WO2005035631A1 - Amino-functional silicone waxes - Google Patents
Amino-functional silicone waxes Download PDFInfo
- Publication number
- WO2005035631A1 WO2005035631A1 PCT/IB2004/003227 IB2004003227W WO2005035631A1 WO 2005035631 A1 WO2005035631 A1 WO 2005035631A1 IB 2004003227 W IB2004003227 W IB 2004003227W WO 2005035631 A1 WO2005035631 A1 WO 2005035631A1
- Authority
- WO
- WIPO (PCT)
- Prior art keywords
- waxes
- formula
- silicone waxes
- silicone
- amino
- Prior art date
- Legal status (The legal status is an assumption and is not a legal conclusion. Google has not performed a legal analysis and makes no representation as to the accuracy of the status listed.)
- Ceased
Links
Classifications
-
- C—CHEMISTRY; METALLURGY
- C08—ORGANIC MACROMOLECULAR COMPOUNDS; THEIR PREPARATION OR CHEMICAL WORKING-UP; COMPOSITIONS BASED THEREON
- C08L—COMPOSITIONS OF MACROMOLECULAR COMPOUNDS
- C08L83/00—Compositions of macromolecular compounds obtained by reactions forming in the main chain of the macromolecule a linkage containing silicon with or without sulfur, nitrogen, oxygen or carbon only; Compositions of derivatives of such polymers
- C08L83/04—Polysiloxanes
- C08L83/08—Polysiloxanes containing silicon bound to organic groups containing atoms other than carbon, hydrogen and oxygen
-
- C—CHEMISTRY; METALLURGY
- C08—ORGANIC MACROMOLECULAR COMPOUNDS; THEIR PREPARATION OR CHEMICAL WORKING-UP; COMPOSITIONS BASED THEREON
- C08G—MACROMOLECULAR COMPOUNDS OBTAINED OTHERWISE THAN BY REACTIONS ONLY INVOLVING UNSATURATED CARBON-TO-CARBON BONDS
- C08G77/00—Macromolecular compounds obtained by reactions forming a linkage containing silicon with or without sulfur, nitrogen, oxygen or carbon in the main chain of the macromolecule
- C08G77/04—Polysiloxanes
- C08G77/38—Polysiloxanes modified by chemical after-treatment
- C08G77/382—Polysiloxanes modified by chemical after-treatment containing atoms other than carbon, hydrogen, oxygen or silicon
- C08G77/388—Polysiloxanes modified by chemical after-treatment containing atoms other than carbon, hydrogen, oxygen or silicon containing nitrogen
-
- C—CHEMISTRY; METALLURGY
- C08—ORGANIC MACROMOLECULAR COMPOUNDS; THEIR PREPARATION OR CHEMICAL WORKING-UP; COMPOSITIONS BASED THEREON
- C08L—COMPOSITIONS OF MACROMOLECULAR COMPOUNDS
- C08L83/00—Compositions of macromolecular compounds obtained by reactions forming in the main chain of the macromolecule a linkage containing silicon with or without sulfur, nitrogen, oxygen or carbon only; Compositions of derivatives of such polymers
- C08L83/04—Polysiloxanes
-
- D—TEXTILES; PAPER
- D06—TREATMENT OF TEXTILES OR THE LIKE; LAUNDERING; FLEXIBLE MATERIALS NOT OTHERWISE PROVIDED FOR
- D06M—TREATMENT, NOT PROVIDED FOR ELSEWHERE IN CLASS D06, OF FIBRES, THREADS, YARNS, FABRICS, FEATHERS OR FIBROUS GOODS MADE FROM SUCH MATERIALS
- D06M15/00—Treating fibres, threads, yarns, fabrics, or fibrous goods made from such materials, with macromolecular compounds; Such treatment combined with mechanical treatment
