WO2001032631A2 - Heterocyclic cytotoxic agents - Google Patents
Heterocyclic cytotoxic agents Download PDFInfo
- Publication number
- WO2001032631A2 WO2001032631A2 PCT/US2000/029583 US0029583W WO0132631A2 WO 2001032631 A2 WO2001032631 A2 WO 2001032631A2 US 0029583 W US0029583 W US 0029583W WO 0132631 A2 WO0132631 A2 WO 0132631A2
- Authority
- WO
- WIPO (PCT)
- Prior art keywords
- compound
- alkyl
- hydrogen
- alkoxy
- hydroxy
- Prior art date
- Legal status (The legal status is an assumption and is not a legal conclusion. Google has not performed a legal analysis and makes no representation as to the accuracy of the status listed.)
- Ceased
Links
- 0 C[C@@](*)(c1nc(I)c(*)c(*2CC2)c1-c1nnc(c(*)c(*)c(*)c2)c2c1C(*)*)O Chemical compound C[C@@](*)(c1nc(I)c(*)c(*2CC2)c1-c1nnc(c(*)c(*)c(*)c2)c2c1C(*)*)O 0.000 description 1
Classifications
-
- C—CHEMISTRY; METALLURGY
- C07—ORGANIC CHEMISTRY
- C07D—HETEROCYCLIC COMPOUNDS
- C07D471/00—Heterocyclic compounds containing nitrogen atoms as the only ring hetero atoms in the condensed system, at least one ring being a six-membered ring with one nitrogen atom, not provided for by groups C07D451/00 - C07D463/00
- C07D471/02—Heterocyclic compounds containing nitrogen atoms as the only ring hetero atoms in the condensed system, at least one ring being a six-membered ring with one nitrogen atom, not provided for by groups C07D451/00 - C07D463/00 in which the condensed system contains two hetero rings
- C07D471/04—Ortho-condensed systems
-
- A—HUMAN NECESSITIES
- A61—MEDICAL OR VETERINARY SCIENCE; HYGIENE
- A61P—SPECIFIC THERAPEUTIC ACTIVITY OF CHEMICAL COMPOUNDS OR MEDICINAL PREPARATIONS
- A61P31/00—Antiinfectives, i.e. antibiotics, antiseptics, chemotherapeutics
- A61P31/04—Antibacterial agents
-
- A—HUMAN NECESSITIES
- A61—MEDICAL OR VETERINARY SCIENCE; HYGIENE
- A61P—SPECIFIC THERAPEUTIC ACTIVITY OF CHEMICAL COMPOUNDS OR MEDICINAL PREPARATIONS
- A61P31/00—Antiinfectives, i.e. antibiotics, antiseptics, chemotherapeutics
- A61P31/10—Antimycotics
-
- A—HUMAN NECESSITIES
- A61—MEDICAL OR VETERINARY SCIENCE; HYGIENE
- A61P—SPECIFIC THERAPEUTIC ACTIVITY OF CHEMICAL COMPOUNDS OR MEDICINAL PREPARATIONS
- A61P31/00—Antiinfectives, i.e. antibiotics, antiseptics, chemotherapeutics
- A61P31/12—Antivirals
-
- A—HUMAN NECESSITIES
- A61—MEDICAL OR VETERINARY SCIENCE; HYGIENE
- A61P—SPECIFIC THERAPEUTIC ACTIVITY OF CHEMICAL COMPOUNDS OR MEDICINAL PREPARATIONS
- A61P33/00—Antiparasitic agents
-
- A—HUMAN NECESSITIES
- A61—MEDICAL OR VETERINARY SCIENCE; HYGIENE
- A61P—SPECIFIC THERAPEUTIC ACTIVITY OF CHEMICAL COMPOUNDS OR MEDICINAL PREPARATIONS
- A61P33/00—Antiparasitic agents
- A61P33/02—Antiprotozoals, e.g. for leishmaniasis, trichomoniasis, toxoplasmosis
-
- A—HUMAN NECESSITIES
- A61—MEDICAL OR VETERINARY SCIENCE; HYGIENE
- A61P—SPECIFIC THERAPEUTIC ACTIVITY OF CHEMICAL COMPOUNDS OR MEDICINAL PREPARATIONS
- A61P35/00—Antineoplastic agents
-
- A—HUMAN NECESSITIES
- A61—MEDICAL OR VETERINARY SCIENCE; HYGIENE
- A61P—SPECIFIC THERAPEUTIC ACTIVITY OF CHEMICAL COMPOUNDS OR MEDICINAL PREPARATIONS
- A61P43/00—Drugs for specific purposes, not provided for in groups A61P1/00-A61P41/00
-
- C—CHEMISTRY; METALLURGY
- C07—ORGANIC CHEMISTRY
- C07D—HETEROCYCLIC COMPOUNDS
- C07D237/00—Heterocyclic compounds containing 1,2-diazine or hydrogenated 1,2-diazine rings
- C07D237/26—Heterocyclic compounds containing 1,2-diazine or hydrogenated 1,2-diazine rings condensed with carbocyclic rings or ring systems
-
- C—CHEMISTRY; METALLURGY
- C07—ORGANIC CHEMISTRY
- C07D—HETEROCYCLIC COMPOUNDS
- C07D491/00—Heterocyclic compounds containing in the condensed ring system both one or more rings having oxygen atoms as the only ring hetero atoms and one or more rings having nitrogen atoms as the only ring hetero atoms, not provided for by groups C07D451/00 - C07D459/00, C07D463/00, C07D477/00 or C07D489/00
- C07D491/02—Heterocyclic compounds containing in the condensed ring system both one or more rings having oxygen atoms as the only ring hetero atoms and one or more rings having nitrogen atoms as the only ring hetero atoms, not provided for by groups C07D451/00 - C07D459/00, C07D463/00, C07D477/00 or C07D489/00 in which the condensed system contains two hetero rings
- C07D491/04—Ortho-condensed systems
Definitions
- DNA-topoisomerases are enzymes which are present in the nuclei of cells where they catalyze the breaking and rejoining of DNA strands, which control the topological state of DNA. Recent studies also suggest that topoisomerases are also involved in regulating template supercoiling during RNA transcription. There are two major classes of mammalian topoisomerases. DNA-topoisomerase-I catalyzes changes in the topological state of duplex DNA by performing transient single-strand breakage-union cycles. In contrast, mammalian topoisomerase II alters the topology of DNA by causing a transient enzyme bridged double-strand break, followed by strand passing and resealing.
- Mammalian topoisomerase II has been further classified as Type II ⁇ and Type II ⁇ .
- the antitumor activity associated with agents which are topoisomerase poisons is associated with their ability to stabilize the enzyme-DNA cleavable complex. This drug-induced stabilization of the enzyme-DNA cleavable complex effectively converts the enzyme into a cellular poison.
- topoisomerase II poisons include adriamycin, actinomycin D, daunomycin, VP-16, and VM-26 (teniposide or epipodophyllotoxin).
- adriamycin actinomycin D
- daunomycin daunomycin
- VP-16 daunomycin
- VM-26 teniposide or epipodophyllotoxin
- Camptothecin and its structurally-related analogs are among the most extensively studied topoisomerase I poisons.
- bi- and terbenzimidazoles Choen et al., Cancer Res. 1993, 53, 1332-1335; Sun et al., J. Med.
- topoisomerase poisoning observed with coralyne, nitidine, 5,6-dihydro-8-desmethylcoralyne and related analogs prompted several recent studies on those structural features which are associated with their ability to act specifically as poisons of topoisomerase I or topoisomerase II (Gatto et al., Cancer Res. 1996, 56, 2795-2800; Wang et al., Chem. Res. Toxicol. 1996, 9, 75-83; Wang et al., Chem. Res. Toxicol, 1993, 6, 813-818).
- a common feature associated with all three of these agents is the presence of a 3-phenylisoquinolinium moiety within their structure.
