WO2002098839A1 - Biphenylcarboxamides and process for preparation thereof - Google Patents
Biphenylcarboxamides and process for preparation thereof Download PDFInfo
- Publication number
- WO2002098839A1 WO2002098839A1 PCT/JP2002/005358 JP0205358W WO02098839A1 WO 2002098839 A1 WO2002098839 A1 WO 2002098839A1 JP 0205358 W JP0205358 W JP 0205358W WO 02098839 A1 WO02098839 A1 WO 02098839A1
- Authority
- WO
- WIPO (PCT)
- Prior art keywords
- group
- formula
- represented
- lower alkoxy
- compound
- Prior art date
- Legal status (The legal status is an assumption and is not a legal conclusion. Google has not performed a legal analysis and makes no representation as to the accuracy of the status listed.)
- Ceased
Links
Classifications
-
- C—CHEMISTRY; METALLURGY
- C07—ORGANIC CHEMISTRY
- C07C—ACYCLIC OR CARBOCYCLIC COMPOUNDS
- C07C311/00—Amides of sulfonic acids, i.e. compounds having singly-bound oxygen atoms of sulfo groups replaced by nitrogen atoms, not being part of nitro or nitroso groups
- C07C311/15—Sulfonamides having sulfur atoms of sulfonamide groups bound to carbon atoms of six-membered aromatic rings
- C07C311/16—Sulfonamides having sulfur atoms of sulfonamide groups bound to carbon atoms of six-membered aromatic rings having the nitrogen atom of at least one of the sulfonamide groups bound to hydrogen atoms or to an acyclic carbon atom
- C07C311/18—Sulfonamides having sulfur atoms of sulfonamide groups bound to carbon atoms of six-membered aromatic rings having the nitrogen atom of at least one of the sulfonamide groups bound to hydrogen atoms or to an acyclic carbon atom to an acyclic carbon atom of a hydrocarbon radical substituted by nitrogen atoms, not being part of nitro or nitroso groups
-
- A—HUMAN NECESSITIES
- A61—MEDICAL OR VETERINARY SCIENCE; HYGIENE
- A61P—SPECIFIC THERAPEUTIC ACTIVITY OF CHEMICAL COMPOUNDS OR MEDICINAL PREPARATIONS
- A61P3/00—Drugs for disorders of the metabolism
- A61P3/04—Anorexiants; Antiobesity agents
-
- A—HUMAN NECESSITIES
- A61—MEDICAL OR VETERINARY SCIENCE; HYGIENE
- A61P—SPECIFIC THERAPEUTIC ACTIVITY OF CHEMICAL COMPOUNDS OR MEDICINAL PREPARATIONS
- A61P3/00—Drugs for disorders of the metabolism
- A61P3/06—Antihyperlipidemics
-
- A—HUMAN NECESSITIES
- A61—MEDICAL OR VETERINARY SCIENCE; HYGIENE
- A61P—SPECIFIC THERAPEUTIC ACTIVITY OF CHEMICAL COMPOUNDS OR MEDICINAL PREPARATIONS
- A61P3/00—Drugs for disorders of the metabolism
- A61P3/08—Drugs for disorders of the metabolism for glucose homeostasis
- A61P3/10—Drugs for disorders of the metabolism for glucose homeostasis for hyperglycaemia, e.g. antidiabetics
-
- A—HUMAN NECESSITIES
- A61—MEDICAL OR VETERINARY SCIENCE; HYGIENE
- A61P—SPECIFIC THERAPEUTIC ACTIVITY OF CHEMICAL COMPOUNDS OR MEDICINAL PREPARATIONS
- A61P43/00—Drugs for specific purposes, not provided for in groups A61P1/00-A61P41/00
-
- A—HUMAN NECESSITIES
- A61—MEDICAL OR VETERINARY SCIENCE; HYGIENE
- A61P—SPECIFIC THERAPEUTIC ACTIVITY OF CHEMICAL COMPOUNDS OR MEDICINAL PREPARATIONS
- A61P7/00—Drugs for disorders of the blood or the extracellular fluid
- A61P7/02—Antithrombotic agents; Anticoagulants; Platelet aggregation inhibitors
-
- A—HUMAN NECESSITIES
- A61—MEDICAL OR VETERINARY SCIENCE; HYGIENE
- A61P—SPECIFIC THERAPEUTIC ACTIVITY OF CHEMICAL COMPOUNDS OR MEDICINAL PREPARATIONS
- A61P9/00—Drugs for disorders of the cardiovascular system
-
- A—HUMAN NECESSITIES
- A61—MEDICAL OR VETERINARY SCIENCE; HYGIENE
- A61P—SPECIFIC THERAPEUTIC ACTIVITY OF CHEMICAL COMPOUNDS OR MEDICINAL PREPARATIONS
- A61P9/00—Drugs for disorders of the cardiovascular system
- A61P9/10—Drugs for disorders of the cardiovascular system for treating ischaemic or atherosclerotic diseases, e.g. antianginal drugs, coronary vasodilators, drugs for myocardial infarction, retinopathy, cerebrovascula insufficiency, renal arteriosclerosis
-
- C—CHEMISTRY; METALLURGY
- C07—ORGANIC CHEMISTRY
- C07C—ACYCLIC OR CARBOCYCLIC COMPOUNDS
- C07C233/00—Carboxylic acid amides
- C07C233/64—Carboxylic acid amides having carbon atoms of carboxamide groups bound to carbon atoms of six-membered aromatic rings
- C07C233/77—Carboxylic acid amides having carbon atoms of carboxamide groups bound to carbon atoms of six-membered aromatic rings having the nitrogen atom of at least one of the carboxamide groups bound to a carbon atom of a hydrocarbon radical substituted by amino groups
- C07C233/80—Carboxylic acid amides having carbon atoms of carboxamide groups bound to carbon atoms of six-membered aromatic rings having the nitrogen atom of at least one of the carboxamide groups bound to a carbon atom of a hydrocarbon radical substituted by amino groups with the substituted hydrocarbon radical bound to the nitrogen atom of the carboxamide group by a carbon atom of a six-membered aromatic ring
-
- C—CHEMISTRY; METALLURGY
- C07—ORGANIC CHEMISTRY
- C07D—HETEROCYCLIC COMPOUNDS
- C07D207/00—Heterocyclic compounds containing five-membered rings not condensed with other rings, with one nitrogen atom as the only ring hetero atom
- C07D207/02—Heterocyclic compounds containing five-membered rings not condensed with other rings, with one nitrogen atom as the only ring hetero atom with only hydrogen or carbon atoms directly attached to the ring nitrogen atom
- C07D207/04—Heterocyclic compounds containing five-membered rings not condensed with other rings, with one nitrogen atom as the only ring hetero atom with only hydrogen or carbon atoms directly attached to the ring nitrogen atom having no double bonds between ring members or between ring members and non-ring members
- C07D207/10—Heterocyclic compounds containing five-membered rings not condensed with other rings, with one nitrogen atom as the only ring hetero atom with only hydrogen or carbon atoms directly attached to the ring nitrogen atom having no double bonds between ring members or between ring members and non-ring members with hetero atoms or with carbon atoms having three bonds to hetero atoms with at the most one bond to halogen, e.g. ester or nitrile radicals, directly attached to ring carbon atoms
- C07D207/14—Nitrogen atoms not forming part of a nitro radical
-
- C—CHEMISTRY; METALLURGY
- C07—ORGANIC CHEMISTRY
- C07F—ACYCLIC, CARBOCYCLIC OR HETEROCYCLIC COMPOUNDS CONTAINING ELEMENTS OTHER THAN CARBON, HYDROGEN, HALOGEN, OXYGEN, NITROGEN, SULFUR, SELENIUM OR TELLURIUM
- C07F9/00—Compounds containing elements of Groups 5 or 15 of the Periodic Table
- C07F9/02—Phosphorus compounds
- C07F9/06—Phosphorus compounds without P—C bonds
- C07F9/22—Amides of acids of phosphorus
- C07F9/24—Esteramides
- C07F9/2454—Esteramides the amide moiety containing a substituent or a structure which is considered as characteristic
- C07F9/2475—Esteramides the amide moiety containing a substituent or a structure which is considered as characteristic of aralkylamines
Definitions
- the present invention relates to a novel biphenylcarboxamide compound which has an excellent apolipoprotein B (ApoB) secretion inhibitory action and a serum lipid lowering action and is useful as a medicine, and a method for producing the same.
- ApoB apolipoprotein B
- the present invention provides a novel biphenylcarpoxamide compound having an excellent apolipoprotein B secretion inhibiting action and a serum lipid lowering action. Further, the present invention also provides a method for producing such a novel compound.
- the present invention provides a compound represented by the general formula [I]:
- R 1 is (1) a lower alkyl group optionally substituted with a halogen atom
- Equation (2) — CONR 5 R 6
- R 5 and R 6 may be the same or different and each represents a group selected from an alkyl group or an aryl lower alkyl group;
- n is an integer from 0 to 3
- R 2 represents a hydrogen atom, a carboxyl group, a lower alkoxycarbonyl group, a lower alkoxy group, a lower alkoxy lower alkoxy group, a morpholinyl lower alkoxy group, a cyano group, a rubamoyl group, or a mono- or di-lower alkyl rubamoyl group.
- R 3 is given by equation (1): m
- m is an integer of 0 to 3
- R 7 represents an organic group
- R 8 represents an organic group.However, when R 2 is a hydrogen atom, R 8 is neither a benzenesulfonyl group nor a methoxycarbonyl group.
- Q is an integer of 1 to 6, and R 9 represents an optionally substituted heterocyclic group,
- R 4 represents a hydrogen atom or a halogen atom
- the present invention relates to a biphenylcarboxamide compound or a pharmaceutically acceptable salt thereof, a production method thereof, and a pharmaceutical composition comprising them as an active ingredient.
- n is an integer from 0 to 3
- R 7 is
- (V i) represents a lower alkylsulfonyl group
- p is an integer from 1 to 6
- R 8 is
- (viii) represents a di-lower alkylphosphono group, provided that when R 2 is a hydrogen atom, R 8 is neither a benzenesulfonyl group nor a methoxycarbonyl group;
- R 9 is a nitrogen-containing aromatic heterocyclic group which may be substituted with a group selected from the following:
- Examples of the nitrogen-containing aromatic heterocyclic group represented by R 7 , R 8 or R 9 include a monocyclic or bicyclic nitrogen-containing aromatic heterocyclic group containing 1 to 4 nitrogen atoms.
- Examples of the aromatic heterocyclic group of the aromatic heterocyclic group-substituted sulfonyl group for R 8 include, for example, a single ring or a single ring containing 1 to 4 hetero atoms selected from the group consisting of nitrogen, oxygen, and sulfur.
- An aromatic heterocyclic group having a ring is exemplified.
- Examples of the aryl group of the arylsulfonyl group for R 7 or R 8 include a phenyl group, a naphthyl group, an anthryl group, and a phenanthryl group.
- examples of the protecting group for the amino group include a lower alkoxycarbonyl group, an optionally substituted lower alkoxycarbonyl group, and the like; Specifically, an ethoxycarponyl group, Methoxycarbonyl group, benzyloxycarbonyl group, 4-methoxybenzyloxycarbonyl group, aryloxycarbonyl group, 9-fluorenylmethoxycarbonyl group, tert-butoxycarbonyl group, 2,2,2-trichloroethyl And a carbonyl group, a formyl group, an acetyl group, a propionyl group and a butylyl group.
- a benzyl group, a 4-methoxybenzyl group, an aryl group and the like can also be mentioned.
- the protected amino group also includes, for example, a case where a phthalimide group is formed together with the protected amino group.
- the protecting group for the hydroxyl group may be an optionally substituted aryl lower alkyl group, an acyl group, an optionally substituted lower alkoxy group.
- Common protecting groups such as a carbonyl group and a trialkylsilyl group can be exemplified. Of these, preferred are, for example, unsubstituted aryl aryl lower alkyl groups such as benzyl group and phenethyl group, formyl group, acetyl group, propionyl group, malonyl group, acryl group such as acryloyl group and benzoyl group, and methoxycarbonyl.
- lower alkylcarbonyl groups such as ethoxycarbonyl group, and trialkylsilyl groups such as trimethylsilyl group, triethylsilyl group and tert-butyldimethylsilyl group.
- a triphenylmethyl group, a 2-cyanoethyl group and the like can be mentioned.
- preferred compounds are those wherein R 1 is (1) a trifluoromethyl group, or
- R 5 and R 6 may be the same or different and each represents an alkyl group.
- R 2 is hydrogen atom, lower alkoxycarbonyl group, lower alkoxy group, lower alkyl Coxy lower alkoxy group, morpholinyl lower alkoxy group, di-lower alkyl group rubamoyl group, or cyano group,
- R 3 is the formula (1):
- a pyrimidinyl group which may be substituted with a group selected from a lower alkyl group, an amino group, or a cyano group, or
- R 8 is neither a benzenesulfonyl group nor a methoxycarbonyl group
- Q is 1 or 2
- R 9 represents a pyridyl group, a pyrimidinyl group, a pyrazinyl group, or a pyridazinyl group
- R 1 is a trifluoromethyl group
- R 2 is a hydrogen atom, a lower alkoxycarbonyl group, a lower alkoxy group, a lower alkoxy lower alkoxy group, a morpholinyl lower alkoxy group, or a di-lower alkyl group rubamoyl group;
- R 3 is the formula (1):-
- R 7 represents a lower alkoxycarbonyl group, a pyrimidinyl group, or a benzenesulfonyl group
- R 8 represents a pyrimidinyl group; a pyrimidinyl group substituted with an amino group and a cyano group; a benzenesulfonyl group; or a di-lower alkylphosphono group, provided that R 2 represents a hydrogen atom If R 8 is not a benzenesulfonyl group,
- R 1 is a trifluoromethyl group
- R 2 is a hydrogen atom, a lower alkoxy group, a lower alkoxy lower alkoxy group, or a di-lower alkyl group rubamoyl group;
- R 7 represents a lower alkoxycarbonyl group or a pyrimidinyl group.
- R 8 represents a pyrimidinyl group; or a pyrimidinyl group substituted with an amino group and a cyano group
- R 1 is a trifluoromethyl group
- R 2 is a hydrogen atom, a lower alkoxycarbonyl group, a lower alkoxy group, a lower alkoxy lower alkoxy group, a morpholinyl lower alkoxy group, or a di-lower alkyl group rubamoyl group;
- R 3 is the formula (1):
- R 7 represents a lower alkoxycarbonyl group or a pyrimidinyl group
- R 8 represents a pyrimidinyl group; or a pyrimidinyl group substituted with an amino group and a cyano group
- target compounds [I] of the present invention particularly preferred compounds include 2- (4- (2- (4- (4-trifluoromethylphenyl) benzoylamino) benzylamino) pyrimidine, or a pharmaceutically acceptable salt thereof. Salts.
- R 1 R 2 and / or R 3 have an asymmetric atom.
- the compound may exist as an optical isomer based on the asymmetric atom, and the present invention includes any of these optical isomers and a mixture thereof.
- the target compound [I] of the present invention or a pharmaceutically acceptable salt thereof has an apolipoprotein B secretion inhibitory effect and exhibits an excellent serum lipid lowering effect.
- the target compound [I] of the present invention or a pharmacologically acceptable salt thereof includes hyperlipidemia, ischemic heart disease, atherosclerosis, coronary atherosclerosis, hypercholesterolemia, hypertriglyceridemia.
- Disease familial hyperlipidemia, hyperlipoproteinemia, arteriosclerosis, coronary arteriosclerosis, coronary heart disease, ischemic brain disease, stroke, circulatory and microcirculatory disorders, thrombosis, hyperglycemia, diabetes, acute bleeding Prevention of sexual inflammation, obesity, steatosis, constipation, etc.-Possible application to treatment.
- the target compound [I] of the present invention has the characteristics of low toxicity and high safety as a medicine.
- the target compound [I] of the present invention can be used in a free form or in the form of a pharmaceutically acceptable salt for pharmaceutical use.
- Pharmaceutically acceptable salts of compound [I] include, for example, inorganic salts such as hydrochloride, sulfate, phosphate or hydrobromide, acetate, fumarate, oxalate, and the like.
- Organic salts such as citrate, methanesulfonate, benzenesulfonate, tosylate or maleate are listed.
- a salt with a base for example, an alkali metal salt such as a sodium salt or a potassium salt or an alkaline earth metal salt such as a calcium salt
- the target compound [I] of the present invention or a salt thereof includes any of its inner salts and adducts, solvates and hydrates thereof.
- the target compound [I] of the present invention or a pharmaceutically acceptable salt thereof can be administered orally or parenterally, and tablets, granules, capsules, powders, injections, inhalants, etc. It can be used as a conventional pharmaceutical preparation such as an agent.
- the dose of the compound [I] of the present invention or a pharmaceutically acceptable salt thereof varies depending on the administration method, age, weight, and condition of the patient. 0.01-1mg / kg, especially about 0.1-3mg / kg, In the case of an oral preparation, it is usually preferred to be about 0.1 to: L0 OmgZkg per day, especially about 0.1 to 5 Omg / kg.
- the target compound [I] can be produced by the following [Method A] to [Method E] according to a conventional method, but the production method of the present invention is not limited thereto. .
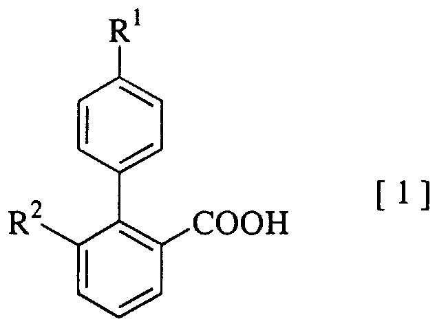
- the biphenylcarpoxamide compound represented by the target compound [I] of the present invention has the general formula [1].
- This reaction can be carried out in a solvent, in the presence of a condensing agent, in the presence or absence of an activator, in the presence or absence of a base group.
- the solvent may be any solvent that does not adversely affect the reaction, such as methylene chloride, chloroform, Examples include methylformamide, dimethylacetamide, tetrahydrofuran, toluene, benzene, 1,2-dichloroethane, and 1-methylpyrrolidinone.
- condensing agent examples include dicyclohexylcarpoimide (DCC), 1-ethyl-3- (3-dimethylaminopropyl) carbodiimide.hydrochloride (WSC-HC1), diphenylphosphoryl azide (DPPA) , Carbonyldiimidazole (CD I), getylcyanophosphonate (DEPC), diisopropylcarbodiimide (DIPCI), benzotriazo-1-yl-1-yloxy-trispyrrolidinophosphonium hexafluoro Lophosphate (PyBOP) and the like.
- DCC dicyclohexylcarpoimide
- WSC-HC1 1-ethyl-3- (3-dimethylaminopropyl) carbodiimide.hydrochloride
- DPPA diphenylphosphoryl azide
- CD I Carbonyldiimidazole
- DEPC getylcyanophosphonate
- DIPCI di
- Examples of the activator include 1-hydroxybenzotriazole (HOB t), hydroxysuccinimide (HOSu), dimethylaminopyridine (DMAP), 1-hydroxy-17-azabenzotriazole (HOA t) , Hydroxyphthalimide (HOPht), pentafluorophenol (Pfp-OH) and the like.
- Examples of the base include triethylamine, diisopropylethylamine, 4-methylmorpholine, 1,8-diazabicyclo [5,4.0] -7-indene (DBU) and the like.
- the amount of the condensing agent to be used may be 1 to 10 equivalents, preferably 1 to 2 equivalents, relative to compound [1] or [2].
- the amount of the activator to be used may be 1 to 10 equivalents, preferably 1 to 2 equivalents, relative to compound [1] or [2].
- the amount of the base to be used can be 1 to 10 equivalents, preferably 1 to 2 equivalents, relative to compound [1] or [2].
- This reaction can be carried out at 0 to 100, preferably 0 to 50.
- the compound [1] may be once converted into a reactive derivative such as an acid chloride or a mixed acid anhydride, and then reacted with the compound [2] in the presence of a base.
- a reactive derivative such as an acid chloride or a mixed acid anhydride
- the biphenylcarboxamide compound represented by the target compound [I] of the present invention has the general formula [3]: X o
- X represents a halogen atom, and other symbols have the same meanings as described above, or a compound thereof, or a salt thereof, and a general formula [4]:
- M is the same or different group selected from a hydroxyl group, a halogen atom, a cyano group, a lower alkyl group, an aryl group, a lower alkoxy group, an alkylenedioxy group, an aryloxy group, an arylenedioxy group, and an arylthio group.
- Other symbols have the same meanings as described above,
- This reaction can be carried out in a solvent, in the presence of a catalyst, in the presence or absence of a base, or in the presence or absence of an additive.
- the solvent may be any solvent that does not adversely affect the reaction, such as methylene chloride, chloroform, dimethylformamide, dimethylacetamide, tetrahydrofuran, toluene, xylene, water, 1-methylpyrrolidinone, Dimethoxyethane, dioxane, getylamine, triethylamine and the like.
- the metal of M include boron, tin, silicon, zinc, magnesium, aluminum, lithium, nickel, and the like.
- the catalyst examples include palladium acetate, tetrakistriphenylphosphine palladium, bistriphenylphosphine palladium dichloride, bis (dibenzylideneacetone) palladium, bisbenzonitrile palladium dichloride, and the like.
- Sodium carbonate, charcoal as base Potassium acid, potassium phosphate, triethylamine, diisopropylethylamine and the like.
- additives include triphenylphosphine, tri-o-tolylphosphine, tri-n-butylphosphine, copper (I) bromide, copper (I) iodide, triphenylenylsine, and tri (2-furyl) phosphine.
- diphenylphosphinophene mouth dppf
- diphenylphosphinobutane dppb
- 2,6-di-tert-butyl-4-cresol 2,6-di-tert-butyl-4-cresol, and the like.
- the amount of the catalyst to be used may be 0.001 to 0.5 equivalent, preferably 0.05 to 0.2 equivalent, relative to compound [3] or [4].
- the amount of the base to be used may be 1 to 20 equivalents, preferably 1 to 5 equivalents, relative to compound [3] or [4].
- the amount of the additive to be used may be 1 to 10 equivalents, preferably 1 to 5 equivalents, relative to compound [3] or [4].
- This reaction can be carried out at 0 to 150 ° C, preferably at 30 to 120 ° C.
- R 3 in the general formula [I] is represented by the formula:
- X 4 represents a leaving group, and other symbols have the same meanings as described above.
- This reaction can be carried out in a solvent, in the presence or absence of a base.
- the solvent may be any solvent that does not adversely affect the reaction, and examples thereof include water, ethanol, dimethylformamide, ethyl acetate, chloroform, methylene chloride, and a mixed solvent thereof.
- Examples of the base include triethylamine, diisopropylethylamine, potassium carbonate, sodium carbonate and the like.
- the amount of the base to be used is 1 to 20 equivalents, preferably to the compound [5] or [6]. Or 1 to 5 equivalents.
- This reaction can be carried out at a temperature of from 30 to 150, preferably from 0 to 80.
- a halogen atom, triflate Ruo b methanesulfonyl O alkoxy group, methanesulfonyl O alkoxy group, such as p- toluenesulfonyl O carboxymethyl group can be mentioned up.
- R 3 in the general formula [I] is represented by the formula:
- X 4 represents a leaving group, and other symbols have the same meanings as described above.
- This reaction can be carried out in a solvent, in the presence or absence of a base.
- the solvent may be any solvent that does not adversely affect the reaction.
- those exemplified as the solvent that can be used in the reaction of compound [5] with compound [6] in the above [Method C] may be used as appropriate. it can.
- the base for example, the bases exemplified in the above [Method C] can be used as appropriate.
- the amount of the base to be used may be 1 to 20 equivalents, preferably 1 to 10 equivalents, relative to compound [7] or [8].
- This reaction can be carried out at 0 to 150 ⁇ , preferably at 0 to 8 Ot :. Law]
- R 3 in the general formula [I] is represented by the formula:
- This reaction can be carried out in a solvent, in the presence of a condensing agent, in the presence or absence of an activator, in the presence or absence of a base group.
- the solvent may be any solvent that does not adversely affect the reaction.
- those exemplified as solvents that can be used in the reaction of compound [1] with compound [2] in the above [Method A] may be appropriately used.
- the base or the activator for example, the base or the activator exemplified in the above [Method A] can be appropriately used.
- the amount of the condensing agent to be used may be 1 to 10 equivalents, preferably 1 to 2 equivalents, relative to compound [9] or [10].