- D06M15/19—Treating fibres, threads, yarns, fabrics, or fibrous goods made from such materials, with macromolecular compounds; Such treatment combined with mechanical treatment with synthetic macromolecular compounds
- D06M15/37—Macromolecular compounds obtained otherwise than by reactions only involving carbon-to-carbon unsaturated bonds
- D06M15/643—Macromolecular compounds obtained otherwise than by reactions only involving carbon-to-carbon unsaturated bonds containing silicon in the main chain
- D06M15/6436—Macromolecular compounds obtained otherwise than by reactions only involving carbon-to-carbon unsaturated bonds containing silicon in the main chain containing amino groups
-
- C—CHEMISTRY; METALLURGY
- C08—ORGANIC MACROMOLECULAR COMPOUNDS; THEIR PREPARATION OR CHEMICAL WORKING-UP; COMPOSITIONS BASED THEREON
- C08G—MACROMOLECULAR COMPOUNDS OBTAINED OTHERWISE THAN BY REACTIONS ONLY INVOLVING UNSATURATED CARBON-TO-CARBON BONDS
- C08G77/00—Macromolecular compounds obtained by reactions forming a linkage containing silicon with or without sulfur, nitrogen, oxygen or carbon in the main chain of the macromolecule
- C08G77/04—Polysiloxanes
- C08G77/045—Polysiloxanes containing less than 25 silicon atoms
-
- C—CHEMISTRY; METALLURGY
- C08—ORGANIC MACROMOLECULAR COMPOUNDS; THEIR PREPARATION OR CHEMICAL WORKING-UP; COMPOSITIONS BASED THEREON
- C08G—MACROMOLECULAR COMPOUNDS OBTAINED OTHERWISE THAN BY REACTIONS ONLY INVOLVING UNSATURATED CARBON-TO-CARBON BONDS
- C08G77/00—Macromolecular compounds obtained by reactions forming a linkage containing silicon with or without sulfur, nitrogen, oxygen or carbon in the main chain of the macromolecule
- C08G77/04—Polysiloxanes
- C08G77/14—Polysiloxanes containing silicon bound to oxygen-containing groups
-
- C—CHEMISTRY; METALLURGY
- C08—ORGANIC MACROMOLECULAR COMPOUNDS; THEIR PREPARATION OR CHEMICAL WORKING-UP; COMPOSITIONS BASED THEREON
- C08G—MACROMOLECULAR COMPOUNDS OBTAINED OTHERWISE THAN BY REACTIONS ONLY INVOLVING UNSATURATED CARBON-TO-CARBON BONDS
- C08G77/00—Macromolecular compounds obtained by reactions forming a linkage containing silicon with or without sulfur, nitrogen, oxygen or carbon in the main chain of the macromolecule
- C08G77/04—Polysiloxanes
- C08G77/14—Polysiloxanes containing silicon bound to oxygen-containing groups
- C08G77/18—Polysiloxanes containing silicon bound to oxygen-containing groups to alkoxy or aryloxy groups
-
- C—CHEMISTRY; METALLURGY
- C08—ORGANIC MACROMOLECULAR COMPOUNDS; THEIR PREPARATION OR CHEMICAL WORKING-UP; COMPOSITIONS BASED THEREON
- C08G—MACROMOLECULAR COMPOUNDS OBTAINED OTHERWISE THAN BY REACTIONS ONLY INVOLVING UNSATURATED CARBON-TO-CARBON BONDS
- C08G77/00—Macromolecular compounds obtained by reactions forming a linkage containing silicon with or without sulfur, nitrogen, oxygen or carbon in the main chain of the macromolecule
- C08G77/04—Polysiloxanes
- C08G77/22—Polysiloxanes containing silicon bound to organic groups containing atoms other than carbon, hydrogen and oxygen