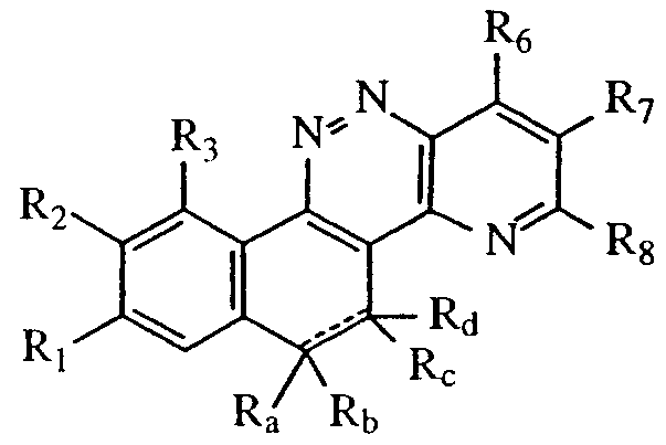
- the invention provides a compound of the invention which is a compound of formula I:
- A is N or CR 3 ;
- B is N or CR S ;
- D is NR e or CR a R b ;
- E is NR f or CR c R d ;
- F is N or CR t ;
- G is N or CR 6 ;
- R 2 and R 3 are each individually hydrogen, (C,-C 6 )alkyl, (C 3 - C 6 )cycloalkyl, (C r C 6 )alkoxy, nitro, hydroxy, NR g R h , COOR k , OR,,,, or halo; or R, and R 2 taken together are methylenedioxy and R 3 is hydrogen, (C,-C 6 )alkyl, (C 3 - C 6 )cycloalkyl, (C,-C 6 )alkoxy, nitro, hydroxy, NR g R h , COOR k , OR-_terrorism or halo; or R 2 and R 3 taken together are methylenedioxy and R, is hydrogen, (C,-C 6 )alkyl, (C 3 - C 6 )cycloalkyl, (C,-C 6 )alkoxy, nitro, hydroxy, NR g R h , COOR k , OR m
- (C,-C 6 )alkyl and R b is absent if the bond between the 1 1- and 12-positions represented by is present;
- R c and R d are each independently hydrogen or (C r C 6 )alkyl if the bond between the 1 1- and 12-positions represented by is absent; or R c is hydrogen or
- (C,-C 6 )alkyl and R d is absent if the bond between the 1 1- and 12-positions represented by is present;
- R e is hydrogen or (C,-C 6 )alkyl if the bond between the 5- and
- 6-positions represented by is absent; or R e is absent if the bond between the 5- and 6-positions represented by is present;
- R f is hydrogen or (C,-C 6 )alkyl if the bond between the 5- and
- each R g and R h is independently hydrogen, (C,-C 6 )alkyl, (C 3 - C 6 )cycloalkyl, (C,-C 6 )alkoxy, (C,-C 6 )alkanoyl, aryl, aryl(C r C 6 )alkyl, aryloxy, or aryl(C,-C 6 )alkoxy; or R g and R h together with the nitrogen to which they are attached are pyrrolidino, piperidino, morpholino, or thiomorpholino; each R k is independently hydrogen, or (C,-C 6 )alkyl; and each R m is independently (C,-C 6 )alkanoyl, aryl, or aryl(C r C 6 )alkyl; each R s and R, is independently hydrogen, methyl,
- the invention also provides a method of inhibiting cancer cell growth, comprising administering to a mammal afflicted with cancer, an amount of a compound of formula (I), effective to inhibit the growth of said cancer cells.
- the invention also provides a method comprising inhibiting cancer cell growth by contacting said cancer cell in vitro or in vivo with an amount of a compound of claim 1 , effective to inhibit the growth of said cancer cell.
- the invention also provides a compound of formula I for use in medical therapy (preferably for use in treating cancer, e.g. solid tumors), as well as the use of a compound of formula I for the manufacture of a medicament useful for the treatment of cancer, e.g. solid tumors.
- the invention also provides processes and novel intermediates disclosed herein which are useful for preparing compounds of the invention. Some of the compounds of formula I are useful to prepare other compounds of formula I.
- the compounds of the invention may also preferably exclude compounds of formula (I) wherein D is NR e ; when A CR 3 ; B is CR S ; E is CR c R d ; F is CR t ; and G is CR 6 .
- the compounds of the invention may also preferably exclude compounds wherein R,-R 3 and R 6 -R 8 are each hydrogen.
- the compounds of the invention may also preferably exclude 9-hydroxy-2,3,8-trimethoxydibenzo[c,h]cinnoline.
- one of R 2 and R 8 is hydrogen, methyl, nitro, hydroxy, amino, fluoro or chloro; or at least one of R 2 and R 8 forms part of a methylenedioxy.
- FIG. 6 illustrates specific compounds of Formula I.
- Figures 7-10 illustrate the synthesis of compounds of the invention.
- Figure 1 1 shows the structure of reference compounds tested hereinbelow.
- halo is fluoro, chloro, bromo, or iodo.
- Alkyl, alkoxy, alkenyl, alkynyl, etc. denote both straight and branched groups; but reference to an individual radical such as "propyl” embraces only the straight chain radical, a branched chain iso er such as
- Aryl denotes a phenyl radical or an ortho- fused bicyclic carbocyclic radical having about nine to ten ring atoms in which at least one ring is aromatic. Specific values listed below for radicals, substituents, and ranges, are for illustration only; they do not exclude other defined values or other values within defined ranges for the radicals and substituents
- (C r C 6 )alkyl can be methyl, ethyl, propyl, isopropyl, butyl, iso-butyl, sec-butyl, pentyl, 3-pentyl, or hexyl;
- (C 3 -C 6 )cycloalkyl can be cyclopropyl, cyclobutyl, cyclopentyl, or cyclohexyl;
- (C,-C 6 )alkoxy can be methoxy, ethoxy, propoxy, isopropoxy, butoxy, iso-butoxy, sec-butoxy, pentoxy, 3-pentoxy, or hexyloxy;
- (C,-C 6 )alkanoyl can be acetyl, propanoyl, butanoyl, pentanoyl, or hexanoyl; and aryl can be phenyl, indenyl, or naphthyl;.
- R 2 or R 7 can be hydroxy, methoxy, benzyloxy, amino, hydroxymethyl, aminomethyl, aminocarbonyl, methoxycarbonyl, trifluoromethyl, 3- aminopropoxycarbonyl, or 2-hydroxyethyl.
- R 3 can be hydrogen.
- R s and R are each hydrogen.
- (C,-C 6 )alkyl and R b is absent if the bond between the 1 1- and 12-positions represented by is present;
- R c and R d are each independently hydrogen or (C r C 6 )alkyl if the bond between the 1 1- and 12-positions represented by is absent; or R c is hydrogen or
- R e is hydrogen or (C,-C 6 )alkyl if the bond between the 5- and
- 6-positions represented by is absent; or R e is absent if the bond between the 5- and 6-positions represented by is present;
- R f is hydrogen or (C r C 6 )alkyl if the bond between the 5- and
- each R g and R h is independently hydrogen, (C,-C 6 )alkyl, (C 3 - C 6 )cycloalkyl, (C,-C 6 )alkoxy, (C r C 6 )alkanoyl, aryl, aryl(C,-C 6 )alkyl, aryloxy, or aryl(C,-C 6 )alkoxy; or R g and R h together with the nitrogen to which they are attached are pyrrolidino, piperidino, morpholino, or thiomorpholino; each R k is independently hydrogen, or (C,-C 6 )alkyl; and each R m is independently (C,-C 6 )alkanoyl, aryl, or aryl(C r C 6 )alkyl; each R s and R, is independently hydrogen, methyl,
- the compound of formula I is not 2,3-8,9- bismethylenedioxy-5,6-diazacrysene; and R,-R 3 and R 6 -R 8 are not each hydrogen.
- a specific group of compounds are compounds of formula I wherein
- R,, R 2 and R 3 are each individually hydrogen, or (C,-C 6 )alkoxy; or R, and R 2 taken together are methylenedioxy (-OCH 2 O-) and R 3 is hydrogen or (C r C 6 )alkoxy; or a pharmaceutically acceptable salt thereof.
