvae of 2 to 3 years old, and capped them and left them in a constant temperature room at 25 ° C. On the 5th day after the release, the mortality was determined and the mortality rate was calculated by the following formula. Abnormal insects were also considered dead. Compound Nos. 1 to 10, 12 to 26, 28 to 30, 32, 34, 40, 81, 119, 121, 130, 131, and 133 to 149 This compound showed a high control effect of 90% or more. Death rate (%) = (Number of dead insects Z Number of dead insects) X loo
[0086] 試験例 2 シルバーリーフコナジラミに対する効果試験 [0086] Test Example 2 Effect test on silver leaf whitefly
第一本葉を 1枚残し、他の葉を切除したポット植えのキユウリに、シルバーリーフコナ ジラミの成虫を放して約 8〜24時間産卵させた。その後、 25°Cの照明付恒温室内に 7〜10日間放置した。孵化幼虫数を調査した後、本発明化合物の濃度が 50ppmと なるよう調製した薬液を約 3mlZ株の割合で散布し、風乾した。処理後 10〜14日間 25°Cの照明付恒温室内に放置した後、老齢幼虫数及び蛹数を調査し、下記計算式 により防除価を求めた。前記ィ匕合物 No. l、 9、 12、 13、 22、 34、 40、 121、 133、 13 6、 142及び 144について 50ppmで防除価を求めたところ、全ての化合物が 80%以 上の高 、防除効果を示した。 Silver leaf whitefly adults were allowed to lay eggs for about 8 to 24 hours in a pot-planted cucumber with one leaf left and the other leaves removed. After that, it was left in a constant temperature room at 25 ° C for 7-10 days. After investigating the number of hatched larvae, the chemical solution prepared so that the concentration of the compound of the present invention was 50 ppm was sprayed at a ratio of about 3 ml Z strain and air-dried. After the treatment, the sample was left in a constant temperature room at 25 ° C for 10 to 14 days. Then, the number of old larvae and the number of pupae was examined, and the control value was calculated by the following formula. Compound No. 1, 9, 12, 13, 22, 34, 40, 121, 133, 136, 142, and 144 were determined to have a control value of 50 ppm. High control effect was shown.
防除価 (%) = (1— ( (Ta X Cb) / (Tb X Ca) ) ) X 100 Control value (%) = (1— ((Ta X Cb) / (Tb X Ca))) X 100
Ta:処理区における処理後の老齢幼虫数 +蛹数 Ta: Number of old larvae after treatment in the treatment area + number of pupae
Tb:処理区における処理前の孵化幼虫数 Tb: Number of hatching larvae before treatment in the treated area
Ca:無処理区における処理後の老齢幼虫数 +蛹数 Ca: Number of old larvae + number of pupae after treatment in untreated section
Cb :無処理区における処理前の孵化幼虫数 Cb: Number of hatched larvae before treatment in the untreated area
[0087] 試験例 3 イエシロアリに対する効果試験 [0087] Test Example 3 Effect test on termites
直径 9cmのガラスシャーレ内に濾紙を敷き、本発明化合物の濃度が 500ppmとな るよう調製した薬液 lmlを処理した。その後、イエシロアリの職蟻 10頭及び兵蟻 1頭 を放ち、ふたをして 25°Cの照明付恒温室内に放置した。処理 6日後に、職蟻の死亡 数を調査し、下記計算式により死虫率を求めた。尚、異常虫も死亡とみなした。前記 化合物 No.l、 6及び 8について死虫率を求めたところ、全ての化合物が 80%以上の 高い防除効果を示した。 A filter paper was placed in a glass petri dish having a diameter of 9 cm, and treated with 1 ml of a chemical solution prepared so that the concentration of the compound of the present invention was 500 ppm. After that, we released 10 termite worker ants and 1 soldier ant, covered them, and left them in a constant temperature room at 25 ° C. Six days after the treatment, the number of ant mortality was investigated, and the death rate was calculated using the following formula. Abnormal insects were also considered dead. When the mortality was determined for the compounds No. 1, 6 and 8, all the compounds showed a high control effect of 80% or more.
