WO2007001406A2 - Aryl-containing macrocyclic compounds - Google Patents
Aryl-containing macrocyclic compounds Download PDFInfo
- Publication number
- WO2007001406A2 WO2007001406A2 PCT/US2005/035853 US2005035853W WO2007001406A2 WO 2007001406 A2 WO2007001406 A2 WO 2007001406A2 US 2005035853 W US2005035853 W US 2005035853W WO 2007001406 A2 WO2007001406 A2 WO 2007001406A2
- Authority
- WO
- WIPO (PCT)
- Prior art keywords
- compound
- substituted
- group
- phenyl
- unsubstituted
- Prior art date
- Legal status (The legal status is an assumption and is not a legal conclusion. Google has not performed a legal analysis and makes no representation as to the accuracy of the status listed.)
- Ceased
Links
- 0 CC([C@@]([C@@]1C=CCOc2cccc(*)c2)(C=*)C1=C)=O Chemical compound CC([C@@]([C@@]1C=CCOc2cccc(*)c2)(C=*)C1=C)=O 0.000 description 4
- JZVUAOCDNFNSGQ-UHFFFAOYSA-N COc(cc1)cc2c1c(O)cc(-c1ccccc1)n2 Chemical compound COc(cc1)cc2c1c(O)cc(-c1ccccc1)n2 JZVUAOCDNFNSGQ-UHFFFAOYSA-N 0.000 description 2
- WBICGQFLUMCNDT-DNJVQHODSA-N CC(C)(C)OC(N[C@H](/C=C\Oc1cccc(CC(C(OCC[Si+](C)(C)C)=O)NC(OCc2ccccc2)=O)c1)C(OCc1ccccc1)=O)=O Chemical compound CC(C)(C)OC(N[C@H](/C=C\Oc1cccc(CC(C(OCC[Si+](C)(C)C)=O)NC(OCc2ccccc2)=O)c1)C(OCc1ccccc1)=O)=O WBICGQFLUMCNDT-DNJVQHODSA-N 0.000 description 1
Classifications
-
- C—CHEMISTRY; METALLURGY
- C07—ORGANIC CHEMISTRY
- C07D—HETEROCYCLIC COMPOUNDS
- C07D487/00—Heterocyclic compounds containing nitrogen atoms as the only ring hetero atoms in the condensed system, not provided for by groups C07D451/00 - C07D477/00
- C07D487/02—Heterocyclic compounds containing nitrogen atoms as the only ring hetero atoms in the condensed system, not provided for by groups C07D451/00 - C07D477/00 in which the condensed system contains two hetero rings
- C07D487/04—Ortho-condensed systems
-
- A—HUMAN NECESSITIES
- A61—MEDICAL OR VETERINARY SCIENCE; HYGIENE
- A61K—PREPARATIONS FOR MEDICAL, DENTAL OR TOILETRY PURPOSES
- A61K47/00—Medicinal preparations characterised by the non-active ingredients used, e.g. carriers or inert additives; Targeting or modifying agents chemically bound to the active ingredient
- A61K47/50—Medicinal preparations characterised by the non-active ingredients used, e.g. carriers or inert additives; Targeting or modifying agents chemically bound to the active ingredient the non-active ingredient being chemically bound to the active ingredient, e.g. polymer-drug conjugates
- A61K47/51—Medicinal preparations characterised by the non-active ingredients used, e.g. carriers or inert additives; Targeting or modifying agents chemically bound to the active ingredient the non-active ingredient being chemically bound to the active ingredient, e.g. polymer-drug conjugates the non-active ingredient being a modifying agent
- A61K47/54—Medicinal preparations characterised by the non-active ingredients used, e.g. carriers or inert additives; Targeting or modifying agents chemically bound to the active ingredient the non-active ingredient being chemically bound to the active ingredient, e.g. polymer-drug conjugates the non-active ingredient being a modifying agent the modifying agent being an organic compound
- A61K47/542—Carboxylic acids, e.g. a fatty acid or an amino acid
Definitions
- the present invention is related to novel compounds, compositions, and methods of treatment for viral infections.
- the invention is related to aryl-containing macrocyclic compounds and pharmaceutical compositions thereof for the treatment of hepatitis C and Severe Acute Respiratory Syndrome (SARS).
- SARS Severe Acute Respiratory Syndrome
- the invention relates to macrocyclic inhibitors of HCV NS3 protease.
- Hepatitis C virus is a major cause of post-transfusion and sporadic non-A, non-B (NANB) hepatitis worldwide, and plays a major role in the development of chronic liver disease, including liver cirrhosis and hepatocellular carcinoma (Kuo et al., Science 244:362-364, 1989; Choo et al., British Medical Bulletin 46(2):423-441, 1990).
- Current interferon-based therapies have low response rates and are poorly tolerated due to side- effects. New therapies for hepatitis C that overcome the limitations of existing therapies are therefore highly desirable.
- HCV is an enveloped positive strand RNA virus in the Flaviviridae family.
- the single strand HCV RNA genome is approximately 9500 nucleotides in length and has a single open reading frame (ORF) encoding a single large polyprotein of about 3000 amino acids.
- ORF open reading frame
- this polyprotein is cleaved at multiple sites by cellular and viral proteases to produce the structural and non-structural (NS) proteins, hi the case of HCV, the generation of mature nonstructural proteins (NS2, NS3, NS4A, NS4B, NS5A, and NS5B) is effected by two viral proteases.
- the first one cleaves at the NS2-NS3 junction; the second one is a serine protease contained within the N- terminal region of NS3 (henceforth referred to as NS3 protease) and mediates all the subsequent cleavages downstream of NS3, both in cis, at the NS3-NS4A cleavage site, and in trans, for the remaining NS4A-NS4B, NS4B-NS5A, NS5A-NS5B sites.
- the NS4A protein appears to serve multiple functions, acting as a cofactor for the NS3 protease and possibly assisting in the membrane localization of NS3 and other viral replicase components.
- NS3 protein The complex formation of the NS3 protein with NS4A seems necessary to the processing events, enhancing the proteolytic efficiency at all of the sites.
- the NS3 protein also exhibits nucleoside triphosphatase and RNA helicase activities.
- NS5B is a RNA-dependent RNA polymerase that is involved in the replication of HCV.
- HCV NS3 protease is therefore an attractive target for the development of anti-HCV agents.
- U.S. Pat. Publication No. 2003/0224977 and U.S. Pat. No. 6,608,027 disclose macrocyclic peptides active against the hepatitis C virus which are purportedly selective inhibitors of NS 3 protease.
- SARS Severe Acute Respiratory Syndrome
- CDC Centers for Disease Control and Prevention
- a 1 is ⁇ (CR 2 R 3 ) n -, or A 1 and R 13 , together with the carbon to which they are attached, form -(cyclopropyl)-(CR 2 R 3 ) n -, wherein n is 1, 2, 3, 4, 5, 6, or 7, and when n is 2 or more, any two adjacent -(CR 2 R 3 )- groups can be connected by a single bond, a double bond, or a triple bond;
- a 2 is a covalent bond, -O-, -(CR 4 R 5 ) a -, or -O-(CR 4 R 5 ) a -, wherein a is 1, 2, 3, 4, 5, or 6, and when a is 2 or more, any two adjacent -(CR 4 R 5 )- can be connected by a single bond, a double bond, or a triple bond;
- Q is a substituted or unsubstituted aryl or heteroaryl group
- X is absent or is -O-, -S(O) q -, -S-S-, -N(R 2 Z U>, -(CR ,2 Z 1 I rR>2 Z 2 / x)-,
- q at each occurrence is independently 0, 1 or 2;
- pi and p2 are independently 0, 1, 2, 3 or 4, and n + pi + p2 is less than or equal to 8.
- Z is -(CH 2 ) k -Y m -R 10 , -CH(R 8 )-R 9 -R 10 , or -CH(R 8 )-CH 2 -OR 10 or is a side chain of a naturally occurring or non-naturally occurring amino acid, and R 7 has the values given below; or Z and R 7 , taken together, form a five or six member heterocycle which is optionally substituted with up to three groups selected from -R 8 , -R 9 -R 10 , -CH 2 OR 10 , or -(CH 2 )I 4 -Ym-R 1 °, wherein k is 0, 1, 2 ,3 or 4 and m is independently 0, 1 or 2;
- Y is O or CR 28 R 29 , wherein m is 0 or 1 if Y is O;
- R 1 is CO 2 H, CO 2 R 20 , C(O)CO 2 R 20 , C(O)CONR 20 R 23 , or C(O)NR 23 SO 2 R 20 ;
- R 2 , R 3 , R 4 and R 5 are each independently absent, H, OH, F, Cl, Br, I, amino, or a substituted or unsubstituted alkyl, cycloalkyl, alkylamino or dialkylamino group;
- R 6 is H, C(O)R 14 , C(O)N(R 24 XR 26 ), or SO 2 R 25 , or a substituted or unsubstituted alkyl, aryl, arylalkyl, heterocyclyl, or heterocyclylalkyl group;
- R 7 is H or is a substituted or unsubstituted alkyl, arylalkyl, heteroarylalkyl, cycloalkyl, alkylamino, or dialkylamino group;
- R 8 at each occurrence is independently H, OH, F, Cl, Br, I, amino, or a substituted or unsubstituted alkyl, cycloalkyl, alkylamino or dialkylamino group;
- R 9 is a bond or is a substituted or unsubstituted alkylene, cycloalkylene, cycloalkylalkylene, or heteroalkylene group having 1 or 2 heteroatom groups, wherein each heteroatom group is independently O, NR 27 , or S(0) r , wherein r is 0, 1, or 2;
- R 10 is H or is a substituted or unsubstituted aryl, arylalkyl, heteroaryl or heteroarylalkyl group, wherein the alkyl moiety of arylalkyl and heteroarylalkyl groups optionally includes 1 or 2 heteroatoms independently selected from S, O, or NR 30 ;
- R 12 , R 15 , R 16 , and R 17 are each independently H or a C 1-2 alkyl group optionally substituted with one or more F, Cl, Br, or I;
- R 13 is H or a C 1-4 alkyl group optionally substituted with one or more F, Cl, Br, or I; or R 13 and A 1 , together with the carbon to which they are attached, form -(cyclopropyl)-(CR 2 R 3 ) n -;
- R 14 is hydrogen or a substituted or unsubstituted branched or unbranched alkyl, alkoxy, haloalkyl, alkylamino, dialkylamino, cycloalkyl, cycloalkylalkyl, cycloalkyloxy, cycloalkylamino, heterocyclyl, heterocyclylalkyl, heterocyclyloxy, heterocyclylamino, heterocyclylalkoxy, heterocyclylalkylamino, aryl, aryloxy, arylamino, arylalkyl, arylalkoxy, or arylalkylamine group;
- R 20 and R 25 are independently a substituted or unsubstituted alkyl, alkenyl, alkynyl, aryl, arylalkyl, heterocyclyl, or heterocyclylalkyl group;
- R 21 , R 22 , R 23 , R 27 , R 28 , R 29 and R 30 at each occurrence are independently H or a substituted or unsubstituted C 1-6 alkyl group;
- R 24 and R 26 at each occurrence are independently H or a substituted or unsubstituted alkyl, alkenyl, alkynyl, aryl, arylalkyl, heterocyclyl, or heterocyclylalkyl group.
- Q is a substituted or unsubstituted phenyl, naphthyl, thiophenyl, thiazolyl, furanyl, pyrrolyl, pyrazinyl, imidazolyl, pyridinyl, pyrimidinyl, or indolyl group.
- Q is a group of Formula IIA or IIB:
- J 1 , J 2 , J 3 , J 4 , and J 5 are independently selected from CR 11 or N provided that no more than two of J 1 , J 2 , J 3 , J 4 , and J 5 are N;
- R . 11 at each occurrence is independently H, OH, F, Cl, Br, I, amino, N(R 21 XR 22 ), NO 2 , CN, or a substituted or unsubstituted Ci -6 alkyl, C 3-6 cycloalkyl, or Ci -6 alkoxy group.
- the invention further pprroovviiddeess ccoommppoouunnds having Formula III wherein A 1 , A 2 , Q, X, Y, m, R 1 , R 6 , R 10 , and R 13 are as defined herein.
- stereoisomers having Formula IIIA wherein A 1 , A 2 , Q, X, Y, m, R 1 , R 6 , R 10 , and R 13 are as defined herein.
- the invention further provides compounds having Formula IV in which A 1 , A 2 , Q, X, R 1 , R 6 , R 7 , and R 13 are as defined herein.
- Z is a -(CH 2 ) k -Y m -R IQ , -CH(R B )-R -R , 10 , or -CH(R 8 )-CH 2 -OR 10 group or is the side chain of a naturally occurring or non-naturally occurring amino acid, and k, Y, m, R 8 , R 9 , and R 10 are as defined herein.
- stereoisomers having Formula IVA wherein A 1 , A 2 , Q 5 X, R 1 , R 6 , R 7 , and R 13 are as defined herein.
- stereoisomers having Formula VA wherein A 2 , Q, X, Y, m, n, R 1 , R 2 , R 3 , R 6 , and R 10 are as defined herein.
- the invention further provides compounds having Formula VI in which A 2 , Q, X, n, R 1 , R 2 , R 3 , R 6 , and R 7 are as defined herein.
- Z is a -(CH 2 )Ic-Ym-R 1 °, ⁇ CH(R 8 )-R 9 -R 10 , or -CH(R 8 )-CH 2 -OR 10 group or is the side chain of a naturally occurring or non-naturally occurring amino acid, and k, Y, m, R 8 , R 9 , and R 10 are as defined herein.
- stereoisomers having Formula VIA wherein A 1 , Q, X, n, R 1 , R 2 , R 3 , R 6 , and R 7 , are as defined herein.
- compositions such as a pharmaceutical formulation or medicament comprising a compound according to the instant invention and a pharmaceutically acceptable carrier.
- the invention further provides the use of the compounds of the invention in preparing a medicament or pharmaceutical formulation for use in treating an HCV or SARS virus mediated disease, e.g., hepatitis C or SARS, respectively.
- kits for treating an HCV-mediated disease or condition include administering to a subject in need thereof a compound or a composition of the instant invention, hi some such embodiments, the HCV-mediated disease or condition is hepatitis C.
- methods of inhibiting HCV replication including contacting HCV NS3 protease with a compound of the present invention.
- the invention provides a method of treating a SARS virus-mediated disease or condition.
- the method includes administering to a subject in need thereof a compound or a composition of the instant invention.
- the SARS virus-mediated disease or condition is SARS.
- methods of inhibiting SARS virus replication including contacting a SARS virus protease with a compound of the present invention.
- the present invention is directed to novel compounds, compositions and methods for the treatment of viral infections, particularly HCV and SARS.
- Alkyl groups include straight chain and branched alkyl groups having from 1 to about 20 carbon atoms, and typically from 1 to 12 carbons or, in some embodiments, from 1 to 8 carbon atoms.
- alkyl groups include cycloalkyl groups as defined below. Examples of straight chain alkyl groups include those with from 1 to 8 carbon atoms such as, methyl, ethyl, n-propyl, n-butyl, n-pentyl, n-hexyl, n-heptyl, and n-octyl groups.
- branched alkyl groups include, but are not limited to, isopropyl, sec-butyl, t- butyl, and isopentyl groups.
- Representative substituted alkyl groups may be substituted one or more times with, for example, amino, thio, alkoxy, and/or halo groups such as F, Cl, Br, and I groups.
- Alkylene groups are divalent alkyl groups, i.e., alkyl groups having two attachment points.
- Cycloalkyl groups are cyclic alkyl groups such as, but not limited to, cyclopropyl, cyclobutyl, cyclopentyl, cyclohexyl, cycloheptyl, and cyclooctyl groups.
- the cycloalkyl group have 3 to 8 ring members, whereas in other embodiments the number of ring carbon atoms range from 3 to 5, 6, or 7.
- Cycloalkyl groups also includes rings that are substituted with straight or branched chain alkyl groups as defined above, and further include cycloalkyl groups that are substituted with other rings including fused rings such as, but not limited to, decalinyl, tetrahydronaphthyl, and indanyl. Cycloalkyl groups also include polycyclic cycloalkyl groups such as, but not limited to, norbomyl, adamantyl, bornyl, camphenyl, isocamphenyl, and carenyl groups.
- Representative substituted cycloalkyl groups may be mono-substituted or substituted more than once, such as, but not limited to, 2,2-, 2,3-, 2,4- 2,5- or 2,6-disubstituted cyclohexyl groups or mono-, di- or tri-substituted norbornyl or cycloheptyl groups, which may be substituted with, for example, alkyl, alkoxy, amino, thio, cyano, and/or halo groups.
- Cycloalkylene groups are divalent cycloalkyl groups, i.e., cycloalkyl groups having two attachment points.
- Alkenyl groups are straight chain, branched or cyclic lower alkyl groups having 2 to about 20 carbon atoms, and, in some embodiments, from 2 to 8 carbon atoms, and further including at least one double bond.
- alkenyl groups include vinyl, propenyl, 2- butenyl, 3-butenyl, isobutenyl, cyclohexenyl, cyclopentenyl, cyclohexadienyl, butadienyl, pentadienyl, and hexadienyl groups among others.
- Alkynyl groups are straight chain or branched lower alkyl groups having 2 to about 20 carbon atoms and, in some embodiments, from 2 to 8 carbon atoms, and further including at least one triple bond.
- Alkynyl groups are exemplified by groups, including, but not limited to, ethynyl, propynyl, and butynyl groups.
- Aryl groups are cyclic aromatic hydrocarbons that do not contain heteroatoms.
- aryl groups include, but are not limited to, phenyl, azulene, heptalene, biphenylene, indacene, fluorene, phenanthrene, triphenylene, pyrene, naphthacene, chrysene, biphenyl, anthracenyl, and naphthenyl groups.
- aryl groups includes groups containing fused rings, such as fused aromatic-aliphatic ring systems, it does not include aryl groups that have other groups, such as alkyl or halo groups, bonded to one of the ring members.
- substituted aryl groups groups such as tolyl are referred to as substituted aryl groups.
- Representative substituted aryl groups may be mono-substituted or substituted more than once, such as, but not limited to, 2-, 3-, 4-, 5-, or 6-substituted phenyl or benzyl groups, which may be substituted with groups including, but not limited to, amino, alkoxy, alkyl, cyano, and/or halo.
- Cycloalkylalkyl groups are alkyl groups as defined above in which a hydrogen or carbon bond of an alkyl group is replaced with a bond to a cycloalkyl group as defined above.
- Cycloalkylalkylene groups are divalent cycloalkylalkyl groups, i.e., cycloalkylalkyl groups having two attachment points.
- Arylalkyl groups are alkyl groups as defined above in which a hydrogen or carbon bond of an alkyl group is replaced with a bond to an aryl group as defined above.
- Heteroalkyl groups are alkyl groups as defined above in which one or more CH 2 groups of the alkyl group is replaced with a heteroatom group such as but not limited to O, N (i.e., NH or N-alkyl), S, SO, or SO 2 .
- a heteroalkyl group includes 1 or 2 heteroatom groups.
- Heteroalkylene groups are divalent heteroalkyl groups, i.e., heteroalkyl groups having two attachment points.
- Heterocyclyl groups include aromatic and nonaromatic ring compounds containing 3 or more ring members, of which, one or more is a heteroatom such as, but not limited to, N, O, and S. In some embodiments, heterocyclyl groups include 3 to 20 ring members, whereas other such groups have 3 to 15 ring members.
- the phrase "heterocyclyl group” includes fused ring species including those comprising fused aromatic and nonaromatic groups. The phrase also includes polycyclic ring systems containing a heteroatom such as, but not limited to, quinuclidyl. However, the phrase does not include heterocyclyl groups that have other groups, such as alkyl or halo groups, bonded to one of the ring members.
- Heterocyclyl groups include, but are not limited to, pyrrolidinyl, piperidinyl, piperazinyl, morpholinyl, pyrrolyl, pyrazolyl, triazolyl, tetrazolyl, oxazolyl, isoxazolyl, thiazolyl, pyridinyl, thiophenyl, benzothiophenyl, benzofuranyl, pyrazinyl, imidazolyl, indolyl, azaindolyl, indazolyl, benzimidazolyl, azabenzimidazolyl, benzoxazolyl, benzothiazolyl, benzothiadiazolyl, imidazopyridinyl, isoxazolopyridinyl, thianaphthalenyl, purinyl, xanthinyl, adeninyl,
- Representative substituted heterocyclyl groups may be mono-substituted or substituted more than once, such as, but not limited to, quinolinyl or quinoxalinyl groups, which are 2-, 3-, A-, 5-, or 6-substituted, or disubstituted with groups including, but not limited to, amino, alkoxy, alkyl, cyano, and/or halo.
- Heteroaryl groups are aromatic ring compounds containing 5 or more ring members, of which, one or more is a heteroatom such as, but not limited to, N, O, and S.
- Heteroaryl groups include, but are not limited to, groups such as pyrrolyl, pyrazolyl, triazolyl, tetrazolyl, oxazolyl, isoxazolyl, thiazolyl, pyridinyl, thiophenyl, benzothiophenyl, benzofuranyl, indolyl, azaindolyl, indazolyl, benzimidazolyl, azabenzimidazolyl, benzoxazolyl, benzothiazolyl, benzothiadiazolyl, imidazopyridinyl, isoxazolopyridinyl, thianaphthalenyl, purinyl, pyrazinyl, imidazolyl, xanthinyl, aden
- heteroaryl groups includes fused ring compounds, the phrase does not include heteroaryl groups that have other groups bonded to one of the ring members, such as alkyl groups. Rather, heteroaryl groups with such substitution are referred to as "substituted heteroaryl groups”. Representative substituted heteroaryl groups may be substituted one or more times with groups including, but not limited to, amino, alkoxy, alkyl, cyano, and/or halo.
- Heterocyclylalkyl groups are alkyl groups as defined above in which a hydrogen or carbon bond of an alkyl group is replaced with a bond to a heterocyclyl group as defined above.
- Heteroarylalkyl groups are alkyl groups as defined above in which a hydrogen or carbon bond of an alkyl group is replaced with a bond to a heteroaryl group as defined above.
- Aminocarbonyl groups are groups of the formula RR'NC(O)-, wherein R or R' may be the same or different, and each is independently selected from H, or substituted or unsubstituted alkyl, cycloalkyl, aryl, heterocyclyl or heteroaryl groups, as defined above.
- substituted refers to a group as defined above in which one or more bonds to a hydrogen atom contained therein are replaced by a bond to non-hydrogen or non- carbon atoms such as, but not limited to, a halogen atom such as F, Cl, Br, and I; an oxygen atom in groups such as hydroxyl groups, alkoxy groups, aryloxy groups, and ester groups; a sulfur atom in groups such as thiol groups, alkyl and aryl sulfide groups, sulfone groups, sulfonyl groups, and sulfoxide groups; a nitrogen atom in groups such as amines, amides, alkylamines, dialkylamines, arylamines, alkylarylamines, diarylamines, N-oxides, imides, and enamines; a silicon atom in groups such as in trialkylsilyl groups, dialkylarylsilyl groups, alky
- Substituted alkyl groups and also substituted cycloalkyl groups and others also include groups in which one or more bonds to a carbon(s) or hydrogen(s) atom is replaced by a bond to a heteroatom such as oxygen in carbonyl, carboxyl, and ester groups; nitrogen in groups such as imines, oximes, hydrazones, and nitriles.
- Substituted cycloalkyl, substituted aryl, substituted heterocyclyl and substituted heteroaryl also include rings and fused ring systems in which a bond to a hydrogen atom is replaced with a bond to a carbon atom. Therefore, substituted cycloalkyl, substituted aryl, substituted heterocyclyl and substituted heteroaryl groups may also be substituted with alkyl groups as defined above.
- amino acid side chain refers to the side chain(s) attached to the alpha-amino carbon of alpha-amino acids.
- a naturally occurring amino acid side chain thus refers to the side chains of amino acid residues which are found in naturally occurring peptides and proteins in animals, plants, microorganisms (such as bacteria, yeast, viruses, mold) and the like.
- Unnaturally occurring amino acid side chains include any side chains that can occur on synthetic and semisynthetic alpha- amino acids.
- side chains include but are not limited to substituted or unsubstituted alkyl, alkenyl, heteroalkyl, cycloalkyl, cycloalkylalkyl, aryl, arylalkyl, heterocyclyl (including heteroaryl), or heterocyclylalkyl groups.
- norleucine ((CH 2 ) 3
- protected with respect to hydroxyl groups, amine groups, and sulfhydryl groups refers to forms of these functionalities which are protected from undesirable reaction with a protecting group known to those skilled in the art such as those set forth in Protective Groups in Organic Synthesis, Greene, T.W.; Wuts, P. G. M., John Wiley & Sons, New York, NY, (3rd Edition, 1999) which can be added or removed using the procedures set forth therein.
- Examples of protected hydroxyl groups include, but are not limited to, silyl ethers such as those obtained by reaction of a hydroxyl group with a reagent such as, but not limited to, t-butyldimethyl-chlorosilane, trimethylchlorosilane, triisopropylchlorosilane, triethylchlorosilane; substituted methyl and ethyl ethers such as, but not limited to methoxymethyl ether, methythiomethyl ether, benzyloxymethyl ether, t- butoxymethyl ether, 2-methoxyethoxymethyl ether, tetrahydropyranyl ethers, 1-ethoxyethyl ether, allyl ether, benzyl ether; esters such as, but not limited to, benzoylformate, formate, acetate, trichloroacetate, and trifluoracetate.
- a reagent such as, but not limited to
- protected amine groups include, but are not limited to, amides such as, formamide, acetamide, trifluoroacetamide, and benzamide; imides, such as phthalimide, and dithiosuccinimide; and others.
- protected sulfhydryl groups include, but are not limited to, thioethers such as S-benzyl thioether, and S-4-picolyl thioether; substituted S-methyl derivatives such as hemithio, dithio and aminothio acetals; and others.
- the instant compounds may exist as one or more stereoisomers.
- the various stereoisomers include enantiomers, diastereomers, atropisomers and geometric isomers.
- one stereoisomer may be more active and/or may exhibit beneficial effects in comparison to other stereoisomer(s) or when separated from the other stereoisomer(s).
- stereoisomers of the instant invention necessarily includes mixtures of stereoisomers, individual stereoisomers, or optically active forms.
- Compounds of the invention can be solvated, e.g., hydrated. Hydration may occur during manufacturing of the compounds or compositions comprising the compounds, or the hydration may occur over time due to the hygroscopic nature of the compounds.
- Tautomers refers to isomeric forms of a compound that are in equilibrium with each other.
- concentrations of the isomeric forms will depend on the environment the compound is found in and may be different depending upon, for example, whether the compound is a solid or is in an organic or aqueous solution.
- ketones are typically in equilibrium with their enol forms.
- ketones and their enols are referred to as tautomers of each other.
- tautomers of each other As readily understood by one skilled in the art, a wide variety of functional groups and other structures may exhibit tautomerism, and all tautomers of compounds described herein are within the scope of the present invention.
- Prodrugs as used in the context of the instant invention, includes those derivatives of the instant compounds which undergo in vivo metabolic biotransformation, by enzymatic or nonenzymatic processes, such as hydrolysis of, e.g., an ester or amide, to form a compound of the invention.
- Prodrugs can be employed to improve pharmaceutical or biological properties, as for example solubility, melting point, stability and related physicochemical properties, absorption, pharmacodynamics and other delivery-related properties.
- Pharmaceutically acceptable salts include a salt with an inorganic base, organic base, inorganic acid, organic acid, or basic or acidic amino acid.
- the invention includes, for example, alkali metals such as sodium or potassium, alkali earth metals such as calcium and magnesium or aluminum, and ammonia.
- the invention includes, for example, trimethylamine, triethylamine, pyridine, picoline, ethanolamine, diethanolamine, triethanolamine.
- the instant invention includes, for example, hydrochloric acid, hydroboric acid, nitric acid, sulfuric acid, and phosphoric acid.
- the instant invention includes, for example, formic acid, acetic acid, trifluoroacetic acid, fumaric acid, oxalic acid, tartaric acid, lactic acid, maleic acid, citric acid, succinic acid, malic acid, methanesulfonic acid, benzenesulfonic acid, and p-toluenesulfonic acid.
- salts of basic amino acids the instant invention includes, for example, arginine, lysine and ornithine.
- Acidic amino acids include, for example, aspartic acid and glutamic acid.
- the present invention provides compounds that act as inhibitors of the NS3 protease of hepatitis C virus and a SARS viral protease.
- aryl containing macrocyclic compounds of Formula I, III, IIIA, IV, IVA, V, VA, VI, and VIA are provided.
- Compounds of the invention further include stereoisomers, solvates, tautomers, prodrugs, and pharmaceutically acceptable salts thereof.
- Q is a substituted or unsubstituted aryl or heteroaryl group.
- Q is a substituted or unsubstituted phenyl, naphthyl, thiophenyl, thiazolyl, furanyl, pyrrolyl, pyrazinyl, imidazolyl, pyridinyl, pyrimidinyl, or indolyl group.
- Q is a group of Formula IIA or IIB:
- J 1 , J 2 , J 3 , J 4 , and J 5 are independently selected from CR 11 or N provided that no more than two of J 1 , J 2 , J 3 , J 4 , and J 5 are N;
- R at each occurrence is independently H, OH, F, Cl, Br, I, amino, N(R 21 XR 22 ) , NO 2 , CN, or a substituted or unsubstituted Ci -6 alkyl, C 3-6 cycloalkyl, or C 1-6 alkoxy group.
- J 1 , J 2 , J 3 , J 4 , and J 5 are all CR 11 and Q is a substituted or unsubstituted phenyl.
- each R 11 is H and Q is an unsubstituted phenyl.
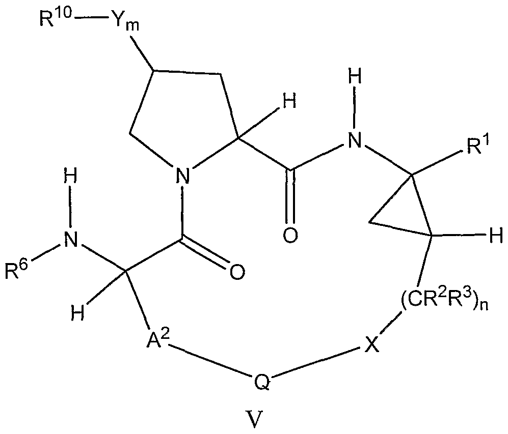
- a 1 is -(CR 2 R 3 ) n -, or A 1 and R 13 , together with the carbon to which they are attached, form — (cyclopropyl)-(CR 2 R 3 ) n -, wherein n is 1, 2, 3, 4, 5, 6, or 7, and when n is 2 or more, any two adjacent -(CR 2 R 3 )- groups can be connected by a single bond, a double bond, or a triple bond.
- a 1 is -(CR 2 R 3 ) n -.
- n is 2, 3, 4, 5, 6, or 7, and two adjacent -(CR 2 R 3 )- groups are connected by a double bond.
- a 2 is a covalent bond, -O-, -(CR 4 R 5 ) a -, or -O-(CR 4 R 5 ) a -, wherein a is 1, 2, 3, 4, 5, or 6, and when a is 2 or more, any two adjacent -(CR 4 R 5 )- can be connected by a single bond, a double bond, or a triple bond.
- a 2 is -(CR 4 R 5 ) a - , or -O-(CR 4 R 5 ) a -.
- a is 2, 3, 4, 5, or 6, and two adjacent -(CR 4 R 5 ) a - groups are connected by a double bond.
- R 2 , R 3 , R 4 and R 5 are each independently absent, H, OH, F, Cl, Br, I, amino, or a substituted or unsubstituted alkyl, cycloalkyl, alkylamino or dialkylamino group.
- R 2 and R 3 at each occurrence are all H.
- R 2 , R 3 , R 4 , and R 5 at each occurrence are all H or R 2 , R 3 , R 4 , and R 5 at each occurrence are all H, and R 11 at each occurrence is H.
- X is -O- or -(CR 21 R 22 )- such as -CH 2 -.
- Z is -(CH 2 X-Y n1 -R 1 °, -CH(R 8 )-R 9 -R 10 , or -CH(R 8 )-CH 2 -OR 10 or is a side chain of a naturally occurring or non-naturally occurring amino acid, and R has the values given below.
- Z and R 7 taken together, form a five or six member heterocycle which is optionally substituted with up to three groups selected from -R 8 , -R 9 -R 10 , -CH 2 OR 10 , or -(CH 2 ) ⁇ Y n1 -R 1 °, wherein k is 1, 2 ,3 or 4, and m is 0, 1 or 2.
- Y is O or CR 21 R 22 wherein R 21 , R 22 , at each occurrence are independently H or substituted or unsubstituted C 1-6 alkyl group.
- Z is a -(CH 2 ) ⁇ Y 1n -R 1 °, -CH(R 8 )-R 9 -R 10 , or -CH(R ⁇ -CH 2 -OR 1 ° group, or is the side chain of a naturally occurring or non-naturally occurring amino acid.
- Z is a - (CH 2 ) I cY m -R 1 °, -CH(R 8 )-R 9 -R 10 , or -CH(R 8 )-CH 2 -OR 10 group. In other such embodiments, Z is a -(CH 2 V Y m -R 10 group.
- R 7 is H or is a substituted or unsubstituted alkyl, arylalkyl, heteroarylalkyl, cycloalkyl, alkylamino, or dialkylamino group.
- R 8 at each occurrence is independently H, OH, F, Cl, Br, I, amino, or substituted or unsubstituted alkyl, cycloalkyl, alkylamino or dialkylamino group.
- R 9 is a bond or is a substituted or unsubstituted alkylene, cycloalkylene, cycloalkylalkylene, or heteroalkylene group having 1 or 2 heteroatom groups wherein each heteroatom group is independently O, NR 27 , or S(O) q .