- Another specific group of compounds are compounds of formula I wherein R 7 or R 8 is (C r C 6 )alkoxy; or R 7 and R 8 taken together are methylenedioxy; or a pharmaceutically acceptable salt thereof.
- Another specific group of compounds are compounds of formula I wherein R 7 and R 8 taken together are methylenedioxy; or a pharmaceutically acceptable salt thereof.
- Another specific group of compounds are compounds of formula I wherein the bonds represented by are both present; or a pharmaceutically acceptable salt thereof.
- Another specific group of compounds are compounds of formula I wherein the bond between the 5- and the 6-positions that is represented by is absent; or a pharmaceutically acceptable salt thereof.
- Another specific group of compounds are compounds of formula I wherein the bond between the 1 1- and the 12-positions that is represented by is absent; or a pharmaceutically acceptable salt thereof.
- Another specific group of compounds are compounds of formula I wherein the bonds represented by are both absent; or a pharmaceutically acceptable salt thereof.
- a specific compound of formula I is a compound of formula II, HI, IV, V, VI, V ⁇ , VIE, IX or X ( Figure 6) wherein R r R R a -R t have any of the values, specific values or preferred values described herein for a compound of formula I.
- Compounds of formulae II-X can be prepared from available starting materials using procedures known in the art, or using procedures analogous to those described herein.
- a compound of formula I can be prepared by subjecting an intermediate of formula XX (wherein Rj-R 8 and A-G have any of the values, specific values, or preferred values described herein for a corresponding substituent in a compound of formula I):
- nitration of 4-bromoveratrole under standard conditions provides nitro compound 7, which can be converted to stannane 8 under standard conditions.
- Coupling of stannane 8 with triflate 9 provides 11, which can be oxidized to provide 12.
- stannane 8 can be coupled with triflate 10 to provide 12. Reduction of the nitro group in 12 under standard conditions, provides an intermediate of formula XX.
- triflate 9 can be prepared from 6,7- dimethoxy-2-oxo -1,2,3,4-tetrahydronaphthlene by formation of the eneol triflate, under standard conditions.
- Triflate 10 can be prepared from 9 by oxidation under standard conditions.
- an intermediate 16 can be prepared by nitration of readily available 3,4- dimethoxybromobenzene under standard conditions, followed by formation of the corresponding stannane 16. Coupling of triflate 10 and stannane 16 under standard conditions, provides nitro compound 17 which can be reduced to provide an intermediate of formula XX.
- salts are organic acid addition salts formed with acids which form a physiological acceptable anion, for example, tosylate, methanesulfonate, acetate, citrate, malonate, tartarate, succinate, benzoate, ascorbate, ⁇ -ketoglutarate, and ⁇ -glycerophosphate.
- Suitable inorganic salts may also be formed, including hydrochloride, sulfate, nitrate, bicarbonate, and carbonate salts.
- salts may be obtained using standard procedures well known in the art, for example by reacting a sufficiently basic compound such as an amine with a suitable acid affording a physiologically acceptable anion.
- a sufficiently basic compound such as an amine
- a suitable acid affording a physiologically acceptable anion.
- Alkali metal (for example, sodium, potassium or lithium) or alkaline earth metal (for example calcium) salts of carboxylic acids can also be made.
- the compounds of formula I can be formulated as pharmaceutical compositions and administered to a mammalian host, such as a human patient in a variety of forms adapted to the chosen route of administration, i.e., orally or parenterally, by intravenous, intramuscular, topical or subcutaneous routes.
- a mammalian host such as a human patient
- the present compounds may be systemically administered, e.g., orally, in combination with a pharmaceutically acceptable vehicle such as an inert diluent or an assimilable edible carrier. They may be enclosed in hard or soft shell gelatin capsules, may be compressed into tablets, or may be incorporated directly with the food of the patient's diet.
- the active compound may be combined with one or more excipients and used in the form of ingestible tablets, buccal tablets, troches, capsules, elixirs, suspensions, syrups, wafers, and the like.
- Such compositions and preparations should contain at least 0.1% of active compound.
- the percentage of the compositions and preparations may, of course, be varied and may conveniently be between about 2 to about 60% of the weight of a given unit dosage form.
- the amount of active compound in such therapeutically useful compositions is such that an effective dosage level will be obtained.
- the tablets, troches, pills, capsules, and the like may also contain the following: binders such as gum tragacanth, acacia, corn starch or gelatin; excipients such as dicalcium phosphate; a disintegrating agent such as corn starch, potato starch, alginic acid and the like; a lubricant such as magnesium stearate; and a sweetening agent such as sucrose, fructose, lactose or aspartame or a flavoring agent such as peppermint, oil of wintergreen, or cherry flavoring may be added.
- a liquid carrier such as a vegetable oil or a polyethylene glycol.
- any material used in preparing any unit dosage form should be pharmaceutically acceptable and substantially non-toxic in the amounts employed.
- the active compound may be incorporated into sustained-release preparations and devices.
- the active compound may also be administered intravenously or intraperitoneally by infusion or injection.
- Solutions of the active compound or its salts can be prepared in water, optionally mixed with a nontoxic surfactant.
- Dispersions can also be prepared in glycerol, liquid polyethylene glycols, triacetin, and mixtures thereof and in oils. Under ordinary conditions of storage and use, these preparations contain a preservative to prevent the growth of microorganisms.
- the pharmaceutical dosage forms suitable for injection or infusion can include sterile aqueous solutions or dispersions or sterile powders comprising the active ingredient which are adapted for the extemporaneous preparation of sterile injectable or infusible solutions or dispersions, optionally encapsulated in liposomes.
- the liquid carrier or vehicle can be a solvent or liquid dispersion medium comprising, for example, water, ethanol, a polyol (for example, glycerol, propylene glycol, liquid polyethylene glycols, and the like), vegetable oils, nontoxic glyceryl esters, and suitable mixtures thereof.
- the proper fluidity can be maintained, for example, by the formation of liposomes, by the maintenance of the required particle size in the case of dispersions or by the use of surfactants.
- the prevention of the action of microorganisms can be brought about by various antibacterial and antifungal agents, for example, parabens, chlorobutanol, phenol, sorbic acid, thimerosal, and the like. In many cases, it will be preferable to include isotonic agents, for example, sugars, buffers or sodium chloride. Prolonged abso ⁇ tion of the injectable compositions can be brought about by the use in the compositions of agents delaying absorption, for example, aluminum monostearate and gelatin.
- Sterile injectable solutions are prepared by incorporating the active compound in the required amount in the appropriate solvent with various of the other ingredients enumerated above, as required, followed by filter sterilization.
- the preferred methods of preparation are vacuum drying and the freeze drying techniques, which yield a powder of the active ingredient plus any additional desired ingredient present in the previously sterile-filtered solutions.
- the present compounds may be applied in pure form, i.e., when they are liquids. However, it will generally be desirable to administer them to the skin as compositions or formulations, in combination with a dermatologically acceptable carrier, which may be a solid or a liquid.
- Useful solid carriers include finely divided solids such as talc, clay, microcrystalline cellulose, silica, alumina and the like.
- Useful liquid carriers include water, alcohols or glycols or water-alcohol/glycol blends, in which the present compounds can be dissolved or dispersed at effective levels, optionally with the aid of non-toxic surfactants.
- Adjuvants such as fragrances and additional antimicrobial agents can be added to optimize the properties for a given use.
- the resultant liquid compositions can be applied from absorbent pads, used to impregnate bandages and other dressings, or sprayed onto the affected area using pump-type or aerosol sprayers.
- Thickeners such as synthetic polymers, fatty acids, fatty acid salts and esters, fatty alcohols, modified celluloses or modified mineral materials can also be employed with liquid carriers to form spreadable pastes, gels, ointments, soaps, and the like, for application directly to the skin of the user.