死虫率 (%)= (職蟻の死虫数 Z10) X 100 Death rate (%) = (Number of dead worms Z10) X 100
[0088] 試験例 4 フタトゲチマダニに対する薬効試験 [0088] Test Example 4 Medicinal efficacy test against Phytophthora tick
9cm径シャーレ内面に、本発明化合物のアセトン溶液 lml (濃度: 10 gZml)を マイクロピペットで滴下処理する。シャーレ内面が乾燥した後、約 100匹の幼ダニを 入れ、ポリエチレンシートで被い密封する。薬剤接触後の横転 (ノックダウン)ダニ数 を観察すると、本発明化合物は大部分のフタトゲチマダニを横転させる。 [0089] 試験例 5 ネコノミに対する薬効試験 On the inner surface of a 9 cm diameter petri dish, 1 ml of an acetone solution of the compound of the present invention (concentration: 10 gZml) is dropped with a micropipette. After the inside of the petri dish has dried, put about 100 juvenile ticks and cover with a polyethylene sheet. When the number of tickling (knockdown) ticks after drug contact is observed, the compound of the present invention rolls over most of the ticklet tick. [0089] Test Example 5 Drug efficacy test against cat fleas
5.3ppmに調製した本発明化合物のアセトン溶液 0.5mlを、底面が平滑なガラス管 (内径 2.6cm、底面積 5.3cm2、高さ 12cm)に滴下処理する。室温下でアセトンを蒸 散させ、底面に本発明化合物を含むドライフィルムを形成させる。そこへネコノミ (Cte nocephalides felis)の成虫(羽化後 5日以内の未吸血成虫) 10頭を入れ、本発明化 合物を暴露させると、大部分のネコノミに高い防除効果がみられる。 0.5 ml of an acetone solution of the compound of the present invention prepared at 5.3 ppm is dropped into a glass tube (inner diameter 2.6 cm, bottom area 5.3 cm 2 , height 12 cm) having a smooth bottom surface. Acetone is evaporated at room temperature to form a dry film containing the compound of the present invention on the bottom surface. When 10 cat fleas (Cte nocephalides felis) adults (non-blood-sucking adults within 5 days after emergence) were placed and the compounds of the present invention were exposed, most of the cat fleas showed high control effects.
[0090] 次に製剤例を記載する。 [0090] Next, formulation examples are described.
製剤例 1 Formulation Example 1
(1)本発明化合物 I (1) Invention compound I
(2)クレー 72重量部 (2) Clay 72 parts by weight
(3)リグ-ンスルホン酸ソーダ (3) Ligated sulfonic acid soda
以上のものを均一に混合して水和剤とする。 The above is uniformly mixed to obtain a wettable powder.
製剤例 2 Formulation Example 2
(1)本発明化合物 I (1) Invention compound I
(2)タルク (2) Talc
以上のものを均一に混合して粉剤とする。 The above is uniformly mixed to form a powder.
製剤例 3 Formulation Example 3
(1)本発明化合物 部 (1) Compound of the present invention
(2) Ν,Ν—ジメチルァセトアミド 部 (2) Ν, Ν-dimethylacetamide part
(3)ポリオキシエチレンアルキルフエ-ルエーテル 10重:! [" (3) Polyoxyethylene alkyl ether 10fold:!
(4)キシレン 50重:! (4) xylene 50!
以上のものを均一に混合、溶解して乳剤とする。 The above is uniformly mixed and dissolved to obtain an emulsion.
[0091] 製剤例 4 [0091] Formulation Example 4
(1)クレー 68重量部 (1) 68 parts by weight of clay
(2)リグニンスルホン酸ソーダ 2重量部 (2) 2 parts by weight of sodium lignin sulfonate
(3)ポリオキシエチレンアルキルァリールサルフェート 5重 (3) Polyoxyethylene alkyl aryl sulfate 5 layers
(4)微粉シリカ 25重量部 (4) Fine silica 25 parts by weight
以上の各成分の混合物と本発明化合物とを 4 : 1の重量割合で混合し、水和剤とす る。 A mixture of the above components and the compound of the present invention are mixed at a weight ratio of 4: 1 to obtain a wettable powder. The
製剤例 5 Formulation Example 5
(1)本発明化合物 50重量部 (1) 50 parts by weight of the compound of the present invention
(2)ォキシレーテッドポリアルキルフエニルフォスフェート トリエタノールァミン (2) Oxidated polyalkylphenyl phosphate triethanolamine
2重量部 2 parts by weight
(3)シリコーン 0. 2重量部 (3) Silicone 0.2 parts by weight
(4)水 47. 8重量部 (4) Water 47.8 parts by weight
以上のものを均一に混合、粉砕した原液に更に In addition to the stock solution uniformly mixed and crushed
(5)ポリカルボン酸ナトリウム 5重量部 (5) Sodium polycarboxylate 5 parts by weight
(6)無水硫酸ナトリウム 42. 8重量部 (6) Anhydrous sodium sulfate 42.8 parts by weight
を加え均一に混合、造粒、乾燥して顆粒水和剤とする。 And uniformly mixed, granulated, and dried to obtain a wettable powder.
