WO2006080311A1 - Anthranilamide compound, method for producing same and pest control agent containing same - Google Patents
Anthranilamide compound, method for producing same and pest control agent containing same Download PDFInfo
- Publication number
- WO2006080311A1 WO2006080311A1 PCT/JP2006/301057 JP2006301057W WO2006080311A1 WO 2006080311 A1 WO2006080311 A1 WO 2006080311A1 JP 2006301057 W JP2006301057 W JP 2006301057W WO 2006080311 A1 WO2006080311 A1 WO 2006080311A1
- Authority
- WO
- WIPO (PCT)
- Prior art keywords
- alkyl
- compound
- optionally substituted
- formula
- amino
- Prior art date
- Legal status (The legal status is an assumption and is not a legal conclusion. Google has not performed a legal analysis and makes no representation as to the accuracy of the status listed.)
- Ceased
Links
Classifications
-
- A—HUMAN NECESSITIES
- A01—AGRICULTURE; FORESTRY; ANIMAL HUSBANDRY; HUNTING; TRAPPING; FISHING
- A01N—PRESERVATION OF BODIES OF HUMANS OR ANIMALS OR PLANTS OR PARTS THEREOF; BIOCIDES, e.g. AS DISINFECTANTS, AS PESTICIDES OR AS HERBICIDES; PEST REPELLANTS OR ATTRACTANTS; PLANT GROWTH REGULATORS
- A01N43/00—Biocides, pest repellants or attractants, or plant growth regulators containing heterocyclic compounds
- A01N43/48—Biocides, pest repellants or attractants, or plant growth regulators containing heterocyclic compounds having rings with two nitrogen atoms as the only ring hetero atoms
- A01N43/56—1,2-Diazoles; Hydrogenated 1,2-diazoles
-
- A—HUMAN NECESSITIES
- A61—MEDICAL OR VETERINARY SCIENCE; HYGIENE
- A61P—SPECIFIC THERAPEUTIC ACTIVITY OF CHEMICAL COMPOUNDS OR MEDICINAL PREPARATIONS
- A61P33/00—Antiparasitic agents
-
- C—CHEMISTRY; METALLURGY
- C07—ORGANIC CHEMISTRY
- C07D—HETEROCYCLIC COMPOUNDS
- C07D231/00—Heterocyclic compounds containing 1,2-diazole or hydrogenated 1,2-diazole rings
- C07D231/02—Heterocyclic compounds containing 1,2-diazole or hydrogenated 1,2-diazole rings not condensed with other rings
- C07D231/10—Heterocyclic compounds containing 1,2-diazole or hydrogenated 1,2-diazole rings not condensed with other rings having two or three double bonds between ring members or between ring members and non-ring members
- C07D231/14—Heterocyclic compounds containing 1,2-diazole or hydrogenated 1,2-diazole rings not condensed with other rings having two or three double bonds between ring members or between ring members and non-ring members with hetero atoms or with carbon atoms having three bonds to hetero atoms with at the most one bond to halogen, e.g. ester or nitrile radicals, directly attached to ring carbon atoms
-
- C—CHEMISTRY; METALLURGY
- C07—ORGANIC CHEMISTRY
- C07D—HETEROCYCLIC COMPOUNDS
- C07D231/00—Heterocyclic compounds containing 1,2-diazole or hydrogenated 1,2-diazole rings
- C07D231/02—Heterocyclic compounds containing 1,2-diazole or hydrogenated 1,2-diazole rings not condensed with other rings
- C07D231/10—Heterocyclic compounds containing 1,2-diazole or hydrogenated 1,2-diazole rings not condensed with other rings having two or three double bonds between ring members or between ring members and non-ring members
- C07D231/14—Heterocyclic compounds containing 1,2-diazole or hydrogenated 1,2-diazole rings not condensed with other rings having two or three double bonds between ring members or between ring members and non-ring members with hetero atoms or with carbon atoms having three bonds to hetero atoms with at the most one bond to halogen, e.g. ester or nitrile radicals, directly attached to ring carbon atoms
- C07D231/16—Halogen atoms or nitro radicals
-
- C—CHEMISTRY; METALLURGY
- C07—ORGANIC CHEMISTRY
- C07D—HETEROCYCLIC COMPOUNDS
- C07D231/00—Heterocyclic compounds containing 1,2-diazole or hydrogenated 1,2-diazole rings
- C07D231/02—Heterocyclic compounds containing 1,2-diazole or hydrogenated 1,2-diazole rings not condensed with other rings
- C07D231/10—Heterocyclic compounds containing 1,2-diazole or hydrogenated 1,2-diazole rings not condensed with other rings having two or three double bonds between ring members or between ring members and non-ring members
- C07D231/14—Heterocyclic compounds containing 1,2-diazole or hydrogenated 1,2-diazole rings not condensed with other rings having two or three double bonds between ring members or between ring members and non-ring members with hetero atoms or with carbon atoms having three bonds to hetero atoms with at the most one bond to halogen, e.g. ester or nitrile radicals, directly attached to ring carbon atoms
- C07D231/18—One oxygen or sulfur atom
-
- C—CHEMISTRY; METALLURGY
- C07—ORGANIC CHEMISTRY
- C07D—HETEROCYCLIC COMPOUNDS
- C07D231/00—Heterocyclic compounds containing 1,2-diazole or hydrogenated 1,2-diazole rings
- C07D231/02—Heterocyclic compounds containing 1,2-diazole or hydrogenated 1,2-diazole rings not condensed with other rings
- C07D231/10—Heterocyclic compounds containing 1,2-diazole or hydrogenated 1,2-diazole rings not condensed with other rings having two or three double bonds between ring members or between ring members and non-ring members
- C07D231/14—Heterocyclic compounds containing 1,2-diazole or hydrogenated 1,2-diazole rings not condensed with other rings having two or three double bonds between ring members or between ring members and non-ring members with hetero atoms or with carbon atoms having three bonds to hetero atoms with at the most one bond to halogen, e.g. ester or nitrile radicals, directly attached to ring carbon atoms
- C07D231/38—Nitrogen atoms
Definitions
- WO01Z70671 discloses anthranilamide compounds having a certain chemical structure. However, as a substituent corresponding to A in the following formula (I), C
- WO04Z67528 discloses compounds in which pyridyl is substituted at the 1-position of the pyrazole ring.
- a phenol is substituted at the 1-position of the pyrazole ring of the formula (I) described later, and the chemical structures of the two are different.
- Patent Document 1 International Publication WO01Z70671
- Patent Document 2 International Publication WO04Z67528
- a number of pest control agents have been used for many years, but many have various problems such as insufficient efficacy, pests gaining resistance and limiting their use. Therefore, it is desired to develop a new pest control agent with few disadvantages, for example, a pest control agent capable of controlling various pests that are problematic in the field of agriculture and horticulture, and pests parasitic on animals.
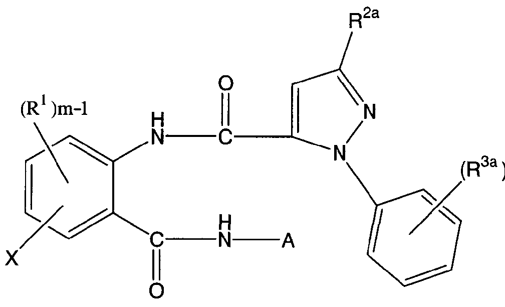
- the present inventors have made various studies on anthranilamide compounds in order to find better pest control agents. As a result, the present inventors have found that a novel anthra-amide compound has an extremely high control effect against pests at a low dose, and completed the present invention. That is, the present invention provides a compound of formula (I):
- R 1 is halogen, alkyl, haloalkyl, alkenyl, haloalkenyl, alkynyl, haloalkynyl, trialkylsilylethynyl, hydroxy, alkoxy, haloanoloxy, honoleminore, anorequinole Canoleboninole, haloanorequinolecanoleboninole, force noreboxinole, alkoxycarbonyl, haloalkoxycarbonyl, aminocarbonyl, alkylaminocarbonyl, dialkylaminocarbonyl, cyano, nitro, amino, alkylamino, dialkylamino, even substituted A good phenoxy, an optionally substituted pyridyloxy, an optionally substituted phenoxycarbon or an optionally substituted pyridyloxycarbon, and R 2 is a hydrogen atom, halogen, alkyl, haloalkyl, alkenyl
- the present invention provides an anthracamide compound or a salt thereof, a production method thereof, a pest control agent containing them, and the like.
- R 1 is halogen, alkyl, haloalkyl, alkyl, trialkylsilylether, hydroxy, formyl, carboxyl, alkoxycarbole, aminocarbol, alkylaminocarbol
- R 2 is a hydrogen atom, halogen, haloalkyl, haloalkoxy or alkylsulfoxy
- R 3 is halogen, alkyl, haloalkyl, alkoxy or -tro
- A is substituted with Y Y is C cycloalkyl optionally substituted with at least one substituent selected from the group consisting of halogen, alkyl and haloalkyl
- m is 0-4
- w is 0 to 5, or a salt thereof.
- R 2 is a hydrogen atom, halogen, haloalkyl or haloalkoxy
- R 3 is a norogen, alkyl, haloalkyl or -tro.
- R is a hydrogen atom, halogen, alkyl, haloalkyl, alkyl, haloalkenyl, alkyl, haloalkynyl, hydroxy, alkoxy, nitro-containing amino
- R 12 and R 14 are R 13 is a hydrogen atom
- R 13 is a hydrogen atom, halogen, alkyl, haloalkyl, alkyl, trialkylsilyl ether, hydroxy, alkoxy, haloalkoxy, formyl, alkylcarbole, haloalkylcarbole, carboxyl, alkyl Coxoxycarbonyl, haloalkoxycarbonyl, aminocarbonyl, alkylaminocarbonyl, dialkylaminocarbol, cyano-substituted nitro, ami-substituted alkylamino, dialkyla-substituted phenoxy, optionally substituted pyridyloxy, substitutedObviously, phenoxy
- R 11 is a hydrogen atom, halogen, alkyl, hydroxy, nitro or amino
- R 12 and R 14 are hydrogen atoms
- R 13 is a hydrogen atom, halogen, alkyl, haloalkyl, alkyl, trialkyl Silylethynyl, hydroxy, formyl, carboxyl, alkoxycarbonyl, aminocarbonyl, alkylaminocarbol, cyano or -tro
- R 2 is a hydrogen atom, halogen, haloalkyl, haloalkoxy or alkylsulfoxy.
- R 31 is a hydrogen atom, halogen, alkyl, haloalkyl, alkoxy or -tro
- R 32 and R 34 are hydrogen atoms
- R 33 is a hydrogen atom or halogen
- R 35 is a hydrogen atom, halogen or Alkyl
- A is alkyl substituted with C cycloalkyl
- R 11 is halogen or alkyl
- R 12 and R 14 are hydrogen atoms
- R 13 is a hydrogen atom, halogen, alkyl, haloalkyl, alkyl, carboxyl, alkoxycarbonyl, aminocarbonyl
- R 2 is a hydrogen atom, halogen or haloalkyl
- R 31 is a hydrogen atom, halogen, alkyl, haloalkyl or -tro
- R 32 and R 34 are hydrogen atoms.
- R 33 is a hydrogen atom or a halogen
- R 35 is a hydrogen atom, halogen or alkyl, or the compound or salt thereof according to (3) above.
- the pest control agent comprising the novel anthranilamido compound of formula (I) as an active ingredient has a very high control effect against pests at a low dose.
- substituents of phenoxycarbol or substituted pyridyloxycarbol include, for example, halogen, alkyl, haloalkyl, hydroxy, alkoxy, haloanalkoxy, anolequinoles norephenol, no, loa Norequinoles Norefuenore, Anolequinores Norefininore, Noroanorequinores Nolefininore, Anolequinores Norehoninore, No, Roanorequinoles Norehoninore, Ciano, Nitro, Ami Alkylamino And dialkylamino.
- the number of substitutions of these substituents is 1 or 2 or more, and when it is 2 or more, each substituent may be the same or different.
- the position of each substituent may be any position.
- the number of substitutions of substituent Y in A is 1 or 2 or more, and when it is 2 or more, each substituent Y may be the same or different. Further, the substitution position of the substituent Y may be any position.
- the number of substituents Y in A is preferably 1.
- alkyl or haloalkyl which is a substituent of C cycloalkyl in Y
- the number of substitutions is 1 or 2 or more. When the number is 2 or more, each substituent may be the same or different. In addition, the substitution position of each substituent may be a shift position.
- Alkyl is preferably unsubstituted or has 1 to 5 substituents when it has the above-mentioned substituents.
- halogen in R 2 , R 3 or Y or the halogen as a substituent examples include each atom of fluorine, chlorine, bromine or iodine.
- the number of halogens as substituents is 1 or 2 or more. When 2 or more, each halogen may be the same or different. Also, the position of halogen substitution may be the position of displacement.
- the alkyl or alkyl moiety in R ⁇ R 2 , R 3 , A or Y may be linear or branched! /, Specific examples of which are methyl, ethyl, propyl, isopropyl, butyl, Examples include C-types such as tertiary butinore, pentinore, and hexinore.
- alkenyl or alkenyl moiety in R 1 may be linear or branched.
- alkellyl or alkenyl moiety include bulle, 1-probe, allyl, iso-probe, 1-tuttle, 1, 3—Butageninore, 1 C such as Hexeninore.
- the alkyl or alkyl moiety in R 1 may be linear or branched, and specific examples thereof include ethur, 2-butul, 2-pentyl, and 3-hexynyl. And so on.
- Specific examples of c cycloalkyl or cycloalkyl moiety in Y include cyclopropyl.
- the salt of the anthracamide compound of the formula (I) includes any one that is agriculturally acceptable, and examples thereof include alkali metal salts such as sodium salt and potassium salt.
- Alkaline earth metal salts such as magnesium salts and calcium salts; ammonium salts such as dimethyl ammonium salts and triethyl ammonium salts; such as hydrochlorides, perchlorates, sulfates and nitrates; Inorganic acid salts; organic acid salts such as acetate and methanesulfonate.
- the anthranilamide-based compound of the formula (I) may have different isomers such as optical isomers and geometric isomers. In the present invention, both isomers and isomer mixtures are present. Is included.
- the present invention includes various isomers other than those described above within the scope of common technical knowledge in the technical field. In addition, depending on the type of isomer, there may be a chemical structure different from that of the above formula (I). However, since those skilled in the art can sufficiently recognize that they are related to isomers, Obviously, it is within range.
- the anthranilamido compound of the formula (I) or a salt thereof (hereinafter abbreviated as the compound of the present invention) can be produced according to the following reactions [A] to [0] and a usual salt production method. it can.
- Reaction [A] can usually be carried out in the presence of a base when Z is a chlorine atom.
- a base examples include alkali metal hydroxides such as sodium hydroxide and potassium hydroxide; alkali metal carbonates such as sodium carbonate and potassium carbonate; alkali metals such as sodium hydride and potassium hydride.
- the base can be used in an amount of 1 to 5 times mol, preferably 1 to 2.5 times mol, of the compound of formula (II).
- the reaction [ ⁇ ] can be carried out in the presence of a solvent if desired when ⁇ is a chlorine atom.
- a solvent may be used as long as it is inert to the reaction.
- etherols such as diethyl ether, butyl ether, tetrahydrofuran, dioxane, dimethoxyethane; black benzene, dichlorobenzene, dichloromethane, Halogenated hydrocarbons such as chloroform, carbon tetrachloride, dichloroethane, trichloroethane, and dichloroethylene; aromatic hydrocarbons such as benzene, toluene, and xylene; pentane, hexane, heptane, octane, and cyclohexane Aliphatic hydrocarbons such as: acetonitol, propio-tolyl, ⁇ , ⁇ dimethylformamide, dimethylsulfox
- the reaction [ ⁇ ] can be carried out usually at 20 to + 60 ° C, preferably 0 to 30 ° C, and the reaction time is usually about 1 to 24 hours, Desirably, the time can be about 2 to 12 hours.
- reaction [A] is usually carried out in the presence of a dehydration condensing agent and a solvent when Z is —OH.
- Examples of the dehydrating condensing agent include carbodiimides such as ⁇ , ⁇ ′-dicyclohexylcarbodiimide, 1,3 diisopropylcarbodiimide, and 1-ethyl 3- (3 dimethylaminopropyl) carbodiimide hydrochloride.
- carbodiimides such as ⁇ , ⁇ ′-dicyclohexylcarbodiimide, 1,3 diisopropylcarbodiimide, and 1-ethyl 3- (3 dimethylaminopropyl) carbodiimide hydrochloride.
- the solvent may be any solvent inert to the reaction.
- etherols such as diethyl ether, butyl ether, tetrahydrofuran, dioxane, dimethoxyethane; black benzene, dichlorobenzene , Dichloromethane, chloroform, carbon tetrachloride, dichloroethane, trichloroethane, dichloroethylene, etc .
- aromatic hydrocarbons such as benzene, toluene, xylene; , Propio-tolyl, ⁇ , ⁇ dimethylformamide, dimethyl sulfoxide, hexamethylphosphoric triamide, sulfolane, dimethylacetamide, ⁇ -methylpyrrolidone, polar aprotic solvents; methyl acetate, ethyl acetate, acetic acid Esters such as propyl; ketones such as acetone, jetyl ketone,
- the reaction [ ⁇ ] can usually be carried out at 20 to + 60 ° C, preferably 0 to 30 ° C, when the moth is ⁇ , and the reaction time is usually about 0.5 to 24 hours. Desirably, it can be about 1 to 12 hours.
- reaction [A] is usually performed in the presence of a base and a solvent when Z is C alkoxy.
- Bases include alkali metal hydrides such as sodium hydride and potassium hydride; alkali metal carbonates such as sodium carbonate and potassium carbonate; alkali metals such as sodium methoxide, sodium ethoxide and potassium tertiary butoxide Alkoxides; and trimethylamine, triethylamine, triisopropylamine, diisopropylethylamine, pyridine, 4-dimethylaminopyridine, 2,6 dimethylpyridine, 4 pyrrolidinopyridine, N-methylmorpholine, ⁇ , ⁇ Dimethylaniline, ⁇ , ⁇ Jetylaniline, ⁇ Ethyl ⁇ -Methyl lin, 1,8 Diazabicyclo [5.4.0] 1-7 Undecene, 1,4-Diazabicyclo [2.2.2] Octanes like tertiary amines From the above, one or more can be selected as appropriate.
- the base can be used in an amount of 1 to 5 times
- the solvent may be any solvent that is inert to the reaction.
- etherols such as diethyl ether, butyl ether, tetrahydrofuran, dioxane, dimethoxyethane; black benzene, dichlorobenzene
- Halogenated hydrocarbons such as benzene, toluene, xylene; pentane, hexane, heptane, octane, cyclohexane, halogenated hydrocarbons such as dichloromethane, chlorophenol, carbon tetrachloride, dichloroethane, trichloroethane, dichloroethylene
- Aliphatic hydrocarbons such as hexane; acetonitrile, propio-tolyl, ⁇ , ⁇ dimethylformamide, dimethyl sulfoxide, hexame
- Polar aprotic solvents such as til phosphoric triamide, s
- reaction [A] is usually 0 to 120 ° C, preferably 5 to 80 ° C when Z is C alkoxy.
- the reaction time is usually about 0.5 to 24 hours, preferably about 1 to 12 hours.
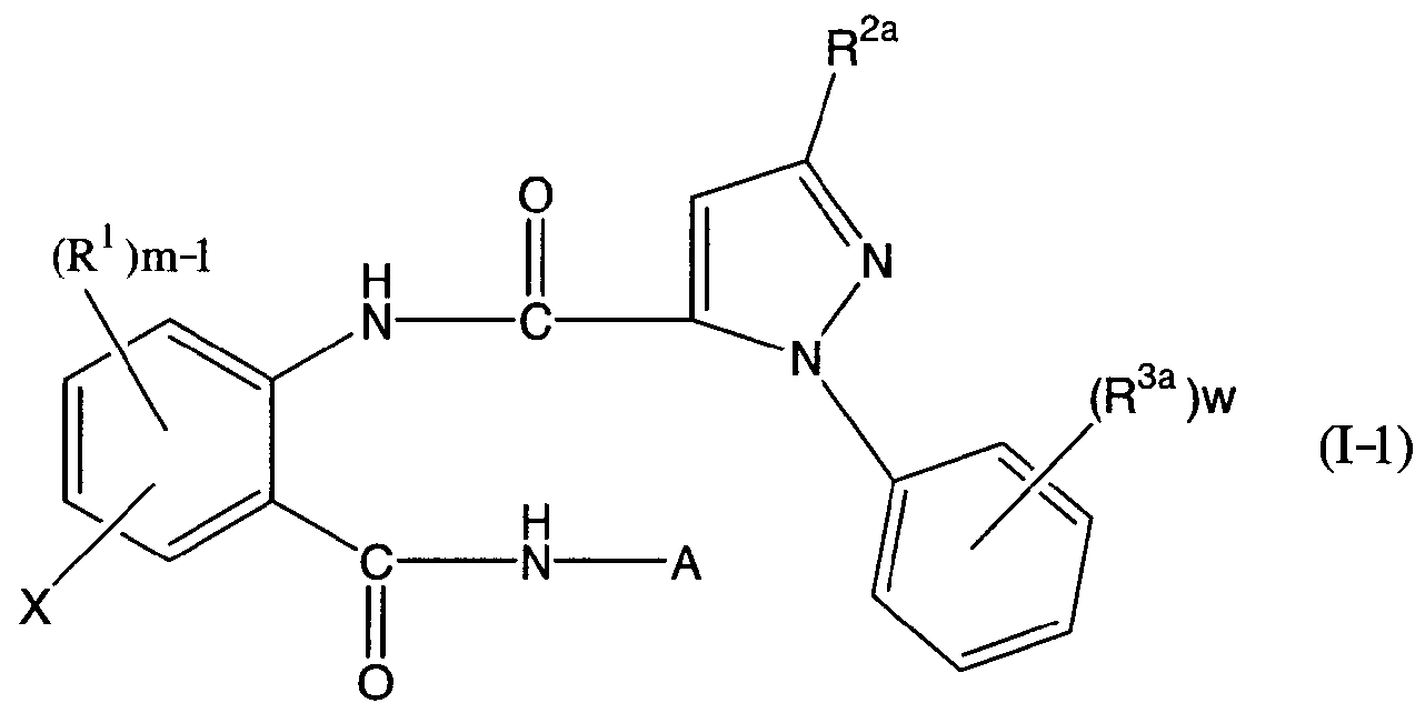
- R 2 , R 3 , A, m and w are as described above.
- the reaction] can usually be performed in the presence of a solvent.
- any solvent may be used as long as it is inert to the reaction.
- etherols such as diethyl ether, butyl ether, tetrahydrofuran, dioxane, dimethoxyethane; black benzene, dichlorobenzene, dichloromethane, Halogenated hydrocarbons such as chlorophenol, carbon tetrachloride, dichloroethane, trichloroethane, dichloroethylene; aromatic hydrocarbons such as benzene, toluene, xylene; pentane, Aliphatic hydrocarbons such as hexane, heptane, octane, cyclohexane; and acetonitrile, propio-tolyl, ⁇ , ⁇ -dimethylformamide, dimethyl sulfoxide, hexamethylphosphoric triamide, sulfolane, dimethyla One or two or more kinds of polar aprotic
- the reaction] can usually be carried out at 0 to 120 ° C, preferably 20 to 80 ° C, and the reaction time is usually about 0.1 to 24 hours, preferably about 0.5 to 12 hours.
- R 2a is a hydrogen atom, a fluorine atom, a chlorine atom, an odor atom, an alkyl, a haloalkyl, an alkoxy, a haloalkoxy, a cyanalkoxy, an alkylsulfonyloxy
- R 3a is a fluorine atom, a chlorine atom, a bromine atom, an alkyl, a haloalkyl, an alkoxy, a haloalkoxy, a cyanalkoxy, an alkylsulfo-loxy, a cyano-containing nitro
- an amino X is an bromine atom or an iodine atom.
- Examples of the metal cyanide in the reaction [C] include cyanogen copper, zinc cyanide, cyanide. One type or two or more types can be appropriately selected from potassium fluoride and the like.
- the metal cyanide can be used in an amount of 1 to 30 times mol, preferably 1 to 15 times mol for the compound of formula (1-1).
- the reaction] can usually be carried out in the presence of a solvent.
- a solvent any solvent inert to the reaction may be used.
- ethers such as jetyl ether, butyl ether, tetrahydrofuran, dioxane, dimethoxyethane; and acetonitrile, propio-tolyl, ⁇ , ⁇ -Dimethylformamide, dimethyl sulfoxide, hexamethylphosphoric triamide, sulfolane, dimethylacetamide, ⁇ -methylpyrrolidone and other polar aprotic solvents, etc. I can do it.
- the reaction [C] can be carried out in the presence of a palladium catalyst, if desired.
- a palladium catalyst for example, one or more of tetrakistriphenylphosphine palladium and bistriphenylphosphine palladium dichloride can be appropriately selected.
- the reaction can be carried out in the presence of a metal iodide if desired.
- the metal iodide one or more kinds can be appropriately selected from, for example, copper iodide, zinc iodide, potassium iodide and the like.
- the reaction can be carried out usually at 0 to 150 ° C, preferably 10 to: LOO ° C, and the reaction time can be usually about 0.1 to 24 hours, preferably about 0.5 to 12 hours. .
- R 2a , R 3a , A, m, w and X are as described above.
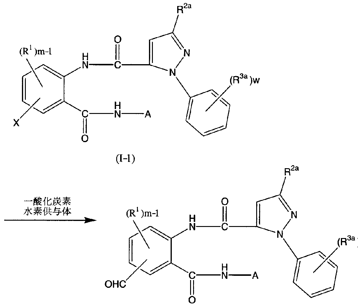
- Carbon monoxide in the reaction [D] can be used in an amount of 1 to 200 times mol, preferably 1 to 50 times mol, of the compound of the formula (1-1).
- the hydrogen donor in the reaction [D] one or two or more kinds can be appropriately selected from, for example, tryptyl tin hydride, poly (methylhydrosiloxane), trioctylsilyl hydride and the like.
- the hydrogen donor can be used in an amount of 1 to 2 moles, preferably 1 to 1.5 moles relative to the compound of the formula (1-1).
- Reaction [D] can be normally performed in presence of a palladium catalyst.
- a palladium catalyst for example, one or two or more kinds can be appropriately selected from those mentioned in the above reaction [C].
- the reaction [D] can be usually performed in the presence of a solvent.
- a solvent any solvent inert to the reaction may be used.
- aromatic hydrocarbons such as benzene, toluene, xylene; pentane, hexane, heptane, octane, cyclohexane, etc.
- Aliphatic hydrocarbons such as jetyl ether, butyl ether, tetrahydrofuran, dioxane, dimethoxyethane; and acetonitrile, propio-tolyl, ⁇ , ⁇ -dimethylformamide, dimethyl sulfoxide, hexamethyl Phosphoric tri
- polar aprotic solvents such as amide, sulfolane, dimethylacetamide and N-methylpyrrolidone.
- Reaction [D] is usually 0 to 150 ° C, preferably 10 to: LOO ° C, and the reaction time is usually about 0.5 to 24 hours, preferably about 1 to 12 hours. Can do.
- R 2 , RA, m and w are as described above, R la is halogen, alkyl, haloalkyl, anorekeninore, haloanorekeninore, anorequininore, haloanorequininore, trianolenoquinoline reethinyl, Hydroxy, alkoxy, haloalkoxy, alkylcarbonyl, haloalkyl force carbonyl, carboxyl, alkoxycarbonyl, haloalkoxycarbon, aminocarbonyl, alkylaminocarbonyl, dialkylaminocarbonyl, cyano, nitro, aminoalkylamino, dialkylamino, An optionally substituted phenoxy, optionally substituted, pyridyloxy, optionally substituted, phenoxycarbon or optionally substituted !, pyridyloxycarbonyl.
- fluorinating agent in the reaction examples include cetylfluoride trifluoride, [bis (2-methoxyethyl) amino] sulfur trifluoride, xenon fluoride, 2,2-difluoro-1,3 dimethylimidazolidine, tetrafluoride.
- One or more types can be appropriately selected from sulfur fluoride.
- Fluorine glaze is 1 to 10 moles, preferably 1 to 4 moles relative to the compound of formula (1-4). Double moles can be used.
- the reaction [E] can usually be carried out in the presence of a solvent.
- the solvent may be any solvent inert to the reaction.
- aliphatic hydrocarbons such as pentane, hexane, heptane, octane, isooctane and cyclohexane; benzene, toluene, Aromatic hydrocarbons such as silene; halogenated hydrocarbons such as black benzene, dichlorobenzene, dichloromethane, black mouth form, carbon tetrachloride, chlorotrichloromethane, dichloroethane, trichloroethane, and dichloroethylene.
- ethers such as jetyl ether, butyl ether, tetrahydrofuran, dioxane, dimethoxyethane, 2-methoxyethyl ether, and the like can be appropriately selected.
- the reaction can be carried out in an inert gas atmosphere if desired.
- the inert gas include nitrogen, helium, and argon.
- the reaction can be carried out usually at -78 ° C to 40 ° C, preferably at 40 ° C to 25 ° C, and the reaction time is usually about 2 to 24 hours, preferably about 5 to 15 hours.
- R 1, R 2, A, m, w and X are as described above, Q is alkyl or trialkylsilyl, L is a chlorine atom, bromine atom or iodine atom, and R A is alkyl.
- the compound of the formula (1-1), the formula (VI-1), the formula (VI-2) ) Or a compound of formula (VI-3) may be reacted in the presence of a palladium catalyst and a base.
- the compound of formula (VI-1), the compound of formula (VI-2) or the compound of formula (VI-3) is usually 1.0 to 10 equivalents, preferably 1.0 to Used at a rate of 3.0 equivalents.
- a solvent can be used in some cases. Any solvent can be used as long as it does not inhibit the progress of this reaction, for example, ethers such as jetyl ether, butyl ether, tetrahydrofuran, dioxane, dimethoxyethane; black benzene, dichlorobenzene, dichloromethane.
- ethers such as jetyl ether, butyl ether, tetrahydrofuran, dioxane, dimethoxyethane
- black benzene dichlorobenzene, dichloromethane.
- Halogenated hydrocarbons such as chloroform, carbon tetrachloride, dichloroethane, trichloroethane, dichloroethylene; aromatic hydrocarbons such as benzene, toluene, xylene; acetonitrile, propio-tolyl, ⁇ , ⁇ -dimethylform
- Polar aprotic solvents such as amide, dimethyl sulfoxide, dimethylacetamide, N-methylpyrrolidone
- esters such as methyl acetate, ethyl acetate, propyl acetate; acetone, jetyl ketone, methyl ethyl ketone, methyl isobutyl ketone 1 type or 2 types or more can be appropriately selected from ketones such as: amines such as dimethylamine and triethylamine; and water.
- Examples of the base used in the reaction [F] include inorganic salts such as sodium carbonate and potassium carbonate; propylamine, butylamine, jetylamine, diisopropylamine, triethylamine, tributylamine, diisopropylethylamine, Examples thereof include organic amines such as pyrrolidine and piperidine, and are usually used in a proportion of 1.0 to 30 equivalents, preferably 1.0 to 15.0 equivalents, relative to the compound of formula (1-1).
- Examples of the palladium catalyst used in the reaction [F] include tetrakistriphenylphosphine palladium, dichlorobis (triphenylphosphine) palladium, palladium acetate-triphenylphosphine, and the like. Used in a ratio of 0.001 to 0.1 equivalents. When using a palladium catalyst, 0.001 to 0.1 equivalent to the compound of formula (1-1) in which tertiary phosphine such as triphenylphosphine and tri-(.- tolyl) phosphine may coexist. Used at a rate of
- catalysts that may be used include copper halides such as copper (I) iodide, and ammonium salts such as tetraptylammobromide.
- copper halides such as copper (I) iodide
- ammonium salts such as tetraptylammobromide.
- the compound (1-1) is used in a proportion of 0.001 to 0.3 equivalent.
- the reaction temperature for reaction (F) is usually 0 ° C to 150 ° C, preferably 10 ° C to 100 ° C, usually about 0.1 to 72 hours, preferably 0.3 to 24 hours. Can be about.
- R 2 , R 3 , R A , A, m, and w are as defined above, and R lb is halogen, alkyl, haloalkino, anoreke-nore, haloanoreke-nore, anorequino-nore, noroanore-nore , Hydroxy, anolecoxy, haloanorecoxy, honoreminore, anorequinolecanoleboninole, noroanorequinolecanonolenore, force ruboxyl, alkoxycarbonyl, haloalkoxycarbonyl, aminocarbonyl, alkylaminocarbonyl, dialkylaminocarbonyl, cyano Nitro, amino, alkylamino, dialkylamino, optionally substituted phenoxy, optionally substituted pyridyloxy, optionally substituted phenoxycarbon or optionally substituted pyridyloxycarbonyl.
- Examples of the fluorine compound in the reaction [G] include inorganic fluorides such as lithium fluoride, sodium fluoride, potassium fluoride, cesium fluoride, silver fluoride, and tetrabutyl ammonium fluoride. 1 type or 2 types or more can be appropriately selected.
- the fluorine compound can be used in an amount of 1 to 30 times mol, preferably 1 to 15 times mol for the compound of formula (I-7).
- a crown ether such as 18-crown 1-ether may be used.
- the reaction [G] can usually be carried out in the presence of a solvent.
- a solvent any solvent inert to the reaction may be used.
- any solvent inert to the reaction may be used.
- jetyl ether butyl ether.
- Ethers such as monotel, tetrahydrofuran, dioxane and dimethoxyethane; halogenated hydrocarbons such as black benzene, dichlorobenzene, dichloromethane, black mouth form, carbon tetrachloride, dichloroethane, trichloroethane and dichloroethylene;
- Aromatic hydrocarbons such as benzene, toluene, xylene; and polar aprotic solvents such as acetonitrile, propio-tolyl, ⁇ , ⁇ -dimethylformamide, dimethylsulfoxide, dimethylacetamide, ⁇ -methylpyrrolidone, etc. 1 type or 2 types or more can be
- the reaction can usually be carried out at 10 to 150 ° C, preferably 0 to 100 ° C, and the reaction time is usually about 0.1 to 24 hours, preferably about 0.2 to 12 hours. Can do.
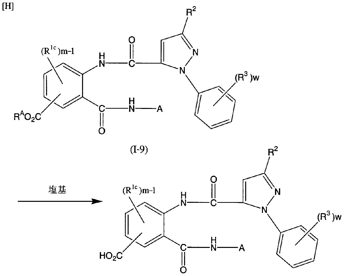
- R 2 , R 3 , A, R A , m and w are as described above, and R le is halogen, alkyl, haloalquinole, anorekeninore, haloanorekeninore, anorequininore, noroanorequininore, trianorequinoresinole lechur , Hydroxy, alkoxy, haloalkoxy, formyl, alkyl carbonyl, haloalkyl carbonyl, carboxyl, aminocarbonyl, alkylamino carbonyl, dialkylaminocarbonyl, nitro-containing nitro, ami-containing alkylamino, dialkyl-amino They are optionally substituted phenoxy, optionally substituted pyridyloxy, optionally substituted phenoxycarbol or optionally substituted pyridyloxycarbol.
- Examples of the base in the reaction [H] include potassium trimethylsilanolate, lithium thiomethoxide, sodium phenol selenide and the like, and preferably 1 to 30 times mol, preferably the compound of the formula (1-9) 1 to 5 times mol can be used.
- the reaction] can usually be carried out in the presence of a solvent.
- a solvent any solvent inert to the reaction may be used.
- ethers such as jetyl ether, butyl ether ether, tetrahydrofuran, dioxane, dimethoxyethane; black benzene, dichlorobenzene, Halogenated hydrocarbons such as dichloromethane, chloroform, carbon tetrachloride, dichloroethane, trichloroethane, dichloroethylene; and acetonitrile, propio-tolyl, ⁇ , ⁇ -dimethylformamide, dimethyl sulfoxide, hexamethylphosphoric
- polar non-protonic solvents such as triamide, dimethylacetamide, and ⁇ ⁇ ⁇ -methylpyrrolidone.
- the reaction [ ⁇ ] can usually be carried out at 0 to 150 ° C, preferably 10 to 100 ° C, and the reaction time is usually about 0.1 to 72 hours, preferably about 0.5 to 48 hours. can do.
- R is a fluorine atom, a chlorine atom, an alkyl, a halo anoquinolole, a hydroxy, an alkoxy, a haloalkoxy, a honoreminore, an alkyl carbonyl, a noro anorecanole bonenore , Force noreboxinole, anorecoxicanoleboninole, ro, roanorexoxy decanoyl, aminocarbonyl, alkylaminocarbonyl, dialkylaminocarbonyl, amidoalkylamido dialkylamido, optionally substituted phenoxy, substituted V, pyridyloxy, substituted, phenoxycarbol or may be substituted !, pyridyloxycarbon, R 2b is a hydrogen atom, a fluorine atom, a chlorine atom, an alkyl, a halo
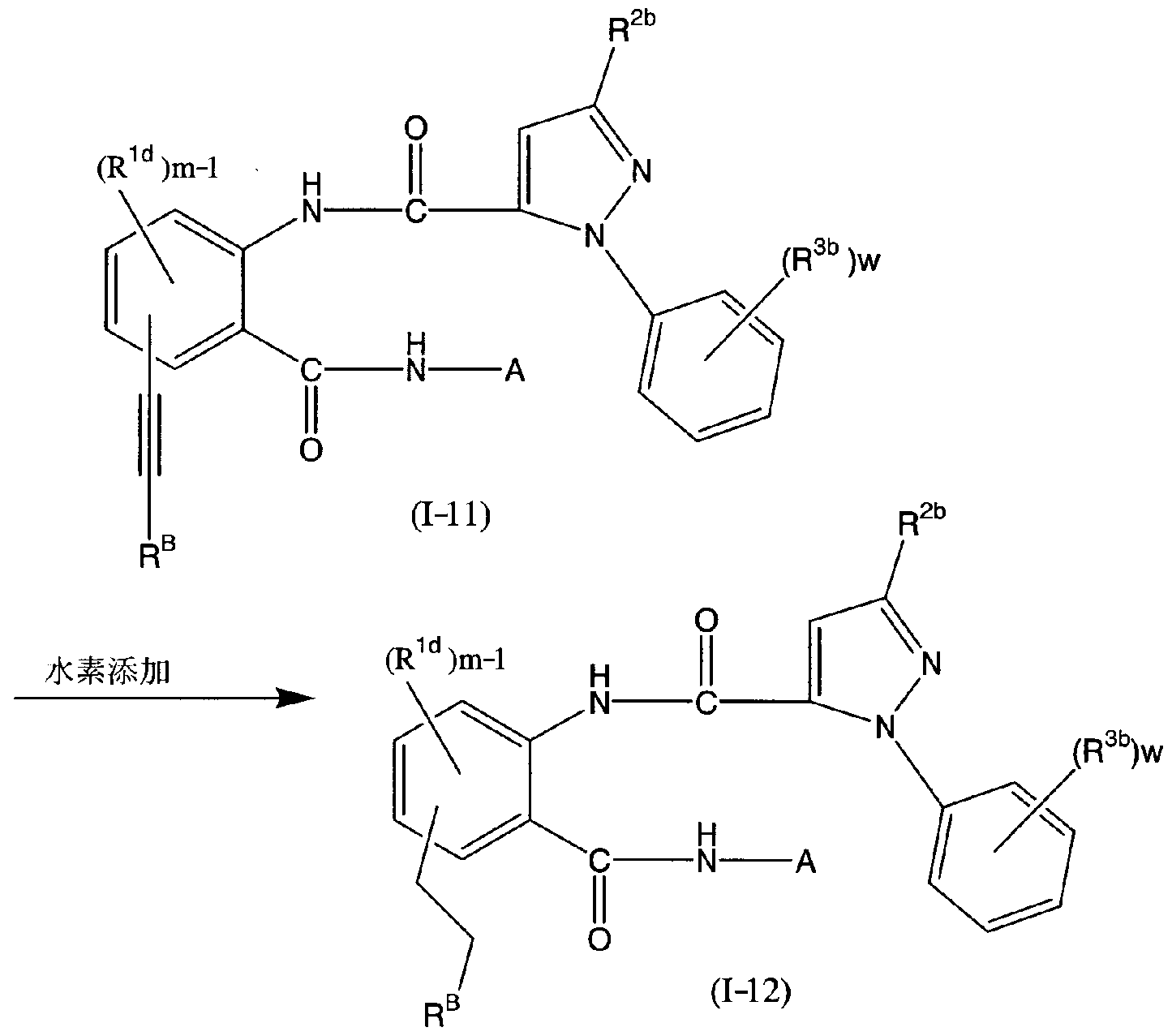
- Reaction [I] is carried out by reacting the compound of formula (1-11) with hydrogen gas in the presence of a catalyst.