- useful dermatological compositions which can be used to deliver the compounds of formula I to the skin are known to the art; for example, see Jacquet et al. (U.S. Pat. No. 4,608,392), Geria (U.S. Pat. No. 4,992,478), Smith et al. (U.S. Pat. No. 4,559,157) and Wortzman (U.S. Pat. No. 4,820,508).
- Useful dosages of the compounds of formula I can be determined by comparing their in vitro activity, and in vivo activity in animal models. Methods for the extrapolation of effective dosages in mice, and other animals, to humans are known to the art; for example, see U.S. Pat. No. 4,938,949.
- the concentration of the compound(s) of formula I in a liquid composition will be from about 0.1-25 wt-%, preferably from about 0.5-10 wt-%.
- concentration in a semi-solid or solid composition such as a gel or a powder will be about 0.1-5 wt-%, preferably about 0.5-2.5 wt-%.
- the amount of the compound, or an active salt or derivative thereof, required for use in treatment will vary not only with the particular salt selected but also with the route of administration, the nature of the condition being treated and the age and condition of the patient and will be ultimately at the discretion of the attendant physician or clinician.
- a suitable dose will be in the range of from about 0.5 to about 100 mg/kg, e.g., from about 10 to about 75 mg/kg of body weight per day, such as 3 to about 50 mg per kilogram body weight of the recipient per day, preferably in the range of 6 to 90 mg/kg/day, most preferably in the range of 15 to 60 mg/kg/day.
- the compound may conveniently be administered in unit dosage form; for example, containing 5 to 1000 mg, conveniently 10 to 750 mg, most conveniently, 50 to 500 mg of active ingredient per unit dosage form.
- the active ingredient should be administered to achieve peak plasma concentrations of the active compound of from about 0.5 to about 75 ⁇ M, preferably, about 1 to 50 ⁇ M, most preferably, about 2 to about 30 ⁇ M. This may be achieved, for example, by the intravenous injection of a 0.05 to 5% solution of the active ingredient, optionally in saline, or orally administered as a bolus containing about 1 -100 mg of the active ingredient. Desirable blood levels may be maintained by continuous infusion to provide about 0.01-5.0 mg/kg/hr or by intermittent infusions containing about 0.4-15 mg/kg of the active ingredient(s).
- the desired dose may conveniently be presented in a single dose or as divided doses administered at appropriate intervals, for example, as two, three, four or more sub-doses per day.
- the sub-dose itself may be further divided, e.g., into a number of discrete loosely spaced administrations; such as multiple inhalations from an insufflator or by application of a plurality of drops into the eye.
- Test A Topoisomerase I-mediated DNA cleavage assay Human topoisomerase I was expressed in E. Coli and isolated as a recombinant fusion protein using a T7 expression system as described previously (Makhey, D. et al., Bioorg. Med. Chem., 2000, 8, 1-11). DNA topoisomerase I was purified from calf thymus gland as reported previously
- Plasmid YepG was also purified by the alkali lysis method followed by phenol deproteination and CsCl/ethidium isopycnic centrifugation method as described (Maniatis, T.; Fritsch, E. F.; Sambrook, J. Molecular Cloning, a Laboratory Manual;
- cytotoxic effects of a compound of the invention can be determined using pharmacological models that are well known to the art, for example, using a model like Test B described below.
- Test B Inhibition of Cell Growth: MTT-microtiter plate tetrazolinium cytotoxicity assay (RPMI 8402, CPT-K5, U937, U937/CR Cells)
- the cytotoxicity was determined using the MTT-microtiter plate tetrazolinium cytotoxicity assay (MTA) (See Chen A.Y. et al. Cancer Res. 1993, 53, 1332; Mosmann, T. J., J. Immunol. Methods 1983, 65, 55; and Carmichael, J. et al. Cancer Res. 1987, 47, 936).
- MTA MTT-microtiter plate tetrazolinium cytotoxicity assay
- the human lymphoblast RPMI 8402 and its camptothecin-resistant variant cell line, CPT-K5 were provided by Dr. Toshiwo Andoh (Anchi Cancer Research Institute, Nagoya, Japan) (see Andoh, T.; Okada, K. "Drug resistance mechanisms of topoisomerase I drugs," Adv.
- IC 50 For determination of IC 50 , cells were exposed continuously for 3-4 days to varying concentrations of drug, and MTT assays were performed at the end of the fourth day. Each assay was performed with a control that did not contain any drug. All assays were performed at least twice in 6 replicate wells. All assays were performed under the direction of Dr. L. F. Liu, Department of Pharmacology, The University of Medicine and Dentistry of New Jersey, Robert Wood Johnson Medical School, Piscataway, New Jersey. Representative data is shown in Tables 2 and 3.
- Tables 2 and 3 demonstrates that representative compounds of the invention function as cytotoxic agents against tumor cell lines, including multidrug resistant tumor cell lines.
- the compounds are useful to treat cancer and can be used to treat tumors that are resistant to other specific chemotherapeutic agents.
- Topoisomerase inhibitors are also known to possess antibacterial, antifungal, antiprotozoal, antihelmetic, and antiviral activity. Accordingly, the topoisomerase inhibitors of the invention may also be useful as antibacterial, antifungal, antiprotozoal, antihelmetic, or antiviral agents.
- compounds of the invention that demonstrate little or no activity as mammalian topoisomerase I poisons, because of the possibility of similar molecular mechanism of action could be highly active and selective antibacterial, antifungal, antiprotozoal, antihelmetic, or antiviral agents.
- certain compounds of the invention may be particularly useful as systemic antibacterial, antifungal, antiprotozoal, antihelmetic, or antiviral agents in mammals.
- the invention also provides the use of a compound of the invention for the manufacture of a medicament useful for producing an antibacterial, antifungal, antiprotozoal, antihelmetic, or antiviral effect in a mammal.
- solid mammalian tumors include cancers of the head and neck, lung, mesothehoma, mediastinum, esophagus, stomach, pancreas, hepatobiliary system, small intestine, colon, rectum, anus, kidney, ureter, bladder, prostate, urethra, penis, testis, gynecological organs, ovarian, breast, endocrine system, skin central nervous system; sarcomas of the soft tissue and bone; and melanoma of cutaneous and intraocular origin.
- hematological malignancies includes childhood leukemia and lymphomas, Hodgkin's disease, lymphomas of lymphocytic and cutaneous origin, acute and chronic leukemia, plasma cell neoplasm and cancers associated with AIDS.
- the preferred mammalian species for treatment are humans and domesticated animals.
- melting points were determined with a Thomas-Hoover Unimelt capillary melting point apparatus; column chromatography refers to flash chromatography conducted on SiliTech 32-63 m, (ICN Biomedicals, Eschwegge, Ger.) using the solvent systems indicated; radial chromatography refers to the use of a Model 8924 chromatotron (Harrison Research, CA); infrared spectral data (IR) were obtained on a Perkin-Elmer 1600 Fourier transform spectrophotometer and are reported in cm “1 ; proton ( ⁇ NMR) and carbon ( 13 C NMR) nuclear magnetic resonance were recorded on a Varian Gemini-200 Fourier Transform spectrometer; NMR spectra (200 MHz ⁇ and 50 MHz 13 C) were recorded in the deuterated solvent indicated with chemical shifts reported in units downfield from tetramethylsilane (TMS); coupling constants are reported in hertz (Hz),
- 6-(2-Aminophenyl)-2,3-dimethoxynaphthalene was dissolved in 48% hydrobromic acid (4.25 mL), cooled in ice-salt bath, and treated dropwise with stirring with sodium nitrite (0.13 g) in water (2.2 mL). Stirring was continued for 0.5 h., and to the cold solution was then added with stirring freshly precipitated copper (0.5 g). The mixture was allowed to rise slowly to room temperature and left overnight. The solid was filtered off and washed with hot chloroform. The chloroform solution was washed with diluted sodium hydroxide solution, then with water, dried (anhydrous Na ⁇ O and rotaevaporated to give the crude product.
- 6-(2-aminophenyl)-2,3-dimethoxynaphthalene (5) was prepared as follows. a. 6-(2-Nitrophenyl)-2,3-dimethoxy-7,8-dihydronaphthalene (3).