- C08G77/24—Polysiloxanes containing silicon bound to organic groups containing atoms other than carbon, hydrogen and oxygen halogen-containing groups
-
- C—CHEMISTRY; METALLURGY
- C08—ORGANIC MACROMOLECULAR COMPOUNDS; THEIR PREPARATION OR CHEMICAL WORKING-UP; COMPOSITIONS BASED THEREON
- C08G—MACROMOLECULAR COMPOUNDS OBTAINED OTHERWISE THAN BY REACTIONS ONLY INVOLVING UNSATURATED CARBON-TO-CARBON BONDS
- C08G77/00—Macromolecular compounds obtained by reactions forming a linkage containing silicon with or without sulfur, nitrogen, oxygen or carbon in the main chain of the macromolecule
- C08G77/04—Polysiloxanes
- C08G77/22—Polysiloxanes containing silicon bound to organic groups containing atoms other than carbon, hydrogen and oxygen
- C08G77/26—Polysiloxanes containing silicon bound to organic groups containing atoms other than carbon, hydrogen and oxygen nitrogen-containing groups
-
- C—CHEMISTRY; METALLURGY
- C08—ORGANIC MACROMOLECULAR COMPOUNDS; THEIR PREPARATION OR CHEMICAL WORKING-UP; COMPOSITIONS BASED THEREON
- C08G—MACROMOLECULAR COMPOUNDS OBTAINED OTHERWISE THAN BY REACTIONS ONLY INVOLVING UNSATURATED CARBON-TO-CARBON BONDS
- C08G77/00—Macromolecular compounds obtained by reactions forming a linkage containing silicon with or without sulfur, nitrogen, oxygen or carbon in the main chain of the macromolecule
- C08G77/04—Polysiloxanes
- C08G77/22—Polysiloxanes containing silicon bound to organic groups containing atoms other than carbon, hydrogen and oxygen
- C08G77/28—Polysiloxanes containing silicon bound to organic groups containing atoms other than carbon, hydrogen and oxygen sulfur-containing groups
-
- C—CHEMISTRY; METALLURGY
- C08—ORGANIC MACROMOLECULAR COMPOUNDS; THEIR PREPARATION OR CHEMICAL WORKING-UP; COMPOSITIONS BASED THEREON
- C08G—MACROMOLECULAR COMPOUNDS OBTAINED OTHERWISE THAN BY REACTIONS ONLY INVOLVING UNSATURATED CARBON-TO-CARBON BONDS
- C08G77/00—Macromolecular compounds obtained by reactions forming a linkage containing silicon with or without sulfur, nitrogen, oxygen or carbon in the main chain of the macromolecule
- C08G77/42—Block-or graft-polymers containing polysiloxane sequences
- C08G77/452—Block-or graft-polymers containing polysiloxane sequences containing nitrogen-containing sequences
- C08G77/455—Block-or graft-polymers containing polysiloxane sequences containing nitrogen-containing sequences containing polyamide, polyesteramide or polyimide sequences
-
- D—TEXTILES; PAPER
- D06—TREATMENT OF TEXTILES OR THE LIKE; LAUNDERING; FLEXIBLE MATERIALS NOT OTHERWISE PROVIDED FOR
- D06M—TREATMENT, NOT PROVIDED FOR ELSEWHERE IN CLASS D06, OF FIBRES, THREADS, YARNS, FABRICS, FEATHERS OR FIBROUS GOODS MADE FROM SUCH MATERIALS
- D06M2200/00—Functionality of the treatment composition and/or properties imparted to the textile material
- D06M2200/50—Modified hand or grip properties; Softening compositions
Definitions
- the present invention concerns silicone waxes having plural tertiary or quaternary amino groups, their preparation and their use as softeners in the textile industry.