- catalysts that can be used include noradium carbon, platinum oxide, and Raney nickel. It can be selected appropriately.
- the catalyst can be used in an amount of 0.001 to 1.0 times, preferably 0.01 to 0.3 times the weight of the compound of formula (1-11).
- Reaction [I] can be normally performed in presence of a solvent.
- Any solvent may be used as long as it is inert to the reaction.
- ethers such as jetyl ether, butyl ether, tetrahydrofuran, dioxane, dimethoxyethane; black benzene, dichlorobenzene, dichloromethane.
- Halogenated hydrocarbons such as chloroform, carbon tetrachloride, dichloroethane, trichloroethane, dichloroethylene; alcohols such as methanol, ethanol, propanol, normal butanol, tertiary butanol; benzene, toluene, xylene Aromatic hydrocarbons; polar aprotic solvents such as acetonitrile, propiotolyl, ⁇ , ⁇ -dimethylformamide, dimethylacetamide, ⁇ -methylpyrrolidone; such as methyl acetate, ethyl acetate, propyl acetate 1 type or 2 or more types can be suitably selected from such esters; ketones such as acetone, jetyl ketone, methyl ethyl ketone, and methyl isobutyl ketone; acetic acid; and water.
- Reaction [I] can be usually carried out at 0 to 150 ° C, preferably 10 to: L00 ° C, and the reaction time is usually about 0.1 to 72 hours, preferably about 0.5 to 48 hours. Can do.
- R ⁇ R 2a, R 3a, A, m, w and X are as defined above, R 4 is hydrogen atom or alkyl.
- Carbon monoxide in the reaction Ci] can be used in an amount of 1 to 200-fold mol, preferably 1 to 50-fold mol based on the compound of the formula (1-1).
- R 4 —NH in the reaction (i) examples include ammonia, methylamine, and ethylamine.
- R 4 —NH is 1 to 50 times mol, preferably 1
- Reaction ⁇ can usually be carried out in the presence of a palladium catalyst.
- the palladium catalyst include tetrakistriphenylphosphine palladium, bistriphenylphosphine palladium dichloride, palladium acetate, palladium acetate monotriphosphine, palladium acetate 1,4-bis (diphenylphosphino) butane, palladium chloride, chloride Palladium tritertiary butylphosphine and the like can be mentioned, and one or more can be selected as appropriate. It is used in a proportion of 0.001 to 0.1 equivalents relative to the compound of formula (g 1).
- tertiary phosphines such as triphenylphosphine and tri- (0-tolyl) phosphine may coexist, and 0.001-0.1 against the compound of formula (1-1) Used in equivalent proportions.
- Examples of the base used in the reaction ⁇ include inorganic bases such as sodium carbonate and potassium carbonate; organic amines such as triethylamine, tributylamine and diisopropylamine.
- the amount of the compound of formula (1-1) is usually 1.0 to 30 equivalents, desirably 1.0 to 15 equivalents.
- the reaction Ci] can usually be performed in the presence of a solvent.
- the solvent may be any solvent that is inert to the reaction.
- aromatic hydrocarbons such as benzene, toluene and xylene
- fats such as hexane, heptane, octane and cyclohexane.
- Hydrocarbons such as jetinoreethenole, butinoleethinoleethenole, tetrahydrofuran, dioxane, dimethoxyethane; and acetonitrile, propio-tolyl, ⁇ , ⁇ -dimethylformamide, dimethylsulfoxide,
- One or more polar aprotic solvents such as oxamethylphosphoric triamide, sulfolane, dimethylacetamide and ⁇ ⁇ ⁇ -methylpyrrolidone can be appropriately selected.
- the reaction Ci] can be usually carried out at 0 to 150 ° C, preferably 10 to: LOO ° C, and the reaction time is usually about 0.1 to 24 hours, preferably about 0.5 to 12 hours. it can.
- RR 2 R 3a A, m, w and X are as described above, and R 5 is alkyl.
- Carbon monoxide in the reaction [K] can be used in an amount of 1 to 200 times mol, preferably 1 to 50 times mol, of the compound of the formula (1-1).
- R 5 —OH in the reaction [ ⁇ ] for example, methanol, ethanol, propanol, isopropyl alcohol, butanol and the like can be used.
- R 5 —OH can be used in an amount of 1 to 50 times mol, preferably 1 to 10 times mol, of the compound.
- Reaction [K] can be normally performed in presence of a palladium catalyst.
- the palladium catalyst include tetrakistriphenylphosphine palladium, bistriphenylphosphine, ⁇ radium dichloride, palladium acetate, palladium acetate-triphenylphosphine, palladium acetate-1,4-bis (diphenylphosphino).
- Butane, palladium chloride, palladium chloride-tritertiary butylphosphine, etc. Can. It is used in a proportion of 0.001 to 0.1 equivalent relative to the compound of formula (ii).
- a palladium catalyst When a palladium catalyst is used, 0.001 to 0.1 equivalents to the compound of formula (1-1) in which tertiary phosphines such as triphenylphosphine and tri (0-tolyl) phosphine may coexist Used in percentage.
- tertiary phosphines such as triphenylphosphine and tri (0-tolyl) phosphine may coexist Used in percentage.
- Examples of the base used in the reaction [ ⁇ ] include inorganic bases such as sodium carbonate and potassium carbonate; organic amines such as triethylamine, tributylamine and diisopropylamine.
- the amount of the compound of formula (1-1) is usually 1.0 to 30 equivalents, preferably 1.0 to 15 equivalents.
- the reaction [ii] can usually be carried out in the presence of a solvent.
- the solvent may be any solvent inert to the reaction.
- aromatic hydrocarbons such as benzene, toluene and xylene; aliphatics such as hexane, heptane, octane and cyclohexane Hydrocarbons; ethers such as jetyl ether, butyl ether, tetrahydrofuran, dioxane, dimethoxyethane; and acetonitrile, propio-tolyl, ⁇ , ⁇ —dimethylformamide, dimethyl sulfoxide, hexamethylphos
- polar aprotic solvents such as holic triamide, sulfolane, dimethylacetamide, and ⁇ ⁇ ⁇ -methylpyrrolidone.
- the reaction [ ⁇ ] is usually 0 to 150 ° C, preferably 10 to: LOO ° C, and the reaction time is usually about 0.1 to 24 hours, preferably about 0.5 to 12 hours. Can do.
- R is halogen, alkyl, haloalkyl, alkyne nynore, haloanorekeninore, anorequininore, haloanorequininore, trianolenoquinosylinoretininore, hydroxy , Alkoxy, haloalkoxy, formyl, alkylcarbonyl, haloalkylcarbonyl, carboxyl, alkoxycarbonyl, haloalkoxycarbonyl, aminocarbonyl, alkylaminocarbonyl, dialkylaminocarbonyl, cyano, amino, alkylamino, dialkylamino, substituted R may be a hydrogen atom, a halogen atom, an alkyl, a haloalkyl, an alkoxy, an optionally substituted pyridine, an optionally substituted pyridoxy, an optional
- the compound of the formula (1-15) is usually catalytically hydrogenated with a metal catalyst in a hydrogen atmosphere at normal pressure to several atmospheres in the presence of a solvent, or in an acidic solvent. Reduction can be achieved by the action of a metal catalyst.
- the metal catalyst include nodium carbon, acid white, and the like.
- One or more kinds can be appropriately selected from gold, Raney nickel, iron, salt stannic acid, and the like.
- [L] Hydrogen in the reaction can be used in an amount of 1 to 200 times mol, preferably 1 to 50 times mol for the compound of formula (1-15).
- any solvent inert to the reaction may be used, for example, water; acetic acid; ethyl acetate; alcohols such as methanol, ethanol, propanol, normal butanol and tertiary butanol; Ethers such as butyl ether, tetrahydrofuran, dioxane and dimethoxyethane; aromatic hydrocarbons such as benzene, toluene and xylene; and pentane, hexane, heptane, octane and cyclohexane.
- acetic acid such as methanol, ethanol, propanol, normal butanol and tertiary butanol
- Ethers such as butyl ether, tetrahydrofuran, dioxane and dimethoxyethane
- aromatic hydrocarbons such as benzene, toluene and xylene
- the reaction [L] can usually be carried out at ⁇ 10 to 100 ° C., preferably 0 to 80 ° C.
- the reaction time is usually about 0.5 to 24 hours, preferably about 2 to 12 hours. it can.
- the compound of formula (II) or formula (III) of the reaction [A] is a known compound, or can be produced according to known materials.
- the compound of the formula (II) can be produced according to the method described in Synthesis, 1 980, page 505 or a method similar thereto, and the compound of the formula (III) is described in US 5082949, WO03Z24222. It can be produced according to the methods described in Schemes 9 to 22 or in accordance therewith.
- the compound of formula (III) includes a novel compound.
- the compound can be produced, for example, according to the following reaction [M].
- V is halogen
- the compound of formula (VIII) can be synthesized by allowing an equimolar amount of hydrazine to act on the compound of formula (VII) in the presence of a solvent.
- Any solvent can be used as long as it is inert to the reaction.
- water acetic acid
- alcohols such as methanol, ethanol, propanol, normal butanol, and tertiary butanol
- jetyl ether butyl Ethers such as ethyl ether, tetrahydrofuran, dioxane and dimethoxyethane
- aromatic hydrocarbons such as benzene, toluene and xylene
- One or more of aliphatic hydrocarbons can be selected as appropriate.
- the first step of the reaction [ii] is usually performed in the presence of a base.
- a base one or more kinds can be appropriately selected from potassium carbonate, sodium carbonate, sodium acetate, sodium hydride, sodium alkoxide, sodium thioalkoxide and the like.
- the amount used is 0.8 to 4 times mol, preferably 1 to 2 times mol for the compound of formula (VII).
- the first step of the reaction [ii] can be usually performed at 0 to 140 ° C, preferably 20 to 100 ° C,
- the reaction time is usually about 0.5 to 24 hours, preferably about 2 to 12 hours.
- the second step of the reaction [M] can be performed by allowing a base to act on the compound of the formula (VIII) in the presence of a normal solvent.
- a base for example, one or more kinds can be appropriately selected from potassium carbonate, sodium carbonate, sodium hydride, sodium alkoxide, sodium thioalkoxide and the like.
- the base is used in an amount of 0.8 to 4 times mol, preferably 1 to 2 times mol for the compound of formula (VIII).
- ethers such as diethyl ether, butyl ether, tetrahydrofuran, dioxane, dimethoxyethane; and acetonitrile, propio-tolyl, ⁇
- polar aprotic solvents such as ⁇ -dimethylformamide, dimethyl sulfoxide, hexamethylphosphoric triamide, sulfolane, dimethylacetamide, and ⁇ -methylpyrrolidone.
- the second step of the reaction [v] can be usually carried out at 0 to 150 ° C, preferably 50 to 110 ° C, and the reaction time is usually about 0.5 to 24 hours, preferably 1 to 12 hours. It can be about hours.
- the third step of the reaction [M] can usually be carried out by oxidizing the compound of the formula (IX) with an oxidizing agent in the presence of a solvent.
- the oxidizing agent can be appropriately selected from, for example, power permanganate, sodium chlorite and the like.
- the oxidizing agent can be used in an amount of 1 to 20 times mol, preferably 2 to 10 times mol for the compound of formula (IX).
- sodium chlorite is used as the oxidizing agent
- sodium dihydrogen phosphate is used in an amount of 1 to 20 times mol, preferably 2 to 10 times mol, of the compound of formula (IX).
- the solvent one or more can be appropriately selected from water, acetonitrile, propiotolyl, acetone and the like.
- the third step of the reaction [M] can usually be carried out at ⁇ 10 to 100 ° C., preferably 0 to 80 ° C., and the reaction time is usually about 0.5 to 24 hours, preferably about 2 to 20 hours. It can be.
- the compound of the formula (IV) in the reaction [B] is a known compound, or can be produced according to known materials.
- the compound of formula (IV) is Org. Prep. Proceed. Int., 199 It can be produced according to the method described in 3 years, 25%, page 585, the method described in schemes 8 to 10 in WO03Z24222, or the like.
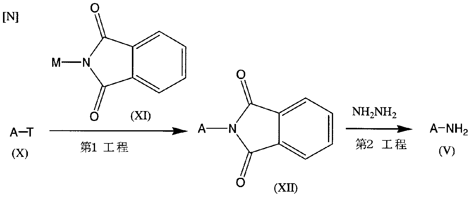
- the compound of formula (V) in the reaction [B] includes a novel compound.
- the compound is Gabrie
- A is as described above, T is halogen, —OSO G (G is a sulfonic acid ester residue) or
- T is — OH
- M is a hydrogen atom.
- examples of the sulfonate residue may be substituted with C alkyl such as methyl and ethyl, and C alkyl.
- Examples include ferrules.
- T is halogen or —OSO G
- M is sodium or
- ethers such as diethyl ether, butyl ether, tetrahydrofuran, dioxane and dimethoxyethane
- aromatics such as benzene, toluene and xylene.
- Aromatic hydrocarbons such as acetonitrile, propio-tolyl, ⁇ , ⁇ dimethylformamide, dimethyl sulfoxide, hexamethylphosphoric triamide, sulfolane, dimethylacetamide, ⁇ ⁇ ⁇ methylpyrrolidone; and
- One or more kinds can be appropriately selected from alcohols such as methanol, ethanol, propanol, normal butanol, and tertiary butanol.
- T is halogen or —OSO G
- M is sodium or
- reaction time is usually about 0.5 to 24 hours, preferably about 1 to 12 hours. it can.
- the first step of the reaction [N] is usually a force that can be performed according to the Mitsunobu method when T is -OH and M is a hydrogen atom. It can be carried out using luazodicarboxylate and triphenylphosphine.
- the dialkylazodicarboxylate and triphenylphosphine can be used in an equimolar amount with respect to the compound of formula (X). Examples of the dialkylazodicarboxylate include jetinoreazodicanoloxylate, diisopropinoreazodicanoloxylate, and the like.
- the solvent may be any solvent that is inert to the reaction.
- etherols such as diethyl ether, butyl ether, tetrahydrofuran, dioxane, dimethoxyethane; black benzene, dichlorobenzene
- Halogenated hydrocarbons such as dichloromethane, chloroform, carbon tetrachloride, dichloroethane, trichloroethane, dichloroethylene
- aromatic hydrocarbons such as benzene, toluene, xylene, etc. It can be selected appropriately.
- the first step of the reaction [N] can be carried out usually at 0 to 80 ° C., preferably 20 to 60 ° C. when T is —OH and M is a hydrogen atom, and the reaction time is Usually, about 0.5 to 24 hours, preferably about 1 to 16 hours can be used.
- the second step of the reaction [N] can usually be performed by decomposing the compound of the formula (XII) using hydrazine in the presence of a solvent.
- the hydrazine can be usually used in an equimolar amount with respect to the compound of the formula (XII).
- any solvent may be used as long as it is inert to the reaction.
- ethers such as diethyl ether, butyl ether, tetrahydrofuran, dioxane and dimethoxyethane; aromatics such as benzene, toluene and xylene.
- One or two or more types can be appropriately selected from group hydrocarbons; alcohols such as methanol, ethanol, propanol, nonolemanolebutanol and tertiary butanol.
- the second step of the reaction [N] can be usually carried out at 0 to 140 ° C, preferably 30 to 100 ° C, and the reaction time is usually about 0.5 to 24 hours, preferably about 2 to 12 hours. can do.
- the compound of the formula (V) can also be produced according to the following reaction [0].
- ⁇ is a hydrogen atom or alkyl
- J is — ⁇ or — OG 1 (G 1 is an ether residue)
- n is 1 or 2
- examples of G 1 include, for example, methyl, ethyl Like C Archi
- Examples thereof include 1-6 and fur optionally substituted with C alkyl.
- the first step of the reaction [0] can be usually performed in the presence of a solvent.
- any solvent may be used as long as it is inert to the reaction.
- etherols such as diethyl ether, butyl ether, tetrahydrofuran, dioxane, dimethoxyethane; black benzene, dichlorobenzene, dichloromethane, Halogenated hydrocarbons such as chloroform, carbon tetrachloride, dichloroethane, trichloroethane, dichloroethylene; aromatic hydrocarbons such as benzene, toluene, xylene; acetonitryl, propio-tolyl, ⁇ , ⁇ ⁇ ⁇ -dimethylformamide , Dimethyl sulfoxide, hexamethylphosphoric triamide, sulfolane, dimethylacetamide, polar aprotic solvents such as methyl pyrrolidone; methanol, ethanol, propanol, normal butanol, tertiary rib Alcohol
- the first step of the reaction [0] can usually be carried out at 0 to 150 ° C, preferably 30 to 110 ° C, and the reaction time is usually about 0.5 to 24 hours, preferably about 1 to 12 hours. can do.
- the compound of formula (XV) is usually used in the presence of a solvent using a reducing agent. It can be done more than anything.
- a reducing agent for example, one or more of lithium aluminum hydride and sodium borohydride can be appropriately selected.
- any solvent that is inert to the reaction may be used.
- examples include ethers such as jetinoreethenore, butinoreethinoreethenole, tetrahydrofuran, dioxane, and dimethoxyethane. 1 type or 2 types or more can be appropriately selected.
- the compound of formula (XV) is usually reduced by catalytic hydrogenation with a metal catalyst in a hydrogen atmosphere at atmospheric pressure to several atmospheres in the presence of a solvent.
- a metal catalyst one or more kinds can be appropriately selected from, for example, noradium carbon, platinum oxide, Raney nickel and the like.
- any solvent that is inert to the reaction may be used.
- water acetic acid
- ethyl acetate alcohols such as methanol, ethanol, propanol, normal butanol, and tertiary butanol
- Ethers such as jetyl ether, butyl ether, tetrahydrofuran, dioxane, dimethoxyethane
- halogenated compounds such as chlorobenzene, dichlorobenzene, dichloromethane, chloroform, carbon tetrachloride, dichloroethane, trichloroethane, dichloroethylene Hydrocarbons
- 1 or 2 aromatic hydrocarbons such as benzene, toluene, xylene
- aliphatic hydrocarbons such as pentane, hexane, heptane, otatan, cyclohexane, etc.
- the second step of the reaction [0] can usually be carried out at ⁇ 10 to 100 ° C., preferably 0 to 80 ° C., and the reaction time is usually about 0.5 to 24 hours, preferably 2 to It can be about 12 hours.
- the compound of formula (V) can be removed as a salt by adding an acid to the reaction solution in the production process.
- the pest control agent containing the compound of the present invention is, for example, each problematic in the field of agriculture and horticulture. It is particularly useful as a species pest control agent, that is, an agricultural and horticultural pest control agent, or a pest control agent that parasitizes animals, that is, an animal parasite control agent.
- Pesticides for agricultural and horticultural use include, for example, power useful as insecticides, acaricides, nematicides, and soil-killing insecticides.
- Namihada, -Senamihada-, Kanzahadada, Mikanhada Plant parasitic mites such as apple hada, chiyanokorida, mandarin orange, mite, etc .; diamondback moth, weevil, lotus root, codling moth, ball worm, cigarette budworm, maiiga, kono noiga, chinokokakumonhamaki , Momoshin Taiga, Nashihime Shinchii, Tamanayaga, Power Braga, Colorado potato beetle, Urihamushi, Ballui bilbil, Aphids, Pruners, leafhoppers, scale insects, stink bugs, whiteflies, thrips, beetles, beetles Such as moss, ants, and clams Agricultural insect pests; plant parasitic mites
- Stomach pests such as gastropods, isopods such as stag beetle, bark beetle, hygiene pests such as house dust mites, house flies, cayenne powers, cockroaches, etc .; Stored pests such as moss; clothing, house pests such as Iga, Himekatsubushimushi, termites, etc .; effective for the control of indoor dust mites such as Pterodactylidae, Scarlet Mite, Southern Mite .
- the agricultural and horticultural harmful organism control agent containing the compound of the present invention is particularly effective for controlling plant parasitic mites, agricultural pests, plant parasitic nematodes and the like.
- the agricultural and horticultural pesticide containing the compound of the present invention is also effective for controlling various resistant pests against drugs such as organic phosphorus agents, carbamate agents, and synthetic pyrethroid agents.
- drugs such as organic phosphorus agents, carbamate agents, and synthetic pyrethroid agents.
- the compound of the present invention has excellent osmotic transfer properties, by treating the soil with a pesticide for agricultural and horticultural use containing the compound of the present invention, soil harmful insects, mites, nematodes In addition, it can control pests in the foliage at the same time as the control of gastropods and isopods.
- the pest control agent containing the compound of the present invention is that the above-mentioned plant parasitic mites, agricultural pests, plant parasitic nematodes, gastropods, soil pests, etc. And pesticides for agricultural and horticultural use.
- the agricultural and horticultural pest control agent containing the compound of the present invention is usually a powder, granule, granule wettable powder, wettable powder, aqueous suspension, oily mixture of the compound and various agricultural adjuvants. Used in various forms such as suspensions, aqueous solvents, emulsions, solutions, pastes, aerosols, microdispersions, etc. It can be in any formulation form.
- Adjuvants used in the formulation include diatomaceous earth, slaked lime, calcium carbonate, talc, white carbon, kaolin, bentonite, mixture of olinite and sericite, clay, sodium carbonate, sodium bicarbonate, sodium nitrate, zeolite, starch, etc.
- Mold carrier water, toluene, xylene, solvent naphtha, dioxane, acetone, isophorone, methyl isobutyl ketone, black benzene, cyclohexane, dimethyl sulfoxide, ⁇ , ⁇ -dimethylformamide, dimethylacetamide, ⁇ -methyl-2 —
- Solvents such as pyrrolidone and alcohol; fatty acid salts, benzoates, alkylsulfosuccinates, dialkylsulfosuccinates, polycarboxylates, alkylsulfate esters, alkylsulfates, alkylaryl sulfates, alkyldiglycols Ether sulfate , Alcohol sulfate, alkyl sulfonate, alkyl aryl sulfonate, aryl sulfonate, lignite sulfonate, alkyl diphenyl ether
- each component of these adjuvants can be used by appropriately selecting one or two or more types without departing from the object of the present invention.
- auxiliary agents they can be appropriately selected from those known in the art.
- various commonly used adjuvants such as extenders, thickeners, anti-settling agents, antifreeze agents, dispersion stabilizers, safeners, and antifungal agents.
- the compounding ratio of the compound of the present invention and various adjuvants is 0.001: 99.9 99 to 95: 5, preferably 0.005: 99.995 to 90:10.
- a diluent such as water
- various spreading agents surfactants, vegetable oils, mineral oils, etc.
- the application of the agricultural and horticultural pesticide containing the compound of the present invention cannot be generally specified due to differences in weather conditions, formulation, application time, application location, pest type and occurrence, etc.
- the active ingredient concentration is 0.05 to 800,000 ppm, preferably 0.5 to 500,000 ppm.
- the application amount per unit area is 0.05 to 50 000 g, preferably 1 to 30000 g, of the present compound per hectare.
- application of the agricultural and horticultural pest control agent which is another preferred embodiment of the pest control agent containing the compound of the present invention, is performed in accordance with the application of the pest control agent.
- the present invention also includes a method for controlling pests by such an application method, particularly a method for controlling plant parasitic mites, agricultural pests, and plant parasitic nematodes.
- Various formulations of the agricultural and horticultural pesticide containing the compound of the present invention, or a diluted product thereof, are usually applied by a commonly used application method, ie, spraying (eg spraying, spraying, misting, Atomizing, dusting, water surface application, etc.), soil application (mixing, irrigation, etc.), surface application (application, powder coating, coating, etc.), immersion poison bait, etc.
- spraying eg spraying, spraying, misting, Atomizing, dusting, water surface application, etc.
- soil application mixtureing, irrigation, etc.
- surface application application, powder coating, coating, etc.
- immersion poison bait etc.
- livestock a mixture of the above-mentioned active ingredients in feed to inhibit the occurrence and growth of harmful insects, particularly harmful insects, in their excreta.
- ultra-low volume method In this method, it is possible to contain 100% of the active ingredient.
- the agricultural and horticultural pesticide containing the compound of the present invention can be used in combination with or combined with other agricultural chemicals, fertilizers, safeners, etc. May show sex.
- Other pesticides include herbicides, insecticides, acaricides, nematicides, soil pesticides, fungicides, antiviral agents, attractants, antibiotics, plant hormones, plant growth regulators, etc. It is done.
- a mixed pest control composition in which the compound of the present invention and one or more active compound compounds of other agricultural chemicals are used in combination or in combination is preferred in terms of application range, timing of chemical treatment, control activity, etc. It is possible to improve.
- the compound of the present invention and the other active ingredient compounds of other agricultural chemicals may be used separately by mixing them at the time of spraying, or may be used by preparing both together.
- the present invention also includes such a mixed pest control composition.
- the mixing ratio of the compound of the present invention and the active ingredient compound of other agricultural chemicals cannot be specified unconditionally due to differences in weather conditions, formulation form, application time, application location, pest type and occurrence, etc. Generally, it is 1: 300 to 300: 1, preferably 1: 100 to 100: 1.
- the appropriate amount to be applied is 0.1 to 50000 g, preferably 1 to 30000 g as the total amount of active ingredient compounds per hectal.
- the present invention also includes a method for controlling pests by a method for applying such a mixed pest control composition.
- insecticides as an active ingredient compound (generic name; including some pending applications) of insecticides, acaricides, nematicides or soil insecticides, that is, pest control agents, Profenofos, Cyclonorevos, Dichlorvos, Fenitrothion, EPN, Diazinon, Chlorpyrif os-methyl, Acephate, Prothiofos , Phosthiazate (Fosth iazate), Phosphocarb (Chosphofos), Cadusafos, Disulfoton (Chlorpyrifos), Demeton-S-methyl, Dimethoate, Dimethoate, Methidophos (Metidophos) Organophosphate compounds such as Parathion; Carbaryl, Propoxur, Aldicarb ), Carboforan, Thiodicarb, Methomyl, Oxamyl, Ethiofencarb, Pirimi
- Organochlorine compounds such as Dicofol, Tetradifon, Endosulfan; Organometallic compounds such as Fenbutatin Oxide; Fenvalerate, Permethrin, Pyrethroid compounds such as Cypermet hrin, Deltamethrin, Cyhalothrin, Tefluthrin, Etofenprox, Fenpropathrin, Bifenthrin; Diflubenzuron, Chlorfluazuron, Teflubenzuron, Flufenoxuron, Lufenuron, Novaluron, Bistrifluron, Noviflumuron Nabenzo Lurea system Juvenile hormone-like compounds such as Methoprene, Pyriproxyfen, Fenoxycarb; Pyridazinone compounds such as Pyridaben; Fenpyroximate, Fipronil, Tebufenpyrad Pyrazole compounds such as Tebufe npyrad, Ethiprole, Tolfenpyrad, Acetoprole,
- Other compounds include Flonicamid, Buprofezin, Hexythiazox, Amitraz, Chlordimefor m, Silafluofen, Triazamate ), Pymetrozin e, Pyrimidifen, Chlorfenapyr, Ind oxacarb, Acequinocyl, Etoxazole, Cyrom azine, 1,3- (1,3-dichloropropene), Diafenthiur on), Benclothiaz, Flufenerim, Pyridalyl, Spirodiclofen, Bifenazate, Spiromesifen, Propargite, Clofentez, Clofentez Examples of such compounds include Fluacrypyrim, Flubendiamide, Cyflu metofen, Metaflumizone, Amidoflumet, and the like.
- microbial pesticides such as BT agents, entomopathogenic virus agents, entomopathogenic fungi agents, nematode pathogenic fungi agents; avermectin, emamectin-benzoate, minolemectin, Antibiotics such as Spinosad, Ivermectin and Lepimectin; natural products such as Azadirachtin and Rotenone can be mixed and used together.
- BT agents entomopathogenic virus agents, entomopathogenic fungi agents, nematode pathogenic fungi agents
- avermectin emamectin-benzoate, minolemectin
- Antibiotics such as Spinosad, Ivermectin and Lepimectin
- natural products such as Azadirachtin and Rotenone
- mepa-pyrim Melpanipyrim
- pyrimethanil pyrimethanil
- cyprodil Cy prodinil
- Pyrimidinamine compounds such as: Triadimefon, Bitertanol, Triflumizole, Etaconazole, Propiconazole, Penconazole, Penoleazole (Flusilazole), Microbutanol (Myclobutanil), Cyproconazole, Cybuconazole, Terbuconazole, Hexaconazole, Furcon azole-cis, Prochloraz, M, Prochloraz, M Epoxyconazo nore (Epoxiconazole), Atofconan nore (Tetraconazole), Yayoshokonazo Azole compounds such as Oxpocona zole and Sipconazole; Quinoxaline compounds such as Quinomethionate; Maneb, Zine
- Isoprothiolane Tricyclazole, Pyroquilon, Diclomezine, Probenazole, Quinoxyfen, Propamocarbole hydrochloride, and Propamocarb Hydrochloride.
- examples thereof include spiroxamine, chloropicrin, dazomet, and metam-sodium.
- pesticides that can be used in combination with or combined with the compounds of the present invention include, for example, active compounds of herbicides such as those described in the Farm Chemicals Handbook (2002 edition), particularly those treated with soil. There are things.
- animal parasite control agents include ectoparasites that parasitize on the body surface of the host animal (back, armpit, lower abdomen, inner thigh, etc.) and the host animal body (stomach, intestinal tract, lung, It is effective for the control of endoparasites parasitic on the heart, liver, blood vessels, subcutaneous, lymphoid tissue, etc., but it is particularly effective for the control of ectoparasites.
- ectoparasites include animal parasitic mite fleas. These types are very difficult to list, so here are some examples.
- Animal parasitic mites include, for example, Boophilus microplus, Rnipicephalus sanguineus, Haemaphvsalis longicorni s, and Tematani (Haemaphvsalis flava) campanula ta, chair power (Haemaphvsalis concinna), hamatophvsalis iap onica, sinker "Haemaphvsalis ias, mite (Ixodes ovatus, tick) Ticked ticks (Ixodes persulcatus), Takasago Kiraramagini (Amblvomma testudinarium), gifted Togenamatani (Haemaphvsalis megaspinosa), Aminakakumaguji (Dermacentor r eticulatus); Trisanta-(Ornithonvssus svlviarum, Na Trisantani (Ornith avian mite
- fleas for example, ectoparasite worms belonging to the order Flea (Siphonaotera), more specifically fleas belonging to the family Flea (Pulicidae), Nagano (CerateDhyllus), etc. .
- Examples of fleas belonging to the family Fleas include: Fleafish (CtenoceDhalides canis), Nekono (CtenoceDhalides felis), Humanfish (Pulex irritans), Nite trout flea (Echidnoph aga gallinacea), Examples include fleas (Leptopsvl la seenis), yosokuchinonosuno (Nosopsyllus fasciatus), and Yamatonezuno (Monopsvll us ank).
- the animal parasite control agent containing the compound of the present invention is effective for controlling fleas belonging to the family flea family, especially cynomolgus, cat flea and the like.
- ectoparasites include, for example, lice such as white lice, white lice, white lice, white lice, head lice; white lice such as white lice; blood sucking such as Usiab, Uinu power, and Thometgebu Diptera pests.
- endophytic organisms include nematodes such as lungworms, bench beetles, tuberous worms, gastric parasites, roundworms, and filamentous worms; Crustacea, multi-headed tapeworms, single-banded tapeworms, multi-banded tapeworms; Japanese schistosomiasis, fluke-like fluke; kokujimu, malaria parasite, intestinal floriformus, toxoplasma Protozoa such as Cryptosporidium.
- nematodes such as lungworms, bench beetles, tuberous worms, gastric parasites, roundworms, and filamentous worms
- Crustacea multi-headed tapeworms, single-banded tapeworms, multi-banded tapeworms
- Japanese schistosomiasis fluke-like fluke
- kokujimu malaria parasite, intestinal floriformus, toxoplasma Protozoa such as Cryptosporidium.
- Examples of host animals include various pets, livestock, poultry, and the like.
- the animal parasite control agent containing the compound of the present invention is effective for the control of pests parasitic on pet animals or livestock, particularly ectoparasites. It is especially effective for dogs, cats, ushi or horses in pets or livestock.
- the compound of the present invention When used as an animal parasite control agent, it may be used as it is. Also, powders, granules, tablets, powders, capsules, liquids, emulsions, aqueous suspensions together with appropriate auxiliary agents. In addition, it can be used in various forms such as an oily suspension. In addition to the above-mentioned preparation form, any preparation form that is generally used in this field can be used as long as it is suitable for the purpose of the present invention. Examples of the adjuvant used in the preparation include anionic surfactants and nonionic surfactants exemplified as the aforementioned preparation adjuvants for agricultural and horticultural pest control agents such as cetyltrimethylammonium bromide.
- Cationic surfactants water, acetone, acetonitrile, monomethylacetamide, dimethylacetamide, dimethylformamide, 2-pyrrolidone, N-methyl-2-pyrrolidone, kerosene, triacetin, methanol, ethanol, isopropanol , Benzenoreanoleconole, Ethylene glycol, Propylene glycol, Polyethylene glycol, Liquid polyoxyethylene glycol nore, Butinoresin glycol nore, Ethylene glycol nole monomethinoatenore, Ethyleneglycoleno monoethylenoatenore, Diethylene glycol Solvents such as ricinole monoethylenoate, diethylene glycol normal butyl ether, dipropylene glycol monomethyl ether, dipropylene glycol normal butyl ether; butylhydroxyl-sol, butyhydroxytoluene, ascorbic acid, sodium metabisulfite
- each component of these adjuvants can be used by appropriately selecting one or more types without departing from the object of the present invention.
- they can be used by appropriately selecting from those known in the field, and moreover, various adjuvants used in the above-mentioned agricultural and horticultural fields as appropriate. You can also select and use.
- the compounding ratio of the compound of the present invention to various adjuvants is usually about 0.1: 99.9 to 90:10. In actual use of these preparations, use them as they are or dilute them to a predetermined concentration with a diluent such as water, and add various spreading agents (surfactants, vegetable oils, mineral oils, etc.) as necessary. It can be used as a supplement.
- the compound of the present invention is administered to the host animal orally or parenterally.
- oral administration method include a method of administering tablets, liquid agents, capsules, wafers, biscuits, minced meat, and other feeds containing the compound of the present invention.
- parenteral administration method for example, the compound of the present invention is prepared in an appropriate formulation and then taken into the body by intravenous injection, intramuscular administration, intradermal administration, subcutaneous administration, etc .; spot-on ) Treatment, pour-on treatment, spray treatment, and the like; and a method of embedding a fat slice containing the compound of the present invention under the skin of a host animal.
- the dose of the compound of the present invention to the host animal varies depending on the administration method, purpose of administration, disease symptoms, etc., but is generally O.Olmg to: L00g relative to the body weight lKg of the host animal, preferably 0.1 It is appropriate to administer at a rate of mg to 1 Og.
- the present invention also includes a method for controlling pests by the administration method or dosage as described above, particularly a method for controlling ectoparasites or endoparasites.
- the present invention includes a prophylactic or therapeutic agent for parasite-derived animal diseases comprising the compound of the present invention as an active ingredient, and a method for preventing or treating parasite-derived animal diseases.
- the compound of the present invention When the compound of the present invention is used as an animal parasite control agent, various vitamins, minerals, amino acids, nutrients, enzyme preparations, antipyretic agents, sedatives, anti-inflammatory agents, bactericides, and coloring agents together with adjuvants. , Fragrances, preservatives and the like can be mixed or used together. If necessary, mix with or use other animal drugs and pesticides such as anthelmintics, anti-coxime, insecticides, acaricides, fleas, nematicides, bactericides, and antibacterials. Can be one in this case The layer may show an excellent effect.
- the present invention includes a mixed pest control composition in which various components as described above are mixed or used together, and a pest control method using the composition, particularly control of ectoparasites or endoparasites. A method is also included.
- the aqueous layer was acidified with dilute hydrochloric acid and extracted with ethyl acetate.
- the organic layer was washed with saturated brine, dried over anhydrous sodium sulfate.
- the solvent was distilled off under reduced pressure, and the precipitated crystals were washed with hexane to obtain 0.05 g of the desired product having a melting point of 227 to 232 ° C.
- reaction mixture was poured into water and extracted with ethyl acetate.
- organic layer was washed with saturated brine, dried over anhydrous sodium sulfate.
- the solvent was distilled off under reduced pressure.
- 0.54 g of triethylamine is gradually added dropwise to a mixture of 0.41 g of 1-cyclopropylethylamine hydrochloride and 5 ml of tetrahydrofuran, and then stirred for 35 minutes at room temperature.
- Benzoyl chloride prepared in the following way: 3-methyl-2-trobenzoic acid 0.5 g and methylene chloride 6 ml in a mixed solution of 0.7 ml of sodium oxalyl and 2 drops of dimethylformamide at room temperature 1 After stirring for 5 hours, a mixture of 5 ml of tetrahydrofuran and 5 ml of tetrahydrofuran was added dropwise under ice-cooling.
- the mixed solution was extracted twice with 30 ml of ethyl acetate, and the organic layer was slowly added to a mixed solution of 4 g of sodium disulfite and 50 ml of water at 20 ° C. or lower with stirring.
- the organic layer was separated, and the aqueous layer was extracted with 30 ml of ethyl acetate.
- the organic layer was dried over sodium sulfate, and the solvent was distilled off under reduced pressure.
- the produced crystal was recrystallized from methylene chloride and hexane to obtain 0.67 g of the desired product.
- A5 represents -CH- [c-Pr (l-Me)]
- A6 represents -CH (Me)-[c-Bu].
- e is a methyl group
- Et is an ethyl group
- Pr is a propyl group
- i_Pr is an isopropyl group
- c-Pr is a cyclopropyl group
- c-Bu is a cyclobutyl group
- Ph is a phenyl group
- Py Each represents a pyridyl group.
- c-Pr (2-Me) is a cyclopropyl group substituted with a methyl group at the 2-position
- OPh (4-F) is a phenyl group.
- the 4-phenyoxy group is substituted with a fluorine atom at the 4-position
- 2-OPy (5-Cl) is a 2-pyridyloxy group substituted with a chlorine atom at the 5-position of the pyridyl group. The description also applies to this.
- Test example 1 Effectiveness test for Lotus monto
- Cabbage leaf pieces were immersed for about 10 seconds in a chemical solution prepared so that the concentration of the compound of the present invention was 50 ppm, and air-dried. Place a damp filter paper on a petri dish with a diameter of 9 cm and air-dry it on it. Placed cabbage leaf pieces. To that end, we released 10 larvae of 2 to 3 years old, and capped them and left them in a constant temperature room at 25 ° C. On the 5th day after the release, the mortality was determined and the mortality rate was calculated by the following formula. Abnormal insects were also considered dead.
- Test Example 2 Effect test on silver leaf whitefly
- Control value (%) (l-((Ta X Cb) / (Tb X Ca))) X 100
- Ta Number of old larvae after treatment in the treatment area + number of pupae
- Tb Number of hatching larvae before treatment in the treated area
- the leaves of green beans that have been uniformly laid with the eggplant sprouts are soaked in a chemical solution prepared so that the concentration of the compound of the present invention is 50 ppm, and air-dried. Place a damp filter paper on a plastic cup 9 cm in diameter and 4 cm in height, and place an air-dried leaf bean leaf on it. Then, close the lid and leave it in a constant temperature room at 25 ° C. After 6 to 8 days of treatment, the number of old larvae and the number of pupae is investigated, and the control value is obtained by the following formula.