- Pd(PPh 3 ) 2 Cl 2 (840 mg, 1.2 mmol) and sodium acetate (200 mg, 2.4 mmol) were added to a solution of 6,7-dimethoxy-3,4-dihydronaphthalene (2, 700 mg, 3.7 mmol) and l-iodo-2-nitrobenzene (925 mg, 3.7 mmol) in dimethylacetamide (50 mL). The mixture was stirred under nitrogen at 140 °C overnight, and then concentrated in vacuo. Ethyl acetate (60 mL) was added to the residue and washed with distilled water (50 mL). The organic layer was separated and passed through a celite bed.
- 2,3-dimethoxy-7,8-dihydronaphthalene (100 mg, 0.32 mmol) was refluxed overnight in toluene (20 mL) with DDQ (109 mg, 0.48 mmol). Cooled down to room temperature and filtered through celite bed. The filtrate was rotaevaporated to dryness to give the crude product.
- 2,3-dimethoxynaphthalene (70 mg, 0.23 mmol) was hydrogenated overnight in ethyl acetate (45 mL) at 40-45 lb./sq. in. under catalysis of palladium (10 wt% on activated carbon, 20 mg). The solution was passeded through a celite bed and the catalyst was washed with ethyl acetate (3x10 mL).
- Compound 2 was prepared as illustrated in Figure 1 , from readily available starting materials, using standard procedures.
- 6-(2-Amino-4,5-methylenedioxyphenyl)-2,3-dimethoxy-naphthalene 13, 40 mg, 0.13 mmol
- acetic acid 2 mL
- concentrated hydrochloric acid 0.3 mL
- diazotised with a solution of sodium nitrite (0.09 g in 1.5 mL water).
- the diazonium solution was allowed to rise slowly to room temperature and left overnight.
- Water (50 mL) was added to the red solution with some precipitate.
- the resulting mixture was extracted with ethyl acetate, washed with diluted sodium hydroxide solution, then with water, dried (anhydrous Na ⁇ O and rotaevaporated to give the crude product.
- the intermediate 6-(2-Amino-4,5-methylenedioxyphenyl)-2,3- dimethoxynaphthalene (13) was prepared as follows. a. 6,7-Dimethoxy-3,4-dihydro-2-naphthalenetriflate (9). A solution of 6,7-dimethoxy-2-tetralone (250 mg, 1.2 mmol) in THF (5 mL) was added to a suspension of sodium hydride (60 wt%, 75 mg, 1.9 mmol) in THF (10 mL) cooled by ice bath and stirred 0.5 h.
- Tetrakis(triphenylphosphine)palladium(0) (40 mg) and cuprous bromide (8 mg) were added to a solution of 6,7-dirnethoxy-2-naphthalenetriflate (160 mg, 0.48 mmol) and trimethyl(3,4-methylenedioxy-6-nitrophenyl)stannane (8, 187 mg, 0.57 mmol) in THF (20 mL). The mixture was stirred at room temperature for 0.5 h., and then refluxed under nitrogen for 18 h.
- 6-(2-Amino-4,5-methyIenedioxyphenyl)-2,3-dimethoxy- naphthalene 13
- 6-(4,5-Methylenedioxy-2-nitrophenyl)-2,3- dimethoxynaphthalene 25 mg, 0.071 mmol
- ethyl acetate 40 mL
- the solution was passed through celite bed and the catalyst was washed with ethyl acetate (3x10 ml). Concentration in vacuo gave the crude product.
- Trimethyl (3,4- methylenedioxy-6-nitrophenyl)stannane (8) Trimethyl (3,4- methylenedioxy-6-nitrophenyl)stannane (8).
- aqueous potassium fluoride (7.0M, 2 mL) was added dropwise with vigorous stirring.
- the mixture was passed through a celite bed and the filtrate was washed with brine.
- the methylene chloride layer was dried (anhyd. Na 2 SO 4 ), filtered and evaporated in vacuo.
- Tetrakis(triphenylphosphine)palladium(0) (80 mg) and cuprous bromide (16 mg) were added to a solution of 6,7-dimethoxy-2-naphthalenetriflate (10, 220 mg, 0.655 mmol) and trimethyl(3,4-dimethoxy-6-nitrophenyl)stannane (16, 220 mg, 0.64 mmol) in THF (25 mL). The mixture was stirred at room temperature for 0.5 h., and then refluxed under nitrogen for 32 hr.
- 6-(2-Amino-4-methoxyphenyl)-2,3-dimethoxynaphthalene (32) (12 mg, 0.039 mmol) was dissolved in acetic acid (0.6 mL) and concentrated hydrochloric acid (0.06 mL). The solution was cooled in an ice bath and diazotized by the dropwise addition of a solution of sodium nitrite (0.026 g in 0.5 mL water). The resulting diazonium solution was allowed to rise to room temperature slowly and left overnight. To the resulting red solution which contained some precipitate was added 30 mL water and the mixture was extracted with ethyl acetate (30 mL x 3).
- the intermediate compound 32 was prepared as follows.
- Tetrakis(triphenylphosphine)palladium (0) (60 mg) and cuprous bromide (10 mg) were added to a solution of 6,7-dimethoxy-2-trifluoromethanesulfonyloxy- naphthalene 10 (150 mg, 0.45 mmol) and trimethylnitroarylstannane 26 (140 mg, 0.45 mmol) in THF (20 mL) at room temperature and stirred for 0.5 h. The mixture was then refluxed under N 2 for 36 h. After cooling, THF was evaporated and ethyl acetate (30 mL) was added to the residue. The solution was washed with water. The organic layer was separated and passed through a Celite bed to remove suspended particles.
- 6-(4- Methoxy-2-nitrophenyl)-2,3-dimethoxynaphthalene 29 (18 mg, 0.053 mmol) was hydrogenated overnight in ethyl acetate (20 mL) at 40-45 lb./sq. in. using 10% palladium on carbon (10 mg) as catalyst.
- the reaction solution was passed through a Celite bed and the catalyst was washed with ethyl acetate (10 mL x 3). Concentration in vacuo gave the crude product.
- the intermediate compound 26 used in sub-part a above was prepared as follows.
- the intermediate compound 33 was prepared as follows.
- Tetrakis(triphenylphosphine)palladium (0) (80 mg) and cuprous bromide (6 mg) were added to a solution of 6,7-dimethoxy-2-trifluoromethanesulfonyloxy- naphthalene 10 (200 mg, 0.60 mmol) and trimethylnitroarylstannane 27 (200 mg, 0.64 mmol) in THF (25 mL) at room temperature and stirred for 0.5 h. The mixture was then refluxed under N 2 overnight. After cooling, THF was evaporated and ethyl acetate (30 mL) was added to the residue. The solution was washed with water. The organic layer was separated and passed through a Celite bed to remove suspended particles.
- the intermediate compound 27 was perpared as follows.
- Trimethyl(3-methoxy-6-nitrophenyl)stannane (27).
- a mixture of hexamethylditin (2 g, 6.13 mmol), 3-methoxy-6-nitrobromobenzene 24 (0.70 g, 3.0 mmol) and Pd(PPh 3 ) 4 (100 mg) in anhydrous THF (20 mL) was heated to reflux under nitrogen until thin layer chromatography no longer showed the presence of starting material. After cooling to room temperature, THF was evaporated and methylene chloride was added to the residue. To this mixture, aqueous potassium fluoride (7.0 M, 1.5 mL) was added dropwise with vigorous stirring. The mixture was passed through a Celite bed and the filtrate washed with brine.
- 6-(2-Amino-5-benzyloxy-4-methoxyphenyl)-2,3-dimethoxy- naphthalene 41 (35 mg, 0.084 mmol) was dissolved in acetic acid (0.65 mL) and concentrated hydrochloric acid (0.13 mL). The solution was cooled in an ice bath and diazotized by the dropwise addition of a solution of sodium nitrite (0.052 g in 0.52 mL water). The reaction mixture was allowed to warm slowly to room temperature and left for 1 day. To the resulting red solution containing some precipitate was added 50 mL water and the mixture was extracted with ethyl acetate (30 mL x 3).