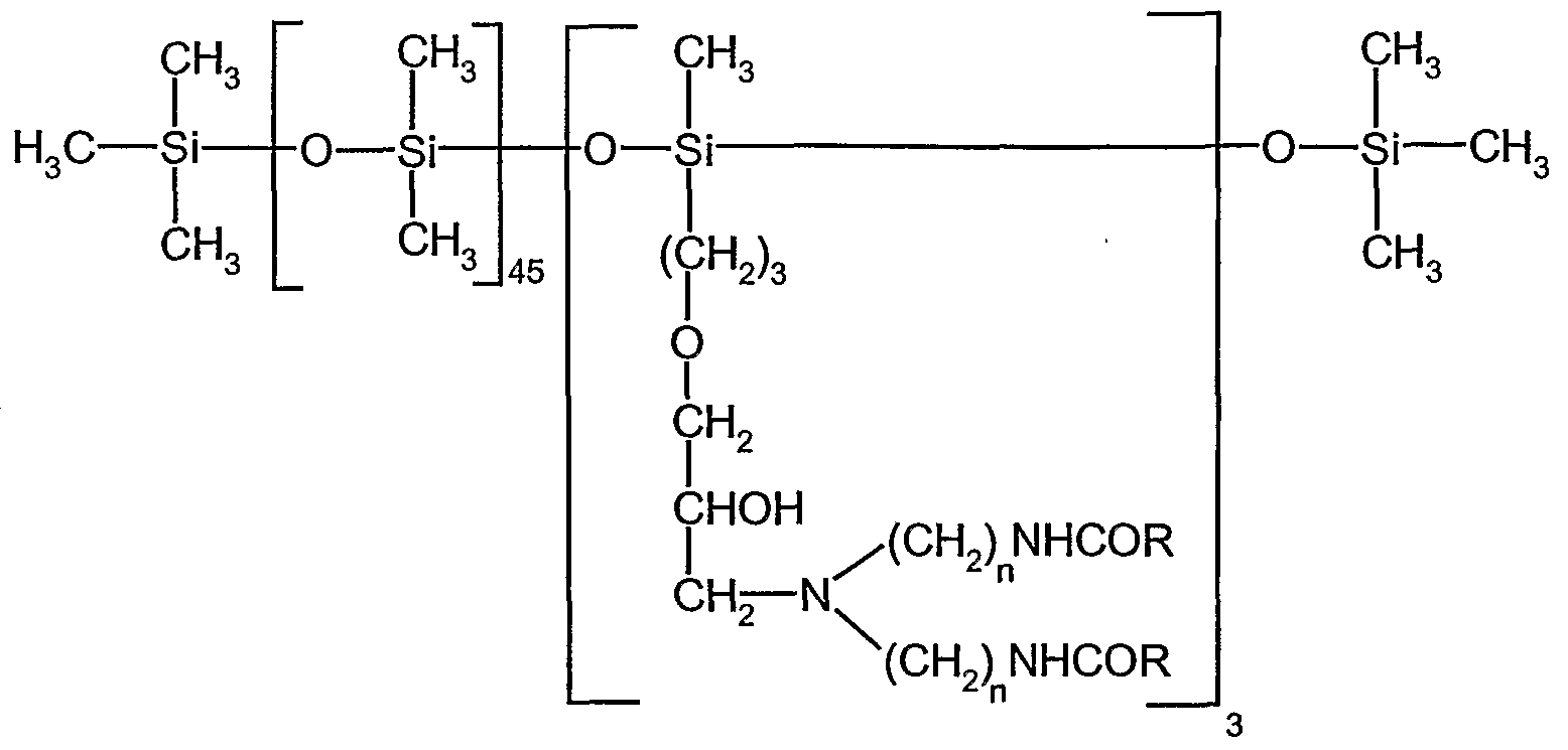
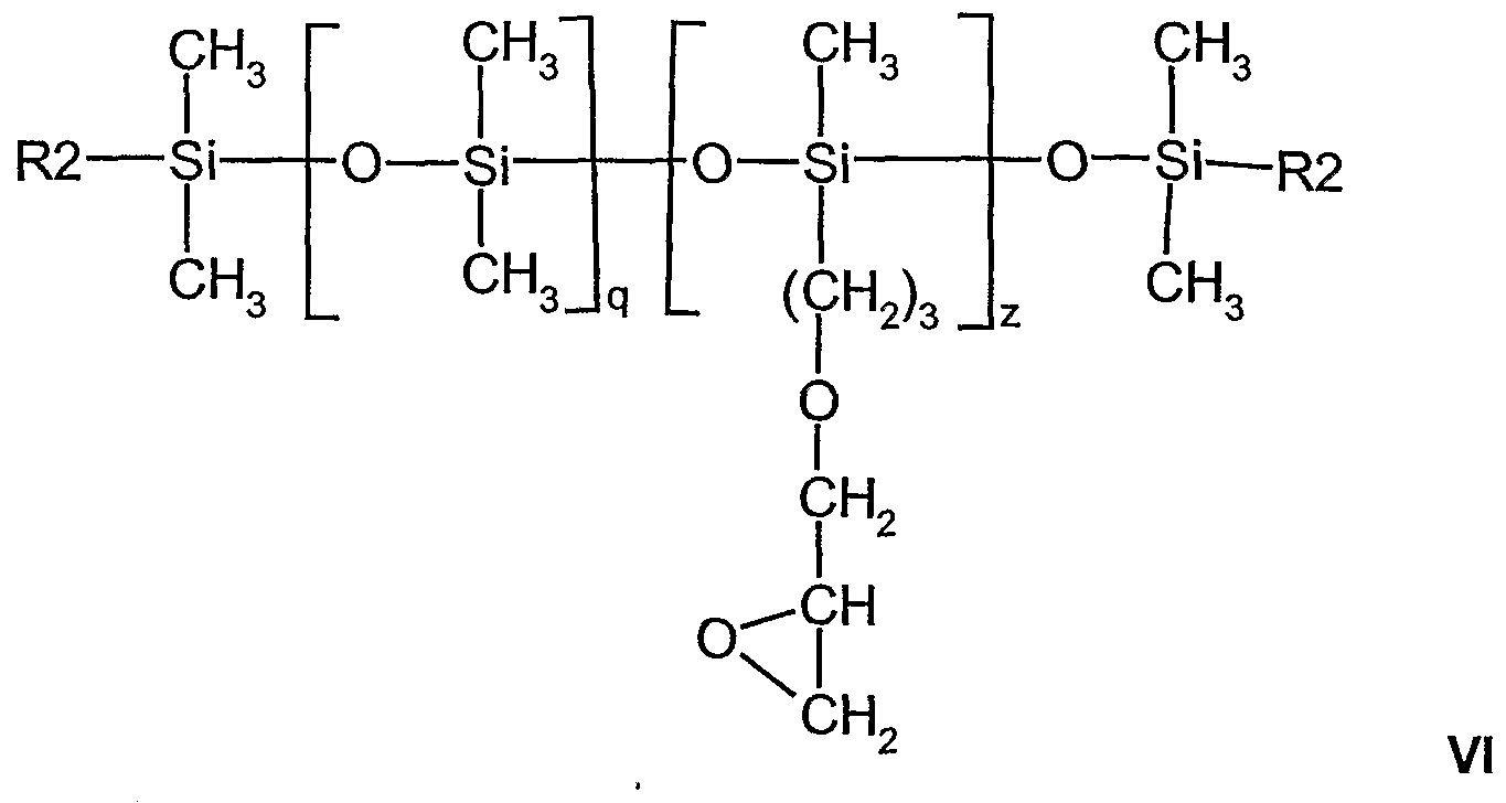
- the invention accordingly provides amino-functional silicone waxes of the formulae (I) to (IV)
- R is Cn-C 22 -alkyl, linear or branched
- R1 is C C 7 -alkyl or benzyl, preferably methyl or benzyl,
- R2 is -OH, -CH 3> -OCH 3 , -OC 2 H 5 ,
- a " is CH 3 OSO 3 " , chloride, bromide, iodide or tosylsulfate, preferably CH 3 OSO 3 " or chloride, n is 2 or 3, p is 10-200, preferably 20-50, q+z is 10-400, preferably 15-200, and q/z is 5-50, preferably 10-30.
- waxes whether in the quaternized form (II) and (IV) or in the non-quaternized form (I) and (III), exhibit good properties when used as softeners. Their great advantage is that they can be used in the form of dispersions which, compared with emulsions, have a higher shearing force stability.
- the present invention further provides for the preparation of the aforementioned silicone waxes.
- the initial step is to prepare fatty acid diamides by condensation of fatty acids, for example stearic acid or lauric acid, with diethylenetriamine or dipropylenediamine.
- the resultant fatty acid diamide is subsequently quaternized with the customary, aforementioned quaternizing agents.
- the present invention further provides for the use of the aforementioned silicone waxes as softeners in the textile industry.