製剤例 6 Formulation Example 6
(1)本発明化合物 5重量部 (1) 5 parts by weight of the compound of the present invention
(2)ポリオキシエチレンォクチルフエ-ルエーテル 1重量部 (2) 1 part by weight of polyoxyethylene octyl ether
(3)ポリオキシエチレンの燐酸エステル 0. 1重量部 (3) Polyoxyethylene phosphate ester 0.1 parts by weight
(4)粒状炭酸カルシウム 93. 9重量部 (4) Granular calcium carbonate 93.9 parts by weight
(1)〜(3)を予め均一に混合し、適量のアセトンで希釈した後、(4)に吹付け、ァセ トンを除去して粒剤とする。 Mix (1) to (3) uniformly in advance, dilute with an appropriate amount of acetone, and spray onto (4) to remove the acetone and make granules.
製剤例 7 Formulation Example 7
(1)本発明化合物 2. 5重量部 (1) Compound of the present invention 2.5 parts by weight
(2) N—メチルー 2 ピロリドン 2. 5重量部 (2) N-methyl-2-pyrrolidone 2.5 parts by weight
(3)大豆油 95. 0重量部 (3) Soybean oil 95.0 parts by weight
以上のものを均一に混合、溶解して微量散布剤 (ultra low volume formulation)と する。 The above is mixed and dissolved uniformly to make a ultra low volume formulation.
製剤例 8 Formulation Example 8
(1)本発明化合物 40重量部 (1) 40 parts by weight of the compound of the present invention
(2)ォキシレーテッドポリアルキルフエニルフォスフェート トリエタノールァミン (3)シリコーン 0. 2重量部 (2) Oxidated polyalkylphenyl phosphate triethanolamine (3) Silicone 0.2 parts by weight
(4)ザンサンガム 0. 1重量部 (4) Xanthan Gum 0.1 parts by weight
(5)エチレングリコール 5重量部 (5) 5 parts by weight of ethylene glycol
(6)水 52. 7重量部 (6) 52.7 parts by weight of water
以上のものを均一に混合、粉砕して水性懸濁剤とする。 The above is uniformly mixed and pulverized to obtain an aqueous suspension.
製剤例 9 Formulation Example 9
(1)本発明化合物 10重量部 (1) Compound of the present invention 10 parts by weight
(2)ジエチレングリコールモノェチルエーテル 90重量部 (2) Diethylene glycol monoethyl ether 90 parts by weight
以上の成分を均一に混合し、溶状剤とする。 The above ingredients are mixed uniformly to form a solution.
産業上の利用可能性 Industrial applicability
本発明の新規なアントラニルアミド系化合物は、低薬量で有害生物に対して極めて 高い防除効果を有するため、例えば農園芸分野で問題となる各種有害生物や動物 に寄生する有害生物を防除する等の有害生物防除剤として広く利用できる。 なお、 2005年 8月 12日に出願された日本特許出願 2005— 234214号の明細書 、特許請求の範囲、図面及び要約書の全内容をここに引用し、本発明の明細書の開 示として、取り入れるものである。 The novel anthranilamide compound of the present invention has a very low control amount and has a very high control effect against pests. For example, it controls various pests that are problematic in the field of agriculture and horticulture and pests that are parasitic on animals It can be widely used as a pest control agent. It should be noted that the entire contents of the specification, claims, drawings and abstract of Japanese Patent Application No. 2005-234214 filed on August 12, 2005 are cited here as disclosure of the specification of the present invention. Incorporate.