- the amount of the activator to be used may be 1 to 10 equivalents, preferably 1 to 2 equivalents, relative to compound [9] or [10].
- the amount of the base to be used can be 1 to 10 equivalents, preferably 1 to 2 equivalents, relative to compound [9] or [10].
- the target compound [I] of the present invention is obtained by further converting the substituent on R 1 , R 2 and / or R 3 of the compound obtained as described above to another desired substituent. Can also be manufactured.
- the method for converting such a substituent may be appropriately selected according to the type of the desired substituent. For example, a method such as (a method) to (b method) may be used. Can be applied.
- the target compound [I] in which R 2 is a lower alkoxy group, a lower alkoxy lower alkoxy group, or a morpholinyl lower alkoxy group includes a corresponding compound in which R 2 is a hydroxyl group and a corresponding substituted lower alkyl.
- An octylide for example, 2-morpholinoethyl chloride
- a base for example, potassium carbonate
- R 1 in the general formula [I] is represented by the following formula:
- the target compound [I], which is a group represented by, is a corresponding compound [I] in which R 1 is a carboxyl group,
- the desired compound [I] of the present invention obtained as described in the above [Method A] to [Method E], or (Method a) and (Method b) may be converted into a pharmacologically acceptable salt, if desired. You can also. Conversion to a pharmaceutically acceptable salt may be performed according to a conventional method known to those skilled in the art.
- Starting compound [1] can be produced, for example, according to the following method.
- X 1 is a leaving group
- X 2 is a hydrogen atom, a halogen atom or a trifluoromethylsulfonyloxy group
- W is a lower alkoxycarbonyl group or a mono- or di-lower alkylamino group, and other symbols are It has the same meaning as above.
- the reaction for producing the compound [1 2] from the compound [11] is carried out in a solvent, in the presence of a catalyst, in the presence or absence of a base, in the presence or absence of an additive, and the formula: M—X 1 Or react with the compound represented by MM, and treat with acid if necessary. And can be implemented.
- the solvent may be any solvent that does not adversely affect the reaction, such as dimethyloxetane, water, ethanol, toluene, dimethylformamide, acetonitrile, dioxane, dimethylacetamide, dimethylsulfoxide, tetrahydrofuran, or a mixture thereof. Solvents and the like can be mentioned.
- Examples of the catalyst include palladium acetate, tetrakistriphenylphosphine palladium, and bis (diphenylphosphinophene phenyl) dichloropalladium.
- Examples of the base include potassium acetate, lithium carbonate, sodium carbonate, and triethylamine.
- As additives for example, triphenylphosphine, tri-o-tolylphosphine, tri-n-butylphosphine, diphenylphosphinophene mouth (dppf), diphenylphosphinobutane (dppb), 2, 6-di-tert-butyl-1-4-cresol and the like.
- Examples of the acid include hydrochloric acid, sulfuric acid, ammonium chloride, and citric acid.
- the compound represented by the formula: M—X 1 or M—M is reacted in a solvent in the presence of a base, in the presence or absence of an additive, and if necessary, treated with an acid.
- the solvent may be any solvent that does not adversely affect the reaction, and examples thereof include tetrahydrofuran, dioxane, getyl ether, and dimethoxyethane.
- the base include n-butyl lithium, sec-butyl lithium and the like.
- the additive include tetramethylethylenediamine, hexamethylphosphoric triamide and the like.
- the acid include hydrochloric acid, sulfuric acid, ammonium chloride, and citric acid.
- the reaction to produce compound [14] from compound [12] and compound [13] is performed in a solvent, in the presence of a catalyst, in the presence or absence of a base, in the presence or absence of an additive.
- the solvent may be any solvent that does not adversely affect the reaction, for example, dimethoxyethane, water, ethanol, toluene, dimethylformamide, acetonitrile, dioxane, tetrahydrofuran, or These mixed solvents are exemplified.
- Examples of the catalyst include palladium acetate, tetrakistriphenylphosphine palladium, bistriphenylphosphine palladium dichloride, bis (dibenzylideneacetone) palladium, bisbenzonitrile palladium dichloride, and the like.
- Examples of the base include potassium carbonate, sodium carbonate, potassium phosphate, and triethylamine.
- Examples of the additive include triphenylphosphine, tri-n-butylphosphine, tri-o-tolylphosphine, diphenylphosphinopherosen (d pf), diphenylphosphinobutane (dppb), and 2,6-diphenyl. — Tert-butyl-4-cresol and the like.
- Specific examples of the compound represented by M- X 1 is, for example, tree n- butyl Suzukuroraido, tree n- butyltin triflate Ruo b methanesulfonate include Bok Li lower alkoxy borane.
- MM examples include, for example, bispinacolato diboron, biscatecholate diboron, bistri-n-butyltin and the like.
- reaction for producing compound [4] from compound [13] can be carried out in the same manner as the reaction for producing compound [12] from compound [11].
- the reaction for producing compound [14] from compound [4] and compound [11] can be carried out in the same manner as the reaction for producing compound [14] from compound [12] and compound [13]. it can.
- the reaction for producing compound [1] from compound [14] can be carried out by treating the compound with an acid or a base.
- the acid include concentrated hydrochloric acid and sulfuric acid.
- the base include sodium hydroxide, potassium hydroxide, lithium hydroxide, lithium hydroxide and hydrogen peroxide.
- Starting compound [2-a] (starting compound used for producing final compound [I_a] among compound [2] used in method A) and [5] are produced, for example, according to the following method be able to.
- X 3 represents a halogen atom
- P represents a protecting group for an amino group
- other symbols have the same meanings as described above.
- the reaction for producing compound [17] from compound [15] and compound [16] can be carried out in a solvent, in the presence or absence of a base.
- the solvent may be any solvent that does not adversely affect the reaction, and examples thereof include 1,3-dimethyl-2-imidazolidinone, dimethylformamide, and dimethylacetamide.
- the base include triethylamine, diisopropylethylamine, potassium carbonate, sodium carbonate and the like.
- the reaction for producing the compound [18] from the compound [17] can be carried out under conventional reduction reaction conditions (for example, palladium Z carbon-hydrogen, iron-ammonium chloride).
- reaction for producing compound [20] from compound [18] and compound [1] can be carried out in the same manner as in the above [Method A].
- reaction for producing compound [5] from compound [20] is carried out by a conventional protected amino group deprotecting agent (for example, trifluoroacetic acid, dioxane hydrochloride solution, trimethylsilane iodide, palladium / carbon monohydrogen, etc.) The same shall apply hereinafter).
- a conventional protected amino group deprotecting agent for example, trifluoroacetic acid, dioxane hydrochloride solution, trimethylsilane iodide, palladium / carbon monohydrogen, etc.
- the reaction for producing the compound [19] from the compound [18] can be carried out in the presence of a conventional protected amino group deprotecting agent.
- reaction for producing compound [2-a] from compound [19] and compound [6] can be carried out in the same manner as in the above-mentioned [Method C].
- Examples of the protecting group P for an amino group include a lower alkoxycarbonyl group such as a methoxycarbonyl group, a tert-butoxycarbonyl group, and a benzyloxycarbonyl group.
- the starting compounds [2-b] (of the compound [2] used in the method A, the starting compounds used for the production of the final compound [I-b]) and [7] are, for example, prepared according to the following method. Can be manufactured. 05358
- the reaction for producing compound [22] from compound [21] can be carried out in the presence of a conventional reducing agent (for example, borane dimethyl sulfide complex).
- a conventional protecting agent for an amino group eg, ditert-butyldicarbonate.
- the reaction for producing compound [24] from compound [23] can be carried out in the presence of a conventional reducing agent (eg, palladium carbon-hydrogen).
- a conventional reducing agent eg, palladium carbon-hydrogen
- reaction for producing compound [26] from compound [24] and compound [1] can be carried out in the same manner as in the above [Method A].
- reaction for producing compound [7] from compound [26] can be carried out in the presence of a conventional protected amino group deprotecting agent.
- reaction for producing compound [25] from compound [24] can be carried out in the presence of a conventional protected amino group deprotecting agent.
- reaction for producing compound [2-b] from compound [25] and compound [8] can be carried out in the same manner as in the above-mentioned [Method C].
- the starting compound [2-c] (of the compound [2] used in the method A, the starting compound used for the production of the final compound [I-c]) and [9] are produced, for example, according to the following method. can do.
- R 31 represents a lower alkyl group, and other symbols have the same meanings as described above.
- the reaction for producing compound [28] from compound [27] and compound [10] can be carried out in the presence or absence of a solvent or in the presence of a base.
- the solvent may be any solvent that does not adversely affect the reaction, and examples thereof include methylene chloride and tetrahydrofuran.
- Examples of the base include pyridine, triethylamine, diisopropylethylamine and the like.
- reaction to produce compound [2-c] from compound [28] is performed using a conventional reducing agent (eg, (For example, palladium Z carbon monohydrogen).
- a conventional reducing agent eg, (For example, palladium Z carbon monohydrogen).
- the reaction for producing the compound [30] from the compound [29] can be carried out in the presence of a conventional reducing agent (eg, palladium / carbon-hydrogen, iron ammonium chloride).
- a conventional reducing agent eg, palladium / carbon-hydrogen, iron ammonium chloride.
- reaction for producing compound [31] from compound [30] and compound [1] can be carried out in the same manner as in the above [Method A].
- the reaction for producing compound [9] from compound [31] can be carried out under conventional hydrolysis reaction conditions (for example, sodium hydroxide-water).
- Starting compound [3] can be produced, for example, according to the following method.
- the reaction for producing compound [32] from compound [7] can be carried out under conventional hydrolysis reaction conditions (for example, sodium hydroxide-water).
- reaction for producing compound [3] from compound [32] and compound [2] can be carried out in the same manner as in the above [Method A].
- each intermediate compound is involved not only in the chemical reaction but also in the reaction. If not, its salt or its reactive derivative can also be used as appropriate.
- the salt examples include metal salts such as sodium, potassium, lithium, calcium, and magnesium, salts with organic bases such as pyridine, tritylamine, diisopropylethylamine, hydrochloric acid, sulfuric acid, nitric acid, hydrobromic acid, Salts with inorganic acids such as phosphoric acid, acetic acid, oxalic acid, citric acid, benzenesulfonic acid, benzoic acid, malonic acid, cunic acid, formic acid, fumaric acid, maleic acid, methanesulfonic acid, p-toluenesulfonic acid, trifluoro And salts with organic acids such as acetic acid. .
- organic bases such as pyridine, tritylamine, diisopropylethylamine, hydrochloric acid, sulfuric acid, nitric acid, hydrobromic acid
- Salts with inorganic acids such as phosphoric acid, acetic acid, oxalic acid,
- an appropriate protecting group for each functional group may be obtained by a conventional method of synthetic chemistry. And protecting groups may be appropriately removed when unnecessary.
- examples of the alkyl group include linear or branched ones having 1 to 16 carbon atoms, and particularly those having 1 to 10 carbon atoms.
- the lower alkyl group or lower alkoxy group includes straight or branched ones having 1 to 6 carbon atoms, particularly those having 1 to 4 carbon atoms.
- a lower alkanoyl group is a straight-chain or branched-chain one having 2 to 7 carbon atoms, especially 2 to 5 carbon atoms
- a cycloalkyl group is 3 to 20 carbon atoms, especially Those having 3 to 12 carbon atoms are exemplified.
- the cyclo lower alkyl group includes those having 3 to 8 carbon atoms, particularly those having 3 to 6 carbon atoms.
- the alkenyl group includes a linear or branched chain having 2 to 16 carbon atoms, particularly 2 to 10 carbon atoms, and the lower alkenyl group includes 2 to 8 carbon atoms, particularly 2 carbon atoms. ⁇ 4 are listed.
- the alkylene group includes a linear or branched one having 1 to 16 carbon atoms, particularly 1 to 10 carbon atoms, and the lower alkylene group includes 1 to 8 carbon atoms, particularly 1 to carbon atoms. And 6 linear or branched ones.
- the halogen atom includes fluorine, chlorine, bromine or iodine.
- Boc tert-butoxycarbonyl group
- Boc tert butoxycarbonyl group
- Example 26 tert-Butyl 4- (2- (4-trifluoromethylphenyl) benzoylamino) benzylcarbamate
- a solution of 3.83 g of a 12% solution of monodioxane hydrochloride (40 ml) was stirred at room temperature overnight.
- the reaction mixture was diluted with getyl ether, and the precipitated crystals were collected by filtration to obtain 3.22 g of 4- (2- (4-trifluoromethylphenyl) benzoylamino) benzylamine hydrochloride in a pale yellow needle. Obtained as dendrites.
- Boc tert-butoxycarbonyl group
- the novel biphenylcarboxamide compound provided by the present invention has excellent apolipoprotein B secretion inhibitory action and serum lipid lowering action, and is therefore useful as a medicine.
Landscapes
- Health & Medical Sciences (AREA)
- Chemical & Material Sciences (AREA)
- Organic Chemistry (AREA)
- Engineering & Computer Science (AREA)
- Bioinformatics & Cheminformatics (AREA)
- General Health & Medical Sciences (AREA)
- Life Sciences & Earth Sciences (AREA)
- Animal Behavior & Ethology (AREA)
- General Chemical & Material Sciences (AREA)
- Medicinal Chemistry (AREA)
- Nuclear Medicine, Radiotherapy & Molecular Imaging (AREA)
- Chemical Kinetics & Catalysis (AREA)
- Pharmacology & Pharmacy (AREA)
- Public Health (AREA)
- Veterinary Medicine (AREA)
- Diabetes (AREA)
- Hematology (AREA)
- Obesity (AREA)
- Cardiology (AREA)
- Heart & Thoracic Surgery (AREA)
- Child & Adolescent Psychology (AREA)
- Biochemistry (AREA)
- Molecular Biology (AREA)
- Urology & Nephrology (AREA)
- Vascular Medicine (AREA)
- Emergency Medicine (AREA)
- Endocrinology (AREA)
- Pharmaceuticals Containing Other Organic And Inorganic Compounds (AREA)
Abstract
Description
明 細 書 ビフエ二ルカルポキサミド化合物およびその製法 技術分野 Description Biphenylcarpoxamide compound and process for producing the same
本発明は優れたアポリポ蛋白 B (Ap oB) 分泌抑制作用および血清脂質低 下作用を有し医薬として有用な新規なビフエ二ルカルボキサミド化合物および その製法に関する。 背景技術 The present invention relates to a novel biphenylcarboxamide compound which has an excellent apolipoprotein B (ApoB) secretion inhibitory action and a serum lipid lowering action and is useful as a medicine, and a method for producing the same. Background art
国際公開特許 WO 96Z40640号には、 4' —トリフルォロメチルーピ フエ二ルー 2—カルボン酸 [2— (チォフェン— 2—ィル—ァセチル) — 1, 2, 3, 4—テトラヒドロイソキノリン一 6—ィル] —アミド、 4' —トリフ ルォロメチル—ビフエニル— 2—カルボン酸 [2— (ピリジン一 2—^ Γル―ァ セチル) 一 1, 2, 3, 4—テトラヒドロイソキノリン一 6—ィル] —アミド 等が、 また、 国際公開特許 WO 98 23593号には、 4' —トリフルォロ メチルーピフエニル一 2—カルボン酸 [2— (2— (ピリジン— 2—ィル) ェ チル) 一 1, 2, 3, 4—テトラヒドロイソキノリン一 6—ィル] —アミド等 力 また、 国際公開特許 WO 00 32 582号には、 4' 一トリフルォロメ チル一ビフエニル— 2—カルボン酸 [4— (4- (3—シァノベンジル) ピぺ ラジン一 1—ィル) フエニル] 等が、 Ap oB分泌抑制作用を有し、 血清脂質 低下剤として用い得ることが示唆されている。 International Patent Publication WO 96Z40640 discloses that 4'-trifluoromethyl-piphenyl-2-carboxylic acid [2- (thiophen-2-yl-acetyl)-1,2,3,4-tetrahydroisoquinoline-1 6 —Yl] —Amide, 4 ′ —Trifluoromethyl-biphenyl—2-carboxylate [2- (pyridine-1-2-perylacetyl) -1-1,2,3,4-tetrahydroisoquinoline-1-6-yl ] -Amide and the like, and WO 98 23593 discloses 4'-trifluoromethyl-piphenyl-1-carboxylic acid [2- (2- (pyridine-2-yl) ethyl) 1-1] , 2,3,4-tetrahydroisoquinoline-1-6-yl] —amide and the like Also, WO 00 32 582 discloses 4′-trifluoromethyl-l-biphenyl—2-carboxylic acid [4 -— (4- (3-cyanobenzyl) piperazine-1-yl) phenyl] etc. It has been suggested that it has an oB secretion inhibitory effect and can be used as a serum lipid lowering agent.
本発明は、 優れたァポリポ蛋白 B分泌抑制作用および血清脂質低下作用を有 する、 新規ビフエ二ルカルポキサミド化合物を提供するものである。 さらに、 本発明は、 このような新規化合物の製法をも提供するものである。 The present invention provides a novel biphenylcarpoxamide compound having an excellent apolipoprotein B secretion inhibiting action and a serum lipid lowering action. Further, the present invention also provides a method for producing such a novel compound.
課題を解決するために本発明者等は、 鋭意研究の結果、 アポリポ蛋白 B分泌 抑制作用および血清脂質低下作用を有する新規なビフエ二ルカルポキサミド化 合物を見出して本発明を完成した。 発明の開示 In order to solve the problems, the present inventors have conducted intensive studies and, as a result, have found a novel biphenylcarpoxamide compound having an apolipoprotein B secretion inhibitory action and a serum lipid lowering action, and completed the present invention. Disclosure of the invention
すなわち、 本発明は、 一般式 [I] That is, the present invention provides a compound represented by the general formula [I]:
式中、 R1は (1) ハロゲン原子で置換されていてもよい低級アルキル基、 In the formula, R 1 is (1) a lower alkyl group optionally substituted with a halogen atom,
(2) 式: — CONR5R6 Equation (2): — CONR 5 R 6
式中、 R5および R6は同一でも異なっていてもよく、 それぞれアルキ ル基またはァリール低級アルキル基から選ばれる基を表す、 で示される基、 または、 In the formula, R 5 and R 6 may be the same or different and each represents a group selected from an alkyl group or an aryl lower alkyl group;
(3) 式: Equation (3):
式中、 nは 0〜3の整数である、 Wherein n is an integer from 0 to 3,
で示される基を表し、 Represents a group represented by
R 2は水素原子、 カルボキシル基、 低級アルコキシカルボニル基、 低級アルコ キシ基、 低級アルコキシ低級アルコキシ基、 モルホリニル低級アルコキシ基、 シァノ基、 力ルバモイル基、 またはモノーまたはジ—低級アルキル力ルバモイ ル基を表し、 R 2 represents a hydrogen atom, a carboxyl group, a lower alkoxycarbonyl group, a lower alkoxy group, a lower alkoxy lower alkoxy group, a morpholinyl lower alkoxy group, a cyano group, a rubamoyl group, or a mono- or di-lower alkyl rubamoyl group. ,
丫は=(: 1ーまたは=1^ーを表し、 丫 represents = (: 1- or = 1 ^-,
R3は (1) 式: mR 3 is given by equation (1): m
式中、 mは 0〜3の整数であり、 R 7は有機基を表す、 In the formula, m is an integer of 0 to 3, R 7 represents an organic group,
で示される基、 A group represented by
(2) 式: — (CH2) p-NHR8 Formula (2): — (CH 2 ) p-NHR 8
式中、 pは 1〜6の整数であり、 R 8は有機基を表す、 但し、 R2が水 素原子である場合には、 R8はベンゼンスルホニル基及びメトキシカル ボニル基のいずれでもない、 In the formula, p is an integer of 1 to 6, and R 8 represents an organic group.However, when R 2 is a hydrogen atom, R 8 is neither a benzenesulfonyl group nor a methoxycarbonyl group.
で示される基、 または、 A group represented by or
(3) 式: — CONH— (CH2) q-R9 Formula (3): — CONH— (CH 2 ) q -R 9
式中、 Qは 1〜6の整数であり、 R9は置換されていてもよい複素環式 基を表す、 Wherein Q is an integer of 1 to 6, and R 9 represents an optionally substituted heterocyclic group,
で示される基を表し、 Represents a group represented by
R 4は水素原子またはハロゲン原子を表す、 R 4 represents a hydrogen atom or a halogen atom,
で示されるビフエ二ルカルボキサミド化合物またはその薬理的に許容しうる 塩、 その製法、 およびそれらを有効成分としてなる医薬組成物に関する。 発明を実施するための最良の形態 The present invention relates to a biphenylcarboxamide compound or a pharmaceutically acceptable salt thereof, a production method thereof, and a pharmaceutical composition comprising them as an active ingredient. BEST MODE FOR CARRYING OUT THE INVENTION
本発明の目的化合物 [I] における R3としては、 例えば、 As R 3 in the target compound [I] of the present invention, for example,
(1) 式: (1 set:
式中、 mは 0〜3の整数であり、 R7が、 Wherein m is an integer from 0 to 3, and R 7 is
( i ) 低級アルキル基、 (i) a lower alkyl group,
( i i) 低級アルカノィル基、 ( i i i) 低級アルコキシカルボニル基、 (ii) a lower alkanoyl group, (iii) a lower alkoxycarbonyl group,
( i V) 低級アルキル基;保護されていてもよいアミノ基;保護されて いてもよい水酸基;シァノ基;およびハロゲン原子から選ばれる基で置 換されていてもよい含窒素芳香族複素環式基、 (iV) a lower alkyl group; an amino group which may be protected; a hydroxyl group which may be protected; a cyano group; and a nitrogen-containing aromatic heterocyclic ring which may be substituted with a group selected from a halogen atom. Group,
(V) ァリールスルホニル基、 または、 (V) arylsulfonyl group, or
(V i ) 低級アルキルスルホ二ル基を表す、 (V i) represents a lower alkylsulfonyl group,
で示される基、 A group represented by
(2) 式: — (CH2) P— NHR8 Formula (2): — (CH 2 ) P — NHR 8
式中、 pは 1〜6の整数であり、 R8が、 Wherein p is an integer from 1 to 6, and R 8 is
( i ) 低級アルキル基、 (i) a lower alkyl group,
( i i) 低級アルカノィル基、 (ii) a lower alkanoyl group,
( i i i) 低級アルコキシカルボニル基、 (iiii) a lower alkoxycarbonyl group,
( i V) 低級アルキル基;保護されていてもよいアミノ基;保護されて いてもよい水酸基;シァノ基;およびハロゲン原子から選ばれる基で置 換されていてもよい含窒素芳香族複素環式基、 (iV) a lower alkyl group; an amino group which may be protected; a hydroxyl group which may be protected; a cyano group; and a nitrogen-containing aromatic heterocyclic ring which may be substituted with a group selected from a halogen atom. Group,
(V) ァリールスルホニル基、 (V) arylsulfonyl group,
(V i ) 低級アルキルスルホニル基、 (V i) a lower alkylsulfonyl group,
(v i i) 芳香族複素環式基置換スルホニル基、 または、 (v i i) an aromatic heterocyclic group-substituted sulfonyl group, or
(v i i i) ジ低級アルキルホスホノ基を表す、 但し、 R2が水素原子 である場合には、 R8はベンゼンスルホニル基及びメトキシカルポニル 基のいずれでもない、 (viii) represents a di-lower alkylphosphono group, provided that when R 2 is a hydrogen atom, R 8 is neither a benzenesulfonyl group nor a methoxycarbonyl group;
で示される基、 または、 A group represented by or
(3) 式: — CONH— (CH2) q-R9 Formula (3): — CONH— (CH 2 ) q -R 9
式中、 Qは 1〜6の整数であり、 R9が下記から選ばれる基で置換され ていてもよい含窒素芳香族複素環式基: Wherein Q is an integer of 1 to 6, and R 9 is a nitrogen-containing aromatic heterocyclic group which may be substituted with a group selected from the following:
( i ) 低級アルキル基、 (i) a lower alkyl group,
( i i ) 保護されていてもよいアミノ基、 ( i i i ) 保護されていてもよい水酸基、 (ii) an amino group which may be protected, (iii) an optionally protected hydroxyl group,
( i v ) シァノ基、 および、 (iv) a cyano group, and
( V ) 八ロゲン原子、 (V) octogen atom,
を表す、 Represents
で示される基等が挙げられる。 And the like.