- the silicone waxes obtained can be converted by means of dispersants into aqueous dispersions which have a higher shearing force stability than emulsions and are very useful for softening textiles in that the material acquires a pleasant, soft hand.
- the waxes have the following structure:
- n 2 or 3
- R C ⁇ -C ⁇ alkyl radical
- n 2 or 3
- R C 11 -C 21 alkyl radical are obtained.
- the products W E to W 12 -E and also WQ E to WQ 12 -E are very stable to shearing force; they can be applied to textile material (cotton and synthetic fibres) both in the padding process and in the exhaust process.
- the finished textile materials possess an excellent, soft, pleasant, smooth hand.
- the finished substrate is added to an aqueous liquor which, based on the substrate, contains 0.5% to 4.0% of the end products described in the examples, at about 40°C and a liquor ratio of 6:1 to 20:1 , in a laboratory jet. After 20 minutes at pH 5.0 to 6.0 (40°C) and continuous agitation of the substrate, the substrate is removed from the liquor, whizzed and dried tensionlessly at 140°C for 70-90 seconds.
- the finished substrate is padded at room temperature, to a 100% dry weight increase, with an aqueous liquor which contains 15 to 60 g/l of the end products W-E or WQ-E.
- the padded material is subsequently dried at 140°C for 70-90 seconds.
- Substrate Exhaust process: Tricot fabric, dyed, with or without setting - 100% cotton - polyester (50%) / cotton (50%)
- Padding process Tricot or woven fabric, dyed, with or without setting - 100% cotton - polyester (50%) / cotton (50%) - polyester (100%) - polyacrylonitrile (100%) - nylon 6 (100%)
- Softness can be tested pairwise or using a handle-O-meter (for example a 211-5 Twing Albert).
- the finished samples are first conditioned (24 hours, 20°C, 65% relative humidity) before being assessed.
Landscapes
- Chemical & Material Sciences (AREA)
- Chemical Kinetics & Catalysis (AREA)
- Health & Medical Sciences (AREA)
- Medicinal Chemistry (AREA)
- Polymers & Plastics (AREA)
- Organic Chemistry (AREA)
- General Chemical & Material Sciences (AREA)
- Engineering & Computer Science (AREA)
- Textile Engineering (AREA)
- Treatments For Attaching Organic Compounds To Fibrous Goods (AREA)
- Silicon Polymers (AREA)
- Compositions Of Macromolecular Compounds (AREA)
Abstract
Description
Claims
Priority Applications (4)
| Application Number | Priority Date | Filing Date | Title |
|---|---|---|---|
| BRPI0415170-4A BRPI0415170A (en) | 2003-10-07 | 2004-10-04 | amino-functional silicone waxes |
| US10/575,154 US7511165B2 (en) | 2004-10-04 | 2004-10-04 | Amino-functional silicone waxes |
| EP04769548A EP1678239A1 (en) | 2003-10-07 | 2004-10-04 | Amino-functional silicone waxes |
| HK07103001.4A HK1095846B (en) | 2003-10-07 | 2004-10-04 | Amino-functional silicone waxes |
Applications Claiming Priority (2)
| Application Number | Priority Date | Filing Date | Title |
|---|---|---|---|
| EP03022447.1 | 2003-10-07 | ||
| EP03022447 | 2003-10-07 |
Publications (1)
| Publication Number | Publication Date |
|---|---|
| WO2005035631A1 true WO2005035631A1 (en) | 2005-04-21 |
Family
ID=34429232
Family Applications (1)
| Application Number | Title | Priority Date | Filing Date |
|---|---|---|---|
| PCT/IB2004/003227 Ceased WO2005035631A1 (en) | 2003-10-07 | 2004-10-04 | Amino-functional silicone waxes |
Country Status (4)
| Country | Link |
|---|---|
| EP (1) | EP1678239A1 (en) |
| CN (1) | CN100384913C (en) |
| BR (1) | BRPI0415170A (en) |
| WO (1) | WO2005035631A1 (en) |
Cited By (3)