Claims
Applications Claiming Priority (2)
| Application Number | Priority Date | Filing Date | Title |
|---|---|---|---|
| JP2005234214 | 2005-08-12 | ||
| JP2005-234214 | 2005-08-12 |
Publications (1)
| Publication Number | Publication Date |
|---|---|
| WO2007020877A1 true WO2007020877A1 (en) | 2007-02-22 |
Family
ID=37757539
Family Applications (1)
| Application Number | Title | Priority Date | Filing Date |
|---|---|---|---|
| PCT/JP2006/315862 Ceased WO2007020877A1 (en) | 2005-08-12 | 2006-08-10 | Anthranilamide compounds, process for producing these, and pest control agent comprising any of these |
Country Status (1)
| Country | Link |
|---|---|
| WO (1) | WO2007020877A1 (en) |
Cited By (20)
| Publication number | Priority date | Publication date | Assignee | Title |
|---|---|---|---|---|
| WO2007144100A1 (en) | 2006-06-13 | 2007-12-21 | Bayer Cropscience Ag | Anthranilic acid diamide derivative with hetero-aromatic and hetero-cyclic substituents |
| WO2009113712A3 (en) * | 2008-03-13 | 2010-08-12 | Ishihara Sangyo Kaisha, Ltd. | Pesticidal compositions |
| WO2010010958A3 (en) * | 2008-07-24 | 2010-09-30 | Ishihara Sangyo Kaisha, Ltd. | Pesticidal composition |
| WO2011098408A2 (en) | 2010-02-09 | 2011-08-18 | Bayer Cropscience Ag | Hydrazine-substituted anthranilic acid derivatives |
| WO2011128329A1 (en) | 2010-04-16 | 2011-10-20 | Bayer Cropscience Ag | Triazole-substituted anthranilic acid amides as pesticides |
| WO2011157653A1 (en) | 2010-06-15 | 2011-12-22 | Bayer Cropscience Ag | Anthranilic acid derivatives |
| WO2011157651A1 (en) | 2010-06-15 | 2011-12-22 | Bayer Cropscience Ag | Anthranilic acid diamide derivatives with cyclical side chains |
| WO2011157663A1 (en) | 2010-06-15 | 2011-12-22 | Bayer Cropscience Ag | Novel ortho-substituted aryl amide derivatives |
| WO2011157654A1 (en) | 2010-06-15 | 2011-12-22 | Bayer Cropscience Ag | Anthranilic acid diamide derivatives |
| WO2012004208A1 (en) | 2010-07-09 | 2012-01-12 | Bayer Cropscience Ag | Anthranilic acid diamide derivative as a pesticide |
| EP2484676A2 (en) | 2008-12-18 | 2012-08-08 | Bayer CropScience AG | Tetrazol-substituted anthranilic acid amides as pesticides |
| WO2013024005A1 (en) * | 2011-08-12 | 2013-02-21 | Basf Se | Anthranilamide compounds and their use as pesticides |
| EP2606732A1 (en) | 2011-12-19 | 2013-06-26 | Bayer CropScience AG | Use of an anthranilic diamide derivatives with heteroaromatic and heterocyclic substituents in combination with a biological control agent |
| WO2013092519A1 (en) | 2011-12-19 | 2013-06-27 | Bayer Cropscience Ag | Use of anthranilic acid diamide derivatives for pest control in transgenic crops |
| CN103889955A (en) * | 2011-08-12 | 2014-06-25 | 巴斯夫欧洲公司 | N-thio-anthranilamide compounds and their use as pesticides |
| WO2014135588A1 (en) * | 2013-03-06 | 2014-09-12 | Bayer Cropscience Ag | Alkoximino-substituted anthranilic acid diamides as pesticides |
| US8932613B2 (en) | 2007-07-30 | 2015-01-13 | E I Du Pont De Nemours And Company | Ectoparasite control method |
| WO2019123195A1 (en) | 2017-12-20 | 2019-06-27 | Pi Industries Ltd. | Pyrazolopyridine-diamides, their use as insecticide and processes for preparing the same. |
| WO2019123194A1 (en) | 2017-12-20 | 2019-06-27 | Pi Industries Ltd. | Anthranilamides, their use as insecticide and processes for preparing the same. |
| WO2019150220A1 (en) | 2018-01-30 | 2019-08-08 | Pi Industries Ltd. | Novel anthranilamides, their use as insecticide and processes for preparing the same. |
Citations (5)
| Publication number | Priority date | Publication date | Assignee | Title |
|---|---|---|---|---|