- the intermediate compound 41 was prepared as follows.
- a mixture of hexamethylditin (2 g, 6.13 mmol), 3-benzyloxy-4-methoxy-6-nitro- bromobenzene 37 (1.4 g, 4.14 mmol) and Pd(PPh 3 ) 4 (200 mg) in anhydrous THF (40 mL) was heated to reflux under nitrogen for 2 days. After cooling to room temperature, THF was evaporated and methylene chloride was added to the residue. To this mixture, aqueous potassium fluoride (7.0 M, 1.5 mL) was added dropwise with vigorous stirring.
- 6-(2-Amino-4,5-methylenedioxyphenyl)-2-methoxynaphthalene 46 (170 mg, 0.58 mmol) was dissolved in acetic acid (4.5 mL) and concentrated hydrochloric acid (0.9 mL). The solution was cooled in an ice bath and diazotized by the dropwise addition of a solution of sodium nitrite (0.36 g in 3.6 mL water). The resulting diazonium solution was allowed to warm slowly to room temperature and left for 1 day. To the resulting red solution containing some precipitate was added 50 mL water and the mixture was extracted with ethyl acetate (30 mL x 3).
- the intermediate compound 46 was prepared as follows.
- Tetrakis(triphenylphosphine)palladium (0) 120 mg
- cuprous bromide 20 mg
- 2-bromo-6-methoxynaphthalene 0.3 g, 1.27 mmol
- the mixture was then refluxed under N 2 for 16 h. After cooling, THF was evaporated and 50 mL ethyl acetate was added to the residue.
- the solution was washed with water.
- the organic layer was separated and passed through a Celite bed to remove suspended particles.
- 6-(4,5-Methylened ⁇ oxy-2-mtrophenyl)-2-methoxynaphthalene 45 (260 mg, 0.81 mmol) was hydrogenated overnight in ethyl acetate (35 mL) at 40-45 lb./sq. in. using 10% palladium on carbon (70 mg) as catalyst.
- the reaction solution was passed through a Celite bed and the catalyst was washed with ethyl acetate (10 mL x 3). Concentration of the ethyl acetate solution in vacuo gave the crude product.
- the intermediate compound 62 was prepared as follows.
- Trimethyl(3,4-methylenedioxy-6-nitrophenyl)stannane (62).
- a mixture of hexamethylditin (1 g, 3.1 mmol), compound 16 (0.7 g, 2.9 mmol) and tetrak ⁇ s(t ⁇ phenylphosph ⁇ ne)pallad ⁇ um (100 mg) in anhydrous THF (20 ml) was heated to reflux under nitrogen for 10 h. After cooling to room temperature, THF was evaporated and methylene chloride (30 mL) was added to the residue.
- aqueous potassium fluoride (7.0M, 1 mL) was added dropwise with vigorous stirring. The mixture was passed through a Celite bed and the filtrate was washed with brine.
- the intermediate compound 49 was prepared as follows. a. 7-Methoxy-2-trifluoromethanesulfonyloxynaphthalene (47). A solution of 7-methoxy-2-naphthol (0.75 g, 4.3 mmol) in THF (10 mL) was added to a suspension of sodium hydride (60 wt%, 205 mg, 5.1 mmol) in THF (10 mL) cooled by ice bath and stirred for 1.5 h. A solution of N- phenyltrifluoromethanesulfonimide (1.55 g, 4.34 mmol) in THF (10 mL) was then added, and the reaction mixture was stirred for 9 h.
- the compound of Example 9 was also prepare as follows. Lithium aluminum hydride (46 mg, 1.2 mmol) was added to a stirred solution of compound 54 (74 mg, 0.2 mmol) in diethyl ether (10 mL) and benzene (10 mL). The mixture was stirred under reflux for 1 h. After cooling to room temperature, the excess hydride was decomposed with 0.05 mL water, 0.05 mL 15% NaOH and 0.15 L water, and the reaction mixture filtered through a Celite bed. Evaporation of solvent in vacuo gave the crude product, which was purified by column chromatography using 50:50 hexanes:ethyl acetate mixture as eluting solvent to provide compound 44 (46 mg,75%).
- the intermediate compound 54 was prepared as follows. a. 4-Methyl-2,3,4,5-tetrabromophenol (50). .-Cresol (5 g, 46 mmol) was added dropwise to 15 mL (0.29 mol) of bromine containing 0.25 g Fe filings at room temperature. During the addition of p-cresol, small portions of chloroform were added from time to time to facilitate stirring. After 6 h, HBr evolution subsided. The residue was dissolved in hot chloroform, washed with aqueous NaHCO 3 . dried with anhydrous sodium sulfate and evaporated in vacuo.
- Example 10 The following illustrate representative pharmaceutical dosage forms, containing a compound of formula I ('Compound X'), for therapeutic or prophylactic use in humans.
Landscapes
- Health & Medical Sciences (AREA)
- Organic Chemistry (AREA)
- Chemical & Material Sciences (AREA)
- Veterinary Medicine (AREA)
- Life Sciences & Earth Sciences (AREA)
- General Health & Medical Sciences (AREA)
- Chemical Kinetics & Catalysis (AREA)
- Pharmacology & Pharmacy (AREA)
- Medicinal Chemistry (AREA)
- Animal Behavior & Ethology (AREA)
- General Chemical & Material Sciences (AREA)
- Public Health (AREA)
- Nuclear Medicine, Radiotherapy & Molecular Imaging (AREA)
- Communicable Diseases (AREA)
- Oncology (AREA)
- Tropical Medicine & Parasitology (AREA)
- Virology (AREA)
- Engineering & Computer Science (AREA)
- Bioinformatics & Cheminformatics (AREA)
- Pharmaceuticals Containing Other Organic And Inorganic Compounds (AREA)
- Nitrogen Condensed Heterocyclic Rings (AREA)
Abstract
Description
Claims
Priority Applications (7)
| Application Number | Priority Date | Filing Date | Title |
|---|---|---|---|
| AU12364/01A AU1236401A (en) | 1999-10-29 | 2000-10-26 | Heterocyclic cytotoxic agents |
| EP00973917A EP1228045A2 (en) | 1999-10-29 | 2000-10-26 | Heterocyclic cytotoxic agents |
| CA002389312A CA2389312A1 (en) | 1999-10-29 | 2000-10-26 | Heterocyclic cytotoxic agents |
| JP2001534782A JP2003513079A (en) | 1999-10-29 | 2000-10-26 | Heterocyclic cytotoxic agent |
| US10/134,983 US6740650B2 (en) | 1999-10-29 | 2002-04-29 | Heterocyclic cytotoxic agents |
| US10/853,017 US20050009830A1 (en) | 1999-10-29 | 2004-05-25 | Heterocyclic cytotoxic agents |
| US11/118,071 US7466663B2 (en) | 2000-10-26 | 2005-04-29 | Method and apparatus for identifying components of a network having high importance for network integrity |
Applications Claiming Priority (2)
| Application Number | Priority Date | Filing Date | Title |
|---|---|---|---|
| US16254099P | 1999-10-29 | 1999-10-29 | |
| US60/162,540 | 1999-10-29 |
Related Child Applications (2)
| Application Number | Title | Priority Date | Filing Date |
|---|---|---|---|
| US10/134,983 Continuation US6740650B2 (en) | 1999-10-29 | 2002-04-29 | Heterocyclic cytotoxic agents |
| US11/118,071 Continuation US7466663B2 (en) | 2000-10-26 | 2005-04-29 | Method and apparatus for identifying components of a network having high importance for network integrity |