- R 10 is H or is a substituted or unsubstituted aryl, arylalkyl, heteroaryl or heteroarylalkyl group, wherein the alkyl moiety of arylalkyl and heteroarylalkyl groups optionally includes 1 or 2 heteroatoms independently selected from S, O, or NR 30 .
- R 10 is a substituted or unsubstituted heteroaryl or heteroarylalkyl group.
- R 10 is substituted or unsubstituted monocyclic, bicyclic, or tricyclic heteroaryl group having from five to sixteen ring atoms and up to four ring heteroatom groups each of which is independently O, N, NH or S.
- R 10 can be a substituted or unsubstituted phenyl, benzyl, phenethyl, naphthyl, pyrrolyl, pyrazolyl, triazolyl, tetrazolyl, oxazolyl, isoxazolyl, thiazolyl, pyridinyl, pyridinylmethyl, benzothiophenyl, benzofuranyl, indolyl, azaindolyl, indazolyl, benzimidazolyl, azabenzimidazolyl, benzoxazolyl, benzothiazolyl, benzothiadiazolyl, imidazopyridinyl, isoxazolopyridinyl, thianaphthalenyl, purinyl, xanthinyl, adeninyl, guaninyl, quinolinyl, isoquinolinyl, tetrahydroquinolinyl, qui
- R 10 can be substituted with a wide variety of substituents including but not limited to one or more F, Cl, Br, I, OH, CN, NO 2 , COOH, C(O)OR', C(O)NH 2 , C(O)NH(R'), C(O)N(R')(R'), S(O) m R', SO 2 NHR', amino, substituted or unsubstituted saturated or unsaturated heterocyclyl, or a substituted or unsubstituted aryl, heteroaryl, alkyl, alkylamino, dialkylamino, alkenyl, or alkoxy group, wherein R' is a substituted or unsubstituted alkyl, aryl, arylalkyl, heterocyclyl, or heterocyclylalkyl group.
- R 10 is substituted with one or more F, Cl, Br, I, OH, CN, NO 2 , COOH, CONH 2 , amino, methyl, ethyl, propyl, butyl, trifluoromethyl, trifluoromethoxy, phenyl, benzyl, phenethyl, methoxyphenyl, tolyl, pyridinyl, piperidinyl, pyrrolyl, imidazolyl, oxazolyl, oxadiazolyl, thiazolyl, isopropylaminothiazolyl, thiazolylethylamino, methylamino, ethylamino, dimethylamino, diethylamino, propylamino, cyclohexylmethylamino, benzylamino, phenethylamino, thiophenylmethylamino, thiophenylethylamino,
- R 10 is a substituted or unsubstituted quinoxalinyl, quinolinyl or isoquinolinyl group.
- R 10 is a substituted quinolin-4-yl group substituted at the 2-position and the 7-position of the quinolinyl group such as a (2-phenyl-7- methoxy)quinolin-4-yl group.
- R 1 is CO 2 H, CO 2 R 20 , C(O)CO 2 R 20 , C(O)CONR 20 R 23 , or C(O)NR 23 SO 2 R 20 .
- R 20 is a substituted or unsubstituted alkyl, alkenyl, alkynyl, aryl, arylalkyl, heterocyclyl, or heterocyclylalkyl group and R 23 is H or substituted or unsubstituted C 1-6 alkyl group.
- R 1 is CO 2 H or C(O)NHSO 2 R 20 .
- R 20 is a substituted or unsubstituted branched or straight chain alkyl group or is a substituted or unsubstituted cycloalkyl, (cycloalkyl)alkyl, phenyl, phenylalkyl, heterocyclyl, or heterocyclylalkyl group.
- R 20 is a substituted or unsubstituted methyl, ethyl, propyl, isopropyl, butyl, isobutyl, pentyl, phenyl, benzyl, cyclopropyl, cyclobutyl, cyclopentyl, cyclohexyl, furanyl, thiophenyl, or pyridinyl group.
- R 6 is H, C(O)R 14 , C(O)N(R 24 )(R 26 ), SO 2 R 25 , or SO 2 N(R 24 )(R 26 ), or a substituted or unsubstituted alkyl, aryl, arylalkyl, heterocyclyl, heterocyclylalkyl group.
- R 1 is hydrogen or a substituted or unsubstituted branched or unbranched alkyl, alkoxy, haloalkyl, alkylamino, dialkylamino, cycloalkyl, cycloalkylalkyl, cycloalkyloxy, cycloalkylamino, heterocyclyl, heterocyclylalkyl, heterocyclyloxy, heterocyclylamino, heterocyclylalkoxy, heterocyclylalkylamino, aryl, aryloxy, arylamino, arylalkyl, arylalkoxy, or arylalkylamine group.
- R 24 and R 20 at each occurrence are independently H or a substituted or unsubstituted alkyl, alkenyl, alkynyl, aryl, arylalkyl, heterocyclyl, or heterocyclylalkyl group.
- R 25 is a substituted or unsubstituted alkyl, alkenyl, alkynyl, aryl, arylalkyl, heterocyclyl, or heterocyclylalkyl group.
- R 6 is -C(O)R 14 .
- R 14 is a substituted or unsubstituted alkyl, haloalkyl, alkoxy, alkylamino, cycloalkyl, cycloalkylalkyl, cycloalkoxy, heterocyclyl, or heterocyclylalkyl group.
- R 14 is ethoxy, t-butyloxy, isobutyloxy, cyclopropylethylenyl, cyclopentyloxy, cyclopentylmethylenyl, cyclohexyloxy, thiophenyl, imidazolyl, pyridinyl, furanyl, oxazolyl, isoxazolyl, or pyrrolidinyl.
- R , R , R , and R are each independently H or a Ci -2 alkyl group optionally substituted with one or more F, Cl, Br, or I.
- R 12 , R 15 , R 16 , and R 17 are all H.
- R 13 is H or a Ci -4 alkyl optionally substituted with one or more F, Cl, Br, or I. In some embodiments, R 13 is methyl or ethyl.
- X is O;
- Q is phenyl;
- R 2 , R 3 , R 4 , R 5 are all H;
- R 6 is -COOC(CH 3 ) 3 or -COO(cyclopentyl);
- R 10 is a substituted quinolin- 4-yl group substituted at the 2-position and the 7-position of the quinolinyl group.
- X is O;
- Q is phenyl;
- R 1 is -C(O)NHSO 2 -phenyl;
- R 2 , R 3 , R 4 , R 5 are all H;
- R 10 is a substituted quinolin-4-yl group substituted at the 2-position and the 7-position of the quinolinyl group.
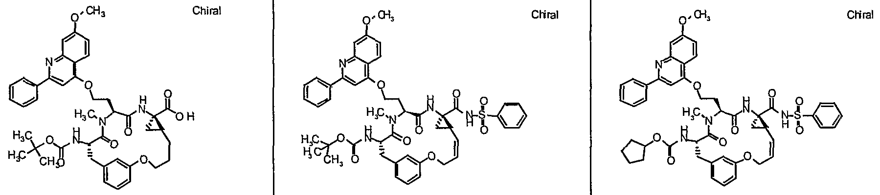
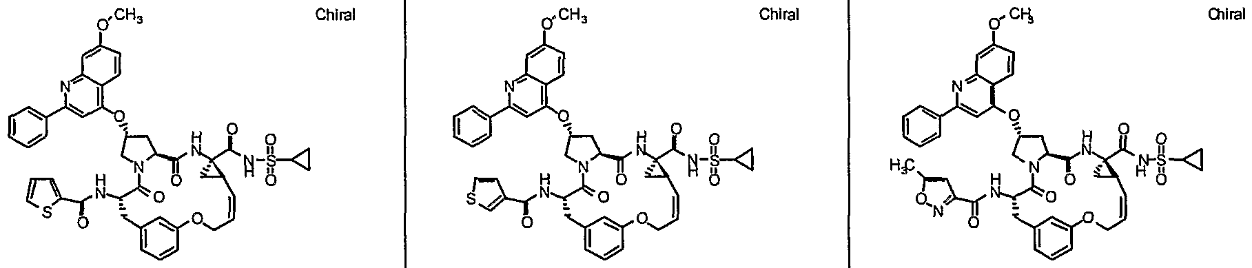
- a 2 is -(CR 4 R 5 ) a -; a is 1; R 2 , R 3 , R 4 , R 5 , R 11 and R 13 are each H; and the remaining substituents are set forth in Table 1, below.
- the stereochemistry at the carbon to which R 1 is attached is indicated in the column labeled D/L.
- the compounds have the Formula III wherein Q is phenyl, m is 1, Y is O and the remaining variables are as defined above.
- Exemplary compounds of the invention include but are not limited to those in Table 2.
- Macrocyclic compounds of the invention are readily synthesized.
- Inventive compounds that include a proline ring i.e., Z and R 7 , taken together, form a five member heterocycle
- a suitably substituted and protected aromatic amino acid such as a 2-amino-3-(3- hydroxyphenyl)propanoate
- a second protected amino acid residue For example N- and C-protected serine, homoserine or higher homologs may be subjected to the Mitsunobu reaction with the hydroxyphenyl residue to form the corresponding ether.
- N-deprotection of the serine residue and coupling with a suitably substituted proline residue provides the acyclic precursor to the macrocycle.
- Coupling may be carried out with coupling agents according to well known procedures. For example, O-(J- azobenzotriazol- 1 -yl)- 1 , 1 ,3 ,3-tetramethyluronium hexafluorophosphate (HATU), 1 -(2- dimethylaminopropyl)-3-ethylcarbodiimide hydrochloride/hydroxyazabenzotriazole (EDC/HOAt), or other coupling agents suitable for peptide synthesis may be used, typically in the presence of a base such as triethylamine, diisopropylethylamine, or the like.
- HATU O-(J- azobenzotriazol- 1 -yl)- 1 , 1 ,3 ,3-tetramethyluronium hexafluorophosphate
- Macrocyclic ring closure may be effected using various procedures. Formation of the active ester from, e.g., pentafluorophenol followed by deprotection of the prolyl amino group yields the desired macrocycle. Using suitable orthogonal protection strategies allows the phenylalanyl amino group or the R 1 carboxyl to be selectively revealed and further modified. Thus for example, various R 6 groups may be installed to form amides, carbamates or ureas using well known methods.
- N-acyl sulfonamides may be prepared at R 1 by coupling of the carboxyl group to a wide range of aryl, alkyl and cycloalkyl sulfonamides with, e.g., carbonyl diimidazole and a base such as DBU.
- Macrocyclic compounds of the invention lacking a proline ring (“open proline ring compounds”) may be readily synthesized according to the route depicted in Scheme 2 or similar methods. The route is similar to that of Scheme 1 except that a suitable acyclic amino acid residue such as serine or homoserine is employed in place of proline. Therefore, those of ordinary skill in the art will readily understand that a wide variety of protected amino acid residues may be used to provide the Z and R 7 groups in compounds of the invention.
- Compounds of the invention which include cyclopropyl rings can be made according to Scheme 3 or similar routes.
- compounds of the invention including a proline ring can be prepared starting with a suitably substituted and protected proline residue with a free acid (see Scheme 2 above).
- the proline may be coupled to a vinyl-cyclopropyl amino acid residue by techniques well known to those of skill in the art.
- the proline and cyclopropyl- vinyl amino acid residues may be coupled as described above using HATU or other suitable coupling reagents.
- the resulting dipeptide may be coupled in a similar fashion to an N-protected phenylalanine residue or analog thereof bearing an allyloxy or other vinyl containing group on the phenyl ring.
- the macrocycle is closed by an olefin metathesis reaction using a ruthenium complex as a catalyst.
- Hoveyda may be used. Kingsbury, J. S.; Harrity, J. P. A.; Bonitatebus, P. J.; Hoveyda, A. H. J. Am. Chem. Soc, 1999, 121, 791.
- substituted compounds having the novel macrocyclic structure can be prepared, including those of Formulas I, III, IIIA, IV, IVA, V, VA, VI and VIA.
- the invention provides for methods of making compounds of Formulas I, III, IIIA, IV, IVA, V, VA, VI and VIA according to Schemes 1 and 2.
- the constituent variables of the compounds can include any of those same values described for the compounds of Formulas I, III, IIIA, IV, IVA, V, VA, VI and VIA.
- One or more compounds of the invention may be included in pharmaceutical formulations or medicaments.
- Such compositions include at least one compound of the invention and a pharmaceutically acceptable carrier, but may also include mixtures of compounds of the invention.
- the compounds of the invention may thus be used to prepare medicaments and pharmaceutical formulations for use in treating an HCV or SARS virus mediated disease such as, but not limited to, hepatitis C or SARS, respectively.
- compounds of the invention are believed to function as inhibitors of viral proteases important to the replication of the virus.
- compounds of the invention have been shown to inhibit HCV NS3 protease in vitro.
- methods for inhibiting HCV replication comprising contacting HCV NS3 protease with a compound of the invention.
- a method of inhibiting SARS virus replication comprising contacting a SARS virus protease with a compound of the instant invention.
- Methods of treating HCV and SARS mediated diseases include administering to a subject in need thereof, a compound or composition of the instant invention.
- the HCV-mediated disease or condition is Hepatitis C.
- Methods for treating a SARS virus-mediated disease or condition include administering to a subject in need thereof a compound or a composition of the instant invention.
- the SARS virus-mediated disease or condition is SARS.
- Administration of the compounds and compositions of the invention may be accomplished using various methods such as those described herein.
- the compound or composition is administered orally.
- the compound or composition is orally administered to a human.
- the instant invention also provides for compositions which may be prepared by mixing one or more compounds of the instant invention, or pharmaceutically acceptable salts or tautomers thereof, with pharmaceutically acceptable carriers, excipients, binders, diluents or the like, to treat or ameliorate certain disorders which include, but are not limited to, hepatitis C and SARS.
- a therapeutically effective dose further refers to that amount of one or more compounds of the instant invention sufficient to result in amelioration of symptoms of the disorder.
- the pharmaceutical compositions of the instant invention can be manufactured by methods well known in the art such as conventional granulating, mixing, dissolving, encapsulating, lyophilizing, emulsifying or levigating processes, among others.
- compositions can be in the form of, for example, granules, powders, tablets, capsules, syrup, suppositories, injections, emulsions, elixirs, suspensions or solutions.
- the instant compositions can be formulated for various routes of administration, for example, by oral administration, by intranasal administration, by transmucosal administration, by rectal administration, or subcutaneous administration as well as topical, intrathecal, intravenous, intramuscular, intraperitoneal, intranasal, intraocular or intraventricular injection.
- the compound or compounds of the instant invention can also be administered in a local rather than a systemic fashion, such as injection as a sustained release formulation.
- the following dosage forms are given by way of example and should not be construed as limiting the instant invention.
- powders, suspensions, granules, tablets, pills, capsules, gelcaps, and caplets are acceptable as solid dosage forms. These can be prepared, for example, by mixing one or more compounds of the instant invention, or pharmaceutically acceptable salts or tautomers thereof, with at least one additive or excipient such as a starch or other additive.
- Suitable additives or excipients are sucrose, lactose, cellulose sugar, mannitol, maltitol, dextran, sorbitol, starch, agar, alginates, chitins, chitosans, pectins, tragacanth gum, gum arabic, gelatins, collagens, casein, albumin, synthetic or semisynthetic polymers or glycerides, methyl cellulose, hydroxypropylmethyl-cellulose, and/or polyvinylpyrrolidone.
- oral dosage forms can contain other ingredients to aid in administration, such as an inactive diluent, or lubricants such as magnesium stearate, or preservatives such as paraben or sorbic acid, or anti-oxidants such as ascorbic acid, tocopherol or cysteine, a disintegrating agent, binders, a thickeners, buffers, a sweeteners, flavoring agents or perfuming agents. Additionally, dyestuffs or pigments may be added for identification. Tablets and pills may be further treated with suitable coating materials known in the art.
- Liquid dosage forms for oral administration may be in the form of pharmaceutically acceptable emulsions, syrups, elixirs, suspensions, slurries and solutions, which may contain an inactive diluent, such as water.
- Pharmaceutical formulations may be prepared as liquid suspensions or solutions using a sterile liquid, such as, but not limited to, an oil, water, an alcohol, and combinations of these.
- Pharmaceutically suitable surfactants, suspending agents, emulsifying agents may be added for oral or parenteral administration.
- suspensions may include oils.
- oils include, but are not limited to, peanut oil, sesame oil, cottonseed oil, corn oil and olive oil.
- Suspension preparation may also contain esters of fatty acids such as ethyl oleate, isopropyl myristate, fatty acid glycerides and acetylated fatty acid glycerides.
- Suspension formulations may include alcohols, such as, but not limited to, ethanol, isopropyl alcohol, hexadecyl alcohol, glycerol and propylene glycol.
- Ethers such as but not limited to, poly(ethyleneglycol), petroleum hydrocarbons such as mineral oil and petrolatum; and water may also be used in suspension formulations.
- the pharmaceutical formulations may be a solution, a spray, a dry powder, or aerosol containing any appropriate solvents and optionally other compounds such as, but not limited to, stabilizers, antimicrobial agents, antioxidants, pH modifiers, surfactants, bioavailability modifiers and combinations of these.
- examples of intranasal formulations and methods of administration can be found in WO 01/41782, WO 00/33813, WO 91/97947, U.S. Patent No. 6,180,603, and U.S. Patent No. 5,624,898.
- a propellant for an aerosol formulation may include compressed air, nitrogen, carbon dioxide, or a hydrocarbon based low boiling solvent.
- the compound or compounds of the instant invention are conveniently delivered in the form of an aerosol spray presentation from a nebulizer or the like.
- Injectable dosage forms generally include aqueous suspensions or oil suspensions which may be prepared using a suitable dispersant or wetting agent and a suspending agent. Injectable forms may be in solution phase or in the form of a suspension, which is prepared with a solvent or diluent. Acceptable solvents or vehicles include sterilized water, Ringer's solution, or an isotonic aqueous saline solution. Alternatively, sterile oils may be employed as solvents or suspending agents.
- the oil or fatty acid is non- volatile, including natural or synthetic oils, fatty acids, mono-, di- or tri-glycerides.
- the pharmaceutical formulation may be a powder suitable for reconstitution with an appropriate solution as described above. Examples of these include, but are not limited to, freeze dried, rotary dried or spray dried powders, amorphous powders, granules, precipitates, or particulates.
- the formulations may optionally contain stabilizers, pH modifiers, surfactants, bioavailability modifiers and combinations of these.
- the compounds may be formulated for parenteral administration by injection such as by bolus injection or continuous infusion.
- a unit dosage form for injection may be in ampoules or in multi-dose containers.
- Topical applications may be formulated in carriers such as hydrophobic or hydrophilic bases to form ointments, creams, lotions, in aqueous, oleaginous or alcoholic liquids to form paints or in dry diluents to form powders.
- carriers such as hydrophobic or hydrophilic bases to form ointments, creams, lotions, in aqueous, oleaginous or alcoholic liquids to form paints or in dry diluents to form powders.
- the pharmaceutical formulations may be in the form of a suppository, an ointment, an enema, a tablet or a cream for release of compound in the intestines, sigmoid flexure and/or rectum.
- Rectal suppositories are prepared by mixing one or more compounds of the instant invention, or pharmaceutically acceptable salts or tautomers of the compound, with acceptable vehicles, for example, cocoa butter or polyethylene glycol, which is present in a solid phase at normal storing temperatures, and present in a liquid phase at those temperatures suitable to release a drug inside the body, such as in the rectum. Oils may also be employed in the preparation of formulations of the soft gelatin type and suppositories.
- suspension formulations which may also contain suspending agents such as pectins, carbomers, methyl cellulose, hydroxypropyl cellulose or carboxymethyl cellulose, as well as buffers and preservatives.
- suspending agents such as pectins, carbomers, methyl cellulose, hydroxypropyl cellulose or carboxymethyl cellulose, as well as buffers and preservatives.
- excipients and carriers are generally known to those skilled in the art and are thus included in the instant invention. Such excipients and carriers are described, for example, in "Remingtons Pharmaceutical Sciences” Mack Pub. Co., New Jersey (1991), which is incorporated herein by reference in its entirety and for all purposes as if fully set forth herein.
- the formulations of the invention may be designed for to be short-acting, fast- releasing, long-acting, and sustained-releasing as described below.
- the pharmaceutical formulations may also be formulated for controlled release or for slow release.
- compositions may also comprise, for example, micelles or liposomes, or some other encapsulated form, or may be administered in an extended release form to provide a prolonged storage and/or delivery effect. Therefore, the pharmaceutical formulations may be compressed into pellets or cylinders and implanted intramuscularly or subcutaneously as depot injections or as implants such as stents. Such implants may employ known inert materials such as silicones and biodegradable polymers.
- a therapeutically effective dose refers to that amount of the compound that results in amelioration of symptoms.
- Specific dosages may be adjusted depending on conditions of disease (including, e.g., virulence of the infection, sensitivity of the pathogen to the particular compound selected) the age, body weight, general health conditions, sex, diet of the subject, dose intervals, administration routes, excretion rate, and combinations of drugs. Any of the above dosage forms containing effective amounts are well within the bounds of routine experimentation and therefore, well within the scope of the instant invention.
- a therapeutically effective dose may vary depending upon the route of administration and dosage form.
- the preferred compound or compounds of the instant invention is a formulation that exhibits a high therapeutic index.
- the therapeutic index is the dose ratio between toxic and therapeutic effects which can be expressed as the ratio between LD 50 and ED 5O .
- the LD 50 is the dose lethal to 50% of the population and the ED50 is the dose therapeutically effective in 50% of the population.
- the LD 50 and ED 50 are determined by standard pharmaceutical procedures in animal cell cultures or experimental animals.
- compositions for human delivery per unit dosage may contain from about 0.01% to as high as about 99% of active material, the typical range being from about 0.1%-60%.
- the compounds of this invention may be provided in effective inhibitory amounts in an aqueous physiological buffer solution containing about 0.1 to 10% w/v compound for parenteral administration. Typical dose ranges are from about 0.001 mg/kg to about 1 g/kg of body weight per day; a more typical dose range is from about 0.01 mg/kg to 100 mg/kg of body weight per day.
- HCV disorder or HCV-mediated disease, which may be treated by those methods provided, include any biological disorder or disease in which HCV is implicated, such as hepatitis C.
- SARS virus disorder or SARS virus-mediated disease, which may be treated by those methods provided, include any biological disorder or disease in which SARS virus is implicated, such as SARS.
- Treating within the context of the instant invention, therefore, means an alleviation of symptoms associated with a disorder or disease, or halt of further progression or worsening of those symptoms, or prevention or prophylaxis of the disease or disorder.
- successful treatment may include an alleviation of symptoms or halting the progression of the disease as measured by a decrease in viral load or other clinically observable symptoms.
- successful treatment of SARS may include an alleviation of symptoms or halting the progression of the disease, as measured by a decrease in viral load or other clinically observable symptoms.
- (2S,4R)-l-[(tert-butyl)oxycarbonyl]-4-(7-methoxy-2- phenyl(4-quinolyloxy))pyrrolidine-2-carboxylic acid and 7-methoxy-2-phenylquinolin-4-ol were prepared as described in WO 00/09546.
- Phenylmethyl (2S)-2-[(tert- butoxy)carbonylamino]-4-hydroxybutanoate and Phenylmethyl (2R)-2-[(tert- butoxy)carbonylamino]-4-hydroxybutanoate were prepared as described in Synthesis., 1995, 7, 810.
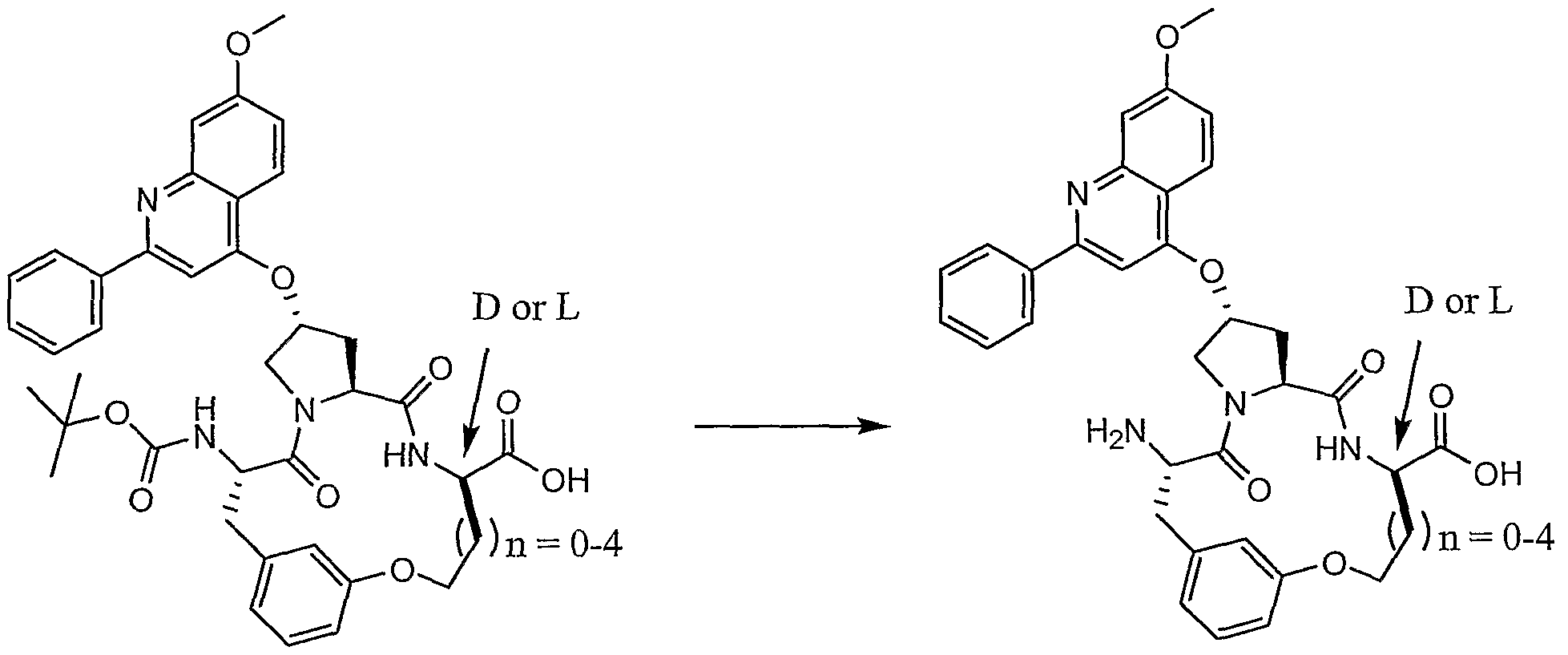
- EX. 5 (20 mg, 0.028 mmol) was dissolved in HCl/Dioxane (4 M) (2 mL).
- EX. 3 70 mg, 0.097 mmol was dissolved in HCl/Dioxane (4 M) (5 mL). The solutions were stirred at room temperature for 2 hours. The reactions were concentrated in vacuo, dissolved in water/CH 3 CN (10 mL), and lyophilized to dryness giving near quantitative yields of product as the HCl salt. 20 mg of the EX. 5 adduct in -85% purity and 69 mg of the EX. 3 adduct in 99% purity were obtained.
- the product may also be known as 2-(7-methoxy-2-phenyl-quinolin-4-yloxy)-9-methyl-7-methylene-5- (4-methyl-pentanoylamino)-4, 16-dioxo-l ,2,3,4,5,6,7,11 ,12, 13,14,15, 16,16a-tetradecahydro- 10-oxa-3a,15-diaza-cyclopentacyclopentadecene-14-carboxylic acid.
- primers specific for HCV mediate both the reverse transcription (RT) of the HCV RNA and the amplification of the cDNA by polymerase chain reaction (PCR) using the TaqMan One-Step RT-PCR Master Mix Kit (Applied Biosystems catalog no. 4309169).
- PCR polymerase chain reaction
- Detection of the RT-PCR product was accomplished using the Applied Biosystems (ABI) Prism 7700 Sequence Detection System (SDS) that detects the fluorescence that is emitted when the probe, which is labeled with a fluorescence reporter dye and a quencher dye, is processed during the PCR reaction.
- SDS Sequence Detection System
- RNA copy numbers can be converted to RNA copy numbers by employing a standard curve of HCV RNA standards with known copy number (ABI User Bulletin #2 December 11, 1997).
- RT-PCR product was detected using the following labeled probe:
- FAM Fluorescein (Fluorescence reporter dye).
- TAMRA 6-Carboxytetramethylrhodamine (Quencher dye).
- the RT reaction is performed at 48 °C for 30 minutes followed by PCR.
- Thermal cycler parameters used for the PCR reaction on the ABI Prism 7700 Sequence Detection System were: one cycle at 95 0 C, 10 minutes followed by 35 cycles each of which included one incubation at 95 °C for 15 seconds and a second incubation for 60 °C for 1 minute.
- RT-PCR was performed on the cellular messenger RNA glyceraldehydes-3 -phosphate dehydrogenase (GAPDH).
- GAPDH messenger RNA glyceraldehydes-3 -phosphate dehydrogenase
- the GAPDH copy number is very stable in the cell lines used.
- GAPDH RT-PCR is performed on the same exact RNA sample from which the HCV copy number is determined.
- the GAPDH primers and probe are contained in the ABI Pre- Developed TaqMan Assay Kit (catalog no. 4310884E).
- the ratio of HCV/GAPDH RNA is used to calculate the activity of compounds evaluated for inhibition of HCV RNA replication.
- EXAMPLE 24 Activity of Compounds as Inhibitors of HCV Replication (Cell based Assay) in Replicon Containing Huh-7 Cell Lines
- HCV replicon RNA levels in Huh- 11-7 or 9-13 cells was determined by comparing the amount of HCV RNA normalized to GAPDH (e.g. the ratio of HCWGAPDH) in the cells exposed to compound versus cells exposed to the 0% inhibition and thelOO% inhibition controls. Specifically, cells were seeded at 5 x 1(P cells/well in a 96 well plate and were incubated either with: 1) media containing 1% DMSO (0% inhibition control), 2) 100 international units, IU/mL Interferon-alpha 2b in media/1 %DMSO or 3) media/1 %DMSO containing a fixed concentration of compound. 96 well plates as described above were then incubated at 37 °C for 3 days (primary screening assay) or 4 days (IC 5O determination). Percent inhibition was defined as:
- C2 the ratio of HCV RNA copy number/GAPDH RNA copy number in the 100% inhibition control (100 IU/mL Interferon-alpha 2b)
- EXAMPLE 25 HCV full length NS3 (4AturnFLNS3) Protease Fluorescence Resonance Energy Transfer (FRET) Assay
- AU genotypes of 4At ⁇ nFLNS3 are expressed in yeast and purified in house. Depending on purity of individual preparations, the final total protein concentration in the assay for each genotype can vary from 1-50 nM.
- the FRET peptide substrate, Ac- DED(EDANS)EE- ⁇ Abu ⁇ [COO]-ASK(D ABCYL)-NH 2 EDANS is 5-[2- aminoethylamino]-l-naphthalenesulfonic acid; DABCYL is 4-(dimethylamino)azobenzene- 4'-carboxylic acid), corresponding to the NS4A/NS4B junction, was purchased from Anaspec.
- the final concentration of FRET substrate varies from 1-10 ⁇ M, depending on the version of the assay.
- the final concentration of NS4A peptide in the assay is 10 ⁇ M. Fluorescence is used for detection.
- the fluorophore EDANS is quenched by DABCYL in the uncleaved peptide substrate. Upon cleavage of the substrate by 4AturnFLNS3 protease, the DABCYL is no longer within quenching proximity of the EDANS.
- the dose-response curve of the inhibitor was generated by adding compound in serial, three-fold dilutions over three logs to wells starting with the highest concentration of a specific compound at lO ⁇ M and ending with the lowest concentration of 0.01 ⁇ M. Further dilution series (1 ⁇ M to 0.001 ⁇ M for example) was performed if the IC 50 value was not in the linear range of the curve. IC 50 was determined based on the IDBS Activity Base program using Microsoft Excel "XL Fit.” XL Fit calculated the 50% inhibition point based on the graphed data and the 0% and 100% inhibition points of the curve. For each plate, one well was used to define the 100% inhibition value and the average of 2 wells was used to define the 0% inhibition value.
- each of the compounds listed in Table 2 and the final compounds prepared in Examples 1-22, can be assayed as described above. Many of these compounds showed or will show activity at less than 100 ⁇ M with respect to inhibition of HCV, and some at less than 10 ⁇ M. More particularly, some compounds of the invention showed inhibition of HCV at less than 4 ⁇ M. Compounds that cause HCV inhibition at higher concentrations, such as 10 ⁇ M, 20 ⁇ M, 50 ⁇ M or even 100 ⁇ M in the assays described herein, can still be useful, the present invention is not intended to be limited to compounds having activity of 10 ⁇ M or less.
Landscapes
- Chemical & Material Sciences (AREA)
- Organic Chemistry (AREA)
- Health & Medical Sciences (AREA)
- Medicinal Chemistry (AREA)
- Engineering & Computer Science (AREA)
- Pharmacology & Pharmacy (AREA)
- Epidemiology (AREA)
- Life Sciences & Earth Sciences (AREA)
- Animal Behavior & Ethology (AREA)
- General Health & Medical Sciences (AREA)
- Public Health (AREA)
- Veterinary Medicine (AREA)
- Bioinformatics & Cheminformatics (AREA)
- Pharmaceuticals Containing Other Organic And Inorganic Compounds (AREA)
- Medicines That Contain Protein Lipid Enzymes And Other Medicines (AREA)
- Peptides Or Proteins (AREA)
Abstract
The present invention discloses novel compounds, compositions containing the compounds and methods for the treatment of viral infection, particularly hepatitis C and SARS. In particular the invention provides aryl-containing macrocyclic compounds useful for the inhibition of HCV and SARS viral replication.