R 7、 R 8または R 9における含窒素芳香族複素環式基としては、 例えば、 1 〜 4個の窒素原子を含有する単環または 2環の含窒素芳香族複素環式基等が挙 げられる。 具体的には、 ピロリル基、 ォキサゾリル基、 イソキサゾリル基、 チ ァゾリル基、 イミダゾリル基、 ピラゾリル基、 トリァゾリル基、 テトラゾリル 基、 ピリジル基、 ピリミジニル基、 ピラジニル基、 ピリダジニル基、 インドリ ル基、 キノリル基、 イソキノリル基、 キナゾリニル基、 プリニル基、 1 H—ィ ンダゾリル基、 シンノリニル基、 キノキサリニル基、 フ夕ラジニル基、 プテリ ジニル基等が挙げられる。 Examples of the nitrogen-containing aromatic heterocyclic group represented by R 7 , R 8 or R 9 include a monocyclic or bicyclic nitrogen-containing aromatic heterocyclic group containing 1 to 4 nitrogen atoms. Can be Specifically, pyrrolyl, oxazolyl, isoxazolyl, thiazolyl, imidazolyl, pyrazolyl, triazolyl, tetrazolyl, pyridyl, pyrimidinyl, pyrazinyl, pyridazinyl, indolyl, quinolyl, isoquinolyl Group, quinazolinyl group, purinyl group, 1H-indazolyl group, cinnolinyl group, quinoxalinyl group, furazinyl group, pteridinyl group and the like.
R 8における芳香族複素環式基置換スルホニル基の芳香族複素環式基として は、 例えば、 窒素、 酸素、 硫黄から選ばれる同一または異なる 1〜4個の異項 原子を含有する単環または 2環の芳香族複素環式基が挙げられる。 具体的には、 フリル基、 チェニル基、 ピロリル基、 ォキサゾリル基、 イソキサゾリル基、 チ ァゾリル基、 イミダゾリル基、 ピラゾリル基、 トリァゾリル基、 テトラゾリル 基、 ピリジル基、 ピリミジニル基、 ビラジニル基、 ピリダジニル基、 インドリ ル基、 キノリル基、 イソキノリル基、 キナゾリニル基、 プリニル基、 1 H—ィ ンダゾリル基、 シンノリニル基、 キノキサリニル基、 フ夕ラジニル基、 プテリ ジニル基等が挙げられる。 Examples of the aromatic heterocyclic group of the aromatic heterocyclic group-substituted sulfonyl group for R 8 include, for example, a single ring or a single ring containing 1 to 4 hetero atoms selected from the group consisting of nitrogen, oxygen, and sulfur. An aromatic heterocyclic group having a ring is exemplified. Specifically, a furyl group, a cyenyl group, a pyrrolyl group, an oxazolyl group, an isoxazolyl group, a thiazolyl group, an imidazolyl group, a pyrazolyl group, a triazolyl group, a tetrazolyl group, a pyridyl group, a pyrimidinyl group, a virazinyl group, a pyridazinyl group, and an indolyl group Groups, quinolyl group, isoquinolyl group, quinazolinyl group, purinyl group, 1H-indazolyl group, cinnolinyl group, quinoxalinyl group, furazinyl group, pteridinyl group and the like.
R 7または R 8におけるァリ一ルスルホニル基のァリール基としては、 例えば、 フエニル基、 ナフチル基、 アンスリル基、 フエナンスリル基等が挙げられる。 上記本発明の目的化合物 [ I ]が保護されたアミノ基を有する場合において、 当該アミノ基の保護基としては、 例えば、 置換されていてもよい低級アルコキ シカルボニル基、ァシル基等が挙げられ、具体的には、エトキシカルポニル基、 メトキシカルボニル基、 ベンジルォキシカルボニル基、 4—メトキシベンジル ォキシカルボニル基、 ァリルォキシカルポニル基、 9一フルォレニルメトキシ カルボニル基、 t e r t —ブトキシカルポニル基、 2, 2 , 2—トリクロロェ チルォキシカルボニル基、 ホルミル基、 ァセチル基、 プロピオニル基、 ブチリ ル基等が挙げられる。 さらに、 ベンジル基、 4—メトキシベンジル基、 ァリル 基等も挙げられる。 このうち好ましいものとしては、 置換されていてもよい低 級アルコキシカルボニル基が挙げられ、 具体的には、 ベンジルォキシカルボ二 ル基及び t e r t —ブトキシカルボニル基が挙げられる。 また、 保護されたァ ミノ基としては、 例えば、 保護されるァミノ基とともにフタルイミド基を形成 する場合も含まれる。 Examples of the aryl group of the arylsulfonyl group for R 7 or R 8 include a phenyl group, a naphthyl group, an anthryl group, and a phenanthryl group. When the target compound [I] of the present invention has a protected amino group, examples of the protecting group for the amino group include a lower alkoxycarbonyl group, an optionally substituted lower alkoxycarbonyl group, and the like; Specifically, an ethoxycarponyl group, Methoxycarbonyl group, benzyloxycarbonyl group, 4-methoxybenzyloxycarbonyl group, aryloxycarbonyl group, 9-fluorenylmethoxycarbonyl group, tert-butoxycarbonyl group, 2,2,2-trichloroethyl And a carbonyl group, a formyl group, an acetyl group, a propionyl group and a butylyl group. Further, a benzyl group, a 4-methoxybenzyl group, an aryl group and the like can also be mentioned. Of these, preferred are lower alkoxycarbonyl groups which may be substituted, and specific examples include a benzyloxycarbonyl group and a tert-butoxycarbonyl group. The protected amino group also includes, for example, a case where a phthalimide group is formed together with the protected amino group.
また、本発明の目的化合物 [ I ]が保護された水酸基を有する場合において、 当該水酸基の保護基としては、置換されていてもよいァリール低級アルキル基、 ァシル基、 置換されていてもよい低級アルコキシカルボニル基、 トリアルキル シリル基等の慣用の保護基を挙げることができる。 このうち好ましいものとし ては、 例えば、 ベンジル基、 フエネチル基等の如き非置換ァリール低級アルキ ル基、 ホルミル基、 ァセチル基、 プロピオニル基、 マロニル基、 ァクリロイル 基、 ベンゾィル基等のァシル基、 メトキシカルボニル基、 エトキシカルボニル 基等の低級アルコキシカルボニル基、 トリメチルシリル基、 卜リエチルシリル 基、 t e r t—プチルジメチルシリル基等のトリアルキルシリル基が挙げられ る。 さらに、 トリフエニルメチル基、 2—シァノエチル基等も挙げられる。 本発明の目的化合物 [ I ] のうち、 好ましい化合物としては、 R 1が ( 1 ) トリフルォロメチル基、 または、 When the target compound [I] of the present invention has a protected hydroxyl group, the protecting group for the hydroxyl group may be an optionally substituted aryl lower alkyl group, an acyl group, an optionally substituted lower alkoxy group. Common protecting groups such as a carbonyl group and a trialkylsilyl group can be exemplified. Of these, preferred are, for example, unsubstituted aryl aryl lower alkyl groups such as benzyl group and phenethyl group, formyl group, acetyl group, propionyl group, malonyl group, acryl group such as acryloyl group and benzoyl group, and methoxycarbonyl. And lower alkylcarbonyl groups such as ethoxycarbonyl group, and trialkylsilyl groups such as trimethylsilyl group, triethylsilyl group and tert-butyldimethylsilyl group. Further, a triphenylmethyl group, a 2-cyanoethyl group and the like can be mentioned. Among the desired compounds [I] of the present invention, preferred compounds are those wherein R 1 is (1) a trifluoromethyl group, or
( 2 ) 式:一 C O N R 5 R 6 (2) Formula: One CONR 5 R 6
式中、 R 5および R 6は同一でも異なっていてもよく、 それぞれアルキ ル基を表す、 In the formula, R 5 and R 6 may be the same or different and each represents an alkyl group.
で示される基であり、 Is a group represented by
R 2が水素原子、 低級アルコキシカルボニル基、 低級アルコキシ基、 低級アル コキシ低級アルコキシ基、 モルホリニル低級アルコキシ基、 ジ低級アルキル力 ルバモイル基、 またはシァノ基であり、 R 2 is hydrogen atom, lower alkoxycarbonyl group, lower alkoxy group, lower alkyl Coxy lower alkoxy group, morpholinyl lower alkoxy group, di-lower alkyl group rubamoyl group, or cyano group,
R3が (1) 式: R 3 is the formula (1):
11
m m
式中、 mが 1または 2であり、 R7が、 Wherein m is 1 or 2, and R 7 is
( i ) 低級アルコキシカルボニル基、 (i) a lower alkoxycarbonyl group,
( i i ) 低級アルキル基、 アミノ基、 またはシァノ基から選ばれる基で 置換されていてもよいピリミジニル基、 または、 (ii) a pyrimidinyl group which may be substituted with a group selected from a lower alkyl group, an amino group, or a cyano group, or
( i i i ) ベンゼンスルホニル基、 (iiii) benzenesulfonyl group,
を表す、 Represents
で示される基、 A group represented by
(2) 式: — (CH2) P-NHR8 Formula (2): — (CH 2 ) P -NHR 8
式中、 pが 1または 2であり、 R8力 Where p is 1 or 2 and R 8 force
( i) 低級アルコキシカルボ二ル基、 (i) a lower alkoxycarbonyl group,
( i i ) 低級アルキル基、 アミノ基、 およびシァノ基から選ばれる基で 置換されていてもよいピリミジニル基、 (ii) a pyrimidinyl group optionally substituted with a group selected from a lower alkyl group, an amino group, and a cyano group;
( i i i ) ベンゼンスルホニル基、 (iiii) benzenesulfonyl group,
( i v) チェニルスルホニル基、 または、 (iv) a chenylsulfonyl group, or
(V) ジ低級アルキルホスホノ基、 (V) a di-lower alkylphosphono group,
を表す、 但し、 R2が水素原子である場合には、 R8はベンゼンスルホ ニル基及びメトキシカルボニル基のいずれでもない、 Wherein, when R 2 is a hydrogen atom, R 8 is neither a benzenesulfonyl group nor a methoxycarbonyl group;
で示される基、 または、 A group represented by or
(3) 式:一 CONH— (CH2) Q— R9 Formula (3): CONH— (CH 2 ) Q —R 9
式中、 Qが 1または 2であり、 R 9がピリジル基、 ピリミジニル基、 ピ ラジニル基、 またはピリダジニル基を表す、 In the formula, Q is 1 or 2, and R 9 represents a pyridyl group, a pyrimidinyl group, a pyrazinyl group, or a pyridazinyl group,
で示される基である化合物が挙げられる。 本発明の目的化合物 [I] のうち、 より好ましい化合物としては、 And a compound represented by the following formula: Among the target compounds [I] of the present invention, more preferred compounds include
R1がトリフルォロメチル基であり、 R 1 is a trifluoromethyl group,
R2が水素原子、 低級アルコキシカルボニル基、 低級アルコキシ基、 低級アル コキシ低級アルコキシ基、 モルホリニル低級アルコキシ基、 またはジ低級アル キル力ルバモイル基であり、 R 2 is a hydrogen atom, a lower alkoxycarbonyl group, a lower alkoxy group, a lower alkoxy lower alkoxy group, a morpholinyl lower alkoxy group, or a di-lower alkyl group rubamoyl group;
Yが=CH—であり、 Y is = CH—,
R3が (1) 式: - R 3 is the formula (1):-
式中、 R7が低級アルコキシカルボニル基、 ピリミジニル基、 またはべ ンゼンスルホ二ル基を表す、 In the formula, R 7 represents a lower alkoxycarbonyl group, a pyrimidinyl group, or a benzenesulfonyl group,
で示される基、 または、 A group represented by or
(2) 式: — (CH2) P— NHR8 Formula (2): — (CH 2 ) P — NHR 8
式中、 pが 1または 2であり、 R 8がピリミジニル基;アミノ基および シァノ基で置換されたピリミジニル基;ベンゼンスルホニル基;または ジ低級アルキルホスホノ基を表す、 但し、 R2が水素原子である場合に は、 R 8はベンゼンスルホニル基ではない、 Wherein p is 1 or 2, and R 8 represents a pyrimidinyl group; a pyrimidinyl group substituted with an amino group and a cyano group; a benzenesulfonyl group; or a di-lower alkylphosphono group, provided that R 2 represents a hydrogen atom If R 8 is not a benzenesulfonyl group,
で示される基であり、 Is a group represented by
R 4が水素原子である化合物が挙げられる。 Compounds in which R 4 is a hydrogen atom are mentioned.
本発明の目的化合物 [I] のうち、 他のより好ましい化合物としては、 R 1が卜リフルォ口メチル基であり、 Among the more desirable compounds of the object compound [I] of the present invention, R 1 is a trifluoromethyl group,
R2が水素原子、 低級アルコキシ基、 低級アルコキシ低級アルコキシ基、 また はジ低級アルキル力ルバモイル基であり、 R 2 is a hydrogen atom, a lower alkoxy group, a lower alkoxy lower alkoxy group, or a di-lower alkyl group rubamoyl group;
R3^ (1) 式: R 3 ^ (1) formula:
式中、 R7が低級アルコキシカルボニル基、 またはピリミジニル基を表 す、 In the formula, R 7 represents a lower alkoxycarbonyl group or a pyrimidinyl group. You
で示される基、 または、 A group represented by or
(2) 式: — (CH2) p - NHR8 Formula (2): — (CH 2 ) p -NHR 8
式中、 pが 1または 2であり、 R 8がピリミジニル基; またはアミノ基 およびシァノ基で置換されたピリミジニル基を表す、 Wherein p is 1 or 2, and R 8 represents a pyrimidinyl group; or a pyrimidinyl group substituted with an amino group and a cyano group,
で示される基であり、 Is a group represented by
R 4が水素原子である化合物が挙げられる。 Compounds in which R 4 is a hydrogen atom are mentioned.
本発明の目的化合物 [I] のうち、 他のより好ましい化合物としては、 R1がトリフルォロメチル基であり、 Among the more desirable compounds of the object compound [I] of the present invention, R 1 is a trifluoromethyl group,
R 2が水素原子、 低級アルコキシカルポニル基、 低級アルコキシ基、 低級アル コキシ低級アルコキシ基、 モルホリニル低級アルコキシ基、 またはジ低級アル キル力ルバモイル基であり、 R 2 is a hydrogen atom, a lower alkoxycarbonyl group, a lower alkoxy group, a lower alkoxy lower alkoxy group, a morpholinyl lower alkoxy group, or a di-lower alkyl group rubamoyl group;
R3が (1) 式: R 3 is the formula (1):
式中、 R 7が低級アルコキシカルボニル基、 またはピリミジニル基を表 す、 In the formula, R 7 represents a lower alkoxycarbonyl group or a pyrimidinyl group,
で示される基、 または、 A group represented by or
(2) 式: — (CH2) P_NHR8 Formula (2): — (CH 2 ) P _NHR 8
式中、 pが 1または 2であり、 R8がピリミジニル基; またはアミノ基 およびシァノ基で置換されたピリミジニル基を表す、 Wherein p is 1 or 2, and R 8 represents a pyrimidinyl group; or a pyrimidinyl group substituted with an amino group and a cyano group,
で示される基であり、 Is a group represented by
R 4が水素原子である化合物が挙げられる。 Compounds in which R 4 is a hydrogen atom are mentioned.
本発明の目的化合物 [I] のうち、 特に好ましい化合物としては、 2— (4 — (2— (4—トリフルォロメチルフエニル) ベンゾィルァミノ) ベンジルァ ミノ) ピリミジン, またはその薬理的に許容しうる塩が挙げられる。 Among the target compounds [I] of the present invention, particularly preferred compounds include 2- (4- (2- (4- (4-trifluoromethylphenyl) benzoylamino) benzylamino) pyrimidine, or a pharmaceutically acceptable salt thereof. Salts.
本発明の目的化合物 [I ] は、 R1 R2及び または R3が不斉原子を有す る場合、 当該不斉原子に基づく光学異性体として存在しうるが、 本発明はこれ らの光学異性体及びその混合物のいずれをも含むものである。 In the target compound [I] of the present invention, R 1 R 2 and / or R 3 have an asymmetric atom. In such a case, the compound may exist as an optical isomer based on the asymmetric atom, and the present invention includes any of these optical isomers and a mixture thereof.
本発明の目的化合物 [I] またはその薬理的に許容しうる塩は、 アポリポ蛋 白 B分泌抑制作用を有し、 優れた血清脂質低下作用を示す。 The target compound [I] of the present invention or a pharmaceutically acceptable salt thereof has an apolipoprotein B secretion inhibitory effect and exhibits an excellent serum lipid lowering effect.
従って、 本発明の目的化合物 [I] またはその薬理的に許容し得る塩は、 高 脂血症、 虚血性心疾患、 ァテローム性動脈硬化、 冠動脈硬化、 高コレステロ一 ル血症、 高トリグリセリ ド血症、 家族性高脂血症、 高リポ蛋白血症、 動脈硬化 症、 冠動脈硬化症、 冠動脈心疾患、 虚血性脳疾患、 卒中、 循環 ·微小循環障害、 血栓症、 高血糖、 糖尿病、 急性出血性塍炎、 肥満症、 脂肪症、 便秘症等の予防 - 治療への適用が考えられる。 さらに、 本発明の目的化合物 [I ] は低毒性であ り、 医薬として安全性が高いという特長をも有する。 Therefore, the target compound [I] of the present invention or a pharmacologically acceptable salt thereof includes hyperlipidemia, ischemic heart disease, atherosclerosis, coronary atherosclerosis, hypercholesterolemia, hypertriglyceridemia. Disease, familial hyperlipidemia, hyperlipoproteinemia, arteriosclerosis, coronary arteriosclerosis, coronary heart disease, ischemic brain disease, stroke, circulatory and microcirculatory disorders, thrombosis, hyperglycemia, diabetes, acute bleeding Prevention of sexual inflammation, obesity, steatosis, constipation, etc.-Possible application to treatment. Furthermore, the target compound [I] of the present invention has the characteristics of low toxicity and high safety as a medicine.
本発明の目的化合物 [I] は、 遊離の形でも、 また、 薬理的に許容し得る塩 の形でも医薬用途に使用することができる。 化合物 [I] の薬理的に許容しう る塩としては、 例えば塩酸塩、 硫酸塩、 リン酸塩または臭化水素酸塩の如き無 機酸塩、 酢酸塩、 フマル酸塩、 シユウ酸塩、 クェン酸塩、 メタンスルホン酸塩、 ベンゼンスルホン酸塩、 トシル酸塩またはマレイン酸塩の如き有機酸塩等が挙 げられる。 また、 カルボキシル基等の置換基を有する場合には塩基との塩 (例 えばナトリゥム塩、 力リゥム塩等のアル力リ金属塩またはカルシウム塩の如き アルカリ土類金属塩) が挙げられる。 The target compound [I] of the present invention can be used in a free form or in the form of a pharmaceutically acceptable salt for pharmaceutical use. Pharmaceutically acceptable salts of compound [I] include, for example, inorganic salts such as hydrochloride, sulfate, phosphate or hydrobromide, acetate, fumarate, oxalate, and the like. Organic salts such as citrate, methanesulfonate, benzenesulfonate, tosylate or maleate are listed. When it has a substituent such as a carboxyl group, a salt with a base (for example, an alkali metal salt such as a sodium salt or a potassium salt or an alkaline earth metal salt such as a calcium salt) can be mentioned.
本発明の目的化合物 [I] またはその塩は、 その分子内塩や付加物、 それら の溶媒和物あるいは水和物等をいずれも含むものである。 The target compound [I] of the present invention or a salt thereof includes any of its inner salts and adducts, solvates and hydrates thereof.
本発明の目的化合物 [I] またはその薬理的に許容しうる塩は経口的にも非 経口的にも投与することができ、 また、 錠剤、 顆粒剤、 カプセル剤、 散剤、 注 射剤、 吸入剤等の慣用の医薬製剤として用いることができる。 The target compound [I] of the present invention or a pharmaceutically acceptable salt thereof can be administered orally or parenterally, and tablets, granules, capsules, powders, injections, inhalants, etc. It can be used as a conventional pharmaceutical preparation such as an agent.
本発明の目的化合物 [I] またはその薬理的に許容し得る塩の投与量は、 投 与方法、 患者の年令、体重、 状態によっても異なるが、 注射剤とすれば、 通常、 1日当り約 0. 01〜5mgZkg、 とりわけ約 0. l〜3mg/k g程度、 経口剤とすれば、通常、 1日当り約 0. 1〜: L 0 OmgZk g、 とりわけ約 0. 1〜5 Omg/k g程度とするのが好ましい。 The dose of the compound [I] of the present invention or a pharmaceutically acceptable salt thereof varies depending on the administration method, age, weight, and condition of the patient. 0.01-1mg / kg, especially about 0.1-3mg / kg, In the case of an oral preparation, it is usually preferred to be about 0.1 to: L0 OmgZkg per day, especially about 0.1 to 5 Omg / kg.
くビフエニルカルボキサミド化合物の製法〉 Method for producing biphenylcarboxamide compound>
本発明によれば、 目的化合物 [I] は、 慣用の方法に従って、 下記 [A法] 〜 [E法] により製造することができるが、 本発明の製法は、 これらに限定さ れるものではない。 According to the present invention, the target compound [I] can be produced by the following [Method A] to [Method E] according to a conventional method, but the production method of the present invention is not limited thereto. .
[A法] [Method A]
本発明の目的化合物 [I] で示されるビフエ二ルカルポキサミド化合物は、 一般式 [1] .: The biphenylcarpoxamide compound represented by the target compound [I] of the present invention has the general formula [1].
式中、 記号は前記と同一意味を有する、 Wherein the symbols have the same meanings as described above,
で示されるカルボン酸化合物またはその塩と、 一般式 [2] And a carboxylic acid compound represented by the general formula [2]
R3 R 3
[2] [2]
Hゥ N 式中、 記号は前記と同一意味を有する、 In the formula, the symbols have the same meanings as described above,
で示されるァミン化合物またはその塩とを反応させることにより製造すること ができる。 Or a salt thereof.
本反応は、 溶媒中、 縮合剤の存在下、 活性化剤の存在下または非存在下、 塩 基の存在下または非存在下実施することができる。 溶媒としては、 反応に悪影 響を及ぼさない溶媒であればよく、 例えば、 塩化メチレン、 クロ口ホルム、 ジ メチルホルムアミド、 ジメチルァセトアミド、 テトラヒドロフラン、 トルエン、 ベンゼン、 1, 2—ジクロロエタン、 1一メチルピロリジノン等が挙げられる。 縮合剤としては、 例えば、 ジシクロへキシルカルポジィミド (DCC) 、 1— ェチル—3- (3—ジメチルァミノプロピル) カルポジイミド ·塩酸塩 (WS C - HC 1 ) 、 ジフエニルホスホリルアジド (DPPA) 、 カルボニルジイミ ダゾール (CD I) 、 ジェチルシアノホスホネ一卜 (DEPC) 、 ジイソプロ ピルカルポジイミド (D I PC I) 、 ベンゾ卜リアゾ一ルー 1一ィルォキシ— トリスピロリジノホスホニゥムへキサフルォロホスフェート (PyBOP) 等 が挙げられる。 活性化剤としては、 例えば、 1—ヒドロキシベンゾトリアゾー ル (HOB t) 、 ヒドロキシスクシンイミド (HOSu) 、 ジメチルアミノビ リジン (DMAP) 、 1—ヒドロキシ一 7—ァザべンゾトリアゾ一ル (HOA t) 、 ヒドロキシフタルイミド (HOPh t) 、 ペン夕フルオロフェノール (P f p-OH) 等が挙げられる。 塩基としては、 例えば、 トリェチルァミン、 ジ イソプロピルェチルァミン、 4一メチルモルホリン、 1, 8—ジァザビシクロ [5, 4. 0] —7—ゥンデセン (DBU) 等が挙げられる。 This reaction can be carried out in a solvent, in the presence of a condensing agent, in the presence or absence of an activator, in the presence or absence of a base group. The solvent may be any solvent that does not adversely affect the reaction, such as methylene chloride, chloroform, Examples include methylformamide, dimethylacetamide, tetrahydrofuran, toluene, benzene, 1,2-dichloroethane, and 1-methylpyrrolidinone. Examples of the condensing agent include dicyclohexylcarpoimide (DCC), 1-ethyl-3- (3-dimethylaminopropyl) carbodiimide.hydrochloride (WSC-HC1), diphenylphosphoryl azide (DPPA) , Carbonyldiimidazole (CD I), getylcyanophosphonate (DEPC), diisopropylcarbodiimide (DIPCI), benzotriazo-1-yl-1-yloxy-trispyrrolidinophosphonium hexafluoro Lophosphate (PyBOP) and the like. Examples of the activator include 1-hydroxybenzotriazole (HOB t), hydroxysuccinimide (HOSu), dimethylaminopyridine (DMAP), 1-hydroxy-17-azabenzotriazole (HOA t) , Hydroxyphthalimide (HOPht), pentafluorophenol (Pfp-OH) and the like. Examples of the base include triethylamine, diisopropylethylamine, 4-methylmorpholine, 1,8-diazabicyclo [5,4.0] -7-indene (DBU) and the like.