| Publication number | Priority date | Publication date | Assignee | Title |
|---|---|---|---|---|
| JP2009280813A (en) * | 2008-05-19 | 2009-12-03 | Wacker Chemie Ag | Method of producing oragno-polysiloxane with quaternary ammonium group |
| EP2689804A3 (en) * | 2012-07-27 | 2015-05-06 | Henkel AG&Co. KGAA | Protective hair dye with silicone(s) and polymer(s) |
| US9352289B2 (en) | 2010-12-28 | 2016-05-31 | Conopco, Inc. | Method for production of an emulsion |
Families Citing this family (1)
| Publication number | Priority date | Publication date | Assignee | Title |
|---|---|---|---|---|
| US9845410B2 (en) * | 2014-06-12 | 2017-12-19 | The Chemours Company Fc, Llc | Wax and urethane based extender blends for surface effect compositions |
Citations (3)
| Publication number | Priority date | Publication date | Assignee | Title |
|---|---|---|---|---|
| EP0415698A2 (en) * | 1989-08-31 | 1991-03-06 | Unilever Plc | Fabric softening composition |
| EP0738511A1 (en) * | 1995-04-18 | 1996-10-23 | Rhone-Poulenc Chimie | Use of silicone waxes containing ester functions as thickeners in oily media |
| US6165444A (en) * | 1995-09-29 | 2000-12-26 | L'oreal | Composition for treating keratinous material, including at least one silicone-grafted polymer and at least one fatty-chain amide, and uses thereof |
Family Cites Families (1)
| Publication number | Priority date | Publication date | Assignee | Title |
|---|---|---|---|---|
| FR2749505B1 (en) * | 1996-06-07 | 1998-07-10 | Oreal | ALKYLPOLYSILOXANE NON-TRANSFER MAKEUP OR CARE COMPOSITION |
-
2004
- 2004-10-04 CN CNB2004800291745A patent/CN100384913C/en not_active Expired - Fee Related
- 2004-10-04 BR BRPI0415170-4A patent/BRPI0415170A/en not_active IP Right Cessation
- 2004-10-04 WO PCT/IB2004/003227 patent/WO2005035631A1/en not_active Ceased
- 2004-10-04 EP EP04769548A patent/EP1678239A1/en not_active Withdrawn
Patent Citations (3)
| Publication number | Priority date | Publication date | Assignee | Title |
|---|---|---|---|---|
| EP0415698A2 (en) * | 1989-08-31 | 1991-03-06 | Unilever Plc | Fabric softening composition |
| EP0738511A1 (en) * | 1995-04-18 | 1996-10-23 | Rhone-Poulenc Chimie | Use of silicone waxes containing ester functions as thickeners in oily media |
| US6165444A (en) * | 1995-09-29 | 2000-12-26 | L'oreal | Composition for treating keratinous material, including at least one silicone-grafted polymer and at least one fatty-chain amide, and uses thereof |
Cited By (3)
| Publication number | Priority date | Publication date | Assignee | Title |
|---|---|---|---|---|
| JP2009280813A (en) * | 2008-05-19 | 2009-12-03 | Wacker Chemie Ag | Method of producing oragno-polysiloxane with quaternary ammonium group |
| US9352289B2 (en) | 2010-12-28 | 2016-05-31 | Conopco, Inc. | Method for production of an emulsion |
| EP2689804A3 (en) * | 2012-07-27 | 2015-05-06 | Henkel AG&Co. KGAA | Protective hair dye with silicone(s) and polymer(s) |
Also Published As
| Publication number | Publication date |
|---|---|
| CN100384913C (en) | 2008-04-30 |
| EP1678239A1 (en) | 2006-07-12 |
| BRPI0415170A (en) | 2006-11-28 |
| HK1095846A1 (en) | 2007-05-18 |
| CN1863844A (en) | 2006-11-15 |
Similar Documents
| Publication | Publication Date | Title |
|---|---|---|
| EP0342834B1 (en) | Treatment of fibrous materials | |
| US4818242A (en) | Laundry care product for final rinse: aqueous mixture of cationic silicone oil, cationic fatty acid condensate and cationic film-former | |
| US5098979A (en) | Novel silicone quaternary compounds | |