Description
ARYL-CONTAINING MACROCYCLIC COMPOUNDS
CROSS-REFERENCE TO RELATED APPLICATIONS
This application claims the benefit of U.S. Provisional Application No. 60/616,421, filed October 5, 2004, the contents of which are incorporated herein by reference in their entirety.
FIELD OF INVENTION
[0001] The present invention is related to novel compounds, compositions, and methods of treatment for viral infections. In particular the invention is related to aryl-containing macrocyclic compounds and pharmaceutical compositions thereof for the treatment of hepatitis C and Severe Acute Respiratory Syndrome (SARS). In some embodiments, the invention relates to macrocyclic inhibitors of HCV NS3 protease.
BACKGROUND OF THE INVENTION
[0002] Hepatitis C virus (HCV) is a major cause of post-transfusion and sporadic non-A, non-B (NANB) hepatitis worldwide, and plays a major role in the development of chronic liver disease, including liver cirrhosis and hepatocellular carcinoma (Kuo et al., Science 244:362-364, 1989; Choo et al., British Medical Bulletin 46(2):423-441, 1990). Current interferon-based therapies have low response rates and are poorly tolerated due to side- effects. New therapies for hepatitis C that overcome the limitations of existing therapies are therefore highly desirable.
[0003] HCV is an enveloped positive strand RNA virus in the Flaviviridae family.
The single strand HCV RNA genome is approximately 9500 nucleotides in length and has a single open reading frame (ORF) encoding a single large polyprotein of about 3000 amino acids. In infected cells, this polyprotein is cleaved at multiple sites by cellular and viral proteases to produce the structural and non-structural (NS) proteins, hi the case of HCV, the generation of mature nonstructural proteins (NS2, NS3, NS4A, NS4B, NS5A, and NS5B) is effected by two viral proteases. The first one, as yet poorly characterized, cleaves at the NS2-NS3 junction; the second one is a serine protease contained within the N- terminal region of NS3 (henceforth referred to as NS3 protease) and mediates all
the subsequent cleavages downstream of NS3, both in cis, at the NS3-NS4A cleavage site, and in trans, for the remaining NS4A-NS4B, NS4B-NS5A, NS5A-NS5B sites. The NS4A protein appears to serve multiple functions, acting as a cofactor for the NS3 protease and possibly assisting in the membrane localization of NS3 and other viral replicase components. The complex formation of the NS3 protein with NS4A seems necessary to the processing events, enhancing the proteolytic efficiency at all of the sites. The NS3 protein also exhibits nucleoside triphosphatase and RNA helicase activities. NS5B is a RNA-dependent RNA polymerase that is involved in the replication of HCV.
[0004] A general strategy for the development of antiviral agents is to inactivate virally encoded enzymes that are essential for the replication of the virus. HCV NS3 protease is therefore an attractive target for the development of anti-HCV agents. For example, U.S. Pat. Publication No. 2003/0224977 and U.S. Pat. No. 6,608,027 disclose macrocyclic peptides active against the hepatitis C virus which are purportedly selective inhibitors of NS 3 protease. The following published PCT applications disclose additional macrocyclic peptides described as inhibitors of hepatitis C virus NS3 protease: WO 03/053349, WO 03/064455, WO 03/066103, and WO 00/059929. Nevertheless, there remains a need for additional anti-HCV agents with improved potency and pharmacokinetic and toxicologic profiles.
[0005] The entire disclosure of United States Provisional Application No. 60/508,541 , filed October 2, 2003, is hereby incorporated by reference and for all purposes as if fully set forth herein.
[0006] Severe Acute Respiratory Syndrome, or "SARS," is a respiratory illness that has high mortality. It is believed that the agent responsible for SARS is a previously unrecognized coronavirus, which has recently been sequenced by the Centers for Disease Control and Prevention (CDC).
[0007] Given the severe threat to humans posed by viral infections such as HCV and SARS, it is clear that new therapies for treating such infections are of critical importance. This invention is directed to these, as well as other, related ends.
SUMMARY OF THE INVENTION
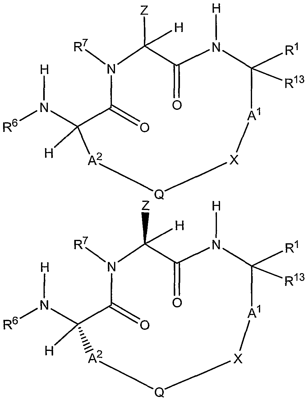
[0008] In accordance with one aspect of the present invention, there are provided compounds for the treatment of viral infections, particularly HCV and SARS viral infections. Thus, there are provided compounds having Formula I:
c I and stereoisomers, solvates, tautomers, prodrugs, and pharmaceutically acceptable salts thereof, wherein
A1 is ~(CR2R3)n-, or A1 and R13, together with the carbon to which they are attached, form -(cyclopropyl)-(CR2R3)n-, wherein n is 1, 2, 3, 4, 5, 6, or 7, and when n is 2 or more, any two adjacent -(CR2R3)- groups can be connected by a single bond, a double bond, or a triple bond;
A2 is a covalent bond, -O-, -(CR4R5)a-, or -O-(CR4R5)a-, wherein a is 1, 2, 3, 4, 5, or 6, and when a is 2 or more, any two adjacent -(CR4R5)- can be connected by a single bond, a double bond, or a triple bond;
Q is a substituted or unsubstituted aryl or heteroaryl group;
X is absent or is -O-, -S(O)q-, -S-S-, -N(R 2ZU>, -(CR ,2Z1IrR>2Z2/x)-,
q at each occurrence is independently 0, 1 or 2;
pi and p2 are independently 0, 1, 2, 3 or 4, and
n + pi + p2 is less than or equal to 8.
Z is -(CH2)k-Ym-R10, -CH(R8)-R9-R10, or -CH(R8)-CH2-OR10 or is a side chain of a naturally occurring or non-naturally occurring amino acid, and R7 has the values given below; or Z and R7, taken together, form a five or six member heterocycle which is optionally substituted with up to three groups selected from -R8, -R9-R10, -CH2OR10, or -(CH2)I4-Ym-R1 °, wherein k is 0, 1, 2 ,3 or 4 and m is independently 0, 1 or 2;
Y is O or CR28R29, wherein m is 0 or 1 if Y is O;
R1 is CO2H, CO2R20, C(O)CO2R20, C(O)CONR20R23, or C(O)NR23SO2R20;
R2, R3, R4 and R5 are each independently absent, H, OH, F, Cl, Br, I, amino, or a substituted or unsubstituted alkyl, cycloalkyl, alkylamino or dialkylamino group;
R6 is H, C(O)R14, C(O)N(R24XR26), or SO2R25, or a substituted or unsubstituted alkyl, aryl, arylalkyl, heterocyclyl, or heterocyclylalkyl group;
R7 is H or is a substituted or unsubstituted alkyl, arylalkyl, heteroarylalkyl, cycloalkyl, alkylamino, or dialkylamino group;
R8 at each occurrence is independently H, OH, F, Cl, Br, I, amino, or a substituted or unsubstituted alkyl, cycloalkyl, alkylamino or dialkylamino group;
R9 is a bond or is a substituted or unsubstituted alkylene, cycloalkylene, cycloalkylalkylene, or heteroalkylene group having 1 or 2 heteroatom groups, wherein each heteroatom group is independently O, NR27, or S(0)r, wherein r is 0, 1, or 2;
R10 is H or is a substituted or unsubstituted aryl, arylalkyl, heteroaryl or heteroarylalkyl group, wherein the alkyl moiety of arylalkyl and heteroarylalkyl groups optionally includes 1 or 2 heteroatoms independently selected from S, O, or NR30;
R12, R15, R16, and R17 are each independently H or a C1-2 alkyl group optionally substituted with one or more F, Cl, Br, or I;
R13 is H or a C1-4 alkyl group optionally substituted with one or more F, Cl,
Br, or I; or R13 and A1, together with the carbon to which they are attached, form -(cyclopropyl)-(CR2R3)n-;
R14 is hydrogen or a substituted or unsubstituted branched or unbranched alkyl, alkoxy, haloalkyl, alkylamino, dialkylamino, cycloalkyl, cycloalkylalkyl, cycloalkyloxy, cycloalkylamino, heterocyclyl, heterocyclylalkyl, heterocyclyloxy, heterocyclylamino, heterocyclylalkoxy, heterocyclylalkylamino, aryl, aryloxy, arylamino, arylalkyl, arylalkoxy, or arylalkylamine group;
R20 and R25 are independently a substituted or unsubstituted alkyl, alkenyl, alkynyl, aryl, arylalkyl, heterocyclyl, or heterocyclylalkyl group;
R21, R22, R23, R27, R28, R29 and R30 at each occurrence are independently H or a substituted or unsubstituted C1-6 alkyl group; and
R24 and R26 at each occurrence are independently H or a substituted or unsubstituted alkyl, alkenyl, alkynyl, aryl, arylalkyl, heterocyclyl, or heterocyclylalkyl group.
[0009] In some embodiments of compounds of Formula I, Q is a substituted or unsubstituted phenyl, naphthyl, thiophenyl, thiazolyl, furanyl, pyrrolyl, pyrazinyl, imidazolyl, pyridinyl, pyrimidinyl, or indolyl group. Typically, Q is a group of Formula IIA or IIB:
IIA IIB
wherein
J1, J2, J3, J4, and J5 are independently selected from CR11 or N provided that no more than two of J1, J2, J3, J4, and J5 are N; and
R . 11 at each occurrence is independently H, OH, F, Cl, Br, I, amino,
N(R21XR22), NO2, CN, or a substituted or unsubstituted Ci-6 alkyl, C3-6 cycloalkyl, or Ci-6 alkoxy group.
[0010] In some embodiments of compounds having Formula I, the invention further pprroovviiddeess ccoommppoouunnds having Formula III wherein A1, A2, Q, X, Y, m, R1, R6, R10, and R13 are as defined herein.
[0011] In some embodiments of compounds having Formula III, there are provided stereoisomers having Formula IIIA wherein A1, A2, Q, X, Y, m, R1, R6, R10, and R13 are as defined herein.
[0012] In other embodiments of compounds having Formula I, the invention further provides compounds having Formula IV in which A1, A2, Q, X, R1, R6, R7, and R13 are as defined herein. In compounds having Formula IV, Z is a -(CH2)k-Ym-R IQ , -CH(RB)-R -R , 10 , or -CH(R8)-CH2-OR10 group or is the side chain of a naturally occurring or non-naturally occurring amino acid, and k, Y, m, R8, R9, and R10 are as defined herein.
[0013] In some embodiments of compounds having Formula IV, there are provided stereoisomers having Formula IVA wherein A1, A2, Q5 X, R1, R6, R7, and R13 are as defined herein.
[0014] hi still other embodiments of compounds having Formula I, there are provided compounds of Formula V in which A2, Q, X, Y5 m, n, R1, R2, R3, R6, and R10 are as defined herein.
[0015] In some embodiments of compounds having Formula V, there are provided stereoisomers having Formula VA wherein A2, Q, X, Y, m, n, R1, R2, R3, R6, and R10 are as defined herein.
[0016] In other embodiments of compounds having Formula I, the invention further provides compounds having Formula VI in which A2, Q, X, n, R1, R2, R3, R6, and R7 are as defined herein. In compounds having Formula VI, Z is a -(CH2)Ic-Ym-R1 °, ~CH(R8)-R9-R10, or -CH(R8)-CH2-OR10 group or is the side chain of a naturally occurring or non-naturally occurring amino acid, and k, Y, m, R8, R9, and R10 are as defined herein.
[0017] In some embodiments of compounds having Formula VI, there are provided stereoisomers having Formula VIA wherein A1, Q, X, n, R1, R2, R3, R6, and R7, are as defined herein.
[0018] There is also provided, in accordance with another aspect of the invention, a composition such as a pharmaceutical formulation or medicament comprising a compound according to the instant invention and a pharmaceutically acceptable carrier. The invention further provides the use of the compounds of the invention in preparing a medicament or pharmaceutical formulation for use in treating an HCV or SARS virus mediated disease, e.g., hepatitis C or SARS, respectively.
[0019] In accordance with another aspect of the invention, there are provided methods of treating an HCV-mediated disease or condition. The methods include administering to a subject in need thereof a compound or a composition of the instant invention, hi some such embodiments, the HCV-mediated disease or condition is hepatitis C. There are
further provided methods of inhibiting HCV replication including contacting HCV NS3 protease with a compound of the present invention.
[0020] IQ accordance with another aspect of the invention, the invention provides a method of treating a SARS virus-mediated disease or condition. The method includes administering to a subject in need thereof a compound or a composition of the instant invention. In some such embodiments, the SARS virus-mediated disease or condition is SARS. There are further provided methods of inhibiting SARS virus replication including contacting a SARS virus protease with a compound of the present invention.
[0021] Other objects, features and advantages of the present invention will become apparent from the following detailed description. It should be understood, however, that the detailed description and the specific examples are given by way of illustration only, since various changes and modifications within the spirit and scope of the invention will become apparent to those skilled in the art from this detailed description.
DETAILED DESCRIPTION
[0022] The present invention is directed to novel compounds, compositions and methods for the treatment of viral infections, particularly HCV and SARS.
[0023] The following definitions are used throughout this specification.
[0024] Alkyl groups include straight chain and branched alkyl groups having from 1 to about 20 carbon atoms, and typically from 1 to 12 carbons or, in some embodiments, from 1 to 8 carbon atoms. As employed herein, "alkyl groups" include cycloalkyl groups as defined below. Examples of straight chain alkyl groups include those with from 1 to 8 carbon atoms such as, methyl, ethyl, n-propyl, n-butyl, n-pentyl, n-hexyl, n-heptyl, and n-octyl groups. Examples of branched alkyl groups, include, but are not limited to, isopropyl, sec-butyl, t- butyl, and isopentyl groups. Representative substituted alkyl groups may be substituted one or more times with, for example, amino, thio, alkoxy, and/or halo groups such as F, Cl, Br, and I groups. Alkylene groups are divalent alkyl groups, i.e., alkyl groups having two attachment points.
[0025] Cycloalkyl groups are cyclic alkyl groups such as, but not limited to, cyclopropyl, cyclobutyl, cyclopentyl, cyclohexyl, cycloheptyl, and cyclooctyl
groups. In some embodiments, the cycloalkyl group have 3 to 8 ring members, whereas in other embodiments the number of ring carbon atoms range from 3 to 5, 6, or 7. Cycloalkyl groups also includes rings that are substituted with straight or branched chain alkyl groups as defined above, and further include cycloalkyl groups that are substituted with other rings including fused rings such as, but not limited to, decalinyl, tetrahydronaphthyl, and indanyl. Cycloalkyl groups also include polycyclic cycloalkyl groups such as, but not limited to, norbomyl, adamantyl, bornyl, camphenyl, isocamphenyl, and carenyl groups. Representative substituted cycloalkyl groups may be mono-substituted or substituted more than once, such as, but not limited to, 2,2-, 2,3-, 2,4- 2,5- or 2,6-disubstituted cyclohexyl groups or mono-, di- or tri-substituted norbornyl or cycloheptyl groups, which may be substituted with, for example, alkyl, alkoxy, amino, thio, cyano, and/or halo groups. Cycloalkylene groups are divalent cycloalkyl groups, i.e., cycloalkyl groups having two attachment points.
[0026] Alkenyl groups are straight chain, branched or cyclic lower alkyl groups having 2 to about 20 carbon atoms, and, in some embodiments, from 2 to 8 carbon atoms, and further including at least one double bond. For instance, alkenyl groups include vinyl, propenyl, 2- butenyl, 3-butenyl, isobutenyl, cyclohexenyl, cyclopentenyl, cyclohexadienyl, butadienyl, pentadienyl, and hexadienyl groups among others.
[0027] Alkynyl groups are straight chain or branched lower alkyl groups having 2 to about 20 carbon atoms and, in some embodiments, from 2 to 8 carbon atoms, and further including at least one triple bond. Alkynyl groups are exemplified by groups, including, but not limited to, ethynyl, propynyl, and butynyl groups.
[0028] Aryl groups are cyclic aromatic hydrocarbons that do not contain heteroatoms. Thus aryl groups include, but are not limited to, phenyl, azulene, heptalene, biphenylene, indacene, fluorene, phenanthrene, triphenylene, pyrene, naphthacene, chrysene, biphenyl, anthracenyl, and naphthenyl groups. Although the phrase "aryl groups" includes groups containing fused rings, such as fused aromatic-aliphatic ring systems, it does not include aryl groups that have other groups, such as alkyl or halo groups, bonded to one of the ring members. Rather, groups such as tolyl are referred to as substituted aryl groups. Representative substituted aryl groups may be mono-substituted or substituted more than
once, such as, but not limited to, 2-, 3-, 4-, 5-, or 6-substituted phenyl or benzyl groups, which may be substituted with groups including, but not limited to, amino, alkoxy, alkyl, cyano, and/or halo.
[0029] Cycloalkylalkyl groups are alkyl groups as defined above in which a hydrogen or carbon bond of an alkyl group is replaced with a bond to a cycloalkyl group as defined above. Cycloalkylalkylene groups are divalent cycloalkylalkyl groups, i.e., cycloalkylalkyl groups having two attachment points.
[0030] Arylalkyl groups are alkyl groups as defined above in which a hydrogen or carbon bond of an alkyl group is replaced with a bond to an aryl group as defined above.
[0031] Heteroalkyl groups are alkyl groups as defined above in which one or more CH2 groups of the alkyl group is replaced with a heteroatom group such as but not limited to O, N (i.e., NH or N-alkyl), S, SO, or SO2. Typically, a heteroalkyl group includes 1 or 2 heteroatom groups. Heteroalkylene groups are divalent heteroalkyl groups, i.e., heteroalkyl groups having two attachment points.
[0032] Heterocyclyl groups include aromatic and nonaromatic ring compounds containing 3 or more ring members, of which, one or more is a heteroatom such as, but not limited to, N, O, and S. In some embodiments, heterocyclyl groups include 3 to 20 ring members, whereas other such groups have 3 to 15 ring members. The phrase "heterocyclyl group" includes fused ring species including those comprising fused aromatic and nonaromatic groups. The phrase also includes polycyclic ring systems containing a heteroatom such as, but not limited to, quinuclidyl. However, the phrase does not include heterocyclyl groups that have other groups, such as alkyl or halo groups, bonded to one of the ring members. Rather, these are referred to as "substituted heterocyclyl groups". Heterocyclyl groups include, but are not limited to, pyrrolidinyl, piperidinyl, piperazinyl, morpholinyl, pyrrolyl, pyrazolyl, triazolyl, tetrazolyl, oxazolyl, isoxazolyl, thiazolyl, pyridinyl, thiophenyl, benzothiophenyl, benzofuranyl, pyrazinyl, imidazolyl, indolyl, azaindolyl, indazolyl, benzimidazolyl, azabenzimidazolyl, benzoxazolyl, benzothiazolyl, benzothiadiazolyl, imidazopyridinyl, isoxazolopyridinyl, thianaphthalenyl, purinyl, xanthinyl, adeninyl, guaninyl, quinolinyl, isoquinolinyl, tetrahydroquinolinyl, quinoxalinyl, and quinazolinyl groups. Representative substituted heterocyclyl groups may be
mono-substituted or substituted more than once, such as, but not limited to, quinolinyl or quinoxalinyl groups, which are 2-, 3-, A-, 5-, or 6-substituted, or disubstituted with groups including, but not limited to, amino, alkoxy, alkyl, cyano, and/or halo.
[0033] Heteroaryl groups are aromatic ring compounds containing 5 or more ring members, of which, one or more is a heteroatom such as, but not limited to, N, O, and S. Heteroaryl groups include, but are not limited to, groups such as pyrrolyl, pyrazolyl, triazolyl, tetrazolyl, oxazolyl, isoxazolyl, thiazolyl, pyridinyl, thiophenyl, benzothiophenyl, benzofuranyl, indolyl, azaindolyl, indazolyl, benzimidazolyl, azabenzimidazolyl, benzoxazolyl, benzothiazolyl, benzothiadiazolyl, imidazopyridinyl, isoxazolopyridinyl, thianaphthalenyl, purinyl, pyrazinyl, imidazolyl, xanthinyl, adeninyl, guaninyl, quinolinyl, isoquinolinyl, tetrahydroquinolinyl, quinoxalinyl, and quinazolinyl groups. Although the phrase "heteroaryl groups" includes fused ring compounds, the phrase does not include heteroaryl groups that have other groups bonded to one of the ring members, such as alkyl groups. Rather, heteroaryl groups with such substitution are referred to as "substituted heteroaryl groups". Representative substituted heteroaryl groups may be substituted one or more times with groups including, but not limited to, amino, alkoxy, alkyl, cyano, and/or halo.
[0034] Heterocyclylalkyl groups are alkyl groups as defined above in which a hydrogen or carbon bond of an alkyl group is replaced with a bond to a heterocyclyl group as defined above.
[0035] Heteroarylalkyl groups are alkyl groups as defined above in which a hydrogen or carbon bond of an alkyl group is replaced with a bond to a heteroaryl group as defined above.
[0036] Aminocarbonyl groups are groups of the formula RR'NC(O)-, wherein R or R' may be the same or different, and each is independently selected from H, or substituted or unsubstituted alkyl, cycloalkyl, aryl, heterocyclyl or heteroaryl groups, as defined above.
[0037] In general, "substituted" refers to a group as defined above in which one or more bonds to a hydrogen atom contained therein are replaced by a bond to non-hydrogen or non- carbon atoms such as, but not limited to, a halogen atom such as F, Cl, Br, and I; an oxygen atom in groups such as hydroxyl groups, alkoxy groups, aryloxy groups, and ester
groups; a sulfur atom in groups such as thiol groups, alkyl and aryl sulfide groups, sulfone groups, sulfonyl groups, and sulfoxide groups; a nitrogen atom in groups such as amines, amides, alkylamines, dialkylamines, arylamines, alkylarylamines, diarylamines, N-oxides, imides, and enamines; a silicon atom in groups such as in trialkylsilyl groups, dialkylarylsilyl groups, alkyldiarylsilyl groups, and triarylsilyl groups; and other heteroatoms in various other groups. Substituted alkyl groups and also substituted cycloalkyl groups and others also include groups in which one or more bonds to a carbon(s) or hydrogen(s) atom is replaced by a bond to a heteroatom such as oxygen in carbonyl, carboxyl, and ester groups; nitrogen in groups such as imines, oximes, hydrazones, and nitriles.
[0038] Substituted cycloalkyl, substituted aryl, substituted heterocyclyl and substituted heteroaryl also include rings and fused ring systems in which a bond to a hydrogen atom is replaced with a bond to a carbon atom. Therefore, substituted cycloalkyl, substituted aryl, substituted heterocyclyl and substituted heteroaryl groups may also be substituted with alkyl groups as defined above.
[0039] An amino acid side chain refers to the side chain(s) attached to the alpha-amino carbon of alpha-amino acids. A naturally occurring amino acid side chain thus refers to the side chains of amino acid residues which are found in naturally occurring peptides and proteins in animals, plants, microorganisms (such as bacteria, yeast, viruses, mold) and the like. Hence, naturally occurring amino acid side chains include those of amino acids such as glycine (H), alanine (CH3), valine (CH(CH3)2), leucine (CH2CH(CH3)2), isoleucine (CH(CH3)CH2CH3), cysteine (CH2SH), methionine (CH2CH2SCH3), serine (CH2OH), threonine (CH(OH))CH3), lysine ((CH2)4NH2), arginine ((CH2)3NHC(=NH) NH2), aspartic acid ((CH2)2COOH), glutamic acid ((CH2)3COOH), asparagine ((CH2)2CONH2), glutamine ((CH2)3CONH2), phenylalanine (CH2-phenyl), tyrosine (CH2-4-hydroxyphenyl), histidine (CH2-imidazol-4-yl), and tryptophan (CH2-indol-3-yl). Unnaturally occurring amino acid side chains include any side chains that can occur on synthetic and semisynthetic alpha- amino acids. Thus, such side chains include but are not limited to substituted or unsubstituted alkyl, alkenyl, heteroalkyl, cycloalkyl, cycloalkylalkyl, aryl, arylalkyl, heterocyclyl (including heteroaryl), or heterocyclylalkyl groups. Other side chains of naturally and unnaturally occurring amino acids include, but are not limited to, those of norleucine ((CH2)3CH3), ornithine ((CH2)3NH2), homoserine (CH2CH2OH),
phenylglycine (phenyl), homophenylalanine ((CH2)2-phenyl), naphthylalanine (CH2-naphthyl), pyridinylalanine (CH2-pyridinyl), 2,4-diaminobutyric acid ((CH2)2NH2), cyclohexylalanine (CH2-cyclohexyl), homoarginine ((CH2)4NHC(=NH) NH2), 3,5-diiodotyrosine (CH2-(3,5-diiodo-4-hydroxyphenyl)), and the like.
[0040] The term "protected" with respect to hydroxyl groups, amine groups, and sulfhydryl groups refers to forms of these functionalities which are protected from undesirable reaction with a protecting group known to those skilled in the art such as those set forth in Protective Groups in Organic Synthesis, Greene, T.W.; Wuts, P. G. M., John Wiley & Sons, New York, NY, (3rd Edition, 1999) which can be added or removed using the procedures set forth therein. Examples of protected hydroxyl groups include, but are not limited to, silyl ethers such as those obtained by reaction of a hydroxyl group with a reagent such as, but not limited to, t-butyldimethyl-chlorosilane, trimethylchlorosilane, triisopropylchlorosilane, triethylchlorosilane; substituted methyl and ethyl ethers such as, but not limited to methoxymethyl ether, methythiomethyl ether, benzyloxymethyl ether, t- butoxymethyl ether, 2-methoxyethoxymethyl ether, tetrahydropyranyl ethers, 1-ethoxyethyl ether, allyl ether, benzyl ether; esters such as, but not limited to, benzoylformate, formate, acetate, trichloroacetate, and trifluoracetate. Examples of protected amine groups include, but are not limited to, amides such as, formamide, acetamide, trifluoroacetamide, and benzamide; imides, such as phthalimide, and dithiosuccinimide; and others. Examples of protected sulfhydryl groups include, but are not limited to, thioethers such as S-benzyl thioether, and S-4-picolyl thioether; substituted S-methyl derivatives such as hemithio, dithio and aminothio acetals; and others.
[0041] The instant compounds may exist as one or more stereoisomers. The various stereoisomers include enantiomers, diastereomers, atropisomers and geometric isomers. In some cases, one stereoisomer may be more active and/or may exhibit beneficial effects in comparison to other stereoisomer(s) or when separated from the other stereoisomer(s). However, it is well within the skill of the ordinary artisan to separate, and/or to selectively prepare said stereoisomers. Accordingly, "stereoisomers" of the instant invention necessarily includes mixtures of stereoisomers, individual stereoisomers, or optically active forms.
[0042] Compounds of the invention can be solvated, e.g., hydrated. Hydration may occur during manufacturing of the compounds or compositions comprising
the compounds, or the hydration may occur over time due to the hygroscopic nature of the compounds.
[0043] Tautomers refers to isomeric forms of a compound that are in equilibrium with each other. The concentrations of the isomeric forms will depend on the environment the compound is found in and may be different depending upon, for example, whether the compound is a solid or is in an organic or aqueous solution. For example, in aqueous solution, ketones are typically in equilibrium with their enol forms. Thus, ketones and their enols are referred to as tautomers of each other. As readily understood by one skilled in the art, a wide variety of functional groups and other structures may exhibit tautomerism, and all tautomers of compounds described herein are within the scope of the present invention.
[0044] Prodrugs, as used in the context of the instant invention, includes those derivatives of the instant compounds which undergo in vivo metabolic biotransformation, by enzymatic or nonenzymatic processes, such as hydrolysis of, e.g., an ester or amide, to form a compound of the invention. Prodrugs can be employed to improve pharmaceutical or biological properties, as for example solubility, melting point, stability and related physicochemical properties, absorption, pharmacodynamics and other delivery-related properties.
[0045] Pharmaceutically acceptable salts include a salt with an inorganic base, organic base, inorganic acid, organic acid, or basic or acidic amino acid. As salts of inorganic bases, the invention includes, for example, alkali metals such as sodium or potassium, alkali earth metals such as calcium and magnesium or aluminum, and ammonia. As salts of organic bases, the invention includes, for example, trimethylamine, triethylamine, pyridine, picoline, ethanolamine, diethanolamine, triethanolamine. As salts of inorganic acids, the instant invention includes, for example, hydrochloric acid, hydroboric acid, nitric acid, sulfuric acid, and phosphoric acid. As salts of organic acids, the instant invention includes, for example, formic acid, acetic acid, trifluoroacetic acid, fumaric acid, oxalic acid, tartaric acid, lactic acid, maleic acid, citric acid, succinic acid, malic acid, methanesulfonic acid, benzenesulfonic acid, and p-toluenesulfonic acid. As salts of basic amino acids, the instant invention includes, for example, arginine, lysine and ornithine. Acidic amino acids include, for example, aspartic acid and glutamic acid.
[0046] The present invention provides compounds that act as inhibitors of the NS3 protease of hepatitis C virus and a SARS viral protease. In accordance with one aspect of the invention, there are provided aryl containing macrocyclic compounds of Formula I, III, IIIA, IV, IVA, V, VA, VI, and VIA. Compounds of the invention further include stereoisomers, solvates, tautomers, prodrugs, and pharmaceutically acceptable salts thereof.
[0047] Compounds of Formula I have the following structure.
[0048] Compounds of Formula III and IIIA have the following structures.
III IIIA
[0049] Compounds of Formula IV and IVA have the following structures.
V VA
s having Formulas VI and VIA have the following structures.
VI VIA
[0052] In compounds of the invention, Q is a substituted or unsubstituted aryl or heteroaryl group. In some embodiments, Q is a substituted or unsubstituted phenyl, naphthyl, thiophenyl, thiazolyl, furanyl, pyrrolyl, pyrazinyl, imidazolyl, pyridinyl, pyrimidinyl, or indolyl group. Typically, Q is a group of Formula IIA or IIB:
IIB
wherein
J1, J2, J3, J4, and J5 are independently selected from CR11 or N provided that no more than two of J1, J2, J3, J4, and J5 are N; and
R at each occurrence is independently H, OH, F, Cl, Br, I, amino, N(R21XR22), NO2, CN, or a substituted or unsubstituted Ci-6 alkyl, C3-6 cycloalkyl, or C1-6 alkoxy group.
[0053] In some embodiments, J1, J2, J3, J4, and J5 are all CR11 and Q is a substituted or unsubstituted phenyl. In some such embodiments, each R11 is H and Q is an unsubstituted phenyl.
[0054] In compounds of Formula I, III, IIIA, IV, and IVA, A1 is -(CR2R3)n-, or A1 and R13, together with the carbon to which they are attached, form — (cyclopropyl)-(CR2R3)n-, wherein n is 1, 2, 3, 4, 5, 6, or 7, and when n is 2 or more, any two adjacent -(CR2R3)- groups can be connected by a single bond, a double bond, or a triple bond. In some embodiments, A1 is -(CR2R3)n-. In other embodiments of compounds of Formula I, III, IIIA, IV, and IVA and in compounds of Formula V, VA, VI, and VIA, A1 and R13 together with the carbon to which they are attached form -(cyclopropyl)-(CR2R3)n-. In some embodiments of compounds of Formula I, III, IIIA, IV, IVA, V, VA, VI, and VIA, n is 2, 3, 4, 5, 6, or 7, and two adjacent -(CR2R3)- groups are connected by a double bond.
[0055] In compounds of the invention, A2 is a covalent bond, -O-, -(CR4R5)a-, or -O-(CR4R5)a-, wherein a is 1, 2, 3, 4, 5, or 6, and when a is 2 or more, any two adjacent -(CR4R5)- can be connected by a single bond, a double bond, or a triple bond. In some embodiments, A2 is -(CR4R5)a- , or -O-(CR4R5)a-. In other embodiments, a is 2, 3, 4, 5, or 6, and two adjacent -(CR4R5)a- groups are connected by a double bond.
[0056] In compounds of the invention, R2, R3, R4 and R5 are each independently absent, H, OH, F, Cl, Br, I, amino, or a substituted or unsubstituted alkyl, cycloalkyl, alkylamino or dialkylamino group. In some embodiments of compounds of Formula I, III, IIIA, IV, IVA, V, VA, VI, and VIA, R2 and R3 at each occurrence are all H. Thus, for example, A1 can be -CH2-, -CH2-CH2-, -CH=CH-, -(CH2)3-, -CH-CH-CH2-, -(CH2)4-, -CH2-CH=CH-CH2-, -CH2-CH=CH-CH2-CH2-, and the like. In some embodiments, A2 can be -CH2- or -CH2-CH=CH-CH2-. When present, the double bond may cis or trans. In certain embodiments of compounds of the invention, R2, R3, R4, and R5 at each occurrence are all H or R2, R3, R4, and R5 at each occurrence are all H, and R11 at each occurrence is H.
[0057] In compounds of the invention, X is absent or is -O-, -S(O)q-, -S-S-, -N(R21)-, -(CR21R22)-, -(CR21R22)plC(=O)(CR21R22)p2-, or -(CR21R22)plNHC(=O)(CR21R22)p2-, wherein b is 0 or 1; q at each occurrence is independently 0, 1 or 2; pi and p2 are independently 0, 1, 2, 3 or 4, and n + pi + p2 < 8. In some embodiments X is -O- or -(CR21R22)- such as -CH2-.