縮合剤の使用量は、 化合物 [1] 又は [2] に対して 1〜10当量、 好まし くは 1〜2当量とすることができる。 活性化剤の使用量は、 化合物 [1] 又は [2] に対して 1〜 10当量、 好ましくは 1〜2当量とすることができる。 塩 基の使用量は、 化合物 [1] 又は [2] に対して 1〜10当量、 好ましくは 1 〜 2当量とすることができる。 The amount of the condensing agent to be used may be 1 to 10 equivalents, preferably 1 to 2 equivalents, relative to compound [1] or [2]. The amount of the activator to be used may be 1 to 10 equivalents, preferably 1 to 2 equivalents, relative to compound [1] or [2]. The amount of the base to be used can be 1 to 10 equivalents, preferably 1 to 2 equivalents, relative to compound [1] or [2].
本反応は 0〜100で、 好ましくは 0〜 50でで実施することができる。 This reaction can be carried out at 0 to 100, preferably 0 to 50.
また、 化合物 [1] は、 いったん酸クロライドまたは混合酸無水物等の反応 性誘導体に変換した後、 塩基の存在下化合物 [2] と反応させてもよい。 Further, the compound [1] may be once converted into a reactive derivative such as an acid chloride or a mixed acid anhydride, and then reacted with the compound [2] in the presence of a base.
[B法] . [Method B].
本発明の目的化合物 [I] で示されるビフエ二ルカルボキサミド化合物は、 一般式 [3】 : X o The biphenylcarboxamide compound represented by the target compound [I] of the present invention has the general formula [3]: X o
式中、 Xはハロゲン原子を表し、 他の記号は前記と同一意味を有する、 で示される化合物またはその塩と、 一般式 [ 4 ] : In the formula, X represents a halogen atom, and other symbols have the same meanings as described above, or a compound thereof, or a salt thereof, and a general formula [4]:
式中、 Mは水酸基、 ハロゲン原子、 シァノ基、 低級アルキル基、 ァリール基、 低級アルコキシ基、 アルキレンジォキシ基、 ァリールォキシ基、 ァリーレンジ ォキシ基、 およびァリールチオ基から選ばれる同一または異なる基で配位され ていてもよい金属を表し、 他の記号は前記と同一意味を有する、 In the formula, M is the same or different group selected from a hydroxyl group, a halogen atom, a cyano group, a lower alkyl group, an aryl group, a lower alkoxy group, an alkylenedioxy group, an aryloxy group, an arylenedioxy group, and an arylthio group. Other symbols have the same meanings as described above,
で示される化合物とを反応させることにより製造することもできる。 Can also be produced by reacting with a compound represented by the formula:
本反応は、 溶媒中、 触媒の存在下、 塩基の存在下または非存在下、 添加剤の 存在下または非存在下実施することができる。 溶媒としては、 反応に悪影響を 及ぼさない溶媒であればよく、 例えば、 塩化メチレン、 クロ口ホルム、 ジメチ ルホルムアミド、 ジメチルァセトアミド、 テ卜ラヒドロフラン、 トルエン、 キ シレン、 水、 1 _メチルピロリジノン、 ジメトキシェタン、 ジォキサン、 ジェ チルァミン、 卜リエチルァミン等が挙げられる。 Mの金属としては、 例えば、 ホウ素、 スズ、 ケィ素、 亜鉛、 マグネシウム、 アルミニウム、 リチウム、 ニッ ケル等が挙げられる。 触媒としては、 例えば、 酢酸パラジウム、 テトラキスト リフエニルホスフィンパラジウム、 ビストリフエニルホスフィンパラジウムジ クロライド、 ビス (ジベンジリデンアセトン) パラジウム、 ビスべンゾニトリ ルパラジウムジクロライド等が挙げられる。 塩基としては炭酸ナトリウム、 炭 酸カリウム、 リン酸カリウム、 トリェチルァミン、 ジイソプロピルェチルアミ ンなどが挙げられる。 添加剤としては、 例えば、 トリフエニルホスフィン、 ト リー o—トルィルホスフィン、 トリー n—ブチルホスフィン、 臭化銅 (I) 、 ヨウ化銅 (I) 、 トリフエニルアルシン、 トリ (2—フリル) ホスフィン、 ジ フエニルホスフイノフエ口セン (dpp f) 、 ジフエニルホスフイノブタン (dppb) 、 2, 6—ジ— t e r t—プチルー 4—クレゾ一ル等が挙げられ る。 This reaction can be carried out in a solvent, in the presence of a catalyst, in the presence or absence of a base, or in the presence or absence of an additive. The solvent may be any solvent that does not adversely affect the reaction, such as methylene chloride, chloroform, dimethylformamide, dimethylacetamide, tetrahydrofuran, toluene, xylene, water, 1-methylpyrrolidinone, Dimethoxyethane, dioxane, getylamine, triethylamine and the like. Examples of the metal of M include boron, tin, silicon, zinc, magnesium, aluminum, lithium, nickel, and the like. Examples of the catalyst include palladium acetate, tetrakistriphenylphosphine palladium, bistriphenylphosphine palladium dichloride, bis (dibenzylideneacetone) palladium, bisbenzonitrile palladium dichloride, and the like. Sodium carbonate, charcoal as base Potassium acid, potassium phosphate, triethylamine, diisopropylethylamine and the like. Examples of additives include triphenylphosphine, tri-o-tolylphosphine, tri-n-butylphosphine, copper (I) bromide, copper (I) iodide, triphenylenylsine, and tri (2-furyl) phosphine. And diphenylphosphinophene mouth (dppf), diphenylphosphinobutane (dppb), 2,6-di-tert-butyl-4-cresol, and the like.
触媒の使用量は、 化合物 [3] 又は [4] に対して 0. 001〜0. 5当量、 好ましくは 0. 05〜0. 2当量とすることができる。 塩基の使用量は、 化合 物 [3] 又は [4] に対して 1〜20当量、 好ましくは 1〜5当量とすること ができる。 添加剤の使用量は、 化合物 [3] 又は [4] に対して 1〜10当量、 好ましくは 1〜5当量とすることができる。 The amount of the catalyst to be used may be 0.001 to 0.5 equivalent, preferably 0.05 to 0.2 equivalent, relative to compound [3] or [4]. The amount of the base to be used may be 1 to 20 equivalents, preferably 1 to 5 equivalents, relative to compound [3] or [4]. The amount of the additive to be used may be 1 to 10 equivalents, preferably 1 to 5 equivalents, relative to compound [3] or [4].
本反応は 0〜 1 50°C、 好ましくは 30〜 120でで実施することができる。 This reaction can be carried out at 0 to 150 ° C, preferably at 30 to 120 ° C.
[C法] [Method C]
本発明の目的化合物のうち、 一般式 [I] において R3が、 式: Among the target compounds of the present invention, R 3 in the general formula [I] is represented by the formula:
NHR' NHR '
N、 CH21 m 式中、 記号は前記と同一意味を有する、 N, CH2 1 m wherein the symbols have the same meanings as described above,
で示される化合物、 すなわち、 一般式 [I— a] 式中、 記号は前記と同一意味を有する、 A compound represented by the general formula [I—a] Wherein the symbols have the same meanings as described above,
で示されるビフエ二ルカルボキサミド化合物は、 一般式 [5] The biphenylcarboxamide compound represented by the general formula [5]
式中、 記号は前記と同一意味を有する、 Wherein the symbols have the same meanings as described above,
で示される化合物またはその塩と、 一般式 [6] : Or a salt thereof, and a general formula [6]:
R7— X4 [6] R 7 — X 4 [6]
式中、 X4は脱離基を表し、 他の記号は前記と同一意味を有する、 In the formula, X 4 represents a leaving group, and other symbols have the same meanings as described above.
で示される化合物またはその塩とを反応させることにより製造することができ る。 Or a salt thereof, or a salt thereof.
本反応は、 溶媒中、 塩基の存在下または非存在下実施することができる。 溶 媒としては、 反応に悪影響を及ぼさない溶媒であればよく、 例えば、 水、 エタ ノール、 ジメチルホルムアミド、 酢酸ェチル、 クロ口ホルム、 塩化メチレンま たはこれらの混合溶媒等が挙げられる。 塩基としては、 例えば、 トリェチルァ ミン、 ジイソプロピルェチルァミン、 炭酸カリウム、 炭酸ナトリウム等が挙げ られる。 This reaction can be carried out in a solvent, in the presence or absence of a base. The solvent may be any solvent that does not adversely affect the reaction, and examples thereof include water, ethanol, dimethylformamide, ethyl acetate, chloroform, methylene chloride, and a mixed solvent thereof. Examples of the base include triethylamine, diisopropylethylamine, potassium carbonate, sodium carbonate and the like.
塩基の使用量は、 化合物 [5] または [6] に対して 1〜20当量、 好まし くは 1〜5当量とすることができる。 The amount of the base to be used is 1 to 20 equivalents, preferably to the compound [5] or [6]. Or 1 to 5 equivalents.
本反応は一 30〜150で、 好ましくは 0〜80でで実施することができる。 なお、 脱離基 X4としては、 ハロゲン原子、 トリフルォロメタンスルホニルォ キシ基、 メタンスルホニルォキシ基、 p—トルエンスルホニルォキシ基等が挙 げられる。 This reaction can be carried out at a temperature of from 30 to 150, preferably from 0 to 80. As the leaving group X 4, a halogen atom, triflate Ruo b methanesulfonyl O alkoxy group, methanesulfonyl O alkoxy group, such as p- toluenesulfonyl O carboxymethyl group can be mentioned up.
[D法] [Method D]
また、 本発明の目的化合物のうち、 一般式 [I] において R3が、 式:Further, among the target compounds of the present invention, R 3 in the general formula [I] is represented by the formula:
- (CH2) p— NHR8 -(CH 2 ) p — NHR 8
式中、 記号は前記と同一意味を有する、 Wherein the symbols have the same meanings as described above,
で示される化合物、 すなわち、 一般式 [I— b] : A compound represented by the formula: [I—b]:
式中、 記号は前記と同一意味を有する、 Wherein the symbols have the same meanings as described above,
で示されるビフエ二ルカルポキサミド化合物は、 一般式 [7]The biphenylcarpoxamide compound represented by the general formula [7]
式中、 記号は前記と同一意味を有する、 Wherein the symbols have the same meanings as described above,
で示される化合物またはその塩と、 一般式 [8] R8-X4 [8] And a salt thereof, and a general formula [8] R 8 -X 4 [8]
式中、 X4は脱離基を表し、 他の記号は前記と同一意味を有する、 In the formula, X 4 represents a leaving group, and other symbols have the same meanings as described above.
で示される化合物またはその塩とを反応させることにより製造することができ る。 Or a salt thereof, or a salt thereof.
本反応は、 溶媒中、 塩基の存在下または非存在下実施することができる。 溶 媒としては、 反応に悪影響を及ぼさない溶媒であればよく、 例えば、 前記 [C 法] の化合物 [5] と化合物 [6] の反応で用いうる溶媒として例示したもの を、 適宜用いることができる。 また、 塩基としても、 例えば、 前記 [C法] で 例示した塩基を、 適宜用いることができる。 This reaction can be carried out in a solvent, in the presence or absence of a base. The solvent may be any solvent that does not adversely affect the reaction. For example, those exemplified as the solvent that can be used in the reaction of compound [5] with compound [6] in the above [Method C] may be used as appropriate. it can. Also, as the base, for example, the bases exemplified in the above [Method C] can be used as appropriate.
塩基の使用量は、 化合物 [7] 又は [8] に対して 1〜20当量、 好ましく は 1〜10当量とすることができる。 The amount of the base to be used may be 1 to 20 equivalents, preferably 1 to 10 equivalents, relative to compound [7] or [8].
本反応は 0〜150^、 好ましくは 0〜 8 Ot:で実施することができる。 法] This reaction can be carried out at 0 to 150 ^, preferably at 0 to 8 Ot :. Law]
さらに、 本発明の目的化合物のうち、 一般式 [I] において R3が、 式:Further, among the target compounds of the present invention, R 3 in the general formula [I] is represented by the formula:
-CONH- (CH2) q - R9 -CONH- (CH 2 ) q -R 9
式中、 記号は前記と同一意味を有する、 Wherein the symbols have the same meanings as described above,
で示される化合物、 すなわち、 一般式 [I— c] : A compound represented by the formula: [I—c]:
式中、 記号は前記と同一意味を有する、 Wherein the symbols have the same meanings as described above,
で示されるピフエ二ルカルポキサミド化合物は、 一般式 [9] 式中、 記号は前記と同一意味を有する、 Is represented by the general formula [9] Wherein the symbols have the same meanings as described above,
で示されるカルボン酸化合物またはその塩と、 一般式 [10] : And a carboxylic acid compound or a salt thereof represented by the following general formula [10]:
H2N- (CH2) q - R9 [10] H 2 N- (CH 2 ) q -R 9 [10]
式中、 記号は前記と同一意味を有する、 Wherein the symbols have the same meanings as described above,
で示されるァミン化合物またはその塩とを反応させることにより製造すること ができる。 Or a salt thereof.
本反応は、 溶媒中、 縮合剤の存在下、 活性化剤の存在下または非存在下、 塩 基の存在下または非存在下実施することができる。 溶媒としては、 反応に悪影 響を及ぼさない溶媒であればよく、 例えば、 前記 [A法] の化合物 [1] と化 合物 [2] の反応で用いうる溶媒として例示したものを、 適宜用いることがで きる。 また、 塩基または活性化剤としても、 例えば、 前記 [A法] で例示した 塩基または活性化剤を、 適宜用いることができる。 This reaction can be carried out in a solvent, in the presence of a condensing agent, in the presence or absence of an activator, in the presence or absence of a base group. The solvent may be any solvent that does not adversely affect the reaction. For example, those exemplified as solvents that can be used in the reaction of compound [1] with compound [2] in the above [Method A] may be appropriately used. Can be used. In addition, as the base or the activator, for example, the base or the activator exemplified in the above [Method A] can be appropriately used.
縮合剤の使用量は、 化合物 [9] 又は [10] に対して 1〜 10当量、 好ま しくは 1〜2当量とすることができる。 活性化剤の使用量は、 化合物 [9] 又 は [10] に対して 1〜10当量、好ましくは 1〜2当量とすることができる。 塩基の使用量は、 化合物 [9] 又は [10] に対して 1〜 10当量、 好ましく は 1〜 2当量とすることができる。 The amount of the condensing agent to be used may be 1 to 10 equivalents, preferably 1 to 2 equivalents, relative to compound [9] or [10]. The amount of the activator to be used may be 1 to 10 equivalents, preferably 1 to 2 equivalents, relative to compound [9] or [10]. The amount of the base to be used can be 1 to 10 equivalents, preferably 1 to 2 equivalents, relative to compound [9] or [10].
本反応は 0〜100°C、 好ましくは 0〜 50でで実施することができる。 本発明の目的化合物 [I] は、 上述の如くして得られる化合物の R1, R2お よび または R 3上の置換基を、 さらに所望の他の置換基へ変換することによつ ても製造することができる。 このような置換基の変換方法は、 目的とする置換 基の種類に^じて適宜選択すればよいが、 例えば (a法) 〜 (b法) の如く実 施することができる。 This reaction can be carried out at 0 to 100 ° C, preferably at 0 to 50 ° C. The target compound [I] of the present invention is obtained by further converting the substituent on R 1 , R 2 and / or R 3 of the compound obtained as described above to another desired substituent. Can also be manufactured. The method for converting such a substituent may be appropriately selected according to the type of the desired substituent. For example, a method such as (a method) to (b method) may be used. Can be applied.
(a法:水酸基のアルキル化) (Method a: Alkylation of hydroxyl group)
一般式 [I ] における R2が低級アルコキシ基、 低級アルコキシ低級アルコキシ 基、 またはモルホリニル低級アルコキシ基である目的化合物 [I] は、 R2が水 酸基である対応化合物と、 対応する置換低級アルキル八ライド (例えば、 2— モルホリノエチルクロリド) とを、 塩基 (例えば、 炭酸カリウム) の存在下反 応させることにより製造することができる。 In the general formula [I], the target compound [I] in which R 2 is a lower alkoxy group, a lower alkoxy lower alkoxy group, or a morpholinyl lower alkoxy group, includes a corresponding compound in which R 2 is a hydroxyl group and a corresponding substituted lower alkyl. An octylide (for example, 2-morpholinoethyl chloride) can be produced by reacting the compound with a base (for example, potassium carbonate).
(b法:カルボキシル基のアミド化) (Method b: amidation of carboxyl group)
一般式 [I] における R1が、 式:R 1 in the general formula [I] is represented by the following formula:
式中、 記号は前記と同一意味を有する、 Wherein the symbols have the same meanings as described above,
で示される基、 または、 式: Or a group represented by the formula:
式中、 記号は前記と同一意味を有する、 Wherein the symbols have the same meanings as described above,
で示される基である目的化合物 [I] は、 R1がカルボキシル基である対応化合 物 [I] と、 式: The target compound [I], which is a group represented by, is a corresponding compound [I] in which R 1 is a carboxyl group,
HNR5R6 HNR 5 R 6
式中、 記号は前記と同一意味を有する、 Wherein the symbols have the same meanings as described above,
で示される化合物、 または、 式: 式中、 記号は前記と同一意味を有する. で示される化合物とを前記 [A法] と同様にして反応させることにより製造す ることができる。 Or a compound represented by the formula: In the formula, the symbols have the same meaning as described above. Can be produced by reacting the compound of the formula with the same method as in the above [Method A].
上述の [A法] 〜 [E法] 、 あるいは (a法) および (b法) のごとくして 得られる本発明の目的化合物 [ I ] は、 所望により、 薬理的に許容しうる塩に 変換することもできる。 薬理的に許容しうる塩への変換は、 当業者に知られて いる慣用の方法に従って行えばよい。 The desired compound [I] of the present invention obtained as described in the above [Method A] to [Method E], or (Method a) and (Method b) may be converted into a pharmacologically acceptable salt, if desired. You can also. Conversion to a pharmaceutically acceptable salt may be performed according to a conventional method known to those skilled in the art.
<原料化合物の製法 > <Production method of raw material compounds>
原料化合物 [ 1 ] は、 例えば、 下記の方法に従って製造することができる。 Starting compound [1] can be produced, for example, according to the following method.
[11] [11]
M-X1 M-X1 MX 1 MX 1
または または Or or
,' M - M M-M , 'M-M M-M
式中、 X1は脱離基、 X2は水素原子、 ハロゲン原子またはトリフルォロメ夕 ンスルホニルォキシ基、 Wは低級アルコキシカルボニル基またはモノーもしく はジ低級アルキルアミノ基を表し、 他の記号は前記と同一意味を有する。 In the formula, X 1 is a leaving group, X 2 is a hydrogen atom, a halogen atom or a trifluoromethylsulfonyloxy group, W is a lower alkoxycarbonyl group or a mono- or di-lower alkylamino group, and other symbols are It has the same meaning as above.
化合物 [1 1] から化合物 [1 2] を製造する反応は、 溶媒中、 触媒の存在 下、 塩基の存在下または非存在下、 添加剤の存在下または非存在下、 式: M— X1または M— Mで示される化合物を反応させ、 必要であれば、 酸で処理するこ とにより実施することができる。 溶媒としては反応に悪影響を及ぼさない溶媒 であればよく、 例えば、 ジメ卜キシェタン、 水、 エタノール、 トルエン、 ジメ チルホルムアミド、 ァセトニトリル、 ジォキサン、 ジメチルァセトアミド、 ジ メチルスルホキシド、 テトラヒドロフラン、 またはこれらの混合溶媒等が挙げ られる。 触媒としては、 例えば、 酢酸パラジウム、 テトラキストリフエニルホ スフインパラジウム、 ビス (ジフエニルホスフイノフエ口セン) ジクロロパラ ジゥム、 等が挙げられる。 塩基としては、 例えば、 酢酸カリウム、 炭酸力リウ ム、 炭酸ナトリウム、 トリェチルァミン等が挙げられる。 添加剤としては、 例 えば、 トリフエニルホスフィン、 トリ一 o—トルィルホスフィン、 トリ一 n— ブチルホスフィン、 ジフエニルホスフイノフエ口セン (d p p f ) 、 ジフエ二 ルホスフイノブタン (d p p b ) 、 2 , 6—ジ一 t e r t —ブチル一 4—クレ ゾ一ル等が挙げられる。酸としては、例えば、 塩酸、 硫酸、 塩化アンモニゥム、 クェン酸等が挙げられる。 The reaction for producing the compound [1 2] from the compound [11] is carried out in a solvent, in the presence of a catalyst, in the presence or absence of a base, in the presence or absence of an additive, and the formula: M—X 1 Or react with the compound represented by MM, and treat with acid if necessary. And can be implemented. The solvent may be any solvent that does not adversely affect the reaction, such as dimethyloxetane, water, ethanol, toluene, dimethylformamide, acetonitrile, dioxane, dimethylacetamide, dimethylsulfoxide, tetrahydrofuran, or a mixture thereof. Solvents and the like can be mentioned. Examples of the catalyst include palladium acetate, tetrakistriphenylphosphine palladium, and bis (diphenylphosphinophene phenyl) dichloropalladium. Examples of the base include potassium acetate, lithium carbonate, sodium carbonate, and triethylamine. As additives, for example, triphenylphosphine, tri-o-tolylphosphine, tri-n-butylphosphine, diphenylphosphinophene mouth (dppf), diphenylphosphinobutane (dppb), 2, 6-di-tert-butyl-1-4-cresol and the like. Examples of the acid include hydrochloric acid, sulfuric acid, ammonium chloride, and citric acid.
また、 本反応は溶媒中、 塩基の存在下、 添加剤の存在下または非存在下、 式: M— X 1または M— Mで示される化合物を反応させ、 必要であれば、 酸で処理す ることにより実施することができる。 溶媒としては反応に悪影響を及ぼさない 溶媒であればよく、 例えば、 テトラヒドロフラン、 ジォキサン、 ジェチルエー テル、 ジメトキシェタン等が挙げられる。 塩基としては、 例えば、 n—ブチル リチウム、 s e c一ブチルリチウム等が挙げられる。添加剤としては、 例えば、 テトラメチルエチレンジァミン、 へキサメチルホスホリックトリアミド等が挙 げられる。 酸としては、 例えば、 塩酸、 硫酸、 塩化アンモニゥム、 クェン酸等 が挙げられる。 In this reaction, the compound represented by the formula: M—X 1 or M—M is reacted in a solvent in the presence of a base, in the presence or absence of an additive, and if necessary, treated with an acid. It can be implemented by doing. The solvent may be any solvent that does not adversely affect the reaction, and examples thereof include tetrahydrofuran, dioxane, getyl ether, and dimethoxyethane. Examples of the base include n-butyl lithium, sec-butyl lithium and the like. Examples of the additive include tetramethylethylenediamine, hexamethylphosphoric triamide and the like. Examples of the acid include hydrochloric acid, sulfuric acid, ammonium chloride, and citric acid.