| JP5553505B2 (en) | Polyamino and / or polyammonium / polysiloxane copolymer compound in which polyalkylene oxide units are arranged in a comb shape | |
| US5352817A (en) | Cationic silicones | |
| CA2024797C (en) | Microemulsions of aminopolysiloxanes | |
| US5153294A (en) | Silicone ester quaternary compounds | |
| US4661577A (en) | Aminofunctional polysiloxanes | |
| US5166297A (en) | Silicone ester quaternary compounds | |
| EP0824563A1 (en) | Silicone aminopolyalkyleneoxide block copolymers | |
| RU2141015C1 (en) | Composition for imparting to textile material of fire- retarding and cloth-softening properties, textile material and method of composition production | |
| CN109535428B (en) | Polyammonium modified polyether silicone oil and preparation method and application thereof | |
| US5496401A (en) | Aqueous emulsion containing an oxidatively crosslinked aminopolysiloxane | |
| JPH07166064A (en) | Compositions containing organosilicon compounds for treating textiles | |
| JPH0853547A (en) | Amino-functional organopolysiloxane,its aqueous emulsion,itsproduction and finishing agent for organic fiber and fabric | |
| WO2005035631A1 (en) | Amino-functional silicone waxes | |
| US7511165B2 (en) | Amino-functional silicone waxes | |
| EP0372782A2 (en) | Method for the treatment of cellulosic fibres | |
| EP0394689A2 (en) | Method of treating fabrics and other substrates with exhaustible cationic silicones | |
| JPS6328417B2 (en) | ||
| JPH07116675B2 (en) | Method for producing softener composition | |
| WO2004047779A2 (en) | Polymers containing quaternary ammonium salts | |
| HK1095846B (en) | Amino-functional silicone waxes | |
| US20040024112A1 (en) | Stable aqueous polymer emulsions, production and use thereof | |
| KR0134183B1 (en) | Micro-emulsion of aminopolysiloxans |
Legal Events
| Date | Code | Title | Description |
|---|---|---|---|
| WWE | Wipo information: entry into national phase |
Ref document number: 200480029174.5 Country of ref document: CN |
|
| AK | Designated states |
Kind code of ref document: A1 Designated state(s): AE AG AL AM AT AU AZ BA BB BG BR BW BY BZ CA CH CN CO CR CU CZ DE DK DM DZ EC EE EG ES FI GB GD GE GH GM HR HU ID IL IN IS JP KE KG KP KR KZ LC LK LR LS LT LU LV MA MD MG MK MN MW MX MZ NA NI NO NZ OM PG PH PL PT RO RU SC SD SE SG SK SL SY TJ TM TN TR TT TZ UA UG US UZ VC VN YU ZA ZM ZW |
|
| AL | Designated countries for regional patents |
Kind code of ref document: A1 Designated state(s): BW GH GM KE LS MW MZ NA SD SL SZ TZ UG ZM ZW AM AZ BY KG KZ MD RU TJ TM AT BE BG CH CY CZ DE DK EE ES FI FR GB GR HU IE IT LU MC NL PL PT RO SE SI SK TR BF BJ CF CG CI CM GA GN GQ GW ML MR NE SN TD TG |
|
| 121 | Ep: the epo has been informed by wipo that ep was designated in this application | ||
| WWE | Wipo information: entry into national phase |
Ref document number: 1182/CHENP/2006 Country of ref document: IN |
|
| WWE | Wipo information: entry into national phase |
Ref document number: 2007122372 Country of ref document: US Ref document number: 10575154 Country of ref document: US |
|
| WWE | Wipo information: entry into national phase |
Ref document number: 2004769548 Country of ref document: EP |
|
| WWP | Wipo information: published in national office |
Ref document number: 2004769548 Country of ref document: EP |
|
| ENP | Entry into the national phase |
Ref document number: PI0415170 Country of ref document: BR |
|
| WWP | Wipo information: published in national office |
Ref document number: 10575154 Country of ref document: US |



