- the compound of the present invention exhibits a high control effect.
- Control value (%) (1 ((Number of old larvae in treated area + number of pupae) Z (Number of old larvae in untreated area + ⁇ ))) X 100
- the above is uniformly mixed to form a powder.
- the mixture of the above components and the compound of the present invention are mixed at a weight ratio of 4: 1 to obtain a wettable powder.
- the above ingredients are mixed uniformly to form a solution.
- novel anthranilamide-based compound of the present invention has a low dosage and has a very high control effect against pests, and can be used as an agricultural and horticultural pest control agent and animal parasite control agent.
- the entire contents of the specification, claims, and abstract of Japanese Patent Application 2005-017358 filed on January 25, 2005 are hereby incorporated by reference. It is something that is incorporated.
Landscapes
- Organic Chemistry (AREA)
- Chemical & Material Sciences (AREA)
- Life Sciences & Earth Sciences (AREA)
- Health & Medical Sciences (AREA)
- Veterinary Medicine (AREA)
- General Health & Medical Sciences (AREA)
- Dentistry (AREA)
- Chemical Kinetics & Catalysis (AREA)
- Wood Science & Technology (AREA)
- Zoology (AREA)
- Environmental Sciences (AREA)
- Plant Pathology (AREA)
- Pest Control & Pesticides (AREA)
- Tropical Medicine & Parasitology (AREA)
- Agronomy & Crop Science (AREA)
- Engineering & Computer Science (AREA)
- General Chemical & Material Sciences (AREA)
- Medicinal Chemistry (AREA)
- Nuclear Medicine, Radiotherapy & Molecular Imaging (AREA)
- Pharmacology & Pharmacy (AREA)
- Animal Behavior & Ethology (AREA)
- Public Health (AREA)
- Plural Heterocyclic Compounds (AREA)
- Agricultural Chemicals And Associated Chemicals (AREA)
Abstract
Description
明 細 書 Specification
アントラニルアミド系化合物、それらの製造方法及びそれらを含有する有 害生物防除剤 Anthranilamides, production methods thereof, and pest control agents containing them
技術分野 Technical field
[0001] WO01Z70671には、一定の化学構造を有するアントラニルアミド系化合物が開 示されている。し力しながら、後記式 (I)中の Aに相当する置換基として C シクロア [0001] WO01Z70671 discloses anthranilamide compounds having a certain chemical structure. However, as a substituent corresponding to A in the following formula (I), C
3-4 ルキルで置換されたアルキルを有する化合物はどこにも記載されて 、な 、。 3-4 Compounds with alkyl substituted with alkyl are described anywhere.
WO04Z67528には、ピラゾール環の 1位にピリジルが置換している化合物が開 示されている。一方、後記式(I)のピラゾール環の 1位にはフエ-ルが置換しており、 両者の化学構造は異なる。 WO04Z67528 discloses compounds in which pyridyl is substituted at the 1-position of the pyrazole ring. On the other hand, a phenol is substituted at the 1-position of the pyrazole ring of the formula (I) described later, and the chemical structures of the two are different.
[0002] 特許文献 1 :国際公開公報 WO01Z70671 [0002] Patent Document 1: International Publication WO01Z70671
特許文献 2:国際公開公報 WO04Z67528 Patent Document 2: International Publication WO04Z67528
発明の開示 Disclosure of the invention
発明が解決しょうとする課題 Problems to be solved by the invention
[0003] 長年にわたり、多数の有害生物防除剤が使用されているが、効力が不十分、有害 生物が抵抗性を獲得しその使用が制限される等、種々の課題を有するものが少なく ない。従って、力かる欠点の少ない新規な有害生物防除剤、例えば、農園芸分野で 問題となる各種有害生物や、動物に寄生する有害生物を防除できる有害生物防除 剤の開発が望まれている。 [0003] A number of pest control agents have been used for many years, but many have various problems such as insufficient efficacy, pests gaining resistance and limiting their use. Therefore, it is desired to develop a new pest control agent with few disadvantages, for example, a pest control agent capable of controlling various pests that are problematic in the field of agriculture and horticulture, and pests parasitic on animals.
課題を解決するための手段 Means for solving the problem
[0004] 本発明者らは、より優れた有害生物防除剤を見出すべくアントラニルアミド系化合 物につき種々検討した。その結果、新規なアントラ-ルアミド系化合物が、低薬量で 有害生物に対して極めて高い防除効果を有することを見出し、本発明を完成した。 すなわち本発明は、式 (I) : [0004] The present inventors have made various studies on anthranilamide compounds in order to find better pest control agents. As a result, the present inventors have found that a novel anthra-amide compound has an extremely high control effect against pests at a low dose, and completed the present invention. That is, the present invention provides a compound of formula (I):
[0005] [化 1] [0005] [Chemical 1]
[0006] (式中、 R1はハロゲン、アルキル、ハロアルキル、ァルケ-ル、ハロアルケ-ル、アル キニル、ハロアルキニル、トリアルキルシリルェチニル、ヒドロキシ、アルコキシ、ハロア ノレコキシ、ホノレミノレ、ァノレキノレカノレボニノレ、ハロアノレキノレカノレボニノレ、力ノレボキシノレ、 アルコキシカルボニル、ハロアルコキシカルボニル、ァミノカルボニル、アルキルアミノ カルボニル、ジアルキルアミノカルボニル、シァノ、ニトロ、ァミノ、アルキルァミノ、ジァ ルキルァミノ、置換されてもよいフエノキシ、置換されてもよいピリジルォキシ、置換さ れてもよ 、フエノキシカルボ-ル又は置換されてもょ 、ピリジルォキシカルボ-ルであ り、 R2は水素原子、ハロゲン、アルキル、ハロアルキル、アルコキシ、ハロアルコキシ、 シァノアルコキシ、アルキルスルホニルォキシ、シァ入ニトロ、ァミノ、アルキルアミノ 又はジアルキルァミノであり、 R3はハロゲン、アルキル、ハロアルキル、アルコキシ、ハ ロアルコキシ、シァノアルコキシ、アルキルスルホニルォキシ、シァ入ニトロ、アミ入 アルキルアミノ又はジアルキルァミノであり、 Aは Yで置換されたアルキルであり、 Yは ハロゲン、アルキル及びハロアルキルよりなる群力 選ばれる少なくとも 1つの置換基 で置換されてもょ 、C シクロアルキルであり、 mは 0〜4であり、 wは 0〜5である)で [Wherein, R 1 is halogen, alkyl, haloalkyl, alkenyl, haloalkenyl, alkynyl, haloalkynyl, trialkylsilylethynyl, hydroxy, alkoxy, haloanoloxy, honoleminore, anorequinole Canoleboninole, haloanorequinolecanoleboninole, force noreboxinole, alkoxycarbonyl, haloalkoxycarbonyl, aminocarbonyl, alkylaminocarbonyl, dialkylaminocarbonyl, cyano, nitro, amino, alkylamino, dialkylamino, even substituted A good phenoxy, an optionally substituted pyridyloxy, an optionally substituted phenoxycarbon or an optionally substituted pyridyloxycarbon, and R 2 is a hydrogen atom, halogen, alkyl, haloalkyl, alkoxy , Halo Arco Shi, Shianoarukokishi, alkylsulfonyl O carboxymethyl, a Xia input nitro, Amino, alkylamino or dialkylamino § amino, R 3 is halogen, alkyl, haloalkyl, alkoxy, Ha Roarukokishi, Shianoarukokishi, alkylsulfonyl O alkoxy, A nitro, ami alkylamino or dialkylamino, A is alkyl substituted with Y, Y may be substituted with at least one substituent selected from the group consisting of halogen, alkyl and haloalkyl , C cycloalkyl, m is 0-4, w is 0-5)
3-4 3-4
表されるアントラ-ルアミド系化合物又はその塩、それらの製造方法並びにそれらを 含有する有害生物防除剤などを提供する。 The present invention provides an anthracamide compound or a salt thereof, a production method thereof, a pest control agent containing them, and the like.
[0007] 上記本発明の化合物の望ましい態様を例示すると、以下のとおりである。 [0007] Examples of desirable embodiments of the compound of the present invention are as follows.
(1)前記式(I)において、 R1はハロゲン、アルキル、ハロアルキル、アルキ -ル、トリア ルキルシリルェチュル、ヒドロキシ、ホルミル、カルボキシル、アルコキシカルボ-ル、 ァミノカルボ-ル、アルキルアミノカルボ-ル、シァノ又は-トロであり、 R2は水素原子 、ハロゲン、ハロアルキル、ハロアルコキシ又はアルキルスルホ-ルォキシであり、 R3 はハロゲン、アルキル、ハロアルキル、アルコキシ又は-トロであり、 Aは Yで置換され たアルキルであり、 Yはハロゲン、アルキル及びハロアルキルよりなる群から選ばれる 少なくとも 1つの置換基で置換されてもよい C シクロアルキルであり、 mは 0〜4であ (1) In the above formula (I), R 1 is halogen, alkyl, haloalkyl, alkyl, trialkylsilylether, hydroxy, formyl, carboxyl, alkoxycarbole, aminocarbol, alkylaminocarbol, R 2 is a hydrogen atom, halogen, haloalkyl, haloalkoxy or alkylsulfoxy, R 3 is halogen, alkyl, haloalkyl, alkoxy or -tro, and A is substituted with Y Y is C cycloalkyl optionally substituted with at least one substituent selected from the group consisting of halogen, alkyl and haloalkyl, and m is 0-4
3-4 3-4
り、 wは 0〜5である化合物又はその塩。 Wherein w is 0 to 5, or a salt thereof.
(2) 1^はハロゲン、アルキル、ハロアルキル、アルキ -ル、ホルミル、カルボキシル、 アルコキシカルボニル、ァミノカルボニル、アルキルアミノカルボニル、シァノ又はニト 口であり、 R2は水素原子、ハロゲン、ハロアルキル又はハロアルコキシであり、 R3はノヽ ロゲン、アルキル、ハロアルキル又は-トロである前記(1)に記載の化合物又はその 塩。 (2) 1 ^ is halogen, alkyl, haloalkyl, alkyl, formyl, carboxyl, alkoxycarbonyl, § amino carbonyl, alkyl amino carbonyl, Shiano or nits port, R 2 is a hydrogen atom, halogen, haloalkyl or haloalkoxy The compound or a salt thereof according to the above (1), wherein R 3 is a norogen, alkyl, haloalkyl or -tro.
(3)前記式 (I)が式 (I a) : (3) The above formula (I) is converted to formula (I a):
[0008] [化 2] [0008] [Chemical 2]
[0009] であり、 R は水素原子、ハロゲン、アルキル、ハロアルキル、ァルケ-ル、ハロアルケ -ル、アルキ -ル、ハロアルキニル、ヒドロキシ、アルコキシ、シァ入ニトロ又はアミノ であり、 R12及び R14は水素原子であり、 R13は水素原子、ハロゲン、アルキル、ハロア ルキル、アルキ -ル、トリアルキルシリルェチュル、ヒドロキシ、アルコキシ、ハロアルコ キシ、ホルミル、アルキルカルボ-ル、ハロアルキルカルボ-ル、カルボキシル、アル コキシカルボニル、ハロアルコキシカルボニル、ァミノカルボニル、アルキルアミノカル ボニル、ジアルキルアミノカルボ-ル、シァ入ニトロ、アミ入アルキルァミノ、ジアルキ ルアミ入置換されてもよいフエノキシ、置換されてもよいピリジルォキシ、置換されて もよ 、フエノキシカルボ-ル又は置換されてもょ 、ピリジルォキシカルボ-ルであり、 R2は水素原子、ハロゲン、アルキル、ハロアルキル、アルコキシ、ハロアルコキシ、シ ァノアルコキシ、アルキルスルホニルォキシ、シァノ、ニトロ、ァミノ、アルキルアミノ又 はジアルキルァミノであり、 R31は水素原子、ハロゲン、アルキル、ハロアルキル、アル コキシ、ハロアルコキシ、シァノアルコキシ、アルキルスルホ -ルォキシ、シァ入ニトロ 、アミ入アルキルアミノ又はジアルキルァミノであり、 R32及び R34は水素原子であり、 R 33は水素原子又はハロゲンであり、 R35は水素原子、ハロゲン又はアルキルであり、 A は Yで置換されたアルキルであり、 Yはハロゲン、アルキル及びハロアルキルよりなる 群から選ばれる少なくとも 1つの置換基で置換されてもよい C シクロアルキルであ R is a hydrogen atom, halogen, alkyl, haloalkyl, alkyl, haloalkenyl, alkyl, haloalkynyl, hydroxy, alkoxy, nitro-containing amino, or R 12 and R 14 are R 13 is a hydrogen atom, R 13 is a hydrogen atom, halogen, alkyl, haloalkyl, alkyl, trialkylsilyl ether, hydroxy, alkoxy, haloalkoxy, formyl, alkylcarbole, haloalkylcarbole, carboxyl, alkyl Coxoxycarbonyl, haloalkoxycarbonyl, aminocarbonyl, alkylaminocarbonyl, dialkylaminocarbol, cyano-substituted nitro, ami-substituted alkylamino, dialkyla-substituted phenoxy, optionally substituted pyridyloxy, substituted Anyway, phenoxycarbon or Conversion to be Yo, pyridyl O propoxycarbonyl - a le, R 2 is a hydrogen atom, a halogen, alkyl, haloalkyl, alkoxy, haloalkoxy, shea Anoarukokishi, alkylsulfonyl O carboxymethyl, Shiano, nitro, Amino, alkylamino or R 31 is a hydrogen atom, halogen, alkyl, haloalkyl, alkoxy, haloalkoxy, cyanalkoxy, alkylsulfo-oxy, nitro-nitro R 32 and R 34 are hydrogen atoms, R 3 3 is a hydrogen atom or halogen, R 35 is a hydrogen atom, halogen or alkyl, and A is Y Substituted alkyl, and Y is C cycloalkyl optionally substituted with at least one substituent selected from the group consisting of halogen, alkyl and haloalkyl.
3-4 3-4
る化合物又はその塩。 Or a salt thereof.
(4) R11は水素原子、ハロゲン、アルキル、ヒドロキシ、ニトロ又はァミノであり、 R12及び R14は水素原子であり、 R13は水素原子、ハロゲン、アルキル、ハロアルキル、アルキ- ル、トリアルキルシリルェチニル、ヒドロキシ、ホルミル、カルボキシル、アルコキシカル ボニル、ァミノカルボ-ル、アルキルアミノカルボ-ル、シァノ又は-トロであり、 R2は 水素原子、ハロゲン、ハロアルキル、ハロアルコキシ又はアルキルスルホ-ルォキシ であり、 R31は水素原子、ハロゲン、アルキル、ハロアルキル、アルコキシ又は-トロで あり、 R32及び R34は水素原子であり、 R33は水素原子又はハロゲンであり、 R35は水素 原子、ハロゲン又はアルキルであり、 Aは C シクロアルキルで置換されたアルキル (4) R 11 is a hydrogen atom, halogen, alkyl, hydroxy, nitro or amino, R 12 and R 14 are hydrogen atoms, R 13 is a hydrogen atom, halogen, alkyl, haloalkyl, alkyl, trialkyl Silylethynyl, hydroxy, formyl, carboxyl, alkoxycarbonyl, aminocarbonyl, alkylaminocarbol, cyano or -tro, and R 2 is a hydrogen atom, halogen, haloalkyl, haloalkoxy or alkylsulfoxy. R 31 is a hydrogen atom, halogen, alkyl, haloalkyl, alkoxy or -tro, R 32 and R 34 are hydrogen atoms, R 33 is a hydrogen atom or halogen, R 35 is a hydrogen atom, halogen or Alkyl, A is alkyl substituted with C cycloalkyl
3-4 3-4
である前記(3)に記載の化合物又はその塩。 The compound or a salt thereof according to (3), wherein
(5) R11はハロゲン又はアルキルであり、 R12及び R14は水素原子であり、 R13は水素原 子、ハロゲン、アルキル、ハロアルキル、アルキ -ル、カルボキシル、アルコキシカル ボニル、ァミノカルボ-ル、アルキルアミノカルボ-ル、シァノ又は-トロであり、 R2は 水素原子、ハロゲン又はハロアルキルであり、 R31は水素原子、ハロゲン、アルキル、 ハロアルキル又は-トロであり、 R32及び R34は水素原子であり、 R33は水素原子又はハ ロゲンであり、 R35は水素原子、ハロゲン又はアルキルである前記(3)に記載の化合 物又はその塩。 (5) R 11 is halogen or alkyl, R 12 and R 14 are hydrogen atoms, R 13 is a hydrogen atom, halogen, alkyl, haloalkyl, alkyl, carboxyl, alkoxycarbonyl, aminocarbonyl, R 2 is a hydrogen atom, halogen or haloalkyl, R 31 is a hydrogen atom, halogen, alkyl, haloalkyl or -tro, and R 32 and R 34 are hydrogen atoms. Wherein R 33 is a hydrogen atom or a halogen, and R 35 is a hydrogen atom, halogen or alkyl, or the compound or salt thereof according to (3) above.
(6) Aはシクロプロピルで置換されたアルキルである前記(3)に記載の化合物又はそ の塩。 (6) The compound or a salt thereof according to (3), wherein A is alkyl substituted with cyclopropyl.
発明の効果 The invention's effect
[0010] 前記式 (I)の新規アントラニルアミド系化合物を有効成分とする有害生物防除剤は 、低薬量で有害生物に対して極めて高い防除効果を有する。 [0010] The pest control agent comprising the novel anthranilamido compound of formula (I) as an active ingredient has a very high control effect against pests at a low dose.
発明を実施するための最良の形態 BEST MODE FOR CARRYING OUT THE INVENTION
[0011] R1中の置換されてもよいフヱノキシ、置換されてもよいピリジルォキシ、置換されても よ 、フエノキシカルボ-ル又は置換されてもょ 、ピリジルォキシカルボ-ルの置換基 としては、例えばハロゲン、アルキル、ハロアルキル、ヒドロキシ、アルコキシ、ハロア ノレコキシ、ァノレキノレスノレフエ二ノレ、ノ、ロアノレキノレスノレフエ二ノレ、ァノレキノレスノレフィニノレ 、 ノヽロアノレキノレスノレフィニノレ、ァノレキノレスノレホニノレ、ノ、ロアノレキノレスノレホニノレ、シァノ、 ニトロ、アミ入アルキルァミノ、ジアルキルァミノなどが挙げられる。これら置換基の置 換数は、 1又は 2以上であってよぐ 2以上の場合、各置換基は同一でも相異なっても よい。また、各置換基の置換位置はいずれの位置でもよい。 [0011] optionally substituted phenoxy in R 1 , optionally substituted pyridyloxy, optionally substituted For example, the substituents of phenoxycarbol or substituted pyridyloxycarbol include, for example, halogen, alkyl, haloalkyl, hydroxy, alkoxy, haloanalkoxy, anolequinoles norephenol, no, loa Norequinoles Norefuenore, Anolequinores Norefininore, Noroanorequinores Nolefininore, Anolequinores Norehoninore, No, Roanorequinoles Norehoninore, Ciano, Nitro, Ami Alkylamino And dialkylamino. The number of substitutions of these substituents is 1 or 2 or more, and when it is 2 or more, each substituent may be the same or different. Moreover, the position of each substituent may be any position.
A中の置換基 Yの置換数は、 1又は 2以上であってよぐ 2以上の場合、各置換基 Y は同一でも相異なってもよい。また、置換基 Yの置換位置はいずれの位置でもよい。 A中の置換基 Yの置換数は、望ましくは 1である。 The number of substitutions of substituent Y in A is 1 or 2 or more, and when it is 2 or more, each substituent Y may be the same or different. Further, the substitution position of the substituent Y may be any position. The number of substituents Y in A is preferably 1.
Y中の C シクロアルキルの置換基であるハロゲン、アルキル又はハロアルキルの Of halogen, alkyl or haloalkyl which is a substituent of C cycloalkyl in Y
3-4 3-4
置換数は、 1又は 2以上であってよぐ 2以上の場合、各置換基は同一でも相異なつ てもよ 、。また、各置換基の置換位置は 、ずれの位置でもよ 、。 Y中の C シクロア The number of substitutions is 1 or 2 or more. When the number is 2 or more, each substituent may be the same or different. In addition, the substitution position of each substituent may be a shift position. C cycloa in Y
3-4 ルキルは、望ましくは無置換であるか、或は前述の置換基を有する場合、その置換 数は 1〜5が望ましい。 3-4 Alkyl is preferably unsubstituted or has 1 to 5 substituents when it has the above-mentioned substituents.
R2、 R3又は Y中のハロゲン又は置換基としてのハロゲンとしては、フッ素、塩素 、臭素又はヨウ素の各原子が挙げられる。置換基としてのハロゲンの数は 1又は 2以 上であってよぐ 2以上の場合、各ハロゲンは同一でも相異なってもよい。また、ハロ ゲンの置換位置は 、ずれの位置でもよ 、。 Examples of the halogen in R 2 , R 3 or Y or the halogen as a substituent include each atom of fluorine, chlorine, bromine or iodine. The number of halogens as substituents is 1 or 2 or more. When 2 or more, each halogen may be the same or different. Also, the position of halogen substitution may be the position of displacement.
R\ R2、 R3、 A又は Y中のアルキル又はアルキル部分は、直鎖又は分枝状の!/、ず れでもよぐその具体例としては、メチル、ェチル、プロピル、イソプロピル、ブチル、タ ーシャリーブチノレ、ペンチノレ、へキシノレのような C のものなどが挙げられる。 The alkyl or alkyl moiety in R \ R 2 , R 3 , A or Y may be linear or branched! /, Specific examples of which are methyl, ethyl, propyl, isopropyl, butyl, Examples include C-types such as tertiary butinore, pentinore, and hexinore.
1-6 1-6
R1中のァルケ-ル又はアルケニル部分は、直鎖又は分枝状のいずれでもよぐそ の具体例としては、ビュル、 1—プロべ-ル、ァリル、イソプロべ-ル、 1ーブテュル、 1 ,3—ブタジェニノレ、 1一へキセニノレのような C のものなどが挙げられる。 Specific examples of the alkenyl or alkenyl moiety in R 1 may be linear or branched. Examples of the alkellyl or alkenyl moiety include bulle, 1-probe, allyl, iso-probe, 1-tuttle, 1, 3—Butageninore, 1 C such as Hexeninore.
2-6 2-6
R1中のアルキ-ル又はアルキ-ル部分は、直鎖又は分枝状のいずれでもよぐそ の具体例としては、ェチュル、 2—ブチュル、 2—ペンチ-ル、 3—へキシニルのよう なじ のものなどが挙げられる。 Y中の c シクロアルキル又はシクロアルキル部分の具体例としては、シクロプロピThe alkyl or alkyl moiety in R 1 may be linear or branched, and specific examples thereof include ethur, 2-butul, 2-pentyl, and 3-hexynyl. And so on. Specific examples of c cycloalkyl or cycloalkyl moiety in Y include cyclopropyl.
3-4 3-4
ル又はシクロブチルが挙げられ、中でもシクロプロピルが望まし!/、。 Or cyclobutyl, with cyclopropyl being the most desirable! /.
[0013] 前記式 (I)のアントラ-ルアミド系化合物の塩としては、農業上許容されるものであ ればあらゆるものが含まれるが、例えば、ナトリウム塩、カリウム塩のようなアルカリ金 属塩;マグネシウム塩、カルシウム塩のようなアルカリ土類金属塩;ジメチルアンモニゥ ム塩、トリェチルアンモ -ゥム塩のようなアンモ-ゥム塩;塩酸塩、過塩素酸塩、硫酸 塩、硝酸塩のような無機酸塩;酢酸塩、メタンスルホン酸塩のような有機酸塩などが挙 げられる。 [0013] The salt of the anthracamide compound of the formula (I) includes any one that is agriculturally acceptable, and examples thereof include alkali metal salts such as sodium salt and potassium salt. Alkaline earth metal salts such as magnesium salts and calcium salts; ammonium salts such as dimethyl ammonium salts and triethyl ammonium salts; such as hydrochlorides, perchlorates, sulfates and nitrates; Inorganic acid salts; organic acid salts such as acetate and methanesulfonate.
[0014] 前記式 (I)のアントラニルアミド系化合物には、光学異性体、幾何異性体のような異 性体が存在する場合があるが、本発明には各異性体及び異性体混合物の双方が含 まれる。尚、本発明には、当該技術分野における技術常識の範囲内において、前記 したもの以外の各種異性体も含まれる。また、異性体の種類によっては、前記式 (I)と は異なる化学構造となる場合があるが、当業者であればそれらが異性体の関係にあ ることが十分認識できる為、本発明の範囲内であることは明らかである。 [0014] The anthranilamide-based compound of the formula (I) may have different isomers such as optical isomers and geometric isomers. In the present invention, both isomers and isomer mixtures are present. Is included. The present invention includes various isomers other than those described above within the scope of common technical knowledge in the technical field. In addition, depending on the type of isomer, there may be a chemical structure different from that of the above formula (I). However, since those skilled in the art can sufficiently recognize that they are related to isomers, Obviously, it is within range.
[0015] 前記式 (I)のアントラニルアミド系化合物又はその塩 (以下、本発明化合物と略す) は、以下の反応〔A〕〜〔0〕と、通常の塩の製造方法に従って製造することができる。 [0015] The anthranilamido compound of the formula (I) or a salt thereof (hereinafter abbreviated as the compound of the present invention) can be produced according to the following reactions [A] to [0] and a usual salt production method. it can.
[0016] [化 3] [0016] [Chemical 3]
) )
[0017] アル [0017] Al
コキシである。 It is Koxy.
反応〔A〕は、 Zが塩素原子である場合、通常塩基の存在下で行うことができる。 塩基としては、例えば、水酸化ナトリウム、水酸ィ匕カリウムのようなアルカリ金属水酸 化物;炭酸ナトリウム、炭酸カリウムのようなアルカリ金属炭酸塩;水素化ナトリウム、水 素化カリウムのようなアルカリ金属水素化物;トリメチルァミン、トリェチルァミン、トリイソ プロピルァミン、ジイソプロピルェチルァミン、ピリジン、 4ージメチルァミノピリジン、 2, 6—ジメチルビリジン、 4 ピロリジノピリジン、 N—メチルモルホリン、 Ν,Ν ジメチル ァニリン、 Ν,Ν ジェチルァニリン、 Ν ェチル—Ν—メチルァニリン、 1,8 ジァザビ シクロ〔5.4.0〕 7 ゥンデセン、 1,4ージァザビシクロ〔2.2.2〕オクタンのような第三 級ァミン類;及び、ノルマルブチルリチウム、ターシャリーブタノ一ルーブチルリチウム のようなアルキルリチウム類などから 1種又は 2種以上を適宜選択することができる。 塩基は、式(II)の化合物に対して 1〜5倍モル、望ましくは 1〜2.5倍モル使用するこ とがでさる。 Reaction [A] can usually be carried out in the presence of a base when Z is a chlorine atom. Examples of the base include alkali metal hydroxides such as sodium hydroxide and potassium hydroxide; alkali metal carbonates such as sodium carbonate and potassium carbonate; alkali metals such as sodium hydride and potassium hydride. Hydrides: trimethylamine, triethylamine, triisopropylamine, diisopropylethylamine, pyridine, 4-dimethylaminopyridine, 2,6-dimethylpyridine, 4-pyrrolidinopyridine, N-methylmorpholine, Ν, Ν dimethylaniline, Tertiary amines such as Ν, Ν jetylaniline, Νethyl-Ν-methylaniline, 1,8 diazabicyclo [5.4.0] 7 undecene, 1,4-diazabicyclo [2.2.2] octane; and normal butyllithium, Alkyllithiums such as tertiary butanol It can be appropriately selected one or more from. The base can be used in an amount of 1 to 5 times mol, preferably 1 to 2.5 times mol, of the compound of formula (II).
[0018] 反応〔Α〕は、 Ζが塩素原子である場合、所望により溶媒の存在下で行うことができる 。溶媒としては、反応に不活性な溶媒であればいずれのものでもよぐ例えば、ジェ チルエーテル、ブチルェチルエーテル、テトラヒドロフラン、ジォキサン、ジメトキシェ タンのようなエーテノレ類;クロ口ベンゼン、ジクロロベンゼン、ジクロロメタン、クロロホノレ ム、四塩化炭素、ジクロロエタン、トリクロロェタン、ジクロロエチレンのようなハロゲン 化炭化水素類;ベンゼン、トルエン、キシレンのような芳香族炭化水素類;ペンタン、 へキサン、ヘプタン、オクタン、シクロへキサンのような脂肪族炭化水素類;ァセトニト リル、プロピオ-トリル、 Ν,Ν ジメチルホルムアミド、ジメチルスルホキシド、へキサメ チルホスホリックトリアミド、スルホラン、ジメチルァセトアミド、 Ν—メチルピロリドンのよ うな極性非プロトン性溶媒;酢酸メチル、酢酸ェチル、酢酸プロピルのようなエステル 類;及び、アセトン、ジェチルケトン、メチルェチルケトン、メチルイソブチルケトンのよ うなケトン類などから 1種又は 2種以上を適宜選択することができる。 [0018] The reaction [Α] can be carried out in the presence of a solvent if desired when Ζ is a chlorine atom. . Any solvent may be used as long as it is inert to the reaction. For example, etherols such as diethyl ether, butyl ether, tetrahydrofuran, dioxane, dimethoxyethane; black benzene, dichlorobenzene, dichloromethane, Halogenated hydrocarbons such as chloroform, carbon tetrachloride, dichloroethane, trichloroethane, and dichloroethylene; aromatic hydrocarbons such as benzene, toluene, and xylene; pentane, hexane, heptane, octane, and cyclohexane Aliphatic hydrocarbons such as: acetonitol, propio-tolyl, Ν, Ν dimethylformamide, dimethylsulfoxide, hexamethylphosphoric triamide, sulfolane, dimethylacetamide, Ν-methylpyrrolidone Solvents; Esters such as methyl acetate, ethyl acetate, and propyl acetate; and ketones such as acetone, jetyl ketone, methyl ethyl ketone, and methyl isobutyl ketone can be appropriately selected. .
[0019] 反応〔Α〕は、 Ζが塩素原子である場合、通常 20〜 + 60°C、望ましくは 0〜30°C で行うことができ、その反応時間は、通常 1〜24時間程度、望ましくは 2〜12時間程 度とすることができる。 [0019] When Α is a chlorine atom, the reaction [Α] can be carried out usually at 20 to + 60 ° C, preferably 0 to 30 ° C, and the reaction time is usually about 1 to 24 hours, Desirably, the time can be about 2 to 12 hours.
[0020] 反応〔A〕は、 Zが— OHである場合、通常、脱水縮合剤及び溶媒の存在下で行うこ とがでさる。 [0020] The reaction [A] is usually carried out in the presence of a dehydration condensing agent and a solvent when Z is —OH.
脱水縮合剤としては、 Ν,Ν'—ジシクロへキシルカルボジイミド、 1,3 ジイソプロピ ルカルボジイミド、 1—ェチル 3— (3 ジメチルァミノプロピル)カルボジイミド塩酸 塩のようなカルボジイミド類が挙げられる。その他に、 1,1 '—カルボ-ルービス 1H イミダゾール、リン酸ジクロリドフエ-ルエステル、ジェチルホスホロシァ-ダート、 1, 3,5—トリァザ一 2,4,6 トリホスホリン一 2,2,4,4,6,6 へキサクロリド、シァヌリックク 口リド、クロロギ酸イソブチル、クロロスルホ-ルイソシァネート、トリフルォロ酢酸無水 物などが挙げられる。 Examples of the dehydrating condensing agent include carbodiimides such as Ν, Ν′-dicyclohexylcarbodiimide, 1,3 diisopropylcarbodiimide, and 1-ethyl 3- (3 dimethylaminopropyl) carbodiimide hydrochloride. In addition, 1,1'-carbo-rubis 1H imidazole, dichloride phosphate ester, jetyl phosphoric acid dart, 1, 3,5-triaza 1,2,4,6 triphosphorin 1,2,4,4 , 6,6 hexachloride, cyanuric chloride, isobutyl chloroformate, chlorosulfol isocyanate, trifluoroacetic anhydride and the like.
[0021] 溶媒としては、反応に不活性な溶媒であればいずれのものでもよぐ例えば、ジェ チルエーテル、ブチルェチルエーテル、テトラヒドロフラン、ジォキサン、ジメトキシェ タンのようなエーテノレ類;クロ口ベンゼン、ジクロロベンゼン、ジクロロメタン、クロロホノレ ム、四塩化炭素、ジクロロエタン、トリクロロェタン、ジクロロエチレンのようなハロゲン 化炭化水素類;ベンゼン、トルエン、キシレンのような芳香族炭化水素類;ァセトニトリ ル、プロピオ-トリル、 Ν,Ν ジメチルホルムアミド、ジメチルスルホキシド、へキサメチ ルホスホリックトリアミド、スルホラン、ジメチルァセトアミド、 Ν—メチルピロリドンのよう な極性非プロトン性溶媒;酢酸メチル、酢酸ェチル、酢酸プロピルのようなエステル類 ;アセトン、ジェチルケトン、メチルェチルケトン、メチルイソブチルケトンのようなケトン 類;及び、ペンタン、へキサン、ヘプタン、オクタン、シクロへキサンのような脂肪族炭 化水素類などから 1種又は 2種以上を適宜選択することができる。 [0021] The solvent may be any solvent inert to the reaction. For example, etherols such as diethyl ether, butyl ether, tetrahydrofuran, dioxane, dimethoxyethane; black benzene, dichlorobenzene , Dichloromethane, chloroform, carbon tetrachloride, dichloroethane, trichloroethane, dichloroethylene, etc .; aromatic hydrocarbons such as benzene, toluene, xylene; , Propio-tolyl, Ν, Ν dimethylformamide, dimethyl sulfoxide, hexamethylphosphoric triamide, sulfolane, dimethylacetamide, Ν-methylpyrrolidone, polar aprotic solvents; methyl acetate, ethyl acetate, acetic acid Esters such as propyl; ketones such as acetone, jetyl ketone, methyl ethyl ketone, and methyl isobutyl ketone; and aliphatic hydrocarbons such as pentane, hexane, heptane, octane, and cyclohexane One type or two or more types can be appropriately selected.
[0022] 反応〔Α〕は、 Ζがー ΟΗである場合、通常 20〜 + 60°C、望ましくは 0〜30°Cで行 うことができ、その反応時間は、通常 0.5〜24時間程度、望ましくは 1〜12時間程度 とすることができる。 [0022] The reaction [Α] can usually be carried out at 20 to + 60 ° C, preferably 0 to 30 ° C, when the moth is ー, and the reaction time is usually about 0.5 to 24 hours. Desirably, it can be about 1 to 12 hours.
[0023] 反応〔A〕は、 Zが C アルコキシである場合、通常、塩基及び溶媒の存在下で行う [0023] The reaction [A] is usually performed in the presence of a base and a solvent when Z is C alkoxy.
1-4 1-4
ことができる。 be able to.
塩基としては、水素化ナトリウム、水素化カリウムのようなアルカリ金属水素化物;炭 酸ナトリウム、炭酸カリウムのようなアルカリ金属炭酸塩;ナトリウムメトキシド、ナトリウム エトキシド、カリウム第 3級ブトキシドのようなアルカリ金属アルコキシド;及び、トリメチ ルァミン、トリエチルァミン、トリイソプロピルァミン、ジイソプロピルェチルァミン、ピリジ ン、 4ージメチルァミノピリジン、 2,6 ジメチルビリジン、 4 ピロリジノピリジン、 N—メ チルモルホリン、 Ν,Ν ジメチルァニリン、 Ν,Ν ジェチルァニリン、 Ν ェチルー Ν ーメチルァ-リン、 1,8 ジァザビシクロ〔5.4.0〕一 7 ゥンデセン、 1,4ージァザビシ クロ〔2.2.2〕オクタンのような第三級ァミン類などから 1種又は 2種以上を適宜選択す ることができる。塩基は、式 (II)の化合物に対して 1〜5倍モル、望ましくは 1〜2.5倍 モル使用することができる。 Bases include alkali metal hydrides such as sodium hydride and potassium hydride; alkali metal carbonates such as sodium carbonate and potassium carbonate; alkali metals such as sodium methoxide, sodium ethoxide and potassium tertiary butoxide Alkoxides; and trimethylamine, triethylamine, triisopropylamine, diisopropylethylamine, pyridine, 4-dimethylaminopyridine, 2,6 dimethylpyridine, 4 pyrrolidinopyridine, N-methylmorpholine, Ν , Ν Dimethylaniline, Ν, Ν Jetylaniline, ェ Ethyl Ν -Methyl lin, 1,8 Diazabicyclo [5.4.0] 1-7 Undecene, 1,4-Diazabicyclo [2.2.2] Octanes like tertiary amines From the above, one or more can be selected as appropriate. The base can be used in an amount of 1 to 5 times mol, preferably 1 to 2.5 times mol, of the compound of formula (II).
[0024] 溶媒としては、反応に不活性な溶媒であればいずれのものでもよぐ例えば、ジェ チルエーテル、ブチルェチルエーテル、テトラヒドロフラン、ジォキサン、ジメトキシェ タンのようなエーテノレ類;クロ口ベンゼン、ジクロロベンゼン、ジクロロメタン、クロロホノレ ム、四塩化炭素、ジクロロエタン、トリクロロェタン、ジクロロエチレンのようなハロゲン 化炭化水素類;ベンゼン、トルエン、キシレンのような芳香族炭化水素類;ペンタン、 へキサン、ヘプタン、オクタン、シクロへキサンのような脂肪族炭化水素類;ァセトニト リル、プロピオ-トリル、 Ν,Ν ジメチルホルムアミド、ジメチルスルホキシド、へキサメ チルホスホリックトリアミド、スルホラン、ジメチルァセトアミド、 N—メチルピロリドンのよ うな極性非プロトン性溶媒;及び、メタノール、エタノール、プロパノール、ノルマルブ タノール、ターシャリーブタノールのようなアルコール類などから 1種又は 2種以上を 適宜選択することができる。 [0024] The solvent may be any solvent that is inert to the reaction. For example, etherols such as diethyl ether, butyl ether, tetrahydrofuran, dioxane, dimethoxyethane; black benzene, dichlorobenzene Halogenated hydrocarbons such as benzene, toluene, xylene; pentane, hexane, heptane, octane, cyclohexane, halogenated hydrocarbons such as dichloromethane, chlorophenol, carbon tetrachloride, dichloroethane, trichloroethane, dichloroethylene; Aliphatic hydrocarbons such as hexane; acetonitrile, propio-tolyl, Ν, Ν dimethylformamide, dimethyl sulfoxide, hexame Polar aprotic solvents such as til phosphoric triamide, sulfolane, dimethylacetamide, N-methylpyrrolidone; and alcohols such as methanol, ethanol, propanol, normal butanol, tertiary butanol, etc. Two or more types can be selected as appropriate.
[0025] 反応〔A〕は、 Zが C アルコキシである場合、通常 0〜120°C、望ましくは 5〜80°C [0025] The reaction [A] is usually 0 to 120 ° C, preferably 5 to 80 ° C when Z is C alkoxy.
1-4 1-4
で行うことができ、その反応時間は、通常 0.5〜24時間程度、望ましくは 1〜12時間 程度とすることができる。 The reaction time is usually about 0.5 to 24 hours, preferably about 1 to 12 hours.
[0026] [化 4] [0026] [Chemical 4]
(D (D
[0027] R2、 R3、 A、 m及び wは前述の通りである。 [0027] R 2 , R 3 , A, m and w are as described above.
反応 〕は、通常、溶媒の存在下で行うことができる。 The reaction] can usually be performed in the presence of a solvent.