[0058] In compounds of Formula I, Z is -(CH2X-Yn1-R1 °, -CH(R8)-R9-R10, or -CH(R8)-CH2-OR10 or is a side chain of a naturally occurring or non-naturally occurring amino acid, and R has the values given below. Alternatively, Z and R7, taken
together, form a five or six member heterocycle which is optionally substituted with up to three groups selected from -R8, -R9-R10, -CH2OR10, or -(CH2)^Yn1-R1 °, wherein k is 1, 2 ,3 or 4, and m is 0, 1 or 2. Y is O or CR21R22 wherein R21, R22, at each occurrence are independently H or substituted or unsubstituted C1-6 alkyl group. In compounds of Formula IV, rVA, VI, and VIA, Z is a -(CH2)^Y1n-R1 °, -CH(R8)-R9-R10, or -CH(R^-CH2-OR1 ° group, or is the side chain of a naturally occurring or non-naturally occurring amino acid. In some embodiments of compounds of Formula I, IV, IVA, VI, and VIA, Z is a - (CH2)IcYm-R1 °, -CH(R8)-R9-R10, or -CH(R8)-CH2-OR10 group. In other such embodiments, Z is a -(CH2V Ym-R10 group.
[0059] In compounds of the invention, R7 is H or is a substituted or unsubstituted alkyl, arylalkyl, heteroarylalkyl, cycloalkyl, alkylamino, or dialkylamino group. R8 at each occurrence is independently H, OH, F, Cl, Br, I, amino, or substituted or unsubstituted alkyl, cycloalkyl, alkylamino or dialkylamino group. R9 is a bond or is a substituted or unsubstituted alkylene, cycloalkylene, cycloalkylalkylene, or heteroalkylene group having 1 or 2 heteroatom groups wherein each heteroatom group is independently O, NR27, or S(O)q.
[0060] hi compounds of the invention, R10 is H or is a substituted or unsubstituted aryl, arylalkyl, heteroaryl or heteroarylalkyl group, wherein the alkyl moiety of arylalkyl and heteroarylalkyl groups optionally includes 1 or 2 heteroatoms independently selected from S, O, or NR30. In some embodiments, R10 is a substituted or unsubstituted heteroaryl or heteroarylalkyl group. In some such embodiments, R10 is substituted or unsubstituted monocyclic, bicyclic, or tricyclic heteroaryl group having from five to sixteen ring atoms and up to four ring heteroatom groups each of which is independently O, N, NH or S. For example, R10 can be a substituted or unsubstituted phenyl, benzyl, phenethyl, naphthyl, pyrrolyl, pyrazolyl, triazolyl, tetrazolyl, oxazolyl, isoxazolyl, thiazolyl, pyridinyl, pyridinylmethyl, benzothiophenyl, benzofuranyl, indolyl, azaindolyl, indazolyl, benzimidazolyl, azabenzimidazolyl, benzoxazolyl, benzothiazolyl, benzothiadiazolyl, imidazopyridinyl, isoxazolopyridinyl, thianaphthalenyl, purinyl, xanthinyl, adeninyl, guaninyl, quinolinyl, isoquinolinyl, tetrahydroquinolinyl, quinoxalinyl, or quinazolinyl group.
[0061] R10 can be substituted with a wide variety of substituents including but not limited to one or more F, Cl, Br, I, OH, CN, NO2, COOH, C(O)OR', C(O)NH2, C(O)NH(R'), C(O)N(R')(R'), S(O)mR', SO2NHR', amino, substituted or
unsubstituted saturated or unsaturated heterocyclyl, or a substituted or unsubstituted aryl, heteroaryl, alkyl, alkylamino, dialkylamino, alkenyl, or alkoxy group, wherein R' is a substituted or unsubstituted alkyl, aryl, arylalkyl, heterocyclyl, or heterocyclylalkyl group. Thus, in some embodiments, R10 is substituted with one or more F, Cl, Br, I, OH, CN, NO2, COOH, CONH2, amino, methyl, ethyl, propyl, butyl, trifluoromethyl, trifluoromethoxy, phenyl, benzyl, phenethyl, methoxyphenyl, tolyl, pyridinyl, piperidinyl, pyrrolyl, imidazolyl, oxazolyl, oxadiazolyl, thiazolyl, isopropylaminothiazolyl, thiazolylethylamino, methylamino, ethylamino, dimethylamino, diethylamino, propylamino, cyclohexylmethylamino, benzylamino, phenethylamino, thiophenylmethylamino, thiophenylethylamino, pyridinylmethylamino, benzothiophenylmethylamino, phenylpiperidinyl, piperazinyl, N- cyclohexylpiperazinyl, N-phenylpiperazinyl, N-benzylpiperazinyl, tetrahydrothienopyridinyl, methylpiperazinyl, pyrolidonylpropylamino, methoxy, ethoxy, or propoxy groups.
[0062] Typically, R10 is a substituted or unsubstituted quinoxalinyl, quinolinyl or isoquinolinyl group. In some embodiments, R10 is a substituted quinolin-4-yl group substituted at the 2-position and the 7-position of the quinolinyl group such as a (2-phenyl-7- methoxy)quinolin-4-yl group.
[0063] In compounds of the invention, R1 is CO2H, CO2R20, C(O)CO2R20, C(O)CONR20R23, or C(O)NR23SO2R20. R20 is a substituted or unsubstituted alkyl, alkenyl, alkynyl, aryl, arylalkyl, heterocyclyl, or heterocyclylalkyl group and R23 is H or substituted or unsubstituted C1-6 alkyl group. Typically, R1 is CO2H or C(O)NHSO2R20. In some such embodiments, R20 is a substituted or unsubstituted branched or straight chain alkyl group or is a substituted or unsubstituted cycloalkyl, (cycloalkyl)alkyl, phenyl, phenylalkyl, heterocyclyl, or heterocyclylalkyl group. Typically, R20 is a substituted or unsubstituted methyl, ethyl, propyl, isopropyl, butyl, isobutyl, pentyl, phenyl, benzyl, cyclopropyl, cyclobutyl, cyclopentyl, cyclohexyl, furanyl, thiophenyl, or pyridinyl group.
[0064] In compounds of the invention, R6 is H, C(O)R14, C(O)N(R24)(R26), SO2R25, or SO2N(R24)(R26), or a substituted or unsubstituted alkyl, aryl, arylalkyl, heterocyclyl, heterocyclylalkyl group. R1 is hydrogen or a substituted or unsubstituted branched or unbranched alkyl, alkoxy, haloalkyl, alkylamino, dialkylamino, cycloalkyl, cycloalkylalkyl, cycloalkyloxy, cycloalkylamino, heterocyclyl, heterocyclylalkyl, heterocyclyloxy, heterocyclylamino, heterocyclylalkoxy, heterocyclylalkylamino, aryl, aryloxy,
arylamino, arylalkyl, arylalkoxy, or arylalkylamine group. R24 and R20 at each occurrence are independently H or a substituted or unsubstituted alkyl, alkenyl, alkynyl, aryl, arylalkyl, heterocyclyl, or heterocyclylalkyl group. R25 is a substituted or unsubstituted alkyl, alkenyl, alkynyl, aryl, arylalkyl, heterocyclyl, or heterocyclylalkyl group.
[0065] In some embodiments of compounds of the invention, R6 is -C(O)R14. In some such embodiments, R14 is a substituted or unsubstituted alkyl, haloalkyl, alkoxy, alkylamino, cycloalkyl, cycloalkylalkyl, cycloalkoxy, heterocyclyl, or heterocyclylalkyl group. In other such embodiments, R14 is ethoxy, t-butyloxy, isobutyloxy, cyclopropylethylenyl, cyclopentyloxy, cyclopentylmethylenyl, cyclohexyloxy, thiophenyl, imidazolyl, pyridinyl, furanyl, oxazolyl, isoxazolyl, or pyrrolidinyl.
[0066] In compounds of the invention, R , R , R , and R are each independently H or a Ci-2 alkyl group optionally substituted with one or more F, Cl, Br, or I. Typically, R12, R15, R16, and R17 are all H.
[0067] In compounds of the invention, R13 is H or a Ci-4 alkyl optionally substituted with one or more F, Cl, Br, or I. In some embodiments, R13 is methyl or ethyl.
[0068] In some embodiments of compounds of the invention, X is O; Q is phenyl; R2, R3, R4, R5 are all H; R6 is -COOC(CH3)3 or -COO(cyclopentyl); and R10 is a substituted quinolin- 4-yl group substituted at the 2-position and the 7-position of the quinolinyl group. In other embodiments, X is O; Q is phenyl; R1 is -C(O)NHSO2-phenyl; R2, R3, R4, R5 are all H; and R10 is a substituted quinolin-4-yl group substituted at the 2-position and the 7-position of the quinolinyl group.
[0069] m certain embodiments of compounds of the invention A2 is -(CR4R5)a-; a is 1; R2, R3, R4, R5, R11 and R13 are each H; and the remaining substituents are set forth in Table 1, below. The stereochemistry at the carbon to which R1 is attached is indicated in the column labeled D/L.
Table 1
[0070] In some embodiments of compounds of the above table, the compounds have the Formula III wherein Q is phenyl, m is 1, Y is O and the remaining variables are as defined above.
[0071] Exemplary compounds of the invention include but are not limited to those in Table 2.
Table 2
MH+ = 683.2; rt =2.52 min MH+ = 671.3; rt=2.15 min MH+ = 697.3; rt=2.37 min
MH+ = 737.2 MH+ = 737.2 MH+ = 735.2
MH+ = 735.2 MH+ = 753.2, rt=5.75 min MH+ = 751.2, rt = 6.16 min
MH+ = 751.2; rt = 6.16 min MH+ = 737.2 MH+ = 737.2
MH+ = 753.2 MH+ = 751.2 MH+ = 751.2
MH+ = 779.2; rt = 6.18 min MH+ = 918.2 MH+ = 781.3; rt=6.17min
MH+ = 779.2; rt=6.25 min MH+ = 779.2; rt=5.92min MH+ = 741.2; rt=2.54 min
MH+ = 735.2; rt =2.50 min MH+ = 639.1; rt =2.82 min MH+ = 651.1; rt=2.83 min
MH+ = 735.2;rt=2.50 min MH+ = 755.2;rt=2.58 min MH+ = 767.2; rt=2.58 min
MH+ = 860.3 MH+ = 888.3 MH+ = 874.3
MH+ = 902.3 MH+ = 990.2 MH+ = 970.3
MH = 859.3 MH+ = 885.3 MH = 824.3
MH+ = 852.3 MH+ = 866.3 MH+ = 848.3
MH+ = 862.3 MH+ = 846.3 MH+ = 846.3
Mif = 862.3 MH+ = 862.3 MH+ = 861.3
MH+ = 860.3 MH+ = 860.3 MH+ = 860.3
MH+ = 856.3 MH+ = 857.3 MH+ = 850.3
MH+ = 864.3 MH+ = 850.3 MH^ = 858.3
MH+ = 850.3 MH+ = 864.3 MH+ = 905.3
MH+ = 847.3 MH+ - 861.3 MH+ = 863.3
MH+ = 810.4 MH+ = 804.3 MH+ = 818.4
Chiral
MH+ = 781.3 MH+ = 726.2 MH+ = 738.3
MH+ = 756.3; rt =22.73min MH+ = 642.2 MH+ = 677.2
l
MH+ = 753.3 MH+ = 742. l; rt=25.45min MH+ = 742.2; rt=25.57min
[0072] Macrocyclic compounds of the invention are readily synthesized. Inventive compounds that include a proline ring (i.e., Z and R7, taken together, form a five member heterocycle) may be prepared as shown by Scheme 1 or similar methods. First, a suitably substituted and protected aromatic amino acid, such as a 2-amino-3-(3- hydroxyphenyl)propanoate, may be alkylated at the hydroxy group with a second protected amino acid residue. For example N- and C-protected serine, homoserine or higher homologs may be subjected to the Mitsunobu reaction with the hydroxyphenyl residue to form the corresponding ether. N-deprotection of the serine residue and coupling with a suitably substituted proline residue provides the acyclic precursor to the macrocycle. Coupling may be carried out with coupling agents according to well known procedures. For example, O-(J- azobenzotriazol- 1 -yl)- 1 , 1 ,3 ,3-tetramethyluronium hexafluorophosphate (HATU), 1 -(2- dimethylaminopropyl)-3-ethylcarbodiimide hydrochloride/hydroxyazabenzotriazole (EDC/HOAt), or other coupling agents suitable for peptide synthesis may be used, typically in the presence of a base such as triethylamine, diisopropylethylamine, or the like. Macrocyclic ring closure may be effected using various procedures. Formation of the active ester from, e.g., pentafluorophenol followed by deprotection of the prolyl amino group yields the desired macrocycle. Using suitable orthogonal protection strategies allows the phenylalanyl amino group or the R1 carboxyl to be selectively revealed and further
modified. Thus for example, various R6 groups may be installed to form amides, carbamates or ureas using well known methods. Various N-acyl sulfonamides may be prepared at R1 by coupling of the carboxyl group to a wide range of aryl, alkyl and cycloalkyl sulfonamides with, e.g., carbonyl diimidazole and a base such as DBU.
Scheme 1
[0073] Macrocyclic compounds of the invention lacking a proline ring ("open proline ring compounds") may be readily synthesized according to the route depicted in Scheme 2 or similar methods. The route is similar to that of Scheme 1 except that a suitable acyclic amino acid residue such as serine or homoserine is employed in place of proline. Therefore, those of ordinary skill in the art will readily understand that a wide variety of protected amino acid residues may be used to provide the Z and R7 groups in compounds of the invention.
CbzHN
[0074] Compounds of the invention which include cyclopropyl rings can be made according to Scheme 3 or similar routes. As shown in Scheme 3, compounds of the invention including a proline ring can be prepared starting with a suitably substituted and protected proline residue with a free acid (see Scheme 2 above). The proline may be coupled to a vinyl-cyclopropyl amino acid residue by techniques well known to those of skill in the art. For example, the proline and cyclopropyl- vinyl amino acid residues may be coupled as described above using HATU or other suitable coupling reagents. The resulting dipeptide may be coupled in a similar fashion to an N-protected phenylalanine residue or analog thereof bearing an allyloxy or other vinyl containing group on the phenyl ring. The macrocycle is closed by an olefin metathesis reaction using a ruthenium complex as a catalyst. For example, the procedure of Hoveyda may be used. Kingsbury, J. S.; Harrity, J. P. A.; Bonitatebus, P. J.; Hoveyda, A. H. J. Am. Chem. Soc, 1999, 121, 791.
[0075] It will be appreciated that by selection of appropriately substituted starting materials, a wide variety of substituted compounds having the novel macrocyclic structure can be prepared, including those of Formulas I, III, IIIA, IV, IVA, V, VA, VI and VIA. Thus, in some embodiments the invention provides for methods of making compounds of Formulas I, III, IIIA, IV, IVA, V, VA, VI and VIA according to Schemes 1 and 2. In other embodiments, there are provided the intermediates as well as their corresponding methods of synthesis as described in Schemes 1-3 and the Examples described below. In accordance with such methods, the constituent variables of the compounds can include any of those same values described for the compounds of Formulas I, III, IIIA, IV, IVA, V, VA, VI and VIA.
[0076] One or more compounds of the invention may be included in pharmaceutical formulations or medicaments. Such compositions include at least one compound of the invention and a pharmaceutically acceptable carrier, but may also include mixtures of compounds of the invention. The compounds of the invention may thus be used to prepare medicaments and pharmaceutical formulations for use in treating an HCV or SARS virus mediated disease such as, but not limited to, hepatitis C or SARS, respectively.
[0077] While not wishing to be bound by any theory, compounds of the invention are believed to function as inhibitors of viral proteases important to the replication of the virus. For example, compounds of the invention have been shown to inhibit HCV NS3
protease in vitro. Hence, there are provided methods for inhibiting HCV replication comprising contacting HCV NS3 protease with a compound of the invention. Likewise, a method of inhibiting SARS virus replication is provided comprising contacting a SARS virus protease with a compound of the instant invention.
[0078] Methods of treating HCV and SARS mediated diseases are provided. Accordingly, methods for treating HCV mediated diseases include administering to a subject in need thereof, a compound or composition of the instant invention. In some such embodiments, the HCV-mediated disease or condition is Hepatitis C. Methods for treating a SARS virus-mediated disease or condition include administering to a subject in need thereof a compound or a composition of the instant invention. In some such embodiments, the SARS virus-mediated disease or condition is SARS. Administration of the compounds and compositions of the invention may be accomplished using various methods such as those described herein. In one embodiment, the compound or composition is administered orally. In some such embodiments, the compound or composition is orally administered to a human.
[0079] The instant invention also provides for compositions which may be prepared by mixing one or more compounds of the instant invention, or pharmaceutically acceptable salts or tautomers thereof, with pharmaceutically acceptable carriers, excipients, binders, diluents or the like, to treat or ameliorate certain disorders which include, but are not limited to, hepatitis C and SARS. A therapeutically effective dose further refers to that amount of one or more compounds of the instant invention sufficient to result in amelioration of symptoms of the disorder. The pharmaceutical compositions of the instant invention can be manufactured by methods well known in the art such as conventional granulating, mixing, dissolving, encapsulating, lyophilizing, emulsifying or levigating processes, among others. The compositions can be in the form of, for example, granules, powders, tablets, capsules, syrup, suppositories, injections, emulsions, elixirs, suspensions or solutions. The instant compositions can be formulated for various routes of administration, for example, by oral administration, by intranasal administration, by transmucosal administration, by rectal administration, or subcutaneous administration as well as topical, intrathecal, intravenous, intramuscular, intraperitoneal, intranasal, intraocular or intraventricular injection. The compound or compounds of the instant invention can also be administered in a local rather than a systemic fashion, such as injection as a sustained release formulation. The
following dosage forms are given by way of example and should not be construed as limiting the instant invention.
[0080] For oral, buccal, and sublingual administration, powders, suspensions, granules, tablets, pills, capsules, gelcaps, and caplets are acceptable as solid dosage forms. These can be prepared, for example, by mixing one or more compounds of the instant invention, or pharmaceutically acceptable salts or tautomers thereof, with at least one additive or excipient such as a starch or other additive. Suitable additives or excipients are sucrose, lactose, cellulose sugar, mannitol, maltitol, dextran, sorbitol, starch, agar, alginates, chitins, chitosans, pectins, tragacanth gum, gum arabic, gelatins, collagens, casein, albumin, synthetic or semisynthetic polymers or glycerides, methyl cellulose, hydroxypropylmethyl-cellulose, and/or polyvinylpyrrolidone. Optionally, oral dosage forms can contain other ingredients to aid in administration, such as an inactive diluent, or lubricants such as magnesium stearate, or preservatives such as paraben or sorbic acid, or anti-oxidants such as ascorbic acid, tocopherol or cysteine, a disintegrating agent, binders, a thickeners, buffers, a sweeteners, flavoring agents or perfuming agents. Additionally, dyestuffs or pigments may be added for identification. Tablets and pills may be further treated with suitable coating materials known in the art.
[0081] Liquid dosage forms for oral administration may be in the form of pharmaceutically acceptable emulsions, syrups, elixirs, suspensions, slurries and solutions, which may contain an inactive diluent, such as water. Pharmaceutical formulations may be prepared as liquid suspensions or solutions using a sterile liquid, such as, but not limited to, an oil, water, an alcohol, and combinations of these. Pharmaceutically suitable surfactants, suspending agents, emulsifying agents, may be added for oral or parenteral administration.
[0082] As noted above, suspensions may include oils. Such oils include, but are not limited to, peanut oil, sesame oil, cottonseed oil, corn oil and olive oil. Suspension preparation may also contain esters of fatty acids such as ethyl oleate, isopropyl myristate, fatty acid glycerides and acetylated fatty acid glycerides. Suspension formulations may include alcohols, such as, but not limited to, ethanol, isopropyl alcohol, hexadecyl alcohol, glycerol and propylene glycol. Ethers, such as but not limited to, poly(ethyleneglycol),
petroleum hydrocarbons such as mineral oil and petrolatum; and water may also be used in suspension formulations.
[0083] For intranasal administration (e.g., to deliver compounds to the brain), or administration by inhalation (e.g., to deliver compounds through the lungs), the pharmaceutical formulations may be a solution, a spray, a dry powder, or aerosol containing any appropriate solvents and optionally other compounds such as, but not limited to, stabilizers, antimicrobial agents, antioxidants, pH modifiers, surfactants, bioavailability modifiers and combinations of these. Examples of intranasal formulations and methods of administration can be found in WO 01/41782, WO 00/33813, WO 91/97947, U.S. Patent No. 6,180,603, and U.S. Patent No. 5,624,898. A propellant for an aerosol formulation may include compressed air, nitrogen, carbon dioxide, or a hydrocarbon based low boiling solvent. The compound or compounds of the instant invention are conveniently delivered in the form of an aerosol spray presentation from a nebulizer or the like.
[0084] Injectable dosage forms generally include aqueous suspensions or oil suspensions which may be prepared using a suitable dispersant or wetting agent and a suspending agent. Injectable forms may be in solution phase or in the form of a suspension, which is prepared with a solvent or diluent. Acceptable solvents or vehicles include sterilized water, Ringer's solution, or an isotonic aqueous saline solution. Alternatively, sterile oils may be employed as solvents or suspending agents. Preferably, the oil or fatty acid is non- volatile, including natural or synthetic oils, fatty acids, mono-, di- or tri-glycerides.
[0085] For injection, the pharmaceutical formulation may be a powder suitable for reconstitution with an appropriate solution as described above. Examples of these include, but are not limited to, freeze dried, rotary dried or spray dried powders, amorphous powders, granules, precipitates, or particulates. For injection, the formulations may optionally contain stabilizers, pH modifiers, surfactants, bioavailability modifiers and combinations of these. The compounds may be formulated for parenteral administration by injection such as by bolus injection or continuous infusion. A unit dosage form for injection may be in ampoules or in multi-dose containers.
[0086] Topical applications may be formulated in carriers such as hydrophobic or
hydrophilic bases to form ointments, creams, lotions, in aqueous, oleaginous or alcoholic liquids to form paints or in dry diluents to form powders.
[0087] For rectal administration, the pharmaceutical formulations may be in the form of a suppository, an ointment, an enema, a tablet or a cream for release of compound in the intestines, sigmoid flexure and/or rectum. Rectal suppositories are prepared by mixing one or more compounds of the instant invention, or pharmaceutically acceptable salts or tautomers of the compound, with acceptable vehicles, for example, cocoa butter or polyethylene glycol, which is present in a solid phase at normal storing temperatures, and present in a liquid phase at those temperatures suitable to release a drug inside the body, such as in the rectum. Oils may also be employed in the preparation of formulations of the soft gelatin type and suppositories. Water, saline, aqueous dextrose and related sugar solutions, and glycerols may be employed in the preparation of suspension formulations which may also contain suspending agents such as pectins, carbomers, methyl cellulose, hydroxypropyl cellulose or carboxymethyl cellulose, as well as buffers and preservatives.
[0088] Besides those representative dosage forms described above, pharmaceutically acceptable excipients and carriers are generally known to those skilled in the art and are thus included in the instant invention. Such excipients and carriers are described, for example, in "Remingtons Pharmaceutical Sciences" Mack Pub. Co., New Jersey (1991), which is incorporated herein by reference in its entirety and for all purposes as if fully set forth herein.
[0089] The formulations of the invention may be designed for to be short-acting, fast- releasing, long-acting, and sustained-releasing as described below. Thus, the pharmaceutical formulations may also be formulated for controlled release or for slow release.
[0090] The instant compositions may also comprise, for example, micelles or liposomes, or some other encapsulated form, or may be administered in an extended release form to provide a prolonged storage and/or delivery effect. Therefore, the pharmaceutical formulations may be compressed into pellets or cylinders and implanted intramuscularly or subcutaneously as depot injections or as implants such as stents. Such implants may employ known inert materials such as silicones and biodegradable polymers.
[0091] A therapeutically effective dose refers to that amount of the compound that results in amelioration of symptoms. Specific dosages may be adjusted depending on conditions of disease (including, e.g., virulence of the infection, sensitivity of the pathogen to the particular compound selected) the age, body weight, general health conditions, sex, diet of the subject, dose intervals, administration routes, excretion rate, and combinations of drugs. Any of the above dosage forms containing effective amounts are well within the bounds of routine experimentation and therefore, well within the scope of the instant invention. A therapeutically effective dose may vary depending upon the route of administration and dosage form. The preferred compound or compounds of the instant invention is a formulation that exhibits a high therapeutic index. The therapeutic index is the dose ratio between toxic and therapeutic effects which can be expressed as the ratio between LD50 and ED5O. The LD50 is the dose lethal to 50% of the population and the ED50 is the dose therapeutically effective in 50% of the population. The LD50 and ED50 are determined by standard pharmaceutical procedures in animal cell cultures or experimental animals.
[0092] The concentrations of the compounds described herein in a therapeutic composition will vary depending upon a number of factors, including the dosage of the drug to be administered, the chemical characteristics (e.g., hydrophobicity) of the compounds employed, and the route of administration. The compositions for human delivery per unit dosage, whether liquid or solid, may contain from about 0.01% to as high as about 99% of active material, the typical range being from about 0.1%-60%. For example, the compounds of this invention may be provided in effective inhibitory amounts in an aqueous physiological buffer solution containing about 0.1 to 10% w/v compound for parenteral administration. Typical dose ranges are from about 0.001 mg/kg to about 1 g/kg of body weight per day; a more typical dose range is from about 0.01 mg/kg to 100 mg/kg of body weight per day.
[0093] An HCV disorder, or HCV-mediated disease, which may be treated by those methods provided, include any biological disorder or disease in which HCV is implicated, such as hepatitis C. Similarly, a SARS virus disorder, or SARS virus-mediated disease, which may be treated by those methods provided, include any biological disorder or disease in which SARS virus is implicated, such as SARS.
[0094] "Treating" within the context of the instant invention, therefore, means an alleviation of symptoms associated with a disorder or disease, or halt of further
progression or worsening of those symptoms, or prevention or prophylaxis of the disease or disorder. For example, within the context of hepatitis C, successful treatment may include an alleviation of symptoms or halting the progression of the disease as measured by a decrease in viral load or other clinically observable symptoms. In this same vein, successful treatment of SARS may include an alleviation of symptoms or halting the progression of the disease, as measured by a decrease in viral load or other clinically observable symptoms.
[0095] While the present invention has been described with specificity in accordance with certain of its preferred embodiments, the following examples serve only to illustrate the invention and are not intended to limit the same.
EXAMPLES
[0096] Nomenclature for these compounds was provided using the AutoNom v. 2.2 software embedded in ChemDraw Ultra available from Cambridgesoft (Cambridge, MA). Some of the materials were named using standard IUPAC nomenclature.
[0097] Exemplary compounds and intermediates were made via Scheme 1, 2, 3 or similar methods. The intermediates, compounds, and reaction schemes discussed below are intended to be descriptive by way of example and not by limitation.
[0098] Starting materials used in the Examples were prepared according to literature methods as follows: Methyl (2S)-3-(3-hydroxyphenyl)-2-[(phenylmethoxy)carbonylamino]- propanoate was prepared as described in J. Am. Chem. Soc, 2000, 122, 3830. Phenylmethyl (2S)-3-hydroxy-2-[(triphenyhnethyl)amino]propanoate was prepared as described in J. Am. Chem. Soc, 1997, 119, 10093. (2S,4R)-l-[(tert-butyl)oxycarbonyl]-4-(7-methoxy-2- phenyl(4-quinolyloxy))pyrrolidine-2-carboxylic acid and 7-methoxy-2-phenylquinolin-4-ol were prepared as described in WO 00/09546. Phenylmethyl (2S)-2-[(tert- butoxy)carbonylamino]-4-hydroxybutanoate and Phenylmethyl (2R)-2-[(tert- butoxy)carbonylamino]-4-hydroxybutanoate were prepared as described in Synthesis., 1995, 7, 810. Phenylmethyl (2S)-2-[(tert-butoxy)carbonylamino]-5-hydroxypentanoate was prepared as described in Tetrahedron Lett., 1999, 40, 4395. Phenylmethyl (2R)-2-[(tert- butoxy)carbonylamino]-5-hydroxypentanoate was prepared as described in Chem. Pharm. Bull, 2000, 48, 1270.