| JP2003528070A (en) * | 2000-03-22 | 2003-09-24 | イー・アイ・デュポン・ドウ・ヌムール・アンド・カンパニー | Insecticidal anthranilamides |
| WO2004067528A1 (en) * | 2003-01-28 | 2004-08-12 | E.I. Du Pont De Nemours And Company | Cyano anthranilamide insecticides |
| JP2004538327A (en) * | 2001-08-13 | 2004-12-24 | イー・アイ・デュポン・ドウ・ヌムール・アンド・カンパニー | Method for controlling specific pests by applying anthranilamide compound |
| JP2005502716A (en) * | 2001-09-21 | 2005-01-27 | イー・アイ・デュポン・ドウ・ヌムール・アンド・カンパニー | Anthranilam arthropod biocide treatment |
| JP2005503384A (en) * | 2001-08-16 | 2005-02-03 | イー・アイ・デュポン・ドウ・ヌムール・アンド・カンパニー | Substituted anthranilamides for the control of invertebrate pests |
-
2006
- 2006-08-10 WO PCT/JP2006/315862 patent/WO2007020877A1/en not_active Ceased
Patent Citations (5)
| Publication number | Priority date | Publication date | Assignee | Title |
|---|---|---|---|---|
| JP2003528070A (en) * | 2000-03-22 | 2003-09-24 | イー・アイ・デュポン・ドウ・ヌムール・アンド・カンパニー | Insecticidal anthranilamides |
| JP2004538327A (en) * | 2001-08-13 | 2004-12-24 | イー・アイ・デュポン・ドウ・ヌムール・アンド・カンパニー | Method for controlling specific pests by applying anthranilamide compound |
| JP2005503384A (en) * | 2001-08-16 | 2005-02-03 | イー・アイ・デュポン・ドウ・ヌムール・アンド・カンパニー | Substituted anthranilamides for the control of invertebrate pests |
| JP2005502716A (en) * | 2001-09-21 | 2005-01-27 | イー・アイ・デュポン・ドウ・ヌムール・アンド・カンパニー | Anthranilam arthropod biocide treatment |
| WO2004067528A1 (en) * | 2003-01-28 | 2004-08-12 | E.I. Du Pont De Nemours And Company | Cyano anthranilamide insecticides |
Cited By (42)
| Publication number | Priority date | Publication date | Assignee | Title |
|---|---|---|---|---|
| US8536092B2 (en) | 2006-06-13 | 2013-09-17 | Bayer Cropscience Ag | Anthranilic acid diamide derivative with hetero-aromatic and hetero-cyclic substituents |
| US8101550B2 (en) | 2006-06-13 | 2012-01-24 | Bayer Cropscience Ag | Anthranilic acid diamide derivative with hetero-aromatic and hetero-cyclic substituents |
| US8946236B2 (en) | 2006-06-13 | 2015-02-03 | Bayer Cropscience Ag | Anthranilic acid diamide derivative with hetero-aromatic and hetero-cyclic substituents |
| WO2007144100A1 (en) | 2006-06-13 | 2007-12-21 | Bayer Cropscience Ag | Anthranilic acid diamide derivative with hetero-aromatic and hetero-cyclic substituents |
| US8932613B2 (en) | 2007-07-30 | 2015-01-13 | E I Du Pont De Nemours And Company | Ectoparasite control method |
| WO2009113712A3 (en) * | 2008-03-13 | 2010-08-12 | Ishihara Sangyo Kaisha, Ltd. | Pesticidal compositions |
| US8529926B2 (en) | 2008-03-13 | 2013-09-10 | Ishihara Sangyo Kaisha, Ltd. | Pesticidal compositions |
| CN102098916B (en) * | 2008-07-24 | 2015-12-16 | 石原产业株式会社 | Pesticide composition |
| WO2010010958A3 (en) * | 2008-07-24 | 2010-09-30 | Ishihara Sangyo Kaisha, Ltd. | Pesticidal composition |
| EP2484676A2 (en) | 2008-12-18 | 2012-08-08 | Bayer CropScience AG | Tetrazol-substituted anthranilic acid amides as pesticides |
| US8324390B2 (en) | 2008-12-18 | 2012-12-04 | Bayer Cropscience Ag | Tetrazole-substituted anthranilamides as pesticides |
| WO2011098408A2 (en) | 2010-02-09 | 2011-08-18 | Bayer Cropscience Ag | Hydrazine-substituted anthranilic acid derivatives |
| US8410106B2 (en) | 2010-02-09 | 2013-04-02 | Bayer Cropscience Ag | Hydrazine-substituted anthranilic acid derivatives |
| US8536202B2 (en) | 2010-04-16 | 2013-09-17 | Bayer Cropscience Ag | Triazole-substituted anthranilamides as pesticides |
| WO2011128329A1 (en) | 2010-04-16 | 2011-10-20 | Bayer Cropscience Ag | Triazole-substituted anthranilic acid amides as pesticides |
| TWI486124B (en) * | 2010-04-16 | 2015-06-01 | Bayer Cropscience Ag | Triazole-substituted anthranilamides as pesticides |