溶媒としては、反応に不活性な溶媒であればいずれのものでもよぐ例えば、ジェ チルエーテル、ブチルェチルエーテル、テトラヒドロフラン、ジォキサン、ジメトキシェ タンのようなエーテノレ類;クロ口ベンゼン、ジクロロベンゼン、ジクロロメタン、クロロホノレ ム、四塩化炭素、ジクロロエタン、トリクロロェタン、ジクロロエチレンのようなハロゲン 化炭化水素類;ベンゼン、トルエン、キシレンのような芳香族炭化水素類;ペンタン、 へキサン、ヘプタン、オクタン、シクロへキサンのような脂肪族炭化水素類;及び、ァ セトニトリル、プロピオ-トリル、 Ν,Ν—ジメチルホルムアミド、ジメチルスルホキシド、 へキサメチルホスホリックトリアミド、スルホラン、ジメチルァセトアミド、 Ν—メチルピロリ ドンのような極性非プロトン性溶媒などから 1種又は 2種以上を適宜選択することがで きる。 Any solvent may be used as long as it is inert to the reaction. For example, etherols such as diethyl ether, butyl ether, tetrahydrofuran, dioxane, dimethoxyethane; black benzene, dichlorobenzene, dichloromethane, Halogenated hydrocarbons such as chlorophenol, carbon tetrachloride, dichloroethane, trichloroethane, dichloroethylene; aromatic hydrocarbons such as benzene, toluene, xylene; pentane, Aliphatic hydrocarbons such as hexane, heptane, octane, cyclohexane; and acetonitrile, propio-tolyl, Ν, Ν-dimethylformamide, dimethyl sulfoxide, hexamethylphosphoric triamide, sulfolane, dimethyla One or two or more kinds of polar aprotic solvents such as cetamide and メ チ ル -methylpyrrolidone can be appropriately selected.
反応 〕は、通常 0〜120°C、望ましくは 20〜80°Cで行うことができ、その反応時 間は、通常 0.1〜24時間程度、望ましくは 0.5〜12時間程度とすることができる。 The reaction] can usually be carried out at 0 to 120 ° C, preferably 20 to 80 ° C, and the reaction time is usually about 0.1 to 24 hours, preferably about 0.5 to 12 hours.
[0028] [化 5] [0028] [Chemical 5]
[0029] A、 m及び wは前述の通りであり、 R2aは水素原子、フッ素原子、塩素原子、臭 素原子、アルキル、ハロアルキル、アルコキシ、ハロアルコキシ、シァノアルコキシ、ァ ルキルスルホニルォキシ、シァノ、ニトロ、ァミノ、アルキルアミノ又はジアルキルァミノ であり、 R3aはフッ素原子、塩素原子、臭素原子、アルキル、ハロアルキル、アルコキシ 、ハロアルコキシ、シァノアルコキシ、アルキルスルホ -ルォキシ、シァ入ニトロ、アミ 入アルキルアミノ又はジアルキルァミノであり、 Xは臭素原子又はヨウ素原子である。 反応〔C〕中の金属シァノ化物としては、例えば、シアンィ匕銅、シアン化亜鉛、シアン 化カリウムなどから 1種又は 2種以上を適宜選択することができる。金属シァノ化物は 、式(1-1)の化合物に対して 1〜30倍モル、望ましくは 1〜 15倍モル使用することが できる。 [0029] A, m and w are as described above, and R 2a is a hydrogen atom, a fluorine atom, a chlorine atom, an odor atom, an alkyl, a haloalkyl, an alkoxy, a haloalkoxy, a cyanalkoxy, an alkylsulfonyloxy, R 3a is a fluorine atom, a chlorine atom, a bromine atom, an alkyl, a haloalkyl, an alkoxy, a haloalkoxy, a cyanalkoxy, an alkylsulfo-loxy, a cyano-containing nitro, an amino X is an bromine atom or an iodine atom. Examples of the metal cyanide in the reaction [C] include cyanogen copper, zinc cyanide, cyanide. One type or two or more types can be appropriately selected from potassium fluoride and the like. The metal cyanide can be used in an amount of 1 to 30 times mol, preferably 1 to 15 times mol for the compound of formula (1-1).
反応 〕は、通常溶媒の存在下で行うことができる。溶媒としては、反応に不活性 な溶媒であればいずれのものでもよぐ例えば、ジェチルエーテル、ブチルェチルェ 一テル、テトラヒドロフラン、ジォキサン、ジメトキシェタンのようなエーテル類;及び、 ァセトニトリル、プロピオ-トリル、 Ν,Ν—ジメチルホルムアミド、ジメチルスルホキシド、 へキサメチルホスホリックトリアミド、スルホラン、ジメチルァセトアミド、 Ν—メチルピロリ ドンのような極性非プロトン性溶媒などから 1種又は 2種以上を適宜選択することがで きる。 The reaction] can usually be carried out in the presence of a solvent. As the solvent, any solvent inert to the reaction may be used. For example, ethers such as jetyl ether, butyl ether, tetrahydrofuran, dioxane, dimethoxyethane; and acetonitrile, propio-tolyl,適宜, Ν-Dimethylformamide, dimethyl sulfoxide, hexamethylphosphoric triamide, sulfolane, dimethylacetamide, Ν-methylpyrrolidone and other polar aprotic solvents, etc. I can do it.
[0030] 反応〔C〕は、所望によりパラジウム触媒の存在下で行うことができる。パラジウム触 媒としては、例えば、テトラキストリフエニルホスフィンパラジウム、ビストリフエ-ルホス フィンパラジウムジクロライドなどから 1種又は 2種以上を適宜選択することができる。 反応 〕は、所望により金属ヨウ化物の存在下で行うことができる。金属ヨウ化物と しては、例えば、ヨウ化銅、ヨウ化亜鉛、ヨウ化カリウムなどから 1種又は 2種以上を適 宜選択することができる。 [0030] The reaction [C] can be carried out in the presence of a palladium catalyst, if desired. As the palladium catalyst, for example, one or more of tetrakistriphenylphosphine palladium and bistriphenylphosphine palladium dichloride can be appropriately selected. The reaction can be carried out in the presence of a metal iodide if desired. As the metal iodide, one or more kinds can be appropriately selected from, for example, copper iodide, zinc iodide, potassium iodide and the like.
反応 〕は、通常 0〜150°C、望ましくは 10〜: LOO°Cで行うことができ、その反応時 間は、通常 0.1〜24時間程度、望ましくは 0.5〜12時間程度とすることができる。 The reaction can be carried out usually at 0 to 150 ° C, preferably 10 to: LOO ° C, and the reaction time can be usually about 0.1 to 24 hours, preferably about 0.5 to 12 hours. .
[0031] [化 6] [0031] [Chemical 6]
[0032] R2a、 R3a、 A、 m、 w及び Xは前述の通りである。 [0032] R 2a , R 3a , A, m, w and X are as described above.
反応〔D〕中の一酸化炭素は、式 (1-1)の化合物に対して 1〜200倍モル、望ましく は 1〜50倍モル使用することができる。 Carbon monoxide in the reaction [D] can be used in an amount of 1 to 200 times mol, preferably 1 to 50 times mol, of the compound of the formula (1-1).
反応〔D〕中の水素供与体としては、例えば、トリプチルスズヒドリド、ポリ (メチルヒドロ シロキサン)、トリオクチルシリルヒドリドなどから 1種又は 2種以上を適宜選択すること ができる。水素供与体は、式 (1-1)の化合物に対して 1〜2倍モル、望ましくは 1〜1.5 倍モル使用することができる。 As the hydrogen donor in the reaction [D], one or two or more kinds can be appropriately selected from, for example, tryptyl tin hydride, poly (methylhydrosiloxane), trioctylsilyl hydride and the like. The hydrogen donor can be used in an amount of 1 to 2 moles, preferably 1 to 1.5 moles relative to the compound of the formula (1-1).
反応〔D〕は、通常パラジウム触媒の存在下で行うことができる。パラジウム触媒とし ては、例えば、前記反応〔C〕で挙げたものなどから 1種又は 2種以上を適宜選択する ことができる。 Reaction [D] can be normally performed in presence of a palladium catalyst. As the palladium catalyst, for example, one or two or more kinds can be appropriately selected from those mentioned in the above reaction [C].
[0033] 反応〔D〕は、通常溶媒の存在下で行うことができる。溶媒としては、反応に不活性 な溶媒であればいずれのものでもよぐ例えば、ベンゼン、トルエン、キシレンのような 芳香族炭化水素類;ペンタン、へキサン、ヘプタン、オクタン、シクロへキサンのような 脂肪族炭化水素類;ジェチルエーテル、ブチルェチルエーテル、テトラヒドロフラン、 ジォキサン、ジメトキシェタンのようなエーテル類;及び、ァセトニトリル、プロピオ-トリ ル、 Ν,Ν—ジメチルホルムアミド、ジメチルスルホキシド、へキサメチルホスホリックトリ アミド、スルホラン、ジメチルァセトアミド、 N—メチルピロリドンのような極性非プロトン 性溶媒などから 1種又は 2種以上を適宜選択することができる。 [0033] The reaction [D] can be usually performed in the presence of a solvent. As the solvent, any solvent inert to the reaction may be used.For example, aromatic hydrocarbons such as benzene, toluene, xylene; pentane, hexane, heptane, octane, cyclohexane, etc. Aliphatic hydrocarbons; ethers such as jetyl ether, butyl ether, tetrahydrofuran, dioxane, dimethoxyethane; and acetonitrile, propio-tolyl, Ν, Ν-dimethylformamide, dimethyl sulfoxide, hexamethyl Phosphoric tri One or more kinds can be appropriately selected from polar aprotic solvents such as amide, sulfolane, dimethylacetamide and N-methylpyrrolidone.
反応〔D〕は、通常 0〜150°C、望ましくは 10〜: LOO°Cで行うことができ、その反応時 間は、通常 0.5〜24時間程度、望ましくは 1〜12時間程度とすることができる。 Reaction [D] is usually 0 to 150 ° C, preferably 10 to: LOO ° C, and the reaction time is usually about 0.5 to 24 hours, preferably about 1 to 12 hours. Can do.
[0034] [化 7] [0034] [Chemical 7]
[0035] R2、 R A、 m及び wは前述の通りであり、 Rlaはハロゲン、アルキル、ハロアルキル 、ァノレケニノレ、ハロアノレケニノレ、ァノレキニノレ、ハロアノレキニノレ、 トリアノレキノレシリノレエチ ニル、ヒドロキシ、アルコキシ、ハロアルコキシ、アルキルカルボニル、ハロアルキル力 ルボニル、カルボキシル、アルコキシカルボ-ル、ハロアルコキシカルボ-ル、ァミノ カルボニル、アルキルアミノカルボニル、ジアルキルアミノカルボニル、シァノ、ニトロ、 アミ入アルキルァミノ、ジアルキルァミノ、置換されてもよいフエノキシ、置換されても よ 、ピリジルォキシ、置換されてもよ 、フエノキシカルボ-ル又は置換されてもよ!、ピリ ジルォキシカルボニルである。 [0035] R 2 , RA, m and w are as described above, R la is halogen, alkyl, haloalkyl, anorekeninore, haloanorekeninore, anorequininore, haloanorequininore, trianolenoquinoline reethinyl, Hydroxy, alkoxy, haloalkoxy, alkylcarbonyl, haloalkyl force carbonyl, carboxyl, alkoxycarbonyl, haloalkoxycarbon, aminocarbonyl, alkylaminocarbonyl, dialkylaminocarbonyl, cyano, nitro, aminoalkylamino, dialkylamino, An optionally substituted phenoxy, optionally substituted, pyridyloxy, optionally substituted, phenoxycarbon or optionally substituted !, pyridyloxycarbonyl.
反応 〕中のフッ素化剤としては、例えば、三フッ化ジェチルァミノ硫黄、〔ビス(2 —メトキシェチル)ァミノ〕硫黄トリフルオリド、フッ化キセノン、 2,2—ジフルォロ一 1,3 ジメチルイミダゾリジン、四フッ化硫黄などから 1種又は 2種以上を適宜選択するこ とができる。フッ素ィ匕剤は、式 (1-4)の化合物に対して 1〜 10倍モル、望ましくは 1〜4 倍モル使用することができる。 Examples of the fluorinating agent in the reaction] include cetylfluoride trifluoride, [bis (2-methoxyethyl) amino] sulfur trifluoride, xenon fluoride, 2,2-difluoro-1,3 dimethylimidazolidine, tetrafluoride. One or more types can be appropriately selected from sulfur fluoride. Fluorine glaze is 1 to 10 moles, preferably 1 to 4 moles relative to the compound of formula (1-4). Double moles can be used.
[0036] 反応〔E〕は、通常溶媒の存在下で行うことができる。溶媒としては、反応に不活性 な溶媒であればいずれのものでもよぐ例えば、ペンタン、へキサン、ヘプタン、ォクタ ン、イソオクタン、シクロへキサンのような脂肪族炭化水素類;ベンゼン、トルエン、キ シレンのような芳香族炭化水素類;クロ口ベンゼン、ジクロロベンゼン、ジクロロメタン、 クロ口ホルム、四塩化炭素、フツイ匕トリクロロメタン、ジクロロエタン、トリクロロェタン、ジ クロ口エチレンのようなハロゲン化炭化水素類;及び、ジェチルエーテル、ブチルェチ ルエーテル、テトラヒドロフラン、ジォキサン、ジメトキシェタン、 2—メトキシェチルエー テル、のようなエーテル類などから 1種又は 2種以上を適宜選択することができる。 反応 〕は、所望により不活性ガスの雰囲気下で行うことができる。不活性ガスとし ては、窒素、ヘリウム、アルゴンのような各ガスが挙げられる。 [0036] The reaction [E] can usually be carried out in the presence of a solvent. The solvent may be any solvent inert to the reaction.For example, aliphatic hydrocarbons such as pentane, hexane, heptane, octane, isooctane and cyclohexane; benzene, toluene, Aromatic hydrocarbons such as silene; halogenated hydrocarbons such as black benzene, dichlorobenzene, dichloromethane, black mouth form, carbon tetrachloride, chlorotrichloromethane, dichloroethane, trichloroethane, and dichloroethylene. And one or more kinds of ethers such as jetyl ether, butyl ether, tetrahydrofuran, dioxane, dimethoxyethane, 2-methoxyethyl ether, and the like can be appropriately selected. The reaction can be carried out in an inert gas atmosphere if desired. Examples of the inert gas include nitrogen, helium, and argon.
反応 〕は、通常— 78°C〜40°C、望ましくは— 40°C〜25°Cで行うことができ、そ の反応時間は、通常 2〜24時間程度、望ましくは 5〜 15時間程度とすることができる The reaction can be carried out usually at -78 ° C to 40 ° C, preferably at 40 ° C to 25 ° C, and the reaction time is usually about 2 to 24 hours, preferably about 5 to 15 hours. Can be
[0037] [ィ匕 8] [0037] [8]
R 、 R 、 A、 m、 w及び Xは前述の通りであり、 Qはアルキル又はトリアルキルシ リル、 Lは塩素原子、臭素原子又はヨウ素原子、 RAはアルキルである。 R 1, R 2, A, m, w and X are as described above, Q is alkyl or trialkylsilyl, L is a chlorine atom, bromine atom or iodine atom, and R A is alkyl.
反応〔F〕中、式 (1-6)の化合物を製造する方法としては、上記フローに示したように 、式(1-1)の化合物と式 (VI-1)、式 (VI-2)又は式 (VI-3)のいずれかの化合物をパラジ ゥム触媒及び塩基の存在下、反応させる方法が挙げられる。式 (1-1)の化合物に対し て、式 (VI-1)の化合物、式 (VI-2)の化合物又は式 (VI-3)の化合物は、通常 1.0〜10当 量望ましくは 1.0〜3.0当量の割合で使用される。 In the reaction [F], as a method for producing the compound of the formula (1-6), as shown in the above flow, the compound of the formula (1-1), the formula (VI-1), the formula (VI-2) ) Or a compound of formula (VI-3) may be reacted in the presence of a palladium catalyst and a base. For the compound of formula (1-1), the compound of formula (VI-1), the compound of formula (VI-2) or the compound of formula (VI-3) is usually 1.0 to 10 equivalents, preferably 1.0 to Used at a rate of 3.0 equivalents.
反応〔F〕では、場合によっては溶媒を使用できる。溶媒としては本反応の進行を阻 害しないものであればよぐ例えば、ジェチルエーテル、ブチルェチルエーテル、テト ラヒドロフラン、ジォキサン、ジメトキシェタンのようなエーテル類;クロ口ベンゼン、ジク ロロベンゼン、ジクロロメタン、クロ口ホルム、四塩化炭素、ジクロロエタン、トリクロロェ タン、ジクロロエチレンのようなハロゲン化炭化水素類;ベンゼン、トルエン、キシレン のような芳香族炭化水素類;ァセトニトリル、プロピオ-トリル、 Ν,Ν—ジメチルホルム アミド、ジメチルスルホキシド、ジメチルァセトアミド、 N—メチルピロリドンのような極性 非プロトン性溶媒;酢酸メチル、酢酸ェチル、酢酸プロピルのようなエステル類;ァセト ン、ジェチルケトン、メチルェチルケトン、メチルイソブチルケトンのようなケトン類;ジメ チルァミン、トリェチルァミンのようなアミン類;及び、水などから 1種又は 2種以上を適 宜選択することができる。 In the reaction [F], a solvent can be used in some cases. Any solvent can be used as long as it does not inhibit the progress of this reaction, for example, ethers such as jetyl ether, butyl ether, tetrahydrofuran, dioxane, dimethoxyethane; black benzene, dichlorobenzene, dichloromethane. Halogenated hydrocarbons such as chloroform, carbon tetrachloride, dichloroethane, trichloroethane, dichloroethylene; aromatic hydrocarbons such as benzene, toluene, xylene; acetonitrile, propio-tolyl, Ν, Ν-dimethylform Polar aprotic solvents such as amide, dimethyl sulfoxide, dimethylacetamide, N-methylpyrrolidone; esters such as methyl acetate, ethyl acetate, propyl acetate; acetone, jetyl ketone, methyl ethyl ketone, methyl isobutyl ketone 1 type or 2 types or more can be appropriately selected from ketones such as: amines such as dimethylamine and triethylamine; and water.
[0039] 反応〔F〕で使用する塩基としては、例えば炭酸ナトリウム、炭酸カリウム等の無機塩 基類;プロピルァミン、ブチルァミン、ジェチルァミン、ジイソプロピルァミン、トリェチル ァミン、トリブチルァミン、ジイソプロピルェチルァミン、ピロリジン、ピぺリジン等の有機 ァミン類が挙げられ、式 (1-1)の化合物に対して、通常 1.0〜30当量、望ましくは 1.0〜 15.0当量の割合で使用される。 [0039] Examples of the base used in the reaction [F] include inorganic salts such as sodium carbonate and potassium carbonate; propylamine, butylamine, jetylamine, diisopropylamine, triethylamine, tributylamine, diisopropylethylamine, Examples thereof include organic amines such as pyrrolidine and piperidine, and are usually used in a proportion of 1.0 to 30 equivalents, preferably 1.0 to 15.0 equivalents, relative to the compound of formula (1-1).
反応〔F〕で使用するパラジウム触媒としてはテトラキストリフエ-ルホスフィンパラジゥ ム、ジクロロビス (トリフエ-ルホスフィン)パラジウム、酢酸パラジウム一トリフエ-ルホス フィン等が挙げられ、式 (1-1)の化合物に対して 0.001〜0.1当量の割合で使用される 。パラジウム触媒を用いる場合、トリフエ-ルホスフィンやトリ一(。-トリル)ホスフィン等 の第三級ホスフィン類を共存させてもよぐ式 (1-1)の化合物に対して、 0.001〜0.1当 量の割合で使用される。 Examples of the palladium catalyst used in the reaction [F] include tetrakistriphenylphosphine palladium, dichlorobis (triphenylphosphine) palladium, palladium acetate-triphenylphosphine, and the like. Used in a ratio of 0.001 to 0.1 equivalents. When using a palladium catalyst, 0.001 to 0.1 equivalent to the compound of formula (1-1) in which tertiary phosphine such as triphenylphosphine and tri-(.- tolyl) phosphine may coexist. Used at a rate of
[0040] 反応〔F〕では触媒を使用してもよぐ使用する触媒としてはヨウ化銅 (I)などのハロゲ ン化銅、テトラプチルアンモ-ゥムブロミドなどのアンモ-ゥム塩類等が挙げられ、ィ匕 合物(1-1)に対して 0.001〜0.3当量の割合で使用される。 [0040] In the reaction [F], catalysts that may be used include copper halides such as copper (I) iodide, and ammonium salts such as tetraptylammobromide. The compound (1-1) is used in a proportion of 0.001 to 0.3 equivalent.
反応〔F〕の反応温度は通常 0°C〜150°C、望ましくは 10°C〜100°Cで行うことがで き、通常 0. 1〜72時間程度、望ましくは 0. 3〜24時間程度とすることができる。 The reaction temperature for reaction (F) is usually 0 ° C to 150 ° C, preferably 10 ° C to 100 ° C, usually about 0.1 to 72 hours, preferably 0.3 to 24 hours. Can be about.
[0041] [化 9] [G] [0041] [Chemical 9] [G]
[0042] R2、 R3、 RA、 A、 m及び wは前述の通りであり、 Rlbはハロゲン、アルキル、ハロアル キノレ、ァノレケ-ノレ、ハロアノレケ-ノレ、ァノレキ-ノレ、ノヽロアノレキ-ノレ、ヒドロキシ、ァノレコ キシ、ハロアノレコキシ、ホノレミノレ、ァノレキノレカノレボニノレ、ノヽロアノレキノレカノレボニノレ、力 ルボキシル、アルコキシカルボニル、ハロアルコキシカルボニル、ァミノカルボニル、 アルキルアミノカルボニル、ジアルキルアミノカルボニル、シァノ、ニトロ、ァミノ、アル キルァミノ、ジアルキルァミノ、置換されてもよいフエノキシ、置換されてもよいピリジル ォキシ、置換されてもよ 、フエノキシカルボ-ル又は置換されてもよ 、ピリジルォキシ カルボニルである。 [0042] R 2 , R 3 , R A , A, m, and w are as defined above, and R lb is halogen, alkyl, haloalkino, anoreke-nore, haloanoreke-nore, anorequino-nore, noroanore-nore , Hydroxy, anolecoxy, haloanorecoxy, honoreminore, anorequinolecanoleboninole, noroanorequinolecanonolenore, force ruboxyl, alkoxycarbonyl, haloalkoxycarbonyl, aminocarbonyl, alkylaminocarbonyl, dialkylaminocarbonyl, cyano Nitro, amino, alkylamino, dialkylamino, optionally substituted phenoxy, optionally substituted pyridyloxy, optionally substituted phenoxycarbon or optionally substituted pyridyloxycarbonyl.
[0043] 反応〔G〕中のフッ素化合物としては、例えば、フッ化リチウム、フッ化ナトリウム、フッ 化カリウム、フッ化セシウム、フッ化銀などの無機フッ化物ゃフッ化テトラブチルアンモ -ゥムなどから 1種又は 2種以上を適宜選択することができる。フッ素化合物は、式 (I -7)の化合物に対して 1〜 30倍モル、望ましくは 1〜 15倍モル使用することができる。 無機フッ化物を用 、る場合、 18-クラウン一 6 -エーテルなどのクラウンエーテルをと もに用いてもよい。 [0043] Examples of the fluorine compound in the reaction [G] include inorganic fluorides such as lithium fluoride, sodium fluoride, potassium fluoride, cesium fluoride, silver fluoride, and tetrabutyl ammonium fluoride. 1 type or 2 types or more can be appropriately selected. The fluorine compound can be used in an amount of 1 to 30 times mol, preferably 1 to 15 times mol for the compound of formula (I-7). When an inorganic fluoride is used, a crown ether such as 18-crown 1-ether may be used.
[0044] 反応〔G〕は、通常溶媒の存在下で行うことができる。溶媒としては、反応に不活性 な溶媒であればいずれのものでもよぐ例えば、ジェチルエーテル、ブチルェチルェ 一テル、テトラヒドロフラン、ジォキサン、ジメトキシェタンのようなエーテル類;クロ口べ ンゼン、ジクロロベンゼン、ジクロロメタン、クロ口ホルム、四塩化炭素、ジクロロエタン、 トリクロロェタン、ジクロロエチレンのようなハロゲン化炭化水素類;ベンゼン、トルエン 、キシレンのような芳香族炭化水素類;及び、ァセトニトリル、プロピオ-トリル、 Ν,Ν ージメチルホルムアミド、ジメチルスルホキシド、ジメチルァセトアミド、 Ν—メチルピロ リドンのような極性非プロトン性溶媒などから 1種又は 2種以上を適宜選択することが できる。 [0044] The reaction [G] can usually be carried out in the presence of a solvent. As the solvent, any solvent inert to the reaction may be used. For example, jetyl ether, butyl ether. Ethers such as monotel, tetrahydrofuran, dioxane and dimethoxyethane; halogenated hydrocarbons such as black benzene, dichlorobenzene, dichloromethane, black mouth form, carbon tetrachloride, dichloroethane, trichloroethane and dichloroethylene; Aromatic hydrocarbons such as benzene, toluene, xylene; and polar aprotic solvents such as acetonitrile, propio-tolyl, Ν, Ν-dimethylformamide, dimethylsulfoxide, dimethylacetamide, Ν-methylpyrrolidone, etc. 1 type or 2 types or more can be appropriately selected.
[0045] 反応 〕は、通常— 10〜150°C、望ましくは 0〜100°Cで行うことができ、その反応 時間は、通常 0.1〜24時間程度、望ましくは 0.2〜12時間程度とすることができる。 [0045] The reaction can usually be carried out at 10 to 150 ° C, preferably 0 to 100 ° C, and the reaction time is usually about 0.1 to 24 hours, preferably about 0.2 to 12 hours. Can do.
[0046] [化 10] [0046] [Chemical 10]
(1-10) (1-10)
R2、 R3、 A、 RA、 m及び wは前述の通りであり、 Rleはハロゲン、アルキル、ハロアル キノレ、ァノレケニノレ、ハロアノレケニノレ、ァノレキニノレ、ノヽロアノレキニノレ、 トリアノレキノレシリノレ ェチュル、ヒドロキシ、アルコキシ、ハロアルコキシ、ホルミル、アルキルカルボ-ル、 ハロアルキルカルボニル、カルボキシル、ァミノカルボニル、アルキルアミノカルボ二 ル、ジアルキルアミノカルボニル、シァ入ニトロ、アミ入アルキルァミノ、ジアルキルァ ミ入置換されてもよいフエノキシ、置換されてもよいピリジルォキシ、置換されてもよい フエノキシカルボ-ル又は置換されてもよいピリジルォキシカルボ-ルである。 R 2 , R 3 , A, R A , m and w are as described above, and R le is halogen, alkyl, haloalquinole, anorekeninore, haloanorekeninore, anorequininore, noroanorequininore, trianorequinoresinole lechur , Hydroxy, alkoxy, haloalkoxy, formyl, alkyl carbonyl, haloalkyl carbonyl, carboxyl, aminocarbonyl, alkylamino carbonyl, dialkylaminocarbonyl, nitro-containing nitro, ami-containing alkylamino, dialkyl-amino They are optionally substituted phenoxy, optionally substituted pyridyloxy, optionally substituted phenoxycarbol or optionally substituted pyridyloxycarbol.
[0048] 反応〔H〕中の塩基としてはカリウムトリメチルシラノレート、リチウムチオメトキシド、ナ トリウムフエ-ルセレニドなどが挙げられ、式(1-9)の化合物に対して 1〜30倍モル、 望ましくは 1〜5倍モル使用することができる。 [0048] Examples of the base in the reaction [H] include potassium trimethylsilanolate, lithium thiomethoxide, sodium phenol selenide and the like, and preferably 1 to 30 times mol, preferably the compound of the formula (1-9) 1 to 5 times mol can be used.
反応 〕は、通常溶媒の存在下で行うことができる。溶媒としては、反応に不活性 な溶媒であればいずれのものでもよぐ例えば、ジェチルエーテル、ブチルェチルェ 一テル、テトラヒドロフラン、ジォキサン、ジメトキシェタンのようなエーテル類;クロ口べ ンゼン、ジクロロベンゼン、ジクロロメタン、クロ口ホルム、四塩化炭素、ジクロロエタン、 トリクロロェタン、ジクロロエチレンのようなハロゲン化炭化水素類;及び、ァセトニトリ ル、プロピオ-トリル、 Ν,Ν—ジメチルホルムアミド、ジメチルスルホキシド、へキサメチ ルホスホリックトリアミド、ジメチルァセトアミド、 Ν—メチルピロリドンのような極性非プロ トン性溶媒などから 1種又は 2種以上を適宜選択することができる。 The reaction] can usually be carried out in the presence of a solvent. As the solvent, any solvent inert to the reaction may be used. For example, ethers such as jetyl ether, butyl ether ether, tetrahydrofuran, dioxane, dimethoxyethane; black benzene, dichlorobenzene, Halogenated hydrocarbons such as dichloromethane, chloroform, carbon tetrachloride, dichloroethane, trichloroethane, dichloroethylene; and acetonitrile, propio-tolyl, Ν, Ν-dimethylformamide, dimethyl sulfoxide, hexamethylphosphoric One or more kinds can be appropriately selected from polar non-protonic solvents such as triamide, dimethylacetamide, and メ チ ル -methylpyrrolidone.
[0049] 反応〔Η〕は、通常 0〜150°C、望ましくは 10〜100°Cで行うことができ、その反応時 間は、通常 0.1〜72時間程度、望ましくは 0.5〜48時間程度とすることができる。 [0049] The reaction [Η] can usually be carried out at 0 to 150 ° C, preferably 10 to 100 ° C, and the reaction time is usually about 0.1 to 72 hours, preferably about 0.5 to 48 hours. can do.
[0050] [化 11] [0050] [Chemical 11]
[0051] A、 m及び wは前述の通りであり、 R はフッ素原子、塩素原子、アルキル、ハロア ノレキノレ、ヒドロキシ、アルコキシ、ハロアルコキシ、ホノレミノレ、アルキルカルボ-ル、ノヽ ロアノレキノレカノレボニノレ、力ノレボキシノレ、ァノレコキシカノレボニノレ、ノ、ロアノレコキシカノレボ ニル、ァミノカルボニル、アルキルアミノカルボニル、ジアルキルアミノカルボニル、ァ ミ入アルキルアミ入ジアルキルアミ入置換されてもよいフエノキシ、置換されてもよ V、ピリジルォキシ、置換されてもょ 、フエノキシカルボ-ル又は置換されてもよ!、ピリ ジルォキシカルボ-ルであり、 R2bは水素原子、フッ素原子、塩素原子、アルキル、ハ 口アルキル、アルコキシ、ハロアルコキシ、シァノアルコキシ、アルキルスルホ-ルォキ シ、アミ入アルキルアミノ又はジアルキルァミノであり、 R3bはフッ素原子、塩素原子、 アルキル、ハロアルキル、アルコキシ、ハロアルコキシ、シァノアルコキシ、アルキルス ルホ -ルォキシ、アミ入アルキルアミノ又はジアルキルァミノであり、 RBは水素原子又 はアルキルである。 [0051] A, m, and w are as described above, and R is a fluorine atom, a chlorine atom, an alkyl, a halo anoquinolole, a hydroxy, an alkoxy, a haloalkoxy, a honoreminore, an alkyl carbonyl, a noro anorecanole bonenore , Force noreboxinole, anorecoxicanoleboninole, ro, roanorexoxy decanoyl, aminocarbonyl, alkylaminocarbonyl, dialkylaminocarbonyl, amidoalkylamido dialkylamido, optionally substituted phenoxy, substituted V, pyridyloxy, substituted, phenoxycarbol or may be substituted !, pyridyloxycarbon, R 2b is a hydrogen atom, a fluorine atom, a chlorine atom, an alkyl, a haloalkyl, an alkoxy, Haloalkoxy, cyanalkoxy, alkylsulfuroxy, Mi is input alkylamino or dialkylamino § amino, R 3b is a fluorine atom, a chlorine atom, alkyl, haloalkyl, alkoxy, haloalkoxy, Shianoarukokishi, Arukirusu sulfo - a Ruokishi Ammi input alkylamino or dialkylamino § amino, R B is a hydrogen atom or alkyl.
[0052] 反応〔I〕は触媒の存在下、式 (1-11)の化合物と水素ガスを反応させて行う。使用で きる触媒として例えば、ノラジウム炭素、酸化白金、ラネーニッケルなどが挙げられ、 適宜選択することができる。触媒の使用量は、式 (1-11)の化合物に対して 0. 001〜 1. 0倍重量、望ましくは 0. 01-0. 3倍重量使用することができる。 [0052] Reaction [I] is carried out by reacting the compound of formula (1-11) with hydrogen gas in the presence of a catalyst. Examples of catalysts that can be used include noradium carbon, platinum oxide, and Raney nickel. It can be selected appropriately. The catalyst can be used in an amount of 0.001 to 1.0 times, preferably 0.01 to 0.3 times the weight of the compound of formula (1-11).
反応〔I〕は、通常溶媒の存在下で行うことができる。溶媒としては、反応に不活性な 溶媒であればいずれのものでもよぐ例えば、ジェチルエーテル、ブチルェチルエー テル、テトラヒドロフラン、ジォキサン、ジメトキシェタンのようなエーテル類;クロ口ベン ゼン、ジクロロベンゼン、ジクロロメタン、クロ口ホルム、四塩化炭素、ジクロロエタン、ト リクロロエタン、ジクロロエチレンのようなハロゲン化炭化水素類;メタノール、エタノー ル、プロパノール、ノルマルブタノール、ターシャリーブタノールのようなアルコール類 ;ベンゼン、トルエン、キシレンのような芳香族炭化水素類;ァセトニトリル、プロピオ- トリル、 Ν,Ν—ジメチルホルムアミド、ジメチルァセトアミド、 Ν—メチルピロリドンのよう な極性非プロトン性溶媒;酢酸メチル、酢酸ェチル、酢酸プロピルのようなエステル類 ;アセトン、ジェチルケトン、メチルェチルケトン、メチルイソブチルケトンのようなケトン 類;酢酸;及び、水などから 1種又は 2種以上を適宜選択することができる。 Reaction [I] can be normally performed in presence of a solvent. Any solvent may be used as long as it is inert to the reaction. For example, ethers such as jetyl ether, butyl ether, tetrahydrofuran, dioxane, dimethoxyethane; black benzene, dichlorobenzene, dichloromethane. Halogenated hydrocarbons such as chloroform, carbon tetrachloride, dichloroethane, trichloroethane, dichloroethylene; alcohols such as methanol, ethanol, propanol, normal butanol, tertiary butanol; benzene, toluene, xylene Aromatic hydrocarbons; polar aprotic solvents such as acetonitrile, propiotolyl, Ν, Ν-dimethylformamide, dimethylacetamide, Ν-methylpyrrolidone; such as methyl acetate, ethyl acetate, propyl acetate 1 type or 2 or more types can be suitably selected from such esters; ketones such as acetone, jetyl ketone, methyl ethyl ketone, and methyl isobutyl ketone; acetic acid; and water.
反応〔I〕は、通常 0〜150°C、望ましくは 10〜: L00°Cで行うことができ、その反応時 間は、通常 0.1〜72時間程度、望ましくは 0.5〜48時間程度とすることができる。 Reaction [I] can be usually carried out at 0 to 150 ° C, preferably 10 to: L00 ° C, and the reaction time is usually about 0.1 to 72 hours, preferably about 0.5 to 48 hours. Can do.
[化 12] [Chemical 12]
[0054] R\ R2a、 R3a、 A、 m、 w及び Xは前述の通りであり、 R4は水素原子又はアルキルで ある。 [0054] R \ R 2a, R 3a, A, m, w and X are as defined above, R 4 is hydrogen atom or alkyl.
反応 Ci〕中の一酸化炭素は、式 (1-1)の化合物に対して 1〜200倍モル、望ましくは 1〜50倍モル使用することができる。 Carbon monoxide in the reaction Ci] can be used in an amount of 1 to 200-fold mol, preferably 1 to 50-fold mol based on the compound of the formula (1-1).
反応 ϋ〕中の R4—NHとしては、例えば、アンモニア、メチルァミン、ェチルァミンな Examples of R 4 —NH in the reaction (i) include ammonia, methylamine, and ethylamine.
2 2
どを使用することができる。 R4— NHは、化合物に対して 1〜 50倍モル、望ましくは 1 Can be used. R 4 —NH is 1 to 50 times mol, preferably 1
2 2
〜10倍モル使用することができる。 Up to 10 times mol can be used.
反応 ωは、通常パラジウム触媒の存在下で行うことができる。パラジウム触媒として は、例えば、テトラキストリフエ-ルホスフィンパラジウム、ビストリフエ-ルホスフィンパ ラジウムジクロライド、酢酸パラジウム、酢酸パラジウム一トリフエ-ルホスフィン、酢酸 パラジウム 1,4-ビス (ジフエ-ルホスフイノ)ブタン、塩化パラジウム、塩化パラジウム トリターシャリーブチルホスフィン等が挙げられ、 1種又は 2種以上を適宜選択する ことができる。式 (ト 1)の化合物に対して 0.001〜0.1当量の割合で使用される。パラジ ゥム触媒を用いる場合、トリフエ-ルホスフィンやトリ— (0-トリル)ホスフィン等の第三級 ホスフィン類を共存させてもよく、式 (1-1)の化合物に対して、 0.001〜0.1当量の割合 で使用される。 Reaction ω can usually be carried out in the presence of a palladium catalyst. Examples of the palladium catalyst include tetrakistriphenylphosphine palladium, bistriphenylphosphine palladium dichloride, palladium acetate, palladium acetate monotriphosphine, palladium acetate 1,4-bis (diphenylphosphino) butane, palladium chloride, chloride Palladium tritertiary butylphosphine and the like can be mentioned, and one or more can be selected as appropriate. It is used in a proportion of 0.001 to 0.1 equivalents relative to the compound of formula (g 1). When a palladium catalyst is used, tertiary phosphines such as triphenylphosphine and tri- (0-tolyl) phosphine may coexist, and 0.001-0.1 against the compound of formula (1-1) Used in equivalent proportions.
反応 ωで使用する塩基としては、例えば、炭酸ナトリウム、炭酸カリウム等の無機塩 基類;トリェチルァミン、トリブチルァミン、ジイソプロピルアミン等の有機アミン類が挙 げられる。式 (1-1)の化合物に対して、通常 1.0〜30当量、望ましくは 1.0〜15当量の 割合で使用される。 Examples of the base used in the reaction ω include inorganic bases such as sodium carbonate and potassium carbonate; organic amines such as triethylamine, tributylamine and diisopropylamine. The amount of the compound of formula (1-1) is usually 1.0 to 30 equivalents, desirably 1.0 to 15 equivalents.
[0055] 反応 Ci〕は、通常溶媒の存在下で行うことができる。溶媒としては、反応に不活性な 溶媒であればいずれのものでもよぐ例えば、ベンゼン、トルエン、キシレンのような芳 香族炭化水素類;へキサン、ヘプタン、オクタン、シクロへキサンのような脂肪族炭化 水素類;ジェチノレエーテノレ、ブチノレエチノレエーテノレ、テトラヒドロフラン、ジォキサン、 ジメトキシェタンのようなエーテル類;及び、ァセトニトリル、プロピオ-トリル、 Ν,Ν— ジメチルホルムアミド、ジメチルスルホキシド、へキサメチルホスホリックトリアミド、スル ホラン、ジメチルァセトアミド、 Ν—メチルピロリドンのような極性非プロトン性溶媒など 力も 1種又は 2種以上を適宜選択することができる。 反応 Ci〕は、通常 0〜150°C、望ましくは 10〜: LOO°Cで行うことができ、その反応時 間は、通常 0.1〜24時間程度、望ましくは 0.5〜12時間程度とすることができる。 [0055] The reaction Ci] can usually be performed in the presence of a solvent. The solvent may be any solvent that is inert to the reaction.For example, aromatic hydrocarbons such as benzene, toluene and xylene; fats such as hexane, heptane, octane and cyclohexane. Hydrocarbons; ethers such as jetinoreethenole, butinoleethinoleethenole, tetrahydrofuran, dioxane, dimethoxyethane; and acetonitrile, propio-tolyl, Ν, Ν-dimethylformamide, dimethylsulfoxide, One or more polar aprotic solvents such as oxamethylphosphoric triamide, sulfolane, dimethylacetamide and メ チ ル -methylpyrrolidone can be appropriately selected. The reaction Ci] can be usually carried out at 0 to 150 ° C, preferably 10 to: LOO ° C, and the reaction time is usually about 0.1 to 24 hours, preferably about 0.5 to 12 hours. it can.