EXAMPLES 1-5: Closed Proline Ring Derivatives
[0099] The following compounds were made via Scheme I to produce closed proline ring derivatives of the invention:
Synthesis of phenylmethyl (3S.9S.12S.7RV5J l-diaza-7-(7-methoxy-2-phenyl(4- quinolyl')oxy)-14-oxa-4, 10-dioxo-3-r(phenylmethoxy)carbonylaminoltricvclor 13.3.1.0<5,9>T nonadeca-iα8)J5(19)J6-triene-12-carboxylate And (3S,9SJ2SJRV5.11-diaza-3-rrtert- butoxyN)carbonylamino]-7-(7-methoxy-2-phenyl(4-quinolyl')oxyV14-oxa-4,10-dioxotricvclo ri3.3.1.0<5.9>lnonadeca-l(18).15(19116-triene-12-carboxylic acid (EX. 1)
3,3-Dimethyl-3-silabutyl (2S)-3-(3-hydroxyphenyl)-2-[(phenylmethoxy)carbonylamino] propanoate
[00100] To methyl (2S)-3-(3-hydroxyphenyl)-2-
[(phenylmethoxy)carbonylamino]propanoate (13.6 g, 41.34 mmol) in 2:1
tetrahydrofuran/methanol (84 mL) was added 1.0 M lithium hydroxide (100 mL, 100 mmol). After stirring 20 hours, the organic solvents were removed in vacuo, the remaining aqueous layer was acidified with 1 N HCl (100 mL). The aqueous layer was extracted with ethyl acetate (2 x 400 mL), which upon pooling was dried over Na2SO4, filtered and concentrated to yield the crude acid (12.7 g, 40.3 mmol). To the acid in dichloromethane (400 mL) was added trimethylsilylethanol (58 mL, 403 mmol) and dimethylaminopyridine (492 mg, 4.03 mmol). The solution was cooled to 0°C and than l-(2-dimethylaminopropyl)-3- ethylcarbodiimide hydrochloride (15.46 g, 80.64 mmol) was added portionwise. The solution was allowed to warm to room temperature as it stirred for 20 hours after which time the dichloromethane was removed in vacuo. Ethyl acetate (1000 mL) was added and the solution was washed with H2O (3 x 300 mL), with 1 N HCl (300 mL), with NaHCO3(Sat.) (300 mL), with NaCl(sat.j (300 mL), dried over MgSO4, filtered, concentrated and purified by silica chromatography (0-2-4-6-8-10-15-20% ethyl acetate/hexanes) and dried under vacuum to yield 3,3-dimethyl-3-silabutyl (2S)-3-(3-hydroxyphenyl)-2-[(phenylmethoxy)carbonylamino] propanoate (11 g, 66%). Analytical: MNa+(438.1)
Phenylmethyl (2S)-3-(3-{(2S)-2-[(3,3-dimethyl-3-silabutyl)oxycarbonyl]-2- [(phenylmethoxy)carbonylamino]ethyl}phenoxy)-2-[(triphenylmethyl)amino] propanoate
[00101] To a solution of 3,3-dimethyl-3-silabutyl (2S)-3-(3-hydroxyphenyl)-2- [(phenylmethoxy)carbonylamino]propanoate (2.83 g, 6.8 mmol), phenylmethyl (2S)-3- hydroxy-2-[(triphenylmethyl)amino]propanoate (3.13 g, 6.8 mmol) and triphenylphosphine (2.22 g, 8.5 mmol) in toluene (12 mL) at 0°C under an Ar atmosphere, was added diisopropylazodicarboxylate (1.94 mL, 9.8 mmol) dropwise. The solution was
allowed to warm to room temperature slowly as it stirred for 18 hours. The solvent was removed in vacuo, and the crude material was purified directly by silica gel chromatography (10-15% ethyl acetate/hexanes) to yield phenylmethyl (2S)-3-(3-{(2S)-2-[(3,3-dimethyl-3- silabutyl)oxycarbonyl]-2-[(phenylmemoxy)carbonylamino]ethyl}phenoxy)-2- [(triphenylmethyl)amino]propanoate (2.11 g, 37%). Analytical: M Na+(857.2)
Phenylmethyl (2S)-3-(3-{(2S)-2-[(3,3-dimethyl-3-silabutyl)oxycarbonyl]-2-
[(phenylmethoxy)carhonylamino]ethyl}phenoxy)-2-({(2S,4R)-l-[(tert-butyl)oxycarhonyl]-4~
(7-rnethoxy-2-phenyl(4-quinolyloxy))pyrrolidin-2-yl}carbonylamino)propanoate
[00102] To phenylmethyl (2S)-3-(3- {(2S)-2-[(3,3-dimethyl-3-silabutyl)oxycarbonyl]-2- [(phenylmethoxy)carbonylamino]ethyl}phenoxy)-2-[(triphenylmethyl)amino]propanoate (1.20 g, 1.44 mmol) in dichloromethane (10 mL), was added triethylsilane (0.5 mL, 3.1 mmol), H2O (0.1 mL) and trifluoroacetic acid (0.2 mL). After stirring for 4 hours, ethyl acetate (100 mL) was added, and the solution was washed with Na2CO3(sat.) (2 x 50 mL), with NaCl(sat.) (500 mL), dried over MgSO4, filtered and concentrated to yield the crude amine. To a solution of the crude amine, (2S,4R)-l-[(tert-butyl)oxycarbonyl]-4-(7-methoxy-2- phenyl(4-quinolyloxy))pyrrolidine-2-carboxylic acid (0.67 g, 1.44 mmol) and hydroxyazabenzotriazole (0.39 g, 2.88 mmol) in dichloromethane (20 mL) at 0°C, was added l-(2-dimethylaminopropyl)-3-ethylcarbodiimide hydrochloride (0.55 g, 2.88
mmol). The solution warmed to room temperature as it stirred for 14 hours. The reaction was added to ethyl acetate (200 mL) and was washed with H2O (3 x 80 mL), with NaCl(Sat.) (80 mL), dried over MgSO4, filtered, concentrated and purified by silica chromatography (4% ethyl acetate/hexanes) to yield phenylmethyl (2S)-3-(3-{(2S)-2-[(3,3-dimethyl-3- silabutyl)oxycarbonyl]-2-[(phenylmethoxy)carbonylamino]ethyl}phenoxy)-2-({(2S,4R)-l- [(tert-butyl)oxycarbonyl]-4-(7-methoxy-2-phenyl(4-quinolyloxy))pyrrolidin-2- yl}carbonylamino)propanoate (0.93 g, 62%). Analytical: MH+(1039.3)
Phenylmethyl (2S)~3-(3-{(2S)-2-[(2, 3, 4, 5, 6-pentafluorophenyl)oxycarbonyl]-2-
[(phenylmethoxy)carbonylωnino]ethyl}phenoxy)-2-({(2S,4R)-l-[(tert-butyl)oxycarbonyl]-4-
(7-methoxy-2-phenyl(4-quinolyloxy))pyrrolidin-2-yl}carbonylamino)propanoate
[00103] To phenylmethyl (2S)-3-(3-{(2S)-2-[(3,3-dimethyl-3-silabutyl)oxycarbonyl]-2- [(phenylmethoxy)carbonylamino]ethyl}phenoxy)-2-({(2S,4R)-l-[(tert-butyl)oxycarbonyl]-4- (7-methoxy-2-phenyl(4-quinolyloxy))pyrrolidin-2-yl} carbonylarnino)propanoate (0.93 g, 0.89 mmol) in tetrahydrofuran (10 mL), was added tetrabutylammonium fluoride (1.0 M in THF, 0.98 mL, 0.98 mmol). After standing for 2 hours, more tetrabutylammonium fluoride (1.0 M in THF, 0.18 mL, 0.18 mmol) was added. After stirring for an additional hour, the solution was added to ethyl acetate (225 mL) and was washed with 1 N HCl (2 x 40 mL), with NaCl(SUt.) (40 mL), dried over MgSO4, filtered, and concentrated to yield the
deprotected acid (0.6 g, 0.64 mmol). To this crude material in dimethylformamide (1.3 mL) was added pyridine (0.06 mL, 0.7 mmol) and pentafluorophenyltrifluoroacetate (0.15 mL, 0.88 mmol). After stirring for five hours, ethyl acetate (75 mL) was added, and the solution was washed with H2O (2 x 25 mL), with NaCl(sat.) (25 mL), dried over MgSO4, filtered, concentrated and purified by silica chromatography (0-10-20-40-60% ethyl acetate/hexanes) to yield phenylmethyl (2S)-3-(3-{(2S)-2-[(2,3,4,5,6-pentafluorophenyl)oxycarbonyl]-2- [(phenylmethoxy)carbonylamino]ethyl}phenoxy)-2-({(2S,4R)-l-[(tert-butyl)oxycarbonyl]-4- (7-methoxy-2-phenyl(4-qumolyloxy))pyrrolidin-2-yl} carbonylamino)propanoate (0.65 g, 66%). Analytical: MH+(1105.3)
Phenylmethyl(3S,9S,12S, 7R)-5,ll-diaza-7-(7-methoxy-2-phenyl(4-quinolyl)oxy)-14-oxa-4,10- dioxo-3-[(phenylmethoxy)carbonylamino] tricyclofl 3.3.1.0<5,9>) nonadeca-1 (18), 15 (19), 16- triene- 12-carboxylate
[00104] To phenylmethyl (2S)-3-(3-{(2S)-2-[(2,3,4,5,6-pentafluorophenyl)oxycarbonyl]- -[(jphenyhiiethoxy)carbonylamino]ethyl}phenoxy)-2-({(2S,4R)-l-[(tert-butyl)oxycarbonyl]- 4-(7-methoxy-2-phenyl(4-quinolyloxy))pyrrolidin-2-yl}carbonylamino)propanoate
(0.65 g, 0.59 mmol) in dichloromethane (5 mL), was added trifluoroacetic acid (2 mL). After standing for fifteen hours, the volatiles were removed in vacuo, yielding the trifluoro acetate amine salt. The amine salt was dissolved in tetrahydrofuran (18 mL) and 9.3 mL of this solution (0.295 mmol) was added via syringe pump addition over 23 hours to a dry solution of diisopropylethyl amine (0.41 mL, 4.4 mmol) in tetrahydrofuran (500 mL). Once the addition was complete, the solution was stirred 7 additional days at room temperature after which time the volatiles were removed in vacuo. The crude material was dissolved in ethyl acetate (200 mL) and was washed with Na2CO3(sat) (50 mL), with NaCl(sat.) (25 mL), dried over MgSO4, filtered, concentrated and purified by silica chromatography (40-50-60% ethyl acetate/hexanes) to yield phenyhnethyl (3S,9S,12S,7R)-5,ll-diaza-7-(7-methoxy-2-phenyl(4- quinolyl)oxy)-14-oxa-4,10-dioxo-3-
[(phenylmethoxy)carbonylammo]tricyclo[l 3.3.1.0<5,9>]nonadeca-l (18), 15(19), 16-triene-12- carboxylate (97 mg, 40%). Analytical: MH+(821.2)
(3S,9S,12S, 7R)-5,ll-Diaza-3-[(tert-butoxy)carbonylamino]-7-(7-methoxy-2-phenyl(4- quinolyl)oxy)-14-oxa-4,10-dioxotricyclo[l 3.3.1.0<5,9>]nonadeca-l (18), 15(19), 16-triene- 12-carboxylic acid (EX. 1)
EX. 1
[00105] To phenylmethyl (3S,9S,12S,7R)-5,1 l-diaza-7-(7-methoxy-2-phenyl(4- quinolyl)oxy)-14-oxa-4,10-dioxo-3-
[(phenylmethoxy)carbonylamino]tricyclo[ 13.3.1.0<5,9>]nonadeca-l (18), 15(19), 16-triene- 12- carboxylate (97 mg, 0.11 mmol) and BoC2O (45 mg, 0.21 mmol) in ethyl acetate (30 mL) was added 10% palladium on carbon (100 mg, 0.09 mmol). The solution was stirred under a balloon atmosphere of hydrogen for 24 hours, after which time it was filtered through a pad of celite, concentrated, purified by preparative HPLC, purified further by silica gel chromatography (0-10% MeOH/CH2Cl2 with 0.1 % acetic acid) and lyophilized from acetonitrile/water to yield the acetate salt of (3S,9S,12S,7R)-5,ll-diaza-3-[(tert- butoxy)carbonylamino]-7-(7-methoxy-2-phenyl(4-quinolyl)oxy)-14-oxa-4,10- dioxotricyclo[13.3.1.0<5,9>]nonadeca-l(18),15(19),16-triene-12-carboxylic acid (32 mg, 36%) as a white solid. Analytical: MH+(697.2)
Synthesis of phenylmethyl (3S..9S J2S.7RV5J l-diaza-7-(7-methoxy-2-phenyl(4- quinolyl)oxy)-l 5-oxa-4, 10-dioxo-3- r(ρhenvhnethoxy)carbonylammoltricyclori4.3.1.0<5,9>licosa-l(19)J6r20)J7-triene-12- carboxylate And (3S,9S J2S JRV5J l-diaza-3-r(tert-butoxy)carbonylamino1-7-r7-methoxy-2- phenyl(4-quinolyl)oxy)-15-oxa-4J0-dioxotricyclori4.3.1.0<5,9>licosa-iri9)J6f20)J7- triene-12-carboxylic acid (EX. 2)
Phenylmethyl (2S)-4-(3-{(2S)-2-[(3,3-dimethyl-3-silabutyl)oxycarbonyl]-2- [(phenylmethoxy)carbonylamino]ethyl}phenoxy)-2-[(tert-butoxy)carbonylamino]butanoate
[00106] To a solution of 3,3-dimethyl-3-silabutyl (2S)-3-(3-hydroxyphenyl)-2- [(phenylmethoxy)carbonylamino]propanoate (2.0 g, 4.8 mmol), phenylmethyl (2S)-2-[(tert- butoxy)carbonylamino]-4-hydroxybutanoate (1.49 g, 4.8 mmol) and triphenylphosphine (1.39 g, 5.3 mmol) in toluene (11 mL) at 00C under an Ar atmosphere, was added diisopropylazodicarboxylate (1.23 mL, 6.3 mmol) dropwise. The solution was allowed to warm to room temperature slowly as it stirred for 18 hours. The solvent was removed in vacuo and the crude material was purified directly by silica gel chromatography (10-15% ethyl acetate/hexanes) to yield phenylmethyl (2S)-4-(3-{(2S)-2-[(3,3-dimethyl-3- silabutyl)oxycarbonyl]-2-[(phenyhnethoxy)carbonylamino]ethyl}phenoxy)-2-[(tert- butoxy)carbonylamino]butanoate (0.76 g, 22%). Analytical: M Na+(730.3)
Phenylmethyl (2S)-4-(3-{(2S)-2-[(3,3-dimethyl-3-silabιιtyl)oxycarbonyl] -2-
[(phenylmethoxy)carbonylamino]ethyl}phenoxy)-2-({(2S,4R)-l-[(tert-butyl)oxycarbonyl]-4-
(7-methoxy-2-phenyl(4-quinolyloxy))pyrrolidin-2-yl}carbonylamino)butanoate
[00107] To phenylmethyl (2S)-4-(3-{(2S)-2-[(3,3-dimethyl-3-silabutyl)oxycarbonyl]-2- [(phenyhnethoxy)carbonylamino]ethyl}phenoxy)-2-[(tert-
butoxy)carbonylamino]butanoate (0.76 g, 1.1 mmol) was added 4 M HCl in dioxane (3 mL, 12 mmol). After standing for 3 hours the volatiles were removed in vacuo. To the HCl salt in dichloromethane (20 mL) was added (2S,4R)-l-[(tert-butyl)oxycarbonyl]-4-(7-methoxy-2- phenyl(4-quinolyloxy))pyrrolidine-2-carboxylic acid (501 mg, 1.1 mmol), hydroxy azabenzotriazole (294 mg, 2.16 mmol) and triethylamine (0.3 mL, 2.16 mmol). The solution was cooled in a O0C bath and l-(2-dimethylaminopropyl)-3-ethylcarbodiimide hydrochloride (414 mg, 2.16 mmol) was added. The solution was stirred at 00C for 30 minutes and than at room temperature for 3 hours at which time the volatiles were removed in vacuo. To the crude material was added ethyl acetate (350 mL) and the solution was washed with water (3 x 100 mL), with NaCl(sat.) (100 mL), dried over MgSO4, filtered, concentrated and purified by silica chromatography (30-35-40% ethyl acetate/hexanes) to yield phenylmethyl (2S)-4-(3-{(2S)-2-[(3,3-dimethyl-3-silabutyl)oxycarbonyl]-2- [(phenylmethoxy)carbonylamino]ethyl}phenoxy)-2-({(2S,4R)-l-[(tert-butyl)oxycarbonyl]-4- (7-methoxy-2-phenyl(4-quinolyloxy))pyrrolidin-2-yl} carbonylamino)butanoate (596 mg, 52%). Analytical: MH*(1053.4)
Phenylmethyl (2S)~4-(3-{(2S)-2-[(2, 3, 4, 5, 6-pentafluorophenyl)oxycarbonyl]-2-
[(phenylmethoxy)carbonylamino]ethyl}phenoxy)-2-({(2S,4R)-l-[(tert-butyl)oxycarbonyl]-4-
(7-methoxy~2-phenyl(4-quinolyloxy))pyrrolidin-2-yl}carbonylamino)butanoate
[00108] To phenylmethyl (2S)-4-(3-{(2S)-2-[(3,3-dimethyl-3-silabutyl)oxycarbonyl]-2- [(phenylmethoxy)carbonylamino]ethyl}phenoxy)-2-({(2S,4R)-l-[(tert-butyl)oxycarbonyl]-4- (7-methoxy-2-phenyl(4-quinolyloxy))pyrrolidin-2-yl}carbonylamino)butanoate (0.59 g, 0.56 mmol) in tetrahydrofuran (5 mL), was added tetrabutylammonium fluoride (1.0 M in THF, 0.8 mL, 0.8 mmol). After standing for five hours, the solution was added to ethyl acetate (200 mL) and was washed with 1 N HCl (2 x 40 mL), with NaCl(sat) (40 mL), dried over . MgSO4, filtered, and concentrated to yield the deprotected acid (914 mg). To this crude material in dimethylformamide (4 mL), was added pyridine (0.05 mL, 0.6 mmol) and pentafluorophenyltrifluoroacetate (0.12 mL, 0.68 mmol). After stirring for three hours, more pentafluorophenyltrifluoroacetate (0.04 mL, 0.25 mmol) was added, and the solution was stirred for two more hours. Ethyl acetate (200 mL) was added, and the solution was washed with H2O (2 x 50 mL), with NaCl(sat) (50 mL), dried over MgSO4, filtered, concentrated and purified by silica chromatography (0-10-20-40% ethyl acetate/hexanes) to yield phenylmethyl (2S)-4-(3-{(2S)-2-[(2,3,4,5,6-pentafluorophenyl)oxycarbonyl]-2- [(phenylmethoxy)carbonylamino]ethyl}phenoxy)-2-({(2S,4R)-l-[(tert-butyl)oxycarbonyl]-4- (7-methoxy-2-phenyl(4-quinolyloxy))pyrrolidin-2-yl} carbonylamino)butanoate (494 mg, 81%). Analytical: MH+(1119.3)
Phenylmethyl (3S,9S,12S, 7R)-5,ll-diaza~7-(7-methoxy-2-phenyl(4-quinolyl)oxy)~15-oxa-
4,10-dioxo-3-[(phenylmethoxy)carbonylamino]tncyclo[14.3.1.0<5,9>]icosa-
1 (19), 16(20), 17-triene-l 2-carboxylate
[00109] To phenylmethyl (2S)-4-(3-{(2S)-2-[(2,3,4,5,6-ρentafluorophenyl)oxycarbonyl]- 2-[(phenylmethoxy)carbonylamino]ethyl}phenoxy)-2-({(2S,4R)-l-[(tert-butyl)oxycarbonyl]- 4-(7-methoxy-2-phenyl(4-quinolyloxy))pyrrolidin-2-yl} carbonylamino)butanoate ((494 mg, 0.44 mmol) in dichloromethane (6 mL) was added trifluoroacetic acid (2 mL). After standing for five hours the volatiles were removed in vacuo, yielding the trifluoro acetate amine salt. The amine salt was dissolved in tetrahydrofuran (9 mL) and was added via syringe pump addition over 25 hours to a dry solution of diisopropylethyl amine (0.62 mL, 3.53 mmol) in tetrahydrofuran (500 mL). Once the addition was complete, the solution was stirred 4 additional days after which time the volatiles were removed in vacuo. The crude material was dissolved in dichloromethane (200 mL), and was washed with Na2CO3(sat.) (500 mL). The aqueous layer was extracted with dichloromethane (50 mL), and the combined organics were dried over MgSO4, filtered, concentrated and purified by silica chromatography (40-50- 60% ethyl acetate/hexanes) to yield phenylmethyl (3S,9S,12S,7R)-5,ll-diaza-7-(7-methoxy- 2-phenyl(4-quinolyl)oxy)-15-oxa-4,10-dioxo-3-
[(phenylmethoxy)carbonylamino]tricyclo[14.3.1.0<5,9>]icosa-l(19),16(20),17-triene-12- carboxylate (162 mg, 44%).
Analytical: MH+(835.2)
(3S,9S,12S, 7R)-5,ll-diaza-3-[(tert-butoxy)carbonylamino]-7~(7-methoxy-2-phenyl(4- quinolyl)oxy)-15-oxa-4, 10-dioxotricyclo[l 43.1.0<5, 9>] icosa-l(l 9), 16(20), 17-triene-l 2- carboxylic acid (EX. 2)
[00110] To phenylmethyl (3S,9S,12S,7R)-5,1 l-diaza-7-(7-methoxy-2-phenyl(4- qumolyl)oxy)-15-oxa-4,10-dioxo-3-
[(phenylmethoxy)carbonylamino]tricyclo[14.3.1.0<5,9>]icosa-l(19),16(20),17-triene-12- carboxylate (160 nig, 0.19 mmol) and Boc2O (84 nig, 0.38 mmol) in ethyl acetate (20 mL) and ethanol (10 mL), was added 10% palladium on carbon (102 mg, 0.10 mmol). The solution was stirred under a balloon atmosphere of hydrogen for 24 hours, after which time it was filtered through a pad of celite, purified by preparative HPLC, purified further by silica gel chromatography (0-10% MeOH/CH2Cl2 with 0.1 % acetic acid) and lyophilized from acetonitrile/water to yield the acetate salt of (3S,9S,12S,7R)-5,ll-diaza-3-[(tert- butoxy)carbonylamino]-7-(7-methoxy-2-phenyl(4-quinolyl)oxy)-15-oxa-4,10- dioxotricyclo[14.3.1.0<5,9>]icosa-l(19),16(20),17-triene-12-carboxylic acid (123 mg, 70%) as a white solid.
Analytical: MH+(711.2)
Synthesis of phenylmethyl (3S,9S,12S .7RV5.11-diaza-7-(7-methoxy-2-τ)heαylf4- quinolyl)oxy)-16-oxa-4,10-dioxo-3- r(T3henγlmethoxy)carbonylaminoltricyclor 15.3.1.0<5,9>lhenicosa-U20) , 17(21 ), 18-triene- 12- carboxylate And (3S,9S J2SJRV5 J l-diaza-3-r(tert-butoxy)carbonylammo1-7-(7-methoxy-2- ρhenyl(4-quinolyl)oxyV16-oxa-4J0-dioxotricvclori5.3.1.0<5,9>lhemcosa-l(20),17(21),18- triene-12-carboxylic acid ("EX. 3)
Phenylmethyl (2S)-5-(3-{(2S)-2-[(3,3-dimethyl-3~silabutyl)oxycarbonyl]-2- [(phenylmethoxy)carbonylamino]ethyl}phenoxy)-2-[(tert-butoxy)carbonylamino]pentanoate
[00111] To a solution of 3,3-dimethyl-3-silabutyl (2S)-3-(3-hydroxyphenyl)-2- [(phenylmethoxy)carbonylamino]propanoate (2.0 g, 4.8 mmol), phenylmethyl (2S)-2-[(tert- butoxy)carbonylamino]-5-hydroxypentanoate (1.56 g, 4.8 mmol) and triphenylphosphine (1.9 g, 7.2 mmol) in toluene (11 mL) at 0°C under an Ar atmosphere, was added diisopropylazodicarboxylate (1.5 mL, 7.2 mmol) dropwise. The solution was allowed to warm to room temperature slowly as it stirred for 18 hours. The solvent was removed in vacuo, and the crude material was purified directly by silica gel chromatography (15-20-25% ethyl acetate/hexanes) to yield phenylmethyl (2S)-5-(3- {(2S)-2-[(3,3-dimethyl-3- silabutyl)oxycarbonyl]-2-[(phenylmethoxy)carbonylamino]ethyl}phenoxy)-2-[(tert- butoxy)carbonylamino]pentanoate (2.01 g, 57%). Analytical: M Na+(743.3)
Phenyhnethyl (2S)-5~(3-{(2S)~2-[(3,3-dimethyl-3-silabutyl)oxycarbonyl]-2-
[(phenylmethoxy)carbonylamino]ethyl}phenoxy)-2-({(2S,4R)-l-[(tert-butyl)oxycarbonyl]-4-
(7~methoxy~2-phenyl(4-quinolyloxy))pyrrolidin-2-yl}carbonylamino)pentanoate
[00112] To phenylmethyl (2S)-5-(3-{(2S)-2-[(3,3-dimethyl-3-silabutyl)oxycarbonyl]-2- [(phenylmethoxy)carbonylamino]ethyl}phenoxy)-2-[(tert-butoxy)carbonylamino]pentanoate (1.0 g, 1.13 mmol) was added 4 M HCl in dioxane (3 mL, 12 mmol). After standing for 3 hours, the volatiles were removed in vacuo. To the HCl salt in dichloromethane, was added (2S,4R)-l-[(tert-butyl)oxycarbonyl]-4-(7-methoxy-2-phenyl(4-quinolyloxy))pyrrolidine-2- carboxylic acid (705 mg, 1.52 mmol), hydroxyazabenzotriazole (413 mg, 3.04 mmol) and triethylamine (0.42 mL, 3.04 mmol). The solution was cooled in a 0°C bath, and l-(2- dimethylaminopropyl)-3-ethylcarbodiimide hydrochloride (583 mg, 3.04 mmol) was added. The solution was stirred at 00C for 30 minutes and than at room temperature for 3 hours at which time the volatiles were removed in vacuo. To the crude material was added ethyl acetate (350 mL), and the solution was washed with water (3 x 100 mL), with NaCl(sat.) (100 mL), dried over MgSO4, filtered, concentrated and purified by silica chromatography (30-35- 40% ethyl acetate/hexanes) to yield phenylmethyl (2S)-5-(3-{(2S)-2-[(3,3-dimethyl-3- silabutyl)oxycarbonyl]-2-[(phenyhxιethoxy)carbonylamino]ethyl}phenoxy)-2-({(2S,4R)-l- [(tert-butyl)oxycarbonyl]-4-(7-methoxy-2-phenyl(4-quinolyloxy))pyrrolidin-2- yl}carbonylamino)pentanoate (1.0 g, 82%).
Analytical: MH+(1067.4)
Phenylmethyl (2S)-5~(3-{(2S)-2-[(2,3,4,5,6-pentafluorophenyl)oxycarbonyl]-2-
[(phenyhnethoxy)carbonylamino]ethyl}phenoxy)-2-({(2S,4R)-l-[(tert-biityl)oxycarbonyl]-4-
(7-methoxy-2-phenyl(4-quinolyloxy))pyrrolidin-2-yl}carbonylamino)pentanoate
[00113] To phenylmethyl (2S)-5-(3- {(2S)~2-[(3,3-dimethyl~3-silabutyl)oxycarbonyl]-2- [(phenyhnethoxy)carbonylamino]ethyl}phenoxy)-2-({(2S,4R)-l-[(tert-butyl)oxycarbonyl]-4- (7-methoxy-2-phenyl(4-quinolyloxy))pyrrolidin-2-yl}carbonylaπimo)pentanoate (1.0 g, 0.94 mmol) in tetrahydrofuran (5 mL) was added tetrabutylammoniuni fluoride (1.0 M in THF, 1.5 mL, 1.5 mmol). After standing for five hours, the solution was added to ethyl acetate (200 mL) and was washed with 1 N HCl (2 x 40 mL), with NaCl(sat.) (100 mL), dried over MgSO4, filtered, and concentrated to yield the deprotected acid (914 mg). To this crude material in dimethylformamide (7 mL) was added pyridine (0.12 mL, 1.5 mmol) and pentafluorophenyltrifluoroacetate (0.26 mL, 1.5 mmol). After stirring for three hours, more pentafluorophenyltrifluoroacetate (0.05 mL, 0.3 mmol) was added, and the solution was stirred for two more hours. Ethyl acetate (400 mL) was added, and the solution was washed with H2O (2 x 50 mL), with NaCl(sat.) (50 mL), dried over MgSO4, filtered, concentrated and purified by silica chromatography (0-10-20-40% ethyl acetate/hexanes) to yield phenylmethyl (2S)-5-(3-{(2S)-2-[(2,3,4,5,6-ρentafluorophenyl)oxycarbonyl]-2- [(phenyhnethoxy)carbonylamino] ethyl} phenoxy)-2-( { (2S ,4R)- 1 - [(tert-
53
butyl)oxycarbonyl]-4-(7-methoxy-2-phenyl(4-quinolyloxy))pyrrolidin-2- yl}carbonylamino)pentanoate (782 mg, 74%). Analytical: MH+(1133.3)
Phenylmethyl (3S, 9SJ2S, 7R)-5,ll-diaza-7~(7-methoxy~2-phenyl(4-quinolyl)oxy)-l 6-oxa- 4, 10-dioxo-3-[(phenylmethoxy)carbonylamino] tricyclo[l 5.3.1.0<5 ,9>J henicosa- l(20),17(21),18-triene-12-carboxylate
[00114] To phenylmethyl (2S)-5-(3- {(2S)-2-[(2,3,4,5,6-ρentafluoroρhenyl)oxycarbonyl]- 2-[(phenybnethoxy)carbonylamino]ethyl}phenoxy)-2-({(2S,4R)-l-[(tert-butyl)oxycarbonyl]- 4-(7-methoxy-2-phenyl(4-quinolyloxy))pyrrolidin-2-yl} carbonylamino)pentanoate ((782 mg, 0.69 mmol) in dichloromethane (9 mL) was added trifluoroacetic acid (3 mL). After standing for five hours, the volatiles were removed in vacuo, yielding the trifluoroacetate amine salt. The amine salt was dissolved in tetrahydrofuran (9 mL) and was added via syringe pump addition over 25 hours to a dry solution of diisopropylethyl amine (0.96 mL, 5.52 mmol) in tetrahydrofuran (950 mL). Once the addition was complete, the solution was concentrated, the material was dissolved in dichloromethane (350 mL), and the resulting mixture was washed with Na2CO3(SaL) (100 mL). The aqueous layer was extracted with dichloromethane (100 mL), and the combined organics were dried over MgSO4, filtered, concentrated and purified by silica chromatography (40-50-60% ethyl acetate/hexanes) to yield
005/035853
ρhenylmethyl (3S,9S,12S,7R)-5,ll-diaza-7-(7-methoxy-2-phenyl(4-quinolyl)oxy)-16-oxa- 4, 10-dioxo-3-[(phenylmethoxy)carbonylamino]tricyclo[ 15.3.1.0<5,9>]henicosa~ l(20),17(21),18-triene-12-carboxylate (197 mg, 33%). Analytical: MH+(849.2)
(3S,9S, 12S, 7R)-5,ll-Diaza-3-[(tert-butoxy)carbonylamino]-7-(7-methoxy-2-phenyl(4- quinolyl)oxy)-l 6-oxa-4, 10-dioxotricyclo[15.3.1.0<5, 9>Jhenicosa~l (20), 17(21),18-triene-12- carboxylic acid (EX. 3)
[00115] To phenylmethyl (3S,9S,12S,7R)-5,1 l-diaza-7-(7-methoxy-2-phenyl(4- quinolyl)oxy)- 16-oxa-4, 10-dioxo-3 -
[(phenylmethoxy)carbonylammo]tricyclo[15.3.1.0<5,9>]henicosa-l(20),17(21),18-triene-12- carboxylate (195 mg, 0.23 mmol) and BoC2O (100 mg, 0.46 mmol) in ethyl acetate (35 mL) and ethanol (10 mL), was added 10% palladium on carbon (120 mg, 0.11 mmol). The solution was stirred under a balloon atmosphere of hydrogen for 24 hours, after which time it was filtered through a pad of celite, purified by preparative HPLC, purified further by silica gel chromatography (0-10% MeOH/CH2Cl2 with 0.1 % acetic acid), and lyophilized from acetonitrile/water to yield the acetate salt of (3S,9S,12S,7R)-5,ll-diaza-3-[(tert- butoxy)carbonylamino]-7-(7-methoxy-2-phenyl(4-qumolyl)oxy)-16-oxa-4,10- dioxotricyclo[15.3.1.0<5,9>]henicosa-l(20),17(21),18-triene-12-carboxylic acid (123 mg, 68%) as a white solid.
Analytical: MH+(725.2)
Synthesis of phenylmethyl (3S,9S,7R,12RV5,1 l-diaza-7-(7-methoxv-2-phenvlf4- gumolypoxy)- 16-oxa-4, 10-dioxo-3 - rCphenylmethoxylcarbonylaminoltricvclori 5.3.1.0<5,9>lhenicosa-l (2OU 7(21) J 8-triene-12- carboxylate and (3S,9S,7R, 12R)-5,π-diaza-3-[(tert-butoxy)carbonylamino1-7-(7-methoxy- 2-phenyl(4-quinolyl)oxyyi6-oxa-4J0-dioxotricyclo[T 5.3.1.0<5,9>]henicosa- l(20U7(21U8-triene-12-carboxyric acid (EX. 4)
Phenylmethyl (2R)-5-(3-{(2S)-2-[(3,3-dimethyl-3-silabutyl)oxycarbonylJ-2- [(phenylmethoxy)carbonylamino]ethyl}phenoxy)-2-[(tert-butoxy)carbonylamino]pentanoate
[00116] To a solution of 3,3-dimethyl-3-silabutyl (2S)-3-(3-hydroxyphenyl)-2- [(phenylmethoxy)carbonylamino]propanoate (2.0 g, 4.8 mrαol), phenylmethyl (2R)-2-[(tert- butoxy)carbonylamino]-5-hydroxypentanoate (1.56 g, 4.8 mmol) and triphenylphosphine (1.9 g, 7.2 mmol) in toluene (11 mL) at O0C under an Ar atmosphere, was added diisopropylazodicarboxylate (1.5 mL, 7.2 mmol) dropwise. The solution was allowed to warm to room temperature slowly as it stirred for 18 hours. The solvent was removed in vacuo, and the crude material was purified directly by silica gel chromatography (10-15-20% ethyl acetate/hexanes) to yield phenylmethyl (2R)-5-(3-{(2S)-2-[(3,3-dimethyl-3- silabutyl)oxycarbonyl]-2-[(phenylmethoxy)carbonylammo]ethyl}phenoxy)-2-[(tert- butoxy)carbonylamino]pentanoate (1.84 g, 53%). Analytical: M Na+(743.3)
Phenylmethyl (2R)-5-(3-{(2S)-2-[(3,3-dimethyl-3-silabutyl)oxycarbonyl]-2-
[(phωιylmethoxy)carbonylamino]ethyl}phenoxy)-2-({(2S,4R)-l-[(tert-butyl)oxycarbonyl]-4-
(7-methoxy-2-phenyl(4-quinolyloxy))pyrroIidin-2-yl}carbonylamino)pentanoate
[00117] To phenylmethyl (2R)-5-(3-{(2S)-2-[(3,3-dimethyl-3-silabutyl)oxycarbonyl]-2- [(phenylmethoxy)carbonylamino]ethyl}phenoxy)-2-[(tert-butoxy)carbonylamino]pentanoate (0.78 g, 1.08 mmol) was added 4 M HCl in dioxane (3 mL, 12 mmol). After standing for 4 hours the volatiles were removed in vacuo. To the HCl salt in dichloromethane, was added (2S,4R)-l-[(tert-butyl)oxycarbonyl]-4-(7-methoxy-2-phenyl(4-quinolyloxy))pyrrolidine-2- carboxylic acid (501 mg, 1.08 mmol), hydroxyazabenzotriazole (294 mg, 2.16 mmol) and triethylamine (0.3 mL, 2.16 mmol). The solution was cooled in a 0°C bath, and l-(2- dimethylaminopropyl)-3-ethylcarbodiimide hydrochloride (414 mg, 2.16 mmol) was added. The solution was stirred at O0C for 30 minutes and than at room temperature for 3 hours after which time the volatiles were removed in vacuo. To the crude material was added ethyl acetate (350 mL), and the solution was washed with water (3 x 100 mL), with NaCl(sat.) (100 mL), dried over MgSO4, filtered, concentrated and purified by silica chromatography (20-30- 40% ethyl acetate/hexanes) to yield phenylmethyl (2R)-5-(3-{(2S)-2-[(3,3-dimethyl-3- silabutyl)oxycarbonyl]-2-[(phenyhnethoxy)carbonylamino]ethyl}phenoxy)-2-({(2S,4R)-l- [(tert-butyl)oxycarbonyl]-4-(7-methoxy-2-phenyl(4-quinolyloxy))pyrrolidin-2- yl}carbonylamino)pentanoate (0.6 g, 52%). Analytical: MH+(1067.4)
Phenylmethyl (2R)-5-(3-{(2S)-2-[(2, 3, 4, 5, 6-pentaflιιorophenyl)oxycarbonyl]-2~
[(phenylmethoxy)carbonylaminoJethyl}phenoxy)-2-({(2S,4R)-l-[(tert-butyl)oxycarbonylJ-4-
(7-methoxy-2-phenyl(4-quinolyloxy))pyrrolidin-2-yl}carbonylamino)pentanoate
[00118] To phenylmethyl (2R)-5-(3- {(2S)-2-[(3,3-dimethyl-3-silabutyl)oxycarbonyl]-2- [(phenylmethoxy)carbonylamino]ethyl}phenoxy)-2-({(2S,4R)-l-[(tert-butyl)oxycarbonyl]-4- (7-methoxy-2-phenyl(4-quinolyloxy))pyrrolidin-2-yl} carbonylamino)pentanoate (598 mg, 0.56 mmol) in tetrahydrofuran (5 mL) was added tetrabutylammonium fluoride (1.0 M in THF, 0.84 mL, 0.84 mmol). After standing for 16 hours, the solution was added to ethyl acetate (200 mL) and was washed with 1 N HCl (2 x 50 mL), with NaCl(sat.) (50 mL), dried over MgSO4, filtered, and concentrated to yield the deprotected acid (556 mg). To this crude material in dimethylformamide (4 mL), was added pyridine (0.07 mL, 0.9 mmol) and pentafluorophenyltrifluoroacetate (0.16 mL, 0.9 mmol). After stirring for fourteen hours, pentafluorophenyltrifluoroacetate (0.06 mL, 0.35 mmol) was added, and the solution was stirred for two more hours. Ethyl acetate (200 mL) was added, and the solution was washed with H2O (2 x 50 mL), with NaCl(sat.) (50 mL), dried over MgSO4, filtered, concentrated and purified by silica chromatography (0-10-20-40% ethyl acetate/hexanes) to yield phenyhnethyl (2R)-5-(3-{(2S)-2-[(2,334,5,6-ρentafluorophenyl)oxycarbonyl]-2- [(phenylmethoxy)carbonylamino] ethyl}phenoxy)-2-( {(2S ,4R)- 1 -[(tert-butyl)oxycarbonyl]-4- (7-methoxy-2-phenyl(4-quinolyloxy))pyrrolidm-2-yl} carbonylamino)pentanoate (624 mg, 95%).