Publications (2)
| Publication Number | Publication Date |
|---|---|
| WO2001032631A2 true WO2001032631A2 (en) | 2001-05-10 |
| WO2001032631A3 WO2001032631A3 (en) | 2002-02-21 |
Family
ID=22586069
Family Applications (1)
| Application Number | Title | Priority Date | Filing Date |
|---|---|---|---|
| PCT/US2000/029583 Ceased WO2001032631A2 (en) | 1999-10-29 | 2000-10-26 | Heterocyclic cytotoxic agents |
Country Status (6)
| Country | Link |
|---|---|
| EP (1) | EP1228045A2 (en) |
| JP (1) | JP2003513079A (en) |
| AR (1) | AR026267A1 (en) |
| AU (1) | AU1236401A (en) |
| CA (1) | CA2389312A1 (en) |
| WO (1) | WO2001032631A2 (en) |
Cited By (17)
| Publication number | Priority date | Publication date | Assignee | Title |
|---|---|---|---|---|
| WO2003041653A3 (en) * | 2001-11-14 | 2003-07-10 | Univ Rutgers | Cytotoxic agents |
| WO2004014918A1 (en) * | 2002-08-09 | 2004-02-19 | Rutgers, The State University | Nitro and amino substituted topoisomerase agents |
| WO2004014906A3 (en) * | 2002-08-09 | 2004-04-29 | Univ Rutgers | Nitro and amino substituted dibenzonaphthyridines as topoisomerase agents |
| WO2004044174A2 (en) | 2002-11-12 | 2004-05-27 | Rutgers, The State University | Topoisomerase-targeting agents |
| WO2004058682A1 (en) * | 2002-12-26 | 2004-07-15 | Eisai Co., Ltd. | Selective estrogen receptor modulators |
| JP2005511617A (en) * | 2001-11-14 | 2005-04-28 | ラトガーズ,ザ ステイト ユニバーシティ | Solubilized topoisomerase poison |
| JP2005511762A (en) * | 2001-11-14 | 2005-04-28 | ラトガーズ,ザ ステイト ユニバーシティ | Solubilized topoisomerase toxic agent |
| US6964964B2 (en) | 2001-11-14 | 2005-11-15 | Rutgers The State University Of New Jersey | Topoisomerase poison agents |
| US6992088B2 (en) | 2002-08-09 | 2006-01-31 | Rutgers, The State University Of New Jersey | Nitro and amino substituted heterocycles as topoisomerase I targeting agents |
| DE102008022221A1 (en) | 2008-05-06 | 2009-11-12 | Universität des Saarlandes | Inhibitors of human aldosterone synthase CYP11B2 |
| WO2010088544A1 (en) | 2009-01-30 | 2010-08-05 | Rutgers, The State University Of New Jersey | Methods to treat cancer |
| US8541404B2 (en) | 2009-11-09 | 2013-09-24 | Elexopharm Gmbh | Inhibitors of the human aldosterone synthase CYP11B2 |
| US9321781B2 (en) | 2009-05-01 | 2016-04-26 | Rutgers, The State University Of New Jersey | Topoisomerase inhibitors |
| US9562051B2 (en) | 2009-03-06 | 2017-02-07 | Rutgers, The State University Of New Jersey | Methylenedioxybenzo [I] phenanthridine derivatives used to treat cancer |
| US10071066B2 (en) | 2014-03-28 | 2018-09-11 | Duke University | Method of treating cancer using selective estrogen receptor modulators |
| US10420734B2 (en) | 2014-03-28 | 2019-09-24 | Duke University | Method of treating cancer using selective estrogen receptor modulators |
| US11091498B2 (en) | 2016-04-04 | 2021-08-17 | Rutgers, The State University Of New Jersey | Topoisomerase poisons |
Family Cites Families (1)
| Publication number | Priority date | Publication date | Assignee | Title |
|---|---|---|---|---|
| WO1998045272A1 (en) * | 1997-04-07 | 1998-10-15 | Latrobe University | Topoisomerase inhibitors |
-
2000
- 2000-10-26 EP EP00973917A patent/EP1228045A2/en not_active Withdrawn
- 2000-10-26 AU AU12364/01A patent/AU1236401A/en not_active Abandoned
- 2000-10-26 WO PCT/US2000/029583 patent/WO2001032631A2/en not_active Ceased
- 2000-10-26 JP JP2001534782A patent/JP2003513079A/en not_active Withdrawn
- 2000-10-26 CA CA002389312A patent/CA2389312A1/en not_active Abandoned
- 2000-10-27 AR ARP000105664A patent/AR026267A1/en unknown
Cited By (46)
| Publication number | Priority date | Publication date | Assignee | Title |
|---|---|---|---|---|
| JP2005511762A (en) * | 2001-11-14 | 2005-04-28 | ラトガーズ,ザ ステイト ユニバーシティ | Solubilized topoisomerase toxic agent |
| US7517883B2 (en) | 2001-11-14 | 2009-04-14 | Rutgers, The State University Of New Jersey | Solubilized topoisomerase poisons |
| EP2286812A1 (en) | 2001-11-14 | 2011-02-23 | Rutgers, The State University | Solubilized topoisomerase poisons |
| WO2003041653A3 (en) * | 2001-11-14 | 2003-07-10 | Univ Rutgers | Cytotoxic agents |
| JP2013166801A (en) * | 2001-11-14 | 2013-08-29 | Rutgers The State Univ | Solubilized topoisomerase poison |
| JP2005511617A (en) * | 2001-11-14 | 2005-04-28 | ラトガーズ,ザ ステイト ユニバーシティ | Solubilized topoisomerase poison |
| EP2196205A1 (en) * | 2001-11-14 | 2010-06-16 | Rutgers, The State University | Topoisomerase poisons |
| US6964964B2 (en) | 2001-11-14 | 2005-11-15 | Rutgers The State University Of New Jersey | Topoisomerase poison agents |
| US7049315B2 (en) | 2001-11-14 | 2006-05-23 | Rutgers, The State University Of New Jersey | Solubilized topoisomerase poisons |
| US6987109B2 (en) | 2001-11-14 | 2006-01-17 | Rutgers, The State University Of New Jersey | Solubilized topoisomerase poison agents |
| EP1465625A4 (en) * | 2001-11-14 | 2005-06-08 | Univ Rutgers | SOLUBILIZED TOPOISOMERASE POISONS |
| US7468366B2 (en) | 2001-11-14 | 2008-12-23 | Rutgers, The State University Of New Jersey | Cytotoxic agents |
| US7781587B2 (en) | 2001-11-14 | 2010-08-24 | Rutgers, The State University Of New Jersey | Solubilized topoisomerase poisons |
| US7319105B2 (en) | 2001-11-14 | 2008-01-15 | Rutgers, The State University Of New Jersey | Cytotoxic agents |
| US8389721B2 (en) | 2001-11-14 | 2013-03-05 | Rutgers, The State University Of New Jersey | Solubilized topoisomerase poisons |
| US6992089B2 (en) | 2002-08-09 | 2006-01-31 | Rutgers, The University Of New Jersey | Nitro and amino substituted topoisomerase agents |
| US6992088B2 (en) | 2002-08-09 | 2006-01-31 | Rutgers, The State University Of New Jersey | Nitro and amino substituted heterocycles as topoisomerase I targeting agents |
| US6989387B2 (en) | 2002-08-09 | 2006-01-24 | Rutgers, The State University Of New Jersey | Nitro and amino substituted topoisomerase agents |
| WO2004014906A3 (en) * | 2002-08-09 | 2004-04-29 | Univ Rutgers | Nitro and amino substituted dibenzonaphthyridines as topoisomerase agents |
| WO2004014918A1 (en) * | 2002-08-09 | 2004-02-19 | Rutgers, The State University | Nitro and amino substituted topoisomerase agents |
| US7208492B2 (en) | 2002-11-12 | 2007-04-24 | Rutgers, The State University Of New Jersey | Topoisomerase-targeting agents |
| JP2006512319A (en) * | 2002-11-12 | 2006-04-13 | ラトガーズ、ザ・ステイト・ユニバーシテイ・オブ・ニユー・ジヤージー | Topoisomerase-targeting agent |