[化 13] [Chemical 13]
[ ] []
R R2 R3aA、 m、 w及び Xは前述の通りであり、 R5はアルキルである。 RR 2 R 3a A, m, w and X are as described above, and R 5 is alkyl.
反応〔K〕中の一酸化炭素は、式 (1-1)の化合物に対して 1〜200倍モル、望ましく は 1〜50倍モル使用することができる。 Carbon monoxide in the reaction [K] can be used in an amount of 1 to 200 times mol, preferably 1 to 50 times mol, of the compound of the formula (1-1).
反応〔Κ〕中の R5— OHとしては、例えば、メタノール、エタノール、プロパノール、ィ ソプロピルアルコール、ブタノールなどを使用することができる。 R5— OHは、化合物 に対して 1〜 50倍モル、望ましくは 1〜 10倍モル使用することができる。 As R 5 —OH in the reaction [Κ], for example, methanol, ethanol, propanol, isopropyl alcohol, butanol and the like can be used. R 5 —OH can be used in an amount of 1 to 50 times mol, preferably 1 to 10 times mol, of the compound.
反応〔K〕は、通常パラジウム触媒の存在下で行うことができる。パラジウム触媒とし ては、例えば、テトラキストリフエ-ルホスフィンパラジウム、ビストリフエ-ルホスフィン ノ《ラジウムジクロライド、酢酸パラジウム、酢酸パラジウム一トリフエ-ルホスフィン、酢 酸パラジウム— 1,4-ビス (ジフエ-ルホスフイノ)ブタン、塩化パラジウム、塩化パラジゥ ム—トリターシャリーブチルホスフィン等が挙げられ、 1種又は 2種以上を適宜選択す ることができる。式 (i-i)の化合物に対して 0.001〜0.1当量の割合で使用される。パラ ジゥム触媒を用いる場合、トリフエ-ルホスフィンやトリ一 (0-トリル)ホスフィン等の第三 級ホスフィン類を共存させてもよぐ式 (1-1)の化合物に対して、 0.001〜0.1当量の割 合で使用される。 Reaction [K] can be normally performed in presence of a palladium catalyst. Examples of the palladium catalyst include tetrakistriphenylphosphine palladium, bistriphenylphosphine, << radium dichloride, palladium acetate, palladium acetate-triphenylphosphine, palladium acetate-1,4-bis (diphenylphosphino). Butane, palladium chloride, palladium chloride-tritertiary butylphosphine, etc. Can. It is used in a proportion of 0.001 to 0.1 equivalent relative to the compound of formula (ii). When a palladium catalyst is used, 0.001 to 0.1 equivalents to the compound of formula (1-1) in which tertiary phosphines such as triphenylphosphine and tri (0-tolyl) phosphine may coexist Used in percentage.
反応〔κ〕で使用する塩基としては、例えば、炭酸ナトリウム、炭酸カリウム等の無機 塩基類;トリェチルァミン、トリブチルァミン、ジイソプロピルアミン等の有機アミン類が 挙げられる。式 (1-1)の化合物に対して、通常 1.0〜30当量、望ましくは 1.0〜15当量 の割合で使用される。 Examples of the base used in the reaction [κ] include inorganic bases such as sodium carbonate and potassium carbonate; organic amines such as triethylamine, tributylamine and diisopropylamine. The amount of the compound of formula (1-1) is usually 1.0 to 30 equivalents, preferably 1.0 to 15 equivalents.
[0058] 反応〔Κ〕は、通常溶媒の存在下で行うことができる。溶媒としては、反応に不活性 な溶媒であればいずれのものでもよぐ例えば、ベンゼン、トルエン、キシレンのような 芳香族炭化水素類;へキサン、ヘプタン、オクタン、シクロへキサンのような脂肪族炭 化水素類;ジェチルエーテル、ブチルェチルエーテル、テトラヒドロフラン、ジォキサ ン、ジメトキシェタンのようなエーテル類;及び、ァセトニトリル、プロピオ-トリル、 Ν,Ν —ジメチルホルムアミド、ジメチルスルホキシド、へキサメチルホスホリックトリアミド、ス ルホラン、ジメチルァセトアミド、 Ν—メチルピロリドンのような極性非プロトン性溶媒な どから 1種又は 2種以上を適宜選択することができる。 [0058] The reaction [ii] can usually be carried out in the presence of a solvent. The solvent may be any solvent inert to the reaction.For example, aromatic hydrocarbons such as benzene, toluene and xylene; aliphatics such as hexane, heptane, octane and cyclohexane Hydrocarbons; ethers such as jetyl ether, butyl ether, tetrahydrofuran, dioxane, dimethoxyethane; and acetonitrile, propio-tolyl, Ν, Ν —dimethylformamide, dimethyl sulfoxide, hexamethylphos One or more kinds can be appropriately selected from polar aprotic solvents such as holic triamide, sulfolane, dimethylacetamide, and メ チ ル -methylpyrrolidone.
反応〔Κ〕は、通常 0〜150°C、望ましくは 10〜: LOO°Cで行うことができ、その反応時 間は、通常 0.1〜24時間程度、望ましくは 0.5〜12時間程度とすることができる。 The reaction [Κ] is usually 0 to 150 ° C, preferably 10 to: LOO ° C, and the reaction time is usually about 0.1 to 24 hours, preferably about 0.5 to 12 hours. Can do.
[0059] [化 14] [0059] [Chemical 14]
一 16) (16)
[0060] A、 m及び wは前述の通りであり、 R はハロゲン、アルキル、ハロアルキル、ァルケ 二ノレ、ハロアノレケニノレ、ァノレキニノレ、ハロアノレキニノレ、 トリアノレキノレシリノレエチニノレ、ヒ ドロキシ、アルコキシ、ハロアルコキシ、ホルミル、アルキルカルボ-ル、ハロアルキル カルボニル、カルボキシル、アルコキシカルボニル、ハロアルコキシカルボニル、アミ ノカルボニル、アルキルアミノカルボニル、ジアルキルアミノカルボニル、シァノ、ァミノ 、アルキルァミノ、ジアルキルァミノ、置換されてもよいフヱノキシ、置換されてもよいピ リジルォキシ、置換されてもよ!、フエノキシカルボ-ル又は置換されてもよ!、ピリジル ォキシカルボ-ルであり、 R は水素原子、ハロゲン、アルキル、ハロアルキル、アルコ キシ、ハロアルコキシ、シァノアルコキシ、アルキルスルホニルォキシ、シァノ、ァミノ、 アルキルアミノ又はジアルキルァミノであり、 R3eはハロゲン、アルキル、ハロアルキル、 アルコキシ、ハロアルコキシ、シァノアルコキシ、アルキルスルホニルォキシ、シァ入 アミ入アルキルアミノ又はジアルキルァミノである。 [0060] A, m, and w are as described above, and R is halogen, alkyl, haloalkyl, alkyne nynore, haloanorekeninore, anorequininore, haloanorequininore, trianolenoquinosylinoretininore, hydroxy , Alkoxy, haloalkoxy, formyl, alkylcarbonyl, haloalkylcarbonyl, carboxyl, alkoxycarbonyl, haloalkoxycarbonyl, aminocarbonyl, alkylaminocarbonyl, dialkylaminocarbonyl, cyano, amino, alkylamino, dialkylamino, substituted R may be a hydrogen atom, a halogen atom, an alkyl, a haloalkyl, an alkoxy, an optionally substituted pyridine, an optionally substituted pyridoxy, an optionally substituted !, a phenoxycarbon or an optionally substituted! Haloalkoxy, Shianoarukokishi, alkylsulfonyl O carboxymethyl, Shiano, Amino, alkylamino or dialkylamino § amino, R 3e is halogen, alkyl, haloalkyl, alkoxy, haloalkoxy, Shianoarukokishi, alkylsulfonyl O alkoxy, ShiaIri Ami-containing alkylamino or dialkylamino.
[0061] 反応〔L〕は、通常、溶媒の存在下、式 (1-15)の化合物を、常圧〜数気圧の水素雰 囲気下、金属触媒により接触水素化するか、酸性溶媒中で金属触媒を作用させるこ とで還元することができる。前記金属触媒としては、例えば,ノ ジウム炭素、酸ィ匕白 金、ラネーニッケル、鉄、塩ィ匕第二スズなどから 1種又は 2種以上を適宜選択すること ができる。 [0061] In the reaction [L], the compound of the formula (1-15) is usually catalytically hydrogenated with a metal catalyst in a hydrogen atmosphere at normal pressure to several atmospheres in the presence of a solvent, or in an acidic solvent. Reduction can be achieved by the action of a metal catalyst. Examples of the metal catalyst include nodium carbon, acid white, and the like. One or more kinds can be appropriately selected from gold, Raney nickel, iron, salt stannic acid, and the like.
〔L〕反応中の水素は、式(1-15)の化合物に対して 1〜200倍モル、望ましくは 1〜50 倍モル使用することができる。 [L] Hydrogen in the reaction can be used in an amount of 1 to 200 times mol, preferably 1 to 50 times mol for the compound of formula (1-15).
溶媒としては、反応に不活性な溶媒であればいずれのものでもよぐ例えば水;酢 酸;酢酸ェチル;メタノール、エタノール、プロパノール、ノルマルブタノール、ターシャ リーブタノールのようなアルコール類;ジェチルエーテル、ブチルェチルエーテル、テ トラヒドロフラン、ジォキサン、ジメトキシェタンのようなエーテル類;ベンゼン、トルエン 、キシレンのような芳香族炭化水素類;及び、ペンタン、へキサン、ヘプタン、オクタン 、シクロへキサンのような脂肪族炭化水素類などから 1種又は 2種以上を適宜選択す ることがでさる。 As the solvent, any solvent inert to the reaction may be used, for example, water; acetic acid; ethyl acetate; alcohols such as methanol, ethanol, propanol, normal butanol and tertiary butanol; Ethers such as butyl ether, tetrahydrofuran, dioxane and dimethoxyethane; aromatic hydrocarbons such as benzene, toluene and xylene; and pentane, hexane, heptane, octane and cyclohexane. One or more of these aliphatic hydrocarbons can be appropriately selected.
反応〔L〕は、通常— 10〜100°C、望ましくは 0〜80°Cで行うことができ、その反応 時間は、通常 0.5〜24時間程度、望ましくは 2〜12時間程度とすることができる。 The reaction [L] can usually be carried out at −10 to 100 ° C., preferably 0 to 80 ° C. The reaction time is usually about 0.5 to 24 hours, preferably about 2 to 12 hours. it can.
[0062] 前記反応〔A〕の式 (II)又は式 (III)の化合物は、それぞれ公知化合物であるか、或 は公知資料に準じて製造することができる。例えば、式 (II)の化合物は、 Synthesis、 1 980年、 505頁に記載された方法又はそれに準じて製造することができ、式 (III)の化 合物は、 US— 5082949、 WO03Z24222中のスキーム 9〜22に記載された方法 又はそれに準じて製造することができる。 [0062] The compound of formula (II) or formula (III) of the reaction [A] is a known compound, or can be produced according to known materials. For example, the compound of the formula (II) can be produced according to the method described in Synthesis, 1 980, page 505 or a method similar thereto, and the compound of the formula (III) is described in US 5082949, WO03Z24222. It can be produced according to the methods described in Schemes 9 to 22 or in accordance therewith.
[0063] 前記式 (III)の化合物には新規ィヒ合物が含まれる。当該化合物は、例えば以下の 反応〔M〕に従って製造することができる。 [0063] The compound of formula (III) includes a novel compound. The compound can be produced, for example, according to the following reaction [M].
[0064] [化 15] [0064] [Chemical 15]
(K) (K)
[0065] 前記式中、 Vはハロゲンである。 [0065] In the above formula, V is halogen.
式 (VIII)の化合物は、溶媒の存在下、式 (VII)の化合物に当モル程度のヒドラジンを 作用させて合成することができる。 The compound of formula (VIII) can be synthesized by allowing an equimolar amount of hydrazine to act on the compound of formula (VII) in the presence of a solvent.
溶媒としては、反応に不活性な溶媒であればいずれのものでもよぐ例えば水;酢 酸;メタノール、エタノール、プロパノール、ノルマルブタノール、ターシャリーブタノ一 ルのようなアルコール類;ジェチルエーテル、ブチルェチルエーテル、テトラヒドロフラ ン、ジォキサン、ジメトキシェタンのようなエーテル類;ベンゼン、トルエン、キシレンの ような芳香族炭化水素類;及び、ペンタン、へキサン、ヘプタン、オクタン、シクロへキ サンのような脂肪族炭化水素類などから 1種又は 2種以上を適宜選択することができ る。 Any solvent can be used as long as it is inert to the reaction. For example, water; acetic acid; alcohols such as methanol, ethanol, propanol, normal butanol, and tertiary butanol; jetyl ether, butyl Ethers such as ethyl ether, tetrahydrofuran, dioxane and dimethoxyethane; aromatic hydrocarbons such as benzene, toluene and xylene; and pentane, hexane, heptane, octane and cyclohexane One or more of aliphatic hydrocarbons can be selected as appropriate.
反応〔Μ〕の第 1工程は、通常、塩基の存在下で行う。塩基としては、炭酸カリウム、 炭酸ナトリウム、酢酸ナトリウム、水素化ナトリウム、ナトリウムアルコキシド、ナトリウムチ オアルコキシドなどから 1種又は 2種以上を適宜選択することができる。使用量は式( VII)の化合物に対して 0. 8〜4倍モル、望ましくは 1〜2倍モル使用することができる The first step of the reaction [ii] is usually performed in the presence of a base. As the base, one or more kinds can be appropriately selected from potassium carbonate, sodium carbonate, sodium acetate, sodium hydride, sodium alkoxide, sodium thioalkoxide and the like. The amount used is 0.8 to 4 times mol, preferably 1 to 2 times mol for the compound of formula (VII).
[0066] 反応〔Μ〕の第 1工程は、通常 0〜140°C、望ましくは 20〜100°Cで行うことができ、 その反応時間は、通常 0.5〜24時間程度、望ましくは 2〜12時間程度とすることがで きる。 [0066] The first step of the reaction [ii] can be usually performed at 0 to 140 ° C, preferably 20 to 100 ° C, The reaction time is usually about 0.5 to 24 hours, preferably about 2 to 12 hours.
[0067] 反応〔M〕の第 2工程は、通常溶媒の存在下、式 (VIII)の化合物に塩基を作用させ て行うことができる。前記塩基としては、例えば、炭酸カリウム、炭酸ナトリウム、水素 化ナトリウム、ナトリウムアルコキシド、ナトリウムチオアルコキシドなどから 1種又は 2種 以上を適宜選択することができる。通常塩基は、式 (VIII)の化合物に対して 0. 8〜4 倍モル、望ましくは 1〜2倍モル使用することができる。 [0067] The second step of the reaction [M] can be performed by allowing a base to act on the compound of the formula (VIII) in the presence of a normal solvent. As the base, for example, one or more kinds can be appropriately selected from potassium carbonate, sodium carbonate, sodium hydride, sodium alkoxide, sodium thioalkoxide and the like. Usually, the base is used in an amount of 0.8 to 4 times mol, preferably 1 to 2 times mol for the compound of formula (VIII).
溶媒としては、反応に不活性な溶媒であればいずれのものでもよぐ例えば、ジェ チルエーテル、ブチルェチルエーテル、テトラヒドロフラン、ジォキサン、ジメトキシェ タンのようなエーテル類;及び、ァセトニトリル、プロピオ-トリル、 Ν,Ν—ジメチルホル ムアミド、ジメチルスルホキシド、へキサメチルホスホリックトリアミド、スルホラン、ジメチ ルァセトアミド、 Ν—メチルピロリドンのような極性非プロトン性溶媒などから 1種又は 2 種以上を適宜選択することができる。 Any solvent may be used as long as it is inert to the reaction. For example, ethers such as diethyl ether, butyl ether, tetrahydrofuran, dioxane, dimethoxyethane; and acetonitrile, propio-tolyl, Ν One or two or more types can be appropriately selected from polar aprotic solvents such as Ν-dimethylformamide, dimethyl sulfoxide, hexamethylphosphoric triamide, sulfolane, dimethylacetamide, and Ν-methylpyrrolidone.
[0068] 反応〔Μ〕の第 2工程は、通常 0〜150°C、望ましくは 50〜110°Cで行うことができ、 その反応時間は、通常 0.5〜24時間程度、望ましくは 1〜12時間程度とすることがで きる。 [0068] The second step of the reaction [v] can be usually carried out at 0 to 150 ° C, preferably 50 to 110 ° C, and the reaction time is usually about 0.5 to 24 hours, preferably 1 to 12 hours. It can be about hours.
[0069] 反応〔M〕の第 3工程は、通常、溶媒の存在下、式 (IX)の化合物を、酸化剤を用い て酸ィ匕することにより行うことができる。前記酸化剤としては、例えば,過マンガン酸力 リウム、亜塩素酸ナトリウムなど力 適宜選択することができる。酸化剤は、式 (IX)の化 合物に対して 1〜20倍モル、望ましくは 2〜10倍モル使用することができる。酸化剤 として亜塩素酸ナトリウムを使用する場合、リン酸二水素ナトリウムを式 (IX)の化合物 に対して 1〜 20倍モル、望ましくは 2〜 10倍モル使用する。 [0069] The third step of the reaction [M] can usually be carried out by oxidizing the compound of the formula (IX) with an oxidizing agent in the presence of a solvent. The oxidizing agent can be appropriately selected from, for example, power permanganate, sodium chlorite and the like. The oxidizing agent can be used in an amount of 1 to 20 times mol, preferably 2 to 10 times mol for the compound of formula (IX). When sodium chlorite is used as the oxidizing agent, sodium dihydrogen phosphate is used in an amount of 1 to 20 times mol, preferably 2 to 10 times mol, of the compound of formula (IX).
溶媒としては、水、ァセトニトリル、プロピオ-トリル、アセトンなどから 1種又は 2種以 上を適宜選択し使用できる。反応〔M〕の第 3工程は、通常— 10〜100°C、望ましく は 0〜80°Cで行うことができ、その反応時間は、通常 0.5〜24時間程度、望ましくは 2〜20時間程度とすることができる。 As the solvent, one or more can be appropriately selected from water, acetonitrile, propiotolyl, acetone and the like. The third step of the reaction [M] can usually be carried out at −10 to 100 ° C., preferably 0 to 80 ° C., and the reaction time is usually about 0.5 to 24 hours, preferably about 2 to 20 hours. It can be.
[0070] 前記反応〔B〕の式 (IV)の化合物は、公知化合物であるか、或は公知資料に準じて 製造することができる。例えば、式(IV)の化合物は、 Org. Prep. Proceed. Int.、 199 3年、 25卷、 585頁に記載された方法、 WO03Z24222中のスキーム 8〜10に記載さ れた方法又はそれらに準じて製造することができる。 [0070] The compound of the formula (IV) in the reaction [B] is a known compound, or can be produced according to known materials. For example, the compound of formula (IV) is Org. Prep. Proceed. Int., 199 It can be produced according to the method described in 3 years, 25%, page 585, the method described in schemes 8 to 10 in WO03Z24222, or the like.
[0071] 前記反応〔B〕の式 (V)の化合物には新規化合物が含まれる。当該化合物は Gabrie[0071] The compound of formula (V) in the reaction [B] includes a novel compound. The compound is Gabrie
1法にて製造可能である力 例えば以下の反応〔N〕に従って製造することができる。 Force that can be produced by one method For example, it can be produced according to the following reaction [N].
[0072] [化 16] [0072] [Chemical 16]
[0073] Aは前述の通りであり、 Tはハロゲン、—OSO G (Gはスルホン酸エステル残基)又 [0073] A is as described above, T is halogen, —OSO G (G is a sulfonic acid ester residue) or
2 2
は OHであり、 Tがハロゲン又は OSO Gのとき、 Mはナトリウム又はカリウムであ Is OH and when T is halogen or OSO G, M is sodium or potassium.
2 2
り、 Tが— OHのとき、 Mは水素原子である。前記スルホン酸エステル残基としては、 例えばメチル、ェチルのような C のアルキル、 C のアルキルで置換されてもよい When T is — OH, M is a hydrogen atom. Examples of the sulfonate residue may be substituted with C alkyl such as methyl and ethyl, and C alkyl.
1 -6 1-6 1 -6 1-6
フエ-ルなどが挙げられる。 Examples include ferrules.
[0074] 反応〔N〕の第 1工程は、 Tがハロゲン又は— OSO Gであり、且つ Mがナトリウム又 [0074] In the first step of reaction [N], T is halogen or —OSO G, and M is sodium or
2 2
はカリウムである場合、通常溶媒の存在下で行うことができる。 When is potassium, it can usually be carried out in the presence of a solvent.
溶媒としては、反応に不活性な溶媒であればいずれのものでもよぐ例えば、ジェ チルエーテル、ブチルェチルエーテル、テトラヒドロフラン、ジォキサン、ジメトキシェ タンのようなエーテル類;ベンゼン、トルエン、キシレンのような芳香族炭化水素類;ァ セトニトリル、プロピオ-トリル、 Ν,Ν ジメチルホルムアミド、ジメチルスルホキシド、 へキサメチルホスホリックトリアミド、スルホラン、ジメチルァセトアミド、 Ν メチルピロリ ドンのような極性非プロトン性溶媒;及び、メタノール、エタノール、プロパノール、ノル マルブタノール、ターシャリーブタノールのようなアルコール類などから 1種又は 2種 以上を適宜選択することができる。 [0075] 反応〔N〕の第 1工程は、 Tがハロゲン又は— OSO Gであり、且つ Mがナトリウム又 Any solvent may be used as long as it is inert to the reaction. For example, ethers such as diethyl ether, butyl ether, tetrahydrofuran, dioxane and dimethoxyethane; aromatics such as benzene, toluene and xylene. Aromatic hydrocarbons; polar aprotic solvents such as acetonitrile, propio-tolyl, Ν, Ν dimethylformamide, dimethyl sulfoxide, hexamethylphosphoric triamide, sulfolane, dimethylacetamide, メ チ ル methylpyrrolidone; and One or more kinds can be appropriately selected from alcohols such as methanol, ethanol, propanol, normal butanol, and tertiary butanol. [0075] In the first step of the reaction [N], T is halogen or —OSO G, and M is sodium or
2 2
はカリウムである場合、通常 0〜150°C、望ましくは 30〜110°Cで行うことができ、そ の反応時間は、通常 0.5〜24時間程度、望ましくは 1〜12時間程度とすることができ る。 In the case of potassium, it can be carried out usually at 0 to 150 ° C, preferably 30 to 110 ° C, and the reaction time is usually about 0.5 to 24 hours, preferably about 1 to 12 hours. it can.
[0076] 反応〔N〕の第 1工程は、 Tがー OHであり、且つ Mが水素原子である場合、通常、 光延 (Mitsunobu)法に従って行うことができる力 例えば、溶媒の存在下、ジアルキ ルァゾジカルボキシレート及びトリフエ-ルホスフィンを用いて行うことができる。前記 ジアルキルァゾジカルボキシレートとトリフエ-ルホスフィンは、通常、式(X)の化合物 に対し、それぞれ等モル程度用いることができる。前記ジアルキルァゾジカルボキシ レートとしては、例えばジェチノレアゾジカノレボキシレート、ジイソプロピノレアゾジカノレボ キシレートなどが挙げられる。 [0076] The first step of the reaction [N] is usually a force that can be performed according to the Mitsunobu method when T is -OH and M is a hydrogen atom. It can be carried out using luazodicarboxylate and triphenylphosphine. The dialkylazodicarboxylate and triphenylphosphine can be used in an equimolar amount with respect to the compound of formula (X). Examples of the dialkylazodicarboxylate include jetinoreazodicanoloxylate, diisopropinoreazodicanoloxylate, and the like.
[0077] 溶媒としては、反応に不活性な溶媒であればいずれのものでもよぐ例えば、ジェ チルエーテル、ブチルェチルエーテル、テトラヒドロフラン、ジォキサン、ジメトキシェ タンのようなエーテノレ類;クロ口ベンゼン、ジクロロベンゼン、ジクロロメタン、クロロホノレ ム、四塩化炭素、ジクロロエタン、トリクロロェタン、ジクロロエチレンのようなハロゲン 化炭化水素類;及び、ベンゼン、トルエン、キシレンのような芳香族炭化水素類など 力も 1種又は 2種以上を適宜選択することができる。 [0077] The solvent may be any solvent that is inert to the reaction. For example, etherols such as diethyl ether, butyl ether, tetrahydrofuran, dioxane, dimethoxyethane; black benzene, dichlorobenzene Halogenated hydrocarbons such as dichloromethane, chloroform, carbon tetrachloride, dichloroethane, trichloroethane, dichloroethylene; and aromatic hydrocarbons such as benzene, toluene, xylene, etc. It can be selected appropriately.
反応〔N〕の第 1工程は、 Tが— OHであり、且つ Mが水素原子である場合、通常 0 〜80°C、望ましくは 20〜60°Cで行うことができ、その反応時間は、通常 0.5〜24時 間程度、望ましくは 1〜16時間程度とすることができる。 The first step of the reaction [N] can be carried out usually at 0 to 80 ° C., preferably 20 to 60 ° C. when T is —OH and M is a hydrogen atom, and the reaction time is Usually, about 0.5 to 24 hours, preferably about 1 to 16 hours can be used.
[0078] 反応〔N〕の第 2工程は、通常、溶媒の存在下、式 (XII)の化合物を、ヒドラジンを用 いて分解することにより行うことができる。前記ヒドラジンは、通常、式 (XII)の化合物 に対し、等モル程度用いることができる。 [0078] The second step of the reaction [N] can usually be performed by decomposing the compound of the formula (XII) using hydrazine in the presence of a solvent. The hydrazine can be usually used in an equimolar amount with respect to the compound of the formula (XII).
溶媒としては、反応に不活性な溶媒であればいずれのものでもよぐ例えば、ジェ チルエーテル、ブチルェチルエーテル、テトラヒドロフラン、ジォキサン、ジメトキシェ タンのようなエーテル類;ベンゼン、トルエン、キシレンのような芳香族炭化水素類;メ タノ一ノレ、エタノーノレ、プロパノーノレ、ノノレマノレブタノ一ノレ、ターシャリーブタノールの ようなアルコール類などから 1種又は 2種以上を適宜選択することができる。 反応〔N〕の第 2工程は、通常 0〜140°C、望ましくは 30〜100°Cで行うことができ、 その反応時間は、通常 0.5〜24時間程度、望ましくは 2〜12時間程度とすることがで きる。 Any solvent may be used as long as it is inert to the reaction. For example, ethers such as diethyl ether, butyl ether, tetrahydrofuran, dioxane and dimethoxyethane; aromatics such as benzene, toluene and xylene. One or two or more types can be appropriately selected from group hydrocarbons; alcohols such as methanol, ethanol, propanol, nonolemanolebutanol and tertiary butanol. The second step of the reaction [N] can be usually carried out at 0 to 140 ° C, preferably 30 to 100 ° C, and the reaction time is usually about 0.5 to 24 hours, preferably about 2 to 12 hours. can do.
[0079] 前記式 (V)の化合物は以下の反応〔0〕に従っても製造することができる。 [0079] The compound of the formula (V) can also be produced according to the following reaction [0].
[0080] [化 17] [0080] [Chemical 17]
[O] [O]
[0081] Βは水素原子又はアルキルであり、 Jは— ΟΗ又は— OG1 (G1はエーテル残基)であ り、 nは 1又は 2であり、前記 G1としては、例えばメチル、ェチルのような C のアルキ [0081] Β is a hydrogen atom or alkyl, J is — ΟΗ or — OG 1 (G 1 is an ether residue), n is 1 or 2, and examples of G 1 include, for example, methyl, ethyl Like C Archi
1 - 6 ル、 C のアルキルで置換されてもよいフ -ルなどが挙げられる。 Examples thereof include 1-6 and fur optionally substituted with C alkyl.
1 -6 1 -6
[0082] 反応〔0〕の第 1工程は、通常溶媒の存在下で行うことができる。 [0082] The first step of the reaction [0] can be usually performed in the presence of a solvent.
溶媒としては、反応に不活性な溶媒であればいずれのものでもよぐ例えば、ジェ チルエーテル、ブチルェチルエーテル、テトラヒドロフラン、ジォキサン、ジメトキシェ タンのようなエーテノレ類;クロ口ベンゼン、ジクロロベンゼン、ジクロロメタン、クロロホノレ ム、四塩化炭素、ジクロロエタン、トリクロロェタン、ジクロロエチレンのようなハロゲン 化炭化水素類;ベンゼン、トルエン、キシレンのような芳香族炭化水素類;ァセトニトリ ル、プロピオ-トリル、 Ν,Ν—ジメチルホルムアミド、ジメチルスルホキシド、へキサメチ ルホスホリックトリアミド、スルホラン、ジメチルァセトアミド、 Ν—メチルピロリドンのよう な極性非プロトン性溶媒;メタノール、エタノール、プロパノール、ノルマルブタノール 、ターシャリーブタノールのようなアルコール類;及び、水などから 1種又は 2種以上を 適宜選択することができる。 Any solvent may be used as long as it is inert to the reaction. For example, etherols such as diethyl ether, butyl ether, tetrahydrofuran, dioxane, dimethoxyethane; black benzene, dichlorobenzene, dichloromethane, Halogenated hydrocarbons such as chloroform, carbon tetrachloride, dichloroethane, trichloroethane, dichloroethylene; aromatic hydrocarbons such as benzene, toluene, xylene; acetonitryl, propio-tolyl, Ν, ア ミ ド -dimethylformamide , Dimethyl sulfoxide, hexamethylphosphoric triamide, sulfolane, dimethylacetamide, polar aprotic solvents such as methyl pyrrolidone; methanol, ethanol, propanol, normal butanol, tertiary rib Alcohols such as Nord; and water one or more of such may be appropriately selected.
反応〔0〕の第 1工程は、通常 0〜150°C、望ましくは 30〜110°Cで行うことができ、 その反応時間は、通常 0.5〜24時間程度、望ましくは 1〜12時間程度とすることがで きる。 The first step of the reaction [0] can usually be carried out at 0 to 150 ° C, preferably 30 to 110 ° C, and the reaction time is usually about 0.5 to 24 hours, preferably about 1 to 12 hours. can do.
[0083] 反応〔0〕の第 2工程は、通常、溶媒の存在下、式 (XV)の化合物を、還元剤を用い て還元すること〖こより行うことができる。前記還元剤としては、例えば,水素化リチウム アルミニウム、水素化ホウ素ナトリウムなどから 1種又は 2種以上を適宜選択することが できる。 [0083] In the second step of reaction [0], the compound of formula (XV) is usually used in the presence of a solvent using a reducing agent. It can be done more than anything. As the reducing agent, for example, one or more of lithium aluminum hydride and sodium borohydride can be appropriately selected.
この場合の溶媒としては、反応に不活性な溶媒であればいずれのものでもよぐ例 えば、ジェチノレエーテノレ、ブチノレエチノレエーテノレ、テトラヒドロフラン、ジォキサン、ジ メトキシェタンのようなエーテル類などから 1種又は 2種以上を適宜選択することがで きる。 As the solvent in this case, any solvent that is inert to the reaction may be used. Examples include ethers such as jetinoreethenore, butinoreethinoreethenole, tetrahydrofuran, dioxane, and dimethoxyethane. 1 type or 2 types or more can be appropriately selected.
[0084] また、反応〔0〕の第 2工程は、通常、溶媒の存在下、式 (XV)の化合物を、常圧〜 数気圧の水素雰囲気下で、金属触媒と接触水素化により還元することができる。前 記金属触媒としては、例えば,ノラジウム炭素、酸化白金、ラネーニッケルなどから 1 種又は 2種以上を適宜選択することができる。 [0084] In the second step of reaction [0], the compound of formula (XV) is usually reduced by catalytic hydrogenation with a metal catalyst in a hydrogen atmosphere at atmospheric pressure to several atmospheres in the presence of a solvent. be able to. As the metal catalyst, one or more kinds can be appropriately selected from, for example, noradium carbon, platinum oxide, Raney nickel and the like.
この場合の溶媒としては、反応に不活性な溶媒であればいずれのものでもよぐ例 えば水;酢酸;酢酸ェチル;メタノール、エタノール、プロパノール、ノルマルブタノ一 ル、ターシャリーブタノールのようなアルコール類;ジェチルエーテル、ブチルェチル エーテル、テトラヒドロフラン、ジォキサン、ジメトキシェタンのようなエーテル類;クロ口 ベンゼン、ジクロロベンゼン、ジクロロメタン、クロ口ホルム、四塩化炭素、ジクロロエタ ン、トリクロロェタン、ジクロロエチレンのようなハロゲン化炭化水素類;ベンゼン、トル ェン、キシレンのような芳香族炭化水素類;及び、ペンタン、へキサン、ヘプタン、オタ タン、シクロへキサンのような脂肪族炭化水素類などから 1種又は 2種以上を適宜選 択することができる。 As the solvent in this case, any solvent that is inert to the reaction may be used. For example, water; acetic acid; ethyl acetate; alcohols such as methanol, ethanol, propanol, normal butanol, and tertiary butanol; Ethers such as jetyl ether, butyl ether, tetrahydrofuran, dioxane, dimethoxyethane; halogenated compounds such as chlorobenzene, dichlorobenzene, dichloromethane, chloroform, carbon tetrachloride, dichloroethane, trichloroethane, dichloroethylene Hydrocarbons; 1 or 2 aromatic hydrocarbons such as benzene, toluene, xylene; and aliphatic hydrocarbons such as pentane, hexane, heptane, otatan, cyclohexane, etc. The above can be selected as appropriate.
[0085] 反応〔0〕の第 2工程は、通常— 10〜100°C、望ましくは 0〜80°Cで行うことができ、 その反応時間は、通常 0.5〜24時間程度、望ましくは 2〜12時間程度とすることがで きる。 [0085] The second step of the reaction [0] can usually be carried out at −10 to 100 ° C., preferably 0 to 80 ° C., and the reaction time is usually about 0.5 to 24 hours, preferably 2 to It can be about 12 hours.
前記式 (V)の化合物は製造工程で反応液に酸を加えることによって、塩として取り 出すことちできる。 The compound of formula (V) can be removed as a salt by adding an acid to the reaction solution in the production process.
[0086] 本発明化合物を含有する有害生物防除剤の望ましい態様について以下に記述す る。 [0086] Desirable embodiments of the pest control agent containing the compound of the present invention will be described below.
本発明化合物を含有する有害生物防除剤は、例えば農園芸分野で問題となる各 種有害生物の防除剤、即ち農園芸用有害生物防除剤や、動物に寄生する有害生物 の防除剤、即ち動物寄生生物防除剤として特に有用である。 The pest control agent containing the compound of the present invention is, for example, each problematic in the field of agriculture and horticulture. It is particularly useful as a species pest control agent, that is, an agricultural and horticultural pest control agent, or a pest control agent that parasitizes animals, that is, an animal parasite control agent.
[0087] 農園芸用有害生物防除剤としては、例えば、殺虫、殺ダニ、殺線虫、殺土壌害虫 剤として有用である力 具体的には、ナミハダ-、 -セナミハダ-、カンザヮハダ-、ミ カンハダ二、リンゴハダ-、チヤノホコリダ-、ミカンサビダ-、ネダニなどのような植物 寄生性ダニ類;コナガ、ョトウムシ、ハスモンョトウ、コドリンガ、ボールワーム、タバコバ ッドワーム、マイマイガ、コブノメイガ、チヤノコカクモンハマキ、リンゴコカクモンハマキ 、モモシンタイガ、ナシヒメシンクイ、タマナヤガ、力ブラャガ、コロラドハムシ、ゥリハム シ、ボールウイ一ビル、アブラムシ類、ゥンカ類、ョコバイ類、カイガラムシ類、カメムシ 類、コナジラミ類、ァザミゥマ類、ノ ッタ類、ハナバエ類、コガネムシ類、ァリ類、ハモグ リバェ類などのような農業害虫類;ネコブセンチユウ類、シストセンチユウ類、ネグサレ センチユウ類、イネシンガレセンチユウ、イチゴメセンチユウ、マツノザィセンチユウなど のような植物寄生性線虫類;ナメクジ、マイマイなどのような腹足類;ダンゴムシ、ワラ ジムシのような等脚類などのような土壌害虫類;イエダニ、イエバエ、了カイエ力、ゴキ プリ類などのような衛生害虫類;バタガ、ァズキゾゥムシ、コクヌストモドキ、ゴミムシダ マシ類などのような貯穀害虫類;ィガ、ヒメカツォブシムシ、シロアリ類などのような衣 類、家屋害虫類;ケナガコナダニ、コナヒヨウダニ、ミナミッメダニなどのような屋内塵 性ダニ類の防除に有効である。なかでも、本発明化合物を含有する農園芸用有害生 物防除剤は、植物寄生性ダニ類、農業害虫類、植物寄生性線虫類などの防除に特 に有効である。また、本発明化合物を含有する農園芸用有害生物防除剤は、有機リ ン剤、カーバメート剤、合成ピレスロイド剤などの薬剤に対する各種抵抗性害虫の防 除にも有効である。さらに本発明化合物は、優れた浸透移行性を有していることから 、本発明化合物を含有する農園芸用有害生物防除剤を土壌に処理することによって 土壌有害昆虫類、ダニ類、線虫類、腹脚類、等脚類の防除と同時に茎葉部の害虫 類をち防除することができる。 [0087] Pesticides for agricultural and horticultural use include, for example, power useful as insecticides, acaricides, nematicides, and soil-killing insecticides. Specifically, Namihada, -Senamihada-, Kanzahadada, Mikanhada Plant parasitic mites such as apple hada, chiyanokorida, mandarin orange, mite, etc .; diamondback moth, weevil, lotus root, codling moth, ball worm, cigarette budworm, maiiga, kono noiga, chinokokakumonhamaki , Momoshin Taiga, Nashihime Shinchii, Tamanayaga, Power Braga, Colorado potato beetle, Urihamushi, Ballui bilbil, Aphids, Pruners, leafhoppers, scale insects, stink bugs, whiteflies, thrips, beetles, beetles Such as moss, ants, and clams Agricultural insect pests; plant parasitic nematodes such as root-knot sentin, cyst-scented, Nesare sentinu, rice singale-scented, strawberry sentinu, pine-nosed sentry, etc .; slugs, maimai, etc. Stomach pests such as gastropods, isopods such as stag beetle, bark beetle, hygiene pests such as house dust mites, house flies, cayenne powers, cockroaches, etc .; Stored pests such as moss; clothing, house pests such as Iga, Himekatsubushimushi, termites, etc .; effective for the control of indoor dust mites such as Pterodactylidae, Scarlet Mite, Southern Mite . Among them, the agricultural and horticultural harmful organism control agent containing the compound of the present invention is particularly effective for controlling plant parasitic mites, agricultural pests, plant parasitic nematodes and the like. In addition, the agricultural and horticultural pesticide containing the compound of the present invention is also effective for controlling various resistant pests against drugs such as organic phosphorus agents, carbamate agents, and synthetic pyrethroid agents. Furthermore, since the compound of the present invention has excellent osmotic transfer properties, by treating the soil with a pesticide for agricultural and horticultural use containing the compound of the present invention, soil harmful insects, mites, nematodes In addition, it can control pests in the foliage at the same time as the control of gastropods and isopods.