Analytical: MH+(1133.3)
Phenylmethyl (3S,9S, 7R, 12R)-5, ll-diaza-7-(7-methoxy-2-phenyl(4-quinolyl)oxy)-16-oxa-
4,10-dioxo-3-[(phenylmethoxy)carbonylamino]tficyclo[15.3.1.0<5,9>]henicosa-
1 (20), 17(21), 18-triene-12-carboxylate
[00119] To phenylmethyl (2R)-5-(3- {(2S)-2-[(2,3,4,5,6-pentafluorophenyl)oxycarbonyl]- 2-[(phenylmethoxy)carbonylamino] ethyl} phenoxy)-2-( {(2S,4R)- 1 -[(tert-butyl)oxycarbonyl] - 4-(7-methoxy-2-phenyl(4-quinolyloxy))pyrrolidin-2-yl} carbonylamino)pentanoate (624 mg, 0.55 mmol) in dichloromethane was added trifluoroacetic acid (2 mL). After standing for two hours, the volatiles were removed in vacuo, yielding the trifluoroacetate amine salt. The amine salt was dissolved in tetrahydrofuran (9 mL) and was added via syringe pump addition over 25 hours to a dry solution of diisopropylethyl amine (0.96 mL, 5.52 mmol) in tetrahydrofuran (950 mL). Once the addition was complete, the solution stirred for seven additional days after which time the volatiles were removed in vacuo. The crude material was dissolved in dichloromethane (350 mL) and was washed with Na2CO3(sat.) (100 mL), with NaCl (Sat.) (100 mL), dried over MgSO4, filtered, concentrated and purified by silica chromatography (40-50-60% ethyl acetate/hexanes) to yield phenylmethyl (3S,9S,7R,12R)- 5,ll-diaza-7-(7-methoxy-2-phenyl(4-quinolyl)oxy)-16-oxa-4,10-dioxo-3-
US2005/035853
[(ρhenylmethoxy)carbonylamino]tricyclo[15.3.1.0<5,9>]henicosa-l(20),17(21),18-triene-12- carboxylate (197 mg, 33%). Analytical: MH+(849.2)
(3S.9S.7R, 12R)-5 ,1 l-Diaza-3-[(tert-butoxy)carbonylamino] -7-(7-methoxy-2-phenyl(4- quinolyl) oxy)-l 6-oxa-4, 10-dioxotricyclo[15.3.1.0<5, 9>]henicosa-l (20), 17(21), 18-triene-12- carboxylic acid (EX. 4)
[00120] To phenylmethyl (3S,9S,7R,12R)-5,1 l-diaza-7-(7-methoxy-2-phenyl(4- quinolyl)oxy)- 16-oxa-4, 10-dioxo-3 - [(phenylmethoxy)carbonylamino]tricyclo [ 15.3.1.0<5 ,9>] henicosa-l(20),17(21),18-triene-12-carboxylate (162 mg, 0.19 mmol) and Boc2O (83 mg, 0.38 mmol) in ethyl acetate (20 mL) and ethanol (10 mL), was added 10% palladium on carbon (100 mg, 0.10 mmol). The solution was stirred under a balloon atmosphere of hydrogen for 20 hours, after which time it was filtered through a pad of celite, purified by silica gel chromatography (0-5-10% MeOH/CH2Cl2 with 0.1 % acetic acid), and lyophilized from acetonitrile/water to yield the acetate salt of (3S,9S,7R,12R)-5,1 l-diaza-3-[(tert- butoxy)carbonylamino]-7-(7-methoxy-2-phenyl(4-quinolyl)oxy)-16-oxa-4,10- dioxotricyclo[15.3.1.0<5,9>]henicosa-l(20),17(21),18-triene-12-carboxylic acid 5,11-diaza- 3 -[(tert-butoxy)carbonylamino] -7-(7-methoxy-2-phenyl(4-quinolyl)oxy)- 16-oxa-4, 10- dioxotricyclo[15.3.1.0<5,9>]henicosa-l(20),17(21),18-triene-12-carboxylic acid (127 mg, 85%) as a white solid.
035853
Analytical: MH+(725.2)
Synthesis of phenylmethyl (3S,9S,7R,12R)-5,1 l-diaza-7-(7-methoxy-2-phenyl(4- quinolyl)oxy)-15-oxa-4,10-dioxo-3-
[(phenylmethoxy)carbonylammoltricyclo[14.3.1.0<5,9>]icosa-U19),16(20),17-triene-12- carboxylate And (3S,9S,7R,12R)-5,1 l-diaza-3-|"(tert-butoxy)carbonylamino]-7-(7-methoxy- 2-phenyl(4-quinolyl)oxyV15-oxa-4a0-dioxotricyclori4.3.1.0<5,9>1icosa-U19)J6(20)q7- triene-12-carboxylic acid (EX. 5)
Phenylmethyl (2R)-4-(3-{(2S)~2-[(3, 3-dinιethyl-3-silabutyl)oxycarbonyl] -2~ [(phe7iylmethoxy)carbonylamino]ethyl}phenoxy)-2-[(tert-bιιtoxy)carbonylamino]butanoate
[00121] To a solution of 3,3-dimethyl-3-silabutyl (2S)~3-(3-hydroxyphenyi)-2- [(phenylmethoxy)carbonylamino]propanoate (2.0 g, 4.8 mmol), phenylmethyl (2R)-2-[(tert- butoxy)carbonylamino]-4-hydroxybutanoate (2.98 g, 9.6 mmol) and triphenylphosphine (1.9 g, 7.2 mmol) in toluene (11 mL) at 00C under an Ar atmosphere, was added diisopropylazodicarboxylate (1.5 mL, 7.2 mmol) dropwise. The solution was allowed to warm to room temperature slowly as it stirred for 18 hours. The solvent was removed in vacuo, and the crude material was purified directly by silica gel chromatography (10-15-20% ethyl acetate/hexanes) to yield phenylmethyl (2R)-4-(3-{(2S)-2-[(3,3-dimethyl-3- silabutyl)oxycarbonyl]-2-[(phenyhnethoxy)carbonylamino]ethyl}phenoxy)-2-[(tert- butoxy)carbonylamino]butanoate (1.79 g, 52%). Analytical: MNa+(730.3)
Phenylmethyl (2R)-4-(3-{(2S)-2-[(3,3-dimethyl-3-silabntyl)oxycarbonyl]-2- f(pheτιylmethoxy)carbonylamino]ethyl}phenoxy)-2--({(2S,4R)--l-[(tert-butyl)oxycarbonylJ-4-
(7-met}ιoxy-2-phenyl(4-quinolyloxy))pyrrolidin-2-yl}carbonylamino)butanoate
[00122] To phenylmethyl (2R)-4-(3- {(2S)-2-[(3,3-dimethyl-3-silabutyl)oxycarbonyl]-2- [(phenylmethoxy)carbonylammo]ethyl}phenoxy)-2-[(tert-butoxy)carbonylammo]butanoate (0.9 g, 1.27 mmol), was added 4 M HCl in dioxane (3 mL, 12 mmol). After standing for 3 hours, the volatiles were removed in vacuo. To the HCl salt in dichloromethane (20 mL), was added (2S,4R)-l-[(tert-butyl)oxycarbonyl]-4-(7-methoxy-2-phenyl(4- quinolyloxy))pyrrolidine-2-carboxylic acid (589 mg, 1.27 mmol), hydroxyazabenzotriazole (345 mg, 2.54 mmol) and triethylamine (0.35 mL, 2.54 mmol). The solution was cooled in a 00C bath and l-(2-dimethylaminopropyl)-3-ethylcarbodiimide hydrochloride (487 mg, 2.54 mmol) was added. The solution was stirred at O0C for 30 minutes and than at room temperature for 3 hours after which time the volatiles were removed in vacuo. To the crude material was added ethyl acetate (350 mL), and the solution was washed with water (3 x 100 mL), with NaCl(Sat.) (100 mL), dried over MgSO4, filtered, concentrated and purified by silica chromatography (30-35-40% ethyl acetate/hexanes) to yield phenylmethyl (2R)-4-(3-{(2S)-2- [(3,3-dimethyl-3-silabutyl)oxycarbonyl]-2-[(phenyhnethoxy)carbonylamino]ethyl}phenoxy)-
2-({(2S,4R)-l-[(tert-butyl)oxycarbonyl]-4-(7-methoxy-2-phenyl(4-quinolyloxy))pyrrolidin-2- yl}carbonylamino)butanoate (676 mg, 50%). Analytical: MH+(1053.4)
Phenylmethyl (2R)-4-(3-{(2S)-2-[(2,3,4,5,6-pentafluorophenyl)oxycarbonyl]-2-
[(phenylmethoxy)carbonylamino]ethyl}phenoxy)-2-({(2S,4R)-l-[(tert-bιιtyl)oxycarbonyl]-4-
(7-methoxy-2-phenyl(4-quinolyloxy))pyrrolidin-2-yl}carbonylamino)butanoate
[00123] To phenylmethyl (2R)-4-(3- {(2S)-2-[(3,3-dimethyl-3-silabutyl)oxycarbonyl]-2- [(phenyhτiethoxy)carbonylamino]ethyl}phenoxy)-2-({(2S,4R)-l-[(tert-butyl)oxycarbonyl]-4- (7-methoxy-2-phenyl(4-quinolyloxy))pyrrolidin-2-yl} carbonylarnino)butanoate (0.68 g, 0.64 mmol) in tetrahydrofuran (6 niL) was added tetrabutylammonium fluoride (1.0M in THF, 0.96 niL, 0.96 mmol). After standing for 20 hours, the solution was added to ethyl acetate (200 mL) and was washed with 1 N HCl (2 x 40 mL), with NaCl(sat.) (40 mL), dried over MgSO4, filtered, and concentrated to yield the deprotected acid (775 mg). To this crude material in dimethylformarnide (4 mL), was added pyridine (0.1 mL, 1.3 mmol) and pentafluorophenyltrifluoroacetate (0.22 mL, 1.3 mmol). After stirring for two hours, ethyl acetate (200 mL) was added, and the solution was washed with H2O (2 x 50 mL), with
NaCl(Sat.) (50 mL), dried over MgSO4, filtered, concentrated and purified by silica
85
chromatography (0-10-20-40-60% ethyl acetate/hexanes) to yield phenylmethyl (2R)-4-(3-
{(2S)-2-[(2,3,4,5,6-pentafluoroρhenyl)oxycarbonyl]-2-
[(phenyhnethoxy)carbonylamino]ethyl}phenoxy)-2-({(2S,4R)-l-[(tert-butyl)oxycarbonyl]-4-
(7-methoxy-2-phenyl(4-quinolyloxy))pyrrolidin-2-yl}carbonylamino)butanoate (494 mg,
81%).
Analytical: MH+(1119.3)
Phenylmethyl (3S,9S, 7R, 12R)-5 ,1 l-diaza-7-(7-meihoxy-2-phenyl(4-quinolyl)oxy)-l 5-oxa- 4, 10-dioxo~3-[(phenyhnethoxy)carbonylamino] tricyclo [14.3.1.0<5,9>] icosa- 1(19), 16(20), 17-triene-12-carboxylate
[00124] To phenylmethyl (2R)-4-(3- {(2S)-2-[(2,3,4,5,6-pentafluorophenyl)oxycarbonyl]- 2-[(phenylmethoxy)carbonylamino]ethyl}phenoxy)-2-({(2S,4R)-l-[(tert-butyl)oxycarbonyl]- 4-(7-methoxy-2-phenyl(4-quinolyloxy))pyrrolidin-2-yl} carbonylamino)butanoate (621 mg, 0.44 mmol) in dichloromethane (6 mL), was added trifhioroacetic acid (2 mL). After standing for five hours, the volatiles were removed in vacuo, yielding the trifluoroacetate amine salt. The amine salt was dissolved in tetrahydrofuran (9 mL), and the resulting mixture was added via syringe pump addition over 40 hours to a dry solution of diisopropylethyl amine (0.77 mL, 4.4 mmol) in tetrahydrofuran (950 mL). Once
the addition was complete, the solution was stirred 5 additional days at room temperature and then for an additional 5 days at 65°C after which time the volatiles were removed in vacuo. The crude material was dissolved in dichloromethane (200 mL), and the resulting mixture was washed with Na2CO3(sat.) (500 mL). The aqueous layer was extracted with dichloromethane (50 mL), and the combined organics were dried over MgSO4, filtered, concentrated and purified by silica chromatography (30-40-50% ethyl acetate/hexanes) to yield phenylmethyl (3S,9S,7R,12R)-5,1 l-diaza-7-(7-methoxy-2-phenyl(4-quinolyl)oxy)-15- oxa-4,10-dioxo-3-[(phenylmethoxy)carbonylamino]tricyclo[14.3.1.0<5,9>]icosa- l(19),16(20),17-triene-12-carboxylate (68 mg, 15%). Analytical: Mtt(835.2)
(3S,9S, 7R,12R)-5,ll-Diaza-3-[(tert-butoxy)carbonylamino]-7-(7-methoxy-2-phenyl(4- quinolyl)oxy)-15-oxa-4, 10-dioxotricyclo[14.3.1.0<5, 9>]icosa-l (19), 16(20), 17-triene-12- carboxylic acid (EX. 5)
[00125] To phenylmethyl (3S,9S,7R,12R)-5,1 l-diaza-7-(7-methoxy-2-phenyl(4- quinolyl)oxy)- 15-oxa-4, 10-dioxo-3 -
[(phenyhnethoxy)carbonylamino]tricyclo[14.3.1.0<5,9>]icosa-l(19),16(20),17-triene-12- carboxylate (68 mg, 0.08 rnmol) and BoC2O (36 mg, 0.16 mmol) in ethyl acetate
(10 nxL) and ethanol (5 mL), was added 10% palladium on carbon (43 mg, 0.04 mmol). The solution was stirred under a balloon atmosphere of hydrogen for 24 hours, after which time it was filtered through a pad of celite, concentrated, purified by silica gel chromatography (0-5- 10% MeOH/CH2Cl2 with 0.1 % acetic acid) and lyophilized from acetonitrile/water to yield the acetate salt of (3S,9S,7R,12R)-5,ll-diaza-3-[(tert-butoxy)carbonylamino]-7-(7-methoxy- 2-phenyl(4-quinolyl)oxy)-15-oxa-4,10-dioxotricyclo[14.3.1.0<5,9>]icosa-l(19),16(20),17- triene-12-carboxylic acid (46 mg, 73%) as a white solid. Analytical: MH+(711.2)
[00126] Several of these compounds were subjected to deprotection schemes to produce free amine and HCl salt adducts of the compound. Again, the following illustrations are by way of example and not limitation.
Deprotection of Boc group to free amine
EX. 5
EX. 3
Reagent MW EQ g/mL mmol
EX. 5 710.8 1.0 20 mg 0.028 or
EX. 3 724.8 1.0 70 mg 0.097 HCl/Dioxane (4M) 36 Excess 2 Or 5 mL excess
[00127] EX. 5 (20 mg, 0.028 mmol) was dissolved in HCl/Dioxane (4 M) (2 mL). Alternatively, EX. 3 (70 mg, 0.097 mmol) was dissolved in HCl/Dioxane (4 M) (5 mL). The solutions were stirred at room temperature for 2 hours. The reactions were concentrated in vacuo, dissolved in water/CH3CN (10 mL), and lyophilized to dryness giving near quantitative yields of product as the HCl salt. 20 mg of the EX. 5 adduct in -85% purity and 69 mg of the EX. 3 adduct in 99% purity were obtained.
EXAMPLES 6-16: Additional Compounds Where n = 3, with R14 Capping Groups:
035853
Synthesis of 2-(7-Methoxγ-2-phenyl-quinolin-4-yloxy)-9-methyl-7-methylene-S-(4-methyl- pentanoylaminoy4J6-dioxo-l,2,3A5,6,7,l 1,12,13,14,15.16 J6a-tetradecahydro-10-oxa- 3a,15-diaza-cyclopentacvclopentadecene-14-carboxylic acid (Ex. 6)
Amine Ex. 6
TABLE l
Reagent MW EQ g/mL mmol
Amine 624.7 1.0 6 mg 0.0096
4-Methyl-pentanoic acid 116 2.5 3 mg 0.026
HATU 380 1.8 6.5 mg 0.017
Hϋnig's Base 129 5.0 8.5 uL 0.042
NMP 35O uL
Typical Procedure using an acid coupling to make an amide
[00128] A solution 4-methyl-ρentanoic acid (3 mg, 0.026 mmol), NMP (350 uL), HATU (6.5 mg, 0.017 mmol) and Hϋnig's base (8.5 uL, 0.042 mmol) was made in a 2 mL capped vial. After shaking for 25-30 minutes at room temperature, the solution was added to a second vial containing the amine (6 mg, 0.0096 mmol). After 4 hours of shaking at room temperature, the reaction was complete by HPLC and LCMS. Reactions can be shaken overnight to reach completion, if needed. Upon reaching completion, the entire reaction was filtered and injected onto a prep. HPLC reverse phase column. The proper fractions were collected and lyophilized to provide a powder giving 3-4 mg of product in high purity.
Synthesis of 2-(7-Methoxy-2 -phenyl-quinolin-4-yloxy)-9-methyl-7-methylene-5-('4-methyl- pentanoylammo)-4,16-dioxo-l,2,3,4,5,6,7,l l,12,13,14,15,16,16a-tetradecahydro-10-oxa- 3a,15-diaza-cyclopentacyclopentadecene-14-carboxylic acid (Ex. 15)
Amine Ex. 15
TABLE 2
Reagent MW EQ g/mL mmol
Amine 624.7 1.0 10 mg
0.016
53
3, 3 -Dimethyl-butyryl chloride 134 2.0 4.2 mg
0.032 Hunig's Base 129 5.0 14 uL
0.08 DCM I mL
Typical Procedure using acid chlorides to make amides
[00129] 3,3-Dimethyl-butyryl chloride (4.2 mg, 0.032 mmol) was added to a solution of amine (10 mg, 0.016 mmol) and Hunig's base (14 uL, 0.08 mmol) in dichloromethane (1 mL) at room temperature in a capped 2 mL vial. The reaction was monitored by HPLC and LCMS. After shaking overnight at room temperature, the solution was evaporated to dryness and dissolved in NMP (300 uL). The entire reaction was filtered and injected onto a prep. HPLC reverse phase column. The proper fractions were collected and lyophilized to provide 3-4 mg of product as a powder in high purity.
Synthesis of 2-(7-Methoxy-2 -phenyl-quinolin-4-yloxy)-9-methyl-7-methylene-5-(4-methyl- pentanoylammo)-4,16-dioxo-l,2,3A5,6,7,l 1,12,13, 14,15,16 ,16a-tetradecahydro-10-oxa- 3a,15-diaza-cyclopentacvclopentadecene-14-carboxylic acid (Ex. 16)
Amine Ex. 16
TABLE 3
Reagent MW EQ g/mL mmol
Amine 624.7 1.0 6 mg 0.0096
Cyclopentyloxycarbonylsuccinimide 227 1.0 2.4 mg 0.0096 TEA 101 4.0 6 uL 0.04
THF 40O uL
Typical Procedure using succinimides to make carbamates
[00130] A solution of N-(cyclopentyloxycarbonyloxy)succinimide (2.4 mg, 0.0096 mmol) in THF (400 uL) was added to an amine (6 mg, 0.0096 mmol) followed by addition of TEA (6 uL, 0.04 mmol) at room temperature. The reaction was monitored by HPLC and LCMS. After shaking for 3-4 hours at room temperature, the solution was evaporated to dryness and dissolved in NMP (300 uL). The entire reaction was filtered and injected onto a prepatory HPLC reverse phase column. The proper fractions were collected and lyophilized to provide 3-4 mg of product as a powder in high purity.
EXAMPLES 17-19: Additional Compounds where n = 2, with R17 Capping Groups
[00131] Compounds where n = 2, with the following P3 capping groups were also made via Scheme I:
EXAMPLES 20-21: Acyl Sulfonamides
[00132] The following compounds having Acyl Sulfonamides were also made, where n = 3:
Ex. 20 Ex. 21
Synthesis of {(9S,3RJR)-5,1 l-diaza-3-r(tert-butoxy)carbonylaminol-7-(7-methoxy-2- phenvl(4-quinolvl)oxv)- 16-oxa-4, 10-dioxotricvclo [15.3.1.0<5 ,9>lhenicosa- 1 (20), 17(21), 18- trien-12-yl}-N-(cvclopropylsulfonyl)carboxamide (Ex. 20)
DBU ^
[00133] To a solution of (9S,3R,7R)-5,1 l-diaza-3-[(tert-butoxy)carbonylamino]-7-(7- methoxy-2-phenyl(4-quinolyl)oxy)-16-oxa-4,10-dioxotricyclo[15.3.1.0<5,9>]henicosa- l(20),17(21),18-triene-12-carboxylic acid (6.5 mg, 0.009 mmol) in THF was added CDI (5.2 mg, 0.032 mmol). The reaction was stirred at room temperature for 10 minutes then at 73 0C for 30 minutes. The reaction was cooled to room temperature, and cyclopropanesulfonamide (3 mg, 0.025 mmol) was added followed by DBU (5 uL, 0.03 mmol). The reaction
was stirred overnight at room temperature. The solvent was removed followed by purification on a prepatory LC to yield the title product (2.5 mg, 30 % yield). The product may also be known as 2-(7-methoxy-2-phenyl-quinolin-4-yloxy)-9-methyl-7-methylene-5- (4-methyl-pentanoylamino)-4, 16-dioxo-l ,2,3,4,5,6,7,11 ,12, 13,14,15, 16,16a-tetradecahydro- 10-oxa-3a,15-diaza-cyclopentacyclopentadecene-14-carboxylic acid.
EXAMPLE 22: Open Proline Ring Compounds
[00134] Compounds having the open proline structure of Formulas III and Ilia were made according to Scheme 2 detailed further below.
EX. 22
Synthesis of phenylmethyl (4SJS,10SV5.8-diaza-7-r2-f7-methoxy-2-ρhenyl(4- quinoryloxy))ethyl] -8-methyl-2-oxa-6,9-dioxo- 10-
[(phenyhnethoxy)carbonylamino"lbicyclo[ 10.3.1 ]hexadeca- 1 (16), 12, 14-triene-4-carboxylate And r4SJSJ0SV5,8-diaza-10-rrtert-butoxy^carbonylaminol-7-r2-(7-methoxy-2-phenyl(4- quinolyloxy))ethyll-8-methyl-2-oxa-6,9-dioxobicyclo[10.3.11hexadeca-U16),12,14-triene-4- carboxylic acid TEX. 22)
Phenylmethyl (2S)-2-amino-4-(7-methoxy-2-phenyl(4-quinolyloxy))butanoate
[00135] To a heterogeneous solution of benzyl (2S)-2-[(tert~butoxy)carbonylamino]-4- hydroxybutanoate (12.8 g, 41.4 mmol), 7-methoxy-2-phenylquinolin-4-ol (5.2 g, 20.7 mmol), and triphenylphosphine (10.85 g, 41.4 mmol) in tetrahydrofuran (400 mL) was added diisopropylazodicarboxylate (8.16 mL, 41.4 mmol) dropwise under Argen. After stirring for one hour, silica gel (100 g) was added and the solvent was removed. The crude material on silica was purified directly by column chromatography (15-20% ethyl acetate/hexanes) to yield 14.3 g of the ether product, partially contaminated by reduced diisopropylazodicarboxylate. To this material was added diethyl ether (300 mL) and 4 M HCl in dioxane (40 mL, 160 mmol). After stirring for 5 days, the solid was collected by filtration and rinsed with diethyl ether. The rinsed solid was then dried in vacuo, yielding phenylmethyl (2S)-2-amino-4-(7-methoxy-2-phenyl(4-quinolyloxy))butanoate (6.0 g, 61%) as the hydrochloride salt. Analytical: MH+(443)
Phenylmethyl (2S)-2-[(tert-butoxy)-N-methylcarbonylamino]-4-(7-methoxy-2-phenyl(4- quinolyl)oxy)butanoate
[00136] To a heterogenous solution of phenylmethyl (2S)-2-amino-4-(7-methoxy-2- phenyl(4-quinolyloxy))butanoate (6.0 g, 12.55 mmol) and 2-nitrosulfonylchloride (2.78 g, 12.55 mmol) in dichloromethane (130 mL) under Argon at 0°C was added diisopropylethylamine (5.23 mL, 37.7 mmol) dropwise. The solution became homogeneous, and was stirred for 16 hours as it warmed to room temperature. The volatiles were removed in vacuo, and ethyl acetate (600 mL) was added. The solution was washed with NaHCθ3(Sat > (2 x 150 mL), with NaCl(sat ; (100 mL), dried over MgSO4, filtered, concentrated and purified by silica chromatography (40-50% ethyl acetate/hexanes) to yield the sulfonamide (6.69 g, 10.6 mmol). This material was added to potassium carbonate (2.93 g, 21.18 mmol) and dimethylformamide (20 mL). To this slurry was added methyl iodide (0.79 mL, 12.7 mmol), and the solution was stirred for 4.5 hours. The reaction mixture was added to ethyl acetate (800 mL), and the resulting mixture was then washed with water (3 x 100 mL), withNaCl(sat) (100 mL), dried over MgSO4, filtered and concentrated to yield the crude N-methyl sulfonamide (6.65 g, 10.37 mmol). To the crude N-methyl sulfonamide in dimethyl formamide (20 mL), was added potassium carbonate (4.30 g, 31.12 mmol) and than thiophenol (1.28 mL, 12.45 mmol). The solution was stirred for three hours, poured into ethyl acetate (800 mL), and the resulting mixture was washed with water (100 mL), with NaHCO3(SSt ) (100 mL), with NaCl(Sat ) (100 mL), dried over MgSO4, filtered and concentrated to yield the crude N-methyl amine. To this material in dichloromethane (200 mL), was added Boc2O (4.53 g, 20.74 mmol) and triethylamine (2.87 mL, 20.74 mmol). The solution was stirred for 15 hours, after which time silica gel was added. After concentrating, the crude material was purified by silica gel chromatography (20-25% ethyl acetate/hexanes) to yield phenylmethyl (2S)-2-[(tert-butoxy)-N-methylcarbonylamino]-4-(7-methoxy-2-phenyl(4- quinolyl)oxy)butanoate (4.83 g, 69%). Analytical: MH+(557.3)
(2S)~2-[(tert-Butoxy)-N-methylcarbonylamino]-4-(7-methoxy-2-phenyl(4- quinolyl)oxy)butanoic acid
[00137] To phenylmethyl (2S)-2-[(tert-butoxy)-N-methylcarbonylamino]-4-(7-methoxy-2- phenyl(4-quinolyl)oxy)butanoate (4.8 g, 8.63 mmol) in ethanol (86 mL), was added 10% palladium on carbon (1.84 g, 1.73 mmol). This solution was stirred under a balloon atmosphere of hydrogen for 18 hours, after which time it was filtered through a pad of celite, and then concentrated to yield (2S)-2-[(tert-butoxy)-N-methylcarbonylamino]-4-(7-methoxy- 2-phenyl(4-quinolyl)oxy)butanoic acid (4.03 g, 100%). Analytical: MH+(467.2)
Phenylmethyl (2S)-2-{(2S)-2-[(tert-butoxy)-N-methylcarbonylamino]-4-(7-methoxy-2- phenyl(4-quinofyl)oxy)butanoylamino}-3-(3-{(2S)-2-[(3,3-dimethyl-3-silabutyl)oxycarbonylJ-
2-[(phenylmethoxy)carbonylamino]ethyl}phenoxy)propanoate
[00138] To phenylmethyl (2S)-3-(3- {(2S)-2-[(3,3-dimethyl-3-silabutyl)oxycaxbonyl]-2- [(phenylmethoxy)carbonylamino]ethyl}phenoxy)-2-[(1iiphenylmethyl)ammo]propanoate (1.20 g, 1.44 mmol) in dichloromethane (10 mL), was added triethylsilane (0.5 mL, 3.1 mmol), H2O (0.1 mL) and trifluoroacetic acid (0.2 mL). After stirring for 4 hours, ethyl acetate (100 mL) was added, and the solution was washed with Na2CO3(sat.) (2 x 50 mL), with NaCl(Sat.) (500 mL), dried over MgSO4, filtered and concentrated to yield the crude amine. To a solution of the crude amine, (2S)-2-[(tert-butoxy)-N-methylcarbonylamino]-4-(7-methoxy- 2-phenyl(4-quinolyl)oxy)butanoic acid (0.67 g, 1.44 mmol) and hydroxyazabenzotriazole (0.39 g, 2.88 mmol) in dichloromethane (20 mL) at O0C, was added l-(2- dimethylaminopropyl)-3-ethylcarbodiimide hydrochloride (0.55 g, 2.88 mmol). The solution warmed to room temperature as it stirred for 14 hours. The reaction was added to ethyl acetate (200 mL), and the resulting mixture was washed with H2O (3 x 80 mL), with NaCl(sat.) (80 mL), dried over MgSO4, filtered, concentrated and purified by silica chromatography (4% ethyl acetate/hexanes) to yield phenylmethyl (2S)-2-{(2S)-2-[(tert-butoxy)-N- methylcarbonylamino]-4-(7-methoxy-2-phenyl(4-quinolyl)oxy)butanoylamino}-3-(3-{(2S)- 2-[(3,3-dimethyl-3-silabutyi)oxycarbonyl]-2-
[(phenyhnethoxy)carbonylamino]ethyl}phenoxy)propanoate (1.3 g, 87%). Analytical: MH+(1041.3)
Phenylmethyl (2S)-2-{(2S)-2-[(tert-butoxy)-N-methylcarbonylamino]-4-(7-methoxy-2- phenyl(4-quinolyl)oxy)butanoylamino}-3-(3-{(2S)-2-[(2,3,4,5,6- pentqfluorophenyl)oxycarbonylj~2- [(phenylmethoxy)carbonylamino]ethyl}phenoxy)propanoate
[00139] To phenylmethyl (2S)-2- {(2S)-2-[(tert-butoxy)-N-methylcarbonylamino]-4-(7- methoxy-2-phenyl(4-quinolyl)oxy)butanoylamino}-3-(3-{(2S)-2-[(3,3-dimethyl-3- silabutyl)oxycarbonyl]-2-[(phenylmethoxy)carbonylamino]ethyl}phenoxy)propanoate (1.3 g, 1.25 mmol) in tetrahydrofuran (13 mL), was added tetrabutylammonium fluoride( 1.0 M in THF, 1.37 mL, 1.37 mmol). After standing for 2 hours', more tetrabutylammonium fluoride (1.0 M in THF, 0.25 mL, 0.25 mmol) was added. After stirring for an additional hour, the solution was added to ethyl acetate (225 mL) and was washed with 1 N HCl (2 x 40 mL), with NaCl(sat) (40 mL), dried over MgSO4, filtered, and concentrated to yield the deprotected acid (0.69 g, 0.73 mmol). To this crude material in dimethylformamide (3 mL), was added pyridine (0.07 mL, 0.8 mmol) and pentafluorophenyltrifluoroacetate (0.16 mL, 0.92 mmol). After stirring for two hours, ethyl acetate (75 mL) was added, and the solution was washed with H2O (2 x 25 mL), with NaCl(sat.) (25 mL), dried over MgSO4, filtered, concentrated and purified by silica chromatography (0-10-20-40% ethyl acetate/hexanes) to yield phenylmethyl (2S)-2-{(2S)-2-[(tert-butoxy)-N-methylcarbonylamino]-4-(7-methoxy-2- phenyl(4-quinolyl)oxy)butanoylamino}-3-(3-{(2S)-2-[(2,3,4,5,6- pentafluorophenyl)oxycarbonyi]-2-
[(phenylmethoxy)carbonylamino]ethyl}phenoxy)propanoate (0.6 g, 75%). Analytical: MH+(1107.3)
Phenylmethyl (4S, 7S, 1 OS)S, 8-diaza- 7-[2-(7-methoxy-2-phenyl(4-quinolyloxy))ethyl]-8- methyl-2-oxa-6,9-dioxo-10-[(phenylmethoxy)carbonylamino]bicyclo[10.3.1]hexadeca- 1 (16),12,14-triene-4-carboxylate
[00140] To phenylmethyl (2S)-2- {(2S)-2-[(tert-butoxy)-N-methylcaxbonylamino]-4-(7- methoxy-2-phenyl(4-quinolyl)oxy)butanoylamino}-3-(3-{(2S)-2-[(2:,3,4,5,6- pentafluorophenyl)oxycarbonyi]-2-
[(phenylmethoxy)carbonylamino]ethyl}phenoxy)propanoate (0.60 g, 0.55 mmol) in dichloromethane (3 mL), was added trifluoroacetic acid (2 mL). After standing for one hour, the volatiles were removed in vacuo, yielding the trifluoroacetate amine salt. The amine salt was dissolved in tetrahydrofuran (6 mL), and the resulting mixture was added via syringe pump addition over 10 hours to a dry solution of diisopropylethyl amine (0.39 mL, 4.0 mmol) in tetrahydrofuran (500 mL). Once the addition was complete, the solution was stirred 50 additional days at room temperature at which time the volatiles were removed in vacuo. The crude material was dissolved in ethyl acetate (200 mL), and the resulting mixture was washed with Na2CO3(sat.) (50 mL), with NaCl(sat.) (25 mL), dried over MgSO4, filtered, concentrated and purified by silica chromatography (40-50-60% ethyl acetate/hexanes) to yield phenylmethyl (4S,7S,10S)-5,8-diaza-7-[2-(7-methoxy-2-phenyl(4-quinolyloxy))ethyl]-8- methyl-2-oxa-6,9-dioxo-10-[(phenylmethoxy)carbonylamino]bicyclo[l 0.3. ljhexadeca- l(16),12,14-triene-4-carboxylate (35 mg, 15%). Analytical: Mif(S23.2)
(4S, 7 S, 1 OS)S, 8-Diaza-l 0-[(tert-butoxy) carbonylamino]-7-[2-(7-rnethoxy-2-phenyl(4-
quinolyloxy))ethyl]-8-methyl-2-oxa-6,9-dioxobicyclo[10.3.1]hexadeca-l(16),12,14-triene-4- carboxylic acid (EX. 22)
[00141] To phenylmethyl (4S,7S,10S)-5,8-diaza-7-[2-(7-methoxy-2-phenyl(4- quinolyloxy))ethyl]-8-methyl-2-oxa-6,9-dioxo-10-[(phenylmethoxy)carbonylamino]bicyclo [10.3.1]hexadeca-l(16),12,14-triene-4-carboxylate (35 mg, 0.04 mmol) and Boc2O (19 mg, 0.09 mmol) in ethyl acetate (10 mL) and ethanol (5 mL), was added 10% palladium on carbon (22 mg, 0.02 mmol). The solution was stirred under a balloon atmosphere of hydrogen for 24 hours, after which time it was filtered through a pad of celite, concentrated, purified by silica gel chromatography (0-5-10% MeOH/CH2Cl2 with 0.1 % acetic acid) and lyophilized from acetonitrile/water to yield the acetate salt of (4S,7S,10S)-5,8-diaza-10-[(tert- butoxy)carbonylamino]-7-[2-(7-methoxy-2-phenyl(4-quinolyloxy))ethyl]-8-methyl-2-oxa- 6,9-dioxobicyclo[10.3.1]hexadeca-l(16),12,14-triene-4-carboxylic acid (20 mg, 62%) as a white solid. Analytical: MH+(699.2)
[00142] Compounds of the invention can be conveniently be assayed for HCV inhibitory activity by any method known in the art, as shown in, for example Handbook of Proteolytic Enzymes, Academic Press 1998, Barrett et al., eds., pp272-277 which is herein incorporated by reference in its entirety and for all purposes as if fully set forth herein.