化合物 [ 1 2 ] と化合物 [ 1 3 ] から化合物 [ 1 4 ] を製造する反応は、 溶 媒中、 触媒の存在下、 塩基の存在下または非存在下、 添加剤の存在下または非 存在下実施することができる。 溶媒としては反応に悪影響を及ぼさない溶媒で あればよく、 例えば、 ジメトキシェタン、 水、 エタノール、 トルエン、 ジメチ ルホルムアミド、 ァセトニトリル、 ジォキサン、 テトラヒドロフラン、 または これらの混合溶媒等が挙げられる。 触媒としては、 例えば、 酢酸パラジウム、 テトラキス卜リフエニルホスフィンパラジウム、 ビストリフエニルホスフィン パラジウムジクロライド、 ビス (ジベンジリデンアセトン) パラジウム、 ビス ベンゾニトリルパラジウムジクロライド等が挙げられる。 塩基としては、 例え ば、 炭酸カリウム、 炭酸ナトリウム、 リン酸カリウム、 トリェチルァミン等が 挙げられる。 添加剤としては、 例えば、 トリフエニルホスフィン、 トリ— n— ブチルホスフィン、 トリ一 o—トルィルホスフィン、 ジフエ二ルホスフイノフ エロセン (d ρ p f ) 、 ジフエニルホスフイノブタン (d p p b) 、 2, 6— ジ— t e r t—ブチル— 4—クレゾール等が挙げられる。 The reaction to produce compound [14] from compound [12] and compound [13] is performed in a solvent, in the presence of a catalyst, in the presence or absence of a base, in the presence or absence of an additive. Can be implemented. The solvent may be any solvent that does not adversely affect the reaction, for example, dimethoxyethane, water, ethanol, toluene, dimethylformamide, acetonitrile, dioxane, tetrahydrofuran, or These mixed solvents are exemplified. Examples of the catalyst include palladium acetate, tetrakistriphenylphosphine palladium, bistriphenylphosphine palladium dichloride, bis (dibenzylideneacetone) palladium, bisbenzonitrile palladium dichloride, and the like. Examples of the base include potassium carbonate, sodium carbonate, potassium phosphate, and triethylamine. Examples of the additive include triphenylphosphine, tri-n-butylphosphine, tri-o-tolylphosphine, diphenylphosphinopherosen (d pf), diphenylphosphinobutane (dppb), and 2,6-diphenyl. — Tert-butyl-4-cresol and the like.
式: M— X1で示される化合物の具体例としては、 例えば、 トリー n—ブチル スズクロライド、 トリー n—ブチルスズトリフルォロメタンスルホネート、 卜 リ低級アルコキシボラン等が挙げられる。 Formula: Specific examples of the compound represented by M- X 1 is, for example, tree n- butyl Suzukuroraido, tree n- butyltin triflate Ruo b methanesulfonate include Bok Li lower alkoxy borane.
式: M— Mで示される化合物の具体例としては、 例えば、 ビスピナコレート ジボロン、 ビスカテコラートジボロン、 ビストリ n—プチルスズ等が挙げられ る。 Specific examples of the compound represented by the formula: MM include, for example, bispinacolato diboron, biscatecholate diboron, bistri-n-butyltin and the like.
化合物 [13] から化合物 [4] を製造する反応は、 上記化合物 [1 1] か ら化合物 [12] を製造する反応と同様にして実施することができる。 The reaction for producing compound [4] from compound [13] can be carried out in the same manner as the reaction for producing compound [12] from compound [11].
化合物 [4] と化合物 [1 1] から化合物 [14] を製造する反応は、 上記 化合物 [12] と化合物 [1 3] から化合物 [14] を製造する反応と同様に して実施することができる。 The reaction for producing compound [14] from compound [4] and compound [11] can be carried out in the same manner as the reaction for producing compound [14] from compound [12] and compound [13]. it can.
化合物 [14] から化合物 [1] を製造する反応は、 酸あるいは塩基で処理 することにより実施することができる。 酸としては、 例えば、 濃塩酸、 硫酸等 が挙げられる。 塩基としては、 例えば、 水酸化ナトリウム、 水酸化カリウム、 水酸化リチウム、 水酸化リチウム一過酸化水素等が挙げられる。 The reaction for producing compound [1] from compound [14] can be carried out by treating the compound with an acid or a base. Examples of the acid include concentrated hydrochloric acid and sulfuric acid. Examples of the base include sodium hydroxide, potassium hydroxide, lithium hydroxide, lithium hydroxide and hydrogen peroxide.
原料化合物 [2— a] (A法において用いられる化合物 [2]のうち、 最終化 合物 [I _a]の製造に用いられる原料化合物) および [5] は、 例えば、 下記 の方法に従って製造することができる。 式中、 X3はハロゲン原子、 Pはァミノ基の保護基を表し、 他の記号は前記と同 一意味を有する。 化合物 [15] と化合物 [16] から化合物 [17] を製造する反応は、 溶 媒中、 塩基の存在下または非存在下実施することができる。 溶媒としては、 反 応に悪影響を及ぼさない溶媒であればよく、 例えば、 1, 3—ジメチルー 2— イミダゾリジノン、 ジメチルホルムアミド、 ジメチルァセ卜アミド等が挙げら れる。 塩基としては、 例えば、 トリェチルァミン、 ジイソプロピルェチルアミ ン、 炭酸カリウム、 炭酸ナトリウム等が挙げられる。 Starting compound [2-a] (starting compound used for producing final compound [I_a] among compound [2] used in method A) and [5] are produced, for example, according to the following method be able to. In the formula, X 3 represents a halogen atom, P represents a protecting group for an amino group, and other symbols have the same meanings as described above. The reaction for producing compound [17] from compound [15] and compound [16] can be carried out in a solvent, in the presence or absence of a base. The solvent may be any solvent that does not adversely affect the reaction, and examples thereof include 1,3-dimethyl-2-imidazolidinone, dimethylformamide, and dimethylacetamide. Examples of the base include triethylamine, diisopropylethylamine, potassium carbonate, sodium carbonate and the like.
化合物 [17] から化合物 [18] を製造する反応は、 慣用の還元反応条件 下 (例えば、 パラジウム Z炭素—水素、 鉄—塩化アンモニゥム) 実施すること ができる。 The reaction for producing the compound [18] from the compound [17] can be carried out under conventional reduction reaction conditions (for example, palladium Z carbon-hydrogen, iron-ammonium chloride).
化合物 [18] と化合物 [1] から化合物 [20] を製造する反応は、 前記 [A法] と同様にして実施することができる。 The reaction for producing compound [20] from compound [18] and compound [1] can be carried out in the same manner as in the above [Method A].
化合物 [20] から化合物 [5] を製造する反応は、 慣用の保護されたアミ ノ基の脱保護剤 (例えば、 トリフルォロ酢酸、 塩酸一ジォキサン溶液、 ヨウ化 トリメチルシラン、 パラジウム/炭素一水素等、 以下同じ) の存在下実施する ことができる。 The reaction for producing compound [5] from compound [20] is carried out by a conventional protected amino group deprotecting agent (for example, trifluoroacetic acid, dioxane hydrochloride solution, trimethylsilane iodide, palladium / carbon monohydrogen, etc.) The same shall apply hereinafter).
化合物 [18] から化合物 [19] を製造する反応は、 慣用の保護されたァ ミノ基の脱保護剤の存在下実施することができる。 The reaction for producing the compound [19] from the compound [18] can be carried out in the presence of a conventional protected amino group deprotecting agent.
化合物 [19] と化合物 [6] から化合物 [2— a] を製造する反応は、 前 記 [C法] と同様にして実施することができる。 The reaction for producing compound [2-a] from compound [19] and compound [6] can be carried out in the same manner as in the above-mentioned [Method C].
ァミノ基の保護基 Pとしては、 メトキシカルボニル基、 t e r t—ブトキシ カルボニル基等の低級アルコキシカルポニル基、 ベンジルォキシカルボニル基 等が挙げられる。 Examples of the protecting group P for an amino group include a lower alkoxycarbonyl group such as a methoxycarbonyl group, a tert-butoxycarbonyl group, and a benzyloxycarbonyl group.
原料化合物 [2— b] (A法において用いられる化合物 [2]のうち、 最終化 合物 [I一 b]の製造に用いられる原料化合物) および [7] は、 例えば、 下記 の方法に従つて製造することができる。 05358 The starting compounds [2-b] (of the compound [2] used in the method A, the starting compounds used for the production of the final compound [I-b]) and [7] are, for example, prepared according to the following method. Can be manufactured. 05358
26 26
[21] [22] [21] [22]
式中、 記号は前記と同一意味を有する。 In the formula, the symbols have the same meaning as described above.
化合物 [2 1] から化合物 [22] を製造する反応は、 慣用の還元剤 (例え ば、 ボランジメチルスルフイ ド錯体) の存在下実施することができる。 化合物 [22] から化合物 [23] を製造する反応は、 慣用のァミノ基の保 護剤 (例えば、 ジ t e r t—プチルジカーボネート) の存在下実施することが できる。 The reaction for producing compound [22] from compound [21] can be carried out in the presence of a conventional reducing agent (for example, borane dimethyl sulfide complex). The reaction for producing the compound [23] from the compound [22] can be carried out in the presence of a conventional protecting agent for an amino group (eg, ditert-butyldicarbonate).
化合物 [23] から化合物 [24] を製造する反応は、 慣用の還元剤 (例え ば、 パラジウム 炭素—水素) の存在下実施することができる。 The reaction for producing compound [24] from compound [23] can be carried out in the presence of a conventional reducing agent (eg, palladium carbon-hydrogen).
化合物 [24] と化合物 [1] から化合物 [26] を製造する反応は、 前記 [A法] と同様にして実施することができる。 The reaction for producing compound [26] from compound [24] and compound [1] can be carried out in the same manner as in the above [Method A].
化合物 [26] から化合物 [7] を製造する反応は、 慣用の保護されたアミ ノ基の脱保護剤の存在下実施することができる。 The reaction for producing compound [7] from compound [26] can be carried out in the presence of a conventional protected amino group deprotecting agent.
化合物 [24] から化合物 [25] を製造する反応は、 慣用の保護されたァ ミノ基の脱保護剤の存在下実施することができる。 The reaction for producing compound [25] from compound [24] can be carried out in the presence of a conventional protected amino group deprotecting agent.
化合物 [25] と化合物 [8] から化合物 [2— b] を製造する反応は、 前 記 [C法] と同様にして実施することができる。 The reaction for producing compound [2-b] from compound [25] and compound [8] can be carried out in the same manner as in the above-mentioned [Method C].
原料化合物 [2— c] (A法において用いられる化合物 [2]のうち、 最終化 合物 [I一 c]の製造に用いられる原料化合物) および [9] は、 例えば、 下記 の方法に従って製造することができる。 The starting compound [2-c] (of the compound [2] used in the method A, the starting compound used for the production of the final compound [I-c]) and [9] are produced, for example, according to the following method. can do.
[27] [29] [30] [27] [29] [30]
式中、 R31は低級アルキル基を表し、 他の記号は前記と同一意味を有する。 化合物 [27] と化合物 [10] から化合物 [28] を製造する反応は、 溶 媒の存在下または非存在下、 塩基の存在下実施することができる。 溶媒として は、 反応に悪影響を及ぼさない溶媒であればよく、 例えば、 塩化メチレン、 テ トラヒドロフラン等が挙げられる。 塩基としては、 例えば、 ピリジン、 トリェ チルァミン、 ジイソプロピルェチルアミン等が挙げられる。 In the formula, R 31 represents a lower alkyl group, and other symbols have the same meanings as described above. The reaction for producing compound [28] from compound [27] and compound [10] can be carried out in the presence or absence of a solvent or in the presence of a base. The solvent may be any solvent that does not adversely affect the reaction, and examples thereof include methylene chloride and tetrahydrofuran. Examples of the base include pyridine, triethylamine, diisopropylethylamine and the like.
化合物 [28] から化合物 [2— c] を製造する反応は、 慣用の還元剤 (例 えば、 パラジウム Z炭素一水素) の存在下実施することができる。 The reaction to produce compound [2-c] from compound [28] is performed using a conventional reducing agent (eg, (For example, palladium Z carbon monohydrogen).
化合物 [27] から化合物 [29] を製造する反応は、 低級アルコール (R3 The reaction for producing compound [29] from compound [27] is carried out using a lower alcohol (R 3
^H) の存在下実施するこ-とができる。 ^ H).
化合物 [29] から化合物 [30] を製造する反応は、 慣用の還元剤 (例え ば、 パラジウム/炭素—水素、 鉄一塩化アンモニゥム) の存在下実施すること ができる。 The reaction for producing the compound [30] from the compound [29] can be carried out in the presence of a conventional reducing agent (eg, palladium / carbon-hydrogen, iron ammonium chloride).
化合物 [30] と化合物 [1] から化合物 [31] を製造する反応は、 前記 [A法] と同様にして実施することができる。 The reaction for producing compound [31] from compound [30] and compound [1] can be carried out in the same manner as in the above [Method A].
化合物 [31] から化合物 [9] を製造する反応は、 慣用の加水分解反応条 件下 (例えば、 水酸化ナトリウム—水) で実施することができる。 The reaction for producing compound [9] from compound [31] can be carried out under conventional hydrolysis reaction conditions (for example, sodium hydroxide-water).
原料化合物 [3] は、 例えば、 下記の方法に従って製造することができる。 Starting compound [3] can be produced, for example, according to the following method.
式中、 記号は前記と同一意味を有する。 In the formula, the symbols have the same meaning as described above.
化合物 [7] から化合物 [32] を製造する反応は、 慣用の加水分解反応条 件下 (例えば、 水酸化ナトリウム—水) で実施することができる。 The reaction for producing compound [32] from compound [7] can be carried out under conventional hydrolysis reaction conditions (for example, sodium hydroxide-water).
化合物 [32] と化合物 [2] から化合物 [3] を製造する反応は、 前記 [A 法] と同様にして実施することができる。 上記目的化合物 [ I ] 、 [ I 一 a ] 、 [ I 一 b ] または [ I— c ] を製造す るにあたり、 各中間体化合物は化学反応に示しているものだけでなく、 反応に 関与しなければ、その塩またはその反応性誘導体も、適宜用いることができる。 該塩としては、 例えば、 ナトリウム、 カリウム、 リチウム、 カルシウム、 マグ ネシゥム等の金属塩、 ピリジン、 トリヱチルァミン、 ジイソプロピルェチルァ ミン等の有機塩基との塩、 塩酸、 硫酸、 硝酸、 臭化水素酸、 リン酸等の無機酸 との塩、 酢酸、 シユウ酸、 クェン酸、 ベンゼンスルホン酸、 安息香酸、 マロン 酸、 クェン酸、 ギ酸、 フマル酸、 マレイン酸、 メタンスルホン酸、 p—トルェ ンスルホン酸、 トリフルォロ酢酸等の有機酸との塩が挙げられる。 . The reaction for producing compound [3] from compound [32] and compound [2] can be carried out in the same manner as in the above [Method A]. In producing the target compound [I], [I-a], [I-b] or [I-c], each intermediate compound is involved not only in the chemical reaction but also in the reaction. If not, its salt or its reactive derivative can also be used as appropriate. Examples of the salt include metal salts such as sodium, potassium, lithium, calcium, and magnesium, salts with organic bases such as pyridine, tritylamine, diisopropylethylamine, hydrochloric acid, sulfuric acid, nitric acid, hydrobromic acid, Salts with inorganic acids such as phosphoric acid, acetic acid, oxalic acid, citric acid, benzenesulfonic acid, benzoic acid, malonic acid, cunic acid, formic acid, fumaric acid, maleic acid, methanesulfonic acid, p-toluenesulfonic acid, trifluoro And salts with organic acids such as acetic acid. .
さらに、 本発明の目的化合物および原料化合物の製造に際し、 原料化合物な いし各中間体が官能基を有する場合、 上記で示した以外にも合成化学の常法に より各官能基に適切な保護基を導入し、 また、 必要が無くなればそれらの保護 基を適宜除去してもよい。 Further, in the production of the target compound of the present invention and the starting compound, when the starting compound or each intermediate has a functional group, in addition to the above, an appropriate protecting group for each functional group may be obtained by a conventional method of synthetic chemistry. And protecting groups may be appropriately removed when unnecessary.
なお、 本発明において、 アルキル基としては、 炭素数 1〜1 6の直鎖状また は分岐鎖状のものが挙げられ、 とりわけ炭素数 1〜 1 0のものが挙げられる。 低級アルキル基または低級アルコキシ基とは、 炭素数 1〜 6の直鎖状または分 岐鎖状のものが挙げられ、 とりわけ炭素数 1〜4のものが挙げられる。 また、 低級アルカノィル基とは、 炭素数 2〜7、 とりわけ炭素数 2〜5の直鎖状また は分岐鎖状のものが挙げられ、 シクロアルキル基とは、 炭素数 3〜2 0、 とり わけ炭素数 3〜 1 2のものが挙げられる。 シクロ低級アルキル基とは、 炭素数 3〜8、 とりわけ炭素数 3〜 6のものが挙げられる。 アルケニル基とは、 炭素 数 2〜 1 6、 とりわけ炭素数 2〜 1 0の直鎖状または分岐鎖状のものが挙げら れ、 低級アルケニル基とは、 炭素数 2〜8、 とりわけ炭素数 2〜4のものが挙 げられる。 アルキレン基とは、 炭素数 1〜 1 6、 とりわけ炭素数 1〜 1 0の直 鎖状または分岐鎖状のものが挙げられ、低級アルキレン基とは、炭素数 1〜8、 とりわけ炭素数 1〜 6の直鎖状または分岐鎖状のものが挙げられる。 さらに、 ハロゲン原子としては、 フッ素、 塩素、 臭素またはヨウ素が挙げられる。 実施例 In the present invention, examples of the alkyl group include linear or branched ones having 1 to 16 carbon atoms, and particularly those having 1 to 10 carbon atoms. The lower alkyl group or lower alkoxy group includes straight or branched ones having 1 to 6 carbon atoms, particularly those having 1 to 4 carbon atoms. In addition, a lower alkanoyl group is a straight-chain or branched-chain one having 2 to 7 carbon atoms, especially 2 to 5 carbon atoms, and a cycloalkyl group is 3 to 20 carbon atoms, especially Those having 3 to 12 carbon atoms are exemplified. The cyclo lower alkyl group includes those having 3 to 8 carbon atoms, particularly those having 3 to 6 carbon atoms. The alkenyl group includes a linear or branched chain having 2 to 16 carbon atoms, particularly 2 to 10 carbon atoms, and the lower alkenyl group includes 2 to 8 carbon atoms, particularly 2 carbon atoms. ~ 4 are listed. The alkylene group includes a linear or branched one having 1 to 16 carbon atoms, particularly 1 to 10 carbon atoms, and the lower alkylene group includes 1 to 8 carbon atoms, particularly 1 to carbon atoms. And 6 linear or branched ones. Further, the halogen atom includes fluorine, chlorine, bromine or iodine. Example
上記例示の各方法で合成される本発明の目的化合物 [I] の具体例 (実施例) を下記に示すが、 これにより本発明が限定されるものではない。 Specific examples (Examples) of the target compound [I] of the present invention synthesized by each of the above exemplified methods are shown below, but the present invention is not limited thereto.
実施例 1 Example 1
(1) 2— (4一トリフルォロメチルフエニル)安息香酸 1. 59 gの塩化メチレ ン (30ml) 溶液に、 オギザリルクロライド 1. 05mし ジメチルホルムァ ミド 4滴を加え、 室温で 1時間攪拌した。 反応液を濃縮し、 残渣にトルエンを加 え不溶物をデカンテーシヨンにより除いた後、 濃縮する操作を 2回繰り返した。 2 - (4—トリフルォロメチルフエニル)安息香酸クロライド 1.73 gを淡黄色 油状物質として得た。 (1) To a solution of 1.59 g of 2- (4-trifluoromethylphenyl) benzoic acid in 1.59 g of methylene chloride (30 ml), add oxalyl chloride 1.05m, and add 4 drops of dimethylformamide. Stirred for hours. The operation of concentrating the reaction solution, adding toluene to the residue, removing insolubles by decantation, and concentrating was repeated twice. 1.73 g of 2- (4-trifluoromethylphenyl) benzoic acid chloride was obtained as a pale yellow oil.
(2) 1 - (4—ァミノフエ二ル) 一3—メトキシカルボニルァミノピロリジ ン (参考例 1 (2) で得られる化合物) 785mg、 上記 (1) で得られる化 合物 1. 04 gおよびトリェチルァミン 0. 51 gの塩化メチレン (20m 1 ) 溶液を、 室温で 1時間撹拌した。 反応液に 10%炭酸カリウム水溶液を加え、 酢酸ェチルで抽出した。 有機層を、 水、 飽和食塩水で洗浄後、 無水硫酸ナトリ ゥムで乾燥した。 溶媒を留去し、 残渣をシリカゲルクロマトグラフィー (展開 溶媒;クロ口ホルム一メタノール =40 : 1) で精製した後、 酢酸ェチル—ジ イソプロピルエーテルの混合溶液で再結晶することにより、 1— (4一 (2 - (4—トリフルォロメチルフエニル) ベンゾィルァミノ) フエニル) 一3—メ トキシカルボニルァミノピロリジン 1. 46 gを無色プリズム晶として得た。 M. p. (融点) 146— 148で (2) 1- (4-aminophenyl) 1,3-methoxycarbonylaminopyrrolidine (compound obtained in Reference Example 1 (2)) 785 mg, 1.04 g of the compound obtained in (1) above A solution of 0.51 g of triethylamine and 0.51 g of methylene chloride (20 ml) was stirred at room temperature for 1 hour. A 10% aqueous potassium carbonate solution was added to the reaction solution, and the mixture was extracted with ethyl acetate. The organic layer was washed with water and saturated saline, and then dried over anhydrous sodium sulfate. The solvent was distilled off, and the residue was purified by silica gel chromatography (developing solvent: chloroform-methanol = 40: 1), and recrystallized with a mixed solution of ethyl acetate-diisopropyl ether to give 1- (4 1.46 g of 1- (2- (4-trifluoromethylphenyl) benzoylamino) phenyl) 1-3-methoxycarbonylaminopyrrolidine was obtained as colorless prism crystals. M.p. (melting point) 146-148
実施例 2 Example 2
1一 (4—ァミノフエニル) 一3— ( t e r t—ブトキシカルボニルァミノ) ピ 口リジン (参考例 2で得られる化合物) 333mg、 2— (4—トリフルォロメ チルフエニル) —3—メトキシカルボニル安息香酸 (参考例 14 (1) で得られ る化合物) 426mgおよび 4—ジメチルァミノピリジン 163mgの塩化メチ レン (6m l) 溶液に、 1ーェチルー 3— (3—ジメチルァミノプロピル) 一力 ルポジイミド ·塩酸塩 252mgを加え、 室温で 3時間撹拌した。 反応液を水に 注ぎ、 クロ口ホルムで抽出した。 有機層を水、 飽和食塩水で洗浄後、 無水硫酸ナ トリウムで乾燥した。 溶媒を留去し、 残渣をシリカゲルカラムクロマトグラフィ 一 (展開溶媒;クロ口ホルム:メタノール =50 : 1) で精製することにより、 1- (4- (2- (4一トリフルォロメチルフエニル) 一 3—メトキシカルボ二 ルペンゾィルァミノ) フエニル) —3— (t e r t—ブトキシカルボニルァミノ) ピロリジン 635 m gを泡状物として得た。 11- (4-Aminophenyl) 1-3- (tert-butoxycarbonylamino) pyridine (Reference example 2) 333 mg, 2- (4-trifluoromethylphenyl) -3-methoxycarbonylbenzoic acid (Reference example) 14 Compound obtained in (1)) A solution of 426 mg and 4-163 mg of 4-dimethylaminopyridine in 6 ml of methylene chloride was added with 1-ethyl-3- (3-dimethylaminopropyl). 252 mg of lupositimide hydrochloride was added, and the mixture was stirred at room temperature for 3 hours. The reaction solution was poured into water and extracted with black-mouthed form. The organic layer was washed with water and saturated saline, and then dried over anhydrous sodium sulfate. The solvent was distilled off, and the residue was purified by silica gel column chromatography (developing solvent; chloroform: methanol = 50: 1) to give 1- (4- (2- (4-trifluoromethylphenyl)). There was obtained 635 mg of 1-3-methoxycarboxylpenzazylamino) phenyl) -3- (tert-butoxycarbonylamino) pyrrolidine as a foam.
MS (A PC I) m/z : 584 (M+H) , I R (N u j o 1 ) c m- 1 : 16 89、 1648、 1617. MS (A PC I) m / z: 584 (M + H), IR (Nujo 1) cm- 1 : 1689, 1648, 1617.