[0088] 本発明化合物を含有する有害生物防除剤の別の望ま 、態様としては、前記した 植物寄生性ダニ類、農業害虫類、植物寄生性線虫類、腹足類、土壌害虫類などを 総合的に防除する農園芸用有害生物防除剤が挙げられる。 本発明化合物を含有する農園芸用有害生物防除剤は、通常該化合物と各種農業 上の補助剤とを混合して粉剤、粒剤、顆粒水和剤、水和剤、水性懸濁剤、油性懸濁 剤、水溶剤、乳剤、液剤、ペースト剤、エアゾール剤、微量散布剤などの種々の形態 に製剤して使用されるが、本発明の目的に適合する力ぎり、通常の当該分野で用い られているあらゆる製剤形態にすることができる。製剤に使用する補助剤としては、珪 藻土、消石灰、炭酸カルシウム、タルク、ホワイトカーボン、カオリン、ベントナイト、力 オリナイト及びセリサイトの混合物、クレー、炭酸ナトリウム、重曹、芒硝、ゼォライト、 澱粉などの固型担体;水、トルエン、キシレン、ソルベントナフサ、ジォキサン、ァセト ン、イソホロン、メチルイソブチルケトン、クロ口ベンゼン、シクロへキサン、ジメチルス ルホキシド、 Ν,Ν—ジメチルホルムアミド、ジメチルァセトアミド、 Ν—メチルー 2—ピロ リドン、アルコールなどの溶剤;脂肪酸塩、安息香酸塩、アルキルスルホコハク酸塩、 ジアルキルスルホコハク酸塩、ポリカルボン酸塩、アルキル硫酸エステル塩、アルキ ル硫酸塩、アルキルァリール硫酸塩、アルキルジグリコールエーテル硫酸塩、アルコ ール硫酸エステル塩、アルキルスルホン酸塩、アルキルァリールスルホン酸塩、ァリ 一ルスルホン酸塩、リグ-ンスルホン酸塩、アルキルジフヱ-ルエーテルジスルホン 酸塩、ポリスチレンスルホン酸塩、アルキルリン酸エステル塩、アルキルァリールリン 酸塩、スチリルァリールリン酸塩、ポリオキシエチレンアルキルエーテル硫酸エステル 塩、ポリオキシエチレンアルキルァリールエーテル硫酸塩、ポリオキシエチレンアルキ ルァリールエーテル硫酸エステル塩、ポリオキシエチレンアルキルエーテルリン酸塩 、ポリオキシエチレンアルキルァリールリン酸エステル塩、ナフタレンスルホン酸ホル マリン縮合物の塩のような陰イオン系の界面活性剤ゃ展着剤;ソルビタン脂肪酸エス テル、グリセリン脂肪酸エステル、脂肪酸ポリダリセライド、脂肪酸アルコールポリダリ コールエーテル、アセチレングリコール、アセチレンアルコール、ォキシァノレキレンブ ロックポリマー、ポリオキシエチレンアルキルエーテル、ポリオキシエチレンアルキルァ リールエーテル、ポリオキシエチレンスチリルァリールエーテル、ポリオキシエチレン グリコールアルキルエーテル、ポリエチレングリコール、ポリオキシエチレン脂肪酸ェ ステル、ポリオキシエチレンソルビタン脂肪酸エステル、ポリオキシエチレングリセリン 脂肪酸エステル、ポリオキシエチレン硬化ヒマシ油、ポリオキシプロピレン脂肪酸エス テルのような非イオン系の界面活性剤ゃ展着剤;及び、ォリーブ油、カポック油、ひま し油、シュロ油、椿油、ヤシ油、ごま油、トウモロコシ油、米ぬか油、落花生油、綿実油 、大豆油、菜種油、亜麻仁油、きり油、液状パラフィンなどの植物油や鉱物油などが 挙げられる。これら補助剤の各成分は、本発明の目的力 逸脱しないかぎり、 1種又 は 2種以上を適宜選択して使用することができる。また、前記した補助剤以外にも当 該分野で知られたものの中から適宜選んで使用することもできる。例えば、増量剤、 増粘剤、沈降防止剤、凍結防止剤、分散安定剤、薬害軽減剤、防黴剤など通常使 用される各種補助剤である。本発明化合物と各種補助剤との配合割合は 0.001 : 99.9 99〜95 : 5、望ましくは 0.005 : 99.995〜90 : 10である。これら製剤の実際の使用に際し ては、そのまま使用するか、または水等の希釈剤で所定濃度に希釈し、必要に応じ て各種展着剤 (界面活性剤、植物油、鉱物油など)を添加して使用することができる。 [0088] Another desirable aspect of the pest control agent containing the compound of the present invention is that the above-mentioned plant parasitic mites, agricultural pests, plant parasitic nematodes, gastropods, soil pests, etc. And pesticides for agricultural and horticultural use. The agricultural and horticultural pest control agent containing the compound of the present invention is usually a powder, granule, granule wettable powder, wettable powder, aqueous suspension, oily mixture of the compound and various agricultural adjuvants. Used in various forms such as suspensions, aqueous solvents, emulsions, solutions, pastes, aerosols, microdispersions, etc. It can be in any formulation form. Adjuvants used in the formulation include diatomaceous earth, slaked lime, calcium carbonate, talc, white carbon, kaolin, bentonite, mixture of olinite and sericite, clay, sodium carbonate, sodium bicarbonate, sodium nitrate, zeolite, starch, etc. Mold carrier: water, toluene, xylene, solvent naphtha, dioxane, acetone, isophorone, methyl isobutyl ketone, black benzene, cyclohexane, dimethyl sulfoxide, Ν, Ν-dimethylformamide, dimethylacetamide, Ν-methyl-2 — Solvents such as pyrrolidone and alcohol; fatty acid salts, benzoates, alkylsulfosuccinates, dialkylsulfosuccinates, polycarboxylates, alkylsulfate esters, alkylsulfates, alkylaryl sulfates, alkyldiglycols Ether sulfate , Alcohol sulfate, alkyl sulfonate, alkyl aryl sulfonate, aryl sulfonate, lignite sulfonate, alkyl diphenyl ether disulfonate, polystyrene sulfonate, alkyl phosphate ester salt , Alkylaryl phosphate, styryl aryl phosphate, polyoxyethylene alkyl ether sulfate, polyoxyethylene alkyl aryl ether sulfate, polyoxyethylene alkyl ether ether sulfate, polyoxyethylene alkyl ether Anionic surfactants such as phosphates, polyoxyethylene alkylaryl phosphate esters, naphthalene sulfonate formalin condensate salts; sorbitan fatty acid esters, glycerin fatty acid esters, fatty acids LIDALICELIDE, FATTY ACID ALCOHOL POLYDALYL ETHER, ACETYLENE GLYCOL, ACETYLENE ALCOHOL, OXYANOLECYLENE BLOCK POLYMER, POLYoxyethylene Alkyl Ether, Polyoxyethylene Alkyl Reel Ether, Polyoxyethylene Styryl Alyl Ether, Polyoxyethylene Glycol Alkyl ether, polyethylene glycol, polyoxyethylene fatty acid ester, polyoxyethylene sorbitan fatty acid ester, polyoxyethylene glycerin fatty acid ester, polyoxyethylene hydrogenated castor oil, polyoxypropylene fatty acid ester Nonionic surfactants such as tellurium spreading agents; olive oil, kapok oil, castor oil, palm oil, coconut oil, coconut oil, sesame oil, corn oil, rice bran oil, peanut oil, cottonseed oil, large Examples include bean oil, rapeseed oil, linseed oil, drill oil, liquid oil, vegetable oils and mineral oils. Each component of these adjuvants can be used by appropriately selecting one or two or more types without departing from the object of the present invention. In addition to the above-mentioned auxiliary agents, they can be appropriately selected from those known in the art. For example, various commonly used adjuvants such as extenders, thickeners, anti-settling agents, antifreeze agents, dispersion stabilizers, safeners, and antifungal agents. The compounding ratio of the compound of the present invention and various adjuvants is 0.001: 99.9 99 to 95: 5, preferably 0.005: 99.995 to 90:10. In actual use of these preparations, use them as they are, or dilute them to a prescribed concentration with a diluent such as water, and add various spreading agents (surfactants, vegetable oils, mineral oils, etc.) as necessary. Can be used.
[0090] 本発明化合物を含有する農園芸用有害生物防除剤の施用は、気象条件、製剤形 態、施用時期、施用場所、病害虫の種類や発生状況などの相違により一概に規定で きないが、一般に 0.05〜800000ppm、望ましくは 0.5〜500000ppmの有効成分濃度で 行ない、その単位面積あたりの施用量は、 1ヘクタール当り本発明化合物が 0.05〜50 000g、望ましくは l〜30000gである。また、本発明化合物を含有する有害生物防除剤 の別の望ましい態様である農園芸用の有害生物防除剤の施用は、前記有害生物防 除剤の施用に準じて行われる。本発明には、このような施用方法による有害生物の 防除方法、特に植物寄生性ダニ類、農業害虫類、植物寄生性線虫類の防除方法も 含まれる。 [0090] The application of the agricultural and horticultural pesticide containing the compound of the present invention cannot be generally specified due to differences in weather conditions, formulation, application time, application location, pest type and occurrence, etc. In general, the active ingredient concentration is 0.05 to 800,000 ppm, preferably 0.5 to 500,000 ppm. The application amount per unit area is 0.05 to 50 000 g, preferably 1 to 30000 g, of the present compound per hectare. In addition, application of the agricultural and horticultural pest control agent, which is another preferred embodiment of the pest control agent containing the compound of the present invention, is performed in accordance with the application of the pest control agent. The present invention also includes a method for controlling pests by such an application method, particularly a method for controlling plant parasitic mites, agricultural pests, and plant parasitic nematodes.
[0091] 本発明化合物を含有する農園芸用有害生物防除剤の種々の製剤、またはその希 釈物の施用は、通常一般に行なわれている施用方法すなわち、散布 (例えば散布、 噴霧、ミスティング、アトマイジング、散粒、水面施用等)、土壌施用(混入、灌注等)、 表面施用(塗布、粉衣、被覆等)、浸漬毒餌等により行うことができる。また、家畜に対 して前記有効成分を飼料に混合して与え、その排泄物での有害虫、特に有害昆虫 の発生及び生育を阻害することも可能である。また!、わゆる超高濃度少量散布法 (ult ra low volume)により施用することもできる。この方法においては、活性成分を 100% 含有することが可能である。 [0092] また、本発明化合物を含有する農園芸用有害生物防除剤は、他の農薬、肥料、薬 害軽減剤などと混用或は併用することができ、この場合に一層優れた効果、作用性 を示すことがある。他の農薬としては、除草剤、殺虫剤、殺ダニ剤、殺線虫剤、殺土 壌害虫剤、殺菌剤、抗ウィルス剤、誘引剤、抗生物質、植物ホルモン、植物成長調整 剤などが挙げられる。特に、本発明化合物と他の農薬の有効成分化合物の 1種又は 2種以上とを混用或は併用した混合有害生物防除組成物は、適用範囲、薬剤処理 の時期、防除活性等を好ましい方向へ改良することが可能である。尚、本発明化合 物と他の農薬の有効成分化合物は各々別々に製剤したものを散布時に混合して使 用しても、両者を一緒に製剤して使用してもよい。本発明には、このような混合有害 生物防除組成物も含まれる。 [0091] Various formulations of the agricultural and horticultural pesticide containing the compound of the present invention, or a diluted product thereof, are usually applied by a commonly used application method, ie, spraying (eg spraying, spraying, misting, Atomizing, dusting, water surface application, etc.), soil application (mixing, irrigation, etc.), surface application (application, powder coating, coating, etc.), immersion poison bait, etc. It is also possible to give livestock a mixture of the above-mentioned active ingredients in feed to inhibit the occurrence and growth of harmful insects, particularly harmful insects, in their excreta. It can also be applied by the ultra-low volume method. In this method, it is possible to contain 100% of the active ingredient. [0092] In addition, the agricultural and horticultural pesticide containing the compound of the present invention can be used in combination with or combined with other agricultural chemicals, fertilizers, safeners, etc. May show sex. Other pesticides include herbicides, insecticides, acaricides, nematicides, soil pesticides, fungicides, antiviral agents, attractants, antibiotics, plant hormones, plant growth regulators, etc. It is done. In particular, a mixed pest control composition in which the compound of the present invention and one or more active compound compounds of other agricultural chemicals are used in combination or in combination is preferred in terms of application range, timing of chemical treatment, control activity, etc. It is possible to improve. The compound of the present invention and the other active ingredient compounds of other agricultural chemicals may be used separately by mixing them at the time of spraying, or may be used by preparing both together. The present invention also includes such a mixed pest control composition.
[0093] 本発明化合物と他の農薬の有効成分化合物との混合比は、気象条件、製剤形態、 施用時期、施用場所、病害虫の種類や発生状況などの相違により一概に規定できな いが、一般に 1 : 300〜300 : 1、望ましくは 1 : 100〜100 : 1である。また、施用適量は 1へ クタール当りの総有効成分化合物量として 0.1〜50000g、望ましくは l〜30000gである 。本発明には、このような混合有害生物防除組成物の施用方法による有害生物の防 除方法も含まれる。 [0093] The mixing ratio of the compound of the present invention and the active ingredient compound of other agricultural chemicals cannot be specified unconditionally due to differences in weather conditions, formulation form, application time, application location, pest type and occurrence, etc. Generally, it is 1: 300 to 300: 1, preferably 1: 100 to 100: 1. The appropriate amount to be applied is 0.1 to 50000 g, preferably 1 to 30000 g as the total amount of active ingredient compounds per hectal. The present invention also includes a method for controlling pests by a method for applying such a mixed pest control composition.
[0094] 上記他の農薬中の、殺虫剤、殺ダニ剤、殺線虫剤或いは殺土壌害虫剤、すなわち 害虫防除剤の有効成分化合物 (一般名;一部申請中を含む)としては、例えばプロフ エノホス (Profenofos)、シクロノレボス (Dichlorvos)、フエナ^ホス (Fenamiphos入フエ-トロ チオン (Fenitrothion)、 EPN、ダイアジノン (Diazinon)、クロルピリホスメチル (Chlorpyrif os-methyl),ァセフェート (Acephate)、プロチォホス (Prothiofos)、ホスチアゼート (Fosth iazate)、ホスホカルブ (Phosphocarb)、カズサホス (Cadusafos)、ジスルホトン (Dislfoton) 、クロルピリホス (Chlorpyrifos)、デメトン- S-メチル(Demeton- S- methyl)、ジメトエート( Dimethoate)、メタミドホス(Methamidophos)、パラチオン(Parathion)のような有機リン 酸エステル系化合物;カルノ リル (Carbaryl)、プロボキスル (Propoxur)、アルジカルブ( Aldicarb)、カルボフラン (Carboforan)、チォジカルプ (Thiodicarb)、メソミル (Methomyl) 、ォキサミル (Oxamyl)、ェチォフェンカルプ (Ethiofencarb)、ピリミカルブ (Pirimicarb)、 フエノブカルブ (Fenobucarb)、カルボスルファン (Carbosulfan)、ベンフラカルブ (Benfor acarb)のようなカーバメート系化合物;カルタップ (Cartap)、チオシクラム (Thiocyclam)、 ベンスルタップ(Bensultap)のようなネライストキシン誘導体; [0094] In the above-mentioned other agricultural chemicals, as an active ingredient compound (generic name; including some pending applications) of insecticides, acaricides, nematicides or soil insecticides, that is, pest control agents, Profenofos, Cyclonorevos, Dichlorvos, Fenitrothion, EPN, Diazinon, Chlorpyrif os-methyl, Acephate, Prothiofos , Phosthiazate (Fosth iazate), Phosphocarb (Chosphofos), Cadusafos, Disulfoton (Chlorpyrifos), Demeton-S-methyl, Dimethoate, Dimethoate, Methidophos (Metidophos) Organophosphate compounds such as Parathion; Carbaryl, Propoxur, Aldicarb ), Carboforan, Thiodicarb, Methomyl, Oxamyl, Ethiofencarb, Pirimicarb, Fenobucarb, Carbosulfan, B carbamate compounds such as acarb); nereistoxin derivatives such as Cartap, Thiocyclam, Bensultap;
ジコホル (Dicofol)、テトラジホン (Tetradifon)、エンドスルファン(Endosulfan)のような 有機塩素系化合物;酸化フェンブタスズ (Fenbutatin Oxide)のような有機金属系化合 物;フェンバレレート (Fenvalerate)、ぺノレメトリン (Permethrin)、シぺノレメトリン (Cypermet hrin)、デルタメトリン (Deltamethrin)、シハロトリン (Cyhalothrin)、テフルトリン (Tefluthrin )、エトフェンプロックス (Ethofenprox)、フェンプロパトリン(Fenpropathrin)、ビフェントリ ン (Bifenthrin)のようなピレスロイド系化合物;ジフルべンズロン (Diflubenzuron)、クロル フルァズロン (Chlorfluazuron)、テフルべンズロン (Teflubenzuron)、フノレフエノクスロン( Flufenoxuron)、ルフェヌロン(Lufenuron)、ノバルロン(Novaluron)、ビストリフルロン(B istrifluron)、ノビフルムロン(Noviflumuron)のようなべンゾィルゥレア系化合物;メトプ レン (Methoprene)、ピリプロキシフェン (Pyriproxyfen)、フエノキシカルブ(Fenoxycarb) のような幼若ホルモン様化合物;ピリダベン (Pyridaben)のようなピリダジノン系化合物; フェンピロキシメート (Fenpyroximate)、フィプロニル (Fipronil)、テブフェンピラド (Tebufe npyrad)、ェチピロール (Ethiprole)、トルフェンピラド (Tolfenpyrad)、ァセトプロール(Ac etoprole)、ピラフルプロール(Pyrafluprole)、ピリプロール(Pyriprole)のようなピラゾー ル系化合物;イミダクロプリド (Imidacloprid)、 -テンビラム (Nitenpyram)、ァセタミプリド( Acetamiprid)、チアクロプリド (Thiacloprid)、チアメトキサム (Thiamethoxam)、クロチア- ジン (Clothianidin)、ジノテフラン(Dinoteforan)などのネオ-コチノイド;テブフエノジド( Tebufenozide入メト ンフエノンド (Methoxyfenozide)、クロマフエノント、し nromafenozia e)、 ノ、口フエノジド(Halofenozide)などのヒドラジン系化合物;ジニトロ系化合物;有機 硫黄化合物;尿素系化合物;トリアジン系化合物;ヒドラゾン系化合物が挙げられる。 また、その他の化合物としては、フ口-力ミド (Flonicamid)、ブプロフエジン (Buprofezin) 、へキシチアゾクス (Hexythiazox)、アミトラズ (Amitraz)、クロルジメホルム (Chlordimefor m)、シラフノレォフェン (Silafluofen)、トリァザメイト (Triazamate)、ピメトロジン (Pymetrozin e)、ピリミジフェン (Pyrimidifen)、クロルフエナビル (Chlorfenapyr)、インドキサカルプ (Ind oxacarb),ァセキノシノレ (Acequinocyl)、エトキサゾ一ノレ (Etoxazole)、シロマジン (Cyrom azine)、 1,3—ジクロロプロペン (1 ,3- dichloropropene)、ジァフェンチウロン(Diafenthiur on)、ベンクロチアズ(Benclothiaz)、フルフェンリム(Flufenerim)、ピリダリル(Pyridalyl )、スピロジクロフェン(Spirodiclofen)、ビフエナゼート(Bifenazate)、スピロメシフェン( Spiromesifen)、プロパルギット(Propargite)、クロフエンテジン(Clofentezine)、フルァ クリビリム(Fluacrypyrim)、フルべンジアミド(Flubendiamide)、シフルメトフェン(Cyflu metofen)、メタフルミゾン(Metaflumizone)、アミドフルメット(Amidoflumet)のようなィ匕 合物などが挙げられる。更に、 BT剤、昆虫病原ウィルス剤、昆虫病原糸状菌剤、線 虫病原糸状菌剤などのような微生物農薬;アベルメクチン (Avermectin)、エマメタチン ベンゾエート (Emamectin- Benzoate)、ミノレべメクチン(Milbemectin)、スピノサッド (Spin osad)、ィベルメクチン(Ivermectin)、レピメクチン(Lepimectin)のような抗生物質;ァザ デイラクチン (Azadirachtin)、ロテノン(Rotenone)のような天然物と、混用、併用するこ とちでさる。 Organochlorine compounds such as Dicofol, Tetradifon, Endosulfan; Organometallic compounds such as Fenbutatin Oxide; Fenvalerate, Permethrin, Pyrethroid compounds such as Cypermet hrin, Deltamethrin, Cyhalothrin, Tefluthrin, Etofenprox, Fenpropathrin, Bifenthrin; Diflubenzuron, Chlorfluazuron, Teflubenzuron, Flufenoxuron, Lufenuron, Novaluron, Bistrifluron, Noviflumuron Nabenzo Lurea system Juvenile hormone-like compounds such as Methoprene, Pyriproxyfen, Fenoxycarb; Pyridazinone compounds such as Pyridaben; Fenpyroximate, Fipronil, Tebufenpyrad Pyrazole compounds such as Tebufe npyrad, Ethiprole, Tolfenpyrad, Acetoprole, Pyrafluprole, Pyriprole; Imidacloprid, Tenpyram Ni , Acetamiprid, thiacloprid, thiamethoxam, clothiaidin, dinoteforan, and other neo-cotinoids; Tebufenozide, And hydrazine compounds such as dihydro compounds, organosulfur compounds, urea compounds, triazine compounds, and hydrazone compounds. Other compounds include Flonicamid, Buprofezin, Hexythiazox, Amitraz, Chlordimefor m, Silafluofen, Triazamate ), Pymetrozin e, Pyrimidifen, Chlorfenapyr, Ind oxacarb, Acequinocyl, Etoxazole, Cyrom azine, 1,3- (1,3-dichloropropene), Diafenthiur on), Benclothiaz, Flufenerim, Pyridalyl, Spirodiclofen, Bifenazate, Spiromesifen, Propargite, Clofentez, Clofentez Examples of such compounds include Fluacrypyrim, Flubendiamide, Cyflu metofen, Metaflumizone, Amidoflumet, and the like. In addition, microbial pesticides such as BT agents, entomopathogenic virus agents, entomopathogenic fungi agents, nematode pathogenic fungi agents; avermectin, emamectin-benzoate, minolemectin, Antibiotics such as Spinosad, Ivermectin and Lepimectin; natural products such as Azadirachtin and Rotenone can be mixed and used together.
上記他の農薬中の、殺菌剤の有効成分化合物 (一般名;一部申請中を含む)として は、例えば、メパ-ピリム (Mepanipyrim)、ピリメサ -ル (Pyrimethanil)、シプロジ-ル (Cy prodinil)のようなピリミジナミン系化合物;トリアジメホン (Triadimefon)、ビテルタノ一ル( Bitertanol)、トリフルミゾール (Triflumizole)、エタコナゾ一ノレ (Etaconazole)、プロピコナ ゾーノレ (Propiconazole)、ペンコナゾーノレ (Penconazole)、フノレシラゾーノレ (Flusilazole)、 マイクロブタニノレ (Myclobutanil)、シプロコナゾ一ノレ (Cyproconazole)、ターブコナゾー ノレ (Terbuconazole)、へキサコナゾーノレ (Hexaconazole)、ファーコナゾ一ノレシス (Furcon azole- cis)、プロクロラズ (Prochloraz)、メトコナゾーノレ (Metconazole)、エポキシコナゾ一 ノレ (Epoxiconazole)、アトフコナン一ノレ (Tetraconazole)、ォゃスホコナゾーノレ (Oxpocona zole)、シプコナゾール (Sipconazole)のようなァゾール系化合物;キノメチォネート (Qui nomethionate)のようなキノキサリン系化合物;マンネブ (Maneb)、ジネブ (Zineb)、マン ゼブ (Mancozeb)、ポリカーバメート (Polycarbamate)、プロピネブ (Propineb)のようなジ チォカーバメート系化合物;フサライド (Fthalide)、クロロタ口-ル (Chlorothalonil)、キン トゼン (Quintozene)のような有機塩素系化合物;べノミル (Benomyl)、チオファネートメ チノレ (Thiophanate- Methyl)、カーベンダジム (Carbendazim)、シァゾフアミド (Cyazofami d)のようなイミダゾール系化合物;フルアジナム (Fluazinam)のようなピリジナミン系化合 物;シモキサ-ル (Cymoxanil)のようなシァノアセトアミド系化合物;メタラキシル (Metala xyl)、ォキサジキシル (Oxadixyl)、オフレース (Oforace)、ベナラキシル (Benalaxyl)、フラ ラキシル (Furalaxyl)、シプロフラム (Cyproforam)のようなフエ-ルアミド系化合物;ジク 口フルアニド (Dichlofluanid)のようなスルフェン酸系化合物;水酸化第二銅 (Cupric hy droxide),有機銅 (Oxine Copper)のような銅系化合物;ヒドロキシイソキサゾール (Hyd roxyisoxazole)のようなイソキサゾール系化合物;ホセチルアルミニウム (Fosety卜 Al)、ト ルクロホスメチル (Tolclofos-Methyl)、 S—ベンジル Ο,Ο—ジイソプロピルホスホロチ ォエート、 Ο—ェチル S,S—ジフエ-ルホスホロジチォエート、アルミニウムェチルハ イドロゲンホスホネートのような有機リン系化合物;キヤブタン (Captan)、キヤプタホル( Captafol)、フオルペット (Folpet)のような N—ハロゲノチォアルキル系化合物;プロシミ ドン (Procymidone)、ィプロジオン (Iprodione)、ビンクロゾリン (Vinclozolin)のようなジカ ルボキシイミド系化合物;フルトラ-ル (Flutolanil)、メプロ-ル (Mepronil)、ゾキサミド (Z oxamide)のようなベンズァ-リド系化合物;トリホリン (Triforine)のようなピペラジン系化 合物;ピリフエノックス (Pyrifenox)のようなピリジン系化合物;フエナリモル (Fenarimol)、 フルトリアフオル (Flutriafol)のようなカルビノール系化合物;フェンプロビジン (Fenpropi dine)のようなピペリジン系化合物;フェンプロピモルフ (Fenpropimorph)のようなモルフ オリン系化合物;フェンチンヒドロキシド (Fentin Hydroxide),フェンチンアセテート (Fe ntin Acetate)のような有機スズ系化合物;ペンシキュロン (Pencycuron)のような尿素 系化合物;ジメトモルフ (Dimethomorph)のようなシンナミック酸系化合物;ジエトフェン カルプ (Diethofencarb)のようなフエ-ルカーバメート系化合物;フルジォキソ-ル (Flud ioxonil),フェンピクロ-ル (Fenpiclonil)のようなシァノピロール系化合物;ァゾキシスト ロビン (Azoxystrobin)、タレソキシムメチノレ (Kresoxim- Methyl)、メトミノフェン (Metominof en)、トリフロキシストロビン (Trifloxystrobin)、ピコキシストロビン (Picoxystrobin)、ピラク ロストロビン(Pyraclostrobin)のようなスト口ビルリン系化合物;ファモキサドン (Famoxad one)のようなォキサゾリジノン系化合物;エタボキサム (Ethaboxam)のようなチアゾール カルボキサミド系化合物;シルチオファム (Silthiopham)のようなシリルアミド系化合物; ィプロノくリカルブ (Iprovalicarb)のようなァミノアシッドアミドカーバメート系化合物;フエ ナミドン (Fenamidone)のようなイミダゾリジン系化合物;フェンへキサミド (Fenhexamid) のようなハイド口キシァ -リド系化合物;フルスルフアミド (Flusulfamide)のようなべンゼ ンスルホンアミド系化合物;ァトラキノン系化合物;クロトン酸系化合物;抗生物質が挙 げられる。また、その他の化合物として、イソプロチオラン (Isoprothiolane)、トリシクラゾ 一ノレ (Tricyclazole)、ピロキロン (Pyroquilon)、ジクロメジン (Diclomezine)、プロべナゾー ノレ (Probenazole)、キノキシフェン (Quinoxyfen)、プロパモカノレブ塩酸塩 (Propamocarb Hydrochloride)、スピロキサミン (Spiroxamine)、クロロピクリン (Chloropicrin)、ダゾメット( Dazomet)、メタムナトリウム塩 (Metam- sodium)なども挙げられる。 In the above-mentioned other agricultural chemicals, as an active ingredient compound (generic name; including some applications), for example, mepa-pyrim (Mepanipyrim), pyrimethanil, cyprodil (Cy prodinil) Pyrimidinamine compounds such as: Triadimefon, Bitertanol, Triflumizole, Etaconazole, Propiconazole, Penconazole, Penoleazole (Flusilazole), Microbutanol (Myclobutanil), Cyproconazole, Cybuconazole, Terbuconazole, Hexaconazole, Furcon azole-cis, Prochloraz, M, Prochloraz, M Epoxyconazo nore (Epoxiconazole), Atofconan nore (Tetraconazole), Yayoshokonazo Azole compounds such as Oxpocona zole and Sipconazole; Quinoxaline compounds such as Quinomethionate; Maneb, Zineb, Mancozeb, Polycarbamate Dithiocarbamate compounds such as Propineb; Organochlorine compounds such as Fthalide, Chlorothalonil and Quintozene; Benomyl and Thiophanate Methinore -Imidazole compounds such as Methyl, Carbendazim, Cyazofamid; Pyridinamine compounds such as Fluazinam; Cyanoacetamide compounds such as Cymoxanil; Metalaxyl ( Metala xyl), oxadixyl, offorace (Oforace), benalaxyl, furaxyl (Furalaxyl), phenolic compounds such as Cyproforam; sulfenic acids such as dichlofluanid Compounds; Copper-based compounds such as cupric hydroxide and organic copper; Isoxazole-based compounds such as hydroxyisoxazole; Fosety aluminum, Organophosphorous compounds such as Tolclofos-Methyl, S-benzyl Ο, Ο-diisopropyl phosphorothioate, Ο-ethyl S, S-diphenyl phosphorodithioate, aluminum ethyl hydrogen phosphonate; N-halogenoalkyl compounds such as Captan), Captafol, Folpet; Dicarboximide compounds such as Procymidone, Iprodione and Vinclozolin; benzalide compounds such as Flutolanil, Mepronil and Z oxamide Piperazine compounds such as Triforine; Pyridine compounds such as Pyrifenox; Carbinol compounds such as Fenarimol and Flutriafol; Fenpropi dine ) Piperidine compounds such as Fenpropimorph; Morphine compounds such as Fenpropimorph; Organotin compounds such as Fentin Hydroxide and Fentin Acetate; Pencicuron (Pencycuron) ) Urea compounds such as); Synamic acid compounds such as Dimethomorph Phenol carbamate compounds such as Diethofen carb; Cyanopirol compounds such as Flud ioxonil; Azoxystrobin, Taresoxime methylol ( Streptocylvirin compounds such as Kresoxim- Methyl, Metominofen, Trifloxystrobin, Picoxystrobin, Pyraclostrobin; such as Famoxad one Oxazolidinone compounds; thiazole carboxamide compounds such as ethaboxam; silylamide compounds such as silthiopham; aminoacid amide carbamate compounds such as Iprovalicarb; like Fenamidone Nasty lizard System compound; Hyde port as Kisamido to Fen (Fenhexamid) Kishia - Lido compounds; Furusurufuamido (Flusulfamide) base such as Nze Sulfonamide compounds; atraquinone compounds; crotonic acid compounds; antibiotics. Other compounds include Isoprothiolane, Tricyclazole, Pyroquilon, Diclomezine, Probenazole, Quinoxyfen, Propamocarbole hydrochloride, and Propamocarb Hydrochloride. Examples thereof include spiroxamine, chloropicrin, dazomet, and metam-sodium.
[0096] その他、本発明化合物と混用或いは併用することが可能な農薬としては、例えは、 Farm Chemicals Handbook (2002年版)に記載されているような除草剤の有効成分 化合物、特に土壌処理型のものなどがある。 [0096] Other pesticides that can be used in combination with or combined with the compounds of the present invention include, for example, active compounds of herbicides such as those described in the Farm Chemicals Handbook (2002 edition), particularly those treated with soil. There are things.
[0097] 動物寄生生物防除剤としては、例えば、宿主動物の体表 (背、腋下、下腹部、内股 部など)に寄生する外部寄生生物や、宿主動物の体内(胃、腸管、肺、心臓、肝臓、 血管、皮下、リンパ組織など)に寄生する内部寄生生物の防除に有効であるが、なか でも、外部寄生生物の防除に有効である。 [0097] Examples of animal parasite control agents include ectoparasites that parasitize on the body surface of the host animal (back, armpit, lower abdomen, inner thigh, etc.) and the host animal body (stomach, intestinal tract, lung, It is effective for the control of endoparasites parasitic on the heart, liver, blood vessels, subcutaneous, lymphoid tissue, etc., but it is particularly effective for the control of ectoparasites.
外部寄生生物としては、例えば、動物寄生性のダニゃノミなどが挙げられる。これら の種類は非常に多ぐ全てを列記することが困難であるので、その一例を挙げる。 Examples of ectoparasites include animal parasitic mite fleas. These types are very difficult to list, so here are some examples.
[0098] 動物寄生性のダニとしては、例えばォゥシマダニ (Boophilus microplus)、タリイロコ ィタマタ二 (Rnipicephalus sanguineus)、フタ卜ゲチマタ二 (Haemaphvsalis longicorni s)、やテマタ二 (Haemaphvsalis flava 、ッリ 7不チマダニ (Haemaphvsalis campanula ta)、イス力テマタ二 (Haemaphvsalis concinna)、ャマトテマグ二 (Haemaphvsalis iap onica)、ヒケ "刀チマダニ (Haemaphvsalis kitaokai)、ィヤスチマグ二 (Haemaphvsalis ias 、ャマトマタ二 (Ixodes ovatus)、タネガタマダニ (Ixodes nipponensis)、シュノレ ツエマダニ (Ixodes persulcatus)、タカサゴキララマグ二 (Amblvomma testudinarium) 、才才トゲナマタ二 (Haemaphvsalis megaspinosa)、ァミノカクマグ二 (Dermacentor r eticulatus)、タイワンカクマダニ (Dermacentor taiwanesis)のようなマダニ類;ワクモ ( Dermanvssus gallinae :トリサンタ - (Ornithonvssus svlviarum 、 ナ トリサンタ二 ( Ornithonvssus bursa)のようなトリサシダニ類:ナンョウッツガムシ(Eutrombicula wic hmanni)、ァカッツガムシ (Leptotrombidium akamushi)、フトゲッッガムシ (Leptotrom bidium pallidum.)、フジッッガムシ(LeDjtotrombidium iuji) ,トサッッガムシ < eD_totro mbidium tosa)、ヨーロッパアキダ - (Neotrombicula autumnalis)、アメリカッッガムシ (Eutrombicula alfreddugesi)、ミヤガワタマッッガムシ (Helenicula mivagawai)のよう なッッガムシ類:ィヌッメダニ (Chevletiella vasguri)、ゥサギッメダニ (Chevletiella m rasitivorax)、ネコッメダニ (Chevletiella blakei)のようなッメダニ類;ゥサギキユウセン ダニ (Psoroptes cuniculi)、ゥシショクヒダニ (Chorioptes bovis)、ィヌミミヒゼンダニ ( Otodectes cvnotis)、ヒゼンダニ (Sarcoptes scabiei)、ネコショウセンコゥヒゼンダニ ( Notoedres cati)のようなヒゼンダニ類:ィヌニキビダ二 (Demodex canis)のようなニキ ビダ二類などが挙げられる。なかでも、本発明化合物を含有する動物寄生生物防除 剤は、マダニ類などの防除に特に有効である。 [0098] Animal parasitic mites include, for example, Boophilus microplus, Rnipicephalus sanguineus, Haemaphvsalis longicorni s, and Tematani (Haemaphvsalis flava) campanula ta, chair power (Haemaphvsalis concinna), hamatophvsalis iap onica, sinker "Haemaphvsalis ias, mite (Ixodes ovatus, tick) Ticked ticks (Ixodes persulcatus), Takasago Kiraramagini (Amblvomma testudinarium), gifted Togenamatani (Haemaphvsalis megaspinosa), Aminakakumaguji (Dermacentor r eticulatus); Trisanta-(Ornithonvssus svlviarum, Na Trisantani (Ornith avian mites such as onvssus bursa: Eutrombicula wic hmanni, Leptotrombidium akamushi, Leptotrom bidium pallidum., LeDjtotrombidium iuji, Tosat mbidium tosa), European Akida-(Neotrombicula autumnalis), American crest beetle (Eutrombicula alfreddugesi), cave beetle such as Helenicula mivagawai: Larvae such as (Chevletiella blakei); Psoroptes cuniculi, Chorioptes bovis, Otodectes cvnotis, Sarcoptes scabiei, cattle Hymenids: Nibibididae such as Demodex canis. Among them, the animal parasite control agent containing the compound of the present invention is particularly effective for controlling ticks and the like.
[0099] ノミとしては、例えば、ノミ目 (Siphonaotera)に属する外部寄生性無翅昆虫、より具 体的には、ヒトノミ科(Pulicidae)、ナガノミ科(CerateDhyllus)などに属するノミ街が举 げられる。ヒトノミ科に属するノミ類としては、例えば、ィヌノミ(CtenoceDhalides canis) 、ネコノ (CtenoceDhalides felis )、ヒトノ (Pulex irritans)、ニヮトリフトノミ (Echidnoph aga gallinacea)、ケ才プス不ズ ノミ (Xenopsvlla cheopis)、メクフ不ス ノミ (Leptopsvl la seenis)、ョ一口ッノヽネス ノ (Nosopsyllus fasciatus)、ャマトネズ ノ (Monopsvll us ank )などが挙げられる。なかでも、本発明化合物を含有する動物寄生生物防 除剤は、ヒトノミ科に属するノミ類、特にィヌノミ、ネコノミなどの防除に有効である。 [0099] As fleas, for example, ectoparasite worms belonging to the order Flea (Siphonaotera), more specifically fleas belonging to the family Flea (Pulicidae), Nagano (CerateDhyllus), etc. . Examples of fleas belonging to the family Fleas include: Fleafish (CtenoceDhalides canis), Nekono (CtenoceDhalides felis), Humanfish (Pulex irritans), Nite trout flea (Echidnoph aga gallinacea), Examples include fleas (Leptopsvl la seenis), yosokuchinonosuno (Nosopsyllus fasciatus), and Yamatonezuno (Monopsvll us ank). Among them, the animal parasite control agent containing the compound of the present invention is effective for controlling fleas belonging to the family flea family, especially cynomolgus, cat flea and the like.
[0100] その他の外部寄生生物としては、例えば、ゥシジラミ、ゥマジラミ、ヒッジジラミ、ゥシ ホソジラミ、ァタマジラミのようなシラミ類;ィヌハジラミのようなハジラミ類;ゥシアブ、ゥ アイヌ力力、ッメトゲブュのような吸血性双翅目害虫などが挙げられる。また、内部寄 生生物としては、例えば、肺虫、ベンチユウ、結節状ウォーム、胃内寄生虫、回虫、糸 状虫類のような線虫類;マンソン裂頭条虫、広節裂頭条虫、瓜実条虫、多頭条虫、単 包条虫、多包条虫のような条虫類;日本住血吸虫、肝蛭のような吸虫類;コクシジゥム 、マラリア原虫、腸内肉胞子虫、トキソプラズマ、クリプトスポリジゥムのような原生動物 などが挙げられる。 [0100] Other ectoparasites include, for example, lice such as white lice, white lice, white lice, white lice, head lice; white lice such as white lice; blood sucking such as Usiab, Uinu power, and Thometgebu Diptera pests. Examples of endophytic organisms include nematodes such as lungworms, bench beetles, tuberous worms, gastric parasites, roundworms, and filamentous worms; Crustacea, multi-headed tapeworms, single-banded tapeworms, multi-banded tapeworms; Japanese schistosomiasis, fluke-like fluke; kokujimu, malaria parasite, intestinal floriformus, toxoplasma Protozoa such as Cryptosporidium.