| WO2011157663A1 (en) | 2010-06-15 | 2011-12-22 | Bayer Cropscience Ag | Novel ortho-substituted aryl amide derivatives |
| US8980886B2 (en) | 2010-06-15 | 2015-03-17 | Bayer Cropscience Ag | Anthranilic acid derivatives |
| WO2011157651A1 (en) | 2010-06-15 | 2011-12-22 | Bayer Cropscience Ag | Anthranilic acid diamide derivatives with cyclical side chains |
| US8658800B2 (en) | 2010-06-15 | 2014-02-25 | Bayer Cropscience Ag | Ortho-substituted arylamide derivatives |
| WO2011157653A1 (en) | 2010-06-15 | 2011-12-22 | Bayer Cropscience Ag | Anthranilic acid derivatives |
| US8791143B2 (en) | 2010-06-15 | 2014-07-29 | Bayer Cropscience Ag | Anthranilic diamide derivatives having cyclic side-chains |
| US8791139B2 (en) | 2010-06-15 | 2014-07-29 | Bayer Cropscience Ag | Anthranilic diamide derivatives |
| WO2011157654A1 (en) | 2010-06-15 | 2011-12-22 | Bayer Cropscience Ag | Anthranilic acid diamide derivatives |
| WO2012004208A1 (en) | 2010-07-09 | 2012-01-12 | Bayer Cropscience Ag | Anthranilic acid diamide derivative as a pesticide |
| US9790202B2 (en) | 2010-07-09 | 2017-10-17 | Bayer Intellectual Property Gmbh | Anthranilamide derivatives as pesticides |
| CN103842342A (en) * | 2011-08-12 | 2014-06-04 | 巴斯夫欧洲公司 | Anthranilamide compounds and their use as pesticides |
| CN103889955A (en) * | 2011-08-12 | 2014-06-25 | 巴斯夫欧洲公司 | N-thio-anthranilamide compounds and their use as pesticides |
| WO2013024005A1 (en) * | 2011-08-12 | 2013-02-21 | Basf Se | Anthranilamide compounds and their use as pesticides |
| US9572342B2 (en) | 2011-12-19 | 2017-02-21 | Bayer Intellectual Property Gmbh | Use of an anthranilic diamide derivatives with heteroaromatic and heterocyclic substituents in combination with a biologicalcontrol agent |
| WO2013092519A1 (en) | 2011-12-19 | 2013-06-27 | Bayer Cropscience Ag | Use of anthranilic acid diamide derivatives for pest control in transgenic crops |
| US9414595B2 (en) | 2011-12-19 | 2016-08-16 | Bayer Cropscience Ag | Use of anthranilic acid diamide derivatives for pest control in transgenic crops |
| WO2013092516A1 (en) | 2011-12-19 | 2013-06-27 | Bayer Intellectual Property Gmbh | Use of an anthranilic diamide derivatives with heteroaromatic and heterocyclic substituents in combination with a biological control agent |
| EP2606732A1 (en) | 2011-12-19 | 2013-06-26 | Bayer CropScience AG | Use of an anthranilic diamide derivatives with heteroaromatic and heterocyclic substituents in combination with a biological control agent |
| US9854802B2 (en) | 2011-12-19 | 2018-01-02 | Bayer Intellectual Property Gmbh | Use of an anthranilic diamide derivatives with heteroaromatic and heterocyclic substituents in combination with a biological control agent |
| WO2014135588A1 (en) * | 2013-03-06 | 2014-09-12 | Bayer Cropscience Ag | Alkoximino-substituted anthranilic acid diamides as pesticides |
| JP2016512192A (en) * | 2013-03-06 | 2016-04-25 | バイエル・クロップサイエンス・アクチェンゲゼルシャフト | Alkoxyimino substituted anthranilic acid diamides as pesticides |
| US9609868B2 (en) | 2013-03-06 | 2017-04-04 | Bayer Cropscience Ag | Alkoximino-substituted anthranilic acid diamides as pesticides |
| WO2019123195A1 (en) | 2017-12-20 | 2019-06-27 | Pi Industries Ltd. | Pyrazolopyridine-diamides, their use as insecticide and processes for preparing the same. |
| WO2019123194A1 (en) | 2017-12-20 | 2019-06-27 | Pi Industries Ltd. | Anthranilamides, their use as insecticide and processes for preparing the same. |
| US12024510B2 (en) | 2017-12-20 | 2024-07-02 | Pi Industries Ltd. | Pyrazolopyridine-diamides, their use as insecticide and processes for preparing the same |