実施例 3 Example 3
N- (2 - (2_ピリジル) ェチル) _ 2—クロ口一 4—ァミノ安息香酸アミド (参考例 9 (2) で得られる化合物) 97mgおよび 2— (4—トリフルォロメ チルフエニル) 一 3—メトキシカルボニル安息香酸 (参考例 14 (1) で得られ る化合物) 1 1 Omgのピリジン (0. 5ml) 溶液に、 氷冷下、 塩化ホスホリ ル 36 1を加え同温で 3時間撹拌した。 反応液を酢酸ェチルで希釈し、 水、 飽 和炭酸水素ナトリウム水溶液、 飽和食塩水で順次洗浄後、 溶媒を留去した。 残渣 をシリカゲルカラムクロマトグラフィー(展開溶媒; n—へキサン:酢酸ェチル = 3 : 7→0 : 1) で精製し、 t e r t—ブチルアルコールより凍結乾燥すること により、 N— (2 - (2—ピリジル) ェチル) ー2—クロ口一 4一 (2 - (4一 トリフルォロメチルフエニル) — 3—メトキシカルボニルベンゾィルァミノ) 安 息香酸アミド 96 mgを無色粉末として得た。 N- (2- (2_ (2-pyridyl) ethyl) _2-chloro-1-aminobenzoic acid amide (compound obtained in Reference Example 9 (2)) 97mg and 2- (4-trifluoromethylphenyl) 1-3-methoxy Carbonylbenzoic acid (Compound obtained in Reference Example 14 (1)) To a solution of 11 Omg of pyridine (0.5 ml) was added phosphoryl chloride 361 under ice-cooling, followed by stirring at the same temperature for 3 hours. The reaction solution was diluted with ethyl acetate, washed successively with water, an aqueous solution of sodium hydrogencarbonate and saturated saline, and the solvent was distilled off. The residue is purified by silica gel column chromatography (developing solvent; n-hexane: ethyl acetate = 3: 7 → 0: 1), and lyophilized from tert-butyl alcohol to give N- (2- (2-pyridyl). 96) mg of colorless powder were obtained as 2- (4-trifluoromethylphenyl) -3-methoxycarbonylbenzoylamino) benzoic acid amide.
MS (APC I ) m/z : 582 (M + H) , I R (Nu j o 1 ) cm- 1 : 17 29. MS (APC I) m / z: 582 (M + H), IR (Nujo 1) cm- 1 : 17 29.
実施例 4一 23 Example 4-1 23
対応原料化合物を実施例 1、 2または 3と同様に処理することにより、 第 1表記 載の化合物を得た。 The corresponding starting compound was treated in the same manner as in Example 1, 2 or 3, to obtain the compound described in the first notation.
第 1表 (続き) Table 1 (continued)
Boc: tert—ブトキシカルボニル基 Boc: tert-butoxycarbonyl group
第 1表 (続き) Table 1 (continued)
Boc: tert ブトキシカルボニル基 Boc: tert butoxycarbonyl group
実施例 24 Example 24
1— (4- (2 - (4一トリフルォロメチルフエニル) ベンゾィルァミノ) フ ェニル) — 3—メトキシカルボニルァミノピロリジン (実施例 1で得られる化 合物) 1. 33 gおよびヨウ化トリメチルシラン 2. 5m lのァセトニトリル (1 5ml ) 溶液を、 室温で 5時間撹拌した。 反応液に 10%炭酸カリウム水 溶液を加え、 酢酸ェチルで抽出した。 有機層を、 10%チォ硫酸ナトリウム水 溶液、 水、 飽和食塩水で洗浄後、 無水硫酸ナトリウムで乾燥した。 溶媒を留去 し、 残渣を酢酸ェチル—ジィソプロピルエーテルの混合溶液で結晶化すること により、 1一 (4— (2— (4—トリフルォロメチルフエニル) ベンゾィルァ ミノ) フエニル) 一3—ァミノピロリジン 1. 03 gを無色プリズム晶として 得た。 1— (4- (2- (4-Trifluoromethylphenyl) benzoylamino) phenyl) —3-methoxycarbonylaminopyrrolidine (the compound obtained in Example 1) 1.33 g and trimethyl iodide A solution of 2.5 ml of silane in acetonitrile (15 ml) was stirred at room temperature for 5 hours. A 10% aqueous potassium carbonate solution was added to the reaction solution, and the mixture was extracted with ethyl acetate. The organic layer was washed with a 10% aqueous solution of sodium thiosulfate, water, and saturated saline, and then dried over anhydrous sodium sulfate. The solvent was distilled off, and the residue was crystallized with a mixed solution of ethyl acetate-diisopropyl ether to obtain 4- (2- (4- (4-trifluoromethylphenyl) benzoylamino) phenyl). —Aminopyrrolidine (1.03 g) was obtained as colorless prism crystals.
M. p. 210 - 212 ^ M. p. 210-212 ^
実施例 25 Example 25
1— (4- (2 - (4—トリフルォロメチルフエニル) 一3—メトキシカルポ二 ルベンゾィルァミノ) フエニル) _3— ( t e r t—ブトキシカルボニル) アミ ノピロリジン (実施例 2で得られる化合物) 625mgの塩ィ匕メチレン (10m 1) 溶液に氷冷下、 トリフルォロ酢酸 (5ml ) を滴下し、 室温で 3時間半撹拌 した。 反応液を濃縮後、 希アンモニア水を加えて液性を塩基性とした後、 酢酸ェ チルで抽出した。有機層を飽和食塩水で洗浄後、無水硫酸ナトリゥムで乾燥した。 溶媒を留去し、 残渣を NHシリカゲルカラムクロマトグラフィー (富士シリシァ 製) (展開溶媒;クロ口ホルム一メタノール =50 : 1)で精製することにより、 1— (4- (2 - (4ー卜リフルォロメチルフエニル) 一3—メトキシカルボ二 ルベンゾィルァミノ) フエニル) — 3—ァミノピロリジン 387mgを淡黄色粉 末として得た。 1- (4- (2- (4-trifluoromethylphenyl) -13-methoxycarboxybenzoylamino) phenyl) _3- (tert-butoxycarbonyl) aminopyrrolidine (Compound obtained in Example 2) Trifluoroacetic acid (5 ml) was added dropwise to a solution of 625 mg of methylene chloride (10 ml) under ice-cooling, and the mixture was stirred at room temperature for 3.5 hours. After concentrating the reaction solution, the solution was made basic by adding dilute aqueous ammonia, and then extracted with ethyl acetate. The organic layer was washed with saturated saline and then dried over anhydrous sodium sulfate. The solvent was distilled off, and the residue was purified by NH silica gel column chromatography (manufactured by Fuji Silica) (developing solvent; chloroform-form-methanol = 50: 1) to give 1- (4- (2-(4- 387 mg of trifluoromethylphenyl) -1-methoxycarboxybenzoylamino) phenyl) -3-aminopyrrolidine was obtained as a pale yellow powder.
MS (APC I) m/z : 484 (M + H) , I R (Nu j o 1 ) cm"1 : 17 29, 1630, 1617. MS (APC I) m / z: 484 (M + H), IR (Nu jo 1) cm " 1 : 1729, 1630, 1617.
実施例 26 t e r t—ブチル 4— (2— (4—トリフルォロメチルフエニル) ベンゾィ ルァミノ) ベンジルカルバメート 3. 83 gの 12 %塩酸一ジォキサン (40m 1 ) 溶液を、 室温で終夜撹拌した。 反応液をジェチルエーテルで希釈し、 析出す る結晶をろ取することにより、 4一 (2— (4—トリフルォロメチルフエニル) ベンゾィルァミノ) ベンジルァミン ·塩酸塩 3. 22 gを淡黄色針状晶として得 た。 Example 26 tert-Butyl 4- (2- (4-trifluoromethylphenyl) benzoylamino) benzylcarbamate A solution of 3.83 g of a 12% solution of monodioxane hydrochloride (40 ml) was stirred at room temperature overnight. The reaction mixture was diluted with getyl ether, and the precipitated crystals were collected by filtration to obtain 3.22 g of 4- (2- (4-trifluoromethylphenyl) benzoylamino) benzylamine hydrochloride in a pale yellow needle. Obtained as dendrites.
M. p. 2 12— 214で M. p. 2 12—214
実施例 27—35 Example 27-35
対応原料化合物を実施例 25または 26と同様に処理することにより、 第 2表記 載の化合物を得た。 The corresponding starting compound was treated in the same manner as in Example 25 or 26, to give the compound described in the second notation.
第 2表 Table 2
Boc: tert—ブトキシカルボニル基 Boc: tert-butoxycarbonyl group
第 2表 (続き) Table 2 (continued)
実施例 Example
R1 R2 Y R3 R4 物理恒数等 番号 R 1 R 2 YR 3 R 4 Physical constant, etc.No.
泡状物 Foam
32 H- =CH- H MS (APCI) :385 (M+H) 32 H- = CH- H MS (APCI): 385 (M + H)
IR(Nujol) :3230 IR (Nujol): 3230
33 CH30- =CH- H カラメル状物 N〜。ヽ 33 CH 3 0- = CH- H caramel-like material N to.ヽ
34 =CH- H 粉末 34 = CH-H powder
35 3 CH300C- =CH- /^NH2 H カラメル状物 35 3 CH 3 00C- = CH- / ^ NH 2 H Caramel
実施例 36 ' Example 36 '
1— (4— (2 - (4—トリフルォロメチルフエニル) ベンゾィルァミノ) フエ ニル) 一 3—ァミノピロリジン (実施例 24で得られる化合物) 149mg、 2 —ブロモピリミジン 20 Omgおよびトリェチルァミン 254mgのエタノール (3ml ) 溶液を、 6時間加熱還流した。 反応液に水を加え、 酢酸ェチルで抽出 した。 有機層を、 水、 飽和食塩水で洗浄後、 無水硫酸ナトリウムで乾燥した。 溶 媒を留去し、 残渣をシリカゲルクロマトグラフィー (展開溶媒;クロ口ホルム一 メタノール =100 : 1→40 : 1) で精製した後、 ジイソプロピルエーテルで 再結晶することにより、 1一 (4_ (2 - (4—トリフルォロメチルフエニル) ベンゾィルァミノ) フエニル) 一3— (2—ピリミジニル) ァミノピロリジン 6 3mgを無色針状晶として得た。 1- (4- (2- (4-trifluoromethylphenyl) benzoylamino) phenyl) 1-3-aminopyrrolidine (the compound obtained in Example 24) 149 mg, 2-bromopyrimidine 20 Omg and triethylamine 254 mg The ethanol (3 ml) solution was heated to reflux for 6 hours. Water was added to the reaction solution, which was extracted with ethyl acetate. The organic layer was washed with water and saturated saline, and then dried over anhydrous sodium sulfate. The solvent was distilled off, and the residue was purified by silica gel chromatography (developing solvent: chloroform-methanol = 100: 1 → 40: 1), and recrystallized from diisopropyl ether to give 1- (4_ (2 -(4-Trifluoromethylphenyl) benzoylamino) phenyl) 1-3- (2-pyrimidinyl) aminopyrrolidine 63 mg was obtained as colorless needles.
M. p. 194— 196 M. p. 194—196
実施例 37 Example 37
1一 (4— (2— (4—トリフルォロメチルフエニル) 一3—メトキシカルボ二 ルペンゾィルァミノ) フエニル) —3—ァミノピロリジン (実施例 25で得られ る化合物) 147mg、 2—ブロモピリミジン 144mgおよびジイソプロピル ェチルァミン 0. 262m 1のエタノール (3m 1 ) 溶液を、 24時間加熱還流 した。反応液を冷却後、溶媒を留去し、残渣をシリカゲルクロマトグラフィー(展 開溶媒;クロ口ホルム—メタノール =100 : 0→97 : 3) で精製した後、 酢 酸ェチルージイソプロピルエーテルの混合溶液で再結晶することにより、 1一(4 - (2- (4一トリフルォロメチルフエニル) 一 3—メトキシカルボ二ルペンゾ ィルァミノ) フエニル) 一3— (2—ピリミジニル) ァミノピロリジン 119m gを無色結晶として得た。 147 mg of 4- (2- (4- (4-trifluoromethylphenyl) -13-methoxycarboxylpenzoylamino) phenyl) -3-aminopyrrolidine (the compound obtained in Example 25) A solution of 144 mg of 2-bromopyrimidine and 0.262 ml of diisopropylethylamine in ethanol (3 ml) was heated to reflux for 24 hours. After cooling the reaction solution, the solvent was distilled off, and the residue was purified by silica gel chromatography (developing solvent; chloroform-methanol = 100: 0 → 97: 3), followed by a mixed solution of ethyl isopropyl ether acetate. By recrystallization from the above, 119 mg of 1- (4- (2- (4-trifluoromethylphenyl) -13-methoxycarboxylbenzoylamino) phenyl) -13- (2-pyrimidinyl) aminopyrrolidine is obtained. Obtained as colorless crystals.
M. p. 140— 142で M. p. 140-142
実施例 38— 49 Example 38—49
対応原料化合物を実施例 36または 37と同様に処理することにより、 第 3表記 載の化合物を得た。 The corresponding starting compound was treated in the same manner as in Example 36 or 37, to give the compound described in the third notation.
第 3表 (続き) Table 3 (continued)
実施例 Example
R 1 R2 Y R3 R4 物理恒数等 R 1 R 2 YR 3 R 4 Physical constant, etc.
H H
へ What
43 H— =CH— H M. p.149- 150°C へ N NH2 43 H— = CH— H M. p.149- To 150 ° C N NH 2
44 H- =CH- H M. p.226.5-228.5°C 44 H- = CH- H M. p.226.5-228.5 ° C
N CN N CN
H 泡状物 H foam
45 CH30- =CH- へ ΝΎΝヽ〕 H MS (APCI) :493 (M+H) 45 CH 3 0- = CH- Ν Ύ Νヽ) H MS (APCI): 493 (M + H)
IR(Nujol) :1651, 1589 IR (Nujol): 1651, 1589
H H
N〜°ヽ へ N N to ° ヽN
46 =CH- H M. p.150-151°C 46 = CH- H M. p.150-151 ° C
H H
47 CH300C- =CH- へ Ν Ν H M. p.123.5-124.5°C 47 CH 3 00C- = CH- Ν Ν H M. p.123.5-124.5 ° C
第 3表 (続き) Table 3 (continued)
R R
実施例 Example
R ' R2 Y R3 R4 物理恒数等 番号 R 'R 2 YR 3 R 4 Physical constant, etc.
48 H— =CH- H (実施例 15と同じ) 48 H— = CH-H (same as in Example 15)
H H
N CN N CN
49 H— =CH- A N入 N A H M. p.200-202°C 49 H— = CH- A N with N A H M. p.200-202 ° C
NH2 NH 2
H H
実施例 50 Example 50
1 - (4— (2 - (4一トリフルォロメチルフエニル) ベンゾィルァミノ) フエ ニル) —3—ァミノピロリジン (実施例 24で得られる化合物) 120mgの 1 0%炭酸カリウム水溶液 (3ml) —酢酸ェチル (2ml) —テトラヒドロフラ ン (2ml) 混合溶液に、 撹拌下、 塩化ベンゼンスルホニル 0. 04mlを滴下 し、 室温で 2時間撹拌した。 反応液に水を加え、 酢酸ェチルで抽出した。 有機層 を、 10%炭酸カリウム水溶液、 水、 飽和食塩水で洗浄後、 無水硫酸ナトリウム で乾燥した。 溶媒を留去し、 残渣をシリカゲルクロマトグラフィー (展開溶媒; クロ口ホルム一メタノール = 50 : 1) で精製した後、 酢酸ェチルージイソプロ ピルェ一テルの混合溶液で再結晶することにより、 1一 (4一 (2- (4一トリ フルォロメチルフエニル) ベンゾィルァミノ) フエニル) 一 3— (ベンゼンスル ホニルァミノ) ピロリジン 136 mgを無色針状晶として得た。 1- (4 -— (2- (4-Trifluoromethylphenyl) benzoylamino) phenyl) —3-aminopyrrolidine (compound obtained in Example 24) 120 mg of a 10% aqueous solution of potassium carbonate (3 ml) — To a mixed solution of ethyl acetate (2 ml) and tetrahydrofuran (2 ml) was added dropwise, with stirring, 0.04 ml of benzenesulfonyl chloride, and the mixture was stirred at room temperature for 2 hours. Water was added to the reaction solution, which was extracted with ethyl acetate. The organic layer was washed with a 10% aqueous solution of potassium carbonate, water, and saturated saline, and then dried over anhydrous sodium sulfate. The solvent was distilled off, and the residue was purified by silica gel chromatography (developing solvent; black form-methanol = 50: 1), and recrystallized from a mixed solution of ethyl isopropyl acetate to obtain a residue. 136 mg of (4- (2- (4-trifluoromethylphenyl) benzoylamino) phenyl) -13- (benzenesulfonylamino) pyrrolidine was obtained as colorless needles.
. p. 196— 198 p. 196— 198
実施例 51— 56 Example 51—56
対応原料化合物を実施例 50と同様に処理することにより、 第 4表記載の化合物 を得た。 The corresponding starting compound was treated in the same manner as in Example 50 to obtain the compound shown in Table 4.
第 4表 (続き) Table 4 (continued)
実施例 Example
R1 R2 Y R3 R4 物理恒数等 番号 R 1 R 2 YR 3 R 4 Physical constant, etc.No.
泡状物 Foam
55 =CH- H MS (APCI) :654 (M+H) 55 = CH-H MS (APCI): 654 (M + H)
/、 /,
o 0 IR(Nujo!): 1654, 1598 o 0 IR (Nujo!): 1654, 1598
56 3 CH3OOC - =CH- H M. p.166.5-167.5°C56 3 CH 3 OOC-= CH- H M. p.166.5-167.5 ° C
/ o / o
実施例 57 Example 57
1 - (4- (2 - (4—トリフルォロメチルフエニル) —3—メトキシカルボ二 ルペンゾィルァミノ) フエニル) 一3—ァミノピロリジン (実施例 25で得られ る化合物) 15 Omgおよび炭酸カリウム 124m gの酢酸ェチル 3m 1—水 3 m 1の混合溶液に、 クロ口炭酸メチル 0. 0348m 1を撹拌しながら滴下し、 室温で 1時間撹拌した。 反応液を分液後、 有機層を飽和食塩水で洗浄、 無水硫酸 ナトリウムで乾燥し、 溶媒を留去した。 残渣をシリカゲルカラムクロマトグラフ ィー (展開溶媒;クロ口ホルム:メタノール =97 : 3) で精製し、 酢酸ェチル ージイソプロピルエーテルの混合溶液で再結晶することにより、 1— (4一 (2 一 (4—トリフルォロメチルフエニル) 一 3—メトキシカルボ二ルペンゾィルァ ミノ) フエニル) 一3— (メトキシカルボニルァミノ) ピロリジン 137mgを 無色結晶として得た。 1- (4- (2- (4-Trifluoromethylphenyl) -3-methoxycarboxylpenzazylamino) phenyl) -13-aminopyrrolidine (compound obtained in Example 25) 15 Omg 0.0348 ml of methyl carbonate was added dropwise to a mixed solution of 3 ml of ethyl acetate and 3 ml of water with 124 mg of potassium carbonate and 124 mg of potassium carbonate, and the mixture was stirred at room temperature for 1 hour. After liquid separation of the reaction solution, the organic layer was washed with saturated saline, dried over anhydrous sodium sulfate, and the solvent was distilled off. The residue was purified by silica gel column chromatography (developing solvent; chloroform: methanol = 97: 3), and recrystallized from a mixed solution of ethyl diisopropyl ether acetate to give 1- (4-1-1 (2-1 ( 137 mg of 4-trifluoromethylphenyl) -1-methoxycarbonylbenzoylamino) phenyl) -13- (methoxycarbonylamino) pyrrolidine were obtained as colorless crystals.
M. p. 196— 199で M. p. 196—199
実施例 58— 62 Example 58-62
対応原料化合物を実施例 57と同様に処理することにより、 第 5表記載の化合物 を得た。 The corresponding starting material was treated in the same manner as in Example 57, to give the compounds shown in Table 5.
実施例 63 Example 63
(1) 2—クロ口— 4一 (2— (4—トリフルォロメチルフエニル) ベンゾィル ァミノ) 安息香酸メチル (実施例 21で得られる化合物) 903mgのメタノー ル (3m l) —テトラヒドロフラン (6m l) 混合懸濁液に、 4 M水酸化ナトリ ゥム水溶液 (1ml) を加え、 50でで 4時間撹拌した。 反応液に 10%塩酸を 加え pHを 1〜2に調整し、 酢酸ェチルで抽出した。 水、 飽和食塩水で洗浄後、 無水硫酸ナトリゥムで乾燥し溶媒を留去した。 残渣をジィソプロピルェ一テルお よび n—へキサンの混合溶媒で粉末化することにより、 2—クロロー 4— (2 - (4一トリフルォロメチルフエニル) ベンゾィルァミノ) 安息香酸 743mgを 無色粉末として得た。 (1) 2- (2- (4-trifluoromethylphenyl) benzoylamino) methyl benzoate (compound obtained in Example 21) 903 mg of methanol (3 ml) —tetrahydrofuran (6 m l) To the mixed suspension was added a 4 M aqueous sodium hydroxide solution (1 ml), and the mixture was stirred at 50 for 4 hours. The pH of the reaction solution was adjusted to 1-2 by adding 10% hydrochloric acid, and extracted with ethyl acetate. After washing with water and saturated saline, the solution was dried over anhydrous sodium sulfate, and the solvent was distilled off. The residue was triturated with a mixed solvent of diisopropyl ether and n-hexane to obtain 743 mg of 2-chloro-4- (2- (4-trifluoromethylphenyl) benzoylamino) benzoic acid as a colorless powder. .
MS (ES I) mZz : 418 (M-H) , I R (N u j o 1 ) c m~ 1 : 172 6, 1658. MS (ES I) mZz: 418 (MH), IR (Nujo 1) cm ~ 1 : 172, 1658.
(2) 上記 (1) で得られる化合物 146mg、 2 - (2—ピリジル) ェチルァ ミン 49m gおよび 1—ヒドロキシベンゾ卜リアゾール 47 mgの塩化メチレン (3ml ) 溶液に、 氷冷下、 1—ェチルー 3— ( 3—ジメチルァミノプロピル) —カルポジイミド ·塩酸塩 79mgを加え、 室温で 4時間撹拌した。 反応液に希 アンモニア水を加え、 酢酸ェチルで抽出した。 水、 飽和炭酸水素ナトリウム水溶 液、 飽和食塩水で^浄後、 無水硫酸ナトリウムで乾燥し溶媒を留去した。 残渣を シリカゲルカラムクロマトグラフィー (展開溶媒; n—へキサン:酢酸ェチル = 1 : 1→0 : 1) で精製し、 t e r t—ブチルアルコールより凍結乾燥すること により、 N— (2— (2-ピリジル) ェチル) 一 2—クロ口— 4— (2 - (4一 トリフルォロメチルフエニル) ベンゾィルァミノ) 安息香酸アミド 149mgを 無色粉末として得た。 (2) To a solution of 146 mg of the compound obtained in (1) above, 49 mg of 2- (2-pyridyl) ethylamine and 47 mg of 1-hydroxybenzotriazole in methylene chloride (3 ml) was added 1-ethyl-3 — (3-Dimethylaminopropyl) -carposimide · hydrochloride (79 mg) was added, and the mixture was stirred at room temperature for 4 hours. Dilute aqueous ammonia was added to the reaction solution, and the mixture was extracted with ethyl acetate. After washing with water, a saturated aqueous solution of sodium hydrogencarbonate and saturated saline, the solution was dried over anhydrous sodium sulfate and the solvent was distilled off. The residue was purified by silica gel column chromatography (developing solvent; n-hexane: ethyl acetate = 1: 1 → 0: 1), and lyophilized from tert-butyl alcohol to give N- (2- (2-pyridyl). ) Ethyl) 12-chloro-4-(2- (4-trifluoromethylphenyl) benzoylamino) benzoic acid amide 149 mg was obtained as a colorless powder.
MS (A PC I) m/z : 524 (M + H) , I R (Nu j o 1 ) cm"1 : 16 46. MS (A PC I) m / z: 524 (M + H), IR (Nujo 1) cm " 1 : 16 46.
実施例 64— 65 Example 64—65
対応原料化合物を実施例 63と同様に処理することにより、 第 6表記載の化合物 第 6表 By treating the corresponding starting compounds in the same manner as in Example 63, the compounds shown in Table 6 were obtained. Table 6
実施例 Example
R 1 R2 Y R3 R4 物理恒数等 番号 R 1 R 2 YR 3 R 4 Physical constant, etc.No.