[00143] As those skilled in the art will appreciate, numerous changes and modifications may be made to the preferred embodiments of the invention without departing from the spirit of the invention. It is intended that all such variations fall within the scope of the invention.
[00144] It is intended that each of the patents, applications, and printed publications including books mentioned in this patent document be hereby incorporated by reference in their entirety.
EXAMPLE 23: Quantification of HCV Replicon RNA in Cell Lines (HCV Cell Based Assay)
[00145] Cell lines, including Huh-11-7 or Huh 9-13, harboring HCV replicons (Lohmann, et al Science 285:110-113, 1999) are seeded at 5 x 103 cells/well in 96 well plates and fed media containing DMEM (high glucose), 10% fetal calf serum, penicillin-streptomycin and non-essential amino acids. Cells are incubated in a 5% CO2 incubator at 37 °C. At the end of the incubation period, total RNA is extracted and purified from cells using Qiagen RNeasy 96 Kit (Catalog No. 74182). To amplify the HCV RNA so that sufficient material can be detected by an HCV specific probe (below), primers specific for HCV (below) mediate both the reverse transcription (RT) of the HCV RNA and the amplification of the cDNA by polymerase chain reaction (PCR) using the TaqMan One-Step RT-PCR Master Mix Kit (Applied Biosystems catalog no. 4309169). The nucleotide sequences of the RT-PCR primers, which are located in the NS5B region of the HCV genome, are the following:
HCV Forward primer "RBNS5bfor": 5 ' GCTGCGGCCTGTCGAGCT
HCV Reverse primer "RBNS5Brev": 5'CAAGGTCGTCTCCGCATAC
[00146] Detection of the RT-PCR product was accomplished using the Applied Biosystems (ABI) Prism 7700 Sequence Detection System (SDS) that detects the fluorescence that is emitted when the probe, which is labeled with a fluorescence reporter dye and a quencher dye, is processed during the PCR reaction. The increase in the
35853
amount of fluorescence is measured during each cycle of PCR and reflects the increasing amount of RT-PCR product. Specifically, quantification is based on the threshold cycle, where the amplification plot crosses a defined fluorescence threshold. Comparison of the threshold cycles of the sample with a known standard provides a highly sensitive measure of relative template concentration in different samples (ABI User Bulletin #2 December 11, 1997). The data is analyzed using the ABI SDS program version 1.7. The relative template concentration can be converted to RNA copy numbers by employing a standard curve of HCV RNA standards with known copy number (ABI User Bulletin #2 December 11, 1997).
[00147] The RT-PCR product was detected using the following labeled probe:
5 ' FAM-CGAAGCTCCAGGACTGCACGATGCT-TAMRA FAM = Fluorescein (Fluorescence reporter dye). TAMRA = 6-Carboxytetramethylrhodamine (Quencher dye).
[00148] The RT reaction is performed at 48 °C for 30 minutes followed by PCR. Thermal cycler parameters used for the PCR reaction on the ABI Prism 7700 Sequence Detection System were: one cycle at 95 0C, 10 minutes followed by 35 cycles each of which included one incubation at 95 °C for 15 seconds and a second incubation for 60 °C for 1 minute.
[00149] To normalize the data to an internal control molecule within the cellular RNA, RT-PCR was performed on the cellular messenger RNA glyceraldehydes-3 -phosphate dehydrogenase (GAPDH). The GAPDH copy number is very stable in the cell lines used. GAPDH RT-PCR is performed on the same exact RNA sample from which the HCV copy number is determined. The GAPDH primers and probe are contained in the ABI Pre- Developed TaqMan Assay Kit (catalog no. 4310884E). The ratio of HCV/GAPDH RNA is used to calculate the activity of compounds evaluated for inhibition of HCV RNA replication.
EXAMPLE 24: Activity of Compounds as Inhibitors of HCV Replication (Cell based Assay) in Replicon Containing Huh-7 Cell Lines
[00150] The effect of a specific anti- viral compound on HCV replicon RNA levels in Huh- 11-7 or 9-13 cells, cells was determined by comparing the amount of HCV RNA normalized to GAPDH (e.g. the ratio of HCWGAPDH) in the cells exposed to compound versus cells exposed to the 0% inhibition and thelOO% inhibition controls. Specifically, cells were seeded at 5 x 1(P cells/well in a 96 well plate and were incubated either with: 1) media containing 1% DMSO (0% inhibition control), 2) 100 international units, IU/mL Interferon-alpha 2b in media/1 %DMSO or 3) media/1 %DMSO containing a fixed concentration of compound. 96 well plates as described above were then incubated at 37 °C for 3 days (primary screening assay) or 4 days (IC5O determination). Percent inhibition was defined as:
% Inhibition= [100-((S-C2)/Cl-C2))] x 100 where:
S = the ratio of HCV RNA copy number/GAPDH RNA copy number in the sample Cl= the ratio of HCV RNA copy number/GAPDH RNA copy number in the 0% inhibition control (media/ 1%DMS O)
C2= the ratio of HCV RNA copy number/GAPDH RNA copy number in the 100% inhibition control (100 IU/mL Interferon-alpha 2b)
EXAMPLE 25: HCV full length NS3 (4AturnFLNS3) Protease Fluorescence Resonance Energy Transfer (FRET) Assay
[00151] AU genotypes of 4AtønFLNS3 are expressed in yeast and purified in house. Depending on purity of individual preparations, the final total protein concentration in the assay for each genotype can vary from 1-50 nM. The FRET peptide substrate, Ac- DED(EDANS)EE-αAbu~Ψ[COO]-ASK(D ABCYL)-NH2 (EDANS is 5-[2- aminoethylamino]-l-naphthalenesulfonic acid; DABCYL is 4-(dimethylamino)azobenzene- 4'-carboxylic acid), corresponding to the NS4A/NS4B junction, was purchased from Anaspec. The final concentration of FRET substrate varies from 1-10 μM, depending on the version of the assay. The 4A peptide, NH2-KKGSVVrVGRIVLS GKPAUPKK-NH2, corresponding to the middle portion of NS4A, was purchased from California Peptide Research. The final concentration of NS4A peptide in the assay is 10 μM. Fluorescence is used for detection. The fluorophore EDANS is quenched by DABCYL in the uncleaved peptide substrate. Upon cleavage of the substrate by 4AturnFLNS3 protease, the DABCYL is no longer within quenching proximity of the EDANS. The EDANS product of cleaved peptide substrate fluoresces at 490 run (excitation is at 355 nm). Assays are carried out in 50 mM Hepes, pH=7.5, 30 mM NaCl, 10 mM B-mercaptoethanol.
[00152] The dose-response curve of the inhibitor was generated by adding compound in serial, three-fold dilutions over three logs to wells starting with the highest concentration of a specific compound at lOμM and ending with the lowest concentration of 0.01 μM. Further dilution series (1 μM to 0.001 μM for example) was performed if the IC50 value was not in the linear range of the curve. IC50 was determined based on the IDBS Activity Base program using Microsoft Excel "XL Fit." XL Fit calculated the 50% inhibition point based on the graphed data and the 0% and 100% inhibition points of the curve. For each plate, one well was used to define the 100% inhibition value and the average of 2 wells was used to define the 0% inhibition value.
[00153] Each of the compounds listed in Table 2 and the final compounds prepared in Examples 1-22, can be assayed as described above. Many of these compounds showed or will show activity at less than 100 μM with respect to inhibition of HCV, and some at less than 10 μM. More particularly, some compounds of the invention showed inhibition of HCV at less than 4 μM. Compounds that cause HCV inhibition at
higher concentrations, such as 10 μM, 20 μM, 50 μM or even 100 μM in the assays described herein, can still be useful, the present invention is not intended to be limited to compounds having activity of 10 μM or less.
Claims
1. A compound having Formula I:
I and stereoisomers, solvates, tautomers, prodrugs, and pharmaceutically acceptable salts thereof, wherein
A1 is -(CR2R3V, or A1 and R13, together with the carbon to which they are attached, form -(cyclopropyl)-(CR2R3)n-, wherein n is 1, 2, 3, 4, 5, 6, or 7, and when n is 2 or more, any two adjacent -(CR2R3)- groups can be connected by a single bond, a double bond, or a triple bond;
A2 is a covalent bond, -O-, -(CR4R5V, or -0-(CR4R5V, wherein a is 1, 2, 3, 4, 5, or 6, and when a is 2 or more, any two adjacent -(CR4R5)- can be connected by a single bond, a double bond, or a triple bond;
Q is a substituted or unsubstituted aryl or heteroaryl group;
X is absent or is -O-, -S(O)q-, -S-S-, -N(R 2"K)-, -(CR ,24I1R1-, 2"2)s-,
) 21T.22N >21τ>22 21T,22Λ >21τ»22N
-(CR'1R//)plC(=O)(CRzlR/z)p2-, or -(CRzlR^)PiNHC(=O)(CR/1Rz/)P2-, wherein
q at each occurrence is independently 0, 1 or 2;
pi and p2 are independently 0, 1, 2, 3 or 4, and
n + pi + p2 is less than or equal to 8.
2005/035853
Z is -(CH2)k-Ym-R10, -CH(R8)-R9-R1D, or -CH(R8)-CH2-OR10 or is a side chain of a naturally occurring or non-naturally occurring amino acid, and R7 has the values given below; or Z and R7, taken together, form a five or six member heterocycle which is optionally substituted with up to three groups selected from -R8, -R9-R10, -CH2OR10, or -(CH2V Ym-R1 °, wherein k is 0, 1, 2 ,3 or 4 and m is independently 0, 1 or 2;
Y is O or CR28R29, wherein m is 0 or 1 if Y is O;
R1 is CO2H, CO2R20, C(O)CO2R20, C(O)CONR20R23, or C(O)NR23SO2R20;
R2, R3, R4 and R5 are each independently absent, H, OH, F, Cl, Br, I, amino, or a substituted or unsubstituted alkyl, cycloalkyl, alkylamino or dialkylamino group;
R6 is H, C(O)R14, C(O)N(R24XR26), or SO2R25, or a substituted or unsubstituted alkyl, aryl, arylalkyl, heterocyclyl, or heterocyclylalkyl group;
R7 is H or is a substituted or unsubstituted alkyl, arylalkyl, heteroarylalkyl, cycloalkyl, alkylamino, or dialkylamino group;
R8 at each occurrence is independently H, OH, F, Cl, Br, I, amino, or a substituted or unsubstituted alkyl, cycloalkyl, alkylamino or dialkylamino group;
R9 is a bond or is a substituted or unsubstituted alkylene, cycloalkylene, cycloalkylalkylene, or heteroalkylene group having 1 or 2 heteroatom groups, wherein each heteroatom group is independently O, N, or S(0)r, wherein r is 0, 1, or 2;
R10 is H or is a substituted or unsubstituted aryl, arylalkyl, heteroaryl or heteroarylalkyl group, wherein the alkyl moiety of arylalkyl and heteroarylalkyl groups optionally includes 1 or 2 heteroatoms independently selected from S, O, or NR30;
R12, R15, R16, and R17 are each independently H or a C1-2 alkyl group optionally substituted with one or more F, Cl, Br, or I;
R13 is H or a C1-4 alkyl group optionally substituted with one or more F, Cl, Br, or I; or R13 and A1, together with the carbon to which they are attached, form -(cyclopropyl)-(CR2R3)n-;
2005/035853
R14 is hydrogen or a substituted or unsubstituted branched or unbranched alkyl, alkoxy, haloalkyl, alkylamino, dialkylamino, cycloalkyl, cycloalkylalkyl, cycloalkyloxy, cycloalkylamino, heterocyclyl, heterocyclylalkyl, heterocyclyloxy, heterocyclylamino, heterocyclylalkoxy, heterocyclylalkylamino, aryl, aryloxy, arylamino, arylalkyl, arylalkoxy, or arylalkylamine group;
R20 and R25 are independently a substituted or unsubstituted alkyl, alkenyl, alkynyl, aryl, arylalkyl, heterocyclyl, or heterocyclylalkyl group;
R21, R22, R23, R27, R28, R29 and R30 at each occurrence are independently H or a substituted or unsubstituted C1-6 alkyl group; and
R24 and R26 at each occurrence are independently H or a substituted or unsubstituted alkyl, alkenyl, alkynyl, aryl, arylalkyl, heterocyclyl, or heterocyclylalkyl group.
2. The compound of claim 1 , wherein Q is a substituted or unsubstituted phenyl, naphthyl, thiophenyl, thiazolyl, furanyl, pyrrolyl, pyrazinyl, imidazolyl, pyridinyl, pyrimidinyl, or indolyl group.
3. The compound of claim 1, wherein Q is a group of Formula IIA or HB:
wherein
J1, J2, J3, J4, and J5 are independently selected from CR11 or N provided that no more than two of J1, J2, J3, J4, and J5 are N; and
R11 at each occurrence is independently H, OH, F, Cl, Br, I, amino, N(R21)(R22), NO2, CN, or a substituted or unsubstituted C1-6 alkyl, C3-6 cycloalkyl, or C1-6 alkoxy group.
4. The compound of any of claims 1 , 2, or 3 having the Formula III:
5. The compound of claim 4 having the Formula HIA:
6. The compound of any one of claims 1 , 2, or 3 having the Formula IV:
wherein Z is a -(CH2)Ic-Y1n-R1 °, -CH(R8)-R9-R10, or -CH(R8)-CH2-OR10 group or is the side chain of a naturally occurring or non-naturally occurring amino acid.
7. The compound of claim 6 having the Formula IVA:
8. The compound of any one of claims 1 , 2 or 3 having the Formula V:
9. The compound of claim 8 having the Formula VA:
10. The compound of any one of claims 1, 2 or 3 having the Formula VI:
11. The compound of claim 10 having the Formula VIA:
12. The compound of any one of claims 1-11, wherein Q is phenyl.
13. The compound of any one of claims 1-7, wherein A1 is -(CR2R3)n-.
14. The compound of any one of claims 1-7, wherein A1 and R13 together with the carbon to which they are attached form -(cyclopropyl)-(CR2R3)n-.
15. The compound of any one of claims 1-11, wherein n is 2, 3, 4, 5, 6, or 7, and two adjacent -(CR2R3)- groups are connected by a double bond.
16. The compound of any one of claims 1-11, wherein R and R at each occurrence are all H.
17. The compound of any one of claims 1-11, wherein X is -O- or
-(CR21R22)-.
19 The compound of any one of claims 1-11, wherein a is 2, 3, 4, 5, or 6, and two adjacent -(CR4R5)a- groups are connected by a double bond.
20. The compound of any one of claims 1-11, wherein A2 is -CH2- or -CH2-CH=CH-CH2-.
21. The compound of any one of claims 1-11, wherein R2, R3 , R4, and R5 at each occurrence are all H.
22. The compound of claim 3, wherein R2, R3, R4, and R5 at each occurrence are all H, and R11 at each occurrence is H.
23. The compound of any one of claims 1-11, wherein R1 is CO2H or C(O)NHSO2R20.
24. The compound of claim 23, wherein R20 is a substituted or unsubstituted branched or straight chain alkyl group or is a substituted or unsubstituted cycloalkyl, (cycloalkyl)alkyl., phenyl, phenylalkyl, heterocyclyl, or heterocyclylalkyl group.
25. The compound of claim 23, wherein R20 is a substituted or unsubstituted methyl, ethyl, propyl, isopropyl, butyl, isobutyl, pentyl, phenyl, benzyl, cyclopropyl, cyclobutyl, cyclopentyl, cyclohexyl, furanyl, thiophenyl, or pyridinyl group.
26. The compound of any one of claims 1-3, wherein R12, R15, R16, and R17 are all H.
27. The compound of any one of claims 1-7, wherein R13 is methyl or ethyl.
28. The compound of any one of claims 1-3, 6, 7, 10 or 11, wherein Z is a -(CH2)k-Ym-R10, -CH(R8)-R9-R10, or -CH(R^-CH2-OR1 ° group.
29. The compound of any one of claims 1-3, 6, 7, 10 or 11, wherein Z is a -(CH2)k-Ym-R10 group.
30. The compound of any one of claims 1-11, wherein R is a substituted
or unsubstituted heteroaryl or heteroarylalkyl group.
31. The compound of claim 30, wherein R10 is substituted or unsubstituted monocyclic, bicyclic, or tricyclic heteroaryl group having from five to sixteen ring atoms and up to four ring heteroatom groups each of which is independently O, N, NH or S.
32. The compound of any one of claims 1-11, wherein R10 is a substituted or unsubstituted phenyl, benzyl, phenethyl, naphthyl, pyrrolyl, pyrazolyl, triazolyl, tetrazolyl, oxazolyl, isoxazolyl, thiazolyl, pyridinyl, pyridinylmethyl, benzothiophenyl, benzofuranyl, indolyl, azaindolyl, indazolyl, benzimidazolyl, azabenzimidazolyl, benzoxazolyl, benzothiazolyl, benzothiadiazolyl, imidazopyridinyl, isoxazolopyridinyl, thianaphthalenyl, purinyl, xanthinyl, adeninyl, guaninyl, quinolinyl, isoquinolinyl, tetrahydroquinolinyl, quinoxalinyl, or quinazolinyl group.
33. The compound of any one of claims 1-11, wherein R10 is a substituted or unsubstituted quinoxalinyl, quinolinyl or isoquinolinyl group.
34. The compound of any one of claims 1-11, wherein R10 is substituted with one or more F, Cl, Br, I, OH, CN, NO2, COOH, C(O)OR', C(O)NH2, C(O)NH(R'), C(0)N(R')(R'), S(O)1nR', SO2NHR', amino, substituted or unsubstituted saturated or unsaturated heterocyclyl, or a substituted or unsubstituted aryl, heteroaryl, alkyl, alkylarnino, dialkylamino, alkenyl, or alkoxy group, wherein R' is a substituted or unsubstituted alkyl, aryl, arylalkyl, heterocyclyl, or heterocyclylalkyl group.
35. The compound of any one of claims 1-11, wherein R10 is substituted with one or more F, Cl, Br, I, OH, CN, NO2, COOH, CONH2, amino, methyl, ethyl, propyl, butyl, trifluoromethyl, txifluoromethoxy, phenyl, benzyl, phenethyl, methoxyphenyl, tolyl, pyridinyl, piperidinyl, pyrrolyl, imidazolyl, oxazolyl, oxadiazolyl, thiazolyl, isopropylaminothiazolyl, thiazolylethylamino, methylamino, ethylamino, dimethylamino, diethylamino, propylamino, cyclohexylmethylamino, benzylamino, phenethylamino, thiophenyhnethylamino, thiophenylethylamino, pyridinylmethylamino, benzothiophenyrmethylamino, phenylpiperidinyl, piperazinyl, N-cyclohexylpiperazinyl, N- phenylpiperazinyl, N-benzylpiperazinyl, tetrahydrothienopyridinyl, methylpiperazinyl, pyrolidonylpropylamino, methoxy, ethoxy, or propoxy groups.
5 035853
36. The compound of any one of claims 1-11, wherein R10 is a substituted quinolin-4-yl group substituted at the 2-position and the 7-position of the quinolinyl group.
37. The compound of any one of claims 1-11, wherein R10 is a (2-phenyl- 7-methoxy)quinolin-4-yl group.
38. The compound of any one of claims 1-11, wherein R6 is -C(O)R14.
39. The compound of claim 38, wherein R14 is a substituted or unsubstituted alkyl, haloalkyl, alkoxy, alkylamino, cycloalkyl, cycloalkylalkyl, cycloalkyloxy, heterocyclyl, or heterocyclylalkyl group.
40. The compound of claim 38, wherein R14 is ethoxy, t-butyloxy, isobutyloxy, cyclopropylethylenyl, cyclopentyloxy, cyclopentylmethylenyl, cyclohexyloxy, thiophenyl, imidazolyl, pyridinyl, furanyl, oxazolyl, isoxazolyl, or pyrrolidinyl.
41. The compound of any one of claims 1-11, wherein X is O;
Q is phenyl;
R2, R3, R4, and R5 are all H; R6is -COOC(CH3)3 or -COO(cyclopentyl); and
R10 is a substituted quinolin-4-yl group substituted at the 2-position and the 7- position of the quinolinyl group.
42. The compound of any one of claims 1-11, wherein X is O;
Q is phenyl;
R1 is -C(O)NHSO2-phenyl; R2, R3, R4, and R5 are all H; and
R10 is a substituted quinolin-4-yl group substituted at the 2-position and the 7- position of the quinolinyl group.
43. The compound of claim 1 , wherein A2 is -(CR4R5)a-; a is 1 ; R2, R3, R4, R5, and R13 are each H; and the compound has the substituents set forth in the following table:
3
44. The compound of claim 1, wherein the compound is selected from
45. A pharmaceutical composition, comprising: the compound of any one of claims 1-44 and a pharmaceutically acceptable carrier.
46. A method of treating an HCV-mediated disease or condition, comprising: administering to a subject in need thereof the compound of any one of claims 1-
44.
47. The method of claim 46, wherein the HCV-mediated disease or condition is Hepatitis C.
48. A method of inhibiting HCV replication, comprising: contacting HCV NS3 protease with the compound of any one of claims 1-44.
49. A method of treating SARS virus-mediated disease or condition, comprising: administering to a subject in need thereof the compound of any one of claims 1- 44.
50. The method of claim 49, wherein the SARS virus-mediated disease or condition is SARS.
51. A method of inhibiting SARS virus replication, comprising: contacting SARS virus with the compound of any one of claims 1-44.