| WO2019150220A1 (en) | 2018-01-30 | 2019-08-08 | Pi Industries Ltd. | Novel anthranilamides, their use as insecticide and processes for preparing the same. |
Similar Documents
| Publication | Publication Date | Title |
|---|---|---|
| JP4848391B2 (en) | Anthranilamides, production methods thereof, and pest control agents containing them | |
| WO2007020877A1 (en) | Anthranilamide compounds, process for producing these, and pest control agent comprising any of these | |
| JP5231829B2 (en) | Pyridyl-triazolopyrimidine derivatives or salts thereof, pest control agents containing them, and methods for producing them | |
| JP2010065024A (en) | Pest control agent containing triazolopyrimidine derivative or salt thereof | |
| US20100179172A1 (en) | N-phenyl-methanamine derivative and pesticide containing it | |
| JP4150379B2 (en) | Anthranilamides, production methods thereof, and pest control agents containing them | |
| JP2003176258A (en) | Acid amide derivatives, their production methods and pesticidal agents containing them | |
| WO2011074677A1 (en) | Imidazopyrimidine derivative or salt thereof, and noxious organism control agent comprising same | |
| JP2010138166A (en) | New pyridine derivative or salt thereof, pest-controlling agent containing the same, and method for producing the same | |
| JP2011105700A (en) | Diaryltriazole derivative or salt thereof, insecticide, miticide, nematicide or soil pesticide containing the same and method for producing the same | |
| WO2016068301A1 (en) | Pest control agent | |
| WO2006080311A1 (en) | Anthranilamide compound, method for producing same and pest control agent containing same | |
| WO2015025960A1 (en) | Harmful organism control agent | |
| WO2010018853A1 (en) | Pyridyl-triazolopyrimidine derivative or salt thereof, and harmful organism control agent comprising the same | |
| JP2006001914A (en) | Pyrimidine compound, method for producing the same and vermin controlling agent containing the same | |
| JP2010195771A (en) | Triazolopyrimidine derivative or salt thereof, process for producing the same and pesticide containing the same | |
| JP2007070346A (en) | Anthranylamide-based compound, its production method and pest-controlling agent containing it | |
| TWI597267B (en) | Pest control agent | |
| JP2006232814A (en) | Anthranilamide-based compound, method for producing the same and pest control agent containing the same | |
| JP2008019222A (en) | Anthranylamide-based compound, method for producing the same, and pest-controlling agent comprising the same | |
| JP2006131608A (en) | Anthranilamide-based compound, method for producing the same, and pest-controlling agent containing the same | |
| WO2017159618A1 (en) | Pest control agent | |
| WO2006118267A1 (en) | Anthranylamide compound, process for producing the same and pest control agent containing the compound | |
| JP2007277206A (en) | Anthranylamide compound, process for producing the same, and pest control agent containing the compound | |
| JP2005097228A (en) | Haloalkene-based compound, method for producing the same and harmful organism controlling agent containing the same |
Legal Events
| Date | Code | Title | Description |
|---|---|---|---|
| 121 | Ep: the epo has been informed by wipo that ep was designated in this application | ||
| NENP | Non-entry into the national phase |
Ref country code: DE |
|
| 122 | Ep: pct application non-entry in european phase |
Ref document number: 06782648 Country of ref document: EP Kind code of ref document: A1 |
|
| NENP | Non-entry into the national phase |
Ref country code: JP |



