64 3 H— =CH- CI M. p.204-206°C 64 3 H— = CH- CI M. p.204-206 ° C
65 3 H- =CH- F . p.154-155°C 65 3 H- = CH- F .p.154-155 ° C
H H
i ¾ 参考例 1 i ¾ Reference example 1
(1) p—フルォロニトロベンゼン 705mg、 3—メトキシカルポニルァミノ ピロリジン ·塩酸塩 1. 44 gおよびトリェチルァミン 2m 1の 1, 3—ジメチ ル—2—イミダゾリジノン(1 Oml )溶液を、 100でで 1時間加熱撹拌した。 反応液に水を加え酢酸ェチルで抽出した。 有機層を、 水、 飽和食塩水で洗浄後、 無水硫酸ナトリウムで乾燥した。 溶媒を留去し、 残渣を酢酸ェチルージイソプロ ピルェ一テルの混合溶液で再結晶することにより、 1— (4—ニトロフエニル) —3—メトキシカルボニルァミノピロリジン 1.16 gを黄色針状晶として得た。 M. p. 173 - 174t: (1) A solution of 705 mg of p-fluoronitrobenzene, 1.44 g of 3-methoxycarbonylaminopyrrolidine hydrochloride and 2 ml of triethylamine in 1,3-dimethyl-2-imidazolidinone (1 Oml) was added to 100 ml of a solution. And stirred for 1 hour. Water was added to the reaction solution, which was extracted with ethyl acetate. The organic layer was washed with water and saturated saline, and then dried over anhydrous sodium sulfate. The solvent was distilled off, and the residue was recrystallized with a mixed solution of ethyl isopropyl acetate to give 1.16 g of 1- (4-nitrophenyl) -3-methoxycarbonylaminopyrrolidine as yellow needles. Was. M. p. 173-174t:
(2) 上記 (1) で得られる化合物 1. 09 gおよび 10%パラジウム—炭素 3 0 Omgをテトラヒドロフラン (25m l) —メタノール (25ml) の混合溶 液に懸濁し、 水素雰囲気下、 室温、 常圧で 2時間撹拌した。 触媒をろ去し、 ろ液 を濃縮後、 ¾渣を酢酸ェチルージィソプロピルエーテルの混合溶液で結晶化する ことにより、 1— (4ーァミノフエニル) 一 3—メトキシカルボニルァミノピロ リジン 903mgを、 無色プリズム晶として得た。 (2) The compound obtained in the above (1) 1.09 g and 10% palladium-carbon 30 Omg were suspended in a mixed solution of tetrahydrofuran (25 ml) -methanol (25 ml), and the suspension was kept at room temperature under a hydrogen atmosphere at room temperature. The mixture was stirred under pressure for 2 hours. The catalyst was removed by filtration, the filtrate was concentrated, and the residue was crystallized from a mixed solution of ethylethyl diisopropyl ether to give 903 mg of 1- (4-aminophenyl) -13-methoxycarbonylaminopyrrolidine. Obtained as colorless prism crystals.
M. p. 149-151X: M. p. 149-151X:
参考例 2 Reference example 2
(1) p—フルォロニトロベンゼンおよび 3— ( t e r t—ブトキシカルボニル) ァミノピロリジンを、 参考例 1 (1) と同様に処理することにより、 1— (4一 ニトロフエニル) 一 3— ( t e r t—ブトキシカルボニル) ァミノピロリジンを 黄色針状晶として得た。 (1) By treating p-fluoronitrobenzene and 3- (tert-butoxycarbonyl) aminopyrrolidine in the same manner as in Reference Example 1 (1), 1- (4-nitrophenyl) 13- (tert- Butoxycarbonyl) aminopyrrolidine was obtained as yellow needles.
M. p. 166— 167で M. p. 166—in 167
(2) 上記 (1) で得られる化合物を参考例 1 (2) と同様に処理することによ り、 1— (4—ァミノフエ二ル) 一3— ( t e r t—ブトキシカルポニル) アミ ノビロリジンを淡紫色粉末として得た。 (2) The compound obtained in the above (1) was treated in the same manner as in Reference Example 1 (2) to give 1- (4-aminophenyl) 13- (tert-butoxycarponyl) aminovirolidine. Obtained as a purple powder.
M. p. 87— 88で M. p. 87—88
参考例 3 Reference example 3
(1) 2—クロロー 5—二トロピリジンおよび 3— ( t e r t—ブトキシカルボ ニル) ァミノピロリジンを参考例 1 (1) と同様に処理することにより、 1一 (2 - (5—ニトロピリジル) ) ー3— (t e r t—ブトキシカルボニル) アミノビ 口リジンを黄色結晶として得た。 (1) 2-chloro-5-nitropyridine and 3- (tert-butoxycarbo Nyl) aminopyrrolidine was treated in the same manner as in Reference Example 1 (1) to give 1- (2- (5-nitropyridyl))-3- (tert-butoxycarbonyl) aminobilysine as yellow crystals. .
M. p. 160- 16 1. 5 M. p. 160- 16 1.5
(2) 上記 (1) で得られる化合物を参考例 1 (2) と同様に処理することによ り、 1— (2— (5—アミノビリジル) ) 一3— ( t e r t—ブトキシカルボ二 ル) ァミノピロリジンを得た。 (2) By treating the compound obtained in the above (1) in the same manner as in Reference Example 1 (2), 1- (2- (5-aminopyridyl)) 13- (tert-butoxycarbonyl) Aminopyrrolidine was obtained.
参考例 4 Reference example 4
(1) 4—ニトロフエ二ルァセトニトリル 4. 98 gのテトラヒドロフラン (1 00m l) 溶液に氷冷下、 ポランジメチルスルフイ ド錯体 (15. 5m l) を加 え、 1時間加熱還流した。 反応液を冷却後、 反応液にメタノ一ルを加え 30分攪 拌した。 反応液に 20%塩酸メタノール溶液を加えた後溶媒を留去した。 得られ た残渣および炭酸水素ナトリウム 7. 74gの水 (45m l ) —ジォキサン (4 5m l ) 混合溶液に氷冷下、 ジ炭酸ジ t e r t—プチル 7. 37 gのジォキサン (1 5m l ) 溶液を加え 22時間攪拌した。 途中 4時間後に、 ジ炭酸ジ t e r t 一ブチル 1. 34 gを追加した。 反応液からジォキサンを留去した後、 酢酸エヂ ルで抽出した。 有機層を、 10%クェン酸水溶液、 飽和食塩水で洗浄後、 無水硫 酸ナトリウムで乾燥した。 溶媒を留去した後残渣をシリカゲルカラムクロマトグ ラフィー (展開溶媒;へキサン:酢酸ェチル =3 : 1— 2 : 1) で精製すること により、 t e r t—ブチル 4—ニトロフエネチルカルバメート 3. 90 gを無 色固体として得た。 (1) 4-Nitrophenylacetonitrile To a solution of 4.98 g of tetrahydrofuran (100 ml) was added a polandimethylsulfide complex (15.5 ml) under ice-cooling, and the mixture was heated under reflux for 1 hour. After cooling the reaction solution, methanol was added to the reaction solution and the mixture was stirred for 30 minutes. After a 20% methanol solution of hydrochloric acid was added to the reaction solution, the solvent was distilled off. The obtained residue and 7.74 g of dioxane (45 ml) in a mixture of 7.74 g of water (45 ml) and dioxane (45 ml) were added with a solution of 7.37 g of dioxane (15 ml) in ice under cooling with ice. The mixture was stirred for 22 hours. Four hours later, 1.34 g of di-tert-butyl dicarbonate was added. After dioxane was distilled off from the reaction solution, it was extracted with ethyl acetate. The organic layer was washed with a 10% aqueous solution of citric acid and saturated saline, and then dried over anhydrous sodium sulfate. After evaporating the solvent, the residue was purified by silica gel column chromatography (developing solvent; hexane: ethyl acetate = 3: 1—2: 1) to obtain 3.90 g of tert-butyl 4-nitrophenethylcarbamate. Was obtained as a colorless solid.
M. p. 90 - 92. 5V M. p. 90-92.5 V
(2) 上記 (1) で得られる化合物を参考例 1 (2) 同様に処理することにより t e r t一ブチル 4—ァミノフエネチルカルバメートを得た。 (2) The compound obtained in the above (1) was treated in the same manner as in Reference Example 1 (2) to obtain t-tert-butyl 4-aminophenethylcarbamate.
M. p. 68. 5 - 7 O M. p. 68. 5-7 O
参考例 5 Reference example 5
(1) 4—ニトロベンジルァミン '塩酸塩 10 gを、 テトラヒドロフラン (20 m l) —メタノール (20ml) 混合溶液に懸濁し、 氷冷下、 炭酸水素ナトリウ ム 8 gの水溶液 (5 Om 1 ) を加え、 さらにジ炭酸ジ t e r t—ブチル 12. 7 gを加え、室温で終夜撹拌した。反応液を酢酸ェチルで抽出した。有機層を、水、 飽和食塩水で洗浄後、 無水硫酸ナトリウムで乾燥した。 溶媒を留去し、 残渣をジ イソプロピルエーテル—へキサンの混合溶液で再結晶することにより、 t e r t —ブチル 4一二トロべンジルカルバメート 1 1. 35 gを無色プリズム晶とし て得た。 (1) 10 g of 4-nitrobenzylamine 'hydrochloride was added to tetrahydrofuran (20 suspended in a mixed solution of methanol and 20 ml of methanol, add an aqueous solution of sodium hydrogen carbonate (8 g) (5 Om 1) under ice-cooling, further add 12.7 g of di-tert-butyl dicarbonate and overnight at room temperature. Stirred. The reaction solution was extracted with ethyl acetate. The organic layer was washed with water and saturated saline, and then dried over anhydrous sodium sulfate. The solvent was distilled off, and the residue was recrystallized from a mixed solution of diisopropyl ether-hexane to obtain 1.35 g of tert-butyl 412-trobenzyl carbamate as colorless prism crystals.
M. p. 106 _ 108 X: M. p. 106-108 X:
(2) 上記 (1) で得られる化合物を参考例 1 (2) 同様に処理することにより t e r t—ブチル 4ーァミノべンジルカルバメートを得た。 (2) The compound obtained in the above (1) was treated in the same manner as in Reference Example 1 (2) to obtain tert-butyl 4-aminobenzylcarbamate.
参考例 6 Reference example 6
4—ァミノベンジルァミン 489mg、 2—ブロモピリミジン 70 lmgおよび トリェチルァミン 1. 7mlのエタノール(8ml )溶液を、終夜加熱還流した。 反応液に水を加え、酢酸ェチルで抽出した。有機層を、水、飽和食塩水で洗浄後、 無水硫酸ナトリウムで乾燥した。 溶媒を留去し、 残渣を、 酢酸ェチルージイソプ 口ピルエーテルの混合溶液で再結晶することにより、 2— (4—ァミノべンジル ァミノ) ピリミジン 408mgを無色プリズム晶として得た。 A solution of 489 mg of 4-aminobenzylamine, 70 lmg of 2-bromopyrimidine and 1.7 ml of triethylamine in ethanol (8 ml) was heated to reflux overnight. Water was added to the reaction solution, which was extracted with ethyl acetate. The organic layer was washed with water and saturated saline, and then dried over anhydrous sodium sulfate. The solvent was distilled off, and the residue was recrystallized with a mixed solution of ethyl isopropyl ether and propyl ether to give 408 mg of 2- (4-aminobenzyldiamino) pyrimidine as colorless prism crystals.
M. p. 136— 139 M. p. 136—139
参考例 7 Reference Example 7
(1) 塩化 2—クロ口一 4一二トロベンゾィル 6. 6 gをメタノール (50ml) に溶解し、 室温で 2時間撹拌した。 溶媒を留去し、 残渣を酢酸ェチルに溶解し有 機層を飽和炭酸水素ナトリウム水溶液、 水、 飽和食塩水で洗浄後、 無水硫酸ナト リウムで乾燥した。溶媒を留去し、残渣を n—へキサンで粉末化することにより、 2—クロ口— 4一二トロ安息香酸メチル 5.8 gを無色粉末として得た。 (1) 6.6 g of 2-chloro-2-benzobenzoyl chloride was dissolved in methanol (50 ml) and stirred at room temperature for 2 hours. The solvent was distilled off, the residue was dissolved in ethyl acetate, and the organic layer was washed with a saturated aqueous solution of sodium hydrogen carbonate, water, and saturated saline, and then dried over anhydrous sodium sulfate. The solvent was distilled off, and the residue was triturated with n-hexane to obtain 5.8 g of methyl 2-chloro-4,2-nitrobenzoate as a colorless powder.
MS (E I) m/z : 215, I R (Nu j o 1 ) cm-1 : 1722. MS (EI) m / z: 215, IR (Nu jo 1) cm -1 : 1722.
(2)上記 (1) で得られる化合物 1. 1 g、 鉄 1. 1 gのメタノール (20m 1 ) の懸濁液に、 塩化アンモニゥム 1. 1 gの水溶液 (20m l) を加え、 30分間加 熱還流した。 反応液を熱時セライトろ過した。 溶媒を留去し、 残渣を酢酸ェチル に溶解した。有機層を飽和炭酸水素ナ卜リゥム水溶液、水、飽和食塩水で洗浄後、 無水硫酸ナトリウムで乾燥した。 溶媒を留去し、 残渣を n—へキサンで粉末化す ることにより、 2一クロロー 4—ァミノ安息香酸メチル 8 3 8 mgを無色粉末と して得た。 (2) To a suspension of 1.1 g of the compound obtained in (1) above and 1.1 g of iron in methanol (20 ml) was added an aqueous solution (20 ml) of 1.1 g of ammonium chloride for 30 minutes. Heated to reflux. The reaction solution was filtered through celite while hot. Evaporate the solvent and remove the residue with ethyl acetate. Was dissolved. The organic layer was washed with a saturated aqueous sodium hydrogen carbonate solution, water, and saturated saline, and then dried over anhydrous sodium sulfate. The solvent was distilled off, and the residue was triturated with n-hexane to obtain 838 mg of methyl 2-chloro-4-aminoaminobenzoate as a colorless powder.
MS (A PC I ) /z : 1 8 6 (M + H) , I R (N u j o 1 ) c m- 1 : 34 2 5, 33 3 5, 1 7 04. MS (A PC I) / z: 18 6 (M + H), IR (Nujo 1) cm- 1 : 34 25, 33 35, 1704.
参考例 8 Reference Example 8
対応原料化合物を参考例 7と同様に処理することにより、 2—フルオロー 4ーァ ミノ安息香酸メチルを得た。 The corresponding starting compound was treated in the same manner as in Reference Example 7, to obtain methyl 2-fluoro-4-aminobenzoate.
参考例 9 Reference Example 9
(1) 2— (2—ピリジル) ェチルァミン 1. 3 gのピリジン (1 0m l ) 溶液 に、 氷冷下、 塩化 2—クロ口— 4—ニトロベンゾィル 2. 2 gを滴下した。 室温 下 2時間撹拌したのち酢酸ェチルで希釈し、水、飽和炭酸水素ナトリウム水溶液、 飽和食塩水で順次洗浄後、 溶媒を留去することにより、 N— (2 - (2—ピリジ ル) ェチル) — 2 _クロロー 4—ニトロ安息香酸アミドを粗生成物として得た。 (1) 2- (2-Pyridyl) ethylamine To a solution of 1.3 g of pyridine (10 ml) was added dropwise 2.2 g of 2-nitrobenzoyl chloride under ice-cooling. After stirring at room temperature for 2 hours, dilute with ethyl acetate, wash with water, saturated aqueous sodium hydrogen carbonate solution and saturated saline solution in that order, and evaporate the solvent to obtain N- (2- (2-pyridyl) ethyl). — 2-Chloro-4-nitrobenzoic acid amide was obtained as a crude product.
(2) 上記 (1) で得られる化合物を参考例 7 (2) と同様に処理することによ り、 N— (2 - (2—ピリジル) ェチル) 一 2—クロ口— 4—ァミノ安息香酸ァ ミド 1. 8 5 gを無色粉末として得た。 (2) The compound obtained in the above (1) is treated in the same manner as in Reference Example 7 (2) to give N- (2- (2-pyridyl) ethyl) -12-chloro- 4-aminoaminobenzoate 1.85 g of the acid amide was obtained as a colorless powder.
MS (APC I ) m/z : 2 7 6 (M + H) , I R (Nu j o 1 ) c m- 1 : 34 0 5, 32 77. MS (APC I) m / z: 27 6 (M + H), IR (Nujo 1) cm- 1 : 34 0 5, 32 77.
参考例 1 0 Reference example 10
対応原料化合物を参考例 9 (1) (2) と同様に処理することにより、 N— (2 - (2—ピリジル)ェチル)― 2—フルオロー 4ーァミノ安息香酸アミドを得た。 参考例 1 1 The corresponding starting compound was treated in the same manner as in Reference Example 9 (1) (2) to give N- (2- (2-pyridyl) ethyl) -2-fluoro-4-aminobenzoic acid amide. Reference example 1 1
(1) アルゴン雰囲気下、 2—ョード安息香酸メチル 1 0. 0 gおよび 4一カル ボキシルフェニルホウ酸 9. 50 gのジメトキシェタン(1 80m 1 )懸濁液に、 酢酸パラジウム 2 1 4mg、 トリフエニルホスフィン 1. 00 gおよび炭酸カリ ゥム 18. 5 gの水 (60ml) 溶液を加えた。 反応液を終夜加熱還流した。 反 応液をセライトろ過し、 ろ液を 10 %塩酸水溶液で液性を酸性とした後、 クロ口 ホルムで抽出した。 有機層を飽和食塩水で洗净後、 無水硫酸ナトリウムで乾燥し た。 溶媒を留去し、 残渣をシリカゲルカラムクロマトグラフィー (展開溶媒;ク ロロホルム:メタノール =20 : 1) で精製した後、 ジイソプロピルエーテルよ り再結晶することにより 4一 (2—メトキシカルボニルフエニル) 安息香酸 6. 57 gを無色結晶として得た。 (1) Under an argon atmosphere, a suspension of 10.0 g of methyl 2-iodobenzoate and 9.50 g of 4-carboxylphenylboronic acid in dimethoxyethane (180 ml) was added with 214 mg of palladium acetate, 1.00 g of triphenylphosphine and potassium carbonate A solution of 18.5 g of water (60 ml) was added. The reaction was heated to reflux overnight. The reaction solution was filtered through celite, and the filtrate was acidified with a 10% aqueous hydrochloric acid solution, and then extracted with chloroform. The organic layer was washed with saturated saline and dried over anhydrous sodium sulfate. The solvent was distilled off, and the residue was purified by silica gel column chromatography (developing solvent; chloroform: methanol = 20: 1) and recrystallized from diisopropyl ether to give 4- (2-methoxycarbonylphenyl) benzoic acid. 6.57 g of the acid were obtained as colorless crystals.
M. p. 154. 0 - 155. 5で M. p. 154. 0-155.5 in
(2) 上記 (1) で得られる化合物 29 Omg、 ジメチルァミン ·塩酸塩 138 mg、 1—ヒドロキシベンゾトリアゾ一ル 156 mgおよび 4—ジメチルァミノ ピリジン 5mgのジメチルホルムアミド(5ml)溶液に、 トリェチルァミン 0. 4mし 1—ェチル一 3— (3—ジメチルァミノプロピル) 一カルポジイミド * 塩酸塩 431 mgを加え、 室温で 1時間撹拌した。 反応液を水に注ぎ、 酢酸ェチ ルで抽出した。 有機層を 1%塩酸、 水、 飽和炭酸水素ナトリウム水溶液および飽 和食塩水で洗浄後、 無水硫酸ナトリウムで乾燥した。 溶媒を留去し、 残渣をシリ 力ゲルカラムクロマトグラフィー(展開溶媒;クロ口ホルム:メタノール =40 : 1) で精製することにより、 2— (4—ジメチルカルバモイル: 7ェニル) 安息香 酸メチル 28 Omgを淡黄色カラメル状物質として得た。 (2) To a solution of 29 Omg of the compound obtained in the above (1), 138 mg of dimethylamine · hydrochloride, 156 mg of 1-hydroxybenzotriazol and 5 mg of 4-dimethylaminopyridine in 5 ml of dimethylformamide (5 ml) was added 0.4 ml of triethylamine. Then, 431 mg of 1-ethyl-3- (3-dimethylaminopropyl) monocarbodiimide * hydrochloride was added, and the mixture was stirred at room temperature for 1 hour. The reaction solution was poured into water and extracted with ethyl acetate. The organic layer was washed with 1% hydrochloric acid, water, a saturated aqueous solution of sodium hydrogencarbonate and saturated saline, and then dried over anhydrous sodium sulfate. The solvent was distilled off, and the residue was purified by silica gel column chromatography (developing solvent; chloroform: methanol = 40: 1) to give methyl 2- (4-dimethylcarbamoyl: 7enyl) benzoate 28 Omg Was obtained as a pale yellow caramel-like substance.
参考例 12— 13 Reference Example 12-13
対応原料化合物を参考例 11 (1) (2) と同様に処理することにより、 第 7表 記載の化合物を得た。 The corresponding starting compound was treated in the same manner as in Reference Example 11 (1) (2) to give the compounds shown in Table 7.
第 7表 Table 7
参考例 Reference example
R1 R2 物理恒数等 R 1 R 2 Physical constant, etc.
¾· ¾
無色固体 Colorless solid
12 CH30- MS(APCI) :311 (M+H), 12 CH 30- MS (APCI): 311 (M + H),
IR(Nujol) :1730, 1680. 無色粉末 IR (Nujol): 1730, 1680. Colorless powder
13 3 CH3OOC- MS (El) :338 (M), IR(Nujol) :1736, 1726. 13 3 CH3OOC-MS (El): 338 (M), IR (Nujol): 1736, 1726.
参考例 14 Reference Example 14
(1) 2 - (4—トリフルォロメチルフエニル) — 3—メトキシカルボニル安息 香酸メチル (参考例 13で得られる化合物) 19. 1 gのメタノール (68 Om 1 ) ーテトラヒドロフラン (85m l ) の混合溶液に 1M水酸化ナトリウム水溶 液 (56. 5m l ) を加え、 4時間加熱還流した。 室温まで冷却後、 反応液を濃 縮した。 残渣に水を加え、 ジェチルエーテルで洗浄した。 水層を 10%塩酸で p HIとし、 酢酸ェチルで抽出した。 有機層を飽和食塩水で洗浄後、 無水硫酸ナト リウムで乾燥した。 溶媒を留去し、 残渣をシリカゲルカラムクロマトグラフィー (1) 2- (4-trifluoromethylphenyl) — methyl 3-methoxycarbonylbenzoate (compound obtained in Reference Example 13) 19.1 g of methanol (68 Om 1) -tetrahydrofuran (85 ml) 1M aqueous sodium hydroxide solution (56.5 ml) was added to the above mixed solution, and the mixture was heated under reflux for 4 hours. After cooling to room temperature, the reaction solution was concentrated. Water was added to the residue and washed with getyl ether. The aqueous layer was adjusted to pH with 10% hydrochloric acid and extracted with ethyl acetate. The organic layer was washed with a saturated saline solution and dried over anhydrous sodium sulfate. The solvent is distilled off, and the residue is purified by silica gel column chromatography.
(展開溶媒; n—へキサン:酢酸ェチル =3 : 1) で精製した後、 酢酸ェチルー n—へキサンの混合溶液で再結晶することにより、 2— (4—トリフルォロメチ ルフエニル) —3—メトキシカルボニル安息香酸 1 2. 2 l gを無色針状晶とし て得た。 (Developing solvent: n-hexane: ethyl acetate = 3: 1), and then recrystallized with a mixed solution of ethyl acetate-n-hexane to give 2- (4-trifluoromethylphenyl) -3-methoxycarbonyl Benzoic acid 12.2 lg as colorless needles I got it.