[0101] 宿主動物としては、種々の愛玩動物、家畜、家禽などが挙げられ、より具体的には [0101] Examples of host animals include various pets, livestock, poultry, and the like.
、ィヌ、ネコ、マウス、ラット、ハムスター、モルモット、リス、ゥサギ、フェレット、鳥(例え ば、ハト、ォゥム、九官鳥、文鳥、インコ、ジユウシマツ、カナリアなど)、ゥシ、ゥマ、ブ タ、ヒッジ、ァヒル、 -ヮトリなどが挙げられる。なかでも、本発明化合物を含有する動 物寄生生物防除剤は、愛玩動物又は家畜に寄生する有害生物、特に外部寄生生物 の防除に有効である。愛玩動物又は家畜の中ではィヌ、ネコ、ゥシ又はゥマに特に有 効である。 , Inu, Cat, Mouse, Rat, Hamster, Guinea pig, Squirrel, Usagi, Ferret, Bird (eg, Pigeon, Worm, Nine-bird, Bird of Bird, Parakeet, Giant Pinus, Canary, etc.), Usi, Horse, Bud Tae, Hidge, Ducks, -Toritori etc. Among these, the animal parasite control agent containing the compound of the present invention is effective for the control of pests parasitic on pet animals or livestock, particularly ectoparasites. It is especially effective for dogs, cats, ushi or horses in pets or livestock.
本発明化合物を動物寄生生物防除剤として使用する際、そのまま使用してもよぐ また、適当な補助剤と共に粉剤、粒剤、錠剤、散剤、カプセル剤、液状剤、乳剤、水 性懸濁剤、油性懸濁剤などの種々の形態に製剤して使用することもできる。尚、前記 製剤形態以外にも、本発明の目的に適合する力ぎり、通常の当該分野で用いられて いるあらゆる製剤形態にすることができる。製剤に使用する補助剤としては、前記した 農園芸用有害生物防除剤の製剤用補助剤として例示した陰イオン系の界面活性剤 や非イオン系の界面活性剤;セチルトリメチルアンモ-ゥムブロミドのような陽イオン系 の界面活性剤;水、アセトン、ァセトニトリル、モノメチルァセトアミド、ジメチルァセトァ ミド、ジメチルホルムアミド、 2-ピロリドン、 N-メチル -2-ピロリドン、ケロシン、トリァセチ ン、メタノーノレ、エタノーノレ、イソプロパノーノレ、ベンジノレアノレコーノレ、エチレングリコー ル、プロピレングリコール、ポリエチレングリコール、液体ポリオキシエチレングリコー ノレ、ブチノレジグリコーノレ、エチレングリコーノレモノメチノレエーテノレ、エチレングリコーノレ モノェチノレエーテノレ、ジエチレングリコーノレモノェチノレエーテノレ、ジエチレングリコー ルノルマルブチルエーテル、ジプロピレングリコールモノメチルエーテル、ジプロピレ ングリコールノルマルブチルエーテルのような溶剤;ブチルヒドロキシァ-ソール、ブ チルヒドロキシトルエン、ァスコルビン酸、メタ亜硫酸水素ナトリウム、プロピル没食子 酸塩、チォ硫酸ナトリウムのような酸ィ匕防止剤;ポリビュルピロリドン、ポリビュルアルコ ール、酢酸ビュルとビュルピロリドンのコポリマーのような被膜形成剤;前記した農園 芸用有害生物防除剤の製剤用補助剤として例示した植物油や鉱物油;乳糖、蔗糖、 ブドウ糖、澱粉、麦粉、コーン粉、大豆油粕、脱脂米糠、炭酸カルシウム、その他巿 販の飼料原料のような担体などが挙げられる。これら補助剤の各成分は、本発明の 目的から逸脱しないかぎり、 1種又は 2種以上を適宜選択して使用することができる。 また、前記した補助剤以外にも当該分野で知られたものの中から適宜選択して使用 することもでき、更には、前記した農園芸分野で使用される各種補助剤などから適宜 選択して使用することもできる。 When the compound of the present invention is used as an animal parasite control agent, it may be used as it is. Also, powders, granules, tablets, powders, capsules, liquids, emulsions, aqueous suspensions together with appropriate auxiliary agents. In addition, it can be used in various forms such as an oily suspension. In addition to the above-mentioned preparation form, any preparation form that is generally used in this field can be used as long as it is suitable for the purpose of the present invention. Examples of the adjuvant used in the preparation include anionic surfactants and nonionic surfactants exemplified as the aforementioned preparation adjuvants for agricultural and horticultural pest control agents such as cetyltrimethylammonium bromide. Cationic surfactants: water, acetone, acetonitrile, monomethylacetamide, dimethylacetamide, dimethylformamide, 2-pyrrolidone, N-methyl-2-pyrrolidone, kerosene, triacetin, methanol, ethanol, isopropanol , Benzenoreanoleconole, Ethylene glycol, Propylene glycol, Polyethylene glycol, Liquid polyoxyethylene glycol nore, Butinoresin glycol nore, Ethylene glycol nole monomethinoatenore, Ethyleneglycoleno monoethylenoatenore, Diethylene glycol Solvents such as ricinole monoethylenoate, diethylene glycol normal butyl ether, dipropylene glycol monomethyl ether, dipropylene glycol normal butyl ether; butylhydroxyl-sol, butyhydroxytoluene, ascorbic acid, sodium metabisulfite, Anti-oxidizing agents such as propyl gallate and sodium thiosulfate; film forming agents such as polybulurpyrrolidone, polybular alcohol, and a copolymer of buryl acetate and burpyrrolidone; the agricultural and horticultural pest control agents described above And vegetable oils and mineral oils exemplified as supplements for pharmaceutical preparations; lactose, sucrose, glucose, starch, wheat flour, corn flour, soybean oil cake, defatted rice bran, calcium carbonate, and other carriers such as commercially available feed ingredients. Each component of these adjuvants can be used by appropriately selecting one or more types without departing from the object of the present invention. In addition to the above-mentioned adjuvants, they can be used by appropriately selecting from those known in the field, and moreover, various adjuvants used in the above-mentioned agricultural and horticultural fields as appropriate. You can also select and use.
[0103] 本発明化合物と各種補助剤との配合割合は、通常 0.1 : 99.9〜90: 10程度である。こ れら製剤の実際の使用に際しては、そのまま使用するか、または水等の希釈剤で所 定濃度に希釈し、必要に応じて各種展着剤 (界面活性剤、植物油、鉱物油など)を添 カロして使用することができる。 [0103] The compounding ratio of the compound of the present invention to various adjuvants is usually about 0.1: 99.9 to 90:10. In actual use of these preparations, use them as they are or dilute them to a predetermined concentration with a diluent such as water, and add various spreading agents (surfactants, vegetable oils, mineral oils, etc.) as necessary. It can be used as a supplement.
[0104] 宿主動物への本発明化合物の投与は、経口又は非経口によって行われる。経口 投与法としては、例えば本発明化合物を含有する錠剤、液状剤、カプセル剤、ゥェ ハース、ビスケット、ミンチ肉、その他の飼料等を投与する方法などが挙げられる。非 経口投与方法としては、例えば本発明化合物を適当な製剤に調製した上で、静注投 与、筋肉内投与、皮内投与、皮下投与等により体内に取り込ませる方法;スポットオン (spot-on)処理、ポヮオン (pour-on)処理、スプレー処理等により体表面に投与する 方法;宿主動物の皮下に本発明化合物を含有する榭脂片等を埋め込む方法などが 挙げられる。 [0104] The compound of the present invention is administered to the host animal orally or parenterally. Examples of the oral administration method include a method of administering tablets, liquid agents, capsules, wafers, biscuits, minced meat, and other feeds containing the compound of the present invention. As a parenteral administration method, for example, the compound of the present invention is prepared in an appropriate formulation and then taken into the body by intravenous injection, intramuscular administration, intradermal administration, subcutaneous administration, etc .; spot-on ) Treatment, pour-on treatment, spray treatment, and the like; and a method of embedding a fat slice containing the compound of the present invention under the skin of a host animal.
[0105] 宿主動物への本発明化合物の投与量は、投与方法、投与目的、疾病症状等によ つて異なるが、通常、宿主動物の体重 lKgに対して O.Olmg〜: L00g、望ましくは 0.1 mg〜 1 Ogの割合で投与するのが適当である。 [0105] The dose of the compound of the present invention to the host animal varies depending on the administration method, purpose of administration, disease symptoms, etc., but is generally O.Olmg to: L00g relative to the body weight lKg of the host animal, preferably 0.1 It is appropriate to administer at a rate of mg to 1 Og.
本発明には、前記したような投与方法又は投与量による有害生物の防除方法、特 に外部寄生生物又は内部寄生生物の防除方法も含まれる。 The present invention also includes a method for controlling pests by the administration method or dosage as described above, particularly a method for controlling ectoparasites or endoparasites.
また、本発明においては、前述のようにして動物寄生性の有害生物を防除すること により、それらに起因する宿主動物の各種疾患を予防又は治療できる場合がある。こ のように、本発明には、本発明化合物を有効成分として含有する寄生生物起因動物 疾患の予防又は治療剤並びに、寄生生物起因動物疾患を予防又は治療する方法も 含まれる。 Further, in the present invention, by controlling animal parasitic pests as described above, it may be possible to prevent or treat various diseases of host animals caused by them. Thus, the present invention includes a prophylactic or therapeutic agent for parasite-derived animal diseases comprising the compound of the present invention as an active ingredient, and a method for preventing or treating parasite-derived animal diseases.
[0106] 本発明化合物を動物寄生生物防除剤として使用する際、補助剤と共に各種ビタミ ン類、ミネラル類、アミノ酸類、栄養剤、酵素製剤、解熱剤、鎮静剤、消炎剤、殺菌剤 、着色剤、芳香剤、保存剤等と混用又は併用することができる。また、必要に応じて 他の各種動物薬や農薬、例えば駆虫剤、抗コクシジゥム剤、殺虫剤、殺ダニ剤、殺ノ ミ剤、殺線虫剤、殺菌剤、抗菌剤などと混用又は併用することができ、この場合に一 層優れた効果を示すこともある。本発明には、前記したような各種成分を混用又は併 用した混合有害生物防除組成物が含まれ、また、それを使用した有害生物の防除方 法、特に外部寄生生物又は内部寄生生物の防除方法も含まれる。 [0106] When the compound of the present invention is used as an animal parasite control agent, various vitamins, minerals, amino acids, nutrients, enzyme preparations, antipyretic agents, sedatives, anti-inflammatory agents, bactericides, and coloring agents together with adjuvants. , Fragrances, preservatives and the like can be mixed or used together. If necessary, mix with or use other animal drugs and pesticides such as anthelmintics, anti-coxime, insecticides, acaricides, fleas, nematicides, bactericides, and antibacterials. Can be one in this case The layer may show an excellent effect. The present invention includes a mixed pest control composition in which various components as described above are mixed or used together, and a pest control method using the composition, particularly control of ectoparasites or endoparasites. A method is also included.
実施例 Example
[0107] 次に本発明の実施例を記載するが、本発明はこれらに限定されるものではない。ま ず本発明化合物の合成例を記載する。 Next, examples of the present invention will be described, but the present invention is not limited thereto. First, synthesis examples of the compound of the present invention will be described.
合成例 1 Synthesis example 1
N— [4 クロ口 2— [[(1 -シクロプロピルェチル)ァミノ]カルボ-ル] - 6 メチルフエ -ル] 1— (2 クロ口フエ-ル) 3 (トリフルォロメチル) 1H ピラゾール 5 力 ルボキサミド (後記化合物 No.10)の合成 N— [4 Black mouth 2— [[(1-Cyclopropylethyl) amino] carbol]-6 Methyl phenol] 1— (2 Black mouth phenol) 3 (Trifluoromethyl) 1H Pyrazole 5 Synthesis of Luboxamide (Compound No. 10 below)
1ーシクロプロピルェチルァミン塩酸塩 0.24g及びテトラヒドロフラン 5mlの混合液に 、トリェチルァミン 0.40gを徐々に滴下した後、室温で 1時間攪拌した。そこへ、 6 ク ロロ一 2— [1— (2 クロ口フエ-ル) 3 (トリフルォロメチル) 1H ピラゾール 5 -ィル] 8 メチル 4H— 3 , 1 ベンゾォキサジン 4 オン 0.30g及びテトラヒド 口フラン 5mlの混合液を徐々に滴下した。滴下終了後、混合液を還流下に 1時間反 応させた。反応終了後、反応液にシリカゲルを加え、溶媒を減圧下に留去した。残渣 をシリカゲルカラムクロマトグラフィー(溶離液: n キサン Z酢酸ェチル = 9Z 1 8 Z2)で精製して、融点 226 228°Cの目的物 0.09gを得た。 To a mixed solution of 0.24 g of 1-cyclopropylethylamine hydrochloride and 5 ml of tetrahydrofuran, 0.40 g of triethylamine was gradually added dropwise, followed by stirring at room temperature for 1 hour. There, 6 chloro 1- [1— (2 black mouth phenol) 3 (trifluoromethyl) 1H pyrazole 5 -yl] 8 methyl 4H— 3, 1 benzoxazine 4 on 0.30 g and tetrahydro mouth furan 5 ml of the mixture was gradually added dropwise. After completion of dropping, the mixture was reacted under reflux for 1 hour. After completion of the reaction, silica gel was added to the reaction solution, and the solvent was distilled off under reduced pressure. The residue was purified by silica gel column chromatography (eluent: n-xan Z-ethyl acetate = 9Z 1 8 Z2) to obtain 0.09 g of the desired product having a melting point of 226 228 ° C.
[0108] 合成例 2 [0108] Synthesis Example 2
1— (2—クロ口フエ-ル) N— [2— [[(1—シクロプロピルェチル)ァミノ]カルボ-ル] - 4 -ホルミル - 6 メチルフエ-ル] 3 (トリフルォロメチル) 1H ピラゾール 5 —カルボキサミド (後記化合物 No.14)の合成 1— (2—Black mouth) N— [2— [[(1-Cyclopropylethyl) amino] carbol] -4-formyl-6 methylphenol] 3 (trifluoromethyl) 1H Synthesis of pyrazole 5-carboxamide (Compound No. 14 below)
1— (2 クロ口フエ-ル) N— [2— [[(1 -シクロプロピルェチル)ァミノ]カルボ-ル] — 4 ョード 6—メチルフエ-ル] 3 (トリフルォロメチル) 1H ピラゾール 5 —カルボキサミド 0.71g及びテトラヒドロフラン 10mlの混合液に、テトラキストリフエ二 ルホスフィンパラジウム 0.06gをカ卩え、フラスコ内を一酸化炭素雰囲気にした。そこへ 、還流下でトリブチルスズヒドリド 0.36g及びテトラヒドロフラン 30mlの混合液を 3.5時 間かけて徐々に滴下しつつ反応させた。反応終了後、反応液をエーテル 50mlで希 釈し、飽和フッ化カリウム水溶液 50mlを加えて一晩撹拌した。有機層を分離後、水 及び飽和食塩水で洗浄し、無水硫酸ナトリウムを加えて乾燥した。溶媒を減圧下に 留去し、残渣をシリカゲルカラムクロマトグラフィー(溶離液: n—へキサン Z酢酸ェチ ル = 1Z0〜: LZDで精製して、融点 169°Cの目的物 0.29gを得た。 1— (2 Black mouth) N— [2— [[(1-Cyclopropylethyl) amino] carbol] — 4 Rhodo 6-methylphenol] 3 (Trifluoromethyl) 1H Pyrazole 5 —Tetrakistriphenylphosphine palladium (0.06 g) was placed in a mixed solution of carboxamide (0.71 g) and tetrahydrofuran (10 ml), and the atmosphere in the flask was changed to a carbon monoxide atmosphere. There, the reaction was carried out while gradually dropping a mixed solution of 0.36 g of tributyltin hydride and 30 ml of tetrahydrofuran over 3.5 hours under reflux. After completion of the reaction, dilute the reaction solution with 50 ml of ether. After adding 50 ml of saturated aqueous potassium fluoride solution, the mixture was stirred overnight. The organic layer was separated, washed with water and saturated brine, and dried over anhydrous sodium sulfate. The solvent was distilled off under reduced pressure, and the residue was purified by silica gel column chromatography (eluent: n-hexane Z ethyl acetate = 1Z0-: LZD to obtain 0.29 g of the desired product having a melting point of 169 ° C. .
[0109] 合成例 3 [0109] Synthesis Example 3
N— [2 クロ口一 6— [[(1 シクロプロピルェチル)ァミノ]カルボ-ル] - 4—ョードフエ -ル] 1— (2 クロ口フエ-ル) 3 (トリフルォロメチル) 1H ピラゾール 5 力 ルボキサミド (後記化合物 No.19)の合成 N— [2 Black mouth 6] [[(1 Cyclopropylethyl) amino] carbol]-4—Edophenol 1— (2 Black mouth) 3 (Trifluoromethyl) 1H Pyrazole Synthesis of 5-force ruboxamide (Compound No. 19 below)
1ーシクロプロピルェチルァミン塩酸塩 0.69g及びテトラヒドロフラン 5mlの混合液に 、氷冷下でトリェチルァミン l.Ogを徐々に滴下した後、室温で 1時間攪拌した。そこへ 、 8 クロ口一 2— [1— (2 クロ口フエ-ル) 3 (トリフルォロメチル) 1H ピラゾー ルー 5—ィル ]ー6 ョードー 4H— 3,1—べンゾォキサジンー4 オン l.Og及びテトラ ヒドロフラン 5mlの混合液を徐々に滴下した。滴下終了後、混合液を還流下に 1時間 反応させた。反応終了後、溶媒を減圧下に留去し、残渣をシリカゲルカラムクロマトグ ラフィー (溶離液: n へキサン Z酢酸ェチル = 1 Z0〜 3Z 1 )で精製して、融点 170 °Cの目的物 0.93gを得た。 To a mixed solution of 0.69 g of 1-cyclopropylethylamine hydrochloride and 5 ml of tetrahydrofuran, triethylamine l.Og was gradually added dropwise under ice cooling, followed by stirring at room temperature for 1 hour. There, 8 Chromium 1 2- [1— (2 Chromium Methyl) 3 (Trifluoromethyl) 1H Pyrazolu 5—yl] -6 Codo 4H— 3,1—Benzoxazine 4 on l. A mixed solution of Og and tetrahydrofuran 5 ml was gradually added dropwise. After completion of the dropwise addition, the mixture was reacted for 1 hour under reflux. After completion of the reaction, the solvent was distilled off under reduced pressure, and the residue was purified by silica gel column chromatography (eluent: n-hexane Z ethyl acetate = 1 Z0 to 3Z 1) to obtain 0.93 g of the desired product having a melting point of 170 ° C. Got.
[0110] 合成例 4 [0110] Synthesis Example 4
N— [2 クロ口一 4 シァノ 6— [[(1 シクロプロピルェチル)ァミノ]カルボ-ル]フエ -ル] 1— (2 クロ口フエ-ル) 3 (トリフルォロメチル) 1H ピラゾール 5 力 ルボキサミド (後記化合物 No.20)の合成 N— [2 Black mouth 4 Cyan 6 — [[(1 Cyclopropylethyl) amino] Carbool] 1— (2 Black mouth phenol) 3 (Trifluoromethyl) 1H Pyrazole 5 Synthesis of Ruboxamide (Compound No. 20 below)
N— [2 クロ口一 6— [[(1 シクロプロピルェチル)ァミノ]カルボ-ル] 4 ョードフ ェ -ル] 1— (2 クロ口フエ-ル) 3 (トリフルォロメチル) 1H ピラゾール 5— カルボキサミド 0.10g及びテトラヒドロフラン 2mlの混合液に、ヨウ化第一銅 0.017g、 テトラキストリフエ-ルホスフィンパラジウム 0.022g及びシアン化第一銅 0.16gをカロえ た。混合液を還流下に 2.5時間反応させた。反応終了後、反応液をセライト濾過し、 酢酸ェチルで十分に洗净した。濾液を飽和炭酸水素ナトリウム水溶液及び飽和食塩 水で洗浄し、無水硫酸ナトリウムを加えて乾燥した。溶媒を減圧下に留去し、残渣を シリカゲルカラムクロマトグラフィー(溶離液: n—へキサン Z酢酸ェチル = 1Z0〜1 ZDで精製して、融点 165〜167°Cの目的物 0.058gを得た。 N— [2 Black mouth 1] 6- [[(1 Cyclopropylethyl) amino] carbo] 4 [Chodophor] 1— (2 Black mouth) 3 (Trifluoromethyl) 1H Pyrazole 5 — A mixture of 0.10 g of carboxamide and 2 ml of tetrahydrofuran was charged with 0.017 g of cuprous iodide, 0.022 g of tetrakistriphenylphosphine palladium and 0.16 g of cuprous cyanide. The mixture was reacted under reflux for 2.5 hours. After completion of the reaction, the reaction solution was filtered through celite and thoroughly washed with ethyl acetate. The filtrate was washed with saturated aqueous sodium hydrogen carbonate solution and saturated brine, dried over anhydrous sodium sulfate. The solvent was distilled off under reduced pressure, and the residue was subjected to silica gel column chromatography (eluent: n-hexane Z ethyl acetate = 1Z0-1 Purification by ZD gave 0.058 g of the desired product having a melting point of 165 to 167 ° C.
[0111] 合成例 5 [0111] Synthesis Example 5
1— (2—クロ口フエ-ル) N— [2— [[(1—シクロプロピルェチル)ァミノ]カルボ-ル] - 4 ジフルォロメチル 6 メチルフエニル] 3 (トリフルォロメチル) - 1H-ピラゾ 一ルー 5—カルボキサミド (後記化合物 No.39)の合成 1— (2—Black mouth phenyl) N— [2— [[(1-Cyclopropylethyl) amino] carbol] -4 difluoromethyl 6 methylphenyl] 3 (trifluoromethyl) -1H-pyrazo Synthesis of roux 5-carboxamide (compound No. 39 below)
1— (2—クロ口フエ-ル) N— [2— [[(1—シクロプロピルェチル)ァミノ]カルボ-ル] — 4 ホルミル - 6 メチルフエ-ル] 3 (トリフルォロメチル) 1H ピラゾール 5—カルボキサミド 0.15g及びジクロロメタン 5mlの混合液をアセトン—ドライアイス浴 中で— 78°Cに冷却した。そこへ、三フッ化ジェチルァミノ硫黄 0.19gを徐々に滴下し 、 4時間かけて室温まで昇温した後 6時間反応させた。反応終了後、反応液を氷水中 に徐々に加え、酢酸ェチルで抽出した。有機層を水及び飽和食塩水で洗浄し、無水 硫酸ナトリウムを加えて乾燥した。溶媒を減圧下に留去し、残渣をシリカゲルカラムク 口マトグラフィー (溶離液: n—へキサン Z酢酸ェチル = 1Z0〜3Z1)で精製して、融 点 165°Cの目的物 0.12gを得た。 1— (2—Black mouth) N— [2— [[(1-Cyclopropylethyl) amino] carbol] — 4 Formyl-6 methylphenol] 3 (Trifluoromethyl) 1H Pyrazole A mixture of 5-carboxamide 0.15 g and dichloromethane 5 ml was cooled to 78 ° C. in an acetone-dry ice bath. Thereto, 0.19 g of cetylaminosulfur trifluoride was gradually added dropwise, and the temperature was raised to room temperature over 4 hours, followed by reaction for 6 hours. After completion of the reaction, the reaction solution was gradually added to ice water and extracted with ethyl acetate. The organic layer was washed with water and saturated brine, dried over anhydrous sodium sulfate. The solvent was distilled off under reduced pressure, and the residue was purified by silica gel column chromatography (eluent: n-hexane Z ethyl acetate = 1Z0-3Z1) to obtain 0.12 g of the desired product with a melting point of 165 ° C. It was.
[0112] 合成例 6 [0112] Synthesis Example 6
1— (2—クロ口フエ-ル) N— [2— [[(1—シクロプロピルェチル)ァミノ]カルボ-ル] - 4 メトキシカルボ二ルー 6 メチルフエニル] 3 (トリフルォロメチル) - 1H-ビラ ゾールー 5 カルボキサミド(後記化合物 No.40)の合成 1— (2—Black mouth) N— [2— [[(1-Cyclopropylethyl) amino] carbol]-4 Methoxycarbonyl 6 methylphenyl] 3 (Trifluoromethyl)-1H -Vilazol-5 Carboxamide (Compound No. 40)
1— (2 クロ口フエ-ル) N— [2— [[(1 -シクロプロピルェチル)ァミノ]カルボ-ル] — 4 ョード 6—メチルフエ-ル] 3 (トリフルォロメチル) 1H ピラゾール 5 カルボキサミド 0.42g、ジメチルスルホキシド 10ml、メタノール 2ml、トリェチルアミ ン 0. 5mlの混合溶液に、酢酸パラジウム 0.05g、 1,4-ビス (ジフエ-ルホスフイノ)ブタ ン O.lgを加え、フラスコ内を一酸ィ匕炭素雰囲気にした後、 70°Cにて 2. 5時間反応し た。反応液を水中に加え、エーテルで抽出した。有機層を飽和食塩水で洗浄し、無 水硫酸マグネシウムを加えて乾燥した。溶媒を減圧下に留去し、残渣をシリカゲル力 ラムクロマトグラフィー (溶離液: n—へキサン Z酢酸ェチル = 8Z2〜6Z4)で精製し て、融点 178〜180°Cの目的物 0.24gを得た。 1— (2 Black mouth) N— [2— [[(1-Cyclopropylethyl) amino] carbol] — 4 Rhodo 6-methylphenol] 3 (Trifluoromethyl) 1H Pyrazole 5 To a mixed solution of carboxamide 0.42 g, dimethyl sulfoxide 10 ml, methanol 2 ml, triethylamine 0.5 ml, palladium acetate 0.05 g and 1,4-bis (diphenylphosphino) butane O.lg are added, and the inside of the flask is mixed with monoacid. After changing to a carbon atmosphere, it reacted at 70 ° C for 2.5 hours. The reaction mixture was added to water and extracted with ether. The organic layer was washed with saturated brine, dried with anhydrous magnesium sulfate. The solvent was distilled off under reduced pressure, and the residue was purified by silica gel chromatography (eluent: n-hexane Z ethyl acetate = 8Z2-6Z4) to obtain 0.24 g of the desired product having a melting point of 178-180 ° C. It was.
[0113] 合成例 7 4 -力ノレボキシノレ 1— (2—クロ口フエ二ノレ) N— [2— [[(1 シクロプロピルェチル) ァミノ]カルボ-ル] - 6 メチルフエ-ル] 3 (トリフルォロメチル) 1H ピラゾー ルー 5 カルボキサミド (後記化合物 No.42)の合成 [0113] Synthesis Example 7 4 -Force Nolevoxinole 1— (2—Black mouth phenyl) N— [2— [[((1 Cyclopropylethyl) amino] carbol]-6 Methylphenol] 3 (Trifluoromethyl) 1H Pyrazol Synthesis of roux 5 carboxamide (compound No. 42 below)
1— (2—クロ口フエ-ル) N— [2— [[(1—シクロプロピルェチル)ァミノ]カルボ-ル] — 4 メトキシカルボ-ルー 6 メチルフエ-ル] 3 (トリフルォロメチル) 1H ピ ラゾールー 5 カルボキサミド O.l lg及びテトラヒドロフラン 5mlの混合液をカリウムトリ メチルシラノレート 0. 10gおよびテトラヒドロフラン 5mlの混合液に室温で加え、室温 で 2日間攪拌した。水、水酸ィ匕ナトリウム水溶液を加えた後、酢酸ェチルで抽出した。 水層を希塩酸で酸性化し、酢酸ェチルで抽出した。有機層を飽和食塩水で洗浄し、 無水硫酸ナトリウムを加えて乾燥した。溶媒を減圧下に留去し、析出した結晶をへキ サンで洗浄して融点 227〜232°Cの目的物 0.05gを得た。 1— (2—Black mouth) N— [2— [[(1—Cyclopropylethyl) amino] carbol] — 4 Methoxycarboru 6 Methylphenol] 3 (Trifluoromethyl) A mixture of 1H pyrazole-5 carboxamide Ol lg and 5 ml of tetrahydrofuran was added to a mixture of 0.10 g of potassium trimethylsilanolate and 5 ml of tetrahydrofuran at room temperature, and the mixture was stirred at room temperature for 2 days. Water and aqueous sodium hydroxide solution were added, and the mixture was extracted with ethyl acetate. The aqueous layer was acidified with dilute hydrochloric acid and extracted with ethyl acetate. The organic layer was washed with saturated brine, dried over anhydrous sodium sulfate. The solvent was distilled off under reduced pressure, and the precipitated crystals were washed with hexane to obtain 0.05 g of the desired product having a melting point of 227 to 232 ° C.
[0114] 合成例 8 [0114] Synthesis Example 8
1— (2—クロ口フエ-ル) N— [2— [[(1—シクロプロピルェチル)ァミノ]カルボ-ル] - 6—メチル—4— (2—トリメチルシリルェチュル)フエ-ル]— 3— (トリフルォロメチル) 1H ピラゾールー 5 カルボキサミド(後記化合物 No.184)の合成 1— (2—Black mouth) N— [2— [[(1-Cyclopropylethyl) amino] carbole] -6-methyl-4- (2-trimethylsilylethyl) — 3— (Trifluoromethyl) 1H Pyrazole-5 Carboxamide (Compound No. 184)
1— (2—クロ口フエ-ル) N— [2— [[(1—シクロプロピルェチル)ァミノ]カルボ-ル] — 4 ョード 6—メチルフエ-ル] 3 (トリフルォロメチル) 1H ピラゾール 5 —カルボキサミド 1. Og及びテトラヒドロフラン 10mlの混合液に、トリメチルシリルァセ チレン 0. 24g、トリェチルァミン 3ml、二塩化ビス(トリフエ-ルホスフィン)パラジウム (I I)56mgを加え 10分間攪拌後、ヨウ化第一銅 60mgを加えた。混合液を室温で 30分 間反応させた。反応終了後、反応液にシリカゲルを加え、溶媒を減圧下に留去した。 残渣をシリカゲルカラムクロマトグラフィー(溶離液: n—へキサン Z酢酸ェチル =9Z 1〜7Z3)で精製して、融点 278〜281°Cの目的物 0.93gを得た。 1— (2—Black mouth) N— [2— [[(1—Cyclopropylethyl) amino] carbol] — 4 Rhodo 6-methyl phenol] 3 (Trifluoromethyl) 1H Pyrazole 5-Carboxamide 1. Add 0.24 g of trimethylsilylacetylene, 3 ml of triethylamine, and 56 mg of bis (triphenylphosphine) palladium (II) to 10 ml of tetrahydrofuran and stir for 10 minutes. 60 mg of copper was added. The mixture was reacted at room temperature for 30 minutes. After completion of the reaction, silica gel was added to the reaction solution, and the solvent was distilled off under reduced pressure. The residue was purified by silica gel column chromatography (eluent: n-hexane Z ethyl acetate = 9Z 1-7Z3) to obtain 0.93 g of the desired product having a melting point of 278-281 ° C.
[0115] 合成例 9 [0115] Synthesis Example 9
1— (2—クロ口フエ-ル) N— [2— [[(1—シクロプロピルェチル)ァミノ]カルボ-ル] - 4 -ェチュル - 6 メチルフエ-ル] 3 (トリフルォロメチル) 1H ピラゾール 5 —カルボキサミド (後記化合物 No.185)の合成 1— (2—Black mouth) N— [2— [[(1-Cyclopropylethyl) amino] carbol]-4 -Ethur-6 Methylphenol] 3 (Trifluoromethyl) 1H Synthesis of pyrazole 5 —carboxamide (Compound No. 185 below)
1— (2—クロ口フエ-ル) N— [2— [[(1—シクロプロピルェチル)ァミノ]カルボ-ル] —6—メチル—4— (2—トリメチルシリルェチュル)フエ-ル]— 3— (トリフルォロメチル )ー 1H ピラゾールー 5 カルボキサミド 0. 86g及びジメトキシェタン 10mlの混合液 に、フッ化カリウム 87mg、 18 クラウン一 6を 40mgカロえ室温で 2時間攪拌した。さら に反応液にテトラプチルアンモ -ゥムフルオリドの 1Mテトラヒドロフラン溶液を 1. 5ml 加え 5分間反応した。反応液を水に投入し、酢酸ェチルで抽出した。有機層を飽和 食塩水で洗浄し、無水硫酸ナトリウムを加えて乾燥した。溶媒を減圧下に留去した。 残渣をシリカゲルカラムクロマトグラフィー(溶離液: n—へキサン Z酢酸ェチル = 8Z 2〜0Zl)で精製して、融点 234〜238°Cの目的物 0.18gを得た。 1— (2—Black mouth) N— [2— [[(1-Cyclopropylethyl) amino] carbol] —6—Methyl—4— (2-trimethylsilylethyl) phenol] — 3— (trifluoromethyl) -1H pyrazole-5 carboxamide 0. 86 g and dimethoxyethane 10 ml in a mixture of potassium fluoride 87 mg, 18 mg of Crown 1-6 was stirred at room temperature for 2 hours. In addition, 1.5 ml of a 1M tetrahydrofuran solution of tetraptyl ammonium fluoride was added to the reaction solution and reacted for 5 minutes. The reaction mixture was poured into water and extracted with ethyl acetate. The organic layer was washed with saturated brine, dried over anhydrous sodium sulfate. The solvent was distilled off under reduced pressure. The residue was purified by silica gel column chromatography (eluent: n-hexane Z ethyl acetate = 8Z 2-0Zl) to obtain 0.18 g of the desired product having a melting point of 234-238 ° C.
[0116] 合成例 10 [0116] Synthesis Example 10
1— (2—クロ口フエ-ル) N— [2— [[(1—シクロプロピルェチル)ァミノ]カルボ-ル] - 4 -ェチル 6 メチルフエ-ル] 3 (トリフルォロメチル) 1H ピラゾール 5— カルボキサミド (後記化合物 No.186)の合成 1— (2—Black mouth) N— [2— [[(1—Cyclopropylethyl) amino] carbol] -4-ethyl 6 methylphenol] 3 (trifluoromethyl) 1H pyrazole 5-—Synthesis of carboxamide (Compound No. 186)
1— (2—クロ口フエ-ル) N— [2— [[(1—シクロプロピルェチル)ァミノ]カルボ-ル] — 4 ェチュル - 6 メチルフエニル] 3 (トリフルォロメチル) - 1H-ピラゾール —5—カルボキサミド 0. l lg及び 10%パラジウム—炭素 0. 03g、酢酸ェチル 20ml の混合液を水素雰囲気下、室温で 2.5時間攪拌した。反応液をセライトろ過し、ろ液 を濃縮して、融点 193〜195°Cの目的物 0.10gを得た。 1— (2—Black mouth) N— [2— [[(1—Cyclopropylethyl) amino] carbol] — 4 Etul-6 methylphenyl] 3 (Trifluoromethyl) -1H-pyrazole A mixture of —5-carboxamide 0.1 l lg and 10% palladium-carbon 0.03 g and ethyl acetate 20 ml was stirred at room temperature for 2.5 hours under a hydrogen atmosphere. The reaction solution was filtered through Celite, and the filtrate was concentrated to obtain 0.10 g of the desired product having a melting point of 193-195 ° C.
[0117] 合成例 11 [0117] Synthesis Example 11
N— [4 ァミノカルボ-ル 2— [[(1 シクロプロピルェチル)ァミノ]カルボ-ル] - 6 —メチルフエ-ル] 1— (2—クロ口フエ-ル) 3 (トリフルォロメチル) 1H ピラゾ 一ルー 5 カルボキサミド(後記化合物 No.85)の合成 N— [4 Aminocarbole 2— [[(1 Cyclopropylethyl) amino] carbole]-6 —Methylphenol] 1— (2—Clorophenyl) 3 (Trifluoromethyl) 1H Pyrazo Iru 5 Synthesis of carboxamide (compound No. 85)
1— (2 クロ口フエ-ル) N— [2— [[(1 -シクロプロピルェチル)ァミノ]カルボ-ル] — 4 ョード 6—メチルフエ-ル] 3 (トリフルォロメチル) 1H ピラゾール 5 —カルボキサミド 0.3g及びジメチルスルホキシドとトリエチルァミンの (1: 1)混合液 6m 1に、酢酸パラジウム 0.08g、 1,4-ビス (ジフエ-ルホスフイノ)ブタン O.lgを加え、フラス コ内を一酸化炭素雰囲気にした。これにアンモニアの 0.5Mジォキサン溶液 8mlを滴 下した後、 80°Cに加熱した。 1時間攪拌後、反応液を水中に加え、酢酸ェチルで抽 出した。有機層を飽和食塩水で洗浄し、無水硫酸ナトリウムを加えて乾燥した。溶媒 を減圧下に留去し、残渣をシリカゲルカラムクロマトグラフィー (溶離液: n—へキサン Z酢酸ェチル = lZl〜OZl)で精製して、融点 159°Cの目的物 0.02gを得た。 1— (2 Black mouth) N— [2— [[(1-Cyclopropylethyl) amino] carbol] — 4 Rhodo 6-methylphenol] 3 (Trifluoromethyl) 1H Pyrazole 5 — Add 0.08 g of palladium acetate and 1,4-bis (diphenylphosphino) butane O.lg to 6 ml of (1: 1) mixed solution of carboxamide 0.3 g and dimethyl sulfoxide and triethylamine. A carbon oxide atmosphere was used. To this was added dropwise 8 ml of a 0.5 M dioxane solution of ammonia, and then heated to 80 ° C. After stirring for 1 hour, the reaction solution was added to water and extracted with ethyl acetate. The organic layer was washed with saturated brine, dried over anhydrous sodium sulfate. solvent Was distilled off under reduced pressure, and the residue was purified by silica gel column chromatography (eluent: n-hexane Z ethyl acetate = lZl to OZl) to obtain 0.02 g of the desired product having a melting point of 159 ° C.
[0118] 合成例 12 [0118] Synthesis Example 12
N— [2 ァミノ 6— [[(1 シクロプロピルェチル)ァミノ]カルボ-ル]フエ-ル] 1— フエ-ル 3 (トリフルォロメチル) 1 H ピラゾール 5 カルボキサミド(後記化 合物 No.195)の合成 N— [2 amino 6 — [[(1 cyclopropylethyl) amino] carbol] phenol] 1—phenol 3 (trifluoromethyl) 1 H pyrazole 5 carboxamide (compound no. 195)
N— [2— [[(1 シクロプロピルェチル)ァミノ]カルボ-ル] - 6 ニトロフエ-ル] 1— ( 2—クロ口フエニル) 3 (トリフルォロメチル) - 1H-ピラゾール 5 カルボキサミド 0.13g及びメタノール 10mlの混合液に、 5%パラジウム—炭素 0.5gをカ卩え、フラスコ 内を水素置換した。室温で 20時間攪拌後、ノ ジウム—炭素をセライトで吸引ろ過し た。ろ過物をメタノールで洗い、ろ液を減圧下にて濃縮した。残渣をシリカゲルカラム クロマトグラフィー (溶離液: n へキサン Z酢酸ェチル = 3/1〜0Z 1)で精製して、 融点 23 Cの目的物 0.06gを得た。 N— [2— [[(1 Cyclopropylethyl) amino] carbol]-6 Nitrophenyl] 1— (2—Clorophenyl) 3 (trifluoromethyl)-1H-pyrazole 5 Carboxamide 0.13 g Then, 0.5 g of 5% palladium-carbon was placed in a mixed solution of 10 ml of methanol and the inside of the flask was replaced with hydrogen. After stirring at room temperature for 20 hours, the nodium-carbon was suction filtered through celite. The filtrate was washed with methanol and the filtrate was concentrated under reduced pressure. The residue was purified by silica gel column chromatography (eluent: n-hexane Z ethyl acetate = 3/1 to 0Z 1) to obtain 0.06 g of the desired product having a melting point of 23 C.