Applications Claiming Priority (2)
| Application Number | Priority Date | Filing Date | Title |
|---|---|---|---|
| US61642104P | 2004-10-05 | 2004-10-05 | |
| US60/616,421 | 2004-10-05 |
Publications (2)
| Publication Number | Publication Date |
|---|---|
| WO2007001406A2 true WO2007001406A2 (en) | 2007-01-04 |
| WO2007001406A3 WO2007001406A3 (en) | 2007-07-19 |
Family
ID=37595592
Family Applications (1)
| Application Number | Title | Priority Date | Filing Date |
|---|---|---|---|
| PCT/US2005/035853 Ceased WO2007001406A2 (en) | 2004-10-05 | 2005-10-05 | Aryl-containing macrocyclic compounds |
Country Status (1)
| Country | Link |
|---|---|
| WO (1) | WO2007001406A2 (en) |
Cited By (87)
| Publication number | Priority date | Publication date | Assignee | Title |
|---|---|---|---|---|
| WO2008086161A1 (en) * | 2007-01-08 | 2008-07-17 | Phenomix Corporation | Macrocyclic hepatitis c protease inhibitors |
| WO2009014730A1 (en) * | 2007-07-26 | 2009-01-29 | Idenix Pharmaceuticals, Inc. | Macrocyclic serine protease inhibitors |
| WO2009005676A3 (en) * | 2007-06-29 | 2009-03-05 | Gilead Sciences Inc | Antiviral compounds |
| WO2009005690A3 (en) * | 2007-06-29 | 2009-03-05 | Gilead Sciences Inc | Antiviral compounds |
| WO2009099596A2 (en) | 2008-02-04 | 2009-08-13 | Idenix Pharamaceuticals, Inc. | Macrocyclic serine protease inhibitors |
| WO2009080836A3 (en) * | 2007-12-24 | 2009-09-17 | Tibotec Pharmaceuticals Ltd. | Macrocyclic indoles as hepatitis c virus inhibitors |
| US7601709B2 (en) * | 2003-02-07 | 2009-10-13 | Enanta Pharmaceuticals, Inc. | Macrocyclic hepatitis C serine protease inhibitors |
| WO2010030359A2 (en) | 2008-09-11 | 2010-03-18 | Enanta Pharjmaceuticals, Inc. | Macrocyclic hepatitis c serine protease inhibitors |
| US7741281B2 (en) | 2005-11-03 | 2010-06-22 | Bristol-Myers Squibb Company | Hepatitis C virus inhibitors |
| US7763584B2 (en) | 2006-11-16 | 2010-07-27 | Bristol-Myers Squibb Company | Hepatitis C virus inhibitors |
| US7772180B2 (en) | 2006-11-09 | 2010-08-10 | Bristol-Myers Squibb Company | Hepatitis C virus inhibitors |
| US7772183B2 (en) | 2005-10-12 | 2010-08-10 | Bristol-Myers Squibb Company | Hepatitis C virus inhibitors |
| WO2010101967A2 (en) | 2009-03-04 | 2010-09-10 | Idenix Pharmaceuticals, Inc. | Phosphothiophene and phosphothiazole hcv polymerase inhibitors |
| WO2010118078A1 (en) * | 2009-04-08 | 2010-10-14 | Idenix Pharmaceuticals, Inc. | Macrocyclic serine protease inhibitors |
| WO2011017389A1 (en) | 2009-08-05 | 2011-02-10 | Idenix Pharmaceuticals, Inc. | Macrocyclic serine protease inhibitors useful against viral infections, particularly hcv |
| US7888464B2 (en) | 2006-11-16 | 2011-02-15 | Bristol-Myers Squibb Company | Hepatitis C virus inhibitors |
| US7915291B2 (en) | 2002-05-20 | 2011-03-29 | Bristol-Myers Squibb Company | Hepatitis C virus inhibitors |
| US7935670B2 (en) | 2006-07-11 | 2011-05-03 | Bristol-Myers Squibb Company | Hepatitis C virus inhibitors |
| WO2011063076A1 (en) | 2009-11-19 | 2011-05-26 | Itherx Pharmaceuticals, Inc. | Methods of treating hepatitis c virus with oxoacetamide compounds |
| US7964560B2 (en) | 2008-05-29 | 2011-06-21 | Bristol-Myers Squibb Company | Hepatitis C virus inhibitors |
| WO2011075615A1 (en) | 2009-12-18 | 2011-06-23 | Idenix Pharmaceuticals, Inc. | 5,5-fused arylene or heteroarylene hepatitis c virus inhibitors |
| US8003604B2 (en) | 2006-11-16 | 2011-08-23 | Bristol-Myers Squibb Company | Hepatitis C virus inhibitors |
| WO2011123586A1 (en) | 2010-04-01 | 2011-10-06 | Idenix Pharmaceuticals, Inc. | Compounds and pharmaceutical compositions for the treatment of viral infections |
| US8044023B2 (en) | 2008-05-29 | 2011-10-25 | Bristol-Myers Squibb Company | Hepatitis C virus inhibitors |
| US8044087B2 (en) | 2008-09-29 | 2011-10-25 | Bristol-Myers Squibb Company | Hepatitis C virus inhibitors |
| US8163921B2 (en) | 2008-04-16 | 2012-04-24 | Bristol-Myers Squibb Company | Hepatitis C virus inhibitors |
| US8202996B2 (en) | 2007-12-21 | 2012-06-19 | Bristol-Myers Squibb Company | Crystalline forms of N-(tert-butoxycarbonyl)-3-methyl-L-valyl-(4R)-4-((7-chloro-4-methoxy-1-isoquinolinyl)oxy)-N- ((1R,2S)-1-((cyclopropylsulfonyl)carbamoyl)-2-vinylcyclopropyl)-L-prolinamide |
| US8207341B2 (en) | 2008-09-04 | 2012-06-26 | Bristol-Myers Squibb Company | Process or synthesizing substituted isoquinolines |
| EP2476690A1 (en) | 2008-07-02 | 2012-07-18 | IDENIX Pharmaceuticals, Inc. | Compounds and pharmaceutical compositions for the treatment of viral infections |
| US8232246B2 (en) | 2009-06-30 | 2012-07-31 | Abbott Laboratories | Anti-viral compounds |
| WO2012109398A1 (en) | 2011-02-10 | 2012-08-16 | Idenix Pharmaceuticals, Inc. | Macrocyclic serine protease inhibitors, pharmaceutical compositions thereof, and their use for treating hcv infections |
| US8273709B2 (en) | 2007-12-14 | 2012-09-25 | Enanta Pharmaceuticals, Inc. | Triazole-containing macrocyclic HCV serine protease inhibitors |
| WO2012135581A1 (en) | 2011-03-31 | 2012-10-04 | Idenix Pharmaceuticals, Inc. | Methods for treating drug-resistant hepatitis c virus infection with a 5,5-fused arylene or heteroarylene hepatitis c virus inhibitor |
| US8283310B2 (en) | 2008-12-15 | 2012-10-09 | Bristol-Myers Squibb Company | Hepatitis C virus inhibitors |
| US8304385B2 (en) | 2007-11-14 | 2012-11-06 | Enanta Pharmaceuticals, Inc. | Macrocyclic tetrazolyl hepatitis C serine protease inhibitors |
| WO2012154321A1 (en) | 2011-03-31 | 2012-11-15 | Idenix Pharmaceuticals, Inc. | Compounds and pharmaceutical compositions for the treatment of viral infections |
| US8343477B2 (en) | 2006-11-01 | 2013-01-01 | Bristol-Myers Squibb Company | Inhibitors of hepatitis C virus |
| US8372802B2 (en) | 2008-03-20 | 2013-02-12 | Enanta Pharmaceuticals, Inc. | Fluorinated macrocyclic compounds as hepatitis C virus inhibitors |
| US8383583B2 (en) | 2007-10-26 | 2013-02-26 | Enanta Pharmaceuticals, Inc. | Macrocyclic, pyridazinone-containing hepatitis C serine protease inhibitors |
| WO2013039855A1 (en) | 2011-09-12 | 2013-03-21 | Idenix Pharmaceuticals, Inc. | Compounds and pharmaceutical compositions for the treatment of viral infections |
| WO2013039920A1 (en) | 2011-09-12 | 2013-03-21 | Idenix Pharmaceuticals, Inc. | Substituted carbonyloxymethylphosphoramidate compounds and pharmaceutical compositions for the treatment of viral infections |
| WO2013056046A1 (en) | 2011-10-14 | 2013-04-18 | Idenix Pharmaceuticals, Inc. | Substituted 3',5'-cyclic phosphates of purine nucleotide compounds and pharmaceutical compositions for the treatment of viral infections |
| US8513186B2 (en) | 2007-06-29 | 2013-08-20 | Gilead Sciences, Inc. | Antiviral compounds |
| WO2013133927A1 (en) | 2012-02-13 | 2013-09-12 | Idenix Pharmaceuticals, Inc. | Pharmaceutical compositions of 2'-c-methyl-guanosine, 5'-[2-[(3-hydroxy-2,2-dimethyl-1-oxopropyl)thio]ethyl n-(phenylmethyl)phosphoramidate] |
| US8563505B2 (en) | 2008-09-29 | 2013-10-22 | Bristol-Myers Squibb Company | Hepatitis C virus inhibitors |
| US8586744B2 (en) | 2006-07-07 | 2013-11-19 | Gilead Sciences, Inc. | Antiviral phosphinate compounds |
| WO2013177188A1 (en) | 2012-05-22 | 2013-11-28 | Idenix Pharmaceuticals, Inc. | 3',5'-cyclic phosphoramidate prodrugs for hcv infection |
| WO2013177195A1 (en) | 2012-05-22 | 2013-11-28 | Idenix Pharmaceuticals, Inc. | 3',5'-cyclic phosphate prodrugs for hcv infection |
| WO2013177219A1 (en) | 2012-05-22 | 2013-11-28 | Idenix Pharmaceuticals, Inc. | D-amino acid compounds for liver disease |
| US8691757B2 (en) | 2011-06-15 | 2014-04-08 | Bristol-Myers Squibb Company | Hepatitis C virus inhibitors |
| WO2014058801A1 (en) | 2012-10-08 | 2014-04-17 | Idenix Pharmaceuticals, Inc. | 2'-chloro nucleoside analogs for hcv infection |
| WO2014063019A1 (en) | 2012-10-19 | 2014-04-24 | Idenix Pharmaceuticals, Inc. | Dinucleotide compounds for hcv infection |
| WO2014066239A1 (en) | 2012-10-22 | 2014-05-01 | Idenix Pharmaceuticals, Inc. | 2',4'-bridged nucleosides for hcv infection |
| WO2014078427A1 (en) | 2012-11-14 | 2014-05-22 | Idenix Pharmaceuticals, Inc. | D-alanine ester of rp-nucleoside analog |
| WO2014078436A1 (en) | 2012-11-14 | 2014-05-22 | Idenix Pharmaceuticals, Inc. | D-alanine ester of sp-nucleoside analog |
| WO2014099941A1 (en) | 2012-12-19 | 2014-06-26 | Idenix Pharmaceuticals, Inc. | 4'-fluoro nucleosides for the treatment of hcv |
| WO2014137926A1 (en) | 2013-03-04 | 2014-09-12 | Idenix Pharmaceuticals, Inc. | 3'-deoxy nucleosides for the treatment of hcv |
| WO2014137930A1 (en) | 2013-03-04 | 2014-09-12 | Idenix Pharmaceuticals, Inc. | Thiophosphate nucleosides for the treatment of hcv |
| WO2014165542A1 (en) | 2013-04-01 | 2014-10-09 | Idenix Pharmaceuticals, Inc. | 2',4'-fluoro nucleosides for the treatment of hcv |
| WO2014197578A1 (en) | 2013-06-05 | 2014-12-11 | Idenix Pharmaceuticals, Inc. | 1',4'-thio nucleosides for the treatment of hcv |
| US8937041B2 (en) | 2010-12-30 | 2015-01-20 | Abbvie, Inc. | Macrocyclic hepatitis C serine protease inhibitors |
| WO2015017713A1 (en) | 2013-08-01 | 2015-02-05 | Idenix Pharmaceuticals, Inc. | D-amino acid phosphoramidate pronucleotides of halogeno pyrimidine compounds for liver disease |
| US8951964B2 (en) | 2010-12-30 | 2015-02-10 | Abbvie Inc. | Phenanthridine macrocyclic hepatitis C serine protease inhibitors |
| US8957203B2 (en) | 2011-05-05 | 2015-02-17 | Bristol-Myers Squibb Company | Hepatitis C virus inhibitors |
| WO2015042375A1 (en) | 2013-09-20 | 2015-03-26 | Idenix Pharmaceuticals, Inc. | Hepatitis c virus inhibitors |
| WO2015061683A1 (en) | 2013-10-25 | 2015-04-30 | Idenix Pharmaceuticals, Inc. | D-amino acid phosphoramidate and d-alanine thiophosphoramidate pronucleotides of nucleoside compounds useful for the treatment of hcv |
| WO2015066370A1 (en) | 2013-11-01 | 2015-05-07 | Idenix Pharmaceuticals, Inc. | D-alanine phosphoramidate pronucleotides of 2'-methyl 2'-fluoro guanosine nucleoside compounds for the treatment of hcv |
| WO2015081297A1 (en) | 2013-11-27 | 2015-06-04 | Idenix Pharmaceuticals, Inc. | 2'-dichloro and 2'-fluoro-2'-chloro nucleoside analogues for hcv infection |
| WO2015095419A1 (en) | 2013-12-18 | 2015-06-25 | Idenix Pharmaceuticals, Inc. | 4'-or nucleosides for the treatment of hcv |
| WO2015134561A1 (en) | 2014-03-05 | 2015-09-11 | Idenix Pharmaceuticals, Inc. | Pharmaceutical compositions comprising a 5,5-fused heteroarylene flaviviridae inhibitor and their use for treating or preventing flaviviridae infection |
| WO2015134560A1 (en) | 2014-03-05 | 2015-09-11 | Idenix Pharmaceuticals, Inc. | Solid forms of a flaviviridae virus inhibitor compound and salts thereof |
| WO2015134780A1 (en) | 2014-03-05 | 2015-09-11 | Idenix Pharmaceuticals, Inc. | Solid prodrug forms of 2'-chloro-2'-methyl uridine for hcv |
| WO2015161137A1 (en) | 2014-04-16 | 2015-10-22 | Idenix Pharmaceuticals, Inc. | 3'-substituted methyl or alkynyl nucleosides for the treatment of hcv |
| US9296782B2 (en) | 2012-07-03 | 2016-03-29 | Gilead Sciences, Inc. | Inhibitors of hepatitis C virus |
| US9334279B2 (en) | 2012-11-02 | 2016-05-10 | Bristol-Myers Squibb Company | Hepatitis C virus inhibitors |
| US9333204B2 (en) | 2014-01-03 | 2016-05-10 | Abbvie Inc. | Solid antiviral dosage forms |
| US9409943B2 (en) | 2012-11-05 | 2016-08-09 | Bristol-Myers Squibb Company | Hepatitis C virus inhibitors |
| US9499550B2 (en) | 2012-10-19 | 2016-11-22 | Bristol-Myers Squibb Company | Hepatitis C virus inhibitors |
| US9580463B2 (en) | 2013-03-07 | 2017-02-28 | Bristol-Myers Squibb Company | Hepatitis C virus inhibitors |
| US9598433B2 (en) | 2012-11-02 | 2017-03-21 | Bristol-Myers Squibb Company | Hepatitis C virus inhibitors |
| US9617310B2 (en) | 2013-03-15 | 2017-04-11 | Gilead Sciences, Inc. | Inhibitors of hepatitis C virus |
| US9643999B2 (en) | 2012-11-02 | 2017-05-09 | Bristol-Myers Squibb Company | Hepatitis C virus inhibitors |
| US10201541B1 (en) | 2011-05-17 | 2019-02-12 | Abbvie Inc. | Compositions and methods for treating HCV |
| EP3750544A2 (en) | 2011-11-30 | 2020-12-16 | Emory University | Jak inhibitors for use in the prevention or treatment of viral infection |
| WO2023125825A1 (en) * | 2021-12-29 | 2023-07-06 | Shanghai Curegene Pharmaceutical Co., Ltd. | Anticoronviral compounds and compositions and uses thereof |
| WO2024008044A1 (en) * | 2022-07-08 | 2024-01-11 | 腾讯科技(深圳)有限公司 | Macrocyclic peptidomimetic protease inhibitor and use thereof |
| US12083099B2 (en) | 2020-10-28 | 2024-09-10 | Accencio LLC | Methods of treating symptoms of coronavirus infection with viral protease inhibitors |
Family Cites Families (7)
| Publication number | Priority date | Publication date | Assignee | Title |
|---|---|---|---|---|
| US5830888A (en) * | 1993-04-16 | 1998-11-03 | Monsanto Company | Macrocyclic retroviral protease inhibitors |
| US5888971A (en) * | 1996-02-20 | 1999-03-30 | Ortho Pharmaceutical Corporation, Inc. | Macrocyclic peptides useful in the treatment of thrombin related disorders |
| US6608027B1 (en) * | 1999-04-06 | 2003-08-19 | Boehringer Ingelheim (Canada) Ltd | Macrocyclic peptides active against the hepatitis C virus |
| ES2317900T3 (en) * | 2000-04-05 | 2009-05-01 | Schering Corporation | SERINA PROTEASA NS3 MACROCICLIC INHIBITORS OF HEPATITIS C VIRUSES INCLUDING P2 N-CYCLICAL FRAGMENTS. |
| PL358591A1 (en) * | 2000-04-19 | 2004-08-09 | Schering Corporation | Macrocyclic ns3-serine protease inhibitors of hepatitis c virus comprising alkyl and aryl alanine p2 moieties |
| US6867185B2 (en) * | 2001-12-20 | 2005-03-15 | Bristol-Myers Squibb Company | Inhibitors of hepatitis C virus |
| US6828301B2 (en) * | 2002-02-07 | 2004-12-07 | Boehringer Ingelheim International Gmbh | Pharmaceutical compositions for hepatitis C viral protease inhibitors |
-
2005
- 2005-10-05 WO PCT/US2005/035853 patent/WO2007001406A2/en not_active Ceased
Cited By (128)
| Publication number | Priority date | Publication date | Assignee | Title |
|---|---|---|---|---|
| US8507722B2 (en) | 2002-05-20 | 2013-08-13 | Bristol-Myers Squibb Company | Hepatitis C virus inhibitors |
| US8299094B2 (en) | 2002-05-20 | 2012-10-30 | Bristol-Myers Squibb Company | Hepatitis C virus inhibitors |
| US9227940B2 (en) | 2002-05-20 | 2016-01-05 | Bristol-Myers Squibb Company | Hepatitis C virus inhibitors |
| US9636375B2 (en) | 2002-05-20 | 2017-05-02 | Bristol-Myers Squibb Company | Hepatitis C virus inhibitors |
| US8710229B2 (en) | 2002-05-20 | 2014-04-29 | Bristol-Myers Squibb Company | Hepatitis C virus inhibitors |
| US7915291B2 (en) | 2002-05-20 | 2011-03-29 | Bristol-Myers Squibb Company | Hepatitis C virus inhibitors |
| US8889871B2 (en) | 2002-05-20 | 2014-11-18 | Bristol-Myers Squibb Company | Hepatitis C virus inhibitors |
| US7601709B2 (en) * | 2003-02-07 | 2009-10-13 | Enanta Pharmaceuticals, Inc. | Macrocyclic hepatitis C serine protease inhibitors |
| US7772183B2 (en) | 2005-10-12 | 2010-08-10 | Bristol-Myers Squibb Company | Hepatitis C virus inhibitors |
| US7741281B2 (en) | 2005-11-03 | 2010-06-22 | Bristol-Myers Squibb Company | Hepatitis C virus inhibitors |
| US8674088B2 (en) | 2006-07-07 | 2014-03-18 | Gilead Sciences, Inc. | Antiviral phosphinate compounds |
| US8586744B2 (en) | 2006-07-07 | 2013-11-19 | Gilead Sciences, Inc. | Antiviral phosphinate compounds |
| US7935670B2 (en) | 2006-07-11 | 2011-05-03 | Bristol-Myers Squibb Company | Hepatitis C virus inhibitors |
| US8343477B2 (en) | 2006-11-01 | 2013-01-01 | Bristol-Myers Squibb Company | Inhibitors of hepatitis C virus |
| US7772180B2 (en) | 2006-11-09 | 2010-08-10 | Bristol-Myers Squibb Company | Hepatitis C virus inhibitors |
| US7763584B2 (en) | 2006-11-16 | 2010-07-27 | Bristol-Myers Squibb Company | Hepatitis C virus inhibitors |
| US8003604B2 (en) | 2006-11-16 | 2011-08-23 | Bristol-Myers Squibb Company | Hepatitis C virus inhibitors |
| US7888464B2 (en) | 2006-11-16 | 2011-02-15 | Bristol-Myers Squibb Company | Hepatitis C virus inhibitors |
| WO2008086161A1 (en) * | 2007-01-08 | 2008-07-17 | Phenomix Corporation | Macrocyclic hepatitis c protease inhibitors |
| AP2874A (en) * | 2007-06-29 | 2014-03-31 | Gilead Sciences Inc | Antiviral compounds |
| EA019749B1 (en) * | 2007-06-29 | 2014-06-30 | Джилид Сайэнс, Инк. | Antiviral compounds |
| JP2010532351A (en) * | 2007-06-29 | 2010-10-07 | ギリアード サイエンシーズ, インコーポレイテッド | Antiviral compounds |
| JP2013227323A (en) * | 2007-06-29 | 2013-11-07 | Gilead Sciences Inc | Antiviral compound |
| KR20100057778A (en) * | 2007-06-29 | 2010-06-01 | 길리애드 사이언시즈, 인코포레이티드 | Antiviral compound |
| EA025794B1 (en) * | 2007-06-29 | 2017-01-30 | Джилид Сайэнс, Инк. | Antiviral compounds |
| WO2009005690A3 (en) * | 2007-06-29 | 2009-03-05 | Gilead Sciences Inc | Antiviral compounds |
| WO2009005676A3 (en) * | 2007-06-29 | 2009-03-05 | Gilead Sciences Inc | Antiviral compounds |
| US8809266B2 (en) | 2007-06-29 | 2014-08-19 | Gilead Sciences, Inc. | Antiviral compounds |
| US8513186B2 (en) | 2007-06-29 | 2013-08-20 | Gilead Sciences, Inc. | Antiviral compounds |
| KR101596524B1 (en) | 2007-06-29 | 2016-02-22 | 길리애드 사이언시즈, 인코포레이티드 | Antiviral compound |
| US8178491B2 (en) | 2007-06-29 | 2012-05-15 | Gilead Sciences, Inc. | Antiviral compounds |
| TWI395746B (en) * | 2007-06-29 | 2013-05-11 | Gilead Sciences Inc | Antiviral compounds |
| US8809267B2 (en) | 2007-06-29 | 2014-08-19 | Gilead Sciences, Inc. | Antiviral compounds |
| WO2009014730A1 (en) * | 2007-07-26 | 2009-01-29 | Idenix Pharmaceuticals, Inc. | Macrocyclic serine protease inhibitors |
| US8383583B2 (en) | 2007-10-26 | 2013-02-26 | Enanta Pharmaceuticals, Inc. | Macrocyclic, pyridazinone-containing hepatitis C serine protease inhibitors |
| US8304385B2 (en) | 2007-11-14 | 2012-11-06 | Enanta Pharmaceuticals, Inc. | Macrocyclic tetrazolyl hepatitis C serine protease inhibitors |
| US8273709B2 (en) | 2007-12-14 | 2012-09-25 | Enanta Pharmaceuticals, Inc. | Triazole-containing macrocyclic HCV serine protease inhibitors |
| US8202996B2 (en) | 2007-12-21 | 2012-06-19 | Bristol-Myers Squibb Company | Crystalline forms of N-(tert-butoxycarbonyl)-3-methyl-L-valyl-(4R)-4-((7-chloro-4-methoxy-1-isoquinolinyl)oxy)-N- ((1R,2S)-1-((cyclopropylsulfonyl)carbamoyl)-2-vinylcyclopropyl)-L-prolinamide |
| US8338606B2 (en) | 2007-12-21 | 2012-12-25 | Bristol-Myers Squibb Company | Crystalline forms of N-(tert-butoxycarbonyl)-3-methyl-L-valyl-(4R)-4-((7-chloro-4-methoxy-1-isoquinolinyl)oxy)-N-((1R,2S)-1-((cyclopropylsulfonyl)carbamoyl)-2-vinylcyclopropyl)-L-prolinamide |
| US8524716B2 (en) | 2007-12-24 | 2013-09-03 | Janssen R&D Ireland | Macrocyclic indoles as hepatitis C virus inhibitors |
| WO2009080836A3 (en) * | 2007-12-24 | 2009-09-17 | Tibotec Pharmaceuticals Ltd. | Macrocyclic indoles as hepatitis c virus inhibitors |
| US9334282B2 (en) | 2007-12-24 | 2016-05-10 | Janssen Sciences Ireland Uc | Macrocyclic indoles as hepatitis C virus inhibitors |
| AU2008339917B2 (en) * | 2007-12-24 | 2013-02-07 | Tibotec Pharmaceuticals | Macrocyclic indoles as hepatitis C virus inhibitors |
| WO2009099596A2 (en) | 2008-02-04 | 2009-08-13 | Idenix Pharamaceuticals, Inc. | Macrocyclic serine protease inhibitors |
| US8372802B2 (en) | 2008-03-20 | 2013-02-12 | Enanta Pharmaceuticals, Inc. | Fluorinated macrocyclic compounds as hepatitis C virus inhibitors |
| US8163921B2 (en) | 2008-04-16 | 2012-04-24 | Bristol-Myers Squibb Company | Hepatitis C virus inhibitors |
| US8044023B2 (en) | 2008-05-29 | 2011-10-25 | Bristol-Myers Squibb Company | Hepatitis C virus inhibitors |
| US7964560B2 (en) | 2008-05-29 | 2011-06-21 | Bristol-Myers Squibb Company | Hepatitis C virus inhibitors |
| EP2476690A1 (en) | 2008-07-02 | 2012-07-18 | IDENIX Pharmaceuticals, Inc. | Compounds and pharmaceutical compositions for the treatment of viral infections |
| US8207341B2 (en) | 2008-09-04 | 2012-06-26 | Bristol-Myers Squibb Company | Process or synthesizing substituted isoquinolines |
| US8357806B2 (en) | 2008-09-04 | 2013-01-22 | Bristol-Myers Squibb Company | Process for synthesizing substituted isoquinolines |
| US8877929B2 (en) | 2008-09-04 | 2014-11-04 | Bristol-Myers Squibb Company | Process for synthesizing substituted isoquinolines |
| WO2010030359A2 (en) | 2008-09-11 | 2010-03-18 | Enanta Pharjmaceuticals, Inc. | Macrocyclic hepatitis c serine protease inhibitors |
| JP2012136546A (en) * | 2008-09-11 | 2012-07-19 | Abbott Lab | Macrocyclic hepatitis c serine protease inhibitor |
| US8642538B2 (en) | 2008-09-11 | 2014-02-04 | Abbvie, Inc. | Macrocyclic hepatitis C serine protease inhibitors |
| CN101775017A (en) * | 2008-09-11 | 2010-07-14 | 艾博特公司 | macrocyclic hepatitis c serine protease inhibitors |
| JP2010065035A (en) * | 2008-09-11 | 2010-03-25 | Abbott Lab | Large cyclic serine protease inhibitor of hepatitis c |
| EP2468285A1 (en) * | 2008-09-11 | 2012-06-27 | Enanta Pharmaceuticals, Inc. | Macrocyclic hepatitis C serine protease inhibitors |
| EP2805726A1 (en) * | 2008-09-11 | 2014-11-26 | Enanta Pharmaceuticals, Inc. | Macrocyclic hepatitis C serine protease inhibitors |
| EP2340029A4 (en) * | 2008-09-11 | 2012-06-13 | Enanta Pharm Inc | MACROCYCLIC INHIBITORS OF HEPATITIS C SERINE PROTEASE |
| US8420596B2 (en) | 2008-09-11 | 2013-04-16 | Abbott Laboratories | Macrocyclic hepatitis C serine protease inhibitors |
| US8044087B2 (en) | 2008-09-29 | 2011-10-25 | Bristol-Myers Squibb Company | Hepatitis C virus inhibitors |
| US8563505B2 (en) | 2008-09-29 | 2013-10-22 | Bristol-Myers Squibb Company | Hepatitis C virus inhibitors |
| US8283310B2 (en) | 2008-12-15 | 2012-10-09 | Bristol-Myers Squibb Company | Hepatitis C virus inhibitors |
| WO2010101967A2 (en) | 2009-03-04 | 2010-09-10 | Idenix Pharmaceuticals, Inc. | Phosphothiophene and phosphothiazole hcv polymerase inhibitors |
| WO2010118078A1 (en) * | 2009-04-08 | 2010-10-14 | Idenix Pharmaceuticals, Inc. | Macrocyclic serine protease inhibitors |
| US8232246B2 (en) | 2009-06-30 | 2012-07-31 | Abbott Laboratories | Anti-viral compounds |
| WO2011017389A1 (en) | 2009-08-05 | 2011-02-10 | Idenix Pharmaceuticals, Inc. | Macrocyclic serine protease inhibitors useful against viral infections, particularly hcv |
| WO2011063076A1 (en) | 2009-11-19 | 2011-05-26 | Itherx Pharmaceuticals, Inc. | Methods of treating hepatitis c virus with oxoacetamide compounds |
| WO2011075615A1 (en) | 2009-12-18 | 2011-06-23 | Idenix Pharmaceuticals, Inc. | 5,5-fused arylene or heteroarylene hepatitis c virus inhibitors |
| WO2011123586A1 (en) | 2010-04-01 | 2011-10-06 | Idenix Pharmaceuticals, Inc. | Compounds and pharmaceutical compositions for the treatment of viral infections |
| US8937041B2 (en) | 2010-12-30 | 2015-01-20 | Abbvie, Inc. | Macrocyclic hepatitis C serine protease inhibitors |
| US8951964B2 (en) | 2010-12-30 | 2015-02-10 | Abbvie Inc. | Phenanthridine macrocyclic hepatitis C serine protease inhibitors |
| WO2012109398A1 (en) | 2011-02-10 | 2012-08-16 | Idenix Pharmaceuticals, Inc. | Macrocyclic serine protease inhibitors, pharmaceutical compositions thereof, and their use for treating hcv infections |
| WO2012135581A1 (en) | 2011-03-31 | 2012-10-04 | Idenix Pharmaceuticals, Inc. | Methods for treating drug-resistant hepatitis c virus infection with a 5,5-fused arylene or heteroarylene hepatitis c virus inhibitor |
| WO2012154321A1 (en) | 2011-03-31 | 2012-11-15 | Idenix Pharmaceuticals, Inc. | Compounds and pharmaceutical compositions for the treatment of viral infections |
| US8957203B2 (en) | 2011-05-05 | 2015-02-17 | Bristol-Myers Squibb Company | Hepatitis C virus inhibitors |
| US9527885B2 (en) | 2011-05-05 | 2016-12-27 | Bristol-Myers Squibb Company | Hepatitis C virus inhibitors |
| US10201541B1 (en) | 2011-05-17 | 2019-02-12 | Abbvie Inc. | Compositions and methods for treating HCV |
| US10201584B1 (en) | 2011-05-17 | 2019-02-12 | Abbvie Inc. | Compositions and methods for treating HCV |
| US8691757B2 (en) | 2011-06-15 | 2014-04-08 | Bristol-Myers Squibb Company | Hepatitis C virus inhibitors |
| WO2013039920A1 (en) | 2011-09-12 | 2013-03-21 | Idenix Pharmaceuticals, Inc. | Substituted carbonyloxymethylphosphoramidate compounds and pharmaceutical compositions for the treatment of viral infections |
| WO2013039855A1 (en) | 2011-09-12 | 2013-03-21 | Idenix Pharmaceuticals, Inc. | Compounds and pharmaceutical compositions for the treatment of viral infections |
| WO2013056046A1 (en) | 2011-10-14 | 2013-04-18 | Idenix Pharmaceuticals, Inc. | Substituted 3',5'-cyclic phosphates of purine nucleotide compounds and pharmaceutical compositions for the treatment of viral infections |
| EP3750544A2 (en) | 2011-11-30 | 2020-12-16 | Emory University | Jak inhibitors for use in the prevention or treatment of viral infection |
| EP4556010A2 (en) | 2011-11-30 | 2025-05-21 | Emory University | Jak inhibitors for use in the prevention or treatment of a viral disease caused by a coronaviridae |
| WO2013133927A1 (en) | 2012-02-13 | 2013-09-12 | Idenix Pharmaceuticals, Inc. | Pharmaceutical compositions of 2'-c-methyl-guanosine, 5'-[2-[(3-hydroxy-2,2-dimethyl-1-oxopropyl)thio]ethyl n-(phenylmethyl)phosphoramidate] |
| WO2013177195A1 (en) | 2012-05-22 | 2013-11-28 | Idenix Pharmaceuticals, Inc. | 3',5'-cyclic phosphate prodrugs for hcv infection |
| WO2013177188A1 (en) | 2012-05-22 | 2013-11-28 | Idenix Pharmaceuticals, Inc. | 3',5'-cyclic phosphoramidate prodrugs for hcv infection |
| WO2013177219A1 (en) | 2012-05-22 | 2013-11-28 | Idenix Pharmaceuticals, Inc. | D-amino acid compounds for liver disease |
| US9296782B2 (en) | 2012-07-03 | 2016-03-29 | Gilead Sciences, Inc. | Inhibitors of hepatitis C virus |
| US10603318B2 (en) | 2012-07-03 | 2020-03-31 | Gilead Pharmasset Llc | Inhibitors of hepatitis C virus |
| US10335409B2 (en) | 2012-07-03 | 2019-07-02 | Gilead Pharmasset Llc | Inhibitors of hepatitis C virus |
| WO2014058801A1 (en) | 2012-10-08 | 2014-04-17 | Idenix Pharmaceuticals, Inc. | 2'-chloro nucleoside analogs for hcv infection |
| WO2014063019A1 (en) | 2012-10-19 | 2014-04-24 | Idenix Pharmaceuticals, Inc. | Dinucleotide compounds for hcv infection |
| US9499550B2 (en) | 2012-10-19 | 2016-11-22 | Bristol-Myers Squibb Company | Hepatitis C virus inhibitors |
| WO2014066239A1 (en) | 2012-10-22 | 2014-05-01 | Idenix Pharmaceuticals, Inc. | 2',4'-bridged nucleosides for hcv infection |
| US9643999B2 (en) | 2012-11-02 | 2017-05-09 | Bristol-Myers Squibb Company | Hepatitis C virus inhibitors |
| US9598433B2 (en) | 2012-11-02 | 2017-03-21 | Bristol-Myers Squibb Company | Hepatitis C virus inhibitors |
| US9334279B2 (en) | 2012-11-02 | 2016-05-10 | Bristol-Myers Squibb Company | Hepatitis C virus inhibitors |
| US9409943B2 (en) | 2012-11-05 | 2016-08-09 | Bristol-Myers Squibb Company | Hepatitis C virus inhibitors |
| WO2014078436A1 (en) | 2012-11-14 | 2014-05-22 | Idenix Pharmaceuticals, Inc. | D-alanine ester of sp-nucleoside analog |
| WO2014078427A1 (en) | 2012-11-14 | 2014-05-22 | Idenix Pharmaceuticals, Inc. | D-alanine ester of rp-nucleoside analog |
| WO2014099941A1 (en) | 2012-12-19 | 2014-06-26 | Idenix Pharmaceuticals, Inc. | 4'-fluoro nucleosides for the treatment of hcv |
| WO2014137930A1 (en) | 2013-03-04 | 2014-09-12 | Idenix Pharmaceuticals, Inc. | Thiophosphate nucleosides for the treatment of hcv |
| WO2014137926A1 (en) | 2013-03-04 | 2014-09-12 | Idenix Pharmaceuticals, Inc. | 3'-deoxy nucleosides for the treatment of hcv |
| US9580463B2 (en) | 2013-03-07 | 2017-02-28 | Bristol-Myers Squibb Company | Hepatitis C virus inhibitors |
| US9617310B2 (en) | 2013-03-15 | 2017-04-11 | Gilead Sciences, Inc. | Inhibitors of hepatitis C virus |
| WO2014165542A1 (en) | 2013-04-01 | 2014-10-09 | Idenix Pharmaceuticals, Inc. | 2',4'-fluoro nucleosides for the treatment of hcv |
| WO2014197578A1 (en) | 2013-06-05 | 2014-12-11 | Idenix Pharmaceuticals, Inc. | 1',4'-thio nucleosides for the treatment of hcv |
| WO2015017713A1 (en) | 2013-08-01 | 2015-02-05 | Idenix Pharmaceuticals, Inc. | D-amino acid phosphoramidate pronucleotides of halogeno pyrimidine compounds for liver disease |
| WO2015042375A1 (en) | 2013-09-20 | 2015-03-26 | Idenix Pharmaceuticals, Inc. | Hepatitis c virus inhibitors |
| WO2015061683A1 (en) | 2013-10-25 | 2015-04-30 | Idenix Pharmaceuticals, Inc. | D-amino acid phosphoramidate and d-alanine thiophosphoramidate pronucleotides of nucleoside compounds useful for the treatment of hcv |
| WO2015066370A1 (en) | 2013-11-01 | 2015-05-07 | Idenix Pharmaceuticals, Inc. | D-alanine phosphoramidate pronucleotides of 2'-methyl 2'-fluoro guanosine nucleoside compounds for the treatment of hcv |
| WO2015081297A1 (en) | 2013-11-27 | 2015-06-04 | Idenix Pharmaceuticals, Inc. | 2'-dichloro and 2'-fluoro-2'-chloro nucleoside analogues for hcv infection |
| WO2015095419A1 (en) | 2013-12-18 | 2015-06-25 | Idenix Pharmaceuticals, Inc. | 4'-or nucleosides for the treatment of hcv |
| US9333204B2 (en) | 2014-01-03 | 2016-05-10 | Abbvie Inc. | Solid antiviral dosage forms |
| US9744170B2 (en) | 2014-01-03 | 2017-08-29 | Abbvie Inc. | Solid antiviral dosage forms |
| US10105365B2 (en) | 2014-01-03 | 2018-10-23 | Abbvie Inc. | Solid antiviral dosage forms |
| WO2015134780A1 (en) | 2014-03-05 | 2015-09-11 | Idenix Pharmaceuticals, Inc. | Solid prodrug forms of 2'-chloro-2'-methyl uridine for hcv |
| WO2015134560A1 (en) | 2014-03-05 | 2015-09-11 | Idenix Pharmaceuticals, Inc. | Solid forms of a flaviviridae virus inhibitor compound and salts thereof |
| WO2015134561A1 (en) | 2014-03-05 | 2015-09-11 | Idenix Pharmaceuticals, Inc. | Pharmaceutical compositions comprising a 5,5-fused heteroarylene flaviviridae inhibitor and their use for treating or preventing flaviviridae infection |
| WO2015161137A1 (en) | 2014-04-16 | 2015-10-22 | Idenix Pharmaceuticals, Inc. | 3'-substituted methyl or alkynyl nucleosides for the treatment of hcv |
| US12083099B2 (en) | 2020-10-28 | 2024-09-10 | Accencio LLC | Methods of treating symptoms of coronavirus infection with viral protease inhibitors |
| US12453717B1 (en) | 2020-10-28 | 2025-10-28 | Accencio LC | Methods of treating symptoms of coronavirus infection with viral protease inhibitors |
| WO2023125825A1 (en) * | 2021-12-29 | 2023-07-06 | Shanghai Curegene Pharmaceutical Co., Ltd. | Anticoronviral compounds and compositions and uses thereof |
| CN118488949A (en) * | 2021-12-29 | 2024-08-13 | 上海柯君医药科技有限公司 | Anti-coronavirus compounds, compositions and uses thereof |
| WO2024008044A1 (en) * | 2022-07-08 | 2024-01-11 | 腾讯科技(深圳)有限公司 | Macrocyclic peptidomimetic protease inhibitor and use thereof |
Also Published As
| Publication number | Publication date |
|---|---|
| WO2007001406A3 (en) | 2007-07-19 |
Similar Documents
| Publication | Publication Date | Title |
|---|---|---|
| WO2007001406A2 (en) | Aryl-containing macrocyclic compounds | |
| JP4675331B2 (en) | Hepatitis C virus inhibitor | |
| JP4675332B2 (en) | Hepatitis C virus inhibitor | |
| US7705146B2 (en) | Hepatitis C inhibitor peptide analogs | |
| JP4688815B2 (en) | Hepatitis C virus inhibitor | |
| JP4964950B2 (en) | Macrocyclic oxymil hepatitis C protease inhibitor | |
| US9526769B2 (en) | Macrocylic oximyl hepatitis C protease inhibitors | |
| JP5433573B2 (en) | Macrocyclic compounds as antiviral agents | |
| CN101429232B (en) | Hepatitis C virus protease inhibitors | |
| EP2813500B1 (en) | Intermediates for the preparation of hepatitis C virus inhibitors | |
| EP1613620A1 (en) | Inhibitors of serine proteases, particularly hcv ns3-ns4a protease | |
| CN101674844A (en) | Tetrazolyl macrocyclic hepatitis C serine protease inhibitors | |
| KR20100098527A (en) | Quinoxaline-containing compounds as hepatitis c virus inhibitors | |
| JP2011503201A (en) | Macrocyclic tetrazolyl hepatitis C serine protease inhibitor | |
| KR20100131971A (en) | HBC protease inhibitors and uses thereof | |
| AU2004298498A1 (en) | Inhibitors of hepatitis C virus NS3/NS4a serine protease | |
| CN101977621A (en) | Fluorinated tripeptide hcv serine protease inhibitors | |
| WO2003037893A1 (en) | Acyl dihydro pyrrole derivatives as hcv inhibitors | |
| US20060142204A1 (en) | Pyrrolidine derivatives for use in treating heaptitis c virus infection | |
| AU2011313665B2 (en) | Salts and polymorphs of sulfamide NS3 inhibitors | |
| KR100638709B1 (en) | N-substituted sulfamoylbenzoic acid derivatives, preparation method thereof and pharmaceutical composition for antiviral comprising the same | |
| TW200808832A (en) | Triazolyl macrocyclic hepatitis C serine protease inhibitors |
Legal Events
| Date | Code | Title | Description |
|---|---|---|---|
| 121 | Ep: the epo has been informed by wipo that ep was designated in this application | ||
| NENP | Non-entry into the national phase |
Ref country code: DE |
|
| 122 | Ep: pct application non-entry in european phase |
Ref document number: 05858219 Country of ref document: EP Kind code of ref document: A2 |


























































































































