M. p. 1 39. 5 - 140. 5で M. p. 1 39.5-140.5 in
(2) 上記 (1) で得られる化合物 50 Omgの塩化チォニル (2m l) 溶液を 1時間加熱還流した。 室温まで冷却後、 反応液を濃縮した。 残渣を塩化メチレン (5m l) に溶解し、 氷冷下、 濃アンモニア水(2m l ) を 5分間かけて滴下し、 室温で 30分間撹拌した。 有機層を分離して、 飽和炭酸水素ナトリウム水溶液、 飽和食塩水で洗浄後、 無水硫酸ナトリウムで乾燥し、 溶媒を留去した。 残渣をジ イソプロピルエーテル— n—へキサンの混合溶液で再結晶することにより、 2— (4—トリフルォロメチルフエニル) — 3—力ルバモイル安息香酸メチル 478 m gを無色針状晶として得た。 (2) A solution of 50 Omg of the compound obtained in the above (1) in thionyl chloride (2 ml) was heated under reflux for 1 hour. After cooling to room temperature, the reaction solution was concentrated. The residue was dissolved in methylene chloride (5 ml), concentrated aqueous ammonia (2 ml) was added dropwise over 5 minutes under ice cooling, and the mixture was stirred at room temperature for 30 minutes. The organic layer was separated, washed with a saturated aqueous solution of sodium hydrogencarbonate and brine, dried over anhydrous sodium sulfate, and the solvent was distilled off. The residue was recrystallized from a mixed solution of diisopropyl ether-n-hexane to give 478 mg of 2- (4-trifluoromethylphenyl) -3-methyl-rubamoylbenzoate as colorless needles. .
M. p. 1 74. 0- 1 75. 5 M. p. 1 74. 0- 1 75.5
(3) 上記 (2) で得られる化合物 30 Omgのォキシ塩化リン (1m l ) 溶 液を 100でで 2時間加熱撹拌した。 室温まで冷却後、 反応液を濃縮した。 残 渣をクロ口ホルムに溶解し、 水、 飽和炭酸水素ナトリウム水溶液、 飽和食塩水 で洗浄後、 無水硫酸ナトリウムで乾燥した。 溶媒を留去することにより、 2— (4—トリフルォロメチルフエニル) 一 3—シァノ安息香酸メチル 279mg を^色油状物として得た。 (3) A solution of 30 Omg of the compound obtained in the above (2) in phosphorus oxychloride (1 ml) was heated and stirred at 100 for 2 hours. After cooling to room temperature, the reaction solution was concentrated. The residue was dissolved in black-mouthed form, washed with water, a saturated aqueous solution of sodium hydrogencarbonate and saturated saline, and dried over anhydrous sodium sulfate. The solvent was distilled off to obtain 279 mg of methyl 2- (4-trifluoromethylphenyl) -13-cyanobenzoate as a ^ -color oil.
MS (E I) m/z ; 305 (M) , 274, I R (n e a t) cm- 223 2, 1733, 1620. MS (E I) m / z; 305 (M), 274, IR (neat) cm- 223 2, 1733, 1620.
(4) 上記 (2) で得られる化合物 928mgのジォキサン (10m l ) —ピリ ジン (0. 58m l) の混合溶液に、 氷冷下、 無水トリフルォロ酢酸 (0. 60 m l ) を 5分間かけて滴下し、 室温で 30分間撹拌した。 反応液を酢酸ェチルで 希釈し、 5%塩酸、 7 飽和炭酸水素ナトリウム水溶液、 飽和食塩水で洗浄後、 無水硫酸ナトリウムで乾燥した。 溶媒を留去し、 2— (4一トリフルォロメチル フエニル) —3—シァノ安息香酸メチル (上記 (3) で得られる化合物) 867 m gを無色油状物として得た。 (4) To a mixed solution of 928 mg of the compound obtained in the above (2) of dioxane (10 ml) -pyridine (0.58 ml) was added trifluoroacetic anhydride (0.60 ml) over 5 minutes under ice-cooling. The mixture was added dropwise and stirred at room temperature for 30 minutes. The reaction solution was diluted with ethyl acetate, washed with 5% hydrochloric acid, 7-saturated aqueous sodium hydrogen carbonate solution and saturated saline, and dried over anhydrous sodium sulfate. The solvent was distilled off, and 867 mg of methyl 2- (4-trifluoromethylphenyl) -3-cyanobenzoate (the compound obtained in the above (3)) was obtained as a colorless oil.
参考例 1 5 3—メトキシカルボニル— 2— (4—トリフルォロメチルフエニル)安息香酸(参 考例 14 (2) で得られる化合物) を参考例 1 1 (2) と同様に処理することに より、 3— (N, N—ジメチルカルバモイル) —2— (4—トリフルォロメチルフ ェニル) 安息香酸メチルエステルを無色固体として得た。 Reference example 1 5 By treating 3-methoxycarbonyl-2- (4-trifluoromethylphenyl) benzoic acid (the compound obtained in Reference Example 14 (2)) in the same manner as in Reference Example 11 (2), 3 — (N, N-dimethylcarbamoyl) -2- (4-trifluoromethylphenyl) benzoic acid methyl ester was obtained as a colorless solid.
参考例 16 Reference Example 16
(1) アルゴン雰囲気下、 3—メトキシー 2— (4—トリフルォロメチルフエ二 ル)安息香酸メチル(参考例 1 2で得られる化合物) 554mgおよびピリジン - 塩酸塩 8. 26 gの混合物を、 1 90でで 2時間加熱撹拌した。室温まで冷却後、 反応液に 10%塩酸を加え、 酢酸ェチルで抽出した。 有機層を 10%塩酸、 飽和 食塩水で洗浄後、 無水硫酸ナトリウムで乾燥した。 溶媒を留去し、 残渣をジイソ プロピルエーテル— n—へキサンの混合溶液で再結晶することにより、 3—ヒド 口キシー 2— (4一トリフルォロメチルフエニル) 安息香酸 499mgを無色針 状晶として得た。 (1) Under an argon atmosphere, a mixture of 554 mg of methyl 3-methoxy-2- (4-trifluoromethylphenyl) benzoate (the compound obtained in Reference Example 12) and 8.26 g of pyridine-hydrochloride was added to The mixture was heated and stirred at 190 for 2 hours. After cooling to room temperature, 10% hydrochloric acid was added to the reaction solution, and the mixture was extracted with ethyl acetate. The organic layer was washed with 10% hydrochloric acid and saturated saline, and then dried over anhydrous sodium sulfate. The solvent was distilled off, and the residue was recrystallized from a mixed solution of diisopropyl ether-n-hexane to give 499 mg of 3-hydroxy-2- (4-trifluoromethylphenyl) benzoic acid as colorless needles. Obtained as crystals.
M. p. 169. 0 - 1 70. 0 M. p. 169. 0-1 70. 0
(2) 上記 (1) で得られる化合物 30 Omgの 2—ブ夕ノン (15m l ) —ジ メチルホルムアミド (5m l ) の混合溶液に炭酸カリウム 735mgおよび N— (2) A mixture of 30 Omg of the compound obtained in (1) above and 2-butylanone (15 ml) -dimethylformamide (5 ml) was added with 735 mg of potassium carbonate and N—
(2—クロロェチル)モルホリン'塩酸塩 434mgを加え、終夜加熱還流した。 室温まで冷却後、 反応液を氷水に注ぎ、 酢酸ェチルで抽出した。 有機層を水、 飽 和食塩水で洗浄後、 無水硫酸ナトリウムで乾燥した。 溶媒を留去し、 残渣をシリ 力ゲルカラムクロマトグラフィー(展開溶媒;クロ口ホルム:メタノール =40 : 1) で精製することにより、 3— (2— (モルホリン一 4—ィル) ェチル) ォキ シ— 2— (4—トリフルォロメチルフエニル) 安息香酸 (2— (モルホリン— 4 —ィル) ェチル) 54 lmgを淡黄色油状物として得た。 434 mg of (2-chloroethyl) morpholine 'hydrochloride was added, and the mixture was heated under reflux overnight. After cooling to room temperature, the reaction solution was poured into ice water and extracted with ethyl acetate. The organic layer was washed with water and saturated saline, and then dried over anhydrous sodium sulfate. The solvent is distilled off, and the residue is purified by silica gel column chromatography (developing solvent; chloroform: methanol = 40: 1) to give 3- (2- (morpholine-14-ethyl) ethyl) 54 lmg of 2- (4-trifluoromethylphenyl) benzoic acid (2- (morpholine-4-yl) ethyl) was obtained as a pale yellow oil.
MS (APC I) m/z : 509 (M + H) . MS (APC I) m / z: 509 (M + H).
参考例 17 Reference Example 17
3—ヒドロキシ— 2— (4一トリフルォロメチルフエニル) 安息香酸 (参考例 1 6 (1) で得られる化合物) および 2—メトキシェチルクロリドを、 参考例 16 (2) と同様に処理することにより、 3— (2—メトキシェチル) ォキシ一 2— (4一トリフルォロメチルフエニル) 安息香酸 (2—メトキシェチル) を無色油 状物として得た。 3-Hydroxy-2- (4-trifluoromethylphenyl) benzoic acid (the compound obtained in Reference Example 16 (1)) and 2-methoxyethyl chloride were used in Reference Example 16 By treating in the same manner as in (2), 3- (2-methoxyethyl) oxy-1- (4-trifluoromethylphenyl) benzoate (2-methoxyethyl) was obtained as a colorless oil.
MS (APC I ) m/z : 399 (M + H) . MS (APC I) m / z: 399 (M + H).
参考例 18—23 Reference Example 18-23
対応原料化合物を参考例 14 (1) と同様に処理することにより、 第 8表記載の 化合物を得た。 The corresponding starting compound was treated in the same manner as in Reference Example 14 (1) to give the compounds described in Table 8.
第 8表 Table 8
参考例 24 Reference Example 24
(1) ナトリウム 3. 45 gを室温にてエタノール 100m 1に溶解した。 反応 液に室温にてシアナミド 6. 3 gを少しずつ加え、 続いてエトキシメチレンマロ ノニトリル 18. 3 gを少しずつ加え、 室温にて 10分間撹拌した。 溶媒を留去 し、 残渣をクロ口ホルムで粉末化することにより、 シアナミノメチレンマロノ二 卜リルナトリウム塩 22. 3 gを無色粉末として得た。 (1) 3.45 g of sodium was dissolved in 100 ml of ethanol at room temperature. To the reaction solution, 6.3 g of cyanamide was added little by little at room temperature, followed by 18.3 g of ethoxymethylene malononitrile little by little, and the mixture was stirred at room temperature for 10 minutes. The solvent was distilled off, and the residue was triturated with chloroform to obtain 22.3 g of cyanaminomethylenemalononitrile sodium salt as a colorless powder.
(2) 前記 (1) で得られる化合物 10. O gを、 氷冷下、 47%臭化水素酸 1 00m lに加え、 室温にて 15分間撹拌した。 反応液を水 20 Omlで希釈し、 析出する結晶を濾取し、 水、 飽和炭酸水素ナトリウム水溶液、 水で洗浄した。 得 られた粗結晶をテトラヒドロフランー酢酸ェチルで再結晶し、 4一アミノー 2— ブロモピリミジン一 5—カルボ二トリル 9. 0 gを無色結晶として得た。 (2) The compound (10 Og) obtained in the above (1) was added to 100 ml of 47% hydrobromic acid under ice cooling, followed by stirring at room temperature for 15 minutes. The reaction solution was diluted with 20 Oml of water, and the precipitated crystals were collected by filtration and washed with water, a saturated aqueous solution of sodium hydrogen carbonate and water. The obtained crude crystals were recrystallized from tetrahydrofuran-ethyl acetate to obtain 9.0 g of 4-amino-2-bromopyrimidine-15-carbonitrile as colorless crystals.
M. p. 270 - 272で 産業上の利用可能性 Industrial applicability with M.p. 270-272
本発明により提供される、 新規なビフエ二ルカルボキサミド化合物は、 優れた アポリポ蛋白 B分泌抑制作用および血清脂質低下作用を有するため、 医薬として 有用である。 The novel biphenylcarboxamide compound provided by the present invention has excellent apolipoprotein B secretion inhibitory action and serum lipid lowering action, and is therefore useful as a medicine.
Claims
Applications Claiming Priority (2)
| Application Number | Priority Date | Filing Date | Title |
|---|---|---|---|
| JP2001165983 | 2001-06-01 | ||
| JP2001-165983 | 2001-06-01 |
Publications (1)
| Publication Number | Publication Date |
|---|---|
| WO2002098839A1 true WO2002098839A1 (en) | 2002-12-12 |
Family
ID=19008584
Family Applications (1)
| Application Number | Title | Priority Date | Filing Date |
|---|---|---|---|
| PCT/JP2002/005358 Ceased WO2002098839A1 (en) | 2001-06-01 | 2002-05-31 | Biphenylcarboxamides and process for preparation thereof |
Country Status (1)
| Country | Link |
|---|---|
| WO (1) | WO2002098839A1 (en) |
Cited By (13)
| Publication number | Priority date | Publication date | Assignee | Title |
|---|---|---|---|---|
| WO2004056777A1 (en) * | 2002-12-20 | 2004-07-08 | Pfizer Products Inc. | Microsomal triglyceride transfer protein inhibitors |
| WO2004072025A2 (en) | 2003-02-14 | 2004-08-26 | Aventis Pharma Deutschland Gmbh | Substituted n-arylheterocycles, method for production and use thereof as medicaments |
| US7223788B2 (en) | 2003-02-14 | 2007-05-29 | Sanofi-Aventis Deutschland Gmbh | Substituted N-aryl heterocycles, process for their preparation and their use as medicaments |
| US7432392B2 (en) | 2003-08-29 | 2008-10-07 | Japan Tobacco Inc. | Ester derivatives and medical use thereof |
| US7625948B2 (en) | 2002-02-28 | 2009-12-01 | Japan Tobacco Inc. | Ester compound and medicinal use thereof |
| US8101774B2 (en) | 2004-10-18 | 2012-01-24 | Japan Tobacco Inc. | Ester derivatives and medicinal use thereof |
| KR101154163B1 (en) | 2003-01-27 | 2012-06-14 | 아스텔라스세이야쿠 가부시키가이샤 | Thiazole derivatives and their use as vap-1 inhibitors |
| US8785473B2 (en) | 2009-03-31 | 2014-07-22 | Renascience Co., Ltd. | Plasminogen activator inhibitor-1 inhibitor |
| US10092537B2 (en) | 2013-04-15 | 2018-10-09 | Renascience Co., Ltd. | Use for PAI-1 inhibitor |
| US10647661B2 (en) | 2017-07-11 | 2020-05-12 | Vertex Pharmaceuticals Incorporated | Carboxamides as modulators of sodium channels |
| WO2020176501A1 (en) * | 2019-02-25 | 2020-09-03 | Albert Einstein College Of Medicine | Compounds useful for inhibiting raf dimers |
| US12441703B2 (en) | 2019-01-10 | 2025-10-14 | Vertex Pharmaceuticals Incorporated | Carboxamides as modulators of sodium channels |
| US12440481B2 (en) | 2019-01-10 | 2025-10-14 | Vertex Pharmaceuticals Incorporated | Esters and carbamates as modulators of sodium channels |
Citations (5)
| Publication number | Priority date | Publication date | Assignee | Title |
|---|---|---|---|---|
| WO2000032582A1 (en) * | 1998-12-03 | 2000-06-08 | Glaxo Group Limited | Benzamide derivatives and their use as apob-100 secretion inhibitors |
| WO2001077077A1 (en) * | 2000-04-10 | 2001-10-18 | Novartis Ag | Substituted (hetero)aryl carboxamide derivatives as microsomal triglyceride transfer protein (mtp) and apolipoprotein b (apo b) secretion |
| WO2002020501A2 (en) * | 2000-09-04 | 2002-03-14 | Janssen Pharmaceutica N.V. | Polyarylcarboxamides useful as lipid lowering agents |
| WO2002028835A1 (en) * | 2000-10-05 | 2002-04-11 | Fujisawa Pharmaceutical Co., Ltd. | Benzamide compounds as apo b secretion inhibitors |
| WO2002042271A2 (en) * | 2000-11-21 | 2002-05-30 | Janssen Pharmaceutica N.V. | Biphenylcarboxamides useful as lipid lowering agents |
-
2002
- 2002-05-31 WO PCT/JP2002/005358 patent/WO2002098839A1/en not_active Ceased
Patent Citations (5)
| Publication number | Priority date | Publication date | Assignee | Title |
|---|---|---|---|---|
| WO2000032582A1 (en) * | 1998-12-03 | 2000-06-08 | Glaxo Group Limited | Benzamide derivatives and their use as apob-100 secretion inhibitors |
| WO2001077077A1 (en) * | 2000-04-10 | 2001-10-18 | Novartis Ag | Substituted (hetero)aryl carboxamide derivatives as microsomal triglyceride transfer protein (mtp) and apolipoprotein b (apo b) secretion |
| WO2002020501A2 (en) * | 2000-09-04 | 2002-03-14 | Janssen Pharmaceutica N.V. | Polyarylcarboxamides useful as lipid lowering agents |
| WO2002028835A1 (en) * | 2000-10-05 | 2002-04-11 | Fujisawa Pharmaceutical Co., Ltd. | Benzamide compounds as apo b secretion inhibitors |
| WO2002042271A2 (en) * | 2000-11-21 | 2002-05-30 | Janssen Pharmaceutica N.V. | Biphenylcarboxamides useful as lipid lowering agents |
Cited By (21)
| Publication number | Priority date | Publication date | Assignee | Title |
|---|---|---|---|---|
| US7625948B2 (en) | 2002-02-28 | 2009-12-01 | Japan Tobacco Inc. | Ester compound and medicinal use thereof |
| WO2004056777A1 (en) * | 2002-12-20 | 2004-07-08 | Pfizer Products Inc. | Microsomal triglyceride transfer protein inhibitors |
| KR101154163B1 (en) | 2003-01-27 | 2012-06-14 | 아스텔라스세이야쿠 가부시키가이샤 | Thiazole derivatives and their use as vap-1 inhibitors |
| WO2004072025A2 (en) | 2003-02-14 | 2004-08-26 | Aventis Pharma Deutschland Gmbh | Substituted n-arylheterocycles, method for production and use thereof as medicaments |
| WO2004072025A3 (en) * | 2003-02-14 | 2004-12-23 | Aventis Pharma Gmbh | Substituted n-arylheterocycles, method for production and use thereof as medicaments |
| JP2006517563A (en) * | 2003-02-14 | 2006-07-27 | サノフィ−アベンティス・ドイチュラント・ゲゼルシャフト・ミット・ベシュレンクテル・ハフツング | Substituted N-aryl heterocyclic compounds, methods for their preparation and their use as pharmaceuticals |
| US7223788B2 (en) | 2003-02-14 | 2007-05-29 | Sanofi-Aventis Deutschland Gmbh | Substituted N-aryl heterocycles, process for their preparation and their use as medicaments |
| CN100506792C (en) * | 2003-02-14 | 2009-07-01 | 塞诺菲-安万特德国有限公司 | Substituted N-aryl heterocycles, method for the production thereof and their use as medicaments |
| US7968550B2 (en) | 2003-02-14 | 2011-06-28 | Aventis Pharma Deutschland Gmbh | Substituted N-aryl heterocycles, process for their preparation and their use as medicaments |
| US7432392B2 (en) | 2003-08-29 | 2008-10-07 | Japan Tobacco Inc. | Ester derivatives and medical use thereof |
| US8101774B2 (en) | 2004-10-18 | 2012-01-24 | Japan Tobacco Inc. | Ester derivatives and medicinal use thereof |
| US8785473B2 (en) | 2009-03-31 | 2014-07-22 | Renascience Co., Ltd. | Plasminogen activator inhibitor-1 inhibitor |
| US10092537B2 (en) | 2013-04-15 | 2018-10-09 | Renascience Co., Ltd. | Use for PAI-1 inhibitor |
| US10647661B2 (en) | 2017-07-11 | 2020-05-12 | Vertex Pharmaceuticals Incorporated | Carboxamides as modulators of sodium channels |
| US11603351B2 (en) | 2017-07-11 | 2023-03-14 | Vertex Pharmaceuticals Incorporated | Carboxamides as modulators of sodium channels |
| US12281057B2 (en) | 2017-07-11 | 2025-04-22 | Vertex Pharmaceuticals Incorporated | Carboxamides as modulators of sodium channels |
| US12441703B2 (en) | 2019-01-10 | 2025-10-14 | Vertex Pharmaceuticals Incorporated | Carboxamides as modulators of sodium channels |
| US12440481B2 (en) | 2019-01-10 | 2025-10-14 | Vertex Pharmaceuticals Incorporated | Esters and carbamates as modulators of sodium channels |
| WO2020176501A1 (en) * | 2019-02-25 | 2020-09-03 | Albert Einstein College Of Medicine | Compounds useful for inhibiting raf dimers |
| US20220265669A1 (en) * | 2019-02-25 | 2022-08-25 | Albert Einstein College Of Medicine | Compounds useful for inhibiting raf dimers |
| US12440494B2 (en) | 2019-02-25 | 2025-10-14 | Albert Einstein College Of Medicine | Compounds useful for inhibiting RAF dimers |
Similar Documents
| Publication | Publication Date | Title |
|---|---|---|
| KR100733752B1 (en) | NXP antagonist | |
| GB2216517A (en) | 1-(3-aryl-prop-2-enyl)-4-tricyclyl-piperazines | |
| JP2006518341A (en) | Hydroxamic acid derivatives as histone deacetylase (HDAC) inhibitors | |
| JP6474736B2 (en) | Alvicidin derivatives, their use and synthesis | |
| JP7408819B2 (en) | Isoindoline derivatives and pharmaceutical compositions and uses thereof | |
| WO2002098839A1 (en) | Biphenylcarboxamides and process for preparation thereof | |
| HU211680A9 (en) | Pyrazolopyridine compounds which have useful pharmaceutical utility | |
| JP2023548947A (en) | Benzylamine or benzyl alcohol derivatives and their uses | |
| JP2024073409A (en) | Substituted alkynylene compounds as anticancer agents. | |
| KR920001466B1 (en) | Lactam derivatives | |
| WO1993013739A2 (en) | Retroreverse pyrrole-amidino oligopeptide anticancer agent analogues, preparation of same, and pharmaceutical compositions containing such analogues | |
| US5464860A (en) | N(pyrazol-3-yl) benzamides and pharmaceutical compositions | |
| JP2003231633A (en) | Pharmaceutical composition | |
| JPH05246980A (en) | β-oxo-β-benzenepropanethioamide derivative | |
| JPH05202054A (en) | Aminomethyl-substituted 2,3-dihydropyrano [2,3-b] pyridines | |
| WO2002014277A1 (en) | Biphenylcarboxamidoisoindoline compounds, processes for the preparation of the same and intermediates for the synthesis thereof | |
| JP2004175739A (en) | Pharmaceutical composition | |
| JPH04244083A (en) | Tricyclic pyridone derivative | |
| US6544982B1 (en) | Thrombin receptor antagonists | |
| CN100422170C (en) | The preparation method of quinolone carboxylic acid derivative | |
| WO2002098871A1 (en) | Phenylcarboxamides and process for preparation thereof | |
| JPH07157482A (en) | Novel indoles or their salts | |
| JP2003231635A (en) | Pharmaceutical composition | |
| JPH0532622A (en) | Preparation of n-acyl-4-phenyl-pyrrolidine-2-one having cerebrrum-protective effect | |
| JP2003048872A (en) | Biphenylcarboxamide derivative and method for producing the same |
Legal Events
| Date | Code | Title | Description |
|---|---|---|---|
| AK | Designated states |
Kind code of ref document: A1 Designated state(s): AE AG AL AM AT AU AZ BA BB BG BR BY BZ CA CH CN CO CR CU CZ DE DK DM DZ EC EE ES FI GB GD GE GH GM HR HU ID IL IN IS KE KG KR KZ LC LK LR LS LT LU LV MA MD MG MK MN MW MX MZ NO NZ OM PH PL PT RO RU SD SE SG SI SK SL TJ TM TN TR TT TZ UA UG US UZ VN YU ZA ZM ZW |
|
| AL | Designated countries for regional patents |
Kind code of ref document: A1 Designated state(s): GH GM KE LS MW MZ SD SL SZ TZ UG ZM ZW AM AZ BY KG KZ MD RU TJ TM AT BE CH CY DE DK ES FI FR GB GR IE IT LU MC NL PT SE TR BF BJ CF CG CI CM GA GN GQ GW ML MR NE SN TD TG |
|
| DFPE | Request for preliminary examination filed prior to expiration of 19th month from priority date (pct application filed before 20040101) | ||
| 121 | Ep: the epo has been informed by wipo that ep was designated in this application | ||
| REG | Reference to national code |
Ref country code: DE Ref legal event code: 8642 |
|
| 122 | Ep: pct application non-entry in european phase |

































