[0119] 参考例 1 [0119] Reference Example 1
N- (1ーシクロプロピルェチル)ー3—メチルー 2 -トロベンズアミドの合成 Synthesis of N- (1-cyclopropylethyl) -3-methyl-2-trobenzamide
1—シクロプロピルェチルァミン塩酸塩 0.41g及びテトラヒドロフラン 5mlの混合液に トリェチルァミン 0.54gを徐々に滴下した後、室温で 35分間攪拌して得られた溶液に 対して、 3—メチルー 2 -トロベンゾイルクロリド (以下の方法で調製された: 3—メチ ルー 2 -トロ安息香酸 0. 5gと塩化メチレン 6mlの混合溶液に、塩ィ匕ォキサリル 0. 7 lg、ジメチルホルムアミド 2滴を加え室温で 1. 5時間攪拌した後、減圧下で塩化メチ レンと塩ィ匕ォキサリルを留去した)とテトラヒドロフラン 5mlとの混合液を、氷冷下で滴 下した。氷冷下で 30分間反応したあと、室温で 30分間反応した。反応終了後、反応 液を水に投入し、酢酸ェチルで抽出した。有機層を飽和食塩水で洗浄し、無水硫酸 ナトリウムを加えて乾燥した。溶媒を減圧下に留去し、残渣をシリカゲルカラムクロマト グラフィー (溶離液: n へキサン Z酢酸ェチル = 8Z2〜6Z4)で精製して、融点 12 5〜127。Cの目的物 0.40gを得た。 0.54 g of triethylamine is gradually added dropwise to a mixture of 0.41 g of 1-cyclopropylethylamine hydrochloride and 5 ml of tetrahydrofuran, and then stirred for 35 minutes at room temperature. Benzoyl chloride (prepared in the following way: 3-methyl-2-trobenzoic acid 0.5 g and methylene chloride 6 ml in a mixed solution of 0.7 ml of sodium oxalyl and 2 drops of dimethylformamide at room temperature 1 After stirring for 5 hours, a mixture of 5 ml of tetrahydrofuran and 5 ml of tetrahydrofuran was added dropwise under ice-cooling. After reacting for 30 minutes under ice cooling, the reaction was performed for 30 minutes at room temperature. After completion of the reaction, the reaction solution was poured into water and extracted with ethyl acetate. The organic layer was washed with saturated brine, dried over anhydrous sodium sulfate. The solvent was distilled off under reduced pressure, and the residue was purified by silica gel column chromatography (eluent: n-hexane Z ethyl acetate = 8Z2-6Z4), mp 125-127. 0.40 g of the target product of C was obtained.
[0120] 参考例 2 [0120] Reference Example 2
2—アミノー N— (1—シクロプロピルェチル)—3—メチルベンズアミドの合成 N— (1—シクロプロピルェチル)—3—メチル—2 -トロべンズアミド 0.66g及びェ タノール 12mlの混合液に、 10%パラジウム炭素 0.12gをカ卩え、フラスコ内を水素雰 囲気にして 3時間反応した。反応終了後、反応液に水を加えた後セライトろ過し、ケ ーキを酢酸ェチルで洗浄した。減圧下で濃縮した後、酢酸ェチルで抽出した。有機 層を飽和食塩水で洗浄し、無水硫酸ナトリウムを加えて乾燥した。溶媒を減圧下に留 去し、残渣をシリカゲルカラムクロマトグラフィー(溶離液: n—へキサン Z酢酸ェチル = 8Z2〜6Z4)で精製して、融点117〜119での目的物 0.29gを得た。 Synthesis of 2-amino-N- (1-cyclopropylethyl) -3-methylbenzamide Add 0.12 g of 10% palladium on carbon to a mixture of 0.66 g of N— (1-cyclopropylethyl) -3-methyl-2-trobensamide and 12 ml of ethanol, and place the flask in a hydrogen atmosphere. Reacted for 3 hours. After completion of the reaction, water was added to the reaction solution, followed by Celite filtration, and the cake was washed with ethyl acetate. After concentration under reduced pressure, extraction with ethyl acetate was performed. The organic layer was washed with saturated brine, dried over anhydrous sodium sulfate. The solvent was removed under reduced pressure, and the residue was purified by silica gel column chromatography (eluent: n-hexane Z ethyl acetate = 8Z2-6Z4) to obtain 0.29 g of the desired product having a melting point of 117-119.
[0121] 参考例 3 [0121] Reference Example 3
2 アミノー 5 クロ口一 N— (1—シクロプロピルェチル) 3—メチルベンズアミドの 合成 2 Amino-5 Black mouth N- (1-Cyclopropylethyl) 3-Methylbenzamide synthesis
2 アミノー N— (1—シクロプロピルェチル)—3—メチルベンズアミド 0. 29g及び ジメチルホルムアミド 5mlの混合液に、 N クロロスクシンイミド 0. 18gを加え 90°Cで 2時間反応した。反応終了後、反応液に水を加え 30分間攪拌した後、ろ過した。得ら れた結晶を酢酸ェチルに溶解し、無水硫酸ナトリウムを加えて乾燥した。溶媒を減圧 下に留去し、残渣をシリカゲルカラムクロマトグラフィー (溶離液: n—へキサン Z酢酸 ェチル =9Zl〜75Z25)で精製して、融点 155〜157°Cの目的物 0.24gを得た。 2 0.18 g of N chlorosuccinimide was added to a mixed solution of 0.29 g of 2-amino-N- (1-cyclopropylethyl) -3-methylbenzamide and 5 ml of dimethylformamide, and reacted at 90 ° C. for 2 hours. After completion of the reaction, water was added to the reaction solution and stirred for 30 minutes, followed by filtration. The obtained crystals were dissolved in ethyl acetate, dried over anhydrous sodium sulfate. The solvent was distilled off under reduced pressure, and the residue was purified by silica gel column chromatography (eluent: n-hexane Z ethyl acetate = 9Zl to 75Z25) to obtain 0.24 g of the desired product having a melting point of 155 to 157 ° C. .
[0122] 参考例 4 [0122] Reference Example 4
1ーシクロブチルェチルァミン塩酸塩の合成 Synthesis of 1-cyclobutylethylamine hydrochloride
シクロプチルメチルケトン 10gの水溶液 40mlに塩化ヒドロキシルアンモ -ゥム 9.6g 及び炭酸ナトリウム 6.3gを加えた後、 4時間還流した。放冷後、エーテルで抽出した 。有機層を水及び飽和食塩水で洗浄し、無水硫酸ナトリウムを加えて乾燥した。溶媒 を減圧下に留去し、粗シクロブチルメチルォキシム 11.5gを得た。 After adding 9.6 g of hydroxylammonium chloride and 6.3 g of sodium carbonate to 40 ml of an aqueous solution of 10 g of cycloptylmethylketone, the mixture was refluxed for 4 hours. After cooling, the mixture was extracted with ether. The organic layer was washed with water and saturated brine, dried over anhydrous sodium sulfate. The solvent was distilled off under reduced pressure to obtain 11.5 g of crude cyclobutylmethyloxime.
窒素雰囲気下、還流管、滴下漏斗をつけた 500mlの三ッロフラスコに水素化リチ ゥムアルミニウム 6.8gと無水エーテル 80mlを加えた。これに粗シクロブチルメチルォ キシム 11.5g及びエーテル 50mlの混合溶液をゆっくり滴下して加えた。滴下後、 7時 間還流した。反応混合物にエーテル 300ml加え、 0°Cに冷却した。ドライアイスコン デンサ一を装着後、 20%水酸ィ匕ナトリウム水溶液をゆっくりと滴下した。滴下後、 1時 間攪拌し、析出物を吸引ろ過した。有機層を分離し、水層をエーテルで抽出した。有 機層を飽和食塩水で洗浄し、濃塩酸 15ml加え、溶媒を減圧留去した。析出した結 晶をァセトニトリルで洗い、吸引ろ過し、乾燥して 1ーシクロブチルェチルァミン塩酸 塩 7.8gを得た。 Under a nitrogen atmosphere, 6.8 g of lithium aluminum hydride and 80 ml of anhydrous ether were added to a 500 ml triple flask equipped with a reflux tube and a dropping funnel. To this was slowly added dropwise a mixed solution of 11.5 g of crude cyclobutylmethyloxime and 50 ml of ether. After the dropwise addition, the mixture was refluxed for 7 hours. 300 ml of ether was added to the reaction mixture and cooled to 0 ° C. After mounting the dry ice capacitor, a 20% aqueous sodium hydroxide solution was slowly added dropwise. After dripping, the mixture was stirred for 1 hour, and the precipitate was suction filtered. The organic layer was separated and the aqueous layer was extracted with ether. Yes The machine layer was washed with saturated brine, 15 ml of concentrated hydrochloric acid was added, and the solvent was distilled off under reduced pressure. The precipitated crystals were washed with acetonitrile, suction filtered and dried to obtain 7.8 g of 1-cyclobutylethylamine hydrochloride.
[0123] 参考例 5 [0123] Reference Example 5
1— (2 クロ口一 6 ニトロフエ-ル) 3 (トリフルォロメチル) 1H ピラゾール 5 一力ルボン酸の合成 1- (2 Black mouth 6 Nitrophenol) 3 (Trifluoromethyl) 1H Pyrazole 5
第 1工程 1st process
5- (フランー2 ィル) 3 (トリフルォロメチル) 1H ピラゾールの合成 Synthesis of 5- (furan-2-yl) 3 (trifluoromethyl) 1H pyrazole
2 フロイルトリフルォロアセトンの酢酸溶液 (15gZ30ml)に酢酸ナトリウム 6.25gを 加え攪拌した。これに抱水ヒドラジン 3.65gを滴下してカ卩えた。滴下後、 80°Cに加熱 した。 2時間反応後、加熱を停止し、放冷した。反応混合液に塩化メチレン 250mlを 加え、有機層を水、飽和炭酸ナトリウム水溶液、飽和食塩水で洗った。硫酸ナトリウム で乾燥し、溶媒を濃縮し粗生成物 13.5gを得た。 2 6.25 g of sodium acetate was added to an acetic acid solution (15 gZ30 ml) of furoyltrifluoroacetone and stirred. To this, 3.65 g of hydrazine hydrate was dripped and held. After dropping, the mixture was heated to 80 ° C. After reaction for 2 hours, heating was stopped and the mixture was allowed to cool. To the reaction mixture was added 250 ml of methylene chloride, and the organic layer was washed with water, saturated aqueous sodium carbonate solution and saturated brine. The extract was dried over sodium sulfate, and the solvent was concentrated to obtain 13.5 g of a crude product.
[0124] 第 2工程 [0124] Second step
1— (2 クロ口一 6 二トロフエ-ル)一 5— (フラン一 2—ィル) 3 (トリフルォロメチ ル) 1H—ピラゾールの合成 1— (2 Black mouth 6 2 Trophe) 1 5 — (Fran 1 2-yl) 3 (Trifluoromethyl) 1H— Pyrazole
工程 1の粗成生物 0.88gを 3mlの DMFに溶かし、 3-クロロー 2 フルォ口-トロべ ンゼン 0.76g、炭酸カリウム l. lgを加え、 90°Cに加熱した。 1時間反応後、室温まで 放冷し、反応混合物を 50mlの水に加え、エーテルで抽出した。有機層を飽和食塩 水で洗い、硫酸ナトリウムで乾燥させた。溶媒を減圧下に留去し、残渣をシリカゲル力 ラムクロマトグラフィー (溶離液: n—へキサン Z酢酸ェチル = 1Z0〜3Z1)で精製し て、 目的物 0.77gを得た。1!" I- NMR (300MHz CDC1 ) δ 8.09(dd, J = 1.5 and 0.88 g of the crude product of Step 1 was dissolved in 3 ml of DMF, 0.76 g of 3-chloro-2 fluoro-mouth-trobenzene and l.lg of potassium carbonate were added, and the mixture was heated to 90 ° C. After reacting for 1 hour, the mixture was allowed to cool to room temperature, and the reaction mixture was added to 50 ml of water and extracted with ether. The organic layer was washed with saturated brine and dried over sodium sulfate. The solvent was distilled off under reduced pressure, and the residue was purified by silica gel column chromatography (eluent: n- hexane Z ethyl acetate = 1Z0-3Z1) to obtain 0.77 g of the desired product. 1 ! "I-NMR (300MHz CDC1) δ 8.09 (dd, J = 1.5 and
3 Three
6.9Hz, 1H), 7.85(dd, J = 1.5 and 6.9Hz, 1H), 7.69(t, J = 8.3Hz, 1H), 7.34(dd, J = 0.6 and 1.2Hz, 1H), 6.96(s,lH), 6.36(dd, J = 1.5 and 1.8Hz, 1H), 6.13(dd, J = 0.6 and 2.7Hz, 1H) 6.9Hz, 1H), 7.85 (dd, J = 1.5 and 6.9Hz, 1H), 7.69 (t, J = 8.3Hz, 1H), 7.34 (dd, J = 0.6 and 1.2Hz, 1H), 6.96 (s, lH), 6.36 (dd, J = 1.5 and 1.8Hz, 1H), 6.13 (dd, J = 0.6 and 2.7Hz, 1H)
[0125] 第 3工程 [0125] Third step
1— (2 クロ口一 6 ニトロフエ-ル) 3 (トリフルォロメチル) 1H ピラゾール 5 一力ルボン酸の合成 1— (2 クロ口一 6 -トロフエ-ノレ)一 5— (フラン一 2—ィノレ) 3 (トリフノレオロメ チル) 1H ピラゾール 0.76g及びァセトニトリル 5mlの混合液に、リン酸二水素ナト リウムニ水和物 1.73gをカ卩え、 0°Cに冷却した。これに亜塩素酸ナトリウム 2.9gと水 7 mlの混合溶液を徐々に滴下した後、室温で 19時間反応後、濃塩酸 3ml加え、 pHを 1以下に調節した。混合溶液を酢酸ェチル 30mlで 2回抽出し、有機層を二亜硫酸ナ トリウム 4gと水 50mlの混合溶液に攪拌下、 20°C以下でゆっくり加えた。有機層を分 離し、さらに水層を酢酸ェチル 30mlで抽出した。有機層は硫酸ナトリウムで乾燥後、 溶媒を減圧下に留去した。生成した結晶を塩化メチレンとへキサンを用いて再結晶し 、 目的物 0.67g得た。1 H- NMR (300MHz CDC1 ) δ 9.54(broad s, 1H), 8.11(d 1- (2 Black mouth 6 Nitrophenol) 3 (Trifluoromethyl) 1H Pyrazole 5 1— (2 Black mouth 6-trofe-nor) 1 5-— (Furan 2- 2-ole) 3 (Trifanololome) 1H Pyrazole 0.76 g and Acetonitrile 5 ml in a mixture of sodium dihydrogen phosphate 1.73 g was cooled and cooled to 0 ° C. A mixed solution of 2.9 g of sodium chlorite and 7 ml of water was gradually added dropwise thereto, and after reacting at room temperature for 19 hours, 3 ml of concentrated hydrochloric acid was added to adjust the pH to 1 or less. The mixed solution was extracted twice with 30 ml of ethyl acetate, and the organic layer was slowly added to a mixed solution of 4 g of sodium disulfite and 50 ml of water at 20 ° C. or lower with stirring. The organic layer was separated, and the aqueous layer was extracted with 30 ml of ethyl acetate. The organic layer was dried over sodium sulfate, and the solvent was distilled off under reduced pressure. The produced crystal was recrystallized from methylene chloride and hexane to obtain 0.67 g of the desired product. 1 H-NMR (300MHz CDC1) δ 9.54 (broad s, 1H), 8.11 (d
3 Three
d, J = 1.5 and 6.9Hz, 1H), 7.84(dd, J = 1.5 and 6.9Hz, 1H), 7.68(t, J = 8.4Hz, 1H), 7.31(s,lH) d, J = 1.5 and 6.9Hz, 1H), 7.84 (dd, J = 1.5 and 6.9Hz, 1H), 7.68 (t, J = 8.4Hz, 1H), 7.31 (s, lH)
[0126] 次に、前記式 (I)で表される本発明化合物の代表例を第 1表に挙げる。これら化合 物は前記合成例或は前記した本発明化合物の種々の製造方法に基づいて合成す ることがでさる。 [0126] Next, typical examples of the compound of the present invention represented by the formula (I) are listed in Table 1. These compounds can be synthesized based on the above synthesis examples or various production methods of the compound of the present invention described above.
[0127] 第 1表中、 No.は化合物 No.を示す。また、第 1表中、 A1は- CH - [c- Pr]を、 A2は- C [0127] In Table 1, No. represents the compound number. In Table 1, A1 is -CH- [c-Pr], A2 is -C
2 2
H(Me)- [c- Pr]を、 A3は- CH - [c- Pr(2- Me)]を、 A4は- CH - [c- Pr(2,2- CI - 1- Me)]を、 H (Me)-[c-Pr], A3 is -CH- [c-Pr (2-Me)], A4 is -CH- [c-Pr (2,2-CI-1-Me)] The
2 2 2 2 2 2
A5は- CH - [c- Pr(l- Me)]を、 A6は- CH(Me)- [c- Bu]を各々示す。また、第 1表中、 M A5 represents -CH- [c-Pr (l-Me)], and A6 represents -CH (Me)-[c-Bu]. In Table 1, M
2 2
eはメチル基を、 Etはェチル基を、 Prはプロピル基を、 i_Prはイソプロピル基を、 c-Pr はシクロプロピル基を、 c-Buはシクロブチル基を、 Phはフエ-ル基を、 Pyはピリジル基 を各々示す。また、第 1表中、 c-Pr(2-Me)とあるのは、 2位にメチル基が置換したシク 口プロピル基を示し、 OPh(4- F)とあるのは、フエ-ル基の 4位にフッ素原子が置換した フエノキシ基を示し、 2-OPy(5-Cl)とあるのは、ピリジル基の 5位に塩素原子が置換し た 2—ピリジルォキシ基を示し、他の同様の記載もこれに準じる。 e is a methyl group, Et is an ethyl group, Pr is a propyl group, i_Pr is an isopropyl group, c-Pr is a cyclopropyl group, c-Bu is a cyclobutyl group, Ph is a phenyl group, Py Each represents a pyridyl group. In Table 1, c-Pr (2-Me) is a cyclopropyl group substituted with a methyl group at the 2-position, and OPh (4-F) is a phenyl group. The 4-phenyoxy group is substituted with a fluorine atom at the 4-position, and 2-OPy (5-Cl) is a 2-pyridyloxy group substituted with a chlorine atom at the 5-position of the pyridyl group. The description also applies to this.
[0128] [表 1] [0128] [Table 1]
第 1表 (つづき) Table 1 (continued)
3] 第 1表 (つづき) 3] Table 1 (continued)
4] 第 1表 (つづき) Four] Table 1 (continued)
5] 第 1表 (つづき) Five] Table 1 (continued)
6] 第 1表 (つづき) 6] Table 1 (continued)
次に試験例を記載する。 Next, test examples are described.
試験例 1 ハスモンョトウに対する効果試験 Test example 1 Effectiveness test for Lotus monto
本発明化合物の濃度が 50ppmとなるよう調製した薬液に、キャベツの葉片を約 10 秒間浸漬処理し、風乾した。直径 9cmのペトリ皿に湿った濾紙を敷き、その上に風乾 したキャベツの葉片を置いた。そこへ、 2〜3令のハスモンョトウ幼虫 10頭を放ち、ふ たをして 25°Cの照明付恒温室内に放置した。放虫後 5日目に生死を判定し、下記計 算式により死虫率を求めた。尚、異常虫も死亡とみなした。前記化合物 No.l、 10、 1 2〜14、 16〜25、 30、 31、 34、 39、 40、 42、 58、 60、 62、 64、 75、 77、 85、 128 、 153、 165、 179、 185、 186、 188、 190〜192、 194、 196〜201、 203、 205及 び 224について死虫率を求めたところ、全ての化合物が 90%以上の高い防除効果 を示した。 Cabbage leaf pieces were immersed for about 10 seconds in a chemical solution prepared so that the concentration of the compound of the present invention was 50 ppm, and air-dried. Place a damp filter paper on a petri dish with a diameter of 9 cm and air-dry it on it. Placed cabbage leaf pieces. To that end, we released 10 larvae of 2 to 3 years old, and capped them and left them in a constant temperature room at 25 ° C. On the 5th day after the release, the mortality was determined and the mortality rate was calculated by the following formula. Abnormal insects were also considered dead. Compound No.l, 10, 12-14, 16-25, 30, 31, 34, 39, 40, 42, 58, 60, 62, 64, 75, 77, 85, 128, 153, 165, 179 185, 186, 188, 190-192, 194, 196-201, 203, 205 and 224 were all determined to have a high insecticidal effect of 90% or more.
死虫率(%) = (死虫数 Z放虫数) X loo Death rate (%) = (Number of dead insects Z Number of dead insects) X loo
[0135] 試験例 2 シルバーリーフコナジラミに対する効果試験 [0135] Test Example 2 Effect test on silver leaf whitefly
第一本葉を 1枚残し、他の葉を切除したポット植えのキユウリに、シルバーコナジラミ の成虫を放して約 8時間産卵させる。その後、 25°Cの照明付恒温室内に 7〜: L0日間 放置し、孵化幼虫数を調査する。その後、本発明化合物の濃度が 50ppmとなるよう に調製した薬液に寄生葉を約 10秒間浸漬処理し、風乾する。処理後 10〜14日間 2 5°Cの照明付恒温室内に放置後、老齢幼虫数及び蛹数を調査し、下記計算式により 防除価を求める。本発明化合物は高い防除効果を示す。 Leave the first true leaf and let the adult silver-flying moss lay eggs in the pot planted cucumber with the other leaves excised for about 8 hours. Then, leave it in a constant temperature room at 25 ° C for 7-: L0 days, and investigate the number of hatched larvae. Thereafter, the parasitic leaves are immersed for about 10 seconds in a chemical solution prepared so that the concentration of the compound of the present invention is 50 ppm, and then air-dried. 10 to 14 days after treatment After leaving in a constant temperature room at 25 ° C, investigate the number of old larvae and the number of pupae and calculate the control value by the following formula. The compound of the present invention exhibits a high control effect.
防除価 (%) = (l - ( (Ta X Cb) / (Tb X Ca) ) ) X 100 Control value (%) = (l-((Ta X Cb) / (Tb X Ca))) X 100
Ta:処理区における処理後の老齢幼虫数 +蛹数 Ta: Number of old larvae after treatment in the treatment area + number of pupae
Tb:処理区における処理前の孵化幼虫数 Tb: Number of hatching larvae before treatment in the treated area
Ca:無処理区における処理後の老齢幼虫数 +蛹数 Ca: Number of old larvae + number of pupae after treatment in untreated section
Cb :無処理区における処理前の孵化幼虫数 Cb: Number of hatched larvae before treatment in the untreated area
[0136] 試験例 3 マメハモダリバエに対する効果試験 [0136] Test Example 3 Efficacy Test on Bean Flyfly
本発明化合物の濃度が 50ppmとなるように調製した薬液に、マメノヽモクリバエの卵 が均一に産みつけられたインゲンの葉片を約 10秒間浸漬処理し、風乾する。直径 9 cm、高さ 4cmのプラスチックカップに湿った濾紙を敷き、その上に風乾したインゲン の葉片を置く。その後、ふたをして 25°Cの照明付恒温室内に放置する。処理 6〜8日 後に老齢幼虫数及び蛹数を調査し、下記計算式により防除価を求める。本発明化合 物は高い防除効果を示す。 The leaves of green beans that have been uniformly laid with the eggplant sprouts are soaked in a chemical solution prepared so that the concentration of the compound of the present invention is 50 ppm, and air-dried. Place a damp filter paper on a plastic cup 9 cm in diameter and 4 cm in height, and place an air-dried leaf bean leaf on it. Then, close the lid and leave it in a constant temperature room at 25 ° C. After 6 to 8 days of treatment, the number of old larvae and the number of pupae is investigated, and the control value is obtained by the following formula. The compound of the present invention exhibits a high control effect.
防除価(%) = (1 ((処理区の老齢幼虫数 +蛹数) Z (無処理区の老齢幼虫数 + 蛹数))) X 100 Control value (%) = (1 ((Number of old larvae in treated area + number of pupae) Z (Number of old larvae in untreated area + 蛹))) X 100
[0137] 次に製剤例を記載する。 [0137] Next, formulation examples are described.
製剤例 1 Formulation Example 1
(1)本発明化合物 (1) Compound of the present invention
(2)クレー 72重量部 (2) Clay 72 parts by weight
(3)リグ-ンスルホン酸ソーダ (3) Ligated sulfonic acid soda
以上のものを均一に混合して水和剤とする。 The above is uniformly mixed to obtain a wettable powder.
製剤例 2 Formulation Example 2
(1)本発明化合物 (1) Compound of the present invention
(2)タルク (2) Talc
以上のものを均一に混合して粉剤とする。 The above is uniformly mixed to form a powder.
[0138] 製剤例 3 [0138] Formulation Example 3
(1)本発明化合物 20重量部 (1) 20 parts by weight of the compound of the present invention
(2) N,N ージメチルァセトアミド 20重量部 (2) N, N-dimethylacetamide 20 parts by weight
(3)ポリオキシエチレンアルキルフエ-ルエーテル 10重! I (3) Polyoxyethylene alkylphenol ether 10 layers! I
(4)キシレン 50重量部 (4) Xylene 50 parts by weight
以上のものを均一に混合、溶解して乳剤とする。 The above is uniformly mixed and dissolved to obtain an emulsion.
製剤例 4 Formulation Example 4
(1)クレー 68重 I (1) Clay 68 heavy I
(2)リグ-ンスルホン酸ソーダ (2) Sodium sulfonate sulfonate
(3)ポリオキシエチレンアルキルァリールサルフェート (3) Polyoxyethylene alkyl aryl sulfate
(4)微粉シリカ 25重量部 (4) Fine silica 25 parts by weight
以上の各成分の混合物と、本発明化合物とを 4 : 1の重量割合で混合し、水和剤とす る。 The mixture of the above components and the compound of the present invention are mixed at a weight ratio of 4: 1 to obtain a wettable powder.
[0139] 製剤例 5 [0139] Formulation Example 5
(1)本発明化合物 50重量部 (1) 50 parts by weight of the compound of the present invention
(2)ォキシレーテッドポリアルキルフエニルフォスフェート トリエタノールァミン (3)シリコーン 0. 2重量部 (2) Oxidated polyalkylphenyl phosphate triethanolamine (3) Silicone 0.2 parts by weight
(4)水 47. 8重量部 (4) Water 47.8 parts by weight
以上のものを均一に混合、粉砕した原液に更に In addition to the stock solution uniformly mixed and crushed
(5)ポリカルボン酸ナトリウム 5重量部 (5) Sodium polycarboxylate 5 parts by weight
(6)無水硫酸ナトリウム 42. 8重量部 (6) Anhydrous sodium sulfate 42.8 parts by weight
を加え均一に混合、造粒、乾燥して顆粒水和剤とする。 And uniformly mixed, granulated, and dried to obtain a wettable powder.
[0140] 製剤例 6 [0140] Formulation Example 6
(1)本発明化合物 5重量部 (1) Compound of the present invention 5 parts by weight
(2)ポリオキシエチレンォクチルフエ-ルエーテル 1重量部 (2) 1 part by weight of polyoxyethylene octyl ether
(3)ポリオキシエチレンの燐酸エステル 0. 1重量部 (3) Polyoxyethylene phosphate ester 0.1 parts by weight
(4)粒状炭酸カルシウム 93. 9重量部 (4) Granular calcium carbonate 93.9 parts by weight
(1)〜(3)を予め均一に混合し、適量のアセトンで希釈した後、(4)に吹付け、ァセト ンを除去して粒剤とする。 Mix (1) to (3) uniformly in advance and dilute with an appropriate amount of acetone, and spray onto (4) to remove the acetone to form granules.
製剤例 7 Formulation Example 7
(1)本発明化合物 2. 5重量部 (1) Compound of the present invention 2.5 parts by weight
(2) N—メチルー 2 ピロリドン 2. 5重量部 (2) N-methyl-2-pyrrolidone 2.5 parts by weight
(3)大豆油 95. 0重量部 (3) Soybean oil 95.0 parts by weight
以上のものを均一に混合、溶解して微量散布剤 (ultra low volume formulation)とす る。 The above is mixed and dissolved uniformly to make an ultra low volume formulation.
[0141] 製剤例 8 [0141] Formulation Example 8
(1)本発明化合物 40重量部 (1) 40 parts by weight of the compound of the present invention
(2)ォキシレーテッドポリアルキルフエニルフォスフェート トリエタノールァミン (2) Oxidated polyalkylphenyl phosphate triethanolamine
2重量部 2 parts by weight
(3)シリコーン 0. 2重量部 (3) Silicone 0.2 parts by weight
(4)ザンサンガム 0. 1重量部 (4) Xanthan Gum 0.1 parts by weight
(5)エチレングリコール 5重量部 (5) 5 parts by weight of ethylene glycol
(6)水 52. 7重量部 (6) 52.7 parts by weight of water
以上のものを均一に混合、粉砕して水性懸濁剤とする。 製剤例 9 The above is uniformly mixed and pulverized to obtain an aqueous suspension. Formulation Example 9
(1)本発明化合物 10重量部 (1) Compound of the present invention 10 parts by weight
(2)ジエチレングリコールモノェチルエーテル 90重量部 (2) Diethylene glycol monoethyl ether 90 parts by weight
以上の成分を均一に混合し、溶状剤とする。 The above ingredients are mixed uniformly to form a solution.
産業上の利用可能性 Industrial applicability
本発明の新規なアントラニルアミド系化合物は、低薬量で有害生物に対して極めて 高い防除効果を有し、農園芸用有害生物防除剤及び動物寄生生物防除剤として利 用できる。 なお、 2005年 1月 25曰に出願された曰本特許出願 2005— 017358号の明細書 、特許請求の範囲、及び要約書の全内容をここに引用し、本発明の明細書の開示と して、取り入れるものである。 The novel anthranilamide-based compound of the present invention has a low dosage and has a very high control effect against pests, and can be used as an agricultural and horticultural pest control agent and animal parasite control agent. The entire contents of the specification, claims, and abstract of Japanese Patent Application 2005-017358 filed on January 25, 2005 are hereby incorporated by reference. It is something that is incorporated.
Claims
Applications Claiming Priority (2)
| Application Number | Priority Date | Filing Date | Title |
|---|---|---|---|
| JP2005-017358 | 2005-01-25 | ||
| JP2005017358 | 2005-01-25 |
Publications (1)
| Publication Number | Publication Date |
|---|---|
| WO2006080311A1 true WO2006080311A1 (en) | 2006-08-03 |
Family
ID=36740341
Family Applications (1)
| Application Number | Title | Priority Date | Filing Date |
|---|---|---|---|
| PCT/JP2006/301057 Ceased WO2006080311A1 (en) | 2005-01-25 | 2006-01-24 | Anthranilamide compound, method for producing same and pest control agent containing same |
Country Status (1)
| Country | Link |
|---|---|
| WO (1) | WO2006080311A1 (en) |
Cited By (6)
| Publication number | Priority date | Publication date | Assignee | Title |
|---|---|---|---|---|
| WO2009113712A3 (en) * | 2008-03-13 | 2010-08-12 | Ishihara Sangyo Kaisha, Ltd. | Pesticidal compositions |
| WO2010010958A3 (en) * | 2008-07-24 | 2010-09-30 | Ishihara Sangyo Kaisha, Ltd. | Pesticidal composition |
| CN102060770A (en) * | 2010-12-27 | 2011-05-18 | 浙江工业大学 | Preparation and application of o-formamido-benzamide compound and intermediate thereof |
| CN102617551A (en) * | 2012-03-08 | 2012-08-01 | 华东理工大学 | Anthranilic diamide compound containing difluoro (methylene) methyl |
| WO2015184229A1 (en) * | 2014-05-29 | 2015-12-03 | E. I. Du Pont De Nemours And Company | Process to prepare 3-methyl-2-nitrobenzoic acid by air oxidation |
| KR101811897B1 (en) * | 2010-04-27 | 2017-12-22 | 스미또모 가가꾸 가부시키가이샤 | Pesticidal composition and its use |
Citations (5)
| Publication number | Priority date | Publication date | Assignee | Title |
|---|---|---|---|---|
| WO2004067528A1 (en) * | 2003-01-28 | 2004-08-12 | E.I. Du Pont De Nemours And Company | Cyano anthranilamide insecticides |
| JP2004538328A (en) * | 2001-08-13 | 2004-12-24 | イー・アイ・デュポン・ドウ・ヌムール・アンド・カンパニー | Arthropod anthranilamides |
| JP2004538327A (en) * | 2001-08-13 | 2004-12-24 | イー・アイ・デュポン・ドウ・ヌムール・アンド・カンパニー | Method for controlling specific pests by applying anthranilamide compound |
| WO2005077934A1 (en) * | 2004-02-18 | 2005-08-25 | Ishihara Sangyo Kaisha, Ltd. | Anthranilamides, process for the production thereof, and pest controllers containing the same |
| WO2005085234A2 (en) * | 2004-03-03 | 2005-09-15 | Syngenta Participations Ag | Bycyclic anthranilamide derivatives useful as insecticides |
-
2006
- 2006-01-24 WO PCT/JP2006/301057 patent/WO2006080311A1/en not_active Ceased
Patent Citations (5)
| Publication number | Priority date | Publication date | Assignee | Title |
|---|---|---|---|---|
| JP2004538328A (en) * | 2001-08-13 | 2004-12-24 | イー・アイ・デュポン・ドウ・ヌムール・アンド・カンパニー | Arthropod anthranilamides |
| JP2004538327A (en) * | 2001-08-13 | 2004-12-24 | イー・アイ・デュポン・ドウ・ヌムール・アンド・カンパニー | Method for controlling specific pests by applying anthranilamide compound |
| WO2004067528A1 (en) * | 2003-01-28 | 2004-08-12 | E.I. Du Pont De Nemours And Company | Cyano anthranilamide insecticides |
| WO2005077934A1 (en) * | 2004-02-18 | 2005-08-25 | Ishihara Sangyo Kaisha, Ltd. | Anthranilamides, process for the production thereof, and pest controllers containing the same |
| WO2005085234A2 (en) * | 2004-03-03 | 2005-09-15 | Syngenta Participations Ag | Bycyclic anthranilamide derivatives useful as insecticides |
Cited By (13)
| Publication number | Priority date | Publication date | Assignee | Title |
|---|---|---|---|---|
| CN101969775B (en) * | 2008-03-13 | 2014-09-17 | 石原产业株式会社 | Pesticidal compositions |
| CN101969775A (en) * | 2008-03-13 | 2011-02-09 | 石原产业株式会社 | Pesticidal compositions |
| WO2009113712A3 (en) * | 2008-03-13 | 2010-08-12 | Ishihara Sangyo Kaisha, Ltd. | Pesticidal compositions |
| RU2482677C2 (en) * | 2008-03-13 | 2013-05-27 | Исихара Сангио Кайся, Лтд. | Composition of pesticides |
| US8529926B2 (en) | 2008-03-13 | 2013-09-10 | Ishihara Sangyo Kaisha, Ltd. | Pesticidal compositions |
| AU2009224263B2 (en) * | 2008-03-13 | 2014-02-27 | Ishihara Sangyo Kaisha, Ltd. | Pesticidal compositions |
| WO2010010958A3 (en) * | 2008-07-24 | 2010-09-30 | Ishihara Sangyo Kaisha, Ltd. | Pesticidal composition |
| KR101811897B1 (en) * | 2010-04-27 | 2017-12-22 | 스미또모 가가꾸 가부시키가이샤 | Pesticidal composition and its use |
| CN102060770A (en) * | 2010-12-27 | 2011-05-18 | 浙江工业大学 | Preparation and application of o-formamido-benzamide compound and intermediate thereof |
| CN102617551A (en) * | 2012-03-08 | 2012-08-01 | 华东理工大学 | Anthranilic diamide compound containing difluoro (methylene) methyl |
| WO2015184229A1 (en) * | 2014-05-29 | 2015-12-03 | E. I. Du Pont De Nemours And Company | Process to prepare 3-methyl-2-nitrobenzoic acid by air oxidation |
| JP2017516808A (en) * | 2014-05-29 | 2017-06-22 | イー・アイ・デュポン・ドウ・ヌムール・アンド・カンパニーE.I.Du Pont De Nemours And Company | Preparation process of 3-methyl-2-nitrobenzoic acid by air oxidation |
| RU2689126C2 (en) * | 2014-05-29 | 2019-05-24 | ЭфЭмСи Корпорейшн | Method of producing 3-methyl-2-nitrobenzoic acid through oxidation with air |
Similar Documents
| Publication | Publication Date | Title |
|---|---|---|
| JP4848391B2 (en) | Anthranilamides, production methods thereof, and pest control agents containing them | |
| KR102191469B1 (en) | Halogen-substituted pyrazol derivatives as pest-control agents | |
| MXPA06009360A (en) | Anthranilamides, process for the production thereof, and pest controllers containing the same | |
| MX2009000144A (en) | Pest control agent containing novel pyridyl-methanamine derivative or salt thereof. | |
| WO2010018868A1 (en) | Pest control agent containing triazolopyrimidine derivative or salt thereof | |
| WO2007020877A1 (en) | Anthranilamide compounds, process for producing these, and pest control agent comprising any of these | |
| JP4150379B2 (en) | Anthranilamides, production methods thereof, and pest control agents containing them | |
| CN102216288A (en) | Pyridine derivative or salt thereof, pesticide containing same and preparation method thereof | |
| JP2012087116A (en) | Benzamide derivative or salt of the same, pesticide, miticide, nematicide or pesticide for soil pest containing the same | |
| WO2006080311A1 (en) | Anthranilamide compound, method for producing same and pest control agent containing same | |
| JP2011105700A (en) | Diaryltriazole derivative or salt thereof, insecticide, miticide, nematicide or soil pesticide containing the same and method for producing the same | |
| WO2010018853A1 (en) | Pyridyl-triazolopyrimidine derivative or salt thereof, and harmful organism control agent comprising the same | |
| JP2010195771A (en) | Triazolopyrimidine derivative or salt thereof, process for producing the same and pesticide containing the same | |
| JP2006001914A (en) | Pyrimidine compound, method for producing the same and vermin controlling agent containing the same | |
| JP2007070346A (en) | Anthranylamide-based compound, its production method and pest-controlling agent containing it | |
| JP2006232814A (en) | Anthranilamide-based compound, method for producing the same and pest control agent containing the same | |
| JP2006131608A (en) | Anthranilamide-based compound, method for producing the same, and pest-controlling agent containing the same | |
| WO2017159618A1 (en) | Pest control agent | |
| WO2006118267A1 (en) | Anthranylamide compound, process for producing the same and pest control agent containing the compound | |
| JP2008019222A (en) | Anthranylamide-based compound, method for producing the same, and pest-controlling agent comprising the same | |
| JP2007277206A (en) | Anthranylamide compound, process for producing the same, and pest control agent containing the compound | |
| JP2005097228A (en) | Haloalkene-based compound, method for producing the same and harmful organism controlling agent containing the same | |
| JP2005206582A (en) | Haloalkane-based compound, method for producing the same and harmful organism-controlling agent containing the same | |
| JP2007051105A (en) | Difluoroalkane amide-based compound, method for producing the same, and noxious organism exterminating agent containing the same | |
| JP2007045774A (en) | Fluoroalkene compound, method for producing the same, and vermin controlling agent containing the same |
Legal Events
| Date | Code | Title | Description |
|---|---|---|---|
| 121 | Ep: the epo has been informed by wipo that ep was designated in this application | ||
| 122 | Ep: pct application non-entry in european phase |
Ref document number: 06712273 Country of ref document: EP Kind code of ref document: A1 |
|
| WWW | Wipo information: withdrawn in national office |
Ref document number: 6712273 Country of ref document: EP |
|
| NENP | Non-entry into the national phase |
Ref country code: JP |
|
| WWW | Wipo information: withdrawn in national office |
Country of ref document: JP |







