| JP4774212B2 (en) * | 2002-11-12 | 2011-09-14 | ラトガーズ、ザ・ステイト・ユニバーシテイ・オブ・ニユー・ジヤージー | Topoisomerase-targeting agent |
| EP1562593A4 (en) * | 2002-11-12 | 2008-09-24 | Univ Rutgers | Topoisomerase-targeting agents |
| WO2004044174A2 (en) | 2002-11-12 | 2004-05-27 | Rutgers, The State University | Topoisomerase-targeting agents |
| US7858627B2 (en) | 2002-11-12 | 2010-12-28 | Rutgers, The State University Of New Jersey | Topoisomerase-targeting agents |
| US7612114B2 (en) | 2002-12-26 | 2009-11-03 | Eisai R&D Management Co., Ltd. | Selective estrogen receptor modulator |
| JP4500689B2 (en) * | 2002-12-26 | 2010-07-14 | エーザイ・アール・アンド・ディー・マネジメント株式会社 | Selective estrogen receptor modulator |
| US7960412B2 (en) | 2002-12-26 | 2011-06-14 | Eisai R&D Management Co., Ltd. | Selective estrogen receptor modulator |
| AU2003292625B2 (en) * | 2002-12-26 | 2008-07-24 | Eisai R & D Management Co., Ltd. | Selective estrogen receptor modulators |
| JPWO2004058682A1 (en) * | 2002-12-26 | 2006-04-27 | エーザイ株式会社 | Selective estrogen receptor modulator |
| US8399520B2 (en) | 2002-12-26 | 2013-03-19 | Eisai R&D Management Co., Ltd. | Selective estrogen receptor modulator |
| WO2004058682A1 (en) * | 2002-12-26 | 2004-07-15 | Eisai Co., Ltd. | Selective estrogen receptor modulators |
| DE102008022221A1 (en) | 2008-05-06 | 2009-11-12 | Universität des Saarlandes | Inhibitors of human aldosterone synthase CYP11B2 |
| US8685960B2 (en) | 2008-05-06 | 2014-04-01 | Elexopharm Gmbh | 6-pyridin-3-yl-3,4-dihydro-1h-quinolin-2-one derivatives and related compounds as inhibitors of the human aldosterone synthase CYP11B2 |
| WO2010088544A1 (en) | 2009-01-30 | 2010-08-05 | Rutgers, The State University Of New Jersey | Methods to treat cancer |
| US10179789B2 (en) | 2009-03-06 | 2019-01-15 | Rutgers, The State University Of New Jersey | Methylenedioxybenzo [I] phenanthridine derivatives used to treat cancer |
| US9562051B2 (en) | 2009-03-06 | 2017-02-07 | Rutgers, The State University Of New Jersey | Methylenedioxybenzo [I] phenanthridine derivatives used to treat cancer |
| US9321781B2 (en) | 2009-05-01 | 2016-04-26 | Rutgers, The State University Of New Jersey | Topoisomerase inhibitors |
| US8541404B2 (en) | 2009-11-09 | 2013-09-24 | Elexopharm Gmbh | Inhibitors of the human aldosterone synthase CYP11B2 |
| US10071066B2 (en) | 2014-03-28 | 2018-09-11 | Duke University | Method of treating cancer using selective estrogen receptor modulators |
| US10420734B2 (en) | 2014-03-28 | 2019-09-24 | Duke University | Method of treating cancer using selective estrogen receptor modulators |
| US11779552B2 (en) | 2014-03-28 | 2023-10-10 | Duke University | Method of treating cancer using selective estrogen receptor modulators |
| US11951080B2 (en) | 2014-03-28 | 2024-04-09 | Duke University | Method of treating cancer using selective estrogen receptor modulators |
| US12263142B2 (en) | 2014-03-28 | 2025-04-01 | Duke University | Method of treating cancer using selective estrogen receptor modulators |
| US11091498B2 (en) | 2016-04-04 | 2021-08-17 | Rutgers, The State University Of New Jersey | Topoisomerase poisons |
Also Published As
| Publication number | Publication date |
|---|---|
| CA2389312A1 (en) | 2001-05-10 |
| AR026267A1 (en) | 2003-02-05 |
| EP1228045A2 (en) | 2002-08-07 |
| WO2001032631A3 (en) | 2002-02-21 |
| JP2003513079A (en) | 2003-04-08 |
| AU1236401A (en) | 2001-05-14 |
Similar Documents
| Publication | Publication Date | Title |
|---|---|---|
| US6740650B2 (en) | Heterocyclic cytotoxic agents | |
| US6992088B2 (en) | Nitro and amino substituted heterocycles as topoisomerase I targeting agents | |
| WO2001032631A2 (en) | Heterocyclic cytotoxic agents | |
| US20100240664A1 (en) | Solubilized topoisomerase poison agents | |
| EP1042294B1 (en) | Heterocyclic cytotoxic agents | |
| US7858627B2 (en) | Topoisomerase-targeting agents | |
| EP1453812B1 (en) | Cytotoxic agents | |
| US6989387B2 (en) | Nitro and amino substituted topoisomerase agents | |
| US6063801A (en) | Heterocyclic topoisomerase poisons | |
| EP1044199A1 (en) | Heterocyclic topoisomerase poisons |
Legal Events
| Date | Code | Title | Description |
|---|---|---|---|
| AK | Designated states |
Kind code of ref document: A2 Designated state(s): AE AG AL AM AT AU AZ BA BB BG BR BY BZ CA CH CN CR CU CZ DE DK DM DZ EE ES FI GB GD GE GH GM HR HU ID IL IN IS JP KE KG KP KR KZ LC LK LR LS LT LU LV MA MD MG MK MN MW MX MZ NO NZ PL PT RO RU SD SE SG SI SK SL TJ TM TR TT TZ UA UG US UZ VN YU ZA ZW |
|
| AL | Designated countries for regional patents |
Kind code of ref document: A2 Designated state(s): GH GM KE LS MW MZ SD SL SZ TZ UG ZW AM AZ BY KG KZ MD RU TJ TM AT BE CH CY DE DK ES FI FR GB GR IE IT LU MC NL PT SE BF BJ CF CG CI CM GA GN GW ML MR NE SN TD TG |
|
| 121 | Ep: the epo has been informed by wipo that ep was designated in this application | ||
| DFPE | Request for preliminary examination filed prior to expiration of 19th month from priority date (pct application filed before 20040101) | ||
| AK | Designated states |
Kind code of ref document: A3 Designated state(s): AE AG AL AM AT AU AZ BA BB BG BR BY BZ CA CH CN CR CU CZ DE DK DM DZ EE ES FI GB GD GE GH GM HR HU ID IL IN IS JP KE KG KP KR KZ LC LK LR LS LT LU LV MA MD MG MK MN MW MX MZ NO NZ PL PT RO RU SD SE SG SI SK SL TJ TM TR TT TZ UA UG US UZ VN YU ZA ZW |
|
| AL | Designated countries for regional patents |
Kind code of ref document: A3 Designated state(s): GH GM KE LS MW MZ SD SL SZ TZ UG ZW AM AZ BY KG KZ MD RU TJ TM AT BE CH CY DE DK ES FI FR GB GR IE IT LU MC NL PT SE BF BJ CF CG CI CM GA GN GW ML MR NE SN TD TG |
|
| WWE | Wipo information: entry into national phase |
Ref document number: 2389312 Country of ref document: CA |
|
| ENP | Entry into the national phase |
Ref country code: JP Ref document number: 2001 534782 Kind code of ref document: A Format of ref document f/p: F |
|
| WWE | Wipo information: entry into national phase |
Ref document number: 12364/01 Country of ref document: AU |
|
| WWE | Wipo information: entry into national phase |
Ref document number: 2000973917 Country of ref document: EP |
|
| WWP | Wipo information: published in national office |
Ref document number: 2000973917 Country of ref document: EP |
|
| REG | Reference to national code |
Ref country code: DE Ref legal event code: 8642 |
|
| WWW | Wipo information: withdrawn in national office |
Ref document number: 2000973917 Country of ref document: EP |















